1
Momentum and Heat Transfer
Applications of the principles of heat transfer to design of
heat exchangers
Dr. Anand V. Patwardhan
Professor of Chemical Engineering
Institute of Chemical Technology
Nathalal M. Parikh Road
Matunga (East), Mumbai-400019
av.patwardhan@ictmumbai.edu.in; avpuict@gmail.com; avpiitkgp@gmail.com
2
Temperature driving force (log-mean ΔT)
Consider a Double Pipe Heat Exchanger (DPHE):
Cold stream OUT
T = Tc2
Cold stream IN
T = Tc1
Hot stream IN
T = Th1
Hot stream OUT
T = Th2
dll
Th
Tc
Tc
L
3
Macroscopic (OVERALL) steady state energy balance
for each stream is given by (for negligible changes in
kinetic and potential energy):
( )
( )Q
Q
m H H
h
m H
h
H
c c c
h1
1 c2
h2
= −
= −
For no heat loss to surroundings, Qh = Qc.
For incompressible liquids, ideal gases, and for
constant cP:
( )
( )Q m c T T
h h
Q m
P
c T T
c c Pc c
h h2 1
c
h
1 2
Q
c
= −
== −
4
Differential steady state heat balance for hot stream:
( ) ( )( )lU 2m c dT T
h P
R d
h
T
o o ch h
= π −
RO = outer radius of the inner pipe
UO = overall heat transfer coefficient based on RO
Rearranging the above differential balance:
( )
( ) ( )
( )
( ) ( )
l
For
l
For
cold
hot stream
stream:
: ...
...
T
c
U 2 R dd
U 2 R ddT
T o
o oh 1
T m
o
c
h h
c 2
T m c
c
P
T
h c
h
Pc
−
π
π
=
−
=
5
Subtracting Equation (2) from Equation (1) gives the
relation between (Th–Tc) as a function of l (length of
heat exchanger):
( )
( ) ( ) l
T 1h
T m c
d T 1c
h h Ph
U 2 R d
o oT m c
c c Pc
−
−
⎛ ⎞
= π⎜ ⎟⎜ ⎟−
⎝ ⎠
Assuming UO independent of length l, and integrating
between length zero (∆T1=Th1–Tc2) to L (∆T2=Th2–Tc1) :
( )
T 1h2
T m c
T 1c1ln U 2 R L
o oT m c
c2 c Pch1 h Ph
− ⎛ ⎞
= π⎜ ⎟⎜ ⎟−
⎝ ⎠
−
6
( ) ( )
( )
( ) ( )
( )
( )
Q
hQ m c T T m c
h h P
Q
cQ m c T T m c
c
h h2 h1 h Ph
c Pc c1 c2 c Pc
Now,
T T
c1 c2
T T1 c
T T
h2 h1
T T1 h2 h1m c
h Ph T T m c
h2 h1 h Ph
1 c2
m c Q
c Pc c
Q
c
Q
c
= − ⇒ =
= − ⇒
−
−
= =
−
⇒ ⇒
=
−
−
⇒ =
7
( )
( ) ( )
( )
( ) ( )
( )
( ) ( )
T TT
h2 h1h2
T
h1
T T
h2 h1
T TT c1 c2c1ln U 2 R L
o oT Q Q
c2 c c
T T
c1 c2U 2 R L
o o Q
c
T TT T
h2 h1
T
h2
T
h1
c1 c2Q U 2 R L
c o o T
c1ln
T
c2
⎛ ⎞−−
⎜ ⎟= π
⎜ ⎟−
⎝ ⎠
⎛ ⎞− − −
⎜
−
−
⎟= π
⎜ ⎟
⎝ ⎠
⎧ ⎫− − −
⎪ ⎪= π ⎪ ⎪−⎨ ⎬
⎪ ⎪−⎪ ⎪⎩ ⎭
⇒
⇒
8
( )
( ) ( )
( )
( ) ( )
( )( )
( )( )
log-mean
Similarly, log-mean
T T
2 1
T
2ln
T
1
T T
1 2
T
1ln
U 2 R L
o o
U 2 R L
o o
Q U 2 R L
c o o
Q 2 L
c
U
i
T
T
TR
i
2
⎧ ⎫Δ − Δ
⎪ ⎪⎪ ⎪Δ⎛ ⎞⎨ ⎬
⎜ ⎟⎪ ⎪⎜ ⎟Δ
⎪ ⎪⎝ ⎠⎩ ⎭
⎧ ⎫Δ − Δ
⎪ ⎪⎪ ⎪Δ⎛ ⎞⎨ ⎬
⎜ ⎟⎪ ⎪⎜ ⎟Δ
⎪ ⎪⎝ ⎠⎩ ⎭
⇒ Δ
Δ
= π
= π
= π
= π
9
Temperature profile for co-current DPHE
Th1
Th2
Tc1
Tc2
ΔT1
ΔT2
Th
Tc
Length coordinate →
Generally, less corrosive liquid flows through the outer
pipe (through the annulus). Why?
10
Temperature profile for counter-current DPHE
Th2
Th1
Tc1
Tc2ΔT1
ΔT2
Th
Tc
Length coordinate →
11
Shell and tube heat exchangers (STHE)
Most widely used heat transfer equipment.
Large heat transfer area in a relatively small volume
Fabricated from alloy steels to resist corrosion and used
for heating, cooling, and for condensing wide range of
vapours
Various types of construction of STHE, and a typical
tube bundle is shown in the Figures on the following
slides.
12
1,4-STHE
(1 shell-side pass, 4 tube-side passes)
STHE with fixed tube sheet
Exchanger
support Shell-side
inlet
Shell-side
outlet
Baffles Tube-side
outlet
Tube-side
inletFixed
tube sheet
13
The simplest type of STHE is “fixed tube sheet type”:
Fixed tube sheets at both ends into which the tubes
are welded and their ends are expanded (flared).
Tubes can be connected so that the internal fluid
can make several passes, which results into a high
fluid velocity for a given heat transfer area and fluid
flow rate.
Shell-side fluid is made to flow in a ZIG-ZAG
manner across the tube bundle by fitting a series of
baffles along the tube length.
14
Baffles can be segmental with ≈ 25% cutaway (see
Figure) to provide some free space to increase fluid
velocity across the tubes, resulting into higher heat
transfer rates for a given shell-side fluid flow rate.
Limitations of fixed tube sheet type STHE:
⌧ Tube bundle cannot be removed for cleaning
⌧ No provision exists for differential expansion
between the tubes and the shell (an expansion joint
may be fitted to shell but this results into higher
fabrications cost).
15
Segmental baffle
(≈ 25% area is cutaway)
16
Shell-side flow
17
STHE with floating head
If we want to allow for tube bundle removal and for
tubes’ expansion (thermal expansion): floating head
exchanger is used (see Figure).
One tube sheet is fixed, but the second is bolted to a
floating head cover so that the tube bundle can move
relative to the shell (in the case of thermal expansion).
The floating tube sheet is clamped between the floating
head and a split backing flange in such a way that the
tube bundle can be taken out by breaking the flanges.
18
The shell cover at the floating head end is larger than
that at the other end.
Therefore, the tubes can be placed as near as possible
to the edge of the fixed tube sheet, thus utilising the
space to the maximum.
19
Shell-side
inlet
Shell-side
outlet
Tube-side
outlet
Tube-side
inlet
Fixed
tube sheet
Floating
head
Split
ring
Tube
support
Baffles
Exchanger
support
Tube-pass
partition
Floating
tube sheet
STHE with floating tube sheet and head
20
A typical tube bundle
21
STHE with hairpin tubes
This arrangement also provides for tubes’ expansion.
This involves the use of hairpin tubes (see Figure).
This design is very commonly used for the reboiler of
distillation columns where steam is condensed inside
the tubes to provide for the latent heat of vaporisation.
22
STHE with hairpin tubes
Shell-side
inlet
Shell-side
outlet
Tube-side
outlet
Tube-side
inlet
Tube
sheet
Saddle
support
Tube supports
and baffles
Tube-pass
partition
Gaskets
Shell
vent Tubes
Tie-rod
Spacers
23
Sometimes, it is advantageous to have two or more
shell-side passes, although this increases the difficulty
of construction.
24
Design considerations for STHE
The HE should be reliable with the desired capacity.
Use of standard components and fittings and making
the design as simple as possible.
Minimum overall cost.
Balance between depreciation cost and operating cost.
25
For example, in a vapour condenser:
Higher water velocity in tubes ⇒ higher Reynolds
number Re ⇒ higher heat transfer coefficient on
TUBE SIDE ⇒ higher OVERALL transfer
coefficient ⇒ smaller exchanger (lower area).
However, pumping cost increases rapidly with
increase in velocity (kinetic head increases).
Economic optimum is required to be calculated (see
Figure).
26
Effect of water velocity on
annual operating cost of condenser
Water velocity →
Cost→
Total overall cost
Depreciation
Operating cost
27
Classification of STHE
Basis for classification of STHE: “standard” published
by Tubular Exchanger Manufacturer’s Association
(TEMA), 8th Edition, 1998. Supplements pressure
vessel codes like ASME and BS 5500.
Sets out constructional details, recommended tube
sizes, allowable clearances, terminology etc.
Provides basis for contracts.
Tends to be followed rigidly even when not strictly
necessary.
Many users have their own additions to the standard
which suppliers must follow.
28
TEMA terminology
• Letters given for the front end, shell and rear end types
• Exchanger given three letter designation
ShellFront end
stationary
head type
Rear end
head type
29
Front head type
• A-type is standard for dirty tube side
• B-type for clean tube side duties. Use if possible since
cheap and simple.
B
Channel and removable cover Bonnet (integral cover)
A
30
More front-end head types
• C-type with removable shell for hazardous tube-side
fluids, heavy bundles or services that need frequent
shell-side cleaning
• N-type for fixed for hazardous fluids on shell side
• D-type or welded to tube sheet bonnet for high pressure
(over 150 bar)
C N D
31
TEMA shell types for STHE
E
F
G
H
J
K
X
One-pass shell Split flow Divided flow
Two-pass shell
with
longitudinal
baffle
Double split flow Kettle type
reboiler
Cross flow
32
TEMA E-type shell for STHE
The simplest possible construction.
Entry and exit nozzles at opposite ends of a single pass
exchanger.
Most design methods are based on TEMA E-type shell,
although these methods may be adapted for other shell
types by allowing for the resulting velocity changes.
One-pass shell
33
TEMA F-type shell for STHE
Longitudinal baffle gives two shell passes (alternative
to the use of two shells for a close temperature
approach or low shell-side flow rates).
ΔP for two shells (instead of F-type) is ≈ 8× that for E-
type design (pumping cost).
Limitation: probable leakage between longitudinal
baffle and shell may restrict application range.
Two-pass
shell with
longitudinal
baffle
34
TEMA G-type shell for STHE
Performance is superior to E-type although ΔP is
similar to the E-type.
Used mainly for reboiler and only occasionally for
systems without phase.
Split flow
35
TEMA J-type shell for STHE
“Divided-flow” type
One inlet and two outlet nozzles for shell
ΔP ≈ one-eighth of the E-type, and hence,
Gas coolers and condensers operating at low pressures.
Divided flow
36
TEMA X-type shell for STHE
No cross baffles and hence the shell-side fluid is in
counter-flow giving extremely low ΔP, hence,
Gas coolers and condensers operating at low pressures.
Cross flow
37
MOC of shell of STHE: carbon steel (C.S.); standard
pipes for smaller sizes and rolled welded plate for
larger sizes (> 0.4-1.0 m).
Except for high pressure, calculated wall thickness is
usually < minimum recommended values, although a
corrosion allowance of 3.2 mm is added for C.S.
Shell thickness: calculated using Equation for thin-
walled cylinders (minimum thickness = 9.5 mm for
shells > 0.33 m o.d. and 11.1 mm for shells > 0.9 m o.d.)
Thickness is determined more by rigidity requirements
than by internal pressure.
38
Minimum shell thickness for various materials is given
in BS-3274 (and many international standards).
Shell diameter should be such that the tube bundle
should fit very closely ⇒ reduces bypassing of fluid
outside the tube bundle.
Typical values for the clearance between the outer
tubes in the bundle and the inside diameter of the shell
are available for various types of HEs (see Figure).
39
Shell – tube bundle clearance
Pull-through floating head
Split-ring floating head
Outside packed head
Fixed head and U-tube
Tube bundle diameter, m →
Clearance=
(shellID–tubebundlediameter)→
40
Tube bundle design takes into account shell-side and
tube-side pressures since these affect any potential
leakage between tube bundle and shell which cannot be
tolerated where high purity or uncontaminated
materials are required.
In general, tube bundles make use of a fixed tube sheet,
a floating-head or U-tubes.
41
Thickness of fixed tube-sheet is obtained from a
relationship of form:
0.25 P
d d
t G f
d
G
P
f
d
t
gasket diameter, m
2design pressure, MN m
2allowable working stress, MN m
tube sh
floating head tube
eet thickness, m
Thickness of is usually
calculated as:
sheet
d2
t
=
=
=
=
=
42
Tube DIAMETER selection
Smaller tubes give a larger heat transfer area for a
given shell diameter (16 mm o.d. tubes are minimum
size to permit adequate cleaning).
Smaller diameters ⇒ shorter tubes ⇒ more holes to be
drilled in tube sheet ⇒ adds to construction cost and
increases tube vibration.
Heat exchanger tubes size range = 16 mm (⅝ inch) to
50 mm (2 in) o.d.
43
Smaller diameter tubes are preferred ⇒ more compact
and hence cheaper units.
Larger tubes are easier to clean by mechanical methods
and are hence widely used for heavily fouling fluids.
The tube thickness should withstand internal pressure
and should provide adequate corrosion allowance.
Details of steel tubes used in heat exchangers are given
in BS-3606, and standards for other materials are given
in BS-3274.
44
Tube LENGTH selection
As tube length ↑ cost ↓: for a given surface area
because of smaller shell diameter, thinner tube sheets
and flanges, smaller number of holes in tube sheets.
Preferred tube lengths: 1.83 m (6 ft), 2.44 m (8 ft), 3.88
m (12 ft) and 4.88 m (16 ft).
Longer tubes: for low tube-side flow rate.
For given number of tubes per pass for the required
fluid velocity, the total length of tubes per tube-side
pass is determined by heat transfer surface required.
45
Then, the tubes are fitted into a suitable shell to give
the desired shell-side velocity.
With long tubes and relatively few tubes, it may be
difficult to arrange sufficient baffles for sufficient
support to the tubes.
For good all-round performance, the ratio of tube
length to shell diameter is typically in the range 5-10.
46
In-line layout, Rectangular pitch
PTY
PTX
C
C = clearance
PTX = pitch
PTY = pitch
Tube layout and pitch
47
PTY
PTX
C
C = clearance
PTX = pitch
PTY = pitch
Staggered layout, Rectangular pitch
48
Equilateral triangular pitch
Φ = 300
CV = 0.5 PT
CH = 0.866 PT
CV
CH
PT
Φ
Y
49
In-line layout, Square pitch
Φ = 900
CV = PT
CH = PT
PT
Φ
PT
CH
CV
50
Staggered layout, Square pitch
CV
CH
PT Φ
P
T
Φ = 450
CV = 0.707 PT
CH = 0.707 PT
51
Tube layout and pitch: equilateral triangular, square
and staggered square arrays.
Triangular layout: robust tube sheet.
Square layout: simplifies maintenance and shell side
cleaning.
Minimum pitch: 1.25 × tube diameter.
Clean fluids: smallest pitch (triangular 30° layout) is
used for clean fluids in both laminar and turbulent
flow.
52
Fluid with probable scaling: 90° or 45° layout with a
6.4 mm clearance to facilitate mechanical cleaning.
Tube bundle diameter (db): estimated from an
empirical equation based on standard tube layouts:
b
d
bNumber of tubes N a
t d
o
⎛ ⎞
= = ⎜ ⎟
⎜ ⎟
⎝ ⎠
The values of a and b are available for different
exchanger types for ▲ and ■ pitch, for different
number of tube-side passes (see Table on next slide).
53
Tube-side
passes ⇒
1 2 4 6 8
▲ pitch
(= 1.25 dO) a 0.319 0.249 0.175 0.0743 0.0365
▲ pitch
(= 1.25 dO) b 2.412 2.207 2.285 2.499 2.675
■ pitch
(= 1.25 dO) a 0.215 0.156 0.158 0.0402 0.0331
■ pitch
(= 1.25 dO) b 2.207 2.291 2.263 1.617 2.643
( )Number of tube
b
as N d d
t b o
= =
54
Baffle (cross-baffle) designs
Baffle: designed to direct shell-side flow across the tube
bundle and to support the tubes against sagging and
possible vibration:
Segmental baffle: most common type is the which
provides a baffle window.
Ratio (baffle spacing/baffle cut): decides the
maximum ratio of heat transfer rate to ΔP.
Double segmental (disc and doughnut) baffles: to
reduce ΔP by about 60%.
Triple segmental baffles: all tubes are supported by
all baffles ⇒ low ΔP and minimum tube vibration.
55
Baffle (cross-baffle) designs
Baffle spacing: TEMA recommendation:
Segmental baffles spacing ≥ 20% shell ID or 50 mm
whichever is greater.
It may be noted that the majority of failures due to
vibration occur when the unsupported tube length is
in excess of 80 per cent of the TEMA maximum; the
best solution is to avoid having tubes in the baffle
window.
56
Baffles
Shell flange
Tube sheet
(stationary) Channel
flange
57
Segmental baffle
Drillings
Shell
Tubes
Baffles
58
Disk and doughnut baffle
Shell Doughnut
Disk
Doughnut Disk
59
Orifice baffle
Orifice
Baffle
OD of tubes
Tube
Tube
60
Correction for LMTD for 1,2-STHE
θ1
θ2
T1
T2
( )
( )
T T
1 2Y
2 1
−
=
θ − θ
( ) ( )X T
2 1 1 1
= θ − θ − θ →
CorrectionfactorF→
0.5
0.6
0.7
0.8
0.9
1.0
1.00.90.1 0.3 0.5 0.7
61
( ) ( )X T
2 1 1 1
= θ − θ − θ →
CorrectionfactorF→
0.5
0.6
0.7
0.8
0.9
1.0
1.00.90.1 0.3 0.5 0.7
( )
( )
T T
1 2Y
2 1
−
=
θ − θ
T1
T2
θ1
θ2
Correction for LMTD for 2,4-STHE
62
Correction for LMTD for 3,6-STHE
63
Correction for LMTD for 4,8-STHE
64
(ΔT)MEAN in multipass STHE
Multipass STHE (having more tube-side passes then
shell-side passes): flow is countercurrent in some
sections and cocurrent in other sections.
The LMTD does not apply in this case.
Correction factor F: when F is multiplied by LMTD for
countercurrent flow, the product is true average
temperature driving force.
65
The assumptions involved are:
The shell fluid temperature is uniform over the
cross-section in a pass.
Equal heat transfer area in each pass.
Overall heat transfer coefficient U is constant
throughout the exchanger.
Heat capacities of the two fluids are constant over
the temperature range involved.
No change in phase of either fluid.
Heat losses from the unit are negligible.
66
Then, Q = UA {F(ΔT)MEAN} = F UA(ΔT)MEAN
F is expressed as a function of 2 parameters, X and Y:
T T
tubeOUT tubeIN shellIN shellOUTX ; Y
T
shellIN tubeIN tubeOUT tubeIN
T T
2 1 1 2X ; Y
T
1 1 2 1
θ − θ −
= =
− θ θ − θ
θ − θ −
= =
− θ θ − θ
67
Physical significance of X and Y
X = ratio of heat actually transferred to cold fluid to
heat which would be transferred if the same fluid were
to be heated to hot fluid inlet temperature =
temperature effectiveness of HE on cold fluid side.
Y = ratio of McP value of cold fluid McP values of hot
fluid = heat capacity rate ratio.
( )
( )
( )
( )
X P in some books
T T
h,I
T T
c,OUT c,IN
T
c,IN
Mc
P cold
T T
c,
T
h,I
N h,OUT
Y R in some books
N
M
OUT c,IN
c
P hot
=
−
−
=
−
=
−
68
Temperature profiles in 1,2-STHE
T1
T2
θ1
θ2
T1
T2θ1
θ2
T1
T2
θ1
θ2
T1
T2
θ1
θ2
F is the same in both cases.
(a)
(b)
69
There may be some point where the temperature of the
cold fluid is greater than θ2. Beyond this point the
stream will be cooled rather than heated.
This situation is avoided by INCREASING the number
of shell passes.
If a temperature cross occurs in a 1 shell-side pass
STHE, 2 shell-side passes should be used.
The general form of the temperature profile for a two
shell-side unit is as shown in the Figure on next slide.
70
Temperature profiles in 2,4-STHE
T1
T2
θ1
θ2
T2
T1
θ1
θ2
(c)
71
Shell-side (longitudinal) baffles: difficult to fit and
serious chance of leakage between two shell sides ⇒ use
two exchangers in series, one below the other.
On very large installations it is necessary to link up a
number of exchangers in SERIES (Figure on next
slide).
For A ≥ 250 m2, consider using multiple smaller units
in series; initial cost is higher.
72
3 × 1,2-STHE in series
Effectively: 3,6-STHE in series
θ1
θ2
T1
T1
73
For example, a STHE is to operate as following:
T 455 K, T 372 K
1 2
283 K, 388 K
1 2
388 2832 1X 0.61
T 455 283
1 1
T T 455 3721 2Y 0.79
388 283
2 1
⇒
= =
θ = θ =
θ − θ −
= = =
− θ −
− −
= = =
θ − θ −
⇒
For 1,2-STHE: F ≈ 0.65 (from graph)
For 2,4-STHE: F ≈ 0.95 (from graph)
74
For maximum heat recovery from the hot fluid, θ2
should be as high as possible.
The difference (T2–θ2) is known as the approach
temperature OR temperature approach.
If θ2 > T2: temperature cross (F decreases very rapidly
when there is only 1 shell-side pass) ⇒ in parts of HE,
heat is transferred in the wrong direction.
Consider an example (1,2-STHE) where equal
ranges of temperature are considered:
75
Case
↓
T1 T2 θ1 θ2
Approach
(T2–θ2)
X Y F
1 613 513 363 463 50 0.4 1 0.92
2 573 473 373 473 0 0.5 1 0.80
3 543 443 363 463
–20
(cross of 20)
0.55 1 0.66
76
There may be a number of process streams, some to be
heated and some to be cooled.
Overall heat balance: indicates whether there is a net
PLUS or MINUS heat available.
The most effective match of the hot and cold streams in
the heat exchanger network: reduces the heating and
cooling duties to a minimum.
This is achieved by making the best use of the
temperature driving forces.
77
There is always a point where the temperature
difference between the hot and cold streams is a
minimum and this is referred to as the pinch.
Lower temperature difference at the pinch point means
lower demand on utilities.
However, a greater area (and hence cost) is involved
and an economic balance must be made.
78
Fully Developed Forced Convection Heat Transfer
0.8 0.4Nu 0.023 Re Pr
0.40.8 cd vh d pi avei i 0.023
... Dittus-Boelter equation
0.7 Pr 160
4... Re 10
L
1
i
k k
0
d
=
μ⎛ ⎞ρ⎛ ⎞⎛ ⎞
⎜ ⎟= ⎜ ⎟⎜
< <⎧
⎪ >⎪
⎨
>
⎟
μ⎝ ⎠ ⎝ ⎠⎝ ⎠
⎪
⎪⎩
Dittus-Boelter equation is less accurate for liquids with
high Pr, and following equation is recommended:
( )20.795 0.495Nu 0.0225 Re Pr 0.0225 Pexp ln
L4 6... 0.3 Pr 300; 4 10
r
Re 10 ; 10
d
i
⎡ ⎤= −⎣ ⎦
< < × < < >
79
Effect of variation of fluid properties with temperature on
turbulent convective heat transfer
The previous equations can be used without correction
for variation of physical properties with temperature
provided that the driving force (Tbulk – Twall) is small,
that is, less than ≈ 15% of absolute temperature of fluid.
If a gas is being cooled (Tbulk > Twall), error analysis
shows that no correction is necessary even for large ΔT.
If gas is being heated (Tbulk < Twall), then heat transfer is
reduced and a correction must be applied. The
recommended form of correction is:
80
( ) ( ) ( )
( ) ( )
for
where function of gas propertie
nh Ti,corrected b
s
N ; air ; He ;
2
ulk
h , T
i T T wall
bulk wall
n
0.44 0.40 0.38
0.37 H ; 0.1 steam ; etc.
2
8
⎛ ⎞
= ⎜ ⎟
⎜
= ⎠
=
⎟
⎝
=
If gas is being heated (Tbulk < Twall), then heat transfer is
reduced and a correction must be applied. The
recommended form of correction is:
81
In liquids, μ decreases with T, hence effect of
temperature is the opposite to that in gases and heat
transfer is increased in case of heating (Tbulk < Twall).
Therefore, in liquids, (cooling and heating), a correction
is applied if Tbulk and Twall are significantly different.
The correction factor recommended is (Sieder and Tate,
1936) as:
0.14h
i,corrected bulk
h , T T
i bulk wall wall
μ⎛ ⎞
= ⎜ ⎟
⎜ ⎟≠ μ
⎝ ⎠
82
Non-circular pipes and ducts
All the corrections (for fully developed turbulent flow)
are directly applicable, provided equivalent diameter De
replaces diameter d.
4 cross-sectional area
D
e wetted perimeter
×
=
83
EXAMPLE (Effect of fluid properties on turbulent
convective heat transfer):
Compare the heat transfer rates for air, water, and oil
flowing in a pipe of 2.5 cm diameter at a Reynolds
number of 105. The internal surface temperature of
pipe is 99 0C and fluid mean temperature is 55 0C. How
would the pressure drop vary for the three cases?
Properties at the mean film temperature (Tbulk+Twall)/2
are as given in the following table:
84
Properties ↓ Air Water Oil
Density, ρ (kg/m3) 0.955 974 854
Kinematic viscosity,
μ/ρ = ν (m2/s)
2.09×10–5 3.75×10–7 4.17×10–5
Thermal conductivity,
k [W/(m K)]
0.030 0.668 0.138
Prandtl number Pr 0.70 2.29 546
Mean film temperature = (Tbulk+Twall)/2 = (372+328)/2
= 350 K. Properties of the three fluids at 350 K are as:
Dittus-Boelter equation is used to compute the heat
transfer coefficient hi.
... Dit0.8 0.4Nu 0.02 tus-Boelter3 Re P equ nr atio=
85
Therefore, for given Reynolds number (Re), kinematic
viscosity (μ/ρ = ν), and pipe diameter (di), the average
fluid velocity will be different for each fluid. That is,
( )
d v d v
i ave i ave
d v
i aveRe
ρ
= = =
μ μ ρ ν
( )Re
d
i
Re
v
ave d
i
μ ρ
= =
ν
For the given Re (105), and given three Prandtl
numbers Pr (0.70, 2.29, 548), compute Nusselt number
Nu for the three fluids. This will give the heat transfer
coefficient hi.
Nu k
h
i d
i
=
86
From hi, compute the convective heat transfer flux q:
( ) ( ) ( )q h T T h 372 328 h 44
i wall bulk,ave i i
= − = − =
Friction factor is same in all the three cases because
Reynolds number Re = 10000:
( ) 0.20.20.046 Re 0.046 10000 3f 4.6 10−−= ×= −=
Now, compute the pressure drop per unit length of the
pipe (ΔP/L).
22 f vP ave
L d
i
ρΔ
=
Computation summary is presented on the next slide:
87
Fluid Nu
hi
J/(s m2
K)
q
J/(s m2
)
vave
m/s
ΔP/L
(N/m2
)/m
Air 199 239 10529 84 2456
Water 320 8817 387939 2 806
Oil 2862 15796 695019 167 8743751
ΔP/L is an indication of pressure loss in pipe.
Pressure loss in case of oil is very high ⇒ velocity of
167 m/s is impractical.
88
If average oil velocity is brought down to 2 m/s, then
(ΔP/L)oil will reduce to 707 (N/m2)/m, but (Re)oil will
also reduce from 105 to ≈ 1199.
That will bring down (hi)oil drastically.
This means: heat transfer rates equivalent to water can
not be obtained with oil for commensurate pressure
loss. WHY???
Please note: Dittus-Boelter equation is no longer valid
for Re of 1199, that is, laminar flow regime; some other
appropriate equation will have to be used.
89
Heat transfer
and
pressure loss calculations
for
Shell and Tube Heat Exchangers
90
Calculations for heat transfer and pressure loss for
fluids flowing inside tubes is relatively straightforward.
Heat transfer and pressure loss calculations within the
shell of the exchanger are not straightforward, because
of the complex flow conditions.
The calculation procedure has evolved over the
decades.
Initially, methods (correlations) were developed for
computing shell-side pressure drop and heat transfer
coefficient based on experimental data for “typical”
exchangers.
91
Kern (1950) method: correlation of data for standard
exchangers by a simple equation analogous to
equations for flow inside tubes. (Kern, Donald Q. 1950,
“Process Heat Transfer”, McGraw-Hill).
Limitations:
Restricted to a fixed baffle-cut (25%), can not
account for effect of other baffle configurations,
Can not adequately account for leakages through
gaps between tubes and baffles, and between baffles
and shell,
Can not account for bypassing of the flow around
the gap between tube bundle and shell.
92
Nevertheless, Kern method: very simple and rapid for
the calculation of shell-side heat transfer coefficients
and pressure losses.
Based on data from industrial heat transfer operations
and for a fixed baffle cut of 25%, Kern gives the
equation:
0.55 1 3h d d c 0.14
shell eq eq p
0.36
k k
wall
0.55 1 3h d
v
shell
m
sh
d c 0.14
shell eq eq p
0
e
.36
k k
wa
l
l
l
l
μ⎛ ⎞ ⎛ ⎞ μ⎛ ⎞⎜ ⎟ ⎜ ⎟= ⎜ ⎟ ⎜ ⎟⎜ ⎟μ μ⎝ ⎠⎝ ⎠ ⎝ ⎠
μ⎛ ⎞ ⎛ ⎞ μ⎛ ⎞⎜ ⎟ ⎜ ⎟= ⎜ ⎟ ⎜ ⎟⎜ ⎟μ μ⎝ ⎠⎝ ⎠ ⎝ ⎠
ρ
93
shell-side heat transfer coefficient
equivalent diameter of shell-side flow
thermal conductivity of shell side fluid
mass velocity on the shell-side
tota
h
shell
d
eq
k
m
sh
l mass f
el
low rate of f
l
=
=
=
=
=
luid on shell-side
shell cross-flow area
total mass flow rate on shell-side
S
S
specific heat of shell-side fluid
at the diameter
= viscosity of shell-side flu
c
id
of the s
at bulk
h
p
ell
flμ
⎛ ⎞
⎜ ⎟
⎝ ⎠
⎛ ⎞
= ⎜ ⎟
⎝ ⎠
=
uid temperature
= viscosity of shell-side fluid at wall tempera
wa l
e
l
turμ
94
PT
C
C = clearance
PT = pitch
SQUARE pitch tube layout
95
( )
( )
( )
If shell inside diameter
tube pitch tube centre-to-centre distance
tube clearance space between tubes
baffle spacing distance between baffles
Then, Number of tube o
d
sh
n a
ell
P
T
shels l diamat
C
L
B
=
=
=
=
, and
Flow area associated with each tube betwe
d
sh
en
ellN
baffl
e
e
T P
L
r
T
B
s
C
=
=
=
96
PT
C
Flow
area
97
( )
( )
Therefore, shell cross-flow area
Number of tubes
Flow area associated with each tube between baffles
N
on a
C
at diamete
L
r of shell
S
S
d
shell C L
BT B
The
shell diam
equivalent diameter i
t
s
a er
P
T
= = ×
= × =
4
d
eq
2 2 2 24 P d 4 P d
T o4 flow area T o4 4
dwetted perimeter d
o o
defined as,
where d outside diameter of tubes
o
4
4
4
⎡ ⎤π⎛ ⎞ π⎡ ⎤− −⎜ ⎟⎢ ⎥ ⎢ ⎥× ×⎝ ⎠⎣ ⎦ ⎣ ⎦= = =
π π⎛ ⎞
⎜ ⎟
⎝ ⎠
=
98
Flow
area
PT
C
TRIANGULAR pitch tube layout
99
( )
( )
( )
( )
22 dP 3
oT
4 8triangular pitch d
eq d 2
o
shell-side pressure loss
22 N 1 f d m
shell shellP
shell 0.14
d
e
For tube layout:
Kern 1950 correlation for :
where, shell inside diame
q wall
d
shell
f
ter
friction factor;
π
−
=
π
+
Δ =
μ
=
=
ρ μ
[ ]
Number of
= number of across the
Does not account
N baffles
B
N
for "leak
tube bund
ages" bet
+
ween baffle spaces
1 fluid pas leses
B
=
⇒
100
Shell-side Reynolds number Re →
Shell-sidefrictionfactorf→
101
EXAMPLE: A shell and tube heat exchanger has the
following geometry:
Shell ID = dshell = 0.5398 m
No. of tubes = NT = 158
Tube OD = do = 2.54 cm; Tube ID = di = 2.0574 cm
Tube pitch (square) = PT = 3.175 cm
Baffle spacing = LB = 12.70 cm
Shell length = LS = 4.8768 m
102
Tube-to-baffle diametrical clearance = ΔTB = 0.8 mm
Shell-to-baffle diametrical clearance = ΔSB = 5 mm
Bundle-to-shell diametrical clearance = ΔBuS = 35 mm
Split backing floating head = assumed
No. of sealing strips per cross-flow row = NSS/NC = 1/5
Baffle thickness = TB = 5 mm
No. of tube-side passes = n = 4
103
Use the Kern method to calculate shell-side heat transfer
coefficient and pressure drop for flow of a light
hydrocarbon with following specification (at Tbulk):
Total mass flow rate = MT = 5.5188 kg/s
Density = ρ = 730 kg/m3
Thermal conductivity = k = 0.1324 W/(m K)
Specific heat capacity = cP = 2.470 kJ/(kg K)
Viscosity = μ = 401 (μN s)/m2
Assume no change in viscosity from bulk to wall.
104
Kern method is to be followed. Therefore, compute:
Cross-flow area at the shell diameter (shell centre-
line), mass flux (mass velocity), equivalent shell
diameter,
Shell Reynolds no. (Reshell) and Shell Prandtl no.
(Prshell),
Heat transfer coefficient and pressure drop (loss).
Tube-to-tube clearance C:
Gap between tubes = clearance
= C = PT – do = 0.03175 – 0.0254 = 0.00635 m
105
( ) ( )
( )
2 2
4 0.
2 24
031
P d
T o4d
eq d
o
0.
75 0.0254
4 02513 m
0.0254
π⎡ ⎤
−
π⎡ ⎤
−⎢ ⎥
⎢ ⎥⎣
⎦
=
⎣
π
⎦ =
π
=
Equivalent shell diameter deq:
( )( )0.5398
0.00635 0.1270
0.031
d
shellS C L
S BP
T
20.0137 m
75
1
= =
=
Cross-flow area at shell diameter (shell centre-line) SS:
106
total mass flow rate
m
shell at diameter of shell
M kgT
shell cross-flow area
5.5188
0.01371
402.5
2S s mS
=
= ==
Mass flux (mass velocity) mshell:
v m
ave she
d d
eq eq
Re 25224
0.025l 1
shel
.l
l
3 402 5×
= =
μ
=
μ μ
ρ
=
Reynolds number Re:
( )( )3 62.470 10 40
c
p
Pr
1 10
0.1324
7.481
k
−
= ==
×
μ
×
Prandtl number Pr:
107
Shell-side heat transfer coefficient hshell:
( ) ( )
( )
( ) ( )
h d
shell eq 0.55 1 3
Nu 0.36 Re Pr
shell shell shellk
0.55 1 3d m c
0.36 k eq shel
0.36 0.13
l p
h
shell d k
eq
W
977.9
24 0.55 1 325224 7.481
0.
4
025
2m
1
K
3
= ≈
μ⎛ ⎞ ⎛ ⎞
⎜ ⎟ ⎜ ⎟≈ ⎜ ⎟μ ⎝ ⎠⎝
=
=
⎠
108
Calculation of pressure drop (loss) ΔPshell:
Calculate number of baffles in the shell (N):
L
S
L T
B
1 1
1 1
shell length
N
B
B
4.8768 4.8768
35.95
0
baffle spacing + baffle thi
.1270 0.005 0.1320
ckness
36
=
+
=
− −
− − = =
+
=
=
Estimated friction factor from the GRAPH ≈ 0.063
( )
( )
( )
( )( )( )( )
( )( )
2 22 N 1 f d m 2 N 1 f d m
B shell shell B shel
22 3
l shellP
shell 0.14 dd e
6 1 0.063 0.5
qeq wal
398 402
l
222
.5
730 0.02513
24 Pa
+
+ +
Δ
≈
=
ρμ
≈
≈
ρ μ
109
Bell Delaware method
(Bell, K.J. 1963, University of Delaware, U.S.A.)
110
Bell (1963) developed a method in which correction
factors were introduced for the following:
Leakage through gaps between tubes and baffles,
and baffles and shell, respectively,
Bypassing of flow around the gap between tube
bundle and shell,
Effect of baffle configuration (recognition: only a
fraction of the tubes are in pure cross-flow),
Effect of adverse temperature gradient on heat
transfer in laminar flow.
111
Flow Stream-Analysis method
(Tinker, T. 1951; Wills, M.J.N. and Johnston, D. 1984)
Tinker (1950) suggested “stream-analysis” method for
calculation of shell-side flow and heat transfer.
Formed the basis of modern computer codes for shell-
side prediction.
Wills and Johnston (1984) developed a simplified
version suitable for hand calculations.
Simultaneously adopted by Engineering Sciences Data
Unit (ESDU, 1983), and provides a useful tool for
realistic checks on “black box” computer calculations.
112
Shell
baffle
A
B
b
c
t
s
w
Flow Stream-Analysis method
(Tinker, T. 1951; Wills, M.J.N. and Johnston, D. 1984)
113
Refer to the Figure: Fluid flows from A to B via
various routes, b, c, t, s, and w.
Leakage between tubes and baffle (t),
Leakage between baffle and shell (s),
Partly, flow passes over the tubes in cross-flow (c),
Partly, flow bypasses the tube bundle (b),
Streams b and c combine to form stream w, that
passes through the baffle-window zone.
114
This method also depends on empirically based
resistance coefficients for the respective streams.
This problem may be partly overcome by using
Computational Fluid Dynamics (CFD) techniques.
115
Heat Exchanger Performance
Effectiveness of heat exchanger E: defined as ratio of
actual heat transfer rate Q to the thermodynamically
maximum possible heat transfer rate Qmax:
Q
E
Q
max
=
Qmax = heat transfer rate that would be achieved if the
outlet temperature of the fluid with lower heat
capacity rate was brought equal to the inlet
temperature the other fluid.
116
T1
T2
T1
T1
T2 T2
M1
M2
Temperature→
Distance →
Condenser-Evaporator
(isothermal hot fluid; isothermal cold fluid)
117
Condenser-Heater
(isothermal hot fluid; non-isothermal cold fluid)
T1
T2,1
T1
T1
T2,1 T2,2
M1
M2
Temperature→
Distance →
T2,2
T1
118
Cooler-Evaporator
(non-isothermal hot fluid; isothermal cold fluid)
T2
T1,1
T1,2
T2 T2
M1
M2
Temperature→
Distance →
T1,2
T1,1
T2
119
Cooler-Heater (co-current flow)
(non-isothermal hot fluid; non-isothermal cold fluid)
T2,1
T1,1
T1,2
T2,1 T2,2
M1
M2
Temperature→
Distance →
T1,2
T1,1
T2,2
120
Cooler-Heater (counter-current flow)
(non-isothermal hot fluid; non-isothermal cold fluid)
T1,2
T1,1
T1,2
T2,1
T2,2
M1
M2
Temperature→
Distance →
T2,2
T2,1
T1,1
121
Assuming “fluid 1” as having lower value of (McP),
(see Figures on the next few slides):
( )1 1
Q M c T T
max P ,1 1 ,12
= −
Over heat balance gives:
( ) ( )Q M c T T M c T T
P ,1 ,21 1 1 1 2 2 2P ,2 2,1
= − = −
Therefore, effectiveness (based on fluid 1) is given by:
( )
( )
( )
( )
M c T T T T
P ,1 ,2 ,1 ,2
E
M c T T T T
P ,1
1 1 1 1 1 1
1 1 1 2 1,1 ,1 2,1
− −
= =
− −
122
Similarly, effectiveness (based on fluid 2) is given by:
( )
( )
M c T T
P ,2 ,1
E
M c T T
P
2 2 2 2
1 1 1,1 ,12
−
=
−
In calculating temperature differences, the positive
value is considered.
123
Example: A flow of 1 kg/s of an organic liquid of heat
capacity 2.0 kJ/(kg K) is cooled from 350 K to 330 K
by a stream of water flowing counter-currently
through a DPHE. Estimate effectiveness of heat
exchanger if water enters DPHE at 290 K and leaves at
320 K.
Solution:
MORG = 1 kg/s
cP,ORG = 2.0 kJ/(kg K) = 2000 J/(kg K)
ΔTORG = TORG,OUT – TORG,IN = 350 – 330 = 20 K
124
Therefore, heat duty (heat load)
= Q = MORGcP,ORG ΔTORG = 1 × 2000 × 20 = 40,000 J/s
(McP)ORG = (1 × 2000) = 2000 J/(s K)
The mass flow rate of water is calculated using overall
heat balance:
( )
40000 kg
M 0.3185
Water 4186.8 320 290 s
= =
× −
⇒ (McP)WATER = (0.3185 × 4186.8) = 1333.3 J/(s K)
⇒ (McP)MIN = (McP)WATER = 1333.3 J/(s K)
125
( ) ( )
( )
Q
E
Q
max
Actual heat lo
Actual heat
ad
MC T maxP m
load
Maximum he
in
40000
1333.
at load
3 350 290
0.5
=
=
=
Δ
−
=
⇒
=
126
Heat Transfer Units
Number of heat transfer units (NHTU) is defined by:
( )
( ) ( ) ( )
U A
NHTU
Mc
P min
Mc M c M c
P 1 P1 2 P2min
where of aLO ndWER
=
=
NHTU: heat transfer rate for a unit temperature
driving force divided by heat taken (given) by fluid
when its temperature is changed by 1 K.
NHTU: measure of amount of heat which the heat
exchanger can transfer.
127
The relation for effectiveness of heat exchanger in
terms of heat capacity rates of fluids can be DERIVED
for a number of flow conditions.
We will consider two cases:
(I) Co-current flow double-pipe heat exchanger
(without phase change)
(II) Counter-current flow double-pipe heat exchanger
(without phase change)
128
CASE I: Co-current flow
( )dQ U A T T
1 2
= −
T2,1
T1,1
T1,2
T2,1 T2,2
M1
M2
Temperature→
Distance →
T1,2
T1,1
T2,2
T1
T2
θ
129
For a differential area dA of heat exchanger, heat
transfer rate is given by:
( )
( )
where, and = temperatures of two streams, and
local temperature
dQ U dA T T U dA
1 2
T T
1 2
T T
1 2
dQ M c dT M c dT
2 P2 2 1 P1 1
dQ dQ
dT dT
2 1M c M c
2
difference
Also,
and
P2 1 P1
dT dT d T T
1 2 1 2
= − = θ
θ
= = −
−
= =
− =
= −
⇒ −
=
⇒
130
( )
1 1
dQ U dA d U dA
M c M c
1 P1 2 P2
d 1 1
U dA
M c M c
1 P1 2 P2
1 12 U A
M c M c
1 1 P1 2 P2
T T
1 11,2 2,2
U A
T T M c M c
1,1 2,
1 1
d dQ
M c M c
1 P1
1 1 P
2 P
But
1 2 P2
ln
ln
2
⇒
⇒
⎡ ⎤
= θ θ = − θ
⎡ ⎤
θ
+⎢ ⎥
⎣ ⎦
θ ⎡ ⎤
= − +⎢ ⎥θ
⎣ ⎦
θ ⎡ ⎤
= − +⎢ ⎥θ
⎣ ⎦
−
⎡ ⎤
=
= − +⎢ ⎥
⎣ ⎦
− +⎢ ⎥−
⎣
⇒
⇒
⎦
⇒
131
( )
( )
M c M c M c M c
1 P1 2 P2 1 P1 1 P1min
T T
1 11,2 2,2
U A
T T M c M c
1,1 2,1 1 P1 2 P2
U A U A
NHTU
Mc M c
P 1 P1min
T T M cU A1,2 2,2 1 P11
T T M c M c
1,1 2,1 1 P1 2 P2
M c
1 P1NHTU 1
M c
If
ln
ln
T T
1,2 2,2
T T
1,1 2,1 2 P
exp
2
< =
−
⎡ ⎤
= − +⎢ ⎥−
⎣ ⎦
= =
− ⎡ ⎤−
= +⎢ ⎥
− ⎢
⇒
⇒
⇒
⎥⎣ ⎦
⎡ ⎤
= − +⎢ ⎥
⎢⎣
−
−
⎦
⇒
⎥
⎧ ⎫⎪ ⎪
⎨ ⎬
⎪ ⎪⎩ ⎭
132
( )
( )
( )
( )
( )
M c T TT T 2 P2 2,2 2,11,1 1,2
E E
T T M c T T
1,1 2,1 1 P1 1,1 2,1
T T E T T
1,1 1,2 1,1 2,1
M c
1 P1T T E T T
2,2 2,1 1,1 2,1M c
2 P2
M c
1 P1T T E 1
1,2 2
Since and
and
Adding:
T T T T
1,1 2,1 1,1 2,1,2 M c
2 P
Dividing both sides by
2
T
1 1,
−−
= =
− −
⇒ − = −
− = −
⎡ ⎤
− + = +⎢ ⎥
⎢ ⎥⎣
− −
⎦
( )T
2,1
− ⇒
133
M c
1 P11 E 1
M c
2 P2
M c M c
1 P1 1 P11 exp NHTU 1 E 1
M
T T
1,2 2,2
T T
1,1 2,1
M c
1 P11 exp NHTU 1
M c
2 P2
E
M c
1 P11
M c
2 P
c M c
2 P2
2
2 P2
⎡ ⎤
⇒ − = +⎢ ⎥
⎢ ⎥⎣ ⎦
⎧ ⎫⎡ ⎤ ⎡ ⎤⎪ ⎪
⇒ − − + =
−
−
⎧ ⎫⎡ ⎤⎪ ⎪
− − +⎢ ⎥⎨ ⎬
⎢ ⎥⎪
+⎢ ⎥ ⎢ ⎥⎨ ⎬
⎢ ⎥ ⎢ ⎥⎪ ⎪⎣ ⎦
⎪⎣ ⎦⎩ ⎭=
⎡ ⎤
+⎢ ⎥
⎢⎣
⎦⎩ ⎭
⎦
⎣
⎥
134
( ){ }
[ ]
{ }[ ]
( )
{ }
[ ]
[ ]
1 exp NHTU 1 1
E
1 1
0.5 1 exp 2
Special case: M c M c
1 P1 2 P2
Special case: NHTU very hig
NHTU
1 exp
E
2
1 0
0.5
2
h
=
⇒
→
− − +
=
+
= − −
− −∞
=
−
= =
∞
⇒
135
T1,2
T1,1
T1,2
T2,1
T2,2
M1
M2
Temperature→
Distance →
T2,2
T2,1
T1,1
CASE II: Counter-current flow
136
Similar to co-current flow, equation can derived for
effectiveness of heat exchanger for counter-current
flow.
Please note: in case of counter-current heat exchanger,
θ1 = T2,2–T1,1; θ2 = T2,1–T1,2.
Equation for effectiveness E is given by:
M c
1 P11 exp NHTU 1
M c
2 P2
E
M c M c
1 P1 1 P11 exp NHTU 1
M c M c
2 P2 2 P2
⎧ ⎫⎡ ⎤⎪ ⎪
− − −⎢ ⎥⎨ ⎬
⎢ ⎥⎪ ⎪⎣ ⎦⎩ ⎭=
⎧ ⎫⎡ ⎤⎪ ⎪
− − −⎢ ⎥⎨ ⎬
⎢ ⎥⎪ ⎪⎣ ⎦⎩ ⎭
137
[ ]{ }1 exp NHTU 1 1
E
M c M c
1 P1 1 P11 exp NHTU 1
M c M c
2 P2 2 P
Special case: M c M c
1
INDETERM
P1
INAT
2 P2
2
1 1 0
1
E
1 0
− − −
=
⎧ ⎫⎡ ⎤⎪ ⎪
− − −⎢ ⎥⎨ ⎬
⎢ ⎥⎪ ⎪⎣ ⎦⎩ ⎭
−
= =
−
=
=
Therefore, expanding the exponential term gives:
NHTU
E
1 NHTU
=
+
Special case: NHTU → ∞ (very high) ⇒ E = 1.
138
If one component is undergoing a ONLY PHASE
CHANGE at constant temperature, M1cP1 = 0.
In that case, both cases lead to the following equation
for heat exchanger effectiveness:
( )E 1 exp NHTU= − −
139
Counter-current flow
NHTU →
EffectivenessE→
0.0
0.2
0.4
0.6
0.8
1.0
0 1 2 3 4 5
M c M c 0
1 P1 2 P2
=
0.25
0.50
0.75
1.0
140
1,2-STHE
NHTU →
EffectivenessE→
0.0
0.2
0.4
0.6
0.8
1.0
0 1 2 3 4 5
M c M c 0
1 P1 2 P2
=
0.25
0.50
0.75
1.0
141
Example: A process requires a flow of 4 kg/s of purified
water at 340 K to be heated from 320 K by 8 kg/s of
untreated water which can be available at 380, 370, 360
or 350 K. Estimate the heat transfer surfaces of 1,2-
STHE suitable for these duties. In all cases, the mean
heat capacity of the water streams is 4.18 kJ/(kg K) and
the overall coefficient of heat transfer is 1.5 kW/(m2 K).
Solution:
For the untreated water (hot fluid):
(McP)HOT = 8 × 4180 = 33,440 J/(s K)
142
For the purified water (cold fluid):
(McP)COLD = 4 × 4180 = 16,720 J/(s K)
Therefore, (McP)MIN = (McP)COLD = 16,720 J/(s K)
( )
( ) ( )
( )
( )
Actual heating load
Maximum hea
M c 167201 P1 0.5
M c 33440
2 P2
Q
E
Q
max
M c 340 320 M c 340 320
1 P1 1 P1
MC T 320 M c T 320
P hot,1
t load
1 P1 hot,1min
= =
= =
− −
= =
− −
⇒
143
( )
( ) ( )
Therefore,
for T : E
hot,1
for T K :
340 320 20
E
T 320 T 32
E
hot,1
for T K : E
hot
0
hot,1 hot,1
380 K 0.3333
370 0.4
36
,1
for T K : E
hot
0 0.5
350 0.66
,1
67
⇒
= =
= =
= =
= =
−
= =
− −
144
( )P MIN
From graph for 1,2-STHE, is found as:
T : NHTU 0.45
hot,1
T K : NHTU 0.6
hot,1
T K : NHTU 0.9
hot,1
T K : NHTU 1.7
hot,1
The area is calculat
NHTU
for 380 K
for 370
for 360
for 350
A NHTU(Mc )ed as:
for T
h t,1
U
o
= =
= =
= =
= =
=
= : A
for T K : A
hot,1
for T K : A
ho
2380 K 5.02 m
2370 6.69 m
2360 10
t,1
for T K : A
hot
.03 m
2350 18.95 m
,1
=
= =
= =
= =
145
Plate heat exchangers
First developed by APV, and then by Alfa-Laval.
Series of parallel plates held firmly together between
substantial head frames.
Plates: one-piece pressings (usually SS), and are spaced
by rubber sealing gaskets cemented into a channel
around the edge of each plate.
Plates have troughs pressed out perpendicular to flow
direction and arranged to interlink neighbouring plates
to form a channel of constantly changing direction.
146
Generally, the gap between the plates is 1.3-1.5 mm.
Each liquid flows in alternate spaces and a large
surface can be obtained in a small volume.
Because of shape of the plates, the developed area of
surface is appreciably greater than the projected area.
High degree of turbulence is obtained even at low flow
rates and the high heat transfer coefficients obtained.
The high transfer coefficient enables these exchangers
to be operated with very small temperature differences,
so that a high heat recovery is obtained.
147
Gasketed-plate heat exchanger
148
Plate Heat Exchanger
Plate
149
Because of shape of
the plates, the
developed area of
surface is
appreciably greater
than the projected
area.
150
Plate Heat Exchanger
Plate and Gasket
151
Plate Heat Exchanger
Plate and Gasket
Plate of
suitable metal
Gasket of
suitable polymer
152
Two-pass plate and frame flow arrangement
153
154
Welded PHE
155
Welded PHE
156
Plate Heat Exchanger (PHE)
157
Plate Heat Exchanger (PHE)
158
Plate Heat Exchanger (PHE)
159
Plate Heat Exchanger (PHE)
160
Air Cooled Heat Exchanger
161
Plate Heat Exchanger (PHE)
162
Plate Heat Exchanger (PHE)
163
Plate Heat Exchanger (PHE)
164
Plate Heat Exchanger (PHE)
Schematic
165
Plate Heat Exchanger (PHE)
Schematic
166
Plate Heat Exchanger (PHE)
Schematic
167
Plate Heat Exchanger (PHE)
Functioning
168
Plate Heat Exchanger (PHE)
details
169
These units have been particularly successful in the
dairy and brewing industries, where the low liquid
capacity and the close control of temperature have been
valuable features.
A further advantage is that they are easily dismantled
for inspection of the whole plate.
The necessity for the long gasket is an inherent
weakness, but the exchangers have been worked
successfully up to 423 K and at pressures of 930 kN/m2.
They are now being used in the processing and gas
industries with solvents, sugar, acetic acid, ammoniacal
liquor, and so on.
170
Comparison of STHE and PHE
STHE:
5 m long, ¾ inch OD tubes placed on 1 inch triangular
pitch, 150 tubes
Shell ID = 15¼ inch
Total surface area = 45 m2
Volume = 0.6 m3
Compactness = 76 m2/m3
171
PHE:
Plate area = 0.5 m2
Number of plates = 90
Total surface area = 45 m2
Plate spacing = 5 mm
Volume = 0.225 m3
Compactness = 200 m2/m3
172
Close Temperature Approach
Hot stream: 5 kg/s, CP = 1000 J/(kg K), cooling from 71
to 31 0C (Q = 200000 W).
Cold Stream: 5 kg/s, CP = 4000 J/(kg K), heating from
30 to 40 0C.
U = 500 J/(s m2 K)
Y = R = MCCPC/MHCPH = 4
X = P = (TC,OUT-TC,IN)/(TH,IN-TC,IN) = 0.244
LMTD = (31 – 1)/ln(31/1) = 8.74 K
A = 200000/(500 × 8.74) = 45 m2
173
LMTD correction factor F for a 1,2-STHE
174
LMTD correction factor F for a 2,4-STHE
175
Spiral heat exchangers
Two fluids flow through the channels formed between
spiral plates.
Fluid velocities may be as high as 2.1 m/s and overall
heat transfer coefficients (U) ≈ 2800 W/(m2 K) can be
obtained.
Inner heat transfer coefficient is almost DOUBLE that
for a straight tube.
Cost is comparable or even less than that of STHE,
particularly when they are fabricated from alloy steels.
176
High surface area per unit volume of shell and the high
inside heat transfer coefficient.
177
Spiral HE - manufacture
178
Spiral Heat Exchanger
179
Spiral Flow – Spiral Flow HE
180
Cross Flow – Spiral Flow HE
181
Combination Cross Flow and Spiral Flow – Spiral Flow
HE
182
General arrangement of a Plate-and-Shell HE
Cooling medium flows
between the plate
pairs
“Closed” model has
an outer (pressure
vessel) shell which is
welded together to
enclose the plate pack
Plate pairs are welded
together from two
individual plates
“Open” model has removable end cap / plate pack for cleaning
183
TEFLON® (PTFE: polytetrafluoroethylene) STHE
184
Thermal Insulation
Heat Losses through Lagging
Heat loss (gain) from vessels and utility piping:
radiation, conduction, convection.
Radiation: f(T1
4–T2
4) = increases rapidly with (T1–T2).
Conduction: Air is a very poor heat conductor ⇒ heat
loss by conduction (by air) is very small.
Convection: Convection currents form very easily ⇒
heat loss from an unlagged surface is considerable.
185
Lagging of hot and cold surfaces is necessary for:
Conservation of energy,
To achieve acceptable working conditions.
For example: surface temperature of furnaces is
reduced by using a series of “poor-heat-conducting”
insulating bricks.
Main requirements of a good lagging material:
Low thermal conductivity,
It should suppress convection currents.
186
The materials that are frequently used are:
Cork: very good insulator but becomes charred at
moderate temperatures and is used mainly in
refrigerating plants.
85 per cent magnesia: widely used for lagging steam
pipes: applied either as a hot plastic material
(cannot be reused) or in preformed sections (can be
reused).
Glass wool: cannot be reused.
Vermiculite: a reusable inorganic material.
187
The rate of heat loss per unit area is given by:
temperature difference
thermal resistance
∑
∑
For example: in case of heat loss to atmosphere from a
lagged (insulated) steam pipe, thermal resistance is:
Due to steam condensate film inside pipe
(conVEctive),
Due to dirt / scaling inside the pipe (conDUctive),
Due to pipe wall (conDUctive),
Due to Lagging / insulation (conDUctive),
Due to air film outside the lagging (conVEctive).
188
For a lagged (insulated) pipe:
( )( )
( )( )
2 L T overallQ
i r r
po lago
ln ln
r r
pi po1 1
r h k k r h
pi i p lag lago o
Q 2 T overalli
L r
po
ln l
r
lag
n
r r
pi p
o
k r h
lag lago o
HEAT LOSS RATE per
o1 1
r h k
pi, i
unit p
p
π Δ
⎡ ⎤⎛ ⎞ ⎛ ⎞
⎢ ⎥⎜ ⎟ ⎜ ⎟
⎢ ⎥⎜ ⎟ ⎜ ⎟
⎝ ⎠ ⎝ ⎠⎢ ⎥+ + +
⎢ ⎥
⎢ ⎥⎣ ⎦
π Δ
⎡ ⎤⎛ ⎞ ⎛ ⎞
⎢ ⎥⎜ ⎟ ⎜ ⎟
⎢ ⎥⎜ ⎟ ⎜ ⎟
⎝ ⎠ ⎝ ⎠
=
⇒ =
=
⎢ ⎥+ + +
⎢ ⎥
⎢ ⎥⎣ ⎦
ipe length
189
( )
where, heat loass per unit pipe length,
overall temperature difference,
inside radius of pipe,
outside rad
Q
1 1i J s m
L
T Koverall
r m
pi
r m
po
r m
l
ius of pipe,
outside radius of lagging,
convective
a
h
i
go
=
=
=
=
Δ
=
− −
=
film heat transfer coefficient inside pipe,
convective film heat transfer coefficient outside lagging,
thermal conductivity of pipe mat
1 2 1J s m K
h 1 2 1o J s m K
1 1 1k erial, J s
thermal
m K
p
k
lag
co
⎧
⎨ − − −
⎩
− − −
−=
=
− −
⎧
= ⎨
⎩
nductivity of lagging 1 1 1J smateri Ka ml, − − −
190
A steam pipe, 150 mm i.d. and 168 mm o.d., is carrying
steam at 444 K and is lagged with 50 mm of 85%
magnesia. What is the heat loss to air at 294 K?
Given:
Temperature on the outside of lagging ≈ 314 K
hi = steam-side convective film heat transfer
coefficient = 8500 W m–2 K–1
ho = convective film heat transfer coefficient outside
lagging = 10 W m–2 K–1
kp = thermal conductivity of pipe material
= 45 W m–1 K–1
klag = thermal conductivity of lagging material
= 0.073 W m–1 K–1
191
( )( )
( )T ove
Q 2 T overalli
L r r
po lago
ln ln
r r
pi po1 1
r h k k r h
pi, i p lag lago o
444 294 150 K
150 3mm 75 mm 75 10 m
2
168 3mm 84 mm 84 1
rall
r
pi
r
po
r r
lago po
0 m
2
50 84 50 mm 134 mm 134 10
π Δ
=
⎡ ⎤⎛ ⎞ ⎛ ⎞
⎢ ⎥⎜ ⎟ ⎜ ⎟
⎢ ⎥⎜ ⎟ ⎜ ⎟
⎝ ⎠ ⎝ ⎠⎢ ⎥+ + +
⎢ ⎥
⎢ ⎥⎣ ⎦
= − =
−= = = ×
−= = = ×
−= + = + = ×
Δ
= 3 m
192
( )
( ) ( )
Q 2 150i
L 84 134
ln ln
1 175 84
3 345 0.07375 10 8500 134 10 10
Q 942.478i
3 3 1L 1.569 10 2.518 10 6.398 7.463 10
Q 942.478i 131.85
L 7.14
s
8
1 1J m
π
=
⎡ ⎤⎛ ⎞ ⎛ ⎞
⎜ ⎟ ⎜ ⎟⎢ ⎥
⎝ ⎠ ⎝ ⎠⎢ ⎥+ + +
− −⎢ ⎥× ×⎣ ⎦
⇒ =
− − −⎡ ⎤× + × + + ×⎣
= −
⎦
= −⇒
193
The temperature on the outside of the lagging may now
be cross-checked as follows:
( )
( )
( )
( )
( )
( )
( ) ( )
( )
lagging's thermal resistance
total thermal resistance
T 6.398 2lagging
0.8950
T 7.148 2overall
T 0.8950 Tlagging overall
0.8950 444 294 134.25
T lagging
T ov
K
Temperature outside lagging
neglect n
er
i
all
= ⇒
Δ π
= = ⇒
Δ π
Δ = × Δ
= × − =
⇒
Δ
Δ
( )g T-drop in pipe wall
444 134.25 309.75 K
⎫
⎬
⎭
= − =
194
In the absence of lagging, under otherwise the same
conditions, the heat loss per unit pipe length will be:
( )( )
( )
( ) ( )
Q 2 T overalli
L r
po
ln
r
pi1 1
r h k r h
pi, i p po o
Q 2 150i
L 84
ln
1 175
3 34575 10 8500 84 10 10
π Δ
=
⎡ ⎤⎛ ⎞
⎢ ⎥⎜ ⎟
⎢ ⎥⎜ ⎟
⎝ ⎠⎢ ⎥+ +
⎢ ⎥
⎢ ⎥⎣ ⎦
π
⇒ =
⎡ ⎤⎛ ⎞
⎜ ⎟⎢ ⎥
⎝ ⎠⎢ ⎥+ +
− −⎢ ⎥× ×⎣ ⎦
195
Q 942.478i
3 3L 1.569 10 2.518 10 1.190
Q 942.478i
L 1.195
Q
i 789.0
L
Therefore, in this case, losses are 6 times higher
than those compar
1 1J s m
ed to the "lagged" case.
⇒ =
− −⎡ ⎤× + × +⎣ ⎦
⇒ =
≈
− −⇒ =
196
Economic Thickness of Lagging
Thickness of lagging ↑, loss of heat ↓ ⇒ saving in
operating costs.
However, cost of lagging ↑ with thickness ⇒ there will
be an optimum thickness of lagging when further
increase does not save sufficient heat to justify the cost.
197
Typical Recommendations (loose):
373-423 K, 150 mm dia. pipe: 25 mm thickness of
85% magnesia lagging
373-423 K, > 230 mm dia. pipe: 50 mm thickness of
85% magnesia lagging
470-520 K, < 75 mm dia. pipe: 38 mm thickness of
85% magnesia lagging.
470-520 K, 75 mm < dpipe ≤ 230 mm : 50 mm
thickness of 85% magnesia lagging.
198
Critical Thickness of Lagging
Lagging thickness ↑, resistance to heat transfer by
thermal conduction ↑, AND the outside area (circular
pipes) from which heat is lost to surroundings also ↑ ⇒
possibility of increased heat loss.
The above argument can be explained if we consider
the lagging to work as a large circular fin having very
low thermal conductivity.
199
TS TL TA
rp xlag
rp = radius of pipe
xlag = lagging thickness
TS = pipe temperature
TA = surrounding temperature
TL = outside temperature of lagging
200
Consider heat loss from a pipe (TS ) to surroundings
(TA).
Heat flows through lagging of thickness xlag across
which the temperature falls from a TS (at its radius rp),
to TL (at rp+xlag).
Heat loss rate Q from a pipe length L is given by (by
considering heat loss from outside of lagging),
( ) ( )
( )
... conVEctive
and,
Q h 2 L r x T T
o p lag L A
T T
S LQ k 2 L
lag
... conDUcti
x
r e
LM
v
lag
⎡ ⎤= π + −
⎣ ⎦
−
= π⎡ ⎤
⎣ ⎦
201
Equating Q given in equations above:
( ) ( )
( )
Q h 2 L r x T T
o p lag L A
x T Tlag S LQ k 2 L
lag r x x
p lag lag
l
an
n
r
p
d,
⎡ ⎤= π + −
⎣ ⎦
⎡ ⎤ −
⎢ ⎥= π
+⎛ ⎞⎢ ⎥
⎜ ⎟⎢ ⎥
⎜ ⎟⎢ ⎥
⎝⎣
⇒
⎠ ⎦
( ) ( ) ( )
k
lag
h r x T T T T
o p lag L A S Lr x
p lag
ln
r
p
⎡ ⎤+ − = −
+⎛ ⎞⎣ ⎦
⎜ ⎟
⎜ ⎟
⎝ ⎠
202
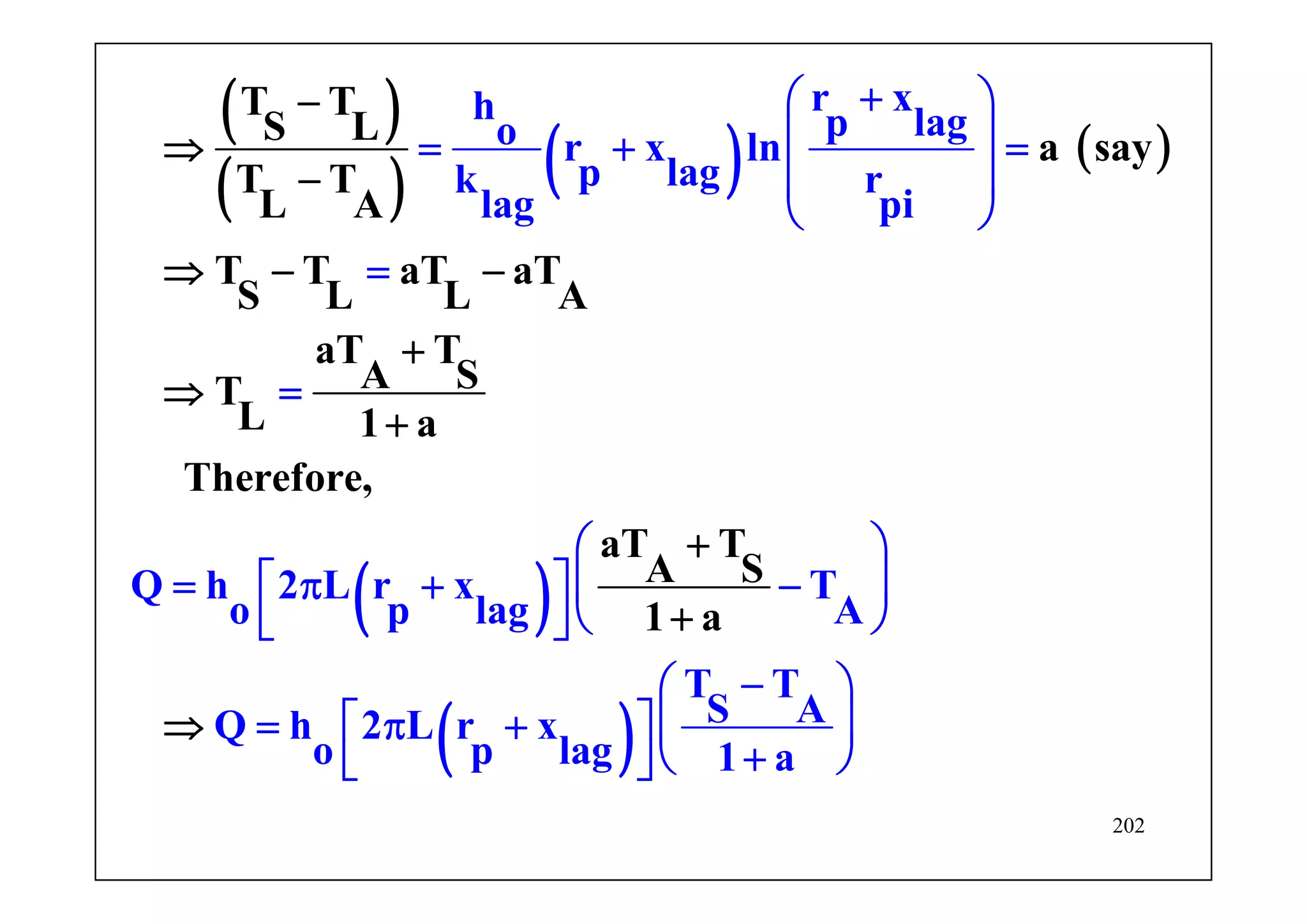
( )
( ) ( ) ( )
( )
( )
T T
S L a say
T T
L A
T T aT aT
S L L A
aT T
A ST
L 1 a
T
r xh p lago r x ln
p lagk r
lag pi
Q h 2 L r
herefore
x T
o p lag A
T T
S AQ h 2 L r
,
aT T
A S
x
o p lag
1 a
1 a
−
⇒
−
⇒ − −
+
⇒
+
+
+⎛ ⎞
⎜ ⎟= + =
⎜ ⎟
⎝ ⎠
=
=
⎛ ⎞
⎡ ⎤= π + −⎜ ⎟
⎝ ⎠⎣ ⎦
−⎛ ⎞
⎡ ⎤= π + ⎜ ⎟
+⎝⎦
+
⇒
⎠⎣
203
( )( )
( )
( )( )
( )
Also,
Theref
h 2 L r x T T
o p lag S A
Q
1 a
r xh p lagoa r x ln
p lagk r
lag p
h 2 L r x T T
o p lag S A
Q
r xh p lago1 r x ln
p
ore
lagk r
l p
,
ag
π + −
=
+
+⎛ ⎞
⎜ ⎟= +
⎜ ⎟
⎝ ⎠
π + −
=
⎧ ⎫+⎛ ⎞
⎪ ⎪⎜ ⎟+ +⎨ ⎬
⎜ ⎟⎪ ⎪⎝⎩
⇒
⇒
⎠⎭
204
( )( )
( )
( )
( )
( )
Differentia
h 2 L r x T T
o p lag
Q
h 2 L T T
o
S A
Q
r xh p lago1 r x ln
p lagk r
la
S A
r x
p l
ting
ag
r xh p lago1 r x ln
p lagk r
l
w.r.t. ,
g pi
x
l
a
g
g p
a
⎡ ⎤π −
⎣ ⎦
+
=
π + −
=
⎧ ⎫+⎛ ⎞
⎪ ⎪⎜ ⎟+ +⎨ ⎬
⎜ ⎟⎪ ⎪⎝ ⎠⎩ ⎭
⎧ ⎫+⎛ ⎞
⎪ ⎪⎜ ⎟+ +⎨ ⎬
⎜ ⎟⎪ ⎪⎝ ⎠⎩ ⎭
⇒
205
( )
( )
( )
( ) ( )
( )
r xh p lago1 r x ln
p lagk r
lag p
rh 1po
1
h 2 L T T
o S A
r xh p lago ln
k r
la
dQ
dx
g p
r x
p lag
r xh p lago1 r x ln
p
r x
p lag k r x r
lag p lag p
lagk r
lag p
lag
+⎛ ⎞
⎜ ⎟+
⇒
⎡ ⎤π −
⎣ ⎦
⎧ ⎫
⎪ ⎪
⎪ ⎪
⎪ ⎪
+⎪ ⎪⎛ ⎞
⎪ ⎪⎜ ⎟⎨ ⎬
⎜ ⎟⎪ ⎪⎝ ⎠− +⎪ ⎪
⎪ ⎪
+
⎜ ⎟
⎝
⎡ ⎤
⎢ ⎥
⎢ ⎥
⎢ ⎥
⎢ ⎥
⎢ ⎥
⎢ ⎥
⎣
+⎪ ⎪
⎪ ⎪⎩ ⎭=
⎧ ⎫+⎛ ⎞
⎪ ⎜ ⎟
⎠
+ +⎨ ⎬
⎜ ⎟⎪ ⎝
+
⎩
+
⎦
⎠
2
⎪
⎪⎭
206
Maximum value of Q (= Qmax) occurs at dQ/dxlag = 0.
( )
gives
... any addition of laggi
kh lag01 r x 0 x r
p lag lag pk h
lag 0
ng heat
k k h r
lag lag 0 p
x 0 r 1 1
lag ph h r k
0 0 p lag
DECREASES
k k h r
lag lag 0 p
x 0 r 1 1
l
loss
Also, gives
ag ph h r k
0 0 p lag
− + = = −
≤ ≤ ≤ ≥
> >
⇒ ⇒
⇒ ⇒ ⇒
⇒ ⇒> <
207
Thin layers of lagging heat loss
...
It is necessary to exceed MUCH BEYOND
critical thickness for reducing heat loss
... give
increases
h r
0 p
1
k
lag
Critical lagging thickness
k
lag
x r
lag ph
lag
MAXs I
⎧
⎪
⎪
⎨
⎪
= −
⎪⎩
=
<
heatMUM loss
208
( ) ( )
( )
( )
h 2 L T T r x
o S A p lag
Q
max r xh p lago1 r x ln
p lagk r
lag p
k
lag
h 2 L T T
o S A h
oQ
max k k hh lag lag oo1 ln
k h r
lag o p
⎡ ⎤π − +
⎣ ⎦
=
⎧ ⎫+⎛ ⎞
⎪ ⎪⎜ ⎟+ +⎨ ⎬
⎜ ⎟⎪ ⎪⎝ ⎠⎩ ⎭
⎡ ⎤π −
⎣ ⎦
=
⎧ ⎫⎛ ⎞
⎪ ⎪⎜ ⎟+⎨ ⎬
⎜ ⎟⎪ ⎠⎩
⇒
⎝
⇒
⎪⎭
209
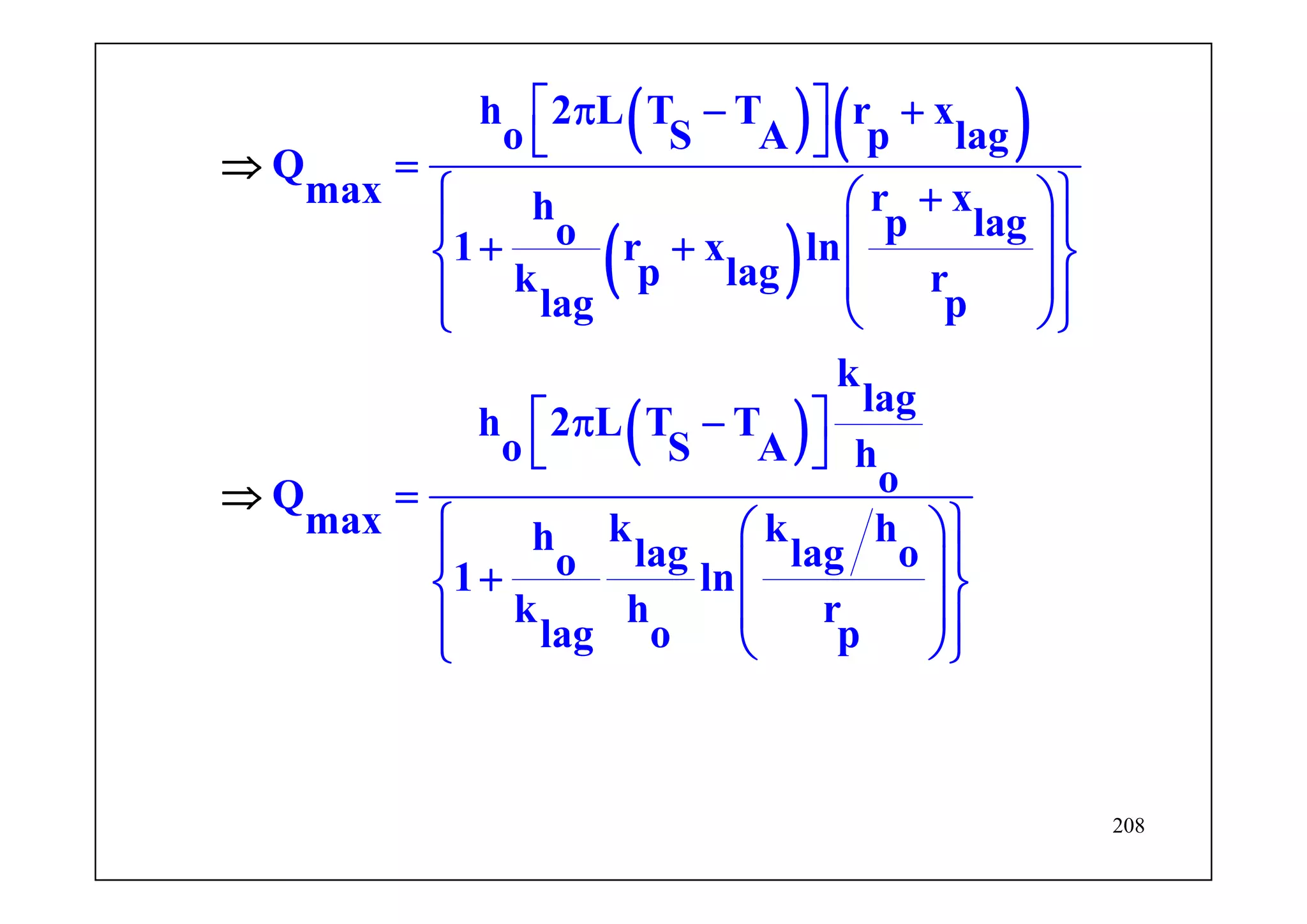
( )k 2 L T T
lag S A
Q
max k
lag
1 ln
h r
o p
⎡ ⎤π −
⎣ ⎦=
⎧ ⎫⎛ ⎞
⎪ ⎪⎜ ⎟+⎨ ⎬
⎜ ⎟⎪ ⎪⎝ ⎠⎩ ⎭
⇒
For an unlagged pipe: TL = TS, and xlag = 0. The rate of
heat loss Q0 for an unlagged pipe is given as:
( ) ( )
( ) ( )
Q h 2 L r x T T
0 o p lag S A
Q h 2 L r T T
0 o p S A
⎡ ⎤= π + −
⎣ ⎦
⎡ ⎤
⎣ ⎦
⇒ = π −
210
k
lag
h rQ o pmax
kQ
lag0
1 ln
h r
o p
⎛ ⎞
⎜ ⎟
⎜ ⎟
⎝ ⎠=
⎛ ⎞
⎜ ⎟+
⎜
⇒
⎟
⎝ ⎠
The ratio Q/Q0 is plotted as a function of xlag (see next
slide)
211
( )Q Q
0 max
Q
Q
0
⎛ ⎞
⎜
↑
⎟⎜ ⎟
⎝ ⎠
lagging thickness xlag →
h r
0 p
1
k
lag
>
h r
0 p
1
k
lag
=
h r
0 p
1
k
lag
<
Critical thickness of lagging

applications of the principles of heat transfer to design of heat exchangers

  • 1.
    1 Momentum and HeatTransfer Applications of the principles of heat transfer to design of heat exchangers Dr. Anand V. Patwardhan Professor of Chemical Engineering Institute of Chemical Technology Nathalal M. Parikh Road Matunga (East), Mumbai-400019 av.patwardhan@ictmumbai.edu.in; avpuict@gmail.com; avpiitkgp@gmail.com
  • 2.
    2 Temperature driving force(log-mean ΔT) Consider a Double Pipe Heat Exchanger (DPHE): Cold stream OUT T = Tc2 Cold stream IN T = Tc1 Hot stream IN T = Th1 Hot stream OUT T = Th2 dll Th Tc Tc L
  • 3.
    3 Macroscopic (OVERALL) steadystate energy balance for each stream is given by (for negligible changes in kinetic and potential energy): ( ) ( )Q Q m H H h m H h H c c c h1 1 c2 h2 = − = − For no heat loss to surroundings, Qh = Qc. For incompressible liquids, ideal gases, and for constant cP: ( ) ( )Q m c T T h h Q m P c T T c c Pc c h h2 1 c h 1 2 Q c = − == −
  • 4.
    4 Differential steady stateheat balance for hot stream: ( ) ( )( )lU 2m c dT T h P R d h T o o ch h = π − RO = outer radius of the inner pipe UO = overall heat transfer coefficient based on RO Rearranging the above differential balance: ( ) ( ) ( ) ( ) ( ) ( ) l For l For cold hot stream stream: : ... ... T c U 2 R dd U 2 R ddT T o o oh 1 T m o c h h c 2 T m c c P T h c h Pc − π π = − =
  • 5.
    5 Subtracting Equation (2)from Equation (1) gives the relation between (Th–Tc) as a function of l (length of heat exchanger): ( ) ( ) ( ) l T 1h T m c d T 1c h h Ph U 2 R d o oT m c c c Pc − − ⎛ ⎞ = π⎜ ⎟⎜ ⎟− ⎝ ⎠ Assuming UO independent of length l, and integrating between length zero (∆T1=Th1–Tc2) to L (∆T2=Th2–Tc1) : ( ) T 1h2 T m c T 1c1ln U 2 R L o oT m c c2 c Pch1 h Ph − ⎛ ⎞ = π⎜ ⎟⎜ ⎟− ⎝ ⎠ −
  • 6.
    6 ( ) () ( ) ( ) ( ) ( ) ( ) Q hQ m c T T m c h h P Q cQ m c T T m c c h h2 h1 h Ph c Pc c1 c2 c Pc Now, T T c1 c2 T T1 c T T h2 h1 T T1 h2 h1m c h Ph T T m c h2 h1 h Ph 1 c2 m c Q c Pc c Q c Q c = − ⇒ = = − ⇒ − − = = − ⇒ ⇒ = − − ⇒ =
  • 7.
    7 ( ) ( )( ) ( ) ( ) ( ) ( ) ( ) ( ) T TT h2 h1h2 T h1 T T h2 h1 T TT c1 c2c1ln U 2 R L o oT Q Q c2 c c T T c1 c2U 2 R L o o Q c T TT T h2 h1 T h2 T h1 c1 c2Q U 2 R L c o o T c1ln T c2 ⎛ ⎞−− ⎜ ⎟= π ⎜ ⎟− ⎝ ⎠ ⎛ ⎞− − − ⎜ − − ⎟= π ⎜ ⎟ ⎝ ⎠ ⎧ ⎫− − − ⎪ ⎪= π ⎪ ⎪−⎨ ⎬ ⎪ ⎪−⎪ ⎪⎩ ⎭ ⇒ ⇒
  • 8.
    8 ( ) ( )( ) ( ) ( ) ( ) ( )( ) ( )( ) log-mean Similarly, log-mean T T 2 1 T 2ln T 1 T T 1 2 T 1ln U 2 R L o o U 2 R L o o Q U 2 R L c o o Q 2 L c U i T T TR i 2 ⎧ ⎫Δ − Δ ⎪ ⎪⎪ ⎪Δ⎛ ⎞⎨ ⎬ ⎜ ⎟⎪ ⎪⎜ ⎟Δ ⎪ ⎪⎝ ⎠⎩ ⎭ ⎧ ⎫Δ − Δ ⎪ ⎪⎪ ⎪Δ⎛ ⎞⎨ ⎬ ⎜ ⎟⎪ ⎪⎜ ⎟Δ ⎪ ⎪⎝ ⎠⎩ ⎭ ⇒ Δ Δ = π = π = π = π
  • 9.
    9 Temperature profile forco-current DPHE Th1 Th2 Tc1 Tc2 ΔT1 ΔT2 Th Tc Length coordinate → Generally, less corrosive liquid flows through the outer pipe (through the annulus). Why?
  • 10.
    10 Temperature profile forcounter-current DPHE Th2 Th1 Tc1 Tc2ΔT1 ΔT2 Th Tc Length coordinate →
  • 11.
    11 Shell and tubeheat exchangers (STHE) Most widely used heat transfer equipment. Large heat transfer area in a relatively small volume Fabricated from alloy steels to resist corrosion and used for heating, cooling, and for condensing wide range of vapours Various types of construction of STHE, and a typical tube bundle is shown in the Figures on the following slides.
  • 12.
    12 1,4-STHE (1 shell-side pass,4 tube-side passes) STHE with fixed tube sheet Exchanger support Shell-side inlet Shell-side outlet Baffles Tube-side outlet Tube-side inletFixed tube sheet
  • 13.
    13 The simplest typeof STHE is “fixed tube sheet type”: Fixed tube sheets at both ends into which the tubes are welded and their ends are expanded (flared). Tubes can be connected so that the internal fluid can make several passes, which results into a high fluid velocity for a given heat transfer area and fluid flow rate. Shell-side fluid is made to flow in a ZIG-ZAG manner across the tube bundle by fitting a series of baffles along the tube length.
  • 14.
    14 Baffles can besegmental with ≈ 25% cutaway (see Figure) to provide some free space to increase fluid velocity across the tubes, resulting into higher heat transfer rates for a given shell-side fluid flow rate. Limitations of fixed tube sheet type STHE: ⌧ Tube bundle cannot be removed for cleaning ⌧ No provision exists for differential expansion between the tubes and the shell (an expansion joint may be fitted to shell but this results into higher fabrications cost).
  • 15.
  • 16.
  • 17.
    17 STHE with floatinghead If we want to allow for tube bundle removal and for tubes’ expansion (thermal expansion): floating head exchanger is used (see Figure). One tube sheet is fixed, but the second is bolted to a floating head cover so that the tube bundle can move relative to the shell (in the case of thermal expansion). The floating tube sheet is clamped between the floating head and a split backing flange in such a way that the tube bundle can be taken out by breaking the flanges.
  • 18.
    18 The shell coverat the floating head end is larger than that at the other end. Therefore, the tubes can be placed as near as possible to the edge of the fixed tube sheet, thus utilising the space to the maximum.
  • 19.
  • 20.
  • 21.
    21 STHE with hairpintubes This arrangement also provides for tubes’ expansion. This involves the use of hairpin tubes (see Figure). This design is very commonly used for the reboiler of distillation columns where steam is condensed inside the tubes to provide for the latent heat of vaporisation.
  • 22.
    22 STHE with hairpintubes Shell-side inlet Shell-side outlet Tube-side outlet Tube-side inlet Tube sheet Saddle support Tube supports and baffles Tube-pass partition Gaskets Shell vent Tubes Tie-rod Spacers
  • 23.
    23 Sometimes, it isadvantageous to have two or more shell-side passes, although this increases the difficulty of construction.
  • 24.
    24 Design considerations forSTHE The HE should be reliable with the desired capacity. Use of standard components and fittings and making the design as simple as possible. Minimum overall cost. Balance between depreciation cost and operating cost.
  • 25.
    25 For example, ina vapour condenser: Higher water velocity in tubes ⇒ higher Reynolds number Re ⇒ higher heat transfer coefficient on TUBE SIDE ⇒ higher OVERALL transfer coefficient ⇒ smaller exchanger (lower area). However, pumping cost increases rapidly with increase in velocity (kinetic head increases). Economic optimum is required to be calculated (see Figure).
  • 26.
    26 Effect of watervelocity on annual operating cost of condenser Water velocity → Cost→ Total overall cost Depreciation Operating cost
  • 27.
    27 Classification of STHE Basisfor classification of STHE: “standard” published by Tubular Exchanger Manufacturer’s Association (TEMA), 8th Edition, 1998. Supplements pressure vessel codes like ASME and BS 5500. Sets out constructional details, recommended tube sizes, allowable clearances, terminology etc. Provides basis for contracts. Tends to be followed rigidly even when not strictly necessary. Many users have their own additions to the standard which suppliers must follow.
  • 28.
    28 TEMA terminology • Lettersgiven for the front end, shell and rear end types • Exchanger given three letter designation ShellFront end stationary head type Rear end head type
  • 29.
    29 Front head type •A-type is standard for dirty tube side • B-type for clean tube side duties. Use if possible since cheap and simple. B Channel and removable cover Bonnet (integral cover) A
  • 30.
    30 More front-end headtypes • C-type with removable shell for hazardous tube-side fluids, heavy bundles or services that need frequent shell-side cleaning • N-type for fixed for hazardous fluids on shell side • D-type or welded to tube sheet bonnet for high pressure (over 150 bar) C N D
  • 31.
    31 TEMA shell typesfor STHE E F G H J K X One-pass shell Split flow Divided flow Two-pass shell with longitudinal baffle Double split flow Kettle type reboiler Cross flow
  • 32.
    32 TEMA E-type shellfor STHE The simplest possible construction. Entry and exit nozzles at opposite ends of a single pass exchanger. Most design methods are based on TEMA E-type shell, although these methods may be adapted for other shell types by allowing for the resulting velocity changes. One-pass shell
  • 33.
    33 TEMA F-type shellfor STHE Longitudinal baffle gives two shell passes (alternative to the use of two shells for a close temperature approach or low shell-side flow rates). ΔP for two shells (instead of F-type) is ≈ 8× that for E- type design (pumping cost). Limitation: probable leakage between longitudinal baffle and shell may restrict application range. Two-pass shell with longitudinal baffle
  • 34.
    34 TEMA G-type shellfor STHE Performance is superior to E-type although ΔP is similar to the E-type. Used mainly for reboiler and only occasionally for systems without phase. Split flow
  • 35.
    35 TEMA J-type shellfor STHE “Divided-flow” type One inlet and two outlet nozzles for shell ΔP ≈ one-eighth of the E-type, and hence, Gas coolers and condensers operating at low pressures. Divided flow
  • 36.
    36 TEMA X-type shellfor STHE No cross baffles and hence the shell-side fluid is in counter-flow giving extremely low ΔP, hence, Gas coolers and condensers operating at low pressures. Cross flow
  • 37.
    37 MOC of shellof STHE: carbon steel (C.S.); standard pipes for smaller sizes and rolled welded plate for larger sizes (> 0.4-1.0 m). Except for high pressure, calculated wall thickness is usually < minimum recommended values, although a corrosion allowance of 3.2 mm is added for C.S. Shell thickness: calculated using Equation for thin- walled cylinders (minimum thickness = 9.5 mm for shells > 0.33 m o.d. and 11.1 mm for shells > 0.9 m o.d.) Thickness is determined more by rigidity requirements than by internal pressure.
  • 38.
    38 Minimum shell thicknessfor various materials is given in BS-3274 (and many international standards). Shell diameter should be such that the tube bundle should fit very closely ⇒ reduces bypassing of fluid outside the tube bundle. Typical values for the clearance between the outer tubes in the bundle and the inside diameter of the shell are available for various types of HEs (see Figure).
  • 39.
    39 Shell – tubebundle clearance Pull-through floating head Split-ring floating head Outside packed head Fixed head and U-tube Tube bundle diameter, m → Clearance= (shellID–tubebundlediameter)→
  • 40.
    40 Tube bundle designtakes into account shell-side and tube-side pressures since these affect any potential leakage between tube bundle and shell which cannot be tolerated where high purity or uncontaminated materials are required. In general, tube bundles make use of a fixed tube sheet, a floating-head or U-tubes.
  • 41.
    41 Thickness of fixedtube-sheet is obtained from a relationship of form: 0.25 P d d t G f d G P f d t gasket diameter, m 2design pressure, MN m 2allowable working stress, MN m tube sh floating head tube eet thickness, m Thickness of is usually calculated as: sheet d2 t = = = = =
  • 42.
    42 Tube DIAMETER selection Smallertubes give a larger heat transfer area for a given shell diameter (16 mm o.d. tubes are minimum size to permit adequate cleaning). Smaller diameters ⇒ shorter tubes ⇒ more holes to be drilled in tube sheet ⇒ adds to construction cost and increases tube vibration. Heat exchanger tubes size range = 16 mm (⅝ inch) to 50 mm (2 in) o.d.
  • 43.
    43 Smaller diameter tubesare preferred ⇒ more compact and hence cheaper units. Larger tubes are easier to clean by mechanical methods and are hence widely used for heavily fouling fluids. The tube thickness should withstand internal pressure and should provide adequate corrosion allowance. Details of steel tubes used in heat exchangers are given in BS-3606, and standards for other materials are given in BS-3274.
  • 44.
    44 Tube LENGTH selection Astube length ↑ cost ↓: for a given surface area because of smaller shell diameter, thinner tube sheets and flanges, smaller number of holes in tube sheets. Preferred tube lengths: 1.83 m (6 ft), 2.44 m (8 ft), 3.88 m (12 ft) and 4.88 m (16 ft). Longer tubes: for low tube-side flow rate. For given number of tubes per pass for the required fluid velocity, the total length of tubes per tube-side pass is determined by heat transfer surface required.
  • 45.
    45 Then, the tubesare fitted into a suitable shell to give the desired shell-side velocity. With long tubes and relatively few tubes, it may be difficult to arrange sufficient baffles for sufficient support to the tubes. For good all-round performance, the ratio of tube length to shell diameter is typically in the range 5-10.
  • 46.
    46 In-line layout, Rectangularpitch PTY PTX C C = clearance PTX = pitch PTY = pitch Tube layout and pitch
  • 47.
    47 PTY PTX C C = clearance PTX= pitch PTY = pitch Staggered layout, Rectangular pitch
  • 48.
    48 Equilateral triangular pitch Φ= 300 CV = 0.5 PT CH = 0.866 PT CV CH PT Φ Y
  • 49.
    49 In-line layout, Squarepitch Φ = 900 CV = PT CH = PT PT Φ PT CH CV
  • 50.
    50 Staggered layout, Squarepitch CV CH PT Φ P T Φ = 450 CV = 0.707 PT CH = 0.707 PT
  • 51.
    51 Tube layout andpitch: equilateral triangular, square and staggered square arrays. Triangular layout: robust tube sheet. Square layout: simplifies maintenance and shell side cleaning. Minimum pitch: 1.25 × tube diameter. Clean fluids: smallest pitch (triangular 30° layout) is used for clean fluids in both laminar and turbulent flow.
  • 52.
    52 Fluid with probablescaling: 90° or 45° layout with a 6.4 mm clearance to facilitate mechanical cleaning. Tube bundle diameter (db): estimated from an empirical equation based on standard tube layouts: b d bNumber of tubes N a t d o ⎛ ⎞ = = ⎜ ⎟ ⎜ ⎟ ⎝ ⎠ The values of a and b are available for different exchanger types for ▲ and ■ pitch, for different number of tube-side passes (see Table on next slide).
  • 53.
    53 Tube-side passes ⇒ 1 24 6 8 ▲ pitch (= 1.25 dO) a 0.319 0.249 0.175 0.0743 0.0365 ▲ pitch (= 1.25 dO) b 2.412 2.207 2.285 2.499 2.675 ■ pitch (= 1.25 dO) a 0.215 0.156 0.158 0.0402 0.0331 ■ pitch (= 1.25 dO) b 2.207 2.291 2.263 1.617 2.643 ( )Number of tube b as N d d t b o = =
  • 54.
    54 Baffle (cross-baffle) designs Baffle:designed to direct shell-side flow across the tube bundle and to support the tubes against sagging and possible vibration: Segmental baffle: most common type is the which provides a baffle window. Ratio (baffle spacing/baffle cut): decides the maximum ratio of heat transfer rate to ΔP. Double segmental (disc and doughnut) baffles: to reduce ΔP by about 60%. Triple segmental baffles: all tubes are supported by all baffles ⇒ low ΔP and minimum tube vibration.
  • 55.
    55 Baffle (cross-baffle) designs Bafflespacing: TEMA recommendation: Segmental baffles spacing ≥ 20% shell ID or 50 mm whichever is greater. It may be noted that the majority of failures due to vibration occur when the unsupported tube length is in excess of 80 per cent of the TEMA maximum; the best solution is to avoid having tubes in the baffle window.
  • 56.
  • 57.
  • 58.
    58 Disk and doughnutbaffle Shell Doughnut Disk Doughnut Disk
  • 59.
  • 60.
    60 Correction for LMTDfor 1,2-STHE θ1 θ2 T1 T2 ( ) ( ) T T 1 2Y 2 1 − = θ − θ ( ) ( )X T 2 1 1 1 = θ − θ − θ → CorrectionfactorF→ 0.5 0.6 0.7 0.8 0.9 1.0 1.00.90.1 0.3 0.5 0.7
  • 61.
    61 ( ) ()X T 2 1 1 1 = θ − θ − θ → CorrectionfactorF→ 0.5 0.6 0.7 0.8 0.9 1.0 1.00.90.1 0.3 0.5 0.7 ( ) ( ) T T 1 2Y 2 1 − = θ − θ T1 T2 θ1 θ2 Correction for LMTD for 2,4-STHE
  • 62.
  • 63.
  • 64.
    64 (ΔT)MEAN in multipassSTHE Multipass STHE (having more tube-side passes then shell-side passes): flow is countercurrent in some sections and cocurrent in other sections. The LMTD does not apply in this case. Correction factor F: when F is multiplied by LMTD for countercurrent flow, the product is true average temperature driving force.
  • 65.
    65 The assumptions involvedare: The shell fluid temperature is uniform over the cross-section in a pass. Equal heat transfer area in each pass. Overall heat transfer coefficient U is constant throughout the exchanger. Heat capacities of the two fluids are constant over the temperature range involved. No change in phase of either fluid. Heat losses from the unit are negligible.
  • 66.
    66 Then, Q =UA {F(ΔT)MEAN} = F UA(ΔT)MEAN F is expressed as a function of 2 parameters, X and Y: T T tubeOUT tubeIN shellIN shellOUTX ; Y T shellIN tubeIN tubeOUT tubeIN T T 2 1 1 2X ; Y T 1 1 2 1 θ − θ − = = − θ θ − θ θ − θ − = = − θ θ − θ
  • 67.
    67 Physical significance ofX and Y X = ratio of heat actually transferred to cold fluid to heat which would be transferred if the same fluid were to be heated to hot fluid inlet temperature = temperature effectiveness of HE on cold fluid side. Y = ratio of McP value of cold fluid McP values of hot fluid = heat capacity rate ratio. ( ) ( ) ( ) ( ) X P in some books T T h,I T T c,OUT c,IN T c,IN Mc P cold T T c, T h,I N h,OUT Y R in some books N M OUT c,IN c P hot = − − = − = −
  • 68.
    68 Temperature profiles in1,2-STHE T1 T2 θ1 θ2 T1 T2θ1 θ2 T1 T2 θ1 θ2 T1 T2 θ1 θ2 F is the same in both cases. (a) (b)
  • 69.
    69 There may besome point where the temperature of the cold fluid is greater than θ2. Beyond this point the stream will be cooled rather than heated. This situation is avoided by INCREASING the number of shell passes. If a temperature cross occurs in a 1 shell-side pass STHE, 2 shell-side passes should be used. The general form of the temperature profile for a two shell-side unit is as shown in the Figure on next slide.
  • 70.
    70 Temperature profiles in2,4-STHE T1 T2 θ1 θ2 T2 T1 θ1 θ2 (c)
  • 71.
    71 Shell-side (longitudinal) baffles:difficult to fit and serious chance of leakage between two shell sides ⇒ use two exchangers in series, one below the other. On very large installations it is necessary to link up a number of exchangers in SERIES (Figure on next slide). For A ≥ 250 m2, consider using multiple smaller units in series; initial cost is higher.
  • 72.
    72 3 × 1,2-STHEin series Effectively: 3,6-STHE in series θ1 θ2 T1 T1
  • 73.
    73 For example, aSTHE is to operate as following: T 455 K, T 372 K 1 2 283 K, 388 K 1 2 388 2832 1X 0.61 T 455 283 1 1 T T 455 3721 2Y 0.79 388 283 2 1 ⇒ = = θ = θ = θ − θ − = = = − θ − − − = = = θ − θ − ⇒ For 1,2-STHE: F ≈ 0.65 (from graph) For 2,4-STHE: F ≈ 0.95 (from graph)
  • 74.
    74 For maximum heatrecovery from the hot fluid, θ2 should be as high as possible. The difference (T2–θ2) is known as the approach temperature OR temperature approach. If θ2 > T2: temperature cross (F decreases very rapidly when there is only 1 shell-side pass) ⇒ in parts of HE, heat is transferred in the wrong direction. Consider an example (1,2-STHE) where equal ranges of temperature are considered:
  • 75.
    75 Case ↓ T1 T2 θ1θ2 Approach (T2–θ2) X Y F 1 613 513 363 463 50 0.4 1 0.92 2 573 473 373 473 0 0.5 1 0.80 3 543 443 363 463 –20 (cross of 20) 0.55 1 0.66
  • 76.
    76 There may bea number of process streams, some to be heated and some to be cooled. Overall heat balance: indicates whether there is a net PLUS or MINUS heat available. The most effective match of the hot and cold streams in the heat exchanger network: reduces the heating and cooling duties to a minimum. This is achieved by making the best use of the temperature driving forces.
  • 77.
    77 There is alwaysa point where the temperature difference between the hot and cold streams is a minimum and this is referred to as the pinch. Lower temperature difference at the pinch point means lower demand on utilities. However, a greater area (and hence cost) is involved and an economic balance must be made.
  • 78.
    78 Fully Developed ForcedConvection Heat Transfer 0.8 0.4Nu 0.023 Re Pr 0.40.8 cd vh d pi avei i 0.023 ... Dittus-Boelter equation 0.7 Pr 160 4... Re 10 L 1 i k k 0 d = μ⎛ ⎞ρ⎛ ⎞⎛ ⎞ ⎜ ⎟= ⎜ ⎟⎜ < <⎧ ⎪ >⎪ ⎨ > ⎟ μ⎝ ⎠ ⎝ ⎠⎝ ⎠ ⎪ ⎪⎩ Dittus-Boelter equation is less accurate for liquids with high Pr, and following equation is recommended: ( )20.795 0.495Nu 0.0225 Re Pr 0.0225 Pexp ln L4 6... 0.3 Pr 300; 4 10 r Re 10 ; 10 d i ⎡ ⎤= −⎣ ⎦ < < × < < >
  • 79.
    79 Effect of variationof fluid properties with temperature on turbulent convective heat transfer The previous equations can be used without correction for variation of physical properties with temperature provided that the driving force (Tbulk – Twall) is small, that is, less than ≈ 15% of absolute temperature of fluid. If a gas is being cooled (Tbulk > Twall), error analysis shows that no correction is necessary even for large ΔT. If gas is being heated (Tbulk < Twall), then heat transfer is reduced and a correction must be applied. The recommended form of correction is:
  • 80.
    80 ( ) () ( ) ( ) ( ) for where function of gas propertie nh Ti,corrected b s N ; air ; He ; 2 ulk h , T i T T wall bulk wall n 0.44 0.40 0.38 0.37 H ; 0.1 steam ; etc. 2 8 ⎛ ⎞ = ⎜ ⎟ ⎜ = ⎠ = ⎟ ⎝ = If gas is being heated (Tbulk < Twall), then heat transfer is reduced and a correction must be applied. The recommended form of correction is:
  • 81.
    81 In liquids, μdecreases with T, hence effect of temperature is the opposite to that in gases and heat transfer is increased in case of heating (Tbulk < Twall). Therefore, in liquids, (cooling and heating), a correction is applied if Tbulk and Twall are significantly different. The correction factor recommended is (Sieder and Tate, 1936) as: 0.14h i,corrected bulk h , T T i bulk wall wall μ⎛ ⎞ = ⎜ ⎟ ⎜ ⎟≠ μ ⎝ ⎠
  • 82.
    82 Non-circular pipes andducts All the corrections (for fully developed turbulent flow) are directly applicable, provided equivalent diameter De replaces diameter d. 4 cross-sectional area D e wetted perimeter × =
  • 83.
    83 EXAMPLE (Effect offluid properties on turbulent convective heat transfer): Compare the heat transfer rates for air, water, and oil flowing in a pipe of 2.5 cm diameter at a Reynolds number of 105. The internal surface temperature of pipe is 99 0C and fluid mean temperature is 55 0C. How would the pressure drop vary for the three cases? Properties at the mean film temperature (Tbulk+Twall)/2 are as given in the following table:
  • 84.
    84 Properties ↓ AirWater Oil Density, ρ (kg/m3) 0.955 974 854 Kinematic viscosity, μ/ρ = ν (m2/s) 2.09×10–5 3.75×10–7 4.17×10–5 Thermal conductivity, k [W/(m K)] 0.030 0.668 0.138 Prandtl number Pr 0.70 2.29 546 Mean film temperature = (Tbulk+Twall)/2 = (372+328)/2 = 350 K. Properties of the three fluids at 350 K are as: Dittus-Boelter equation is used to compute the heat transfer coefficient hi. ... Dit0.8 0.4Nu 0.02 tus-Boelter3 Re P equ nr atio=
  • 85.
    85 Therefore, for givenReynolds number (Re), kinematic viscosity (μ/ρ = ν), and pipe diameter (di), the average fluid velocity will be different for each fluid. That is, ( ) d v d v i ave i ave d v i aveRe ρ = = = μ μ ρ ν ( )Re d i Re v ave d i μ ρ = = ν For the given Re (105), and given three Prandtl numbers Pr (0.70, 2.29, 548), compute Nusselt number Nu for the three fluids. This will give the heat transfer coefficient hi. Nu k h i d i =
  • 86.
    86 From hi, computethe convective heat transfer flux q: ( ) ( ) ( )q h T T h 372 328 h 44 i wall bulk,ave i i = − = − = Friction factor is same in all the three cases because Reynolds number Re = 10000: ( ) 0.20.20.046 Re 0.046 10000 3f 4.6 10−−= ×= −= Now, compute the pressure drop per unit length of the pipe (ΔP/L). 22 f vP ave L d i ρΔ = Computation summary is presented on the next slide:
  • 87.
    87 Fluid Nu hi J/(s m2 K) q J/(sm2 ) vave m/s ΔP/L (N/m2 )/m Air 199 239 10529 84 2456 Water 320 8817 387939 2 806 Oil 2862 15796 695019 167 8743751 ΔP/L is an indication of pressure loss in pipe. Pressure loss in case of oil is very high ⇒ velocity of 167 m/s is impractical.
  • 88.
    88 If average oilvelocity is brought down to 2 m/s, then (ΔP/L)oil will reduce to 707 (N/m2)/m, but (Re)oil will also reduce from 105 to ≈ 1199. That will bring down (hi)oil drastically. This means: heat transfer rates equivalent to water can not be obtained with oil for commensurate pressure loss. WHY??? Please note: Dittus-Boelter equation is no longer valid for Re of 1199, that is, laminar flow regime; some other appropriate equation will have to be used.
  • 89.
    89 Heat transfer and pressure losscalculations for Shell and Tube Heat Exchangers
  • 90.
    90 Calculations for heattransfer and pressure loss for fluids flowing inside tubes is relatively straightforward. Heat transfer and pressure loss calculations within the shell of the exchanger are not straightforward, because of the complex flow conditions. The calculation procedure has evolved over the decades. Initially, methods (correlations) were developed for computing shell-side pressure drop and heat transfer coefficient based on experimental data for “typical” exchangers.
  • 91.
    91 Kern (1950) method:correlation of data for standard exchangers by a simple equation analogous to equations for flow inside tubes. (Kern, Donald Q. 1950, “Process Heat Transfer”, McGraw-Hill). Limitations: Restricted to a fixed baffle-cut (25%), can not account for effect of other baffle configurations, Can not adequately account for leakages through gaps between tubes and baffles, and between baffles and shell, Can not account for bypassing of the flow around the gap between tube bundle and shell.
  • 92.
    92 Nevertheless, Kern method:very simple and rapid for the calculation of shell-side heat transfer coefficients and pressure losses. Based on data from industrial heat transfer operations and for a fixed baffle cut of 25%, Kern gives the equation: 0.55 1 3h d d c 0.14 shell eq eq p 0.36 k k wall 0.55 1 3h d v shell m sh d c 0.14 shell eq eq p 0 e .36 k k wa l l l l μ⎛ ⎞ ⎛ ⎞ μ⎛ ⎞⎜ ⎟ ⎜ ⎟= ⎜ ⎟ ⎜ ⎟⎜ ⎟μ μ⎝ ⎠⎝ ⎠ ⎝ ⎠ μ⎛ ⎞ ⎛ ⎞ μ⎛ ⎞⎜ ⎟ ⎜ ⎟= ⎜ ⎟ ⎜ ⎟⎜ ⎟μ μ⎝ ⎠⎝ ⎠ ⎝ ⎠ ρ
  • 93.
    93 shell-side heat transfercoefficient equivalent diameter of shell-side flow thermal conductivity of shell side fluid mass velocity on the shell-side tota h shell d eq k m sh l mass f el low rate of f l = = = = = luid on shell-side shell cross-flow area total mass flow rate on shell-side S S specific heat of shell-side fluid at the diameter = viscosity of shell-side flu c id of the s at bulk h p ell flμ ⎛ ⎞ ⎜ ⎟ ⎝ ⎠ ⎛ ⎞ = ⎜ ⎟ ⎝ ⎠ = uid temperature = viscosity of shell-side fluid at wall tempera wa l e l turμ
  • 94.
    94 PT C C = clearance PT= pitch SQUARE pitch tube layout
  • 95.
    95 ( ) ( ) () If shell inside diameter tube pitch tube centre-to-centre distance tube clearance space between tubes baffle spacing distance between baffles Then, Number of tube o d sh n a ell P T shels l diamat C L B = = = = , and Flow area associated with each tube betwe d sh en ellN baffl e e T P L r T B s C = = =
  • 96.
  • 97.
    97 ( ) ( ) Therefore,shell cross-flow area Number of tubes Flow area associated with each tube between baffles N on a C at diamete L r of shell S S d shell C L BT B The shell diam equivalent diameter i t s a er P T = = × = × = 4 d eq 2 2 2 24 P d 4 P d T o4 flow area T o4 4 dwetted perimeter d o o defined as, where d outside diameter of tubes o 4 4 4 ⎡ ⎤π⎛ ⎞ π⎡ ⎤− −⎜ ⎟⎢ ⎥ ⎢ ⎥× ×⎝ ⎠⎣ ⎦ ⎣ ⎦= = = π π⎛ ⎞ ⎜ ⎟ ⎝ ⎠ =
  • 98.
  • 99.
    99 ( ) ( ) () ( ) 22 dP 3 oT 4 8triangular pitch d eq d 2 o shell-side pressure loss 22 N 1 f d m shell shellP shell 0.14 d e For tube layout: Kern 1950 correlation for : where, shell inside diame q wall d shell f ter friction factor; π − = π + Δ = μ = = ρ μ [ ] Number of = number of across the Does not account N baffles B N for "leak tube bund ages" bet + ween baffle spaces 1 fluid pas leses B = ⇒
  • 100.
    100 Shell-side Reynolds numberRe → Shell-sidefrictionfactorf→
  • 101.
    101 EXAMPLE: A shelland tube heat exchanger has the following geometry: Shell ID = dshell = 0.5398 m No. of tubes = NT = 158 Tube OD = do = 2.54 cm; Tube ID = di = 2.0574 cm Tube pitch (square) = PT = 3.175 cm Baffle spacing = LB = 12.70 cm Shell length = LS = 4.8768 m
  • 102.
    102 Tube-to-baffle diametrical clearance= ΔTB = 0.8 mm Shell-to-baffle diametrical clearance = ΔSB = 5 mm Bundle-to-shell diametrical clearance = ΔBuS = 35 mm Split backing floating head = assumed No. of sealing strips per cross-flow row = NSS/NC = 1/5 Baffle thickness = TB = 5 mm No. of tube-side passes = n = 4
  • 103.
    103 Use the Kernmethod to calculate shell-side heat transfer coefficient and pressure drop for flow of a light hydrocarbon with following specification (at Tbulk): Total mass flow rate = MT = 5.5188 kg/s Density = ρ = 730 kg/m3 Thermal conductivity = k = 0.1324 W/(m K) Specific heat capacity = cP = 2.470 kJ/(kg K) Viscosity = μ = 401 (μN s)/m2 Assume no change in viscosity from bulk to wall.
  • 104.
    104 Kern method isto be followed. Therefore, compute: Cross-flow area at the shell diameter (shell centre- line), mass flux (mass velocity), equivalent shell diameter, Shell Reynolds no. (Reshell) and Shell Prandtl no. (Prshell), Heat transfer coefficient and pressure drop (loss). Tube-to-tube clearance C: Gap between tubes = clearance = C = PT – do = 0.03175 – 0.0254 = 0.00635 m
  • 105.
    105 ( ) () ( ) 2 2 4 0. 2 24 031 P d T o4d eq d o 0. 75 0.0254 4 02513 m 0.0254 π⎡ ⎤ − π⎡ ⎤ −⎢ ⎥ ⎢ ⎥⎣ ⎦ = ⎣ π ⎦ = π = Equivalent shell diameter deq: ( )( )0.5398 0.00635 0.1270 0.031 d shellS C L S BP T 20.0137 m 75 1 = = = Cross-flow area at shell diameter (shell centre-line) SS:
  • 106.
    106 total mass flowrate m shell at diameter of shell M kgT shell cross-flow area 5.5188 0.01371 402.5 2S s mS = = == Mass flux (mass velocity) mshell: v m ave she d d eq eq Re 25224 0.025l 1 shel .l l 3 402 5× = = μ = μ μ ρ = Reynolds number Re: ( )( )3 62.470 10 40 c p Pr 1 10 0.1324 7.481 k − = == × μ × Prandtl number Pr:
  • 107.
    107 Shell-side heat transfercoefficient hshell: ( ) ( ) ( ) ( ) ( ) h d shell eq 0.55 1 3 Nu 0.36 Re Pr shell shell shellk 0.55 1 3d m c 0.36 k eq shel 0.36 0.13 l p h shell d k eq W 977.9 24 0.55 1 325224 7.481 0. 4 025 2m 1 K 3 = ≈ μ⎛ ⎞ ⎛ ⎞ ⎜ ⎟ ⎜ ⎟≈ ⎜ ⎟μ ⎝ ⎠⎝ = = ⎠
  • 108.
    108 Calculation of pressuredrop (loss) ΔPshell: Calculate number of baffles in the shell (N): L S L T B 1 1 1 1 shell length N B B 4.8768 4.8768 35.95 0 baffle spacing + baffle thi .1270 0.005 0.1320 ckness 36 = + = − − − − = = + = = Estimated friction factor from the GRAPH ≈ 0.063 ( ) ( ) ( ) ( )( )( )( ) ( )( ) 2 22 N 1 f d m 2 N 1 f d m B shell shell B shel 22 3 l shellP shell 0.14 dd e 6 1 0.063 0.5 qeq wal 398 402 l 222 .5 730 0.02513 24 Pa + + + Δ ≈ = ρμ ≈ ≈ ρ μ
  • 109.
    109 Bell Delaware method (Bell,K.J. 1963, University of Delaware, U.S.A.)
  • 110.
    110 Bell (1963) developeda method in which correction factors were introduced for the following: Leakage through gaps between tubes and baffles, and baffles and shell, respectively, Bypassing of flow around the gap between tube bundle and shell, Effect of baffle configuration (recognition: only a fraction of the tubes are in pure cross-flow), Effect of adverse temperature gradient on heat transfer in laminar flow.
  • 111.
    111 Flow Stream-Analysis method (Tinker,T. 1951; Wills, M.J.N. and Johnston, D. 1984) Tinker (1950) suggested “stream-analysis” method for calculation of shell-side flow and heat transfer. Formed the basis of modern computer codes for shell- side prediction. Wills and Johnston (1984) developed a simplified version suitable for hand calculations. Simultaneously adopted by Engineering Sciences Data Unit (ESDU, 1983), and provides a useful tool for realistic checks on “black box” computer calculations.
  • 112.
    112 Shell baffle A B b c t s w Flow Stream-Analysis method (Tinker,T. 1951; Wills, M.J.N. and Johnston, D. 1984)
  • 113.
    113 Refer to theFigure: Fluid flows from A to B via various routes, b, c, t, s, and w. Leakage between tubes and baffle (t), Leakage between baffle and shell (s), Partly, flow passes over the tubes in cross-flow (c), Partly, flow bypasses the tube bundle (b), Streams b and c combine to form stream w, that passes through the baffle-window zone.
  • 114.
    114 This method alsodepends on empirically based resistance coefficients for the respective streams. This problem may be partly overcome by using Computational Fluid Dynamics (CFD) techniques.
  • 115.
    115 Heat Exchanger Performance Effectivenessof heat exchanger E: defined as ratio of actual heat transfer rate Q to the thermodynamically maximum possible heat transfer rate Qmax: Q E Q max = Qmax = heat transfer rate that would be achieved if the outlet temperature of the fluid with lower heat capacity rate was brought equal to the inlet temperature the other fluid.
  • 116.
  • 117.
    117 Condenser-Heater (isothermal hot fluid;non-isothermal cold fluid) T1 T2,1 T1 T1 T2,1 T2,2 M1 M2 Temperature→ Distance → T2,2 T1
  • 118.
    118 Cooler-Evaporator (non-isothermal hot fluid;isothermal cold fluid) T2 T1,1 T1,2 T2 T2 M1 M2 Temperature→ Distance → T1,2 T1,1 T2
  • 119.
    119 Cooler-Heater (co-current flow) (non-isothermalhot fluid; non-isothermal cold fluid) T2,1 T1,1 T1,2 T2,1 T2,2 M1 M2 Temperature→ Distance → T1,2 T1,1 T2,2
  • 120.
    120 Cooler-Heater (counter-current flow) (non-isothermalhot fluid; non-isothermal cold fluid) T1,2 T1,1 T1,2 T2,1 T2,2 M1 M2 Temperature→ Distance → T2,2 T2,1 T1,1
  • 121.
    121 Assuming “fluid 1”as having lower value of (McP), (see Figures on the next few slides): ( )1 1 Q M c T T max P ,1 1 ,12 = − Over heat balance gives: ( ) ( )Q M c T T M c T T P ,1 ,21 1 1 1 2 2 2P ,2 2,1 = − = − Therefore, effectiveness (based on fluid 1) is given by: ( ) ( ) ( ) ( ) M c T T T T P ,1 ,2 ,1 ,2 E M c T T T T P ,1 1 1 1 1 1 1 1 1 1 2 1,1 ,1 2,1 − − = = − −
  • 122.
    122 Similarly, effectiveness (basedon fluid 2) is given by: ( ) ( ) M c T T P ,2 ,1 E M c T T P 2 2 2 2 1 1 1,1 ,12 − = − In calculating temperature differences, the positive value is considered.
  • 123.
    123 Example: A flowof 1 kg/s of an organic liquid of heat capacity 2.0 kJ/(kg K) is cooled from 350 K to 330 K by a stream of water flowing counter-currently through a DPHE. Estimate effectiveness of heat exchanger if water enters DPHE at 290 K and leaves at 320 K. Solution: MORG = 1 kg/s cP,ORG = 2.0 kJ/(kg K) = 2000 J/(kg K) ΔTORG = TORG,OUT – TORG,IN = 350 – 330 = 20 K
  • 124.
    124 Therefore, heat duty(heat load) = Q = MORGcP,ORG ΔTORG = 1 × 2000 × 20 = 40,000 J/s (McP)ORG = (1 × 2000) = 2000 J/(s K) The mass flow rate of water is calculated using overall heat balance: ( ) 40000 kg M 0.3185 Water 4186.8 320 290 s = = × − ⇒ (McP)WATER = (0.3185 × 4186.8) = 1333.3 J/(s K) ⇒ (McP)MIN = (McP)WATER = 1333.3 J/(s K)
  • 125.
    125 ( ) () ( ) Q E Q max Actual heat lo Actual heat ad MC T maxP m load Maximum he in 40000 1333. at load 3 350 290 0.5 = = = Δ − = ⇒ =
  • 126.
    126 Heat Transfer Units Numberof heat transfer units (NHTU) is defined by: ( ) ( ) ( ) ( ) U A NHTU Mc P min Mc M c M c P 1 P1 2 P2min where of aLO ndWER = = NHTU: heat transfer rate for a unit temperature driving force divided by heat taken (given) by fluid when its temperature is changed by 1 K. NHTU: measure of amount of heat which the heat exchanger can transfer.
  • 127.
    127 The relation foreffectiveness of heat exchanger in terms of heat capacity rates of fluids can be DERIVED for a number of flow conditions. We will consider two cases: (I) Co-current flow double-pipe heat exchanger (without phase change) (II) Counter-current flow double-pipe heat exchanger (without phase change)
  • 128.
    128 CASE I: Co-currentflow ( )dQ U A T T 1 2 = − T2,1 T1,1 T1,2 T2,1 T2,2 M1 M2 Temperature→ Distance → T1,2 T1,1 T2,2 T1 T2 θ
  • 129.
    129 For a differentialarea dA of heat exchanger, heat transfer rate is given by: ( ) ( ) where, and = temperatures of two streams, and local temperature dQ U dA T T U dA 1 2 T T 1 2 T T 1 2 dQ M c dT M c dT 2 P2 2 1 P1 1 dQ dQ dT dT 2 1M c M c 2 difference Also, and P2 1 P1 dT dT d T T 1 2 1 2 = − = θ θ = = − − = = − = = − ⇒ − = ⇒
  • 130.
    130 ( ) 1 1 dQU dA d U dA M c M c 1 P1 2 P2 d 1 1 U dA M c M c 1 P1 2 P2 1 12 U A M c M c 1 1 P1 2 P2 T T 1 11,2 2,2 U A T T M c M c 1,1 2, 1 1 d dQ M c M c 1 P1 1 1 P 2 P But 1 2 P2 ln ln 2 ⇒ ⇒ ⎡ ⎤ = θ θ = − θ ⎡ ⎤ θ +⎢ ⎥ ⎣ ⎦ θ ⎡ ⎤ = − +⎢ ⎥θ ⎣ ⎦ θ ⎡ ⎤ = − +⎢ ⎥θ ⎣ ⎦ − ⎡ ⎤ = = − +⎢ ⎥ ⎣ ⎦ − +⎢ ⎥− ⎣ ⇒ ⇒ ⎦ ⇒
  • 131.
    131 ( ) ( ) Mc M c M c M c 1 P1 2 P2 1 P1 1 P1min T T 1 11,2 2,2 U A T T M c M c 1,1 2,1 1 P1 2 P2 U A U A NHTU Mc M c P 1 P1min T T M cU A1,2 2,2 1 P11 T T M c M c 1,1 2,1 1 P1 2 P2 M c 1 P1NHTU 1 M c If ln ln T T 1,2 2,2 T T 1,1 2,1 2 P exp 2 < = − ⎡ ⎤ = − +⎢ ⎥− ⎣ ⎦ = = − ⎡ ⎤− = +⎢ ⎥ − ⎢ ⇒ ⇒ ⇒ ⎥⎣ ⎦ ⎡ ⎤ = − +⎢ ⎥ ⎢⎣ − − ⎦ ⇒ ⎥ ⎧ ⎫⎪ ⎪ ⎨ ⎬ ⎪ ⎪⎩ ⎭
  • 132.
    132 ( ) ( ) () ( ) ( ) M c T TT T 2 P2 2,2 2,11,1 1,2 E E T T M c T T 1,1 2,1 1 P1 1,1 2,1 T T E T T 1,1 1,2 1,1 2,1 M c 1 P1T T E T T 2,2 2,1 1,1 2,1M c 2 P2 M c 1 P1T T E 1 1,2 2 Since and and Adding: T T T T 1,1 2,1 1,1 2,1,2 M c 2 P Dividing both sides by 2 T 1 1, −− = = − − ⇒ − = − − = − ⎡ ⎤ − + = +⎢ ⎥ ⎢ ⎥⎣ − − ⎦ ( )T 2,1 − ⇒
  • 133.
    133 M c 1 P11E 1 M c 2 P2 M c M c 1 P1 1 P11 exp NHTU 1 E 1 M T T 1,2 2,2 T T 1,1 2,1 M c 1 P11 exp NHTU 1 M c 2 P2 E M c 1 P11 M c 2 P c M c 2 P2 2 2 P2 ⎡ ⎤ ⇒ − = +⎢ ⎥ ⎢ ⎥⎣ ⎦ ⎧ ⎫⎡ ⎤ ⎡ ⎤⎪ ⎪ ⇒ − − + = − − ⎧ ⎫⎡ ⎤⎪ ⎪ − − +⎢ ⎥⎨ ⎬ ⎢ ⎥⎪ +⎢ ⎥ ⎢ ⎥⎨ ⎬ ⎢ ⎥ ⎢ ⎥⎪ ⎪⎣ ⎦ ⎪⎣ ⎦⎩ ⎭= ⎡ ⎤ +⎢ ⎥ ⎢⎣ ⎦⎩ ⎭ ⎦ ⎣ ⎥
  • 134.
    134 ( ){ } [] { }[ ] ( ) { } [ ] [ ] 1 exp NHTU 1 1 E 1 1 0.5 1 exp 2 Special case: M c M c 1 P1 2 P2 Special case: NHTU very hig NHTU 1 exp E 2 1 0 0.5 2 h = ⇒ → − − + = + = − − − −∞ = − = = ∞ ⇒
  • 135.
  • 136.
    136 Similar to co-currentflow, equation can derived for effectiveness of heat exchanger for counter-current flow. Please note: in case of counter-current heat exchanger, θ1 = T2,2–T1,1; θ2 = T2,1–T1,2. Equation for effectiveness E is given by: M c 1 P11 exp NHTU 1 M c 2 P2 E M c M c 1 P1 1 P11 exp NHTU 1 M c M c 2 P2 2 P2 ⎧ ⎫⎡ ⎤⎪ ⎪ − − −⎢ ⎥⎨ ⎬ ⎢ ⎥⎪ ⎪⎣ ⎦⎩ ⎭= ⎧ ⎫⎡ ⎤⎪ ⎪ − − −⎢ ⎥⎨ ⎬ ⎢ ⎥⎪ ⎪⎣ ⎦⎩ ⎭
  • 137.
    137 [ ]{ }1exp NHTU 1 1 E M c M c 1 P1 1 P11 exp NHTU 1 M c M c 2 P2 2 P Special case: M c M c 1 INDETERM P1 INAT 2 P2 2 1 1 0 1 E 1 0 − − − = ⎧ ⎫⎡ ⎤⎪ ⎪ − − −⎢ ⎥⎨ ⎬ ⎢ ⎥⎪ ⎪⎣ ⎦⎩ ⎭ − = = − = = Therefore, expanding the exponential term gives: NHTU E 1 NHTU = + Special case: NHTU → ∞ (very high) ⇒ E = 1.
  • 138.
    138 If one componentis undergoing a ONLY PHASE CHANGE at constant temperature, M1cP1 = 0. In that case, both cases lead to the following equation for heat exchanger effectiveness: ( )E 1 exp NHTU= − −
  • 139.
  • 140.
    140 1,2-STHE NHTU → EffectivenessE→ 0.0 0.2 0.4 0.6 0.8 1.0 0 12 3 4 5 M c M c 0 1 P1 2 P2 = 0.25 0.50 0.75 1.0
  • 141.
    141 Example: A processrequires a flow of 4 kg/s of purified water at 340 K to be heated from 320 K by 8 kg/s of untreated water which can be available at 380, 370, 360 or 350 K. Estimate the heat transfer surfaces of 1,2- STHE suitable for these duties. In all cases, the mean heat capacity of the water streams is 4.18 kJ/(kg K) and the overall coefficient of heat transfer is 1.5 kW/(m2 K). Solution: For the untreated water (hot fluid): (McP)HOT = 8 × 4180 = 33,440 J/(s K)
  • 142.
    142 For the purifiedwater (cold fluid): (McP)COLD = 4 × 4180 = 16,720 J/(s K) Therefore, (McP)MIN = (McP)COLD = 16,720 J/(s K) ( ) ( ) ( ) ( ) ( ) Actual heating load Maximum hea M c 167201 P1 0.5 M c 33440 2 P2 Q E Q max M c 340 320 M c 340 320 1 P1 1 P1 MC T 320 M c T 320 P hot,1 t load 1 P1 hot,1min = = = = − − = = − − ⇒
  • 143.
    143 ( ) ( )( ) Therefore, for T : E hot,1 for T K : 340 320 20 E T 320 T 32 E hot,1 for T K : E hot 0 hot,1 hot,1 380 K 0.3333 370 0.4 36 ,1 for T K : E hot 0 0.5 350 0.66 ,1 67 ⇒ = = = = = = = = − = = − −
  • 144.
    144 ( )P MIN Fromgraph for 1,2-STHE, is found as: T : NHTU 0.45 hot,1 T K : NHTU 0.6 hot,1 T K : NHTU 0.9 hot,1 T K : NHTU 1.7 hot,1 The area is calculat NHTU for 380 K for 370 for 360 for 350 A NHTU(Mc )ed as: for T h t,1 U o = = = = = = = = = = : A for T K : A hot,1 for T K : A ho 2380 K 5.02 m 2370 6.69 m 2360 10 t,1 for T K : A hot .03 m 2350 18.95 m ,1 = = = = = = =
  • 145.
    145 Plate heat exchangers Firstdeveloped by APV, and then by Alfa-Laval. Series of parallel plates held firmly together between substantial head frames. Plates: one-piece pressings (usually SS), and are spaced by rubber sealing gaskets cemented into a channel around the edge of each plate. Plates have troughs pressed out perpendicular to flow direction and arranged to interlink neighbouring plates to form a channel of constantly changing direction.
  • 146.
    146 Generally, the gapbetween the plates is 1.3-1.5 mm. Each liquid flows in alternate spaces and a large surface can be obtained in a small volume. Because of shape of the plates, the developed area of surface is appreciably greater than the projected area. High degree of turbulence is obtained even at low flow rates and the high heat transfer coefficients obtained. The high transfer coefficient enables these exchangers to be operated with very small temperature differences, so that a high heat recovery is obtained.
  • 147.
  • 148.
  • 149.
    149 Because of shapeof the plates, the developed area of surface is appreciably greater than the projected area.
  • 150.
  • 151.
    151 Plate Heat Exchanger Plateand Gasket Plate of suitable metal Gasket of suitable polymer
  • 152.
    152 Two-pass plate andframe flow arrangement
  • 153.
  • 154.
  • 155.
  • 156.
  • 157.
  • 158.
  • 159.
  • 160.
  • 161.
  • 162.
  • 163.
  • 164.
    164 Plate Heat Exchanger(PHE) Schematic
  • 165.
    165 Plate Heat Exchanger(PHE) Schematic
  • 166.
    166 Plate Heat Exchanger(PHE) Schematic
  • 167.
    167 Plate Heat Exchanger(PHE) Functioning
  • 168.
  • 169.
    169 These units havebeen particularly successful in the dairy and brewing industries, where the low liquid capacity and the close control of temperature have been valuable features. A further advantage is that they are easily dismantled for inspection of the whole plate. The necessity for the long gasket is an inherent weakness, but the exchangers have been worked successfully up to 423 K and at pressures of 930 kN/m2. They are now being used in the processing and gas industries with solvents, sugar, acetic acid, ammoniacal liquor, and so on.
  • 170.
    170 Comparison of STHEand PHE STHE: 5 m long, ¾ inch OD tubes placed on 1 inch triangular pitch, 150 tubes Shell ID = 15¼ inch Total surface area = 45 m2 Volume = 0.6 m3 Compactness = 76 m2/m3
  • 171.
    171 PHE: Plate area =0.5 m2 Number of plates = 90 Total surface area = 45 m2 Plate spacing = 5 mm Volume = 0.225 m3 Compactness = 200 m2/m3
  • 172.
    172 Close Temperature Approach Hotstream: 5 kg/s, CP = 1000 J/(kg K), cooling from 71 to 31 0C (Q = 200000 W). Cold Stream: 5 kg/s, CP = 4000 J/(kg K), heating from 30 to 40 0C. U = 500 J/(s m2 K) Y = R = MCCPC/MHCPH = 4 X = P = (TC,OUT-TC,IN)/(TH,IN-TC,IN) = 0.244 LMTD = (31 – 1)/ln(31/1) = 8.74 K A = 200000/(500 × 8.74) = 45 m2
  • 173.
  • 174.
  • 175.
    175 Spiral heat exchangers Twofluids flow through the channels formed between spiral plates. Fluid velocities may be as high as 2.1 m/s and overall heat transfer coefficients (U) ≈ 2800 W/(m2 K) can be obtained. Inner heat transfer coefficient is almost DOUBLE that for a straight tube. Cost is comparable or even less than that of STHE, particularly when they are fabricated from alloy steels.
  • 176.
    176 High surface areaper unit volume of shell and the high inside heat transfer coefficient.
  • 177.
    177 Spiral HE -manufacture
  • 178.
  • 179.
    179 Spiral Flow –Spiral Flow HE
  • 180.
    180 Cross Flow –Spiral Flow HE
  • 181.
    181 Combination Cross Flowand Spiral Flow – Spiral Flow HE
  • 182.
    182 General arrangement ofa Plate-and-Shell HE Cooling medium flows between the plate pairs “Closed” model has an outer (pressure vessel) shell which is welded together to enclose the plate pack Plate pairs are welded together from two individual plates “Open” model has removable end cap / plate pack for cleaning
  • 183.
  • 184.
    184 Thermal Insulation Heat Lossesthrough Lagging Heat loss (gain) from vessels and utility piping: radiation, conduction, convection. Radiation: f(T1 4–T2 4) = increases rapidly with (T1–T2). Conduction: Air is a very poor heat conductor ⇒ heat loss by conduction (by air) is very small. Convection: Convection currents form very easily ⇒ heat loss from an unlagged surface is considerable.
  • 185.
    185 Lagging of hotand cold surfaces is necessary for: Conservation of energy, To achieve acceptable working conditions. For example: surface temperature of furnaces is reduced by using a series of “poor-heat-conducting” insulating bricks. Main requirements of a good lagging material: Low thermal conductivity, It should suppress convection currents.
  • 186.
    186 The materials thatare frequently used are: Cork: very good insulator but becomes charred at moderate temperatures and is used mainly in refrigerating plants. 85 per cent magnesia: widely used for lagging steam pipes: applied either as a hot plastic material (cannot be reused) or in preformed sections (can be reused). Glass wool: cannot be reused. Vermiculite: a reusable inorganic material.
  • 187.
    187 The rate ofheat loss per unit area is given by: temperature difference thermal resistance ∑ ∑ For example: in case of heat loss to atmosphere from a lagged (insulated) steam pipe, thermal resistance is: Due to steam condensate film inside pipe (conVEctive), Due to dirt / scaling inside the pipe (conDUctive), Due to pipe wall (conDUctive), Due to Lagging / insulation (conDUctive), Due to air film outside the lagging (conVEctive).
  • 188.
    188 For a lagged(insulated) pipe: ( )( ) ( )( ) 2 L T overallQ i r r po lago ln ln r r pi po1 1 r h k k r h pi i p lag lago o Q 2 T overalli L r po ln l r lag n r r pi p o k r h lag lago o HEAT LOSS RATE per o1 1 r h k pi, i unit p p π Δ ⎡ ⎤⎛ ⎞ ⎛ ⎞ ⎢ ⎥⎜ ⎟ ⎜ ⎟ ⎢ ⎥⎜ ⎟ ⎜ ⎟ ⎝ ⎠ ⎝ ⎠⎢ ⎥+ + + ⎢ ⎥ ⎢ ⎥⎣ ⎦ π Δ ⎡ ⎤⎛ ⎞ ⎛ ⎞ ⎢ ⎥⎜ ⎟ ⎜ ⎟ ⎢ ⎥⎜ ⎟ ⎜ ⎟ ⎝ ⎠ ⎝ ⎠ = ⇒ = = ⎢ ⎥+ + + ⎢ ⎥ ⎢ ⎥⎣ ⎦ ipe length
  • 189.
    189 ( ) where, heatloass per unit pipe length, overall temperature difference, inside radius of pipe, outside rad Q 1 1i J s m L T Koverall r m pi r m po r m l ius of pipe, outside radius of lagging, convective a h i go = = = = Δ = − − = film heat transfer coefficient inside pipe, convective film heat transfer coefficient outside lagging, thermal conductivity of pipe mat 1 2 1J s m K h 1 2 1o J s m K 1 1 1k erial, J s thermal m K p k lag co ⎧ ⎨ − − − ⎩ − − − −= = − − ⎧ = ⎨ ⎩ nductivity of lagging 1 1 1J smateri Ka ml, − − −
  • 190.
    190 A steam pipe,150 mm i.d. and 168 mm o.d., is carrying steam at 444 K and is lagged with 50 mm of 85% magnesia. What is the heat loss to air at 294 K? Given: Temperature on the outside of lagging ≈ 314 K hi = steam-side convective film heat transfer coefficient = 8500 W m–2 K–1 ho = convective film heat transfer coefficient outside lagging = 10 W m–2 K–1 kp = thermal conductivity of pipe material = 45 W m–1 K–1 klag = thermal conductivity of lagging material = 0.073 W m–1 K–1
  • 191.
    191 ( )( ) ()T ove Q 2 T overalli L r r po lago ln ln r r pi po1 1 r h k k r h pi, i p lag lago o 444 294 150 K 150 3mm 75 mm 75 10 m 2 168 3mm 84 mm 84 1 rall r pi r po r r lago po 0 m 2 50 84 50 mm 134 mm 134 10 π Δ = ⎡ ⎤⎛ ⎞ ⎛ ⎞ ⎢ ⎥⎜ ⎟ ⎜ ⎟ ⎢ ⎥⎜ ⎟ ⎜ ⎟ ⎝ ⎠ ⎝ ⎠⎢ ⎥+ + + ⎢ ⎥ ⎢ ⎥⎣ ⎦ = − = −= = = × −= = = × −= + = + = × Δ = 3 m
  • 192.
    192 ( ) ( )( ) Q 2 150i L 84 134 ln ln 1 175 84 3 345 0.07375 10 8500 134 10 10 Q 942.478i 3 3 1L 1.569 10 2.518 10 6.398 7.463 10 Q 942.478i 131.85 L 7.14 s 8 1 1J m π = ⎡ ⎤⎛ ⎞ ⎛ ⎞ ⎜ ⎟ ⎜ ⎟⎢ ⎥ ⎝ ⎠ ⎝ ⎠⎢ ⎥+ + + − −⎢ ⎥× ×⎣ ⎦ ⇒ = − − −⎡ ⎤× + × + + ×⎣ = − ⎦ = −⇒
  • 193.
    193 The temperature onthe outside of the lagging may now be cross-checked as follows: ( ) ( ) ( ) ( ) ( ) ( ) ( ) ( ) ( ) lagging's thermal resistance total thermal resistance T 6.398 2lagging 0.8950 T 7.148 2overall T 0.8950 Tlagging overall 0.8950 444 294 134.25 T lagging T ov K Temperature outside lagging neglect n er i all = ⇒ Δ π = = ⇒ Δ π Δ = × Δ = × − = ⇒ Δ Δ ( )g T-drop in pipe wall 444 134.25 309.75 K ⎫ ⎬ ⎭ = − =
  • 194.
    194 In the absenceof lagging, under otherwise the same conditions, the heat loss per unit pipe length will be: ( )( ) ( ) ( ) ( ) Q 2 T overalli L r po ln r pi1 1 r h k r h pi, i p po o Q 2 150i L 84 ln 1 175 3 34575 10 8500 84 10 10 π Δ = ⎡ ⎤⎛ ⎞ ⎢ ⎥⎜ ⎟ ⎢ ⎥⎜ ⎟ ⎝ ⎠⎢ ⎥+ + ⎢ ⎥ ⎢ ⎥⎣ ⎦ π ⇒ = ⎡ ⎤⎛ ⎞ ⎜ ⎟⎢ ⎥ ⎝ ⎠⎢ ⎥+ + − −⎢ ⎥× ×⎣ ⎦
  • 195.
    195 Q 942.478i 3 3L1.569 10 2.518 10 1.190 Q 942.478i L 1.195 Q i 789.0 L Therefore, in this case, losses are 6 times higher than those compar 1 1J s m ed to the "lagged" case. ⇒ = − −⎡ ⎤× + × +⎣ ⎦ ⇒ = ≈ − −⇒ =
  • 196.
    196 Economic Thickness ofLagging Thickness of lagging ↑, loss of heat ↓ ⇒ saving in operating costs. However, cost of lagging ↑ with thickness ⇒ there will be an optimum thickness of lagging when further increase does not save sufficient heat to justify the cost.
  • 197.
    197 Typical Recommendations (loose): 373-423K, 150 mm dia. pipe: 25 mm thickness of 85% magnesia lagging 373-423 K, > 230 mm dia. pipe: 50 mm thickness of 85% magnesia lagging 470-520 K, < 75 mm dia. pipe: 38 mm thickness of 85% magnesia lagging. 470-520 K, 75 mm < dpipe ≤ 230 mm : 50 mm thickness of 85% magnesia lagging.
  • 198.
    198 Critical Thickness ofLagging Lagging thickness ↑, resistance to heat transfer by thermal conduction ↑, AND the outside area (circular pipes) from which heat is lost to surroundings also ↑ ⇒ possibility of increased heat loss. The above argument can be explained if we consider the lagging to work as a large circular fin having very low thermal conductivity.
  • 199.
    199 TS TL TA rpxlag rp = radius of pipe xlag = lagging thickness TS = pipe temperature TA = surrounding temperature TL = outside temperature of lagging
  • 200.
    200 Consider heat lossfrom a pipe (TS ) to surroundings (TA). Heat flows through lagging of thickness xlag across which the temperature falls from a TS (at its radius rp), to TL (at rp+xlag). Heat loss rate Q from a pipe length L is given by (by considering heat loss from outside of lagging), ( ) ( ) ( ) ... conVEctive and, Q h 2 L r x T T o p lag L A T T S LQ k 2 L lag ... conDUcti x r e LM v lag ⎡ ⎤= π + − ⎣ ⎦ − = π⎡ ⎤ ⎣ ⎦
  • 201.
    201 Equating Q givenin equations above: ( ) ( ) ( ) Q h 2 L r x T T o p lag L A x T Tlag S LQ k 2 L lag r x x p lag lag l an n r p d, ⎡ ⎤= π + − ⎣ ⎦ ⎡ ⎤ − ⎢ ⎥= π +⎛ ⎞⎢ ⎥ ⎜ ⎟⎢ ⎥ ⎜ ⎟⎢ ⎥ ⎝⎣ ⇒ ⎠ ⎦ ( ) ( ) ( ) k lag h r x T T T T o p lag L A S Lr x p lag ln r p ⎡ ⎤+ − = − +⎛ ⎞⎣ ⎦ ⎜ ⎟ ⎜ ⎟ ⎝ ⎠
  • 202.
    202 ( ) ( )( ) ( ) ( ) ( ) T T S L a say T T L A T T aT aT S L L A aT T A ST L 1 a T r xh p lago r x ln p lagk r lag pi Q h 2 L r herefore x T o p lag A T T S AQ h 2 L r , aT T A S x o p lag 1 a 1 a − ⇒ − ⇒ − − + ⇒ + + +⎛ ⎞ ⎜ ⎟= + = ⎜ ⎟ ⎝ ⎠ = = ⎛ ⎞ ⎡ ⎤= π + −⎜ ⎟ ⎝ ⎠⎣ ⎦ −⎛ ⎞ ⎡ ⎤= π + ⎜ ⎟ +⎝⎦ + ⇒ ⎠⎣
  • 203.
    203 ( )( ) () ( )( ) ( ) Also, Theref h 2 L r x T T o p lag S A Q 1 a r xh p lagoa r x ln p lagk r lag p h 2 L r x T T o p lag S A Q r xh p lago1 r x ln p ore lagk r l p , ag π + − = + +⎛ ⎞ ⎜ ⎟= + ⎜ ⎟ ⎝ ⎠ π + − = ⎧ ⎫+⎛ ⎞ ⎪ ⎪⎜ ⎟+ +⎨ ⎬ ⎜ ⎟⎪ ⎪⎝⎩ ⇒ ⇒ ⎠⎭
  • 204.
    204 ( )( ) () ( ) ( ) ( ) Differentia h 2 L r x T T o p lag Q h 2 L T T o S A Q r xh p lago1 r x ln p lagk r la S A r x p l ting ag r xh p lago1 r x ln p lagk r l w.r.t. , g pi x l a g g p a ⎡ ⎤π − ⎣ ⎦ + = π + − = ⎧ ⎫+⎛ ⎞ ⎪ ⎪⎜ ⎟+ +⎨ ⎬ ⎜ ⎟⎪ ⎪⎝ ⎠⎩ ⎭ ⎧ ⎫+⎛ ⎞ ⎪ ⎪⎜ ⎟+ +⎨ ⎬ ⎜ ⎟⎪ ⎪⎝ ⎠⎩ ⎭ ⇒
  • 205.
    205 ( ) ( ) () ( ) ( ) ( ) r xh p lago1 r x ln p lagk r lag p rh 1po 1 h 2 L T T o S A r xh p lago ln k r la dQ dx g p r x p lag r xh p lago1 r x ln p r x p lag k r x r lag p lag p lagk r lag p lag +⎛ ⎞ ⎜ ⎟+ ⇒ ⎡ ⎤π − ⎣ ⎦ ⎧ ⎫ ⎪ ⎪ ⎪ ⎪ ⎪ ⎪ +⎪ ⎪⎛ ⎞ ⎪ ⎪⎜ ⎟⎨ ⎬ ⎜ ⎟⎪ ⎪⎝ ⎠− +⎪ ⎪ ⎪ ⎪ + ⎜ ⎟ ⎝ ⎡ ⎤ ⎢ ⎥ ⎢ ⎥ ⎢ ⎥ ⎢ ⎥ ⎢ ⎥ ⎢ ⎥ ⎣ +⎪ ⎪ ⎪ ⎪⎩ ⎭= ⎧ ⎫+⎛ ⎞ ⎪ ⎜ ⎟ ⎠ + +⎨ ⎬ ⎜ ⎟⎪ ⎝ + ⎩ + ⎦ ⎠ 2 ⎪ ⎪⎭
  • 206.
    206 Maximum value ofQ (= Qmax) occurs at dQ/dxlag = 0. ( ) gives ... any addition of laggi kh lag01 r x 0 x r p lag lag pk h lag 0 ng heat k k h r lag lag 0 p x 0 r 1 1 lag ph h r k 0 0 p lag DECREASES k k h r lag lag 0 p x 0 r 1 1 l loss Also, gives ag ph h r k 0 0 p lag − + = = − ≤ ≤ ≤ ≥ > > ⇒ ⇒ ⇒ ⇒ ⇒ ⇒ ⇒> <
  • 207.
    207 Thin layers oflagging heat loss ... It is necessary to exceed MUCH BEYOND critical thickness for reducing heat loss ... give increases h r 0 p 1 k lag Critical lagging thickness k lag x r lag ph lag MAXs I ⎧ ⎪ ⎪ ⎨ ⎪ = − ⎪⎩ = < heatMUM loss
  • 208.
    208 ( ) () ( ) ( ) h 2 L T T r x o S A p lag Q max r xh p lago1 r x ln p lagk r lag p k lag h 2 L T T o S A h oQ max k k hh lag lag oo1 ln k h r lag o p ⎡ ⎤π − + ⎣ ⎦ = ⎧ ⎫+⎛ ⎞ ⎪ ⎪⎜ ⎟+ +⎨ ⎬ ⎜ ⎟⎪ ⎪⎝ ⎠⎩ ⎭ ⎡ ⎤π − ⎣ ⎦ = ⎧ ⎫⎛ ⎞ ⎪ ⎪⎜ ⎟+⎨ ⎬ ⎜ ⎟⎪ ⎠⎩ ⇒ ⎝ ⇒ ⎪⎭
  • 209.
    209 ( )k 2L T T lag S A Q max k lag 1 ln h r o p ⎡ ⎤π − ⎣ ⎦= ⎧ ⎫⎛ ⎞ ⎪ ⎪⎜ ⎟+⎨ ⎬ ⎜ ⎟⎪ ⎪⎝ ⎠⎩ ⎭ ⇒ For an unlagged pipe: TL = TS, and xlag = 0. The rate of heat loss Q0 for an unlagged pipe is given as: ( ) ( ) ( ) ( ) Q h 2 L r x T T 0 o p lag S A Q h 2 L r T T 0 o p S A ⎡ ⎤= π + − ⎣ ⎦ ⎡ ⎤ ⎣ ⎦ ⇒ = π −
  • 210.
    210 k lag h rQ opmax kQ lag0 1 ln h r o p ⎛ ⎞ ⎜ ⎟ ⎜ ⎟ ⎝ ⎠= ⎛ ⎞ ⎜ ⎟+ ⎜ ⇒ ⎟ ⎝ ⎠ The ratio Q/Q0 is plotted as a function of xlag (see next slide)
  • 211.
    211 ( )Q Q 0max Q Q 0 ⎛ ⎞ ⎜ ↑ ⎟⎜ ⎟ ⎝ ⎠ lagging thickness xlag → h r 0 p 1 k lag > h r 0 p 1 k lag = h r 0 p 1 k lag < Critical thickness of lagging