ANALISA STRUKTUR METODE
MATRIKS
• Analisa Struktur Metode Matriks (ASMM) adalah suatu
metode untuk menganalisa struktur dengan
menggunakan bantuan matriks, yang terdiri dari : matriks
kekakuan, matriks perpindahan, dan matriks gaya.
Dengan menggunakan hubungan :
{ P } = [ K ] { U }
dimana :
{ P } = matriks gaya
[ K ] = matriks kekakuan
{ U } = matriks perpindahan
• Salah satu cara yang digunakan untuk menyelesaikan
persamaan di atas, yaitu dengan menggunakan Metode
Kekakuan.
• Pada Metode Kekakuan, variable yang tidak
diketahui besarnya adalah : perpindahan titik
simpul struktur (rotasi dan defleksi) sudah
tertentu/pasti. Jadi jumlah variable dalam
metode kekakuan sama dengan derajat
ketidaktentuan kinematis struktur.
• Metode Kekakuan dikembangkan dari
persamaan kesetimbangan titik simpul yang
ditulis dalam : “ Koefisien Kekakuan “ dan “
Perpindahan titik simpul yang tidak diketahui “.
Types of Elements
 Spring elements
 Truss elements (plane & 3D)
 Beam elements (2D &3D)
 Plane Frame
 Grid elements
 Plane Stress
 Plane Strain
 Axisymmetric elements
 Plate
 Shell
Degrees of Freedom (DOF)
• Derajat kebebasan yang dimiliki oleh suatu
struktur.
• Tiap jenis elemen akan mempunyai jumlah dan
jenis kebebasan tertentu.
Hitung derajat kebebasan element dari jenis element yang
disebutkan sebelumnya
Metode Kekakuan Langsung
(Direct Stiffness Method)
matriks kekakuan
U1, P1 U2, P2
{ P } = [ K ] { U }
U3, P3 U4, P4 gaya perpindahan
P1 K11 K12 K13 K14 U1
P2 K21 K22 K23 K24 U2
P3 K31 K32 K33 K34 U3
P4 K41 K42 K43 K44 U4
1
1 2
=
P1 = K11 . U1 + K12 . U2 + K13 . U3 + K14 . U4
Kesetimbangan gaya di arah U1
P2 = K21 . U1 + K22 . U2 + K23 . U3 + K24 . U4
Kesetimbangan gaya di arah U2
P3 = K31 . U1 + K32 . U2 + K33 . U3 + K34 . U4
Kesetimbangan gaya di arah U3
P4 = K41 . U1 + K42 . U2 + K43 . U3 + K44 . U4
Kesetimbangan gaya di arah U4
• Jika U1 = 1 dan U2 = U3 = U4 = 0 , maka :
P1 = K11 ; P2 = K21 ; P3 = K31 ; P4 = K41
Lihat Gambar (a)
• Jika U2 = 1 dan U2 = U3 = U4 = 0 , maka :
P1 = K12 ; P2 = K22 ; P3 = K32 ; P4 = K42
Lihat Gambar (b)
• Jika U3 = 1 dan U2 = U3 = U4 = 0 , maka :
P1 = K13 ; P2 = K23 ; P3 = K33 ; P4 = K43
Lihat Gambar (c)
• Jika U4 = 1 dan U2 = U3 = U4 = 0 , maka :
P1 = K14 ; P2 = K24 ; P3 = K34 ; P4 = K44
Lihat Gambar (d)
U1’ = 1 P1’ = K11
P2’ = K21
P3’ = K31
P4’ = K41
U1’ = 1 P1’ = K11
P2’ = K21
P3’ = K31
P4’ = K41
U1’ = 1 P1’ = K11
P2’ = K21
P3’ = K31
P4’ = K41
U1’ = 1 P1’ = K11
P2’ = K21
P3’ = K31
P4’ = K41
Matrix kekakuan:
K11 K12 K13 K14
K21 K22 K23 K24
K31 K32 K33 K34
K41 K42 K43 K44
2323
L
EI6
L
EI12
-
L
EI6
L
EI12
L
EI2
L
EI6
-
L
EI4
L
EI6
22
2323
L
EI6
-
L
EI12
L
EI6
L
EI12
-−
Matriks Kekakuan
L
EI4
L
EI6
-
L
EI2
L
EI6
22
Gambar (a) (b) (c) (d)
K =
K =
Jika pada batang bekerja gaya aksial :
L, EA
K11 =
L
EA
K21 =
L
EA
−
U1, P1 U2, P2
U3, P3 U4, P4
U1’,P1’ U2’,P2’
U1’= 1
K12 = -
L
EA
U2’= 1
K22 =
L
EA
1
1 2
Matriks kekakuan elemen dengan melibatkan gaya aksial :
6 x 6
K =
2323
L
EI6
L
EI12
-0
L
EI6
L
EI12
0
L
EI2
L
EI6
-0
L
EI4
L
EI6
0 22
2323
L
EI6
-
L
EI12
0
L
EI6
L
EI12
0 -−
L
EI4
L
EI6
-0
L
EI2
L
EI6
0 22
00
L
EA
-00
L
EA
00
L
EA
-00
L
EA
−
Contoh
q
Sebuah balok statis tak tentu seperti pada gambar
1 1 2 2 3
L, EI L, EI
Menentukan keaktifan ujung-ujung elemen
Menentukan matriks tujuan DOF : 2 2 rotasi
Matriks kekakuan struktur
[ Ks ] 2 x 2
Membuat matrik kekakuan elemen : [ Ks ] = [ K1 ] + [ K2 ]
1 2 3
0
1 2
0
0
0
1 2
1
2
3
0 0 0
1 2
0 1 1 2
0
Membuat matrik kekakuan elemen :
Elemen 1
0 0 0 1
2323
L
EI6
L
EI12
-
L
EI6
L
EI12
0
L
EI2
L
EI6
-
L
EI4
L
EI6
22
0
2323
L
EI6
-
L
EI12
L
EI6
L
EI12
-− 0
L
EI4
L
EI6
-
L
EI2
L
EI6
22
1
K1 =
[ K1 ] =
Matriks Tujuan { T1 } = { 0 0 0 1 }T
0
L
EI4
2 x 2 0 0
Elemen 2
0 1 0 2
2323
L
EI6
L
EI12
-
L
EI6
L
EI12
0
L
EI2
L
EI6
-
L
EI4
L
EI6
22
1
2323
L
EI6
-
L
EI12
L
EI6
L
EI12
-− 0
L
EI4
L
EI6
-
L
EI2
L
EI6
22
2
Matriks Tujuan { T2 } = { 0 1 0 2 }T
2 x 2
K2 =
[ K2 ] =
L
EI4
L
EI2
L
EI2
L
EI4
= +
0 0
=
Matriks Kekakuan Global Struktur
[ Ks ] = [ K1 ] + [ K2 ]
[ Ks ]
2 x 2
L
EI4
L
EI2
L
EI2
L
EI4
0
L
EI4
L
EI4
L
EI2
L
EI2
L
EI8
Untuk mendapatkan deformasi ujung-ujung aktif struktur, maka digunakan
hubungan :
{ Ps } = [ Ks ] { Us } { Us } = [ Ks ]-1
{ Ps }
dimana :
Us = deformasi ujung-ujung aktif
Ks = kekakuan struktur
Ps = gaya-gaya pada ujung aktif elemen akibat beban luar (aksi)
q
0 0
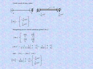
Untuk contoh di atas, maka :
Ps =
Menghitung invers matrik kekakuan global [ Ks ]-1
[ Ks ] =
[ Ks ]-1
=
82-
2-4
EI
L
2.2-4.8
1






=
82-
2-4
EI28
L






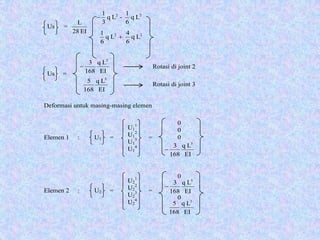
Jadi : { Us } = [ Ks ]-1
{ Ps }
Us =
82-
2-4
EI28
L






2
Lq
12
1
− 2
Lq
12
1
L
EI4
L
EI2
L
EI2
L
EI8
2
Lq
12
1
−
2
Lq
12
1
2
Lq
12
1
−
2
Lq
12
1
U1
1
U1
2
U1
3
U1
4
0
0
0
U2
1
U2
2
U2
3
U2
4
0
0
Us =
EI28
L
Us =
Deformasi untuk masing-masing elemen
Elemen 1 : U1 = =
Elemen 2 : U2 = =
22
Lq
6
1
-Lq
3
1
−
22
Lq
6
4
Lq
6
1
+
EI
Lq
168
3 3
−
EI
Lq
168
5 3
Rotasi di joint 2
Rotasi di joint 3
EI
Lq
168
3 3
−
EI
Lq
168
3 3
−
EI
Lq
168
5 3
q
0 0
0
0
0
0
PR2 =PR1 =
Reaksi akibat beban luar :
2
Lq
12
1
−2
Lq
12
1
2
Lq
2
Lq
2
Lq
12
1
−
2
Lq
12
1
2
Lq
2
Lq
0
0
0
0
0
0
0
Gaya akhir elemen :
Elemen 1 : { P1 } = [ K1 ] + { PR1 }
P1 = +
P1 = =
2323
L
EI6
L
EI12
-
L
EI6
L
EI12
L
EI2
L
EI6
-
L
EI4
L
EI6
22
2323
L
EI6
-
L
EI12
L
EI6
L
EI12
-−
L
EI4
L
EI6
-
L
EI2
L
EI6
22
EI
Lq
168
3 3
−
2
Lq
56
4
−
2
Lq
56
2
−
Lq
56
6
−
Lq
56
6
2
Lq
28
2
−
2
Lq
28
1
−
Lq
28
3
−
Lq
28
3
0
0
0 0
Elemen 2 : { P2 } = [ K2 ] + { PR2 }
P2 = +
P2 = =
2323
L
EI6
L
EI12
-
L
EI6
L
EI12
L
EI2
L
EI6
-
L
EI4
L
EI6
22
2323
L
EI6
-
L
EI12
L
EI6
L
EI12
-−
L
EI4
L
EI6
-
L
EI2
L
EI6
22
EI
Lq
168
5 3
2
Lq
56
4
Lq
56
32
Lq
56
24
2
Lq
28
2
Lq
28
16
Lq
28
12
EI
Lq
168
3 3
−
2
Lq
12
1
−
2
Lq
12
1
2
Lq
2
Lq
q 0
- -
+
-
+ +
Free Body Diagram :
Menggambar gaya-gaya dalam :
Bidang D :
Bidang M :
2
Lq
28
22
Lq
28
1
Lq
28
3
2
Lq
28
2
Lq
28
16
Lq
28
3
Lq
28
12
Lq
28
3
Lq
28
3
Lq
28
16
Lq
28
12
2
Lq
28
2
2
Lq
28
1
Elemen Portal 2D
B C
P
EI
EI L
L/2L/2
A A
B C
1
2
DOF = 2
0
1 1 2
Sebuah portal statis tak tentu seperti pada gambar
Matriks kekakuan struktur
[ Ks ] 2 x 2
[ Ks ] = [ K1 ] + [ K2 ]
[ K1 ] =
0 0
0
Elemen 1
0 1
0
2 x 2 1
Matriks Tujuan { T1 } = { 0 1 }T
2 x 2
Elemen 2
1 2
1
2 x 2 2
Matriks Tujuan { T2 } = { 1 2 }T
2 x 2
K1 =
[ K2 ] =
L
EI4
L
EI2
L
EI2
L
EI4
L
EI2
L
EI4
L
EI4
L
EI2
L
EI4
K2 =
L
EI2
L
EI4
L
EI4
L
EI2
= +
0
=
0 0
Matriks Kekakuan Global Struktur
[ Ks ] = [ K1 ] + [ K2 ]
[ Ks ]
2 x 2
Untuk mendapatkan deformasi ujung-ujung aktif struktur, maka digunakan
hubungan :
{ Ps } = [ Ks ] { Us } { Us } = [ Ks ]-1
{ Ps }
dimana :
Us = deformasi ujung-ujung aktif
Ks = kekakuan struktur
Ps = gaya-gaya pada ujung aktif elemen akibat beban luar (aksi)
L
EI4
L
EI2
L
EI2
L
EI4
L
EI4
L
EI2
L
EI2
L
EI8
L
EI4
P
Untuk contoh di atas, maka :
0
0
Ps =
Menghitung invers matrik kekakuan global [ Ks ]-1
[ Ks ] =
[ Ks ]-1
=
82-
2-4
EI
L
2.2-4.8
1






=
82-
2-4
EI28
L






LP
8
1
− LP
8
1
L
EI4
L
EI2
L
EI2
L
EI8
LP
8
1
−
LP
8
1
Jadi : { Us } = [ Ks ]-1
{ Ps }
Us =
82-
2-4
EI28
L






Us =
EI28
L
Us =
LP
8
1
−
LP
8
1
22
Lq
6
1
-Lq
3
1
−
22
Lq
6
4
Lq
6
1
+
EI
LP
112
3 2
−
EI
LP
112
5 2
Rotasi di joint B
Rotasi di joint C
U1
1
U1
2
0
U2
1
U2
2
Deformasi untuk masing-masing elemen
Elemen 1 : U1 = =
Elemen 2 : U2 = =
EI
LP
112
3 2
−
EI
LP
112
3 2
−
EI
LP
112
5 2
P
Reaksi akibat beban luar :
0
0
LP
8
1
−LP
8
1
0
PR1 =
0
PR2 =
LP
8
1
−
LP
8
1
0 0
0
P1 = +
P1 =
Hasil perhitungan
hanya momen saja
Gaya akhir elemen :
Elemen 1 : { P1 } = [ K1 ] + { PR1 }
EI
LP
112
3 2
−
LP
56
6
−
LP
56
3
−
L
EI2
L
EI4
L
EI4
L
EI2
P2 = +
P2 = =
0 0
Hasil perhitungan
hanya momen saja
Elemen 2 : { P2 } = [ K2 ] + { PR2 }
EI
LP
112
5 2
LP
8
1
−
LP
8
1
EI
LP
112
3 2
−
L
EI2
L
EI4
L
EI4
L
EI2
2
Lq
56
6 2
Lq
28
3
P 0
Dihitung lagi
Dihitung lagi
Free Body Diagram :
P
56
9
LP
56
6
P
28
17
P
28
11
P
56
9
P
56
9
P
56
9
P
28
17
P
28
17
LP
56
6
LP
56
3
Bidang M :
-
-
+
LP
56
6
LP
56
3
LP
56
11
+
Bidang D :
Bidang N :
-
+P
28
17
-
P
56
9
P
28
11
P
P
28
17
-
P
56
9
-
Transformasi Sumbu
θ
1
2’
2
3
1’
3’
U3, P3
u3, p3
U1, P1
U2, P2
u1, p1
u2, p2
u1
u2
u3
=
C S 0
-S C 0
0 0 1
U1
U2
U3
C = cos θ
S = sin θ
Koordinat Lokal dan Global
C S 0
-S C 0
0 0 1
C = cos θ
S = sin θ
u1
u2
u3
u4
u5
u6
=
λ 0
0 λ
U1
U2
U3
U4
U5
U6
[ u ] = [ R ] [ U ]
R = matriks rotasi
Atau dapat ditulis : u = λ U
Dimana :
λ =
Untuk transformasi sumbu sebuah titik dengan 6 dof dapat ditulis :
P1
P2
P3
P4
P5
P6
=
λΤ
0
0 λΤ
p1
p2
p3
p4
p5
p6
[ P ] = [ R ]T
[ p ]
R = matriks rotasi
K
Transformasi sumbu juga berlaku untuk gaya :
p = λ P
P = λ-1
p λ-1
= λT
P = λT
p
p = k u ; u = R U
P = RT
p P = K U
= RT
k u K = RT
k R
= RT
k R U
Matriks kekakuan elemen untuk 6 dof :
6 x 6
k =
2323
L
EI6
L
EI12
-0
L
EI6
L
EI12
0
L
EI2
L
EI6
-0
L
EI4
L
EI6
0 22
2323
L
EI6
-
L
EI12
0
L
EI6
L
EI12
0 -−
L
EI4
L
EI6
-0
L
EI2
L
EI6
0 22
00
L
EA
-00
L
EA
00
L
EA
-00
L
EA
−
β 0 0 -β 0 0
0 12 6L 0 -12 6L
0 6L 4L2
0 -6L 2L2
-β 0 0 β 0 0
0 -12 -6L 0 12 -6L
0 6L 2L2
0 -6L 4L2
Dimana :
α = β =
[ K ] = [ R ]T
[ k ] [ R ]
k = α
L
EI
3
I
LA 2
C -S 0
S C 0
0 0 1
C -S 0
S C 0
0 0 1
0
0
β 0 0 -β 0 0
0 12 6L 0 -12 6L
0 6L 4L2
0 -6L 2L2
-β 0 0 β 0 0
0 -12 -6L 0 12 -6L
0 6L 2L2
0 -6L 4L2
K = α
C S 0
-S C 0
0 0 1
C S 0
-S C 0
0 0 1
0
0
g1 g2 g4 -g1 -g2 g4
g3 g5 -g2 -g3 g5
g6 -g4 -g5 g7
g1 g2 -g4
g3 -g5
g6
Dimana :
g1 = α ( β C2
+ 12 S2
) g5 = α 6 L C
g2 = α C S ( β - 12 ) g6 = α 4 L2
g3 = α ( β S2
+ 12 C2
) g7 = α 2 L2
g4 = -α 6 L S
K =
Sebuah portal seperti gambar, dengan menggunakan transformasi
sumbu hitunglah gaya-gaya dalam yang bekerja
q = 1,68 k/ft
L = 10 ft
M = 14 kft = 168 kin
L = 10 ft
1
2 3
1
2
E = 30.000 ksi
A = 5 in2
I = 50 in4
L = 10 ft
1
2
1
2 3
0
0
3
1
0
0
2
0
0 Sumbu Global
DOF [ Ks ] 3 x 3
1
2
1
2 3
2
4
5
4
5
6
13 Sumbu Lokal
DOF [ k ] 3 x 3
6
1
3
2
2
1
2
x
x’
1
θ = 270o
λ1 =
C S 0
-S C 0
0 0 1
=
0 -1 0
1 0 0
0 0 1
2 3
x
x’
θ = 0o
λ2 =
C S 0
-S C 0
0 0 1
=
1 0 0
0 1 0
0 0 1
Matriks transformasi batang :
Batang 1 : θ = 270o
cos 270o
= 0
sin 270o
= -1
Batang 2 : θ = 0o
cos 0o
= 1
sin 0o
= 0
C S 0
-S C 0
0 0 1
C S 0
-S C 0
0 0 1
0
0
0 -1 0 0 0 0
1 0 0 0 0 0
0 0 1 0 0 0
0 0 0 0 -1 0
0 0 0 1 0 0
0 0 0 0 0 1
C S 0
-S C 0
0 0 1
C S 0
-S C 0
0 0 1
0
0
1 0 0 0 0 0
0 1 0 0 0 0
0 0 1 0 0 0
0 0 0 1 0 0
0 0 0 0 1 0
0 0 0 0 0 1
R1 = =
R2 = =
g1 g2 g4 -g1 -g2 g4
g3 g5 -g2 -g3 g5
g6 -g4 -g5 g7
g1 g2 -g4
g3 -g5
-g4 g6
0
0
0
1
0
2
Matriks kekakuan system struktur
Elemen 1 :
α1 = 33
1
12).10(
50.30.000
L
EI
= = 0,87
β1 =
50
12).(10.5
I
LA 22
1
= = 1.440
C = 0 ; S = -1
{ T } = { 0 0 0 1 0 2 }T
0 0 0 1 0 2
K1 =
g1 -g4 0
-g4 g6 0
0 0 0
1
2
3
10,44 -626,4 0
-626,4 50.112 0
0 0 0
1 2 3
g1 = α ( β C2
+ 12 S2
) = 0,87 [ 0 + 12 (-1)2
] = 10,44
g4 = -α 6 L S = -0,87 . 6 . 120 (-1) = 626,4
g6 = α 4 L2
= 0,87 . 4 . 1202
= 50.112
Sehingga :
K1 =
K1 =
g1 g2 g4 -g1 -g2 g4
g3 g5 -g2 -g3 g5
g4 g6 -g4 -g5 g7
g1 g2 -g4
g3 -g5
g4 g7 g6
1
0
2
0
0
3
g1 g4 g4
g4 g6 g7
g4 g7 g6
1
2
3
Elemen 2 :
α2 = 33
1
12).10(
50.30.000
L
EI
= = 0,87
β2 =
50
12).(10.5
I
LA 22
1
= = 1.440
C = 1 ; S = 0
{ T } = { 1 0 2 0 0 3 }T
1 0 2 0 0 3
1 2 3
K2 =
K2 =
1.252,8 0 0
0 50.112 25.056
0 25.056 50.112
1.263,24 -626,4 0
-626,4 100.224 25.056
0 25.056 50.112
g1 = α ( β C2
+ 12 S2
) = 0,87 [ 1.440 . 12
+ 12 (0)2
] = 1.252,8
g4 = -α 6 L S = -0,87 . 6 . 120 (0) = 0
g6 = α 4 L2
= 0,87 . 4 . 1202
= 50.112
g7 = α 2 L2
= 0,87 . 2 . 1202
= 25.056
Sehingga :
KS =
K2 =
q = 0,14 k/in
168 kin168 kin168 kin
0 0
0
168
0
1.263,24 -626,4 0
-626,4 100.224 25.056
0 25.056 50.112
- 1
0
168
0
0,00095
0,00192
-0,00096
Defleksi horizontal di 2
Rotasi di 2
Rotasi di 3
Matriks beban :
8,4 8,4
PS =
{ Ps } = [ Ks ] { Us } { Us } = [ Ks ]-1
{ Ps }
US =
US =
u1
1
u1
2
u1
3
u1
4
u1
5
u1
6
0
0
0
0,00095
0
0,00192
=
0
0
0
0
0,00095
0,00192
u2
1
u2
2
u2
3
u2
4
u2
5
u2
6
0,00095
0
0,00192
0
0
-0,0096
=
0,00095
0
0,00192
0
0
-0,0096
Displasement masing-masing batang (koordinat lokal)
u1 = =
u2 = =
0 -1 0 0 0 0
1 0 0 0 0 0
0 0 1 0 0 0
0 0 0 0 -1 0
0 0 0 1 0 0
0 0 0 0 0 1
1 0 0 0 0 0
0 1 0 0 0 0
0 0 1 0 0 0
0 0 0 1 0 0
0 0 0 0 1 0
0 0 0 0 0 1
0
1,193 k
47,512 kin
0
-1,193 k
95,620 kin
0
1,193 k
3,959 kft
0
-1,193 k
7,968 kft
Gaya akhir batang :
Elemen 1 :
{ P1 } = [ k1 ] { u1 } + { 0 }
P1 = =
1,19 k
-7,8 k
-95,84 kin
-1,19 k
-9 k
168 kin
1,19 k
-7,8 k
-7,99 kft
-1,19 k
-9 k
14 kft
Elemen 2 :
{ P2 } = [ k2 ] { u2 } + { Faksi }
P2 = =
q = 1,68 k/ft 14 kft
7,8 k 9 k
1
2
1,19 k1,19 k
7,99 kft
1,193 k
1,193 k
0
3,959
7,968 kft
Free body diagram :
3,959
+
-
7,99
14
+ +
-
+
+
-
1,193
1,193
7,8
9
- 1,191,19
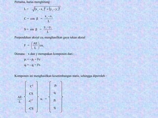
KONSTRUKSI RANGKA BATANG
• Pada Konstruksi Rangka Batang (KRB), perhitungan
matriks kekakuan elemen [ K ] berdasarkan kasus
rangka batang 2 Dimensi. Gaya yang bekerja hanya tarik
dan tekan aksial saja, sedang gaya momen dan lintang
tidak terjadi.
• Perhatikan gambar dengan elemen struktur batang
dengan luas A dan Modulus Elastisitas E konstan.
Perhitungan kekakuan elemen hanya mengandung
elemen A, E dan empat titik koordinat, yaitu : xi, xj, yi,
dan yj.
β
x,u
y,v
L
i
j
β + dβ
i
j
cui
ui qi
pi
qj
pj
Elemen Rangka Batang, dengan sudut Elemen Rangka Batang setelah
β pada bidang xy perpindahan titik ui > 0, titik lain tetap
c = cos β
C2
CS
-C2
-CS
ui =
pi
qi
pj
qj
Pertama, harus menghitung :
L = ( ) ( )2
ij
2
ij y-yx-x +
C = cos β =
L
x-x ij
S = sin β =
L
y-y ij
Perpendekan aksial cui menghasilkan gaya tekan aksial
F = icu
L
AE






Dimana : x dan y merupakan komponen dari ;
pi = - pj = Fc
qi = - qj = Fs
Komponen ini menghasilkan kesetimbangan statis, sehingga diperoleh :
L
AE
K =
C2
CS -C2
-CS
CS S2
-CS -S2
-C2
-CS C2
CS
-CS -S2
CS S2
Hasil yang sama juga akan diperoleh dengan cara memberikan perpindahan pada vi,
uj, dan vj, dimana gaya bekerja sendiri-sendiri. Dan jika 4 dof dengan nilai tidak nol
bekerja bersama-sama, dan dengan superposisi masing-masing elemen matriks
kekakuan, dapat dihitung sebagai berikut :
L
AE
C2
CS -C2
-CS
CS S2
-CS -S2
-C2
-CS C2
CS
-CS -S2
CS S2
ui
vi
uj
vj
pi
qi
pj
qj
K =
1 0 -1 0
0 0 0 0
-1 0 1 0
0 0 0 0
Hubungan matriks kekakuan dengan gaya dapat ditulis sebagai berikut :
[ K ] { D } = { F }
=
Untuk kasus khusus :
1. Jika nilai β = 0, sebagai batang horizontal, matriks kekakuan elemen [ K ] 4 x 4
Hanya berisi 4 komponen yang tidak bernilai nol, yaitu :
k11 = k33 = -k13 = -k31 =
L
AE
L
AE
L
AE
K =
0 0 0 0
0 1 0 -1
0 0 0 0
0 -1 0 1
1. Jika nilai β = 90, sebagai batang vertikal, matriks kekakuan elemen [ K ] 4 x 4
Hanya berisi 4 komponen yang tidak bernilai nol, yaitu :
k22 = k44 = -k24 = -k42 =
L
AE
L
AE
Sebuah Konstruksi Rangka Batang dengan
luas A dan Modulus Elastisitas E yang sama,
seperti pada Gambar
L
L
L
L
1
4
3
765
2
3
4
2
5
1
v
u
Hitunglah matriks kekakuaan masing-masing elemen
K =
C2
CS -C2
-CS
CS S2
-CS -S2
-C2
-CS C2
CS
-CS -S2
CS S2
K1 =
1 0 -1 0
0 0 0 0
-1 0 1 0
0 0 0 0
Perumusan untuk mencari nilai matriks kekakuan elemen dengan sudut β :
Batang 1, 2 dan 3 merupakan batang horizontal, sehingga β = 0o
Maka : [ K1 ] = [ K2 ] = [ K3 ]
L
AE
L
AE
K4 =
0,250 0,433 -0,250 -0,433
0,433 0,750 -0,433 -0,750
-0,250 0,433 0,250 -0,433
-0,433 -0,750 0,433 0,750
K5 =
0,250 -0,433 -0,250 0,433
-0,433 0,750 0,433 -0,750
-0,250 0,433 0,250 -0,433
0,433 -0,750 -
0,433 0,750
Batang 4 dan 6 merupakan batang diagonal dengan sudut β = 60o
Dimana : C = cos 60o
= 0,5
S = sin 60o
= 0,866
Maka : [ K4 ] = [ K6 ]
Batang 5 dan 7 merupakan batang diagonal dengan sudut β = 300o
Dimana : C = cos 300o
= 0,5
S = sin 300o
= -0,866
Maka : [ K5 ] = [ K7 ]
L
AE
L
AE

Analisa matriks

  • 1.
    ANALISA STRUKTUR METODE MATRIKS •Analisa Struktur Metode Matriks (ASMM) adalah suatu metode untuk menganalisa struktur dengan menggunakan bantuan matriks, yang terdiri dari : matriks kekakuan, matriks perpindahan, dan matriks gaya. Dengan menggunakan hubungan : { P } = [ K ] { U } dimana : { P } = matriks gaya [ K ] = matriks kekakuan { U } = matriks perpindahan • Salah satu cara yang digunakan untuk menyelesaikan persamaan di atas, yaitu dengan menggunakan Metode Kekakuan.
  • 2.
    • Pada MetodeKekakuan, variable yang tidak diketahui besarnya adalah : perpindahan titik simpul struktur (rotasi dan defleksi) sudah tertentu/pasti. Jadi jumlah variable dalam metode kekakuan sama dengan derajat ketidaktentuan kinematis struktur. • Metode Kekakuan dikembangkan dari persamaan kesetimbangan titik simpul yang ditulis dalam : “ Koefisien Kekakuan “ dan “ Perpindahan titik simpul yang tidak diketahui “.
  • 3.
    Types of Elements Spring elements  Truss elements (plane & 3D)  Beam elements (2D &3D)  Plane Frame  Grid elements  Plane Stress  Plane Strain  Axisymmetric elements  Plate  Shell
  • 4.
    Degrees of Freedom(DOF) • Derajat kebebasan yang dimiliki oleh suatu struktur. • Tiap jenis elemen akan mempunyai jumlah dan jenis kebebasan tertentu. Hitung derajat kebebasan element dari jenis element yang disebutkan sebelumnya
  • 5.
    Metode Kekakuan Langsung (DirectStiffness Method) matriks kekakuan U1, P1 U2, P2 { P } = [ K ] { U } U3, P3 U4, P4 gaya perpindahan P1 K11 K12 K13 K14 U1 P2 K21 K22 K23 K24 U2 P3 K31 K32 K33 K34 U3 P4 K41 K42 K43 K44 U4 1 1 2 =
  • 6.
    P1 = K11. U1 + K12 . U2 + K13 . U3 + K14 . U4 Kesetimbangan gaya di arah U1 P2 = K21 . U1 + K22 . U2 + K23 . U3 + K24 . U4 Kesetimbangan gaya di arah U2 P3 = K31 . U1 + K32 . U2 + K33 . U3 + K34 . U4 Kesetimbangan gaya di arah U3 P4 = K41 . U1 + K42 . U2 + K43 . U3 + K44 . U4 Kesetimbangan gaya di arah U4
  • 7.
    • Jika U1= 1 dan U2 = U3 = U4 = 0 , maka : P1 = K11 ; P2 = K21 ; P3 = K31 ; P4 = K41 Lihat Gambar (a) • Jika U2 = 1 dan U2 = U3 = U4 = 0 , maka : P1 = K12 ; P2 = K22 ; P3 = K32 ; P4 = K42 Lihat Gambar (b) • Jika U3 = 1 dan U2 = U3 = U4 = 0 , maka : P1 = K13 ; P2 = K23 ; P3 = K33 ; P4 = K43 Lihat Gambar (c) • Jika U4 = 1 dan U2 = U3 = U4 = 0 , maka : P1 = K14 ; P2 = K24 ; P3 = K34 ; P4 = K44 Lihat Gambar (d)
  • 8.
    U1’ = 1P1’ = K11 P2’ = K21 P3’ = K31 P4’ = K41 U1’ = 1 P1’ = K11 P2’ = K21 P3’ = K31 P4’ = K41 U1’ = 1 P1’ = K11 P2’ = K21 P3’ = K31 P4’ = K41 U1’ = 1 P1’ = K11 P2’ = K21 P3’ = K31 P4’ = K41
  • 9.
    Matrix kekakuan: K11 K12K13 K14 K21 K22 K23 K24 K31 K32 K33 K34 K41 K42 K43 K44 2323 L EI6 L EI12 - L EI6 L EI12 L EI2 L EI6 - L EI4 L EI6 22 2323 L EI6 - L EI12 L EI6 L EI12 -− Matriks Kekakuan L EI4 L EI6 - L EI2 L EI6 22 Gambar (a) (b) (c) (d) K = K =
  • 10.
    Jika pada batangbekerja gaya aksial : L, EA K11 = L EA K21 = L EA − U1, P1 U2, P2 U3, P3 U4, P4 U1’,P1’ U2’,P2’ U1’= 1 K12 = - L EA U2’= 1 K22 = L EA 1 1 2 Matriks kekakuan elemen dengan melibatkan gaya aksial : 6 x 6 K = 2323 L EI6 L EI12 -0 L EI6 L EI12 0 L EI2 L EI6 -0 L EI4 L EI6 0 22 2323 L EI6 - L EI12 0 L EI6 L EI12 0 -− L EI4 L EI6 -0 L EI2 L EI6 0 22 00 L EA -00 L EA 00 L EA -00 L EA −
  • 11.
    Contoh q Sebuah balok statistak tentu seperti pada gambar 1 1 2 2 3 L, EI L, EI Menentukan keaktifan ujung-ujung elemen Menentukan matriks tujuan DOF : 2 2 rotasi Matriks kekakuan struktur [ Ks ] 2 x 2 Membuat matrik kekakuan elemen : [ Ks ] = [ K1 ] + [ K2 ] 1 2 3 0 1 2 0 0 0 1 2 1 2 3 0 0 0 1 2 0 1 1 2 0
  • 12.
    Membuat matrik kekakuanelemen : Elemen 1 0 0 0 1 2323 L EI6 L EI12 - L EI6 L EI12 0 L EI2 L EI6 - L EI4 L EI6 22 0 2323 L EI6 - L EI12 L EI6 L EI12 -− 0 L EI4 L EI6 - L EI2 L EI6 22 1 K1 = [ K1 ] = Matriks Tujuan { T1 } = { 0 0 0 1 }T 0 L EI4 2 x 2 0 0
  • 13.
    Elemen 2 0 10 2 2323 L EI6 L EI12 - L EI6 L EI12 0 L EI2 L EI6 - L EI4 L EI6 22 1 2323 L EI6 - L EI12 L EI6 L EI12 -− 0 L EI4 L EI6 - L EI2 L EI6 22 2 Matriks Tujuan { T2 } = { 0 1 0 2 }T 2 x 2 K2 = [ K2 ] = L EI4 L EI2 L EI2 L EI4
  • 14.
    = + 0 0 = MatriksKekakuan Global Struktur [ Ks ] = [ K1 ] + [ K2 ] [ Ks ] 2 x 2 L EI4 L EI2 L EI2 L EI4 0 L EI4 L EI4 L EI2 L EI2 L EI8 Untuk mendapatkan deformasi ujung-ujung aktif struktur, maka digunakan hubungan : { Ps } = [ Ks ] { Us } { Us } = [ Ks ]-1 { Ps } dimana : Us = deformasi ujung-ujung aktif Ks = kekakuan struktur Ps = gaya-gaya pada ujung aktif elemen akibat beban luar (aksi)
  • 15.
    q 0 0 Untuk contohdi atas, maka : Ps = Menghitung invers matrik kekakuan global [ Ks ]-1 [ Ks ] = [ Ks ]-1 = 82- 2-4 EI L 2.2-4.8 1       = 82- 2-4 EI28 L       Jadi : { Us } = [ Ks ]-1 { Ps } Us = 82- 2-4 EI28 L       2 Lq 12 1 − 2 Lq 12 1 L EI4 L EI2 L EI2 L EI8 2 Lq 12 1 − 2 Lq 12 1 2 Lq 12 1 − 2 Lq 12 1
  • 16.
    U1 1 U1 2 U1 3 U1 4 0 0 0 U2 1 U2 2 U2 3 U2 4 0 0 Us = EI28 L Us = Deformasiuntuk masing-masing elemen Elemen 1 : U1 = = Elemen 2 : U2 = = 22 Lq 6 1 -Lq 3 1 − 22 Lq 6 4 Lq 6 1 + EI Lq 168 3 3 − EI Lq 168 5 3 Rotasi di joint 2 Rotasi di joint 3 EI Lq 168 3 3 − EI Lq 168 3 3 − EI Lq 168 5 3
  • 17.
    q 0 0 0 0 0 0 PR2 =PR1= Reaksi akibat beban luar : 2 Lq 12 1 −2 Lq 12 1 2 Lq 2 Lq 2 Lq 12 1 − 2 Lq 12 1 2 Lq 2 Lq
  • 18.
    0 0 0 0 0 0 0 Gaya akhir elemen: Elemen 1 : { P1 } = [ K1 ] + { PR1 } P1 = + P1 = = 2323 L EI6 L EI12 - L EI6 L EI12 L EI2 L EI6 - L EI4 L EI6 22 2323 L EI6 - L EI12 L EI6 L EI12 -− L EI4 L EI6 - L EI2 L EI6 22 EI Lq 168 3 3 − 2 Lq 56 4 − 2 Lq 56 2 − Lq 56 6 − Lq 56 6 2 Lq 28 2 − 2 Lq 28 1 − Lq 28 3 − Lq 28 3
  • 19.
    0 0 0 0 Elemen 2: { P2 } = [ K2 ] + { PR2 } P2 = + P2 = = 2323 L EI6 L EI12 - L EI6 L EI12 L EI2 L EI6 - L EI4 L EI6 22 2323 L EI6 - L EI12 L EI6 L EI12 -− L EI4 L EI6 - L EI2 L EI6 22 EI Lq 168 5 3 2 Lq 56 4 Lq 56 32 Lq 56 24 2 Lq 28 2 Lq 28 16 Lq 28 12 EI Lq 168 3 3 − 2 Lq 12 1 − 2 Lq 12 1 2 Lq 2 Lq
  • 20.
    q 0 - - + - ++ Free Body Diagram : Menggambar gaya-gaya dalam : Bidang D : Bidang M : 2 Lq 28 22 Lq 28 1 Lq 28 3 2 Lq 28 2 Lq 28 16 Lq 28 3 Lq 28 12 Lq 28 3 Lq 28 3 Lq 28 16 Lq 28 12 2 Lq 28 2 2 Lq 28 1
  • 21.
    Elemen Portal 2D BC P EI EI L L/2L/2 A A B C 1 2 DOF = 2 0 1 1 2 Sebuah portal statis tak tentu seperti pada gambar Matriks kekakuan struktur [ Ks ] 2 x 2 [ Ks ] = [ K1 ] + [ K2 ]
  • 22.
    [ K1 ]= 0 0 0 Elemen 1 0 1 0 2 x 2 1 Matriks Tujuan { T1 } = { 0 1 }T 2 x 2 Elemen 2 1 2 1 2 x 2 2 Matriks Tujuan { T2 } = { 1 2 }T 2 x 2 K1 = [ K2 ] = L EI4 L EI2 L EI2 L EI4 L EI2 L EI4 L EI4 L EI2 L EI4 K2 = L EI2 L EI4 L EI4 L EI2
  • 23.
    = + 0 = 0 0 MatriksKekakuan Global Struktur [ Ks ] = [ K1 ] + [ K2 ] [ Ks ] 2 x 2 Untuk mendapatkan deformasi ujung-ujung aktif struktur, maka digunakan hubungan : { Ps } = [ Ks ] { Us } { Us } = [ Ks ]-1 { Ps } dimana : Us = deformasi ujung-ujung aktif Ks = kekakuan struktur Ps = gaya-gaya pada ujung aktif elemen akibat beban luar (aksi) L EI4 L EI2 L EI2 L EI4 L EI4 L EI2 L EI2 L EI8 L EI4
  • 24.
    P Untuk contoh diatas, maka : 0 0 Ps = Menghitung invers matrik kekakuan global [ Ks ]-1 [ Ks ] = [ Ks ]-1 = 82- 2-4 EI L 2.2-4.8 1       = 82- 2-4 EI28 L       LP 8 1 − LP 8 1 L EI4 L EI2 L EI2 L EI8 LP 8 1 − LP 8 1
  • 25.
    Jadi : {Us } = [ Ks ]-1 { Ps } Us = 82- 2-4 EI28 L       Us = EI28 L Us = LP 8 1 − LP 8 1 22 Lq 6 1 -Lq 3 1 − 22 Lq 6 4 Lq 6 1 + EI LP 112 3 2 − EI LP 112 5 2 Rotasi di joint B Rotasi di joint C U1 1 U1 2 0 U2 1 U2 2 Deformasi untuk masing-masing elemen Elemen 1 : U1 = = Elemen 2 : U2 = = EI LP 112 3 2 − EI LP 112 3 2 − EI LP 112 5 2
  • 26.
    P Reaksi akibat bebanluar : 0 0 LP 8 1 −LP 8 1 0 PR1 = 0 PR2 = LP 8 1 − LP 8 1 0 0 0 P1 = + P1 = Hasil perhitungan hanya momen saja Gaya akhir elemen : Elemen 1 : { P1 } = [ K1 ] + { PR1 } EI LP 112 3 2 − LP 56 6 − LP 56 3 − L EI2 L EI4 L EI4 L EI2 P2 = + P2 = = 0 0 Hasil perhitungan hanya momen saja Elemen 2 : { P2 } = [ K2 ] + { PR2 } EI LP 112 5 2 LP 8 1 − LP 8 1 EI LP 112 3 2 − L EI2 L EI4 L EI4 L EI2 2 Lq 56 6 2 Lq 28 3
  • 27.
    P 0 Dihitung lagi Dihitunglagi Free Body Diagram : P 56 9 LP 56 6 P 28 17 P 28 11 P 56 9 P 56 9 P 56 9 P 28 17 P 28 17 LP 56 6 LP 56 3 Bidang M : - - + LP 56 6 LP 56 3 LP 56 11 + Bidang D : Bidang N : - +P 28 17 - P 56 9 P 28 11 P P 28 17 - P 56 9 -
  • 28.
    Transformasi Sumbu θ 1 2’ 2 3 1’ 3’ U3, P3 u3,p3 U1, P1 U2, P2 u1, p1 u2, p2 u1 u2 u3 = C S 0 -S C 0 0 0 1 U1 U2 U3 C = cos θ S = sin θ Koordinat Lokal dan Global
  • 29.
    C S 0 -SC 0 0 0 1 C = cos θ S = sin θ u1 u2 u3 u4 u5 u6 = λ 0 0 λ U1 U2 U3 U4 U5 U6 [ u ] = [ R ] [ U ] R = matriks rotasi Atau dapat ditulis : u = λ U Dimana : λ = Untuk transformasi sumbu sebuah titik dengan 6 dof dapat ditulis :
  • 30.
    P1 P2 P3 P4 P5 P6 = λΤ 0 0 λΤ p1 p2 p3 p4 p5 p6 [ P] = [ R ]T [ p ] R = matriks rotasi K Transformasi sumbu juga berlaku untuk gaya : p = λ P P = λ-1 p λ-1 = λT P = λT p p = k u ; u = R U P = RT p P = K U = RT k u K = RT k R = RT k R U
  • 31.
    Matriks kekakuan elemenuntuk 6 dof : 6 x 6 k = 2323 L EI6 L EI12 -0 L EI6 L EI12 0 L EI2 L EI6 -0 L EI4 L EI6 0 22 2323 L EI6 - L EI12 0 L EI6 L EI12 0 -− L EI4 L EI6 -0 L EI2 L EI6 0 22 00 L EA -00 L EA 00 L EA -00 L EA − β 0 0 -β 0 0 0 12 6L 0 -12 6L 0 6L 4L2 0 -6L 2L2 -β 0 0 β 0 0 0 -12 -6L 0 12 -6L 0 6L 2L2 0 -6L 4L2 Dimana : α = β = [ K ] = [ R ]T [ k ] [ R ] k = α L EI 3 I LA 2
  • 32.
    C -S 0 SC 0 0 0 1 C -S 0 S C 0 0 0 1 0 0 β 0 0 -β 0 0 0 12 6L 0 -12 6L 0 6L 4L2 0 -6L 2L2 -β 0 0 β 0 0 0 -12 -6L 0 12 -6L 0 6L 2L2 0 -6L 4L2 K = α C S 0 -S C 0 0 0 1 C S 0 -S C 0 0 0 1 0 0 g1 g2 g4 -g1 -g2 g4 g3 g5 -g2 -g3 g5 g6 -g4 -g5 g7 g1 g2 -g4 g3 -g5 g6 Dimana : g1 = α ( β C2 + 12 S2 ) g5 = α 6 L C g2 = α C S ( β - 12 ) g6 = α 4 L2 g3 = α ( β S2 + 12 C2 ) g7 = α 2 L2 g4 = -α 6 L S K =
  • 33.
    Sebuah portal sepertigambar, dengan menggunakan transformasi sumbu hitunglah gaya-gaya dalam yang bekerja q = 1,68 k/ft L = 10 ft M = 14 kft = 168 kin L = 10 ft 1 2 3 1 2 E = 30.000 ksi A = 5 in2 I = 50 in4 L = 10 ft 1 2 1 2 3 0 0 3 1 0 0 2 0 0 Sumbu Global DOF [ Ks ] 3 x 3 1 2 1 2 3 2 4 5 4 5 6 13 Sumbu Lokal DOF [ k ] 3 x 3 6 1 3 2 2
  • 34.
    1 2 x x’ 1 θ = 270o λ1= C S 0 -S C 0 0 0 1 = 0 -1 0 1 0 0 0 0 1 2 3 x x’ θ = 0o λ2 = C S 0 -S C 0 0 0 1 = 1 0 0 0 1 0 0 0 1 Matriks transformasi batang : Batang 1 : θ = 270o cos 270o = 0 sin 270o = -1 Batang 2 : θ = 0o cos 0o = 1 sin 0o = 0
  • 35.
    C S 0 -SC 0 0 0 1 C S 0 -S C 0 0 0 1 0 0 0 -1 0 0 0 0 1 0 0 0 0 0 0 0 1 0 0 0 0 0 0 0 -1 0 0 0 0 1 0 0 0 0 0 0 0 1 C S 0 -S C 0 0 0 1 C S 0 -S C 0 0 0 1 0 0 1 0 0 0 0 0 0 1 0 0 0 0 0 0 1 0 0 0 0 0 0 1 0 0 0 0 0 0 1 0 0 0 0 0 0 1 R1 = = R2 = =
  • 36.
    g1 g2 g4-g1 -g2 g4 g3 g5 -g2 -g3 g5 g6 -g4 -g5 g7 g1 g2 -g4 g3 -g5 -g4 g6 0 0 0 1 0 2 Matriks kekakuan system struktur Elemen 1 : α1 = 33 1 12).10( 50.30.000 L EI = = 0,87 β1 = 50 12).(10.5 I LA 22 1 = = 1.440 C = 0 ; S = -1 { T } = { 0 0 0 1 0 2 }T 0 0 0 1 0 2 K1 = g1 -g4 0 -g4 g6 0 0 0 0 1 2 3 10,44 -626,4 0 -626,4 50.112 0 0 0 0 1 2 3 g1 = α ( β C2 + 12 S2 ) = 0,87 [ 0 + 12 (-1)2 ] = 10,44 g4 = -α 6 L S = -0,87 . 6 . 120 (-1) = 626,4 g6 = α 4 L2 = 0,87 . 4 . 1202 = 50.112 Sehingga : K1 = K1 =
  • 37.
    g1 g2 g4-g1 -g2 g4 g3 g5 -g2 -g3 g5 g4 g6 -g4 -g5 g7 g1 g2 -g4 g3 -g5 g4 g7 g6 1 0 2 0 0 3 g1 g4 g4 g4 g6 g7 g4 g7 g6 1 2 3 Elemen 2 : α2 = 33 1 12).10( 50.30.000 L EI = = 0,87 β2 = 50 12).(10.5 I LA 22 1 = = 1.440 C = 1 ; S = 0 { T } = { 1 0 2 0 0 3 }T 1 0 2 0 0 3 1 2 3 K2 = K2 = 1.252,8 0 0 0 50.112 25.056 0 25.056 50.112 1.263,24 -626,4 0 -626,4 100.224 25.056 0 25.056 50.112 g1 = α ( β C2 + 12 S2 ) = 0,87 [ 1.440 . 12 + 12 (0)2 ] = 1.252,8 g4 = -α 6 L S = -0,87 . 6 . 120 (0) = 0 g6 = α 4 L2 = 0,87 . 4 . 1202 = 50.112 g7 = α 2 L2 = 0,87 . 2 . 1202 = 25.056 Sehingga : KS = K2 =
  • 38.
    q = 0,14k/in 168 kin168 kin168 kin 0 0 0 168 0 1.263,24 -626,4 0 -626,4 100.224 25.056 0 25.056 50.112 - 1 0 168 0 0,00095 0,00192 -0,00096 Defleksi horizontal di 2 Rotasi di 2 Rotasi di 3 Matriks beban : 8,4 8,4 PS = { Ps } = [ Ks ] { Us } { Us } = [ Ks ]-1 { Ps } US = US =
  • 39.
    u1 1 u1 2 u1 3 u1 4 u1 5 u1 6 0 0 0 0,00095 0 0,00192 = 0 0 0 0 0,00095 0,00192 u2 1 u2 2 u2 3 u2 4 u2 5 u2 6 0,00095 0 0,00192 0 0 -0,0096 = 0,00095 0 0,00192 0 0 -0,0096 Displasement masing-masing batang(koordinat lokal) u1 = = u2 = = 0 -1 0 0 0 0 1 0 0 0 0 0 0 0 1 0 0 0 0 0 0 0 -1 0 0 0 0 1 0 0 0 0 0 0 0 1 1 0 0 0 0 0 0 1 0 0 0 0 0 0 1 0 0 0 0 0 0 1 0 0 0 0 0 0 1 0 0 0 0 0 0 1
  • 40.
    0 1,193 k 47,512 kin 0 -1,193k 95,620 kin 0 1,193 k 3,959 kft 0 -1,193 k 7,968 kft Gaya akhir batang : Elemen 1 : { P1 } = [ k1 ] { u1 } + { 0 } P1 = = 1,19 k -7,8 k -95,84 kin -1,19 k -9 k 168 kin 1,19 k -7,8 k -7,99 kft -1,19 k -9 k 14 kft Elemen 2 : { P2 } = [ k2 ] { u2 } + { Faksi } P2 = =
  • 41.
    q = 1,68k/ft 14 kft 7,8 k 9 k 1 2 1,19 k1,19 k 7,99 kft 1,193 k 1,193 k 0 3,959 7,968 kft Free body diagram : 3,959 + - 7,99 14 + + - + + - 1,193 1,193 7,8 9 - 1,191,19
  • 42.
    KONSTRUKSI RANGKA BATANG •Pada Konstruksi Rangka Batang (KRB), perhitungan matriks kekakuan elemen [ K ] berdasarkan kasus rangka batang 2 Dimensi. Gaya yang bekerja hanya tarik dan tekan aksial saja, sedang gaya momen dan lintang tidak terjadi. • Perhatikan gambar dengan elemen struktur batang dengan luas A dan Modulus Elastisitas E konstan. Perhitungan kekakuan elemen hanya mengandung elemen A, E dan empat titik koordinat, yaitu : xi, xj, yi, dan yj.
  • 43.
    β x,u y,v L i j β + dβ i j cui uiqi pi qj pj Elemen Rangka Batang, dengan sudut Elemen Rangka Batang setelah β pada bidang xy perpindahan titik ui > 0, titik lain tetap c = cos β
  • 44.
    C2 CS -C2 -CS ui = pi qi pj qj Pertama, harusmenghitung : L = ( ) ( )2 ij 2 ij y-yx-x + C = cos β = L x-x ij S = sin β = L y-y ij Perpendekan aksial cui menghasilkan gaya tekan aksial F = icu L AE       Dimana : x dan y merupakan komponen dari ; pi = - pj = Fc qi = - qj = Fs Komponen ini menghasilkan kesetimbangan statis, sehingga diperoleh : L AE
  • 45.
    K = C2 CS -C2 -CS CSS2 -CS -S2 -C2 -CS C2 CS -CS -S2 CS S2 Hasil yang sama juga akan diperoleh dengan cara memberikan perpindahan pada vi, uj, dan vj, dimana gaya bekerja sendiri-sendiri. Dan jika 4 dof dengan nilai tidak nol bekerja bersama-sama, dan dengan superposisi masing-masing elemen matriks kekakuan, dapat dihitung sebagai berikut : L AE
  • 46.
    C2 CS -C2 -CS CS S2 -CS-S2 -C2 -CS C2 CS -CS -S2 CS S2 ui vi uj vj pi qi pj qj K = 1 0 -1 0 0 0 0 0 -1 0 1 0 0 0 0 0 Hubungan matriks kekakuan dengan gaya dapat ditulis sebagai berikut : [ K ] { D } = { F } = Untuk kasus khusus : 1. Jika nilai β = 0, sebagai batang horizontal, matriks kekakuan elemen [ K ] 4 x 4 Hanya berisi 4 komponen yang tidak bernilai nol, yaitu : k11 = k33 = -k13 = -k31 = L AE L AE L AE
  • 47.
    K = 0 00 0 0 1 0 -1 0 0 0 0 0 -1 0 1 1. Jika nilai β = 90, sebagai batang vertikal, matriks kekakuan elemen [ K ] 4 x 4 Hanya berisi 4 komponen yang tidak bernilai nol, yaitu : k22 = k44 = -k24 = -k42 = L AE L AE
  • 48.
    Sebuah Konstruksi RangkaBatang dengan luas A dan Modulus Elastisitas E yang sama, seperti pada Gambar L L L L 1 4 3 765 2 3 4 2 5 1 v u Hitunglah matriks kekakuaan masing-masing elemen
  • 49.
    K = C2 CS -C2 -CS CSS2 -CS -S2 -C2 -CS C2 CS -CS -S2 CS S2 K1 = 1 0 -1 0 0 0 0 0 -1 0 1 0 0 0 0 0 Perumusan untuk mencari nilai matriks kekakuan elemen dengan sudut β : Batang 1, 2 dan 3 merupakan batang horizontal, sehingga β = 0o Maka : [ K1 ] = [ K2 ] = [ K3 ] L AE L AE
  • 50.
    K4 = 0,250 0,433-0,250 -0,433 0,433 0,750 -0,433 -0,750 -0,250 0,433 0,250 -0,433 -0,433 -0,750 0,433 0,750 K5 = 0,250 -0,433 -0,250 0,433 -0,433 0,750 0,433 -0,750 -0,250 0,433 0,250 -0,433 0,433 -0,750 - 0,433 0,750 Batang 4 dan 6 merupakan batang diagonal dengan sudut β = 60o Dimana : C = cos 60o = 0,5 S = sin 60o = 0,866 Maka : [ K4 ] = [ K6 ] Batang 5 dan 7 merupakan batang diagonal dengan sudut β = 300o Dimana : C = cos 300o = 0,5 S = sin 300o = -0,866 Maka : [ K5 ] = [ K7 ] L AE L AE