Embed presentation









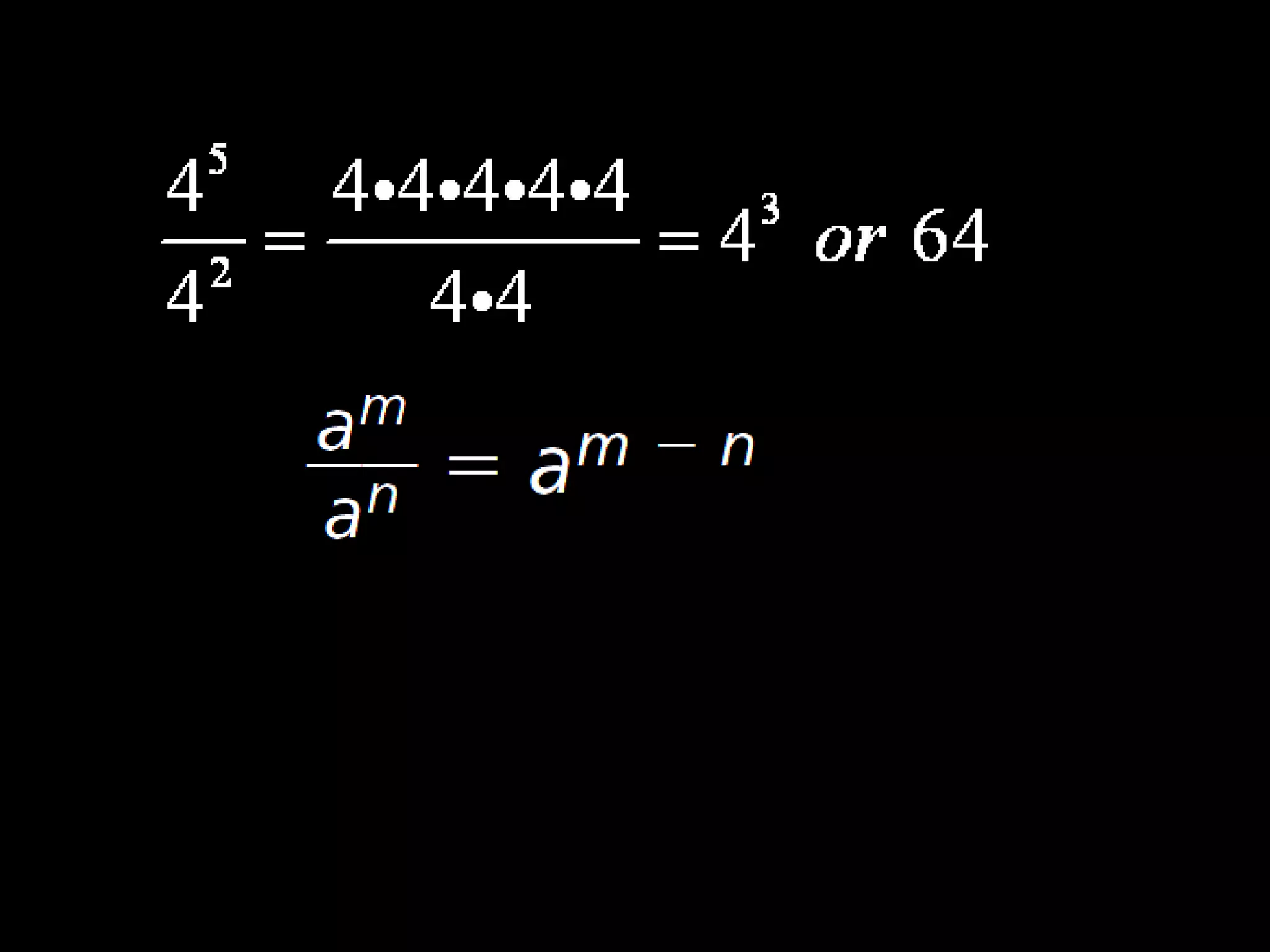
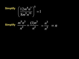
This document provides examples of simplifying expressions with exponents and negative exponents. It demonstrates simplifying expressions by applying exponent rules like a-b = 1/ab and any number to the power of zero equals one. The examples range from simplifying basic expressions like 4-2 to more complex expressions involving negative numbers and decimals.








