Embed presentation
Download to read offline


































































































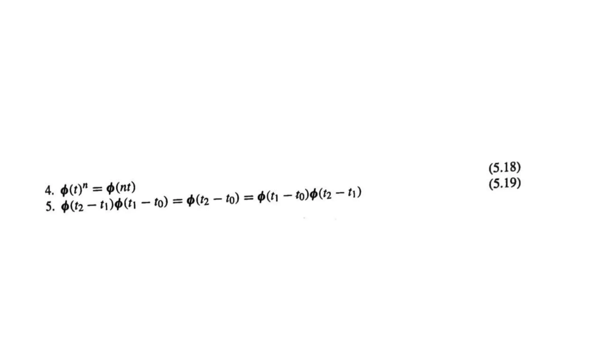
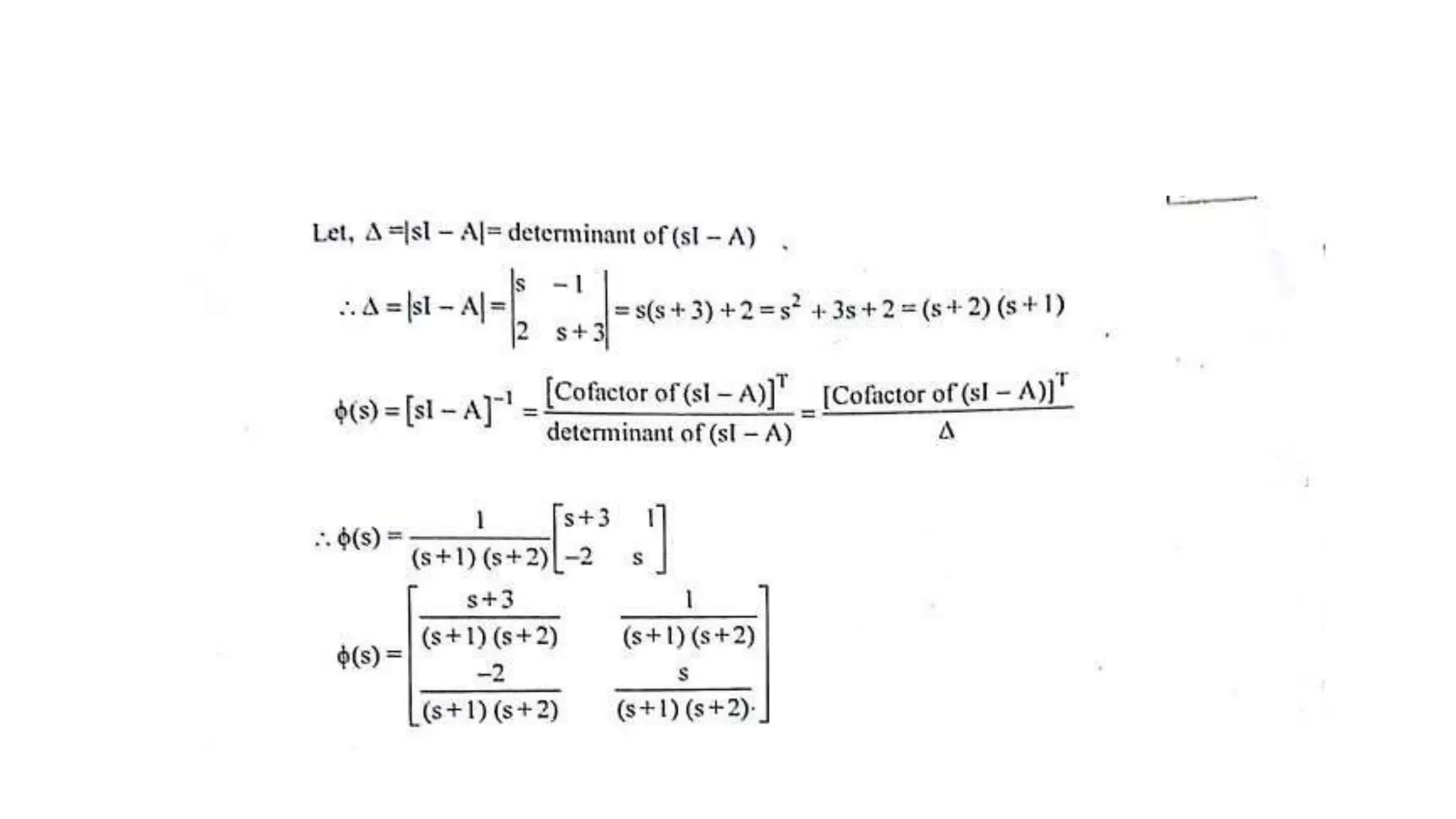
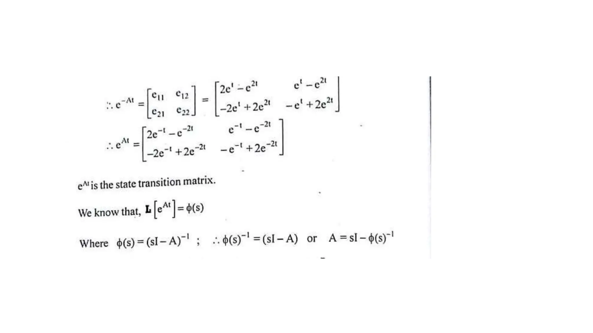
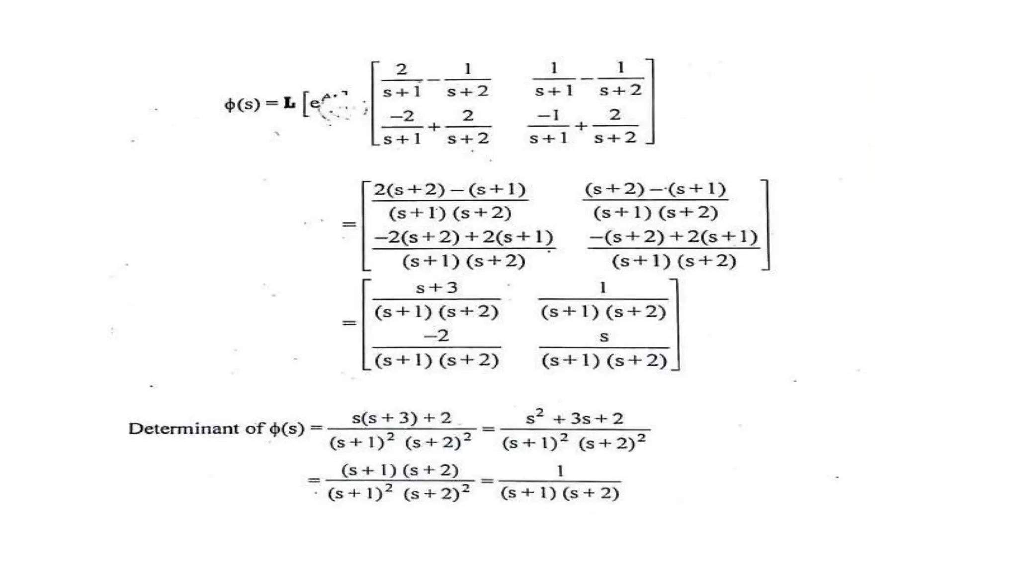
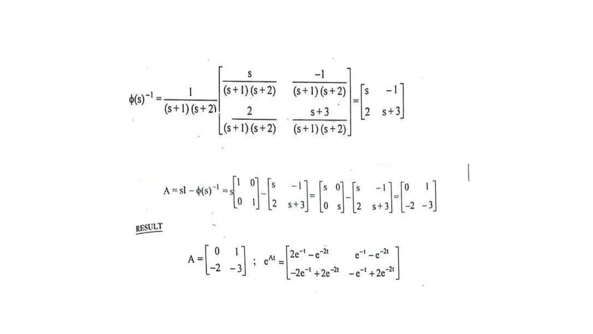
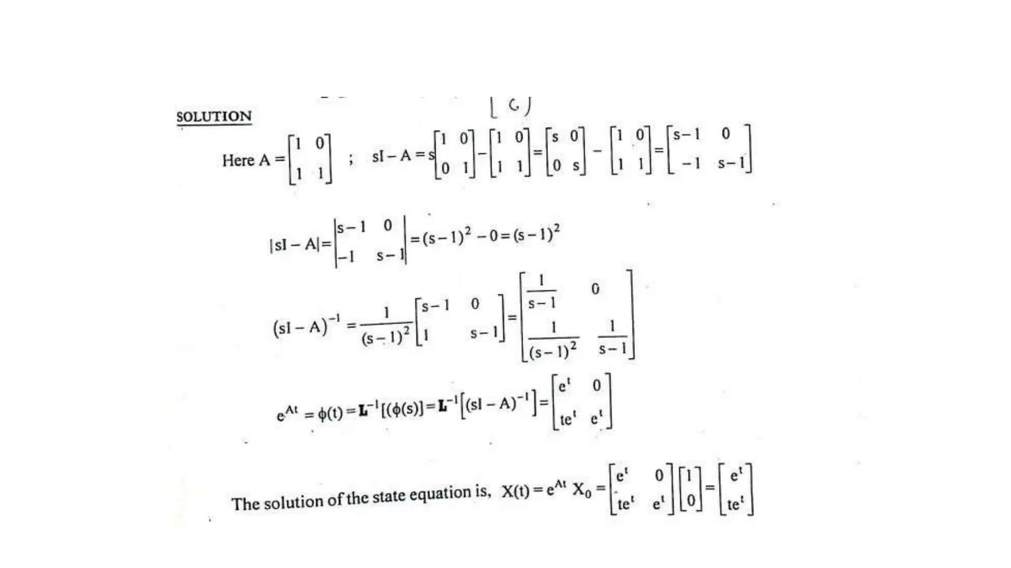
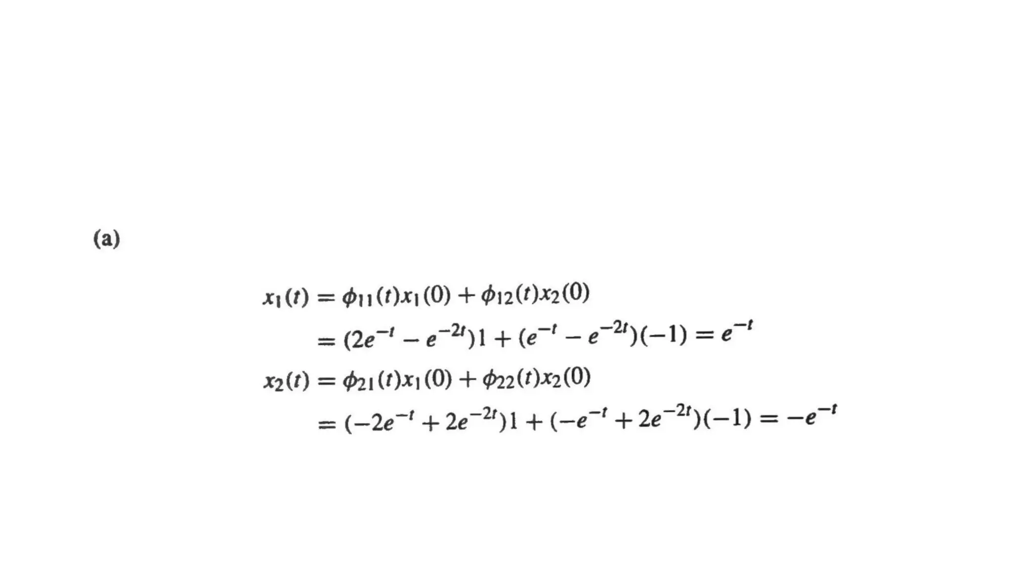
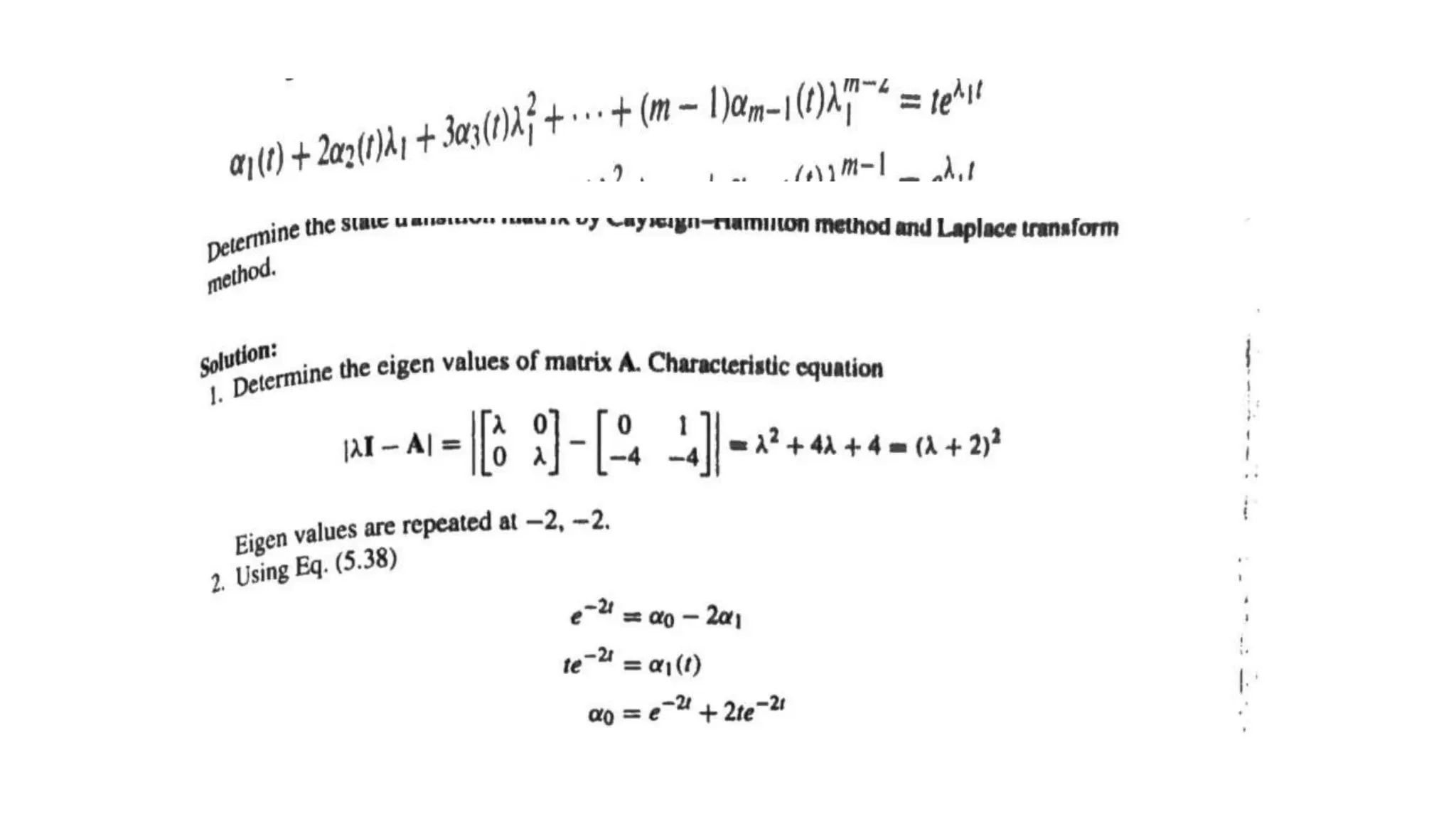
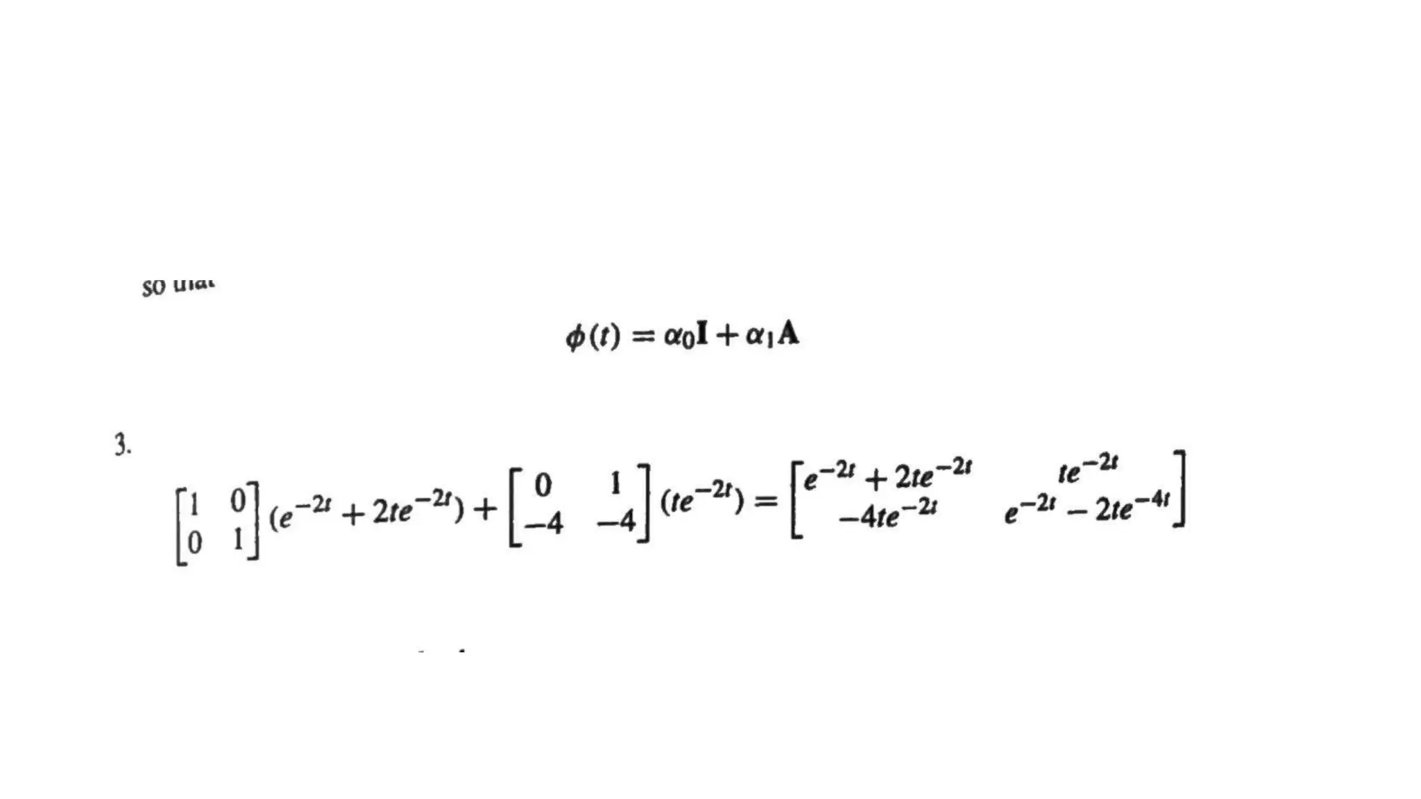
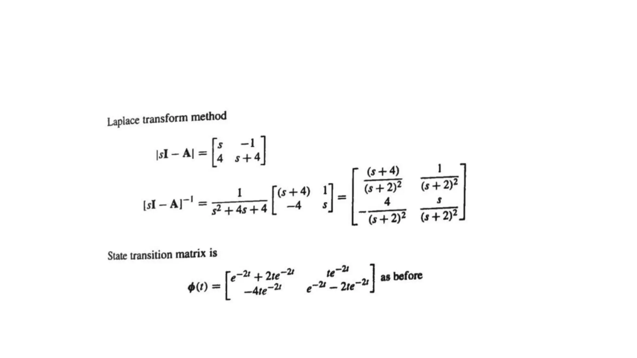
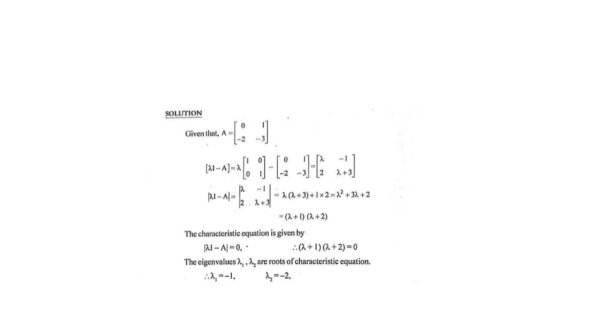
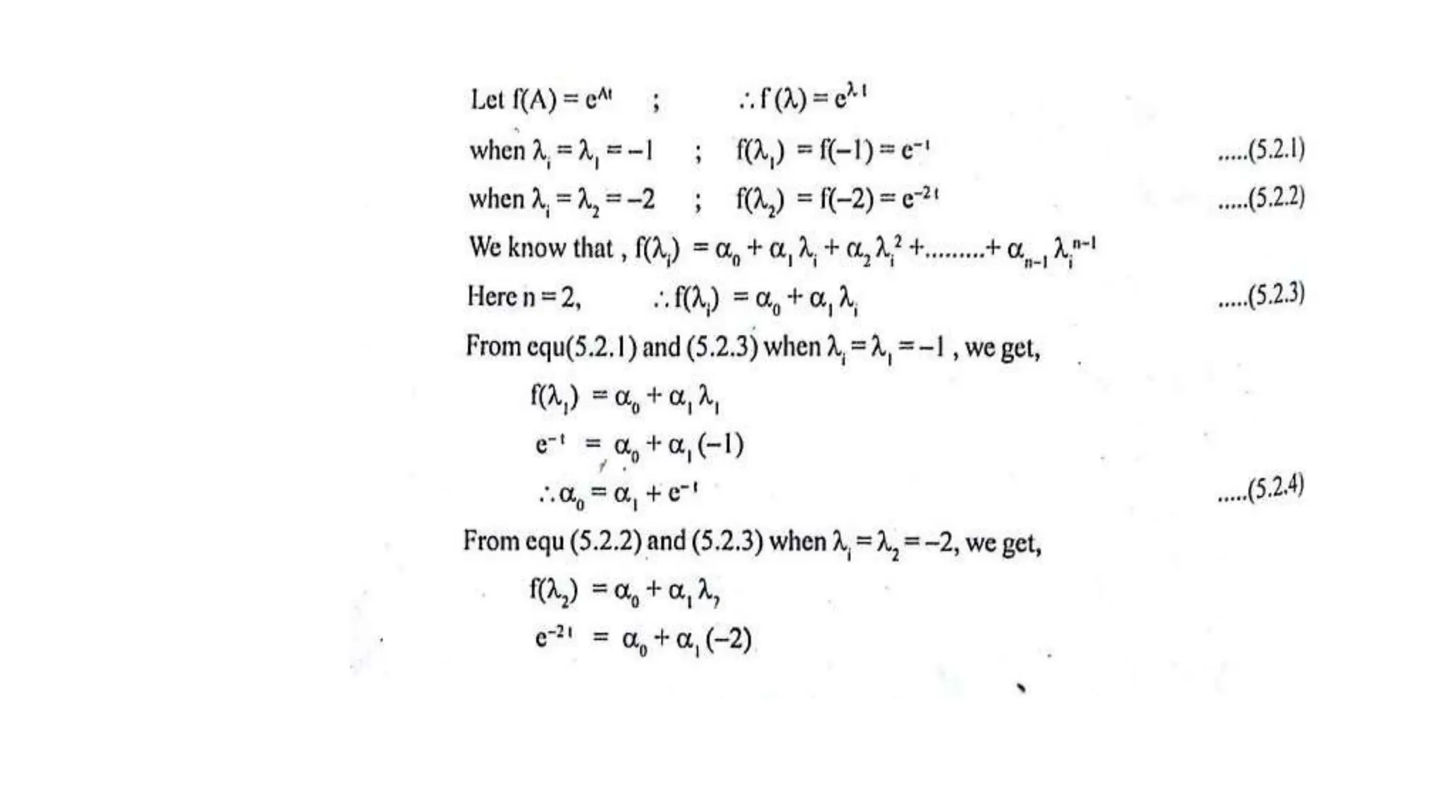
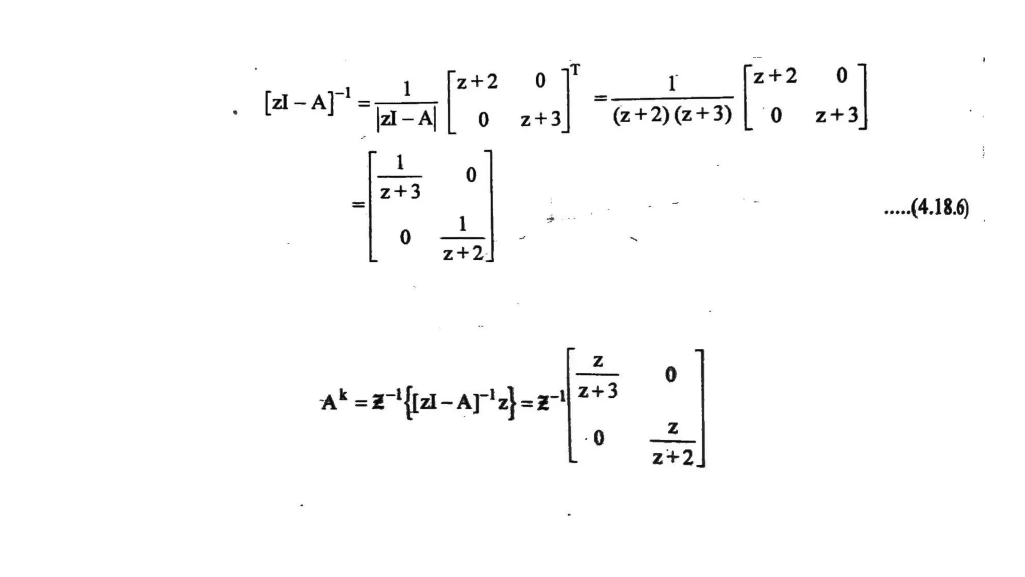
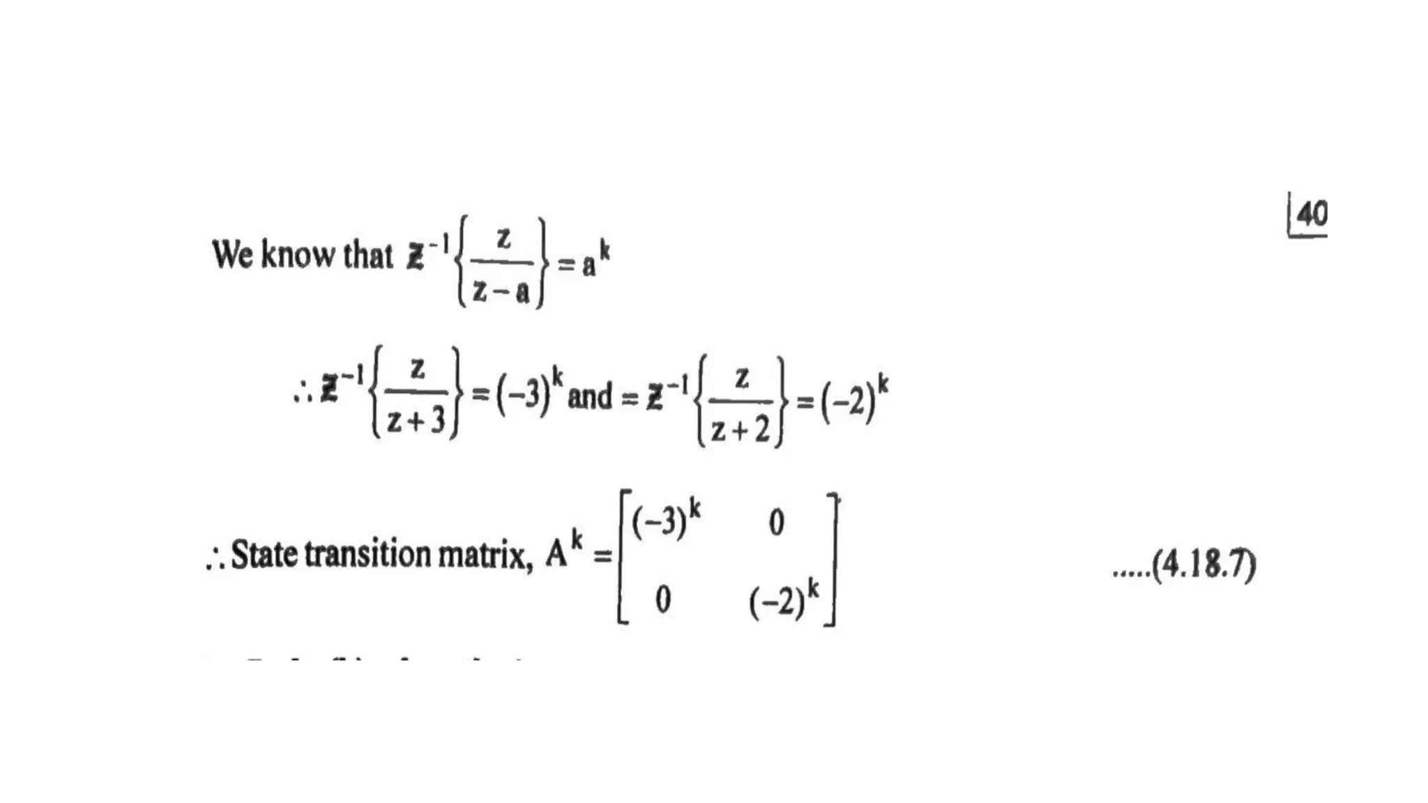
This module discusses state space analysis of control systems over 9 hours. It covers properties of state transition matrices and their computation using Laplace transforms and Cayley Hamilton methods. It also covers deriving transfer functions from state equations and solving time-invariant systems by finding the time response of autonomous and forced systems. Finally, it addresses state space analysis of discrete time control systems using phase variable and diagonal canonical forms and computing state transition matrices for second order systems.

































































































