Tính choïn daây daãn
5.1. GIÔÙI THIEÄU 
TOÅNG QUAÙT:
1.1. Daây daãn vaø caùp:
a. Daây daãn:
Khi choïn daây daãn thì 
yeâu caàu cô baûn laø beàn 
vaø toát, thöôøng coù caùc 
loaïi daâysau:
Daây ñoàng, daây nhoâm, 
daây nhoâm loõi theùp,v .v 
thöôøng ngöôùi ta söû duïng 
daây nhoâm vì noù reû hôn 
daây daãn ñoàng cuøng loaïi.
b.Daây caùp:
ngaàm neân traùnh ñöôïc va 
ñaäp, vaø aûnh höôõng tröïc 
tieáp cuûa moâi tröôøng beân 
ngoaøi, ñieän khaùng cuõng 
nhoû hôn ñöôøng daây treân 
khoâng cuøng tieát dieän 
neân toån thaát coâng suaát 
cuõng nhoû hôn.
Xo cuûa caùp trung bình laø 
0,08 Ώ/km.
Xo cuûa ñöôøng daây treân 
khoâng laø 0,4 Ώ/km.
Ñieåm yeáu cuûa maïng caùp 
laø giaù thaønh ñaét, gaáp 2- 
3 laàn ñöôøng daây treân 
khoâng cuøng tieát dieän
5.2. PHÖÔNG PHAÙP 
XAÙC ÑÒNH TIEÁT 
DIEÄN DAÂY DAÃN.
(Theo Tieâu 
Chuaån IEC). 
– Qui trình xaùc ñònh côû daây vaø 
choïn thieát bò baûo veä:
2.Phöông phaùp thöïc teá 
xaùc ñònh tieát dieän 
daây nhoû nhaát cho 
pheùp cuûa daây daãn
a. khaùi nieäm chung
Böôùc ñaàu tieân xaùc ñònh 
côõ daây cuûa daây pha. 
trong muïc naøy caàn chuù yù 
ñeán caùc tröông hôïp:
Daây choân döôùi ñaát.
Daây khoâng choân döôùi 
ñaát.
* Trình töï xaùc ñònh nhö 
sau
+ Xaùc ñònhmaõ chöõ 
caùi:
- Daïng cuûa maïch (1 hoaëc 
3 pha ).
- Caùch laép ñaët.
+Xaùc ñònh heä soá k 
phaûn aùnh caùc aûnh 
höôõng sau.
- Soá caùp trong raûnh caùp.
- Nhieät ñoä moâi tröôøng.
- Caùch laép ñaët.
b. Xaùc ñònh côõ daây 
ñoái vôùi caùp khoâng 
choân döôùi ñaát
tröïc tieáp tôùi maõ chöõ 
caùi (theå hieän caùch laép) 
vaø heä soá K. caùc baûng 
naøy khaùc nhau cho tröôøng 
hôïp daây choân vaø khoâng 
choân döôùi ñaát.
• Caùc chuõ caùi töø ( B tôùi F) phuï 
thuoäc vaøo daïng cuûa laép ñaët cuûa 
noù. coù nhieàu caùch laép ñaët, song 
nhöõng caùch gioáng nhau goâm 
thaønh nhoùm laïi vaø ñöôïc chia laøm 
4 loaïi theo ñieàu kieän moâi tröôøng 
xung quanh nhö ôû trong baûng H5-1 
(phuï luïc )
• -Xaùc ñònh heä soá K, vôùi caùc maïh 
khoâng choân döôùi ñaát, heä soá K 
theå hieän ñieàu kieän laép ñaët 
K=K1*K2*K3. 
• -Ñoái vôùi caùp khoâng choân döôùi 
ñaát, heä soá K ñaëc tröng cho ñieàu 
kieän laép ñaët 
• -Noù laø tích cuûa 3 heä soá K1,K2,K3 
• -Hsoá hieäu chænh K2:
-K2 theå hieän aûnh höôõng 
töông hoå cuûa 2 maïch ñaët 
keà.
ñaët keà nhau, hai maïch 
ñöôïc coi laø keà nhau khi 
khoaûng caùch L giöõa 2 
daây nhoû hôn 2 laàn ñöôøng 
kính caùp lôùn nhaát cuûa hai 
caùp noùi treân.
- Khi soá caùp nhieàu hôn 1, 
K2 caàn ñöôïc nhaân vôùi heä 
soá sau:
2 haøng :0,8
3 haøng :0,73.
4 hoaëc haøng :0.7.
-Heä soá hieäu chænh K3:
Heä soá K3 theå hieän aûnh 
höôõng cuûa nhieät ñoä töông 
öùng vôùi daïng caùch ñieän.
*Xaùc ñònh tieát dieän 
nhoû nhaát cuûa daây 
daãn:
Giaù trò I’z ñöôïc cho trong 
baûng H1-17(saùch HD-TK 
laép ñaët ñieän-IEC) cuøng 
vôùi kích côû daây vôùi daïng 
caùch ñieän khaùc nhau vaø 
keát caáu vaät lieäu khaùc 
nhau.
c. Xaùc ñònh côõ daây 
choân döôùi ñaát: 
• Trong tröôøng hôïp naøy caàn xaùc ñònh heä 
soá K, maõ chöõ caùi thích öùng khoâng caàn 
thieát.
xaùc ñònh heä soá hieäu 
chænh K: vôùi maïch choân 
döôùi ñaát, K seõ ñaëc tröng 
cho ñieàu kieän laép ñaët: K = 
K4*K5*K6*K7. – Heä soá K theå hieän aûnh höôõng toaøn dieän 
cuûa ñieàu kieän laép ñaët vaø tích soá 
K4,K5,K6,K7. Heä soá K4: theå hieän aûnh 
höôõng cuûa caùch laép ñaët.
aûnh höôõng cuûa soá daây 
ñaët keà nhau. hai daây ñöôïc 
coi laø keà nhau khi khoaûng 
caùch L giöõa 2 daây nhoû 
hôn 2 laàn ñöôøng kính caùp 
lôùn nhaát cuûa hai caùp.
Neáu caùp xeáp theo vaøi 
haøng, K5 nhaân vôùi heä 
soá :
2 haøng :0,8
3 haøng :0,73.
4 hoaëc haøng :0.7.
Heä soá K6 : theå hieän 
aûnh höôõng cuûa ñaát choân
Heä soá K7 : theå hieän 
aûnh höôõng cuûanhieät ñoä 
cuûa ñaát.(Heä soá naøy tính 
ñeán nhieät ñoä cuûa ñaát 
khaùc 20(0C).
5.3. TÍNH TOAÙN CHI 
TIEÁT CHO XÍ 
NGHIEÄP:
1/. Tính choïn daây daãn 
töø maùy bieán theá (mbt) 
ñeán tuû phaân phoái 
chính.
Coâng suaát tính toaùn : SMBT 
=200 (kVA).
Doøng ñieän tính toaùn:Itt = = 
= 288.67 (A).
Duøng daây ñoàng loaïi 
XLPE. moãi pha moät daây 
caùp ñôn vaø ñöôïc choân 
ngaàm.
Tra baûng H1-19 Heä soá 
laép ñaët K4
choïn K4 =1
Tra baûng H1-20( HD-TK laép 
ñaët ñieän-IEC) Soá daây 
daãn trong haøng K5
K5 = 0,7, heä soá nhaân 
theâm cho K5= 0.7
Tra baûng H1-21( HD-TK laép 
ñaët ñieän-IEC)theo tính 
chaát cuûa ñaát K6
Choïn K6 = 1 (ñaát khoâ).
Tra baûng H1-22( HD-TK laép 
ñaët ñieän-IEC) Phuï thuoäc 
vaøo nhieät ñoä cuûa ñaát K7
Choïn K7 = 0.85 (40 oC).
Vaäy caùc heä soá laø:
K=K4*K5*K6*K7
Vaäy daây seõ mang doøng 
ñieän I’z =579.42 (A).
Choïn daây daãn baèng 
ñoàng tra baûng H1-24 ÖÙng 
vôùi doøng I’z.
Ta coù ñöôïc tieát dieän daây: 
300 mm2
DAÂY TÖØ TUÛ PHAÂN 
PHOÁI TRUNG TAÂM 
ÑEÁN TUÛ ÑOÄNG LÖÏC 
TOÅ BAO BÌ , PE, CÔ 
KHÍ
Coâng suaát tính toaùn:Stt = 
40.83(kVA).
Doøng ñieän tính toaùn:Itt 
=94.29 (A). (Tính ôû chöông 
2).
Söû duïng daây caùp ñoàng 
XLPE, moãi pha duøng moät 
daây ñôn vaø ñöôïc choân 
ngaàm tôùi tuû ñoäng löïc 
cuûa toå.
I’z = 226.38(A)
Choïn daây daãn baèng 
ñoàng tra baûng H1-24( HD-TK 
laép ñaët ñieän-IEC). 
ÖÙng vôùi doøng I’z.
Ta coù ñöôïc tieát dieän daây: 
50 mm2
*Baûng toång keát daây 
daãn ñeán caùc xöôõng 
duøng loaïi daây ñoàng 
XLPE .
3.Choïn daây daãn cho 
caùc thieát bò cuûa xí 
nghieäp:
K2 = 0,8x0,8 =0,64 (2 haøng )
4. TÖØ TUÛ ÑOÄNG LÖÏC 
ÑEÁN THIEÁT BÒ
Toaøn boä laø caùp loaïi PVC 
loõi ñôn baèng ñoàng coù 
khay ñôû
4.1.TOÅ BAO BÌ
4.2.PE
4.3 TOÅ CÔ KHÍ
5.4. TÍNH ÑOÄ SUÏT AÙP
(Ñoäng cô, chieáu saùng ) 
phuï thuoäc nhieàu vaøo 
ñieän aùp ñaàu vaøo cuûa 
chuùng vaø ñoøi hoûi giaù trò 
ñieän aùp gaàn vôùi giaù trò 
ñònh möùc. vì vaäy caàn 
choïn daây sao cho khi mang 
taûi lôùn nhaát thì suït aùp 
cuoái ñöôøng daây naèm 
trong phaïm vi cho pheùp. 
» Caùc phöông phaùp xaùc ñònh ñoä suït 
aùp seõ ñöôïc trình baøy nhaèm kieåm 
tra: 
» Ñoä suït aùp phuø hôïp vôùi tieâu chuaån ñaëc 
bieät veà ñieän aùp. 
» Ñoä laø chaáp nhaän ñöôïc vaø thoûa maûng 
caùc yeâu caàu veà vaän haønh.
1. Ñoä suït aùp lôùn 
nhaát cho pheùp
nhaát tuøy thuoäc vaøo moãi 
quoác gia.Caùc giaù trò ñieån 
hình ñoái vôùi löôùi haï aùp 
ñöôïc cho trong baûng H1-26.( 
HD-TK laép ñaët ñieän-IEC)
naøy ñöôïc cho trong cheá 
ñoä vaän haønh bình thöôøng 
vaø khoâng söû duïng khi 
khôûi ñoäng ñoäng cô, hoaëc 
khi ñoùng ñoàng thôøi nhieàu 
taûi.
Khi vöôït quaù caùc giaù trò 
trong baûng H1-26 .( HD-TK 
laép ñaët ñieän-IEC) thì caàn 
söû duïng daây coù tieát 
dieän lôùn hôn.
Neáu suït aùp 8% ñöôïc cho 
pheùp thì seõ gaây ra haøng 
loaït caùc vaán ñeà sau cho 
ñoäng cô:
cuûa ñoäng cô ñoøi hoûi 
ñieän aùp dao ñoäng ±5% 
xung quanh giaù trò ñònh 
möùc cuûa noù ôû traïng thaùi 
oån ñònh tónh.
doøng laøm vieäc lôùn nhaát. 
Neáu suït aùp 8% taïi thôøi 
ñieåm ñaày taûi thì seõ daãn 
tôùi suït aùp 40% hoaëc hôn 
ôû thôøi ñieåm khôûi ñoäng. 
Ñieàu naøy laøm cho ñoäng 
cô :
Ñöùng yeân (do moment 
ñieän töø khoâng vöôït quaù 
moment taûi ) vaø laøm cho 
ñoäng cô quaù noùng.
vaäy, doøng taûi raát lôùn 
(gaây giaûm aùp treân thieát 
bò khaùc ) seû tieáp tuïc toàn 
taïi trong thôøi gian khôûi 
ñoäng.
Suït aùp 8% seõ gaây toån 
thaát ñaùng keå nhaát laø cho 
caùc taûi laøm vieäc lieân 
tuïc.
Do nhöõng nguyeân nhaân 
naøy ñoä suït aùp lôùn nhaát 
cho pheùp 8% seõ khoâng 
ñöôïc cho ñoái vôùi löôùi raát 
nhaïy vôùi ñieän aùp.
2.Tính toaùn suït aùp ôû 
ñieàu kieän oån ñònh.
Coâng thöùc söû duïng
Baûng döôùi ñaây seõ cho 
coâng thöùc chung ñeå tính 
ñoä suït aùp cho moãi Km 
chieàu daøi daây
Vôùi :
Ib Doøng laøm vieäc lôùn 
nhaát (A).
L Chieàu daøi daây (Km).
R Ñieän trôû cuûa 
daây(W/Km). 
» Ñieän trôû cuûa ñoàng
R = 
» Ñieän trôû cuûa nhoâm
R =
X: caûm khaùng cuûa ñöôøng 
daây(W/Km).
φ : goùc pha giöõa ñieän aùp 
vaø doøng ñieän trong daây. 
» chieáusaùng cosφ =1.
§Ñoäng cô;
Khi khôûi ñoäng cosφ =0.35.
Cheá ñoä bình thöôøng cosφ 
= 0.8. 
– UÑieän aùp daây . 
n : – V: Ñieän aùp pha. 
n
Ñoái vôùi oáng daây ñi saün 
kieåu laép gheùp thanh daãn, 
ñieän trôû vaø ñieän khaùng 
ñöôïc nhaø cheá taïo cung 
caáp.
Coâng thöùc tính suït aùp
Maïch
Suït aùp DU
V %
1 pha : pha /pha DU 
=2Ib(Rcosφ + Xsinφ)L
1 pha : pha /trung tính DU 
=2Ib(Rcosφ + Xsinφ)L
3 pha caân baèng ;3 pha (coù 
hoaëc khoâng coù trung tính ) 
DU=Ib(Rcosφ + Xsinφ)L
Baûng tính ñôn giaûn:
söõ duïng baûngö3.( HD-TK 
laép ñaët ñieän-IEC) döôùi 
ñaây. Baûng naùy cho keát 
quaû tính suït aùp gaàn 
ñuùng treân 1 (Km) cho 
1(A)vaø phuï thuoäc vaøo.
Daïng cuûa taûi:cho ñoäng cô 
vôùi cosφ gaàn baèng 0,8 hay 
cho chieáu saùng cosφ gaàn 
baèng 1.
Ñoä suït aùp ñöôïc tính baèng 
: DU =K*Ib*L.
K: Ñöôïc cho trong baûng .
Ib: Doøng laøm vieäc lôùn 
nhaát(A).
L :Chieàu daøi caùp (Km).
=0,35 trong baûng H1-29 . 
( HD-TK laép ñaët ñieän-IEC) 
coù theå ñöôïc duøng ñeå tình 
ñoä suït aùp khi khôûi ñoäng 
ñoäng cô.
3. TÍNH TOAÙN CHI 
TIEÁT SUÏT AÙP CUÛA 
DAÂY DAÃN
a.suït aùp töø maùy bieán 
theá ñeán tuû phaân 
phoái chính.
Coâng suaát maùt bieán theá: 
SMBT =200 (kVA).
Doøng ñieän tính toaùn Itt = 
274(A)
Tieát dieän:Spha = 300(mm2).
Chieàu daøi L =24(m).
a. Suït aùp taïi tuû phaân 
phoái chính
Caùch tính 1:
DU =*274*() *0.024 =1.122 
(v)
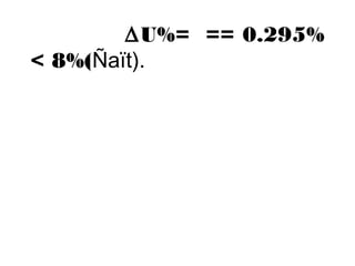
DU%= == 0.295% 
< 8%(Ñaït).
Caùch tính 2: tra baûng H1- 
29 öùng vôùi tieát dieän daây 
ta tra ñöôïc K
K= 0.18
DU= K*Itt *L=0.18*274*0.024 
= 1.18 (V)
Töø 2 caùch tính treân ta 
thaáy keát quaû gaàn gioáng 
nhau.
Ñeå taêng tính chính xaùc 
cuûa suït aùp ta duøng caùch 
tính 1 cho nhöõng phaân 
xöôõng sau.
b.Suït aùp taïi tuû phaân 
phoái chính ñeán tuû PE
Coâng suaát tính toaùn : Stt = 
66,58 (kVA).
Doøng ñieän tính toaùn Itt 
=175.2(A).
Tieátdieän daây:Spha = 185 
(mm2 ).
Chieàu daøi L: 18 (m)
DU =*175.2*() 
*0.018 =0.775 (v)
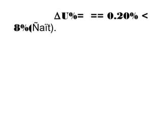
DU%= == 0.20% < 
8%(Ñaït).
c. Suït aùp taïi tuû phaân 
phoái chính ñeán tuû cô 
khí
Coâng suaát tính toaùn : Stt = 
57.91 (kVA).
Doøng ñieän tính toaùn Itt 
=142(A).
Tieátdieän daây:Spha = 
120(mm2 ).
Chieàu daøi L: = 13 (m)
DU =*142*() *0.013 
=0.69 (v)
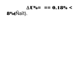
DU%= == 0.18% < 
8%(Ñaït).
d .Suït aùp taïi tuû phaân 
phoái chính ñeán tuû Bao 
Bì
Coâng suaát tính toaùn : Stt = 
40.83 (kVA).
Doøng ñieän tính toaùn Itt 
=94.29(A).
Tieátdieän daây:Spha = 50(mm2 
).
Chieàu daøi L: = 13 (m)
DU =*94.29*() 
*0.013 =0.95 (v)
DU%= == 0.25% < 
8%(Ñaït).
e .Suït aùp taïi tuû phaân 
phoái chính ñeán tuû 
chieáu saùng
Coâng suaát tính toaùn : Stt = 
41.37 (kVA).
Doøng ñieän tính toaùn Itt 
=192.6(A).
Tieátdieän daây:Spha = 
185(mm2 ).
Chieàu daøi L: = 30 (m)
DU =*192.6*() 
*0.03 =1.42 (v)
DU%= == 0.37% < 
8%(Ñaït).
3.1. tính suït aùp taïi caùc 
tuû phaân phoái ôû dheá 
ñoä vaän haønh bình 
thöôøng
3.1.1. Baûng suït aùp taïi 
tuû cô khí 
– 3.1.2. Baûng suït aùp taïi tuû PE 
– 3.1.3. Baûng suït aùp Chieáu saùng 
– 3.1.4. Baûng suït aùp xöôõng bao bì
3.2. tính suït aùp taïi caùc 
tuû phaân phoái ôû dheá 
ñoä khôûi ñoäng
3.2.1. Baûng suït aùp taïi 
tuû cô khí 
– 3.2.2. Baûng suït aùp taïi tuû PE 
– 3.2.2. Baûng suït aùp taïi tuû BAO 
BÌ
Keát luaän : 
» Qua keát quaû tính suït aùp treân ñieàu thoûa 
maõng yeâu caàu veà suït aùp khi vaän haønh 
cuõng nhö khi khôûi ñoäng.

Ch5
Ch5
Ch5
Ch5

Ch5