Class XII Chapter 2 – Inverse Trigonometric Functions Maths
Page 1 of 38
Exercise 2.1
Question 1:
Find the principal value of
Answer
Let sin-1
Then sin y =
We know that the range of the principal value branch of sin−1
is
and sin
Therefore, the principal value of
Question 2:
Find the principal value of
Answer
We know that the range of the principal value branch of cos−1
is
.
Therefore, the principal value of .
Question 3:
Find the principal value of cosec−1
(2)
Answer
Class XII Chapter 2 – Inverse Trigonometric Functions Maths
Page 2 of 38
Let cosec−1
(2) = y. Then,
We know that the range of the principal value branch of cosec−1
is
Therefore, the principal value of
Question 4:
Find the principal value of
Answer
We know that the range of the principal value branch of tan−1
is
Therefore, the principal value of
Question 5:
Find the principal value of
Answer
We know that the range of the principal value branch of cos−1
is
Therefore, the principal value of
Class XII Chapter 2 – Inverse Trigonometric Functions Maths
Page 3 of 38
Question 6:
Find the principal value of tan−1
(−1)
Answer
Let tan−1
(−1) = y. Then,
We know that the range of the principal value branch of tan−1
is
Therefore, the principal value of
Question 7:
Find the principal value of
Answer
We know that the range of the principal value branch of sec−1
is
Therefore, the principal value of
Question 8:
Find the principal value of
Answer
Class XII Chapter 2 – Inverse Trigonometric Functions Maths
Page 4 of 38
We know that the range of the principal value branch of cot−1
is (0,π) and
Therefore, the principal value of
Question 9:
Find the principal value of
Answer
We know that the range of the principal value branch of cos−1
is [0,π] and
.
Therefore, the principal value of
Question 10:
Find the principal value of
Answer
We know that the range of the principal value branch of cosec−1
is
Therefore, the principal value of
Class XII Chapter 2 – Inverse Trigonometric Functions Maths
Page 5 of 38
Question 11:
Find the value of
Answer
Question 12:
Find the value of
Answer
Class XII Chapter 2 – Inverse Trigonometric Functions Maths
Page 6 of 38
Question 13:
Find the value of if sin−1
x = y, then
(A) (B)
(C) (D)
Answer
It is given that sin−1
x = y.
We know that the range of the principal value branch of sin−1
is
Therefore, .
Question 14:
Find the value of is equal to
(A) π (B) (C) (D)
Answer
Class XII Chapter 2 – Inverse Trigonometric Functions Maths
Page 7 of 38
Class XII Chapter 2 – Inverse Trigonometric Functions Maths
Page 8 of 38
Exercise 2.2
Question 1:
Prove
Answer
To prove:
Let x = sinθ. Then,
We have,
R.H.S. =
= 3θ
= L.H.S.
Question 2:
Prove
Answer
To prove:
Let x = cosθ. Then, cos−1
x =θ.
We have,
Class XII Chapter 2 – Inverse Trigonometric Functions Maths
Page 9 of 38
Question 3:
Prove
Answer
To prove:
Question 4:
Prove
Answer
To prove:
Class XII Chapter 2 – Inverse Trigonometric Functions Maths
Page 10 of 38
Question 5:
Write the function in the simplest form:
Answer
Class XII Chapter 2 – Inverse Trigonometric Functions Maths
Page 11 of 38
Question 6:
Write the function in the simplest form:
Answer
Put x = cosec θ ⇒ θ = cosec−1
x
Question 7:
Write the function in the simplest form:
Class XII Chapter 2 – Inverse Trigonometric Functions Maths
Page 12 of 38
Answer
Question 8:
Write the function in the simplest form:
Answer
Class XII Chapter 2 – Inverse Trigonometric Functions Maths
Page 13 of 38
Question 9:
Write the function in the simplest form:
Answer
Question 10:
Write the function in the simplest form:
Answer
Class XII Chapter 2 – Inverse Trigonometric Functions Maths
Page 14 of 38
Question 11:
Find the value of
Answer
Let . Then,
Question 12:
Class XII Chapter 2 – Inverse Trigonometric Functions Maths
Page 15 of 38
Find the value of
Answer
Question 13:
Find the value of
Answer
Let x = tan θ. Then, θ = tan−1
x.
Let y = tan Φ. Then, Φ = tan−1
y.
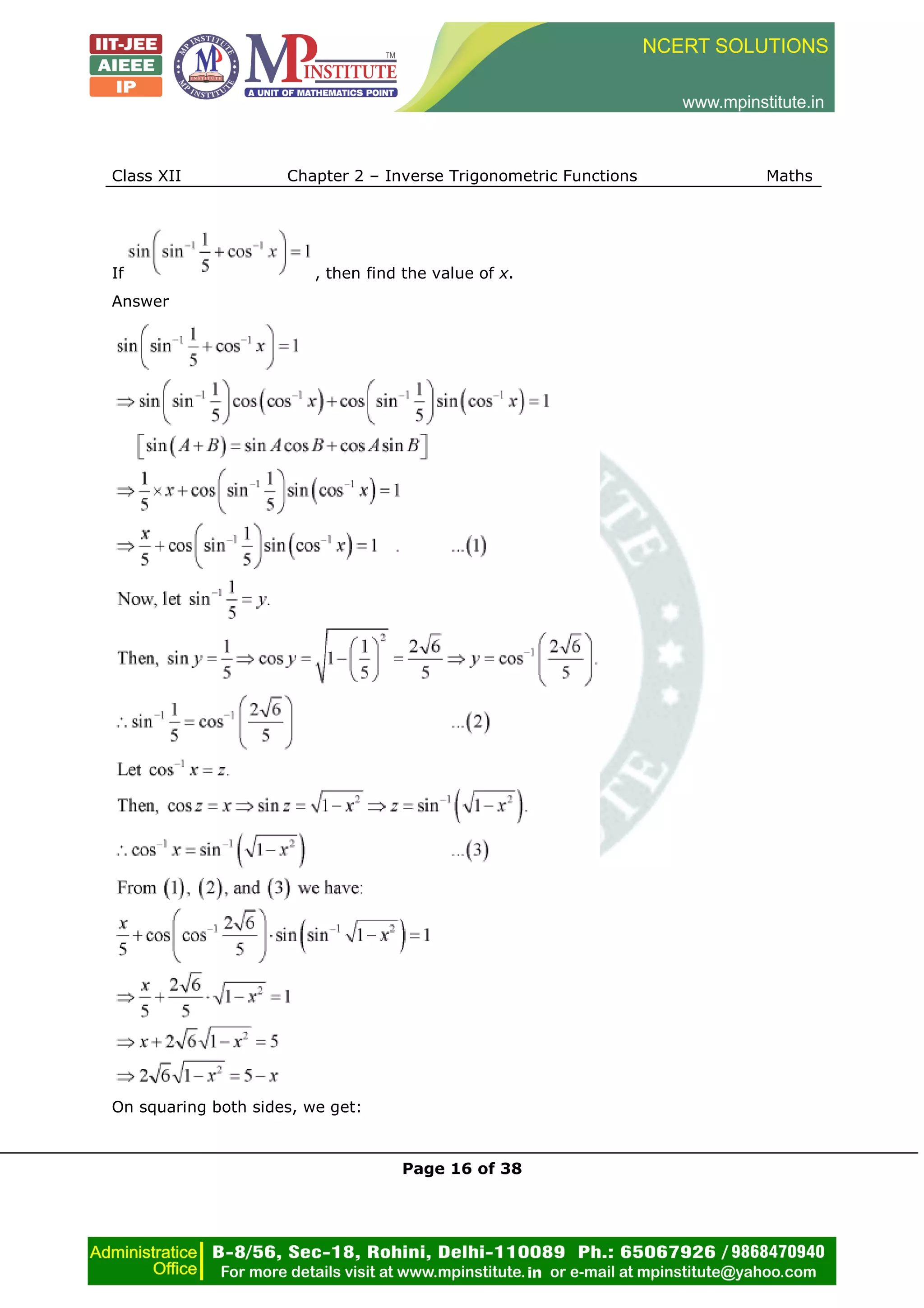
Question 14:
Class XII Chapter 2 – Inverse Trigonometric Functions Maths
Page 16 of 38
If , then find the value of x.
Answer
On squaring both sides, we get:
Class XII Chapter 2 – Inverse Trigonometric Functions Maths
Page 17 of 38
Hence, the value of x is
Question 15:
If , then find the value of x.
Answer
Class XII Chapter 2 – Inverse Trigonometric Functions Maths
Page 18 of 38
Hence, the value of x is
Question 16:
Find the values of
Answer
Class XII Chapter 2 – Inverse Trigonometric Functions Maths
Page 19 of 38
We know that sin−1
(sin x) = x if , which is the principal value branch of
sin−1
x.
Here,
Now, can be written as:
Question 17:
Find the values of
Answer
We know that tan−1
(tan x) = x if , which is the principal value branch of
tan−1
x.
Here,
Now, can be written as:
Class XII Chapter 2 – Inverse Trigonometric Functions Maths
Page 20 of 38
Question 18:
Find the values of
Answer
Let . Then,
Question 19:
Class XII Chapter 2 – Inverse Trigonometric Functions Maths
Page 21 of 38
Find the values of is equal to
(A) (B) (C) (D)
Answer
We know that cos−1
(cos x) = x if , which is the principal value branch of cos
−1
x.
Here,
Now, can be written as:
The correct answer is B.
Question 20:
Find the values of is equal to
(A) (B) (C) (D) 1
Answer
Let . Then,
We know that the range of the principal value branch of .
Class XII Chapter 2 – Inverse Trigonometric Functions Maths
Page 22 of 38
∴
The correct answer is D.
Class XII Chapter 2 – Inverse Trigonometric Functions Maths
Page 23 of 38
Miscellaneous Solutions
Question 1:
Find the value of
Answer
We know that cos−1
(cos x) = x if , which is the principal value branch of cos
−1
x.
Here,
Now, can be written as:
Question 2:
Find the value of
Answer
We know that tan−1
(tan x) = x if , which is the principal value branch of
tan −1
x.
Here,
Now, can be written as:
Class XII Chapter 2 – Inverse Trigonometric Functions Maths
Page 24 of 38
Question 3:
Prove
Answer
Now, we have:
Class XII Chapter 2 – Inverse Trigonometric Functions Maths
Page 25 of 38
Question 4:
Prove
Answer
Now, we have:
Class XII Chapter 2 – Inverse Trigonometric Functions Maths
Page 26 of 38
Question 5:
Prove
Answer
Class XII Chapter 2 – Inverse Trigonometric Functions Maths
Page 27 of 38
Now, we will prove that:
Class XII Chapter 2 – Inverse Trigonometric Functions Maths
Page 28 of 38
Question 6:
Prove
Answer
Now, we have:
Class XII Chapter 2 – Inverse Trigonometric Functions Maths
Page 29 of 38
Question 7:
Prove
Answer
Using (1) and (2), we have
Class XII Chapter 2 – Inverse Trigonometric Functions Maths
Page 30 of 38
Question 8:
Prove
Answer
Class XII Chapter 2 – Inverse Trigonometric Functions Maths
Page 31 of 38
Question 9:
Prove
Answer
Class XII Chapter 2 – Inverse Trigonometric Functions Maths
Page 32 of 38
Question 10:
Prove
Answer
Question 11:
Prove [Hint: putx = cos 2θ]
Answer
Class XII Chapter 2 – Inverse Trigonometric Functions Maths
Page 33 of 38
Question 12:
Prove
Answer
Class XII Chapter 2 – Inverse Trigonometric Functions Maths
Page 34 of 38
Question 13:
Solve
Answer
Question 14:
Solve
Answer
Class XII Chapter 2 – Inverse Trigonometric Functions Maths
Page 35 of 38
Question 15:
Solve is equal to
(A) (B) (C) (D)
Answer
Let tan−1
x = y. Then,
The correct answer is D.
Question 16:
Solve , then x is equal to
Class XII Chapter 2 – Inverse Trigonometric Functions Maths
Page 36 of 38
(A) (B) (C) 0 (D)
Answer
Therefore, from equation (1), we have
Put x = sin y. Then, we have:
But, when , it can be observed that:
Class XII Chapter 2 – Inverse Trigonometric Functions Maths
Page 37 of 38
is not the solution of the given equation.
Thus, x = 0.
Hence, the correct answer is C.
Question 17:
Solve is equal to
(A) (B). (C) (D)
Answer
Class XII Chapter 2 – Inverse Trigonometric Functions Maths
Page 38 of 38
Hence, the correct answer is C.

Chapter 2 inverse_trigonometric_functions

  • 1.
    Class XII Chapter2 – Inverse Trigonometric Functions Maths Page 1 of 38 Exercise 2.1 Question 1: Find the principal value of Answer Let sin-1 Then sin y = We know that the range of the principal value branch of sin−1 is and sin Therefore, the principal value of Question 2: Find the principal value of Answer We know that the range of the principal value branch of cos−1 is . Therefore, the principal value of . Question 3: Find the principal value of cosec−1 (2) Answer
  • 2.
    Class XII Chapter2 – Inverse Trigonometric Functions Maths Page 2 of 38 Let cosec−1 (2) = y. Then, We know that the range of the principal value branch of cosec−1 is Therefore, the principal value of Question 4: Find the principal value of Answer We know that the range of the principal value branch of tan−1 is Therefore, the principal value of Question 5: Find the principal value of Answer We know that the range of the principal value branch of cos−1 is Therefore, the principal value of
  • 3.
    Class XII Chapter2 – Inverse Trigonometric Functions Maths Page 3 of 38 Question 6: Find the principal value of tan−1 (−1) Answer Let tan−1 (−1) = y. Then, We know that the range of the principal value branch of tan−1 is Therefore, the principal value of Question 7: Find the principal value of Answer We know that the range of the principal value branch of sec−1 is Therefore, the principal value of Question 8: Find the principal value of Answer
  • 4.
    Class XII Chapter2 – Inverse Trigonometric Functions Maths Page 4 of 38 We know that the range of the principal value branch of cot−1 is (0,π) and Therefore, the principal value of Question 9: Find the principal value of Answer We know that the range of the principal value branch of cos−1 is [0,π] and . Therefore, the principal value of Question 10: Find the principal value of Answer We know that the range of the principal value branch of cosec−1 is Therefore, the principal value of
  • 5.
    Class XII Chapter2 – Inverse Trigonometric Functions Maths Page 5 of 38 Question 11: Find the value of Answer Question 12: Find the value of Answer
  • 6.
    Class XII Chapter2 – Inverse Trigonometric Functions Maths Page 6 of 38 Question 13: Find the value of if sin−1 x = y, then (A) (B) (C) (D) Answer It is given that sin−1 x = y. We know that the range of the principal value branch of sin−1 is Therefore, . Question 14: Find the value of is equal to (A) π (B) (C) (D) Answer
  • 7.
    Class XII Chapter2 – Inverse Trigonometric Functions Maths Page 7 of 38
  • 8.
    Class XII Chapter2 – Inverse Trigonometric Functions Maths Page 8 of 38 Exercise 2.2 Question 1: Prove Answer To prove: Let x = sinθ. Then, We have, R.H.S. = = 3θ = L.H.S. Question 2: Prove Answer To prove: Let x = cosθ. Then, cos−1 x =θ. We have,
  • 9.
    Class XII Chapter2 – Inverse Trigonometric Functions Maths Page 9 of 38 Question 3: Prove Answer To prove: Question 4: Prove Answer To prove:
  • 10.
    Class XII Chapter2 – Inverse Trigonometric Functions Maths Page 10 of 38 Question 5: Write the function in the simplest form: Answer
  • 11.
    Class XII Chapter2 – Inverse Trigonometric Functions Maths Page 11 of 38 Question 6: Write the function in the simplest form: Answer Put x = cosec θ ⇒ θ = cosec−1 x Question 7: Write the function in the simplest form:
  • 12.
    Class XII Chapter2 – Inverse Trigonometric Functions Maths Page 12 of 38 Answer Question 8: Write the function in the simplest form: Answer
  • 13.
    Class XII Chapter2 – Inverse Trigonometric Functions Maths Page 13 of 38 Question 9: Write the function in the simplest form: Answer Question 10: Write the function in the simplest form: Answer
  • 14.
    Class XII Chapter2 – Inverse Trigonometric Functions Maths Page 14 of 38 Question 11: Find the value of Answer Let . Then, Question 12:
  • 15.
    Class XII Chapter2 – Inverse Trigonometric Functions Maths Page 15 of 38 Find the value of Answer Question 13: Find the value of Answer Let x = tan θ. Then, θ = tan−1 x. Let y = tan Φ. Then, Φ = tan−1 y. Question 14:
  • 16.
    Class XII Chapter2 – Inverse Trigonometric Functions Maths Page 16 of 38 If , then find the value of x. Answer On squaring both sides, we get:
  • 17.
    Class XII Chapter2 – Inverse Trigonometric Functions Maths Page 17 of 38 Hence, the value of x is Question 15: If , then find the value of x. Answer
  • 18.
    Class XII Chapter2 – Inverse Trigonometric Functions Maths Page 18 of 38 Hence, the value of x is Question 16: Find the values of Answer
  • 19.
    Class XII Chapter2 – Inverse Trigonometric Functions Maths Page 19 of 38 We know that sin−1 (sin x) = x if , which is the principal value branch of sin−1 x. Here, Now, can be written as: Question 17: Find the values of Answer We know that tan−1 (tan x) = x if , which is the principal value branch of tan−1 x. Here, Now, can be written as:
  • 20.
    Class XII Chapter2 – Inverse Trigonometric Functions Maths Page 20 of 38 Question 18: Find the values of Answer Let . Then, Question 19:
  • 21.
    Class XII Chapter2 – Inverse Trigonometric Functions Maths Page 21 of 38 Find the values of is equal to (A) (B) (C) (D) Answer We know that cos−1 (cos x) = x if , which is the principal value branch of cos −1 x. Here, Now, can be written as: The correct answer is B. Question 20: Find the values of is equal to (A) (B) (C) (D) 1 Answer Let . Then, We know that the range of the principal value branch of .
  • 22.
    Class XII Chapter2 – Inverse Trigonometric Functions Maths Page 22 of 38 ∴ The correct answer is D.
  • 23.
    Class XII Chapter2 – Inverse Trigonometric Functions Maths Page 23 of 38 Miscellaneous Solutions Question 1: Find the value of Answer We know that cos−1 (cos x) = x if , which is the principal value branch of cos −1 x. Here, Now, can be written as: Question 2: Find the value of Answer We know that tan−1 (tan x) = x if , which is the principal value branch of tan −1 x. Here, Now, can be written as:
  • 24.
    Class XII Chapter2 – Inverse Trigonometric Functions Maths Page 24 of 38 Question 3: Prove Answer Now, we have:
  • 25.
    Class XII Chapter2 – Inverse Trigonometric Functions Maths Page 25 of 38 Question 4: Prove Answer Now, we have:
  • 26.
    Class XII Chapter2 – Inverse Trigonometric Functions Maths Page 26 of 38 Question 5: Prove Answer
  • 27.
    Class XII Chapter2 – Inverse Trigonometric Functions Maths Page 27 of 38 Now, we will prove that:
  • 28.
    Class XII Chapter2 – Inverse Trigonometric Functions Maths Page 28 of 38 Question 6: Prove Answer Now, we have:
  • 29.
    Class XII Chapter2 – Inverse Trigonometric Functions Maths Page 29 of 38 Question 7: Prove Answer Using (1) and (2), we have
  • 30.
    Class XII Chapter2 – Inverse Trigonometric Functions Maths Page 30 of 38 Question 8: Prove Answer
  • 31.
    Class XII Chapter2 – Inverse Trigonometric Functions Maths Page 31 of 38 Question 9: Prove Answer
  • 32.
    Class XII Chapter2 – Inverse Trigonometric Functions Maths Page 32 of 38 Question 10: Prove Answer Question 11: Prove [Hint: putx = cos 2θ] Answer
  • 33.
    Class XII Chapter2 – Inverse Trigonometric Functions Maths Page 33 of 38 Question 12: Prove Answer
  • 34.
    Class XII Chapter2 – Inverse Trigonometric Functions Maths Page 34 of 38 Question 13: Solve Answer Question 14: Solve Answer
  • 35.
    Class XII Chapter2 – Inverse Trigonometric Functions Maths Page 35 of 38 Question 15: Solve is equal to (A) (B) (C) (D) Answer Let tan−1 x = y. Then, The correct answer is D. Question 16: Solve , then x is equal to
  • 36.
    Class XII Chapter2 – Inverse Trigonometric Functions Maths Page 36 of 38 (A) (B) (C) 0 (D) Answer Therefore, from equation (1), we have Put x = sin y. Then, we have: But, when , it can be observed that:
  • 37.
    Class XII Chapter2 – Inverse Trigonometric Functions Maths Page 37 of 38 is not the solution of the given equation. Thus, x = 0. Hence, the correct answer is C. Question 17: Solve is equal to (A) (B). (C) (D) Answer
  • 38.
    Class XII Chapter2 – Inverse Trigonometric Functions Maths Page 38 of 38 Hence, the correct answer is C.