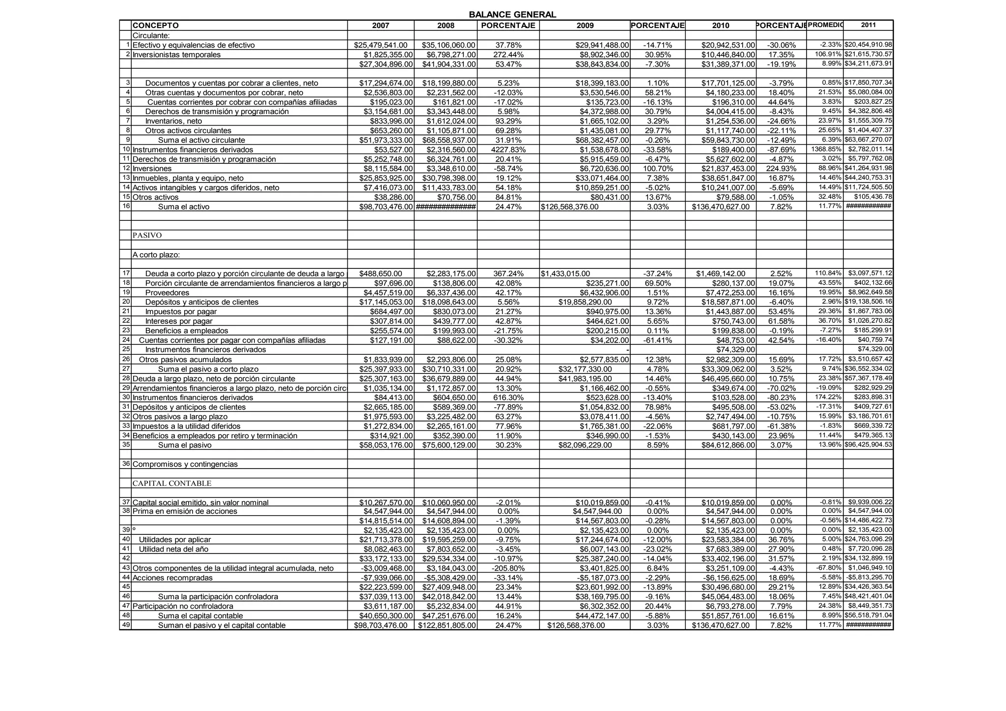
BALANCE GENERAL
   CONCEPTO                                                              2007               2008         PORCENTAJE            2009              PORCENTAJE        2010       PORCENTAJEPROMEDIO           2011
   Circulante:
 1 Efectivo y equivalencias de efectivo                             $25,479,541.00      $35,106,060.00      37.78%             $29,941,488.00      -14.71%      $20,942,531.00    -30.06%    -2.33% $20,454,910.98
 2 Inversionistas temporales                                          $1,825,355.00      $6,798,271.00     272.44%              $8,902,346.00       30.95%      $10,446,840.00    17.35%    106.91% $21,615,730.57
                                                                     $27,304,896.00     $41,904,331.00      53.47%             $38,843,834.00       -7.30%      $31,389,371.00    -19.19%     8.99% $34,211,673.91

 3       Documentos y cuentas por cobrar a clientes, neto            $17,294,674.00 $18,199,880.00           5.23%             $18,399,183.00        1.10%      $17,701,125.00     -3.79%      0.85%   $17,850,707.34
 4       Otras cuentas y documentos por cobrar, neto                  $2,536,803.00   $2,231,562.00        -12.03%              $3,530,546.00       58.21%       $4,180,233.00     18.40%     21.53%    $5,080,084.00
 5        Cuentas corrientes por cobrar con compañías afiliadas         $195,023.00     $161,821.00        -17.02%                $135,723.00      -16.13%         $196,310.00     44.64%      3.83%      $203,827.25
 6       Derechos de transmisión y programación                       $3,154,681.00   $3,343,448.00          5.98%              $4,372,988.00       30.79%       $4,004,415.00     -8.43%      9.45%    $4,382,806.48
 7       Inventarios, neto                                              $833,996.00   $1,612,024.00         93.29%              $1,665,102.00        3.29%       $1,254,536.00    -24.66%     23.97%    $1,555,309.75
 8       Otros activos circulantes                                      $653,260.00   $1,105,871.00         69.28%              $1,435,081.00       29.77%       $1,117,740.00    -22.11%     25.65%    $1,404,407.37
 9           Suma el activo circulante                               $51,973,333.00 $68,558,937.00          31.91%             $68,382,457.00       -0.26%      $59,843,730.00    -12.49%      6.39%   $63,667,270.07
10   Instrumentos financieros derivados                                  $53,527.00   $2,316,560.00       4227.83%              $1,538,678.00      -33.58%         $189,400.00    -87.69%   1368.85%    $2,782,011.14
11   Derechos de transmisión y programación                           $5,252,748.00   $6,324,761.00         20.41%              $5,915,459.00       -6.47%       $5,627,602.00     -4.87%      3.02%    $5,797,762.08
12   Inversiones                                                      $8,115,584.00   $3,348,610.00        -58.74%              $6,720,636.00      100.70%      $21,837,453.00    224.93%     88.96%   $41,264,931.98
13   Inmuebles, planta y equipo, neto                                $25,853,925.00 $30,798,398.00          19.12%             $33,071,464.00        7.38%      $38,651,847.00     16.87%     14.46%   $44,240,753.31
14   Activos intangibles y cargos diferidos, neto                     $7,416,073.00 $11,433,783.00          54.18%             $10,859,251.00       -5.02%      $10,241,007.00     -5.69%     14.49%   $11,724,505.50
15   Otros activos                                                       $38,286.00      $70,756.00         84.81%                 $80,431.00       13.67%          $79,588.00     -1.05%     32.48%      $105,436.78
16           Suma el activo                                          $98,703,476.00 ##############          24.47%    $126,568,376.00                3.03%    $136,470,627.00       7.82%     11.77%   ############



     PASIVO

     A corto plazo:

17       Deuda a corto plazo y porción circulante de deuda a largo plazo
                                                                       $488,650.00       $2,283,175.00     367.24%    $1,433,015.00                -37.24%     $1,469,142.00       2.52%    110.84% $3,097,571.12
18       Porción circulante de arrendamientos financieros a largo plazo    $97,696.00      $138,806.00      42.08%                 $235,271.00      69.50%          $280,137.00   19.07%     43.55%    $402,132.66
19       Proveedores                                                    $4,457,519.00    $6,337,436.00      42.17%               $6,432,906.00       1.51%        $7,472,253.00   16.16%     19.95% $8,962,649.58
20       Depósitos y anticipos de clientes                             $17,145,053.00   $18,098,643.00       5.56%         $19,858,290.00            9.72%      $18,587,871.00    -6.40%      2.96% $19,138,506.16
21       Impuestos por pagar                                              $684,497.00      $830,073.00      21.27%                 $940,975.00      13.36%        $1,443,887.00   53.45%     29.36% $1,867,783.06
22       Intereses por pagar                                              $307,814.00      $439,777.00      42.87%                 $464,621.00       5.65%          $750,743.00   61.58%     36.70% $1,026,270.82
23       Beneficios a empleados                                           $255,574.00      $199,993.00     -21.75%                 $200,215.00       0.11%          $199,838.00   -0.19%     -7.27%    $185,299.91
24     Cuentas corrientes por pagar con compañías afiliadas               $127,191.00       $88,622.00     -30.32%                  $34,202.00     -61.41%           $48,753.00   42.54%    -16.40%     $40,759.74
25       Instrumentos financieros derivados                                                                                                  -                       $74,329.00                         $74,329.00
26     Otros pasivos acumulados                                         $1,833,939.00    $2,293,806.00      25.08%               $2,577,835.00      12.38%        $2,982,309.00   15.69%     17.72% $3,510,657.42
27           Suma el pasivo a corto plazo                              $25,397,933.00   $30,710,331.00      20.92%         $32,177,330.00            4.78%      $33,309,062.00     3.52%      9.74% $36,552,334.02
28   Deuda a largo plazo, neto de porción circulante                   $25,307,163.00   $36,679,889.00      44.94%         $41,983,195.00           14.46%      $46,495,660.00    10.75%     23.38% $57,367,178.49
29   Arrendamientos financieros a largo plazo, neto de porción circulante
                                                                        $1,035,134.00    $1,172,857.00      13.30%               $1,166,462.00      -0.55%          $349,674.00   -70.02%   -19.09%    $282,929.29
30   Instrumentos financieros derivados                                    $84,413.00      $604,650.00     616.30%                 $523,628.00     -13.40%          $103,528.00   -80.23%   174.22%    $283,898.31
31   Depósitos y anticipos de clientes                                  $2,665,185.00      $589,369.00     -77.89%               $1,054,832.00      78.98%          $495,508.00   -53.02%   -17.31%    $409,727.61
32   Otros pasivos a largo plazo                                        $1,975,593.00    $3,225,482.00      63.27%               $3,078,411.00      -4.56%        $2,747,494.00   -10.75%    15.99% $3,186,701.61
33   Impuestos a la utilidad diferidos                                  $1,272,834.00    $2,265,161.00      77.96%               $1,765,381.00     -22.06%          $681,797.00   -61.38%    -1.83%    $669,339.72
34   Beneficios a empleados por retiro y terminación                      $314,921.00      $352,390.00      11.90%                 $346,990.00      -1.53%          $430,143.00   23.96%     11.44%    $479,365.13
35           Suma el pasivo                                            $58,053,176.00   $75,600,129.00      30.23%         $82,096,229.00            8.59%      $84,612,866.00     3.07%     13.96% $96,425,904.53

36 Compromisos y contingencias


     CAPITAL CONTABLE

37 Capital social emitido, sin valor nominal                         $10,267,570.00 $10,060,950.00          -2.01%             $10,019,859.00       -0.41%      $10,019,859.00     0.00%      -0.81%    $9,939,006.22
38 Prima en emisión de acciones                                        $4,547,944.00  $4,547,944.00          0.00%            $4,547,944.00          0.00%        $4,547,944.00    0.00%       0.00%    $4,547,944.00
                                                                     $14,815,514.00 $14,608,894.00          -1.39%             $14,567,803.00       -0.28%      $14,567,803.00     0.00%      -0.56%   $14,486,422.73
39   º                                                                 $2,135,423.00  $2,135,423.00          0.00%              $2,135,423.00        0.00%        $2,135,423.00    0.00%       0.00%    $2,135,423.00
40       Utilidades por aplicar                                      $21,713,378.00 $19,595,259.00          -9.75%             $17,244,674.00      -12.00%      $23,583,384.00    36.76%       5.00%   $24,763,096.29
41       Utilidad neta del año                                         $8,082,463.00  $7,803,652.00         -3.45%              $6,007,143.00      -23.02%        $7,683,389.00   27.90%       0.48%    $7,720,096.28
42                                                                   $33,172,133.00 $29,534,334.00         -10.97%             $25,387,240.00      -14.04%      $33,402,196.00    31.57%       2.19%   $34,132,899.19
43   Otros componentes de la utilidad integral acumulada, neto        -$3,009,468.00  $3,184,043.00       -205.80%              $3,401,825.00        6.84%        $3,251,109.00   -4.43%     -67.80%    $1,046,949.10
44   Acciones recompradas                                             -$7,939,066.00 -$5,308,429.00        -33.14%             -$5,187,073.00       -2.29%       -$6,156,625.00   18.69%      -5.58%   -$5,813,295.70
45                                                                   $22,223,599.00 $27,409,948.00          23.34%             $23,601,992.00      -13.89%      $30,496,680.00    29.21%      12.89%   $34,426,363.54
46           Suma la participación confroladora                      $37,039,113.00 $42,018,842.00          13.44%             $38,169,795.00       -9.16%      $45,064,483.00    18.06%       7.45%   $48,421,401.04
47   Participación no confroladora                                     $3,611,187.00  $5,232,834.00         44.91%              $6,302,352.00       20.44%        $6,793,278.00    7.79%      24.38%    $8,449,351.73
48           Suma el capital contable                                $40,650,300.00 $47,251,676.00          16.24%             $44,472,147.00       -5.88%      $51,857,761.00    16.61%       8.99%   $56,518,791.04
49           Suman el pasivo y el capital contable                  $98,703,476.00 $122,851,805.00          24.47%     $126,568,376.00               3.03%    $136,470,627.00      7.82%      11.77%   ############

Anexo 1

  • 1.
    BALANCE GENERAL CONCEPTO 2007 2008 PORCENTAJE 2009 PORCENTAJE 2010 PORCENTAJEPROMEDIO 2011 Circulante: 1 Efectivo y equivalencias de efectivo $25,479,541.00 $35,106,060.00 37.78% $29,941,488.00 -14.71% $20,942,531.00 -30.06% -2.33% $20,454,910.98 2 Inversionistas temporales $1,825,355.00 $6,798,271.00 272.44% $8,902,346.00 30.95% $10,446,840.00 17.35% 106.91% $21,615,730.57 $27,304,896.00 $41,904,331.00 53.47% $38,843,834.00 -7.30% $31,389,371.00 -19.19% 8.99% $34,211,673.91 3 Documentos y cuentas por cobrar a clientes, neto $17,294,674.00 $18,199,880.00 5.23% $18,399,183.00 1.10% $17,701,125.00 -3.79% 0.85% $17,850,707.34 4 Otras cuentas y documentos por cobrar, neto $2,536,803.00 $2,231,562.00 -12.03% $3,530,546.00 58.21% $4,180,233.00 18.40% 21.53% $5,080,084.00 5 Cuentas corrientes por cobrar con compañías afiliadas $195,023.00 $161,821.00 -17.02% $135,723.00 -16.13% $196,310.00 44.64% 3.83% $203,827.25 6 Derechos de transmisión y programación $3,154,681.00 $3,343,448.00 5.98% $4,372,988.00 30.79% $4,004,415.00 -8.43% 9.45% $4,382,806.48 7 Inventarios, neto $833,996.00 $1,612,024.00 93.29% $1,665,102.00 3.29% $1,254,536.00 -24.66% 23.97% $1,555,309.75 8 Otros activos circulantes $653,260.00 $1,105,871.00 69.28% $1,435,081.00 29.77% $1,117,740.00 -22.11% 25.65% $1,404,407.37 9 Suma el activo circulante $51,973,333.00 $68,558,937.00 31.91% $68,382,457.00 -0.26% $59,843,730.00 -12.49% 6.39% $63,667,270.07 10 Instrumentos financieros derivados $53,527.00 $2,316,560.00 4227.83% $1,538,678.00 -33.58% $189,400.00 -87.69% 1368.85% $2,782,011.14 11 Derechos de transmisión y programación $5,252,748.00 $6,324,761.00 20.41% $5,915,459.00 -6.47% $5,627,602.00 -4.87% 3.02% $5,797,762.08 12 Inversiones $8,115,584.00 $3,348,610.00 -58.74% $6,720,636.00 100.70% $21,837,453.00 224.93% 88.96% $41,264,931.98 13 Inmuebles, planta y equipo, neto $25,853,925.00 $30,798,398.00 19.12% $33,071,464.00 7.38% $38,651,847.00 16.87% 14.46% $44,240,753.31 14 Activos intangibles y cargos diferidos, neto $7,416,073.00 $11,433,783.00 54.18% $10,859,251.00 -5.02% $10,241,007.00 -5.69% 14.49% $11,724,505.50 15 Otros activos $38,286.00 $70,756.00 84.81% $80,431.00 13.67% $79,588.00 -1.05% 32.48% $105,436.78 16 Suma el activo $98,703,476.00 ############## 24.47% $126,568,376.00 3.03% $136,470,627.00 7.82% 11.77% ############ PASIVO A corto plazo: 17 Deuda a corto plazo y porción circulante de deuda a largo plazo $488,650.00 $2,283,175.00 367.24% $1,433,015.00 -37.24% $1,469,142.00 2.52% 110.84% $3,097,571.12 18 Porción circulante de arrendamientos financieros a largo plazo $97,696.00 $138,806.00 42.08% $235,271.00 69.50% $280,137.00 19.07% 43.55% $402,132.66 19 Proveedores $4,457,519.00 $6,337,436.00 42.17% $6,432,906.00 1.51% $7,472,253.00 16.16% 19.95% $8,962,649.58 20 Depósitos y anticipos de clientes $17,145,053.00 $18,098,643.00 5.56% $19,858,290.00 9.72% $18,587,871.00 -6.40% 2.96% $19,138,506.16 21 Impuestos por pagar $684,497.00 $830,073.00 21.27% $940,975.00 13.36% $1,443,887.00 53.45% 29.36% $1,867,783.06 22 Intereses por pagar $307,814.00 $439,777.00 42.87% $464,621.00 5.65% $750,743.00 61.58% 36.70% $1,026,270.82 23 Beneficios a empleados $255,574.00 $199,993.00 -21.75% $200,215.00 0.11% $199,838.00 -0.19% -7.27% $185,299.91 24 Cuentas corrientes por pagar con compañías afiliadas $127,191.00 $88,622.00 -30.32% $34,202.00 -61.41% $48,753.00 42.54% -16.40% $40,759.74 25 Instrumentos financieros derivados - $74,329.00 $74,329.00 26 Otros pasivos acumulados $1,833,939.00 $2,293,806.00 25.08% $2,577,835.00 12.38% $2,982,309.00 15.69% 17.72% $3,510,657.42 27 Suma el pasivo a corto plazo $25,397,933.00 $30,710,331.00 20.92% $32,177,330.00 4.78% $33,309,062.00 3.52% 9.74% $36,552,334.02 28 Deuda a largo plazo, neto de porción circulante $25,307,163.00 $36,679,889.00 44.94% $41,983,195.00 14.46% $46,495,660.00 10.75% 23.38% $57,367,178.49 29 Arrendamientos financieros a largo plazo, neto de porción circulante $1,035,134.00 $1,172,857.00 13.30% $1,166,462.00 -0.55% $349,674.00 -70.02% -19.09% $282,929.29 30 Instrumentos financieros derivados $84,413.00 $604,650.00 616.30% $523,628.00 -13.40% $103,528.00 -80.23% 174.22% $283,898.31 31 Depósitos y anticipos de clientes $2,665,185.00 $589,369.00 -77.89% $1,054,832.00 78.98% $495,508.00 -53.02% -17.31% $409,727.61 32 Otros pasivos a largo plazo $1,975,593.00 $3,225,482.00 63.27% $3,078,411.00 -4.56% $2,747,494.00 -10.75% 15.99% $3,186,701.61 33 Impuestos a la utilidad diferidos $1,272,834.00 $2,265,161.00 77.96% $1,765,381.00 -22.06% $681,797.00 -61.38% -1.83% $669,339.72 34 Beneficios a empleados por retiro y terminación $314,921.00 $352,390.00 11.90% $346,990.00 -1.53% $430,143.00 23.96% 11.44% $479,365.13 35 Suma el pasivo $58,053,176.00 $75,600,129.00 30.23% $82,096,229.00 8.59% $84,612,866.00 3.07% 13.96% $96,425,904.53 36 Compromisos y contingencias CAPITAL CONTABLE 37 Capital social emitido, sin valor nominal $10,267,570.00 $10,060,950.00 -2.01% $10,019,859.00 -0.41% $10,019,859.00 0.00% -0.81% $9,939,006.22 38 Prima en emisión de acciones $4,547,944.00 $4,547,944.00 0.00% $4,547,944.00 0.00% $4,547,944.00 0.00% 0.00% $4,547,944.00 $14,815,514.00 $14,608,894.00 -1.39% $14,567,803.00 -0.28% $14,567,803.00 0.00% -0.56% $14,486,422.73 39 º $2,135,423.00 $2,135,423.00 0.00% $2,135,423.00 0.00% $2,135,423.00 0.00% 0.00% $2,135,423.00 40 Utilidades por aplicar $21,713,378.00 $19,595,259.00 -9.75% $17,244,674.00 -12.00% $23,583,384.00 36.76% 5.00% $24,763,096.29 41 Utilidad neta del año $8,082,463.00 $7,803,652.00 -3.45% $6,007,143.00 -23.02% $7,683,389.00 27.90% 0.48% $7,720,096.28 42 $33,172,133.00 $29,534,334.00 -10.97% $25,387,240.00 -14.04% $33,402,196.00 31.57% 2.19% $34,132,899.19 43 Otros componentes de la utilidad integral acumulada, neto -$3,009,468.00 $3,184,043.00 -205.80% $3,401,825.00 6.84% $3,251,109.00 -4.43% -67.80% $1,046,949.10 44 Acciones recompradas -$7,939,066.00 -$5,308,429.00 -33.14% -$5,187,073.00 -2.29% -$6,156,625.00 18.69% -5.58% -$5,813,295.70 45 $22,223,599.00 $27,409,948.00 23.34% $23,601,992.00 -13.89% $30,496,680.00 29.21% 12.89% $34,426,363.54 46 Suma la participación confroladora $37,039,113.00 $42,018,842.00 13.44% $38,169,795.00 -9.16% $45,064,483.00 18.06% 7.45% $48,421,401.04 47 Participación no confroladora $3,611,187.00 $5,232,834.00 44.91% $6,302,352.00 20.44% $6,793,278.00 7.79% 24.38% $8,449,351.73 48 Suma el capital contable $40,650,300.00 $47,251,676.00 16.24% $44,472,147.00 -5.88% $51,857,761.00 16.61% 8.99% $56,518,791.04 49 Suman el pasivo y el capital contable $98,703,476.00 $122,851,805.00 24.47% $126,568,376.00 3.03% $136,470,627.00 7.82% 11.77% ############