Honors Precalculus End of Year Project – Hudson Ma
In this section of the project, I will examine how the logic behind limits and integrals can be
applied to 3D shapes, such as a paraboloid. Specifically, I will model a cup using a
paraboloid then (if possible) find its volume and surface area.
Paraboloids are essentially 3D parabolas, where the cross-section of a paraboloid is a
parabola. A graph of a paraboloid is shown below.
Keep in mind that here the 𝑧 axis is the vertical axis while the 𝑥 and 𝑦 axes are horizontal.
The most basic paraboloid can be graphed by 𝑧 = 𝑥2
+ 𝑦2
. This is because:
1. If 𝑧 is a fixed value, I get 𝑎 = 𝑥2
+ 𝑦2
for some constant 𝑎. Doing so ignores the 𝑧
axis, meaning the graph would look like a circle from a birds-eye view.
2. If 𝑥 is a fixed value, I get 𝑧 = 𝑎2
+ 𝑦2
for some constant 𝑎. Doing so ignores the 𝑥
axis, meaning the graph would look like a parabola in the 𝑥𝑦 plane.
3. If 𝑦 is a fixed value, I get 𝑧 = 𝑥2
+ 𝑎2
for some constant 𝑎. Doing so ignores the 𝑦
axis, meaning the graph would look like a parabola in the 𝑥𝑧 plane.
Combining these three properties produces the paraboloid shown above.
Question 1: Find the volume of a cup whose shape can be defined by the 3D function
𝑓(𝑥, 𝑦) = 𝑥2
+ 𝑦2
in the interval 15 ≤ 𝑧 ≤ 30.
The cup would look something like this:
To find the volume, the cup can be thought of as an infinite amount of infinitely thin
cylinders, with varying radii. For example, the volume of the cup approximated by 3
cylinders (𝑛 = 3) is shown here:
This crude estimate gives a volume of 𝟑𝟕𝟓𝝅 cubic units.
Whether the radius of the cylinder is determined by the top or bottom of the cylinder is
irrelevant. As the number of cylinders approach infinity, either method would approach the
same volume. Here I will use the top of the cylinder and (initially) overestimate.
To find the radii of the cylinders, I can work with the cross-section of the paraboloid, as the
paraboloid is circular when viewed from above. For the parabola, I will use the 𝑧 axis as the
𝑦 axis when graphing in the 𝑥𝑦 plane while I keep the 𝑥 axis the same. The cross-section of
the paraboloid can be modeled by the function 𝑓(𝑥) = 𝑥2
.
When the parabola is graphed, it is evident that the radius is the 𝑥 value at the given 𝑧
value. If I use the inverse function of the parabola, I can flip this relationship and the radius
would instead be the 𝑧 value at the given 𝑥 value. This would be a lot easier to work with.
To find the inverse of the cross-section function, I simply switched 𝑥 with 𝑧 and 𝑓(𝑥) with
𝑥. The inverse function would then be 𝑥 = 𝑧2
or 𝑧 = ±√𝑥, better rewritten as 𝑅(𝑥) = ±√𝑥
or just 𝑅(𝑥) = √𝑥 as radius must be a positive value. I will refer to this later as 𝑅(𝑥).
It is also evident that the cross-section of the cup exists between the 𝑔 and ℎ functions. Like
how area under a curve is found, I can find the volume up to ℎ of the paraboloid then
subtract the volume up to 𝑔 to find the volume of the cup.
Now that I have the information on how to find the radii, I can come up with an equation
for the volume of the paraboloid up to ℎ.
𝑉𝑜𝑙𝑢𝑚𝑒 𝑢𝑝 𝑡𝑜 ℎ = lim
𝑛→∞
∑(𝜋𝑟2
∙ ℎ𝑒𝑖𝑔ℎ𝑡)
𝑛
𝑖=1
= lim
𝑛→∞
∑(𝜋 ∙ (𝑅(
30
𝑛
𝑖))2
∙
30
𝑛
)
𝑛
𝑖=1
= lim
𝑛→∞
∑(𝜋 ∙ (√
30
𝑛
𝑖)2
∙
30
𝑛
)
𝑛
𝑖=1
= lim
𝑛→∞
∑(𝜋 ∙
30
𝑛
𝑖 ∙
30
𝑛
)
𝑛
𝑖=1
= lim
𝑛→∞
∑(
900𝜋
𝑛2
∙ 𝑖)
𝑛
𝑖=1
= lim
𝑛→∞
(
900𝜋
𝑛2
∙ ∑ 𝑖
𝑛
𝑖=1
)
= lim
𝑛→∞
(
900𝜋
𝑛2
∙
𝑛(𝑛 + 1)
2
)
= lim
𝑛→∞
450𝜋(𝑛 + 1)
𝑛
= lim
𝑛→∞
450𝜋𝑛 + 450𝜋
𝑛
= lim
𝑛→∞
450𝜋 +
450𝜋
𝑛
1
=
450𝜋 + 0
1
= 𝟒𝟓𝟎𝝅
I can do something similar for the volume up to 𝑔.
𝑉𝑜𝑙𝑢𝑚𝑒 𝑢𝑝 𝑡𝑜 𝑔 = lim
𝑛→∞
∑(𝜋𝑟2
∙ ℎ𝑒𝑖𝑔ℎ𝑡)
𝑛
𝑖=1
= lim
𝑛→∞
∑(𝜋 ∙ (𝑅(
15
𝑛
𝑖))2
∙
15
𝑛
)
𝑛
𝑖=1
= lim
𝑛→∞
∑(𝜋 ∙ (√
15
𝑛
𝑖)2
∙
15
𝑛
)
𝑛
𝑖=1
= lim
𝑛→∞
∑(𝜋 ∙
15
𝑛
𝑖 ∙
15
𝑛
)
𝑛
𝑖=1
= lim
𝑛→∞
∑(
225𝜋
𝑛2
∙ 𝑖)
𝑛
𝑖=1
= lim
𝑛→∞
(
225𝜋
𝑛2
∙ ∑ 𝑖
𝑛
𝑖=1
)
= lim
𝑛→∞
(
225𝜋
𝑛2
∙
𝑛(𝑛 + 1)
2
)
= lim
𝑛→∞
225𝜋(𝑛 + 1)
2𝑛
= lim
𝑛→∞
225𝜋𝑛 + 225𝜋
2𝑛
= lim
𝑛→∞
225𝜋 +
225𝜋
𝑛
2
=
225𝜋 + 0
2
=
𝟐𝟐𝟓𝝅
𝟐
Now, all that remains is to subtract the volume up to 𝑔 from the volume up to ℎ to solve for
the volume of the cup.
𝑉𝑜𝑙𝑢𝑚𝑒 𝑜𝑓 𝑡ℎ𝑒 𝑐𝑢𝑝 = 𝑣𝑜𝑙𝑢𝑚𝑒 𝑢𝑝 𝑡𝑜 ℎ − 𝑣𝑜𝑙𝑢𝑚𝑒 𝑢𝑝 𝑡𝑜 𝑔
= 450𝜋 −
225𝜋
2
=
𝟔𝟕𝟓𝝅
𝟐
The volume of this cup must be
𝟔𝟕𝟓𝝅
𝟐
cubic units, or around 𝟏𝟎𝟔𝟎.𝟐𝟖𝟖 cubic units.
While I use a theoretical cup here, this can be applied to real life. If a manufacturer decides
to design and sell this kind of cup, maybe with a slightly different curve that can be
modeled by a different function (Though the same method can still be used). This
manufacturer would then also want to know the volume of the cup, as any customer would
want to know how much stuff this cup can hold.
Question 2: Find the surface area of the cup.
With the volume now solved, I should find surface area. There are two ways to define
surface area. I can say it is the outer surface area, in which I don’t count the inside, or I can
say it is the complete surface area, including the outside and the inside. I will be finding the
outer surface area as it is useful for determining the amount of material needed.
I can use a similar method to what I did in the first part when was trying to find the volume
to start. This time, instead of considering the volume of the cylinders, I will be considering
the surface area of its sides. I will then add in the bottom of the cup as a circle separately.
The bottom is a circle with a radius of √15 units, so the area of the base is 𝟏𝟓𝝅 square
units.
The surface area of a cylinder, given it is a right cylinder (not slanted) and has a radius of 𝑟
and height of ℎ, is 2𝜋𝑟ℎ + 2𝜋𝑟2
. I then subtract 2𝜋𝑟2
to ignore the top and bottom circles
(𝜋𝑟2
+ 𝜋𝑟2
) and get the surface area of the sides, which is 2𝜋𝑟ℎ.
I can also get this if I start from zero and think of the side of a cylinder as a rolled-up
rectangle with a height of ℎ and a length of the circumference of the base, or 2𝜋𝑟.
Multiplying these two (as anyone would for finding area of a rectangle) would also give
2𝜋𝑟ℎ.
The difference between using an overestimation, underestimation, or average between the
two is inconsequential. As the number of cylinders approach infinity, all three methods
approach the same value. In this case, the use of an average is arguably the worst option as
it is the most complicated. However, if a finite number of cylinders are used, the average
method will always give the most accurate estimate for the same number of cylinders, as it
somewhat balances the overestimation and underestimation from the other two methods.
For now, I will be using an overestimation once again.
I will be using the method found in Part I to find radii. As I have established in Part I, the
radius can be given by the function 𝑅(𝑥) = √𝑥. I will also be using a similar method,
subtracting the surface area up to 𝑔 from the surface area up to ℎ.
𝑆𝑢𝑟𝑓𝑎𝑐𝑒 𝑎𝑟𝑒𝑎 𝑢𝑝 𝑡𝑜 ℎ = lim
𝑛→∞
∑(𝑠𝑢𝑟𝑓𝑎𝑐𝑒 𝑎𝑟𝑒𝑎 𝑜𝑓 𝑐𝑦𝑙𝑖𝑛𝑑𝑒𝑟)
𝑛
𝑖=1
= lim
𝑛→∞
∑(2𝜋𝑟ℎ)
𝑛
𝑖=1
= lim
𝑛→∞
∑(2𝜋 ∙ 𝑅(
30
𝑛
𝑖) ∙
30
𝑛
)
𝑛
𝑖=1
= lim
𝑛→∞
∑(2𝜋 ∙ √
30
𝑛
𝑖 ∙
30
𝑛
)
𝑛
𝑖=1
= lim
𝑛→∞
∑(
60𝜋
𝑛
∙ √
30
𝑛
𝑖)
𝑛
𝑖=1
= lim
𝑛→∞
∑(
60𝜋
𝑛
∙ √
30
𝑛
∙ √𝑖)
𝑛
𝑖=1
= lim
𝑛→∞
∑(
60𝜋√30
𝑛√𝑛
∙ √𝑖)
𝑛
𝑖=1
= lim
𝑛→∞
∑(
60𝜋√30𝑛
𝑛2
∙ √𝑖)
𝑛
𝑖=1
= lim
𝑛→∞
(
60𝜋√30𝑛
𝑛2
∙ ∑ √𝑖
𝑛
𝑖=1
)
I run into a big problem. I now need to try and find a formula for ∑ √𝑖
𝑛
𝑖=1 . If I write it out, it
becomes:
∑ √𝑖
𝑛
𝑖=1
= √1 + √2 + √3 + √4 + √5 + ⋯ + √𝑛
= 𝑎0 + 𝑎1√2 + 𝑎2√3 + 𝑎3√5 + 𝑎4√6 + ⋯
For some numbers 𝑎.
This sum quickly spirals out of hand, as I now need to deal with multiple different
simplified radicals, all with different coefficients. These radicals are also not just square
roots of primes but can also be square roots of composite numbers such as 6 or 35.
Considering that this formula needs to generalize to all real numbers, this method hits a
wall (For example, if 𝑛 = 99999, I would have countless different radicals to account for).
In short, I cannot use the traditional method and must find another method.
That method is the only way I know of to find the exact value. If I cannot find the exact
value, I can at least try to estimate.
Keep in mind that estimates are often used to find the surface area of inconvenient shapes.
For instance, the wing area of a plane is usually accepted as the top-down area (planform
area), even though the wings are curved in a shape called an airfoil. Much like how the
hypotenuse of a right triangle is not equal to its legs, the actual surface area of a wing is not
equal to the planform area. The planform area only serves as an estimate, yet it is widely
used.
I will examine three estimation methods below and compare to see which is the most
accurate.
1. Cross-sectional method
This new* method understands the idea of a cylinder in a different way. Instead of
understanding 2𝜋𝑟ℎ as 2𝜋𝑟 ∙ ℎ or 𝑐𝑖𝑟𝑐𝑢𝑚𝑓𝑒𝑟𝑒𝑛𝑐𝑒 ∙ ℎ𝑒𝑖𝑔ℎ𝑡, I can instead understand
it as 2𝑟ℎ ∙ 𝜋 or 𝑐𝑟𝑜𝑠𝑠 𝑠𝑒𝑐𝑡𝑖𝑜𝑛𝑎𝑙 𝑎𝑟𝑒𝑎 ∙ 𝜋 . This makes intuitive sense as 𝜋 is the ratio
between the diameter and circumference, and the cross-section acts as a sort of 2D
diameter to the surface area of the cylinder.
* I thought up this idea myself, but I am unsure if somebody else has come up with this before I did. A
brief Google search doesn’t show anything similar, but it may go under a different name.
However, this is only perfectly accurate if the object in question is a cylinder with a
rectangular cross-section. Here, where the cross-section is a section of parabola, I
would expect some error.
Again, the cross-section of a paraboloid is a parabola. In this specific question where
the paraboloid is described by 𝑓(𝑥, 𝑦) = 𝑥2
+ 𝑦2
, the cross-section can be described
by 𝑓(𝑥) = 𝑥2
.
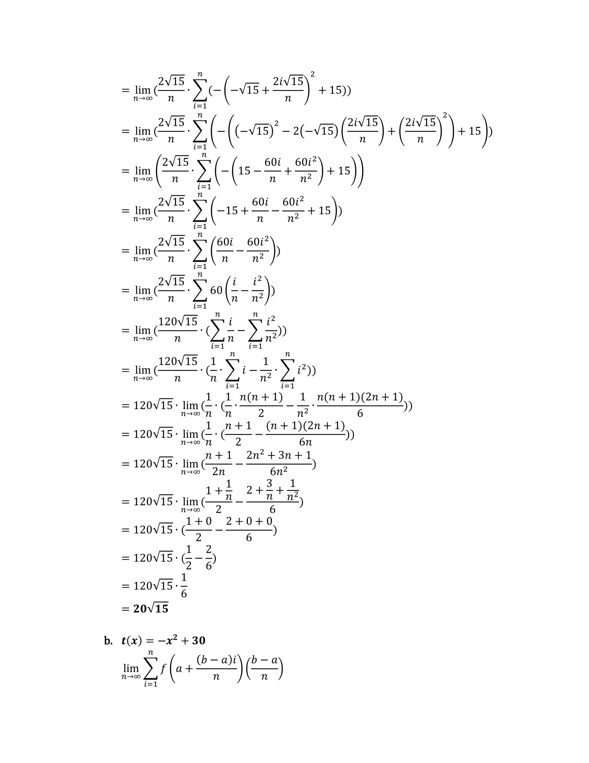
To find the cross-section, I can find the area under 𝑠(𝑥) = −𝑥2
+ 15 then subtract it
from the area under 𝑡(𝑥) = −𝑥2
+ 30, within the domains [−√15,√15] and
[−√30,√30], respectively.
The formula for area under a curve is as follows:
lim
𝑛→∞
∑ 𝑓(𝑎 +
(𝑏 − 𝑎)𝑖
𝑛
)(
𝑏 − 𝑎
𝑛
)
𝑛
𝑖=1
a. 𝒔(𝒙) = −𝒙𝟐
+ 𝟏𝟓
lim
𝑛→∞
∑ 𝑓 (𝑎 +
(𝑏 − 𝑎)𝑖
𝑛
) (
𝑏 − 𝑎
𝑛
)
𝑛
𝑖=1
= lim
𝑛→∞
∑ 𝑠 (−√15 +
(√15 − (−√15))𝑖
𝑛
)(
√15 − (−√15)
𝑛
)
𝑛
𝑖=1
= lim
𝑛→∞
∑ 𝑠 (−√15 +
2𝑖√15
𝑛
)(
2√15
𝑛
)
𝑛
𝑖=1
= lim
𝑛→∞
(
2√15
𝑛
∙ ∑(− (−√15 +
2𝑖√15
𝑛
)
2
+ 15)
𝑛
𝑖=1
)
= lim
𝑛→∞
(
2√15
𝑛
∙ ∑ (− ((−√15)
2
− 2(−√15) (
2𝑖√15
𝑛
) + (
2𝑖√15
𝑛
)
2
) + 15)
𝑛
𝑖=1
)
= lim
𝑛→∞
(
2√15
𝑛
∙ ∑ (−(15 −
60𝑖
𝑛
+
60𝑖2
𝑛2
) + 15)
𝑛
𝑖=1
)
= lim
𝑛→∞
(
2√15
𝑛
∙ ∑ (−15 +
60𝑖
𝑛
−
60𝑖2
𝑛2
+ 15)
𝑛
𝑖=1
)
= lim
𝑛→∞
(
2√15
𝑛
∙ ∑ (
60𝑖
𝑛
−
60𝑖2
𝑛2
)
𝑛
𝑖=1
)
= lim
𝑛→∞
(
2√15
𝑛
∙ ∑ 60 (
𝑖
𝑛
−
𝑖2
𝑛2
)
𝑛
𝑖=1
)
= lim
𝑛→∞
(
120√15
𝑛
∙ (∑
𝑖
𝑛
𝑛
𝑖=1
− ∑
𝑖2
𝑛2
𝑛
𝑖=1
))
= lim
𝑛→∞
(
120√15
𝑛
∙ (
1
𝑛
∙ ∑ 𝑖
𝑛
𝑖=1
−
1
𝑛2
∙ ∑ 𝑖2
𝑛
𝑖=1
))
= 120√15 ∙ lim
𝑛→∞
(
1
𝑛
∙ (
1
𝑛
∙
𝑛(𝑛 + 1)
2
−
1
𝑛2
∙
𝑛(𝑛 + 1)(2𝑛 + 1)
6
))
= 120√15 ∙ lim
𝑛→∞
(
1
𝑛
∙ (
𝑛 + 1
2
−
(𝑛 + 1)(2𝑛 + 1)
6𝑛
))
= 120√15 ∙ lim
𝑛→∞
(
𝑛 + 1
2𝑛
−
2𝑛2
+ 3𝑛 + 1
6𝑛2
)
= 120√15 ∙ lim
𝑛→∞
(
1 +
1
𝑛
2
−
2 +
3
𝑛
+
1
𝑛2
6
)
= 120√15 ∙ (
1 + 0
2
−
2 + 0 + 0
6
)
= 120√15 ∙ (
1
2
−
2
6
)
= 120√15 ∙
1
6
= 𝟐𝟎√𝟏𝟓
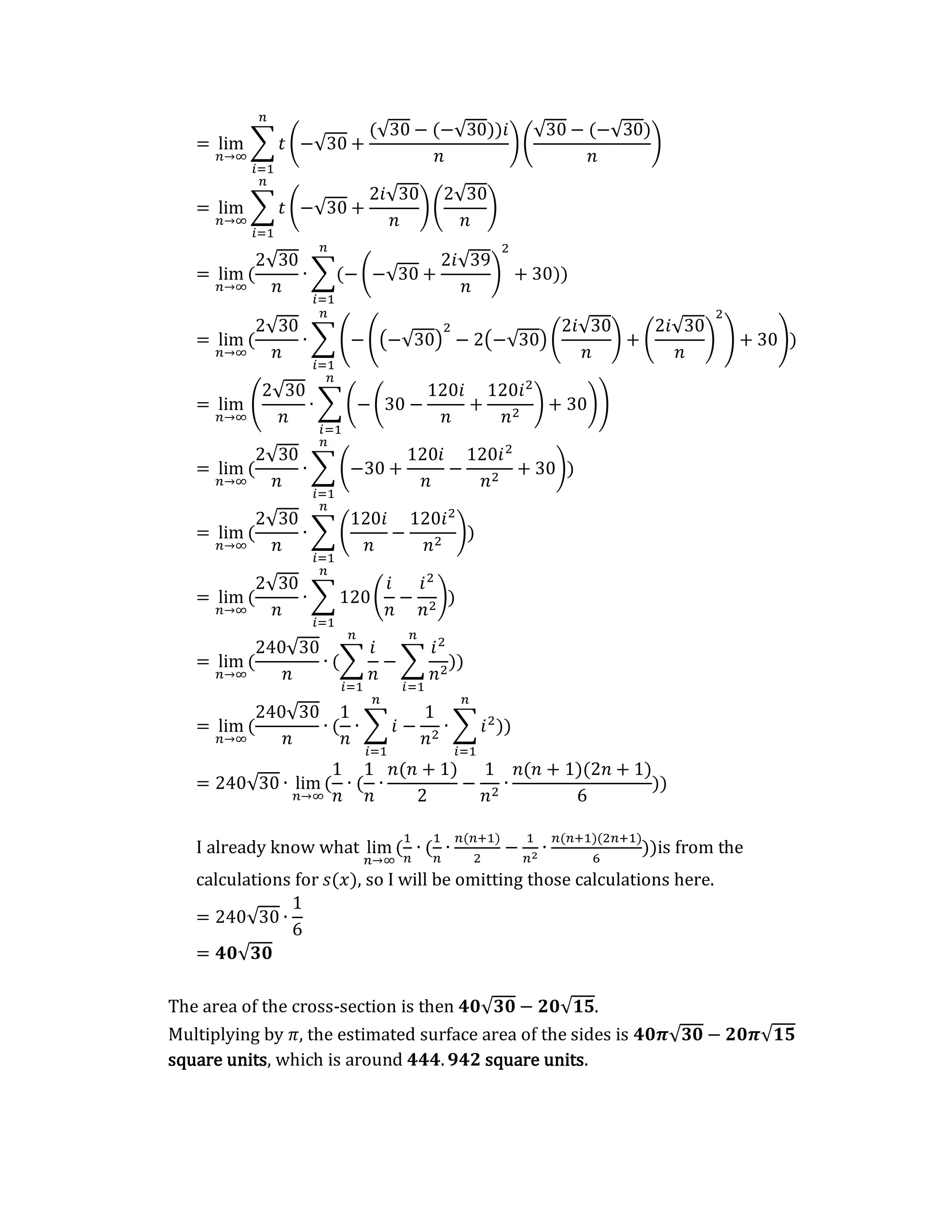
b. 𝒕(𝒙) = −𝒙𝟐
+ 𝟑𝟎
lim
𝑛→∞
∑ 𝑓 (𝑎 +
(𝑏 − 𝑎)𝑖
𝑛
) (
𝑏 − 𝑎
𝑛
)
𝑛
𝑖=1
= lim
𝑛→∞
∑ 𝑡 (−√30 +
(√30 − (−√30))𝑖
𝑛
)(
√30 − (−√30)
𝑛
)
𝑛
𝑖=1
= lim
𝑛→∞
∑ 𝑡 (−√30 +
2𝑖√30
𝑛
)(
2√30
𝑛
)
𝑛
𝑖=1
= lim
𝑛→∞
(
2√30
𝑛
∙ ∑(− (−√30 +
2𝑖√39
𝑛
)
2
+ 30)
𝑛
𝑖=1
)
= lim
𝑛→∞
(
2√30
𝑛
∙ ∑ (− ((−√30)
2
− 2(−√30) (
2𝑖√30
𝑛
) + (
2𝑖√30
𝑛
)
2
) + 30)
𝑛
𝑖=1
)
= lim
𝑛→∞
(
2√30
𝑛
∙ ∑ (−(30 −
120𝑖
𝑛
+
120𝑖2
𝑛2
) + 30)
𝑛
𝑖=1
)
= lim
𝑛→∞
(
2√30
𝑛
∙ ∑ (−30 +
120𝑖
𝑛
−
120𝑖2
𝑛2
+ 30)
𝑛
𝑖=1
)
= lim
𝑛→∞
(
2√30
𝑛
∙ ∑ (
120𝑖
𝑛
−
120𝑖2
𝑛2
)
𝑛
𝑖=1
)
= lim
𝑛→∞
(
2√30
𝑛
∙ ∑ 120(
𝑖
𝑛
−
𝑖2
𝑛2
)
𝑛
𝑖=1
)
= lim
𝑛→∞
(
240√30
𝑛
∙ (∑
𝑖
𝑛
𝑛
𝑖=1
− ∑
𝑖2
𝑛2
𝑛
𝑖=1
))
= lim
𝑛→∞
(
240√30
𝑛
∙ (
1
𝑛
∙ ∑ 𝑖
𝑛
𝑖=1
−
1
𝑛2
∙ ∑ 𝑖2
𝑛
𝑖=1
))
= 240√30 ∙ lim
𝑛→∞
(
1
𝑛
∙ (
1
𝑛
∙
𝑛(𝑛 + 1)
2
−
1
𝑛2
∙
𝑛(𝑛 + 1)(2𝑛 + 1)
6
))
I already know what lim
𝑛→∞
(
1
𝑛
∙ (
1
𝑛
∙
𝑛(𝑛+1)
2
−
1
𝑛2
∙
𝑛(𝑛+1)(2𝑛+1)
6
))is from the
calculations for 𝑠(𝑥), so I will be omitting those calculations here.
= 240√30 ∙
1
6
= 𝟒𝟎√𝟑𝟎
The area of the cross-section is then 𝟒𝟎√𝟑𝟎 − 𝟐𝟎√𝟏𝟓.
Multiplying by 𝜋, the estimated surface area of the sides is 𝟒𝟎𝝅√𝟑𝟎 − 𝟐𝟎𝝅√𝟏𝟓
square units, which is around 𝟒𝟒𝟒.𝟗𝟒𝟐 square units.
Adding in the base of the cup, the estimated total surface area is 𝟒𝟎𝝅√𝟑𝟎 −
𝟐𝟎𝝅√𝟏𝟓 + 𝟏𝟓𝝅 square units, which is around 𝟒𝟗𝟐.𝟎𝟔𝟔 square units.
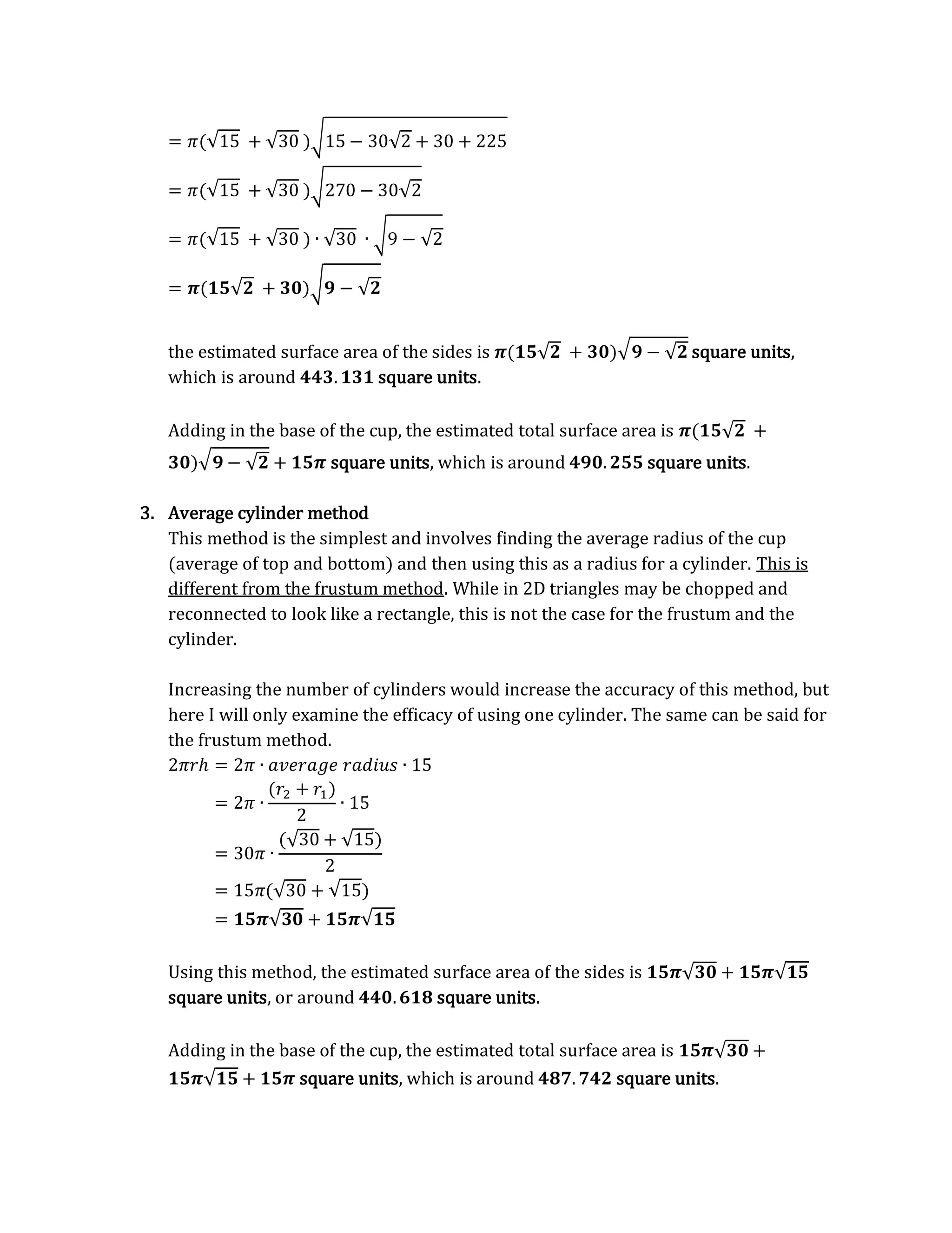
2. Frustum method
A frustum is essentially a cone with its tip chopped off. This is useful in this case as
the cup heavily resembles a frustum.
In this diagram, the cross-section of the frustum is 𝐵𝐶𝐸𝐷, where the cross-section of
the cone the frustum is cut out of is 𝐴𝐵𝐶. My cup would look like an upside-down
version of this frustum.
The formula of the lateral area of the frustum is:
𝜋(𝑟1 + 𝑟2)√(𝑟1 − 𝑟2)2 + ℎ2
The frustum in question has radii of √15 and √30, as well as a height of 15. Plugging
in the numbers,
𝜋(𝑟1 + 𝑟2)√(𝑟1 − 𝑟2)2 + ℎ2 = 𝜋(√15 + √30 )√(√15 − √30)2 + 152
= 𝜋(√15 + √30 )√15 − 30√2 + 30 + 225
= 𝜋(√15 + √30 )√270 − 30√2
= 𝜋(√15 + √30 ) ∙ √30 ∙ √9 − √2
= 𝝅(𝟏𝟓√𝟐 + 𝟑𝟎)√𝟗 − √𝟐
the estimated surface area of the sides is 𝝅(𝟏𝟓√𝟐 + 𝟑𝟎)√𝟗 − √𝟐 square units,
which is around 𝟒𝟒𝟑.𝟏𝟑𝟏 square units.
Adding in the base of the cup, the estimated total surface area is 𝝅(𝟏𝟓√𝟐 +
𝟑𝟎)√𝟗 − √𝟐 + 𝟏𝟓𝝅 square units, which is around 𝟒𝟗𝟎. 𝟐𝟓𝟓 square units.
3. Average cylinder method
This method is the simplest and involves finding the average radius of the cup
(average of top and bottom) and then using this as a radius for a cylinder. This is
different from the frustum method. While in 2D triangles may be chopped and
reconnected to look like a rectangle, this is not the case for the frustum and the
cylinder.
Increasing the number of cylinders would increase the accuracy of this method, but
here I will only examine the efficacy of using one cylinder. The same can be said for
the frustum method.
2𝜋𝑟ℎ = 2𝜋 ∙ 𝑎𝑣𝑒𝑟𝑎𝑔𝑒 𝑟𝑎𝑑𝑖𝑢𝑠 ∙ 15
= 2𝜋 ∙
(𝑟2 + 𝑟1)
2
∙ 15
= 30𝜋 ∙
(√30 + √15)
2
= 15𝜋(√30 + √15)
= 𝟏𝟓𝝅√𝟑𝟎 + 𝟏𝟓𝝅√𝟏𝟓
Using this method, the estimated surface area of the sides is 𝟏𝟓𝝅√𝟑𝟎 + 𝟏𝟓𝝅√𝟏𝟓
square units, or around 𝟒𝟒𝟎.𝟔𝟏𝟖 square units.
Adding in the base of the cup, the estimated total surface area is 𝟏𝟓𝝅√𝟑𝟎 +
𝟏𝟓𝝅√𝟏𝟓 + 𝟏𝟓𝝅 square units, which is around 𝟒𝟖𝟕.𝟕𝟒𝟐 square units.
Using this paraboloid surface area calculator I found online, I get a lateral surface area of
around 𝟒𝟒𝟕.𝟒𝟓𝟒 square units (The math used in the calculator is beyond me but is likely
linked to some way to find the sum of consecutive square roots, which, again, I don’t have
enough time for). Adding in the base of the cup (+15𝜋 square units), the surface area is
around 𝟒𝟗𝟒.𝟓𝟕𝟖 square units.
Considering that this is a calculator, I will use this as the accurate result and compare the
estimations to this number. I’m not going to count this number as my own work.
In summary, the surface areas found by the different methods are:
- Cross-sectional method: 𝟒𝟒𝟒.𝟗𝟒𝟐 square units, 𝟒𝟗𝟐.𝟎𝟔𝟔 square units
- Frustum method: 𝟒𝟒𝟑.𝟏𝟑𝟏 square units, 𝟒𝟗𝟎.𝟐𝟓𝟓 square units
- Average radius cylinder method: 𝟒𝟒𝟎.𝟔𝟏𝟖 square units, 𝟒𝟖𝟕.𝟕𝟒𝟐 square units
- Calculator (cheat) result: 𝟒𝟒𝟕.𝟒𝟓𝟒 square units, 𝟒𝟗𝟒.𝟓𝟕𝟖 square units
Evidently, the cross-sectional method is the best, though only marginally. The percent error
of this method is only 𝟎. 𝟓𝟎𝟖%. However, this error does scale up, especially when
considering something like mass production. If a manufacturer based their calculations on
this estimate and bought just enough material to produce 100000 cups, they would only
produce 99492 cups, 508 less than the target.
The greatest downside to the cross-sectional method is that it cannot be increased in detail.
This can be done for the frustum and cylinder methods, as I can add more
frustums/cylinders, but the cross-sectional method is already as detailed as it gets. This
means that the frustum and cylinder methods are arguably better as they can become more
accurate, while the cross-sectional method has no potential to do so.
Conclusion
In conclusion, the volume of this cup is around 𝟏𝟎𝟔𝟎.𝟐𝟖𝟖 cubic units and the estimated
surface area is 𝟒𝟒𝟒.𝟗𝟒𝟐 square units, though using a calculator the exact surface area is
closer to 𝟒𝟒𝟕.𝟒𝟓𝟒 square units.
More importantly, in this article/document, I have examined:
1. The use of Riemann sums in a 3D context
2. The failure of Riemann sums in certain 2D contexts
3. The use of estimations for area
4. A novel approach to surface area estimation (cross-sectional method)
With my current knowledge, I can only take this problem this far. However, as my
understanding of Calculus broadens, I will likely be able to get over the sum of square root
“dead end” and be able to accurately find the surface area of this cup.

Article on 3D Calculus

  • 1.
    Honors Precalculus Endof Year Project – Hudson Ma In this section of the project, I will examine how the logic behind limits and integrals can be applied to 3D shapes, such as a paraboloid. Specifically, I will model a cup using a paraboloid then (if possible) find its volume and surface area. Paraboloids are essentially 3D parabolas, where the cross-section of a paraboloid is a parabola. A graph of a paraboloid is shown below. Keep in mind that here the 𝑧 axis is the vertical axis while the 𝑥 and 𝑦 axes are horizontal. The most basic paraboloid can be graphed by 𝑧 = 𝑥2 + 𝑦2 . This is because: 1. If 𝑧 is a fixed value, I get 𝑎 = 𝑥2 + 𝑦2 for some constant 𝑎. Doing so ignores the 𝑧 axis, meaning the graph would look like a circle from a birds-eye view. 2. If 𝑥 is a fixed value, I get 𝑧 = 𝑎2 + 𝑦2 for some constant 𝑎. Doing so ignores the 𝑥 axis, meaning the graph would look like a parabola in the 𝑥𝑦 plane. 3. If 𝑦 is a fixed value, I get 𝑧 = 𝑥2 + 𝑎2 for some constant 𝑎. Doing so ignores the 𝑦 axis, meaning the graph would look like a parabola in the 𝑥𝑧 plane. Combining these three properties produces the paraboloid shown above. Question 1: Find the volume of a cup whose shape can be defined by the 3D function 𝑓(𝑥, 𝑦) = 𝑥2 + 𝑦2 in the interval 15 ≤ 𝑧 ≤ 30.
  • 2.
    The cup wouldlook something like this: To find the volume, the cup can be thought of as an infinite amount of infinitely thin cylinders, with varying radii. For example, the volume of the cup approximated by 3 cylinders (𝑛 = 3) is shown here: This crude estimate gives a volume of 𝟑𝟕𝟓𝝅 cubic units. Whether the radius of the cylinder is determined by the top or bottom of the cylinder is irrelevant. As the number of cylinders approach infinity, either method would approach the same volume. Here I will use the top of the cylinder and (initially) overestimate. To find the radii of the cylinders, I can work with the cross-section of the paraboloid, as the paraboloid is circular when viewed from above. For the parabola, I will use the 𝑧 axis as the 𝑦 axis when graphing in the 𝑥𝑦 plane while I keep the 𝑥 axis the same. The cross-section of the paraboloid can be modeled by the function 𝑓(𝑥) = 𝑥2 .
  • 3.
    When the parabolais graphed, it is evident that the radius is the 𝑥 value at the given 𝑧 value. If I use the inverse function of the parabola, I can flip this relationship and the radius would instead be the 𝑧 value at the given 𝑥 value. This would be a lot easier to work with. To find the inverse of the cross-section function, I simply switched 𝑥 with 𝑧 and 𝑓(𝑥) with 𝑥. The inverse function would then be 𝑥 = 𝑧2 or 𝑧 = ±√𝑥, better rewritten as 𝑅(𝑥) = ±√𝑥 or just 𝑅(𝑥) = √𝑥 as radius must be a positive value. I will refer to this later as 𝑅(𝑥).
  • 4.
    It is alsoevident that the cross-section of the cup exists between the 𝑔 and ℎ functions. Like how area under a curve is found, I can find the volume up to ℎ of the paraboloid then subtract the volume up to 𝑔 to find the volume of the cup. Now that I have the information on how to find the radii, I can come up with an equation for the volume of the paraboloid up to ℎ. 𝑉𝑜𝑙𝑢𝑚𝑒 𝑢𝑝 𝑡𝑜 ℎ = lim 𝑛→∞ ∑(𝜋𝑟2 ∙ ℎ𝑒𝑖𝑔ℎ𝑡) 𝑛 𝑖=1 = lim 𝑛→∞ ∑(𝜋 ∙ (𝑅( 30 𝑛 𝑖))2 ∙ 30 𝑛 ) 𝑛 𝑖=1 = lim 𝑛→∞ ∑(𝜋 ∙ (√ 30 𝑛 𝑖)2 ∙ 30 𝑛 ) 𝑛 𝑖=1 = lim 𝑛→∞ ∑(𝜋 ∙ 30 𝑛 𝑖 ∙ 30 𝑛 ) 𝑛 𝑖=1 = lim 𝑛→∞ ∑( 900𝜋 𝑛2 ∙ 𝑖) 𝑛 𝑖=1 = lim 𝑛→∞ ( 900𝜋 𝑛2 ∙ ∑ 𝑖 𝑛 𝑖=1 ) = lim 𝑛→∞ ( 900𝜋 𝑛2 ∙ 𝑛(𝑛 + 1) 2 ) = lim 𝑛→∞ 450𝜋(𝑛 + 1) 𝑛 = lim 𝑛→∞ 450𝜋𝑛 + 450𝜋 𝑛 = lim 𝑛→∞ 450𝜋 + 450𝜋 𝑛 1 = 450𝜋 + 0 1 = 𝟒𝟓𝟎𝝅 I can do something similar for the volume up to 𝑔. 𝑉𝑜𝑙𝑢𝑚𝑒 𝑢𝑝 𝑡𝑜 𝑔 = lim 𝑛→∞ ∑(𝜋𝑟2 ∙ ℎ𝑒𝑖𝑔ℎ𝑡) 𝑛 𝑖=1 = lim 𝑛→∞ ∑(𝜋 ∙ (𝑅( 15 𝑛 𝑖))2 ∙ 15 𝑛 ) 𝑛 𝑖=1
  • 5.
    = lim 𝑛→∞ ∑(𝜋 ∙(√ 15 𝑛 𝑖)2 ∙ 15 𝑛 ) 𝑛 𝑖=1 = lim 𝑛→∞ ∑(𝜋 ∙ 15 𝑛 𝑖 ∙ 15 𝑛 ) 𝑛 𝑖=1 = lim 𝑛→∞ ∑( 225𝜋 𝑛2 ∙ 𝑖) 𝑛 𝑖=1 = lim 𝑛→∞ ( 225𝜋 𝑛2 ∙ ∑ 𝑖 𝑛 𝑖=1 ) = lim 𝑛→∞ ( 225𝜋 𝑛2 ∙ 𝑛(𝑛 + 1) 2 ) = lim 𝑛→∞ 225𝜋(𝑛 + 1) 2𝑛 = lim 𝑛→∞ 225𝜋𝑛 + 225𝜋 2𝑛 = lim 𝑛→∞ 225𝜋 + 225𝜋 𝑛 2 = 225𝜋 + 0 2 = 𝟐𝟐𝟓𝝅 𝟐 Now, all that remains is to subtract the volume up to 𝑔 from the volume up to ℎ to solve for the volume of the cup. 𝑉𝑜𝑙𝑢𝑚𝑒 𝑜𝑓 𝑡ℎ𝑒 𝑐𝑢𝑝 = 𝑣𝑜𝑙𝑢𝑚𝑒 𝑢𝑝 𝑡𝑜 ℎ − 𝑣𝑜𝑙𝑢𝑚𝑒 𝑢𝑝 𝑡𝑜 𝑔 = 450𝜋 − 225𝜋 2 = 𝟔𝟕𝟓𝝅 𝟐 The volume of this cup must be 𝟔𝟕𝟓𝝅 𝟐 cubic units, or around 𝟏𝟎𝟔𝟎.𝟐𝟖𝟖 cubic units. While I use a theoretical cup here, this can be applied to real life. If a manufacturer decides to design and sell this kind of cup, maybe with a slightly different curve that can be modeled by a different function (Though the same method can still be used). This manufacturer would then also want to know the volume of the cup, as any customer would want to know how much stuff this cup can hold.
  • 6.
    Question 2: Findthe surface area of the cup. With the volume now solved, I should find surface area. There are two ways to define surface area. I can say it is the outer surface area, in which I don’t count the inside, or I can say it is the complete surface area, including the outside and the inside. I will be finding the outer surface area as it is useful for determining the amount of material needed. I can use a similar method to what I did in the first part when was trying to find the volume to start. This time, instead of considering the volume of the cylinders, I will be considering the surface area of its sides. I will then add in the bottom of the cup as a circle separately. The bottom is a circle with a radius of √15 units, so the area of the base is 𝟏𝟓𝝅 square units. The surface area of a cylinder, given it is a right cylinder (not slanted) and has a radius of 𝑟 and height of ℎ, is 2𝜋𝑟ℎ + 2𝜋𝑟2 . I then subtract 2𝜋𝑟2 to ignore the top and bottom circles (𝜋𝑟2 + 𝜋𝑟2 ) and get the surface area of the sides, which is 2𝜋𝑟ℎ. I can also get this if I start from zero and think of the side of a cylinder as a rolled-up rectangle with a height of ℎ and a length of the circumference of the base, or 2𝜋𝑟. Multiplying these two (as anyone would for finding area of a rectangle) would also give 2𝜋𝑟ℎ. The difference between using an overestimation, underestimation, or average between the two is inconsequential. As the number of cylinders approach infinity, all three methods approach the same value. In this case, the use of an average is arguably the worst option as it is the most complicated. However, if a finite number of cylinders are used, the average method will always give the most accurate estimate for the same number of cylinders, as it somewhat balances the overestimation and underestimation from the other two methods. For now, I will be using an overestimation once again. I will be using the method found in Part I to find radii. As I have established in Part I, the radius can be given by the function 𝑅(𝑥) = √𝑥. I will also be using a similar method, subtracting the surface area up to 𝑔 from the surface area up to ℎ. 𝑆𝑢𝑟𝑓𝑎𝑐𝑒 𝑎𝑟𝑒𝑎 𝑢𝑝 𝑡𝑜 ℎ = lim 𝑛→∞ ∑(𝑠𝑢𝑟𝑓𝑎𝑐𝑒 𝑎𝑟𝑒𝑎 𝑜𝑓 𝑐𝑦𝑙𝑖𝑛𝑑𝑒𝑟) 𝑛 𝑖=1 = lim 𝑛→∞ ∑(2𝜋𝑟ℎ) 𝑛 𝑖=1
  • 7.
    = lim 𝑛→∞ ∑(2𝜋 ∙𝑅( 30 𝑛 𝑖) ∙ 30 𝑛 ) 𝑛 𝑖=1 = lim 𝑛→∞ ∑(2𝜋 ∙ √ 30 𝑛 𝑖 ∙ 30 𝑛 ) 𝑛 𝑖=1 = lim 𝑛→∞ ∑( 60𝜋 𝑛 ∙ √ 30 𝑛 𝑖) 𝑛 𝑖=1 = lim 𝑛→∞ ∑( 60𝜋 𝑛 ∙ √ 30 𝑛 ∙ √𝑖) 𝑛 𝑖=1 = lim 𝑛→∞ ∑( 60𝜋√30 𝑛√𝑛 ∙ √𝑖) 𝑛 𝑖=1 = lim 𝑛→∞ ∑( 60𝜋√30𝑛 𝑛2 ∙ √𝑖) 𝑛 𝑖=1 = lim 𝑛→∞ ( 60𝜋√30𝑛 𝑛2 ∙ ∑ √𝑖 𝑛 𝑖=1 ) I run into a big problem. I now need to try and find a formula for ∑ √𝑖 𝑛 𝑖=1 . If I write it out, it becomes: ∑ √𝑖 𝑛 𝑖=1 = √1 + √2 + √3 + √4 + √5 + ⋯ + √𝑛 = 𝑎0 + 𝑎1√2 + 𝑎2√3 + 𝑎3√5 + 𝑎4√6 + ⋯ For some numbers 𝑎. This sum quickly spirals out of hand, as I now need to deal with multiple different simplified radicals, all with different coefficients. These radicals are also not just square roots of primes but can also be square roots of composite numbers such as 6 or 35. Considering that this formula needs to generalize to all real numbers, this method hits a wall (For example, if 𝑛 = 99999, I would have countless different radicals to account for). In short, I cannot use the traditional method and must find another method. That method is the only way I know of to find the exact value. If I cannot find the exact value, I can at least try to estimate. Keep in mind that estimates are often used to find the surface area of inconvenient shapes. For instance, the wing area of a plane is usually accepted as the top-down area (planform
  • 8.
    area), even thoughthe wings are curved in a shape called an airfoil. Much like how the hypotenuse of a right triangle is not equal to its legs, the actual surface area of a wing is not equal to the planform area. The planform area only serves as an estimate, yet it is widely used. I will examine three estimation methods below and compare to see which is the most accurate. 1. Cross-sectional method This new* method understands the idea of a cylinder in a different way. Instead of understanding 2𝜋𝑟ℎ as 2𝜋𝑟 ∙ ℎ or 𝑐𝑖𝑟𝑐𝑢𝑚𝑓𝑒𝑟𝑒𝑛𝑐𝑒 ∙ ℎ𝑒𝑖𝑔ℎ𝑡, I can instead understand it as 2𝑟ℎ ∙ 𝜋 or 𝑐𝑟𝑜𝑠𝑠 𝑠𝑒𝑐𝑡𝑖𝑜𝑛𝑎𝑙 𝑎𝑟𝑒𝑎 ∙ 𝜋 . This makes intuitive sense as 𝜋 is the ratio between the diameter and circumference, and the cross-section acts as a sort of 2D diameter to the surface area of the cylinder. * I thought up this idea myself, but I am unsure if somebody else has come up with this before I did. A brief Google search doesn’t show anything similar, but it may go under a different name. However, this is only perfectly accurate if the object in question is a cylinder with a rectangular cross-section. Here, where the cross-section is a section of parabola, I would expect some error. Again, the cross-section of a paraboloid is a parabola. In this specific question where the paraboloid is described by 𝑓(𝑥, 𝑦) = 𝑥2 + 𝑦2 , the cross-section can be described by 𝑓(𝑥) = 𝑥2 . To find the cross-section, I can find the area under 𝑠(𝑥) = −𝑥2 + 15 then subtract it from the area under 𝑡(𝑥) = −𝑥2 + 30, within the domains [−√15,√15] and [−√30,√30], respectively. The formula for area under a curve is as follows: lim 𝑛→∞ ∑ 𝑓(𝑎 + (𝑏 − 𝑎)𝑖 𝑛 )( 𝑏 − 𝑎 𝑛 ) 𝑛 𝑖=1 a. 𝒔(𝒙) = −𝒙𝟐 + 𝟏𝟓 lim 𝑛→∞ ∑ 𝑓 (𝑎 + (𝑏 − 𝑎)𝑖 𝑛 ) ( 𝑏 − 𝑎 𝑛 ) 𝑛 𝑖=1 = lim 𝑛→∞ ∑ 𝑠 (−√15 + (√15 − (−√15))𝑖 𝑛 )( √15 − (−√15) 𝑛 ) 𝑛 𝑖=1 = lim 𝑛→∞ ∑ 𝑠 (−√15 + 2𝑖√15 𝑛 )( 2√15 𝑛 ) 𝑛 𝑖=1
  • 9.
    = lim 𝑛→∞ ( 2√15 𝑛 ∙ ∑(−(−√15 + 2𝑖√15 𝑛 ) 2 + 15) 𝑛 𝑖=1 ) = lim 𝑛→∞ ( 2√15 𝑛 ∙ ∑ (− ((−√15) 2 − 2(−√15) ( 2𝑖√15 𝑛 ) + ( 2𝑖√15 𝑛 ) 2 ) + 15) 𝑛 𝑖=1 ) = lim 𝑛→∞ ( 2√15 𝑛 ∙ ∑ (−(15 − 60𝑖 𝑛 + 60𝑖2 𝑛2 ) + 15) 𝑛 𝑖=1 ) = lim 𝑛→∞ ( 2√15 𝑛 ∙ ∑ (−15 + 60𝑖 𝑛 − 60𝑖2 𝑛2 + 15) 𝑛 𝑖=1 ) = lim 𝑛→∞ ( 2√15 𝑛 ∙ ∑ ( 60𝑖 𝑛 − 60𝑖2 𝑛2 ) 𝑛 𝑖=1 ) = lim 𝑛→∞ ( 2√15 𝑛 ∙ ∑ 60 ( 𝑖 𝑛 − 𝑖2 𝑛2 ) 𝑛 𝑖=1 ) = lim 𝑛→∞ ( 120√15 𝑛 ∙ (∑ 𝑖 𝑛 𝑛 𝑖=1 − ∑ 𝑖2 𝑛2 𝑛 𝑖=1 )) = lim 𝑛→∞ ( 120√15 𝑛 ∙ ( 1 𝑛 ∙ ∑ 𝑖 𝑛 𝑖=1 − 1 𝑛2 ∙ ∑ 𝑖2 𝑛 𝑖=1 )) = 120√15 ∙ lim 𝑛→∞ ( 1 𝑛 ∙ ( 1 𝑛 ∙ 𝑛(𝑛 + 1) 2 − 1 𝑛2 ∙ 𝑛(𝑛 + 1)(2𝑛 + 1) 6 )) = 120√15 ∙ lim 𝑛→∞ ( 1 𝑛 ∙ ( 𝑛 + 1 2 − (𝑛 + 1)(2𝑛 + 1) 6𝑛 )) = 120√15 ∙ lim 𝑛→∞ ( 𝑛 + 1 2𝑛 − 2𝑛2 + 3𝑛 + 1 6𝑛2 ) = 120√15 ∙ lim 𝑛→∞ ( 1 + 1 𝑛 2 − 2 + 3 𝑛 + 1 𝑛2 6 ) = 120√15 ∙ ( 1 + 0 2 − 2 + 0 + 0 6 ) = 120√15 ∙ ( 1 2 − 2 6 ) = 120√15 ∙ 1 6 = 𝟐𝟎√𝟏𝟓 b. 𝒕(𝒙) = −𝒙𝟐 + 𝟑𝟎 lim 𝑛→∞ ∑ 𝑓 (𝑎 + (𝑏 − 𝑎)𝑖 𝑛 ) ( 𝑏 − 𝑎 𝑛 ) 𝑛 𝑖=1
  • 10.
    = lim 𝑛→∞ ∑ 𝑡(−√30 + (√30 − (−√30))𝑖 𝑛 )( √30 − (−√30) 𝑛 ) 𝑛 𝑖=1 = lim 𝑛→∞ ∑ 𝑡 (−√30 + 2𝑖√30 𝑛 )( 2√30 𝑛 ) 𝑛 𝑖=1 = lim 𝑛→∞ ( 2√30 𝑛 ∙ ∑(− (−√30 + 2𝑖√39 𝑛 ) 2 + 30) 𝑛 𝑖=1 ) = lim 𝑛→∞ ( 2√30 𝑛 ∙ ∑ (− ((−√30) 2 − 2(−√30) ( 2𝑖√30 𝑛 ) + ( 2𝑖√30 𝑛 ) 2 ) + 30) 𝑛 𝑖=1 ) = lim 𝑛→∞ ( 2√30 𝑛 ∙ ∑ (−(30 − 120𝑖 𝑛 + 120𝑖2 𝑛2 ) + 30) 𝑛 𝑖=1 ) = lim 𝑛→∞ ( 2√30 𝑛 ∙ ∑ (−30 + 120𝑖 𝑛 − 120𝑖2 𝑛2 + 30) 𝑛 𝑖=1 ) = lim 𝑛→∞ ( 2√30 𝑛 ∙ ∑ ( 120𝑖 𝑛 − 120𝑖2 𝑛2 ) 𝑛 𝑖=1 ) = lim 𝑛→∞ ( 2√30 𝑛 ∙ ∑ 120( 𝑖 𝑛 − 𝑖2 𝑛2 ) 𝑛 𝑖=1 ) = lim 𝑛→∞ ( 240√30 𝑛 ∙ (∑ 𝑖 𝑛 𝑛 𝑖=1 − ∑ 𝑖2 𝑛2 𝑛 𝑖=1 )) = lim 𝑛→∞ ( 240√30 𝑛 ∙ ( 1 𝑛 ∙ ∑ 𝑖 𝑛 𝑖=1 − 1 𝑛2 ∙ ∑ 𝑖2 𝑛 𝑖=1 )) = 240√30 ∙ lim 𝑛→∞ ( 1 𝑛 ∙ ( 1 𝑛 ∙ 𝑛(𝑛 + 1) 2 − 1 𝑛2 ∙ 𝑛(𝑛 + 1)(2𝑛 + 1) 6 )) I already know what lim 𝑛→∞ ( 1 𝑛 ∙ ( 1 𝑛 ∙ 𝑛(𝑛+1) 2 − 1 𝑛2 ∙ 𝑛(𝑛+1)(2𝑛+1) 6 ))is from the calculations for 𝑠(𝑥), so I will be omitting those calculations here. = 240√30 ∙ 1 6 = 𝟒𝟎√𝟑𝟎 The area of the cross-section is then 𝟒𝟎√𝟑𝟎 − 𝟐𝟎√𝟏𝟓. Multiplying by 𝜋, the estimated surface area of the sides is 𝟒𝟎𝝅√𝟑𝟎 − 𝟐𝟎𝝅√𝟏𝟓 square units, which is around 𝟒𝟒𝟒.𝟗𝟒𝟐 square units.
  • 11.
    Adding in thebase of the cup, the estimated total surface area is 𝟒𝟎𝝅√𝟑𝟎 − 𝟐𝟎𝝅√𝟏𝟓 + 𝟏𝟓𝝅 square units, which is around 𝟒𝟗𝟐.𝟎𝟔𝟔 square units. 2. Frustum method A frustum is essentially a cone with its tip chopped off. This is useful in this case as the cup heavily resembles a frustum. In this diagram, the cross-section of the frustum is 𝐵𝐶𝐸𝐷, where the cross-section of the cone the frustum is cut out of is 𝐴𝐵𝐶. My cup would look like an upside-down version of this frustum. The formula of the lateral area of the frustum is: 𝜋(𝑟1 + 𝑟2)√(𝑟1 − 𝑟2)2 + ℎ2 The frustum in question has radii of √15 and √30, as well as a height of 15. Plugging in the numbers, 𝜋(𝑟1 + 𝑟2)√(𝑟1 − 𝑟2)2 + ℎ2 = 𝜋(√15 + √30 )√(√15 − √30)2 + 152
  • 12.
    = 𝜋(√15 +√30 )√15 − 30√2 + 30 + 225 = 𝜋(√15 + √30 )√270 − 30√2 = 𝜋(√15 + √30 ) ∙ √30 ∙ √9 − √2 = 𝝅(𝟏𝟓√𝟐 + 𝟑𝟎)√𝟗 − √𝟐 the estimated surface area of the sides is 𝝅(𝟏𝟓√𝟐 + 𝟑𝟎)√𝟗 − √𝟐 square units, which is around 𝟒𝟒𝟑.𝟏𝟑𝟏 square units. Adding in the base of the cup, the estimated total surface area is 𝝅(𝟏𝟓√𝟐 + 𝟑𝟎)√𝟗 − √𝟐 + 𝟏𝟓𝝅 square units, which is around 𝟒𝟗𝟎. 𝟐𝟓𝟓 square units. 3. Average cylinder method This method is the simplest and involves finding the average radius of the cup (average of top and bottom) and then using this as a radius for a cylinder. This is different from the frustum method. While in 2D triangles may be chopped and reconnected to look like a rectangle, this is not the case for the frustum and the cylinder. Increasing the number of cylinders would increase the accuracy of this method, but here I will only examine the efficacy of using one cylinder. The same can be said for the frustum method. 2𝜋𝑟ℎ = 2𝜋 ∙ 𝑎𝑣𝑒𝑟𝑎𝑔𝑒 𝑟𝑎𝑑𝑖𝑢𝑠 ∙ 15 = 2𝜋 ∙ (𝑟2 + 𝑟1) 2 ∙ 15 = 30𝜋 ∙ (√30 + √15) 2 = 15𝜋(√30 + √15) = 𝟏𝟓𝝅√𝟑𝟎 + 𝟏𝟓𝝅√𝟏𝟓 Using this method, the estimated surface area of the sides is 𝟏𝟓𝝅√𝟑𝟎 + 𝟏𝟓𝝅√𝟏𝟓 square units, or around 𝟒𝟒𝟎.𝟔𝟏𝟖 square units. Adding in the base of the cup, the estimated total surface area is 𝟏𝟓𝝅√𝟑𝟎 + 𝟏𝟓𝝅√𝟏𝟓 + 𝟏𝟓𝝅 square units, which is around 𝟒𝟖𝟕.𝟕𝟒𝟐 square units.
  • 13.
    Using this paraboloidsurface area calculator I found online, I get a lateral surface area of around 𝟒𝟒𝟕.𝟒𝟓𝟒 square units (The math used in the calculator is beyond me but is likely linked to some way to find the sum of consecutive square roots, which, again, I don’t have enough time for). Adding in the base of the cup (+15𝜋 square units), the surface area is around 𝟒𝟗𝟒.𝟓𝟕𝟖 square units. Considering that this is a calculator, I will use this as the accurate result and compare the estimations to this number. I’m not going to count this number as my own work. In summary, the surface areas found by the different methods are: - Cross-sectional method: 𝟒𝟒𝟒.𝟗𝟒𝟐 square units, 𝟒𝟗𝟐.𝟎𝟔𝟔 square units - Frustum method: 𝟒𝟒𝟑.𝟏𝟑𝟏 square units, 𝟒𝟗𝟎.𝟐𝟓𝟓 square units - Average radius cylinder method: 𝟒𝟒𝟎.𝟔𝟏𝟖 square units, 𝟒𝟖𝟕.𝟕𝟒𝟐 square units - Calculator (cheat) result: 𝟒𝟒𝟕.𝟒𝟓𝟒 square units, 𝟒𝟗𝟒.𝟓𝟕𝟖 square units Evidently, the cross-sectional method is the best, though only marginally. The percent error of this method is only 𝟎. 𝟓𝟎𝟖%. However, this error does scale up, especially when considering something like mass production. If a manufacturer based their calculations on this estimate and bought just enough material to produce 100000 cups, they would only produce 99492 cups, 508 less than the target. The greatest downside to the cross-sectional method is that it cannot be increased in detail. This can be done for the frustum and cylinder methods, as I can add more frustums/cylinders, but the cross-sectional method is already as detailed as it gets. This means that the frustum and cylinder methods are arguably better as they can become more accurate, while the cross-sectional method has no potential to do so. Conclusion In conclusion, the volume of this cup is around 𝟏𝟎𝟔𝟎.𝟐𝟖𝟖 cubic units and the estimated surface area is 𝟒𝟒𝟒.𝟗𝟒𝟐 square units, though using a calculator the exact surface area is closer to 𝟒𝟒𝟕.𝟒𝟓𝟒 square units. More importantly, in this article/document, I have examined: 1. The use of Riemann sums in a 3D context 2. The failure of Riemann sums in certain 2D contexts 3. The use of estimations for area 4. A novel approach to surface area estimation (cross-sectional method)
  • 14.
    With my currentknowledge, I can only take this problem this far. However, as my understanding of Calculus broadens, I will likely be able to get over the sum of square root “dead end” and be able to accurately find the surface area of this cup.