1. Table of Contents
Consumer Awareness and Knowledge Influencing Consumer Behaviors:Case
of Mobile Phone Users for Secondary SchoolStudents in Cyberjaya, Selangor.
2
3. Methodology...........................................................................................2
3.1 Introduction...................................................................................................................... 2
3.2 Research Design............................................................................................................... 2
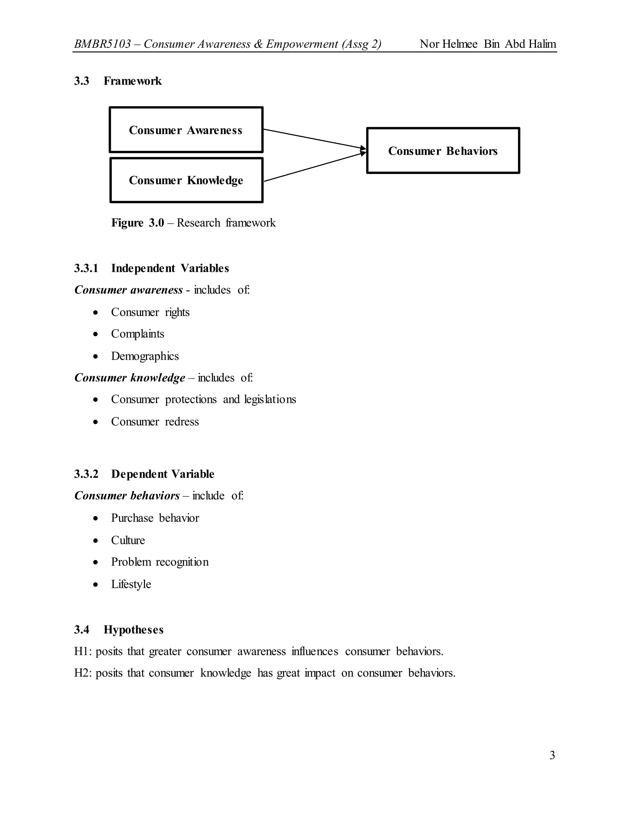
3.3 Framework ....................................................................................................................... 3
3.3.1 Independent Variables............................................................................................... 3
3.3.2 Dependent Variable................................................................................................... 3
3.4 Hypotheses ....................................................................................................................... 3
3.5 Population......................................................................................................................... 4
3.6 Sampling........................................................................................................................... 4
3.6.1 The calculation of the “n” adopted from Krejcie and Morgan ................................. 5
3.6.2 Probability sampling technique – simple random sampling ..................................... 7
3.6.3 Advantages and disadvantages of using a simple random sample ......................... 10
3.7 Instrument....................................................................................................................... 11
3.7.1 Measurement and scaling procedures ..................................................................... 11
3.7.2 Description of the Instrument ................................................................................. 12
3.7.3 Development of the Instrument............................................................................... 13
3.7.4 Reliability and Validity........................................................................................... 15
3.8 Data Collection Methods................................................................................................ 15
3.8.1 The results............................................................................................................... 17
3.9 Data Analysis ................................................................................................................. 18
3.9.1 Microsoft Excel....................................................................................................... 18
3.9.2 SPSS........................................................................................................................ 18
3.9.3 Descriptive Statistic - Research Questions ............................................................. 18
3.9.4 Inferential Statistic - Research Hypotheses using “Relationship”.......................... 22
3.10 Conclusion.................................................................................................................. 22
References...................................................................................................25
Appendices..................................................................................................27
BMBR5103 – Consumer Awareness & Empowerment (Assg 2) Nor Helmee Bin Abd Halim
2
Consumer Awareness and Knowledge Influencing Consumer Behaviors: Case of Mobile
Phone Users for Secondary School Students in Cyberjaya, Selangor.
3. Methodology
3.1 Introduction
The purpose of this study is to examine how consumer awareness and knowledge of a secondary
school students influencing their consumerism behavior. This chapter presents (1) overview of the
study, (2) the research design method (3) illustration of the research framework, (4) hypothesis of
the study, (5) the population of the study, (6) the sample selection method and techniques, (7) the
procedure used in designing the instrument and (8) data collection methods used, and (8) an
explanation of the statistical procedures used to analyze the data.
3.2 Research Design
To fulfill the research objective, a quantitative research design is used in the main survey using a
structured questionnaire. Quantitative research is defined by Gerrish and Lacey (2010) as “the
broad term used to denote research designs and methods that yield numerical data”. The data in
the research can be quantitative or qualitative. Quantitative data are generally gathered through
structured questions while qualitative data is generated from the broad answers to specific
questions in interviews, or from responses to open-ended questions in the a questionnaire, or
through observation, or from already available information gathered from various sources
(Sekaran, 2003).
In this study, quantitative research is appropriate as objective theories will be tested by
examining the relationship among variables. The variables used in this study are measurable,
typically on instruments which the numbered data will be analyzed using statistical procedures
(Creswell, 2008).
BMBR5103 – Consumer Awareness & Empowerment (Assg 2) Nor Helmee Bin Abd Halim
3
3.3 Framework
Figure 3.0 – Research framework
3.3.1 Independent Variables
Consumer awareness - includes of:
 Consumer rights
 Complaints
 Demographics
Consumer knowledge – includes of:
 Consumer protections and legislations
 Consumer redress
3.3.2 Dependent Variable
Consumer behaviors – include of:
 Purchase behavior
 Culture
 Problem recognition
 Lifestyle
3.4 Hypotheses
H1: posits that greater consumer awareness influences consumer behaviors.
H2: posits that consumer knowledge has great impact on consumer behaviors.
Consumer Awareness
Consumer Knowledge
Consumer Behaviors
BMBR5103 – Consumer Awareness & Empowerment (Assg 2) Nor Helmee Bin Abd Halim
4
3.5 Population
The population was selected from a secondary school students of SMK Cyberjaya. Cyberjaya is
a town with a science park as the core that forms a key part of the Multimedia Super Corridor in
Malaysia or aspires to be known as the Silicon Valley of Malaysia. It is located in the district of
Sepang, Selangor. The town is populated by a mixed of expats, knowledge workers, university
students, lecturers as well as government servants. The selection of SMK Cyberjaya is based on
the fact that the students have a mixed of demographic background which is relevant to this study.
The scope of the students is narrowed down to students aged between 15 to 17 years only.
Students in this age group are considered matured, have better exposure to the consumerism
activities as compared to age below 15 years old and perceived to have abilities to participate well
in the survey. The total students aged between 15 to 17 years old is 499 students from a total of
829 total students. Out of 499 total target population, 320 (64%) are females and 179 (36%) are
males.
The above information was obtained directly from the Sepang District Education Officer
and verified by the school administrative officer. The approval to conduct the study was obtained
from the school principal. The details of obtaining the approval process and the flow of the activity
are discussed later in this chapter.
3.6 Sampling
The sampling design used in this study is probability sampling and the technique used is simple
random sampling. Probability sampling is the random sampling in which every individual of the
sample has an equal opportunity to be selected for the research and simple random sampling means
choosing a sample according to the requirement of the study and out of that sample, choosing the
people at random. Just anyone in the sample could be selected (Sekaran 2003).
Once sampling design has been identified, the next step is to determine the sample size
required in this study. As most researchers, including Sekaran (2003) commented that “a larger
sample yield more accurate results, but excessive responses can be pricey”. There are various
formulas for calculating the required sample size. The commonly used formula is the one used by
BMBR5103 – Consumer Awareness & Empowerment (Assg 2) Nor Helmee Bin Abd Halim
5
Krejcie & Morgan in their 1970 article “Determining Sample Size for Research Activities”
(Bartlett, Kotrlik & Higgins 2001).
The population, expressed as “N” is 499 total students aged 15 to 17 years old and the steps
to calculate the sample size, which is expressed as “n” are discussed in the following section.
3.6.1 The calculation of the “n” adopted from Krejcie and Morgan
Krejcie and Morgan (1970) as cited by Hill (1998) have produced a table for determining sample
size. They did this in response to an article called “Small Sample Techniques” issued by the
research division of the National Education Association, regrettably an easy reference table had
not been provided. They therefore produced such a table based on the formula. No calculations are
required to use the table which is also reproduced below, Table 3.0 – Sample size of a Determined
Population.
Based on the table produced by Krejcie and Morgan (1970), the sample size required in
this study is 217 respondents. The “n” is derived from “N”, the total population of students aged
between 15 to 17 years old which is 499 students in total. The closest “N” based on the table is
500 and the “n” required in this study will be 217 respondents. For this study, the sample
proportion “p” will be within +- .05 of the population proportion “P” with a 95% level of
confidence as suggested by Krejcie and Morgan.
Table 3.0 – Sample size of a Determined Population
Required Sample Size, Given A Finite Population, Where N = Population Size and n = Sample
Size
N - n N - n N - n N - n N - n
10 -10 100 - 80 280 - 162 800 - 260 2800 - 338
15 - 14 110 - 86 290 - 165 850 - 265 3000 - 341
20 - 19 120 – 92 300 – 169 900 – 269 3500 - 346
25 – 24 130 – 97 320 – 175 950 – 274 4000 - 351
30 - 28 140 – 103 340 – 181 1000 – 278 4500 - 354
BMBR5103 – Consumer Awareness & Empowerment (Assg 2) Nor Helmee Bin Abd Halim
6
35 – 32 150 – 108 360 – 186 1100 – 285 5000 - 357
40 – 36 160 – 113 380 – 191 1200 – 291 6000 - 361
45 – 40 170 – 118 400 - 196 1300 – 297 7000 - 364
50 – 44 180 – 123 420 – 201 1400 – 302 8000 - 367
55 – 48 190 - 127 440 – 205 1500 – 306 9000 - 368
60 – 52 200 – 132 460 – 210 1600 – 310 10000 – 370
65 – 56 210 – 136 480 – 241 1700 – 313 15000 – 375
70 – 59 220 – 140 500 – 217 1800 – 317 20000 – 377
75 – 63 230 - 144 550 – 226 1900 – 320 30000 – 379
80 – 66 240 – 148 600 – 234 2000 – 322 40000 – 380
85 – 70 250 – 152 650 – 242 2200 – 327 50000 – 381
90 – 73 260 – 155 700 – 248 2400 – 331 75000 – 382
95 – 76 270 – 159 750 – 254 2600 – 335 100000 - 384
The formula used for these calculations is as depicted in Figure 3.1 – Krejcie and Morgan
formula.
Figure 3.1 – Krejcie and Morgan formula.
In a nutshell, these formulas required knowledge of the variance or proportion of the
population and a determination as to the maximum desirable error, as well as the acceptable error
risk. The variance can be simplified as follows; (Sekaran 2003).
BMBR5103 – Consumer Awareness & Empowerment (Assg 2) Nor Helmee Bin Abd Halim
7
Population Size – the question that we need to ask is how many total people that fit our
demographic. In this study, the population size is the total number of secondary school students of
SMK Cyberjaya. The scope for this study is relatively small and it is possible to obtain the
population size. In a study covering larger scale, for instance, we want to know the total social
media users in Malaysia. The number can be very large and it is common for the population to be
unknown or approximated.
Margin of Error (Confidence Interval) – Sekaran (2003) mentioned that no sample statistic is
going to be the same or perfect, so it is important for us to decide how much error to allow. The
confidence interval determines how much higher or lower than the population mean we are willing
to let our sample mean fall. In this case, the suggested Margin of Error is ± 5%.
Confidence Level – The most common confidence intervals are 90% confident, 95% confident
and 99% confident. It means how confident do we want to be that the actual mean falls within your
confidence interval. In this case, the Confidence Level used is 95%.
 90% - the P value is – 1.645
 95% - the P value is – 1.96
 99% - the P value is – 2.576
Standard of Deviation – Since we have not actually administered the survey yet and therefore the
safe decision to use is .5. It is how much variance we expect in the responses. The number is the
most forgiving number and ensures our sample will be large enough.
3.6.2 Probability sampling technique – simple random sampling
Once sample size has been determined, the next step is to conduct a sampling technique.
Probability sampling represents a group of sampling techniques that help us to select units from a
population that we are interested in studying. Collectively, these units form the sample that we
study (Sekaran 2003).
BMBR5103 – Consumer Awareness & Empowerment (Assg 2) Nor Helmee Bin Abd Halim
8
The sampling technique used is simple random sampling. According to Sekaran (2003), all
elements in the population are considered and each element has an equal chance (probability) of
been chosen as the subject. Since the sample size “n” has been determined as 217 respondents,
each of these students would subsequently be given a questionnaire (the instrument used in this
study) to be completed.
In this study, there were six steps taken to create a simple random sample. The steps are as
follows:
Step 1 – Define the population
This step is done under section 3.5. The population is expressed as “N”, in this study, the total
population is 499 students, and all of these students are considered as our sampling frame since
we are interested in all of these students.
Step 2 – Determine sample size
This step is done under section 3.6.1. The sample size required in this study is 217 respondents.
Step 3 – List the population
Identification of the students is done via the Administration Department of SMK Cyberjaya.
Step 4 – Assign numbers to the elements
Consecutive number from 1 to “N” was assigned to each of the students. The number is ranging
from 1 to 499 (i.e. “N” = 499; the population of students aged 15 to 17 years old). Details of this
step is discussed under section 3.6.2.1 Unique number assignment and notification.
Step 5 - Find random numbers
A computer program that generates a list of random numbers for 217 students is used. In this study,
an online program available at https://www.randomizer.org was used to randomly generate the
random numbers. The list of random numbers is shown as Figure 3.2 – Random Numbers Table
for 217 students (Research Randomizer, 2015).
BMBR5103 – Consumer Awareness & Empowerment (Assg 2) Nor Helmee Bin Abd Halim
9
Figure 3.2 – Random Numbers Table for 217 students
p = place marker
Step 6 – Sample selection
From the random numbers table, all 217 selected students were then notified and gathered in a hall
to participate in the survey. The whole process takes approximately 30 minutes to complete. The
simple random sampling was conducted as follows:
BMBR5103 – Consumer Awareness & Empowerment (Assg 2) Nor Helmee Bin Abd Halim
10
3.6.2.1 Unique number assignment and notification (from Step 4)
There were only two steps involved in this process.
Step 1 – List of students were obtained from Administration Department, and sorted in alphabetical
order. The first name on the list is assigned to number 1 and followed by number 2 until number
499 (detailed process is discussed in Data Collection Methods section).
Step 2 - To ensure full participation of the students, all form 3, 4 and 5 class monitors have been
briefed about the survey and the commitment required from his or her classmates. A simple snack
consists of a sandwich and drinks will be provided to the selected students.
Step 3 – Based on the random numbers generated earlier, the selected student is then notified via
his or her class monitor to proceed to the examination hall during recess to participate in the survey.
3.6.3 Advantages and disadvantages of using a simple random sample
Advantages - The aim of the simple random sample is to reduce the potential for human bias in
the selection of cases to be included in the sample. As a result, the simple random sample provides
us with a sample that is highly representative of the population being studied, assuming that there
is limited missing data.
Since the elements selected for inclusion in the sample are chosen to use probabilistic
methods, simple random sampling allows us to make generalizations (i.e. Statistical inferences)
from the sample to the population. This is a major advantage because such generalizations are
more likely to be considered to have external validity (Sekaran 2003).
Disadvantages – A simple random sample can only be carried out if the list of the population is
available and complete. Attaining a complete list of the population can be difficult for a number
of reasons:
BMBR5103 – Consumer Awareness & Empowerment (Assg 2) Nor Helmee Bin Abd Halim
11
 Even if a list is readily available, it may be challenging to gain access to that list. The list
may be protected by privacy policies or require a lengthy process to attain permissions.
 There may be no single list detailing the population you are interested in. As a result, it
may be difficult and time consuming to bring together numerous sub-lists to create a final
list from which you want to select your sample.
 Many lists will not be in the public domain their purchase may be expensive; at least in
terms of the research funds.
 In terms of human populations (as opposed to other types of populations, some of these
population will be expensive and time consuming to contact, even where a list is available.
3.7 Instrument
The survey instrument used is a structured self-administered questionnaire. This section discusses
the elements of instrument which is divided into few sections i.e. Measurement and scaling
procedures, description of the instrument, development of the instrument, reliability and validity
of the instrument.
There are several advantages of using this method as it is easy to administer, code, analyze
and interpret. The survey approach is by far the most common method of primary data collection
used in marketing research. The survey is then given to the sample that has been drawn and used
to represent the population of this study (Zikmund, 2009; Sekaran, 2003).
3.7.1 Measurement and scaling procedures
A number of rating scales were used in the instrument. The questions are categorized as simple
category scales, multiple-choice single response, multiple-choice, multiple response and, lastly the
Likert-like scale (Zikmund, 2009; Sekaran, 2003).
BMBR5103 – Consumer Awareness & Empowerment (Assg 2) Nor Helmee Bin Abd Halim
12
Open ended questions where students are free to write any response. Examples of open
ended questions is where students were asked to name five mobile phone brands which are known
to them. The closed end questions were divided into the following categories;
 Nominal – non-numerical scales such as question in Part B on gender i.e. Male of Female
 Ordinal – a ranking scale that ranks questions in order. Ordinal scales are usually used to
measure relative attitudes. Example of ordinal question used in this questionnaire is years
of owning a mobile phone by the students.
 Ratio – ratio data has defined zero point. Example of ratio measurement used in this
questionnaire is monthly household income
3.7.2 Description of the Instrument
The key variables in this study were measured by a self-administered questionnaire. The
questionnaire comprised of five parts (i.e. Part A, B, C and D). The Part A (screening question
adapted from Eleni Koutras, 2006) consists only one question which asked whether the students
own a mobile phone. Students who do not own a mobile phone will end the survey and do not
require to answer the remaining sections of the questionnaire.
The Part B (adapted from Eleni Koutras, 2006) of the questionnaire included demographic
characteristics like gender, age, race, and household income. The rest of the questionnaire assessed
the three variables in the research hypotheses. Part C(adapted from Eleni Koutras, 2006; Yu, 2013;
Kassim, 2006) covered consumer awareness like type of consumer rights. Part D (adapted from
Fillion & Booto Ekionea, 2014; Brown and Ventakesh, 2005) covered behavioral questions
towards the use of mobile phones. Table 3.1 illustrates the general overview of the instrument.
BMBR5103 – Consumer Awareness & Empowerment (Assg 2) Nor Helmee Bin Abd Halim
13
Table 3.1 – Summary of Questionnaire Layout
Part A (Adapted from Eleni Koutras, 2006)
The scope of this study is only for mobile phone user of the secondary school students, therefore,
there is only one question in this section. Only students own a mobile phone will proceed with
the remaining sections, others will end the survey as they are out of scope of this study.
Part B (Adapted from Eleni Koutras, 2006)
Questions in Part B involve establishing sample demographics of the students such as gender,
age, race and family income.
Part C – Consumer Awareness and consumer knowledge (Adapted from Eleni Koutras, 2006;
Yu, 2013; Kassim, 2006)
Questions in Part C determined the level of consumer awareness and knowledge on mobile
phone service providers, subscription plan, mobile phones brand and the usage. Students
responded to 13 items, indicating how well they know and understand package or plan they
subscribed as well as basic information about the phone they are using. The students responded
based on nominal, ordinal and open ended measurement and scales.
Part D – Consumer Behavioral towards mobile phones (Adapted from Fillion & Booto Ekionea,
2014; Brown and Ventakesh, 2005)
Questions in Part D determined the consumer behavior towards mobile phone usage. Example
of the statement is, how frequently they change the plan and preferred package voice and data.
The students responded based on five points Likert-type Scale (1: Strongly Disagree… 5:
Strongly Agree) measurement and scales.
3.7.3 Development of the Instrument
The questionnaire was developed within the focus group through an adaptation from Lumpkin
(1985) and Lambert (1979) and also adapted from selected previous studies (Eleni Koutras, 2006;
Kassim, 2006; Brown and Ventakesh, 2005; Yu, 2013; Fillion & Booto Ekionea, 2014). The
questionnaire was adapted from multiple researchers is because some questions from single
BMBR5103 – Consumer Awareness & Empowerment (Assg 2) Nor Helmee Bin Abd Halim
14
researcher are not relevant to this study and have been discarded, and replaced with questions from
other researchers. As a result, changes were made to reword items and, in some cases, to drop
items that were possibly ambiguous, consistent with Moore and Benbasat’s (1991) and DeVelli’s
(2003) recommendations for instrument development. This is also supported by Katrina (2012)
that each variable must be measured separately, a researcher may use five or six different
“instruments” for one research study.
Refer to Appendix A – Questionnaire, the instrument used for this study.
Due to the fact that the population is from secondary school students aged 15 to 17 years
old and the school is located in a town, the questionnaire was prepared in simple and straight
forward English and will not be translated to Bahasa Melayu. Back translation technique will be
used should the study to be expanded in a larger scale in the future. The purpose of back translation
is to cater foreseeable ambiguities of statements and to accommodate different level of population
(Zikmund, 2009).
3.7.3.1 Adoption and Adaptation of Questionnaire
Adopted - In a business research, “adopted” instrument means the instrument was adopted
verbatim from an original instrument whereby “adapted” means substantial changes were made
from the original or from an established instrument (Katrina, 2012).
An example of description of an instrument that was adopted is given below:
Intrinsic Motivation. A subtest from the Intrinsic Motivation Inventory (Ryan, 1982) was used to
assess intrinsic motivation. This assessment has been used in other educational research studies
by many others including Plant and Ryan (1985); Nix, Ryan, Manly, and Deci (1999); and
Vansteenkitse and Deci (2003).
Adapted – an example description of an instrument that was adapted is given below:
BMBR5103 – Consumer Awareness & Empowerment (Assg 2) Nor Helmee Bin Abd Halim
15
Positive Affect.Positiveaffect wasassessed using an adaptationof thePositive and NegativeAffect
Scale (PANAS; Watson, Clark, & Tellegren, 1988). The original instrument was pilot tested with
a group of 15 university students. They were asked to give a definition of each of the 10 adjectives.
If 2 or more students gave an incorrect definition of the adjective, then it was determined that the
participants would also not understand what the word meant. Of the ten adjectives, only one was
unfamiliar to the pilot sample: jittery. A close synonym was identified as stressed, which replaced
the original word jittery. The revised version of the PANAS was pilot-tested on a new group of 15
university students. Each adjective in the revised version had a correct definition by 14 or 15 pilot
participants, so it was judged as an adequate adaptation of the PANAS.
3.7.3.2 Wording consistency and appropriate type of questions
The wording of the questions was kept simple and unambiguous in order to avoid non-response
and response error on the part of the respondents. Words used in the questionnaire matched the
vocabulary level of the respondents, and this in turn helped the researcher to fulfil the objectives
of the study.
3.7.4 Reliability and Validity
As the instrument used in this study was already validated by many researchers (Eleni Koutras,
2006; Kassim, 2006; Brown and Ventakesh, 2005; Yu, 2013; Fillion & Booto Ekionea, 2014) and
showed to be of a great reliability. Therefore, the instrument used in this study is proven stable and
reliable.
3.8 Data Collection Methods
Marketing research data is collected either by the person designing the research or by field workers.
Questionnaires and observations are all methods of data collection (Zikmund, 2009; Sekaran,
2003).
There were few steps and process involved in this stage. The steps and processes are
discussed as follows:
BMBR5103 – Consumer Awareness & Empowerment (Assg 2) Nor Helmee Bin Abd Halim
16
Step 1 – Contacting the Sepang District Education (PPD Sepang)
A call was made to the office and explained the intention of conducting a survey. The officer
attended the call explained that since the intention is only for one (1) school and there will be no
funding required from the PPD, therefore the arrangement can be made by directly contacting the
school.
Step 2 – Contacting the school – SMK Cyberjaya
The call was entertained by one of the administrative officers, Mr Adnan Ahmad. The officer was
delighted about the intention and he recommended to make an appointment with the principal
together with a formal letter stating the intention and the benefits of the activity.
Step 3 – OUM formal letter and appointment with the school’s principal
A supporting formal letter was prepared and signed by the Dean of OUM Bangi - Professor Dr
Wardah Mohamad. The meeting with the school’s principal, Puan Hjh Norma Binti Daud was held
at the school. The principal was very supportive and instructed her Administrative assistant, Encik
Ahmad Hussin to assist in ensuring the success of the activity. Five (5) school teachers were also
assigned by the principal to assist. Detailed itinerary was then prepared and a date has been selected
and venue (school hall) to conduct the activity. The activity was then conducted on the following
week after the meeting.
Step 4 – Obtaining the students list
After the meeting, list of students aged 15, 16 and 17 was obtained from Encik Ahmad Hussin and
then sorted in alphabetical order. The purpose of the sorting is for unique number assignment to
all students in the list. The information is then used for Sample Random Sampling technique.
Step 5 - Assistance from teachers, class monitors and school prefect
Once all 217 students have been identified, all class monitors and 15 school prefect who was not
selected in the survey were briefed on their roles and responsibilities. Basically the role of the class
monitor is to inform his or her classmates to give full participation in the activity. The role of the
prefect is basically for crowd control. They were also briefed on the itinerary of the activity. All
BMBR5103 – Consumer Awareness & Empowerment (Assg 2) Nor Helmee Bin Abd Halim
17
selected students will be informed via their class monitor and an announcement was also made in
the assembly.
Step 6 – The Day - Hall setup and other arrangement
The hall was set up like an examination hall. A registration counter was also set up for students to
initial their attendance. At 10am (recess time), students were gathered in the hall, initials for
attendance recording and given to a set of questionnaire. The researcher together with other
teachers were on the move to monitor and control the situation.
Once the students were seated, a briefing was given by the researcher before the students
start answering the survey. The students started the survey, approximately and 10.15am and
completed few minutes later. The researcher with an assistance from the school teachers
administering the process and assist the students should they encounter any issues answering the
survey.
There was no time limit for the students to answer the survey, once they have completed
the survey, the survey was then collected by the researcher for data analysis. Before the students
leave the hall, a simple token of appreciation was given to the student – a light snack of a sandwich
and a drink. The entire process took approximately half an hour, by 10.30am the survey has been
completed by all students. After completed the activity and thank you letter is sent to the principal
of the school.
3.8.1 The results
The results yielded the following:
 200 respondents were collected (92%), the remaining 17 students were absent (8%).
 Out of 200 respondents, 180 students (90%) owned a mobile phone. 20 respondents (10%)
are not in the scope of the study.
 There were 120 female students (60%) and 80 male students (40%) in the sample.
BMBR5103 – Consumer Awareness & Empowerment (Assg 2) Nor Helmee Bin Abd Halim
18
3.9 Data Analysis
Data preparation includes the editing, coding, transcription and verification of data in order to
remove errors that may have occurred during the data collection process. It outlines which statistic
will be used to answer Research Questions and/or Research Hypothesis. For every research
questions, describe the descriptive statistic that is appropriate for answering the questions. For
every research hypothesis, describe the inferential statistic that is appropriate for analyzing the
hypothesis (Katrina, 2012).
In many research studies, a range of different statistics will be necessary. Researchers
should examine each research question and hypothesis separately to consider which statistic is
appropriate. The next step is data analysis in terms of which the information contained in the
questionnaire has to be converted into relevant knowledge, thereby giving meaning to the data
collected. The data from the questionnaire was collated for the examination and the analysis can
be done using computer programs like Microsoft Excel and SPSS.
3.9.1 Microsoft Excel
Microsoft Excel – is a spreadsheet program with data analysis and descriptive capabilities. Excel
is used to obtain a clear and visually descriptive picture of the demographics of the students such
as age, gender and race and so forth.
3.9.2 SPSS
SPSS – is a statistical program created for data encoding and design. The data from the
questionnaire is entered directly into SPSS after each questionnaire has been validated. The
program is used to bivariate statistical analysis.
3.9.3 Descriptive Statistic - Research Questions
Research questions are always answered with a descriptive statistic; generally either percentage or
mean. Percentage is appropriate when it is important to know many of the participants gave a
particular answer. Generally, percentage is reported when responses have discrete categories. This
means that the responses fall in different categories, such as female or male, race and so on.
BMBR5103 – Consumer Awareness & Empowerment (Assg 2) Nor Helmee Bin Abd Halim
19
Sometimes frequencies are also reported when the data has discrete categories. However,
percentage are easier to understand than frequencies.
In this study, the research questions were 1) how does consumer awareness influence
consumer behaviors? and 2) how does consumer knowledge significantly influence consumer
behaviors?; Examples of the analysis are as follows:
3.9.3.1 Part A - Screening question
Question 1 – Do you own a mobile phone?
Only students own a mobile phone qualifies for this research, the result shows that 180 students
(90%) own a mobile phone. This group of students represents the population of this study. The
result is illustrated as in Figure 3.3 – Students own a mobile phone and Table 3.3 Students own a
mobile phone.
Figure 3.3 – Students own a mobile phone
Table 3.3 – Students own a mobile phone
Yes No
Total 180 90% 20 10%
0%
10%
20%
30%
40%
50%
60%
70%
80%
90%
Yes No
90%
10%
Student Own A Mobile Phone
BMBR5103 – Consumer Awareness & Empowerment (Assg 2) Nor Helmee Bin Abd Halim
20
3.9.3.2 Part B - Question 1 - Gender
The division of gender of the students is shown in Figure 3.4 – Gender, below.
Figure 3.4 - Gender
3.9.3.3 Part C – Question 14 (Brand awareness – Consumer Awareness Knowledge)
Write down five mobile phone brands you are familiar with.
In the majority instances (100%), Samsung and iPhone were cited as the preferred brand of mobile
phone were found to be the first two choices of many respondents (Table 3.5). Lenovo (56%) was
the second most cited brand, followed by Oppo (28%) and Xiaomi (17%).
This finding reveals the supremacy of Samsung and iPhone over other brands and it is safe
to say that both Samsung and the iPhone has built top mind awareness in the mobile industry.
Table 3.4 – Mobile phone brand awareness
Mobile Phone Brand Frequency Percentage
Samsung 180 100%
Apple iPhone 180 100%
Lenovo 100 56%
0%
10%
20%
30%
40%
50%
60%
Male Female
Gender, Male,
40%
Gender, Female,
60%
Gender
BMBR5103 – Consumer Awareness & Empowerment (Assg 2) Nor Helmee Bin Abd Halim
21
Oppo 50 28%
Xiaomi 30 17%
Other specified Huawei: 28
LG: 25
Asus: 22
Nokia: 10
BlackBerry:10
16%
14%
12%
6%
6%
3.9.3.4 Part C – Question 15 (Brand owned – Consumer Awareness and Knowledge)
What brand of mobile phone do you have?
As depicted in Figure 3.5 – Mobile phone brands owned, the majority of the students owned a
Samsung mobile phone (55%) and followed by iPhone (25%). This coincides with the Question
14 above. The next questions (Question 16 and 17) in the survey asked whether the students will
change to another brand and why they prefer the current brand which they currently owned. The
analysis shows the relationship of awareness and knowledge of a brand has directly impacted the
purchasing behavior of the students (consumer behavior). The results and analysis of the remaining
questions of Part C and D will not be discussed since this paper is only to demonstrate how to
conduct a business research.
Figure 3.5 – Mobile phone brands owned
Brand
0%
20%
40%
60%
Samsung Iphone Lenovo Oppo Xiaomi
55%
25%
10%
5% 5%
Brand Owned
BMBR5103 – Consumer Awareness & Empowerment (Assg 2) Nor Helmee Bin Abd Halim
22
3.9.4 Inferential Statistic - Research Hypotheses using “Relationship”
Whenever a research hypothesis uses the word “relationship”, it generally means that a correlation
will be calculated. Examples of inferential statistics used to answer research hypotheses are
correlation, chi-square, t-test, ANOVE and ANCOVA. The correlation statistic examines the
relationship between two continuous variables within the same group of participants. For example,
the correlation would quantify the relationship between consumer awareness and consumer
behavior.
3.9.4.1 Factor analysis and Reliability testing – using SPSS
SPSS is an example of computer program used to calculate inferential statistic. In this study for
example, to test the attitudes of the students regarding awareness and knowledge on mobile phone
usage, SPSS’s factor analysis will be analyzed on the statements in Part D of the questionnaire.
Factor analysis is a data reduction technique that involves the study of interrelationships among
variables is smaller in number that the original data set and further establish dimension within the
data (Katrina, 2012).
Factor analysis is applied to minimize the number of variables whilst simultaneously
maximizing the amount of information in the analysis. Factor analysis is used to reduce the criteria
in question of Part D into smaller set of linear composites that preserved most of the information
of the original data set. The students were asked about number of attitudes that were in turn scored
on the importance scale. The students were asked to indicate their degree of agreement with the
following statements using a 5-point scale (1-Strongly Disagree … 5=Strongly Agree).
3.10 Conclusion
This study was conducted to examine the factors that have impacted consumer behaviors. The two
factors tested in this study were consumer awareness and knowledge on mobile phone usage
among secondary school students in Cyberjaya. The survey reported that most of the secondary
students aged 15 to 17 years old have already owned a mobile phone. It sums up a substantial
number of respondents are eligible to be part of the study.
BMBR5103 – Consumer Awareness & Empowerment (Assg 2) Nor Helmee Bin Abd Halim
23
As described in the objective of this study, the relevant information was tested in Part C of
the questionnaire. The main results indicate the following:
Ownership and awareness – most of the students have been using mobile phone for more than 2
years and mostly prepaid users due to special plan offered by service providers for the students.
Cheap package or call and data plan has been the main consideration in terms of service awareness
among the students. The students tend to subscribe to the best deal among service providers to
serve their needs and their status as a school student. The survey also revealed that the students
rarely switch to another service provider when they are satisfied with service and network coverage
provided by the service provider.
Brand loyalty and knowledge of the brand they own – the survey also revealed that knowledge
on brand contribute to the brand loyalty and influence their future purchasing behavior. Samsung
and iPhone have been identified as the top two brands in their mind and suggested that they will
stick to the same brand if they wish to upgrade or buy a new mobile phone in the future. Mobile
phone design, its features and functionality have been the main criteria for the students when
buying a mobile phone. It indicates that the students are knowledgeable about the product before
deciding which mobile phone brand to buy.
Problem recognition and alternatives – The study also revealed that the students do know the
right channel to contact when they are facing a technical issue with the service provided by the
service provider. For long pending issue or unresolved issue like poor network coverage has been
identified as the main reason for the students switching to other service providers. In this case,
there are four top mobile service providers available in Malaysia that they can choose. It means,
the students are empowered to make their own decision (switching provider) depending on the
mentioned factors.
Lifestyle – the choice of the brand has been found to impact the lifestyle of the students (part of
consumer behavior). This was tested on the attitudes towards mobile phone usage by the students.
Most of the students indicate strongly agree with the statement on mobile phone brand they have,
tells how fashionable they are.
BMBR5103 – Consumer Awareness & Empowerment (Assg 2) Nor Helmee Bin Abd Halim
24
In summary, there is significant correlation between awareness and knowledge of
consumer behaviors as discussed above. It is also proven that there is significant impact on
consumer knowledge towards consumer behavior as revealed above - “Problem recognition and
alternatives”.
[Word count - 5938]
BMBR5103 – Consumer Awareness & Empowerment (Assg 2) Nor Helmee Bin Abd Halim
25
References
Bartlett, J. E., Kotrlik, J. W. K. J. W., & Higgins, C. (2001). Organizational research:
determining appropriate sample size in survey research appropriate sample size in survey
research. Information Technology, Learning, and Performance Journal, 19(1), 43.
Brown, S.A. & V. Venkatesh (2005). Model of adoption of technology in households: A baseline
model test and extension incorporating household life cycle. MIS Quarterly, 29(3), 399-426.
Creswell. (2008). The Selection of a Research Design, 3–22.
DeVellis, R.F. (2003). Scale development: Theory and applications (2nd ed.). Thousand Oaks,
CA: Sage Publications.
Eleni Koutras (2006). The Use of Mobile Phones By Generation Y Students at Two Universities
in the City of Johannesburg.
Fillion, G., & Booto Ekionea, J.-P. (2014). a Comparison of the Influencing Factors of Using a
Mobile Phone: Atlantic Canada Vs. Cameroon Africa. Academy of Information &
Management Sciences Journal, 17(1), 123–154.
Gerrish K, Lacey A (2010) Glossary In: Gerris K, Lacey A (eds) The research process in nursing
Oxford, Wiley-Blackwell.
Hill, R. (1998). WHAT SAMPLE SIZE is “ ENOUGH ” in INTERNET SURVEY
RESEARCH ? Nterpersonal Computing and Technology: An Electronic Journal for the
21st Century, 6(3), 1–10.
Katrina A. Korb (2012). Tutorial on Conducting Research – University of Jos, Nigeria. Retrieved
from http://korbedpsych.com/
Kassim, N. M. (2006). Telecommunication Industry in Malaysia: Demographics Effect on
Customer Expectations, Performance, Satisfaction and Retention. Asia Pacific Business
Review, 12(4), 437–463. http://doi.org/10.1080/13602380600571401
Krejcie, R. V, & Morgan, D. W. (1970). Determining Sample Size for Research Activities
Robert. Educational and Psychological Measurement, 38(1), 607–610.
http://doi.org/10.1177/001316447003000308
Lumpkin, J. R., Greenberg, B. A., & Goldstucker, J. L. (1985). Marketplace Needs of the
Elderly: Determinant Attributes and Store Choice. Journal Of Retailing, 61(2), 75.
Lambert, Z. V. (1979). An Investigation of Older Consumers' Unmet Needs and Wants at the
Retail Level. Journal Of Retailing, 55(4), 35.
BMBR5103 – Consumer Awareness & Empowerment (Assg 2) Nor Helmee Bin Abd Halim
26
Moore, G.C. & I. Benbasat (1991). Development of an instrument to measure the perceptions of
adopting an information technology innovation. Information Systems Research, 2(3), 192-
222.
Research Randomizer. (2015). Retrieved from https://www.randomizer.org
Sharma, N. (2013). Awareness in Consumer about Consumer Protection Act. & Consumer Right
in India. Globsyn Management Journal, 7(1/2), 82-93.
Uma Sekaran (2003). Research Methods For Business 4th Edition
Wright, L. T., Newman, A., & Dennis, C. (2006). Enhancing consumer empowerment. European
Journal Of Marketing, 40(9/10), 925-935. doi:10.1108/03090560610680934
Yu, J. H. (2013). You’ve got Mobile Ads - Young Consumers' Responses to Mobile Ads with
different Types of Interactivity. International Journal of Mobile Marketing, 8(1), 5–22.
Zikmund, W.G., Babin, B.J., Carr, J.C., Griffin, M. (2009). Business Research methods, 8th
edition, 696.
BMBR5103 – Consumer Awareness & Empowerment (Assg 2) Nor Helmee Bin Abd Halim
27
Appendices
Appendix A – Questionnaire
Dear participant,
My name is Nor Helmee Bin Abd Halim. I am pursuing my Master’s Degree in Management
from Open University Malaysia (OUM). You are invited to participate in a survey entitled – The
use of mobile phones by secondary school students of SMK Cyberjaya.
This questionnaire should not take longer than 10 minutes to complete. Please answer all
questions to the best of your ability. Mark your answer by placing crosses (X) in the appropriate
block.
Thank you for your time and cooperation.
Nor Helmee Abd Halim
Part A
1. Do you own a mobile phone?
Yes
No
If your answer is Yes to the question above, please respond to the following questions
by filling in the gaps or putting an X in the appropriate block
Part B - Demographics
2. Age?
15 years old
16 years old
17 years old
BMBR5103 – Consumer Awareness & Empowerment (Assg 2) Nor Helmee Bin Abd Halim
28
3. Gender?
Male
Female
4. Race
Malay
Chinese
Indian
Other
5. What is your monthly household income?
RM1000 – RM3000
RM3001 – RM5000
RM5001 – RM8000
RM8001 – RM10000
Above RM10000
Part C – Consumer Awareness and Knowledge
6. How long have you owned a mobile phone (in years)?
1 year
2 years
3 years
More than 3 years
7. Which mobile plan do you subscribe?
Prepaid
Postpaid
BMBR5103 – Consumer Awareness & Empowerment (Assg 2) Nor Helmee Bin Abd Halim
29
8. Which service provider do you subscribe?
Celcom
Maxis
Digi
U Mobile
Other
9. Why do you choose the service provider?
Cheap
Choice of plans available
Better coverage
Better customer service
Other (please specify)
10. How do you rate your current service provider?
Very Unsatisfied
Somewhat Unsatisfied
Neutral
Somewhat Satisfied
Very Satisfied
11. Have you ever contacted the provider customer service center before?
Yes
No
If you answer Yes, please specify why? _____________________________________
BMBR5103 – Consumer Awareness & Empowerment (Assg 2) Nor Helmee Bin Abd Halim
30
12. Have you switched service provider before?
Yes
No
If you answer Yes, please specify why? _____________________________________
13. Which of the networks do you personally think is best in each of the following aspects
of service?
Celcom Maxis Digi U Mobile Other No Idea
Choice of plans available
Geographic coverage
Internet service coverage
Quality of customer service
14. Write down five mobile phone brands you are familiar with (e.g. IPhone, Samsung,
Oppo, etc.):
a)_______________________
b)_______________________
c)_______________________
d)_______________________
e)_______________________
15. What brand of mobile phone do you have? _________________________
16. Will your next mobile phone be the same brand as your current mobile phone?
Yes
No
BMBR5103 – Consumer Awareness & Empowerment (Assg 2) Nor Helmee Bin Abd Halim
31
17. What is the main reason for choosing your brand of mobile phone? (Please tick one
block)
Personal choice
Recommendation by mobile phone store
Recommendation by friends or family
Phone design, size, features and functionality
Promotional offer
Current trend
Other, please explain:
18. What do you do most of your phone besides voice calls?
Texting (SMS, Whatsapp, Telegram etc)
Internet surfing
Social Media
Play games
Taking pictures (selfie etc.)
Other, please explain:
Part D – Attitudes towards Mobile Phones
19. What is your attitudes or behavior towards mobile phones? Please indicate your degree
of agreement or disagreement with the following statements by placing a cross next to
each statement.
1 2 3 4 5
Strongly Disagree Disagree Neutral Agree Strongly Agree
1 2 3 4 5
I prefer provider that offers cheapest mobile plan in the market
I prefer provider with the best network and internet coverage
I use my phone for educational purposes and information search
BMBR5103 – Consumer Awareness & Empowerment (Assg 2) Nor Helmee Bin Abd Halim
32
I use my phone to shop online
I use my phone to compare products before purchasing
I use my phone to make a purchasing decision
I feel more connected to my friends and family
My mobile phone makes my life easier
My mobile phone allows me to do things faster
The mobile phone you have tells how fashionable you are
I constantly upgrade my phone whenever there is a new release

Business Research Methods - Consumer Empowerment - assignment 2

  • 1.
    1. Table ofContents Consumer Awareness and Knowledge Influencing Consumer Behaviors:Case of Mobile Phone Users for Secondary SchoolStudents in Cyberjaya, Selangor. 2 3. Methodology...........................................................................................2 3.1 Introduction...................................................................................................................... 2 3.2 Research Design............................................................................................................... 2 3.3 Framework ....................................................................................................................... 3 3.3.1 Independent Variables............................................................................................... 3 3.3.2 Dependent Variable................................................................................................... 3 3.4 Hypotheses ....................................................................................................................... 3 3.5 Population......................................................................................................................... 4 3.6 Sampling........................................................................................................................... 4 3.6.1 The calculation of the “n” adopted from Krejcie and Morgan ................................. 5 3.6.2 Probability sampling technique – simple random sampling ..................................... 7 3.6.3 Advantages and disadvantages of using a simple random sample ......................... 10 3.7 Instrument....................................................................................................................... 11 3.7.1 Measurement and scaling procedures ..................................................................... 11 3.7.2 Description of the Instrument ................................................................................. 12 3.7.3 Development of the Instrument............................................................................... 13 3.7.4 Reliability and Validity........................................................................................... 15 3.8 Data Collection Methods................................................................................................ 15 3.8.1 The results............................................................................................................... 17 3.9 Data Analysis ................................................................................................................. 18 3.9.1 Microsoft Excel....................................................................................................... 18 3.9.2 SPSS........................................................................................................................ 18 3.9.3 Descriptive Statistic - Research Questions ............................................................. 18 3.9.4 Inferential Statistic - Research Hypotheses using “Relationship”.......................... 22 3.10 Conclusion.................................................................................................................. 22 References...................................................................................................25 Appendices..................................................................................................27
  • 2.
    BMBR5103 – ConsumerAwareness & Empowerment (Assg 2) Nor Helmee Bin Abd Halim 2 Consumer Awareness and Knowledge Influencing Consumer Behaviors: Case of Mobile Phone Users for Secondary School Students in Cyberjaya, Selangor. 3. Methodology 3.1 Introduction The purpose of this study is to examine how consumer awareness and knowledge of a secondary school students influencing their consumerism behavior. This chapter presents (1) overview of the study, (2) the research design method (3) illustration of the research framework, (4) hypothesis of the study, (5) the population of the study, (6) the sample selection method and techniques, (7) the procedure used in designing the instrument and (8) data collection methods used, and (8) an explanation of the statistical procedures used to analyze the data. 3.2 Research Design To fulfill the research objective, a quantitative research design is used in the main survey using a structured questionnaire. Quantitative research is defined by Gerrish and Lacey (2010) as “the broad term used to denote research designs and methods that yield numerical data”. The data in the research can be quantitative or qualitative. Quantitative data are generally gathered through structured questions while qualitative data is generated from the broad answers to specific questions in interviews, or from responses to open-ended questions in the a questionnaire, or through observation, or from already available information gathered from various sources (Sekaran, 2003). In this study, quantitative research is appropriate as objective theories will be tested by examining the relationship among variables. The variables used in this study are measurable, typically on instruments which the numbered data will be analyzed using statistical procedures (Creswell, 2008).
  • 3.
    BMBR5103 – ConsumerAwareness & Empowerment (Assg 2) Nor Helmee Bin Abd Halim 3 3.3 Framework Figure 3.0 – Research framework 3.3.1 Independent Variables Consumer awareness - includes of:  Consumer rights  Complaints  Demographics Consumer knowledge – includes of:  Consumer protections and legislations  Consumer redress 3.3.2 Dependent Variable Consumer behaviors – include of:  Purchase behavior  Culture  Problem recognition  Lifestyle 3.4 Hypotheses H1: posits that greater consumer awareness influences consumer behaviors. H2: posits that consumer knowledge has great impact on consumer behaviors. Consumer Awareness Consumer Knowledge Consumer Behaviors
  • 4.
    BMBR5103 – ConsumerAwareness & Empowerment (Assg 2) Nor Helmee Bin Abd Halim 4 3.5 Population The population was selected from a secondary school students of SMK Cyberjaya. Cyberjaya is a town with a science park as the core that forms a key part of the Multimedia Super Corridor in Malaysia or aspires to be known as the Silicon Valley of Malaysia. It is located in the district of Sepang, Selangor. The town is populated by a mixed of expats, knowledge workers, university students, lecturers as well as government servants. The selection of SMK Cyberjaya is based on the fact that the students have a mixed of demographic background which is relevant to this study. The scope of the students is narrowed down to students aged between 15 to 17 years only. Students in this age group are considered matured, have better exposure to the consumerism activities as compared to age below 15 years old and perceived to have abilities to participate well in the survey. The total students aged between 15 to 17 years old is 499 students from a total of 829 total students. Out of 499 total target population, 320 (64%) are females and 179 (36%) are males. The above information was obtained directly from the Sepang District Education Officer and verified by the school administrative officer. The approval to conduct the study was obtained from the school principal. The details of obtaining the approval process and the flow of the activity are discussed later in this chapter. 3.6 Sampling The sampling design used in this study is probability sampling and the technique used is simple random sampling. Probability sampling is the random sampling in which every individual of the sample has an equal opportunity to be selected for the research and simple random sampling means choosing a sample according to the requirement of the study and out of that sample, choosing the people at random. Just anyone in the sample could be selected (Sekaran 2003). Once sampling design has been identified, the next step is to determine the sample size required in this study. As most researchers, including Sekaran (2003) commented that “a larger sample yield more accurate results, but excessive responses can be pricey”. There are various formulas for calculating the required sample size. The commonly used formula is the one used by
  • 5.
    BMBR5103 – ConsumerAwareness & Empowerment (Assg 2) Nor Helmee Bin Abd Halim 5 Krejcie & Morgan in their 1970 article “Determining Sample Size for Research Activities” (Bartlett, Kotrlik & Higgins 2001). The population, expressed as “N” is 499 total students aged 15 to 17 years old and the steps to calculate the sample size, which is expressed as “n” are discussed in the following section. 3.6.1 The calculation of the “n” adopted from Krejcie and Morgan Krejcie and Morgan (1970) as cited by Hill (1998) have produced a table for determining sample size. They did this in response to an article called “Small Sample Techniques” issued by the research division of the National Education Association, regrettably an easy reference table had not been provided. They therefore produced such a table based on the formula. No calculations are required to use the table which is also reproduced below, Table 3.0 – Sample size of a Determined Population. Based on the table produced by Krejcie and Morgan (1970), the sample size required in this study is 217 respondents. The “n” is derived from “N”, the total population of students aged between 15 to 17 years old which is 499 students in total. The closest “N” based on the table is 500 and the “n” required in this study will be 217 respondents. For this study, the sample proportion “p” will be within +- .05 of the population proportion “P” with a 95% level of confidence as suggested by Krejcie and Morgan. Table 3.0 – Sample size of a Determined Population Required Sample Size, Given A Finite Population, Where N = Population Size and n = Sample Size N - n N - n N - n N - n N - n 10 -10 100 - 80 280 - 162 800 - 260 2800 - 338 15 - 14 110 - 86 290 - 165 850 - 265 3000 - 341 20 - 19 120 – 92 300 – 169 900 – 269 3500 - 346 25 – 24 130 – 97 320 – 175 950 – 274 4000 - 351 30 - 28 140 – 103 340 – 181 1000 – 278 4500 - 354
  • 6.
    BMBR5103 – ConsumerAwareness & Empowerment (Assg 2) Nor Helmee Bin Abd Halim 6 35 – 32 150 – 108 360 – 186 1100 – 285 5000 - 357 40 – 36 160 – 113 380 – 191 1200 – 291 6000 - 361 45 – 40 170 – 118 400 - 196 1300 – 297 7000 - 364 50 – 44 180 – 123 420 – 201 1400 – 302 8000 - 367 55 – 48 190 - 127 440 – 205 1500 – 306 9000 - 368 60 – 52 200 – 132 460 – 210 1600 – 310 10000 – 370 65 – 56 210 – 136 480 – 241 1700 – 313 15000 – 375 70 – 59 220 – 140 500 – 217 1800 – 317 20000 – 377 75 – 63 230 - 144 550 – 226 1900 – 320 30000 – 379 80 – 66 240 – 148 600 – 234 2000 – 322 40000 – 380 85 – 70 250 – 152 650 – 242 2200 – 327 50000 – 381 90 – 73 260 – 155 700 – 248 2400 – 331 75000 – 382 95 – 76 270 – 159 750 – 254 2600 – 335 100000 - 384 The formula used for these calculations is as depicted in Figure 3.1 – Krejcie and Morgan formula. Figure 3.1 – Krejcie and Morgan formula. In a nutshell, these formulas required knowledge of the variance or proportion of the population and a determination as to the maximum desirable error, as well as the acceptable error risk. The variance can be simplified as follows; (Sekaran 2003).
  • 7.
    BMBR5103 – ConsumerAwareness & Empowerment (Assg 2) Nor Helmee Bin Abd Halim 7 Population Size – the question that we need to ask is how many total people that fit our demographic. In this study, the population size is the total number of secondary school students of SMK Cyberjaya. The scope for this study is relatively small and it is possible to obtain the population size. In a study covering larger scale, for instance, we want to know the total social media users in Malaysia. The number can be very large and it is common for the population to be unknown or approximated. Margin of Error (Confidence Interval) – Sekaran (2003) mentioned that no sample statistic is going to be the same or perfect, so it is important for us to decide how much error to allow. The confidence interval determines how much higher or lower than the population mean we are willing to let our sample mean fall. In this case, the suggested Margin of Error is ± 5%. Confidence Level – The most common confidence intervals are 90% confident, 95% confident and 99% confident. It means how confident do we want to be that the actual mean falls within your confidence interval. In this case, the Confidence Level used is 95%.  90% - the P value is – 1.645  95% - the P value is – 1.96  99% - the P value is – 2.576 Standard of Deviation – Since we have not actually administered the survey yet and therefore the safe decision to use is .5. It is how much variance we expect in the responses. The number is the most forgiving number and ensures our sample will be large enough. 3.6.2 Probability sampling technique – simple random sampling Once sample size has been determined, the next step is to conduct a sampling technique. Probability sampling represents a group of sampling techniques that help us to select units from a population that we are interested in studying. Collectively, these units form the sample that we study (Sekaran 2003).
  • 8.
    BMBR5103 – ConsumerAwareness & Empowerment (Assg 2) Nor Helmee Bin Abd Halim 8 The sampling technique used is simple random sampling. According to Sekaran (2003), all elements in the population are considered and each element has an equal chance (probability) of been chosen as the subject. Since the sample size “n” has been determined as 217 respondents, each of these students would subsequently be given a questionnaire (the instrument used in this study) to be completed. In this study, there were six steps taken to create a simple random sample. The steps are as follows: Step 1 – Define the population This step is done under section 3.5. The population is expressed as “N”, in this study, the total population is 499 students, and all of these students are considered as our sampling frame since we are interested in all of these students. Step 2 – Determine sample size This step is done under section 3.6.1. The sample size required in this study is 217 respondents. Step 3 – List the population Identification of the students is done via the Administration Department of SMK Cyberjaya. Step 4 – Assign numbers to the elements Consecutive number from 1 to “N” was assigned to each of the students. The number is ranging from 1 to 499 (i.e. “N” = 499; the population of students aged 15 to 17 years old). Details of this step is discussed under section 3.6.2.1 Unique number assignment and notification. Step 5 - Find random numbers A computer program that generates a list of random numbers for 217 students is used. In this study, an online program available at https://www.randomizer.org was used to randomly generate the random numbers. The list of random numbers is shown as Figure 3.2 – Random Numbers Table for 217 students (Research Randomizer, 2015).
  • 9.
    BMBR5103 – ConsumerAwareness & Empowerment (Assg 2) Nor Helmee Bin Abd Halim 9 Figure 3.2 – Random Numbers Table for 217 students p = place marker Step 6 – Sample selection From the random numbers table, all 217 selected students were then notified and gathered in a hall to participate in the survey. The whole process takes approximately 30 minutes to complete. The simple random sampling was conducted as follows:
  • 10.
    BMBR5103 – ConsumerAwareness & Empowerment (Assg 2) Nor Helmee Bin Abd Halim 10 3.6.2.1 Unique number assignment and notification (from Step 4) There were only two steps involved in this process. Step 1 – List of students were obtained from Administration Department, and sorted in alphabetical order. The first name on the list is assigned to number 1 and followed by number 2 until number 499 (detailed process is discussed in Data Collection Methods section). Step 2 - To ensure full participation of the students, all form 3, 4 and 5 class monitors have been briefed about the survey and the commitment required from his or her classmates. A simple snack consists of a sandwich and drinks will be provided to the selected students. Step 3 – Based on the random numbers generated earlier, the selected student is then notified via his or her class monitor to proceed to the examination hall during recess to participate in the survey. 3.6.3 Advantages and disadvantages of using a simple random sample Advantages - The aim of the simple random sample is to reduce the potential for human bias in the selection of cases to be included in the sample. As a result, the simple random sample provides us with a sample that is highly representative of the population being studied, assuming that there is limited missing data. Since the elements selected for inclusion in the sample are chosen to use probabilistic methods, simple random sampling allows us to make generalizations (i.e. Statistical inferences) from the sample to the population. This is a major advantage because such generalizations are more likely to be considered to have external validity (Sekaran 2003). Disadvantages – A simple random sample can only be carried out if the list of the population is available and complete. Attaining a complete list of the population can be difficult for a number of reasons:
  • 11.
    BMBR5103 – ConsumerAwareness & Empowerment (Assg 2) Nor Helmee Bin Abd Halim 11  Even if a list is readily available, it may be challenging to gain access to that list. The list may be protected by privacy policies or require a lengthy process to attain permissions.  There may be no single list detailing the population you are interested in. As a result, it may be difficult and time consuming to bring together numerous sub-lists to create a final list from which you want to select your sample.  Many lists will not be in the public domain their purchase may be expensive; at least in terms of the research funds.  In terms of human populations (as opposed to other types of populations, some of these population will be expensive and time consuming to contact, even where a list is available. 3.7 Instrument The survey instrument used is a structured self-administered questionnaire. This section discusses the elements of instrument which is divided into few sections i.e. Measurement and scaling procedures, description of the instrument, development of the instrument, reliability and validity of the instrument. There are several advantages of using this method as it is easy to administer, code, analyze and interpret. The survey approach is by far the most common method of primary data collection used in marketing research. The survey is then given to the sample that has been drawn and used to represent the population of this study (Zikmund, 2009; Sekaran, 2003). 3.7.1 Measurement and scaling procedures A number of rating scales were used in the instrument. The questions are categorized as simple category scales, multiple-choice single response, multiple-choice, multiple response and, lastly the Likert-like scale (Zikmund, 2009; Sekaran, 2003).
  • 12.
    BMBR5103 – ConsumerAwareness & Empowerment (Assg 2) Nor Helmee Bin Abd Halim 12 Open ended questions where students are free to write any response. Examples of open ended questions is where students were asked to name five mobile phone brands which are known to them. The closed end questions were divided into the following categories;  Nominal – non-numerical scales such as question in Part B on gender i.e. Male of Female  Ordinal – a ranking scale that ranks questions in order. Ordinal scales are usually used to measure relative attitudes. Example of ordinal question used in this questionnaire is years of owning a mobile phone by the students.  Ratio – ratio data has defined zero point. Example of ratio measurement used in this questionnaire is monthly household income 3.7.2 Description of the Instrument The key variables in this study were measured by a self-administered questionnaire. The questionnaire comprised of five parts (i.e. Part A, B, C and D). The Part A (screening question adapted from Eleni Koutras, 2006) consists only one question which asked whether the students own a mobile phone. Students who do not own a mobile phone will end the survey and do not require to answer the remaining sections of the questionnaire. The Part B (adapted from Eleni Koutras, 2006) of the questionnaire included demographic characteristics like gender, age, race, and household income. The rest of the questionnaire assessed the three variables in the research hypotheses. Part C(adapted from Eleni Koutras, 2006; Yu, 2013; Kassim, 2006) covered consumer awareness like type of consumer rights. Part D (adapted from Fillion & Booto Ekionea, 2014; Brown and Ventakesh, 2005) covered behavioral questions towards the use of mobile phones. Table 3.1 illustrates the general overview of the instrument.
  • 13.
    BMBR5103 – ConsumerAwareness & Empowerment (Assg 2) Nor Helmee Bin Abd Halim 13 Table 3.1 – Summary of Questionnaire Layout Part A (Adapted from Eleni Koutras, 2006) The scope of this study is only for mobile phone user of the secondary school students, therefore, there is only one question in this section. Only students own a mobile phone will proceed with the remaining sections, others will end the survey as they are out of scope of this study. Part B (Adapted from Eleni Koutras, 2006) Questions in Part B involve establishing sample demographics of the students such as gender, age, race and family income. Part C – Consumer Awareness and consumer knowledge (Adapted from Eleni Koutras, 2006; Yu, 2013; Kassim, 2006) Questions in Part C determined the level of consumer awareness and knowledge on mobile phone service providers, subscription plan, mobile phones brand and the usage. Students responded to 13 items, indicating how well they know and understand package or plan they subscribed as well as basic information about the phone they are using. The students responded based on nominal, ordinal and open ended measurement and scales. Part D – Consumer Behavioral towards mobile phones (Adapted from Fillion & Booto Ekionea, 2014; Brown and Ventakesh, 2005) Questions in Part D determined the consumer behavior towards mobile phone usage. Example of the statement is, how frequently they change the plan and preferred package voice and data. The students responded based on five points Likert-type Scale (1: Strongly Disagree… 5: Strongly Agree) measurement and scales. 3.7.3 Development of the Instrument The questionnaire was developed within the focus group through an adaptation from Lumpkin (1985) and Lambert (1979) and also adapted from selected previous studies (Eleni Koutras, 2006; Kassim, 2006; Brown and Ventakesh, 2005; Yu, 2013; Fillion & Booto Ekionea, 2014). The questionnaire was adapted from multiple researchers is because some questions from single
  • 14.
    BMBR5103 – ConsumerAwareness & Empowerment (Assg 2) Nor Helmee Bin Abd Halim 14 researcher are not relevant to this study and have been discarded, and replaced with questions from other researchers. As a result, changes were made to reword items and, in some cases, to drop items that were possibly ambiguous, consistent with Moore and Benbasat’s (1991) and DeVelli’s (2003) recommendations for instrument development. This is also supported by Katrina (2012) that each variable must be measured separately, a researcher may use five or six different “instruments” for one research study. Refer to Appendix A – Questionnaire, the instrument used for this study. Due to the fact that the population is from secondary school students aged 15 to 17 years old and the school is located in a town, the questionnaire was prepared in simple and straight forward English and will not be translated to Bahasa Melayu. Back translation technique will be used should the study to be expanded in a larger scale in the future. The purpose of back translation is to cater foreseeable ambiguities of statements and to accommodate different level of population (Zikmund, 2009). 3.7.3.1 Adoption and Adaptation of Questionnaire Adopted - In a business research, “adopted” instrument means the instrument was adopted verbatim from an original instrument whereby “adapted” means substantial changes were made from the original or from an established instrument (Katrina, 2012). An example of description of an instrument that was adopted is given below: Intrinsic Motivation. A subtest from the Intrinsic Motivation Inventory (Ryan, 1982) was used to assess intrinsic motivation. This assessment has been used in other educational research studies by many others including Plant and Ryan (1985); Nix, Ryan, Manly, and Deci (1999); and Vansteenkitse and Deci (2003). Adapted – an example description of an instrument that was adapted is given below:
  • 15.
    BMBR5103 – ConsumerAwareness & Empowerment (Assg 2) Nor Helmee Bin Abd Halim 15 Positive Affect.Positiveaffect wasassessed using an adaptationof thePositive and NegativeAffect Scale (PANAS; Watson, Clark, & Tellegren, 1988). The original instrument was pilot tested with a group of 15 university students. They were asked to give a definition of each of the 10 adjectives. If 2 or more students gave an incorrect definition of the adjective, then it was determined that the participants would also not understand what the word meant. Of the ten adjectives, only one was unfamiliar to the pilot sample: jittery. A close synonym was identified as stressed, which replaced the original word jittery. The revised version of the PANAS was pilot-tested on a new group of 15 university students. Each adjective in the revised version had a correct definition by 14 or 15 pilot participants, so it was judged as an adequate adaptation of the PANAS. 3.7.3.2 Wording consistency and appropriate type of questions The wording of the questions was kept simple and unambiguous in order to avoid non-response and response error on the part of the respondents. Words used in the questionnaire matched the vocabulary level of the respondents, and this in turn helped the researcher to fulfil the objectives of the study. 3.7.4 Reliability and Validity As the instrument used in this study was already validated by many researchers (Eleni Koutras, 2006; Kassim, 2006; Brown and Ventakesh, 2005; Yu, 2013; Fillion & Booto Ekionea, 2014) and showed to be of a great reliability. Therefore, the instrument used in this study is proven stable and reliable. 3.8 Data Collection Methods Marketing research data is collected either by the person designing the research or by field workers. Questionnaires and observations are all methods of data collection (Zikmund, 2009; Sekaran, 2003). There were few steps and process involved in this stage. The steps and processes are discussed as follows:
  • 16.
    BMBR5103 – ConsumerAwareness & Empowerment (Assg 2) Nor Helmee Bin Abd Halim 16 Step 1 – Contacting the Sepang District Education (PPD Sepang) A call was made to the office and explained the intention of conducting a survey. The officer attended the call explained that since the intention is only for one (1) school and there will be no funding required from the PPD, therefore the arrangement can be made by directly contacting the school. Step 2 – Contacting the school – SMK Cyberjaya The call was entertained by one of the administrative officers, Mr Adnan Ahmad. The officer was delighted about the intention and he recommended to make an appointment with the principal together with a formal letter stating the intention and the benefits of the activity. Step 3 – OUM formal letter and appointment with the school’s principal A supporting formal letter was prepared and signed by the Dean of OUM Bangi - Professor Dr Wardah Mohamad. The meeting with the school’s principal, Puan Hjh Norma Binti Daud was held at the school. The principal was very supportive and instructed her Administrative assistant, Encik Ahmad Hussin to assist in ensuring the success of the activity. Five (5) school teachers were also assigned by the principal to assist. Detailed itinerary was then prepared and a date has been selected and venue (school hall) to conduct the activity. The activity was then conducted on the following week after the meeting. Step 4 – Obtaining the students list After the meeting, list of students aged 15, 16 and 17 was obtained from Encik Ahmad Hussin and then sorted in alphabetical order. The purpose of the sorting is for unique number assignment to all students in the list. The information is then used for Sample Random Sampling technique. Step 5 - Assistance from teachers, class monitors and school prefect Once all 217 students have been identified, all class monitors and 15 school prefect who was not selected in the survey were briefed on their roles and responsibilities. Basically the role of the class monitor is to inform his or her classmates to give full participation in the activity. The role of the prefect is basically for crowd control. They were also briefed on the itinerary of the activity. All
  • 17.
    BMBR5103 – ConsumerAwareness & Empowerment (Assg 2) Nor Helmee Bin Abd Halim 17 selected students will be informed via their class monitor and an announcement was also made in the assembly. Step 6 – The Day - Hall setup and other arrangement The hall was set up like an examination hall. A registration counter was also set up for students to initial their attendance. At 10am (recess time), students were gathered in the hall, initials for attendance recording and given to a set of questionnaire. The researcher together with other teachers were on the move to monitor and control the situation. Once the students were seated, a briefing was given by the researcher before the students start answering the survey. The students started the survey, approximately and 10.15am and completed few minutes later. The researcher with an assistance from the school teachers administering the process and assist the students should they encounter any issues answering the survey. There was no time limit for the students to answer the survey, once they have completed the survey, the survey was then collected by the researcher for data analysis. Before the students leave the hall, a simple token of appreciation was given to the student – a light snack of a sandwich and a drink. The entire process took approximately half an hour, by 10.30am the survey has been completed by all students. After completed the activity and thank you letter is sent to the principal of the school. 3.8.1 The results The results yielded the following:  200 respondents were collected (92%), the remaining 17 students were absent (8%).  Out of 200 respondents, 180 students (90%) owned a mobile phone. 20 respondents (10%) are not in the scope of the study.  There were 120 female students (60%) and 80 male students (40%) in the sample.
  • 18.
    BMBR5103 – ConsumerAwareness & Empowerment (Assg 2) Nor Helmee Bin Abd Halim 18 3.9 Data Analysis Data preparation includes the editing, coding, transcription and verification of data in order to remove errors that may have occurred during the data collection process. It outlines which statistic will be used to answer Research Questions and/or Research Hypothesis. For every research questions, describe the descriptive statistic that is appropriate for answering the questions. For every research hypothesis, describe the inferential statistic that is appropriate for analyzing the hypothesis (Katrina, 2012). In many research studies, a range of different statistics will be necessary. Researchers should examine each research question and hypothesis separately to consider which statistic is appropriate. The next step is data analysis in terms of which the information contained in the questionnaire has to be converted into relevant knowledge, thereby giving meaning to the data collected. The data from the questionnaire was collated for the examination and the analysis can be done using computer programs like Microsoft Excel and SPSS. 3.9.1 Microsoft Excel Microsoft Excel – is a spreadsheet program with data analysis and descriptive capabilities. Excel is used to obtain a clear and visually descriptive picture of the demographics of the students such as age, gender and race and so forth. 3.9.2 SPSS SPSS – is a statistical program created for data encoding and design. The data from the questionnaire is entered directly into SPSS after each questionnaire has been validated. The program is used to bivariate statistical analysis. 3.9.3 Descriptive Statistic - Research Questions Research questions are always answered with a descriptive statistic; generally either percentage or mean. Percentage is appropriate when it is important to know many of the participants gave a particular answer. Generally, percentage is reported when responses have discrete categories. This means that the responses fall in different categories, such as female or male, race and so on.
  • 19.
    BMBR5103 – ConsumerAwareness & Empowerment (Assg 2) Nor Helmee Bin Abd Halim 19 Sometimes frequencies are also reported when the data has discrete categories. However, percentage are easier to understand than frequencies. In this study, the research questions were 1) how does consumer awareness influence consumer behaviors? and 2) how does consumer knowledge significantly influence consumer behaviors?; Examples of the analysis are as follows: 3.9.3.1 Part A - Screening question Question 1 – Do you own a mobile phone? Only students own a mobile phone qualifies for this research, the result shows that 180 students (90%) own a mobile phone. This group of students represents the population of this study. The result is illustrated as in Figure 3.3 – Students own a mobile phone and Table 3.3 Students own a mobile phone. Figure 3.3 – Students own a mobile phone Table 3.3 – Students own a mobile phone Yes No Total 180 90% 20 10% 0% 10% 20% 30% 40% 50% 60% 70% 80% 90% Yes No 90% 10% Student Own A Mobile Phone
  • 20.
    BMBR5103 – ConsumerAwareness & Empowerment (Assg 2) Nor Helmee Bin Abd Halim 20 3.9.3.2 Part B - Question 1 - Gender The division of gender of the students is shown in Figure 3.4 – Gender, below. Figure 3.4 - Gender 3.9.3.3 Part C – Question 14 (Brand awareness – Consumer Awareness Knowledge) Write down five mobile phone brands you are familiar with. In the majority instances (100%), Samsung and iPhone were cited as the preferred brand of mobile phone were found to be the first two choices of many respondents (Table 3.5). Lenovo (56%) was the second most cited brand, followed by Oppo (28%) and Xiaomi (17%). This finding reveals the supremacy of Samsung and iPhone over other brands and it is safe to say that both Samsung and the iPhone has built top mind awareness in the mobile industry. Table 3.4 – Mobile phone brand awareness Mobile Phone Brand Frequency Percentage Samsung 180 100% Apple iPhone 180 100% Lenovo 100 56% 0% 10% 20% 30% 40% 50% 60% Male Female Gender, Male, 40% Gender, Female, 60% Gender
  • 21.
    BMBR5103 – ConsumerAwareness & Empowerment (Assg 2) Nor Helmee Bin Abd Halim 21 Oppo 50 28% Xiaomi 30 17% Other specified Huawei: 28 LG: 25 Asus: 22 Nokia: 10 BlackBerry:10 16% 14% 12% 6% 6% 3.9.3.4 Part C – Question 15 (Brand owned – Consumer Awareness and Knowledge) What brand of mobile phone do you have? As depicted in Figure 3.5 – Mobile phone brands owned, the majority of the students owned a Samsung mobile phone (55%) and followed by iPhone (25%). This coincides with the Question 14 above. The next questions (Question 16 and 17) in the survey asked whether the students will change to another brand and why they prefer the current brand which they currently owned. The analysis shows the relationship of awareness and knowledge of a brand has directly impacted the purchasing behavior of the students (consumer behavior). The results and analysis of the remaining questions of Part C and D will not be discussed since this paper is only to demonstrate how to conduct a business research. Figure 3.5 – Mobile phone brands owned Brand 0% 20% 40% 60% Samsung Iphone Lenovo Oppo Xiaomi 55% 25% 10% 5% 5% Brand Owned
  • 22.
    BMBR5103 – ConsumerAwareness & Empowerment (Assg 2) Nor Helmee Bin Abd Halim 22 3.9.4 Inferential Statistic - Research Hypotheses using “Relationship” Whenever a research hypothesis uses the word “relationship”, it generally means that a correlation will be calculated. Examples of inferential statistics used to answer research hypotheses are correlation, chi-square, t-test, ANOVE and ANCOVA. The correlation statistic examines the relationship between two continuous variables within the same group of participants. For example, the correlation would quantify the relationship between consumer awareness and consumer behavior. 3.9.4.1 Factor analysis and Reliability testing – using SPSS SPSS is an example of computer program used to calculate inferential statistic. In this study for example, to test the attitudes of the students regarding awareness and knowledge on mobile phone usage, SPSS’s factor analysis will be analyzed on the statements in Part D of the questionnaire. Factor analysis is a data reduction technique that involves the study of interrelationships among variables is smaller in number that the original data set and further establish dimension within the data (Katrina, 2012). Factor analysis is applied to minimize the number of variables whilst simultaneously maximizing the amount of information in the analysis. Factor analysis is used to reduce the criteria in question of Part D into smaller set of linear composites that preserved most of the information of the original data set. The students were asked about number of attitudes that were in turn scored on the importance scale. The students were asked to indicate their degree of agreement with the following statements using a 5-point scale (1-Strongly Disagree … 5=Strongly Agree). 3.10 Conclusion This study was conducted to examine the factors that have impacted consumer behaviors. The two factors tested in this study were consumer awareness and knowledge on mobile phone usage among secondary school students in Cyberjaya. The survey reported that most of the secondary students aged 15 to 17 years old have already owned a mobile phone. It sums up a substantial number of respondents are eligible to be part of the study.
  • 23.
    BMBR5103 – ConsumerAwareness & Empowerment (Assg 2) Nor Helmee Bin Abd Halim 23 As described in the objective of this study, the relevant information was tested in Part C of the questionnaire. The main results indicate the following: Ownership and awareness – most of the students have been using mobile phone for more than 2 years and mostly prepaid users due to special plan offered by service providers for the students. Cheap package or call and data plan has been the main consideration in terms of service awareness among the students. The students tend to subscribe to the best deal among service providers to serve their needs and their status as a school student. The survey also revealed that the students rarely switch to another service provider when they are satisfied with service and network coverage provided by the service provider. Brand loyalty and knowledge of the brand they own – the survey also revealed that knowledge on brand contribute to the brand loyalty and influence their future purchasing behavior. Samsung and iPhone have been identified as the top two brands in their mind and suggested that they will stick to the same brand if they wish to upgrade or buy a new mobile phone in the future. Mobile phone design, its features and functionality have been the main criteria for the students when buying a mobile phone. It indicates that the students are knowledgeable about the product before deciding which mobile phone brand to buy. Problem recognition and alternatives – The study also revealed that the students do know the right channel to contact when they are facing a technical issue with the service provided by the service provider. For long pending issue or unresolved issue like poor network coverage has been identified as the main reason for the students switching to other service providers. In this case, there are four top mobile service providers available in Malaysia that they can choose. It means, the students are empowered to make their own decision (switching provider) depending on the mentioned factors. Lifestyle – the choice of the brand has been found to impact the lifestyle of the students (part of consumer behavior). This was tested on the attitudes towards mobile phone usage by the students. Most of the students indicate strongly agree with the statement on mobile phone brand they have, tells how fashionable they are.
  • 24.
    BMBR5103 – ConsumerAwareness & Empowerment (Assg 2) Nor Helmee Bin Abd Halim 24 In summary, there is significant correlation between awareness and knowledge of consumer behaviors as discussed above. It is also proven that there is significant impact on consumer knowledge towards consumer behavior as revealed above - “Problem recognition and alternatives”. [Word count - 5938]
  • 25.
    BMBR5103 – ConsumerAwareness & Empowerment (Assg 2) Nor Helmee Bin Abd Halim 25 References Bartlett, J. E., Kotrlik, J. W. K. J. W., & Higgins, C. (2001). Organizational research: determining appropriate sample size in survey research appropriate sample size in survey research. Information Technology, Learning, and Performance Journal, 19(1), 43. Brown, S.A. & V. Venkatesh (2005). Model of adoption of technology in households: A baseline model test and extension incorporating household life cycle. MIS Quarterly, 29(3), 399-426. Creswell. (2008). The Selection of a Research Design, 3–22. DeVellis, R.F. (2003). Scale development: Theory and applications (2nd ed.). Thousand Oaks, CA: Sage Publications. Eleni Koutras (2006). The Use of Mobile Phones By Generation Y Students at Two Universities in the City of Johannesburg. Fillion, G., & Booto Ekionea, J.-P. (2014). a Comparison of the Influencing Factors of Using a Mobile Phone: Atlantic Canada Vs. Cameroon Africa. Academy of Information & Management Sciences Journal, 17(1), 123–154. Gerrish K, Lacey A (2010) Glossary In: Gerris K, Lacey A (eds) The research process in nursing Oxford, Wiley-Blackwell. Hill, R. (1998). WHAT SAMPLE SIZE is “ ENOUGH ” in INTERNET SURVEY RESEARCH ? Nterpersonal Computing and Technology: An Electronic Journal for the 21st Century, 6(3), 1–10. Katrina A. Korb (2012). Tutorial on Conducting Research – University of Jos, Nigeria. Retrieved from http://korbedpsych.com/ Kassim, N. M. (2006). Telecommunication Industry in Malaysia: Demographics Effect on Customer Expectations, Performance, Satisfaction and Retention. Asia Pacific Business Review, 12(4), 437–463. http://doi.org/10.1080/13602380600571401 Krejcie, R. V, & Morgan, D. W. (1970). Determining Sample Size for Research Activities Robert. Educational and Psychological Measurement, 38(1), 607–610. http://doi.org/10.1177/001316447003000308 Lumpkin, J. R., Greenberg, B. A., & Goldstucker, J. L. (1985). Marketplace Needs of the Elderly: Determinant Attributes and Store Choice. Journal Of Retailing, 61(2), 75. Lambert, Z. V. (1979). An Investigation of Older Consumers' Unmet Needs and Wants at the Retail Level. Journal Of Retailing, 55(4), 35.
  • 26.
    BMBR5103 – ConsumerAwareness & Empowerment (Assg 2) Nor Helmee Bin Abd Halim 26 Moore, G.C. & I. Benbasat (1991). Development of an instrument to measure the perceptions of adopting an information technology innovation. Information Systems Research, 2(3), 192- 222. Research Randomizer. (2015). Retrieved from https://www.randomizer.org Sharma, N. (2013). Awareness in Consumer about Consumer Protection Act. & Consumer Right in India. Globsyn Management Journal, 7(1/2), 82-93. Uma Sekaran (2003). Research Methods For Business 4th Edition Wright, L. T., Newman, A., & Dennis, C. (2006). Enhancing consumer empowerment. European Journal Of Marketing, 40(9/10), 925-935. doi:10.1108/03090560610680934 Yu, J. H. (2013). You’ve got Mobile Ads - Young Consumers' Responses to Mobile Ads with different Types of Interactivity. International Journal of Mobile Marketing, 8(1), 5–22. Zikmund, W.G., Babin, B.J., Carr, J.C., Griffin, M. (2009). Business Research methods, 8th edition, 696.
  • 27.
    BMBR5103 – ConsumerAwareness & Empowerment (Assg 2) Nor Helmee Bin Abd Halim 27 Appendices Appendix A – Questionnaire Dear participant, My name is Nor Helmee Bin Abd Halim. I am pursuing my Master’s Degree in Management from Open University Malaysia (OUM). You are invited to participate in a survey entitled – The use of mobile phones by secondary school students of SMK Cyberjaya. This questionnaire should not take longer than 10 minutes to complete. Please answer all questions to the best of your ability. Mark your answer by placing crosses (X) in the appropriate block. Thank you for your time and cooperation. Nor Helmee Abd Halim Part A 1. Do you own a mobile phone? Yes No If your answer is Yes to the question above, please respond to the following questions by filling in the gaps or putting an X in the appropriate block Part B - Demographics 2. Age? 15 years old 16 years old 17 years old
  • 28.
    BMBR5103 – ConsumerAwareness & Empowerment (Assg 2) Nor Helmee Bin Abd Halim 28 3. Gender? Male Female 4. Race Malay Chinese Indian Other 5. What is your monthly household income? RM1000 – RM3000 RM3001 – RM5000 RM5001 – RM8000 RM8001 – RM10000 Above RM10000 Part C – Consumer Awareness and Knowledge 6. How long have you owned a mobile phone (in years)? 1 year 2 years 3 years More than 3 years 7. Which mobile plan do you subscribe? Prepaid Postpaid
  • 29.
    BMBR5103 – ConsumerAwareness & Empowerment (Assg 2) Nor Helmee Bin Abd Halim 29 8. Which service provider do you subscribe? Celcom Maxis Digi U Mobile Other 9. Why do you choose the service provider? Cheap Choice of plans available Better coverage Better customer service Other (please specify) 10. How do you rate your current service provider? Very Unsatisfied Somewhat Unsatisfied Neutral Somewhat Satisfied Very Satisfied 11. Have you ever contacted the provider customer service center before? Yes No If you answer Yes, please specify why? _____________________________________
  • 30.
    BMBR5103 – ConsumerAwareness & Empowerment (Assg 2) Nor Helmee Bin Abd Halim 30 12. Have you switched service provider before? Yes No If you answer Yes, please specify why? _____________________________________ 13. Which of the networks do you personally think is best in each of the following aspects of service? Celcom Maxis Digi U Mobile Other No Idea Choice of plans available Geographic coverage Internet service coverage Quality of customer service 14. Write down five mobile phone brands you are familiar with (e.g. IPhone, Samsung, Oppo, etc.): a)_______________________ b)_______________________ c)_______________________ d)_______________________ e)_______________________ 15. What brand of mobile phone do you have? _________________________ 16. Will your next mobile phone be the same brand as your current mobile phone? Yes No
  • 31.
    BMBR5103 – ConsumerAwareness & Empowerment (Assg 2) Nor Helmee Bin Abd Halim 31 17. What is the main reason for choosing your brand of mobile phone? (Please tick one block) Personal choice Recommendation by mobile phone store Recommendation by friends or family Phone design, size, features and functionality Promotional offer Current trend Other, please explain: 18. What do you do most of your phone besides voice calls? Texting (SMS, Whatsapp, Telegram etc) Internet surfing Social Media Play games Taking pictures (selfie etc.) Other, please explain: Part D – Attitudes towards Mobile Phones 19. What is your attitudes or behavior towards mobile phones? Please indicate your degree of agreement or disagreement with the following statements by placing a cross next to each statement. 1 2 3 4 5 Strongly Disagree Disagree Neutral Agree Strongly Agree 1 2 3 4 5 I prefer provider that offers cheapest mobile plan in the market I prefer provider with the best network and internet coverage I use my phone for educational purposes and information search
  • 32.
    BMBR5103 – ConsumerAwareness & Empowerment (Assg 2) Nor Helmee Bin Abd Halim 32 I use my phone to shop online I use my phone to compare products before purchasing I use my phone to make a purchasing decision I feel more connected to my friends and family My mobile phone makes my life easier My mobile phone allows me to do things faster The mobile phone you have tells how fashionable you are I constantly upgrade my phone whenever there is a new release