Bahasa Assembly 
1 
PENDAHULUAN 
Modul ajar ini bertujuan untuk memudahkan mahasiswa mengenal bahasa 
A 
pemrograman Tingkat Rendah, selain pemograman tingkat tinggi seperti Bahasa 
C, Pascal dll,, serta mampu mengoperasikan, memprogram dan mengaplikasikan 
bahasa Assembly dalam sistem elektronika. 
Walaupun bahasa tingkat tinggi terus berkembang dengan segala fasilitas 
dan kemudahannya, peranan bahasa pemrograman tingkat rendah tetap tidak 
dapatdigantikan. Bahasa assembly mempunyai keunggulan yang tidak mungkin 
diikuti oleh bahasa tingkat apapun dalam hal kecepatan, ukuran file yang kecil 
serta kemudahan dalam manipulasi sistem komputer. 
Modul Ajar ini disusun berdasarkan pengalaman dari penulis sendiri 
dalam menggunakan bahasa assembler. Oleh karenanya buku ini disusun dengan 
harapan bagi anda yang tidak tahu sedikitpun tentang assembly dapat belajar 
sehingga assembler akan tampak sama mudahnya dengan bahasa tingkat tinggi. 
Untuk Mahasiswa program studi Teknik Elektronika, mata kuliah Bahasa 
Assembly merupakan mata kuliah dasar dalam pemograman untuk bias 
melangkah ke mata kuliah pemograman dan mikroprosessor, dan mata kuliah 
Bahasa Assembly ini lebih dititik beratkan pada pembuatan flowchart supaya 
dapat memecahkan masalah , dan juga memperkenalkan instruksi-instruksi yang 
ada pada mikroprosessor 8085. 
Dalam Bahasa assembly ini diperkenalkan Bahasa assembly milik 
mikroprosessor 8085 karena dalam prakteknya mahasiswa diajarkan 
mikroprosessor 8085.
Bahasa Assembly 
2 
TUJUAN KHUSUS 
B 
- Mahasiswa mengetahui Perbedaan konsep antara Organisasi Komputer 
dan Arsitektur komputer. 
- Mahasiswa dapat memahami tentang komponen komputer, struktur 
komputer dan fungsi Komputer. 
- Mahasiswa mengetahui Cara pemograman. 
- Mahasiswa cara membuat Algoritma dan Flowchart 
- Mahasiswa dapat memahami tentang Bahasa Pemograman 
- Mahasiswa mengetahui Mode Pengalamatan. 
- Mahasiswa mengetahui Instruksi-instruksi yang digunakan dalam 
mikroprosessor 8085. 
- Mahasiswa dapat memahami tentang cara-cara penulisan program. 
- Mahasiswa mengetahui beberapa macam Golongan Instruksi 
- Mahasiswa mengetahui Instruksi Aritmatika dan Logika. 
- Mahasiswa mengetahui Instruksi Transfer data 
- Mahasiswa mengetahui Instruksi Percabangan 
- Mahasiswa mengetahui Instruksi Compare, Rotate dsb
Bahasa Assembly 
3 
Pokok Bahasan 
Adapun pembahasan yang akan disajikan dalam modul ajar ini adalah 
sebagai berikut: 
1. Pendahuluan 
2. Dasar –dasar Organisasi Komputer 
3. Dasar Pemograman 
4. Instruksi Dasar 8085 
5. Instruksi Input dan Output 
6. Instruksi Jump 
7. Pemograman Lanjutan
Bahasa Assembly 
4 
DASAR-DASAR 
ORGANISASI KOMPUTER 
C 
I.1. Pengantar. 
Program Bahasa Assembly atau Assembler adalah suatu Program yang 
mengambil Input (Program Sumber) yang dikodekan dalam Mnemonic atau 
Symbol Bahasa mesin dan di konversikan ke dalam Program Bahasa mesin 
Hexadesimal (Object Program). Alasan Utama Software tidak ditulis dalam 
bahasa Mesin Hexadesimal secara langsung karena sewaktu-waktu sebuah 
program yang akan dimodifikasi, tidak sulit dalam merelokasi pengalamatan. 
Penemuan Mikroprosesor pada tahun 1970-an merupakan perkembangan 
yang menentukan dari dunia Elektronika yang mengagumkan. Beberapa hal yang 
menyebabkan kepopuleran Mikroprosesor yaitu : 
• Ukurannya kecil 
• Daya yang dibutuhkan rendah 
• Harganya murah 
Mikroprosesor dapat didefinisikan sebagai Rangkaian terpadu tunggal 
yang mengandung ribuan gerbang digital yang dapat melakukan Operasi 
Aritmatika, Logika, dan Kontrol dari Komputer. Komputer berasal dari kata to 
compute yang artinya menghitung. Jadi computer adalah suatu peralatan 
elektronik yang digunakan untuk perhitungan, tetapi karena perkembangan 
teknologi computer saat ini begitu pesat, computer tidak lagi hanya berperan
Bahasa Assembly 
sebagai mesin hitung tetapi sudah mempunyai berbagai fungsi untuk 
mempermudah dan membantu pekerjaan manusia. 
5 
Komputer mempunyai Elemen-elemen fungsional sebagai berikut : 
• Unit Kontrol dan Aritmatika 
• Unit Memory Instruksi 
• Unit Memory Data 
• Unit Input/Output 
Unit Aritmatika dan Kontrol memroses data dengan operasi aritmatika 
dan logika. Bagian aritmatika mempunyai kemampuan operasi aritmatika yang 
built-in dalam bentuk perangkat keras yang dapat melakukan fungsi tersebut. 
Bagian Kontrol mengandung rangkaian yang memungkinkan instruksi yang 
diproses dapat cepat dikerjakan secara berurutan. 
Isi dari memori yang berupa instruksi dan data dapat diletakkan secara 
kombinasi ataupun dipisah. Program yang berisi instruksi urutan-urutan perintah 
harus ditulis dan disimpan dalam memori sebelum computer dijalankan. Data 
dapat disimpan baik sebelum ataupun sesudah computer running. 
Unit Input/Outpun adalah bagian penghubung computer dengan dunia luar 
(Pheriperal), yang memungkinkan computer untuk berkomunikasi secara real 
time. Piranti ini umumnya lambat bila dibandingkan dengan waktu proses 
internal computer dan format data yang dikomunikasikan bias serial ataupun 
parallel. 
1.2 Komputer 
Sebelum mempelajari organisasi komputer lebih jauh ada baiknya kita 
mengetahui apa itu komputer? Komputer adalah suatu sistem pemrosesan yang
Bahasa Assembly 
didalamnya terdapat unit masukan, unit keluaran, unit pemroses data dan juga 
unit penyimpanan data. Sistem komputer secara keseluruhan dapat dilihat pada 
gambar 1.1. 
6 
Output Pemroses 
Input 
Penyimpa 
Gambar 1.1 Sistem komputer 
Struktur adalah cara komponen - komponen komputer saling terkait dan 
berhubungan. Sedangkan fungsi adalah operasi masing - masing komponen 
sebagai bagian dari struktur. Dalam modul ini akan dijelaskan melalui 
pendekatan top-down (dari sistem paling kompleks menuju sistem yang lebih 
sederhana) sehingga diharapkan akan lebih jelas dan efektif 
Operasi-operasi yang dilakukan komputer diantaranya operasi aritmetika, 
operasi logika, operasi penggeseran dan operasi pemindahan, yang sebenarnya 
adalah implementasi mesin komputer terhadap perintah kita. 
Ada pekerjaan besar sehubungan dengan interkoneksi manusia dan 
komputer. Seperti kita ketahui, komputer tidak bisa memahami bahasa kita dan 
juga sebaliknya, untuk itu diadakan manipulasi dan transformasi data agar terjadi 
kesesuaian antara komputer dan manusia sebagai penggunanya.
Bahasa Assembly 
7 
1.3 Organisasi Komputer 
Organisasi Komputer adalah bagian yang terkait erat dengan unit - unit 
operasional dan interkoneksi antar komponen penyusun sistem komputer dalam 
merealisasikan aspek arsitekturalnya. Contoh aspek organisasional adalah rincian 
dan teknologi hardware, perangkat antarmuka dan peripheral, teknologi dan 
sistem memori, sinyal - sinyal kontrol. 
Ada baiknya dipahami aspek arsitekturalnya karena kedua hal ini sangat 
terkait. Arsitektur Komputer lebih cenderung pada kajian atribut - atribut sistem 
komputer yang terkait dengan seorang programmer. Contohnya, set instruksi, 
aritmetilka yang digunakan, teknik pengalamatan, mekanisme I/0. 
Sebagai contoh, apakah suatu komputer perlu memiliki instruksi pengalamatan 
pada memori merupakan masalah rancangan arsitektural. Apakah instruksi 
pengalamatan tersebut akan diimplementasikan secara langsung ataukah melalui 
mekanisme cache adalah kajian organisasional. 
UNIT 
MASUKAN 
KELUARAN 
UNIT MEMORY 
INSTRUKSI 
UNIT 
ARITMATIKA & 
KONTROL 
UNIT MEMORY 
Gambar 1.2. Elemen Fungsional Utama dari Komputer. 
DATA 
INTERFACE EXTERNAL
Bahasa Assembly 
8 
1.4 Hirarki Komputer 
Komputer merupakan suatu sistem kompleks, yang tersusun atas 
subsistem-subsistem yang saling berkaitan. Untuk menjelaskan struktur suatu 
komputer, kunci utamanya adalah mengetahui hirarki sistem paling kompleks 
sampai pada sistem elementer paling sederhana. Komputer adalah suatu peralatan 
yang bersifat modular, tersusun atas modul - modul subsistem yang memiliki 
fungsi dan karakteristik tertentu tetapi saling mendukung dalam mewujudkan 
fungsi komputer secara keseluruhan. 
Struktur adalah cara komponen - komponen komputer saling terkait dan 
berhubungan. Sedangkan fungsi adalah operasi masing - masing komponen 
sebagai bagian dari struktur. Dalam modul ini akan dijelaskan melalui 
pendekatan top-down (dari sistem paling kompleks menuju sistem yang lebih 
sederhana) sehingga diharapkan akan lebih jelas dan efektif 
1.5 Struktur Komputer 
Komputer adalah sebuah sistem yang berinteraksi dengan cara tertentu 
dengan dunia luar. Interaksi dengan dunia luar dilakukan melalui perangkat 
peripheral dan saluran komunikasi. Perhatikan gambar 1.3, terdapat empat 
struktur utama: 
¾ Central Processing Unit (CPU), berfungsi sebagai pengontrol operasi 
komputer dan pusat pengolahan fungsi - fungsi komputer. Kesepakatan, CPU 
cukup disebut sebagai processor (prosesor) saja. 
¾ Memori Utama, berfungsi sebagai penyimpan data. 
¾ I/0, berfungsi memindahkan data ke lingkungan luar atau perangkat lainnya.
Bahasa Assembly 
¾ System Interconnection, merupakan sistem yang menghubungkan CPU, 
9 
memori utama dan I/0. 
Komponen yang paling menarik namun paling kompleks adalah CPU. 
Central 
Processing 
Unit 
Computer 
Systems 
Interconnection 
Input 
Output 
Gambar 1.3 Struktur utama computer 
Peripherals 
Computer 
Main 
Memory 
Communication 
lines 
Struktur CPU terlihat pada gambar 1.4, dengan struktur utamanya adalah: 
¾ Control Unit, berfungsi untuk mengontrol operasi CPU dan mengontrol 
komputer secara keseluruhan. 
¾ Arithmetic And Logic Unit (ALU), berfungsi untuk membentuk fungsi - fungsi 
pengolahan data komputer. 
¾ Register, berfungsi sebagai penyimpan internal bagi CPU. 
¾ CPU Interconnection, berfungsi menghubungkan seluruh bagian dari CPU.
Bahasa Assembly 
10 
Computer Arithmetic 
Gambar 1.4 Struktur CPU 
Internal CPU 
Interconnection 
System 
Bus 
1.6 Fungsi Komputer 
Fungsi dasar sistem komputer adalah sederhana seperti terlihat pada gambar 1.5. 
Pada prinsipnya terdapat empat buah fungsi operasi, yaitu 
¾ Pemindahan Data 
¾ Penyimpanan Data 
¾ Pengolahan Data 
¾ Kontrol 
Gambar 1.5 Fungsi Komputer 
and 
Login Unit 
Control 
Unit 
Registers 
CPU 
I/O 
Memory 
CPU 
Data 
Movement 
Apparatus 
Control 
Mechanism 
Data 
Storage 
Facility 
Data 
Processing 
Facility
Bahasa Assembly 
Komputer harus dapat memproses data. Representasi data di sini 
bermacam-macam, akan tetapi nantinya data harus disesuaikan dengan mesin 
pemrosesnya. Dalam pengolahan data, komputer memerlukan unit penyimpanan 
sehingga diperlukan suatu mekanisme penyimpanan data. Walaupun hasil 
komputer digunakan saat itu, setidaknya komputer memerlukan media 
penyimpanan untuk data prosesnya. Dalam interaksi dengan dunia luar sebagai 
fungsi pemindahan data diperlukan antarmuka (interface), proses ini dilakukan 
oleh unit Input/Output (I/0) dan perangkatnya disebut peripheral. Saat interaksi 
dengan perpindahan data yang jauh atau dari remote device, komputer melakukan 
proses komunikasi data. 
1.7. Aritmatika dan Kontrol. 
Bagian Aritmatika dan Kontrol dari computer biasanya disebut sebagai 
Central Processing Unit (CPU). Mungkin istilah ini muncul ketika awal-awal 
computer mainframe yang besar di mana bagian computer masih terpusat. 
Fungsi Utama CPU adalah : 
• Mengambil atau menjemput instruksi dari memori dan menerjemahkannya 
(decode) kemudian mengeksekusi perintah yang sudah diterjemahkan 
tersebut. 
• Mentransfer informasi ke dan dari memori data atau unit masukan-keluaran 
11 
(I/O) yang dibutuhkan pada eksekusi suatu instruksi. 
• Menanggapi sinyal control dari luar, yang dikenal sebagai interrupt yang 
mungkin dapat menginterupsi operasi yang normal dan mungkin dapat 
menyebabkan urutan-urutan program atau instruksi yang baru yang harus 
dilakukan oleh computer.
Bahasa Assembly 
12 
Dalam melakukan fungsi-fungsi tersebut maka CPU dilengkapi dengan : 
1. Pada bagian Aritmatika : 
• ALU (Arithmetic Logic Unit) 
• Akumulator 
2. Pada bagian Kontrol : 
• Register Instruksi 
• Decoder 
Segala operasi aritmatika dan Logika dilakukan di dalam ALU. Operasi-operasi 
yang dapat dilakukan ALU adalah : 
1. Penjumlahan (Add), Penambahan Satu (Increment) 
2. Pengurangan (Subtract), Pengurangan Satu (Decrement) 
3. Logika OR, EX-OR, AND, dan NOT (Complement) 
4. Perbandingan (Compare) 
5. Pergeseran ke kiri atau ke kanan atu bit (Shift) 
6. Berputar ke kiri atau ke kanan (Rotate). 
Pada Mikroprosessor 8085 mempunyai 10 buah register, dan register 
merupakan tempat penyimpanan data sementara. Register-register ini dibagi atas 
dua kelompok, yaitu : 
- General Purpose Register (Register Serba Guna). 
- Special Purpose register (Register Khusus). 
Dimana dikatakan dengan Register Serba Guna (General Purpose 
Register) karena pemakaian register ini bersifat umum. Susunan dari Register-register 
ini aperti sebuah RAM kecil (8-bit atau 16-bit) di dalam CPU. Register 
ini dapat digunakan sebagai tempat penyimpanan hasil operasi mikroprosessor.
Bahasa Assembly 
Register serba guna ini terdiri dari 6 buah register 8-bit yang disebut dengan 
regisr B, C, D, E, H, dan L. Untuk pengoperasian 16-bit register ini dapat 
digunakan berpasangan menjadi pasangan register BC, DE, HL. 
Kemudian dikatakan dengan Register Khusus (Sepecial Purpose 
Register) karena fungsinya yang sangat khusus, register ini terdiri dari 4 bagian 
yaitu : Akumulator, Register bendera, Program Counter (PC), Stack Pointer(SP). 
• Akumulator (Accumulator/Acc). 
Akumulator disebut juga dengan register A yang merupakan register yang amat 
penting, karena register ini berfungsi sebagai tempat penyimpanan hasil setiap 
operasi aritmatika maupun operasi logika dan juga sebagai tempat masukan 
ALU. Data Bus internal yang dihubungkan ke Acc ini merupakan dua arah 
(bidirectional) yang berartyi akumulator dapat mengirim dan menerima data. Di 
dalam penggunaan akumulator ini berpasangan dengan register Bendera (Flag). 
• Register Bendera (Flag Register, F) 
Register Bendera berfungsi sebagai indicator atau menyatakan kedaan dari hasil 
operasi ALU. Register ini terdiri dari 8-bit tetapi hanya 5-bit yang dipakai 
yaitu: Zero (Z), Sign (S), Parity (P), Carry (Cy) dan Auxilary Carry (AC). 
Susunan bit dari register Bendera digambarkan sebagai berikut : 
13 
D7 D6 D5 D4 D3 D2 D1 D0 
S Z x AC x P x Cy 
X = tidak dipakai (don’t care) 
Gambar 1.6. Register Bendera (Flag)
Bahasa Assembly 
Isi register bendera akan berubah sesuai dengan hasil operasi aritmatika-logika. 
- Sign Bit (S) : S = 0 ; bila hasilnya positif 
14 
S = 1 ; bila hasilnya negative 
- Zero Bit (Z) : Z = 1 ; bila hasilnya sama denga 0 
Z = 0 ; bila hasilnya tidak sama dengan 0 
- Auxilary Carry Bit (AC) : 
AC = 1 ; Jika terjadi carry dari 4 bit rendah (low nible) ke 4 bit 
tinggi (high nible) dan Jika ada borrow dari high 
nible ke low nible. 
AC = 0 ; Jika sebaliknya. 
- Parity Bit (P) : 
P = 1 ; bila hasil operasi berparity genap. 
P = 0 ; bila hasil operasi berparity ganjil. 
- Carry Bit (Cy) : 
Cy = 1 ; bila hasil penjumlahan melebihi 8-bit, dan bila hasil 
pengurangan ada borrow. 
Cy = 0 ; bila tidak terjadi borrow atau carry. 
• Program Counter (PC) 
Pengeksekusian suatu program adalah pelaksanaan instruksi, dimana instruksi 
ini telah terlebih dahulu disimpan di dalam memori. Jadi untuk melaksanakan 
instruksi tersebut dibutuhkan suatu alamat yang menunjukkan lokasi 
penyimpanan instruksi tersebut di dalam memori. Alamat lokasi memori yang 
akan dituju ini diambil dari Program counter. Rogram counter ini merupakan 
register 16-bit, dengan demikian jangkauan alamatnya adalah 216 = 64 kByte.
Bahasa Assembly 
• Stack Pointer (SP) 
Stack merupakan bagian dari memori yang dialokasikan untuk penyimpanan 
data dan alamat. Misalnya saat instruksi PUSH dan CALL. Alamat awal dari 
stack ini ditandai oleh Stack Pointer. Stack dapat diakses dengan menggunakan 
program. Penumpukan data pada stack ini mempunyai sifat LIFO (Last In 
First Out). Pemindahan data dari register CPU ke Stack dapat dilaksanakan 
dengan instruksi PUSH dan yang sebaliknya adalah POP. Stack Pointer (SP) 
merupakan register 16-bit dengan demikian jangkauan alamat adalah sebesar 
216 = 64 kByte. 
1.8. Media Penyimpan Memori 
Ada beberapa jenis media penyimpan memori yang sekarang banyak 
15 
digunakan, misalnya : 
• ROM (Read-Only Memory) 
• PROM (Programmable ROM) 
• EAROM (Elictrically Alterable ROM) 
• RAM (Random-Access Memory) 
• FPLA (Field Programmable Logic Array) 
• CCD memory (Charge-Coupled Device) 
• Dan masih banyak lagi. 
Jenis penyimpan memory ada dua macam : 
• Volatile (yang akan hilang begitu aliran listrik pada computer 
dimatikan) Contoh : RAM, flipflop 
• Nonvolatile (tidak akan hilang meskipun aliran listrik mati) 
Contoh : ROM, PROM, EPROM, magnetic-tape dsb.
Bahasa Assembly 
16 
Struktur Penyimpan Memori 
Kapasitas memory dari RAM atau ROM dinyatakan dengan jumlah bit 
yang dapat disimpan pada piranti tersebut . Biasanya, 1 Kilo bit memori adalah 
sama dengan 210, atau sama dengan 1024 bit. 4 Kilobit sama dengan 212, atau 
4096 bit. Di pasaran, bermacam-macam chip penyimpan memori di mana 
masing-masing memiliki spesifikasi tersendiri. Yang popular dipakai misalnya 
EPROM buatan intel, dengan kode sebagai berikut : 
2764 (8 bit output, kapasitas memori 8K) 
2732 (8 bit output, kapasitas memori 4K) 
Di samping itu beberapa jenis memori ada yang memiliki input/output 4 
bit. Karena kebanyakan mikroprosesor memiliki bus data 8 bit, maka untuk 
menentukan jumlah IC yang diperlukan dipakai rumus : 
Kofigurasi system memori yang dibutuhkan 
Ukuran IC memori yang ada 
Jumlah IC = 
Jadi sebagai contoh suatu ROM dengan kapasitas 256 bytes, 4 bit output, 
akan dipakai sebagai penyimpan memori suatu system mikrokomputer 256 bytes, 
8 bit. Maka jumlah IC memori yang dibutuhkan adalah : 
256 x 8 
256 x 4 
Jumlah IC = = 2 chip
Bahasa Assembly 
17 
Tugas dan Pertanyaan: 
1. Sebutkan Alasan Utama kenapa Software tidak dituliskan dalam Bahasa 
Mesin Hexadesimal. 
2. Sebutkan definisi dari Mikroprosessor. 
3. Gambarkan Diagram Blok Elemen-elemen Fungsional Utama dari 
Komputer dan Jelaskan Fungsi setiap Blok. 
4. Sebutkan Fungsi tama dari CPU. 
5. Register pada Mikroprosessor 8085 dibagi dalam dua kelompok, sebutkan 
dan jelaskan. 
6. Jenis memori yang tidak akan hilang data di dalam memori jika tegangan 
listriknya diputuskan disebut dengan apa dan sebutkan contoh-contohnya.
Bahasa Assembly 
18 
DASAR PEMOGRAMAN 
D 
2.1. Pengantar Algoritma Pemograman. 
Beberapa istilah yang perlu diketahui dalam dunia pemograman antara 
lain adalah : Program, Pemograman dan Bahasa Pemograman. Program adalah 
kumpulan instruksi/perintah yang disusun sebagai satu kesatuan prosedur yang 
berupa urutan langkah untuk menyelesaikan masalah yang diimplementasikan 
dengan menggunakan bahasa pemograman sehingga dapat dieksekusi oleh 
computer. Pemograman adalah proses untuk mengimplementasikan urutan 
langkah untuk menyelesaikan suatu masalah dengan menggunakan suatu bahasa 
pemograman. 
Bahasa Pemograman berfungsi sebagai media untuk menyusun dan 
memahami suatu program computer serta sebagai alat komunikasi antara 
programmer dengan computer. Bahasa Pemograman digolongkan menjadi 
beberapa tingkatan yaitu : 
• Bahasa Tingkat Rendah (Low Level Language) 
Bahasa Tingkat Rendah merupakan bahasa pemograman yang berorientasi 
pada mesin. Disebut tingkat rendah karena bahasa ini lebih dekat ke bahasa 
mesin daripada bahasa manusia. Yang tergolong dalam bahasa tingkat rendah 
adalah bahasa Assembly. 
• Bahasa Tingkat Tinggi (High Level Language) 
Bahasa Tingkat Tinggi lebih dekat ke bahasa manusia dari pada bahasa 
mesin. Bahasa tingkat tinggi emrupakan bahasa pemograman yang meiliki
Bahasa Assembly 
aturan-aturan gramatikal dalam penulisan ekspresi atau pernyataan dengan 
standar yang mudah dipahami oleh manusia. Yang tergolong bahasa tingkat 
tinggi antara lain : BASIC, Fortran, COBOL, Pascal, Prolog, C, dll. Ada 
sebagian para pakar yang menyebutkan bahasa C sebagai bahasa tingkat 
menengah (Middle Level Language), karena dianggap bahasa C adalah 
bahasa tingkat tinggi yang mempunyai kelebihan hampir menyamai bahasa 
assembly karena kelengkapan fungsinya dalam mengakses perangkat keras. 
19 
2.2. Algorithma. 
Algoritma bnerasal dari kata algoris dan ritmis, yang pertama kali 
diungkapkan oleh Abu Ja’far Mohammed Ibn Musa al Khowarismi (825 M) 
dalam buku Al-Jabr Wa-al Muqabla. Dalam bidang pemograman Algoritma 
didefinisikan sebagai suatu metode khusus yang tepat dan terdiri dari serangkaian 
langkah yang terstruktur dan dituliskan secara sistematis yang akan dikerjakan 
untuk menyelesaikan suatu masalah dengan bantuan computer. Algoritma 
merupakan pola piker terstruktur yang berisi tahap-tahap penyelesaian masalah 
yang dapat disajikan dengan teknik tulisan maupun dengan gambar. Penyajian 
algoritma dalam bentuk tulisan biasanya menggunakan metode Structure English 
atau Pseudo Code (kode semu). Penyajiann algoritma dalam bentuk gambar 
biasanya menggunakan flowchart (diagram alir). 
Sebelum membuat sebuah program, programmer harus mendefinisikan 
masalah yang ada untuk menghasilkan program yang bagus, dimana bahasa 
mikroprosessor, bahasa mesin dan hexadecimal Op-code harus diinstruksikan 
sebelumnya. Sebagai contoh suatu bagian dari instruksi untuk penjumlahan dan 
pengurangan, pada Instruksi set mikroprosessor 8085 tidak mengetahui instruksi
Bahasa Assembly 
aritmatika yang lain (perkalian atau pembagian), sehingga harus didefinisikan 
terlebih dahulu bagaimana membuat perkalian dengan instruksi yang ada yaitu 
penjumlahan dan pengurangan. Sebenarnya operasi perkalian tidak cocok dalam 
struktur proses bilangan biner, jadi utnuk proses perkalian harus diubah oleh 
programmer ke dalam proses penjumlahan. 
Contoh : 
20 
5 x 4 = 20 
Factor 1 Factor 2 Hasil 
5 + 5 + 5 + 5 = 20 
Berarti masalah perkalian dapat diselesaikan dengan menjumlah bilangan factor 1 
sebanyak Factor 2. 
Sebelum memulai membuat Flowchart dan Program, perlu membuat 
terlebih dahulu dalam bentuk Algoritma, sebagai contoh untuk program perkalian 
yaitu 5 dikalikan dengan 4, urutan langkahnya adalah : 
- Isi Register A dengan data 00 (untuk mengclearkan isi Akumulator) 
- Isi Register B dengan data 5 (Factor 1) 
- Isi Register C dengan data 4 (Factor 2) 
- Jumlahkan Register B dengan Register A, dan isikan hasilnya ke register A. 
- Kurangi 1 dari data Register C. 
- Periksa, apakah Register C = 0 ; Jika tidak kembali lompat ke langkah 
keempat. 
- Jika Register C = 0, maka program selesai/stop dan kembali ke program 
utama.
Bahasa Assembly 
Dari langkah-langkah pada algoritma ini, dapat dibuat langsung ke sebuah 
program dengan format bahasa tertentu atau membuat flowchart terlebih dahulu. 
2. 3. Flowchart. 
Untuk membuat program yang lebih sistematik maka disarankan untuk 
menggunakan flowchart, baru kemudian diubah menjadi bahasa assembly. Ada 
banyak macam flowchart, sebagai contoh flowhcar blok yang menujukkan 
prosedur proses kasar, atau flowcart yang cukup rinci yang berhubungan dengan 
satu instruksi. 
21 
Flowchart juga dibagi atas 3 tipe dasar 
(1) Tipe langsung (straight type) 
(2) Tipe cabang (branch type) 
(3) Tipe loop 
Seperti tampak pada gambar 2.1. 
PROSES 
CABANG 
YES 
PROSES 
Gambar 2.1. Tipe Dasar Flowchart 
START 
SETTING 
PROSES 
BERULANG 
PRAKIRAAN 
KONDISI 
PROSES 
LAIN 
(c) Loop 
START 
PROSES 
PROSES 
PROSES 
(a) Langsung 
START 
PROSES 
PROSES 
(b)Cabang 
NO
Bahasa Assembly 
Tipe langsung adalah tipe yang paling sederhana, yaitu urutan proses 
selalu mulai dari atas ke bawah. Pada tipe cabang, aliran proses berubah 
berdasarkan perubahan kondisi. Perubahan kondisi tersebut dapat dicek 
menggunakan register flag F. Tipe loop digunakan untuk proses yang berulang. 
Tipe ini merupakan tipe yang sangat popular dalam pemograman. 
Terdapat 2 (dua) jenis flowchart yang perlu diketahui yaitu : 
22 
• Sistem Flowchart. 
• Program Flowchart. 
Sistem flowchart 
Sistem flowchart merupakan diagram alir yang menggambarkan suatu sitem 
peralatan computer yang digunakan dalam proses pengolahan data serta 
hubungan antar peralatan tersebut. Sistem Flowchart tidak digunakan untuk 
menggambarkan urutan langkah untuk memecahkan masalah, tetapi hanya untuk 
menggambarkan prosedur dalam system yang dibentuk. 
Simbol-simbol yang digunakan dalam system Flowchart antara lain : 
Sequential Access 
Storage 
Manual Input Punched Paper Tape 
Display Input/Output Direct Acces Storage Magnetic Disc
Bahasa Assembly 
Multi Document Proses Sortir Proses Merge Internal Storage 
23 
Process Storage Data Manual Operation Card 
Gambar 2.2. Simbol-simbol Sistem Flowchart 
Contoh penggunaan Sistem Flowchart : 
Keyboard 
CPU Disket 
Monitor 
Gambar 2.3. Contoh Penerapan Sistem Flowchart
Bahasa Assembly 
Program Flowchart 
Program Flowchart merupakan diagram alir yang menggambarkan urutan logika 
dari suatu prosedur pemecahan masalah. Untuk membuat program flowchart telah 
tersedia symbol-simbol standard yaitu : 
Process Input/Output Predefined Process 
24 
Gambar 2.4. Simbol-simbol Program Flowchart 
Beberapa Contoh Penggunaan Program Flowchart : 
1. Buatlah sebuah Flowchart untuk menghitung Luas. 
Terminator : 
awal/akhir program 
Loop FOR…NEXT 
Kondisi 
Konektor pada 
halaman yang Konektor pada 
halaman lain 
Arah data
Bahasa Assembly 
2. Buatlah Flowchart untuk menentukan Nilai 6 orang mahasiswa dengan 
25 
skala nilai sebagai berikut : 
A = 81 – 100 
B = 66 – 80 
C = 56 – 64 
D = 40 – 54 
E = 0 – 39 
Jawab : 
1. 
Start 
Input 
alas,tinggi 
Luas = alas*tinggi/2 
Output Luas 
Stop
Bahasa Assembly 
26 
2. 
Start 
Baca Data 
Mhs 
(X(i) i=1 6) 
i = 1,6 
X(i) 
>=81 
NX(i) = “A” 
Cetak 
(NX(i), i=1,6) 
Stop 
X(i) 
>=66 
X(i) 
>=56 
X(i) 
>=40 
NX(i) = “B” NX(i) = “C” NX(i) = “D” NX(i) = “E” 
i = 6 ? 
N N N N 
Y Y Y Y 
Y 
N
Bahasa Assembly 
27 
Tugas dan Pertanyaan : 
1. Apa yang dimaksud dengan : 
a. Program. 
b. Pemograman 
c. Algorithma 
2. Sebutkan berapa tingkatan dalam Bahasa Pemograman dan jelaskan. 
3. Buatlah sebuah Algoritma untuk perkalian sebuah bilangan 8 dengan 
bilangan 7 dan buat flowchartnya. 
4. Sebutkan berapa macam type dasar Flowchart dan jelaskan. 
5. Sebutkan perbedaan Sistem Flowchart dengan Program Flowchart. 
6. Buatlah Flowchart untuk mendapatkan Nilai Rata-rata Mahasiswa dalam 
satu kelas dengan jumlah mahasiswa 24 orang, dan untuk mendapatkan 
Nilai Maximum serta Nilai Minimum. 
7. Dalam ruangan Jurusan Teknik Elektro memiliki 3 (tiga) AC Split, 
dimana ketiga AC tersebut Nyala secara Otomatis tergantung pada suhu 
dalam ruangan. Jika suhu nya antara 20oC – 25oC maka AC 1 yang Nyala, 
dan lainnya OFF, Jika Suhunya diatas 25oC dan dibawah 30oC maka dua 
AC yang akan Nyala yaitu AC 1 dan AC 2, dan Jika Suhunya diatas 30oC 
maka ketiga AC tersebut akan Menyala (ON), kemudian jika di dalam 
ruangan tersebut tidak ada orang maka AC tidak menyala walaupun 
suhunya tinggi. Buatlah Flowchart untuk mengontrol AC dalam ruangan 
tersebut.
Bahasa Assembly 
Byte 1 Byte 2 Byte 3 
Data byte tinggi (high 
28 
INSTRUKSI DASAR 8085 
Agar suatu mikrokomputer dapat bekerja maka harus diberikan instruksi, 
dimana instruksi ini merupakan perintah-perintah yang akan dilaksanakan oleh 
mikroprosessor. Instruksi ini terdiri dari kode operasi (Op-Code) dan alamat atau 
data yang diperlukan. 
Kode Operasi (Op-Code) pada CPU 8085 terdiri dari 8-bit, yang berarti 
terdapat 256 (28) instruksi yang berbeda tetapi yang diperkenalkan pada umum 
hanya 246 instruksi. Bentuk format dari instruksi umumnya terdiri dari Op-Code 
dan Operand. Op-Code adalah singkatan dari Operation Code yang menyatakan 
instruksi yang akan dilaksanakan, sedangkan Operand adalah data yang 
digunakan oleh Op-Code yang berupa data atau alamat. Format dari bentuk 
perintah yang digunakan pada CPU 8085 ada 3 jenis yaitu 1 byte, 2 byte, 3 byte 
yang ditunjukkan pada gambar berikut. 
Data byte rendah 
(low order data) 
atau 
byte rendah alamat 
(low order address) 
Kode Operasi 
(Op-Code) 
Gambar 3.1. Bentuk Format dari Perintah CPU 8085 
Berdasarkan fungsinya instruksi CPU 8085 dapat dibedakan atas 5 jenis, yaitu : 
• Instruksi Pemindahan Data (Data Transfer) 
• Instruksi Pemrosesan Data (Data Processing) 
• Instruksi Kendali (Control) 
order data) 
Atau 
Byte tinggi alamat 
(high order address) 
E
Bahasa Assembly 
29 
• Instruksi Masukan-Keluaran (Input-Output) 
• Instruksi Lompat dan Cabang (Jump and Branch) 
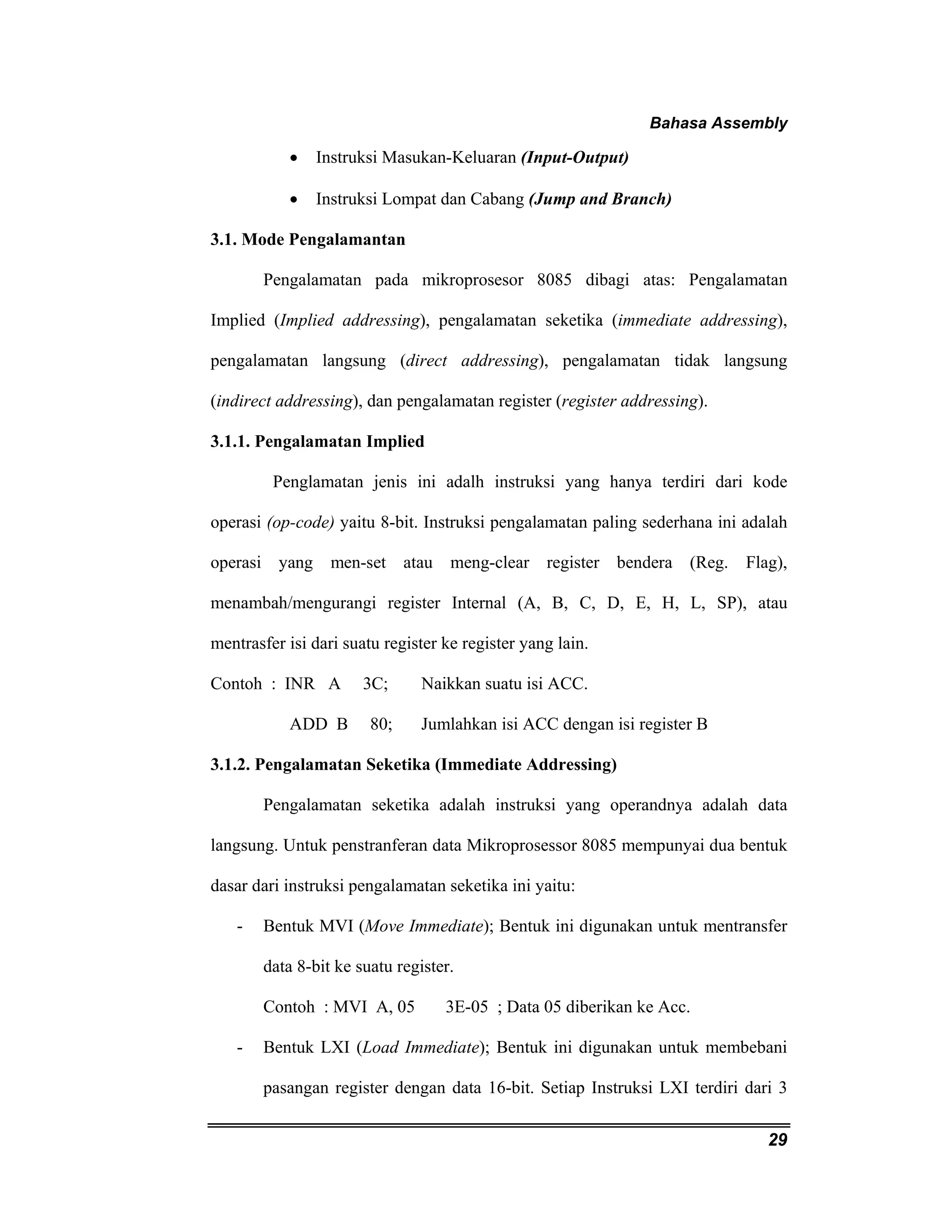
3.1. Mode Pengalamantan 
Pengalamatan pada mikroprosesor 8085 dibagi atas: Pengalamatan 
Implied (Implied addressing), pengalamatan seketika (immediate addressing), 
pengalamatan langsung (direct addressing), pengalamatan tidak langsung 
(indirect addressing), dan pengalamatan register (register addressing). 
3.1.1. Pengalamatan Implied 
Penglamatan jenis ini adalh instruksi yang hanya terdiri dari kode 
operasi (op-code) yaitu 8-bit. Instruksi pengalamatan paling sederhana ini adalah 
operasi yang men-set atau meng-clear register bendera (Reg. Flag), 
menambah/mengurangi register Internal (A, B, C, D, E, H, L, SP), atau 
mentrasfer isi dari suatu register ke register yang lain. 
Contoh : INR A 3C; Naikkan suatu isi ACC. 
ADD B 80; Jumlahkan isi ACC dengan isi register B 
3.1.2. Pengalamatan Seketika (Immediate Addressing) 
Pengalamatan seketika adalah instruksi yang operandnya adalah data 
langsung. Untuk penstranferan data Mikroprosessor 8085 mempunyai dua bentuk 
dasar dari instruksi pengalamatan seketika ini yaitu: 
- Bentuk MVI (Move Immediate); Bentuk ini digunakan untuk mentransfer 
data 8-bit ke suatu register. 
Contoh : MVI A, 05 3E-05 ; Data 05 diberikan ke Acc. 
- Bentuk LXI (Load Immediate); Bentuk ini digunakan untuk membebani 
pasangan register dengan data 16-bit. Setiap Instruksi LXI terdiri dari 3
Bahasa Assembly 
byte, yaitu byte pertama berisi Op-Code, byte kedua dan ketiga berisi data 
immediate 16 bit. 
Contoh : LXI H, 7894 21-94-78 ; Reg. HL = 7894 
30 
3.1.3. Pengalamatan Langsung (Direct Addressing) 
Pengalamatan langsung adalah pengalamatan yang langsung menuju 
lokasi memori. Instruksi ini terdiri dari kode operasi yang diikuti oleh alamat dari 
lokasi yang dituju. Mikroprosessor 8085 mempunyai dua bentuk instruksi 
pengalamatan langsung yaitu : Instruksi membebani yang menyimpan 
Accumulator, instruksi membebani yang menyimpan isi pasangan register HL. 
Contoh: 
Assembly Machine Comment 
LDA a16 3A-ll-hh Reg. A diisi dengan isi alamat a16 
STA a16 32-ll-hh Isi Reg. A disimpan pada alamat a16 
LHLD a16 2A-ll-hh HL dibebani dengan data dari isi memory 
a16 + 1. 
SHLD a16 22-ll-hh Isi pasangan Reg. HL disimpan pada 
alamat a16 dan a16 +1. 
Catatan : a16 = alamat 16-bit , ll = alamat low byte 
hh = alamat high byte 
3.1.4. Pengalamatan Tidak Langsung (Indirect Addressing) 
Pengalamatan tidak langsung adalah pengalamatan suatu lokasi memori 
dimana pengalamatan dilakukan melalui register. Pengalamatan tidak langsung 
pada 8085 dilakukan melalui register M dan dengan instruksi STAX dan LDAX.
Bahasa Assembly 
Register M adalah memori dimana alamatnya terdapat pada pasangan register 
HL. 
Contoh : 
Assembly Machine Comment 
LDAX B 02 ;Bebani Reg. A dengan isi alamat yang alamatnya 
31 
terdapat pada Reg. BC 
LDAX D 0A ;Bebani Reg. A dengan isi alamat yang alamatnya 
terdapat pada Reg. DE 
STAX B 12 ;Simpan isi Reg. A pada lokasi memory yang 
alamatnya terdapat pada Reg. BC 
STAX D 1A ;Simpan isi Reg. A pada lokasi memory yang 
alamatnya terdapat pada Reg. DE 
MVI M, 05 36-05 ;Bebani memory dimana alamatnya pada HL 
dengan data 05 
Contoh berikut ini mengilustrasikan bagaimana pasangan Register 
dibebani dengan alamat memory dan kemudian dengan menggunakan instruksi 
LDAX B Akkumulator dibebani dengan data dari lokasi memory 1000(H), dan 
selanjutnya data tersebut disimpan kembali pada alamat 1200(H) dengan instruksi 
STAX D. 
Contoh : 
Assembly Machine Comment 
LXI B, 1000 (H) 01-00-10 ; alamat 1000(H) BC 
LXI D, 1200 (H) 11-00-12 ; alamat 1200(H) DE 
LDAX B 0A ; isi alamat 1000(H) ACC.
Bahasa Assembly 
STAX D 12 ; isi Akkumulator alamat 1200 
3.1.5. Pengalamatan Register 
Pengalamatan ini merupakan pemindahan/pembacaan data antara register. 
Pengalamatan register ini merupakan pengalamatan yang paling umum 
digunakan. Pengalamatan register ini mempunyai panjang 8-bit. 
32 
- Instruksi Data Transfer Antara Register : 
Kelompok ini terdiri dari 63 Instruksi yang berbeda. Instruksi ini disebut 
dengan pemindahan (MOV = Move). Format dasar dari instruksi MOV 
digambarkan seperti dibawah ini : 
MOV rd, rs rd = Register tujuan 
rs = Register asal 
Daftar yang lengkap dari instruksi MOV diperlihatkan pada daftar 
Instruksi set 8085. Perhatikan bahwa beberapa dari instruksi ini menggunakan 
pengalamatan indirect seperti pengalamatan Register. 
Contoh berikut menunjukkan bagaimana suatu bilangan pada 
Accumulator dipindahkan ke Register D dan E. Instruksi mula-mula 
mengcopy isi Accumulator ke Register D dan kemudian mengcopy isi 
Register D ke Register E. 
Contoh : 
Assembly Machine Comment 
MOV D, A 57 ; Isi Acc. Dicopy ke Reg. D 
MOV E, D 5A ; Isi Acc. Dicopy ke Reg. E
Bahasa Assembly 
33 
3.2. Operasi Tranfer Data Stack 
Mikroprosessor 8085A mempunyai sifat penumpukan data dengan system 
LIFO (Last In First Out). Stack digunakan untuk menyimpan alamat kembali 
(return) dari subroutine dan juga penyimpanan data untuk sementara waktu. Agar 
pemogram mengetahui lokasi Stack penyimpanan data maka perlu alamat Stack 
tersebut ditandai terlebih dahulu. Penandaan ini dilaksanakan dengan mengisi SP 
(Stack Pointer). Instruksi yang berhubungan dengan Stack ini adalah PUSH, 
POP, XTHL. POP membaca data dari Stack, dan XTHL adalah mempertukarkan 
ini Register HL dengan isi Stack yang ditunjuk oleh SP. 
Assembly Machine Comment 
PUSH PSW F5 ; Isi Reg. A dan Flag disimpan pada 
stack 
PUSH B C5 ; Isi pasangan Reg. BC disimpan pada 
stack 
PUSH D D5 ; Isi pasangan Reg. DE disimpan pada 
stack 
PUSH H E5 ; Isi pasangan Reg. HL disimpan pada 
stack 
POP PSW F1 ; data pada stack diambil kembali dan 
dimasukkan ke Reg. A dan Flag. 
POP B C1 ; data pada stack diambil kembali dan 
dimasukkan ke Reg. BC 
POP D D1 ; data pada stack diambil kembali dan 
dimasukkan ke Reg. DE
Bahasa Assembly 
POP H E1 ; data pada stack diambil kembali dan 
34 
dimasukkan ke Reg. HL 
XTHL E3 ; isi Reg. HL saling dipertukarkan 
dengan data yang terdapat pada 
stack. 
3.2.1. Operasi PUSH 
Instruksi PUSH merupakan instruksi untuk menyimpan data pada Stack. 
Instruksi set ini terdiri dari instruksi PUSH, POP, XTHL. Operasi dari PUSH ini 
ditunjukkan paada gambar 3.2. berikut: 
PUSH D 
D D 
12 34 12 34 
900 3 900 1 
SP SP 
Gambar 3.2. Operasi PUSH 
B6 
05 
0F 
08 
34 
12 
0F 
08 
9001 
9002 
9003 
9004 
sebelum setelah 
E E 
9001 
9002 
9003 
9004 
Memory Stack
Bahasa Assembly 
Anggap bahwa isi SP adalah 9003(H) dan pasangan register DE berisi 
data 1234(H). Instruksi PUSH membuat isi SP dikurangi satu (SP-1 = 9002) dan 
12(H) dari Reg. D disimpan pada memori 9002. Kemudian isi SP dikurangi satu 
lagi (SP-2=9001) dan kemudian data 34(H) dari Reg. E disimpan pada memory 
9001, sedangkan isi alamat 9003 sampai 9004 dan isi register tetap. 
3.2.2. Operasi POP 
Instruksi POP adalah instruksi yang membaca data kembali dari Stack, 
35 
seperti ditunjukkan pada gambar 3.3. berikut ini : 
POP D 
D D 
66 87 12 34 
900 1 900 3 
SP SP 
Gambar 3.3. Operasi POP 
34 
12 
0F 
08 
34 
12 
0F 
08 
9001 
9002 
9003 
9004 
sebelum setelah 
E E 
9001 
9002 
9003 
9004 
Memory Stack
Bahasa Assembly 
Langkah-langkah operasi POP D menghasilkan sebagai berikut: Anggap 
bahwa isi SP tidak berubah dari saat instruksi PUSH (SP=9001). Data dari Stack 
alamat 9001 diambil kembali dan dimasukkan ke Register E dan setelah itu isi SP 
ditambah satu (SP+1=9002(H)), kemudian isi alamat 9002(H) dimasukkan ke 
register D selanjutnya isi SP ditambah satu lagi (SP+2=9003(H)). 
3.2.3.Operasi Exchange HL dengan Data Stack (XTHL): 
Instruksi ini meng-exchange isi pasangan Register HL dengan data yang 
ada pada stack. 
Contoh : 
Data 1000 (H) di push pada stack dan HL berisi 2000 (H), maka setelah instruksi 
XTHL akan mengakibatkan kedua harga ini diexchage, sehingga HL berisi 
1000 (H) dan stack berisi 2000 (H). 
3.3. Miscelleneous Data Transfer Instruction. 
Instruksi Miscelleneous adalah instruksi yang tidak termasuk kepada 
kelompok diatas. Instruksi-instruksi ini seperti yang terdapat pada table. 
Assembly Machine Comment 
IN p8 DB p8 ; Baca data yang ada pada Port p8 dan simpan di 
36 
Acc. 
OUT p8 D3 p8 ; Keluarkan isi Acc ke Port beralamat p8 
SPHL F9 ; Isi pasangan Reg. HL diberikan pada Stack 
Pointer (SP) 
XCHG EB ; HL dan DE saling dipertukarkan
Bahasa Assembly 
37 
3.3.1. Instruksi IN dan OUT 
Instruksi IN dan OUT berfungsi untuk berhubungan dengan peralatan 
input/output. Instruksi IN dan OUT diikuti dengan alamat input output yang akan 
dituju. Pada saat mikroprosessor melaksanakan instruksi IN atau OUT saluran 
alamat byte rendah dan byte tinggi sama yaitu berisiskan alamat input/output 
yang dituju, jadi untuk mendekodekan alamat input/output dapat diambil dari 
saluran alamat tinggi atau alamat rendah. Jadi lokasi alamat input/output yang 
dapat diakses maksimum 256. 
Instruksi OUT 20H menyebabkan isi akkumulatordikeluarkan ke port 
(Bandar) yang beralamat 20H dan instruksi IN 21H menyebabkan data pada port 
yang beralamat 21H masuk pada akkumulator. 
3.3.2. Instruksi SPHL 
Instruksi ini berguna untuk membebani Stack Pointer dengan isi pasangan 
register HL. Instruksi SPHL ini hanya 1 byte (Op-Code saja). Instruksi ini sering 
digunakan untuk menandai Stack Pointer untuk menggantikan instruksi LXI SP. 
Misalnya sebelum instruksi SPHL ini isi Stack Pointer (SP) adalah 0008 (H) dan 
pasangan register HL berisi 7008 (H). Setelah instruksi ini dikerjakan 
microprocessor maka Stack Pointer akan berisi 7008 (H). 
3.3.3. Instruksi XCHG 
Instruksi ini berfungsi untuk meng-exchange isi pasangan register HL 
dengan pasangan register DE. Anggap sebelum instruksi XCHG isi pasangan 
register HL = 5643 (H), DE = 7613 (H), maka setelah instruksi XCHG dikerjakan 
mikroprosessor maka isi pasangan register HL = 7613 (H) dan DE = 5643 (H).
Bahasa Assembly 
Contoh : 
Assembly Machine Comment 
LXI D, 1200 (H) 11-00-12 ; Tanda untuk alamat 1200 (H) 
LXI H, 1000 (H) 21-00-10 ; Tanda untuk alamat 1000 (H) 
MOV A, M 7E ; Data dari alamat 1000 (H) 
38 
dimasukkan ke Accumulator. 
XCHG EB ; Tanda untuk alamat saling 
dipertukarkan. 
MOV B, M 46 ; Isi alamat 1200 (H) dimasukkan ke 
register B 
MOV M, A 77 ; Isi alamt 1000 (H) dimasukkan ke 
alamat 1200 (H). 
XCHG EB ; Tanda dipertukarkan kembali. 
MOV M, B 70 ; Isi alamat 1200 (H) yang pertama 
dimasukkan ke alamat memori.
Bahasa Assembly 
39 
Tugas dan Pertanyaan : 
1. Apa yang dimaksud dengan Op-Code dan Operand 
2. Sebutkan 5 jenis instruksi pada Mikroprosessor 8085 menurut fungsinya. 
3. Sebutkan dan jelaskan Mode Pengalamatan pada Mikroprosessor 8085 
serta berikan contohnya. 
4. Isilah alamat, Op-Code dan comment pada table berikut sesuai dengan 
Instruksi pada Mnemonic. 
Address Op-Code Mnemonic Comment 
LXI H, 7800 
LXI B, 7801 
MVI M, FF 
MOV A, M 
STAX B 
SHLD 7802 
RST 1 
Setelah program di atas dilaksanakan (execute) isi dari : 
Reg. A = _______Reg. B = ______ Reg. L = _______ 
Isi alamat dari : 7800 (H) = 7801 (H) = 
7802 (H) = 7803 (H) = 
5. Buatlah sebuah Program Perkalian untuk mengalikan dua buah bilangan 
yaitu 07 dikalikan dengan 06, dan hasil perkaliannya disimpan pada 
Register D, dan alamat nya dimulai dari alamt 9000.
Bahasa Assembly 
40 
PEMOGRAMAN 
LANJUTAN 
F 
Operasi-operasi aritmatika dan logika pada mikroprosessor sama seperti 
operasi pada system digital biasa. Operasi aritmatika yang dapat dikerjakan oleh 
mikroprosessor 8085 adalah Penjumlahan, Pengurangan dan operasi logika 
adalah Invers, AND, OR, EX-OR, Instruksi Banding dan instruksi Geser serta 
Putar. 
4.1. Instruksi Pemrosesan Data (Data Processing) 
Instruksi pemrosesan data merupakan instruksi aritmatika dan logika. 
Seluruh operasi dari instruksi akan mempengaruhi isi dari Bendera (Flag). 
Instruksi aritmatika terdiri dari : 
4.1.1. Instruksi Penjumlahan (ADD) 
Instruksi Penjumlahan dapat dibedakan lagi atas : 
• Penjumlahan 8-bit 
Instruksi penjumlahan bilangan biner 8-bit ini merupakan penjumlahan 
isi register A dengan isi register yang lain atau suatu bilangan 
konstanta. 
Tabel 1. Instruksi Penjumlahan 8-bit tanpa carry 
Assembly Kode-mesin Fungsi 
ADI d8 C6 – d8 ; Acc = Acc + d8 
ADD r op – code ; Acc = Acc + (Reg)
Bahasa Assembly 
Contoh : 
MVI A,85 ; Acc = 85 85(H) 1000 0101(2) 
MVI C,83 ; Reg.C= 83 83(H) 1000 0111(2) 
ADD C ; Acc = Acc + C 08(H) 1 0000 1000(2) 
RST ; 
Dari hasil operasi di atas maka : Acc = 08 dan bit register flag akan berisi : S=0, 
H=0, P=0, Cy=1. 
Isi register 0 tetap 83. 
• Instruksi Penjumlahan dengan carry 
Penjumlahan data 8-bit dengan carry adalah penjumlahan Akkumulator 
dengan data atau isi register dan ditambahkan dengan carry sebelum operasi 
dilaksanakan. Bentuk formatnya adalah sebagai berikut : 
Tabel 2. Instruksi Penjumlahan 8-bit dengan carry. 
Assembli Kode-mesin Fungsi 
ACI d8 CE-d8 ; Acc = Acc + d8 + Cy 
ADC r op-code ; Acc = Acc + Reg.r + Cy 
Contoh : 
MVI A, 89 ; Acc = 89 
MVI C, 83 ; Reg.C = 83 
ADI 83 ; Acc + 83 
ADC C ; Acc = Acc + c 
RST 1 ; 
Dari hasil operasi diatas maka : cc=90 dan bit register flag akan berisi: 
41 
S=1, z=0, H=1, P=1, Cy=0. Isi register C tetap 83.
Bahasa Assembly 
• Instruksi Penjumlahan dengan 16-bit 
Instruksi penjumlahan 16-bit adalah penjumlahan isi pasangan register L 
dengan pasangan register lain, dimana dalam pemerosesan isi pasangan register 
tersebut melalui Akkumulator. Instruksi ini adalah DAD (Double ADD). 
Tabel 3. Instruksi Penjumlahan 16-bit 
Assembli Kode-mesin Fungsi 
DAD rp op-code ; (HL) = (HL) + rp 
Contoh : 
LXI H,8456 8456(H) 
LXI B,8742 8743(H) 
DAD B Cy-1 OB99 
RST 1 
Setelah operasi diatas isi Register HL=OB99(H)dan BC=2743 (tetap) dan Cy=1 
• Instruksi Penambahan satu (Increment) 
Instruksi penambahan satu ada dua buah, yaitu penambahan isi register 8- 
bit dengan satu dan penambahan isi pasangan register dengan satu, tetapi 
penambahan satu untuk pasangan register tidak mempengaruhi 
isi bendera, dengan bentuk formasi sebagai berikut: 
Tabel 4. Instruksi Penambahan Satu 
Assembli Kode-mesin Fungsi 
INR r op-code ; Reg. r = Reg.r + 1 
INX rp op-code ; Reg. rp = Reg.rp + 1 
42
Bahasa Assembly 
43 
4.1.2. Instruksi Pengurangan (SUB) 
Instruksi Pengurangan dibedakan atas : 
- Instruksi Pengurangan dengan satu (Decremen) 
Instruksi ini menyebabkan suatu register atau pasangan register berkurang satu. 
Tabel 5. Instruksi Pengurangan Satu 
Assembli Kode-mesin Fungsi 
DCR r op – code ; Reg. r = Reg.r - 1 
DCX rp op – code ; Reg. rp = Reg. rp - 1 
- Instruksi Pengurangan data 8 - bit 
Instruksi pengurangan data 8-bit adalah pengurangan isi akkumulator dengan data 
8-bit atau isi register dengan bentuk format sebagai berikut : 
Tabel 6. Instruksi pengurangan 8-bit tanpa borrow. 
Assembli Kode-mesin Fungsi 
SUI d8 op-code ; Acc = Acc - d8 
SUB r op-code ; Acc = Acc - Reg.r 
Contoh : 
MVI A,84 84(H) 1000 0100(2) 
MVI B,27 27(H) 0010 0111(2) 
SUB B 5D(H) 0101 1191(2) 
RST 1 
Setelah program diatas dieksekusi maka Acc=5D(H), B=27(H), Flag: S=0, Z=0, 
H=1, Cy=0.
Bahasa Assembly 
44 
- Instruksi Pengurangan data 8-bit dengan borrow 
Tabel 7. Instruksi pengurangan 8-bit dengan borrow. 
Assembli Kode-mesin Fungsi 
SBI d8 op-code ; Acc = Acc - d8 - Cy 
SBB r op-code ; Acc = Acc - Reg.r – Cy 
Contoh : 
MVI A,57 57(H) 0101 0111(2) 
SUI 58 58(H) 0101 1000(2) 
MVI B,27 Cy=1 FF(H) 1111 1111 
SBB B 27(H) 0010 0111 
RST 1 D7(H) 1101 0111(2) 
Setelah program diatas dieksekusi maka Acc=D7(H), B=27(H), Flag : S=1, Z=0, 
H=0, Cy=0, P=1. 
4.1.3. Instruksi Pendesimalan (DAA) 
Instruksi ini berfungsi untuk menambahkan 06, 60, 66 terhadap isi akkumulator 
jika hasil penjumlahan lebih besar dari 9. Penambahan 06, 60 atau 66 pada 
akkumulator berdasarkan isi dari Register Bendera. 
Contoh: 
MVI A, 84 84(H) 1000 0100(2) 
MVI B,27 27(H) 0010 0111(2) 
ADD B AB(H) 1010 1011(2) 
DAA 66 0110 0110(2) 
RST 1 Cy=1 11 0001 0001(2)
Bahasa Assembly 
Penjumlahan diatas adalah penjumlahan Desimal. 
Setelah program diatas dieksekusi maka Acc=11(H), B=27(H), Flag: S=0, Z=0, 
H=1, Cy=1. 
4.1.4. Instruksi Banding (Compare) 
Instruksi Banding merupakan instruksi pengurangan isiAkkumulator 
dengan suatu data 8-bit atau isi suatu register, tetapi isi dari akkumulator tetap 
yang berubah hanya register bendera. 
Tabel 8. Instruksi Pembandingan 
Assemli Kode-mesin Fungsi 
CPI d8 FE-d8 ; Flag = Acc – d8 
CPM r op-code ; Flag = Acc – Reg. r 
Contoh : 
1. MVI A, 87 2. MVI A, 78 3. MVI A, 67 
MVI A, 27 CPI 78 MVI C, 80 
CMP B RST 1 CMP C 
RST 1 RST 1 
Contoh 1 merupakan pembandingan isi Akumulator dengan isi Register 
B, Proses pembandingan ini dilakukan dengan cara pengurangan isi Acc terhadap 
isi reg. B tetapi isi Acc tidak berubah. Setelah program diatas dieksekusi maka 
Acc = 87(H), B=27(H), Flag P = 1, S = 0, Z = 0, H = = 0, Cy = 0. 
Program contoh 2 akan menghasilkan Flag : Cy = 0, Z = 1. 
Program contoh 3 akan menghasilkan Flag : Cy = 1, Z = 0. 
45
Bahasa Assembly 
46 
4.1.5. Instruksi Operasi Logika 
Instruksi-instruksi logika ini melaksanakan operasi logika antara 
Akkumulator dengan suatu data 8-bit atau dengan isi suatu register dimana 
instruksi ini terdiri dari operasi logika AND (^), logika OR (v), dan Exclusive- 
OR. 
• Instruksi Logika AND. 
Instruksi Logika AND ini akan menghasilkan output seperti table 
kebenaran gerbang logika AND, jadi instruksi ini padat mewakili fungsi 
gerbang logika AND biasa. 
Tabel 9. Instruksi Logika AND 
Assembli Kode-mesin Fungsi 
ANI d8 E6-d8 ; Acc = Acc ^ d8 
ANA r op-code ; Acc = Acc ^ Reg. r 
Contoh : 
MVI A, 84 84(H) 1000 0100(2) 
MVI B, 27 27(H) ^ 0010 0111(2) ^ 
ANA B 04(H) 0000 0100(2) 
RST 1 
• Instruksi Logika OR. 
Tabel 10. Instruksi Logika OR 
Assembli Kode-mesin Fungsi 
ORI d8 F6-d8 ; Acc = Acc v d8 
ORA r op-code ; Acc = Acc v Reg. r
Bahasa Assembly 
47 
Contoh : 
MVI A, 84 84(H) 1000 0100(2) 
MVI B, 27 27(H) v 0010 0111(2) v 
ORA B A7(H) 1010 0111(2) 
RST 1 
• Instruksi Logika Ex-OR 
Tabel 11. Instruksi Logika Ex - OR 
Assembli Kode-mesin Fungsi 
XRI d8 EE-d8 ; Acc = Acc v d8 
XRA r op-code ; Acc = Acc v Reg. r 
Contoh : 
MVI A, 84 84(H) 1000 0100(2) 
MVI B, 27 27(H) v 0010 0111(2) v 
XRA B A3(H) 1010 0011(2) 
RST 1 
• Instruksi Komplement (Complement) 
Instruksi Complement ini ada dua buah yaitu CMC dan CMA, 
dimana CMC berfungsi untuk mengkomplemenkan isi bit carry dari 
register bendera dan CMA berfungsi untuk mengkomplemenkan isi dari 
register A. 
4.1.6. Instruksi Geser (Shift) dan Putar (rotate). 
Instruksi ini berfungsi untuk menggeser isi dari Register A kea rah 
kanan atau kiri seperti digambarkan pada gambar 4.1 berikut :
Bahasa Assembly 
48 
RLC 
RRC 
RAL 
RAR 
Akkumulator Cy 
Akkumulator Cy 
Akkumulator Cy 
Akkumulator Cy 
Akkumulator Cy 
gambar 4.1. Fungsi Instruksi Geser dan Putar 
Contoh 1 : Contoh 2 : 
STC ; Set Carry Cy = 1 STC ; Set Carry Cy = 1 
CMC : Complement Carry Cy = 0 MVI A, 82 ;A=82(H) Cy=1 
MVI A, 82 ; A = 82(H) Cy = 0 RRC ; A = 41(H) Cy = 0 
RLC ; A = 05(H) Cy = 1 RST 1 
RST 1
Bahasa Assembly 
Contoh 3 : Contoh 4 : 
STC ; Set Carry Cy = 1 STC ; Set Carry Cy = 1 
MVI A, 82 ; A = 82(H) Cy = 1 MVI A, 82 ;A=82(H) Cy=1 
RAL ; A = 05(H) Cy = 1 RAR ; A = C1(H) Cy = 0 
RST 1 RST 1 
4.1.7. Instruksi Kontrol 
CPU 8085 mempunyai beberapa instruksi control yang menentukan 
arah suatu program, mengambil keputusan dan memodifikasi arah program sesuai 
dengan hasil pengambilan keputusan. Instruksi ini terdiri dari : 
1. Instruksi Lompat (JUMP) 
Instruksi ini terbagi atas dua jenis, yaitu mutlak lompat (unconditional 
jump) dan lompat bersyarat (conditional jump). Adapun bentuk format dari 
instruksi ini seperti pada table 12. 
Tabel 12. Instruksi Lompat 
Assembli Kode-Mesin Fungsi 
JMP a16 C3-ll-hh ; Lompat ke alamat a 16 
JZ a16 CA-ll hh ; Lompat jika ZERO 
JNZ a16 C2-ll-hh ; Lompat jika tidak ZERO 
JC a16 DA-ll-hh ; Lompat jika ada Carry 
JNC a16 D2-ll-hh ; Lompat jika tidak ada Carry 
JM a16 FA-ll-hh ; Lompat jika minus 
JP a16 F2-ll-hh ; Lompat jika Positif 
JPE a16 EA-ll-hh ; Lompat jika Parity Genap 
JPO a16 E2-ll-hh ; Lompat jika Parity Ganjil 
49
Bahasa Assembly 
50 
2. Instruksi Cabang dan Kembali (CALL, RET) 
Instruksi CALL membuat suatu program melaksanakan suatu program 
subrutin yang alamat awalnya setelah kode operasi dari instruksi CALL tersebut, 
dan akan kembali lagi ke program utama jika instruksi kembali RET (return) 
dijumpai. Instruksi ini terdiri dari dua jenis yaitu instruksi bersyarat dan tidak 
bersyarat. Syarat dari instruksi ini dilihat dari kondisi isi register Bendera. Setelah 
instruksi ini dikerjakan isi register bendera tidak berubah. 
Tabel 13. Instruksi Cabang 
Assembli Kode-Mesin Fungsi 
CALL a16 CE-ll-hh ; CALL Sub Rutin pada alamat a 16 
CC a16 DC-ll hh ; CALL Sub Rutin jika ada Carry 
CNC a16 D4-ll-hh ; CALL Sub Rutin jika tidak ada Carry 
CZ a16 CC-ll-hh ; CALL jika zero 
CNZ a16 C4-ll-hh ; CALL jika tidak zero 
CM a16 FC-ll-hh ; CALL jika minus 
CP a16 F4-ll-hh ; CALL jika Positif 
CPE a16 EC-ll-hh ; CALL jika Parity Genap 
CPO a16 E4-ll-hh ; CALL jika Parity Ganjil 
Tabel 14. Instruksi Kembali 
Assembli Kode-Mesin Fungsi 
RET C9 ; Kembali ke Program Utama 
RC D8 ; Kembali jika ada Carry 
RNC D0 ; Kembali jika tidak ada Carry 
RZ C8 ; Kembali jika hasil 0 
RNZ C0 ; Kembali jika hasil tidak 0 
RM F0 ; Kembali jika Akkumulator negatif 
RP FB ; Kembali jika Akkumulator Positif 
RPE E0 ; Kembali jika Acc berparity Genap 
RPO EB ; Kembali jika Acc berparity Ganjil
Bahasa Assembly 
51 
TABEL INSTRUKSI SET 8085 
Mnemonic op- code Bytes Clocks Function 
ACI d8 CE-d8 2 7 A = A + d8 + Cy 
ADC B 88 1 4 A = A + B + Cy 
ADC C 89 1 4 A = A + C + Cy 
ADC D 8A 1 4 A = A + D + Cy 
ADC E 8B 1 4 A = A + E + Cy 
ADC H 8C 1 4 A = A + H + Cy 
ADC L 8D 1 4 A = A + L + Cy 
ADC M 8E 1 7 A = A + M + Cy 
ADC A 8F 1 4 A = A + A + Cy 
ADD B 80 1 4 A = A + B 
ADD C 81 1 4 A = A + C 
ADD D 82 1 4 A = A + D 
ADD E 83 1 4 A = A + E 
ADD H 84 1 4 A = A + H 
ADD L 85 1 4 A = A + L 
ADD M 86 1 7 A = A + M 
ADD A 87 1 4 A = A + A 
ADI d8 C6-D8 2 7 A = A + d8 
ANA B A0 1 4 A = A ^ B 
ANA C A1 1 4 A = A ^ C 
ANA D A2 1 4 A = A ^ D 
ANA E A3 1 4 A = A ^ E 
ANA H A4 1 4 A = A ^ H 
ANA L A5 1 4 A = A ^ L 
ANA M A6 1 7 A = A ^ M 
ANA A A7 1 4 A = A ^ A 
ANI d8 E6-D8 2 7 A = A ^ d8 
CALL a16 CD-ll-hh 3 18 Call Sub Rutin 
CC a16 DC-ll-hh 3 9/18 Call Sub Rutin if Cy = 1 
CM a16 FC-ll-hh 3 9/18 Call Sub Rutin if S = 1 
CNC a16 D4-ll-hh 3 9/18 Call Sub Rutin if Cy = 0 
CNZ a16 C4-ll-hh 3 9/18 Call Sub Rutin if Z = 0 
CP a16 F4-ll-hh 3 9/18 Call Sub Rutin if S = 0 
CPE a16 EC-ll-hh 3 9/18 Call Sub Rutin if P = 1 
CPO a16 E4-ll-hh 3 9/18 Call Sub Rutin if P = 0 
CZ a16 CC-ll-hh 3 9/18 Call Sub Rutin if Z = 1 
CMA 2F 1 4 A = A 
CMC 3F 1 4 Cy = Cy 
CMP B B8 1 4 Flags = A - B
Bahasa Assembly 
52 
Mnemonic op- code Bytes Clocks Function 
CMP C B9 1 4 Flags = A = C 
CMP D BA 1 4 Flags = A - D 
CMP E BB 1 4 Flags = A - E 
CMP H BC 1 4 Flags = A - H 
CMP L BD 1 4 Flags = A - L 
CMP M BE 1 7 Flags = A - M 
CMP A BF 1 4 Flags = A = A 
CPI d8 FE-d8 2 7 Flags = A - d8 
DAA 27 1 4 Decimal Adjust 
DAD B 9 1 10 HL = HL + BC 
DAD D 19 1 10 HL = HL + DE 
DAD H 29 1 10 HL = HL + HL 
DAD SP 39 1 10 HL = HL + SP 
DCR B 5 1 4 B = B - 1 
DCR C 0D 1 4 C = C - 1 
DCR D 15 1 4 D = D - 1 
DCR E 1D 1 4 E = E - 1 
DCR H 25 1 4 H = H - 1 
DCR L 2D 1 4 L = L - 1 
DCR M 35 1 10 M = M - 1 
DCR A 3D 1 4 A = A - 1 
DCX B 0B 1 6 BC = BC - 1 
DCX D 1B 1 6 DE = DE - 1 
DCX H 2B 1 6 HL = HL - 1 
DCX SP 3B 1 6 SP = SP - 1 
DI F3 1 4 Disable Interupt 
EI FB 1 4 Enable Interupt 
IN d8 DB-d8 2 4 A = (Port d8) 
INR B 4 1 4 B = B + 1 
INR C 0C 1 4 C = C + 1 
INR D 14 1 4 D = D + 1 
INR E 1C 1 4 E = E + 1 
INR H 24 1 10 H = H + 1 
INR L 2C 1 4 L = L + 1 
INR M 34 1 4 M = M + 1 
INR A 3C 1 4 A = A + 1 
INX B 3 1 6 BC = BC + 1 
INX D 13 1 6 DE = DE + 1 
INX H 23 1 6 HL = HL + 1 
INX SP 33 1 6 SP = SP + 1
Bahasa Assembly 
53 
Mnemonic op- code Bytes Clocks Function 
JC a16 DA-ll-hh 3 7/10 Jump if Cy = 1 
JM a16 FA-ll-hh 3 7/10 Jump if S = 1 
JMP a16 C3-ll-hh 3 7/10 Jump 
JNC a16 D2-ll-hh 3 7/10 Jump if Cy = 0 
JNZ a16 C2-ll-hh 3 7/10 Jump if Z = 0 
JP a16 F2-ll-hh 3 7/10 Jump if S = 0 
JPE a16 EA-ll-hh 3 7/10 Jump if P = 1 
JPO a16 E2-ll-hh 3 7/10 Jump if P = 0 
JZ a16 CA-ll-hh 3 7/10 Jump if Z = 1 
LDA a16 3A-ll-hh 3 13 A = (a16) 
LDAX B 0A 1 7 A = ((BC)) 
LDAX D 1A 1 7 A = ((DE)) 
LHLD a16 2A-ll-hh 3 16 HL = (a16) 
LXI B, d16 01-ll-hh 3 10 BC = d16 
LXI D,d16 11-ll-hh 3 10 DE = d16 
LXI H,d16 21-ll-hh 3 10 HL = d16 
LXI SP,d16 31-ll-hh 3 10 SP = d16 
MOV B, B 40 1 4 B = B 
MOV B, C 41 1 4 B = C 
MOV B, D 42 1 4 B = D 
MOV B, E 3 1 4 B = E 
MOV B, H 44 1 4 B = H 
MOV B, L 45 1 4 B = L 
MOV B, M 46 1 7 B = M 
MOV B, A 47 1 4 B = A 
MOV C, B 48 1 4 C = B 
MOV C, C 49 1 4 C = C 
MOV C, D 4A 1 4 C = D 
MOV C, E 4B 1 4 C = E 
MOV C, H 4C 1 4 C = H 
MOV C, L 4D 1 4 C = L 
MOV C, M 4E 1 7 C = M 
MOV C, A 4F 1 4 C = A 
MOV D, B 50 1 4 D = B 
MOV D, C 51 1 4 D = C 
MOV D, D 52 1 4 D = D 
MOV D, E 53 1 4 D = E 
MOV D, H 54 1 4 D = H 
MOV D, L 55 1 4 D = L 
MOV D, M 56 1 7 D = M 
MOV D, A 57 1 4 D = A
Bahasa Assembly 
54 
Mnemonic op- code Bytes Clocks Function 
MOV E, B 58 1 4 E = B 
MOV E, C 59 1 4 E = C 
MOV E, D 5A 1 4 E = D 
MOV E, E 5B 1 4 E = E 
MOV E, H 5C 1 4 E = H 
MOV E, L 5D 1 4 E = L 
MOV E, M 5E 1 7 E = M 
MOV E, A 5F 1 4 E = A 
MOV H, B 60 1 4 H = B 
MOV H, C 61 1 4 H = C 
MOV H, D 62 1 4 H = D 
MOV H, E 63 1 4 H = E 
MOV H, H 64 1 4 H = H 
MOV H, L 65 1 4 H = L 
MOV H, M 66 1 7 H = M 
MOV H, A 67 1 4 H = A 
MOV L, B 68 1 4 L = B 
MOV L, C 69 1 4 L = C 
MOV L, D 6A 1 4 L = D 
MOV L, E 6B 1 4 L = E 
MOV L, H 6C 1 4 L = H 
MOV L, L 6D 1 4 L = L 
MOV L, M 6E 1 7 L = M 
MOV L, A 6F 1 4 L = A 
MOV M, B 70 1 7 M = B 
MOV M, C 71 1 7 M = C 
MOV M, D 72 1 7 M = D 
MOV M, E 73 1 7 M = E 
MOV M, H 74 1 7 M = H 
MOV M, L 75 1 7 M = L 
MOV M, M 76 1 7 M = M 
MOV M, A 77 1 7 M = A 
MOV A, B 78 1 4 A = B 
MOV A, C 79 1 4 A = C 
MOV A, D 7A 1 4 A = D 
MOV A, E 7B 1 4 A = E 
MOV A, H 7C 1 4 A = H 
MOV A, L 7D 1 4 A = L 
MOV A, M 7E 1 7 A = M 
MOV A, A 7F 1 4 A = A
Bahasa Assembly 
55 
Mnemonic op- code Bytes Clocks Function 
MVI B, d8 06-d8 2 7 B = d8 
MVI C, d8 0E-d8 2 7 C = d8 
MVI D, d8 16-d8 2 7 D = d8 
MVI E, d8 1E-d8 2 7 E = d8 
MVI H, d8 26-d8 2 7 H = d8 
MVI L, d8 2E-d8 2 7 L = d8 
MVI M, d8 36-d8 2 7 M = d8 
MVI A, d8 3E-d8 2 7 A = d8 
NOP 00 1 4 No Operation 
ORA B B0 1 4 A = A v B 
ORA C B1 1 4 A = A v C 
ORA D B2 1 4 A = A v D 
ORA E B3 1 4 A = A v E 
ORA H B4 1 4 A = A v H 
ORA L B5 1 4 A = A v L 
ORA M B6 1 7 A = A v M 
ORA A B7 1 4 A = A v A 
ORI d8 F6-d8 2 7 A = A v d8 
OUT d8 D3-d8 2 10 PORT d8 = A 
PCHL E9 1 6 PC = HL 
POP B C1 1 10 BC = (STACK) 
POP D D1 1 10 DE = (STACK) 
POP H E1 1 10 HL = (STACK) 
POP PSW F1 1 10 AF = (STACK) 
PUSH B C5 1 10 (STACK) = (BC) 
PUSH D D5 1 10 (STACK) = (DE) 
PUSH H E5 1 10 (STACK) = (HL) 
PUSH PSW F5 1 10 (STACK) = (AF) 
RAL 17 1 4 Rotate a left trough Carry 
RAR 1F 1 4 Rotate a right trough Carry 
RC D8 1 6/12 Return if Cy = 1 
RET C9 1 10 Return 
RIM 20 1 4 Read Interrupts 
RLC 7 1 4 Rotate a left without Carry 
RM F8 1 6/12 Return if S = 1 
RNC D0 1 6/12 Return if Cy = 0 
RNZ C0 1 6/12 Return if Z = 0 
RP F0 1 6/12 Return if S = 0 
RPE E8 1 6/12 Return if P = 1 
RPO E0 1 6/12 Return if p = 0 
RRC 0F 1 4 Rotate a right without Carry
Bahasa Assembly 
56 
Mnemonic op- code Bytes Clocks Function 
RST 0 C7 1 12 CALL 0000(H) 
RST 1 CF 1 12 CALL 0008(H) 
RST 2 D7 1 12 CALL 0010(H) 
RST 3 DF 1 12 CALL 0018(H) 
RST 4 E7 1 12 CALL 0020(H) 
RST 5 EF 1 12 CALL 0028(H) 
RST 6 F7 1 12 CALL 0030(H) 
RST 7 FF 1 12 CALL 0038(H) 
RZ C8 1 6/12 return if Z = 1 
SBB B 98 1 4 A = A - B - Cy 
SBB C 99 1 4 A = A - C - Cy 
SBB D 9A 1 4 A = A - D - Cy 
SBB E 9B 1 4 A = A - E - Cy 
SBB H 9C 1 4 A = A - H - Cy 
SBB L 9D 1 4 A = A - L - Cy 
SBB M 9E 1 7 A = A - M - Cy 
SBB A 9F 1 4 A = A - A - Cy 
SBI d8 DE-d8 2 4 A = A - d8 - Cy 
SHLD a16 22-ll-hh 3 13 (a16) = (HL) 
SIM 30 1 4 Set Interrupts 
SPHL F9 1 6 SP = HL 
STA a16 32-ll-hh 3 13 (a16) = (A) 
STAX B 2 1 7 ((BC)) = (A) 
STAX D 12 1 7 ((DE)) = (A) 
STC 37 1 4 Cy = 1 
SUB B 90 1 4 A = A - B 
SUB C 91 1 4 A = A - C 
SUB D 92 1 4 A = A - D 
SUB E 93 1 4 A = A - E 
SUB H 94 1 4 A = A - H 
SUB L 95 1 4 A = A - L 
SUB M 96 1 4 A = A - M 
SUB A 97 1 4 A = A - A 
SUI d8 D6-d8 2 7 A = A - d8 
XCHG EB 1 4 HL -------- DE 
XRA B A8 1 4 A = A v B 
XRA C A9 1 4 A = A v C 
XRA D AA 1 4 A = A v D 
XRA E AB 1 4 A = A v E 
XRA H AC 1 4 A = A v H 
XRA L AD 1 4 A = A v L 
XRA M AE 1 7 A = A v M 
XRA A AF 1 4 A = A v A 
XRI d8 EE 2 7 A = A v d8 
XTHL E3 1 16 HL --------- STACK
Bahasa Assembly 
57 
Keterangan : 
--------- = saling dipertukarkan 
( ) = Isi dari suatu alamat 
( ( rp ) ) = Isi alamat dimana alamatnya terdapat pada pasangan register rp 
d8 = Data 8-bit 
d16 = Data 16-bit 
a16 = Alamat 16-bit 
ll = Alamat atau Data low byte 
hh = Alamat atau Data high byte 
v = Logika OR 
^ = Logika AND 
v = Logika EX-OR
Bahasa Assembly 
58 
DAFTAR PUSTAKA 
Andrew S. Tanenbaum, Structured Computer Organization, Prentice Hall: 
1999. 
Kuswadi, Son, Bahasa Komputer (Bahasa Assembly), PENS-ITS dan JICA: 
Surabaya, 1993. 
Pardede, Morlan, Mikroprosessor dan Interface, Teknik Elektro Politeknik 
Medan, USU: Medan, 1998 
Syarif, Iwan. Dan Riyanto Sigit, Bahasa Komputer I, PENS-ITS: Surabaya, 
1999. 
William Stalling, Computer Organization & Architecture, Prentice Hall: 
2000.

Bhs assembly

  • 1.
    Bahasa Assembly 1 PENDAHULUAN Modul ajar ini bertujuan untuk memudahkan mahasiswa mengenal bahasa A pemrograman Tingkat Rendah, selain pemograman tingkat tinggi seperti Bahasa C, Pascal dll,, serta mampu mengoperasikan, memprogram dan mengaplikasikan bahasa Assembly dalam sistem elektronika. Walaupun bahasa tingkat tinggi terus berkembang dengan segala fasilitas dan kemudahannya, peranan bahasa pemrograman tingkat rendah tetap tidak dapatdigantikan. Bahasa assembly mempunyai keunggulan yang tidak mungkin diikuti oleh bahasa tingkat apapun dalam hal kecepatan, ukuran file yang kecil serta kemudahan dalam manipulasi sistem komputer. Modul Ajar ini disusun berdasarkan pengalaman dari penulis sendiri dalam menggunakan bahasa assembler. Oleh karenanya buku ini disusun dengan harapan bagi anda yang tidak tahu sedikitpun tentang assembly dapat belajar sehingga assembler akan tampak sama mudahnya dengan bahasa tingkat tinggi. Untuk Mahasiswa program studi Teknik Elektronika, mata kuliah Bahasa Assembly merupakan mata kuliah dasar dalam pemograman untuk bias melangkah ke mata kuliah pemograman dan mikroprosessor, dan mata kuliah Bahasa Assembly ini lebih dititik beratkan pada pembuatan flowchart supaya dapat memecahkan masalah , dan juga memperkenalkan instruksi-instruksi yang ada pada mikroprosessor 8085. Dalam Bahasa assembly ini diperkenalkan Bahasa assembly milik mikroprosessor 8085 karena dalam prakteknya mahasiswa diajarkan mikroprosessor 8085.
  • 2.
    Bahasa Assembly 2 TUJUAN KHUSUS B - Mahasiswa mengetahui Perbedaan konsep antara Organisasi Komputer dan Arsitektur komputer. - Mahasiswa dapat memahami tentang komponen komputer, struktur komputer dan fungsi Komputer. - Mahasiswa mengetahui Cara pemograman. - Mahasiswa cara membuat Algoritma dan Flowchart - Mahasiswa dapat memahami tentang Bahasa Pemograman - Mahasiswa mengetahui Mode Pengalamatan. - Mahasiswa mengetahui Instruksi-instruksi yang digunakan dalam mikroprosessor 8085. - Mahasiswa dapat memahami tentang cara-cara penulisan program. - Mahasiswa mengetahui beberapa macam Golongan Instruksi - Mahasiswa mengetahui Instruksi Aritmatika dan Logika. - Mahasiswa mengetahui Instruksi Transfer data - Mahasiswa mengetahui Instruksi Percabangan - Mahasiswa mengetahui Instruksi Compare, Rotate dsb
  • 3.
    Bahasa Assembly 3 Pokok Bahasan Adapun pembahasan yang akan disajikan dalam modul ajar ini adalah sebagai berikut: 1. Pendahuluan 2. Dasar –dasar Organisasi Komputer 3. Dasar Pemograman 4. Instruksi Dasar 8085 5. Instruksi Input dan Output 6. Instruksi Jump 7. Pemograman Lanjutan
  • 4.
    Bahasa Assembly 4 DASAR-DASAR ORGANISASI KOMPUTER C I.1. Pengantar. Program Bahasa Assembly atau Assembler adalah suatu Program yang mengambil Input (Program Sumber) yang dikodekan dalam Mnemonic atau Symbol Bahasa mesin dan di konversikan ke dalam Program Bahasa mesin Hexadesimal (Object Program). Alasan Utama Software tidak ditulis dalam bahasa Mesin Hexadesimal secara langsung karena sewaktu-waktu sebuah program yang akan dimodifikasi, tidak sulit dalam merelokasi pengalamatan. Penemuan Mikroprosesor pada tahun 1970-an merupakan perkembangan yang menentukan dari dunia Elektronika yang mengagumkan. Beberapa hal yang menyebabkan kepopuleran Mikroprosesor yaitu : • Ukurannya kecil • Daya yang dibutuhkan rendah • Harganya murah Mikroprosesor dapat didefinisikan sebagai Rangkaian terpadu tunggal yang mengandung ribuan gerbang digital yang dapat melakukan Operasi Aritmatika, Logika, dan Kontrol dari Komputer. Komputer berasal dari kata to compute yang artinya menghitung. Jadi computer adalah suatu peralatan elektronik yang digunakan untuk perhitungan, tetapi karena perkembangan teknologi computer saat ini begitu pesat, computer tidak lagi hanya berperan
  • 5.
    Bahasa Assembly sebagaimesin hitung tetapi sudah mempunyai berbagai fungsi untuk mempermudah dan membantu pekerjaan manusia. 5 Komputer mempunyai Elemen-elemen fungsional sebagai berikut : • Unit Kontrol dan Aritmatika • Unit Memory Instruksi • Unit Memory Data • Unit Input/Output Unit Aritmatika dan Kontrol memroses data dengan operasi aritmatika dan logika. Bagian aritmatika mempunyai kemampuan operasi aritmatika yang built-in dalam bentuk perangkat keras yang dapat melakukan fungsi tersebut. Bagian Kontrol mengandung rangkaian yang memungkinkan instruksi yang diproses dapat cepat dikerjakan secara berurutan. Isi dari memori yang berupa instruksi dan data dapat diletakkan secara kombinasi ataupun dipisah. Program yang berisi instruksi urutan-urutan perintah harus ditulis dan disimpan dalam memori sebelum computer dijalankan. Data dapat disimpan baik sebelum ataupun sesudah computer running. Unit Input/Outpun adalah bagian penghubung computer dengan dunia luar (Pheriperal), yang memungkinkan computer untuk berkomunikasi secara real time. Piranti ini umumnya lambat bila dibandingkan dengan waktu proses internal computer dan format data yang dikomunikasikan bias serial ataupun parallel. 1.2 Komputer Sebelum mempelajari organisasi komputer lebih jauh ada baiknya kita mengetahui apa itu komputer? Komputer adalah suatu sistem pemrosesan yang
  • 6.
    Bahasa Assembly didalamnyaterdapat unit masukan, unit keluaran, unit pemroses data dan juga unit penyimpanan data. Sistem komputer secara keseluruhan dapat dilihat pada gambar 1.1. 6 Output Pemroses Input Penyimpa Gambar 1.1 Sistem komputer Struktur adalah cara komponen - komponen komputer saling terkait dan berhubungan. Sedangkan fungsi adalah operasi masing - masing komponen sebagai bagian dari struktur. Dalam modul ini akan dijelaskan melalui pendekatan top-down (dari sistem paling kompleks menuju sistem yang lebih sederhana) sehingga diharapkan akan lebih jelas dan efektif Operasi-operasi yang dilakukan komputer diantaranya operasi aritmetika, operasi logika, operasi penggeseran dan operasi pemindahan, yang sebenarnya adalah implementasi mesin komputer terhadap perintah kita. Ada pekerjaan besar sehubungan dengan interkoneksi manusia dan komputer. Seperti kita ketahui, komputer tidak bisa memahami bahasa kita dan juga sebaliknya, untuk itu diadakan manipulasi dan transformasi data agar terjadi kesesuaian antara komputer dan manusia sebagai penggunanya.
  • 7.
    Bahasa Assembly 7 1.3 Organisasi Komputer Organisasi Komputer adalah bagian yang terkait erat dengan unit - unit operasional dan interkoneksi antar komponen penyusun sistem komputer dalam merealisasikan aspek arsitekturalnya. Contoh aspek organisasional adalah rincian dan teknologi hardware, perangkat antarmuka dan peripheral, teknologi dan sistem memori, sinyal - sinyal kontrol. Ada baiknya dipahami aspek arsitekturalnya karena kedua hal ini sangat terkait. Arsitektur Komputer lebih cenderung pada kajian atribut - atribut sistem komputer yang terkait dengan seorang programmer. Contohnya, set instruksi, aritmetilka yang digunakan, teknik pengalamatan, mekanisme I/0. Sebagai contoh, apakah suatu komputer perlu memiliki instruksi pengalamatan pada memori merupakan masalah rancangan arsitektural. Apakah instruksi pengalamatan tersebut akan diimplementasikan secara langsung ataukah melalui mekanisme cache adalah kajian organisasional. UNIT MASUKAN KELUARAN UNIT MEMORY INSTRUKSI UNIT ARITMATIKA & KONTROL UNIT MEMORY Gambar 1.2. Elemen Fungsional Utama dari Komputer. DATA INTERFACE EXTERNAL
  • 8.
    Bahasa Assembly 8 1.4 Hirarki Komputer Komputer merupakan suatu sistem kompleks, yang tersusun atas subsistem-subsistem yang saling berkaitan. Untuk menjelaskan struktur suatu komputer, kunci utamanya adalah mengetahui hirarki sistem paling kompleks sampai pada sistem elementer paling sederhana. Komputer adalah suatu peralatan yang bersifat modular, tersusun atas modul - modul subsistem yang memiliki fungsi dan karakteristik tertentu tetapi saling mendukung dalam mewujudkan fungsi komputer secara keseluruhan. Struktur adalah cara komponen - komponen komputer saling terkait dan berhubungan. Sedangkan fungsi adalah operasi masing - masing komponen sebagai bagian dari struktur. Dalam modul ini akan dijelaskan melalui pendekatan top-down (dari sistem paling kompleks menuju sistem yang lebih sederhana) sehingga diharapkan akan lebih jelas dan efektif 1.5 Struktur Komputer Komputer adalah sebuah sistem yang berinteraksi dengan cara tertentu dengan dunia luar. Interaksi dengan dunia luar dilakukan melalui perangkat peripheral dan saluran komunikasi. Perhatikan gambar 1.3, terdapat empat struktur utama: ¾ Central Processing Unit (CPU), berfungsi sebagai pengontrol operasi komputer dan pusat pengolahan fungsi - fungsi komputer. Kesepakatan, CPU cukup disebut sebagai processor (prosesor) saja. ¾ Memori Utama, berfungsi sebagai penyimpan data. ¾ I/0, berfungsi memindahkan data ke lingkungan luar atau perangkat lainnya.
  • 9.
    Bahasa Assembly ¾System Interconnection, merupakan sistem yang menghubungkan CPU, 9 memori utama dan I/0. Komponen yang paling menarik namun paling kompleks adalah CPU. Central Processing Unit Computer Systems Interconnection Input Output Gambar 1.3 Struktur utama computer Peripherals Computer Main Memory Communication lines Struktur CPU terlihat pada gambar 1.4, dengan struktur utamanya adalah: ¾ Control Unit, berfungsi untuk mengontrol operasi CPU dan mengontrol komputer secara keseluruhan. ¾ Arithmetic And Logic Unit (ALU), berfungsi untuk membentuk fungsi - fungsi pengolahan data komputer. ¾ Register, berfungsi sebagai penyimpan internal bagi CPU. ¾ CPU Interconnection, berfungsi menghubungkan seluruh bagian dari CPU.
  • 10.
    Bahasa Assembly 10 Computer Arithmetic Gambar 1.4 Struktur CPU Internal CPU Interconnection System Bus 1.6 Fungsi Komputer Fungsi dasar sistem komputer adalah sederhana seperti terlihat pada gambar 1.5. Pada prinsipnya terdapat empat buah fungsi operasi, yaitu ¾ Pemindahan Data ¾ Penyimpanan Data ¾ Pengolahan Data ¾ Kontrol Gambar 1.5 Fungsi Komputer and Login Unit Control Unit Registers CPU I/O Memory CPU Data Movement Apparatus Control Mechanism Data Storage Facility Data Processing Facility
  • 11.
    Bahasa Assembly Komputerharus dapat memproses data. Representasi data di sini bermacam-macam, akan tetapi nantinya data harus disesuaikan dengan mesin pemrosesnya. Dalam pengolahan data, komputer memerlukan unit penyimpanan sehingga diperlukan suatu mekanisme penyimpanan data. Walaupun hasil komputer digunakan saat itu, setidaknya komputer memerlukan media penyimpanan untuk data prosesnya. Dalam interaksi dengan dunia luar sebagai fungsi pemindahan data diperlukan antarmuka (interface), proses ini dilakukan oleh unit Input/Output (I/0) dan perangkatnya disebut peripheral. Saat interaksi dengan perpindahan data yang jauh atau dari remote device, komputer melakukan proses komunikasi data. 1.7. Aritmatika dan Kontrol. Bagian Aritmatika dan Kontrol dari computer biasanya disebut sebagai Central Processing Unit (CPU). Mungkin istilah ini muncul ketika awal-awal computer mainframe yang besar di mana bagian computer masih terpusat. Fungsi Utama CPU adalah : • Mengambil atau menjemput instruksi dari memori dan menerjemahkannya (decode) kemudian mengeksekusi perintah yang sudah diterjemahkan tersebut. • Mentransfer informasi ke dan dari memori data atau unit masukan-keluaran 11 (I/O) yang dibutuhkan pada eksekusi suatu instruksi. • Menanggapi sinyal control dari luar, yang dikenal sebagai interrupt yang mungkin dapat menginterupsi operasi yang normal dan mungkin dapat menyebabkan urutan-urutan program atau instruksi yang baru yang harus dilakukan oleh computer.
  • 12.
    Bahasa Assembly 12 Dalam melakukan fungsi-fungsi tersebut maka CPU dilengkapi dengan : 1. Pada bagian Aritmatika : • ALU (Arithmetic Logic Unit) • Akumulator 2. Pada bagian Kontrol : • Register Instruksi • Decoder Segala operasi aritmatika dan Logika dilakukan di dalam ALU. Operasi-operasi yang dapat dilakukan ALU adalah : 1. Penjumlahan (Add), Penambahan Satu (Increment) 2. Pengurangan (Subtract), Pengurangan Satu (Decrement) 3. Logika OR, EX-OR, AND, dan NOT (Complement) 4. Perbandingan (Compare) 5. Pergeseran ke kiri atau ke kanan atu bit (Shift) 6. Berputar ke kiri atau ke kanan (Rotate). Pada Mikroprosessor 8085 mempunyai 10 buah register, dan register merupakan tempat penyimpanan data sementara. Register-register ini dibagi atas dua kelompok, yaitu : - General Purpose Register (Register Serba Guna). - Special Purpose register (Register Khusus). Dimana dikatakan dengan Register Serba Guna (General Purpose Register) karena pemakaian register ini bersifat umum. Susunan dari Register-register ini aperti sebuah RAM kecil (8-bit atau 16-bit) di dalam CPU. Register ini dapat digunakan sebagai tempat penyimpanan hasil operasi mikroprosessor.
  • 13.
    Bahasa Assembly Registerserba guna ini terdiri dari 6 buah register 8-bit yang disebut dengan regisr B, C, D, E, H, dan L. Untuk pengoperasian 16-bit register ini dapat digunakan berpasangan menjadi pasangan register BC, DE, HL. Kemudian dikatakan dengan Register Khusus (Sepecial Purpose Register) karena fungsinya yang sangat khusus, register ini terdiri dari 4 bagian yaitu : Akumulator, Register bendera, Program Counter (PC), Stack Pointer(SP). • Akumulator (Accumulator/Acc). Akumulator disebut juga dengan register A yang merupakan register yang amat penting, karena register ini berfungsi sebagai tempat penyimpanan hasil setiap operasi aritmatika maupun operasi logika dan juga sebagai tempat masukan ALU. Data Bus internal yang dihubungkan ke Acc ini merupakan dua arah (bidirectional) yang berartyi akumulator dapat mengirim dan menerima data. Di dalam penggunaan akumulator ini berpasangan dengan register Bendera (Flag). • Register Bendera (Flag Register, F) Register Bendera berfungsi sebagai indicator atau menyatakan kedaan dari hasil operasi ALU. Register ini terdiri dari 8-bit tetapi hanya 5-bit yang dipakai yaitu: Zero (Z), Sign (S), Parity (P), Carry (Cy) dan Auxilary Carry (AC). Susunan bit dari register Bendera digambarkan sebagai berikut : 13 D7 D6 D5 D4 D3 D2 D1 D0 S Z x AC x P x Cy X = tidak dipakai (don’t care) Gambar 1.6. Register Bendera (Flag)
  • 14.
    Bahasa Assembly Isiregister bendera akan berubah sesuai dengan hasil operasi aritmatika-logika. - Sign Bit (S) : S = 0 ; bila hasilnya positif 14 S = 1 ; bila hasilnya negative - Zero Bit (Z) : Z = 1 ; bila hasilnya sama denga 0 Z = 0 ; bila hasilnya tidak sama dengan 0 - Auxilary Carry Bit (AC) : AC = 1 ; Jika terjadi carry dari 4 bit rendah (low nible) ke 4 bit tinggi (high nible) dan Jika ada borrow dari high nible ke low nible. AC = 0 ; Jika sebaliknya. - Parity Bit (P) : P = 1 ; bila hasil operasi berparity genap. P = 0 ; bila hasil operasi berparity ganjil. - Carry Bit (Cy) : Cy = 1 ; bila hasil penjumlahan melebihi 8-bit, dan bila hasil pengurangan ada borrow. Cy = 0 ; bila tidak terjadi borrow atau carry. • Program Counter (PC) Pengeksekusian suatu program adalah pelaksanaan instruksi, dimana instruksi ini telah terlebih dahulu disimpan di dalam memori. Jadi untuk melaksanakan instruksi tersebut dibutuhkan suatu alamat yang menunjukkan lokasi penyimpanan instruksi tersebut di dalam memori. Alamat lokasi memori yang akan dituju ini diambil dari Program counter. Rogram counter ini merupakan register 16-bit, dengan demikian jangkauan alamatnya adalah 216 = 64 kByte.
  • 15.
    Bahasa Assembly •Stack Pointer (SP) Stack merupakan bagian dari memori yang dialokasikan untuk penyimpanan data dan alamat. Misalnya saat instruksi PUSH dan CALL. Alamat awal dari stack ini ditandai oleh Stack Pointer. Stack dapat diakses dengan menggunakan program. Penumpukan data pada stack ini mempunyai sifat LIFO (Last In First Out). Pemindahan data dari register CPU ke Stack dapat dilaksanakan dengan instruksi PUSH dan yang sebaliknya adalah POP. Stack Pointer (SP) merupakan register 16-bit dengan demikian jangkauan alamat adalah sebesar 216 = 64 kByte. 1.8. Media Penyimpan Memori Ada beberapa jenis media penyimpan memori yang sekarang banyak 15 digunakan, misalnya : • ROM (Read-Only Memory) • PROM (Programmable ROM) • EAROM (Elictrically Alterable ROM) • RAM (Random-Access Memory) • FPLA (Field Programmable Logic Array) • CCD memory (Charge-Coupled Device) • Dan masih banyak lagi. Jenis penyimpan memory ada dua macam : • Volatile (yang akan hilang begitu aliran listrik pada computer dimatikan) Contoh : RAM, flipflop • Nonvolatile (tidak akan hilang meskipun aliran listrik mati) Contoh : ROM, PROM, EPROM, magnetic-tape dsb.
  • 16.
    Bahasa Assembly 16 Struktur Penyimpan Memori Kapasitas memory dari RAM atau ROM dinyatakan dengan jumlah bit yang dapat disimpan pada piranti tersebut . Biasanya, 1 Kilo bit memori adalah sama dengan 210, atau sama dengan 1024 bit. 4 Kilobit sama dengan 212, atau 4096 bit. Di pasaran, bermacam-macam chip penyimpan memori di mana masing-masing memiliki spesifikasi tersendiri. Yang popular dipakai misalnya EPROM buatan intel, dengan kode sebagai berikut : 2764 (8 bit output, kapasitas memori 8K) 2732 (8 bit output, kapasitas memori 4K) Di samping itu beberapa jenis memori ada yang memiliki input/output 4 bit. Karena kebanyakan mikroprosesor memiliki bus data 8 bit, maka untuk menentukan jumlah IC yang diperlukan dipakai rumus : Kofigurasi system memori yang dibutuhkan Ukuran IC memori yang ada Jumlah IC = Jadi sebagai contoh suatu ROM dengan kapasitas 256 bytes, 4 bit output, akan dipakai sebagai penyimpan memori suatu system mikrokomputer 256 bytes, 8 bit. Maka jumlah IC memori yang dibutuhkan adalah : 256 x 8 256 x 4 Jumlah IC = = 2 chip
  • 17.
    Bahasa Assembly 17 Tugas dan Pertanyaan: 1. Sebutkan Alasan Utama kenapa Software tidak dituliskan dalam Bahasa Mesin Hexadesimal. 2. Sebutkan definisi dari Mikroprosessor. 3. Gambarkan Diagram Blok Elemen-elemen Fungsional Utama dari Komputer dan Jelaskan Fungsi setiap Blok. 4. Sebutkan Fungsi tama dari CPU. 5. Register pada Mikroprosessor 8085 dibagi dalam dua kelompok, sebutkan dan jelaskan. 6. Jenis memori yang tidak akan hilang data di dalam memori jika tegangan listriknya diputuskan disebut dengan apa dan sebutkan contoh-contohnya.
  • 18.
    Bahasa Assembly 18 DASAR PEMOGRAMAN D 2.1. Pengantar Algoritma Pemograman. Beberapa istilah yang perlu diketahui dalam dunia pemograman antara lain adalah : Program, Pemograman dan Bahasa Pemograman. Program adalah kumpulan instruksi/perintah yang disusun sebagai satu kesatuan prosedur yang berupa urutan langkah untuk menyelesaikan masalah yang diimplementasikan dengan menggunakan bahasa pemograman sehingga dapat dieksekusi oleh computer. Pemograman adalah proses untuk mengimplementasikan urutan langkah untuk menyelesaikan suatu masalah dengan menggunakan suatu bahasa pemograman. Bahasa Pemograman berfungsi sebagai media untuk menyusun dan memahami suatu program computer serta sebagai alat komunikasi antara programmer dengan computer. Bahasa Pemograman digolongkan menjadi beberapa tingkatan yaitu : • Bahasa Tingkat Rendah (Low Level Language) Bahasa Tingkat Rendah merupakan bahasa pemograman yang berorientasi pada mesin. Disebut tingkat rendah karena bahasa ini lebih dekat ke bahasa mesin daripada bahasa manusia. Yang tergolong dalam bahasa tingkat rendah adalah bahasa Assembly. • Bahasa Tingkat Tinggi (High Level Language) Bahasa Tingkat Tinggi lebih dekat ke bahasa manusia dari pada bahasa mesin. Bahasa tingkat tinggi emrupakan bahasa pemograman yang meiliki
  • 19.
    Bahasa Assembly aturan-aturangramatikal dalam penulisan ekspresi atau pernyataan dengan standar yang mudah dipahami oleh manusia. Yang tergolong bahasa tingkat tinggi antara lain : BASIC, Fortran, COBOL, Pascal, Prolog, C, dll. Ada sebagian para pakar yang menyebutkan bahasa C sebagai bahasa tingkat menengah (Middle Level Language), karena dianggap bahasa C adalah bahasa tingkat tinggi yang mempunyai kelebihan hampir menyamai bahasa assembly karena kelengkapan fungsinya dalam mengakses perangkat keras. 19 2.2. Algorithma. Algoritma bnerasal dari kata algoris dan ritmis, yang pertama kali diungkapkan oleh Abu Ja’far Mohammed Ibn Musa al Khowarismi (825 M) dalam buku Al-Jabr Wa-al Muqabla. Dalam bidang pemograman Algoritma didefinisikan sebagai suatu metode khusus yang tepat dan terdiri dari serangkaian langkah yang terstruktur dan dituliskan secara sistematis yang akan dikerjakan untuk menyelesaikan suatu masalah dengan bantuan computer. Algoritma merupakan pola piker terstruktur yang berisi tahap-tahap penyelesaian masalah yang dapat disajikan dengan teknik tulisan maupun dengan gambar. Penyajian algoritma dalam bentuk tulisan biasanya menggunakan metode Structure English atau Pseudo Code (kode semu). Penyajiann algoritma dalam bentuk gambar biasanya menggunakan flowchart (diagram alir). Sebelum membuat sebuah program, programmer harus mendefinisikan masalah yang ada untuk menghasilkan program yang bagus, dimana bahasa mikroprosessor, bahasa mesin dan hexadecimal Op-code harus diinstruksikan sebelumnya. Sebagai contoh suatu bagian dari instruksi untuk penjumlahan dan pengurangan, pada Instruksi set mikroprosessor 8085 tidak mengetahui instruksi
  • 20.
    Bahasa Assembly aritmatikayang lain (perkalian atau pembagian), sehingga harus didefinisikan terlebih dahulu bagaimana membuat perkalian dengan instruksi yang ada yaitu penjumlahan dan pengurangan. Sebenarnya operasi perkalian tidak cocok dalam struktur proses bilangan biner, jadi utnuk proses perkalian harus diubah oleh programmer ke dalam proses penjumlahan. Contoh : 20 5 x 4 = 20 Factor 1 Factor 2 Hasil 5 + 5 + 5 + 5 = 20 Berarti masalah perkalian dapat diselesaikan dengan menjumlah bilangan factor 1 sebanyak Factor 2. Sebelum memulai membuat Flowchart dan Program, perlu membuat terlebih dahulu dalam bentuk Algoritma, sebagai contoh untuk program perkalian yaitu 5 dikalikan dengan 4, urutan langkahnya adalah : - Isi Register A dengan data 00 (untuk mengclearkan isi Akumulator) - Isi Register B dengan data 5 (Factor 1) - Isi Register C dengan data 4 (Factor 2) - Jumlahkan Register B dengan Register A, dan isikan hasilnya ke register A. - Kurangi 1 dari data Register C. - Periksa, apakah Register C = 0 ; Jika tidak kembali lompat ke langkah keempat. - Jika Register C = 0, maka program selesai/stop dan kembali ke program utama.
  • 21.
    Bahasa Assembly Darilangkah-langkah pada algoritma ini, dapat dibuat langsung ke sebuah program dengan format bahasa tertentu atau membuat flowchart terlebih dahulu. 2. 3. Flowchart. Untuk membuat program yang lebih sistematik maka disarankan untuk menggunakan flowchart, baru kemudian diubah menjadi bahasa assembly. Ada banyak macam flowchart, sebagai contoh flowhcar blok yang menujukkan prosedur proses kasar, atau flowcart yang cukup rinci yang berhubungan dengan satu instruksi. 21 Flowchart juga dibagi atas 3 tipe dasar (1) Tipe langsung (straight type) (2) Tipe cabang (branch type) (3) Tipe loop Seperti tampak pada gambar 2.1. PROSES CABANG YES PROSES Gambar 2.1. Tipe Dasar Flowchart START SETTING PROSES BERULANG PRAKIRAAN KONDISI PROSES LAIN (c) Loop START PROSES PROSES PROSES (a) Langsung START PROSES PROSES (b)Cabang NO
  • 22.
    Bahasa Assembly Tipelangsung adalah tipe yang paling sederhana, yaitu urutan proses selalu mulai dari atas ke bawah. Pada tipe cabang, aliran proses berubah berdasarkan perubahan kondisi. Perubahan kondisi tersebut dapat dicek menggunakan register flag F. Tipe loop digunakan untuk proses yang berulang. Tipe ini merupakan tipe yang sangat popular dalam pemograman. Terdapat 2 (dua) jenis flowchart yang perlu diketahui yaitu : 22 • Sistem Flowchart. • Program Flowchart. Sistem flowchart Sistem flowchart merupakan diagram alir yang menggambarkan suatu sitem peralatan computer yang digunakan dalam proses pengolahan data serta hubungan antar peralatan tersebut. Sistem Flowchart tidak digunakan untuk menggambarkan urutan langkah untuk memecahkan masalah, tetapi hanya untuk menggambarkan prosedur dalam system yang dibentuk. Simbol-simbol yang digunakan dalam system Flowchart antara lain : Sequential Access Storage Manual Input Punched Paper Tape Display Input/Output Direct Acces Storage Magnetic Disc
  • 23.
    Bahasa Assembly MultiDocument Proses Sortir Proses Merge Internal Storage 23 Process Storage Data Manual Operation Card Gambar 2.2. Simbol-simbol Sistem Flowchart Contoh penggunaan Sistem Flowchart : Keyboard CPU Disket Monitor Gambar 2.3. Contoh Penerapan Sistem Flowchart
  • 24.
    Bahasa Assembly ProgramFlowchart Program Flowchart merupakan diagram alir yang menggambarkan urutan logika dari suatu prosedur pemecahan masalah. Untuk membuat program flowchart telah tersedia symbol-simbol standard yaitu : Process Input/Output Predefined Process 24 Gambar 2.4. Simbol-simbol Program Flowchart Beberapa Contoh Penggunaan Program Flowchart : 1. Buatlah sebuah Flowchart untuk menghitung Luas. Terminator : awal/akhir program Loop FOR…NEXT Kondisi Konektor pada halaman yang Konektor pada halaman lain Arah data
  • 25.
    Bahasa Assembly 2.Buatlah Flowchart untuk menentukan Nilai 6 orang mahasiswa dengan 25 skala nilai sebagai berikut : A = 81 – 100 B = 66 – 80 C = 56 – 64 D = 40 – 54 E = 0 – 39 Jawab : 1. Start Input alas,tinggi Luas = alas*tinggi/2 Output Luas Stop
  • 26.
    Bahasa Assembly 26 2. Start Baca Data Mhs (X(i) i=1 6) i = 1,6 X(i) >=81 NX(i) = “A” Cetak (NX(i), i=1,6) Stop X(i) >=66 X(i) >=56 X(i) >=40 NX(i) = “B” NX(i) = “C” NX(i) = “D” NX(i) = “E” i = 6 ? N N N N Y Y Y Y Y N
  • 27.
    Bahasa Assembly 27 Tugas dan Pertanyaan : 1. Apa yang dimaksud dengan : a. Program. b. Pemograman c. Algorithma 2. Sebutkan berapa tingkatan dalam Bahasa Pemograman dan jelaskan. 3. Buatlah sebuah Algoritma untuk perkalian sebuah bilangan 8 dengan bilangan 7 dan buat flowchartnya. 4. Sebutkan berapa macam type dasar Flowchart dan jelaskan. 5. Sebutkan perbedaan Sistem Flowchart dengan Program Flowchart. 6. Buatlah Flowchart untuk mendapatkan Nilai Rata-rata Mahasiswa dalam satu kelas dengan jumlah mahasiswa 24 orang, dan untuk mendapatkan Nilai Maximum serta Nilai Minimum. 7. Dalam ruangan Jurusan Teknik Elektro memiliki 3 (tiga) AC Split, dimana ketiga AC tersebut Nyala secara Otomatis tergantung pada suhu dalam ruangan. Jika suhu nya antara 20oC – 25oC maka AC 1 yang Nyala, dan lainnya OFF, Jika Suhunya diatas 25oC dan dibawah 30oC maka dua AC yang akan Nyala yaitu AC 1 dan AC 2, dan Jika Suhunya diatas 30oC maka ketiga AC tersebut akan Menyala (ON), kemudian jika di dalam ruangan tersebut tidak ada orang maka AC tidak menyala walaupun suhunya tinggi. Buatlah Flowchart untuk mengontrol AC dalam ruangan tersebut.
  • 28.
    Bahasa Assembly Byte1 Byte 2 Byte 3 Data byte tinggi (high 28 INSTRUKSI DASAR 8085 Agar suatu mikrokomputer dapat bekerja maka harus diberikan instruksi, dimana instruksi ini merupakan perintah-perintah yang akan dilaksanakan oleh mikroprosessor. Instruksi ini terdiri dari kode operasi (Op-Code) dan alamat atau data yang diperlukan. Kode Operasi (Op-Code) pada CPU 8085 terdiri dari 8-bit, yang berarti terdapat 256 (28) instruksi yang berbeda tetapi yang diperkenalkan pada umum hanya 246 instruksi. Bentuk format dari instruksi umumnya terdiri dari Op-Code dan Operand. Op-Code adalah singkatan dari Operation Code yang menyatakan instruksi yang akan dilaksanakan, sedangkan Operand adalah data yang digunakan oleh Op-Code yang berupa data atau alamat. Format dari bentuk perintah yang digunakan pada CPU 8085 ada 3 jenis yaitu 1 byte, 2 byte, 3 byte yang ditunjukkan pada gambar berikut. Data byte rendah (low order data) atau byte rendah alamat (low order address) Kode Operasi (Op-Code) Gambar 3.1. Bentuk Format dari Perintah CPU 8085 Berdasarkan fungsinya instruksi CPU 8085 dapat dibedakan atas 5 jenis, yaitu : • Instruksi Pemindahan Data (Data Transfer) • Instruksi Pemrosesan Data (Data Processing) • Instruksi Kendali (Control) order data) Atau Byte tinggi alamat (high order address) E
  • 29.
    Bahasa Assembly 29 • Instruksi Masukan-Keluaran (Input-Output) • Instruksi Lompat dan Cabang (Jump and Branch) 3.1. Mode Pengalamantan Pengalamatan pada mikroprosesor 8085 dibagi atas: Pengalamatan Implied (Implied addressing), pengalamatan seketika (immediate addressing), pengalamatan langsung (direct addressing), pengalamatan tidak langsung (indirect addressing), dan pengalamatan register (register addressing). 3.1.1. Pengalamatan Implied Penglamatan jenis ini adalh instruksi yang hanya terdiri dari kode operasi (op-code) yaitu 8-bit. Instruksi pengalamatan paling sederhana ini adalah operasi yang men-set atau meng-clear register bendera (Reg. Flag), menambah/mengurangi register Internal (A, B, C, D, E, H, L, SP), atau mentrasfer isi dari suatu register ke register yang lain. Contoh : INR A 3C; Naikkan suatu isi ACC. ADD B 80; Jumlahkan isi ACC dengan isi register B 3.1.2. Pengalamatan Seketika (Immediate Addressing) Pengalamatan seketika adalah instruksi yang operandnya adalah data langsung. Untuk penstranferan data Mikroprosessor 8085 mempunyai dua bentuk dasar dari instruksi pengalamatan seketika ini yaitu: - Bentuk MVI (Move Immediate); Bentuk ini digunakan untuk mentransfer data 8-bit ke suatu register. Contoh : MVI A, 05 3E-05 ; Data 05 diberikan ke Acc. - Bentuk LXI (Load Immediate); Bentuk ini digunakan untuk membebani pasangan register dengan data 16-bit. Setiap Instruksi LXI terdiri dari 3
  • 30.
    Bahasa Assembly byte,yaitu byte pertama berisi Op-Code, byte kedua dan ketiga berisi data immediate 16 bit. Contoh : LXI H, 7894 21-94-78 ; Reg. HL = 7894 30 3.1.3. Pengalamatan Langsung (Direct Addressing) Pengalamatan langsung adalah pengalamatan yang langsung menuju lokasi memori. Instruksi ini terdiri dari kode operasi yang diikuti oleh alamat dari lokasi yang dituju. Mikroprosessor 8085 mempunyai dua bentuk instruksi pengalamatan langsung yaitu : Instruksi membebani yang menyimpan Accumulator, instruksi membebani yang menyimpan isi pasangan register HL. Contoh: Assembly Machine Comment LDA a16 3A-ll-hh Reg. A diisi dengan isi alamat a16 STA a16 32-ll-hh Isi Reg. A disimpan pada alamat a16 LHLD a16 2A-ll-hh HL dibebani dengan data dari isi memory a16 + 1. SHLD a16 22-ll-hh Isi pasangan Reg. HL disimpan pada alamat a16 dan a16 +1. Catatan : a16 = alamat 16-bit , ll = alamat low byte hh = alamat high byte 3.1.4. Pengalamatan Tidak Langsung (Indirect Addressing) Pengalamatan tidak langsung adalah pengalamatan suatu lokasi memori dimana pengalamatan dilakukan melalui register. Pengalamatan tidak langsung pada 8085 dilakukan melalui register M dan dengan instruksi STAX dan LDAX.
  • 31.
    Bahasa Assembly RegisterM adalah memori dimana alamatnya terdapat pada pasangan register HL. Contoh : Assembly Machine Comment LDAX B 02 ;Bebani Reg. A dengan isi alamat yang alamatnya 31 terdapat pada Reg. BC LDAX D 0A ;Bebani Reg. A dengan isi alamat yang alamatnya terdapat pada Reg. DE STAX B 12 ;Simpan isi Reg. A pada lokasi memory yang alamatnya terdapat pada Reg. BC STAX D 1A ;Simpan isi Reg. A pada lokasi memory yang alamatnya terdapat pada Reg. DE MVI M, 05 36-05 ;Bebani memory dimana alamatnya pada HL dengan data 05 Contoh berikut ini mengilustrasikan bagaimana pasangan Register dibebani dengan alamat memory dan kemudian dengan menggunakan instruksi LDAX B Akkumulator dibebani dengan data dari lokasi memory 1000(H), dan selanjutnya data tersebut disimpan kembali pada alamat 1200(H) dengan instruksi STAX D. Contoh : Assembly Machine Comment LXI B, 1000 (H) 01-00-10 ; alamat 1000(H) BC LXI D, 1200 (H) 11-00-12 ; alamat 1200(H) DE LDAX B 0A ; isi alamat 1000(H) ACC.
  • 32.
    Bahasa Assembly STAXD 12 ; isi Akkumulator alamat 1200 3.1.5. Pengalamatan Register Pengalamatan ini merupakan pemindahan/pembacaan data antara register. Pengalamatan register ini merupakan pengalamatan yang paling umum digunakan. Pengalamatan register ini mempunyai panjang 8-bit. 32 - Instruksi Data Transfer Antara Register : Kelompok ini terdiri dari 63 Instruksi yang berbeda. Instruksi ini disebut dengan pemindahan (MOV = Move). Format dasar dari instruksi MOV digambarkan seperti dibawah ini : MOV rd, rs rd = Register tujuan rs = Register asal Daftar yang lengkap dari instruksi MOV diperlihatkan pada daftar Instruksi set 8085. Perhatikan bahwa beberapa dari instruksi ini menggunakan pengalamatan indirect seperti pengalamatan Register. Contoh berikut menunjukkan bagaimana suatu bilangan pada Accumulator dipindahkan ke Register D dan E. Instruksi mula-mula mengcopy isi Accumulator ke Register D dan kemudian mengcopy isi Register D ke Register E. Contoh : Assembly Machine Comment MOV D, A 57 ; Isi Acc. Dicopy ke Reg. D MOV E, D 5A ; Isi Acc. Dicopy ke Reg. E
  • 33.
    Bahasa Assembly 33 3.2. Operasi Tranfer Data Stack Mikroprosessor 8085A mempunyai sifat penumpukan data dengan system LIFO (Last In First Out). Stack digunakan untuk menyimpan alamat kembali (return) dari subroutine dan juga penyimpanan data untuk sementara waktu. Agar pemogram mengetahui lokasi Stack penyimpanan data maka perlu alamat Stack tersebut ditandai terlebih dahulu. Penandaan ini dilaksanakan dengan mengisi SP (Stack Pointer). Instruksi yang berhubungan dengan Stack ini adalah PUSH, POP, XTHL. POP membaca data dari Stack, dan XTHL adalah mempertukarkan ini Register HL dengan isi Stack yang ditunjuk oleh SP. Assembly Machine Comment PUSH PSW F5 ; Isi Reg. A dan Flag disimpan pada stack PUSH B C5 ; Isi pasangan Reg. BC disimpan pada stack PUSH D D5 ; Isi pasangan Reg. DE disimpan pada stack PUSH H E5 ; Isi pasangan Reg. HL disimpan pada stack POP PSW F1 ; data pada stack diambil kembali dan dimasukkan ke Reg. A dan Flag. POP B C1 ; data pada stack diambil kembali dan dimasukkan ke Reg. BC POP D D1 ; data pada stack diambil kembali dan dimasukkan ke Reg. DE
  • 34.
    Bahasa Assembly POPH E1 ; data pada stack diambil kembali dan 34 dimasukkan ke Reg. HL XTHL E3 ; isi Reg. HL saling dipertukarkan dengan data yang terdapat pada stack. 3.2.1. Operasi PUSH Instruksi PUSH merupakan instruksi untuk menyimpan data pada Stack. Instruksi set ini terdiri dari instruksi PUSH, POP, XTHL. Operasi dari PUSH ini ditunjukkan paada gambar 3.2. berikut: PUSH D D D 12 34 12 34 900 3 900 1 SP SP Gambar 3.2. Operasi PUSH B6 05 0F 08 34 12 0F 08 9001 9002 9003 9004 sebelum setelah E E 9001 9002 9003 9004 Memory Stack
  • 35.
    Bahasa Assembly Anggapbahwa isi SP adalah 9003(H) dan pasangan register DE berisi data 1234(H). Instruksi PUSH membuat isi SP dikurangi satu (SP-1 = 9002) dan 12(H) dari Reg. D disimpan pada memori 9002. Kemudian isi SP dikurangi satu lagi (SP-2=9001) dan kemudian data 34(H) dari Reg. E disimpan pada memory 9001, sedangkan isi alamat 9003 sampai 9004 dan isi register tetap. 3.2.2. Operasi POP Instruksi POP adalah instruksi yang membaca data kembali dari Stack, 35 seperti ditunjukkan pada gambar 3.3. berikut ini : POP D D D 66 87 12 34 900 1 900 3 SP SP Gambar 3.3. Operasi POP 34 12 0F 08 34 12 0F 08 9001 9002 9003 9004 sebelum setelah E E 9001 9002 9003 9004 Memory Stack
  • 36.
    Bahasa Assembly Langkah-langkahoperasi POP D menghasilkan sebagai berikut: Anggap bahwa isi SP tidak berubah dari saat instruksi PUSH (SP=9001). Data dari Stack alamat 9001 diambil kembali dan dimasukkan ke Register E dan setelah itu isi SP ditambah satu (SP+1=9002(H)), kemudian isi alamat 9002(H) dimasukkan ke register D selanjutnya isi SP ditambah satu lagi (SP+2=9003(H)). 3.2.3.Operasi Exchange HL dengan Data Stack (XTHL): Instruksi ini meng-exchange isi pasangan Register HL dengan data yang ada pada stack. Contoh : Data 1000 (H) di push pada stack dan HL berisi 2000 (H), maka setelah instruksi XTHL akan mengakibatkan kedua harga ini diexchage, sehingga HL berisi 1000 (H) dan stack berisi 2000 (H). 3.3. Miscelleneous Data Transfer Instruction. Instruksi Miscelleneous adalah instruksi yang tidak termasuk kepada kelompok diatas. Instruksi-instruksi ini seperti yang terdapat pada table. Assembly Machine Comment IN p8 DB p8 ; Baca data yang ada pada Port p8 dan simpan di 36 Acc. OUT p8 D3 p8 ; Keluarkan isi Acc ke Port beralamat p8 SPHL F9 ; Isi pasangan Reg. HL diberikan pada Stack Pointer (SP) XCHG EB ; HL dan DE saling dipertukarkan
  • 37.
    Bahasa Assembly 37 3.3.1. Instruksi IN dan OUT Instruksi IN dan OUT berfungsi untuk berhubungan dengan peralatan input/output. Instruksi IN dan OUT diikuti dengan alamat input output yang akan dituju. Pada saat mikroprosessor melaksanakan instruksi IN atau OUT saluran alamat byte rendah dan byte tinggi sama yaitu berisiskan alamat input/output yang dituju, jadi untuk mendekodekan alamat input/output dapat diambil dari saluran alamat tinggi atau alamat rendah. Jadi lokasi alamat input/output yang dapat diakses maksimum 256. Instruksi OUT 20H menyebabkan isi akkumulatordikeluarkan ke port (Bandar) yang beralamat 20H dan instruksi IN 21H menyebabkan data pada port yang beralamat 21H masuk pada akkumulator. 3.3.2. Instruksi SPHL Instruksi ini berguna untuk membebani Stack Pointer dengan isi pasangan register HL. Instruksi SPHL ini hanya 1 byte (Op-Code saja). Instruksi ini sering digunakan untuk menandai Stack Pointer untuk menggantikan instruksi LXI SP. Misalnya sebelum instruksi SPHL ini isi Stack Pointer (SP) adalah 0008 (H) dan pasangan register HL berisi 7008 (H). Setelah instruksi ini dikerjakan microprocessor maka Stack Pointer akan berisi 7008 (H). 3.3.3. Instruksi XCHG Instruksi ini berfungsi untuk meng-exchange isi pasangan register HL dengan pasangan register DE. Anggap sebelum instruksi XCHG isi pasangan register HL = 5643 (H), DE = 7613 (H), maka setelah instruksi XCHG dikerjakan mikroprosessor maka isi pasangan register HL = 7613 (H) dan DE = 5643 (H).
  • 38.
    Bahasa Assembly Contoh: Assembly Machine Comment LXI D, 1200 (H) 11-00-12 ; Tanda untuk alamat 1200 (H) LXI H, 1000 (H) 21-00-10 ; Tanda untuk alamat 1000 (H) MOV A, M 7E ; Data dari alamat 1000 (H) 38 dimasukkan ke Accumulator. XCHG EB ; Tanda untuk alamat saling dipertukarkan. MOV B, M 46 ; Isi alamat 1200 (H) dimasukkan ke register B MOV M, A 77 ; Isi alamt 1000 (H) dimasukkan ke alamat 1200 (H). XCHG EB ; Tanda dipertukarkan kembali. MOV M, B 70 ; Isi alamat 1200 (H) yang pertama dimasukkan ke alamat memori.
  • 39.
    Bahasa Assembly 39 Tugas dan Pertanyaan : 1. Apa yang dimaksud dengan Op-Code dan Operand 2. Sebutkan 5 jenis instruksi pada Mikroprosessor 8085 menurut fungsinya. 3. Sebutkan dan jelaskan Mode Pengalamatan pada Mikroprosessor 8085 serta berikan contohnya. 4. Isilah alamat, Op-Code dan comment pada table berikut sesuai dengan Instruksi pada Mnemonic. Address Op-Code Mnemonic Comment LXI H, 7800 LXI B, 7801 MVI M, FF MOV A, M STAX B SHLD 7802 RST 1 Setelah program di atas dilaksanakan (execute) isi dari : Reg. A = _______Reg. B = ______ Reg. L = _______ Isi alamat dari : 7800 (H) = 7801 (H) = 7802 (H) = 7803 (H) = 5. Buatlah sebuah Program Perkalian untuk mengalikan dua buah bilangan yaitu 07 dikalikan dengan 06, dan hasil perkaliannya disimpan pada Register D, dan alamat nya dimulai dari alamt 9000.
  • 40.
    Bahasa Assembly 40 PEMOGRAMAN LANJUTAN F Operasi-operasi aritmatika dan logika pada mikroprosessor sama seperti operasi pada system digital biasa. Operasi aritmatika yang dapat dikerjakan oleh mikroprosessor 8085 adalah Penjumlahan, Pengurangan dan operasi logika adalah Invers, AND, OR, EX-OR, Instruksi Banding dan instruksi Geser serta Putar. 4.1. Instruksi Pemrosesan Data (Data Processing) Instruksi pemrosesan data merupakan instruksi aritmatika dan logika. Seluruh operasi dari instruksi akan mempengaruhi isi dari Bendera (Flag). Instruksi aritmatika terdiri dari : 4.1.1. Instruksi Penjumlahan (ADD) Instruksi Penjumlahan dapat dibedakan lagi atas : • Penjumlahan 8-bit Instruksi penjumlahan bilangan biner 8-bit ini merupakan penjumlahan isi register A dengan isi register yang lain atau suatu bilangan konstanta. Tabel 1. Instruksi Penjumlahan 8-bit tanpa carry Assembly Kode-mesin Fungsi ADI d8 C6 – d8 ; Acc = Acc + d8 ADD r op – code ; Acc = Acc + (Reg)
  • 41.
    Bahasa Assembly Contoh: MVI A,85 ; Acc = 85 85(H) 1000 0101(2) MVI C,83 ; Reg.C= 83 83(H) 1000 0111(2) ADD C ; Acc = Acc + C 08(H) 1 0000 1000(2) RST ; Dari hasil operasi di atas maka : Acc = 08 dan bit register flag akan berisi : S=0, H=0, P=0, Cy=1. Isi register 0 tetap 83. • Instruksi Penjumlahan dengan carry Penjumlahan data 8-bit dengan carry adalah penjumlahan Akkumulator dengan data atau isi register dan ditambahkan dengan carry sebelum operasi dilaksanakan. Bentuk formatnya adalah sebagai berikut : Tabel 2. Instruksi Penjumlahan 8-bit dengan carry. Assembli Kode-mesin Fungsi ACI d8 CE-d8 ; Acc = Acc + d8 + Cy ADC r op-code ; Acc = Acc + Reg.r + Cy Contoh : MVI A, 89 ; Acc = 89 MVI C, 83 ; Reg.C = 83 ADI 83 ; Acc + 83 ADC C ; Acc = Acc + c RST 1 ; Dari hasil operasi diatas maka : cc=90 dan bit register flag akan berisi: 41 S=1, z=0, H=1, P=1, Cy=0. Isi register C tetap 83.
  • 42.
    Bahasa Assembly •Instruksi Penjumlahan dengan 16-bit Instruksi penjumlahan 16-bit adalah penjumlahan isi pasangan register L dengan pasangan register lain, dimana dalam pemerosesan isi pasangan register tersebut melalui Akkumulator. Instruksi ini adalah DAD (Double ADD). Tabel 3. Instruksi Penjumlahan 16-bit Assembli Kode-mesin Fungsi DAD rp op-code ; (HL) = (HL) + rp Contoh : LXI H,8456 8456(H) LXI B,8742 8743(H) DAD B Cy-1 OB99 RST 1 Setelah operasi diatas isi Register HL=OB99(H)dan BC=2743 (tetap) dan Cy=1 • Instruksi Penambahan satu (Increment) Instruksi penambahan satu ada dua buah, yaitu penambahan isi register 8- bit dengan satu dan penambahan isi pasangan register dengan satu, tetapi penambahan satu untuk pasangan register tidak mempengaruhi isi bendera, dengan bentuk formasi sebagai berikut: Tabel 4. Instruksi Penambahan Satu Assembli Kode-mesin Fungsi INR r op-code ; Reg. r = Reg.r + 1 INX rp op-code ; Reg. rp = Reg.rp + 1 42
  • 43.
    Bahasa Assembly 43 4.1.2. Instruksi Pengurangan (SUB) Instruksi Pengurangan dibedakan atas : - Instruksi Pengurangan dengan satu (Decremen) Instruksi ini menyebabkan suatu register atau pasangan register berkurang satu. Tabel 5. Instruksi Pengurangan Satu Assembli Kode-mesin Fungsi DCR r op – code ; Reg. r = Reg.r - 1 DCX rp op – code ; Reg. rp = Reg. rp - 1 - Instruksi Pengurangan data 8 - bit Instruksi pengurangan data 8-bit adalah pengurangan isi akkumulator dengan data 8-bit atau isi register dengan bentuk format sebagai berikut : Tabel 6. Instruksi pengurangan 8-bit tanpa borrow. Assembli Kode-mesin Fungsi SUI d8 op-code ; Acc = Acc - d8 SUB r op-code ; Acc = Acc - Reg.r Contoh : MVI A,84 84(H) 1000 0100(2) MVI B,27 27(H) 0010 0111(2) SUB B 5D(H) 0101 1191(2) RST 1 Setelah program diatas dieksekusi maka Acc=5D(H), B=27(H), Flag: S=0, Z=0, H=1, Cy=0.
  • 44.
    Bahasa Assembly 44 - Instruksi Pengurangan data 8-bit dengan borrow Tabel 7. Instruksi pengurangan 8-bit dengan borrow. Assembli Kode-mesin Fungsi SBI d8 op-code ; Acc = Acc - d8 - Cy SBB r op-code ; Acc = Acc - Reg.r – Cy Contoh : MVI A,57 57(H) 0101 0111(2) SUI 58 58(H) 0101 1000(2) MVI B,27 Cy=1 FF(H) 1111 1111 SBB B 27(H) 0010 0111 RST 1 D7(H) 1101 0111(2) Setelah program diatas dieksekusi maka Acc=D7(H), B=27(H), Flag : S=1, Z=0, H=0, Cy=0, P=1. 4.1.3. Instruksi Pendesimalan (DAA) Instruksi ini berfungsi untuk menambahkan 06, 60, 66 terhadap isi akkumulator jika hasil penjumlahan lebih besar dari 9. Penambahan 06, 60 atau 66 pada akkumulator berdasarkan isi dari Register Bendera. Contoh: MVI A, 84 84(H) 1000 0100(2) MVI B,27 27(H) 0010 0111(2) ADD B AB(H) 1010 1011(2) DAA 66 0110 0110(2) RST 1 Cy=1 11 0001 0001(2)
  • 45.
    Bahasa Assembly Penjumlahandiatas adalah penjumlahan Desimal. Setelah program diatas dieksekusi maka Acc=11(H), B=27(H), Flag: S=0, Z=0, H=1, Cy=1. 4.1.4. Instruksi Banding (Compare) Instruksi Banding merupakan instruksi pengurangan isiAkkumulator dengan suatu data 8-bit atau isi suatu register, tetapi isi dari akkumulator tetap yang berubah hanya register bendera. Tabel 8. Instruksi Pembandingan Assemli Kode-mesin Fungsi CPI d8 FE-d8 ; Flag = Acc – d8 CPM r op-code ; Flag = Acc – Reg. r Contoh : 1. MVI A, 87 2. MVI A, 78 3. MVI A, 67 MVI A, 27 CPI 78 MVI C, 80 CMP B RST 1 CMP C RST 1 RST 1 Contoh 1 merupakan pembandingan isi Akumulator dengan isi Register B, Proses pembandingan ini dilakukan dengan cara pengurangan isi Acc terhadap isi reg. B tetapi isi Acc tidak berubah. Setelah program diatas dieksekusi maka Acc = 87(H), B=27(H), Flag P = 1, S = 0, Z = 0, H = = 0, Cy = 0. Program contoh 2 akan menghasilkan Flag : Cy = 0, Z = 1. Program contoh 3 akan menghasilkan Flag : Cy = 1, Z = 0. 45
  • 46.
    Bahasa Assembly 46 4.1.5. Instruksi Operasi Logika Instruksi-instruksi logika ini melaksanakan operasi logika antara Akkumulator dengan suatu data 8-bit atau dengan isi suatu register dimana instruksi ini terdiri dari operasi logika AND (^), logika OR (v), dan Exclusive- OR. • Instruksi Logika AND. Instruksi Logika AND ini akan menghasilkan output seperti table kebenaran gerbang logika AND, jadi instruksi ini padat mewakili fungsi gerbang logika AND biasa. Tabel 9. Instruksi Logika AND Assembli Kode-mesin Fungsi ANI d8 E6-d8 ; Acc = Acc ^ d8 ANA r op-code ; Acc = Acc ^ Reg. r Contoh : MVI A, 84 84(H) 1000 0100(2) MVI B, 27 27(H) ^ 0010 0111(2) ^ ANA B 04(H) 0000 0100(2) RST 1 • Instruksi Logika OR. Tabel 10. Instruksi Logika OR Assembli Kode-mesin Fungsi ORI d8 F6-d8 ; Acc = Acc v d8 ORA r op-code ; Acc = Acc v Reg. r
  • 47.
    Bahasa Assembly 47 Contoh : MVI A, 84 84(H) 1000 0100(2) MVI B, 27 27(H) v 0010 0111(2) v ORA B A7(H) 1010 0111(2) RST 1 • Instruksi Logika Ex-OR Tabel 11. Instruksi Logika Ex - OR Assembli Kode-mesin Fungsi XRI d8 EE-d8 ; Acc = Acc v d8 XRA r op-code ; Acc = Acc v Reg. r Contoh : MVI A, 84 84(H) 1000 0100(2) MVI B, 27 27(H) v 0010 0111(2) v XRA B A3(H) 1010 0011(2) RST 1 • Instruksi Komplement (Complement) Instruksi Complement ini ada dua buah yaitu CMC dan CMA, dimana CMC berfungsi untuk mengkomplemenkan isi bit carry dari register bendera dan CMA berfungsi untuk mengkomplemenkan isi dari register A. 4.1.6. Instruksi Geser (Shift) dan Putar (rotate). Instruksi ini berfungsi untuk menggeser isi dari Register A kea rah kanan atau kiri seperti digambarkan pada gambar 4.1 berikut :
  • 48.
    Bahasa Assembly 48 RLC RRC RAL RAR Akkumulator Cy Akkumulator Cy Akkumulator Cy Akkumulator Cy Akkumulator Cy gambar 4.1. Fungsi Instruksi Geser dan Putar Contoh 1 : Contoh 2 : STC ; Set Carry Cy = 1 STC ; Set Carry Cy = 1 CMC : Complement Carry Cy = 0 MVI A, 82 ;A=82(H) Cy=1 MVI A, 82 ; A = 82(H) Cy = 0 RRC ; A = 41(H) Cy = 0 RLC ; A = 05(H) Cy = 1 RST 1 RST 1
  • 49.
    Bahasa Assembly Contoh3 : Contoh 4 : STC ; Set Carry Cy = 1 STC ; Set Carry Cy = 1 MVI A, 82 ; A = 82(H) Cy = 1 MVI A, 82 ;A=82(H) Cy=1 RAL ; A = 05(H) Cy = 1 RAR ; A = C1(H) Cy = 0 RST 1 RST 1 4.1.7. Instruksi Kontrol CPU 8085 mempunyai beberapa instruksi control yang menentukan arah suatu program, mengambil keputusan dan memodifikasi arah program sesuai dengan hasil pengambilan keputusan. Instruksi ini terdiri dari : 1. Instruksi Lompat (JUMP) Instruksi ini terbagi atas dua jenis, yaitu mutlak lompat (unconditional jump) dan lompat bersyarat (conditional jump). Adapun bentuk format dari instruksi ini seperti pada table 12. Tabel 12. Instruksi Lompat Assembli Kode-Mesin Fungsi JMP a16 C3-ll-hh ; Lompat ke alamat a 16 JZ a16 CA-ll hh ; Lompat jika ZERO JNZ a16 C2-ll-hh ; Lompat jika tidak ZERO JC a16 DA-ll-hh ; Lompat jika ada Carry JNC a16 D2-ll-hh ; Lompat jika tidak ada Carry JM a16 FA-ll-hh ; Lompat jika minus JP a16 F2-ll-hh ; Lompat jika Positif JPE a16 EA-ll-hh ; Lompat jika Parity Genap JPO a16 E2-ll-hh ; Lompat jika Parity Ganjil 49
  • 50.
    Bahasa Assembly 50 2. Instruksi Cabang dan Kembali (CALL, RET) Instruksi CALL membuat suatu program melaksanakan suatu program subrutin yang alamat awalnya setelah kode operasi dari instruksi CALL tersebut, dan akan kembali lagi ke program utama jika instruksi kembali RET (return) dijumpai. Instruksi ini terdiri dari dua jenis yaitu instruksi bersyarat dan tidak bersyarat. Syarat dari instruksi ini dilihat dari kondisi isi register Bendera. Setelah instruksi ini dikerjakan isi register bendera tidak berubah. Tabel 13. Instruksi Cabang Assembli Kode-Mesin Fungsi CALL a16 CE-ll-hh ; CALL Sub Rutin pada alamat a 16 CC a16 DC-ll hh ; CALL Sub Rutin jika ada Carry CNC a16 D4-ll-hh ; CALL Sub Rutin jika tidak ada Carry CZ a16 CC-ll-hh ; CALL jika zero CNZ a16 C4-ll-hh ; CALL jika tidak zero CM a16 FC-ll-hh ; CALL jika minus CP a16 F4-ll-hh ; CALL jika Positif CPE a16 EC-ll-hh ; CALL jika Parity Genap CPO a16 E4-ll-hh ; CALL jika Parity Ganjil Tabel 14. Instruksi Kembali Assembli Kode-Mesin Fungsi RET C9 ; Kembali ke Program Utama RC D8 ; Kembali jika ada Carry RNC D0 ; Kembali jika tidak ada Carry RZ C8 ; Kembali jika hasil 0 RNZ C0 ; Kembali jika hasil tidak 0 RM F0 ; Kembali jika Akkumulator negatif RP FB ; Kembali jika Akkumulator Positif RPE E0 ; Kembali jika Acc berparity Genap RPO EB ; Kembali jika Acc berparity Ganjil
  • 51.
    Bahasa Assembly 51 TABEL INSTRUKSI SET 8085 Mnemonic op- code Bytes Clocks Function ACI d8 CE-d8 2 7 A = A + d8 + Cy ADC B 88 1 4 A = A + B + Cy ADC C 89 1 4 A = A + C + Cy ADC D 8A 1 4 A = A + D + Cy ADC E 8B 1 4 A = A + E + Cy ADC H 8C 1 4 A = A + H + Cy ADC L 8D 1 4 A = A + L + Cy ADC M 8E 1 7 A = A + M + Cy ADC A 8F 1 4 A = A + A + Cy ADD B 80 1 4 A = A + B ADD C 81 1 4 A = A + C ADD D 82 1 4 A = A + D ADD E 83 1 4 A = A + E ADD H 84 1 4 A = A + H ADD L 85 1 4 A = A + L ADD M 86 1 7 A = A + M ADD A 87 1 4 A = A + A ADI d8 C6-D8 2 7 A = A + d8 ANA B A0 1 4 A = A ^ B ANA C A1 1 4 A = A ^ C ANA D A2 1 4 A = A ^ D ANA E A3 1 4 A = A ^ E ANA H A4 1 4 A = A ^ H ANA L A5 1 4 A = A ^ L ANA M A6 1 7 A = A ^ M ANA A A7 1 4 A = A ^ A ANI d8 E6-D8 2 7 A = A ^ d8 CALL a16 CD-ll-hh 3 18 Call Sub Rutin CC a16 DC-ll-hh 3 9/18 Call Sub Rutin if Cy = 1 CM a16 FC-ll-hh 3 9/18 Call Sub Rutin if S = 1 CNC a16 D4-ll-hh 3 9/18 Call Sub Rutin if Cy = 0 CNZ a16 C4-ll-hh 3 9/18 Call Sub Rutin if Z = 0 CP a16 F4-ll-hh 3 9/18 Call Sub Rutin if S = 0 CPE a16 EC-ll-hh 3 9/18 Call Sub Rutin if P = 1 CPO a16 E4-ll-hh 3 9/18 Call Sub Rutin if P = 0 CZ a16 CC-ll-hh 3 9/18 Call Sub Rutin if Z = 1 CMA 2F 1 4 A = A CMC 3F 1 4 Cy = Cy CMP B B8 1 4 Flags = A - B
  • 52.
    Bahasa Assembly 52 Mnemonic op- code Bytes Clocks Function CMP C B9 1 4 Flags = A = C CMP D BA 1 4 Flags = A - D CMP E BB 1 4 Flags = A - E CMP H BC 1 4 Flags = A - H CMP L BD 1 4 Flags = A - L CMP M BE 1 7 Flags = A - M CMP A BF 1 4 Flags = A = A CPI d8 FE-d8 2 7 Flags = A - d8 DAA 27 1 4 Decimal Adjust DAD B 9 1 10 HL = HL + BC DAD D 19 1 10 HL = HL + DE DAD H 29 1 10 HL = HL + HL DAD SP 39 1 10 HL = HL + SP DCR B 5 1 4 B = B - 1 DCR C 0D 1 4 C = C - 1 DCR D 15 1 4 D = D - 1 DCR E 1D 1 4 E = E - 1 DCR H 25 1 4 H = H - 1 DCR L 2D 1 4 L = L - 1 DCR M 35 1 10 M = M - 1 DCR A 3D 1 4 A = A - 1 DCX B 0B 1 6 BC = BC - 1 DCX D 1B 1 6 DE = DE - 1 DCX H 2B 1 6 HL = HL - 1 DCX SP 3B 1 6 SP = SP - 1 DI F3 1 4 Disable Interupt EI FB 1 4 Enable Interupt IN d8 DB-d8 2 4 A = (Port d8) INR B 4 1 4 B = B + 1 INR C 0C 1 4 C = C + 1 INR D 14 1 4 D = D + 1 INR E 1C 1 4 E = E + 1 INR H 24 1 10 H = H + 1 INR L 2C 1 4 L = L + 1 INR M 34 1 4 M = M + 1 INR A 3C 1 4 A = A + 1 INX B 3 1 6 BC = BC + 1 INX D 13 1 6 DE = DE + 1 INX H 23 1 6 HL = HL + 1 INX SP 33 1 6 SP = SP + 1
  • 53.
    Bahasa Assembly 53 Mnemonic op- code Bytes Clocks Function JC a16 DA-ll-hh 3 7/10 Jump if Cy = 1 JM a16 FA-ll-hh 3 7/10 Jump if S = 1 JMP a16 C3-ll-hh 3 7/10 Jump JNC a16 D2-ll-hh 3 7/10 Jump if Cy = 0 JNZ a16 C2-ll-hh 3 7/10 Jump if Z = 0 JP a16 F2-ll-hh 3 7/10 Jump if S = 0 JPE a16 EA-ll-hh 3 7/10 Jump if P = 1 JPO a16 E2-ll-hh 3 7/10 Jump if P = 0 JZ a16 CA-ll-hh 3 7/10 Jump if Z = 1 LDA a16 3A-ll-hh 3 13 A = (a16) LDAX B 0A 1 7 A = ((BC)) LDAX D 1A 1 7 A = ((DE)) LHLD a16 2A-ll-hh 3 16 HL = (a16) LXI B, d16 01-ll-hh 3 10 BC = d16 LXI D,d16 11-ll-hh 3 10 DE = d16 LXI H,d16 21-ll-hh 3 10 HL = d16 LXI SP,d16 31-ll-hh 3 10 SP = d16 MOV B, B 40 1 4 B = B MOV B, C 41 1 4 B = C MOV B, D 42 1 4 B = D MOV B, E 3 1 4 B = E MOV B, H 44 1 4 B = H MOV B, L 45 1 4 B = L MOV B, M 46 1 7 B = M MOV B, A 47 1 4 B = A MOV C, B 48 1 4 C = B MOV C, C 49 1 4 C = C MOV C, D 4A 1 4 C = D MOV C, E 4B 1 4 C = E MOV C, H 4C 1 4 C = H MOV C, L 4D 1 4 C = L MOV C, M 4E 1 7 C = M MOV C, A 4F 1 4 C = A MOV D, B 50 1 4 D = B MOV D, C 51 1 4 D = C MOV D, D 52 1 4 D = D MOV D, E 53 1 4 D = E MOV D, H 54 1 4 D = H MOV D, L 55 1 4 D = L MOV D, M 56 1 7 D = M MOV D, A 57 1 4 D = A
  • 54.
    Bahasa Assembly 54 Mnemonic op- code Bytes Clocks Function MOV E, B 58 1 4 E = B MOV E, C 59 1 4 E = C MOV E, D 5A 1 4 E = D MOV E, E 5B 1 4 E = E MOV E, H 5C 1 4 E = H MOV E, L 5D 1 4 E = L MOV E, M 5E 1 7 E = M MOV E, A 5F 1 4 E = A MOV H, B 60 1 4 H = B MOV H, C 61 1 4 H = C MOV H, D 62 1 4 H = D MOV H, E 63 1 4 H = E MOV H, H 64 1 4 H = H MOV H, L 65 1 4 H = L MOV H, M 66 1 7 H = M MOV H, A 67 1 4 H = A MOV L, B 68 1 4 L = B MOV L, C 69 1 4 L = C MOV L, D 6A 1 4 L = D MOV L, E 6B 1 4 L = E MOV L, H 6C 1 4 L = H MOV L, L 6D 1 4 L = L MOV L, M 6E 1 7 L = M MOV L, A 6F 1 4 L = A MOV M, B 70 1 7 M = B MOV M, C 71 1 7 M = C MOV M, D 72 1 7 M = D MOV M, E 73 1 7 M = E MOV M, H 74 1 7 M = H MOV M, L 75 1 7 M = L MOV M, M 76 1 7 M = M MOV M, A 77 1 7 M = A MOV A, B 78 1 4 A = B MOV A, C 79 1 4 A = C MOV A, D 7A 1 4 A = D MOV A, E 7B 1 4 A = E MOV A, H 7C 1 4 A = H MOV A, L 7D 1 4 A = L MOV A, M 7E 1 7 A = M MOV A, A 7F 1 4 A = A
  • 55.
    Bahasa Assembly 55 Mnemonic op- code Bytes Clocks Function MVI B, d8 06-d8 2 7 B = d8 MVI C, d8 0E-d8 2 7 C = d8 MVI D, d8 16-d8 2 7 D = d8 MVI E, d8 1E-d8 2 7 E = d8 MVI H, d8 26-d8 2 7 H = d8 MVI L, d8 2E-d8 2 7 L = d8 MVI M, d8 36-d8 2 7 M = d8 MVI A, d8 3E-d8 2 7 A = d8 NOP 00 1 4 No Operation ORA B B0 1 4 A = A v B ORA C B1 1 4 A = A v C ORA D B2 1 4 A = A v D ORA E B3 1 4 A = A v E ORA H B4 1 4 A = A v H ORA L B5 1 4 A = A v L ORA M B6 1 7 A = A v M ORA A B7 1 4 A = A v A ORI d8 F6-d8 2 7 A = A v d8 OUT d8 D3-d8 2 10 PORT d8 = A PCHL E9 1 6 PC = HL POP B C1 1 10 BC = (STACK) POP D D1 1 10 DE = (STACK) POP H E1 1 10 HL = (STACK) POP PSW F1 1 10 AF = (STACK) PUSH B C5 1 10 (STACK) = (BC) PUSH D D5 1 10 (STACK) = (DE) PUSH H E5 1 10 (STACK) = (HL) PUSH PSW F5 1 10 (STACK) = (AF) RAL 17 1 4 Rotate a left trough Carry RAR 1F 1 4 Rotate a right trough Carry RC D8 1 6/12 Return if Cy = 1 RET C9 1 10 Return RIM 20 1 4 Read Interrupts RLC 7 1 4 Rotate a left without Carry RM F8 1 6/12 Return if S = 1 RNC D0 1 6/12 Return if Cy = 0 RNZ C0 1 6/12 Return if Z = 0 RP F0 1 6/12 Return if S = 0 RPE E8 1 6/12 Return if P = 1 RPO E0 1 6/12 Return if p = 0 RRC 0F 1 4 Rotate a right without Carry
  • 56.
    Bahasa Assembly 56 Mnemonic op- code Bytes Clocks Function RST 0 C7 1 12 CALL 0000(H) RST 1 CF 1 12 CALL 0008(H) RST 2 D7 1 12 CALL 0010(H) RST 3 DF 1 12 CALL 0018(H) RST 4 E7 1 12 CALL 0020(H) RST 5 EF 1 12 CALL 0028(H) RST 6 F7 1 12 CALL 0030(H) RST 7 FF 1 12 CALL 0038(H) RZ C8 1 6/12 return if Z = 1 SBB B 98 1 4 A = A - B - Cy SBB C 99 1 4 A = A - C - Cy SBB D 9A 1 4 A = A - D - Cy SBB E 9B 1 4 A = A - E - Cy SBB H 9C 1 4 A = A - H - Cy SBB L 9D 1 4 A = A - L - Cy SBB M 9E 1 7 A = A - M - Cy SBB A 9F 1 4 A = A - A - Cy SBI d8 DE-d8 2 4 A = A - d8 - Cy SHLD a16 22-ll-hh 3 13 (a16) = (HL) SIM 30 1 4 Set Interrupts SPHL F9 1 6 SP = HL STA a16 32-ll-hh 3 13 (a16) = (A) STAX B 2 1 7 ((BC)) = (A) STAX D 12 1 7 ((DE)) = (A) STC 37 1 4 Cy = 1 SUB B 90 1 4 A = A - B SUB C 91 1 4 A = A - C SUB D 92 1 4 A = A - D SUB E 93 1 4 A = A - E SUB H 94 1 4 A = A - H SUB L 95 1 4 A = A - L SUB M 96 1 4 A = A - M SUB A 97 1 4 A = A - A SUI d8 D6-d8 2 7 A = A - d8 XCHG EB 1 4 HL -------- DE XRA B A8 1 4 A = A v B XRA C A9 1 4 A = A v C XRA D AA 1 4 A = A v D XRA E AB 1 4 A = A v E XRA H AC 1 4 A = A v H XRA L AD 1 4 A = A v L XRA M AE 1 7 A = A v M XRA A AF 1 4 A = A v A XRI d8 EE 2 7 A = A v d8 XTHL E3 1 16 HL --------- STACK
  • 57.
    Bahasa Assembly 57 Keterangan : --------- = saling dipertukarkan ( ) = Isi dari suatu alamat ( ( rp ) ) = Isi alamat dimana alamatnya terdapat pada pasangan register rp d8 = Data 8-bit d16 = Data 16-bit a16 = Alamat 16-bit ll = Alamat atau Data low byte hh = Alamat atau Data high byte v = Logika OR ^ = Logika AND v = Logika EX-OR
  • 58.
    Bahasa Assembly 58 DAFTAR PUSTAKA Andrew S. Tanenbaum, Structured Computer Organization, Prentice Hall: 1999. Kuswadi, Son, Bahasa Komputer (Bahasa Assembly), PENS-ITS dan JICA: Surabaya, 1993. Pardede, Morlan, Mikroprosessor dan Interface, Teknik Elektro Politeknik Medan, USU: Medan, 1998 Syarif, Iwan. Dan Riyanto Sigit, Bahasa Komputer I, PENS-ITS: Surabaya, 1999. William Stalling, Computer Organization & Architecture, Prentice Hall: 2000.