i




àǪÈÒʵÏ·¹Âؤ 2553
          Ñ


             ºÃóҸԡÒÃ
        Á³Õ Ãѵ¹äªÂÒ¹¹·, ¾.º.
      ´ÒÃÒÇÃó ǹЪÔǹÒÇÔ¹, ¾.º.
        ÇÒ³Õ ÇÔÊ·¸ÔàÊÃÕǧȏ, ¾.º.
                Ø ì
       ÇÔ·Ã ªÔ¹ÊNjҧÇѲ¹¡ØÅ, ¾.º.
          Ù
        ÁÒ¹¾ ¾Ô·¡ÉÀÒ¡Ã, ¾.º.
                Ñ




     ¤³Ðá¾·ÂÈÒʵÏÈÃÃÒª¾ÂÒºÒÅ
                   ÔÔ
          ÁËÒÇÔ·ÂÒÅÑÂÁËÔ´Å
               ¾.È. 2553
àǪÈÒʵÏ·¹Âؤ 2553
          Ñ

ʧǹÅÔ¢ÊÔ·¸Ôì


¨Ñ´¾ÔÁ¾        ¤³Ðá¾·ÂÈÒʵÏÈÃÃÒª¾ÂÒºÒÅ
                              ÔÔ


¨íҹǹ¾ÔÁ¾     1,000 àÅ‹Á áÅÐ CD 4,000 Ἃ¹
                ÊÔ§ËÒ¤Á 2553


ISBN            978-974-11-1329-3




¾ÔÁ¾·Õè        ºÃÔÉ· ¾Õ.àÍ.ÅÕ¿ÇÔ§ ¨íÒ¡Ñ´
                    Ñ            è
                4 «ÍÂÊÔù¸Ã 7 ºÒ§¾ÅÑ´ ¡Ãا෾ÁËÒ¹¤Ã 10700
                        Ô
                â·ÃÈѾ· 0 2881 9890 â·ÃÊÒà 0 2881 9894
iii

                                                    ¤íÒ¹íÒ
          ˹ѧÊ×Í “àǪÈÒʵϷѹÂؤ” ໚¹Ë¹Ñ§Ê×ÍàÅ‹Ááá¢Í§â¤Ã§¡ÒõíÒÃÒÈÔÃÔÃÒª ·Õè¼ÅÔµ¢Öé¹
ã¹ÅѡɳÐ໚¹ series ÃÒ»‚ ÁÕÇѵ¶Ø»ÃÐʧ¤à¾×èÍÃǺÃÇÁ¤ÇÒÁÃÙŒ·Ò§¡ÒÃᾷáÅÐà·¤â¹âÅÂÕ
·Õà¡ÕÂÇ¢ŒÍ§ â´Â໚¹ËÑÇ¢ŒÍ·Õ·¹ÊÁÑÂáÅСíÒÅѧ䴌ú¤ÇÒÁʹã¨ã¹»‚¹¹æ à¾×ÍãËŒÊÍ´¤ÅŒÍ§¡ÑºÊÀÒ¾¡Òó
  è è                      è Ñ                Ñ             Ñé    è
¢Í§¡ÒÃÊ‹§àÊÃÔÁáÅÐʹѺʹع¡ÒÃÈÖ¡ÉÒµ‹Íà¹×èͧ µÅÍ´¨¹Ê‹§àÊÃÔÁ¤ÇÒÁ¶Ù¡µŒÍ§áÅлÃÐÊÔ·¸ÔÀÒ¾
¢Í§àǪ»¯ÔºµÔ Ñ
                »‚¾·¸ÈÑ¡ÃÒª 2553 ໚¹»‚·âçàÃÕ¹ᾷáË‹§áá¢Í§»ÃÐà·Èä·ÂÁÕÍÒÂØ¤Ãº 120 »‚ áÅÐ
                     Ø                          Õè
໚¹»‚·Ë¹Ñ§Ê×ÍàǪÈÒʵÏ·¹ÂؤàÅ‹Ááá¢Í§ series 䴌ແ´µÑǢֹ㹪×Í “àǪÈÒʵÏ·¹Âؤ 2553”
             Õè                       Ñ                                           é   è             Ñ
·Ñé § ¹Õé à ¾×è Í ãËŒ Ë ¹Ñ § Ê× Í àǪÈÒʵÏ ·Ñ ¹ ÂØ ¤ àÅ‹ Á áá¹Õé ÁÕ Ê‹ Ç ¹Ã‹ Ç Á㹡ÒÃà©ÅÔ Á ©ÅͧÇÒÃÐ´Ñ § ¡Å‹ Ò Ç
¤³Ðá¾·ÂÈÒʵÏÈÔÃÔÃÒª¾ÂÒºÒÅ໚¹âçàÃÕ¹ᾷáË‹§áá¢Í§»ÃÐà·Èä·Â·Õèä´ŒÃѺ¾ÃÐÁËÒ
¡ÃسҸԤ³ ¨Ò¡Í§¤¾ÃлÃÐÁØ¢·Ø¡¾ÃÐͧ¤ 㹡ÒÃÊÒ¹µ‹Í¾ÃÐÃÒª»³Ô¸Ò¹áË‹§Í§¤¾ÃкҷÊÁà´ç¨
                 Ø
¾ÃлÃÁÔ ¹ ·ÃÁËÒ¨Ø Ì Òŧ¡Ã³ ¾ÃÐ¨Ø Å ¨ÍÁà¡ÅŒ Ò à¨Œ Ò ÍÂÙ‹ ËÑ Ç ·Õè ä ´Œ · ç¾ÃÐ¡ÃØ ³ Òâ»Ã´à¡ÅŒ Ò Ï
ແ´âçÈÔÃÃÒª¾ÂÒºÒÅã¹»‚¾·¸ÈÑ¡ÃÒª 2431 áÅÐແ´âçàÃÕ¹ᾷáË‹§áá㹻‚¾·¸ÈÑ¡ÃÒª 2433
                   Ô                    Ø                                                        Ø
«Öè§ã¹»˜¨¨ØºÑ¹ÁÕª×èÍNjҤ³Ðá¾·ÂÈÒʵÏÈÔÃÔÃÒª¾ÂÒºÒÅ ÁËÒÇÔ·ÂÒÅÑÂÁËÔ´Å âçàÃÕ¹ᾷáË‹§¹Õé
ä´Œ·íÒ¡ÒüÅԵᾷáÅкؤÅҡ÷ҧ¡ÒÃᾷÍÍ¡ÊÙ‹Êѧ¤Áä·Â µÅÍ´¨¹Â×¹ËÂѴ㹡Ò÷íÒ˹ŒÒ·Õè
ºíҺѴ´ÙáÅÃÑ¡ÉҼٻǠ¾Ñ²¹ÒÇÔªÒ¡ÒôŒÒ¹¡ÒÃᾷáÅСÒÃÊÒ¸ÒÃ³ÊØ¢ ãËŒà¡Ô´¤ÇÒÁà¨ÃÔ­¡ŒÒÇ˹ŒÒ
                            Œ †
¤Çº¤Ù¡ºÊѧ¤Áä·ÂÁÒµÅÍ´ 120 »‚ ·Õ¼Ò¹ÁÒ
           ‹ Ñ                                     è ‹
        ˹ѧÊ×ÍàÅ‹Á¹Õä´ŒÃǺÃÇÁº·¤ÇÒÁ·Ò§ÇÔªÒ¡Òèҡ¤³Ð¼Ù¹¾¹¸«§à»š¹¼ÙàªÕÂǪҭ੾Òзҧ
                     é                                Œ Ô   Öè     Œ è
·Ñé§ÀÒÂã¹áÅÐÀÒ¹͡¤³Ðá¾·ÂÈÒʵÏÈÔÃÔÃÒª¾ÂÒºÒÅ à¹×èͧ¨Ò¡à¹×éÍËÒÇÔªÒã¹Ë¹Ñ§Ê×ÍàÅ‹Á¹Õé
ÁÕ¤ÇÒÁËÅÒ¡ËÅÒÂÁÒ¡ ¡Í§ºÃóҸԡÒè֧䴌¨´ËÑÇ¢ŒÍµ‹Ò§æ ໚¹¡ÅØÁæ µÒÁÊÒ¢ÒÇÔªÒ
                                         Ñ                ‹
        ¡Í§ºÃóҸԡÒÃáÅФ³Ð¼ÙŒ¹Ô¾¹¸ÁÕ¤ÇÒÁÁØ‹§ÁÑè¹·Õè¨Ð¹íÒ¤ÇÒÁÃÙŒ·Õèä´ŒÃǺÃÇÁÁÒàÃÕºàÃÕ§
໚¹Ë¹Ñ§Ê×Íà¾×ÍãËŒº¤Åҡ÷ҧ¡ÒÃᾷ·¡·‹Ò¹ÊÒÁÒö¹íÒä»ãªŒÍÒ§ÍÔ§ã¹àǪ»¯ÔºµÔ Íѹ¨Ð¡‹ÍãËŒà¡Ô´
              è    Ø                Ø                     Œ               Ñ
»ÃÐ⪹Ê§ÊØ´µ‹Í¤Ø³ÀÒ¾ªÕǵ·Õ´¢Í§»Ç§ª¹ªÒÇä·Â
           Ù              Ô è Õ



                                                                      ¡Í§ºÃóҸԡÒÃ
iv

                                        ¤íÒ¹ÔÂÁ
         “àǪÈÒʵϷѹÂؤ 2553” ໚¹Ë¹Ñ§Ê×Í·Ò§ÇÔªÒ¡Ò÷Õè¼ÅԵ໚¹ series ÃÒ»‚ àÅ‹Ááá
¢Í§â¤Ã§¡ÒõíÒÃÒÈÔÃÔÃÒª ¤³Ðá¾·ÂÈÒʵÏÈÔÃÔÃÒª¾ÂÒºÒÅ ÁËÒÇÔ·ÂÒÅÑÂÁËԴŠ˹ѧÊ×ÍàÅ‹Á¹Õé
ä´Œ à ǺÃÇÁ¤ÇÒÁÃÙŒ á ÅФÇÒÁ¡Œ Ò Ç˹Œ Ò ·Ò§¡ÒÃᾷ á ÅÐÊÒ¸ÒÃ³ÊØ ¢ â´Âä´Œ ÃÑ º ¤ÇÒÁË Ç ÁÁ× Í
໚¹Í‹ҧ´Õ§¨Ò¡¤³Ð¼Ù¹¾¹¸«§à»š¹¼ÙàªÕÂǪҭ੾Òзҧã¹ÃдѺ»ÃÐà·È·Ñ§ÀÒÂã¹áÅÐÀÒ¹͡
            Ôè         Œ Ô    Öè     Œ è                                   é
¤³Ðá¾·ÂÈÒʵÏ ÈÔ ÃÔ Ã Òª¾ÂÒºÒÅ â´ÂÁØ‹ § ์ ¹ ¡Òùí Ò Í§¤ ¤ ÇÒÁÃÙŒ ÇÔ · ÂÒ¡ÒÃáÅÐà·¤â¹âÅÂÕ
·Ò§¡ÒÃᾷ··¹ÊÁÑÂáÅÐ໚¹àÅÔÈÁÒ»ÃÐÂØ¡µãªŒÍ‹ҧàËÁÒÐÊÁÊíÒËÃѺ¡ÒôÙáÅÊØ¢ÀÒ¾¢Í§¤¹ä·Â
               Õè Ñ
         ã¹¹ÒÁ¢Í§¤³º´Õ¤³Ðá¾·ÂÈÒʵÏÈÃÃÒª¾ÂÒºÒÅ ÁËÒÇÔ·ÂÒÅÑÂÁËÔ´Å ¡ÃмÁ¢Í¢Íº¤Ø³
                                            ÔÔ
¡Í§ºÃóҸԡÒà áÅмٌ¹Ô¾¹¸·Ø¡·‹Ò¹·Õèä´Œ¨Ñ´·íÒãˌ˹ѧÊ×ÍàǪÈÒʵϷѹÂؤàÅ‹Á¹Õé ¡ÃмÁËÇѧ໚¹
Í‹ҧÂÔè§Ç‹Ò˹ѧÊ×ÍàÅ‹Á¹Õé¨Ð໚¹»ÃÐ⪹µ‹Íᾷ ¾ÂÒºÒÅ áÅкؤÅҡ÷ҧ¡ÒÃᾷ·Ø¡ÊÒ¢Ò
«Ö觨С‹ÍãËŒà¡Ô´»ÃÐ⪹ÊÙ§ÊØ´µ‹Í¤Ø³ÀÒ¾ªÕÇÔµ¢Í§ÁËÒª¹ªÒÇä·Â ãËŒÊÍ´¤ÅŒÍ§¡Ñº»ÃÐà´ç¹ËÅÑ¡
¢Í§¡Ô¨¡ÃÃÁ·Õèà©ÅÔÁ©ÅͧÇÒÃзÕèâçàÃÕ¹ᾷáË‹§áá¢Í§»ÃÐà·Èä·ÂÁÕÍÒÂØ¤Ãº 120 »‚ ¤×Í
“âçàÃÕ¹ᾷÈÃÃÒªà¾×ÍÊѧ¤Á 120 »‚áË‹§¤ÇÒÁ¡ŒÒÇ˹ŒÒ”
                    ÔÔ       è




                                           ÈÒʵÃÒ¨ÒϤÅÔ¹¡¹ÒÂᾷ¸ÃÇѲ¹ ¡ØÅ·¹Ñ¹·¹
                                                          Ô         Õ
                                                  ¤³º´Õ¤³Ðá¾·ÂÈÒʵÏÈÃÃÒª¾ÂÒºÒÅ
                                                                     ÔÔ
                                                         ÁËÒÇÔ·ÂÒÅÑÂÁËÔ´Å
v

                        ¡Í§ºÃóҸԡÒÃ
ª×Í-Ê¡ØÅ
  è                  ´ÒÃÒÇÃó ǹЪÔǹÒÇÔ¹
ÇØ²¡ÒÃÈÖ¡ÉÒ
    Ô                ¾.º., ».ªÑ¹ÊÙ§ (ÍÒÂØÃÈÒʵÏ), Ç.Ç. µ¨ÇÔ·ÂÒ,
                               é
                     Í.Ç. ¾ÂÒ¸ÔÇ·ÂÒ¤ÅÔ¹¡
                                 Ô        Ô
µíÒá˹‹§·Ò§ÇÔªÒ¡Òà   ÃͧÈÒʵÃÒ¨ÒÏ
˹‹Ç§ҹ             ÊÒ¢ÒÇÔªÒâ»Ã⵫ÑÇ ÀÒ¤ÇÔªÒ»ÃÊÔµÇÔ·ÂÒ
ʶҺѹ               ¤³Ðá¾·ÂÈÒʵÏÈÃÃÒª¾ÂÒºÒÅ ÁËÒÇÔ·ÂÒÅÑÂÁËÔ´Å
                                        ÔÔ

ª×Í-Ê¡ØÅ
  è                  Á³Õ Ãѵ¹äªÂÒ¹¹·
ÇØ²¡ÒÃÈÖ¡ÉÒ
    Ô                ¾.º., ».ªÑ¹ÊÙ§ (ÊÙµÈÒʵÏ-¹ÃÕàǪÇÔ·ÂÒ), Ç.Ç. ÊÙµÈÒʵÏ-¹ÃÕàǪÇÔ·ÂÒ,
                               é        Ô                            Ô
                     Cert. .ellow in Reproductive Biology,
                     Ç.Ç. àǪÈÒʵÏ¡ÒÃà¨ÃÔ­¾Ñ¹¸Ø, Í.Ç. àǪÈÒʵϤÃͺ¤ÃÑÇ,
                     Ç·.Á. (¡ÒþѲ¹ÒÊØ¢ÀÒ¾)
µíÒá˹‹§·Ò§ÇÔªÒ¡Òà   ÈÒʵÃÒ¨ÒÏ
˹‹Ç§ҹ             ˹‹Çµ‹ÍÁäÃŒ·Í·Ò§¹ÃÕàǪ ÊÒ¢ÒÇÔªÒàǪÈÒʵÏ¡ÒÃà¨ÃÔ­¾Ñ¹¸Ø
                                     ‹
                     ÀÒ¤ÇÔªÒÊÙµÈÒʵÏ-¹ÃÕàǪÇÔ·ÂÒ
                                 Ô
ʶҺѹ               ¤³Ðá¾·ÂÈÒʵÏÈÃÃÒª¾ÂÒºÒÅ ÁËÒÇÔ·ÂÒÅÑÂÁËÔ´Å
                                          ÔÔ

ª×Í-Ê¡ØÅ
  è                  ÇÒ³Õ ÇÔÊ·¸ÔàÊÃÕǧȏ
                             Ø ì
ÇØ²¡ÒÃÈÖ¡ÉÒ
    Ô                ¾.º., ».ªÑ¹ÊÙ§ (¡ØÁÒÃàǪÈÒʵÏ), Ç.Ç. ¡ØÁÒÃàǪÈÒʵÏ,
                               é
                     Dip. of Dermatology, Cert. in Ped. Dermatology,
                     Í.Ç. (àǪÈÒʵϤÃͺ¤ÃÑÇ), Í.Ç. (¡ØÁÒÃàǪÈÒʵÏ µ¨ÇÔ·ÂÒ)
µíÒá˹‹§·Ò§ÇÔªÒ¡Òà   ÃͧÈÒʵÃÒ¨ÒÏ
˹‹Ç§ҹ             ÊÒ¢Òâä¼ÔÇ˹ѧ ÀÒ¤ÇÔªÒ¡ØÁÒÃàǪÈÒʵÏ
ʶҺѹ               ¤³Ðá¾·ÂÈÒʵÏÈÃÃÒª¾ÂÒºÒÅ ÁËÒÇÔ·ÂÒÅÑÂÁËÔ´Å
                                         ÔÔ

ª×Í-Ê¡ØÅ
  è                  ÇÔ·Ã ªÔ¹ÊNjҧÇѲ¹¡ØÅ
                        Ù
ÇØ²¡ÒÃÈÖ¡ÉÒ
    Ô                ¾.º., Ç.Ç.(ÈÑÅÂÈÒʵÏ), Ph.D. (London)
µíÒá˹‹§·Ò§ÇÔªÒ¡Òà   ÍÒ¨ÒÏ
˹‹Ç§ҹ             ÊÒ¢ÒÇÔªÒÈÑÅÂÈÒʵÏ·Çä» ÀÒ¤ÇÔªÒÈÑÅÂÈÒʵÏ
                                           Ñè
ʶҺѹ               ¤³Ðá¾·ÂÈÒʵÏÈÃÃÒª¾ÂÒºÒÅ ÁËÒÇÔ·ÂÒÅÑÂÁËÔ´Å
                                        ÔÔ
vi

ª×Í-Ê¡ØÅ
  è                  ÁÒ¹¾ ¾Ô·¡ÉÀÒ¡Ã
                               Ñ
ÇØ²¡ÒÃÈÖ¡ÉÒ
    Ô                ¾.º., Í.Ç.(ÍÒÂØÃÈÒʵÏ)
                     Diplomate, American Board of Internal Medicine
                     Diplomate, American Board of Medical Genetics
                     .ellowship in Clinical Genetics and Clinical Molecular Genetics
µíÒá˹‹§·Ò§ÇÔªÒ¡Òà   ¼ÙªÇÂÈÒʵÃÒ¨ÒÏ
                       Œ ‹
˹‹Ç§ҹ             ÊÒ¢ÒÇÔªÒàǪ¾Ñ¹¸ØÈÒʵÏ ÀÒ¤ÇÔªÒÍÒÂØÃÈÒʵÏ
ʶҺѹ               ¤³Ðá¾·ÂÈÒʵÏÈÃÃÒª¾ÂÒºÒÅ ÁËÒÇÔ·ÂÒÅÑÂÁËÔ´Å
                                         ÔÔ
vii

                                   ÃÒ¹ÒÁ¼ÙŒ¹Ô¾¹¸
Wei Mei Ching                                       ¡Ñ­­·Í§ ·Í§ãË­‹
  Doctor                                               ÍÒ¨ÒÏ ᾷ˭ԧ ËÁ‹ÍÁËÅǧ
  Viral and Rickettsial Diseases Department            ÀÒ¤ÇÔªÒâʵ ¹ÒÊÔ¡ ÅÒÃÔ§«Ç·ÂÒ
                                                                                Ô
  Naval Medical Research Center, MD, USA               ¤³Ðá¾·ÂÈÒʵÏÈÔÃÔÃÒª¾ÂÒºÒÅ
                                                       ÁËÒÇÔ·ÂÒÅÑÂÁËÔ´Å
¡¹¡ÇÃó ºØ­­¾ÔÊ®°ŠÔ
  ÃͧÈÒʵÃÒ¨ÒÏ ᾷ˭ԧ                          à¡ÃÕ§ÈÑ¡´Ôì ¨ÕÃÐᾷ
  ÀÒ¤ÇÔªÒÍÒÂØÃÈÒʵÏ                                   ÈÒʵÃÒ¨ÒÏ ¹ÒÂᾷ
  ¤³Ðá¾·ÂÈÒʵÏÈÔÃÔÃÒª¾ÂÒºÒÅ                           ÀÒ¤ÇÔªÒ¡ØÁÒÃàǪÈÒʵÏ
  ÁËÒÇÔ·ÂÒÅÑÂÁËÔ´Å                                     ¤³Ðá¾·ÂÈÒʵÏÈÔÃÔÃÒª¾ÂÒºÒÅ
                                                       ÁËÒÇÔ·ÂÒÅÑÂÁËÔ´Å
¡ÁŷԾ ËÒ­¼´Ø§¡Ô¨
  ÃͧÈÒʵÃÒ¨ÒÏ ᾷ˭ԧ                          ¤íÒÁØ¡ ¤ÃÍ§ÂØ·¸
  ÀÒ¤ÇÔªÒàǪÈÒʵÏ¿¹¿Ù
                    „œ                                 ¹Ò§ÊÒÇ
  ¤³Ðá¾·ÂÈÒʵÏÈÔÃÔÃÒª¾ÂÒºÒÅ                           ÀÒ¤ÇÔªÒÃѧÊÕÇ·ÂÒ
                                                                    Ô
  ÁËÒÇÔ·ÂÒÅÑÂÁËÔ´Å                                     ¤³Ðá¾·ÂÈÒʵÏÈÔÃÔÃÒª¾ÂÒºÒÅ
                                                       ÁËÒÇÔ·ÂÒÅÑÂÁËÔ´Å
¡ÅÕºÊäº ÊÃþ¡Ô¨
   ¼ÙªÇÂÈÒʵÃÒ¨ÒÏ ᾷ˭ԧ
     Œ ‹                                            ¨Ñ¹¨ÔÃÒ à¾ªÃÊØ¢ÈÔÃÔ
   ÀÒ¤ÇÔªÒ¡ØÁÒÃàǪÈÒʵÏ                               ¼ÙªÇÂÈÒʵÃÒ¨ÒÏ ᾷ˭ԧ
                                                         Œ ‹
   ¤³Ðá¾·ÂÈÒʵÏÈÔÃÔÃÒª¾ÂÒºÒÅ                          ÀÒ¤ÇÔªÒÃѧÊÕÇ·ÂÒ
                                                                    Ô
   ÁËÒÇÔ·ÂÒÅÑÂÁËÔ´Å                                    ¤³Ðá¾·ÂÈÒʵÏÈÔÃÔÃÒª¾ÂÒºÒÅ
                                                       ÁËÒÇÔ·ÂÒÅÑÂÁËÔ´Å
¡ŒÍ§à¢µ àËÃÕÂ­ÊØÇÃó
   ¼ÙªÇÂÈÒʵÃÒ¨ÒÏ ¹ÒÂᾷ
     Œ ‹                                            ¨Ñ¹·¹ÃÑÈÁ ¨Ñ¹·¹Âԧ§
                                                                      è
   ÀÒ¤ÇÔªÒÈÑÅÂÈÒʵÏÍÍÏ⸻´Ô¤ÊáÅÐ                   ÍÒ¨ÒÏ ᾷ˭ԧ
   ¡ÒÂÀÒ¾ºíҺѴ                                        ÀÒ¤ÇÔªÒÈÑÅÂÈÒʵÏÍÍÏ⸻´Ô¤ÊáÅÐ
   ¤³Ðá¾·ÂÈÒʵÏÈÔÃÔÃÒª¾ÂÒºÒÅ                          ¡ÒÂÀÒ¾ºíҺѴ
   ÁËÒÇÔ·ÂÒÅÑÂÁËÔ´Å                                    ¤³Ðá¾·ÂÈÒʵÏÈÔÃÔÃÒª¾ÂÒºÒÅ
                                                       ÁËÒÇÔ·ÂÒÅÑÂÁËÔ´Å
viii

¨ÔµÃÅÑ´´Ò ÇÐÈÔ¹Ãѵ¹                     ª¹ÔµÃÒ ¸ØÇ¨Ôµµ
   ÍÒ¨ÒÏ ᾷ˭ԧ                        ¼ÙªÇÂÈÒʵÃÒ¨ÒÏ ´Í¡àµÍÏ ᾷ˭ԧ
                                              Œ ‹
   ÀÒ¤ÇÔªÒÃѧÊÕÇ·ÂÒ
                Ô                           ÀÒ¤ÇÔªÒÇÔ·ÂÒÀÙÁ¤Á¡Ñ¹
                                                           Ô ØŒ
   ¤³Ðá¾·ÂÈÒʵÏÈÔÃÔÃÒª¾ÂÒºÒÅ               ¤³Ðá¾·ÂÈÒʵÏÈÔÃÔÃÒª¾ÂÒºÒÅ
   ÁËÒÇÔ·ÂÒÅÑÂÁËÔ´Å                         ÁËÒÇÔ·ÂÒÅÑÂÁËÔ´Å

¨ÕÃÐÊØ¢ ¨§¡ÅÇѲ¹Ò                        ªØµÇªÂ âµÇÔ¡¡ÑÂ
                                            ÔÔ Ñ
   ÃͧÈÒʵÃÒ¨ÒÏ ᾷ˭ԧ                 ÍÒ¨ÒÏ ¹ÒÂᾷ
   ÀÒ¤ÇÔªÒâʵ ¹ÒÊÔ¡ ÅÒÃÔ§«Ç·ÂÒ
                            Ô               ÀÒ¤ÇÔªÒÈÑÅÂÈÒʵÏ
   ¤³Ðá¾·ÂÈÒʵÏÈÔÃÔÃÒª¾ÂÒºÒÅ               ¤³Ðá¾·ÂÈÒʵÏÈÔÃÔÃÒª¾ÂÒºÒÅ
   ÁËÒÇÔ·ÂÒÅÑÂÁËÔ´Å                         ÁËÒÇÔ·ÂÒÅÑÂÁËÔ´Å

ਵ¹ ÅíÒÂͧàʶÕÂà                       ⪤ªÑ àÁ¸ÕäµÃÃѵ¹
   ÍÒ¨ÒÏ ¹ÒÂᾷ                         ÃͧÈÒʵÃÒ¨ÒÏ ¹ÒÂᾷ
   ÀÒ¤ÇÔªÒâʵ ¹ÒÊÔ¡ ÅÒÃÔ§«Ç·ÂÒ
                            Ô               ÀÒ¤ÇÔªÒâʵ ¹ÒÊÔ¡ ÅÒÃÔ§«Ç·ÂÒ
                                                                     Ô
   ¤³Ðá¾·ÂÈÒʵÏÈÔÃÔÃÒª¾ÂÒºÒÅ               ¤³Ðá¾·ÂÈÒʵÏÈÔÃÔÃÒª¾ÂÒºÒÅ
   ÁËÒÇÔ·ÂÒÅÑÂÁËÔ´Å                         ÁËÒÇÔ·ÂÒÅÑÂÁËÔ´Å

à¨É®Ò ºÑǺح¹íÒ                          ³Ã§¤ àÅÔÈÍÃæÂÁ³Õ
   ÍÒ¨ÒÏ ¹ÒÂᾷ                        ÃͧÈÒʵÃÒ¨ÒÏ ¹ÒÂᾷ
   ÀÒ¤ÇÔªÒ¡ØÁÒÃàǪÈÒʵÏ                   ÀÒ¤ÇÔªÒÈÑÅÂÈÒʵÏ
   ¤³Ðá¾·ÂÈÒʵÏÈÔÃÔÃÒª¾ÂÒºÒÅ              ¤³Ðá¾·ÂÈÒʵÏÈÔÃÔÃÒª¾ÂÒºÒÅ
   ÁËÒÇÔ·ÂÒÅÑÂÁËÔ´Å                        ÁËÒÇÔ·ÂÒÅÑÂÁËÔ´Å

©Ñ¹·ÔªÒ ⪵ԡdzԪ                      ³Ñª¡Ã ÅéÒàÅÔȡԨ
                                                 í
   ÍÒ¨ÒÏ ᾷ˭ԧ                        ÍÒ¨ÒÏ àÀÊѪ¡ÃË­Ô§
   ÀÒ¤ÇÔªÒâʵ ¹ÒÊÔ¡ ÅÒÃÔ§«Ç·ÂÒ
                            Ô               ʶҹ¡ÒÃᾷἹä·Â»ÃÐÂØ¡µ
   ¤³Ðá¾·ÂÈÒʵÏÈÔÃÔÃÒª¾ÂÒºÒÅ               ¤³Ðá¾·ÂÈÒʵÏÈÔÃÔÃÒª¾ÂÒºÒÅ
   ÁËÒÇÔ·ÂÒÅÑÂÁËÔ´Å                         ÁËÒÇÔ·ÂÒÅÑÂÁËÔ´Å

ª®Ò ¾ÔÈÒž§È                            ³Ñ°¾Ã à·ÈÐÇԺŠØ
  ´Í¡àµÍÏ                                  ¼ÙªÇÂÈÒʵÃÒ¨ÒÏ ᾷ˭ԧ
                                              Œ ‹
  ʶҺѹÇÔ¨ÑÂáÅоѲ¹Ò                       ÀÒ¤ÇÔªÒ¨Ñ¡ÉØÇ·ÂÒ
                                                          Ô
  ͧ¤¡ÒÃàÀÊѪ¡ÃÃÁ                          ¤³Ðá¾·ÂÈÒʵÏÈÔÃÔÃÒª¾ÂÒºÒÅ
                                            ÁËÒÇÔ·ÂÒÅÑÂÁËÔ´Å
ix

³Ñ°ÇØ²Ô Ãʹ͹ѹµ                       ¸¹¾Å ÇÕÃÒÊÒ
   ¼ÙªÇÂÈÒʵÃÒ¨ÒÏ ¹ÒÂᾷ
     Œ ‹                                  ¼ÙªÇÂÈÒʵÃÒ¨ÒÏ ´Í¡àµÍÏ
                                            Œ ‹
   ÀÒ¤ÇÔªÒ¨Ñ¡ÉØÇ·ÂÒ
                Ô                         ÇÔ·ÂÒÅÑ¡ÒèѴ¡ÒÃ
   ¤³Ðá¾·ÂÈÒʵÏÈÔÃÔÃÒª¾ÂÒºÒÅ             ÁËÒÇÔ·ÂÒÅÑÂÁËÔ´Å
   ÁËÒÇÔ·ÂÒÅÑÂÁËÔ´Å
                                        ¸ÇѪªÑ ÍѤÃÇÔ¾¸
                                                       Ø
µ‹Í¾§É ·Í§§ÒÁ                             ÍÒ¨ÒÏ ¹ÒÂᾷ
   ¼ÙªÇÂÈÒʵÃÒ¨ÒÏ ¹ÒÂᾷ
     Œ ‹                                   ÀÒ¤ÇÔªÒÈÑÅÂÈÒʵÏ
   ÀÒ¤ÇÔªÒÍÒÂØÃÈÒʵÏ                      ¤³Ðá¾·ÂÈÒʵÏÈÔÃÔÃÒª¾ÂÒºÒÅ
   ¤³Ðá¾·ÂÈÒʵÏÈÔÃÔÃÒª¾ÂÒºÒÅ              ÁËÒÇÔ·ÂÒÅÑÂÁËÔ´Å
   ÁËÒÇÔ·ÂÒÅÑÂÁËÔ´Å
                                        ¸Ñ­à´ª ¹ÔÁÁÒ¹ÇØ²¾§É
                                                          Ô
·ÇÕÈ¡´Ôì àÍ×ͺح­ÒÇѲ¹
    Ñ       é                              ¼ÙªÇÂÈÒʵÃÒ¨ÒÏ ¹ÒÂᾷ
                                             Œ ‹
   ÍÒ¨ÒÏ ¹ÒÂᾷ                        ÀÒ¤ÇÔªÒÈÑÅÂÈÒʵÏ
   ÀÒ¤ÇÔªÒÈÑÅÂÈÒʵÏ                       ¤³Ðá¾·ÂÈÒʵÏÈÔÃÔÃÒª¾ÂÒºÒÅ
   ¤³Ðá¾·ÂÈÒʵÏÈÔÃÔÃÒª¾ÂÒºÒÅ              ÁËÒÇÔ·ÂÒÅÑÂÁËÔ´Å
    ÁËÒÇÔ·ÂÒÅÑÂÁËÔ´Å
                                        ¸Ñ¹ÂÒÃѵ¹ ǧȏǹҹØÃ¡É
                                                             Ñ
·ÇÕ àÅÒ˾ѹ¸                              ÍÒ¨ÒÏ ᾷ˭ԧ
   ÃͧÈÒʵÃÒ¨ÒÏ ¹ÒÂᾷ                 ÀÒ¤ÇÔªÒÊÙµÈÒʵÏ-¹ÃÕàǪÇÔ·ÂÒ
                                                     Ô
   ʶҹ¡ÒÃᾷἹä·Â»ÃÐÂØ¡µ              ¤³Ðá¾·ÂÈÒʵÏÈÔÃÔÃÒª¾ÂÒºÒÅ
   ¤³Ðá¾·ÂÈÒʵÏÈÔÃÔÃÒª¾ÂÒºÒÅ              ÁËÒÇÔ·ÂÒÅÑÂÁËÔ´Å
   ÁËÒÇÔ·ÂÒÅÑÂÁËÔ´Å
                                        ¸ÒÃÔ¹ àÍÕÂÁྪÃÒ¾§È
                                                 è
·Ñ¾¾à·¾ ·Ô¾Âà¨ÃÔ­¸ÑÁ                     ¹ÒÂ
   ÍÒ¨ÒÏ                                ºÃÔɷËÇÁ·Ø¹ÊµÒ§¤ ¨íÒ¡Ñ´
                                               Ñ
   ʶҹ¡ÒÃᾷἹä·Â»ÃÐÂØ¡µ
   ¤³Ðá¾·ÂÈÒʵÏÈÔÃÔÃÒª¾ÂÒºÒÅ           ¸ÕÃ´Ò ¾ÅÍÂྪÃ
   ÁËÒÇÔ·ÂÒÅÑÂÁËÔ´Å                        ÍÒ¨ÒÏ ᾷ˭ԧ
                                           ÀÒ¤ÇÔªÒàǪÈÒʵÏ¿¹¿Ù
                                                             „œ
¸¹¡Ã ÈÔÃÊÁØ·Ã
        Ô                                  ¤³Ðá¾·ÂÈÒʵÏÈÔÃÔÃÒª¾ÂÒºÒÅ
  àÀÊѪ¡Ã                                  ÁËÒÇÔ·ÂÒÅÑÂÁËÔ´Å
  ½†ÒÂàÀÊѪ¡ÃÃÁ âç¾ÂÒºÒÅÈÔÃÔÃÒª
  ¤³Ðá¾·ÂÈÒʵÏÈÔÃÔÃÒª¾ÂÒºÒÅ
  ÁËÒÇÔ·ÂÒÅÑÂÁËÔ´Å
x

¸ÕÃÇØ²Ô ¸ÃÃÁÇԺŏÈÃÕ
               Ù                           ¹Ñ¹·ÇÃó ÇÔ¨µÃÇÒ·¡ÒÃ
                                                          Ô
   ÍÒ¨ÒÏ ¹ÒÂᾷ                           ÃͧÈÒʵÃÒ¨ÒÏ ´Í¡àµÍÏ
   ÀÒ¤ÇÔªÒÈÑÅÂÈÒʵÏÍÍÏ⸻´Ô¤ÊáÅÐ          ÀÒ¤ÇÔªÒÃѧÊÕÇ·ÂÒ
                                                            Ô
   ¡ÒÂÀÒ¾ºíҺѴ                               ¤³ÐÊÒ¸ÒÃ³ÊØ¢ÈÒʵÏ
   ¤³Ðá¾·ÂÈÒʵÏÈÔÃÔÃÒª¾ÂÒºÒÅ                 ÁËÒÇÔ·ÂÒÅѸÃÃÁÈÒʵÏ
   ÁËÒÇÔ·ÂÒÅÑÂÁËÔ´Å
                                           ¹ÒÃҾà »ÃÐÂÙÃÇÔDz¹
                                                           Ñ
¹¹·ÅÕ à¼‹ÒÊÇÑÊ´Ôì                            ÃͧÈÒʵÃÒ¨ÒÏ ᾷ˭ԧ
  ÍÒ¨ÒÏ ᾷ˭ԧ                          ÀÒ¤ÇÔªÒÍÒÂØÃÈÒʵÏ
  ÀÒ¤ÇÔªÒÍÒÂØÃÈÒʵÏ                         ¤³Ðá¾·ÂÈÒʵÏÈÔÃÔÃÒª¾ÂÒºÒÅ
  ¤³Ðá¾·ÂÈÒʵÏÈÔÃÔÃÒª¾ÂÒºÒÅ                 ÁËÒÇÔ·ÂÒÅÑÂÁËÔ´Å
  ÁËÒÇÔ·ÂÒÅÑÂÁËÔ´Å
                                           ¹ÔµÂÒ ÇѨ¹ÐÀÙÁÔ
¹¾´Å ÈÔø¹ÒÃѵ¹¡ØÅ
        Ô                                     ÃͧÈÒʵÃÒ¨ÒÏ ´Í¡àµÍÏ
  ¼ÙªÇÂÈÒʵÃÒ¨ÒÏ ¹ÒÂᾷ
    Œ ‹                                       ¤³ÐÊÒ¸ÒÃ³ÊØ¢ÈÒʵÏ
  ÀÒ¤ÇÔªÒÍÒÂØÃÈÒʵÏ                          ÁËÒÇÔ·ÂÒÅѸÃÃÁÈÒʵÏ
  ¤³Ðá¾·ÂÈÒʵÏÈÔÃÔÃÒª¾ÂÒºÒÅ
  ÁËÒÇÔ·ÂÒÅÑÂÁËÔ´Å                         ¹Ô¸ÇªÃ ÇѲ¹ÇÔ¨Òó
                                              ÔÑ
                                              ÍÒ¨ÒÏ ¹ÒÂᾷ
¹ÃÔÈ ¡Ô¨³Ã§¤                                 ÀÒ¤ÇÔªÒ¡ØÁÒÃàǪÈÒʵÏ
   ÃͧÈÒʵÃÒ¨ÒÏ ¹ÒÂᾷ                    ¤³Ðá¾·ÂÈÒʵÏÈÔÃÔÃÒª¾ÂÒºÒÅ
   ÀÒ¤ÇÔªÒ¨Ñ¡ÉØÇ·ÂÒ
                Ô                             ÁËÒÇÔ·ÂÒÅÑÂÁËÔ´Å
   ¤³Ðá¾·ÂÈÒʵÏÈÔÃÔÃÒª¾ÂÒºÒÅ
   ÁËÒÇÔ·ÂÒÅÑÂÁËÔ´Å                        ¹Ô¾¹¸ ¾Ç§ÇÃÔ¹·Ã
                                              ÈÒʵÃÒ¨ÒÏ ¹ÒÂᾷ
¹Ñ¹·¡Ò¹µ àÍÕÂÁǹҹ¹·ªÑÂ
              è                               ÀÒ¤ÇÔªÒÍÒÂØÃÈÒʵÏ
   ¼ÙªÇÂÈÒʵÃÒ¨ÒÏ ᾷ˭ԧ
     Œ ‹                                      ¤³Ðá¾·ÂÈÒʵÏÈÔÃÔÃÒª¾ÂÒºÒÅ
   ÀÒ¤ÇÔªÒÃѧÊÕÇ·ÂÒ
                Ô                             ÁËÒÇÔ·ÂÒÅÑÂÁËÔ´Å
   ¤³Ðá¾·ÂÈÒʵÏÈÔÃÔÃÒª¾ÂÒºÒÅ
   ÁËÒÇÔ·ÂÒÅÑÂÁËÔ´Å                        ๵ÃÒ ºÑÇ¡¹¡
                                             ¹Ò§ÊÒÇ
                                             ÀÒ¤ÇÔªÒâʵ ¹ÒÊÔ¡ ÅÒÃÔ§«Ç·ÂÒ
                                                                      Ô
                                             ¤³Ðá¾·ÂÈÒʵÏÈÔÃÔÃÒª¾ÂÒºÒÅ
                                             ÁËÒÇÔ·ÂÒÅÑÂÁËÔ´Å
xi

ºÃþµ ÊÔ·¸Ô¹ÒÁÊØÇÃó                »ÃÐÇѲ¹ â¦ÊÔµÐÁ§¤Å
  ÍÒ¨ÒÏ ¹ÒÂᾷ                    ÍÒ¨ÒÏ ¹ÒÂᾷ
  ÀÒ¤ÇÔªÒÈÑÅÂÈÒʵÏ                   ÀÒ¤ÇÔªÒÈÑÅÂÈÒʵÏ
  ¤³Ðá¾·ÂÈÒʵÏÈÔÃÔÃÒª¾ÂÒºÒÅ          ¤³Ðá¾·ÂÈÒʵÏÈÔÃÔÃÒª¾ÂÒºÒÅ
  ÁËÒÇÔ·ÂÒÅÑÂÁËÔ´Å                    ÁËÒÇÔ·ÂÒÅÑÂÁËÔ´Å

ອ¨ÒÀÒ à¢ÕÂÇËÇÒ¹                   »ÃÐÇԷ ÍѤÃàÊÃÕ¹¹·
  ÍÒ¨ÒÏ ᾷ˭ԧ                   ÃͧÈÒʵÃÒ¨ÒÏ ¹ÒÂᾷ
  ÀÒ¤ÇÔªÒÃѧÊÕÇ·ÂÒ
               Ô                      ʶҹ¡ÒÃᾷἹä·Â»ÃÐÂØ¡µ
  ¤³Ðá¾·ÂÈÒʵÏÈÔÃÔÃÒª¾ÂÒºÒÅ          ¤³Ðá¾·ÂÈÒʵÏÈÔÃÔÃÒª¾ÂÒºÒÅ
  ÁËÒÇÔ·ÂÒÅÑÂÁËÔ´Å                     ÁËÒÇÔ·ÂÒÅÑÂÁËÔ´Å

»¯ÔÁҾà ǧɏ¾ÃËÁ¾Ô·¡ÉÑ             »ÃÐàǪ ÁËÒÇÔ·µÇ§È
                                                    Ô
  ´Í¡àµÍÏ                            ÍÒ¨ÒÏ ¹ÒÂᾷ
  ÀÒ¤ÇÔªÒÇÔ·ÂÒÀÙÁ¤Á¡Ñ¹
                 Ô ØŒ                 ÀÒ¤ÇÔªÒÈÑÅÂÈÒʵÏ
  ¤³Ðá¾·ÂÈÒʵÏÈÔÃÔÃÒª¾ÂÒºÒÅ          ¤³Ðá¾·ÂÈÒʵÏÈÔÃÔÃÒª¾ÂÒºÒÅ
  ÁËÒÇÔ·ÂÒÅÑÂÁËÔ´Å                     ÁËÒÇÔ·ÂÒÅÑÂÁËÔ´Å

»ÃШѡɏ ÈÃÕþվ²¹
                Ñ                   »ÃÐʾ¾Ã ¾Ñ¹¸à¾ç§
  ÃͧÈÒʵÃÒ¨ÒÏ ¹ÒÂᾷ             ÍÒ¨ÒÏ
  ÀÒ¤ÇÔªÒÈÑÅÂÈÒʵÏ                   ʶҹ¡ÒÃᾷἹä·Â»ÃÐÂØ¡µ
  ¤³Ðá¾·ÂÈÒʵÏÈÔÃÔÃÒª¾ÂÒºÒÅ          ¤³Ðá¾·ÂÈÒʵÏÈÔÃÔÃÒª¾ÂÒºÒÅ
  ÁËÒÇÔ·ÂÒÅÑÂÁËÔ´Å                    ÁËÒÇÔ·ÂÒÅÑÂÁËÔ´Å
»ÃоѲ¹ ÊØÃ¼Å
            Ô
  ÍÒ¨ÒÏ ´Í¡àµÍÏ                  »ÃÒ³Õ ªÒ­³Ã§¤
  ʶҹʋ§àÊÃÔÁ¡ÒÃÇԨѠ               ÍÒ¨ÒÏ
  ¤³Ðá¾·ÂÈÒʵÏÈÔÃÔÃÒª¾ÂÒºÒÅ          ¤³Ðá¾·ÂÈÒʵÏ
  ÁËÒÇÔ·ÂÒÅÑÂÁËÔ´Å                    ÁËÒÇÔ·ÂÒÅѸÃÃÁÈÒʵÏ

»ÃÐÁÇÅ ¤íÒá¡ŒÇ                      »ÃÕªÒ Á¹·¡Ò¹µÔ¡Å  Ø
  ÍÒ¨ÒÏ                              ¼ÙªÇÂÈÒʵÃÒ¨ÒÏ ´Í¡àµÍÏ àÀÊѪ¡Ã
                                         Œ ‹
  ʶҹ¡ÒÃᾷἹä·Â»ÃÐÂØ¡µ           ½†ÒÂàÀÊѪ¡ÃÃÁ âç¾ÂÒºÒÅÈÔÃÔÃÒª
  ¤³Ðá¾·ÂÈÒʵÏÈÔÃÔÃÒª¾ÂÒºÒÅ           âç¾ÂÒºÒÅÈÔÃÔÃÒª
  ÁËÒÇÔ·ÂÒÅÑÂÁËÔ´Å
xii

»ÃÕªÒ ÈÔ÷ͧ¶ÒÇÃ
         Ô                                    ¾Ã¨ÔÃÒ »ÃÔǪÃÒ¡ØÅ
                                                         Ñ
   ÃͧÈÒʵÃÒ¨ÒÏ ¹ÒÂᾷ                      ÍÒ¨ÒÏ ᾷ˭ԧ
   ÀÒ¤ÇÔªÒÈÑÅÂÈÒʵÏ                            ÀÒ¤ÇÔªÒ¨ÔµàǪÈÒʵÏ
   ¤³Ðá¾·ÂÈÒʵÏÈÔÃÔÃÒª¾ÂÒºÒÅ                   ¤³Ðá¾·ÂÈÒʵÏÈÔÃÔÃÒª¾ÂÒºÒÅ
   ÁËÒÇÔ·ÂÒÅÑÂÁËÔ´Å                             ÁËÒÇÔ·ÂÒÅÑÂÁËÔ´Å

»˜·ÁÒ àªÒǏ⾸Էͧ
               ì                              ¾Ã¾ÃËÁ àÁ×ͧáÁ¹
   ÍÒ¨ÒÏ ᾷ˭ԧ                            ÃͧÈÒʵÃÒ¨ÒÏ ¹ÒÂᾷ
   ÀÒ¤ÇÔªÒÊÙµÈÒʵÏ-¹ÃÕàǪÇÔ·ÂÒ
             Ô                                  ÀÒ¤ÇÔªÒÈÑÅÂÈÒʵÏ
   ¤³Ðá¾·ÂÈÒʵÏÈÔÃÔÃÒª¾ÂÒºÒÅ                   ¤³Ðá¾·ÂÈÒʵÏÈÔÃÔÃÒª¾ÂÒºÒÅ
   ÁËÒÇÔ·ÂÒÅÑÂÁËÔ´Å                             ÁËÒÇÔ·ÂÒÅÑÂÁËÔ´Å

»˜·ÁÒ à͡⾸Ôì                                ¾ÔÁ¾»ÃÐä¾ ¸ÕÃЪվ
   ÃͧÈÒʵÃÒ¨ÒÏ ´Í¡àµÍÏ                       ¹Ò§
   ÀÒ¤ÇÔªÒÇÔ·ÂÒÀÙÁ¤Á¡Ñ¹
                  Ô ØŒ                           ÃÑ¡ÉÒ¡ÒÃÃͧ¼ÙŒÍíҹǡÒÃ
   ¤³Ðá¾·ÂÈÒʵÏÈÔÃÔÃÒª¾ÂÒºÒÅ                    ÈٹºÃÔËÒ÷ÃѾÊÔ¹·Ò§»˜­­Ò
   ÁËÒÇÔ·ÂÒÅÑÂÁËÔ´Å                              ÁËÒÇÔ·ÂÒÅÑÂÁËÔ´Å

»ÒÃÂÐ ÍÒȹÐàʹ                                à¾ç­Ç´Õ ¾Ñ²¹»ÃÕªÒ¡ØÅ
  ¼ÙªÇÂÈÒʵÃÒ¨ÒÏ ¹ÒÂᾷ
    Œ ‹                                          ÍÒ¨ÒÏ ᾷ˭ԧ
  ÀÒ¤ÇÔªÒâʵ ¹ÒÊÔ¡ ÅÒÃÔ§«Ç·ÂÒ
                           Ô                     ÀÒ¤ÇÔªÒµ¨ÇÔ·ÂÒ
  ¤³Ðá¾·ÂÈÒʵÏÈÔÃÔÃÒª¾ÂÒºÒÅ                     ¤³Ðá¾·ÂÈÒʵÏÈÔÃÔÃÒª¾ÂÒºÒÅ
  ÁËÒÇÔ·ÂÒÅÑÂÁËÔ´Å                               ÁËÒÇÔ·ÂÒÅÑÂÁËÔ´Å

»‚µÔ ¸ØÇ¨Ôµµ                                 侺Ùŏ ÊØÃ¾§É
                                                         Õ 
   ¼ÙªÇÂÈÒʵÃÒ¨ÒÏ ´Í¡àµÍÏ ¹ÒÂᾷ
     Œ ‹                                        ÍÒ¨ÒÏ ¹ÒÂᾷ
   ʶҹʋ§àÊÃÔÁ¡ÒÃÇԨѠ                        ÀÒ¤ÇÔªÒâʵ ¹ÒÊÔ¡ ÅÒÃÔ§«Ç·ÂÒ
                                                                         Ô
   ¤³Ðá¾·ÂÈÒʵÏÈÔÃÔÃÒª¾ÂÒºÒÅ                   ¤³Ðá¾·ÂÈÒʵÏÈÔÃÔÃÒª¾ÂÒºÒÅ
   ÁËÒÇÔ·ÂÒÅÑÂÁËÔ´Å                             ÁËÒÇÔ·ÂÒÅÑÂÁËÔ´Å

¾§È¡Ã µÑ¹µÔÅ»¡Ã
            Õ                                ÀÒÇÔ¹ à¡É¡ØÅ
  ¼ÙªÇÂÈÒʵÃÒ¨ÒÏ ¹ÒÂᾷ
    Œ ‹                                         ¼ÙªÇÂÈÒʵÃÒ¨ÒÏ ¹ÒÂᾷ
                                                  Œ ‹
  ÀÒ¤ÇÔªÒâʵ ¹ÒÊÔ¡ ÅÒÃÔ§«Ç·ÂÒ
                           Ô                    ÀÒ¤ÇÔªÒâʵ ¹ÒÊÔ¡ ÅÒÃÔ§«Ç·ÂÒ
                                                                         Ô
  ¤³Ðá¾·ÂÈÒʵÏÈÔÃÔÃÒª¾ÂÒºÒÅ                    ¤³Ðá¾·ÂÈÒʵÏÈÔÃÔÃÒª¾ÂÒºÒÅ
  ÁËÒÇÔ·ÂÒÅÑÂÁËÔ´Å                              ÁËÒÇÔ·ÂÒÅÑÂÁËÔ´Å
xiii

ÀÔ­¹ÔµÒ µÑ¹¸ØÇ¹ÔµÂ                     ÃоԹ·Ã ¾ÔÁÅÈÒʹµÔì
   ÃͧÈÒʵÃÒ¨ÒÏ ᾷ˭ԧ               ÍÒ¨ÒÏ ¹ÒÂᾷ
   ÀÒ¤ÇÔªÒ¨Ñ¡ÉØÇ·ÂÒ
                Ô                         ÀÒ¤ÇÔªÒÈÑÅÂÈÒʵÏÍÍÏ⸻´Ô¤ÊáÅÐ
   ¤³Ðá¾·ÂÈÒʵÏÈÔÃÔÃÒª¾ÂÒºÒÅ             ¡ÒÂÀÒ¾ºíҺѴ
   ÁËÒÇÔ·ÂÒÅÑÂÁËÔ´Å                       ¤³Ðá¾·ÂÈÒʵÏÈÔÃÔÃÒª¾ÂÒºÒÅ
                                          ÁËÒÇÔ·ÂÒÅÑÂÁËÔ´Å
Á§¤Å ÍØÂ»ÃÐàÊÃÔ°¡ØÅ
  ¼ÙªÇÂÈÒʵÃÒ¨ÒÏ ¹ÒÂᾷ
    Œ ‹                                 Ãѵ´ÒÇÃó ·Ô¾Âà¨ÃÔ­¸ÑÁ
  ÀÒ¤ÇÔªÒ¾ÂÒ¸ÔÇ·ÂÒ
               Ô                           ÍÒ¨ÒÏ
  ¤³Ðá¾·ÂÈÒʵÏÈÔÃÔÃÒª¾ÂÒºÒÅ               ʶҹᾷἹä·Â»ÃÐÂØ¡µ
  ÁËÒÇÔ·ÂÒÅÑÂÁËÔ´Å                         ¤³Ðá¾·ÂÈÒʵÏÈÔÃÔÃÒª¾ÂÒºÒÅ
                                           ÁËÒÇÔ·ÂÒÅÑÂÁËÔ´Å
Á³Õ Ãѵ¹äªÂÒ¹¹·
  ÈÒʵÃÒ¨ÒÏ ᾷ˭ԧ                 ÃØ§¹Ôù´Ã »ÃдÔÉ°ÊØÇÃó
                                          ‹ Ñ
  ÀÒ¤ÇÔªÒÊÙµÈÒʵÏ-¹ÃÕàǪÇÔ·ÂÒ
            Ô                              ¼ÙªÇÂÈÒʵÃÒ¨ÒÏ ¹ÒÂᾷ
                                             Œ ‹
  ¤³Ðá¾·ÂÈÒʵÏÈÔÃÔÃÒª¾ÂÒºÒÅ               ÀÒ¤ÇÔªÒÍÒÂØÃÈÒʵÏ
  ÁËÒÇÔ·ÂÒÅÑÂÁËÔ´Å                         ¤³Ðá¾·ÂÈÒʵÏÈÔÃÔÃÒª¾ÂÒºÒÅ
                                           ÁËÒÇÔ·ÂÒÅÑÂÁËÔ´Å
§ªÑ ¹ÔÅй¹·
  ÍÒ¨ÒÏ ¹ÒÂᾷ                      ÅÐÍͧÈÃÕ ÍѪª¹ÕÂÐÊ¡ØÅ
  ÀÒ¤ÇÔªÒÍÒÂØÃÈÒʵÏ                      ÈÒʵÃÒ¨ÒÏ ᾷ˭ԧ
  ¤³Ðá¾·ÂÈÒʵÏÈÔÃÔÃÒª¾ÂÒºÒÅ              ÀÒ¤ÇÔªÒ¨Ñ¡ÉØÇ·ÂÒ
                                                       Ô
  ÁËÒÇÔ·ÂÒÅÑÂÁËÔ´Å                        ¤³Ðá¾·ÂÈÒʵÏÈÔÃÔÃÒª¾ÂÒºÒÅ
                                          ÁËÒÇÔ·ÂÒÅÑÂÁËÔ´Å
Â§ÂØ·¸ ÈÔÃDz¹ÍÑ¡ÉÃ
          ÔÑ
  ÍÒ¨ÒÏ ´Í¡àµÍÏ ¹ÒÂᾷ             ÇÃÁÔ¹·Ã àËÃÕÂ­ÊØÇÃó
  ÀÒ¤ÇÔªÒÈÑÅÂÈÒʵÏ                       ÍÒ¨ÒÏ ¹ÒÂᾷ
  ¤³Ðá¾·ÂÈÒʵÏÈÔÃÔÃÒª¾ÂÒºÒÅ              ÀÒ¤ÇÔªÒÈÑÅÂÈÒʵÏ
  ÁËÒÇÔ·ÂÒÅÑÂÁËÔ´Å                        ¤³Ðá¾·ÂÈÒʵÏÈÔÃÔÃÒª¾ÂÒºÒÅ
                                          ÁËÒÇÔ·ÂÒÅÑÂÁËÔ´Å
ÂØ¾¹ ÈØ¾·¸Á§¤Å
   Ô    Ø
   ÈÒʵÃÒ¨ÒÏ ᾷ˭ԧ                ÇÃó´Õ ¾ÅÒ¹ØÀÒ¾
   ÀÒ¤ÇÔªÒÍÒÂØÃÈÒʵÏ                     ÍÒ¨ÒÏ ·Ñ¹µá¾·ÂË­Ô§
   ¤³Ðá¾·ÂÈÒʵÏÈÔÃÔÃÒª¾ÂÒºÒÅ             §Ò¹·Ñ¹µ¡ÃÃÁ âç¾ÂÒºÒÅÈÔÃÔÃÒª
   ÁËÒÇÔ·ÂÒÅÑÂÁËÔ´Å                       ¤³Ðá¾·ÂÈÒʵÏÈÔÃÔÃÒª¾ÂÒºÒÅ
                                          ÁËÒÇÔ·ÂÒÅÑÂÁËÔ´Å
xiv

ÇÃóÇÃÒ§¤ ÊØ·¸Ô¤ÃÕ
                  Õ                     ÇÅÑÂÅѡɳ ªÑÂÊÙµÃ
  ÍÒ¨ÒÏ ᾷ˭ԧ                        ¼ÙªÇÂÈÒʵÃÒ¨ÒÏ ᾷ˭ԧ
                                             Œ ‹
  ÀÒ¤ÇÔªÒÃѧÊÕÇ·ÂÒ
               Ô                           ÀÒ¤ÇÔªÒÃѧÊÕÇ·ÂÒ
                                                        Ô
  ¤³Ðá¾·ÂÈÒʵÏÈÔÃÔÃÒª¾ÂÒºÒÅ               ¤³Ðá¾·ÂÈÒʵÏÈÔÃÔÃÒª¾ÂÒºÒÅ
  ÁËÒÇÔ·ÂÒÅÑÂÁËÔ´Å                         ÁËÒÇÔ·ÂÒÅÑÂÁËÔ´Å

ÇÃóРÁËÒ¡ÔµµÔ¤³ Ø                      ÇѲ¹ªÑ ⪵ԹÂÇѵáØÅ
                                                     Ñ
  ÃͧÈÒʵÃÒ¨ÒÏ                           ÍÒ¨ÒÏ ¹ÒÂᾷ
  ÀÒ¤ÇÔªÒ»ÃÊÔµÇÔ·ÂÒ                        ÀÒ¤ÇÔªÒÍÒÂØÃÈÒʵÏ
  ¤³Ðá¾·ÂÈÒʵÏÈÔÃÔÃÒª¾ÂÒºÒÅ               ¤³Ðá¾·ÂÈÒʵÏÈÔÃÔÃÒª¾ÂÒºÒÅ
  ÁËÒÇÔ·ÂÒÅÑÂÁËÔ´Å                         ÁËÒÇÔ·ÂÒÅÑÂÁËÔ´Å

ÇÃÇÔª­ àËÅ×ͧàǪ¡Òà                    Çѹà¾ç­ ÀÔ­â­ÀÒÊ¡ØÅ
  ÍÒ¨ÒÏ ¹ÒÂᾷ                         ÍÒ¨ÒÏ ´Í¡àµÍÏ
  ÀÒ¤ÇÔªÒÇÔ·ÂÒÀÙÁ¤Á¡Ñ¹
                  Ô ØŒ                     ¤³Ð¾ÂÒºÒÅÈÒʵÏ
  ¤³Ðá¾·ÂÈÒʵÏÈÔÃÔÃÒª¾ÂÒºÒÅ               ÁËÒÇÔ·ÂÒÅÑÂÁËÔ´Å
  ÁËÒÇÔ·ÂÒÅÑÂÁËÔ´Å
                                        ÇÔª­ ºÃóËÔíÑ
ÇÃÒÂØ »ÃѪ­¡ØÅ                             ¼ÙªÇÂÈÒʵÃÒ¨ÒÏ ¹ÒÂᾷ
                                             Œ ‹
  ÍÒ¨ÒÏ ¹ÒÂᾷ                         ÀÒ¤ÇÔªÒâʵ ¹ÒÊÔ¡ ÅÒÃÔ§«Ç·ÂÒ
                                                                    Ô
  ÀÒ¤ÇÔªÒÍÒÂØÃÈÒʵÏ                       ¤³Ðá¾·ÂÈÒʵÏÈÔÃÔÃÒª¾ÂÒºÒÅ
  ¤³Ðá¾·ÂÈÒʵÏÈÔÃÔÃÒª¾ÂÒºÒÅ               ÁËÒÇÔ·ÂÒÅÑÂÁËÔ´Å
  ÁËÒÇÔ·ÂÒÅÑÂÁËÔ´Å
                                        ÇÔ·Ã ªÔ¹ÊNjҧÇѲ¹¡ØÅ
                                           Ù
ÇÃÒÅѡɳ ÈÃÕ¹¹·»ÃÐàÊÃÔ°                    ÍÒ¨ÒÏ ¹ÒÂᾷ
  ÍÒ¨ÒÏ ᾷ˭ԧ                          ÀÒ¤ÇÔªÒÈÑÅÂÈÒʵÏ
  ÀÒ¤ÇÔªÒÍÒÂØÃÈÒʵÏ                         ¤³Ðá¾·ÂÈÒʵÏÈÔÃÔÃÒª¾ÂÒºÒÅ
  ¤³Ðá¾·ÂÈÒʵÏÈÔÃÔÃÒª¾ÂÒºÒÅ                 ÁËÒÇÔ·ÂÒÅÑÂÁËÔ´Å
  ÁËÒÇÔ·ÂÒÅÑÂÁËÔ´Å
                                        ÇÔÀÒÀó ÈÃÕ¾¨¹¸ÃÃÁ
ÇÃØµÁ ¾§ÈÒ¾Ôª­                           ¹Ò§
   ÍÒ¨ÒÏ ¹ÒÂᾷ                        ½†Ò¡ÒþÂÒºÒÅ
   ÀÒ¤ÇÔªÒâʵ ¹ÒÊÔ¡ ÅÒÃÔ§«Ç·ÂÒ
                            Ô              ¤³Ðá¾·ÂÈÒʵÏÈÔÃÔÃÒª¾ÂÒºÒÅ
   ¤³Ðá¾·ÂÈÒʵÏÈÔÃÔÃÒª¾ÂÒºÒÅ              ÁËÒÇÔ·ÂÒÅÑÂÁËÔ´Å
   ÁËÒÇÔ·ÂÒÅÑÂÁËÔ´Å
xv

ÇÔÅÒÇѳ ¶ÔÃÀѷþ§È                 ÈÃѳ ¹Ñ¹·ÍÒÃÕ
   ÍÒ¨ÒÏ ᾷ˭ԧ                     ÍÒ¨ÒÏ ¹ÒÂᾷ
   ÀÒ¤ÇÔªÒàǪÈÒʵÏ¿¹¿Ù
                      „œ                 ÀÒ¤ÇÔªÒÈÑÅÂÈÒʵÏ
   ¤³Ðá¾·ÂÈÒʵÏÈÔÃÔÃÒª¾ÂÒºÒÅ            ¤³Ðá¾·ÂÈÒʵÏÈÔÃÔÃÒª¾ÂÒºÒÅ
   ÁËÒÇÔ·ÂÒÅÑÂÁËÔ´Å                      ÁËÒÇÔ·ÂÒÅÑÂÁËÔ´Å

ÇÔäÅ ¤Ø»µ¹ÃµÈ¡ØÅ
           ÔÑ Ô Ñ                     ÈÃÕ»ÃÐÊÔ·¸Ôì ºØ­ÇÔÊ·¸Ôì
                                                         Ø
    ÃͧÈÒʵÃÒ¨ÒÏ ᾷ˭ԧ             ÈÒʵÃÒ¨ÒÏ ¹ÒÂᾷ
    ÀÒ¤ÇÔªÒàǪÈÒʵÏ¿¹¿Ù
                     „œ                  ÀÒ¤ÇÔªÒÈÑÅÂÈÒʵÏ
    ¤³Ðá¾·ÂÈÒʵÏÈÔÃÔÃÒª¾ÂÒºÒÅ           ¤³Ðá¾·ÂÈÒʵÏÈÔÃÔÃÒª¾ÂÒºÒÅ
    ÁËÒÇÔ·ÂÒÅÑÂÁËÔ´Å                     ÁËÒÇÔ·ÂÒÅÑÂÁËÔ´Å

ÇÔÉ³Ø ¡ÑÁ·Ã·Ô¾Â                      ÈÃÕÇÁÅ Áâ¹àªÕÂǾԹ¨
                                          Ô        è     Ô
   ¼ÙªÇÂÈÒʵÃÒ¨ÒÏ ¹ÒÂᾷ
     Œ ‹                                 ¼ÙªÇÂÈÒʵÃÒ¨ÒÏ ´Í¡àµÍÏ
                                            Œ ‹
   ÀÒ¤ÇÔªÒàǪÈÒʵÏ¿¹¿Ù
                    „œ                   ÀÒ¤ÇÔªÒàǪÈÒʵÏ¿¹¿Ù
                                                           „œ
   ¤³Ðá¾·ÂÈÒʵÏÈÔÃÔÃÒª¾ÂÒºÒÅ            ¤³Ðá¾·ÂÈÒʵÏÈÔÃÔÃÒª¾ÂÒºÒÅ
   ÁËÒÇÔ·ÂÒÅÑÂÁËÔ´Å                      ÁËÒÇÔ·ÂÒÅÑÂÁËÔ´Å

ÇÕÃÇ´Õ ¨Ñ¹·Ã¹ÔÀÒ¾§È                  ÈÔÇоà äªÂ¹ØÇµÔ
                                                    Ñ
   ÍÒ¨ÒÏ ᾷ˭ԧ                     ¼ÙªÇÂÈÒʵÃÒ¨ÒÏ ᾷ˭ԧ
                                           Œ ‹
   ÀÒ¤ÇÔªÒàÀÊѪÇÔ·ÂÒ                     ÀÒ¤ÇÔªÒÍÒÂØÃÈÒʵÏ
   ¤³Ðá¾·ÂÈÒʵÏÈÔÃÔÃÒª¾ÂÒºÒÅ            ¤³Ðá¾·ÂÈÒʵÏÈÔÃÔÃÒª¾ÂÒºÒÅ
   ÁËÒÇÔ·ÂÒÅÑÂÁËÔ´Å                      ÁËÒÇÔ·ÂÒÅÑÂÁËÔ´Å

ÇÕÃÈÑ¡´Ôì àÁ×ͧä¾ÈÒÅ                  ʧ¤ÃÒÁ ⪵ԡ͹تµÔ
   ¼ÙªÇÂÈÒʵÃÒ¨ÒÏ ¹ÒÂᾷ
     Œ ‹                                ¹ÒÂᾷ
   àǪÈÒʵϻͧ¡Ñ¹áÅÐÊѧ¤Á
                ‡                       ÀÒ¤ÇÔªÒÍÒÂØÃÈÒʵÏ
   ¤³Ðá¾·ÂÈÒʵÏÈÔÃÔÃÒª¾ÂÒºÒÅ           ¤³Ðá¾·ÂÈÒʵÏÈÔÃÔÃÒª¾ÂÒºÒÅ
   ÁËÒÇÔ·ÂÒÅÑÂÁËÔ´Å                     ÁËÒÇÔ·ÂÒÅÑÂÁËÔ´Å
xvi

ʺ§ ÈÃÕÇÃóºÙó                         ÊÃÇÔÈ ÇÕÃÇÃó
  ÃͧÈÒʵÃÒ¨ÒÏ ¹ÒÂᾷ                  ÍÒ¨ÒÏ ¹ÒÂᾷ
  ÀÒ¤ÇÔªÒ¨Ñ¡ÉØÇ·ÂÒ
               Ô                           ÀÒ¤ÇÔªÒ¡ØÁÒÃàǪÈÒʵÏ
  ¤³Ðá¾·ÂÈÒʵÏÈÔÃÔÃÒª¾ÂÒºÒÅ               ¤³Ðá¾·ÂÈÒʵÏÈÔÃÔÃÒª¾ÂÒºÒÅ
  ÁËÒÇÔ·ÂÒÅÑÂÁËÔ´Å                         ÁËÒÇÔ·ÂÒÅÑÂÁËÔ´Å

ÊÁà¡ÕÂÃµÔ ÈÔÃõ¹¾Ä¡É
             ÔÑ                          ÊѨ¨Ò ã¨à¤Ã‹§
  ´Í¡àµÍÏ ¹ÒÂᾷ                         ¹ÒÂ
  ¹ÒÂᾷªíÒ¹Ò­¡ÒþÔàÈÉ                    ÀÒ¤ÇÔªÒÃѧÊÕÇ·ÂÒ
                                                         Ô
  ÃÑ¡ÉÒÃÒª¡ÒÃá·¹¼ÙŒÍíҹǡÒà                ¤³Ðá¾·ÂÈÒʵÏÈÔÃÔÃÒª¾ÂÒºÒÅ
  Êíҹѡâä¨Ò¡¡ÒûÃСͺÍÒªÕ¾ áÅÐ            ÁËÒÇÔ·ÂÒÅÑÂÁËÔ´Å
  ÊÔè§áÇ´ÅŒÍÁ¡ÃÁ¤Çº¤ØÁâä
  ¡ÃзÃǧÊÒ¸ÒÃ³ÊØ¢                       ÊÑÁÁ¹ â©Á©ÒÂ
                                            ¼ÙªÇÂÈÒʵÃÒ¨ÒÏ ¹ÒÂᾷ
                                              Œ ‹
ÊÁªÑ ÅÔÁÈÃÕ¨ÒàÃÔ­
        é    í                              ÀÒ¤ÇÔªÒàǪÈÒʵϻͧ¡Ñ¹áÅÐÊѧ¤Á
                                                             ‡
  ÍÒ¨ÒÏ ¹ÒÂᾷ                          ¤³Ðá¾·ÂÈÒʵÏÈÔÃÔÃÒª¾ÂÒºÒÅ
  ÀÒ¤ÇÔªÒÈÑÅÂÈÒʵÏ                         ÁËÒÇÔ·ÂÒÅÑÂÁËÔ´Å
  ¤³Ðá¾·ÂÈÒʵÏÈÔÃÔÃÒª¾ÂÒºÒÅ
  ÁËÒÇÔ·ÂÒÅÑÂÁËÔ´Å                       ÊÔáҹµ ÀÙâ»Ã‹§
                                            Ô
                                              ÍÒ¨ÒÏ
ÊÁÃÒª ¸ÃÃÁ¸ÃÇѲ¹                             ʶҹ¡ÒÃᾷἹä·Â»ÃÐÂØ¡µ
  ÍÒ¨ÒÏ ¹ÒÂᾷ                            ¤³Ðá¾·ÂÈÒʵÏÈÔÃÔÃÒª¾ÂÒºÒÅ
  ÀÒ¤ÇÔªÒÃѧÊÕÇ·ÂÒ
               Ô                              ÁËÒÇÔ·ÂÒÅÑÂÁËÔ´Å
  ¤³Ðá¾·ÂÈÒʵÏÈÔÃÔÃÒª¾ÂÒºÒÅ
  ÁËÒÇÔ·ÂÒÅÑÂÁËÔ´Å                       ÊÔÃÍà µÃÔµÃСÒÃ
                                            Ô
                                              ÍÒ¨ÒÏ ᾷ˭ԧ
ÊÁÄ´Õ ©ÑµÃÊÔÃà¨ÃÔ­¡ØÅ
             Ô                                ÀÒ¤ÇÔªÒÃѧÊÕÇ·ÂÒ
                                                           Ô
  ¼ÙªÇÂÈÒʵÃÒ¨ÒÏ ᾷ˭ԧ
    Œ ‹                                       ¤³Ðá¾·ÂÈÒʵÏÈÔÃÔÃÒª¾ÂÒºÒÅ
  ÀÒ¤ÇÔªÒàÀÊѪÇÔ·ÂÒ                           ÁËÒÇÔ·ÂÒÅÑÂÁËÔ´Å
  ¤³Ðá¾·ÂÈÒʵÏÈÔÃÔÃÒª¾ÂÒºÒÅ
  ÁËÒÇÔ·ÂÒÅÑÂÁËÔ´Å                       Ê׺ǧȏ ¨Ø±ÒÀÔÊ·¸Ôì
                                                        Ô
                                            ÍÒ¨ÒÏ ¹ÒÂᾷ
                                            ÀÒ¤ÇÔªÒÈÑÅÂÈÒʵÏ
                                            ¤³Ðá¾·ÂÈÒʵÏÈÔÃÔÃÒª¾ÂÒºÒÅ
                                            ÁËÒÇÔ·ÂÒÅÑÂÁËÔ´Å
xvii

ÊØªÒ´Ò ÍÔ¹·ÇÔDz¹
               Ñ                           ÊØÇ¨¹Ò ͸ÔÀÒÊ
                                              Ñ
   ¼ÙªÇÂÈÒʵÃÒ¨ÒÏ ᾷ˭ԧ
     Œ ‹                                        ¼ÙªÇÂÈÒʵÃÒ¨ÒÏ ᾷ˭ԧ
                                                  Œ ‹
   ÀÒ¤ÇÔªÒÊÙµÈÒʵÏ-¹ÃÕàǪÇÔ·ÂÒ
             Ô                                  ÀÒ¤ÇÔªÒâʵ ¹ÒÊÔ¡ ÅÒÃÔ§«Ç·ÂÒ
                                                                         Ô
   ¤³Ðá¾·ÂÈÒʵÏÈÔÃÔÃÒª¾ÂÒºÒÅ                   ¤³Ðá¾·ÂÈÒʵÏÈÔÃÔÃÒª¾ÂÒºÒÅ
   ÁËÒÇÔ·ÂÒÅÑÂÁËÔ´Å                             ÁËÒÇÔ·ÂÒÅÑÂÁËÔ´Å

ÊØ¹¹· ͧÍÒ¨
   Ñ                                       ͹ѭ­ ྱdzԪ
     ÍÒ¨ÒÏ ᾷ˭ԧ                       ¼ÙªÇÂÈÒʵÃÒ¨ÒÏ ¹ÒÂᾷ
                                               Œ ‹
     ÀÒ¤ÇÔªÒâʵ ¹ÒÊÔ¡ ÅÒÃÔ§«Ç·ÂÒ
                              Ô              ÀÒ¤ÇÔªÒâʵ ¹ÒÊÔ¡ ÅÒÃÔ§«Ç·ÂÒ
                                                                      Ô
     ¤³Ðá¾·ÂÈÒʵÏÈÔÃÔÃÒª¾ÂÒºÒÅ              ¤³Ðá¾·ÂÈÒʵÏÈÔÃÔÃÒª¾ÂÒºÒÅ
     ÁËÒÇÔ·ÂÒÅÑÂÁËÔ´Å                        ÁËÒÇÔ·ÂÒÅÑÂÁËÔ´Å

ÊØ»ÃÕªÒ ÍÑÊǡҭ¨¹                         ÍÀÔªÒµÔ ¾ÔÈÒž§È
   ÍÒ¨ÒÏ ¹ÒÂᾷ                           ÍÒ¨ÒÏ ¹ÒÂᾷ
   ÀÒ¤ÇÔªÒÈÑÅÂÈÒʵÏ                          ÀÒ¤ÇÔªÒÍÒÂØÃÈÒʵÏ
   ¤³Ðá¾·ÂÈÒʵÏÈÔÃÔÃÒª¾ÂÒºÒÅ                 ¤³Ðá¾·ÂÈÒʵÏÈÔÃÔÃÒª¾ÂÒºÒÅ
   ÁËÒÇÔ·ÂÒÅÑÂÁËÔ´Å                           ÁËÒÇÔ·ÂÒÅÑÂÁËÔ´Å

ÊØ¾¨¹ ¹ÔÁ͹§¤
         è                                 Í÷Ñ ¾ÔºÅâÀ¤Ò¹Ñ¹·
                                                    Ù
   ÍÒ¨ÒÏ ¹ÒÂᾷ                          ÃͧÈÒʵÃÒ¨ÒÏ ᾷ˭ԧ
   ÀÒ¤ÇÔªÒÍÒÂØÃÈÒʵÏ                        ÀÒ¤ÇÔªÒ¡ØÁÒÃàǪÈÒʵÏ
   ¤³Ðá¾·ÂÈÒʵÏÈÔÃÔÃÒª¾ÂÒºÒÅ                ¤³Ðá¾·ÂÈÒʵÏÈÔÃÔÃÒª¾ÂÒºÒÅ
   ÁËÒÇÔ·ÂÒÅÑÂÁËÔ´Å                          ÁËÒÇÔ·ÂÒÅÑÂÁËÔ´Å

ÊØÁ¹ÑÊ ºØ³ÂÐÃѵàǪ                         ÍѤ¤¾§É ¹ÔµÊ§Ë
                                                        Ô Ô
   ÍÒ¨ÒÏ ¹ÒÂᾷ                           ÍÒ¨ÒÏ ¹ÒÂᾷ
   ÀÒ¤ÇÔªÒµ¨ÇÔ·ÂÒ                             ÀÒ¤ÇÔªÒÈÑÅÂÈÒʵÏ
   ¤³Ðá¾·ÂÈÒʵÏÈÔÃÔÃÒª¾ÂÒºÒÅ                 ¤³Ðá¾·ÂÈÒʵÏÈÔÃÔÃÒª¾ÂÒºÒÅ
   ÁËÒÇÔ·ÂÒÅÑÂÁËÔ´Å                            ÁËÒÇÔ·ÂÒÅÑÂÁËÔ´Å

ÊØÇÃÃ³Õ ÊØÃàÈóÕǧȏ                       ÍÑ­ªÅÕ ªÙâ蹏
   ÈÒʵÃÒ¨ÒÏ ᾷ˭ԧ                      ÃͧÈÒʵÃÒ¨ÒÏ ᾷ˭ԧ
   ÀÒ¤ÇÔªÒÇÔÊ­­ÕÇ·ÂÒ
             Ñ Ô                              ÀÒ¤ÇÔªÒÃѧÊÕÇ·ÂÒ
                                                           Ô
   ¤³Ðá¾·ÂÈÒʵÏÈÔÃÔÃÒª¾ÂÒºÒÅ                 ¤³Ðá¾·ÂÈÒʵÏÈÔÃÔÃÒª¾ÂÒºÒÅ
   ÁËÒÇÔ·ÂÒÅÑÂÁËÔ´Å                           ÁËÒÇÔ·ÂÒÅÑÂÁËÔ´Å
xviii

ÍѰ¾Ã µÃСÒÃʧ‹Ò                     ÍØäÃÇÃó ÈÔÅ»ÈØÀ¡Ãǧȏ
   ÍÒ¨ÒÏ ¹ÒÂᾷ                      àÀÊѪ¡ÃË­Ô§
   ÀÒ¤ÇÔªÒÈÑÅÂÈÒʵÏ                     ½†ÒÂàÀÊѪ¡ÃÃÁ âç¾ÂÒºÒÅÈÔÃÔÃÒª
   ¤³Ðá¾·ÂÈÒʵÏÈÔÃÔÃÒª¾ÂÒºÒÅ            ¤³Ðá¾·ÂÈÒʵÏÈÔÃÔÃÒª¾ÂÒºÒÅ
    ÁËÒÇÔ·ÂÒÅÑÂÁËÔ´Å                     ÁËÒÇÔ·ÂÒÅÑÂÁËÔ´Å

ÍÑÉ®Ò àÁ¸àÈÃɰ                       àÍ¡ÇØ²Ô ¨Ñ¹á¡ŒÇ
   ¼ÙªÇÂÈÒʵÃÒ¨ÒÏ ¹ÒÂᾷ
     Œ ‹                                ÍÒ¨ÒÏ ¹ÒÂᾷ
   ÀÒ¤ÇÔªÒÈÑÅÂÈÒʵÏ                    ÀÒ¤ÇÔªÒÈÑÅÂÈÒʵÏ
   ¤³Ðá¾·ÂÈÒʵÏÈÔÃÔÃÒª¾ÂÒºÒÅ           ¤³Ðá¾·ÂÈÒʵÏÈÔÃÔÃÒª¾ÂÒºÒÅ
   ÁËÒÇÔ·ÂÒÅÑÂÁËÔ´Å                     ÁËÒÇÔ·ÂÒÅÑÂÁËÔ´Å

ÍÒªÇÔ¹·Ã µÑ¹ä¾¨ÔµÃ
  ÍÒ¨ÒÏ ¹ÒÂᾷ
  ÀÒ¤ÇÔªÒâʵ ¹ÒÊÔ¡ ÅÒÃÔ§«Ç·ÂÒ
                           Ô
  ¤³Ðá¾·ÂÈÒʵÏÈÔÃÔÃÒª¾ÂÒºÒÅ
  ÁËÒÇÔ·ÂÒÅÑÂÁËÔ´Å
xix

                                            ÊÒúѭ
   ¤íÒ¹íÒ                                                                                         iii
   ¤íÒ¹ÔÂÁ                                                                                       iv
   ¡Í§ºÃóҸԡÒà                                                                                   v
   ÃÒ¹ÒÁ¼ÙŒ¹Ô¾¹¸                                                                               vii

                              ËÑÇ¢ŒÍàÃ×èͧµÒÁÊÒ¢ÒÇÔªÒ
¡ØÁÒÃàǪÈÒʵÏ
 1 Childhood Seizure and Epilepsy                                                                 1
                                                                               ÊÃÇÔÈ ÇÕÃÇÃó
 2 ·Òá¡Ç¹¼Ô´»Ã¡µÔ                                                                               13
                                                                        à¡ÃÕ§ÈÑ¡´Ôì ¨ÕÃÐᾷ
 3 ¡ÒÃÇÔ¹¨©Ñ¡ÒÃᾌÍÒËÒÃÊíÒËÃѺàǪ»¯Ôºµ·Çä»
         Ô                            Ñ Ô Ñè                                                     21
                                                                        Í÷Ñ ¾ÔºÅâÀ¤Ò¹Ñ¹·
                                                                                 Ù

¨Ñ¡ÉØÇÔ·ÂÒ
 4 Cultivated Epithelial Cell in Ophthalmology, When and How?                                    35
                     ÀÔ­¹ÔµÒ µÑ¹¸ØÇ¹ÔµÂ, ³Ñ°¾Ã à·ÈÐÇÔºÅ, »˜·ÁÒ à͡⾸Ô,ì Á§¤Å ÍØÂ»ÃÐàÊÃÔ°¡ØÅ
                                                       Ø
 5 ¡ÒÃÃÑ¡ÉÒÀÒÇÐÊÒµҼԴ»¡µÔ´Ç LASIK: ÊÔ§¹‹ÒÃٹ͡à˹×ͨҡ¡Ò÷íÒàÅÊÔ¡
                            Œ           è Œ                                                      43
                                          ³Ñ°ÇØ²Ô Ãʹ͹ѹµ, ʺ§ ÈÃÕÇÃóºÙó, ¹ÃÔÈ ¡Ô¨³Ã§¤
 6 New Era for Pediatric Eye Cancer Treatment                                                    47
                                                                       ÅÐÍͧÈÃÕ ÍѪª¹ÕÂÐÊ¡ØÅ
 7 ¡ÒÃÃÑ¡ÉÒÁÐàÃ秨͵Òã¹à´ç¡´ŒÇÂÂÒà¤ÁպҺѴ
                                      í                                                          51
                                                          à¨É®Ò ºÑǺح¹íÒ, ¡ÅÕºÊäº ÊÃþ¡Ô¨

µ¨ÇÔ·ÂÒ
 8 .ungal Skin Infection: A Neighborhood Touch                                                   53
                                                                          ÊØÁ¹ÑÊ ºØ­ÂÐÃѵàǪ
 9 âäàª×ÍÃÒ·Õ¼Ç˹ѧªÑ¹ÅÖ¡
         é    è Ô     é                                                                          59
                                                                        à¾ç­Ç´Õ ¾Ñ²¹»ÃÕªÒ¡ØÅ
xx

àÀÊѪÇÔ·ÂÒ
10 ¡ÒÃà¡Ô´»¯Ô¡ÃÂÒÃÐËNjҧÂÒ·ÕÁ¤ÇÒÁÊíҤѭ·Ò§¤ÅÔ¹¡
              ÔÔ            è Õ               Ô                                                69
                                                                    ÊÁÄ´Õ ©ÑµÃÊÔÃà¨ÃÔ­¡ØÅ
                                                                                 Ô
11 Availability of Antidote: A Current Status in Thailand                                      75
                                                                           ¸¹¡Ã ÈÔÃÊÁØ·Ã
                                                                                   Ô
12 Drug Administration Pitfalls: .rom Practitioner to Patient                                  81
                                                                       »ÃÕªÒ Á¹·¡Ò¹µÔ¡Å
                                                                                      Ø
13 Drug Administration Pitfalls: Case Studies                                                  87
                                                                  ÍØäÃÇÃó ÈÔÅ»ÈØÀ¡Ãǧȏ
14 ¡ÒÃ㪌 Trigger Tool 㹡Ò䌹ËÒáÅÐÇÑ´ÍѵÃÒà˵ءÒóäÁ‹¾§»ÃÐʧ¤
                                                         Ö                                     95
   ¨Ò¡¡ÒÃ㪌ÂÒã¹âç¾ÂÒºÒÅ
                                                                      ÇÕÃÇ´Õ ¨Ñ¹·Ã¹ÔÀÒ¾§È


ÃѧÊÕÇÔ·ÂÒ
15 PET/CT for Cancer in Head and Neck Region: Thyroid                                         103
   and Nonthyroid Carcinoma
                                                                     ອ¨ÒÀÒ à¢ÕÂÇËÇÒ¹
16 ¡ÒÃÃÑ¡ÉÒÁÐàÃç§ÈÕÃÉÐáÅÐÅíҤʹŒÇÂÃѧÊÕáÉÒ
                                        Ñ                                                     113
                                                                        ¨Ñ¹¨ÔÃÒ à¾ªÃÊØ¢ÈÔÃÔ
17 ÀÒ¾¹íÒÇÔ¶Õ ÃѧÊÕáÉÒ¡ŒÒÇä¡Å
                    Ñ                                                                         117
                                 ¹Ñ¹·¡Ò¹µ àÍÕÂÁǹҹ¹·ªÑÂ, ¤íÒÁØ¡ ¤ÃÍ§ÂØ·¸, ÊѨ¨Ò ã¨à¤Ã‹§
                                              è

ÇÔÊÑ­­ÕÇÔ·ÂÒ
18 Postoperative Pain Management in Pediatric Patients: What’s New?                           125
    What’s Recommendation?
                                                                      ÊØÇÃÃ³Õ ÊØÃàÈóÕǧȏ
19 Outcome Improving in Neuroanesthesia: Neuro-interventional Perspective                     131
                                                                            ÍÑ­ªÅÕ ªÙâ蹏

àǪÈÒʵÏ»‡Í§¡Ñ¹áÅÐÊѧ¤Á
20 ¤ÇÒÁÊíҤѭ¢Í§ÂÒµŒÒ¹¾ÔÉ㹡ÒôÙáżٻÇÂÀÒÇоÔÉà©Õº¾Åѹ
                                    Œ †                                                       135
                                                                           ÊÑÁÁ¹ â©Á©ÒÂ
xxi

àǪÈÒʵÏ¿„œ¹¿Ù
21 ¡ÒÃÍÍ¡¡íÒÅѧËÅѧ¡Ò÷íÒËѵ¶¡ÒÃËÃ×ͼ‹ÒµÑ´ËÑÇ㨠                                                143
                                                                       ¡ÁŷԾ ËÒ­¼´Ø§¡Ô¨
22 ¡ÒÃÍÍ¡¡íÒÅѧ¡ÒÂã¹âä¤ÇÒÁ´Ñ¹âÅËÔµÊÙ§                                                          155
                                                                        ÇÔÅÒÇѳ ¶ÔÃÀѷþ§È
23 ¡ÒÃÍÍ¡¡íÒÅѧ¡ÒÂã¹âäàºÒËÇÒ¹                                                                  159
                                                                        ÇÔÅÒÇѳ ¶ÔÃÀѷþ§È
24 ÍØºµà˵ؤÍÊкѴ
      Ñ Ô                                                                                       163
                                                                            ÇÔÉ³Ø ¡ÑÁ·Ã·Ô¾Â
25 Whiplash Injury: Myogenic Cause and Conservative Treatment                                   171
                                                                            ¸ÕÃ´Ò ¾ÅÍÂྪÃ

ÈÑÅÂÈÒʵÏ
26 âä¢Í§·ÇÒÃ˹ѡáÅÐÅíÒäÊŒµÃ§·Õ¾ºº‹ÍÂ
                               è                                                                177
                                                                      ÇÃÁÔ¹·Ã àËÃÕÂ­ÊØÇÃó
27 Hepatocellular Carcinoma: Management in the New Era                                          183
                 ÊÁªÑ ÅÔÁÈÃÕ¨ÒàÃÔ­, Â§ÂØ·¸ ÈÔÃDz¹ÍÑ¡ÉÃ, ÊØ»ÃÕªÒ ÍÑÊǡҭ¨¹, ªØµÇªÂ âµÇÔ¡ÀÑÂ
                         é    í                ÔÑ                               ÔÔ Ñ
28 Exceeding 100 Liver Transplantations in Siriraj Hospital                                     189
        Â§ÂØ·¸ ÈÔÃDz¹ÍÑ¡ÉÃ, ÊÁªÑ ÅÔÁÈÃÕ¨ÒàÃÔ­, »ÃÐÇѲ¹ â¦ÊÔµÐÁ§¤Å, »ÃÐàǪ ÁËÒÇÔ·µÇ§È,
                  ÔÑ                é    í                                          Ô
                                                         ÊØ»ÃÕªÒ ÍÑÊǡҭ¨¹, ªØµÇªÂ âµÇÔ¡ÀÑÂ
                                                                                ÔÔ Ñ
29 The .irst Live Donor Liver Transplantation in Thailand                                       193
        Â§ÂØ·¸ ÈÔÃDz¹ÍÑ¡ÉÃ, ÊÁªÑ ÅÔÁÈÃÕ¨ÒàÃÔ­, »ÃÐÇѲ¹ â¦ÊÔµÐÁ§¤Å, »ÃÐàǪ ÁËÒÇÔ·µÇ§È,
                  ÔÑ                é    í                                            Ô
                                                         ÊØ»ÃÕªÒ ÍÑÊǡҭ¨¹, ªØµÇªÂ âµÇÔ¡ÀÑÂ
                                                                                ÔÔ Ñ
30 Robotic Surgery for General Surgeons: .uture or .antasy                                      197
                   ÇÔ·Ã ªÔ¹ÊNjҧÇѲ¹¡ØÅ, ¸ÇѪªÑ ÍѤÃÇÔ¾¸, ÍѰ¾Ã µÃСÒÃʧ‹Ò, ÍÑÉ®Ò àÁ¸àÈÃɰ
                      Ù                                 Ø
                                                 ¸Ñ­à´ª ¹ÔÁÁÒ¹ÇØ²¾§É, ³Ã§¤ àÅÔÈÍÃæÂÁ³Õ
                                                                  Ô
31 Siriraj Trauma Center                                                                        203
                                                                           »ÃÕªÒ ÈÔ÷ͧ¶ÒÇÃ
                                                                                    Ô
32 Siriraj Trauma Center                                                                        205
                                                                      ÇÔÀÒÀó ÈÃÕ¾¨¹¸ÃÃÁ
33 Journey to Excellent Burn Unit                                                               211
                                                                          ¾Ã¾ÃËÁ àÁ×ͧáÁ¹
xxii

ÈÑÅÂÈÒʵÏÍÍÏ⸻´Ô¤Ê áÅСÒÂÀÒ¾ºíҺѴ
34 Treatment of Pathologic .racture                                                                219
         ¨Ñ¹·¹ÃÑÈÁ ¨Ñ¹·¹Âԧ§, ¸ÕÃÇØ²Ô ¸ÃÃÁÇԺŏÈÃÕ, ÃоԹ·Ã ¾ÔÁÅÈÒ¹µÔ,ì ¡ŒÍ§à¢µ àËÃÕÂ­ÊØÇÃó
                           è                   Ù

ÊÙµÈÒʵÏ-¹ÃÕàǪÇÔ·ÂÒ
   Ô
35 Practical Management of Dysfunctional Uterine Bleeding                                          229
                                 ¸Ñ¹ÂÒÃѵ¹ ǧȏǹҹØÃ¡É, ÊØªÒ´Ò ÍÔ¹·ÇÔDz¹, Á³Õ Ãѵ¹äªÂÒ¹¹·
                                                      Ñ                  Ñ


âʵ ¹ÒÊÔ¡ ÅÒÃÔ§«Ç·ÂÒ
                  Ô
36 䫹ÑÊÍÑ¡àʺ áÅÐÃÔ´Êմǧ¨ÁÙ¡                                                                     241
                     »ÒÃÂÐ ÍÒȹÐàʹ, ¾§È¡Ã µÑ¹µÔÅ»¡Ã, ͹ѭ­ ྱdzԪ, ਵ¹ ÅíÒÂͧàʶÕÂÃ
                                                 Õ 
37 ¡ÒÃ䴌¹º¡¾Ã‹Í§ã¹à´ç¡â´ÂÀÒ¾ÃÇÁáÅСÒäѴ¡Ãͧ¡ÒÃ䴌¹ã¹à´ç¡ááà¡Ô´
          Ô                                          Ô                                             259
                                                                             ¡Ñ­­·Í§ ·Í§ãË­‹
38 ¡ÒÃÊÙ­àÊÕ¡ÒÃ䴌¹¨Ò¡¡ÒùíÒàÊÕ§àÊ×ÍÁã¹¼Ù»ÇÂà´ç¡
                    Ô                 è     Œ †                                                    265
                                                                            ÍÒªÇÔ¹·Ã µÑ¹ä¾¨ÔµÃ
39 ¡ÒÃÊÙ­àÊÕ¡ÒÃ䴌¹㹼ٻÇÂà´ç¡¨Ò¡ÊÒà˵طҧ¾Ñ¹¸Ø¡ÃÃÁ
                    Ô    Œ †                                                                       271
                                                                            ¹Ô¸ÇªÃ ÇѲ¹ÇÔ¨Òó
                                                                               ÔÑ
40 ÊÒÂàÊÕ§໚¹ÍÑÁ¾Òµ                                                                              281
                                                                            ©Ñ¹·ÔªÒ ⪵ԡdzԪ
41 Hoarseness and Management                                                                       285
                                                                             ¨ÕÃÐÊØ¢ ¨§¡ÅÇѲ¹Ò


ÍÒÂØÃÈÒʵÏ
42 ¡Òû‡Í§¡Ñ¹âäËÅÍ´àÅ×Í´ÊÁͧ·Ñ§¡‹Í¹áÅÐËÅѧ¡Òü‹ÒµÑ´
                               é                                                                   289
                  ʧ¤ÃÒÁ ⪵ԡ͹تµ, §ªÑ ¹ÔÅй¹·, ¹ÒÃҾà »ÃÐÂÙÃÇÔDz¹, ¹Ô¾¹¸ ¾Ç§ÇÃÔ¹·Ã
                                  Ô                                  Ñ
43 Scrub Typhus in Thailand                                                                        297
                                                                               ÂØ¾¹ ÈØ¾·¸Á§¤Å
                                                                                  Ô    Ø
44 Molecular Epidemiology of Scrub Typhus in Thailand                                              301
                                                                      »¯ÔÁҾà ǧɏ¾ÃËÁ¾Ô·¡É
                                                                                         Ñ
45 Recent Advances in the Diagnosis of Scrub Typhus                                                305
                                                                                Wei Mei Ching
xxiii

46 Iron Chelation: New Hope                                                                      313
                                                                              ª®Ò ¾ÔÈÒž§È
47 Deferasirox ÂҢѺàËÅ硪¹Ô´ÃѺ»Ãзҹ                                                           317
                                                                         ¹¾´Å ÈÔø¹ÒÃѵ¹¡ØÅ
                                                                                 Ô



                            ËÑÇ¢ŒÍàÃ×èͧÊËÊÒ¢ÒÇÔªÒªÕ¾
¡ÒÃÊ‹§àÊÃÔÁÊØ¢ÀÒ¾áÅСÒû‡Í§¡Ñ¹âä
48 ÂÒ¨Ò¡ÊÁعä¾Ã¡ÑºàǪÈÒʵÏàªÔ§»ÃШѡɏ                                                          323
                    ³Ñª¡Ã ÅéÒàÅÔȡԨ, »ÃÐÇԷ ÍѤÃàÊÃÕ¹¹·, »ÃÐʾ¾Ã ¾Ñ¹¸à¾ç§, ·ÇÕ àÅÒ˾ѹ¸
                            í
49 ËÅÑ¡¡ÒÃÊíҤѭ¢Í§¡ÒÃᾷἹä·Â                                                                333
                              ·Ñ¾¾à·¾ ·Ô¾Âà¨ÃÔ­¸ÑÁ, Ãѵ´ÒÇÃó ·Ô¾Âà¨ÃÔ­¸ÑÁ, ·ÇÕ àÅÒ˾ѹ¸
50 ¡ÒÃÊ‹§àÊÃÔÁÊØ¢ÀÒ¾´ŒÇ¸ÃÃÁÒ¹ÒÁÑ                                                               341
                                              ÊÔáҹµ ÀÙâ»Ã‹§, »ÃÐÁÇÅ ¤íÒᡌÇ, ·ÇÕ àÅÒ˾ѹ¸
                                                 Ô
51 ¹Çѵ¡ÃÃÁ¡ÒþÂÒºÒÅ: ÇѲ¹¸ÃÃÁÊÌҧàÊÃÔÁÊØ¢ÀÒ¾·Õ§Â×¹
                                                è Ñè                                             349
                                                                       Çѹà¾ç­ ÀÔ­â­ÀÒÊ¡ØÅ
52 Breast Cancer Prevention and Screening                                                        351
                                                                          Ê׺ǧȏ ¨Ø±ÒÀÔÊ·¸Ôì
                                                                                         Ô
53 Screening in Common Gynecologic Cancer: Ovarian Cancer Screening                              355
                                                                          »˜·ÁÒ àªÒǏ⾸Էͧ
                                                                                         ì
54 ¡Òû‡Í§¡Ñ¹ÀÒÇÐÊÁͧàÊ×ÍÁÃдѺ»°ÁÀÙÁÔ
                        è                                                                        361
                                                                          ÇÕÃÈÑ¡´Ôì àÁ×ͧä¾ÈÒÅ


¡ÒôÙáżٌÊÙ§ÍÒÂØ
55 Harmonized Care for Older Patients: .ocus on Hospitalized Patients                            367
                                                                    ÃØ§¹Ôù´Ã »ÃдÔÉ°ÊØÇÃó
                                                                      ‹ Ñ
56 Harmonized Care for Older Patients: .ocus on Cognition                                        375
                                                                   ÇÃÒÅѡɳ ÈÃÕ¹¹·»ÃÐàÊÃÔ°
57 Harmonized Care for Older Patients: .ocus on Mobility                                         387
                                                                          ÇÔäÅ ¤Ø»µ¹ÃµÈ¡ØÅ
                                                                                     ÔÑ Ô Ñ
xxiv

ÊÔè§áÇ´ÅŒÍÁáÅÐÊØ¢ÀÒ¾
58 Health Impacts of Environmental Threats in Thailand:                                         397
   Epidemiological Aspects
                                                                     ÊÁà¡ÕÂÃµÔ ÈÔÃõ¹¾Ä¡É
                                                                                  ÔÑ
59 ¡ÒÃÈÖ¡ÉҼšÃзºµ‹ÍÊØ¢ÀÒ¾»ÃЪҪ¹·ÕèÍÒÈÑÂÍÂÙ‹Ãͺ¹Ô¤ÁÍØµÊÒË¡ÃÃÁÁÒºµÒ¾Ø´                         401
                                  ¹ÔµÂÒ ÇѨ¹ÐÀÙÁ.Ô ¹Ñ¹·ÇÃó ÇÔ¨µÃÇÒ·¡ÒÃ, »ÃÒ³Õ ªÒ­³Ã§¤
                                                               Ô
60 Climate Change and Allergic Disease                                                          405
                                     ÇÃÇÔª­ àËÅ×ͧàǪ¡ÒÃ, »ÒÃÂÐ ÍÒȹÐàʹ, µ‹Í¾§É ·Í§§ÒÁ

Craniofacial Care
61 ¡ÅàÁç´¡Ò÷íҧҹ໚¹·ÕÁ´ÙáżٻÇ¡ÐâËÅ¡ÈÕÃÉÐáÅÐãºË¹ŒÒ¼Ô´»¡µÔ
                               Œ †                                                              415
                                ÈÃÕ»ÃÐÊÔ·¸Ôì ºØ­ÇÔÊ·¸Ô,ì ÈÃÕÇÁÅ Áâ¹àªÕÂǾԹ¨, ÇÃó´Õ ¾ÅÒ¹ØÀÒ¾
                                                   Ø         Ô        è    Ô


Movement Disorders
62 Movement Disorder Surgery                                                                    433
             ÈÃѳ ¹Ñ¹·ÍÒÃÕ, ºÃþµ ÊÔ·¸Ô¹ÒÁÊØÇÃó, ÍѤ¤¾§É ¹ÔµÊ§Ë, ¡¹¡ÇÃó ºØ­­¾ÔÊ®°‚,
                                                                ÔÔ                      Ô
                                                                          ÍÀÔªÒµÔ ¾ÔÈÒž§È

Traumatic Brain Injury
63 Neurosurgical Perspective of Mild Traumatic Brain Injury                                     441
                                               ºÃþµ ÊÔ·¸Ô¹ÒÁÊØÇÃó, »ÃШѡÉì ÈÃÕþվ²¹ì
                                                                                     Ñ
64 Neuropsychiatric Disorders after Mild Traumatic Brain Injury                                 453
                                                                           ¾Ã¨ÔÃÒ »ÃÔǪÃÒ¡ØÅ
                                                                                      Ñ

¡ÒúҴà¨çº¢Í§ËÅÍ´àÅ×Í´
65 ÀÒ¾ÃѧÊÕǹ¨©ÑÂÃкº»ÃÐÊÒ·ã¹¼Ù»ÇÂÍØºµà˵Ø
            Ô Ô                Œ †   Ñ Ô                                                        459
                                                                             ÊÔÃÍà µÃÔµÃСÒÃ
                                                                                Ô
66 ÀÒ¾ÇÔ¹¨©ÑÂ㹼ٻǷÕ䴌úºÒ´à¨çººÃÔàdzËÅÍ´àÅ×Í´á´§¨Ò¡Íغµà˵Ø
         Ô       Œ † è Ñ                                  Ñ Ô                                   469
                                                                         ¨ÔµÃÅÑ´´Ò ÇÐÈÔ¹Ãѵ¹
67 Imaging of Trauma: Abdominal Trauma                                                          479
                                                                          ÇÃóÇÃÒ§¤ ÊØ·¸Ô¤ÃÕ
                                                                                           Õ
xxv

68 Traumatic Cerebrovascular Injury: Neurosurgical Perspective                                     489
                                       àÍ¡ÇØ²Ô ¨Ñ¹á¡ŒÇ, ·ÇÕÈ¡´Ôì àÍ×ͺح­ÒÇѲ¹, ÍÑ­ªÅÕ ªÙâ蹏
                                                            Ñ       é
69 Interventional Radiology Management in Traumatic Patient                                        497
   (Body and Peripheral Artery)
                                                                          ÊÁÃÒª ¸ÃÃÁ¸ÃÇѲ¹

ÀÒÇмԴ»¡µÔ¢Í§¡Òù͹ËÅѺ
70 ¹Í¹¡Ã¹áÅÐÀÒÇÐËÒÂ㨼Դ»¡µÔ¢³ÐËÅѺª¹Ô´ÍØ´¡Ñ¹
                                            é                                                      505
                                                                              ÇÔª­ ºÃóËÔí
                                                                                           Ñ
71 Narcolepsy                                                                                      523
                                                                        ÇѲ¹ªÑ ⪵ԹÂÇѵáØÅ
                                                                                     Ñ
72 Surgical Treatment for Sleep Disordered Breathing                                               529
                                                                              ÇÔª­ ºÃóËÔí
                                                                                           Ñ


ÀÒÇмԴ»¡µÔ¢Í§¡ÒáÅ×¹
73 Management for Dysphagia Patients                                                               535
             ⪤ªÑ àÁ¸ÕäµÃÃѵ¹, ๵ÃÒ ºÑÇ¡¹¡, ÀÒÇÔ¹ à¡É¡ØÅ, ÇÃØµÁ ¾§ÈÒ¾Ôª­, ÊØ¹¹· ͧÍÒ¨
                                                                                   Ñ

ÀÒÇÐàÅ×Í´Í͡㹷ҧà´Ô¹ÍÒËÒÃʋǹº¹
74 ÀÒÇÐàÅ×Í´Í͡㹷ҧà´Ô¹ÍÒËÒÃʋǹº¹                                                                543
                                                                               ÇÃÒÂØ »ÃѪ­¡ØÅ
75 Management of Esophageal Varices and Esophageal Variceal Hemorrhage                             555
                                            ÈÔÇоà äªÂ¹ØÇµ,Ô ¹¹·ÅÕ à¼‹ÒÊÇÑÊ´Ô,ì ÊØ¾¨¹ ¹ÔÁ͹§¤
                                                         Ñ                               è
76 Embolization for Upper Gastrointestinal Hemorrhage                                              565
                                                                           ÇÅÑÂÅѡɳ ªÑÂÊÙµÃ



            ¡ÒÃÇÔ¨ÑÂáÅÐÇÔ·ÂÒÈÒʵϾ×é¹°Ò¹·Ò§¡ÒÃᾷ
77 General Aspects of Tumor Microenvironment                                                       569
                                                                                   »‚µÔ ¸ØÇ¨Ôµµ
78 Cancer-associated .ibroblasts in Tumor Progression                                              573
                                                                                ª¹ÔµÃÒ ¸ØÇ¨Ôµµ
xxvi

79 Digital Image Processing and Data Management for Clinical                                579
   Registry and Clinical Research
                                                                         »ÃоѲ¹ ÊØÃ¼Å
                                                                                     Ô
80 Research and Road to Innovation and Business                                             587
                  ÇÃóРÁËÒ¡ÔµµÔ¤³, ¾ÔÁ¾»ÃÐä¾ ¸ÕÃЪվ, ¸ÒÃÔ¹ àÍÕÂÁྪÃÒ¾§È, ¸¹¾Å ÇÕÃÒÊÒ
                                 Ø                               è



                               ¡¯ËÁÒ·ҧ¡ÒÃᾷ
81 Transplantation: Medico-legal Investigation                                              595
                                                                        »ÃÕªÒ ÈÔ÷ͧ¶ÒÇÃ
                                                                                 Ô
82 ¤ÇÒÁ¼Ô´»¡µÔ¢Í§ÊÒÂàÊÕ§                                                                   597
                                                                         侺Ùŏ ÊØÃ¾§É
                                                                                    Õ 
83 Hearing Loss in Children: 120 year Evolution in Management                               601
                                                                            ÊØÇ¨¹Ò ͸ÔÀÒÊ
                                                                               Ñ


                                              ´Ñª¹Õ
   ´Ñª¹Õ                                                                                    605
àǪÈÒʵÏ·¹Âؤ 2553
          Ñ                                                                  º··Õè        1

                                                                               1
                      Childhood Seizure and Epilepsy
                                                  ÍÒ¨ÒÏ ¹ÒÂᾷÊÃÇÔÈ ÇÕÃÇÃó
                 ÀÒ¤ÇÔªÒ¡ØÁÒÃàǪÈÒʵÏ ¤³Ðá¾·ÂÈÒʵÏÈÔÃÔÃÒª¾ÂÒºÒÅ ÁËÒÇÔ·ÂÒÅÑÂÁËÔ´Å

         ÍÒ¡Òêѡ (seizure) ໚¹Ë¹Öè§ã¹ÍÒ¡Ò÷ҧÃкº»ÃÐÊÒ··Õ辺䴌º‹ÍÂã¹àǪ»¯ÔºÑµÔ·ÑèÇä»
â´ÂʋǹãË­‹¢Í§¼Ù»ÇÂ¡ÅØÁ¹Õ¨ÐÁÕ»ÃÐÇѵ¡ÒÃà¤Å×͹äËǢͧËҧ¡Ò·ռ´»¡µÔઋ¹ à¡Ãç§ ËÃ×Í à¡Ãç§
                    Œ †   ‹ é         Ô      è                    è Ô
¡Ãеء·Ñé§µÑÇ ¼ÙŒ»†ÇºҧÃÒÂÍÒ¨ÁÕᤋÍÒ¡ÒÃàËÁ‹ÍÅÍ ¤ÇÒÁÃÙŒÊÖ¡µÑÇŴŧ ËÃ×ÍÁÕÍÒ¡ÒäŌÒÂÊд،§
ÍÒ¡Òôѧ¡Å‹ÒÇÍҨ໚¹ÍÒ¡ÒêѡËÃ×ÍäÁ‹ãª‹¡ä´Œ ´Ñ§¹Ñ¹¡ÒÃãËŒ¡ÒÃÇÔ¹¨©Ñ¼ٻÇÂ¡ÅØÁ¹ÕᾷµÍ§ÍÒÈÑÂ
                                          ç     é             Ô         Œ †   ‹ é Œ
¡Òëѡ»ÃÐÇѵԷÕè´Õà¾×èÍá¡NjÒ໚¹ÍÒ¡ÒêѡËÃ×ÍäÁ‹ áÅжŒÒ㪋໚¹ÍÒ¡Òêѡª¹Ô´ã´ ʋǹ¡ÒõÃǨ
Ëҧ¡ÒÂáÅСÒÃÊ‹§µÃǨ·Ò§ËŒÍ§»¯ÔºÑµÔ¡Ò÷Õè¨íÒ໚¹àª‹¹ ¡ÒõÃǨ¤Å×è¹ä¿¿‡ÒÊÁͧËÃ×Í ¡ÒõÃǨ
ÀÒ¾¶‹Ò¤Å×¹áÁ‹àËÅç¡ä¿¿‡ÒÊÁͧ¨Ðª‹ÇÂʹѺʹع㹡ÒÃÇÔ¹¨©ÑÂâä ËÒÊÒà˵آͧÍÒ¡Òêѡ áÅÐ
            è                                           Ô
ãËŒ¡ÒÃÃÑ¡ÉÒ·ÕàËÁÒÐÊÁ
              è
         ÊÒà˵آͧÍÒ¡Òêѡ¹Ñ¹ÁÕä´ŒËÅÒÂÍ‹ҧ ÍÒ¨à¡Ô´¨Ò¡âä¢Í§ÊÁͧàͧઋ¹ âäËÅÍ´àÅ×Í´ÊÁͧ
                              é
ÁÐàÃç§ã¹ÊÁͧ ËÃ×ÍâäÅÁªÑ¡ (epilepsy) ¹Í¡¨Ò¡¹Õ§ÁÕâä·Ò§Ã‹Ò§¡ÒÂÍ×¹æ ÍÕ¡«Ö§Áռŵ‹ÍÊÁͧáÅÐ
                                               é Ñ                    è        è
·íÒãËŒà¡Ô´ÍÒ¡Òêѡ䴌 «Ö§¡ÒÃÃÑ¡ÉÒ¨Ðᵡµ‹Ò§¡Ñ¹ä»ã¹áµ‹ÅÐâä ´Ñ§¹Ñ¹á¾·Â¨§¤ÇÃÁÕ¤ÇÒÁÃÙŒ ¤ÇÒÁ
                        è                                       é           Ö
ࢌÒ㨶֧á¹Ç·Ò§ã¹¡ÒôÙáÅÃÑ¡ÉҼٻǷÕÁÍÒ¡ÒùÕ໚¹Í‹ҧ´Õ
                                  Œ † è Õ         é

¤íÒ¨íÒ¡Ñ´¤ÇÒÁ
          ÍÒ¡Òêѡ (seizure) ໚¹ÍÒ¡Òâͧ¼Ù»Ç·ÕÁ¼ÅÁÒ¨Ò¡¡ÃÐáÊä¿¿‡Ò¢Í§à«ÅŏÊÁͧ·Õ·Ò§Ò¹
                                               Œ † è Õ                               è í
ÁÒ¡¼Ô´»¡µÔ (excessive neuronal electrical discharge) ·íÒãËŒà¡Ô´¤ÇÒÁà»ÅÕ¹á»Å§·Ò§Ã‹Ò§¡ÒÂ
                                                                       è
¢Í§¼Ù»Ç ÍÒ¡ÒÃáÊ´§·Ò§Ã‹Ò§¡Ò¹ѹÁÕä´ŒËÅÒÂÍ‹ҧઋ¹ ÍÒ¡Òêѡ à¡Ãç§ ¡Ãеء (motor seizure)
      Œ †                           é
¡ÒÃà»ÅÕè¹á»Å§·Ò§¤ÇÒÁÃÙŒÊÖ¡ (sensory seizure) ¤ÇÒÁ¼Ô´»¡µÔ·Ò§ÍÒÃÁ³ (psychic seizure)
໚¹µŒ¹
          ÍÒ¡Òêѡ ẋ§à»š¹ 2 ¡ÅØÁãË­‹æ ´Ñ§¹Õé
                                 ‹
          1. Provoked seizure ËÃ×Í symptomatic seizure ËÁÒ¶֧ ÍÒ¡Òêѡ·Õà¡Ô´¢Ö¹â´ÂÁÕ»¨¨ÑÂ
                                                                           è é           ˜
Í×¹ÁÒ¡Ãеعઋ¹¡Òêѡ·ÕÁÊÒà˵ØÁÒ¨Ò¡âä·Ò§¡ÒÂËÃ×Í ¤ÇÒÁ¼Ô´»¡µÔ·Ò§ÊÁͧ·Õà¡Ô´¢Ö¹ã¹¢³Ð¹Ñ¹
  è          Œ           è Õ                                                è é            é
áÅÐàÁ×Í»˜¨¨ÑÂËÃ×ÍâäàËŋҹÕËÒ ÍÒ¡Òêѡ¡ç¨ÐËÒÂä»àª‹¹¡Ñ¹ ÊÒà˵آͧÍÒ¡ÒÃªÑ¡ã¹¡ÅØÁ¹ÕÁÁÒ¡ÁÒÂ
       è                     é                                                 ‹ é Õ
´Ñ§áÊ´§änj㹵ÒÃÒ§·Õè 1
          2. Unprovoked seizure ËÁÒ¶֧ ÍÒ¡Òêѡ·Õà¡Ô´¢Ö¹â´Â·ÕäÁ‹Á»¨¨ÑÂÍ×¹ÁÒ¡Ãеع
                                                       è é     è Õ ˜     è        Œ
2                                                           Childhood Seizure and Epilepsy

µÒÃÒ§·Õè 1 ÊÒà˵آͧ symptomatic seizure ·Õ辺º‹ÍÂ
       !   Cerebrovascular disease: Thrombosis, embolism, hemorrhage, vasculitis
       !   Central nervous system infection: Meningitis, encephalitis, brain abscess
       !   Hypoxic-ischemic encephalopathy
       !   Brain tumor
       !   Hypotensive/Hypertensive encephalopathy
       !   Metabolic: hypoglycemia, hypo/hypernatremia, hypocalcemia, hypomagnesemia
       !   Head injury
       !   Congenital brain malformation
       !   Drug / drug withdrawal
       !   Inborn errors of metabolism
       !   Degenerative brain disease
       !   .ebrile seizure

        ã¹¼Ù»ÇÂà´ç¡¹Ñ¹ ÍÒ¨ÁÕÍÒ¡ÒÃÍ×¹æ·Õà¡Ô´¢Ö¹ªÑÇ¢³Ð (paroxysmal events) ·ÕÁšɳкҧÍ‹ҧ
            Œ †      é             è è é è                                 è ÕÑ
¤ÅŒÒ¡ѺÍÒ¡Òêѡ ·íÒãËŒÍÒ¨ÊѺʹ¡ÑºÍÒ¡Òêѡ䴌 â´Âᵡµ‹Ò§¡Ñ¹ä»µÒÁᵋÅЪ‹Ç§ÍÒÂØ (1) ´Ñ§áÊ´§
änj㹵ÒÃÒ§·Õè 2

µÒÃÒ§·Õè 2 Paroxysmal non-epileptic events ã¹à´ç¡·Õ¾ºº‹ÍÂᡵÒÁª‹Ç§ÍÒÂØ
                                                   è
Neonates              Infants                        Children and adolescents
Sleep myoclonus       Apnea                          Breath-holding spell, Syncope,
Hyperexplexia         Jitteriness                    Sandifer, Day dreaming
                      Sleep myoclonus                Abnormal movement eg. Chorea, Tics
                      Benign paroxysmal torticolis   Benign paroxysmal vertigo
                      Spasmus nutans                 Hyperventilation syndrome
                      Opsoclonus                     Psychologic disorder
                                                     Night mare / night terror
                                                     Narcolepsy
ËÁÒÂà赯 ´´á»Å§¨Ò¡àÍ¡ÊÒÃËÁÒÂàÅ¢ 1
          Ñ


       âäÅÁªÑ¡ (epilepsy) ¤×Íâä·Õ¼»ÇÂÁÕÍÒ¡Òêѡâ´ÂäÁ‹Á»¨¨Ñ¡Ãеع (unprovoked seizure)
                                   è ÙŒ †               Õ ˜       Œ
ÁÒ¡¡Ç‹Ò 2 ¤Ãѧ¢Ö¹ä»
             é é
àǪÈÒʵÏ·¹Âؤ 2553
          Ñ                                                                              3

        âäÅÁªÑ¡ÁÕÊÒà˵ØáÅоÂÒ¸Ô¡Òà¹Ô´ä´ŒËÅÒÂÍ‹ҧ ã¹·Õ¹¢Íẋ§µÒÁÊÒà˵Øä´Œ´§¹Õé (2)
                                       í                 è Õé                 Ñ
        1. Idiopathic: âäÅÁªÑ¡¹ÕäÁ‹ä´Œà¡Ô´¨Ò¡¾ÂÒ¸ÔÊÀÒ¾ã¹ÊÁͧᵋÁÊÒà˵Øà¹×ͧ¨Ò¡¾Ñ¹¸Ø¡ÃÃÁ
                                 é                                  Õ      è
        2. Symptomatic epilepsy: âäÅÁªÑ¡·ÕÁÊÒà˵ØÁÒ¨Ò¡¡Ò÷ÕÁ¾ÂÒ¸ÔÊÀÒ¾¢Í§ÊÁͧ«Ö§ÍÒ¨
                                              è Õ               è Õ                   è
໚¹¾ÂÒ¸ÔÊÀÒ¾·Õà¡Ô´¢Ö¹ÁÒ¹Ò¹ áÅÐäÁ‹Á¡ÒÃà»ÅÕ¹á»Å§ ઋ¹ cortical dysplasia, congenital brain
                 è é                     Õ      è
anomaly, á¼Å໚¹¨Ò¡¡Ò÷Õà¤Â໚¹âäÊÁͧÍÑ¡àʺ (encephalitis), à¤ÂÁÕàÅ×Í´ÍÍ¡ã¹ÊÁͧáÅÐä´Œ
                           è
ÃѺ¡Òü‹ÒµÑ´, à¤ÂÁÕ»ÃÐÇѵ¢Í§ÊÁͧ¢Ò´ÍÍ¡«Ôਹ (birth asphyxia) ËÃ×ÍÍÒ¨¨ÐÁÕÊÒà˵بҡ¡Ò÷Õà¹×Í
                         Ô                                                              è é
ÊÁͧ¶Ù¡·íÒÅÒ¨ҡâä metabolic ËÃ×Í degenerative brain disorder
        3. Cryptogenic âäÅÁªÑ¡·Õ¤Ò´Ç‹Ò¹‹Ò¨ÐÁÕÊÒà˵بҡҡ÷ÕÁ¾ÂÒ¸ÔÊÀÒ¾¢Í§ÊÁͧ ᵋ¡ÒÃ
                                     è                        è Õ
Ê‹§µÃǨ·Ò§ËŒÍ§»¯Ôºµ¡ÒÃã¹»˜¨¨Øº¹ÂѧäÁ‹ÊÒÁÒöµÃǨ¾ºä´Œ
                     Ñ Ô           Ñ
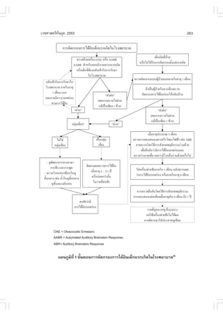
        â´ÂÊÃØ» ÍÒ¡ÒêѡáÅÐâäÅÁªÑ¡¹Ñ¹áµ¡µ‹Ò§¡Ñ¹ â´ÂÁÕá¹Ç·Ò§¡ÒÃÇÔ¹¨©Ñ´ѧἹÀÙÁ·Õè 1
                                           é                          Ô             Ô




                 á¼¹ÀÙÁÔ·Õè 1 á¹Ç·Ò§¡ÒÃÇÔ¹Ô¨©ÑÂÍÒ¡ÒêѡáÅÐâäÅÁªÑ¡

¡ÒÃẋ§»ÃÐàÀ·¢Í§ÍÒ¡Òêѡ (Seizure classification)
        ¡ÒÃẋ§»ÃÐàÀ·¢Í§ÍÒ¡Òêѡ·ÕÂÍÁÃѺáÅÐ㪌¡¹á¾Ã‹ËÅÒ·ÕÊ´¤×Í¡ÒÃẋ§µÒÁ International
                                  è              Ñ           èØ
League Against Epilepsy (ILAE) ã¹»‚ ¤.È. 1981 â´ÂÍÒÈÑÂÅѡɳÐÍÒ¡Òêѡ (clinical seizure
                                             (3)

description) áÅСÒÃà»ÅÕ¹á»Å§¢Í§¤Å׹俿‡ÒÊÁͧ (electroencephalography, EEG) ໚¹ËÅÑ¡ã¹
                       è            è
¡ÒÃẋ§ «Ö§áº‹§»ÃÐàÀ·¢Í§ÍÒ¡Òêѡ䴌 3 »ÃÐàÀ· ¤×Í partial seizure, generalized seizure áÅÐ
           è
unclassified seizure
4                                                                                       Childhood Seizure and Epilepsy

           Partial seizure (.ocal seizure) (4)
                   Partial ËÃ×Í focal seizure ໚¹ÍÒ¡Òêѡ«Ö§à¡Ô´¨Ò¡¡Ò÷ÕÁ¡ÃÐáÊä¿¿‡Ò·ÕÁÒ¡¼Ô´»¡µÔà¡Ô´¢Ö¹
                                                                     è                    è Õ                è                 é
¨Ò¡ÊÁͧʋǹã´Ê‹Ç¹Ë¹Ö§ â´Â¡ÃÐáÊä¿¿‡Ò´Ñ§¡Å‹ÒÇÍÒ¨¤§ÍÂÙ·à´ÔÁËÃ×Í ÍÒ¨à¤Å×͹价ÕÊÁͧʋǹÍ׹䴌
                                       è                                           ‹ Õè                    è   è            è
«Ö§¨ÐÁռŵ‹ÍÅѡɳСÒêѡ¢Í§¼Ù»Ç ÍÒ¡ÒêѡẺ¹Õẋ§ä´ŒÍ¡à»š¹ 2 ª¹Ô´Â‹Í¤×Í
       è                                           Œ †                    é             Õ
                   1. Simple partial seizure (SPS) ã¹¢³ÐªÑ¡¼Ù»Ç¨ÐÂѧÃÙÊ¡µÑÇ (consciousness) ·Õ´ÍÂÙ‹
                                                                              Œ †             ŒÖ                           è Õ
ÅѡɳСÒêѡ¢Í§¼ÙŒ»†Ç¹Ñ鹨ТÖé¹ÍÂÙ‹¡ÑºÇ‹ÒÊÁͧʋǹ㴶١¡Ãе،¹â´Â¡ÃÐáÊä¿¿‡Ò·Õè¼Ô´»¡µÔ
¼Ù»ÇÂÍÒ¨¨ÐÁÕÍÒ¡ÒÃà¤Å×͹äËǢͧËҧ¡Ò·ռ´»¡µÔ (motor seizure) ઋ¹ à¡Ãç§ ¡Ãеء ʋǹ˹֧
    Œ †                                    è                   è Ô                                                                 è
ʋǹ㴢ͧËҧ¡Ò ઋ¹ãºË¹ŒÒ äËÅ‹ ᢹ Á×Í ¢ÒËÃ×Íà·ŒÒ ¢ŒÒ§ã´¢ŒÒ§Ë¹Ö§ ºÒ§ÃÒÂÍÒ¨¨ÐÁÕÍÒ¡Ò÷ҧ           è
¤ÇÒÁÃÙÊ¡ËÃ×Í »ÃÐÊÒ·ÊÑÁ¼ÑʾÔàÈÉÍ×¹æ (somatosensory or special-sensory seizure) ઋ¹ ªÒᢹ
                ŒÖ                                       è
¢Ò¢ŒÒ§ã´¢ŒÒ§Ë¹Ö§ àËç¹áʧ 䴌¹àÊÕ§ ËÃ×Íä´Œ¡ÅÔ¹µ‹Ò§æ ·Õ¼´»¡µÔ
                             è                 Ô                   è             è Ô
                   2. Complex partial seizure (CPS) ¼ÙŒ»†Ç¨ÐÁÕ impairment of consciousness «Öè§
consciousness ·Õ㪌¡¹ã¹âäÅÁªÑ¡¹Ñ¹»ÃСͺ´ŒÇ 2 ʋǹ¤×Í responsiveness (¡Òõͺʹͧµ‹Í
                               è Ñ                         é
ÊÔ§àÃŒÒ ËÃ×Í·íÒµÒÁ¤íÒÊѧÍ‹ҧÁÕ¤ÇÒÁËÁÒÂ) áÅÐ awareness (¡ÒÃÃѺÃÙáÅÐÊÒÁÒö¨´¨íÒà˵ءÒó
  è                                  è                                                               Œ
µ‹Ò§æ ·Õèà¡Ô´¢Öé¹ã¹¢³Ð·ÕèÁÕÍÒ¡Òêѡ) ¼ÙŒ·Õ辺àË繡Òêѡ¢Í§¼ÙŒ»†ÇÂÍÒ¨¨Ð͸ԺÒÂNjҼٌ»†ÇÂÁÕÍÒ¡ÒÃ
àËÁèÍ à»ç¹ÅÁ ËÁ´ÊµÔ ËÃ×ͺҧ¤ÃѧÍÒ¨¨Ð´ÙàËÁ×͹ÃÙÊ¡µÑÇ´ÕáµèäÁè·ÓµÒÁ¤ÓÊѧ ã¹¢³Ð·Õª¡¹Ñ¹ ¼Ù»ÇÂ-
                                                 é                     éÖ                                è       è Ñ é é è
ºÒ§ÃÒÂÍÒ¨¨ÐÁÕ¡ÒÃà¤Å×è͹äËǢͧËҧ¡Ò«éíÒæ àÃÕÂ¡Ç‹Ò automatism «Öè§¼ÙŒ»†ÇÂÍÒ¨¨Ð¢ÂѺ»Ò¡
àËÁ×͹à¤ÕÂÇ ËÃ×Í¡Å×¹ (lips smacking, swallowing) ¨ÑºÁ×ÍËÃ×ÍËÂÔº¨ÑºÊÔ§¢Í§µ‹Ò§æ ËÃ×Íà´Ô¹ä»ÁÒ
                    é                                                                                  è
«Ö§à»š¹¾ÄµÔ¡ÃÃÁ·ÕäÁ‹Á¤ÇÒÁËÁÒ â´Â·ÑÇä»ÃÐÂÐàÇÅÒ·Õª¡»ÃÐÁÒ³ 2-3 ¹Ò·Õ (30 ÇÔ¹Ò·Õ – 10 ¹Ò·Õ)
     è                           è Õ                         è                 è Ñ
¹Í¡¨Ò¡¹ÕÍÒ¨¾ºÍÒ¡ÒùíÒ pre-ictal symptom (aura) «Ö§à»š¹¤ÇÒÁÃÙÊ¡·Õ¼»Çºҧ¤¹ÍÒ¨¨Ð͸ԺÒÂ
                      é                                                     è                 Œ Ö è ÙŒ †
ä´Œ¡Í¹ÁÕÍÒ¡Òêѡ ´Ñ§·Õ¾ºã¹ SPS ËÅѧ¨Ò¡ªÑ¡ (post-ictal state) ¼Ù»ÇÂÁÑ¡¨ÐÁÕÍÒ¡ÒÃÊѺʹ䴌µÍ
              ‹                          è                                                       Œ †                             ‹
໚¹¹Ò·Õ
                   ¼ÙŒ»†Ç·ÕèàÃÔèÁµŒ¹¡Òêѡ´ŒÇ SPS ËÃ×Í CPS ¹Ñé¹ÍÒ¨¨ÐÁÕ¡ÒÃà¡Ãç§ËÃ×Í¡Ãеء¢Í§Ã‹Ò§¡ÒÂ
·Ñ§µÑǵÒÁÁÒ ¨ÐàÃÕÂ¡Ç‹Ò partial seizure evolving to secondarily generalized seizure ´Ñ§¹Ñ¹¼Ù»Ç·Õè
         é                                                                                                           é Œ †
ÁÕ¼¾ºÇ‹ÒÁÕÍÒ¡ÒÃà¡Ãç§¡Ãеء·Ñ§µÑǹѹÍÒ¨¨Ð໚¹¡ÒêѡẺ focal ¹íÒÁÒ¡‹Í¹¡çä´Œ
           ÙŒ                                é         é

           Generalized seizure (4)
        Generalized seizure ໚¹ÍÒ¡Òêѡ·Õà¡Ô´¢Ö¹¨Ò¡¡ÒÃà»ÅÕ¹á»Å§¢Í§¡ÃÐáÊä¿¿‡Ò·Õè¡Ãеع
                                            è é               è                              Œ
ÊÁͧ·ÑèÇæä»¾ÃŒÍÁ¡Ñ¹·Ñé§Êͧ¢ŒÒ§ ·íÒãËŒÁռŵ‹Í¤ÇÒÁÃÙŒÊÖ¡µÑÇáÅÐ ¡ÒÃà¤Å×è͹äËǢͧ¡ÅŒÒÁà¹×éÍ
·ÕäÁ‹¨Òà¾Òзբҧ㴢ŒÒ§Ë¹Ö§¢Í§Ã‹Ò§¡Ò generalized seizure ẋ§Í͡໚¹ 4 ¡ÅØÁãË­‹æ 䴌ᡋ
   è í       è Œ          è                                                ‹
        1. Tonic-clonic seizure (grand mal) ¼Ù»Ç¨ÐÁÕ¤ÇÒÁÃÙÊ¡µÑÇ·ÕŴŧ ËÇÁ¡ÑºÍÒ¡ÒÃà¡Ãç§ áÅÐ/
                                              Œ †          ŒÖ     è
ËÃ×Í¡Ãеء¢Í§ÅíÒµÑÇ, ᢹ¢Ò â´Â·ÑèÇä»ÍÒ¡Òêѡ¨ÐàÃÔèÁµŒ¹´ŒÇÂÍÒ¡ÒÃà¡Ãç§ (tonic phase) áÅŒÇ
µÒÁÁÒ´ŒÇÂÍÒ¡ÒáÃеء (clonic phase) ª‹Ç§·ÕèÁÕÍÒ¡Òêѡ¼ÙŒ»†ÇÂÍÒ¨ÁÕÍÒ¡Ò÷ҧÃкº»ÃÐÊÒ·
Íѵâ¹ÁѵÃÇÁ´ŒÇ¤×Í ÁÕÁÒ¹µÒ¢ÂÒÂ, ¹éÒÅÒ¿ÙÁ»Ò¡, à˧×ÍÍÍ¡, »˜ÊÊÒÇÐ ÍØ¨¨ÒÃÐÃÒ´ ËÅѧ¨Ò¡ªÑ¡
         Ô‹            ‹             í                è
¼Ù»ÇÂÁÑ¡¨ÐÁÕÍÒ¡ÒÃà¾ÅÕ ÊѺʹ ËÅÑºä» ÍÒ¡Òêѡª¹Ô´¹Õé ¼Ù¤¹·ÑÇä»ÁÑ¡ÃÙ¨¡ã¹ª×Í ÅÁºŒÒËÁÙ ¼Ù»ÇÂ
  Œ †                                                    Œ è         ŒÑ      è           Œ †
àǪÈÒʵÏ·¹Âؤ 2553
          Ñ                                                                                    5

ºÒ§ÃÒÂÍÒ¨¨ÐÁÕÍÒ¡ÒÃà¡Ã秢ͧ¡ÅŒÒÁà¹×éÍÍ‹ҧà´ÕÂÇâ´ÂäÁ‹ÁÕÍÒ¡ÒáÃеءµÒÁÁÒ àÃÕÂ¡Ç‹Ò tonic
seizure ¼Ù»ÇºҧÃÒÂÍÒ¨ÁÕÍÒ¡ÒáÃеء¢Í§¡ÅŒÒÁà¹×Í໚¹¨Ñ§ËÇÐÍ‹ҧà´ÕÂÇ àÃÕÂ¡Ç‹Ò clonic seizure
           Œ †                                             é
          2. Absence seizure (petit mal) ÍÒ¡ÒêѡẺàËÁ‹Í ¼Ù»Ç¨ÐËÂØ´·íÒ¡Ô¨¡ÃÃÁ·Õ¡ÒÅѧ·íÒÍÂÙ‹
                                                                    Œ †                   è í
·Ñ¹·Õâ´ÂäÁ‹ÁÍÒ¡ÒÃàµ×͹¡‹Í¹ ª‹Ç§·Õª¡¼Ù»ÇÂäÁ‹ÊÒÁÒöµÍºÊ¹Í§µ‹ÍÊÔ§àÃŒÒä´Œ µÒÁÑ¡¨ÐÁͧ¨ŒÍ§ä»
               Õ                      è Ñ Œ †                               è
¢ŒÒ§Ë¹ŒÒËÃ×Í¡ÅÍ¡¢Ö¹º¹ä´ŒàÅ硹ŒÍ ¼Ù»Ç¨СÅѺÁÒÊÙÀÒÇÐà´ÔÁ·Ñ¹·Õ â´ÂäÁ‹ÁÍÒ¡Òâͧ postictal
                      é                  Œ †                 ‹                  Õ
àÅ ÃÐÂÐàÇÅÒÁÑ¡¨ÐÊѹ»ÃÐÁÒ³ 5-10 ÇÔ¹Ò·Õ ¼Ù»ÇÂÍÒ¨¨ÐÁÕÍÒ¡ÒëéÒº‹ÍÂæ ä´Œ¶§ÇѹÅÐ 100 ¤Ãѧ
                         é                             Œ †              í             Ö         é
ᾷÊÒÁÒöµÃǨà¾×èͪ‹ÇÂÇÔ¹Ô¨©Ñ absence seizure ä´Œâ´Â¡ÒÃãËŒ¼ÙŒ»†Ç·íÒ hyperventilation
»ÃÐÁÒ³ 2-3 ¹Ò·Õ ¨ÐÊÒÁÒö¡ÃеعãËŒ¼»ÇÂÁÕÍÒ¡Òêѡ䴌
                                    Œ        ÙŒ †
          3. Myoclonic seizure ໚¹¡ÒêѡẺ·ÕèÁÕ¡ÒáÃеء¢Í§¡ÅŒÒÁà¹×éÍÍ‹ҧÃÇ´àÃçǤŌÒÂÍÒ
¡ÒÃÊдا ÁÑ¡¨Ð໚¹á¤‹ 1-2 ¤Ãѧ ÀÒÂã¹àÇÅÒäÁ‹¡Ç¹Ò·Õ (sporadic brief muscle jerks) ᵋ¨ÐäÁ‹ÁÍÒ¡ÒÃ
        Œ                    é                    Õè Ô                                        Õ
¡Ãеء໚¹¨Ñ§ËÇÐÍ‹ҧµ‹Íà¹×ͧ ¼Ù»ÇÂÁÑ¡¨ÐäÁ‹Ê­àÊÕ¤ÇÒÁÃÙÊ¡µÑÇ¢³ÐªÑ¡ ÍÒ¡ÒáÃеءÍÒ¨¨Ð໚¹
                            è Œ †                    Ù           ŒÖ
·Õ¡ÅŒÒÁà¹×ͺÃÔàdzãºË¹ŒÒ, ᢹ¢Ò, ÅíÒµÑÇ â´ÂÍÒ¨¨Ð໚¹·ÕÅТŒÒ§ËÃ×Í໚¹·Ñ§ 2 ¢ŒÒ§¾ÃŒÍÁ¡Ñ¹¡çä´Œ
  è         é                                                                 é
          4. Atonic seizure (drop attack) ໚¹ÍÒ¡Òêѡ·ÕàÊÕ¤ÇÒÁµÖ§µÑǢͧ¡ÅŒÒÁà¹×ÍÍ‹ҧ·Ñ¹·Õ
                                                               è                        é
·Ñ¹ã´ ¡Òêѡª¹Ô´¹Õà¡Ô´¢Ö¹Í‹ҧÃÇ´àÃçÇâ´ÂäÁ‹ÁÍÒ¡ÒùíÒáÅÐËÅѧªÑ¡¼Ù»Ç¡ç¨ÐÃٵǷѹ·Õ ÍÒ¡Òêѡ
                        é é                             Õ                 Œ †     Œ Ñ
ª¹Ô´¹ÕÍÒ¨¨Ð·íÒãËŒ¼»ÇÂÅŒÁ ä´ŒÃºÍØºµà˵Øä´Œ
      é             ÙŒ †        Ñ Ñ Ô

        Unclassified seizure
        ໚¹ÍÒ¡Òêѡ·ÕäÁ‹ÊÒÁÒö¨Ñ´ÍÂÙã¹¡ÅØÁã´æä´Œàª‹¹ infantile spasm, neonatal seizure
                      è              ‹    ‹

¡ÅØ‹ÁÍÒ¡Òêѡ (Epileptic syndrome)
             ¹Í¡¨Ò¡¡ÒÃẋ§»ÃÐàÀ·¢Í§ÍÒ¡Òêѡ¢Í§ ILAE ã¹»‚ ¤.È. 1981 «Ö§ãªŒà©¾ÒÐÅѡɳÐÍÒ¡ÒÃ
                                                                        è
ªÑ¡áÅФÇÒÁ¼Ô´»¡µÔ¢Í§¤Å׹俿‡ÒÊÁͧ໚¹ËÅÑ¡¹Ñ¹ ÂѧÁÕ¡ÒÃẋ§»ÃÐàÀ·¢Í§âäÅÁªÑ¡ÍաẺ˹֧
                             è                    é                                         è
«Ö§¨Ð㪌šɳÐÍÒ¡Òêѡ ÍÒÂØ·¼»ÇÂàÃÔÁÁÕÍÒ¡Òêѡ »˜¨¨Ñ·աÃеعãËŒÁ¡Òêѡ ÃдѺʵԻ­­Ò
  è           Ñ                   Õè ÙŒ † è                   è   Œ       Õ               ˜
»ÃÐÇѵ¤Ãͺ¤ÃÑÇ ¤ÇÒÁ¼Ô´»¡µÔ¢Í§¡ÒõÃǨËҧ¡Ò·ҧÃкº»ÃÐÊÒ· ¼Å¡ÒõÃǨÀÒ¾¶‹Ò¢ͧ
         Ô
ÊÁͧáÅÐÊÒà˵آͧ¡Òêѡ ÁÒ¾Ô¨ÒóÒËÇÁ´ŒÇ«֧ÊÒÁÒöÃǺÃÇÁ¼Ù»ÇÂàËŋҹÕãˌ໚¹¡ÅØÁàÃÕ¡
                                                        è           Œ †         é       ‹
epileptic syndrome ¹Í¡¨Ò¡¨ÐÊÒÁÒöãËŒá¹Ç·Ò§ã¹¡ÒÃÃÑ¡ÉÒઋ¹ÂҡѹªÑ¡·Õä´Œ¼Å´Õ㹡ÒäǺ¤ØÁ
                                                                              è
ÍÒ¡ÒêѡáÅŒÇ ÂѧÊÒÁÒöºÍ¡¡ÒþÂҡóâä䴌´Ç epileptic syndrome ·ÕÊҤѭ·Õ¾ºº‹ÍÂã¹à´ç¡
                                                    Œ                       èí      è
䴌ᡋ (5,6,7)

             1. West syndrome ÁÑ¡¾ºã¹à´ç¡àÅç¡ÍÒÂØ¹ÍÂ¡Ç‹Ò 1 »‚ â´Â¨Ð¾ºº‹ÍÂ㹪‹Ç§ÍÒÂØ 4-6 à´×͹
                                                      Œ
â´ÂÅѡɳЪѡ¨Ð໚¹áººà¡Ãç§á¢¹ ¢Ò§ÍËÃ×ÍàËÂÕ´¨Ò¡µÑǷѹ·Õ ÈÕÃÉÐÍÒ¨¼§¡ÁÒ¢ŒÒ§Ë¹ŒÒËÃ×Íà§Â
仢ŒÒ§ËÅѧ¡çä´Œ ÃÐÂÐàÇÅÒ»ÃÐÁÒ³ 1-2 ÇÔ¹Ò·Õ ÍÒ¡ÒÃÁÑ¡¨Ðà¡Ô´à»š¹ªØ´æ áÅÐÁÑ¡¨Ð໚¹µÍ¹·Õà¤ÅÔÁËÅѺ
                                                                                      è é
ËÃ×Íà¾Ô§µ×¹ãËÁ‹æ àÃÕ¡ÍÒ¡Òêѡª¹Ô´¹ÕÇÒ infanfile spasm ¼Ù»ÇÂÁÑ¡¨ÐÁÕ¾²¹Ò¡ÒêŒÒËÇÁ´ŒÇ ¼Å¡ÒÃ
        è è                              é‹               Œ †         Ñ
µÃǨ¤Å׹俿‡ÒÊÁͧ¨Ð¾ºÅѡɳмԴ»¡µÔ·àÃÕÂ¡Ç‹Ò hypsarrhythmia ʋǹ˹֧¢Í§¼Ù»Ç·Õ໚¹ west
           è                                Õè                              è     Œ † è
syndrome ¨ÐÁÕÊÒà˵Øàª‹¹ tuberous sclerosis, congenital brain malformation, hypoxic ischemic
6                                                                                         Childhood Seizure and Epilepsy

encephalopathy, metabolic disorder ¡ÒþÂҡóâäÁÑ¡¨ÐäÁ‹¤ÍÂ´Õ Ê‹Ç¹ãË­‹àÁ×ͼٻÇÂâµ¢Ö¹     ‹                        è Œ †               é
ÍÒ¨¨ÐÁÕÍÒ¡ÒêѡẺÍ׹ËÇÁ´ŒÇ áÅÐÁÕ¾²¹Ò¡ÒêŒÒËÃ×Ͷ´¶Í ¡ÒÃÃÑ¡ÉÒ㹺ҧÃÒÂÍÒ¨µÍºÊ¹Í§
                                      è              Ñ
µ‹ÍÂÒ vigabatrin, ACTH
          2. Benign Rolandic Epilepsy (BRE) ËÃ×Í Benign childhood epilepsy with centrotemporal
spike
                 ÁÑ¡¾ºã¹à´ç¡ª‹Ç§ÍÒÂØ 3-13 »‚ ¾ºÁÒ¡·Õʴ㹪‹Ç§ 7-9 »‚ ÍÒ¡Òêѡ໚¹áºº focal seizure
                                                                     èØ
¤×ÍÁÕ¡ÒáÃеء·ÕãºË¹ŒÒáÅÐÁÕàÊÕ§ã¹ÅíÒ¤Í ËÃ×ͪҺÃÔàdzãºË¹ŒÒ«Õ¡ã´«Õ¡Ë¹Ö§¡‹Í¹áÅŒÇÍÒ¨µÒÁÁÒ
                            è                                                                           è
´ŒÇ¡ÒÃà¡Ãç§¡Ãеء·Ñé§µÑÇ ÍÒ¡ÒêѡÁÑ¡¨Ðà¡Ô´µÍ¹¹Í¹ËÅѺ ÃÐÂÐàÇÅÒ㹡ÒêѡÁÑ¡¨ÐÊÑé¹äÁ‹à¡Ô¹
1-3 ¹Ò·Õ ¼Ù»ÇÂÁÕ¾²¹Ò¡Òà áÅСÒõÃǨËҧ¡Ò»¡µÔ ¡ÒõÃǨ¤Å׹俿‡ÒÊÁͧ ¨Ð¾º epileptiform
            Œ †               Ñ                                                        è
discharge ºÃÔàdz centro-temporal ¢Í§ÊÁͧ´ŒÒ¹ã´´ŒÒ¹Ë¹Ö§ËÃ×ͷѧÊͧ´ŒÒ¹ ¼Ù»ÇÂàËŋҹըÐÁÕ¡ÒÃ
                                                                               è           é              Œ †               é
¾Âҡóâä´Õ ÍÒ¡Òêѡª¹Ô´¹ÕÁ¡¨ÐäÁ‹Ã¹áçáÅÐà¡Ô´äÁ‹ºÍ ÍÒ¡Òêѡ¨ÐËÒÂä´ŒàͧàÁ×ÍÍÒÂØ»ÃÐÁÒ³
                                               é Ñ Ø                         ‹                                 è
15-16 »‚ ´Ñ§¹Ñ¹ÍÒ¨äÁ‹µÍ§ãËŒÂҡѹªÑ¡¡çä´Œ ᵋ¶ÒÁÕÍÒ¡Òêѡº‹Í ªÑ¡ÃعáçËÃ×ͪѡ㹪‹Ç§¡ÅÒ§Çѹ·Õè
                    é               Œ                              Œ
ÍÒ¨à¡Ô´ÍѹµÃÒµ‹Í¼Ù»ÇÂä´Œ ÍÒ¨¾Ô¨ÒóÒãËŒÂҡѹªÑ¡à»š¹ÃÒÂæä»
                                Œ †
          3. Childhood/Juvenile absence epilepsy (CAE/JAE) ¾ºã¹à´ç¡ÍÒÂØ 4-8 áÅÐ 8-12 »‚µÒÁ
ÅíҴѺ ÍÒ¡ÒêѡʋǹãË­‹à»š¹áºº absence seizure â´Â¾ºä´ŒºÍ¶էÁÒ¡¡Ç‹Ò 10 ¤Ãѧµ‹ÍÇѹ ÍÒ¨
                                                                                     ‹                               é
¾ºÍÒ¡ÒêѡÍ׹洌ÇÂઋ¹ generalized tonic-clonic seizure «Ö§¾º»ÃÐÁҳÌÍÂÅÐ 40 áÅÐ 80
                      è                                                            è
㹼ٻǠCAE áÅÐ JAE µÒÁÅíҴѺ ¡Ò÷íÒ hyperventilation test ¹Ò¹ 2-3 ¹Ò·Õ ÍÒ¨¡ÃеعãËŒ¼»ÇÂ
      Œ †                                                                                                                 Œ      ÙŒ †
ÁÕÍÒ¡ÒÃàËÁ‹Íä´Œ ¡ÒõÃǨ¤Å׹俿‡ÒÊÁͧ¨Ð¾º generalized 3 Hz spike and wave complexes
                                             è
¡ÒþÂҡóâ䤋͹¢ŒÒ§´Õ ¼Ù»ÇÂÁÑ¡µÍºÊ¹Í§´ÕµÍÂÒ valproic acid ËÃ×Í lamotrigine ¤ÇÃãËŒÂÒ໚¹
                                          Œ †                        ‹
àÇÅҹҹ͋ҧ¹ŒÍ 2 »‚ ¶ŒÒäÁ‹ÁÍÒ¡Òêѡ«éÒ ÍÒ¨ÊÒÁÒöËÂØ´ÂÒä´Œ
                                                 Õ     í
          4. Juvenile myoclonic epilepsy (JME) ¾ºº‹ÍÂã¹à´ç¡ÇÑÂÃØ¹ÍÒÂØ 12-18 »‚ ¼Ù»Ç¨ÐàÃÔÁµŒ¹‹                   Œ †          è
´ŒÇÂÅѡɳЪѡẺÊдا (myoclonic seizure) ¢Í§á¢¹ ¢Ò ËÑÇäËÅ‹ ÁÑ¡¨ÐÁÕÍÒ¡ÒÃËÅѧµ×¹¹Í¹ ºÒ§·Õ
                                        Œ                                                                          è
¼Ù»ÇÂÍÒ¨¨ÐäÁ‹·ÃҺNjÒ໚¹ÍÒ¡Òêѡà¾Õ§ᵋÃʡNjҢÂѺᢹ¢Òä´ŒäÁ‹¤Å‹Í§àËÁ×͹»¡µÔ (clumsiness)
  Œ †                                                         ÙŒ Ö
¼ÙŒ»†ÇÂʋǹãË­‹ÁÑ¡¨ÐÁÒ¾ºá¾·ÂàÁ×èÍÁÕÍÒ¡ÒêѡẺ generalized tonic-clonic seizure ¼ÙŒ»†ÇÂ
¡ÅØ‹Á¹ÕéÁÑ¡¨ÐªÑ¡ÁÒ¡¢Öé¹¶ŒÒÁÕÍÒ¡ÒÃà¤ÃÕ´ Í´¹Í¹ ¼ÙŒ»†ÇÂÁÕʵԻ˜­­ÒáÅСÒõÃǨËҧ¡Ò»¡µÔ
¡ÒõÃǨ¤Å׹俿‡ÒÊÁͧ¾º¤ÇÒÁ¼Ô´»¡µÔ·àÃÕÂ¡Ç‹Ò 4-6 Hz polyspike or spike and wave complexes
                 è                                       Õè
ÍÒ¡Òêѡª¹Ô´¹ÕµÍºÊ¹Í§´ÕµÍÂÒ valproic acid ᵋ¼»ÇµŒÍ§ÃѺ»ÃзҹÂÒ仵ÅÍ´ªÕǵ à¹×ͧ¨Ò¡
                        é                  ‹                            ÙŒ †                                             Ô è
¶ŒÒËÂØ´ÂÒ¼Ù»ÇÂà¡×ͺ·Ø¡¤¹¨ÐÁÕÍÒ¡Òêѡ«éÒä´Œ
                Œ †                                         í
           5. Lennox-Gastaut syndrome (LGS) ¾ºã¹à´ç¡àÅ硪‹Ç§ÍÒÂØ 3-5 »‚ â´Â¨ÐÁÕÍÒ¡Òêѡ䴌
ËÅÒÂẺ䴌ᡋ tonic, atonic, atypical absence áÅÐ myoclonic seizure ¼Ù»Ç¨ÐÁÕ¾²¹Ò¡ÒêŒÒ               Œ †              Ñ
ËÃ×Ͷ´¶Í ¤Å׹俿‡ÒÊÁͧÁÕ¤ÇÒÁ¼Ô´»¡µÔ·àÃÕÂ¡Ç‹Ò slow spike and wave ʋǹãË­‹¢Í§¼Ù»ÇÂ
                          è                                     Õè                                                              Œ †
¡ÅØÁ¹ÕÁ¡¨ÐÁÕÊÒà赯 (symptomatic) ઋ¹ HIE, brain malformation, CNS infection »ÃÐÁҳÌÍÂÅÐ
    ‹ é Ñ
25 ¢Í§¼Ù»Ç¨ÐÁÕ»ÃÐÇÑµÔ infantile spasm ¹íÒÁÒ¡‹Í¹ã¹ª‹Ç§¢Çº»‚áá ¼Ù»ÇÂ¡ÅØÁ¹ÕÁ¡ÒþÂҡó
           Œ †                                                                                 Œ †          ‹ é Õ
âä·ÕäÁ‹´Õ ÁÑ¡äÁ‹µÍºÊ¹Í§ËÃ×͵ͺʹͧ¹ŒÍµ‹ÍÂҡѹªÑ¡ ÂÒ·Õ㪌¤ÇÃ໚¹ÂÒ·ÕáÉÒÍÒ¡Òêѡ䴌ËÅÒÂ
        è                                                                        è                 èÑ
àǪÈÒʵÏ·¹Âؤ 2553
          Ñ                                                                                                                                      7

Ẻ ઋ¹ valproic acid, topiramate, lamotrigine, clonazepam ¼Ù»ÇÂʋǹãË­‹¨ÐÁÕÍÒ¡Òêѡ¨¹âµ
                                                              Œ †
໚¹¼ÙãË­‹
      Œ

á¹Ç·Ò§ã¹¡ÒÃÇÔ¹Ô¨©Ñ¼ٌ»†ÇÂâäÅÁªÑ¡
            âäÅÁªÑ¡à»š¹âä·Õ¾ºä´Œ¤Í¹¢ŒÒ§º‹Í â´Â੾ÒÐã¹¼Ù»ÇÂà´ç¡ ¨Ò¡¡ÒÃÈÖ¡ÉÒã¹µ‹Ò§»ÃÐà·È
                                               è            ‹                                     Œ †
¾ºÇ‹Ò ÍØºµ¡Òó¢Í§âäÅÁªÑ¡ÁÕÍÂÙ»ÃÐÁÒ³ 44-50 ¤¹µ‹Í»ÃЪҡà 100,000 ¤¹µ‹Í»‚ (2) «Ö§ÍÒÂØ
              Ñ Ô                                             ‹                                                                            è
·ÕàÊÕ§·Õ¨ÐÁÕÍÒ¡ÒêѡÁÒ¡·ÕÊ´ÁÕÍÂÙ‹ 2 ª‹Ç§¤×Í ª‹Ç§ 4-5 »‚áá¢Í§ªÕǵ ÍØºµ¡Òó»ÃÐÁÒ³ 100/100,000
   è è è                                   èØ                                                          Ô Ñ Ô
ã¹à´ç¡ÍÒÂØ¹ŒÍÂ¡Ç‹Ò 1 »‚ áÅÐ ª‹Ç§ÍÒÂØÁÒ¡¡Ç‹Ò 50 »‚¢Öé¹ä» (ÍØºÑµÔ¡Òó»ÃÐÁÒ³ 180/100,000
㹤¹·ÕÁÍÒÂØ 85 »‚ ã¹»ÃÐà·Èä·ÂÁÕ¡ÒÃÈÖ¡ÉÒã¹»‚ ¾.È. 2534-2535 ¾ºÇ‹Ò¼Ù·¶¡ÊíÒÃǨ·ÕÍÒÂØÁÒ¡¡Ç‹Ò
         è Õ                                                                                                 Œ Õè Ù                è
5 »‚à¤ÂÁÕÍÒ¡Òêѡã¹ÍѵÃÒ 29.2 µ‹Í»ÃЪҡà 1,000 ¤¹
            â´Â·ÑÇä»á¾·ÂÁ¡¨ÐäÁ‹ÁâÍ¡ÒÊ·Õ¨ÐàËç¹ÍÒ¡Òêѡ¢Í§¼Ù»Ç´ŒÇµÑÇàͧ ´Ñ§¹Ñ¹ÊÔ§·ÕÊҤѭ·ÕÊ´
                    è                    Ñ              Õ                è                           Œ †                  é è èí               èØ
㹡ÒÃÇÔ¹Ô¨©ÑÂâäÅÁªÑ¡¡ç¤×Í¡Òëѡ»ÃÐÇѵÔÍ‹ҧÅÐàÍÕ´à¾×èÍãˌ䴌¢ŒÍÁÙÅÁÒ¡¾Í·Õè¨ÐºÍ¡ÅѡɳÐ
¡Òêѡ䴌 â´ÂÍÒÈÑ»ÃÐÇѵ¨Ò¡¼Ù»ÇÂáÅмÙàËç¹à˵ءÒó «Ö§ÁÕá¹Ç·Ò§¡Òëѡ»ÃÐÇѵ´§¹Õé
                                           Ô          Œ †                  Œ                 è                                 Ô Ñ
            1. ÍÒ¡Òá‹Í¹à¡Ô´ÍÒ¡Òêѡ (pre-ictal symptom) ¼ÙŒ»†ÇÂÍÒ¨¨ÐÁÕÍÒ¡ÒùíÒ (prodrome)
«Ö§äÁ‹ÁšɳШíÒà¾ÒРઋ¹ »Ç´ÈÕÃÉÐ ¡ÃÐÊѺ¡ÃÐʋҠ«Ö§à¡Ô´¢Ö¹¡‹Í¹·Õ¨ÐÁÕÍÒ¡Òêѡ ËÃ×ÍÍÒ¡ÒÃàµ×͹
  è ÕÑ                                                                                     è   é           è
(aura) â´Â¼ÙŒ»†ÇÂÍÒ¨ÃÙŒÊÖ¡µÑÇNjҡíÒÅѧ¨ÐªÑ¡ ÍÒ¡ÒÃàµ×͹àËŋҹÑ鹨ТÖé¹ÍÂÙ‹¡ÑºµíÒá˹‹§¢Í§ÊÁͧ·Õè
¡‹ÍãËŒà¡Ô´ÍÒ¡Òêѡ ઋ¹ ªÒ ¤Å×¹äÊŒ ÍÒà¨Õ¹ »Ç´·ŒÍ§ ËÙáÇ‹Ç àËç¹ÀÒ¾ËÃ×Íáʧ·Õ¼´»¡µÔ ໚¹µŒ¹
                                                    è                                                                      è Ô
ã¹à´ç¡ÍÒ¨¨Ð͸ԺÒÂ໚¹¤íÒ¾Ù´äÁ‹ä´Œáµ‹ÍÒ¨áÊ´§ÍÍ¡´ŒÇ·‹Ò·Ò§ËÃ×;ĵԡÃÃÁ«éÒæ ઋ¹ ËÂØ´àÅ‹¹                                  í
ÌͧäËŒ ÇÔ§ÁÒËÒ¼Ù»¡¤Ãͧ·Ø¡¤Ãѧ ¡‹Í¹·Õ¨ÐÁÕÍÒ¡Òêѡ
            è             Œ                       é                è
            2. ÍÒ¡Òâ³ÐªÑ¡ (ictal symptom) ¼Ù»ÇÂÍÒ¨¨ÐÁÕ¡ÒÃà»ÅÕ¹á»Å§¡ÒÃÃÙÊµÔ ÁÕ¡ÒÃà¤Å×͹äËÇ
                                                                             Œ †                         è            Œ                  è
¢Í§Ã‹Ò¡Ò·ռ´»¡µÔઋ¹ à¡Ãç§ ¡Ãеء·Ñ§µÑÇËÃ×Í¢ŒÒ§ã´¢ŒÒ§Ë¹Ö§ ÈÕÃÉÐËÃ×͵ÒËѹ仴ŒÒ¹ã´´ŒÒ¹Ë¹Ö§
                      è Ô                                            é                             è                                              è
¾Ù´äÁ‹ª´ËÃ×;ٴäÁ‹ä´Œ ÁÕ¤ÇÒÁÃÙÊ¡·Ò§Ã‹Ò§¡Ò·Õà»ÅÕÂ¹ä» ÁվĵԡÃÃÁ¼Ô´»¡µÔ
          Ñ                                       ŒÖ                             è è
            3. ÍÒ¡ÒÃËÅѧ¨Ò¡ÍÒ¡Òêѡ (post-ictal symptom) ¼Ù»ÇÂÍÒ¨¨ÐÁÕÍÒ¡ÒÃÊѺʹ (confusion)      Œ †
¨íÒà˵ءÒó·à¡Ô´¢Ö¹äÁ‹ä´Œ §‹Ç§¹Í¹ ͋͹à¾ÅÕ ËÃ×Í ÍÒ¨¨ÐÁÕÍÒ¡ÒÃ͋͹áç¢Í§á¢¹¢Ò´ŒÒ¹ã´´ŒÒ¹
                       Õè é
˹֧ (Todd’s paralysis) «Ö§¨Ðº‹§Ç‹ÒÁÕ¨´àÃÔÁµŒ¹¢Í§¡ÒêѡÁÒ¨Ò¡ÊÁͧ´ŒÒ¹µÃ§¢ŒÒÁ ÍÒ¡ÒÃËÅѧªÑ¡
      è                                      è                    Ø è
ÍÒ¨¹Ò¹à»š¹¹Ò·Õ ËÃ×ͪÑÇâÁ§ ᵋÁ¡¨ÐäÁ‹à¡Ô¹ 24 ªÑÇâÁ§
                                     è                    Ñ                         è
            4. »ÃÐÇѵ·à¡ÕÂǡѺ¡ÒêѡÍ×¹æ ઋ¹ ÍÒÂØ·àÃÔÁÁÕÍÒ¡Òêѡ ¤ÇÒÁ¶Õè ÃÐÂÐàÇÅÒ㹡Òêѡ »˜¨¨ÑÂ
                            Ô Õè è                              è                     Õè è
·ÕÁÊǹ¡Ãеع·íÒãËŒª¡ ÊØ¢ÀÒ¾·Ò§¡Ò·ÑÇæä»¡‹Í¹ÁÕÍÒ¡Òêѡ ໚¹µŒ¹
    è Õ‹          Œ              Ñ                                     è
            5. »ÃÐÇѵ¡Òõѧ¤ÃÃÀáÅСÒäÅÍ´ »ÃÐÇѵ¡ÒÃà¨ÃÔ­àµÔºâµáÅоѲ¹Ò¡Òà »ÃÐÇѵ¡ÒÃà¨çº
                             Ô         é                                                 Ô                                             Ô
»†Çµ‹Ò§ æ ઋ¹ ¡ÒúҴà¨çº¢Í§ÈÕÃÉÐ ¡ÒõԴàª×ͧ͢ÊÁͧËÃ×Íâä·Ò§¡ÒÂÍ×¹æ »ÃÐÇѵ¡ÒÃ䴌ú
                                                                                  é                                 è                Ô          Ñ
ÂÒËÃ×ÍÊÒþÔÉ »ÃÐÇѵ¡ÒÃà¨çº»†ÇÂËÃ×ÍâäÅÁªÑ¡ã¹¤Ãͺ¤ÃÑÇ
                                   Ô
            ¹Í¡¨Ò¡¡Òëѡ»ÃÐÇѵ·´áÅŒÇ ¡ÒõÃǨËҧ¡Ò¤ÇèФÃͺ¤ÅØÁ¶Ö§¡ÒõÃǨËҧ¡Ò·ÑÇä»
                                                 Ô Õè Õ                                                                                      è
(general physical examination) áÅÐ ¡ÒõÃǨËҧ¡Ò·ҧÃкº»ÃÐÊÒ· (neurological examination)
«Öè§¡ÒõÃǨËҧ¡ÒÂʋǹãË­‹ÍÒ¨¨ÐäÁ‹¾º¤ÇÒÁ¼Ô´»¡µÔ ᵋ㹼ٌ»†ÇºҧÃÒÂÍÒ¨µÃǨ¾º¤ÇÒÁ
8                                                                   Childhood Seizure and Epilepsy

¼Ô ´ »¡µÔ º Ò§Í‹ Ò §·Õè ¨ Ъ‹ Ç Â㹡ÒÃÇÔ ¹Ô ¨ ©Ñ  âä·Õè ¾ ºÃ‹ Ç Á¡Ñ º âäÅÁªÑ ¡ ä´Œ à ª‹ ¹ ¡ÒõÃǨ¾º
hypopigmented macule 㹼ٻǠtuberous sclerosis complex ËÃ×Í¡ÒõÃǨ¾º port-wine stain
                                  Œ †
㹼ٻǠSturge-Weber syndrome
     Œ †

á¹Ç·Ò§¡ÒÃÊ‹§µÃǨ·Ò§ËŒÍ§»¯ÔºÑµÔ¡ÒÃà¾×èÍËÒÊÒà˵آͧÍÒ¡Òêѡ (8,9)
         ¡ÒÃÊ‹§µÃǨ·Ò§ËŒÍ§»¯Ôºµ¡ÒÃà¾×ÍËÒÊÒà˵آͧÍÒ¡Òêѡ¹Ñ¹ ¤ÇèÐàÅ×͡ʋ§áµ‹·¨Ò໚¹áÅÐ
                                 Ñ Ô      è                     é                        Õè í
àËÁÒÐÊÁ¡Ñº¼Ù»ÇÂã¹áµ‹ÅÐÃÒ á¹Ç·Ò§·ÕÊÁÒ¤Á¡ØÁÒÃᾷáÅÐÊÁÒ¤ÁâäÅÁªÑ¡ã¹ÊËÃѰÍàÁÃÔ¡Ò
               Œ †                          è
á¹Ð¹íÒÁÕ´§¹Õé
           Ñ
         1. ¡ÒõÃǨàÅ×Í´ ઋ¹ glucose, electrolytes, calcium, magnesium ¨ÐÁÕ»ÃÐ⪹ ¶ŒÒ¼ÙŒ
»†ÇÂÁÕÍÒ¡ÒÃÍÒà¨Õ¹ ¶‹ÒÂàËÅÇ ¢Ò´¹éÒ ËÃ×ÍÁÕÍÒ¡ÒÃËÁ´ÊµÔËÅѧªÑ¡¤‹Í¹¢ŒÒ§¹Ò¹
                                        í
         2. ¡ÒÃÊ‹§ toxicology screening ¤Ç÷ըÐÊ‹§µÃǨàÁ×ÍʧÊÑÂNjҼٻÇÂÍҨ䴌úÊÒþÔÉËÃ×ÍÊÔ§
                                              è           è          Œ †        Ñ                 è
àʾµÔ´·ÕÍÒ¨·íÒãËŒà¡Ô´ÍÒ¡Òêѡ
         è
         3. ¡ÒÃà¨ÒйéÒä¢ÊѹËÅѧ (lumbar puncture) á¹Ð¹íÒãËŒ·Òã¹à©¾ÒÐÃÒ·ÕʧÊÑÂÇ‹ÒÁÕ¡ÒõԴàª×Í
                      í                                     í             è                     é
ã¹Ãкº»ÃÐÊҷઋ¹ÁÕ ÃдѺ¤ÇÒÁÃÙÊ¡µÑÇŴŧ ËÃ×͵ÃǨ¾º sign of meningeal irritation
                                     ΅
         4. ¡ÒÃÊ‹§µÃǨ¤Å׹俿‡ÒÊÁͧ (electroencephalography, EEG) á¹Ð¹íÒãˌʧµÃǨ¤Å×¹
                           è                                                         ‹        è
ä¿¿‡ÒÊÁͧ㹼ٻÇ first unprovoked seizure ·Ø¡ÃÒ à¹×ͧ¨Ò¡ÍÒ¨¨Ð·íÒ¹ÒÂâÍ¡ÒÊ·Õ¨ÐÁÕÍÒ¡ÒÃ
                 Œ †                                    è                              è
ªÑ¡«éÒ ËÃ×ͪ‹ÇÂ㹡ÒÃÇÔ¹¨©Ñ epileptic syndrome ºÒ§Í‹ҧ䴌
      í                  Ô
         5. ¡ÒÃÊ‹§µÃǨÀÒ¾¶‹Ò¢ͧÊÁͧ (neuroimaging study) ¡ÒÃÊ‹§µÃǨ·Õ´·Ê´¤×Í¡ÒõÃǨ
                                                                            è Õ Õè Ø
magnetic resonance imaging (MRI) ¢Í§ÊÁͧ á¹Ð¹íÒãËŒµÃǨ㹼ٻÇ·ÕÁ¤ÇÒÁ¼Ô´»¡µÔ·Ò§ÊÁͧ
                                                                  Œ † è Õ
äÁ‹Ç‹Ò´ŒÒ¹ÊµÔ»˜­­ÒËÃ×Í´ŒÒ¹¡ÅŒÒÁà¹×éÍ, ¾º¤ÇÒÁ¼Ô´»¡µÔ¨Ò¡¡ÒõÃǨËҧ¡Ò·ҧÃкº»ÃÐÊÒ·,
㹼ٻǠpartial seizure ËÃ×Í㹼ٻǷÕÁÍÒÂØ¹ÍÂ¡Ç‹Ò 1 »‚
     Œ †                          Œ † è Õ       Œ

¡ÒÃÃÑ¡ÉÒâäÅÁªÑ¡ (10,11)
         㹼ٻǷÕÁÍÒ¡Òêѡ¤Ãѧáá ᾷ··Ò¡ÒÃÃÑ¡ÉÒ¤ÇèÐÇÔà¤ÃÒÐˏãËŒ´ÇÒ¼Ù»ÇÂÊÁ¤ÇÃ䴌ú
             Œ † è Õ                é                Õè í                 Õ‹ Œ †         Ñ
ÂҡѹªÑ¡ËÃ×ÍäÁ‹ ¨Ò¡¢ŒÍÁÙŷҧʶԵ¾ºÇ‹Ò¼Ù»Ç·ÕÁÍÒ¡Òêѡ¤Ãѧáá¨ÐÁÕÍÒ¡Òêѡ«éÒä´ŒÃÍÂÅÐ 25-
                                          Ô       Œ † è Õ       é                í Œ
75 â´Â¤ÇÃᨌ§ãËŒ¼»¡¤ÃͧËÃ×ͼٻÇ·ÃÒºáÅоԨÒóÒËÇÁ¡Ñ¹¡‹Í¹ãËŒ¡ÒÃÃÑ¡ÉÒ ã¹ºÒ§¤Ãѧᾷ
                    ÙŒ                Œ †                                            é
ÍÒ¨¨ÐàÃÔÁãËŒ¡ÒÃÃÑ¡ÉÒÀÒÂËÅѧ¨Ò¡¡Òêѡà¾Õ§¤Ãѧà´ÕÂǶŒÒËÒ¡Ç‹Ò ¼Ù»ÇÂËÃ×ͼٻ¡¤ÃͧÁÕ¤ÇÒÁ¡Ñ§ÇÅ
         è                                                é        Œ †  Œ
Í‹ҧÊÙ§·Õ¨ÐàÊÕ§µ‹Í¡Òêѡ«éÒ Ê‹Ç¹¼Ù»Ç·ÕÁÍÒ¡ÒêѡÁÒ¡¡Ç‹Ò 2 ¤Ãѧ¢Ö¹ä» ᾷÁ¡¨ÐãËŒ¡ÒÃÃÑ¡ÉÒ
           è è               í              Œ † è Õ               é é         Ñ
´ŒÇÂÂҡѹªÑ¡ä´ŒàÅÂà¹×ͧ¨Ò¡¼Ù»ÇÂ¡ÅØÁ¹Õ¨ÐÁÕâÍ¡Òʪѡ«éÒä´Œ¤Í¹¢ŒÒ§ÁÒ¡ ÃŒÍÂÅÐ 70
                       è        Œ †           ‹ é           í ‹
         ËÅѧ¨Ò¡¾Ô¨ÒóÒáÅŒÇNjҼٻǤÇÃ䴌úÂҡѹªÑ¡ ᾷ¤Ç÷ÃÒºËÅѡ㹡ÒÃàÃÔÁÂҡѹªÑ¡
                                       Œ †             Ñ                           è
(antiepileptic drugs, AED) (12,13) ´Ñ§¹Õé
àǪÈÒʵÏ·¹Âؤ 2553
          Ñ                                                                                                         9

            1. àÅ×Í¡ÂÒ·ÕàËÁÒÐÊÁ¡ÑºÍÒ¡Òêѡ¢Í§¼Ù»ÇÂ
                                 è                                    Œ †
            .irst line drug in partial seizure                               : Phenytoin, phenobarbital,carbamazepine,
                                                                                valproic acid
            Primary generalized tonic-clonic seizure : Phenytoin, phenobarbital, carbamazepine,
                                                                                valproic acid
            Absence, myoclonic, atonic seizure : Valproic acid
            Infantile spasm                                                  : Vigabatrin, ACTH
            2. ¤ÇÃàÃÔÁÂҡѹªÑ¡´ŒÇÂÂÒª¹Ô´à´ÕÂÇ¡‹Í¹ (monotherapy)
                         è
            3. ¡ÒÃàÃÔÁÂÒ¤ÇÃãËŒÂÒã¹¢¹Ò´µèÒ à¾×ÍãËŒ¼»ÇÂÊÒÁÒö·¹µ‹Í¼Å¢ŒÒ§à¤Õ§·ÕÍÒ¨à¡Ô´¢Ö¹ áÅÐ
                       è                                  í è              ÙŒ †                            è       é
»ÃѺ¢¹Ò´ ÂÒãˌʧ¢Ö¹Í‹ҧªŒÒæ ¨¹¡Ç‹Ò¼Ù»Ç¨ÐäÁ‹ÁÍÒ¡ÒêѡËÃ×ÍàÃÔÁÁռŢŒÒ§à¤Õ§¢Í§ÂÒ ¢¹Ò´áÅÐ
                      Ù é                                Œ †                 Õ                è
¤ÇÒÁ¶Õ¢Í§¡ÒÃãËŒÂҡѹªÑ¡·Õ㪌ºÍÂã¹»ÃÐà·Èä·ÂáÊ´§änj㹵ÒÃÒ§·Õè 3
        è                                     è ‹
            4. ºÃÔËÒÃÂÒµÒÁÅѡɳТͧàÀÊѪ¨Å¹ÈÒʵϢͧÂÒᵋÅЪ¹Ô´
            5. ¤Ç÷ÃÒº¶Ö§¼Å¢ŒÒ§à¤Õ§¢Í§ÂÒᵋÅЪ¹Ô´ áÅзÃÒº¶Ö§àÇÅҷըлÃÐàÁÔ¹¼Å¡ÒÃÃÑ¡ÉҢͧ            è
ÂÒª¹Ô´¹Ñ¹æ ÃÇÁ·Ñ§¢ŒÍº‹§ªÕ㹡ÒÃÊ‹§µÃǨáÅÐá»Å¼ÅÃдѺÂҡѹªÑ¡ã¹àÅ×Í´
             é               é              é
            6. àÁ×ͼٻÇÂä´ŒÂҡѹªÑ¡ã¹¢¹Ò´·ÕàËÁÒÐÊÁ ᵋÍÒ¡ÒêѡÂѧäÁ‹ÊÒÁÒö¤Çº¤ØÁä´Œ´Õ ËÃ×ÍÁÕ
                   è Œ †                                     è
¼Å¢ŒÒ§à¤Õ§¢Í§ÂÒª¹Ô´áá·Õ㪌 ¤ÇþԨÒóÒàÃÔÁÂҡѹªÑ¡ª¹Ô´·Õè 2 â´Â¤íÒ¹Ö§¶Ö§¡ÒÃÍ͡ķ¸Ô¢Í§ÂÒ
                                               è                 è                                               ì
¡Ñ¹ªÑ¡áÅÐ drug interaction ´ŒÇÂ
            7. ã¹àǪ»¯Ôºµ·Ç仹ÔÂÁãËŒÂҡѹªÑ¡á¡‹¼»ÇµԴµ‹Í¡Ñ¹à»š¹ÃÐÂÐàÇÅÒ¹Ò¹ 2 »‚¡Í¹¾Ô¨ÒóÒ
                                   Ñ Ô Ñè                               ÙŒ †                                 ‹
ËÂØ´ÂҡѹªÑ¡¶ŒÒ¼Ù»ÇÂäÁ‹ÁÍÒ¡Òêѡ«éÒ »˜¨¨Ñ·շÒãËŒÁâÍ¡Òʪѡ«éÒÍÕ¡ÊÙ§¢Ö¹¡ç¤Í ÊÒà˵آͧ¡Òêѡ
                           Œ †            Õ       í                è í Õ                    í          é ×
¤ÇÒÁ¼Ô´»¡µÔ¢Í§¤Å×¹ÊÁͧ áÅÐÍÒÂØ·àÃÔÁÁÕÍÒ¡Òêѡ 㹡óշ¾¨ÒóÒáÅŒÇÇ‹ÒÊÁ¤ÇÃËÂØ´ÂÒ
                               è                      Õè è                       (14)
                                                                                                Õè Ô
¡Ñ¹ªÑ¡¹Ñ¹¤ÇÃÅ´ÂҡѹªÑ¡Å§Í‹ҧªŒÒæ «Ö§â´Â·ÑÇä»ÁÑ¡¨Ð¤‹ÍÂæ ËÂØ´ÂҡѹªÑ¡â´Â㪌ÃÐÂÐàÇÅÒ»ÃÐÁÒ³
          é                                         è          è
2-3 à´×͹
10                                                                             Childhood Seizure and Epilepsy

µÒÃÒ§·Õè 3 ¢¹Ò´áÅФÇÒÁ¶Õè¢Í§¡ÒÃãËŒÂҡѹªÑ¡·Õè㪌º‹ÍÂã¹»ÃÐà·Èä·Â
Drug               Initial dose       Maintenance dose .requency               Therapeutic level Metabolism
                                      (mg/kg/day)      (mg/kg/day)             (mg/L)
Phenobarbital      3-5                3-8                  bid, hs             10-40                Hepatic
Phenytoin          5                  5-8                  bid, hs             10-20                Hepatic
Carbamazepine      10-15              10-30                tid, bid (CR)       4-12                 Hepatic
Valproic acid      10-15              30-60                tid, bid (chrono)   50-120               Hepatic
Topiramate         1                  5-9                  bid                 -                    Renal 70%
Levetiracetam      10                 20-60                bid                 -                    Renal 70%
Lamotrigine        0.5                5-10                 bid                 -                    Renal 70%
Oxcarbazepine      10                 20-50                bid                 -                    Renal 70%


ÊÃØ»
         âäÅÁªÑ¡ã¹à´ç¡à»š¹âä·Ò§ÊÁͧ·Õ¾ºä´ŒºÍÂã¹àǪ»¯ÔºµÔ ᾷ¤ÇÃÁÕ¤ÇÒÁÃÙ·à¡ÕÂÇ¢ŒÍ§¡Ñº
                                            è        ‹          Ñ                 Œ Õè è
ÍÒ¡Òêѡ áÅÐâäÅÁªÑ¡ãËŒ´Õ ÁÕ¤ÇÒÁÊÒÁÒö·Õ¨Ð«Ñ¡»ÃÐÇÑµÔ µÃǨËҧ¡Ò àÅ×͡ʋ§¡ÒõÃǨ¾ÔàÈÉ
                                               è
Í×¹æ 䴌͋ҧàËÁÒÐÊÁà¾×ÍÇÔà¤ÃÒÐˏÇÒ¼Ù»ÇÂÁÕÍÒ¡ÒêѡËÃ×ÍäÁ‹ ¶ŒÒÁÕÍÒ¡Òêѡ໚¹ÍÒ¡Òêѡª¹Ô´ã´
    è                     è          ‹ Œ †
¨Óà»ç¹µéͧãËé¡ÒÃÃÑ¡ÉÒËÃ×ÍäÁè ËÃ×ͨѴà¢éÒà»ç¹¡ÅØÁ epileptic syndrome ª¹Ô´ã´ä´éËÃ×ÍäÁè ¤ÇÃÁÕ¤ÇÒÁ-
                                                 è
ÃÙ㹡ÒÃàÅ×Í¡ÂҡѹªÑ¡·ÕàËÁÒÐÊÁ¡ÑºÍÒ¡Òêѡ·Õ¼»ÇÂÁÕ ¤Ç÷ÃÒº¶Ö§¼Å¢ŒÒ§à¤Õ§¢Í§ÂÒµ‹Ò§æ·ÕÍÒ¨¨Ð
  Œ                    è                      è ÙŒ †                                     è
à¡Ô´¢Ö¹ áÅФÇÃ͸ԺÒÂâäàº×ͧµŒ¹ãˌᡋ¼»Ç à¾×ÍãËŒ¼»ÇÂËÃ×ͼٻ¡¤ÃͧàËç¹¶Ö§¤ÇÒÁÊíҤѭ㹡ÒÃ
      é                     é            ÙŒ †      è   ÙŒ †       Œ
ÃÑ¡ÉÒ áÅШÐä´Œ»¯ÔºµµÇãËŒ¶¡µŒÍ§µ‹Íä»
                    Ñ Ô Ñ     Ù

àÍ¡ÊÒÃ͌ҧÍÔ§
1.   Obeid M, Mikati MA. Expanding spectrum of paroxysmal events in children: Potential mimickers of epilepsy.
     Pediatr Neurol. 2007;37:309-16.
2.   Baulac M. Epilepsy. In: Schapira AHV, Byrne E, editors. Neurology and clinical neuroscience. Philadelphia:
     Mosby Elsevier; 2007. p.673-718
3.   The Commission on Classification and Terminology of the International League Against Epilepsy. Proposal for
     revised clinical and electroencephalographic classification of epileptic seizures. Epilepsia. 1981;22:489-501.
4.   Holmes GL, Nordli DR. Generalized, focal and multifocal seizure. In: Swaiman K., Ashwal S, .erriero DM,
     editors. Pediatric neurology: principles and practice. Philadelphia: Mosby Elsevier; 2006. p. 1019-54.
5.   The Commission on Classification and Terminology of the International League Against Epilepsy. Proposal for
     revised classification of epilepsies and epileptic syndromes. Epilepsia. 1989;30:389-99.
6.   Roger J, Bureau M, Dravet C, Genton P, Tassinari CA, Wolf P. Epileptic syndromes in infancy, childhood and
     adolescence. 3rd ed. London: John Libbey; 2002.
7.   Arzimanoglou A, Guerrini R, Aicardi J. Aicardi’s epilepsy in children. 3rd ed. Philadelphia: Lippincott William &
     Wilkins; 2004.
àǪÈÒʵÏ·¹Âؤ 2553
          Ñ                                                                                                           11

8.    Hirtz D, Ashwal S, Berg A, et al. Practice parameter: evaluating a first nonfebrile seizure in children: report of
      the quality standards subcommittee of the American Academy of Neurology, The Child Neurology Society,
      and The American Epilepsy Society. Neurology. 2000;55:616-23.
9.    Browne TR, Holmes GL. Epilepsy. N Engl J Med. 2001;344:1145-51.
10.   Hirtz D, Berg A, Bettis D, et al. Practice parameter: treatment of the child with a first unprovoked seizure:
      Report of the Quality Standards Subcommittee of the American Academy of Neurology and the Practice
      Committee of the Child Neurology Society. Neurology. 2003;60:166-75.
11.   Shinnar S, Berg AT, Moshe SL, et al. The risk of seizure recurrence after a first unprovoked afebrile seizure in
      childhood: an extended follow-up. Pediatrics. 1996;98:216-25.
12.   Brodie M, Dichter M. Antiepileptic drugs. N Engl J Med. 1996;334(3):168-75.
13.   Dichter M, Brodie M. New antiepileptic drugs. N Engl J Med. 1996;334(24):1583-90.
14.   Practice parameter: a guideline for discontinuing antiepileptic drugs in seizure-free patients – summary statement.
      Report of the Quality Standards Subcommittee of the American Academy of Neurology. Neurology. 1996;47(2):
      600-2.
àǪÈÒʵÏ·¹Âؤ 2553
          Ñ                                                                 º··Õè       13

                                                                              2
                                ·Òá¡Ç¹¼Ô´»Ã¡µÔ
                                  (.ussy Baby)
                                         ÈÒʵÃÒ¨ÒÏ ¹ÒÂᾷà¡ÃÕ§ÈÑ¡´Ôì ¨ÕÃÐᾷ
                 ÀÒ¤ÇÔªÒ¡ØÁÒÃàǪÈÒʵÏ ¤³Ðá¾·ÂÈÒʵÏÈÔÃÔÃÒª¾ÂÒºÒÅ ÁËÒÇÔ·ÂÒÅÑÂÁËÔ´Å

        .ussy baby äÁ‹Á¤Ò¨íÒ¡Ñ´¤ÇÒÁÊҡŠ㹤ÇÒÁËÁÒ¢ͧ¼Ùà¢Õ¹ ËÁÒ¶֧·Òá·ÕÁÍÒ¡ÒÃÍ‹ҧ
                        Õ í                                Œ                  è Õ
ã´Í‹ҧ˹֧µ‹Í仹Õé 䴌ᡋ µ×¹´Ù´¹Áº‹Í ˧ش˧ԴàÇÅÒ´Ù´¹Á ¡Ç¹ ËÃ×ÍÌͧÁÒ¡ ÍÒ¡ÒâͧÅÙ¡ÁÕ¼Å
            è                è
ãËŒáÁ‹äÁ‹ÁàÇÅҹ͹µÍ¹¡ÅÒ§¤×¹áÅоѡ¼‹Í¹µÍ¹¡ÅÒ§Çѹ ¨¹à¡Ô´¤ÇÒÁà¤ÃÕ´
          Õ
        ÊÒà˵آͧ·Òá¡Ç¹áÅдٴ¹Áº‹ÍÂẋ§µÒÁÃÐÂÐàÇÅÒËÅѧà¡Ô´ä´Œ´§¹Õé  Ñ
        1. ÊÑ»´Òˏááæ ËÅѧà¡Ô´¢³Ð·Õ¹Ò¹ÁáÁ‹Â§ÁÕ¹ÍÂ
                                       è éí      Ñ Œ
        2. ÃÐÂзչҹÁáÁ‹Áà¾Õ§¾Í
                 è éí          Õ

       ÊÒà˵Øã¹ÊÑ»´Òˏááæ ËÅѧà¡Ô´¢³Ð·Õ¹Ò¹ÁáÁ‹Â§ÁÕ¹ÍÂ
                                        è éí    Ñ Œ
       !   ·Òá䴌¹ÁáÁ‹äÁ‹¾Í¨Ò¡¡Òû¯ÔºµµÒÁ¢ŒÍ»¯Ôºµ¢Í§¡ÒÃãËŒ¹ÁáÁ‹äÁ‹¶¡µŒÍ§ ¡Òû¯ÔºµÔ
                                              Ñ Ô        Ñ Ô                Ù            Ñ
           ·Õ¶¡µŒÍ§¤×Í
             è Ù
           - ÍØÁÅÙ¡´Ù´¹Á¶Ù¡µŒÍ§
                   Œ
           - ãˌš´Ù´¹Á 8-12 Á×͵‹ÍÇѹ
                      Ù            é
           - ´Ù´áµ‹ÅÐൌҹҹ 10-15 ¹Ò·ÕµÍàµŒÒ áÅÐãËŒ´´·Ñ§ÊͧൌҷءÁ×Í (੾ÒÐã¹ÃÐÂÐáá
                                                   ‹         Ù é          é
                 ËÅѧ¤ÅÍ´ ¢³Ð·Õ¹Ò¹ÁáÁ‹àÃÔÁ¶Ù¡¼ÅÔµËÃ×ÍäÁ‹¾Í)
                                 è éí       è
       !   áÁ‹ÁÕൌҹÁ¤Ñ´¨Ò¡¡ÒÃÊÌҧ¹éíÒ¹Áà¾ÔèÁ ᵋ¹éíÒ¹ÁäÁ‹¶Ù¡ÃкÒ à¹×èͧ¨Ò¡»¯ÔºÑµÔµÒÁ¢ŒÍ
           »¯Ôºµ¢Í§¡ÒÃãËŒ¹ÁáÁ‹äÁ‹¶¡µŒÍ§ ÁÕ¼ÅãËŒ·Òá´Ù´¹Á (latch on) ä´ŒÅÒºÒ¡à¾ÃÒÐÅÒ¹
                  Ñ Ô                    Ù                                    í
           ËÑǹÁáÁ‹á¢ç§
       !   ÊѺʹÇÔ¸»Í¹¹Á ËÃ×ÍËÑǹÁ (nipple confusion) ¡Òû¯Ôºµ·¶¡µŒÍ§¤×Í ãˌš´Ù´¨Ò¡àµŒÒ
                           Õ ‡                                   Ñ Ô Õè Ù       Ù
           ËÅÕ¡àÅÕè§¡Òû‡Í¹¹Á·ÕèäÁ‹ãª‹ÇÔ¸Õ¸ÃÃÁªÒµÔ¹Ò¹à»š¹Çѹ ËŒÒÁ´Ù´¨Ø¡¹Áã¹ 6 ÊÑ»´Òˏáá
           ËÅѧà¡Ô´ à¾ÃÒÐ໚¹ÃÐÂзÕáÁ‹¼ÅÔµ¹éÒ¹ÁÂѧäÁ‹à¾Õ§¾ÍáÅл‡Í§¡Ñ¹ÀÒÇÐÊѺʹËÑǹÁã¹ÅÙ¡
                                      è          í
           ¡ÒüÅÔµà¾Õ§¾Í µŒÍ§ÍÒÈÑ¡ÒáÃеع·ÕÅÒ¹ËÑǹÁáÅÐËÑǹÁ´ŒÇ¡Òôٴ¢Í§ÅÙ¡
                                                     Œ è
       !   à¤Ã‹§¤ÃÑ´àÇÅÒ´Ù´¹Á ¡Òû¯ÔºÑµÔ·Õè¶Ù¡¤×ÍÃÐÂÐááãËŒ´Ù´µÒÁÅÙ¡µŒÍ§¡Òà Í‹Òà¤Ã‹§¤ÃÑ´
           ¡ÑºàÇÅÒ ãˌš´Ù´¹Á¡‹Í¹·ÕÅ¡ËÔÇÁÒ¡ ¶ŒÒËÔÇÁÒ¡ ·íÒãˌʧºâ´Â»‡Í¹¹ÁºÕºàÅ硹ŒÍ´ŒÇÂ
                               Ù        èÙ
           ËÅÍ´Ë´ (dropper) ËÃ×ͪŒÍ¹ à¾×ÍãËŒ·Òáʧº áŌǨ֧ãˌš´Ù´¨Ò¡àµŒÒ
                                               è                    Ù
       !   ·ÒáÁÕŹ¶Ù¡ÂÖ´µÃÖ§ (tongue-tie)
                        Ôé
14                                                                      ·Òá¡Ç¹¼Ô´»Ã¡µÔ

     ÊÒ˵Øã¹ÃÐÂзչҹÁáÁ‹Áà¾Õ§¾Í
                  è éí    Õ
     !   ¡ÒÃ䴌ú੾ÒйéÒ¹Áʋǹ˹ŒÒ (foremilk/hindmilk imbalance)
                Ñ        í
     !   ¹éÒ¹ÁáÁ‹ÁÁÒ¡à¡Ô¹ (breast milk oversupply/overproduction of milk)
           í      Õ
     !   ·Òá¤Ñ´¨ÁÙ¡
     !   ÀÒÇÐ͌͹ 3 à´×͹ (evening colic)

ÅÙ¡ä´ŒÃѺ¹ÁáÁ‹äÁ‹¾Í
     ÍÒ¡ÒÃáÊ´§¢Í§ÅÙ¡·Õ䴌ú¹ÁáÁ‹¾ÍÁÕ´§¹Õé
                         è Ñ             Ñ
     ! ÅÙ¡ËÂØ´´Ù´¹Áàͧ ËÃ×͹͹ËÅѺËÅѧ´Ù´¹Á
     ! ¹Í¹ËÅѺ¹Ò¹ 2-3 ªÁ.
     ! ¹éíÒ˹ѡ¡ÅѺ¤×¹à·‹Ò¡Ñº¹éíÒ˹ѡááà¡Ô´ÀÒÂã¹ 2 ÊÑ»´Òˏ áÅŒÇà¾ÔèÁ¢Öé¹ÇѹÅлÃÐÁÒ³
        30 ¡ÃÑÁ
     ! àÁ×ÍÍÒÂØ 3-5 Çѹ ¶‹Ò»˜ÊÊÒÇÐ 3-5 ¤Ãѧµ‹ÍÇѹ áÅж‹ÒÂÍØ¨¨ÒÃÐ 3-4 ¤Ãѧµ‹ÍÇѹ
           è                               é                             é
     ! àÁ×ÍÍÒÂØ 5-7 Çѹ ¶‹Ò»˜ÊÊÒÇÐ 4-6 ¤Ãѧµ‹ÍÇѹ áÅж‹ÒÂÍØ¨¨ÒÃÐ 3-6 ¤Ãѧµ‹ÍÇѹ
             è                               é                             é
     ! 䴌¹àÊÕ§¡Å×¹¹Á (swallow sound) àÁ×ÍáÁ‹ÊÌҧ¹éÒ¹Áä´ŒÁÒ¡¾Í ËÇÁ¡ÑºÅÙ¡´Ù´áÅСÅ×¹
               Ô                               è        í
        ¹Áä´Œ´Õ
     ÍÒ¡ÒÃáÊ´§·Õº§Ç‹ÒáÁ‹Á¹Ò¹Áà¾Õ§¾ÍÁÕ´§¹Õé
                  è ‹        Õ éí        Ñ
     ! ൌҹÁµÖ§¡‹Í¹ãˌš´Ù´¹Á áÅйØÁÀÒÂËÅѧÅÙ¡´Ù´
                           Ù         ‹
     ! ൌҷÕäÁ‹¶¡´Ù´ÁÕ¹Ò¹ÁË´ (let-down reflex) ¢³ÐÅÙ¡´Ù´¹Á
             è Ù        éí
     ¤íÒá¹Ð¹íÒà¾×ÍãËŒáÁ‹»¯Ôºµã¹Çѹáá æ ËÅѧ¤ÅÍ´ à¾×Í¡Ãеع¡ÒÃÊÌҧ¹éÒ¹Á
                         è                Ñ Ô                   è          Œ í
     ! Ê͹áÁ‹ãËŒÍÁÅÙ¡´Ù´¹ÁãËŒ¶¡µŒÍ§
                           ØŒ                   Ù
     ! ãˌš´Ù´¡Ãеع 8-12 Á×͵‹ÍÇѹ
            Ù                 Œ               é
     ! ¤ÇÃãˌš´Ù´¹ÁàÁ×Í·ÒááÊ´§ÍÒ¡ÒÃËÔÇ ä´Œá¡‹ ¡Òõ׹µÑÇ (alertness) ÁÒ¡¢Ö¹ ¡ÒÃà¤Å×͹
                    Ù             è                                  è          é    è
        äËÇ (physical activity) ÁÒ¡¢Ö¹ ¡Ò÷íÒ·‹Ò´Ù´¹Á (mouthing) Ëѹ»Ò¡ËÒËÑǹÁ (rooting)
                                                    é
        äÁ‹¤ÇÃÃͨ¹¡ÃзѧÅ١Ìͧ à¾ÃÒСÒÃÌͧ໚¹ÍÒ¡ÒÃáÊ´§·ŒÒÂÊØ´¢Í§¤ÇÒÁËÔÇ
                                è
     ! ãËŒ´´¹Ò¹¨¹¡ÃзѧÅÙ¡¾Í㨠»Ã¡µÔãËŒ´´áµ‹ÅÐൌҹҹ 10-15 ¹Ò·Õ
              Ù                     è                     Ù
     ! ¡ÒÃàÃÔÁµŒ¹´Ù´áµ‹ÅÐÁ×Í ãËŒ´´ÊÅѺൌҷÕàÃÔÁµŒ¹´Ù´ã¹Á×Í·ÕáÅŒÇ
                  è                     é         Ù         è è        é è
     ! ã¹ÊÑ»´Òˏáá æ ËÅѧ¤ÅÍ´ áÁ‹ÍÒ¨µŒÍ§»ÅØ¡ÅÙ¡ãËŒ´´¹Á ËÒ¡ÅÙ¡àÇŒ¹ª‹Ç§µ×¹à¾×Í´Ù´¹Áᵋ
                                                                  Ù            è è
        ÅÐÁ×͹ҹà¡Ô¹ 4 ªÑÇâÁ§¨Ò¡àÇÅÒ·ÕàÃÔÁµŒ¹´Ù´¹Áã¹Á×Í·ÕáÅŒÇ
                é                     è               è è           é è
     ! ËŒÒÁãËŒ¹Òà»Å‹ÒËÃ×͹éÒ¡ÅÙâ¤Ê
                      éí                   í
àǪÈÒʵÏ·¹Âؤ 2553
          Ñ                                                                               15

       ¶ŒÒáÁ‹Á¹Ò¹ÁäÁ‹¾Í¨ÃÔ§ ¤Çû¯Ôºµ´§¹Õé
              Õ éí                   Ñ Ô Ñ
       ! 㪌ËÅÍ´Ë´ (dropper) ËÂÍ´¹Á¼ÊÁ·ÕÅÒ¹ËÑǹÁ ËÃ×Í»‡Í¹¹ÁÅÙ¡´ŒÇÂÇÔ¸¡ÒÅÑ¡¹éÒ´ŒÇÂ
                                                 è                         Õ       í
          ËÅÍ´ãËŒÍÒËÒà (feeding tube) ËÁÒÂàÅ¢ 5 áÅС¢Ç´¹ÁãËŒµÒ à¾×ÍäÁ‹ãËŒ¹Ò¹ÁäËÅࢌÒ
                                                                  èí è       éí
          »Ò¡ÅÙ¡àÃçÇä» áÅÐÅÙ¡µÔ´¤ÇÒÁàÃçǢͧ¡ÒÃäËÅ ·íÒãˌš˧ش˧ԴàÇÅÒ´Ù´¨Ò¡àµŒÒ·Õ¹Ò¹Á
                                                            Ù                     è éí
          äËŪŒÒ¡Ç‹Ò
       ! »ÃÔÁÒ³¹Á¼ÊÁ¤íҹdzµÒÁÊٵôѧ¹Õé
          20-30 ÁÅ. x ¹éÒ˹ѡááà¡Ô´ x ÍÒÂØ/¨íҹǹÁ×͹Á
                        í                           é
       ! »ÃФѺ»ÃФͧáÁ‹äÁ‹ãËŒà¤ÃÕ´ ËÇÁ¡Ñº¡Òê‹ÇÂãˌšÍÔÁ·ŒÍ§áÅÐʧº ¤ÇÒÁà¤ÃÕ´áÅСÒÃ
                                                        Ù è
          äÁ‹ä´Œ¾¡¼‹Í¹ÁÕ¼ÅãËŒ¡ÒüÅÔµ¹éÒ¹ÁÁÕ¹ÍÂ
                   Ñ                   í       Œ

¡ÒÃä´ŒÃѺ¹éíÒ¹Áʋǹ˹ŒÒ ËÃ×͹éíÒ¹ÁáÁ‹ÁÕÁÒ¡à¡Ô¹
       ÍÒ¡ÒâͧáÁ‹··Òá䴌ú੾ÒйéÒ¹Áʋǹ˹ŒÒ/¹éÒ¹ÁáÁ‹ÁÁÒ¡à¡Ô¹ÁÕ´§¹Õé
                      Õè      Ñ       í              í       Õ         Ñ
       ! ÁÕÍÒ¡ÒäѴൌҹÁº‹ÍÂæ (engorged breasts)
       ! ¹éÒ¹ÁáÁ‹äËÅໂ¡á©Ð (leaking) ÃÐËNjҧÁ×͹Á
           í                                      é
       ! ¢³Ðãˌš´Ù´ ¹éÒ¹ÁäËŨҡൌҢŒÒ§·ÕäÁ‹¶¡´Ù´¨íҹǹÁÒ¡ (forceful letdown)
                    Ù     í                   è Ù
       ! áÁ‹Á»­ËÒ plugged ducts ËÃ×Í mastitis
              Õ ˜
       ! àÁ×èÍÊÔé¹ÊØ´¡Òôٴ¹Á ËÑǹÁà»ÅÕè¹໚¹ÊÕ¢ÒÇ ËÃ×ÍÁÕÃ;Ѻ (crease) ¨Ò¡¡Ò÷Õè·Òá
          ¾ÂÒÂÒÁÅ´¤ÇÒÁàÃçÇ㹡ÒÃäËŢͧ¹éÒ¹Á  í
       ÍÒ¡Òâͧ·Òá·Õ¾ºä´Œá¡‹ÍÒ¡ÒÃÍ‹ҧã´Í‹ҧ˹֧µ‹Í仹Õé
                        è                              è
       ! »¯Ôàʸ´Ù´¹Á¨Ò¡àµŒÒ (breast refusal) ËÃ×Í ·Òá㪌àÇÅÒ´Ù´¹ÁÊѹ (shortened feeds)
                                                                      é
       ! áÊ´§Í͡NjÒËÔÇ ÍÂÒ¡´Ù´º‹ÍÂ
       ! ´Ù´¹Áº‹ÍÂÁÒ¡ ÍÒ¨·Ø¡ªÑÇâÁ§
                                 è
       ! ´Ô¹ÊÙà¾×ÍäÁ‹ãËŒÊÒÅÑ¡
           é Œ è          í
       ! ÁÕÍÒ¡ÒÃ colic-like symptoms
       ! ·ŒÍ§Í×´¨Ò¡ÁÕÅÁÁÒ¡
       ! áËÇйÁ (spitting-up) ÍÒà¨Õ¹
       ! äÍ ¢ÂŒÍ¹ (gag) ÃÕº¡Å×¹ (gulp) àÁ×ÍàÃÔÁ´Ù´¨Ò¡ letdown reflex ·Õáç
                                          è è                           è
       ! ¶‹ÒÂÍØ¨¨ÒÃÐ໚¹¹éÒÊÕà¢ÕÂÇËÃ×Í໚¹¿Í§ ºÒ§¤ÃѧÁÕàÅ×Í´»¹
                            í                        é
       ! ¹éÒ˹ѡà¾ÔÁÁÒ¡¡Ç‹Ò 30 ¡ÃÑÁµ‹ÍÇѹ ËÃ×Íà¾ÔÁ¹ŒÍÂ
            í      è                              è
       ! ÃÐËNjҧ´Ù´àµŒÒ ËÂØ´´Ù´¹Á·Ñ¹·Õ à¾×ÍËÂØ´¤ÇÒÁàÃçǢͧ¡ÒÃäËÅ
                                           è
       ! ͌һҡáÅмÅШҡൌҺ‹ÍÂæ
       ! »¯Ôàʸ´Ù´¹Á໚¹¾Ñ¡æ ¨Ò¡¡ÒõŒÍ§à˧¡Å×¹¹Á·ÕËÅѧÁÒ¡
                                                         è è
16                                                                                     ·Òá¡Ç¹¼Ô´»Ã¡µÔ

        !   ·Ò᪋ǵÑÇàͧâ´Âà»ÅÕ¹¡ÒçѺൌҹÁ ·íÒãËŒ latch on äÁ‹¶¡µŒÍ§ áÅдٴᵋËǹÁ
                                 è                                  Ù               Ñ
            à¾×ÍÅ´¡ÒÃäËÅ ·Õ·ÒãËŒáÁ‹à¨çºËÑǹÁ
               è           è í
        !   ·ÒáäÁ‹´´¹Áàͧ ᵋ¡Å×¹¹Á·ÕäËÅÍÍ¡ÁÒ¨Ò¡ËÑǹÁ (passive suckling)
                    Ù                   è
        ÍÒ¡Òâͧ·Òáà¡Ô´¨Ò¡¡ÒÃ䴌ú¹Á·ÕÁä¢Áѹ¹ŒÍ (foremilk) ·íÒãËŒ¹Ò¹Á¼‹Ò¹¡ÃÐà¾ÒÐàÃçÇ
                                                     Ñ    è Õ                         éí
ÁÕáÅç¤âµÊ¼‹Ò¹à¢ŒÒÅíÒäÊŒÁÒ¡ áÅж١à»ÅÕ¹໚¹¡Ò«   è
        á¹Ç·Ò§»¯Ôºµà¾×Íᡌä¢ÀÒÇйÕÁËÅÒÂÇÔ¸Õ ´Ñ§¹Õé
                               Ñ Ô è                é Õ
        ! ºÕº/»˜Á»Š ¹éÒ¹ÁÍÍ¡ ¨¹¹éÒ¹ÁäËŪŒÒ ¡‹Í¹ãˌš´Ù´ à¾×ÍÅ´ foremilk ·ÕÅ¡¨Ð䴌úáÅÐ
                                í            í                       Ù     è              èÙ     Ñ
        ! ¡Ãеع letdown reflex ·Õ·ÒãËŒ¹Ò¹Á¾Ø§ÍÍ¡áçã¹ÃÐÂÐáἋҹ仡‹Í¹
                       Œ                     è í éí             ‹
        ! Å´¨íҹǹ¤Ãѧ㹡Òôٴ¹ÁÍÕ¡àµŒÒ à¾×ÍÂѺÂѧ¡ÒÃäËŢͧ¹éÒ¹Áã¹àµŒÒ¹Á (galactostasis)
                                   é                          è                 í
           ·ÕäÁ‹¶¡´Ù´ à¾×ÍãËŒ¡ÒÃÊÌҧ¹Á¹ŒÍÂŧ
               è Ù                   è
        ! ËÅÕ¡àÅÕ§¡ÒÃÃкÒ¹Á¨Ò¡àµŒÒ (¨Ò¡¡ÒÃãˌš´Ù´¹Á) à¾ÃÒШСÃеع¡ÒÃÊÌҧ¹éÒ¹Á
                           è                                        Ù                    Œ          í
           ¡àÇŒ¹àÁ×ÍáÁ‹¤´àµŒÒ¹ÁÁÒ¡ ¡Òúպ¹éÒ¹ÁËÃ×Íãˌš´Ù´àµŒÒ ·íÒà¾×ÍãËŒËÒ¤ѴൌҹÁ෋ҹѹ
                             è           Ñ                  í           Ù           è                 é
        ! äÁ‹¡Ò˹´¤ÇÒÁ¹Ò¹¢Í§¡Òôٴ¹ÁൌÒáá
                     í
        ! ãËŒ´´¹Á¨¹à¡ÅÕ§ൌҡ‹Í¹ãËŒ´´ÍÕ¡àµŒÒ â´ÂÃÍãˌšËÂØ´¹Áàͧ ËÃ×Í´Ù´¨¹àËÅѺ ËÃ×Í´Ù´
                 Ù                         é            Ù                 Ù
           ¡Å×¹ªŒÒŧ äÁ‹¨Ò໚¹µŒÍ§´Ù´ÊÍ§àµŒÒ ¶ŒÒൌҹÁÂѧ¤Ñ´ ãËŒºº¹éÒ¹ÁÍ͡෋ҷշÒãËŒËÒ¤Ѵ
                                       í                                      Õ í             è í
        ! ãËŒ´´àµŒÒà´ÕÂÇ (unilateral breastfeeding) ËÃ×Í cetain time block (block feeding) ãËŒ´´
                   Ù                                                                                      Ù
           ൌÒà´ÕÂǹҹ 4-12 ªÁ. à¾×ÍÅ´¡ÒÃÊÌҧ¹éÒ¹Á ËҡൌҹÁ·ÕäÁ‹¶¡´Ù´ÁÕÍÒ¡ÒäѴ ãËŒºº
                                                è                 í               è Ù                   Õ
           ¹éÒ¹ÁÍÍ¡ à¾Õ§¾ÍᤋãËŒËÒ¤Ѵ
             í
        ¡ÒÃà»ÅÕ¹·‹ÒÍØÁÅÙ¡´Ù´¹Áà¾×Í»‡Í§¡Ñ¹ÊíÒÅÑ¡
               è      Œ             è
        ! ·‹ÒáÁ‹¹§ ãËŒÍÁ·‹Ò football hold ¨Ñ´ãËŒÈÃÉÐÅÙ¡ÍÂÙʧ¡Ç‹ÒൌҢ³Ð´Ù´¹Á
                 Ñè     ØŒ                       Õ        ‹Ù
        ! ·‹ÒáÁ‹¹Í¹ ãˌš¹Í¹¤ÇèÒº¹Í¡¢³Ð´Ù´¹ÁáÁ‹ à¾×͵ŒÒ¹áç⹌Á¶‹Ç§
                           Ù      í                       è

¡ÒäѴ¨ÁÙ¡
      ÍÒ¡Ò÷ÕáÊ´§Ç‹Ò·Òá¤Ñ´¨ÁÙ¡¤×Í ÅÙ¡à¤Â´Ù´¹Áä´Œ´Õ ÍÂÙ‹ æ ´Ù´¹Á 3-4 ¤íÒ áÅŒÇ͌һҡÌͧ ËÃ×Í
              è
ÊкѴ˹ŒÒË¹Õ áÅÐÌͧ¡Ç¹ äÁ‹´´¹Á
                            Ù
        ¡ÒÃÇÔ¹¨©ÑÂ
               Ô
        ! 䴌¹àÊÕ§¤Ñ´¨ÁÙ¡ (sniffle ËÃ×Í snuffle)
                 Ô
        ! àÁ×Í㪌˿§ (stethoscope) ¨‹Í˹ŒÒÃÙ¨ÁÙ¡ ¨Ð䴌¹àÊÕ§ÅÁËÒÂã¨àÇÅÒËÒÂ㨠·Òá·Õ»Ã¡µÔ
             è     Ù ˜                                  Ô                           è
           áÅй͹ËÅѺ ¡Òÿ˜§ÅÁËÒÂ㨷ըÁÙ¡ ¨ÐäÁ‹ä´ŒÂ¹àÊÕ§
                                           è              Ô
        ! 㪌ãÂÊíÒÅÕ¨Í˹ŒÒÃÙ¨ÁÙ¡·ÕÅТŒÒ§ ¢ŒÒ§·Õ¤´ ãÂÊíÒÅÕ¨Ðà¤Å×͹¹ŒÍÂËÃ×ÍäÁ‹à¤Å×͹
                       ‹                       è Ñ             è                è
àǪÈÒʵÏ·¹Âؤ 2553
          Ñ                                                                                     17

       ¡ÒÃÃÑ¡ÉÒ
       ! ËÂÍ´¹éÒà¡Å×ÍࢌÒÃÙ¨ÁÙ¡¢ŒÒ§ÅÐ 5 Ë´ ·Ø¡ 2-3 ªÑÇâÁ§
                    í                                              è
       ! ËÒ¡äÁ‹ä´Œ¼Å ãˌ㪌ÊÒÅÕ¾¹»ÅÒÂäÁŒ·àµÃÕÂÁàͧáÅÐÁÕ¢¹Ò´àÃÕÂÇàÅ硤ŌÒ¾ÃÔ¡¢Õ˹٠áÅÐ
                               í Ñ                 Õè                                        é
          ªØº¹éÒà¡Å×Íàªç´ã¹ÃÙ¨ÁÙ¡ ËÒ¡à¡Ô´¨Ò¡¹éÒÁÙ¡ ¡ÒÃàªç´¹éÒÁÙ¡ÍÍ¡ ÍÒ¡ÒäѴ¨ÁÙ¡¨ÐËÒÂä»
               í                                      í                  í
       ! ËÒ¡ÁÕ¹ÒÁÙ¡ÁÒ¡ ãˌ㪌 finger tip connector ´Ù´ÃÙ¨Á١ᵋÅТŒÒ§ ´ŒÇÂáç´Ù´ -100 ÁÁ.»ÃÍ·
                 éí
       ! ËÒ¡äÁ‹ ä ´Œ ¼ Å ãËŒ Ë ÂÍ´ÂÒ·Õè ·í Ò ãËŒ à Â×è Í ºØ ¨ ÁÙ ¡ ÂØ º ºÇÁ (0.5% ephedrine, 0.025%
          oxymetazoline HCl) ·Ø¡ 8 ªÑÇâÁ§
                                      è

âä»Ç´·ŒÍ§ËÃ×Í͌͹ÊÒÁà´×͹ (Evening colic)
        âä»Ç´·ŒÍ§ËÃ×Í͌͹ÊÒÁà´×͹ËÁÒ¶֧ÀÒÇзջÃСͺ´ŒÇÂÅѡɳе‹Í仹Õé
                                                          è
        1. ÍÒ¡ÒÃÃØ¹áçà¡Ô´¢Ö¹·Ñ¹·Õ·¹ã´ áÅÐà¡Ô´«éÒ æ ã¹àÇÅÒà´ÕÂǡѹ (paroxysms of irritability)
                                  é     Ñ               í
        2. ¡Ç¹ (fussing) ËÃ×ÍÌͧäËŒà¡Ô¹ 3 ªÑÇâÁ§µ‹ÍÇѹ
                                                è
        3. ÁÕÍÒ¡ÒÃÁÒ¡¡Ç‹Ò 3 Çѹµ‹ÍÊÑ»´Òˏ áÅÐ໚¹¹Ò¹¡Ç‹Ò 3 ÊÑ»´Òˏ
        4. ÁÕàÊÕ§Ìͧ·ÕµÒ§¨Ò¡àÊÕ§Ìͧã¹ÀÒÇÐÍ×¹ æ ¤×ÍÌͧäËŒ´Ç¤ÇÒÁà¨çº»Ç´ËÃ×Íá¼´àÊÕ§
                        è ‹                           è          Œ
(screaming) ·Õ·ÒãËŒàÊÕ§ÌͧÁÕàÊÕ§ÊÙ§ (higher pitch) áÅдѧÁÒ¡ (more intensity) ¡Ç‹ÒàÊÕ§Ìͧ
                 è í
ã¹ÀÒÇÐÍ×¹ è
        5. ÁÕÍÒ¡ÒÃáÊ´§ÍÍ¡·Ò§¡ÒÂÀÒ¾ ઋ¹ ¤ÇÒÁµÖ§¢Í§¡ÅŒÒÁà¹×Íà¾ÔÁ (hypertonia)
                                                                   é è
        6. äÁ‹ÁǸ¡ÒÃã´ æ ·Õ¨Ð»Åͺ (soothing effort) ãËŒ·Òáʧºä´Œ
                  ÕÔÕ           è
        7. ·ÒṋÒÃÑ¡áÅлáµÔ·¡Í‹ҧàÁ×ÍäÁ‹ÁÍÒ¡ÒûǴ·ŒÍ§ áÅÐÁÕ¹Ò˹ѡà¾ÔÁ»Ã¡µÔ
                                      Ø       è     Õ                  éí     è
        ÊÒà˵Øà¡Ô´¨Ò¡¡ÒûǴ·ŒÍ§·ÕèÁÕÊÒà˵طÑé§·Õè·ÃÒºáÅÐäÁ‹·ÃÒº ÍÒ¨à¡Ô´¨Ò¡·Òá¡Å×¹ÅÁ
ÁÒ¡ä» ä´ŒÃº¹ÁÁÒ¡ä» ËÃ×Íä´ŒÍÒËÒúҧª¹Ô´ â´Â੾ÒзÕÁÊǹ»ÃСͺ¨íҾǡệ§ÊÙ§ «Ö§ÁÕ¼ÅãËŒ
            Ñ                                               è Õ‹                      è
ÁÕ¡Ò«¨Ò¡fermentation ã¹ÅíÒäÊŒÁÒ¡ ÁÕ¼ÅãËŒ·Í§Í×´áÅÐṋ¹·ŒÍ§ ËÃ×Íᾌâ»ÃµÕ¹¢Í§¹ÁÇÑÇ
                                                 Œ
        ¡ÒÃÇÔ¹¨©Ñ µŒÍ§ÁÕšɳФú·Ñ§ 7 ¢ŒÍ´Ñ§¡Å‹ÒÇ »Ã¡µÔ¾ºã¹·ÒáµèÒ¡Ç‹Ò 3 à´×͹ â´ÂÁÕ
               Ô              Ñ             é                               í
ÅѡɳÐ੾ÒФ×Í ÍÒ¡ÒûÃÒ¡¯ËÅѧ¤ÅÍ´ 2-3 ÊÑ»´Òˏ áÅÐÁÕÍÒ¡Òõ͹º‹ÒÂËÃ×ÍàÂç¹ ·ÒáÌͧ
àÊÕ§´Ñ§ÁÒ¡·Ñ¹·Õ·¹ã´ ¡ÒÃÌͧÁÑ¡µ‹Íà¹×ͧ áÅÐ໚¹¾Ñ¡ æ ¹Ò¹ËÅÒªÑÇâÁ§ ãºË¹ŒÒÍҨᴧ¡èÒ ËÃ×Í
                     Ñ                    è                         è                   í
ÁÕ«Õ´Ãͺ»Ò¡ ·ŒÍ§Í×´áÅÐá¢ç§ ¢Ò§Í¾ÑºÍÂÙ‹º¹·ŒÍ§áÅÐÍÒ¨àËÂÕ´Í͡໚¹¤ÃÑ駤ÃÒÇ Á×Í¡íÒṋ¹
à·ŒÒÁÑ¡àÂç¹ ¡ÒÃÌͧÍÒ¨ËÂØ´µ‹ÍàÁ×èÍ·ÒáÌͧ¨¹ËÁ´áç ºÒ§¤ÃÑé§ÍÒ¡ÒûǴÍÒ¨·ØàÅÒàÁ×èÍ·Òá
¼ÒÂÅÁËÃ×Ͷ‹ÒÂÍØ¨¨ÒÃÐ ÍØºµ¡ÒâͧÀÒÇÐã¹µ‹Ò§»ÃÐà·È ¾ºã¹·ÒáÌÍÂÅÐ 8-45 àÁ×ÍàÃÔÁÁÕÍÒ¡ÒÃ
                            Ñ Ô                                                  è è
¡ÒÃÇÔ¹Ô¨©ÑÂÍÒÈÑ¡ÒõÃǨËҧ¡ÒÂÍ‹ҧÅÐàÍÕ´ áÅСÒÃÇÔ¹Ô¨©ÑÂá¡âäÍ×è¹ æ ઋ¹ ËÙÍÑ¡àʺ
·Ò§à´Ô¹»˜ÊÊÒÇÐÍÑ¡àʺ ÅíÒäÊŒ¡Å×¹¡Ñ¹ (intussusception) äÊŒàÅ×͹áÅÐÅíÒäÊŒ¶¡ºÕºà¤Œ¹ (strangulated
                                                              è           Ù
hernia) ໚¹µŒ¹ ·ÒáÍÒ¨à¡Ô´ÍÒ¡ÒêŒÒ ¼ÙŒà¢Õ¹¾º·ÒáËÅÒÂÃÒ·Õèä´ŒÃѺ¹ÁáÁ‹Í‹ҧà´ÕÂÇã¹
à´×͹áááÅÐÁÕÍÒ¡ÒûǴ·ŒÍ§àÁ×ÍÍÒÂØ 1 à´×͹àÈÉ ËÅѧãËŒ¹ÁÇÑÇä´Œ 1 ÊÑ»´Òˏ
                                    è
18                                                                                          ·Òá¡Ç¹¼Ô´»Ã¡µÔ

          ¡Òû‡Í§¡Ñ¹ »‡Í¹¹Á·ÒááÅÐäÅ‹ÅÁËÅѧÁ×͹ÁãËŒ¶¡µŒÍ§áÅйҹ¾Í Ëҡ㪌¹Á¼ÊÁ µŒÍ§ÍØÁ
                                                            é          Ù                                     Œ
·ÒááÅж×͢Ǵ¹ÁãËŒ¶¡µŒÍ§ Í‹һŋÍÂãËŒ·ÒáÌͧ¹Ò¹ áÅл‡Í§¡Ñ¹¡ÒáÅ×¹ÅÁ Í‹һ‡Í¹¹ÁÁÒ¡
                                 Ù
ËÃ×͹ŒÍÂä»
          ¡ÒÃÃÑ¡ÉÒ ã¹µíÒÃÒÁÑ¡¡Å‹ÒÇÇ‹Ò äÁ‹ÁÕ¡ÒÃÃÑ¡ÉÒã´ æ ·ÕèãËŒ¼Å໚¹·Õ蹋ҾÍ㨠äÁ‹Ç‹Ò¨Ð໚¹
ÂҢѺÅÁ ÂÒà˹çºà¾×ÍãËŒ·Òá¶‹Ò ËÃ×ÍÂҹ͹ËÅѺ ÇÒ§·ÒáãËŒ¹Í¹¤ÇèÒ¢ÇÒ§º¹µÑ¡¤Ø³áÁ‹ËÃ×Í
                             è                                                            í
º¹¡ÃÐ້ҹéÒÍØ¹ÍÒ¨ª‹ÇºÃÃà·Ò
                í ‹
          ÍÒËÒ÷Õ໚¹ÊÒà˵آͧ͌͹ÊÒÁà´×͹·Õ¾ºº‹Í·ÕÊ´¤×Í ¼ÅÔµÀѳ±¹ÁáÅжÑÇÅÔʧ ËÒ¡·Òá
                    è                                  è              èØ                         è
䴌ú¹ÁáÁ‹áÅÐÁÕÍÒ¡ÒÃàÁ×ÍãËŒ¹ÁÇÑÇ ãËŒ¾¨Òóҧ´¹ÁÇÑÇ ËÒ¡¾ºã¹·Òá·ÕàÅÕ§¹ÁáÁ‹Í‹ҧà´ÕÂÇáÅÐ
    Ñ                                è       Ô                                          è é
¤Ø³áÁ‹´×èÁ¹Á ãËŒ¤Ø³áÁ‹§´´×èÁ¹Á ¶ŒÒ¡ÒûǴ·ŒÍ§à¡Ô´¨Ò¡á¾Œâ»ÃµÕ¹¹ÁÇÑÇ ·Òá¨ÐËÂØ´ÃŒÍ§
ËÒ¡äÁ‹ãª‹á¾Œâ»ÃµÕ¹ã¹¹ÁÇÑÇ «Ñ¡¶ÒÁ»ÃÐÇѵÍÒËÒâͧ¤Ø³áÁ‹ 䴌ᡋ ¼ÅÔµÀѳ±¹ÁÍ×¹æ (cheese,
                                                 Ô                                                   è
yogurt, äÍÈ¡ÃÕÁ) ¹Á¶ÑÇàËÅ×ͧ 䢋 ¢ŒÒÇâ¾´ ¼Ñ¡ (´Í¡¡ÐËÅèÒ ËÑǼѡ¡Ò´ broccoli áµ§¡ÇÒ ËÑÇËÍÁ
                               è                                           í
¡ÃÐà·ÕÂÁ ໚¹µŒ¹) ¡Òç´ÍÒËÒÃᵋÅЪ¹Ô´ãËŒ§´¹Ò¹ 7-10 Çѹ ¶ŒÒÍÒ¡Ò÷ÒáäÁ‹´¢¹áÊ´§Ç‹ÒÍÒËÒà       Õ Öé
·Õ§´äÁ‹ãª‹ÊÒà˵Ø
  è
           à¹×ͧ¨Ò¡¼Ùà¢Õ¹¾ºÇ‹Ò㹤Ãͺ¤ÃÑÇ·ÕÁ·ÒỆǴŒÇÂÀÒÇйÕé ºØ¤¤Å·Ø¡¤¹ã¹¤Ãͺ¤ÃÑǨÐÁÕ
              è         Œ                          è Õ
¤ÇÒÁà¤ÃÕ´ÁÒ¡â´Â੾ÒФسáÁ‹ ºÒ§¤¹¶Ö§¡ÑºÃŒÍ§äËŒ áÅÐäÁ‹ÍÂÒ¡ãËŒàÇÅÒàÂç¹ÁÒ¶Ö§ ºÒ§¤ÃÑé§
໚¹ÊÒà˵آͧ¡Ò÷ÐàÅÒСѹ㹤Ãͺ¤ÃÑÇ á¾·Â¨§µŒÍ§¾ÂÒÂÒÁÅ´¤ÇÒÁà¤ÃÕ´ãËŒ áÅоÂÒÂÒÁ¾Ù´
                                                                Ö
ãËŒ¤³¾‹ÍࢌÒ㨤ÇÒÁà¤ÃÕ´¢Í§¤Ø³áÁ‹ à¾×ÍãËŒÍÀѤسáÁ‹ ¤Ø³áÁ‹ºÒ§¤¹àÅ‹ÒÇ‹Ò àÇÅÒÅ١ÌͧÁÒ¡ æ
      Ø                                        è
¤Ô´µÕÅ¡ ËÃ×Í·Ô§ÅÙ¡ ¼Ùà¢Õ¹䴌¾ÂÒÂÒÁËÒÂÒÁÒºÃÃà·ÒÀÒÇйÕà¾×ÍãËŒà¡Ô´¤ÇÒÁʧºÊآ㹤Ãͺ¤ÃÑÇ
        Ù         é        Œ                                                 é è
â´Â㪌Áҵѧᵋ»‚ ¾.È. 2520 ¡‹Í¹·Õ¨ÐÁÕÃÒ§ҹà¡ÕÂǡѺ¼ÅàÊÕ¢ͧÂÒ¹Õé ¾ºÇ‹Ò ¡ÒÃãËŒ dicyclomine
            é                          è                      è
hydrochloride ª¹Ô´¹éÒàª×ÍÁ 1 ÁÅ. (10 Á¡./5 ÁÅ.) ·Ò§»Ò¡ ÇѹÅÐ˹֧¤Ãѧ ¡‹Í¹àÇÅÒÌͧ¤ÃÖ§ªÑÇâÁ§
                          í è                                                       è é                  è è
ª‹Ç»‡Í§¡Ñ¹ÍÒ¡ÒûǴ·ŒÍ§ä´Œ´Õ ¡ÒÃÊѧÂÒäÁ‹¤ÇÃãËŒ¨Ò¹Ç¹ÁÒ¡ ¤ÇÃÊѧãËŒà¾Õ§ 15 ÁÅ. à¾×Í´Ù¡ÒÃ
                                           è                      í                  è                    è
µÍºÊ¹Í§áÅоÔʨ¹ÇÒà¡Ô´¨Ò¡¡ÒûǴ·ŒÍ§ËÃ×ÍäÁ‹ Ëҡ໚¹ÀÒÇйÕé ¨ÐàËç¹¼Å㹤׹áá·ÕãËŒÂÒ ÃÐÂÐ
                      Ù ‹                                                                              è
ËÅѧÁÕÃÒ§ҹ¡ÒÃ㪌ÂÒ¹Õé¨Ò¡ÊËÃѰÍàÁÃÔ¡Ò ·Õ辺NjҷÒá·Õèä´ŒÃѺÂÒ¹ÕéÁÕËÑÇã¨ËÂØ´àµŒ¹ «Öè§¼ÙŒà¢Õ¹
äÁ‹à¤Â¾ºàÅ ÍÒ¨à¾ÃÒмÙà¢Õ¹㪌»ÃÔÁÒ³ÂÒ¹ŒÍ áÅÐãËŒ»Í¹â´Â㪌·Ë´ËÃ×Í¡Ãк͡ÂÒ áÅÐãËŒàÁ×Í
                                   Œ                                ‡            Õè                            è
ṋã¨Ç‹Ò·Òá໚¹âä͌͹ÊÒÁà´×͹ ¡ÒÃãËŒÂÒ¨Ö§µŒÍ§ãËŒ´Ç¤ÇÒÁÃÐÁÑ´ÃÐÇѧáÅÐàÁ×ͨíÒ໚¹¨ÃÔ§ æ
                                                                         Œ                         è
Í‹ÒãËŒÂÒà¡Ô¹¢¹Ò´ áÅÐÅͧËÂØ´ÂÒàÁ×Í·Òá´Õ¢¹
                                         è               Öé

àÍ¡ÊÒÃ͌ҧÍÔ§
1.   à¡ÃÕ§ÈÑ¡´Ôì ¨ÕÃÐᾷ. àÍ¡ÊÒúÃÃÂÒ Advanced course in breastfeeding: common problems in breastfed
     neonates. ¡ÒûÃЪØÁÇÔªÒ¡ÒûÃШíÒ»‚ 2553 ÃÒªÇÔ·ÂÒÅÑ¡ØÁÒÃᾷáË‹§»ÃÐà·Èä·Â ³ âçáÃÁ à«ç¹·ÃÒÅÒ á¡Ã¹´
     ÁÔÃÒ¨ ºÕª ÃÕÊÍÏ· ¾Ñ·ÂÒ ¨Ñ§ËÇÑ´ ªÅºØÃÕ Çѹ·Õè 21 àÁÉÒ¹ 2553.
2.   à¡ÃÕ§ÈÑ¡´Ôì ¨ÕÃÐᾷ. ¡ÒÃàÅÕ§ÅÙ¡´ŒÇ¹ÁáÁ‹:»˜­ËÒ·Õ¾ºº‹ÍÂã¹·Òá. ã¹: ÊØ¹·Ã ·Í་Ҿѹ¸, ¾ÔÁÅÃѵ¹ ä·Â¸ÃÃÁÂÒ
                                   é                      è
     ¹¹·, à¡ÃÕ§ÈÑ¡´Ôì ¨ÕÃÐᾷ. ºÃóҸԡÒÃ. Neonatology 2009. ¡Ãا෾Ï: ºÃÔÉ· ¸¹Òà¾ÃÊ ¨íÒ¡Ñ´, 2552:33-42.
                                                                                Ñ
3.   à¡ÃÕ§ÈÑ¡´Ôì ¨ÕÃÐᾷ. 32 »˜­ËÒã¹·Òáááà¡Ô´: ¡Òû‡Í§¡Ñ¹áÅСÒôÙáÅ. ¡Ãا෾Ï: ºÃÔÉ· áÍ´·ÕÁ ¤ÃÕàͪѹ ¨íÒ¡Ñ´,
                                                                                          Ñ                 è
     2542.
àǪÈÒʵÏ·¹Âؤ 2553
          Ñ                                                                                                    19

4.   American Academy of Pediatrics, American College of Obstetricians and Gynecologists. Guidelines for perinatal
     care. 6th ed. Elk Grove Village, IL:AAP; Washington DC: ACOG; 2007: 235-7.
5.   American Academy of Pediatrics Section on Breastfeeding. Breastfeeding and the use of human milk. Pediatrics.
     2005;115:496–506.
6.   Lester BM. Definition and diagnosis of colic. In: Sauls HS, Redfern DE, eds. Colic and excessive cry. Report
     of the 105th Ross Conference on Pediatric Research. Columbus: Abbot Laboratories, 1997.
7.   World Health Organization. Evidence for the ten steps to successful breastfeeding. Geneva: World Health
     Organization, Division of Child Health and Development, 1998. http://www.who.int/nutrition/publications/
     evidence_ten_step_eng.pdf
àǪÈÒʵÏ·¹Âؤ 2553
          Ñ                                                                    º··Õè        21

                                                                                  3
            ¡ÒÃÇÔ¹Ô¨©Ñ¡ÒÃᾌÍÒËÒÃÊíÒËÃѺàǪ»¯ÔºÑµÔ·ÑèÇä»
         (The Diagnosis of .ood Allergy in Clinical Practice)
                                      ÃͧÈÒʵÃÒ¨ÒÏ ᾷ˭ԧÍ÷Ñ ¾ÔºÙÅâÀ¤Ò¹Ñ¹·
                  ÀÒ¤ÇÔªÒ¡ØÁÒÃàǪÈÒʵÏ ¤³Ðá¾·ÂÈÒʵÏÈÔÃÔÃÒª¾ÂÒºÒÅ ÁËÒÇÔ·ÂÒÅÑÂÁËÔ´Å

        »¯Ô¡ÃÂÒäÁ‹¾§»ÃÐʧ¤·à¡Ô´¨Ò¡¡ÒÃÃѺ»ÃзҹÍÒËÒà (adverse reaction to food) ÍÒ¨à¡Ô´
             ÔÔ      Ö         Õè
â´Â¼‹Ò¹¡Åä¡·Ò§ÀÙÁ¤Á¡Ñ¹ (immune-mediated) «Ö§àÃÕÂ¡Ç‹Ò »¯Ô¡ÃÂÒᾌÍÒËÒà (food allergy/ food
                    Ô ØŒ                         è           ÔÔ
hypersensitivity) ËÃ×Í»¯Ô¡ÔÃÔÂÒäÁ‹¾Ö§»ÃÐʧ¤·Õèà¡Ô´¨Ò¡¡ÒÃÃѺ»ÃзҹÍÒËÒà â´ÂäÁ‹¼‹Ò¹¡Åä¡
·Ò§ÀÙÁ¤Á¡Ñ¹ ·ÕàÃÕÂ¡Ç‹Ò food intolerance «Ö§ÍÒ¨ÁÕÍÒ¡ÒÃËÅÒÂÍ‹ҧ·ÕÁ¤ÇÒÁ¤ÅŒÒ¤ÅÖ§¡Ñº»¯Ô¡ÃÂÒ
      Ô ØŒ        è                       è                     è Õ                  ÔÔ
ᾌÍÒËÒà ÊÒà˵آͧ food intolerance ÍÒ¨à¡Ô´¨Ò¡ËÅÒ»˜¨¨Ñ 䴌ᡋ ÊÒþÔÉ»¹à»„͹ã¹ÍÒËÒÃ
                                                                              œ
¤Ø³ÊÁºÑµ·Ò§àÀÊѪÇÔ·ÂҢͧÍÒËÒà ઋ¹ caffeine 㹡Òá¿ ÀÒÇТҴ lactase enzyme ËÃ×Í »¯Ô¡ÃÂÒ
           Ô                                                                         ÔÔ
੾ÒеÑǢͧ¼Ù»ÇÂ(1) 㹺·¹Õ¨Ð¡Å‹ÒǶ֧»¯Ô¡ÃÂÒᾌÍÒËÒÃ໚¹Ê‹Ç¹ãË­‹
                Œ †          é              ÔÔ

¤ÇÒÁªØ¡¢Í§»¯Ô¡ÔÃÔÂÒᾌÍÒËÒÃ
            ¤ÇÒÁªØ¡¢Í§»¯Ô¡ÃÂÒᾌÍÒËÒþºä´ŒÃÍÂÅÐ 6-8 ã¹à´ç¡ÍÒÂØ¹ÍÂ¡Ç‹Ò 3 »‚ áÅÐÃŒÍÂÅÐ 3.5–4
                                ÔÔ                       Œ               Œ
ã¹¼ÙãË­‹ ¤ÇÒÁªØ¡¢Í§»¯Ô¡ÃÂÒᾌÍÒËÒ÷Õá·Œ¨ÃÔ§ ¹‹Ò¨Ðä´Œ¨Ò¡¡Ò÷íÒ oral food challenge ¡ÒÃÈÖ¡ÉÒ
    Œ       (2)
                                   ÔÔ              è
ã¹»ÃÐà·Èä·Ââ´ÂÊÒ¸Ôµ Êѹµ´ØÊÔµáÅФ³Ð ä´ŒÊíÒÃǨâ´Â㪌ẺÊͺ¶ÒÁã¹à´ç¡ÍÒÂØ 6 à´×͹¶Ö§
6 »‚¨Ò¹Ç¹ 656 ÃÒ ¾º»¯Ô¡ÃÂÒäÁ‹¾§»ÃÐʧ¤¨Ò¡ÍÒËÒÃÃŒÍÂÅÐ 6.25(3) ᵋ¨Ò¡¡Ò÷´Êͺ oral
         í                            ÔÔ     Ö
food challenge ã¹à´ç¡¡ÅØÁ¹ÕºÒ§Ê‹Ç¹ ¾ºÇ‹ÒÁÕ¼»ÇÂà¾Õ§ÌÍÂÅÐ 0.5 ·ÕÁ»¯Ô¡ÃÂÒᾌÍÒËÒèÃÔ§(3)
                               ‹ é                         ÙŒ †            è Õ ÔÔ
            ¤ÇÒÁªØ¡¢Í§»¯Ô¡ÃÂÒᾌÍÒËÒþºÊÙ§¢Ö¹ã¹à´ç¡·ÕÁâäÀÙÁᾌ͹æ ËÇÁ´ŒÇ ઋ¹ à´ç¡·Õ໚¹âä
                               ÔÔ                      é        è Õ Ô ×è                 è
¼ÔÇ˹ѧÍÑ¡àʺ¨Ò¡ÀÙÁᾌª¹Ô´Ãعáç»Ò¹¡ÅÒ§¶Ö§ÃعáçÁÒ¡ (moderate to severe atopic dermatitis)
                        Ô
¾º¤ÇÒÁªØ¡¢Í§»¯Ô¡ÃÂÒᾌÍÒËÒê¹Ô´·Õ¼Ò¹ IgE (IgE-mediated) ÊÙ§¢Ö¹¶Ö§ÃŒÍÂÅÐ 37(4)
                        ÔÔ                     è ‹                          é
            ÍÒËÒ÷Õè¡‹ÍãËŒà¡Ô´»¯Ô¡ÔÃÔÂÒᾌ䴌º‹ÍÂ䴌ᡋ ¹ÁÇÑÇ ä¢‹ ¶ÑèÇàËÅ×ͧ ệ§ÊÒÅÕ ÍÒËÒ÷ÐàÅ
¶ÑÇÅÔʧ áÅÐ tree nut(1) â´Âã¹à´ç¡àÅ硨оº¤ÇÒÁªØ¡¢Í§¡ÒÃᾌ¹ÁÇÑÇáÅÐ䢋䴌ʧ¡Ç‹Òã¹¼ÙãË­‹
  è                                                                                 Ù      Œ
ʋǹ¡ÒÃᾌÍÒËÒ÷ÐàÅáÅÐtree nut ¾ºã¹¼ÙãË­‹ÁÒ¡¡Ç‹Òã¹à´ç¡(2) ÊíÒËÃѺ¹ÁÇÑǾºÇ‹ÒÃŒÍÂÅÐ 2.5(5)
                                                     Œ
¢Í§à´ç¡·Òá¨ÐÁÕ»¯Ô¡ÃÂÒᾌ¹ÁÇÑÇÀÒÂã¹ÍÒÂØ 1 »‚áá «Ö§ÃŒÍÂÅÐ 60 ໚¹»¯Ô¡ÃÂÒª¹Ô´ IgE-mediated
                            ÔÔ                                   è             ÔÔ
»¯Ô¡ÃÂÒᾌ䢋¾ºä´ŒÃÍÂÅÐ 1.6 ã¹à´ç¡àÅç¡(6) â´Â໚¹ª¹Ô´ IgE-mediated à¡×ͺ·Ñ§ËÁ´ »¯Ô¡ÃÂÒ
         ÔÔ               Œ                                                       é          ÔÔ
ᾌ¶ÇÅÔʧ¾ºä´ŒÃÍÂÅÐ 0.8 ã¹à´ç¡ »¯Ô¡ÃÂÒᾌ¼ÅäÁŒáÅÐ tree nut ¾ºÃŒÍÂÅÐ 0.1-4.3 »¯Ô¡ÃÂÒ
      Ñè            Œ                    (7)
                                                 ÔÔ                                          ÔÔ
22                                                  ¡ÒÃÇÔ¹Ô¨©Ñ¡ÒÃᾌÍÒËÒÃÊíÒËÃѺàǪ»¯ÔºÑµÔ·ÑèÇä»

ᾌệ§ÊÒÅÕ ¶ÑÇàËÅ×ͧ áÅÐ§Ò ¾º¹ŒÍ¡NjÒÃŒÍÂÅÐ 1(8) ʋǹ»¯Ô¡ÃÂÒäÁ‹¾§»ÃÐʧ¤¨Ò¡ÊÒÃ»ÃØ§áµ‹§
              è                                           ÔÔ     Ö
(food additive) ¾ºä´ŒÃÍÂÅÐ 1-2 ã¹à´ç¡ ã¹»ÃÐà·Èä·Â ¾ºÊÒà˵آͧ»¯Ô¡ÃÂÒäÁ‹¾§»ÃÐʧ¤¨Ò¡
                      Œ              (9)
                                                                    ÔÔ     Ö
¹ÁÇÑÇáÅÐ䢋ÁÒ¡·ÕÊ´ã¹à´ç¡àÅç¡ Ê‹Ç¹ã¹à´ç¡âµ¾ºÊÒà˵بҡÍÒËÒ÷ÐàÅÁÒ¡·ÕÊ´ ÃͧŧÁÒ䴌ᡋ
                  èØ                                                   èØ
¹ÁÇÑÇáÅÐ䢋µÒÁÅíҴѺ    (3)



ÍÒ¡ÒÃáÅÐÍÒ¡ÒÃáÊ´§¢Í§»¯Ô¡ÔÃÔÂÒᾌÍÒËÒÃ
       »¯Ô¡ÃÂÒᾌÍÒËÒÃÊÒÁÒöáÊ´§ÍÒ¡ÒÃä´ŒËÅÒÂÃкº 䴌ᡋ Ãкº¼ÔÇ˹ѧ ·Ò§à´Ô¹ËÒÂã¨
            ÔÔ
·Ò§à´Ô¹ÍÒËÒà áÅÐËÑÇã¨/ËÅÍ´àÅ×Í´ â´ÂÍÒ¨à¡Ô´¾ÃŒÍÁ¡Ñ¹ËÅÒÂÃкºËÃ×ÍáÊ´§ÍÒ¡ÒÃà¾Õ§Ãкºã´
ÃкºË¹Ö§ ¹Í¡¨Ò¡¹Õ§¾ºÁÕ¤ÇÒÁÃØ¹áçµÑ§áµ‹ÍÒ¡ÒùŒÍ¨¹¶Ö§ÍÒ¡ÒÃÃØ¹áçÁҡઋ¹ ÀÒÇЪçͤ ËÃ×Í
        è           éÑ               é
anaphylaxis ໚¹µŒ¹
       ÍÒ¡ÒÃᾌÍÒËÒÃᵋÅÐÍÒ¡ÒÃÍÒ¨à¡Ô´¨Ò¡¡Åä¡·Õᵡµ‹Ò§¡Ñ¹ ¤×Í IgE-mediated, non-IgE-
                                                   è
mediated ËÃ×Í mixed IgE áÅÐ non-IgE-mediated reaction â´ÂÊÒÁÒö¨íÒṡÍÒ¡ÒÃáÊ´§ä´ŒµÒÁ
ÃкºáÅСÅä¡·Õᵡµ‹Ò§¡Ñ¹´Ñ§µÒÃÒ§·Õè 1 â´ÂÍÒ¡Ò÷ҧÃкº¼ÔÇ˹ѧáÅзҧà´Ô¹ÍÒËÒÃ໚¹Ãкº
                è
·ÕáÊ´§ÍÒ¡Òú‹Í·ÕÊ´(10)
  è                èØ

µÒÃÒ§·Õè 1 »¯Ô¡ÔÃÔÂÒᾌÍÒËÒÃẋ§µÒÁÃкº·ÕèáÊ´§ÍÒ¡ÒÃáÅСÅä¡¡ÒÃà¡Ô´âä
Ãкº·Õè                   IgE-mediated            ¡Åä¡ÃÇÁ·Ñé§ lgE          Non-IgE-mediated
¼Ô´»¡µÔ                                           áÅÐ non-IgE-
                                                  mediated
·ÑÇËҧ¡ÒÂ
  è                       Anaphylaxis, food-
(generalized)             dependent exercise-
                          induced anaphylaxis
¼ÔÇ˹ѧ                   ¼×¹ÅÁ¾ÔÉ, angioedema, âä¼ÔÇ˹ѧÍÑ¡àʺ¨Ò¡
                              è                                            Contact dermatitis,
                          ¼×¹á´§ (flushing), acute ÀÙÁᾌ (atopic
                            è                          Ô                   dermatitis
                          contact urticaria        dermatitis), contact    herpetiformis
                                                   dermatitis
·Ò§à´Ô¹ÍÒËÒà              Oral allergy syndrome Allergic eosinophilic      Allergic proctocolitis,
                          (OAS), gastrointestinal esophagitis (AEE),       food protein-induced
                          anaphylaxis              allergic eosinophilic   enterocolitis syndrome,
                                                   gastroenteritis (AEG)   celiac disease,
                                                                           infantile colic
·Ò§à´Ô¹ËÒÂ㨠             àÂ×ͺبÁÙ¡/µÒÍÑ¡àʺ¨Ò¡ âäË×´
                             è                                             Pulmonary
                          ÀÙÁᾌ, ËÅÍ´ÅÁµÕº
                               Ô                                           hemosiderosis
                          à©Õº¾Åѹ                                        (Heiner’s syndrome)
ËÁÒÂà赯 ´´á»Å§¨Ò¡àÍ¡ÊÒÃ͌ҧÍÔ§ËÁÒÂàÅ¢ 1
          Ñ
àǪÈÒʵÏ·¹Âؤ 2553
          Ñ                                                                                                                    23

          1. ÍÒ¡ÒÃáÊ´§·Õà¡Ô´¢Ö¹·ÑÇËҧ¡ÒÂ
                        è     é è
                   1.1 ÀÒÇÐᾌùáç¨Ò¡ÍÒËÒà (.ood-induced anaphylaxis)
                                        Ø
                         .ood-induced anaphylaxis ¨Ñ´à»š¹ÍÒ¡Ò÷ÕÁ¤ÇÒÁÃØ¹áçÁÒ¡·ÕÊ´¢Í§»¯Ô¡ÃÂÒª¹Ô´
                                                                                    è Õ                        èØ            ÔÔ
IgE-mediated »¯Ô¡ÃÂÒᾌÍÒËÒÃ໚¹ÊÒà˵طÊҤѭ¢Í§¡ÒÃà¡Ô´ anaphylaxis ÍÒËÒ÷վºà»š¹
                             ÔÔ                                     Õè í                                     (11-13)
                                                                                                                              è
ÊÒà˵Øä´ŒºÍ 䴌ᡋ ÍÒËÒ÷ÐàÅ ¶ÑÇÅÔʧ áÅÐ tree nut ã¹»ÃÐà·Èä·Â¼Ù¹¾¹¸áÅФ³Ð ä´ŒÃǺÃÇÁ
               ‹                                        è                                           Œ Ô
¼ÙŒ»†ÇÂà´ç¡áÅмٌãË­‹·Õèä´ŒÃѺ¡ÒÃÇÔ¹Ô¨©ÑÂÇ‹Ò໚¹ anaphylaxis ·Õèä´ŒÃѺ¡ÒÃÃÑ¡ÉÒẺ¼ÙŒ»†ÇÂã¹ ·Õèâç
¾ÂÒºÒÅÈÔÃÃÒª ¾ºÇ‹Ò ¡ÒÃᾌÍÒËÒÃ໚¹ÊÒà˵آͧ¡ÒÃà¡Ô´ anaphylaxis ã¹¼Ù»ÇÂÃŒÍÂÅÐ 24(14) ¹Í¡
                 Ô                                                                                         Œ †
¨Ò¡¹Õ§¾ºÇ‹ÒÍÒËÒ÷ÐàÅâ´Â੾ÒСا໚¹ÊÒà˵ط¾ºº‹Í·ÕÊ´¢Í§¡ÒÃà¡Ô´»¯Ô¡ÃÂÒᾌÍÒËÒÃẺ
       é Ñ                                                   Œ           Õè             èØ                        ÔÔ
anaphylaxis ã¹»ÃÐà·Èä·Â                     (14-16)

                         ÍÒ¡ÒÃáÊ´§Ê‹Ç¹ãË­‹¢Í§ anaphylaxis ÁÑ¡à¡Ô´ÀÒÂã¹Ë¹Ö§ªÁ. ËÅѧÃѺ»ÃзҹÍÒËÒà  è
·Õᾌ àÇÅÒ·ÕàÃÔÁÁÕÍÒ¡Òà (onset) ¨Ò¡ÍÒËÒà ÁÑ¡¨ÐªŒÒ¡Ç‹Òã¹¡ÅØÁ anaphylaxis ·Õà¡Ô´¨Ò¡áÁŧµ‹ÍÂ
   è               è è                                                                      ‹                     è
ËÃ×Í¡ÒéմÂÒ áµ‹ËÒ¡áÊ´§ÍÒ¡ÒÃàÃçÇÁÑ¡¨ÐÁÕÍÒ¡ÒÃÃØ¹áç »˜¨¨ÑÂàÊÕè§µ‹Í¡ÒÃà¡Ô´ severe           (17)

anaphylaxis 䴌ᡋ »¯Ô¡ÔÃÔÂÒᾌ¶ÑèÇÅÔʧ âäË×´ ÇÑÂÃØ‹¹ áÅСÒÃäÁ‹ä´ŒÃѺ epinephrine ËÃ×Íä´ŒÃѺ
epinephrine ŋҪŒÒ(18) ¡ÒÃà¡Ô´ÍÒ¡Òà anaphylaxis «éÒËÅѧà¡Ô´ÍÒ¡ÒäÃѧáá (biphasic reaction)
                                                                            í                        é
¾ºä´ŒÃÍÂÅÐ 25 ã¹»¯Ô¡ÃÂÒᾌÍÒËÒ÷Õùá稹¶Ö§àÊÕªÕǵËÃ×Íã¡ÅŒàÊÕªÕǵ (fatal ËÃ×Í near-fatal
           Œ                         ÔÔ                        èØ                 Ô                      Ô
food reaction) â´ÂÁÑ¡¾ºã¹¼Ù»Ç·Õᾌ¶ÇáÅÐÍÒËÒ÷ÐàÅ
                       (17)
                                                    Œ † è Ñè
                   1.2 ÀÒÇÐá¾ŒÃØ¹áçËÅѧÃѺ»ÃзҹÍÒËÒÃáÅÐÍÍ¡¡íÒÅѧ¡Ò (.ood-dependent,
exercise–induced anaphylaxis, .DEIA)
                         㹼ٻǷÕÁÀÒÇйÕé ¨Ðà¡Ô´ÍÒ¡Òà anaphylaxis ËÅѧ¨Ò¡·ÕÍÍ¡¡íÒÅѧ¡ÒÂÀÒÂã¹àÇÅÒ
                             Œ † è Õ                                                                   è
2-4 ªÁ. ËÅѧ¨Ò¡ÃѺ»ÃзҹÍÒËÒ÷Õ໚¹ÊÒàËµØ áµ‹ËÒ¡ÍÍ¡¡íÒÅѧ¡ÒÂà¾Õ§Í‹ҧà´ÕÂÇâ´ÂäÁ‹ä´ŒÃº
                                                           è                                                                      Ñ
»ÃзҹÍÒËÒê¹Ô´¹Ñé¹ÁÒ¡‹Í¹ ËÃ×ÍÃѺ»ÃзҹÍÒËÒê¹Ô´¹Ñé¹â´Â·ÕèäÁ‹ä´ŒÍÍ¡¡íÒÅѧ¡ÒµÒÁËÅѧ
¨ÐäÁ‹à¡Ô´ÍÒ¡Òà anaphylaxis ¾ºã¹à¾ÈË­Ô§ÁÒ¡¡Ç‹Òà¾ÈªÒ áÅÐÁÑ¡¾ºã¹ª‹Ç§ÇÑÂÃØ¹µÍ¹»ÅÒ                                           ‹
¶Ö§ª‹Ç§ÍÒÂØ 30 »‚ ÃŒÍÂÅÐ 60 ¢Í§¼Ù»ÇÂã¹¡ÅØÁ¹ÕÁâäË×´ËÃ×ÍâäÀÙÁᾌ͹ËÇÁ´ŒÇÂ
                                                       Œ †         ‹ é Õ                        Ô ×è                 (1)

                         ệ§ÊÒÅÕ໚¹ÍÒËÒ÷ÕèÁÕÃÒ§ҹNjÒ໚¹ÊÒà˵Øä´Œº‹Í·ÕèÊØ´ã¹»ÃÐà·È­Õè»Ø†¹ ã¹ÂØâû
¾ºÇ‹Ò¼Ñ¡à»š¹ÊÒà˵ط¾ºº‹Í ʋǹÍÒËÒÃÍ×¹·ÕÁÃÒ§ҹNjÒ໚¹ÊÒà˵آͧ .DEIA䴌ᡋ shellfish,
                                Õè                                è è Õ
hazelnut, ¢ŒÒÇâ¾´ ¼Ñ¡ªÕ½Ãѧ »ÅÒ ä¢‹ àËç´ ¡ÃÐà·ÕÂÁ à¹×ÍËÁÙ à¹×ÍÇÑÇ áÅТŒÒÇ(19) â´Â¼Ù»ÇÂÍÒ¨à¤Â
                                          è                                     é             é                          Œ †
ÁÕ»ÃÐÇѵᾌÍÒËÒôѧ¡Å‹ÒÇÁÒ¡‹Í¹ã¹ÇÑÂà´ç¡
             Ô
                         ÍÒ¡ÒÃáÊ´§·ÕÊҤѭ䴌ᡋ ÍÒ¡ÒÃáÊ´§·Ò§¼ÔÇ˹ѧ ·Ò§à´Ô¹ËÒÂ㨠»Ç´·ŒÍ§ ͋͹à¾ÅÕÂ
                                              èí
áÅÐËÁ´ÊµÔ â´ÂÍÒ¡Ò÷ҧ¼ÔÇ˹ѧ໚¹ÍÒ¡Ò÷Õ辺º‹Í ÁÑ¡¾ºà»š¹¼×è¹ÅÁ¾ÔÉ angioedema áÅÐ
¼×è¹á´§ ʋǹÍÒ¡ÒÃËͺà˹×èÍ (dyspnea) ¾ºä´Œ»ÃÐÁҳÌÍÂÅÐ 60 ÁÕÅѡɳÐ੾ÒФ×ÍÁÕ
¤ÇÒÁÃÙÊ¡¤ÅŒÒÂÊíÒÅÑ¡ (choking sensation) ã¹ÅíÒ¤Í «Ö§àª×ÍÇ‹ÒäÁ‹ä´Œà¡Ô´¨Ò¡ËÅÍ´ÅÁË´µÑÇ áµ‹¹Ò¨Ð
         ŒÖ                                                                   è è                                               ‹
à¡Ô´¨Ò¡ angioedema ¢Í§·Ò§à´Ô¹ËÒÂã¨Ê‹Ç¹º¹ ÍÒ¡ÒÃËÁ´ÊµÔÃÐËNjҧÍÍ¡¡íÒÅѧ¡Ò¾ºä´Œ
ÃŒ Í ÂÅÐ 30 â´ÂÃŒ Í ÂÅÐ 80 ¢Í§¼ÙŒ »† Ç Â·Õè ÁÕ Í Ò¡ÒÃËÁ´ÊµÔ ¨ÐáÊ´§ÍÒ¡ÒÃÀÒÂã¹ 2 ªÁ.
ËÅѧÃѺ»ÃзҹÍÒËÒ÷Õ໚¹ÊÒà˵Ø(19) è
24                                                                 ¡ÒÃÇÔ¹Ô¨©Ñ¡ÒÃᾌÍÒËÒÃÊíÒËÃѺàǪ»¯ÔºÑµÔ·ÑèÇä»

              ã¹»ÃÐà·Èä·Â »˜­¨ÁÒ »Ò¨ÒÏÃÇÁ¡Ñº¼Ù¹¾¹¸áÅФ³Ð ä´ŒÃÒ§ҹ¼Ù»Ç 5 ÃÒ·Õè
                                                 ‹   Œ Ô                        Œ †
ÁÕÍÒ¡Òà .DEIA ¨Ò¡á»‡§ÊÒÅÕ ¼Ù»Ç 4 ã¹ 5 ÃÒÂäÁ‹Á»ÃÐÇѵÀÁᾌÍ‹ҧÍ×¹ ÍÒ¡ÒÃà¡Ô´ËÅѧÃѺ»Ãзҹ
                             Œ †                   Õ  Ô Ù Ô            è
ÍÒËÒ÷ÕÁệ§ÊÒÅÕ 10-30 ¹Ò·Õ ¼Ù»Ç·ءÃÒÂÁÕÍÒ¡Ò÷ҧ¼ÔÇ˹ѧ ¼Ù»ÇÂÃŒÍÂÅÐ 80 ÁÕÍÒ¡ÒÃÃкº·Ò§
       è Õ                       Œ †                               Œ †
à´Ô¹ËÒÂ㨠ÌÍÂÅÐ 40 ÁÕÍÒ¡ÒÃÃкº·Ò§à´Ô¹ÍÒËÒà áÅÐÃŒÍÂÅÐ 60 ÁÕ¤ÇÒÁ´Ñ¹âÅËԵŴŧ ¼Ù»Ç·ءŒ †
ÃÒÂãËŒ¼Å¡Ò÷´Êͺ·Õ໚¹ºÇ¡µ‹Í¡ÒÃÊСԴ¼ÔÇ˹ѧâ´Â㪌¹ÒÂÒ·ÕʡѴ¨Ò¡á»‡§ÊÒÅÕ
                      è                                  éí      è         (20)

              ËÅѧ¨Ò¡ä´ŒÃº¡ÒÃÇÔ¹¨©ÑÂâä ¼Ù»Ç¤ÇÃ䴌ú¤íÒá¹Ð¹íÒãËŒ§´ÍÍ¡¡íÒÅѧ¡ÒÂËÅѧÃѺ
                           Ñ         Ô       Œ †            Ñ
»ÃзҹÍÒËÒ÷Õ໚¹ÊÒà˵ØÍ‹ҧ¹ŒÍ 4-6 ªÁ. ¼Ù»Ç¤ÇÃËÅÕ¡àÅÕ§ÍÒËÒ÷Õ໚¹ÊÒà赯 äÁ‹¤ÇÃÍÍ¡¡íÒÅѧ
               è                           Œ †                è          è
¡Ò¤¹à´ÕÂÇ ¤Çþ¡ÂÒ©Õ´ epinephrine µÔ´µÑÇàÊÁÍ áÅФÇÃÁÕ»Ò·պ͡âäáÅСÒÃÃÑ¡ÉÒàº×ͧµŒ¹
                                                                ‡ è                     é
(anaphylaxis card) µÔ´µÑÇàÊÁÍ  (1)



          2. ÍÒ¡ÒÃáÊ´§·Ò§¼ÔÇ˹ѧ
                       2.1 ¼×¹ÅÁ¾ÔÉáÅÐ angioedema
                                è
                              ÍÒ¡ÒÃÅÁ¾ÔÉáÅÐ angioedema Ẻà©Õº¾Åѹ (acute urticaria and angioedema)
¨Ñ´ä´ŒÇÒ໚¹ÍÒ¡Ò÷վºº‹Í·ÕÊ´ã¹¡ÅØÁ»¯Ô¡ÃÂÒᾌÍÒËÒ÷ÕáÊ´§ÍÒ¡ÒÃÃÇ´àÃçÇ ¡ÒÃÈÖ¡ÉÒ¼Ù»ÇÂà´ç¡
           ‹                        è      èØ          ‹          ÔÔ                  è                                 Œ †
ã¹»ÃÐà·Èä·Ââ´ÂÁ¹µÃÕ µÙŒ¨Ô¹´ÒáÅФ³Ð áÅÐÈÔÃÔÇÃó ǹҹءÙÅáÅФ³Ð ¾ºÇ‹Ò»ÃÐÁÒ³
ÃŒ Í ÂÅÐ 7-10 ¢Í§¼ÙŒ »† Ç Âà´ç ¡ ·Õè ÁÕ Í Ò¡ÒÃÅÁ¾Ô É áººà©Õ  º¾ÅÑ ¹ ÁÕ Ê ÒàËµØ à ¡Õè  ǢŒ Í §¡Ñ º ÍÒËÒ÷Õè
ÃѺ»Ãзҹ(21,22) µ‹Ò§¨Ò¡¡ÒÃÈÖ¡ÉÒã¹¼ÙãË­‹·ÁÍÒ¡ÒÃÅÁ¾ÔÉẺà©Õº¾Åѹ ¾ºÍÒËÒÃ໚¹ÊÒà˵Ø
                                                         Œ           Õè Õ
à¾Õ§ÌÍÂÅÐ 1 ʋǹÍÒ¡ÒÃÅÁ¾ÔÉáÅÐangioedema ẺàÃ×ÍÃѧ (chronic urticaria and angioedema)
                         (23,24)
                                                                                    é
ã¹¼ÙãË­‹ ¾ºÁÕÊÒà˵بҡÍÒËÒÃä´Œ¹ÍÂÁÒ¡ ¼Ù¹¾¹¸áÅФ³Ð䴌ȡÉÒ¼Ù»ÇÂà´ç¡·Õ໚¹¼×¹ÅÁ¾ÔÉàÃ×ÍÃѧ
      Œ                                           Œ               Œ Ô                       Ö         Œ †       è  è         é
94 ÃÒ ·íÒ¡Ò÷´Êͺ¼ÔÇ˹ѧâ´Â¡ÒÃÊСԴ (skin prick test) ä´Œ¼ÅºÇ¡µ‹ÍÍÒËÒÃÃŒÍÂÅÐ 35 Í‹ҧ
äáç´Õ àÁ×Í·íÒ¡Ò÷´Êͺâ´Â¡ÒÃãˌú»ÃзҹÍÒËÒ÷ÕʧÊÑ (food challenge) ã¹¡ÅØÁ·ÕÁ»ÃÐÇѵÔ
                  è                                 Ñ                         è                                      ‹ è Õ
¡ÒÃà¡Ô´¼×¹·ÕÊÁ¾Ñ¹¸¡ºÍÒËÒèíҹǹ 9 ÃÒ ¾ºÇ‹Ò 6 ÃÒÂÁÕÍÒ¡ÒÃËÅѧ·íÒ food challenge ¼Ù»ÇÂ
                    è èÑ                 Ñ                                                                                  Œ †
4 ã¹ 6 ÃÒ·ÕÁÕ food challenge ໚¹ºÇ¡ËÒ¨ҡÍÒ¡Òü׹ÅÁ¾ÔÉàÃ×ÍÃѧàÁ×ÍËÂØ´ÃѺ»ÃзҹÍÒËÒÃ
                          è                                                     è               é         è
·ÕʧÊÑ ´Ñ§¹Ñ¹ ÍÒËÒÃÍҨ໚¹ÊÒà˵آͧ¼×¹ÅÁ¾ÔÉàÃ×ÍÃѧã¹à´ç¡ ¡Òëѡ»ÃÐÇѵâ´ÂÅÐàÍÕ´ÍҨ໚¹
   è           (25)
                            é                                   è           é                                 Ô
µÑǪչÒãËŒÁ¡Ò÷´Êͺ¡ÒÃᾌÍÒËÒÃà¾ÔÁàµÔÁ
        é í Õ                                              è
                       2.2 âä¼ÔÇ˹ѧÍÑ¡àʺ¨Ò¡ÀÙÁᾌ (Atopic dermatitis, AD)
                                                              Ô
                              âä¼ÔÇ˹ѧÍÑ¡àʺ¨Ò¡ÀÙÁÔᾌÁÑ¡áÊ´§ÍÒ¡ÒõÑé§áµ‹ã¹ÇÑ·Òá â´ÂÁÕÅѡɳСÒÃ
¡ÃШÒ¢ͧ¼×¹·Õ¨Òà¾ÒÐ ÁÕÍÒ¡ÒÃàÃ×ÍÃѧẺ໚¹æ ËÒÂæ ¤Ñ¹ áÅÐÊÑÁ¾Ñ¹¸¡ºâäÀÙÁᾌ͹ઋ¹ âä
                         è èí                   é                                                           Ñ     Ô ×è
Ë×´ áÅÐàÂ×ͺبÁÙ¡ÍÑ¡àʺ¨Ò¡ÀÙÁᾌ ÃŒÍÂÅÐ 35-40 ¢Í§¼Ù»ÇÂà´ç¡·Õ໚¹âä¼ÔÇ˹ѧÍÑ¡àʺ¨Ò¡ÀÙÁÔ
                     è                        Ô   (26)
                                                                                        Œ †         è
ᾌª¹Ô´»Ò¹¡ÅÒ§¶Ö§Ãعáç ÁÕ»¯Ô¡ÔÃÔÂÒᾌÍÒËÒÃËÇÁ´ŒÇ ¡Åä¡¡ÒÃà¡Ô´âä¹Õé ໚¹ä´Œ¨Ò¡ IgE-
                                                                                  (4)

mediated áÅÐ cell-mediated reaction »ÃÐÁҳ˹֧ã¹ÊÒÁ¢Í§¼Ù»ÇÂà´ç¡ÊÒÁÒöËÒ¨ҡ¡ÒÃᾌ
                                                                          è                   Œ †
ÍÒËÒÃáÅÐÁÕÍÒ¡Òôբ¹ ÀÒÂã¹ 2-3 »‚ ·Ñ§¹Õ¢¹¡Ñºª¹Ô´¢Í§ÍÒËÒ÷Õᾌ áÅФÇÒÁà¤Ã‹§¤ÃѴ㹡ÒÃ
                                      Öé              (26)
                                                             é é Öé                               è
ËÅÕ¡àÅÕ§ÍÒËÒ÷Õᾌ
             è                    è
àǪÈÒʵÏ·¹Âؤ 2553
          Ñ                                                                                                          25

      3. ÍÒ¡ÒÃáÊ´§·Ò§Ãкº·Ò§à´Ô ¹ ÍÒËÒà (Immediate gastrointestinal
hypersensitivity)
                 ÍÒ¡ÒÃáÊ´§·Ò§Ãкº·Ò§à´Ô¹ÍÒËÒÃÁÑ¡à¡Ô´Ã‹ÇÁ¡ÑºÍÒ¡ÒÃáÊ´§·Ò§ÃкºÍ×¹ ઋ¹ Ãкº                       è
¼ÔÇ˹ѧ ËÃ×Í ·Ò§à´Ô¹ËÒÂ㨠â´ÂÁÑ¡áÊ´§ÍÒ¡ÒÃÀÒÂã¹ÃÐÂÐàÇÅÒ໚¹¹Ò·Õ¶§ 2 ªÁ. ËÅѧÃѺ»Ãзҹ
                                         (27)
                                                                                            Ö
ÍÒËÒ÷Õᾌ ÍÒ¡ÒÃáÊ´§ä´Œá¡‹ ¤Å×¹äÊŒ »Ç´·ŒÍ§ »Ç´ºÔ´ ÍÒà¨Õ¹ ¶‹ÒÂàËÅÇ ã¹à´ç¡·ÒáÍÒ¨äÁ‹áÊ´§
             è                                     è
ÍÒ¡ÒÃÍÒà¨Õ¹·Ñ¹·ÕËÅѧÃѺ»ÃзҹÍÒËÒ÷Õᾌ ᵋÍÒ¨áÊ´§ÍÒ¡ÒÃÍÒà¨Õ¹໚¹¤Ãѧ¤ÃÒÇËÇÁ¡Ñº¡ÒÃ
                                                                 è                                é
äÁ‹à¨ÃÔ­àµÔºâµ (failure to thrive)
                 3.1 Pollen-food allergy syndrome (Oral allergy syndrome, OAS)
                     ໚¹»¯Ô¡ÃÂÒᾌ·à¡Ô´àÁ×ÍàÂ×ͺتͧ»Ò¡ÊÑÁ¼ÑʡѺ¼Ñ¡áÅмÅäÁŒÊ´ â´Â໚¹ÅѡɳÐ
                                      ÔÔ             Õè     è è ‹
ÀÙÁᾌÊÁ¼ÑÊ (contact allergy) ¨Ö§ÁÑ¡áÊ´§ÍÒ¡ÒÃÍÒ¡ÒäѹáÅкÇÁºÃÔàdzÃÔÁ½‚»Ò¡ ÅÔ¹ ྴҹ»Ò¡
        Ô Ñ                                                                                             é
áÅÐã¹ÅíÒ¤Í ÍÒ¨ÁÕÍÒ¡ÒäѹËÙ ËÃ×Íṋ¹ã¹ÅíÒ¤ÍËÇÁ´ŒÇ ÁÑ¡äÁ‹áÊ´§ÍÒ¡ÒÃã¹ÃкºÍ×¹ ÍÒ¡Òà                                è
ÁÑ¡à¡Ô´àÃçÇáÅÐËÒÂä´ŒÃÇ´àÃçÇËÅѧËÂØ´ÃѺ»Ãзҹ âä¹Õ龺㹼ٌãË­‹ÁÒ¡¡Ç‹Òà´ç¡ áÅоºº‹ÍÂ
ã¹»ÃÐà·ÈµÐÇѹµ¡ â´Â੾ÒмٷᾌÅÐÍͧà¡Êà birch, ragweed áÅÐ mugwort(28) â»ÃµÕ¹ã¹¼Ñ¡áÅÐ
                                                Œ Õè
¼ÅäÁŒ·Õè໚¹ÊÒá‹ÍÀÙÁÔᾌ«Öè§ÁÕ»¯Ô¡ÔÃÔÂÒᾌ¢ŒÒÁ¡ÅØ‹Á¡ÑºÅÐÍͧà¡ÊÃä´Œº‹ÍÂ䴌ᡋ ¡ÅØ‹Á ÁÐà¢×Íà·È,
áµ§ (melon), ¡ÕÇÕ «Ö§ÁÕ»¯Ô¡ÃÂÒᾌ¢ÒÁ¡ÅØÁ¡ÑºÅÐÍͧà¡ÊÃË­ŒÒ ໚¹µŒ¹ â´Â·ÑÇ仼ٻÇÂʋǹãË­‹
                            è              ÔÔ             Œ    ‹                                è         Œ †
ÁÑ¡¨ÐÃѺ»Ãзҹ¼Ñ¡áÅмÅäÁŒàËŋҹÕËÅѧ¨Ò¡»ÃØ§ÊØ¡ÁÒáÅŒÇä´Œ â´ÂäÁ‹áÊ´§ÍÒ¡ÒüԴ»¡µÔ à¾ÃÒÐÊÒÃ
                                                        é
¡‹ÍÀÙÁᾌÊǹãË­‹¶¡·íÒÅÒ´ŒÇ¤ÇÒÁÌ͹(29)
          Ô ‹             Ù
                 3.2 Allergic eosinophilic gastroenteropathy
                     ໚¹¡ÅØ‹Áâä·ÕèÁÕ¡ÒÃÍÑ¡àʺ¨Ò¡¡ÒÃÁÕ eosinophil ä»ÊÐÊÁã¹Ãкº·Ò§à´Ô¹ÍÒËÒÃ
µÑ§áµ‹ËÅÍ´ÍÒËÒà ¡ÃÐà¾ÒÐÍÒËÒè¹¶Ö§ÅíÒäÊŒ ·íÒãËŒà¡Ô´âä allergic eosinophilic esophagitis (AEE)
  é
ËÃ×Í allergic eosinophilic gastroenteritis (AEG) ¢Ö¹¡ÑºµíÒá˹‹§¢Í§âä ÍÒ¡ÒÃáÊ´§¨Ö§¢Ö¹¡ÑºµíÒá˹‹§
                                                                   é                                         é
¢Í§ÃÍÂâäáÅФÇÒÁÃØ¹áç¢Í§¡ÒÃÍÑ¡àʺ â´ÂÍÒ¡Ò÷վºº‹ÍÂ䴌ᡋ »Ç´·ŒÍ§ ¤Å×¹äÊŒ àº×ÍÍÒËÒÃ
                                                                              è                     è              è
ÍÒà¨Õ¹ áÅж‹ÒÂàËÅÇ à¹×ͧ¨Ò¡µíÒá˹‹§·Õ¾º¡ÒÃÍÑ¡àʺ䴌ºÍ¤×Í Ê‹Ç¹àÂ×ÍºØ¼Ç (mucosa) ËÒ¡à¡Ô´
                                    è                        è                  ‹         è Ô
¡ÒÃÍÑ¡àʺ㹺ÃÔàdzªÑ¹¡ÅŒÒÁà¹×ͧ͢¼¹Ñ§·Ò§à´Ô¹ÍÒËÒà ¨ÐÊ‹§¼ÅãËŒà¡Ô´¡ÒõպµÑÇ áÅСÒúպµÑÇ
                                é                é
·Õ¼´»¡µÔ (dysmotility) ¢Í§·Ò§à´Ô¹ÍÒËÒà ʋǹ¡ÒÃÍÑ¡àʺ·Õà¡Ô´ã¹ªÑ¹ serosa ¨ÐÊ‹§¼ÅãËŒà¡Ô´¹éÒã¹
    è Ô                                                                           è  é                                 í
ª‹Í§·ŒÍ§ (ascites) ä´Œ        (30,33)

                     âä¹Õéà¡Ô´ä´Œã¹·Ø¡ÍÒÂØáÅШѴ໚¹»¯Ô¡ÔÃÔÂÒᾌÍÒËÒ÷Õèà¡Ô´¼‹Ò¹¡Åä¡·Ñé§ IgE áÅÐ
 non-IgE-mediated reaction âä AEE ¾ºä´ŒºÍÂã¹¼ÙãË­‹ ᵋ»¨¨Øº¹àÃÔÁ¾ºÁÒ¡¢Ö¹ã¹à´ç¡·Òá
                                                                     ‹      Œ       ˜ Ñ è                  é
¨¹¶Ö§ÇÑÂÃØ¹ ã¹à´ç¡ÁÑ¡áÊ´§ÍÒ¡ÒÃẺ¡Ã´äËÅŒ͹ (gastroesophageal reflux disease, GERD)
               ‹
àÃ×ÍÃѧ ÍÒà¨Õ¹໚¹¤Ãѧ¤ÃÒÇ »Ç´·ŒÍ§ ¡Å×¹ÅíÒºÒ¡ ˧ش˧Դ äÁ‹ÂÍÁÃѺ»ÃзҹÍÒËÒà ÁÕ»­ËÒ
     é                            é                                                                                  ˜
㹡Òù͹ËÅѺáÅÐäÁ‹µÍºÊ¹Í§µ‹Í¡ÒÃÃÑ¡ÉÒ´ŒÇÂÂÒÃÑ¡ÉÒ GERD(34) ã¹¼ÙãË­‹Á¡áÊ´§ÍÒ¡ÒÃÍÖ´ÍÑ´      Œ     Ñ
ã¹·ŒÍ§ ṋ¹·ŒÍ§ (food impaction) áÅСÅ×¹ÅíÒºÒ¡                         (35)

                     ã¹¼Ù»ÇÂà´ç¡·Õ໚¹ AEG ºÒ§ÃÒÂÍÒ¨¾ºÀÒÇÐ protein-losing enteropathy ËÇÁ´ŒÇÂ
                         Œ †                  è
·íÒãˌʭàÊÕÂâ»ÃµÕ¹ä»·Ò§Íب¨ÒÃÐ â´ÂµÃǨ¾ºÃдѺ !1antitrypsin ã¹Íب¨ÒÃÐÊÙ§¢Ö¹ ¡ÒÃÊÙ­àÊÕÂ
           Ù                                                                                          é
26                                                                                           ¡ÒÃÇÔ¹Ô¨©Ñ¡ÒÃᾌÍÒËÒÃÊíÒËÃѺàǪ»¯ÔºÑµÔ·ÑèÇä»

â»ÃµÕ¹à¡Ô´¨Ò¡¡ÒÃà¾ÔÁ¢Ö¹¢Í§ permeability ¢Í§ÅíÒäÊŒ ʋǹ eosinophilia ¾ºä´Œ»ÃÐÁҳÌÍÂÅÐ 50
                                            è é
㹼ٻǠAEE áÅÐÃŒÍÂÅÐ 66 㹼ٻǠAEG ¹Í¡¨Ò¡¹Õ§¾ºÀÒÇÐÀÙÁᾌ (atopy) 㹼ٻǠAEG
          Œ †                                                    Œ †                                  é Ñ                             Ô                   Œ †
¶Ö§ÃŒÍÂÅÐ 70 ¼Ù»ÇÂʋǹãË­‹ÁÊÒà˵بҡ¡ÒÃᾌÍÒËÒÃáÅÐÍÒ¡ÒÃÁÑ¡´Õ¢¹ËÅѧ¨Ò¡§´ÍÒËÒôѧ¡Å‹ÒÇ
                               Œ †                       Õ                                                                         Öé
â´ÂÍÒËÒ÷Õ໚¹ÊÒà˵Øä´ŒºÍ¤×Í ¹ÁÇÑÇ ¹Á¶ÑÇàËÅ×ͧ 䢋 ệ§ÊÒÅÕ áÅлÅÒ(36)
                           è                     ‹                                   è
                                ¡ÒõѴªÔ¹à¹×ͺÃÔàdzÃÍÂâä仵ÃǨ ¶×Í໚¹¡ÒõÃǨ·ÕãËŒ¼ÅáÁ‹¹ÂíÒ·ÕÊ´ÊíÒËÃѺ¡ÒÃ
                                               é é                                                                               è                     èØ
ÇÔ¹¨©ÑÂâä (gold standard) â´Â¨Ð¾º eosinophil ºÃÔàdzÃÍÂâäÁÒ¡¡Ç‹Ò»Ã¡µÔ â´Âࡳ±¢Í§
        Ô
¨íҹǹ eosinophil ·ÕèÁÒ¡¡Ç‹Ò»Ã¡µÔ¨Ðᵡµ‹Ò§¡Ñ¹ã¹áµ‹ÅеíÒá˹‹§ Í‹ҧäáç´Õ ¡ÒõѴªÔé¹à¹×éÍ
äÁ‹ÊÒÁÒöºÍ¡ÊÒà˵آͧâä䴌 ¡Ò÷´Êͺ¼ÔÇ˹ѧâ´Â¡ÒÃÊСԴ ËÃ×͵ÃǨ IgE ã¹àÅ×Í´·Õ¨Òà¾ÒÐ                                                                              èí
µ‹ÍÍÒËÒùѹ ÁÑ¡äÁ‹ÊÒÁÒöº‹§ªÕ¶§ÍÒËÒ÷Õ໚¹ÊÒà˵Øä´Œ·§ËÁ´ à¹×ͧ¨Ò¡ÊÒÁÒöà¡Ô´¨Ò¡·Ñ§ IgE
                        é                                    é Ö               è                          Ñé               è                                        é
áÅÐ non-IgE-mediated reaction ÍÒ¨µŒÍ§ÍÒÈÑ¡Ò÷íÒ oral food challenge ¹Ò¹Í‹ҧ¹ŒÍ 3-5 Çѹ
à¾×ÍãËŒ¼»ÇÂáÊ´§ÍÒ¡ÒÃËÇÁ¡Ñº·íÒãËŒ¾º eosinophil ¨Ò¡¡ÒõÃǨªÔ¹à¹×Í(29)
      è         ÙŒ †                                                                                                      é é
                                ¡ÒÃÃÑ¡ÉÒâ´Â¡Òç´ÍÒËÒ÷Õ໚¹ÊÒà˵ØÍ‹ҧ¹ŒÍ 8 ÊÑ»´Òˏ¨§¨Ðà¾Õ§¾Í·Õ¨Ð·íÒãËŒ
                                                                                 è                                                          Ö                  è
ÍÒ¡ÒÃËÒÂä» áÅеŒÍ§ãªŒàÇÅÒÍ‹ҧ¹ŒÍ 12 ÊÑ»´Òˏ¨§¨Ð·íÒãˌšɳзҧ histology ¡ÅѺÊÙÀÒÇÐ             Ö                  Ñ                                                 ‹
»¡µÔ ¼Ù»ÇºҧÃÒÂÍÒ¨µŒÍ§ÃѺ»ÃзҹÍÒËÒ÷Õᾌ¹Í (hypoallergenic formula) ËÃ×ÍÍÒËÒÃ
           (37)
                       Œ †                                                                   è Œ
·Õ·Ò¨Ò¡¡Ã´ÍÐÁÔ⹠ʋǹ¡ÒÃÃѺ»ÃзҹÂÒ corticosteroid ËÃ×Í¡ÒÃ㪌 corticosteroid ª¹Ô´ÊÙ´ÁÒÃѺ
   è í
»Ãзҹ¹Ñ¹ ÊÒÁÒöª‹ÇºÃÃà·ÒÍÒ¡ÒÃä´ŒÃÇ´àÃçÇ
                     é
                          3.3 ¡ÅØÁÍÒ¡ÒÃÅíÒäʌ͡àʺ¨Ò¡¡ÒÃᾌÍÒËÒà (.ood protein-induced enterocolitis
                                       ‹                            Ñ
syndrome, .PIES)
                                ¡ÅØÁÍÒ¡Òùվºº‹ÍÂã¹à´ç¡ÇÑ·ÒáÍÒÂØÃÐËNjҧ˹֧ÊÑ»´Òˏ¶§ÊÒÁà´×͹áá ÍÒ¡ÒÃ
                                   ‹                 é                                                                è                   Ö
·Õ¾ºº‹Í¤×Í ÍÒ¡ÒÃÍÒà¨Õ¹ËÇÁ¡Ñº¶‹ÒÂàËÅÇ «Ö§ÍÒ¨ÁÕ¤ÇÒÁÃØ¹áçÁÒ¡áÅйíÒä»ÊÙÀÒÇТҴ¹éÒä´Œ
    è                                                                                    è                                                         ‹                    í
â´Â¾ºÀÒÇЪçͤ ËÃ×ͤÇÒÁ´Ñ¹µèÒä´Œ¶§ÃŒÍÂÅÐ 15 ¢Í§¼Ù»Ç áÅÐÍҨ໚¹ÍÒ¡ÒÃáá·Õ¹Ò¼Ù»ÇÂ
                                                              í Ö                                      Œ †     (38)
                                                                                                                                                             è í Œ †
ÁÒâç¾ÂÒºÒÅ ÍÒ¡ÒÃÍÒà¨Õ¹ÁÑ¡à¡Ô´ÀÒÂã¹ 1-4 ªÁ. ááËÅѧÃѺ»ÃзҹÍÒËÒ÷Õᾌ ËÅѧ¨Ò¡¹Ñ¹                                                               è                          é
ÍÒ¡Òö‹ÒÂàËÅǨÐà¡Ô´µÒÁÁÒÀÒÂã¹ 4-8 ªÁ. ¡ÒõÃǨàÅ×Í´¾ºÁÕ¡ÒÃà¾ÔÁ¢Ö¹¢Í§ neutrophil ¶ŒÒËÒ¡                                        è é                           (38)

¼Ù»ÇÂÂѧ¤§ÃѺ»ÃзҹÍÒËÒ÷ÕᾌµÍà¹×ͧ ÍÒ¨à¡Ô´ÍÒ¡Òö‹ÒÂàËÅÇ»¹àÅ×Í´ ÍÒà¨Õ¹àÃ×ÍÃѧ «Õ´ ·ŒÍ§Í×´
  Œ †                                                      è ‹ è                                                                                     é
failure to thrive áÅÐ albumin ã¹àÅ×Í´µèÒµÒÁÁÒä´Œ 㹺ҧÃÒÂÍÒ¨Âѧ¤§ÁÕÀÒÇж‹ÒÂàËÅǵ‹Íà¹×ͧ
                                                                             í                                                                                            è
ä´Œ¹Ò¹¶Ö§ÊͧÊÑ»´ÒˏËÅѧ¨Ò¡¼ÙŒ»†ÇÂËÂØ´ÃѺ»ÃзҹÍÒËÒ÷ÕèᾌáÅŒÇ «Öè§ÍÒ¨¡Ô´¨Ò¡ÀÒÇТҴ
disaccharidase enzyme ÍÒ¡ÒÃÍ×¹æ ·ÕÍÒ¨¾ºÃ‹ÇÁ´ŒÇÂ䴌ᡋ «Õ´ «ÖÁ ÍÒ¡ÒÃà¢ÕÂǤÅéÒ (cyanosis),
                                                                  è        è                                                                           í
metabolic acidosis áÅÐ methemoglobinemia ¼Ù»ÇÂÁѡ䴌ú¡ÒÃÇÔ¹¨©Ñ·ÕÅÒªŒÒ â´Âã¹ÃÐÂÐáá       Œ †                 Ñ              Ô           è‹
¨íÒ໚¹µŒÍ§ÇÔ¹¨©ÑÂá¡âäÍ׹ËÇÁ´ŒÇÂઋ¹ ¡ÒõԴàª×Í㹡ÃÐáÊàÅ×Í´ (sepsis), metabolic disorder
                             Ô                     è                                           é
áÅÐ surgical abdominal emergency
                                âä¹ÕÁ¡¾ºã¹¼Ù»Ç·մÁ¹Á¼ÊÁ â´Â»˜¨¨Øº¹ÂѧäÁ‹ÁÃÒ§ҹ㹼ٻÇ·մÁ¹ÁáÁ‹àÅÂ
                                           é Ñ              Œ † è ×è                                         Ñ          Õ                     Œ † è ×è
ÍÒËÒ÷Õ໚¹ÊÒà˵ØÊǹãË­‹¤Í ¹ÁÇÑÇáÅйÁ¶ÑÇàËÅ×ͧ â´Â¾ºÇ‹Ò»ÃÐÁҳÌÍÂÅÐ 50 ¢Í§à´ç¡·Õè
                  è                      ‹             ×                               è           (38)

ᾌ¹ÁÇÑǨÐᾌ¹Á¶ÑÇàËÅ×ͧËÇÁ´ŒÇ ã¹à´ç¡âµÍÒ¨¾ºÊÒ˵بҡÍÒËÒÃÍ׹䴌 ઋ¹ 䢋 ệ§ÊÒÅÕ ¶ÑÇ
                                     è                                (38)
                                                                                                                                        è                                     è
¢ŒÒÇ ¢ŒÒÇâ͍µ ¢ŒÒǺÒÏàŏ ä¡‹ »ÅÒ áÅмÅäÁŒ â´ÂÃŒÍÂÅÐ 65 ¢Í§¼Ù»Ç¨ÐÁÕ»ÃÐÇÑµÔ .PIES ¨Ò¡
                                                                                   (38-41)
                                                                                                                                Œ †
àǪÈÒʵÏ·¹Âؤ 2553
          Ñ                                                                                                                                                                            27

ᾌ¹ÁÇÑÇáÅйÁ¶ÑÇàËÅ×ͧÍÂ١͹áÅŒÇ Ê‹Ç¹ÍÒËÒ÷ÐàŨíҾǡ crustacean ¾ºà»š¹ÊÒà˵آͧ .PIES
                                     è                      ‹ ‹
ã¹¼ÙãË­‹   Œ
                                   ¡Ò÷´Êͺ¼ÔÇ˹ѧâ´Â¡ÒÃÊСԴ ËÃ×͵ÃǨ IgE ã¹àÅ×Í´·Õ¨Òà¾Òе‹ÍÍÒËÒÃÁÑ¡ãËŒ¼Å                                        èí
ź ¡ÒõÃÇ¨ÍØ¨¨ÒÃоºàÅ×Í´»¹ (occult blood), neutrophil, eosinophil áÅÐ Charcot-Leyden crystal
µÃǨ stool reducing substance ÍÒ¨ãËŒ¼ÅºÇ¡ä´Œ ¡ÒÃÂ×¹Âѹ¡ÒÃÇÔ¹¨©ÑÂâä¹Õé äÁ‹ä´ŒÍÒÈÑ¡ÒõÃǨ                                                 Ô
·Ò§ËŒÍ§»¯Ôºµ¡Òà ᵋÍÒÈÑ»ÃÐÇѵÃÇÁ¡Ñº¡Ò÷íÒ elimination diet-challenge test áÅŒÇãËŒ¼ÅºÇ¡ ¤×Í
                           Ñ Ô                                            Ô‹
àÁ×ͧ´ÍÒËÒ÷ÕʧÊÑÂÇ‹ÒᾌáŌǾºÇ‹Ò¼Ù»ÇÂÁÕÍÒ¡Òôբ¹ÀÒÂã¹ 72 ªÁ. àÁ×ͼٻÇÂÍÂÙã¹ÀÒÇл¡µÔ
       è                       è                                               Œ †                            Öé                                          è Œ †           ‹
áÅŒÇ ¾Ô¨ÒóҷíÒ oral challenge ÍÒËÒê¹Ô´à´ÔÁã¹»ÃÔÁÒ³â»ÃµÕ¹ 0.6 ¡ÃÑÁµ‹Í¹éÒ˹ѡµÑÇ˹֧¡¡.                                                                               í           è
¼Ù»ÇÂà¡Ô´ÍÒ¡ÒÃઋ¹à´ÔÁÍÕ¡ ʋǹÁÒ¡à¡Ô´ÍÒ¡ÒÃÀÒÂã¹ 2 ªÁ. à¹×ͧ¨Ò¡âä¹Õ¾ºÀÒÇЪçͤ ËÃ×ͤÇÒÁ
    Œ †                                                                                                                          è                      é
´Ñ¹ã¹àÅ×Í´µèÒä´Œ¶§ÃŒÍÂÅÐ 15 ¨Ö§Áբ;֧ÃÐÇѧ㹡Ò÷íÒ oral food challenge ¤×ͤÇ÷íÒ¡Ò÷´Êͺ´Ñ§
                          í Ö                                             Œ
¡Å‹ÒÇ੾ÒÐ㹡óշäÁ‹á¹‹ã¨ã¹¡ÒÃÇÔ¹¨©Ñ¨ҡ»ÃÐÇÑµÔ áÅФÇ÷´ÊͺÀÒÂ㵌¡ÒôÙáŢͧᾷáÅÐ
                                              Õè                                Ô
¾ÂÒºÒÅÍ‹ҧã¡ÅŒª´ ÀÒÂã¹âç¾ÂÒºÒÅ·ÕÁÍ»¡Ã³¡Òê‹ÇªÕǵ·Õ¤Ãº¤Ãѹ෋ҹѹ â´ÂµŒÍ§ÁÕ¡ÒÃແ´
                                            Ô                                            è ÕØ                                   Ô è                            é
àÊŒ¹ (intravenous access) àµÃÕÂÁ¾ÃŒÍÁàÊÁÍ ËÒ¡ÁÕ»ÃÐÇѵà¡Ô´ÍÒ¡ÒÃÃØ¹áçËÅѧ¨Ò¡ÃѺ»Ãзҹ                                       Ô
ÍÒËÒûÃÔÁÒ³à¾Õ§àÅ硹ŒÍ ¤ÇÃÅ´»ÃÔÁÒ³â»ÃµÕ¹ã¹ÍÒËÒ÷շ´ÊͺŧàËÅ×Í 0.15–0.3 ¡ÃÑÁµ‹Í¹éÒ                                           è                                                            í
˹ѡµÑÇ˹֧¡¡.       è
                                   ¡ÒôíÒà¹Ô¹âä ¾ºÇ‹ÒʋǹãË­‹¼»ÇÂâä¹Õ·á¾Œ¹ÁÇÑÇáÅйÁ¶ÑÇàËÅ×ͧ ÁÑ¡à¡Ô´ÀÒÇÐ
                                                                                                     ÙŒ †             é Õè                                   è
tolerance ÀÒÂã¹ÍÒÂØ 3 »‚ »˜¨¨Øº¹¾ºÁÕÃÒ§ҹ¡ÒÃà¡Ô´âä¹Õã¹¼Ù»ÇÂ¡ÅØÁÍÒÂØ·ÁÒ¡¢Ö¹ áÅоºÇ‹Ò
                                                                        Ñ                                                    é Œ †                ‹                Õè       é
ÁÕâÍ¡ÒÊ·ÕâäÂѧ¤§ÍÂÙ‹ (persistent) ¹Ò¹¢Ö¹
                   è                                                                   é      (39)

                         3.4 ÅíÒäÊŒãË­‹Í¡àʺ¨Ò¡¡ÒÃᾌÍÒËÒà (.ood protein-induced colitis)
                                                          Ñ
                                   âä¹ÕÁ¡¾ºã¹à´ç¡ÇÑ·ÒáÍÒÂØ¹ÍÂ¡Ç‹Ò 4 à´×͹ ¼Ù»ÇÂÁÑ¡ÁÒ¾ºá¾·Â´ÇÂÍÒ¡ÒÃ
                                                 é Ñ                                                   Œ                                 Œ †                                   Œ
¶‹ÒÂÍØ¨¨ÒÃл¹àÅ×ʹ໚¹æ ËÒÂæ â´ÂäÁ‹ÁÍÒ¡ÒüԴ»¡µÔ͹æ à¹×ÍÍØ¨¨ÒÃÐÁÑ¡ÁÕšɳлáµÔ ¼Ù»Ç      Õ                        ×è                é                           Ñ                  Œ †
ÁÑ¡ÁÕÊ¢ÀÒ¾·ÑÇ任áµÔáÅÐäÁ‹Á»­ËÒ¹éÒ˹ѡ¢Ö¹ªŒÒËÃ×͹éÒ˹ѡ¹ŒÍ ÍÒ¨µÃǨ¾ºÀÒÇЫմ albumin
               Ø            è                                       Õ ˜            í               é             í
ã¹àÅ×Í´µèÒàÅ硹ŒÍ áÅÐÁÕ eosinophil ã¹àÅ×Í´ÊÙ§àÅ硹ŒÍÂ㹺ҧÃÒÂ(42-44) ¤ÇÒÁªØ¡¢Í§âäÂѧäÁ‹·ÃÒº
                 í
ṋª´ ÍÒËÒ÷Õ໚¹ÊÒà˵Øä´ŒºÍ ¤×Í ¹ÁÇÑÇ áÅйÁ¶ÑÇàËÅ×ͧ »ÃÐÁҳÌÍÂÅÐ 60 ¢Í§¼Ù»ÇÂâä¹Õé
             Ñ                   è                              ‹                                           è                                                                 Œ †
´×Á¹ÁáÁ‹à¾Õ§Í‹ҧà´ÕÂÇ «Ö§ÍҨ䴌úâ»ÃµÕ¹¹ÁÇÑǨҡ¡Ò÷ÕÁÒôҴ×Á¹ÁÇÑÇ áÅÐÊ‹§¼‹Ò¹â»ÃµÕ¹
  è                                                  (42-44)
                                                                  è                  Ñ                                                 è        è
¹ÁÇÑÇÍÍ¡ÁҡѺ¹éíÒ¹ÁáÁ‹ »˜¨¨ØºÑ¹àÃÔèÁÁÕÃÒ§ҹâä¹Õéã¹¡ÅØ‹Áà´ç¡âµÍÒÂØ 2-14 »‚ â´ÂÁÕÊÒà˵بҡ
ᾌ¹ÁÇÑÇઋ¹¡Ñ¹
                                   ¡ÒÃÇÔ¹Ô¨©ÑÂá¡âä µŒÍ§á¡¨Ò¡âäµÔ´àª×éÍã¹Ãкº·Ò§à´Ô¹ÍÒËÒÃ, necrotizing
enterocolitis, âäÅíÒäÊŒ¡Å×¹¡Ñ¹ (intussusception), anal fissure áÅФÇÒÁ¼Ô´»¡µÔ¢Í§¡ÒÃá¢ç§µÑÇ
¢Í§àÅ×Í´ (coagulation disorder) ¡ÒÃÇÔ¹¨©ÑÂÍÒÈÑ¡Ò÷íÒ elimination diet-challenge test â´Â   Ô
¼Ù»Ç¨ÐÁÕÍÒ¡Òôբ¹ªÑ´à¨¹ÀÒÂã¹ 72-96 ªÁ. ËÅѧ¨Ò¡§´ÍÒËÒ÷Õᾌ áÅÐàÁ×Í·íÒ oral challenge ¼Ù»ÇÂ
     Œ †                                 Öé                                                                                        è                  è                              Œ †
¨ÐÁÕÍÒ¡ÒÃà¡Ô´¢Ö¹ãËÁ‹ÀÒÂã¹ÃÐÂÐàÇÅÒËÅÒªÁ. ËÃ×ÍËÅÒÂÇѹ á¹Ð¹íÒãËŒ·Ò oral challenge ËÇÁ´ŒÇÂ
                                   é                                                                                                                í
à¾×ÍËÅÕ¡àÅÕ§¡Òç´ÍÒËÒÃËÃ×Íà»ÅÕ¹ª¹Ô´¢Í§¹Á«Ö§ÁÕÃÒ¤Òá¾§â´ÂäÁ‹¨Ò໚¹ ÃÇÁ·Ñ§à¾×ÍËÅÕ¡àÅÕ§
         è             è                                                    è                             è                                   í                         é è              è
¡Òç´ÍÒËÒÃâ´ÂäÁ‹¨Ò໚¹ã¹ÁÒôҷյͧãËŒ¹ÁºØµÃ ¡ÒôíÒà¹Ô¹âä 㹼ٻǷÕÁÍÒ¡Òà proctocolitis
                                                  í                           è Œ                                                            Œ † è Õ
¨Ò¡¹ÁÇÑÇËÃ×͹Á¶ÑÇàËÅ×ͧ ÁÑ¡ËÒÂÀÒÂã¹ 6 à´×͹¶Ö§ 2 »‚ËÅѧ¨Ò¡§´ÍÒËÒ÷Õᾌ
                                       è                                                                                                                   è
28                                                   ¡ÒÃÇÔ¹Ô¨©Ñ¡ÒÃᾌÍÒËÒÃÊíÒËÃѺàǪ»¯ÔºÑµÔ·ÑèÇä»

                 3.5 Dietary protein-induced enteropathy
                     âä¹ÕÁ¡¾ºã¹¼Ù»ÇÂÇÑ·ÒááÅÐà´ç¡àÅç¡ÀÒÂã¹ 2 »‚áá(27) ¼Ù»ÇÂÁÑ¡áÊ´§ÍÒ¡ÒÃ
                            é Ñ              Œ †                                         Œ †
ÀÒÂã¹ÃÐÂÐàÇÅÒäÁ‹¡Ê»´ÒˏËÅѧàÃÔÁÃѺ»ÃзҹÍÒËÒ÷Õ໚¹ÊÒà赯 â´ÂÍÒ¡Ò÷վºº‹Í ¤×Í ÍÒ¡ÒÃ
                          Õè Ñ                    è               è                        è
¶‹ÒÂàËÅÇàÃ×ÍÃѧ ¹éÒ˹ѡ¢Ö¹¹ŒÍÂáÅÐ failure to thrive Íѹ໚¹¼Å¨Ò¡ÀÒÇСÒôٴ«ÖÁ¼Ô´»Ã¡µÔ ÍÒ¡ÒÃ
               é       í            é
ÍÒà¨Õ¹¾ºä´Œ»ÃÐÁҳÌÍÂÅÐ 70 ÀÒÇÐÍØ¨¨ÒÃÐÁÕä¢ÁѹÁÒ¡ (steatorrhea) ¾ºä´ŒÃÍÂÅÐ 80 ÀÒÇÐ           Œ
«Õ´¾ºä´ŒÃÍÂÅÐ 40 㹺ҧÃÒÂÍÒ¨ÁÕ¡ÒÃàÊÕÂâ»ÃµÕ¹ä»ã¹ÅíÒäÊŒ (protein-losing enteropathy) ·íÒãËŒ
             Œ
à¡Ô´ albumin ã¹àÅ×Í´µèÒáÅкÇÁ ËÇÁ¡Ñº¾ºÃдѺ !1 antitrypsin ã¹àÅ×Í´à¾ÔÁ¢Ö¹ ÍÒËÒ÷Õ໚¹ÊÒà˵Ø
                                í                                                    è é         è
·Õ¾ºº‹Í·ÕÊ´ ¤×Í ¹ÁÇÑÇ ÍÒËÒÃÍ×¹·ÕÁÃÒ§ҹ䴌ᡋ ¶ÑÇàËÅ×ͧ 䢋 »ÅÒ ¢ŒÒÇ ä¡‹ ¸Ñ­¾×ª áÅÐÍÒËÒÃ
  è            èØ                                è è Õ          è
·ÐàÅ
                     ¡ÒõÃǨ·Ò§ËŒÍ§»¯Ôºµ¡Òà ¾º reducing substance áÅÐä¢Áѹã¹Íب¨ÒÃÐ µÃǨ D-
                                                    Ñ Ô
xylose test ãËŒ¼Å¼Ô´»Ã¡µÔ «Ö§º‹§ºÍ¡¶Ö§ÀÒÇСÒôٴ«ÖÁ¼Ô´»Ã¡µÔ áÅеÃǨ¾ºÀÒÇзØâÀª¹Ò¡ÒÃ
                                          è
ä´Œ ઋ¹ albumin ã¹àÅ×Í´µèÒ «Õ´ áÅТҴÇÔµÒÁԹठ໚¹µŒ¹ ¡ÒõÃǨªÔ¹à¹×ͨҡ¡ÒÃʋͧ¡ÅŒÍ§
                                      í                                               é é
¾ºÅѡɳТͧ patchy villous atrophy, crypt hyperplasia áÅÐÁÕ¡ÒÃÊÐÊÁ¢Í§ lymphocyte ÀÒÂ
㹪ѹ lamina propia ¢Í§¼¹Ñ§ÅíÒäÊŒàÅç¡ ¡ÒÃà»ÅÕ¹á»Å§´Ñ§¡Å‹ÒǹíÒä»ÊÙÀÒÇСÒôٴ«ÖÁ¼Ô´»Ã¡µÔ,
     é                                                    è                        ‹
protein-losing enteropathy, albumin ã¹àÅ×Í´µèÒ ÁÕÃдѺ complement Ŵŧ ºÇÁ «Õ´ áÅÐÍÒ¡ÒÃ
                                                        í
áÊ´§Í×¹æ ¢Í§ÀÒÇзØâÀª¹Ò¡Òà ·íÒãËŒà¡Ô´ failure to thrive
         è
                     ¡ÒÃÇÔ¹¨©ÑÂâäÍÒÈÑ»ÃÐÇÑµÔ ¼Å¡ÒÃʋͧ¡ÅŒÍ§áÅЪԹà¹×Í Ã‹ÇÁ¡Ñº¡Ò÷íÒ elimination
                                  Ô                                           é é
diet-challenge test ËÅѧ¨Ò¡àÃÔÁ·íÒ elimination diet ¼Ù»Ç¨ÐÁÕÍÒ¡Òôբ¹ªŒÒæ ÀÒÂã¹ÃÐÂÐàÇÅÒËÅÒÂ
                                        è                   Œ †                 Öé
Çѹ¶Ö§ÊÑ»´Òˏ ¡ÒÃÇÔ¹¨©ÑÂá¡âä µŒÍ§¾Ô¨ÒóÒÊÒà˵ØÍ¹æ ·Õ·ÒãËŒà¡Ô´ÀÒÇÐ enteropathy 䴌ᡋ
                              Ô                                     ×è    è í
âäµÔ´àª×Íઋ¹ Çѳâä âä·Ò§ metabolic, lymphangiectasia áÅÐ celiac disease ¡ÒÃÈÖ¡ÉÒã¹¼ÙŒ
           é
»†Ç·ÕÁÕ enteropathy ¨Ò¡¡ÒÃᾌ¹ÁÇÑÇ ¾ºÇ‹ÒÁÑ¡ÁÕÍÒ¡Òôբ¹ÀÒÂã¹ÍÒÂØ 2 »‚ â´ÂÁÕÊǹ¹ŒÍ·ÕÍÒ¨
       è                                                               Öé                      ‹   è
ÂѧÁÕÍÒ¡ÒÃàÃ×ÍÃѧ¨¹¶Ö§ÇÑÂà´ç¡âµ
                  é                         (27,45)



        4. ÍÒ¡ÒÃáÊ´§·Ò§Ãкº·Ò§à´Ô¹ËÒÂã¨
            »¯Ô¡ÔÃÔÂÒᾌÍÒËÒ÷ÕèáÊ´§ÍÒ¡Ò÷ҧÃкº·Ò§à´Ô¹ËÒÂ㨹Ñé¹¾ºä´ŒäÁ‹º‹Í â´ÂÍÒ¡ÒÃ
áÊ´§áººà©Õº¾Åѹઋ¹ àÂ×èͺبÁÙ¡ÍÑ¡àʺ (rhinitis), ËÒÂã¨àÊÕ§ËÇÕ´ (wheezing) ËÃ×ÍâäË×´
Áѡ໚¹¡Å䡼‹Ò¹ IgE-mediated reaction «Ö§ÁÑ¡¾ºÃ‹ÇÁ¡ÑºÍÒ¡ÒÃáÊ´§ã¹ÃкºÍ×¹æ ઋ¹ ¼ÔÇ˹ѧ ËÃ×Í
                                           è                               è
·Ò§à´Ô¹ÍÒËÒà «Ö§ÍҨࢌÒࡳ·¡ÒÃÇÔ¹¨©Ñ¢ͧÍÒ¡ÒÃᾌùáç (anaphylaxis) ÊÔ§·ÕµÍ§µÃÐ˹ѡ
                    è                Ô                  Ø                      è è Œ
äÇŒàÊÁͤ×Í ¼Ù»ÇÂâäË×´·Õà¡Ô´ÍÒ¡Òà anaphylaxis ¨Ò¡á¾ŒÍÒËÒÃÁÑ¡ÁÕ¤ÇÒÁàÊÕ§µ‹Í¡ÒÃàÊÕªÕǵ(18)
                Œ †        è                                                 è           Ô
ã¹¼Ù»ÇÂà´ç¡áÅмÙãË­‹·à»š¹âäË×´ ¾ºÁÕÊÒà˵بҡÍÒËÒÃä´ŒÃÍÂÅÐ 2-8
     Œ †              Œ Õè                                  Œ
            ʋǹÍÒ¡ÒÃáÊ´§Í׹䴌ᡋ ¡ÅØÁ non-IgE-mediated reaction ઋ¹ food-induced pulmonary
                             è           ‹
hemosiderosis (Heiner’s syndrome) ÁÑ¡¾ºã¹¼ÙŒ»†ÇÂà´ç¡·ÒááÅÐà´ç¡àÅç¡ ¼ÙŒ»†Ç¨ÐÁÕÍÒ¡ÒÃ
                                       (29)

»Í´ÍÑ¡àʺ«éÒæ (recurrent pneumonia), àÊÕÂàÅ×Í´ã¹·Ò§à´Ô¹ÍÒËÒà «Õ´¨Ò¡¡ÒâҴ¸ÒµØàËÅç¡ áÅÐ
              í
failure to thrive(46) ÀÒ¾ÃѧÊջʹ¾ºÁÕ pulmonary infiltration «Ö§à¡Ô´¨Ò¡ÁÕàÅ×Í´ÍÍ¡ÀÒÂ㹶اÅÁ
                                                               è
àǪÈÒʵÏ·¹Âؤ 2553
          Ñ                                                                              29

áÅÐ interstitial lung tissue â´ÂÊÒÁÒöµÃǨ¾º hemosiderin–laden macrophage ã¹ÊÒùéÒ¨Ò¡     í
¡ÃÐà¾ÒÐ (gastric aspirate) ã¹µÍ¹àªŒÒ ËÃ×Í㹪Թà¹×ͧ͢»Í´ ËÒ¡äÁ‹ä´ŒÃº¡ÒÃÃÑ¡ÉÒáÅÐÁÕàÅ×Í´ÍÍ¡
                                                 é é                 Ñ
«éÒËÅÒ¤Ãѧ¨Ð¹íÒä»ÊÙ‹ fibrosis áÅÐ restrictive lung disease ä´Œ
  í         é
              ¼Ù»ÇÂʋǹãË­‹Á¡áÊ´§ÍÒ¡Ò÷ҧÃкº·Ò§à´Ô¹ËÒÂã¨àª‹¹ ËÒÂã¨àÃçÇ «Ö§µŒÍ§á¡¨Ò¡âä
                Œ †           Ñ                                                è
»Í´ÍÑ¡àʺµÔ´àª×Í áµ‹âä¹ÕÁ¡äÁ‹Á䢌 ºÒ§ÃÒ·ÕÁÍÒ¡Ò÷ҧ»Í´¹ŒÍ ÍÒ¨ÁÒ¾ºá¾·Â´ÇÂÍÒ¡ÒÃ
                      é      é Ñ    Õ               è Õ                             Œ
«Õ´¨Ò¡¡ÒâҴ¸ÒµØàËÅç¡ âä¹ÕÊǹãË­‹ÊÁ¾Ñ¹¸¡º¡ÒÃᾌ¹ÁÇÑÇ ¹Í¡¨Ò¡¹Õ§ÁÕÃÒ§ҹ㹼ٻÇ·Õᾌ
                                 é‹     Ñ         Ñ                    é Ñ            Œ † è
䢋áÅÐà¹×ÍËÁÙ
         é       (29)

              ¡ÒÃÇÔ¹¨©ÑÂÍÒÈÑ¡Ò÷íÒ elimination diet áŌǼٻÇÂÁÕÍÒ¡Òôբ¹ ʋǹ¡ÒõÃǨ serum
                        Ô                                  Œ †           Öé
precipitating antibody µ‹Í¹ÁÇÑÇ ËÃ×ÍÍÒËÒÃÍ×¹æ ÊÒÁÒöª‹ÇÂʹѺʹع¡ÒÃÇÔ¹¨©ÑÂä´Œ ¹Í¡¨Ò¡¹Õé
                                               è                             Ô
ÂѧÍÒ¨µÃǨ¾ºÁÕ eosinophil Ê٧㹡ÃÐáÊàÅ×Í´ä´Œ

¡ÒÃÇÔ¹Ô¨©ÑÂ
          ¡Òëѡ»ÃÐÇѵÍ‹ҧÅÐàÍÕ´áÅСÒõÃǨËҧ¡Ò ໚¹¾×¹°Ò¹ÊíҤѭ·ÕªÇÂ㹡ÒÃÇÔ¹¨©ÑÂâä
                      Ô                                   é           è ‹        Ô
â´Âã¹àº×ͧµŒ¹¹Ñ¹¤ÇÃÇÔ¹¨©ÑÂá¡âä¨Ò¡»¯Ô¡ÃÂÒ·ÕäÁ‹¾§»ÃÐʧ¤Í¹æ ·Õà¡Ô´¨Ò¡ÍÒËÒà ËÒ¡ÍÒ¡ÒÃ
          é       é     Ô                 ÔÔ è Ö             ×è   è
ࢌÒä´Œ¡º»¯Ô¡ÃÂÒᾌÍÒËÒà ¤ÇÃᡵ‹ÍÇ‹Ò໚¹ª¹Ô´ IgE-mediated ËÃ×Í non-IgE-mediated à¾×ÍÇÒ§
        Ñ      ÔÔ                                                                   è
á¼¹¡ÒõÃǨà¾ÔÁàµÔÁµ‹Íä»
                    è

       1. ¡ÒÃËÅÕ¡àÅÕè§ÍÒËÒ÷ÕèʧÊÑ (Elimination diet)
            ¡ÒÃËÅÕ¡àÅÕ§ÍÒËÒ÷ÕʧÊѹѹ ¹Í¡¨Ò¡¨Ðª‹ÇÂ㹡ÒÃÇÔ¹¨©ÑÂâäáÅŒÇ Âѧ໚¹¡ÒÃÃÑ¡ÉÒ
                         è       è          é                   Ô
»¯Ô¡ÃÂÒäÁ‹¾§»ÃÐʧ¤·à¡Ô´¨Ò¡ÍÒËÒ÷ѧª¹Ô´·Õà¡Ô´â´Â¼‹Ò¹áÅÐäÁ‹¼Ò¹¡Åä¡·Ò§ÀÙÁ¤Á¡Ñ¹ ¡Ò÷íÒ
     ÔÔ       Ö            Õè             é     è                 ‹           Ô ØŒ
elimination diet ÊÒÁÒö໚¹¡ÒõÃǨ¤Ñ´¡Ãͧ (screening test) ¡‹Í¹¡ÒþԨÒóҷíÒ food challenge
ä´Œ ËÒ¡ÍÒ¡ÒÃäÁ‹´¢¹ËÅѧ·íÒ elimination diet Í‹ҧà¤Ã‹§¤ÃÑ´ áÊ´§Ç‹Ò¼Ù»ÇÂÍҨᾌÍÒËÒê¹Ô´Í×¹
                    Õ Öé                                            Œ †                   è
ËÃ×ÍÍҨᾌÍÒËÒê¹Ô´¹Ñ¹ ᵋÃÐÂÐàÇÅÒ¡Ò÷íÒ elimination diet ÂѧäÁ‹¹Ò¹¾Í ËÃ×Í ÍÒ¨µŒÍ§ÇÔ¹¨©ÑÂ
                              é                                                         Ô
á¡âäÍ×¹ ËÒ¡¼Ù»ÇÂÁÕÍÒ¡Òôբ¹¨¹à»š¹»¡µÔËÅѧ·íÒ elimination diet ËÇÁ¡Ñº¼Ù»ÇÂÁÕÍÒ¡ÒáÅѺ
          è        Œ †             Öé                                     Œ †
໚¹«éÒËÅѧãËŒÅͧÃѺ»ÃзҹÍÒËÒùѹÍÕ¡¤Ãѧ ÊÒÁÒöª‹ÇÂʹѺʹع¡ÒÃÇÔ¹¨©ÑÂä´Œ ¢ŒÍ¤ÇÃÃÐÇѧã¹
      í                               é       é                         Ô
¡Ò÷íÒ elimination diet ¤×Í ÍÒ¨¹íÒä»ÊÙÀÒÇзØâÀª¹Ò¡ÒÃä´Œ ËÒ¡µŒÍ§§´ÍÒËÒÃËÅÒª¹Ô´ áÅÐ/ËÃ×Í
                                        ‹
§´ÍÒËÒÃ໚¹ÃÐÂÐàÇÅÒ¹Ò¹

       2. ¡Ò÷´Êͺ¼ÔÇ˹ѧâ´Â¡ÒÃÊСԴ (Skin prick test, SPT)
            ¡Ò÷´Êͺ¼ÔÇ˹ѧâ´Â¡ÒÃÊСԴ ໚¹¡ÒõÃǨ¤Ñ´¡Ãͧ¼Ù»Ç·ÕʧÊÑÂᾌÍÒËÒÃẺ IgE-
                                                               Œ † è
mediated Í‹ҧäáçµÒÁ ËÒ¡ãËŒ¼ÅºÇ¡ ¤×Í ¢¹Ò´µØÁ¹Ù¹ (wheal) ÁÒ¡¡Ç‹Ò 3 ÁÁ. àÁ×Íà·Õº¡Ñº negative
                                             ‹                            è
control á»Å¼ÅNjҼٌ»†ÇÂÁÕ IgE ·Õè¨íÒà¾Òе‹ÍÍÒËÒê¹Ô´¹Ñé¹ ËÃ×ÍàÃÕ¡NjÒÁÕÀÒÇÐ sensitization
ᵋäÁ‹ä´ŒÂ¹ÂѹNjÒᾌÍÒËÒê¹Ô´¹Ñ¹ SPT ÁÕ¤Ò positive predictive value (PPV) ¹ŒÍ¡NjÒÃŒÍÂÅÐ 40
          ×                    é          ‹
ᵋÁ¤Ò negative predictive value (NPV) ÊÙ§ÁÒ¡¡Ç‹ÒÃŒÍÂÅÐ 95 ¨Ö§ÍÒ¨¡Å‹ÒÇä´ŒÇÒ SPT ·ÕãËŒ¼Åź
    Õ ‹                                                                     ‹       è
30                                                     ¡ÒÃÇÔ¹Ô¨©Ñ¡ÒÃᾌÍÒËÒÃÊíÒËÃѺàǪ»¯ÔºÑµÔ·ÑèÇä»

¹Ñ¹ÊÒÁÒö·Õ¨ÐºÍ¡Ç‹Ò¼Ù»ÇÂäÁ‹ä´ŒÁ¡ÒÃᾌÍÒËÒÃẺ IgE-mediated ä´Œà¡×ͺ·Ñ§ËÁ´ ᵋËÒ¡ãËŒ
  é          è          Œ †      Õ                                             é
¼ÅºÇ¡ ໚¹à¾Õ§¡Òú‹§ªÕÇÒÍҨᾌÍÒËÒà ¨Ö§äÁ‹¤ÇÃá¹Ð¹íÒãËŒ¼»Ç§´ÍÒËÒÃâ´ÂÍÒÈÑ¢ŒÍÁÙŨҡ¡ÒÃ
                          é‹                               ÙŒ †
·íÒ SPT à¾Õ§Í‹ҧà´ÕÂÇ ¤Ç÷íÒ¡Ò÷´Êͺµ‹Íâ´ÂÇÔ¸Õ oral food challenge Í‹ҧäáç´Õ ¡Ã³Õ·Á»ÃÐÇѵÔ
                                                                                      Õè Õ
ᾌÍÒËÒÃÃØ¹áçẺ anaphylaxis ËÒ¡ SPT ãËŒ¼ÅºÇ¡µ‹ÍÍÒËÒùѹ ¶Ö§áÁŒÇÒ¤‹Ò PPV ¹ŒÍ¡NjÒ
                                                                  é          ‹
ÃŒÍÂÅÐ 40 ¡ç¤ÇþԨÒóÒÇÔ¹¨©ÑÂÇ‹ÒᾌÍÒËÒà áÅÐá¹Ð¹íÒãËŒàÅÕ§ÍÒËÒê¹Ô´¹Ñ¹
                             Ô                                è            é

        3. ¡ÒõÃǨ IgE ·Õ¨Òà¾Òе‹ÍÍÒËÒà (.ood-specific IgE)
                         è í
                ¡ÒõÃǨ IgE ·Õ¨Òà¾Òе‹ÍÍÒËÒà ໚¹¡ÒõÃǨàÅ×Í´¢Í§¼Ù»ÇÂà¾×ÍËÒ IgE ·Õ¨Òà¾Òе‹Í
                              èí                                            Œ † è                   èí
ÍÒËÒà ¨Ö§ãªŒã¹¡Ã³ÕʧÊÑÂᾌÍÒËÒÃẺ IgE-mediated ÇÔ¸¹Á¤ÇÒÁäǹŒÍ¡NjҡÒ÷íÒ SPT ÃÒ¤Ò
                                                            Õ Õé Õ
á¾§¡Ç‹ÒáÅÐ㪌àÇÅÒ㹡ÒõÃǨ¹Ò¹¡Ç‹Ò ʋǹãË­‹Á¡¾Ô¨ÒóҵÃǨÇÔ¸¹ã¹¡Ã³Õ·¼»ÇÂäÁ‹ÊÒÁÒö
                                                      Ñ                       Õ Õé          Õè ÙŒ †
·íÒ SPT 䴌ઋ¹ äÁ‹ÊÒÁÒöËÂØ´ÂÒ antihistamine ä´Œ ÁÕÃÍÂâä·Õ¼Ç˹ѧÁÒ¡ ઋ¹ âä¼ÔÇ˹ѧÍÑ¡àʺ
                                                                   è Ô
¨Ò¡ÀÙÁᾌ ËÃ×Í dermographism áÅÐ㹡óշÁ»ÃÐÇѵÍÒ¡ÒÃᾌ·Ã¹áçÁÒ¡
        Ô                                        Õè Õ   Ô              Õè Ø
                ËÒ¡¡ÒõÃǨãËŒ¼ÅºÇ¡ ¡ÒÃá»Å¼ÅàËÁ×͹¡Ò÷íÒ SPT ¤×Í ¼Ù»ÇÂÁÕÀÒÇÐ sensitization
                                                                                   Œ †
ᵋäÁ‹ä´Œº§ºÍ¡Ç‹Ò¼Ù»ÇÂᾌÍÒËÒê¹Ô´¹Ñ¹¨ÃÔ§ ¨Ö§¤Ç÷íÒ¡Ò÷´Êͺµ‹Íâ´ÂÇÔ¸Õ oral food challenge
            ‹         Œ †                é
Í‹ҧäáçµÒÁ ÃдѺ¢Í§ IgE ·Õ¨Òà¾Òе‹ÍÍÒËÒÃᵋÅЪ¹Ô´·ÕÁ¤ÒÊÙ§ÁÒ¡¢Ö¹ ÁÑ¡ÊÑÁ¾Ñ¹¸¡ºâÍ¡ÒÊ·Õè
                                      èí                       è Õ ‹                é               Ñ
¼Ù»ÇÂáÊ´§ÍÒ¡ÒÃᾌÍÒËÒ÷Õʧ¢Ö¹ ¹Í¡¨Ò¡¹Õé ÂѧÊÒÁÒöµÃǨÃдѺ IgE ·Õ¨Òà¾Òе‹ÍÍÒËÒÃ໚¹
  Œ †                              èÙ é                                                  èí
ÃÐÂÐà¾×ͪ‹Ç·íÒ¹ÒÂâÍ¡ÒÊ·Õ¼»Ç¨ÐËÒ¨ҡâäËÃ×Íà¡Ô´ÀÒÇÐ tolerance ¡Å‹ÒǤ×Í ËÒ¡ÃдѺ IgE
          è                      è ÙŒ †
·Õè¨íÒà¾Òе‹ÍÍÒËÒÃŴŧÁÑ¡ÊÑÁ¾Ñ¹¸¡ÑºâÍ¡ÒÊËÒ¨ҡâä·ÕèÊÙ§¢Öé¹ ÁÕ¡ÒÃÈÖ¡ÉÒËÒÃдѺ¢Í§ IgE
·Õè¨íÒà¾Òе‹ÍÍÒËÒà ·ÕèãËŒ¤‹Ò PPV ÊÙ§(47-50) à¾×èÍÅ´¤ÇÒÁàÊÕè§áÅФ‹Ò㪌¨‹Ò·Õè¨ÐµŒÍ§·íÒ oral food
challenge ÃдѺ¢Í§ IgE ·Õ¨Òà¾Òе‹ÍÍÒËÒÃᵋÅЪ¹Ô´áÅФÇÒÁ¶Ù¡µŒÍ§ã¹¡Ò÷íÒ¹Ò¡ÒÃà¡Ô´ÍÒ¡ÒÃ
                             èí
àÁ×Í·íÒ oral food challenge áÊ´§ã¹µÒÃÒ§·Õè 2 ã¹·Ò§µÃ§¡Ñ¹¢ŒÒÁ ¡ÒõÃǨäÁ‹¾ºÃдѺ IgE ·Õ¨Òà¾ÒÐ
   è                                                                                                   èí
µ‹ÍÍÒËÒùѹÊÒÁÒö¾ºã¹¼Ù»Ç·ÕáÊ´§ÍÒ¡ÒÃᾌÍÒËÒÃä´ŒÃÍÂÅÐ 10-25
              é                 Œ † è                        Œ                      (51)
àǪÈÒʵÏ·¹Âؤ 2553
          Ñ                                                                                               31

µÒÃÒ§·Õè 2 ÃдѺ¢Í§ IgE ·Õè¨íÒà¾Òе‹ÍÍÒËÒÃᵋÅЪ¹Ô´ áÅФÇÒÁ¶Ù¡µŒÍ§ã¹¡Ò÷íÒ¹Ò¡ÒÃ
           à¡Ô´ÍÒ¡ÒÃàÁ×èÍ·íÒ oral food challenge
ÍÒËÒà                       ÃдѺ IgE ·Õè¨íÒà¾Òе‹ÍÍÒËÒà               Positive predictive value
                            (kUA/L)                                    (PPV)
䢋
 ÍÒÂØ > 2 »‚                               7                                          98
 ÍÒÂØ < 2 »‚                               2                                          95
Milk
 ÍÒÂØ > 2 »‚                               15                                         95
 ÍÒÂØ < 2 »‚                                5                                         95
¶ÑÇÅÔʧ
  è                                        14                                         95
»ÅÒ                                        20                                        100
¶ÑÇàËÅ×ͧ
    è                                      30                                         73
ệ§ÊÒÅÕ                                   26                                         74
Tree nut                                  ~15                                        ~95
ËÁÒÂà赯 ´´á»Å§¨Ò¡ Sampson HA. .ood allergy—accurately identifying clinical reactivity. Allergy 2005;60 Suppl
          Ñ
         79:19-24.


         4. ¡Ò÷´Êͺâ´Â¡ÒÃÃѺ»ÃзҹÍÒËÒ÷ÕèʧÊÑ (Oral food challenge test)
            ¡Ò÷´Êͺâ´Â¡ÒÃÃѺ»ÃзҹÍÒËÒ÷ÕèʧÊÑ ¶×Í໚¹¡Ò÷´Êͺ·ÕèÁÕ¤ÇÒÁáÁ‹¹ÂíÒÊÙ§
â´Â¡ÒÃàÅ×Í¡ÍÒËÒ÷ըзíÒ¡Ò÷´Êͺ¢Ö¹¡Ñº»ÃÐÇѵáÅмŠSPT ËÃ×Í IgE ·Õ¨Òà¾Òе‹ÍÍÒËÒà ¤Ç÷íÒ
                    è                  é        Ô                   èí
¡Ò÷´ÊͺÀÒÂ㵌¡ÒôÙáŢͧºØ¤Åҡ÷ҧ¡ÒÃᾷ áÅÐÁÕÍØ»¡Ã³¾ÃŒÍÁ㹡Òê‹ÇªÕÇÔµËÒ¡
à¡Ô´ÍÒ¡ÒÃᾌ·Ã¹áç â´Â੾ÒСóÕʧÊÑÂᾌÍÒËÒÃẺ IgE-mediated reaction áÅÐ .PIES ¼Ù»ÇÂ
               Õè Ø                                                                     Œ †
·ÕÁ»ÃÐÇѵᾌùá窹Դ anaphylaxis ÁÕ¤ÇÒÁàÊÕ§ÊÙ§µ‹Í¡ÒÃà¡Ô´¼Å¢ŒÒ§à¤Õ§·Õùáç¨Ò¡¡Ò÷´Êͺ
  è Õ      Ô Ø                             è                           èØ
¨Ö§¤Ç÷íÒ¡Ò÷´Êͺµ‹ÍàÁ×èÍäÁ‹ÊÒÁÒöº‹§ªÕéÍÒËÒ÷Õè໚¹ÊÒà˵Øä´Œ¨Ò¡»ÃÐÇѵÔáÅСÒõÃǨ·Ò§
ˌͧ»¯Ôºµ¡Òà ËÃ×;ԨÒóҷíҡóշàª×ÍNjһ¯Ô¡ÃÂÒᾌ¹¹ä´ŒËÒ´ÕáÅŒÇ ¡Ã³Õ¢Í§»¯Ô¡ÃÂÒᾌ·áÊ´§
        Ñ Ô                       Õè è       ÔÔ     Ñé                       ÔÔ      Õè
ÍÒ¡Ò÷ҧÃкº·Ò§à´Ô¹ÍÒËÒà ·ÕµÍ§ÍÒÈÑ¡ÒõÃǨªÔ¹à¹×Í¡‹Í¹áÅÐËÅѧÃѺ»ÃзҹÍÒËÒ÷ÕʧÊÑÂ
                              è Œ                  é é                             è
㹡ÒÃÇÔ¹¨©ÑÂ
         Ô

¡ÒÃÃÑ¡ÉÒ
         ËÅÑ¡¡ÒôÙáÅÃÑ¡ÉҼٻǷÕÁÍÒ¡ÒÃᾌÍÒËÒä×Í ¡ÒÃËÅÕ¡àÅÕ§ÍÒËÒ÷Õᾌ ¡ÒÃཇÒÊѧࡵáÅÐ
                           Œ † è Õ                          è        è
32                                                           ¡ÒÃÇÔ¹Ô¨©Ñ¡ÒÃᾌÍÒËÒÃÊíÒËÃѺàǪ»¯ÔºÑµÔ·ÑèÇä»

ÃÑ¡ÉÒÍÒ¡ÒÃᾌ·à¡Ô´¢Ö¹ áÅСÒÃãËŒÍÒËÒ÷´á·¹Í‹ҧàËÁÒÐÊÁà¾×Í»‡Í§¡Ñ¹ÀÒÇзØâÀª¹Ò¡ÒÃ
              Õè é                                      è
àÍ¡ÊÒÃ͌ҧÍÔ§
1.    Nowak-Wegrzyn A, Sampson HA. Adverse reactions to foods. Med Clin North Am. 2006;90:97-127.
2.    Sicherer SH, Sampson HA. 9. .ood allergy. J Allergy Clin Immunol. 2006;117:S470-5.
3.    Santadusit S, Atthapaisalsarudee S, Vichyanond P. Prevalence of adverse food reactions and food allergy
      among Thai children. J Med Assoc Thai. 2005;88 Suppl 8:S27-32.
4.    Eigenmann PA, Sicherer SH, Borkowski TA, Cohen BA, Sampson HA. Prevalence of IgE-mediated food
      allergy among children with atopic dermatitis. Pediatrics. 1998;101:E8.
5.    Sampson HA. 9. .ood allergy. J Allergy Clin Immunol. 2003;111:S540-7.
6.    Eggesbo M, Botten G, Halvorsen R, Magnus P. The prevalence of allergy to egg: a population-based study in
      young children. Allergy. 2001;56:403-11.
7.    Sicherer SH, Munoz-.urlong A, Sampson HA. Prevalence of peanut and tree nut allergy in the United States
      determined by means of a random digit dial telephone survey: a 5-year follow-up study. J Allergy Clin Immunol.
      2003;112:1203-7.
8.    Zuidmeer L, Goldhahn K, Rona RJ, Gislason D, Madsen C, Summers C, et al. The prevalence of plant food
      allergies: a systematic review. J Allergy Clin Immunol. 2008;121:1210-8.
9.    .uglsang G, Madsen C, Saval P, Osterballe O. Prevalence of intolerance to food additives among Danish
      school children. Pediatr Allergy Immunol. 1993;4:123-9.
10.   Sampson HA. .ood allergy. Part 1: immunopathogenesis and clinical disorders. J Allergy Clin Immunol.
      1999;103:717-28.
11.   Yocum MW, Butterfield JH, Klein JS, Volcheck GW, Schroeder DR, Silverstein MD. Epidemiology of anaphylaxis
      in Olmsted County: A population-based study. J Allergy Clin Immunol. 1999;104:452-6.
12.   Brown A., McKinnon D, Chu K. Emergency department anaphylaxis: A review of 142 patients in a single
      year. J Allergy Clin Immunol. 2001;108:861-6.
13.   Smit DV, Cameron PA, Rainer TH. Anaphylaxis presentations to an emergency department in Hong Kong:
      incidence and predictors of biphasic reactions. J Emerg Med. 2005;28:381-8.
14.   Jirapongsananuruk O, Bunsawansong W, Piyaphanee N, Visitsunthorn N, Thongngarm T, Vichyanond P.
      .eatures of patients with anaphylaxis admitted to a university hospital. Ann Allergy Asthma Immunol. 2007;98:
      157-62.
15.   Poachanukoon O, Paopairochanakorn C. Incidence of anaphylaxis in the emergency department: a 1-year
      study in a university hospital. Asian Pac J Allergy Immunol. 2006;24:111-6.
16.   Piromrat K, Chinratanapisit S, Trathong S. Anaphylaxis in an emergency department: a 2-year study in a
      tertiary-care hospital. Asian Pac J Allergy Immunol. 2008;26:121-8.
17.   Golden DB. Patterns of anaphylaxis: acute and late phase features of allergic reactions. Novartis .ound
      Symp. 2004;257:101-10.
18.   Bock SA, Munoz-.urlong A, Sampson HA. .atalities due to anaphylactic reactions to foods. J Allergy Clin
      Immunol. 2001;107:191-3.
19.   Morita E, Kunie K, Matsuo H. .ood-dependent exercise-induced anaphylaxis. J Dermatol Sci. 2007;47:109-17.
20.   Pacharn P, Jirapongsananuruk O, Daengsuwan T, Vichyanond P, Visitsunthorn N. Wheat-dependent, exercise-
      induced anaphylaxis in Thai children: a report of 5 cases. Asian Pac J Allergy Immunol. 2009;27:115-20.
21.   Tuchinda M, Srimaruta N, Habanananda S, Vareenil J, Assatherawatts A. Urticaria in Thai children. Asian Pac
      J Allergy Immunol. 1986;4:41-5.
àǪÈÒʵÏ·¹Âؤ 2553
          Ñ                                                                                                        33

22. Wananukul S, Chatchatee P, Chatproedprai S. .ood induced urticaria in children. Asian Pac J Allergy Immunol.
    2005;23:175-9.
23. Kulthanan K, Chiawsirikajorn Y, Jiamton S. Acute urticaria: etiologies, clinical course and quality of life. Asian
    Pac J Allergy Immunol. 2008;26:1-9.
24. Zuberbier T, Ifflander J, Semmler C, Henz BM. Acute urticaria: clinical aspects and therapeutic responsiveness.
    Acta Derm Venereol. 1996;76:295-7.
25. Jirapongsananuruk O, Pongpreuksa S, Sangacharoenkit P, Visitsunthorn N, Vichyanond P. Identification of
    the etiologies of chronic urticaria in children: A prospective study of 94 patients. Pediatr Allergy Immunol.
    2010;21:508-14.
26. Sicherer SH, Sampson HA. .ood hypersensitivity and atopic dermatitis: pathophysiology, epidemiology, diagnosis,
    and management. J Allergy Clin Immunol. 1999;104:S114-22.
27. Sampson HA. Update on food allergy. J Allergy Clin Immunol. 2004;113:805-19.
28. Bircher AJ, Van Melle G, Haller E, Curty B, .rei PC. IgE to food allergens are highly prevalent in patients
    allergic to pollens, with and without symptoms of food allergy. Clin Exp Allergy. 1994;24:367-74.
29. Sampson HA, Burks AW. Adverse reactions to foods. In: Adkinson N. Jr, Bochner BS, Busse WW, Holgate
    ST, Lemanske R. Jr, Simons .ER, editors. Middleton’s allergy, principle & practice. 7th ed. Philadelphia:
    Mosby. 2009. p. 1139-67.
30. Lee CM, Changchien CS, Chen PC, Lin DY, Sheen IS, Wang CS, et al. Eosinophilic gastroenteritis: 10 years
    experience. Am J Gastroenterol. 1993;88:70-4.
31. Moon A, Kleinman RE. Allergic gastroenteropathy in children. Ann Allergy Asthma Immunol. 1995;74:5-12.
32. Snyder JD, Rosenblum N, Wershil B, Goldman H, Winter HS. Pyloric stenosis and eosinophilic gastroenteritis
    in infants. J Pediatr Gastroenterol Nutr. 1987;6:543-7.
33. Khan S, Orenstein SR. Eosinophilic gastroenteritis masquerading as pyloric stenosis. Clin Pediatr (Phila).
    2000;39:55-7.
34. Rothenberg ME. Eosinophilic gastrointestinal disorders (EGID). J Allergy Clin Immunol. 2004;113:11-28.
35. Noel RJ, Putnam PE, Rothenberg ME. Eosinophilic esophagitis. N Engl J Med. 2004;351:940-1.
36. Maloney J, Nowak-Wegrzyn A. Educational clinical case series for pediatric allergy and immunology: allergic
    proctocolitis, food protein-induced enterocolitis syndrome and allergic eosinophilic gastroenteritis with protein-
    losing gastroenteropathy as manifestations of non-IgE-mediated cow’s milk allergy. Pediatr Allergy Immunol.
    2007;18:360-7.
37. Kelly KJ. Eosinophilic gastroenteritis. J Pediatr Gastroenterol Nutr. 2000;30 Suppl:S28-35.
38. Sicherer SH, Eigenmann PA, Sampson HA. Clinical features of food protein-induced enterocolitis syndrome. J
    Pediatr. 1998;133:214-9.
39. Nowak-Wegrzyn A, Sampson HA, Wood RA, Sicherer SH. .ood protein-induced enterocolitis syndrome caused
    by solid food proteins. Pediatrics. 2003;111:829-35.
40. Levy Y, Danon YL. .ood protein-induced enterocolitis syndrome—not only due to cow’s milk and soy. Pediatr
    Allergy Immunol. 2003;14:325-9.
41. Bruni ., Peroni DG, Piacentini GL, De Luca G, Boner AL. .ruit proteins: another cause of food protein-induced
    enterocolitis syndrome. Allergy. 2008;63:1645-6.
42. Lake AM, Whitington P., Hamilton SR. Dietary protein-induced colitis in breast-fed infants. J Pediatr .1982;101:
    906-10.
43. Machida HM, Catto Smith AG, Gall DG, Trevenen C, Scott RB. Allergic colitis in infancy: clinical and pathologic
    aspects. J Pediatr Gastroenterol Nutr. 1994;19:22-6.
34                                                          ¡ÒÃÇÔ¹Ô¨©Ñ¡ÒÃᾌÍÒËÒÃÊíÒËÃѺàǪ»¯ÔºÑµÔ·ÑèÇä»

44. Pumberger W, Pomberger G, Geissler W. Proctocolitis in breast fed infants: a contribution to differential
    diagnosis of haematochezia in early childhood. Postgrad Med J. 2001;77:252-4.
45. Savilahti E. .ood-induced malabsorption syndromes. J Pediatr Gastroenterol Nutr. 2000;30 Suppl:S61-6.
46. Heiner DC, Sears JW, Kniker WT. Multiple precipitins to cow’s milk in chronic respiratory disease. A syndrome
    including poor growth, gastrointestinal symptoms, evidence of allergy, iron deficiency anemia, and pulmonary
    hemosiderosis. Am J Dis Child. 1962;103:634-54.
47. Sampson HA. .ood allergy—accurately identifying clinical reactivity. Allergy. 2005;60 Suppl 79:19-24.
48. Boyano Martinez T, Garcia-Ara C, Diaz-Pena JM, Munoz .M, Garcia Sanchez G, Esteban MM. Validity of
    specific IgE antibodies in children with egg allergy. Clin Exp Allergy. 2001;31:1464-9.
49. Garcia-Ara C, Boyano-Martinez T, Diaz-Pena JM, Martin-Munoz ., Reche-.rutos M, Martin-Esteban M. Specific
    IgE levels in the diagnosis of immediate hypersensitivity to cows’ milk protein in the infant. J Allergy Clin
    Immunol. 2001;107:185-90.
50. Clark AT, Ewan PW. Interpretation of tests for nut allergy in one thousand patients, in relation to allergy or
    tolerance. Clin Exp Allergy. 2003;33:1041-5.
51. Sicherer SH, Sampson HA. .ood allergy. J Allergy Clin Immunol. 2010;125:S116-25.
àǪÈÒʵÏ·¹Âؤ 2553
          Ñ                                                                    º··Õè        35

                                                                                  4
 Cultivated Epithelial Cell in Ophthalmology, When and How?
                                                ÃͧÈÒʵÃÒ¨ÒÏ ᾷ˭ԧÀÔ­¹ÔµÒ µÑ¹¸ØÇ¹ÔµÂ
                                                 ¼ÙŒª‹ÇÂÈÒʵÃÒ¨ÒÏ ᾷ˭ԧ³Ñ°¾Ã à·ÈÐÇÔºØÅ
                      ÀÒ¤ÇÔªÒ¨Ñ¡ÉØÇ·ÂÒ ¤³Ðá¾·ÂÈÒʵÏÈÃÃÒª¾ÂÒºÒÅ ÁËÒÇÔ·ÂÒÅÑÂÁËÔ´Å
                                         Ô                       ÔÔ
                                                        ÃͧÈÒʵÃÒ¨ÒÏ ´Í¡àµÍÏ»˜·ÁÒ à͡⾸Ôì
                   ÀÒ¤ÇÔªÒÇÔ·ÂÒÀÙÁ¤Á¡Ñ¹ ¤³Ðá¾·ÂÈÒʵÏÈÃÃÒª¾ÂÒºÒÅ ÁËÒÇÔ·ÂÒÅÑÂÁËÔ´Å
                                  Ô ØŒ                           ÔÔ
                                           ¼ÙŒª‹ÇÂÈÒʵÃÒ¨ÒÏ ¹ÒÂᾷÁ§¤Å ÍØÂ»ÃÐàÊÃÔ°¡ØÅ
                     ÀÒ¤ÇÔªÒ¾ÂÒ¸ÔÇ·ÂÒ ¤³Ðá¾·ÂÈÒʵÏÈÃÃÒª¾ÂÒºÒÅ ÁËÒÇÔ·ÂÒÅÑÂÁËÔ´Å
                                       Ô                         ÔÔ

WHEN? àÁ×èÍäè֧¨íÒ໚¹µŒÍ§·íÒ¡ÒÃÃÑ¡ÉÒ´ŒÇ cultivated epithelial cell
       Background
        Corneal limbal epithelial stem cell ËÃ×Í à«Åŏµ¹¡íÒà¹Ô´¢Í§¼ÔÇ¡ÃШ¡µÒ໚¹à«Åŏ··Ò˹ŒÒ·Õè
                                                       Œ                              Õè í
ÊÌҧà«Åŏ¼Ç¡ÃШ¡µÒ (corneal epithelial cell) à«Åŏ¹¾ºÍÂÙ·ºÃÔàdzÃ͵‹Í¢Í§µÒ´íҡѺµÒ¢ÒÇ
           Ô                                             Õé    ‹ Õè
(limbus; áÊ´§ã¹ÀÒ¾·Õè 1) áÅÐ໚¹»˜¨¨ÑÂ˹֧·ÕÊҤѭ㹡Ò䧤ÇÒÁãʢͧ¡ÃШ¡µÒ (cornea) â´Â
                                             è èí
¨Ð¤Í¡ѹäÁ‹ãËŒà«Åŏ¢Í§àÂ×ÍºØµÒ (conjunctiva) ÃØ¡à¢ŒÒÁÒ㹡ÃШ¡µÒ(1)
        é                  è




         ÀÒ¾·Õè 1 áÊ´§µíÒá˹‹§¢Í§ limbus «Öè§ÁÕ corneal epithelial stem cell ÍÂÙ‹

       ÍÒ¡Ò÷ҧ¤ÅÔ¹¡
                   Ô
        ËÒ¡ corneal limbal stem cell àÊ×ÍÁÊÀҾ仨зíÒãËŒà¡Ô´ÀÒÇÐ corneal limbal stem cell
                                            è
deficiency(1,2) «Ö§ÁռŷíÒãËŒÁàÊŒ¹àÅ×Í´áÅÐà«Åŏ¢Í§àÂ×ͺصÒÃØ¡à¢ŒÒÁÒã¹¼ÔǢͧ¡ÃШ¡µÒ à¡Ô´á¼ÅËÅØ´
                  è           Õ                      è
Å͡໚¹æ ËÒÂæ ¡ÃШ¡µÒ¢Ø¹ áÅеÒÁÑÇŧ «Ö§¾ºä´Œã¹ÀÒÇÐÀÙÁᾌ·µÒÍÂ‹Ò§ÃØ¹áç ¡ÅØÁÍÒ¡ÒÃ
                                ‹               è                  Ô Õè                 ‹
Stevens Johnson ÍѹµÃÒ¨ҡÊÒÃà¤ÁÕ àª‹¹ ¡Ã´ ËÃ×Í´‹Ò§à¢ŒÒµÒ ¡ÒõԴàª×Í·Õ¡ÃШ¡µÒ µÒ·Õ䴌ú
                                                                          é è             è Ñ
36                                    Cultivated Epithelial Cell in Ophthalmology, When and How?

¡Òü‹ÒµÑ´ËÅÒÂæ ¤Ãѧ(3) ¼Ù»Ç¨ÐÁÕÍÒ¡ÒõÒÁÑÇŧ ᾌáʧ äÁ‹ÊºÒÂµÒ «Ö§ËÒ¡à¡Ô´ÀÒÇдѧ¡Å‹ÒǹÕé
                    é     Œ †                                     è
¡ÒÃÃÑ¡ÉÒâ´Â¡Òü‹ÒµÑ´à»ÅÕ¹¡ÃШ¡µÒµÒÁ»¡µÔà¾Õ§Í‹ҧà´ÕÂÇ (corneal transplantation ËÃ×Í
                            è
penetrating keratoplasty) ¨ÐäÁ‹ÁâÍ¡ÒÊ»ÃÐʺ¼ÅÊíÒàÃç¨ÃÐÂÐÂÒÇä´ŒàÅ ´Ñ§¹Ñ¹¨Ö§¨íÒ໚¹µŒÍ§·íÒ¡ÒÃ
                                Õ                                     é
ÃÑ¡ÉÒºÒ§»ÃСÒÃà¾×Í¿„¹¿ÙÊÀÒ¾¢Í§¡ÃШ¡µÒ¡‹Í¹
                   è œ                        (4)



        ¡ÒÃÃÑ¡ÉÒᵋà´ÔÁ
        㹼ٻǷÕ໚¹ corneal limbal stem cell deficiency â´ÂÃͺ¡ÃШ¡µÒ ᵋà´ÔÁ¨Ð·íÒ¡ÒÃ
             Œ † è
ÃÑ¡ÉÒâ´ÂÇÔ¸Õ»ÅÙ¡¶‹ÒÂà«ÅŏµŒ¹¡íÒà¹Ô´ (stem cell) â´ÂµÃ§ (in vivo corneal limbal stem cell
transplantation)(2, 4) «Ö§ÍҨ㪌à«Åŏ¢Í§¼Ù»ÇÂàͧËÃ×ͨҡ¼ÙºÃÔ¨Ò¤ ´Ñ§¹Õé
                          è               Œ †             Œ
        1. Autograft ã¹ÃÒ·Õ໚¹ corneal limbal stem cell deficiency ¢Í§µÒ¢ŒÒ§à´ÕÂÇ ÂѧÁÕà«Åŏ·Õè
                                  è
»¡µÔã¹µÒÍÕ¡¢ŒÒ§Ë¹Ö§ ¨ÐÊÒÁÒö㪌à«Åŏµ¹¡íÒà¹Ô´¨Ò¡µÒ¢ŒÒ§·Õ»¡µÔ¢Í§¼Ù»ÇÂàͧ â´ÂàÍÒà¹×ÍàÂ×Í
                        è                     Œ                è         Œ †                é è
ºÃÔàdzÃ͵‹Í¢Í§µÒ´íÒáÅеҢÒÇ (limbus) ÁÒ»ÅÙ¡¶‹ÒÂâ´ÂµÃ§
        2. Allograft ã¹ÃÒ·յҷѧÊͧ¢ŒÒ§à»š¹ corneal limbal stem cell deficiency ÍҨ㪌à«Åŏ
                                 è é
¨Ò¡­ÒµÔ àÃÕÂ¡Ç‹Ò living related corneal limbal allograft ËÃ×ͨҡµÒ¼ÙºÃÔ¨Ò¤ (allograft) â´Â¹íÒʋǹ
                                                                    Œ
·Õ໚¹Ã͵‹Í¢Í§µÒ´íҡѺµÒ¢ÒÇÁÒ»ÅÙ¡¶‹ÒÂâ´ÂµÃ§
  è

WHY? ·íÒäÁµŒÍ§ãªŒ cultivated epithelial cell 㹡ÒÃÃÑ¡ÉÒ·Ò§µÒ
                 ¡Ò÷íÒ in vivo corneal limbal stem cell transplantation »˜­ËÒ·Õ¾º¤×Í ËÒ¡¹íÒà«Åŏ¼Í¹
                                                                                è                 ÙŒ ×è
ÁÒ»ÅÙ¡¶‹Ò (allograft) ¨ÐÁÕâÍ¡ÒÊà¡Ô´»¯Ô¡ÃÂÒµ‹ÍµŒÒ¹ (rejection) ÊÙ§ áÅеŒÍ§ÃѺ»ÃзҹÂÒ¡´
                                                     ÔÔ
ÀÙÁµÒ¹·Ò¹ (immunosuppressive drug) Í‹ҧµ‹Íà¹×ͧà¾×Í»‡Í§¡Ñ¹äÁ‹ãËŒà¡Ô´»¯Ô¡ÃÂҴѧ¡Å‹ÒÇ ã¹¡Ã³Õ
      Ô Œ                                                   è è                    ÔÔ
¼Ù»ÇÂ໚¹âä·ÕµÒ¢ŒÒ§à´ÕÂÇ «Ö§¨Ð㪌à«Åŏ¨Ò¡µÒ¢ŒÒ§·Õ»¡µÔ¢Í§¼Ù»ÇÂÁÒ»ÅÙ¡¶‹Ò ËÃ×ͼٻÇ·Õ໚¹âä
  Œ †                   è            è                         è      Œ †               Œ † è
·ÕµÒ·Ñ§Êͧ¢ŒÒ§áÅеŒÍ§¡ÒÃ㪌à«Åŏ¨Ò¡µÒ¢Í§­ÒµÔ ᾷ¨ÐäÁ‹ÊÒÁÒö¹íÒà«Åŏ¨Ò¡µÒ¢ŒÒ§·Õ»¡µÔ
   è é                                                                                          è
ÍÍ¡ÁÒ䴌㹻ÃÔÁÒ³ÁÒ¡æ ºÒ§¤Ãѧ»ÃÔÁÒ³¢Í§à«Åŏ¨§äÁ‹à¾Õ§¾Í·Õ¨Ð»ÅÙ¡¶‹ÒÂà¾×Í»‡Í§¡Ñ¹¾Ñ§¼×´·Õ¨Ð
                                          é                  Ö            è         è               è
ÃØ¡à¢ŒÒ¡ÃШ¡µÒä´Œ ã¹ÃÐÂÐÂÒÇ
                 ä´ŒÁÕ¤ÇÒÁ¾ÂÒÂÒÁ㹡Ò䌹ËÒÇÔ¸ÕãËÁ‹ã¹¡ÒûÅÙ¡¶‹ÒÂà«ÅŏµŒ¹¡íÒà¹Ô´¢Í§¼ÔÇ¡ÃШ¡µÒ
á·¹¡ÒÃ㪌à¹×éÍàÂ×èÍä»»ÅÙ¡¶‹ÒÂãˌᡋ¼ÙŒ»†ÇÂâ´ÂµÃ§ ᵋ¨Ð¹íÒà«Åŏ·Õ赌ͧ¡ÒÃÁÒà¾ÒÐàÅÕé§ã¹ËŒÍ§
»¯Ôºµ¡Òá‹Í¹ ¨¹ä´Œ»ÃÔÁÒ³áÅÐÅѡɳеÒÁ·ÕµÍ§¡Òà ËÅѧ¨Ò¡¹Ñ¹¨Ö§¹íÒà«Åŏ´§¡Å‹ÒÇÁÒ»ÅÙ¡¶‹ÒÂ
          Ñ Ô                                           è Œ                 é         Ñ
ãˌᡋ¼»ÇÂÀÒÂËÅѧ 㹡ÒäѴàÅ×Í¡à«Åŏ·¨Ð¹íÒÁÒà¾ÒÐàÅÕ§ ã¹»˜¨¨Øº¹ÁÕ 2 ª¹Ô´¤×Í
              ÙŒ †                                Õè             é            Ñ
                 1. à«Åŏ¢Í§¡ÃШ¡µÒ (corneal epithelium)
                 2. à«Åŏ¢Í§àÂ×ͺØã¹Ã‹Ò§¡Ò (mucosal epithelium)
                                è
àǪÈÒʵÏ·¹Âؤ 2553
          Ñ                                                                                        37

HOW? ¨Ð㪌 cultivated epithelial cell ÁÒÃÑ¡ÉÒ䴌͋ҧäÃ
        Corneal epithelial cell culture
                ¡ÒÃà¾ÒÐàÅÕ§â´Â㪌 corneal limbal stem cell à¾×Íà¾ÔÁ¨íҹǹ¢Í§ stem cell ¡‹Í¹¹íÒä»
                              é                                      è è
»ÅÙ¡¶‹ÒÂãËŒÁÕ»ÃÔÁÒ³ÁÒ¡¾Í¡Ñº¤ÇÒÁµŒÍ§¡ÒÃáÅÐÅ´âÍ¡ÒÊ¡ÒÃà¡Ô´»¯Ô¡ÔÃÔÂÒµ‹ÍµŒÒ¹à¹×éÍàÂ×èÍ â´Â
·íÒ¡ÒÃà¾ÒÐàÅÕ§à«Åŏã¹ËŒÍ§»¯Ôºµ¡Òú¹àÂ×ÍááŌǨ֧¹íÒ¡ÅѺ任ÅÙ¡¶‹ÒÂãˌᡋ¼»Ç ÊÒÁÒö
                      é                  Ñ Ô      è                                        ÙŒ †
à¾ÒÐàÅÕ§à«Åŏ¨Ò¡¢¹Ò´ 2 ÁÁ. ໚¹ 2 «Á. ã¹àÇÅÒ 2 - 4 ÊÑ»´Òˏ ·íÒãËŒ¡Ò÷íÒ¼‹ÒµÑ´ª¹Ô´ autograft
            é
໚¹ä»Í‹ҧÁÕ»ÃÐÊÔ·¸ÔÀÒ¾ÁÒ¡¢Ö¹ â´ÂÊÒÁÒöà¾ÔÁ»ÃÔÁÒ³à«ÅŏãËŒà¾Õ§¾Í·Õ¨Ð¤ÅØÁ¼ÔÇ¡ÃШ¡µÒ
                                       é                 è                               è
·Ñ§ËÁ´ä´Œ áÅÐã¹¡Ã³Õ allograft ¡ÒÃà¾ÒÐàÅÕ§à«Åŏ¡Í¹¹íÒä»»ÅÙ¡¶‹Ò¨зíÒãËŒâÍ¡ÒÊà¡Ô´»¯Ô¡ÃÂÒ
    é                                           é           ‹                                       ÔÔ
µ‹ÍµŒÒ¹ (graft rejection) ¹ŒÍ¡NjҡÒü‹ÒµÑ´áººà´ÔÁ à¹×ͧ¨Ò¡à«Åŏ·¹ÒÁÒ»ÅÙ¡¶‹ÒÂÁÕà¾Õ§à«Åŏ
                                                                 è             Õè í
ªÑ¹¼ÔÇ෋ҹѹ
  é               é
                ¡ÒÃà¾ÒÐàÅÕé§áÅлÅÙ¡¶‹ÒÂà«ÅŏÁÕÃÒ§ҹ¤ÃÑé§áá㹻‚ ¤.È. 1997 ·Õè»ÃÐà·ÈÍÔµÒÅÕ
¨Ò¡ÃÒ§ҹµ‹Ò§»ÃÐà·È¾ºÇ‹Ò»ÃÐʺ¼ÅÊíÒàÃ稻ÃÐÁҳÌÍÂÅÐ 75(5) áÅÐãËŒ¼Å´Õ¡Ç‹Ò¡ÒûÅÙ¡¶‹ÒÂ
à«Åŏâ´ÂµÃ§ ʋǹ㹻ÃÐà·Èä·Â ¤³Ðá¾·ÂÈÒʵÏÈÃÃÒª¾ÂÒºÒÅâ´Â¤ÇÒÁËÇÁÁ×ͧ͢ÀÒ¤ÇÔªÒ
                                                              ÔÔ
¨Ñ¡ÉØÇ·ÂÒ ÀÒ¤ÇÔªÒÇÔ·ÂÒÀÙÁ¤Á¡Ñ¹ ÀÒ¤ÇÔªÒ¾ÂÒ¸ÔÇ·ÂÒ áÅÐÈٹà¹×ÍàÂ×ͪÕÇÀÒ¾¡ÃØ§à·¾Ï ä´Œ·Ò¡ÒÃ
        Ô                         Ô ØŒ                Ô                    é è                    í
à¾ÒÐàÅÕ§ corneal limbal stem cell ã¹ËŒÍ§»®Ôºµ¡ÒÃáÅлÅÙ¡¶‹ÒÂãˌᡋ¼»Ç·ѧ allograft áÅÐ
              é                                         Ñ Ô                         ÙŒ † é
autograft ÊíÒàÃç¨à»š¹¤Ãѧáá㹻ÃÐà·Èä·Âã¹»‚ ¾.È. 2550 â´Âä´Œ¼ÒµÑ´·íÒ cultivated corneal epithelial
                                é                                        ‹
transplantation ·Ñ§ËÁ´ÃÇÁ 14 ÃÒÂ
                            é
                ¨Ò¡¡ÒõÃǨµÔ´µÒÁ¼ÙŒ»†Ç¾ºÇ‹ÒÁÕ¡ÒÃÍÑ¡àʺ¢Í§µÒŴŧ à«Åŏ·Õè»ÅÙ¡¶‹ÒÂÊÒÁÒö
¤§ÊÀÒ¾ÍÂÙä´Œâ´ÂäÁ‹ËÅØ´ÅÍ¡ ¼Å¡ÒõÃǨÊͺ·Ò§¾ÂÒ¸ÔÇ·ÂÒ·Õè 1 à´×͹ËÅѧ¼‹ÒµÑ´ ¾ºÇ‹ÒäÁ‹Áà«Åŏ
                    ‹                                              Ô                            Õ
¢Í§àÂ×ͺصÒÃØ¡ÅéÒࢌÒÁÒ㹺ÃÔàdz¢Í§¡ÃШ¡µÒ ¡Ò÷íÒઋ¹¹Õ໚¹¡ÒÃàµÃÕÂÁ¤ÇÒÁ¾ÃŒÍÁãËŒ¡ÃШ¡µÒ
          è             í                                             é
à¾×Íà¾ÔÁâÍ¡Òʷըм‹ÒµÑ´à»ÅÕ¹¡ÃШ¡µÒãËŒ»ÃÐʺ¤ÇÒÁÊíÒàÃç¨ã¹Í¹Ò¤µÊÙ§¢Ö¹
      è è                 è         è                                                  é

        Mucosal epithelial cell culture
           㹼ٻǷÕÁ¾ÂÒ¸ÔÊÀÒ¾¢Í§µÒ·Ñ§Êͧ¢ŒÒ§ ઋ¹¡ÅØÁÍÒ¡Òà Stevens Johnson ËÃ×͵ҷѧÊͧ
                Œ † è Õ                    é              ‹                                  é
¢ŒÒ§ä´ŒÃºÍѹµÃÒ¨ҡÊÒÃà¤ÁÕ ËÒ¡¨íÒ໚¹µŒÍ§·íÒ cultivated corneal epithelial transplantation ᾷ
         Ñ
¨ÐäÁ‹ÊÒÁÒö·íÒâ´Â㪌à«Åŏ¢Í§¼Ù»ÇÂàͧ䴌 µŒÍ§ãªŒà»š¹ allograft «Ö§¾º»˜­ËÒÇ‹ÒÂѧ¨íÒ໚¹µŒÍ§ãªŒÂÒ
                                   Œ †                             è
¡´ÀÙÁµÒ¹·Ò¹ áÅÐÂѧÁÕâÍ¡ÒÊà¡Ô´ graft rejection ä´Œ ´Ñ§¹Ñ¹ ¨Ö§ÁÕ¤ÇÒÁ¾ÂÒÂÒÁ·Õ¨Ð¹íÒà«Åŏ͹
      Ô Œ                                                     é                    è             ×è
¢Í§¼Ù»ÇÂÁÒ㪌᷹à«Åŏ¡ÃШ¡µÒà¾×ÍËÅÕ¡àÅÕ§»˜­ËÒ¹Õé
     Œ †                               è         è
           à«Åŏ¢Í§àÂ×ͺػҡ (oral mucosal epithelium) ¾ºÇ‹Ò໚¹à«Åŏ·àËÁÒÐÊÁ à¹×ͧ¨Ò¡ÁÕšɳÐ
                       è                                              Õè         è         Ñ
¢Í§ differentiation µèÒ áº‹§à«ÅŏàÃçÇ äÁ‹ÁÕ keratin áÅÐÁÕ¤ÇÒÁªØÁª×¹àÁ×͹íÒÁÒà¾ÒÐàÅÕ§º¹àÂ×Íá
                         í                                       ‹ é è               é         è
ÅѡɳРrugae ¢Í§ mucosa ¨ÐËÒÂä» áÅÐÁÕšɳÐà«Åŏ¤ÅŒÒ corneal epithelium ´Ñ§¹Ñ¹ Kinoshita
                                               Ñ                                       é
áÅФ³Ð ¨Ö§ä´Œ¹Òà«Åŏ¢Í§àÂ×ͺػҡÁÒ㪌»ÅÙ¡¶‹Ò·յҼٻÇ àÃÕÂ¡Ç‹Ò cultivated oral mucosal
            (6)
                     í           è                      è Œ †
epithelial transplantation (COMET) «Ö§ÃÒÂ§Ò¹Ç‹Ò ÊÒÁÒö·íÒãˌŴ¡ÒÃÍÑ¡àÊºã¹µÒ Å´àÊŒ¹àÅ×Í´·Õè
                                         è
¡ÃШ¡µÒ ÃÑ¡ÉÒÊÀÒ¾¼ÔÇãËŒ¤§·¹ äÁ‹à¡Ô´á¼Å¶ÅÍ¡ ᵋÍ‹ҧäáçµÒÁ à¹×ͧ¨Ò¡à«Åŏ¢Í§àÂ×ͺػҡ¹Õé
                                                                         è               è
38                                   Cultivated Epithelial Cell in Ophthalmology, When and How?

äÁ‹ãª‹à«Åŏ¢Í§¡ÃШ¡µÒàÁ×èÍ»ÅÙ¡¶‹ÒÂà«ÅŏáÅŒÇ ÊÑ¡ÃÐÂÐ˹Ö觨ÐÁÕàÊŒ¹àÅ×Í´¡ÅѺࢌÒÁÒã¹µÒã¹Ê‹Ç¹
periphery 䴌
        ÀÒ¤ÇÔªÒ¨Ñ¡ÉØÇ·ÂÒ ÀÒ¤ÇÔªÒÀÙÁ¤Á¡Ñ¹ áÅÐÀÒ¤ÇÔªÒ¾ÂÒ¸ÔÇ·ÂÒ ¤³Ðá¾·ÂÈÒʵÏÈÃÃÒª
                      Ô             Ô ØŒ                       Ô                     ÔÔ
¾ÂÒºÒÅ ä´ŒàÃÔÁ§Ò¹ÇԨ¹յ§áµ‹»‚ ¾.È. 2552 ä´Œ·Ò¡Òü‹ÒµÑ´ãˌᡋ¼»Ç 䴌¼ÒµÑ´·Ñ§ËÁ´ 6 ÃÒÂ
              è      Ñ é Ñé                    í                 ÙŒ †    ‹    é
7 µÒ

¡ÒÃà¾ÒÐàÅÕé§à«Åŏ
        ¡ÒÃà¾ÒÐàÅÕé§ corneal limbal stem cell
         ã¹áµ‹ÅÐÃÒ§ҹÁÕǸà¾ÒÐàÅÕ§·Õᵡµ‹Ò§¡Ñ¹ ẋ§à»š¹ 2 ẺãË­‹æ 䴌ᡋ explants culture
                           ÔÕ      é è
system «Ö§¤×Í¡ÒÃÇÒ§ªÔ¹à¹×Í·ÕÁà«Åŏ·§ªÔ¹º¹àÂ×Íá (amniotic membrane)(7-10) ËÃ×Í substrate Í×¹
           è            é é è Õ       Ñé é      è                                               è
ઋ¹ fibrin gel ¡Ñº suspension culture system(11-14) «Ö§¨Ð‹ÍÂà«Åŏãˌ໚¹à«Åŏà´ÕÂÇæ ¡‹Í¹ áŌǨ֧
                                                       è                          è
ÇÒ§à«Åŏº¹ substrate ËÃ×Í amniotic membrane «Ö§ã¹ºÒ§ÃÒ§ҹ¨Ð㪌 3T3 feeder layer ໚¹µÑÇ
                                                     è
¡ÃеعãËŒà«Åŏâµä´ŒàÃçÇ ¡ÒùíÒ amniotic membrane ÁÒ㪌 à¹×ͧ¨Ò¡ amniotic membrane ÁÕ growth
      Œ                                                      è
factor µ‹Ò§æ ·ÕªÇÂãËŒà«Åŏà¨ÃÔ­àµÔºâµä´Œ´Õ
                è ‹                        (15)

         ·Õ褳Ðá¾·ÂÈÒʵÏÈÔÃÔÃÒª¾ÂÒºÒŠʋǹ¡ÒÃà¾ÒÐàÅÕé§à«Åŏ¹Ñé¹à¾ÒÐàÅÕ駺¹ amniotic
membrane áÅÐÁÕ¢¹µÍ¹´Ñ§µ‹Í仹Õé
                    Ñé

        ¡ÒÃà¾ÒÐàÅÕé§ corneal limbal stem cell
        ໚¹¡ÒÃàÅÕ§à«ÅŏẺ explants â´Â¹íÒ limbal tissue ·ÕÂÍ´ŒÇ dispase ÁÒàÅÕ§º¹àÂ×Í
                  é                                              è ‹                        é       è
á amniotic membrane (AM) ·Õ¢´ epithelium cell ÍÍ¡ËÁ´ àÅÕ§ã¹ÍÒËÒÃàÅÕ§à«Åŏ (keratinocyte
                                è Ù                          é              é
growth medium: KGM) à¾ÒÐàÅÕ§㹠CO2 incubator ÍØ³ËÀÙÁÔ 37 C ÀÒÂ㵌ÊÀÒÇзÕÁ¡Ò«¤ÒϺ͹
                                 é                                 í               è Õ 
ä´Í͡䫴ÃÍÂÅÐ 5 ໚¹àÇÅÒ 2-3 ÊÑ»´Òˏ
            Œ
        ¡Ò÷´Êͺ¤Ø³ÊÁºÑµ¤ÇÒÁ໚¹à«Åŏµ¹¡íÒà¹Ô´¢Í§à¹×ÍàÂ×Í·Õà¾ÒÐàÅÕ§¹Õ´ÇÂÇÔ¸·Ò§¾ÂÒ¸ÔÇ·ÂÒ
                              Ô             Œ          é è è             é é Œ Õ                  Ô
â´Â ¡ÒÃÂŒÍÁÊÕ hematoxylin & eosin (H&E) áÅÐÈÖ¡ÉҤسÊÁºÑµ¢Í§ epithelial differentiation marker
                                                           Ô
(cytokeration K (CK) 12 and CK3) áÅÐ stem cell marker (ABCG2) ´ŒÇÂÇÔ¸Õ reverse transcription-
polymerase chain reaction (RT-PCR) áÅÐ immunoperoxidase áÅŒÇÈÖ¡ÉÒÇ‹Òà«Åŏ·àÅÕ§䴌Á¤³ÊÁºÑµÔ
                                                                              Õè é            Õ Ø
¢Í§â¤Ã§ÊÌҧáÅÐá͹µÔਹ¤ÅŒÒ¡Ѻ corneal limbal stem cell ËÃ×ÍäÁ‹ «Ö§Åѡɳдѧ¡Å‹ÒǤ×Í
                                                                       è
        1. à«ÅŏÁûËҧ¤‹Í¹¢ŒÒ§¡ÅÁ¶Ö§àËÅÕÂÁ «ÑÂâµ¾ÅÒÊÁµÔ´ÊÕá´§ ¹ÔÇà¤ÅÕÂʵԴÊÕ¹Òà§Ô¹â»Ã‹§
                       ÕÙ                     è                                          éí
àÁ×ÍÂŒÍÁ´ŒÇÂÊÕ H&E (ÀÒ¾·Õè 2)
   è
        2. ÂŒÍÁµÔ´á͹µÔਹ p63, AE1/AE5 «Ö§áÊ´§Ç‹Òà«ÅŏÁ¤³ÊÁºÑµà»š¹ stem cell áÅÐÂŒÍÁ
                                                è              Õ Ø        Ô
µÔ´ CK12 㹪ѹº¹¢Í§à«Åŏ áÊ´§Ç‹Òà«Åŏ·à¾ÒÐàÅÕ§໚¹à«Åŏ¢Í§ corneal epithelium(16-18)
              é                          Õè       é
        3. à«Åŏ·à¾ÒÐàÅÕ§ÀÒÂ㵌ÊÀÒÇдѧ¡Å‹ÒÇàÁ×Í·´ÊͺÇÔ¸Õ RT-PCR ¾ºÇ‹ÒÁÕ¡ÒÃáÊ´§ÍÍ¡¢Í§
                    Õè    é                         è
ABCG2 CK 3 áÅÐ CK12 «Ö§Â×¹ÂѹNjÒ໚¹à«Åŏ¢Í§¡ÃШ¡µÒ·Õ·Ò˹ŒÒ·Õ໚¹ stem cell
                            è                             è í        è
àǪÈÒʵÏ·¹Âؤ 2553
          Ñ                                                                                         39




ÀÒ¾·Õè 2 áÊ´§ÀÒ¾·Ò§¾ÂÒ¸ÔÇÔ·ÂÒ ¢Í§¡ÒÃà¾ÒÐàÅÕé§ Corneal Limbal stem cell : (A) ÂŒÍÁÊÕ
        H&E, (B) ÂŒ Í Á immunohistochemistry áÊ´§¶Ö § á͹µÔ à ¨¹·Õè á Ê´§ÍÍ¡ áÅÐ
        äÁ‹áÊ´§ÍÍ¡º¹¼ÔÇà«Åŏ ÂŒÍÁ p63 áÊ´§¶Ö§¡ÒÃ໚¹ stem cell, (C) ÂŒÍÁ CK12
        µÔ ´ à«Åŏ ªÑé ¹ º¹ áÊ´§¶Ö § à«Åŏ ·Õè á º‹ § µÑ Ç à¨ÃÔ ­ àµÔ º âµä´Œ à »š ¹ à«Åŏ ¢ ͧ corneal
        epithelium

        ¡ÒÃà¾ÒÐàÅÕé§ oral mucosal epithelium
         ´íÒà¹Ô¹¡ÒÃà¾ÒÐàÅÕ§ human oral mucosal epithelial cell ã¹ÍÒËÒÃàÅÕ§à«Åŏã¹ÊÀÒÇзÕäÁ‹
                          é                                               é                è
ÁÕ serum áÅÐ feeder cell ໚¹àÇÅÒ 2-3 ÊÑ»´Òˏ áÅŒÇÈÖ¡ÉҤسÊÁºÑµ¢Í§ epithelial differentiation
                                                                     Ô
marker (cytokeration K (CK) 12 and CK3) áÅÐ stem cell marker (ABCG2) ´ŒÇÂÇÔ¸Õ reverse
transcription-polymerase chain reaction (RT-PCR) à«Åŏ·à¾ÒÐàÅÕ§ÀÒÂ㵌ÊÀÒÇдѧ¡Å‹ÒÇÁÕ¡ÒÃ
                                                           Õè      é
áÊ´§ÍÍ¡¢Í§ CK3 áÅÐ ABCG2 ᵋäÁ‹áÊ´§ÍÍ¡¢Í§ CK12 «Ö§áÊ´§Ç‹Ò໚¹à«Åŏ·¤ÅŒÒ¡ÃШ¡µÒ
                                                              è                Õè
ᵋäÁ‹ãª‹à«Åŏ¢Í§¡ÃШ¡µÒ

        ¡Ò÷íÒ¼‹ÒµÑ´á¡‹¼ÙŒ»†ÇÂ
           ¡Ò÷íÒ¼‹ÒµÑ´ CCET áÅÐ COMET ÁÕËÅÑ¡¡ÒÃà´ÕÂǡѹ¤×Í ÅÍ¡¾Ñ§¼×´·Õ¤ÅØÁ ocular surface
                                                                              è
ÍÍ¡ ·Ñ§ã¹Ê‹Ç¹¢Í§ cornea áÅÐ conjunctiva ÇÒ§¹éÒÂÒ 0.02% mitomycin C à¾×Í»‡Í§¡Ñ¹¡ÒáÅѺ
         é                                       í                                è
໚¹«éҢͧ¾Ñ§¼×´ ¨Ò¡¹Ñ¹ÇÒ§àÂ×Íá·ÕÁà«Åŏ¢Í§ corneal epithelium ËÃ×Í oral mucosal epithelium
       í                 é    è      è Õ
ÍÂÙ‹ àÂ纵Դ¡Ñº sclera áÅÐ cornea ʋǹ·ÕÅÍ¡¾Ñ§¼×´ÍÍ¡áÅŒÇ(6-8, 10, 19,20) «Ö§¨Ð¾ºÇ‹ÒÊÒÁÒö·íÒãËŒÁÕ
                                         è                                 è
à«Åŏ¤ÅØÁá¼Åä´Œ·§ËÁ´ËÃ×Íà¡×ͺ·Ñ§ËÁ´µÑ§áµ‹ËÅѧ¼‹ÒµÑ´ ã¹ÃÒ·Õà¹×Í¡ÃШ¡µÒ¢Ø¹ ËÅѧ¨Ò¡á¼ÅµÔ´´Õ
                    Ñé             é       é                    è é             ‹
¡ÒÃÍÑ¡àʺŴŧ ᵋ¡ÃШ¡µÒÂѧ¢Ø¹ÍÂÙ‹ ¨Ð·íÒ¡ÒÃà»ÅÕ¹¡ÃШ¡µÒµ‹Íä»
                                 ‹                 è
40                               Cultivated Epithelial Cell in Ophthalmology, When and How?




ÀÒ¾·Õè 3áÊ´§ÀÒ¾¼ÙŒ»†Ç Corneal Limbal stem cell deficiency ¢Í§âç¾ÂÒºÒÅÈÔÃÔÃÒª¡‹Í¹
        ¼‹ÒµÑ´ (A, C, E) áÅÐËÅѧ¼‹ÒµÑ´ (B, D, .) : (A) ¼ÙŒ»†ÇÂâ´¹ÊÒÃà¤ÁÕࢌҵҾºÇ‹ÒÁÕàÊŒ¹
        àÅ×ʹࢌÒÁÒ㹡ÃШ¡µÒ, ( B) ËÅѧ¼‹ÒµÑ´ CCET ª¹Ô´ autograft ¹Ò¹ 2 à´×͹,
        (C) ¼ÙŒ»†ÇÂÀÙÁÔᾌ ÁÕµÒáËŒ§ áÅÐÁÕàÊŒ¹àÅ×ʹࢌÒÁÒ㹡ÃШ¡µÒ 2 µÒ, (D) ËÅѧ¼‹ÒµÑ´
        CCET ª¹Ô´ allograft ¹Ò¹ 3 à´×͹, (E) ¼ÙŒ»†ÇÂâ´¹ÊÒÃà¤ÁÕࢌҵҾºÇ‹ÒÁÕàÊŒ¹àÅ×Í´
        ࢌÒÁÒ㹡ÃШ¡µÒ·Ñé§Êͧ¢ŒÒ§, (.) ËÅѧ¼‹ÒµÑ´ COMET 8 à´×͹

       ¡ÒþÂҡóâä
         ¡ÒûÅÙ¡¶‹ÒÂà«Åŏâ´Â㪌à«Åŏà¾ÒÐàÅÕ§¹ÑºÇ‹Ò໚¹¡ŒÒÇãËÁ‹¢Í§¡ÒÃÃÑ¡ÉÒâäà«Åŏ¼Ç¡ÃШ¡
                                           é                                         Ô
µÒàÊ×ÍÁ ÊíÒËÃѺ¼Å¡ÒÃÃÑ¡ÉÒ ä´ŒÁÃÒ§ҹänjᵡµ‹Ò§¡Ñ¹ã¹áµ‹ÅÐÃÒ§ҹ Í‹ҧäáçµÒÁ¨íҹǹ¼Ù»ÇÂ
      è                         Õ                                                      Œ †
ã¹áµ‹ÅÐÃÒ§ҹÁÕ¨íҹǹäÁ‹ÁÒ¡¹Ñ¡ ã¹¼ÙŒ»†Ç·ÕèÃѺ¡ÒÃÃÑ¡ÉÒ´ŒÇ¡Òü‹ÒµÑ´ CCET ÁÕ¤ÇÒÁÊíÒàÃç¨
à©ÅÕÂÃŒÍÂÅÐ 75-80 ʋǹ㹼ٻÇ·Õú¡ÒÃÃÑ¡ÉÒ´ŒÇ¡Òü‹ÒµÑ´ COMET ÁÕ¤ÇÒÁÊíÒàÃç¨à©ÅÕÂÃŒÍÂÅÐ
    è                      Œ † èÑ                                                  è
67 - 100 (5)
àǪÈÒʵÏ·¹Âؤ 2553
          Ñ                                                                                                              41

àÍ¡ÊÒÃ͌ҧÍÔ§
1.    Li DQ, Tseng SC. Differential regulation of keratinocyte growth factor and hepatocyte growth factor/scatter
      factor by different cytokines in human corneal and limbal fibroblasts. J Cell Physiol. 1997;172(3):361-72.
2.    Dua HS, Azuara-Blanco A. Limbal stem cells of the corneal epithelium. Surv Ophthalmol. 2000;44(5):415-25.
3.    Puangsricharern V, Tseng SC. Cytologic evidence of corneal diseases with limbal stem cell deficiency.
      Ophthalmology. 1995;102(10):1476-85.
4.    Prabhasawat P. Corneal limbal stem cells. Siriraj Med J. 2006;58:728-9.
5.    Shortt AJ, Secker GA, Notara MD, Limb GA, Khaw PT, Tuft SJ, et al. Transplantation of ex vivo cultured limbal
      epithelial stem cells: a review of techniques and clinical results. Surv Ophthalmol. 2007;52(5):483-502.
6.    Nakamura T, Inatomi T, Sotozono C, Amemiya T, Kanamura N, Kinoshita S. Transplantation of cultivated
      autologous oral mucosal epithelial cells in patients with severe ocular surface disorders. Br J Ophthalmol. 2004
      ;88(10):1280-4.
7.    Koizumi N, Inatomi T, Suzuki T, Sotozono C, Kinoshita S. Cultivated corneal epithelial stem cell transplantation
      in ocular surface disorders. Ophthalmology. 2001;108(9):1569-74.
8.    Nakamura T, Inatomi T, Sotozono C, Koizumi N, Kinoshita S. Successful primary culture and autologous
      transplantation of corneal limbal epithelial cells from minimal biopsy for unilateral severe ocular surface disease.
      Acta Ophthalmol Scand. 2004;82(4):468-71.
9.    Grueterich M, Espana EM, Touhami A, Ti SE, Tseng SC. Phenotypic study of a case with successful
      transplantation of ex vivo expanded human limbal epithelium for unilateral total limbal stem cell deficiency.
      Ophthalmology. 2002;109(8):1547-52.
10.   Sangwan VS, Matalia HP, Vemuganti GK, .atima A, Ifthekar G, Singh S, et al. Clinical outcome of autologous
      cultivated limbal epithelium transplantation. Indian J Ophthalmol. 2006;54(1):29-34.
11.   Daya SM, Watson A, Sharpe JR, Giledi O, Rowe A, Martin R, et al. Outcomes and DNA analysis of ex vivo
      expanded stem cell allograft for ocular surface reconstruction. Ophthalmology. 2005;112(3):470-7.
12.   Nakamura T, Inatomi T, Sotozono C, Ang LP, Koizumi N, Yokoi N, et al. Transplantation of autologous serum-
      derived cultivated corneal epithelial equivalents for the treatment of severe ocular surface disease. Ophthalmology.
      2006;113(10):1765-72.
13.   Pellegrini G, Traverso CE, .ranzi AT, Zingirian M, Cancedda R, De Luca M. Long-term restoration of damaged
      corneal surfaces with autologous cultivated corneal epithelium. Lancet. 1997;349(9057):990-3.
14.   Rama P, Bonini S, Lambiase A, Golisano O, Paterna P, De Luca M, et al. Autologous fibrin-cultured limbal
      stem cells permanently restore the corneal surface of patients with total limbal stem cell deficiency. Transplantation.
      2001;72(9):1478-85.
15.   Prabhasawat P, Tseng SC. Impression cytology study of epithelial phenotype of ocular surface reconstructed
      by preserved human amniotic membrane. Arch Ophthalmol. 1997;115(11):1360-7.
16.   Kawasaki S, Tanioka H, Yamasaki K, Connon CJ, Kinoshita S. Expression and tissue distribution of p63
      isoforms in human ocular surface epithelia. Exp Eye Res. 2006;82(2):293-9.
17.   Paladino G, Marino C, La Terra Mule S, Civiale C, Rusciano D, Enea V. Cytokeratin expression in primary
      epithelial cell culture from bovine conjunctiva. Tissue Cell. 2004;36(5):323-32.
18.   Kasper M, Moll R, Stosiek P, Karsten U. Patterns of cytokeratin and vimentin expression in the human eye.
      Histochemistry. 1988;89(4):369-77.
42                                      Cultivated Epithelial Cell in Ophthalmology, When and How?

19. Tsai RJ, Li LM, Chen JK. Reconstruction of damaged corneas by transplantation of autologous limbal
    epithelial cells. N Engl J Med. 2000;343(2):86-93.
20. Kinoshita S, Koizumi N, Nakamura T. Transplantable cultivated mucosal epithelial sheet for ocular surface
    reconstruction. Exp Eye Res. 2004;78(3):483-91.
àǪÈÒʵÏ·¹Âؤ 2553
          Ñ                                                                       º··Õè         43

                                                                                     5
                 ¡ÒÃÃÑ¡ÉÒÀÒÇÐÊÒµҼԴ»¡µÔ´ŒÇ LASIK :
                     ÊÔè§¹‹ÒÃÙŒ¹Í¡à˹×ͨҡ¡Ò÷íÒàÅÊÔ¡
                                (Beyond Lasik)
                                          ¼ÙŒª‹ÇÂÈÒʵÃÒ¨ÒÏ ¹ÒÂᾷ³Ñ°ÇØ²Ô Ãʹ͹ѹµ
                                             ÃͧÈÒʵÃÒ¨ÒÏ ¹ÒÂᾷʺ§ ÈÃÕÇÃóºÙó
                                                 ÃͧÈÒʵÃÒ¨ÒÏ ¹ÒÂᾷ¹ÃÔÈ ¡Ô¨³Ã§¤
                         ÀÒ¤ÇÔªÒ¨Ñ¡ÉØÇ·ÂÒ ¤³Ðá¾·ÂÈÒʵÏÈÃÃÒª¾ÂÒºÒÅ ÁËÒÇÔ·ÂÒÅÑÂÁËÔ´Å
                                      Ô                   ÔÔ

ÀÒÇÐÊÒµҼԴ»¡µÔ
           ÀÒÇÐÊÒµҼԴ»¡µÔ ໚¹ÊÒà˵ØãËŒà¡Ô´ÍÒ¡ÒõÒÁÑÇ ·Õ¾ºä´ŒºÍÂã¹·Ø¡ÍÒÂØ ᵋÊÒÁÒö·íÒãËŒ
                                                          è            ‹
ÁͧàËç¹ä´Œ´¢¹´ŒÇ¡ÒÃÊÇÁáÇ‹¹µÒ ¤Í¹á·¤àŹʏ ËÃ×Í¡Ò÷íÒàÅÊÔ¡ ¡Ò÷ÕàÃÒ¨ÐÁͧàËç¹ä´Œª´à¨¹¹Ñ¹
               Õ Öé                                                          è            Ñ     é
áʧ·ÕÊͧࢌҵҵŒÍ§¶Ù¡ÃÇÁáʧ¼‹Ò¹¡ÃШ¡µÒáÅÐàŹʏµÒ ËÃ×Íâ¿¡ÑÊáŌǵ¡Å§¾Í´Õ·¨ÍµÒ ¶ŒÒ¡ÒÃ
      è‹                                                                             Õè
ÃÇÁáʧäÁ‹¾Í´Õ áʧ¨ÐäÁ‹ÃÇÁ·Õ¨ÍµÒ·íÒãËŒà¡Ô´ÀÒÇÐÊÒµҼԴ»¡µÔµÒ§æ 䴌ᡋ ÀÒÇÐÊÒµÒÊѹ ÊÒÂ
                               è                                     ‹                      é
µÒÂÒÇ áÅÐÊÒµÒàÍÕ§
           ÊÒµÒÊÑé¹ (Myopia) à¡Ô´¨Ò¡¡íÒÅѧ¡ÒÃÃÇÁáʧ¢Í§µÒ·Õ·ÒãËŒ¨´â¿¡Ñʢͧáʧµ¡Å§Ë¹ŒÒ¨Í
                                                            è í Ø
µÒ ÍÒ¨à¡Ô´¨Ò¡ÅÙ¡µÒÂÒÇËÃ×Í¡ÃШ¡µÒÁÕ¤ÇÒÁ⤌§ÁÒ¡à¡Ô¹ä» ¼Ù·ÁÊÒµÒÊѹ¨Ö§ÁͧàËç¹ä´Œã¹ÃÐÂÐ
                                                              Œ Õè Õ               é
ã¡ÅŒ ᵋ¨ÐÁͧäÁ‹ª´ã¹ÃÐÂÐä¡Å
                    Ñ
           ÊÒµÒÂÒÇ (Hyperopia) à¡Ô´¨Ò¡¡íÒÅѧ¡ÒÃÃÇÁáʧ¢Í§µÒ ·Õ·ÒãËŒ¨´â¿¡Ñʢͧáʧµ¡Å§ËÅѧ
                                                                   è í Ø
ËÃ×ÍàÅÂ¨ÍµÒ ÍÒ¨à¡Ô´¨Ò¡ÅÙ¡µÒÊѹËÃ×Í¡ÃШ¡µÒÁÕ¤ÇÒÁ⤌§áº¹à¡Ô¹ä» ¼Ù·ÁÊÒµÒÂÒǨ֧ÁͧäÁ‹ª´
                                  é                                         Œ Õè Õ                Ñ
·Ñ§ã¹ÃÐÂÐã¡ÅŒËÃ×Íä¡Å ÀÒÇÐÊÒµÒÂÒǹÕäÁ‹ãª‹ª¹Ô´à´ÕÂǡѺÊÒµÒÂÒÇã¹¼ÙʧÍÒÂØ
  é                                       é                                       ŒÙ
           ÊÒµÒàÍÕ§ (Astigmatism) à¡Ô´¨Ò¡¡Ò÷աÒÅѧ¡ÒÃÃÇÁáʧ¢Í§µÒã¹á¡¹µ‹Ò§æäÁ‹à·‹Ò¡Ñ¹
                                                     è í
·íÒãËŒ¨´â¿¡ÑʢͧáʧäÁ‹¡ÅÁËÃ×ÍÁÕËÅÒ¨ش à¡Ô´¨Ò¡¡ÃШ¡µÒäÁ‹¡ÅÁ ÀÒÇйÕÍÒ¨à¡Ô´Ã‹ÇÁ¡ÑºÀÒÇÐÊÒÂ
       Ø                                                                        é
µÒÊѹ ËÃ×ÍÂÒÇä´Œ
    é
           ÊíÒËÃѺÀÒÇÐÊÒµÒÂÒÇã¹¼ÙʧÍÒÂØ (Presbyopia) äÁ‹ãª‹ÀÒÇÐÊÒµÒÂÒÇ»¡µÔ à¹×ͧ¨Ò¡à»š¹
                                      Œ Ù                                               è
ÀÒÇзÕà¡Ô´¨Ò¡¡ÒÃàÊ×ÍÁ¢Í§¡ÅŒÒÁà¹×Íã¹µÒ·Õ㪌㹡ÒûÃѺÃÐÂÐÁͧã¡ÅŒ-ä¡Å ·íÒãËŒÁͧã¡ÅŒäÁ‹ª´ «Ö§
         è            è             é       è                                                 Ñ è
ÀÒÇÐÊÒµÒÂÒÇã¹¼ÙʧÍÒÂØ¹¨ÐàÃÔÁÁÕÍÒ¡ÒÃã¹¼Ù·ÁÍÒÂØ»ÃÐÁÒ³ 40 »‚¢¹ä»
                      ŒÙ     Õé è             Œ Õè Õ                     Öé
44                        ¡ÒÃÃÑ¡ÉÒÀÒÇÐÊÒµҼԴ»¡µÔ´Ç Lasik : ÊÔ§¹‹ÒÃٹ͡à˹×ͨҡ¡Ò÷íÒàÅÊÔ¡
                                                   Œ            è Œ

¡ÒÃᡌä¢ÀÒÇÐÊÒµҼԴ»¡µÔ´ŒÇÂàÅÊÔ¡
            ¡Ò÷íÒàÅÊÔ¤ (LASIK: Laser in-situ keratomileusis) ¤×Í ¡ÒÃᡌä¢ÀÒÇÐÊÒµҼԴ»¡µÔ
â´Â¡ÒÃ㪌àÅà«ÍÏ â´Â·ÑÇ仨Ð㪌à¤Ã×ͧÁ×Í·ÕÊҤѭ 2 ª¹Ô´ ¤×Í à¤Ã×ͧᡪѹ¡ÃШ¡µÒ (microkeratome)
                          è       è      èí                   è      é
«Ö§à»š¹ãºÁÕ´·íÒ¡ÒÃᡪѹ¼ÔÇ¡ÃШ¡µÒ¡‹Í¹ áŌǨ֧㪌à¤Ã×ͧàÍç¡ä«àÁÍÏàÅà«ÍÏ (Excimer Laser)
    è                       é                            è
·íÒ¡ÒÃà»ÅÕè¹á»Å§¤ÇÒÁ⤌§¢Í§¡ÃШ¡µÒãËŒàËÁÒСѺÊÒµҢͧᵋÅФ¹ àÍç¡ä«àÁÍÏàÅà«ÍÏ
«Ö§à»š¹àÅà«ÍÏ·Á¤ÇÒÁÂÒǤÅ×¹Êѹ ໚¹áʧàÅà«ÍÏẺàÂç¹ «Ö§¨Ð·íÒ»®Ô¡ÃÂÒ੾Òо׹¼ÔÇ·ÕÊÁ¼ÑÊ
  è             Õè Õ          è é                               è      ÔÔ         é     èÑ
à·‹Ò¹Ñé¹äÁ‹¡ÃШÒÂä»´ŒÒ¹¢ŒÒ§ËÃ×Í·ÐÅØà¢ŒÒä»ÀÒÂã¹ÅÙ¡µÒ àÁ×èÍÂÔ§àÅà«ÍÏàÊÃç¨áŌǨ֧»´¡ÃШ¡µÒ
·ÕèᡪÑé¹äÇŒ´ŒÇÂà¤Ã×èͧᡪÑ鹡ÃШ¡µÒ¡ÅѺä»â´ÂäÁ‹µŒÍ§àÂçº ¡ÃШ¡µÒ¨ÐÊÁÒ¹µÔ´¡Ñ¹àͧµÒÁ
¸ÃÃÁªÒµÔ ÊÒÁÒö㪌áÉÒÀÒÇÐÊÒµҼԴ»¡µÔª¹Ô´ÊÒµÒÊѹ ÊÒµÒÂÒÇ ÊÒµÒàÍÕ§ áÅÐá¼Å·Õè
                        Ñ                                  é
¡ÃШ¡µÒ

¾Ñ²¹Ò¡Òâͧ¡ÒÃ㪌àÅà«ÍÏ㹡Ò÷íÒàÅÊÔ¡
             ¡Ò÷íÒàÅÊÔ¡ä´ŒÁ¡ÒþѲ¹Òâ´Â¹íÒà·¤â¹âÅÂÕàÅà«ÍϪ¹Ô´ .emtoSecond laser ÁÒ㪌㹡ÒÃ
                               Õ
ᡪѹ¡ÃШ¡µÒá·¹¡ÒÃ㪌ãºÁÕ´ (microkeratome) ¼Å·Õä´Œ¤Í¤ÇÒÁáÁ‹¹ÂíÒÊÙ§áÅо׹¼ÔÇ¡ÃШ¡µÒ
       é                                               è ×                    é
·ÕèÁÕ¤ÇÒÁàÃÕºÁÒ¡ ¡ÒÃᡌä¢ÊÒµҼԴ»¡µÔ¨Ö§ÁÕ»ÃÐÊÔ·¸ÔÀÒ¾áÅлÅÍ´ÀÑÂÁÒ¡¢Öé¹ ·íÒãËŒ¡Ò÷íÒ
àÅÊÔ¡ÁÕ¡ÒÃ㪌àÅà«ÍÏ·§¡Ãкǹ¡Òà «Ö§ÀÒ¤ÇÔªÒ¨Ñ¡ÉØÇ·ÂÒâ´ÂÈٹàÅÊÔ¡ÈÔÃÃҪ໚¹áË‹§áá㹻ÃÐà·È
                            Ñé       è             Ô                Ô
ä·Â·Õ¹Òà·¤â¹âÅÂÕ¹ÁÒ㪌¡Ò÷íÒàÅÊÔ¡´ŒÇ .emtoSecond laser ¹Õä´Œ¼Ò¹¡ÒÃÃѺÃͧ¨Ò¡Í§¤¡ÒÃ
         è í             Õé                                      é ‹
ÍÒËÒÃáÅÐÂÒ (US-.DA) áÅÐÂѧ໚¹à·¤â¹âÅÂÕà´ÕÂÇ·Õͧ¤¡Òà NASA áË‹§»ÃÐà·ÈÊËÃѰÍàÁÃÔ¡ÒàÅ×͡㪌
                                                 è
㹡ÒÃÃÑ¡ÉÒÀÒÇÐÊÒµҼԴ»¡µÔá¡‹¹¡ºÔ¹ÍÇ¡ÒÈÑ

¢ŒÍ¤Ç÷ÃÒº¹Í¡à˹×ͨҡ¡Ò÷íÒàÅÊÔ¡
        ¼ÙŒ·Õè·ÕèÁÒÃѺ¡Ò÷íÒàÅÊԡʋǹãË­‹à»š¹¼ÙŒ·ÕèÁÕÊÒµÒÊÑé¹ «Öè§¼ÙŒ·ÕèÁÕÊÒµÒÊÑé¹ÃдѺÁÒ¡ËÃ×Í
»Ò¹¡ÅÒ§ÍÒ¨¾ºÀÒÇзҧµÒ·ÕÁâÍ¡ÒÊ·íÒãËŒ¼Å¡Ò÷íÒàÅÊÔ¡äÁ‹´ËÃ×ÍàÊÕ§µ‹Íâä·Ò§µÒÍ×¹æËÅѧ¡ÒÃ
                                è Õ                           Õ       è                è
·íÒàÅÊÔ¡ 䴌ᡋ

âä¢Í§¨ÍµÒ (Retinal consideration before LASIK)
        !   Chorioretinal disorders associated with myopia 䴌ᡋ
            - ¨ÍÃѺÀÒ¾àÊ×ÍÁ¨Ò¡ÀÒÇÐÊÒµÒÊѹ (myopic macular degeneration) â´Â·ÑÇ仨Ð
                              è                 é                                    è
               ¾ºã¹¼Ù·ÁÊÒµÒÊѹÁÒ¡ (ÁÒ¡¡Ç‹Ò -6.00 diopters) ·íÒãˌšµÒÂÒÇ ÁÕ sclera ºÒ§
                       Œ Õè Õ     é                                  Ù
            - Lattice retinal degeneration ¾ºã¹¼ÙŒ·ÕèÁÕÊÒµÒÊÑé¹µÑé§áµ‹¹ŒÍ (-1.00 diopter)
               仨¹¶Ö§ÁÒ¡ â´ÂÁÕâÍ¡Òʾºä´ŒÁÒ¡¡Ç‹Ò¤¹·ÕÁÊÒµһ¡µÔ 15% ËÒ¡¾ºÀÒÇйÕÍÒ¨
                                                          è Õ                          é
               µŒÍ§ä´ŒÃº¡ÒÃÂÔ§àÅà«ÍÏ·¨ÍµÒ¡‹Í¹¡Ò÷íÒàÅÊÔ¡à¾×Í»‡Í§¡Ñ¹¨ÍµÒÅÍ¡µÑÇ â´Â੾ÒÐ
                        Ñ               Õè                     è
àǪÈÒʵÏ·¹Âؤ 2553
          Ñ                                                                                                                45

                 ¼Ù·Á»ÃÐÇѵàË繨ش´íÒÅÍÂä»ÁÒ àËç¹áʧ¤ÅŒÒ¿‡Òáź ËÃ×Íà¤ÂÁը͵ÒËÅØ´ÅÍ¡ÁÒ
                   Œ Õè Õ   Ô
                 ¡‹Í¹ã¹µÒÍÕ¡¢ŒÒ§
            - ÀÒÇШ͵ÒÅÍ¡µÑÇ «Ö§äÁ‹àËÁÒСѺ¡Ò÷íÒàÅÊÔ¡
                                    è
            - ÀÒÇТͧ¨ÍµÒÍ×¹æ ·ÕÍÒ¨à¡ÕÂÇ¢ŒÍ§¡Ñº¨ÍµÒÅÍ¡µÑÇ àª‹¹ white without pressure,
                                  è   è    è
                 cobble stone degeneration
        ¡ÒÃà¾ÔÁ¤ÇÒÁ´Ñ¹µÒã¹ÃÐËNjҧ¢Ñ¹µÍ¹¡Ò÷íÒàÅÊÔ¡ÍÒ¨·íÒãËŒÁ¡ÒÃË´ËÃ×Í¢ÂÒµÑÇ¢Í§ÇØ¹µÒ
               è                        é                     Õ                    Œ
(vitreous) «Ö§ÍÒ¨·íÒãËŒÁ¡Òô֧Ãѧ¨ÍµÒáÅÐà¡Ô´¤ÇÒÁ¼Ô´»¡µÔ·¨ÍµÒä´Œ
             è            Õ     é                        Õè

ÀÒÇФÇÒÁ´Ñ¹µÒÊÙ§ áÅÐâ䵌ÍËÔ¹
         µŒÍËÔ¹¤×Í¡ÅØÁâä·Õ·ÒãËŒà¡Ô´¤ÇÒÁ¼Ô´»Ã¡µÔ¢Í§¢ÑÇ»ÃÐÊÒ·µÒ (optic disc) â´Âà¡ÕÂÇ¢ŒÍ§¡Ñº
                                ‹      è í                                    é                                       è
¤ÇÒÁ´Ñ¹µÒ (intraocular pressure) ËÃ×Í¡ÒÃÊÙ­àÊÕÂÅÒ¹ÊÒÂµÒ (visual field) ¤ÇÒÁ´Ñ¹µÒ¢Í§¤¹»¡µÔ
¨ÐäÁ‹à·‹Ò¡Ñ¹ áÅÐÁÕ¡ÒÃà»ÅÕ¹á»Å§¢Ö¹Å§ä´ŒµÒÁàÇÅÒµ‹Ò§æ ¢Í§Çѹ (diurnal variation) â´Â·ÑÇ令ÇÒÁ
                                    è                 é                                                                 è
´Ñ¹µÒ¨ÐäÁ‹à¡Ô¹ 21 ÁÔÅÅÔàÁµÃ»ÃÍ· ᵋ¤¹»¡µÔºÒ§¤¹ÍÒ¨ÁÕ¤ÇÒÁ´Ñ¹µÒÊÙ§¡Ç‹Ò¹Õé ᵋäÁ‹ä´Œ·ÒãËŒà¡Ô´                                   í
¤ÇÒÁ¼Ô´»¡µÔ¢Í§¢ÑÇ»ÃÐÊÒ·µÒËÃ×ÍÅÒ¹ÊÒµҡç¨ÐäÁ‹¶ÍÇ‹Ò໚¹â䵌ÍËÔ¹ ᵋ໚¹ÀÒÇФÇÒÁ´Ñ¹µÒÊÙ§
                              é                                           ×
(ocular hypertension) áÅÐÂѧÁÕ¼»ÇÂÍÕ¡¡ÅØÁ·ÕáÁŒ¤ÇÒÁ´Ñ¹µÒÂѧäÁ‹Ê§à¡Ô¹¤‹Ò»¡µÔᵋ¢Ç»ÃÐÊÒ·µÒ
                                                 ÙŒ †              ‹ è                      Ù                Ñé
¡ç¶Ù¡·íÒÅÒ ÅÒ¹ÊÒµÒ᤺ŧ ¼ÙŒ»†ÇµŒÍËÔ¹¡ÅØ‹Á¹ÕéàÃÕÂ¡Ç‹Ò à»š¹â䵌ÍËÔ¹ª¹Ô´¤ÇÒÁ´Ñ¹µÒäÁ‹ÊÙ§
(normal tension glaucoma) »˜¨¨ÑÂàÊÕ§¢Í§â䵌ÍËÔ¹»ÃСͺ´ŒÇ¼ٷÁ»ÃÐÇѵÁ­ÒµÔ໚¹µŒÍËÔ¹ ¼Ù·Õè
                                                        è                                 Œ Õè Õ   Ô Õ                        Œ
ÁÕÊÒµÒÊѹËÃ×ÍÂÒÇÁÒ¡æ ¼Ù»ÇÂàºÒËÇÒ¹ áÅмÙʧÍÒÂØ ¹Í¡¨Ò¡¹Õ§ÁÕµÍËÔ¹ª¹Ô´·ØµÂÀÙÁÔ (secondary
           é                          Œ †                            ŒÙ             éÑ Œ               Ô
glaucoma) ¤×Í µŒÍËÔ¹·Õà¡Ô´¨Ò¡ÊÒà˵ØÍ¹ 䴌ᡋ ÀÒÇÐàºÒËÇÒ¹¢Ö¹¨ÍµÒ (proliferative diabetic
                                  è                       ×è                          é
retinopathy) ÍØºµà˵طҧµÒµ‹Ò§æ ¡ÒõԴàª×ÍËÃ×Í¡ÒÃÍÑ¡àÊºã¹µÒ (uveitis) ¡ÒÃ㪌ÂÒ¡ÅØÁÊàµÕÂÃÍ´
                          Ñ Ô                                    é                                              ‹
(steroid induced glaucoma) µÅÍ´¨¹â䵌͡ÃШ¡ (phacomorphic glaucoma, phacolytic glaucoma)
         ¼Ù·ÁÀÒÇФÇÒÁ´Ñ¹µÒÊÙ§ ËÃ×Íâ䵌ÍËÔ¹ äÁ‹àËÁÒзըзíÒàÅÊÔ¡ à¹×ͧ¨Ò¡ã¹ÃÐËNjҧ¡Ãкǹ
             Œ Õè Õ                                                             è                è
¡Ò÷íÒàÅÊÔ¡·Õ¨Ð·íÒ¡ÒÃᡪѹ¡ÃШ¡µÒ·Ñ§´ŒÇÂãºÁÕ´ (microkeratome) ËÃ×Í .emtoSecond Laser
                    è                      é                 é
¨Ð·íÒãËŒ¤ÇÒÁ´Ñ¹ÀÒÂã¹µÒÊÙ§¢Ö¹ªÑǤÃÒÇ ªÖ§ÍÒ¨·íÒãËŒÁ¡Ò÷íÒÅÒ¢ÑÇ»ÃÐÊÒ·µÒÁÒ¡¢Ö¹ä´Œ Í‹ҧäÃ
                                             é è               è            Õ           é                  é
¡çµÒÁ¡ÒÃᡪѹ¡ÃШ¡µÒ´ŒÇ .emtoSecond Laser ÍÒ¨à¾ÔÁ¤ÇÒÁ´Ñ¹µÒ¹ŒÍ¡NjÒàÁ×Íà·Õº¡Ñº¡ÒÃ
                        é                                                         è                      è
㪌 microkeratome ÀÒÂËÅѧ¡Ò÷íÒàÅÊÔ¡¡ÃШ¡µÒ¨ÐºÒ§Å§·íÒãËŒ¡ÒÃÇÑ´¤‹Ò¤ÇÒÁ´Ñ¹µÒà»ÅÕ¹á»Å§                                      è
ä´Œ â´Â¨Ðä´Œ¤Ò¤ÇÒÁ´Ñ¹µÒµèҡNjҤÇÒÁ໚¹¨ÃÔ§ ´Ñ§¹Ñ¹¡ÒõԴµÒÁ¡ÒÃÃÑ¡ÉÒµŒÍËԹ㹼ٷ·ÒàÅÊÔ¡¨Ð
                      ‹                  í                              é                                         Œ Õè í
·íÒä´ŒÂÒ¡¢Ö¹   é
46                             ¡ÒÃÃÑ¡ÉÒÀÒÇÐÊÒµҼԴ»¡µÔ´Ç Lasik : ÊÔ§¹‹ÒÃٹ͡à˹×ͨҡ¡Ò÷íÒàÅÊÔ¡
                                                        Œ            è Œ

àÍ¡ÊÒÃ͌ҧÍÔ§
1.   Hyams SW, Neumann E. Peripheral retina in myopia. With particular reference to retinal breaks. Br J Ophthalmol
     1969;53(5):300-6.
2.   Mirshahi A, Schopfer D, Gerhardt D, et al. Incidence of posterior vitreous detachment after laser in situ
     keratomileusis. Graefes Arch Clin exp Ophthalmol 2006;244:149-53.
3.   Hernandez-Verdejo JL, Teus MA, Roman JM, Boliver G. Porcine model to compare real-time intraocular
     pressure during LASIK with a mechanical microkeratome and femtosecond laser. Invest Ophthalmol Vis Sci
     2007;48:68-72.
àǪÈÒʵÏ·¹Âؤ 2553
          Ñ                                                                                º··Õè          47

                                                                                              6
                New Era for Pediatric Eye Cancer Treatment
                                            ÈÒʵÃÒ¨ÒÏ ᾷ˭ԧÅÐÍͧÈÃÕ ÍѪª¹ÕÂÐÊ¡ØÅ
                           ÀÒ¤ÇÔªÒ¨Ñ¡ÉØÇ·ÂÒ ¤³Ðá¾·ÂÈÒʵÏÈÃÃÒª¾ÂÒºÒÅ ÁËÒÇÔ·ÂÒÅÑÂÁËÔ´Å
                                        Ô                 ÔÔ

         âäÁÐàÃ秨͵Òã¹à´ç¡ ËÃ×Í retinoblastoma (RB) ໚¹âäÁÐàÃç§·ÕèÁÕµŒ¹¡íÒà¹Ô´ã¹ÅÙ¡µÒ
·Õ辺º‹Í·ÕèÊØ´ã¹ÇÑÂà´ç¡ µÑé§áµ‹ááà¡Ô´¶Ö§ÍÒÂØ»ÃÐÁÒ³ 5 »‚ ã¹Í´Õµ¡ÒÃÃÑ¡ÉÒâä¹Õé¨íÒ໚¹µŒÍ§·íÒ
¼‹ÒµÑ´¹íÒÅÙ¡µÒÍÍ¡ (enucleation) ã¹¼Ù»ÇÂà¡×ͺ·Ø¡ÃÒ à¾×Í»‡Í§¡Ñ¹¡ÒÃá¾Ã‹¡ÃШÒ¢ͧà«ÅŏÁÐàÃç§
                                                 Œ †                è
仹͡ÅÙ¡µÒ ¡ÒÃÃÑ¡ÉÒÍÕ¡ÇԸ˹֧«Ö§ãªŒÁÒ¡ã¹Í´Õµ ᵋ»¨¨Øº¹Áշ㪌¹ÍÂŧÁÒ¡ 䴌ᡋ ¡ÒéÒÂÃѧÊÕ
                                       Õ è è                     ˜ Ñ Õè Œ
ÃÑ¡ÉÒ (external beam radiotherapy, EBR)(1) ¡ÒÃÃÑ¡ÉÒ·Ñé§ÊͧÇÔ¸Õ¹ÕéÁÕ¢ŒÍ´ŒÍ·ÕèÊíҤѭ ¡Å‹ÒǤ×Í
¡Òü‹ÒµÑ´¹íÒÅÙ¡µÒÍ͡໚¹¼ÅãËŒ¼ÙŒ»†ÇÂÊÙ­àÊÕ¡ÒÃÁͧàËç¹Í‹ҧ¶ÒÇà â´Â੾Òмٌ·Õè໚¹âä㹵Ò
·Ñé§Êͧ¢ŒÒ§ 㹺ҧ¤ÃÑé§µÒ·Õè໚¹âäÂѧÁÕʋǹ¢Í§¨ÍµÒ·Õè·íÒ§Ò¹»¡µÔËŧàËÅ×ÍÍÂÙ‹ ËÒ¡ÁÕ¡ÒÃÃÑ¡ÉÒ
·Õ誋ÇÂãËŒÊÒÁÒöà¡çºµÒ¢ŒÒ§¹Ñé¹änj䴌 ¡ç¨Ð·íÒãËŒ¼ÙŒ»†ÇÂ㪌ÊÒµҪ‹ÇÂàËÅ×͵¹àͧ䴌 «Öè§¹íÒä»ÊÙ‹¡ÒÃ
¾Ñ²¹Ò¡ÒÃâ´ÂÃÇÁ¢Í§à´ç¡·Õ໚¹»¡µÔ ÊíÒËÃѺ¡ÒéÒÂÃѧÊÕáÉÒÍÒ¨¡‹ÍÁÐàÃç§áººÍ×¹æ ઋ¹ ÁÐàÃç§
                                     è                                  Ñ                         è
¡Ãд١ µÒÁÁÒã¹ÀÒÂËÅѧ â´Â੾ÒÐËÒ¡©ÒÂÃѧÊÕã¹à´ç¡·ÕÍÒÂØµÒ¡Ç‹Ò 1 »‚ ¤ÇÒÁàÊÕ§¨ÐÊÙ§¢Ö¹ÁÒ¡(2)
                                                                  è              èí           è         é
         ´ŒÇÂÇѵ¶Ø»ÃÐʧ¤·¨ÐËÅÕ¡àÅÕ§¼ÅàÊÕÂàËŋҹÕé ¨Ö§à»š¹·ÕÁҢͧ¡ÒäԴ¤Œ¹ÇÔ¸¡ÒÃÃÑ¡ÉÒãËÁ‹æ
                                  Õè           è                               è                Õ
㹡ÒáíҨѴà«ÅŏÁÐàÃç§ã¹ÅÙ¡µÒ ¢³Ðà´ÕÂǡѹ䴌ÁÕ¡ÒÃÃÇÁµÑǢͧ¨Ñ¡ÉØá¾·Â·Ñé§ã¹·ÇÕ»ÂØâûáÅÐ
ÍàÁÃÔ¡Ò à¾×èͨѴẋ§¡ÅØ‹ÁÁÐàÃç§µÒÁ¤ÇÒÁÃØ¹áç¨Ò¡¹ŒÍÂä»ÁÒ¡ â´ÂÍÒÈÑ¢¹Ò´áÅеíÒá˹‹§
¡ŒÍ¹ÁÐàÃç§ÀÒÂã¹ÅÙ¡µÒ ÃÇÁ¶Ö§¡ÒõÃǨ¾ºà«ÅŏÁÐàÃç§ã¹ÇعµÒ (vitreous seeding) ¹Í¡¨Ò¡¹Õ§ÁÕ
                                                                      Œ                                   é Ñ
¤íÒá¹Ð¹íÒÇÔ¸¡ÒÃÃÑ¡ÉÒµÒÁ¡ÅØÁâäµ‹Ò§æ ´ŒÇÂ(3,4)
             Õ                          ‹
         㹡óշ¡Í¹ÁÐàÃç§¢¹Ò´àÅç¡ àÊŒ¹¼‹ÒÈٹ¡ÅÒ§äÁ‹à¡Ô¹ 3 ÁÔÅÅÔàÁµÃ ᾷÊÒÁÒöãËŒ¡ÒÃÃÑ¡ÉÒ
                     Õè Œ
â´Â¡ÒèÕàÅà«ÍÏ (laser photocoagulation) ËÃ×ͨդÇÒÁàÂç¹ (cryotherapy) ä»Âѧ¡ŒÍ¹ à¾×Í·íÒÅÒÂà«Åŏ
          é                                              é                                          è
ÁÐàÃç§â´ÂµÃ§ ÇÔ¸¡ÒùըзíÒãËŒà¡Ô´á¼Å໚¹·Õ¨ÍµÒºÃÔàdz·ÕáÉÒ Ê‹Ç¹¡ŒÍ¹ÁÐàÃ秨н†ÍÃҺŧáÅÐ
                 (5)
                          Õ   é                        è                    èÑ
ËÒÂä»ã¹·ÕÊ´ ʋǹãË­‹¨ÐàËç¹¼Åä´ŒÀÒÂËÅѧãËŒ¡ÒÃÃÑ¡ÉÒä»áÅŒÇ 1 ¶Ö§ 3 ¤Ãѧ ËÒ¡¡ŒÍ¹ÂѧäÁ‹µÍºÊ¹Í§
            èØ                                                                            é
µ‹Í¡ÒÃÃÑ¡ÉÒËÅѧ¨Ò¡¨Õä»áÅŒÇ 3 ¤Ãѧ ¤ÇþԨÒóÒà»ÅÕ¹ÇÔ¸¡ÒÃÃÑ¡ÉÒãËÁ‹ ¼Å¢ŒÒ§à¤Õ§ã¹ÃÐÂÐÂÒÇ
                            é                é                 è          Õ
¢Í§¡ÒèÕéàÅà«ÍÏáÅСÒèÕé¤ÇÒÁàÂç¹ ä´Œá¡‹ ÀÒÇШ͵ҩա¢Ò´ËÃ×ͨ͵ÒÅÍ¡ËÅØ´ ÊÒµÒÊÑé¹ËÃ×Í
ÊÒµÒàÍÕ§ µŒÍ¡ÃШ¡ Á‹Ò¹µÒ½†Í ËÃ×ÍÁ‹Ò¹µÒÍÑ¡àʺ
         ÊíÒËÃѺÁÐàÃç§¢¹Ò´»Ò¹¡ÅÒ§ áÅеÃǨäÁ‹¾ºà«ÅŏÁÐàÃç§¡ÃШÒÂä»ã¹ÇعµÒ ÍÒ¨ÃÑ¡ÉÒâ´Â        Œ
¡ÒÃãËŒÂÒà¤ÁպҺѴ©Õ´à¢ŒÒËÅÍ´àÅ×Í´´íÒËÇÁ¡Ñ¹ 2 ¶Ö§ 3 ª¹Ô´ à¾×ÍÅ´¢¹Ò´¡ŒÍ¹ (chemoreduction)
                   í                                                                è
µÒÁ´ŒÇ¡ÒèÕàÅà«ÍÏËÃ×ͨդÇÒÁàÂç¹(6) ÂÒà¤ÁպҺѴ·Õ¹ÂÁ㪌㹻˜¨¨Øº¹·Õä´Œ¼Å¤‹Í¹¢ŒÒ§´ÕµÍÁÐàÃ秪¹Ô´
               é                é                    í     è Ô                        Ñ è             ‹
48                                                                    New Ere for Pediatric Eye Cancer Treatment

¹Õé 䴌ᡋ carboplatin, etoposide áÅÐ vincristine Í‹ҧäáçµÒÁµŒÍ§¤íÒ¹Ö§¶Ö§¼Å¢ŒÒ§à¤Õ§·ÕÃÒÂáç                            èŒ
·Ñ§ã¹ÃÐÂÐÊѹáÅÐÃÐÂÐÂÒǢͧÂÒà¤ÁպҺѴ ·ÕÊҤѭ䴌ᡋ ¡Òá‹ÍÁÐàÃç§àÁç´àÅ×Í´¢ÒÇ â´Â੾ÒÐ
     é                  é                                           í        è í
¨Ò¡¡ÒÃ㪌ÂÒ etoposide ËÒ¡µÃǨ¾ºà«ÅŏÁÐàÃç§ã¹ÇعµÒ ¡ÒÃãËŒÂÒà¤ÁպҺѴࢌÒËÅÍ´àÅ×Í´´íÒ
                                             (7)
                                                                                       Œ                   í
¨ÐäÁ‹¤‹ÍÂÁռŵ‹Íà«ÅÅçÁÐàÃç§àËŋҹÑé¹ à¹×èͧ¨Ò¡äÁ‹ÁÕËÅÍ´àÅ×Í´ä»àÅÕé§ÀÒÂã¹ÇØŒ¹µÒ ¡ÒÃà¾ÔèÁÂÒ
cyclosporine »ÃÔÁÒ³Ê٧ࢌÒËÅÍ´àÅ×Í´´íÒ â´ÂãËŒÃÇÁ¡ÑºÂÒà¤ÁպҺѴà´ÔÁ à¾×ÍËÇѧ¼ÅÅ´¡ÒâѺÂÒ
                                                                                   ‹                í        è
à¤ÁպҺѴÍÍ¡¨Ò¡à«ÅŏÁÐàÃç§ (multidrug resistance reversal agent) ¾ºÇ‹ÒÍÒ¨ª‹ÇÂÅ´»ÃÔÁÒ³à«Åŏ
         í
ÁÐàÃç§ã¹ÇعµÒä´Œã¹ÃÐÂÐÊѹæ(8) ᵋ¼ÅÃÐÂÐÂÒÇÂѧäÁ‹à»š¹·Õ¹Ò¾Í㨠à¹×ͧ¨Ò¡ÍѵÃÒ¡ÒáÅѺ໚¹«éÒÊÙ§
                 Œ                              é                                        è ‹           è                       í
¹Í¡¨Ò¡¹Õé¼Å¢ŒÒ§à¤Õ§¢Í§ cyclosporine ÍÒ¨ÃØ¹áç䴌 ઋ¹ ÀÒÇФÇÒÁ´Ñ¹àÅ×Í´ÊÙ§ (malignant
hypertension) áÅоÔɵ‹Íäµ (nephrotoxicity) ໚¹µŒ¹(9)
             ã¹ÃÐÂÐ 10 »‚·¼Ò¹ÁÒ ÁÕ¤ÇÒÁ¾ÂÒÂÒÁ·Õ¨Ð¡íҨѴà«ÅŏÁÐàÃç§ã¹ÇعµÒâ´ÂÇÔ¸µÒ§æ 䴌ᡋ
                                           Õè ‹                                      è                   Œ           Õ ‹
¡ÒéմÂÒà¤ÁÕºíҺѴ melphalan ࢌÒÇØŒ¹µÒâ´ÂµÃ§ (intravitreal melphalan) ËÃ×Í¡ÒéմÂÒ                            (10)

carboplatin 㵌àÂ×ÍµÒ (subconjunctival carboplatin)(11) â´ÂËÇѧ¼ÅãËŒÂÒ«ÖÁ¼‹Ò¹µÒ¢ÒÇ (sclera)
                               è
ࢌÒÊÙ‹ÇØŒ¹µÒã¹»ÃÔÁÒ³à¾ÔèÁ¢Ö鹡NjҡÒúÃÔËÒÃÂÒ·Ò§ËÅÍ´àÅ×Í´´íÒ ¼Å¡ÒÃÃÑ¡ÉÒ¾ºÇ‹ÒÊÒÁÒö
Å´»ÃÔÁÒ³à«ÅŏÁÐàÃç§ã¹ÇعµÒä´Œ ᵋ¨Ò¹Ç¹¼Ù»Ç·ÕÃÒ§ҹÂѧäÁ‹ÁÒ¡áÅйҹ¾Í·Õ¨ÐÊÃØ»ä´ŒÇÒÇÔ¸¡ÒÃ
                                              Œ              í            Œ † è                                 è         ‹ Õ
ÃÑ¡ÉÒ¹ÕÁ»ÃÐÊÔ·¸ÔÀÒ¾´ÕáÅлÅÍ´ÀÑÂ
           é Õ
             à¹×ͧ¨Ò¡¼Å¢ŒÒ§à¤Õ§¢Í§ÂÒà¤ÁպҺѴ·ÕãËŒ·Ò§ËÅÍ´àÅ×Í´´íÒÁÕÁÒ¡ áÅÐÍÒ¨ÃØ¹áç¶Ö§àÊÕªÕǵ
                   è                                                    í     è                                                  Ô
ä´Œ ¨Ö§ÁÕ¼¤´ÇÔ¸ºÃÔËÒÃÂÒâ´Â©Õ´ melphalan ࢌÒËÅÍ´àÅ×Í´á´§ ophthalmic artery ·Õä»àÅÕ§ÅÙ¡µÒ
               ÙŒ Ô Õ                                                                                               è é
â´ÂµÃ§ (intraarterial melphalan) ÇÔ¸Õ¡ÒùÕéáÁŒÁÕ¡ÒÃàÃÔèÁ㪌㹻ÃÐà·È­Õè»Ø†¹à»š¹¤ÃÑé§ááàÁ×èÍ»‚
                                                           (12)

¾.È. 2531 áÅÐÁÕ¼»Ç·Õ䴌ú¡ÒÃÃÑ¡ÉÒÁÒ¡¡Ç‹Ò 200 ÃÒÂáÅŒÇ áµ‹¡ÒùíÒà·¤¹Ô¤¡ÒÃÃÑ¡ÉÒä»»ÃÐÂØ¡µ
                                 ÙŒ † è Ñ
㪌㹻ÃÐà·ÈÍ×¹æ à¾Ô§¨ÐÁÕàÁ×Í 2-3 »‚·¼Ò¹ÁÒ ¤³Ðá¾·ÂÈÒʵÏÈÃÃÒª¾ÂÒºÒÅ໚¹Ê¶ÒºÑ¹áË‹§áá
                           è             è          è          Õè ‹                                 ÔÔ
ã¹»ÃÐà·Èä·Â·Õ¹ÒÇÔ¸¡ÒùÕÁÒ㪌áÉÒ¼Ù»ÇÂÁÐàÃ秨͵Òã¹à´ç¡µÑ§áµ‹à´×͹ÊÔ§ËÒ¤Á ¾.È. 2552 â´Â
                             è í Õ                é   Ñ               Œ †                         é
¾Ô¨ÒóÒ㪌੾ÒмٷäÁ‹µÍºÊ¹Í§µ‹ÍÂÒËÃ×Íà¡Ô´¼Åá·Ã¡«ŒÍ¹·Õùáç¨Ò¡¡ÒÃÃÑ¡ÉÒ´ŒÇÂÂÒà¤ÁպҺѴ
                                    Œ Õè                                                       èØ                            í
ࢌÒËÅÍ´àÅ×Í´´íÒ ¨Ò¡¡ÒõԴµÒÁ¼Ù»ÇÂã¹ÃÐÂÐÊѹ ¾ºÇ‹ÒäÁ‹Á¼Åá·Ã¡«ŒÍ¹·ÕùáÃ§ã´æ áÅЪ‹ÇÂãËŒ
                                                         Œ †                     é           Õ             èØ
àÅÕ§¡Òü‹ÒµÑ´¹íÒÅÙ¡µÒÍ͡䴌㹼ٻǺҧÃÒÂ
       è                                                Œ †
             â´ÂÊÃØ» á¹Ç·Ò§¡ÒÃÃÑ¡ÉÒ¼ÙŒ»†ÇÂâäÁÐàÃ秨͵Òã¹à´ç¡ÁÕ·ÔÈ·Ò§ä»ã¹¡ÒÃËÅÕ¡àÅÕè§¡ÒÃ
©ÒÂÃѧÊÕÃÑ¡ÉÒáÅСÒü‹ÒµÑ´¹íÒÅÙ¡µÒÍÍ¡ â´Âà»ÅÕè¹ä»ãªŒ¡ÒÃÃÑ¡ÉÒ´ŒÇÂÂÒà¤ÁÕºíҺѴ·Ñé§·Ò§
ËÅÍ´àÅ×Í´´íÒáÅСÒéմÂÒࢌÒËÅÍ´àÅ×Í´á´§·Õä»àÅÕ§ÅÙ¡µÒâ´ÂµÃ§ ¡ÒõÃǨµÔ´µÒÁ¼Ù»Ç·Õ䴌ú
                                                                                è é                                    Œ † è Ñ
¡ÒÃÃÑ¡ÉÒÇÔ¸´§¡Å‹ÒÇã¹ÃÐÂÐÂÒÇ ¨Ðª‹ÇÂãËŒ·ÃÒº¶Ö§»ÃÐÊÔ·¸ÔÀÒ¾¢Í§¡ÒÃÃÑ¡ÉÒ áÅмÅá·Ã¡«ŒÍ¹µ‹Ò§æ
                       Õ Ñ
·ÕÍÒ¨à¡Ô´¢Ö¹ä´Œ
   è                 é

àÍ¡ÊÒÃ͌ҧÍÔ§
1.    Broaddus E, Topham A, Singh AD. Survival with retinoblastoma in the USA: 1975-2004. Br J Ophthalmol
      2009;93:24-7.
2.    Abramson DH, .rank CM. Second nonocular tumors in survivors of bilateral retinoblastoma: a possible age
      effect on radiation-related risk. Ophthalmology 1998; 105:573-9.
àǪÈÒʵÏ·¹Âؤ 2553
          Ñ                                                                                                          49

3.  Murphree AL. Intraocular retinoblastoma: The case for a new group classification. Ophthalmol Clin North Am
    2005;18:41–53.
4. Chantada G, Doz ., Antoneli CB, et al. A proposal for an international retinoblastoma staging system. Pediatr
    Blood Cancer 2006;47:801-5.
5. Atchaneeyasakul LO, Wongsiwaroj C, Uiprasertkul M, Sanpakit K, Thephamongkhol K, Trinavarat A. Prognostic
    factors and treatment outcomes of retinoblastoma in pediatric patients: a single-institution study. Jpn J Ophthalmol
    2009;53:35-9.
6. Murphree AL, Villablanca JG, Deegan W. 3rd, et al. Chemotherapy plus local treatment in the management
    of intraocular retinoblastoma. Arch Ophthalmol 1996;114:1348-56.
7. RamaChandran S, Ariffin H. Secondary acute myeloid leukemia after etoposide therapy for haemophagocytic
    lymphohistiocytosis. Pediatr Blood Cancer 2009;53:488-90.
8. Chan HS, DeBoer G, Thiessen JJ, et al. Combining cyclosporin with chemotherapy controls intraocular
    retinoblastoma without requiring radiation. Clin Cancer Res 1996;2:1499-508.
9. Colombo D, .lori L, Altomare G, Aste N, Sgarbi S. Clinical outcome evaluation following cyclosporine a
    treatment in moderate to severe psoriasis: a retrospective study. Int J Immunopathol Pharmacol 2010; 23:363-
    7.
10. Kaneko A, Suzuki S. Eye-preservation treatment of retinoblastoma with vitreous seeding. Jpn J Clin Oncol
    2003; 33:601-7.
11. Abramson DH, .rank CM, Dunkel IJ. A phase I/II study of subconjunctival carboplatin for intraocular
    retinoblastoma. Ophthalmology 1999; 106:1947-50.
12. Yamane T, Kaneko A, Mohri M. The technique of ophthalmic arterial infusion therapy for patients with
    intraocular retinoblastoma. Int J Clin Oncol 2004; 9:69-73.
àǪÈÒʵÏ·¹Âؤ 2553
          Ñ                                                                      º··Õè        51

                                                                                    7
               ¡ÒÃÃÑ¡ÉÒÁÐàÃ秨͵Òã¹à´ç¡´ŒÇÂÂÒà¤ÁÕºíҺѴ
                                                    ÍÒ¨ÒÏ ¹ÒÂᾷà¨É®Ò ºÑǺح¹íÒ
                                        ¼ÙŒª‹ÇÂÈÒʵÃÒ¨ÒÏ ᾷ˭ԧ¡ÅÕºÊäº ÊÃþ¡Ô¨
                  ÀÒ¤ÇÔªÒ¡ØÁÒÃàǪÈÒʵÏ ¤³Ðá¾·ÂÈÒʵÏÈÔÃÔÃÒª¾ÂÒºÒÅ ÁËÒÇÔ·ÂÒÅÑÂÁËÔ´Å

           ¡ÒÃÃÑ¡ÉÒÁÐàÃ秨͵Òâ´Â·ÑèÇ仨Ð໚¹ multimodality approach ¼ÙŒ»†Ç·ÕèÁÐàÃç§ÁÕ¢¹Ò´
»Ò¹¡ÅÒ§ áÅÐäÁ‹Á¡ÒÃá¾Ã‹¡ÃШÒ¢ͧâä ÍÒ¨ãËŒ¡ÒÃÃÑ¡ÉÒ´ŒÇ laser therapy ËÇÁ¡Ñº¡ÒÃãËŒÂÒ
                              Õ
à¤ÁÕºíҺѴ ʋǹã¹ÃÒ·ÕèÁÕ¡ÒÃÅØ¡ÅÒÁ¢Í§âäʋǹãË­‹¨ÐµŒÍ§¼‹ÒµÑ´¹íÒÅÙ¡µÒÍÍ¡ (enucleation)
ËÇÁ¡Ñº¡ÒÃãËŒÂÒà¤ÁպҺѴáÅСÒéÒÂÃѧÊÕáÉÒ ´Ñ§¹Ñ¹¡ÒõÃǨ¾ºâä¹Õµ§áµ‹ÃÐÂÐáááÅÐ䴌ú
                                  í               Ñ        é             é Ñé                   Ñ
¡ÒÃÃÑ¡ÉÒÍ‹ҧÃÇ´àÃçÇÍÒ¨·íÒãËŒ¼ÙŒ»†ÇÂÁÕâÍ¡ÒÊËÅÕ¡àÅÕè§¡Òü‹ÒµÑ´¹íÒÅÙ¡µÒÍÍ¡áÅÐÁÕâÍ¡ÒÊ
ËÒ¢Ҵ䴌ÁÒ¡¢Ö¹       é
           ÂÒà¤ÁպҺѴ·Õ¹ÂÁ㪌㹡ÒÃÃÑ¡ÉÒ retinoblastoma 䴌ᡋÂÒ¡ÅØÁ platinum compound ઋ¹
                    í               è Ô                               ‹
carboplatin, alkylating agent ઋ¹ cyclophosphamide, antitumor antibiotic ઋ¹ doxorubicin,
topoisomerase inhibitor ઋ¹ etoposide áÅÐ vinca alkaloid ઋ¹ vincristine ໚¹µŒ¹ â´ÂàÅ×͡㪌ÂÒ
à¤ÁպҺѴËÅÒª¹Ô´Ã‹ÇÁ¡Ñ¹ (combination chemotherapy) à¾×ͪ‹ÇÂàÊÃÔÁÄ·¸Ô㹡Ò÷íÒÅÒÂà«Åŏ
       í                                                      è                ì
ÁÐàÃç§ ÊٵâͧÂÒà¤ÁպҺѴ·Õ¹ÂÁ㪌ÁÒ¡·ÕÊ´¤×Í carboplatin ËÇÁ¡Ñº vincristine áÅÐ etoposide
                                        í è Ô       èØ
«Ö§ãËŒ¼Å¡ÒÃÃÑ¡ÉÒ·Õ´¾ÍÊÁ¤Çà Í‹ҧäáçµÒÁã¹»˜¨¨Øº¹ÁÕá¹Ç⹌Á¨ÐãËŒÂÒ·ÕÁ¤ÇÒÁá繌ÍÂŧ (less
  è                         è Õ                          Ñ                 è Õ
intensive) ã¹ÃÒ·ÕâäÁÕ¡ÒÃÅØ¡ÅÒÁäÁ‹ÁÒ¡ (international staging ¹ŒÍÂ¡Ç‹Ò group B)(1) à¾×ÍËÅÕ¡àÅÕ§
                          è                                                           è       è
¡ÒÃãËŒÂÒ topoisomerase inhibitor «Öè§ÁÕ¤ÇÒÁàÊÕè§µ‹Í¡ÒÃà¡Ô´âäÁÐàÃç§«éíÒ«ŒÍ¹ (secondary
malignancy)
           ã¹»‚ ¾.È. 2538 ÁÕ¡ÒÃÈÖ¡ÉÒ¾ºÇ‹Ò melphalan ໚¹ÂÒ·ÕÁ»ÃÐÊÔ·¸ÔÀÒ¾ÊÙ§ÊØ´àÁ×Íà·Õº¡Ñº
                                                                  è Õ                   è
ÂÒà¤ÁպҺѴª¹Ô´Í׹㹡Ò÷íÒÅÒ retinoblastoma cell line ã¹ÃÐÂÐËÅѧ¨Ö§ÁÕ¤ÇÒÁ¾ÂÒÂÒÁ·Õ¨ÐºÃÔËÒÃ
         í              è                                                                 è
ÂÒ melphalan ࢌÒ੾ÒзÕè·Ò§ ophthalmic artery á·¹¡ÒÃãËŒÂÒ·Ò§ËÅÍ´àÅ×Í´´íÒʋǹ»ÅÒÂ
(peripheral vein) à¾×ÍÅ´¼Å¢ŒÒ§à¤Õ§µ‹ÍÍÇÑÂÇÐÍ×¹æ ¢Í§Ã‹Ò§¡Ò ¡ÒÃÃÑ¡ÉÒâ´ÂÇÔ¸´§¡Å‹ÒÇäÁ‹¾ºÇ‹Ò
                                è                      è                         Õ Ñ
·íÒãËŒà¡Ô´¼Åá·Ã¡«ŒÍ¹à©¾ÒзշùáçáÅСÒõͺʹͧ¢Í§¡ŒÍ¹ÁÐàÃç§µ‹ÍÂÒ¤‹Í¹¢ŒÒ§´Õ(2)
                                           è Õè Ø
           ÊíÒËÃѺ¼ÙŒ»†Ç·ÕèâäÁÕ¡ÒáÃШÒÂÍÍ¡¹Í¡ÅÙ¡µÒ (extraocular disease) ໚¹¡ÅØ‹Á·ÕèÁÕ
¡ÒþÂҡóâääÁ‹´Õ áÁŒÇ‹Ò¨ÐãËŒ¡ÒÃÃÑ¡ÉÒ´ŒÇÂÂÒà¤ÁÕºíҺѴËÇÁ¡Ñº¡ÒéÒÂÃѧÊÕÁÑ¡¨ÐäÁ‹ÊÒÁÒö
¤Çº¤ØÁâä䴌 ¨Ö§àÃÔÁÁռȡÉÒ¡ÒÃãËŒÂÒà¤ÁպҺѴ¢¹Ò´Ê٧ËÇÁ¡Ñº autologous hemotopoietic stem
                             è ÙŒ Ö                  í
cell rescue ã¹¼Ù»ÇÂ¡ÅØÁ´Ñ§¡Å‹ÒÇ â´ÂËÅÑ¡¡ÒÃ໚¹¡ÒÃà¡çºà«Åŏµ¹¡íÒà¹Ô´àÁç´àÅ×Í´¢Í§¼Ù»ÇÂ᪋á¢ç§
                  Œ †                ‹                          Œ                    Œ †
52                                                               ¡ÒÃÃÑ¡ÉÒÁÐàÃ秨͵Òã¹à´ç¡´ŒÇÂÂÒà¤ÁպҺѴ
                                                                                                    í

äÇŒ¡Í¹¡ÒÃãËŒÂÒà¤ÁպҺѴ¢¹Ò´ÊÙ§ àÁ×ͼٻÇÂ䴌úÂÒà¤ÁպҺѴ¢¹Ò´ÊÙ§à¾×ÍËÇѧ¼Å㹡ÒáíҨѴ
    ‹                           í               è Œ †               Ñ         í                è
à«ÅŏÁÐàÃç§·ÕÁÍÂÙã¹Ã‹Ò§¡Ò ¼Ù»Ç¨Ð䴌úà«Åŏµ¹¡íÒà¹Ô´àÁç´àÅ×Í´¢Í§µ¹àͧ¡ÅѺࢌÒä»à¾×ÍÅ´âÍ¡ÒÊ
                       è Õ ‹              Œ † Ñ             Œ                                    è
㹡ÒÃà¡Ô´¼Åá·Ã¡«ŒÍ¹¨Ò¡¡Òá´¡Ò÷íÒ§Ò¹¢Í§ä¢¡Ãд١ áÁŒÇÒ¨ÐÁÕ¼»ÇÂã¹áµ‹ÅÐÃÒ§ҹ¨íҹǹ‹       ÙŒ †
äÁ‹ÁҡᵋÁá¹Ç⹌Á·Õ¨ÐµÍºÊ¹Í§µ‹Í¡ÒÃÃÑ¡ÉÒ´Õ
                    Õ         è                                 (3,4)

               ã¹»‚ ¾.È. 2547 àÃÔÁÁÕ¡ÒÃ㪌ÂÒà¤ÁպҺѴª¹Ô´ãËÁ‹ ¤×Í topotecan «Ö§à»š¹ topoisomerase
                                        è               í                                    è
inhibitor 㹡ÒÃÃÑ¡ÉÒ retinoblastoma â´ÂÁÕ¡ÒÃÈÖ¡ÉÒ¨Ò¡»ÃÐà·ÈÊËÃѰÍàÁÃÔ¡Ò ãªŒ topotecan
㹼ٻǠretinoblastoma ·ÕäÁ‹µÍºÊ¹Í§µ‹ÍÂÒà¤ÁպҺѴÊÙµÃÁҵðҹ «Ö§¼Å¡ÒÃÃÑ¡ÉÒÂѧµŒÍ§µÔ´µÒÁ
      Œ †                           è                             í                   è
µ‹Íä»     (5)

               ¼Å¢ŒÒ§à¤Õ§¨Ò¡¡ÒÃÃÑ¡ÉÒ´ŒÇÂÂÒà¤ÁպҺѴ¹Í¡¨Ò¡ÍÒ¡ÒäÅ×¹äÊŒ ÍÒà¨Õ¹ áÅС´¡Ò÷íÒ§Ò¹
                                                      í                           è
¢Í§ä¢¡Ãд١áÅŒÇ ¼ÅàÊÕÂã¹ÃÐÂÐÂÒÇ·ÕèÊíҤѭ¤×Í¡ÒÃà¾ÔèÁâÍ¡ÒÊ㹡ÒÃà¡Ô´âäÁÐàÃç§«éíÒ«ŒÍ¹
â´Âã¹ÃÒ·Õ䴌úÃѧÊÕáÉÒËÇÁ´ŒÇ¨оºÇ‹ÒÁÕ¤ÇÒÁàÊÕ§µ‹Í¡ÒÃà¡Ô´ÁÐàÃç§¡Ãд١ª¹Ô´ osteosarcoma
                      è Ñ         Ñ                                   è
¢Í§à¹×ÍàÂ×ͺÃÔàdz·Õ䴌úÃѧÊÕ Ê‹Ç¹ÂÒà¤ÁÕºÒºÑ´ã¹¡ÅØÁ alkylating agents ઋ¹ cyclophosphamide
          é è                è Ñ                   í                    ‹
áÅÐ topoisomerase inhibitor ઋ¹ etoposide ¨Ðà¾ÔÁ¤ÇÒÁàÊÕ§㹡ÒÃà¡Ô´ acute myeloid leukemia
                                                                è           è
ä´Œ ´Ñ§¹Ñ¹¡ÒþԨÒóÒãËŒ¡ÒÃÃÑ¡ÉÒ´ŒÇÂÂÒà¤ÁպҺѴáÅСÒéÒÂÃѧÊըеŒÍ§¡ÃзíÒÍ‹ҧÃͺ¤Íº áÅÐ
             é                                            í
µÔ´µÒÁ¼Ù»ÇÂã¹ÃÐÂÐÂÒÇà¾×ÍཇÒÃÐÇѧâäÁÐàÃç§«éÒ«ŒÍ¹·ÕÍÒ¨¨Ðà¡Ô´¢Ö¹µÒÁÁÒä´Œ
                Œ †                   è                       í           è         é

àÍ¡ÊÒÃ͌ҧÍÔ§
1.   Rodriguez-Galindo C, Wilson MW, Haik BG, Merchant TE, Billups CA, Shah N, Cain A, Langston J, Lipson M,
     Kun LE, Pratt CB. Treatment of intraocular retinoblastoma with vincristine and carboplatin. J Clin Oncol.
     2003;21(10):2019-25.
2.   Yamane T, Kaneko A, Mohri M. The technique of ophthalmic arterial infusion therapy for patients with
     intraocular retinoblastoma. Int J Clin Oncol. 2004;9(2):69-73.
3.   Kremens B, Wieland R, Reinhard H, et al. High dose chemotherapy with autologous stem cell rescue in
     children with retinoblastoma. Bone Marrow Transplant 2003; 31(12): 281-4.
4.   Dunkel IJ, Chan HS, Jubran R, Chantada GL, Goldman S, Chintagumpala M, Khakoo Y, Abramson DH.
     High-dose chemotherapy with autologous hematopoietic stem cell rescue for stage 4B retinoblastoma. Pediatr
     Blood Cancer. 2010;55(1):149-52.
5.   Chantada GL, .andiño AC, Casak SJ, Mato G, Manzitti J, Schvartzman E. Activity of topotecan in retinoblastoma.
     Ophthalmic Genet. 2004;25(1):37-43
àǪÈÒʵÏ·¹Âؤ 2553
          Ñ                                                                                                                    º··Õè                53

                                                                                                                                   8
                   .ungal Skin Infection: A Neighbourhood Touch
                                                              ÍÒ¨ÒÏ ¹ÒÂá¾·ÂÊØÁ¹ÑÊ ºØ³ÂÐÃѵàǪ
                                        ÀÒ¤ÇÔªÒµ¨ÇÔ·ÂÒ ¤³Ðá¾·ÂÈÒʵÏÈÃÃÒª¾ÂÒºÒÅ ÁËÒÇÔ·ÂÒÅÑÂÁËÔ´Å
                                                                     ÔÔ

                àª×ÍÃÒ໚¹¨ØÅªÕ¾·ÕÍÂÙã¡ÅŒµÇÁ¹ØÉ ÍÒÈÑÂÍÂÙº¹ËÃ×ÍÀÒÂã¹µÑÇÁ¹ØÉàͧ àª×ÍÃÒʋǹ˹֧ÍÂÙã¹
                    é                                   è ‹ Ñ                                     ‹                              é                è ‹
ÊÔ§áÇ´ÅŒÍÁ ÁÕ·§»ÃÐ⪹áÅÐâ·É â·É¢Í§àª×ÍÃÒ¤×Í·íÒãËŒà¡Ô´âä·Ñ§ã¹Á¹ØÉ ã¹ÊѵǏ ÃÇÁ·Ñ§ÊѵǏ
  è                            Ñé                                                           é                            é                          é
·Õã¡ÅŒª´¡ÑºÁ¹ØÉઋ¹ÊѵǏàÅÕ§
    è Ô                                                        é
                ¼ÔÇ˹ѧ໚¹ÍÇÑÂÇзÕèÍÂÙ‹ÀÒÂ¹Í¡ÊØ´¢Í§Ã‹Ò§¡Ò ¡ÒÃà»ÅÕè¹á»Å§ã´æ·Õè¼ÔÇ˹ѧ¨Ö§ÊÒÁÒö
Êѧࡵ䴌§Ò¡NjҡÒÃà»ÅÕ¹á»Å§ã¹ÍÇÑÂÇÐÍ×¹æ ÃÍÂâä·Õ¼Ç˹ѧ ËÇÁ·Ñ§Ê‹Ç¹»ÃСͺ¢Í§¼ÔÇ˹ѧ
                  ‹                                   è                                 è                 è Ô                  é
ઋ¹ àÅçº ¢¹ ËÃ×ÍàÊŒ¹¼ÁÍÒ¨à¡Ô´âäàª×éÍÃÒâ´Â·ÕèàÃÔèÁ¨Ò¡äÁ‹ÁÕÍÒ¡ÒÃã´æ ઋ¹àÅçºÁÕ¤ÇÒÁ¼Ô´»¡µÔ
â´Â·ÕäÁ‹ÁÍÒ¡Òà à¡Ô´à»š¹áËÅ‹§ÊÐÊÁ¢Í§àª×Í¡ÃШÒÂ仵ÒÁ·ÕµÒ§æ ËÃ×͵ԴºØ¤¤ÅÍ×¹æ àÅ硹ŒÍ ઋ¹
       è Õ                                                                            é                       è ‹                  è
à¡Ô´ÍÒ¡ÒÃÍÑ¡àʺᴧ¼×蹤ѹ ËÃ×ÍáÁŒ¡ÃзÑè§à»š¹ÍѹµÃÒ·íÒãËŒà¡Ô´¤ÇÒÁ¾Ô¡Òà ·Ø¾¾ÅÀÒ¾ ËÃ×Í
àÊÕªÕǵ      Ô
                ¡ÒõԴàª×éÍÃÒ·Õè¼ÔÇ˹ѧà¡Ô´âä䴌µÑé§áµ‹Ê‹Ç¹·Õèµ×é¹ÊØ´¢Í§¼ÔÇ˹ѧઋ¹ªÑé¹¢Õéä¤Å ˹ѧ¡íҾÌÒ
Å֡ŧÁÒ㹪ѹ˹ѧ᷌ ËÃ×Íã¹Ê‹Ç¹ÅÖ¡¢Í§¼ÔÇ˹ѧªÑ¹ÅÖ¡¡Ç‹Ò ËÃ×Íà¡Ô´àª×ÍÃÒ¡ÃШÒ·ÑÇ仵ÒÁËҧ¡ÒÂ
                        é                                                                       é                          é            è
áÅÐÂѧÊÒÁÒöµÔ´àª×Íä´Œ·àÅçº àÊŒ¹¢¹ áÅÐàÊŒ¹¼Á
                                      é                  Õè
                ¡ÒõԴàª×ÍÃÒ·Õ¼Ç˹ѧªÑ¹µ×¹áÅзÕàÊŒ¹¼ÁáÅÐàÅ纹ѹ áÁŒÇÒʋǹãË­‹¨ÐäÁ‹à»š¹»˜­ËÒ·íÒãËŒ
                                  é               è Ô                  é é          è                      é           ‹
àÊÕªÕǵ ᵋ¡Á¤ÇÒÁÊíҤѭઋ¹¡ÒáÃзºµ‹Í¤Ø³ÀÒ¾ªÕǵ¢Í§¼Ù»Ç·ѧ¨Ò¡ÃÍÂâä·Õº¤¤ÅÍ×¹¾ºàËç¹
            Ô             ç Õ                                                                           Ô       Œ † é                  è Ø      è
´Ù¹ÒÃѧà¡Õ¨ ¼Ù»Ç¢Ҵ¤ÇÒÁÁѹ㨠¨Ò¡ÍÒ¡Òâͧ¼×¹àª‹¹ÍÒ¡Òäѹ ÍÒ¡ÒûǴ ·Ñ§¼×¹áÅÐÍÒ¡ÒÃ
     ‹                        Œ †                                 è                                 è                                       é è
Ê‹§¼Å¡Ãзºµ‹Í¡Ô¨ÇѵûÃШíÒÇѹ ËÃ×Íàª×ÍÃÒ·ÕÍÂÙ¹¹à»š¹áËÅ‹§âä·ÕÊÒÁÒöá¾Ã‹¡ÃШÒÂä»ÂѧÍÇÑÂÇÐ
                                                                                é         è ‹ Ñé                     è
ʋǹÍ×¹¢Í§µ¹àͧ ËÃ×͵Դµ‹Íä»Âѧ¼Ù͹䴌 âäàª×ÍÃҪѹµ×¹·Õ¼Ç˹ѧ·Õ¤Ç÷ÃÒºÁÕ´§¹Õé
        è                                                                  Œ ×è                é é é è Ô                     è            Ñ
                1. âäµÔ´àª×Í¡ÅÒ¡ ·Õ¼Ç˹ѧàÅçº àÊŒ¹¼ÁáÅÐ˹ѧÈÕÃÉÐ
                                            é                    è Ô
                2. âäµÔ´àª×ÍÃÒ·ÕàÅçº (onychomycosis)
                                              é             è
                3. âäµÔ´àª×ͨҡàª×Íà¡Å×͹ ·íÒãËŒà¡Ô´âäà¡Å×͹ Ãѧᤠ¼×¹¼ÔÇ˹ѧÍÑ¡àʺ㹵íÒá˹‹§·ÕÁµÍÁ
                                        é                     é é                                     é            è                               è Õ ‹
ä¢Áѹ ÏÅÏ
                4. âäµÔ´àª×ÍÂÕʵá¤¹´Ô´Ò é
                5. âäµÔ´àª×ÍÃÒª¹Ô´µ×¹Í×¹æ      é                   é è
                º·¤ÇÒÁ¹Õ¨Ð¡Å‹ÒǶ֧àª×ÍÃÒª¹Ô´µ×¹ 2 ¡ÅØÁ·Õ໚¹»˜­ËÒ¡ÒÃÃÑ¡ÉÒáÅСÒÃÇÔ¹¨©Ñ¤×Íâä¡ÅÒ¡
                                    é                                é            é           ‹ è                                    Ô
áÅÐàª×ÍÃÒ·ÕàÅçº
          é           è
54                                                                                                        .ungal Skin Infection: A Neighbourhood Touch

âä¡ÅÒ¡ (Dermatophytosis)
               âä¡ÅÒ¡ ໚¹âä¼ÔÇ˹ѧ·Õ¾ºä´ŒºÍÂÁҡ㹤¹·Ø¡ÇÑ ºÒ§¤ÃѧÍÒ¨¾ºà»š¹¾ÃŒÍÁ¡Ñ¹ËÅÒÂ
                                                                           è               ‹                                                  é
¤¹ã¹ºŒÒ¹ ã¹âçàÃÕ¹ ËÃ×ÍÇÑ´ àª×Í¡ÅÒ¡ÊÒÁÒö·íÒãËŒà¡Ô´âäµÒÁ¼ÔÇ˹ѧ䴌᷺·Ø¡Ê‹Ç¹¢Í§Ã‹Ò§¡ÒÂ
                                                             é
âä¡ÅÒ¡à¡Ô´¨Ò¡àª×ÍÃÒã¹¡ÅØÁ dermatophyte «Ö§áº‹§µÒÁáËÅ‹§·ÕÁҢͧàª×ÍÍ͡䴌໚¹àª×Í·Õµ´µ‹Í
                                     é               ‹                                               è                         è                     é                                  é è Ô
¨Ò¡Á¹ØÉ (anthropophilic dermtophytosis) µÔ´µ‹Í¨Ò¡ÊѵǏ (zoophilic dermatophytosis) áÅШҡ
ÊÔ§áÇ´ÅŒÍÁ (geophilic dermatophytosis) ¡Ò÷ըзÃÒºª¹Ô´¢Í§àª×ÍÃÒµ‹Ò§æ ¨Ð·ÃҺ䴌¨Ò¡¼Å¡ÒÃ
  è                                                                                              è                                  é
à¾ÒÐáÅШíÒṡàª×ÍÃÒ (fungal culture and identification) Ç‹Òàª×Í¡ÅÒ¡ÊÒ¾ѹ¸ØµÒ§æ ¡Ñ¹¹Ñ¹ÁÒ¨Ò¡
                               é                                                                                           é                                         ‹                   é
áËÅ‹§ã´ à¹×ͧ¨Ò¡¡ÒÃ㪌à¾Õ§¡Òâٴ¢ØÂ·Õ¼Ç˹ѧË´´ŒÇÂÊÒÃÅÐÅÒ potassium hydroxide (KOH)
                    è                                                             è Ô
µÃǨ´ŒÇ¡Ōͧ¨ØÅ·ÃÃȹ «Ö§à»š¹¡ÒõÃǨ·Õ·Òä´Œ§Ò 䴌¼ÅäÇ áÅÐÃÒ¤ÒäÁ‹á¾§¹Ñ¹¨ÐäÁ‹ÊÒÁÒöºÍ¡
                                               è                                      è í ‹                                                                          é
ª¹Ô´ÊÒ¾ѹ¸Ø¢Í§âä¡ÅÒ¡ä´Œ
               âä¡ÅÒ¡·Õµ´µ‹ÍÁÒ¨Ò¡ÊѵǏ¨ÐÁÕ¤ÇÒÁÃØ¹áç·ÕÁÒ¡¡Ç‹Òª¹Ô´·Õµ´µ‹ÍÁÒ¨Ò¡Á¹ØÉ ÍÒ¨¾º
                                   è Ô                                                                            è                         è Ô
ºØ¤¤ÅÍ׹㹺ŒÒ¹à»š¹â䴌Ǡâ´Â·ÕʵǏ·àÅÕ§¹Ñ¹ÍÒ¨äÁ‹¾º¤ÇÒÁ¼Ô´»¡µÔ·¢¹¢Í§ÊѵǏàÅÕ§ᵋ»ÃСÒÃ
             è                                                    è Ñ Õè é é                                                                    Õè                                 é
ã´ ÊѵǏàÅÕ§·Õ¾ºà»š¹âä¡ÅÒ¡ä´ŒºÍÂઋ¹¡Ãе‹Ò áÅÐ¡ÅØÁÊѵǏ¿¹á·Ð áÁÇ áÅÐÊØ¹¢ «Ö§à»š¹ÊѵǏ
                 é è                                                     ‹                                             ‹         ˜                                                Ñ è
àÅÕ§·Õã¡ÅŒª´Á¹ØÉ ¼×¹¡ÅÒ¡ã¹Á¹ØÉ¨Ò¡ÊѵǏàÅÕ§ÁÑ¡¾ºà´‹¹ºÃÔàdz¹Í¡Ã‹Á¼ŒÒ ÁÕÍÒ¡ÒÃÃØ¹áç¼Ù»ÇÂ
      é è Ô                               è                                                        é                                                                                                 Œ †
ÁÑ¡ÁÒ¾ºá¾·Âã¹àÇÅÒÍѹÊѹ                         é
               âä¡ÅÒ¡·Õ¢¹µÒÁ¼ÔÇ˹ѧ¨ÐÁÕšɳÐ໚¹Ç§æ ËÃ×Í໚¹´Ç§æ áÅÐÁÕÍÒ¡Òäѹ ÁÕªÍàÃÕ¡
                                    è Öé                                        Ñ                                                                                                               ×è
¨íÒṡµÒÁʋǹµ‹Ò§æ ¢Í§¼ÔÇ˹ѧ ¶ŒÒ໚¹¼ÔÇ˹ѧʋǹàÃÕº·ÕèäÁ‹ÁÕ¢¹ àÃÔèÁáá¨Ð¢Öé¹à»š¹µØ‹Áá´§æ
áŌǤ‹ÍÂæ ÅØ¡ÅÒÁÍÍ¡ä»à»š¹Ç§ ÁբͺࢵªÑ´à¨¹ ¢Íº¨Ð¹Ù¹àÅ硹ŒÍ ÁÕÊá´§ ÁÑ¡ÁÕµÁ¹éÒãÊàÅç¡æ                                                                   Õ                             Ø‹ í
ËÃ×Í¢ØÂ¢ÒÇæÍÂÙÃͺæÇ§ ¢Íºà¢µÃͺǧ¨ÐªÑ´à¨¹ (active border) ǧ¹Õ¨ÐÅØ¡ÅÒÁ¢ÂÒÂÍÍ¡ä»àÃ×ÍÂæ
                           ‹                                                                                                              é                                                        è
ʋǹ¼ÔÇ˹ѧ·ÕÍÂٵç¡Åҧǧ¨Ð´ÙÁšɳзÕ໚¹»¡µÔ ÁÒ¡¡Ç‹ÒºÃÔàdz¢ÍºÇ§à¹×ͧ¨Ò¡à»š¹Ê‹Ç¹·Õ໚¹
                        è ‹                                       ÕÑ                   è                                                                        è                                       è
¡‹Í¹áÅÐàÃÔÁËÒÂáÅŒÇ Ç§¢Í§âä¡ÅÒ¡ÍÒ¨¢Ö¹à»š¹Ç§µÔ´æ¡Ñ¹ËÅÒÂǧ ËÃ×Í໚¹Ç§«ŒÍ¹¡Ñ¹¡çä´Œ ºÒ§¤Ãѧ
                  è                                                                 é                                                                                                                        é
¡ç¢¹¾ÃŒÍÁ¡Ñ¹ËÅÒÂáË‹§¡çä´Œ ¼Ù»ÇºҧÃÒ·Õä´ŒÂÒ·Ò¡ÅØÁÊàµÕÂÃÍ´Áҷҷѧ¨Ò¡·Õᾷ ËÃ×Í«×ÍÂÒ
       Öé                                              Œ †                               è                      ‹                                         é             è                             é
·Òàͧâ´Â੾ÒШҡÌҹ¢ÒÂÂÒÍÒ¨à¡Ô´ÃÍÂâä·ÕàÃÕÂ¡Ç‹Ò tinea incognito «Ö§ÍÒ¨äÁ‹¾ºÅѡɳÐ໚¹                 è                                                    è
ǧᴧ¢Í§âä¡ÅÒ¡´Ñ§¡Å‹ÒÇ áµ‹¼¹¡ÅѺÅÒÁ¢Ö¹Í‹ҧÁÒ¡ËÅѧ·ÒÂÒ âä¡ÅÒ¡·Õ¾ºº‹ÍµÒÁµíÒá˹‹§
                                                               ×è                            é                                                                    è
µ‹Ò§æ ઋ¹·Õ¢Ò˹պáÅкÃÔàdzʋǹ¡Ò§à¡§ã¹ËÃ×Í·ÕàÃÕ¡NjÒÊѧ¤Ñ§ ¢Ö¹à»š¹Ç§·Õ¢Ò˹պâ´Â੾ÒТÒ˹պ
                      è                                                                                  è                   é                     è
·Ñ§Êͧ¢ŒÒ§ áÅÐÅØ¡ÅÒÁÍÍ¡ä»àÃ×ÍÂæ ªŒÒæ ÍÒ¨ÁÕÃÍÂÁÕʤÅéÒæ ¨Ò¡ÒÃà¡Ô´ÃÍ´íÒËÅѧ¨Ò¡¡ÒÃÍÑ¡àʺ
    é                                                      è                                                        Õ í
à¾ÃÒÐàª×Í¡ÅÒ¡ã¹Ê‹Ç¹¹Õà¡×ͺ·Ñ§ËÁ´à¡Ô´¨Ò¡àª×Í¡ÅÒ¡·Õµ´µ‹Í¨Ò¡Á¹ØÉä»ÂѧÁ¹ØÉ «Ö§ÁÑ¡¨ÐÁÕ¤ÇÒÁ
               é                             é          é                                      é               è Ô                                                              è
ÃØ¹áç㹡Òá‹Íâä·Õ¹Í¡NjҪ¹Ô´µÔ´¨Ò¡ÊѵǏËÃ×ÍÊÔ§áÇ´ÅŒÍÁ ᵋ¡¡Íâä·ÕÁ¤ÇÒÁàÃ×ÍÃѧ䴌ÁÒ¡¡Ç‹Ò
                                         è Œ                                                               è                       ç ‹                   è Õ                  é
âä¡ÅÒ¡·ÕÅÒµÑÇ (tinea corporis) ÁÑ¡ÁÕ¼¹á´§à»š¹Ç§ÁÕÍÒ¡Òäѹ ºÒ§¤¹ÍÒ¨à¡Ò¨¹¹éÒàËÅ×ͧà¿ÍÐËÃ×Í
                    èí                                                       ×è                                                                                           í
¼ÔÇË¹Ñ§Ë¹Ò ºÒ§¤¹ÍÒ¨à¡Ò¨¹µÔ´àª×ÍẤ·ÕàÃÕÂÍÑ¡àʺá·Ã¡«ŒÍ¹ä´Œ ʋǹâä¡ÅÒ¡·Õà·ŒÒ (tinea pedis)
                                                                     é                                                                                                      è
ËÃ×Í·ÕÁÍ (tinea manuum) ÁÕËÅÒÂÅѡɳÐÍÒ¨ÁÕ¡ÒÃÍÑ¡àʺᴧ໚¹µØÁ¹éÒãÊ à»š¹¢ØÂ˹ÒáËŒ§ ËÃ×Í
          è ×                                                                                                                            ‹ í
à¡Ô´ºÃÔàdz§‹ÒÁ¹ÔÇà·ŒÒ âäÁѡ໚¹àÃ×ÍÃѧÁÕ¡ÒáÅѺ໚¹«éÒä´ŒºÍÂ
                             é                                         é                                     í           ‹
               âä¡ÅÒ¡·Õ˹ѧÈÕÃÉÐáÅÐàÊŒ¹¼Á (tinea capitis) Áѡ໚¹âä·Õà¡Ô´ã¹à´ç¡¡‹Í¹à»š¹ÇÑÂÃØ¹ ÁÕ·§
                                 è                                                                                                     è                                                    ‹             Ñé
ª¹Ô´·ÕÁÍÒ¡ÒÃÍÑ¡àʺºÒ§¤ÃÑ§ÃØ¹áç໚¹Ë¹Í§ áÅЪ¹Ô´·ÕäÁ‹ÁÍÒ¡ÒÃÍÑ¡àʺ «Ö§·Ø¡ª¹Ô´¨ÐÁÕšɳÐ
           è Õ                                     é                                                                  è Õ                                     è                               Ñ
àǪÈÒʵÏ·¹Âؤ 2553
          Ñ                                                                                                                                                 55

ÊíҤѭ¤×ÍÁÕ¼ÁËÅØ´Ã‹Ç§ ã¹»ÃÐà·Èä·Âàª×Í¡ÅÒ¡·Õ˹ѧÈÕÃÉÐáÅÐàÊŒ¹¼ÁÁÑ¡à¡Ô´¨Ò¡àª×Í·ÕÁÒ¨Ò¡ÊѵǏ
                                     é     è                              é è
â´Â੾ÒÐ Microsporum canis «Ö§»ÃÐÇѵ¡ÒÃÊÑÁ¼ÑÊÊѵǏàÅÕ§ÁÕ¤ÇÒÁÊíҤѭÁÒ¡ ÁԩйѹÍÒ¨µÔ´µ‹Í
                                è      Ô             é                       é
ä»ÂѧºØ¤¤ÅÍ׹㹺ŒÒ¹â´ÂÁÕʵǏàÅÕ§໚¹¾ÒËÐ
            è             Ñ é

âäàª×éÍÃÒ·ÕèàÅçº (Onychomycosis)
          ¾ºä´ŒºÍÂã¹àǪ»¯ÔºµÔ ໚¹ÀÒÇзն¡ÇÔ¹¨©Ñ¼Դ¾ÅÒ´ä´ŒºÍ ·Ñ§·Õ໚¹¤ÇÒÁ¼Ô´»¡µÔ¢Í§àÅçº
                     ‹                           Ñ                        è Ù Ô                                       ‹ é è
¨Ò¡ÀÒÇÐÍ×è¹áŌǶ١ÇÔ¹Ô¨©ÑÂ໚¹âäàª×éÍÃÒ·ÕèàÅçº â´Âᾷàͧ ËÃ×ͨҡ¤ÇÒÁࢌÒ㨢ͧ¼ÙŒ»†ÇÂ
â´Â·ÑÇä» ¹Í¡¨Ò¡¹Ñ¹âäàª×ÍÃÒ·ÕàÅçºà»š¹âä·ÕµÍ§ÍÒÈÑÂÃÐÂÐàÇÅҹҹ㹡ÒÃÃÑ¡ÉÒ ÂÒ·Õ㪌ÁÃÒ¤Ò
      è                        é              é             è                       è Œ                                                             è Õ
ÊÙ§ áÅÐÂѧÍÒ¨ÁÕ»¯Ô¡ÃÂÒÃÐËNjҧÂÒä´Œ ºÒ§¡Ã³ÕÍҨ໚¹ÍѹµÃÒ¶֧ªÕǵ
                             ÔÔ                                                                                             Ô
          âäàª×é Í ÃÒ·Õè à Åç º ¤× Í ¡Ò÷Õè à Åç º ËÃ× Í Ê‹ Ç ¹»ÃСͺ¢Í§àÅç º µÔ ´ àª×é Í ÃÒ ·Ñé § ¨Ò¡àª×é Í ¡ÅÒ¡
(dermatophytes) àª×éÍÂÕʵ (yeasts) àª×éÍÃÒÊÒ·ÕèäÁ‹ãª‹àª×éÍ¡ÅÒ¡ËÃ×ÍÍÒ¨àÃÕ¡NjҡÅÒ¡à·ÕÂÁ
(nondermatophyte molds) ʋǹâä “¡ÅÒ¡·ÕàÅçº (tinea ungium)” ¹Ñ¹¨Ð໚¹¤íÒ¨íÒà¾ÒзÕ㪌ÊÒËÃѺ
                                                                                  è                                       é                        è í
¡ÒõԴàª×Í੾ÒÐàª×Í¡ÅÒ¡«Ö§Ê‹Ç¹ãË­‹Á¡¨Ð·ÃÒº¨Ò¡¡ÒõÃǨ·Ò§ËŒÍ§»¯Ôºµ¡ÒÃ
           é             é                  è                          Ñ                                                             Ñ Ô
          ¤ÇÒÁ¼Ô´»¡µÔ¢Í§àÅçºà»š¹ÊÔ§·Õ¾ºä´ŒºÍÂã¹àǪ»¯ÔºµÔ â´Â·ÑÇä»áŌǼٻÇÂÁÑ¡ÁÕ¤ÇÒÁࢌÒã¨Ç‹Ò
                                                              è è             ‹                              Ñ          è           Œ †
¤ÇÒÁ¼Ô´»¡µÔ¢Í§àÅçºÁÑ¡¨Ð໚¹âäàª×ÍÃÒ·ÕàÅçº ·Ñ§·Õ¤ÇÒÁ¨ÃÔ§áÅŒÇÍÒ¨¨Ðà¡Ô´¢Ö¹¨Ò¡¤ÇÒÁ¼Ô´»¡µÔ
                                                                     é      è             é è                                            é
¨Ò¡ÀÒÇÐÍ×¹æ ઋ¹âäÊÐà¡ç´à§Ô¹·ÕàÅçº ¤ÇÒÁ¼Ô´»¡µÔ¨Ò¡ÀÂѹµÃÒµ‹ÍàÅçº ¤ÇÒÁ¼Ô´»¡µÔ¢Í§àÅçº
             è                                                     è
·Õà¡Ô´¢Ö¹Ã‹ÇÁ¡Ñºâä¼ÔÇ˹ѧÍ×¹æ ËÃ×Íâä·Ò§¡ÒÂ໚¹µŒ¹ ºÒ§¤Ãѧ¡ÒÃ㪌à¾Õ§ᤋšɳÐÀÒ¹͡·ÕÁÕ
  è é                                    è                                                                         é                       Ñ                   è
¤ÇÒÁ¼Ô ´ »¡µÔ ¢ ͧàÅç º ᵋ à ¾Õ Â §Í‹ Ò §à´Õ  ÇÍÒ¨ÁÕ ¤ ÇÒÁ¼Ô ´ ¾ÅÒ´à¡Ô ´ ¢Öé ¹ ä´Œ Ë Ò¡äÁ‹ ÁÕ ¡ ÒõÃǨ
·Ò§ËŒÍ§»¯Ôºµ¡ÒÃÂ×¹Âѹ¡ÒÃÇÔ¹¨©ÑÂâä
               Ñ Ô                                     Ô
          âäàª×ÍÃÒ·ÕàÅ纹ѹ¾ºä´ŒºÍÂâ´ÂÁÕ»¨¨ÑÂàÊÕÂ§ã¹¡ÅØÁ·ÕÁÍÒÂØÁÒ¡ à¾ÈªÒ ÁÕâäËÇÁ ઋ¹
                 é         è         é                         ‹                ˜            è                  ‹ è Õ
àºÒËÇÒ¹ ÀÒÇоËͧÀÙÁԤ،Á¡Ñ¹ ÀÒÇÐà˧×èÍÍÍ¡ÁÒ¡ ¡ÒÃäËÅàÇÕ¹¢Í§ËÅÍ´àÅ×ʹʋǹ»ÅÒÂäÁ‹´Õ
ÁÕÀÂѹµÃÒµ‹ÍàÅ纺‹ÍÂæ áÅÐÁÕ¤ÇÒÁ¼Ô´ÃÙ»¢Í§àÅçºÍÂ١͹ àÅçºà·ŒÒ¾ºâäàª×ÍÃÒ·ÕàÅçºä´ŒºÍ¡NjÒàÅçº         ‹ ‹                            é è           ‹
Á×ÍÁÒ¡ ´ŒÇÂÁÕ»¨¨ÑÂËÅÒ»ÃСÒ÷ÕʹѺʹعãËŒà¡Ô´âä·ÕàÅçºà·ŒÒÁÒ¡¡Ç‹ÒàÅçºÁ×Í
                   ˜                                             è                                        è
          ÅѡɳСÒÃà»ÅÕ¹á»Å§¢Í§àÅ纷շÒãˌʧÊÑÂÇ‹Ò໚¹âäàª×ÍÃҹѹÁÕËÅÒ»ÃСÒà â´Â·ÑÇä»
                                   è                                     è í                                           é é                                 è
áŌǨíҹǹ¢Í§àÅ纷Õ໚¹âäàª×ÍÃÒÁÑ¡¨ÐÁÕà¾Õ§äÁ‹¡àÅçº ¼Ù»Ç·ÕÁ¤ÇÒÁ¼Ô´»¡µÔËÅÒÂæ àÅ纨íҹǹ
                             è                       é                                         Õè           Œ † è Õ
ÁÒ¡ÁÑ¡¨Ð໚¹âäÁÒ¹Ò¹ÁÒ¡â´ÂäÁ‹Ê¹ã¨ã¹¤ÇÒÁ¼Ô´»¡µÔ¢Í§àÅçºËÃ×ÍÁԩйѹ¡çÁ¡¨ÐÁÕÀÒÇÐÀÙÁ¤Á¡Ñ¹                                              é Ñ                 Ô ØŒ
º¡¾Ã‹Í§Ã‹ÇÁÍÂÙ‹´ŒÇ â´Â·ÑèÇä»áÅŒÇâäàª×éÍÃÒ·ÕèàÅ纨ÐäÁ‹ÁÕÍÒ¡ÒÃã´æ ·Ñé§ÍÒ¡ÒûǴ ÍÒ¡ÒêÒ
ÍÒ¡Òäѹ ËÃ×ÍÍÒ¡ÒÃÍ׹㴷շÒãËŒµÍ§ÁÒ¾ºá¾·Â ¡àÇŒ¹Ç‹ÒÍÒ¡ÒÃàËŋҹѹà¡Ô´¨Ò¡âä¼ÔÇ˹ѧËÃ×Í
                                 è         è í Œ                                                                                é
ÀÒÇÐÍ×¹æ ÃÇÁ·Ñ§âä¡ÅÒ¡·Õ¼Ç˹ѧ Íѹ໚¹à˵ØãËŒ¼»ÇµŒÍ§ÁÒ¾ºá¾·Â ËÒ¡¾ºàÅçºËÅÒÂæ àÅçº
        è              é                        è Ô                                               ÙŒ †
â´Â੾ÒÐà¡×ͺ·Ø¡àÅ红ͧ·Ñ§àÅçºÁ×ÍáÅÐà·ŒÒÁÕ¤ÇÒÁ¼Ô´»¡µÔ¡¹Ò¨Ð¹Ö¡¶Ö§¤ÇÒÁ¼Ô´»¡µÔ¢Í§àÅ纨ҡâä
                                       é                                                                       ç ‹
·Ò§¡ÒÂÁÒ¡¡Ç‹Ò
          ¤ÇÒÁ¼Ô´»¡µÔ¢Í§àÅçºÁÕµ§áµ‹¡ÒÃ˹ҵÑǢֹ㵌àÅçº (subungual hyperkeratosis) ¨¹à¡Ô´ÀÒÇÐ
                                                         Ñé                             é
µÑÇàÅçº (nail plate) á¡ÍÍ¡¨Ò¡°Ò¹àÅçº (nail bed) ·ÕàÃÕÂ¡Ç‹Ò onycholysis ÁÕ¼ÇàÅ红آÃÐäÁ‹àÃÕº           è                                    Ô
ÅѡɳÐàËÁ×͹ÁÕ¡ÒüءË͹·ÕµÇàÅçº ËÃ×ÍÁÕ¡ÒÃà»ÅÕ¹á»Å§¢Í§ÊÕàÅ纷վºº‹ÍÂÁÕšɳТÒÇ·Öº¢Ø¹
                                                   è Ñ                                     è                                  è                Ñ             ‹
56                                                                                                        .ungal Skin Infection: A Neighbourhood Touch

ËÃ×Í¢ÒÇ໚¹¢ØÂ ËÃ×ÍÍÒ¨¨ÐÁÕÊÍ¹æ ·ÕàÅçº ºÒ§¤Ãѧ¾ºÅѡɳзռÇàÅçºàÃÕº»¡µÔᵋÁ¤ÇÒÁ¼Ô´»¡µÔ
                                                      Õ ×è                 è                     é                                           è Ô                                    Õ
ÍÂٷ㵌àÅçºà»š¹µŒ¹ ໚¹·Õ¹ÒÊѧࡵNjҡÒþºÁÕšɳÐàÅçºà»š¹ËÅØÁ (pitting nail) «Ö§¾ºä´Œã¹âä¢Í§
          ‹ Õè                                  è ‹                                       Ñ                                                                              è
àÅçºËÅÒÂâäઋ¹âäÊÐà¡ç´à§Ô¹·ÕàÅçºà»š¹¤ÇÒÁ¼Ô´»¡µÔ·Á¡äÁ‹ãª‹ÊÒà˵بҡâäàª×ÍÃҢͧàÅçº
                                                                   è                                              Õè Ñ                                                 é
                 µíÒá˹‹§¢Í§¡ÒÃà¡Ô´¹Ñ¹¨Ð¾ºä´ŒºÍÂã¹Ê‹Ç¹»ÅÒÂáÅдŒÒ¹¢ŒÒ§¢Í§àÅçº ·Ñ§¹Õ¨ÐÊÍ´¤ÅŒÍ§¡Ñº
                                                       é                          ‹                                                                                   é é
ÅѡɳЪ¹Ô´¢Í§àª×ÍÃÒ·ÕàÅ纷վºº‹Í·ÕÊ´¤×ͪ¹Ô´·ÕàÃÕÂ¡Ç‹Ò distal lateral subungual onychomycosis
                                     é è è                                   èØ                        è
(DLSO) «Ö§ÁÕ¤ÇÒÁ¼Ô´»¡µÔàÃÔÁ¨Ò¡Ê‹Ç¹»ÅÒÂËÃ×Í´ŒÒ¹¢ŒÒ§¢Í§àÅçºäŋࢌÒÁÒËÒʋǹµŒ¹¢Í§àÅçºà¾ÃÒÐ
                    è                               è
àª×ÍÃÒࢌҨҡ·Ò§ hyponychium ¢Í§Ê‹Ç¹ distal áÅÐ lateral ¹Ñ¹àͧ ËÃ×ÍÁԩйѹ¡çÊÒÁÒö¾º¤ÇÒÁ
      é                                                                                                                              è                          é
¼Ô´»¡µÔ¢Í§µÑÇàÅ纨ҡ¼ÔÇàÅçº¹Í¡ÊØ´ â´ÂÍÒ¨àËç¹ÁÕ¡ÒÃà»ÅÕè¹á»Å§¢Í§¼ÔÇàÅçºàª‹¹à»š¹ÊÕ¢ÒÇ
à¾ÃÒÐà¡Ô´¨Ò¡àª×ÍࢌÒâ´ÂµÃ§·ÕµÇàÅçº â´Â੾ÒÐàÅçºà·ŒÒ«Ö§¨ÐÊÍ´¤ÅŒÍ§¡ÑºÅѡɳзվºä´ŒÃͧŧÁÒ
                            é                              è Ñ                                                           è                                                      è
¨Ò¡ DLSO ·ÕàÃÕÂ¡Ç‹Ò white superficial onychomycosis (WSO) ʋǹµŒ¹¢Í§µÑÇàÅçº (proximal part
                        è
of the nail plate) ·ÕÁ¡ÒÃà»ÅÕ¹á»Å§µÑ§ááàÃÔÁ¹Ñ¹¾ºä´Œ¹ÍÂÁÒ¡à¾ÃÒÐ໚¹ª¹Ô´¢Í§àª×ÍÃÒ·ÕàÅçº
                                        è Õ              è                      é           è é                                  Œ                                                              é     è
·ÕàÃÕÂ¡Ç‹Ò proximal subungual onychomycosis (PSO) «Ö§ÍÒ¨µŒÍ§ËÒÀÒÇоËͧÀÙÁ¤Á¡Ñ¹ã¹¡Ã³Õ¹Õé
  è                                                                                                                    è                                                       Ô ØŒ
                 ¡ÒõÃǨ·Ò§ËŒÍ§»¯Ôºµ¡ÒÃã¹âäàª×ÍÃÒ·ÕàÅçºÁÕ¤ÇÒÁÊíҤѭÁҡ㹡ÒÃÇÔ¹¨©ÑÂâä ¤Ç÷íÒ
                                                              Ñ Ô                      é             è                                                                     Ô
·Ø¡ÃÒÂà¾×èÍ㪌·Ñé§¡ÒÃÇÔ¹Ô¨©ÑÂâäµÑé§áµ‹ááàÃÔèÁ áÅÐà¾×è͵ԴµÒÁ¡ÒÃÃÑ¡ÉÒ ¡ÒÃ㪌ᵋà¾Õ§ÅѡɳÐ
ÀÒ¹͡ᵋà¾Õ§Í‹ҧà´ÕÂÇ㹡ÒÃÇÔ¹¨©ÑÂÍÒ¨·íÒãËŒ¡ÒÃÇÔ¹¨©Ñ¼Դ¾ÅÒ´ ໚¹à˵ØãËŒ¼»ÇÂ䴌úÂÒ
                                                                         Ô                                                   Ô                                                        ÙŒ †        Ñ
µŒÒ¹àª×éÍÃÒâ´Â੾ÒÐ¡ÅØ‹ÁÂÒÃѺ»Ãзҹâ´ÂäÁ‹¨íÒ໚¹ ÂÒÁÕÃÒ¤ÒÊÙ§ µŒÍ§ãªŒÃÐÂÐàÇÅÒ㹡ÒÃÃÑ¡ÉÒ
ÂÒǹҹËÅÒÂà´×͹ àÊÕ§µ‹Í¼Å¢ŒÒ§à¤Õ§áÅл¯Ô¡ÃÂÒÃÐËNjҧÂÒËÅÒª¹Ô´ ¡ÒõÃǨ·Ò§ËŒÍ§»¯ÔºµÔ
                                            è                                                  ÔÔ                                                                                                         Ñ
¡ÒÃÊÒÁÒö·íÒä´Œ§‹ÒÂã¹à¡×ͺ·Ø¡Ë¹‹ÇºÃÔ¡Ò÷ҧ¡ÒÃᾷ ¤×Í¡ÒõÃǨ´ŒÇÂÊÒÃÅÐÅÒ KOH
¡ÒõÃǨˌͧ»¯Ôºµ¡Òõ‹ÍÁÒ·Õ¤Ç÷íÒ໚¹Í‹ҧÂÔ§â´Â੾ÒÐâäàª×ÍÃÒ·ÕàÅçºà·ŒÒ ¶Ö§áÁŒÇҨТŒÍ¨íÒ¡Ñ´
                                    Ñ Ô                     è                                è                                                      é è                                 ‹
·Õ¨ÐÊÒÁÒö¡ÃзíÒä´Œã¹Ê¶ÒºÑ¹¡ÒÃᾷºÒ§áË‹§¡ç¤Í¡ÒÃà¾ÒÐàª×ÍÃÒáÅСÒèíÒṡàª×ÍÃÒ¡‹Íâä
    è                                                                                                         ×                                      é                                        é
                 Í‹ҧäáçµÒÁ¡ÒõÃǨ KOH ·ÕÍÒ¨¨Ð´ÙÇÒ¡ÃзíÒä´Œ§Ò äÁ‹«º«ŒÍ¹ ÃÒ¤ÒäÁ‹á¾§ ä´Œ¼Å¡ÒÃ
                                                                             è                 ‹                                   ‹                   Ñ
µÃǨ·ÕÃÇ´àÃçÇÊÒÁÒöÃͼÅä´Œ¹¹ Âѧ໚¹Ëѵ¶¡Ò÷Õ§µŒÍ§ÍÒÈÑ·ѧ·Ñ¡ÉÐáÅлÃÐʺ¡Òóã¹¡ÒôÙ
               è                                                Ñé                                       è Ñ                                      é
áÅÐá»Å¼Å ÍÒ¨¾º¼ÅºÇ¡Åǧ ¼ÅźÅǧ䴌 â´Â੾ÒÐàÅ纫֧໚¹ keratin ·ÕÁ¤ÇÒÁ˹ÒÁÒ¡¡Ç‹Ò                                                        è                          è Õ
¢ØÂ·Õèä´Œ¨Ò¡¼ÔÇ˹ѧÁÒ¡µŒÍ§ãªŒÃÐÂÐàÇÅÒ㹡ÒÃÅÐÅÒ¢ͧ¢ØÂ·ÕèÂÒǹҹ¡Ç‹Ò¼ÔÇ˹ѧ ¡ÒÃÃÕº´ÙÍ‹ҧ
ÃÇ´àÃçÇÍÒ¨à¡Ô´¼ÅźÅǧ
                 ¡Ãкǹ¡ÒÃ㹡ÒõÃǨ·Ò§ËŒÍ§»¯Ôºµ¡Ò÷ѧ¡ÒôٴÇ KOH áÅСÒÃà¾ÒÐàª×ÍÃҹѹµŒÍ§àÃÔÁ
                                                                                      Ñ Ô                   é                  Œ                                                  é é                       è
ÁÒ¨Ò¡ ¡ÒÃà¡çºÊÔè§Ê‹§µÃǨÍ‹ҧ¶Ù¡µŒÍ§ ¡ÒõÃÕÂÁ slide à¾×èÍ¡ÒõÃǨ áÅСÒÃá»Å¼Å¡ÒõÃǨ
µÒÁÅíҴѺ
                 ¡ÒÃà¡çºÊÔ§Ê‹§µÃǨÍ‹ҧ¶Ù¡µŒÍ§ÁÕ¤ÇÒÁÊíҤѭÁÒ¡à¾ÃÒШзíÒãˌ䴌ʧʋ§µÃǨ·Õ¾ºÁÕàª×ÍÃÒ
                                  è                                                                                                                          Ôè                             è       é
¡‹ÍâäÍÂÙ¨ÃÔ§æ ËÅÕ¡àÅÕ§¡Òþºàª×ÍÃÒ¡ÅØÁ»¹à»„͹ «Ö§¾ºÍÂÙµÒÁÊÔ§áÇ´ÅŒÍÁ ã¹¼Ù»ÇÂËÅÒÂÃÒÂ
                  ‹                           è                      é              ‹              œ            è                          ‹             è                         Œ †
àª×ÍÃÒ»¹à»„͹àËŋҹաÍҨ໚¹µŒ¹à˵آͧ¡ÒÃà¡Ô´âä·ÕàÅçºä´Œâ´ÂµÃ§áµ‹¡µÍ§ÁÕËÅѡࡳ±ã¹¡ÒÃ
        é             œ                   é ç                                                                       è                                      ç Œ
ÇÔ¹¨©ÑÂâä¡ÅØÁ¹Õé
           Ô              ‹
                 ¡ÒÃà¡çºÊÔ§Ê‹§µÃǨ¨Ò¡àÅ红ֹ¡Ñºª¹Ô´¢Í§àª×ÍÃÒ·ÕàÅ纹ѹ¶ŒÒ໚¹ª¹Ô´ DLSO «Ö§¾ºä´ŒºÍÂ
                                è                                      é                                  é                è             é                                                è             ‹
·ÕÊ´¹Ñ¹¤ÇÃà¡çºÊÔ§Ê‹§µÃǨ¨Ò¡ÃÍÂâä¢Í§àÅ纨ҡʋǹ·ÕÍÂÙã¡ÅŒ·Ê´¢Í§ nail bed ·Õ»¡µÔ â´Â¡ÒÃ㪌
    èØ é                      è                                                                                       è ‹                      Õè Ø                          è
àǪÈÒʵÏ·¹Âؤ 2553
          Ñ                                                                                57

¡ÃÃä¡ÃµÑ´àÅçº µÑ´Ê‹Ç¹»ÅÒ¢ͧàÅ纷ÕÁ¡¨ÐᡵÑÇÍÍ¡ ¤×͵Ѵʋǹ·Õ໚¹ onycholysis ÍÍ¡ ÃÇÁ·Ñ§
                                     è Ñ                          è                         é
ʋǹàÅ纷Õ˹ҵÑÇ â´ÂµÑ´à¢ŒÒä»ËÒʋǹ·ÕÍÂÙ‹ proximal ¡Ç‹Ò¨¹¶Ö§Ã͵‹Í¢Í§àÅ纷մ»¡µÔ à¾ÃÒеíÒá˹‹§
          è                            è                                   è Ù
¹Õ໚¹Ê‹Ç¹·ÕÊÒÁÒö¾ºàª×ÍÃÒ·ÕÁªÇµ (viable fungi) ä´ŒÁÒ¡·ÕÊ´ ËÅѧ¨Ò¡¹Ñ¹ãªŒÁ´¼‹ÒµÑ´ËÃ×Í curette
  é         è           é     è Õ ÕÔ                       èØ            é     Õ
¢Ù´àÍÒʋǹ·Õ˹ҵÑǢͧ nail bed ¡Òþºàª×ÍÃÒ·ÕàÅçºà·ŒÒâ´Â੾ÒÐàª×Í¡ÅÒ¡¨ÐÁÕ¤ÇÒÁÊÑÁ¾Ñ¹¸
              è                               é     è                  é
¾ºº‹Í¡Ѻ¡Òþºâäàª×éÍÃÒ·Õèà·ŒÒàͧ ઋ¹¾ºâä¡ÅÒ¡·Õèà·ŒÒ (tinea pedis) ËÇÁ¡Ñº¡ÅÒ¡·ÕèàÅçº
(tinea ungium) 㹡ÒÃà¡çºÊÔ§Ê‹§µÃǨ¡ç¤ÇÃà¡çº·Ñ§·ÕàÅçºà·ŒÒ áÅзÕ෌ҾÌÍÁæ¡Ñ¹
                           è                    é è            è
àǪÈÒʵÏ·¹Âؤ 2553
          Ñ                                                                                       º··Õè            59

                                                                                                      9
                                  âäàª×éÍÃÒ·Õè¼ÔÇ˹ѧªÑé¹ÅÖ¡
                                (Deep .ungal Skin Infection)
                                                   ÍÒ¨ÒÏ ᾷ˭ԧà¾ç­Ç´Õ ¾Ñ²¹»ÃÕªÒ¡ØÅ
                               ÀÒ¤ÇÔªÒµ¨ÇÔ·ÂÒ ¤³Ðá¾·ÂÈÒʵÏÈÃÃÒª¾ÂÒºÒÅ ÁËÒÇÔ·ÂÒÅÑÂÁËÔ´Å
                                                            ÔÔ

          âäàª×ÍÃÒ·Õ¼Ç˹ѧªÑ¹ÅÖ¡»ÃСͺ´ŒÇ 2 ¡ÅØÁ âäãË­‹æ ¤×Íâäàª×ÍÃÒ·Õ¼Ç˹ѧªÑ¹Å֡੾ÒзÕè
                 é è Ô               é                          ‹                             é è Ô        é
(subcutaneous mycoses) áÅÐ âäàª×ÍÃÒã¹Ã‹Ò§¡Ò·ÕÁ¡ÒáÃШÒÂÁÒÊÙ¼Ç˹ѧ (systemic mycoses)
                                               é                    è Õ                   ‹ Ô
â´Âã¹ÀÒÇÐááÁÑ¡à¡Ô´¨Ò¡¡ÒÃ䴌úàª×ÍÃÒ¡‹Íâä·Õ»¹à»„͹ÍÂÙã¹ÊÔ§áÇ´ÅŒÍÁÀÒ¹͡ઋ¹ ´Ô¹ ¹éÒ
                                             Ñ é                  è     œ         ‹ è                                í
áÁŧºÒ§ª¹Ô´ ËÃ×ͫҡ¾×ª«Ò¡ÊѵǏ â´Âàª×ÍÃҨм‹Ò¹à¢ŒÒÊÙ¼Ç˹ѧ·Ò§ºÒ´á¼Å ÁÕÃÒÂ§Ò¹ÍØºµ¡Òó
                                                       é                    ‹ Ô                                Ñ Ô
¢Í§âä䴌º‹ÍÂã¹á¶º»ÃÐà·È·ÕèÍÂÙ‹ã¹à¢µÃŒÍ¹ª×é¹â´Â੾ÒÐã¹»ÃÐà·Èä·Â¡ç¾ºÁÕ¼ÙŒ»†Ç·Õè໚¹
âäàª×ÍÃÒ·Õ¼Ç˹ѧªÑ¹Å֡੾ÒзÕÍÂÙ໚¹ÃÐÂÐ ÊíÒËÃѺ systemic mycoses ໚¹ÀÒÇзÕà¡Ô´¨Ò¡¡ÒÃ
        é    è Ô             é             è ‹                                                               è
µÔ´àª×ÍÃÒ©ÇÂâÍ¡ÒÊ (opportunistic infection) ·Õ¾ºã¹¡ÅØÁ¼Ù»Ç·ÕÁÀÒÇÐÀÙÁ¤Á¡Ñ¹º¡¾Ã‹Í§ ઋ¹
      é                                                       è              ‹ Œ † è Õ            Ô ØŒ
¼Ù»Ç·Õ䴌úà¤ÁպҺѴËÃ×ͼٻÇÂàʹʏ «Ö§ÁÑ¡¨ÐÁÕÍÒ¡ÒÃáÅÐÍÒ¡ÒÃáÊ´§¢Í§¡ÒõԴàª×Íã¹ËÅÒÂÃкº
  Œ † è Ñ               í              Œ †           è                                                 é
ËÇÁ´ŒÇ ઋ¹ Ãкº·Ò§à´Ô¹ËÒÂ㨠áÅÐ ÃкºäËÅàÇÕ¹àÅ×Í´(1) ´Ñ§¹Ñ鹡ÒÃÃÙŒáÅÐࢌÒ㨶֧ÊÒà˵Ø
¾ÂÒ¸ÔÊÀÒ¾¢Í§âäáÅСÒôíÒà¹Ô¹âä¨Ðª‹ÇÂãˌᾷáÅкؤ¤Åҡ÷ҧ¡ÒÃᾷÊÒÁÒöãËŒ¡ÒÃ
ÃÑ¡ÉÒáÅдÙáżٻÇÂ䴌͋ҧÁÕ»ÃÐÊÔ·¸ÔÀÒ¾ ã¹·Õ¹¨Ð¢Í¡Å‹ÒǶ֧ subcutaneous mycoses ໚¹ËÅÑ¡
                    Œ †                                  è Õé
à¹×ͧ¨Ò¡à»š¹ÀÒÇзÕÁ¡ÒôíÒà¹Ô¹âä·Õ¤Í¹¢ŒÒ§àÃ×ÍÃѧ «Ö§¡ÒÃÃÑ¡ÉÒ¨íÒ໚¹µŒÍ§ÍÒÈÑÂÂÒµŒÒ¹àª×ÍÃÒ
    è                          è Õ               è ‹        é             è                                        é
ª¹Ô´ÃѺ»Ãзҹ໚¹ÃÐÂÐàÇÅÒ¹Ò¹ ËÇÁ¡Ñº¡Òü‹ÒµÑ´ºÃÔàdzÃÍÂâä·Õ¼Ç˹ѧÍÍ¡ (surgical excision)
                                                                                      è Ô
ËÃ×Í㪌¡ÒÃÃÑ¡ÉÒÇԸ͹æÃ‹ÇÁ´ŒÇ ઋ¹ ¤ÇÒÁÌ͹»ÃФº (local heat therapy) ËÃ×Í ¡Òþ‹¹¤ÇÒÁàÂç¹
                          Õ ×è
(cryotherapy)(2)
          âäàª×ÍÃÒ·Õ¼Ç˹ѧª¹Ô´ subcutaneous mycoses »ÃСͺ´ŒÇ 5 âäÊíҤѭ·Õ¤Ç÷ÃÒº¤×Í
                  é         è Ô                                                                          è
          1. Sporotrichosis
          2. Chromoblastomycosis
          3. Mycetoma
          4. Pheohyphomycosis
          5. Subcutaneous Zygomycosis
          ÊíÒËÃѺÊíÒËÃѺâäÍ×¹ã¹¡ÅØÁ¹Õ«§¾ºäÁ‹ºÍÂáÅÐäÁ‹¤Í¾ºã¹»ÃÐà·Èä·Â ¤×Í Lobomycosis
                                   è        ‹ é Öè        ‹                     ‹
áÅÐ Rhinosporidiosis ¨ÐäÁ‹¡Å‹ÒǶ֧㹺·¤ÇÒÁ¹Õé
60                                                                       âäàª×ÍÃÒ·Õ¼Ç˹ѧªÑ¹ÅÖ¡
                                                                               é    è Ô     é

1. Sporotrichosis
          ໚¹âäµÔ´àª×éÍÃÒ·ÕèÁÕÍÒ¡ÒÃáÊ´§¢Í§ÃÍÂâä·Õè¼ÔÇ˹ѧËÇÁ¡Ñº¡ÒõԴàª×éÍ·ÕèËÅÍ´¹éíÒàËÅ×ͧ
(lymphatic involvement) ÁÕ¡ÒôíÒà¹Ô¹âä·ÕàÃ×ÍÃѧ áÅÐÁÕÃÒ§ҹ¡ÒáÃШÒ¢ͧâää»ÂѧºÃÔàdzÍ×¹
                                            è é                                               è
¢Í§Ã‹Ò§¡Ò ઋ¹ ¡Ãд١áÅÐÍÇÑÂÇÐÀÒÂã¹Ã‹Ò§¡Ò àª×ÍÃÒ¡‹Íâä ¤×Í Sporothrix schenckii ໚¹
                                                      é
àª×éÍÃÒ·ÕèÁÕ 2 ÃٻẺ (dimorphic fungi) ÍÒÈÑÂÍÂÙ‹ã¹ÊÔè§áÇ´ÅŒÍÁµÒÁ¸ÃÃÁªÒµÔâ´Â¨ÐÍÂÙ‹ã¹ÃÙ»¢Í§
¡ÒÃÊÌҧÊÒÂÃÒ㹸ÃÃÁªÒµÔ (mold) ᵋàÁ×ÍÁÕ¡ÒõԴàª×ÍࢌÒÊÙÃÒ§¡Ò¨ÐÍÂÙã¹ÃÙ»¢Í§ÂÕʵ ¡ÒõԴàª×Í
                                          è         é       ‹‹       ‹                          é
ࢌÒÊÙ¼Ç˹ѧ¼‹Ò¹·Ò§ºÒ´á¼Å·Õ»¹à»„͹àª×ͨҡ¡Òö١˹ÒÁ·ÔÁµíÒ ¡Òö١ÊѵǏ ઋ¹ ˹٠¡Ãе‹ÒÂ,
      ‹ Ô                         è     œ é                    è
ÊØ¹¢, áÁÇ ¡Ñ´áÅŒÇÁÕàª×Í»¹à»„͹¨Ò¡ÊÔ§áÇ´ÅŒÍÁ¼‹Ò¹à¢ŒÒÊÙ¼Ç˹ѧºÃÔàdzºÒ´á¼Å ÁÕÃÒÂ§Ò¹ÍØºµ¡Òó
    Ñ                 é       œ       è                 ‹ Ô                             Ñ Ô
¢Í§âäã¹á¶º»ÃÐà·È·ÕÁÍÒ¡ÒÈÌ͹áÅÐÌ͹ª×¹ ઋ¹ áÍ¿ÃÔ¡Ò㵌, àÁ¡«Ôâ¡, ºÃÒ«ÔÅ áÅлÃÐà·È
                          è Õ                   é
ã¹àÍàªÕÂ

        ¾ÂÒ¸ÔÊÃÕÃÇÔ·ÂÒáÅÐÊÒà˵Ø
        àÁ×Íàª×Í¡‹Íâ伋ҹࢌÒÊÙ¼Ç˹ѧ¢Í§¼Ù»Ç ¨ÐÁÕÃÐÂп˜¡µÑÇ »ÃÐÁÒ³ 7 – 30 Çѹ ¡‹Í¹à¡Ô´
           è é                  ‹ Ô        Œ †
ÃÍÂâä·Õè¼ÔÇ˹ѧ ¼ÙŒ»†ÇºҧÃÒ¨ÐäÁ‹ÁÕÍÒ¡ÒÃáÊ´§¢Í§âäᵋµÃǨ¾ºÁÕÀÙÁÔµŒÒ¹·Ò¹µ‹Íàª×éÍâä¹Õé
à¡Ô´¢Ö¹ä´Œ â´Â੾ÒÐ㹤¹·Õ·Ò§Ò¹à¡ÕÂǡѺ¾×ª¼Ñ¡ â´Â·íÒ¡Ò÷´Êͺ·Õ¼Ç˹ѧ´ŒÇ Sporotrichin
      é                     è í      è                            è Ô
ãËŒ¼ÅºÇ¡ ã¹¼ÙŒ»†ÇÂàͪäÍÇÕ ¾ºÁÕÃÒ§ҹ¡ÒõԴàª×éÍẺ¡ÃШÒÂã¹ËÅÒÂÃкº¢Í§Ã‹Ò§¡ÒÂ
(disseminated sporotrichosis) (1,3)

        ÅѡɳÐÍÒ¡Ò÷ҧ¤ÅÔ¹Ô¡
        ÍÒ¡ÒÃáÊ´§·Ò§¤ÅÔ¹¡¢Í§ sporotrichosis ẋ§à»š¹ 2 Ẻ ¤×Í subcutaneous form áÅÐ
                              Ô
systemic form â´Â¾º subcutaneous from ä´ŒºÍ¡NjÒáÅÐẋ§à»š¹ 2 »ÃÐàÀ· ¤×Í
                                           ‹
        1. Lymphangitic form ¾ºà»š¹á¼ÅᵡËÅÒµíÒá˹‹§µÒÁºÃÔàdzᢹ ¢Ò, à·ŒÒ ·Õã¡ÅŒ¡º
                                                                                 è Ñ
ºÒ´á¼Å·Õàª×ÍࢌÒÊÙ¼Ç˹ѧ â´Âá¼Å¨ÐàÃÕ§µÑÇ໚¹àÊŒ¹µÒÁ·Ò§à´Ô¹¹éÒàËÅ×ͧ áÅÐÁÕ¡ÒÃÍÑ¡àʺ¢Í§
          è é      ‹ Ô                                       í
·‹Í¹éÒàËÅ×ͧËÇÁ´ŒÇ ( ÃÙ»·Õ1)
     í                      è




                  ÃÙ»·Õè 1 ÃÍÂâäµÒÁá¹Ç·‹Í¹éíÒàËÅ×ͧ㹠sporotrichosis
àǪÈÒʵÏ·¹Âؤ 2553
          Ñ                                                                                      61

       2. .ixed form «Ö§µíÒá˹‹§¢Í§ÃÍÂâä¨ÐÍÂÙ੾ÒзÕè ÁÕä´ŒËÅÒÂÃٻẺ ઋ¹ papulonodular,
                       è                      ‹
ulcerous ËÃ×Í verrucous variant ÊíÒËÃѺ systemic form ¢Í§ sporotrichosis ¹Ñ¹ ¨ÐÁÕÃÍÂâä
                                                                             é
ã¹ËÅÒÂÍÇÑÂÇй͡¨Ò¡¼ÔÇ˹ѧ ઋ¹ ·Õ»Í´Ã‹ÇÁ¡ÑºÁÕ¢ÍÍÑ¡àʺ (arthritis) áÅÐ àÂ×ÍËØÁÊÁͧÍÑ¡àʺ
                                   è            Œ                         è Œ
(meningitis) 䴌

        ¡ÒõÃǨ·Ò§ËŒÍ§»¯Ôºµ¡ÒÃ
                          Ñ Ô
         ¡ÒõÃǨŒÍÁàª×ͨҡ˹ͧ·Õä´Œ¨Ò¡ºÒ´á¼Å ËÃ×Í¡ÒõѴªÔ¹à¹×ͨҡÃÍÂâä â´Â¨Ð¾ºÂÕʵ
                        é            è                          é é
䴌ᵋÁ¨Ò¹Ç¹¹ŒÍ áÅÐÊÒÁÒöà¾ÒÐàÅÕ§àª×Íâ´Â㪌 Sabouraud’s dextrose agar â´Â¨Ðà¡Ô´â¤âŹÕ
        Õí                             é é
¢Í§ÊÒÂÃÒ·Õè 25 C áÅÐàÁ×Íà¾ÒÐàÅÕ§àª×Í´ŒÇ Brain-heart infusion agar ·ÕͳËÀÙÁÔ 37°C ÊíÒËÃѺ¡ÒÃ
               í          è       é é                                 èØ
µÃǨªÔ¹à¹×Í·Ò§¨ØÅ¾ÂÒ¸ÔÇ·ÂҨоº¡ÒÃÍÑ¡àʺª¹Ô´á¡Ã¹ÙâÅÁÒ Ã‹ÇÁ¡ÑºÁÕ¡ÒÃÃÇÁµÑǢͧ¹ÔÇâµÃ¿Å
       é é                  Ô
áÅоºÂÕʵ ÃٻËҧÃÕ ËÃ×Í cigar-shape »¹ÍÂÙä´Œ
                                           ‹

        ¡ÒÃÃÑ¡ÉÒáÅСÒþÂҡóâä
        ÁÕ¡ÒÃ㪌ÂÒµŒÒ¹àª×ÍÃÒ àª‹¹ potassium iodide 4-6 ÁÅ.ÇѹÅÐ 3 ¤Ãѧ (4-6 ¡ÃÑÁ/Çѹ ), itraconazole
                         é                                           é
100-200 Á¡./Çѹ ËÃ×Í terbinafine 250-500 Á¡./Çѹ µÔ´µ‹Í¡Ñ¹»ÃÐÁÒ³ 3-6 à´×͹ËÇÁ¡Ñº¡ÒûÃФº
Ì͹ (local heat therapy) ÊíÒËÃѺ¡ÒõԴàª×ÍẺ¡ÃШÒÂËÅÒÂÃкº¤ÇþԨÒóÒ㪌 amphotericin
                                          é
B ·Ò§ËÅÍ´àÅ×Í´´íÒ â´ÂãËŒÂÒµ‹Íä»ÍÕ¡»ÃÐÁÒ³ 1 ÊÑ»´ÒˏËÅѧÃÍÂâäËÃ×ÍÍÒ¡Ò÷ҧ¤ÅÔ¹¡´Õ¢¹              Ô Öé
ËÃ×ÍËÒÂáÅŒÇ  (2)



2. Chromoblastomycosis (Chromomycosis)
          ໚¹âäµÔ´àª×ÍÃÒ·Õ¼Ç˹ѧªÑ¹ÅÖ¡·ÕÁ¡ÒôíÒà¹Ô¹âäàÃ×ÍÃѧâ´Âà¡Ô´¨Ò¡ ÃÒ´íÒ (dematiaceous
                       é    è Ô     é        è Õ           é
fungi) â´ÂÁѡ໚¹¡ÒõԴàª×Í੾Òзշ·ÒãËŒà¡Ô´ÃÍÂâäºÃÔàdz¼ÔÇ˹ѧ·Õ¤ÍÂæ ÅÒÁáÅТÂÒ¢¹Ò´
                             é        è Õè í                          è ‹
Í‹ҧªŒÒæ â´Â¾ºÅѡɳШíÒà¾ÒТͧàª×éÍ¡‹Íâä໚¹à«ÅŏÃÙ»¡ÅÁ ·ÕèÁÕ¼¹Ñ§Ë¹ÒÊÕ¹éíÒµÒÅËÃ×Í´íÒ
ÍÂÙ‹à´ÕèÂÇæ ËÃ×Í໚¹¡ÅØ‹ÁàÃÕÂ¡Ç‹Ò sclerotic body ËÃ×Í muriform body â´ÂÁÕÍØºÑµÔ¡Òó¢Í§âä
ã¹·ÇÕ»ÍàÁÃÔ¡Ò¡ÅÒ§, ÍàÁÃÔ¡Ò㵌, áÍ¿ÃÔ¡ÒáÅÐàÍàªÕÂ(4)

        ¾ÂÒ¸ÔÊÃÕÃÇÔ·ÂÒáÅÐÊÒà˵Ø
       àª×Í¡‹Íâä໚¹àª×ÍÃÒ´íÒ·ÕÍÂÙã¹ÊÔ§áÇ´ÅŒÍÁ (saprophytic fungi) â´Â¾ºä´Œã¹ ¹éÒ, ´Ô¹, «Ò¡¾×ª
          é             é       è ‹ è                                            í
áÅСԧäÁŒ·Çä»â´Âàª×ͨм‹Ò¹à¢ŒÒÊÙºÒ´á¼ÅáŌǡ‹ÍãËŒà¡Ô´ÃÍÂâä¢Ö¹ àª×Í·Õ¾ºº‹Í¤×Í Phialophora
     è      Ñè      é             ‹                             é é è
verrucosa, .onsecaea pedrosoi, .onsecaea compactum, Wangiella dermatitidis áÅÐ
Cladophialophora carrionii â´Âàª×éͨСÃе،¹ãËŒà¡Ô´¡ÒÃÍÑ¡àʺẺá¡Ã¹ÙâÅÁÒáÅзíÒãËŒÁÕ¡ÒÃ
˹ҵÑÇ¢Ö¹¢Í§¼ÔÇ˹ѧ㹪ѹ˹ѧ¡íҾÌÒÍ‹ҧÁÒ¡ ·ÕàÃÕÂ¡Ç‹Ò pseudoepitheliomatous hyperplasia
        é                 é                      è
62                                                                   âäàª×ÍÃÒ·Õ¼Ç˹ѧªÑ¹ÅÖ¡
                                                                           é    è Ô     é

       ÅѡɳÐÍÒ¡Ò÷ҧ¤ÅÔ¹Ô¡
       à¡Ô´ÃÍÂâäÁÑ¡à¡Ô´ºÃÔàdzµíÒá˹‹§·Õ¶¡¡ÃÐá·¡ä´ŒºÍ ઋ¹ ᢹ ¢Ò à·ŒÒ ÁÕšɳÐ໚¹»„¹
                                         è Ù             ‹                  Ñ           œ
Ë¹Ò ¼ÔÇ¢ÃØ¢ÃÐ ¤‹ÍÂæÅÒÁªŒÒæ â´Â੾ÒкÃÔàdz¢Íº¢Í§ÃÍÂâä¨Ð¤‹ÍÂæ ¢ÂÒ¡njҧÍÍ¡ 㪌àÇÅÒ
¹Ò¹à»š¹à´×͹¶Ö§à»š¹»‚ â´ÂäÁ‹ÁÍÒ¡ÒüԴ»¡µÔ͹ Áպҧʋǹ¢Í§ÃÍÂâä·ÕËÒÂä´ŒàͧáŌǡÅÒÂ໚¹
                               Õ             ×è                     è
á¼Å໚¹ (ÃÙ»·Õè 2) «Ö§¨Ò¡ÅѡɳÐÃÍÂâä´Ñ§¡Å‹ÒǵŒÍ§·íÒ¡ÒÃÇÔ¹¨©ÑÂá¡âä¨Ò¡ÃÍÂâä·Õà¡Ô´¨Ò¡àª×Í
                     è                                     Ô                   è          é
Çѳâä·ÕèÁÕÅÑ¡É³Ð¢ÃØ¢ÃÐ (tuberculosis verrucosa cutis; TVC) áÅÐÃÍÂâä·Õèà¡Ô´¨Ò¡àª×éÍ
ÁÑÂâ¤áº¤·ÕàÃÕª¹Ô´Í×¹æ (nontuberculous mycobacterial infection; NTM)
                       è




               ÃÙ»·Õè 2 ÃÍÂâä¢ÃØ¢ÃТ¹Ò´ãË­‹ã¹ chromyblastomycosis

       ¡ÒõÃǨ·Ò§ËŒÍ§»¯Ôºµ¡ÒÃ
                         Ñ Ô
        ¡ÒâٴºÃÔàdz¼ÔǢͧÃÍÂâä (skin scraping) à¾×Í仵ÃǨâ´ÂÇÔ¸Õ KOH examination ¨ÐÊÒ
                                                    è
ÁÒö¾º sclerotic bodies ËÃ×Í muriform bodies (ÃÙ»·Õè 3) ä´Œ ¡ÒõѴªÔ¹à¹×͵ÃǨ·Ò§¨ØÅ¾ÂÒ¸Ô
                                                                    é é
ÇÔ·ÂÒ ¨Ð¾º¡ÒÃà»ÅÕ¹á»Å§Ë¹ÒµÑǢͧªÑ¹Ë¹Ñ§¡íҾÌÒÍ‹ҧÁÒ¡ ËÇÁ¡ÑºÁÕ¡ÒÃÍÑ¡àʺẺá¡Ã¹ÙâÅÁÒ
                   è                é
·ÕÁà«ÅŏàÁç´àÅ×Í´¢ÒÇËÅÒª¹Ô´ â´Â੾ÒйÔÇâµÃ¿Å ໚¹ suppurative granuloma 㹪ѹ˹ѧ᷌
  è Õ                                                                           é
áÅоº sclerotic bodies »¹ÍÂÙã¹Ë‹ÍÁà¹×͵ÒÂáÅÐ㹪ѹ˹ѧ¡íҾÌÒä´Œ
                            ‹         é               é
àǪÈÒʵÏ·¹Âؤ 2553
          Ñ                                                                                 63




                      ÃÙ»·Õè 3 Sclerotic bodies ¨Ò¡ KOH examination

       ¡ÒÃÃÑ¡ÉÒáÅСÒþÂҡóâä
        ã¹ÃÍÂâ䢹ҴàÅç¡¡ÒÃÃÑ¡ÉÒËÅÑ¡¤×Í surgical excision ᵋã¹ÃÍÂâä·ÕÁ¢¹Ò´ãË­‹ÂÒËÅÑ¡
                                                                          è Õ
·Õ㪌㹡ÒÃÃÑ¡ÉÒ ¤×Í ÂÒµŒÒ¹àª×ÍÃÒª¹Ô´ÃѺ»Ãзҹઋ¹ itraconazole 200-400 Á¡./Çѹ ËÃ×Í terbinafine
  è                          é
250-500 Á¡./Çѹ ¨¹¡Ç‹ÒÃÍÂâä¨ÐËÒ«֧㪌àÇÅÒËÅÒÂà´×͹¶Ö§à»š¹»‚ ÊíÒËÃѺã¹ÃÒ·ÕÁÃÍÂâä໚¹
                                       è                                        è Õ
ºÃÔàdz¡ÇŒÒ§ÁÒ¡ ÍÒ¨¾Ô¨ÒóÒãËŒÂÒ amphotericin B (¢¹Ò´ 1 Á¡./¡¡./Çѹ) ·Ò§ËÅÍ´àÅ×Í´´íÒ
ËÇÁ¡Ñº¡ÒÃ㪌¡ÒÃÃÑ¡ÉÒâ´ÂÇԸ͹ ઋ¹ ¡Òü‹ÒµÑ´ ËÃ×Í ¡ÒÃ㪌¤ÇÒÁÌ͹ (local heat therapy) ËÃ×Í
                               Õ ×è
¤ÇÒÁàÂç¹ (cryotherapy) 㹡ÒÃÃÑ¡ÉÒÃÍÂâä䴌 ᵋ¤ÇÃàÃÔÁËÅѧ¨Ò¡ãËŒÂÒÃѺ»Ãзҹä»áÅŒÇÃÐÂÐ˹֧
                                                      è                                       è
à¹×ͧ¨Ò¡ÁÕÃÒ§ҹ¢Í§¡ÒáÃШÒ¢ͧàª×Íä»ÊÙºÃÔàdz¢ŒÒ§à¤Õ§ËÅѧ¡Òü‹ÒµÑ´ä´Œ
    è                                    é ‹                              (2,4)



3. Mycetoma (Maduromycosis, Madura foot)
       ໚¹¡ÒõԴàª×éÍàÃ×éÍÃѧ·Õè¼ÔÇ˹ѧ੾ÒзÕè à¡Ô´¨Ò¡àª×éÍÃÒ ËÃ×ͨҡ higher bacteria ¡ÅØ‹Á
actinomycetes â´Âàª×ʹѧ¡Å‹ÒǨÐÍÂÙÃÇÁ¡Ñ¹à»š¹¡ÅØÁ àÃÕÂ¡Ç‹Ò grain »Ð»¹ÍÂÙã¹à¹×ÍàÂ×Í·ÕÁ¡ÒÃÍÑ¡
                    é                 ‹            ‹                       ‹ é è è Õ
àʺ â´Â¶ŒÒà¡Ô´¨Ò¡¡ÒõԴàª×ÍÃÒ¨ÐàÃÕÂ¡Ç‹Ò eumycetoma áÅжŒÒà¡Ô´¨Ò¡¡ÒõԴàª×Í higher bacteria
                            é                                                é
·ÕÁšɳÐ໚¹àÊŒ¹ÊÒ¨ÐàÃÕÂ¡Ç‹Ò actinomycetoma â´Âã¹·Õ¹¨Ð¡Å‹ÒǶ֧ eumycetoma ໚¹ËÅÑ¡
  è ÕÑ                                                      è Õé

       ÊÒà˵ØáÅÐàª×Í¡‹Íâä
                   é
         à¡Ô´¨Ò¡àª×ÍÃÒ·ÕÍÂÙ㹸ÃÃÁªÒµÔ ã¹´Ô¹ 㹾ת â´Âà¡Ô´¡ÒõԴàª×ͼ‹Ò¹·Ò§¼ÔÇ˹ѧµÒÁËÅѧ
                   é     è ‹                                        é
penetrating injury àª×ÍÃÒ¡‹Íâä໚¹ä´Œ·§ª¹Ô´ÃÒäÁ‹ÁÊÕ (hyaline fungi) «Ö§ grain ¨Ð໚¹ÊÕ´Ò «Ö§
                       é               Ñé         Õ                    è                í è
¨íÒ໚¹µŒÍ§à¾ÒÐàª×Íà¾×Í¡ÒèíÒṡª¹Ô´¢Í§ÃÒ áµ‹·¾ºà»š¹ÊÒà˵Øä´ŒºÍ ¤×Í Madurella mycetomatis
                  é è                         Õè                ‹

       ÅѡɳÐÍÒ¡Ò÷ҧ¤ÅÔ¹Ô¡
       Eumycetoma ÁÕ¡ÒôíÒà¹Ô¹âäẺ¤‹ÍÂ໚¹¤‹ÍÂä» ÃÍÂâä¨ÐâµÍ‹ҧªŒÒæ áÅÐÁÕšɳÐ
                                                                             Ñ
·Ò§¤ÅÔ¹¡·ÕÊҤѭ 3 »ÃСÒà (ÃÙ»·Õè 4) ¤×Í
       Ô èí
64                                                                   âäàª×ÍÃÒ·Õ¼Ç˹ѧªÑ¹ÅÖ¡
                                                                           é    è Ô     é

         1. ÃÍÂâäÅѡɳÐ໚¹¡ŒÍ¹ (tumefaction)
         2. à¡Ô´ÃÙ·ÐÅØÁ˹ͧÍÍ¡ÁÒ·ÕºÃÔàdz¼ÔǢͧÃÍÂâä (sinus drainage)
                       Õ           è
         3. µÃǨ¾º¡ÅØÁ¢Í§ÊÒÂÃÒ (grains) »¹ÁҡѺ˹ͧ¨Ò¡ÃÙᵡ·ÐÅØ
                         ‹
         ÃÍÂâäÁÑ¡¾ºä´Œº‹Í·ÕèºÃÔàdz à·ŒÒ, ¢Ò ËÃ×ÍÁ×Í «Öè§à»š¹µíÒá˹‹§·Õèà¡Ô´ºÒ´á¼Åä´Œº‹ÍÂ
ã¹ÃÍÂâä·Õ໚¹¹Ò¹æ ¨ÐÁÕ¡ÒÃÅÒÁä»·Õ¡Ãд١à¡Ô´à»š¹ osteomyelitis «Ö§¹íÒä»ÊÙ¤ÇÒÁ¾Ô¡ÒÃä´Œ ¼Ù»ÇÂ
            è                        è                           è       ‹             Œ †
ÁÑ¡äÁ‹ÁÍÒ¡ÒÃà¨çº ¹Í¡¨Ò¡¨ÐÁÕ¡ÒÃᵡ໚¹á¼Å·ÕºÃÔàdz¼ÔÇ˹ѧ«Ö§·íÒãËŒ¼»ÇÂÁÕÍÒ¡ÒÃà¨çºä´Œ
       Õ                                     è               è      ÙŒ †              (1,3)




                        ÃÙ»·Õè 4 Åѡɳзҧ¤ÅÔ¹Ô¡¢Í§ mycetoma

       ¡ÒõÃǨ·Ò§ËŒÍ§»¯Ôºµ¡ÒÃ
                         Ñ Ô
        ÊÒÁÒöµÃǨ¾º grain ·Õ»¹ÍÂÙã¹Ë¹Í§ºÃÔàdzÃÙແ´¢Í§á¼Å¨Ò¡µíÒá˹‹§ÃÍÂâä «Ö§ÊÒÁÒö
                             è     ‹                                          è
àËç¹ä´Œ´ÇµÒà»Å‹ÒáÅжŒÒ¹íÒä»´Ù´Ç¡Ōͧ¨ØÅ·ÃÃȹ ¡ç¨ÐàËç¹¡ÅØÁ¡ŒÍ¹¢Í§ÊÒÂÃÒ ¡ÒõÃǨªÔ¹à¹×Í
        Œ                        Œ                         ‹                      é é
¨Ò¡ºÃÔàdzÃÍÂâä à¾×Í´Ùšɳзҧ¨ØÅ¾ÂÒ¸ÔÇ·ÂҨоº grain »¹ÍÂÙã¹Ê‹Ç¹¢Í§à¹×͵Ò ·ÕÁ¡ÒÃ
                    è Ñ                   Ô                       ‹        é       è Õ
ÍÑ¡àʺẺá¡Ã¹ÙâÅÁÒËÇÁ¡ÑºÁÕ¹ÇâµÃ¿ÅÁÒÃÇÁ¡Ñ¹ (ÃÙ»·Õè 5) áÅÐÁÕ¾§¼×´ÅŒÍÁÃͺºÃÔàdz·ÕÁ¡ÒÃ
                               Ô                                Ñ                è Õ
ÍÑ¡àʺ㹪ѹ˹ѧ᷌ â´Â¨ÐàËç¹ÊÒÂÃҪѴਹ¨Ò¡¡ÒÃÂŒÍÁ H&E áÅÐÊÒÁÒöŒÍÁ¾ÔàÈÉ´ŒÇ GMS
          é
à¾×ÍáÊ´§ÊÒÂÃÒä´Œª´à¨¹¢Ö¹ ¡ÒÃà¾ÒÐàª×ͨЪ‹ÇÂ㹡ÒèíÒṡÊÒ¾ѹ¸Ø¢Í§àª×ÍÃÒ¡‹Íâä
   è              Ñ     é            é                               é




         ÃÙ»·Õè 5 ÅÑ¡É³Ð¡ÅØ‹Á¢Í§ÊÒÂÃÒ (grain) ·ÕèµÃǨ¾ºã¹ÃÍÂâä;H&E x 100
àǪÈÒʵÏ·¹Âؤ 2553
          Ñ                                                                                                  65

         ¡ÒÃÃÑ¡ÉÒáÅСÒþÂҡóâä
         ¡ÒÃãËŒÂÒµŒÒ¹àª×ÍÃÒª¹Ô´ÃѺ»Ãзҹઋ¹ itraconazole ËÃ×Í terbinafine ËÇÁ¡Ñº surgical
                        é
debridement ¶×Í໚¹¡ÒÃÃÑ¡ÉÒËÅÑ¡¶Ö§áÁŒ¡Òõͺʹͧµ‹ÍÂÒµŒÒ¹àª×ÍÃÒ¨ÐäÁ‹´¹¡ ᵋ¨Ðª‹ÇªÐÅÍ
                                                              é          Õ Ñ
¡ÒôíÒà¹Ô¹âäŧ䴌 ¡Òü‹ÒµÑ´ amputation ã¹ÃÒ·ÕÃÍÂâäÁÕºÃÔàdz¡ÇŒÒ§ËÃ×ÍäÁ‹µÍºÊ¹Í§µ‹Í¡ÒÃ
                                                 è
ÃÑ¡ÉÒ´ŒÇÂÂÒÃѺ»ÃзҹËÃ×ÍÁÕÀÒÇÐ osteomyelitis ËÇÁ´ŒÇÂ໚¹¡ÒÃÃÑ¡ÉÒ·Õ໚¹ definitive treatment
                                                                    è
ᵋ¼»ÇÂÁÑ¡»¯Ôàʸ¡ÒÃÃÑ¡ÉÒ´ŒÇÂÇÔ¸¹áÅÐàÅ×Í¡·Õ¨ÐÃѺ»ÃзҹÂÒµ‹Íà¹×ͧ໚¹ÃÐÂÐàÇÅÒ¹Ò¹
    ÙŒ †                          Õ Õé      è                   è

4. Phaeohyphomycosis (Phaeomycotic cyst)
           ໚¹¡ÒõԴàª×éÍÃÒ·Õè¼ÔÇ˹ѧ·Õ辺䴌äÁ‹º‹Í «Öè§ÁÕÍÒ¡ÒÃ໚¹«ÕʵàÃ×éÍÃѧ·Õè¼ÔÇ˹ѧ (ÃÙ»·Õè 6)
â´Âàª×éÍ¡‹Íâäà¡Ô´¨Ò¡ÃÒ´íÒ (dematiaceous fungi) àª×éÍ·Õ辺໚¹ÊÒà˵Øä´Œº‹Í¤×Í Exophiala
jeanselmei áÅÐ Wangiella dermatitidis ¾º¡ÒõԴàª×Íä´Œã¹á¶ºÀÙÁÀÒ¤·ÕÁÍÒ¡ÒÈÌ͹ª×¹ ¨Ðà¡Ô´
                                                           é           Ô      è Õ                 é
¡ÒõԴàª×Íä´Œ·§ã¹¼Ù»Ç·ÕÁÀÁ¤Á¡Ñ¹à»š¹»¡µÔ ËÃ×ͼٻÇ·ÕÁÀÁ¤Á¡Ñ¹µèÒ¡çä´Œ ¡ÒÃÇÔ¹¨©ÑÂâäÁÑ¡·íÒ
            é    Ñé Œ † è Õ Ù Ô ØŒ                    Œ † è Õ Ù Ô ØŒ       í            Ô
ä´Œ¨Ò¡¡ÒõѴ¼ÔÇ˹ѧºÃÔàdzÃÍÂâäÁÒµÃǨ «Ö§Åѡɳзҧ¨ØÅ¾ÂÒ¸ÔÇ·ÂÒ ¨Ð¾º«Õʵ·Á¼¹Ñ§Ë¹Ò
                                                 è                       Ô                    Õè Õ
ºÃÔàdz¼¹Ñ§»ÃСͺ´ŒÇ¡ÒÃÍÑ¡àʺª¹Ô´á¡Ã¹ÙâÅÁÒ ·ÕÁÊÒÂÃÒÊѹæ·ÕÁʹҵÒÅ»¹ÍÂÙáÅÐÅŒÍÁÃͺ
                                                         è Õ     é è Õ Õ éí               ‹
´ŒÇ fibrous capsule ´ŒÒ¹¹Í¡ (ÃÙ»·Õè 7.1 áÅÐ 7.2) â´Â¼Ù»ÇÂÁÑ¡äÁ‹ÁÍÒ¡ÒÃã´æ ÃÒª¹Ô´äÁ‹ÁÊÕ (hyaline
                                                          Œ †        Õ                          Õ
fungi) ¡çÊÒÁÒö¡‹Íâäã¹ÅѡɳÐà´ÕÂǡѹ䴌àÃÕÂ¡Ç‹Ò hyalohyphomycotic cyst ¡ÒÃÃÑ¡ÉÒ¤×Í¡ÒÃ
¼‹ Ò µÑ ´ ÃÍÂâäÍÍ¡¨Ò¡Ã‹ Ò §¡Ò ÁÕ Ã Ò§ҹ¢Í§¡ÒáÅÑ º ໚ ¹ «éí Ò ä´Œ ã ¹¼ÙŒ »† Ç Â·Õè ÁÕ ÀÙ ÁÔ ¤ØŒ Á ¡Ñ ¹ µèí Ò
(immunocompromised host)




                   ÃÙ»·Õè 6 ÃÍÂâä໚¹«ÕµÊãµŒ¼ÔÇ˹ѧ㹠phaeohyphomycosis
66                                                                     âäàª×ÍÃÒ·Õ¼Ç˹ѧªÑ¹ÅÖ¡
                                                                             é    è Ô     é




                    ÃÙ»·Õè 7.1 cystic-like lesion 㹪ѹ˹ѧ᷌ (H&E x 10)
                                                      é




               ÃÙ»·Õè 7.2 ÊÒÂÃÒ㹫ÑÂâµ¾ÅÒÊ«ÖÁ¢Í§ giant cell (PAS x 400)

5. Subcutaneous Zygomycosis (Entomophtoromycosis,
Basidiobolomycosis áÅÐ Conidiobolomycosis)
         ໚¹ tropical subcutaneous mycosis ·Õ¾ºäÁ‹ºÍ «Ö§ÁÕ¡ÒâÂÒ¢ͧÃÍÂâäÍ‹ҧªŒÒæ
                                                    è    ‹       è
·íÒãËŒà¡Ô´¡ÒúÇÁ໚¹´Ò¹á¢ç§ºÃÔàdz¼ÔÇ˹ѧ·ÕÁ¡ÒõԴàª×Í «Ö§àª×Í¡‹Íâäẋ§ä´Œà»š¹ 2 ¡ÅØÁãË­‹ ¤×Í
                                              è Õ       é è é                        ‹
Basidiobolus ranarum â´ÂÁÑ¡¡‹Íâäã¹à´ç¡ ÃÍÂâäÁѡ໚¹·ÕèºÃÔàdzᢹ ¢Ò ËÃ×ÍÅíÒµÑÇ ¤‹ÍÂæ
ÅÒÁÍ‹ҧªŒÒæ ·íÒãËŒ¼Ç˹ѧ໚¹´Ò¹á¢ç§ àÃÕ¡ wooden cellulitis (ÃÙ»·Õè 8) áÅÐÁÕá¼ÅᵡÍÍ¡ÊÙÀÒÂ
                      Ô                                                                   ‹
¹Í¡ä´Œ àª×Í¡‹ÍâäÍÕ¡ª¹Ô´¤×Í Conidiobolus coronatus «Ö§ÁÑ¡¡‹Íâä㹼ÙãË­‹ â´ÂÃÍÂâäÁÑ¡à¡Ô´ºÃÔàdz
           é                                          è             Œ
â¾Ã§¨ÁÙ¡ áŌǤ‹ÍÂæ ÅÒÁä»ÂѧºÃÔàdzãºË¹ŒÒ ·íÒãËŒà¡Ô´ÅѡɳÐ˹ŒÒºÇÁá¢ç§ áÅзíÒãËŒà¡Ô´¡ÒÃ
¼Ô´ÃÙ»¢Í§ãºË¹ŒÒ ¨ÁÙ¡áÅлҡ «Ö§àª×Í¡‹Íâä·Ñ§ 2 ª¹Ô´¹Õé ໚¹àª×ÍÃÒ·ÕÍÂÙµÒÁ¸ÃÃÁªÒµÔ (saprophyte)
                               è é          é                é     è ‹
ã¹´Ô¹ ¹éÒ «Ò¡¾×ª áÅÐáÁŧºÒ§ª¹Ô´ áÅÐࢌÒÊÙ¼Ç˹ѧ·Ò§ traumatic inoculation ¡ÒÃÇÔ¹¨©ÑÂâä
         í                                      ‹ Ô                                    Ô
¨íÒ໚¹µŒÍ§·íÒ skin biopsy ¨Ò¡ÃÍÂâä仵ÃǨ·Ò§¨ØÅ¾ÂÒ¸ÔÇ·ÂÒáÅзíÒ¡ÒÃà¾ÒÐàª×ͨҡà¹×ÍàÂ×Í
                                                               Ô                 é       é è
à¾×ͨíÒṡàª×Í·Õ໚¹ÊÒà˵صÍä»
   è          é è           ‹   (1,6)
àǪÈÒʵÏ·¹Âؤ 2553
          Ñ                                                                                                  67




               ÃÙ»·Õè 8 ÅѡɳÐÃÍÂâä·Õ赌¹á¢¹ã¹ subcutaneous zygomycosis

        Åѡɳзҧ¨ØÅ¾ÂÒ¸ÔÇ·ÂҨоº¡ÒÃÍÑ¡àʺẺá¡Ã¹ÙâÅÁÒ·ÕÁà«Åŏª¹Ô´ÍÕâÍÊÔ⹿Å »¹ÍÂÙ‹
                               Ô                                   è Õ
໚¹¨íҹǹÁÒ¡ áÅШоºÊÒÂÃÒ¢¹Ò´ãË­‹ª¹Ô´äÁ‹Á¼¹Ñ§¡Ñ¹ (broad nonseptate hyphae) ·ÕÁÕ refractile
                                                   Õ    é                     è
eosinophilic material ÅŒÍÁÃͺÍÂÙ‹ ·ÕàÃÕÂ¡Ç‹Ò Splendore-Hoeppli phenomenon
                                    è
        âä¹ÕÁ¡µÍºÊ¹Í§´ÕµÍ¡ÒÃÃÑ¡ÉÒÂÒµŒÒ¹àª×ÍÃÒª¹Ô´ÃѺ»Ãзҹઋ¹ itaconazole 100 – 200
             é Ñ             ‹                       é
Á¡./Çѹ ¹Í¡¨Ò¡¹Õ§ÊÒÁÒöÃÑ¡ÉÒ´ŒÇÂÂÒ cotrimoxazole áÅÐ potassium iodide «Ö§ÁÕÃÒ§ҹ¡ÒÃ
                  é Ñ                                                     è
µÍºÊ¹Í§¤‹Í¹¢ŒÒ§´Õ     (5,6)



àÍ¡ÊÒÃ͌ҧÍÔ§
1.   Rivitti AE, Aoki V. Deep fungal infection in tropical countries. Clin in Dermatol. 1999; 17: 171-90.
2.   Koga T, Matsuda T, Matsumoto T, Masutaka .. Therapeutic approaches to subcutaneous mycoses. Am J Clin
     Dermatol. 2003; 4: 5537-43.
3.   Queiroz-Telles ., McGinnis MR, Salkin I, Graybill JR. Subcutaneosu mycoses. Infect Dis Clin N Am. 2003; 17:
     59-85.
4.   Queiroz-Telles ., Esterre P, Peres-Blanco M, Vitale RG, Salgado CG, Bonifaz A. Chromoblastomycosis: an
     overview of clinical manifestations, diagnosis and treatment. Med Mycol. 2009; 47: 3-15.
5.   Restrepo A. Treatment of tropical mycoses. J Am Acad Dermatol. 1994; 31: S91-102.
6.   Skiada A, Petrikkos G. Cutaneous zygomycosis. Clin Microbiol Infect. 2009; 15: 41-5.
àǪÈÒʵÏ·¹Âؤ 2553
          Ñ                                                                          º··Õè         69

                                                                                      10
          ¡ÒÃà¡Ô´»¯Ô¡ÔÃÔÂÒÃÐËNjҧÂÒ·ÕèÁÕ¤ÇÒÁÊíҤѭ·Ò§¤ÅÔ¹Ô¡
              (Clinically Significant Drug Interactions)
                                       ¼ÙªÇÂÈÒʵÃÒ¨ÒÏ ᾷ˭ԧÊÁÄ´Õ ©ÑµÃÊÔÃà¨ÃÔ­¡ØÅ
                                         Œ ‹                                  Ô
                         ÀÒ¤ÇÔªÒàÀÊѪÇÔ·ÂÒ ¤³Ðá¾·ÂÈÒʵÏÈÃÃÒª¾ÂÒºÒÅ ÁËÒÇÔ·ÂÒÅÑÂÁËÔ´Å
                                                         ÔÔ

        »˜¨¨Øº¹¹Õ¤ÇÒÁ¡ŒÒÇ˹ŒÒ´ŒÒ¹¡ÒÃᾷáÅÐÊÒ¸ÒÃ³ÊØ¢à¾ÔÁ¢Ö¹Í‹ҧÃÇ´àÃçÇ ¡ÒÃÇÔ¹¨©ÑÂâä
               Ñ é                                                è é                          Ô
áÅСÒÃÃÑ¡ÉÒ¼Ù»ÇÂÁÕ»ÃÐÊÔ·¸ÔÀÒ¾·Õ´¢¹ ·íÒãËŒÍÒÂØà©ÅÕ¢ͧ¤¹àÃÒÂÒǹҹÁÒ¡¢Ö¹ÂÒãËÁ‹æ ·Õ䴌ú
                 Œ †                è Õ Öé              è                           é            è Ñ
¡ÒþѲ¹Ò¢Ö¹ÁÒ¶Ù¡¹íÒÁÒ㪌à¾ÔÁÁÒ¡¢Ö¹ âÍ¡ÒÊ·Õ¼»Ç¨Ð䴌úÂÒËÅÒª¹Ô´Ã‹ÇÁ¡Ñ¹¨Ö§à¾ÔÁÁÒ¡¢Ö¹
             é                 è       é         è ÙŒ †       Ñ                            è       é
´Ñ§¹Ñ¹ÃÒ§ҹ¡ÒÃà¡Ô´»¯Ô¡ÃÂÒÃÐËNjҧÂÒ¨Ö§ÁÕÁÒ¡¢Ö¹ ÃÇÁ¶Ö§ÂÒºÒ§¢¹Ò¹¶Ù¡¶Í´ÍÍ¡¨Ò¡·ŒÍ§µÅÒ´
     é                   ÔÔ                        é
à¹×ͧ¨Ò¡¡Ò÷ÕÂҹѹÁÕâÍ¡ÒʷըзíÒãËŒà¡Ô´à˵ءÒóäÁ‹¾§»ÃÐʧ¤·Ã¹áç¨Ò¡¡ÒÃ㪌Âҹѹ
   è            è é          è                            Ö            Õè Ø                  é
        àÁ×ÍÁÕ¡ÒúÃÔËÒÃÂÒËÇÁ¡Ñ¹µÑ§áµ‹ 2 ª¹Ô´¢Ö¹ä»¨ÐÁÕâÍ¡ÒÊ·Õ¨Ðà¡Ô´»¯Ô¡ÃÂÒÃÐËNjҧÂÒ ´Ñ§¹Ñ¹
           è                      é            é                     è         ÔÔ                    é
ᾷ¼ÙŒÃÑ¡ÉÒ¨Ö§µŒÍ§ÁÕ¤ÇÒÁÃÐÁÑ´ÃÐÇѧàÁ×èÍ㪌ÂÒËÅÒ¢¹Ò¹Ã‹ÇÁ¡Ñ¹ ¼ÙŒ»†ÇºҧÃÒ·Õè仾ºá¾·Â
ÁÒ¡¡Ç‹Ò 1 ·‹Ò¹ËÃ×ÍÁÒ¡¡Ç‹Ò 1 âç¾ÂÒºÒÅ ÍÒ¨à¡Ô´»˜­ËÒ䴌úÂÒ«éÒ«ŒÍ¹¡Ñ¹Ã‹ÇÁ´ŒÇ à¹×ͧ¨Ò¡á¾·Â
                                                            Ñ      í                   è
ËÃ×ÍàÀÊѪ¡Ãàͧ¤§äÁ‹ÊÒÁÒö·Õè¨Ð¨´¨íÒ¡ÒÃà¡Ô´»¯Ô¡ÔÃÔÂÒÃÐËNjҧÂÒ·Õèà¡Ô´¢Öé¹ä´Œ·Ñé§ËÁ´ »˜¨¨ØºÑ¹
¨Ö§ÁÕ¡ÒþѲ¹Òâ»Ãá¡ÃÁ¤ÍÁ¾ÔÇàµÍÏÊÒàÃç¨ÃÙ»·Õ¨Ðª‹Çº͡NjÒÂÒã´ÁÕ»¯Ô¡ÃÂÒµ‹Í¡Ñ¹ «Ö§¨ÐÊÒÁÒö
                                         í   è                              ÔÔ           è
ª‹ÇÂᾷáÅÐàÀÊѪ¡Ãä´Œã¹ÃдѺ˹Öè§ áµ‹ËÅÒ·‹Ò¹·Õèà¤Â㪌â»Ãá¡ÃÁàËŋҹÕé¨Ð¾ºÇ‹ÒÁÕ¡ÒÃÃкØ
»¯Ô¡ÔÃÔÂÒÃÐËNjҧÂÒ·ÕèÊÒÁÒöà¡Ô´¢Öé¹ä´ŒÁÒ¡ÁÒ ÊÔè§ÊíҤѭ¤×ͤÇèеŒÍ§¾Ô¨ÒóÒNjһ¯Ô¡ÔÃÔÂÒ
´Ñ§¡Å‹ÒǹÑé¹ÁÕ¤ÇÒÁÊíҤѭ·Ò§¤ÅÔ¹Ô¡ËÃ×ÍäÁ‹ ¨ÐÊ‹§¼Å¡Ãзºµ‹Í¼ÙŒ»†ÇÂÍ‹ҧäà ¤ÇÒÁÃØ¹áç´Ñ§¡Å‹ÒÇ
ÁÒ¡¹ŒÍÂà¾Õ§㴠µŒÍ§ÁÕ¡ÒÃà»ÃÕºà·Õº»ÃÐ⪹áÅФÇÒÁàÊÕ§·ÕÍÒ¨¨Ðà¡Ô´¢Ö¹Ç‹ÒÊÔ§ã´¤ØÁ¤‹ÒËÃ×Í
                                                                è è               é   è Œ
àËÁÒÐÊÁ¡Ç‹Ò

¡ÒÃà¡Ô´»¯Ô¡ÃÂÒÃÐËNjҧÂÒ (Drug interactions)
           ÔÔ
        ¡ÒÃà¡Ô´»¯Ô¡ÃÂÒÃÐËNjҧÂÒàÁ×;ԨÒóҵÒÁ¤Ø³ÊÁºÑµ·Ò§àÀÊѪÇÔ·ÂÒ¨ÐÊÒÁÒöẋ§¡Åä¡
                     ÔÔ              è                  Ô
¡ÒÃà¡Ô´Ç‹Òà¡Ô´¨Ò¡¤Ø³ÊÁºÑµ·Ò§àÀÊѪ¨Å¹ÈÒʵÏ (Pharmacokinetic Interaction) ËÃ×ͨҡ¤Ø³ÊÁºÑµÔ
                            Ô
·Ò§àÀÊѪ¾ÅÈÒʵÏ (Pharmacodynamic Interaction)
        ¡Ãкǹ¡Ò÷ҧàÀÊѪ¨Å¹ÈÒʵϹÑé¹»ÃСͺ´ŒÇ 4 ¡Ãкǹ¡ÒÃËÅÑ¡ 䴌ᡋ ¡Òôٴ«ÖÁ
(absorption) ¡ÒáÃШÒÂÂÒ (distribution) ¡ÒÃà»ÅÕè¹á»Å§ÂÒ (metabolism) áÅСÒâ¨Ñ´ÂÒ
(elimination or excretion) «Ö§·Ø¡¡Ãкǹ¡ÒÃÊÒÁÒöà¡Ô´»¯Ô¡ÃÂÒÃÐËNjҧÂÒä´Œ·§ÊÔ¹
                              è                         ÔÔ               Ñé é
70                                             ¡ÒÃà¡Ô´»¯Ô¡ÃÂÒÃÐËNjҧÂÒ·ÕÁ¤ÇÒÁÊíҤѭ·Ò§¤ÅÔ¹¡
                                                          ÔÔ            è Õ               Ô

¡ÒÃà¡Ô´»¯Ô¡ÔÃÔÂÒÃÐËNjҧÂÒ¨Ò¡¡Ãкǹ¡Òôٴ«ÖÁÂÒ
(Absorption interactions)
         à¹×ͧ¨Ò¡¡Ò÷ռ»ÇµŒÍ§ºÃÔËÒÃÂÒËÅÒª¹Ô´¾ÃŒÍÁ¡Ñ¹ ÍҨʋ§¼Å¡Ãзºµ‹Í¡Òôٴ«ÖÁÂÒä´Œ
            è             è ÙŒ †
µÑÇÍ‹ҧ·ÕèªÑ´à¨¹ ઋ¹ ÂÒ»¯ÔªÕǹÐã¹¡ÅØ‹Á fluoroquinolone ËÒ¡ÃѺ»Ãзҹ¡ÑºÂÒºÒ§ª¹Ô´·ÕèÁÕ
ͧ¤»ÃСͺ¢Í§»ÃШغǡ (cation) ઋ¹ .e2+, Ca2+, Al3+ ÍÒ¨¨Ð¨ÑºµÑǡѹ (chelation) áÅж١¢ÑºÍÍ¡
¨Ò¡Ã‹Ò§¡Ò â´Â·ÕäÁ‹¶¡´Ù´«ÖÁࢌÒÊÙÃÒ§¡Ò ʋ§¼ÅãËŒ¡ÒÃÃÑ¡ÉÒÍÒ¡ÒõԴàª×ÍäÁ‹ä´Œ¼Å ¨¹ÍҨʋ§¼ÅàÊÕÂ
                    è Ù            ‹‹                               é
µ‹Í¼Ù»ÇÂä´Œ ¹Í¡¨Ò¡¹Ñ¹ÂÒºÒ§ª¹Ô´·íÒãËŒ¡ÒÃà¤Å×͹äËǢͧ·Ò§à´Ô¹ÍÒËÒÃŴŧ ઋ¹ÂÒᡌ»Ç´¡ÅØÁ
     Œ †                é                     è                                            ‹
opioids ·íÒãËŒÂÒºÒ§ª¹Ô´µ¡¤ŒÒ§ÍÂً㹡ÃÐà¾ÒÐÍÒËÒùҹ 㪌àÇÅÒ㹡ÒÃà¤Å×è͹·Õèä»ÂѧÅíÒäÊŒàÅç¡
«Ö§à»š¹ºÃÔàdz·Õ¶¡´Ù´«ÖÁä´ŒªÒ ¡Ç‹ÒÂÒ¨ÐࢌÒÊÙÃÒ§¡ÒÂáÅÐä´Œ¼Å¡ÒÃÃÑ¡ÉÒ¡ç¨ÐªŒÒµÒÁä»´ŒÇÂ
  è             è Ù              Œ         ‹‹

¡ÒÃà¡Ô´»¯Ô¡ÔÃÔÂÒÃÐËNjҧÂÒ¨Ò¡¡Ãкǹ¡ÒáÃШÒÂÂÒ
(Distribution interactions)
         ÁÑ¡¨Ðà¡Ô´¢Ö¹¡ÑºÂÒ·ÕÁ¤³ÊÁºÑµ¨º¡Ñºâ»ÃµÕ¹ÊÙ§ ÂÒ·ÕÁ¤ÇÒÁÊÒÁÒö㹡ÒèѺ¡Ñºâ»ÃµÕ¹ä´Œ
                    é       è Õ Ø        ÔÑ                 è Õ
ÁÒ¡¨Ðä»á‹§¨Ñº¡Ñºâ»ÃµÕ¹ ¨¹ÍÒ¨·íÒãËŒÂÒÍ×è¹·ÕèÁÕ¤ÇÒÁáç㹡ÒèѺ¡Ñºâ»ÃµÕ¹·ÕèµèíÒ¡Ç‹ÒÍÂÙ‹ã¹ÃÙ»
ÍÔÊÃÐÁÒ¡¢Ö¹ (free form) ¨Ö§Í͡ķ¸Ôä´ŒÁÒ¡¢Ö¹ ËÃ×ÍÍÒ¨à¡Ô´¾ÔɨҡÂÒä´Œ§Ò¢ֹ´ŒÇ 㹡óչ¨§¤ÇÃ
            é                       ì       é                          ‹ é                Õé Ö
ãËŒ¤ÇÒÁÊíҤѭ¡ÑºÂÒ·ÕèÁդسÊÁºÑµÔ¨Ñº¡Ñºâ»ÃµÕ¹·ÕèÁÒ¡¡Ç‹ÒÃŒÍÂÅÐ 95 ¢Öé¹ä» áÅÐ໚¹ÂÒ·ÕèÁմѪ¹Õ
¡ÒÃÃÑ¡ÉÒ᤺ (narrow therapeutic index) µÑÇÍ‹ҧ¡ÒÃà¡Ô´»¯Ô¡ÃÂÒ¹Õé ઋ¹ ¡Ò÷ռ»Ç·Õ䴌úÂÒ
                                                                  ÔÔ            è ÙŒ † è Ñ
warfarin ໚¹»ÃШíÒ áÅÐÊÒÁÒö¤Çº¤ØÁÃдѺ INR ä´Œ´Õ µ‹ÍÁÒ䴌úÂÒã¹¡ÅØÁ NSAIDs «Ö§ÁÕ¤³ÊÁºÑµÔ
                                                                Ñ       ‹             è Ø
ä»á‹§¨Ñº¡Ñºâ»ÃµÕ¹ä´Œ´Õ ·íÒãËŒ warfarin Í͡ķ¸Ôä´ŒÁÒ¡¢Ö¹ ¤‹Ò INR à¾ÔÁÁÒ¡¢Ö¹à¡Ô´âÍ¡ÒÊ·Õ¨ÐÁÕàÅ×Í´
                                               ì       é             è    é             è
Í͡䴌§Ò¢ֹ
        ‹ é

µÒÃÒ§·Õè 1 áÊ´§ÂÒ·ÕÁ¤³ÊÁºÑµ¨º¡Ñºâ»ÃµÕ¹ÊÙ§ (>95%) (1)
                   è Õ Ø   Ô Ñ
 ª×èÍÂÒ                                  ¤ÇÒÁÊÒÁÒö㹡ÒèѺ¡Ñºâ»ÃµÕ¹ (%)
 Amitriptyline                                             96
 Chlopromazine                                             96
 Diazepam                                                  97
 .urosemide                                                99
 Glybenclamide                                             95
 Ibuprofen                                                 99
 Indomethacin                                              97
 Ketoconazole                                              99
 Thyroxine                                                 99
 Warfarin                                                  99.5
àǪÈÒʵÏ·¹Âؤ 2553
          Ñ                                                                                     71

¡ÒÃà¡Ô´»¯Ô¡ÔÃÔÂÒÃÐËNjҧÂÒ¨Ò¡¡Ãкǹ¡ÒÃà»ÅÕè¹á»Å§ÂÒ
(Metabolism interactions)
          ¡Ãкǹ¡ÒÃà»ÅÕ¹á»Å§ÂÒ໚¹¡Ãкǹ¡Ò÷ÕÍÒ¨·íÒãËŒà¡Ô´»¯Ô¡ÃÂÒ·Õ¾ºä´Œ¤Í¹¢ŒÒ§º‹ÍÂáÅÐ
                       è                                  è           ÔÔ è         ‹
ÁÕ¡ÒÃÈÖ¡ÉÒ¤‹Í¹¢ŒÒ§ÁÒ¡ã¹»˜¨¨Øº¹ â´Â੾ÒÐÂÒ·ÕÁ¡ÒÃà»ÅÕ¹á»Å§â´ÂÍÒÈÑÂà͹ä«Á cytochrome
                                   Ñ             è Õ            è
P450 ã¹»˜¨¨Øº¹¡ÒþѲ¹ÒÂÒãËÁ‹¹¹Áբ͡íÒ˹´ãËŒ·Ò¡ÒÃÈÖ¡ÉҤسÊÁºÑµ¢Í§ÂÒãËÁ‹·à¡ÕÂÇ¢ŒÍ§¡Ñº
               Ñ                       Ñé Œ             í                  Ô           Õè è
Ãкºà͹ä«Á¹â´ÂÅÐàÍÕ´¡‹Í¹ à¹×ͧ¨Ò¡ÁÕ¤ÇÒÁ¨íÒ໚¹Ç‹ÒÂҴѧ¡Å‹ÒÇÍÒ¨·íÒãËŒà¡Ô´»¯Ô¡ÃÂÒÃÐËNjҧ
                 Õé                  è                                                   ÔÔ
ÂÒàÁ×Í㪌ÃÇÁ¡ÑºÂÒÍ×¹æ ã¹·Ò§¤ÅÔ¹¡¹Ñ¹á¾·Â¤ÇÃÃÐÁÑ´ÃÐÇѧ¡ÒÃ㪌ÂÒ·ÕÁ¤³ÊÁºÑµà»š¹ enzyme
       è ‹          è                    Ô é                              è Õ Ø      Ô
inducer ËÃ×Í enzyme inhibitor ·Õ໚¹µÑÇËÅÑ¡ (major) ËÃ×Í·Õà¤ÂÁÕÃÒ§ҹNjҷíÒãËŒà¡Ô´»¯Ô¡ÃÂÒÃÐËNjҧ
                                 è                            è                          ÔÔ
ÂÒ·ÕÁ¤ÇÒÁÃØ¹áç à͹ä«Á·Á¤ÇÒÁÊíҤѭ·Õ㪌㹡ÒÃà»ÅÕ¹á»Å§ÂÒ㹤¹ ઋ¹ CYP3A4, CYP2D6,
      è Õ                   Õè Õ              è             è
CYP3C19 ໚¹µŒ¹ µÑÇÍ‹ҧ¡ÒÃà¡Ô´»¯Ô¡ÃÂÒ·ÕÊҤѭઋ¹¡ÒÃ㪌ÂÒ¡ÅØÁ HMGCoA reductase inhibitor
                                           ÔÔ èí                    ‹
(¡ÅØÁ statins) ºÒ§ª¹Ô´ ઋ¹ simvastatin, atorvastatin ¡ÑºÂÒã¹¡ÅØÁ fibrates «Ö§ÁÕ¡ÒÃà»ÅÕ¹á»Å§
    ‹                                                             ‹             è           è
ÂÒ¼‹Ò¹ enzyme CYP3A4 ઋ¹à´ÕÂǡѹ ÍÒ¨·íÒãËŒ¼»ÇÂà¡Ô´ÀÒÇСŌÒÁà¹×ÍÊÅÒ (rhabdomyolysis)
                                                   ÙŒ †                 é
¡ÒÃ㪌ÂÒ·Ò§¨ÔµàǪËÅÒª¹Ô´Ã‹ÇÁ¡Ñ¹ «Öè§ÁÑ¡¨Ð㪌 CYP 2D6 㹡ÒÃà»ÅÕè¹á»Å§ÂÒઋ¹à´ÕÂǡѹ
ÍÒ¨·íÒãËŒà¡Ô´ÀÒÇÐËÑÇã¨àµŒ¹¼Ô´¨Ñ§ËÇÐ

¡ÒÃà¡Ô´»¯Ô¡ÔÃÔÂÒÃÐËNjҧÂÒ¨Ò¡¡Ãкǹ¡Òâ¨Ñ´ÂÒ
(Elimination interactions)
          ¡Ãкǹ¡Òâ¨Ñ´ÂÒËÃ×Í¢¨Ñ´¢Í§àÊÕÂÍÍ¡¨Ò¡Ã‹Ò§¡Ò¹ѹʋǹãË­‹¨Ð¶Ù¡¢¨Ñ´ÍÍ¡â´Â¡Ò÷íÒ
                                                          é
˹ŒÒ·Õ¢Í§äµáÅÐÃкº¢Ñº¶‹Ò»˜ÊÊÒÇÐ ÊíÒËÃѺ¡ÒÃà¡Ô´»¯Ô¡ÃÂÒ·Õà¡Ô´ã¹¢Ñ¹µÍ¹¹Õé ઋ¹ ¡ÒÃà»ÅÕ¹á»Å§
      è                                              ÔÔ è       é                   è
¤ÇÒÁ໚¹¡Ã´-´‹Ò§ (pH) ÀÒÂã¹Ãкº¢Ñº¶‹Ò»˜ÊÊÒÇÐÍÒ¨Áռŵ‹Í¡ÒâѺ¶‹ÒÂÂÒºÒ§ª¹Ô´ ÂÒºÒ§ª¹Ô´
ä»ÂѺÂѧ¡Ãкǹ¢Ñº¶‹ÒÂÂÒÍÕ¡ª¹Ô´·Ò§·‹Íäµ (renal tubular secretion) µÑÇÍ‹ҧઋ¹ ÂÒ probenecid
        é
ÊÒÁÒöÂѺÂѧ¡ÒâѺ¶‹ÒÂÂÒ¡ÅØÁ penicillins ´ŒÇ¡Å䡹Õé
             é              ‹

¡ÒÃà¡Ô´»¯Ô¡ÔÃÔÂÒÃÐËNjҧÂÒâ´Â¡Ãкǹ¡Ò÷ҧàÀÊѪ¾ÅÈÒʵÏ
(Pharmacodynamic interactions)
        ¡ÒÃà¡Ô´»¯Ô¡ÃÂÒâ´Â¡Ãкǹ¡Ò÷ҧàÀÊѪ¾ÅÈÒʵϹ¹ÁÑ¡¨Ðà¡Ô´¼Å·Õᾷ¼ãªŒÂÒÊÒÁÒö
                     ÔÔ                                      Ñé             è     ÙŒ
¤Ò´¡Òóä´Œ à¹×ͧ¨Ò¡¼Å´Ñ§¡Å‹ÒÇà¡Ô´¢Ö¹¨Ò¡¤Ø³ÊÁºÑµ¢Í§áµ‹ÅЪ¹Ô´ µÑÇÍ‹ҧઋ¹ ¡Ò÷ÕËÇã¨àµŒ¹ªŒÒ
                è                     é               Ô                              è Ñ
àÁ×ÍÁÕ¡ÒÃ㪌ÂÒã¹¡ÅØÁ beta-blockers ËÇÁ¡ÑºÂÒ digitalis ¨ÐàËç¹ä´ŒÇÒÂҷѧ 2 ª¹Ô´Í͡ķ¸Ô·µÒá˹‹§
   è               ‹                                             ‹    é                ì Õè í
ËÃ×͵ÑÇÃѺ (receptors) ·Õᵡµ‹Ò§¡Ñ¹ ᵋ¨ÐÊ‹§¼ÅãËŒËÇã¨àµŒ¹ªŒÒŧ¨¹ÍÒ¨à¡Ô´ÍѹµÃÒ¡Ѻ¼Ù»ÇÂä´Œ
                          è                             Ñ                                   Œ †
¡ÒÃ㪌ÂÒã¹¡ÅØÁ angiotensin converting enzyme inhibitors (ACEIs) ËÇÁ¡ÑºÂÒ spironolactone «Ö§
              ‹                                                                                   è
໚¹ÂҢѺ»˜ÊÊÒÇÐã¹¡ÅØÁ potassium sparing diuretics ÍҨʋ§¼ÅãËŒÁÃдѺ⻵ÑÊà«ÕÂÁã¹àÅ×Í´ÊÙ§¢Ö¹ä´Œ
                        ‹                                          Õ                            é
72                                            ¡ÒÃà¡Ô´»¯Ô¡ÃÂÒÃÐËNjҧÂÒ·ÕÁ¤ÇÒÁÊíҤѭ·Ò§¤ÅÔ¹¡
                                                         ÔÔ            è Õ               Ô

»ÃÐ⪹¢Í§¡ÒÃà¡Ô´»¯Ô¡ÔÃÔÂÒÃÐËNjҧÂÒ
          áÁŒÇ‹Òã¹·Ò§¤ÅÔ¹Ô¡ ᾷÁÑ¡¨ÐËÅÕ¡àÅÕè§¡ÒÃÊÑè§ãªŒÂÒ·ÕèÁÕ»¯Ô¡ÔÃÔÂÒÃÐËNjҧÂÒ ÍѹÍÒ¨¨Ð
Ê‹§¼ÅàÊÕ¡Ѻ¼Ù»ÇÂä´Œ ᵋËÅÑ¡¡Òâͧ¡ÒÃà¡Ô´»¯Ô¡ÃÂÒÃÐËNjҧÂҹѹ¹íÒÁÒ㪌»ÃÐ⪹ä´Œ ઋ¹¡ÒÃ㪌ÂÒ
                Œ †                              ÔÔ           é
ritonavir «Ö§à»š¹ÂÒµŒÒ¹äÇÃÑÊã¹¡ÅØÁ protease inhibitor ÂÒª¹Ô´¹ÕÁ¤³ÊÁºÑµà»š¹ enzyme inhibitor
            è                     ‹                                 é Õ Ø Ô
ä»ÂѺÂѧ¡Ò÷íÒ§Ò¹¢Í§ CYP3A4 àÁ×ÍãËŒÃÇÁ¡ÑºÂÒ saquinavir «Ö§à»š¹ÂÒµŒÒ¹äÇÃÑÊã¹¡ÅØÁ protease
        é                            è ‹                        è                     ‹
inhibitor ઋ¹à´ÕÂǡѹ ¨Ð·íÒãËŒÃдѺÂÒ saquinavir ã¹àÅ×Í´ÊÙ§¢Öé¹¶Ö§ 20 à·‹Ò ¨Ö§ÊÒÁÒö㪌ÂÒ
                                                                             (2)

saquinavir ã¹¢¹Ò´·Õ¹ÍÂŧ ÊÒÁÒöŴ¼Å¢ŒÒ§à¤Õ§¨Ò¡ÂÒáÅÐà¾ÔÁ»ÃÐÊÔ·¸ÔÀÒ¾¢Í§ÂÒ´ŒÇ ໚¹¡ÒÃ
                      è Œ                                         è
㪌»ÃÐ⪹â´Â¼‹Ò¹¡Ãкǹ¡ÒâͧÃкº enzyme cytochrome P450 ¡Ò÷íÒãËŒ»ÊÊÒÇÐ໚¹´‹Ò§   ˜
(alkalinized urine) à¾×Íà˧¡ÒâѺ¶‹ÒÂÂÒ aspirin ÍÍ¡ 㹡óշ䴌úÂÒ aspirin à¡Ô¹¢¹Ò´ ¡ÒÃÃÑ¡ÉÒ
                       è                                    Õè Ñ
¼Ù»Ç·Õ䴌úÂÒ¦‹ÒáÁŧ¡ÅØÁ organophosphate ´ŒÇ¡ÒÃãËŒÂÒ atropine ËÃ×Í¡ÒÃãËŒÂÒ naloxone
  Œ † è Ñ                    ‹
㹡ÒÃÃÑ¡ÉÒ¡ÒÃà¡Ô´ÀÒÇÐ opioid overdose ¡ç໚¹¡ÒÃ㪌»ÃÐ⪹¢Í§¡ÒÃà¡Ô´»¯Ô¡ÃÂÒâ´Â¡Ãкǹ
                                                                                 ÔÔ
¡Ò÷ҧàÀÊѪ¾ÅÈÒʵÏઋ¹¡Ñ¹

µÑÇÍ‹ҧÃÒ§ҹËÃ×Í¡ÒÃÈÖ¡ÉÒã¹àÃ×èͧ»¯Ô¡ÔÃÔÂÒÃÐËNjҧÂÒ·ÕèÁÕ¤ÇÒÁÊíҤѭ
·Ò§¤ÅÔ¹Ô¡
       ¼Å¢Í§¡ÒÃ㪌ÂÒ erythromycin ¡Ñº¤ÇÒÁàÊÕ§·Õ¨ÐàÊÕªÕǵ·ÕÁÊÒà˵بҡËÑÇã¨
                                            è è          Ô è Õ
          ÁÕ¡ÒÃÈÖ¡ÉÒã¹»ÃÐà·ÈÊËÃѰÍàÁÃÔ¡Ò(3) ¾ºÇ‹ÒËÒ¡¼Ù»ÇÂ㪌ÂÒ erythromycin ËÇÁ¡ÑºÂÒÍ×¹æ
                                                       Œ †                               è
·ÕÁ¤³ÊÁºÑµà»š¹ CYP3A4 inhibitor ઋ¹ ÂÒ¦‹Òàª×ÍÃÒ ÂÒ¡ÅØÁ calcium channel blockers ઋ¹
  è Õ Ø        Ô                                    é      ‹
verapamil, diltiazem ¨ÐÁÕ¼»ÇÂàÊÕªÕǵà©Õº¾Åѹ·ÕÁÊÒà˵بҡËÑÇã¨à¾ÔÁ¢Ö¹Í‹ҧÁÕ¹ÂÊíҤѭ·Ò§Ê¶ÔµÔ
                           ÙŒ †     Ô           è Õ               è é         Ñ
¨Ö§ÁÕ¤íÒá¹Ð¹íÒãËŒËÅÕ¡àÅÕè§¡ÒÃ㪌ÂÒ erythromycin ËÇÁ¡ÑºÂÒ·ÕèÁդسÊÁºÑµÔ໚¹ strong CYP3A4
inhibitor
       ¡ÒÃà¡Ô´»¯Ô¡ÃÂÒÃÐËNjҧÂÒàÁ×Í㪌 amiodarone
                  ÔÔ             è
          ÂÒ amiodarone ໚¹ÂÒ·ÕÁ¡ÒÃ㪌¡¹¤‹Í¹¢ŒÒ§ÁÒ¡ã¹»˜¨¨Øº¹ à¾×ͪ‹Ç¤Ǻ¤ØÁ¨Ñ§ËÇСÒÃൌ¹
                                è Õ      Ñ                     Ñ è
¢Í§ËÑÇ㨠Í‹ҧäáçµÒÁÂÒ¹ÕÁÃÒ§ҹ¡ÒÃà¡Ô´»¯Ô¡ÃÂÒÃÐËNjҧÂҡѺÂÒÍÕ¡ËÅÒª¹Ô´·ÕÊҤѭ(4)ઋ¹
                            é Õ                    ÔÔ                             èí
àÁ×Í㪌ÃÇÁ¡Ñº digoxin ÂÒ amiodarone ¨Ðä»ÂѺÂѧ¡Òâ¨Ñ´ digoxin ÍÍ¡¨Ò¡Ã‹Ò§¡ÒÂâ´Â੾ÒÐã¹
   è ‹                                           é
ª‹Ç§ 1-2 Çѹáá·Õ䴌úÂÒËÇÁ¡Ñ¹ ¨Ö§ÁÕ¤Òá¹Ð¹íÒãˌŴ¢¹Ò´ÂÒ digoxin ŧ¤Ã֧˹֧ àÁ×ÍàÃÔÁãËŒÂҷѧ 2
                   è Ñ                í                               è è è è              é
ª¹Ô´¹ÕÃÇÁ¡Ñ¹ à¾×ÍËÅÕ¡àÅÕ§¡ÒÃà¡Ô´¾Ôɨҡ digoxin Ëҡ㪌ÂÒ amiodarone ËÇÁ¡ÑºÂÒ phenytoin
       é‹        è       è
¨Ð¾ºÇ‹ÒÃдѺÂÒ phenytoin ã¹àÅ×Í´¨ÐÊÙ§¢Ö¹¡Ç‹Òà´ÔÁ 2 à·‹Ò «Ö§à»š¹¼ÅÁÒ¨Ò¡¡Ò÷Õè amiodarone ä»
                                           é                è
ÂѺÂѧ¡Ò÷íÒ§Ò¹¢Í§à͹ä«Á CYP2C9 ¹Í¡¨Ò¡¹Õ§¾ºÇ‹Ò amiodarone ÂѧÁÕ»¯Ô¡ÃÂҡѺÂÒÍ×¹æÍÕ¡
     é                                          é Ñ                         ÔÔ          è
ËÅÒª¹Ô´ ઋ¹ warfarin, beta-blockers, theophylline ໚¹µŒ¹
àǪÈÒʵÏ·¹Âؤ 2553
          Ñ                                                                                         73

        ¡ÒÃà¡Ô´»¯Ô¡ÃÂÒÃÐËNjҧÂÒ·Õ㪌·Ò§¨ÔµàǪ
                   ÔÔ            è
         âä·Ò§¨Ô µ àǪ໚ ¹ âä·Õè ÁÑ ¡ ¨ÐÁÕ ¡ ÒÃ㪌  ÒËÅÒª¹Ô ´ Ë Ç Á¡Ñ ¹ ઋ ¹ ÂÒµŒ Ò ¹«Ö Á àÈÃŒ Ò
(antidepressant) ËÇÁ¡ÑºÂÒ·Õ㪌áÉÒÍÒ¡Ò÷ҧ¨Ôµ (antipsychotics) ËÃ×ÍËÇÁ¡ÑºÂÒ¤ÅÒ¡ѧÇšŨÁ
                             è Ñ                                                                      ‹
benzodiazepines ÂҴѧ¡Å‹ÒÇÍÒ¨à¡Ô´»¯Ô¡ÃÂÒÃÐËNjҧÂÒä´Œ¤Í¹¢ŒÒ§ÁÒ¡ µÑÇÍ‹ҧઋ¹ ÂÒ fluoxetine
                                           ÔÔ               ‹            (5)

·Õ໚¹ÂÒµŒÒ¹ÍÒ¡ÒëÖÁàÈÃŒÒã¹¡ÅØÁ selective serotonin reuptake inhibitors (SSRIs) ·ÕÁ¡ÒÃ㪌¡¹
   è                              ‹                                                       è Õ       Ñ
¤‹Í¹¢ŒÒ§ÁÒ¡ ᵋÂÒ¹ÕÁ¤³ÊÁºÑµà»š¹µÑÇÂѺÂѧ¡Ò÷íÒ§Ò¹¢Í§à͹ä«Á CYP2D6 ·Õ¤Í¹¢ŒÒ§áç áÅÐ
                     é Õ Ø      Ô             é                                     è ‹
ÂѧÂѺÂÑé§¡Ò÷íÒ§Ò¹¢Í§ CYP2C9 ÍÕ¡´ŒÇ àÁ×èÍ㪌ËÇÁ¡Ñº antipsychotics ઋ¹ haloperidol,
fluphenazine, perphenazine ¨Ð·íÒãËŒÃдѺÂÒ antipsychotics ã¹àÅ×Í´ÊÙ§¢Ö¹ÁÒ¡ ¨¹à¡Ô´ÍѹµÃÒÂá¡‹
                                                                             é
¼Ù»ÇÂä´Œ
  Œ †

º·ÊÃØ»
        ¡ÒÃà¡Ô´»¯Ô¡ÃÂÒÃÐËNjҧÂÒ·ÕÁ¤ÇÒÁÊíҤѭ·Ò§¤ÅÔ¹¡¹Ñ¹ ÊÒÁÒöà¡Ô´ä´Œã¹¼Ù»Ç·ء»ÃÐàÀ·
                             ÔÔ            è Õ                Ô é              Œ †
ºÒ§¤ÃÑé§ÍÒ¨ÁÕ¤ÇÒÁÃØ¹á稹ÍҨ໚¹ÍѹµÃÒ¶֧ᡋªÕÇÔµ ᾷ¼ÙŒãªŒÂÒ¤§äÁ‹ÊÒÁÒö·Õè¨Ð¨´¨íÒ
¤Ø³ÊÁºÑµ¢Í§ÂÒä´Œ·§ËÁ´ ᵋ¤ÇÃÃÐÁÑ´ÃÐÇѧàÁ×͵ŒÍ§ãªŒÂÒ㹡óմ§¹Õé
          Ô                  Ñé                    è              Ñ
        1. ¼Ù»ÇÂÊÙ§ÍÒÂØ à¹×ͧ¨Ò¡¼Ù»ÇÂ¡ÅØÁ¹ÕÁâÍ¡ÒÊ䴌úÂÒËÇÁ¡Ñ¹ËÅÒª¹Ô´ áÅФÇÒÁÊÒÁÒö
              Œ †                 è      Œ †   ‹ é Õ        Ñ
㹡ÒÃà»ÅÕ¹á»Å§áÅТ¨Ñ´ÂÒÅ´¹ŒÍÂŧ
            è
        2. ¼ÙŒ»†Ç·Õè㪌ÂÒËÅÒª¹Ô´Ã‹ÇÁ¡Ñ¹ ¼ÙŒ»†ÇºҧÃÒÂÁÕâä»ÃШíÒµÑÇËÅÒÂâä µŒÍ§¾ºá¾·Â
ËÅÒ·‹Ò¹ ËÅÒÂá¼¹¡ ·íÒãˌ䴌úÂÒËÅÒª¹Ô´ ´Ñ§¹Ñ¹¨Ö§¤ÇÃÁÕ¡Ò÷º·Ç¹ÂÒ·Õ㪌ÃÇÁ¡Ñ¹ÍÂÙÍ‹ҧÊÁèÒ
                                       Ñ             é                    è ‹         ‹       í
àÊÁÍ
        3. ÂÒ·ÕÁ´ª¹Õ¡ÒÃÃÑ¡ÉÒ᤺ (narrow therapeutic index) ÂÒã¹¡ÅØÁ¹Õé ËÒ¡ÁÕÃдѺÂÒ·Õʧ¡Ç‹Ò
                   è Õ Ñ                                             ‹                   èÙ
ÃдѺ¡ÒÃÃÑ¡ÉÒà¾Õ§àÅ硹ŒÍ¡çÍÒ¨·íÒãËŒà¡Ô´ÍѹµÃÒÂá¡‹¼»ÇÂä´Œ ઋ¹ warfarin, digoxin, theophylline
                                                       ÙŒ †
        4. ÂÒ·ÕÁ¤³ÊÁºÑµ¨º¡Ñºâ»ÃµÕ¹ÊÙ§ ઋ¹ NSAIDs, warfarin
                    è Õ Ø           ÔÑ
        5. ÂÒ·ÕÁ¤³ÊÁºÑµà»š¹ strong enzyme inducer or inhibitor
                     è Õ Ø          Ô
        6. ÂÒ·ÕÁ¤³ÊÁºÑµã¹¡Òâ¨Ñ´ÂÒẺ saturation kinetics ËÃ×Í zero-order kinetics «Ö§ÁÕ͵ÃÒ
                  è Õ Ø         Ô                                                       è Ñ
¡Òâ¨Ñ´ÂÒ¤§·Õè áÁŒÇÒÃдѺÂÒã¹àÅ×Í´¨ÐÊÙ§ÁÒ¡¨¹¶Ö§ÃдѺà¡Ô´¾ÔÉ ¡çäÁ‹ÊÒÁÒöà˧¢¨Ñ´ÍÍ¡¨Ò¡Ã‹Ò§
                           ‹
¡ÒÂä´Œ ઋ¹ ÂÒ phenytoin, theophylline
        7. ÂÒ·Õ¨Ò໚¹µŒÍ§ãªŒà»š¹àÇÅÒ¹Ò¹æ áÅеŒÍ§¡ÒÃãËŒÃдѺÂÒã¹àÅ×Í´¤§·Õè à¾×ͤǺ¤ØÁâä
                      èí                                                           è
ઋ¹ÂҡѹªÑ¡ (antiepileptic drugs) ÂÒµŒÒ¹¡ÒÃൌ¹¼Ô´¨Ñ§ËÇТͧËÑÇ㨠(antiarrhythmic drugs)
74                                                        ¡ÒÃà¡Ô´»¯Ô¡ÃÂÒÃÐËNjҧÂÒ·ÕÁ¤ÇÒÁÊíҤѭ·Ò§¤ÅÔ¹¡
                                                                     ÔÔ            è Õ               Ô

àÍ¡ÊÒÃ͌ҧÍÔ§
1.   Manzi S., Shannon M. Drug interaction-a review. Clin Ped Emerg Med. 2005;6:93-102.
2.   Piscitelli CS, Gallicano DK. Interaction among drugs for HIV and opportunistic infections. N Engl J Med.
     2001;344:984-96.
3.   Ray AW, Murray TK, Meredith S, Narasimhulu SS, Hall K, Stein MC. Oral erythromycin and the risk of
     sudden death from cardiac cause. N Engl J Med. 2004;351:1089-96.
4.   Trujillo CT, Nolan EP. Antiarrhythmic agents: drug interactions of clinical significant. Drug Safety. 2000;28:509-
     32.
5.   Spina E, Scordo GM. Clinically significant drug interactions with antidepressants in the elderly. Drugs Aging.
     2002;19:299-20.
àǪÈÒʵÏ·¹Âؤ 2553
          Ñ                                                                              º··Õè          75

                                                                                          11
         Availability of Antidote: A Current Status in Thailand
                                                                   àÀÊѪ¡Ã ¸¹¡Ã ÈÔÃÔÊÁØ·Ã
                                ˹‹Ç¢ŒÍÁÙÅÂÒáÅоÔÉÇÔ·ÂÒ âç¾ÂÒºÒÅÈÔÃÔÃÒª ÁËÒÇÔ·ÂÒÅÑÂÁËÔ´Å

             ÂÒµŒÒ¹¾ÔÉ (Antidotes) ¨Ñ´à»š¹ÂÒ·ÕÁ¤ÇÒÁÊíҤѭ㹡Òê‹ÇÂàËÅ×ͼٷ䴌úÊÒþÔÉ ÀÒÇоÔÉ
                                                     è Õ                              Œ Õè Ñ
ºÒ§ª¹Ô´¨íÒ໚¹·Õè¨ÐµŒÍ§ä´ŒÃѺÂÒµŒÒ¹¾ÔÉÍ‹ҧ·Ñ¹·‹Ç§·Õ ઋ¹ÀÒÇоÔɨҡä«ÂÒä¹´ ÀÒÇоÔɨҡ
ÂÒ¡ÅØ‹Á cardiac glycosides Í‹ҧäáçµÒÁÀÒÇФÇÒÁ໚¹¾ÔÉ (intoxication) ໚¹ÀÒÇзÕèäÁ‹ä´Œ
à¡Ô´¢Ö¹º‹Í¤Ãѧ ¤ÇÒÁµŒÍ§¡ÒÃÂÒµŒÒ¹¾Ôɨ֧à¡Ô´¢Ö¹à»š¹¤Ãѧ¤ÃÒÇ áÅкҧ¤Ãѧʶҹ¾ÂÒºÒÅ¡çäÁ‹ÁÕ
         é           é                                         é     é                    é
¼ÙàªÕÂǪҭ·Õ¨ÐãËŒ¤Òá¹Ð¹íÒ·ÕàËÁÒÐÊÁà¡ÕÂǡѺ¡ÒÃ㪌ÂÒµŒÒ¹¾ÔÉ ¡ÒÃÊíÒÃͧÂÒµŒÒ¹¾ÔÉ ¡Í»Ã¡Ñº
  Œ è              è         í            è      è
ÂÒµŒÒ¹¾ÔÉËÅÒÂÃÒ¡ÒÃ໚¹ÂÒ¡íÒ¾ÃŒÒ (orphan drugs) «Ö§ËÁÒ¶֧໚¹ÂÒ·ÕÁ¤ÇÒÁ¨íÒ໚¹ã¹¡ÒÃ㪌
                                                                   è                    è Õ
ᵋÁÕ¢ŒÍ¨íҡѴ㹡ÒÃࢌҶ֧ ઋ¹äÁ‹ÁÕ¼ÙŒ¼ÅÔµ äÁ‹ÁÕ¡ÒùíÒà¢ŒÒ ¨Ö§à»š¹¤ÇÒÁàÊÕè§·ÕèàÁ×èÍà¡Ô´ÀÒÇФÇÒÁ
໚¹¾ÔÉà¡Ô´¢Ö¹áŌǨÐäÁ‹ÁÂÒµŒÒ¹¾ÔÉãˌ㪌
                 é                    Õ
             ÁÕ¡ÒÃÈÖ¡ÉÒËÅÒªÔé¹·Õèà¡ÕèÂÇ¢ŒÍ§¡Ñº¡ÒÃÊíÒÃǨ¶Ö§¡ÒÃÊíÒÃͧÂÒµŒÒ¹¾ÔÉã¹µ‹Ò§»ÃÐà·È ઋ¹
¡ÒÃÈÖ¡ÉÒâ´ÂÊͺ¶ÒÁËÑÇ˹ŒÒá¼¹¡àÀÊѪ¡ÃÃÁã¹Ê¶Ò¹¾ÂÒºÒÅ·ÕÁá¼¹¡©Ø¡à©Ô¹ 3 áË‹§¤×ÍÁÅÃѰè Õ
â¤âÅÃÒâ´ Á͹µÒ¹Ò à¹ÇÒ´Ò »ÃÐà·ÈÊËÃѰÍàÁÃÔ¡Ò ¾ºÇ‹ÒÁÕà¾Õ§ 1 ʶҹ¾ÂÒºÒŨҡ 108 áË‹§
·ÕÁ¡ÒÃÊíÒÃͧÂÒµŒÒ¹¾ÔÉÍ‹ҧà¾Õ§¾Í â´Â¾ºÇ‹Ò naloxone ໚¹ÂÒ·ÕÁ¡ÒÃÊíÒÃͧà¾Õ§¾ÍÁÒ¡·ÕÊ´
     è Õ                                                                          è Õ                    èØ
áÅоºÇ‹Ò digoxin immune .ab ໚¹ÂÒ·ÕèÁÕ¡ÒÃÊíÒÃͧà¾Õ§¾Í¹ŒÍ·ÕèÊØ´(1) ÊíÒËÃѺʶҹ¡Òó
ã¹ÃѰÍ͹µÒÃÔâÍ »ÃÐà·È¤Ò¹Ò´Ò¡ç¾ºÇ‹ÒäÁ‹áµ¡µ‹Ò§¡Ñ¹ â´Â¨Ò¡¡ÒÃÊíÒÃǨʶҹ¾ÂÒºÒÅ 179 áË‹§
¾ºÇ‹ÒÁÕà¾Õ§ÌÍÂÅÐ 9 ෋ҹѹ·ÕÁ¡ÒÃÊíÒÃͧ digoxin immune .ab Í‹ҧà¾Õ§¾Í áÅоºÇ‹ÒÁÕʶҹ
                                        é è Õ
¾ÂÒºÒÅà¾Õ§ 1 áË‹§à·‹Ò¹Ñé¹·ÕèÁÕ¡ÒÃÊíÒÃͧÂÒµŒÒ¹¾ÔÉã¹»ÃÔÁÒ³·Õèà¾Õ§¾Í¨Ò¡ÃÒ¡ÒÃÂÒµŒÒ¹¾ÔÉ
·ÕÊÁ¤ÇÃÁÕ 10 ÃÒ¡Òà ¹Í¡¨Ò¡¹Ñ¹áÅŒÇÂѧ¾ºÇ‹Ò ÃҤҢͧÂÒµŒÒ¹¾ÔÉÁÕ¤ÇÒÁÊÑÁ¾Ñ¹¸¹Í¡ѺÍѵÃÒ
   è                                          é                                                  Œ
¡ÒÃÊíÒÃͧÂÒµŒÒ¹¾ÔÉ ¹Ñ¹ËÁÒ¤ÇÒÁÇ‹Ò ÃҤҢͧÂÒäÁ‹ãª‹»¨¨Ñ·յ´ÊÔ¹¡Ò÷ÕÁËÃ×ÍäÁ‹Á¡ÒÃÊíÒÃͧ
                               (2)
                                    è                                  ˜     è Ñ            è Õ    Õ
ÂÒµŒÒ¹¾ÔÉ ã¹»ÃÐà·Èà´ÕÂǡѹᵋ໚¹·ÕðºÃÔµª â¤ÅÍÁàºÕ ¾ºÇ‹Ò ã¹ÃÒ¡ÒÃÂÒµŒÒ¹¾ÔÉ·ÕÊÁ¤ÇÃ
                                                èÑ           Ô                                       è
ÁÕäÇŒ 14 ÃÒ¡ÒùѹäÁ‹Áʶҹ¾ÂÒºÒÅã´àÅ·ÕÁ¡ÒÃÊíÒÃͧÂÒµŒÒ¹¾ÔÉÍ‹ҧà¾Õ§¾Í â´Â·ÕÁ¡ÒÃÊíÒÃͧ
                       é          Õ                      è Õ                                    è Õ
ÂÒµŒÒ¹¾ÔÉà¾Õ§¾Íà¾Õ§ᤋ 4 ÃÒ¡ÒÃ෋ҹѹ ¹Í¡¨Ò¡¹Ñ¹Âѧ¾ºÇ‹Ò¤ÇÒÁᵡµ‹Ò§¢Í§Ê¶Ò¹¾ÂÒºÒÅ
                                                   é             é
ÂѧÁÕÍ·¸Ô¾Åµ‹Í¡ÒÃÊíÒÃͧÂÒµŒÒ¹¾ÔÉ´ŒÇ ઋ¹ ʶҹ¾ÂÒºÒÅ·ÕÁ˹‹Ç trauma, ʶҹ¾ÂÒºÒÅ·Õ໚¹
           Ô                                                             è Õ                           è
âçàÃÕ¹ᾷáÅÐʶҹ¾ÂÒºÒÅ·ÕèÍÂÙ‹ã¡ÅŒà¢µàÁ×ͧ¨ÐÁÕÍѵÃÒ¡ÒÃÊíÒÃͧÂÒµŒÒ¹¾ÔÉÊÙ§¡Ç‹ÒÍ‹ҧÁÕ
¹ÑÂÊíҤѭ·Ò§Ê¶ÔµàÁ×Íà·Õº¡ÑºÊ¶Ò¹¾ÂÒºÒÅ·ÕäÁ‹Á˹‹Ç trauma äÁ‹ä´Œà»š¹âçàÃÕ¹ᾷ áÅÐʶҹ
                         Ô è                               è Õ
¾ÂÒºÒÅ·ÕÍÂÙä¡ÅࢵàÁ×ͧ(3)
               è ‹
76                                                     Availability of Antidote : A Current Status in Thailand

               Í‹ҧäáçµÒÁàÁ×è;ԨÒóÒã¹ÃÒÂÅÐàÍÕ´¾ºÇ‹ÒÂÒµŒÒ¹¾ÔɺҧÃÒ¡Òà ઋ¹ sodium
bicarbonate, N-acetylcysteine, ethanol, áÅÐ naloxone ÁÕ¡ÒÃÊíÒÃͧ㹻ÃÔÁÒ³·Õà¾Õ§¾Í¤×ÍÃŒÍÂÅÐ              è
77, 64, 49 áÅÐ 47 µÒÁÅíҴѺ ã¹¢³Ð·Õ«ÃÁµŒÒ¹¾Ôɧ٠ÇÔµÒÁÔ¹ºÕË¡ ¡Å٤ҡ͹ áÅÐ digoxin immune
                                                             è ÕÑ
.ab ÁÕ¡ÒÃÊíÒÃͧ¹ŒÍÂÁÒ¡¤×ÍÃŒÍÂÅÐ 13, 7, 7, áÅÐ 5 µÒÁÅíҴѺ(3)
               ÊíÒËÃѺʶҹ¡Òóã¹»ÃÐà·Èä·Â à¹×ͧ¨Ò¡ÂѧäÁ‹Á¡ÒÃÈÖ¡ÉÒµÔ´µÒÁÍ‹ҧ໚¹Ãкº ᵋ¨Ò¡
                                                                     è            Õ
»ÃÐʺ¡Òó¡ÒÃãËŒ¤Ò»ÃÖ¡ÉҢͧÈٹ¾ÉÇÔ·ÂÒ âç¾ÂÒºÒÅÈÔÃÃÒª ¾ºÇ‹Ò âç¾ÂÒºÒŪØÁª¹ËÅÒÂ
                                í                              Ô                         Ô
áË‹§ã¹¾×¹·ÕËÒ§ä¡Å ËÃ×Í ¡Ãзѧâç¾ÂÒºÒÅÈٹµÒÁ¨Ñ§ËÇÑ´ãË­‹æ »ÃÐʺ»˜­ËÒ¡ÒâҴá¤Å¹
                 é è ‹                          è
¡ÒÃäÁ‹ÁÂÒµŒÒ¹¾ÔÉÊíÒÃͧã¹Ê¶Ò¹¾ÂÒºÒÅ ·íÒãËŒ»ÃÐʺ¤ÇÒÁÂÒ¡ÅíҺҡ㹡ÒÃãËŒ¤ÇÒÁª‹ÇÂàËÅ×Í
               Õ
¼Ù»Ç ઋ¹ 㹡óշ¼»Ç¡ԹÂҡѹªÑ¡ºÒ§ª¹Ô´·ÕÍ͡ķ¸Ôà¹Ô¹¹Ò¹ (controlled release formulation
  Œ †                        Õè ÙŒ †                                      è      ì è
of antiepileptic drugs) ¨íÒ໚¹·Õè¨ÐµŒÍ§ãËŒ polyethylene glycol ã¹ÊÒÃÅÐÅÒ electrolytes
·ÕàËÁÒÐÊÁ (Colyte ) à¾×ͪ‹ÇÂà˧¡Òâ¨Ñ´ÂÒ·Õ§äÁ‹¶¡´Ù´«ÖÁãËŒÍÍ¡¨Ò¡·Ò§à´Ô¹ÍÒËÒà ᵋ»ÃÒ¡¯Ç‹Ò
     è                 ®
                                     è                                 è Ñ Ù
ÁÕËÅÒÂáË‹§·ÕäÁ‹Á¡ÒÃÊíÒÃͧÂÒ¹ÕäÇŒ â´ÂÁÒ¡¨ÐÁÕ¡ÒÃÊíÒÃͧÊÒÃÅÐÅÒ¢ͧà¡Å×Íâ«à´ÕÂÁ¿ÍÊ࿵᷹
                       è Õ                    é
«Ö§ãªŒá·¹¡Ñ¹äÁ‹ä´Œ ËÃ×Í㹡óբͧ¡ÒÃÃÑ¡ÉÒÀÒÇÐ extrapyramidal symptoms (EPS) ¨Ò¡ high-
   è
potency antipsychotics ¡ç¾ºÇ‹Òã¹Ê¶Ò¹¾ÂÒºÒÅËÅÒÂáË‹§äÁ‹ÁÕ benztropine injection (Cogentin )                             ®


·íÒãˌ໚¹»˜­ËÒ㹡Òê‹ÇÂàËÅ×ͼٻÇ·ÕÁÍÒ¡ÒÃÁÒ¡¨¹äÁ‹ÊÒÁÒöãËŒÂÒ·Ò§»Ò¡ä´Œ
                                                      Œ † è Õ
               ¹Í¡¨Ò¡»˜­ËÒ¡ÒÃÊíÒÃͧÂÒ ¡ÒâҴá¤Å¹ÂÒµŒÒ¹¾ÔÉ «Ö§à»š¹ÊÀÒ¾»˜­ËÒ·Õ¾ºÇ‹Ò¤ÅŒÒ¤ÅÖ§ è                è
¡Ñº»ÃÐà·È·Õ¾²¹ÒáÅŒÇ Âѧ¾ºÇ‹Ò ÊíÒËÃѺ»ÃÐà·Èä·Â ¡ÒÃÇÔ¹¨©Ñ ¡ÒõÃǨ·Ò§ËŒÍ§»¯Ôºµ¡ÒÃà¾×Í
                      è Ñ                                                            Ô                          Ñ Ô     è
ÇÔ¹¨©ÑÂÀÒÇоÔÉÂѧ¡ÃзíÒä´ŒÂÒ¡ÅíÒºÒ¡ ઋ¹ ËÅÒÂʶҹ¾ÂÒºÒÅã¹¡ÃØ§à·¾ÁËÒ¹¤Ã ËÃ×Í»ÃÔÁ³±Å
       Ô
äÁ‹ÊÒÁÒöµÃǨÇÑ´ÃдѺÂÒ¾ÒÃÒ૵ÒÁÍÅä´Œ ¡ÒÃÊ‹§«ÕÃÁ仵ÃǨ·ÕʶҺѹÍ×¹¡ç·Òä´ŒÂÒ¡áÅÐ㪌àÇÅÒ
                                                                               Ñ             è  è í
¹Ò¹¨¹äÁ‹à»š¹»ÃÐ⪹µ‹Í¡ÒõѴÊԹ㨷ҧ¤ÅÔ¹Ô¡ ·íÒãËŒÂҡ㹡ÒõѴÊÔ¹àÃÔèÁ¡ÒÃãËŒ¡ÒÃÃÑ¡ÉÒ
¡ÒõÃǨÂ×¹Âѹ¡ÒÃÊÑÁ¼ÑÊ (exposure confirmation test) ¾ÒÃÒ¤ÇÍ·´ŒÇÂÇÔ¸Õ dithionite test ÂѧäÁ‹
¤Ãͺ¤ÅØÁã¹ËÅÒÂæ ʶҹ¾ÂÒºÒÅ ·íÒãËŒ¡ÒõѴÊÔ¹ã¨àÃÔèÁ¡ÒÃÃÑ¡ÉÒ´ŒÇ immunosuppressants
㹼ٻǷÕÁ»ÃÐÇѵ¡ÒÃÊÑÁ¼ÑÊäÁ‹ª´à¨¹·íÒä´ŒÅÒºÒ¡ ËÃ×Í¡ÒõÃǨ¤‹Ò·Ò§à¤ÁÕ¤ÅÔ¹¡¾×¹°Ò¹ ઋ¹ liver
         Œ † è Õ           Ô                      Ñ                í                                   Ô é
function tests ËÅÒÂʶҹ¾ÂÒºÒÅ¡çäÁ‹ÊÒÁÒö¡ÃзíÒä´Œ¹Í¡àÇÅÒÃÒª¡Òà «Ö§â´Â»¡µÔáŌǼٻÇ                   è              Œ †
·Õèä´ŒÃѺÊÒþÔÉÁÑ¡à¡Ô´à˵ØáÅÐÁÒ¾ºá¾·Âã¹ª‹Ç§¹Í¡àÇÅÒÃÒª¡Òà ·íÒãËŒà¡Ô´¤ÇÒÁÂÒ¡ÅíÒºÒ¡á¡‹
ᾷ¼Ã¡ÉÒ   ÙŒ Ñ
               ÊíÒËÃѺ»ÃÐà´ç¹·ÕÁ¤ÇÒÁ¡Ñ§ÇÅÍÕ¡»ÃСÒÃ˹֧¤×Í ¡ÒÃ㪌ÂÒµŒÒ¹¾ÔÉã¹ÊµÃÕÁ¤ÃÃÀ à¾ÃÒÐÍ‹ҧ
                                        è Õ                                 è                             Õ
äáçµÒÁÊÔ§·ÕàÃÒ¹íÒÁÒ㪌㹡Òê‹ÇªÕǵ¼Ù·à¡Ô´¤ÇÒÁ໚¹¾ÔÉ¡ç¤ÍÂÒÍ‹ҧ˹֧¹Ñ¹àͧ «Ö§¡çÍÒ¨¨ÐÊ‹§¼Å
                  è è                                      Ô Œ Õè                      ×       è è            è
µ‹Í·Òá㹤ÃÃÀä´Œ ÁÕ¡ÒÃÈÖ¡ÉÒà¡ÕÂǡѺàÃ×ͧ¹ÕÍ‹ҧ໚¹Ãкºâ´Â໚¹¡Ò÷º·Ç¹ÇÒÃÊÒÃŒ͹ËÅѧä»
                                                    è            è é
ã¹ÃÐËNjҧ»‚ ¾.È. 2509 ¶Ö§»‚ ¾.È. 2544 ¾ºÇ‹Ò ÊÒÁÒöẋ§»ÃÐàÀ·¢Í§ÂÒµŒÒ¹¾ÔÉä´Œ 3 »ÃÐàÀ·
µÒÁ¤ÇÒÁàÊÕ§¢Í§¡Òá‹ÍÅÙ¡ÇÔû (teratogenic risk) ´Ñ§¹Õé(4)
                    è                       Ù
               ¡. ÂÒµŒÒ¹¾ÔÉ·ÕäÁ‹Á¤ÇÒÁàÊÕ§ ËÃ×ÍÁÕ¤ÇÒÁàÊÕ§µèÒÁҡ㹡Òá‹ÍÅÙ¡ÇÔû (probably do not
                                       è Õ               è                    è í                  Ù
represent measurable teratogenic risk) ઋ¹ atropine, calcium chloride ËÃ×Í calcium gluconate
áÅÐ pyridoxine
àǪÈÒʵÏ·¹Âؤ 2553
          Ñ                                                                                     77

        ¢. ÂÒµŒÒ¹¾ÔÉ·ÕÁ¤ÇÒÁàÊÕ§㹡Òá‹ÍÅÙ¡ÇÔû ¶ŒÒ㪌㹢ŒÍº‹§ãªŒ·¹Í¡à˹×Í仨ҡ¡ÒÃ㪌à¾×Í
                       è Õ      è              Ù                    Õè                      è
໚¹ÂÒµŒÒ¹¾ÔÉ (known to be human teratogens for indication other than poisoning) ઋ¹ ethanol,
methylene blue, penicillamine
        ¤. ÂÒµŒÒ¹¾ÔÉ·ÕèäÁ‹ÁÕ¤ÇÒÁàÊÕè§㹡Òá‹ÍÅÙ¡ÇÔÃÙ»Íѹà¹×èͧÁҨҡ໚¹ÊÒ÷ÕèÁÕã¹Ã‹Ò§¡ÒÂᵋ
äÁ‹·ÃÒº¼Å·Õà¡Ô´àÁ×Í㪌㹢¹Ò´·ÕáÉÒ¤ÇÒÁ໚¹¾ÔÉ àª‹¹ folinic acid, glucagon, hydroxycobalamin,
            è     è            èÑ
áÅÐ vitamin K

µÒÃÒ§·Õè 1 ¤íÒá¹Ð¹íÒ㹡ÒÃÊíÒÃͧÂÒµŒÒ¹¾ÔÉÊíÒËÃѺʶҹ¾ÂÒºÒÅ·ÕèÃѺ¼ÙŒ»†Ç©ءà©Ô¹(5)
                                                         ÅѡɳФíÒá¹Ð¹íÒ
                                                                              ËÅÑ¡°Ò¹
     ÂÒµŒÒ¹¾ÔÉ        ¢ŒÍº‹§ãªŒã¹¡ÒõŒÒ¹¾ÔÉ         ¤ÇÃÁÕ¡Òà ¤ÇÃÁÕÂÒ ¤ÇÃÁÕÂÒ
                                                                              »ÃСͺ
                                                     ÊíÒÃͧ 㪌㹠㪌·¹·ÕA
                                                                         Ñ
                                                                             ¤íÒá¹Ð¹íÒB
                                                             60 ¹Ò·Õ
Acetylcysteine         Acetaminophen                   Y       Y         N        I (IV form)
                                                                                    II (Oral)
Atropine sulfate       Organophosphorus                Y       Y         Y              III
                       and N-methyl carbamate
                       insecticides
Calcium gluconate      .luoride, calcium               Y       Y         Y            III
                       channel blocking agents
Calcium disodium       Lead                            Y       N         N            II
EDTA
Cyanide antidote kit Cyanide poisoning                 Y       Y         Y            III
Hydroxocobalamin Cyanide poisoning                     Y       Y         Y             II
Deferoxamine            Acute iron poisoning           Y       Y         N             II
Ethanol                 Methanol or ethylene           Y       Y         N            III
                        glycol poisoning
.lumazenil              Benzodiazepines toxicity       Y       Y         Y            III
Methylene blue          Methemoglobinemia              Y       Y         Y             II
Naloxone                Opioid and opiate drugs        Y       Y         Y              I
Octreotide              Sulfonylurea-induced           Y       Y         N             II
                        hypoglycemia
Physostigmine           Anticholinergic syndromes      Y       Y         Y            II
Pralidoxime             Organophosphorus               Y       Y        NCC           II
                        insecticide poisoning
Pyridoxine (Vitamin B6) INH, hydrazine and             Y       Y         Y            III
                        derivatives
78                                              Availability of Antidote : A Current Status in Thailand

                                                 ÅѡɳФíÒá¹Ð¹íÒ
    ÂÒµŒÒ¹¾ÔÉ      ¢ŒÍº‹§ãªŒã¹¡ÒõŒÒ¹¾ÔÉ   ¤ÇÃÁÕ¡Òà ¤ÇÃÁÕÂÒ ¤ÇÃÁÕÂÒ ËÅÑ¡°Ò¹
                                                                     »ÃСͺ
                                            ÊíÒÃͧ 㪌㹠㪌·¹·ÕAÑ
                                                                    ¤íÒá¹Ð¹íÒB
                                                     60 ¹Ò·Õ
Sodium bicarbonate Sodium channel blocking     Y        Y        Y      II
                   drugs, urine or serum
                   alkalinization
A ã¹Ê¶Ò¹¾ÂÒºÒÅʋǹãË­‹ ¤íÒÇ‹Ò ¤ÇÃãËŒÁÂÒ㪌·¹·Õ ËÁÒ¶֧¡ÒÃÁÕÂÒµŒÒ¹¾ÔÉÍÂÙã¹á¼¹¡©Ø¡à©Ô¹
                                        Õ       Ñ                        ‹
B ẋ§µÒÁ¹éÒ˹ѡ¢Í§ËÅÑ¡°Ò¹; I ä´ŒÁÒ¨Ò¡§Ò¹ÇÔ¨ÂáººÊØÁ·ÕÁ¤³ÀÒ¾ÊÙ§ ÁÕ¡Òû¡»´ áÅÐÁÒ¨Ò¡¡Ò÷íÒÍÀÔÇà¤ÃÒÐˏ (meta-
            í                                 Ñ   ‹ è Õ Ø                                   Ô
  analysis) ·Õ»ÃСͺ´ŒÇ§ҹÇÔ¨ÂáººÊØÁ·ÕÁ¤³ÀÒ¾ÊÙ§ II ä´ŒÁÒ¨Ò¡§Ò¹ÇԨ·ÕäÁ‹ãª‹¡ÒÃÊØÁ ¡ÒÃÈÖ¡ÉÒẺ仢ŒÒ§Ë¹ŒÒ
              è                Ñ      ‹ è Õ Ø                        Ñ è        ‹
  ¡ÒÃÇԨ·ÕäÁ‹ä´Œ»¡»´ ¡ÒÃÈÖ¡ÉÒẺÊíÒÃǨ·ÕÁ¤³ÀÒ¾ÊÙ§ ËÃ×Í¡ÒÃÈÖ¡ÉÒẺÍÒÊÒÊÁѤà III ä´ŒÁÒ¨Ò¡ case-series
        Ñ è                                 è Õ Ø
  ẺŒ͹ËÅѧ ¡Ã³ÕÈ¡ÉÒ ¤ÇÒÁàËç¹¼ÙàªÕÂǪҭ ËÃ×Í¡ÒÃÈÖ¡ÉÒã¹ÊѵǏ·´Åͧ
                      Ö             Œ è
C ¤³Ð¡ÃÃÁ¡ÒÃäÁ‹ºÃÃÅØ¤ÇÒÁàËç¹Ã‹ÇÁ


¤íÒá¹Ð¹íÒÃÒ¡ÒâͧÂÒµŒÒ¹¾ÔÉ 20 ÃÒ¡Ò÷ÕèÁѡ㪌áÅÐÁÕ¢ŒÍ¡íÒ˹´ãËŒ
¡ÒÃÊíÒÃͧÂÒ ¤×Í(6)
        1. á¹Ð¹íÒãËŒÁ¡ÒÃÊíÒÃͧÂÒÍ‹ҧÊÁèÒàÊÁÍ: N-acetylcysteine, crotalid snake antivenin,
                           Õ                      í
calcium gluconate ËÃ×Í calcium chloride, sodium bicarbonate, cyanide antidote kit, deferoxamine,
digoxin immune .ab, dimercaprol, atropine, ethanol, formepizole, glucagon, methylene blue,
naloxine, pralidoxime, pyridoxine
        2. ·Õè » ÃÐªØ Á ÂÑ § äÁ‹ º ÃÃÅØ ¢Œ Í µ¡Å§à¡Õè Â Ç¡Ñ º ¡ÒÃÊí Ò ÃͧÂÒÍ‹ Ò §ÊÁèí Ò àÊÁÍ: flumazenil,
physostigmine
        3. äÁ‹á¹Ð¹íÒãËŒÁ¡ÒÃÊíÒÃͧÂÒÍ‹ҧÊÁèÒàÊÁÍ: black widow antivenin, ethylenediamine
                              Õ                         í
tetraacetic acid (EDTA)
        Í‹ҧäáçµÒÁÊíÒËÃѺ㹻ÃÐà·Èä·Â¹Ñ¹ÂѧµŒÍ§ÁÕ¡ÒùíÒ¤íÒá¹Ð¹íҢͧ¼ÙàªÕÂǪҭàËŋҹÕÁÒ
                                                      é                                   Œ è         é
»ÃѺ㪌͡¤Ãѧà¹×ͧ¨Ò¡»˜­ËÒ¤ÇÒÁÊÒÁÒö㹡ÒüÅÔµËÃ×Í¡ÒÃࢌҶ֧ÂҴѧ¡Å‹ÒÇ
        Õ é è

ÊÃØ»
       ÂÒµŒÒ¹¾ÔÉÁÕ¤ÇÒÁÊíҤѭÍ‹ҧÂÔ§ÊíÒËÃѺ¼Ù·à¡Ô´ÀÒÇоÔÉ¢Ö¹ Í‹ҧäáçµÒÁà¹×ͧ¨Ò¡ÂÒàËŋҹÕé
                                   è         Œ Õè          é                è
໚¹ÂÒ¡íÒ¾ÃŒÒ áÅÐÁÕ»­ËÒ㹡ÒÃࢌҶ֧ÂÒ ¨Ö§ÁÕ¤ÇÒÁ¨íÒ໚¹áÅÐÁÕ¤ÇÒÁÊíҤѭ㹡Ò÷ÕᵋÅÐʶҹ
                    ˜                                                          è
¾ÂÒºÒŨоԨÒóҶ֧¤ÇÒÁ¨íÒ໚¹ËÃ×Íá¹Ç·Ò§¡ÒÃÊÌҧà¤Ã×Í¢‹Ò¡ÒÃࢌҶ֧ÂÒµŒÒ¹¾ÔÉ·ÕèÁÕ
»ÃÐÊÔ·¸ÔÀÒ¾ ËÇÁ仡ѺÈÑ¡ÂÀÒ¾¢Í§Ê¶Ò¹¾ÂÒºÒÅ㹡ÒõÃǨÇÔ¹¨©ÑÂÀÒÇФÇÒÁ໚¹¾ÔÉ
                                                             Ô
àǪÈÒʵÏ·¹Âؤ 2553
          Ñ                                                                                                   79

àÍ¡ÊÒÃ͌ҧÍÔ§
1.   Dart RC, Stark Y, .ulton B, Koziol-McLain J, Lowenstein SR. Insufficient stocking of poisoning antidotes in
     hospital pharmacies. JAMA 1996;276 (18):1508-10.
2.   Juurlink DN, McGuigan MA, Paton TW, Redelmeier DA. Availability of antidotes at acute care hospitals in
     Ontario. CMAJ 2001;165 (1):27-30.
3.   Gorman SK, Zed PJ, Pursell RA, Brubacher J, Willis GA. Antidote stocking in British Columbia hospitals. CJEM
     2003;5 (1):12-7.
4.   Bailey B. Are there teratogenic risks associated with antidotes used in the acute management of poisoned
     pregnant women?. Birth Defects Res A Clin Mol Teratol 2003;67:133-40.
5.   Dart RC, Borron SW, Caravati EM, Cobaugh DJ, Curry SC, .alk JL, et al. Expert consensus guidelines for
     stocking of antidotes in hospitals that provide emergency care. Ann Emerg Med 2009; 54 (3): 386-94.
6.   Betten DP, Vohra RB, Cook MD, Matteucci MJ, Clark R.. Antidote use in the critically ill poisoned patient. J
     Intensive Care Med 2006;21 (5):255-77.
àǪÈÒʵÏ·¹Âؤ 2553
          Ñ                                                                  º··Õè        81

                                                                               12
     Drug Administration Pitfalls: from Practitioner to Patient
                                àÀÊѪ¡Ã ¼ÙŒª‹ÇÂÈÒʵÃÒ¨ÒÏ ´Í¡àµÍÏ»ÃÕªÒ Á¹·¡Ò¹µÔ¡ØÅ
                                     ÀÒ¤ÇÔªÒàÀÊѪ¡ÃÃÁ ¤³ÐàÀÊѪÈÒʵÏ ÁËÒÇÔ·ÂÒÅÑÂÁËÔ´Å

             ¡ÒúÃÔËÒÃÂÒ (drug administration) ãˌᡋ¼»ÇÂÍ‹ҧ¶Ù¡µŒÍ§áÅлÅÍ´ÀÑÂ໚¹à»‡ÒËÁÒÂ
                                                      ÙŒ †
·ÕèÊíҤѭ㹡Ãкǹ¡ÒÃÃÑ¡ÉÒ´ŒÇÂÂÒ ¤ÇÒÁ¼Ô´¾ÅҴ㹡ÒúÃÔËÒÃÂÒÍÒ¨¡‹ÍãËŒà¡Ô´¼ÅàÊÕµ‹Í¤ÇÒÁ
à¨çº»†ÇÂáÅСÒÃàÊÕªÕǵ¢Í§¼Ù»Ç ¨Ö§¨íÒ໚¹µŒÍ§ÁÕÃкº¡ÒúÃÔËÒÃÂÒ·Õ䴌ú¡ÒÃÍ͡ẺáÅеԴµÒÁ
                        Ô     Œ †                                    è Ñ
¤ÇÒÁ¤ÅÒ´à¤Å×͹¢Í§¢Ñ¹µÍ¹µ‹Ò§æ ä´Œ ÃÇÁ¶Ö§ ÁÕ¤ÇÒÁËÇÁÁ×ÍÃÐËNjҧºØ¤ÅÒ¡ÃÊÒ¸ÒÃ³ÊØ¢ÊÒ¢Òµ‹Ò§æ
                  è         é
äÁ‹Ç‹Ò¨Ð໚¹á¾·Â¼ÙŒÊÑè§ãªŒÂÒáÅÐà¢Õ¹¤íÒÊÑè§ãªŒÂÒ ¾ÂÒºÒżٌÃѺ¤íÒÊÑè§ãªŒÂÒ ¡ÒÃàºÔ¡ÂҨҡˌͧÂÒ
¡ÒõÃǨÊͺ¤ÇÒÁ¶Ù¡µŒÍ§¢Í§ÂҡѺ¤íÒÊÑè§ãªŒÂÒ«éíÒ ¡ÒèѴàµÃÕÂÁÂÒ ¡ÒüÊÁÂÒ áÅСÒúÃÔËÒÃ
ÂÒã¹á¡‹¼ÙŒ»†Ç áÅÐàÀÊѪ¡Ã¼ÙŒµÃǨÊͺ¤ÇÒÁ¶Ù¡µŒÍ§áÅÐàËÁÒÐÊÁ¢Í§ÂÒ·ÕèᾷÊÑè§ àµÃÕÂÁÂÒ
ã¹ÃٻẺ·ÕàËÁÒÐÊÁ¡ÒèѴʋ§ÂÒä»ÂѧËͼٻÇ áÅеԴµÒÁ¡ÒÃ㪌ÂÒã¹ËͼٻÇ ÃÇÁ¶Ö§¡Ãкǹ¡ÒÃ
                è                          Œ †                              Œ †
Í×¹æ ·ÕʹѺʹع¤ÇÒÁ¶Ù¡µŒÍ§áÅлÅÍ´ÀÑÂ㹡ÒúÃÔËÒÃÂÒ·ÕàÀÊѪ¡ÃÁÕº·ºÒ·â´ÂµÃ§ ઋ¹ ¡ÒèѴ
  è      è                                                   è
«×ÍÂÒ·ÕÁûÅѡɳТͧºÃèØÀ³±·áµ¡µ‹Ò§¡Ñ¹à¾×Í»‡Í§¡Ñ¹¤ÇÒÁ¤ÅÒ´à¤Å×͹·Ò§ÂÒ ¡ÒèѴ·íÒÊÃØ»
    é      è ÕÙ                   Ñ   Õè           è                      è
ÃÒ§ҹ¤ÇÒÁ¤ÅÒ´à¤Å×͹·Ò§ÂÒ à¾×͹íÒä»ÊÙ¡ÒÃÇÔà¤ÃÒÐˏËÒÊÒà赯 áÅСÒáíÒ˹´Ãкº¡ÒúÃÔËÒÃ
                          è         è        ‹
¨Ñ´¡Ò÷ҧÂÒà¾×èÍᡌä¢áÅÐÅ´âÍ¡ÒÊ㹡ÒÃà¡Ô´¢ŒÍ¼Ô´¾ÅÒ´¹Ñé¹ ¡ÒèѴ·íÒÁҵðҹËÃ×Íá¹Ç·Ò§
¡ÒÃàµÃÕÂÁÂÒáÅСÒúÃÔËÒÃÂÒºÒ§ª¹Ô´ â´Â੾ÒÐÍ‹ҧÂÔ§ ÂÒ·ÕÁ¤ÇÒÁàÊÕ§ÊÙ§ ໚¹µŒ¹ º·ºÒ·
                                                           è    è Õ          è
àËŋҹÕé¨ÐµŒÍ§´íÒà¹Ô¹ä»Í‹ҧÊÍ´¤ÅŒÍ§áÅлÃÐÊÒ¹¡Ñ¹¨Ò¡ÇԪҪվᵋÅÐÊÒ¢Ò à¾×èÍãËŒà¡Ô´Ãкº
¡ÒõÃǨÊͺ«éÒ Íѹ¨Ð¹íÒä»ÊÙ¡ÒÃÅ´âÍ¡ÒÊ㹡ÒÃà¡Ô´¤ÇÒÁ¼Ô´¾ÅҴ㹡ÒúÃÔËÒÃÂÒµ‹Íä»(1)
                    í           ‹

¡Ãкǹ¡ÒúÃÔËÒÃÂÒ
         ¡Ãкǹ¡ÒúÃÔËÒÃÂÒà¾×èͤÇÒÁ»ÅÍ´ÀÑ¢ͧ¼ÙŒ»†Ç ÁÕ¢Ñ鹵͹µ‹Ò§æ ·Õ赌ͧ¾Ô¨ÒóÒ
´Ñ§µ‹Í仹Õé(1)
         1. ¡ÒÃà¢Õ¹¤íÒÊѧ㪌ÂÒÁÕ¤ÇÒÁªÑ´à¨¹ ¶Ù¡µŒÍ§ áÅлÅÍ´ÀÑ â´Â੾ÒÐÂÒ·ÕãËŒâ´ÂÇÔ¸¡Òéմ
                         è                                                     è     Õ
«Ö§¨íÒ໚¹µŒÍ§ÁÕ¡ÒüÊÁ (reconstitution) áÅÐà¨×ͨҧ (dilution) ´ŒÇÂÊÒùéÒª¹Ô´µ‹Ò§æ ¡‹Í¹¹íÒÂÒ
  è                                                                    í
仺ÃÔËÒÃãˌᡋ¼»Ç ¡ÒÃà¢Õ¹¤íÒÊѧ㪌ÂÒ·ÕäÁ‹ä´ŒÃкت¹Ô´¢Í§ÊÒùéÒ ¤ÇÒÁࢌÁ¢Œ¹¢Í§ÂÒàµÃÕÂÁËÅѧ
                 ÙŒ †              è        è                  í
à¨×ͨҧ ÃÇÁ¶Ö§ÍѵÃÒ¡ÒÃË´ÂÒãˌᡋ¼»Ç ÍҨʋ§¼ÅãËŒ¼Ãº¤íÒÊѧ㪌ÂÒäÁ‹ä´Œ»¯ÔºµµÒÁá¹Ç·Ò§ËÃ×Í
                                     ÙŒ †             ÙŒ Ñ  è              Ñ Ô
Áҵðҹ·Õè¶Ù¡µŒÍ§ã¹¡ÒÃàµÃÕÂÁáÅкÃÔËÒÃÂÒ ¨¹ÍÒ¨·íÒãËŒà¡Ô´ÍѹµÃÒµ‹Í¼ÙŒ»†ÇÂä´Œ â´Â੾ÒÐ
Í‹ҧÂÔ§ ÂÒã¹¡ÅØÁ·ÕµÍ§ÃÐÁÑ´ÃÐÇѧ¡ÒÃ㪌ʧ
       è           ‹ è Œ                  Ù
82                                                         Drug Administration Pitfalls : from Practitioner to Patient

           2. ¡ÒÃÃѺ¤íÒÊÑè§ãªŒÂÒáÅСÒ÷º·Ç¹¤íÒÊÑè§ãªŒÂÒ ¼ÙŒÃѺ¤íÒÊÑè§ãªŒÂÒµŒÍ§à¢ŒÒ㨤íÒÊÑè§ãªŒÂÒ
Í‹ҧ᷌¨ÃÔ§ ËҡʧÊÑÂ㹤íÒÊѧ㪌ÂÒã´æ ¨ÐµŒÍ§Ê×ÍÊÒáѺ¼Ùʧ㪌ÂÒà¾×Í·íÒ¤ÇÒÁࢌÒ㨷ء¤Ãѧ ¨Ö§¨íÒ໚¹
                                     è                                 è              Œ Ñè             è                        é
·Õâç¾ÂÒºÒŵŒÍ§¡íÒ˹´¹âºÒ·ժ´à¨¹ã¹¡ÒÃÊ‹§àÊÃÔÁãËŒà¡Ô´¡ÒÃÊ×ÍÊÒÃÃÐËNjҧÇÔªÒªÕ¾ãËŒà¡Ô´à»š¹
      è                                               è Ñ                                                è
ÇѲ¹¸ÃÃÁͧ¤¡Ã «Ö§à»š¹ÇѲ¹¸ÃÃÁà¾×ͤÇÒÁ»ÅÍ´ÀÑ¢ͧ¼Ù»ÇÂ㹡ÒÃ㪌ÂÒ ÃÇÁ·Ñ§ËÒ¡äÁ‹à¢ŒÒã¨ËÃ×Í
                      è                                    è                               Œ †                     é
¢Ò´¤ÇÒÁÃÙã¹µÑÇÂÒª¹Ô´ã´æ ·Ñ§¼Ùʧ㪌ÂÒáÅмÙú¤íÒÊѧ㪌ÂҨеŒÍ§»ÃÖ¡ÉÒàÀÊѪ¡Ãà¾×Íãˌ䴌¢ÍÁÙÅ
                  Œ                       é Œ Ñè                         ŒÑ       è                                        è          Œ
¢Í§ÂÒ·Õ¶¡µŒÍ§è Ù
           3. ¡ÒÃàµÃÕÂÁÂҷѧã¹ÃٻẺÂÒ©Õ´áÅÐÂÒÃѺ»Ãзҹ ¼ÙàµÃÕÂÁÂÒ©Õ´µŒÍ§ÁÕ¤ÇÒÁÃÙã¹ÂÒ·Õ¨Ð
                                   é                                                                 Œ                              Œ   è
àµÃÕÂÁ·Ñ§ã¹á§‹ª¹Ô´¢Í§ÊÒùéҷըйíÒÁÒ¼ÊÁà¾×ÍãËŒÂÒËÅѧ¼ÊÁÁÕ¤ÇÒÁ¤§µÑÇ䴌͋ҧàËÁÒÐÊÁ ÃÐÂÐ
           é                           í è                           è
àÇÅÒ·ÕÂÒ¤§µÑÇ ÊÀÒ¾áÇ´ÅŒÍÁáÅл˜¨¨Ñµ‹Ò§æ ·ÕÁ¼Åµ‹Í¤ÇÒÁ¤§µÑǢͧÂÒàµÃÕÂÁËÅѧ¼ÊÁ áÅФÇÒÁ
         è                                                               è Õ
ࢌÁ¢Œ¹ÊØ´·ŒÒÂËÅѧà¨×ͨҧÂÒ·Õ¨ÐäÁ‹¡ÍãËŒà¡Ô´ÍѹµÃÒµ‹Í¼Ù»ÇÂàÁ×͹íÒÂÒ¹Õ仩մãˌᡋ¼»Ç áÅСÒÃ
                                        è                ‹                             Œ † è                 é           ÙŒ †
Êѧࡵ¤ÇÒÁäÁ‹à¢ŒÒ¡Ñ¹¢Í§ÂÒáÅÐÊÒùéÒ·Ò§¡ÒÂÀÒ¾ ÊíÒËÃѺ¼ÙàµÃÕÂÁÂÒÃѺ»Ãзҹ㹺ҧÃٻẺ·Õè
                                                               í                                   Œ
ÁÕ¤ÇÒÁ੾Òй͡à˹×ͨҡÃٻẺÂÒàÁç´ áÅÐÂÒ᤻«ÙÅ·ÑÇæ ä» àª‹¹ ÂÒàÁç´·Õà¤Å×ͺÊÒúҧª¹Ô´         è                    è
·ÕªÇ¤Ǻ¤ØÁ¡ÒÃÍ͡ķ¸Ô¢Í§ÂÒËÃ×ÍÃÑ¡ÉÒ¤ÇÒÁ¤§µÑǢͧÂÒ áÅÐÂÒàÁç´·ÕÍ͡ķ¸ÔªÒæ â´Â¹íÒÂÒ
     è ‹                         ì                                                                             è     ì Œ
¹Ñ¹ÁÒàµÃÕÂÁâ´ÂÇÔ¸¾àÈɵ‹Ò§æ ¼ÙàµÃÕÂÁµŒÍ§ÁÕ¤ÇÒÁÃÙ¶§¤ÇÒÁ¨íÒà¾ÒТͧ¼ÅÔµÀѳ±àËŋҹÕé ઋ¹ ÂÒ
  é                     Õ Ô                     Œ                             Œ Ö
ºÒ§ª¹Ô´äÁ‹ÊÒÁÒöËѡẋ§ä´Œ ËÃ×ÍäÁ‹ÊÒÁÒöº´ä´Œ à¾×ÍãËŒ¼»Ç·ҧÊÒÂãËŒÍÒËÒà ໚¹µŒ¹     è           ÙŒ †
           4. ¡ÒúÃÔËÒÃÂÒãˌᡋ¼»Ç ¼ÙºÃÔËÒÃÂÒµŒÍ§ÁÕ¤ÇÒÁÃÙà¡ÕÂǡѺÍѵÃÒàÃçÇ㹡ÒéմÂÒËÃ×ÍË´
                                             ÙŒ † Œ                                            Œ è
ÂÒãˌᡋ¼»Ç áÅÐÇÔ¶·Ò§ãËŒÂҷյͧˌÒÁ ઋ¹ ËŒÒÁãËŒÂÒºÒ§ª¹Ô´â´Â¡ÒéմẺ bolus ໚¹µŒ¹
               ÙŒ †         Õ                     è Œ
ÃÇÁ¶Ö§ÊÀÒÇСÒ÷íÒ§Ò¹¢Í§Ã‹Ò§¡Ò¼ٻÇÂÍҨ໚¹¢ŒÍËŒÒÁ¢Í§¡ÒÃãËŒÂÒ㹺ҧÇÔ¶Õ àª‹¹ äÁ‹¤ÇÃãËŒÂÒ
                                                                 Œ †
â´Â¡ÒéմࢌҡŌÒÁà¹×ͼٻÇ·ÕÁÃдѺà¡Åç´àÅ×Í´µèÒ ¼Ù»Ç·Õ䴌úÂÒ·Ò§ÊÒÂãËŒÍÒËÒà ¼ÙºÃÔËÒÃÂÒ
                              é Œ † è Õ                                      í Œ † è Ñ                                            Œ
¨ÐµŒÍ§à¢ŒÒ㨶֧¤Ø³ÊÁºÑµÔ·Ò§à¤ÁբͧÂÒ áÅл¯Ô¡ÔÃÔÂÒ·ÕèÍÒ¨à¡Ô´¢Öé¹ä´ŒÃÐËNjҧÂҡѺÊÒÂãËŒÍÒËÒÃ
ÃٻẺÂÒ·ÕäÁ‹ÊÒÁÒö¶Ù¡º´à¾×ÍãËŒ¼Ò¹ÊÒÂãËŒÍÒËÒÃä´Œ ໚¹µŒ¹
                    è                      è                 ‹
           5. ¡ÒõԴµÒÁáÅлÃÐàÁÔ¹¼ÙŒ»†Ç ໚¹Ê‹Ç¹·ÕèÁÕ¤ÇÒÁÊíҤѭ·ÕèÊØ´ ºØ¤ÅÒ¡ÃÊÒ¸ÒÃ³ÊØ¢
·Õà¡ÕÂÇ¢ŒÍ§¨ÐµŒÍ§ÁÕá¼¹¡ÒõԴµÒÁ¼Ù»Ç·ҧ¡ÒÃ㪌ÂÒ â´Â੾ÒÐÍ‹ҧÂÔ§ÂÒºÒ§ª¹Ô´·ÕÁ¾ÉÊÙ§ ËÃ×Í
    è è                                                 Œ †                                                è                 è Õ Ô
¡‹ÍãËŒà¡Ô´ÍÒ¡ÒÃäÁ‹¾§»ÃÐʧ¤¨Ò¡¡ÒÃ㪌ÂÒä´ŒÁÒ¡
                          Ö

¡ÒÃà¢Õ¹¤íÒÊÑè§ãªŒÂÒ áÅФÇÒÁ¼Ô´¾ÅÒ´·ÕèÍÒ¨à¡Ô´¢Öé¹
         ¡ÒÃà¢Õ¹¤íÒÊѧ㪌ÂÒµŒÍ§ÁÕ¤ÇÒÁ¶Ù¡µŒÍ§µÒÁËÅÑ¡ÇÔªÒ¡ÒÃáÅЪѴਹà¾Õ§¾ÍãËŒ¹Òä»»¯ÔºµÔ
                      è                                                         í        Ñ
ä´Œ â´Â੾ÒÐÍ‹ҧÂÔè§ÂÒ©Õ´ËÃ×ÍÂÒÃѺ»ÃзҹºÒ§ª¹Ô´·ÕèÁÕÃٻẺÂÒ੾ÒÐ äÁ‹à¢Õ¹¤íÒÊÑè§ãªŒÂÒ
·ÕäÁ‹à»š¹ÁҵðҹËÃ×ÍÊÒÁÒöá»Åä´ŒËÅÒ¤ÇÒÁËÁÒ à¾ÃÒÐÍÒ¨à¡Ô´¢ŒÍ¼Ô´¾ÅҴ㹡Òû¯Ôºµä´Œ
  è                                                                                  Ñ Ô
¤ÇÒÁ¼Ô´¾ÅÒ´·ÕÁ¡¾ºä´ŒºÍÂáÅÐÁÕ¤ÇÒÁÊíҤѭ㹡ÒÃà¢Õ¹¤íÒÊѧ㪌ÂÒ ä´Œá¡‹
                è Ñ        ‹                               è         (1)

         1. ¡ÒÃäÁ‹Ãкت¹Ô´¢Í§ÊÒùéÒ·Õ¹ÒÁÒ¼ÊÁËÃ×Íà¨×ͨҧÂÒ©Õ´ ·íÒãËŒ¾ÂÒºÒÅÍÒ¨äÁ‹·ÃҺNjÒ
                                    í è í
µŒÍ§ãªŒÂÒÊÒùéíÒª¹Ô´ã´ã¹¡ÒüÊÁáÅÐà¨×ͨҧÂÒ ÂÒ©Õ´ËÅÒª¹Ô´ÊÒÁÒö¼ÊÁËÃ×Íà¨×ͨҧ´ŒÇÂ
ÊÒùéÒËÅÒ»ÃÐàÀ· ઋ¹ 0.9% sodium chloride (NSS) ËÃ×Í 5% dextrose in water (D5W) ᵋÂÒ
      í
ÍÕ¡¨íҹǹ˹֧¨íÒ໚¹µŒÍ§¼ÊÁ´ŒÇÂÊÒùéÒºÒ§ª¹Ô´à·‹Ò¹Ñ¹ à¾×ÍãËŒÂÒËÅѧ¼ÊÁáÅÐà¨×ͨҧÁÕ¤ÇÒÁ¤§µÑÇ
             è                        í           é è
àǪÈÒʵÏ·¹Âؤ 2553
          Ñ                                                                                                                   83

·ÕèÂÒǹҹ໚¹ÃÐÂÐàÇÅÒà¾Õ§¾Í·Õè¨Ð¹íÒä»ãˌᡋ¼ÙŒ»†Ç´ŒÇ¡ÒÃË´ÂÒ·Ò§ËÅÍ´àÅ×Í´´íÒä´Œ ઋ¹
cotrimoxazole ã¹ÃٻẺÂÒ©Õ´ »ÃСͺ´ŒÇ trimethoprim 㹤ÇÒÁࢌÁ¢Œ¹ 16 ÁÔÅÅÔ¡ÃÑÁ/ÁÔÅÅÔŵà                                        Ô
ÂÒª¹Ô´¹ÕÊÒÁÒö¹íÒä»à¨×ͨҧ䴌·§ NSS ËÃ×Í D5W Í‹ҧäáçµÒÁ ¤ÇÒÁ¤§µÑÇËÅѧ¼ÊÁ¨Ðᵡµ‹Ò§
             é                                       Ñé
¡Ñ¹ ¡ÒüÊÁÂÒ¹Õ¡º D5W ¨Ð·íÒãËŒÂÒÁÕ¤ÇÒÁ¤§µÑÇÂÒǹҹ¡Ç‹Ò à¹×ͧ¨Ò¡ÂÒ¹ÕÁ¤³ÊÁºÑµà»š¹´‹Ò§Í‹Í¹
                         é Ñ                                                 è                 é Õ Ø                 Ô
¨Ö§ÁÕ¤ÇÒÁÊÒÁÒö㹡ÒÃÅÐÅÒµèÒã¹ÊÒÃÅÐÅÒ·ÕÁÕ pH ÊÙ§ ᵋ¡ÒÃÅÐÅÒ¨ÐÊÙ§¢Ö¹ã¹ÊÒÃÅÐÅÒ·ÕÁÕ
                                                 í             è                                            é                    è
pH µèÒ à¹×ͧ¨Ò¡ D5W ÁÕ pH µèÒ¡Ç‹Ò NSS ¨Ö§·íÒãËŒÂÒ cotrimoxazole ÅÐÅÒÂã¹ D5W ä´Œ´¡Ç‹Ò
         í è                                       í                                                                       Õ
ã¹ NSS ÃÇÁ·Ñ§¡ÒÃà¡Ô´µÐ¡Í¹ÂÒä´ŒÂÒ¡¡Ç‹Ò áÅÐÂÒÁÕ¤ÇÒÁ¤§µÑÇ´Õ¡Ç‹Ò
                       é                                                             (2)

            2. ¡ÒÃäÁ‹ÃкؤÇÒÁࢌÁ¢Œ¹¢Í§ÂÒËÅѧÅÐÅÒÂáÅÐà¨×ͨҧáÅŒÇ â´Â·ÑÇä» ¼Ùʧ㪌ÂÒÁÑ¡äÁ‹ÃкØè                Œ Ñè
¤ÇÒÁࢌÁ¢Œ¹¢Í§ÂÒËÅѧÅÐÅÒÂáÅÐà¨×ͨҧáÅŒÇ ·íÒãËŒ¾ÂÒºÒÅäÁ‹·ÃҺNjҵŒÍ§¡ÒäÇÒÁࢌÁ¢Œ¹¢Í§ÂÒ
à·‹Òã´ ËÃ×ͺ‹Í¤Ãѧ·Õ¼Ê§ãªŒÂÒÍÒ¨µŒÍ§¡ÒèíÒ¡Ñ´»ÃÔÁÒ³ÊÒùéÒ·Õãˌᡋ¼»Ç´ŒÇÂà˵ؼŵ‹Ò§æ ¡çÍÒ¨
                             é è ÙŒ Ñè                                   í è           ÙŒ †
ÊѧãËŒà¨×ͨҧÂÒ´ŒÇ¤ÇÒÁࢌÁ¢Œ¹·Õʧ¡Ç‹Ò¤ÇÒÁࢌÁ¢Œ¹µÒÁ»¡µÔ ¤ÇÒÁࢌÁ¢Œ¹¢Í§ÂÒÁÕ¼Åâ´ÂµÃ§¡Ñº
  è                                                  èÙ
¤ÇÒÁ¤§µÑǢͧÂÒ ÂÒ·ÕÁ¤ÇÒÁࢌÁ¢Œ¹ÊÙ§¨ÐÁÕ¤ÇÒÁ¤§µÑǵèÒ ¨¹ÍÒ¨·íÒãËŒÂÒµ¡à»š¹µÐ¡Í¹ËÃ×ÍÊÅÒÂ
                                         è Õ                           í
µÑÇä´Œ ´Ñ§¹Ñé¹ ¤ÇÒÁÃÙŒàÃ×èͧ¤ÇÒÁࢌÁ¢Œ¹ÊÙ§ÊØ´¢Í§ÂÒ·ÕèÊÒÁÒöà¨×ͨҧ䴌 ¨Ö§ÁÕ¤ÇÒÁÊíҤѭ ઋ¹
cotrimoxazole ÊÒÁÒö¼ÊÁä´ŒËÅÒ¤ÇÒÁࢌÁ¢Œ¹ µÑ§áµ‹ cotrimoxazole 1 ÁÔÅÅÔŵÃã¹ D5W 25
                                                                     é                                             Ô
ÁÔÅÅÔŵÃ, 20 ÁÔÅÅÔŵÃ, 15 ÁÔÅÅÔŵà áÅÐ 10 ÁÔÅÅÔŵà ᵋ¤ÇÒÁࢌÁ¢Œ¹àËŋҹըÐÁÕ¤ÇÒÁ¤§µÑǹҹ 6,
          Ô                       Ô            Ô                 Ô                               é
4, 2 áÅÐ 1 ªÑÇâÁ§µÒÁÅíҴѺ áÅÐäÁ‹ÊÒÁÒö¼ÊÁÂÒ cotrimoxazole 1 ÁÔÅÅÔŵà 㹠D5W ¹ŒÍ¡NjÒ
                     è                                                                               Ô
10 ÁÔÅÅÔŵÃä´Œ à¹×ͧ¨Ò¡ÂÒ¨ÐÁÕ¤ÇÒÁ¤§µÑǵèÒáÅÐÍÒ¨µ¡µÐ¡Í¹ä´Œ·¹·Õ
                 Ô            è                              í                   Ñ       (2)

            3. ¡ÒÃÃкؤÇÒÁࢌÁ¢Œ¹¢Í§ÂÒᵋäÁ‹à»š¹ÊÒ¡Å áÅÐÊÒÁÒöá»Å¤ÇÒÁËÁÒÂä´ŒËÅÒÂÍ‹ҧ
ઋ¹ ¡ÒÃÊѧ dopamine (1:1) ÍÒ¨ÁÕ¤ÇÒÁËÁÒ¶֧ dopamine 1 ÁÔÅÅÔŵÃã¹ NSS 1 ÁÔÅÅÔŵà ËÃ×Í
                   è                                                               Ô                                     Ô
dopamine 1 vial µ‹Í NSS 1 ¶Ø§ ËÃ×Í dopamine 1 ÁÔÅÅÔ¡ÃÑÁ ã¹ NSS 1 ÁÔÅÅÔŵà ໚¹µŒ¹                      Ô
            4. ¡ÒÃäÁ‹Á¤ÒÊѧ㪌ÂÒ·Õ໚¹Áҵðҹ (standard order) â´Â੾ÒÐÂÒ·ÕÁ¤ÇÒÁàÊÕ§ÊÙ§ ઋ¹
                                    Õ í è    è                                                           è Õ           è
¼Ùʧ㪌ÂÒÊÒÁÒöÊѧÂÒ potassium chloride injection ä´ŒËÅÒ¡ËÅÒÂ
    Œ Ñè                        è
            5. ¡ÒÃÊÑè§ãªŒÂÒÃѺ»Ãзҹ·ÕèÁդسÅѡɳÐ੾ÒÐ ã¹¢¹Ò´áÅÐÇÔ¸Õ㪌·ÕèäÁ‹¶Ù¡µŒÍ§ ÂÒÃѺ
»ÃзҹËÅÒª¹Ô´¨Ð¶Ù¡àµÃÕÂÁ¢Öé¹ãËŒÁդسÊÁºÑµÔ㹡ÒûŴ»Å‹ÍÂÂÒÍ‹ҧªŒÒæ â´ÂÊÔè§·Õè¤Çº¤ØÁ
¡ÒûŴ»Å‹ÍÂÂÒÁÑ¡¨Ð໚¹à»Å×Í¡¹Í¡·ÕËÁµÑÇÂÒäÇŒ ઋ¹ ʋǹ¢Í§á¤»«ÙÅ ÊÒ÷Õà¤Å×ͺÂÒàÁç´·ÕÍÒ¨
                                                        è ØŒ                                              è                  è
ÁͧäÁ‹àËç¹´ŒÇµÒà»Å‹Ò ÊÒ÷Õèà¤Å×ͺº¹àÁç´ÂÒ¢¹Ò´àÅç¡æ (pellet) ·ÕèºÃèØÅ§ã¹á¤»«ÙŠ໚¹µŒ¹
ÂÒàËŋҹÕäÁ‹ÊÒÁÒö·Õ¨ÐËÑ¡ ËÃ×ÍÍÒ¨¨ÐËѡ䴌 ᵋäÁ‹ÊÒÁÒöº´ÂÒä´Œ à¹×ͧ¨Ò¡¡ÒÃËÑ¡ËÃ×ͺ´ÂÒÍÒ¨
               é                       è                                             è
ä»·íÒÅÒÂÃкº¡ÒäǺ¤ØÁÂÒ Ê‹§¼ÅãËŒÂÒ¨íҹǹÁÒ¡¶Ù¡»Å´»Å‹ÍÂÍÍ¡ÁҾÌÍÁæ ¡Ñ¹ ¨¹¼ÙŒ»†ÇÂ
ÍÒ¨à¡Ô´¾ÔɨҡÂÒä´Œ ´Ñ§¹Ñé¹ ¡ÒÃÊÑè§ãªŒÂÒàËŋҹÕé ¨Ö§äÁ‹ÊÒÁÒöÊÑè§ãËŒº´ÂÒä´Œ áÁŒÇ‹Ò¼ÙŒ»†ÇÂÃÒ¹Ñé¹
äÁ‹ÊÒÁÒöÃѺ»ÃзҹÂÒáÅÐãÊ‹ÊÒÂãËŒÍÒËÒÃÍÂÙ‹ ¼ÙŒÊÑè§ãªŒÂÒÍÒ¨µŒÍ§àÅ×Í¡ÂÒ¹Ñé¹ã¹ÃٻẺÍ×è¹æ
·ÕÊÒÁÒöº´áÅÐãʋŧã¹ÊÒÂãËŒÍÒËÒÃä´Œ ËÃ×ÍÍÒ¨¨íÒ໚¹µŒÍ§ãËŒÂҹѹã¹ÃٻẺÂÒ©Õ´ ઋ¹ phenyotin
     è                                                                         é
ª¹Ô´á¤»«ÙÅ 300 ÁÔÅÅÔ¡ÃÑÁäÁ‹ÊÒÁÒöແ´á¤»«ÙÅà¾×ÍãËŒÂÒä´Œ ¨íÒ໚¹µŒÍ§à»ÅÕ¹ä»ãªŒÂÒ phenytoin
                                                                   è                               è
ª¹Ô´ÂÒàÁç´ 50 ÁÔÅÅÔ¡ÃÑÁá·¹ ໚¹µŒ¹
84                                            Drug Administration Pitfalls : from Practitioner to Patient

        »˜¨¨Ñ·ÕÍÒ¨·íÒãËŒ¼Ê§ãªŒÂÒäÁ‹ÃкآÍÁÙŵ‹Ò§æ ·Õ¨Ò໚¹ã¹¡ÒÃàµÃÕÂÁÂÒãËŒ¤Ãº¶ŒÇ¹ ÍÒ¨à¡Ô´¨Ò¡
                è          ÙŒ Ñè             Œ       èí
¡ÒâҴ¢ŒÍÁÙÅ㹡ÒÃàµÃÕÂÁÂÒ¹Ñ¹æ «Ö§¼Ùʧ㪌ÂÒÊÒÁÒö»ÃÖ¡ÉÒàÀÊѪ¡Ãâç¾ÂÒºÒÅà¾×͢͢ŒÍÁÙÅ¡ÒÃ
                                   é  è Œ Ñè                                     è
àµÃÕÂÁÂÒᵋÅЪ¹Ô´ä´Œ «Ö§¨Ðª‹ÇÂãËŒ¤ÒÊѧ㪌ÂÒÁÕ¤ÇÒÁªÑ´à¨¹áÅоÂÒºÒÅÊÒÁÒö¹íÒä»àµÃÕÂÁÂÒä´Œ
                         è             í è
Í‹ҧ¶Ù¡µŒÍ§áÅлÅÍ´ÀÑÂá¡‹¼»Ç    ÙŒ †

¡ÒÃÃѺ¤íÒÊÑè§ãªŒÂÒáÅСÒ÷º·Ç¹¤íÒÊÑè§ãªŒÂÒ
        ¼Ù·Ãº¤íÒÊѧ㪌ÂÒ ¨ÐµŒÍ§·º·Ç¹¤íÒÊѧ㪌ÂÒãËŒª´à¨¹ ¤ÇÒÁ¼Ô´¾ÅÒ´·ÕÁ¡¾ºä´ŒºÍ ¤×Í(1)
           Œ Õè Ñ    è                    è        Ñ                   è Ñ        ‹
        1. ¼Ùú¤íÒÊѧ㪌ÂÒäÁ‹ä´Œ·º·Ç¹¤ÇÒÁàËÁÒÐÊÁ㹡ÒÃÊѧ㪌ÂÒ â´Â੾ÒÐã¹á§‹¢Í§¡ÒÃàµÃÕÂÁ
                  ŒÑ   è                                   è
ÂÒ ä´Œá¡‹ ª¹Ô´¢Í§ÊÒùéÒ·Õ㪌¼ÊÁËÃ×Íà¨×ͨҧÂÒ ¤ÇÒÁࢌÁ¢Œ¹¢Í§ÊÒùéÒËÅѧà¨×ͨҧ ª¹Ô´¢Í§ÂÒàÁç´
                           í è                                    í
·ÕË¡º´äÁ‹ä´Œ ໚¹µŒ¹
  è Ñ
        2. ÍÒ¨¨Ð·º·Ç¹áÅÐÁÕ¢ÍʧÊÑÂᵋäÁ‹Êͺ·Ç¹¡ÅѺä»Âѧ¼Ùʧ㪌ÂÒ
                                  Œ                          Œ Ñè
        3. Êͺ·Ç¹¡ÅѺᵋäÁ‹ÁDz¹¸ÃÃÁͧ¤¡ÃËÃ×ÍÃкº¢Í§Í§¤¡Ã·ÕʹѺʹع¡ÒÃÊͺ·Ç¹¡ÅѺ
                                 ÕÑ                                 è
Ê‹§¼ÅãËŒ¤ÒÊѧ㪌ÂÒ·ÕäÁ‹ª´à¨¹¶Ù¡¹íÒ仨ѴàµÃÕÂÁÂÒãˌᡋ¼»Ç ¨¹ÍÒ¨à¡Ô´ÍѹµÃÒµ‹Í¼Ù»ÇÂä´Œ
          í è            è Ñ                          ÙŒ †                      Œ †

¡ÒÃàµÃÕÂÁÂÒ·Ñé§ã¹ÃٻẺÂÒ©Õ´áÅÐÂÒÃѺ»Ãзҹ
         ¡ÒÃàµÃÕÂÁÂÒâ´Â¾ÂÒºÒÅã¹ËͼٻÇÂ໚¹ÊÔ§·Õ¾ºàËç¹ä´Œ·Çä» ËÒ¡¤íÒÊѧ㪌ÂÒÁÕ¤ÇÒÁ¶Ù¡µŒÍ§
                                              Œ †            è è     Ñè             è
ËÃ×Íä´ŒÃѺ¡Ò÷º·Ç¹ãËŒ¶Ù¡µŒÍ§áÅÐàËÁÒÐÊÁ ¡çÍÒ¨¨ÐÅ´¤ÇÒÁ¼Ô´¾ÅÒ´ã¹¢Ñ鹵͹¹Õéä´ŒÁÒ¡
¢ŒÍ¼Ô´¾ÅҴ㹢ѹµÍ¹¡ÒÃàµÃÕÂÁÂÒ·ÕÍÒ¨à¡Ô´¢Ö¹ 䴌ᡋ(1)
                  é                     è           é
         ¡ÒÃà¡çºÂÒ·Õ¼ÊÁáÅŒÇᵋ§äÁ‹à¨×ͨҧáÅÐÂѧ㪌äÁ‹ËÁ´ã¹µÙàÂç¹ ´Ñ§·Õ¡Å‹ÒÇ¢ŒÒ§µŒ¹áÅŒÇÇ‹Ò ¤ÇÒÁ
                         è          Ñ                              Œ             è
¤§µÑǢͧÂҨеèÒ·ÕÊ´àÁ×ÍÂÒÁÕ¤ÇÒÁࢌÁ¢Œ¹ÊÙ§·ÕÊ´ ÂÒ©Õ´ËÅÒª¹Ô´·ÕÍÂÙã¹ÃÙ»¼§àÁ×ÍÅÐÅÒÂáŌǨÐÁÕ
                    í èØ è                              èØ                è ‹              è
¤ÇÒÁ¤§µÑǵèÒ¡Ç‹ÒàÁ×͹íÒÂҹѹä»à¨×ͨҧµ‹Í Í‹ҧäáçµÒÁ ÁÑ¡¾ºÇ‹ÒÂѧÁÕ¡ÒÃà¡çºÂÒËÅѧ¼ÊÁáŌǷÕ㪌
               í       è       é                                                                          è
äÁ‹ËÁ´ã¹µÙàÂç¹ â´Â੾ÒСÒÃ㪌ÂÒã¹¼Ù»ÇÂà´ç¡«Ö§Áѡ㪌ÂÒ¨íҹǹ¹ŒÍ¡NjÒ㹼ٻǼÙãË­‹ ¡ÒÃà¡çº
            Œ                               Œ †            è                          Œ † Œ
ÂÒ·Õè㪌äÁ‹ËÁ´¹Ñé¹äÁ‹ãª‹ÊÔè§·ÕèäÁ‹¶Ù¡µŒÍ§ Ëҡᵋ¼ÙŒ·Õè¨Ðà¡çºÂÒµŒÍ§ÁÕ¤ÇÒÁÃÙŒàÃ×èͧ¤ÇÒÁ¤§µÑǢͧÂÒ
ᵋÅЪ¹Ô´à»š¹Í‹ҧ´Õ ËÒ¡ÂÒ¹Ñé¹ÁÕ¤ÇÒÁ¤§µÑǵèíÒäÁ‹ÊÒÁÒöà¡çºänj䴌 ¡ç¨íÒ໚¹µŒÍ§·Ôé§ÂÒ¹Ñé¹ä»
â´Â੾ÒÐÍ‹ҧÂÔ§ ËÒ¡ÁÕ¢ÍÁÙžºÇ‹Ò àÁ×ÍÂҹѹÊÅÒµÑÇÍҨ䴌ÊÒ÷Õ໚¹¾Ôɵ‹Í¼Ù»Ç ઋ¹ ¡ÒÃÊÅÒÂ
                     è      Œ             è       é                     è              Œ †
µÑǢͧ ceftazidime ¨Ðä´ŒÊÒà pyridine «Öè§ÁÕ¾Ôɵ‹ÍµÑºáÅÐäµ à»š¹µŒ¹ ËÒ¡ÂÒ¹Ñé¹ÁÕÃÒ¤Òá¾§
ÍÒ¨¨íÒ໚¹·ÕµÍ§ÁÕÃкº¡ÒüÊÁÂÒʋǹ¡ÅÒ§ à¾×Í¡ÃШÒÂÂҹѹä»ÂѧËͼٻÇÂÍ×¹æ ·ÕÁ¼»Ç·ըÒ໚¹
              è Œ                                     è          é            Œ † è          è Õ ÙŒ † è í
µŒÍ§ãªŒÂÒ㹪‹Ç§àÇÅÒà´ÕÂǡѹ

¡ÒúÃÔËÒÃÂÒãˌᡋ¼ÙŒ»†ÇÂ
        ¡ÒùíÒÂÒ仺ÃÔËÒÃãˌᡋ¼»ÇÂÁÕ¤ÇÒÁÊíҤѭ·Ñ§ã¹á§‹¢Í§¡ÒÃÃкصǼٻÇ·ն¡µŒÍ§ ᵋ㹢³Ð
                               ÙŒ †             é                Ñ Œ † è Ù
à´ÕÂǡѹÁÕ»ÃÐà´ç¹¤ÇÒÁ¼Ô´¾ÅÒ´·ÕÍÒ¨à¡Ô´¢Ö¹ä´ŒËÅÒ»ÃСÒôѧ¹Õé
                                 è     é                   (1)
àǪÈÒʵÏ·¹Âؤ 2553
          Ñ                                                                                                                85

              1. ¤ÇÒÁ¤§µÑǢͧÂҨеŒÍ§ÂÒǹҹ¨¹¶Ö§àÁ×ÍãËŒÂÒ´ŒÇ¡ÒÃË´ÂÒ·Ò§ËÅÍ´àÅ×Í´´íÒãˌᡋ
                                                                               è
¼ÙŒ»†Ç¨¹ËÁ´ ´Ñ§·Õè¡Å‹ÒÇ¢ŒÒ§µŒ¹Ç‹Ò ÂÒ©Õ´·Õè¼ÊÁáÅÐà¨×ͨҧáŌǨÐÁÕ¤ÇÒÁ¤§µÑǪÑèÇÃÐÂÐàÇÅÒ˹Öè§
·Õᵡµ‹Ò§¡Ñ¹ ઋ¹ 2 ªÑÇâÁ§ ´Ñ§¹Ñ¹ ÃÐÂÐàÇÅÒ 2 ªÑÇâÁ§¹Õ໚¹àÇÅҵѧᵋ¾ÂÒºÒÅàµÃÕÂÁÂÒàÊÃç¨ä»
   è                                   è             é                       è             é   é
¨¹¶Ö§¡ÒÃãËŒÂÒ´ŒÇ¡ÒÃË´ÂÒ·Ò§ËÅÍ´àÅ×Í´´íÒá¡‹¼ÙŒ»†Ç¨¹ËÁ´ «Öè§äÁ‹ãª‹àÇÅÒµÑé§áµ‹¾ÂÒºÒÅ
àµÃÕÂÁÂÒàÊÃ稨¹¶Ö§àÇÅÒàÃÔÁãËŒÂÒ´ŒÇ¡ÒÃË´ÂÒá¡‹¼»Ç à¾ÃÒÐËÒ¡àÇÅÒ㹡ÒÃË´ÂÒµŒÍ§ãªŒÃÐÂÐ
                                         è                                           ÙŒ †
àÇÅÒ¹Ò¹ ã¹ÃÐËNjҧ¹Ñ¹ ÂÒÍÒ¨¨ÐËÁ´ÍÒÂØ áÅÐà¡Ô´à»š¹µÐ¡Í¹ã¹ÊÒ¹éÒà¡Å×Íä´Œ
                               é                                                                    í
              2. ¤ÇÒÁࢌҡѹäÁ‹ä´ŒÃÐËNjҧÂÒ©Õ´·Õ¹ÒÁÒË´ÂÒ·Ò§ËÅÍ´àÅ×Í´´íÒãˌᡋ¼»Ç¾ÌÍÁæ ¡Ñ¹
                                                                 è í                                               ÙŒ †
ËÃ×Íã¹àÇÅÒã¡ÅŒà¤Õ§¡Ñ¹ º‹Í¤Ãѧ·Õ¼»ÇÂÍÒ¨ÁÕÊÒ¹éÒà¡Å×Íà¾Õ§ÊÒÂà´ÕÂÇ áÅШíÒ໚¹µŒÍ§ãËŒÂÒ©Õ´
                                                  é è ÙŒ †                       í
·Ø¡ª¹Ô´¼‹Ò¹·Ò§ÊÒ¹éÒà¡Å×͹Õé ¨Ö§ÍÒ¨¨íÒ໚¹µŒÍ§ãËŒÂÒ©Õ´ 2 ª¹Ô´¼‹Ò¹·Ò§ Y-site «Ö§¨Ð·íÒãËŒÂÒ©Õ´
                                 í                                                                                    è
·Ñ§Êͧª¹Ô´¹Õ¼ÊÁÃÇÁ¡Ñ¹ã¹ªÑÇÃÐÂÐàÇÅÒ˹֧¡‹Í¹·Õ¨ÐࢌÒÊÙÃÒ§¡Ò¢ͧ¼Ù»Ç ¾ºÇ‹ÒÂÒËÅÒª¹Ô´àÁ×Í
       é            é                           è              è           è              ‹‹       Œ †                        è
¼ÊÁÃÇÁ¡Ñ¹ã¹ Y-site áÁŒà¾Õ§ÃÐÂÐàÇÅÒÊÑ¹æ ¡çÍҨࢌҡѹäÁ‹ä´Œ áÅÐà¡Ô´à»š¹µÐ¡Í¹¢Ö¹·Ñ¹·Õ ઋ¹
                                                             é                                                          é
ceftriaxone äÁ‹¤ÇÃãËŒ¼Ò¹ Y-site ËÇÁ¡ÑºÊÒÃÅÐÅÒ·ÕÁÕ calcium ໚¹Í§¤»ÃСͺ à¾ÃÒШзíÒãËŒÂÒ
                                     ‹                                             è
ceftriaxone µ¡µÐ¡Í¹à»š¹ ceftriaxone calcium ·Ñ¹·Õ
              3. ÍѵÃÒàÃçÇ㹡ÒÃãËŒÂҩմᵋÅЪ¹Ô´ÁÕ¤ÇÒÁᵡµ‹Ò§¡Ñ¹ ÂÒºÒ§ª¹Ô´ÊÒÁÒöãˌ䴌µÑé§áµ‹
bolus áÅÐË´ªŒÒࢌÒËÅÍ´àÅ×Í´´íÒ áµ‹ÂÒºÒ§ª¹Ô´äÁ‹ÊÒÁÒöãˌẺ bolus ä´Œ ´ŒÇÂà˵ؼÅ
·Õᵡµ‹Ò§¡Ñ¹ä» ¼ÙºÃÔËÒÃÂÒ¨Ö§¨íÒ໚¹µŒÍ§ÁÕ¤ÇÒÁÃÙàÃ×ͧÂÒᵋÅЪ¹Ô´à»š¹Í‹ҧ´Õ ઋ¹ ¡ÒÃãËŒ morphine
     è                   Œ                                             Œ è
Ẻ bolus ÍÒ¨¡ÃеعãËŒ mast cell ËÅѧ histamine ¨¹·íÒãËŒ¤ÇÒÁ´Ñ¹âÅËÔµµèÒä´Œ ¡ÒÃãËŒ phenytoin
                           Œ                               è                                                 í
Ẻ bolus ÍÒ¨·íÒãËŒËÇã¨ËÂØ´¡Ò÷íҧҹ䴌 à¹×ͧ¨Ò¡ ʋǹ¼ÊÁ¢Í§ phenytoin injection ÁÕ propylene
                                   Ñ                                 è
glycol ໚¹Ê‹Ç¹¼ÊÁ ¡Òéմ propylene glycol Í‹ҧÃÇ´àÃçÇÁÕ¼ÅàÊÕµ‹Í¡ÒÃൌ¹¢Í§ËÑÇ㨠ËÃ×Í
¡ÒéմÂÒ amphotericin B Ẻ bolus ·íÒãËŒà¡Ô´¾Ôɵ‹Íäµä´Œ ໚¹µŒ¹
              4. ¡ÒÃãËŒÂÒºÒ§ª¹Ô´ËÃ×ͺҧÃٻẺÍÒ¨äÁ‹ÊÒÁÒöãˌ㹺ҧÇÔ¶·Ò§ãËŒÂÒä´Œ ઋ¹ ceftriaxone Õ
ã¹ÃٻẺÂҩմࢌҡŌÒÁà¹×Í äÁ‹ÊÒÁÒö¹íÒ仩մࢌҷҧËÅÍ´àÅ×Í´´íÒä´Œ à¹×ͧ¨Ò¡ÂÒ¹Õ¨ÐÁҾÌÍÁ
                                           é                                                               è              é
¡ÑºÊÒùéÒ«Ö§¼ÊÁÂÒ lidocaine à¾×ÍÅ´¤ÇÒÁà¨çº»Ç´ã¹¡ÒéմࢌҡŌÒÁà¹×Í ËÒ¡¼ÊÁ ceftriaxone
              í è                                      è                                               é
´ŒÇÂÊÒùéíÒ¹ÕéáŌǹíÒ仩մࢌÒËÅÍ´àÅ×Í´´íÒ ¨Ð·íÒãËŒËÑÇã¨àµŒ¹ªŒÒŧ áÅзíÒãËŒ¼ÙŒ»†ÇÂàÊÕªÕÇԵ䴌
¹Í¡¨Ò¡¹Õé ¼Ù»Ç·ÕÁ¤ÇÒÁ¼Ô´»¡µÔ¢Í§Ã‹Ò§¡ÒºҧÍ‹ҧÍÒ¨äÁ‹ÊÒÁÒöãËŒÂÒ㹺ҧÇÔ¶·Ò§ãËŒÂÒä´Œ ઋ¹
                  Œ † è Õ                                                                                        Õ
äÁ‹ÊÒÁÒö©Õ´ÂÒࢌҡŌÒÁà¹×Í㹼ٻǷÕÁÀÒÇÐà¡Åç´àÅ×Í´µèÒä´Œ ໚¹µŒ¹
                                              é     Œ † è Õ                                  í
              5. ÂÒÃѺ»Ãзҹ·Õ¨Ò໚¹µŒÍ§ÃѺ»ÃзҹµÒÁàÇÅÒÃѺ»ÃзҹÍÒËÒà à¹×ͧ¨Ò¡ÍÒËÒÃÍÒ¨
                                             èí                                                                è
ÁÕ¼Åà¾ÔÁËÃ×ÍÅ´¡Òôٴ«ÖÁÂÒä´Œ ¨Ö§¨íÒ໚¹µŒÍ§ãËŒ¼»ÇÂÃѺ»ÃзҹÂÒã¹àÇÅÒ·ÕÊÍ´¤ÅŒÍ§¡ÑºÁ×ÍÍÒËÒÃ
            è                                                           ÙŒ †                             è                  é
¡Å‹ÒǤ×Í ãËŒÂÒ¡‹Í¹ÍÒËÒà ËÁÒ¶֧ãËŒÂÒ¡‹Í¹ÃѺ»ÃзҹÍÒËÒÃÍ‹ҧ¹ŒÍ¤ÃÖ觪ÑèÇâÁ§ áÅÐãËŒÂÒ
ËÅѧÍÒËÒà ËÁÒ¶֧ ãËŒÂÒËÅѧÍÒËÒ÷ѹ·Õ ໚¹µŒ¹ ¹Í¡¨Ò¡¹Õé ÍÒËÒúҧª¹Ô´ÍÒ¨Áռŵ‹Í¡Òôٴ«ÖÁ
¢Í§ÂÒ àª‹¹ ÍÒËÒÃ¡ÅØÁâ»ÃµÕ¹ÍҨŴ¡Òôٴ«ÖÁ¢Í§ÂÒ levodopa ¹Í¡¨Ò¡¹Õé ÍÒËÒúҧª¹Ô´ÍÒ¨à¡Ô´
                             ‹
»¯Ô¡ÃÂҡѺÂÒ·Õú»Ãзҹ ઋ¹ ¼Ñ¡ãºà¢ÕÂÇ·ÕÁǵÒÁԹठÍҨŴ¡Ò÷íÒ§Ò¹¢Í§ warfarin ä´Œ ໚¹µŒ¹
         ÔÔ           èÑ                                          è ÕÔ
86                                                 Drug Administration Pitfalls : from Practitioner to Patient

¡ÒõԴµÒÁáÅлÃÐàÁÔ¹¼ÙŒ»†ÇÂËÅѧ¨Ò¡ºÃÔËÒÃÂÒáÅŒÇ
           ¡ÒõԴµÒÁáÅлÃÐàÁÔ¹¼ÙŒ»†ÇÂËÅѧ䴌ÃѺÂÒÁÕ¤ÇÒÁÊíҤѭ·Õè¨ÐÃкØä´ŒÇ‹Ò ¼ÙŒ»†Çµͺʹͧ
µ‹Í¡ÒÃÃÑ¡ÉÒËÃ×ÍäÁ‹ ËÃ×Íà¡Ô´ÍÒ¡ÒÃäÁ‹¾Ö§»ÃÐʧ¤¨Ò¡¡ÒÃ㪌ÂÒËÃ×ÍäÁ‹ ÃÇÁ¶Ö§ÊÒÁÒöÊѧࡵ
¤ÇÒÁ¼Ô´»¡µÔ·ÍÒ¨à¡Ô´¢Ö¹¡Ñº¼Ù»ÇÂä´Œ ઋ¹(1)
                      Õè         é        Œ †
           1. ÂÒàÊ×ÍÁÊÀÒ¾ã¹ÊÒ¹éÒà¡Å×ÍÃÐËNjҧË´ÂÒ «Ö§¾ºä´Œâ´Â੾ÒÐÍ‹ҧÂÔ§ ÂÒ·ÕÁ¤ÇÒÁ
                         è                      í               è                        è       è Õ
¤§µÑǵèÒ ËÃ×ÍÂÒ䴌ú¡ÒüÊÁáÅÐàµÃÕÂÁÁÒ㹤ÇÒÁࢌÁ¢Œ¹ËÃ×ͪ¹Ô´¢Í§ÊÒùéÒ·ÕäÁ‹àËÁÒÐÊÁ ËÃ×Í
         í                   Ñ                                               í è
ã¹ËÅÒ¤ÃѧÍÒ¨à¡Ô´¨Ò¡ÂÒ·ÕàÊ×ÍÁÊÀÒ¾à¹×ͧ¨Ò¡ÍسËÀÙÁËͧÊÙ§à¡Ô¹¡Ç‹Ò·ÕÂÒ¨ÐÁÕ¤ÇÒÁ¤§µÑÇÍÂÙä´Œ
              é                         è è          è        Ô Œ      è                               ‹
â´ÂʋǹãË­‹Áµ¹¡íÒà¹Ô´ÁÒ¨Ò¡»ÃÐà·Èã¹·ÇÕ»ÂØâûáÅлÃÐà·ÈÊËÃѰÍàÁÃÔ¡Ò «Ö§ÁÕͳËÀÙÁËͧ·Õè
                    Õ Œ                                                          è Ø               Ô Œ
25 ͧÈÒà«Åà«ÕÂÊ áÅÐÁÑ¡ÃкطÕè©ÅÒ¡ËÃ×ͺÃèØÀѳ±Ç‹Ò¤§µÑÇ·ÕèÍØ³ËÀÙÁÔˌͧ ᵋ㹻ÃÐà·Èä·Â
ÍØ³ËÀÙÁÔˌͧÍÒ¨ËÁÒ¶֧ 30 ͧÈÒà«Åà«ÕÂÊ «Öè§ÂÒÍÒ¨àÊ×èÍÁÊÀÒ¾àÃçǡNjҷÕèÃкØã¹©ÅÒ¡ÂÒä´Œ
¡ÒõԴµÒÁáÅлÃÐàÁÔ¹¼Ù»Ç·Õ㪌ÂÒ¹Õ¨§ÁÕ¤ÇÒÁÊíҤѭ
                                   Œ † è          éÖ
           2. ¼Ù»ÇÂà¡Ô´ÍÒ¡ÒÃᾌÂÒËÃ×ÍÍÒ¡ÒÃäÁ‹¾§»ÃÐʧ¤¨Ò¡¡ÒÃ㪌ÂÒ ã¹»˜¨¨Øº¹ ÂÒËÅÒª¹Ô´
                  Œ †                                  Ö                          Ñ
·Õ·ÒãËŒà¡Ô´¡ÒÃᾌÂÒ¢ŒÒÁ¡ÅØÁ¡Ñ¹ä´Œ ÍÒ¨äÁ‹ä´Œà»š¹ÂÒ·ÕáÉÒâäà´ÕÂǡѹËÃ×ÍäÁ‹ä´ŒÁªÍÂҷդŌÒ¡ѹ
  è í                                 ‹                    èÑ                       Õ ×è       è
·íÒãËŒ¼Ê§ãªŒÂÒËÃ×ͼٺÃÔËÒÃÂÒÍҨࢌÒ㨼Դ¤Ô´Ç‹ÒÂҷѧÊͧª¹Ô´¹ÕäÁ‹à¡Ô´¡ÒÃᾌÂÒ¢ŒÒÁ¡ÅØÁ¡Ñ¹ä´Œ ઋ¹
       ÙŒ Ñè               Œ                             é        é                        ‹
ÂÒᡌ»Ç´áÅÐÅ´¡ÒÃÍÑ¡àÊºã¹¡ÅØÁ COXIB ºÒ§ª¹Ô´ ÍÒ¨à¡Ô´¡ÒÃᾌÂÒ¢ŒÒÁ¡ÅØÁ¡ÑºÂÒ»¯ÔªÇ¹Ðã¹¡ÅØÁ
                                              ‹                            ‹                 Õ           ‹
sulfa ä´é à¹×ͧ¨Ò¡ÂҷѧÊͧ¡ÅØÁÁÕâ¤Ã§ÊÃéÒ§¢Í§ sulfonamide à»ç¹µé¹ ´Ñ§¹Ñ¹ ËÒ¡¨Óà»ç¹µéͧãªéÂÒ
                è              é            è                            é
ã¹¡ÅØ‹Á COXIB ã¹¼ÙŒ»†Ç·ÕèÁÕ»ÃÐÇѵÔᾌÂÒ»¯ÔªÕǹÐã¹¡ÅØ‹Á sulfa ¡ÒõԴµÒÁ¼ÙŒ»†Ç·Õè㪌ÂÒ¨Ö§
ÁÕ¤ÇÒÁÊíҤѭ㹡Òû‡Í§¡Ñ¹¡ÒÃà¡Ô´¡ÒÃᾌÂÒä´Œ

ÊÃØ»
         ¡ÒúÃÔËÒÃÂÒãˌᡋ¼ÙŒ»†ÇÂÍ‹ҧ¶Ù¡µŒÍ§áÅлÅÍ´ÀÑÂÁÕ¤ÇÒÁÊíҤѭ·ÕèºØ¤ÅÒ¡ÃÊÒ¸ÒÃ³ÊØ¢
·Ø¡ÊÒ¢ÒµŒÍ§Ã‹ÇÁÁ×͡ѹ ʹѺʹعáÅÐÊ‹§àÊÃÔÁÃкºã¹¡ÒúÃÔËÒÃÂÒ·Õ´ãˌᡋ¼»Ç àÃÔÁµÑ§áµ‹¡ÒÃà¢Õ¹
                                                              è Õ    ÙŒ † è é
¤íÒÊѧ㪌ÂÒ ¡ÒÃÃѺ¤íÒÊѧ㪌ÂÒáÅСÒ÷º·Ç¹¤íÒÊѧ㪌ÂÒ ¡ÒÃàµÃÕÂÁÂÒ ¡ÒúÃÔËÒÃÂÒãˌᡋ¼»Ç áÅÐ
     è                  è                    è                                    ÙŒ †
¡ÒõԴµÒÁáÅлÃÐàÁÔ¹¼Ù»ÇÂËÅѧ¨Ò¡ºÃÔËÒÃÂÒáÅŒÇ º·¤ÇÒÁ¹Õä´Œ·º·Ç¹¤ÇÒÁ¼Ô´¾ÅÒ´µ‹Ò§æ 㹡ÒÃ
                          Œ †                            é
ºÃÔËÒÃÂÒã¹áµ‹ÅТѹµÍ¹ à¾×ÍÊзŒÍ¹ãËŒàËç¹¶Ö§»˜­ËÒ·Õà¡ÕÂǡѺÂÒ·Õʧ¼Å¡Ãзºµ‹Í¤ÇÒÁ»ÅÍ´ÀÑÂ
                      é       è                     è è           è‹
㹡ÒÃ㪌ÂҢͧ¼Ù»Ç àÀÊѪ¡Ãâç¾ÂÒºÒÅ໚¹ºØ¤ÅÒ¡ÃÊÒ¸ÒÃ³ÊØ¢·ÕÊÒÁÒöãËŒ¤Ò»ÃÖ¡ÉÒàÃ×ͧÂÒá¡‹
                  Œ †                                           è         í          è
·Ñ§á¾·ÂáÅоÂÒºÒÅà¾×ÍãËŒ¡ÒúÃÔËÒÃÂÒ໚¹ä»ä´ŒÍ‹ҧ¶Ù¡µŒÍ§áÅлÅÍ´ÀÑÂ
  é                        è

àÍ¡ÊÒÃ͌ҧÍÔ§
1.   ¸Ô´Ò ¹Ô§ÊÒ¹¹·, ÊØÇ²¹Ò ¨ØÌÒÇѲ¹·Å, »ÃÕªÒ Á¹·¡Ò¹µÔ¡Å. ºÃóҸԡÒÃ. ¡ÒúÃÔËÒÃÂÒà¾×ͤÇÒÁ»ÅÍ´ÀÑ¢ͧ¼Ù»ÇÂ.
                          Ñ                                    Ø                              è                  Œ †
     ¡Ãا෾ÁËÒ¹¤Ã: ÊÁÒ¤ÁàÀÊѪ¡ÃÃÁâç¾ÂÒºÒÅ (»ÃÐà·Èä·Â); 2552.
2.   Trissel LA, editor. Handbook of injectable drug. 13th ed. Bethesda: American Society of Health-System Pharmacists;
     2005.
àǪÈÒʵÏ·¹Âؤ 2553
          Ñ                                                                   º··Õè        87

                                                                               13
                Drug Administration Pitfalls : Case Study
                                                 àÀÊѪ¡ÃË­Ô§ ÍØäÃÇÃó ÈÔÅ»ÈØÀ¡Ãǧȏ
                           ½†ÒÂàÀÊѪ¡ÃÃÁ ¤³Ðá¾·ÂÈÒʵÏÈÔÃÔÃÒª¾ÂÒºÒÅ ÁËÒÇÔ·ÂÒÅÑÂÁËÔ´Å

º·¹íÒ
       ¤ÇÒÁ¼Ô´¾ÅҴ㹡ÒúÃÔËÒÃÂÒ©Õ´à¡Ô´ä´Œ¨Ò¡ËÅÒÂÊÒà˵Øä´Œá¡‹ ¤ÇÒÁࢌҡѹäÁ‹ä´Œ¢Í§ÂÒ
¤ÇÒÁ¤§µÑǢͧÂÒËÅѧ¼ÊÁ (reconstitution) ¤ÇÒÁ¤§µÑǢͧÂÒ©Õ´ËÅѧà¨×ͨҧ (dilution) ¼Å¢Í§ÍѵÃÒ
àÃçǢͧ¡ÒéմÂÒ/Ë´ÂÒ·Ò§ËÅÍ´àÅ×Í´´íÒµ‹Í¼ÙŒ»†Ç ໚¹µŒ¹ 㹺·¹Õé¢Í¡¡Ã³ÕÈÖ¡ÉÒáÅÐ
á¹Ç·Ò§á¡Œä¢à¾×Í໚¹µÑÇÍ‹ҧ㹡ÒúÃÔËÒÃÂÒÍ‹ҧ¶Ù¡µŒÍ§áÅÐÅ´¤ÇÒÁ¼Ô´¾ÅÒ´·ÕÍÒ¨à¡Ô´¢Ö¹ä´Œ(1)
              è                                                             è      é

¡ÒÃÈÖ¡ÉÒ¤ÇÒÁࢌҡѹäÁ‹ä´Œ áÅФÇÒÁ¤§µÑǢͧÂÒ©Õ´ËÅѧ¼ÊÁ / à¨×ͨҧ
        ¡Ã³ÕÈÖ¡ÉÒ·Õè 1
        ¼ÙŒ»†ÇªÒÂÍÒÂØ 37 »‚ ¹éíÒ˹ѡ 45 ¡ÔâÅ¡ÃÑÁ ࢌÒÃѺ¡ÒÃÃÑ¡ÉÒã¹âç¾ÂÒºÒÅ´ŒÇÂÍÒ¡ÒÃ
µÔ´àª×ÍÃÒ Histoplasma ÍÂ‹Ò§ÃØ¹áç ᾷʧÂÒ©Õ´ amphotericin B (conventional) ¢¹Ò´ 32 ÁÔÅÅÔ¡ÃÑÁ
      é                                 Ñè
(0.7 ÁÔÅÅÔ¡ÃÑÁµ‹Í¡ÔâÅ¡ÃÑÁµ‹ÍÇѹ) Ë´ࢌÒËÅÍ´àÅ×Í´´íÒ¹Ò¹ 6 ªÑèÇâÁ§ ¾ÂÒºÒŨ֧àµÃÕÂÁÂÒ©Õ´
amphotericin B (¢Ç´ÅÐ 50 ÁÔÅÅÔ¡ÃÑÁ) ¼ÊÁ¹éÒ¡ÅѹÊíÒËÃѺ©Õ´ 10 ÁÔÅÅÔŵà ¼ÊÁ¨¹ä´ŒÊÒÃÅÐÅÒÂãÊ
                                           í è                     Ô
´Ù´ÂÒ»ÃÔÁҵà 6.4 ÁÔÅÅÔŵà à¾×͹íÒä»à¨×ͨҧµ‹Íã¹ NSS 100 ÁÔÅÅÔŵà ËÅѧà¨×ͨҧ¾ºÇ‹ÒÁյС͹
                        Ô     è                                  Ô
ÍÂÙã¹ÊÒÃÅÐÅÒ ¨Ö§ÃÕºâ·ÃÈѾ·Êͺ¶ÒÁàÀÊѪ¡Ã·Ñ¹·Õ
   ‹

        à¡Ô´ÍÐäâÖ鹡Ѻ¡ÒüÊÁáÅÐà¨×ͨҧÂÒ㹤ÃÑé§¹Õé
        ¢Ñ¹µÍ¹¡ÒüÊÁÂÒ ÁÕ¤ÇÒÁ¶Ù¡µŒÍ§â´Â¡ÒÃ㪌¹Ò¡ÅѹÊíÒËÃѺ©Õ´ 10 ÁÔÅÅÔŵà ¼ÊÁ¡Ñº¼§ÂÒ
              é                                  éí è                        Ô
50 ÁÔÅÅÔ¡ÃÑÁ ä´ŒÊÒÃÅÐÅÒ·ÕÁ¤ÇÒÁࢌÁ¢Œ¹¢Í§ amphotericin B 5 ÁÔÅÅÔ¡ÃÑÁµ‹ÍÁÔÅÅÔŵà ¶ŒÒ㪌äÁ‹ËÁ´
                          è Õ                                                  Ô
ÊÒÁÒöà¡çºÊÒÃÅÐÅÒ¹Õä´Œ ᵋµÍ§à¡çºãËŒ¾¹áʧ ·ÕͳËÀÙÁÔ 25 ͧÈÒà«Åà«ÕÂÊ ÂÒÁÕ¤ÇÒÁ¤§µÑǹҹ
                       é        Œ      Œ      èØ
24 ªÑÇâÁ§ áÅÐ ·ÕͳËÀÙÁÔ 2 – 8 ͧÈÒà«Åà«ÕÂÊ ÂÒÁÕ¤ÇÒÁ¤§µÑǹҹ 7 Çѹ(2, 3)
     è           èØ
        ¢Ñ¹µÍ¹¡ÒÃà¨×ͨҧ ÁբͼԴ¾ÅÒ´ 2 »ÃСÒà ¤×Í ª¹Ô´¢Í§ÊÒùéÒ·Õ㪌à¨×ͨҧáÅлÃÔÁÒµÃ
            é                 Œ                                     í è
¢Í§ÊÒùéÒ·Õ㪌 (¤ÇÒÁࢌÁ¢Œ¹¢Í§ÊÒÃÅÐÅÒ·Õä´Œ) ¡ÒùíÒÂÒ·Õ¼ÊÁáÅŒÇÁÒà¨×ͨҧµ‹Í µŒÍ§àÅ×Í¡ª¹Ô´
           í è                           è             è
¢Í§ÊÒùéÒãËŒàËÁÒÐÊÁ ÊíÒËÃѺÂÒ amphotericin B ¾ºÇ‹ÒÊÒùéÒᵋÅЪ¹Ô´Áռŵ‹Í¤ÇÒÁ¤§µÑǴѧ¹Õé(2)
         í                                               í
88                                                     Drug Administration Pitfalls : Case Study

         1. ã¹ NSS ËÃ×ÍÊÒùéÒ·ÕÁÊǹ»ÃСͺ¢Í§ sodium chloride ઋ¹ D5S ÂÒ¨Ðà¡Ô´¡ÒÃ
                              í è Õ‹
µ¡µÐ¡Í¹ÀÒÂã¹ 2 ªÑÇâÁ§ËÅѧà¨×ͨҧ
                     è
         2. ã¹ D5W ·Õ¤ÇÒÁࢌÁ¢Œ¹ 0.7-1 ÁÔÅÅÔ¡ÃÑÁµ‹ÍÁÔÅÅÔŵà ¾ºÇ‹Ò amphotericin B ¨Ð¤§µÑÇÍÂÙä´Œ
                       è                                  Ô                                ‹
Í‹ҧ¹ŒÍ 24 ªÑÇâÁ§·ÕͳËÀÙÁÔ 25 ͧÈÒà«Åà«ÕÂÊ â´ÂäÁ‹µÍ§à¡çº¾Œ¹áʧ
                è      èØ                               Œ
         ´Ñ§¹Ñ¹ amphotericin B ÁÕ¤ÇÒÁ¤§µÑÇã¹ D5W ÁÒ¡¡Ç‹Ò NSS ¨Ö§¤ÇÃà¨×ͨҧÂÒ¹Õã¹ D5W
              é                                                                      é
ËŒÒÁà¨×ͨҧÂÒã¹ NSS à´ç´¢Ò´ à¾ÃÒÐÂÒ¨Ðà¡Ô´¡Òõ¡µÐ¡Í¹ä´Œ
         ÊíÒËÃѺ»ÃÔÁÒµÃÊÒùéíÒ·Õè㪌㹡ÒÃãËŒ·Ò§ËÅÍ´àÅ×Í´´íÒ ¤ÇÒÁࢌÁ¢Œ¹ÊÙ§ÊØ´µŒÍ§äÁ‹à¡Ô¹ 0.1
ÁÔÅÅÔ¡ÃÑÁµ‹ÍÁÔÅÅÔŵà ´Ñ§¹Ñ¹¤ÇÃà¨×ͨҧµ‹Íã¹ÊÒùéÒãˌ䴌»ÃÔÁÒµÃäÁ‹µÒ¡Ç‹Ò 320 ÁÔÅÅÔŵà áÅФÇÃ
                  Ô       é                     í                 èí              Ô
㪌·¹·ÕÀÒÂËÅѧ¡ÒÃàµÃÕÂÁ áÅÐäÁ‹¨Ò໚¹µŒÍ§à¡çºãËŒ¾¹áʧ
    Ñ                               í              Œ

        ¨Ð»‡Í§¡Ñ¹/ᡌ䢻˜­ËÒ¤ÇÒÁäÁ‹¤§µÑǢͧÂÒ¹ÕéÍ‹ҧäÃ
        1. µŒÍ§à»ÅÕ¹ÇÔ¸¡ÒÃàµÃÕÂÁÂÒ¹Õâ´Âà¨×ͨҧã¹ÊÒùéÒ D5W ෋ҹѹ
                   è       Õ         é                  í           é
        2. ¤ÇÃà¨×ͨҧµ‹Íã¹ÊÒùéÒãˌ䴌»ÃÔÁÒµÃäÁ‹µÒ¡Ç‹Ò 320 ÁÔÅÅÔŵà (¤ÇÒÁࢌÁ¢Œ¹ÊÙ§ÊØ´äÁ‹à¡Ô¹
                                í                èí              Ô
0.1 ÁÔÅÅÔ¡ÃÑÁµ‹ÍÁÔÅÅÔŵÃ)
                      Ô
        3. ¡ÒáíÒ˹´ÇÔ¸¼ÊÁÂÒ amphotericin B ãˌ໚¹Áҵðҹà´ÕÂÇã¹âç¾ÂÒºÒÅ ¨Ðª‹Ç»‡Í§¡Ñ¹
                         Õ
»˜­ËÒ¤ÇÒÁäÁ‹¤§µÑÇä´Œ (µÒÃÒ§·Õè 1)

µÒÃÒ§·Õè 1 ÇÔ¸Õ¡ÒüÊÁ/à¨×ͨҧ amphotericin B áÅФÇÒÁ¤§µÑÇã¹¢Ñ鹵͹µ‹Ò§æ(1-3)
ÅíҴѺ·Õè       ÇÔ¸Õ¡ÒüÊÁ/à¨×ͨҧ                                ¤ÇÒÁ¤§µÑÇ
1               ແ´ÀÒª¹ÐºÃèØÂÒ©Õ´ amphotericin B                24 ªÑÇâÁ§·ÕͳËÀÙÁÔ
                                                                       è     èØ
                50 ÁÔÅÅÔ¡ÃÑÁ áÅмÊÁ´ŒÇ¹éÒ¡ÅѹÊíÒËÃѺ©Õ´
                                         í è                      25 ͧÈÒà«Åà«ÕÂÊ
                »ÃÔÁҵà 10 ÁÔÅÅÔŵÃ
                                 Ô                                (à¡çº¾Œ¹áʧ) 7 Çѹ
                                                                  ·ÕͳËÀÙÁÔ 2-8 ͧÈÒà«Åà«ÕÂÊ
                                                                    èØ
                                                                  (à¡çº¾Œ¹áʧ)
2               ¹íÒÊÒÃÅÐÅÒ·ռÊÁáÅŒÇä»à¨×ͨҧµ‹Í´ŒÇ D5W
                               è                                  ¤ÇÃ㪌·¹·ÕÀÒÂËÅѧ¡ÒÃ
                                                                          Ñ
                ãˌ䴌¤ÇÒÁࢌÁ¢Œ¹ÊÙ§ÊØ´äÁ‹à¡Ô¹ 0.1 ÁÔÅÅÔ¡ÃÑÁ      àµÃÕÂÁ (äÁ‹µÍ§à¡çº¾Œ¹áʧ)
                                                                              Œ
                µ‹ÍÁÔÅÅÔÅÔµÃ
3               ʋͧ´ÙµÐ¡Í¹ áÅоԨÒóÒÊբͧÊÒÃÅÐÅÒÂ
                ·Õà¨×ͨҧáÅŒÇ â´Â㪌¡ÃдÒÉÊÕ¢ÒÇáÅÐÊÕ´Ò
                    è                                     í
4               ¹íÒÂÒ·Õà¨×ͨҧáÅŒÇä»·ÕàµÕ§¼Ù»ÇÂ
                        è              è      Œ †
5               ʋͧ´ÙµÐ¡Í¹ áÅоԨÒóÒÊբͧÊÒÃÅÐÅÒÂ
                ·Õà¨×ͨҧáÅŒÇ
                  è
àǪÈÒʵÏ·¹Âؤ 2553
          Ñ                                                                            89

ÅíҴѺ·Õè       ÇÔ¸Õ¡ÒüÊÁ/à¨×ͨҧ                                ¤ÇÒÁ¤§µÑÇ
6               ¹íÒÂÒä»Ë´ࢌÒËÅÍ´àÅ×Í´´íҢͧ¼Ù»Ç   Œ †
                â´Â¾Ô¨ÒóÒÇ‹ÒÁÕÂÒÍ×¹æ ·ÕµÍ§Ë´¼‹Ò¹ªØ´
                                     è    è Œ
                ãËŒ¹Òà¡Å×Íà´ÕÂǡѹËÃ×ÍäÁ‹ áÅÐÁÕ¤ÇÒÁࢌҡѹ䴌
                        éí
                ËÃ×ÍäÁ‹
7               àÃÔÁË´ÂÒࢌÒËÅÍ´àÅ×Í´´íÒãˌᡋ¼»ÇÂÍ‹ҧªŒÒæ
                    è                            ÙŒ †
                 â´Â㪌àÇÅÒ㹡ÒÃË´ÂÒ¹Ò¹ 2-6 ªÑÇâÁ§è
8               ʋͧ´ÙµÐ¡Í¹ áÅоԨÒóÒÊբͧÊÒÃÅÐÅÒÂ
                ·Õà¨×ͨҧáÅŒÇ â´Â㪌¡ÃдÒÉÊÕ¢ÒÇáÅÐÊÕ´Ò
                  è                                      í
                ໚¹ÃÐÂÐ
9               àÁ×ÍË´ÂÒàÊÃç¨ÊÔ¹áÅŒÇãËŒ flush ÊÒÂãËŒÂÒ·Ø¡¤Ãѧ
                      è          é                            é

         ¢ŒÍ¤Ô´·Õä´Œ¨Ò¡¡Ã³ÕÈ¡ÉÒ¹Õé
                 è            Ö
         㹡ÒüÊÁ/à¨×ͨҧÂÒ ÊÒùéíÒÁռŵ‹Í¤ÇÒÁ¤§µÑǢͧÂÒ ¶ŒÒàÅ×͡㪌ÊÒùéíÒäÁ‹¶Ù¡µŒÍ§ÍÒ¨
·íÒãËŒà¡Ô´¡Òõ¡µÐ¡Í¹áÅÐÁÕ͹µÃÒµ‹Í¼Ù»ÇÂä´Œ ¨Ö§¤ÇÃÈÖ¡ÉÒ¢ŒÍÁÙÅãËŒ¶¡µŒÍ§¡‹Í¹àÃÔÁ·íÒ¡ÒüÊÁ/
                            Ñ         Œ †                       Ù           è
à¨×ͨҧÂÒ

        ¡Ã³ÕÈÖ¡ÉÒ·Õè 2
        ¼ÙŒ»†ÇÂË­Ô§ÍÒÂØ 50 »‚ ¹éíÒ˹ѡ 50 ¡ÔâÅ¡ÃÑÁ ࢌÒÃѺ¡ÒÃÃÑ¡ÉÒã¹âç¾ÂÒºÒÅ´ŒÇÂâäÀÙÁÔ
µŒÒ¹·Ò¹º¡¾Ã‹Í§·ÕèµÔ´àª×éÍ Cytomegalovirus ᾷÊÑè§ÂÒ©Õ´ ganciclovir 250 ÁÔÅÅÔ¡ÃÑÁ
Ë´ࢌÒËÅÍ´àÅ×Í´´íÒ·Ø¡ 12 ªÑÇâÁ§ â´Â¤íÒÊѧᾷÃкش§¹Õé ganciclovir (500 ÁÔÅÅÔ¡ÃÑÁµ‹Í¢Ç´)
                              è           è            Ñ
¼ÊÁ¹éÒ¡ÅѹÊíÒËÃѺ©Õ´ 10 ÁÔÅÅÔŵà ´Ù´ÂÒ»ÃÔÁҵà 5 ÁÔÅÅÔŵà à¨×ͨҧµ‹Íã¹ NSS ãˌ䴌»ÃÔÁÒµÃ
       í è                      Ô                         Ô
20 ÁÔÅÅÔÅԵà àÁ×èÍ·íÒµÒÁ¢Ñ鹵͹áÅŒÇ ÂѧÁÕÊÒÃÅÐÅÒÂÂÒàËÅ×Í㹢Ǵ ¾ÂÒºÒŨ֧¹íÒà¡çºã¹µÙŒàÂç¹
ª‹Í§¸ÃÃÁ´Ò àÁ×Ͷ֧àÇÅÒ¡ÒÃãËŒÂÒ¤Ãѧµ‹Íä» ¢³Ð¹íÒÂÒÍÍ¡¨Ò¡µÙàÂç¹ä´ŒÊ§à¡µàË繵С͹㹢ǴÂÒ
               è                    é                       Œ      Ñ
¨Ö§ÃÕºâ·ÃÊͺ¶ÒÁàÀÊѪ¡ÃÇ‹ÒÂѧ㪌µÍä´ŒËÃ×ÍäÁ‹
                                  ‹

        ¡ÒüÊÁÂÒ¹ÕéÁÕ¢Ñ鹵͹㴷Õè¼Ô´¾ÅÒ´áÅÐÍÒ¨·íÒãËŒÂÒÁÕ¤ÇÒÁ¤§µÑÇŴŧ
        ¢Ñ¹µÍ¹¡ÒüÊÁÂÒ àÅ×Í¡¹éÒ¡ÅѹÊíÒËÃѺ©Õ´¼ÊÁ¼§ÂÒ ÁÕ¤ÇÒÁ¶Ù¡µŒÍ§ â´ÂÂÒ©Õ´ ganciclovir
          é                       í è
¢¹Ò´ 500 ÁÔÅÅÔ¡ÃÑÁµ‹Í¢Ç´ ¨Ð¼ÊÁ´ŒÇ¹éíÒ¡ÅÑè¹ÊíÒËÃѺ©Õ´ 10 ÁÔÅÅÔÅԵà 䴌ÊÒÃÅÐÅÒ·ÕèÁÕ¤ÇÒÁ
ࢌÁ¢Œ¹ 50 ÁÔÅÅÔ¡ÃÑÁµ‹ÍÁÔÅÅÔŵà à¹×ͧ¨Ò¡ÊÒÃÅÐÅÒÂÁÕ¤Ò pH ÊÙ§»ÃÐÁÒ³ 11 ´Ñ§¹Ñ¹¡ÒÃàµÃÕÂÁÂÒ
                             Ô     è               ‹                       é
µŒÍ§·íÒ´ŒÇ¤ÇÒÁÃÐÁÑ´ÃÐÇѧ ¤ÇÃãÊ‹¶§Á×ÍÂÒ§ áÅÐÊÇÁáÇ‹¹µÒ¹ÔÃÀÑ à¾×Í»‡Í§¡Ñ¹¡ÒÃÊÑÁ¼ÑʹéÒÂÒËÒ¡
                                     Ø                         è                  í
¢Ç´ÂÒᵡ ËÃ×͹éÒÂÒË¡ ¼§ÂÒ·ÕÅÐÅÒÂáÅŒÇÁÕ¤ÇÒÁ¤§µÑǹҹ 12 ªÑÇâÁ§·ÕͳËÀÙÁÔ 25 ͧÈÒà«Åà«ÕÂÊ
                 í              è                          è     èØ
ᵋ¶Ò¹íÒÂÒà¡çºã¹µÙàÂ繨ÐÁÕâÍ¡ÒÊà¡Ô´¡Òõ¡µÐ¡Í¹ä´Œ(3, 4)
    Œ              Œ
90                                                           Drug Administration Pitfalls : Case Study

         ¢Ñ鹵͹¡ÒÃà¨×ͨҧÂÒ´ŒÇ NSS ÁÕ¢ŒÍ¼Ô´¾ÅÒ´ËÃ×ÍäÁ‹
         㹡ÒÃà¨×ͨҧÂÒ¹Õé ÊÒÁÒöàÅ×͡㪌ÊÒùéÒä´Œ·§ NSS áÅÐ D5W ᵋ¢Í¼Ô´¾ÅÒ´·Õ¾º¤×Í
                                              í    Ñé                     Œ         è
»ÃÔÁҵâͧÊÒùéÒ·Õ㪌 㹡ÒÃãËŒÂÒâ´ÂË´ࢌÒËÅÍ´àÅ×Í´´íÒ ãËŒÁ¤ÇÒÁࢌÁ¢Œ¹ÊÙ§ÊØ´äÁ‹à¡Ô¹ 10
                    í è                                         Õ
ÁÔÅÅÔ¡ÃÑÁµ‹ÍÁÔÅÅÔŵà ÊÒÃÅÐÅÒÂËÅѧà¨×ͨҧÁÕ¤ÇÒÁ¤§µÑǹҹ 24 ªÑÇâÁ§·ÕͳËÀÙÁÔ 2–8 ͧÈÒà«Åà«ÕÂÊ
                  Ô                                         è     èØ
â´ÂäÁ‹·ÒãËŒà¡Ô´¡Òõ¡µÐ¡Í¹
         í                   (2, 3)



         ¨Ð»‡Í§¡Ñ¹/ᡌ䢻˜­ËÒ¤ÇÒÁäÁ‹¤§µÑǢͧÂÒ¹ÕéÍ‹ҧäÃ
         1. à¾ÔèÁ»ÃÔÁÒµÃÊÒùéíÒ NSS ໚¹ 100 ÁÔÅÅÔÅԵà (¤ÇÒÁࢌÁ¢Œ¹¢Í§ÂÒ©Õ´ ganciclovir
ËÅѧà¨×ͨҧ෋ҡѺ 2.5 ÁÔÅÅÔ¡ÃÑÁµ‹ÍÁÔÅÅÔŵÃ) «Ö§äÁ‹à¡Ô¹¤ÇÒÁࢌÁ¢Œ¹ÊÙ§ÊÙ´·ÕÊÒÁÒöãˌ䴌·Ò§ËÅÍ´
                                         Ô     è                          è
àÅ×Í´´íÒ
         2. ¡ÒáíÒ˹´ÇÔ¸¼ÊÁÂÒ ganciclovir ãˌ໚¹Áҵðҹà´ÕÂÇã¹âç¾ÂÒºÒÅ ¨Ðª‹Ç»‡Í§¡Ñ¹
                         Õ
»˜­ËÒ¤ÇÒÁäÁ‹¤§µÑÇä´Œ (µÒÃÒ§·Õè 2)

µÒÃÒ§·Õè 2 ÇÔ¸Õ¡ÒüÊÁ/à¨×ͨҧ ganciclovir áÅФÇÒÁ¤§µÑÇã¹¢Ñ鹵͹µ‹Ò§æ(1-4)
ÅíҴѺ·Õè         ÇÔ¸Õ¡ÒüÊÁ/à¨×ͨҧ                                     ¤ÇÒÁ¤§µÑÇ
1                 ແ´ÀÒª¹ÐºÃèØÂÒ©Õ´ ganciclovir 50 ÁÔÅÅÔ¡ÃÑÁ           12 ªÑÇâÁ§·ÕͳËÀÙÁÔ
                                                                              è     èØ
                  áÅмÊÁ´ŒÇ¹éÒ¡ÅѹÊíÒËÃѺ©Õ´ »ÃÔÁÒµÃ
                                  í è                                    25 ͧÈÒà«Åà«ÕÂÊ
                  10 ÁÔÅÅÔŵÃà¢Â‹Ò¢Ç´¨¹¼§ÂÒÅÐÅÒÂËÁ´
                                Ô
2                 ¹íÒÊÒÃÅÐÅÒ·ռÊÁáÅŒÇä»à¨×ͨҧµ‹Í´ŒÇ D5W
                                   è                                     24 ªÑÇâÁ§·ÕͳËÀÙÁÔ
                                                                              è     èØ
                  ËÃ×Í NSS ãˌ䴌¤ÇÒÁࢌÁ¢Œ¹ÊÙ§ÊØ´äÁ‹à¡Ô¹                2-8ͧÈÒà«Åà«ÕÂÊ
                  0.1 ÁÔÅÅÔ¡ÃÑÁµ‹ÍÁÔÅÅÔŵÃ
                                         Ô
3                 ʋͧ´ÙµÐ¡Í¹ áÅоԨÒóÒÊբͧÊÒÃÅÐÅÒÂ
                  ·Õà¨×ͨҧáÅŒÇ â´Â㪌¡ÃдÒÉÊÕ¢ÒÇáÅÐÊÕ´Ò
                      è                                      í
4                 ¹íÒÂÒ·Õà¨×ͨҧáÅŒÇä»·ÕàµÕ§¼Ù»ÇÂ
                              è            è     Œ †
5                 ʋͧ´ÙµÐ¡Í¹ áÅоԨÒóÒÊբͧÊÒÃÅÐÅÒÂ
                  ·Õà¨×ͨҧáÅŒÇ
                    è
6                 ¹íÒÂÒä»Ë´ࢌÒËÅÍ´àÅ×Í´´íҢͧ¼Ù»Ç â´Â
                                                       Œ †
                  ¾Ô¨ÒóÒÇ‹ÒÁÕÂÒÍ×¹æ ·ÕµÍ§Ë´¼‹Ò¹ªØ´ãËŒ¹Òà¡Å×Í
                                     è       è Œ                 éí
                  à´ÕÂǡѹËÃ×ÍäÁ‹ áÅÐÁÕ¤ÇÒÁࢌҡѹ䴌ËÃ×ÍäÁ‹
7                 àÃÔÁË´ÂÒࢌÒËÅÍ´àÅ×Í´´íÒãˌᡋ¼»ÇÂÍ‹ҧªŒÒæ
                          è                          ÙŒ †
                  â´Â㪌àÇÅÒ㹡ÒÃË´ÂÒ¹Ò¹¡Ç‹Ò 1 ªÑÇâÁ§     è
8                 ʋͧ´ÙµÐ¡Í¹ áÅоԨÒóÒÊբͧÊÒÃÅÐÅÒÂ
                  ·Õà¨×ͨҧáÅŒÇ â´Â㪌¡ÃдÒÉÊÕ¢ÒÇáÅÐÊÕ´Ò
                        è                                      í
                  ໚¹ÃÐÂÐ
9                 àÁ×ÍË´ÂÒàÊÃç¨ÊÔ¹áÅŒÇãËŒ flush ÊÒÂãËŒÂÒ·Ø¡¤Ãѧ
                            è          é                            é
ËÁÒÂà赯 : à¹×ͧ¨Ò¡ÊÒÃÅÐÅÒÂÁÕ¤Ò pH ÊÙ§»ÃÐÁÒ³ 11 ´Ñ§¹Ñ¹¡ÒÃàµÃÕÂÁÂÒµŒÍ§·íÒ´ŒÇ¤ÇÒÁÃÐÁÑ´ÃÐÇѧ ¤ÇÃãÊ‹¶§Á×ÍÂÒ§
              è                ‹                       é                                          Ø
           áÅÐÊÇÁáÇ‹¹µÒ¹ÔÃÀÑ à¾×Í»‡Í§¡Ñ¹¡ÒÃÊÑÁ¼ÑʹéÒÂÒËÒ¡¢Ç´ÂÒᵡ ËÃ×͹éÒÂÒË¡
                                 è                  í                    í
àǪÈÒʵÏ·¹Âؤ 2553
          Ñ                                                                             91

      ¢ŒÍ¤Ô´·Õä´Œ¨Ò¡¡ÒÃÈÖ¡ÉÒ¹Õé
               è
      1. ÂÒ·Õ¼ÊÁáŌǨÐÁÕ¤ÇÒÁ¤§µÑǵèÒ¡Ç‹ÒÂÒ·Õ¼ÊÁáÅÐà¨×ͨҧáÅŒÇ
             è                      í        è
      2. ¡ÒÃà¡çºÂÒËÅѧ¼ÊÁ äÁ‹¨Ò໚¹µŒÍ§à¡çºã¹µÙàÂç¹·Ø¡ª¹Ô´ ÂÒºÒ§ª¹Ô´ËŒÒÁà¡çºã¹µÙàÂç¹à¾ÃÒÐ
                              í                Œ                                Œ
ÍÒ¨µ¡µÐ¡Í¹ä´Œ

       ¡Ã³ÕÈÖ¡ÉÒ·Õè 3
         ¼ÙŒ»†ÇªÒÂÍÒÂØ 58 »‚ ࢌÒÃѺ¡ÒÃÃÑ¡ÉÒµÑÇã¹âç¾ÂÒºÒÅ´ŒÇÂâäËÅÍ´ÍÒËÒÃÍÑ¡àʺª¹Ô´
ÃØ¹áç (severe reflux esophagitis) ᾷ¨§ÊѧÂÒ©Õ´ pantoprazole ãËŒ©´·Ò§ËÅÍ´àÅ×Í´´íÒ
                                              Ö è                        Õ
40 ÁÔÅÅÔ¡ÃÑÁ ÇѹÅÐ 1¤ÃÑé§ Çѹ¹Õé¼ÙŒ»†ÇÂÁÕÍÒ¡ÒÃàÇÕ¹ÈÕÃÉÐÁÒ¡ ᾷÊÑè§ÂÒ©Õ´ dimenhydrinate
50 ÁÔÅÅÔ¡ÃÑÁà¾ÔÁ µÒÁ¤íÒÊѧ´Ñ§¹Õé ÂÒ©Õ´ pantoprazole 40 ÁÔÅÅÔ¡ÃÑÁ ¼ÊÁ NSS 10 ÁÔÅÅÔŵÃÃÇÁ¡Ñº
                è         è                                                       Ô
ÂÒ©Õ´ dimenhydrinate 1 ËÅÍ´ (50 ÁÔÅÅÔ¡ÃÑÁµ‹ÍÁÔÅÅÔÅÔµÃ) ¼ÊÁã¹ËÅÍ´©Õ´ÂÒà´ÕÂǡѹ à¢Â‹Ò
ãˌࢌҡѹ áŌǹíÒ仺ÃÔËÒÃãËŒ¼»ÇÂâ´Â©Õ´·Ò§ËÅÍ´àÅ×Í´´íÒªŒÒæã¹àÇÅÒ 5 ¹Ò·Õ
                              ÙŒ †

        à¡Ô´ÍÐäâֹ
                  é
        ËÅѧ¨Ò¡¼ÊÁÂÒ©Õ´ dimenhydrinate 50 ÁÔÅÅÔ¡ÃÑÁ¡ÑºÂÒ©Õ´ pantoprazole µÒÁᾷʧáÅŒÇ
                                                                                  Ñè
¾ÂÒºÒÅÊѧࡵàË繵С͹ÊÕ¢ÒÇà¡Ô´¢Ö¹ã¹ËÅÍ´©Õ´ÂÒ ¨Ö§Êͺ¶ÒÁàÀÊѪ¡Ã·Ñ¹·Õà¾×ÍÂ×¹ÂѹNjÒÊÒÁÒö
                                 é                                      è
㪌µÍä´ŒËÃ×ÍäÁ‹ àÀÊѪ¡Ãä´ŒµÃǨÊͺ¤ÇÒÁࢌҡѹ䴌¢Í§ÂÒã¹ËÅÍ´©Õ´ÂÒà´ÕÂǡѹ¨Ò¡°Ò¹¢ŒÍÁÙÅ(2)
    ‹
¾ºÇ‹ÒµÃ§¡Ñºà˵ءÒ󏷾ÂÒºÒžº ¨Ö§á¹Ð¹íÒäÁ‹ãˌ㪌ÂÒµ‹Í仵ŒÍ§·Ô§Âҷѹ·Õ
                       Õè                                     é

        ¼ÅàÊÕ¨ҡ¤ÇÒÁࢌҡѹäÁ‹ä´Œ¢Í§ÂÒ·Õèà¡Ô´¢Ö鹡Ѻ¼ÙŒ»†Ç¤×ÍÍÐäÃ
        µÐ¡Í¹ÂÒ·Õà¡Ô´¢Ö¹àÁ×͹íÒ仩մࢌҷҧËÅÍ´àÅ×Í´´íÒãˌᡋ¼»Ç µÐ¡Í¹ÂҹѹÍÒ¨äËÅࢌÒ
                  è é è                                       ÙŒ †          é
ã¹ÃкºäËÅàÇÕ¹âÅËÔµ ÍÒ¨·íÒãËŒà¡Ô´¡ÒÃÍØ´µÑ¹àÊŒ¹àÅ×Í´½Í·íÒãËŒà¡Ô´à¹×éÍàÂ×è͵ÒÂ੾ÒÐʋǹ
ÁռŷíÒãËŒ¼»ÇÂà¡Ô´ÍѹµÃÒ¶֧ªÕǵ䴌
           ÙŒ †                Ô

       ¨Ð»‡Í§¡Ñ¹ËÃ×Íᡌ»˜­ËÒ¹Õé䴌͋ҧäÃ
       1. ¡íÒ˹´ÃÒª×ÍÂÒ·Õ㪌ºÍÂáÅÐäÁ‹à¢ŒÒ¡ÑºÂÒª¹Ô´Í×¹æ àÁ×ͼÊÁÃÇÁ¡Ñ¹ã¹ËÅÍ´©Õ´ÂÒà´ÕÂǡѹ
                       è     è ‹                      è    è
       2. á¡©Õ´ÂÒᵋÅЪ¹Ô´ â´ÂäÁ‹ÃÇÁã¹ËÅÍ´©Õ´ÂÒà´ÕÂǡѹ
       3. ÍÒ¨à»ÅÕ¹ÇÔ¸¡ÒÃãËŒÂÒ໚¹áºº Y-site ¨Ò¡°Ò¹¢ŒÍÁÙÅ(2) ¾ºÇ‹ÒÂÒ©Õ´ pantoprazole
                  è      Õ
¤ÇÒÁࢌÁ¢Œ¹ 0.16- 0.8 ÁÔÅÅÔ¡ÃÑÁµ‹ÍÁÔÅÅÔŵà ÊÒÁÒöãˌẺ Y-site ËÇÁ¡Ñº ÂÒ©Õ´ dimenhydrinate
                                           Ô
¤ÇÒÁࢌÁ¢Œ¹ 0.5-1 ÁÔÅÅÔ¡ÃÑÁµ‹ÍÁÔÅÅÔŵà ¨ÐÁÕ¤ÇÒÁ¤§µÑǹҹ 12 ªÑÇâÁ§·ÕͳËÀÙÁÔ 23 ͧÈÒà«Åà«ÕÂÊ
                                    Ô                        è     èØ
       4. ¡‹Í¹áÅÐÃÐËNjҧãËŒÂÒá¡‹¼»Ç ¤ÇÃÊѧࡵNjÒÊÒÃÅÐÅÒÂÂÒÁյС͹à¡Ô´¢Ö¹ËÃ×ÍäÁ‹
                                      ÙŒ †                                     é
92                                                   Drug Administration Pitfalls : Case Study

        ¢ŒÍ¤Ô´·Õä´Œ¨Ò¡¡Ã³ÕÈ¡ÉÒ¹Õé
                è           Ö
        ¡ÒüÊÁÂҵѧᵋÊͧª¹Ô´¢Ö¹ä»ã¹ËÅÍ´©Õ´ÂÒ ËÃ×Í㹶ا¹éÒà¡Å×Íà´ÕÂǡѹ ¶ŒÒäÁ‹á¹‹ã¨Ç‹ÒÂÒࢌÒ
                    é          é                         í
¡Ñ¹ä´ŒËÃ×ÍäÁ‹ ¤ÇûÃÖ¡ÉÒàÀÊѪ¡Ã¡‹Í¹·íÒ¡ÒúÃÔËÒÃÂÒ

¡Ã³ÕÈÖ¡ÉҼŢͧÍѵÃÒàÃçǢͧ¡ÒéմÂÒ/Ë´ÂÒࢌÒËÅÍ´àÅ×Í´´íÒµ‹Í¼ÙŒ»†ÇÂ
       ¡Ã³ÕÈÖ¡ÉÒ·Õè 4
        ¼ÙŒ»†ÇªÒÂࢌÒÃѺ¡ÒÃÃÑ¡ÉÒã¹âç¾ÂÒºÒÅ´ŒÇ¡ÒõԴàª×éÍÀÒÂ㹪‹Í§·ŒÍ§ª¹Ô´«Ñº«ŒÍ¹
(complicated intra-abdominal infection) ËÇÁ¡Ñº septicaemia ᾷʧÂÒ©Õ´ ertapenem 1 ¡ÃÑÁ
                                                                  Ñè
Ë´ࢌҷҧËÅÍ´àÅ×Í´´íÒ ÇѹÅÐ 1 ¤ÃÑé§ ÂÒ©Õ´ metronidazole 500 ÁÔÅÅÔ¡ÃÑÁ Ë´ࢌҷҧ
ËÅÍ´àÅ×Í´´íÒ ·Ø¡ 8 ªÑÇâÁ§ ÊíÒËÃѺ ertapenem ãËŒºÃÔËÒÃÂÒâ´Â¼ÊÁ¼§ÂÒ´ŒÇ NSS áÅÐà¨×ͨҧµ‹Í
                      è
´ŒÇ NSS 50 ÁÔÅÅÔŵà Ë´ࢌÒËÅÍ´àÅ×Í´´íÒãËŒ¼»ÇªŒÒæà»š¹àÇÅÒ 15 ¹Ò·Õ ʋǹ metronidazole
                    Ô                           ÙŒ †
ãˌ˴·Ò§ËÅÍ´àÅ×Í´´íÒ໚¹àÇÅÒ 15 ¹Ò·Õઋ¹à´ÕÂǡѹ ËÅѧ䴌úÂÒ ¼Ù»ÇÂà¡Ô´¼×¹á´§µÒÁÅíÒµÑÇ
                                                              Ñ      Œ †     è
ÁÕÍÒ¡ÒúÇÁá´§ºÃÔàdz·Õè©Õ´ ¾ÂÒºÒŨ֧ÃÕºÃÒ§ҹãˌᾷ·ÃÒº áÅоÂÒºÒÅâ·ÃÁÒÊͺ¶ÒÁ
àÀÊѪ¡Ãà¾×ÍãËŒªÇµÃǨ·Ò¹ÍѵÃÒàÃçÇ㹡ÒÃãËŒÂÒNjҶ١µŒÍ§ËÃ×ÍäÁ‹
            è   ‹

       ÍѵÃÒàÃçǢͧ¡ÒÃãËŒÂÒ㹤ÃÑé§¹ÕéÁÕ¢ŒÍ¼Ô´¾ÅÒ´ã´·ÕèÍҨʋ§¼ÅãËŒà¡Ô´ÍѹµÃÒµ‹Í¼ÙŒ»†ÇÂ
䴌?
        ã¹¼ÙŒ»†ÇÂÃÒ¹Õéä´ŒÃѺ¡ÒÃË´ÂÒ©Õ´ ertapenem áÅÐ metronidazole ·Ò§ËÅÍ´àÅ×Í´´íÒ
ÀÒÂã¹àÇÅÒ 15 ¹Ò·Õ ໚¹ÍѵÃÒ·ÕàÃçÇà¡Ô¹ä» µÒÁ¢ŒÍÁÙÅ㹡ÒúÃÔËÒÃÂÒ©Õ´ ertapenem 㹡óշãËŒ
                                    è                                                Õè
·Ò§ËÅÍ´àÅ×Í´´íÒ¤ÇÃË´ÂÒªŒÒæ ã¹àÇÅÒ 30 ¹Ò·Õ ÍÒ¡ÒÃäÁ‹¾§»ÃÐʧ¤à©¾Òзշ¾ºº‹Í 䴌ᡋ
                                                           Ö              è Õè
ÍÒ¡ÒÃá·Ã¡«ŒÍ¹¢Í§ËÅÍ´àÅ×Í´´íÒ¨Ò¡·ÕèãËŒÂÒ (infused vein complications) ¾ºÃŒÍÂÅÐ 5–7,
ËÅÍ´àÅ×Í´´íÒÍÑ¡àʺ/ËÅÍ´àÅ×Í´´íÒÍÑ¡àʺÁÕÅÁàÅ×Í´ ¾ºÃŒÍÂÅÐ 2 ¹Í¡¨Ò¡¹Õ§ÍÒ¨à¡Ô´¤ÇÒÁ¼Ô´»¡µÔ
                                         Ôè                        é Ñ
¢Í§¼ÔÇ˹ѧ ઋ¹ ¼×¹á´§ ¤Ñ¹
                   è         (3, 4)

        ʋǹÂÒ©Õ´ metronidazole äÁ‹¤ÇÃãˌẺ IV push ÃÐÂÐàÇÅÒ㹡ÒÃË´ÂÒࢌÒËÅÍ´àÅ×Í´
´íÒâ´Â·ÑÇä»ÁÒ¡¡Ç‹Ò 1 ªÑÇâÁ§ (ºÒ§°Ò¹¢ŒÍÁÙÅá¹Ð¹íÒãˌ㪌àÇÅÒ 30-60 ¹Ò·Õ) ÍÒ¡ÒÃäÁ‹¾§»ÃÐʧ¤·Õè
        è                è                                                     Ö
¾ºä´Œ¨Ò¡¡ÒÃË´ÂÒ·Ò§ËÅÍ´àÅ×Í´´íÒ䴌ᡋ ËÅÍ´àÅ×Í´´íÒÍÑ¡àʺ ´Ñ§¹Ñ¹¨Ö§¤ÇÃË´ÂÒࢌÒËÅÍ´àÅ×Í´
                                                               é
´íÒÍ‹ҧªŒÒæ (2-4)



       ¨Ð»‡Í§¡Ñ¹/ᡌ䢻˜­ËÒ¹Õé䴌͋ҧäÃ
       1. ¡ÒúÃÔËÒÃÂÒ©Õ´ ertapenem 㹡óշãËŒ·Ò§ËÅÍ´àÅ×Í´´íÒ¤ÇÃË´ÂÒªŒÒæ ã¹àÇÅÒ 30
                                            Õè
¹Ò·Õ ÂÒ©Õ´ metronidazole 㹡óշãËŒ·Ò§ËÅÍ´àÅ×Í´´íÒÃÐÂÐàÇÅÒ㹡ÒÃãËŒÁÒ¡¡Ç‹Ò 1 ªÑÇâÁ§
                                Õè                                            è
       2. ËÒ¡äÁ‹á¹‹ã¨ÃÐÂÐàÇÅÒ㹡ÒÃãËŒÂÒãËŒâ·ÃÈѾ·Êͺ¶ÒÁàÀÊѪ¡Ã¡‹Í¹¡ÒÃãËŒÂÒ·Ø¡¤Ãѧ é
àǪÈÒʵÏ·¹Âؤ 2553
          Ñ                                                                                                    93

º·ÊÃØ»
           ¨Ò¡¡Ã³ÕÈ¡ÉÒ·Õ䴌¡µÑÇÍ‹ҧÁÒ¢ŒÒ§µŒ¹ ÁÕËÅÒ»˜¨¨Ñ·շÒãËŒà¡Ô´¤ÇÒÁ¼Ô´¾ÅҴ㹺ÃÔËÒÃÂÒ
                   Ö    è                                    è í
©Õ´´Ñ§¹Ñ¹¼Ù··Ò˹ŒÒ·ÕºÃÔËÒÃÂÒ©Õ´¨Ö§¨íÒ໚¹µŒÍ§·ÃÒºÇÔ¸¡ÒúÃÔËÒÃÂÒ·ÕàËÁÒÐÊÁ¢Í§ÂÒᵋÅЪ¹Ô´
        é Œ Õè í     è                               Õ                è
à¾×ÍãËŒ¼»ÇÂ䴌ú¤ÇÒÁ»ÅÍ´ÀÑÂÊÙ§ÊØ´
   è     ÙŒ †    Ñ

àÍ¡ÊÒÃ͌ҧÍÔ§
1.   ¸Ô´Ò ¹Ô§ÊÒ¹¹·, ÊØÇ²¹Ò ¨ØÌÒÇѲ¹·Å, »ÃÕªÒ Á¹·¡Ò¹µÔ¡Å. ºÃóҸԡÒÃ. ¡ÒúÃÔËÒÃÂÒà¾×ͤÇÒÁ»ÅÍ´ÀÑ¢ͧ¼Ù»ÇÂ.
                        Ñ                                 Ø                               è                  Œ †
     ¡Ãا෾ÁËÒ¹¤Ã: ÊÁÒ¤ÁàÀÊѪ¡ÃÃÁâç¾ÂÒºÒÅ (»ÃÐà·Èä·Â); 2552.
2.   Trissel LA. Handbook on injectable drugs. 15th ed. Bethesda: American Society of Health-System Pharmacists;
     2009.
3.   Lacy C., Armstrong LL, Goldman MP, et al, editors. Drug information handbook. 19th ed. Hudson: Lexi-Comp;
     2010.
4.   Phelps SJ, Hak EB, Crill CM, editors. Teddy bear book: pediatric injectable drugs. 8th ed. Bethesda: American
     Society of Health-System Pharmacists; 2007.
àǪÈÒʵÏ·¹Âؤ 2553
          Ñ                                                                                       º··Õè           95

                                                                                                    14
               ¡ÒÃ㪌 Trigger Tool 㹡Ò䌹ËÒáÅÐÇÑ´ÍѵÃÒ
             à˵ءÒóäÁ‹¾Ö§»ÃÐʧ¤¨Ò¡¡ÒÃ㪌ÂÒã¹âç¾ÂÒºÒÅ
                                                     ÍÒ¨ÒÏ ᾷ˭ԧÇÕÃÇ´Õ ¨Ñ¹·Ã¹ÔÀÒ¾§È
                             ÀÒ¤ÇÔªÒàÀÊѪÇÔ·ÂÒ ¤³Ðá¾·ÂÈÒʵÏÈÃÃÒª¾ÂÒºÒÅ ÁËÒÇÔ·ÂÒÅÑÂÁËÔ´Å
                                                             ÔÔ

             Trigger tool (trigger á»ÅÇ‹Ò µÑÇÊ‹§ÊÑ­­Ò³ áÅÐ tool á»ÅÇ‹Ò à¤Ã×ͧÁ×Í) ໚¹ÇÔ¸¡ÒÃ㹡ÒÃ
                                                                                       è                   Õ
¤Œ¹ËÒà˵ءÒóäÁ‹¾§»ÃÐʧ¤¨Ò¡¡ÒÃ㪌ÂÒ (adverse drug event; ADE) â´ÂÁÕËÅÑ¡¡Òä×Í ¡ÒáíÒ˹´
                            Ö
ºÑ­ªÕÃÒ¡Òà trigger «Ö§à»š¹ÃÒ¡Òâͧ¤íÒÊíҤѭ·ÕÁ¤ÇÒÁ໚¹ä»ä´ŒÊ§·Õ¨Ðà¡ÕÂÇ¢ŒÍ§¡Ñºà˵ءÒó
                                  è                             è Õ               Ù è è
äÁ‹¾§»ÃÐʧ¤¨Ò¡¡ÒÃ㪌ÂÒ·Õ¡ÍãËŒà¡Ô´ÍѹµÃÒÂá¡‹¼»Ç áÅФŒ¹ËÒ¤íÒÊíҤѭàËŋҹѹã¹àǪÃÐàºÕ¹
          Ö                           è ‹                     ÙŒ †                                     é
¼Ù»ÇÂã¹â´Â¡ÒÃÊØÁ·º·Ç¹àǪÃÐàºÕ¹Œ͹ËÅѧ àÁ×ͼٷº·Ç¹¾º¤íÒÊíҤѭàËŋҹѹÁѹ¨Ð·íÒ˹ŒÒ·Õ໚¹
     Œ †                  ‹                                 è Œ                                é                 è
µÑ Ç Ê‹ § ÊÑ ­ ­Ò³à¾×è Í à»š ¹ ¨Ø ´ àÃÔè Á µŒ ¹ ãËŒ ¼ÙŒ · º·Ç¹àǪÃÐàºÕ  ¹à¢Œ Ò ä»µÔ ´ µÒÁà赯 ¡ Òó ·Õè
à¡ÕèÂÇ¢ŒÍ§¡Ñº¤íÒÊíҤѭ¹Ñ鹿 áÅоԨÒóÒÇ‹Ò໚¹à˵ءÒóäÁ‹¾Ö§»ÃÐʧ¤¨Ò¡¡ÒÃ㪌ÂÒ·Õè¡‹ÍãËŒà¡Ô´
ÍѹµÃÒÂá¡‹¼»ÇÂËÃ×ÍäÁ‹ ¶ŒÒ㪋µÍ§»ÃÐàÁÔ¹ÃдѺ¤ÇÒÁÃØ¹áç¢Í§ÍѹµÃÒ¹ѹ´ŒÇ ÇÔ¸¡ÒùÕ໚¹ÇÔ¸¡ÒÃ
                   ÙŒ †                   Œ                                          é               Õ   é         Õ
·Õ¾²¹Ò¢Ö¹â´Â The Institute for Healthcare Improvement (IHI) «Ö§à»š¹Í§¤¡Ã·ÕäÁ‹áÊǧËҼšíÒäÃ
      è Ñ     é                                                             è                    è
µÑ§ÍÂÙã¹»ÃÐà·ÈÊËÃѰÍàÁÃÔ¡Ò ÁÕ໇ÒËÁÒÂ㹡ÒþѲ¹Ò»ÃѺ»Ãا¡ÒôÙáÅÊØ¢ÀÒ¾·ÑÇâÅ¡ áÅÐ Premier
    é ‹                                                                                            è
«Öè§à»š¹Ê˾ѹ¸´ŒÒ¹¡ÒôÙáÅÊØ¢ÀÒ¾»ÃСͺ´ŒÇÂâç¾ÂÒºÒŨíҹǹ 1,600 áË‹§·ÑèÇ»ÃÐà·È
ÊËÃѰÍàÁÃÔ¡Ò(1) IHI ¹íÒ trigger tool ÁÒ㪌¤Ãѧááà¾×ͤŒ¹ËÒà˵ءÒóäÁ‹¾§»ÃÐʧ¤¨Ò¡¡ÒÃ㪌ÂÒ
                                                         é          è                        Ö
â´ÂÊÒÁÒö¤Œ¹ËÒáÅÐÃкؤÇÒÁÃØ¹áç¢Í§ÍѹµÃÒ·Õà¡Ô´¨Ò¡¡ÒÃ㪌ÂÒã¹Ê¶Ò¹¾ÂÒºÒÅËÅÒÂÃдѺ
                                                                  è
µÑ§áµ‹âç¾ÂÒºÒŪØÁª¹¨¹¶Ö§âç¾ÂÒºÒÅâçàÃÕ¹ᾷ(2) ÇÔ¸¡ÒùÕ䴌ú¡Ò÷´ÊͺáÅеվÁ¾à»š¹
  é                                                                     Õ      é Ñ                            Ô
§Ò¹ÇԨ·ÕÃкØÇÒ trigger tool ໚¹ÇÔ¸¡Ò÷չÒàª×Ͷ×Í ÁÕ»ÃÐÊÔ·¸ÔÀÒ¾ ¤‹Ò㪌¨ÒÂ㹡ÒôíÒà¹Ô¹¡ÒõèÒ(3)
            Ñ è ‹                           Õ     è ‹ è                                  ‹                           í
áÅÐ໚¹ÇÔ¸¡Ò÷մ㹡ÒÃÇÑ´ÍѵÃÒ¡ÒÃà¡Ô´à˵ءÒóäÁ‹¾§»ÃÐʧ¤ã¹ÀÒ¾ÃÇÁ¢Í§âç¾ÂÒºÒÅ µ‹ÍÁÒ
                 Õ      è Õ                                           Ö                                      (4)

IHI ¨Ö§ä´Œ¾Ñ²¹ÒÇÔ¸Õ¡ÒùÕéÍ‹ҧµ‹Íà¹×èͧ ¨¹ã¹»˜¨¨ØºÑ¹ÇÔ¸Õ¡ÒùÕé¹Í¡¨Ò¡¨Ð㪌໚¹µÑÇÊ‹§ÊÑ­­Ò³
à¾×èͤŒ¹ËÒà˵ءÒóäÁ‹¾Ö§»ÃÐʧ¤¨Ò¡¡ÒÃ㪌ÂÒáÅŒÇÂѧ㪌໚¹µÑÇÊ‹§ÊÑ­­Ò³à¾×èͤŒ¹ËÒà˵ءÒó
äÁ‹¾Ö§»ÃÐʧ¤·Ø¡´ŒÒ¹·Õèà¡Ô´¢Ö鹨ҡ¡ÒôÙáÅÃÑ¡ÉÒ¼ÙŒ»†Ç´ŒÇ ઋ¹ ¡ÒôÙáżٌ»†Ç·ÑèÇä» ¡ÒÃ㪌ÂÒ
¡Òü‹ÒµÑ´ ¡ÒôÙáżٻÇÂÇԡĵ ¡ÒôÙáÅÁÒôÒáÅзÒá ¡ÒôÙáżٻÇ©ءà©Ô¹ ´ŒÇÂà˵ؼŴѧ¡Å‹ÒÇ
                              Œ †                                             Œ †
IHI ¨Ö§à»ÅÕ¹ª×ÍàÃÕ¡ÇÔ¸¡ÒùÕãËÁ‹à»š¹ Global trigger tool ᵋ㹺·¤ÇÒÁ¹Õ¨ÐãËŒ¤ÇÒÁÊíҤѭ੾ÒÐ
                è è                 Õ   é                                                  é
trigger tool à¾×ͤŒ¹ËÒà˵ءÒóäÁ‹¾§»ÃÐʧ¤¨Ò¡¡ÒÃ㪌ÂÒ෋ҹѹ
                      è                       Ö                           é
96          ¡ÒÃ㪌 Trigger Tool 㹡Ò䌹ËÒáÅÐÇÑ´ÍѵÃÒà˵ءÒóäÁ‹¾§»ÃÐʧ¤¨Ò¡¡ÒÃ㪌ÂÒã¹âç¾ÂÒºÒÅ
                                                                  Ö

ÀÙÁÔËÅѧáÅФÇÒÁ໚¹ÁÒ
                   à˵ءÒóäÁ‹¾Ö§»ÃÐʧ¤¨Ò¡ÂÒ¶×Í໚¹¤ÇÒÁàÊÕè§ÊÙ§ÊØ´·ÕèÍÒ¨¡‹ÍãËŒà¡Ô´ÍѹµÃÒÂá¡‹¼ÙŒ»†ÇÂ
à¹×ͧ¨Ò¡ÂÒ໚¹ÊÔ§ÊíҤѭ·Õ¶¡ãªŒºÍ·ÕÊ´ã¹âç¾ÂÒºÒÅ ¹Í¡¨Ò¡¹Õ¢¹µÍ¹¡ÒÃ㪌ÂÒÂѧÁÕ¤ÇÒÁ«Ñº«ŒÍ¹
       è                                è        è Ù ‹ èØ                                                                  é Ñé
áÅÐÍÒÈÑ·ÕÁÊËÊÒ¢ÒÇÔªÒªÕ¾ 䴌ᡋ ᾷ àÀÊѪ¡Ã áÅоÂÒºÒÅ(2) ¨¹¶Ö§»˜¨¨ØºÑ¹ÂѧäÁ‹·ÃÒº
ÍØºµ¡Òó·á¹‹¹Í¹¢Í§à˵ءÒóäÁ‹¾§»ÃÐʧ¤¨Ò¡¡ÒÃ㪌ÂÒ áÅÐÂѧäÁ‹ÁǸ¡ÒÃã´·Õ㪌໚¹Áҵðҹ
         Ñ Ô              Õè                                            Ö                                                                  ÕÔÕ                  è
㹡ÒÃÃкØÍغѵԡÒó¹Õé ¨Ò¡ÃÒ§ҹ¡ÒÃÈÖ¡ÉÒÇԨѷÕ輋ҹÁÒ¾ºÇ‹Ò ÍØºÑµÔ¡Òó¢Í§à˵ءÒó
äÁ‹¾§»ÃÐʧ¤¨Ò¡¡ÒÃ㪌ÂÒÁÕ¤ÇÒÁᵡµ‹Ò§¡Ñ¹¢Ö¹¡Ñº¤íÒ¨íÒ¡Ñ´¤ÇÒÁ¢Í§¼ÅÅѾ¸·µÍ§¡ÒÃÈÖ¡ÉÒ áÅÐ
           Ö                                                                             é                                                              Õè Œ
ÇÔ ¸Õ ¡ Ò÷Õè ã ªŒ Bate áÅФ³ÐÃÒÂ§Ò¹ÍØºÑµÔ¡Òó¢Í§à˵ءÒóäÁ‹¾Ö§»ÃÐʧ¤¨Ò¡¡ÒÃ㪌ÂÒã¹
                        (5)

âç¾ÂÒºÒŵµÔÂÀÙÁÔáË‹§Ë¹Öè§à»š¹ 6.5 à˵ءÒóµ‹Í 100 ¤ÃÑ駢ͧ¡ÒÃÃѺµÑÇäÇŒã¹âç¾ÂÒºÒÅ(6)
ᵋàÁ×è;ԨÒóÒ੾ÒÐà˵ءÒóäÁ‹¾Ö§»ÃÐʧ¤¨Ò¡¡ÒÃ㪌ÂÒÃÐ´ÑºÃØ¹á羺NjÒÁÕÍØºÑµÔ¡ÒóÅ´Å§
àËÅ×Í 2.8 µ‹Í 100 ¤ÃÑ駢ͧ¡ÒÃÃѺµÑÇäÇŒã¹âç¾ÂÒºÒÅ «Öè§ã¡ÅŒà¤Õ§¡ÑºÃÒ§ҹ¢Í§ Classen
áÅФ³Ð·Õ¾ºÍغµ¡Òó¢Í§à˵ءÒóäÁ‹¾§»ÃÐʧ¤¨Ò¡¡ÒÃ㪌ÂÒÃÐ´ÑºÃØ¹áçã¹âç¾ÂÒºÒŵµÔÂÀÙÁÔ
                      è              Ñ Ô                                        Ö
áË‹§Ë¹Ö§à»š¹ 2 à˵ءÒóµÍ 100 ¤Ãѧ¢Í§¡ÒÃÃѺµÑÇäÇŒã¹âç¾ÂÒºÒÅ(7)
                 è                                    ‹               é
                   ã¹Í´Õµ¤ÇÒÁ¾ÂÒÂÒÁ㹡Ò䌹ËÒà˵ءÒóäÁ‹¾§»ÃÐʧ¤¨Ò¡¡ÒÃ㪌ÂÒ¨ÐÁا์¹¡ÒÃÃÒ§ҹ                Ö                                              ‹
¤ÇÒÁ¼Ô´¾ÅÒ´ ËÃ×ͤÇÒÁ¤ÅÒ´à¤Å×͹ (error) ·Õà¡Ô´¢Ö¹¨Ò¡¡ÒÃ㪌ÂÒ º¹ÊÁÁµÔ°Ò¹·ÕÇÒ¡Òû‡Í§¡Ñ¹
                                                                    è                        è é                                                                  è‹
¤ÇÒÁ¤ÅÒ´à¤Å×͹·Ò§ÂҹըЪ‹ÇÂÅ´âÍ¡ÒÊ㹡ÒÃà¡Ô´à˵ءÒóäÁ‹¾§»ÃÐʧ¤¨Ò¡¡ÒÃ㪌ÂÒ«Ö§¨Ð¹íÒä»
                                   è              é                                                                          Ö                                           è
ÊÙ‹¡ÒÃÅ´ÍѹµÃÒ·Õè¨Ðà¡Ô´á¡‹¼ÙŒ»†Ç â´ÂÁÕ¡ÒûÃÐÁÒ³¡ÒóÇ‹Òã¹áµ‹Åл‚ÁÕ¼ÙŒ»†ÇÂàÊÕªÕÇÔµ¨Ò¡à˵Ø
¤ÇÒÁ¤ÅÒ´à¤Å×è͹¹Õé໚¹¨íҹǹÁÒ¡¹Ñºà»š¹¾Ñ¹æ ÃÒ ᵋ»ÃÒ¡¯Ç‹ÒàÁ×èÍÇÔà¤ÃÒÐˏ¢ŒÍÁÙÅàËŋҹÕé
â´ÂÅÐàÍÕ´áÅŒÇ ¨Ð¾ºÇ‹Ò¨íҹǹ¤ÇÒÁ¤ÅÒ´à¤Å×͹·Õà¡Ô´¢Ö¹äÁ‹ä´ŒÁ¤ÇÒÁÊÑÁ¾Ñ¹¸â´ÂµÃ§¡Ñº¨íҹǹ       è è é                                 Õ
à˵ءÒóäÁ‹¾§»ÃÐʧ¤¨Ò¡¡ÒÃ㪌ÂÒ·Õ¡ÍãËŒà¡Ô´ÍѹµÃÒÂá¡‹¼»Ç ·Ñ§¹Õà¹×ͧ¨Ò¡¤ÇÒÁ¤ÅÒ´à¤Å×͹
                                 Ö                                        è ‹                                       ÙŒ †             é é è                                       è
·Õèà¡Ô´¢Öé¹Ê‹Ç¹ãË­‹¹Ñ鹨ж١µÃǨ¾ºä´Œ¡‹Í¹·Õè¨Ð໚¹ÍѹµÃÒÂá¡‹¼ÙŒ»†Ç áÅÐʋǹ¹ŒÍ¢ͧ¤ÇÒÁ
¤ÅÒ´à¤Å×͹·Õà¡Ô´¢Ö¹¡Ñº¼Ù»Ç¹ѹ᷺¨ÐäÁ‹¡ÍãËŒà¡Ô´ÍѹµÃÒÂá¡‹¼»Ç ¶Ö§áÁŒÇÒ¨Ðà¡Ô´ÍѹµÃÒ¢ֹ
                     è è é                          Œ † é                              ‹                                        ÙŒ †                  ‹                            é
Áѡ໚¹ÃдѺ·ÕäÁ‹Ã¹áç áÅмٻÇÂÃÒ¹ѹæ ÁÑ¡äÁ‹¨Ò໚¹µŒÍ§ä´ŒÃº¡ÒôÙáÅ໚¹¾ÔàÈÉ ËÃ×ÍãËŒ¡ÒÃÃÑ¡ÉÒ
                               è Ø                      Œ †                é                     í                       Ñ
ã´æ à¾ÔÁàµÔÁ ¹Í¡¨Ò¡¹Õ§¾ºÇ‹ÒÃÒ§ҹ¤ÇÒÁ¤ÅÒ´à¤Å×͹·Õà¡Ô´¢Ö¹¹Ñ¹ä´ŒÁÒ¨Ò¡ÃÒÂ§Ò¹ÍØºµ¡Òó
               è             (3)
                                                é Ñ                                                              è è é é                                                   Ñ Ô
«Ö§à»š¹¡ÒÃÃÒ§ҹµÒÁ¤ÇÒÁÊÁѤÃ㨠¡Ò÷º·Ç¹àǪÃÐàºÕ¹㹢³Ð·Õ¼»ÇÂÍÂÙã¹âç¾ÂÒºÒÅ ËÃ×Í
   è                                                                                                                                   è ÙŒ †      ‹
¡Ò÷º·Ç¹àǪÃÐàºÕ¹Œ͹ËÅѧËÅѧ¨Ò¡·Õ¼»ÇÂä´Œ¶¡¨íÒ˹‹ÒÂÍÍ¡¨Ò¡âç¾ÂÒºÒÅä»áÅŒÇ à»š¹ÇÔ¸¡ÒÃ
                                                                              è ÙŒ †               Ù                                                                           Õ
·ÕäÁ‹Á»ÃÐÊÔ·¸ÔÀҾ෋ҷդÇà à¹×ͧ¨Ò¡ÁÕËÅÒ§ҹÇԨ·ÕÃкØÇÒ㹨íҹǹ¤ÇÒÁ¤ÅÒ´à¤Å×͹·Ñ§ËÁ´
      è Õ                                     è               è                                           Ñ è ‹                                                         è é
·Õà¡Ô´¢Ö¹¹Ñ¹ÁÕ¡ÒÃÃÒ§ҹà¾Õ§ᤋÃÍÂÅÐ 10 -20 ෋ҹѹ áÅÐʋǹãË­‹¢Í§à˵ءÒó·ÃÒ§ҹ¹Ñ¹
     è é é                                                        Œ                                          é                                                       Õè              é
(ÃŒÍÂÅÐ 90-95) äÁ‹ä´Œ¡ÍãËŒà¡Ô´ÍѹµÃÒÂá¡‹¼»Ç ´Ñ§¹Ñ¹¨Ö§ÁÕ¤ÇÒÁ¨íÒ໚¹Í‹ҧÂÔ§·Õ¼ÁÊǹà¡ÕÂÇ¢ŒÍ§
                                            ‹                                     ÙŒ †     (1)
                                                                                                           é                                         è è ÙŒ Õ ‹ è
¨ÐµŒÍ§ËÒÇÔ¸¡Ò÷Õä´Œ¼Å¡Ç‹Ò㹡Ò䌹ËÒà˵ءÒ󏷡ÍãËŒà¡Ô´ÍѹµÃÒÂá¡‹¼»Ç¨ÃÔ§æ áÅдíÒà¹Ô¹¡ÒÃ
                        Õ                 è                                                          Õè ‹                                     ÙŒ †
»ÃѺà»ÅÕ¹Ãкº¡Ò÷íÒ§Ò¹à¾×ÍÅ´ÍѹµÃÒ´ѧ¡Å‹ÒÇ
                   è                                        è                                          (4)

                   ã¹»˜¨¨Øº¹¡Ò䌹ËÒà˵ءÒóäÁ‹¾§»ÃÐʧ¤¨Ò¡¡ÒÃ㪌ÂÒ¨Ö§ä´ŒÁ¡ÒÃà»ÅÕ¹á¹Ç·Ò§ä»¨Ò¡
                                      Ñ                                             Ö                                                       Õ             è
à´ÔÁ â´ÂÁØ‹§à¹Œ¹¡Ò䌹ËÒà˵ءÒó·Õè·íÒãËŒà¡Ô´ÍѹµÃÒÂá¡‹¼ÙŒ»†Ç¨ÃÔ§æ â´ÂäÁ‹¤íÒ¹Ö§Ç‹Òà˵ءÒó
àËŋҹѹ¨Ðà¡Ô´¨Ò¡¤ÇÒÁ¤ÅÒ´à¤Å×͹ËÃ×ÍäÁ‹ áÅеѧ໇ÒËÁÒÂà¾×ÍÅ´ÍѹµÃÒÂàËŋҹѹ «Ö§¢ŒÍ´Õ¢Í§¡ÒÃ
             é                                                  è                              é                       è                                     é è
àǪÈÒʵÏ·¹Âؤ 2553
          Ñ                                                                                                                                                                                      97

¤Œ¹ËÒÍѹµÃÒ·Õà¡Ô´á¡‹¼»ÇÂÁÕËÅÒ»ÃСÒÃ(3, 8) ઋ¹ ໚¹¡ÒþԨÒóÒàªÔ§Ãкº·ÕµÃ§»ÃÐà´ç¹ÁÒ¡
                             è                ÙŒ †                                                                                                             è
¡Ç‹Òà´ÔÁ à¹×ͧ¨Ò¡ÍѹµÃÒ·Õà¡Ô´¢Ö¹¡Ñº¼Ù»ÇÂÁÕ¤ÇÒÁÊÑÁ¾Ñ¹¸â´ÂµÃ§¡Ñº¼ÅÅѾ¸·Ò§¤ÅÔ¹¡ (clinical
                        è                                  è é                       Œ †                                                                                      Ô
outcome) ¢Í§¼ÙŒ»†Ç ´Ñ§¹Ñé¹à¾×èͼÅÅѾ¸·Ò§¤ÅÔ¹Ô¡·Õè´Õ¢Öé¹¼ÙŒà¡ÕèÂÇ¢ŒÍ§¨ÐµŒÍ§¾ÂÒÂÒÁÅ´ÍѹµÃÒÂŧ
â´Â์¹¡ÒõÃǨÊͺÃкº¡Ò÷íÒ§Ò¹à¾×ͤŒ¹ËҨش´ŒÍÂáÅоÂÒÂÒÁ¾Ñ²¹Ò»ÃѺ»ÃاãËŒ´¢¹¶×Í໚¹     è                                                                                         Õ Öé
¡ÒþѲ¹ÒÍ‹ҧµ‹Íà¹×ͧ µ‹Ò§¨Ò¡¡Ò䌹ËÒ¤ÇÒÁ¤ÅÒ´à¤Å×͹ã¹Í´Õµ«Ö§à»š¹¡ÒÃ์¹·Õ¡Ãкǹ¡ÒÃ
                                          è                                                                           è                   è                               è
·íÒ§Ò¹ àÁ×è;º¤ÇÒÁ¤ÅÒ´à¤Å×è͹áÅŒÇÁÕ¡ÒõԴµÒÁÅÖ¡Å§ä» ÊØ´·ŒÒÂÁÑ¡¨Ðŧ·ŒÒ´ŒÇ¡ÒþºÇ‹Ò
ÁÕ¼··Ò¼Ô´¾ÅÒ´ «Ö§Ê‹§¼ÅãËŒ¼»¯Ôºµ§Ò¹à¡Ô´¤ÇÒÁà¤ÃÕ´ áÅСÅÑǷըж١ŧâ·É ¹Í¡¨Ò¡¹Õ¡ÒÃ์¹
          ÙŒ Õè í                   è                         ÙŒ Ñ Ô                                                               è                                                     é
¡Ò䌹ËÒÍѹµÃÒ·Õà¡Ô´¡Ñº¼Ù»Ç áÅФÇÒÁ¾ÂÒÂÒÁ·Õ¨ÐÅ´ÍѹµÃÒÂàËŋҹѹÂѧÊÒÁÒöµÍºâ¨·Â
                                        è                   Œ †                                            è                                    é
¢Í§¼Ù»Ç·յͧ¡ÒáÒÃÃÑ¡ÉÒ¾ÂÒºÒÅ·Õ»ÅÍ´ÀÑÂ
                 Œ † è Œ                                                           è             (3)

                    Trigger tool ໚¹Ë¹Ö§ã¹ÇÔ¸¡Ò䌹ËÒà˵ءÒóäÁ‹¾§»ÃÐʧ¤·à¹Œ¹¡Ò䌹ËÒÍѹµÃÒ·Õà¡Ô´
                                                         è              Õ                                               Ö              Õè                                                     è
¡Ñº¼Ù»Ç á¹Ç¤Ô´ã¹¡ÒÃ㪌 trigger à¾×ͤŒ¹ËÒà˵ءÒóäÁ‹¾§»ÃÐʧ¤¨Ò¡¡Ò÷º·Ç¹àǪÃÐàºÕ¹àÃÔÁ
               Œ †                                                          è                                       Ö                                                                              è
µŒ¹ã¹»‚¾.È. 2517 â´Â Jick µ‹ÍÁÒã¹»‚ ¾.È. 2535 Classen ¹íÒÁҾѲ¹Ò㪌¡ºÃкº¤ÍÁ¾ÔÇàµÍÏ
                                                      (9)
                                                                                                                                                      Ñ
à¾×ͤŒ¹ËÒ¡ÒÃà¡Ô´à˵ءÒóäÁ‹¾§»ÃÐʧ¤¨Ò¡¡ÒÃ㪌ÂÒ â´Â¡íÒ˹´¤íÒÊíҤѭà¾×Í㪌໚¹µÑÇÊ‹§ÊÑ­­Ò³
     è                                                            Ö                                                                               è
ã¹ÃٻẺ electronic trigger áÅŒÇàª×ÍÁµ‹Í¡ÑºÃкº¤ÍÁ¾ÔÇàµÍϢͧâç¾ÂÒºÒÅ·ÕÁ¢ÍÁÙÅàǪÃÐàºÕ¹
                                                                      è                                                                                   è Õ Œ
¼Ù»Ç áÅÐ㪌¤ÍÁ¾ÔÇàµÍϪǤѴ¡ÃͧËÒµÑÇÊ‹§ÊÑ­­Ò³¹Ñ¹æ ¨Ò¡¢ŒÍÁÙÅàǪÃÐàºÕ¹ ·Ø¡¤Ãѧ·ÕÁ¡ÒÃ
   Œ †                                              ‹                                                           é                                                                       é è Õ
¾ºµÑÇÊ‹§ÊÑ­­Ò³ã¹ãº¤íÒÊÑè§á¾·Â ËÃ×ÍàÍ¡ÊÒâͧàÀÊѪ¡Ã ¤ÍÁ¾ÔÇàµÍϨйѺáÅкѹ·Ö¡µÑÇÊ‹§
ÊÑ­­Ò³àËŋҹѹÃÒ§ҹ໚¹ possible ADE ËÁÒ¶֧ ÁÕâÍ¡ÒÊà¡Ô´à˵ءÒóäÁ‹¾§»ÃÐʧ¤¨Ò¡¡ÒÃ
                           é                                                                                                                                Ö
㪌ÂÒ ÃÒ§ҹàËŋҹѹ¨Ð¶Ù¡Ê‹§ãËŒàÀÊѪ¡ÃÇѹµ‹ÍÇѹà¾×͹íÒä»ãªŒã¹¡Ò÷º·Ç¹àǪÃÐàºÕ¹à¾×ͤŒ¹ËÒ¡ÒÃ
                                      é                                                              è                                                                      è
à¡Ô´à˵ءÒóäÁ‹¾§»ÃÐʧ¤¨Ò¡ÂÒ ¨ÐàËç¹Ç‹ÒÇÔ¸¡Òâͧ Classen µŒÍ§ãªŒ¤ÍÁ¾ÔÇàµÍÏÃÇÁ´ŒÇ¨֧໚¹
                                 Ö                                  (2)
                                                                                              Õ                                                                       ‹
¢ŒÍ¨íÒ¡Ñ´·Õ·ÒãˌǸ¹äÁ‹à»š¹·Õá¾Ã‹ËÅÒ à¹×ͧ¨Ò¡äÁ‹àËÁÒСѺâç¾ÂÒºÒÅʋǹãË­‹·Â§äÁ‹ä´ŒãªŒÃкº
                      è í Ô Õ Õé                       è                                è                                                                        Õè Ñ
¤ÍÁ¾ÔÇàµÍÏ㹡ÒÃà¡çº¢ŒÍÁÙÅàǪÃÐàºÕ¹㹢³Ð¹Ñ¹ ´Ñ§¹Ñ¹ã¹»‚ ¾.È. 2543 IHI áÅÐ Premier ¨Ö§ä´Œµ§       é           é                                                                                       Ñé
¡ÅØÁ¼ÙàªÕÂǪҭ¨Ò¡ËÅÒÂÊÒ¢ÒÇÔªÒªÕ¾·ÕÁÊǹà¡ÕÂÇ¢ŒÍ§ã¹¡ÒôÙáÅÃÑ¡ÉÒ¼Ù»ÇÂà¾×;Ѳ¹Ò trigger tool
         ‹ Œ è                                                                    è Õ‹ è                                                    Œ † è
à¾×ͤŒ¹ËÒà˵ءÒóäÁ‹¾§»ÃÐʧ¤¨Ò¡¡ÒÃ㪌ÂÒ·Õ§Òµ‹Í¡ÒÃàÃÕ¹ÃÙŒ áÅÐÊÒÁÒö¹íÒä»ãªŒä´Œ·Ç仵ÒÁ
       è                                    Ö                                                   è‹                                                                                   Ñè
âç¾ÂÒºÒŵ‹Ò§æ ËÅѧ¾Ñ²¹Òä´ŒÊÒàÃç¨ã¹»‚ ¾.È. 2546 trigger tool ä´Œ¶¡¹íÒä»ãªŒÍ‹ҧ¡ÇŒÒ§¢ÇÒ§
                                (2)
                                                                          í                                                                   Ù
ã¹âç¾ÂÒºÒÅËÅÒÂÃŒÍÂáË‹§ã¹ËÅÒÂæ »ÃÐà·È áÅÐã¹»‚ ¾.È. 2547 IHI áÅÐ Premier ä´Œ¨´·íÒ¤ÙÁÍ                                                                                              Ñ              ‹ ×
¡Ò䌹ËÒáÅÐÇÑ´ÍѵÃÒà˵ءÒóäÁ‹¾§»ÃÐʧ¤¨Ò¡¡ÒÃ㪌ÂÒâ´Â㪌 trigger tool ¢Ö¹ ËÅѧ¨Ò¡¹Ñ¹ IHI
                                                                              Ö                                                                         é  (10)
                                                                                                                                                                                           é
ä´Œ¾²¹Ò trigger tool Í‹ҧµ‹Íà¹×ͧà¾×͹íÒä»ãªŒã¹´ŒÒ¹Í×¹æ ¢Í§¡ÒôÙáÅÃÑ¡ÉҼٻǷչ͡à˹×Í
             Ñ                                                       è è                                          è                                           Œ † è
仨ҡ¡ÒÃ㪌ÂÒ ã¹»‚ ¾.È. 2550 IHI ä´Œ¨´·íÒ¤ÙÁÍ¡Ò䌹ËÒáÅÐÇÑ´ÍѵÃÒà˵ءÒóäÁ‹¾§»ÃÐʧ¤â´Â㪌
                                                                                Ñ         ‹ ×                                                                      Ö
global trigger tool ¡Ò÷Õà»ÅÕ¹ä»àÃÕÂ¡Ç‹Ò global trigger tool à¹×ͧ¨Ò¡à»š¹¡ÒÃ㪌µÇÊ‹§ÊÑ­­Ò³
                                   (11)
                                                   è è                                                                           è                                      Ñ
ã¹·Ø¡´ŒÒ¹¢Í§¡ÒôÙáÅÃÑ¡ÉÒ «Ö§»ÃСͺ´ŒÇ ¡ÒôÙáżٻÇ·ÑÇä» ¡ÒÃ㪌ÂÒ ¡Òü‹ÒµÑ´ ¡ÒôÙáÅ
                                                                è                                              Œ † è
¼Ù»ÇÂÇԡĵ ¡ÒôÙáÅÁÒôÒáÅзÒá áÅСÒôÙáżٻÇ©ءà©Ô¹ »˜¨¨Øº¹ IHI Âѧ¤§´íÒà¹Ô¹¡ÒþѲ¹Ò
  Œ †                                                                                                  Œ †                           Ñ
áÅлÃѺ»Ãا¡ÒÃ㪌 global trigger tool Í‹ҧµ‹Íà¹×ͧ¨¹¢³Ð¹Õ¤ÁÍàÅ‹ÁÅ‹ÒÊØ´·Õä´Œ»ÃѺᡌ䢤×Í ¤ÙÁÍ      è                      é Ù‹ ×                    è                                           ‹ ×
¢Í§»‚ ¾.È. 2552                (1)
98    ¡ÒÃ㪌 Trigger Tool 㹡Ò䌹ËÒáÅÐÇÑ´ÍѵÃÒà˵ءÒóäÁ‹¾§»ÃÐʧ¤¨Ò¡¡ÒÃ㪌ÂÒã¹âç¾ÂÒºÒÅ
                                                            Ö

       ÊíÒËÃѺ»ÃÐà·Èä·Âä´ŒÁ¡ÒáŋÒǶ֧ trigger tool ઋ¹¡Ñ¹ ´Ñ§¨ÐàËç¹ä´Œ¨Ò¡¡ÒèѴ·íÒàÍ¡ÊÒÃ
                           Õ
ÀÒÉÒä·Ââ´ÂʶҺѹ¾Ñ²¹ÒáÅÐÃѺÃͧ¤Ø³ÀÒ¾¢Í§âç¾ÂÒºÒÅ (¾Ã¾.) àÃ×ͧ¡Ò䌹ËÒáÅÐÇÑ´ÍѵÃÒ
                                                                     è
à˵ءÒó·äÁ‹¾§»ÃÐʧ¤â´Â㪌 trigger tool
           Õè Ö                           (4)



¹ÔÂÒÁ
        à˵ءÒóäÁ‹¾Ö§»ÃÐʧ¤¨Ò¡¡ÒÃ㪌ÂÒ (Adverse drug event; ADE)
           µÒÁ¤íÒ¹ÔÂÒÁ¢Í§Í§¤¡ÒÃ͹ÒÁÑÂâÅ¡ (World Health Organization; WHO) ËÁÒ¶֧ à˵ءÒó
ÍѹµÃÒ (noxious event) ËÃ×Íà˵ءÒó·Áä´ŒÁ§ËÇѧ (unintended event) ·Õà¡Ô´¢Ö¹Íѹà¹×ͧÁÒ¨Ò¡
                                              Õè Ô Ø‹                   è é          è
¡ÒÃ㪌ÂÒ㹤¹ à¾×èÍÇѵ¶Ø»ÃÐʧ¤ã¹¡Òû‡Í§¡Ñ¹ ÇÔ¹Ô¨©Ñ ÃÑ¡ÉÒ ËÃ×Íà»ÅÕè¹á»Å§¡Ò÷íÒ§Ò¹¢Í§
Ëҧ¡ÒÂ(10) ẋ§à»š¹ 2 ª¹Ô´ 䴌ᡋ
           1. ÍÒ¡ÒÃäÁ‹¾Ö§»ÃÐʧ¤¨Ò¡¡ÒÃ㪌ÂÒ (Adverse drug reaction; ADR) ໚¹à˵ءÒó
äÁ‹¾§»ÃÐʧ¤¨Ò¡¡ÒÃ㪌ÂÒ·Õà¡Ô´¢Ö¹áÁŒÇÒ¨ÐÁÕ¡ÒÃ㪌ÂҹѹÍ‹ҧ¶Ù¡µŒÍ§àËÁÒÐÊÁáÅŒÇ àª‹¹ ¡ÒÃᾌÂÒ
         Ö                     è é         ‹               é
·Õ¼»ÇÂäÁ‹à¤ÂÁÕ»ÃÐÇѵᾌÂҹѹÁÒ¡‹Í¹ ËÃ×Í¡ÒÃà¡Ô´¼Å¢ŒÒ§à¤Õ§¨Ò¡ÂÒ ¶×Í໚¹à˵ءÒóäÁ‹¾§»ÃÐʧ¤
  è ÙŒ †                Ô       é                                                      Ö
¨Ò¡Âҷջͧ¡Ñ¹äÁ‹ä´Œ
           è ‡
           2. ¤ÇÒÁ¤ÅÒ´à¤Å×͹·Ò§ÂÒ (Medication error) ໚¹¤ÇÒÁ¼Ô´¾ÅÒ´·Õàè ¡Ô´¢Ö¹ä´Œã¹·Ø¡¢Ñ¹µÍ¹
                             è                                                é          é
¢Í§¡ÒÃ㪌ÂÒ µÑ§áµ‹¡ÒÃÊѧÂÒ¨¹ÂÒ¶Ö§¼Ù»Ç «Ö§à¡ÕÂÇ¢ŒÍ§¡Ñº¼Ù»ÃСͺÇÔªÒªÕ¾ËÅÒÂÇÔªÒªÕ¾ 䴌ᡋ
                  é       è               Œ †      è è       Œ
ᾷ àÀÊѪ¡Ã áÅоÂÒºÒÅ ¢Ñ¹µÍ¹¢Í§¡ÒÃ㪌ÂÒ ä´Œá¡‹ ¡ÒÃÊѧÂÒ (prescribing drug) ¡ÒäѴÅÍ¡
                                  é                            è
ÂÒ (transcribing drug) ¡Òè‹ÒÂÂÒ (dispensing drug) áÅСÒúÃÔËÒÃÂÒ (administering drug)(12)
¶×Í໚¹à˵ءÒóäÁ‹¾§»ÃÐʧ¤¨Ò¡Âҷջͧ¡Ñ¹ä´Œ ·Ñ§¹Õ¤ÇÒÁ¤ÅÒ´à¤Å×͹·Ò§ÂÒ·Õà¡Ô´¢Ö¹ã¹áµ‹ÅФÃѧ
                      Ö                  è ‡           é é       è          è é             é
äÁ‹¨Ò໚¹µŒÍ§¡‹ÍãËŒà¡Ô´ÍѹµÃÒÂá¡‹¼»ÇÂàÊÁÍä»
       í                            ÙŒ †

        à˵ءÒóäÁ‹¾Ö§»ÃÐʧ¤ (Adverse event; AE)
      à˵ءÒóã´æ (äÁ‹¨Ò¡Ñ´Ç‹ÒµŒÍ§à¡ÕÂÇ¢ŒÍ§¡Ñº¡ÒÃ㪌ÂÒ) ·Õ¡ÍãËŒà¡Ô´ÍѹµÃÒÂá¡‹¼»Ç·Õ໚¹
                        í             è                    è ‹                 ÙŒ † è
¼Å¨Ò¡¡ÒôÙáÅÃÑ¡ÉÒ áÅÐäÁ‹ãª‹¡Ãкǹ¡ÒõÒÁ¸ÃÃÁªÒµÔ¢Í§âä        (3)



        ÍѹµÃÒ (Harm)
          ¡ÒÃÊÙ­àÊÕªÕÇÔµ ËÃ×Í¡ÒÃÊÙ­àÊÕÂâ¤Ã§ÊÌҧ ËÃ×Í¡ÒÃÊÙ­àÊÕ¡Ò÷íÒ˹ŒÒ·Õè¢Í§Ã‹Ò§¡ÒÂËÃ×Í
¨Ôµã¨ «Ö§ÍҨ໚¹¡ÒÃÊÙ­àÊÕªÑǤÃÒÇËÃ×ͶÒÇáçä´Œ(10)
        è                     è

Trigger tool for measuring adverse drug events
       ã¹»‚ ¾.È. 2543 IHI áÅÐ Premier ä´Œ¾²¹Ò trigger tool à¾×Í㪌㹡Ò䌹ËÒà˵ءÒó
                                            Ñ                  è
äÁ‹¾§»ÃÐʧ¤¨Ò¡ÂÒ â´ÂàÃÔÁµÑ§áµ‹¡ÒùíÒ¤íÒ¹ÔÂÒÁ¢Í§à˵ءÒóäÁ‹¾§»ÃÐʧ¤¨Ò¡ÂҢͧͧ¤¡ÒÃ
    Ö                    è é                                 Ö
͹ÒÁÑÂâÅ¡ÁÒ㪌 à¾×ÍãËŒÁ¤ÇÒÁࢌÒã¨à»š¹ä»ã¹á¹Ç·Ò§à´ÕÂǡѹ ½ƒ¡ËÑ´ºØ¤Åҡ÷ҧ¡ÒÃᾷà¾×Í
                  è    Õ                                                           è
àǪÈÒʵÏ·¹Âؤ 2553
          Ñ                                                                                                                                           99

·º·Ç¹àǪÃÐàºÕ¹â´ÂäÁ‹ãªŒ¤ÍÁ¾ÔÇàµÍÏࢌҪ‹Ç áÅСíÒ˹´ÃдѺ¤ÇÒÁÃØ¹áç¢Í§à˵ءÒó
äÁ‹¾§»ÃÐʧ¤¨Ò¡ÂÒâ´Â´Ñ´á»Å§¨Ò¡´Ñª¹Õ¡ÒèѴÃдѺ¤ÇÒÁÃØ¹áç¢Í§¤ÇÒÁ¤ÅÒ´à¤Å×͹¢Í§ The
      Ö                                                                                                                                  è
National Coordinating Council for Medication Error Reporting and Prevention (NCC MERP)(13)
â´ÂµÑ´¢ŒÍ¤ÇÒÁÇ‹Ò “¤ÇÒÁ¤ÅÒ´à¤Å×͹·Õ¹ÒÁÒÊÙ‹” ÍÍ¡à¹×ͧ¨Ò¡ trigger tool ¹ÕµÍ§¡Ò䌹ËÒÍѹµÃÒÂ
                                                          è è í                            è                           é Œ
â´ÂäÁ‹¤íÒ¹Ö§Ç‹ÒÍѹµÃÒ¹Ñ鹨Ðà¡Ô´¨Ò¡¤ÇÒÁ¤ÅÒ´à¤Å×è͹ËÃ×ÍäÁ‹ áÅÐàÅ×Í¡¹íҴѪ¹Õ¡ÒèѴÃдѺ
ÁÒ㪌à¾Õ§ 5 ÃдѺ¨Ò¡·Ñ§ËÁ´ 9 ÃдѺ â´ÂàÅ×͡੾ÒÐÃдѺ·Õ¡ÍãËŒà¡Ô´ÍѹµÃÒÂá¡‹¼»Ç 䴌ᡋ
                                     é                                                                è ‹                             ÙŒ †
         ! ÃдѺ E ËÁÒ¶֧ ÍѹµÃÒªÑǤÃÒǵ‹Í¼Ù»Ç µŒÍ§ãËŒ¡ÒÃÃÑ¡ÉÒ
                                                                è                  Œ †
         ! ÃдѺ . ËÁÒ¶֧ ÍѹµÃÒªÑǤÃÒǵ‹Í¼Ù»Ç µŒÍ§¹Í¹âç¾ÂÒºÒÅ ËÃ×ÍÍÂÙâç¾ÂÒºÒÅ
                                                                  è                  Œ †                                                   ‹
              ¹Ò¹¢Ö¹      é
         ! ÃдѺ G ËÁÒ¶֧ ÍѹµÃÒ¶ÒÇõ‹Í¼Ù»Ç                                 Œ †
         ! ÃдѺ H ËÁÒ¶֧ ÍѹµÃÒÂÃØ¹áç¶Ö§¢Ñ¹µŒÍ§ãËŒ¡ÒÃÃÑ¡ÉÒà¾×ͪ‹ÇªÕǵ (sustain life)
                                                                                é                            è             Ô
         ! ÃдѺ I ËÁÒ¶֧ ¼Ù»ÇÂàÊÕªÕǵ     Œ †                    Ô
              áÅÐä´Œ¨´·íÒ¤ÙÁÍá¹Ð¹íÒá¹Ç·Ò§ã¹¡ÒÃ㪌 trigger tool(10) áÅÐ global trigger tool(1) ´Ñ§¹Õé
                              Ñ        ‹ ×
         1. ¨Ñ´µÑ§·ÕÁ ã¹·ÕÁ¤ÇûÃСͺ´ŒÇºؤÅÒ¡ÃÍ‹ҧ¹ŒÍ 3 ¤¹ â´ÂµŒÍ§ÁÕᾷÍ‹ҧ¹ŒÍ 1
                        é
¤¹ áÅмٷ·Ò˹ŒÒ·Õ㹡Ò÷º·Ç¹àǪÃÐàºÕ¹Í‹ҧ¹ŒÍ 2 ¤¹ ºØ¤¤Å·Õ·Ò˹ŒÒ·Õ·º·Ç¹àǪÃÐàºÕ¹
          Œ Õè í                è                                                                           è í              è
¤ÇÃÁÕ¤ÇÒÁÃÙ´Ò¹¡ÒÃᾷ áÅФعà¤Â¡ÑºÊ‹Ç¹»ÃСͺáÅÐà¹×ÍËÒã¹àǪÃÐàºÕ¹ ·ÕÁ¢Í§âç¾ÂÒºÒÅ
               Œ Œ                               Œ                                              é
·ÕÁ»ÃÐʺ¡Òóã¹¡ÒÃ㪌 trigger tool ÁÑ¡àÅ×Í¡¾ÂÒºÒÅËÃ×ÍàÀÊѪ¡Ãà¾×Í·íÒ˹ŒÒ·Õ¹(1) ʋǹᾷ¨Ò
  è Õ                                                                                                          è               è Õé                      í
໚¹µŒÍ§ÁÕÍÂÙã¹·ÕÁà¾×ͪ‹Çµͺ¢ŒÍʧÊÑ¢ͧ¼Ù·º·Ç¹àǪÃÐàºÕ¹ ÊÃØ»áÅШѴÃдѺ¤ÇÒÁÃØ¹áç¢Í§
                 ‹                è                                       Œ
à˵ءÒóäÁ‹¾§»ÃÐʧ¤ Ö
         2. ·ÕÁµ¡Å§Ã‹ÇÁ¡Ñ¹ã¹¡ÒèѴ·íҺѭªÕÃÒ¡Òà trigger â´ÂÍÒ¨àÃÔèÁµŒ¹¨Ò¡ÍŒÒ§ÍÔ§¨Ò¡ºÑ­ªÕ
ÃÒ¡Òà trigger ¢Í§ IHI ઋ¹ 㹤ÙÁÍ¡ÒÃÇÑ´ÍѵÃÒà˵ءÒóäÁ‹¾§»ÃÐʧ¤¨Ò¡ÂÒâ´Â㪌 trigger tool
                                                        ‹ ×                                             Ö
©ºÑº»‚ ¾.È. 2547 «Ö§Áըҹǹ 19 triggers ËÃ×ͤÙÁÍ¡ÒÃÇÑ´ÍѵÃÒà˵ءÒóäÁ‹¾§»ÃÐʧ¤â´Â㪌
                            (10)
                                    è í                                                ‹ ×                                          Ö
global trigger tool ©ºÑº»‚ ¾.È. 2552 ã¹ËÁÇ´¡ÒÃ㪌ÂÒ (medication module triggers) «Ö§Áըҹǹ
                                                            (1)
                                                                                                                                             è í
13 triggers ·Ñ§¹Õ·ÁÊÒÁÒö»ÃѺà»ÅÕ¹ºÑ­ªÕÃÒ¡Òà trigger ä´Œà¾×ÍãËŒàËÁÒÐÊÁ¡ÑººÃÔº·¢Í§âç
                     é é Õ                                    è                                           è
¾ÂÒºÒÅ
         3. ÊØÁàÅ×Í¡àǪÃÐàºÕ¹·Õ¨Ð¹íÒÁÒ·º·Ç¹ ໇ÒËÁÒ ¤×Í ·º·Ç¹àǪÃÐàºÕ¹Í‹ҧ¹ŒÍ 20
                   ‹                                è
©ºÑºµ‹Íà´×͹ÊíÒËÃѺᵋÅÐâç¾ÂÒºÒÅ áÅФÇáÃШÒ¡Ò÷º·Ç¹ÍÍ¡ä» àª‹¹ 10 ©ºÑºµ‹ÍÊͧ
ÊÑ»´Òˏâ´ÂÁÕá¹Ç·Ò§ã¹¡ÒÃàÅ×Í¡àǪÃÐàºÕ¹ ´Ñ§¹Õé
              ! àǪÃÐàºÕ¹¢Í§¼Ù»Ç·ÕÁÍÒÂØµ§áµ‹ 18 »‚¢¹ä»
                                                   Œ † è Õ                  Ñé               Öé
              ! àǪÃÐàºÕ¹¢Í§¼Ù»Ç·չ͹âç¾ÂÒºÒÅäÁ‹¹ÍÂ¡Ç‹Ò 24 ªÑÇâÁ§ ¶ŒÒ͌ҧÍÔ§¨Ò¡¤ÙÁÍ
                                                       Œ † è                                        Œ                è                               ‹ ×
                        ¡ÒÃÇÑ´ÍѵÃÒà˵ءÒóäÁ‹¾§»ÃÐʧ¤â´Â㪌 global trigger tool »‚ ¾.È. 2552 ËÃ×Í
                                                                        Ö                                                                       (1)

                        àǪÃÐàºÕ¹¢Í§¼Ù»Ç·չ͹âç¾ÂÒºÒÅäÁ‹¹ÍÂ¡Ç‹Ò 48 ªÑÇâÁ§ ¶ŒÒ͌ҧÍÔ§¨Ò¡¤ÙÁÍ
                                                      Œ † è                                       Œ                è                                ‹ ×
                        ¡ÒÃÇÑ´ÍѵÃÒà˵ءÒóäÁ‹¾§»ÃÐʧ¤¨Ò¡ÂÒâ´Â㪌 trigger tool »‚ ¾.È. 2547
                                                                      Ö                                                                        (10)

              ! àǪÃÐàºÕ¹·ÕÁãºÊÃØ»¡ÒèíÒ˹‹Ò¼ٻÇ áÅÐŧÃËÑÊÇÔ¹¨©ÑÂâäáÅŒÇ
                                           è Õ                                      Œ †                          Ô
100 ¡ÒÃ㪌 Trigger Tool 㹡Ò䌹ËÒáÅÐÇÑ´ÍѵÃÒà˵ءÒóäÁ‹¾§»ÃÐʧ¤¨Ò¡¡ÒÃ㪌ÂÒã¹âç¾ÂÒºÒÅ
                                                          Ö

          !   äÁ‹¤ÇÃàÅ×Í¡àǪÃÐàºÕ¹¢Í§¼ÙŒ»†Ç¨ԵàǪ ËÃ×ͼٌ»†ÇÂàǪÈÒʵÏ¿„œ¹¿Ù à¹×èͧ¨Ò¡
              äÁ‹ä´ŒÁ¡ÒÃÈÖ¡ÉÒ¡ÒÃ㪌 trigger tool ã¹¼Ù»ÇÂàËŋҹÕé
                      Õ                                         Œ †
          ! ËÅѧ¨Ò¡ä´ŒàǪÃÐàºÕ¹·ÕèࢌÒࡳ±áŌǹíÒàǪÃÐàºÕ¹àËŋҹÑé¹ÁҤѴàÅ×Í¡áººÊØ‹Á
              (·Ø¡àǪÃÐàºÕ¹·Õ¼Ò¹à¡³±ÁâÍ¡ÒÊ㹡Òö١àÅ×Í¡à·‹Òæ ¡Ñ¹) ઋ¹ ÍÒ¨¾ÔÁ¾ÃÒª×Í
                                          è ‹        Õ                                                    è
              àǪÃÐàºÕ¹·Ñ§ËÁ´à¢ŒÒࡳ± áÅŒÇàÅ×Í¡àǪÃÐàºÕ¹·Ø¡ÅíҴѺ·ÕʺÁÒ·º·Ç¹
                                    é                                           èÔ
       4. ËÅÑ¡¡Ò÷º·Ç¹àǪÃÐàºÕ¹
          ! µÑé§à»‡Ò㹡ÒÃ㪌àÇÅÒ·º·Ç¹àǪÃÐàºÕ¹ᵋÅЩºÑºäÁ‹à¡Ô¹ 20 ¹Ò·Õ â´ÂµŒÍ§ÃÐÅÖ¡
              äÇŒàÊÁÍNjҡÒ÷º·Ç¹¹Õ໚¹¡ÒÃÁاËÒ trigger äÁ‹ä´Œà»š¹¡ÒÃ͋ҹàǪÃÐàºÕ¹·Ñ§©ºÑº
                                                  é     ‹                                            é
              ¹Í¡¨Ò¡¹Õ¡Ò÷º·Ç¹àǪÃÐàºÕ¹·Õ¹Ò¹¡Ç‹Ò 20 ¹Ò·Õ ÁÑ¡¨ÐäÁ‹ä´Œ¢ÍÁÙŷյͧ¡ÒÃà¾ÔÁ
                              é                               è                           Œ    è Œ      è
              ÁÒ¡¢Ö¹é
          ! ¼Ù·º·Ç¹¤Ç䌹ËÒÊÔ§µ‹Í仹Õé 䴌ᡋ
                Œ                             è
              - ¡ÒÃãËéÃËÑÊÍÐäÃàÁ×ͨÓ˹èÒ (â´Â੾ÒÐÍÂèÒ§ÂÔ§ ¡ÒõԴàª×Í ÀÒÇÐá·Ã¡«é͹
                                                è                         è           é
                  ¡ÒÃÇÔ¹¨©ÑÂâä¨íÒà¾ÒкҧÍ‹ҧ)
                                Ô
              - ºÑ¹·Ö¡ÊÃØ»¡ÒèíÒ˹‹Ò (¤Œ¹ËÒÊÃØ»¡ÒûÃÐàÁÔ¹áÅСÒÃÃÑ¡ÉÒ·Õè੾ÒÐà¨ÒШ§
                  ÃÐËNjҧ¹Í¹âç¾ÂÒºÒÅ)
              - ¤íÒÊѧ¡ÒÃ㪌ÂҢͧᾷáÅкѹ·Ö¡¡ÒÃãËŒÂҢͧ¾ÂÒºÒÅ
                            è
              - ¼Å¡ÒõÃǨ·Ò§ËŒÍ§»¯Ôºµ¡Òà            Ñ Ô
              - ºÑ¹·Ö¡¡Òü‹ÒµÑ´
              - ºÑ¹·Ö¡·Ò§¡ÒþÂÒºÒÅ
              - Progress note ¢Í§á¾·Â
              - ¶ŒÒÁÕàÇÅÒàËÅ×Í ÍÒ¨¨Ð´ÙʋǹÍ×蹢ͧàǪÃÐàºÕ¹ ઋ¹ ºÑ¹·Ö¡¡Òëѡ»ÃÐÇѵÔ
                  µÃǨËҧ¡Ò 㺻ÃÖ¡ÉÒ Ë¹‹Çµ‹Ò§æ
          ! ¡Òþº trigger äÁ‹ä´ŒËÁÒ¤ÇÒÁNjҨÐà¡Ô´à˵ءÒóäÁ‹¾§»ÃÐʧ¤àÊÁÍä» à¾Õ§ᵋ
                                                                              Ö
              ໚¹¡ÒÃÊ‹§ÊÑ­­Ò³Ç‹ÒÍÒ¨¨Ðà¡Ô´à˵ءÒóäÁ‹¾Ö§»ÃÐʧ¤¢Öé¹ (ºÒ§ trigger ¡ç໚¹
              à˵ءÒóäÁ‹¾§»ÃÐʧ¤ã¹µÑÇàͧ´ŒÇÂ) àÁ×;ºÇ‹ÒÁÕ trigger ãËŒ·º·Ç¹àǪÃÐàºÕ¹
                                      Ö                             è
              ã¹Ê‹Ç¹·Õèà¡ÕèÂÇ¢ŒÍ§¡Ñº trigger ¹Ñé¹à¾×èÍ´ÙÇ‹ÒÁÕà˵ءÒóäÁ‹¾Ö§»ÃÐʧ¤à¡Ô´¢Öé¹ËÃ×ÍäÁ‹
              µÑÇÍ‹ҧઋ¹ àÁ×;ºÇ‹Ò INR > 6 ¼Ù·º·Ç¹¤Ç䌹ËÒÇ‹ÒÁÕàÅ×Í´ÍÍ¡ ËÃ×Í ÁÕ¡ÒÃŴŧ
                                        è                   Œ
              ¢Í§ hemoglobin ¨¹µŒÍ§ãËŒàÅ×Í´ ËÃ×ÍÁÕà˵ءÒóäÁ‹¾§»ÃÐʧ¤Í¹æ ·Õ໚¹¼ÅÁÒ¨Ò¡
                                                                            Ö      ×è       è
              ¡ÒÃÁÕ¤Ò INR ÊÙ§¡Ç‹Ò»¡µÔËÃ×ÍäÁ‹
                        ‹
          ! ¡ÒþԨÒóÒÇ‹Òà¡Ô´à˵ءÒóäÁ‹¾§»ÃÐʧ¤ËÃ×ÍäÁ‹ ãËŒÁͧ¨Ò¡ÁØÁ¢Í§¼Ù»ÇÂâ´ÂãËŒ¼ÙŒ
                                                          Ö                                   Œ †
              ·º·Ç¹¤Ô ´ Ç‹ Ò ¶Œ Ò ËÒ¡¼ÙŒ · º·Ç¹à»š ¹ ¼ÙŒ »† Ç Â¨ÐʺÒÂã¨ËÃ× Í äÁ‹ ·Õè à ¡Ô ´ à赯 ¡ Òó ¹Õé
              ¡Ñºµ¹àͧ ¶ŒÒäÁ‹ÊºÒÂ㨡çáÊ´§Ç‹Òà¡Ô´ÍѹµÃÒ¢ֹ áŌǾԨÒóҵ‹Íä»Ç‹Òà˵ءÒó¹Õé
                                                                        é
              ໚¹Ê‹Ç¹Ë¹Ö§¢Í§¡ÒôíÒà¹Ô¹âäµÒÁ¸ÃÃÁªÒµÔ ËÃ×Í໚¹ÀÒÇÐá·Ã¡«ŒÍ¹¨Ò¡¡ÒôÙáÅ
                                  è
              ÃÑ¡ÉÒ·ÕäÁ‹àËÁÒÐÊÁËÃ×ÍäÁ‹ ¶ŒÒ㪋 IHI ¨ÐäÁ‹¶Í໚¹à˵ءÒóäÁ‹¾§»ÃÐʧ¤à¹×ͧ¨Ò¡
                          è                                           ×                 Ö          è
àǪÈÒʵÏ·¹Âؤ 2553
          Ñ                                                                                                101

                 IHI ¨Ð์¹à©¾ÒÐà˵ءÒóäÁ‹¾Ö§»ÃÐʧ¤·Õèà¡Ô´¨Ò¡¡ÒáÃзíÒà¾×èÍ¡ÒôÙáÅÃÑ¡ÉÒ
                 ෋ҹѹ à˵ءÒó·à¡Ô´¨Ò¡¡ÒôÙáÅÃÑ¡ÉÒ·ÕäÁ‹ä´Œà»š¹ä»µÒÁÁҵðҹ¨ÐäÁ‹¶Í໚¹
                         é           Õè                       è                           ×
                 à˵ءÒóäÁ‹¾§»ÃÐʧ¤ µÑÇÍ‹ҧઋ¹ ¼Ù»Ç¤ÇÒÁ´Ñ¹âÅËÔµÊÙ§·Õ¤Çº¤ØÁ¤ÇÒÁ´Ñ¹âÅËÔµ
                                 Ö                    Œ †                 è
                 ä´ŒäÁ‹´¨¹à¡Ô´ÀÒÇÐá·Ã¡«ŒÍ¹ÁÕàÊŒ¹àÅ×ʹᵡã¹ÊÁͧà¡Ô´ÍÑÁ¾Òµ¢Ö¹¨ÐäÁ‹¶ÍÇ‹Ò໚¹
                           Õ                                                   é      ×
                 à˵ءÒóäÁ‹¾Ö§»ÃÐʧ¤µÒÁ IHI ᵋ¶ŒÒ¼ÙŒ»†ÇÂä´ŒÃѺÂÒµŒÒ¹¡ÒÃá¢ç§µÑǢͧàÅ×Í´
                 ¨¹·íÒãËŒÁÕàÅ×Í´ÍÍ¡ã¹ÊÁͧà¡Ô´à»š¹ÍÑÁ¾Òµ¶×ÍÇ‹Ò໚¹à˵ءÒóäÁ‹¾Ö§»ÃÐʧ¤
                 㹺ҧ¤Ãѧ¶ŒÒäÁ‹á¹‹ã¨¤ÇûÃÖ¡ÉÒᾷ㹷ÕÁãËŒªÇµѴÊÔ¹
                               é                                ‹
             ! ¶ŒÒ¾ºÇ‹ÒÁÕà˵ءÒóäÁ‹¾Ö§»ÃÐʧ¤à¡Ô´¢Öé¹ ãËŒ¨Ñ´ÃдѺ¤ÇÒÁÃØ¹áç¢Í§à˵ءÒó
                 â´Â㪌´ª¹Õ¡ÒèѴÃдѺ¤ÇÒÁÃØ¹áç·Õ´´á»Å§¨Ò¡ NCC MERP
                             Ñ                      è Ñ
             ! ¶ŒÒ·º·Ç¹áŌǾº trigger ᵋäÁ‹¾ºà˵ءÒóäÁ‹¾Ö§»ÃÐʧ¤ ãËŒÁͧËÒ trigger
                 Í×¹æ µ‹Íä»
                   è
         5. ¡ÒÃà¡çºáÅйíÒàʹ͢ŒÍÁÙÅ
             ¶ŒÒ㪌 trigger tool 㹡Ò䌹ËÒà˵ءÒóäÁ‹¾§»ÃÐʧ¤¨Ò¡¡ÒÃ㪌ÂÒ(10) ¢ŒÍÁÙÅ·Õä´Œ¨Ò¡
                                                          Ö                             è
·Ø¡ 2 ÊÑ»´ÒˏÊÒÁÒö¹íÒÁÒ¤íҹdzÍѵÃÒ¡ÒÃà¡Ô´à˵ءÒóäÁ‹¾Ö§»ÃÐʧ¤¨Ò¡¡ÒÃ㪌ÂÒµ‹Í¾Ñ¹¤ÃÑé§
¢Í§¡ÒÃ䴌úÂÒ (ADE per 1,000 doses) áÅÐÃŒÍÂÅСÒÃà¡Ô´à˵ءÒóäÁ‹¾§»ÃÐʧ¤¨Ò¡ÂÒã¹¼Ù»ÇÂ
             Ñ                                                        Ö                     Œ †
·ÕèÃѺµÑÇäÇŒã¹âç¾ÂÒºÒÅ (percent of admissions with an ADE) µÔ´µÒÁ¢ŒÍÁÙÅ·Õè¤íҹdz䴌
·Ø¡ 2 ÊÑ»´Òˏ áÊ´§ã¹ run chart à¾×Í´Ù¡ÒÃà»ÅÕ¹á»Å§ áÅФÇ÷íÒ¡ÃÒ¿áÊ´§¡ÒèѴÃдѺ¤ÇÒÁ
                                        è       è
ÃØ¹áç¢Í§ÍѹµÃÒ·Õà¡Ô´¢Ö¹ áÅйíÒÁÒ㪌㹡ÒûÃѺ»Ãاà¾×ͤÇÒÁ»ÅÍ´ÀÑ¢ͧ¼Ù»ÇÂ
                        è é                                 è                Œ †

àÍ¡ÊÒÃ͌ҧÍÔ§
1.   Griffin .A, Resar RK. IHI Global Trigger Tool for Measuring Adverse Events (Second Edition). IHI Innovation
     Series white paper. Cambridge, Massachusetts: Institute for Healthcare Improvement; 2009. (Available on
     www.IHI.org).
2.   Rozich JD, Haraden CR, Resar RK. Adverse drug event trigger tool: a practical methodology for measuring
     medication related harm. Qual Saf Health Care2003 Jun;12(3):194-200.
3.   Resar RK, Rozich JD, Classen D. Methodology and rationale for the measurement of harm with trigger tools.
     Qual Saf Health Care2003 Dec;12 Suppl 2:ii39-45.
4.   ʶҺѹ¾Ñ²¹ÒáÅÐÃѺÃͧ¤Ø³ÀÒ¾âç¾ÂÒºÒÅ. ¡Ò䌹ËÒáÅÐÇÑ´ÍѵÃÒà˵ءÒó·äÁ‹¾§»ÃÐʧ¤â´Â㪌 Trigger Tool.
                                                                                 Õè Ö
     ¡Ãا෾ÁËÒ¹¤Ã: ʶҺѹ¾Ñ²¹ÒáÅÐÃѺÃͧ¤Ø³ÀÒ¾âç¾ÂÒºÒÅ;2549.
5.   Bates DW, Leape L. Adverse drug reactions. In: Carruthers SG, Hoffman BB, Melmon KL, Nierenberg DW,
     editors. Melmon and Morrelli’s Clinical Pharmacology, 4th ed. McGraw-Hill; 2000. p. 1223-56.
6.   Bates DW, Cullen DJ, Laird N, Petersen LA, Small SD, Servi D, et al. Incidence of adverse drug events and
     potential adverse drug events: Implications for Prevention. JAMA, 1995;274(1):29-34.
7.   Classen DC, Pestotnik SL, Evans RS, Burke JP. Computerized Surveillance of Adverse Drug Events in
     Hospital Patients. JAMA1991;266(20):2847-51.
8.   Layde PM, Maas LA, Teret SP, Brasel KJ, Kuhn EM, Mercy JA, et al. patient safety efforts should focus on
     medical injuries. JAMA 2002;287(15):1993-7.
102 ¡ÒÃ㪌 Trigger Tool 㹡Ò䌹ËÒáÅÐÇÑ´ÍѵÃÒà˵ءÒóäÁ‹¾§»ÃÐʧ¤¨Ò¡¡ÒÃ㪌ÂÒã¹âç¾ÂÒºÒÅ
                                                          Ö

9. Jick H. Drugs-remarkably toxic. N Engl J of Med 1974;291(16):824-8.
10. Institute for Healthcare Improvement. Trigger Tool for Measuring Adverse Drug Events. Cambridge,
    Massachusetts: IHI; 2004.
11. Griffin .A, Resar RK. IHI Global Trigger Tool for Measuring Adverse Events. IHI Innovation Series white paper.
    Cambridge, Massachusetts; 2007. (Available on www.IHI.org).
12. Bates DW, Boyle DL, Vander Vliet MB. Relationship between medication errors and adverse drug events. J
    Gen Intern Med 1995;10:199-205.
13. National Coordinatin Council for Medication Error Reporting and Prevention (NCC MERP) Index for Categorizing
    Errors. Available from: http://www.nccmerp.org/medErrorCatIndex.html. Accessed June 10, 2010.
àǪÈÒʵÏ·¹Âؤ 2553
          Ñ                                                                    º··Õè       103

                                                                                15
             PET/CT for Cancer in Head and Neck Region:
                 Thyroid and Nonthyroid Carcinoma
                                               ÍÒ¨ÒÏ ᾷ˭ԧອ¨ÒÀÒ à¢ÕÂÇËÇÒ¹
                         ÀÒ¤ÇÔªÒÃѧÊÕÇ·ÂÒ ¤³Ðá¾·ÂÈÒʵÏÈÃÃÒª¾ÂÒºÒÅ ÁËÒÇÔ·ÂÒÅÑÂÁËÔ´Å
                                      Ô                 ÔÔ

          ÁÐàÃ秺ÃÔàdzÈÕÃÉÐ áÅÐÅíÒ¤Í໚¹ÁÐàÃç§·ÕèÁÕ¤ÇÒÁÊíҤѭáÅоºä´Œº‹Í â´Â¾º»ÃÐÁÒ³
ÃŒÍÂÅÐ 5 ¢Í§ÁÐàÃ秷ѧËÁ´ ÁÕ¼»ÇÂÁÐàÃç§ÃÒÂãËÁ‹»ÃÐÁÒ³ 550,000 ÃÒµ‹Í»‚ áÅÐ໚¹ÊÒà˵آͧ
                       é         ÙŒ †
¡ÒÃàÊÕªÕǵ»ÃÐÁÒ³ 300,000 ÃÒµ‹Í»‚ ª¹Ô´¢Í§à«ÅŏÁÐàÃç§·Õ¾ºÁÒ¡·Õʴ໚¹à«Åŏª¹Ô´ squamous
            Ô                                               è       èØ
cell carcinoma ¹Í¡à˹×ͨҡÁÐàÃ秺ÃÔàdzÈÕÃÉÐáÅÐÅíҤͷվºä´Œ·Çä»ã¹àǪ»¯ÔºµÍ¹ä´Œá¡‹ ÁÐàÃç§
                                                          è     Ñè            Ñ ÔÑ
¢Í§â¾Ã§¨ÁÙ¡, paranasal sinus, lip and oral cavity, nasopharynx, oropharynx, hypopharynx,
salivary gland áÅÐ larynx áÅŒÇ ÂѧÃÇÁ¶Ö§ malignant melanoma, invasive skin cancer áÅÐ soft
tissue sarcoma (rhabdomyosarcoma áÅÐ osteosarcoma) 㹺ÃÔàdzÈÕÃÉÐáÅÐÅíÒ¤Í «Ö§ÃÇÁÁÐàÃç§ è
¢Í§ä·ÃÍ´ áÅоÒÃÒä·ÃÍ´´ÇÂ ÍØºµ¡Òó¢Í§ÁÐàÃç§ä·ÃÍ´¾º»ÃÐÁÒ³ 4-9 ÃÒ µ‹Í 100,000
                                   Œ    Ñ Ô
ÃÒµ‹Í»‚ ¡ÒÃÃÑ¡ÉÒÁÐàÃç§ÈÕÃÉÐáÅÐÅíÒ¤Íâ´Â·ÑÇä» »ÃСͺ´ŒÇ¡Òü‹ÒµÑ´ ÃѧÊÕáÉÒ áÅÐà¤ÁպҺѴ
                                                    è                       Ñ               í
µ‹Ò§¨Ò¡¡ÒÃÃÑ¡ÉÒÁÐàÃç§ä·ÃÍ´«§»ÃСͺ´ŒÇ ¡Òü‹ÒµÑ´áÅСÒÃãËŒÊÒÃÃѧÊÕäÍâÍ´Õ¹ (radioiodine)
                                     Öè
໚¹ËÅÑ¡ ¡ÒÃÃÑ¡ÉÒ¼Ù»ÇÂÁÐàÃ秢ͧä·ÃÍ´ ¨íÒ໚¹µŒÍ§ÁÕ¡ÒûÃÐàÁÔ¹ÃÐÂТͧâä â´Â¾Ô¨ÒóҡÒÃ
                     Œ †
ÅØ¡ÅÒÁ¢Í§ÁÐàÃç§ä»ºÃÔàdz¢ŒÒ§à¤Õ§ µ‹ÍÁ¹éÒàËÅ×ͧ áÅСÒÃá¾Ã‹¡ÃШÒ¢ͧÁÐàÃç§ä»ÍÇÑÂÇÐˋҧä¡Å
                                                í
«Ö§Áռŵ‹Í¡ÒÃÃÑ¡ÉÒáÅСÒþÂҡóâä¤ÅŒÒ¤ÅÖ§¡Ñº¡ÒÃÃÑ¡ÉÒÁÐàÃ秢ͧÍÇÑÂÇÐÍ×¹ ¡ÒûÃÐàÁÔ¹
  è                                                                             è
ÃÐÂÐ (staging) ¢Í§ÁÐàÃç§ÈÕÃÉÐáÅÐÅíÒ¤Í ÍÒÈÑ¡Òëѡ»ÃÐÇÑµÔ ¡ÒõÃǨËҧ¡Ò ¡ÒõÃǨ¼‹Ò¹¡ÅŒÍ§
(endoscopy) ¡ÒõÃǨÀÒ¾ÃѧÊÕ CT ËÃ×Í MRI áÅеŒÍ§ÍÒ¨¨íÒ໚¹µŒÍ§ÍÒÈÑ¡Ò÷íÒÍÑŵÃÒ«Òǹ´
ËÇÁ¡ÑºµÃǨªÔ¹à¹×Í (fine needle aspiration biopsy) »ÃСͺ¡Ñº¼Å·Ò§¾ÂÒ¸ÔÇ·ÂÒ㹼ٻǺҧÃÒÂ
                é é                                                       Ô         Œ †
ÊíÒËÃѺ¡ÒûÃÐàÁÔ¹ÃÐÂТͧÁÐàÃç§ä·ÃÍ´ ÍÒÈÑ¡Òëѡ»ÃÐÇÑµÔ ¡ÒõÃǨËҧ¡Ò ¼Å·Ò§
¾ÂÒ¸ÔÇ·ÂÒáÅСÒõÃǨ·Ò§àǪÈÒʵϹÇà¤ÅÕÂÏ total body scan ¡ÒõÃǨÀÒ¾¶‹Ò·ҧÃѧÊÕ¨§ÁÕ
        Ô                                     Ô                                               Ö
º·ºÒ·ÊíҤѭµ‹Í¡Òú͡ÃÐÂТͧâäÁÐàÃ秺ÃÔàdzÈÕÃÉÐáÅÐÅíÒ¤Í áÅÐÁÐàÃç§ä·ÃÍ´ ÃÇÁ·Ñé§
¡ÒûÃÐàÁÔ¹¼Å¡ÒÃÃÑ¡ÉÒáÅСÒûÃÐàÁÔ¹¡ÒáÅѺ໚¹«éíҢͧâä
          ¡ÒõÃǨÀÒ¾ÃѧÊÕ´Ç CT áÅÐ MRI ãËŒ¢ÍÁÙÅ´ŒÒ¹¡ÒÂÇÔÀҤ䴌´Õ ÁÕ¤ÇÒÁàËÁÒÐÊÁ㹡ÒÃ
                             Œ                        Œ
»ÃÐàÁÔ¹ÃÐÂТͧâä à¾×ÍÇÒ§á¼¹¡ÒÃÃÑ¡ÉÒàÃÔÁµŒ¹ ᵋÁ¡¾º»˜­ËÒ㹡ÒûÃÐàÁÔ¹à¹×ͧ͡·ÕàËÅ×ÍÍÂÙ‹
                           è                      è     Ñ                         é       è
(residual tumor) ËÃ×Íà¹×ͧ͡·Õ¡ÅѺ໚¹«éÒ (recurrent tumor) ÀÒÂËÅѧ¡ÒÃÃÑ¡ÉÒ ã¹»˜¨¨Øº¹¡ÒõÃǨ
                         é     è            í                                           Ñ
104          PET/CT for Cancer in Head and Neck Region : Thyroid and Nonthyroid Carcinoma

Positron Emission Tomography (PET) ËÃ×Í㪌 PET ËÇÁ¡Ñº¡ÒõÃǨÀÒ¾ÃѧÊÕ (PET/CT) ÁÕº·ºÒ·
ÊíҤѭ㹡ÒûÃÐàÁÔ¹¡Ò÷íÒ§Ò¹ (function) ¢Í§à«ÅŏáÅÐà¹×ÍàÂ×Í ÊÒÁÒöãËŒ¢ÍÁÙÅà¾ÔÁàµÔÁà¡ÕÂǡѺ
                                                      é è                Œ    è      è
àÁµÐºÍÅÔÊÁáÅÐÍÒ¨ª‹ÇÂá¡ÁÐàÃç§ÍÍ¡¨Ò¡à¹×ÍàÂ×Í»¡µÔä´Œ
                                          é è
         PET ໚¹à¤Ã×ͧÁ×ÍÈÖ¡ÉÒàÁµÐºÍÅÔÊÁ¢Í§à«Åŏ â´Â㪌ÊÒÃàÀÊѪÃѧÊÕ·áÊ´§¶Ö§¡Ò÷íÒ§Ò¹¢Í§
                     è                                                Õè
à«ÅŏµÒ§æ ´Ñ§µÒÃÒ§·Õè 1
       ‹

µÒÃÒ§·Õè 1 áÊ´§¤ÇÒÁÊÑÁ¾Ñ¹¸¢Í§ÊÒÃàÀÊѪÃѧÊÕ·Õè㪌¡Ñº PET scan ¡ÑºàÁµÐºÍÅÔÊÁµ‹Ò§æ
ÊÒÃàÀÊѪÃѧÊÕ                                             àÁµÐºÍÅÔÊÁ
.luorine-18-fluorodeoxyglucose (18.-.DG)                  Glucose metabolism
Carbon-11-methionine(11C-ME ), .-18-fluoroethyltyrosine   Amino acid transporter
(18. –.ET)
.luorine-18-fluoromisonidazole (18.-.MISO),               Hypoxia
Copper-64-diacetylmethylthiosemicarbazone (64Cu-ATSM)
.luorine-18-octreotide analogues (18.-DOTATOC),           Somatostatin receptor
Gallium-68-octreotide analogues (68Ga-DOTATOC)
.luorine-18-fluorodihydroxyphenylalanine (18.-.DOPA)      Dopamine metabolism
Nitrogen-13-Ammonia (13N- Ammonia)                        Tissue perfusion
Carbon-11-choline (11C-Choline), Carbon-11-acetate        Lipid áÅÐ fatty acid metabolism
(11C-acetate),

       ¡ÒþѲ¹Ò¡ÒõÃǨ â´Âà¾ÔÁ¡ÒõÃǨÀÒ¾ÃѧÊÕ CT ࢌҡѺ¡ÒõÃǨ PET scan à¾×ÍáÊ´§
                               è                                               è
¡ÒÂÇÔÀÒ¤áÅÐ ¡ÒûÃѺª´àªÂ¤‹ÒÊÑ­­Ò³ÃѧÊÕ (attenuation correction) ·íÒãˌ䴌¢ŒÍÁÙŶ١µŒÍ§
áÁ‹¹ÂíÒÁÒ¡¢Öé¹ »˜¨¨ØºÑ¹ PET/CT ÁÕ»ÃÐ⪹ÁÒ¡·Ñé§´ŒÒ¹¡ÒÃÇÔ¹Ô¨©ÑÂâäÃкº»ÃÐÊÒ· áÅÐ
âäËÑÇ㨠ᵋÁ¡ÒÃ㪌Í‹ҧá¾Ã‹ËÅÒÂáÅоѲ¹ÒÍ‹ҧµ‹Íà¹×ͧÁÒ¡ã¹âäÁÐàÃç§
             Õ                                     è

¡ÒÃàµÃÕÂÁ¼ÙŒ»†ÇÂ
        ¼Ù»Ç·ÕÁÒÃѺ¡ÒõÃǨ¨íÒ໚¹µŒÍ§§´ÍÒËÒÃ໚¹àÇÅÒ 5-6 ªÑÇâÁ§ã¹ÇѹµÃǨ à¾×ÍÅ´ÃдѺ
          Œ † è                                                è                è
ÍÔ¹«ÙŹ áÅСÅÙâ¤Êã¹àÅ×Í´ à¹×ͧ¨Ò¡»ÃÔÁÒ³¡ÅÙâ¤Ê·Õà¾ÔÁ¢Ö¹¨Ðà¡Ô´¡ÒÃá‹§¢Ñº (competitive tumor
      Ô                     è                    è è é
displacement) ¢Í§ .DG(1-3) ¼ÙŒ»†Ç¨Ðä´ŒÃѺ¡ÒõÃǨÇÑ´ÃдѺ¹éíÒµÒÅã¹àÅ×Í´¡‹Í¹¡ÒõÃǨ ÃдѺ
¹éíÒµÒÅã¹àÅ×Í´·ÕèàËÁÒÐÊÁ¤ÇÃÁÕ¤‹Ò¹ŒÍÂ¡Ç‹Ò 150 mg/dl ËÒ¡¼ÙŒ»†ÇÂÁÕÃдѺ¹éíÒµÒÅã¹àÅ×Í´ÊÙ§¡Ç‹Ò
200 mg/dl ¤ÇÃàÅ×è͹¡ÒõÃǨ áÅеŒÍ§¤Çº¤ØÁÃдѺ¹éíÒµÒÅãËŒàËÁÒÐÊÁ¡‹Í¹ÃѺ¡ÒõÃǨãËÁ‹
¡ÒÃÊ‹§µÃǨµŒÍ§¤íÒ¹Ö§¶Ö§¼Å¡ÒõÃǨ·Õ¶¡µŒÍ§ Å´âÍ¡ÒÊà¡Ô´¼ÅºÇ¡Åǧ (false positive) ¨Ò¡¡ÒÃ
                                    è Ù
àǪÈÒʵÏ·¹Âؤ 2553
          Ñ                                                                               105

ÍÑ¡àʺ (inflammation) ËÃ×ͼÅźÅǧ (false negative) ¨Ò¡ stunning ¢Í§ viable tumor ÊíÒËÃѺ
ÃÐÂÐàÇÅÒ·ÕàËÁÒÐÊÁ㹡ÒõÃǨ PET scan ´Ñ§áÊ´§ã¹µÒÃÒ§·Õè 2
            è

µÒÃÒ§·Õè 2 áÊ´§ÃÐÂÐàÇÅÒ·ÕèàËÁÒÐÊÁ㹡ÒõÃǨ PET scan
ÀÒÇТͧ¼ÙŒ»†ÇÂÀÒÂËÅѧ                            àÇÅÒ·ÕèàËÁÒÐÊÁ㹡ÒõÃǨ PET scan
¡ÒõÃǨÃÑ¡ÉÒ                                      ËÅѧ¡ÒõÃǨÃÑ¡ÉÒ
¼Ù»ÇÂËÅѧ¡ÒõѴªÔ¹à¹×Í
  Œ †            é é                             1 ÊÑ»´Òˏ
¼Ù»ÇÂËÅѧ¡Òü‹ÒµÑ´
  Œ †                                            6 ÊÑ»´Òˏ ºÒ§¤ÃѧÍÒ¨à»ÅÕ¹á»Å§ãËŒàËÁÒÐÊÁ
                                                                 é       è
                                                 ¢Ö¹¡Ñº invasive ¢Í§¡Òü‹ÒµÑ´
                                                   é
¼Ù»ÇÂËÅѧ radiofrequency ablation (R.)
  Œ †                                            4 ÊÑ»´Òˏ
¼Ù»ÇÂËÅѧãËŒÂÒà¤ÁպҺѴ
  Œ †              í                             2-4 ÊÑ»´Òˏ
¼Ù»ÇÂËÅѧ©ÒÂÃѧÊÕ
  Œ †                                            2-6 à´×͹
¼Ù»ÇÂËÅѧÃÑ¡ÉÒ´ŒÇÂ
  Œ †                                            1 ÊÑ»´Òˏ-1 à´×͹
Granulocyte colony-stimulating factor
(G-CS.)

ÊÒÃàÀÊѪÃѧÊÕ
        ÊÒÃàÀÊѪÃѧÊÕ·¹ÂÁ㪌 ¤×Í 18.-.DG à¹×ͧ¨Ò¡à«ÅŏÁÐàÃç§ ÁÕ͵ÃҢͧ¡Ãкǹ¡Òà glycolysis
                      Õè Ô                  è                    Ñ
ÊÙ§¡Ç‹Òà«Åŏ»¡µÔ ¨Ò¡ Warburg effect àÁ×Í䴌úÊÒà .DG à«ÅŏÁÐàÃ秨ÐÁÕ¡ÒÃÊÐÊÁ .DG ÊÙ§¡Ç‹Ò
                                     (4)
                                         è Ñ
à«Åŏ»¡µÔ à¹×ͧ¨Ò¡ÁÕ¡ÒùíÒ¡ÅÙâ¤ÊࢌÒà«Åŏ¼Ò¹ Glut-1 transporter áÅÐÁÕÃдѺàÍ繫ÑÂÁ hexokinase
             è                            ‹
ÊÙ§¡Ç‹Òà«Åŏ»¡µÔà¾×Í㪌㹢ºÇ¹¡Òà glycolysis ´Ñ§áÊ´§ã¹á¼¹ÀÒ¾·Õè 1
                   è




          á¼¹ÀÒ¾·Õè 1 áÊ´§ glucose metabolism áÅСÒà uptake .DG ã¹à«Åŏ
106          PET/CT for Cancer in Head and Neck Region : Thyroid and Nonthyroid Carcinoma

¡Òö‹ÒÂÀÒ¾áÅСÒÃá»Å¼Å
        ÀÒ¾¶‹Ò PET ÁÕ¤ÇÒÁªÑ´à¨¹á§‹¡ÒÂÇÔÀÒ¤¹ŒÍ¡NjÒÀÒ¾ÃѧÊÕ CT ËÃ×Í MRI áÅСÒáÃШÒÂ
µÑǢͧ .DG 㹺ÃÔàdzÈÕÃÉÐáÅÐÅíÒ¤Í ¤‹Í¹¢ŒÒ§«Ñº«ŒÍ¹ â´Â¾º¡Òà uptake ¢Í§à¹×ÍàÂ×ͺÃÔàdzÈÕÃÉÐ
                                                                           é è
áÅÐÅíÒ¤Íã¹ÀÒÇл¡µÔ 䴌ᡋ ºÃÔàdz¡ÅŒÒÁà¹×Í µ‹ÍÁ¹éÒàËÅ×ͧ µ‹ÍÁ¹éÒÅÒ áÅÐà¹×ÍàÂ×Íä¢Áѹª¹Ô´
                                            é      í            í            é è
brown tissue ¨Ö§äÁ‹á¹Ð¹íÒãËŒ¼»ÇÂà¤ÕÂÇ ¾Ù´ ËÃ×Í͋ҹ˹ѧÊ×Í»ÃÐÁÒ³ 1 ªÑÇâÁ§ ËÅѧ©Õ´ .DG «Ö§à»š¹
                             ÙŒ † é                                 è                  è
uptake period à¹×ͧ¨Ò¡Áռŵ‹ÍÀÒ¾¶‹Ò 㹡ÒÃá»Å¼Å¨Ð㪌¤Ò standardize uptake value (SUV)
                 è                                         ‹
ª‹ÇÂ㹡ÒäíҹdzËÒ»ÃÔÁÒ³ÃѧÊÕ·ÊÐÊÁã¹à¹×ÍàÂ×Í â´Â¤‹Ò
                                  Õè       é è

       SUV =        Region of interest (ROI) activity (mCi/ml) X body weight (g)
                                      Injected dose (mCi)

㹼ٻǹéÒ˹ѡÁÒ¡ ¡ÒÃ㪌¤Ò lean body mass ËÃ×Í body surface area á·¹¹éÒ˹ѡ ¨Ðä´Œ¤Ò·Õè
    Œ † í                ‹                                               í          ‹
áÁ‹¹ÂíÒÁÒ¡¡Ç‹Ò¨Ò¡¡ÒÃÈÖ¡ÉÒ¾ºÇ‹Ò ¤‹Ò semiquantitative analysis ¢Í§ SUV ª‹ÇÂá¡ benign ¡Ñº
malignancy ä´Œâ´Â¤‹Ò SUV max ÁÒ¡¡Ç‹Ò 3.0 䴌ú¡ÒÃàʹÍãˌ໚¹ threshold value ¢Í§¡ÒÃ໚¹
                                             Ñ
ÁÐàÃç§ (4)



¢ŒÍ¨íÒ¡Ñ´¡ÒõÃǨ PET scan
       PET/CT ÍÒ¨äÁ‹ÊÒÁÒöáÊ´§ÃÍÂâä·ÕÁ¢¹Ò´¹ŒÍÂ¡Ç‹Ò 1 «Á. ËÃ×ͺÃÔàdz·ÕÁ¡ÒÃÍÑ¡àʺ䴌
                                        è Õ                              è Õ
à¹×ͧ¨Ò¡ .DG ¶Ù¡¨Ñºã¹ºÃÔàdz·ÕÁ¡ÒÃÍÑ¡àʺ¨Ò¡¡ÒÃÊÌҧ granulation tissue áÅÐ macrophages
   è                         è Õ
ä»ÍÂÙºÃÔàdz¹Ñ¹ÁÒ¡
     ‹       é

Clinical applications
       º·ºÒ·¢Í§ PET/CT ã¹ÁÐàÃç§ÈÕÃÉÐáÅÐÅíÒ¤Í
        1. ¡ÒûÃÐàÁÔ¹ÃÐÂТͧâä (Staging): PET ÁÕ¤ÇÒÁáÁ‹¹ÂíÒ´Õ¡Ç‹Ò CT áÅÐ MRI ¨Ò¡¡ÒÃ
ÈÖ¡ÉҢͧ Schoder áÅФ³Ð(5) ¾ºÇ‹Ò ¤ÇÒÁäǢͧ PET ෋ҡѺÌÍÂÅÐ 87-90 ã¹¢³Ð·Õ¤ÇÒÁäǢͧ
                                                                               è
CT ËÃ×Í MRI ෋ҡѺÌÍÂÅÐ 61-97 áÅФÇÒÁ¨íÒà¾ÒТͧ PET ෋ҡѺÌÍÂÅÐ 80-93 ã¹¢³Ð·Õ¤ÇÒÁ
                                                                                    è
¨íÒà¾ÒТͧ CT ËÃ×Í MRI ෋ҡѺÌÍÂÅÐ 21-100 ·Ñ§¹Õé PET äÁ‹¹ÂÁ㪌ÊÒËÃѺ primary tumor à¹×ͧ
                                              é            Ô     í                      è
¨Ò¡»˜­ËÒ´ŒÒ¹¤ÇÒÁÊÒÁÒö㹡ÒèíÒṡ㹡ÒûÃÐàÁÔ¹¡ÒáÃШÒ¢ͧÁÐàÃç§à©¾ÒзÕè ᵋÊÒÁÒö
»ÃÐàÁÔ¹¡ÒÃÅØ¡ÅÒÁ¢Í§âä仵‹ÍÁ¹éÒàËÅ×ͧ䴌໚¹Í‹ҧ´Õ ¡ÒÃÈÖ¡ÉҢͧ Schoder áÅФ³Ð(6) ¾ºÇ‹Ò
                                í
¤ÇÒÁäǢͧ PET ÊíÒËÃѺ¡ÒûÃÐàÁÔ¹ÃÐÂТͧµ‹ÍÁ¹éíÒàËÅ×ͧ (N staging) ෋ҡѺÌÍÂÅÐ 90
ã¹¢³Ð·Õ¤ÇÒÁäǢͧ CT, MRI áÅÐ ultrasound ෋ҡѺÌÍÂÅÐ 82, 80 áÅÐ 72 µÒÁÅíҴѺ ¤ÇÒÁ
         è
¨íÒà¾ÒТͧ PET, CT, MRI áÅÐ ultrasound ෋ҡѺÌÍÂÅÐ 94, 85, 79 áÅÐ 70 µÒÁÅíҴѺ ¨Ö§ÁÕ¡ÒÃ
àǪÈÒʵÏ·¹Âؤ 2553
          Ñ                                                                               107

á¹Ð¹íÒãËŒµÃǨ㹼ٻÇ·ÕÁÃÐÂе‹ÍÁ¹éÒàËÅ×ͧ໚¹ N0 «Ö§ÍÒ¨ÁÕ occult nodal metastases ä´Œ áÁŒ
                    Œ † è Õ         í                  è
NjҺҧ¡ÒÃÈÖ¡ÉÒ ¾ºÇ‹Ò micrometastasis äÁ‹ÊÒÁÒö¾ºã¹ PET/CT ᵋ¤ÇõÃǨ´ŒÇ sentinel lymph
node áÅж‹ÒÂÀÒ¾ãËŒªÑ´à¨¹ÁÒ¡¢Öé¹´ŒÇ SPECT ËÃ×Í SPECT/CT â´Â੾ÒÐÍ‹ҧÂÔè§ã¹¡ÅØ‹Á
ÁÐàÃ秢ͧÅÔ¹áÅз͹«ÔÅ(7)¹Í¡¨Ò¡¹Õé PET ÂѧÁÕ»ÃÐ⪹ã¹¡ÒûÃÐàÁÔ¹¡ÃШÒ¢ͧÁÐàÃç§ä»·ÕËÒ§
              é                                                                            è ‹
ä¡Å ઋ¹ ª‹Í§·Ãǧ͡, 䢡Ãд١ áÅеѺ áÅÐÂѧÁÕº·ºÒ·ª‹ÇÂãËŒ¾º synchronous lesion     (8)

        2. âä·Õè¡ÅѺ໚¹«éíÒ (Recurrent disease): ã¹¢³Ð·Õè CT áÅÐ MRI ÁբͨíҡѴ㹡ÒÃá¡
                                                                            Œ
ÀÒÇСÒáÅѺ໚¹«éÒ ¨Ò¡ÊÀÒ¾ËÅѧ¡ÒÃÃÑ¡ÉÒ´ŒÇ¡Òü‹ÒµÑ´ËÃ×Í©ÒÂÃѧÊÕ áµ‹ PET ÊÒÁÒöãËŒ¢ÍÁÙÅ
                       í                                                                 Œ
áÊ´§¶Ö§ viable ËÃ×Í recurrent tumor ä´ŒáÁ‹¹ÂíÒ¡Ç‹Ò ¾ºÇ‹Ò PET ÁÕ¤ÇÒÁäÇáÅФÇÒÁ¨íÒà¾ÒÐÊíÒËÃѺ
ËÒ recurrent disease ෋ҡѺ ÃŒÍÂÅÐ 84-100 áÅÐ ÃŒÍÂÅÐ 61-93 µÒÁÅíҴѺ(9) ¶ŒÒᡵÒÁµíÒá˹‹§
¢Í§¡ÒáÅѺ໚¹«éÒ ¾ºÇ‹Ò¤ÇÒÁäÇÊíÒËÃѺµíÒá˹‹§à´ÔÁ (local) 㹺ÃÔàdzà´ÔÁ (regional) áÅеíÒá˹‹§
                  í
·ÕÁ¡ÒáÃШÒ (distant) ෋ҡѺ ÃŒÍÂÅÐ 97, 92 áÅÐ 94 µÒÁÅíҴѺ áÅФÇÒÁ¨íÒà¾ÒÐ෋ҡѺ ÃŒÍÂÅÐ
  è Õ
79, 95 áÅÐ 96 µÒÁÅíҴѺ(4) áÊ´§ãËŒàËç¹Ç‹Ò PET àËÁÒÐÊÁµ‹Í¡ÒûÃÐàÁÔ¹ recurrent disease ·Õè
regional and distant metastases ʋǹ¤‹Ò¤ÇÒÁ¨íÒà¾ÒФ‹Í¹¢ŒÒ§µèÒà¾ÃÒÐÁռźǡÅǧ ¨Ò¡¡ÒÃÍÑ¡àʺ
                                                            í
ËÃ×͵Դàª×Í àÁ×Íà»ÃÕºà·Õº PET 㹡ÒõÃǨËÒ recurrent disease ¡Ñº MRI ¾ºÇ‹Ò¤ÇÒÁäÇáÅÐ
             é è
¤ÇÒÁ¨íÒà¾ÒТͧ PET ÊÙ§¡Ç‹Ò MRI â´Â¤ÇÒÁäǢͧ PET áÅÐ MRI ෋ҡѺÌÍÂÅÐ 100 áÅÐ 62
µÒÁÅíҴѺ ¤ÇÒÁ¨íÒà¾ÒТͧ PET áÅÐ MRI ෋ҡѺ ÃŒÍÂÅÐ 93 áÅÐ 43 µÒÁÅíҴѺ(10) àÁ×Íà»ÃÕº è
à·Õº¡Ñº¡ÒõÃǨ·Ò§àǪÈÒʵϹÇà¤ÅÕÂÏ͹㹡ÒõÃǨËÒ recurrent disease ¾ºÇ‹Ò PET ÁÕ¤ÇÒÁ
                                  Ô       ×è
äÇÊÙ§¡Ç‹Ò Sestamibi, Tetrofosmin ËÃ×Í Thallium ¤×Í෋ҡѺ ÃŒÍÂÅÐ 100, 73 áÅÐ 64 µÒÁÅíҴѺ
ã¹¢³Ð·Õ¤ÇÒÁ¨íÒà¾ÒÐ෋ҡѹ (ÃŒÍÂÅÐ 96)(11,12)
         è
        3. ¡ÒûÃÐàÁÔ¹¡Òõͺʹͧµ‹Í¡ÒÃÃÑ¡ÉÒ (Treatment response) áÅСÒþÂҡó
âä (Prognosis evaluation): PET ÁÕ¤ÇÒÁáÁ‹¹ÂíÒ㹡ÒûÃÐàÁÔ¹ËÅѧ¡ÒÃÃÑ¡ÉÒ´ŒÇÂà¤ÁպҺѴáÅÐí
©ÒÂÃѧÊÕÊÒËÃѺÁÐàÃç§ÈÕÃÉÐáÅÐÅíÒ¤Í â´Â¡ÒÃÈÖ¡ÉÒ systemic review áÅÐ meta-analysis ¢Í§ Isles
           í
MG áÅФ³Ð(13) ¾ºÇ‹Ò sensitivity, specificity, PPV áÅÐ NPV ¢Í§ PET 㹡ÒõÃǨËÒ residual
ËÃ×Í recurrent squamous cell carcinoma ¢Í§ÈÕÃÉÐáÅÐÅíÒ¤Í à·‹Ò¡ÑºÃŒÍÂÅÐ 94, 82, 75 áÅÐ 95
µÒÁÅíҴѺ ¹Í¡¨Ò¡¹Õ¡ÒÃ㪌 PET/CT ÊÒÁÒöµÃǨËÒ persistent disease ä´Œ´¡Ç‹Ò contrast-enhanced
                         é                                            Õ
CT ÀÒÂËÅѧãËŒ¡ÒÃÃÑ¡ÉÒËÇÁà¤ÁպҺѴáÅÐÃѧÊÕâ´Â¤ÇÒÁáÁ‹¹ÂíҢͧ PET/CT áÅÐ contrast-enhanced
                                í
CT ෋ҡѺÌÍÂÅÐ 74.1 áÅÐ 59.3 µÒÁÅíҴѺ (14) ¡ÒÃÈÖ¡ÉÒà»ÃÕºà·Õº¤ÇÒÁäÇáÅФÇÒÁ¨íÒà¾ÒТͧ
PET/CT áÅÐ CT ¢Í§ Andrade áÅФ³Ð(15) 㹡ÒûÃÐàÁÔ¹¡Òõͺʹͧ¡ÒÃÃÑ¡ÉÒ´ŒÇ¡ÒéÒÂÃѧÊÕ
¾ºÇ‹Ò ¤ÇÒÁäǢͧ PET/CT áÅÐ CT ෋ҡѺÌÍÂÅÐ 77 áÅÐ 92 µÒÁÅíҴѺ ¤ÇÒÁ¨íÒà¾ÒТͧ PET/
CT áÅÐ CT ෋ҡѺÌÍÂÅÐ 93, 47 µÒÁÅíҴѺ ã¹¢³Ð·Õ¡ÒÃÈÖ¡ÉҢͧ Ong áÅФ³Ð(16) ¾ºÇ‹Ò¤ÇÒÁ
                                                     è
äÇ, ¤ÇÒÁ¨íÒà¾ÒÐ, positive predictive value (PPV) áÅÐ negative predictive value (NPV) ¢Í§
PET/CT 㹡ÒûÃÐàÁÔ¹ÃÍÂâ䤧àËÅ×Íã¹µ‹ÍÁ¹éÒàËÅ×ͧ (residual nodal disease) ÀÒÂËÅѧ¡ÒÃãËŒ
                                               í
¡ÒÃÃÑ¡ÉÒËÇÁà¤ÁպҺѴáÅÐÃѧÊÕ à·‹Ò¡ÑºÃŒÍÂÅÐ 71, 89, 38 áÅÐ 97 µÒÁÅíҴѺ áÊ´§Ç‹Ò¶ŒÒ¡ÒõÃǨ
                     í
PET/CT ãËŒ¼Å»¡µÔÊÒÁÒöµÑ´¡ÒÃÇÔ¹¨©ÑÂâä໚¹«éÒ੾ÒзÕè (locoregional disease) ÍÍ¡ä»ä´Œ
                                      Ô            í
108                PET/CT for Cancer in Head and Neck Region : Thyroid and Nonthyroid Carcinoma

ÊíÒËÃѺ¡ÒûÃÐàÁÔ¹¡ÒõͺʹͧÃÐÂеŒ¹¢Í§¡ÒÃÃÑ¡ÉÒÊÒÁÒöµÃǨ´ŒÇ PET ËÅѧ¡ÒéÒÂÃѧÊÕ 4-
8 ÊÑ»´Òˏ(15,17) ¼Å·Õä´ŒÊÒÁÒö»ÃÐàÁÔ¹¤ÇÒÁàËÁÒÐÊÁ¢Í§¡ÒÃÃÑ¡ÉÒ áÅÐÍҨʋ§¼Åãˌᾷ¼Ã¡ÉÒ
                                      è                                                                                            ÙŒ Ñ
à»ÅÕ¹ÇÔ¸¡ÒÃÃÑ¡ÉÒËÃ×ÍÊٵáÒÃÃÑ¡ÉÒ·Õä´Œ¼Å´Õ¡Ç‹Ò áÅФÇÃÊ‹§»ÃÐàÁÔ¹¡Òõͺʹͧµ‹Í¡ÒÃÃÑ¡ÉÒ
        è         Õ                                                  è
»ÃÐÁÒ³ 12 ÊÑ»´ÒˏËÅѧ©ÒÂÃѧÊÕ Í‹ҧäáçµÒÁÁÕÃÒ§ҹ¼ÅºÇ¡Åǧ ¨Ò¡¡Òþº .DG uptake
                                                          (18)

ã¹ÀÒÇÐ osteonecrosis(19) »˜¨¨Øº¹ÁÕ¡ÒÃ㪌ÊÒÃàÀÊѪÃѧÊÕ͹㹡ÒÃÈÖ¡ÉÒ¡Òõͺʹͧµ‹Í¡ÒÃÃÑ¡ÉÒ
                                                        Ñ                               ×è
à¾×Íãˌ䴌¢ÍÁÙÅ·Õ໚¹»ÃÐ⪹ÁÒ¡¢Ö¹ ઋ¹ Esther áÅФ³Ð(20) ¾ºÇ‹Ò18. .LT ÊÒÁÒö»ÃÐàÁÔ¹¡ÒÃ
    è               Œ         è                                é
µÍºÊ¹Í§ÃÐÂеŒ¹¢Í§¡ÒÃÃÑ¡ÉÒËÅѧ¡ÒéÒÂÃѧÊÕ ã¹¡ÅØÁÁÐàÃ秢ͧª‹Í§»Ò¡áÅФÍËÍÂ䴌໚¹Í‹ҧ´Õ
                                                                                  ‹
                4. ¡ÒÃÇÒ§á¼¹ÃѧÊÕÃÑ¡ÉÒ (Radiotherapy planning): PET ÊÒÁÒöãËŒ¢ŒÍÁÙÅ´ŒÒ¹
àÁµÐºÍÅÔÊÁà¾×͹íÒÁÒ㪌»ÃСͺ¡Ñº CT à¾×ÍÇÒ§á¼¹¡ÒéÒÂÃѧÊÕ áÅÐ㪌¡Ò˹´à¤ŒÒâ¤Ã§¢Í§»ÃÔÁÒµÃ
                            è                                            è                                í
à¹×éͧ͡䴌¶Ù¡µŒÍ§ÁÒ¡·ÕèÊØ´ ÁÕ¡ÒÃÈÖ¡ÉÒ¾ºÇ‹Ò¤ÇÒÁá»Ã»ÃǹÃÐËNjҧ¼ÙŒ»ÃÐàÁÔ¹ (inter-individual
variation) 㹡ÒÃÇÒ´ GTV ŴŧàÁ×Í㪌¡ÒÃÇÒ§á¼¹´ŒÇ PET/CT àÁ×Íà·Õº¡Ñº¡ÒÃ㪌 CT à¾Õ§Í‹ҧ
                                                             è                                      è
à´ÕÂÇ áµ‹Â§äÁ‹ÁËÅÑ¡°Ò¹á¹‹ª´Ç‹ÒÍѵÃÒ¡ÒÃÃÍ´ªÕǵ¢Í§¼Ù»Ç·Õ㪌 PET/CT µ‹Ò§¨Ò¡¼Ù»Ç·ÕÇÒ§á¼¹
          (21)
                      Ñ Õ                             Ñ                    Ô               Œ † è                             Œ † è
´ŒÇ CT ËÃ×Í MRI Í‹ҧäà ¹Í¡¨Ò¡¹Õé PET ÂѧÊÒÁÒö·íÒ¹Ò¼šÒÃÃÑ¡ÉҢͧ¼Ù»ÇÂä´Œ ´Ñ§¡ÒÃÈÖ¡ÉÒ                           Œ †
â´Â Chung áÅФ³Ð ¾ºÇ‹Ò metabolic tumor volume (MTV) ·Õè 40 ml ໚¹¨Ø´µÑ´·ÕºÍ¡¶Ö§¡ÒÃ
                                          (22)
                                                                                                                                è
µÍºÊ¹Í§¡ÒÃÃÑ¡ÉÒáÅмٌ»†Ç·ÕèÁÕ MTV ÁÒ¡¡Ç‹Ò 40 ÁÅ. ÁÕÍѵÃÒ¡ÒõͺʹͧẺ complete
response ËÃ×ÍäÁ‹¾º¡ÒáÅѺ໚¹«éíÒ µèíҡNjҼٌ»†ÇÂÁÕ MTV ¹ŒÍ¡NjÒËÃ×Í෋ҡѺ 40 ÁÅ. Í‹ҧÁÕ
¹ÑÂÊíҤѭ ¹Í¡¨Ò¡¹Ñ¹ PET ÂѧÁբʹÕã¹´ŒÒ¹¤ÇÒÁÊÒÁÒö㹡ÒÃÃкØÃÍÂâä·Õ͹䴌´ÇÂ
                                        é                  Œ                                                     è ×è         Œ
                5. ÁÐàÃç§·ÕäÁ‹¾ºÃÍÂâäàÃÔÁáá (Cancer of unknown primary): PET ÁÕ¤ÇÒÁäÇÊíÒËÃѺ
                                    è                            è
¡ÒõÃǨËÒ unknown primary cancer ෋ҡѺÌÍÂÅÐ 8-46(23, 24) ¢³Ð·Õ¡ÒÃ㪌 PET/CT ÁÕ¤ÇÒÁäÇÊÙ§              è
¶Ö§ÃŒÍÂÅÐ 68 áÅÐÁÕ¤ÇÒÁáÁ‹¹ÂíÒÊÙ§¡Ç‹Ò¡ÒõÃǨÃѧÊÕǹ¨©Ñ·ÑÇä»ä´Œá¡‹ mammogram, ultrasound
                       (25)
                                                                                    Ô Ô          è
áÅÐ CT ¹Í¡¨Ò¡¹Õé PET ÂѧÊÒÁÒöµÃǨ¾ºÃÍÂâäá¾Ã‹¡ÃШÒ·ѧºÃÔàdzã¡ÅŒà¤Õ§áÅÐÃÐÂÐä¡Å
               (23)
                                                                                                      é
䴌㹼ٻÇÂÃÐÂÐ N2 ¨Ö§á¹Ð¹íÒãËŒµÃǨ PET 㹡óշ¼ÅµÃǨËҧ¡ÒÂáÅСÒõÃǨ panendoscopy
             Œ †                                                               Õè
äÁ‹¾º¤ÇÒÁ¼Ô´»¡µÔ㹼ٻǠâ´Â¶ŒÒµÃǨ PET áÅÐ panendoscopy »¡µÔ¨ÐÁÕâÍ¡Òʾº primary
                                             Œ †
tumor ã¹ÀÒÂËÅѧ¹ŒÍ¡NjÒÃŒÍÂÅÐ 6(26)
                6. ÀÒÇТҴÍÍ¡«Ôਹ¢Í§à¹×éͧ͡ (Tumor hypoxia): ¾ºÇ‹Òà«Åŏ·¢Ò´ÍÍ¡«Ôਹ㹠                                Õè
ÁÐàÃç§ÈÕÃÉÐáÅÐÅíÒ¤Í ÁÕ¤ÇÒÁÊÑÁ¾Ñ¹¸¡ºÍѵÃÒÃÍ´ªÕǵ¢Í§¼Ù»Ç·ÕŴŧ à¹×ͧ¨Ò¡à«ÅŏÁÐàÃ秨еÒÂ
                                                                   Ñ         Ô                Œ † è            è
¹ŒÍÂŧ ¨Ò¡¡Òô×͵‹Íà¤ÁպҺѴ ËÃ×ÍÃѧÊÕáÉÒ ¡ÒõÃǨ PET â´Â㪌ÊÒÃàÀÊѪÃѧÊÕª¹Ô´ 18.-MISO
                                  é              í                     Ñ
ÊÒÁÒöáÊ´§µíÒá˹‹§ºÃÔàdz·Õè¢Ò´ÍÍ¡«Ôਹ䴌(27) ÊÒÃàÀÊѪÃѧÊÕÍ×è¹·Õè㪌¤×Í 64Cu-ATSM(28) áÅÐÁÕ
á¹Ç⹌Á㹡ÒþѲ¹ÒÊÒÃàÀÊѪÃѧÊÕãËÁ‹ æ à¾×è͵ÃǨËÒ¤ÇÒÁ˹Òṋ¹¢Í§à«Åŏ (cell density),
¡ÒâҴÍÍ¡«Ôਹ ËÃ×Í¡Ãкǹ¡ÒõÒ¢ͧà«ÅŏẺ apoptosis(30)
                º·ºÒ·¢Í§ PET/CT ã¹ÁÐàÃç§ä·ÃÍ´
                1. ¡ŒÍ¹¢Í§ä·ÃÍ´ (Thyroid nodule): .DG ÁÕ uptake ä´Œ·§¡ŒÍ¹à¹×Íä·ÃÍ´ª¹Ô´äÁ‹               Ñé        é
ÃŒÒÂáÅÐ ¡ŒÍ¹à¹×ÍÁÐàÃç§ áÁŒÇÒÁÐàÃç§ÁÑ¡ÁÕàÁµÐºÍÅÔÊÁÁÒ¡¡Ç‹Ò ¡ÒÃÈÖ¡ÉҢͧ Bloom áÅФ³Ð(30)
                                é                  ‹
㪌¨´µÑ´ SUV á¡ÃÐËNjҧà¹×ÍäÁ‹ÃÒ ¡ÑºÁÐàÃç§ ÊÒÁÒöᡨҡ¡ÒÃ㪌 SUVs ·ÕÁÒ¡¡Ç‹Ò 8.5 ᵋ
      Ø                                              é Œ                                                                   è
àǪÈÒʵÏ·¹Âؤ 2553
          Ñ                                                                                                                         109

¡ÒÃÈÖ¡ÉҢͧ Kim JM áÅФ³Ð(31) ¾ºÇ‹ÒÁդҷѺ«ŒÍ¹¡Ñ¹ÃÐËNjҧà¹×ÍàÂ×ÍÊͧª¹Ô´¹Õé ã¹·Ò§»¯Ôºµ¨§
                                                                      ‹             é è                                              Ñ ÔÖ
äÁ‹ÊÒÁÒö㪌 SUV Í‹ҧà´ÕÂÇ㹡ÒõѴÊԹNjÒ໚¹ÁÐàÃç§ËÃ×ÍäÁ‹ ¨íÒ໚¹µŒÍ§ãªŒ¡ÒõÃǨÍ׹ËÇÁ´ŒÇ                                  è
ઋ¹ ¡Ò÷íÒÍÑŵÃÒ«Òǹ´ÃÇÁ¡ÑºµÃǨªÔ¹à¹×Í    ‹                    é é
              2. ÁÐàÃç§ä·ÃÍ´·Õè¡ÅѺ໚¹«éíÒ (Recurrent thyroid cancer): à¹×ͧ¨Ò¡ÃдѺ serum                   è
thyroglobulins (Tg) ໚¹ tumor marker ·ÕÁ¤ÇÒÁ¨íÒà¾ÒÐÊÙ§ÊíÒËÃѺÁÐàÃç§ä·ÃÍ´ª¹Ô´ differentiated
                                                                  è Õ
㹼ٻǷռҵѴµ‹ÍÁä·ÃÍ´ÍÍ¡ËÁ´ ËÃ×Ͷ١·íÒÅÒÂËÁ´´ŒÇ radioiodine ¤ÇÃÁÕÃдѺ serum Tg
        Œ † è ‹
¹ŒÍÂ¡Ç‹Ò 3 ng/ml ËÃ×ÍÇÑ´äÁ‹ä´Œ 㹡óշÃдѺ Tg ÁÒ¡¡Ç‹Ò 10 ng/ml àÁ×Ͷ١¡Ãеع´ŒÇ TSH º‹§ªÕ¶§
                                                              Õè                         è                          Œ                  é Ö
¡ÒÃÁÕÁÐàÃç§ËŧàËÅ×ÍÍÂÙ‹ áÅÐÁÐàÃç§ÍÒ¨à»ÅÕ¹ä»à»š¹ undifferentiated «Ö§µŒÍ§ãËŒ¡ÒÃÃÑ¡ÉÒÍ×¹ ઋ¹
                                                                    è                   (32)
                                                                                                è                                  è
¡Òü‹ÒµÑ´ËÃ×Í©ÒÂÃѧÊÕ PET ¨Ö§ÁÕ»ÃÐ⪹ã¹¡ÒõÃǨËÒà¹×éͧ͡·ÕèÂѧ¤§ÍÂÙ‹ËÃ×ÍÁÕ¡ÒáÃШÒÂ
ã¹¼Ù»ÇÂÁÐàÃç§ä·ÃÍ´·¤Ò Tg ËÃ×Í Tg antibody ÊÙ§¼Ô´»¡µÔ ᵋ Total Body Scan (TBS) »¡µÔ
         Œ †                           Õè ‹
à¾×ͪ‹Ç¨íÒṡNjҼٻÇÂã´ÊÒÁÒö¼‹ÒµÑ´ä´Œ áÅÐÂѧá¹Ð¹íÒ㪌㹼ٻÇ·Õ䴌ú radioiodine ¢¹Ò´ÊÙ§
    è                          Œ †                                               Œ † è Ñ
ËÅÒ¤ÃѧáÅÐÁÕâÍ¡ÒÊà¡Ô´ÀÒÇÐá·Ã¡«ŒÍ¹ÊÙ§¨Ò¡¡ÒÃ㪌 radioiodine ·Ñ§à¾×Í¡ÒÃÇÔ¹¨©ÑÂáÅÐÃÑ¡ÉÒ ËÅÒÂ
              é                                                                      é è                          Ô
ÃÒ§ҹ ¾ºÇ‹Ò .DG PET ÁÕ¤ÇÒÁäÇáÅФÇÒÁ¨íÒà¾ÒÐ㹡ÒÃÊ׺¤Œ¹ÁÐàÃç§¼Ù»ÇÂä·ÃÍ´·Õè Tg ÊÙ§
             (33-35)
                                                                                                           Œ †
¼Ô´»¡µÔ ᵋ TBS »¡µÔÃÐËNjҧÌÍÂÅÐ 85 áÅÐÃŒÍÂÅÐ 94 ·íÒãËŒà¡Ô´¡ÒÃà»ÅÕ¹á»Å§¡ÒÃÃÑ¡ÉÒã¹¼ÙŒ                 è
»†Ç¡NjÒÃŒÍÂÅÐ 50 ¹Í¡¨Ò¡¹Õ¡Ò÷ÕÁÐàÃ秨Ѻ .DG ÁÒ¡ áÊ´§¶Ö§àÁµÐºÍÅÔÊÁÊÙ§ 㹡ÒÃÈÖ¡ÉҢͧ
                              (36)
                                                      é è
Wang áÅФ³Ð ¾ºÇ‹Ò SUVs ÁÒ¡¡Ç‹Ò 10 ໚¹µÑǺ‹§ªÕé ÍѵÃÒ¡ÒÃÃÍ´ªÕǵ·ÕµÒ ¤ÇÒÁÊÑÁ¾Ñ¹¸¢Í§
                         (37)
                                                                                                    Ô è èí
.DG áÅÐ radioiodine ¨Ö§à»š¹ä»ã¹·Ò§µÃ§¡Ñ¹¢ŒÒÁµÒÁ»ÃÒ¡¯¡Òóáºº flip-flop ¤×Í poorly
differentiated metastases ÁÕ .DG uptake ÊÙ§ ᵋ radioiodine uptake µèÒÁÒ¡ËÃ×Íá·ºäÁ‹ÁàÅ 㹠   í                                  Õ
¢³Ð·Õè well differentiated ÁÕ radioiodine uptake Ê٧ᵋ .DG uptake µèÒ ¹Í¡¨Ò¡¹Õ¡ÒõÃǨ                   í                     é
somatostatin receptor scintigraphy (Tc-99m Hynictoc) ÊÒÁÒöËÒÃÍÂâÃ¤ã¹¡ÅØÁ¼Ù»ÇÂÁÐàÃç§
                                                                          (38)
                                                                                                                          ‹ Œ †
ä·ÃÍ´·Õè Tg ÊÙ§¼Ô´»¡µÔ ᵋ TBS »¡µÔ áÅоº»ÃÒ¡¯¡Òó flip-flop ¡Ñº .DG 䴌ઋ¹à´ÕÂǡѹ ¹Í¡
¨Ò¡¹Õé PET ÂѧÁÕ¤ÇÒÁäÇã¡ÅŒà¤Õ§¡Ñº bone scan ᵋ¤ÇÒÁ¨íÒà¾ÒÐáÅФÇÒÁáÁ‹¹ÂíÒÊÙ§¡Ç‹Ò bone scan
㹡ÒÃËÒÃÍÂâäá¾Ã‹¡ÃШÒÂ仡Ãд١(39) Í‹ҧäáçµÒÁ PET ÁÕ¤ÇÒÁäǵèÒÊíÒËÃѺ ¡ÒáÃШÒÂä»                  í
·Õ»Í´ áÅоº¼ÅºÇ¡Åǧ㹼ٷÁÕ unilateral vocal cord activity
  è                                              Œ Õè
              ¹Í¡¨Ò¡¢ŒÍº‹§ªÕ¢Ò§µŒ¹ PET/CT Âѧª‹ÇµÃǨËÒ à¹×ͧ͡»°ÁÀÙÁª¹Ô´·ÕÊͧ (second primary
                                      éŒ                                     é              Ô               è
tumor) ã¹¼Ù»ÇÂä´Œ ¨Ö§¾ºÇ‹Ò PET/CT ໚¹¡ÒõÃǨ·Ò§àÅ×Í¡ÊíÒËÃѺÁÐàÃç§ÈÕÃÉÐáÅÐÅíÒ¤Í㹡ÒÃ
                     Œ †
»ÃÐàÁÔ¹¡ÒáÅѺ໚¹«éíÒ »ÃÐàÁÔ¹¤ÇÒÁÅŒÁàËÅǢͧ¡ÒÃÃÑ¡ÉÒÃÐÂеŒ¹ »ÃÐàÁÔ¹¼Å¢Í§¡ÒÃÃÑ¡ÉÒ,
»ÃÐàÁÔ¹ÀÒÇТҴÍÍ¡«Ôਹ »ÃÐàÁÔ¹à¾×ÍÇÒ§á¼¹¡‹Í¹ÃѧÊÕáÉÒ áÅÐÁÕº·ºÒ·ã¹¼Ù»ÇÂÁÐàÃç§ä·ÃÍ´
                                                          è                Ñ                                          Œ †
¡ÅØÁ Tg ËÃ×Í TgAb ÊÙ§ ᵋ TBS »¡µÔ Í‹ҧäáç´Õ ¡ÒõÃǨ PET/CT ÂѧäÁ‹à»š¹·Õá¾Ã‹ËÅÒÂã¹»ÃÐà·È
      ‹                                                                                                       è
ä·Â »ÃСͺ¡Ñº¤‹Ò㪌¨ÒÂ㹡ÒõÃǨ·Õ¤Í¹¢ŒÒ§ÊÙ§áÅÐäÁ‹ÍÂÙã¹¢ŒÍº‹§ªÕ¡ÒÃàºÔ¡¨‹Ò¢ͧ¡ÃÁºÑ­ªÕ¡ÅÒ§
                                    ‹                       è ‹                ‹      é
¨Ö§à»š¹Ë¹ŒÒ·Õ¢Í§·ÕÁᾷ·¨Ð¾Ô¨ÒóÒÇ‹Ò PET/CT ¹Ñ¹ãËŒ»ÃÐ⪹Í‹ҧ¤ØÁ¤‹ÒËÃ×ÍäÁ‹ ¡ÒÃÈÖ¡ÉÒ¶Ö§
                      è                       Õè                        é                         Œ
¤ÇÒÁ¤ØŒÁ¤‹Òã¹áµ‹ÅТŒÍº‹§ªÕé áÅоԨÒóҢŒÍº‹§ªÕéãËÁ‹æ ¨Ö§ÁÕ¤ÇÒÁÊíҤѭÍ‹ҧÂÔè§à¾×è͹íÒä»ÊÙ‹¡ÒÃ
¾Ñ²¹Ò¡ÒôÙáÅÃÑ¡ÉҼٻǵ‹Íä»        Œ †
110              PET/CT for Cancer in Head and Neck Region : Thyroid and Nonthyroid Carcinoma

àÍ¡ÊÒÃ͌ҧÍÔ§
1.    Wahl RL. Targeting glucose transporters for tumor imaging: “sweet” idea, “sour ” result. J Nucl Med 1996;
      37:1038-41.
2.    Kostakoglu L, Agress H Jr, Goldsmith SJ. Clinical role of .DG PET in evaluation of cancer patients. Radiographics
      2003;23(2):315-40.
3.    Warburg O, Posener K, Negelein E. On the metabolism of cancer cells. Biochem Z 1924;152:319-44.
4.    Wong RJ, Lin DT, Sch?der H, Patel SG, Gonen M, Wolden S, et al. Diagnostic and prognostic value of
      [(18).]fluorodeoxyglucose positron emission tomography for recurrent head and neck squamous cell carcinoma.
      J Clin Oncol 2002;20(20):4199-208.
5.    Sch?der H, Yeung HW. Positron emission imaging of head and neck cancer, including thyroid carcinoma.
      Semin Nucl Med 2004;34(3):180-97.
6.    Sch?der H, Yeung HW, Gonen M, Kraus D, Larson SM. Head and neck cancer: clinical usefulness and
      accuracy of PET/CT image fusion. Radiology 2004;231(1):65-72.
7.    Blide A, Von Buchwald C, Mortensen J, Marving J, Therkidsen MH, Kirkegaard J, et al. The role of SPECT-
      CT in the lymphoscintigraphic identification of sentinel nodes in patients with oral cancer. Acta Otolaryngol
      2006;1269(10):1096-103.
8.    Haerla SK, Strobel K, Hany T., Sidler D, Stoeckli SJ. (18).-.DG-PET/CT versus panendoscopy for the detection
      of synchronous second primary tumors in patients with head and neck squamous cell carcinoma. Head Neck.
      2010;32(3):319-25.
9.    Yamamoto Y, Wong TZ, Turkington TG, Hawk TC, Coleman RE. Head and neck cancer: dedicated .DG
      PET/CT protocol for detection-phantom and initial clinical studies. Radiology 2007;244(1):263-72.
10.   Yen R., Hung RL, Pan MH, Wang YH, Huang KM, Lui LT, et al. 18-fluoro-2-deoxy-glucose positron emission
      tomography in detecting residual/recurrent nasopharyngeal carcinomas and comparison with magnetic resonance
      imaging. Cancer 2003;98(2):283-7.
11.   Kao CH, Shiau YC, Shen YY, Yen R.. Detection of recurrent or persistent nasopharyngeal carcinomas after
      radiotherapy with technetium-99m methoxyisobutylisonitrile single photon emission computed tomography and
      computed tomography: comparison with 18-fluoro-2-deoxyglucose positron emission tomography. Cancer
      2002;94(7):1981-6.
12.   Kao CH, Tsai Sc, Wang JJ, Ho YJ, Yen R., Ho ST. Comparing 18-fluoro-2-deoxyglucose positron emission
      tomography with a combination of technetium 99m tetrofosmin single photon emission computed tomography
      and computed tomography to detect recurrent or persistent nasopharyngeal carcinomas after radiotherapy.
      Cancer 2001;92(2):434-9.
13.   Isles MG, McConkey C, Mehanna HM. A systematic review and meta-analysis of the role of positron emission
      tomography in the follow up of head and neck squamous cell carcinoma following radiotherapy or
      chemoradiotherapy. Clin Otolaryngol 2008;33(3):210-22.
14.   Chen AY, Vilaseca I, Hudgins PA, Schuster D, Halkar R. PET-CT VS contrast-enhanced CT: what is the role
      for each after chemoradiation for advanced oropharyngeal cancer? Head Neck 2006;28 (6):487-95.
15.   Andrade RS, Heron DE, Degirmenci B, .ilho PA, Branstetter B., Seethala RR, et al. Posttreatment assessment
      of response using .DG-PET/CT for patients treated with definitive radiation therapy for head and neck cancers.
      Int J Radiat Oncol Biol Phys 2006;65(5):1315-22.
àǪÈÒʵÏ·¹Âؤ 2553
          Ñ                                                                                                   111

16. Ong Sc, Sch?der H, Lee NY, Patel SG, Carlson D, .ury M, et al. Clinical utility of 18.-.DG PET/CT in
    assessing the neck after concurrent chemoradiotherapy for locoregional advanced head and neck cancer.
    JNM 2008;49 (4):532-40.
17. Kim SY, Lee SW, Nam SY, Im KC, Kim JS, Oh SJ, et al. The feasibility of 18.-.DG PET scans 1 month after
    completing radiotherapy of squamous cell carcinoma of the head and neck. J Nucl Med 2007;48 (3):373-8.
18. Yao M, Smith RB, Graham MM, Hoffman HT, Tan H, .unk G., et al. The role of .DG PET in management
    of neck metastasis from head-and-neck cancer after definitive radiation treatment. Int J Radiat Oncol Biol Phys
    2005;63(4):991-9.
19. Liu SH, Chang JT, Ng SH, Chan SC, Yen TC. .alse positive fluorine-18-fluorodeoxy-D-glucose positron emission
    tomography finding caused by osteoradionecrosis in a nasopharyngeal carcinoma patient. Br J Radiol
    2004;77(915):257-60.
20. Troost EG, Bussink J, Hoffmann AL, Boerman OC, Oyen WJ, Kaanders JH. 18.-.LT PET/CT for early
    response monitoring and dose escalation in oropharyngeal tumors. J Nucl Med 2010;51(6):866-74.
21. Ciemik I., Dizendorf E, Baumert BG, Reiner B, Burger C, Davis JB, et al. Radiation treatment planning with
    an integrated positron emission and computed tomography (PET/CT): a feasibility study. Int J Radiat Oncol
    Biol Phys 2003;57(3):853-63.
22. Chung MK, Jeong HS, Park SG, Jang JY, Son YI, Choi JY, et al. Metabolic tumor volume of (18.)-
    fluorodeoxyglucose positron emission tomography/computed tomography predicts short-term outcome to
    radiotherapy with or without chemotherapy in pharyngeal cancer. Clin Cancer Res. 2009; 15(18):5861-5868.
23. Kole AC, Nieweg OE, Prium J, Hoekstra HJ, Koops HS, Roodenburg JL, et al. Detection of unknown occult
    primary tumors using positron emission tomography. Cancer 1998;82(6):1160-6.
24. Graven KM, Keyes JW Jr, Williums DW 3rd, McGuirt W., Joyce WT 3rd. Occult primary tumors of the head and
    neck: lack of benefit from positron emission tomography imaging with 2- (.18)fluoro-2-deoxy-D-glucose. Cancer
    1999;86(1):114-8.
25. Wartski M, Le Stanc E, Gontier E, Vilain D, Banal A, Tainturier C, e al. In search of an unknown primary tumor
    presenting with cervical metastases: performance of hybrid .DG-PET-CT. Nucl Med Commun 2007;28(5):365-
    71
26. Miller .R, Karnad AB, Eng T, Hussey DH, Stan McGuff H, Otto RA. Management of the unknown primary
    carcinoma: lone-term follow-up on a negative PET scan and negative panendoscopy. Head Neck 2008;30(1);
    28-34.
27. Rajendren JG, Hendrickson KR, Spence AM, Muzi M, Krohn KA, Mankoff DA. Hypoxia imaging-directed
    radiation treatment planning. Eur J Nucl Med Mol Imaging 2006;33 (Suppl 1):44-53.
28. Myerson RJ, Singh AK, Bigott HM, Cha B, Engelbach JA, Kim J, et al. Monitoring the effect of mild
    hyperthermia on tumour hypoxia by Cu-ATSM PET scanning. Int J Hyperthermia 2006;22(2):93-115.
29. Grosu AL, Piert M, Weber WA, Jeremic B, Picchio M, Schratzenstaller U, et al. Positron emission tomography
    for radiation treatment planning. Strahlenther Onkol 2005;181(8):483-99.
30. Bloom AD, Adler LP, Shuck JM. Determinatiom of malignancy of thyroid nodules with positron emission
    tomography. Surgery 1993;114(4):728-34.
31. Kim JM, Ryu JS, Kim TY, Kim WB, Kwon GY, Gong G, et al. 18.-fluorodeoxyglucose positron emission
    tomography does not predict malignancy in thyroid nodules cytologically diagnosed as follicular neoplasm. J
    Clin Endocrinol Metab 2007;92(5):1630-4.
112              PET/CT for Cancer in Head and Neck Region : Thyroid and Nonthyroid Carcinoma

32. Singer PA, Cooper DS, Daniels GH, Ladenson PW, Greenspan .S, Levy EG, et al. Treatment guidelines for
    patients with thyroid nodules and well-differentiated thyroid cancer. American Thyroid Association. Arch Intern
    Med 1996;156(19):2165-72.
33. Wang W, Macapinlac H, Larson SM, Yeh SD, Akhurst T, .inn RD, et al. [18.]-2-fluoro-2-deoxy-D-glucose positron
    emission tomography localized residual thyroid cancer in patients with negative 131I whole body scans and
    elevated serum thyroglobulin levels. J Clin Endocrinol Metab 1999;84:2291-302.
34. Grunwald ., Schomburg A, Bender H, Klemm E, Menzel C, Bultmann T, et al. .luorine-18 fluorodeoxyglucose
    positron emission tomography in the follow-up of differentiated thyroid cancer. Eur J Nucl Med 1996;23:312-9.
35. Chung JK, So Y, Lee JS, Choi CW, Lim SM, Lee DS, et al. Value of .DG PET in papillary thyroid carcinoma
    with negative I-131 whole-body scan. J Nucl Med 1999;40(6):986-92.
36. Lind P, Kresnik E, Kumnig G, Gallowitsch HJ, Igerc I, Matschnig S, et al. 18.-.DG-PET in the follow-up of thyroid
    cancer. Acta Med Austrica 2003;30(1):17-21.
37. Wang W, Larson SM, .azzari M, Tickoo SK, Kolbert K, Sgouros G, et al. Prognostic value of (18.)
    fluorodeoxyglucose positron emission tomographic scanning in patients with thyroid cancer. J Clin Endocrinol
    Metab 2000;85(3):1107-13.
38. Phan HT, Jager PL, Plukker JT, Wolffenbuttel BH, Dierckx RA, Links TP. Detection of bone metastases in
    thyroid cancer patients: bone scintigraphy or 18.-.DG PET? Nucl Med Commun 2007;28(8):597-602.
39. Ito S, Kato K, Ikeda M, Iwano S, Makino N, Tadokoro M, et al. Comparison of 18.-.DG PET and bone
    scintigraphy in detection of bone metastases of thyroid cancer. J Nucl Med 2007;48(6):889-95.
40. Bombardieri E, Buscombe J, Lucignani G, Schober O, editors. Advances in Nuclear Oncology: Diagnosis and
    Therapy.1st ed. United kingdom: Informa UK Ltd; 2007.
41. Lin EC, Alavi A, editors. PET and PET/CT: A clinical guide.2nd ed. New York: Thieme Medical Publishers, Inc.;
    2009.
àǪÈÒʵÏ·¹Âؤ 2553
          Ñ                                                                                           º··Õè          113

                                                                                                       16
                   ¡ÒÃÃÑ¡ÉÒÁÐàÃç§ÈÕÃÉÐáÅÐÅíҤʹŒÇÂÃѧÊÕÃÑ¡ÉÒ
                                                ¼ÙŒª‹ÇÂÈÒʵÃÒ¨ÒÏ ᾷ˭ԧ¨Ñ¹¨ÔÃÒ à¾ªÃÊØ¢ÈÔÃÔ
                               ÀÒ¤ÇÔªÒÃѧÊÕÇ·ÂÒ ¤³Ðá¾·ÂÈÒʵÏÈÃÃÒª¾ÂÒºÒÅ ÁËÒÇÔ·ÂÒÅÑÂÁËÔ´Å
                                            Ô                   ÔÔ

          ÁÐàÃç§ÈÕÃÉÐáÅÐÅíÒ¤Í໚¹ÁÐàÃç§·Õ¾ºº‹ÍÂâ´Â੾ÒÐã¹à¾ÈªÒ ¨Ò¡Ê¶Ôµ¢Í§Ê¶ÒºÑ¹ÁÐàÃç§
                                                   è                                                   Ô
áË‹§ªÒµÔ¾ºÇ‹ÒÁÐàÃç§ÈÕÃÉÐáÅÐÅíÒ¤Í໚¹âäÁÐàÃç§·Õ¾ºº‹ÍÂ໚¹ÅíҴѺ·Õè 3 áÅл˜¨¨ÑÂàÊÕ§·ÕÊҤѭ
                                                                     è                       (1)
                                                                                                                è èí
¤×Í¡ÒÃÊÙººØËÃÕáÅд×ÁÊØÃÒ
                    è       è
          ÁÐàÃç§ÈÕÃÉÐáÅÐÅíҤ͹Ñé¹ÁÕ¤ÇÒÁᵡµ‹Ò§¡Ñ¹ã¹´ŒÒ¹ÊÃÕÃÇÔ·ÂÒ㹡Ò÷íÒ§Ò¹ (physiologic
function) ¢Í§ÍÇÑÂÇÐᵋÅÐʋǹ 䴌ᡋ ª‹Í§»Ò¡ (oral cavity) ª‹Í§¤Í (oropharynx) ¡Å‹Í§àÊÕ§ (larynx)
¤ÍËÍ (hypopharynx) áÅÐâ¾Ã§ËÅѧ¨ÁÙ¡ (nasopharynx) ¡ÒÃÃÑ¡ÉÒÁÐàÃç§ÈÕÃÉÐáÅÐÅíҤ͹Ñé¹
ÁÕ¨´»ÃÐʧ¤·µÍ§¡ÒèÐà¾ÔÁ¤Ø³ÀÒ¾ªÕǵ¢Í§¼Ù»Ç¹͡à˹×ͨҡ¡ÒÃËÒ¢Ҵ¨Ò¡âäà¾×ÍäÁ‹ãËŒà¡Ô´
    Ø             Õè Œ           è               Ô         Œ †                                                   è
¤ÇÒÁ¼Ô´ÃÙ»ËÃ×ÍäÁ‹ÊÒÁÒö㪌§Ò¹ä´ŒµÒÁ»¡µÔ «Ö§¡ÒÃÃÑ¡Éҹѹ¨Ð໚¹¡ÒÃÃÑ¡ÉÒËÇÁ¡Ñ¹·Ñ§¡Òü‹ÒµÑ´
                                                             è                       é                        é
¡ÒÃÃÑ¡ÉÒ´ŒÇÂÃѧÊÕáÅСÒÃãËŒÂÒà¤ÁպҺѴ ·Ñ§¹Õ¢¹ÍÂÙ¡ºµíÒá˹‹§¢Í§ÃÍÂâäáÅÐÃÐÂТͧâä
                                             í          é é Öé ‹ Ñ
          â´Â·ÑèÇ仡ÒÃÃÑ¡ÉÒ´ŒÇÂÃѧÊÕ໚¹¡ÒÃÃÑ¡ÉÒà¾×èÍËÇѧ¼Å¤Çº¤ØÁâä੾ÒзÕè â´ÂÁÕº·ºÒ·
·Ñ§à»š¹¡ÒÃÃÑ¡ÉÒËÅÑ¡ (definitive treatment) áÅСÒÃÃÑ¡ÉÒËÇÁ¡Ñº¡Òü‹ÒµÑ´ (postoperative radiation
  é
therapy) ÃѧÊÕÃÑ¡ÉÒÁÕº·ºÒ·à»š¹¡ÒÃÃÑ¡ÉÒËÅѡ㹼ٌ»†ÇÂÁÐàÃç§ÈÕÃÉÐáÅÐÅíҤͷÑé§ã¹ÃÐÂеŒ¹áÅÐ
ÃÐÂÐÅØ¡ÅÒÁ੾ÒзÕè â´Â੾ÒÐÍ‹ҧÂÔ§ã¹µíÒá˹‹§·ÕçÊÕáÉÒÁÕâÍ¡ÒʨÐà¡çºÃÑ¡ÉÒÍÇÑÂÇÐàÍÒänj䴌
                                               è                       èÑ Ñ
ઋ¹ã¹¼Ù»ÇÂÁÐàÃ秡ŋͧàÊÕ§ ¡ÒÃÃÑ¡ÉÒ´ŒÇÂÃѧÊÕ㹡óշ¡Í¹ÁÐàÃç§ÁÕ¢¹Ò´ãË­‹áÅÐÍÒ¨ÁÕ¡ÒÃÅØ¡ÅÒÁ
         Œ †                       (2)
                                                                              Õè Œ
ä»·ÕµÍÁ¹éÒàËÅ×ͧã¡ÅŒà¤Õ§¹Ñ¹ÁÑ¡¨Ð໚¹¡ÒÃÃÑ¡ÉÒËÇÁ¡Ñº¡ÒÃãËŒÂÒà¤ÁպҺѴ㹪‹Ç§ÃÐÂÐàÇÅÒ·Õ䴌ú
      è ‹ í                         é                                                     í                            è Ñ
¡ÒéÒÂÃѧÊÕ (concurrent chemoradiation) â´Â¾ºÇ‹Òä´Œ¼Å¡ÒÃÃÑ¡ÉÒ·Õ´¡Ç‹Ò¡ÒéÒÂÃѧÊÕà¾Õ§Í‹ҧè Õ
à´ÕÂÇ (à¾ÔÁÍѵÃÒ¡ÒÃÁժǵÃÍ´·Õè 5 »‚ »ÃÐÁҳÌÍÂÅÐ 4.5)(3) ʋǹ¡ÒÃÃÑ¡ÉÒ´ŒÇÂÃѧÊÕµÒÁËÅѧ¡ÒÃ
             è                ÕÔ
¼‹ÒµÑ´ (postoperative radiation therapy)¹Ñ¹ ÍÒ¨¨ÐãËŒÃÇÁ¡ÑºÂÒà¤ÁպҺѴ㹡óշÁ¤ÇÒÁàÊÕ§ÊÙ§
                                                      é                     ‹          í                 Õè Õ           è
µ‹Í¡ÒÃà¡Ô´¡ÅѺ໚¹ãËÁ‹¢Í§âä ઋ¹ µÒÁËÅѧ¡Òü‹ÒµÑ´·ÕÁÕ positive/closed to margin ËÃ×Í¡ÒÃÁÕ
                                                                                 è
extracapsular extension ¢Í§ cervical lymph nodes                        (4-6)

          ã¹»˜¨¨Øº¹¹Í¡à˹×ͨҡ¡ÒÃÃÑ¡ÉÒ¼Ù»ÇÂÁÐàÃç§ÈÕÃÉÐ áÅÐÅíÒ¤ÍÂÒà¤ÁպҺѴáÅŒÇÂѧÁÕ¢ÍÁÙÅ·Ò§
                       Ñ                             Œ †                                         í                   Œ
¡ÒÃᾷ·¾ºÇ‹Ò¡ÒÃãËŒÂÒã¹¡ÅØÁ targeted therapy ઋ¹ÂÒ anti EG.R (epidermal growth factor
               Õè                         ‹
receptor) ËÇÁ¡Ñº¡ÒéÒÂÃѧÊÕ¹¹ãËŒ¼Å¡ÒÃÃÑ¡ÉÒ·Õ´¡Ç‹Ò¡ÒéÒÂÃѧÊÕà¾Õ§Í‹ҧà´ÕÂÇ â´Âà¾ÔÁ¼Å¡ÒÃ
                                       Ñé                        è Õ                                               è
¤Çº¤ØÁâä੾ÒзÕáÅÐÍѵÃÒ¡ÒÃÁժǵÃÍ´¢Í§¼Ù»Ç·Õè 5 »‚ »ÃÐÁҳÌÍÂÅÐ 9 áÅÐÂѧÁÕ¡ÒÃÈÖ¡ÉÒ
                         è                  ÕÔ                 Œ †                                 (7)

µ‹Íà¹×èͧ·Õ赌ͧ¡ÒþÔÊÙ¨¹¼Å¡ÒÃÃÑ¡ÉÒ´ŒÇ¡ÒéÒÂÃѧÊÕËÇÁ¡Ñº¡ÒÃãËŒÂÒà¤ÁÕºíҺѴáÅÐÂÒã¹¡ÅØ‹Á
targeted therapy ·Ñ§ã¹¼Ù»Ç·ÕäÁ‹ÊÒÁÒö¼‹ÒµÑ´ä´ŒËÃ×Íã¹¼Ù»ÇÂËÅѧ¼‹ÒµÑ´
                           é Œ † è                                                 Œ †
114                                                                       ¡ÒÃÃÑ¡ÉÒÁÐàÃç§ÈÕÃÉÐáÅÐÅíҤʹŒÇÂÃѧÊÕáÉÒ
                                                                                                               Ñ

              ¡ÒÃÃÑ¡ÉÒ´ŒÇ¡ÒéÒÂÃѧÊÕẺ»¡µÔ¹¹¨Ð©ÒÂÃѧÊÕǹÅÐ 1 ¤Ãѧµ‹Íà¹×ͧ¡Ñ¹·Ø¡Çѹ áÅÐÁժǧ
                                                              Ñé                 Ñ         é             è                      ‹
àÇÅÒËÂØ´¾Ñ¡ã¹ÃÐËNjҧÊÑ»´Òˏ (conventional fractionation) â´Â㪌ÃÐÂÐàÇÅÒ㹡ÒÃÃÑ¡ÉÒÃÇÁ·Ñ§ËÁ´                              é
»ÃÐÁÒ³ 6-7 ÊÑ»´Òˏ ä´ŒÁÕ¡ÒÃÈÖ¡ÉÒ·Õè·íÒ¡ÒéÒÂÃѧÊÕÃÑ¡ÉÒ´ŒÇ¨íҹǹ¤ÃÑé§·Õèà¾ÔèÁ¢Öé¹ã¹Ë¹Öè§Çѹ
(2-3 ¤Ãѧµ‹ÍÇѹ) (hyperfractionation radiation therapy) ËÃ×ÍÃǺÃÐÂÐàÇÅÒ¡ÒéÒÂÃѧÊÕãˌʹŧ໚¹
            é                                                                                                        Ñé
5 ÊÑ»´Òˏâ´Â©ÒÂÃѧÊÕµÍà¹×ͧ¡Ñ¹·Ø¡ÇѹäÁ‹ÁǹËÂØ´ (accelerated radiation therapy) àÁ×Íà»ÃÕºà·Õº
                                ‹ è                      ÕÑ                                                    è
¡Ñº¡ÒéÒÂÃѧÊÕẺ»¡µÔ¹Ñé¹¾ºÇ‹Ò¡ÒéÒÂÃѧÊÕẺ alterfractionation (hyperfractionation ËÃ×Í
accelerated fractionation) ¹Ñé¹ÍÒ¨¨ÐÁռŷíÒãËŒ¡ÒäǺ¤ØÁâä੾ÒзÕè´Õ¢Öé¹áÅйíÒä»ÊÙ‹ÍѵÃÒ
¡ÒÃÁÕªÕÇÔµÃÍ´·Õè 5 »‚à¾ÔèÁ¢Öé¹ÃŒÍÂÅÐ3.4(8) ᵋÍ‹ҧäáçµÒÁ¡ÒéÒÂÃѧÊÕËÅÒ¤ÃÑé§µ‹ÍÇѹ ËÃ×Í
¡ÒéÒÂÃѧÊÕáºÃÇÁÃÐÂÐãËŒÊÑé¹Å§¹Ñé¹ÍÒ¨·íÒãËŒà¡Ô´¼Å¢ŒÒ§à¤Õ§ÃÐÂÐà©Õº¾Åѹ·ÕèÁÒ¡¢Öé¹ä´ŒáÅÐ
ÍÒ¨¨ÐäÁ‹Êдǡµ‹Í¼Ù»ÇÂáÅлÃÔÁÒ³§Ò¹¢Í§âç¾ÂÒºÒÅ ·íÒãËŒ¡ÒéÒÂÃѧÊÕẺËÅÒ¤Ãѧµ‹ÍÇѹÍÒ¨
                            Œ †                                                                                  é
¨ÐäÁ‹à»š¹·Õ¹ÂÁ㹡ÒÃÃÑ¡ÉÒ·ÑÇä»
                è Ô                      è
              ¡ÒÃÇÒ§á¼¹´ŒÇÂÃѧÊÕáÉÒã¹¼Ù»ÇÂÁÐàÃç§ÈÕÃÉÐáÅÐÅíҤ͹ѹ䴌Á¡ÒþѲ¹Ò¨Ò¡¡ÒéÒÂÃѧÊÕ
                                           Ñ     Œ †                                   é           Õ
ẺÊͧÁÔµÔ ÁÒ໚¹¡ÒéÒÂÃѧÊÕÊÒÁÁÔµÔ (three dimensional conformal radiation therapy: 3DCRT)
áÅÐÃѧÊÕÊÒÁÁÔµá»Ã¤ÇÒÁࢌÁ (intensity modulated radiation therapy: IMRT) â´ÂÍÒÈÑÂËÅÑ¡¡ÒÃ
                      Ô
¢Í§¡ÒÃࢌÒáÅлÃѺÅíÒáʧ¨Ò¡ËÅÒ·ÔÈ·Ò§à¾×ÍãËŒÅÒáʧ¹Ñ¹à»š¹ä»µÒÁÃٻËҧ¢Í§¡ŒÍ¹ÁÐàÃ秷յͧ
                                                                   è í         é                                          è Œ
¡ÒÃÃÑ¡ÉÒ â´ÂËÇѧ·Õ¨Ðà¾ÔÁ»ÃÔÁÒ³áʧãˌʧáÅФÃͺ¤ÅØÁÁÒ¡¢Ö¹áÅÐÅ´»ÃÔÁÒ³áʧä»ÂѧÍÇÑÂÇÐ
                             è è                            Ù                        é
ÊíҤѭã¡ÅŒà¤Õ§ ઋ¹ àÊŒ¹»ÃÐÊÒ·µÒ ä¢ÊѹËÅѧ áÅСŒÒ¹ÊÁͧ ¹Í¡¨Ò¡¹Õ§ÊÒÁÒöŴ¼Å¢ŒÒ§à¤Õ§                é Ñ
·ÕÍÒ¨¨Ðà¡Ô´¢Ö¹¡Ñºµ‹ÍÁ¹éÒÅÒ ·íÒãˌŴÀÒÇйéÒÅÒÂáËŒ§ (xerostomia) ÀÒÂËÅѧ¡ÒéÒÂÃѧÊÕä´Œ (9)
  è                 é              í                                í
(ÃÙ»·Õè 1)
              ¡ÒáíÒ˹´µíÒá˹‹§ÃÍÂâäÁÕ¤ÇÒÁÊíҤѭÁҡ㹡ÒÃÇÒ§á¼¹¡ÒÃÃÑ¡ÉÒ´ŒÇÂÃѧÊÕ â´Â¨ÐÍÒÈÑÂ
¨Ò¡¡ÒõÃǨËҧ¡ÒÂáÅÐÀÒ¾·Ò§ÃѧÊÕÇÔ¹Ô¨©Ñ ઋ¹ ÀÒ¾à͍¡«àϤÍÁ¾ÔÇàµÍÏ (CT scan) ËÃ×Í
ÀÒ¾àÍç¡«àϤÅ×¹áÁ‹àËÅç¡ (MRI) áÅÐã¹»˜¨¨Øº¹ä´ŒÁ¤ÇÒÁ¾ÂÒÂÒÁ·Õ¨Ð¹íÒÀÒ¾ PET / CT scan ·ÕãËŒ
                        è                                        Ñ        Õ              è                                    è
¢ŒÍÁÙŷѧ´ŒÒ¹¡ÒÂÇÔÀÒ¤ (anatomy) áÅзҧ´ŒÒ¹ªÕÇÇÔ·ÂҢͧµÑÇ¡ŒÍ¹ÁÐàÃç§ (biologic information)
          é
ÁÒ㪌㹡ÒÃÇÒ§á¼¹·Ò§ÃѧÊÕáÉÒ «Ö§ÍÒ¨¨Ð·íÒãËŒ¡ÒáíÒ˹´¢Íºà¢µ¢Í§¡ŒÍ¹ÁÐàÃç§ã¹¡ÒÃÇÒ§á¼¹
                                       Ñ       è
¡ÒÃÃÑ¡ÉÒ´ŒÇÂÃѧÊÕÁÕ¤ÇÒÁᵡµ‹Ò§¡Ñ¹àÁ×èÍà»ÃÕºà·Õº¡Ñº¡ÒáíÒ˹´µíÒá˹‹§·Õè¨ÐÃÑ¡ÉÒ¨Ò¡ÀÒ¾
à͍¡«àϤÍÁ¾ÔÇàµÍÏ (10)
              ¹Í¡¨Ò¡¡ÒÃÇÒ§á¼¹¡ÒÃÃÑ¡ÉÒ·ÕÁ¤ÇÒÁ«Ñº«ŒÍ¹ã¹¡ÒÃÃÑ¡ÉÒ´ŒÇÂÃѧÊÕÊÒÁÁÔµÔ (3 DCRT) áÅÐ
                                                     è Õ
ÃѧÊÕÊÒÁÁÔµá»Ã¤ÇÒÁࢌÁ (IMRT) ¹Ñ¹ ÀÒ¾·Ò§ÃѧÊÕǹ¨©ÑÂÂѧÁÕº·ºÒ··Õ¨Ðª‹ÇÂ㹡ÒÃÂ×¹ÂѹµíÒá˹‹§
                 Ô                           é                          Ô Ô                    è
¢Í§¡ŒÍ¹ÁÐàÃç§ã¹¢³Ð·Õ¡ÒÅѧ©ÒÂÃѧÊÕ à¾×ÍãËŒ¡ÒéÒÂÃѧÊÕ¹¹ÁÕ¤ÇÒÁáÁ‹¹ÂíÒ໚¹ä»µÒÁ·Õä´ŒÇÒ§á¼¹
                                 è í                  è                     Ñé                                     è
äÇŒ «Ö§àÃÕ¡NjҡÒéÒÂÃѧÊÕâ´ÂÍÒÈÑÂÀÒ¾¹íÒÇÔ¶Õ (imaged guided radiation therapy: IGRT) â´Â໚¹
      è
¡ÒÃÊÌҧÀÒ¾à͍¡«àϢͧ¼Ù»Çº¹àµÕ§©ÒÂÃѧÊÕã¹µíÒá˹‹§à´ÕÂǡѺ·ÕÇÒ§á¼¹à¾×Í»ÃѺ¡ÒéÒÂÃѧÊÕ
                                     Œ †                                                     è             è
ãˌ໚¹ä»µÒÁá¼¹·ÕÇÒ§äÇŒ   è
              â´ÂÊÃØ»¡ÒÃÃÑ¡ÉÒ´ŒÇÂÃѧÊÕ໚¹¡ÒÃÃÑ¡ÉÒËÅѡ㹼ٌ»†ÇÂÁÐàÃç§ÈÕÃÉÐáÅÐÅíÒ¤Í â´Â໚¹¡ÒÃ
ÃÑ¡ÉÒ·Õ㪌ÃÇÁ¡Ñº¡Òü‹ÒµÑ´áÅÐ/ËÃ×Í¡ÒÃãËŒÂÒà¤ÁպҺѴ ã¹»˜¨¨Øº¹ä´ŒÁ¡ÒþѲ¹ÒÇÔ¸¡ÒéÒÂÃѧÊÕãËŒ
         è ‹                                                          í            Ñ             Õ           Õ
àǪÈÒʵÏ·¹Âؤ 2553
          Ñ                                                                                                     115

¤Ãͺ¤ÅØÁ¡ŒÍ¹ÁÐàÃç§ Å´¼Å¢ŒÒ§à¤Õ§µ‹ÍÍÇÑÂÇзÕÊҤѭã¡ÅŒà¤Õ§ áÅÐÁÕ¤ÇÒÁáÁ‹¹ÂíÒÁÒ¡¢Ö¹ à¾×ÍËÇѧ
                                           èí                                  é è
¼Å㹡ÒäǺ¤ØÁâäáÅÐÅ´¼Å¢ŒÒ§à¤Õ§·Õà¡Ô´¨Ò¡¡ÒÃÃÑ¡ÉÒ
                                    è




     ÃÙ»·Õè 1 ¡ÒÃÇÒ§á¼¹¡ÒÃÃÑ¡ÉÒ¼ÙŒ»†ÇÂÁÐàÃç§â¾Ã§ËÅѧ¨ÁÙ¡ (nasopharyngeal carcinoma)
        ´ŒÇÂÃѧÊÕÊÒÁÁÔµÔá»Ã¤ÇÒÁࢌÁ (IMRT) «Öè§áÊ´§ãËŒàËç¹Ç‹ÒÊÒÁÒöŴ»ÃÔÁÒ³ÃѧÊÕ
       ä»·ÕèÍÇÑÂÇÐÊíҤѭઋ¹ ¡ŒÒ¹ÊÁͧ áÅÐÃÇÁä»¶Ö§¡ÒÃÅ´»ÃÔÁÒ³ÃѧÊÕä»·Õ赋ÍÁ¹éíÒÅÒÂ
                                 ¡Å‹Í§àÊÕ§ áÅЪ‹Í§»Ò¡´ŒÇÂ

àÍ¡ÊÒÃ͌ҧÍÔ§
1.    Attasara P. Cancer registry 2008. National Cancer Institute. 2009:1-18.
2.    .orastiere AA, Goepfert H, Maor M, Pajak T., Weber R, Morrison W, et al. Concurrent chemotherapy and
      radiotherapy for organ preservation in advanced laryngeal cancer. N Engl J Med. 2003;349(22):
      2091-8.
3.    Pignon JP, le Maitre A, Bourhis J. Meta-analyses of chemotherapy in head and neck cancer (MACH-NC): an
      update. Int J Radiat Oncol Biol Phys. 2007;69(2 Suppl):S112-4.
4.    Cooper JS, Pajak T., .orastiere AA, Jacobs J, Campbell BH, Saxman SB, et al. Postoperative concurrent
      radiotherapy and chemotherapy for high-risk squamous-cell carcinoma of the head and neck. N Engl J Med.
      2004;350(19):1937-44.
5.    Bernier J, Domenge C, Ozsahin M, Matuszewska K, Lefebvre JL, Greiner RH, et al. Postoperative irradiation
      with or without concomitant chemotherapy for locally advanced head and neck cancer. N Engl J Med.
      2004;350(19):1945-52.
6.    Bernier J, Cooper JS, Pajak T., van Glabbeke M, Bourhis J, .orastiere A, et al. Defining risk levels in locally
      advanced head and neck cancers: a comparative analysis of concurrent postoperative radiation plus
      chemotherapy trials of the EORTC (#22931) and RTOG (# 9501). Head Neck. 2005 Oct;27(10):843-50.
116                                                               ¡ÒÃÃÑ¡ÉÒÁÐàÃç§ÈÕÃÉÐáÅÐÅíҤʹŒÇÂÃѧÊÕáÉÒ
                                                                                                       Ñ

7.  Bonner JA, Harari PM, Giralt J, Cohen RB, Jones CU, Sur RK, et al. Radiotherapy plus cetuximab for
    locoregionally advanced head and neck cancer: 5-year survival data from a phase 3 randomised trial, and
    relation between cetuximab-induced rash and survival. Lancet Oncol. 2010;11(1):21-8.
8. Bourhis J, Overgaard J, Audry H, Ang KK, Saunders M, Bernier J, et al. Hyperfractionated or accelerated
    radiotherapy in head and neck cancer: a meta-analysis. Lancet. 2006;368(9538):843-54.
9. Pow EH, Kwong DL, McMillan AS, Wong MC, Sham JS, Leung LH, et al. Xerostomia and quality of life after
    intensity-modulated radiotherapy vs. conventional radiotherapy for early-stage nasopharyngeal carcinoma: initial
    report on a randomized controlled clinical trial. Int J Radiat Oncol Biol Phys. 2006;66(4):981-91.
10. Guido A, .uccio L, Rombi B, Castellucci P, Cecconi A, Bunkheila ., et al. Combined 18.-.DG-PET/CT imaging
    in radiotherapy target delineation for head-and-neck cancer. Int J Radiat Oncol Biol Phys. 2009;73(3):
    759-63.
àǪÈÒʵÏ·¹Âؤ 2553
          Ñ                                                               º··Õè      117

                                                                           17
                         ÀÒ¾¹íÒÇÔ¶Õ ÃѧÊÕÃÑ¡ÉÒ¡ŒÒÇä¡Å
                             ¼ÙŒª‹ÇÂÈÒʵÃÒ¨ÒÏ ᾷ˭ԧ¹Ñ¹·¡Ò¹µ àÍÕèÂÁǹҹ¹·ªÑÂ
                                                             ¹Ò§ÊÒǤíÒÁØ¡ ¤ÃÍ§ÂØ·¸
                                                                   ¹ÒÂÊѨ¨Ò ã¨à¤Ã‹§
                       ÀÒ¤ÇÔªÒÃѧÊÕÇ·ÂÒ ¤³Ðá¾·ÂÈÒʵÏÈÃÃÒª¾ÂÒºÒÅ ÁËÒÇÔ·ÂÒÅÑÂÁËÔ´Å
                                    Ô                  ÔÔ

             ã¹»˜¨¨Øº¹¡ÒéÒÂÃѧÊÕáÉÒâäÁÕ¤ÇÒÁ¡ŒÒÇ˹ŒÒáÅоѲ¹Ò ¨Ò¡¡ÒéÒÂÃѧÊÕ·¡Ò˹´¢Íºà¢µ
                       Ñ          Ñ                                              Õè í
â´Â㪌ÀÒ¾àÍ¡«àÏ·Çä» (conventional radiotherapy) ÁÒ㪌໚¹ÃѧÊÕÊÒÁÁÔµ·ãªŒÀÒ¾àÍ¡«àÏ
                         Ñè                                                 Ô Õè
¤ÍÁ¾ÔÇàµÍÏÁÒª‹ÇÂ㹡ÒÃÇÒ§á¼¹¡ÒÃÃÑ¡É Ò (three dimensional conformal radiotherapy, 3D-CRT)
áÅе‹ÍÁÒä´ŒÁ¡ÒþѲ¹Ò»ÃÐÂØ¡µ¹Ò¤ÇÒÁ¡ŒÒÇ˹ŒÒ¢Í§¡ÒõÃǨÇÔ¹¨©Ñ´ŒÇÂÀÒ¾àÍ¡«àÏ ÁÒ㪌ÃÇÁ
                     Õ              í                           Ô                       ‹
໚¹ÁÔµ·Êà¾×Í·íÒãËŒ¡ÒéÒÂÃѧÊÕä»ÂѧµíÒá˹‹§·ÕµÍ§¡ÒÃÁÕ¤ÇÒÁáÁ‹¹ÂíÒáÅÐà·Õ§µÃ§ÁÒ¡¢Ö¹àÃÕ¡NjÒ
           Ô Õè Õè è                            è Œ                     è             é
ÃѧÊÕÊÁµÔ ËÃ×ÍÃѧÊÕÀÒ¾¹íÒÇÔ¶Õ (image-guided radiotherapy, IGRT)
      Õè Ô

¹ÔÂÒÁ¢Í§ÃѧÊÕÀÒ¾¹íÒÇÔ¶Õ
        ã¹Ë¹Ñ§Ê×Í͌ҧÍÔ§áÅÐàÍ¡ÊÒõ‹Ò§æ ¡íÒ˹´¹ÔÂÒÁ¢Í§ÃѧÊÕÀÒ¾¹íÒÇÔ¶Õänjᵡµ‹Ò§¡Ñ¹ÍÂÙ‹ºŒÒ§
ᵋâ´Â·ÑèÇä»ÃѧÊÕÀÒ¾¹íÒÇÔ¶ÕÁÑ¡ËÁÒ¤ÇÒÁ¶Ö§¡ÒùíÒÀÒ¾àÍ¡«àϪ¹Ô´µ‹Ò§æÁÒ㪌㹡Ãкǹ¡ÒÃ
©ÒÂÃѧÊÕ ä´Œá¡‹ ÀÒ¾àÍ¡«àÏ¿ÅÙÍÍâÃÊ⤻ ÀÒ¾àÍ¡«àϤÍÁ¾ÔÇàµÍϷ㪌㹡ÒáíÒ˹´¢Íºà¢µ
                                                                   Õè
¡ÒéÒÂÃѧÊÕ ÀÒ¾àÍ¡«àϺ¹à¤Ã×ͧ©ÒÂÃѧÊշ㪌㹡ÒõÃǨÊͺµíÒá˹‹§¡ÒéÒÂÃѧÊÕ ¹Í¡¨Ò¡¹Õé
                                è          Õè
ÂѧÃÇÁ¤ÇÒÁ¶Ö§¡ÒùíÒ¤ÇÒÁ¡ŒÒÇ˹ŒÒ¢Í§¡ÒõÃǨÀÒ¾ÇÔ¹¨©ÑÂÂØ¤ãËÁ‹à¢ŒÒÁÒËÇÁà¾×ÍãËŒ¡ÒéÒÂÃѧÊÕ
                                                     Ô                     è
ÂØ¤ãËÁ‹ÁÕ¤ÇÒÁáÁ‹¹ÂíÒà·Õ觵ç¢Öé¹ ä´Œá¡‹ ¡ÒùíÒÀÒ¾ functional imaging ઋ¹ PET-CT, MR
spectroscopy ࢌÒÁÒª‹ÇÂ㹡ÒáíÒ˹´µíÒá˹‹§¡ŒÍ¹à¹×ͧ͡ËÃ×Í໇ÒËÁÒ·յͧ¡ÒéÒÂÃѧÊÕ áÅÐ
                                                   é                  è Œ
¡ÒÃ㪌ÀÒ¾ gating CT ÁÒ㪌㹡Òê‹ÇÂ㹡óբͧÍÇÑÂÇзÕÁ¡ÒÃà¤Å×͹äËÇã¹ÃÐËNjҧ¡ÒéÒÂÃѧÊÕ
                                                       è Õ     è
¨Ò¡¡ÒÃËÒÂ㨠ËÃ×Í¡ÒÃà¤Å×͹äËÇÍ×¹æ ¹Í¡¨Ò¡¹Õ§ÁÕà·¤â¹âÅÂÕ¡ÒÃ㪌ÀÒ¾àÍ¡«àÏ ËÃ×ÍàÍ¡«àÏ
                         è        è            é Ñ
¤ÍÁ¾ÔÇàµÍÏ·µ´ÍÂÙã¹ËŒÍ§©ÒÂÃѧÊÕ (on board Imager/ in room imager) ÁÒª‹ÇÂ㹡ÒûÃѺµíÒá˹‹§
              Õè Ô ‹
¡ÒéÒÂÃѧÊÕ áÅЪ‹ÇÂ㹡ÒõԴµÒÁ㹡óշÕ袹Ҵ¡ŒÍ¹à¹×éͧ͡ÁÕ¡ÒÃà»ÅÕè¹á»Å§ã¹ÃÐËNjҧª‹Ç§
¡ÒéÒÂÃѧÊÕ
118                                                                  ÀÒ¾¹íÒÇÔ¶Õ ÃѧÊÕáÉÒ¡ŒÒÇä¡Å
                                                                                      Ñ

»ÃÐ⪹¢Í§ÃѧÊÕÀÒ¾¹íÒÇÔ¶Õ
        ¡ÒÃ㪌ÀÒ¾¹íÒÇÔ¶ÁÒª‹ÇÂ㹡ÒéÒÂÃѧÊÕ ÁÕ»ÃÐ⪹ªÇÂ㹡ÒÃÃÑ¡ÉÒ´ŒÇÂÃѧÊÕáÉÒ ´Ñ§¹Õé
                         Õ                                   ‹                    Ñ
        ! ·íÒãËŒàÃÒÊÒÁÒö¡íÒ˹´µíÒá˹‹§¡ŒÍ¹à¹×ͧ͡䴌áÁ‹¹ÂíÒ¢Ö¹ â´Â¨Ò¡à´ÔÁ¡ÒáíÒ˹´
                                                    é                  é
µíÒá˹‹§à»‡ÒËÁÒÂ㹡ÒÃÃÑ¡ÉÒÍÒÈѨҡ bony áÅÐ surface anatomy landmark µ‹ÍÁÒÁÕ¡ÒÃ㪌ÀÒ¾
àÍ¡«àϤÍÁ¾ÔÇàµÍÏ (CT scan)ÁÒ㪌㹡ÒôٵÒá˹‹§ áÅÐÃÐÂе‹ÍÁÒã¹Âؤ¢Í§ÃѧÊÕÊÁµÔ ËÃ×ÍÃѧÊÕ
                                            í                                       Õè Ô
ÀÒ¾¹í Ò ÇÔ ¶Õ IGRT ÁÕ ¡ Òùí Ò â»Ãá¡ÃÁ¤ÍÁ¾Ô Ç àµÍÏ ·Õè Ê ÒÁÒöª‹ Ç Â㹡Òùí Ò ÀÒ¾ MRI, MR
spectroscopy, PET-CT ÁÒ»ÃÐÁÇÅࢌҡѺÀÒ¾ CT scan ·íÒãËŒàÃÒÊÒÁÒö¡íÒ˹´·ÃÒºµíÒá˹‹§
¢Í§¡ŒÍ¹à¹×ͧ͡áÅСÒáÃШÒ¢ͧà¹×ͧ͡·ÕáÁ‹¹ÂíÒÁÒ¡¢Ö¹ (ÀÒ¾·Õè 1)
            é                        é   è                 é




        !   㹡óշÁ¡ÒÃà¤Å×͹äËǢͧÍÇÑÂÇе‹Ò§æ ¡ÒÃ㪌çÊÕÀÒ¾¹íÒÇÔ¶ª¹Ô´ 4D-CT ËÃ×Í
                      Õè Õ     è                                  Ñ          Õ
gating CT ¨Ð·íÒãËŒàÃÒÊÒÁÒö·ÃÒº·ÔÈ·Ò§¡ÒÃà¤Å×͹äËÇ áÅÐÊÒÁÒö¡íÒ˹´¢Íºà¢µ¡ÒÃ
                                                      è
©ÒÂÃѧÊÕä´Œ¶¡µŒÍ§µÒÁµíÒá˹‹§ÁÒ¡¢Ö¹ â´Â·ÑÇä»ã¹¡ÒÃ㪌çÊÕáÉÒÁÐàÃ移ʹ ËÃ×ÍÁÐàÃ秵Ѻ
                Ù                       é       è              Ñ Ñ
«Ö§ÁÕ¡ÒÃà¤Å×͹äËǵÒÁ¡ÒÃËÒÂ㨠ᾷçÊÕáÉÒ·Õ·Ò¡ÒÃÃÑ¡ÉҼٻǨеŒÍ§ÁÕ¡ÒÃà¼×͢ͺࢵ·Õ¨Ð
  è         è                             Ñ Ñ     è í           Œ †             è          è
©ÒÂÃѧÊÕà¾×èÍãËŒ¤Ãͺ¤ÅØÁµíÒá˹‹§à¹×éͧ͡ «Öè§¡ÒÃ㪌 4D-CT ¨Ð·íÒãËŒàÃÒ·ÃÒº·Ôȷҧ㹡ÒÃ
à¤Å×͹äËÇ·Õṋ¹Í¹ ·íÒãËŒàÃÒÊÒÁÒö¡íÒ˹´¢Íºà¢µã¹¡ÒéÒÂÃѧÊÕµÒÁ¡ÒÃà¤Å×͹äËǢͧ¡ŒÍ¹à¹×Í
      è       è                                                          è                     é
§Í¡ä´ŒÍ‹ҧ¶Ù¡µŒÍ§ (ÀÒ¾·Õè 2)
        ! ¡ÒÃ㪌 gating system ¢Í§ÃкºÃѧÊÕÀÒ¾¹íÒÇÔ¶Õ ·íÒãËŒàÃÒÊÒÁÒö·Õè¨Ðàª×èÍÁâ§
¨Ñ§ËÇСÒÃËÒÂ㨡Ѻª‹Ç§àÇÅÒ·Õ§áʧÃѧÊÕáÉÒä´Œ ઋ¹ã¹ÁÐàÃ移ʹ ËÃ×Í ÁÐàÃ秵Ѻ á·¹·ÕàÃÒ
                                 è Ô          Ñ                                          è
¨ÐµŒÍ§·íÒ¡ÒéÒÂÃѧÊÕ໚¹ºÃÔàdz¡ÇŒÒ§à¾×ÍãËŒ¤Ãͺ¤ÅØÁ¡ÒÃà¤Å×͹äËǢͧ¡ŒÍ¹ÁÐàÃç§ àÃÒÊÒÁÒö¨Ð㪌
                                      è                  è
gating system ¡íÒ˹´ª‹Ç§ÃÐÂÐ㹡ÒÃແ´ÅíÒÃѧÊÕä»Âѧ¨Ñ§ËÇзÕà¹×ͧ͡ࢌÒÁÒÍÂÙã¹µíÒá˹‹§·Õ੾ÒÐ
                                                           è é             ‹          è
à¨ÒШ§ ·íÒãËŒàÃÒäÁ‹¨Ò໚¹µŒÍ§©ÒÂÃѧÊÕ໚¹ºÃÔàdz¡ÇŒÒ§ÁÒ¡à¡Ô¹ä» «Ö§ÍÒ¨¡‹ÍãËŒà¡Ô´ÍѹµÃÒµ‹Íà¹×Í
                    í                                               è                        é
àÂ×Í»¡µÔ ઋ¹ »Í´ ËÃ×Í µÑº ä´ŒÁÒ¡ (ÀÒ¾·Õè 3)
    è
àǪÈÒʵÏ·¹Âؤ 2553
          Ñ           119
120                                                               ÀÒ¾¹íÒÇÔ¶Õ ÃѧÊÕáÉÒ¡ŒÒÇä¡Å
                                                                                   Ñ




       !     ¡ÒÃ㪌 on board imager/ in room imager «Öè§à»š¹à¤Ã×èͧàÍ¡«àÏ·ÕèµÔ´ÍÂÙ‹º¹
à¤Ã×èͧ©ÒÂÃѧÊÕ ËÃ×ÍÍÂÙ‹ã¹ËŒÍ§©ÒÂÃѧÊÕ ¨Ðª‹ÇµÃǨÊͺµíÒá˹‹§ã¹¡ÒéÒÂÃѧÊÕ ·íÒãËŒàÃÒ
ÊÒÁÒö©ÒÂÃѧÊÕä»Âѧ໇ÒËÁÒÂä´Œ¶Ù¡µŒÍ§áÁ‹¹ÂíÒ ã¹Âؤ¢Í§ÃѧÊÕÀÒ¾¹íÒÇÔ¶Õ ¹Í¡¨Ò¡ÁÕà¤Ã×ͧ        è
àÍ¡«àÏ port film ËÃ×Í electronic portal imaging device (EPID) ·Õ㪌㹡ÒéÒÂÀÒ¾àÍ¡«àÏ MV
                                                                  è
image ºÃÔàdz·Õ·Ò¡ÒéÒÂÃѧÊÕà¾×͵ÃǨÊͺµíÒá˹‹§ bony anatomy landmark à¾×͵ÃǨÊͺ¡ÒÃ
                 è í             è                                             è
¨Ñ´·‹Ò㹡ÒéÒÂÃѧÊÕáÅŒÇ ã¹ËŒÍ§©ÒÂÃѧÊշ໚¹ IGRT ÂѧÁÕ¡ÒõԴµÑ§ÍØ»¡Ã³ fluoroscope ã¹ËŒÍ§
                                               Õè                   é
©ÒÂÃѧÊÕ໚¹ in room imager (ÀÒ¾·Õè 4) ËÃ×Í on board imager (OBI) ·ÕÊÒÁÒö·íÒÀÒ¾àÍ¡«àÏ KV
                                                                      è
image ·ÕÊÒÁÒöãËŒÀÒ¾àÍ¡«àÏ·ª´à¨¹¡Ç‹ÒẺ MV image (ÀÒ¾·Õè 5) áÅÐ cone beam CT (CBCT)
         è                         Õè Ñ
·Õ໚¹à¤Ã×ͧÁ×ÍàÍ¡«àϤÍÁ¾ÔÇàµÍϵ´ÍÂÙ¡ºà¤Ã×ͧ©ÒÂÃѧÊÕ ·íÒãËŒàÃÒÊÒÁÒöµÃǨÊͺä»ÂѧµíÒá˹‹§
  è        è                              Ô ‹ Ñ è
ÍÇÑÂÇÐÀÒÂã¹ àËç¹à»‡ÒËÁÒ¡ŒÍ¹à¹×ͧ͡ ËÃ×ͺÃÔàdz·ÕµÍ§¡ÒéÒÂÃѧÊÕ䴌͋ҧªÑ´à¨¹ ËÃ×Í «Ö§ÁÕ
                                        é              è Œ                               è
»ÃÐ⪹Í‹ҧÁÒ¡â´Â੾ÒÐ㹡ÒéÒÂÃѧÊÕä»ÂѧµíÒá˹‹§·Õ໇ÒËÁÒÂ㹡ÒéÒÂÃѧÊÕäÁ‹ä´ŒÂ´µÔ´ ËÃ×Í
                                                           è                       Ö
໚¹ä»µÒÁµíÒá˹‹§¢Í§ bony anatomy landmark µÅÍ´àÇÅÒ (ÀÒ¾·Õè 6)
àǪÈÒʵÏ·¹Âؤ 2553
          Ñ           121
122                                                                     ÀÒ¾¹íÒÇÔ¶Õ ÃѧÊÕáÉÒ¡ŒÒÇä¡Å
                                                                                         Ñ




        !      ÃѧÊÕÀÒ¾¹íÒÇÔ¶ªÇÂ㹡ÒõÃǨÊͺµíÒá˹‹§¡ÒéÒÂÃѧÊÕ·áÁ‹¹ÂíÒ àÁ×Íà¡Ô´¤ÇÒÁ
                              Õ ‹                                           Õè       è
Áѹã¨ã¹¡ÒéÒÂÃѧÊÕ仵çµÒÁµíÒá˹‹§·ÕÇÒ§á¼¹äÇŒ ·íÒãËŒÊÒÁÒöŴ¢Íºà¢µ¡ÒéÒÂÃѧÊÕ
    è                                          è
ŧ䴌 ¡ÒáíÒ˹´¢Íºà¢µã¹¡ÒéÒÂÃѧÊÕâ´Â·ÑÇ仵ŒÍ§ÁÕ¡ÒÃà¾ÔÁ¢Íºà¢µ·ÕàÃÕÂ¡Ç‹Ò planning target
                                                 è                 è           è
volume (PTV) margin à¾×Íᡌ»­ËÒ¡ÒÃà¤Å×͹µíÒá˹‹§¢Í§à¹×ͧ͡ã¹Ã‹Ò§¡Ò ¨Ò¡¡ÒÃËÒÂ㨠ËÃ×Í
                            è         ˜      è                   é
¡ÒÃà»ÅÕ¹µíÒá˹‹§ ¢Í§¡ÃÐà¾ÒÐÍÒËÒà ÅíÒäÊŒ ¡ÃÐà¾Òл˜ÊÊÒÇÐ áÅÐ ·´á·¹ã¹¡Ã³Õ·¡ÒèѴ·‹Ò
           è                                                                                  Õè
㹡ÒÃÃÑ¡ÉÒᵋÅÐÇѹÁÕ¤ÇÒÁ¤ÅÒ´à¤Å×͹ ·ÕàÃÕÂ¡Ç‹Ò set up error ·Õà¡Ô´¢Ö¹ã¹áµ‹ÅÐÇѹ «Ö§¢Íºà¢µ·Õè
                                         è è                           è é             è
à¾ÔÁ¢Ö¹àËŋҹբ¹¡ÑºµíÒá˹‹§ ¡ÒÃà¤Å×͹·ÕáÅÐ âÍ¡ÒÊ㹡ÒÃà¡Ô´¡ÒäÅÒ´à¤Å×͹㹡ÒéÒÂÃѧÊÕ â´Â
      è é           é Öé                è è                                      è
·ÑÇ仺ÃÔàdz·ÕÁ¡ÒÃà¤Å×͹äËǹŒÍ ઋ¹ ÊÁͧ ¢Íºà¢µ·Õà¾ÔÁ¢Ö¹à¾Õ§ 0.5 ÁÔÅÅÔàÁµÃã¹·Ø¡´ŒÒ¹¡çà¾Õ§
  è                  è Õ  è                                è è é
¾Í·Õ¨Ð»‡Í§¡Ñ¹¡ÒäÅÒ´à¤Å×͹ ᵋ㹵íÒá˹‹§·ÕÁ¡ÒäÅÒ´à¤Å×͹ÁÒ¡ ઋ¹ µ‹ÍÁÅÙ¡ËÁÒ¡·ÕÁ¡ÒÃ
         è                      è                    è Õ             è                           è Õ
à»ÅÕ¹µíÒá˹‹§µÒÁ¨íҹǹ¹éÒ㹡ÃÐà¾Òл˜ÊÊÒÇÐ áÅлÃÔÁÒ³ÅÁã¹àäµÑÁ ¢Íºà¢µ·ÕµÍ§ãªŒÍÒ¨
       è                          í                                                        è Œ
ÁÒ¡¶Ö§ 1.5 ૹµÔàÁµÃ â´Â੾ÒÐã¹á¹Ç˹ŒÒ-ËÅѧ «Ö§¡ÒÃà¾ÔÁ¢Íºà¢µã¹¡ÒéÒÂÃѧÊÕà¾×ͪ´àªÂã¹
                                                         è     è                         è
ʋǹ¹Õé ÁռŷíÒãËŒàÃÒµŒÍ§©ÒÂÃѧÊÕâ´Â¡ÃÐà¾Òл˜ÊÊÒÇÐáÅÐàäµÑÁà¾ÔÁ¢Ö¹´ŒÇ ´Ñ§¹Ñ¹ã¹Âؤ¢Í§ÃѧÊÕ
                                                                        è é        é
ÀÒ¾¹íÒÇÔ¶·àÃÒÊÒÁÒöµÃǨÊͺàËç¹µíÒá˹‹§µ‹ÍÁÅÙ¡ËÁÒ¡·Ø¡Çѹ ¤ÇÒÁ¨íÒ໚¹ã¹¡ÒÃà¾ÔÁ¢Íºà¢µ
             Õ Õè                                                                           è
¡ÒéÒÂÃѧÊÕ¨§Å´Å§ ÍÇÑÂÇзÕÍÂÙã¡ÅŒà¤Õ§¨Ö§ä´ŒÃº»ÃÔÁÒ³ÃѧÊÕŴŧ´ŒÇÂ
                  Ö                 è ‹            Ñ

¡ÒùíÒÃѧÊÕÀÒ¾¹íÒÇÔ¶ÕÁÒ㪌ã¹â䵋ҧæ
        !¡ÒéÒÂÃѧÊÕºÃÔàdzÈÕÃÉÐáÅÐÅíÒ¤Í            ¡ÒÃ㪌ÃѧÊÕÀÒ¾¹íÒÇÔ¶Õ㹺ÃÔàdzÈÕÃÉÐáÅÐÅíÒ¤ÍÁÕ
»ÃÐ⪹ËÅÑ¡æ ¤×Í
àǪÈÒʵÏ·¹Âؤ 2553
          Ñ                                                                                                                    123

                       1. 㹡óշÕèµíÒá˹‹§·Õ赌ͧ¡ÒéÒÂÃѧÊÕÍÂÙ‹ã¡ÅŒÍÇÑÂÇÐÊíҤѭ ઋ¹ µÒ àÊŒ¹»ÃÐÊÒ·
¡ŒÒ¹ÊÁͧ ·ÕèÁÕ¤ÇÒÁ·¹µ‹ÍÃѧÊÕä´Œ¹ŒÍ ¡ÒÃ㪌ÃѧÊÕÀÒ¾¹íÒÇÔ¶ÕµÃǨÊͺµíÒá˹‹§¡ÒéÒÂÃѧÊÕ¡‹Í¹
·Ø ¡ ¤ÃÑé § ¨Ð·í Ò ãËŒ à ÃÒÁÕ ¤ ÇÒÁÁÑè ¹ 㨷Õè ¨ ÐËźàÅÕè  §¡Ò÷Õè ÃÑ § ÊÕ ä »¶Ù ¡ ÍÇÑ Â ÇÐÊí Ò ¤Ñ ­ à¡Ô ¹ »ÃÔ Á Ò³ÃÑ § ÊÕ
·Õ¡Ò˹´ä´Œ
   è í
                       2. 㹡óաÒéÒÂÃѧÊÕÁÐàÃ秺ÃÔàdzÈÕÃÉÐáÅÐÅíҤͷÕÁµÍÁ¹éÒàËÅ×ͧ¢¹Ò´ãË­‹ àÁ×Í
                                                                                     è Õ ‹ í                                        è
ãËŒ¡ÒéÒÂÃѧÊÕä»ÁÑ¡¾ºÇ‹Òµ‹ÍÁ¹éÒàËÅ×ͧÁÕ¢¹Ò´àÅç¡Å§ ·íÒãËŒµÒá˹‹§·Õ©ÒÂÃѧÊÕÁ¡ÒäÅÒ´à¤Å×͹ä»
                                          í                                 í                 è          Õ                  è
´Ñ§¹Ñ鹡ÒÃ㪌ÀÒ¾¹íÒÇÔ¶Õ cone beam CT µÃǨÊͺµíÒá˹‹§ áÅÐÅѡɳТͧ¡ÒÂÇÔÀÒ¤¡‹Í¹¡ÒÃ
©ÒÂÃѧÊըЪ‹ÇÂᾷ㹡ÒÃàÅ×Í¡¡ÒÃà»ÅÕ¹Ἱ¡ÒÃÃÑ¡ÉÒä´Œ´¢¹
                                                   è                            Õ Öé
                       3. 㹡ó¡ÒéÒÂÃѧÊÕºÃÔàdzÈÕÃÉÐáÅÐÅíÒ¤ÍÁÑ¡·íÒãËŒ¼ÙŒ»†ÇÂÁÕ¹éíÒ˹ѡŴŧ ·íÒãËŒ
µíÒá˹‹§·Õè©ÒÂÃѧÊÕÁÕ¡ÒäÅÒ´à¤Å×èÍ¹ä» ´Ñ§¹Ñ鹡ÒÃ㪌ÀÒ¾¹íÒÇÔ¶Õ cone beam CT µÃǨÊͺ
µíÒá˹‹§ áÅÐÅѡɳТͧ¡ÒÂÇÔÀÒ¤¡‹Í¹¡ÒéÒÂÃѧÊըЪ‹ÇÂᾷ㹡ÒÃàÅ×Í¡¡ÒÃà»ÅÕ¹Ἱ¡Òà                                    è
ÃÑ¡ÉÒä´Œ´¢¹       Õ Öé
             ! ¡ÒéÒÂÃѧÊÕºÃÔàdz·Ãǧ͡ ¡ÒéÒÂÃѧÊÕºÃÔàdz·Ãǧ͡ »˜­ËÒãË­‹·¾ºÁѡ໚¹àÃ×ͧ                      Õè                   è
¢Í§¡Ò÷ÕÍÇÑÂÇе‹Ò§æÁÕ¡ÒÃà¤Å×͹äËǵÒÁ¡ÒÃËÒÂ㨠´Ñ§¹Ñ¹¡ÒÃ㪌çÊÕÀÒ¾¹íÒÇÔ¶¨§ÁÕ¤ÇÒÁ¨íÒ໚¹
                è                       è                                é                Ñ                 ÕÖ
·ÕªÇÂ㹡ÒéÒÂÃѧÊÕãËŒ¤Ãͺ¤ÅØÁµíÒá˹‹§à¹×ͧ͡·ÕµÍ§¡Òà â´ÂäÁ‹â´ÂÍÇÑÂÇзÕÊҤѭ ઋ¹ »Í´
  è ‹                                                 é       è Œ                                          èí
ËÃ×ÍËÑÇã¨ÁÒ¡à¡Ô¹ä» â´Â¡ÒÃ㪌 gating CT, ¡ÒéÒÂÃѧÊÕâ´Â㪌 gating system ´Ñ§·Õ¡Å‹ÒÇáÅŒÇã¹                          è
àº×ͧµŒ¹ «Ö§¡ÒéÒÂÃѧÊÕºÃÔàdz·Ãǧ͡·ÕÁ¡ÒÃ㪌çÊÕÀÒ¾¹íÒÇÔ¶ÁÒª‹Ç·ÕÊҤѭ ¤×Í ¡ÒéÒÂÃѧÊÕáÉÒ
      é            è                              è Õ      Ñ                  Õ                 èí                            Ñ
ÁÐàÃ移ʹ ÁÐàÃç§àµŒÒ¹Á
             ! ¡ÒéÒÂÃѧÊÕºÃÔàdzª‹Í§·ŒÍ§Ê‹Ç¹º¹ ¡ÒéÒÂÃѧÊÕºÃÔàdzµÑº µÑºÍ‹Í¹ ·ÕÁ¡ÒÃà¤Å×͹äËÇ                è Õ            è
µÒÁ¡ÒÃËÒÂ㨠¡ÒÃ㪌ÃѧÊÕÀÒ¾¹íÒÇÔ¶Õã¹Ãкº gating system ÁÕ¤ÇÒÁ¨íÒ໚¹ ઋ¹à´ÕÂǡѺ¡ÒÃ
©ÒÂÃѧÊÕ㹺ÃÔàdz·Ãǧ͡
             ! ¡ÒéÒÂÃѧÊÕºÃÔàdzª‹Í§·ŒÍ§Ê‹Ç¹Å‹Ò§ ¡ÒéÒÂÃѧÊÕºÃÔàdzª‹Í§àªÔ§¡ÃÒ¹´ŒÇÂà·¤¹Ô¤¡ÒéÒÂ
ÃѧÊÕ·Çä» conventional radiotherapy ÍÒ¨äÁ‹Á¤ÇÒÁ¨íÒ໚¹µŒÍ§ãªŒÃ§ÊÕÀÒ¾¹íÒÇÔ¶ÁÒª‹Ç ᵋ㹡óÕ
        Ñè                                              Õ                              Ñ               Õ
·Õ¡ÒéÒÂÃѧÊÕ໚¹ÃѧÊÕÊÒÁÁÔµá»Ã¤ÇÒÁࢌÁ (intensity modulated radiotherapy- IMRT) ·ÕÁ¡ÒûÃѺ
    è                                 Ô                                                                               è Õ
ÅíÒÃѧÊÕà¾×ÍÅ´¼Å¢ŒÒ§à¤Õ§·ÕÍÒ¨à¡Ô´µ‹ÍÅíÒäÊŒ ¡ÃÐà¾Òл˜ÊÊÒÇÐ áÅР䢡Ãд١ ·íÒãËŒ¢Íºà¢µ¡ÒéÒÂ
              è                     è
ÃѧÊÕ᤺ áÅÐÃѧÊÕÁ§à»‡Òä»Âѧ੾ÒеíÒá˹‹§ 㹡óÕઋ¹¹Õ¾ºÇ‹Ò¡ÒÃ㪌çÊÕÀÒ¾¹íÒÇÔ¶Á¤ÇÒÁÊíҤѭ
                            Ø‹                                         é                         Ñ              Õ Õ
ÍÂèÒ§ÁÒ¡ à¹×ͧ¨Ò¡¾ºÇèÒà»éÒËÁÒÂ㹡ÒéÒÂÃѧÊÕ㹺ÃÔàdzªèͧàªÔ§¡ÃÒ¹ àªè¹ ÁÐàÃç§µèÍÁÅÙ¡ËÁÒ¡
                        è
ÁÐàÃç§»Ò¡Á´ÅÙ¡ áÅÐ ÁÐàÃç§¡ÃÐà¾Òл˜ÊÊÒÇÐ ÍÇÑÂÇÐàËŋҹÕÁ¡ÒÃà¤Å×͹µíÒá˹‹§µÒÁ¨íҹǹ¹éÒã¹
                                                                           é Õ              è                                   í
¡ÃÐà¾Òл˜ÊÊÒÇÐ áÅÐÅÁã¹ÅíÒäÊŒ ·íÒãËŒ¡ÒéÒÂÃѧÊÕ¨ÐäÁ‹¤Ãͺ¤ÅØÁµíÒá˹‹§·ÕµÍ§¡ÒÃä´Œ ÃѧÊÕÀÒ¾            è Œ
¹íÒÇÔ¶¨Ðª‹ÇÂ㹡ÒôٵÃǨÊͺµíÒá˹‹§¡‹Í¹¡ÒéÒÂÃѧÊÕ
           Õ
124                                                                                 ÀÒ¾¹íÒÇÔ¶Õ ÃѧÊÕáÉÒ¡ŒÒÇä¡Å
                                                                                                     Ñ

àÍ¡ÊÒÃ͌ҧÍÔ§
1.    Mell LK, Pawlicki T, Jiang SB, Mundt AJ. Image-Guided Radiation Therapy. In: Halperin EC, Perez CA, Brady
      LW, eds. Perez and Brady’s Principles and Practice of Radiation Oncology, 5th Edition. Philadelphia: Lippincott
      Williams & Wilkins, 2008;263-99.
2.    Keall PJ, Vedam SS, George R et al. Respiratory regulatory gated 4D CT acquisition: concept and proof of
      principle, Phys. Eng. Sci. Med, A. 2007; 211-20.
3.     Jaffray DA, Brock KK, Sharpe M. Advanced Imaging and Guidance System for Use in Intensity Modulated
      RT. In: Bortfeld T, Schmidt-Ullrich R, De Neve W and Wazer DE. Image-Guide IMRT. Berlin, Heidelberg,
      Springer, 2006;217-27.
4.    Létourneau D, Martinez AA, Lockman D, Yan D, Vargas C, Ivaldi G, Wong J. Assessment of residual error
      for online cone-beam CT-guided treatment of prostate cancer patients. Int J Radiat Oncol Biol Phys. 2005;
      62(4):1239-46.
àǪÈÒʵÏ·¹Âؤ 2553
          Ñ                                                                       º··Õè       125

                                                                                   18
       Postoperative Pain Management in Pediatric Patients:
             What’s New? What’s Recommendation?
                                          ÈÒʵÃÒ¨ÒÏ á¾·ÂË­Ô§ÊØÇÃÃ³Õ ÊØÃàÈóÕǧȏ
                      ÀÒ¤ÇÔªÒÇÔÊ­­ÕÇ·ÂÒ ¤³Ðá¾·ÂÈÒʵÏÈÃÃÒª¾ÂÒºÒÅ ÁËÒÇÔ·ÂÒÅÑÂÁËÔ´Å
                                Ñ Ô                    ÔÔ

        ¤ÇÒÁà¨çº»Ç´ËÅѧ¼‹ÒµÑ´ã¹¼ÙŒ»†ÇÂà´ç¡Âѧ¤§ÁÕÍØºÑµÔ¡ÒóÊÙ§·Ñé§ã¹»ÃÐà·È áÅе‹Ò§»ÃÐà·È
ÊíÒËÃѺã¹âç¾ÂÒºÒÅÈÔÃÃÒªËÅѧ¨Ò¡ÁÕ¡Òúѹ·Ö¡¤Ðá¹¹¤ÇÒÁ»Ç´â´Â㪌à¤Ã×ͧÇÑ´·ÕàËÁÒÐÊÁµÒÁ
                                Ô                                                   è       è
ÍÒÂØà»š¹ÊÑ­­Ò³ªÕ¾·Õè 5 ¾ºÍغµ¡Òó¤ÇÒÁ»Ç´ËÅѧ¼‹ÒµÑ´ÃŒÍÂÅÐ 9.7 ã¹·Òáááà¡Ô´, ÃŒÍÂÅÐ 44
                                      Ñ Ô
ã¹·Òá áÅÐÃŒÍÂÅÐ 44 ã¹à´ç¡âµ(2) ´Ñ§¹Ñ¹¤ÇÒÁ¾ÂÒÂÒÁ·Õ¨ÐÅ´ÃдѺ¤ÇÒÁ»Ç´ËÅѧ¼‹ÒµÑ´ã¹à´ç¡
        (1)
                                                      é           è
Âѧ¤§ÁÕÍ‹ҧµ‹Íà¹×ͧ è
        ¡ÅÂØ·¸·ÕèÊíҤѭ䴌ᡋ¡ÒþѲ¹ÒÃкº¡ÒôÙáÅÃЧѺ»Ç´µÅÍ´¨¹¡ÒÃãËŒ¤ÇÒÁÃٌᡋᾷ
¾ÂÒºÒÅáÅмٻ¡¤Ãͧ ¡ÒÃ㪌෤¹Ô¤áÅÐÂÒᡌ»Ç´·ÕàËÁÒÐÊÁ
               Œ                                             è
        ÂÒã¹¡ÅØÁ opioids Âѧ¤§à»š¹ÂÒ·Õ¹ÂÁ㪌ÃЧѺ»Ç´ÊíÒËÃѺ¡Òü‹ÒµÑ´·Õ·ÒãËŒ»Ç´ÃдѺ»Ò¹¡ÅÒ§
                   ‹                              è Ô                        è í
ËÃ×ÍÃØ¹áç ¨Ò¡ÒÃÈÖ¡ÉÒã¹à´ç¡¨íҹǹ 10,762 ¤¹ã¹»ÃÐà·ÈÍѧ¡ÄÉ·Õ䴌ú opioid infusion ¾ºÇ‹ÒÁÕ
                                                                         è Ñ
cardiac arrest 1 ÃÒ ¨Ò¡ÀÒÇÐ aspiration pneumonitis áÅÐ underlying neurological condition,
ÁÕÀÒÇÐ respiratory depression 14 ÃÒ«֧µŒÍ§ãªŒ naloxone á¡Œä¢ ¨íҹǹ 8 ÃÒÂ(3) ´Ñ§¹Ñ¹¡ÒÃ㪌෤¹Ô¤
                                                   è                                      é
áÅÐÂÒᡌ»Ç´Í×¹æ àÊÃÔÁẺ multimodal analgesia ¨Ö§à»š¹·Õ¹ÂÁà¾×ͪ‹ÇÂàÊÃÔÁÄ·¸ÔÃЧѺ»Ç´ ª‹ÇÂÅ´
                 è                                             è Ô     è              ì
»ÃÔÁÒ³ opioids ·Õ㪌áÅÐÅ´¼Å¢ŒÒ§à¤Õ§¨Ò¡ÂÒŧ
                       è
        ¡ÒþѲ¹ÒÃкº¡ÒôÙáÅÃЧѺ»Ç´ÁÕËÅÒÂÇÔ¸Õ ä´Œá¡‹ Ãкº¡ÒôÙáÅÃЧѺ»Ç´â´ÂÇÔÊ­­Õᾷ        Ñ
áÅÐÃкº¡ÒôÙáÅÃЧѺ»Ç´â´Âᾷ áÅоÂÒºÒÅ਌Ңͧ䢌â´ÂÁÕÇÔÊÑ­­Õᾷ໚¹·Õè»ÃÖ¡ÉÒ(4)
ÃкºááÊÒÁÒöãËŒ¡ÒÃÃЧѺ»Ç´Í‹ҧÁÕ»ÃÐÊÔ·¸ÔÀÒ¾Ê٧ᵋ´áżٻÇÂä´ŒäÁ‹·Ç¶Ö§ à¹×ͧ¨Ò¡ÁÕÇÊ­­Õ
                                                                 Ù Œ †           Ñè     è       ÔÑ
ᾷäÁ‹à¾Õ§¾Í ÃкºËÅѧ¨Ð´ÙáżٻÇÂä´Œ¤Ãͺ¤ÅØÁÁÒ¡¡Ç‹Ò ᵋÍÒ¨ÁÕ»­ËÒã¹´ŒÒ¹»ÃÐÊÔ·¸ÔÀÒ¾(4,6)
                                            Œ †                            ˜
«Ö§¤ÇÃÁÕ¡ÒþѲ¹Òã¹ËÅÒÂæ ´ŒÒ¹ä´Œá¡‹
  è
        1. ¡ÒûÃÐàÁÔ¹¤ÇÒÁà¨çº»Ç´¢Í§¼ÙŒ»†ÇÂà´ç¡áµ‹ÅÐÇÑÂâ´Â㪌à¤Ã×èͧÁ×Í·ÕèàËÁÒÐÊÁµÒÁÍÒÂØ
Í‹ҧ໚¹ÃÙ»¸ÃÃÁ áÅе‹Íà¹×ͧËÅѧ¼‹ÒµÑ´à»š¹ÊÑ­­Ò³ªÕ¾·Õè 5 Í‹ҧ¹ŒÍ 3 Çѹ
                                    è
        2. ¡ÒÃ㪌ǸºÒºÑ´¤ÇÒÁ»Ç´·ÕàËÁÒÐÊÁ¡ÑºÃдѺ¤ÇÒÁ»Ç´
                         ÔÕ í                   è
        3. ¡ÒÃãËŒ¤ÇÒÁÃÙᡋᾷ áÅоÂÒºÒÅà¡ÕÂǡѺ¡ÒÃãËŒÂÒÃЧѺ»Ç´
                                  Œ                     è
        4. ¡ÒÃ㪌ẺÊѧ¡ÒÃÃÑ¡ÉÒÊíÒËÃѺᾷ«§ÁÕª¹Ô´ÂÒ ¢¹Ò´ÂÒ áÅÐÃÐÂÐˋҧ㹡ÒÃãËŒÂÒ·Õè
                              è                           Öè
àËÁÒÐÊÁÊíÒËÃѺà´ç¡µÅÍ´¨¹¡ÒÃÊѧ¡ÒÃÃÑ¡ÉÒẺ nurse controlled analgesia(7)
                                          è
126      Postoperative Pain Management in Pediatric Patients : What’s New? Recommendation?

         5. ¡ÒèѴẋ§ procedure-specific pain «Ö§¼Ù»Ç·Õ䴌ú¡Òü‹ÒµÑ´·Õ·ÒãËŒÁ¤ÇÒÁ»Ç´ÃдѺ
                                                    è Œ † è Ñ            è í Õ
»Ò¹¡ÅÒ§¶Ö§Ãعáç ¤ÇûÃÖ¡ÉÒÇÔÊ­­ÕᾷÑ
         6. ¡ÒÃãËŒ¼»¡¤ÃͧÁÕÊǹª‹ÇÂàËÅ×Í㹡ÒÃÃЧѺ»Ç´ËÅѧ¼‹ÒµÑ´
                      ÙŒ         ‹
            à·¤¹Ô¤ãËÁ‹æ 䴌ᡋ ¡ÒÃ㪌 ultrasound-guided nerve block «Ö§¨Ðª‹ÇÂãËŒ¡Òà block nerve
                                                                      è
·íÒä´ŒáÁ‹¹ÂíÒ ãªŒÂÒªÒ¹ŒÍÂŧ «Öè§¹‹Ò¨Ð·íÒãËŒ»ÃÐÊÔ·¸ÔÀÒ¾´Õ¡Ç‹ÒÇÔ¸Õ¡ÒÃẺ´Ñé§à´ÔÁ(8) ¼Å¢ŒÒ§à¤Õ§
¨Ò¡ÂÒªÒŴŧ(9) áÅÐâÍ¡ÒÊà¡Ô´¡ÒúҴà¨çºµ‹ÍàÊŒ¹»ÃÐÊÒ·¹‹Ò¨ÐŴŧ áÁŒÂѧäÁ‹ÁռšÒÃÈÖ¡ÉÒ
͌ҧÍÔ§à¾×ÍÂ×¹Âѹà¹×ͧ¨Ò¡ÁÕͺµ¡ÒóµÒÁÒ¡(10) à·¤¹Ô¤Í×¹æ ·Õ㪌§ÒÂáÅоÔʨ¹ÇÒä´Œ¼Å´Õã¹¼ÙãË­‹
          è         è        Ø Ñ Ô       èí               è   è ‹          Ù ‹             Œ
䴌ᡋ ¡ÒúÃÔËÒÃÂÒªÒÍ‹ҧµ‹Íà¹×ͧã¹á¼Å¼‹ÒµÑ´
                                   è            (11)

            ÊíÒËÃѺÂÒ·Õ㪌àÊÃÔÁÄ·¸Ôᡌ»Ç´¢Í§ opioids 䴌ᡋ ketorolac, ketamine, paracetamol
                         è             ì
IV/PR áÅÐÂÒ·ÕÍҨ㪌·´á·¹ opioids â´ÂÁÕÄ·¸Ô¡´¡ÒÃËÒÂ㨹ŒÍÂ¡Ç‹Ò ä´Œá¡‹ ¡ÒÃ㪌 tramadol
                è                                 ì
infusion ã¹à´ç¡

Ketorolac
        ໚¹ non – steroidal anti – inflammatory drug ª¹Ô´©Õ´à¢ŒÒËÅÍ´àÅ×Í´ «Ö§Ê¡Ñ´¡Ñ¹¡Ò÷íÒ§Ò¹
                                                                             è       é
¢Í§ cyclooxygenase (COX) system, Å´¡ÒÃÊѧà¤ÃÒÐˏ prostaglandins áÅÐÅ´ inflammatory
cascade ÂÒ ketorolac ໚¹ racemic mixture ¢Í§ COX–1 áÅÐ COX–2 inhibitors àÁ×èÍ㪌
ËÇÁ¡Ñº opioids ËÅѧ¼‹ÒµÑ´ ¾ºÇ‹Ò ÊÒÁÒöŴ»ÃÔÁÒ³¤ÇÒÁµŒÍ§¡Òà opioids ä´Œ(12) àÁ×Í㪌ÂÒ·Õ¢¹Ò´
                                                                                  è      è
0.5–1 Á¡./¡¡. ·Ø¡ 4–6 ªÁ. IV ã¹·ÒáÍÒÂØ 6–18 à´×͹ äÁ‹¾ºÇ‹ÒÁÕ¡ÒÃÊÐÊÁ¢Í§ÂÒ áÅÐÃÒ§ҹ
                                                                                (13)

¡ÒÃ㪌ÂÒã¹¢¹Ò´ 1 Á¡./¡¡. IV ã¹·Òáááà¡Ô´¤Ãº¡íÒ˹´ áÅС‹Í¹¡íÒ˹´¨íҹǹ 18 ÃÒ äÁ‹¾º
¤ÇÒÁà»ÅÕ¹á»Å§ã¹ÃкºâÅËÔµÇÔ·ÂÒ ¡Ò÷íÒ§Ò¹¢Í§µÑº áÅÐäµ(14) ÂÒ¹Õ¨§¹‹Ò¨ÐÁÕ»ÃÐ⪹ã¹à´ç¡
           è                                                          éÖ
à¹×ͧ¨Ò¡äÁ‹ÁÄ·¸Ô¡´¡ÒÃËÒÂ㨠àÁ×Í㪌ÃÇÁ¡Ñº opioids ¨ÐÅ´¢¹Ò´ÂÒ opioids ·ÕµÍ§ãªŒ ·íÒãˌķ¸Ô¡´
   è         Õ ì                   è ‹                                      è Œ             ì
¡ÒÃËÒÂã¨Å´Å§ ÂÒ¹ÕÁËÅÑ¡°Ò¹Ç‹Ò㪌䴌Í‹ҧ»ÅÍ´ÀÑÂã¹à´ç¡ ¢³Ð·ÕÂÒ»ÃÐàÀ· COX–2 inhibitors
                      é Õ                                          è
ª¹Ô´©Õ´Í×¹æ ÂѧäÁ‹ÁËÅÑ¡°Ò¹Â×¹Âѹ¤ÇÒÁ»ÅÍ´ÀÑÂã¹à´ç¡
         è          Õ

Ketamine
          ໚¹ÂÒÊź·ÕÁ㪌ÁÒ¹Ò¹ ÃÐÂл˜¨¨Øº¹ÁÕ¡ÒùíÒ ketamine ã¹¢¹Ò´µèÒÁҡ໚¹ subanesthetic
                     è Õ                    Ñ                           í
dose ÁÒ㪌ÃÇÁ¡Ñº opioids à¾×ÍàÊÃÔÁÄ·¸Ôì opioids áÅÐÁռŠopioid – sparing effect(15) ÂÒ¹ÕÍ͡ķ¸Ôì
              ‹                è                                                        é
·ÕÃкº»ÃÐÊҷʋǹ¡ÅÒ§ ·íÒ˹ŒÒ·Õ໚¹ NMDA receptor antagonist áÅзÕÃкº»ÃÐÊҷʋǹ»ÅÒÂ
  è                                   è                                   è
ÁÕÄ·¸ÔºÂѧàÍ繫ÑÂÁ nitric oxide synthase(16) ¢¹Ò´ÂÒ·Õ㪌 0.1 – 0.4 Á¡./¡¡./ªÁ. ª‹ÇÂÅ´ÃдѺ
       ì Ñ é                                              è
¤ÇÒÁ»Ç´ËÅѧ¼‹ÒµÑ´ª‹Í§·ŒÍ§ ¼‹ÒµÑ´·Í¹«ÔÅ ¤ÇÒÁ»Ç´¨Ò¡à¹×éͧ͡ áÅÐ neuropathic pain â´Â
ÁÕÄ·¸Ô¢Ò§à¤Õ§¹ŒÍÂÁÒ¡(17-19) ÇԸ㪌͹ æ 䴌ᡋ continuous subcutaneous infusion 0.1 Á¡./¡¡./ªÁ.
      ì Œ                        Õ ×è
ÊíÒËÃѺᡌ»Ç´ã¹¼ÙŒ»†ÇºҴà¨çº¨Ò¡ÍغѵÔà˵Ø(15) ¡ÒéմÂÒÃͺ·Í¹«ÔÅ (peritonsillar infiltration)
ÊÒÁÒöŴÃдѺ¡ÒûǴ㹼ٌ»†Ç¼‹ÒµÑ´·Í¹«ÔÅ(20) ËÃ×Í¡ÒÃãËŒ ketamine 0.5 Á¡./¡¡. IV ¡‹Í¹
àǪÈÒʵÏ·¹Âؤ 2553
          Ñ                                                                               127

¼‹ÒµÑ´à¾Õ§¤Ãѧà´ÕÂÇÊÒÁÒöŴ»ÃÔÁÒ³ opioids ·Õ¼»ÇµŒÍ§¡ÒÃËÅѧ¼‹ÒµÑ´ adenoid áÅз͹«ÔÅ
              é                              è ÙŒ †
䴌 (21)



Paracetamol
       ª¹Ô´·Õ㪌䴌ÊÒËÃѺ¡Òü‹ÒµÑ´·ÕµÍ§§´¹éÒáÅÐÍÒËÒÃËÅѧ¼‹ÒµÑ´ä´Œá¡‹ ª¹Ô´à˹纷ÇÒë֧ÁÕ㪌ÁÒ
             è      í                 è Œ    í                                      è
¹Ò¹ã¹µ‹Ò§»ÃÐà·È ᵋ䴌ú͹حҵãˌ㪌㹻ÃÐà·Èä·Âã¹àÇÅÒäÁ‹¹Ò¹¹Õé ¢¹Ò´ÂÒ·Õ㪌 30 Á¡./¡¡.
                         Ñ                                                    è
ÃдѺÂÒã¹àÅ×Í´¤Ò´à´ÒÂÒ¡¨Ò¡¡ÒúÃÔËÒ÷ҧ·ÇÒà ÊíÒËÃѺÂÒª¹Ô´©Õ´à¢ŒÒËÅÍ´àÅ×Í´´íÒÁÕ㪌
ã¹µ‹Ò§»ÃÐà·È ¹ÔÂÁ㪌ã¹à´ç¡(22-24) ÊíÒËÃѺ·Òáááà¡Ô´µŒÍ§ÃÐÇѧÀÒÇоÔɵ‹ÍµÑº ¤ÇÃÅ´¢¹Ò´ÂÒáÅÐ
µÃǨËÒÃдѺ unconjugated bilirubin ã¹àÅ×Í´à¾×Í»ÃѺÃдѺÂÒ(25)
                                               è

Tramadol
          ໚¹ aminocyclohexanol derivative ËÃ×Í 4–phenylpiperidine analogue ¢Í§ codeine
          ¡Åä¡¡ÒÃÍ͡ķ¸ÔÃЧѺ»Ç´ÁÕ 3 ·Ò§ 䴌ᡋ
                                   ì
          (1) ¡ÒÃʡѴ¡Ñ¹¡Òôٴ¡ÅѺ¢Í§ norepinephrine
                          é
          (2) à¾ÔÁ¡ÒÃËÅѧ áÅÐÅ´¡Òôٴ¡ÅѺ¢Í§ serotonin ã¹ spinal cord
                 è          è
          (3) ¼Å !–opioid receptor Í‹ҧ͋͹«Ö觨Ѻ¡Ñº opioid receptor ͋͹¡Ç‹Ò morphine
6,000 à·‹Ò (26)
          àÁµÐºÍÅÔÊÁ¢Í§ tramadol à¡Ô´¢Ö¹ä´Œ 2 ·Ò§¤×Í
                                            é
          (1) â´Â O–demethylation 㹵Ѻ (CYP2D6) ໚¹ O–demethyl tramadol (M1) «Ö§¨Ñº¡Ñº
                                                                                       è
opioid–!–receptor ä´Œ´¡Ç‹Ò tramadol 200 à·‹Ò ÊíÒËÃѺ·Òá·ÕÁ¡ÒâѺ¶‹Ò M1 ä´Œ¹ÍÂÍÒ¨à¡Ô´ÍѹµÃÒÂ
                              Õ                           è Õ                Œ
µ‹Í¡Òá´¡ÒÃËÒÂ㨨ҡ M1 䴌ᵋ¹ÍÂ¡Ç‹Ò opioids Í‹ҧäáç´ÁÃÒ§ҹ¡ÒÃÈÖ¡ÉÒ¾ºÇ‹Ò clearance
                                         Œ                    Õ Õ
¢Í§ M1 à¡×ͺÊÁºÙóµÑé§áµ‹ post conceptual age (PCA = ÍÒÂØã¹¤ÃÃÀ + ÍÒÂØËÅѧ¤ÅÍ´)
·Õè 44 ÊÑ»´Òˏ
          (2) â´Â N–demethylation (CYP 3A) ໚¹ N–demethyl tramadol(27)
          ¢¹Ò´ÂÒ·Õ㪌ã¹à´ç¡ bolus 1–2 Á¡./¡¡., infusion 0.1–0.2 Á¡./¡¡./ªÁ. IV (26) ¾ºÇ‹ÒãËŒ¼Å
                    è
¡ÒÃÃЧѺ»Ç´ä´Œ´Õ
          ¡ÒÃãËŒÂҹյͧÃÐÇѧ㹼ٻÇ·Õä´ŒÂÒµŒÒ¹ÀÒÇЫÖÁàÈÃŒÒã¹¡ÅØÁ selective serotonic reuptake
                      é Œ             Œ † è                           ‹
inhibitor (SSRI) «Öè§Í͡ķ¸Ôì·íҹͧà´ÕÂǡѺ tramadol ¤×Í à¾ÔèÁ¡ÒÃËÅÑè§áÅÐÅ´¡Òôٴ¡ÅѺ
¢Í§ serotonin ÍÒ¨·íÒãËŒÁ¡Òäѧ¢Í§ serotonin â´ÂÁÕÃÐÂÐàÇÅҵѧᵋ䴌ÂÒ¨¹à¡Ô´ÍÒ¡Òä‹Í¹¢ŒÒ§Êѹ
                                  Õ è                             é                          é
ÍÒ¡ÒÃ䴌ᡋÁ‹Ò¹µÒ¢ÂÒ à˧×èÍÍÍ¡ÁÒ¡ ËÑÇã¨àµŒ¹àÃçÇ ä¢ŒËÃ×ÍÍØ³ËÀÙÁÔ¡ÒÂÊÙ§¡Ç‹Ò»¡µÔÁÒ¡
 ¤ÇÒÁ´Ñ¹âÅËÔµÊÙ§ËÃ×͵èҡNjһ¡µÔ ÍÒ¡ÒáÃÐÊѺ¡ÃÐʋҠ˹ÒÇÊѹ ᢹ¢ÒÊѹ ÃÕà¿Å¡«äǡNjһ¡µÔ
                                í                                   è    è
ᢹ¢Ò¡Ãеءà¡Ãç§ËÃ×ͪѡ à¡Ô´¡ÒÃÊÅÒ¢ͧ¡ÅŒÒÁà¹×éÍ (rhabdomyolysis), DIC ÃÇÁ¶Ö§ÀÒÇÐ
äµÇÒÂä´Œ (28)
128        Postoperative Pain Management in Pediatric Patients : What’s New? Recommendation?

àÍ¡ÊÒÃ͌ҧÍÔ§
1.    Aroonpruksakul N, Suraseranivongse S. Quality of post-operative pain control in infants and neonates. Siriraj
      Med J. 2009;61(5):245-8.
2.    Suraseranivongse S, Khuvichitsuwan P, Sriverachai P, Boonthitikul S, Homchan W. Quality assessment and
      risk factors of postoperative pain in children. Thai J Anesthesiology. 2006;32(4):261-8.
3.    Morton N, Errera A. APA national audit of pediatric opioid infusions. Pediatr Anesth. 2010; 20: 119–125.
4.    Ready LB, Oden R, Chadwick HS, et al. Development of an anesthesiology-based postoperative pain
      management service. Anesthesiology. 1988;68:100-6.
5.     Lee A, Chan S, Chen PP, Gin T, Lau AS. Economic evaluations of acute pain service programs: a systematic
      review. Clin J Pain. 2007;23(8):726-73.
6.    Shapiro A, Edna Z, Kantor M, Memrod J, .redman B. Establishing a nurse-based, Anesthesiologist-supervised
      inpatient acute pain service: experience of 4,617 patients. J Clin Anesth. 2004;16:415-20.
7.    Howard R, Lloydthomas A, Thomas M, Williams DG, Saul R, Bruce E, Peters J.Nurse-controlled analgesia
      (NCA) following major surgery in 10 000 patients in a children’s hospital. Pediatr Anesth. 2010;20:126–34.
8.    Willschke H, Marhofer P, B?senberg A, Johnston S, Wanzel O, Cox SG, et al. Ultrasonography for ilioinguinal/
      iliohypogastric nerve blocks in children. Br J Anaesth. 2005;95(2):226-30.
9.    Weintraud M, Lundblad M, Kettner SC, Willschke H, Kapral S, L?nnqvist PA, et al. Ultrasound versus
      landmark-based technique for ilioinguinal-iliohypogastric nerve blockade in children: the implications on plasma
      levels of ropivacaine. Anesth Analg. 2009;108(5):1488-92.
10.   Walker KJ, McGrattan K, Aas-Eng K, Smith A.. Ultrasound guidance for peripheral nerve blockade. Cochrane
      Database Syst Rev. 2009;(4):CD006459.
11.   Karthikesalingam A, Walsh SR, Markar SR, Sadat U, Tang TY, Malata CM. Continuous wound infusion of
      local anaesthetic agents following colorectal surgery: systematic review and meta-analysis.World J Gastroenterol.
      2008;14:5531-5.
12.   Krotz ., Schiele TM, Klauss V, Sohn HY. Selective COX-2 inhibitors and risk of myocardial infarction. J Vasc
      Res. 2005;42:312–24.
13.   Lynn AM, Bradford H, Kantor ED, Seng K, Salinger DH, Chen J, et al. Postoperative ketorolac tromethamine
      use in infants aged 6–18 months: the effect on morphine usage, safety assessment, and stereo-specific
      pharmacokinetics. Anesth Analg. 2007;104:1040–51.
14.   Papacci p, de .rancisci G, Iacobucci T, Giannantonio C, de Carolis MP, Zecca E. Use of intravenous ketorolac
      in the neonate and premature babies. Pediatr Anesth. 2004;14:487–92.
15.   Tucker A, Kim Y, Nadeson R et al. Investigation of potentiation of analgesic effects of fentanyl by ketamine
      in humans: a double blinded, randomized, placebo controlled, crossover study of experimental pain. BMC
      Anesthesiol. 2005;5:2–14.
16.   Granry JC, Dube L, Turroques H et al. Ketamine: new uses for an old drug. Curr Opin Anaesthesiol.
      2000;13:299–302.
17.   Grande LA, O’Donnell BR, .itzgibbon DR et al. Ultra-low dose ketamine and memantine treatment for pain in
      an opiodtolerant oncology patient. Anesth Analg. 2008;107:1380–83.
18.   Hocking G, Cousins MJ. Ketamine in chronic pain management: an evidence-based review. Anesth Analg.
      2003;97:1730–39.
19.   Gurnani A, Sharma PK, Rautela RS et al. Analgesia for acute musculoskeletal trauma: low-dose subcutaneous
      infusion of ketamine. Anaesth Intens Care. 1996;24:32–6.
àǪÈÒʵÏ·¹Âؤ 2553
          Ñ                                                                                                          129

20. Dal D, Celebi N, Gaye E et al. The efficacy of intravenous or peritonsillar infiltration of ketamine for postoperative
    pain relief in children following adenotonsillectomy. Pediatr Anesth. 2007;17:263–9.
21. Aspinall RL, Mayor A. A prospective randomized controlled study of the efficacy of ketamine for postoperative
    pain relief in children after adenotonsillectomy. Paediatr Anaesth. 2001;11: 333–6.
22. Palmer GM, Chen SP, Smith KR, Hardikar W. Introduction and audit of intravenous paracetamol at a tertiary
    paediatric teaching hospital. Anaesth Intensive Care. 2007;35:702–6
23. Murat I, Baujard C, .oussat C, et al. Tolerance and analgesic efficacy of a new i.v. paracetamol solution in
    children after inguinal hernia repair. Paediatr Anaesth. 2005;15:663–70.
24. Capici ., Ingelmo PM, Davidson A, et al. Randomized controlled trial of duration of analgesia following
    intravenous or rectal acetaminophen after adenotonsillectomy in children. Br J Anaesth. 2008;100:251–5.
25. Palmer GM , Atkins M, Anderson BJ, Smith KR, Culnane TJ,McNally CM, et al.I.V. acetaminophen
    pharmacokinetics in neonates after multiple doses. Br J Anaesth.2008;101(4):523–30.
26. Grond S, Sablotzki A. Clinical pharmacology of tramadol. Clin Pharmacokinet. 2004;43:879–923.
27. Allegaert K, Anderson BJ, Verbesselt R, Debeer A, de Hoon J, Devlieger H,et al. Tramadol disposition in the
    very young: an attempt to assess in vivo cytochrome P-450 2D6 activity. Br J Anaesth.2005;95(2):231–9.
28. Kitson R, Carr B. Tramadol and severe serotonin syndrome. Anaesthesia. 2005;60(9):934-5
àǪÈÒʵÏ·¹Âؤ 2553
          Ñ                                                                      º··Õè       131

                                                                                  19
               Outcome Improvement in Neuroanesthesia
                   : Neuro-interventional Perspective
                                                 Assistant Professor Anchalee Churojana
             Department of Radiology, .aculty of Medicine Siriraj Hospital, Mahidol University

       Interventional Neuroradiology is a treatment modality of vascular diseases of central
nervous system (CNS) and head & neck region with certain overlapped aspects with neurosurgery,
head & neck surgery and vascular surgery, by means of endovascular access to deliver
therapeutic agents such as embolic materials, sclerosing and chemotherapeutic drugs including
mechanical devices. The purpose of the procedure is either definite treatment or preoperative
devascularization.
       It can be broadly grouped as
       1. Embolization procedure: with the purpose to occlude vessels in the diseases with
abnormal vascular channels or high vascularization. Those diseases are arteriovenous
malformations (AVMs), arteriovenous fistulas, carotid-cavernous fistulas, intracranial aneurysms,
traumatic aneurysms and preoperative devascularization of tumors.
Diseases                          Embolic agent               Comment
 AVMs                             N-butyl cyanoacrylate (NBCA
                                  or Glue)
Carotid-cavernous fistulas        Detachable balloon
(CC.s)
Aneurysms                         Detachable coils                May need nondetachable
                                                                  balloon or stent-assisted
                                                                  coiling
Arteriovenous fistulas            NBCA or coils                   depending on size of fistulas
Dural arteriovenous shunts        NBCA and/or fibered coils       Usually NBCA using fpr
                                  or detachable coils             transarterial feeder occlusion
                                                                  and coils using for dural sinus
                                                                  or venous packing
Preoperative tumor                Particles (polyvinyl alcohols
embolizations                     or PVA)
132                  Outcome Improvement in Neuroanesthesia : Neuro-interventional Perspective

        1. Dilatation procedure: with purpose to open up the narrowed arteries, or perform
angioplasty with or without stenting in the occluded vascular disease including mechanical
thrombectomy or clot retrieval in acute embolic stroke.
        2. Transarterial infusion: with the purpose for intraarterial thrombolysis in acute stroke
or chemotherapy in certain cancers such as transophthalmic artery chemo-infusion for
retinoblastoma, palliative transarterial chemo-infusion for nasopharyngeal cancer.
        3. Percutaneous or direct puncture: mostly used in AVMs or venous malformations
with extracranial locations for delivering liquid embolic or sclerosing agents directly. In our
practice, NBCA is used in AVMs and Bleomycin is used as sclerosing drug.
        Currently, Interventional Neuroradiology is increasingly performed with the administration
of anesthesia. In this point of view, several important concerns from anesthesiologists should
be included1
        ! Maintenance of the patient’s immobility to reduce motion artifact, general anesthesia
            is preferred to facilitate visualization of small vessels and prevent patient movement.
        ! Proper monitoring: blood pressure, PaCO2 in case of the possibility of unexpected
            neurological complications and anaphylactic reactions, particularly from contrast
            media.
        ! Anticoagulant therapy and monitoring.
        ! Rapid recovery from anesthesia and sedation during the procedure to facilitate
            neurological testing, such as in internal carotid artery sacrification.
        ! Management of sudden unexpected complication such as hemorrhage or vascular
            occlusion.
        ! Guiding the medical care and treatment of critical ill patients during the procedure
            and transportation.
        ! Smooth recovery from anesthesia after procedure to prevent risk of complications
            such as balloon displacement during strong coughing, vascular injury at puncture
            site during non-purposeful movement.

General care
        !   Intravenous access should be on the left arm with adequate extension tube from the
            image intensifier or when the patient is draped.
        !   Increased systemic blood pressure in patient whose femoral pulse can’t be palpated
            due to hypotension.
àǪÈÒʵÏ·¹Âؤ 2553
          Ñ                                                                                  133

       !   Intraprocedural heparinization and control activated clotting time including
           postoperative protamine reversal.
       !   Awareness of allergic reaction particularly with contrast media.

Special care
       !   Pediatric patients: keep warm to the patients, contrast medium and drug dose-
           limitation, intraarterial & intravenous fluid overload. Post embolization for vein of
           Galen malformation and high flow AVM usually need to maintain head in semi-upright
           position to minimize venous congestion.
       !   Controlled systemic hypotension may be required during embolization of high flow
           fistulas or intracranial AVMs to reduce the flow across the lesions to achieve good
           deposition of embolic agents.2
       !   The patient must be awake for the balloon occlusion test procedure, as continuous
           neurological examination to assess the effects of occlusion. However, rapid wake-up
           of the patient is requested in the case of unplanned or accidental arterial occlusion.
       !   Concerning of sudden hypotension or vago-vagal reflex during carotid balloon
           angioplasty
       !   Adequate heparinization in the case of transarterial device delivery such as coiling
           aneurysm or balloon application.
       !   Preoperative antiplatelet administration for all stenting procedure.

Neurovascular complication management
       !   Catheter-induced vasospasm: may need transarterial Nimodipine infusion which results
           to systemic hypotension.
       !   Arterial occlusion: may be caused by fly-away of embolic agents to normal arteries,
           malposition of device such as coils or stent, and thromboembolism. In this event,
           the arterial pressure should be raised to increase collateral blood flow and maintain
           normocarbia. Mechanical thrombectomy or infusion of thrombolytic agent may be
           needed. Antiplatelet agents, such as Abciximab, have also shown promising results.
           However, occlusion from NBCA or glue is always permanent. If arterial luminal
           narrowing or occlusion occurred from catheter-induced dissection, systemic
           heparinization is recommended and the procedure must be terminated.
134                      Outcome Improvement in Neuroanesthesia : Neuro-interventional Perspective

         !     Venous outlet occlusion: usually results from spillage of glue during embolization of
               AVMs or fistula into draining veins. If stasis of contrast media in the venous outlet
               is observed in post-embolization angiogram, embolization of feeding arteries as much
               as possible is recommended to minimize the venous congestion. During post
               procedural period, the patient needs to have maintenance of modest hypotension
               and sedation.
           ! Hemorrhage: results from arterial rupture by catheter or guide-wire perforation or abrupt
               rise in mean arterial pressure during test injection in the small artery or fragile
               aneurysm. Visualization of extravasation of contrast media is the only clue for the
               diagnosis, however, some patients may have sudden onset of bradycardia. Immediate
               reversal of heparin is required (1 mg protamine for each 100 units of heparin given).
               Lowering of the systemic arterial pressure may be needed. PaCO2 should be
               maintained between 4.5 and 5.0 kPa.2 Endovascular treatment should be performed
               without hesitation depending on each cause. Aneurysm rupture should be rapidly
               packed by coils as much as possible. Arterial perforation can be glued vigorously at
               the tip of microcatheter. Intraoperative CT scan is recommended for assessment
               and preparing for postoperative management. Emergency craniotomy may be required
               if endovascular embolization fails.
           In conclusion, interventional neuroradiological procedures have been expanding in the
treatment of CNS, including head and neck, diseases. The type of anesthetic administration,
general anesthesia or intravenous sedation, is determined by the goal of each procedure together
with the experience of the radiology-anesthesia team.3 The anesthesiologists have a crucial role
in facilitating procedures, monitoring of the patients and involvement of complication management.
Thus, understanding of specific interventional neuroradiological procedures and their potential
complications are important. Good relationship with communication and planning between
radiologists and anesthesiologists in the team of interventional neuroradiology are key factors
of smooth procedure with good patient’s outcome.

References
1.    Hashimoto T, Gupta DK, Young WL. Interventional neuroradiology-anesthetic considerations. Anesthesiology
      Clinics of North America. 2002;20(2):347-59.
2.    Varma MK, Price K, Jayakrishnan Y, et al. Anaesthetic considerations for interventional neuroradiology. BJA
      2007;99(1):75-85.
3.    Derbent A, Oran I, Parildar M, et al. Adverse effects of anesthesia in interventional radiology. Diagn Interv
      Radiol 2005;11:109-112.
àǪÈÒʵÏ·¹Âؤ 2553
          Ñ                                                                º··Õè      135

                                                                            20
  ¤ÇÒÁÊíҤѭ¢Í§ÂÒµŒÒ¹¾ÔÉ㹡ÒôÙáżٌ»†ÇÂÀÒÇоÔÉà©Õº¾Åѹ
                                       ¼ÙŒª‹ÇÂÈÒʵÃÒ¨ÒÏ ¹ÒÂᾷÊÑÁÁ¹ â©Á©ÒÂ
      ÀÒ¤ÇÔªÒàǪÈÒʵϻͧ¡Ñ¹áÅÐÊѧ¤Á ¤³Ðá¾·ÂÈÒʵÏÈÃÃÒª¾ÂÒºÒÅ ÁËÒÇÔ·ÂÒÅÑÂÁËÔ´Å
                       ‡                             ÔÔ

           㹡ÒôÙáżٻÇÂÀÒÇоÔÉà©Õº¾Åѹ¹Ñ¹ËÅÑ¡¡ÒôíÒà¹Ô¹¡Ò÷ÕÊҤѭÍÂÙº¹¾×¹°Ò¹¢Í§¡ÒôÙáÅ
                            Œ †                         é                  èí   ‹ é
»ÃФѺ»ÃФͧµÒÁÍÒ¡ÒäǺ¤Ù仡Ѻ¡ÒÃÃÑ¡ÉÒ´ŒÇÂÇÔ¸·¨Òà¾Òе‹ÍÀÒÇоÔÉᵋÅЪ¹Ô´ ·Ñ§¹Õ¡ÒôÙáÅ
                                          ‹                        Õ Õè í           é é
àËŋҹÕÁ§à¹Œ¹ãËŒ¼»ÇÂËÒ¨ҡÀÒÇоÔÉâ´ÂÁÕ¤ÇÒÁàÊÕ§µ‹ÍÀÒÇÐá·Ã¡«ŒÍ¹áÅСÒÃàÊÕªÕǵãËŒ¹ÍÂ
       é Ø‹           ÙŒ †                                       è                     Ô Œ
·ÕÊ´ «Ö§à»š¹ä»µÒÁËÅÑ¡¡Òâͧ»ÃÐ⤴ѧà´ÔÁ·Õ໚¹¾×¹°Ò¹¢Í§ÇÔªÒ¾ÔÉÇÔ·ÂÒ¡ÒÃᾷÇÒ “treat the
  èØ è                                          é           è  é                     ‹
patient, not the poison”
           ¡ÒôÙáżٻÇÂẺ»ÃФѺ»ÃФͧµÒÁÍÒ¡ÒùѹÁÕ¤ÇÒÁÊíҤѭäÁ‹¹Í¡NjҡÒÃ㪌ÂÒµŒÒ¹¾ÔÉ
                        Œ †                                          é        Œ
(antidote) ´ŒÇÂÊÒà˵ش§¹Õé      Ñ
           1. ¡ÒÃà¡Ô´ÀÒÇÐá·Ã¡«ŒÍ¹áÅСÒÃàÊÕªÕÇÔµ¨Ò¡ÀÒÇоÔɹÑé¹ÁÕÊÒà˵ØÊ‹Ç¹ãË­‹¨Ò¡ÀÒÇÐ
·ÕÊÒÁÒöÃÑ¡ÉÒ´ŒÇ¡ÒûÃФѺ»ÃФͧµÒÁÍÒ¡Òà 䴌ᡋ
  è
           ! ÃкºËÒÂã¨ÅŒÁàËÅǷѧ¨Ò¡Ä·¸Ô¡´Ãкº»ÃÐÊÒ·¢Í§ÊÒþÔÉ ¡ÒÃà¡Ô´¡ÒÃÊÙ´ÊíÒÅÑ¡ áÅÐ
                                            é       ì
                  ¡ÒÃËÒÂã¨äÁ‹à¾Õ§¾Í¨Ò¡¡ÅŒÒÁà¹×Í͋͹áç   é
           ! ÃкºäËÅàÇÕ¹âÅËԵŌÁàËÅǨҡÀÒÇоËͧÊÒùéíÒã¹ËÅÍ´àÅ×Í´ ¡ÒúպµÑǼԴ»Ã¡µÔ
                  ¢Í§¡ÅŒÒÁà¹×ÍËÑÇ㨠áÅÐ ¡ÒÃൌ¹¼Ô´¨Ñ§ËÇТͧËÑÇã¨
                                  é
           ! ÀÒÇЪѡáÅÐÀÒÇСŌÒÁà¹×Íà¡Ãç§µÑÇ  é
           ! ÀÒÇÐÍØ³ËÀÙÁ¡ÒÂÊÙ§ (hyperthermia)
                                    Ô
           2. 㹨íҹǹª¹Ô´¢Í§ÊÒþÔÉ·ÕèÁÕ¨íҹǹÁÒ¡¹Ñé¹ ÂÒµŒÒ¹¾ÔÉ·ÕèÁÕ㪌ÂѧÁÕ¨íҹǹ¹ŒÍÂÁÒ¡
Í‹ҧäÁ‹ÍÒ¨à·Õº¡Ñ¹ä´Œ ´Ñ§¹Ñ鹡ÒÃÃÑ¡ÉÒ¼ÙŒ»†ÇÂÀÒÇоÔÉʋǹãË­‹¹Ñ鹨ÐäÁ‹ÁÕÂÒµŒÒ¹¾ÔÉ áµ‹ÍÒÈÑÂ
¡ÒôÙáÅ»ÃФѺ»ÃФͧµÒÁÍÒ¡ÒÃ
           à¾×ÍãËŒ¡ÒÃ㪌ÂÒµŒÒ¹¾ÔÉ à»š¹ä»Í‹ҧàËÁÒÐÊÁ ºØ¤Åҡ÷ҧ¡ÒÃᾷ¤ÇÃÁÕ¤ÇÒÁµÃÐ˹ѡ
              è
¶Ö§¢ŒÍà·ç¨¨ÃÔ§ºÒ§»ÃСÒÃà¡ÕÂǡѺÂÒµŒÒ¹¾ÔÉ䴌ᡋ
                                      è
           ÂÒµŒÒ¹¾ÔÉÁÕ¡Å䡨íÒà¾ÒÐ㹡ÒõŒÒ¹Ä·¸Ôì¢Í§ÊÒþÔɪ¹Ô´µ‹Ò§æ ´Ñ§¹Ñ鹡ÒþԨÒóÒ㪌ÂÒ
µŒÒ¹¾Ôɨ֧µŒÍ§¤íÒ¹Ö§¶Ö§¢ŒÍº‹§ªÕÍ‹ҧàËÁÒÐÊÁ
                                        é
           ÂÒµŒÒ¹¾ÔÉËÅÒª¹Ô´ÁռŢŒÒ§à¤Õ§·ÕÍÒ¨à¡Ô´ÍѹµÃÒ ¨¹¼Ù»ÇºҧÃÒÂà¡Ô´ÀÒÇÐá·Ã¡«ŒÍ¹
                                                      è                   Œ †
ËÃ×ÍàÊÕªÕǵ¨Ò¡Ä·¸Ô¢Í§ÂÒµŒÒ¹¾ÔÉ ´Ñ§¹Ñ¹¡ÒþԨÒóÒ㪌ÂÒµŒÒ¹¾ÔɵŒÍ§¾Ô¨ÒóҶ֧»ÃÐ⪹áÅÐ
                Ô            ì                    é
¤ÇÒÁàÊÕ§ÍѹÍÒ¨à¡Ô´¨Ò¡ÂÒµŒÒ¹¾ÔÉÍ‹ҧàËÁÒÐÊÁ ·Ñ§¹Õ㹡ÒþԨÒóҤÇÃ͌ҧÍÔ§ËÅÑ¡°Ò¹·Ò§¡ÒÃ
         è                                                    é é
ᾷÍ‹ҧà¤Ã‹§¤ÃÑ´´ŒÇÂ
136                                    ¤ÇÒÁÊíҤѭ¢Í§ÂÒµŒÒ¹¾ÔÉ㹡ÒôÙáżٻÇÂÀÒÇоÔÉà©Õº¾Åѹ
                                                                        Œ †

       ã¹·Õ¹¼à¢Õ¹¡µÑÇÍ‹ҧÂÒµŒÒ¹¾Ôɺҧª¹Ô´·ÕÁ¤ÇÒÁÊíҤѭ㹻ÃÐà·Èä·ÂáÅлÃÐà´ç¹ÊíҤѭ
           è Õé ÙŒ                            è Õ
·ÕÁ¡ÁÕ¤ÇÒÁࢌÒ㨷դÅÒ´à¤Å×͹䴌ºÍ¤Ãѧã¹àǪ»¯Ôºµ´§¹Õé
  è Ñ              è      è     ‹    é          Ñ Ô Ñ

¡ÅØ‹ÁÂÒµŒÒ¹¾ÔÉ·ÕèÁÕ¤ÇÒÁÊíҤѭáÅÐÁÕ㪌㹻ÃÐà·Èä·Â
             Antivenom ÊíÒËÃѺ¾ÔɧٷÕèÍ͡ķ¸Ô쵋ÍÃкº»ÃÐÊÒ·
             »ÃСͺ´ŒÇ monovalent antivenomÊíÒËÃѺ§Ù¾Éµ‹ÍÃкº»ÃÐÊҷᵋÅЪ¹Ô´ 䴌ᡋ §ÙàË‹Ò
                                                         Ô
§Ù¨§ÍÒ¨ §ÙÊÒÁàËÅÕÂÁ áÅЧٷºÊÁÔ§¤ÅÒ áÅÐ polyvalent antivenom ÊíÒËÃѺ§Ù¾Éµ‹ÍÃкº»ÃÐÊÒ·
                  è             Ñ                                            Ô
ÃÇÁ·Ñ§ÊÕª¹Ô´ ¡Åä¡¡ÒÃÍ͡ķ¸Ô¢Í§ antivenom ¤×Í á͹µÔºÍ´ÕࢌÁ¢Œ¹ã¹ÃÙ» .(ab’)2 ·ÕÍ͡ķ¸Ôâ´Â
       é è                        ì                                              è       ì
¨Ñº¡Ñº¾Ôɢͧ§Ùã¹ÃкºäËÅàÇÕ¹âÅËÔµ«Öè§¼Åâ´ÂÃÇÁ·Õèà¡Ô´¢Öé¹ ä´Œá¡‹ ¡ÒÃÅ´¤ÇÒÁ¨íÒ໚¹¢Í§¡ÒÃ
ª‹ÇÂËÒÂã¨Å´Å§ áÅÐ㪌àÇÅÒÊѹŧÍ‹ҧÁÕ¹ÂÊíҤѭ ¢ŒÍº‹§ªÕé 䴌ᡋ ÍÒ¡ÒáŌÒÁà¹×Í͋͹áç ˹ѧµÒµ¡
                              é           Ñ                                é
ËÒÂã¨ÅíÒºÒ¡ áÅСÅ×¹ÅíÒºÒ¡ ¢ŒÍËŒÒÁ㪌 䴌ᡋ ¡ÒÃÁÕ»ÃÐÇѵᾌ antivenom ¢¹Ò´·Õ㪌 䴌ᡋ ¢¹Ò´
                                                           Ô                   è
100 ÁÔÅÅÔŵà ·Ò§ËÅÍ´àÅ×Í´´íÒ »ÃÐà´ç¹ÊíҤѭ·Ò§¤ÅÔ¹¡ 1) antivenom ÊíÒËÃѺ¾ÔɧٷÍ͡ķ¸Ôì
           Ô                                           Ô                             Õè
µ‹ÍÃкº»ÃÐÊÒ·äÁ‹ÊÒÁÒöᡌÍÒ¡ÒáŌÒÁà¹×Í͋͹áç¨Ò¡¾ÔÉ·ÕÍ͡ķ¸ÔáÅŒÇä´Œ áÅÐÍÒ¨äÁ‹ÊÒÁÒö
                                            é                 è      ì
»‡Í§¡Ñ¹¡ÒÃËÂØ´ËÒÂã¨ä´Œ 2) 㹡óշ¶¡§ÙàˋҡѴ ¶ŒÒãËŒ¡ÒÃÃÑ¡ÉÒ»ÃФѺ»ÃФͧáÅСÒê‹ÇÂËÒÂã¨
                          (1)
                                     Õè Ù
Í‹ҧà¾Õ§¾Í ¼ÙŒ»†ÇÂÍÒ¨´Õ¢Öé¹ä´Œàͧâ´Â¨ÐÊÒÁÒö¶Í´à¤Ã×èͧª‹ÇÂËÒÂã¨ä´ŒÀÒÂã¹àÇÅÒ»ÃÐÁÒ³
72 ªÑÇâÁ§(1) 3) 㹡óշ¶¡§Ù·ºÊÁÔ§¤ÅÒËÃ×ͧÙÊÒÁàËÅÕÂÁ¡Ñ´ ¶ŒÒäÁ‹ä´ŒãËŒ¡ÒÃÃÑ¡ÉÒ´ŒÇ antivenom
     è                  Õè Ù Ñ                     è
Í‹ҧÃÇ´àÃçÇáÅÐà¾Õ§¾Í ÍÒ¨à¡Ô´¡Ò÷íÒÅÒÂÃкº»ÃÐÊÒ·áÅмٌ»†ÇÂÍÒ¨´Õ¢Öé¹ä´Œâ´Â㪌àÇÅÒ¹Ò¹
ËÅÒÂÊÑ»´Òˏ(2)

            Atropine
            ໚¹ÂÒ·Õ㪌áÉÒÍÒ¡Òèҡ¡ÒáÃеعÃкº»ÃÐÊÒ· cholinergic ઋ¹ ÊÒ÷ÕÍ͡ķ¸Ôì
                    è Ñ                        Œ                                         è
ÂѺÂѧ cholinesterase ઋ¹ ÂÒ¦‹ÒáÁŧ¡ÅØÁ organophosphorus ËÃ×Í carbamate ËÃ×ÍÊÒ÷աÃеع
      é                                 ‹                                                  è Œ
muscarinic receptor â´ÂµÃ§ ઋ¹ ÂÒ pilocarpine ËÃ×ÍàËç´¾ÔɡŨÁ clitocybe ËÃ×Íinocybe ¡Åä¡
                                                                 ‹
¡ÒÃÍ͡ķ¸Ôì 䴌ᡋ ¡ÒÃ໚¹ competitive inhibitor ·Õè muscarinic receptor ¢ŒÍº‹§ªÕé 䴌ᡋ 1) ¡ÒÃÁÕ
ÍÒ¡ÒÃã¹Ãкº muscarinic ઋ¹ ªÕ¾¨ÃªŒÒ ËÅÍ´ÅÁË´à¡Ãç§ ÁÕÊÒäѴËÅѧã¹ËÅÍ´ÅÁ »Í´Áǹ·ŒÍ§
                                                                      è
·ŒÍ§àÊÕ »˜ÊÊÒÇÐÃÒ´ à˧×ÍÍÍ¡ 2) ÀÒÇÐ bradyarrhythmia ¨Ò¡ÊÒþÔÉ·Õ໚¹¾Ôɵ‹ÍËÑÇ㨠ઋ¹ digoxin,
                        è                                           è
calcium channel blocker, beta-adrenergic receptor blocker ¢ŒÍ¤ÇÃÃÐÇѧ 䴌ᡋ ¡ÒÃÁÕ ischemic
heart disease 㹡óշÕè¼ÙŒ»†ÇÂÁÕâäËÅÍ´àÅ×Í´ coronaryÍÂÙ‹áÅÐÍѵÃÒªÕ¾¨ÃàÃçÇÁÒ¡ ¢¹Ò´·Õè㪌
1) 㹡óշÕèäÁ‹á¹‹ã¨Ç‹Ò¼ÙŒ»†Ç¡íÒÅѧáÊ´§ÍÒ¡Òèҡ¾ÔÉÂÒ¦‹ÒáÁŧ¡ÅØ‹Áorganophosphorus ËÃ×Í
carbamate ËÃ×ÍäÁ‹ÍÒ¨¾Ô¨ÒóÒãËŒ atropine ·Ò§ËÅÍ´àÅ×Í´´íÒã¹¢¹Ò´¹ŒÍÂæ ઋ¹ 0.6 ÁÔÅÅÔ¡ÃÑÁ
áŌǵԴµÒÁNjҼٌ»†ÇÂáÊ´§ÍÒ¡ÒþÔɨҡ atropine ËÃ×ÍäÁ‹ ¶ŒÒÁÕÍÒ¡ÒþÔɨҡ atropine áÅŒÇ
¼ÙŒ»†ÇÂÃÒ¹Ñé¹äÁ‹¹‹Ò¨Ð໚¹¡Ã³Õ¾Ôɨҡ organophosphorus ËÃ×Í carbamate 2) 㹡óվÔÉ
organophosphorus ËÃ×Í carbamate ¤ÇÃãËŒ atropine ·Ò§ËÅÍ´àÅ×Í´´íÒã¹¢¹Ò´¤ÃѧÅÐ 1.8-3 ÁÔÅÅÔ¡ÃÑÁ
                                                                              é
áŌǵԴµÒÁ¼Å¡ÒõͺʹͧÀÒÂã¹ 2-5 ¹Ò·Õ ¼Å·ÕµÍ§¡ÒÃ䴌ᡋ ÍÒ¡Òêվ¨ÃªŒÒ ËÅÍ´ÅÁË´à¡Ãç§
                                                 è Œ
àǪÈÒʵÏ·¹Âؤ 2553
          Ñ                                                                                   137

ÁÕÊÒäѴËÅÑè§ã¹ËÅÍ´ÅÁ µŒÍ§ËÁ´ä» ¶ŒÒÂѧäÁ‹ä´Œ¼Å¤ÇÃãËŒ atropine «éíÒâ´Âà¾ÔèÁ¢¹Ò´¢Ö鹤ÃÑé§ÅÐ
1 à·‹ÒµÑÇ(3, 4) 3) ã¹¡Ã³Õ bradyarrhythmia ãËŒ atropine ·Ò§ËÅÍ´àÅ×Í´´íÒã¹¢¹Ò´ 0.6 ÁÔÅÅÔ¡ÃÑÁ
â´ÂãËŒ«éíÒä´ŒµÒÁ¤ÇÒÁ¨íÒ໚¹ ¼ÅÍѹäÁ‹¾Ö§»ÃÐʧ¤ä´Œá¡‹ ÀÒÇоÔɨҡatropine «Öè§ÁÕÍÒ¡Òôѧ¹Õé
ÍÒ¡ÒÃÊѺʹ Á‹Ò¹µÒ¢ÂÒ ªÕ¾¨ÃàÃçÇ ¼ÔÇ˹ѧáËŒ§ (ÊѧࡵºÃÔàdzÃÑ¡áÃŒáÅТÒ˹պ) »Ò¡áËŒ§
ËÁÒÂà赯 ¤ÇÒÁࢌÒ㨼Դ·Õà¡Ô´¢Ö¹º‹Í¤Ãѧ㹡ÒÃ㪌 atropine 㹡ÒÃÃÑ¡ÉÒÀÒÇоÔɨҡÂÒ¦‹ÒáÁŧ
                           è é          é
䴌ᡋ ¡ÒÃãËŒ atropine ã¹¢¹Ò´·Õ¹ÍÂà¡Ô¹ä» à¾ÃÒÐᾷà¡Ã§Ç‹Ò atropine ¨Ð·íÒãËŒ¼»ÇÂÁÕ͵ÃÒªÕ¾¨Ã
                               è Œ                                           ÙŒ †  Ñ
ÊÙ§à¡Ô¹ä» ¤ÇÒÁ¨ÃÔ§áŌǡÒÃãËŒ atropine ¨¹·Ò§à´Ô¹ËÒÂ㨼ٻÇ»ÅÍ´â»Ã‹§à»š¹»¡µÔ¡ÅѺª‹ÇÂãˌ͵ÃÒ
                                                       Œ †                              Ñ
ªÕ¾¨Ã¢Í§¼Ù»ÇªŒÒŧ
             Œ †      (3)



            Ethanol
            㪌㹡ÒÃÃÑ¡ÉÒÀÒÇоÔɨҡ methanol áÅÐ ethylene glycol ¡Åä¡¡ÒÃÍ͡ķ¸Ôì 䴌ᡋ
¡ÒÃ໚¹ competitive inhibitor ¢Í§ enzyme alcohol dehydrogenase ·Õà»ÅÕ¹ methanol áÅÐ ethylene
                                                                    è è
glycol ໚¹ metabolite ·Õ໚¹¾Ôɤ×Í formic acid áÅÐ glycolic acid µÒÁÅíҴѺ ¢ŒÍº‹§ªÕé 1) ¼Ù»Ç·ÕÁÕ
                         è                                                                 Œ † è
»ÃÐÇѵ䴌úÊÒà methanol ËÃ×Í ethylene glycol 2) ¼Ù»Ç·ÕÁÀÒÇÐ wide-anion gap metabolic
       Ô Ñ                                               Œ † è Õ
acidosis áÅÐÁÕ osmolal gap ¡ÇŒÒ§ (>20 mOsm/L) ·ÕäÁ‹ÊÒÁÒö͸ԺÒÂÊÒà˵Øä´Œ 3) ¼Ù»Ç·ÕÁÃдѺ
                                                       è                           Œ † è Õ
ÊÒà methanol ËÃ×Í ethylene glycol ã¹àÅ×Í´ÊÙ§ 䴌ᡋ ÃдѺÍ‹ҧ¹ŒÍ 20 mg/dL áÅÐ50 mg/dL
µÒÁÅíҴѺ(5) ¢ŒÍËŒÒÁ㪌 ¡Ò÷Õè¼ÙŒ»†ÇÂä´ŒÃѺÂÒ·ÕèÍÒ¨·íÒ»¯Ô¡ÔÃÔÂҡѺ ethanol ઋ¹ disulfiram ËÃ×Í
metronidazole ¼ÅÍѹäÁ‹¾§»ÃÐʧ¤ì 1) ÍÒ¡ÒëÖÁ ËÁ´ÊµÔ hypoglycemia 2) ÀÒÇÐ phleblitis ·Ò§ËÅÍ´
                           Ö
àÅ×Í´´íÒ·ÕºÃÔËÒà ethanol 3) ÍÒ¡ÒäÅ×¹äÊŒ ÍÒà¨Õ¹ áÅÐÀÒÇÐ gastritis ¨Ò¡¡ÒúÃÔËÒà ethanol
          è                             è
·Ò§»Ò¡ ËÁÒÂà赯 1) ᾷ¤ÇõÃÐ˹ѡNjҡÒÃÃÑ¡ÉÒ´ŒÇ ethanol ໚¹¡ÒÃÅ´ÀÒÇоÔÉáÅÐ໚¹¡ÒÃ
«×éÍàÇÅÒãËŒ¼ÙŒ»†ÇÂà¡Ô´¾ÔɹŒÍ·ÕèÊØ´¨¹¡Ç‹Ò¨Ðä´ŒÃѺ¡ÒÃÃÑ¡ÉÒàºç´àÊÃ稴ŒÇÂÇÔ¸Õ hemodialysis à·‹Ò¹Ñé¹
2) ᾷ¤ÇõÃÐ˹ѡNjҡÒÃÃÑ¡ÉÒ´ŒÇ ethanol ·Õ¶¡µŒÍ§¹Ñ¹µŒÍ§ÁÕ¡ÒõԴµÒÁÃдѺ ethanol à¾×ÍãËŒ
                                                  è Ù        é                                è
ä´ŒÃдѺ㹠serum Í‹ҧ¹ŒÍ 100–150 mg/dL Í‹ҧäáçµÒÁ¡ÒõԴµÒÁµÃǨÃдѺ ethanol
                                                   (5)

ã¹»ÃÐà·Èä·Â·íÒä´ŒÂÒ¡ÁÒ¡ ¨Ö§ÁÕ¡ÒûÃÐÁÒ³¢¹Ò´¡ÒúÃÔËÒà ethanol à¾×èÍËÇѧãˌ䴌ÃдѺ
·ÕµÍ§¡Òà 3) ᾷ¤ÇõÃÐ˹ѡNjÒã¹»˜¨¨Øº¹ÁÕÂÒµŒÒ¹¾ÔÉ methanol áÅÐ ethylene glycol ·Õ»ÅÍ´ÀÑÂ
   è Œ                                     Ñ                                             è
áÅÐÁÕ»ÃÐÊÔ·¸ÔÀÒ¾ÁÒ¡¡Ç‹Ò ethanol 䴌ᡋ fomepizole «Ö§à»š¹ÂÒ·Õ§äÁ‹Á¡Òâֹ·ÐàºÕ¹áÅÐäÁ‹ÁÕ
                                                           è       è Ñ Õ é
㪌㹻ÃÐà·Èä·Â

           Pralidoxime
           ໚¹ÂÒ·Õ㪌áÉÒÀÒÇоÔɨҡÂÒ¦‹ÒáÁŧ¡ÅØÁ organophosphorus ¡Åä¡¡ÒÃÍ͡ķ¸Ôì
                   è Ñ                                ‹
䴌ᡋ ¡Òÿ„¹¿ÙÄ·¸Ô¢Í§ enzyme cholinesterase â´ÂÁÕà§×͹ä¢Ç‹Ò¡ÒÃÃÑ¡ÉÒ¨Ðä´Œ¼Å¡‹Í¹¡ÒÃà¡Ô´
            œ         ì                                  è
enzyme aging ෋ҹѹ ¢ŒÍº‹§ªÕé 1) ¼Ù»Ç·Õ䴌úÊÒà organophosphorus ·ÕáÊ´§ÍÒ¡Òà ઋ¹ ªÕ¾¨ÃªŒÒ
                    é               Œ † è Ñ                          è
ËÅÍ´ÅÁË´à¡Ãç§ ÁÕÊÒäѴËÅÑè§ã¹ËÅÍ´ÅÁ »Í´Áǹ·ŒÍ§ ·ŒÍ§àÊÕ »˜ÊÊÒÇÐÃÒ´ à˧×èÍÍÍ¡ áÅÐ
¡ÅŒÒÁà¹×Í͋͹áç 2) ¼Ù»Ç·ÕáÊ´§ÍÒ¡ÒâͧÃкº»ÃÐÊÒ· cholinergic ´Ñ§¢ŒÍ·Õ1. áÁŒ¨ÐäÁ‹·ÃÒº
        é               Œ † è                                              è
138                                   ¤ÇÒÁÊíҤѭ¢Í§ÂÒµŒÒ¹¾ÔÉ㹡ÒôÙáżٻÇÂÀÒÇоÔÉà©Õº¾Åѹ
                                                                       Œ †

ṋÇÒ໚¹ÀÒÇоÔɨҡorganophosphorus ¼ÅÍѹäÁ‹¾§»ÃÐʧ¤ 1) ÍÒ¡ÒäÅ×¹äÊŒ »Ç´ÈÕÃÉÐ áÅÐ
    ‹                                                   Ö             è
àÇÕ¹ÈÕÃÉÐ 2) ¡ÒúÃÔËÒ÷ҧËÅÍ´àÅ×Í´´íÒ·ÕàÃçÇà¡Ô¹ä» ÍÒ¨·íÒãËŒà¡Ô´ÍÒ¡Òà laryngospasm ¡
                                                è
ÅŒÒÁà¹×Íà¡Ãç§µÑÇáÅÐ͋͹áç䴌 ËÁÒÂàËµØ ã¹»˜¨¨Øº¹ÁÕËÅÑ¡°Ò¹·Ò§¡ÒÃᾷËÅÒÂàÃ×ͧ·Ñ§ã¹ÅѡɳÐ
       é                                          Ñ                           è é
meta-analysis áÅÐ randomized control trial ·ÕÁ¼Å¢Ñ´áÂŒ§¡Ñ¹·íÒãËŒÁ¤ÇÒÁʧÊÑÂã¹»ÃÐÊÔ·¸ÔÀÒ¾
              (6)                         (7, 8)
                                                    è Õ          Õ
áÅФÇÒÁ»ÅÍ´ÀÑ¢ͧ pralidoxime Í‹ҧäáçµÒÁã¹¢³Ð¹ÕéÂѧá¹Ð¹íÒãˌ㪌ÇÔ¸Õ¡ÒÃÃÑ¡ÉÒµÒÁ
¤íÒá¹Ð¹íҢͧͧ¤¡ÒÃ͹ÒÁÑÂâÅ¡ 䴌ᡋ loading dose 30 mg/kg (2 g. ÊíÒËÃѺ¼ÙãË­‹) ·Ò§ËÅÍ´
                                                                            Œ
àÅ×Í´´íÒã¹àÇÅÒ 20 ¹Ò·Õ µÒÁ´ŒÇ¡ÒúÃÔËÒõ‹Íà¹×ͧ·Ò§ËÅÍ´àÅ×Í´´íÒã¹ÍѵÃÒ 8 mg/kg/ªÑÇâÁ§
                                                      è                              è
(500 mg/ªÑÇâÁ§ ÊíÒËÃѺ¼ÙãË­‹) â´Â¤ÇÃÁÕ¡ÒõԴµÒÁÃдѺ enzyme cholinesterase ໚¹ÃÐÂÐáÅÐ
           è             Œ
ËÂØ´ãËŒ pralidoxime ·ÕàÇÅÒ 12 ªÑÇâÁ§ ËÅѧ¡ÒÃËÂØ´ÃÑ¡ÉÒ´ŒÇ atropine ËÃ×ÍàÁ×ÍÃдѺ enzyme
                       è         è                                        è
cholinesterase à¾ÔÁ¢Ö¹áÅŒÇ
                   è é     (8)



                 Vitamin-K1
                 ໚¹ÂÒµŒÒ¹¾ÔÉ warfarin ËÃ×ÍÊÒÃ¡ÅØÁ superwarfarin ઋ¹ brodifacoum, bromadiolone
                                                   ‹
áÅÐ coumatetralyl «Ö§ãªŒà»š¹ÂÒ¦‹Ò˹٠¡Åä¡¡ÒÃÍ͡ķ¸Ôì â´ÂµŒÒ¹Ä·¸Ôì warfarin áÅÐ superwarfarin
                              è
Í͡ķ¸Ôâ´ÂÂѺÂѧ¡ÒÃÊѧà¤ÃÒÐˏ vitamin K–dependent coagulation factor (factor II, VII, IX áÅÐ
             ì           é
X) ´Ñ§¹Ñ¹¡ÒÃÃÑ¡ÉÒ´ŒÇ vitamin-K1 ¨Ð·íÒãËŒÃдѺ coagulation factor àËŋҹÕáÅСÒÃá¢ç§µÑǢͧàÅ×Í´
         é                                                                     é
¡ÅѺ໚¹»Ã¡µÔ ¢ŒÍº‹§ªÕé ¼Ù»Ç·Õ䴌úÊÒà warfarin ËÃ×Í superwarfarin ·ÕÁ¤Ò prothrombin time áÅÐ
                                Œ † è Ñ                                  è Õ ‹
INR ·ÕÂÒǡNjһáµÔ ¢ŒÍËŒÒÁ㪌 ¼Ù»Ç·Õᾌ vitamin-K1 ¼ÅÍѹäÁ‹¾§»ÃÐʧ¤ ¡ÒúÃÔËÒà vitamin K-1
       è                                 Œ † è                       Ö
·Ò§ËÅÍ´àÅ×Í´´íÒ·ÕàÃçÇà¡Ô¹ä»ÍÒ¨·íÒãËŒà¡Ô´ÀÒÇÐanaphylactoid ´Ñ§¹Ñ¹¡ÒúÃÔËÒ÷ҧËÅÍ´àÅ×Í´´íÒ¤ÇÃ
                            è                                      é
·íÒã¹ÍѵÃÒäÁ‹à¡Ô¹ 1 mg/¹Ò·Õ ËÁÒÂàËµØ á¾·Â¤ÇõѴÊԹ㨺ÃÔËÒà vitamin-K1 à¾×͵ŒÒ¹Ä·¸Ôì warfarin
                                                                                   è
áÅÐ superwarfarin㹡óշÁËÅÑ¡°Ò¹Ç‹ÒÁÕ¤Ò prothrombin time áÅÐ INR ·ÕÂÒǡNjһáµÔ ËÃ×Í
                                    Õè Õ         ‹                               è
㹡óթ¡à©Ô¹·ÕÁàÅ×Í´ÍÍ¡¼Ô´»Ã¡µÔ෋ҹѹ ¡ÒÃãËŒ¡ÒÃÃÑ¡ÉÒ´ŒÇ vitamin-K1 à¾Õ§à¾ÃÒлÃÐÇѵÔ
               Ø       è Õè                    é
¡ÒÃ䴌úÊÒÃ¡ÅØÁ warfarin ËÃ×Í superwarfarin áÅÐäÁ‹ÁËÅÑ¡°Ò¹Í׹ʹѺʹعÍÒ¨·íÒãËŒ¡Ãкǹ¡ÒÃ
           Ñ         ‹                                   Õ             è
´ÙáżٻÇÂÁÕ¤ÇÒÁ«Ñº«ŒÍ¹áÅÐÂÒǹҹËÃ×Íà¡Ô´ÍѹµÃÒÂá¡‹¼»ÇÂä´Œ(9, 10)
      Œ †                                                   ÙŒ †

ÂÒµŒÒ¹¾ÔÉ·ÕèÁÕ¤ÇÒÁÊíҤѭᵋÂѧäÁ‹ÁÕ㪌ã¹ËÃ×ÍËÒÂÒ¡»ÃÐà·Èä·Â
            Cyanide antidote kit
            »ÃСͺ´ŒÇ sodium nitrite áÅÐ sodium hyposulfite ¡Åä¡¡ÒÃÍ͡ķ¸Ôì 1) ¡ÒÃ
¡‹ÍãËŒà¡Ô´ÀÒÇÐ methemoglobinemia â´Â sodium nitrite â´ÂËÇѧãËŒ cyanide ¨Ñº¡Ñº met hemoglobin
á·¹·Õ¨Ð¨Ñº¡Ñº enzyme cytochrome oxidase ·íÒãËŒ enzyme cytochrome oxidase ¿„¹¤×¹Ë¹ŒÒ·Õè
         è                                                                          œ
µÒÁ»Ã¡µÔ 2) thiosulfate à˧»¯Ô¡ÃÂÒ㹡ÒÃà»ÅÕ¹ cyanide ໚¹ÊÒà thiocyante ·ÕÁ¾É¹ŒÍ¡NjÒ
                                   ÔÔ          è                                è Õ Ô
cyanide áŌǢѺ¶‹Ò¨ҡËҧ¡Ò ¢ŒÍº‹§ªÕé 1) ÊÒÁÒöºÃÔËÒà sodium thiosulfate 䴌㹡óշʧÊÑÂ
                                                                                       Õè
NjҼٻÇÂ䴌úÊÒÃcyanide 2) ºÃÔËÒà sodium nitrite 㹡óշ¼»ÇÂà¡Ô´¾ÔÉÃØ¹áç¨Ò¡ cyanide
     Œ †     Ñ                                                Õè ÙŒ †
à·‹Ò¹Ñé¹ä´Œá¡‹ ¡Ò÷Õè¼ÙŒ»†ÇÂÁÕÍÒ¡Òà ªÕ¾¨ÃªŒÒ ¤ÇÒÁ´Ñ¹âÅËÔµµèíÒ ËÁ´ÊµÔ ªÑ¡ metabolic acidosis
àǪÈÒʵÏ·¹Âؤ 2553
          Ñ                                                                                   139

¢ŒÍËŒÒÁ㪌 ËŒÒÁ㪌 sodium nitriteã¹¼Ù»ÇÂÀÒÇоÔɨҡ cyanide ¨Ò¡¡ÒÃÊíÒÅÑ¡¤ÇÑ¹ä¿ ¼ÅÍѹäÁ‹¾§
                                     Œ †                                                    Ö
»ÃÐʧ¤ sodium nitrite ÍÒ¨·í Ò ãËŒ à ¡Ô ´ »Ç´àÇÕ Â ¹ÈÕ Ã ÉÐ ¤ÇÒÁ´Ñ ¹ âÅËÔ µ µèí Ò Å§ áÅÐà¡Ô ´
methemoglobinemia ÁÒ¡à¡Ô¹ä»¨¹à»š¹ÍѹµÃÒÂä´Œ(9, 11)

           Hydroxycobalamine
           ´ŒÇÂà˵طÕè cyanide antidote kit ´Ñ§¡Å‹ÒÇã¹ËÑÇ¢ŒÍ¡‹Í¹Ë¹ŒÒ¹Õé ÍÒ¨ÁÕ¢ŒÍ¨íÒ¡Ñ´ã¹´ŒÒ¹
»ÃÐÊÔ·¸ÔÀÒ¾·Õ㪌 ¨Ö§ÁÕÂÒµŒÒ¹¾Ôɪ¹Ô´ãËÁ‹ä´Œá¡‹ hydroxycobalamine «Ö§ÁÕ»ÃÐÊÔ·¸ÔÀÒ¾ÊÙ§ äÁ‹ÁÕ
              è                                                     è
¢ŒÍ¨íÒ¡Ñ´¡ÒÃ㪌㹡óշÕè¼ÙŒ»†ÇÂÁÒ¨Ò¡à˵ØÊíÒÅÑ¡¤Çѹä¿ËÃ×ÍÁÕÀÒÇФÇÒÁ´Ñ¹âÅËÔµµèíÒ ¹Í¡¨Ò¡¹Õé
hydroxycobalamine ÂѧÁÕ¼ÅÍѹäÁ‹¾§»ÃÐʧ¤·¤Í¹¢ŒÒ§¹ŒÍ ઋ¹ ÍÒ¡ÒäÅ×¹äÊŒ ÍÒà¨Õ¹ àÇÕ¹ÈÕÃÉÐ
                                  Ö         Õè ‹                      è
áÅСÒÃà»ÅÕ¹ÊբͧÊÒùéÒã¹Ã‹Ò§¡Ò ¢ŒÍ¨íҡѴ㹡ÒèѴËÒ hydroxycobalamine 䴌ᡋÃÒ¤Ò·Õè
           è             í          (9, 11)

á¾§áÅÐÍѵÃÒ¡ÒÃ㪌ÂÒ¹ŒÍÂ

             .omepizole (4-methylpyrazole)
             ໚¹ÂÒµŒÒ¹¾ÔÉ methanol áÅÐ ethylene glycol ¡Åä¡¡ÒÃÍ͡ķ¸Ôì fomepizole
໚¹ competitive inhibitor ¢Í§ enzyme alcohol dehydrogenase ·Õà»ÅÕ¹ methanol áÅÐ ethylene
                                                                  è è
glycol ໚¹ metabolite ·Õ໚¹¾Ôɤ×Í formic acid áÅÐ glycolic acid µÒÁÅíҴѺ ¢ŒÍº‹§ªÕé ઋ¹à´ÕÂǡѺ
                         è
ethanol ¼ÅÍѹäÁ‹¾§»ÃÐʧ¤ ÍÒ¡ÒäÅ×¹äÊŒ ÍÒà¨Õ¹ àÇÕ¹ÈÕÃÉÐ ¤ÇÒÁÊíҤѭ·Ò§¤ÅÔ¹¡ fomepizole
                     Ö                  è                                          Ô
໚ ¹ ÂÒµŒ Ò ¹¾Ô É methanol áÅÐ ethylene glycol ·Õè ÁÕ » ÃÐÊÔ · ¸Ô À Ò¾áÅлÅÍ´ÀÑ Â ÁÒ¡ (12)
â´Â੾ÒÐÍ‹ҧÂÔ§àÁ×Íà·Õº¡Ñº ethanol ·ÕÁâÍ¡ÒÊà¡Ô´¼Å·ÕäÁ‹¾§»ÃÐʧ¤ÁÒ¡áÅÐÍҨ໚¹ÍѹµÃÒÂ
                   è è                    è Õ             è Ö
¢ŒÍ¨íÒ¡Ñ´¢Í§ fomepizole 䴌ᡋ ÃÒ¤Ò·Õá¾§áÅÐÁշ㪌¹Í¨֧ÂѧäÁ‹Á¡Òâֹ·ÐàºÕ¹㹻ÃÐà·Èä·Â
                                      è          Õè Œ            Õ é

            Glucagon
            ໚¹ÂÒµŒÒ¹¾ÔÉ·Õ㪌áÉÒÀÒÇФÇÒÁ´Ñ¹âÅËÔµµèÒ¨Ò¡¾ÔÉ calcium channel blocker áÅÐ
                             è Ñ                      í
beta-adrenergic receptor blocker ¡Åä¡¡ÒÃÍ͡ķ¸Ôì ¡Ãеع¡ÒÃÊÌҧ adenyl cyclase «Ö§à¾ÔÁ cyclic
                                                        Œ                         è è
adenosine monophosphate (cAMP) â´ÂäÁ‹¼Ò¹ calcium áÅÐ adrenergic receptor ·íÒãËŒËÇã¨
                                             ‹                                           Ñ
ºÕºµÑÇä´Œ´Õ¢Öé¹áÅÐà¾ÔèÁ¤ÇÒÁ´Ñ¹âÅËÔµ ¼ÅÍѹäÁ‹¾Ö§»ÃÐʧ¤ ·íÒãËŒà¡Ô´ÀÒÇÐ hyperglycemia áÅÐ
hypokalemia ¤ÇÒÁÊíҤѭ·Ò§¤ÅÔ¹¡ ÀÒÇФÇÒÁ´Ñ¹âÅËÔµµèÒ¨Ò¡¾ÔÉ calcium channel blocker áÅÐ
                                  Ô                       í
beta-adrenergic receptor blocker ÁÕ͹µÃÒ¶֧ªÕǵáÅÐäÁ‹µÍºÊ¹Í§µ‹Í¡ÒÃÃÑ¡ÉÒµÒÁẺ·Õ㪌áÉÒ
                                    Ñ          Ô                                    è Ñ
¤ÇÒÁ´Ñ¹âÅËÔµµèÒµÒÁ»Ã¡µÔ ¨Ö§¨íÒ໚¹µŒÍ§ãªŒ¡ÒÃÃÑ¡ÉÒËÅÒÂÃٻẺÃÇÁ·Ñ§ glucagon «Ö§¨Ñ´à»š¹¡ÒÃ
                 í                                                 é            è
ÃÑ¡ÉÒÃдѺÁҵðҹ·Õ໚¹·ÕÂÍÁÃѺ ã¹¢³Ð·Õ¡ÒÃÃÑ¡ÉÒÍ×¹æ ઋ¹ hyperinsulinemia/euglycemia (HIE)
                       è   è              è        è
ËÃ×Í lipid emulsion therapy Âѧ¨Ñ´ÍÂÙã¹ÃдѺ¡ÒÃÈÖ¡ÉÒÇÔ¨Â(13)
                                      ‹                     Ñ
140                                          ¤ÇÒÁÊíҤѭ¢Í§ÂÒµŒÒ¹¾ÔÉ㹡ÒôÙáżٻÇÂÀÒÇоÔÉà©Õº¾Åѹ
                                                                              Œ †

           Pyridoxine
           ໚¹ÂÒµŒÒ¹¾ÔÉ isonizid ËÃ×Í monomethylhydrazines ¨Ò¡¾ÔÉàËç´¡ÅØÁ Gyromitra (àËç´
                                                                           ‹
ÊÁͧÇÑÇ àËç´ÊÁͧ¤ÇÒÂ) «Ö§¾ÔÉàËŋҹշÒãËŒà¡Ô´ÍÒ¡ÒêѡáÅÐÀÒÇÐ lactic acidosis ·ÕÁ¡äÁ‹µÍºÊ¹Í§
                        è          é í                                         è Ñ
µ‹Í¡ÒÃÃÑ¡ÉÒ´ŒÇÂÂҡѹªÑ¡ ¢¹Ò´·Õ㪌áÉÒ䴌ᡋ¢¹Ò´ 5 ¡ÃÑÁ «Ö§Áѡ໚¹¢¹Ò´·ÕäÁ‹ÊÒÁÒöËÒä´Œ
                                è Ñ                     (14)
                                                             è               è
ã¹âç¾ÂÒºÒÅã¹»ÃÐà·Èä·ÂáÁŒ¨Ð໚¹ÃдѺâç¾ÂÒºÒÅÈٹËÃ×Íâç¾ÂÒºÒÅÁËÒÇÔ·ÂÒÅÑÂ

ÊÃØ»
         ¨Ò¡µÑÇÍ‹ҧáÅÐÃÒÂÅÐàÍÕ´¢ŒÒ§µŒ¹ ¨ÐàËç¹Ç‹Ò¡ÒÃ㪌ÂÒµŒÒ¹¾ÔÉáÅСÒèѴËÒ¡ÒõŒÒ¹¾ÔÉ
Í‹ Ò §àËÁÒÐÊÁ໚ ¹ ÊÔè § ·Õè ÁÕ ¤ ÇÒÁ¨í Ò à»š ¹ 㹡Òô٠á żٌ »† Ç ÂÀÒÇÐ¾Ô É à©Õ  º¾ÅÑ ¹ ãËŒ ä ´Œ ÃÑ º ¤ÇÒÁ
»ÅÍ´ÀÑÂÊÙ§·ÕÊ´ Í‹ҧäáçµÒÁÇÔªÒ¾ÔÉÇÔ·ÂÒ¤ÅÔ¹¡à»š¹ÊÒ¢Ò·ÕÁ¤ÇÒÁ¡ŒÒÇ˹ŒÒÍ‹ҧÃÇ´àÃçÇ «Ö§ÍÒ¨·íÒ
             èØ                                      Ô               è Õ                                è
ãËŒÁͧ¤¤ÇÒÁÃÙËÃ×ÍËÅÑ¡°Ò¹ãËÁ‹··ÒãËŒà¡Ô´¡ÒÃà»ÅÕ¹á»Å§ã¹á¹Ç·Ò§¡ÒÃÃÑ¡ÉÒ¼Ù»ÇÂÍ‹ҧµ‹Íà¹×ͧ
     Õ          Œ                    Õè í              è                                Œ †                    è
ᾷáÅкؤÅҡ÷ҧÊÒ¸ÒÃ³ÊØ¢¨Ö§¤ÇûÃÖ¡ÉÒÈٹ¾ÉÇÔ·ÂÒà¾×ÍãËŒ¡Òê‹ÇÂàËÅ×Í㹡ÒôÙáżٻÇÂ
                                                            Ô            è                                 Œ †
Í‹ҧàËÁÒÐÊÁ

àÍ¡ÊÒÃ͌ҧÍÔ§
1.  Pochanugool C, Limthongkul S, Wilde H. Management of Thai cobra bites with a single bolus of antivenin.
    Wilderness Environ Med 1997;8(1):20-3.
2. Laothong C, Sitprija V. Decreased parasympathetic activities in Malayan krait (Bungarus candidus) envenoming.
    Toxicon 2001;39(9):1353-7.
3. Eddleston M, Dawson A, Karalliedde L, Dissanayake W, Hittarage A, Azher S, et al. Early management after
    self-poisoning with an organophosphorus or carbamate pesticide - a treatment protocol for junior doctors. Crit
    Care 2004;8(6):R391-7.
4. Eddleston M, Buckley NA, Checketts H, Senarathna L, Mohamed ., Sheriff MH, et al. Speed of initial
    atropinisation in significant organophosphorus pesticide poisoning—a systematic comparison of recommended
    regimens. J Toxicol Clin Toxicol 2004;42(6):865-75.
5. Kraut JA, Kurtz I. Toxic alcohol ingestions: clinical features, diagnosis, and management. Clin J Am Soc
    Nephrol 2008;3(1):208-25.
6. Peter JV, Moran JL, Graham P. Oxime therapy and outcomes in human organophosphate poisoning: an
    evaluation using meta-analytic techniques. Crit Care Med 2006;34(2):502-10.
7. Eddleston M, Eyer P, Worek ., Juszczak E, Alder N, Mohamed ., et al. Pralidoxime in acute organophosphorus
    insecticide poisoning—a randomised controlled trial. PLoS Med 2009;6(6):e1000104.
8. Eddleston M, Buckley NA, Eyer P, Dawson AH. Management of acute organophosphorus pesticide poisoning.
    Lancet 2008;371(9612):597-607.
9. Betten DP, Vohra RB, Cook MD, Matteucci MJ, Clark R.. Antidote use in the critically ill poisoned patient. J
    Intensive Care Med 2006;21(5):255-77.
10. Nelson AT, Hartzell JD, More K, Durning SJ. Ingestion of superwarfarin leading to coagulopathy: a case report
    and review of the literature. MedGenMed 2006;8(4):41.
àǪÈÒʵÏ·¹Âؤ 2553
          Ñ                                                                                            141

11. Hall AH, Saiers J, Baud .. Which cyanide antidote? Crit Rev Toxicol 2009;39(7):541-52.
12. Brent J. .omepizole for ethylene glycol and methanol poisoning. N Engl J Med 2009;360(21):2216-23.
13. Kerns W, 2nd. Management of beta-adrenergic blocker and calcium channel antagonist toxicity. Emerg Med
    Clin North Am 2007;25(2):309-31; abstract viii.
14. Lheureux P, Penaloza A, Gris M. Pyridoxine in clinical toxicology: a review. Eur J Emerg Med 2005;12(2):
    78-85.
àǪÈÒʵÏ·¹Âؤ 2553
          Ñ                                                                         º··Õè        143

                                                                                     21
             ¡ÒÃÍÍ¡¡íÒÅѧËÅѧ¡Ò÷íÒËѵ¶¡ÒÃËÃ×ͼ‹ÒµÑ´ËÑÇã¨
                                       ÃͧÈÒʵÃÒ¨ÒÏ ᾷ˭ԧ¡ÁŷԾ ËÒ­¼´Ø§¡Ô¨
                   ÀÒ¤ÇÔªÒàǪÈÒʵÏ¿¹¿Ù ¤³Ðá¾·ÂÈÒʵÏÈÃÃÒª¾ÂÒºÒÅ ÁËÒÇÔ·ÂÒÅÑÂÁËÔ´Å
                                    „œ                 ÔÔ

                àÁ×Í໚¹âäËÑÇ㨠¼Ù»ÇÂʋǹãË­‹¨Ð¡Ñ§ÇÅäÁ‹¡ÅŒÒ·íÒ¡Ô¨¡ÃÃÁµ‹Ò§æ «Ö§ÃÇÁ¶Ö§¡ÒÃÍÍ¡¡íÒÅѧ´ŒÇÂ
                       è           Œ †                                        è
áÅÐàÁ×ͼٻÇÂࢌÒÃѺ¡ÒÃÃÑ¡ÉÒ´ŒÇ¡Ò÷íÒËѵ¶¡ÒÃËÃ×Í¡Ò÷íÒ¼‹ÒµÑ´·Õà¡ÕÂǡѺËÑÇ㨠¼Ù»Ç¨ÐÂÔ§¢Ò´
             è Œ †                                                        è è           Œ †     è
¤ÇÒÁÁѹ㨠äÁ‹á¹‹ã¨Ç‹Ò µ¹¤Ç÷íÒ¡Ô¨¡ÃÃÁã¹ÃдѺã´ÁÒ¡¹ŒÍÂᤋä˹ ·íÒãˌŴ¡Ò÷íÒ¡Ô¨¡ÃÃÁŧ
              è
«Ö§¨Ð¹íÒä»ÊÙÀÒÇж´¶Í (deconditioning ËÃ×Í immobilization syndrome) ·íÒãËŒÊÀҾËҧ¡ÒÂ͋͹
    è                    ‹
áçŧä»ÍÕ¡
                ã¹»˜¨¨Øº¹¡ÒôÙáÅÃÑ¡ÉҼٻǵ‹Ò§æ ¹Ñ¹à¹Œ¹¡ÒÃà¤Å×͹äËÇËҧ¡ÒÂËÃ×Í¡Ò÷íÒ¡Ô¨¡ÃÃÁãËŒàÃçÇ
                               Ñ          Œ †      é               è
·Õʴ෋ҷըзíÒä´Œ (early mobilization) «Ö§¡ÒôÙáÅÃÑ¡ÉÒ¼Ù»ÇÂâäËÑÇ㨡ç໚¹ä»ã¹á¹Ç·Ò§à´ÕÂǡѹ
        èØ           è                          è              Œ †
´Ñ§¹Ñ鹡ÒÃãËŒ¤íÒá¹Ð¹íÒà¡ÕèÂǡѺ¡Ô¨¡ÃÃÁ·Õè·íÒä´ŒËÃ×Í¡ÒÃÍÍ¡¡íÒÅѧ·ÕèàËÁÒÐÊÁ¨Ö§à»š¹ÊÔè§·Õè¨íÒ໚¹
·Ñ§ã¹´ŒÒ¹¡Òû‡Í§¡Ñ¹ÀÒÇж´¶Í ¡Òû‡Í§¡Ñ¹âäËÑÇã¨áºº·ØµÂÀÙÁáÅСÒÿ„¹¿ÙÊÁÃöÀÒ¾«Ö§¨Ð
      é                                                              Ô Ô             œ            è
ª‹ÇÂãËŒ¼»ÇÂÁÕ¤³ÀÒ¾ªÕǵ·Õ´¢¹ ͹֧㹺·¤ÇÒÁ¹ÕÁ§à¹Œ¹·Õ¡ÒôÙáżٻÇÂâäËÑÇ㨢ҴàÅ×Í´ËÃ×Íâä
                ÙŒ †         Ø   Ô è Õ Öé è             é Ø‹     è       Œ †
ËÅÍ´àÅ×Í´á´§â¤âùÒÃÕ ( ischemic heart disease, IHD ËÃ×Í coronary artery disease, CAD )
໚¹ËÅÑ¡ â´Â੾ÒÐËÅѧ¡Ò÷íÒËѵ¶¡ÒÃËÃ×ͼ‹ÒµÑ´ËÑÇ㨠«Ö§ÁÕ໇ÒËÁÒ ¤×Í ãËŒ¼»ÇÂäÁ‹à¨çº»Ç´ ÁÕ¤ÇÒÁ
                                                             è                  ÙŒ †
Áѹã¨ã¹¡Ò÷íÒ¡Ô¨¡ÃÃÁ·Ò§¡ÒÂÁÒ¡¢Ö¹ ÊÒÁÒö·íÒ¡Ô¨ÇѵûÃШíÒÇѹ´ŒÇµ¹àͧ ·ÃÒºá¹Ç·Ò§¡ÒÃ
  è                                           é
ÍÍ¡¡íÒÅѧËÃ×ÍÃдѺ¡Ô¨¡ÃÃÁ·Õ¤Ç÷íÒÀÒÂËÅѧ¡Ò÷íÒËѵ¶¡ÒÃËÃ×ͼ‹ÒµÑ´ áÅÐÍÍ¡¡íÒÅѧÍ‹ҧÊÁèÒàÊÁÍ
                                       è                                                      í
µ‹Íà¹×ͧ ´Ñ§¹Ñ¹âäËÑÇã¨ã¹·Õ¹¨ÐËÁÒ¶֧ IHD ËÃ×Í CAD áÅСÒÃÍÍ¡¡íÒÅѧ¨ÐËÁÒÂÃÇÁ¶Ö§¡Ò÷íÒ
           è               é         è Õé
¡Ô¨¡ÃÃÁ·Ò§¡Ò´ŒÇÂ

¹ÔÂÒÁ
        1. ¡Ô¨¡ÃÃÁ·Ò§¡Ò (Physical activity, PA) ËÁÒ¶֧ ¡ÒÃà¤Å×͹äËÇËҧ¡Ò·ÕÁ¼Å·íÒãËŒ
                                                                   è                 è Õ
à¡Ô´¡ÒÃ㪌ËÃ×Íà¼Ò¼ÅÒ­¾Åѧ§Ò¹à¾ÔÁ¢Ö¹¨Ò¡¢³Ð¾Ñ¡
                                   è é
        2. ¡ÒÃÍÍ¡¡íÒÅѧ ËÁÒ¶֧ ¡Ô¨¡ÃÃÁ·Ò§¡ÒÂÍ‹ҧ˹Öè§·ÕèÁÕÃٻẺ¡ÒÃà¤Å×è͹äËÇËҧ¡ÒÂ
·Õª´à¨¹áÅзíÒ«éÒà¾×ÍãËŒà¡Ô´¤ÇÒÁÊÁºÙóá¢ç§áç¢Í§Ã‹Ò§¡ÒÂ
  è Ñ            í è
        3. ¡Ò÷íÒËѵ¶¡ÒÃËÃ×ͼ‹ÒµÑ´ËÑÇ㨠㹷չÕé ËÁÒ¶֧ ¡Ò÷íÒËѵ¶¡Òà percutatneous coronary
                                                è
intervention (PCI) áÅÐ ËÃ×Í ¡Ò÷íÒ¼‹ÒµÑ´·Ò§àºÕ§ËÅÍ´àÅ×Í´ËÑÇã¨â¤âùÒÃÕ (coronary artery bypass
                                              è
graft, CABG)
144                                              ¡ÒÃÍÍ¡¡íÒÅѧËÅѧ¡Ò÷íÒËѵ¶¡ÒÃËÃ×ͼ‹ÒµÑ´ËÑÇã¨

        4. Metabolic equivalent time (MET) ËÁÒ¶֧ ÃдѺ¢Í§àÁµÒºÍÅÔ«Á¢Í§Ã‹Ò§¡ÒÂàÁ×ͤԴ
                                                                           Ö               è
໚¹¨íҹǹ෋ҢͧàÁµÒºÍÅÔ«Á¢³Ð¾Ñ¡ â´Âã¹¢³Ð¾Ñ¡Ã‹Ò§¡ÒÂÁÕ¡ÒÃ㪌ÍÍ¡«Ôਹà¾×ÍãËŒà¡Ô´¾Åѧ§Ò¹
                             Ö                                                 è
3.5 ÁÔÅÅÔŵÃ/¹éÒ˹ѡµÑÇ 1 ¡ÔâÅ¡ÃÑÁ/¹Ò·Õ ¡Å‹ÒÇ ¤×Í ¢³Ð¾Ñ¡Ã‹Ò§¡Ò¨ÐÁÕÃдѺàÁµÒºÍÅÔ«Á 1 MET
          Ô í                                                                        Ö
ËÃ×ÍÁÕ¡ÒÃ㪌ÍÍ¡«Ôਹ 3.5 ÁÔÅÅÔŵÃ/¹éÒ˹ѡµÑÇ 1 ¡ÔâÅ¡ÃÑÁ/¹Ò·Õ ´Ñ§¹Ñ¹ ¨Ö§¹ÔÂÁ㪌 ¨íҹǹ MET ã¹
                               Ô í                                é
¡Òú‹§ºÍ¡¶Ö§ ÃдѺ¡ÒÃ㪌ÍÍ¡«Ôਹ¢Í§Ã‹Ò§¡Ò ¾Åѧ§Ò¹ËÃ×ÍÃдѺ¤ÇÒÁ˹ѡ¢Í§¡Ô¨¡ÃÃÁ·Õ·Ò ઋ¹ è í
        ! ¹Ñ§¾ÔÁ¾§Ò¹ËÃ×Í㪌¤ÍÁ¾ÔÇàµÍÏ
             è                                          1.5               METs
        ! Â׹Ōҧ¨Ò¹ àµÃÕÂÁÍÒËÒà                        2.0-2.5           METs
        ! ÍÒº¹éíÒ                                       2-3               METs
        ! Ōҧö ¡ÇÒ´ºŒÒ¹                               3 - 3.5           METs
        ! ¡ÒÃà´Ô¹àÃ×ÍÂæã¹ºŒÒ¹ËÃ×Í·Õ·Ò§Ò¹
                    è                è í                2                 METs
        ! à´Ô¹àÃçÇæº¹¾×¹ÃÒº (4 äÁŏ/ ªÑÇâÁ§)
                         é               è              5                 METs
        ! ¡ÒÃŧºÑ¹ä´                                    2.5               METs
        ! ¡ÒâֹºÑ¹ä´
                 é                                      4.0               METs

         5. ÃдѺ¤ÇÒÁà˹×Í (Rate of perceived exertion, RPE) ໚¹ÇÔ¸¡ÒÃÍ‹ҧ˹֧·Õ㪌ºÍ¡ÃдѺ
                         è                                           Õ          è è
¤ÇÒÁ˹ѡ¢Í§¡Ò÷íÒ¡Ô¨¡ÃÃÁ ·Õ¹ÂÁ㪌¡¹ ¤×Í Borg scale ·Õ¡Ò˹´¤ÇÒÁà˹×Í ໚¹ÃдѺµÑÇàÅ¢
                              è Ô      Ñ                   è í              è
µÑ§áµ‹ 6-20 (µÒÃÒ§·Õè 1)
  é
µÒÃÒ§·Õè 1 ÃдѺ¤ÇÒÁà˹×èÍ Borg scale
¤Ðá¹¹                                                ¤ÇÒÁÃÙÊ¡
                                                           Œ Ö
6
7                                   ÃÙʡʺÒÂ
                                      ΅                         very very light
8
9                                   äÁ‹à˹×ÍÂ
                                           è                     very light
10
11                                  àÃÔÁÃÙÊ¡à˹×ÍÂ
                                       è ŒÖ     è                fairly light
12
13                                  ¤‹Í¹¢ŒÒ§à˹×ÍÂ
                                                è                somewhat hard
14
15                                  à˹×ÍÂ
                                        è                        hard
16
17                                  à˹×ÍÂÁÒ¡
                                        è                        very hard
18
19                                  à˹×Í·ÕÊ´
                                        è èØ                     very very hard
20
àǪÈÒʵÏ·¹Âؤ 2553
          Ñ                                                                              145

        6. Heart rate reserve (HRR) ËÃ×Í Karvonen method ໚¹ÇÔ¸¡ÒáíÒ˹´¤ÇÒÁ˹ѡ¢Í§¡ÒÃ
                                                                 Õ
ÍÍ¡¡íÒÅѧÍ‹ҧ˹֧ â´Â¡íÒ˹´à»š¹ ÃŒÍÂÅТͧʋǹµ‹Ò§¢Í§ÍѵÃÒ¡ÒÃൌ¹¢Í§ËÑÇ㨠ÊÙ§ÊØ´ (maximal
                  è
heart rate, HR max ¡ÑºÍѵÃÒ¡ÒÃൌ¹¢Í§ËÑÇ㨠¢³Ð¾Ñ¡ (resting heart rate, HRrest )
                                THR= %(HRmax- HRrest) + HRrest

à˵ؼŷÕ赌ͧÍÍ¡¡íÒÅѧ
        ¡ÒÃÍÍ¡¡íÒÅѧÁÕËÅÒª¹Ô´ ᵋ¡ÒÃÍÍ¡¡íÒÅѧ·ÕèÁÕ»ÃÐ⪹áÅÐ㪌à¾×èÍÊ‹§àÊÃÔÁÊØ¢ÀÒ¾áÅÐ
»‡Í§¡Ñ¹âäËÑÇ㨠¤×Í ¡ÒÃÍÍ¡¡íÒÅѧà¾×Íà¾ÔÁ¤ÇÒÁ·¹·Ò¹ËÃ×ͤÇÒÁÊÁºÙó¢Í§ÃкºËÑÇ㨠ËÅÍ´àÅ×Í´
                                   è è
áÅлʹ ËÃ×Í ¡ÒÃÍÍ¡¡íÒÅѧẺáÍâúԤ ¡ÒÃÍÍ¡¡íÒÅѧª¹Ô´¹ÕéÁØ‹§ãËŒà¡Ô´¡ÒûÃѺµÑǢͧËҧ¡ÒÂ
ãËŒÊÒÁÒö´Ö§ÍÍ¡«Ôਹä»ãªŒ»ÃÐ⪹ä´Œ´Õ¢Öé¹ â´Â¾ºÇ‹Ò¡ÒÃÍÍ¡¡íÒÅѧẺáÍâúԤ ÁÕ»ÃÐ⪹
ª‹Ç»‡Í§¡Ñ¹âäËÑÇ㨴ѧáÊ´§ã¹ÃÙ»·Õè 1(1) ´Ñ§¹Ñ¹¡ÒÃÍÍ¡¡íÒÅѧª¹Ô´¹Õ¨§à»š¹¡ÒÃÍÍ¡¡íÒÅѧ·Õá¹Ð¹íÒãËŒ
                                             é                  éÖ                  è
·íÒ໚¹»ÃШíÒ㹪‹Ç§·ÕÍÍ¡¨Ò¡âç¾ÂÒºÒÅËÃ×Íá¢ç§áç¢Ö¹áÅŒÇ
                     è                               é
        ¡ÒÃÍÍ¡¡íÒÅѧ¨Ñ´à»š¹à¤Ã×ͧÁ×ÍÊíҤѭ㹡Òÿ„¹¿ÙÊÁÃöÀÒ¾¼Ù»ÇÂâä CAD â´Â¡Òÿ„¹¿Ù
                               è                  œ                Œ †                   œ
ÊÁÃöÀÒ¾·ÕÁ¡ÒÃÍÍ¡¡íÒÅѧ໚¹Í§¤»ÃСͺÁÕ»ÃÐ⪹ã¹¡ÒÃÅ´ÍѵÃÒ¡ÒÃàÊÕªÕǵ¨Ò¡âäËÑÇã¨(2)
             è Õ                                                            Ô
Å´ÃдѺâ¤àÅÊàµÍÃÍÅ ÃдѺ¤ÇÒÁ´Ñ¹âÅËÔµ«ÔÊâµÅÔ¤ (systolic blood pressure, SBP)(3) áÅÐÂѧª‹ÇÂ
»‡Í§¡Ñ¹¡ÒÃ໚¹«éÒÃÇÁ·Ñ§¨Ðª‹ÇÂÅ´ÍѵÃÒ¡ÒÃà¡Ô´ËÅÍ´àÅ×Í´µÕºµÑ¹ÀÒÂËÅѧ¡Ò÷íÒ PCI
                 í     é




ÃÙ»·Õè 1 áÊ´§¼Å¡Òû‡Í§¡Ñ¹âäËÑÇ㨢ͧ¡Ô¨¡ÃÃÁ·Ò§¡Ò·Õè·íÒÊÁèíÒàÊÁÍ(1)
         BP = blood pressure; HR = heart rate
146                                            ¡ÒÃÍÍ¡¡íÒÅѧËÅѧ¡Ò÷íÒËѵ¶¡ÒÃËÃ×ͼ‹ÒµÑ´ËÑÇã¨

ÃÐÂТͧ¡Òÿ„œ¹¿ÙÊÁÃöÀÒ¾¼ÙŒ»†ÇÂâäËÑÇã¨
        ¡Òÿ„¹¿ÙÊÁÃöÀÒ¾¼Ù»ÇÂâäËÑÇ㨫֧ÁÕ¡ÒÃÍÍ¡¡íÒÅѧ໚¹à¤Ã×ͧÁ×Í·ÕÊҤѭ ÊÒÁÒö¨Ñ´áº‹§
             œ               Œ †          è                    è      èí
໚¹ 3 ËÃ×Í 4 ÃÐÂТֹ¡ÑºÅѡɳСÒèѴẋ§ â´ÂÃÐÂзÕè 1 ¨Ð໚¹ÃÐÂмٻÇÂã¹ (inpatient) àÊÁÍ
                    é                                             Œ †
áÅÐÃÐÂÐÊØ´·ŒÒ¨Ð໚¹ÃÐÂÐ maintenance ·ÕãËŒ¼»Ç´ÙáÅÃѺ¼Ô´ªÍºµ¹àͧ ÃÐÂе‹Ò§æ 䴌ᡋ
                                         è ÙŒ †
        ÃÐÂзÕè 1      ¼Ù»ÇÂã¹
                         Œ †
        ÃÐÂзÕè 2      immediate outpatient ËÃ×ÍÃÐÂоѡ¿„¹œ
        ÃÐÂзÕè 3      intermediate outpatient
        ÃÐÂзÕè 4      maintenance ËÃ×Í ¡Òû‡Í§¡Ñ¹¡ÒÃ໚¹«éÒ í
        â´ÂᵋÅÐÃÐÂШÐ㪌àÇÅÒ·ÕäÁ‹à·‹Ò¡Ñ¹ (ÃÙ»·Õè 2) ÃÐÂзÕè 2 áÅÐÃÐÂзÕè 3໚¹ÃÐÂзÕÍÒ¨
                                 è                  (4)
                                                                                     è
¾Ô¨ÒóÒÃÇÁ໚¹ÃÐÂÐà´ÕÂǡѹ áÅÐÃÐÂзÕè 4 »ÃѺ໚¹ÃÐÂзÕè 3 á·¹




                  ÃÙ»·Õè 2 ÃÐÂТͧ¡Òÿ„œ¹¿ÙÊÁÃöÀÒ¾¼ÙŒ»†ÇÂâäËÑÇã¨(4)

¡ÒûÃÐàÁÔ¹áÅÐá¹Ç·Ò§¡ÒÃÍÍ¡¡íÒÅѧ
        ¡ÒûÃÐàÁÔ¹¼Ù»Ç¡‹Í¹ÍÍ¡¡íÒÅѧ໚¹ÊÔ§ÊíҤѭáÅШíÒ໚¹Í‹ҧÂÔ§â´Â੾ÒмٻÇÂËÅѧ¡Ò÷íÒ
                     Œ †                  è                       è          Œ †
Ëѵ¶¡ÒÃËÃ×ͼ‹ÒµÑ´ ·Ñ§¹Õ¡ÒûÃÐàÁÔ¹¨Ð»ÃСͺ´ŒÇ ¡Òëѡ»ÃÐÇÑµÔ ¡ÒõÃǨËҧ¡Ò ÃÇÁ¶Ö§¡ÒÃ
                      é é
ÃѺÃÙáÅÐÊÀÒ¾ÍÒÃÁ³ ¤Å׹俿‡ÒËÑÇ㨠¼Å¡ÒõÃǨ·Ò§ËŒÍ§»¯Ôºµ¡Òà â´ÂµŒÍ§¤íÒ¹Ö§¶Ö§âä·Õ¾º
     Œ                    è                                   Ñ Ô                       è
ËÇÁ ÃдѺ¡Ô¨¡ÃÃÁ·Õ·Òä´Œ ໇ÒËÁÒÂËÃ×ͤÇÒÁµŒÍ§¡Òâͧ¼Ù»Ç ÃÇÁ¶Ö§ÅѡɳЧҹÍÒªÕ¾·ÕµÍ§·íÒ
                   è í                                  Œ †                         è Œ
        ¡ÒûÃÐàÁÔ¹¨Ðª‹ÇÂãËŒ·ÃÒº¶Ö§ÊÀÒÇТͧ¼Ù»Ç ¤ÇÒÁàÊÕ§㹡ÒÃÍÍ¡¡íÒÅѧËÃ×Í·íÒ¡Ô¨¡ÃÃÁ
                                                Œ †         è
·Ò§¡Ò (µÒÃÒ§·Õè 2)(4) à¹×ͧ¨Ò¡¼Ù»ÇºҧÃÒÂÍÒ¨ÁÕ¢ÍËŒÒÁ (µÒÃÒ§·Õè 3) (4) ËÃ×Í¢ŒÍ¨íÒ¡Ñ´ ·íÒãËŒ
                            è    Œ †                Œ
äÁ‹ÊÒÁÒöÍÍ¡¡íÒÅѧËÃ×Í·íÒ¡Ô¨¡ÃÃÁ䴌͋ҧ»¡µÔËÃ×Í·íÒãËŒ¡ÒÃÍÍ¡¡íÒÅѧàºÕ§ູ仨ҡá¹Ç·Ò§·Õè
                                                                      è
ÇÒ§äÇŒ µÑÇÍ‹ҧâäËÃ×ÍÀÒÇзÕè·íÒãËŒà¡Ô´¡ÒÃàºÕè§ູ·Õ辺º‹ÍÂáÊ´§ã¹µÒÃÒ§·Õè 4(4) ¹Í¡¨Ò¡¹Õé
¡ÒûÃÐàÁÔ¹ÂѧÃÇÁ¶Ö§¡ÒõԴµÒÁ´Ù¡Òõͺʹͧ¢³ÐÍÍ¡¡íÒÅѧ´ŒÇÂ
        á¹Ç·Ò§¡ÒÃÍÍ¡¡íÒÅѧÃÐÂе‹Ò§æ áÊ´§ã¹µÒÃÒ§·Õè 5(5) â´Â¡ÒÃÍºÍØ¹Ã‹Ò§¡Ò (warm up)
                                                                        ‹
áÅСÒÃàºÒà¤Ã×èͧ (cool down) ໚¹¡ÒÃÍÍ¡¡íÒÅѧ·ÕèÊíҤѭáÅÐäÁ‹¹Ñºà»š¹Ê‹Ç¹¢Í§¡ÒÃÍÍ¡¡íÒÅѧ
ã¹·Ø¡ÃÐÂзըСŋÒǶ֧µ‹Íä»
             è
àǪÈÒʵÏ·¹Âؤ 2553
          Ñ                                                                                                                       147

           ÃÐÂзÕè 1 ÃÐÂмٌ»†ÇÂã¹ ¨ÐÁاãËŒ¼»ÇÂäÁ‹à¨çº»Ç´ »ÃÒȨҡÀÒÇÐá·Ã¡«ŒÍ¹ ª‹ÇÂàËÅ×Í
                                                      ‹ ÙŒ †
µ¹àͧ䴌 áÅÐÊÒÁÒö»¯Ôºµµ¹ËÃ×ÍÍÍ¡¡íÒÅѧ·ÕºÒ¹ä´Œ â´Â·ÑÇ仨ÐàÃÔÁãËŒÍÍ¡¡íÒÅѧÃÇÁ·Ñ§Â×¹à´Ô¹
                                   Ñ Ô                          è Œ                    è         è                         é
àÁ×ͼٻÇÂÁÕÍÒ¡Òä§·ÕáÅŒÇ ÊÔ§ÊíҤѭ ¤×Í ¼Ù»ÇÂäÁ‹ÁÍÒ¡ÒÃà¨çºá¹‹¹Ë¹ŒÒÍ¡ ËÃ×ÍÁÕËÇã¨àµŒ¹¼Ô´»¡µÔ
     è Œ †               è            è                  Œ †                  Õ                                Ñ
·Õà»ÅÕ¹á»Å§ä»¨Ò¡à´ÔÁ áÅеŒÍ§¤íÒ¹Ö§¶Ö§¤ÇÒÁ¾ÃŒÍÁ´ŒÒ¹¨Ôµã¨¢Í§¼Ù»Ç´ŒÇ ÃÇÁ·Ñ§´Ù¡Òõͺʹͧ
  è è                                                                                        Œ †             é
¢Í§Ã‹Ò§¡Òµ‹Í¡ÒÃÍÍ¡¡íÒÅѧNjÒàËÁÒÐÊÁËÃ×ÍäÁ‹ à¾×ÍËÂØ´ËÃ×Í»ÃѺà»ÅÕ¹â»Ãá¡ÃÁ (µÒÃÒ§·Õè 6)(4) â´Â
                                                                    è                          è
·ÑÇ仨ÐãËŒ¢³ÐÍÍ¡¡íÒÅѧÁÕ͵ÃÒ¡ÒÃൌ¹¢Í§ËÑÇã¨ËÃ×ͪվ¨Ãà¾ÔÁ¢Ö¹¨Ò¡¢³Ð¾Ñ¡»ÃÐÁÒ³ 5-20 ¤Ãѧ/
   è                                Ñ                                                    è é                                           é
¹Ò·Õ áÅÐã¹ÃÐÂйըÐäÁ‹Á¡Òýƒ¡ÍÍ¡¡íÒÅѧª¹Ô´·ÕÁá経ҹ (resistive exercise training)
                      é          Õ                                è Õ
           ! ËÅѧ·íÒ PCI ʋǹãË­‹¡Ò÷íÒ PCI ¨Ð·íÒ¼‹Ò¹·Ò§ËÅÍ´àÅ×Í´á´§ femoral ·Õè¢Ò˹պ
             㹪‹Ç§áá¼Ù»Ç¨еŒÍ§¹Í¹¹Ô§æ ໚¹àÇÅÒ¹Ò¹ ÁÑ¡ÁÕ»­ËһǴàÁ×Í ᵋàÁ×Íà¤Å×͹äËÇä´Œ
                           Œ †                         è                                   ˜        è            è è
             ÍÒ¡ÒûǴàÁ×ͨдբ¹ËÃ×ÍËÒÂä» ¼Ù»ÇÂ¡ÅØÁ¹ÕÊǹãË­‹¨Ð¹Í¹âç¾ÂÒºÒÅ໚¹ÃÐÂÐ
                               è                Öé                    Œ †         ‹ é ‹
             àÇÅÒÊÑ¹æ »ÃÐÁÒ³ 1-2 Çѹ ¡Ô¨¡ÃÃÁ·Ò§¡Ò·ըнƒ¡ãËŒ¨Ð໚¹¡Ô¨¡ÃÃÁ¾×¹°Ò¹à¾×ÍãËŒªÇÂ
                    é                                                           è                          é             è           ‹
             µ¹àͧ䴌 ·íÒ¡Ô¨ÇѵûÃШíÒÇѹ䴌àͧ ¡ÒÃÍÍ¡¡íÒÅѧËÃ×͡Ԩ¡ÃÃÁ·Ò§¡Ò·Õèá¹Ð¹íÒ ¤×Í
             ¡ÒÃà´Ô¹ ·Ñ§¹ÕµÍ§ÃÐÇѧ¡ÒÃà¡Ô´ËŒÍàÅ×Í´ËÃ×Í¡ŒÍ¹àÅ×Í´ÍÍ¡¨Ò¡ËÅÍ´àÅ×Í´á´§ femoral ´ŒÇÂ
                        é é Œ
             áÅФÇõÃǨ»ÃÐàÁÔ¹ªÕ¾¨Ã¢Í§ËÅÍ´àÅ×Í´á´§·ÕÍÂÙã¹Ê‹Ç¹»ÅÒ´ŒÇ ¤×Í ËÅÍ´àÅ×Í´á´§
                                                                                    è ‹
             dorsalis pedis áÅÐ posterior tibial
           ! ËÅѧ¼‹ÒµÑ´ CABG ¼Ù»ÇÂ¡ÅØÁ¹ÕÊǹãË­‹¨Ð¹Í¹âç¾ÂÒºÒÅ»ÃÐÁÒ³ 5-7 Çѹ ¡ÒÃÍÍ¡¡íÒÅѧ
                                          Œ †      ‹ é‹
             ·Õèá¹Ð¹íÒã¹ÇѹááËÅѧ¼‹ÒµÑ´ ¤×Í ¡ÒÃËÒÂã¨ÅÖ¡áÅСÒáÃе،¹äÍ à¾×èÍ»‡Í§¡Ñ¹ÀÒÇÐ
             á·Ã¡«ŒÍ¹·Ò§»Í´áÅÐ ¡ÒâÂѺ¢ŒÍ෌Ңֹŧ (ankle pumping) à¾×Í»‡Í§¡Ñ¹ÀÒÇÐÅÔÁàÅ×Í´
                                                                          é                           è                      è
             ÍØ´µÑ¹ã¹ËÅÍ´àÅ×Í´´íÒ (deep vein thrombosis) àÁ×ͼٻÇÂÁÕÍÒ¡Òôբ¹ ¨ÐàÃÔÁãËŒ¹§ áÅÐ
                                                                                      è Œ †             Öé             è       Ñè
             Â×¹à´Ô¹µ‹Íä» â´Â·ÑÇ仨ÐàÃÔÁÂ×¹à´Ô¹ä´Œµ§áµ‹Ç¹·Õè 2 ËÅѧ¼‹ÒµÑ´ ·Ñ§¹Õ¨ÐãËŒ¼»ÇÂÍÍ¡¡íÒÅѧ
                                        è           è                       Ñé Ñ                   é é            ÙŒ †
             ¢ÂѺ¢ŒÍµ‹Í (range of motion exercise) ËÃ×ÍÂ×´àÊŒ¹Â×´ÊÒ (stretching) ¡‹Í¹¡ÒÃÂ×¹à´Ô¹
             (µÒÃÒ§·Õè 5) (5) â´Â·ÑÇ仨нƒ¡ãËŒ¼»ÇÂà´Ô¹ÍÍ¡¡íÒÅѧ䴌 10-15 ¹Ò·Õ áŌǨÐËÑ´ãËŒ¢¹Å§
                                              è              ÙŒ †                                                                 Öé
             ºÑ¹ä´ ËÃ×Í ·íÒ¡Ô¨¡ÃÃÁä´Œã¹ÃдѺ»ÃÐÁÒ³ 3-4 METs ¡‹Í¹ãËŒ¨íÒ˹‹ÒÂÍÍ¡¨Ò¡
             âç¾ÂÒºÒÅËÃ×Í¡ÅѺºŒÒ¹ à¾ÃÒСԨÇѵûÃШíÒÇѹʋǹãË­‹¨ÐÁÕÃдѺ¾Åѧ§Ò¹»ÃÐÁÒ³
             3 - 4 METs
148                                               ¡ÒÃÍÍ¡¡íÒÅѧËÅѧ¡Ò÷íÒËѵ¶¡ÒÃËÃ×ͼ‹ÒµÑ´ËÑÇã¨

µÒÃÒ§·Õè 2 áÊ´§à¡³±¡ÒèѴÃдѺ¤ÇÒÁàÊÕ§¢Í§ American Association of Cardiovascular
                                         è
           and Pulmonary Rehabilitation (AACVPR)(4)
          Low Risk                      Moderate Risk                      High Risk
!   No significant left          !   Moderately impaired left !    Decreased left ventricular
    ventricular dysfunction          ventricular function          function (E. of < 40%)
    (E. of > 50%)                    (E. = 40% - 49%)           !  Survivor of cardiac arrest or
!   No resting or exercise-    !     Signs/symptoms including      sudden death
    induced complex                  angina at moderate levels !   Complex ventricular
    arrhythmias                      of exercise (5 – 6.9 METs)    arrhythmias at rest or with
!   Uncomplicated Ml; CABGs;         or in recovery                exercise
    angioplasty, atherectomy,                                   ! MI or cardiac surgery
    or stent;                                                      complicated by cardiogenic
!   Absence of CH., or                                             shock. CH., and/or
    signs/symptoms of                                              signs/symptoms of
    postevent ischemia                                             postevent/procedure
!   Normal hemodynamics                                            ischemia
    with exercise or recovery                                   ! Abnormal hemodynamics
!   Asymptomatic including                                         with exercise (especially flat
    absence of angina with                                         or decreasing SBP or
    exertion or recovery                                           chronotropic incompetence
!   .unctional capacity of > 7                                     with increasing workload)
    METs                                                        ! Signs/symptoms including
!   Absence of clinical                                            angina pectoris at low levels
    depression                                                      of exercise (< 5.0 METs) or
                                                                   in recovery
                                                                ! .unctional capacity of < 5.0
                                                                   METs
                                                                ! Clinically significant
                                                                   depression
Low-risk classification is     Moderate risk is assumed for Highest-risk classification is
assumed when each of the patients who do not meet the assumed with the presence of
descriptors in the category is classification of either high or any one of the descriptors
present                        low risk                         included in this category

ËÁÒÂà赯 MI = myocardial infarction; CABGs = coronary artery bypass surgery;
         CH. = congestive heart failure; SBP = systolic blood pressure
àǪÈÒʵÏ·¹Âؤ 2553
          Ñ                                                                         149

µÒÃÒ§·Õè 3 ¢ŒÍËŒÒÁ㹡ÒÃÍÍ¡¡íÒÅѧ(4)
       !   Unstable angina
       !   SBP ¢³Ð¾Ñ¡ > 180 mm Hg ËÃ×Í DBP ¢³Ð¾Ñ¡ > 110 mm Hg ·Ñ§¹ÕµÍ§¾Ô¨ÒóÒ
                                                                           é é Œ
           ໚¹ÃÒÂæ´ŒÇÂ
       !   Orthostatic blood pressure drop > 20 mm Hg ·ÕÁÍÒ¡ÒÃ
                                                           è Õ
       !   Critical aortic stenosis
       !   Acute systemic illness or fever
       !   Uncontrolled atrial or ventricular arrhythmias
       !   Uncontrolled sinus tachycardia (> 120 beats per minute)
       !   Uncompensated congestive heart failure
       !   Third-degree A-V block (without pacemaker)
       !   Active pericarditis or myocarditis
       !   Recent embolism
       !   Thrombophlebitis
       !   Resting ST displacement (> 2mm); > 3 mm if patient is taking digitalis
       !   Uncontrolled diabetes (resting blood glucose > 400 mg/dL)
       !   Severe orthopedic problems that would prohibit exercise
       !   Other metabolic problems such as acute thyroiditis, hypo- or hyperkalemia,
           hypovolemia, etc.

µÒÃÒ§·Õè 4 âäËÃ×ÍÀÒÇзÕè·íÒãËŒà¡Ô´¡ÒÃàºÕè§ູ¢Í§á¹Ç·Ò§ËÃ×Íâ»Ãá¡ÃÁ·ÕèÇÒ§äÇŒ(4)
ÀÒÇÐà¨çº»†Ç·Õ辺ËÇÁ                         ÀÒÇÐá·Ã¡«ŒÍ¹·Ò§ËÑÇã¨áÅÐËÅÍ´àÅ×Í´
ÊÀҾËҧ¡ÒÂ͋͹áÍ ºÍººÒ§ (frailty)            ÀÒÇÐàÅ×Í´ÍÍ¡ËÅѧ¼‹ÒµÑ´
âääµàÃ×ÍÃѧ
        é                                     ÀÒÇÐËÑÇã¨àµŒ¹¼Ô´»¡µÔ
âäËÅÍ´àÅ×Í´ÊÁͧ                              »Í´ÍÑ¡àʺµÔ´àª×Íé
âä¡Ãд١áÅТŒÍ                               ¡ÅŒÒÁà¹×ÍËÑÇ㨵Òª‹Ç§¼‹ÒµÑ´
                                                      é
ʵԻ­­Ò ¡ÒÃÃѺÃÙº¡¾Ã‹Í§
    ˜           Œ                             ËÑÇã¨ËŒÍ§Å‹Ò§«ŒÒ·íҧҹŴŧ
                                              âäËÅÍ´àÅ×Í´ÊÁͧ
µÒÃÒ§·Õè 5 á¹Ç·Ò§¡ÒÃãËŒÍÍ¡¡íÒÅѧ¡ÒÂà¾×èÍ¡ÒÃÃÑ¡ÉÒá¡‹¼ÙŒ»†ÇÂâäËÑÇã¨(5)   150
                                                                        ¡ÒÃÍÍ¡¡íÒÅѧËÅѧ¡Ò÷íÒËѵ¶¡ÒÃËÃ×ͼ‹ÒµÑ´ËÑÇã¨
àǪÈÒʵÏ·¹Âؤ 2553
          Ñ                                                                                                      151

µÒÃÒ§·Õè 6 ¡Òõͺʹͧµ‹Í¡ÒÃÍÍ¡¡íÒÅѧ·Õ躋§ªÕéãËŒËÂØ´ÍÍ¡¡íÒÅѧã¹ÃÐÂмٌ»†ÇÂã¹(4)
 !   HR > 130 bpm or > 30 bpm above pre-exercise level
 !   Diastolic BP > 110 mm Hg
 !   Decrease in systolic BP > 10 mm Hg
 !   Significant ventricular or atrial arrhythmias
 !   Second- or third-degree heart block
 !   Signs/symptoms of exercise intolerance including angina pectoris and marked dyspnea

              ÃÐÂзÕè 2 ª‹Ç§¾Ñ¡¿„œ¹ ໚¹ÃÐÂе‹Íà¹×èͧ¨Ò¡¼ÙŒ»†ÇÂã¹ ¤×Í »ÃÐÁÒ³ 4- 6 ÊÑ»´Òˏáá
ËÅѧÍÍ¡¨Ò¡âç¾ÂÒºÒÅ ÃÐÂйÕéÍÒ¨ãËŒ¼ÙŒ»†ÇÂÍÍ¡¡íÒÅѧ·Õ躌ҹËÃ×Íâç¾ÂÒºÒÅ¡çä´Œ â´Â»¡µÔ
¨Ðá¹Ð¹íÒãËŒ½ƒ¡·Õ躌ҹ ᵋã¹ÃÒ·ÕèÁÕ¤ÇÒÁàÊÕè§ÊÙ§¤ÇÃá¹Ð¹íÒãËŒÁÒ½ƒ¡·Õèâç¾ÂÒºÒŠ໇ÒËÁÒÂ
¢Í§¡Òýƒ¡ ¤×Í ¨ÐÁا์¹ãËŒ¤§ÃдѺ¤ÇÒÁÊÒÁÒö·Õ·Òä´Œ¡Í¹ÍÍ¡¨Ò¡âç¾ÂÒºÒÅ áÅÐàµÃÕÂÁ¼Ù»ÇÂ
                               ‹                              è í ‹                                            Œ †
ࢌÒÊÙÃÐÂзÕè 3 ÇÔ¸¡Òà ¤×Í
        ‹                  Õ
              ! ¤‹ÍÂæ à¾ÔÁÃÐÂÐàÇÅÒ¡ÒÃÍÍ¡¡íÒÅѧãËŒ¹Ò¹¢Ö¹¨Ò¡ 5-10 ¹Ò·Õ ໚¹ 45 ¹Ò·Õ â´Â·íÒ·Ø¡Çѹ
                                  è                               é
                 ËÃ×ÍÊÑ»´ÒˏÅÐ 5 ¤Ãѧ ¡Å‹ÒǤ×Í ã¹ª‹Ç§áá·Õ·Òä´ŒäÁ‹¹Ò¹ ÍÒ¨·íÒÇѹÅÐ 2 Ãͺ ᵋàÁ×Í
                                          é                         è í                                              è
                 à¾ÔÁàÇÅÒä´Œ¹Ò¹¢Ö¹à»š¹ 45 ¹Ò·Õ ÊÒÁÒö½ƒ¡à¾Õ§ÇѹÅÐ 1 Ãͺ
                    è                   é
              ! ÍѵÃÒ¡ÒÃൌ¹¢Í§ËÑÇã¨ËÃ×ͪվ¨Ã¢³ÐÍÍ¡¡íÒÅѧà¾ÔÁ¢Ö¹¨Ò¡¢³Ð¾Ñ¡»ÃÐÁÒ³ 20 ¤Ãѧ/¹Ò·Õ
                                                                                è é                        é
                 ËÃ×Í RPE »ÃÐÁÒ³ 11-13
              ! ª¹Ô´¢Í§¡ÒÃÍÍ¡¡íÒÅѧ¡Ò·չÂÁã¹ÃÐÂйÕé ¤×Í ¡ÒÃà´Ô¹ËÃ×Í»˜¹¨Ñ¡ÃÂÒ¹
                                            è Ô                                               ›
                 㹡óշÕèá¹Ð¹íÒãËŒÍÍ¡¡íÒÅѧʋǹᢹ µŒÍ§¤íÒ¹Ö§¶Ö§¡ÒÃËÒ¢ͧá¼Å¼‹ÒµÑ´ºÃÔàdz
sternum ¢Í§¼Ù»ÇÂ·Õ·Ò CABG ´ŒÇÂáÅÐ㹡óշ¨Ð½ƒ¡ÍÍ¡¡íÒÅѧª¹Ô´·ÕÁá経ҹµŒÍ§á¹Ð¹íÒãËŒ¼»ÇÂ
                      Œ † è í                          Õè                                 è Õ                   ÙŒ †
¡¹éÒ˹ѡËÃ×ÍÍÍ¡áç㹢³ÐËÒÂã¨ÍÍ¡ áÅÐÇÒ§¹éÒ˹ѡŧ㹢³ÐËÒÂã¨à¢ŒÒ
      í                                                         í
              ÃÐÂзÕè 3 ¼ÙŒ»†Ç¹͡ ໚¹ÃÐÂзÕÁ§ãËŒ¼»Ç¡ÅѺÊÙÃдѺ¡Ô¨¡ÃÃÁ»¡µÔ â´Âá¹Ð¹íÒãËŒ½¡ÍÍ¡
                                                è Ø‹ ÙŒ †                ‹                                   ƒ
¡íÒÅѧ·Õ˹‹Ç¿„¹¿ÙËÇã¨áµ‹¡ÊÒÁÒö·íҷպҹ䴌 ໚¹ÃÐÂзս¡ÍÍ¡¡íÒÅѧª¹Ô´ aerobic à¾×Íãˌ䴌¤ÇÒÁ
          è            œ Ñ            ç      è Œ                        è ƒ                       è
ÊÁºÙóá¢ç§áç¢Í§ÃкºËÑÇã¨áÅÐËÅÍ´àÅ×Í´ 㪌àÇÅÒ»ÃÐÁÒ³ 6–8 ÊÑ»´Òˏ áµ‹ã¹¡ÅØÁ¼Ù»Ç·ÕÁÕ                 ‹ Œ † è
¤ÇÒÁàÊÕ§ÊÙ§ÍҨ㪌àÇÅÒ¹Ò¹¶Ö§ 10-12 ÊÑ»´Òˏ ÇÔ¸¡Òà ¤×Í
            è                                               Õ
              ! ÃÐÂÐàÇÅÒ¡ÒÃÍÍ¡¡íÒÅѧ 30 -60 ¹Ò·Õ ·íÒÍ‹ҧ¹ŒÍ ÊÑ»´ÒˏÅÐ 3-5 ¤Ãѧ                é
              ! ½ƒ¡·Õ¤ÇÒÁ˹ѡ»ÃÐÁÒ³ 40/50-85% ¢Í§ HRR ËÃ×Í RPE 12-16 ã¹·Ò§»¯ÔºµËÒ¡á¹Ð
                         è                                                                           Ñ Ô
                 ¹íÒãËŒ¼»Ç½ƒ¡ÍÍ¡¡íÒÅѧàͧ·ÕºÒ¹ ¨Ðá¹Ð¹íÒãËŒ¼»ÇÂ㪌 RPE »ÃÐÁÒ³ 11-13 à¾×ͤÇÒÁ
                             ÙŒ †                è Œ                         ÙŒ †                        è
                 »ÅÍ´ÀÑÂ
              ! ª¹Ô´¢Í§¡ÒÃÍÍ¡¡íÒÅѧ¡Ò ¤×Í à´Ô¹ »˜¹¨Ñ¡ÃÂÒ¹ NjҹéÒ
                                                          ›                         í
              ! ¡ÒûÃѺà»ÅÕ¹â»Ãá¡ÃÁ¨Ð¢Ö¹¡ÑºÃдѺ¤ÇÒÁàÊÕ§¢Í§¼Ù»ÇÂ
                                    è         é                            è          Œ †
152                                                           ¡ÒÃÍÍ¡¡íÒÅѧËÅѧ¡Ò÷íÒËѵ¶¡ÒÃËÃ×ͼ‹ÒµÑ´ËÑÇã¨

         ÃÐÂзÕè 4 ¤§ÊÀÒ¾ªÑèǪÕÇÔµ ໚¹ÃÐÂзռ»ÇµŒÍ§´ÙáÅ»¯Ôºµµ¹ áÅФ§¡ÒÃÍÍ¡¡íÒÅѧà¾×Í
                                                  è ÙŒ †                 Ñ Ô                             è
ÊØ¢ÀÒ¾·Õ´¢Í§Ã‹Ò§¡ÒÂáÅл‡Í§¡Ñ¹¡ÒÃ໚¹«éÒ (secondary prevention) ·Ñ§¹Õ¼»Ç·ըÐÍÍ¡¡íÒÅѧàͧ
          è Õ                                 í                                  é é ÙŒ † è
áÅе‹Íà¹×ͧ¤ÇÃÊÒÁÒö·íÒ¡Ô¨¡ÃÃÁÍ‹ҧ¹ŒÍ 5 METs
           è
          ÊíÒËÃѺ¡Òýƒ¡ÍÍ¡¡íÒÅѧã¹ÃÐÂзÕè 3 áÅÐ 4 ¢Í§¼Ù»ÇÂâäËÑÇ㨠CAD ·Õ䴌ú¡Ò÷íÒ PCI
                                                               Œ †                         è Ñ
ËÃ×Í CABG ÊÒÁÒö㪌á¹Ç·Ò§¡ÒÃÍÍ¡¡íÒÅѧ·ÑÇä»·Õè American College of Sports Medicine (ACSM)
                                                è
áÅÐ American Heart Association (AHA) á¹Ð¹íÒÊíÒËÃѺºØ¤¤Å·ÑèÇä»ä´Œáµ‹µŒÍ§»ÃѺà»ÅÕè¹ãËŒ
àËÁÒÐÊÁ¡ÑºÊÀÒÇТͧ¼Ù»ÇÂáÅÐãËŒ¤ÇÒÁÊíҤѭ¡Ñº warm up áÅÐ cool down ¤íÒá¹Ð¹íҢͧ ACSM
                          Œ †
áÅÐ AHA ÊíÒËÃѺºØ¤¤Å·ÕÁÍÒÂØ 18-65 »‚ ¤×Í “ãËŒ·Ò¡Ô¨¡ÃÃÁ·Ò§¡ÒÂẺáÍâúԤã¹ÃдѺ¤ÇÒÁáç
                           è Õ                        í
»Ò¹¡ÅÒ§Í‹ҧ¹ŒÍÂÇѹÅÐ 30 ¹Ò·Õ ÊÑ»´ÒˏÅÐ 5 Çѹ ËÃ×Í ·íÒ¡Ô¨¡ÃÃÁ·Ò§¡ÒÂẺáÍâúԤã¹ÃдѺ
¤ÇÒÁáçÁÒ¡Í‹ҧ¹ŒÍÂÇѹÅÐ 20 ¹Ò·Õ ÊÑ»´ÒˏÅÐ 3 Çѹ ·Ñé§¹Õé ÍÒ¨¼ÊÁ¼ÊÒ¹¡Ô¨¡ÃÃÁ·Ñé§ÊͧẺ
ËÇÁ¡Ñ¹ä´Œ µÑÇÍ‹ҧ ઋ¹ à´Ô¹àÃçÇæ 30 ¹Ò·Õ ÊÑ»´ÒˏÅÐ 2 Çѹ ËÇÁ¡Ñº¡ÒÃÇÔ§àËÂÒÐæ 20 ¹Ò·Õ ÊÑ»´ÒˏÅÐ
                                                                               è
2 Çѹ ¹Í¡¨Ò¡¹Õé¤Ç÷íÒ¡Ô¨¡ÃÃÁ·Õ褧ËÃ×ÍàÊÃÔÁÊÌҧ¡íÒÅѧáÅФÇÒÁ·¹·Ò¹¢Í§¡ÅŒÒÁà¹×éÍÍ‹ҧ¹ŒÍÂ
ÊÑ»´ÒˏÅÐ 2 Çѹ áÅÐ ¶ŒÒºØ¤¤Å»ÃÒö¹Ò¨ÐÁÕ¤ÇÒÁÊÁºÙóá¢ç§áç¢Í§Ã‹Ò§¡ÒÂÁÒ¡¢Ö¹ ÁÕ¤ÇÒÁàÊÕ§        é         è
µ‹Í¡ÒÃà¡Ô´âäàÃ×ÍÃѧ¹ŒÍÂŧ ËÃ×Í »‡Í§¡Ñ¹¹éÒ˹ѡµÑÇà¾ÔÁÁÒ¡¢Ö¹¡ç¤ÇÃÍÍ¡¡íÒÅѧà¾ÔÁÁÒ¡¢Ö¹¨Ò¡à¡³±
                 é                        í              è       é                       è     é
¢Ñ¹µèÒ·Õá¹Ð¹íÒäÇŒà¹×ͧ¨Ò¡»ÃÔÁÒ³¢Í§¡Ò÷íÒ¡Ô¨¡ÃÃÁ·Ò§¡ÒÂÁÕ¤ÇÒÁÊÑÁ¾Ñ¹¸¡ºÀÒÇÐÊØ¢ÀÒ¾”(6) áÅÐ
  é í è             è                                                                  Ñ
ä´ŒÁ¡ÒÃá¹Ð¹íÒ¡Ô¨¡ÃÃÁ·Ò§¡ÒÂÅѡɳÐઋ¹à´ÕÂǡѹÊíÒËÃѺ¼ÙʧÍÒÂØ·ÁÍÒÂØÁÒ¡¡Ç‹Ò 65 »‚ ËÃ×Í ºØ¤¤Å
       Õ                                                        ŒÙ        Õè Õ
·ÕÁÍÒÂØ 50-64 »‚ᵋÁÀÒÇÐà¨çº»†ÇÂàÃ×ÍÃѧ·Õ¨Ò¡Ñ´¡Ò÷íÒ¡Ô¨¡ÃÃÁ ᵋÁ»ÃÐà´ç¹·ÕµÍ§¾Ô¨ÒóÒ໚¹¾ÔàÈÉ
   è Õ                Õ              é èí                              Õ             è Œ
¤× Í ÃÐ´Ñ º ¤ÇÒÁË¹Ñ ¡ ¢Í§¡Ô ¨ ¡ÃÃÁ·Õè ·í Ò ¡Ô ¨ ¡ÃÃÁ·Õè ª‹ Ç Â¤§ËÃ× Í à¾Ôè Á ¤ÇÒÁÂ× ´ ËÂØ‹ ¹ (flexibility)
áÅСÒ֍µÑÇ (balance)(7)

ÊÃØ»
        ¡ÒÃÍÍ¡¡íÒÅѧ¨Ñ´à»š¹ÇÔ¸¡ÒÃÃÑ¡ÉÒ·ÕÊҤѭÍ‹ҧ˹֧ÊíÒËÃѺ¼Ù»ÇÂâäËÑÇ㨫֧¡ÒÃãËŒ¤Òá¹Ð¹íÒ
                              Õ         èí           è          Œ †          è      í
¡ÒÃÍÍ¡¡íÒÅѧ໚¹ÊÔ§·ÕÁ¤ÇÒÁÊíҤѭ·Õ¨Ðª‹ÇÂãËŒ¼»ÇÂÁÕ¤³ÀÒ¾ªÕǵ·Õ´¢¹ â´Â¼Ù»ÇÂâäËÑÇã¨ÊÒÁö
                   è è Õ           è          ÙŒ † Ø         Ô è Õ Öé    Œ †
ÍÍ¡¡íÒÅѧ䴌µ§áµ‹ªÇ§·Õ¾¡ÃÑ¡ÉÒµÑÇã¹âç¾ÂÒºÒÅáÅÐÊÒÁÒö·Õ¨ÐÍÍ¡¡íÒÅѧµ‹Íà¹×ͧ仵ÅÍ´ªÕǵ
                Ñé  ‹ è Ñ                                     è                  è       Ô
à¾×ÍÊØ¢ÀÒÇзÕá¢ç§áçÊÁºÙó¢Í§Ã‹Ò§¡Òµ‹Íä» ª¹Ô´¢Í§¡ÒÃÍÍ¡¡íÒÅѧ·Õá¹Ð¹íÒãËŒ·Òã¹ÃÐÂÐÂÒÇ ¤×Í
   è          è                                                       è        í
¡ÒÃÍÍ¡¡íÒÅѧẺáÍâúԤ ¤ÃѧÅÐ 20-60 ¹Ò·Õ¢¹¡ÑºÃдѺ¤ÇÒÁ˹ѡ¢Í§¡ÒÃÍÍ¡¡íÒÅѧ áÅÐÍÍ¡¡íÒÅѧ
                            é              Öé
·íÒÊÑ»´ÒˏÅÐ 3-5 ¤Ãѧé

àÍ¡ÊÒÃ͌ҧÍÔ§
1.    American College of Sports Medicine. ACSM’s guidelines for exercise testing and prescription. 7th ed. Lippincott
      Williams & Wilkins; 2006.
2.    Jolliffe JA, Rees K, Taylor RS, Thompson D, Oldridge N, Ebrahim S. Exercise-based rehabilitation for coronary
      heart disease. Cochrane Database Syst Rev. 2001(1):CD001800.
àǪÈÒʵÏ·¹Âؤ 2553
          Ñ                                                                                                    153

3.   Taylor RS, Brown A, Ebrahim S, Jolliffe J, Noorani H, Rees K, et al. Exercise-based rehabilitation for patients
     with coronary heart disease: systematic review and meta-analysis of randomized controlled trials. Am J Med
     2004;116(10):682-92.
4.   American Association of Cardiovascular and Pulmonary Rehabilitation. Guidelines for cardiac rehabilitation and
     secondary prevention programs. 3rd ed. Champaign,IL: Human Kinetics; 1999.
5.   Pollock ML, Gomes PS. Exercise prescription. In: Wenger NK, Smith LK, .roelicher ES, Comoss PM, editors.
     Cardiac rehabilitation: a guide to practice in the 21st century. New York: Marcel Dekker; 1999. p. 49-65.
6.   Haskell WL, Lee IM, Pate RR, Powell KE, Blair SN, .ranklin BA, et al. Physical activity and public health:
     updated recommendation for adults from the American College of Sports Medicine and the American Heart
     Association. Circulation 2007;116(9):1081-93.
7.   Nelson ME, Rejeski WJ, Blair SN, Duncan PW, Judge JO, King AC, et al. Physical activity and public health
     in older adults: recommendation from the American College of Sports Medicine and the American Heart
     Association. Circulation 2007;116(9):1094-105.
àǪÈÒʵÏ·¹Âؤ 2553
          Ñ                                                                     º··Õè       155

                                                                                 22
                  ¡ÒÃÍÍ¡¡íÒÅѧ¡ÒÂã¹âä¤ÇÒÁ´Ñ¹âÅËÔµÊÙ§
                                                        ÍÒ¨ÒÏÇÔÅÒÇѳ ¶ÔÃÀѷþ§È
                  ÀÒ¤ÇÔªÒàǪÈÒʵÏ¿¹¿Ù ¤³Ðá¾·ÂÈÒʵÏÈÃÃÒª¾ÂÒºÒÅ ÁËÒÇÔ·ÂÒÅÑÂÁËÔ´Å
                                   „œ                ÔÔ

»ÃÐ⪹¢Í§¡ÒÃÍÍ¡¡íÒÅѧ¡ÒÂã¹¼ÙŒ·ÕèÁÕ¤ÇÒÁ´Ñ¹âÅËÔµÊÙ§
         ¡ÒÃÍÍ¡¡íÒÅѧ¡Ò¶×Í໚¹Ê‹Ç¹Ë¹Ö§¢Í§â»Ãá¡ÃÁ¡ÒûÃѺà»ÅÕ¹¾ÄµÔ¡ÃÃÁ áÅСÒôíÒà¹Ô¹ªÕǵ
                                      è                       è                              Ô
à¾×èÍ»‡Í§¡Ñ¹ ÃÑ¡ÉÒáÅФǺ¤ØÁ¤ÇÒÁ´Ñ¹âÅËÔµ ·Ñé§ã¹¼ÙŒ·ÕèÁÕ¤ÇÒÁ´Ñ¹âÅËÔµÊÙ§áÅмٌ·ÕèÁÕ¤ÇÒÁ´Ñ¹âÅËÔµ
ÍÂÙ‹ã¹à¡³±»¡µÔ¨Ò¡¡ÒÃÃǺÃÇÁËÅÒ¡ÒÃÈÖ¡ÉÒ Hagberg áÅФ³Ð(1)¾ºÇ‹Ò¡ÒÃÍÍ¡¡íÒÅѧ¡ÒÂ
Í‹ҧÊÁèÒàÊÁÍÊÒÁÒöŴ¤ÇÒÁ´Ñ¹«ÕÊâµÅÔ¡áÅФÇÒÁ´Ñ¹ä´áÍÊâµÅԡŧ䴌 11 áÅÐ 8 ÁÔÅÅÔàÁµÃ»ÃÍ·
         í
µÒÁÅíҴѺ
         ËÅѧÍÍ¡¡íÒÅѧ¡Ò»ÃÐÁÒ³ 10 ÊÑ»´Òˏ ¤ÇÒÁ´Ñ¹·Ñ§«ÕÊâµÅÔ¡áÅÐä´áÍÊâµÅÔ¡¨ÐŴŧÍ‹ҧ
                                                        é
ÁÕ¹ÂÊíҤѭ áÅÐàÁ×ÍÍÍ¡¡íÒÅѧ¡ÒÂà¡Ô¹ 20 ÊÑ»´Òˏ ¾ºÇ‹Ò¤ÇÒÁ´Ñ¹«ÕÊâµÅÔ¡ÂѧÊÒÁÒöŴŧ䴌͡
    Ñ               è                                                                      Õ
¢³Ð·Õè¤ÇÒÁ´Ñ¹ä´áÍÊâµÅÔ¡äÁ‹ÁÕ¡ÒÃŴŧà¾ÔèÁ¢Öé¹ ¼ÙŒ·ÕèÁÕ¤ÇÒÁ´Ñ¹âÅËÔµÍÂÙ‹ã¹à¡³±»¡µÔ¨ÐÁÕ
                                               (1)

¤ÇÒÁ´Ñ¹Å´Å§àÁ×ÍÍÍ¡¡íÒÅѧ¡Ò ᵋ¹Í¡NjÒàÁ×Íà·Õº¡Ñº¼Ù·Á¤ÇÒÁ´Ñ¹âÅËÔµÊÙ§ áÅФÇÒÁ´Ñ¹âÅËÔµ
                  è                 Œ       è          Œ Õè Õ
·ÕŴŧ¹Ñ¹ÂѧÍÂÙã¹à¡³±»¡µÔ
  è        é    ‹           (2, 3)



¼Å¢Í§¡ÒÃÍÍ¡¡íÒÅѧ¡Òµ‹Í¤ÇÒÁ´Ñ¹âÅËÔµ
(Effects of exercise on blood pressure)
        1. ¡ÒÃÍÍ¡¡íÒÅѧ¡Òª¹Ô´·ÕÁ¡ÒÃà¤Å×͹äËǢͧ¢ŒÍ (Isotonic exercise)
                                è Õ     è
            ¼Ù·Á¤ÇÒÁ´Ñ¹âÅËÔµ»¡µÔ cardiac output (CO) ¨Ðà¾ÔÁ¢Ö¹¢³ÐÍÍ¡¡íÒÅѧ¡Ò ʋ§¼Å·íÒãËŒ
              Œ Õè Õ                                           è é
ËÑÇã¨àµŒ¹àÃçÇ¢Ö¹ stroke volume (SV) à¾ÔÁ¢Ö¹ áÅÐËÑÇ㨺պµÑÇáç¢Ö¹ à¾×ÍÊ‹§àÅ×Í´ä»àÅÕ§¡ÅŒÒÁà¹×Í·Õè
                é                      è é                       é è              é         é
ÍÍ¡¨Ò¡áçà¾ÔèÁ¢Öé¹ ¢³Ð·ÕèÊ‹§àÅ×Í´ä»àÅÕé§¡ÅŒÒÁà¹×éÍ·ÕèäÁ‹ä´ŒÍÍ¡áçáÅÐÍÇÑÂÇÐÀÒÂã¹Å´¹ŒÍÂŧ
¼ÅÊØ·¸Ô¤Í¤ÇÒÁ´Ñ¹«ÕÊâµÅÔ¡à¾ÔÁ¢Ö¹ ¤ÇÒÁ´Ñ¹ä´áÍÊâµÅÔ¡¤§·ÕËÃ×ÍÁÕ¡ÒÃà»ÅÕ¹á»Å§àÅ硹ŒÍ áÅÐ
         ×                    è é                            è            è
systemic vascular resistance (SVR) Ŵŧ     (4)

            ¼Ù·Á¤ÇÒÁ´Ñ¹âÅËÔµÊÙ§ÃдѺ¹ŒÍ¶֧»Ò¹¡ÅÒ§ ¶Ö§áÁŒ CO à¾ÔÁ¢Ö¹Í‹ҧ»¡µÔ ᵋ ¤ÇÒÁ´Ñ¹
               Œ Õè Õ                                                è é
·Ñ§«ÕÊâµÅÔ¡áÅÐä´áÍÊâµÅÔ¡áÅÐ SVR ¨Ðà¾ÔÁ¢Ö¹àÁ×Íà»ÃÕºà·Õº¡Ñº¼Ù·Á¤ÇÒÁ´Ñ¹âÅËÔµ»¡µÔ ¼Ù·ÁÕ
  é                                        è é è                   Œ Õè Õ                  Œ Õè
¤ÇÒÁ´Ñ¹âÅËÔµÊÙ§ÃÐ´ÑºÃØ¹áç CO ¨ÐµèҡNjһ¡µÔ·¤ÇèÐ໚¹ à¾ÃÒÐ SV Ŵŧ ʋǹ¤ÇÒÁ´Ñ¹«ÕÊâµÅÔ¡
                                     í          Õè
áÅÐä´áÍÊâµÅÔ¡áÅÐ SVR ¨Ðà¾ÔÁ¢Ö¹Í‹ҧÁÒ¡
                                è é
156                                                     ¡ÒÃÍÍ¡¡íÒÅѧ¡ÒÂã¹âä¤ÇÒÁ´Ñ¹âÅËÔµÊÙ§

       2. ¡ÒÃÍÍ¡¡íÒÅѧ¡Òª¹Ô´·ÕÁ¡ÒÃà¡Ãç§¡ÅŒÒÁà¹×Í â´ÂäÁ‹Á¡ÒÃà¤Å×͹äËǢͧ¢ŒÍ
                               è Õ              é        Õ      è
          (Isometric exercise)
             㹤¹»¡µÔ àÁ×ÍÍÍ¡¡íÒÅѧ¡Òª¹Ô´¹Õé ¤ÇÒÁ´Ñ¹âÅËÔµ·Ñ§¤ÇÒÁ´Ñ¹«ÕÊâµÅÔ¡áÅÐä´áÍÊâµÅÔ¡¨Ð
                         è                                     é
à¾ÔÁ¢Ö¹ «Ö§à»š¹¼ÅʋǹãË­‹¨Ò¡ CO à¾ÔÁ¢Ö¹ â´Â·Õè SVR ÁÕ¡ÒÃà»ÅÕ¹á»Å§à¾Õ§àÅ硹ŒÍ µÃ§¡Ñ¹¢ŒÒÁ
    è é è                             è é                        è
¡Ñº¼ÙŒ·ÕèÁÕ¤ÇÒÁ´Ñ¹âÅËÔµÊÙ§ «Ö觤ÇÒÁ´Ñ¹âÅËÔµ·Õèà¾ÔèÁ¢Öé¹Ê‹Ç¹ãË­‹à»š¹¼ÅÁÒ¨Ò¡ systemic vascular
resistance ·Õèà¾ÔèÁ¢Öé¹ à¹×èͧ¨Ò¡ËÑÇã¨ËŒÍ§Å‹Ò§«ŒÒÂÁÕ¢¹Ò´âµ (left ventricle hypertrophy) ËÃ×Í
beta-adrenergic system ·íҧҹ䴌äÁ‹àµçÁ·Õè ·íÒãËŒ CO äÁ‹à¾ÔÁ¢Ö¹ËÃ×Íà¾ÔÁ¢Ö¹à¾Õ§àÅ硹ŒÍÂ(4)
                                                             è é       è é
             ¼ÙŒà»š¹¤ÇÒÁ´Ñ¹âÅËÔµÊÙ§¨ÐÁÕ¤ÇÒÁ´Ñ¹âÅËÔµà¾ÔèÁ¢Öé¹·Ñé§«ÕÊâµÅÔ¡áÅÐä´áÍÊâµÅÔ¡ÁÒ¡¡Ç‹Ò
¼Ù·Á¤ÇÒÁ´Ñ¹âÅËÔµ»¡µÔ àÁ×ÍÍÍ¡¡íÒÅѧ¡Òª¹Ô´·ÕÁ¡ÒÃà¤Å×͹äËǢͧ¢ŒÍ (isotonic exercise) ËÃ×Í
  Œ Õè Õ                     è                    è Õ      è
ÍÍ¡¡íÒÅѧ¡Òª¹Ô´·ÕèÁÕ¡ÒÃà¡Ãç§¡ÅŒÒÁà¹×éÍ â´ÂäÁ‹ÁÕ¡ÒÃà¤Å×è͹äËǢͧ¢ŒÍ (isometric exercise)
·Ø¡ÃдѺ¤ÇÒÁ˹ѡàºÒ áÅСÒÃÍÍ¡¡íÒÅѧ¡Òª¹Ô´·ÕÁ¡ÒÃà¡Ãç§¡ÅŒÒÁà¹×Í (isometric exercise) ÍÒ¨
                                                      è Õ            é
Ê‹§¼Åµ‹ÍÃдѺ¤ÇÒÁ´Ñ¹ã¹ËÅÍ´àÅ×Í´à¾ÔÁÁÒ¡¡Ç‹Ò¡ÒÃÍÍ¡¡íÒÅѧ¡Òª¹Ô´·ÕÁ¡ÒÃà¤Å×͹äËǢͧ¢ŒÍ
                                        è                                  è Õ     è
(isotonic exercise)

¡ÒÃÊÑè§¡ÒÃÍÍ¡¡íÒÅѧ¡Ò (Exercise prescription)
        ËÅÑ¡¡ÒÃÍÍ¡¡íÒÅѧ¡ÒÂÊíÒËÃѺ¼ÙŒãË­‹·ÕèÁÕÊØ¢ÀÒ¾á¢ç§áçÊÒÁÒö㪌á¹Ç·Ò§¡ÒÃÃÑ¡ÉҢͧ
American College of Sports Medicine (ACSM) Guidelines 䴌ઋ¹à´ÕÂǡѺ¼Ù໚¹¤ÇÒÁ´Ñ¹âÅËÔµÊÙ§
                                                                       Œ
ÃÐÂÐ 1 áÅÐ 2 Í‹ҧäáçµÒÁäÁ‹á¹Ð¹íÒ¡ÒÃÍÍ¡¡íÒÅѧ¡Òª¹Ô´ÁÕá経ҹ㹼Ù໚¹¤ÇÒÁ´Ñ¹âÅËÔµÊÙ§
             (5)
                                                                         Œ
ÃÐÂÐ 3 (¤ÇÒÁ´Ñ¹âÅËÔµµÑ§áµ‹ 180/110 ÁÔÅÅÔàÁµÃ»ÃÍ·) à¹×ͧ¨Ò¡ÍÒ¨·íÒãËŒ SVR ÊÙ§¢Ö¹áÅзíÒãËŒ
                       é                           (6)
                                                        è                      é
ÁÕ¼ÅàÊÕµ‹ÍÍÇÑÂÇÐÍ×¹æ ä´Œ â´Â·ÑÇ仡ÒÃÍÍ¡¡íÒÅѧ¡Ò¨оԨÒóÒͧ¤»ÃСͺµ‹Ò§æ ´Ñ§µ‹Í仹Õé
                   è           è
       1. »ÃÐàÀ·¢Í§¡ÒÃÍÍ¡¡íÒÅѧ¡ÒÂ
           á¹Ð¹íÒ¡ÒÃÍÍ¡¡íÒÅѧ¡Òª¹Ô´áÍâúԡËÃ×Í¡ÒÃÍÍ¡¡íÒÅѧ¡ÒÂà¾×Íà¾ÔÁ¤ÇÒÁ·¹·Ò¹ â´Â
                                                                        è è
์¹¡ÒÃÍÍ¡¡íÒÅѧ¡Ò¢ͧ¡ÅŒÒÁà¹×Í àª‹¹ à´Ô¹ ÇÔ§ ൌ¹ áÍâúԡ¡Ô¨¡ÃÃÁ¨Ñ§ËÇРNjҹéÒ ÃíÒÁǨչ
                               é                è                                  í
໚¹µŒ¹ ʋǹ¡ÒÃÍÍ¡¡íÒÅѧ¡Òª¹Ô´ÁÕá経ҹäÁ‹¤ÍÂÁÕº·ºÒ·ÁÒ¡¹Ñ¡ã¹¡ÒÃÅ´¤ÇÒÁ´Ñ¹(7) ´Ñ§¹Ñ¹¨Ö§
                                                  ‹                                      é
äÁ‹á¹Ð¹íÒãˌ໚¹¡ÒÃÍÍ¡¡íÒÅѧ¡ÒÂËÅÑ¡ÊíÒËÃѺ¼Ù໚¹¤ÇÒÁ´Ñ¹âÅËÔµÊÙ§(8, 9) Í‹ҧäáçµÒÁ¡ÒÃÍÍ¡¡íÒÅѧ
                                            Œ
¡Òª¹Ô´ÁÕá経ҹÍÒ¨ÁÕ¼ÅÅ´¤ÇÒÁ´Ñ¹âÅËԵ䴌ºÒ§¶ŒÒÍÍ¡¡íÒÅѧ¡ÒÂËÇÁ¡Ñº¡ÒÃÍÍ¡¡íÒÅѧ¡Òª¹Ô´áÍ
                                              Œ
âúԡ ¹Í¡¨Ò¡¹Ñ¹Âѧª‹ÇÂà¾ÔÁ¤ÇÒÁá¢ç§áçáÅÐàÊÃÔÁ¤ÇÒÁÊÒÁÒö㹡ÒûÃСͺ¡Ô¨¡ÃÃÁ»ÃШíÒÇѹ
                é        è
¨Ö§á¹Ð¹íÒãˌ໚¹¡ÒÃÍÍ¡¡íÒÅѧ¡ÒÂàÊÃÔÁµ‹Í¨Ò¡¡ÒÃÍÍ¡¡íÒÅѧ¡Òª¹Ô´áÍâúԡ(10)
       2. ¤ÇÒÁ˹ѡàºÒ¢Í§¡ÒÃÍÍ¡¡íÒÅѧ¡ÒÂ
           ÁÕ¢ŒÍÊÃØ»·ÕèªÑ´à¨¹áÅÐàËç¹¾ŒÍ§µŒÍ§¡Ñ¹Ç‹Ò¼ÙŒ»†Ç¤ÇÒÁ´Ñ¹âÅËÔµÊÙ§¤ÇÃàÃÔèÁÍÍ¡¡íÒÅѧ¡ÒÂ
Í‹ҧÊÁèÒàÊÁÍ´ŒÇ¤ÇÒÁ˹ѡàºÒÃŒÍÂÅÐ 50 ¶Ö§ 70 ¢Í§¡ÒÃ㪌ÍÍ¡«ÔਹÊÙ§ÊØ´ «Ö§à»š¹¤ÇÒÁ˹ѡàºÒ
        í                                                                 è
ÃдѺ¹ŒÍ¶֧»Ò¹¡ÅÒ§ à¹×ͧ¨Ò¡¡ÒÃÍÍ¡¡íÒÅѧ¡Ò´ŒÇ¤ÇÒÁ˹ѡàºÒÃдѺÊÙ§ÍÒ¨äÁ‹ä´ŒÁ»ÃÐ⪹
                           è                                                       Õ
ÁÒ¡¢Ö¹ ÃÇÁ·Ñ§ÂѧÍÒ¨·íÒãËŒà¡Ô´¤ÇÒÁàÊÕ§µ‹Í¡ÒúҴà¨çº¢Í§¡ÅŒÒÁà¹×ÍáÅÐÊ‹§¼ÅàÊÕµ‹ÍÃкºËÑÇã¨áÅÐ
     é       é                      è                          é
ËÅÍ´àÅ×Í´´ŒÇÂ
àǪÈÒʵÏ·¹Âؤ 2553
          Ñ                                                                                 157

           ¹Í¡¨Ò¡¤ÇÒÁ˹ѡàºÒ¢Í§¡ÒÃÍÍ¡¡íÒÅѧ¡Ò¨ÐÊÒÁÒö¡íÒ˹´à»š¹ÃŒÍÂÅТͧ¡ÒÃ㪌
ÍÍ¡«ÔਹÊÙ§ÊØ´áÅŒÇ ÂѧÊÒÁÒö¡íÒ˹´¨Ò¡ÃŒÍÂÅТͧÍѵÃÒ¡ÒÃൌ¹¢Í§ËÑÇã¨ÊÙ§ÊØ´ (maximal heart
rate) ÃŒÍÂÅТͧÍѵÃÒ heart rate reserve áÅÐÃдѺ¤Ðá¹¹¤ÇÒÁà˹×Í (rate perceived exertion,
                                                             è
RPE) ä´Œ ´Ñ§µÒÃÒ§·Õè 1

µÒÃÒ§·Õè 1 à»ÃÕºà·Õº¤ÇÒÁ˹ѡàºÒ¢Í§¡ÒÃÍÍ¡¡íÒÅѧ¡ÒÂ
 ¤ÇÒÁ˹ѡàºÒ          ÃдѺ¤Ðá¹¹       ÃŒÍÂÅТͧ¡Òà ÌÍÂÅТͧ      ÃŒÍÂÅТͧ
 ¢Í§¡ÒÃÍÍ¡            ¤ÇÒÁà˹×èÍ      㪌ÍÍ¡«Ôਹ ÍѵÃÒ¡ÒÃൌ¹ ÍѵÃÒ heart
 ¡íÒÅѧ¡Ò                             ÊÙ§ÊØ´       ¢Í§ËÑÇã¨ÊÙ§ÊØ´ rate reserve
 àºÒÁÒ¡               < 10             < 30               < 35               < 20
 àºÒ                  10 - 11          30 - 49            35 - 59            20 - 39
 »Ò¹¡ÅÒ§              12 - 13          50 - 74            60 - 79            40 - 59
 ˹ѡ                 14 - 16          75 - 84            80 - 89            60 - 84
 ˹ѡÁÒ¡              > 16             > 85               > 90               > 85

            ÊíÒËÃѺ¡ÒÃÍÍ¡¡íÒÅѧ¡Òª¹Ô´ÁÕá経ҹ¹Ñ¹ á¹Ð¹íÒãˌ㪌á経ҹËÃ×͹éÒ˹ѡàºÒ (light
                                                         é                         í
weight-training)      (11, 12)
                               â´Âãˌ¡¹éÒ˹ѡ»ÃÐÁҳÌÍÂÅÐ 30-50 ¢Í§áçÁÒ¡ÊØ´ (30-50% of maximal
                                         í
force) áÅÐá¹Ð¹íÒãˌ¡¹éÒ˹ѡàºÒᵋ·Ò«éÒËÅÒÂæ ¤Ãѧ (light loads and many repetitions) (4)
                                    í          í í         é
            㹼ٷ§äÁ‹à¤ÂÍÍ¡¡íÒÅѧ¡Òª¹Ô´¹ÕÁÒ¡‹Í¹ á¹Ð¹íÒãˌǴ¤ÇÒÁ´Ñ¹âÅËÔµËÅѧ¡¹éÒ˹ѡ
                     Œ Õè Ñ                           é                Ñ                    í
¶ŒÒ¤ÇÒÁ´Ñ¹âÅËÔµâ´Â੾ÒФÇÒÁ´Ñ¹ä´áÍÊâµÅÔ¡à¾ÔèÁ¢Öé¹Í‹ҧÁÒ¡ ¤ÇÃËÂØ´¡ÒÃÍÍ¡¡íÒÅѧ¡ÒÂ
ª¹Ô´¹ÕËÃ×ÍÅ´¹éÒ˹ѡ·Õ¡¨¹¡Ãзѧ¤ÇÒÁ´Ñ¹âÅËÔµäÁ‹à¾ÔÁÁÒ¡à¡Ô¹ä»
        é         í               è          è                 è
            㹼ٷ§äÁ‹à¤ÂÍÍ¡¡íÒÅѧ¡Òª¹Ô´¹ÕÁÒ¡‹Í¹ á¹Ð¹íÒãˌǴ¤ÇÒÁ´Ñ¹âÅËÔµËÅѧ¡¹éÒ˹ѡ
                    Œ Õè Ñ                          é                Ñ                    í
¶ŒÒ¤ÇÒÁ´Ñ¹âÅËÔµâ´Â੾ÒФÇÒÁ´Ñ¹ä´áÍÊâµÅÔ¡à¾ÔèÁ¢Öé¹Í‹ҧÁÒ¡ ¤ÇÃËÂØ´¡ÒÃÍÍ¡¡íÒÅѧ¡ÒÂ
ª¹Ô´¹ÕËÃ×ÍÅ´¹éÒ˹ѡ·Õ¡¨¹¡Ãзѧ¤ÇÒÁ´Ñ¹âÅËÔµäÁ‹à¾ÔÁÁÒ¡à¡Ô¹ä»
      é         í               è          è                 è
        3. ÃÐÂÐàÇÅҢͧ¡ÒÃÍÍ¡¡íÒÅѧ¡ÒÂ
             á¹Ð¹íÒãËŒÍÍ¡¡íÒÅѧ¡Òª¹Ô´áÍâúԡ¤ÃѧÅÐ 20-60 ¹Ò·Õ (4) ·Ñ§¹Õ¢¹¡Ñº¤ÇÒÁ˹ѡàºÒ¢Í§
                                                é                     é é Öé
¡ÒÃÍÍ¡¡íÒÅѧ¡Ò â´Â¶ŒÒÍÍ¡¡íÒÅѧ¡Ò´ŒÇ¤ÇÒÁ˹ѡàºÒÃдѺ»Ò¹¡ÅÒ§ ¤ÇÃÍÍ¡¡íÒÅѧ¡Òµѧᵋ     é
30 ¹Ò·Õ¢¹ä» ¶ŒÒÍÍ¡¡íÒÅѧ¡Ò´ŒÇÂÃдѺàºÒ¤ÇÃÍÍ¡¡íÒÅѧ¡ÒÂãËŒ¹Ò¹¢Ö¹ áÅжŒÒÍÍ¡¡íÒÅѧ¡ÒÂ˹ѡ
        Öé    (14)
                                                                       é
¤ÇÃÅ´ÃÐÂÐàÇÅÒ㹡ÒÃÍÍ¡¡íÒÅѧ¡ÒÂŧà¾×ÍÅ´¡ÒúҴà¨çº¢Í§¡ÅŒÒÁà¹×Í
                                        è                           é
             ¡ÒÃÍÍ¡¡íÒÅѧ¡Òª¹Ô´ÁÕá経ҹ á¹Ð¹íÒãËŒ·Ò·‹ÒÅÐ 10-15 ¤Ãѧ â´ÂàÅ×Í¡ÍÍ¡¡íÒÅѧ¡ÒÂ
                                                     í                   é
㹡ŌÒÁà¹×ÍÁÑ´ãË­‹ 䴌ᡋ ¡ÅŒÒÁà¹×Íᢹ ¢Ò ¨íҹǹ 8-10 ÁÑ´
           é                      é
158                                                                      ¡ÒÃÍÍ¡¡íÒÅѧ¡ÒÂã¹âä¤ÇÒÁ´Ñ¹âÅËÔµÊÙ§

          4. ¤ÇÒÁ¶Õ¢Í§¡ÒÃÍÍ¡¡íÒÅѧ¡ÒÂ
                   è
            ¢Ö¹¡Ñº¤ÇÒÁ˹ѡàºÒ㹡ÒÃÍÍ¡¡íÒÅѧ¡Ò â´Â¤ÇÒÁ˹ѡÃдѺ»Ò¹¡ÅÒ§ ¤ÇÃÍÍ¡¡íÒÅѧ¡ÒÂ
              é
ÊÑ»´ÒˏÅÐ 3-5 Çѹ ¶ŒÒÍÍ¡¡íÒÅѧ¡ÒÂÃдѺàºÒÊÒÁÒöÍÍ¡¡íÒÅѧ¡ÒÂä´Œ·¡Çѹ(13)
                                                                    Ø
            ÁÕ¡ÒÃÇԨ·վºÇ‹Ò¡ÒÃÍÍ¡¡íÒÅѧ¡ÒÂÊÑ»´ÒˏÅÐ 3 Çѹ໚¹Í‹ҧ¹ŒÍ¨Ðä´Œ»ÃÐ⪹ã¹¡ÒÃ
                    Ñ è
Å´¤ÇÒÁ´Ñ¹âÅËÔµáÅл‡Í§¡Ñ¹¡ÒÃà¡Ô´âäËÑÇã¨áÅÐËÅÍ´àÅ×Í´ä´Œ Í‹ҧäáçµÒÁ¾ºÇ‹Ò¡ÒÃÍÍ¡¡íÒÅѧ¡ÒÂ
·Ø¡ÇѹÊÒÁÒöŴ¤ÇÒÁ´Ñ¹âÅËԵ䴌ÁÒ¡¡Ç‹Ò¡ÒÃÍÍ¡¡íÒÅѧ¡ÒÂÊÑ»´ÒˏÅÐ 3 Çѹ(3)
            ¨Ò¡¡ÒÃÈÖ¡ÉÒ¤ÇÒÁÊÑÁ¾Ñ¹¸¢Í§µÑÇá»ÃàÃ×ͧ¤ÇÒÁ˹ѡàºÒ ÃÐÂÐàÇÅÒáÅФÇÒÁ¶Õ㹡ÒÃ
                                                  è                                  è
ÍÍ¡¡íÒÅѧ¡Òµ‹Í¡ÒÃŴŧ¢Í§¤ÇÒÁ´Ñ¹âÅËÔµ ¾ºÇ‹ÒäÁ‹ÁµÇá»Ãã´·ÕÁ¤ÇÒÁÊÑÁ¾Ñ¹¸Í‹ҧÁÕ¹ÂÊíҤѭ
                                                      Õ Ñ       è Õ               Ñ
¡Ñº¡ÒÃà»ÅÕ¹á»Å§¢Í§¡ÒÃÅ´¤ÇÒÁ´Ñ¹âÅËÔµ ᵋàÁ×ÍÃÇÁµÑÇá»Ã·Ñ§ 3 µÑÇ ¾ºÇ‹ÒÁÕ¤ÇÒÁÊÑÁ¾Ñ¹¸áÅÐ
          è                              (3)
                                                è             é
ÁÕ¹ÂÊíҤѭ¡Ñº¡ÒÃà»ÅÕ¹á»Å§¢Í§ÃдѺ¤ÇÒÁ´Ñ¹âÅËÔµ
   Ñ                  è                             (3)

            ʋǹ¡ÒÃÍÍ¡¡íÒÅѧ¡Òª¹Ô´á経ҹãËŒÍÍ¡¡íÒÅѧ¡Ò»ÃÐÁÒ³ 2-3 Çѹµ‹ÍÊÑ»´Òˏ(9)

àÍ¡ÊÒÃ͌ҧÍÔ§
1.    Hagberg JM, Park JJ, Brown MD. The role of exercise training in the treatment of hypertension. An update.
      Sports Med 2000;30:193-206.
2.    .agard RH. Exercise characteristics and the blood pressure response to dynamic physical training. Med Sci
      Sports Exerc 2001;33:484-92.
3.    Keely GA, Kelly KA, Tran ZV. Aerobic exercise and resting blood pressure: a meta-analytic review of randomized,
      controlled trials. Prev Cardiol 2001;4:73-80.
4.    Swain R, Kaplan B. Treatment hypertension in active patients: which agents work best with exercise?
      Physician Sportsmed 1997;25:1-13.
5.    American College of Sports Medicine. ACSM’s Guidelines for Exercise Testing and Prescription. 7th ed.
      Baltimore (MD): Lippincott Williams & Wilkins, 2006.
6.    Keely GA, Kelly KS. Progressive resistance exercise and resting blood pressure: a meta-analysis of randomized
      controlled trials. Hypertension 2000;35:838-43.
7.    Pollock ML, .ranklin BA, Gary J, et al. Resistance exercise in individuals with and without cardiovascular
      disease: benefits, rationale, safety, and prescription: an advisory from the Committee on Exercise, Rehabilitation,
      and Prevention, Council on Clinical Cardiology, American Heart Association. Circulation 2000;101:828-33.
8.    American College of Sports Medicine position stand. Physical activity, physical fitness, and hypertension. Med
      Sci Sports Exerc 1993;25:1-10.
9.    .agard RH, Tipton CM. Physical activity, fitness and hypertension. In: Bouchard C, Shephard RJ, Stephens
      T, eds. Physical Activity, .itness and Health. Champaign (IL): Human Kinetics; 1994;633-55.
10.   La.ontaine T. Resistance training for patients with hypertension. Strength Condition 1997;19:5-9.
11.   Pollock M, .ranklin B, Balady G, Chaitman B, .leg J, .letcher B, et al. AHA science advisory. Resistance
      exercise in individuals with and without cardiovascular disease. Circulation 2000;101:828-33.
12.   .ranklin B, Whaley M, Holey E. American College of Sports Medicine’s Guidelines for Exercise Testing and
      Prescription. 6th ed. Baltimore (MD): Lippincott Williams & Wilkins; 2000.
13.   American College of Sports Medicine position stand. The recommended quantity and quality of exercise for
      developing and maintaining cardiorespiratory and muscular fitness, and flexibility in healthy adults. Med Sci
      Sports Exerc 1998;30:975-91.
àǪÈÒʵÏ·¹Âؤ 2553
          Ñ                                                                  º··Õè      159

                                                                              23
                      ¡ÒÃÍÍ¡¡íÒÅѧ¡ÒÂã¹âäàºÒËÇÒ¹
                                                        ÍÒ¨ÒÏÇÔÅÒÇѳ ¶ÔÃÀѷþ§È
                  ÀÒ¤ÇÔªÒàǪÈÒʵÏ¿¹¿Ù ¤³Ðá¾·ÂÈÒʵÏÈÃÃÒª¾ÂÒºÒÅ ÁËÒÇÔ·ÂÒÅÑÂÁËÔ´Å
                                   „œ                ÔÔ

¡ÒÃÍÍ¡¡íÒÅѧ¡ÒÂã¹¼ÙŒ»†ÇÂâäàºÒËÇÒ¹
            ¨Ø´»ÃÐʧ¤¢Í§¡ÒÃÍÍ¡¡íÒÅѧ¡Ò ¤×Í ·íÒãËŒÊÁÃöÀÒ¾¢Í§Ã‹Ò§¡Ò·ÑÇä» (general physical
                                                                       è
fitness) ´Õ¢¹ áÅÐÊÒÁÒöÍÍ¡¡íÒÅѧËÃ×ÍÍÍ¡áç·íҧҹ䴌â´ÂäÁ‹ÁÍÒ¡ÒüԴ»¡µÔ ઋ¹ Ëͺà˹×ÍÂ
                Öé                                             Õ                           è
ËÒÂã¨äÁ‹Êдǡ ¹Í¡¨Ò¡¹Õ§ʋ§àÊÃÔÁãËŒ¡ÅŒÒÁà¹×ÍÁÕ¡ÒÅѧáÅÐá¢ç§áç ¡Ò÷íÒ§Ò¹¢Í§ÃкºäËÅàÇÕ¹
                                    é Ñ           é í
àÅ×Í´áÅÐÃкº¡Ò÷íÒ§Ò¹¢Í§»Í´ÁÕ»ÃÐÊÔ·¸ÔÀÒ¾´Õ ¹Í¡¨Ò¡¹Õé໇ÒËÁÒ¢ͧ¡ÒÃÍÍ¡¡íÒÅѧ¡ÒÂ
ã¹¼ÙŒ»†ÇÂâäàºÒËÇÒ¹ ¤×Í µŒÍ§¡ÒäǺ¤ØÁÃдѺ¹éíÒµÒÅã¹àÅ×Í´ãËŒ»¡µÔËÃ×Íã¡ÅŒà¤Õ§»¡µÔ ÃÇÁ·Ñé§
¤Çº¤ØÁ»˜¨¨ÑÂàÊÕ§Í×¹æ µ‹Í¡ÒÃà¡Ô´âäËÑÇã¨áÅÐËÅÍ´àÅ×Í´ ઋ¹ ¤Çº¤ØÁÃдѺä¢Áѹã¹àÅ×Í´ ÃдѺ
                         è è
¤ÇÒÁ´Ñ¹âÅËÔµ ¹éÒ˹ѡµÑÇ à»š¹µŒ¹ ¼Ù»ÇÂàºÒËÇÒ¹¤ÇÃÍÍ¡¡íÒÅѧ¡ÒÂÍ‹ҧÊÁèÒàÊÁÍ àª‹¹à´ÕÂǡѺ
                          í               Œ †                            í
¼ÙŒäÁ‹à»š¹âäàºÒËÇÒ¹ à¹×èͧ¨Ò¡¡ÒÃÁÕâäàºÒËÇÒ¹äÁ‹ä´Œà»š¹¢ŒÍËŒÒÁ㹡ÒÃÍÍ¡¡íÒÅѧ¡Ò ¡àÇŒ¹
ËÒ¡ÁÕâäËÃ×ÍÀÒÇзÕè¢Ñ´¢ÇÒ§áÅÐ໚¹¢ŒÍËŒÒÁ㹡ÒÃÍÍ¡¡íÒÅѧ¡Ò ¨Ö§¨íÒ໚¹µŒÍ§ÁÕ¡ÒèíÒ¡Ñ´ËÃ×Í
ÃÐÁÑ´ÃÐÇѧà¾×ÍÁÔãËŒà¡Ô´ÍѹµÃÒµ‹ÍËҧ¡Ò ¹Í¡¨Ò¡¹Õ¼»Ç¤ÇÃÃÙËÅѡ㹡ÒÃÍÍ¡¡íÒÅѧ¡Ò·ÕàËÁÒÐÊÁ
                   è                                é ÙŒ †  Œ                      è
ÃÇÁ·Ñ§ÁҵáÒû‡Í§¡Ñ¹ÀÒÇйéÒµÒÅã¹àÅ×Í´µèÒ´ŒÇÂ
       é                                í       í
          ¢ŒÍËŒÒÁ㹡ÒÃÍÍ¡¡íÒÅѧ¡ÒÂÊíÒËÃѺ¼ÙŒà»š¹àºÒËÇÒ¹ 䴌ᡋ ÃдѺ¹éíÒµÒÅã¹àÅ×Í´à¡Ô¹
300 Á¡./´Å., ¤ÇÒÁ´Ñ¹âÅËÔµÊÙ§à¡Ô¹ 200/110 ÁÁ.»ÃÍ· ¤ÇÒÁ¼Ô´»¡µÔ¢Í§âäËÑÇ㨷դǺ¤ØÁäÁ‹ä´Œ
                                                                               è
â䢌ͷըÐÊ‹§¼ÅàÊÕÂËÃ×Í¡Ãзº¡ÃÐà·×͹¢³ÐÍÍ¡¡íÒÅѧ¡Ò âä¨Í»ÃÐÊÒ·µÒ¼Ô´»¡µÔ¨Ò¡àºÒËÇÒ¹
          è
ÃÐ´ÑºÃØ¹áç·Õ§äÁ‹ä´ŒÃº¡ÒÃÃÑ¡ÉÒ áÅÐÀÒÇÐà¨çº»†ÇÂà©Õº¾ÅѹËÃ×ÍÁÕ䢌ʧ
                     è Ñ        Ñ                                   Ù
          ÁҵáÒû‡Í§¡Ñ¹ÀÒÇйéíÒµÒÅã¹àÅ×Í´µèíÒ ¶ŒÒäÁ‹ÁÕ¢ŒÍËŒÒÁ㹡ÒÃÍÍ¡¡íÒÅѧ¡Ò ¼ÙŒ»†ÇÂ
àºÒËÇÒ¹·ÕÁËÃ×ÍäÁ‹ÁÀÒÇÐá·Ã¡«ŒÍ¹¨Ò¡àºÒËÇÒ¹ÊÒÁÒöÍÍ¡¡íÒÅѧ¡ÒÂä´Œ ᵋà¹×ͧ¨Ò¡ÀÒÇйéÒµÒÅ
               è Õ            Õ                                            è           í
ã¹àÅ×Í´µèÒÍÒ¨à¡Ô´¢Ö¹ä´Œã¹ÃÐËNjҧËÃ×ÍËÅѧ¡ÒÃÍÍ¡¡íÒÅѧ¡Ò»ÃÐÁÒ³ 4-6 ªÁ. ´Ñ§¹Ñ¹¼Ù»Ç¨֧¤ÇÃÃÙŒ
             í              é                                                é Œ †
ÁҵáÒû‡Í§¡Ñ¹ÀÒÇйéÒµÒÅã¹àÅ×Í´µèÒ(1-5) ´Ñ§µ‹Í仹Õé
                                  í           í
            1. ¤ÇõÃǨÃдѺ¹éÒµÒÅã¹àÅ×ʹ໚¹ÃÐÂÐ â´Â੾ÒмٻÇ·Õ§¤Çº¤ØÁÃдѺ¹éÒµÒÅã¹àÅ×Í´
                                     í                     Œ † è Ñ               í
äÁ‹´ÍÒ¨µŒÍ§µÃǨ¡‹Í¹áÅÐËÅѧ¡ÒÃÍÍ¡¡íÒÅѧ¡Ò ËÃ×͵ÃǨÃÐËNjҧ¡ÒÃÍÍ¡¡íÒÅѧ¡Ò´ŒÇ¶ŒÒ¼Ù»ÇÂ
     Õ                                                                                   Œ †
ÍÍ¡¡íÒÅѧ¡ÒÂ˹ѡËÃ×͹ҹ ¶ŒÒÃдѺ¹éÒµÒÅã¹àÅ×Í´µèÒ¡Ç‹Ò 60 Á¡./´Å. ¤ÇÃÃѺ»ÃзҹÍÒËÒÃNjҧ
                                            í           í
ËÃ×ͼÅäÁŒ¡‹Í¹áÅÐÃÐËNjҧ¡ÒÃÍÍ¡¡íÒÅѧ¡Ò·ء 30 ¹Ò·Õ áÅлÃÖ¡ÉÒᾷà¾×èÍ»ÃѺª¹Ô´áÅÐ
¢¹Ò´ÂÒãËŒàËÁÒÐÊÁ
160                                                               ¡ÒÃÍÍ¡¡íÒÅѧ¡ÒÂã¹âäàºÒËÇÒ¹

       2. ¤ÇÃÍÍ¡¡íÒÅѧ¡ÒÂ໚¹àÇÅÒÍ‹ҧÊÁèíÒàÊÁÍà¾ÃÒЪ‹Ç·íÒãËŒÃдѺ¹éíÒµÒÅã¹àÅ×Í´ÁÕ¤ÇÒÁ
á»Ã»ÃǹŴŧ Ê‹§¼ÅãËŒ¡ÒûÃѺÂÒáÅÐÍÒËÒÃäÁ‹Â§ÂÒ¡ äÁ‹¤ÇÃÍÍ¡¡íÒÅѧ¡ÒÂ㹪‹Ç§·ÕÍ¹ÊØÅ¹ÍÍ¡
                                                Ø‹                            èÔ Ô
Ä·¸ÔÊ§ÊØ´
    ìÙ
       3. àÅÕ§¡ÒéմÍÔ¹ÊØÅ¹ºÃÔàdz¡ÅŒÒÁà¹×Í·ÕÁ¡ÒÃÍÍ¡¡íÒÅѧ¡Ò ઋ¹ ©Õ´ºÃÔàdz˹ŒÒ·ŒÍ§ã¹¡ÒÃ
             è             Ô              é è Õ
ÍÍ¡¡íÒÅѧ¡Ò·Õ㪌ÊǹᢹËÃ×Í¢Ò
               è ‹
       4. äÁ‹¤ÇÃÍÍ¡¡íÒÅѧ¡ÒµÒÁÅíҾѧ ¤ÇÃÁÕà¾×͹ÍÍ¡¡íÒÅѧ¡Ò´ŒÇ áÅФÇÃÃÙ¨¡ÍÒ¡ÒùéÒµÒÅ
                                                   è                       ŒÑ        í
ã¹àÅ×Í´µèÒáÅÐÇԸᡌä¢
         í      Õ

ËÅÑ¡¡ÒÃÍÍ¡¡íÒÅѧ¡Ò·ÕèàËÁÒÐÊÁã¹¼ÙŒ»†ÇÂàºÒËÇÒ¹
        ¡ÒÃÍÍ¡¡íÒÅѧ¡Ò·մ¨ÐµŒÍ§àËÁÒÐÊÁ¡ÑºÊÀÒ¾¼Ù»ÇÂᵋÅФ¹ â´Â¾Ô¨ÒóҶ֧ÊÀҾËҧ¡ÒÂ
                          è Õ                         Œ †
·ÑÇä» ÊÁÃöÀÒ¾¡Ò÷íÒ§Ò¹áÅл˜­ËҢͧÃкºµ‹Ò§ æ ¢Í§Ã‹Ò§¡Ò ÍÒ·Ôઋ¹ ÃкºËÑÇã¨áÅÐËÅÍ´
  è
àÅ×Í´ Ãкº»ÃÐÊÒ· ËÃ×ÍÃкº¡ÅŒÒÁà¹×Í ¡Ãд١áÅТŒÍ ໚¹µŒ¹ ·Ñ§¹Õ¡ÒÃÍÍ¡¡íÒÅѧ¡Ò¤ÇÃÁÕ¤ÇÒÁ
                                       é                      é é
˹ѡ (intensity) à¾Õ§¾Í ÁÕ¤ÇÒÁ¶Õè (frequency) ÊÁèÒàÊÁÍ áÅÐÃÐÂÐàÇÅÒ (duration) ·Õ¹Ò¹¾Í à¾×Í
                                                  í                              è        è
ãËŒà¡Ô´»ÃÐ⪹µÍËҧ¡ÒÂ
                  ‹
        1. »ÃÐàÀ·¢Í§¡ÒÃÍÍ¡¡íÒÅѧ¡ÒÂ
            á¹Ð¹íÒ¡ÒÃÍÍ¡¡íÒÅѧ¡Ò»ÃÐàÀ·áÍâúԡ·ÕÁáç¡ÃÐá·¡µ‹Í¢ŒÍ¹ŒÍ ઋ¹ à´Ô¹ ÃíÒÁǨչ
                                                 è Õ
NjҹéÒËÃ×Íà´Ô¹ã¹¹éÒ à»š¹µŒ¹ à¹×ͧ¨Ò¡¼Ù»ÇÂàºÒËÇÒ¹Áѡ໚¹¼ÙʧÍÒÂØ«§ÍÒ¨ÁÕ»­ËÒàÃ×ͧ»Ç´à¢‹Ò
      í            í            è      Œ †                ŒÙ     Öè     ˜     è
¢ŒÍà·ŒÒËÃ×ÍÊÐ⾡ËÇÁ´ŒÇ â´Â¨ÐàÅ×Í¡ÍÍ¡¡íÒÅѧ¡Òª¹Ô´ã´¢Ö¹¡ÑºÊÀҾËҧ¡Ò ¤ÇÒÁªíÒ¹Ò­ ¤ÇÒÁ
                                                       é
¶¹Ñ´ áÅФÇÒÁªÍº¢Í§áµ‹Åкؤ¤Å
        2. ¤ÇÒÁ˹ѡ¢Í§¡ÒÃÍÍ¡¡íÒÅѧ¡ÒÂ
                 á¹Ð¹íÒ¤ÇÒÁ˹ѡÃдѺ»Ò¹¡ÅÒ§áÅÐÍÒ¨¤‹ÍÂæ»ÃѺà¾ÔÁ¢Ö¹ ·Ñ§¹Õ¢¹¡ÑºÊÀÒ¾ºØ¤¤ÅáÅÐ
                                                                  è é é é Öé
¢ŒÍ¨íÒ¡Ñ´Í×¹æ ÊÒÁÒö»ÃÐàÁԹ䴌¨Ò¡ËÅÒÂÇÔ¸Õ ä´Œá¡‹
               è
                 1. »ÃÐàÁÔ¹¨Ò¡ÍѵÃÒ¡ÒÃ㪌ÍÍ¡«Ôਹ â´Â¤Ô´à»š¹ÃŒÍÂÅТͧ¡ÒÃ㪌ÍÍ¡«ÔਹÊÙ§ÊØ´
                     ÇÔ¸¹µÍ§ÍÒÈÑÂà¤Ã×ͧÁ×Í㹡ÒõÃǨ ·íÒãËŒäÁ‹ÊдǡáÅФ‹Í¹¢ŒÒ§ÂاÂÒ¡ ´Ñ§¹Ñ¹ã¹·Ò§
                        Õ Õé Œ        è                                          ‹         é
»¯Ôºµ¨§äÁ‹¹ÂÁ㪌 ʋǹãË­‹Á¡¨Ð㪌㹧ҹÇÔ¨Â
      Ñ ÔÖ Ô                      Ñ            Ñ
                 2. »ÃÐàÁÔ¹¨Ò¡ÍѵÃÒ¡ÒÃൌ¹¢Í§ËÑÇã¨
                     ໚¹¡ÒáíÒ˹´ÍѵÃÒ¡ÒÃൌ¹¢Í§ËÑÇã¨à»‡ÒËÁÒ (target heart rate, THR) ໚¹à¡³±
áÅŒÇãËŒ¼»ÇÂÍÍ¡¡íÒÅѧ¨¹¡ÃзѧÍѵÃÒ¡ÒÃൌ¹¢Í§ËÑÇã¨ÁÕ¤Òã¡ÅŒà¤Õ§ËÃ×Í෋ҡѺÍѵÃҷդҹdz䴌 «Ö§
          ÙŒ †                      è                      ‹                          è í        è
ÊÒÁÒö¤íҹǹÍѵÃÒ¡ÒÃൌ¹¢Í§ËÑÇã¨à»‡ÒËÁÒÂä´ŒËÅÒÂÇÔ¸Õ ä´Œá¡‹
                     2.1 ÇԸբͧ Karvonen ËÃ×Í heart rate reserve (HRR) «Öè§ÍѵÃÒ¡ÒÃൌ¹ËÑÇã¨
໇ÒËÁÒÂÁÕ¤Ò»ÃÐÁҳÌÍÂÅÐ 40-80 ¢Í§ HRR áÅÐÁÕʵôѧ¹Õé THR = HRrest + % (HRmax –
                  ‹                                      Ù
HRrest) â´Â HRmax ¤×ÍÍѵÃÒ¡ÒÃൌ¹ËÑÇã¨ÊÙ§ÊØ´ áÅÐ HRrest ¤×ÍÍѵÃÒ¡ÒÃൌ¹ËÑÇ㨢³Ð¾Ñ¡ ÇÔ¸¹Õé      Õ
àËÁÒÐÊíÒËÃѺ¼Ù»Ç·ÕÃÒ§¡ÒÂá¢ç§áçÃдѺ˹֧áÅŒÇà¹×ͧ¨Ò¡¤‹Ò·Õ¤Ò¹Ç³ä´ŒÁ¡¨ÐÁդҷդ͹¢ŒÒ§ÊÙ§
                    Œ † è‹                       è     è         è í          Ñ      ‹ è ‹
àǪÈÒʵÏ·¹Âؤ 2553
          Ñ                                                                                 161

àÁ×Íà·Õº¡Ñº¡ÒÃ㪌Ǹ͹ ¹Í¡¨Ò¡¹Õ§àËÁÒÐÊÁ¡Ñº¼Ù»Ç·ÕÁ͵ÃÒ¡ÒÃൌ¹¢Í§ËÑÇã¨ÊÙ§ËÃ×͵èҡNjһ¡µÔ
    è              Ô Õ ×è         éÑ            Œ † è ÕÑ                             í
à¹×ͧ¨Ò¡ÁÕ¡ÒùíÒ¤‹ÒÍѵÃÒ¡ÒÃൌ¹¢Í§ËÑÇ㨢³Ð¾Ñ¡ÁÒ¤Ô´´ŒÇÂ
      è
               2.2 ÇÔ¸¤Ò¹Ç³¨Ò¡ÍѵÃÒ¡ÒÃൌ¹ËÑÇã¨ÊÙ§ÊØ´ (HRmax) â´ÂÍѵÃÒ¡ÒÃൌ¹ËÑÇã¨à»‡Ò
                          Õ í
ËÁÒ¤‹Ò»ÃÐÁҳÌÍÂÅÐ 50-85 ¢Í§ HRmax «Ö§ÍѵÃÒ¡ÒÃൌ¹¢Í§ËÑÇã¨à»‡ÒËÁÒ·Õä´Œ¨Ò¡ÇÔ¸¹¨ÐµèÒ
                                            è                               è          Õ Õé í
¡Ç‹Ò¡Òäíҹdz¨Ò¡ÇÔ¸ááàÅ硹ŒÍÂ
                       Õ
               2.3 ¡ÒÃ㪌ÃдѺ¤ÇÒÁà˹×Í (rate of perceived exertion, RPE) ¢Í§ Borg
                                         è
                     ໚¹¡ÒûÃÐàÁÔ¹ÃдѺ¤ÇÒÁà˹×ÍÂÍÍ¡ÁÒ໚¹µÑÇàÅ¢ â´Â¼Ù»ÇÂ໚¹¼Ù»ÃÐàÁÔ¹àͧ
                                                 è                      Œ †       Œ
ÁÕ·§ËÁ´ 15 ÃдѺ (6-20) ÃдѺ¤ÇÒÁà˹×Í·Õá¹Ð¹íÒ ¤×Í 12-16 (moderate to hard) ÇÔ¸¹ÊÒÁÒö㪌
        Ñé                              è è                                     Õ Õé
ä´Œ·ÑèÇä» â´Â੾ÒСóշÕè㪌ÇÔ¸Õ¤íҹdz¨Ò¡ÍѵÃÒ¡ÒÃൌ¹¢Í§ËÑÇã¨äÁ‹ä´Œ ઋ¹ ¼ÙŒ»†ÇÂÃѺ»Ãзҹ
ÂÒÅ´¤ÇÒÁ´Ñ¹¡ÅØÁ beta-blocker «Ö§ÁռŷíÒãˌ͵ÃÒ¡ÒÃൌ¹ËÑÇã¨äÁ‹à¾ÔÁÁÒ¡¹Ñ¡ ËÃ×͡óշ¼»ÇÂ
                 ‹                 è          Ñ                   è                      Õè ÙŒ †
äÁ‹ÊÒÁÒö¨ÑºªÕ¾¨Ã´ŒÇµ¹àͧ䴌 ËÃ×ͨѺªÕ¾¨Ã䴌ᵋÍÒ¨äÁ‹¶Ù¡µŒÍ§ ઋ¹ ÁÕÍѵÃÒ¡ÒÃൌ¹ËÑÇã¨
·ÕäÁ‹ÊÁèÒàÊÁÍ à»š¹µŒ¹
  è        í
        3. ÃÐÂÐàÇÅÒ㹡ÒÃÍÍ¡¡íÒÅѧ¡ÒÂ
           á¹Ð¹íÒãËŒÍÍ¡¡íÒÅѧ¡Ò»ÃÐÁÒ³ 20-30 ¹Ò·Õ໚¹Í‹ҧ¹ŒÍ ·Ñ§¹Õ¢¹¡ÑºÃдѺ¤ÇÒÁ˹ѡ¢Í§
                                                                 é é Öé
¡ÒÃÍÍ¡¡íÒÅѧ¡Ò â´Â¶ŒÒÍÍ¡¡íÒÅѧ¡ÒÂÃдѺàºÒ¶Ö§»Ò¹¡ÅÒ§ÍҨ㪌àÇÅҹҹ໚¹ 60 ¹Ò·Õä´Œ ᵋ·§  Ñé
¹ÕµÍ§¤íÒ¹Ö§¶Ö§ÀÒÇÐá·Ã¡«ŒÍ¹àÃ×ͧÃдѺ¹éÒµÒÅã¹àÅ×Í´µèÒ´ŒÇÂ
  é Œ                         è       í            í
       4. ¤ÇÒÁ¶Õ㹡ÒÃÍÍ¡¡íÒÅѧ¡ÒÂ
                  è
           á¹Ð¹íÒ¡ÒÃÍÍ¡¡íÒÅѧ¡Ò Í‹ҧ¹ŒÍ 4-6 Çѹ/ÊÑ»´Òˏ ËÃ×ÍÊÒÁÒöÍÍ¡¡íÒÅѧ¡Ò·ءÇѹ䴌
¶ŒÒÍÍ¡¡íÒÅѧ¡Ò´ŒÇÂÃдѺ¤ÇÒÁ˹ѡàºÒ¶Ö§»Ò¹¡ÅÒ§
          5. ¡ÒÃà¾ÔÁÃдѺ¡ÒÃÍÍ¡¡íÒÅѧ¡ÒÂ
                     è
               ¢Ö¹¡ÑºÊÀҾËҧ¡Ò¢ͧ¼Ù»Ç ¤ÇÒÁÃØ¹áçáÅÐÀÒÇÐá·Ã¡«ŒÍ¹¢Í§âä ÃÇÁ·Ñ§¡Òõͺ
                 é                   Œ †                                            é
ʹͧ¢Í§¡ÒÃÍÍ¡¡íÒÅѧ¡Ò ໚¹µŒ¹ â´ÂÁÕËÅѡࡳ±ÇÒ¤ÇÃà¾ÔÁÃÐÂÐàÇÅÒ¡‹Í¹¤ÇÒÁ˹ѡáÅФÇÒÁ
                                                      ‹         è
¶Õ㹡ÒÃÍÍ¡¡íÒÅѧ¡Ò áÅФÇä§ÃдѺ¡ÒÃÍÍ¡¡íÒÅѧ¡Ò¹ѹæ äÇŒ»ÃÐÁÒ³ 1-2 ÊÑ»´Òˏ¡Í¹à¾ÔÁÃдѺ
  è                                                       é                       ‹    è
·ÕÁÒ¡¢Ö¹
      è é
               Í‹ҧäáçµÒÁ¼ÙŒ»†ÇÂÍÒ¨ÁÕ¢ŒÍ¨íÒ¡Ñ´Í×è¹æ ·Õè·íÒãËŒäÁ‹ÊÒÁÒöÍÍ¡¡íÒÅѧ¡ÒÂ䴌͋ҧÁÕ
»ÃÐÊÔ·¸ÔÀÒ¾ËÃ×͵ÒÁẺἹ䴌 䴌ᡋ ¡ÒÃÁͧàËç¹Å´Å§¨Ò¡ÀÒÇÐá·Ã¡«ŒÍ¹·Ò§µÒ¨Ò¡âäàºÒ
ËÇÒ¹ ÍÒ¡ÒúÇÁ¨Ò¡á¼ÅµÔ´àª×éÍ·Õèà·ŒÒËÃ×ÍÀÒÇÐá·Ã¡«ŒÍ¹·Ò§äµ ÍÒ¡ÒÃà˹×èͨҡâäËÑÇã¨
ËÃ×ÍÍÒ¡ÒûǴࢋҨҡâ䢌ÍàÊ×ÍÁ ໚¹µŒ¹ ´Ñ§¹Ñ¹¨Ö§á¹Ð¹íÒãËŒ¼»ÇÂÁÕ¡ÒÃà¤Å×͹äËǢͧËҧ¡ÒÂã¹
                                 è              é                 ÙŒ †    è
¡Ô¨ÇѵûÃШíÒÇѹ ઋ¹ à´Ô¹àÅ‹¹ÃͺºŒÒ¹ à´Ô¹«×ͧ͢ ·íÒ§Ò¹ºŒÒ¹ ´ÙáŵŒ¹äÁŒºÃÔàdzºŒÒ¹ ໚¹µŒ¹ ÃÇÁ
                                             é
·Ñ§»ÃѺà»ÅÕ¹¡ÒôíÒà¹Ô¹ªÕǵËÃ×Í´Ñ´á»Å§§Ò¹»ÃШíÒãˌ໚¹¡ÒÃÍÍ¡áçËÃ×ÍÍÍ¡¡íÒÅѧ¡ÒÂá·¹ ઋ¹
    é        è               Ô
¶ŒÒäÁ‹»Ç´à¢‹Ò¤ÇÃà´Ô¹¢Ö¹ºÑ¹ä´á·¹¡ÒâֹÅÔ¿µ ¶ŒÒÃÐÂзҧ¾ÍàËÁÒФÇÃà´Ô¹ä»·íÒ§Ò¹ËÃ×͵ÅÒ´
                         é               é
á·¹¡ÒÃ㪌ö ໚¹µŒ¹
162                                                                              ¡ÒÃÍÍ¡¡íÒÅѧ¡ÒÂã¹âäàºÒËÇÒ¹

àÍ¡ÊÒÃ͌ҧÍÔ§
1.    American diabetes Association. Standards of medical care for patients with diabetes mellitus. Diabetes Care
      2000;23:532-42.
2.    Gordon N.. The exercise prescription. In: The Health Professional’s guide to diabetes and exercise. Alexandria,
      VA: American Diabetes Association, 1995:70-82.
3.    Berger M. Adjustment of insulin therapy. In: The health professional’s guide to diabetes and exercise. Alexandria,
      VA: American Diabetes Association, 1995:116-22.
4.    Albright AL. Diabetes. In: Durstine JL, ed. ACSM’s Exercise management for persons with chronic diseased
      and disabilities. Champaign, IL: Human kinetics, 1997:94-100.
5.    Kenny W, Humphrey R, Bryant C. ACSM’s guidelines for exercise testing and prescription. 7th ed. Philadelphia:
      Williams & Wilkin: 2005.
àǪÈÒʵÏ·¹Âؤ 2553
          Ñ                                                                   º··Õè       163

                                                                               24
                                  ÍØºÑµÔà˵ؤÍÊкѴ
                                  (Whiplash Injury)
                                        ¼ÙŒª‹ÇÂÈÒʵÃÒ¨ÒÏ ¹ÒÂᾷÇÔÉ³Ø ¡ÑÁ·Ã·Ô¾Â
                  ÀÒ¤ÇÔªÒàǪÈÒʵÏ¿¹¿Ù ¤³Ðá¾·ÂÈÒʵÏÈÃÃÒª¾ÂÒºÒÅ ÁËÒÇÔ·ÂÒÅÑÂÁËÔ´Å
                                   „œ                  ÔÔ

¹ÔÂÒÁ
          The Quebec Task .orce (QT.) on Whiplash-associated disorders (WAD) ä´Œ¹ÂÒÁ whiplash
                                                                                 Ô
injury Ç‹Ò໚¹¡ÒúҴà¨çºµ‹Íâ¤Ã§ÊÌҧ¡Ãд١¤ÍáÅÐà¹×éÍàÂ×èÍ͋͹ ·Õèà¡Ô´¨Ò¡áç¡ÃÐá·¡¨Ò¡
·Ò§´ŒÒ¹ËÅѧ ËÃ×Í´ŒÒ¹¢ŒÒ§ â´Â¡Åä¡¡ÒÃà¡Ô´ºÒ´à¨çºà»š¹áºº acceleration-deceleration «Ö§¾ºä´ŒºÍÂ
                                                                                   è       ‹
ã¹Íغµà˵ØÃ¶Â¹µª¹¡Ñ¹ (motor vehicle accidents) ËÃ×ÍÍØºµà˵ØÍ¹æ
      Ñ Ô                                                 Ñ Ô ×è     (1)



ÃкҴÇÔ·ÂÒ
        ÍØºÑµÔà˵ؤÍÊкѴ໚¹¡ÒúҴà¨çº·Õ辺䴌º‹ÍÂáÅÐ໚¹ÊÒà˵ØÊíҤѭ¢Í§¡ÒÃÊÙ­àÊÕ¤ÇÒÁ
ÊÒÁÒö (disability) ʋǹÁÒ¡ÊÑÁ¾Ñ¹¸¡ÑºÍغѵÔà˵ØÃ¶Â¹µª¹¡Ñ¹(2) ¾ºÀÒÇйÕéä´Œ¶Ö§ÃŒÍÂÅÐ 83
¢Í§Íغµà˵ØÃ¶Â¹µª¹¡Ñ¹ (2) ÍØºµ¡Òó¢Í§ WAD ÁÕ¤ÇÒÁᵡµ‹Ò§¡Ñ¹ÁÒ¡µÒÁ¡ÒÃÈÖ¡ÉÒ ÍØºµ¡Òó
      Ñ Ô                     Ñ Ô                                                 Ñ Ô
ÍÂÙÃÐËNjҧ 70-200/100,000 ¢Í§»ÃЪҡà 㹻ÃÐà·ÈÊËÃѰÍàÁÃÔ¡Ò ¾ºÍغµ¡Òó»ÃÐÁÒ³ 4 ã¹
   ‹                                   (1)
                                                                      Ñ Ô
1,000 ¢Í§»ÃЪҡà    (3)



¾ÂÒ¸ÔÊÃÕÃÇÔ·ÂÒ
         ÍØºµà˵ؤÍÊкѴÍÒ¨à¡Ô´¨Ò¡Íغµà˵ØÃ¶Â¹µª¹¡Ñ¹ËÃ×ͨҡºÒ´à¨çº¨Ò¡¡ÒáÕÌÒ¡çä´Œ äÁ‹ÇÒ
             Ñ Ô                             Ñ Ô                                             ‹
·ÔÈ·Ò§¢Í§áç¡ÃзíÒ¨Ð໚¹áººã´ áç¡ÃзíÒ¹Ñ鹨зíÒãËŒâ¤Ã§ÊÌҧ¤Íà¤Å×è͹·ÕèËÃ×ÍÊкѴẺ
äÃŒ¡ÒäǺ¤ØÁ â´Â¡ÅŒÒÁà¹×ÍÃͺ¤Í·Õ·Ò˹ŒÒ·Õ´à¡ÒÐáÅÐÊÌҧ¤ÇÒÁÁѹ¤§ãˌᡋâ¤Ã§ÊÌҧ¡Ãд١¤Í
                           é             è í          è Ö          è
äÁ‹ÊÒÁÒöµÍº ʹͧµ‹Íáç¡ÃзíÒÀÒ¹͡䴌·Ñ¹·‹Ç§·Õ ·íÒãËŒà¡Ô´¡ÒúҴà¨çºµ‹Íâ¤Ã§ÊÌҧ¤Í
·ÕàÃÕÂ¡Ç‹Ò functional spinal units «Ö§áçÀÒ¹͡·ÕÁÒ¡ÃзíÒ¹ÕäÁ‹ãª‹áç¡ÃзíÒâ´ÂµÃ§ (direct blow)
  è                                  è                    è é
ᵋ໚¹áç·Õà¡Ô´¨Ò¡áçà©×Í¢ͧËҧ¡Ò·յͺʹͧµ‹Íáç¡ÃзíÒÀÒ¹͡¹Ñ¹ ʋǹãË­‹¡Åä¡¡ÒÃ
               è             è                      è                      é
à¡Ô´ÍغѵÔà˵Øà»š¹áºº flexion-hyperextension «Öè§à¡Ô´¨Ò¡ÍغѵÔà˵ØÃ¶Â¹µª¹·ŒÒ¡ѹ (rear-end
collisions) ᵋ¡ÊÒÁÒö¾ºä´Œã¹Íغµà˵طª¹·Ò§´ŒÒ¹Ë¹ŒÒ (head-on collision) áÅЪ¹¨Ò¡´ŒÒ¹¢ŒÒ§
                 ç                     Ñ Ô       Õè
164                                                                                 Whiplash Injury

(side collision) ¡çä´Œ (4) ÁÕÃÒ§ҹ ¾ºÇ‹ÒÍØºÑµÔà˵ؤÍÊкѴ ÍÒ¨à¡Ô´¨Ò¡ hyperextension ¢Í§
¡Ãд١¤Íʋǹŋҧ ËÇÁ¡ÑºÁÕ flexion ¢Í§¡Ãд١¤Íʋǹº¹ ·íÒãËŒ¡Ãд١¤ÍÁÕšɳÐ໚¹ÃÙ»µÑÇ S Ñ
¢³Ðà¡Ô´Íغµà赯 «Ö§áµ¡µ‹Ò§¨Ò¡ªÕÇ¡ÅÈÒʵϢͧ¡ÒÃà¤Å×͹äËǢͧ¡Ãд١¤Í ·Õ»¡µÔ¨ÐàÃÔÁµŒ¹·Õè
               Ñ Ô    è                                   è                               è         è
¡Ãд١¤Íʋǹº¹¡‹Í¹            (5)

           ¡ÅŒÒÁà¹×éÍÃͺ¤Í·ÕèäÁ‹ÊÒÁÒöµÍºÊ¹Í§µ‹ÍáçÀÒ¹͡ ·íÒãËŒà¡Ô´¡ÒÃà¤Å×è͹äËÇ·Õè
¼Ô´»¡µÔÃͺá¹Ç᡹ËÁع¢Í§¤Í ¨¹à¡Ô´áçà¤ÃÕ´áÅСÒúҴà¨çºµ‹Íâ¤Ã§ÊÌҧ¡Ãд١¤Íä´Œ
¡ÒúҴà¨çº·Õ¾º 䴌ᡋ ËÁ͹Ãͧ¡Ãд١·Ñ§´ŒÒ¹Ë¹ŒÒáÅдŒÒ¹ËÅѧ ¡ÒúҴà¨çºµ‹Í annulus fibrosus,
                   è                              é
anterior longitudinal ligament (ALL), cervical zygapophyseal joints ¡ÅŒÒÁà¹×ÍáÅÐà¹×ÍàÂ×Í͋͹Ãͺ¤Í
                                                                               é         é è
໚¹µŒ¹ ¡ÒúҴà¨çº¨ÐËÒÂä´ŒÀÒÂã¹àÇÅÒäÁ‹¹Ò¹µÒÁÃÐÂÐàÇÅÒ¡ÒÃËÒ¢ͧà¹×ÍàÂ×Í͋͹ (soft tissue
                                                                                     é è
healing)   (4)

           ÊÒà˵آͧÍÒ¡ÒûǴ¤Í·Õ辺ã¹ÍغѵÔà˵ؤÍÊкѴÁÑ¡¨ÐäÁ‹·ÃÒºªÑ´à¨¹ ¨Ò¡Åѡɳзҧ
¤ÅÔ¹¡áÅÐÀÒ¾¶‹Ò·ҧÃѧÊÕǹ¨©Ñ ¨ÐäÁ‹¾ºÅѡɳоÂÒ¸ÔÊÀҾ੾ÒÐ àª×ÍÇ‹ÒÍÒ¨à¡Ô´¨Ò¡¾ÂÒ¸ÔÊÀÒ¾
         Ô                          Ô Ô                                  è
ËÃ×Í¡ÒúҴà¨çº¢Í§à¹×ÍàÂ×Í͋͹ ¾ºÇ‹Ò»ÃÐÁÒ³à¡×ͺÌÍÂÅÐ 90 ¢Í§¼Ù»ÇÂÍØºµà˵ؤÍÊкѴ¨ÐÁÕ¡ÅŒÒÁ
                             é è                                     Œ †         Ñ Ô
à¹×Íà¡Ãç§ (muscle spasm) ËÇÁ´ŒÇ «Ö§Â×¹Âѹ¨Ò¡¡ÒõÃǨ´ŒÇ surface EMG ¾ºÇ‹ÒÁÕ¤ÇÒÁ¼Ô´»¡µÔ
   é                                      è
¢Í§¡ÅŒÒÁà¹×ͤͨÃÔ§ «Ö§ÀÒÇСŌÒÁà¹×Íà¡Ãç§ ÍҨ໚¹¡Åä¡»‡Í§¡Ñ¹µÑÇàͧ¢Í§Ã‹Ò§¡ÒµÒÁ¸ÃÃÁªÒµÔ
                é       (6)
                                  è             é
à¾×Í»‡Í§¡Ñ¹â¤Ã§ÊÌҧ¡Ãд١¤Íʋǹ·ÕºÒ´à¨çº ᵋ¡ÅŒÒÁà¹×Í·Õà¡Ã秤ŒÒ§ÍÂÙ¹Ò¹ ÍÒ¨ä»à¾ÔÁáçà¤ÃÕ´
     è                                      è            é è               ‹                    è
µ‹Í¢ŒÍµ‹Í zygapophyseal joint (facet joint) ·íÒãËŒ»Ç´ÁÒ¡¢Ö¹áÅлǴàÃ×ÍÃѧ䴌 ¼Ù»ÇÂ¡ÅØÁÍÒ¡ÒÃ
                                                               é             é              Œ †   ‹
ÍØºµà˵ؤÍÊкѴ ºÒ§¤¹ÍÒ¨¾º¤ÇÒÁ¼Ô´»¡µÔ¢Í§ zygapophyseal joint ËÃ×ÍÀÒÇСÃд١áÅÐ
       Ñ Ô                                                                       (7)

ËÁ͹Ãͧ¡Ãд١¤ÍàÊ×ÍÁä´Œ «Ö§ÁÑ¡äÁ‹Á¤ÇÒÁÊÑÁ¾Ñ¹¸¡ºÍÒ¡ÒÃáÅФÇÒÁÃØ¹áç¢Í§ÍÒ¡ÒûǴ¤Í (8)
                           è            è     Õ       Ñ
ÁÕÃÒ§ҹ¾º¡ÒúҴà¨çº¢Í§Ã‹Ò§áË»ÃÐÊÒ· brachial plexus ËÇÁ´ŒÇÂä´Œ (9)

¡ÒÃÇÔ¹Ô¨©ÑÂ
         ¡ÒÃÇÔ¹¨©Ñ WAD ÍÒÈÑÂÅѡɳзҧ¤ÅÔ¹¡ ËÇÁ¡Ñº¡Åä¡¡ÒÃà¡Ô´¡ÒúҴà¨çºà»š¹ÊíҤѭ ¢³Ð¹Õé
               Ô                          Ô
ÂѧäÁ‹ÁẺ·´Êͺ·Ò§¨Ôµà©¾ÒÐ ËÃ×Í¡ÒõÃǨ俿‡ÒÇÔ¹¨©ÑÂã´æ à¾×ÍÂ×¹Âѹ¡ÒÃÇÔ¹¨©ÑÂÀÒÇÐ WAD
       Õ                                           Ô        è            Ô
(10)

        Åѡɳзҧ¤ÅÔ¹¡¢Í§ WAD ËÃ×ÍÁÕËÅÒÂÍ‹ҧ (8,11) 䴌ᡋ
                       Ô
        ! »Ç´¤Í (¾ºä´ŒÃÍÂÅÐ 88-100) ¤Íá¢ç§ »Ç´ºÃÔàdzäËÅ‹áÅÐÊкѡ
                          Œ
        ! »Ç´á¢¹ ªÒ «‹Ò àË¹çº (paresthesia) ͋͹áç »Ç´¡ÃÒÁ¨Ò¡ temporomandibular
           dysfunction
        ! »Ç´ÈÕÃÉÐ (¾ºä´ŒÃÍÂÅÐ 54-66) àÇÕ¹ÈÕÃÉÐ µÒ¾Ã‹ÒÁÑÇ (visual disturbance) àÊÕ§ã¹ËÙ
                             Œ
        ! »˜­ËÒàÃ×ͧ¤ÇÒÁ¨íÒáÅÐÊÁÒ¸Ô
                    è
        ! »˜­ËÒ´ŒÒ¹¨Ôµã¨ ÁÕ¤ÇÒÁ¼Ô´»¡µÔ·Ò§¨ÔµËÅÒÂÍ‹ҧ·ÕÁ¤ÇÒÁÊÑÁ¾Ñ¹¸¡º whiplash injury
                                                          è Õ             Ñ
           䴌ᡋ ÀÒÇЫÖÁàÈÃŒÒ ¤ÇÒÁâ¡Ã¸ ¤ÇÒÁ¡ÅÑÇ ¤ÇÒÁà¤ÃÕ´ ÇÔµ¡¡Ñ§ÇÅ áÅÐ hypochondriasis
àǪÈÒʵÏ·¹Âؤ 2553
          Ñ                                                                               165

        Quebec Task .orce ä´Œ¨´áº‹§ÃдѺ¤ÇÒÁÃØ¹áç¢Í§ WAD Í͡໚¹ 5 ÃдѺ ¨Ò¡ 0-IV
                              Ñ
(´Ñ§µÒÃÒ§·Õè 1)

µÒÃÒ§·Õè 1 Quebec Task .orce Classification ÊíÒËÃÑºÍØºÑµÔà˵ؤÍÊкѴ (1 )
 ÃдѺ¤ÇÒÁÃØ¹áç                Åѡɳзҧ¤ÅÔ¹Ô¡
 0                              äÁ‹ÁÍÒ¡ÒÃáÅÐÍÒ¡ÒÃáÊ´§ã´æ ·Ò§¤ÅÔ¹¡
                                    Õ                                 Ô
 I                              ÁÕÍÒ¡ÒûǴ¤Í ¤Íá¢ç§ ËÃ×Í¡´à¨çºà·‹Ò¹Ñ¹ ᵋäÁ‹ÁÍÒ¡ÒÃáÊ´§ã´æ
                                                                    é        Õ
 II                             »Ç´¤Í áÅÐÁÕÍÒ¡ÒÃáÊ´§ã¹Ãкº¡Ãд١áÅСŌÒÁà¹×Í ä´Œá¡‹
                                                                                  é
                                ¡ÒÃà¤Å×͹äËǤÍŴŧ áÅÐÁÕ¨´¡´à¨çºµÒÁ¡ÅŒÒÁà¹×Í
                                       è                    Ø                   é
 III                            »Ç´¤Í áÅÐÁÕÍÒ¡ÒÃáÅÐÍÒ¡ÒÃáÊ´§·Ò§Ãкº»ÃÐÊÒ· 䴌ᡋ
                                deep tendon reflex ŴŧËÃ×ÍËÒÂä» ¡ÅŒÒÁà¹×Í͋͹áç ÁÕÍÒ¡ÒÃ
                                                                          é
                                ªÒáÅФÇÒÁÃÙÊ¡¼Ô´»¡µÔ
                                            Œ Ö
 IV                             ÁÕÍÒ¡ÒûǴ¤Í áÅСÃд١¤ÍËÑ¡ËÃ×Íà¤Å×͹   è

ÀÒÇзÕèÊÑÁ¾Ñ¹¸ËÃ×ÍÍÒ¨à¡Ô´Ã‹ÇÁ¡Ñº Whiplash Injury
           ¾º¤ÇÒÁÊÑ Á ¾Ñ ¹ ¸ à ÐËÇ‹ Ò § WAD áÅÐ fibromyalgia â´Â¾ºÇ‹ Ò ÃŒ Í ÂÅÐ 21.6 ¢Í§
¼Ù»Ç WAD ¨Ðà¡Ô´ÀÒÇÐ fibromyalgia ÀÒÂã¹Ë¹Ö§»‚ËÅѧºÒ´à¨çº(12) ¼Ù»Ç WAD ¨ÐÁÕ hypersensitivity
  Œ †                                            è                Œ †
áÅÐÍÒ¡ÒûǴ¡ÃШÒ·ÑèǵÑÇ (widespread pain) àÁ×èÍà»ÃÕºà·Õº¡Ñº¤¹»¡µÔËÃ×ͼٌ»†Ç»Ǵ¤Í
àÃ×ÍÃѧ(13-16) 1 ã¹ 3 ¢Í§¼Ù»Ç whiplash injury àÁ×͵ԴµÒÁ仨¹¤Ãº 1 »‚ ¾ºÇ‹ÒÁÕ¤ÇÒÁàÊÕ§·Õ¨Ðà¡Ô´
   é                       Œ †                     è                                è è
temporomandibular joint dysfunction Ê٧໚¹ 5 ෋Ңͧ¡ÅØÁ¤Çº¤ØÁ «Ö§Ê‹Ç¹ãË­‹¨Ð¾ºã¹¼Ù»ÇÂ
                                                                ‹      è                  Œ †
à¾ÈË­Ô§     (17)

           ÍÒ¨¾º¡ÒúҴà¨çºÃ‹Ò§áË»ÃÐÊÒ· brachial plexus ËÇÁ´ŒÇ (9) «Ö§ÍÒ¨¹íÒÁÒ´ŒÇ long
                                                                           è
thoracic nerve injury ËÃ×Í spinal accessory nerve injury ÁÕÃÒ§ҹ¾º¼Ù»Ç whiplash injury
                                                           (18)
                                                                          Œ †
ÁÒ´ŒÇ¡ÒúҴà¨çº¢Í§àÊŒ¹»ÃÐÊÒ· long thoracic nerve ËÇÁ¡Ñº spinal accessory nerve «Ö§¾ºä´Œ
                                                                                      è
¹ŒÍÂÁÒ¡     (19)



ÀÒ¾¶‹ÒÂÃѧÊÕÇÔ¹Ô¨©ÑÂ
         ¼Ù»ÇÂËÅѧ¨Ò¡Íغµà˵ؤÍÊкѴ ÁÑ¡µÃǨäÁ‹¾º¤ÇÒÁ¼Ô´»¡µÔã´æ ¨Ò¡ÀÒ¾¶‹ÒÂÃѧÊÕ㹪‹Ç§
           Œ †          Ñ Ô
à©Õº¾Åѹ ¡àÇŒ¹¼ÙŒ»†Ç·ÕèʧÊÑÂÇ‹ÒÁÕ¡Ãд١¤Íᵡ ËÑ¡ËÃ×Íà¤Å×è͹ ¼ÅÀÒ¾¶‹ÒÂÃѧÊÕÇÔ¹Ô¨©ÑÂ
             (20,21)

·Õ¾ºº‹ÍÂáÅÐÊÑÁ¾Ñ¹¸¡º whiplash injury 䴌ᡋ degenerative change of C-spine áÅÐ loss of C-
  è                  Ñ
lordosis ʋǹÀÒ¾¶‹ÒÂã¹·‹Ò flexion/extension ¢Í§ C-spine ¢³ÐºÒ´à¨çº ÍÒ¨¾º kyphotic angle
         (22)

ä´Œ «Öè§ÍÒ¨à¡Ô´¨Ò¡ hypermobility ¢Í§¡Ãд١¤Íã¹ÃдѺ·ÕèÍÂÙ‹µÔ´¡ÑºÃдѺ·ÕèÁÕ hypomobility
à¹×ͧÁÒ¨Ò¡ muscle spasm(10)
    è
166                                                                                Whiplash Injury

          ¨Ò¡¡ÒÃÈÖ¡ÉÒ¼ÙŒ»†Ç·ÕèÁÕÀÒ¾¶‹ÒÂÃѧÊÕÇÔ¹Ô¨©Ñ¢ͧ¤Í»¡µÔáÅеÃǨäÁ‹¾º¤ÇÒÁ¼Ô´»¡µÔ·Ò§
Ãкº»ÃÐÊÒ·´ŒÇ MRI C-spine µÑ§áµ‹ááËÅÑ§ÍØºµà˵ØÀÒÂã¹ 2-3 ÊÑ»´Òˏ ¾ºÃÍÂâä·Õà¡ÕÂÇ¢ŒÍ§
                                     é                Ñ Ô                             è è
¡ÑºÍغµà˵Øä´Œ¹ÍÂÁÒ¡ ¤ÇÒÁ¼Ô´»¡µÔ·¾º 䴌ᡋ prevertebral edema , disc degeneration ·ÕÃдѺ
      Ñ Ô              Œ                 Õè                              20
                                                                                          è
C5-6 áÅÐ C6-7 «Ö§¼Å¡ÒõÃǨ MRI ã¹ÃÐÂÐ ááäÁ‹ÊÁ¾Ñ¹¸¡ºÍÒ¡ÒûǴ áÅÐäÁ‹ÊÒÁÒö¾Âҡó
                   (23)
                         è                                  Ñ      Ñ
âä䴌 ᵋ¼»ÇÂÃÒ·վºÃÍÂâä·Õà¡Ô´¨Ò¡Íغµà˵ØÁá¹Ç⹌Á·Õ¨Ð»Ç´¤ÍáÅлǴÈÕÃÉÐÃØ¹áç¡Ç‹Ò
              ÙŒ †         è           è          Ñ Ô     Õ            è
¹Í¡¨Ò¡¹Õ¡ÒõÃǨµÔ´µÒÁ MRI «éÒ·Õè 3 à´×͹ äÁ‹ä´ŒãËŒ¢ÍÁÙÅà¾ÔÁàµÔÁã´æÁÒ¡¹Ñ¡(23) ´Ñ§¹Ñ¹¡ÒõÃǨ
            é                      í                             Œ   è            é
MRI C-spine ÍÒ¨äÁ‹¤ÍÂä´Œ»ÃÐ⪹ÁÒ¡¹Ñ¡ÊíÒËÃѺ¼Ù»Ç·Õä´ŒÃºÍØºµà˵ؤÍÊкѴ ¡àÇŒ¹ã¹ÃÒ·Õè
                             ‹                                Œ † è Ñ Ñ Ô
ÍÒ¡Ò÷ҧ¤ÅÔ¹¡Ê§ÊÑÂÇ‹ÒÁÕ disc herniation ᵋºÒ§ÃÒ§ҹ¾ºÇ‹Ò MRI C-spine ¢Í§¼Ù»Ç WAD
                     Ô                      (20,23)
                                                                                    Œ †
ÃдѺ¤ÇÒÁÃØ¹áç II-III ¾º¤ÇÒÁ¼Ô´»¡µÔ໚¹ medullary or dural impingement ¨Ò¡ C-discs ¶Ö§ÃŒÍÂ
ÅÐ 33(21)

¡ÒÃÃÑ¡ÉÒ
        WAD ໚¹ÀÒÇзÕáÉÒÂÒ¡ à¹×ͧ¨Ò¡¼Ù»ÇÂÍÒ¨ÁÕà¾Õ§ÍÒ¡ÒûǴ ËÃ×ÍÍÒ¡ÒÃªÒ «‹Ò à˹çº
                         èÑ         è      Œ †
(paresthesia) â´ÂäÁ‹Á¤ÇÒÁ¼Ô´»¡µÔ͹·Ò§¤ÅÔ¹¡ ËÃ×Í·Ò§ÀÒ¾¶‹Ò·ҧÃѧÊÕ «Ö§áÊ´§ËÅÑ¡°Ò¹¢Í§¡ÒÃ
                     Õ           ×è      Ô                          è
ºÒ´à¨çºàÅ ¹Í¡¨Ò¡¹Õ»¯ÔÊÁ¾Ñ¹¸¢Í§»˜¨¨Ñ´ŒÒ¹¨Ôµã¨áÅÐÊѧ¤Á »˜¨¨Ñ´ŒÒ¹¡®ËÁÒÂáÅФ´Õ¿Í§ÃŒÍ§
                       é Ñ                                                       ‡
¤‹Òª´àªÂ áÅл˜¨¨Ñ·ҧ¡ÒÂÀÒ¾ÁÕ¤ÇÒÁÊÅѺ«Ñº«ŒÍ¹ ·íÒãËŒ¼Å¡ÒÃÃÑ¡ÉҢͧ¼Ù»ÇÂᵋÅÐÃÒÂᵡµ‹Ò§
                                                                      Œ †
¡Ñ¹ÁÒ¡áÅÐä´Œ¼ÅäÁ‹á¹‹¹Í¹
        ¡ÒÃÃÑ¡ÉÒ WAD ã¹ÃÐÂÐà©Õº¾Åѹ
               Áըش»ÃÐʧ¤à¾×èÍÅ´»Ç´ Å´ÍÑ¡àʺ áÅл‡Í§¡Ñ¹¡ÒÃÊÙ­àÊÕ¤ÇÒÁÊÒÁÒö¨Ò¡ÍÒ¡ÒûǴ
àÃ×ÍÃѧ ¡ÒÃÃÑ¡ÉÒ»ÃСͺ´ŒÇÂ
   é
               1. ÂÒᡌ»Ç´ ÂÒ¤ÅÒ¡ŌÒÁà¹×Í áÅÐÂÒµŒÒ¹ÍÑ¡àʺ·ÕäÁ‹ãª‹ÊàµÕÂÃÍ´ ໚¹ÂÒ·Õ㪌ºÍ·ÕÊ´
                                           é                         è                       è ‹ èØ
ÊíÒËÃѺÃÑ¡ÉÒ ÍÒ¡ÒûǴ¤Í¨Ò¡ WAD ã¹ÃÐÂÐáá µŒÍ§ÃÐÇѧ¼Å¢ŒÒ§à¤Õ§·ÕÍÒ¨à¡Ô´¢Ö¹         è     é (24)

               2. »ÅÍ¡¤Íª¹Ô´Í‹Í¹ (soft cervical collar) à¾×ͨíÒ¡Ñ´¡ÒÃà¤Å×͹äËǤÍáÅÐÅ´»Ç´ ᵋÁ¡ÒÃ
                                                           è             è                       Õ
ÈÖ¡ÉÒ·ÕáÊ´§Ç‹Ò¡ÒÃãËŒ¼»ÇÂà¤Å×͹äËǤÍËÃ×Í·íÒ¡Ô¨ÇѵûÃШíÒÇѹ»¡µÔµ§áµ‹ÃÐÂÐáÃ¡æ ¨Ðª‹ÇÂãËŒ¼ÙŒ
             è                ÙŒ †  è                                          Ñé
»†ÇÂËÒÂàÃçÇ¢Ö¹ ÊÒÁÒöŴ»Ç´ à¾ÔÁ¾ÔÊ¡ÒÃà¤Å×͹äËÇ¤Í áÅÐÅ´ÃÐÂÐàÇÅÒ¡ÒÃÅÒËÂØ´§Ò¹ä´Œ ʋǹ
                    é                 è Ñ                è
¡ÒþѡáÅШíÒ¡Ñ´¡ÒÃà¤Å×͹äËÇ¤Í ÍÒ¨·íÒãËŒ¼»ÇÂËÒªŒÒŧ(25-27) ´Ñ§¹Ñ¹ÍÒ¨¾Ô¨ÒóÒ㪌»ÅÍ¡¤Íª‹Ç§
                                è                   ÙŒ †                   é
àÇÅÒÊѹæã¹ÃÐÂÐà©Õº¾Åѹ
           é
               3. ¡ÒÃÍÍ¡¡íÒÅѧ¡ÒÂáÅкÃÔËÒÃ¤Í ÊÒÁÒöŴ»Ç´áÅÐà¾ÔÁ¾ÔÊ¡ÒÃà¤Å×͹äËÇ¤Í á¹Ð¹íÒ
                                                                       è Ñ          è
ãËŒ¼»Ç WAD ´íÒà¹Ô¹¡Ô¨ÇѵûÃШíÒÇѹ»¡µÔµ§áµ‹ÃÐÂÐáá ÍÒ¨·íÒËÇÁ¡Ñº¡ÒÃÍÍ¡¡íÒÅѧ¡ÒÂáÅÐ
      ÙŒ †                                       Ñé            (25-27)

ºÃÔËÒä͡çä´Œ         (28)

               4. Mobilization & manipulation ÊÒÁÒöŴ»Ç´áÅÐáÅÐà¾ÔèÁ¾ÔÊÑ¡ÒÃà¤Å×è͹äËǤÍ(24)
mobilization ໚¹¡ÒÃÃÑ¡ÉÒÇԸ͹ØÃ¡É·ä´Œ¼Å ÊÒÁÒöŴ»Ç´áÅÐà¾ÔÁ¾ÔÊ¡ÒÃà¤Å×͹äËǤÍä´Œã¹
                                   Õ Ñ Õè                                    è Ñ      è
¼Ù»Ç WAD à©Õº¾Åѹ
  Œ †                        (29)
àǪÈÒʵÏ·¹Âؤ 2553
          Ñ                                                                                     167

         5. ÍØ»¡Ã³·Ò§¡ÒÂÀÒ¾ºíҺѴ (Physical modalities) ઋ¹ TENS, ultrasound, ¡ÒúíҺѴ
´ŒÇ¤ÇÒÁÌ͹ËÃ×ͤÇÒÁàÂç¹ ÁÕËÅÑ¡°Ò¹Ê¹ÑºÊ¹Ø¹¹ŒÍÂÁÒ¡·Õ辺NjÒÍØ»¡Ã³¡ÒÃÃÑ¡ÉÒàËŋҹÕ骋ÇÂãËŒ
ÀÒÇÐ WAD ª¹Ô´à©Õº¾Åѹ´Õ¢¹(30) Í‹ҧäáçµÒÁ ÍÒ¨¾Ô¨ÒóÒãˌ໚¹¡ÒÃÃÑ¡ÉÒàÊÃÔÁã¹àǪ»¯Ôºµä´Œ
                               Öé                                                              Ñ Ô
         6. ¡Òý˜§à¢çÁ (acupuncture) ÃÇÁ·Ñ§ dry needling ¶Ù¡¹íÒÁÒ㪌áÉÒÀÒÇлǴÃкº¡Ãд١
                                              é                          Ñ
áÅСŌÒÁà¹×ͺ‹Í ÊÒÁÒöŴ»Ç´ã¹ÀÒÇлǴ¤Í¨Ò¡ÊÒà˵صҧæ ÃÇÁ·Ñ§ WAD(31) áÅÐÊÒÁÒö㪌
            é                                                   ‹            é
ÃÑ¡ÉÒ hyperalgesia ä´Œ  (32)

         ¨Ò¡¡Ò÷º·Ç¹§Ò¹ÇԨ¢ͧ Cochrane ¾ºÇ‹Ò¼Å¡ÒÃÃÑ¡ÉÒ´ŒÇÂÇÔ¸¡ÒÃÃÑ¡ÉÒẺ͹ØÃ¡ÉµÒ§æ
                                  Ñ                                        Õ              Ñ ‹
䴌ᡋ acupuncture, cervical collars, traction, exercise, massage, mobilization techniques, electro-
physical agents áÅСÒÃ㪌¤ÇÒÁÌ͹ ¤ÇÒÁàÂç¹à¾×Í¡ÒÃÃÑ¡ÉÒ à»š¹µŒ¹ ä´Œ¼ÅäÁ‹ª´à¨¹(33)
                                                     è                            Ñ
        ¡ÒÃÃÑ¡ÉÒÀÒÇÐ WAD ã¹ÃÐÂÐàÃ×éÍÃѧ
           ¼Ù»Ç WAD àÃ×ÍÃѧ ÁÕšɳзҧ¤ÅÔ¹¡·Õ«º«ŒÍ¹ ¡Åä¡¡ÒûǴàÃ×ÍÃѧÍÒ¨à¡Ô´¨Ò¡ peripheral
             Œ †              é         Ñ      Ô è Ñ                é
áÅÐ central sensitization ¼Ù»ÇÂÍÒ¨ÁÕ¡ÒÃÃѺÃÙ¤ÇÒÁÃÙÊ¡¼Ô´»¡µÔ 䴌ᡋ widespread hyperalgesia,
                                  (13)
                                       Œ †       Œ   ŒÖ
sympathetic nervous system dysfunction «Ö§º‹§ºÍ¡Ç‹Ò¹‹Ò¨ÐÁÕ CNS hyperexcitability(15,34) ¡ÒÃÃÑ¡ÉÒ
                                             è
»ÃСͺ´ŒÇÂ
           Exercise áÅÐ mobilization ª‹ÇÂÅ´»Ç´áÅФÇÒÁ¾Ô¡Ò÷ؾ¾ÅÀҾ㹼ٻÇ WAD àÃ×ÍÃѧ䴌
                                                                          Œ †             é
à¾Õ§àÅ硹ŒÍÂ෋ҹѹ   é  (35,36)

           Multimodal treatment program 䴌ᡋ exercise, group therapy, physical therapy,
occupational therapy ÍÒ¨¾Ô¨ÒóÒ໚¹¡ÒÃÃÑ¡ÉÒ áµ‹ÃÒ§ҹ¶Ö§»ÃÐÊÔ·¸Ô¼Å㹡ÒÃÃÑ¡ÉÒÂѧÁÕ¨Ò¡Ñ´       í
Í‹ҧäáçµÒÁ á¹Ð¹íÒãËŒ¡ÒÂÀÒ¾ºíҺѴËÇÁ¡Ñº cognitive behavioral therapy ã¹¼ÙŒ»†Ç WAD
àÃ×ÍÃѧ(27)
   é
           Radiofrequency neurotomy 㪌áÉһǴ¤ÍàÃ×ÍÃѧ¨Ò¡ whiplash injury ä´Œ¼Å´Õ ᵋ¼Å¡ÒÃ
                                           Ñ         é
ÈÖ¡ÉÒÂѧÁÕ¨Ò¡Ñ´  í (7,27,37,38)

           ʋǹ¡ÒÃÃÑ¡ÉÒ´ŒÇ¡ÒéմÂÒÊàµÕÂÃÍ´ ÂÒ©Õ´Å´à¡Ãç§âº·ÙŹÁ ·çÍ¡«Ô¹ (Botulinum toxin),
                                                               Ô Ø‹
carpal tunnel decompression áÅÐ cervical discectomy ¼Å¡ÒÃÃÑ¡ÉÒÂѧäÁ‹ª´à¨¹(38)
                                                                        Ñ
        ¾Âҡóâä
        ¼Å¡ÒÃÈÖ¡ÉҼٻǠWAD ¾ºÇ‹ÒÃÐÂÐàÇÅÒ㹡ÒÃÃÑ¡ÉÒáÅмšÒÃÃÑ¡ÉÒÁÕ¤ÇÒÁᵡµ‹Ò§¡Ñ¹
                         Œ †
ÁÒ¡ ¢Ö¹ÍÂÙ¡º¡ÅØÁ»ÃЪҡ÷ÕÈ¡ÉÒ ¼Ù»Ç WAD ʋǹÁÒ¡ÍÒ¡Òèдբ¹Í‹ҧÃÇ´àÃçÇ ¼Ù»ÇÂʋǹÁÒ¡
      é ‹ Ñ ‹                è Ö     Œ †                              Öé          Œ †
¨ÐËÒÂä´ŒÀÒÂã¹ÃÐÂÐàÇÅÒ 3 à´×͹ ᵋËÅѧ¨Ò¡ 3 à´×͹ ÍÒ¡Òèдբ¹ÍÕ¡àÅ硹ŒÍÂ39 ¾ºÇ‹ÒÃŒÍÂÅÐ 47
                                                                   Öé
¢Í§¼ÙŒ»†Ç·ÕèºÒ´à¨çºÊÒÁÒö¡ÅѺ任ÃСͺ¡Ô¨ÇѵûÃШíÒÇѹ»¡µÔä´ŒÀÒÂã¹ 4 ÊÑ»´Òˏ ÁÕà¾Õ§
ÃŒÍÂÅÐ 2 ෋ҹѹ·ÕäÁ‹ÊÒÁÒö¡ÅѺ仴íÒà¹Ô¹ªÕǵáÅлÃСͺ¡Ô¨Çѵû¡µÔä´ŒàËÁ×͹à´ÔÁËÅѧ¨Ò¡ 1 »‚(1)
               é è                          Ô
        »˜¨¨Ñ·շÒãËŒâäËÒªŒÒáÅÐÁÕÍÒ¡ÒÃàÃ×ÍÃѧ(40-42) 䴌ᡋ ¤ÇÒÁÃØ¹áç¢Í§¡ÒúҴà¨çº »˜¨¨Ñ·ҧ
                è í                           é
´ŒÒ¹¨Ôµã¨ áÅл˜¨¨Ñ·ÕÊÁ¾Ñ¹¸¡ºÍغµàËµØ àª‹¹ ·ÔÈ·Ò§ËÃ×ͤÇÒÁàÃçǢͧ¡ÒÃà¡Ô´Íغµà赯 ¾ºÇ‹ÒÍÒ¡ÒÃ
                      èÑ       Ñ Ñ Ô                                          Ñ Ô
168                                                                                               Whiplash Injury

»Ç´ÃعáçµÑ§áµ‹àÃÔÁµŒ¹ (higher initial pain intensity) ໚¹»˜¨¨Ñ·ժ´à¨¹·Õº§ºÍ¡¶Ö§¡Òÿ„¹µÑÇáÅÐ
             é    è                                                 è Ñ   è ‹          œ
ËÒ¨ҡâ䪌ÒáÅзíÒãËŒ»Ç´àÃ×ÍÃѧ ʋǹÍÒÂØ à¾ÈË­Ô§ angular deformity of cervical spine, rear-end
                             é
collision áÅÐ compensation äÁ‹Á¼Åµ‹Í¡Òÿ„¹µÑÇ «Ö§»˜¨¨ÑÂàËŋҹÕÍҨ໚¹µÑǪ‹ÇÂ㹡ÒÃÇÒ§á¼¹¡ÒÃ
                                 Õ           œ      è             é
ÃÑ¡ÉÒáÅл‡Í§¡Ñ¹ÍÒ¡ÒÃàÃ×ÍÃѧ
                         é  (42)



àÍ¡ÊÒÃ͌ҧÍÔ§
1.    Spitzer WO, Skovron ML, Salmi LR, Cassidy DJ, Duranceau J, Suissa S, et al. Scientific monograph of the
      Quebec Task .orce on whiplash-associated disorders: redefining “whiplash” and its management. Spine 1995;
      20(8 Suppl):1S-73S.
2.    C?t? P, Cassidy JD, Carroll L, .rank JW, Bombardier C. A systematic review of the prognosis of acute
      whiplash and a new conceptual framework to synthesize the literature. Spine 2001; 26(19): E445–58.
3.    Barnsley L, Lord SM, Bogduk N. Whiplash injury. Pain 1994;58:283–307.
4.    DePalma MJ, Slipman CW. Treatment of common neck problems. In: Braddom RL, editor. Physical Medicine
      & Rehabilitation. 3rd ed. China: Saunders Elsevier Inc; 2007. p.797-824.
5.    Grauer JN, Panjabi MM, Cholewicki J, Nibu K, Dvorak J. Whiplash produces an S-shaped curvature of the
      neck with hyperextension at lower levels. Spine 1997;22(21):2489–94.
6.    Nederhand MJ, Hermens HJ, Ijzerman MJ, Turk DC, Zilvold G. Cervical muscle dysfunction in the chronic
      whiplash associated disorder grade II (WAD-II). Spine 2000;25:1938-43.
7.    Lord SM, Barnsley L, Wallis BJ, McDonald GJ, Bogduk N. Percutaneous radiofrequency neurotomy for chronic
      cervical zygapophyseal-joint pain. N Engl J Med 1996;335:1721-6.
8.    Binder A. The diagnosis and treatment of nonspecific neck pain and whiplash. Eura Medicophys 2007;43:79-
      89.
9.    Ide M, Ide J, Yamaga M, Takagi K. Symptoms and signs of irritation of the brachial plexus in whiplash injuries.
      J Bone Joint Surg Br 2001;83:226-9.
10.   Rodriquez AA, Barr KP, Burns SP. Whiplash: pathophysiology, diagnosis, treatment, and prognosis. Muscle
      Nerve 2004;29:768–81.
11.   .errari R, Russell AS, Carroll LJ, Cassidy JD. A re-examination of the whiplash-associated disorders (WAD) as
      a systemic illness. Ann Rheum Dis 2005;64:1337-42.
12.   Buskila D, Neumann L, Vaisberg G, Alkalay D, Wolfe .. Increased rates of fibromyalgia following cervical spine
      injury. A controlled study of 161 cases of traumatic injury. Arthritis Rheum 1997;40:446-52.
13.   Curatolo M, Petersen-.elix S, Arendt-Nielsen L, Giani C, Zbinden AM, Radanov BP. Central hypersensitivity in
      chronic pain after whiplash injury. Clin J Pain 2001;17:306-15.
14.   Koelbaek JM, Graven-Nielsen T, Schou OA, Arendt-Nielsen L. Generalised muscular hyperalgesia in chronic
      whiplash syndrome. Pain 1999;83:229-34.
15.   Sterling M, Jull G, Vicenzino B, Kenardy J. Sensory hypersensitivity occurs soon after whiplash injury and is
      associated with poor recovery. Pain 2003;104:509-17.
16.   Scott D, Jull G, Sterling M. Widespread sensory hypersensitivity is a feature of chronic whiplash-associated
      disorder but not chronic idiopathic neck pain. Clin J Pain 2005;21:175-81.
17.   Sal? H, Isberg A. Delayed temporomandibular joint pain and dysfunction induced by whiplash trauma: a
      controlled prospective study. J Am Dent Assoc 2007;138(8):1084-91.
àǪÈÒʵÏ·¹Âؤ 2553
          Ñ                                                                                                   169

18. Gupta V, Posner B. Trauma to the long thoracic nerve and associated scapula winging in a low-velocity rear-
    end automobile collision: case report. J Trauma 2004;57(2):402–3.
19. Omar N, Alvi ., Srinivasan MS. An unusual presentation of whiplash injury: long thoracic and spinal accessory
    nerve injury. Eur Spine J 2007;16 (Suppl 3):S275–S277.
20. Ronnen HR, de Korte PJ, Brink PR, van der Bijl HJ, Tonino AJ, .ranke CL. Acute whiplash injury: is there a
    role for MR imaging?—a prospective study of 100 patients. Radiology 1996;201(1):93–6.
21. Pettersson K, Hildingsson C, Toolanen G, .agerlund M, Bj?rnebrink J. Disc pathology after whiplash injury: a
    prospective magnetic resonance imaging and clinical investigation. Spine 1997;22:283–7.
22. Eck JC, Hodges SD, Humphreys SC. Whiplash: a review of a commonly misunderstood injury. Am J Med
    2001;110:651–6.
23. Kongsted A, Sorensen JS, Andersen H, Keseler B, Jensen TS, Bendix T. Are early MRI findings correlated
    with long-lasting symptoms following whiplash injury? A prospective trial with 1-year follow-up. Eur Spine J
    2008;17:996–1005.
24. Juan .J. Use of botulinum toxin-A for musculoskeletal pain in patients with whiplash associated disorders.
    BMC Musculoskelet Disord. 2004;5:5(1-10).
25. Borchgrevink GE, Kaasa A, McDonagh D, Stiles TC, Haraldseth O, Lereim I. Acute treatment of whiplash
    neck sprain injuries. Spine 1998;23(1):25–31.
26. Rosenfeld M, Seferiadis A, Carlsson J, Gunnarsson R. Active intervention in patient with whiplash-associated
    disorder improves long-term prognosis. Spine 2003;28:2491–8.
27. Seferiadis A, Rosenfeld M, Gunnarsson R. A review of treatment interventions in whiplash-associated disorders.
    Eur Spine J 2004; 13(5):387-97.
28. Scholten-Peeters G, Bekkering G, Verhagen A, Windt D Van der, Lanser K, Hendricks E, et al. Clinical practice
    guideline for the physiotherapy of outpatients with whiplash associated disorders. Spine 2002;27(4):412-22.
29. Conlin A, Bhogal S, Sequeira K, Teasell R. Treatment of whiplash-associated disorders—part I: Non-invasive
    interventions. Pain Res Manag 2005;10(1):21-32.
30. .reeman MD, Croft AC, Rossignol AM. Whiplash associated disorders: refining whiplash and it’s management’
    by the Quebec Task .orce. Spine 1998,23(9):1043-49.
31. Trinh K, Graham N, Gross A, Goldsmith C, Wang E, Cameron I, et al. Acupuncture for neck disorders. Spine
    2007;32(2):236-43.
32. Kong J, .ufa D, Gerber A, Rosman I, Vangel M, Graceley R, et al. Psychophysical outcomes from a
    randomised pilot study of manual, electro and sham acupuncture treatment on experimentally induced thermal
    pain. Journal of Pain 2005;6(1):55-64.
33. Verhagen AP, Scholten-Peeters G, van Wijngaarden S, de Bie RA, Bierma-Zeinstra SMA. Conservative treatments
    for whiplash [Systematic Review]. Cochrane Database Syst Rev2007;4:4.
34. Nijs J, Van Oosterwijck J, De Hertogh W. Rehabilitation of chronic whiplash: treatment of cervical dysfunctions
    or chronic pain syndrome? Clin Rheumatol 2009;28(3):243-51.
35. Stewart MJ, Maher CG, Refshauge KM, Herbert RD, Bogduk N, Nicholas M. Randomized controlled trial of
    exercise for chronic whiplash-associated disorders. Pain 2007;128:59-68.
36. Jull G, Sterling M, Kenardy J, Beller E. Does the presence of sensory hypersensitivity influence outcomes of
    physical rehabilitation for chronic whiplash? - A preliminary RCT. Pain 2007;129(2):28-34.
37. McDonald GJ, Lord SM, Bogduk N. Long-term follow-up of patients treated with cervical radiofrequency
    neurotomy for chronic neck pain. Neurosurgery 1999,45:61-8.
170                                                                                            Whiplash Injury

38. Conlin A, Bhogal S, Sequeira K, Teasell R. Treatment of whiplash-associated disorders—part II: Medical and
    surgical interventions. Pain Res Manag 2005;10(1):33-40.
39. Kamper SJ, Rebbeck TJ, Maher CG, McAuley JH, Sterling M. Course and prognostic factors of whiplash: a
    systematic review and meta-analysis. Pain 2008;138(3):617-29.
40. Dufton JA, Kopec JA, Wong H, Cassidy JD, Quon J, McIntosh G, et al. Prognostic factors associated with
    minimal improvement following acute whiplash-associated disorders. Spine 2006;31(20):E759–65.
41. Atherton K, Wiles NJ, Lecky .E, Hawes SJ, Silman AJ, Macfarlane GJ, et al. Predictors of persistent neck pain
    after whiplash injury. Emerg Med J 2006;23:195–201
42. Scholten-Peeters GG, Verhagen AP, Bekkering GE, van der Windt DA, Barnsley L, Oostendorp RA, et al.
    Prognostic factors of whiplash-associated disorders: a systematic review of prospective cohort studies. Pain
    2003;104:303–22.
àǪÈÒʵÏ·¹Âؤ 2553
          Ñ                                                                   º··Õè       171

                                                                               25
Whiplash Injury: Myogenic Cause and Conservative Treatment
                                               ÍÒ¨ÒÏ ᾷ˭ԧ¸ÕÃ´Ò ¾ÅÍÂྪÃ
                  ÀÒ¤ÇÔªÒàǪÈÒʵÏ¿¹¿Ù ¤³Ðá¾·ÂÈÒʵÏÈÃÃÒª¾ÂÒºÒÅ ÁËÒÇÔ·ÂÒÅÑÂÁËÔ´Å
                                   „œ                ÔÔ


        Whiplash injury ·íÒãËŒà¡Ô´¡ÒúҴà¨çº¢Í§â¤Ã§ÊÌҧã¹Ãкº¡Ãд١áÅСŌÒÁà¹×Íä´Œµ§áµ‹
                                                                                 é      Ñé
ÈÕÃÉÐ ¤Í ¶Ö§ËÅѧʋǹŋҧ «Ö§ÅŒÇ¹à»š¹ÊÒà˵آͧÍÒ¡ÒûǴ䴌 â´Â¡ÅŒÒÁà¹×Í ¾ºà»š¹ÊÒà˵ØÃÇÁ¢Í§
                           è                                        é               ‹
ÍÒ¡ÒûǴ䴌 º‹ Í Â ·Ñé § ¨Ò¡¡ÒúҴà¨ç º â´ÂµÃ§¨Ò¡áç´Ö § Â× ´ ¢³Ð¡Œ Á ËÃ× Í à§Â¤ÍÍ‹ Ò §áç
(overstretching) ¨Ò¡¡ÒÃÊкѴ ¡ÅŒÒÁà¹×Íá¢ç§à¡Ãç§ (muscle spasm) áÅÐÀÒÇлǴ¡ÅŒÒÁà¹×Í·Õà¡Ô´
                                       é                                           é è
¨Ò¡ myofascial trigger points µÒÁËÅѧ¡ÒúҴà¨çº¢Í§â¤Ã§ÊÌҧÍ×è¹æ â´ÂÍÒ¡Ò÷ÕèáÊ´§ÍÍ¡
¢Í§¡ÅŒÒÁà¹×ÍÁÑ¡ÁÕËÅÒ¡ËÅÒ ÍÒ¨¤ÅŒÒ¡ѺÍÒ¡Òâͧ¾ÂÒ¸ÔÊÀҾʋǹÍ×¹ «Ö§·íÒãËŒÁͧ¢ŒÒÁÊÒà˵Ø
            é                                                     è è
¨Ò¡¡ÅŒÒÁà¹×Íä»ä´Œ ·Ñ§·ÕËҡ䴌ú¡ÒÃÃÑ¡ÉÒ·ÕàËÁÒÐÊÁ ¡çÍÒ¨¨ÐµÍºÊ¹Í§µ‹Í¡ÒÃÃÑ¡ÉÒä´Œ´Õ ´Ñ§¹Ñ¹
              é     é è         Ñ           è                                              é
¨Ö§¤ÇÃÁͧËÒ áÅÐãËŒ¤ÇÒÁÊíҤѭ¡Ñº¡ÒÃÃÑ¡ÉÒÀÒÇСŌÒÁà¹×ͺҴà¨çº ¡ÅŒÒÁà¹×Íá¢ç§à¡Ãç§ ËÃ×ÍÀÒÇÐ
                                                       é               é
»Ç´¡ÅŒÒÁà¹×ͨҡ myofascial trigger points ËÇÁ´ŒÇÂ
                é                                  (1)



¾ÂÒ¸ÔÊÃÕÃÇÔ·ÂҢͧÍÒ¡ÒûǴ¡ÅŒÒÁà¹×éͨҡ whiplash injury
         ã¹ÃÐÂÐà©Õº¾Åѹ¡ÅŒÒÁà¹×Í·Õ¶¡´Ö§Â×´Í‹ҧáç·íÒãËŒà¡Ô´¡Òéա¢Ò´ àÅ×Í´ÍÍ¡ ºÇÁ (muscle
                                  é è Ù
strain) áÅÐÁÑ¡à¡Ô´»¯Ô¡ÃÂҵͺʹͧµ‹Í¡ÒúҴà¨çº â´Â¡ÒÃË´µÑÇ á¢ç§à¡Ã秢ͧ¡ÅŒÒÁà¹×Í (muscle
                          ÔÔ                                                         é
spasm) «Ö§à»š¹¡Åä¡»‡Í§¡Ñ¹µ¹àͧ¢Í§Ã‹Ò§¡Ò (protective reflex) à¾×Í´ÒÁÍÇÑÂÇТŒÒ§à¤Õ§·ÕºÒ´à¨çº
            è                                                    è                     è
äÁ‹ãËŒà¤Å×͹äËÇ ¡Òéա¢Ò´¢Í§à«Åŏ¡ÅŒÒÁà¹×Í·íÒãËŒÁá¤Åà«ÕÂÁÃÑÇÍÍ¡ÁÒ Ã‹ÇÁ¡ÑºÁÕ¡ÒÃËÅѧÊÒÃ
          è       (2)
                                               é      Õ            è                     è
Ê×Í»ÃÐÊÒ· acetylcholine (Ach) ÁÒ¡¼Ô´»¡µÔ ·íÒãËŒ¡ÅŒÒÁà¹×Íà¡Ãç§ÍÂÙµÅÍ´àÇÅÒ¨¹àÅ×Í´äËÅàÇÕ¹
  è                                                       é          ‹
ä»àÅÕ§䴌äÁ‹´Õ áÅÐà¡Ô´¢Í§àÊÕ (metabolic waste products) ¤Ñ§¤ŒÒ§ «Ö§¢Í§àÊÕÂàËŋҹըÐ仡Ãеع
      é                                                     è          è           é         Œ
»ÅÒ»ÃÐÊÒ··íÒãËŒà¡Ô´ÍÒ¡ÒûǴ ໚¹Ç§¨Ã·íÒãËŒ¡ÅŒÒÁà¹×ÍË´à¡Ãç§ÁÒ¡¢Ö¹ÍÕ¡ ¡ÅÒÂ໚¹ myofascial
                                                        é                  é
trigger points (energy crisis theory) «Ö§à»š¹ÊÒà˵آͧÍÒ¡ÒûǴàÃ×ÍÃѧ â´Â¾ºà»š¹¡ŒÍ¹¡´à¨çº
                                     (1)
                                           è                             é
ÍÂÙº¹á¶º¡ÅŒÒÁà¹×Í·Õá¢ç§à¡Ãç§ (nodule on taut band) áÅзíÒãËŒ»Ç´ÃŒÒÇ仺ÃÔàdz¢ŒÒ§à¤Õ§䴌
    ‹                 é è
         ¡ÅŒÒÁà¹×éͺҴà¨çº áÅÐË´à¡Ã秨ҡ whiplash injury ¾ºä´Œº‹ÍºÃÔàdz°Ò¹¡ÐâËÅ¡
(suboccipital and occipitofrontalis muscles) áÅФÍʋǹº¹ (upper part of cervical spine) à¹×ͧ
                                                                                           è
¨Ò¡à»š¹¡ÅŒÒÁà¹×éÍÁÑ´àÅç¡ áÅÐ ¨Ø´ËÁع¢Í§¡ÒáŒÁáÅÐà§Â¨Ò¡¡Åä¡¡ÒúҴà¨çºÍÂÙ‹·Õ袌͵‹Í¤Í
ʋǹº¹ (3) â´Â¾º¡Òá´à¨çº·Õ¡ÅŒÒÁà¹×Í semispinalis capitis ËÅѧ¨Ò¡ whiplash injuryä´ŒÁÒ¡¶Ö§
                                è        é
172                                   Whiplash Injury : Myogenic Cause and Conservative Treatment

ÃŒÍÂÅÐ 85 ¹Í¡¨Ò¡¹Õ§¾º·Õ¡ÅŒÒÁà¹×Í splenius capitis, levator scapulae, scalenus medius,
                     é Ñ    è      é
sternocleidomastoid, trapezius áÅÐ pectoralis minor (1,4)

ÍÒ¡ÒÃáÅÐÍÒ¡ÒÃáÊ´§·Õ辺䴌º‹ÍÂ
            »Ç´¤Í ໚¹ÍÒ¡Ò÷վºä´ŒºÍ·ÕÊ´¶Ö§ÃŒÍÂÅÐ 88–100 (5) â´ÂÍÒ¨»Ç´¢Ö¹·Ñ¹·Õ ËÃ×Í
                                  è            ‹ è Ø                                                  é
»Ç´ÀÒÂËÅѧ¨Ò¡Íغµà˵ØáÅŒÇËÅÒÂÇѹ à¹×ͧ¨Ò¡¡ÅŒÒÁà¹×Í·ÕºÒ´à¨çº¤‹ÍÂæºÇÁ¢Ö¹ ·íÒãËŒÍÒ¡ÒûǴ
                       Ñ Ô                       è           é è                         é
¤‹ÍÂæà¾ÔÁ¢Ö¹ (gradual onset of pain) â´Â¨Ð»Ç´àÇÅÒÁÕ¡ÒÃà¡Ãç§¡ÅŒÒÁà¹×Í (isometric contraction)
         è é                                                                       é
ËÃ×ÍàÇÅÒÂ×´¡ÅŒÒÁà¹×͹ѹ (stretching) µÃǨËҧ¡Ò¾º¨Ø´¡´à¨çº·Õ¡ÅŒÒÁà¹×Í ºÇÁ ËÃ×Íá¢ç§à¡Ãç§
                      é é                  (3)
                                                                             è         é
·ÕÊҤѭµŒÍ§á¡¨Ò¡¡Ãд١¤ÍËÑ¡ ËÃ×Íà¤Å×͹«Ö§ÁÑ¡ÁÕÍÒ¡ÒûǴÁÒ¡¢Ö¹·Ñ¹·ÕËÅÑ§ÍØºµà赯 áÅС´à¨çº
   èí                                           è è                        é                   Ñ Ô
·Õá¹Ç¡ÅÒ§´ŒÒ¹ËÅѧ¤Í (spinous process)
   è
            ¾ÔÊÑ¡ÒÃà¤Å×è͹äËǤͨíÒ¡Ñ´ (limited neck range of motion) ¼Ù»ÇÂÁÑ¡¢ÂѺ ËÃ×Í    Œ †
Ëѹ¤Íä´ŒäÁ‹ä´ŒàµçÁ·Õè ËÇÁ¡ÑºÁÕÍÒ¡ÒûǴâ´Â੾ÒÐàÁ×ÍãËŒ¼»ÇÂÍÍ¡áç¢ÂѺàͧ (active range of
                                                       è         ÙŒ †
motion) ËÒ¡¼ÙµÃǨ¢ÂѺ¤ÍãËŒâ´Â¼Ù»ÇÂäÁ‹ä´ŒÍÍ¡áç¨Ðä´Œ¾ÊÂÁÒ¡¡Ç‹Ò áÅÐäÁ‹¤ÍÂà¨çº (passive
                Œ                      Œ †                          ÔÑ                       ‹
range of motion) º‹§¶Ö§¾ÂÒ¸ÔÊÀÒ¾·Õ¡ÅŒÒÁà¹×Í áµ‹ËÒ¡¾ÔÊ¡ÒÃà¤Å×͹äËǤͶ١¨íÒ¡Ñ´·Ñ§·Õ¼»Ç¢ÂѺ
                                     è             é       Ñ           è                             é è ÙŒ †
àͧ áÅмٵÃǨ¢ÂѺãËŒ µŒÍ§Ê§ÊÑ¡ÒúҴà¨çº¢Í§¡Ãд١ ËÃ×Í¢ŒÍµ‹Í facet ËÇÁ´ŒÇÂ
          Œ                                                                                      (3)

            ᢹªÒ ͋͹áç ÍÒ¡ÒÃªÒ Í‹Í¹áçᢹ·Õà¡Ô´¨Ò¡¡ÅŒÒÁà¹×Í à»š¹ä´Œ¨Ò¡ myofascial
                                                         è                       é
trigger points ¢Í§¡ÅŒÒÁà¹×ͺÃÔàdz¤Í º‹Ò Êкѡ ·íÒãËŒÁÍÒ¡ÒÃàÁ×ÍÂÅŒÒ ªÒÃŒÒÇŧᢹ䴌 áÅÐÀÒÇÐ
                             é                                Õ          è
thoracic outlet syndrome «Ö§à¡Ô´¨Ò¡¡ÅŒÒÁà¹×Í anterior scalene ËÃ×Í middle scalene ºÒ´à¨çº ºÇÁ
                               è                     é
á¢ç§à¡Ãç§ ¨¹¡´Ã‹Ò§áË»ÃÐÊÒ··ÕàÅÕ§ᢹáÅÐÁ×Í (brachial plexus) «Ö§·Í´¼‹Ò¹ÃÐËNjҧ¡ÅŒÒÁà¹×Í
                                 è é                                           è                              é
·Ñé§ÊͧÁÑ´¹Õé (ÃÙ»·Õè 1) â´ÂÁÑ¡ÁÕÍÒ¡ÒêҷÕ跌ͧᢹ´ŒÒ¹ã¹áÅйÔéÇ¡ŒÍ áÅеŒÍ§á¡¨Ò¡ÀÒÇÐ
                                                                                   (1)

ÃÒ¡»ÃÐÊÒ·¤Í¶Ù¡¡´ºÃÔàdzª‹Í§¡Ãд١ÊѹËÅѧ (intervertebral foramen) «Ö§¨Ð»Ç´àÇÅÒà§Â¤Í áÅÐ
                                                                                     è
ÀÒÇÐËÁ͹Ãͧ¡Ãд١à¤Å×͹¡´àÊŒ¹»ÃÐÊÒ·
                           è




ÃÙ»·Õè 1 áÊ´§Ã‹Ò§áË»ÃÐÊÒ··ÕàÅÕ§ᢹáÅÐÁ×Í (brachial plexus) ÅÍ´¼‹Ò¹¡ÅŒÒÁà¹×Í anterior
                             è é                                           é
         áÅÐ middle scalene(3)
àǪÈÒʵÏ·¹Âؤ 2553
          Ñ                                                                                    173

           »Ç´ÈÕÃÉÐ ¾ºä´ŒÃÍÂÅÐ 54–66 à¡Ô´ä´Œ¨Ò¡ËÅÒÂÊÒà赯 ·Ñ§¨Ò¡¡ÒúҴà¨çº¢Í§à¹×ÍàÂ×Í
                                Œ                                    é                        é è
ºÃÔàdz¤Í (cervicogenic headache) áÅСÒúҴà¨çºÊÁͧ (traumatic brain injury) ¡ÒÃË´à¡Ãç§
¢Í§¡ÅŒÒÁà¹×ͤͺÃÔàdz°Ò¹¡ÐâËÅ¡ÍÒ¨ÃФÒÂà¤×ͧàÊŒ¹»ÃÐÊÒ· greater occipital ·íÒãËŒ»Ç´ÈÕÃÉÐ
              é
ºÃÔàdz˹ŒÒ¼Ò¡ ¡Ãк͡µÒ áÅÐàÊŒ¹»ÃÐÊÒ· lessor occipital ·íÒãËŒ»Ç´ºÃÔàdz·ŒÒ·Í ËÅѧËÙ
(occipital neuralgia) (2) myofascial trigger points ¢Í§¡ÅŒÒÁà¹×Í semispinalis capitis ·íÒãËŒ»Ç´ÃŒÒÇ
                                                               é
(referred pain)ä»ÈÕÃÉкÃÔàdz´ŒÒ¹¢ŒÒ§ ´ŒÒ¹ËÅѧ (parieto-occipital) áÅСÃк͡µÒ (periorbital)
¡ÅŒÒÁà¹×Í splenius capitis ÁÕÍÒ¡ÒûǴÌÒÇä»·Õ¡ÅÒ§ÈÕÃÉдŒÒ¹º¹ (vertex) ¡ÅŒÒÁà¹×Í splenius
         é                                            è                                  é
cervicis ·íÒãËŒ»Ç´ÃŒÒÇä»·Õ·Ò·Í (occiput) ¡ÒúҴà¨çº¢Í§¢ŒÍµ‹Í facet ·Õè C1 áÅÐ C2 ËÃ×Í
                              è Œ                (1)

à¹×ÍàÂ×Í¢ŒÒ§à¤Õ§·íÒãËŒ»Ç´ÃŒÒÇä»·ÕÈÃÉÐâ´ÂÁÕµÒá˹‹§ã¡ÅŒà¤Õ§¡ÑºÍÒ¡ÒûǴÌÒǨҡ myofascial
   é è                              è Õ             í
trigger points ¢Í§¡ÅŒÒÁà¹×Í·ÕÍÂÙÃдѺà´ÕÂǡѹ (ÃÙ»·Õè 2) ¹Í¡¨Ò¡¹Õ¤ÇÃá¡ÍÒ¡ÒûǴËÑǨҡÊÁͧ
                             é è ‹              (3)
                                                                   é
ºÒ´à¨çº (posttraumatic headache) â´ÂÁÑ¡ÁÕ»ÃÐÇѵËÁ´ÊµÔ (loss of consciousness) ËÃ×ÍÅ×Á
                                                        Ô
à˵ءÒóªÇ§·Õà¡Ô´Íغµà赯 (posttraumatic amnesia) ËÇÁ´ŒÇÂ
             ‹ è         Ñ Ô




  ÃÙ»·Õè 2 áÊ´§¡ÒûǴÌÒÇä»·ÕèÈÕÃÉШҡ¾ÂÒ¸ÔÊÀÒ¾ºÃÔàdz¢ŒÍµ‹Í¤ÍÃдѺ C1 áÅÐ C2 (3)

¡ÒÃÇÔ¹Ô¨©ÑÂ
        ¨Ò¡»ÃÐÇÑµÔ µÃǨËҧ¡Ò¢ŒÒ§µŒ¹ËҡʧÊÑÂÀÒÇСÃд١¤ÍËÑ¡ à¤Å×͹ ¤ÇÃÊ‹§µÃǨÀÒ¾ÃѧÊÕ
                                                                      è
ÇÔ¹¨©ÑÂà¾ÔÁàµÔÁ â´Â੾ÒмٷÁÍÒ¡Òôѧ¹Õé ÁÕ»ÃÐÇѵËÁ´ÊµÔ (loss of consciousness) àÁÒÊØÃÒ ¡´à¨çº
   Ô      è               Œ Õè Õ                Ô
174                                           Whiplash Injury : Myogenic Cause and Conservative Treatment

µÃ§¡ÅÒ§´ŒÒ¹ËÅѧ¤Í µÃǨ¾º¤ÇÒÁ¼Ô´»¡µÔ·Ò§Ãкº»ÃÐÊÒ· ¤ÇÃàÍç¡«àÏ¡Ãд١¤Íã¹·‹ÒµÃ§ ¡ŒÁ
áÅÐà§Â «Ö§ã¹ÀÒÇСŌÒÁà¹×ͺҴà¨çºÍÒ¨¾º¡Ãд١¤ÍÁÕšɳеç äÁ‹Áá¹Ç⤌§µÒÁ»¡µÔ (loss of
           è              é                            Ñ             Õ
cervical lordosis) ¨Ò¡¡ÒÃà¡Ã秢ͧ¡ÅŒÒÁà¹×Í longus colli áÅÐ longus capitis(3) ʋǹ CT scan áÅÐ
                                         é
MRI ¤ÇþԨÒóÒ੾ÒÐÃÒ·ÕʧÊѾÂÒ¸ÔÊÀÒ¾·Õùáç෋ҹѹ(5)
                              è                èØ          é

¡ÒÃÃÑ¡ÉÒ
            ໇ÒËÁÒ¢ͧ¡ÒÃÃÑ¡ÉÒ·ÕÊҤѭ ¤×Í Å´ÍÒ¡ÒûǴ ¡ÅѺä»ãªŒªÇµ»ÃШíÒÇѹµÒÁ»¡µÔä´ŒàÃçÇ
                                           èí                                                            ÕÔ
·ÕÊ´ áÅл‡Í§¡Ñ¹¡ÒáÅÒÂ໚¹»˜­ËһǴàÃ×ÍÃѧ «Ö§¾ºä´Œ¶§ÃŒÍÂÅÐ 20 - 40(5) â´Â·Õ¹¨Ð¢Í¡Å‹ÒÇ੾ÒÐ
  èØ                                                        é               è     Ö                             è Õé
¡ÒÃÃÑ¡ÉÒâ´ÂÇÔ¸¡Ò÷ÕäÁ‹¼ÒµÑ´ (conservative treatment) «Ö§àËÁÒÐÊíÒËÃѺ¡ÒúҴà¨çº¢Í§à¹×ÍàÂ×Í
                        Õ      è ‹                                                    è                                        é è
·ÕèäÁ‹ÁÕ¡Ãд١¤ÍËÑ¡à¤Å×è͹ áÅÐäÁ‹ÁÕÍÒ¡ÒüԴ»¡µÔ·Ò§Ãкº»ÃÐÊÒ· áÁŒÇ‹Ò¢ŒÍÁÙŨҡ§Ò¹ÇԨѷÕè
ʹѺʹع¼Å¡ÒÃÃÑ¡ÉÒ·Ò§àǪÈÒʵÏ¿¹¿Ù¨ÐÁÕäÁ‹ÁÒ¡¹Ñ¡ ÍÕ¡·Ñ§Ê‹Ç¹ãË­‹Á¢Í¨íÒ¡Ñ´´ŒÒ¹ÃÐàºÕºÇԸǨÂ
                                                  „œ                                    é                    ÕŒ                 ÕÔÑ
·íÒãËŒäÁ‹ä´Œ¢ÍÊÃØ»·Õª´à¨¹ Í‹ҧäáçµÒÁá¹Ç·Ò§¡ÒÃÃÑ¡ÉÒ·ÕÁËÅÑ¡°Ò¹Ê¹ÑºÊ¹Ø¹¨Ò¡§Ò¹ÇÔ¨ÂÁÒ¡
                Œ          è Ñ       (6)
                                                                                              è Õ                            Ñ
·ÕÊ´ã¹»˜¨¨Øº¹ ¤×Í à¹Œ¹ãËŒÁ¡ÒâÂѺà¤Å×͹äËÇ ·íÒ¡Ô¨Çѵà ¡ÒçҹµÒÁ»¡µÔ ãËŒ¼»ÇÂÁÕÊǹËÇÁã¹
  èØ                Ñ                  Õ                è                                                            ÙŒ † ‹
¡ÒôÙáŵ¹àͧ (active interventions) â´ÂËÅÕ¡àÅÕ§¡Òþѡ áÅСÒÃãʋͻ¡Ã³»ÃФͧ¤Í໚¹àÇÅÒ
                                                                              è                              Ø
¹Ò¹    (5,7,8)

            ¡ÒÃãËŒ¤ÇÒÁÃÙŒ á¹Ð¹íÒ¡Òû¯ÔºµµÇ·Õ¶¡µŒÍ§ ¤ÇÃ͸ԺÒÂãËŒ¼»ÇÂࢌÒ㨸ÃÃÁªÒµÔ¢Í§âä
                                                          Ñ Ô Ñ è Ù                                      ÙŒ †
¡ÒþÂҡóâä á¹Ç·Ò§¡ÒÃÃÑ¡ÉÒ ¡Òû¯ÔºµµÇ·ÕàËÁÒÐÊÁ à¾×ÍãËŒ¼»ÇÂËÇÁÁ×͡Ѻ¡ÒÃÃÑ¡ÉÒáÅÐ
                                                                      Ñ Ô Ñ è                     è   ÙŒ †
ä´Œ¼Å¡ÒÃÃÑ¡ÉÒ·Õè´Õ·ÕèÊØ´ ¡Ãе،¹ãˌ㪌ªÕÇÔµ»ÃШíÒÇѹ áÅзíÒ§Ò¹µÒÁ»¡µÔ â´Âá¹Ð¹íÒ·‹Ò·Ò§·Õè
àËÁÒÐÊÁ (ergonomic advice) (11) ã¹·‹Ò¹Í¹¤ÇèѴãËŒÈÃÉÐáÅФÍÍÂÙã¹á¹ÇµÃ§ ¡ÒèѴⵍзչ§Õ                      ‹                     è Ñè
·íÒ§Ò¹ ¡Òá¶×ͧ͢¤ÇÃãËŒ¡ÅŒÒÁà¹×Í ¢ŒÍµ‹ÍÍÂÙã¹·‹ÒµÃ§ (neutral position) ËÅÕ¡àÅÕ§·‹Ò¡ŒÁ à§Â ËÃ×Í
                                                é                       ‹                                         è
ËѹàÍÕ§¤Í໚¹àÇÅÒ¹Ò¹            (3)

            ÍØ»¡Ã³»ÃФͧ¤Í (soft collar) áÁŒÁËÅÒ§ҹÇԨ·պ§ªÕÇÒ¡ÒÃãËŒºÃÔËÒâÂѺ¤Íª‹ÇÂÅ´
                                                                          Õ               Ñ è ‹ é‹
ÍÒ¡ÒûǴ áÅÐà¾ÔÁ¾ÔÊ¡ÒÃà¤Å×͹äËÇä´Œ´¡Ç‹Ò¡ÒÃ㪌ͻ¡Ã³»ÃФͧ¤Íà¾Õ§Í‹ҧà´ÕÂÇ(5,7,8,9) ᵋÍÒ¨
                          è Ñ            è                    Õ                 Ø
¾Ô¨ÒóÒ㪌ͻ¡Ã³»ÃФͧ¤Í໚¹¡ÒÃÃÑ¡ÉÒàÊÃÔÁËÇÁ¡Ñº¡ÒÃÃÑ¡ÉÒÍ×¹æ (adjunctive treatment) â´Â
                  Ø                                                                                 è
੾ÒÐ㹪‹Ç§áá¢Í§¡ÒúҴà¨çºà¾×Íàµ×͹¼Ù»ÇÂãËŒÃÐÇѧ¡ÒÃà¤Å×͹äËǤÍã¹¢³Ð·íÒ¡Ô¨¡ÃÃÁÍ×¹·ÕÍÒ¨
                                              è                 Œ †                         è                               è è
à¡Ô´¡ÒúҴà¨çº«éíÒä´Œ ઋ¹¢³Ð¢ÑºÃ¶ äÁ‹¤ÇÃ㪌à¡Ô¹ 72 ªÑèÇâÁ§ËÅѧ¡ÒúҴà¨çºà¾×èÍ»‡Í§¡Ñ¹
                                                     (3)

¢ŒÍµ‹Í¤ÍÂÖ´µÔ´(10)
            ¡ÒúÃÔËÒÃ¤Í ã¹ÃÐÂÐáá¢Í§¡ÒúҴà¨çºá¹Ð¹íÒãËŒºÃÔËÒâÂѺ¤Í´ŒÇµ¹àͧº‹ÍÂæ â´Â
ãËŒ·Ò¤‹ÍÂæ ªŒÒæ ÃÐÇѧÍ‹ÒãËŒ»Ç´ÁÒ¡¢Ö¹ (below pain threshold)(11) (ÃÙ»·Õè 3) ã¹ÃÐÂе‹ÍÁÒãËŒà¾ÔÁ
     í                                                é                                                                            è
¡ÒúÃÔËÒÃà¾×Íà¾ÔÁ¤ÇÒÁá¢ç§áç¢Í§¡ÅŒÒÁà¹×ÍÃͺ¤Í(stabilization exercise)
                      è è                                           é
àǪÈÒʵÏ·¹Âؤ 2553
          Ñ                                                                                                     175




                     ÃÙ»·Õè 3 áÊ´§·‹ÒºÃÔËÒâÂѺ¤Í (active range of motion)(3)

                 ¡ÒèѴ¡Ãд١ (Manipulation) ์¹á¡Œä¢¢ŒÍµ‹Í¤Íʋǹ·Õà¤Å×͹äËÇä´Œ¹Í ¤ÅÒÂà¡Ãç§¡ÅŒÒÁ
                                                                       è è                 Œ
à¹×Íàª×ÍNjҡÒèѴàÃÕ§¡Ãд١ãËŒÍÂÙã¹á¹Ç»¡µÔÊÒÁÒöŴáç¡ÃзíÒµ‹Íʋǹ·ÕÁ¾ÂÒ¸ÔÊÀҾ䴌(3) ÁÕ§Ò¹
    é è                                  ‹                                       è Õ
ÇԨ·վºÇ‹Òä´Œ¼ÅÅ´ÍÒ¡ÒûǴ áÅÐà¾ÔÁ¾ÔÊ¢ŒÍä´Œ ᵋ¤³ÀÒ¾¢Í§§Ò¹ÇÔ¨ÂäÁ‹´¹¡(12) Í‹ҧäáçµÒÁ
       Ñ è                                        è Ñ           Ø            Ñ            Õ Ñ
µŒÍ§ÃÐÇѧÀÒÇÐá·Ã¡«ŒÍ¹¨Ò¡¡Ãд١à¤Å×͹¡´·ÑºàÊŒ¹»ÃÐÊÒ·ËÃ×Íä¢ÊѹËÅѧ ¢ŒÍËŒÒÁ·ÕÊҤѭ 䴌ᡋ
                                                   è                                                 èí
¡Ãд١ÊѹËÅѧËÑ¡ ¡Ãд١¾Ãع ¡Ãд١ËÃ×ÍËÁ͹Ãͧ¡Ãд١ÍÑ¡àʺ ¢ŒÍµ‹ÍäÁ‹Á¹¤§ ໚¹µŒ¹      Ñè
                 ¡ÒäÅÒ¨ش»Ç´ (Released myofascial trigger points) ·íÒä´ŒËÅÒÂÇÔ¸·§¡ÒúÃÔËÒÃÂ×´ Õ Ñé
¡ÅŒÒÁà¹×Í ¡ÒÃ㪌à¢çÁ (trigger point injection) ¡ÒÃ㪌à¤Ã×ͧÁ×Í·Ò§¡ÒÂÀÒ¾ºíҺѴ ¡ÒùǴ áÁŒäÁ‹¾º
               é                                            è
ËÅÑ¡°Ò¹Ç‹Òä´Œ¼Åã¹ whiplash injury ᵋà¹×ͧ¨Ò¡¾º myofascial trigger points ໚¹ÊÒà˵ØÃÇÁ
                                              (11)
                                                       è                                                            ‹
¢Í§ÍÒ¡ÒûǴ䴌º‹Í ÍÕ¡·Ñé§¡ÒäÅÒ¨ش»Ç´·íÒä´ŒäÁ‹ÂÒ¡áÅÐÁѡ䴌¼Å´Õ ¨Ö§¤ÇþԨÒóҷíÒ
                              (6)

¤Çº¤Ù¡º¡ÒÃÃÑ¡ÉÒÍ×¹æ(1) ·Ñ§¹Õ¡ÒÃ㪌à¢çÁ¤ÅÒ¨ش»Ç´ºÃÔàdzµŒ¹¤Í ÁÑ¡µŒÍ§ÍÒÈÑÂᾷ·àªÕÂǪҭ
           ‹ Ñ              è       é é                                                                    Õè è
à¹×ͧ¨Ò¡ã¡ÅŒËÅÍ´àÅ×Í´ áÅÐä¢ÊѹËÅѧ
     è
                 ¡ÒûÃѺá¹Ç¤Ô´ áÅоĵԡÃÃÁ (Cognitive and behavioral therapy) ã¹¼Ù·Áá¹Ç⹌Á            Œ Õè Õ
¾Ö§¾Ò ÃͤÍ¡ÒÃÃÑ¡ÉÒ¨Ò¡âç¾ÂÒºÒÅ (passive treatment) äÁ‹¡ÅŒÒ·Õ¨Ðà¤Å×͹äËÇ¤Í ËÃ×Í¡ÅѺä»
  è                                                                        è       è
·íÒ¡Ô¨ÇѵõÒÁ»¡µÔ (fear and avoidance) ËÇѧ¼ÅãËŒÍÒ¡ÒÃËÒ¢Ҵ¨Ö§¨ÐàÃÔÁ㪌§Ò¹ (expectation to
                                                                               è
recovery) ¤Ô´ã¹á§‹Åº (negative thinking) ÇÔµ¡¡Ñ§ÇÅ (anxiety) ÁÕá¹Ç⹌Á¨Ð¡ÅÒÂ໚¹»˜­ËÒàÃ×ÍÃѧ                      é
䴌ʧ ¡ÒÃÃÑ¡ÉÒµŒÍ§·íҤǺ¤Ù仡Ѻ¡ÒûÃѺá¹Ç¤Ô´ áÅоĵԡÃÃÁ â´Â¤‹ÍÂæãËŒàÃÔÁ·íÒ¡Ô¨Çѵà ÍÍ¡
        Ù                              ‹                                                      è
¡íÒÅѧ¡Ò·ÕÅйŒÍ·ÕäÁ‹¡ÃеعãËŒà¡Ô´ÍÒ¡ÒûǴ ์¹ãËŒ¼»ÇÂÃÙ¨¡Êѧࡵ áÅШѴ¡ÒáѺ¤ÇÒÁ»Ç´´ŒÇÂ
                          è          Œ                        ÙŒ † Œ Ñ
µ¹àͧ ¡ÒõԴµÒÁ¼Å์¹·Õ»ÃÔÁÒ³¡Ô¨¡ÃÃÁ·Õ·Òä´ŒÁÒ¡¢Ö¹ ËѹàˤÇÒÁʹ㨠à¾ÔÁ¤ÇÒÁÁѹã¨ãËŒ¼»ÇÂ
                                  è                   è í         é                     è            è          ÙŒ †
â´ÂäÁ‹à¹Œ¹µÔ´µÒÁÃдѺ¤ÇÒÁ»Ç´               (11)
176                                       Whiplash Injury : Myogenic Cause and Conservative Treatment

         ÂÒᡌ»Ç´ Å´ÍÑ¡àʺ ÂÒ¤ÅÒ¡ŌÒÁà¹×Í (13) ·Õ㪌¡¹ÍÂÙ·Çä»ã¹àǪ»¯ÔºµÔ ÃÇÁ¶Ö§¡ÒÃÃÑ¡ÉÒ
                                             é       è Ñ ‹ Ñè               Ñ
Í×¹æ 䴌ᡋ ¡Òô֧¤Í ¡ÒÃÃÑ¡ÉÒ´ŒÇÂä¿¿‡Ò (electrotherapy) ÁÕËÅÑ¡°Ò¹¨Ò¡§Ò¹ÇԨ·ÕäÁ‹á¹‹ª´
  è                   (14)                                  (15)
                                                                                   Ñ è      Ñ
Ç‹Òä´Œ¼Åã¹ whiplash injury ᵋ¡ÍÒ¨¾Ô¨ÒóÒàÅ×͡㪌໚¹¡ÒÃÃÑ¡ÉÒàÊÃÔÁãËŒàËÁÒСѺ¼Ù»ÇÂᵋÅÐÃÒÂä´Œ
                               ç                                               Œ †
         â´Â·ÑèÇ仡ÒÃÃÑ¡ÉÒÀÒÇлǴ¨Ò¡¡ÅŒÒÁà¹×éÍ´ŒÇÂÇÔ¸Õµ‹Ò§æ¢ŒÒ§µŒ¹Áѡ䴌¼Å´Õ ᵋËÒ¡¾ºÇ‹Ò
¡ÅŒÒÁà¹×Í·Õä´Œ¤ÅÒÂä»áÅŒÇäÁ‹¹Ò¹¡ÅѺ»Ç´áÅÐË´à¡Ãç§¢Ö¹ãËÁ‹ ¤ÇÃÁͧËÒ¾ÂÒ¸ÔÊÀÒ¾µŒ¹à˵ØÍ¹æ·Õè
        é è                                           é                                  ×è
ÍÒ¨ÂѧäÁ‹ä´ŒÃº¡ÒÃá¡Œä¢ ËÒ¡ÊÒÁÒöÇÔ¹¨©ÑÂÊÒà˵آͧÍÒ¡ÒûǴ䴌¤Ãº¶ŒÇ¹ ãËŒ¡ÒÃÃÑ¡Éҷյç¨Ø´
             Ñ                         Ô                                               è
áÅФíÒ¹Ö§¶Ö§»˜¨¨Ñ¾׹°Ò¹·Ò§¨Ôµã¨ áÅÐÊѧ¤ÁËÇÁ´ŒÇ¡ç¨Ðä´Œ¼Å¡ÒÃÃÑ¡ÉÒ·Õ´Õ
                    é                                                   è

àÍ¡ÊÒÃ͌ҧÍÔ§
1.    Simons DG, Travell JG, Simons LS, editors. Travell & Simons’ myofascial pain and dysfunction: the trigger
      point manual. 2nd ed. Philadelphia (PA): Lippincott William & Wilkins; 1999. p. 69–78, 432–83. (vol 1. upper
      half of body).
2.    Rook JL, editor. Whiplash injuries. Philadelphia (PA): Elsevier Science; 2003. p. 41–43.
3.    .oreman SM, Croft AC, editors. Whiplash injuries: the cervical acceleration/deceleration syndrome. 3rd ed.
      Philadelphia(PA): Lippincott William & Wilkins; 2002.
4.    Ettlin T, Schuster C, Stoffel R, Br?derlin A, Kischka U. A distinct pattern of myofascial findings in patients after
      whiplash injury. Arch Phys Med Rehabil. 2008;89(7):1290-3.
5.    Binder A. The diagnosis and treatment of nonspecific neck pain and whiplash. Eura Medicophys. 2007;43(1):79-
      89.
6.    Verhagen AP, Scholten-Peeters GG, van Wijngaarden S, de Bie RA, Bierma-Zeinstra SM. Conservative
      treatments for whiplash. Cochrane Database Syst Rev. 2007;(2):CD003338.
7.    Scholten-Peeters GG, Bekkering GE, Verhagen AP, van Der Windt DA, Lanser K, Hendriks EJ, Oostendorp
      RA. Clinical practice guideline for the physiotherapy of patients with whiplash-associated disorders. Spine (Phila
      Pa 1976). 2002;27(4):412-22.
8.    Yadla S, Ratliff JK, Harrop JS. Whiplash: diagnosis, treatment, and associated injuries. Curr Rev Musculoskelet
      Med. 2008;1(1):65-8.
9.    Bonk AD, .errari R, Giebel GD, Edelmann M, Huser R. Prospective, randomized, controlled study of activity
      versus collar, and the natural history for whiplash injury, in Germany. J Musculoskelet Pain 2000;8:123-32.
10.   Depalma MJ, Slipman CW. Treatment of common neck problems. In: Braddom RL, editor. Physical medicine
      and rehabilitation. 3rd ed. China: Elsevier; 2007. p. 797–824.
11.   Nijs J, Van Oosterwijck J, De Hertogh W. Rehabilitation of chronic whiplash: treatment of cervical dysfunctions
      or chronic pain syndrome? Clin Rheumatol. 2009;28(3):243-51.
12.   Conlin A, Bhogal S, Sequeira K, Teasell R. Treatment of whiplash-associated disorders – part I: Noninvasive
      interventions. Pain Res Manage 2005;10(1):21-32.
13.   Peloso P, Gross A, Haines T, Trinh K, Goldsmith CH, Burnie S; Cervical Overview Group. Medicinal and
      injection therapies for mechanical neck disorders. Cochrane Database Syst Rev. 2007;(3):CD000319.
14.   Graham N, Gross AR, Goldsmith C; Cervical Overview Group. Mechanical traction for mechanical neck
      disorders: a systematic review. J Rehabil Med. 2006;38(3):145-52.
15.   Kroeling P, Gross A, Goldsmith CH, Burnie SJ, Haines T, Graham N, Brant A. Electrotherapy for neck pain.
      Cochrane Database Syst Rev. 2009;(4):CD004251.
àǪÈÒʵÏ·¹Âؤ 2553
          Ñ                                                                         º··Õè        177

                                                                                     26
                   âä¢Í§·ÇÒÃ˹ѡáÅÐÅíÒäÊŒµÃ§·Õ辺º‹ÍÂ
                      (Common Anorectal Disorders)
                                              ÍÒ¨ÒÏ ¹ÒÂᾷÇÃÁÔ¹·Ã àËÃÕÂ­ÊØÇÃó
                        ÀÒ¤ÇÔªÒÈÑÅÂÈÒʵÏ ¤³Ðá¾·ÂÈÒʵÏÈÔÃÔÃÒª¾ÂÒºÒÅ ÁËÒÇÔ·ÂÒÅÑÂÁËÔ´Å


         âä¢Í§·ÇÒÃ˹ѡáÅÐÅíÒäÊŒµÃ§à»š¹âä·Õ¾ºä´ŒºÍÂáÅÐÁÕ·§âä·Õ໚¹ benign áÅÐ malignant
                                             è      ‹       Ñé     è
disease â´ÂʋǹÁÒ¡·Õ¾ºà»š¹ benign diseases ÁÒ¡¡Ç‹Ò ¼Ù»ÇÂʋǹãË­‹Á¡ÁÒ¾ºá¾·Âà¹×ͧ¨Ò¡
                      è                               Œ †             Ñ           è
¤ÇÒÁÍÒ áÅСѧÇÅÇ‹ÒÍÒ¨¨Ð໚¹ÁÐàÃç§ º·¤ÇÒÁ¹Õ¨Ð·º·Ç¹ÍÒ¡Òà ÍÒ¡ÒÃáÊ´§ ¡ÒÃÇÔ¹¨©ÑÂáÅСÒÃ
                                               é                              Ô
ÃÑ¡ÉÒâä¢Í§·ÇÒÃ˹ѡáÅÐÅíÒäÊŒµÃ§·Õ¾ºº‹ÍÂ䴌ᡋ ÃÔ´Êմǧ·ÇÒà (hemorrhoid) á¼Å·Õ»Ò¡·ÇÒÃ
                                    è                                           è
(anal fissure) ½‚Ãͺ·ÇÒà (perianal abscess) áÅ키³±Êٵà (fistula in ano)
                                                  Ñ

ÃÔ´Êմǧ·ÇÒà (Hemorrhoid)
              ÃÔ´Êմǧ·ÇÒä×Í ¡ÅØÁ¢Í§ËÅÍ´àÅ×Í´ (cushion of non-pathological vascular tissue) ·ÕÍÂÙ‹
                                    ‹                                                             è
ÀÒÂã¹·ÇÒÃ˹ѡáÅÐÁÕÅѡɳÐ໚¹ sinusoids à¹×èͧ¨Ò¡ËÅÍ´àÅ×Í´àËŋҹÕéäÁ‹ÁÕ¼¹Ñ§ªÑ鹡ŌÒÁà¹×éÍ
àËÁ×͹ã¹àÊŒ¹àÅ×Í´´íÒ(1) ໚¹·Õàª×͡ѹNjÒÃÔ´Êմǧ·ÇÒÃÁÕÊǹª‹ÇÂ㹡ÒáÅÑ¹ÍØ¨¨ÒÃÐ â´Â·íÒ˹ŒÒ·Õ໚¹
                                        è è                    ‹           é                    è
àËÁ×͹»ÅÑ¡ (plug) ·ÕªÇÂãˌ÷ÇÒû´Ê¹Ô·¢³Ð¾Ñ¡áÅл¡»‡Í§ËÙô¢³Ð¶‹ÒÂÍØ¨¨ÒÃÐ µíÒṋ§ËÅÑ¡·Õ¨Ð
                ê         è ‹         Ù                               Ù                             è
¾ºÃÔ´Êմǧ·ÇÒÃ㹤×Í left lateral right anterolateral áÅÐ right posterolateral ÍÒ¡ÒâͧÃÔ´Êմǧ
·ÇÒÃà¡Ô´¨Ò¡¡ÒâÂÒµÑÇáÅСÒÃà»ÅÕ¹á»Å§·Õ¼´»¡µÔ¢Í§à¹×ÍÃÔ´Êմǧ·ÇÒÃ
                                              è         è Ô         é
              ÊÒà˵آͧÃÔ´Êմǧ·ÇÒÃà¡Ô´¨Ò¡¡ÒÃ຋§à»š¹ÃÐÂÐàÇÅÒ¹Ò¹áÅФÇÒÁ´Ñ¹ÀÒÂ㹪‹Í§·ŒÍ§·Õʧ¢Ö¹èÙ é
¨Ò¡ ascites ¤ÇÒÁ͌ǹ áÅСÒõѧ¤ÃÃÀ«§·íÒãËŒà¡Ô´ vascular congestion ¢Ö¹ »ÃСͺ¡Ñº¡ÒÃ
                                            é      Öè                           é
·íÒ§Ò¹¢Í§ËÙôªÑ¹ã¹·ÕŴŧµÒÁÍÒÂØ«§·íÒãË‹¡´ mucosal prolapse ¢Ö¹
                    Ù é       è                 Öè    Ô                 é (2,3)

              ÃÔ´Êմǧ·ÇÒÃÊÒÁÒöẋ§à»š¹ª¹Ô´ÀÒÂã¹ (internal hemorrhoid) áÅЪ¹Ô´ÀÒ¹͡ (external
hemorrhoid) â´ÂÍÒÈÑ dentate line ໚¹àÊŒ¹áº‹§ ¼Ù»Ç·Õ໚¹ÃÔ´Êմǧ·ÇÒÃÀÒÂã¹ ¨ÐÁÒ¾ºá¾·Â
                                                            Œ † è
´ŒÇÂÍÒ¡Òö‹ÒÂÁÕàÅ×Í´á´§Ê´ äÁ‹»¹¡ÑºÍب¨ÒÃÐ áÅÐÍÒ¨¾ºËÑÇÃÔ´Êմǧ·ÇÒÃâ¼Å‹ÍÍ¡ÁÒ â´Â»¡µÔ
ÃÔ´Êմǧ·ÇÒÃÀÒÂ㹨ÐäÁ‹ÁÍÒ¡ÒÃà¨çºÃ‹ÇÁ´ŒÇ ¡àÇŒ¹¶ŒÒÁÕ thrombosis ËÃ×Í necrosis à¡Ô´¢Ö¹ ËÃ×Í
                                Õ                                                           é
¼Ù»ÇÂÍÒ¨¨ÐÁÕ¾ÂÒ¸ÔÊÀÒ¾Í׹ËÇÁ´ŒÇ ઋ¹ á¼Å·Õ»Ò¡·ÇÒë֧¾ºä´Œ»ÃÐÁҳÌÍÂÅÐ 20 ·ÕÊҤѭ¤×Í
  Œ †                             è                       è       è                      èí
¶ŒÒ¼Ù»ÇÂÁÕÍÒ¡ÒÃÍ×¹¢Í§âäÁÐàÃç§ÅíÒäÊŒãË­‹ ËÃ×ÍÁÕÍÒÂØÁÒ¡¡Ç‹Ò 50 »‚ ¢Ö¹ä» ÍÒ¨¨ÐµŒÍ§µÃǨÅíÒäÊŒ
      Œ †               è                                                    é
ãË­‹·Ê§¢Ö¹ä»ãËŒ¤Ãº ઋ¹ ¡ÒÃʋͧ¡ÅŒÍ§ÅíÒäÊŒãË­‹ (colonoscopy) ÊíÒËÃѺÃÔ´ÊմǧÀÒ¹͡¨Ð¹íÒ
          Õè Ù é
178                                                      âä¢Í§·ÇÒÃ˹ѡáÅÐÅíÒäÊŒµÃ§·Õ辺º‹ÍÂ

¼Ù»ÇÂÁÒ¾ºá¾·Â´ÇÂàÃ×ͧ¤ÅíÒ¾º¡ŒÍ¹·Õ»Ò¡·ÇÒà ᵋäÁ‹ÁÍÒ¡ÒÃà¨çº ¡àÇŒ¹à¡Ô´à»š¹ thrombosed
   Œ †                       Œ è                 è             Õ
external hemorrhoid ¼Ù»ÇºҧÃÒÂÍÒ¨ÁÒ¾ºá¾·Â´Ç»˜­ËÒ ¤×Í ¤ÅíÒ¾ºµÔ§à¹×Í (skin tags) ·Õ»Ò¡
                                Œ †                       Œ                 è é             è
·ÇÇÒë֧à¡Ô´ËŧàËÅ×ͨҡ¡ÒÃËÒ¢ͧ thrombosed external hemorrhoid µÑÇÃÔ´Êմǧ·ÇÒÃàͧ
              è
äÁ‹ãª‹»¨¨ÑÂàÊÕ§㹡ÒÃà¡Ô´âäÁÐàÃç§ÅíÒäÊŒãË­‹áÅзÇÒÃ˹ѡ
            ˜        è
              ¡ÒÃÃÑ¡ÉÒÃÔ´Êմǧ·ÇÒâÖ鹡Ѻª¹Ô´Ç‹Ò໚¹ÃÔ´Êմǧ·ÇÒÃÀÒ¹͡ËÃ×ÍÀÒÂã¹ áÅжŒÒ໚¹
ÃÔ´Êմǧ·ÇÒÃÀÒÂ㹡碹¡ÑºÃÐÂÐ «Ö§ÊÒÁÒöá¡ â´Â¾Ô¨ÒóҨҡ¤ÇÒÁÃØ¹áç¢Í§¡ÒÃÂ×¹ÍÍ¡ÁÒ
                                     Öé      è                                            è
¢Í§ËÑÇÃÔ´Êմǧ ÃÔ´Êմǧ·ÇÒÃÀÒÂã¹ÃÐÂзÕ˹֧¨ÐäÁ‹¾ºÁÕËÇÂ×¹ÍÍ¡ÁÒàÇÅÒ¶‹ÒÂÍØ¨¨ÒÃÐ ÃÐÂзÕÊͧ
                                                     è è      Ñ è                             è
ÁÕËÇÂ×¹ÍÍ¡ÁÒáÅСÅѺࢌÒä»àͧ䴌 ÃÐÂзÕÊÒÁÁÕËÇÂ×¹ÍÍ¡ÁÒáÅмٻǵŒÍ§ãªŒ¹Ç´Ñ¹¡ÅѺࢌÒàͧ
       Ñ è                                            è  Ñ è            Œ †        Ôé
ʋǹÃÐÂзÕʤÍÁÕËÇÃÔ´Êմǧ·ÇÒÃÂ×¹ÍÍ¡ÁÒµÅÍ´àÇÅÒ
                 è Õè × Ñ                  è
              ¡ÒÃÃÑ¡ÉÒÃÔ´ÊմǧÀÒÂã¹ÊÒÁÒöãËŒ¡ÒÃÃÑ¡ÉÒẺ»ÃФѺ»ÃФÃͧâ´ÂãËŒ¼ÙŒ»†ÇÂ᪋¡Œ¹
ã¹¹éÒÍØ¹(4) ÃѺ»ÃзҹÂÒᡌ»Ç´áÅÐÂÒ¡ÅØÁ bulk forming agent ÃѺ»ÃзҹÍÒËÒ÷ÕÁ¡Ò¡ãÂÊÙ§(5)
        í ‹                                        ‹                                  è Õ
´×Á¹éÒÁÒ¡æáÅÐËÅÕ¡àÅÕ§¡ÒÃ຋§ÃÐËNjҧ¡Òö‹ÒÂÍØ¨¨ÒÃÐ ÊíÒËÃѺÂÒà˹çºáÅÐÂÒ·Ò੾ÒзÕè ËÃ×Í
  è í                              è
ÂÒÍ×è¹æ·Õè㪌㹡ÒÃÃÑ¡ÉÒÃÔ´Êմǧ·ÇÒà ÍÒ¨ª‹ÇºÃÃà·ÒÍÒ¡ÒÃä´ŒºŒÒ§ ᵋäÁ‹ÁÕËÅÑ¡°Ò¹Ê¹ÑºÊ¹Ø¹
·ÕèªÑ´à¨¹ ËÒ¡¡ÒÃÃÑ¡ÉÒẺ»ÃФѺ»ÃФͧäÁ‹ä´Œ¼Å ¡çÊÒÁÒöãËŒ¡ÒÃÃÑ¡ÉÒẺ office base
procedures ËÃ×Í ¡Òü‹ÒµÑ´ office base procedures 䴌ᡋ ¡Òéմ sclerosing agent ã¹ÃÔ´Êմǧ
·ÇÒÃÀÒÂã¹ÃÐÂзÕ˹֧ ¡ÒÃÃÑ´ÃÔ´Êմǧ·ÇÒà (rubber band ligation) 㪌䴌ã¹ÃÔ´´Ç§·ÇÒÃÀÒÂã¹
                            è è
ÃÐÂзÕ˹֧ ÃÐÂзÕÊͧ áÅÐÃÐÂзÕÊÒÁ¢¹Ò´àÅç¡ Ê‹Ç¹¡Òü‹ÒµÑ´«Ö§ÁÕ·§ÇԸẺ´Ñ§à´ÔÁ (convetional
           è è            è              è                         è Ñé Õ        é
hemorrhoidectomy) áÅРẺ㪌à¤Ã×ͧÁ×Í㹡ÒõѴµ‹Í (staple hemorrhoidopexy) ¨Ð㪌ã¹ÃÔ´Êմǧ
                                               è
·ÇÒÃÀÒÂã¹ÃÐÂзÕèÊÒÁ¢¹Ò´ãË­‹áÅÐÃÐÂзÕèÊÕè ÊíÒËÃѺÃÔ´Êմǧ·ÇÒÃÀÒÂã¹·ÕèÁÕÍÒ¡ÒûǴáÅÐ
ºÇÁÁÒ¡¨Ò¡¡Ò÷Õèà¡Ô´ incarceration ¤ÇÃä´ŒÃѺ¡Òü‹ÒµÑ´ÃÑ¡ÉÒẺà˧´‹Ç¹àª‹¹¡Ñ¹ (urgent
hemorrhoidectomy)
              ÊíÒËÃѺ¡ÒÃÃÑ¡ÉÒÃÔ´Êմǧ·ÇÒÃÀÒ¹͡¨Ð·íÒã¹ÃÒ·Õ໚¹ thrombose external hemorrhoid
                                                                 è
â´Â¡Òü‹ÒµÑ´ã¹¡Ã³Õ·¼»ÇÂÁÒ¾ºá¾·Âã¹ª‹Ç§ 72 ªÑÇâÁ§áá«Ö§¼Ù»ÇÂ¡ÅØÁ¹Õ¨ÐÁÕÍÒ¡ÒûǴÁÒ¡
                                 Õè ÙŒ †                    è       è Œ †    ‹ é
¶ŒÒ¼ÙŒ»†ÇÂÁÒ¾ºá¾·ÂËÅѧ¨Ò¡¹Ñé¹ÍÒ¡ÒûǴÁÑ¡¨ÐŴŧ´Ñ§¹Ñé¹ÊÒÁÒöãËŒ¡ÒÃÃÑ¡ÉÒẺ»ÃФѺ
»ÃФͧ䴌

á¼Å·Õè»Ò¡·ÇÒà (Anal fissure)
         á¼Å·Õ»Ò¡·ÇÒà ¤×Í á¼ÅËÃ×ÍÃÍ©ա¢Ò´µÒÁá¹Ç´Ô§·Õ·ÇÒÃ˹ѡáÅÐà¡Ô´µèÒ¡Ç‹Ò dentate line
              è                                     è è                  í
ÊÒÁÒöẋ§ä´Œà»š¹ Ẻà©Õº¾Åѹ (acute anal fissure) áÅРẺàÃ×ÍÃѧ (chronic anal fissure)
                                                              é
ËÒ¡á¼Å·Õ»Ò¡·ÇÒÃ䴌ú¡ÒÃÃÑ¡ÉÒáÅŒÇäÁ‹ËÒÂÀÒÂã¹ 6 ¶Ö§ 8 ÊÑ»´Òˏ¨Ð¨Ñ´à»š¹á¼Å·Õ»Ò¡·ÇÒÃẺ
           è         Ñ                                                     è
àÃ×ÍÃѧ ¹Í¡¨Ò¡¹ÕÍÒ¨µÃǨ¾ºÅѡɳдѧµ‹Í仹ÕÃÇÁ´ŒÇ¤×Í ÁÕµ§à¹×ÍÀÒ¹͡ (sentinel skin tag) ÁÕ
   é            é                         é‹            Ôè é
hypertrophic anal papilla ËÃ×ÍÁբͺá¼Å˹ҵÑÇ¢Ö¹áÅÐÍÒ¨ÁͧàË繡ŌÒÁà¹×ÍËÙôªÑ¹ã¹·Õ¡¹á¼Å
                                              é                        é Ù é     è Œ
á¼Å·Õ»Ò¡·ÇÒÃʋǹãË­‹Á¡¾ºã¹á¹Ç midline ¡Å‹ÒǤ×Í ¾ºä´ŒÃÍÂÅÐ 90 ·Õ´Ò¹ËÅѧ áÅÐ ÃŒÍÂÅÐ10
       è                 Ñ                                Œ        è Œ
àǪÈÒʵÏ·¹Âؤ 2553
          Ñ                                                                                  179

·Õ贌ҹ˹ŒÒ(6) ËÒ¡¾ºá¼Å·ÕèµíÒá˹‹§·ÕèäÁ‹»¡µÔ (atypical location) ¤ÇõŒÍ§á¡âäÍ×è¹Í͡䴌ᡋ
Crohn’s disease, syphilis, Çѳâä (tuberculosis) ÁÐàÃç§àÁç´àÅ×Í´¢ÒÇ (leukemia) ÁÐàÃç§·Õ·ÇÒà è
˹ѡ áÅÐ ¡ÒõԴàª×ÍÀÙÁ¤Á¡Ñ¹º¡¾Ã‹Í§ human immunodeficiency virus (HIV)
                        é Ô ØŒ                                                 (7,8)

           ÊÒà˵ءÒÃà¡Ô´á¼Å·Õ»Ò¡·ÇÒÃÁÕËÅÒ»˜¨¨Ñ ¤×Í ¡Ò÷ÕàÅ×Í´ÁÒàÅÕ§ºÃÔàdz midline ¢Í§·ÇÒÃ
                               è                              è         é
˹ѡäÁ‹´Õ áÅСÒúպÃÑ´µÑÇ·ÕÁÒ¡à¡Ô¹ä»¢Í§ËÙôªÑ¹ã¹ (spasm of the internal anal sphincter) ÃÇÁ
            (9)
                                  è               Ù é
¶Ö§¡Òéա¢Ò´·Õà¡Ô´¨Ò¡Íب¨ÒÃзÕá¢ç§ «Ö§»˜¨¨ÑÂàËŋҹըлÃСͺ¡Ñ¹à»š¹Ç§¨Ã ·Õ·ÒãËŒá¼Å·Õ»Ò¡·ÇÒÃ
                   è                  è è             é                   è í           è
äÁ‹ËÒÂà¹×ͧ¨Ò¡¡ÒâҴàÅ×Í´
             è                   (10)

           ¡ÒÃÃÑ¡ÉÒá¼Å·Õè»Ò¡·ÇÒÃẺà©Õº¾Åѹ¤×Í ¡ÒÃÃÑ¡ÉÒẺ»ÃФѺ»ÃФͧâ´ÂãËŒ¼ÙŒ»†ÇÂ
᪋¡¹ã¹¹éÒÍØ¹ 10 ¶Ö§ 15 ¹Ò·Õ ÇѹÅÐ 3 ¶Ö§ 4 ¤Ãѧ ÃѺ»ÃзҹÂÒᡌ»Ç´ áÅзíÒãˌͨ¨ÒÃйÔÁ´ŒÇÂÂÒ
      Œ        í ‹                              é                                   Ø     è
ã¹¡ÅØÁ bulk forming agent ËÃ×Í stool softener áÅФÇô×Á¹éÒÁÒ¡æÃ‹ÇÁ´ŒÇ ÊíÒËÃѺá¼Å»Ò¡
         ‹                                                è í             (11,12)

·ÇÒÃẺàÃ×ÍÃѧ ¡çÊÒÁÒöãËŒ¡ÒÃÃÑ¡ÉÒẺ»ÃФѺ»ÃФͧ ËÇÁ¡Ñº¡ÒÃ㪌ÂÒ·Ò੾ÒзÕè à¾×ÍÅ´¤ÇÒÁ
                 é                                                                    è
´Ñ¹¢Í§¡ÅŒÒÁà¹×ÍËÙôªÑ¹ã¹ 䴌ᡋ 0.2% nitroglycerin ointment ËÃ×Í 2% diltiazem ointment
                     è Ù é
ᵋÂÒ¡ÅØÁ¹ÕÁ¼Å¢ŒÒ§à¤Õ§ ¤×Í ÍÒ¡ÒûǴÈÕÃÉЫ֧¼Å¢ŒÒ§à¤Õ§¹Õ¨Ð¢Ö¹¡Ñº¢¹Ò´ÂÒ·Õ㪌 (dose-related)(13)
           ‹ é Õ                              è              é é             è
¡ÒÃÃÑ¡ÉÒ´ŒÇÂÂÒã¹¡ÅØ‹Á¹ÕéÁռŷíÒãËŒá¼ÅËÒ»ÃÐÁҳÌÍÂÅÐ 68 ¹Í¡¨Ò¡¹ÕéÂѧÁÕÂÒ·ÕèÊÒÁÒö
                                                                 (14)

Å´¤ÇÒÁ´Ñ¹¢Í§¡ÅŒÒÁà¹×ÍËÙôªÑ¹ã¹ÍÕ¡ ¤×Í ¡Òéմ botulinum toxin ·Õ¡ÅŒÒÁà¹×ÍËÙôªÑ¹ã¹ â´Â¡ÒÃ
                            è Ù é                                     è    é Ù é
Å´¤ÇÒÁ´Ñ¹¢Í§¡ÅŒÒÁà¹×ÍËÙôªÑ¹ã¹ã¹¡Ã³Õ¹à¡Ô´¨Ò¡¡ÒâѴ¢ÇÒ§ acetylcholine ·ÕËÅѧ¨Ò¡ presynaptic
                           è Ù é           Õé                               è è
nerve terminals Í‹ҧäáçµÒÁÍѵÃÒ¡ÒÃËÒ¢ͧá¼Å·Õ»Ò¡·ÇÒèҡ¡ÒÃÃÑ¡ÉÒ´ŒÇ botulinum toxin
                                                        è
ÍÂÙ·ÃÍÂÅÐ 60 ¶Ö§ÃŒÍÂÅÐ 70 ËÅѧ¨Ò¡¡ÒéմÂÒ¨íҹǹ 15 ËÃ×Í 20 unit(15) ÊíÒËÃѺ¡Òü‹ÒµÑ´¨Ð
    ‹ Õè Œ
¾Ô¨ÒóÒã¹ÃÒ·ÕãËŒ¡ÒÃÃÑ¡ÉÒẺ»ÃФѺ»ÃФͧËÃ×Í¡ÒÃÃÑ¡ÉÒ´ŒÇÂÂÒáÅŒÇäÁ‹ä´Œ¼Å â´Â¡Òü‹ÒµÑ´
                      è
¹Õé·íÒä´Œâ´Â¡ÒõѴ¡ÅŒÒÁà¹×éÍËÙÃÙ´ªÑé¹ã¹Ê‹Ç¹»ÅÒ»ÃÐÁҳÌÍÂÅÐ 30 àÃÕ¡¡Òü‹ÒµÑ´¹ÕéÇ‹Ò internal
sphincterotomy ¶Ö§áÁŒÇÒ¡Òü‹ÒµÑ´¨Ð·íÒãËŒá¼ÅËÒÂä´ŒÁÒ¡ ¶Ö§ÃŒÍÂÅÐ 95 áÅмٻÇÂʋǹãË­‹ ¨ÐÁÕ
                             ‹                                                  Œ †
ÍÒ¡ÒûǴŴŧ¡çµÒÁ ᵋ¡çÁÕÃÒ§ҹ¶Ö§¼Å¢ŒÒ§à¤Õ§¢Í§¡Òü‹ÒµÑ´ ઋ¹ ¡ÒáÅÑé¹Íب¨ÒÃÐäÁ‹ä´Œ
â´Â੾ÒСÒüÒÂÅÁ (minor or flatus incontinence) ä´Œµ§áµ‹ÃÍÂÅÐ 1.2 ¶Ö§ÃŒÍÂÅÐ 35(16)
                                                           Ñé Œ

½‚Ãͺ·ÇÒà (Perianal abscess) áÅн‚¤Ñ³±Êٵà (.istula in ano)
         ½‚Ãͺ·ÇÒÃáÅн‚¤Ñ³±ÊÙµÃ໚¹âÃ¤ã¹¡ÅØ‹Áà´ÕÂǡѹâ´Âà¡Ô´¢Öé¹ã¹ÃÐÂÐà©Õº¾ÅѹáÅÐÃÐÂÐ
àÃ×éÍÃѧµÒÁÅíҴѺ ÊÒà˵Øà¡Ô´¨Ò¡¡ÒõԴàª×éÍáÅСÒÃÍÑ¡àʺ¢Í§ anal gland ¼ÙŒ»†ÇÂÃŒÍÂÅÐ 30
¶Ö§ÃŒÍÂÅÐ 50 ·Õàè »š¹½‚Ãͺ·ÇÒà áÅŒÇ䴌ú¡Òü‹ÒµÑ´ÃкÒÂ˹ͧ ËÃ×ͽ‚ᵡàͧ¨Ðà¡Ô´à»š¹½‚¤³±Êٵâֹ
                                         Ñ                                          Ñ         é
         ¼Ù»Ç½‚Ãͺ·ÇÒèÐÁÒ¾ºá¾·Â´ÇÂàÃ×ͧà¨çººÃÔàdzÃͺ·ÇÒë֧ÍÒ¨¤ÅíÒ¾º¡ŒÍ¹Ã‹ÇÁ´ŒÇÂ
           Œ †                               Œ è                      è
¹Í¡¨Ò¡¹Õ§ÁÕÍÒ¡ÒÃÍ×¹¢Í§½‚¤Í »Ç´ ºÇÁ á´§ ËÃ×Í ÃŒÍ¹ ºÃÔàdz»Ò¡·ÇÒÃä´Œ â´ÂÍÒ¨¾ºÁÕ䢌ÃÇÁ
            é Ñ          è         ×                                                            ‹
´ŒÇ ¡ÒÃÃÑ¡ÉÒ¤×Í¡Òü‹ÒµÑ´ÃкÒÂàÍÒ˹ͧÍÍ¡áÅФÇþԨÒóÒãËŒÂÒ»¯ÔªÕǹÐËÇÁ´ŒÇÂã¹¼ÙŒ»†ÇÂ
·ÕÁ¡ÒõԴàª×ÍÃØ¡ÃÒÁ ¼Ù»Ç·ÕÁÀÁµÒ¹·Ò¹µèÒËÃ×Í䴌úÂÒ¡´ÀÙÁ¤Á¡Ñ¹ ઋ¹ àºÒËÇÒ¹ âäÀÙÁ¤Á¡Ñ¹
  è Õ           é          Œ † è Õ Ù Ô Œ      í       Ñ        Ô ØŒ                      Ô ØŒ
º¡¾Ã‹Í§ HIV ËÃ×ͼٻÇ·Õ䴌ú¡ÒÃà»ÅÕ¹¶‹ÒÂÍÇÑÂÇÐ ¼Ù»Ç·Õà»ÅÕ¹ÍÇÑÂÇÐà·ÕÂÁ ઋ¹ ÅÔ¹ËÑÇã¨à·ÕÂÁ
                      Œ † è Ñ              è            Œ † è è                       é
໚¹µŒ¹
180                                                                   âä¢Í§·ÇÒÃ˹ѡáÅÐÅíÒäÊŒµÃ§·Õ辺º‹ÍÂ

                ÊíÒËÃѺ¼Ù»ÇÂ໚¹½‚¤³±ÊٵèÐÁÒ¾ºá¾·Â´Ç»˜­ËÒÁÕ˹ͧäËŨҡÃÙ·ÍÂÙÃͺ·ÇÒÃ໚¹æ
                         Œ †              Ñ                  Œ                  Õè ‹
ËÒÂæ «Ö§Ãٹ໚¹ÃÙ·à¡Ô´¨Ò¡¡Òü‹ÒµÑ´½‚Ãͺ·ÇÒÃÁÒ¡‹Í¹ËÃ×Í໚¹ÃÙ·½áµ¡ÍÍ¡ÁÒàͧ ÃÙ·ÍÂÙ´Ò¹¹Í¡
                è Õé          Õè                                   Õè ‚               Õè ‹ Œ
¹ÕàÃÕÂ¡Ç‹Ò external opening «Ö§¨ÐÁÕ·Ò§µÔ´µ‹Í·ÕàÃÕÂ¡Ç‹Ò fistula tract ¼‹Ò¹¡ÅŒÒÁà¹×ÍËÙô·Ñ§ªÑ¹¹Í¡
  é                                         è         è                            é Ù é é
áÅТѹ㹠ä»à»´·Õ÷ÍÂÙÀÒÂ㹪‹Í§·ÇÒÃ˹ѡàÃÕÂ¡Ç‹Ò internal opening â´Â internal opening ¹Õ¨Ð
          é                  è Ù Õè ‹                                                          é
ÍÂÙ·Õè dentate line
      ‹
                ¡ÒÃÃÑ¡ÉÒ½‚¤Ñ³±Êٵä×Í¡Òü‹ÒµÑ´ â´ÂÁÕËÅÑ¡¡Òä×Í ¡ÒÃËÒ fistulal tract áÅÐ internal
opening ãˌ䴌 ´Ñ§¹Ñ鹪¹Ô´¢Í§¡Òü‹ÒµÑ´¨Ö§¢Ö鹡Ѻª¹Ô´¢Í§½‚¤Ñ³±Êٵà «Öè§¹ÔÂÁẋ§µÒÁ Parks
classification ໚¹ intersphincteric, trans-sphincteric, suprasphincteric áÅÐ extrasphincteric
µÒÁÅíҴѺ ½‚¤Ñ³±Êٵê¹Ô´ intersphincteric ËÃ×ͪ¹Ô´ trans-sphincteric ·ÕèµèíÒÊÒÁÒöÃÑ¡ÉÒ
â´Â¼‹ÒµÑ´áºº simple fistulotomy ʋǹ½‚¤Ñ³±Êٵê¹Ô´ trans-sphincteric ·ÕèÊÙ§ËÃ×ͪ¹Ô´
suprasphincteric ¤ÇÃÃÑ¡ÉÒ´ŒÇ¡Òü‹ÒµÑ´ â´ÂãÊ‹ seton äÇŒ¡Í¹ ËÅѧ¨Ò¡¹Ñ¹ 6 ¶Ö§ 8 ÊÑ»´Òˏ¨§ÁÒ·íÒ
                                                                ‹        é                   Ö
¼‹ÒµÑ´ stage fistulotomy à¾×ÍàÍÒ seton ÍÍ¡ÍÕ¡¤Ãѧ ÊíÒËÃѺ¡ÒÃÃÑ¡ÉÒ½‚¤³ÊÙµÃâ´Â㪌 fibrin glue
                                        è                é (17)
                                                                           Ñ
¹Ñ¹¼Å¡ÒÃÃÑ¡ÉÒÂѧäÁ‹à»š¹·Õ¹Ò¾Í㨠â´ÂÁÕ¼ÅÊíÒàÃç¨ã¹¡ÒÃÃÑ¡ÉҵѧᵋÃÍÂÅÐ 30 ¶Ö§ÃŒÍÂÅÐ 80 áÅÐ
    é                                 è ‹                         é Œ
ÁÕ͵ÃÒ¡ÒáÅѺ໚¹«éÒ·ÕÃÍÂÅÐ 59 ʋǹ¡Òü‹ÒµÑ´áººãËÁ‹ ઋ¹ ¡ÒÃ㪌 “collagen plug” 㹡ÒÃ
        Ñ                        í èŒ         (18)

»´ÃÙ½¤³±Êٵà áÅÐ ¡Òü‹ÒµÑ´áºº LI.T (Ligation of Intersphincteric .istula Tract) ÂѧµŒÍ§ÃͼÅ
            ‚ Ñ
¡ÒÃÃÑ¡ÉÒã¹ÃÐÂÐÂÒÇ áÅмŨҡ¡ÒÃÈÖ¡ÉÒ·ÕÁ¡ÅØÁ»ÃЪҡâ¹Ò´ãË­‹
                                                   è Õ ‹

ÊÃØ»
       âä¢Í§·ÇÒÃË¹Ñ ¡ áÅÐÅí Ò äÊŒ µ çÊÒÁÒö¾ºä´Œ º‹ Í Âã¹àǪ»¯Ô ºÑ µÔ ¡ÒÃࢌ Ò ã¨¶Ö § ¡ÒÂ
ÇÔÀÒ¤ºÃÔàdz¹ÕµÅÍ´¨¹¾ÂÒ¸Ô¡Òà¹Ô´¢Í§âä ¨Ð·íÒãˌᾷàǪ»¯Ôºµ·Çä»ÊÒÁÒöãËŒ¡ÒÃÇÔ¹¨©ÑÂ
             é              í                               Ñ Ô Ñè                      Ô
áÅСÒÃÃÑ¡ÉÒ䴌͋ҧ¶Ù¡µŒÍ§ µÅÍ´¨¹ÊÒÁÒöʋ§µ‹Í¼Ù»ÇÂ䴌͋ҧÃÇ´àÃçÇ
                                               Œ †

àÍ¡ÊÒÃ͌ҧÍÔ§
1.    Thomson WH. The nature of haemorrhoids. Br J Surg 1975;62:542-52.
2.    Milsom JW. Hemorrhoidal disease. In: Beck DE, Wexner SD, editors. .undamentals of Anorectal Surgery.
      New York:McGraw-Hill Inc., 1992;192-214.
3.    Haas PA, .ox TA Jr, Haas GP. The pathogenesis of hemorrhoids. Dis Colon Rectum 1984;27:442-50.
4.    Dodi G, Bogoni ., Infantino A, Pianon P, Mortellaro LM, Lise M. Hot or cold in anal pain? A study of the
      changes in internal anal sphincter pressure profiles. Dis Colon Rectum1986;29:248-51.
5.    Moesgaard ., Nielsen ML, Hansen JB, Knudsen JT. High fiber diet reduces bleeding and pain in patients with
      hemorrhoids: a double-blind trial of Vi-Siblin. Dis Colon Rectum 1982;25:454-6.
6.    Hananel N, Gordon PH. Re-examination of clinical manifestations and response to therapy of fissure-in-ano. Dis
      Colon Rectum 1997;40:229-33.
7.    .leshner P. Anal fissure in Crohn’s disease. Semin Colon Rectal Surg 1997;8:36-9.
8.    Saler ME, Gottesman L. Anal and rectal ulcer. In: Allen-Mersh TG, Gottesman L, editors. Anorectal Disease in
      AIDS.London: Edward Arnold, 1991:103-29.
àǪÈÒʵÏ·¹Âؤ 2553
          Ñ                                                                                                    181

9. Smith LE. Anal fissures. Neth J Med 1990;37(Supp1):S33-6.
10. Gibbons CP, Read NW. Anal hypertonia in fissures: cause or effect? Br J Surg 1986;73:443-5.
11. Tejirian T, Abbas MA. Sitz bath: where is the evidence? Scientific basis of a common practice. Dis Colon
    Rectum 2005;48:2336-40.
12. Jiang JK, Chiu JH, Lin JK. Local thermal stimulation relaxes hypertonic anal sphincter: evidence of somatoanal
    reflex. Dis Colon Rectum 1999;42:1152-59.
13. Loder PB, Kamm MA, Nicholls RJ, Phillips RK. ‘Reversible chemical sphincterotomy’ by local application of
    glyceryl trinitrate. Br J Surg 1994;81:1386-9.
14. Lund JN, Scholefield JH. A randomised, prospective,double-blind, placebo-controlled trial of glyceryl trinitrate
    ointment in treatment of anal fissure. Lancet 1997;349:11-4.
15. Maria G, Cassetta E, Gui D, Brisinda G, Bentivoglio AR,Albanese A. A comparison of botulinum toxin and
    saline for the treatment of chronic anal fissure. N Engl J Med 1998;338:217-20.
16. Nelson R. A systematic review of medical therapy for anal fissure. Dis Colon Rectum 2004;47:422-31.
17. Garc?a-Aguilar J, Belmonte C, Wong DW, Goldberg SM, Madoff RD. Cutting seton versus two-stage seton
    fistulotomy in the surgical management of high anal fistula. Br J Surg 1998;85:243-5.
18. Barillari P, Basso L, Larcinese A, Gozzo P, Indinnimeo M.Cyanoacrylate glue in the treatment of ano-rectal
    fistulas.Int J Colorectal Dis 2006;21:791-4.
àǪÈÒʵÏ·¹Âؤ 2553
          Ñ                                                                      º··Õè       183

                                                                                  27
      Hepatocellular Carcinoma: Management in the New Era
                                                 ÍÒ¨ÒÏ ¹ÒÂᾷÊÁªÑ ÅÔéÁÈÃÕ¨íÒàÃÔ­
                                      ÍÒ¨ÒÏ ¹ÒÂᾷ ´Í¡àµÍÃÂ§ÂØ·¸ ÈÔÃÔÇѲ¹ÍÑ¡ÉÃ
                                                ÍÒ¨ÒÏ ¹ÒÂá¾·ÂÊØ»ÃÕªÒ ÍÑÈǡҭ¨¹
                                                   ÍÒ¨ÒÏ ¹ÒÂᾷªØµÔÇԪѠâµÇÔ¡¡ÑÂ
                       ÀÒ¤ÇÔªÒÈÑÅÂÈÒʵÏ ¤³Ðá¾·ÂÈÒʵÏÈÔÃÔÃÒª¾ÂÒºÒÅ ÁËÒÇÔ·ÂÒÅÑÂÁËÔ´Å

          Hepatocellular carcinoma (HCC) ໚¹ÁÐàÃç§·Õ¾ºä´ŒºÍÂ໚¹Íѹ´Ñº 5 áÅÐ໚¹ÊÒà˵ءÒÃ
                                                     è        ‹
µÒ ໚¹Íѹ´Ñº 3 ¢Í§ÁÐàÃç§·Ñé§ËÁ´1 ÍѵÃÒ¡ÒÃà¡Ô´âäᵡµ‹Ò§¡Ñ¹ÁÒ¡ã¹áµ‹Åо×é¹·Õè¢Í§âÅ¡
â´Â¢Ö¹¡Ñº¤ÇÒÁªØ¡¢Í§»˜¨¨ÑÂàÊÕ§·ÕÊҤѭ 䴌ᡋ ¡ÒõԴàª×ÍäÇÃÑʵѺÍÑ¡àʺ ºÕ áÅÐ «Õ ºÃÔàdz·Õ¾ºÁÒ¡
      é                         è èí                   é                                   è
䴌ᡋ »ÃÐà·Èã¹·ÇÕ»áÍ¿Ãԡҵ͹ŋҧ àÍàªÕµÐÇѹÍÍ¡áÅеÐÇѹÍÍ¡à©Õ§㵌 ÃÇÁ·Ñ§»ÃÐà·Èä·Â
                                                                                 é
          ¼Ù»Ç HCC ÁÑ¡äÁ‹ÁÍÒ¡ÒÃã¹ÃÐÂÐáá ¼Ù»Ç¨֧ÁÔ䴌ú¡ÒÃÇÔ¹¨©ÑÂã¹ÃÐÂÐáá ¼Ù»Ç·ÕÁÕ
            Œ †               Õ                 Œ †         Ñ           Ô                 Œ † è
ÍÒ¡Òà ʋǹÁÒ¡¨Ö§ÁÕ¡ÒôíÒà¹Ô¹¢Í§âää»ÁÒ¡áÅŒÇ ·íÒãËŒäÁ‹ÊÒÁÒöÃÑ¡ÉÒ´ŒÇ¡Òü‹ÒµÑ´ä´Œ ¹Í¡¨Ò¡¹Õé
HCC Âѧ¾ºÁҡ㹼ٻǷÕÁÀÒÇеѺá¢ç§ ÂÔ§·íÒãËŒ·Ò§àÅ×͡㹡ÒÃÃÑ¡ÉÒ¹ŒÍÂŧä»ÍÕ¡ áÅмšÒÃÃÑ¡ÉÒ
                    Œ † è Õ            è
äÁ‹´Õ »˜¨¨Øº¹ÁÕ¡ÒõÃǨ¤Ñ´¡Ãͧ»ÃÐªÒ¡Ã¡ÅØÁàÊÕ§2 ·íÒãËŒ¾º¼Ù»Ç·Õ໚¹ÁÐàÃç§ã¹ÃÐÂÐàÃÔÁµŒ¹à¾ÔÁ
                Ñ                          ‹ è                  Œ † è                   è       è
ÁÒ¡¢Ö¹ ÁÕ¡ÒþѲ¹Ò¡ÒÃÃÑ¡ÉÒãËÁ‹æÁÒ¡¢Ö¹ à¾×Íãˌ䴌¼Å¡ÒÃÃÑ¡ÉÒ·Õ´¢¹ ËÃ×ÍÁÕ¤ÇÒÁàÊÕ§µ‹Í¡ÒÃ
        é                                é   è                      è Õ Öé            è
ÃÑ¡ÉÒ¹ŒÍÂŧ º·¤ÇÒÁ¹Õ¨Ð¡Å‹ÒǶ֧ÇÔDz¹Ò¡Òâͧ¡ÒÃÃÃÑ¡ÉÒãËÁ‹æã¹ª‹Ç§·Õ¼Ò¹ÁÒ
                         é           Ñ                                     è ‹

¡Òü‹ÒµÑ´
         ¡Òü‹ÒµÑ´¶×Í໚¹¡ÒÃÃÑ¡ÉÒ·Õè໚¹Áҵðҹ áÅÐ໚¹¡ÒÃÃÑ¡ÉÒ·Õè¤ÇäԴ¶Ö§à»š¹Í‹ҧáá
㹼ٻǷյº»¡µÔ ËÃ×ͼٻÇ·ÕÁµºá¢ç§ ᵋ¡Ò÷íÒ§Ò¹¢Í§µÑºÂѧÍÂÙã¹à¡³±»¡µÔ ¡Òü‹ÒµÑ´¨Ö§¶×Í໚¹
    Œ † è Ñ             Œ † è Õ Ñ                               ‹
¡ÒÃÃÑ¡ÉÒËÅÑ¡·Õ¡ÒÃÃÑ¡ÉÒÍ׹浌ͧ¹íÒÁÒà»ÃÕºà·Õº â´Â HCC ·ÕÁ¢¹Ò´àÅç¡¡Ç‹Ò 5 «Á. ໚¹à¹×ͧ͡
                è          è                                  è Õ                      é
·Õ¢¹Ò´àËÁÒÐÊÁÊíÒËÃѺ¡Òü‹ÒµÑ´ ᵋ¼»Ç·ÕÁÁÐàÃç§¡ŒÍ¹¢¹Ò´ãË­‹¡Ç‹Ò 10 «Á. ¡çä´Œ¼Å´Õ¨Ò¡¡ÒÃ
  è                                  ÙŒ † è Õ
¼‹ÒµÑ´àª‹¹¡Ñ¹ ¶ŒÒ໚¹¡ŒÍ¹à´ÕèÂÇ áÅÐäÁ‹ÁÕ vascular involvement3 ã¹ guideline ¢Í§ American
Association for the Study of Liver Disease àÁ×Í»‚ 2005 ¡Å‹ÒÇÇ‹Ò ¼Ù»Ç·ÕÁÁÐàÃç§ËÅÒ¡ŒÍ¹ ÁÕ
                                                è                    Œ † è Õ
portal hypertension ËÃ×ÍÁÕ vascular invasion äÁ‹ãª‹¼ÙŒ»†Ç·ÕèàËÁÒÐÊÁ·Õè¨ÐÃÑ¡ÉÒ´ŒÇ¡Òü‹ÒµÑ´4
Í‹ҧäáçµÒÁ ¡ÒÃÈÖ¡ÉÒáÅÐÃÒ§ҹ¨Ò¡ÈÑÅÂᾷ·ªÒ¹Ò­¾ºÇ‹Ò ¼Ù»Ç·ÕÁÁÐàÃç§ËÅÒ¡ŒÍ¹ ËÃ×Í
                                                  Õè í            Œ † è Õ
ÁÕ portal hypertension ºÒ§ÃÒÂÊÒÁÒö·íÒ¡Òü‹ÒµÑ´ä´Œ áÅСÒü‹ÒµÑ´à»š¹¡ÒÃÃÑ¡ÉÒ·Õ´·Ê´ã¹¼Ù»ÇÂ
                                                                              è Õ Õè Ø   Œ †
184                                        Hepatocellular Carcinoma : Management in the New Era

àËŋҹÕé áÅзíÒãËŒ¼»ÇÂÁÕÍÒÂØÂÒǹҹ·ÕÊ´5 ¹Í¡¨Ò¡¹Õ§¾ºÇ‹Ò»˜¨¨Ñ·ÕÊҤѭ·ÕÁ¼Åµ‹Í¤ÇÒÁÍÂÙÃÍ´
                        ÙŒ †             èØ            é Ñ            èí         è Õ          ‹
¢Í§¼Ù»Ç ¤×ͤÇÒÁÃØ¹áç¢Í§ÀÒÇеѺá¢ç§¢Í§¼Ù»ÇÂ
       Œ †                                       Œ †
           ÊíÒËÃѺ¼Ù»Ç·ÕÁ¤ÇÒÁàÊÕ§㹡ÒÃà¡Ô´ÀÒÇеѺÇÒÂËÅѧ¼‹ÒµÑ´à¹×ͧ¨Ò¡àËÅ×Íà¹×͵ѺËÅѧ¼‹ÒµÑ´
                    Œ † è Õ       è                                 è                é
¹ŒÍ (inadequate future liver remnant - .LR) àÃÒÍÒ¨¾Ô¨ÒóҷíÒ portal vein embolization ´ŒÒ¹·Õ¨Ð è
µÑ´·Ô§à¾×ÍãËŒµºÊ‹Ç¹·ÕàËÅ×Íâµ¢Ö¹¡‹Í¹¡Òü‹ÒµÑ´ ·íÒãËŒ¡Òü‹ÒµÑ´»ÅÍ´ÀÑ¢ֹ Å´¤ÇÒÁàÊÕ§㹡ÒÃà¡Ô´
      é è        Ñ           è  é                                        é             è
postoperative liver failure ŧ䴌 ¡Ò÷íÒ portal vein embolization ÍÒÈѾ׹°Ò¹»ÃÒ¡¯¡Òó¢Í§
                                                                             é
¡ÒÃà¡Ô´ atrophy-hypertrophy ¢Í§µÑºàÁ×ÍÁÕ portal vein thrombosis ¾ºÇ‹ÒàÁ×ÍÁÕ portal vein thrombosis
                                       è                                   è
·ÕèµÑº´ŒÒ¹Ë¹Öè§ à¹×é͵Ѻ´ŒÒ¹¹Ñ鹨Р½†Íŧ áÅÐà¹×é͵Ѻ½˜›§µÃ§¢ŒÒÁ¨ÐÁÕ¢¹Ò´âµ¢Öé¹ ã¹¼ÙŒ»†Ç·ÕèÁÕ liver
cirrhosis ¡ÒâÂÒ¢¹Ò´¢Í§µÑºÍÒ¨ ¹ŒÍ¡NjҵѺ»¡µÔ 㹡óշà¹×͵ѺäÁ‹âµ¢Ö¹¶×Í໚¹¢ŒÍËŒÒÁ㹡ÒÃ
                                                              Õè é             é
¼‹ÒµÑ´ à¾ÃÒШÐàÊÕ§µ‹Í¡ÒÃà¡Ô´ÀÒÇеѺÇÒÂä´ŒÁÒ¡
                      è                              6



Radiofrequency ablation (R.A)
         R.A ¤×Í¡ÒÃÃÑ¡ÉÒâ´Â¡ÒÃ㪌¤Å×¹ÇÔ·ÂØ¤ÇÒÁ¶Õè 450-500 kHz à˹ÕÂǹíÒãËŒÁ¡ÒÃÊѹµÑǢͧ ion
                                              è                                      è        Õ è
·íÒãËŒà¡Ô´¤ÇÒÁÌ͹ ¤ÇÒÁÌ͹·Õà¡Ô´¢Ö¹¨Ð¼ÅÑ¡´Ñ¹¹éÒÍÍ¡¨Ò¡à«Åŏ ·íÒãËŒà¡Ô´ coagulation necrosis
                                 è é                        í
Ãͺæ»ÅÒÂà¢çÁ ¤ÇÒÁÌ͹·Õà¡Ô´¢Ö¹¨Ð¡ÃШÒÂä»Âѧ tissue ·ÕÍÂÙ¢Ò§æÍ‹ҧÃÇ´àÃçÇ à¡Ô´à»š¹¶‹Ò¹Ãͺ
                              è é                                       è ‹ Œ
»ÅÒÂà¢çÁ ·íÒãËŒ·ÒÅÒÂà¹×Íä´Œ»ÃÔÁÒ³äÁ‹ÁÒ¡ ÇÔ¸·¨Ðà¾ÔÁ¢¹Ò´¡Ò÷íÒÅÒÂà¹×ÍàÂ×Í·íÒâ´Â¡ÒäǺ¤ØÁ
                    í    é                            Õ Õè è                           é è
ÍØ³ËÀÙÁ·»ÅÒÂà¢çÁäÁ‹ãˌʧà¡Ô¹ä» ´ŒÇ¡ÒÃËŋʹŒÇ¹éÒàÂç¹ (cool-tip) ËÃ×Í¡ÒÃ㪌à¢çÁ·Õ»ÅÒÂá¡໚¹
         Ô Õè               Ù                                   í                               è
ËÅÒÂá©¡¤ÅŒÒÂËÁ ¨Ò¡¡ÒþѲ¹Òà¤Ã×ͧÁ×Í·íÒãËŒÊÒÁÒö㪌 R.A ·íÒÅÒ¡ŒÍ¹·ÕÁ¢¹Ò´àÊŒ¹¼‹ÒÈٹ
                                          è                                                è Õ
¡ÅÒ§ä´Œ¶§ 5 «Á.
           Ö
         R.A àËÁÒзըÐ㪌ã¹ÃÒ·ա͹äÁ‹ãË­‹¹¡ äÁ‹àËÁÒÐã¹ÃÒ·ա͹ÁÕ¢¹Ò´ãË­‹ ¡ŒÍ¹·ÕÍÂÙª´
                       è              è Œ               Ñ                        è Œ              è ‹ Ô
àÊŒ¹àÅ×Í´ãË­‹ ¡ŒÍ¹·ÕÍÂÙª´¼ÔÇ áÅСŒÍ¹·ÕÍÂÙã¡ÅŒ·Í¹éÒ´Õ¢¹Ò´ãË­‹ R.AÊÒÁÒö·íÒä´Œâ´ÂäÁ‹µÍ§
                      è ‹ Ô                       è ‹         ‹ í                                    Œ
¼‹ÒµÑ´â´Âá·§à¢çÁ¼‹Ò¹¼ÔÇ˹ѧ价ա͹â´ÂµÃ§ ËÃ×ÍÍÒ¨·íÒâ´Â¡Òü‹ÒµÑ´ laparoscopic ËÃ×Í open
                                    è Œ
surgery ¡çä´Œ ÁÕ¡Ò÷íÒÅÒÂà¹×͵ѺʋǹÍ×¹¹ŒÍ ¨Ö§àËÁÒзըÐ㪌㹼ٻÇ·ÕÁ¤ÇÒÁàÊÕ§µ‹Í¡Òü‹ÒµÑ´ÊÙ§
                               é            è                     è           Œ † è Õ       è
áÅмٻÇ·աÒ÷íÒ§Ò¹¢Í§µÑºäÁ‹¤Í´ըҡÀÒÇеѺá¢ç§
      Œ † è                       ‹
         㹪‹Ç§·Õ輋ҹÁÒ¤ÇÒÁ¹ÔÂÁ㹡ÒÃ㪌 R.A ÃÑ¡ÉÒÁÐàÃ秵Ѻà¾ÔèÁÁÒ¡¢Öé¹ á·¹·Õè¡Ò÷íÒ
percutaneous ethanol injection (PEI) à¹×ͧ¨Ò¡ R.A ÊÒÁÒö·íÒÅÒ¡ŒÍ¹ä´Œ homogeneous ¡Ç‹Ò
                                                è
µ‹Ò§¨Ò¡ PEI ·Õ¢¹¡Ñº¡ÒáÃШÒµÑǢͧáÍÅ¡ÍÎÍŏ ¡ÒÃÈÖ¡ÉÒà»ÃÕºà·Õº¡ÒÃÃÑ¡ÉÒ HCC ´ŒÇ R.A
               è Öé
à·Õº¡Ñº PEI ¾ºÇ‹Ò R.A ÊÒÁÒö·íÒÅÒ¡ŒÍ¹ä´Œ´¡Ç‹ÒáÅмٻÇÂÁÕÍÒÂØÂ¹¹Ò¹¡Ç‹Ò¡ÒÃÃÑ¡ÉÒ´ŒÇ PEI7
                                                          Õ         Œ †            ×
         ¡ÒÃÈÖ¡ÉÒà»ÃÕºà·Õº¡ÒÃÃÑ¡ÉÒ HCC ¢¹Ò´àÅç¡´ŒÇ¡Òü‹ÒµÑ´à·Õº¡Ñº¡Ò÷íÒ R.A ¾ºÇ‹Ò
ä´Œ¼Å¡ÒÃÃÑ¡ÉÒã¡ÅŒà¤Õ§¡Ñ¹8
àǪÈÒʵÏ·¹Âؤ 2553
          Ñ                                                                                                                                 185

Liver transplantation
               à¹×ͧ¨Ò¡ HCC ¾ºä´ŒºÍÂ㹼ٻǷÕ໚¹µÑºÍÑ¡àʺàÃ×ÍÃѧáÅеѺá¢ç§ ¼Ù»Ç¨íҹǹÁÒ¡·ÕÁÒ
                   è                               ‹                Œ † è                          é                      Œ †                  è
¾ºá¾·Â ÍÂÙã¹ÃÐÂзÕäÁ‹ÊÒÁÒöÃÑ¡ÉÒ´ŒÇ¡Òü‹ÒµÑ´ä´Œ ÁÕ¼»ÇÂà¾Õ§ 20% - 30% ෋ҹѹ·ÕÊÒÁÒö
                      ‹                è                                                        ÙŒ †                             é è
ÃѺ¡ÒÃÃÑ¡ÉÒ´ŒÇ¡Òü‹ÒµÑ´ä´Œ ¡ÒÃÃÑ¡ÉÒ HCC ´ŒÇ¡Òü‹ÒµÑ´ËÃ×Íà»ÅÕ¹µÑº Áբʹշҧ·ÄÉ®ÕËÅÒ                      è                Œ
Í‹ҧ 䴌ᡋ ¡ÒõѴµÑºà´ÔÁ·Ôé§·Ñé§ËÁ´·íÒãˌ䴌 margin ·Õè¡ÇŒÒ§¡Ç‹Ò ª‹ÇÂÅ´âÍ¡ÒÊ¡ÅѺÁÒãËÁ‹
(recurrence) ¢Í§âä ¡ÒõѺà¹×͵Ѻ·Õ໚¹âäÍÍ¡ ª‹ÇÂÅ´âÍ¡ÒÊ·Õ¨ÐÁÕÁÐàÃ秾Ѳ¹Ò¢Ö¹ãËÁ‹ã¹à¹×͵Ѻ
                                               é                  è                                     è                      é         é
ʋǹÍ×¹ áÅСÒõѴµÑº·Õ໚¹µÑºá¢ç§ÍÍ¡·Ñ§ËÁ´áÅŒÇãÊ‹µº·Õ´à¢ŒÒä»à»š¹¡ÒÃÃÑ¡ÉÒ portal hypertension
         è                               è                             é                 Ñ è Õ
¨Ò¡ cirrhosis ¢Í§¼Ù»Ç´ŒÇ         Œ †
               ã¹Í´Õµ¡ÒáÅѺ໚¹«éҢͧâäÊÙ§ÁÒ¡à¹×ͧ¨Ò¡¡ÒÃàÅ×Í¡¼Ù»Ç·ÕäÁ‹àËÁÒÐÊÁÁÒ·íÒ¡Òü‹ÒµÑ´
                                             í                                 è                       Œ † è
à»ÅÕ¹µÑº ã¹»‚ 1996 ÁÕÃÒ§ҹâ´Â Mazzaferro ¨Ò¡»ÃÐà·ÈÍÔµÒÅÕ ÃÒ§ҹ¼Ù»Ç·Õ䴌ú¡Òü‹ÒµÑ´
       è                                                                         9
                                                                                                                       Œ † è Ñ
ÃÑ¡ÉÒÁÐàÃ秵Ѻ ´ŒÇ¡Òà ¼‹ÒµÑ´à»ÅÕ¹µÑº 96 ÃÒ â´Â¼Ù»ÇÂÁÕÁÐàÃ秵ѺÃÐÂÐàÃÔÁµŒ¹ ¤×Í ÁÕà¹×ͧ͡ 1
                                                           è                                Œ †                         è              é
¡ŒÍ¹ ¢¹Ò´äÁ‹à¡Ô¹ 5 «Á. ËÃ×ÍÁÕà¹×ͧ͡äÁ‹à¡Ô¹ 3 ¡ŒÍ¹ ᵋÅСŒÍ¹ÁÕ¢¹Ò´äÁ‹à¡Ô¹ 3 «Á. à¹×ͧ͡·Ñ§
                                                         é                                                                         é             é
ËÁ´µŒÍ§äÁ‹ÁÕ vascular invasion áÅÐÂѧäÁ‹Á¡ÒáÃШÒ¢ͧà¹×ͧ͡Í͡仹͡µÑº ¨Ò¡ÃÒ§ҹ´Ñ§
                                                                           Õ                         é
¡Å‹ÒǾºÇ‹Ò¼Ù»ÇÂÁÕ͵ÃÒ¡ÒÃÍÂÙÃÍ´·Õè 4 »‚ ÊÙ§¶Ö§ 75% ã¡ÅŒà¤Õ§¡Ñº¼Ù»Ç·Õ䴌ú¡Òü‹ÒµÑ´à»ÅÕ¹
                     Œ †            Ñ            ‹                                                             Œ † è Ñ                       è
µÑº¨Ò¡¢ŒÍº‹§ªÕ͹·ÕäÁ‹Áà¹×ͧ͡ ࡳ±¡ÒÃàÅ×Í¡¼Ù»Ç´ѧ¡Å‹ÒÇ»˜¨¨Øº¹ÃÙ¨¡¡Ñ¹á¾Ã‹ËÅÒª×Í Milan
                          é ×è è Õ é                                               Œ †                        Ñ ŒÑ                   è
criteria «Ö§ãªŒ¡¹Í‹ҧá¾ÃËÅÒ·ÑÇâÅ¡ÃÇÁ·Ñ§»ÃÐà·ÈÊËÃѰÍàÁÃÔ¡Ò
                 è Ñ                                   è                     é
               ¼ÙŒ»†ÇÂÁÐàÃ秵Ѻ·ÕèÍÂÙ‹ã¹ Milan criteria ÁÕÊѴʋǹ¹ŒÍÂàÁ×èÍà·Õº¡Ñº¼ÙŒ»†ÇÂÁÐàÃ秵Ѻ·Ñé§ËÁ´
¼ÙàªÕÂǪҭËÅÒ·‹Ò¹¤Ô´Ç‹Òࡳ±¹¨Ò¡Ñ´à¡Ô¹ä» ·íÒãËŒ¼»Ç¨íҹǹÁÒ¡·ÕÍÂٹ͡ࡳ± àÊÕÂâÍ¡ÒÊ·Õè
  Œ è                                                        Õé í                         ÙŒ †                     è ‹
¨Ð䴌ú¼Å´Õ¨Ò¡¡Òü‹ÒµÑ´ ¤ÇÒÁ¾ÂÒÂÒÁ¼‹ÒµÑ´ã¹¼Ù»Ç·ÕÁÁÐàÃç§ÍÂٹ͡ Milan criteria ¾ºÇ‹Ò¼Ù»ÇÂ
           Ñ                                                                        Œ † è Õ               ‹                                Œ †
ºÒ§ÃÒ¡çÂѧ䴌¼Å´Õ ¨Ò¡¡ÒÃÈÖ¡ÉÒÇÔà¤ÃÒÐˏ¢ŒÍÁÙŢͧ¼ÙŒ»†Ç·ÕèÍÂÙ‹¹Í¡à¡³±·Õèä´ŒÃѺ¡Òü‹ÒµÑ´
à»ÅÕ¹µÑºáÅŒÇä´Œ¼Å´Õ ·íÒãËŒÁ¡ÒþѲ¹Òࡳ±ãËÁ‹æ¢Ö¹ÁÒઋ¹ UCS. criteria10 ໚¹µŒ¹ Yao10 ÃÒ§ҹ
     è                                     Õ                                           é
NjҶŒÒ¼Ù»ÇÂÍÂÙã¹¡ÅØÁ·ÕÁà¹×ͧ͡à¾Õ§¡ŒÍ¹à´ÕÂÇ¢¹Ò´äÁ‹à¡Ô¹ 6.5 «Á. ËÃ×ÍÁÕà¹×ͧ͡äÁ‹à¡Ô¹ 3 ¡ŒÍ¹
             Œ †        ‹         ‹ è Õ é                                                                                  é
ᵋÅСŒÍ¹ÁÕ¢¹Ò´äÁ‹à¡Ô¹ 4.5 «Á. áÅТ¹Ò´àÊŒ¹¼‹ÒÈٹ¡ÅÒ§ÃÇÁ¢Í§à¹×ͧ͡äÁ‹à¡Ô¹ 8 «Á. (within                         é
UCS. criteria) ¼Ù»ÇÂÊÒÁÒöÁÕ͵ÃÒ¡ÒÃÍÂÙÃÍ´·Õè 5 »‚ ÊÙ§¶Ö§ 75.2%
                              Œ †                    Ñ                   ‹

DC bead
         à¹×ͧ¨Ò¡¼Ù»Ç HCC ʋǹÁÒ¡äÁ‹ÊÒÁÒöÃÑ¡ÉÒ´ŒÇ¡Òü‹ÒµÑ´ä´Œà¹×ͧ¨Ò¡ÀÒÇеѺá¢ç§ ·íÒãËŒ
            è      Œ †                                                 è
àËÅ×Í liver reserve äÁ‹à¾Õ§¾Í ¡ŒÍ¹ HCC ¢¹Ò´ãË­‹¡äÁ‹àËÁÒÐ㹡Ò÷íÒ R.A ¡ÒÃãËŒ systemic
                                                      ç
chemotherapy ¡çä´Œ¡Òõͺʹͧ·ÕäÁ‹´Õ áÅÐÁռŢŒÒ§à¤Õ§ÁÒ¡ ¨Ö§ä´ŒÁ¡ÒþѲ¹Ò¡Ò÷íÒ transarterial
                                   è                                Õ
chemoembolization (TACE) ¡Ò÷íÒ TACE ÍÒÈÑÂËÅÑ¡¡Ò÷ÕÇÒà¹×͵Ѻ»¡µÔ¨Ð䴌úàÅ×Í´ÁÒàÅÕ§
                                                             è‹ é               Ñ         é
·Ñ§¨Ò¡ hepatic artery áÅÐ portal vein ã¹¢³Ð·Õè HCC ¨Ðä´ŒàÅ×Í´ÁÒàÅÕ§ʋǹÁÒ¡¨Ò¡ hepatic artery
  é                                                               é
¡ÒÃãËŒ chemotherapeutic agent ·Ò§ hepatic artery áÅŒÇÍØ´ hepatic artery ·Õä»àÅÕ§¡ŒÍ¹à¹×ͧ͡
                                                                            è é         é
¨Ð·íÒãËŒ à¹×ͧ͡¢Ò´ blood supply áÅÐ chemotherapeutic agent ÊÑÁ¼ÑʡѺà¹×ͧ͡´ŒÇ dose ·Õʧ
              é                                                           é                 èÙ
186                                        Hepatocellular Carcinoma : Management in the New Era

¢Ö¹áÅйҹ¢Ö¹·íÒãËŒ¡Òõͺʹͧ´Õ¢¹ ¹Í¡¨Ò¡¹ÕÂÒà¤ÁÕ¨ÐࢌÒÊÙ‹ systemic circulation ¹ŒÍÂ໚¹¡ÒÃ
  é          é                       Öé          é
ª‹ÇÂÅ´ systemic side effect
        ¡Ò÷íÒ conventional TACE ¨Ð㪌 lipiodol ໚¹µÑǨѺ¡Ñº chemotherapeutic agent ËÅѧ©Õ´
áÅŒÇ ¨ÐµŒÍ§ÍØ´àÊŒ¹àÅ×Í´´ŒÇ gelfoam embolization ¾ºÇ‹Ò¼ÙŒ»†ÇÂä´ŒÃѺ¼Å¢ŒÒ§à¤Õ§¨Ò¡¡Ò÷Õè
chemotherapeutic agent ࢌÒÊÙ‹ systemic circulation ä´ŒÁ¡ÒþѲ¹Ò drug eluting bead ¢Ö¹ÁÒ «Ö§
                                                        Õ                             é    è
drug eluting bead ¹Õ¨Ð´Ù´«ÑºÂÒàÍÒäÇŒ áŌǤ‹ÍÂæ»Å‹ÍÂÂÒÍÍ¡ÁÒªŒÒæ bead ·Õ㪌ÊÒÁÒö·íÒ˹ŒÒ·Õè
                    é                                                      è
໚¹ embolizing agent ä´ŒàÅ 11

        ¡ÒÃÈÖ¡ÉÒ prospective randomized controlled trial12 à»ÃÕºà·Õº¡ÒÃÃÑ¡ÉÒ HCC 212 ÃÒÂ
´ŒÇ¡Ò÷íÒ TACE â´Â¡ÒÃ㪌 DC bead (102 ÃÒÂ) à·Õº¡Ñº conventional TACE (110 ÃÒÂ) ¾ºÇ‹Ò
¡Òõͺʹͧ (complete response, objective response and disease control) ã¡ÅŒà¤Õ§¡Ñ¹ (27%
vs. 22%, 52% vs. 44% áÅÐ 63% vs. 52% µÒÁÅíҴѺ) ËÒ¡ÇÔà¤ÃÒÐˏ᡼ٻǠ¾ºÇ‹Ò¼Ù»Ç·Õ໚¹
                                                                       Œ †         Œ † è
Child-Pugh B, ECOG 1, bilobar disease áÅÐ recurrent disease ÁÕ¡Òõͺʹͧµ‹Í bead ´Õ¡Ç‹Ò
¡ÅØÁ conventional TACE Í‹ҧÁÕ¹ÂÊíҤѭ áÅоºÇ‹Ò¼Å¢ŒÒ§à¤Õ§ (systemic side effect) ¨Ò¡
    ‹                              Ñ
chemotherapeutic agent áÅÐ ÀÒÇÐ liver toxicity ã¹¡ÅØÁ bead ¹ŒÍ¡NjÒã¹¡ÅØÁ conventional TACE
                                                    ‹                    ‹
Í‹ҧÁÕ¹ÂÊíҤѭ
        Ñ

High-intensity focused ultrasound (HI.U)
             HI.U ໚¹¡ÒÃÃÑ¡ÉÒà¹×ͧ͡â´ÂÍÒÈѤÅ×¹àÊÕ§¤ÇÒÁ¶Õʧ ·ÕÁ¾Åѧ§Ò¹ÊÙ§ ¼‹Ò¹¼ÔÇ˹ѧ àÅç§ä»
                                  é                         è          èÙ è Õ
Âѧà¹×ÍàÂ×ͷյͧ¡Ò÷íÒÅÒ à¹×ÍàÂ×ͺÃÔàdz¹Ñ¹¨Ðà»ÅÕ¹¾Åѧ§Ò¹à»š¹¤ÇÒÁÌ͹ ·íÒãˌͳËÀÙÁ·¨´¹Ñ¹
       é è è Œ                   é è                é           è                      Ø     Ô Õè Ø é
ÊÙ§¢Ö¹Í‹ҧÃÇ´àÃçÇ à¹×ÍàÂ×ͺÃÔàdz¹Ñ¹¡ç¨ÐµÒ¨ҡ¤ÇÒÁÌ͹·Õ·ÒãËŒà¡Ô´ coagulation necrosis áËÅ‹§
     é                    é è          é                            è í
¡íÒà¹Ô´¢Í§ high intensity ultrasound wave ÁÒ¨Ò¡ piezoelectric ceramic transducer ËÅÒÂÍѹ
·Õ»Å‹Í¤Å×¹¤ÇÒÁ¶Õè 0.8 – 1.6 MHz ¤Å×¹àËŋҹըж١ÊзŒÍ¹´ŒÇ acoustic lens ä»ÃÇÁ¡Ñ¹·Õ¨´·Õè
  è            è                                è             é                                     èØ
µŒÍ§¡Ò÷íÒÅÒ ºÃÔàdz¨Ø´â¿¡ÑÊ ¨ÐÁÕͳËÀÙÁʧ¢Ö¹à»š¹ 65 – 100 ͧÈÒà«Åà«ÕÂÊ ÀÒÂã¹àÇÅÒ 1 ÇÔ¹Ò·Õ
                                           Ø          ÔÙ é
à¹×ÍàÂ×Í·Õ¶¡·íÒÅÒ¨ÐÁÕûËҧÂÒÇÃդŌÒ«ԡÒÏ â´ÂÁÕ¢¹Ò´ 9.8 mm along the beam axis áÅÐ
    é è è Ù                    Ù
1.3 mm in the transverse direction13 ¡Ò÷íÒ§Ò¹¢Í§ HI.U ¨ÐäÁ‹Á¡Ò÷íÒÅÒÂà¹×ÍàÂ×Í·Õ໚¹·Ò§¼‹Ò¹
                                                                          Õ        é è è
¢Í§¤Å×¹àÊÕ§
         è
             ¡Ò÷íÒ HI.U ¼Ù»ÇµŒÍ§áª‹µÇã¹¹éÒ ÁÕ¡Ò÷íÒ ultrasound à¾×ÍËÒµíÒá˹‹§¡ŒÍ¹ áÅŒÇàÅ秤Å×¹
                             Œ †         Ñ        í                         è                          è
¤ÇÒÁ¶Õä»·íÒÅÒ·ÕÅШش ¨¹¤Ãº·ÑÇ¡ŒÍ¹ â´Â·ÑÇä»ãªŒàÇÅÒà©ÅÕ 3 – 4 ªÑÇâÁ§ ¡Ò÷íÒᵋÅФÃѧµŒÍ§
           è                         è                    è          è        è                   é
»ÃСͺ´ŒÇÂᾷ¼Ã¡ÉÒ ÃѧÊÕᾷ··Ò ultrasound ÇÔÊ­­Õᾷ áÅÐÇÔÈǡôÙáÅà¤Ã×ͧ·ÕµÍ§·íÒ
                        ÙŒ Ñ                 Õè í                 Ñ                        è è Œ
§Ò¹»ÃÐÊÒ¹¡Ñ¹        13

             ¡ÒÃÈÖ¡ÉÒà»ÃÕºà·Õº¼Å¡ÒÃÃÑ¡ÉҼٻǠunresectable HCC ´ŒÇ HI.U ËÇÁ¡Ñº¡ÒÃÃÑ¡ÉÒ
                                                      Œ †
Ẻ»ÃФѺ»ÃФͧà·Õº¡Ñº¡ÒÃÃÑ¡ÉÒẺ»ÃФѺ»ÃФͧÍ‹ҧà´ÕÂÇ ¾ºÇ‹Ò¼Ù»Ç·ÕáÉÒ´ŒÇ HI.U
                                                                                Œ † èÑ
(151 ÃÒÂ) ÁÕ complete response 28.5% ÁÕ partial response 60.3% ÍѵÃÒ¡ÒÃÍÂÙÃÍ´·Õè 1 áÅÐ   ‹
àǪÈÒʵÏ·¹Âؤ 2553
          Ñ                                                                                                          187

2 »‚෋ҡѺ 50.0% áÅÐ 30.9% ã¹¢³Ð·Õ¡ÅØÁ·Õú¡ÒÃÃÑ¡ÉÒẺ»ÃФѺ»ÃФͧÁÕ͵ÃÒ 3.4% áÅÐ
                                       è ‹ èÑ                                Ñ
0% µÒÁÅíҴѺ ¹Í¡¨Ò¡¹Õé ¡ÅØÁ·ÕáÉÒ´ŒÇ HI.U Âѧ¾ºÇ‹ÒÁÕ¤³ÀÒ¾ªÕǵ·Õ´¡Ç‹ÒÍ‹ҧªÑ´à¨¹13
                            ‹ èÑ                           Ø     Ô è Õ
         ¤ÇÒÁ¾ÂÒÂÒÁÃÑ¡ÉҼٻǠunresectable HCC ´ŒÇ¡ÒÃ㪌 HI.U ËÇÁ¡Ñº¡Ò÷íÒ TACE â´Â
                             Œ †
¤Ò´ËÇѧNjҨÐä´Œ¼Å´Õ¡Ç‹Ò¡Ò÷íÒ TACE Í‹ҧà´ÕÂÇ ÁÕ¡ÒÃÈÖ¡ÉÒẺ nonrandomized à»ÃÕºà·Õº¼ÙŒ
»†Ç·ÕáÉÒ´ŒÇ HI.U 2 – 4 ÊÑ»´ÒˏµÒÁËÅѧ TACE (¼Ù»Ç 24 ÃÒÂ) à·Õº¡Ñº¼Ù»Ç·ÕáÉÒ´ŒÇÂ
      èÑ                                              Œ †                   Œ † èÑ
TACE Í‹ҧà´ÕÂÇ (¼Ù»Ç 26 ÃÒÂ) ¾ºÇ‹Ò¼Ù»Ç·ÕáÉÒ´ŒÇ HI.U ËÇÁ¡Ñº TACE ÁÕ͵ÃÒ¡ÒÃÍÂÙÃÍ´
                     Œ †                Œ † èÑ                                 Ñ      ‹
à©ÅÕ (median survival) 11.3 à´×͹à·Õº¡Ñº 4.0 à´×͹㹼ٻÇ·ÕáÉÒ´ŒÇ TACE Í‹ҧà´ÕÂÇ ¹Í¡
    è                                                   Œ † èÑ
¨Ò¡¹Õé ÍѵÃÒ¡ÒÃÍÂÙÃÍ´·Õè 6 à´×͹ áÅÐ 1 »‚ 㹼ٻǷÕáÉÒ´ŒÇ HI.U ËÇÁ¡Ñº TACE ໚¹ 80.4%
                   ‹                          Œ † èÑ
áÅÐ 42.9% µÒÁÅíҴѺ ã¹¢¢³Ð·Õ͵ÃÒ¡ÒÃÍÂÙÃʹ෋ҡѺ 13.2% áÅÐ 0% 㹼ٻǷÕáÉÒ´ŒÇÂ
                                   èÑ          ‹                           Œ † èÑ
TACE Í‹ҧà´ÕÂÇ 14



ÊÃØ»
         HCC ໚¹ÁÐàÃç§·Õ¾ºä´ŒºÍ ¼Ù»ÇÂʋǹÁÒ¡äÁ‹ÁÍÒ¡ÒÃã¹ÃÐÂÐáá ·íÒãˌǹ¨©Ñ¼ٻÇÂä´Œã¹
                            è    ‹ Œ †                   Õ                    Ô Ô    Œ †
ÃÐÂзÕâä໚¹ÁÒ¡áÅŒÇ ¹Í¡¨Ò¡¹Õé HCC ÂѧÁÑ¡¾ºã¹¼Ù»Ç·ÕÁÀÒÇеѺá¢ç§Ã‹ÇÁ´ŒÇ ·íÒãËŒäÁ‹ÊÒÁÒö
       è                                            Œ † è Õ
¼‹ÒµÑ´µÑºä´Œ ¡Òü‹ÒµÑ´à»ÅÕ¹µÑºà»š¹¡ÒÃÃÑ¡ÉÒ·ÕãËŒ¼Å´Õ·Ê´ã¹»˜¨¨Øº¹ ᵋÁ¢Í¨íÒ¡Ñ´·Õ¨Ò¹Ç¹¼ÙºÃÔ¨Ò¤
                          è                     è      Õè Ø    Ñ     ÕŒ           èí       Œ
ÍÇÑÂÇÐÂѧÁըҹǹ¹ŒÍ ¡ÒõÃǨàªç¤¼Ù»Ç·ÕÁ»¨¨ÑÂàÊÕ§໚¹ÃÐÂШзíÒãËŒÊÒÁÒöÇÔ¹¨©ÑÂâä䴌àÃçÇ¢Ö¹
             í                      Œ † è Õ ˜     è                            Ô              é
·íÒãËŒ¼Å¡ÒÃÃÑ¡ÉÒ´Õ¢¹ ¡ÒÃÃÑ¡ÉÒ HCC ÁÕ¡ÒþѲ¹Ò¡ÒÃÃÑ¡ÉÒãËÁ‹æÍ‹ҧµ‹Íà¹×ͧ ᾷ¼·Ò¡ÒÃ
                      Öé                                                   è             ÙŒ í
ÃÑ¡ÉÒµŒÍ§µÔ´µÒÁÇÔDz¹Ò¡ÒÃÍ‹ҧÊÁèÒàÊÁÍà¾×ÍãËŒ¼Å¡ÒÃÃÑ¡ÉÒ´Õ à»š¹»ÃÐ⪹µÍ¼Ù»ÇÂÊÙ§ÊØ´
                    Ñ                í        è                              ‹ Œ †

àÍ¡ÊÒÃ͌ҧÍÔ§
1.   Parkin DM. Global cancer statistics in the year 2000. Lancet Oncol 2001;2:533–43.
2.    Lok AS, McMahon BJ. AASLD Practice Guidelines. Chronic hepatitis B: Update 2009. Hepatology 2009;50:1-
     36.
3.   Poon RT, .an ST, Wong J. Selection criteria for hepatic resection in patients with hepatocellular carcinoma
     >10 cm in diameter. J Am Coll Surg 2002;194:592–602.
4.   Bruix J, Sherman M. Practice guidelines committee, American Association for the Study of Liver Diseases.
     Management of hepatocellular carcinoma. Hepatology 2005;42(5):1208–36.
5.   Ishizawa T, Hasegawa K, Aoki T, et al. Neither multiple tumors nor portal hypertension are surgical contraindications
     for hepatocellular carcinoma. Gastroenterology 2008;134:1908-16
6.   Ogata S, Belghiti J, .arges O, et al. Sequential arterial and portal vein embolizations before right hepatectomy
     in patients with cirrhosis and hepatocellular carcinoma. Br J Surg 2006;93:1091–98.
7.   Lencioni RA, Allgaier HP, Cioni D, et al. Small hepatocellular carcinoma in cirrhosis: randomized comparison
     of radio-frequency thermal ablation versus percutaneous ethanol injection. Radiology 2003;228:235-40.
8.   Chen MS, Li JQ, Zheng Y, et al. A prospective randomized trial comparing percutaneous local ablative therapy
     and partial hepatectomy for small hepatocellular carcinoma. Ann Surg 2006;243:321-8.
9.   Mazzaferro V, Regalia E, Doci R, et al. Liver transplantation for the treatment of small hepatocellular
     carcinomas in patients with cirrhosis. N Engl J Med 1996;334:693-9.
188                                            Hepatocellular Carcinoma : Management in the New Era

10. Yao .Y, .errell L, Bass NM, et al. Liver transplantation for hepatocellular carcinoma: expansion of the tumor
    size limits does not adversely impact survival. Hepatology 2001;33:1394-403.
11. Lewis AL, Gonzalez MV, Leppard SW, et al. Doxorubicin eluting beads – 1: Effects of drug loading on bead
    characteristics and drug distribution. J Master Sci 2007;18: 1691-9.
12. Lammar J, Malagari K, Vogl T, et al. Prospective randomized study of Doxorubicin-Eluting-Bead embolization
    in the treatment of hepatocellular carcinoma: Result of the PRECISION V Study. Cardiovasc Intervent Radiol
    2010;33:41-52.
13. Li YY, Sha WH, Zhou YJ, Nie YQ. Short and long term efficacy of high intensity focused ultrasound therapy
    for advanced hepatocellular carcinoma. J Gastroentero Hepato 2007;22:2148-2154.
14. Wu ., Wang ZB, Chen WZ, et al. Advanced hepatocellular carcinoma: treatment with high-intensity focused
    ultrasound ablation combined with transcatheter arterial embolization. Radiology 2005;235:659-67.
àǪÈÒʵÏ·¹Âؤ 2553
          Ñ                                                                                      º··Õè         189

                                                                                                  28
      Exceeding 100 Liver Transplantations in Siriraj Hospital
                                                  ´Í¡àµÍÏ ¹ÒÂá¾·ÂÂ§ÂØ·¸ ÈÔÃÔÇѲ¹ÍÑ¡ÉÃ
                                                     ÍÒ¨ÒÏ ¹ÒÂᾷÊÁªÑ ÅÔéÁÈÃÕ¨íÒàÃÔ­
                                                   ÍÒ¨ÒÏ ¹ÒÂᾷ»ÃÐÇѲ¹ â¦ÊÔµÐÁ§¤Å
                                                  ÍÒ¨ÒÏ ¹ÒÂᾷ»ÃÐàǪ ÁËÒÇԷԵǧȏ
                                                     ÍÒ¨ÒÏ ¹ÒÂá¾·ÂÊØ»ÃÕªÒ ÍÑÈǡҭ¨¹
                                                       ÍÒ¨ÒÏ ¹ÒÂᾷªØµÔÇԪѠâµÇÔ¡¡ÑÂ
                           ÀÒ¤ÇÔªÒÈÑÅÂÈÒʵÏ ¤³Ðá¾·ÂÈÒʵÏÈÔÃÔÃÒª¾ÂÒºÒÅ ÁËÒÇÔ·ÂÒÅÑÂÁËÔ´Å

              ¡Òü‹ Ò µÑ ´ »ÅÙ ¡ ¶‹ Ò ÂµÑ º ໚ ¹ ¡ÒÃÃÑ ¡ ÉÒÁҵðҹ·Õè ä ´Œ ¼ Å´Õ Êí Ò ËÃÑ º âäµÑ º ÃÐÂÐÊØ ´ ·Œ Ò Â
(end stage liver diseases), ÀÒÇеѺÇÒÂà©Õº¾Åѹ (acute fulminant hepatic failure), âäÁÐàÃç§
µÑº»°ÁÀÙÁÔ (hepatocellular carcinoma) áÅÐÀÒÇФÇÒÁ¼Ô´»¡µÔ¢Í§ metabolism ºÒ§ª¹Ô´ (inborn
error of metabolism) ¡Òü‹ÒµÑ´»ÅÙ¡¶‹ÒµѺÊíÒàÃç¨à»š¹¤Ãѧáá â´Â Thomas E. Starzl àÁ×Í ¤.È.1967
                                                                     é                                   è
·Õ»ÃÐà·ÈÊËÃѰÍàÁÃÔ¡Ò áÅÐä´ŒÁ¡ÒþѲ¹Òͧ¤¤ÇÒÁÃÙŒ à·¤¹Ô¤¡Òü‹ÒµÑ´ ÂÒ¡´ÀÙÁ¤Á¡Ñ¹áÅСÒôÙáÅ
  è                                            Õ                                                Ô ØŒ
ÃÑ¡ÉÒ¼ÙŒ»†ÇÂËÅѧ»ÅÙ¡¶‹ÒµѺÍ‹ҧµ‹Íà¹×èͧ ¨¹·íÒãËŒ¡ÒÃÃÑ¡ÉÒ´ŒÇÂÇÔ¸Õ¹Õéä´ŒÃѺ¡Òö‹Ò·ʹáÅÐ
´íÒà¹Ô¹¡ÒÃã¹»ÃÐà·Èµ‹Ò§ æ Í‹ҧµ‹Íà¹×ͧ »˜¨¨Øº¹ÁÕ¡Òü‹ÒµÑ´»ÅÙ¡¶‹ÒµѺÁÒ¡¡Ç‹Ò 100,000 ÃÒÂáÅŒÇ
                                                    è             Ñ
·ÑÇâÅ¡ áÅÐÁÕȹ»ÅÙ¡¶‹ÒÂÍÇÑÂÇеѺÁÒ¡¡Ç‹Ò 1,000 áË‹§·ÑÇâÅ¡
    è               Ù                                                    è
              ¤³Ðá¾·ÂÈÒʵÏÈÃÃÒª¾ÂÒºÒÅä´ŒàÃÔÁµŒ¹·íÒ¡Òü‹ÒµÑ´»ÅÙ¡¶‹ÒµѺ໚¹¤Ãѧáá àÁ×ÍÇѹ·Õè 4
                                         ÔÔ                   è                                      é     è
ÁÔ¶¹Ò¹ ¾.È. 2533 ᵋ¨Ò¹Ç¹¢Í§¡Òü‹ÒµÑ´ã¹ÂؤÊÁѹѹÂѧÁÕ»ÃÔÁÒ³¹ŒÍ µ‹ÍÁÒã¹»‚¾.È. 2545
       Ø                             í                                 é
·ÕÁÈÑÅÂᾷùãËÁ‹¨§ä´ŒàÃÔÁ·íÒ¡Òü‹ÒµÑ´»ÅÙ¡¶‹ÒµѺÍÕ¡¤Ãѧ áÅÐÊÒÁÒö´íÒà¹Ô¹¡Òê‹ÇÂàËÅ×ͼٻÇÂ
                      Ø‹         Ö     è                                   é                                  Œ †
·Õ¨Ò໚¹µŒÍ§ä´ŒÃº¡ÒÃÃÑ¡ÉÒ â´Â¡ÒûÅÙ¡¶‹ÒµѺÁÒ¡·ÕÊ´ã¹»ÃÐà·Èä·Â¹Ñº¨Ò¡»‚´§¡Å‹ÒÇ (ã¹Ãͺ
    èí                     Ñ                                        èØ                                 Ñ
8 »‚·¼Ò¹ÁÒ) «Ö§»˜¨¨Øº¹âç¾ÂÒºÒÅÈÔÃÃҪ䴌¼ÒµÑ´»ÅÙ¡¶‹ÒÂÍÇÑÂÇеѺä»áŌǷѧÊÔ¹ 107 ÃÒ (¹Ñº¨Ò¡
         Õè ‹            è         Ñ              Ô         ‹                               é é
»‚¾.È. 2545) â´Âà©ÅÕ »‚ÅÐ 12 ÃÒ 㹺ҧ»‚¼ÒµÑ´ÁÒ¡¶Ö§ 25 ÃÒµ‹Í»‚
                               è                                ‹
              ¼Ù»Ç·ÕࢌÒÃѺ¡Òü‹ÒµÑ´»ÅÙ¡¶‹ÒµѺ·Õâç¾ÂÒºÒÅÈÔÃÃÒª ÁÕÍÒÂØÃÐËNjҧ 22-71 »‚ ¤‹Òà©ÅÕÂ
                Œ † è                                     è                   Ô                                    è
52 »‚ ໚¹à¾ÈªÒ 72 ÃÒ à¾ÈË­Ô§ 35 ÃÒ ÊÒà˵آͧâä·ÕµÍ§à¢ŒÒÃѺ¡Òü‹ÒµÑ´»ÅÙ¡¶‹ÒµѺ 䴌ᡋ
                                                                             è Œ
ÀÒÇеѺá¢ç§¨Ò¡äÇÃÑʵѺÍÑ¡àʺºÕ (hepatitis B cirrhosis) ÁÒ¡·ÕÊ´¨íҹǹ 43 ÃÒÂ, ÀÒÇеѺá¢ç§
                                                                                 èØ
¨Ò¡äÇÃÑʵѺÍÑ¡àʺ«Õ (hepatitis C cirrhosis) ¨íҹǹ 26 ÃÒÂ, ÀÒÇеѺá¢ç§¨Ò¡áÍÅ¡ÍÎÍÅŏ (alcoholic
cirrhosis) ¨íҹǹ 18 ÃÒÂ, ÁÐàÃ秵Ѻ (Hepatocellular carcinoma) ËÇÁ¡ÑºÀÒÇеѺá¢ç§µ‹Ò§ æ ¢ŒÒ§µŒ¹
34 ÃÒ ¹Í¡¨Ò¡¹Ñ¹à»š¹ÊÒà˵ØÍ¹æ »ÃÐàÀ·ÅÐ 1-2 ÃÒ 䴌ᡋ cryptogenic cirrhosis, NASH cirrhosis,
                             é              ×è
190                                                                     Exceeding 100 Liver Transplantations in Sriraj Hospital

autoimmune hepatitis, biliary atresia post Kasai operation, Calori’s disease, primary biliary
cirrhosis, primary sclerosing cholangitis, hemochromatosis áÅÐ Wilson’s disease ¡Òü‹ÒµÑ´
»ÅÙ¡¶‹ÒµѺ㪌ǸÁҵðҹâ´ÂµÑ´µ‹ÍàÂçºàÊŒ¹àÅ×Í´´íÒ suprahepatic vena cava, infrahepatic vena
                           ÔÕ
cava áÅÐ portal vein ·Ñ§ËÁ´ ¡àÇŒ¹¼Ù»Ç 1 ÃÒ·ÕäÁ‹ä´Œµ´Ê‹Ç¹¢Í§ vena cava ᵋàÂ纵‹Í·ÕµÒá˹‹§
                                     é                         Œ †                       è              Ñ                                                 è í
¢Í§ hepatic vein ¢Í§µÑº·Õ»ÅÙ¡¶‹Ò (piggy back technique) ¡ÒÃàÂ纵‹ÍàÊŒ¹àÅ×Í´á´§ÊÒÁÒö
                                                  è
µÑ´àÂ纵‹Íä´Œâ´ÂµÃ§ (end-to-end anastomosis) ·Ñ§ËÁ´ â´ÂäÁ‹¨Ò໚¹µŒÍ§ãªŒà·¤¹Ô¤ jump graft ¨Ò¡
                                                                                       é                             í
àÊŒ¹àÅ×Í´á´§ aorta ¡Òü‹ÒµÑ´·Ø¡ÃÒÂäÁ‹¨Ò໚¹µŒÍ§ãªŒ veno-venous bypass ¡ÒÃàÂ纵‹Í·‹Í¹éÒ´Õ
                                                                              í                                                                                    í
à¡×ͺ·Ñ§ËÁ´àÂ纵‹Íâ´ÂµÃ§ (end-to-end anastomosis) â´ÂäÁ‹ãªŒ T-tube ÃÐÂÐàÇÅÒ㹡Òü‹ÒµÑ´
            é
(operative time) µèÒÊØ´ 2 ªÑÇâÁ§ 42 ¹Ò·ÕáÅÐÊÙ§ÊØ´ 8 ªÑÇâÁ§ 45 ¹Ò·Õ à©ÅÕÂ㪌àÇÅÒ㹡Òü‹ÒµÑ´
                                   í            è                                                          è                              è
4 ªÑÇâÁ§ 45 ¹Ò·Õ »ÃÔÁÒ³àÅ×Í´·ÕÊ­àÊÕÂÃÐËNjҧ¡Òü‹ÒµÑ´à·‹Ò¡Ñº 500-25,000 ÁÔÅÅÔŵà à©ÅÕÂ෋ҡѺ
       è                                                  èÙ                                                                                        Ô      è
3,958 ÁÔÅÅÔŵà ÀÒÇÐá·Ã¡«ŒÍ¹ËÅѧ¼‹ÒµÑ´»ÅÙ¡¶‹ÒµѺ·Õ¾ºº‹Í 䴌ᡋ ¡ÒÃÁÕàÅ×Í´Í͡㹪‹Í§·ŒÍ§,
                         Ô                                                                            è
ÀÒÇÐäµÇÒÂà©Õº¾Åѹ, ÀÒÇСÒõԴàª×Í㹻ʹ, ÊÀÒÇеѺ·íÒ§Ò¹äÁ‹´ËÅѧ»ÅÙ¡¶‹Ò áÅÐÀÒÇСÒÃ
                                                                        é                                                    Õ
ÃÑÇ«ÖÁ¢Í§¹éÒ´Õ à»š¹µŒ¹ ÍѵÃÒ¡ÒÃàÊÕªÕǵÃÐÂÐàÇÅÒ 30 ÇѹËÅѧ¼‹ÒµÑ´à·‹Ò¡ÑºÃŒÍÂÅÐ 12 ÍѵÃÒ¡ÒÃÍÂÙ‹
  è                 í                                               Ô
ÃÍ´â´ÂÃÇÁ·Õè 1 »‚, 3 »‚ áÅÐ 5 »‚ ෋ҡѺÌÍÂÅÐ 77, 72 áÅÐ 69 µÒÁÅíҴѺ ÊÒà˵ءÒÃàÊÕªÕǵʋǹ                                                                   Ô
ãË­‹à¡Ô´¨Ò¡¡ÒÃà¡Ô´à»š¹«éҢͧÁÐàÃ秵Ѻ  í
                 ÃÐÂÐàÇÅÒ㹡ÒÃÃÍÍÇÑÂÇеѺºÃÔ¨Ò¤µèÒÊØ´ 1 Çѹ ÊÙ§ÊØ´ 1321 Çѹ ¤‹Òà©ÅÕ ෋ҡѺ 193 Çѹ
                                                                                 í                                                                è
¤‹Ò median ෋ҡѺ 110 Çѹ ¨íҹǹ¼Ù»ÇÂâäµÑº·Õ¨Ò໚¹µŒÍ§ä´ŒÃº¡ÒÃÃÑ¡ÉÒ â´Â¡Òü‹ÒµÑ´»ÅÙ¡¶‹ÒÂ
                                                             Œ †                       èí                          Ñ
µÑºÁÕ໚¹¨íҹǹÁÒ¡ »˜¨¨Øº¹ÁÕ¼»ÇÂÃÍࢌҤÔÇ à¾×ÍÃѺ¡Òü‹ÒµÑ´»ÅÙ¡¶‹ÒµѺ ·Õâç¾ÂÒºÒÅÈÔÃÃÒª
                                             Ñ ÙŒ †                                        è                                                    è                Ô
ÁÒ¡¶Ö§ 74 ÃÒ ÍÇÑÂÇеѺºÃÔ¨Ò¤·Õè¹íÒÁÒ»ÅÙ¡¶‹Ò¹Ñé¹ ä´ŒÁÒ¨Ò¡¡ÒúÃÔ¨Ò¤¢Í§¼ÙŒºÃÔ¨Ò¤·ÕèÁÕÀÒÇÐ
ÊÁͧµÒ â´ÂÊ¶ÔµÔ 5 »‚·¼Ò¹ÁÒ ÁÕ¼ºÃÔ¨Ò¤ÍÇÑÂÇÐã¹»ÃÐà·Èä·Â·Ñ§ÊÔ¹ à©ÅÕÂà¾Õ§ 72 ÃÒµ‹Í»‚
                                         Õè ‹                    ÙŒ                                                        é é              è
෋ҹѹ «Ö§à»š¹ÍѵÃÒ¡ÒúÃÔ¨Ò¤·Õ¹ÍÂÁÒ¡ Ê‹§¼ÅãËŒÁ»ÃÔÁÒ³äÁ‹à¾Õ§¾Íµ‹Í¼Ù»Ç·ÕÃÍÃѺ¡Òü‹ÒµÑ´»ÅÙ¡
         é è                                          è Œ                                    Õ                                 Œ † è
¶‹ÒÂÍÇÑÂÇзѧ»ÃÐà·È ¡ÒèѴÊÃÃÍÇÑÂÇеѺ¨Ò¡¼ÙºÃÔ¨Ò¤·ÕÁÀÒÇÐÊÁͧµÒÂã¹»ÃÐà·Èä·Â¹Ñ¹ 㪌ǸÕ
                       é                                                             Œ                    è Õ                                                é       Ô
¨Ñ´ÊÃÃàÇÕ¹¡Ñ¹ä»µÒÁâç¾ÂÒºÒÅ áÅÐã¹âç¾ÂÒºÒÅÈÔÃÃÒª¹Ñ¹¨Ð¨Ñ´ÊÃÃãËŒ¡º¼ÙúµÑº â´Âẋ§µÒÁ                 Ô            é                     Ñ ŒÑ
ËÁÙ‹àÅ×Í´ áÅеÒÁ¤ÇÒÁÃØ¹áç¢Í§âäµÑº â´Â¤íҹdz¨Ò¡¡ÒûÃÐàÁÔ¹µÒÁ¤Ðá¹¹ Model for
End-stage Liver Disease (MELD) Score â´Â໚¹¤Ðá¹¹·Õ»ÃÐàÁÔ¹µÒÁ¤ÇÒÁÃØ¹áç¢Í§âäµÑºá¢ç§                           è
áÅÐÁÐàÃ秵Ѻ Í‹ҧäáçµÒÁ à¹×ͧ¨Ò¡¨íҹǹ¼ÙºÃÔ¨Ò¤·ÕÁÀÒÇÐÊÁͧµÒÂÂѧÁչ͡NjҼٻÇ·ÕÃÍÃѺ
                                                    è                              Œ               è Õ                                        Œ       Œ † è
ÍÇÑÂÇÐÁÒ¡ ¨Ö§ÁÕ¼»Ç¨íҹǹ˹֧·ÕàÊÕªÕǵ仡‹Í¹·Õ¨Ð䴌ú¡Òü‹ÒµÑ´»ÅÙ¡¶‹ÒÂÍÇÑÂÇÐ «Ö§ÍѵÃÒ¡ÒÃ
                              ÙŒ †                       è è              Ô                      è           Ñ                                          è
àÊÕªÕǵ¡‹Í¹ä´ŒÃº¡ÒûÅÙ¡¶‹ÒµѺÊÙ§à¡Ô¹¡Ç‹ÒÃŒÍÂÅÐ 20
          Ô                Ñ
                      ¡ÒÃó礏ãËŒÁ¼ºÃÔ¨Ò¤ÍÇÑÂÇÐà¾ÔÁ¢Ö¹ «Ö§ä´Œ´Òà¹Ô¹ÁÒÍ‹ҧµ‹Íà¹×ͧâ´ÂÊÀÒ¡ÒªÒ´ä·Â
                                           Õ ÙŒ                                 è é è í                                              è
ã¹ÃÐÂÐàÇÅÒ 5 »‚·Õ輋ҹÁÒ ¡çäÁ‹ÊÒÁÒöà¾ÔèÁ¨íҹǹ¢Í§¡ÒÃä´ŒÃѺÍÇÑÂÇÐà¾ÔèÁ¢Öé¹ à¾×èÍãËŒ¡ÒÃÃÑ¡ÉÒ
¼Ù»Ç·ÕÃÍÃѺ¡ÒûÅÙ¡¶‹ÒµѺà¾ÔÁÁÒ¡¢Ö¹ ¨Ö§ÁÕ¡ÒþԨÒóҡÒÃ㪌ÍÇÑÂÇШҡ¼ÙºÃÔ¨Ò¤ãˌ䴌»ÃÐ⪹
    Œ † è                                              è              é                                                                 Œ
ÁÒ¡·ÕÊ´ ઋ¹ ¡ÒÃẋ§ÍÇÑÂÇеѺ໚¹Êͧʋǹ (split liver transplantation) à¾×Íẋ§¹íÒä»»ÅÙ¡¶‹ÒµѺ
          èØ                                                                                                                       è
ãˌᡋ¼ãË­‹áÅÐà´ç¡, ¡ÒÃ㪌ÍÇÑÂÇеѺ㹼ٺÃÔ¨Ò¤·ÕÁÀÒÇзҧ¤ÅÔ¹¡·ÕäÁ‹ÊÁºÙóÁÒ¡¹Ñ¡¨Ò¡à¡³±
              ÙŒ                                                            Œ                  è Õ                       Ô è
»¡µÔ (extended criteria donor) áÅСÒûÅÙ¡¶‹ÒÂÍÇÑÂÇеѺ¨Ò¡¼ÙºÃÔ¨Ò¤·ÕÁªÇµ (living donor liver                            Œ        è Õ ÕÔ
àǪÈÒʵÏ·¹Âؤ 2553
          Ñ                                                                                  191

transplantation) äÁ‹ÇÒ¨Ð໚¹¨Ò¡¼ÙãË­‹Êà´ç¡ (adult to child) ËÃ×ͼÙãË­‹Ê¼ãË­‹ (adult to adult) «Ö§
                     ‹            Œ   Ù‹                          Œ    Ù‹ ÙŒ                    è
á¹Ç·Ò§¡ÒôíÒà¹Ô¹¡Òõ‹Ò§ æ ¢ŒÒ§µŒ¹¹Õä´ŒàÃÔÁ¹íÒÁÒ»ÃÐÂØ¡µãªŒã¹âç¾ÂÒºÒÅÈÔÃÃÒªáÅŒÇ ¤³Ð¼Ù´áÅ
                                     é è                                     Ô              Œ Ù
ÃÑ¡ÉҼٻǻÅÙ¡¶‹ÒµѺÁÕ¤ÇÒÁÁاÁѹ·Õ¨Ð¾Ñ²¹Ò¡Ãкǹ¡ÒôÙáÅÃÑ¡ÉÒ·Ø¡ æ ´ŒÒ¹à¾×ÍÃÑ¡ÉÒªÕǵ¼Ù»ÇÂ
        Œ †                    ‹ è è                                           è         Ô Œ †
ãËŒÁ¤³ÀÒ¾áÅлÃÔÁÒ³ÁÒ¡¢Ö¹µÅÍ´ä»
    Õ Ø                      é
àǪÈÒʵÏ·¹Âؤ 2553
          Ñ                                                                                                               º··Õè             193

                                                                                                                            29
          The .irst Live Donor Liver Transplantation in Thailand
                                                          ´Í¡àµÍÏ ¹ÒÂá¾·ÂÂ§ÂØ·¸ ÈÔÃÔÇѲ¹ÍÑ¡ÉÃ
                                                             ÍÒ¨ÒÏ ¹ÒÂᾷÊÁªÑ ÅÔéÁÈÃÕ¨íÒàÃÔ­
                                                           ÍÒ¨ÒÏ ¹ÒÂᾷ»ÃÐÇѲ¹ â¦ÊÔµÐÁ§¤Å
                                                          ÍÒ¨ÒÏ ¹ÒÂᾷ»ÃÐàǪ ÁËÒÇԷԵǧȏ
                                                             ÍÒ¨ÒÏ ¹ÒÂá¾·ÂÊØ»ÃÕªÒ ÍÑÈǡҭ¨¹
                                                               ÍÒ¨ÒÏ ¹ÒÂᾷªØµÔÇԪѠâµÇÔ¡¡ÑÂ
                                   ÀÒ¤ÇÔªÒÈÑÅÂÈÒʵÏ ¤³Ðá¾·ÂÈÒʵÏÈÔÃÔÃÒª¾ÂÒºÒÅ ÁËÒÇÔ·ÂÒÅÑÂÁËÔ´Å

           ¡Òü‹ÒµÑ´»ÅÙ¡¶‹ÒÂÍÇÑÂÇеѺ ¹Ñºà»š¹¡ÒÃÃÑ¡ÉÒ ·Õ䴌ú¡ÒÃÂÍÁÃѺNjÒ໚¹ÇÔ¸·´·Ê´ÍÕ¡ÇԸ˹֧
                                                                                 è Ñ                                          Õ Õè Õ Õè Ø     Õ è
㹡ÒÃÃÑ¡ÉÒâäµÑºá¢ç§ÃÐÂÐÊØ´·ŒÒ (end stage liver disease) ·Ñ§¨Ò¡âääÇÃÑʵѺÍÑ¡àʺ ºÕ, «Õ áÅÐ          é
¾ÔÉÊØÃÒàÃ×ÍÃѧ ÍÇÑÂÇеѺ·Õ»ÅÙ¡¶‹Ò¹ѹ â´Â·ÑÇä»ä´ŒÁÒ¨Ò¡¡ÒúÃÔ¨Ò¤¢Í§¼ÙºÃÔ¨Ò¤·ÕÁÀÒÇÐÊÁͧµÒÂ
            é                            è              é        è                                                   Œ          è Õ
¨Ò¡Ê¶ÔµÔ 5 »‚·¼Ò¹ÁÒ ¨íҹǹ¼ÙºÃÔ¨Ò¤·ÑÇ»ÃÐà·Èä·Â·Ñ§ÊÔ¹ÁÕà¾Õ§à©ÅÕ 72 ÃÒµ‹Í»‚෋ҹѹ «Ö§äÁ‹
                          Õè ‹                    Œ            è                   é é                           è                        é è
à¾Õ§¾Íµ‹Í¤ÇÒÁµŒÍ§¡Òüٌ»†Ç·ÕèÃÍÃѺ¡Òü‹ÒµÑ´»ÅÙ¡¶‹ÒÂÍÇÑÂÇзÕèÁÕ໚¹¨íҹǹÁÒ¡ä´Œ ¹Í¡¨Ò¡¹Õé
ÍѵÃÒ¡ÒÃàÊÕªÕǵ¢Í§¼Ù»Ç·ÕÃÍÃѺ¡Òü‹ÒµÑ´»ÅÙ¡¶‹ÒµѺÊÙ§¶Ö§ÃŒÍÂÅÐ 20 µ‹Í»‚ ¡ÒÃó礏ãËŒÁ¡ÒÃ
                            Ô         Œ † è                                                                                                    Õ
ºÃÔ¨Ò¤ÍÇÑÂÇÐà¾ÔÁ¢Ö¹ÁÕá¹Ç⹌Á·ÕäÁ‹ÊÒÁÒö¨Ðà¾ÔÁ¨íҹǹ¢Í§¼ÙºÃÔ¨Ò¤ÍÇÑÂÇÐä´Œ ´Ñ§¹Ñ¹¡ÒþԨÒóÒ
                              è é                   è                  è                      Œ                                     é
¡ÒûÅÙ¡¶‹ÒÂÍÇÑÂÇеѺ¨Ò¡¼ÙºÃÔ¨Ò¤·ÕÁªÇµ (living donor liver transplantation) ¨Ö§à»š¹Íա˹·Ò§Ë¹Ö§
                                            Œ             è Õ ÕÔ                                                                                 è
㹡Ò÷ըЪ‹ÇÂÃÑ¡ÉҼٻǷÕÃÍÃѺ¡ÒûÅÙ¡¶‹ÒÂÍÇÑÂÇеѺ䴌
         è                           Œ † è
           ¡ÒûÅÙ¡¶‹ÒÂÍÇÑÂÇеѺ¨Ò¡¼ÙºÃÔ¨Ò¤·ÕÁªÇµ ÊíÒàÃç¨à»š¹¤ÃѧááàÁ×Í»‚ ¤.È. 1989 â´Â໚¹¡ÒÃ
                                                           Œ       è Õ ÕÔ                           é              è
¼‹ÒµÑ´µÑº¨Ò¡¼ÙãË­‹Êà´ç¡ µ‹ÍÁÒÁÕ¤ÇÒÁá¾Ã‹ËÅÒÂÁÒ¡¢Ö¹â´Â੾ÒÐã¹»ÃÐà·Èᶺ·ÇÕ»àÍàªÕ 䴌ᡋ
                        Œ         Ù‹                                           é
»ÃÐà·È­Õ»¹áÅлÃÐà·Èà¡ÒËÅÕ à»š¹µŒ¹ ¡Òü‹ÒµÑ´»ÅÙ¡¶‹ÒµѺ¼ÙãË­‹Êà´ç¡¹Ñ¹ ¨Ð㪌µºÊ‹Ç¹ lateral
              è Ø†                                                                                      Œ     Ù‹       é              Ñ
segment graft (segment II/III) à¹×ͧ¨Ò¡¤ÇÒÁµŒÍ§¡ÒÃà¹×ÍàÂ×͵Ѻ¨Ò¡¡ÅÕº´Ñ§¡Å‹ÒÇà¾Õ§¾Í¡Ñº¼Ù»ÇÂ
                                                      è                           é è                                                        Œ †
à´ç¡¼ÙúºÃÔ¨Ò¤ (recipient) ·ÕÁ¹Ò˹ѡ¹ŒÍ ʋ§¼Å·íÒãËŒ¤ÇÒÁ»ÅÍ´ÀÑÂÊÙ§¨Ò¡¡Òü‹ÒµÑ´à¾Õ§ lateral
      ŒÑ                                      è Õ íŒ
segment graft ã¹¼ÙãË­‹ à¾ÃÒÐà·¤¹Ô¤¡Òü‹ÒµÑ´à¹×͵Ѻʋǹ¹ÕÁ¡¨ÐäÁ‹¡ÍãËŒà¡Ô´¡ÒÃÊÙ­àÊÕÂàÅ×Í´ËÃ×Í
                                Œ                                          é              é Ñ               ‹
ÀÒÇÐá·Ã¡«ŒÍ¹·ÕÊҤѭ㴠æ Í‹ҧäáçµÒÁ 㹼ٻǼÙãË­‹âäµÑºÃÐÂÐÊØ´·ŒÒ·ÕÁ¤ÇÒÁ¨íÒ໚¹µŒÍ§
                               èí                                        Œ † Œ                                               è Õ
䴌ú¡ÒûÅÙ¡¶‹ÒÂÍÇÑÂÇеѺ äÁ‹ÊÒÁÒö㪌à¹×͵Ѻà¾Õ§ʋǹ¢Í§ lateral segment graft ´Ñ§¡Å‹ÒÇ
    Ñ                                                                é
¢ŒÒ§µŒ¹ä´Œ ¡ÒþѲ¹Ò¡Òü‹ÒµÑ´»ÅÙ¡¶‹ÒÂÍÇÑÂÇеѺ¨Ò¡¼ÙãË­‹Ê¼ãË­‹ÊÒàÃç¨à»š¹¤Ãѧáá àÁ×Í»‚¤.È. 1993
                                                                             Œ         Ù‹ ÙŒ              í              é              è
·Õ»ÃÐà·È­Õ»¹ â´Â㪌 left lobe graft (segment II, III, IV) ¨Ò¡¼ÙºÃÔ¨Ò¤ÅÙ¡ªÒ·ÕÁûËҧáÅйéÒ˹ѡ
  è                è Ø†                                                                           Œ                        è ÕÙ            í
ÁÒ¡¡Ç‹Ò¼Ùú«Ö§à»š¹ÁÒôҷÕÁ¹Ò˹ѡµÑǹŒÍ¡NjÒÁÒ¡ Ê‹§¼ÅãËŒµº¡ÅÕº«ŒÒÂà¾Õ§¾Íµ‹Í¤ÇÒÁµŒÍ§¡ÒÃ
              ŒÑ è                         è Õ íŒ                                               Ñ
¢Í§¼ÙúºÃԨҤ䴌
      ΄
194                                                                             The .irst Live Donor Liver Transplantation in Thailand

           µ‹ÍÁÒÁÕ¡ÒþѲ¹Ò¡ÒûÅÙ¡¶‹ÒÂÍÇÑÂÇеѺ¨Ò¡¼ÙãË­‹Ê¼ãË­‹â´Â㪌µº¡ÅÕº¢ÇÒ¢Ö¹ (adult-to-              Œ                Ù‹ ÙŒ                      Ñ                       é
adult live donor liver transplantation using right lobe graft) ÊíÒàÃç¨à»š¹¤Ãѧáá àÁ×Í»‚¤.È. 1996                                                         é               è
·Õ»ÃÐà·ÈΆͧ¡§ â´Â .an áÅФ³Ð ¼ÙºÃԨҤ໚¹¾ÕªÒ·ÕÁ¹Ò˹ѡµÑǹŒÍ¡NjҼÙúºÃÔ¨Ò¤«Ö§à»š¹¹ŒÍ§
    è                                                                         Œ                       è           è Õ íŒ                                    ŒÑ                è
ªÒ ¡Òü‹ÒµÑ´»ÅÙ¡¶‹ÒµѺâ´Â㪌µº¡ÅÕº¢ÇÒ¶×ÍÇ‹Ò໚¹¡Òü‹ÒµÑ´·ÕÁ¤ÇÒÁÂØ§ÂÒ¡áÅФÇÒÁàÊÕ§ÊÙ§
                                                                          Ñ                                                            è Õ              ‹                            è
¨íÒ໚¹µŒÍ§ãªŒà·¤¹Ô¤·ÕÁ¤ÇÒÁªíÒ¹Ò­ÊÙ§ÁÒ¡¡Ç‹Ò¡ÒÃ㪌µº¡ÅÕº«ŒÒ ÃÇÁ¶Ö§à·¤¹Ô¤¡ÒÃàÅÒÐàÊŒ¹àÅ×Í´
                                    è Õ                                                                            Ñ
middle hepatic vein áÅÐ bile duct ¨Ò¡µÑº·Õ¨Ð¹íÒÁÒ»ÅÙ¡¶‹Ò´ŒÇ                               è
           âç¾ÂÒºÒÅÈÔÃÃÒª¹Ñºà»š¹âç¾ÂÒºÒÅ·Õ·Ò¼‹ÒµÑ´»ÅÙ¡¶‹ÒÂÍÇÑÂÇеѺÁÒ¡·ÕÊ´ã¹»ÃÐà·Èä·Â
                                       Ô                                                          è í                                                                  èØ
㹪‹Ç§ 8 »‚·¼Ò¹ÁÒ â´Â·íÒ¼‹ÒµÑ´ä»·Ñ§ÊÔ¹ 107 ÃÒ ᵋ¨Ò¹Ç¹´Ñ§¡Å‹ÒÇ¡ç§äÁ‹ÁÒ¡¾Í¡Ñº¨íҹǹ¢Í§
                       Õè ‹                                                     é é                             í                               Ñ
¼Ù»Ç·ÕÃÍÃѺ¡Òü‹ÒµÑ´»ÅÙ¡¶‹ÒµѺ·ÕÁ¨Ò¹Ç¹ÁÒ¡ ·ÕÁᾷ¼´áŨ֧䴌ÃàÃÔÁÇҧἹ㹡Òü‹ÒµÑ´»ÅÙ¡
  Œ † è                                                                     è Õí                                       ÙŒ Ù                 Ô è
¶‹ÒÂÍÇÑÂÇеѺ¨Ò¡¼ÙãË­‹Ê¼ãË­‹â´Â㪌µº¡ÅÕº¢ÇÒãËŒÊÒàÃç¨à»š¹¤Ãѧáá㹻ÃÐà·Èä·Â áÅÐ໚¹¼Å
                                Œ                       Ù‹ ÙŒ                         Ñ                   í                          é
ÊíÒàÃ稴ѧ·Õ¤Ò´ËÇѧäÇŒàÁ×ÍÇѹ·Õè 10 ¸Ñ¹ÇÒ¤Á 2552
                è                             è
           ¼Ù»Ç·ÕÃÍÃѺ¡ÒûÅÙ¡¶‹ÒµѺ໚¹à¾ÈªÒÂä·Â ÍÒÂØ 55 »‚ 䴌ú¡ÒÃÇÔ¹¨©ÑÂ໚¹âäµÑºá¢ç§
               Œ † è                                                                                                                         Ñ                 Ô
¨Ò¡ äÇÃÑʵѺÍÑ¡àʺ«Õµ§áµ‹»¾.È. 2548 ¼Å¡ÒõÃǨàÅ×Í´ ËÁÙàÅ×Í´ A Rh positive, total bilirubin
                                           Ñé                 ‚                                                                  ‹
1.7 mg/dl, creatinine 0.9 mg/dl áÅÐ INR 1.32 ¤íҹdz¤‹Ò MELD (model for end-stage liver disease)
Score ෋ҡѺ 12 ¡ÒõÃǨÀÒ¾ÃѧÊÕ MRI ¾ºÁÐàÃ秵Ѻ (hepatocellular carcinoma) 2 ¡ŒÍ¹·ÕµÒáË                                                                                            è í
¹‹§ segment VIII ¤‹Ò A.P ෋ҡѺ 6.67 IU/ml, ¼ÙŒ»†ÇÂä´ŒÃѺ¡ÒÃÃÑ¡ÉÒ´ŒÇÂÇÔ¸Õ transarterial
chemoembolization àÁ×Íà´×͹ÊÔ§ËÒ¤Á 2552 ¡ÒõԴµÒÁ´ŒÇ CT scan ¾ºÇ‹Ò lipiodol stain 㹡ŒÍ¹
                                         è
à¹×ͧ͡´Õ ¼Ù»ÇÂ䴌ú¡ÒþԨÒóÒÃѺ¡ÒÃÃÑ¡ÉÒâ´Â¡Òü‹ÒµÑ´»ÅÙ¡¶‹ÒµѺ â´Âŧ·ÐàºÕ¹ࢌÒÃÍÃѺ
      é               Œ †         Ñ
¡ÒûÅÙ¡¶‹ÒÂÍÇÑÂÇеѺµÑ§áµ‹Á¹Ò¤Á 2552 Í‹ҧäáçµÒÁ¨Ò¡ÃÐÂÐàÇÅÒ㹡ÒÃÃÍÃѺÍÇÑÂÇШҡ¼ÙºÃÔ¨Ò¤
                                                  é             Õ                                                                                                                 Œ
·ÕÁÀÒÇÐÊÁͧµÒ¹ҹà©ÅÕ 193 Çѹ ¤ÇÒÁàÊÕ§¢Í§ÁÐàÃç§ÅØ¡ÅÒÁ¢Ö¹ã¹ÃÐËNjҧ¡ÒÃÃÍÍÇÑÂÇФ‹Í¹¢ŒÒ§
   è Õ                                                    è                               è                                        é
ÊÙ§ ¨Ö§ä´ŒãËŒ¤Òá¹Ð¹íÒ¡Òü‹ÒµÑ´»ÅÙ¡¶‹ÒÂÍÇÑÂÇеѺ¨Ò¡¼ÙãË­‹Ê¼ãË­‹¡º¼Ù»ÇÂáÅФÃͺ¤ÃÑÇ áÅоº
                         í                                                                                  Œ              Ù‹ ÙŒ           Ñ Œ †
Ç‹ÒÅÙ¡ªÒ¢ͧ¼Ù»ÇÂÁÕÊ¢ÀҾËҧ¡ÒÂáÅШԵ㨷ÕÊÁºÙó áÅÐÂÔ¹´Õ·¨Ð໚¹¼ÙºÃÔ¨Ò¤µÑºÊ‹Ç¹¡ÅÕº¢ÇÒ
                            Œ †      Ø                                                          è                                       Õè            Œ
ãˌᡋº´ÒÔ
           ¼ÙºÃÔ¨Ò¤ ໚¹ºØµÃªÒ¢ͧ¼Ù»Ç ÍÒÂØ 20 »‚ ÊØ¢ÀÒ¾á¢ç§áç´ÕáÅÐäÁ‹Áâä»ÃШíÒµÑÇã´ æ
             Œ                                                               Œ †                                                                                 Õ
äÁ‹à¤Â䴌ú¡Òü‹ÒµÑ´ã´ æ ÁÒ¡‹Í¹ 䴌ú¡ÒõÃǨ¤Œ¹à¾ÔÁàµÔÁÍ‹ҧÅÐàÍÕ´µÒÁ¢Ñ¹µÍ¹ 䴌ᡋ
                  Ñ                                                                 Ñ                                è                                               é
           1. ¡ÒõÃǨàº×ͧµŒ¹                   é
                    ¡Òëѡ»ÃÐÇÑµÔ : »ÃÐÇѵâäàºÒËÇÒ¹ ¤ÇÒÁ´Ñ¹âÅËÔµÊÙ§ âäÁÐàÃç§ á¼Å㹡ÃÐà¾ÒÐÍÒËÒÃ
                                                                        Ô
áÅÐâä·Ò§¨ÔµàǪ »ÃÐÇѵ¡ÒÃ㪌ÂÒ ÊØÃÒ ºØËÃÕè ÂÒ¤ØÁ¡íÒà¹Ô´ã¹¼ÙË­Ô§ »ÃÐÇѵ¡Òõѧ¤ÃÃÀ ã¹¼ÙºÃÔ¨Ò¤
                                                      Ô                                                                        Œ                  Ô                é            Œ
ÃÒ¹ÕäÁ‹Á»ÃÐÇѵâä»ÃШíÒµÑÇã´æ äÁ‹Á»ÃÐÇѵᾌÂÒ á¾ŒÍÒËÒÃã´æ
        é Õ                   Ô                                                   Õ           Ô
                    ¡ÒõÃǨËҧ¡Ò : ¹íÒ˹ѡ ʋǹÊÙ§ ´Ñª¹ÕÁÇšҠ¤ÇÒÁ´Ñ¹âÅËÔµ »Í´ ËÑÇ㨠·ŒÍ§
                                                                      Œ
                    ¡ÒõÃǨàÅ×Í´ : ËÁÙàÅ×Í´ CBC, BUN, creatinine, liver function test, electrolytes, blood
                                                                    ‹
sugar, lipid profiles, coagulogram ¼Åã¹¼ÙºÃÔ¨Ò¤ÃÒ¹ÕäÁ‹¾º¤ÇÒÁ¼Ô´»¡µÔ                    Œ                     é
                    ¡ÒõÃǨ¡ÒõԴàª×Í : HBsAg, HBsAb, HBcAb, Anti-HCV, Anti-HIV, CMV IgG, EBV
                                                                  é
IgG ¼Åã¹¼ÙºÃÔ¨Ò¤ÃÒ¹ջ¡µÔ ¡àÇŒ¹ CMV IgG postitve, EBV IgG positive
                    Œ                               é
àǪÈÒʵÏ·¹Âؤ 2553
          Ñ                                                                                              195

               ¡ÒõÃǨàÍç¡«àϻʹáÅФÅ×¹ËÑÇ㨠¼Åã¹¼ÙºÃÔ¨Ò¤ÃÒ¹ÕäÁ‹¾º¤ÇÒÁ¼Ô´»¡µÔ
                                             è                 Œ                é
         2. ¡ÒõÃǨ·Ò§¨ÔµàǪâ´Â¨Ôµá¾·Â ¾ºÇ‹Ò¼ÙºÃÔ¨Ò¤äÁ‹ÁÊÀÒÇзҧ¨Ôµ·Õ¼´»¡µÔ áÅÐÊÁѤÃ
                                                         Œ            Õ                    è Ô
㨷ըкÃÔ¨Ò¤ãˌᡋº´Ò
       è               Ô
         3. ¡ÒõÃǨ·Ò§ÃѧÊÕÇ·ÂÒà¾×Í»ÃÐàÁÔ¹¡ÒÂÇÔÀÒ¤¢Í§µÑº
                                   Ô       è
               Computer tomography of liver ËÇÁ¡Ñº computer tomography angiography and
venopraphy with three diameter reconstruction à¾×Í´Ù hepatic artery, portal vein, hepatic vein
                                                       è
anatomy and variation áÅÐ computer tomography volumetry à¾×Í»ÃÐàÁÔ¹»ÃÔÁҵâͧ right lobe,
                                                                          è
left lobe áÅÐ caudate lobe ã¹¼ÙºÃÔ¨Ò¤ ¾ºÁÕ accessory left hepatic artery ¨Ò¡ left gastric artery,
                                       Œ
normal portal vein anatomy, normal hepatic vein anatomy with inferior right hepatic vein 4 mm
in size, CT volumetry ¾ºÇ‹Ò»ÃÔÁҵâͧ right lobe ෋ҡѺ 753.1 ml, left lobe ෋ҡѺ 418.3 ml,
caudate lobe ෋ҡѺ 20.2 ml
               ¨Ò¡¡ÒõÃǨ¤Œ¹à¾ÔÁàµÔÁ¢Í§¼ÙºÃÔ¨Ò¤ÃÒ¹Õé äÁ‹¾ºÇ‹ÒÁÕ¢ÍËŒÒÁ (contraindication) 㹡ÒÃ
                                     è         Œ                            Œ
ºÃÔ¨Ò¤ÍÇÑÂÇеѺ áÅШҡ¡ÒûÃÐàÁÔ¹»ÃÔÁҵâͧµÑº´ŒÇ ¹íÒÁÒ¤íҹdz future liver remnant (.LR)
«Ö§à·‹Ò¡Ñº future liver remnant volume x 100/total liver volume ෋ҡѺ (left + caudate) x 100/
  è
(right + left + caudate) ¤‹Ò .LR ·ÕàËÁÒÐÊÁ ¤ÇèÐäÁ‹¹ÍÂ¡Ç‹Ò 35% à¾×ͤÇÒÁ»ÅÍ´ÀÑÂÊíÒËÃѺ¼ÙºÃÔ
                                         è                   Œ                    è                    Œ
¨Ò¤ ¶ŒÒµÑº·ÕàËÅ×ͧ͢¼ÙºÃÔ¨Ò¤àËÅ×͹ŒÍÂà¡Ô¹ä»¡ç¨ÐÁÕ¤ÇÒÁàÊÕ§㹡ÒÃà¡Ô´µÑºÇÒÂÀÒÂËÅѧ¡Òü‹ÒµÑ´ä´Œ
               è         Œ                                         è
               ¹Í¡¨Ò¡¹Ñé¹ÂѧµŒÍ§»ÃÐàÁԹNjҵѺʋǹ·Õèä´ŒÃѺºÃÔ¨Ò¤ÁÒà¾Õ§¾Íµ‹Í¤ÇÒÁµŒÍ§¡Òâͧ
¼ÙúºÃÔ¨Ò¤ËÃ×Í äÁ‹ â´Â㪌¡ÒäíҹdzËÒ graft-recipient weight ratio (GRWR) «Ö§à·‹Ò¡Ñº graft
  ŒÑ                                                                                           è
volume(L) / recipient body weight (kg) ¤‹Ò GRWR ·ÕàËÁÒÐÊÁäÁ‹¤ÇùŒÍÂ¡Ç‹Ò 0.8% à¾ÃÒТ¹Ò´
                                                           è
¢Í§ graft ·ÕàÅç¡à¡Ô¹ä»¨ÐÊ‹§¼Åµ‹Í¡Ò÷íÒ§Ò¹¢Í§ liver graft à¡Ô´ÀÒÇзÕàÃÕÂ¡Ç‹Ò small-for-size syndrome
             è                                                                è
䴌
               ã¹¼ÙºÃÔ¨Ò¤áÅмٻǹÕé ¤íҹdz䴌¤Ò .LR ෋ҡѺ 36.8% GRWR ෋ҡѺ 1.29 «Ö§
                   Œ             Œ †             ‹                                                           è
àËÁÒÐÊÁµ‹Í¡Òü‹ÒµÑ´»ÅÙ¡¶‹ÒµѺ
               ¡Òü‹ÒµÑ´¼ÙŒºÃÔ¨Ò¤ÍÇÑÂÇеѺ (Donor operation) ໚¹¡Òü‹ÒµÑ´ right hepatectomy
·Õ¨Ò໚¹µŒÍ§ÃÐÁÑ´ÃÐÇѧ structure ÊíҤѭËÅÒÂÍ‹ҧ ¡ÒÃãËŒÂÒÃЧѺ¤ÇÒÁÃÙÊ¡´ŒÇ¡ÒÃãËŒ epidural
    èí                                                                                ŒÖ
anesthesia ËÇÁ¡Ñº¡ÒôÁÂÒÊź ¡ÒÃཇÒÃÐÇѧÊÑ­­Ò³ªÕ¾·íÒâ´Â¡ÒÃãÊ‹ÊÒ arterial line áÅÐ central
venous pressure (CVP) line áÅÐ㪌෤¹Ô¤ low CVP à¾×ÍÅ´¡ÒÃÊÙ­àÊÕÂàÅ×Í´ÃÐËNjҧ¡ÒõѴàÅÒÐ
                                                                 è
à¹×ÍàÂ×͵Ѻ ¡ÒÃ㪌 intraoperative ultrasonography ÁÕ¤ÇÒÁÊíҤѭ㹡ÒûÃÐàÁÔ¹à¹×͵ѺáÅÐá¹Ç·Ò§
     é è                                                                                     é
à´Ô¹¢Í§àÊŒ¹àÅ×Í´µ‹Ò§ æ 㹵Ѻ ¡Ò÷íÒ intraoperative cholangiography ¼‹Ò¹·Ò§ cystic duct à¾×Í                è
»ÃÐàÁÔ¹ anatomy ¢Í§·‹Í¹éÒ´Õ«ÒÂáÅТÇÒ㹵Ѻ ໚¹¡ÒÃÇÒ§á¼¹µíÒá˹‹§·Õ¨ÐµÑ´·‹Í¹íÒ´ãËŒ¾Í´Õ äÁ‹
                             í Œ                                                      è            Œ Õ
໚¹ÍѹµÃÒµ‹Í·‹Í common hepatic duct áÅÐ left intrahepatic duct ¡ÒÃàÅÒÐẋ§à¹×͵Ѻ㪌à¤Ã×ͧ     é       è
Cavitron Ultrasonic Surgical Aspirator (CUSA) 㹡Òü‹ÒµÑ´¤Ãѧ¹Õä´ŒàÅÒÐàÊŒ¹àÅ×Í´ middle hepatic
                                                                     é é
vein 仡Ѻ liver graft ´ŒÇ àÁ×ÍÊÒÁÒöµÑ´µÑº¡ÅÕº¢ÇÒÍÍ¡ÁÒä´ŒáÅŒÇ ¨Ð perfuse µÑº´ŒÇ preservative
                               è
solution (University of Wisconsin solution) ·ÕÁ¤ÇÒÁàÂç¹ã¹¹éÒá¢ç§ ªÑ§ÇÑ´¹íÒ˹ѡ¢Í§ graft ä´Œ
                                                   è Õ                  í           è    Œ
196                                            The .irst Live Donor Liver Transplantation in Thailand

635 ¡ÃÑÁ ·íÒ¡ÒÃàÂçºàª×ÍÁ middle hepatic vein ࢌҡѺ right hepatic vein (hepatic vein reconstruction)
                                        è
à¾×ÍàµÃÕÂÁäÇŒàÂ纵‹Í¡Ñº inferior vena cava ¢Í§¼ÙúºÃÔ¨Ò¤ liver graft ¨Ðà¡çºänj㹤ÇÒÁàÂç¹ã¹¹éÒ
     è                                                           ŒÑ                                      í
á¢ç§ à¾×ÍÃ͹íÒࢌÒÊټúºÃÔ¨Ò¤µ‹Íä» ã¹¡Òü‹ÒµÑ´¼ÙºÃÔ¨Ò¤¤Ãѧ¹ÕäÁ‹à¡Ô´ÀÒÇÐá·Ã¡«ŒÍ¹ã´ æ ÊÑ­­Ò³
           è                     ‹ ÙŒ Ñ                          Œ         é é
ªÕ¾¨Ã¤§·Õè äÁ‹µÍ§ãËŒàÅ×Í´ËÃ×Íʋǹ»ÃСͺ¢Í§àÅ×Í´ ËÅѧ¼‹ÒµÑ´ÊÒÁÒö¶Í´·‹Íª‹ÇÂËÒÂã¨ä´Œ áÅмٌ
                         Œ
ºÃÔ¨Ò¤¿„œ¹µÑǨҡ¡Òü‹ÒµÑ´´ÕµÒÁÅíҴѺ ÊÒÁÒÃ¶ÅØ¡¹Ñè§áÅÐÃѺ»ÃзҹÍÒËÒÃä´ŒµÒÁ»¡µÔ ÁÕ¤‹Ò
à͹ä«ÁµºÊÙ§¢Ö¹àÅ硹ŒÍ â´Â¢Ö¹ÊÙ§ÊØ´ÀÒÂã¹Çѹ·ÕÊͧËÅѧ¡Òü‹ÒµÑ´ áÅÐŴŧÊÙÀÒÇл¡µÔã¹Çѹ·Õà¨ç´
               Ñ           é                     é             è                       ‹               è
ËÅѧ¡Òü‹ÒµÑ´ ÃÇÁ¶Ö§ÊÒÁÒö¡ÅѺºŒÒ¹ä´Œ ÃÇÁÃÐÂÐàÇÅÒÍÂÙâç¾ÂÒºÒŷѧËÁ´à¡ŒÒÇѹ  ‹      é
                   ¡Òü‹ÒµÑ´¼ÙŒÃѺºÃÔ¨Ò¤ (Recipient operation) ¼‹ÒµÑ´Å§á¼Å˹ŒÒ·ŒÍ§à»š¹ Mercedes
incision àÁ×ͼ‹ÒµÑ´à¢ŒÒª‹Í§·ŒÍ§áÅÐäÁ‹¾º¤ÇÒÁ¼Ô´»¡µÔã´Íѹ໚¹¢ŒÍËŒÒÁ¢Í§¡Òü‹ÒµÑ´¨Ö§ä´ŒàÃÔÁ¡ÒÃ
                 è                                                                                 è
¼‹ÒµÑ´ hepatectomy ᵋ¨ÐàÅÒÐËÒ right hepatic vein (RHV), middle hepatic vein (MHV), left hepatic
vein (LHV) ·Õ¨Ðà·à¢ŒÒ suprahepatic inferior vena cava (IVC) 㹡ÒùÕä´Œ·Ò¡ÒÃàÅÒзѧ suprahepatic
                      è                                                        é í       é
IVC áÅÐ infrahepatic IVC à¾×ÍàµÃÕÂÁ¤ÅŒÍ§ÊíÒËÃѺ¡Ò÷íÒ total IVC occlusion µ‹Íä» àÁ×;ÌÍÁã¹
                                               è                                               è
¡ÒûÅÙ¡¶‹ÒÂáÅеѴµÑºÍÍ¡áÅŒÇ µÑº¡ÅÕº¢ÇҨж١¹íÒÁÒàÂ纵‹Í hepatic vein ¢Í§ liver graft ࢌҡѺ
ÃÙແ´¢Í§ IVC ·ÕàµÃÕÂÁäÇŒ´Ç Prolene 3/0, right portal vein ¢Í§ liver graft ¡Ñº main portal vein
                               è           Œ
¢Í§¼Ù»Ç´ŒÇ Prolene 4/0, Ōҧ¹éÒÂÒ preservative solution ´ŒÇ 5% human albumin, ¡ÒõÃǨ
         Œ †                                           í
àªç¤¤ÇÒÁÊÁºÙó¢Í§Ã͵‹Í´ŒÇ intraoperative ultrasound (IOUS) «Ö§¾ºÇ‹ÒàÅ×Í´ÊÒÁÒöäËÅࢌÒ
                                                                                è
áÅÐÍÍ¡¨Ò¡µÑºä´Œ´,Õ µ‹Í hepatic artery ÃÐËNjҧ right hepatic artery ¢Í§ liver graft ࢌҡѺ replaced
hepatic artery ¢Í§¼Ù»Ç´ŒÇ Prolene 7/0, µ‹Í Bile duct ࢌҡѺ common hepatic duct ¢Í§¼Ù»ÇÂ
                                     Œ †                                                             Œ †
´ŒÇ PDS 6/0, ÇÒ§ÊÒÂÃкÒ Jackson-Pratt drain áÅÐàÂ纻´ª‹Í§·ŒÍ§ 㹡Òü‹ÒµÑ´¼ÙúºÃÔ¨Ò¤¤Ãѧ ŒÑ              é
¹ÕäÁ‹à¡Ô´ÀÒÇÐá·Ã¡«ŒÍ¹ã´ æ ÊÑ­­Ò³ªÕ¾¨Ã¤§·Õè äÁ‹µÍ§ãËŒàÅ×Í´ËÃ×Íʋǹ»ÃСͺ¢Í§àÅ×Í´ ËÅѧ¼‹Ò
   é                                                                Œ
µÑ´ÊÒÁÒö¶Í´·‹Íª‹ÇÂËÒÂã¨ä´Œ·¹·Õ áÅСÅѺ仾ѡ¿„¹·ÕËͼٻÇÂä´Œâ´ÂäÁ‹µÍ§à¢ŒÒËͼٻÇÂÇԡĵ
                                                     Ñ                œ è Œ †        Œ        Œ †
¤‹Ò¡Ò÷íÒ§Ò¹¢Í§µÑº¢Í§¼Ù»Ç´բ¹àÃ×ÍÂæ ÊÒÁÒöÃѺ»ÃзҹÍÒËÒÃä´Œ´Õ ÊÒÁÒÃ¶ÅØ¡à´Ô¹áÅЪ‹ÇÂ
                                          Œ †      Öé è
àËÅ×͵ÑÇàͧ䴌 ÊÒÁÒö¶Í´ÊÒÂÃкÒÂÍ͡䴌 äÁ‹¾ºÀÒÇÐá·Ã¡«ŒÍ¹ áÅÐÊÒÁÒö¡ÅѺºŒÒ¹ä´Œâ´Â
»ÅÍ´ÀÑ ÃÇÁÃÐÂÐàÇÅÒÍÂÙâç¾ÂÒºÒŷѧËÁ´ÊÒÁÊÔºÇѹ
                                             ‹             é
                   »˜¨¨ØºÑ¹¡Òü‹ÒµÑ´à»ÅÕ蹵Ѻ䴌¡ŒÒÇ˹ŒÒ໚¹Í‹ҧÁÒ¡ áÅÐä´ŒÃѺ¡ÒÃÂÍÁÃѺNjÒ໚¹¡ÒÃ
ÃÑ¡ÉÒ·Õ໚¹ÁҵðҹáÅÐÁÕ¤ÇÒÁàÊÕ§äÁ‹Ê§ â´Â੾ÒÐ㹼ٻǵѺÇÒÂáÅÐÁÐàÃ秵Ѻ ᵋ§ÁÕ»­ËÒ
             è                                           è   Ù           Œ †                     Ñ ˜
àÃ×èͧ¡ÒâҴá¤Å¹¼ÙŒºÃÔ¨Ò¤ÍÇÑÂÇÐ ¼ÙŒ»†ÇÂËÅÒÂÃÒµŒÍ§àÊÕªÕÇԵ仡‹Í¹ä´ŒÃѺºÃÔ¨Ò¤ ¡Òü‹ÒµÑ´
à»ÅÕ¹µÑº¨Ò¡¼ÙºÃÔ¨Ò¤Áժǵ (live donor liver transplantation) ¹Ñºà»š¹¤ÇÒÁ¡ŒÒÇ˹ŒÒáÅÐ໚¹¤ÇÒÁ
       è                     Œ            ÕÔ
ËÇѧãËÁ‹á¡‹¼»ÇÂ¡ÅØÁ¹ÕµÍä»
                    ÙŒ †           ‹ é ‹
àǪÈÒʵÏ·¹Âؤ 2553
          Ñ                                                                         º··Õè        197

                                                                                     30
                  Robotic Surgery for General Surgeons :
                            .utute or .antasy
                                                  Vitoon Chinswangwatanakul, MD., PhD.
                                                              Thawatchai Akaraviputh, MD.
                                                               Attaporn Trakarnsanga, MD.
                                                                 Asada Metasate, MD., PhD.
                                                       Thanyadej Nimmanwudipong, MD.
                                                              Naraong Lertakyamanee, MD.
               Department of Surgery, .aculty of Medicine Siriraj Hospital, Mahidol University

         Robotic surgery is one of the innovations by the end of the last century. The word
‘robot’, described for the first time by Karel Capek in 1921, was named after the Czeck word
‘robota’ which means ‘forced labor’. The rapid advances of mechanical engineering in combination
with computer science has led to the fundamental establishment in robotic surgery.

History of robotic surgical machines
        In 1993, the first robotic-assisted machine was launched named AESOP® Endoscope
Positioner which provided the stability of endoscope positioning.1
        The next machine called HERMES® O.R. Control Center was a computer-driven system
which allowed surgeons to control extra devices by voice. The HERMES voice-activated device
control system could control 28 different devices from tables, cameras, to lighting systems and
electrosurgical units. It offers direct control and eliminates the various interfaces between surgeon
and other personnel in order to adjust the surgical equipments.
        In 1998, ZEUS® Surgical System is made up of a surgeon console and three
table-mounted robotic arms, which provide visualization during performing endoscopic surgical
tasks. (.igure 1) The ZEUS system assists surgeons to increase dexterity of the surgical
procedures. Surgeon could control the right and left arms of ZEUS, with a real-time articulation
of the surgical instruments, meanwhile the third camera arm incorporated with the AESOP®
provides magnified, steady visualization of the operative field. In 1999, ZEUS made history in
198                                   Robotic Surgery for General Surgeons : .uture or .antasy

the world's first robotic-assisted beating-heart bypass surgery, by Douglas Boyd. This milestone
indicated a new era of minimally invasive surgery.2




                          .igure 1. The ZEUS® Surgical System.3

         In 2000, da Vinci Surgical System® was launched by Intuitive Surgical, after merging
with Computer Motion. It consists of an ergonomically designed surgeon’s console, a patient-
side cart with four interactive robotic arms, the high-performance 3-D InSite® Vision System and
EndoWrist® Instruments. (.igure 2) The surgeon’s hand movements are scaled, filtered and
effectively translated into precise movements of the EndoWrist® Instruments. The da Vinci
Surgical System® is now the only commercially available technology that can provide surgeons
with the spontaneous control, wider range of motion, fine tissue manipulation capability and 3-D
visualization, through tiny typical incisions of minimally invasive surgery.4




                                                        In 2001, the SOCRATESTM
                         .igure 2. The da Vinci Surgical System®.5
àǪÈÒʵÏ·¹Âؤ 2553
          Ñ                                                                                     199

        Telecollaboration system synergized a number of systems including Zeus, AESOP,
and HERMES. It allows remotely located surgeons to receive a live endoscopic video image of
the operative field. The audio and video links the operating room with the remote station. The
SOCRATESTM system controls the operative site's AESOP endoscope camera view of the
operative site while communicating with HERMES OR control to provide securely remote control
of networked surgical devices. The safety features allow surgeon to halt all movements initiated
by the collaborating surgeon via voice-activated commands.6

Table 1. Computer Motion systems that all are now owned by Intuitive Surgical.6
Equipment                       Costs           Company           Equipment Descriptions
da Vinci Surgical               $1 million      Intuitive         Robot-assistant, with arms to
System                                          Surgical          connect surgical instruments
Zeus Robot Surgical             $975,000        Computer          Robot-assistant, with arms
System                                          Motion*           to connect surgical instruments
Aesop 3000                      $80,000         Computer          Voice-controlled endoscope-
                                                Motion*           positioning robot
Hermes Control Center           n/a             Computer          Centralized system used to
                                                Motion*           network an intelligent OR
Socrates Robotic                n/a             Computer          Allows shared control of
Telecollaboration System                        Motion*           Aesop 3000 from different locations

        *.ormer Computer Motion systems that are now owned by Intuitive Surgical.
         Sources: from Journal of Healthcare Management 46:4 July/August 2003.

What sort of operations we can do...
         The U.S. .ood and Drug Administration (US .DA) has cleared the da Vinci® Surgical
System for use in urological surgical procedures, general laparoscopic surgical procedures,
gynecologic laparoscopic surgical procedures, transoral otolaryngology surgical procedures
restricted to benign and malignant tumors classified as T1 and T2, general thoracoscopic surgical
procedures, and thoracoscopically assisted cardiotomy procedures.7-8 The system can also be
employed with adjunctive mediastinotomy to perform coronary anastomosis during cardiac
revascularization. The da Vinci® System has been successfully used in the following procedures,
among others:
200                                   Robotic Surgery for General Surgeons : .uture or .antasy

Table 2 The procedures have been successfully performed by da Vinci® System.7
            Surgical Specialties                                 Procedures
Urology                                         Radical prostatectomy, pyeloplasty,
                                                cystectomy, nephrectomy, ureteral reimplantation
Gynecology                                      Hysterectomy, myomectomy and
                                                sacrocolpopexy
Cardiothoracic Surgery                          Internal mammary artery mobilization and
                                                cardiac tissue ablation
                                                Mitral valve repair, endoscopic atrial septal
                                                defect closure
                                                Mammary to left anterior descending coronary
                                                artery anastomosis for cardiac revascularization
                                                with adjunctive mediastinotomy
Gastrointestinal Surgery                        Cholecystectomy, Nissen fundoplication, Heller
                                                myotomy, gastric bypass, donor nephrectomy,
                                                adrenalectomy, splenectomy and bowel resection
Otolaryngology                                  Oropharyngeal, laryngeal and hypopharyngeal
                                                resections; floor of mouth and oral cavity
                                                resections

       In September 2000, .DA Approved the da Vinci® robotic surgery for the following operative
procedures :-
       ! Cholecystectomy
       ! Antireflux procedures
       ! Heller’s cardiomyotomy
       ! Distal pancreatectomy
       ! Gastrojejunostomy
       ! Esophagectomy
       ! Gastric bypass
       ! Gastric banding
       ! Pyloroplasty
       ! Colectomy
       ! Adrenalectomy
       ! Splenectomy
àǪÈÒʵÏ·¹Âؤ 2553
          Ñ                                                                                201

Robotic surgery in gastrointestinal surgery : Siriraj experience
         We started to perform the first case of robotic-assisted laparoscopic esophagomyotomy
on November, 30th 2007. Since then, 11 different types of laparoscopic gastrointestinal surgery
were carried out with the successful rate over 84%. (Table 2) The principle of case selection
has been based on the most benefits surgeons could gain from robotic-assisted devices. The
need for tissue dissection in depth, differentiation of delicated tissue (such as sympathetic
nerve plexus) or use of intracorporeal suturing and anastomosis were the reason to choose
robotic-assisted laparoscopic approach. The most complex surgical procedure we performed
was pancreaticoduodenectomy. Even though the successful rate on such a complex surgery
was only 50%, all of the last 3 cases was uneventfully successful. The more procedures we
have performed, the more experience we have received. To overcome the learning curve, we
have to establish a good surgical team work, because the complex procedures certainly extend
the operative time which cause the stress and fatigue to a single surgeon. Thus, we switched
the surgical operator every 1-2 hours among 3 surgeons. This work as team approach led to
nonstop operation with the most effective result. We demonstrated the shorter operative time
by this technique.

Table 3 The variety of surgical procedures performed in the Division of General Surgery,
        Department of Surgery, .aculty of medicine Siriraj Hospital.
               Procedures                           Attempt                    .ailure
Esophagomyotomy                                        18                         0
Pancreaticoduodenectomy                                 6                         3
Low Anterior Resection                                  6                         1
Nissen .undoplication                                   5                         1
Partial Gastrectomy                                     2                         0
Hepatectomy                                             2                         1
Cholecystectomy                                         2                         0
Hepaticojejunostomy                                     1                         0
Abdominoperineal Resection                              1                         0
Sigmoidectomy and Rectopexy                             1                         0
Partial Duodenectomy                                    1                         1
                 Total                                 45                         7
202                                           Robotic Surgery for General Surgeons : .uture or .antasy

Conclusion
         Robotic surgery is now accepted as an alternative for selected surgical procedures.
This is just a dawn of the new era for future surgery. We believe this innovation from the end of
the last century would certainly establish a milestone of robotic surgery for the benefit of mankind.

References
1.    Sackier JM, Wang Y. Robotically assisted laparoscopic surgery: from concept to development. Surg Endosc
      1994;8:63-6.
2.    Ballantyne GH. Robotic surgery, telerobotic surgery, telepresence, and telementoring: Review of early clinical
      results. Surg Endosc 2002;6:1389-402.
3.    http://library.thinkquest.org/03oct/00760/Zeus%20System.htm (Accessed on 17 July 2010)
4.    http://www.intuitivesurgical.com/products/davinci_surgicalsystem/index.aspx (Accessed on 17 July 2010)
5.    http://www.intuitivesurgical.com/www/site1/products/robotic/4th-Arm_259X319.jpg (Accessed on 17 July 2010)
6.    http://www.frost.com/prod/servlet/market-insight-top.pag?docid=4453859 (Accessed on 17 July 2010)
7.    Talamini MA, Chapman S, Horgan S, Melvin WS. A prospective analysis of 211 robotic-assisted surgical
      procedures. Surg Endosc 2003;17:1521–4.
8.    Watanabe G. Are You Ready to Take Off as a Robo-surgeon? Surg Today 2010;40:491–3.
àǪÈÒʵÏ·¹Âؤ 2553
          Ñ                                                                                                           º··Õè            203

                                                                                                                       31
                                              Siriraj Trauma Center
                                                   ÃͧÈÒʵÃÒ¨ÒÏ ¹ÒÂᾷ»ÃÕªÒ ÈÔÃԷͧ¶ÒÇÃ
                                ÀÒ¤ÇÔªÒÈÑÅÂÈÒʵÏ ¤³Ðá¾·ÂÈÒʵÏÈÃÃÒª¾ÂÒºÒÅ ÁËÒÇÔ·ÂÒÅÑÂÁËÔ´Å
                                                                ÔÔ

              ¡ÒôÙáżٌ»†ÇÂÍØºÑµÔà˵Øã¹âç¾ÂÒºÒÅÈÔÃÔÃÒª ¡Å‹ÒÇ䴌NjÒ໚¹ÈÙ¹ÂÍØºÑµÔà˵تÑé¹¹íҢͧ
»ÃÐà·Èä·Â â´Â·ÑÇä»§Ò¹·Ò§´ŒÒ¹Íغµà赯 »ÃСͺ´ŒÇÂ
                            è                                           Ñ Ô
              1. §Ò¹·Ò§´ŒÒ¹»‡Í§¡Ñ¹ (Prevention)
              2. §Ò¹´ŒÒ¹¡ÒôÙáżٻÇ¡‹Í¹¶Ö§âç¾ÂÒºÒÅËÃ×Í¡Òâ¹ÂŒÒ¼ٻÇ (Prehospital care)
                                                  Œ †                                                           Œ †
              3. ¡ÒôÙáżٻÇÂã¹âç¾ÂÒºÒÅ (Acute hospital care)
                                 Œ †
              4. ¡Òÿ„¹¿ÙÊÁÃöÀÒ¾ (Rehabilitation)
                       œ
              5. ¡ÒÃÇԨ (Research activities)
                          Ñ
              §Ò¹·Ò§´ŒÒ¹»‡Í§¡Ñ¹áÅСÒôÙáżٻÇ¡‹Í¹ÁÒ¶Ö§âç¾ÂÒºÒÅ áÁŒÇÒ¨ÐäÁ‹ãª‹§Ò¹ËÅÑ¡â´ÂµÃ§
                                                                            Œ †                                     ‹
¢Í§·Ò§âç¾ÂÒºÒÅÈÔÃÃÒª ᵋ¡ÁÊǹËÇÁ´ŒÇÂ㹡óշãËŒ¤ÇÒÁÃÙ¡º¹Ñ¡àÃÕ¹áÅлÃЪҪ¹ ¨Ò¡¡ÒÃ
                                    Ô                    ç Õ‹                                   Õè       Œ Ñ
¨Ñ´ÍºÃÁÇÔªÒ¡ÒÃËÃ×ÍãËŒ¤ÇÒÁÃÙ·Ò§Ê×͵‹Ò§æ ໚¹¤Ãѧ¤ÃÒÇ áÅÐãËŒ¤ÇÒÁËÇÁÁ×͡Ѻ·Ò§ÈٹàÍÃÒÇѳ
                                                   Œ              è                       é
ËÃ×ÍÈٹ¹àù·Ã àÁ×ÍÁÕà˵ءÒ󏩡à©Ô¹¾ÔàÈÉà¡Ô´¢Ö¹
                              è                                Ø                              é
              §Ò¹ËÅÑ¡¢Í§Èٹͺµà˵Øâç¾ÂÒºÒÅÈÔÃÃÒª ¤×Í ¡ÒÃãËŒºÃÔ¡ÒôŒÒ¹¡ÒÃÃÑ¡ÉÒáÅкÃÔ¡ÒÃ
                                            Ø Ñ Ô                                     Ô
ÇÔªÒ¡Òà ÃÇÁ·Ñ§¡ÒÃÇÔ¨Âã¹¼Ù»ÇÂÍØºµà赯 ¡ÒÃãËŒ¡ÒÃÃÑ¡ÉÒ (acute hospital care) áÅСÒÿ„¹¿Ù
                     é                Ñ        Œ †                  Ñ Ô                                                                   œ
ÊÁÃöÀÒ¾ (rehabilitation) ¢Í§âç¾ÂÒºÒÅÈÔÃÃÒªÁÕ¤ÇÒÁ¾ÃŒÍÁã¹·Ø¡´ŒÒ¹ áÅÐÁռŧҹ·Ò§´ŒÒ¹  Ô
ÇÔ¨ÂáÅÐÇÔªÒ¡Òà ÍÍ¡ÁÒâ´ÂÊÁèÒàÊÁÍ ã¹·Õ¹¨Ð¡Å‹ÒǶ֧¨Ø´à¹Œ¹¢Í§Èٹͺµà赯 «Ö§¨ÐãËŒ¤ÇÒÁÊíҤѭ
    Ñ                                                í                       è Õé                                Ø Ñ Ô     è
µ‹Í¤ÇÒÁ¾ÃŒÍÁ ¢Í§¡ÒÃãËŒ¡ÒôÙáżٻÇÂã¹ÃÐÂЩءà©Ô¹ (acute hospital care) ¼Ù»Ç¹͡¢Í§µÖ¡
                                                                 Œ †                                                           Œ †
ÍØºµà赯 âç¾ÂÒºÒÅÈÔÃÃÒª Áըҹǹ»‚ÅлÃÐÁÒ³ 30,000-35,000 ÃÒ ໚¹¼Ù»ÇÂãËÁ‹»ÃÐÁÒ³
      Ñ Ô                               Ô                 í                                                                  Œ †
13,000 ÃÒµ‹Í»‚ áÅÐÃѺänjáÉÒã¹âç¾ÂÒºÒÅ»ÃÐÁÒ³»‚ÅÐ 2,000 ÃÒ ໚¹¼Ù»Ç·ÕÁÒÃѺ¡ÒÃ
                                                Ñ                                                                                Œ † è
ÃÑ¡ÉÒâ´ÂµÃ§ËÅÑ§ÍØºµà赯 áÅмٻÇ·բÍÁÒÃѺ¡ÒÃÃÑ¡ÉÒµ‹Í¨Ò¡âç¾ÂÒºÒÅÍ×¹æ
                                Ñ Ô                         Œ † è                                                      è
              ¡ÒÃãËŒ¡ÒÃÃÑ¡ÉÒ¼Ù»ÇÂÍ‹ҧ¶Ù¡µŒÍ§ ÃÇ´àÃçÇáÅлÅÍ´ÀÑ µŒÍ§ÁÕ¡ÒÃàµÃÕÂÁºØ¤ÅÒ¡Ã, ʶҹ
                                          Œ †
·ÕáÅÐà¤Ã×ͧÁ×ÍäÇŒãËŒ¾ÃŒÍÁ â´Â¡ÒÃàµÃÕÂÁºØ¤ÅÒ¡Ã »ÃСͺ´ŒÇÂᾷ ¾ÂÒºÒÅáÅмÙÃÇÁ§Ò¹Í×¹æ
  è            è                                                                                                                    Œ‹      è
ᾷ·ÍÂÙ»ÃШíҾÌÍÁãËŒ¡ÒÃÃÑ¡Éҷѹ·Õ »ÃСͺ´ŒÇ ÈÑÅÂᾷ·Çä», ÈÑÅÂᾷÍÍÏ⸻´¡Ê,
            Õè ‹                                                                                             Ñè                         Ô
ÈÑÅÂᾷÃкº»ÃÐÊÒ·áÅÐÇÔÊ­­Õᾷ ᾷ͡¡ÅØÁ˹֧·Õú»ÃÖ¡ÉÒ䴌ᡋ ÈÑÅÂᾷ੾ÒÐ
                                                       Ñ                                     Õ ‹ è èÑ
·Ò§Í×¹æ áÅÐᾷ੾ÒзҧÊÒ¢ÒÍ×¹æ ÃÇÁ·Ñ§¹ÔµàǪ «Ö§âç¾ÂÒºÒÅÈÔÃÃÒªÁդú·Ø¡ÊÒ¢Ò
          è                                                              è                  é Ô        è                 Ô
ÊíÒËÃѺ¾ÂÒºÒÅ·Õµ¡Íغµà赯 ¡çÁ¾ÂÒºÒū֧»¯ÔºµË¹ŒÒ·ÕµÒ§æ â´Â੾ÒР䴌ᡋ ¾ÂÒºÒÅ·ÕËͧ
                         è Ö Ñ Ô                             Õ                    è     Ñ Ô        è ‹                                 è Œ
204                                                                                                 Siriraj Trauma Center

©Ø¡à©Ô¹, ¾ÂÒºÒÅˌͧ¼‹ÒµÑ´, ¾ÂÒºÒÅËÍÍÀÔºÒÅ, ¾ÂÒºÒÅËͼٻÇÂáÅоÂÒºÒÅ´ÙáżٻÇÂä¿                      Œ †                   Œ †
äËÁŒ¹ÒÌ͹ÅÇ¡ ºØ¤ÅÒ¡ÃÍ×¹æ ·ÕªÇ»¯Ôºµ§Ò¹ÍÕ¡¨íҹǹÁÒ¡ ઋ¹ àÀÊѪ¡Ã, ¾¹Ñ¡§Ò¹à»Å, àǪ
           éí                              è        è ‹               Ñ Ô
ÃÐàºÕ¹, ÃѧÊÕà·¤¹Ô¤, àÊÁÕ¹, ¤¹§Ò¹áÅÐÊѧ¤Áʧà¤ÃÒÐˏ ໚¹µŒ¹
              ¡ÒÃàµÃÕÂÁʶҹ·ÕáÅÐà¤Ã×ͧÁ×Í ÁÕ¡ÒÃàµÃÕÂÁˌͧµÃǨ¼Ù»Ç¹͡, ˌͧ¼‹ÒµÑ´, ËÍÍÀÔºÒÅ,
                                         è           è                                        Œ †
ËͼٻÇÂÊÒÁÑ­áÅоÔàÈÉ áÅÐËͼٻÇÂä¿äËÁŒ¹ÒÌ͹ÅÇ¡ ÃÇÁ·Ñ§Êíҹѡ§Ò¹¸ØÃ¡ÒâͧµÖ¡Íغµà˵Ø
        Œ †                                              Œ †                  éí               é                            Ñ Ô
à¹×ͧ¨Ò¡à»š¹âçàÃÕ¹ᾷ¨§µŒÍ§àµÃÕÂÁˌͧ»ÃЪØÁ áÅÐˌͧ»¯Ôºµ¡ÒÃÊíÒËÃѺ¡ÒÃàÃÕ¹¡ÒÃÊ͹
    è                                          Ö                                                   Ñ Ô
´ŒÇ ÊíÒËÃѺˌͧµÃǨ¼Ù»Ç¹͡ à¹×ͧ¨Ò¡¼Ù»ÇÂࢌÒÁÒÃѺºÃÔ¡ÒèíҹǹÁÒ¡ ¨íÒ໚¹µŒÍ§àµÃÕÂÁ
                                       Œ †                     è            Œ †
ºÃÔàdzÊíÒËÃѺàǪÃÐàºÕ¹ ˌͧ¶‹ÒÂÀÒ¾ÃѧÊÕ ËŒÍ§ÂÒ ËŒÍ§à¡çºà§Ô¹ »ÃЪÒÊÑÁ¾Ñ¹¸áÅÐãËŒ¢ÍÁÙÅ                                         Œ
ºÃÔàdz·ÕࢌÒÁÒÃѺ¡ÒõÃǨÃÑ¡ÉÒ ÁÕºÃÔàdzÊíÒËÃѺÈÑÅÂᾷ·Çä» ÈÑÅÂᾷÍÍÏ⸻´¡ÊáÅйÔ
              è                                                                            Ñè                        Ô
µÔàǪ ¹Í¡¨Ò¡¹Õ䴌ẋ§ºÃÔàdzÊíÒËÃѺ¼Ù»Ç©ءà©Ô¹ áÅмٻÇ·Õ䴌úºÒ´à¨çºÃعáçänj੾ÒÐ à¾×Í
                         é                                       Œ †               Œ † è Ñ                                      è
ãËŒ¼»ÇÂàËŋҹÕ䴌ú¡ÒÃÃÑ¡ÉÒä´Œ·¹·‹Ç§·Õ áÅÐàµÃÕÂÁºÃÔàdzÊíÒËÃѺ§Ò¹¾ÔàÈÉ àª‹¹ ¡ÒÃãʋང͡
      ÙŒ †             é Ñ                             Ñ
ËÃ×͵Ѵང͡ áÅСóշÁͺµàËµØ¡ÅØÁª¹ µŒÍ§ÁÕºÃÔàdz·Õ㪌à¡çº¢Í§ÁդҢͧ¼Ù»Ç áÅкÃÔàdz·Õè
                                     Õè Õ Ø Ñ Ô              ‹                       è                     ‹  Œ †
㪌à¡çºÈ¾ ໚¹µŒ¹ »˜¨¨Øº¹ÁÕ¡ÒÃ㪌ÊÒÃà¤ÁÕ-ªÕÇÀÒ¾-ÃѧÊÕ㹡Òá‹Í¡ÒÃÌҠ¨Ö§µŒÍ§àµÃÕÂÁºÃÔàdz¡íҨѴ
                                   Ñ
ÊÒþÔÉ (decontamination) äÇŒ´Ç ¡‹Í¹¹íÒ¼Ù»ÇÂࢌÒˌͧµÃǨ
                                                  Œ                       Œ †
              ¹Í¡¨Ò¡àµÃÕÂÁ¡ÒÃãËŒ¡ÒÃÃÑ¡ÉÒ¼Ù»ÇÂáÅŒÇ µŒÍ§ÁÕá¹Ç·Ò§»¯ÔºµÊÒËÃѺ¡ÒôÙáżٻÇ áÅÐ
                                                                   Œ †                                   Ñ Ôí       Œ †
á¼¹´ÙáÅÃÑ¡ÉÒÍØºµÀÂ¡ÅØÁª¹ ÊíÒËÃѺ¡ÒþѲ¹ÒáÅÐáÊ´§¶Ö§¤ÇÒÁ໚¹Áҵðҹ Èٹͺµà˵Ø
                           Ñ Ô Ñ ‹                                                                                       Ø Ñ Ô
âç¾ÂÒºÒÅÈÔÃÃÒªµŒÍ§ÁÕ¡ÒÃà¡çº¢ŒÍÁÙÅ (trauma registry) áÅСÒ÷íÒÇԨ (research activities) ÃÇÁ
                     Ô                                                                                 Ñ
·Ñ§ÁÕ¡ÒõÃǨÊͺ¼Å¡ÒÃÃÑ¡ÉÒ (trauma audit) Í‹ҧÊÁèÒàÊÁÍ
  é                                                                              í
              ¡ÒÃàÃÕ¹¡ÒÃÊ͹¡çÁÃдѺµ‹Ò§æ µÑ§áµ‹ ¹Ñ¡ÈÖ¡ÉÒᾷ ᾷ»ÃШíÒºŒÒ¹ ᾷ੾Òзҧ
                                             Õ                      é
¹Ñ¡àÃÕ¹áÅлÃЪҪ¹·ÑÇä» ·Ñ§·Õ¨´ã¹âç¾ÂÒºÒÅ ¹Í¡âç¾ÂÒºÒÅ áÅм‹Ò¹Ê×͵‹Ò§æ
                                 è               é èÑ                                                             è
              ÍÒ¨¡Å‹ÒÇ䴌NjÒʶҺѹ¡ÒôÙáżٌ»†ÇÂÍØºÑµÔà˵طÕèâç¾ÂÒºÒÅÈÔÃÔÃҪ໚¹ Trauma Center
·ÕèÁҵðҹáË‹§Ë¹Ö觢ͧ»ÃÐà·Èä·Â ãËŒ¡ÒôÙáżٌ»†ÇÂÍØºÑµÔà˵Øä´ŒÍ‹ҧ¶Ù¡µŒÍ§ ÃÇ´àÃçÇ áÅÐ
¤Ãͺ¤ÅØÁ·Ø¡¡ÒúҴà¨çº ÁÕ¡ÒÃà¡çº¢ŒÍÁÙÅáÅÐá¹Ç·Ò§»¯Ôºµ·ª´à¨¹ áÅÐÁÕ¡ÒõÃǨÊͺ¡ÒÃÃÑ¡ÉÒ   Ñ Ô Õè Ñ
à¾×èÍ¡ÒþѲ¹ÒáÅÐÃÑ¡ÉÒÁҵðҹ㹡ÒôÙáżٌ»†ÇÂ

àÍ¡ÊÒÃ͌ҧÍÔ§
1.    American College of Surgeons (Committee on Trauma). Resources for Optimal Care of the Injured Patient.
      Chicago, American College of Surgeons, 2006.
2.    ÊÁÒ¤ÁᾷͺµàÔ ËµØáË‹§»ÃÐà·Èä·Â. ÃÒ§ҹ¼Å¡ÒõÃǨàÂÕÂÁÈٹͺµàÔ ËµØ â´ÂÊÁÒ¤ÁᾷͺµàÔ ËµØáË‹§»ÃÐà·Èä·Â
                   Ø Ñ                                    è       Ø Ñ                    Ø Ñ
      »ÃШíÒ»‚ 2550, 2550.
3.    ¤³Ðá¾·ÂÈÒʵÏÈÔÃÔÃÒª¾ÂÒºÒÅ. á¼¹ÃÑºÍØºÑµÔàËµØ¡ÅØ‹Áª¹ ¤³Ðá¾·ÂÈÒʵÏÈÔÃÔÃÒª¾ÂÒºÒÅ »‚ ¾.È. 2550.
      ¡Ãا෾ÁËÒ¹¤Ã: âç¾ÔÁ¾àÃ×͹ᡌǡÒþÔÁ¾, 2550.
àǪÈÒʵÏ·¹Âؤ 2553
          Ñ                                                                                                             º··Õè             205

                                                                                                                          32
                                               Siriraj Trauma Center
                                                       ¹Ò§ÇÔÀÒÀó ÈÃÕ¾¨¹¸ÃÃÁ
˹‹ÇµÃǨâÃ¤ÍØºµà赯 âç¾ÂÒºÒÅÈÔÃÃÒª ¤³Ðá¾·ÂÈÒʵÏÈÃÃÒª¾ÂÒºÒÅ ÁËÒÇÔ·ÂÒÅÑÂÁËÔ´Å
               Ñ Ô               Ô                 ÔÔ

               ÍØºµà˵Øà»š¹¤ÇÒÁà¨çº»†Ç·ÕÁ¼Å¡Ãзºµ‹Í¡Ò÷íÒ˹ŒÒ·Õã¹ËÅÒÂÃкº¢Í§Ã‹Ò§¡Ò ·Ñ§Âѧ໚¹
                  Ñ Ô                                 è Õ                                         è                                 é
ÊÒà˵آͧ¡ÒÃàÊÕªÕǵã¹ÅíҴѺµŒ¹¢Í§»ÃÐà·Èä·Â áÁŒÇÒ¨ÐÁÕ¡ÒþѲ¹ÒÃкº 㹡Òû‡Í§¡Ñ¹´ÙáÅ
                                Ô                                                      ‹
ÃÑ¡ÉÒáÅСÒþÂÒºÒÅáŌǡçµÒÁ ¡Òê‹Ç¼ٻÇÂÍØºµà˵ØãËŒ»ÅÍ´ÀÑ ¨Ö§µŒÍ§·íÒ໚¹·ÕÁ¢Í§¡ÒôÙáÅ
                                                                    Œ †        Ñ Ô
ÃÑ¡ÉÒã¹·Ø¡ÃÐÂТͧ¡ÒúҴà¨çº µÑ§áµ‹©¡à©Ô¹ ³ ¨Ø´à¡Ô´à˵ØáÅÐã¹ËŒÍ§©Ø¡à©Ô¹ ÃÐÂÐÇԡĵã¹ËŒÍ§
                                                  é               Ø
¼‹ÒµÑ´ ËͼٻÇÂ˹ѡ áÅÐÃÐÂоѡ¿„¹ã¹ËͼٻÇ ¡ÒÃàÊÕªÕǵ¢Í§¼Ù»ÇÂÍØºµàËµØ¨Ò¡ÍØºµà˵طÕè
                   Œ †                              œ                 Œ †                           Ô             Œ †   Ñ Ô           Ñ Ô
à¡Ô´¢Öé¹Ê‹Ç¹ãË­‹ÁÒ¨Ò¡¡ÒúҴà¨çº·ÕèÃØ¹áç¢Í§»˜­ËÒà¡ÕèÂǡѺ¡ÒÃËÒÂã¨áÅСÒÃäËÅàÇÕ¹
àÅ×Í´«Ö§µŒÍ§¡ÒáÒôÙáÅÍ‹ҧà˧´‹Ç¹·ÕÃͤÍ¡ÒôÙáÅäÁ‹ä´Œ ᵋ¼»ÇÂÍØºµà˵غҧÃÒÂàÊÕªÕǵ·Ñ§æ
             è                                              è                                         ÙŒ †          Ñ Ô                    Ô é
·ÕäÁ‹ÊÁ¤ÇèÐàÊÕªÕǵ à¹×ͧ¨Ò¡¤ÇÒÁŋҪŒÒ㹡Òê‹ÇÂàËÅ×Í ³ ¨Ø´à¡Ô´à赯 ¡ÒÃÊ‹§µ‹Í¡ÒÃÃÑ¡ÉÒ áÅÐ
    è                          Ô è
¡ÒõѴÊÔ¹ã¨ã¹¡ÒôÙáÅ â´Â੾ÒСÒÃàÅ×Í¡âç¾ÂÒºÒÅ㹡ÒùíÒÊ‹§ËÃ×ÍÊ‹§µ‹Íà¾×Í¡ÒÃÃÑ¡ÉÒ·ÕàËÁÒÐ                                    è              è
ÊÁ¡Ñº¤ÇÒÁÃØ¹áç¢Í§¡ÒúҴà¨çº¨ÐÁռŪ‹ÇÂãËŒ¼»ÇÂÍØºµàËµØ¨Ò¡ÍØºµà˵ØÃÍ´¾Œ¹¨Ò¡¡ÒÃàÊÕªÕǵ
                                                                            ÙŒ †         Ñ Ô                  Ñ Ô                              Ô
»ÅÍ´ÀѨҡÀÒÇÐá·Ã¡«ŒÍ¹ËÃ×ͤÇÒÁ¾Ô¡Ò÷ÕèÍÒ¨à¡Ô´¢Öé¹ ´ŒÇÂà˵شѧ¡Å‹ÒǨ֧䴌ÁÕ¡ÒèѴµÑé§Èٹ
ÍØºµà赯 (trauma center) 㹡ÒôÙáżٻÇÂÍØºµàËµØ¨Ò¡ÍØºµà赯 «Ö§ÁÕÈ¡ÂÀÒ¾¾ÃŒÍÁ ·Ñ§ã¹´ŒÒ¹
       Ñ Ô                                                      Œ †       Ñ Ô                Ñ Ô             è Ñ                  é
ºØ¤ÅÒ¡Ã ÍØ»¡Ã³¡Òê‹ÇÂàËÅ×Í áÅÐʶҹ·Õè 㹡Òê‹Ç¼ٻÇÂÍØºµà˵طÁ¤ÇÒÁ«Ñº«ŒÍ¹Ãعáç ãËŒÃÍ´
                                                                                   Œ †           Ñ Ô           Õè Õ
¾Œ¹¨Ò¡ÀÒÇФء¤ÒÁªÕǵ䴌Í‹ҧ»ÅÍ´ÀÑ ÁÕᾷãËŒ¡ÒÃÃÑ¡ÉÒµÅÍ´ 24 ªÑÇâÁ§ ÁÕ¾ÂÒºÒÅ·ÕÁ¤ÇÒÁÃÙŒ
                                  Ô                                                                                   è          è Õ
áÅзѡÉФÇÒÁªíÒ¹Ò­ ãËŒ¡ÒþÂÒºÒżٌ»†ÇÂÍØºÑµÔàËµØ¨Ò¡ÍØºÑµÔà赯 áÅÐÁÕ¾ÂÒºÒżٌ»ÃÐÊÒ¹§Ò¹
ÍØºµà赯 (trauma nurse coordinator : TNC) ¤Í»ÃÐÊÒ¹ÍíҹǤÇÒÁÊдǡ㹡Òê‹ÇÂàËÅ×Í ÃÐËNjҧ
      Ñ Ô
¡ÒôÙáÅÃÑ¡ÉÒ áÅШѴà¡çº¢ŒÍÁÙÅ㹡ÒôÙáÅÃÑ¡ÉÒÍ‹ҧ໚¹Ãкº(1,2)
               âç¾ÂÒºÒÅÈÔÃÔÃÒª ÁÕ¡ÒèѴµÑé§Ë¹‹Ç§ҹ·ÕèãËŒ¡ÒôÙáżٌ»†ÇÂÍØºÑµÔà˵طءÃÐÂÐ â´Â੾ÒÐ
µÑ§áµ‹»‚ ¾.È. 2514 áÅÐ䴌ú¡ÒÃᵋ§µÑ§¨Ò¡¤³Ð͹ءÃÃÁ¡ÒõµÔÂÀÙÁ¡ÒôÙáżٻÇÂÍØºµà˵Øãˌ໚¹
  é                                      Ñ                é                                                Ô             Œ † Ñ Ô
trauma center µÑ§áµ‹»‚ ¾.È. 2547 «Ö§ “Siriraj Trauma Center” »ÃСͺ´ŒÇÂ˹‹Ç§ҹ·ÕãËŒ¡ÒÃ
                         é                      (2)
                                                              è                                                                        è
´ÙáżٻÇ ´Ñ§¹Õé
           Œ †
               - ˹‹ÇµÃǨâÃ¤ÍØºµà赯       Ñ Ô
               - ˹‹Ç¼‹ÒµÑ´Íغµà赯    Ñ Ô
               - ICUÍØºµà˵Ø
                           Ñ Ô
               - ËͼٻÇÂÍØºµà˵Ø
                       Œ †          Ñ Ô
206                                                                          Siriraj Trauma Center

         - ˹‹ÇÂä¿äËÁŒ¹ÒÌ͹ÅÇ¡
                           éí
         - ËͼٻÇÂÍ×¹æ ·ÕÃÇÁãËŒ¡ÒôÙáżٻÇÂÍØºµà˵Ø
                Œ † è         è‹              Œ †    Ñ Ô
         ¨Ò¡Ê¶ÔµË¹‹ÇµÃǨâÃ¤ÍØºµà˵Øã¹»‚ ¾.È.2552 ¨íҹǹ¼Ù»ÇÂãËÁ‹ 23,227 ÃÒ ¼Ù»ÇÂà¡‹Ò
                 Ô                 Ñ Ô                         Œ †               Œ †
37,662 ÃÒ ໚¹¼Ù»Ç·ÕúŒÒ¨ҡâç¾ÂÒºÒÅÍ×¹ 1,106 ÃÒ ¨Ò¡¨íҹǹ¼Ù»Ç·ѧËÁ´ ¨Ñ´à»š¹
                    Œ † èÑ                         è                   Œ † é
¼Ù»ÇÂ¡ÅØÁ©Ø¡à©Ô¹ÁÒ¡ (emergent : ¼Ù»Ç·յͧ䴌ú¡ÒôÙáÅÃÑ¡Éҷѹ·‹Ç§·Õ) ¨íҹǹ 401 ÃÒÂ
  Œ †     ‹                            Œ † è Œ         Ñ
àÊÕªÕǵ 26 ÃÒ (á¼¹ÀÙÁÔ 1) ·ÕàËÅ×Í໚¹¼Ù»ÇÂ¡ÅØÁÍ×¹æ â´ÂÁÕ¼»Ç·ÕúänjáÉÒµÑÇã¹âç¾ÂÒºÒÅ
       Ô                         è        Œ †     ‹ è      ÙŒ † è Ñ Ñ
¨íҹǹ 1,820 ÃÒ   (3)




                     á¼¹ÀÙÁÔ 1 ¼ÙŒ»†ÇÂ¡ÅØ‹Á©Ø¡à©Ô¹ÁÒ¡ (Emergent) »‚ ¾.È.2552(3)

        ˹‹ÇµÃǨâÃ¤ÍØºµà˵ØãËŒºÃÔ¡ÒüٻÇÂÍØºµà˵صÅÍ´ 24 ªÑÇâÁ§ Ẻ¤ÃºÇ§¨Ã (one stop
                           Ñ Ô            Œ †      Ñ Ô                  è
service) ·Ñ§·Õ໚¹¼Ù»ÇÂ¡ÅØÁ©Ø¡à©Ô¹ãËÁ‹ áÅмٻÇÂÍØºµà˵Øà¡‹Ò·ÕÁÒµÔ´µÒÁ¼Å¡ÒÃÃÑ¡ÉÒ ÁÕ¡ÒÃãËŒ
            é è       Œ †     ‹               Œ †      Ñ Ô           è
ºÃÔ¡ÒüٻǺҴà¨çº¡Ãд١˹ŒÒËÑ¡ ºÒ´à¨çºÁ×Í ÍÍÏ⸻´¡Ê áÅкÃÔ¡Ò÷ҧ´ŒÒ¹¹ÔµàǪ ´Ñ§¹Ñ¹
        Œ †                                                    Ô                            Ô     é
¾ÂÒºÒÅ˹‹ÇµÃǨâÃ¤ÍØºµà˵بеŒÍ§ãËŒ¡ÒôÙáżٻÇÂÍØºµà˵ط§ã¹ËŒÍ§©Ø¡à©Ô¹ (emergency room)
                          Ñ Ô                     Œ †      Ñ Ô   Ñé
·ÕÁÒÃÑ¡ÉÒ´ŒÇÂÀÒÇФء¤ÒÁªÕǵ (life-threatening conditions) ¢Í§¡ÒÃËÒÂã¨áÅСÒÃäËÅàÇÕ¹¢Í§àÅ×Í´
  è                              Ô
¨¹¡Ãзѧ䴌ú¡Òê‹ÇÂàËÅ×Íàº×ͧµŒ¹ áÅÐà¾×Íä»ÃѺ¡ÒÃÃÑ¡ÉÒµ‹Í·ÕËͧ¼‹ÒµÑ´ËÃ×ͼٻÇÂ˹ѡ ÃÇÁ¶Ö§
         è Ñ                       é        è                       è Œ               Œ †
·íÒ˹ŒÒ·Õ໚¹¼ÙÍҹǤÇÒÁÊдǡ ¤Çº¤ØÁ¡Ãкǹ¡Ò÷íÒ§Ò¹ ¨Ñ´Ãкº¡ÒôÙáÅÃÑ¡ÉÒ¼Ù»ÇÂÍØºµà˵Ø
          è     Œí                                                                        Œ † Ñ Ô
ãˌ໚¹ä»Í‹ҧÃÒºÃ×¹ÁÕ¤ÇÒÁ¤Å‹Í§µÑÇ áÅÐʹѺʹعãËŒ¤ÇÒÁª‹ÇÂàËÅ×ͼٻÇÂÍØºµà赯 ·Ø¡Ê¶Ò¹¡Òó
                   è                                                      Œ †   Ñ Ô
¢Í§¡ÒúҴà¨çº µÑé§áµ‹¼ÙŒ»†ÇÂÍØºÑµÔà˵Øà¢ŒÒÃѺ¡ÒÃÃÑ¡ÉÒ ¡ÃзÑ觨íÒ˹‹ÒÂÍÍ¡¨Ò¡âç¾ÂÒºÒÅ
µÅÍ´¨¹¡ÒõԴµÒÁ¡ÒÃÃÑ¡ÉÒ¾ÂÒºÒÅ â´ÂÅ´ª‹Í§Ç‹Ò§ã¹¡ÒôÙáÅÃÑ¡ÉÒ¼Ù»ÇÂÍØºµà赯 ºÃÔËÒèѴ¡ÒÃ
                                                                            Œ †   Ñ Ô
´ŒÒ¹¡ÒÃÃÑ¡ÉÒ´ÙáżٻÇÂÍØºµà˵ØãËŒà¡Ô´¤Ø³ÀÒ¾áÅлÃÐÊÔ·¸ÔÀÒ¾¢Í§¡ÒúÃÔ¡Òà ¡íҡѺ´ÙáÅ¡ÒÃà¡çº
                     Œ †     Ñ Ô
àǪÈÒʵÏ·¹Âؤ 2553
          Ñ                                                                            207

ÃǺÃÇÁ¢ŒÍÁÙÅáÅÐàǪÃÐàºÕ¹ãˌ໚¹ä»µÒÁÁҵðҹ â´ÂÁÕ໇ÒËÁÒÂãËŒ¼»ÇÂÁÕ¡Òÿ„¹ËÒ¡ÅѺÊÙ‹
                                                                  ÙŒ †       œ
ÊÀÒ¾»¡µÔ䴌͋ҧ»ÅÍ´ÀÑ »ÃÒȨҡÀÒÇÐá·Ã¡«ŒÍ¹ µÅÍ´¨¹¡ÒÃŧºÑ¹·Ö¡Ãкº°Ò¹¢ŒÍÁÙÅà¾×Í¡Òà   è
¾Ñ²¹ÒáÅзº·Ç¹¤Ø³ÀÒ¾¢Í§¼ÙŒ»†ÇÂÍØºÑµÔà赯 áÅоѲ¹ÒÃкº¡ÒôÙáżٌ»†ÇÂÍØºÑµÔà赯 ·Ñé§¡ÒÃ
¨Ñ´»ÃЪØÁãËŒ¤ÇÒÁÃÙŒ ¡ÒÃÇԨѠáÅСÒÃÊÌҧἹ»¯ÔºÑµÔ§Ò¹ ·Õ赌ͧ㪌㹡ÒôÙáżٌ»†ÇÂÍØºÑµÔà˵Ø
ã¹âç¾ÂÒºÒŵÒÁÁҵðҹ¢Í§Èٹͺµà˵Ø
                                  Ø Ñ Ô

¤ÇÒÁÃѺ¼Ô´ªÍº¢Í§¾ÂÒºÒÅ˹‹ÇµÃǨâÃ¤ÍØºÑµÔà˵ب֧»ÃСͺ´ŒÇÂ
ÀÒÃСÒû¯ÔºÑµÔ 4 ´ŒÒ¹(1,2,3,4,5) ¤×Í
       1. ¡ÒúÃÔËÒèѴ¡Ò÷ҧ¤ÅÔ¹Ô¡ (Clinical management)
          1.1 ºÃÔËÒèѴ¡ÒáÒôÙáÅÃÑ¡ÉÒ¼ÙŒ»†ÇÂÍØºÑµÔà˵Ø
              â´ÂµÔ´µ‹Í»ÃÐÊÒ¹§Ò¹ÊÌҧ¤ÇÒÁªÑ´à¨¹ã¹¡ÒôÙáÅÃÑ¡ÉÒ ãˌ໚¹ä»µÒÁÁҵðҹ
§Ò¹Íغµà˵ة¡à©Ô¹ â´ÂÁÕ¡ÒèѴ·íÒ
      Ñ Ô   Ø
              - ¤ÙÁÍáÅÐá¼¹ÀÙÁ㹡ÒèíÒṡ»ÃÐàÀ·¼Ù»ÇÂÍØºµà˵Ø(6)
                  ‹ ×           Ô                    Œ † Ñ Ô
              - Trauma resuscitation team (7)

              - Trauma nursing document

          1.2 ¡ÒþѲ¹Òá¹Ç·Ò§»¯ÔºÑµÔ·Ò§¤ÅÔ¹Ô¡
              ˹‹ÇµÃǨâÃ¤ÍØºµà˵ØÁ¡ÒþѲ¹Òá¹Ç·Ò§»¯Ôºµ·Ò§¤ÅÔ¹¡ áÅСÒÃ㪌á¹Ç»¯ÔºµÔ
                                      Ñ Ô      Õ                       Ñ Ô        Ô     Ñ
·Õ¾²¹Ò¢Ö¹ 㹡ÒôÙáżٻÇÂᵋÅÐÃÐÂзվ¡ÃÑ¡ÉÒã¹âç¾ÂÒºÒÅ à¾×ÍãËŒà¡Ô´¡ÒÃÃÑ¡ÉÒ¾ÂÒºÒÅ໚¹
  è Ñ   é               Œ †                   è Ñ                             è
ä»ã¹á¹Ç·Ò§à´ÕÂǡѹ µÑ§áµ‹ÅҴѺ¤ÇÒÁࢌÒ㨠áÅТѹµÍ¹¡ÒôÙáżٻÇÂÍØºµà赯 ÈÖ¡ÉÒ¹âºÒÂáÅÐ
                       é í                                 é               Œ †  Ñ Ô
Ãкº¢ŒÍÁÙŢͧâç¾ÂÒºÒÅ ÃÇÁ·Ñ§ÈÖ¡ÉÒ»˜­ËÒáÅÐÇÒ§á¹Ç·Ò§¡ÒÃᡌ䢨ҡ¡Ãкǹ¡ÒôÙáÅã¹áµ‹
                                    é
ÅТѹµÍ¹ «Ö§Ë¹‹Ç§ҹÁÕá¹Ç»¯Ôºµ´§¹Õé
      é    è                            Ñ Ô Ñ
              - á¹Ç·Ò§»¯Ôºµ¡ÒÃãˌǤ«Õ¹»‡Í§¡Ñ¹ºÒ´·ÐÂÑ¡
                                Ñ Ô               Ñ
              - á¹Ç·Ò§»¯Ôºµ¡ÒÃãˌǤ«Õ¹»‡Í§¡Ñ¹¾ÔÉÊØ¹¢ºŒÒ
                                 Ñ Ô                Ñ               Ñ
              - á¹Ç·Ò§»¯Ôºµ¡ÒþÂÒºÒÅ㹡ÒÃà¤Å×͹ŒÒ¼ٻÇÂÇԡĵ©Ø¡à©Ô¹ã¹âç¾ÂÒºÒÅ
                               Ñ Ô                            è       Œ †
              - á¹Ç·Ò§»¯Ôºµ¡ÒþÂÒºÒżٻÇ·ÕÁâÍ¡ÒÊàÊÕ§µ‹Í¡ÒÃÊÑÁ¼ÑÊàª×;ÔÉÊØ¹¢ºŒÒ
                                  Ñ Ô                   Œ † è Õ         è           é Ñ
                 (ÍÂÙã¹ÃÐËNjҧ¡ÒÃÈÖ¡ÉÒÇÔ¨Â)
                     ‹                                Ñ
              - ¡ÒÃÇÒ§á¼¹¨íÒ˹‹Ò¼ٻÇ·պҴà¨çº·ÕÈÃÉÐäÁ‹Ã¹áç
                                                 Œ † è          è Õ         Ø
                 »ÃÐàÀ·äÁ‹µÍ§¾Ñ¡ÃÑ¡ÉÒµÑÇã¹âç¾ÂÒºÒÅ
                             Œ

           1.3 ¡ÒáíҡѺµÃǨÊͺ¡ÒôÙáÅÃÑ¡ÉÒ
               ¨Ñ´ãËŒÁ¡ÒõÃǨÊͺ¡ÒôÙáÅÃÑ¡ÉÒµ‹Ò§æ µÑ§áµ‹»ÃÐÇѵ¡ÒÃÃѺ¡ÒÃÃÑ¡ÉÒ á¼¹¡ÒôÙáÅ
                      Õ                              é         Ô
ÃÑ¡ÉÒ »‡Í§¡Ñ¹ÀÒÇÐá·Ã¡«ŒÍ¹ Ê‹§àÊÃÔÁáÅСÒÿ„¹¿ÙÊÀÒ¾ «Ö§Ë¹‹Ç§ҹÁÕ¡ÒèѴ·íÒ multi-disciplinary
                                           œ           è
trauma audit ·Ø¡ÇѹÍѧ¤Òà áÅÐ trauma nurse conference à´×͹ÅÐ 1 ¤Ãѧ
                                                                   é
208                                                                           Siriraj Trauma Center

          1.4 ¡ÒÃ໚¹¼ÙŒªÕéá¹ÐáÅÐãËŒ¤íÒ»ÃÖ¡ÉÒ
               ¾ÂÒºÒÅ໚ ¹ ˹Öè § ã¹·Õ Á ¡ÒÃÃÑ ¡ ÉÒã¹¢³Ðà´Õ Â Ç¡Ñ ¹ ¡ç µŒ Í §à»š ¹ ·Õè » ÃÖ ¡ ÉÒáÅÐ
ËÇÁ»ÃÖ¡ÉҡѺ¤Ãͺ¤ÃÑÇáÅЭҵԢͧ¼Ù»ÇÂÍØºµà˵تÇÂãËŒà¡Ô´¤ÇÒÁࢌÒã¨ã¹¾ÂÒ¸ÔÊÀÒ¾¡ÒúҴà¨çº
                                    Œ †    Ñ Ô ‹
¡Ãкǹ¡ÒÃÃÑ¡ÉÒ ¡ÒâͤíÒ»ÃÖ¡ÉҨҡ˹‹ÇÂãËŒ¤Ò»ÃÖ¡ÉÒ ÃÇÁ¶Ö§ÀÒÇзؾ¾ÅÀÒ¾·Õà¡Ô´¢Ö¹ áÅШÐ
                                                í                                  è é
µŒÍ§à»š¹áËÅ‹§¢ŒÍÁÙÅãËŒ¤Ãͺ¤ÃÑÇ áÅЭҵԼٌ»†ÇÂÍØºÑµÔà˵Øä´ŒÊͺ¶ÒÁ ·Ñé§¹Õéà¾×èÍÅ´¤ÇÒÁÇÔµ¡¡Ñ§ÇÅ
áÅСÒáÅѺÁҾѡÃÑ¡ÉÒµÑÇãËÁ‹¢Í§¼Ù»ÇÂÍØºµà˵Øâ´ÂäÁ‹¨Ò໚¹
                                   Œ †    Ñ Ô          í
        2. ¡ÒþѲ¹Ò¤Ø³ÀÒ¾áÅлÃÐÊÔ·¸ÔÀÒ¾¡ÒúÃÔ¡Òà (Quality and performance
           impartment)
              ¡ÒþѲ¹Ò¤Ø³ÀÒ¾áÅлÃÐÊÔ·¸ÔÀÒ¾¡ÒÃÃÑ¡ÉÒ¾ÂÒºÒÅ ¨ÐÁÕ໇ÒËÁÒÂÍÂÙ‹·Õè¡ÒôÙáÅ
ÃÑ¡ÉÒ·Õè´Õ·ÕèÊØ´ÊíÒËÃѺ¼ÙŒ»†ÇÂÍØºÑµÔà˵طÕè¤Ãͺ¤ÅØÁ㹡Ãкǹ¡Ò÷ÕèËÅÒ¡ËÅÒÂà¾×èͺ‹§ªÕéáÅÐᡌ䢢ŒÍ
º¡¾Ã‹Í§ã¹Ãкº¡ÒôÙáżٻÇÂÍØºµà赯 ÁÕ¡ÒõÃǨÊͺÃкº¡ÒôÙáÅ ¡ÒõÃǨÊͺã¹à˵ءÒó
                                 Œ †           Ñ Ô
·Õ¼´»¡µÔ ཇÒÃÐÇѧµÃǨÊͺµÒÁµÑǺ‹§ªÕÁҵðҹ áÅÐÊÒÁÒöËÇÁº‹§ªÕÇà¤ÃÒÐˏ áÅÐᡌä¢à˵ءÒó
   è Ô                                                é                        éÔ
·Õà¡Ô´¢Ö¹ã¹¡Ã³Õ·¡ÒúÃÔ¡ÒÃäÁ‹ä´ŒÁҵðҹËÇÁ¡Ñº·ÕÁ¼ÙáÉÒ µÑ§áµ‹¼ÍҹǡÒÃÍØºµà赯 ¡ÃÃÁ¡ÒÃ
  è é                 Õè                                             ŒÑ é   ÙŒ í            Ñ Ô
ÊËÊÒ¢ÒÇÔªÒªÕ¾ áÅÐ˹‹Ç§ҹ·Õà¡ÕÂÇ¢ŒÍ§        è è
              ¡Ãкǹ¡ÒþѲ¹Ò¤Ø³ÀÒ¾·Õ¾ÂÒºÒÅ˹‹ÇµÃǨâÃ¤ÍØºµà˵ػ¯ÔºµáÅÐÇÔà¤ÃÒÐˏ 䴌ᡋ
                                                        è                 Ñ Ô           Ñ Ô
¡ÒÃà¡çºÃǺÃÇÁ¢ŒÍÁÙÅáÅÐàǪÃÐàºÕ¹¼Ù»ÇÂÍØºµà赯 (data collection and the trauma Registry)
                                                     Œ †     Ñ Ô
°Ò¹¢ŒÍÁÙÅáÅÐ àǪÃÐàºÕ¹¼Ù»ÇÂÍØºµà赯 ·Ñ§¹Õà¾×Í໚¹»ÃÐ⪹ã¹¡ÒÃÈÖ¡ÉÒ¤Œ¹¤ÇŒÒ áÅÐÇÔà¤ÃÒÐˏ
                                    Œ †          Ñ Ô       é é è
º‹§ªÕ¡ÅØÁ»ÃЪҡ÷Õ໚¹¼Ù»ÇÂÍØºµà赯 â´Â¾ÂÒºÒÅ˹‹ÇµÃǨâÃ¤ÍØºµà˵بÐ໚¹¼Ù¡Ãеع ãËŒ·Á
       é ‹                 è  Œ †            Ñ Ô                                  Ñ Ô           Œ Œ Õ
¡ÒÃÃÑ¡ÉÒ¾ÂÒºÒÅ䴌㪌¢ŒÍÁÙŨҡ¡Òúѹ·Ö¡â´Â¡ÒÃ໚¹¼ÙŒ´íÒà¹Ô¹¡ÒÃ㹡Ò÷íÒ multi-disciplinary
trauma audit ÃÇÁ·Ñ§¡Ò÷íÒÇÔ¨Âà¾×ÍÊ׺ÃÍ·ҧ¤ÅÔ¹¡ (clinical tracer) ¾ÃŒÍÁ·Ñ§ÁÕ¡ÒõԴµÒÁ¡ÒÃÃѺÃͧ
                         é            Ñ è                        Ô                    é
¤Ø³ÀÒ¾¡Òû¯Ôºµ§Ò¹ 2 àÃ×ͧ 䴌ᡋ
                   Ñ Ô            è     (2)

              1. ¼Ù»ÇÂÍØºµà˵ØáÅЩءà©Ô¹·Õ䴌ú¡ÒèíÒṡ»ÃÐàÀ·äÁ‹¶¡µŒÍ§äÁ‹à¡Ô¹ÃŒÍÂÅÐ 5
                    Œ †      Ñ Ô                          è Ñ                       Ù
              2. ¼Ù»Ç©ءà©Ô¹ÁÒ¡ (Emergent) 䴌ú¡ÒõÃǨÃÑ¡ÉҨҡᾷÀÒÂã¹ 4 ¹Ò·Õ
                     Œ †                                           Ñ
        3. ¡ÒÃÈÖ¡ÉÒáÅÐÇԨѠ(Education and research)
           3.1 º·ºÒ·¡ÒÃãËŒ¤ÇÒÁÃٌᡋ¼ÙŒ»¯ÔºÑµÔ§Ò¹ã¹ÈÙ¹ÂÍØºÑµÔà˵Ø
                â´Â¡ÒÃãËŒ¤ÇÒÁÃÙâ´ÂµÃ§ ઋ¹ ¡ÒúÃÃÂÒ ¡ÒÃ໚¹¼ÙãËŒ¤Ò»ÃÖ¡ÉÒá¹Ð¹íÒ ¡ÒèѴ
                                  Œ                                          Œ í
»ÃЪØÁÊÑÁ¹Ò ¡ÒèѴ½ƒ¡ÍºÃÁµ‹Íà¹×ͧ ¡ÒûÃÐàÁÔ¹¼Å¡ÒÃ㪌á¹Ç»¯ÔºµÔ ¡ÒÃÊ͹·Ò§´ŒÒ¹·Ñ¡Éл¯ÔºµÔ
                                    è                                    Ñ              Ñ
áÅСÒõÃǨÊͺ¤ÇÒÁÃÙàªÔ§ÇÔªÒ¡ÒÃá¡‹º¤ÅÒ¡Ãã¹Èٹͺµà˵ش§¹Õé
                            Œ              Ø           Ø Ñ Ô       Ñ
                3.1.1 ¾ÂÒºÒÅ ÁÕ¡ÒûÃÐàÁÔ¹ competency ¢Í§¾ÂÒºÒÅã¹Ë¹‹Ç§ҹâ´Â¡ÒÃ
·´ÊͺÇÑ´¤ÇÒÁÃÙáÅзѡÉдŒÒ¹¡Òû¯Ôºµ¡ÒþÂÒºÒÅÁÒáÅŒÇ 2 ¤Ãѧ㹻‚¾.È. 2550 áÅÐ ¾.È. 2552
                  Œ                       Ñ Ô                        é
áÅШзíÒ¡ÒûÃÐàÁÔ¹¤Ãѧ·Õè 3 ã¹»‚ ¾.È. 2553 ÍÕ¡·Ñ§Âѧ䴌¨´ãËŒÁ¡ÒÃͺÃÁ “ ¡ÒþÂÒºÒżٻÇÂ
                          é                          é       Ñ         Õ          Œ †
ÍØºµà˵صÒÁËÅÑ¡¡ÒôÙáżٻÇÂÍØºµà˵ØÊÒ¡Å” á¡‹¾ÂÒºÒÅã¹Ë¹‹Ç§ҹ áÅоÂÒºÒÅ˹‹Ç§ҹÍ×¹
    Ñ Ô                       Œ †     Ñ Ô                                             è
·ÕãËŒ¡ÒôÙáżٻÇÂÍØºµà赯 ¢Í§âç¾ÂÒºÒÅÈÔÃÃÒª ¹Í¡¨Ò¡¹Õ§ÁÕ¾ÂÒºÒÅä»à»š¹ÇÔ·ÂÒ¡Ã㹡ÒÃ
  è           Œ †     Ñ Ô                          Ô           é Ñ
ͺÃÁáÅÐãËŒ¤ÇÒÁÃÙá¡‹¾ÂÒºÒŢͧÈٹͺµà赯 áÅÐâç¾ÂÒºÒÅÍ×¹æ
                    Œ                        Ø Ñ Ô                         è
àǪÈÒʵÏ·¹Âؤ 2553
          Ñ                                                                                  209

                3.1.2 ᾷ ÁÕ¡ÒèѴͺÃÁ
                        - Advance Trauma Life Support (ATLS)
                        - Definitive Surgery Trauma Care (DSTC)
                        - Advanced Wound Care
                3.1.3 ºØ¤Åҡ÷ҧ¡ÒÃᾷ Í×¹æä´Œá¡‹ ¹Ñ¡ÈÖ¡ÉÒᾷ ਌Ò˹ŒÒ·Õ˹‹Ç¡ÙÀ áÅÐ
                                                è                            è       Œ Ñ
¡Ùª¾ â´ÂÁÕ¾ÂÒºÒŢͧ˹‹ÇµÃǨâÃ¤ÍØºµà˵Øä»à»š¹ÇÔ·ÂÒ¡Ã㹡ÒúÃÃÂÒÂáÅнƒ¡»¯ÔºµÔ
  Œ Õ                                       Ñ Ô                                    Ñ
            3.2 ä´ŒÃѺ¡ÒÃʹѺʹع¨Ò¡Í§¤¡ÃãËŒà¡Ô´§Ò¹ÇÔ¨ÑÂáÅйÇѵ¡ÃÃÁ
                â´ÂÁÕ§Ò¹ÇÔ¨ÂËÇÁÃÐËNjҧ·ÕÁÊËÊÒ¢Ò ä´Œá¡‹ §Ò¹ÇԨ¡ÒÃÈÖ¡ÉÒà»ÃÕºà·ÕºÍѵÃÒ¡ÒÃ
                            Ñ                                    Ñ
µÔ´àª×ͧ͢ºÒ´á¼Åͺѵà˵ط䴌ú¡ÒÃÃÑ¡ÉÒâ´Â¡ÒÃàÂçºá¼ÅáÅÐແ´·íÒ¤ÇÒÁÊÐÍÒ´·Ø¡Çѹ¡Ñº·íÒ
       é                  Ô    Õè Ñ
¤ÇÒÁÊÐÍÒ´á¼ÅµÒÁ¡íÒ˹´ ¹Í¡¨Ò¡¹Õ§ÁÕ§Ò¹ÇÔ¨ÂáÅйÇѵ¡ÃÃÁ¢Í§½†Ò¡ÒþÂÒºÒÅâ´ÂµÃ§ ઋ¹
                                        é Ñ       Ñ
§Ò¹ÇԨ¼Ţͧ¡ÒÃ㪌á¹Ç»¯Ôºµ¾ÂÒºÒÅ㹡ÒÃà¤Å×͹ŒÒ¼ٻÇ©ءà©Ô¹ÇÔ¡ÄµÏ §Ò¹ÇÔ¨Âá¹Ç·Ò§
          Ñ                      Ñ Ô                è      Œ †                   Ñ
»¯Ôºµ¡ÒþÂÒºÒżٻÇ·ÕÁâÍ¡ÒÊàÊÕ§µ‹Í¡ÒÃÊÑÁ¼ÑÊàª×;ÔÉÊØ¹¢ºŒÒ ໚¹µŒ¹
      Ñ Ô             Œ † è Õ         è               é        Ñ
        4. ¡ÒúÃÔËÒèѴ¡ÒáÒÃãËŒ¤íÒá¹Ð¹íÒ
              ¾ÂÒºÒÅ˹‹ÇµÃǨâÃ¤ÍØºÑµÔà˵ØÁÕº·ºÒ·Ë¹Öè§·ÕèÊíҤѭ㹡ÒÃãËŒ¢ŒÍÁÙÅáÅФÇÒÁÃÙŒ
·Ò§´ŒÒ¹ÊØ¢ÀÒ¾áÅСÒúҴà¨çºá¡‹¼ÙŒ»†ÇÂáÅЭҵÔâ´Â¡ÒèѴ·íÒ¤Ù‹Á×ÍáÅÐἋ¹¾Ñºã¹¡ÒÃãËŒ¤ÇÒÁÃÙŒ
䴌ᡋ
              - ¤ÙÁÍ¡ÒôÙáżٻǺҴà¨çº·ÕÈÃÉÐ
                    ‹ ×               Œ †               è Õ
              - ¤ÙÁÍ¡Òû¯ÔºµµÇ¼Ù»Ç¡Ãд١´Ñ§¨ÁÙ¡ËÑ¡
                     ‹ ×         Ñ Ô Ñ Œ †                     é
              - ¤ÙÁÍ¡Òû¯ÔºµµÇ¼Ù»Ç¡Ãд١ËÑ¡ËÃ×Íᵡ
                      ‹ ×          Ñ Ô Ñ Œ †
              - ¤ÙÁÍ¡Òû¯ÔºµµÇ¼Ù»ÇÂ䴌úºÒ´à¨çº·ÕÁÍ
                       ‹ ×        Ñ Ô Ñ Œ †           Ñ                 è ×
              - ¤ÙÁÍ¡Òû¯ÔºµµÇ¼ÙÊÁ¼ÑÊÊѵǏ·Ê§ÊÑÂ໚¹âä¾ÔÉÊØ¹¢ºŒÒ
                        ‹ ×         Ñ Ô Ñ Œ Ñ               Õè                   Ñ
              ¹Í¡¨Ò¡¹ÕéÂѧÁÕá¼¹§Ò¹·Õè¨Ðà¼Âá¾Ã‹¤ÇÒÁÃÙŒáÅÐó礏¡Òû‡Í§¡Ñ¹ÍغѵÔà赯 ¡Òû°Á
¾ÂÒºÒÅàº×ͧµŒ¹¢Í§¼Ù»ÃÐʺà˵Øãˌᡋ¹¡àÃÕ¹ࢵ¾×¹·Õã¡ÅŒà¤Õ§
            é               Œ                       Ñ                 é è
              ¾ÂÒºÒÅ໚¹Ë¹Öè§ã¹ºØ¤ÅÒ¡ÃËÅÑ¡·ÕèãËŒ¡ÒôÙáżٌ»†Ç µÑé§áµ‹ã¹ÃÐÂÐáá¢Í§¡ÒÃà¡Ô´
ÍØºµà˵ØáÅе‹Íà¹×ͧÂÒǹҹ ·Ñ§¢³ÐÍÂÙã¹âç¾ÂÒºÒÅáÅÐàÁ×Í¡ÅѺºŒÒ¹ ÀÒáԨ¢Í§¾ÂÒºÒÅã¹ÃÐÂÐ
    Ñ Ô                  è              é         ‹                          è
ÇԡĵµŒÍ§ãËŒ¡ÒôÙáÅÃÑ¡ÉÒÍ‹ҧÃÇ´àÃçÇ ¶Ù¡µŒÍ§à¾×èÍäÁ‹ãËŒà¡Ô´¤ÇÒÁ¾Ô¡Òà àÊÕªÕÇÔµâ´ÂäÁ‹¨íÒ໚¹
»‡Í§¡Ñ¹ÀÒÇÐá·Ã¡«ŒÍ¹ã¹ÃÐÂп„¹¿ÙÊÀÒ¾ µŒÍ§¤Çº¤ØÁÍÒ¡ÒÃäÁ‹ãËŒ¼»ÇÂ·ÃØ´Ë¹Ñ¡Å§ ª‹ÇÂàËÅ×ÍãËŒ
                                           œ                                       ÙŒ †
¼ÙŒ»†Ç¿„œ¹µÑÇ¿„œ¹¿Ù¡Ò÷íÒ§Ò¹¢Í§·Ø¡ÍÇÑÂÇÐ ·Ñé§Ã‹Ò§¡Ò ¨Ôµã¨ ÍÒÃÁ³ Êѧ¤Á à¾×èÍãËŒ¼ÙŒ»†ÇÂáÅÐ
¤Ãͺ¤ÃÑÇÊÒÁÒö¡ÅѺä»ãªŒªÇµã¡ÅŒà¤Õ§»¡µÔÁÒ¡·ÕÊ´ ÊÒÁÒö»ÃѺµÑÇáÅдÙáŵ¹àͧ䴌 ÁժǵÍÂÙ‹
                                   ÕÔ                                èØ                        ÕÔ
Í‹ҧÁÕÈ¡´ÔÈÃÕã¹Êѧ¤Áµ‹Íä» ¡ÒÃãËŒºÃÔ¡ÒþÂÒºÒÅã¹·Ø¡Ãкº¨Ö§ÅŒÇ¹ÁÕ¤ÇÒÁÊíҤѭ µÑ§áµ‹¡Òû‡Í§¡Ñ¹
          Ñ ì                                                                              é
¡ÒÃࢌҪ‹ÇÂàËÅ×Í ³ ¨Ø´à¡Ô´à赯 ¡ÒôÙáŪ‹ÇÂàËÅ×ͧ͢·Ø¡Ë¹‹Ç§ҹã¹âç¾ÂÒºÒÅà¾×èͪ‹ÇÂÅ´
¼Å¡Ãзº¨Ò¡Íغµà˵ط§µ‹Í¼Ù»ÇÂÍØºµà赯 ¤Ãͺ¤ÃÑÇ ªØÁª¹áÅÐÊѧ¤ÁãËŒÁÒ¡·ÕÊ´ ´Ñ§¹Ñ¹¤Ø³ÀÒ¾
                   Ñ Ô        Ñé       Œ †    Ñ Ô                                       èØ   é
¡ÒþÂÒºÒŨ֧ÁÕ¤ÇÒÁÊíҤѭ¨íÒ໚¹µ‹Í¡ÒôÙáżٻÇÂ¡ÅØÁ¹ÕÍ‹ҧÂÔ§     Œ †     ‹ é   è
210                                                                                   Siriraj Trauma Center

            º·ºÒ·¢Í§¾ÂÒºÒÅÍØºµà赯 ¹Í¡¨Ò¡¨ÐãËŒ¡ÒôÙáżٺҴà¨çº¨Ò¡Íغµà˵Øâ´ÂµÃ§áÅŒÇ
                                 Ñ Ô                       Œ             Ñ Ô
ÂѧÁÕº·ºÒ··ÕÊҤѭÍÕ¡ 4 »ÃСÒà 䴌ᡋ º·ºÒ·¡ÒúÃÔËÒèѴ¡Ò÷ҧ¤ÅÔ¹¡ »ÃСͺ´ŒÇ ¡ÒèѴ¡ÒÃ
              èí                                                   Ô
¡ÒôÙáÅÃÑ¡ÉÒ¼ÙºÒ´à¨çºãˌ໚¹ä»µÒÁÁҵðҹ ¡ÒþѲ¹Òá¹Ç»¯Ôºµ·Ò§¤ÅÔ¹¡ ¡ÒáíҡѺµÃǨ
                   Œ                                           Ñ Ô     Ô
Êͺ¡ÒôÙáÅÃÑ¡ÉÒ áÅСÒÃ໚¹¼ÙŒªÕéá¹ÐáÅÐãËŒ¤íÒ»ÃÖ¡ÉÒ º·ºÒ·¡ÒþѲ¹Ò¤Ø³ÀÒ¾áÅÐ
»ÃÐÊÔ·¸ÔÀÒ¾¡ÒúÃÔ¡Òà º·ºÒ·¡ÒÃÈÖ¡ÉÒáÅÐÇԨ áÅк·ºÒ·¡ÒúÃÔËÒèѴ¡ÒáÒÃãËŒ¤Òá¹Ð¹íÒ
                                             Ñ                                    í
·Ñ§ËÁ´¹Õ¡à¾×ÍãËŒ¼»ÇÂÍØºµà˵طÁÒÃѺ¡ÒÃÃÑ¡ÉÒ¾ÂÒºÒÅ·Õè “Siriraj Trauma Center” 䴌ú¡ÒÃÃÑ¡ÉÒ
  é     é ç è        ÙŒ † Ñ Ô Õè                                                Ñ
¾ÂÒºÒÅ·Õ´·Ê´ â´ÂÃкº¡ÒúÃÔËÒèѴ¡Ò÷ÕÁ»ÃÐÊÔ·¸ÔÀҾ໚¹ä»µÒÁÁҵðҹ㹡ÒôÙáżٻÇÂ
          è Õ Õè Ø                       è Õ                                          Œ †
ÍØºµà˵ØÃдѺªÒµÔáÅÐÃдѺÊҡŠ໚¹ä»µÒÁÇÔÊ·ÑȹáÅоѹ¸¡Ô¨¢Í§¤³Ðá¾·ÂÈÒʵÏÈÃÃÒª
    Ñ Ô                                        Ñ                                    ÔÔ
¾ÂÒºÒÅ

àÍ¡ÊÒÃ͌ҧÍÔ§
1.    ¼È.´Ã.¡ÃÍ§ä´ ÍØ³ËÊÙµ.(2552) ¾ÂÒºÒżٻÃÐÊÒ¹§Ò¹Íغµà赯 Ê׺¤Œ¹¨Ò¡àÇçºä«µ http://www.thaitraumanurse.com/
                                              Œ              Ñ Ô
      download/article/2009/Document/Trauma_Nurse_Coordinator.pdf.
2.    ¤³Ð͹ءÃÃÁ¡ÒõµÔÂÀÙÁ¡ÒôÙáżٻÇÂÍØºµà˵Ø. (2547). ÃÒ§ҹ¼Å¡ÒôíÒà¹Ô¹§Ò¹ ¾.È. 2545 – 2547 ¤³Ð͹ءÃÃÁ
                              Ô           Œ †   Ñ Ô
      ¡Ò÷ջÃÖ¡ÉÒ¡ÒÃŧ·Ø¹´ŒÒ¹ºØ¤ÅÒ¡Ã ¡ÒÃÇÔ¨ÂáÅоѲ¹Òà·¤â¹âÅÂÕ·Ò§¡ÒÃᾷ㹺ÃÔ¡ÒõµÔÂÀÙÁà¤Ã×Í¢‹Ò¤Ǻ¤ØÁ
             è                                      Ñ                                           Ô
      ¡ÒúҴà¨çºáË‹§ªÒµÔ (Èٹͺµà˵Ø). ¹¹·ºØÃÕ : Êíҹѡ¾Ñ²¹ÒÃкººÃÔ¡ÒÃÊØ¢ÀÒ¾ ¡ÃÁʹѺʹعºÃÔ¡ÒÃÊØ¢ÀÒ¾ ¡ÃÐ
                                  Ø Ñ Ô
      ·ÃǧÊÒ¸ÒÃ³ÊØ¢. (43)
3.    ˹‹ÇµÃǨâÃ¤ÍØºÑµÔà˵Ø.(2552). Ẻ»ÃÐàÁÔ¹µ¹àͧ˹‹ÇµÃǨâÃ¤ÍØºÑµÔà˵Ø. ¡ÃØ§à·¾Ï : §Ò¹¡ÒþÂÒºÒż‹ÒµÑ´
      ½†Ò¡ÒþÂÒºÒÅ âç¾ÂÒºÒÅÈÔÃÃÒª.    Ô
4.    Êíҹѡ¡ÒþÂÒºÒÅ ¡ÃÁ¡ÒÃᾷ ¡ÃзÃǧÊÒ¸ÒÃ³ÊØ¢(2548).ࡳ±»ÃÐàÁÔ¹¤Ø³ÀÒ¾¡ÒþÂÒºÒÅ ÈÙ¹ÂÍØºÑµÔà˵Ø,
      ¡Ãا෾Ï: ºÃÔÉ· ÊÒÁà¨ÃÔ­ (¡Ãا෾Ï) ¨íÒ¡Ñ´. (1).
                      Ñ
5.    Êíҹѡ¡ÒþÂÒºÒÅ ¡ÃÁ¡ÒÃᾷ ¡ÃзÃǧÊÒ¸ÒÃ³ÊØ¢(2548).ÁҵðҹºÃÔ¡ÒþÂÒºÒÅ ÈٹµµÔÂÀÙÁ੾Òзҧ Èٹ
                                                                                                  Ô
      ÍØºµà˵Ø, ¡Ãا෾Ï: ºÃÔÉ· ÊÒÁà¨ÃÔ­ (¡Ãا෾Ï) ¨íÒ¡Ñ´. (9,80-82) .
         Ñ Ô                    Ñ
6.    ˹‹ÇµÃǨâÃ¤ÍØºÑµÔà˵Ø.(2546). ¤Ù‹Á×Í¡ÒèíÒṡ»ÃÐàÀ·áÅШѴÃдѺ¤ÇÒÁÃØ¹áç¢Í§¼ÙŒ»†ÇÂÍØºÑµÔà˵Ø. ¡ÃØ§à·¾Ï :
      §Ò¹¡ÒþÂÒºÒż‹ÒµÑ´ ½†Ò¡ÒþÂÒºÒÅ âç¾ÂÒºÒÅÈÔÃÃÒª.    Ô
7.    ¡Ò­¨¹Ò à«ç¹¹Ñ¹·. (2551). “Trauma Resuscitation Team and documentation”. àÍ¡ÊÒûÃСͺ¡ÒÃͺÃÁ
      ¡ÒþÂÒºÒżٻÇÂÍØºµà˵صÒÁËÅÑ¡¡Òà ¡ÒôÙáżٻÇÂÍØºµà˵ØÊÒ¡Å” (1-5).
                    Œ †   Ñ Ô                         Œ †      Ñ Ô
àǪÈÒʵÏ·¹Âؤ 2553
          Ñ                                                                                                                                º··Õè               211

                                                                                                                                             33
                                          Journey to Excellent Burn Unit
                                                           ÃͧÈÒʵÃÒ¨ÒÏ ¹ÒÂᾷ¾Ã¾ÃËÁ àÁ×ͧáÁ¹
                                        ÀÒ¤ÇÔªÒÈÑÅÂÈÒʵÏ ¤³Ðá¾·ÂÈÒʵÏÈÔÃÔÃÒª¾ÂÒºÒÅ ÁËÒÇÔ·ÂÒÅÑÂÁËÔ´Å

              ã¹Çѹ·Õè 9 ¡ØÁÀҾѹ¸ ¾.È.2553 ໚¹âÍ¡ÒÊÍѹ´Õ·ä´ŒÁ¡ÒûÃѺ»ÃاËͼٻÇÂä¿äËÁŒ¹ÒÌ͹ Õè Õ                                Œ †                    éí
ÅÇ¡ Ã.¾.ÈÔÃÃÒª ÍÕ¡¤Ãѧ¹Ñºà»š¹¡ÒûÃѺ»Ãا¤ÃѧãË­‹ã¹ÃͺàÇÅÒ 31 »‚ÀÒÂËÅѧ¡ÒÃແ´ Siriraj Burn
                        Ô                   é                                     é
Unit ໚¹¤ÃѧááàÁ×Í»‚ ¾.È.2522 ã¹»˜¨¨Øº¹¹ÕÁÕ Burn unit ã¹»ÃÐà·Èä·ÂÃÒÇæ 18 áË‹§ ËͼٻÇÂ
                    é                     è                                   Ñ é                                                                            Œ †
Siriraj Burn Unit ãËÁ‹·¡ÒÅѧ¨Ðແ´¢Ö¹¹Ñ¹¾Í¨Ð¡Å‹ÒÇä´ŒÇÒ໚¹ Burn unit ·Õ·¹ÊÁÑÂÁÒ¡·ÕÊ´áË‹§Ë¹Ö§
                                              Õè í                é é                      ‹                          è Ñ                       èØ                   è
ã¹»ÃÐà·Èä·Â áÅÐ ¼Á¤Ô´Ç‹Ò¼Á¡íÒÅѧ¨Ðä´ŒàË繡ÒÃà»ÅÕ¹á»Å§¤ÃѧãË­‹·¡ÒÅѧ¨Ðà¡Ô´¢Ö¹ÍÕ¡ã¹àÇÅÒ   è              é              Õè í                   é
Íѹã¡ÅŒ¹äÁ‹ÇÒ¨Ð໚¹¤ÇÒÁ¡ŒÒÇ˹ŒÒã¹´ŒÒ¹¡ÒúÃÔ¡Òà ÇÔªÒ¡Òà áÅÐ ¡ÒÃÇԨ¤Ǻ¤Ù¡¹ä» «Ö§à»š¹ÊÔ§·Õè
                Õé ‹                                                                                                Ñ                 ‹ Ñ             è        è
¤ÇÃà¡Ô´¢Ö¹ã¹âçàÃÕ¹ᾷ·ÁªÍàÊÕ§áË‹§¹Õé ·ÕÁᾷáÅоÂÒºÒÅã¹ËͼٻÇ Siriraj Burn Unit
                  é                                       Õè Õ ×è                                                           Œ †
ã¹»˜¨¨ØºÑ¹ÁÕ¤ÇÒÁࢌÁá¢ç§ÁÒ¡·Ñé§ã¹´ŒÒ¹¡ÒúÃÔ¡ÒôŒÇÂÇÔ·ÂÒ¡Ò÷ҧ¡ÒÃᾷ·Õè·Ñ¹ÊÁÑ áÅÐÂѧ
໚¹àÅÔÈã¹´ŒÒ¹ÇÔªÒ¡ÒÃáÅÐÇԨ´ѧáÊ´§ä´Œ¨Ò¡¼Å§Ò¹´ŒÒ¹ÇÔªÒ¡ÒÃáÅмŧҹÇԨ·Õà¼Âá¾Ã‹ÍÍ¡¨Ò¡
                                                        Ñ                                                                       Ñ è
ËͼٻÇÂáË‹§¹Õ¨Ò¹Ç¹ÁÒ¡ÁÒ áÅÐ䴌ú¤íÒªÁàªÂÍ‹ҧàÊÁͨҡ¼Ù»ÇºҴà¨çºä¿äËÁŒ¹ÒÌ͹ÅÇ¡
         Œ †                  éí                                          Ñ                               Œ †                                      éí
¨íҹǹÁÒ¡·ÕÁÒÃѺºÃÔ¡Òà ³ Siriraj Burn Unit «Ö§ã¹»˜¨¨Øº¹¹Õ͵ÃÒ¡ÒÃÃÍ´ªÕǵâ´Âà©ÅÕÂã¹Ãͺ 5
                            è                                                       è            Ñ éÑ                            Ô               è
»‚·¼Ò¹ÁҢͧ¼Ù»ÇºҴà¨çºä¿äËÁŒÃ¹áçà¡Ô¹ 80 % ¢Í§¾×¹·Õ¼Ç¢Í§Ã‹Ò§¡Ò·ÕÁÒÃѺ¡ÒÃÃÑ¡Éҹѹ
    Õè ‹                           Œ †                                  Ø                         é è Ô                             è                              é
ÊÙ§¶Ö§ 96% ÊÒÁÒöà·Õº෋ҡѺ Burn Unit ·Õ䴌ú¡Òà verified Ç‹Òä´ŒÁҵðҹ㹻ÃÐà·È·Õ¾²¹Ò
                                                                                 è Ñ                                                                    è Ñ
áÅŒÇઋ¹ »ÃÐà·ÈÊËÃѰÍàÁÃÔ¡Ò à»š¹µŒ¹
              ¡ÒÃà»ÅÕ¹á»Å§¤ÃѧÊíҤѭ¹Õ¨Ðà¡Ô´¢Ö¹äÁ‹ä´ŒàŶŒÒäÁ‹ä´ŒÃº¡ÒÃʹѺʹع¨Ò¡ÍÒ¨ÒÏã¹ÊÒ¢Ò
                                 è                    é            é           é                      Ñ
ÈÑÅÂÈÒʵÏͺµà˵ØáÅÐÈÑÅÂÈÒʵϵ¡áµ‹§ â´Â੾ÒÐÍÒ¨ÒÏ·¼ÁÍÂÒ¡¨Ð¢Íà͋ª×Í´ŒÇ¤ÇÒÁà¤Òþ
                          Ø Ñ Ô                                                                    Õè                                   è
¤×Í È.¹¾.¨ÍÁ¨Ñ¡Ã ¨Ñ¹·ÃÊ¡ØÅ (·Õè»ÃÖ¡ÉÒ¤³ÐÏ) ÃÈ.¹¾.»ÃÕªÒ ÈÔÃԷͧ¶ÒÇà (ËÑÇ˹ŒÒÊÒ¢ÒÇÔªÒ
ÈÑÅÂÈÒʵÏͺµà˵Ø) ¼È.¹¾.Á¹µÃÕ ¡Ô¨Á³Õ (Ãͧ¤³º´Õ) ÃÈ.¹¾.ÍÀÔáɏ ª‹Ç§ÊØÇ¹Ôª (ËÑÇ˹ŒÒÊÒ¢Ò
                           Ø Ñ Ô                                                                              Ñ
ÇÔªÒÈÑÅÂÈÒʵϵ¡áµ‹§) ÀÒÂ㵌¡ÒÃʹѺʹع໚¹Í‹ҧ´Õ¢Í§·‹Ò¹ËÑÇ˹ŒÒÀÒ¤ÇÔªÒÈÑÅÂÈÒʵÏ
È.¹¾.ÈØÀ¡Ã âè¹¹Ô¹·Ã «Ö§ÍÒ¨ÒÏ·à͋¹ÒÁàËŋҹÕáÅзÕäÁ‹ä´Œà͋ª×ÍÍÕ¡ËÅÒ·‹Ò¹ä´ŒÂÍÁÊÅÐàÇÅÒ
                                                   è                 Õè                é     è             è
ÍѹÁÕ¤‹ÒÁÒÃдÁ¤ÇÒÁ¤Ô´ÇҧἹ㹴ŒÒ¹¡ÒÃÍ͡Ẻ áÅС‹ÍÊÌҧËͼٌ»†ÇÂáË‹§¹ÕéãËŒÍÍ¡ÁÒÍ‹ҧ
ŧµÑÇ·ÕÊ´ áÅзÕÊҤѭ·ÕÊ´¤×Í ¡ÒÃʹѺʹع¨Ò¡·‹Ò¹¤³º´Õã¹ÊÁѹѹ·Õ䴌͹ØÁµ§º»ÃÐÁÒ³¡ÒÃ
             èØ                        èí          èØ                                                           é è                       Ñ Ô
¡‹ÍÊÌҧ¤ÃÑé§¹Õé «Öè§»˜¨¨ØºÑ¹·‹Ò¹´íÒçµíÒá˹‹§ ͸ԡÒú´ÕÁËÒÇÔ·ÂÒÅÑÂÁËÔ´Å ÈÒʵÃÒ¨ÒϤÅÔ¹Ô¡
¹ÒÂᾷ»ÂÐʡŠʡÅÊѵÂÒ·Ã áÅÐ ·‹Ò¹¤³º´Õ¤³Ðá¾·ÂÈÒʵÏÈÃÃÒª»˜¨¨Øº¹ ÈÒʵÃÒ¨ÒÏ
                                                                                                                ÔÔ                         Ñ
¤ÅÔ¹¡ ¹ÒÂᾷ¸ÃÇѲ¹ ¡ØÅ·¹Ñ¹·¹ «Ö§ä´ŒÊ¹ÑºÊ¹Ø¹áÅдíÒà¹Ô¹¹âºÒ¡ÒûÃѺ»ÃاÍ‹ҧµ‹Íà¹×ͧ
       Ô                                Õ                                   è                                                                                    è
ÁÒâ´ÂµÅÍ´·íÒãËŒâÍ¡ÒʹÕà¡Ô´¢Ö¹ä´ŒáÅÐÊíÒàÃç¨ã¹·ÕÊ´     é é                              èØ
212                                                       Journey to Excellent Burn Unit




             ÀÒ¾«ŒÒ¡‹Í¹»ÃѺ»Ãا ÀÒ¾¢ÇÒ Burn Unit ÀÒÂËÅѧ»ÃѺ»Ãا




ˌͧ»ÃЪØÁ»ÃѺ»ÃاãËÁ‹ ÊíÒËÃѺ¡ÒÃàÃÕ¹¡ÒÃÊ͹ ´Ù§Ò¹ à¼Âá¾Ã‹¤ÇÒÁÃÙáÅлÃЪØÁ·Õ·¹ÊÁÑÂ
                                                                Œ          è Ñ




¹íÒ¤ÇÒÁÃÙŒáÅÐÇÔ·ÂÒ¡Ò÷Õè·Ñ¹ÊÁÑÂÁÒ»ÃѺ»Ãا¡ÒÃàÃÕ¹¡ÒÃÊ͹ Burn Injury ·Ñé§ã¹Ëͼٌ»†ÇÂ
                   Siriraj Burn Unit áÅÐ ã¹ËŒÍ§¼‹ÒµÑ´µÖ¡ÍغѵÔà˵Ø




       Prince Michael of Kent, United Kingdom àÊ´ç¨àÂÕèÂÁªÁ Siriraj Burn Unit
àǪÈÒʵÏ·¹Âؤ 2553
          Ñ                                                                                213

         ã¹´ŒÒ¹¡ÒÃãËŒºÃÔ¡ÒáÒÃÃÑ¡ÉÒ ãËŒ¤ÇÒÁÃÙá¡‹¼»ÇºҴà¨çºä¿äËÁŒ¹ÒÌ͹ÅÇ¡¢Í§·ÕÁᾷ
                                              Œ ÙŒ †                      éí
¾ÂÒºÒŢͧ Siriraj Burn Unit ¹ÑºÇ‹ÒäÁ‹à¤Â໚¹Ãͧã¤Ãã¹»ÃÐà·È ÃÇÁ·Ñ§ÁÕ¡ÒþѲ¹Òͧ¤¤ÇÒÁÃÙŒ
                                                                        é
ã¹´ŒÒ¹¹ÕÍ‹ҧµ‹Íà¹×ͧÁÒâ´ÂµÅÍ´ Œ͹¡ÅѺä»ÊÁÑÂÍ´Õµ Burn unit áË‹§¹Õ䴌ú¡ÒþѲ¹Ò¨¹ÁÕ¡ÒÃ
         é          è                                                  é Ñ
à»ÅÕè¹á»Å§·ÕèàËç¹à´‹¹ªÑ´à»š¹ÃÙ»¸ÃÃÁã¹ÇÔ¸Õ¡ÒôÙáÅÃÑ¡ÉÒ·Õè·Ñ¹ÊÁѨ¹àÃÔèÁÁÕª×èÍàÊÕ§价ÑèÇ»ÃÐà·È
¼Å§Ò¹ËÅÒÂÍ‹ҧ·Õâ´´à´‹¹¨Ò¡Ë¹‹Ç§ҹ䴌ᡋ ¡ÒäԴ¤Œ¹ÊٵäÃÕÁÃÑ¡ÉÒ¼Ù»ÇÂä¿äËÁŒ¹ÒÌ͹ÅÇ¡ ¤×Í
                      è                                            Œ †             éí
silver zinc sulfadiazine cream ÊÙµÃÍÒËÒÃâ»ÃµÕ¹ÊÙ§¡ÃеعÀÙÁ¤Á¡Ñ¹ Neomune áÅÐ ÊٵáÒÃãËŒ
                                                      Œ Ô ØŒ
hypertonic saline à¾×èÍ resuscitation ¼ÙŒ»†ÇºҴà¨çºä¿äËÁŒÃعáç ÏÅÏ â´ÂÍÒ¨ÒϨÍÁ¨Ñ¡Ã
¨Ñ¹·ÃÊ¡ØÅ «Ö§Âѧ¤§ÁÕ¡ÒùíÒÁÒ㪌ã¹Âؤ»˜¨¨Øº¹¹ÕÍÂÙ‹ ¼Á¾Í·Õ¨ÐÊÃØ»¤ÇÒÁ¡ŒÒÇ˹ŒÒã¹´ŒÒ¹¡ÒÃᾷ
             è                            Ñ é            è
㹡ÒôÙáÅÃÑ¡ÉÒ¼Ù»ÇÂä¿äËÁŒ¹ÒÌ͹Åǡ㹻˜¨¨Øº¹·Õè Siriraj Burn Unit àÃÒÊÒÁÒö·íÒä´Œã¹ÃдѺ
                  Œ †          éí               Ñ
à·Õº෋ҡѺ Burn Center Íѹ´ÑºµŒ¹æã¹»ÃÐà·È·Õ¾²¹ÒáÅŒÇ䴌ᡋ
                                               è Ñ

¤ÇÒÁ¡ŒÒÇ˹ŒÒ¢Í§ Siriraj Burn Unit ÂØ¤»˜¨¨ØºÑ¹
       1. ¡ÒúÃÔ¡Òà ÃÑ¡ÉÒ¼ÙŒ»†ÇºҴà¨çºä¿äËÁŒ¹éíÒÌ͹ÅÇ¡
            Advanced burn life support & resuscitation
            ์¹¡ÒÃÃÑ¡ÉÒÍ‹ҧà©Õº¾Åѹ ·Ø¡ÇÔ¹Ò·ÕÁ¤ÇÒÁÊíҤѭµ‹ÍªÕǵ¼Ù»ÇÂâ´Â੾ÒкҴà¨çºä¿
                                                   Õ               Ô Œ †
äËÁŒÃعáç ãËŒ¤ÇÒÁÊíҤѭµ‹ÍªÕÇÔµ¼ÙŒ»†ÇµÑé§áµ‹à¢ŒÒâç¾ÂÒºÒÅ â´Â์¹¡ÒôÙáÅ໚¹ team work
ÁÕ protocol ¡ÒÃÃÑ¡ÉÒäÁ‹ÇÒ¨Ð໚¹ËÅÑ¡ advanced burn life support 䴌ᡋ burn resuscitation, smoke
                           ‹
inhalation injury, nutrition ÏÅÏ µÃ§µÒÁ guideline ¢Í§ American Burn Association ¡ÒÃãËŒ burn
resuscitation ·Õè´ÕµÑé§áµ‹ÃÐÂÐáá¨Ðà¾ÔèÁÍѵÃÒ¡ÒÃÃÍ´ªÕÇÔµ¢Í§¼ÙŒ»†ÇºҴà¨çºä¿äËÁŒÃعáçÍ‹ҧ
ÁÕ¹ÂÊíҤѭ
    Ñ




        ¡ÒÃÃÑ¡ÉÒ´ŒÇÂËÅÑ¡ Advanced Burn Life Support à¾ÔèÁÍѵÃÒ¡ÒÃÃÍ´ªÕÇÔµ
ã¹Ãͺ 5 »‚·¼Ò¹ÁÒ㹼ٻǺҴà¨çºä¿äËÁŒÃ¹áç·ÕÁÒÃѺ¡ÒÃÃÑ¡ÉÒ ³ Siriraj Burn Unit ¶Ö§ 96%
           Õè ‹     Œ †              Ø     è

          à·¤¹Ô¤¡Ò÷íÒá¼Å äÁ‹µÍ§·íÒá¼Åº‹Í Ŵ¤ÇÒÁà¨çº»Ç´
                                   Œ
          ºÒ´á¼Åä¿äËÁŒÃعá繌ÍÂËÃ×ͺҴá¼Åä¿äËÁŒµ×é¹ÃдѺ 2 (Superficial secondary
degree burn) ã¹»˜¨¨Øº¹àÃÒ㪌ÇÊ´Ø»´á¼Å·Õ·¹ÊÁÑÂÁÒ»´á¼Å «Ö§»˜¨¨Øº¹¹‹Ò¨Ð໚¹ËͼٻÇÂä¿äËÁŒ
                     Ñ       Ñ        è Ñ              è      Ñ             Œ †
·ÕÁÇÊ´Ø»´á¼Å·Õ·¹ÊÁÑÂÁÒ¡·ÕÊ´áË‹§Ë¹Ö§¢Í§»ÃÐà·Èä·Â â´Âà·¤¹Ô¤ÊÒÁÒöŴ¨íҹǹ¤Ãѧ¢Í§¡ÒÃ
  è ÕÑ        è Ñ          èØ       è                                           é
214                                                            Journey to Excellent Burn Unit

·íÒá¼Å·Ø¡Çѹ äÁ‹µÍ§·íÒ·Ø¡ÇѹàËÁ×͹ᵋ¡Í¹ ÊÒÁÒö·íÒá¼Å·Ø¡ 3-7 Çѹ䴌¢¹¡ÑºÅѡɳФÇÒÁª×¹
                  Œ                   ‹                             Öé              é
á©Ð¢Í§ºÒ´á¼Å ·íÒãËŒ¼»ÇÂ䴌ú¤ÇÒÁà¨çº»Ç´¢Í§ºÒ´á¼ÅŴŧ Å´ÀÒÇФÇÒÁà¤ÃÕ´ à¾ÔÁ¤ÇÒÁ
                      ÙŒ †    Ñ                                                è
Êдǡãˌᡋº¤ÅÒ¡Ãâ´Â੾ÒоÂÒºÒÅ໚¹Í‹ҧÁÒ¡ áÅмٻǨíҹǹÁÒ¡·ÕÍÒ¨µŒÍ§à¤Â¹Í¹ Ã.¾
             Ø                                      Œ †                è
.à¾×Í·íÒá¼Å ã¹»˜¨¨Øº¹ÊÒÁÒö¡ÅѺºŒÒ¹ ¹Ñ´ÁÒ·íÒá¼Å໚¹ÃÐÂШ¹ËÒÂ´Õ Êдǡµ‹Í¼Ù»ÇÂáÅЭҵÔ
    è               Ñ                                                      Œ †
Í‹ҧÁÒ¡




ºÒ´à¨çºÃعáç㹻˜¨¨ØºÑ¹äÁ‹µŒÍ§·íÒá¼Åº‹Í ¶ŒÒàÅ×͡㪌ÇÑÊ´Ø»´á¼ÅÃØ‹¹ãËÁ‹·Õè·Ñ¹ÊÁÑÂáÅÐ
  àËÁÒÐÊÁ Å´¤ÇÒÁà¨çº»Ç´ºÒ´á¼Å áÅÐ à¾ÔèÁ¤ÇÒÁÊдǡʺÒÂ㹡ÒúÃÔ¡Òüٌ»†ÇÂ

            à·¤¹Ô¤¡Òü‹ÒµÑ´ºÒ´á¼Åä¿äËÁŒÃ¹áç    Ø
            Early burn wound excision and skin coverage
            ¼Ù»ÇÂä¿äËÁŒ´¡ÃÕÅ¡µÑ§áµ‹ Deep secondary to third degree burn ¢Ö¹ä» ¡ÒÃÃÑ¡ÉÒʋǹ
              Œ †           Õ Ö é                                         é
ãË­‹ã¹»ÃÐà·Èä·Â¢³Ð¹Õ¤Í ¡Ò÷íÒá¼Åä»àÃ×ÍÂæ «Ö§¼Ù»ÇÂä¿äËÁŒÃ¹áçà¡Ô¹ 50% ÁÑ¡¨ÐàÊÕªÕǵ
                           é ×              è       è Œ †           Ø                      Ô
à¡×ͺ·Ñ§ËÁ´à¹×ͧ¨Ò¡ Burn wound sepsis à¹×ͧ¨Ò¡ÁÕà¹×͵Ò»ÃÔÁÒ³ÁÒ¡µÔ´ºÃÔàdzºÒ´á¼Å໚¹
        é          è                          è            é
ÊÒà˵ءÒõԴàª×Í ¡ÒÃÃÑ¡ÉÒá¼¹»˜¨¨Øº¹¤×Í¡Ò÷íÒ Early burn wound excision and skin coverage
                     é                  Ñ
«Ö§·Ò§·ÕÁᾷ䴌¹Òà·¤¹Ô¤¹ÕÁÒ㪌 ¢ŒÍ´Õ¤Í á¼ÅËÒÂàÃçÇ¢Ö¹ ¡ÅѺºŒÒ¹ä´ŒàÃçÇ¢Ö¹ Å´¡ÒÃà¡Ô´á¼Å໚¹
   è                   í       é          ×                  é          é
áÅÐ à¾ÔÁÍѵÃÒ¡ÒÃÃÍ´ªÕǵ ¼ÅÅѾ¸¢Í§¡ÒùíÒà·¤¹Ô¤¹ÕÁÒ㪌¡ÍãËŒà¡Ô´»ÃÐ⪹Í‹ҧÂÔ§ ·íÒãËŒ¡ÒÃ
          è              Ô                              é         ‹             è
ÃÍ´ªÕǵ¢Í§¼Ù»ÇÂä¿äËÁŒÃ¹áç¹Ñ¹ÁÕ¤ÇÒÁËÇѧÁÒ¡¢Ö¹ äÁ‹Ê¹ËÇѧÍÕ¡µ‹Íä» â´ÂÍѵÃÒ¡ÒÃÃÍ´ªÕǵ
      Ô         Œ †          Ø    é               é            Ôé                        Ô
¼Ù»ÇÂä¿äËÁŒÃ¹áç¢Í§ Siriraj Burn Unit ã¹Ãͺ 5 »‚·¼Ò¹ÁÒÊÙ§¶Ö§ 96 % ÊÙ§ã¹ÃдѺà·Õº෋ҡѺ
  Œ †            Ø                                    Õè ‹
Burn center Íѹ´ÑºµŒ¹æã¹»ÃÐà·È·Õ¾²¹ÒáÅŒÇ
                                    è Ñ




   ¼‹ÒµÑ´ early burn wound excision áÅÐ skin graft Å´ÍѵÃÒ¡ÒÃà¡Ô´á¼ÅË´ÃÑé§ áÅÐ
ÃÐÂÐàÇÅÒÍÂÙ‹âç¾ÂÒºÒÅ á¼ÅËÒÂàÃçÇ áÅÐ à¾ÔèÁÍѵÃÒ¡ÒÃÃÍ´ªÕÇԵ㹺Ҵà¨çºä¿äËÁŒÃعáç
àǪÈÒʵÏ·¹Âؤ 2553
          Ñ                                                                                215

           Hydrosurgery
           ¡ÒùíÒà·¤¹Ô¤áÅÐà¤Ã×ͧÁ×ͼ‹ÒµÑ´áç´Ñ¹¹éÒÊÙ§ÁÒ㪌໚¹áË‹§áá㹻ÃÐà·Èä·Â ¹Ñ¹¤×Í
                                è                í                                 è
Hydrosurgery (Smith & Nephew Ltd.) «Ö§à¤Â໚¹à·¤¹Ô¤¡Òü‹ÒµÑ´·Õ¹ÂÁ㪌㹻ÃÐà·È·Õ¾²¹Ò â´Â
                                        è                     è Ô             è Ñ
àËÁÒСѺºÒ´á¼Åä¿äËÁŒ·ÁÕ eschar ¹ØÁæ áÅÐàÃÔÁËÅØ´ÅÍ¡ÍÍ¡ ¡ÒùíÒà·¤¹Ô¤¹ÕÁÒ㪌ÊÒÁÒöŴ
                           Õè         ‹       è                           é
¡ÒÃÊÙ­àÊÕÂà¹×ÍàÂ×Í·Õ´Õ ·íÒãˌŴ¡ÒÃàÊÕÂàÅ×Í´ Å´¡ÒõѴºÒ´á¼ÅÅÖ¡à¡Ô¹ä» â´Â¼Ù»ÇÂÃÒÂáá¢Í§
             é è è                                                       Œ †
»ÃÐà·Èä·Â¹Ñ¹ä´ŒÃº¡Òü‹ÒµÑ´¢³Ð admit ÍÂÙ‹ º¹ËͼٻÇ Siriraj Burn Unit ã¹à´×͹¸Ñ¹ÇÒ¤Á
              é   Ñ                                 Œ †
»‚ 2547 »˜¨¨Øº¹à·¤¹Ô¤¹Õä´Œ¹ÒÁÒ㪌Í‹ҧá¾Ã‹ËÅÒÂã¹»ÃÐà·Èä·Â
                Ñ         é í




 Hydrosurgery ¼‹ÒµÑ´ä¿äËÁŒÃعáç·ÕèÁÕ¢ŒÍº‹§ªÕé·ÕèàËÁÒÐÊÁ ÊÒÁÒöŴ¡ÒõѴà¹×éÍ´Õà¡Ô¹¨íÒ
  ໚¹ Å´¡ÒûÅÙ¡¶‹Ò¼ÔÇ˹ѧáÅÐà¾ÔèÁºÒ´á¼ÅãËÁ‹á¡‹¼ÙŒ»†Ç áÅÐ ºÒ´á¼ÅËÒÂàÃçÇ¢Öé¹

          Tissue engineering artificial dermal template
          ¼Ù»ÇÂä¿äËÁŒÃ¹áç·ÕÁ¼Ç˹ѧäÁ‹¾ÍÁÒ·íÒ skin graft »´á¼Å ËÃ×ͺҴá¼Åä¿äËÁŒÃ¹áç
            Œ †       Ø     è Õ Ô                                                        Ø
·ÕËÒÂáÅŒÇáÅÐÁÕÀÒÇÐË´Ãѧ¨Ò¡ scar contracture µŒÍ§ä´ŒÃº¡Òü‹ÒµÑ´ reconstruction ᵋäÁ‹ÁÕ skin
    è                   é                             Ñ
graft ·Õ´¾Í¨ÐÁÒ»´á¼Å ÁÕ¤ÇÒÁ¨íÒ໚¹µŒÍ§ãªŒ tissue engineering template ÁÒÊÌҧªÑ¹ dermis
        è Õ                                                                         é
¢Ö¹ÁÒãËÁ‹ Siriraj Burn Unit Âѧ໚¹ unit ·ÕÁ»ÃÐʺ¡Òóã¹¡ÒùíÒ artificial dermis ÁÒ㪌ÁÒ¡·ÕÊ´
  é                                         Õ                                                èØ
¶Ù¡µŒÍ§µÒÁ¢ŒÍº‹§ªÕ¢Í§¡ÒÃ㪌áÅмٻÇÂà¡×ͺ·Ñ§ËÁ´ä´Œ¼ÅÅѾ¸¡ÒÃÃÑ¡ÉÒ·Õ´àÂÕÂÁ ·íÒãËŒºÒ´á¼ÅËÒÂ
                  é               Œ †         é                      è Õ è
ä´Œ Å´¡Ò÷ء¢·ÃÁÒ¹¨Ò¡ºÒ´á¼ÅäÁ‹ËÒ ¤ÇÒÁà¨çº»Ç´¢Í§ºÒ´á¼Å áÅÐÅ´¡ÒÃà¡Ô´á¼ÅË´Ãѧ䴌            é
໚¹Í‹ҧ´Õ




   Tissue engineering artificial dermis ¹íÒÁÒ¼‹ÒµÑ´»´Å§º¹ºÒ´á¼Åä¿äËÁŒà¡Ô¹ 80%
           ¢Í§¾×é¹·Õè¼ÔÇ àËÅ×Í skin graft ·Õè´Õ¹ŒÍ ÊÒÁÒöᡌÀÒÇÐË´ÃÑé§´ÕàÂÕèÂÁ
        ¼ÙŒ»†ÇÂà´ç¡ÃÒ¹Õé¨Ò¡à´Ô¹äÁ‹ä´Œ ¡ÅѺä»à»š¹¹Ñ¡¡ÕÌҿصºÍŢͧâçàÃÕ¹䴌
216                                                             Journey to Excellent Burn Unit




            ¼‹ÒµÑ´á¡Œä¢ÀÒÇÐË´ÃÑé§ ¢Í§ºÒ´á¼Åä¿äËÁŒÅÖ¡ÃØ¹áç áÅÐᡌ䢴ŒÇÂ
                          tissue engineering artificial dermis

            ¡ÒúÃÔ¡Òôب­ÒµÔÁµÃ  Ô
            ãËŒ¡ÒúÃÔ¡Òôب­ÒµÔÁµÃ ´ŒÇ·ÕÁᾷáÅоÂÒºÒÅ·ÕÁ¤ÇÒÁàªÕÂǪҭ㹴ŒÒ¹¡ÒôÙáÅ
                                   Ô                         è Õ       è
ÃÑ¡ÉÒ¼Ù»ÇÂä¿äËÁŒ¹ÒÌ͹Åǡ໚¹Í‹ҧ´Õ ãËŒ¼»ÇÂáÅЭҵÔä´ŒáÊ´§¢ŒÍàʹÍá¹Ð ¢ŒÍ¤Ô´àËç¹ä´ŒµÅÍ´
        Œ †         éí                       ÙŒ †
à¾×è͹íÒä»»ÃѺ»Ãا㹴ŒÒ¹¡ÒúÃÔ¡ÒÃãËŒ´ÕÂÔè§¢Öé¹ä» ÀÒÂËÅѧ¨íÒ˹‹Ò¼ٌ»†ÇÂÍÍ¡¨Ò¡âç¾ÂÒºÒÅÁÕ
.amily planning ãˌᡋ¼»ÇÂáÅÐ­ÒµÔ áÅйѴ¼Ù»ÇÂÁÒÃѺ¡ÒÃÃÑ¡ÉÒÍ‹ҧµ‹Íà¹×ͧ ¤ÃºÇ§¨Ã ´ÙáÅ´ŒÒ¹
                         ÙŒ †                  Œ †                       è
¡ÒÃà¡Ô´ºÒ´á¼ÅË´Ãѧ ´ŒÒ¹¨Ôµã¨ áÅÐ àǪÈÒʵÏ¿¹¿Ù ÁÕ¡ÒõԴµ‹Í»ÃÐÊÒ¹§Ò¹¡ÑºË¹‹Ç§ҹµ‹Ò§æ
                       é                           „œ
·Õà¡ÕÂÇ¢ŒÍ§ ໚¹¡ÒÃÃÑ¡ÉÒ multidisciplinary approach Ẻ¤ÃºÇ§¨Ã
  è è




                                 ºÃÔ¡ÒôŒÇÂ㨠´Ø¨­ÒµÔÁÔµÃ

       2. ¡ÒÃÇÔ¨ÑÂáÅÐà¼Âá¾Ã‹¤ÇÒÁÃÙŒ
           ·ÕÁᾷáÅоÂÒºÒÅã¹ Siriraj Burn Unit µÃÐ˹ѡ¶Ö§¤ÇÒÁÊíҤѭ¢ŒÍ¹ÕàÊÁÍ ¡Ò÷íÒÇÔ¨Â
                                                                             é               Ñ
áÅÐà¼Âá¾Ã‹Í§¤¤ÇÒÁÃ٨зíÒãˌ˹‹Ç§ҹ¾Ñ²¹ÒáÅÐÊÌҧª×ÍàÊÕ§ãËŒ¡ºÊ¶ÒºÑ¹ ã¹Ãͺ 5 »‚·¼Ò¹ÁÒ
                        Œ                              è          Ñ                Õè ‹
ÁռŧҹµÕ¾Á¾â´Â·ÕÁᾷáÅоÂÒºÒŨҡ Siriraj Burn Unit ·Ñ§ã¹»ÃÐà·ÈáÅе‹Ò§»ÃÐà·ÈÍ‹ҧ
           Ô                                                 é
µèÒà¹×ͧ ÃÇÁ·Ñ§ºØ¤ÅÒ¡Ãã¹Ë¹‹Ç§ҹ䴌໚¹ÇÔ·ÂÒ¡Ãà¼Âá¾Ã‹¤ÇÒÁÃÙ·§ã¹áÅе‹Ò§»ÃÐà·ÈÃÇÁ¡Ç‹Ò
  í è             é                                              Œ Ñé
200 ¤ÃÑ§é      ¤Ãѧ˹֧à¤Âä´Œ¹ÒàʹÍ໚¹áººÍ‹ҧã¹â¤Ã§¡Òà R2R ¢Í§¤³Ðá¾·ÂÈÒʵÏÈÃÃÒª
                    é è         í                                                       ÔÔ
¾ÂÒºÒÅ ·Ò§Ë¹‹Ç§ҹ䴌úÃÒ§ÇÑÅÁÒ¡ÁÒ·ѧ¨Ò¡¡ÒÃà¼Âá¾Ã‹»ÃСǴ¼Å§Ò¹ÇÔ¨ÂÀÒ¹͡¤³Ð
                              Ñ             é                                  Ñ
áÅÐÀÒÂ㹤³Ðä´ŒÃѺÃÒ§ÇÑŨҡ¹Çѵ¡ÃÃÁãËÁ‹æËÅÒÂÃÒ§ÇÑÅÃÇÁ·Ñé§ä´ŒÃѺÃÒ§ÇÑÅ˹‹Ç§ҹ´Õà´‹¹
µÑÇÍ‹ҧ»ÃÐàÀ· ´ÒǷͧµÔ´µ‹Í¡Ñ¹ 3 »‚«Í¹ (2551-2553) ã¹»˜¨¨Øº¹ÁÕ¹¡ÈÖ¡ÉÒ»ÃÔ­­Òâ·áÅÐàÍ¡
                                      Œ                        Ñ Ñ
¨Ò¡Ê¶ÒºÑ¹Í×¹ÁÒËÇÁ»¯Ôºµ§Ò¹·Õè Siriraj Burn Unit ໚¹ÃÐÂÐæ ·íÒãËŒÁáÅ¡à»ÅÕ¹¤ÇÒÁÃÙã¹´ŒÒ¹¡ÒÃ
             è            Ñ Ô                                       Õ      è     Œ
ÇÔ¨Âã¹Ç§¡ÇŒÒ§¢Ö¹ ÁÕ¡ÒáÃШÒÂͧ¤¤ÇÒÁÃÙáÅ¡à»ÅÕ¹¾Ñ²¹Òã¹ÃдѺ·Õʧ¢Ö¹ ¡ÒþѲ¹Ò¼Å§Ò¹ÇÔ¨Â
   Ñ            é                       Œ       è                     èÙ é                 Ñ
àǪÈÒʵÏ·¹Âؤ 2553
          Ñ                                                                               217

¡ç¨Ð´ÕáÅÐÁÒ¡¢Ö¹µÒÁÅíҴѺ Siriraj Burn unit ÁÕ¹âºÒ¡ÒþѲ¹Òͧ¤¤ÇÒÁÃÙáÅмŧҹ´ŒÒ¹ÇÔ¨Â
                 é                                                     Œ            Ñ
á¡‹º¤Åҡ÷ѧ˹‹ÇÂäÁ‹ÇÒ¨Ð໚¹ÍÒ¨ÒÏᾷ ᾷ»ÃШíÒºŒÒ¹ ¾ÂÒºÒÅ ·ÕÁ¤ÇÒÁʹã¨áÅзíÒ§Ò¹
     Ø        é        ‹                                           è Õ
ÍÂÙ‹ ³ ËͼٻÇÂáË‹§¹Õé »˜¨¨Øº¹ÁÕ¾ÂÒºÒÅàªÕÂǪҭÃдѺ 9 1 ¤¹ ¾ÂÒºÒÅàªÕÂǪҭÃдѺ 8 ¶Ö§
             Œ †            Ñ           è                                è
6 ¤¹ àÃÒ¶×ÍNjҺؤÅÒ¡Ãã¹Ë¹‹Ç§ҹ·Ø¡¤¹¤×Í burn team à´ÕÂǡѹ áÅШзíÒ§Ò¹ã¹áºº team work
à¾×ÍÊÌҧª×ÍàÊÕ§ãËŒ¡ºÊ¶ÒºÑ¹¤×Í ¤³Ðá¾·ÂÈÒʵÏÈÃÃÒª¾ÂÒºÒÅ
   è       è         Ñ                           ÔÔ




              ºØ¤ÅÒ¡Ãã¹Ë¹‹Ç§ҹ¹íÒàʹͼŧҹÇԨѷÑé§ã¹áÅе‹Ò§»ÃÐà·È




  ÃÒ§ÇÑÅáË‹§¤ÇÒÁÊíÒàÃç¨ã¹Ãͺ 5 »‚·Õ輋ҹÁÒ໚¹¼Å§Ò¹¢Í§ºØ¤ÅÒ¡Ã Siriraj Burn Team:
               ä´ŒÃѺÃÒ§ÇÑÅ˹‹Ç§ҹ´Õà´‹¹´ÒǷͧ ¹Çѵ¡ÃÃÁ´Õà´‹¹ áÅÐ
                  ÃÒ§ÇÑŪ¹ÐàÅÔȨҡ¡ÒûÃСǴ¼Å§Ò¹ÇÔ¨ÂÁÒ¡ÁÒÂ
                                                      Ñ

          ¢³Ð¹ÕàÃÒÁÕ Siriraj Burn Unit ÂØ¤»ÃѺ»ÃاãËÁ‹ àÁ×ÍÁÕºÒ¹ËÅѧãËÁ‹·¾ÃŒÍÁ·Ñ§ã¹´ŒÒ¹ºØ¤ÅÒ¡Ã
                   é                                        è Œ           Õè     é
·ÕÁ§Ò¹ à¤Ã×ͧÁ×ÍÍØ»¡Ã³¡ÒÃᾷ··¹ÊÁÑ ¡çà»ÃÕºàÊÁ×͹ÁÕÃÒ¡°Ò¹·Õá¢ç§á¡Ã‹§ ¾ÃŒÍÁ·Õ¨Ð¾Ñ²¹Ò
            è                         Õè Ñ                            è                è
ËÃ×Í¡ŒÒǵ‹Íä»´ŒÇ¤ÇÒÁÁѹ¤§ ¡íÒÅѧÊíҤѭ¢Í§ºØ¤Åҡ÷ء淋ҹã¹ËͼٻÇ Siriraj burn unit ¤×Í
                           è                                            Œ †
áç¼ÅÑ¡´Ñ¹·Õ¨Ð·íÒãËŒ»ÃÐʺ¤ÇÒÁÊíÒàÃ稴ѧ·ÕËÇѧäÇŒ ໚¹ËͼٻÇ·ÕãËŒ¡ÒôÙáÅÃÑ¡ÉҼٻǴŒÇ¨Եã¨
                 è                         è è                 Œ † è               Œ †
ºÃÔÊ·¸Ôì äÁ‹Á§ËÇѧ¼Å¡íÒäÃËÃ×Í¼ÅµÍºá·¹ã´æ àÃÒ ËÃ×Í “Siriraj Burn Team” 㹤ÇÒÁËÁÒ¢ͧ¼Á
      Ø       Ø‹
¹Ñ¹¤×ͤÇÒÁËÇÁÁ×ͷѧËÁ´¨Ò¡àÅ×Í´ÊÕà´ÕÂǡѹ¹Ñ¹¤×Í¡íÒÅѧ¼ÅÑ¡´Ñ¹¨Ò¡ÊͧÊÒ¢ÒÇÔªÒ¤×Í ÈÑÅÂÈÒʵÏ
   é                 é                           è
ÍØºÑµÔà˵ØáÅÐÈÑÅÂÈÒʵϵ¡áµ‹§ ÍÕ¡¡ÅØ‹Á§Ò¹Ë¹Öè§·Õè¼ÁÍ´·Õè¨Ð¢Íº¤Ø³áÅЪ×蹪Áà¾ÃÒжŒÒ¢Ò´à¢Ò
àËŋҹÕä» ¡Ò÷íÒ§Ò¹ã¹Ëͼٻǹդ§äÁ‹ÃÒºÃ׹໚¹á¹‹¹¹¤×Í ·ÕÁ¾ÂÒºÒżÙàªÕÂǪҭ´ŒÒ¹¡ÒôÙáÅ
        é                     Œ † é            è         Ñè                  Œ è
¼Ù»ÇÂä¿äËÁŒáÅкؤÅÒ¡Ãã¹ËͼٻÇ Siriraj Burn Unit ·Ñ§ËÁ´ ³ ºÑ´¹Õé Siriraj Burn Unit ¨Ð໚¹
  Œ †                             Œ †                        é
218                                                             Journey to Excellent Burn Unit

˹‹Ç§ҹ˹֧·Õ¾ÃŒÍÁ¨ÐËÇÁ¡Ñ¹ÊÌҧª×ÍàÊÕ§Íѹà¡ÃÕ§ä¡ÃãËŒ¡ºÀÒ¤ÇÔªÒÈÑÅÂÈÒʵÏÈÃÃÒªÍѹ໚¹·Õè
             è è                       è                       Ñ                ÔÔ
ÃÑ¡ÂÔ§¢Í§àÃÒ ¾ÃŒÍÁ·Õ¨Ð¡ŒÒÇä»Í‹ҧäÁ‹ËÂØ´ÂѧÊÁ´Ñ§¤íÒ “Journey to Excellent Siriraj Burn Unit.”
     è               è                      é
ÊØ´·ŒÒ¹ռÁ¢ÍãËŒ Siriraj Burn Unit ¨Ð໚¹ËͼٻÇ·ըÐ໚¹·Õ¾§ËÃ×ͤÇÒÁËÇѧ˹֧¢Í§¼Ù»ÇºҴà¨çº
         é                                    Œ † è       è Öè             è       Œ †
ä¿äËÁŒã¹»ÃÐà·Èä·ÂÍѹ໚¹·Õá¢Í§àÃÒµÅÍ´¡ÒŹҹ
                               èÑ
àǪÈÒʵÏ·¹Âؤ 2553
          Ñ                                                                       º··Õè       219

                                                                                   34
                 ¡ÒÃÃÑ¡ÉÒ¡Ãд١ËÑ¡à˵Øâäà¹×éͧ͡¡Ãд١
                   (Treatment of Pathologic .racture)
                                               ÍÒ¨ÒÏ ᾷ˭ԧ¨Ñ¹·¹ÃÑÈÁ ¨Ñ¹·¹ÂÔè§Â§
                                                 ÍÒ¨ÒÏ ¹ÒÂᾷ¸ÕÃÇØ²Ô ¸ÃÃÁÇÔºÙŏÈÃÕ
                                                  ÍÒ¨ÒÏ ¹ÒÂᾷÃоԹ·Ã ¾ÔÁÅÈÒ¹µÔì
                                    ¼ÙŒª‹ÇÂÈÒʵÃÒ¨ÒÏ ¹ÒÂᾷ¡ŒÍ§à¢µ àËÃÕÂ­ÊØÇÃó
ÀÒ¤ÇÔªÒÈÑÅÂÈÒʵÏÍÍÏ⸻´¤ÊáÅСÒÂÀÒ¾ºíҺѴ ¤³Ðá¾·ÂÈÒʵÏÈÃÃÒª¾ÂÒºÒÅ ÁËÒÇÔ·ÂÒÅÑÂÁËÔ´Å
                          Ô                                ÔÔ


           ¡Ãд١ËÑ¡à˵Øâä (Pathologic fracture) à¡Ô´¨Ò¡¡ÒÃËÑ¡¢Í§¡Ãд١·ÕÁ¾ÂÒ¸ÔÊÀÒ¾ «Ö§ÊÒà˵Ø
                                                                                   è Õ       è
¡ÒÃËÑ¡¢Í§¡Ãд١à¡Ô´¨Ò¡áç¡ÃзíÒà¾Õ§àÅ硹ŒÍ â´Âáç¡ÃзíÒ¹ÕäÁ‹ÊÒÁÒö·íÒãËŒà¡Ô´¡Ãд١Ëѡ䴌
                                                                        é
㹺ؤ¤Å·ÑÇä» ÊÒà˵ط·ÒãËŒà¡Ô´¡Ãд١ËÑ¡à˵Øâä 䴌ᡋ ÀÒÇСÃд١¾Ãع (osteoporosis) âä¡Ãд١
             è                  Õè í
¾ÃعàÁµÒºÍÅÔ¡ (metabolic bone disorders) âä¡Ãд١µÔ´àª×Í (osteomyelitis) áÅÐ à¹×ͧ͡¡Ãд١
                                                                  é                      é
໚¹µŒ¹ à¹×ͧ͡¡Ãд١·Õ໚¹ÊÒà˵آͧ¡ÒÃà¡Ô´¡Ãд١ËÑ¡à˵Øâä㹼ÙãË­‹Á¡à¡Ô´¨Ò¡à¹×ͧ͡¡Ãд١
               é                   è                                      Œ      Ñ         é
·ØµÂÀÙÁÔ ËÁÒ¶֧ à¹×ͧ͡·Õ¡ÃШÒÂÅØ¡ÅÒÁÁÒ¨Ò¡à¹×ͧ͡ºÃÔàdzÍ×¹ ·Õ¾ºº‹ÍÂ䴌ᡋ ÁÐàÃ移ʹ
    Ô                         é          è              é                   è è
ÁÐàÃç§àµŒÒ¹Á ÁÐàÃç§µ‹ÍÁä·ÃÍ´ ÁÐàÃç§äµ áÅÐ ÁÐàÃç§µ‹ÍÁÅÙ¡ËÁÒ¡
           à¹×ͧ͡·Õá¾Ã‹¡ÃШÒÂÅØ¡ÅÒÁÁÒÂѧ¡Ãд١ʋǹÁÒ¡ÃÑ¡ÉÒẺ͹ØÃ¡É¹ÂÁ ઋ¹¡ÒéÒÂáʧ
                 é   è                                                          Ñ Ô
ËÃ×Í ¡ÒÃãËŒÂÒà¤ÁպҺѴ à¹×ͧ¨Ò¡ÊÒÁÒöŴ¡ÒÃà¨çº»Ç´ áÅÐ ªÅÍ¡ÒÃÅØ¡ÅÒÁ¢Í§¡Ò÷íÒÅÒ¡Ãд١
                       í             è
ä´Œ´Õ ¡àÇŒ¹ã¹¡Ã³Õ·à¡Ô´¡Ãд١ËÑ¡ ËÃ×Í ÁÕ¡Ò÷íÒÅÒ¡Ãд١໚¹ºÃÔàdz¡ÇŒÒ§¨¹ÍÒ¨à¡Ô´¡ÒÃËÑ¡¢Ö¹â´Â
                         Õè                                                                    é
§‹Ò (impending fracture) ¨Ö§¨íÒ໚¹µŒÍ§ÃÑ¡ÉÒâ´Â¡Òü‹ÒµÑ´ à¹×ͧ¨Ò¡¡Ãд١ËÑ¡à˵ØâäÁÑ¡äÁ‹µ´àͧ
                                                                    è                            Ô
â´Â¡ÒÃÃÑ¡ÉÒẺ͹ØÃ¡É¹ÂÁ          Ñ Ô
           Çѵ¶Ø»ÃÐʧ¤ã¹¡Òü‹ÒµÑ´¼ÙŒ»†Ç·ÕèÁÕÁÐàÃç§¡ÃШÒÂÅØ¡ÅÒÁÁÒ·Õè¡Ãд١¤×Í Å´¤ÇÒÁà¨çº»Ç´
·íÒãËŒ¼»ÇÂà¤Å×͹äËÇä´ŒÊдǡ ª‹ÇÂàËÅ×͵¹àͧ䴌 ·íÒãËŒ¡ÒþÂÒºÒÅÃÑ¡ÉÒ໚¹ä»ä´Œâ´ÂÊдǡ
        ÙŒ †       è
ÍÕ¡·Ñ§ª‹Ç¾Ѳ¹Ò¤Ø³ÀÒ¾ªÕǵ áÅÐ ÊØ¢ÀÒ¾¨Ôµã¨¢Í§¼Ù»ÇÂã¹ÃÐÂÐÊØ´·ŒÒ Çѵ¶Ø»ÃÐʧ¤ËÅÑ¡¢Í§¡ÒÃ
      é                                Ô               Œ †
¼‹ÒµÑ´ ¤×Í ¡Ò÷íÒãËŒ¼»ÇÂà¤Å×͹äËÇËҧ¡Ò áÅРŧ¹éÒ˹ѡ䴌·¹·Õ (immediate weight bearing)
                            ÙŒ †           è              í           Ñ
äÁ‹¤Ç÷íÒ¼‹ÒµÑ´ËÒ¡»ÃÐàÁÔ¹áÅŒÇÇ‹Ò ÀÒÂËÅѧ¡Òü‹ÒµÑ´ ¼Ù»ÇÂäÁ‹ÊÒÁÒöà´Ô¹Å§¹éÒ˹ѡ䴌
                                                              Œ †                      í
           à·¤¹Ô¤¡Òü‹ÒµÑ´ áÅÐ à¤Ã×ͧÁ×Í·Õ㪌ÊǹãË­‹ãªŒ¢Íà·ÕÂÁ â´Â੾ÒТŒÍÊÐ⾡ ËÃ×Í âÅËдÒÁ
                                             è è ‹          Œ
Í×¹æ ËÇÁ¡Ñº«ÕàÁ¹µ¡Ãд١ (polymehtyl methacrylate; PMMA) à¾×èÍãˌ䴌¤ÇÒÁá¢ç§áç㹷ѹ·Õ
  è
220                                                            Treatment of Pathologic .racture

(immediate fixation and stability) à¾ÃÒÐÀÒÂËÅѧá¼ÅËÒ´ÕáÅŒÇ µŒÍ§ÃÑ¡ÉÒ´ŒÇ¡ÒéÒÂÃѧÊÕà¾×Í   è
ËÂØ´Âѧ¡ÒÃà¨ÃÔ­àµÔºâµ¢Í§à¹×ͧ͡ áÅÐ »‡Í§¡Ñ¹¡ÒáÅѺ໚¹«éҢͧà¹×ͧ͡Ãͺ¢ŒÍà·ÕÂÁ ËÃ×Í ÇÑÊ´Ø
        é                         é                          í     é
´ÒÁ¹Ñ¹æ ¡ÒéÒÂÃѧÊÕÁ¼Å·íÒãËŒ¡Ãд١äÁ‹µ´ ¨Ö§¤ÇÃËÅÕ¡àÅÕ§¡ÒÃ㪌¡Ãд١ allograft ÁÒ»ÅÙ¡ ËÃ×Í
      é                  Õ                   Ô           è
¡ÒÃ㪌âÅËзÕ赌ͧ¡ÒáÒÃàµÔºâµ¢Í§¡Ãд١à¾×èÍÂÖ´à¡ÒРઋ¹ ¢ŒÍà·ÕÂÁª¹Ô´äÁ‹äÊ‹«ÕàÁ¹µ¡Ãд١
(cementless prosthesis)
          º·ºÒ·¢Í§ÈÑÅÂᾷÍÍÏ⸻´¡Êã¹¡ÒÃÃÑ¡ÉÒÁÐàÃç§¡ÃШÒÂÅØ¡ÅÒÁÁÒÂѧ¡Ãд١ ¤×Í
                                           Ô
          1) Â×¹Âѹ¡ÒÃÇÔ¹¨©ÑÂÁÐàÃç§¡Ãд١
                             Ô
          2) ÃÑ¡ÉÒ¡Ãд١ËÑ¡Íѹà¡Ô´¨Ò¡ÁÐàÃç§¡ÃШÒÂÅØ¡ÅÒÁÁÒ
          3) ´Ùáżٌ»†Ç·ÕèÁÕá¹Ç⹌Á¨Ðà¡Ô´¡Ãд١ËÑ¡¨Ò¡âäÁÐàÃç§ ¡Òü‹ÒµÑ´ÁÕ¤ÇÒÁÊíҤѭÁÒ¡
à¹×ͧ¨Ò¡ÊÒÁÒöŴ¤ÇÒÁà¨çº»Ç´ à¾ÔÁ¤ÇÒÁÊÒÁÒö㹡ÒÃà¤Å×͹äËÇ áÅÐ à¾ÔÁ¤Ø³ÀÒ¾ªÕǵãËŒ¡º
    è                                    è                     è         è         Ô     Ñ
¼Ù»Ç áÁŒÇÒ¨ÐÁÕÃÐÂФҴ¡Òó¡ÒôíÒçªÕǵ·Õʹ¡çµÒÁ ã¹ÁÐàÃ秺ҧª¹Ô´àª‹¹ ÁÐàÃç§äµ ËÃ×Í ÁÐàÃç§
  Œ †         ‹                                Ô è Ñé
µ‹ÍÁä·ÃÍ´ ·ÕÁÃÍÂâäà¾Õ§¨Ø´à´ÕÂÇã¹Ã‹Ò§¡Ò (solitary skeletal metastasis) ¡Òü‹ÒµÑ´ wide
                    è Õ
excision ÊÒÁÒö·íÒãËŒ¼»ÇÂÁժǵÂ×¹ÂÒǢֹ䴌 (1, 2)
                           ÙŒ †     ÕÔ          é
          ¼Ù»Ç·Õ䴌ú¡ÒÃÇÔ¹¨©ÑÂÇ‹Ò à»š¹ÁÐàÃç§ áÅÐ ÁÕÍÒ¡ÒûǴ·Õà¡Ô´¢Ö¹ãËÁ‹ â´Â੾ÒÐÍ‹ҧÂÔ§
            Œ † è Ñ             Ô                                è é                           è
ºÃÔàdzËÅѧ áÅÐ ÊÐ⾡ ¤ÇÃ䴌ú¡ÒõÃǨÇÔ¹¨©ÑÂÀÒÇÐÁÐàÃç§¡ÃШÒÂÅØ¡ÅÒÁÁÒÂѧ¡Ãд١·Ø¡¤Ãѧ
                                       Ñ            Ô                                        é
¨¹¡Ç‹Ò¨Ð¾ÔÊÙ¨¹ä´ŒÇ‹ÒäÁ‹ãª‹ ËÒ¡¡ÒáÃШÒÂÅØ¡ÅÒÁ¹Ñé¹ÁÕËÅÒµíÒá˹‹§«Öè§µÃǨ¾ºä´Œã¹¼Å¡ÒÃ
Ê᡹¡Ãд١ ÁÑ¡äÁ‹¤‹ÍÂÁÕ»˜­ËÒ㹡ÒÃÇÔ¹Ô¨©Ñ (ÃÙ»·Õè 1) ᵋËÒ¡¾º¡ÒÃÊÐÊÁ¢Í§ÃѧÊÕ㹡ÒÃ
Ê᡹¡Ãд١à¾Õ§¨Ø´à´ÕÂÇ ÍÒ¨¨íÒ໚¹µŒÍ§µÑ´ªÔ¹à¹×Í仵ÃǨà¾×Í·ÃÒº¼Å·Ò§¾ÂÒ¸ÔÇ·ÂÒ áÅÐ ÇÒ§á¼¹
                                                  é é      è                Ô
¡ÒÃÃÑ¡ÉÒ·Õ¶¡µŒÍ§µ‹Íä»
                è Ù




ÃÙ»·Õè 1 Whole body bone scan ¢Í§¼ÙŒ»†Ç CA prostate áÊ´§¡Òà increase uptake ·ÕèËÅÒÂ
         µíÒá˹‹§·ÕèºÃÔàdz¡Ãд١ÊѹËÅѧ ¡Ãд١àªÔ§¡ÃÒ¹ ¡Ãд١Êкѡ áÅÐ ¡Ãд١«Õèâ¤Ã§
àǪÈÒʵÏ·¹Âؤ 2553
          Ñ                                                                                         221

        àÁ×ͼٻÇÂÁÒ¾ºá¾·Â´ÇÂÍÒ¡ÒûǴ¨Ò¡¡ÒÃà¡Ô´¡Ãд١ËÑ¡·ÕÁÊÒà˵ØÁÒ¨Ò¡ÁÐàÃç§ÅØ¡ÅÒÁ
           è Œ †               Œ                             è Õ
ÈÑÅÂᾷÍÍÏ⸻´¡Ê¨Ò໚¹µŒÍ§ÇÒ§á¼¹¡ÒÃÃÑ¡ÉÒ໚¹ÃÒ徊ȵÒÁ»˜¨¨Ñ·Õᵡµ‹Ò§¡Ñ¹ ã¹¼Ù»ÇÂᵋ
                  Ô í                                             è               Œ †
ÅÐÃÒ â´ÂËÅÑ¡¡ÒäÇõŒÍ§¾Ô¨ÒóҶ֧¼Å´Õ áÅÐ ¼ÅàÊÕÂÍѹà¡Ô´¨Ò¡¡Òü‹ÒµÑ´ à¹×ͧ¨Ò¡¼Ù»ÇÂÁÐàÃç§
                                                                        è     Œ †
ÁÑ¡ÁÕÍÒÂØÁÒ¡ ÁÕâä»ÃШíÒµÑÇÍ×¹ áÅÐÁÕ¡ÒþÂҡóÍµÃÒ¡ÒÃÁժǵàËÅ×ÍÃÍ´µèÒ
                             è                  Ñ        ÕÔ           í

ÀÒÇСÃд١àÊÕè§µ‹Í¡ÒÃËÑ¡¨Ò¡ÁÐàÃç§ (Impending fracture)
         ÃÍÂâä·Õ¡Ãд١ËÒ¡ÁÕ¢¹Ò´ãË­‹ÁÒ¡ÍÒ¨¾Âҡóä´ŒÇÒ ¨Ðà¡Ô´¡Ãд١ËÑ¡µÒÁÁÒ ·íÒãËŒ¼»ÇÂ
                 è                                            ‹                      ÙŒ †
ÁÕ¤ÇÒÁà¨çº»Ç´·ÃÁÒ¹ áÅÐ ÁÕ¤ÇÒÁÂÒ¡ÅíҺҡ㹡Òü‹ÒµÑ´¨Ñ´ÃÙ»¡Ãд١ãˌࢌҷÕèà¹×èͧ¨Ò¡¡Ãд١
·ÕË¡à¤Å×͹ ¡Òü‹ÒµÑ´ãÊ‹àËÅç¡´ÒÁà¾×Í»‡Í§¡Ñ¹¡ÒÃËÑ¡µÑ§áµ‹àËç¹ÃÍÂâ䡋͹·Õ¨Ðà¡Ô´¡Ãд١ËÑ¡¨Ö§ÁÕ
  è Ñ è                              è                 é                    è
¤ÇÒÁÊíҤѭµ‹ÍÈÑÅÂᾷÍÍÏ⸻´¡Ê ᵋà¹×ͧ¨Ò¡¡Òü‹ÒµÑ´¼Ù»ÇÂã¹¡ÅØÁ¹ÕÁ¤ÇÒÁàÊÕ§·Õ¨Ðà¡Ô´¼Å
                                  Ô        è                    Œ †  ‹ é Õ    è è
á·Ã¡«ŒÍ¹ÊÙ§ ¨Ö§ÁÕËÅѡࡳ±¡ÒþԨÒóҤѴàÅ×͡੾ÒмٻÇ·ÕàËÁÒÐÊÁ㹡ÒÃÃѺ¡ÒÃÃÑ¡ÉÒâ´Â¡ÒÃ
                                                         Œ † è
¼‹ÒµÑ´ ´Ñ§¹Õé
         Harrington’s classification for prophylactic internal fixation (3)
         1. Lesion greater than 2.5 cm
         2. Lesion greater than 50% of the cross sectional bone destruction
         3. Persistent bone pain during or after radiation therapy

µÒÃÒ§·Õè 1 Mirel’s scoring system* (4)
 Variable                                              Score
                            1                          2                         3
 Site                      Upper extremity             Lower extremity           Peritrochanteric
 Size                      <1/3                        1/3 - 2/3                 > 2/3
 Pain                      Mild                        Moderate                  .unctional
 Lesion                    Blastic                     Mixed                     Lytic
*Base on radiograph, not computer tomography (CT scan); 78 radiated metastatic long bone lesions


         General guidelines for scores
         Score ! 7       no internal fixation
         Score > 9       internal fixation
         Score = 8       consider internal fixation, individualized care and possibly CT scan

       ËÒ¡¾Ô¨ÒóҼŤÐṹ䴌µÒ¡Ç‹Ò 7 ãˌáÉÒâ´Â¡ÒéÒÂÃѧÊÕ ËÒ¡¼Å¤Ðṹ䴌෋ҡѺ 8
                                   èí         Ñ
ãËŒ¾¨ÒóÒ໚¹ÃÒÂæ ä»Ç‹Ò¨Ð¼‹ÒµÑ´ internal fixation ¡‹Í¹¡ÒéÒÂÃѧÊÕËÃ×ÍäÁ‹ ËÒ¡ä´ŒÁÒ¡¡Ç‹Ò 9
    Ô
¤Ðá¹¹¤Çü‹ÒµÑ´ internal fixation ¡‹Í¹áŌǨ֧©ÒÂÃѧÊÕ (ÃÙ»·Õè 2.1, 2.2)
222                                                        Treatment of Pathologic .racture




ÃÙ»·Õè 2.1 ¼ÙŒ»†ÇÂÁÐàÃ移ʹ ÁÕÃÍÂâä·ÕèºÃÔàdz intertrochanteric area ¤íҹdz Mirel’s score
           ä´Œ¤Ðá¹¹ 11 ¨Ò¡à»š¹pertrochanteric area(3) ¤Ãͺ¤ÅØÁ >2/3 ¢Í§¡Ãд١(3) ÁÕ¤ÇÒÁ
           à¨çº»Ç´ã¹ÃдѺ moderate(2) áÅР໚¹ osteolytic lesion(3) ÁÕ¢ŒÍº‹§ªÕé㹡Òü‹ÒµÑ´
           internal fixation




ÃÙ»·Õè 2.2 ËÅѧ䴌ú¡Òü‹ÒµÑ´ãÊ‹àËÅç¡´ÒÁ Proximal femoral locking plate (P.-LCP) áÅÐãÊ‹
                   Ñ
           «ÕàÁ¹µ¡Ãд١ ¼ÙŒ»†ÇÂÊÒÁÒöà´Ô¹Å§¹éíÒ˹ѡ䴌 »Ç´Å´Å§ áÁŒÇ‹Òµ‹ÍÁÒ¨ÐÂѧÁÕ
           progressive osteolytic lesion ·Õè acetabulum áÅÐ ÁÕ superior and inferior pubic
           rami fractureÀÒÂËÅѧ ·íÒ¡ÒÃÃÑ¡ÉÒâ´Â¡ÒéÒÂÃѧÊÕ ÍÒ¡ÒôբÖé¹
àǪÈÒʵÏ·¹Âؤ 2553
          Ñ                                                                             223

¡ÒûÃÐàÁÔ¹¼ÙŒ»†Ç¡‹Í¹¼‹ÒµÑ´ (Preoperative evaluation)
         ¡ÒÃàµÃÕÂÁ¼Ù»Ç¡‹Í¹¼‹ÒµÑ´ÁÕ¤ÇÒÁÊíҤѭÂÔ§ã¹¼Ù»ÇÂÁÐàÃç§¡Ãд١·ØµÂÀÙÁÔ à¹×ͧ¨Ò¡¼Ù»ÇÂ
                     Œ †                             è Œ †              Ô        è      Œ †
ã¹¡ÅØÁ¹ÕÁ¡ÁÕ¤ÇÒÁ¼Ô´»¡µÔ¢Í§ÊÁ´ØÅà¡Å×ÍáË ͧ¤»ÃСͺ¢Í§àÅ×Í´ áÅÐ ÁÕÀÒÇзؾâÀª¹Ò¡ÒÃ
       ‹ é Ñ
ÁÕâÍ¡ÒʵԴàª×Íä´Œ§Ò ઋ¹ »Í´ºÇÁ ËÃ×Í ¡ÒõԴàª×Í·Ò§à´Ô¹»˜ÊÊÒÇШҡ¡ÒÃäÁ‹à¤Å×͹äËÇ໚¹àÇÅÒ
                é ‹                                é                          è
¹Ò¹ ÀÒÇÐàÁç´àÅ×Í´¢ÒǵèÒÀÒÂËÅѧ¡ÒÃãËŒÂÒà¤ÁպҺѴ ËÃ×Í ¼ÔÇ˹ѧÍÑ¡àʺµÔ´àª×Íä´Œ§Ò¨ҡ¡ÒÃ
                          í                           í                      é ‹
©ÒÂÃѧÊÕÃÑ¡ÉÒ ¼ÙŒ»†Ç¤ÇÃä´ŒÃѺ¡ÒõÃǨàÅ×Í´à¾×èÍ»ÃÐàÁÔ¹ÀÒÇЫմáÅÐÀÒÇСÒÃá¢ç§µÑǢͧàÅ×Í´
¼Ô´»¡µÔ¨Ò¡âäàÃ×éÍÃѧ ¡ÒâҴÇÔµÒÁԹठËÃ×Í ¡ÒÃÁÕÁÐàÃç§ÅØ¡ÅÒÁä»·ÕèµÑº ¤ÇÃàµÃÕÂÁàÅ×Í´áÅÐ
ʋǹ»ÃСͺ¢Í§àÅ×Í´äÇŒà¾×Í㪌㹡Òü‹ÒµÑ´Í‹ҧà¾Õ§¾Í µÃǨÃдѺá¤Åà«ÕÂÁã¹àÅ×Í´ ËÒ¡ÁÕÃдѺ
                            è
ÊÙ§¤ÇÃá¡Œä¢ à¾ÃÒÐÍÒ¨·íÒãËŒà¡Ô´¡ÒÃàÊÕªÕǵÍ‹ҧà©Õº¾Åѹ¢³Ð¼‹ÒµÑ´ä´Œ ¤ÇÃãËŒ¡ÒÃÃÑ¡ÉÒáÅÐãËŒÂÒ
                                        Ô
à¾×ͤǺ¤ØÁâä»ÃШíÒµÑǢͧ¼Ù»Ç ઋ¹ âäàºÒËÇÒ¹ ¤ÇÒÁ´Ñ¹âÅËÔµÊÙ§ âÃ¤äµ áÅÐ âäËÑÇ㨡‹Í¹
   è                           Œ †
¼‹ÒµÑ´ ¤ÇõÃǨËÒÃÍÂâäÍ×¹·ÕÁÐàÃç§¡ÃШÒÂÅØ¡ÅÒÁä»à¾×Í»‡Í§¡Ñ¹¡ÒÃà¡Ô´¡Ãд١ËÑ¡ÃÐËNjҧ¡ÒÃ
                              è è                           è
à¤Å×͹ŒÒ¼ٻÇ ËÃ×Í ÃÐËNjҧ¡Òü‹ÒµÑ´ ¡ÒûÃÐàÁÔ¹ÊíÒËÃѺÍÇÑÂÇзըм‹ÒµÑ´ ¤ÇõÃǨÃÍÂâä
     è         Œ †                                                 è
㹡Ãд١¹Ñ¹æ ¶Ö§¢Íºà¢µ áÅÐ ¨íҹǹÃÍÂâä·ÕÁ㹡Ãд١à´ÕÂÇà¾×;ԨÒóÒÇÒ§á¼¹¡Òü‹ÒµÑ´ áÅÐ
             é                               è Õ               è
àÅ×Í¡ÇÑÊ´Ø·Õè¨Ð㪌㹡ÒÃÂÖ´µÃÖ§¡Ãд١ãËŒàËÁÒÐÊÁ¤Ãͺ¤ÅØÁÃÍÂâä·Ñé§ËÁ´(ÃÙ»·Õè 3.1, 3.2) ãËŒ
preoperative embolization 㹡óÕʧÊÑÂÇ‹Ò໚¹à¹×ͧ͡·ÕÁàÅ×Í´ÁÒàÅÕ§ÁÒ¡ ઋ¹ ÁÐàÃç§µ‹ÍÁä·ÃÍ´
                                                 é      è Õ      é
ËÃ×Í ÁÐàÃç§äµ à¾×ÍÅ´¡ÒÃÊÙ­àÊÕÂàÅ×Í´ã¹¢³Ð¼‹ÒµÑ´ (ÃÙ»·Õè 4.1, 4.2)
                   è




     ÃÙ»·Õè 3.1 ¼Ù»Ç multiple myeoloma ÁÕ
                  Œ †                           ÃÙ»·Õè 3.2 ËÅѧ·íÒ¼‹ÒµÑ´ intramedullary nail
pathologicfracture mºÃÔàdz proximal humerus         fixation áÅÐ ©ÒÂÃѧÊÕ ¡Ãд١µÔ´´Õ
  áÅÐÁÕ osteolytic lesion ŧÁÒ¶Ö§ diaphysis               osteolytic lesions ËÒÂä»
224                                                         Treatment of Pathologic .racture




 ÃÙ»·Õè 4.1 ÀÒ¾ Pre-operative embolization ÃÙ»·Õè 4.2 ËÅѧ¡Ò·íÒ embolization ·ÕèàÊŒ¹
 áÊ´§àÊŒ¹àÅ×Í´ÁÒàÅÕ駨íҹǹÁÒ¡ºÃÔàdz       àÅ×Í´ medial circuflex femoral artery
     neck of femur ã¹¼ÙŒ»†Ç renal cell   áÊ´§ãËŒàËç¹Ç‹ÒÁÕàÅ×Í´ÁÒàÅÕé§¹ŒÍÂŧà¾×èÍÅ´
            carcinoma metastasis            »ÃÔÁÒ³¡ÒÃÊÙ­àÊÕÂàÅ×Í´ÃÐËNjҧ¼‹ÒµÑ´




      ÃÙ»·Õè 4.3 ÀÒ¾¶‹Ò·ҧÃѧÊÕÇÔ·ÂҢͧ Long stem hemiarthroplasty ÀÒÂËÅѧ¡Ò÷íÒ
                                       Embolization

ËÅÑ¡¡ÒÃÃÑ¡ÉÒà¹×éͧ͡¡Ãд١·ØµÔÂÀÙÁÔâ´Â¡Òü‹ÒµÑ´
(Principles of Surgical Treatment for Skeletal Metastases)
        à·¤â¹âÅÂÕ㹡ÒüèҵѴÁÐàÃç§¡Ãд١·ØµÂÀÙÁä´éú¡ÒþѲ¹ÒÍÂèÒ§µèÍà¹×ͧ àªè¹ ¡ÒþѲ¹Ò-
                                           Ô Ô Ñ                         è
ÇÑÊ´ØàÁ··ÑÅÅÔ¡ÍÑÅÅÍ´ ¡ÒþѲ¹ÒÃٻẺ¢Í§á¡¹´ÒÁ¡Ãд١ (third-generation interlocked IM rods)
áÅТŒÍà·ÕÂÁª¹Ô´¾ÔàÈÉ (prosthesis design áÅÐ modular segmental replacement endoprosthesis)
¡ÒÃàÊÃÔÁ«ÕàÁ¹µ¡Ãд١à¾×Íãˌ䴌¤ÇÒÁá¢ç§áç·Ñ¹·Õ㹡ÒÃãÊ‹àËÅç¡´ÒÁ¡Ãд١ ·Ñ§¹Õ¼»Ç¨íÒ໚¹µŒÍ§
                         è                                                 é é ÙŒ †
䴌ú adjuvant therapy ઋ¹ à¤ÁպҺѴ áÅÐ ÃѧÊÕáÉÒËÇÁ¡Ñº¡Òü‹ÒµÑ´ ¨Ö§¨íÒ໚¹µŒÍ§ÁÕ·Áᾷ
    Ñ                             í             Ñ                                    Õ
ÊËÊÒ¢Òª‹ÇÂÇÒ§á¼¹¡ÒÃÃÑ¡ÉÒËÇÁ¡Ñ¹à¾×ͤ§ÊÀÒ¾¡Ãд١ãËŒá¢ç§áçÀÒÂËÅѧ¡Òü‹ÒµÑ´
                                      è
àǪÈÒʵÏ·¹Âؤ 2553
          Ñ                                                                               225

       ËÅÑ¡¡Òü‹ÒµÑ´ã¹¼ÙŒ»†Ç¡Ãд١ËÑ¡¨Ò¡ÁÐàÃç§¡Ãд١·ØµÔÂÀÙÁÔ
       1. ÇÒ§á¼¹ËÅÕ¡àÅÕ§á¼Å¼‹ÒµÑ´äÁ‹ãËŒ¼Ò¹ºÃÔàdz·ÕÁ¡ÒéÒÂáʧÁÒ¡‹Í¹ â´ÂãËŒÁºÃÔàdz¡ÒÃ
                           è              ‹        è Õ                     Õ
·íÒ§Ò¹·Õà¾Õ§¾Í ᵋ§ÊÒÁÒö»´á¼Åä´Œ
        è            Ñ
       2. Curette ¹íÒªÔ¹à¹×ÍÍÍ¡ãËŒÁÒ¡·ÕÊ´
                         é é           èØ
       3. ãʋͻ¡Ã³¢Íà·ÕÂÁ ËÃ×ÍâÅËдÒÁ áÅÐá·¹·ÕªÍ§Ç‹Ò§´ŒÇ«ÕàÁ¹µ¡Ãд١
              Ø        Œ                         è ‹
       4. ãËŒ¡ÒéÒÂáʧ áÅÐ/ËÃ×Í ¡ÒÃãËŒÂÒà¤ÁպҺѴ·ÕàËÁÒÐÊÁ
                                               í     è

¡ÒÃÃÑ¡ÉÒ¨íÒà¾ÒÐ (Treatment for specific anatomic site)
       Pelvis and acetabulum
           ÃÍÂâäºÃÔàdz¡Ãд١àªÔ§¡ÃÒ¹·ÕäÁ‹ãª‹ºÃÔàdzຌÒÊÐ⾡ ÊÒÁÒöÃÑ¡ÉÒä´Œâ´Â¡ÒÃËÅÕ¡àÅÕ§
                                           è                                                 è
¡ÒÃŧ¹éÒ˹ѡâ´Â㪌à¤Ã×ͧª‹ÇÂà´Ô¹ áÅÐ ¡ÒéÒÂáʧÀÒÇÐ avulsion fracture ¢Í§ superior/inferior
         í                è
iliac spines, iliac crest áÅÐ superior/ inferior pubic rami ÁÑ¡¾ºä´ŒºÍ ÊÒÁÒöÃÑ¡ÉÒẺ͹ØÃ¡É
                                                                     ‹                     Ñ
¹ÔÂÁä´Œ ËÒ¡ÃÍÂâäÁÕ¢¹Ò´ãË­‹ ¤Ãͺ¤ÅØÁຌÒÊÐ⾡ÁÒ¡¡Ç‹Ò 50% áÅÐ äÁ‹µÍºÊ¹Í§µ‹Í¡ÒéÒÂ
áʧ ¤Çü‹ÒµÑ´·íÒ intra-lesional curettage áÅÐ cemented THA (ÃÙ»·Õè 5) ËÇÁ¡Ñº¡ÒÃãÊ‹ Steinmann
pin fixation




 ÃÙ»·Õè 5 ¼Ù»Ç CAbreast ÁÕ osteolytic lesion ·Õè acetabulum ·íÒ¼‹ÒµÑ´ Total hip arthroplasty
            Œ †
        with anti-protusio acetabular cup µ‹ÍÁÒÁÕ fracture neck ¢Í§ femur ÍÕ¡¢ŒÒ§Ë¹Ö§  è
226                                                                          Treatment of Pathologic .racture

          Proximal femur (Hip)
          ºÃÔàdz¡Ãд١µŒ¹¢Òʋǹº¹à»š¹ºÃÔàdz·Õ¾º¡Ãд١ËÑ¡à˵ØâäÁÒ¡·ÕÊ´ à¹×ͧ¨Ò¡à»š¹ºÃÔàdz
                                              è                        èØ è
·Õ¾º¡ÒáÃШÒÂÅØ¡ÅÒÁ¢Í§à¹×ͧ͡ÁÒä´ŒºÍ áÅÐ ¡Ãд١ºÃÔàdz¹Õ·Ò˹ŒÒ·Õú¹éÒ˹ѡ¢Í§Ã‹Ò§¡ÒÂ
  è                           é          ‹                       é í     èÑ í
ʋǹÁÒ¡¨íÒ໚¹µŒÍ§ÃѺ¡ÒÃÃÑ¡ÉÒâ´Â¡Òü‹ÒµÑ´ áÅÐ ©ÒÂáʧ áÁŒã¹¼Ù»Ç·ÕÍ͹áÍÁÒ¡ ¡ç§ãËŒ¼Å¡ÒÃ
                                                                Œ † è‹              Ñ
ÃÑ¡Éҷդ͹¢ŒÒ§´Õ ¡‹Í¹¼‹ÒµÑ´¤ÇéÒÂÀÒ¾·Ò§ÃѧÊÕÇ·ÂÒµÅÍ´·Ñ§ÅíÒ¡Ãд١ áÅÐ µÃǨÊ᡹¡Ãд١
        è ‹                                      Ô          é
à¾×ÍËÒÃÍÂâä·ÕÁµÒ¡Ç‹ÒÃÍÂâä·Õ¾º ËÒ¡ÁÕÃÍÂâäÍ×¹¨ÐÁռŵ‹Í¡ÒþԨÒóÒàÅ×Í¡ª¹Ô´¢Í§¢ŒÍà·ÕÂÁ
    è            è Õ èí         è                  è
ËÃ×Í ÇÑÊ´Ø´ÒÁ â´Â¡Ãд١ËÑ¡ºÃÔàdz intracapsular (femoral neck fracture) Áѡ㪌 Hemiarthroplasty
long stem prosthesis ËÃ×Í THA ¢Ö¹¡ÑºÇ‹ÒÁÕ¡Ò÷íÒÅÒ¡Ãд١ acetabulum ÁÒ¡¹ŒÍÂà¾Õ§äà ºÃÔàdz
                                  é
intertrochanteric áÅÐ subtrochanteric fracture ÁÕ¡ÒÃ㪌·§ plate system, nail system áÅÐ long
                                                        Ñé
stem prosthesis
          .emoral shaft
         à¤Ã×ͧÁ×Í·Õ㪌㹡ÒÃÃÑ¡ÉÒ femoral shaft impending/actual fracture ¤×Í intramedullary nail
             è      è
·ÕÁ·§ distal áÅÐ proximal locking â´ÂÇÔ¸¡Òü‹ÒµÑ´áºº»´ “close method” ¡Å‹ÒǤ×Í äÁ‹à»´á¼Å·Õè
  è Õ Ñé                                 Õ
fracture site â´ÂµÃ§áµ‹ÊÍ´ nail ÁÒ·Ò§ proximal femur áÅÐ ream intramedullary canal à¾×͹íÒ  è
à¹×ͧ͡ÍÍ¡ áÅŒÇ㪌 PMMA 㹡ÒÃàÊÃÔÁ¤ÇÒÁá¢ç§áç
   é

ÊÃØ»
          ¡ÒÃÃÑ¡ÉҼٻǷÕÁÁÐàÃ秷صÂÀÙÁ¢Í§¡Ãд١µŒÍ§ÍÒÈÑ·ÕÁᾷÊËÊÒ¢Ò«Ö§ÁÕ¤ÇÒÁàªÕÂǪҭ
                    Œ † è Õ         Ô Ô                                      è     è
â´ÂÁÕǵ¶Ø»ÃÐʧ¤à¾×ÍÅ´¤ÇÒÁà¨çº»Ç´áÅзíÒãËŒ¼»ÇÂÊÒÁÒö¡ÅѺä»ãªŒá¢¹¢Ò¹Ñ¹à»š¹»¡µÔä´ŒàÃçÇ·Õè
        Ñ             è                        ÙŒ †                            é
ÊØ´ ¡Òü‹ÒµÑ´¼Ù»Ç·ÕÁÃÍÂâäºÃÔàdz¡Ãд١·ÕÁÁÐàÃç§·Õà¡×ͺËÑ¡ ËÃ×Í ËÑ¡¼‹Ò¹ÃÍÂâäáÅŒÇ ¤ÇÃàÅ×Í¡
                Œ † è Õ                    è Õ      è
ÇÔ¸´ÒÁ¡Ãд١´ŒÇÂâÅËÐẺµ‹Ò§æâ´Â¡ÒÃàÊÃÔÁ´ŒÇ«ÕàÁ¹µ¡Ãд١ ÃÇÁ·Ñ§ã¹ºÒ§¡Ã³ÕÍÒ¨µŒÍ§ºÙóÐ
    Õ                                                             é
´ŒÇ¢ŒÍà·ÕÂÁª¹Ô´¾ÔàÈÉ «Ö§¢Ö¹¡ÑºËÅÒ»˜¨¨Ñ 䴌ᡋ ¡ÒþÂҡóâä¢Í§µÑǼٻÇ ÅѡɳÐÃÍÂâä
                         è é                                            Œ †
·Õè໚¹ áÅÐ àÈÃɰҹзÕèàËÁÒÐÊÁ ÀÒÂËÅѧ¼‹ÒµÑ´µŒÍ§¾Ô¨ÒóҩÒÂÃѧÊÕºÃÔàdz·Õ輋ҵѴ·Ø¡¤ÃÑé§à¾×èÍ
¤Çº¤ØÁ¡ÒôíÒà¹Ô¹¢Í§âä »‡Í§¡Ñ¹¡ÒÃËÅØ´ËÅÇÁ¢Í§âÅËзÕè㪌´ÒÁ ÃÇÁ·Ñé§ÍÒ¨¾Ô¨ÒóÒÂÒ¡ÅØ‹Á
bisphosphonates ÂÒà¤ÁÕºíҺѴ·ÕèàËÁÒÐÊÁ ÂÒÃЧѺ»Ç´ «Ö觨Ъ‹ÇÂÅ´¤ÇÒÁ·Ø¡¢·ÃÁÒ¹áÅÐà¾ÔèÁ
¤Ø³ÀÒ¾ªÕǵ·Õ´ãËŒ¡º¼Ù»ÇÂ¡ÅØÁ¹Õ«§ÁÕ¾ÂҡóâääÁ‹´Õ áÅÐÁÕÃÐÂÐàÇÅÒ¡ÒÃÁժǵ㹪‹Ç§¨íÒ¡Ñ´ä´Œ
            Ô è Õ Ñ Œ †      ‹ é Öè                                       ÕÔ

àÍ¡ÊÒÃ͌ҧÍÔ§
1.    ÍÀÔªÒµÔ ÍÑÈÇÁ§¤Å¡ØÅ. Overview in Management of Long Bone Metastasis. ã¹ ·Ô¾ªÒµÔ ºØ³ÂÃѵ¾Ñ¹¸, ÊØ¾ªÂ        Ô Ñ
      à¨ÃÔ­ÇÒÃÕ¡Å, ·ÇÕ ·Ã§¾Ñ²¹ÒÈÔÅ»Š, ¾Äɾ§È ÈÃÕÊÇÑÊ´Ô,ì ºÃóҸԡÒÃ. Progress in musculoskeletal oncology: Skeletal
                Ø
      Metastasis. ¡Ãا෾ÁËÒ¹¤Ã: ºÃÔÉ· á»Å¹¾ÃÔ¹·µ§ ¨íÒ¡Ñ´; 2009: ˹ŒÒ 141- 48.
                                        Ñ                 Ôé
2.    Biermann JS, Holt GE, Lewis VO, Schwartz HS, Yaszemski MJ. Metastatic Bone Disease: Diagnosis,
      Evaluation, and Treatment. J Bone Joint Surg Am. 2009;91:1518-30.
3.    Harrington KD. Orthopaedic Management of Extremity and Pelvic Lesions. Clin Orthop 1995;312:136-47.
àǪÈÒʵÏ·¹Âؤ 2553
          Ñ                                                                                               227

4.   Mirels H. Metastatic disease in long bones: A prosposed scoring system for diagnosing impending pathologic
     fractures. Clin Orthop 1989;249:256-64.
5.   Damron TA and Sim .H. Instructional Course Lectures, The Ameriacan Acadamy of Orthopaedic Surgeons
     – Operative Treatment for Metastatic Disease of the Pelvis and the Proximal End of the .emur. J Bone Joint
     Surg Am. 2000;82:114-26.
6.   Malawer MM and Sugarbaker PH. Treatment of Metastatic Bone Disease in Musculoskeletal Cancer Surgery.
     Philadelphia: Kluwer Acadamic Publishers; 2001: 215-30.
7.   Lewis VO. Surgical Management of Upper Extremity Metastatic Disease in Schwartz HS editor. Orthopaedic
     Knowledge Update: Musculoskeletal Tumors 2. 2nd ed. Rosemont: American Acadamy of Orthopaedic Surgeons
     2007: 375-82.
8.   Weber KL, Randall RL, Grossman S, Parvizi J. Management of Lower-Extremity Bone Metastasis. J Bone
     Joint Surg Am. 2006;88:11-9.
àǪÈÒʵÏ·¹Âؤ 2553
          Ñ                                                                 º··Õè      229

                                                                             35
    Practical Management of Dysfunctional Uterine Bleeding
                                              ÍÒ¨ÒÏ ᾷ˭ԧ¸Ñ¹ÂÒÃѵ¹ ǧȏǹҹØÃѡɏ
                                        ¼ÙŒª‹ÇÂÈÒʵÃÒ¨ÒÏ á¾·ÂË­Ô§ÊØªÒ´Ò ÍÔ¹·ÇÔÇѲ¹
                                               ÈÒʵÃÒ¨ÒÏ ᾷ˭ԧÁ³Õ Ãѵ¹äªÂÒ¹¹·
            ÀÒ¤ÇÔªÒÊÙµÈÒʵÏ-¹ÃÕàǪÇÔ·ÂÒ ¤³Ðá¾·ÂÈÒʵÏÈÃÃÒª¾ÂÒºÒÅ ÁËÒÇÔ·ÂÒÅÑÂÁËÔ´Å
                      Ô                                  ÔÔ

        Dysfunctional uterine bleeding (DUB) ໚¹ÀÒÇÐàÅ×Í´ÍÍ¡¼Ô´»¡µÔ¨Ò¡â¾Ã§Á´ÅÙ¡·ÕäÁ‹ä´ŒÁÕ
                                                                                    è
ÊÒà˵Øà¡Ô´¨Ò¡âä·Õ໚¹ organic ઋ¹ à¹×ͧ͡Á´ÅÙ¡ ¡ÒÃÍÑ¡àʺ ¡Òõѧ¤ÃÃÀ ËÃ×Íâä·Ò§ÍÒÂØÃ¡ÃÃÁ
                  è                    é                        é
ËÅѡ㹡ÒÃÇÔ¹¨©Ñ DUB ¤×Í¡ÒÃá¡âä·Õ໚¹ organic Í͡仡‹Í¹(1)
             Ô                           è

¤ÇÒÁªØ¡
       DUB ໚¹ÀÒÇзվºº‹ÍÂã¹¹ÃÕàǪ»¯ÔºµÔ ¤×Í ¾ºä´Œ»ÃÐÁҳÌÍÂÅÐ 10 ¢Í§ÊµÃÕ·ÁÒµÃǨ
                      è                   Ñ                                      Õè
´ŒÇ»˜­ËÒ·Ò§¹ÃÕàǪ ª‹Ç§ÍÒÂØ·Õ辺º‹Í ¤×Í ª‹Ç§ÇÑÂÃØ‹¹ (adolescence) áÅЪ‹Ç§¡‹Í¹ÇÑÂËÁ´ÃдÙ
(premenopause)

¡Å䡢ͧ¡ÒÃÁÕÃдٻ¡µÔ(2)
         ÀÒÇл¡µÔ·Õè·íÒãËŒÁÕàÅ×Í´ÍÍ¡¨Ò¡â¾Ã§Á´ÅÙ¡¤×Í¡ÒÃÁÕÃд٠«Öè§à»š¹¼Å¨Ò¡¡ÒÃà»ÅÕè¹á»Å§
¢Í§àÂ×èͺØÁ´Å١໚¹ÃÍºæ ·ÕèàÃÕÂ¡Ç‹Ò Ãͺ¡Ò÷íÒ§Ò¹¢Í§àÂ×èͺØÁ´ÅÙ¡ (endometrial cycle) «Öè§ÁÕ
¤ÇÒÁÊÑÁ¾Ñ¹¸¡ºÃͺ¡Ò÷íÒ§Ò¹¢Í§Ãѧ䢋 (ovarian cycle) Ãͺ¡Ò÷íÒ§Ò¹¢Í§àÂ×ͺØÁ´Å١ẋ§à»š¹ÃÐÂÐ
               Ñ                                                        è
proliferative phase, secretory phase áÅÐ menstrual phase
         1. Proliferative phase ໚¹ÃÐÂзյç¡Ñº follicular phase ¢Í§ ovarian cycle ÎÍÏâÁ¹
                                          è
estrogen ¨Ò¡Ãѧ䢋¨Ð仡ÃеعàÂ×ͺØÁ´ÅÙ¡ãËŒÁ¡ÒÃà¨ÃÔ­¨Ò¡ªÑ¹ basal layer ä»à»š¹ proliferative
                               Œ è            Õ             é
endometrium ¢Ö¹ÁÒ»¡¤ÅØÁâ¾Ã§Á´ÅÙ¡á·¹·ÕàÂ×ͺطËÅØ´ÅÍ¡ÍÍ¡ä»ã¹ÃÐÂÐ menstrual phase
                 é                          è è Õè
         2. Secretory phase ໚¹ÃÐÂзÕèµÃ§¡Ñº luteal phase ¢Í§ ovarian cycle ÎÍÏâÁ¹
progesterone ¨Ò¡ corpus luteum ¨ÐÍ͡ķ¸ÔµÍ proliferative endometrium ãËŒÁ¡ÒÃà»ÅÕ¹á»Å§
                                             ì ‹                             Õ      è
ä»à»š¹ secretory endometrium «Ö§à»š¹¡ÒÃàµÃÕÂÁ¾ÃŒÍÁÃѺ¡Òý˜§µÑǢͧµÑÇ͋͹ËÒ¡ÁÕ¡Òû¯Ôʹ¸Ô
                                   è
à¡Ô´¢Ö¹
      é
230                                        Practical Management of Dysfunctional Uterine Bleeding

         3. Menstrual phase ໚¹à˵ءÒó·à¡Ô´ËÅѧ¨Ò¡ÊÔ¹ÊØ´ luteal phase ¡Ò÷Õè corpus luteum
                                            Õè           é
ËÂØ´¡Ò÷íÒ§Ò¹ ·íÒãËŒäÁ‹ÁÎÍÏâÁ¹à¾È¨Ò¡Ãѧ䢋ä»ËÅ‹ÍàÅÕ§àÂ×ͺØÁ´ÅÙ¡ãËŒ¤§ÊÀÒ¾µ‹Íä»ä´Œ àÂ×ͺØ
                         Õ                             é è                                  è
Á´ÅÙ¡¨ÐËÅØ´ÅÍ¡ÍÍ¡à¡Ô´à»š¹ raw surface ·íÒãËŒÁàÅ×Í´Í͡໚¹ÃдÙ
                                                 Õ
         ¹Í¡¨Ò¡¼Å¨Ò¡¡ÒÃà»ÅÕè¹á»Å§¢Í§ÎÍÏâÁ¹áÅŒÇÂѧÁÕ¡Ãкǹ¡ÒÃà»ÅÕè¹á»Å§ã¹ÃдѺ
âÁàÅ¡ØÅ (molecular cascade) ã¹àÂ×ͺØÁ´ÅÙ¡(3) ÁÕ¡ÒÃÊÌҧÊÒà cytokine áÅÐÎÍÏâÁ¹·ÕÍ͡ķ¸Ôì
                                   è                                                 è
Ẻ paracrine ÊÒÃàËŋҹշÒãËŒà¡Ô´ÁÕË´ÃÑ´µÑÇã¹ arteriole áÅÐ coiled artery ¢Í§Á´ÅÙ¡ ·íÒãËŒàÂ×ͺØ
                            é í                                                               è
Á´ÅÙ¡¢Ò´àÅ×Í´áÅÐÍÍ¡«ÔਹÁÒàÅÕ§ ÁÕ¡ÒûŴ»Å‹ÍÂàÍ繫ÑÂÁÍÍ¡ÁÒ‹ÍÂÊÅÒÂà¹×ÍàÂ×Í áÅŒÇàÂ×ͺءç
                                é                                            é è          è
¨ÐÅÍ¡ËÅØ´ÍÍ¡¾ÃŒÍÁ¡Ñ¹·ÑǷѧâ¾Ã§Á´ÅÙ¡ ¾ÃŒÍÁ¡ÑºÁÕàÅ×Í´ÍÍ¡¨Ò¡ raw surface áŌǨ֧µÒÁÁÒ´ŒÇÂ
                           è é
¡ÒáÃе،¹¡Ãкǹ¡ÒÃá¢ç§µÑǢͧàÅ×Í´ áÅСÃкǹ¡Òë‹ÍÁá«Áà¹×éÍàÂ×èÍ ·íÒãËŒàÅ×Í´ËÂØ´ áÅÐ
ÁÕàÂ×ͺØÁ´ÅÙ¡ãËÁ‹à¨ÃÔ­ÁÒ»¡¤ÅØÁ¼¹Ñ§â¾Ã§Á´ÅÙ¡ ´Ñ§¹Ñ¹ËÒ¡àÂ×ͺØÁ´Å١䴌ú¡ÒáÃеع´ŒÇÂÎÍÏâÁ¹
     è                                              é      è          Ñ         Œ
Í‹ҧäÁ‹àËÁÒÐÊÁ ¨Ð·íÒãËŒâ¤Ã§ÊÌҧ¢Í§Áѹà»ÃÒкҧ ÁÕ¡ÒÃÊÅÒÂáÅÐÅÍ¡ËÅØ´Í͡໚¹Ë‹ÍÁæ
äÁ‹¾ÃŒÍÁ¡Ñ¹·ÑǷѧâ¾Ã§Á´ÅÙ¡ ¨Ö§·íÒãËŒÁàÅ×Í´Ãдٷ¼´»¡µÔ
              è é                    Õ         Õè Ô

¤ÇÒÁÊÑÁ¾Ñ¹¸ÃÐËNjҧÎÍÏâÁ¹à¾È¡Ñº¡ÒÃÁÕàÅ×Í´ÍÍ¡¨Ò¡â¾Ã§Á´ÅÙ¡(4)
            ¡ÒÃà»ÅÕ¹á»Å§¢Í§ÎÍÏâÁ¹à¾Èã¹ÃٻẺµ‹Ò§æ Ê‹§¼ÅãËŒÁàÅ×Í´ÍÍ¡¨Ò¡â¾Ã§Á´ÅÙ¡ ´Ñ§¹Õé
                      è                                              Õ
            Estrogen-progesterone withdrawal bleeding ¤×Í ÀÒÇÐàÅ×Í´ÍÍ¡ÀÒÂËÅѧ¨Ò¡ä´ŒÃº¡Òà         Ñ
¡Ãеع´ŒÇ estrogen áÅÐ progesterone µÒÁÅíҴѺ àÁ×ÍËÂØ´ãËŒÎÍÏâÁ¹¡ç¨ÐÁÕàÅ×Í´ÍÍ¡¨Ò¡ secretory
      Œ                                                è
endometrium àÅ×Í´·ÕÍÍ¡¨Ò¡¡ÒáÃеع´ŒÇÂÎÍÏâÁ¹ã¹ÅѡɳйÕé 䴌ᡋ Ãдٻ¡µÔã¹Ãͺà´×͹·ÕÁÕ
                          è                Œ                                                         è
䢋µ¡ ËÃ×ÍàÅ×Í´·ÕÍÍ¡ÀÒÂËÅѧ¡ÒÃ㪌ÎÍÏâÁ¹áºº sequential ¤×Í ãËŒ estrogen áŌǵÒÁ´ŒÇ progestin
                        è
            Progesterone withdrawal bleeding ¤×Í ÀÒÇÐàÅ×Í´ÍÍ¡ËÅѧ¨Ò¡ä´ŒÃº progesterone ËÃ×Í
                                                                                 Ñ
progestin áÅŒÇËÂØ´ãËŒÎÍÏâÁ¹¹ÕµÍ ¨ÐÁÕàÅ×Í´ÍÍ¡¨Ò¡ secretory endometrium ¤ÅŒÒ¡ÒÃÁÕÃдٵÒÁ
                                       é ‹
»¡µÔ ¤×Í ÁÕ estrogen-progesterone withdrawal bleeding ·Ñ§¹Õà¹×ͧ¨Ò¡ progestin ¨ÐÍ͡ķ¸ÔµÍàÂ×Í
                                                           é é è                             ì ‹ è
ºØÁ´ÅÙ¡ä´Œ¡µÍàÁ×ÍàÂ×ͺع¹ä´ŒÃº¡ÒáÃеع´ŒÇ estrogen ÁÒ¡‹Í¹à·‹Ò¹Ñ¹ «Ö§ estrogen 㹡óչÕé
                ç ‹ è è Ñé Ñ                 Œ                             é è
¤×Í estrogen ·ÕÃÒ§¡Ò¼ÅÔµÁÒ¨Ò¡Ãѧ䢋àͧ àÅ×Í´·ÕÍÍ¡¨Ò¡¡ÒáÃеع´ŒÇÂÎÍÏâÁ¹ã¹ÅѡɳйÕé 䴌ᡋ
                   è‹                              è               Œ
àÅ×Í´·ÕÍÍ¡ÀÒÂËÅѧ¡ÒÃÃѺ»Ãзҹ progestin à¾×ÍàÅ×͹Ãд٠ËÃ×Í à¾×Í¡Òêѡ¹íÒãËŒÁÃдÙã¹¼Ù·¢Ò´
          è                                          è è               è                 Õ      Œ Õè
ÃдÙà¹×ͧ¨Ò¡ÀÒÇÐäÁ‹Á䢋µ¡
        è                   Õ
            Estrogen withdrawal bleeding ¤×Í ÀÒÇÐàÅ×Í´ÍÍ¡ËÅѧ¨Ò¡ËÂØ´ãËŒ¡ÒáÃеع´ŒÇ estrogen
                                                                                       Œ
à¾Õ§Í‹ҧà´ÕÂÇ ¨ÐÁÕàÅ×Í´ÍÍ¡¨Ò¡ proliferative endometrium «Ö§¨ÐÅÍ¡ËÅØ´äÁ‹¾ÃŒÍÁ¡Ñ¹·Ñ§â¾Ã§
                                                                 è                            é
Á´ÅÙ¡ áÅÐËÅØ´äÁ‹ËÁ´ àÁ×ÍãËŒÎÍÏâÁ¹áºº¹Õ໚¹ÃÐÂÐàÇÅÒ¹Ò¹¡ç¨Ð·íÒãËŒÁ¤ÇÒÁàÊÕ§µ‹Í¡ÒÃ໚¹à¹×Í
                                   è           é                            Õ        è                 é
§Í¡¢Í§àÂ×ͺØÁ´ÅÙ¡ (endometrial neoplasia) àÅ×Í´·ÕÍÍ¡¨Ò¡¡ÒáÃеع´ŒÇÂÎÍÏâÁ¹ã¹ÅѡɳйÕé
              è                                          è               Œ
䴌ᡋ ¡ÒÃãËŒÎÍÏâÁ¹ã¹ÊµÃÕÇÂËÁ´ÃдÙâ´ÂãˌẺ estrogen-only regimen «Ö§ã¹»˜¨¨Øº¹¨ÐäÁ‹ãËŒ
                                     Ñ                                             è       Ñ
ÎÍÏâÁ¹áºº¹Õã¹ÊµÃշ§ÁÕÁ´ÅÙ¡
                   é          Õè Ñ
            Estrogen-progesterone breakthrough bleeding ¤×Í ÀÒÇÐàÅ×Í´Í͡㹢³Ð·Õèä´ŒÃѺ
estrogen áÅÐ progesterone ËÇÁ¡Ñ¹Í‹ҧµ‹Íà¹×ͧ໚¹àÇÅÒ¹Ò¹ ¡Åä¡·Õ·ÒãËŒÁàÅ×Í´ÍÍ¡¼Ô´»¡µÔ
                                                 è                            è í Õ
àǪÈÒʵÏ·¹Âؤ 2553
          Ñ                                                                                                     231

㹡óչ§äÁ‹à»š¹·Õ·ÃҺṋª´ ᵋ¾ºÇ‹Ò¼Ù·ä´ŒÃºÎÍÏâÁ¹ã¹ÅѡɳйըÐÁÕàÂ×ͺØÁ´ÅÙ¡·ÕºÒ§áÅÐÁÕ
             Õé Ñ     è           Ñ        Œ Õè Ñ                  é     è         è
àÊŒ¹àÅ×Í´½ÍÂÍÂÙ໚¹¨íҹǹÁÒ¡ àÊŒ¹àÅ×Í´àËŋҹÕÁ¤ÇÒÁà»ÃÒРᵡ§‹Ò àÅ×Í´·ÕÍÍ¡¨Ò¡¡ÒáÃеع
                  ‹                             é Õ                         è            Œ
´ŒÇÂÎÍÏâÁ¹ã¹ÅѡɳйÕé 䴌ᡋ ¡ÒÃãËŒÎÍÏâÁ¹·´á·¹ã¹ÊµÃÕÇÂËÁ´Ãд٠â´ÂãˌẺ continuous
                                                             Ñ
combined estrogen-progestin
            Progesterone breakthrough bleeding ¤×Í ÀÒÇÐàÅ×Í´Í͡㹢³Ð·Õ䴌ú progesterone
                                                                           è Ñ
໚¹àÇÅÒ¹Ò¹ ÀÒÇйըÐàËÁ×͹¡Ñº estrogen áÅÐ progesterone breakthrough bleeding µ‹Ò§¡Ñ¹
                        é
·Õè estrogen ã¹ÀÒÇйÕé ໚¹ estrogen ·ÕÃÒ§¡Ò¼ÅÔµàͧâ´ÂäÁ‹ä´ŒÃºÁÒ¨Ò¡ÀÒ¹͡ ઋ¹ àÅ×Í´·ÕÍÍ¡
                                       è‹                      Ñ                       è
ã¹¼Ù·©´ÂÒ ËÃ×Í ½˜§ÂÒ¤ØÁ¡íÒà¹Ô´ ª¹Ô´ long acting progestin
     Œ Õè Õ
            Estrogen breakthrough bleeding ¤×Í ÀÒÇÐàÅ×Í´Í͡㹢³Ð·Õ䴌ú estrogen à¾Õ§
                                                                      è Ñ
Í‹ҧà´ÕÂÇ໚¹àÇÅÒ¹Ò¹ ¼Ù»Ç¨ÐÁÕ»­ËÒáÅФÇÒÁàÊÕ§ઋ¹à´ÕÂǡѺ estrogen withdrawal bleeding
                              Œ †   ˜               è
àÅ×Í´·ÕÍÍ¡¨Ò¡¡ÒáÃеع´ŒÇÂÎÍÏâÁ¹ã¹ÅѡɳйÕé 䴌ᡋ ¡ÒÃÁÕàÅ×Í´ÍÍ¡¨Ò¡ÀÒÇÐäÁ‹Á䢋µ¡ ËÃ×Í
          è                 Œ                                                    Õ
¡ÒÃãËŒÎÍÏâÁ¹ã¹ÊµÃÕÇÂËÁ´ÃдÙâ´ÂãˌẺ estrogen-only regimen â´ÂäÁ‹Á¡ÒÃËÂØ´ÂÒ
                          Ñ                                            Õ

¡ÒèíÒṡª¹Ô´¢Í§ DUB
        DUB ẋ§ä´Œà»š¹ 2 ¡ÅØÁ ¤×Í ovulatory áÅÐ anovulatory DUB µÒÁµÒÃÒ§·Õè 1 â´Â·ÑÇä»
                             ‹                                                      è
àÁ×͡ŋÒǶ֧ DUB ÁÑ¡¨ÐËÁÒ¶֧ anovulatory DUB à¹×ͧ¨Ò¡à»š¹ DUB ·Õ¾ºä´ŒºÍ¡NjÒ
   è                                             è               è     ‹

µÒÃÒ§·Õè 1 ÅѡɳТͧàÅ×Í´·ÕèÍÍ¡¨Ò¡â¾Ã§Á´ÅÙ¡ã¹ DUB ª¹Ô´µ‹Ò§æ
ª¹Ô´¢Í§ DUB                                               ÅѡɳÐàÅ×Í´ÍÍ¡¨Ò¡â¾Ã§Á´ÅÙ¡
Ovulatory
Long proliferative or secretory phases                    Oligomenorrhea
Short proliferative or secretory phases                   Polymenorrhea
Corpus luteum insufficiency                               Premenstrual spotting
                                                          Menorrhagia
                                                          Polymenorrhea
Corpus luteum prolonged activity                          Menorrhagia
                                                          Oligomenorrhea
Normal phases                                             Essential menorrhagia
Anovulatory
Cyclic menorrhagia                                        Oligomenorrhea
                                                          Polymenorrhea
Acyclic                                                   Metrorrhagia
·ÕÁÒ :
  è      Á³Õ Ãѵ¹äªÂÒ¹¹·. ÀÒÇÐàÅ×Í´ÍÍ¡¼Ô´»¡µÔ¨Ò¡â¾Ã§Á´ÅÙ¡. ã¹: Á³Õ Ãѵ¹äªÂÒ¹¹·, ºÃóҸԡÒÃ. ÀÒÇмԴ»¡µÔ
         ·ÕÊÁ¾Ñ¹¸¡º¡ÒÃÁÕÃд٠©ºÑºàÃÕºàÃÕ§¤Ãѧ·Õè 2. ¾ÔÁ¾¤Ãѧ·Õè 1. ¡Ãا෾ÁËÒ¹¤Ã: ¾ÕàÍ ÅÕ¿ÇÔ§ ¨íÒ¡Ñ´ 2550;115-62.
           èÑ      Ñ                           é               é                                è
232                                   Practical Management of Dysfunctional Uterine Bleeding

ÊÒà˵آͧ DUB
       ÊÒà˵آͧ¡ÒÃà¡Ô´ DUB ÍÒ¨¨íÒṡ䴌µÒÁᵋÅÐ¡ÅØÁÍÒÂØ ´Ñ§¹Õé
                                                   ‹
       1. ¡ÅØÁÇÑÂÃØ¹
                 ‹ ‹
       2. ¡ÅØÁÇÑÂà¨ÃÔ­¾Ñ¹¸Ø
             ‹
       3. ¡ÅØÁÇÑÂã¡ÅŒËÁ´ÃдÙ
               ‹

       ¡ÅØÁÇÑÂÃØ¹
          ‹     ‹
         ã¹¡ÅØÁ¼Ù»Ç·Õ໚¹ DUB ¾ºÇ‹ÒÃŒÍÂÅÐ 20 à¡Ô´ã¹¡ÅØÁÇÑÂÃØ¹ áÅÐà¡×ͺ·Ñ§ËÁ´à»š¹ª¹Ô´äÁ‹ÁÕ
              ‹ Œ † è                                  ‹     ‹           é
¡Òõ¡ä¢‹ (anovulatory DUB) ÀÒÂËÅѧàÃÔÁÁÕÃдÙã¹»‚ááÌÍÂÅÐ 80 ¢Í§ÃͺÃдÙäÁ‹Á䢋µ¡ ¶×Í໚¹
                                      è                                      Õ
¡ÒÃà»ÅÕ¹á»Å§µÒÁ¸ÃÃÁªÒµÔ¢Í§ÇÑÂÃØ¹ ᵋ¶Ò໚¹µÅÍ´ä»ËÃ×ÍàÅ×Í´ÃдÙÍÍ¡ÁÒ¡µŒÍ§ãËŒ¡ÒÃÃÑ¡ÉÒ
       è                          ‹       Œ
¡ÒþÂҡóâ侺NjÒÃŒÍÂÅÐ 40 ¨ÐËÒÂÀÒÂã¹ 2 »‚ ¼Ù»Ç·ÕÁÍÒ¡ÒÃÀÒÂËÅѧ·Õà¤ÂÁÕÃдٻ¡µÔÁÒ¡‹Í¹
                                                Œ † è Õ                è
ÁÕ¡ÒþÂҡóâä´Õ¡Ç‹Ò¼Ù»Ç·ÕÁÍÒ¡ÒõѧᵋàÃÔÁÁÕ»ÃШíÒà´×͹
                         Œ † è Õ        é   è             5



       ¡ÅØÁÇÑÂà¨ÃÔ­¾Ñ¹¸Ø
          ‹
          ¡ÒÃà¡Ô´ DUB ã¹¡ÅØÁÇÑÂà¨ÃÔ­¾Ñ¹¸ØËÁÒ¶֧ ã¹Ë­Ô§ª‹Ç§ÍÒÂØ»ÃÐÁÒ³ 20-40 »‚ ¾ºÃŒÍÂÅÐ 40
                           ‹             
¢Í§ DUB ·Ñé§ËÁ´ÀÒÇÐàÅ×Í´ÍÍ¡¼Ô´»¡µÔ¨Ò¡â¾Ã§Á´Å١㹪‹Ç§ÍÒÂØ¹ÕéÁÑ¡à¡Ô´¨Ò¡à¹×éͧ͡Á´ÅÙ¡
¡ÒÃÍÑ¡àʺµÔ´àª×Íã¹ÍاàªÔ§¡ÃÒ¹ ËÃ×ÍÀÒÇÐá·Ã¡«ŒÍ¹¢Í§¡Òõѧ¤ÃÃÀ ¨Ö§ÁÕ¤ÇÒÁ¨íÒ໚¹¨ÐµŒÍ§á¡ÀÒÇÐ
                 é Œ                                    é
àËŋҹա͹·Õ¨ÐÇÔ¹¨©ÑÂÇ‹Ò໚¹ DUB ¡ÒÃà¡Ô´ DUB ã¹ÇѹÕà¡Ô´ä´Œ·§ anovulatory áÅÐ ovulatory DUB
       é ‹ è Ô                                      é       Ñé

       ¡ÅØÁã¡ÅŒÇÂËÁ´ÃдÙ
          ‹     Ñ
          DUB ã¹ÇѹÕËÁÒ¶֧ DUB ·Õà¡Ô´ã¹Ë­Ô§ÍÒÂØÁÒ¡¡Ç‹Ò 40 »‚ ¾ºÃŒÍÂÅÐ 40 ¢Í§ DUB ·Ñ§ËÁ´
                     é               è                                               é
àÅ×Í´ÍÍ¡¼Ô´»¡µÔ¨Ò¡â¾Ã§Á´ÅÙ¡ã¹ÇѹդÇù֡¶Ö§âä·Ò§¡ÒÂÀÒ¾äÇŒ¡Í¹ â´Â੾ÒÐÁÐàÃç§àÂ×ͺØÁ´ÅÙ¡
                                       é                        ‹                 è
áÅÐÁÐàÃç§»Ò¡Á´ÅÙ¡ «Ö§¾ºÁÒ¡¢Ö¹µÒÁÍÒÂØ áÅÐ໚¹âä·ÕÃÒÂáç ´Ñ§¹Ñ¹¨ÐµŒÍ§·íÒ¡ÒõÃǨà¾ÔÁàµÔÁ
                       è       é                    èŒ            é                    è
à¾×ÍÇÔ¹¨©ÑÂᡤÇÒÁ¼Ô´»¡µÔàËŋҹա͹àÊÁÍ DUB ã¹ÇѹÕà¡Ô´¨Ò¡ÀÒÇÐ䢋äÁ‹µ¡à»š¹Ê‹Ç¹ãË­‹ «Ö§à»š¹
   è Ô                           é ‹                é                                    è
¡ÒÃà»ÅÕ¹á»Å§·Õà¡Ô´¢Ö¹¡‹Í¹¨ÐËÁ´ÃдÙ
        è         è é

¡ÒÃÇÔ¹Ô¨©ÑÂ
       ¡ÒÃÇÔ¹¨©ÑÂÀÒÇÐ DUB ໚¹¡ÒÃÇÔ¹¨©ÑÂâ´Â¡ÒÃá¡ÊÒà˵طҧ organic ·Õ·ÒãËŒÁàÅ×Í´ÍÍ¡
             Ô                       Ô                                   è í Õ
¼Ô´»¡µÔ¨Ò¡â¾Ã§Á´ÅÙ¡ÍÍ¡ä»áÅŒÇ ¡ÒÃÇÔ¹¨©ÑµŒÍ§ãªŒ¢ÍÁÙÅ·Õä´Œ¨Ò¡¡Òëѡ»ÃÐÇÑµÔ ¡ÒõÃǨËҧ¡ÒÂ
                                   Ô           Œ     è
áÅСÒÃÊ׺¤Œ¹¾ÔàÈɴѧµ‹Í仹Õé
àǪÈÒʵÏ·¹Âؤ 2553
          Ñ                                                                           233

       ¡Òëѡ»ÃÐÇѵÔ
        ¡Òëѡ»ÃÐÇѵ»ÃСͺ´ŒÇ»ÃÐÇѵÃд٠ÅѡɳÐÃдٷ¼´»¡µÔ »ÃÔÁÒ³àÅ×Í´·ÕÍÍ¡ ÍÒ¡Ò÷Õè
                     Ô                Ô                Õè Ô                 è
ÊÑÁ¾Ñ¹¸¡ºÀÒÇЫմ¨Ò¡àÊÕÂàÅ×Í´ÁÒ¡ ÍÒ¡ÒÃËÇÁÍ×¹ ઋ¹ »Ç´·ŒÍ§ µ¡¢ÒǼԴ»¡µÔ »ÃÐÇѵ·Ò§ÊÙµ¡ÃÃÁ
         Ñ                                   è                                Ô     Ô
¡ÒäØÁ¡íÒà¹Ô´ ¡ÒÃ㪌ÎÍÏâÁ¹ áÅÐÂÒÃÑ¡ÉÒâäÍ×¹â´Â੾ÒÐÂÒ·ÕÁ¼Åµ‹Í¡ÒÃá¢ç§µÑǢͧàÅ×Í´ ÍÒ¡ÒÃ
                                           è                è Õ
¢Í§âäÃкºÍ×¹ æ »ÃÐÇѵ¤Ãͺ¤ÃÑÇ ¡ÒÃᵋ§§Ò¹ ÃÇÁä»¶Ö§ÀÒÇзҧà¤ÃÕ´´ŒÇÂ
              è           Ô

       ¡ÒõÃǨËҧ¡ÒÂ
        ¡ÒõÃǨËҧ¡Ò»ÃСͺ´ŒÇ¡ÒõÃǨ·ÑÇä» áÅСÒõÃǨÀÒÂã¹ ¡ÒõÃǨËҧ¡Ò·ÑÇä»
                                               è                                     è
໚¹¡ÒõÃǨËÒÍÒ¡ÒÃáÊ´§¢Í§âäÃкºµ‹ÍÁäÃŒ·ÍÍ×¹áÅÐâä·ÑÇä»·ÕÍÒ¨¨Ð·íÒãËŒÁÀÒÇÐàÅ×Í´ÍÍ¡
                                                 ‹ è       è   è            Õ
¼Ô´»¡µÔ¨Ò¡â¾Ã§Á´ÅÙ¡ ¡ÒõÃǨÀÒÂã¹ÁÕ¤ÇÒÁ¨íÒ໚¹à¾×Íá¡ÊÒà˵طҧ¹ÃÕàǪ·Õ·ÒãËŒà¡Ô´àÅ×Í´ÍÍ¡
                                                     è                  è í
¼Ô´»¡µÔ¨Ò¡â¾Ã§Á´ÅÙ¡¡‹Í¹·Õ¨ÐÇÔ¹¨©Ñ DUB ´Ñ§¹Ñ¹ã¹Ë­Ô§·ÕÁà¾ÈÊÑÁ¾Ñ¹¸áŌǤÇÃ䴌ú¡ÒõÃǨÀÒÂ
                            è Ô              é         è Õ                    Ñ
ã¹·Ø¡ÃÒ ʋǹà´ç¡ÇÑÂÃØ¹·Õ§äÁ‹Áà¾ÈÊÑÁ¾Ñ¹¸¤ÇÃÅÐàÇŒ¹¡ÒõÃǨÀÒÂã¹ à¹×ͧ¨Ò¡ÊÒà˵ط·ÒãËŒàÅ×Í´
                      ‹ è Ñ Õ                                      è            Õè í
ÍÍ¡¼Ô´»¡µÔ¨Ò¡â¾Ã§Á´ÅÙ¡ã¹ÇѹÕÁ¡à»š¹ DUB ¨Ò¡ÀÒÇÐ䢋äÁ‹µ¡ «Ö§¡ÒõÃǨÀÒÂã¹ÁÑ¡äÁ‹¾º¤ÇÒÁ
                                 é Ñ                         è
¼Ô´»¡µÔ

       ¡ÒõÃǨÊ׺¤Œ¹¾ÔàÈÉ
          ¡ÒõÃǨÊ׺¤Œ¹¾ÔàÈÉÁÕ¨´»ÃÐʧ¤à¾×ÍÇÔ¹¨©ÑÂá¡ÊÒà˵بҡ organic Í×¹ æ Í͡仡‹Í¹·Õè
                                 Ø             è Ô                             è
¨ÐÇÔ¹¨©Ñ DUB ¡ÒõÃǨÊ׺¤Œ¹¾ÔàÈÉ·Õ·Òº‹Í 䴌ᡋ
       Ô                               è í
          ¡ÒâٴÁ´Å١Ẻá¡ʋǹ (.ractional curettage; ./C) Çѵ¶Ø»ÃÐʧ¤ã¹¡ÒâٴÁ´ÅÙ¡ ÁÕ
ÍÂÙ‹ 2 ¢ŒÍËÅÑ¡ ¤×Í
          - à¾×è͵ÃǨ¾ÂÒ¸ÔÊÀÒ¾ã¹â¾Ã§Á´ÅÙ¡â´Â੾ÒÐÁÐàÃç§àÂ×èͺØÁ´ÅÙ¡ µÔè§à¹×éÍã¹â¾Ã§Á´ÅÙ¡
(endometrial polyp) ËÃ×ͪԹʋǹ¨Ò¡¡Òõѧ¤ÃÃÀ
                           é               é
          - à¾×Í·íÒãËŒàÅ×Í´ÃдÙËÂØ´ã¹ÃÒ·ÕàÅ×Í´ÍÍ¡ÁÒ¡
                è                            è
          ¡ÒõѴµÃǨà¹×éÍàÂ×èͺØÁ´ÅÙ¡ (Endometrial biopsy or sampling) â´Â¡ÒÃ㪌ͻ¡Ã³ãÊ‹
                                                                                    Ø
ࢌÒã¹â¾Ã§Á´ÅÙ¡áŌǴٴªÔ¹à¹×Íã¹â¾Ã§Á´ÅÙ¡ÍÍ¡ÁÒµÃǨ·Ò§¾ÂÒ¸ÔÇ·ÂÒ à»š¹ÇÔ¸·§Ò ¼Ù»ÇÂäÁ‹à¨çºµÑÇ
                          é é                                  Ô         Õ Õè ‹ Œ †
ÊÒÁÒö·íÒä´Œ¢Ò§àµÕ§ äÁ‹µÍ§´ÁÂÒÊźËÃ×ͩմÂÒÃЧѺ¤ÇÒÁà¨çº»Ç´ ·íÒãËŒ¼»ÇÂ䴌úÀÒÇÐàÊÕ§
                  Œ          Œ                                            ÙŒ †    Ñ      è
¨Ò¡¡ÒôÁÂÒÊź¹ŒÍÂŧ ᵋäÁ‹ÊÒÁÒöËÂØ´àÅ×Í´ÃдٷÍÍ¡ÁÒ¡ä´Œ
                                                      Õè
          ¡ÒõÃǨÍÑŵÃÒ«Òǹ´ (Ultrasound) ã¹»˜¨¨Øº¹ÁÕ¡ÒþѲ¹Ò¨¹ÁÕ»ÃÐÊÔ·¸ÔÀÒ¾ÊÙ§ ª¹Ô´
                                                         Ñ
high resolution ÊÒÁÒöÇÔ¹¨©Ñ¾ÂÒ¸ÔÊÀÒ¾¢¹Ò´àÅç¡áÅзÃÒºµíÒá˹‹§ä´ŒáÁ‹¹ÂíÒ ÊÒÁÒöµÃǨ
                               Ô
¾ÂÒ¸ÔÊÀÒ¾ã¹â¾Ã§Á´ÅÙ¡áÅÐã¹ÍØŒ§àªÔ§¡ÃÒ¹ ¡Ò÷íÒÍÑŵÃÒ«Òǹ´·Ò§ª‹Í§¤ÅÍ´ (transvaginal
ultrasonography) ÊÒÁÒö㪌㹡ÒôپÂÒ¸ÔÊÀÒ¾ã¹â¾Ã§Á´ÅÙ¡ä´ŒáÁ‹¹ÂíÒ(6) â´Â੾ÒСÒÃ㪌¹Òà¡Å×Í
                                                                                      éí
©Õ´à¢ŒÒä»ã¹â¾Ã§Á´Å١ËÇÁ´ŒÇ (saline infusion) ·íÒãËŒàËç¹¾ÂÒ¸ÔÊÀҾઋ¹ polyp áÅÐ submucous
myoma ªÑ´ÂÔ§¢Ö¹(7)
              è é
234                                       Practical Management of Dysfunctional Uterine Bleeding

        ¡ÒÃʋͧ¡ÅŒÍ§µÃǨã¹â¾Ã§Á´ÅÙ¡ (Hysteroscopy) ¶×Í໚¹ gold standard 㹡ÒõÃǨ
ËÒÊÒà˵آͧ¡ÒÃÁÕàÅ×Í´ÍÍ¡¼Ô´»¡µÔ¨Ò¡â¾Ã§Á´ÅÙ¡ Í‹ҧäáçµÒÁ¡ÒÃʋͧ¡ÅŒÍ§µÃǨã¹â¾Ã§Á´ÅÙ¡
ÂѧäÁ‹ÊÒÁÒö¡ÃзíÒä´Œ·¡Ê¶ÒºÑ¹
                      Ø
        ¡ÒõÃǨ¤Œ¹Í×¹ æ à¾×ÍËÒÊÒà˵بҡâä·Ò§ÍÒÂØ¡ÃÃÁ ઋ¹ ¡ÒÃà¨ÒÐàÅ×Í´µÃǨ¡Ò÷íÒ§Ò¹
                    è      è
¢Í§µ‹ÍÁä·ÃÍ´ ¡Ò÷íÒ§Ò¹¢Í§µÑº »˜¨¨Ñ¡ÒÃá¢ç§µÑǢͧàÅ×Í´ âä·Ò§âÅËÔµÇÔ·ÂÒ ¹Í¡¨Ò¡¹Õ¡ÒÃ
                                                                                 é
µÃǨ¤ÇÒÁࢌÁ¢Œ¹¢Í§àÅ×Í´à¾×èÍ»ÃÐàÁÔ¹ÀÒÇЫմ ¤Ç÷íÒã¹¼ÙŒ·ÕèÁÕ»ÃÐÇѵÔàÅ×Í´ÍÍ¡¼Ô´»¡µÔ¨Ò¡
â¾Ã§Á´ÅÙ¡·ÕÍÍ¡ÁÒ¡áÅÐËÃ×ÍÍÍ¡¹Ò¹ à¾×;ԨÒóÒãËŒàÅ×Í´·´á·¹ã¹ÃÒ·ի´ÁÒ¡
           è                         è                             è Õ

¡ÒÃÃÑ¡ÉÒ
        ÊÔ§·Õ¨ÐµŒÍ§¾Ô¨ÒóһÃСͺ㹡ÒÃÃÑ¡ÉÒ ¤×Í ÍÒÂØ¼»Ç ¤ÇÒÁµŒÍ§¡ÒÃÁÕºµÃ áÅФÇÒÁÃØ¹áç
          è è                                       ÙŒ †               Ø
¢Í§àÅ×Í´ÍÍ¡ ¡ÒÃÃÑ¡ÉÒ·ÑÇä» ä´Œá¡‹ ¡ÒÃᡌä¢ÍÒ¡ÒêçͤáÅÐÍÒ¡Òëմ ãËŒ¾¡¼‹Í¹ ãËŒÂÒÃЧѺ»ÃÐÊÒ·
                        è                                         Ñ
áÅÐãËŒ¤ÇÒÁÃÙ¤ÇÒÁࢌÒã¨à¡ÕÂǡѺâäᡋ¼»ÇÂ
              Œ           è          ÙŒ †

        ¡ÒÃÃÑ¡ÉÒ DUB ª¹Ô´ÁÕ¡Òõ¡ä¢‹ (ovulatory DUB)
         ¡ÒÃÃÑ¡ÉÒ DUB ª¹Ô´ÁÕ¡Òõ¡ä¢‹ (oligomenorrhea, polymenorrhea, premenstrual spotting
áÅÐ menorrhagia) ¤ÇÃãËŒÂÒàÁç´¤ØÁ¡íÒà¹Ô´ª¹Ô´ÎÍÏâÁ¹ÃÇÁ ÃѺ»ÃзҹÃÐËNjҧÇѹ·Õè 5-25 ¢Í§Ãͺ
Ãд٠·Ñé§¹Õéà¾×èÍËÇѧ¼Å¡ÒÃÂѺÂÑé§¡Òõ¡ä¢‹ 㹡óշÕè¼ÙŒ»†ÇÂÁÕÍÒ¡ÒâŒÒ§à¤Õ§¨Ò¡ estrogen ¡çãËŒ
progestogen Í‹ҧà´ÕÂÇ ÃÐËNjҧÇѹ·Õè 5-25 ¢Í§ÃͺÃд٠äÁ‹¤ÇÃãËŒ progestogen à¾Õ§ª‹Ç§ËÅѧ¢Í§
ÃͺÃд٠à¾ÃÒШÐä´Œ¼Å¡ÒÃÃÑ¡ÉÒᵋà¾Õ§ DUB ª¹Ô´ corpus luteum insufficiency ෋ҹѹ á¹Ð¹íÒ
                                                                                   é
ãËŒ¡ÒÃÃÑ¡ÉÒµÔ´µ‹Í¡Ñ¹Í‹ҧ¹ŒÍ 3 Ãͺ ËÅѧËÂØ´ÂÒ¼Ù»ÇÂʋǹãË­‹ËÒÂ໚¹»¡µÔ ¡àÇŒ¹ÀÒÇÐ essential
                                                Œ †
menorrhagia «Ö§ÁÑ¡¨ÐäÁ‹ËÒ¢Ҵ ÁÕ¡ÒÃÃÑ¡ÉÒ´ŒÇÂÂÒËÅÒ¢¹Ò¹ ᵋäÁ‹ÁǸ㴷ÕãËŒ¼Å´ÕàÅÔÈ
                 è                                                   ÕÔÕ è
        1. ¡ÒÃÃÑ¡ÉÒ´ŒÇÂÂÒ(8,9)
           1.1 Progestogen
                Progestogen ໚¹ÎÍÏâÁ¹ËÅѡ㹡ÒÃÃÑ¡ÉÒ DUB ¡ÒÃãËŒ progestogen ª¹Ô´ÃѺ»ÃÐ
·Ò¹ã¹ DUB ÁÕ 4 ÇÔ¸Õ ¤×Í
                (1)  ãˌǹ·Õè 16-25 ¢Í§ÃͺÃд٠໚¹ luteal replacement ËÃ×Í supplement (secretory
                           Ñ
trans-formation) 㹡ÒÃÃÑ¡ÉÒ DUB ·ÕäÁ‹Á¡Òõ¡ä¢‹ ᵋ¨ÐäÁ‹ä´Œ¼Å㹡ÒÃÃÑ¡ÉÒ essential menorrhagia
                                        è Õ
                (2)  ãˌǹ·Õè 5-25 ¢Í§ÃͺÃд٠progestogen ¨ÐÂѺÂѧķ¸Ôì proliferative ¢Í§ estrogen
                         Ñ                                          é
㹪‹Ç§áá¢Í§ÃͺÃд٠¹Í¡¨Ò¡¹Õ§ÂѺÂѧ¡Òõ¡ä¢‹ ¼Å·íÒãËŒàÂ×ͺØÁ´ÅÙ¡ºÒ§¡Ç‹Ò»¡µÔÁÒ¡ ´Ñ§¹Ñ¹
                                    é Ñ     é                     è                              é
withdrawal bleeding ¨Ö§¹ŒÍÂŧ¡Ç‹Ò»¡µÔ ·íÒãˌŴ»ÃÔÁÒ³àÅ×Í´·ÕÍ͡ŧ䴌´Õ
                                                                è
                (3) ãËŒÃÐÂÐÂÒǵԴµ‹Í¡Ñ¹äÁ‹ÁªÇ§·ÕËÂØ´ÂÒ ÁÕ¡ÒÃÂѺÂѧËÃ×Í¡´¡ÒÃà»ÅÕ¹á»Å§¢Í§àÂ×Í
                                                Õ ‹ è                 é            è               è
ºØÁ´Å١໚¹ª¹Ô´ secretory áÅÐÂѧ»‡Í§¡Ñ¹äÁ‹ãËŒÁ¡ÒÃÊÌҧ estrogen áÅÐ progesterone receptors
                                                    Õ
´Ñ§¹Ñ¹ÎÍÏâÁ¹·Ñ§Êͧ¨Ö§äÁ‹ÊÒÁÒöÍ͡ķ¸Ôä´Œ Ê‹§¼ÅãËŒàÂ×ͺØÁ´ÅÙ¡¨ÐºÒ§Å§æ ¨¹ã¹·ÕÊ´à¡Ô´¡Òý†Í
     é          é                             ì           è                           èØ
àǪÈÒʵÏ·¹Âؤ 2553
          Ñ                                                                                                              235

ºÒ§¢Í§àÂ×ͺØÁ´ÅÙ¡ ·íÒãËŒäÁ‹ÁÃд٠䴌¼Å´Õ㹼ٻǠessential menorrhagia ¢ŒÍàÊÕ¤×ͺҧÃÒÂÁÕàÅ×Í´
                  è                              Õ               Œ †
ÍÍ¡¡ÃлÃÔ´¡ÃлÃÍ (breakthrough bleeding)
                          (4) ÂÒàÁç´¤ØÁ¡íÒà¹Ô´ª¹Ô´ÃÇÁÁÕ estrogen ÃÇÁÍÂÙ´Ç 䴌¼Åઋ¹à´ÕÂǡѺ¡ÒÃãˌẺ·Õè (2)
                                                                                     ‹ Œ
                    1.2 Prostaglandin (PG) synthetase inhibitors
                          䴌ᡋÂҾǡ non-steroidal anti-inflammatory drugs (NSAIDs) Í͡ķ¸ÔºÂѧ fatty            ì Ñ é
acid cyclo-oxygenase äÁ‹ãËŒä» catalyze µ‹Í arachidonic acid ä»à»š¹ÊÒþǡ prostaglandin ÂÒ·Õè
㪌ÁÒ¡·ÕÊ´¤×Í mefenamic acid «Ö§ä´Œ¼Å㹡ÒÃÃÑ¡ÉÒ 1 ã¹ 3 ·íÒãËŒàÅ×Í´ÃдÙŴŧ»ÃÐÁҳÌÍÂÅÐ
              èØ                                        è
30 áÅÐÁÕÃÒÂ§Ò¹Ç‹Ò mefenamic acid ÁÕÄ·¸ÔºÂѧ¡ÒèѺµÑǢͧ PGE2 ¡Ñº receptor 㹡ŌÒÁà¹×Í
                                                               ì Ñ é                                                         é
Á´ÅÙ¡´ŒÇÂ
                          ¢¹Ò´¢Í§ÂÒ·Õ㪌 䴌ᡋ mefenamic acid 500 ÁÔÅÅÔ¡ÃÑÁ ÇѹÅÐ 3 ¤Ãѧ ໚¹àÇÅÒ 3 Çѹ
                                                   è                                                       é
¹Í¡¨Ò¡¹ÕÁÃÒÂ§Ò¹Ç‹Ò naproxen ä´Œ¼Å㹡ÒÃÃÑ¡ÉÒã¡ÅŒà¤Õ§¡Ñ¹ ¢ŒÍ´Õ¢Í§ÂÒ¡ÅØÁ¹Õ¤ÍÊÒÁÒöºÃÃà·Ò
                 é Õ                                                                              ‹ é ×
ÍÒ¡ÒûǴÃдÙä´Œ´Ç áÅÐ㪌ÂÒ੾ÒЪ‹Ç§àÇÅÒÁÕÃдÙ෋ҹѹ áÅÐÊÒÁÒö㪌ã¹ÃÒ·Õ§µŒÍ§¡ÒÃÁÕºµÃ
                                Œ                                            é                            è Ñ              Ø
à¹×ͧ¨Ò¡ÂÒäÁ‹ÂºÂѧ¡Òõ¡ä¢‹ ÍÒ¡ÒâŒÒ§à¤Õ§¹ŒÍ ÍҨ㪌ÂÒ¡ÅØÁ¹ÕÃÇÁ¡Ñº¡ÒÃ㪌ÎÍÏâÁ¹ ÁÕÃÒ§ҹ
   è                      Ñ é                                                            ‹ é‹
Ç‹Òä´Œ¼Å¡ÒÃÃÑ¡ÉÒ´Õ¢¹¡Ç‹Ò¡ÒÃ㪌໚¹ÂÒà´ÕÂÇ
                                      Öé                    è
                    1.3 Danazol
                          Danazol ໚¹ isoxazol derivative ¢Í§ 17 alpha-ethinyl testosterone ÂÒ danazol
Í͡ķ¸Ô¡´¡ÒÃËÅѧ gonadotropins ·íÒãˌºÂѧ¡ÒÃà¨ÃÔ­¢Í§ follicles ¡´¡ÒÃÊÌҧ estradiol ¡ÒÃÍ
              ì               è                               Ñ é
͡ķ¸ÔÁÒ¡ËÃ×͹ŒÍ¢ֹ¡Ñº¢¹Ò´ÂÒ ¹Í¡¨Ò¡¹Õ§Í͡ķ¸ÔºÂѧ¡ÒÃÊÌҧʵÕÃÍ´·Ã§ä¢‹áÅе‹ÍÁ
           ì                             é                             é Ñ       ì Ñ é                        Õè Ñ
ËÁÇ¡äµ áÅÐÁÕ¼Åâ´ÂµÃ§µ‹Í estrogen áÅÐ progesterone receptors 㹡ŌÒÁà¹×ÍáÅÐàÂ×ͺØÁ´ÅÙ¡                   é             è
·íÒãˌºÂѧ¡ÒÃà¨ÃÔ­¢Í§àÂ×ͺØÁ´ÅÙ¡ ¢¹Ò´¢Í§ÂÒ¤×Í ÇѹÅÐ 200 ÁÔÅÅÔ¡ÃÑÁ µÔ´µ‹Í¡Ñ¹·Ø¡Çѹ໚¹àÇÅÒ 3
          Ñ é                                  è
à´×͹ ¼Ù»ÇÂʋǹÁÒ¡ÁÕàÅ×Í´ÍÍ¡àËÁ×͹ÃͺÃдٻ¡µÔ ᵋ¨Ò¹Ç¹ÇѹŴŧ ËÃ×ͺҧÃÒÂÍÒ¨¢Ò´ÃдÙ
             Œ †                                                               í
¢ŒÍàÊÕ¢ͧÂÒ¤×Í ÁÕÍÒ¡ÒâŒÒ§à¤Õ§¨Ò¡ÀÒÇкØÃÉà¾È                    Ø
                    1.4 Gonadotropins releasing hormone analogues (GnRH analogues)
                          ÂÒã¹¡ÅØÁ¹ÕÁ¡ÒèѺ¡Ñº GnRH receptors ä´Œ´¡Ç‹Ò GnRH ã¹Ã‹Ò§¡Ò ¡ÒÃãˌ໚¹àÇÅÒ
                                           ‹ é Õ                                   Õ
¹Ò¹·íÒãˌŴ¤ÇÒÁäǢͧà«Åŏ·ÊÌҧ gonadotropin ã¹µ‹ÍÁ㵌ÊÁͧ ·íÒãˌç䢋Á¡ÒÃÊÌҧ estrogen
                                                     Õè                                        Ñ Õ
¹ŒÍÂŧ ¡ÒÃãËŒÂÒ¹Õ·ÒãËŒà¡Ô´¡ÒâҴÃдÙ໚¹Ê‹Ç¹ãË­‹ ËÅѧËÂØ´¡ÒÃÃÑ¡ÉÒÃд٨СÅѺÁÒ¡àËÁ×͹à´ÔÁ
                                  é í
ÀÒÂã¹ 2 à´×͹ ´Ñ§¹Ñ鹨֧໚¹¡ÒÃÃÑ¡ÉÒà¾Õ§ªÑèǤÃÒÇ«Öè§àËÁÒÐã¹¼ÙŒ»†Ç·ÕèÃÍ¡Òü‹ÒµÑ´à¾×èÍÅ´¡ÒÃ
àÊÕÂàÅ×Í´ÍÕ¡ËÃ×ÍÍÒ¨ãˌ㹼ٻÇ·Õã¡ÅŒ¨ÐËÁ´Ãд٠ÍÒ¡ÒâŒÒ§à¤Õ§ 䴌ᡋ ÍÒ¡ÒâͧÇÑÂËÁ´ÃÐ´Ù¤Í ÃŒÍ¹
                                              Œ † è                                                                      ×
ÇÙºÇÒº ˧ش˧Դ ª‹Í§¤ÅÍ´áËŒ§ áÅФÇÒÁÃÙÊ¡·Ò§à¾ÈŴŧ ¡ÒÃãËŒÂÒ໚¹àÇÅÒ¹Ò¹¨Ð·íÒãËŒà¡Ô´
                                                                Œ Ö
¡Ãд١ºÒ§à¹×ͧ¨Ò¡ÁÕÃдѺ estrogen µèÒ໚¹àÇÅÒ¹Ò¹
                      è                                   í
                    1.5 Antifibrinolytic agents(10)
                          ÂÒã¹¡ÅØÁ antifibrinolytic agents 䴌ᡋ epsilon-aminocaproic acid (EACA) áÅÐ
                                            ‹
tranexamic acid ÊÒÁÒöŴ»ÃÔÁÒ³àÅ×Í´ÃдÙà©ÅÕÂŧ䴌ÃÍÂÅÐ 50(11,12) â´Â¾ºÇ‹ÒÊÒÁÒöŴ»ÃÔÁÒ³
                                                                     è     Œ
àÅ×Í´·ÕÍ͡䴌´¡Ç‹Ò NSAIDs áÅÐ luteal phase progestogens ¹Í¡¨Ò¡¹Õ§¾ºÍÒ¡ÒâŒÒ§à¤Õ§ã¹
        è               Õ                                                                     é Ñ
ÍѵÃÒ·ÕèµèíÒ¡Ç‹Ò
236                                           Practical Management of Dysfunctional Uterine Bleeding

       2. ˋǧ¤ØÁ¡íÒà¹Ô´ª¹Ô´ÁÕÎÍÏâÁ¹ levonorgestrel (levonorgestrel releasing
intrauterine system, LNG-IUS)(13,14)
              LNG-IUS ໚¹Ë‹Ç§¤ØÁ¡íÒà¹Ô´·ÕÊÒÁÒö»Å´»Å‹ÍÂÎÍÏâÁ¹ levonorgestrel ãËŒÍ͡ķ¸
                                          è
੾ÒзÕã¹â¾Ã§Á´ÅÙ¡ Ê‹§¼ÅãËŒÁ¡Òá´¡ÒÃà¨ÃÔ­àµÔºâµ¢Í§àÂ×ͺØÁ´ÅÙ¡ ÊÒÁÒöŴ»ÃÔÁÒ³àÅ×Í´ä´Œ
        è                       Õ                       è
¶Ö§ÃŒÍÂÅÐ 97 â´Â¾ºÇ‹Ò㹪‹Ç§à´×͹ááËÅѧ¨Ò¡ãÊ‹Ëǧ¤ØÁ¡íÒà¹Ô´ ¼Ù»ÇºҧÃÒ¨ÐÁÕàÅ×Í´ÍÍ¡¡ÃлÃÔ
                                                 ‹            Œ †
´¡ÃлÃÍ ᵋËÅѧ¨Ò¡¹Ñ¹áŌǾºÇ‹ÒÍÒ¡Òôѧ¡Å‹ÒÇÅ´¹ŒÍÂŧ áÅÐÃŒÍÂÅÐ 15 ¨ÐäÁ‹ÁàÅ×Í´ÃдÙàÅÂ
                           é                                                  Õ
¼Åµ‹Í¡ÒÃÅ´»ÃÔÁÒ³àÅ×Í´´Õ¡Ç‹Ò¡ÒÃ㪌â»Ãà¨ÊâµÃਹẺÃѺ»ÃзҹµÔ´µ‹Í¡Ñ¹ 21 Çѹ LNG-IUS
Í͡ķ¸Ôä´Œ¹Ò¹¶Ö§ 5 »‚ ÊÒÁÒö㪌ÊÒËÃѺ¤ØÁ¡íÒà¹Ô´ä´Œ ¹Í¡¨Ò¡¹Õ¾º¼Å¢ŒÒ§à¤Õ§ ઋ¹ ÍÒ¡ÒäѴµÖ§
          ì                         í                       é
ൌҹÁä´Œ¹ÍÂ¡Ç‹Ò áµ‹Á¢Í´ŒÍ¤×ÍÃÒ¤Ò¤‹Í¹¢ŒÒ§á¾§
            Œ          Õ Œ
         3. ¡ÒÃÃÑ¡ÉÒ´ŒÇ¡Òü‹ÒµÑ´(9)
                  3.1 ¡ÒâٴÁ´ÅÙ¡
                           ¡ÒâٴÁ´ÅÙ¡äÁ‹ÁÕ»ÃÐ⪹ã¹¡ÒÃÃÑ¡ÉÒ¼ÙŒ»†Ç DUB ª¹Ô´ÁÕ¡Òõ¡ä¢‹ à¾ÃÒÐàÂ×èͺØ
Á´ÅÙ¡äÁ‹ÁÕ¡ÒÃ˹ҵÑÇ áÅмٌ»†ÇÂʋǹãË­‹¨ÐÁÕàÅ×Í´ÃдÙÍÍ¡äÁ‹ÁÒ¡¨¹à¡Ô´ÀÒÇЪçͤ ᵋÍÒ¨ÁÕ
»ÃÐ⪹ÍÂٺҧ㹡ÒÃÇÔ¹¨©ÑÂá¡âä·ÕÁ¾ÂÒ¸ÔÊÀÒ¾ã¹â¾Ã§Á´ÅÙ¡ ઋ¹ submucous myoma ໚¹
                     ‹ Œ             Ô                   è Õ
µŒ¹ Í‹ҧäá紡ÒÃÇÔ¹¨©ÑÂâä¹Õã¹»˜¨¨Øº¹ÁÕǸ¡ÒÃÍ×¹·Õǹ¨©ÑÂä´ŒáÁ‹¹ÂíÒ¡Ç‹Ò ¤×Í ¡ÒõÃǨÍÑŵÃÒ
                         Õ       Ô          é             Ñ ÔÕ è èÔ Ô
«Òǹ´ÃÇÁ¡Ñº¡Òéմ¹éÒà¡Å×ÍࢌÒâ¾Ã§Á´ÅÙ¡
          ‹                        í
                  3.2 ¡ÒõѴÁ´ÅÙ¡
                           ¡ÒõѴÁ´ÅÙ¡Áբͺ‹§ªÕ㹼ٻǷÕäÁ‹µÍºÊ¹Í§µ‹Í¡ÒÃÃÑ¡ÉÒ´ŒÇÂÂÒ ·Ñ§¹ÕµÍ§¾Ô¨ÒóÒ
                                          Œ         é Œ † è                                  é é Œ
¶Ö§ÍÒÂØáÅФÇÒÁµŒÍ§¡ÒÃÁÕºµÃ ¨Ò¡Ê¶Ôµ¢Í§»ÃÐà·Èã¹á¶ºÂØâû¾ºÇ‹Ò essential menorrhagia ໚¹
                                        Ø              Ô
DUB ·Õ໚¹ÊÒà˵طÁÒ¡·ÕÊ´¢Í§¡Òü‹ÒµÑ´Á´ÅÙ¡ÍÍ¡ã¹ÇÑÂà¨ÃÔ­¾Ñ¹¸Ø Í‹ҧäá紼»ÇÂʋǹãË­‹·ä´Œ
        è                     Õè     èØ                                               Õ ÙŒ †             Õè
ÃѺ¡ÒÃÇÔ¹¨©ÑÂÇ‹Ò໚¹ essential menorrhagia ໚¹¡ÒÃÇÔ¹¨©Ñ¨ҡ»ÃÐÇѵ¡ÒÃàÊÕÂàÅ×ʹ෋ҹѹ àÁ×ÍÁÕ
                Ô                                                     Ô         Ô                   é è
¡ÒÃÇѴẺ objective áÅŒÇÁÑ¡¾ºÇ‹Ò¼Ù»ÇÂäÁ‹ä´ŒÁÃдÙÁÒ¡¨ÃÔ§ ¤×Í ¾ºÇ‹ÒÁÕ¡ÒÃàÊÕÂàÅ×Í´ÃдٹÍ¡NjÒ
                                                   Œ †            Õ                                   Œ
80 ÁÔÅÅÔŵÃã¹áµ‹ÅÐÃͺÃд٠¨Ö§ÁÕ¼á¹Ð¹íÒÇ‹Ò ¤Ç÷íÒ¡ÒÃÇÑ´»ÃÔÁÒ³àÅ×Í´ÃдÙ㹼ٻǷյͧ¡ÒõѴ
              Ô                                 ÙŒ                                        Œ † è Œ
Á´ÅÙ¡¡‹Í¹·Õ¨ÐãËŒ¡ÒÃÃÑ¡ÉÒ´ŒÇ¡Òü‹ÒµÑ´ ËÇÁ¡Ñº¡ÒþԨÒóÒÃдѺ hemoglobin ¡ç¨ÐÊÒÁÒöŴ
                   è
¨íҹǹ¡ÒõѴÁ´Å١ŧä»ä´ŒÁÒ¡
                  3.3 ¡Òü‹ÒµÑ´·íÒÅÒÂàÂ×èͺØÁ´ÅÙ¡ (endometrial ablation)(15,16)
                           ¡Òü‹ÒµÑ´·íÒÅÒÂàÂ×ͺØÁ´Å١໚¹¡Òü‹ÒµÑ´áººÍ¹ØÃ¡É ÁÕǵ¶Ø»ÃÐʧ¤à¾×Í·íÒÅÒÂàÂ×Í
                                              è                          Ñ        Ñ               è         è
ºØÁ´ÅÙ¡«Ö§à»š¹µŒ¹¡íÒà¹Ô´¢Í§àÅ×Í´Ãд٠¡Òü‹ÒµÑ´ÁÕÍÂÙËÅÒÂÇÔ¸Õ ä´Œá¡‹ ¡ÒõѴàÂ×ͺØÁ´ÅÙ¡´ŒÇÂÅÇ´ä¿¿‡Ò
            è                                                       ‹               è
(electrical loop resection) ËÃ×Í ¡Ò÷íÒÅÒÂàÂ×ͺØÁ´ÅÙ¡´ŒÇ¤ÇÒÁÌ͹¨Ò¡áËÅ‹§¡íÒà¹Ô´¤ÇÒÁÌ͹ã¹
                                                               è
ÃٻẺµ‹Ò§æ 䴌ᡋ ä¿¿‡Ò (electrical roller ball) laser, thermal balloon áÅШҡ¤Å×¹àÊÕ§·ÕÁ¤ÇÒÁ è    è Õ
¶Õã¹Â‹Ò¹ microwave ¡Òü‹ÒµÑ´áººÍ¹ØÃ¡É¹ä´Œ¼Å´Õã¹ÃÐÂÐááËÅѧ¼‹ÒµÑ´ ᵋàÁ×͵ԴµÒÁ¼Å¡ÒÃ
  è                                                          Ñ Õé                             è
ÃÑ¡ÉÒã¹ÃÐÂÐÂÒǾºÁÕÍѵÃÒ¡ÒáÅѺ໚¹«éíÒà¾ÔèÁ¢Öé¹µÒÁÃÐÂÐàÇÅÒ
àǪÈÒʵÏ·¹Âؤ 2553
          Ñ                                                                                         237

        ¡ÒÃÃÑ¡ÉÒ DUB ª¹Ô´äÁ‹ÁÕ¡Òõ¡ä¢‹
            à¹×ͧ¨Ò¡¼Ù»Ç·Õ໚¹ DUB ª¹Ô´¹Õ¨ÐÁÕàÅ×Í´ÍÍ¡¼Ô´»¡µÔ¨Ò¡â¾Ã§Á´ÅÙ¡ä´ŒËÅÒÂẺ ¡ÒÃÃÑ¡ÉÒ
                è         Œ † è                         é
¨Ö§¾Ô¨ÒóÒãËŒµÒÁÃٻẺ·Õ¼´»¡µÔ â´ÂÁÕËÅÑ¡¡Òä×Í ËÂØ´àÅ×Í´ÃдٷÍÍ¡ÁÒ¡ËÃ×Í¡ÃлÃÔ´¡ÃлÃÍÂ
                                       è Ô                                  Õè
ËÅѧ¨Ò¡¹Ñ¹·íÒãËŒÁÃͺÃдٷÊÁèÒàÊÁÍ áÅл‡Í§¡Ñ¹¡ÒáÅѺ໚¹«éÒ
              é            Õ               Õè í                           í
            1. ÅѡɳÐàÅ×Í´ÍÍ¡¼Ô´»¡µÔ¨Ò¡â¾Ã§Á´Å١Ẻ oligomenorrhea
                  ãËŒ progestogen ઋ¹ norethisterone (NET) 5 ÁÔÅÅÔ¡ÃÑÁ medroxyprogesterone acetate
(MPA) ËÃ×Í dydrogesterone 10 ÁÔÅÅÔ¡ÃÑÁ ÇѹÅФÃѧ ໚¹àÇÅÒ 7-10 Çѹ·Ø¡à´×͹ ËÅѧ¨Ò¡ËÂØ´ÂÒ¨ÐÁÕ
                                                                 é
withdrawal bleeding ÀÒÂã¹ 14 Çѹ ËÅѧ¨Ò¡¹Ñ¹ãËŒÂÒ¢¹Ò´à´ÔÁµ‹Í໚¹Ãͺ æ â´ÂãËŒ¡ÒÃÃÑ¡ÉÒ¹Ò¹ 3-
                                                             é
6 à´×͹໚¹Í‹ҧ¹ŒÍÂ
            2. ÅѡɳÐàÅ×Í´ÍÍ¡¼Ô´»¡µÔ¨Ò¡â¾Ã§Á´Å١Ẻ menorrhagia ËÃ×Í polymenorrhea
                  ãËŒ progestogen Çѹ·Õè 15-25 ¢Í§ÃͺÃд٠¶ŒÒàÅ×Í´ÂѧÍÍ¡ÁÒ¡à»ÅÕ¹໚¹ãˌẺ 3 ã¹ 4
                                                                                    è
ÊÑ»´ÒˏËÃ×ÍãËŒµ´µ‹Í¡Ñ¹¡çä´Œ ËÃ×Í㪌ÂÒàÁç´¤ØÁ¡íÒà¹Ô´ª¹Ô´ÎÍÏâÁ¹ÃÇÁ¡çä´Œ
                       Ô
                  ¶ŒÒäÁ‹µÍºÊ¹Í§µ‹Í¡ÒÃÃÑ¡ÉÒ¤Ç÷íÒ¡ÒâٴÁ´ÅÙ¡ËÃ×Í·íÒ¡ÒõÃǨÇÔ¹Ô¨©ÑÂÍ‹ҧÍ×è¹
µ‹Íä» ã¹ÃÒ·ÕèäÁ‹µÍºÊ¹Í§µ‹Í¡ÒÃÃÑ¡ÉÒ´ŒÇÂÂÒ ¤ÇþԨÒóÒãËŒ¡ÒÃÃÑ¡ÉÒ´ŒÇ¡ÒõѴÁ´ÅÙ¡ËÃ×Í
endometrial ablation 㹼ٻǷÕäÁ‹µÍ§¡ÒÃÁÕºµÃáÅŒÇ
                                     Œ † è Œ                   Ø
            3. ÅѡɳÐàÅ×Í´ÍÍ¡¼Ô´»¡µÔ¨Ò¡â¾Ã§Á´Å١Ẻ metrorrhagia
                  ¡ÒÃÃÑ¡ÉÒ¼Ù»ÇÂã¹¡ÅØÁ¹Õé ẋ§Í͡໚¹ 2 ¢Ñ¹µÍ¹ ¤×Í
                                 Œ †             ‹                 é
                  3.1 ¡Ò÷íÒãËŒàÅ×Í´ËÂØ´
                       3.1.1 ¡Ã³ÕàÅ×Í´ÍÍ¡ÁÒ¡
                                 ã¹ÇÑÂÃØ¹äÁ‹¤ÇâٴÁ´ÅÙ¡ ¾Ô¨ÒóÒãËŒ conjugated equine estrogen (Premarin®)
                                             ‹
1.25-2.50 ÁÔÅÅÔ¡ÃÑÁ ÃѺ»Ãзҹ·Ø¡ 4-6 ªÑèÇâÁ§¨¹¡Ç‹ÒàÅ×Í´ËÂØ´ â´ÂÁÒ¡àÅ×Í´¨ÐËÂØ´ÀÒÂã¹
12 ªÑÇâÁ§ äÁ‹¤ÇÃãËŒà¡Ô¹ 24 ªÑÇâÁ§ ¶ŒÒàÅ×Í´ÍÍ¡ÁÒ¡ÂѧäÁ‹ËÂØ´¤Çù֡¶Ö§ÊÒà˵طҧ¡ÒÂÀÒ¾Í×¹ æ
      è                                        è                                                     è
ઋ¹ »˜¨¨Ñ¡ÒÃá¢ç§µÑǢͧàÅ×Í´¼Ô´»¡µÔ ÃÍÂâäã¹â¾Ã§Á´ÅÙ¡ ໚¹µŒ¹ ã¹¢³Ðà´ÕÂǡѹãËŒàÃÔèÁ
progestogen (NET 5 ÁÔÅÅÔ¡ÃÑÁ, MPA 10 ÁÔÅÅÔ¡ÃÑÁ, ËÃ×Í dydrogesterone 10 ÁÔÅÅÔ¡ÃÑÁ) ÇѹÅÐ 3 ¤Ãѧ          é
໚¹àÇÅÒ 10-14 Çѹ ËÃ×ÍÍÒ¨ãËŒÂÒàÁç´¤ØÁ¡íÒà¹Ô´ª¹Ô´ÎÍÏâÁ¹ÃÇÁÇѹÅÐ 2 àÁç´à»š¹àÇÅÒ 5-7 Çѹ áÅŒÇÅ´
¢¹Ò´àËÅ×ÍÇѹÅÐ 1 àÁç´ ä»ÍÕ¡ 3 ÊÑ»´Òˏ
                                 ¡Åä¡¡ÒÃËÂØ´àÅ×Í´¢Í§¡ÒÃÃÑ¡ÉÒ´ŒÇÂÎÍÏâÁ¹à¾È ã¹ÃÐÂÐáá໚¹¼Å¨Ò¡
¡Ò÷Õè estrogen ¡Ãеع¡ÒÃÊÌҧ»˜¨¨Ñ¡ÒÃá¢ç§µÑǢͧàÅ×Í´ áÅÐÁÕ¼Åâ´ÂµÃ§µ‹Í¤ÇÒÁá¢ç§áç¢Í§àÊŒ¹
                               Œ
àÅ×Í´½Í ã¹ÃÐÂе‹ÍÁÒ estrogen Í͡ķ¸Ô¡Ãеع proliferation ¢Í§àÂ×ͺØÁ´ÅÙ¡ ʋǹ progestogen
                                                            ì Œ                è
·íÒãËŒàÂ×ͺØÁ´ÅÙ¡à»ÅÕ¹ÊÀҾ໚¹ secretory endometrium «Ö§àÁ×ÍãËŒä»ÃÐÂÐ˹֧áÅŒÇËÂØ´ÂÒ¡ç¨ÐÁÕ
          è                  è                                         è è              è
withdrawal bleeding àËÁ×͹Ãдٻ¡µÔ                 (17)

                                 ã¹¡ÅØÁÇÑÂà¨ÃÔ­¾Ñ¹¸ØáÅÐÇÑÂËÁ´Ãд٠ãËŒ¢´Á´ÅÙ¡µÑ§áµ‹ááà¾×Í·íÒãËŒàÅ×Í´ËÂØ´
                                         ‹                             Ù        é        è
áÅÐà¾×Íà¡çºªÔ¹à¹×ÍÊ‹§µÃǨ·Ò§¾ÂÒ¸ÔÇ·ÂÒ áÅŒÇËÅѧ¨Ò¡¹Ñ¹ãËŒ¡ÒÃÃÑ¡ÉÒµÒÁ¤ÇÒÁ¼Ô´»¡µÔ·à¡Ô´¢Ö¹
        è           é é                             Ô                é                            Õè é
238                                                         Practical Management of Dysfunctional Uterine Bleeding

                     3.1.2  ¡Ã³ÕàÅ×Í´ÍÍ¡äÁ‹ÁÒ¡ ÊÒÁÒöÃÑ¡ÉÒä´ŒËÅÒÂẺ ¤×Í
                              (1) ¾Ô ¨ ÒóÒãËŒ progestogen ä´Œ á ¡‹ NET 5 ÁÔ Å ÅÔ ¡ ÃÑ Á MPA ËÃ× Í
dydrogesterone 10 ÁÔÅÅÔ¡ÃÑÁ ÇѹÅÐ 3 àÇÅÒ à»š¹àÇÅÒ 10-14 Çѹ à¾×Íà»ÅÕ¹àÂ×ͺØÁ´ÅÙ¡¨Ò¡ª¹Ô´              è è è
proliferative ໚¹ª¹Ô´ secretory àÅ×Í´ÁÑ¡ËÂØ´ÀÒÂã¹ 24-48 ªÑÇâÁ§ ÀÒÂËÅѧËÂØ´ÂÒ 2-7 Çѹ ¨ÐÁÕàÅ×Í´
                                                                                        è
ÃдÙÍÍ¡ÁÒáÅÐÊÒÁÒöËÂØ´ä´Œàͧ ´Ñ§¹Ñ¹µŒÍ§ªÕᨧãËŒ¼»ÇÂࢌÒã¨à¾×Í»‡Í§¡Ñ¹¡ÒÃࢌÒ㨼ԴNjҡÒÃÃÑ¡ÉÒ
                                                    é             é           ÙŒ †         è
äÁ‹ä´Œ¼Å ¡ÒÃÃÑ¡ÉÒẺ¹ÕàÃÕÂ¡Ç‹Ò medical curettage
                                é
                              (2) ¾Ô¨ÒóÒãËŒÂÒàÁç´¤ØÁ¡íÒà¹Ô´ª¹Ô´ÎÍÏâÁ¹ÃÇÁ ÃѺ»ÃзҹÇѹÅÐ 1-2 àÁç´
໚¹àÇÅÒ 7 Çѹ àÅ×Í´ÁÑ¡ËÂØ´ÀÒÂã¹ 2-3 Çѹ ÀÒÂËÅѧËÂØ´ÂÒ¡çÁÕàÅ×Í´ÍÍ¡ÍÕ¡¤ÃÑé§ àª‹¹à´ÕÂǡѺ
progestogen ¢ŒÍ´Õ¢Í§ÂÒ¹Õ¤ÍËÒä´Œ§Ò·ÑÇä» ¢ŒÍàÊÕ¤×ͼٻÇÂÍÒ¨ÁÕÍÒ¡ÒäÅ×¹äÊŒÍÒà¨Õ¹¨Ò¡ estrogen
                                  é ×            ‹ è                             Œ †                       è
»ÃÔÁÒ³ÊÙ§ ´Ñ§¹Ñ¹¤ÇÃãËŒÂÒᡌ¡ÒäÅ×¹äÊŒÍÒà¨Õ¹ËÇÁ´ŒÇÂ
                   é                              è
                              (3) Estrogen ãËŒã¹ÃÒ·ÕÁàÅ×Í´ÍÍ¡æ ËÂØ´æ ·Õà¡Ô´¨Ò¡ threshold bleeding
                                                                      è Õ                              è
â´ÂÁÕÃдѺ estrogen ã¹Ã‹Ò§¡ÒµèÒ ·íÒãËŒàÂ×ͺØÁ´ÅÙ¡ºÒ§¨¹ progestogen äÁ‹ÊÒÁÒöÍ͡ķ¸Ôä´Œ
                                           í                    è                                                                        ì
¢¹Ò´ÂÒ·ÕèãËŒ¤×Í conjugated equine estrogen 1.25 ÁÔÅÅÔ¡ÃÑÁµ‹ÍÇѹ ໚¹àÇÅÒ 25 Çѹ áÅÐãËŒ
progestogen ã¹ 10 ÇѹËÅѧ¢Í§Ãͺà´×͹ ËÅѧ¨Ò¡¹Ñ¹ËÂØ´ÂÒ¨ÐÁÕàÅ×Í´ÃдÙÍÍ¡ÁÒ áÅŒÇàÃÔÁÂÒẺ
                                                                            é                                                    è
à´ÔÁµ‹Íã¹Ãͺ¶Ñ´ä»
               3.2 ¡Òû‡Í§¡Ñ¹¡ÒÃ໚¹«éíÒ
                     à¹×ͧ¨Ò¡ÀÒÇÐäÁ‹Á¡Òõ¡ä¢‹à»š¹ÊÒà˵آͧ¡ÒÃÁÕàÅ×Í´ÍÍ¡¼Ô´»¡µÔ ´Ñ§¹Ñ¹¶ŒÒÀÒÇйÕé
                        è                    Õ                                                                                é
äÁ‹ÊÒÁÒöËÒÂä´Œàͧã¹àÇÅÒÍѹÊѹ ´Ñ§¹Ñ¹¡ÒäǺ¤ØÁ¡ÒÃà¨ÃÔ­¢Í§àÂ×ͺØÁ´ÅÙ¡áÅÐãËŒÁ¡ÒÃÅÍ¡ËÅØ´
                                         é             é                                          è                         Õ
Í‹ҧÊÁèÒàÊÁÍã¹áµ‹ÅÐÃͺà´×͹¨Ö§ÁÕ¤ÇÒÁ¨íÒ໚¹à¾×Í໚¹¡ÒÃÃÍãËŒ¼»Ç¡ÅѺÁÒÁÕ¡Òõ¡ä¢‹à»š¹»¡µÔ
         í                                                                è                    ÙŒ †
â´Â੾ÒÐã¹ÇÑÂÃØ¹      ‹
                     ¡ÒÃÃÑ¡ÉÒÁÕËÅÒª¹Ô´ ·Ñ§¹Õ¢¹¡ÑºÍÒÂØ ¢ŒÍËŒÒÁ áÅЪ¹Ô´¢Í§àÂ×ͺØÁ´ÅÙ¡·Ò§¾ÂÒ¸ÔÇ·ÂÒ
                                                      é é Öé                                                 è                         Ô
                     3.2.1 Proliferative endometrium ÊÒÁÒöãËŒ progestogen à´×͹ÅÐ 10 Çѹ ËÃ×Í 3                                (18)

ÊÑ»´Òˏ ¢Ö¹¡Ñº¤ÇÒÁµŒÍ§¡ÒÃ㹡ÒäØÁ¡íÒà¹Ô´áÅмšÒõͺʹͧ ÇÔ¸·§Ò¤×Í¡ÒÃãËŒÂÒàÁç´¤ØÁ¡íÒà¹Ô´
           é                                                                                     Õ Õè ‹
ª¹Ô´ÎÍÏâÁ¹ÃÇÁ ¤ÇÃãˌ͋ҧ¹ŒÍ 3 à´×͹
                     3.2.2 Endometrial hyperplasia ໚¹¾ÂÒ¸ÔÊÀÒ¾¢Í§àÂ×ͺØÁ´ÅÙ¡·Õ¶¡¡Ãеع´ŒÇ             è              è Ù          Œ
unopposed estrogen ¨Ò¡ÀÒÇÐäÁ‹Á¡Òõ¡ä¢‹à»š¹àÇÅÒ¹Ò¹ ¼Ù»Ç¨ÐÁÕ¤ÇÒÁàÊÕ§µ‹Í¡ÒÃ໚¹ÁÐàÃç§àÂ×Í
                                               Õ                                       Œ †                     è                             è
ºØÁ´ÅÙ¡ä´ŒÃÍÂÅÐ 1-30 ´Ñ§¹Ñ¹¨Ö§µŒÍ§ãËŒ progestogen à¾×Í»‡Í§¡Ñ¹¡ÒÃà¡Ô´ÁÐàÃç§àÂ×ͺØÁ´ÅÙ¡µÒÁÁÒ
             Œ                      é                                              è                                è                      (19)

â´ÂãËŒÂÒà´×͹ÅÐ 12-14 Çѹ ËÃ×Í 3 ÊÑ»´ÒˏËÂØ´ 1 ÊÑ»´Òˏ ËÃ×ÍãËŒµ´µ‹Í¡Ñ¹à»š¹àÇÅÒ 6 à´×͹ áÅзíÒÔ
¡ÒâٴÁ´ÅÙ¡«éÒà¾×ʹټšÒÃÃÑ¡ÉÒ ã¹¡Ã³Õ·ÁÕ atypia áÅÐ ÂѧäÁ‹¾ÃŒÍÁ¼‹ÒµÑ´ ¤ÇÃãËŒ¡ÒÃÃÑ¡ÉÒ´ŒÇÂ
                  í è                                        Õè
progestogen »ÃÔÁÒ³ÊÙ§ ઋ¹ megestrol acetate ÇѹÅÐ 40-160 ÁÔÅÅÔ¡ÃÑÁ áÅеÃǨªÔ¹à¹×Í«éÒ 3 à´×͹                          é é í
ËÅѧ¨Ò¡ÃÑ¡ÉÒ ¶ŒÒ¼ÅàÂ×ͺØÁ´Å١໚¹»¡µÔ¡ãˌáÉÒµ‹Í¨¹¤Ãº 6 à´×͹áŌǵѴªÔ¹à¹×͵ÃǨ«éÒÍÕ¡¤Ãѧ
                              è                          ç Ñ                                                       é é             í           é
ʋǹã¹ÃÐÂÐÂÒǶŒÒ¼Ù»ÇÂÁÕÀÒÇÐäÁ‹µ¡ä¢‹áººàÃ×ÍÃѧ¤ÇÃ䴌ú¡ÒÃÃÑ¡ÉÒµ‹Íà¹×ͧ à¾ÃÒÐâäÁÕâÍ¡ÒÊ
                          Œ †                                       é                Ñ                           è
¡ÅѺÁÒ໚¹«éÒÊÙ§í
àǪÈÒʵÏ·¹Âؤ 2553
          Ñ                                                                                                       239

ÊÃØ»
        ¡ÒÃÇÔ¹¨©Ñ DUB ໚¹¡ÒÃÇÔ¹¨©ÑÂâ´Â¡ÒõѴÊÒà˵طҧ organic ÍÍ¡ä» Ê‹Ç¹ãË­‹à»š¹ DUB
                Ô                     Ô
ª¹Ô´äÁ‹Á¡Òõ¡ä¢‹ ¡ÒÃÃÑ¡ÉÒ¾Ô¨ÒóҵÒÁÍÒÂØ ¤ÇÒÁµŒÍ§¡ÒÃÁÕºµÃ áÅФÇÒÁÃØ¹áç¢Í§àÅ×Í´ÍÍ¡
        Õ                                                     Ø
¡ÒÃÃÑ¡ÉÒ·ÑèÇä» ã¹¡ÅØ‹ÁÇÑÂÃØ‹¹ÍÒÂØ¹ŒÍÂäÁ‹¨íÒ໚¹µŒÍ§µÃǨÀÒÂã¹à¾ÃÒÐʋǹãË­‹äÁ‹ÁÕÊÒà˵طҧ
organic áµ‹ã¹¡ÅØÁÍÒÂØÁÒ¡ÁÕâÍ¡ÒÊ·Õ¨ÐÁÕÃÍÂâäã¹â¾Ã§Á´Å١䴌ʧ¡Ç‹Ò¡ÅØÁÍÒÂØ¹Í ¨Ö§ÍÒ¨µŒÍ§¢Ù´
                   ‹                è                           Ù      ‹     Œ
Á´ÅÙ¡ ËÃ×͵ѴªÔ¹à¹×Íã¹â¾Ã§Á´ÅÙ¡µÃǨ¡‹Í¹àÃÔÁãËŒ¡ÒÃÃÑ¡ÉÒ àÁ×ÍÃÑ¡ÉÒ¨¹ÊÒÁÒö¤Çº¤ØÁàÅ×Í´·ÕÍÍ¡
                  é é                         è            è                              è
¼Ô´»¡µÔã¹àº×ͧµŒ¹ä´ŒáÅŒÇ µŒÍ§ãËŒ¡ÒÃÃÑ¡ÉÒµ‹Íà¾×Í»‡Í§¡Ñ¹¡ÒáÅѺ໚¹«éÒ áÅÐᡌä¢ÊÒà˵ط·ÒãËŒà¡Ô´
              é                                 è                  í                 Õè í
¡Òõ¡ä¢‹·¼´»¡µÔ ´Ñ§¹Ñ¹¼Ù»ÇÂ¡ÅØÁ¹Õ¤ÇÃ䴌ú¡ÒõÃǨµÔ´µÒÁÍ‹ҧµ‹Íà¹×ͧ ͸ԺÒÂÇÔ¸¡ÒúÃÔËÒÃ
           Õè Ô        é Œ †      ‹ é       Ñ                            è         Õ
ÂÒÍ‹ҧ¶Ù¡µŒÍ§ ¨´Ãͺ»ÃШíÒà´×͹¢³Ð䴌ú¡ÒÃÃÑ¡ÉÒ à¾×Íᾷ¨Ðä´Œ»ÃÐàÁÔ¹¼Å¡ÒÃÃÑ¡ÉÒ䴌͋ҧ
                                         Ñ             è
¶Ù¡µŒÍ§

àÍ¡ÊÒÃ͌ҧÍÔ§
1.    Speroff L, MA .. Dysfunctional uterine bleeding. In: Speroff L, MA ., editors. Clinical gynecologic endocrinology
      and infertility. 7th ed. Philadelphia: Lippincott Williams & Wilkins; 2005. 547-72.
2.    Strauss III, C C. The endometrium and myometrium: regulation and dysfunction. In: Yen SC, Jaffe RB, RL B,
      editors. Reproductive endocrinology. Philadelphia: W.B.Saunders Company; 1999. 218-56.
3.    .raser IS. Bleeding arising from the use of exogenous steroids. Baillieres Best Pract Res Clin Obstet Gynaecol.
      1999;13:203-22.
4.    Shwayder JM. Pathophysiology of abnormal uterine bleeding. Obstet Gynecol Clin North Am. 2000;27:219-34.
5.    Kulig JW. Menstrual disorder. In: Strasburger VC, editor. Basic adolescent gynecology: An office guide.
      Baltimore: Urban & Schwarzenberg; 1990. 41-72.
6.    Vercellini P, Cortesi I, Oldani S, Moschetta M, De Giorgi O, Crosignani PG. The role of transvaginal
      ultrasonography and outpatient diagnostic hysteroscopy in the evaluation of patients with menorrhagia. Hum
      Reprod. 1997;12:1768-71.
7.    Goldstein SR, Zeltser I, Horan CK, Snyder JR, Schwartz LB. Ultrasonography-based triage for perimenopausal
      patients with abnormal uterine bleeding. Am J Obstet Gynecol. 1997;177:102-8.
8.    Bongers MY, Mol BW, Brolmann HA. Current treatment of dysfunctional uterine bleeding. Maturitas. 2004;47:159-
      74.
9.    Istre O, Qvigstad E. Current treatment options for abnormal uterine bleeding: an evidence-based approach.
      Best Pract Res Clin Obstet Gynaecol. 2007;21:905-13.
10.   Gultekin M, Diribas K, Buru E, Gokceoglu MA. Role of a non-hormonal oral anti-fibrinolytic hemostatic agent
      (tranexamic acid) for management of patients with dysfunctional uterine bleeding. Clin Exp Obstet Gynecol.
      2009;36:163-5.
11.   Long CA, Gast MJ. Menorrhagia. Obstet Gynecol Clin North Am. 1990;17:343-59.
12.   Bonnar J, Sheppard BL. Treatment of menorrhagia during menstruation: randomised controlled trial of
      ethamsylate, mefenamic acid, and tranexamic acid. Br Med J. 1996;313:579-82.
13.   Dueholm M. Levonorgestrel-IUD should be offered before hysterectomy for abnormal uterine bleeding without
      uterine structural abnormalities: there are no more excuses! Acta Obstet Gynecol Scand. 2009;88:1302-4.
240                                            Practical Management of Dysfunctional Uterine Bleeding

14. Vilos GA, Tureanu V, Garcia M, Abu-Rafea B. The levonorgestrel intrauterine system is an effective treatment
    in women with abnormal uterine bleeding and anticoagulant therapy. J Minim Invasive Gynecol. 2009;16:
    480-4.
15. Hill D, Maher P. Treatment of menorrhagia by endometrial ablation. Med J Aust. 1990;152:564-5.
16. .raser IS, Angsuwathana S, Mahmoud ., Yezerski S. Short and medium term outcomes after rollerball
    endometrial ablation for menorrhagia. Med J Aust. 1993;158:454-7.
17. .raser IS. The dysfunctional uterus: dysmenorrrhea and dysfunction uterine bleeding. In: Shearman RP,
    editor. Clinical reproductive endocrinology. New york: Churchill Livingstone; 1985. 579-98.
18. Jutras ML, Cowan BD. Abnormal bleeding in the climacteric. Obstet Gynecol Clin North Am 1990;17:409-25.
19. Lacey JV, Jr., Chia VM. Endometrial hyperplasia and the risk of progression to carcinoma. Maturitas. 2009;63:
    39-44.
àǪÈÒʵÏ·¹Âؤ 2553
          Ñ                                                                        º··Õè        241

                                                                                     36
                           䫹ÑÊÍÑ¡àʺ áÅÐÃÔ´Êմǧ¨ÁÙ¡
                                       ¼ÙŒª‹ÇÂÈÒʵÃÒ¨ÒÏ ¹ÒÂᾷ»ÒÃÂÐ ÍÒȹÐàʹ
                                       ¼ÙŒª‹ÇÂÈÒʵÃÒ¨ÒÏ ¹ÒÂᾷ¾§È¡Ã µÑ¹µÔÅÕ»¡Ã
                                       ¼ÙŒª‹ÇÂÈÒʵÃÒ¨ÒÏ ¹ÒÂᾷ͹ѭ­ ྱÐdzԪ
                                                 ÍÒ¨ÒÏ ¹ÒÂᾷਵ¹ ÅíÒÂͧàʶÕÂÃ
          ÀÒ¤ÇÔªÒâʵ ¹ÒÊÔ¡ ÅÒÃÔ§«Ç·ÂÒ ¤³Ðá¾·ÂÈÒʵÏÈÃÃÒª¾ÂÒºÒÅ ÁËÒÇÔ·ÂÒÅÑÂÁËÔ´Å
                                   Ô                   ÔÔ

          䫹ÑÊÍÑ¡àʺ ໚¹âä·Õ¾ºä´ŒºÍÂã¹àǪ»¯Ôºµ·Çä» áÅÐ໚¹Ë¹Ö§ã¹ËŒÒ¢Í§âä·Õᾷ
                                    è       ‹       Ñ Ô Ñè                  è                  è
㪌ÂÒµŒÒ¹¨ØÅªÕ¾ ÍÕ¡·Ñ§¶ŒÒ¼Ù»Ç·Õ໚¹ä«¹ÑÊÍÑ¡àʺäÁ‹ä´ŒÃº¡ÒôÙáÅÃÑ¡ÉÒ·ÕàËÁÒÐÊÁ ¨Ð¹íÒä»ÊÙâä
                      é    Œ † è                        Ñ                 è                      ‹
á·Ã¡«ŒÍ¹Í×è¹æ ઋ¹ ËÙªÑ鹡ÅÒ§ÍÑ¡àʺ, ¤ÍÍÑ¡àʺàÃ×éÍÃѧ, ËÅÍ´ÅÁÍÑ¡àʺ áÅÐ ÀÒÇÐá·Ã¡«ŒÍ¹
·Ò§µÒ ËÃ×ÍÊÁͧ䴌 ÃÔ´Êմǧ¨ÁÙ¡ ໚¹¡ŒÍ¹à¹×ͧ͡ã¹â¾Ã§¨ÁÙ¡ª¹Ô´·Õ¾ºä´ŒºÍ·ÕÊ´ áÅÐ໚¹âä
                                              é                       è           ‹ èØ
·Ò§¨ÁÙ¡·ÕÊÌҧ»˜­ËÒãËŒ¡º·Ñ§µÑǼٻÇÂàͧ áÅÐᡋᾷ¼·Ò¡ÒÃÃÑ¡ÉÒ «Ö§ä´Œá¡‹»­ËÒàÃ×ͧ¡ÒÃ
              è          Ñ é          Œ †                    ÙŒ í             è        ˜     è
à¡Ô´à»š¹«éÒ áÅСÒÃà¡Ô´ä«¹ÑÊÍÑ¡àʺËÇÁ´ŒÇ ·íÒãËŒà¡Ô´¤ÇÒÁࢌÒ㨷ѧã¹ËÁÙ»ÃЪ¹·ÑÇä» áÅÐã¹
            í                                                           é       ‹          è
ËÁÙᾷàͧNjÒÃÑ¡ÉÒäÁ‹ËÒ ¼Ù»ÇºҧÃÒÂ䴌ú¡Òü‹ÒµÑ´ËÅÒ¤Ãѧ¡ç§à¡Ô´à»š¹«éÒ䴌͡ ã¹»˜¨¨Øº¹
    ‹                           Œ †             Ñ                 é Ñ               í Õ            Ñ
ä´ŒÁ¤ÇÒÁࢌÒã¨à¡ÕÂǡѺ ÊÒà˵آͧ¡ÒÃà¡Ô´âä䫹ÑÊÍÑ¡àʺ áÅÐÃÔ´Êմǧ¨ÁÙ¡ÁÒ¡¢Ö¹ º·¤ÇÒÁ¹Õé
      Õ             è                                                                    é
¨Ö§ÁÕ¨´ÁاËÁÒ·ըзº·Ç¹ÇÃó¡ÃÃÁ·Ñ§ã¹´ŒÒ¹¾ÂÒ¸Ô¡Òà¹Ô´ ¡ÒÃÇÔ¹¨©Ñ áÅÐ ¡ÒÃÃÑ¡ÉҢͧ䫹ÑÊ
        Ø ‹       è                       é           í             Ô
ÍÑ¡àʺáÅÐÃÔ´Êմǧ¨ÁÙ¡ ÀÒÇÐâäá·Ã¡«ŒÍ¹ âä ËÃ×ÍÀÒÇзվºÃ‹ÇÁ¡Ñºâä䫹ÑÊÍÑ¡àʺ áÅÐÃÔ´Êմǧ
                                                           è
¨ÁÙ¡ ÊíÒËÃѺᾷàǪ»¯Ôºµ·Çä» áÅÐᾷ੾Òзҧ
                            Ñ Ô Ñè

¤íÒ¨íÒ¡Ñ´¤ÇÒÁ
        à¹×ͧ´ŒÇÂÅѡɳзҧ¡ÒÂÇÔÀÒ¤ 䫹ÑÊ ËÁÒ¶֧ â¾Ã§ÍÒ¡ÒÈ¢ŒÒ§¨ÁÙ¡ áÅÐ㵌°Ò¹ÊÁͧʋǹ
             è
˹ŒÒ ´Ñ§¹Ñ¹ ¤íÒ¨íÒ¡Ñ´¤ÇÒÁ¢Í§ä«¹ÑÊÍÑ¡àʺ ¤×Í ¡ÒÃÍÑ¡àʺ¢Í§àÂ×ͺØâ¾Ã§ä«¹ÑÊ (sinus mucosa)
           é                                                 è
µÑ§áµ‹Ë¹Ö§â¾Ã§¢Ö¹ä» áÅÐ à¹×ͧ¨Ò¡àÂ×ͺØâ¾Ã§ä«¹ÑÊ ¨Ðµ‹Íà¹×ͧ໚¹¼×¹à´ÕÂǡѹ¡ÑºàÂ×ͺØâ¾Ã§¨ÁÙ¡
  é      è        é         è         è                   è                    è
(nasal mucosa) ¡ÒÃÍÑ¡àʺ¢Í§ä«¹Ñʨ֧ÁÑ¡¨Ðà¡Ô´Ã‹ÇÁ¡Ñº¡ÒÃÍÑ¡àʺ¢Í§¨ÁÙ¡ ¨Ö§ÃÇÁàÃÕ¡NjÒ
rhinosinusitis(1)
        ÃÔ´Êմǧ¨ÁÙ¡ ¤×Í¡Ò÷ÕàÂ×ͺبÁÙ¡ ËÃ×Í䫹ÑÊÁÕ¡ÒÃÍÑ¡àʺ áÅкÇÁ ¨¹Â×¹ÍÍ¡ÁÒ໚¹¡ŒÍ¹
                              è è                                        è
·íÒãËŒâ¾Ã§¨ÁÙ¡áÅÐ/ ËÃ×Í䫹ÑÊ᤺
242                                                                 䫹ÑÊÍÑ¡àʺ áÅÐÃÔ´Êմǧ¨ÁÙ¡

ÍØºÑµÔ¡Òó
             ã¹»ÃÐà·Èä·Â 䫹ÑÊÍÑ¡àʺ໚¹âä·Õ¾ºº‹ÍÂã¹ÊÒÁÍѹ´Ñºáá¢Í§¤ÅÔ¹¡¼Ù»Ç¹͡·Ò§ËÙ ¤Í
                                             è                             Ô Œ †
¨ÁÙ¡ ÊíÒËÃѺµÑÇàÅ¢¢Í§Íغµ¡Òó »ÃÐÁÒ³Ç‹Ò ä«¹ÑÊÍÑ¡àʺã¹ÍàÁÃÔ¡Òà˹×Í ÊÒÁÒö¾ºä´ŒÃÍÂÅÐ
                               Ñ Ô                                                    Œ
2-16 ¢Í§»ÃЪҡà «Ö§¤Ô´à»š¹»ÃЪҡûÃÐÁÒ³ 31 Ōҹ¤¹µ‹Í»‚ ·Õ䴌ú¡ÒÃÇÔ¹¨©ÑÂÇ‹Ò໚¹ä«¹ÑÊ
                         è                                       è Ñ            Ô
ÍÑ¡àʺ áÅÐ àÁ×;ԨÒÃ³Ò¶Ö§ÍØºµ¡Òóà©¾ÒÐ䫹ÑÊÍÑ¡àʺàÃ×ÍÃѧ ¾ºÇ‹ÒÍØºµ¡Òóà¾ÔÁ¢Ö¹à»š¹ÃŒÍÂÅÐ
        (2)
                   è               Ñ Ô                      é        Ñ Ô          è é
14-16 «Ö§à»š¹Íغµ¡Ò󏷾ºä´Œã¹âäàÃ×ÍÃѧÍ×¹æàª‹¹ âäÀÙÁᾌ áÅÐË×´ ª‹Ç§ÍÒÂØ·¡æ 10 »‚ ¨Ð¾ºÇ‹Ò
           è         Ñ Ô   Õè           é è               Ô                   Ø
ÁÕâÍ¡ÒÊà¡Ô´ä«¹ÑÊÍÑ¡àʺà¾ÔÁ¢Ö¹ÃŒÍÂÅÐ 2 â´ÂÁժǧÍÒÂØ·¾ºä´ŒºÍ·ÕÊ´¤×Í 20-59 »‚ 䫹ÑÊÍÑ¡àʺ
                              è é               ‹      Õè     ‹ èØ
àÃ×ÍÃѧÁÑ¡à¡Ô´ã¹à¾ÈË­Ô§º‹Í¡NjÒà¾ÈªÒ áÅÐ ÁÑ¡¾ºÃÔ´Êմǧ¨Á١ËÇÁ´ŒÇÂä´ŒÃÍÂÅÐ 19-36(3)
   é                                                                     Œ

ª¹Ô´¢Í§ä«¹ÑÊÍÑ¡àʺ
            䫹ÑÊÍÑ¡àʺÊÒÁÒö¶Ù¡áº‹§ä´ŒµÒÁÊÒà˵آͧàª×Í·Õ·ÒãËŒà¡Ô´âä ઋ¹ äÇÃÑÊ áº¤·ÕàÃÕ ËÃ×Í
                                                            é è í
àª×ÍÃÒ áµ‹â´Â·ÑÇä»áÅŒÇ ÁÑ¡¨ÐËÁÒ¶֧ 䫹ÑÊÍÑ¡àʺ·ÕÁẤ·ÕàÃÕ ËÃ×Í àª×ÍÃÒ à»š¹ÊÒà˵آͧ¡ÒÃ
      é            è                                    è Õ                é
µÔ´àª×Í ËÃ×Í¡ÒÃÍÑ¡àʺ¢Í§àÂ×ͺØä«¹ÑÊ ¡ÒÃẋ§ª¹Ô´¢Í§ä«¹ÑÊÍÑ¡àʺ·Õ¹ÂÁ¡Ñ¹¤×Í ¡ÒÃẋ§µÒÁÃÐÂÐ
        é                     è                                       è Ô
àÇÅÒ·ÕàÃÔÁÁÕÍÒ¡Òà ¤×Í à©Õº¾Åѹ (acute: ¹ŒÍÂ¡Ç‹Ò 4 ÊÑ»´Òˏ) ¡Ö§à©Õº¾Åѹ (subacute: 4-12 ÊÑ»´Òˏ)
          è è                                                     è
àÃ×ÍÃѧ (chronic : ÁÒ¡¡Ç‹Ò 12 ÊÑ»´Òˏ) Ẻ¡íÒàÃÔº (acute exacerbation of chronic) áÅРẺ໚¹
    é
º‹Í (recurrent acute : ໚¹º‹ÍÂÁÒ¡¡Ç‹Ò 4 ¤Ãѧã¹Ë¹Ö§»‚) ºÒ§áË‹§ä´ŒãËŒ¤Ò¨íÒ¡Ñ´¤ÇÒÁ¢Í§ä«¹ÑÊÍÑ¡àʺ
                                             é     è                   í
à©Õº¾Åѹ ¤×Í䫹ÑÊÍÑ¡àʺ·ÕÁÍÒ¡ÒùŒÍÂ¡Ç‹Ò 12 ÊÑ»´Òˏ áÅÐÍÒ¡Òõ‹Ò§æ ËÒÂʹԷ (complete
                                è Õ
resolution) ʋǹ䫹ÑÊÍÑ¡àʺàÃ×ÍÃѧ ¤×Í䫹ÑÊÍÑ¡àʺ·Õ໚¹ÁÒ¹Ò¹¡Ç‹Ò 12 ÊÑ»´Òˏ áÅР㹪‹Ç§·Õ໚¹
                                    é                 è                                      è
¹Ñ¹ ÍÒ¡Òõ‹Ò§æäÁ‹ÁªÇ§·ÕËÒÂàÅ (without resolution of symptoms)
  é                    Õ ‹ è

¾ÂÒ¸Ô¡íÒà¹Ô´
           â´Â·ÑÇä» ¡ÒõԴàª×ÍäÇÃÑÊã¹·Ò§à´Ô¹ËÒÂã¨Ê‹Ç¹µŒ¹ ËÃ×Í ËÇÑ´ ÁÕâÍ¡ÒÊ ÃŒÍÂÅÐ 0.5-2 ·Õ¨Ð
                è            é                                                                è
à¡Ô´à»š¹ä«¹ÑÊÍÑ¡àʺ ÊÒäѴËÅѧ (secretion) ¢Í§ä«¹Ñʨж١¢¹¡ÇÑ´ ËÃ×ÍÈÕàÅÕ (cilia) ¾Ñ´ÁÒ·ÕºÃÔàdz
                      (4)
                                 è                                                       è
ÁÕà͵ÑÊÍѹ¡ÅÒ§ (middle meatus) ໚¹Ê‹Ç¹ãË­‹ ´Ñ§¹Ñ¹ ¶ŒÒÁÕ¡Òáմ¢ÇÒ§ºÃÔàdz ÁÕà͵ÑÊÍѹ¡ÅÒ§
                                                     é
(ÃÙ»·Õè 1) â´ÂàÂ×ͺØâ¾Ã§¨ÁÙ¡·ÕºÇÁ ËÃ×ÍÅѡɳзҧ¡ÒÂÇÔÀÒ¤·Õ᤺¡Ç‹Ò»¡µÔ (ઋ¹ ¼¹Ñ§¡Ñ¹ª‹Í§¨ÁÙ¡¤´)
                  è            è                         è                         é
¨Ð·íÒãËŒà¡Ô´¡Òäѧ¤ŒÒ§¢Í§ÊÒäѴËÅѧã¹â¾Ã§ä«¹ÑÊ à¡Ô´à»š¹ä«¹ÑÊÍÑ¡àʺ䴌
                    è                è
àǪÈÒʵÏ·¹Âؤ 2553
          Ñ                                                                                                                243




ÃÙ»·Õè 1: áÊ´§¡ÒÂÇÔÀÒ¤ã¹â¾Ã§¨ÁÙ¡ ãËŒàË繺ÃÔàdzÁÕà͵ÑÊÍѹ¡ÅÒ§ (middle meatus) «Öè§ÍÂÙ‹
          㵌à·ÍºÔ๷Íѹ¡ÅÒ§ (middle turbinate)

          ÊíÒËÃѺ ¾ÂÒ¸Ô¡Òà¹Ô´¢Í§ä«¹ÑÊÍÑ¡àʺàÃ×ÍÃѧ ã¹»˜¨¨Øº¹ÂѧäÁ‹à»š¹·Õ·ÃÒºÊÒà˵Øá¹‹ª´ â´ÂºÒ§
                                  í                                é            Ñ               è                     Ñ
ʋǹà¡Ô´¨Ò¡¡ÒôíÒà¹Ô¹âä¢Í§ä«¹ÑÊÍÑ¡àʺà©Õº¾Åѹ·ÕäÁ‹ËÒ ᵋ¡ÁÍ¡ºÒ§Ê‹Ç¹ (â´Â੾ÒÐÍ‹ҧ
                                                                              è         ç ÕÕ
Âԧ䫹ÑÊÍÑ¡àʺàÃ×ÍÃѧ·ÕÁôÊմǧ¨Á١ËÇÁ´ŒÇÂ) ·Õ§äÁ‹·ÃÒºÊÒà˵ءÒÃà¡Ô´ ¡ÒÃÈÖ¡Éҷҧͳ٪ÇÇÔ·ÂÒ
  è                       é è ÕÔ                                     èÑ                                                   Õ
¾ºÇ‹ÒÁÕ¤ÇÒÁà¡ÕÂÇ¢ŒÍ§¡Ñº ÍÕâÍÊÕ⹿Åŏ áÅÐ ÅÔÁâ¿«Ñ· ã¹à¹×ÍàÂ×Í·íÒãËŒÁ¡ÒúÇÁ¹éÒáÅÐÍÑ¡àʺ
                    è                                                             é è             Õ               í
          ä«¹Ñ Ê ÍÑ ¡ àʺ¨Ò¡àª×é Í ÃÒ ÊÒÁÒöà¡Ô ´ ä´Œ ã ¹¼ÙŒ »† Ç Â·Õè ÁÕ ¤ ÇÒÁ¼Ô ´ »¡µÔ ¢ ͧÀÙ ÁÔ ¤ØŒ Á ¡Ñ ¹
(immunocompromised host) ¤×Í䫹ÑÊÍÑ¡àʺ¨Ò¡àª×ÍÃÒª¹Ô´Ãعáç (invasive fungal rhinosinusitis)
                                                                          é
ËÃ×Í à¡Ô´ã¹¼Ù»Ç·ÕäÁ‹Á¤ÇÒÁ¼Ô´»¡µÔ¢Í§ÀÙÁ¤Á¡Ñ¹ (immunocompetent host) à¡Ô´à»š¹ä«¹ÑÊÍÑ¡àʺ
                 Œ † è Õ                                    Ô ØŒ
·ÕÁ¡Í¹àª×ÍÃÒ (mycetoma) ËÃ×Í ª¹Ô´ÊØ´·ŒÒ¤×Í ä«¹ÑÊÍÑ¡àʺ¨Ò¡àª×ÍÃÒª¹Ô´ÀÙÁᾌ (allergic fungal
    è Õ Œ é                                                                           é                     Ô
rhinosinusitis) «Ö§à»š¹Ë¹Ö§ã¹ÊÒà˵ط·ÒãËŒà¡Ô´ÃÔ´Êմǧ¨ÁÙ¡ª¹Ô´à»š¹«éÒ
                        è             è            Õè í                                   í (5)

          ¨¹¶Ö§»˜¨¨Øº¹ÊÒà˵ط᷌¨ÃÔ§¢Í§¡ÒÃà¡Ô´ÃÔ´Êմǧ¨ÁÙ¡ÂѧäÁ‹à»š¹·Õ·ÃҺṋª´ Í‹ҧäáçµÒÁÁÕ
                             Ñ              Õè                                                è                 Ñ
»˜¨¨ÑÂÊíҤѭ 3 »ÃСÒ÷ÕÍÒ¨ÁÕÊǹ㹡ÒÃà¡Ô´ÃÔ´Êմǧ¨ÁÙ¡ 䴌ᡋ ¡ÒÃÍÑ¡àʺàÃ×ÍÃѧ áÅСÒõԴàª×֧ͫ
                                    è          ‹                                                      é                     é è
¡ÅѺ໚¹«éÒº‹ÍÂæ ¢Í§àÂ×ͺبÁÙ¡áÅÐàÂ×ͺØä«¹ÑÊ «Ö§ÁռŷíÒãËŒà¡Ô´¡ÒúÇÁ¢Í§àÂ×꼯 ¤ÇÒÁ¼Ô´»¡µÔ
             í                          è               è               è                                     è
¢Í§¡Òõͺʹͧ¢Í§Ãкº»ÃÐÊÒ··Õ¤Çº¤ØÁ¡Ò÷íÒ§Ò¹¢Í§ËÅÍ´àÅ×Í´ áÅÐÀÒÇФÇÒÁäÇà¡Ô¹¢Í§
                                                      è
ËÅÍ´àÅ×Í´·ÕèÁÒàÅÕé§àÂ×èͺبÁÙ¡ áÅÐàÂ×èͺØä«¹ÑÊ ·íÒãËŒà¡Ô´¡ÒúÇÁ¢Í§àÂ×è꼯 áÅÐ ¤ÇÒÁ¼Ô´»¡µÔ
¢Í§¡ÃÐáÊÅÁ·Õ¼Ò¹à¢ŒÒ仺ÃÔàdz«Ö§à»š¹µŒ¹µÍ¢Í§ÃÔ´Êմǧ¨ÁÙ¡ 䴌ᡋ ºÃÔàdzâ¾Ã§¨Á١ʋǹ¡ÅÒ§
                      è ‹                        è
áÅкÃÔàdzÃÙແ´¢Í§ä«¹ÑÊ
          ÃÔ´Êմǧ¨ÁÙ¡·Õà¡Ô´¢Ö¹ºÒ§ª¹Ô´ ÁÕ¤ÇÒÁÊÑÁ¾Ñ¹¸ ËÃ×Íà¡Ô´Ã‹ÇÁ¡ÑºâäÍ×¹æ ËÃ×ÍÍҨ໚¹¼Å·Õà¡Ô´
                                 è é                                                                è                        è
¨Ò¡¡ÒÃÍÑ¡àʺ «Ö§ÊÑÁ¾Ñ¹¸¡ºâäàËŋҹѹ ËÃ×Í໚¹¼Å·Õà¡Ô´·ŒÒÂÊØ´¢Í§âä «Ö§à»š¹ÊÔ§·Õº§ºÍ¡Ç‹Ò
                           è              Ñ               é                 è                             è         è è ‹
ÃÔ´Êմǧ¨ÁÙ¡ÍÒ¨à¡Ô´¨Ò¡ÊÒà˵ØËÅÒÂæ »ÃСÒà âä·Õ辺NjÒÁÕÃÔ´Êմǧ¨ÁÙ¡à¡Ô´Ã‹ÇÁ´ŒÇ 䴌ᡋ
âäË×´ã¹¼ÙãË­‹ª¹Ô´·Õà¡Ô´áÅÐäÁ‹ä´Œà¡Ô´¨Ò¡ÀÙÁᾌ ÀÒÇСÒÃᾌÂÒáÍÊä¾ÃÔ¹ àÂ×ͺبÁÙ¡ÍÑ¡àʺÀÙÁᾌ
               Œ               è                                 Ô                                      è                      Ô
áÅЪ¹Ô´äÁ‹á¾Œ
244                                                              䫹ÑÊÍÑ¡àʺ áÅÐÃÔ´Êմǧ¨ÁÙ¡

¡ÒÃÇÔ¹Ô¨©ÑÂ
       ¡ÒÃÇÔ¹¨©ÑÂ䫹ÑÊÍÑ¡àʺà©Õº¾Åѹ ÊÒÁÒö·íÒä´Œâ´Â㪌 ÍÒ¡Òà áÅÐÍÒ¡ÒÃáÊ´§¢Í§¼Ù»ÇÂ
             Ô                                                                      Œ †
·ÕÁ¡ÒÃÍÑ¡àʺ㹷ҧà´Ô¹ËÒÂã¨Ê‹Ç¹µŒ¹ â´Â੾ÒÐÍÒ¡ÒäѴṋ¹¨ÁÙ¡ áÅÐ ÍÒ¡ÒùéÒÁÙ¡äËÅ (ËÃ×Í
  è Õ                                                                     í
ÁÙ¡äËÅŧ¤Í) â´ÂÍÒ¡Ò÷դŌÒ¡ѺËÇÑ´àËŋҹÕé µŒÍ§ÁÕÍÒ¡Òùҹ¡Ç‹Ò 10 Çѹ ¢Ö¹ä» ËÃ×Í ÁÕÍÒ¡ÒÃ
                         è                                             é
à¾ÔÁÁÒ¡¢Ö¹ËÅѧ¨Ò¡à»š¹ÁÒáÅŒÇ 5 Çѹ (double sickening sign) (ÃÙ»·Õè 2)
    è    é




ÃÙ»·Õè 2: áÊ´§ÃÐÂÐàÇÅÒ¡ÒôíÒà¹Ô¹âä¢Í§ËÇÑ´«Öè§ÁÑ¡¨ÐËÒÂàͧÀÒÂã¹ 5 Çѹ à»ÃÕºà·Õº¡Ñº
          䫹ÑÊÍÑ¡àʺ·ÕèÁÕÍÒ¡ÒÃà¾ÔèÁÁÒ¡¢Öé¹ËÅѧ¨Ò¡à»š¹ 5 Çѹ (áÊ´§â´ÂàÊŒ¹»ÃÐ) ËÃ×Í ÂѧÁÕ
          ÍÒ¡ÒÃËÅѧ໚¹ÁÒáÅŒÇ 10 Çѹ (áÊ´§â´ÂàÊŒ¹·Öº)

         ¼ÙŒ»†ÇÂâä䫹ÑÊÍÑ¡àʺàÃ×éÍÃѧ ÁÑ¡ÁÕÍÒ¡ÒÃäÁ‹à©¾ÒÐà¨ÒШ§àª‹¹ ¤Ñ´¨ÁÙ¡ ¡ÒÃÃѺ¡ÅÔè¹Å´Å§
ËÃ×ÍäÁ‹ä´Œ¡ÅÔè¹ ÁÕ¹éíÒÁÙ¡ÊÕà¢ÕÂÇ àËÅ×ͧ㹨ÁÙ¡ ËÃ×ÍäËÅŧ¤Í »Ç´ÈÕÃÉÐ ÁÕ¡ÅÔè¹»Ò¡ ÅÁËÒÂã¨ÁÕ
¡ÅÔ¹àËÁç¹ ÅԹ໚¹½‡Ò ¤ÍáËŒ§ ÁÕàÊÁËÐã¹¤Í à¨çº¤Í ÃФÒ¤ÍàÃ×ÍÃѧ äÍ »Ç´ËÙËÃ×Í ËÙÍÍ ÍÒ¨á¡䴌
    è            é                                          é                   ×é
ÂÒ¡¨Ò¡âä¨ÁÙ¡ÍÑ¡àʺÀÙÁᾌ ËÃ×Íâä¨ÁÙ¡ÍÑ¡àʺª¹Ô´äÁ‹á¾Œ ʋǹÃÔ´Êմǧ¨ÁÙ¡ àÁÕÍÁÕ¢¹Ò´âµ¢Ö¹
                              Ô                                               è           é
¨Ð·íÒãËŒ¼»ÇÂÁÕÍÒ¡ÒäѴṋ¹¨ÁÙ¡ «Ö§¨Ð໚¹ÁÒ¡¢Ö¹àÃ×ÍÂæ ÍҨ䴌ú¡ÅÔ¹¹ŒÍÂŧ ËÃ×ÍäÁ‹ä´Œ¡ÅÔ¹
            ÙŒ †                      è           é è           Ñ è                     è
         ÊíÒËÃѺ¡ÒõÃǨËҧ¡Ò¹Ñé¹ ¶ŒÒᾷÊÒÁÒöµÃǨàËç¹Ë¹Í§ã¹ºÃÔàdzÁÕà͵ÑÊÍѹ¡ÅÒ§
¨Ðª‹ÇÂà¾ÔÁ¢ŒÍÁÙÅ㹡ÒÃÇÔ¹¨©Ñ ËÃ×Í㹡óշ໚¹ä«¹ÑÊÍÑ¡àʺàÃ×ÍÃѧ·ÕäÁ‹µÍºÊ¹Í§µ‹Í¡ÒÃÃÑ¡ÉÒ ¡çÍÒ¨
          è                 Ô               Õè             é è
¨íÒ໚¹µŒÍ§ãªŒ¡ÒÃʋͧ¡ÅŒÍ§à·àÅÊ⤻à¾×Í´Ù¡ÒÂÇÔÀÒ¤·Õ¼´»¡µÔã¹â¾Ã§¨ÁÙ¡ â´Â੾ÒÐÍ‹ҧÂÔ§ ÁÕà͵ÑÊ
                                        è           è Ô                             è
Íѹ¡ÅÒ§ ËÃ×Í ºÃÔàdz·ÕàÃÕÂ¡Ç‹Ò ostiomeatal unit (OMU) «Ö§ÍÒ¨àËç¹Ë¹Í§ áÅÐ/ËÃ×Í ÃÔ´Êմǧ¨ÁÙ¡ä´Œ
                        è                               è
  ÁÑ¡¨Ð¾ºÃÔ´Êմǧ¨ÁÙ¡ËÅÒÂæ ¡ŒÍ¹ áÅÐÁÑ¡¾º·Ñ§ 2 ¢ŒÒ§¢Í§â¾Ã§¨ÁÙ¡ ÁÕšɳÐ੾ÒÐ ¤×Í ¼ÔǤ‹Í¹
                                                é                     Ñ
àǪÈÒʵÏ·¹Âؤ 2553
          Ñ                                                                              245

¢ŒÒ§Áѹ àÃÕº ÊÕ¢ÒÇà·Ò ËÃ×Í¢ÒÇàËÅ×ͧ ã¹ÃÒ·ÕôÊմǧ¨ÁÙ¡âµÁÒ¡ ÍҨˌÍÂŧÁÒ·Ò§´ŒÒ¹Ë¹ŒÒ
                                                èÔ
¢Í§â¾Ã§¨ÁÙ¡ àËç¹à»š¹¡ŒÍ¹¨Ø¡ÍÂٷèÁÙ¡ä´Œ ËÃ×ͺҧÃÒÂÃÔ´ÊմǧÍÒ¨Â×¹ÁÒ·Ò§´ŒÒ¹ËÅѧ¢Í§â¾Ã§¨ÁÙ¡
                                ‹ Õè Ù                          è
¶ŒÒãË­‹ÁÒ¡ÍÒ¨àËç¹à»š¹¡ŒÍ¹ÂŒÍÂŧä»ã¹¤Íä´Œ ʋǹ¡ÒõÃǨ·Ò§ÃѧÊÕ (plain film paranasal sinus)¹Ñ¹
                                                                                           é
ÁÕ¤ÇÒÁäÇáÅФÇÒÁ¨íÒà¾ÒÐäÁ‹ÁÒ¡ à¹×ͧ¨Ò¡àÂ×ͺØâ¾Ã§¨ÁÙ¡áÅÐ䫹Ñʵ‹Íà¹×ͧ¡Ñ¹ ´Ñ§¹Ñ¹ã¹¤¹·Õ໚¹
                                       è    è                         è           é      è
ËÇÑ´ ¡çÊÒÁÒöµÃǨ¾º¡Ò÷ֺÃѧÊբͧ䫹ÑÊä´Œ ´Ñ§¹Ñ¹¡ÒÃÇÔ¹¨©ÑÂ䫹ÑÊÍÑ¡àʺâ´Â㪌ÍÒ¡Òà áÅÐ
                                                   é        Ô
ÍÒ¡ÒÃáÊ´§ ËÇÁ¡ÑºÃÐÂÐàÇÅÒ·ÕàÃÔÁ໚¹ ¨Ö§ÁÕ¤ÇÒÁÊíҤѭ Í‹ҧäáçµÒÁ ¶ŒÒᾷʧÊÑÂÇ‹Ò ¨Ðà¡Ô´ä«¹ÑÊ
                              è è
ÍÑ¡àʺ·ÕÁÀÒÇÐá·Ã¡«ŒÍ¹ (rhinosinusitis with complication) ઋ¹¡ÒÃÍÑ¡àʺÅÒÁä»·ÕµÒ (orbital
        è Õ                                                                         è
complication) ËÃ×ÍÊÁͧ (intracranial complication) ËÃ×Í໚¹ä«¹ÑÊÍÑ¡àʺàÃ×ÍÃѧ·ÕäÁ‹µÍºÊ¹Í§µ‹Í
                                                                         é     è
¡ÒÃÃÑ¡ÉÒ áÁŒÇÒ¨Ðä´ŒÂÒ·ÕàËÁÒÐÊÁ áÅйҹà¾Õ§¾ÍáÅŒÇ ÍÒ¨¨íÒ໚¹µŒÍ§µÃǨàÍ¡«àϤÍÁ¾ÔÇàµÍÏ
               ‹        è
(CT scan) à¾×Íãˌ䴌¢ÍÁÙÅà¾ÔÁ¢Ö¹
             è       Œ      è é

ÀÒÇÐá·Ã¡«ŒÍ¹¢Í§ä«¹ÑÊÍÑ¡àʺ
         ã¹Âؤ¡‹Í¹·Õ¨ÐÁÕÂÒµŒÒ¹¨ØÅªÕ¾ãªŒ ¾ºÀÒÇÐá·Ã¡«ŒÍ¹¨Ò¡ä«¹ÑÊÍÑ¡àʺ䴌ºÍ áÅÐ໚¹ÍѹµÃÒÂ
                      è                                                   ‹
¶Ö§ªÕǵ䴌 ã¹»˜¨¨Øº¹ ¾ºÀÒÇÐá·Ã¡«ŒÍ¹¨Ò¡ä«¹ÑÊÍÑ¡àʺäÁ‹ÁÒ¡¹Ñ¡ à¹×ͧ¨Ò¡ÁÕ¡ÒÃ㪌ÂÒµŒÒ¹¨ØÅªÕ¾
       Ô            Ñ                                               è
Í‹ҧá¾Ã‹ËÅÒ ÃÇÁ·Ñé§á¾·Â·ÑèÇä»ÊÒÁÒöÇÔ¹Ô¨©ÑÂâä䫹ÑÊÍÑ¡àʺ áÅÐãËŒ¡ÒÃÃÑ¡ÉÒä´ŒàÃçÇ¢Öé¹
Í‹ҧäáçµÒÁ¶ŒÒ¼Ù»ÇÂà¡Ô´ÀÒÇÐá·Ã¡«ŒÍ¹·Õùáç áÅÐäÁ‹ä´ŒÃº¡ÒÃÇÔ¹¨©Ñ áÅÐÃÑ¡ÉÒÍ‹ҧ·Ñ¹·‹Ç§
                  Œ †                     èØ              Ñ       Ô
·Õ ÍÒ¨à¡Ô´¤ÇÒÁ¾Ô¡ÒÃËÃ×ÍàÊÕªÕǵ䴌 ÀÒÇÐá·Ã¡«ŒÍ¹¢Í§ä«¹ÑÊÍÑ¡àʺ¹Ñ¹ÍÒ¨à¡Ô´¨Ò¡
                                 Ô                                    é
         1. ¡ÒÃÍÑ¡àʺµÔ´àª×Í¡ÃШÒÂÅØ¡ÅÒÁä»ÊÙÍÇÑÂÇТŒÒ§à¤Õ§â´ÂµÃ§ (direct extension) ÍÒ¨¼‹Ò¹
                             é                   ‹
·Ò§ª‹Í§·Ò§¸ÃÃÁªÒµÔ·ÁÍÂÙ‹ ËÃ×ͼ‹Ò¹ä»µÒÁàÂ×ͺطҧà´Ô¹ËÒÂ㨠(mucosal spread)
                        Õè Õ                   è
         2. ¡ÒÃÍÑ¡àʺµÔ´àª×éÍ¡ÃШÒÂ仵ÒÁ¡ÃÐáÊàÅ×Í´ (hematogenous spread) â´ÂÍÒ¨à¡Ô´
retrograde septic thrombophlebitis
         3. ¡ÒÃÍÑ¡àʺµÔ´àª×Í¡ÃШÒÂ仵ÒÁ·Ò§à´Ô¹¹éÒàËÅ×ͧ (lymphatic spread)
                               é                   í
         ÀÒÇÐá·Ã¡«ŒÍ¹¢Í§ä«¹ÑÊÍÑ¡àʺẋ§à»š¹ ÀÒÇÐá·Ã¡«ŒÍ¹·ÕÁ¼Åµ‹ÍàÂ×ͺطҧà´Ô¹ËÒÂã¨Ê‹Ç¹
                                                              è Õ       è
º¹áÅÐʋǹŋҧ ÀÒÇÐá·Ã¡«ŒÍ¹·ÕÅÒÁä»µÒ (orbital complication) ÀÒÇÐá·Ã¡«ŒÍ¹·ÕÅÒÁä»ÊÁͧ
                                   è                                            è
(intracranial complication) ÀÒÇÐá·Ã¡«ŒÍ¹·ÕÅÒÁ仡Ãд١ (osseous complication) áÅСÒÃà¡Ô´
                                             è
¶Ø§¹éÒàÁ×Í¡ã¹ä«¹ÑÊ (mucocoele)
     í
       1. ÀÒÇÐá·Ã¡«ŒÍ¹·ÕÁ¼Åµ‹ÍàÂ×ͺطҧà´Ô¹ËÒÂã¨Ê‹Ç¹º¹áÅÐʋǹŋҧ
                        è Õ      è
            ໚¹ÀÒÇÐá·Ã¡«ŒÍ¹·Õ¾ºä´ŒºÍ·ÕÊ´ áÅÐ໚¹ÀÒÇÐá·Ã¡«ŒÍ¹·ÕäÁ‹Ã¹áç ᾷÍÒ¨äÁ‹
                                    è   ‹ èØ                            è Ø
ä´Œ¹¡¶Ö§Ç‹ÒÀÒÇÐàËŋҹÕÁÊÒà˵ØÁҨҡ䫹ÑÊÍÑ¡àʺ 䴌ᡋ
    Ö                   é Õ
            1.1) ÀÒÇмԴ»¡µÔ¢Í§ËÙªÑ鹡ÅÒ§ à¹×ͧ¨Ò¡àÂ×ͺبÁÙ¡, àÂ×ͺØä«¹ÑÊ áÅÐâ¾Ã§ËÅѧ¨ÁÙ¡
                                                  è        è        è
µ‹Í¡ÑºàÂ×ͺØÃͺ·‹ÍÂÙÊàµàªÕ¹ «Ö§à»š¹·‹Í·Õàª×ÍÁµ‹ÍÃÐËNjҧËÙª¹¡ÅÒ§ (middle ear) áÅÐâ¾Ã§ËÅѧ¨ÁÙ¡
         è                        è      è è                 Ñé
(nasopharynx) áÅÐÁÕ˹ŒÒ·ÕªÇ»ÃѺ¤ÇÒÁ´Ñ¹¢Í§ËÙª¹¡ÅÒ§ãˌ෋ҡѺºÃÃÂÒ¡ÒÈÀÒ¹͡ âä䫹ÑÊ
                              è ‹                   Ñé
ÍÑ¡àʺÊÒÁÒö·íÒãËŒàÂ×ͺØÃͺ·‹ÍÂÙÊàµàªÕ¹ºÇÁ ·íÒãËŒÁ¡Ò÷íÒ§Ò¹¢Í§·‹ÍÂÙÊàµàªÕ¹·Õ¼´»¡µÔ áÅÐ
                      è                                Õ                          è Ô
¹íÒä»ÊÙÀÒÇе‹Ò§æàËŋҹÕä´Œ ઋ¹
       ‹                    é
246                                                                      䫹ÑÊÍÑ¡àʺ áÅÐÃÔ´Êմǧ¨ÁÙ¡

                    1.1.1) ·‹ÍÂÙÊàµàªÕ¹·íÒ§Ò¹¼Ô´»¡µÔ (Eustachian tube dysfunction)
                    1.1.2) ËÙª¹¡ÅÒ§ÍÑ¡àʺẺÁչҢѧ (Otitis media with effusion)
                                   Ñé                    éí
                    1.1.3) ËÙª¹¡ÅÒ§ÍÑ¡àʺà©Õº¾Åѹ (Acute otitis media)
                                Ñé
              1.2)¡ÒÃÍÑ¡àʺàÃ×ÍÃѧ¢Í§àÂ×ͺØÅÒ¤Í (Chronic pharyngitis) à¡Ô´¨Ò¡¡Ò÷Õâä䫹ÑÊ
                                        é         è í                                       è
ÍÑ¡àʺ ÁÕ¡ÒÃÍÑ¡àʺ¢Í§àÂ×ͺبÁ١ËÇÁ´ŒÇ ·íÒãËŒàÂ×ͺبÁÙ¡ºÇÁ ¼Ù»ÇÂÁÕÍÒ¡ÒäѴ¨ÁÙ¡ ·íÒãËŒµÍ§
                              è                               è            Œ †                    Œ
ËÒÂ㨷ҧ»Ò¡ ·íÒãËŒàÂ×ͺØÅÒ¤ÍáËŒ§ ¹Í¡¨Ò¡¹Ñ¹ ¹éÒÁÙ¡·Õ໚¹Ë¹Í§ ÍÒ¨äËÅä»·Ò§´ŒÒ¹ËÅѧâ¾Ã§¨ÁÙ¡
                            è í                       é í           è
(post nasal drip) ¼‹Ò¹ nasopharynx áÅÐ oropharynx áÅзíÒãËŒà¡Ô´¡ÒÃÃФÒÂà¤×ͧ áÅСÒÃÍÑ¡àʺ
¢Í§àÂ×ͺØÅÒ¤Í à¡Ô´¡ÒÃÍÑ¡àʺàÃ×ÍÃѧ¢Í§àÂ×ͺØÅÒ¤Íä´Œ
       è í                                  é      è í
              1.3)¡Å‹Í§àÊÕ§ÍÑ¡àʺàÃ×ÍÃѧ (Chronic laryngitis) ¡ÒÃÍÑ¡àʺ¢Í§ä«¹ÑʨÐÁռŵ‹Í¡Å‹Í§
                                                é
àÊÕ§䴌 à¹×ͧ¨Ò¡àÂ×ͺآͧ䫹ÑÊáÅШÁÙ¡ ÁÕ¤ÇÒÁµ‹Íà¹×ͧ¡ÑºàÂ×ͺآͧ¡Å‹Í§àÊÕ§ ¢Í§àËÅÇËÃ×Í
            è           è                                         è     è
˹ͧ¨Ò¡ä«¹ÑÊ ¨Ö§ÍÒ¨äËÅŧÁÒã¹ÅíÒ¤Íʋǹŋҧ à¡Ô´¡ÒÃÍÑ¡àʺ¢Í§àÂ×ͺءŋͧàÊÕ§䴌 ¹Í¡¨Ò¡¹Ñ¹
                                                                               è                      é
¼Ù»ÇÂÍÒ¨ÁÕ¡ÒÃÃФÒÂ¤Í ·íÒãËŒµÍ§äÍ ËÃ×Í¢Ò¡àÊÁËÐ ËÃ×Í¡ÃÐáÍÁº‹ÍÂæ ·íÒãËŒà¡Ô´¡ÒÃÍÑ¡àʺ¢Í§
  Œ †                                         Œ
ÊÒÂàÊÕ§䴌
              1.4)äÍàÃ×éÍÃѧ (Chronic cough) ËÅÍ´ÅÁÍÑ¡àʺàÃ×éÍÃѧ (Chronic bronchitis) áÅÐ
âäË×´ (Cronchial asthma) ¡ÒÃÍÑ¡àʺ¢Í§ä«¹ÑʨÐÁռŵ‹ÍËÅÍ´ÅÁä´Œ à¹×ͧ¨Ò¡àÂ×ͺآͧ䫹ÑÊè     è
áÅШÁÙ¡ ÁÕ¤ÇÒÁµ‹Íà¹×ͧ¡ÑºàÂ×ͺآͧ·Ò§à´Ô¹ËÒÂã¨Ê‹Ç¹Å‹Ò§àª‹¹ ËÅÍ´ÅÁ 䫹ÑÊÍÑ¡àʺ ¨Ö§¡Ãеع
                          è           è                                                             Œ
ãËŒà¡Ô´¡ÒÃäÍàÃ×ÍÃѧ Ëͺ â´ÂÁÙ¡áÅÐ˹ͧ¨Ò¡ä«¹ÑÊ·ÕäËÅÅ§ä» ÍÒ¨·íÒãËŒà¡Ô´¡ÒÃÍÑ¡àʺ áÅСÒÃ
                  é                                             è
ÃФÒÂà¤×ͧ¢Í§ËÅÍ´ÅÁâ´ÂµÃ§, à¡Ô´¡ÒáÃеع¢Í§ nasobronchial reflex ·íÒãËŒà¡Ô´¡ÒÃË´µÑÇ
                                                       Œ
¢Í§¡ÅŒÒÁà¹×ÍËÅÍ´ÅÁ áÅÐ䫹ÑÊÍÑ¡àʺ ¨Ð·íÒãËŒàÂ×ͺبÁÙ¡ºÇÁ ¼Ù»ÇÂÁÕÍÒ¡ÒäѴ¨ÁÙ¡ ·íÒãËŒµÍ§
              é                                             è             Œ †                   Œ
͌һҡËÒÂ㨠·íÒãËŒÍÒ¡ÒÈ·ÕËÒÂã¨à¢ŒÒä»ã¹ËÅÍ´ÅÁäÁ‹ä´ŒÃº¡ÒûÃѺãˌ͹áÅЪ׹¢Ö¹ áÅÐäÁ‹ä´Œ
                                          è                           Ñ          Ø‹   é é
ÃѺ¡ÒáÃͧ½Ø¹ÅÐÍͧ ·íÒãËŒËÅÍ´ÅÁáËŒ§ àÊÁËÐà˹ÕÂÇ¢Œ¹ à¡Ô´¡ÒÃÃФÒÂà¤×ͧ áÅÐäÍä´Œ§ÒÂ
                †                                                                             ‹
        2. ÀÒÇÐá·Ã¡«ŒÍ¹¢Í§ä«¹ÑÊÍÑ¡àʺ·ÕÅÒÁä»µÒ (Orbital complication)
                                       è
             ໚¹ÀÒÇÐá·Ã¡«ŒÍ¹·Õ¾ºä´ŒºÍ·ÕÊ´ ã¹¡ÅØÁÀÒÇÐá·Ã¡«ŒÍ¹·Õùáç ¡ÒÃÍÑ¡àʺ¢Í§
                                 è      ‹ è Ø        ‹               èØ
ethmoid sinus ÁÕâÍ¡ÒÊÊÙ§¡Ç‹Ò䫹ÑÊÍ×¹·Õ¨ÐÅÒÁä»·ÕµÒ à¹×ͧ¨Ò¡ÍÂÙã¡ÅŒ¡ºµÒ ¡ÒÃÍÑ¡àʺÍ񬁯¡ÅÒÁ
                                   è è         è       è     ‹ Ñ
ä»ÊÙµÒâ´ÂµÃ§ â´Â¼‹Ò¹¡Ãд١ lamina papyracea ·ÕÁšɳкҧ â´Â੾ÒÐ䫹ÑÊÍÑ¡àʺ·Õà¡Ô´
    ‹                                              è ÕÑ                              è
ã¹à´ç¡
             ÃдѺ¢Í§ÀÒÇÐá·Ã¡«ŒÍ¹·Ò§µÒ ÊÒÁÒöẋ§ä´Œà»š¹ 5 ÃдѺ µÒÁ Chandler’s
classification(6) (ÃÙ»·Õè 3) ¤×Í
àǪÈÒʵÏ·¹Âؤ 2553
          Ñ                                                                                 247




        ÃÙ»·Õè 3: áÊ´§ÀÒÇÐá·Ã¡«ŒÍ¹¢Í§ä«¹ÑÊÍÑ¡àʺ·ÕèÅÒÁ仵Ò(6)
        (A = periorbital cellulitis, B = orbital cellulitis, C = subperiosteal abscess,
        D = orbital abscess, E = cavernous sinus thrombosis)

            2.1) Periorbital cellulitis (preseptal edema) ໚¹ÃдѺ¢Í§ÀÒÇÐá·Ã¡«ŒÍ¹·Ò§µÒ·Õè
¾ºä´ŒºÍ·ÕÊ´àÁ×Íà»ÃÕºà·Õº¡ÑºÃдѺÍ×¹æ ¡ÒÃÍÑ¡àʺ¨ÐÅØ¡ÅÒÁä»ÍÂÙ·ºÃÔàdz´ŒÒ¹Ë¹ŒÒ¢Í§ orbital
          ‹ èØ è                           è                          ‹ Õè
septum ¼Ù»Ç¨ÐÁÕÍÒ¡ÒûǴµÒ à»Å×Í¡µÒºÇÁ áÅÐ ÁÕ䢌ʧ àÍ¡«àϤÍÁ¾ÔÇàµÍϨÐàË繡ÒÃ
             Œ †                                                 Ù
ºÇÁ¢Í§ soft tissue ´ŒÒ¹Ë¹ŒÒ¢Í§à»Å×Í¡µÒ
            2.2) Orbital cellulitis ¡ÒÃÍÑ¡àʺ¨ÐÅÒÁÍÍ¡Áҹ͡ orbital septum ¡ÒõÃǨËҧ
¡Ò¼ٻÇ ¨Ð¾ºÇ‹ÒÅÙ¡µÒ⻹ÍÍ¡ (proptosis) ËÇÁ¡Ñº¡ÅÍ¡µÒä´ŒäÁ‹àµçÁ·Õè (limitation of ocular motion)
      Œ †
àÍ¡«àϤÍÁ¾ÔÇàµÍϨЪ‹ÇÂá¡ÃÐËNjҧ orbital cellulitis ¡Ñº subperiosteal abscess à¹×ͧ¨Ò¡ÍÒ¡ÒÃ
                                                                                     è
áÅÐÍÒ¡ÒÃáÊ´§¢Í§·Ñ§ÊͧÃдѺÍÒ¨¤ÅŒÒ¡ѹ䴌 àÁ×ÍÁÕ orbital cellulitis ¤ÇõÃǨ¡ÒÃà¤Å×͹äËǢͧ
                      é                               è                                è
ÅÙ¡µÒ áÅСÒÃÁͧàË繺‹ÍÂæ ¶ŒÒÁÕ¡ÒÃàÊ×ÍÁŧ¢Í§¡ÒÃÁͧàËç¹ ËÃ×ÍÁÕ¡ÒÃà¤Å×͹äËǢͧÅÙ¡µÒŴŧ
                                             è                             è
¤ÇÃÃÕº·íÒàÍ¡«àϤÍÁ¾ÔÇàµÍÏ«Ò à¾×;ԨÒóÒÇ‹Òà¡Ô´ subperiosteal abscess ¢Ö¹ËÃ×ÍäÁ‹
                                 éí è                                          é
            2.3) Subperiosteal abscess ¼Ù»Ç¨ÐÁÕÍÒ¡ÒÃáÅÐÍÒ¡ÒÃáÊ´§·Ò§µÒ ·Õùáç¡Ç‹Ò
                                                 Œ †                                     èØ
ÃдѺ·ÕáÅŒÇ ¤×ÍÁÕ¡ÒÃÊÙ­àÊÕ¤ÇÒÁÊÒÁÒö㹡ÒáÅÍ¡ÅÙ¡µÒ (ophthalmoplegia) áÅÐ ¡ÒÃÁͧàËç¹
        è
Ŵŧ ËÃ×ÍàÊÕÂä»
            2.4) Orbital abscess ÀÒÇÐá·Ã¡«ŒÍ¹ÃдѺ¹Õé ÁÑ¡à¡Ô´¢Ö¹à¹×ͧ¨Ò¡¼Ù»ÇÂäÁ‹ä´ŒÃº¡ÒÃ
                                                                    é è          Œ †        Ñ
ÃÑ¡ÉÒÍ‹ҧàËÁÒÐÊÁ áÅзѹ·‹Ç§·Õ ËÃ×Íà¡Ô´ã¹¼Ù»Ç·ÕÁÀÁµÒ¹·Ò¹¹ŒÍ¡Njһ¡µÔ
                                                   Œ † è Õ Ù Ô Œ
            2.5) Cavernous sinus thrombosis ÁÕ¡ÒÃÍÑ¡àʺÅÒÁ¨Ò¡µÒÊÙ‹ cavernous sinus áÅÐ
ä»·ÕèµÒÍÕ¡¢ŒÒ§ áÅÐ ÁÕÍÑÁ¾Òµ¢Í§àÊŒ¹»ÃÐÊÒ·ÊÁͧ ¡ÒõÃǨËҧ¡Ò¾ºÇ‹ÒÅÙ¡µÒ·Ñé§Êͧ¢ŒÒ§â»¹
¡ÅÍ¡µÒäÁ‹ä´Œ ÁÕ papilledema áÅР䢌ʧ àÁ×Íà¡Ô´¡ÒÃÍÑ¡àʺ¶Ö§ÃдѺ¹ÕáÅŒÇ ÁÑ¡¨ÐÁÕ morbidity áÅÐ
                                         Ù     è                        é
mortality rate ÊÙ§
      3. ÀÒÇÐá·Ã¡«ŒÍ¹¢Í§ä«¹ÑÊÍÑ¡àʺ·ÕèÅÒÁä»â¾Ã§ÈÕÃÉÐ áÅÐÊÁͧ (Endocranial
complication)
         䴌ᡋ meningitis, epidural abscess, subdural abscess, brain abscess («Öè§ÁÑ¡¾º·Õè
frontal lobe), venous sinus thrombosis ã¹ÃÐÂÐáá ¼Ù»ÇÂÍÒ¨áÊ´§ÍÒ¡Ò÷ÕäÁ‹ª´à¨¹ÁÒ¡¹Ñ¡
                                                       Œ †                è Ñ
248                                                              䫹ÑÊÍÑ¡àʺ áÅÐÃÔ´Êմǧ¨ÁÙ¡

ઋ¹ ÁÕ䢌 ÃÙÊ¡»Ç´ÈÕÃÉÐ áÅÐãºË¹ŒÒ àÁ×ÍÁÕ¡ÒÃÍÑ¡àʺÁÒ¡¢Ö¹ ¼Ù»Ç¨ÐÁÕ䢌ʧ¢Ö¹ áÅÐÁÕÍÒ¡ÒÃáÊ´§
              ŒÖ                       è                 é Œ †           Ù é
¢Í§ meningeal irritation áÅÐ neurological deficit ÍÒ¨ÁÕÍÒ¡Òà ¤Å×¹äÊŒ ÍÒà¨Õ¹ àËç¹ÀÒ¾«ŒÍ¹ áÅÐ
                                                                è
coma ã¹·ÕÊ´ ÀÒÇÐá·Ã¡«ŒÍ¹·ÕÅÒÁä»ÊÁͧ¹Õé ÁÑ¡¨Ðà¡Ô´¨Ò¡ frontal áÅÐ ethmoid sinusitis â´Â
           èØ                  è
ÍÒ¨¨ÐÅÒÁ¼‹Ò¹ diploic veins ËÃ×Í ¡ÒáË͹ (erosion) ¢Í§¡Ãд١ ¨Ò¡¹Ñ¹¨Ðà¡Ô´ cerebritis,
                                                                             é
necrosis ¢Í§à¹×ÍÊÁͧ áÅÐ໚¹½‚ã¹ÊÁͧ
                 é
       4. ÀÒÇÐá·Ã¡«ŒÍ¹¢Í§ä«¹ÑÊÍÑ¡àʺ·ÕÅÒÁ仡Ãд١ (Osseous complication)
                                      è
           ¡ÒÃÍÑ¡àʺ¨Ò¡â¾Ã§ä«¹ÑÊÊÒÁÒÃ¶ÅØ¡ÅÒÁä»·Õè¡Ãд١·íÒãËŒà¡Ô´ osteomyelitisä´Œ â´Â
੾ÒСÒÃÍÑ¡àʺ¢Í§ frontal sinus ·íÒãËŒ¼»ÇÂÁÕ¡ÒúÇÁ¢Í§ºÃÔàdz˹ŒÒ¼Ò¡ (osteomyelitis of frontal
                                        ÙŒ †
bone ËÃ×Í Pott’s puffy tumor) áÅÐÍÒ¨ÁÕ¡ÒáÃШÒ¢ͧ¡ÒÃÍÑ¡àʺä»ÊÙâ¾Ã§¡ÐâËÅ¡ áÅÐÊÁͧ
                                                                   ‹
¹Í¡¨Ò¡¹Ñ¹ÍÒ¨à¡Ô´ osteomyelitis ¢Í§ maxilla áÅÐ sphenoidal bone ËÃ×ÍÍÒ¨à¡Ô´ oro-antral fistula
         é
¨Ò¡ odontogenic maxillary sinusitis ä´Œ
       5. ¡ÒÃà¡Ô´¶Ø§¹éÒàÁ×Í¡ã¹ä«¹ÑÊ (Sinus mucocoele)
                      í
           ¾ºÀÒÇÐá·Ã¡«ŒÍ¹¹Õä´ŒºÍÂã¹ frontal áÅÐ ethmoid sinus «Ö§ÍÒ¨à¡Ô´¨Ò¡¡ÒÃÍØ´µÑ¹¢Í§
                               é ‹                               è
µ‹ÍÁÊÌҧàÁ×Í¡ã¹àÂ×ͺØä«¹ÑÊ à¡Ô´¡ÒÃÊÐÊÁ¢Í§ÊÒùéÒ áÅÐàÁ×͡㹵‹ÍÁÊÒÃàÁ×Í¡ áÅТÂÒµÑÇãË­‹
                   è                            í
¢Ö¹¨¹àµçÁ䫹ÑÊ áÅТÂÒµÑÇä»àÃ×ÍÂæ àÃÕÂ¡Ç‹Ò primary mucocoele ËÃ×Íà¡Ô´¨Ò¡¡ÒÃÍØ´µÑ¹¢Í§ÃÙແ´
  é                             è
¢Í§â¾Ã§ä«¹ÑÊ ·íÒãËŒÁ¡ÒÃÊÐÊÁ¢Í§ÊÒùéÒ áÅÐàÁ×Í¡ã¹â¾Ã§ä«¹ÑÊ ·íÒãËŒâ¾Ã§ä«¹ÑÊ¢ÂÒµÑÇ¢Ö¹
                       Õ               í                                                  é
àÃ×ÍÂæàÃÕÂ¡Ç‹Ò secondary mucocoele ¼Ù»ÇÂâä䫹ÑÊÍÑ¡àʺÁÕâÍ¡ÒÊà¡Ô´ mucocoele ä´Œ·§ 2
    è                                    Œ †                                           Ñé
ª¹Ô´áµ‹¾ºä´Œ¹ÍÂÁÒ¡
               Œ

ÀÒÇÐá·Ã¡«ŒÍ¹¢Í§ÃÔ´Êմǧ¨ÁÙ¡
         1. ÀÒÇÐá·Ã¡«ŒÍ¹·Õà¡Ô´¨Ò¡ä«¹ÑÊÍÑ¡àʺ·Õà¡Ô´Ã‹ÇÁ¡ÑºÃÔ´Êմǧ¨ÁÙ¡ (´ÙÃÒÂÅÐàÍÕ´ã¹ÀÒÇÐ
                               è                 è
á·Ã¡«ŒÍ¹¢Í§ä«¹ÑÊÍÑ¡àʺ¢ŒÒ§µŒ¹)
         2. â¤Ã§ÊÌҧÀÒ¹͡¢Í§¨ÁÙ¡¼Ô´»¡µÔ ઋ¹ Êѹ¨ÁÙ¡¡ÇŒÒ§ (widening of nasal bridge) ËÃ×Í
ÃÐÂÐÃÐËNjҧËÑǵҡnjҧ¢Ö¹ (telecanthus) ¾ºä´Œã¹¼Ù»Ç·Õ໚¹ÃÔ´Êմǧ¨ÁÙ¡ÍÂÙ¹Ò¹
                             é                      Œ † è                  ‹
         3. Malignant change ËÃ×Í transformation ÁÕÃÒ§ҹ·Õ¾º atypical changes áÅÐ carcinoma
                                                           è
in situ ã¹ÃÔ´Êմǧ¨ÁÙ¡ ´Ñ§¹Ñ¹¨Ö§µŒÍ§Ê‹§à¹×ÍÃÔ´Êմǧ¨ÁÙ¡µÃǨ·Ò§¾ÂÒ¸ÔÇ·ÂÒ·Ø¡ÃÒÂ
                      (7, 8)
                                 é         é                            Ô

âä ËÃ×ÍÀÒÇзÕ辺ËÇÁ¡Ñºâä䫹ÑÊÍÑ¡àʺ áÅÐ/ËÃ×ÍÃÔ´Êմǧ¨ÁÙ¡
       1. âä·ÕèÁÕ¤ÇÒÁ¼Ô´»¡µÔ¢Í§¡ÒÃ⺡¾Ñ´¢Í§ÈÕàÅÕ ઋ¹ âä Kartagener’s syndrome «Ö§     è
»ÃСͺ´ŒÇ bronchiectasis, 䫹ÑÊÍÑ¡àʺ, situs inversus áÅÐ primary ciliary dyskinesia «Ö§ÁÕ
                                                                                        è
¤ÇÒÁ¼Ô´»¡µÔ¢Í§â¤Ã§ÊÌҧ áÅСÒ÷íÒ§Ò¹¢Í§ÈÕàÅÕ ·íÒãËŒÁ¡Òäѧ¤ŒÒ§¢Í§¹éÒÁÙ¡ áÅСÒÃÍÑ¡àʺµÔ´
                                                       Õ è           í
àª×͵ÒÁÁÒ âä´Ñ§¡Å‹ÒǹվºÇ‹ÒÁÕ䫹ÑÊÍÑ¡àʺàÃ×ÍÃѧ䴌ºÍ â´ÂÁÑ¡¨ÐÁÕ»ÃÐÇѵ¢Í§¡ÒõԴàª×Í໚¹æ
   é                   é                    é       ‹                  Ô           é
ËÒÂæ âä cystic fibrosis «Ö§ÁÕ¤ÇÒÁ¼Ô´»¡µÔ¢Í§µ‹ÍÁ exocrine ·íÒãËŒÊÒäѴËÅѧã¹Ãкº·Ò§à´Ô¹
                           è                                              è
àǪÈÒʵÏ·¹Âؤ 2553
          Ñ                                                                                                                                                                 249

ËÒÂã¨à˹ÕÂÇ¢Œ¹ÁÒ¡¼Ô´»¡µÔ áÅÐú¡Ç¹¡Ò÷íÒ§Ò¹¢Í§ÈÕàÅÕ â´Â·Õâ¤Ã§ÊÌҧ·Ò§¨ØÅÀÒ¤ áÅСÒ÷íÒ                                      è
§Ò¹¢Í§ÈÕàÅÕÂÂѧ»¡µÔ à¡Ô´ colonization ¢Í§áº¤·ÕàÃÕ ·íÒãËŒà¡Ô´¡ÒõԴàª×Í«éÒàµÔÁ áÅÐàÃ×ÍÃѧ áÅÐ                                           é í                          é
¾ºÇ‹Òâä cystic fibrosis ÁÕ䫹ÑÊÍÑ¡àʺàÃ×ÍÃѧ áÅÐ ÃÔ´Êմǧ¨ÁÙ¡ä´ŒºÍ â´ÂÃŒÍÂÅÐ 40 ¢Í§ cystic
                                                                               é                                             ‹
fibrosis ÁÕôÊմǧ¨Á١ËÇÁ´ŒÇÂ
                   Ô                                            (9)

             2. âä¨ÁÙ¡ÍÑ¡àʺÀÙÁÔᾌ (Allergic rhinitis) ¨Ò¡¡ÒÃÈÖ¡ÉÒ ¾ºÍغµ¡Òó¢Í§âä¨ÁÙ¡                                                       Ñ Ô
ÍÑ¡àʺÀÙÁᾌ䴌ºÍÂã¹¼Ù»ÇÂ䫹ÑÊÍÑ¡àʺ àÁ×Íà·Õº¡Ñº»ÃЪҡû¡µÔ
               Ô                 ‹           Œ †                                    è                                          (10, 11)
                                                                                                                                           »¯Ô¡ÃÂÒ¡ÒÃÍÑ¡àʺ¨Ò¡
                                                                                                                                                     ÔÔ
ÀÙÁᾌã¹âä¨ÁÙ¡ÍÑ¡àʺÀÙÁᾌ ÍÒ¨·íÒãËŒà¡Ô´ä«¹ÑÊÍÑ¡àʺàÃ×ÍÃѧ䴌§Ò¢ֹ à¹×ͧ¨Ò¡àÂ×ͺØâ¾Ã§¨ÁÙ¡ ÁÕ
         Ô                                            Ô                                                   é               ‹ é è                             è
¡ÒÃÍÑ¡àʺáÅкÇÁ ä»ÍØ´¡Ñ¹ºÃÔàdzÃÙແ´¢Í§ä«¹ÑÊ à¡Ô´ä«¹ÑÊÍÑ¡àʺ䴌 Í‹ҧäáçµÒÁ äÁ‹¾ºÍغµÔ
                                                          é                                                                                                                      Ñ
¡Òó¢Í§ä«¹ÑÊÍÑ¡àʺ㹼ٻÇÂâä¨ÁÙ¡ÍÑ¡àʺÀÙÁᾌ ÁÒ¡¢Ö¹ã¹ª‹Ç§Ä´Ù¡ÒÅ·ÕÁÊÒá‹ÍÀÙÁᾌÁÒ¡
                                                     Œ †                                     Ô               é                               è Õ                   Ô           (12)

ÀÒÇÐÀÙÁᾌ໚¹ÊÒà˵ØË¹Ö§¢Í§ä«¹ÑÊÍÑ¡àʺ áÅÐ໚¹ä´Œ·§ predisposing áÅÐ contributing factor
             Ô                                   è                                                   Ñé
¢Í§¡ÒÃÍÑ¡àʺã¹âä䫹ÑÊÍÑ¡àʺ ¡ÒÃÃÑ¡ÉÒâäÀÙÁᾌÃÇÁ´ŒÇ ¨Ð·íÒãËŒ¼Å¢Í§¡ÒÃÃÑ¡ÉÒ䫹ÑÊÍÑ¡              Ô ‹
àʺ´Õ¢Ñé¹ ÍÒ¨äÁ‹¨íÒ໚¹µŒÍ§·íÒ¡Òü‹ÒµÑ´ËÃ×ͶŒÒ¨íÒ໚¹µŒÍ§¼‹ÒµÑ´ ¨Ð·íÒãËŒ¼Å¡Òü‹ÒµÑ´¹Ñé¹´ÕÂÔè§
¢Ö¹(13, 14)
  é
             ºÒ§¡ÒÃÈÖ¡ÉÒ¾ºÍغµ¡Òó¢Í§âä¨ÁÙ¡ÍÑ¡àʺÀÙÁᾌ ä´ŒºÍÂ䴌㹼ٻÇÂÃÔ´Êմǧ¨ÁÙ¡ µÑ§áµ‹
                                                            Ñ Ô                                         Ô               ‹                  Œ †                              é
ÃŒÍÂÅÐ 10-64             (15, 16)
                                        ᵋºÒ§¡ÒÃÈÖ¡ÉÒ¡çäÁ‹¾ºÍغµ¡Òó¢Í§âä¨ÁÙ¡ÍÑ¡àʺÀÙÁᾌ ·Õʧ¼Ô´»¡µÔã¹¼ÙŒ
                                                                                         Ñ Ô                                                   Ô              èÙ
»†ÇÂÃÔ´Êմǧ¨ÁÙ¡                 (17, 18)
                                            ´Ñ§¹Ñé¹âä¨ÁÙ¡ÍÑ¡àʺÀÙÁÔᾌ äÁ‹ãª‹ÊÒà˵آͧ¡ÒÃà¡Ô´ÃÔ´Êմǧ¨ÁÙ¡àÊÁÍä»
ᵋ¶ÒÃÔ´Êմǧ¨ÁÙ¡ à¡Ô´ã¹¼Ù»ÇÂâä¨ÁÙ¡ÍÑ¡àʺÀÙÁᾌ »¯Ô¡ÃÂÒ¡ÒÃÍÑ¡àʺ¨Ò¡ÀÙÁᾌ¨Ð·íÒãˌôÊմǧ
           Œ                                       Œ †                                     Ô            ÔÔ                                         Ô                   Ô
¨ÁÙ¡ÁÕ¢¹Ò´âµ¢Ö¹ ËÃ×ÍÁըҹǹÁÒ¡¢Ö¹ä´Œ ËÃ×Í·íÒãËŒ¡ÅѺ໚¹«éÒ䴌͡
                              é                í                       é                                         í Õ
             3. âäË×´ âä䫹ÑÊÍÑ¡àʺ¾ºÃ‹ÇÁ¡ÑºâäË×´ä´ŒºÍ ¾ºÇ‹ÒÃŒÍÂÅÐ 40 ¶Ö§ 75 ¢Í§¼Ù»Ç                      ‹                                                           Œ †
âäË×´ ÁÕ»­ËÒâä䫹ÑÊÍÑ¡àʺàÃ×ÍÃѧ ã¹¢³Ð·ÕÃÍÂÅÐ 35 ¢Í§¼Ù»ÇÂâä䫹ÑÊÍÑ¡àʺàÃ×ÍÃѧ ÁÕ»­ËÒ
                 ˜                                                  é (19)
                                                                                          èŒ                        Œ †                                          é       ˜
âäË״ËÇÁ´ŒÇ ÁÕËÅÑ¡°Ò¹áÊ´§ãËŒàËç¹Ç‹Ò ¼Ù»Ç·Õ໚¹âäË×´ ¨ÐÁÕÍÒ¡ÒÃá‹ŧ àÁ×Í໚¹âä䫹ÑÊ
                             (20)
                                                                                      Œ † è                                                               è
ÍÑ¡àʺËÇÁ´ŒÇ               (21)

             áÅÐàÁ×ÍãËŒ¡ÒÃÃÑ¡ÉÒ䫹ÑÊÍÑ¡àʺáÅŒÇ äÁ‹ÇÒ´ŒÇÂÂÒ ËÃ×Í¡Òü‹ÒµÑ´¨Ð·íÒãËŒÍÒ¡ÒâͧâäË×´
                           è                                                                   ‹
´Õ¢¹ áÅмٻÇÂ㪌ÂÒÃÑ¡ÉÒâäË×´¹ŒÍÂŧ
      Öé             Œ †                                                     (22)

             ¡Åä¡·Õè·íÒãËŒ¡Ò÷íÒ§Ò¹¢Í§·Ò§à´Ô¹ËÒÂã¨Ê‹Ç¹Å‹Ò§¼Ô´»¡µÔã¹¼ÙŒ»†Ç·Õè໚¹âä䫹ÑÊ
ÍÑ¡àʺÁմѧµ‹Í仹Õé
                      3.1) ¼Ù·à»š¹âä䫹ÑÊÍÑ¡àʺ ÁÕ¡Ò÷íÒ§Ò¹¢Í§¨ÁÙ¡ «Ö§·íÒ˹ŒÒ·Õ໚¹µÑÇ¡ÃͧÍÒ¡ÒÈ áÅÐ
                                   Œ Õè                                                                              è                   è
»ÃѺÊÀÒ¾ÍÒ¡ÒÈàÊÕÂä» ¼Ù»ÇµŒÍ§ËÒÂ㨷ҧ»Ò¡ (mouth breathing) ·íÒãËŒ·Ò§à´Ô¹ËÒÂã¨Ê‹Ç¹Å‹Ò§
                                                    Œ †
ÁÕâÍ¡ÒÊÊÑÁ¼ÑʡѺÊÒá‹ÍÀÙÁᾌ áÅÐÊÔ§ÃФÒÂà¤×ͧÁÒ¡¢Ö¹ ໚¹¼ÅãËŒà¡Ô´¡Ãкǹ¡ÒÃÍÑ¡àʺ áÅÐ
                                                        Ô                è                         é
à¾ÔÁ¤ÇÒÁäǢͧËÅÍ´ÅÁµ‹ÍÊÒáÃеع㹼ٻÇ·ÕÁ¤ÇÒÁàÊÕ§·Õ¨Ðà¡Ô´âäË×´
    è                                                                      Œ      Œ † è Õ                   è è
                      3.2) Naso-sinobronchial reflex »ÃÐÊÒ·ÃѺ¤ÇÒÁÃÙÊ¡¨Ò¡â¾Ã§¨ÁÙ¡ áÅÐ䫹ÑÊ ÊÒÁÒö                ŒÖ
Ê‹§ÊÑ­­Ò³»ÃÐÊҷ仵ÒÁ»ÃÐÊÒ·ÊÁͧ¤Ù‹·Õè 5 áÅÐÃѺÊÑ­­Ò³»ÃÐÊÒ·ÁÒ·Ò§Ãкº»ÃÐÊÒ·
parasympathetic ʋǹ»ÃÐÊÒ·ÃѺ¤ÇÒÁÃÙÊ¡¨Ò¡·Ò§à´Ô¹ËÒÂã¨Ê‹Ç¹Å‹Ò§ÊÒÁÒöʋ§ÊÑ­­Ò³»ÃÐÊÒ·
                                                                              ΅
仵ÒÁ»ÃÐÊÒ·ÊÁͧ¤Ù·Õè 10 áÅÐÃѺÊÑ­­Ò³»ÃÐÊÒ·ÁÒ·Ò§ parasympathetic à¾×ͤǺ¤ØÁ¡Ò÷íÒ
                                          ‹                                                                                                             è
250                                                                                                                  䫹ÑÊÍÑ¡àʺ áÅÐÃÔ´Êմǧ¨ÁÙ¡

§Ò¹¢Í§¡ÅŒÒÁà¹×ÍàÃÕº¢Í§ËÅÍ´ÅÁ àÁ×ÍÁÕ¡ÒáÃеعµÑÇÃѺ (receptors) 㹨ÁÙ¡ áÅÐ䫹ÑÊ â´Â¡ÒÃ
                            é                                 è                     Œ
ÍÑ¡àʺ¢Í§ä«¹ÑÊ ·íÒãËŒÁ¡Òõպ᤺¢Í§ËÅÍ´ÅÁ à¾×Í»‡Í§¡Ñ¹äÁ‹ãËŒÊÒáÃеع ËÃ×ÍÊÔ§á»Å¡»ÅÍÁ
                                       Õ                                               è                                      Œ                       è
ŧä»ã¹ËÅÍ´ÅÁ
                   3.3) ¡Òõ‹Íà¹×ͧ¢Í§¡Ãкǹ¡ÒÃÍÑ¡àʺ¨Ò¡·Ò§à´Ô¹ËÒÂã¨Ê‹Ç¹º¹ä»ÊÙÊǹŋҧ â´Â¼‹Ò¹
                                         è                                                                                                    ‹‹
·Ò§¡ÃÐáÊàÅ×Í´ â´Â¨ÐÁÕ¡ÒÃà¾ÔÁ¢Ö¹¢Í§à«Åŏ·à¡ÕÂÇ¢ŒÍ§¡Ñº¡ÒÃÍÑ¡àʺ 㹡ÃÐáÊàÅ×Í´ËÅѧ¨Ò¡ÁÕ¡ÒÃ
                                                      è é                Õè è
ÍÑ¡àʺ¢Í§ä«¹ÑÊ áÅÐÁÕÊÒõÑÇ¡ÅÒ§ (mediators) à¾ÔÁ¢Ö¹ ઋ¹ IL-5 ·íÒãËŒÁà«Åŏ·à¡ÕÂÇ¢ŒÍ§¡Ñº¡ÒÃÍÑ¡
                                                                                 è é                                   Õ                Õè è
àʺ ࢌÒÁÒ㹺ÃÔàdz·ÕÁ¡ÒÃÍÑ¡àʺ â´Â੾ÒÐÍ‹ҧÂÔ§ã¹ËÅÍ´ÅÁ ·íÒãËŒà¡Ô´¡ÒÃÍÑ¡àʺ¢Í§ËÅÍ´ÅÁ
                                 è Õ                                              è
µÒÁÁÒ
                   âä䫹ÑÊÍÑ¡àʺáÅÐâäË×´ ¨Ö§¾ºÃ‹ÇÁ¡Ñ¹ä´ŒºÍ áÅÐâä䫹ÑÊÍÑ¡àʺ·íÒãËŒ¼»ÇÂâä      ‹                                                        ÙŒ †
Ë×´ÁÕÍÒ¡ÒÃá‹ŧ ´Ñ§¹Ñ¹ ¨Ö§¤Çëѡ»ÃÐÇÑµÔ áÅÐÍÒ¡Òâͧâä䫹ÑÊÍÑ¡àʺ㹼ٻÇÂâäË×´àÊÁÍ áÅÐ
                                   é                                                                                                Œ †
ã¹·íҹͧà´ÕÂǡѹ ¤Çëѡ»ÃÐÇÑµÔ áÅÐÍÒ¡ÒâͧâäË״㹼ٻǷÕÁ䫹ÑÊÍÑ¡àʺ´ŒÇÂàÊÁÍ ¼Ù»ÇÂâä                Œ † è Õ                                                  Œ †
Ë×´·ÕáÉÒ´ŒÇÂÂÒáÅŒÇÍÒ¡ÒÃäÁ‹´¢¹ ËÃ×ÍÂѧÁÕÍÒ¡ÒÃÍÂÙ‹ ¤ÇÃ䴌ú¡ÒûÃÐàÁԹNjÒÁÕâä䫹ÑÊÍÑ¡àʺËÇÁ
        èÑ                                             Õ Öé                                               Ñ
´ŒÇÂËÃ×ÍäÁ‹ ¶ŒÒ¾º Ç‹ÒÁÕâä䫹ÑÊÍÑ¡àʺËÇÁ´ŒÇ ¡ÒÃÃÑ¡ÉÒâä䫹ÑÊÍÑ¡àʺ¨Ð·íÒãËŒÍÒ¡Òâͧâä
Ë×´´Õ¢¹ áÅÐÊÒÁÒöËÅÕ¡àÅÕ§¡ÒÃ㪌ÂҤǺ¤ØÁâäË×´ ËÃ×Í㪌ÂҤǺ¤ØÁã¹»ÃÔÁÒ³·Õ¹ÍÂŧ䴌
           Öé                                  è                                                                                                 è Œ
                   ÃŒÍÂÅÐ 26 ¢Í§¼Ù»ÇÂâäÃÔ´Êմǧ¨ÁÙ¡ ÁÕâäË״ËÇÁ´ŒÇ 㹢³Ð·Õͺµ¡Òó¢Í§âäË×´
                                              Œ †                                                                             èØ Ñ Ô
㹤¹»¡µÔ¤ÍÃŒÍÂÅÐ 6 ×              (23)
                                              ÃŒÍÂÅÐ 7 ¢Í§¼Ù»ÇÂâäË×´ÁÕôÊմǧ¨Á١ËÇÁ´ŒÇÂ(24) ÃŒÍÂÅÐ 13 ¢Í§¼ÙŒ
                                                                   Œ †                              Ô
»†ÇÂâäË×´·ÕäÁ‹ä´Œà¡Ô´¨Ò¡ÀÙÁᾌ (non-atopic asthma) áÅÐÃŒÍÂÅÐ 5 ¢Í§¼Ù»ÇÂâäË×´·Õà¡Ô´¨Ò¡ÀÙÁÔ
                       è                          Ô                                                                      Œ †                            è
ᾌ (atopic asthma) ÁÕ ÃÔ´Êմǧ¨Á١ËÇÁ´ŒÇ ¡Òü‹ÒµÑ´ÃÑ¡ÉÒÃÔ´Êմǧ¨ÁÙ¡ ´ŒÇÂÇÔ¸Õ endoscopic
                                                                      (25)

sinus surgery 㹼ٻǷÕÁâäË״ËÇÁ´ŒÇ ¾ºÇ‹Ò lung function ¢Í§¼Ù»Ç´բ¹ áÅÐÊÒÁÒöŴ¡ÒÃ
                              Œ † è Õ                                                                              Œ †           Öé
㪌 systemic steroid ŧ䴌                 (26)

              4. ÀÒÇСÒÃᾌÂÒáÍÊä¾ÃÔ¹ (Aspirin intolerance) ¡ÅØÁÍÒ¡Ò÷ջÃСͺ´ŒÇÂÃÔ´Êմǧ                      ‹                     è
¨ÁÙ¡ Ë×´ áÅÐÀÒÇÐᾌÂÒáÍÊä¾ÃÔ¹ ໚¹¡ÅØÁÍÒ¡Ò÷Õ衡ѹÁÒ¹Ò¹ àÃÕ¡¡Ñ¹·ÑÇä»Ç‹Ò ASA triad
                                                                    ‹                    è ÙŒ Ñ                                           è
·Ñ§ÃÔ´Êմǧ¨ÁÙ¡ áÅÐÀÒÇÐᾌÂÒáÍÊä¾ÃÔ¹ ¾ºä´ŒºÍÂã¹¼Ù»ÇÂâäË×´·ÕäÁ‹ä´Œà¡Ô´¨Ò¡ÀÙÁᾌ áÅÐÁÕÍÒÂØ
    é                                                                         ‹               Œ †                è                                  Ô
ÁÒ¡¡Ç‹Ò 40 ¢Ö¹ä» ¾º ASA triad ä´ŒÃÍÂÅÐ 1 ¢Í§»ÃЪҡ÷ÑÇä» áÅÐÃŒÍÂÅÐ 10 ¢Í§¼Ù»ÇÂâä
                         é                                      Œ                                           è                                             Œ †
Ë×´ ÃŒÍÂÅÐ 36-96 ¢Í§¼Ù»Ç·ÕÁÀÒÇÐᾌÂÒáÍÊä¾ÃÔ¹ ÁÕ䫹ÑÊÍÑ¡àʺàÃ×ÍÃѧ áÅÐ ÃÔ´Êմǧ¨ÁÙ¡
      (27)
                                                 Œ † è Õ                                                                    é
ËÇÁ´ŒÇ      (28, 29)
                           áÅÐÁÑ¡ÁÕ»ÃÐÇѵÍÒ¡ÒÃËͺË×´ àÁ×Í䴌úÂÒáÍÊä¾ÃÔ¹ ÊÒà˵آͧâä à¡Ô´¨Ò¡¡ÒÃ
                                                    Ô                           è Ñ
µÍºÊ¹Í§·Õ¼´»¡µÔã¹ arachidonic metabolism pathway «Ö§»ÃСͺ´ŒÇ cyclooxygenase (COX)
                     è Ô                                                                                è
áÅÐ lipoxygenase (LO) pathway ÂÒáÍÊä¾ÃÔ¹Í͡ķ¸ÔºÂѧ COX pathway ·íÒãËŒÁ¡ÒÃŴŧ¢Í§           ì Ñ é                                                Õ
ÃдѺ prostaglandin E 2 (PGE2) áÅзíÒãËŒÁ¡Ò÷íÒ§Ò¹¢Í§ LO pathway ÁÒ¡¢Ö¹ ·íÒãËŒÁ¡ÒÃà¾ÔÁ
                                                                       Õ                                                                    é                Õ     è
¡ÒÃÊѧà¤ÃÒÐˏ cysteinyl leukotriene ÁÒ¡¢Ö¹ «Ö§ÁÕÄ·¸Ô¡Ãеع¡ÒÃÍÑ¡àʺ¢Í§à¹×ÍàÂ×Í áÅСÒÃË´à¡Ãç§
                                                                  é è                 ì Œ                                       é è
¢Í§ËÅÍ´ÅÁ 䫹ÑÊÍÑ¡àʺ¢Í§¼Ù»Ç·ÕÁÀÒÇйÕé ÁÑ¡¨ÐÁÕ¤ÇÒÁÃØ¹áç¡Ç‹Ò㹼ٻǷÑÇä»(30) áÅÐÁÑ¡´×Í
                                                        Œ † è Õ                                                            Œ † è                                     é
µ‹Í¡ÒÃÃÑ¡ÉÒ»¡µÔ ÁÑ¡¨íÒ໚¹µŒÍ§ÃÑ¡ÉÒ´ŒÇ¡Òü‹ÒµÑ´ ໚¹ÃÐÂÐ ·Ñ§æ ·Õ䴌úÃÑ¡ÉÒ·Ò§ÂÒÍ‹ҧàµçÁ                     é è Ñ
·ÕáŌǡçµÒÁ áÅÐÁÕ͵ÃÒ¡ÒáÅѺ໚¹«éҢͧâä䫹ÑÊÍÑ¡àʺ áÅÐÃÔ´Êմǧ¨ÁÙ¡ ¤‹Í¹¢ŒÒ§ÊÙ§(31)
  è                            Ñ                            í
              5. ÀÒÇСôäËÅŒ͹ÁÒ·Õè¤ÍáÅСŋͧàÊÕ§ (Laryngopharyngeal reflux) ¾ºÇ‹Ò
àǪÈÒʵÏ·¹Âؤ 2553
          Ñ                                                                                                                                                             251

ÃŒÍÂÅÐ 78 ¢Í§¼Ù»ÇÂ䫹ÑÊÍÑ¡àʺàÃ×ÍÃѧ ÁÕÀÒÇСôäËÅŒ͹ËÇÁ´ŒÇÂ(32) áÅмٻÇÂ䫹ÑÊÍÑ¡àʺàÃ×ÍÃѧ
                                 Œ †                               é                                                                        Œ †                             é
·ÕèäÁ‹µÍºÊ¹Í§µ‹Í¡ÒÃÃÑ¡ÉÒ´ŒÇÂÂÒ ÁÕÍØºÑµÔ¡Òó¢Í§ÀÒÇСôäËÅŒ͹ÊÙ§¡Ç‹Ò»¡µÔ ¼ÙŒ»†Ç·ÕèÁÕ                                                                   (33)

ÀÒÇСôäËÅŒ͹·ÕÁÀÒÇÐá·Ã¡«ŒÍ¹ ÁÕâÍ¡ÒÊà¡Ô´ä«¹ÑÊÍÑ¡àʺàÃ×ÍÃѧ ÊÙ§¡Ç‹Ò»ÃЪҡû¡µÔ(34) ¡Åä¡
                                          è Õ                                                                             é
¡ÒÃà¡Ô ´ ä«¹Ñ Ê ÍÑ ¡ àʺ㹼ٌ »† Ç Â·Õè ÁÕ À ÒÇСôäËÅÂŒ Í ¹ÂÑ § äÁ‹ · ÃÒºªÑ ´ ਹ ᵋ à ª×è Í Ç‹ Ò à¡Ô ´ ¨Ò¡
nasopharyngeal reflux ¤×͡ô㹡ÃÐà¾ÒÐÍÒËÒà ÍÒ¨äËÅŒ͹¢Ö¹ÁÒºÃÔàdz nasopharynx áÅÐ                                              é
àÂ×ͺبÁÙ¡ ·íÒãËŒà¡Ô´¡ÒÃÍÑ¡àʺ¢Í§àÂ×ÍºØ¼Ç (mucosal inflammation) áÅÐÁÕ¡Ò÷íÒ§Ò¹¢Í§ mucociliary
    è                                                                   è Ô
clearance Ŵŧ ¡ÒÃÈÖ¡ÉÒã¹à´ç¡¾ºÇ‹ÒÃŒÍÂÅÐ 89 ¢Í§¼Ù»ÇÂ䫹ÑÊÍÑ¡àʺàÃ×ÍÃѧ·ÕäÁ‹µÍºÊ¹Í§µ‹Í¡Òà               Œ †                                 é è
ÃÑ¡ÉÒ´ŒÇÂÂÒ àÁ×Í䴌ú¡ÒÃÃÑ¡ÉÒÀÒÇСôäËÅŒ͹·Õà¡Ô´Ã‹ÇÁ´ŒÇÂáÅŒÇ ÍÒ¡Òâͧ䫹ÑÊÍÑ¡àʺàÃ×ÍÃѧ
                                  è Ñ                                                                è                                                                    é
´Õ¢¹áÅÐäÁ‹µÍ§ÃÑ¡ÉÒ´ŒÇ¡Òü‹ÒµÑ´ ʋǹ¡ÒÃÈÖ¡ÉÒã¹¼ÙãË­‹¾ºÇ‹ÒÃŒÍÂÅÐ 67 ¢Í§¼Ù»ÇÂÁÕÍÒ¡ÒÃ
      Öé             Œ                                                 (35)
                                                                                                               Œ                                          Œ †
䫹ÑÊÍÑ¡àʺàÃ×ÍÃѧ ´Õ¢¹ËÅѧãËŒ¡ÒÃÃÑ¡ÉÒÀÒÇСôäËÅŒ͹ ´Ñ§¹Ñ¹ÀÒÇСôäËÅŒ͹໚¹ÊÒà˵Ø
                             é                 Öé                                                                (36)
                                                                                                                                é
ÊíҤѭÍ‹ҧ˹֧¢Í§ä«¹ÑÊÍÑ¡àʺàÃ×ÍÃѧ ´Ñ§¹Ñ¹ ¼Ù»ÇÂâä䫹ÑÊÍÑ¡àʺàÃ×ÍÃѧ·ÕáÉÒ´ŒÇÂÂÒäÁ‹ËÒ ËÃ×Í
                           è                                    é                       é Œ †                                     é èÑ
ãËŒ¡ÒÃÃÑ¡ÉÒâ´Â¡Òü‹ÒµÑ´áÅŒÇäÁ‹´¢¹ ÂѧÁÕÍÒ¡ÒÃÍÂÙ‹ ¤ÇÃ䴌ú¡ÒûÃÐàÁԹNjÒÁաôäËÅŒ͹ËÇÁ´ŒÇÂ
                                                                  Õ Öé                                            Ñ
ËÃ×ÍäÁ‹ à¾ÃÒжŒÒÁÕ ¡ÒÃãËŒ¡ÒÃÃÑ¡ÉҡôäËÅŒ͹ËÇÁ´ŒÇ ¨Ð·íÒãËŒÍÒ¡ÒÃ䫹ÑÊÍÑ¡àʺàÃ×ÍÃѧ¢Í§¼ÙŒ                                                                      é
»†Ç´բ¹ä´Œ áÅÐ/ ËÃ×ÍÊÒÁÒöËÅÕ¡àÅÕ§¡Òü‹ÒµÑ´ä«¹ÑÊä´Œ
           Öé                                                                è
              6. ¤ÇÒÁ¼Ô´»¡µÔ¢Í§¡ÒÃËÒÂã¨áººÍØ´¡Ñ¹¢³ÐËÅѺ (Obstructive sleep-disordered              é
breathing) ¼Ù»Ç 䫹ÑÊÍÑ¡àʺàÃ×ÍÃѧ·ÕÁËÃ×ÍäÁ‹ÁôÊմǧ¨Á١ËÇÁ´ŒÇ ¨Ð·íÒãËŒà¡Ô´¡ÒÃÍØ´µÑ¹¢Í§
                               Œ †                                   é              è Õ         ÕÔ
â¾Ã§¨ÁÙ¡ «Ö§ÁռŷíÒãËŒ¤ÇÒÁµŒÒ¹·Ò¹¢Í§ÍÒ¡ÒÈã¹â¾Ã§¨ÁÙ¡ÊÙ§¢Ö¹(37) áÅÐÁռŷíÒãËŒà¡Ô´¤ÇÒÁ´Ñ¹
                   è                                                                                                        é
·Õ໚¹ÅºÁÒ¡¢Ö¹¢³ÐËÒÂã¨à¢ŒÒ ·íÒãËŒ·Ò§à´Ô¹ËÒÂã¨Ê‹Ç¹¤ÍËÍ ºÃÔàdz·ÕÁà¹×ÍàÂ×Í͋͹·Õ¹Á ËÃ×ÍË‹͹
  è                      é                                                                                                          è Õ é è            è Ø‹
à¡Ô¹ä» (ઋ¹Ê‹Ç¹¢Í§à¾´Ò¹Í‹Í¹, ÅԹ䡋, tonsillar pillars, ⤹ÅÔ¹) ࢌÒÁÒªÔ´¡Ñ¹ à¡Ô´¡ÒÃÍØ´¡Ñ¹·Ò§
                                                                         é                                            é                                              é
à´Ô¹ËÒÂã¨ä´ŒÁÒ¡¢Ö¹ ´Ñ§¹Ñ¹âä䫹ÑÊÍÑ¡àʺ ໚¹ÊÒà˵ØÊҤѭÍ‹ҧ˹֧·Õ·ÒãËŒà¡Ô´¤ÇÒÁ¼Ô´»¡µÔ¢Í§
                                      é             é                                                    í                         è è í
¡ÒÃËÒÂã¨áººÍØ´¡Ñ¹¢³ÐËÅѺ áÅмٻÇ·ÕÁ¤ÇÒÁ¼Ô´»¡µÔ¢Í§¡ÒÃËÒÂã¨áººÍØ´¡Ñ¹¢³ÐËÅѺ ÍÒ¨
                                        é                                      Œ † è Õ                                                               é
ÁÕâä䫹ÑÊÍÑ¡àʺËÇÁ´ŒÇ ´Ñ§¹Ñ¹ ¤Çëѡ»ÃÐÇÑµÔ áÅÐÍÒ¡Òâͧ¤ÇÒÁ¼Ô´»¡µÔ¢Í§¡ÒÃËÒÂã¨áºº
                                                              é
ÍØ´¡Ñ¹¢³ÐËÅѺ ã¹¼Ù»ÇÂâä䫹ÑÊÍÑ¡àʺàÊÁÍ áÅÐઋ¹à´ÕÂǡѹ ¤Çëѡ»ÃÐÇÑµÔ áÅÐÍÒ¡Òâͧâä
         é                                 Œ †
¨ÁÙ¡ ËÃ×Í䫹ÑÊàÊÁÍ ã¹¼Ù»Ç·ÕÁ¤ÇÒÁ¼Ô´»¡µÔ¢Í§¡ÒÃËÒÂã¨áººÍØ´¡Ñ¹¢³ÐËÅѺ ´Ñ§¹Ñ¹¼Ù»Ç·ÕÁÕ
                                                        Œ † è Õ                                                                          é                    é Œ † è
¤ÇÒÁ¼Ô´»¡µÔ¢Í§¡ÒÃËÒÂã¨áººÍØ´¡Ñ¹¢³ÐËÅѺ·ÕãËŒ¡ÒÃÃÑ¡ÉÒáÅŒÇäÁ‹´¢¹ ÂѧÁÕÍÒ¡ÒÃÍÂÙ‹ ¤ÇÃ䴌ú
                                                                           é                  è                                      Õ Öé                                     Ñ
¡ÒûÃÐàÁԹNjÒÁÕâä¨ÁÙ¡ËÃ×Í䫹ÑÊËÇÁ´ŒÇÂËÃ×ÍäÁ‹ à¾ÃÒжŒÒÁÕ ¡ÒÃÃÑ¡ÉÒâä¨ÁÙ¡ËÃ×Í䫹ÑÊËÇÁ´ŒÇÂ
¨Ð·íÒãËŒÍÒ¡Òâͧ¤ÇÒÁ¼Ô´»¡µÔ¢Í§¡ÒÃËÒÂã¨áººÍØ´¡Ñ¹¢³ÐËÅѺ ´Õ¢¹ä´Œ äÁ‹ÁÒ¡¡ç¹Í                                 é                          Öé                   Œ
              7. 䫹ÑÊÍÑ¡àʺ¨Ò¡àª×éÍÃÒª¹Ô´ÀÙÁÔᾌ (Allergic fungal rhinosinusitis: A.RS) ¼Ù»Ç                                                                         Œ †
ÁÑ¡ÁÕ»ÃÐÇѵâäÀÙÁᾌÃÇÁ´ŒÇÂÃŒÍÂÅÐ 60 áÅÐÃŒÍÂÅÐ 50 ÁÕ»ÃÐÇѵâäË״ËÇÁ´ŒÇ ÍÒ¨ÁÕ»ÃÐÇѵ¡ÒÃ
                 Ô                   Ô ‹                                                                                Ô                       (38)
                                                                                                                                                                        Ô
ᾌÃÒ ËÃ×Í¡Ò÷´ÊͺÀÙÁᾌ·Ò§¼ÔÇ˹ѧãËŒ¼ÅºÇ¡ ËÃ×͵ÃǨ¾º serum specific IgE µ‹ÍÃÒ, ÁÕôÊմǧ
                                                  Ô                                                                                                               Ô
¨ÁÙ¡, 䫹ÑÊÍÑ¡àʺ áÅÐÁÕšɳÐ੾ÒТͧÀÒ¾¶‹ÒÂÃѧÊÕ¤ÍÁ¾ÔÇàµÍϢͧ䫹ÑÊ (ÁÑ¡ÁÕ䫹ÑÊÍÑ¡àʺ
                                                         Ñ
·íÒãˌ䫹Ñʷѧ 2 ¢ŒÒ§·Öº·Ñ§ËÁ´ áÅÐÁÑ¡¨ÐÁÕ¢Ò§ã´¢ŒÒ§Ë¹Ö§·ÖºÁÒ¡¡Ç‹ÒÍÕ¡¢ŒÒ§Ë¹Ö§ ÊÒäѴËÅѧ·ÕÍÂÙ‹
                       é                              é                                   Œ                  è                                    è                 è è
ã¹ä«¹ÑÊÍÒ¨´Ñ¹ãËŒ¼¹Ñ§¢Í§ä«¹ÑÊ⻆§ÍÍ¡ áÅÐÍÒ¨¾º¡ÒáË͹¢Í§¡Ãд١䴌) áÅоº eosinophilic
allergic mucin áÅСÒõÃǨ·Ò§¾ÂÒ¸ÔÇ·ÂÒ ¾ºÃÒª¹Ô´äÁ‹Å¡ÅÒÁ                            Ô                                 Ø
252                                                                    䫹ÑÊÍÑ¡àʺ áÅÐÃÔ´Êմǧ¨ÁÙ¡

        8. ËÙªÑ鹡ÅÒ§ÍÑ¡àʺ âä䫹ÑÊÍÑ¡àʺ ¨Ð·íÒãËŒàÂ×ͺبÁÙ¡ áÅÐ䫹ÑÊÁÕ¡ÒúÇÁ áÅСÒÃ
                                                         è
ÍÑ¡àʺ ËÃ×ÍÁÕ˹ͧäËÅÁÒºÃÔàdz´ŒÒ¹ËÅѧâ¾Ã§¨ÁÙ¡ ·íÒãËŒàÂ×ͺغÃÔàdz choana áÅз‹ÍÂÙÊàµàªÕ¹ºÇÁ
                                                      è
«Ö§¨Ð·íÒãËŒ·ÍÂÙÊàµàªÕ¹·íÒ§Ò¹¼Ô´»¡µÔ (eustachian tube dysfunction) à¡Ô´ËÙª¹¡ÅÒ§ÍÑ¡àʺà©Õº
  è         ‹                                                             Ñé
¾Åѹ áÅÐÀÒÇйéҢѧã¹ËÙª¹¡ÅÒ§ ¹Í¡¨Ò¡¹Ñ¹ ¶ŒÒ¼Ù»ÇÂÊѧ¹éÒÁÙ¡áçæ â´Â੾ÒжŒÒÁÕ¡Òúպ¨ÁÙ¡
                    í     Ñé              é     Œ † è í
´ŒÇ ÍÒ¨·íÒãËŒÁÁ¡Ë¹Í§ ËÃ×Íàª×Íâä ࢌÒä»ã¹·‹ÍÂÙÊàµàªÕ¹ áÅÐËÙª¹¡ÅÒ§ä´Œ
                Õ Ù          é                                  Ñé

¡ÒÃÃÑ¡ÉÒ䫹ÑÊÍÑ¡àʺ áÅÐ/ËÃ×ÍÃÔ´Êմǧ¨ÁÙ¡´ŒÇÂÂÒ
        ¡ÒÃÃÑ¡ÉÒ䫹ÑÊÍÑ¡àʺ´ŒÇÂÂÒ (Medical management of rhinosinusitis)
           âä䫹ÑÊÍÑ¡àʺ ʋǹãË­‹à¡Ô´¨Ò¡¡ÒõԴàª×ÍẤ·ÕàÃÕ «Ö§à¡Ô´¨Ò¡¡Òäѧ¢Í§Ë¹Í§·ÕÍÂÙã¹â¾Ã§
                                                         é            è           è          è ‹
䫹ÑÊ áÅÐà¡Ô´¡ÒÃÍÑ¡àʺ¢Í§àÂ×ͺØâ¾Ã§ä«¹ÑÊ ÊíÒËÃѺËÅÑ¡¡ÒÃÃÑ¡ÉÒâä䫹ÑÊÍÑ¡àʺ¤×Í
                                        è
           1. ¡íҨѴàª×éÍ¡‹Íâä·Õè໚¹ÊÒà赯 (Eradicate infection) ¤×Í¡ÒÃàÅ×͡㪌ÂÒµŒÒ¹¨ØÅªÕ¾·Õè
àËÁÒÐÊÁÊíÒËÃѺẤ·ÕàÃÕ·Õ໚¹ÊÒà˵آͧ䫹ÑÊÍÑ¡àʺª¹Ô´¹Ñ¹æ ã¹âä䫹ÑÊÍÑ¡àʺª¹Ô´à©Õº¾Åѹ
                                  è                                 é
àª×ÍẤ·ÕàÃÕ·Õ໚¹ÊÒà˵ØÁ¡à¡Ô´¨Ò¡àª×Í Streptococcus pneumoniae, Haemophilus influenzae áÅÐ
   é              è             Ñ            é
Moraxella catarrhalis ÂÒµéÒ¹¨ØÅªÕ¾·ÕàËÁÒÐÊÁ¨Ö§¤ÇÃãªé amoxicillin ã¹ÅӴѺáá áÅФÇÃãËéÂÒ-
                         (39)
                                                 è
µŒÒ¹¨ØÅªÕ¾à»š¹ÃÐÂÐàÇÅÒ 10-14 Çѹ(40)
           ÊíÒËÃѺâä䫹ÑÊÍÑ¡àʺª¹Ô´àÃ×ÍÃѧ àª×ÍẤ·ÕàÃÕ·Õ໚¹ÊÒà˵ØÁ¡à¡Ô´¨Ò¡ gram negative
                                               é     é            è           Ñ
bacteria â´Â੾ÒÐ Pseudomonas aeruginosa, coagulase-negative Staphylococcus áÅÐ anaerobic
bacteria(39) ´Ñ§¹Ñ鹨֧ÁÑ¡¨ÐàÅ×͡㪌 amoxicillin/clavulanic acid(41) ËÃ×Í second- or third-line
cephalosporin ËÃ×Í newer generation of macrolide ઋ¹ clarithromycin ËÃ×Í quinolone ઋ¹ gatifloxacin
or levofloxacin áÅФÇÃãËŒÂÒµŒÒ¹¨ØÅªÕ¾à»š¹ÃÐÂÐàÇÅÒ 3-4 ÊÑ»´Òˏ
           2. ¡ÒÃÊ‹§àÊÃÔÁãËŒÁÕ¡ÒÃÃкÒÂ˹ͧ·Õè¤Ñè§ã¹â¾Ã§ä«¹ÑÊ (Improve ventilation and
drainage) 䴌ᡋ
              2.1) ÂÒ¡ÅØÁÊàµÕÂÃÍ´ â´Â੾ÒÐÂÒÊàµÕÂÃÍ´ª¹Ô´¾‹¹¨ÁÙ¡ (intranasal steroids) ·Õ㪌
                          ‹                                                                       è
ËÇÁ¡ÑºÂÒµŒÒ¹¨ØÅªÕ¾ª¹Ô´ÃѺ»Ãзҹ ¨Ð·íÒãËŒÍÒ¡ÒÃ䫹ÑÊÍÑ¡àʺ¢Í§¼Ù»Ç´բ¹ àÁ×Íà»ÃÕºà·Õº¡Ñº
                                                                        Œ †         Öé è
¡ÅØÁ·Õ㪌ÂÒµŒÒ¹¨ØÅªÕ¾à¾Õ§Í‹ҧà´ÕÂÇ(42) ÊíÒËÃѺ¡ÒÃ㪌ÂÒÊàµÕÂÃÍ´ª¹Ô´¾‹¹¨ÁÙ¡ 㹼ٻǷÕ໚¹ä«¹ÑÊ
     ‹ è                                                                                 Œ † è
ÍÑ¡àʺàÃ×ÍÃѧâ´Â੾ÒÐÍ‹ҧÂÔ§·ÕÁôÊմǧ¨Á١ËÇÁ´ŒÇ¹ѹ ¾ºÇ‹ÒÂÒÊàµÕÂÃÍ´ª¹Ô´¾‹¹¨ÁÙ¡ ÊÒÁÒö
           é                          è è ÕÔ                    é
Å´ÍÒ¡Ò÷ҧ¨ÁÙ¡ áÅÐÅ´¢¹Ò´¢Í§ÃÔ´Êմǧ¨ÁÙ¡ä´Œ(43)¼Å¢ŒÒ§à¤Õ§ÊíÒËÃѺ¡ÒÃ㪌ÂÒÊàµÕÂÃÍ´ª¹Ô´¾‹¹
¨ÁÙ¡¹Ñ¹ ¾ºä´Œ¹Í ઋ¹¼¹Ñ§¡Ñ¹ª‹Í§¨ÁÙ¡·ÐÅØ (nasal septal perforation) ËÃ×ÍàÅ×Í´¡íÒà´ÒäËÅ (epistaxis)
        é           Œ               é
â´ÂÁÑ¡¨ÐÊÑÁ¾Ñ¹¸¡º·ÔÈ·Ò§¡ÒÃ㪌ÂÒ¾‹¹¨ÁÙ¡·ÕäÁ‹¶¡µŒÍ§¤×;‹¹ä»·Ò§¼¹Ñ§¡Ñ¹ª‹Í§¨ÁÙ¡ (41)
                      Ñ                                è Ù                      é
           2.2) ÂÒË´ËÅÍ´àÅ×Í´ (Decongestant) ÁÕ·§ª¹Ô´ÃѺ»Ãзҹ áÅЪ¹Ô´¾‹¹ ËÃ×ÍËÂÍ´¨ÁÙ¡
                                                             Ñé
ª¹Ô´ÃѺ»Ãзҹ Í͡ķ¸ÔÀÒÂã¹ 30 ¹Ò·Õ áÅÐÁÕÄ·¸Ô¹Ò¹»ÃÐÁÒ³ 4-6 ªÑÇâÁ§ ¼Å¢ŒÒ§à¤Õ§·ÕÍÒ¨¾º
                              ì                            ì                è                  è
ä´Œ¤Í ¡ÃÐÊѺ¡ÃÐÊ‹ÒÂ, ¹Í¹äÁ‹ËÅѺ, ã¨Êѹ, ¤ÇÒÁ´Ñ¹âÅËÔµÊÙ§, »˜ÊÊÒÇÐÅíÒºÒ¡ áÅÐÁ‹Ò¹µÒ¢ÂÒµÑÇ
      ×                                            è
ÂÒã¹¡ÅØÁ¹Õ䴌ᡋÂÒ pseudoephedrine hydrochloride äÁ‹¤ÇÃ㪌ÂÒË´ËÅÍ´àÅ×Í´ª¹Ô´¾‹¹ ËÃ×ÍËÂÍ´
          ‹ é
¨ÁÙ¡ (䴌ᡋ ephedrine, xylomethazoline, naphazoline áÅÐ oxymethazoline) µÔ´µ‹Í¡Ñ¹¹Ò¹à¡Ô¹ 3-
àǪÈÒʵÏ·¹Âؤ 2553
          Ñ                                                                                                                        253

5 Çѹ à¾ÃÒÐÍÒ¨·íÒãËŒà¡Ô´ rebound effect àÂ×ͺبÁÙ¡ºÇÁÁÒ¡¢Ö¹·ÕàÃÕÂ¡Ç‹Ò rhinitis medicamentosa
                                                                          è           é è
                       2.3) ¡ÒÃŌҧ¨ÁÙ¡´ŒÇ¹éÒà¡Å×Í ÁÕÃÒ§ҹNjҷíÒãËŒÍÒ¡ÒÃâä䫹ÑÊÍÑ¡àʺŴŧ à¾ÔÁ¤ÇÒÁ
                                                       í                                                                      è
ª×¹ãˌᡋàÂ×ͺبÁÙ¡ ¡ÒÃ⺡¾Ñ´¢Í§¢¹¡ÇÑ´ (mucociliary function) ´Õ¢¹ ¡ÒÃ㪌¹Òà¡Å×Í»¡µÔ áÅÐ
  é                  è                                                                             Öé                  éí
¹éíÒà¡Å×ͪ¹Ô´à¢ŒÁ¢Œ¹ª‹Ç·íÒãËŒÍÒ¡Òâͧ¼ÙŒ»†Ç áÅÐàÂ×èͺبÁÙ¡ áÅÐ䫹Ñʨҡ¡ÒõÃǨ´ŒÇ¡Ōͧ
(endoscopic finding) ´Õ¢¹ (41)         Öé
                       2.4) ¡ÒÃãËŒÂÒÅÐÅÒÂÁÙ¡ (Mucolytic drug) ¡ÒÃ㪌ÂÒ¡ÅØÁ¹Õ¨Ð·íÒãËŒ¹ÒÁÙ¡àËÅÇ¢Ö¹ â´Â
                                                                                               ‹ é              éí               é
੾ÒСÒÃ㪌ÃÇÁ¡ÑºÂÒµŒÒ¹¨ØÅªÕ¾ «Ö§·íÒãËŒÃÐÂÐàÇÅÒ㹡ÒÃÃÑ¡ÉÒâä䫹ÑÊÍÑ¡àʺŴŧ´ŒÇÂ
                          ‹                              è                                                                      (41)

                       2.5) ¡ÒÃ㪌 immunomodulators 䴌ᡋ ÂÒã¹¡ÅØÁ macrolides ઋ¹ roxithromycin,
                                                                                         ‹
clarithromycin áÅÐ azithromycin «Ö§¨Ðª‹ÇÂàÊÃÔÁ㹡ÒÃÃÑ¡ÉÒâä䫹ÑÊÍÑ¡àʺàÃ×ÍÃѧ â´ÂÅ´¹éÒÁÙ¡,
                                                             è                                             é                        í
à¾ÔÁ¡Ò÷íÒ§Ò¹¢Í§¢¹¡ÇÑ´ ( mucocilliary clearance ) áÅÐ Å´¡ÒÃÊÌҧ biofilms
      è                                                                                                        (44)

               3. ¡ÒÃÃÑ¡ÉÒâä¾×é¹°Ò¹ (Underlying condition) ¢Í§¼ÙŒ»†Ç ·ÕèÍҨ໚¹ÊÒà赯 ËÃ×ÍÊ‹§
àÊÃÔÁãËŒà¡Ô´âä䫹ÑÊÍÑ¡àʺ 㹡óշ¼»ÇÂÁÕâäà´ÔÁઋ¹ âä¨ÁÙ¡ÍÑ¡àʺÀÙÁᾌ ÍÒ¨¾Ô¨ÒóÒãËŒ
                                                                  Õè ÙŒ †                                Ô
ÂÒµŒÒ¹ÎÊ·ÒÁչËÇÁ´ŒÇ á¹Ð¹íÒãˌ㪌ÂÒµŒÒ¹ÎÊ·ÒÁÕ¹ÃØ‹¹·Õè 2 ËÃ×Í 3 ËÅÕ¡àÅÕè§¡ÒÃ㪌ÂÒµŒÒ¹
΁ʷÒÁÕ¹ÃØ¹·Õè 1 à¹×ͧ¨Ò¡ÂÒÃØ¹´Ñ§¡Å‹ÒÇÁÕÄ·¸Ôì anticholinergic «Ö§·íÒãËŒ¹ÒÁÙ¡ ËÃ×ÍÊÔ§¤Ñ´ËÅѧã¹ä«¹ÑÊ
                   ‹           è             ‹                                         è              éí             è    è
à˹ÕÂÇ¢Ö¹ ÁռŷíÒãËŒ¡ÒÃÃкÒÂ˹ͧã¹â¾Ã§ä«¹ÑÊ໚¹ä»ä´ŒÂÒ¡¢Ö¹
               é                                                                           é
               ·Õä´Œ¡Å‹ÒÇäÇŒ¢Ò§µŒ¹à»š¹á¹Ç·Ò§¡ÒÃÃÑ¡ÉÒ䫹ÑÊÍÑ¡àʺâ´Â·ÑÇä» ã¹»˜¨¨Øº¹ä´Œáº‹§á¹Ç·Ò§
                 è                 Œ                                                         è                     Ñ
¡ÒÃÃÑ¡ÉÒ䫹ÑÊÍÑ¡àʺ໚¹ 3 ¡ÅØÁ䴌ᡋ             ‹
                       䫹ÑÊÍÑ¡àʺª¹Ô´à©Õº¾Åѹ (Acute rhinosinusits)
                       ʋǹÁÒ¡ÊÒÁÒöËÒÂä´ŒàͧÀÒÂã¹ 14 Çѹ à¹×ͧ¨Ò¡ÁÑ¡¨Ð໚¹¡ÒõԴàª×ÍäÇÃÑÊ ËÒ¡ÍÒ¡ÒÃ
                                                                                è                            é
äÁ‹´¢¹ÁÑ¡¨ÐÁÕ¡ÒõԴàª×ÍẤ·ÕàÃÕ«éÒàµÔÁ á¹Ð¹íÒãˌ㪌ÂÒµŒÒ¹¨ØÅªÕ¾·ÕàËÁÒÐÊÁ¹Ò¹ 10-14 Çѹ(40)
        Õ Öé                         é                     í                                     è
´Ñ§ä´Œ¡Å‹ÒÇáŌǢŒÒ§µŒ¹ á¹Ð¹íÒãˌ㪌ÂÒÊàµÕÂÃÍ´ª¹Ô´¾‹¹¨ÁÙ¡ ËÇÁ¡ÑºÂÒµŒÒ¹¨ØÅªÕ¾ª¹Ô´ÃѺ»Ãзҹ
¨Ð·íÒãËŒÍÒ¡ÒÃ䫹ÑÊÍÑ¡àʺ¢Í§¼Ù»ÇÂËÒÂàÃçÇ¢Ö¹(41) ¹Í¡¨Ò¡¹ÕÁ¡ÒÃÈÖ¡ÉÒà»ÃÕºà·Õº¡ÒÃÃÑ¡ÉÒ¼Ù»ÇÂ
                                                   Œ †                      é     é Õ                                                 Œ †
䫹ÑÊÍÑ¡àʺª¹Ô´à©Õº¾Åѹ·ÕäÁ‹Á¼Åá·Ã¡«ŒÍ¹ ÃÐËNjҧ¡ÒÃ㪌ÂÒÊàµÕÂÃÍ´ª¹Ô´¾‹¹¨ÁÙ¡ à¾Õ§Í‹ҧ
                                               è Õ
à´ÕÂÇ à»ÃÕºà·Õº¡Ñº¡ÒÃ㪌 amoxicillin à¾Õ§Í‹ҧà´ÕÂÇ ¾ºÇ‹Ò¡ÒÃ㪌ÂÒÊàµÕÂÃÍ´ª¹Ô´¾‹¹¨ÁÙ¡ à¾Õ§
Í‹ҧà´ÕÂÇä´Œ¼Å´Õ¡Ç‹Ò (45)
                       䫹ÑÊÍÑ¡àʺª¹Ô´àÃ×éÍÃѧ·ÕèäÁ‹ÁÕÃÔ´Êմǧ¨ÁÙ¡ (Chronic rhinosinusits without nasal
polyp)
                       á¹Ð¹íÒãˌ㪌ÂÒµŒÒ¹¨ØÅªÕ¾·ÕàËÁÒÐÊÁ¹Ò¹ 3 à´×͹´Ñ§ä´Œ¡Å‹ÒÇáŌǢŒÒ§µŒ¹ áÅÐá¹Ð¹íÒãËŒ
                                                                è
㪌ÂÒÊàµÕÂÃÍ´ª¹Ô´¾‹¹¨ÁÙ¡ ËÇÁ¡ÑºÂÒµŒÒ¹¨ØÅªÕ¾ª¹Ô´ÃѺ»Ãзҹ áÅСÒÃŌҧ¨ÁÙ¡´ŒÇ¹éÒà¡Å×Í(41)                                  í
                       䫹ÑÊÍÑ¡àʺª¹Ô´àÃ×ÍÃѧ·ÕÁôÊմǧ¨ÁÙ¡ (Chronic rhinosinusits with nasal polyp)
                                                    é          è ÕÔ
                       á¹Ð¹íÒãˌ㪌ÂÒÊàµÕÂÃÍ´ª¹Ô´¾‹¹¨ÁÙ¡, ÂÒÊàµÕÂÃÍ´ª¹Ô´ÃѺ»Ãзҹ áÅСÒÃŌҧ¨ÁÙ¡
´ŒÇ¹éÒà¡Å×Í ã¹¼Ù»Ç·ÕÁôÊմǧ¨ÁÙ¡¢¹Ò´àÅç¡»ÃÐÁÒ³ grade 1-2 ʋǹ¡ÒÃ㪌ÂÒµŒÒ¹¨ØÅªÕ¾äÁ‹Á¢ÍÁÙÅ
             í              Œ † è ÕÔ                                                                                               ÕŒ
·Õª´à¨¹ ʋǹ ÃÔ´Êմǧ¨ÁÙ¡ grade 3 á¹Ð¹íÒãËŒ¾¨ÒóҼ‹ÒµÑ´ ¡ÒÃ㪌ÂÒÊàµÕÂÃÍ´ª¹Ô´ÃѺ»Ãзҹ
    è Ñ        (41)
                                                                              Ô
(䴌ᡋ ÂÒ prednisolone ¢¹Ò´ 0.5 mg/kg µ‹ÍÇѹ¹Ò¹ 1-2 ÊÑ»´Òˏ) ËÇÁ¡ÑºÂÒÊàµÕÂÃÍ´ª¹Ô´¾‹¹¨ÁÙ¡
¨Ðª‹Ç·íÒãËŒÍÒ¡ÒüٻÇ´բ¹àÃçÇ(41)
                                 Œ †      Öé
254                                                                                       䫹ÑÊÍÑ¡àʺ áÅÐÃÔ´Êմǧ¨ÁÙ¡

          ¡ÒÃÃÑ¡ÉÒ䫹ÑÊÍÑ¡àʺ áÅÐ/ËÃ×ÍÃÔ´Êմǧ¨ÁÙ¡´ŒÇ¡Òü‹ÒµÑ´
            ã¹»˜¨¨Øº¹¡Òü‹ÒµÑ´ä«¹ÑÊä´ŒÁÇDz¹Ò¡ÒèҡÇÔ¸¡Òôѧà´ÔÁ (conventional method) «Ö§à¹Œ¹
                          Ñ                                 ÕÔÑ                             Õ é                               è
¡Òü‹ÒµÑ´àÍÒàÂ×ͺØä«¹ÑÊ·Õ¼´»¡µÔÍÍ¡·Ñ§ËÁ´ ÁÒ໚¹¡Òü‹ÒµÑ´â´Â¡ÒÃʋͧ¡ÅŒÍ§¼‹Ò¹â¾Ã§¨ÁÙ¡ ์¹
                     è                      è Ô              é
¡ÒÃᡌä¢ãËŒ·Ò§ÃкÒÂ䫹ÑÊäÁ‹ÍØ´µÑ¹ áÅоÂÒÂÒÁà¡çºàÂ×èͺØä«¹ÑÊáÅÐâ¾Ã§¨ÁÙ¡äÇŒãËŒÁÒ¡·ÕèÊØ´
(functional endoscopic sinus surgery: .ESS)
               ¡Òü‹ÒµÑ´ã¹âä䫹ÑÊÍÑ¡àʺà©Õº¾Åѹ
               ʋǹãË­‹ËÒÂä´Œ ¨Ò¡¡ÒÃãËŒÂÒµŒÒ¹¨ØÅªÕ¾·ÕàËÁÒÐÊÁ ᵋ㹺ҧ¡Ã³Õ¼»ÇÂÍÒ¨ÁÕ¤ÇÒÁ¨íÒ
                                                                                        è                         ÙŒ †
໚¹·Õ¨ÐµŒÍ§ä´ŒÃº¡Òü‹ÒµÑ´ ËÃ×Íà¨ÒÐŌҧ䫹ÑÊ (antral irrigation)
      è                 Ñ
               ¢ŒÍº‹§ªÕâ´Â·ÑÇä»ã¹¡Òü‹ÒµÑ´ ËÃ×Íà¨ÒÐŌҧ䫹ÑÊ㹼ٻǷÕàè »š¹âä䫹ÑÊÍÑ¡àʺà©Õº¾Åѹ ¤×Í
                              é è                                                                  Œ †
               1. ÁÕÀÒÇÐá·Ã¡«ŒÍ¹ ઋ¹ ÁÕ¡ÒõԴàª×Í¡ÃШÒÂࢌÒÊÙµÒ ËÃ×ÍÊÁͧ        é                        ‹
               2. äÁ‹ÊºÒÂÁÒ¡ áÅÐÁÕÍÒ¡ÒÃÃØ¹áç
               3. äÁ‹ÊºÒÂẺà©Õº¾Åѹ áÅÐÃÑ¡ÉÒ´ŒÇÂÂÒ·ÕàËÁÒÐÊÁáÅŒÇ ÍÒ¡ÒÃá‹ŧÀÒÂã¹àÇÅÒ 48       è
– 72 ªÑÇâÁ§
        è
               4. ÁÕÀÁ¤Á¡Ñ¹º¡¾Ã‹Í§
                                 Ù Ô ØŒ
               ¡Òü‹ÒµÑ´ã¹âä䫹ÑÊÍÑ¡àʺàÃ×ÍÃѧ                         é
               ã¹»˜¨¨ØºÑ¹ÂѧäÁ‹ÁÕ¡ÒÃÈÖ¡ÉÒ·ÕèÁդسÀÒ¾ÁÒ¡¾Í·Õè¨ÐáÊ´§ãËŒàËç¹¶Ö§»ÃÐ⪹¢Í§¡ÒÃ
ÃÑ¡ÉÒâä䫹ÑÊÍÑ¡àʺàÃ×ÍÃѧ´ŒÇ¡Òü‹ÒµÑ´ ËÇÁ¡Ñº¡ÒÃãËŒÂÒ àÁ×Íà»ÃÕºà·Õº¡Ñº¡ÒÃãËŒÂÒà¾Õ§Í‹ҧ
                                          é                                                          è
à´ÕÂÇ ¨Ö§¶×ÍÇ‹Òâ´Â·ÑÇä»áÅŒÇ ¡Òü‹ÒµÑ´ã¹âä䫹ÑÊÍÑ¡àʺàÃ×ÍÃѧÁբͺ‹§ªÕ੾ÒÐã¹ÃÒ·Õ§ÁÕÍÒ¡ÒÃÁÒ¡
                               è                                                             é          Œ     é          èÑ
¶Ö§áÁŒ¨Ð䴌ú¡ÒÃÃÑ¡ÉÒ´ŒÇÂÂÒ·ÕàËÁÒÐÊÁáÅŒÇ
               Ñ                                    è                     (41, 46)

               ÀÒÇÐá·Ã¡«ŒÍ¹¨Ò¡¡Òü‹ÒµÑ´
               ¨Ò¡¡ÒÃÈÖ¡ÉÒẺ meta-analysis ¾ºÇ‹ÒÁÕ͵ÃÒ¡ÒÃà¡Ô´ major complications »ÃÐÁÒ³ Ñ
ÃŒÍÂÅÐ 0.5 áÅÐ minor complications »ÃÐÁҳÌÍÂÅÐ 4 ¨Ò¡¡Òü‹ÒµÑ´ endoscopic sinus surgery
â´ÂÁÕ»¨¨ÑÂàÊÕ§¤×Í ¡ÒÃÁÕ¾ÂÒ¸ÔÊÀÒ¾·Õùáçã¹ä«¹ÑÊ revision surgery ¡Òü‹ÒµÑ´ä«¹ÑÊ´ŒÒ¹¢ÇÒ
          ˜        è                                           èØ
¡Òü‹ÒµÑ´â´Â㪌ÂÒÊź ¡ÒÃÁÕàÅ×Í´ÍÍ¡ÁÒ¡ÃÐËNjҧ¼‹ÒµÑ´ áÅÐ ¡ÒâҴ¤ÇÒÁªíÒ¹Ò­¢Í§á¾·Â
¼Ù¼ÒµÑ´ (41)
  Œ ‹
               à·¤â¹âÅÂÕãËÁ‹ã¹¡Òü‹ÒµÑ´ä«¹ÑÊ áÅÐ/ËÃ×ÍÃÔ´Êմǧ¨ÁÙ¡
               »˜¨¨Øº¹ä´ŒÁ¡ÒþѲ¹Òà¤Ã×ͧÁ×ÍãËÁ‹æà¾×ͪ‹ÇÂãËŒ¡Òü‹ÒµÑ´ä«¹ÑÊ áÅÐ/ËÃ×ÍÃÔ´Êմǧ¨ÁÙ¡
                            Ñ           Õ                 è                           è
·íÒä´ŒÊдǡ áÅлÅÍ´ÀÑÂÁÒ¡¢Ö¹ ઋ¹ ¡ÒÃ㪌 microdebrider, ballon sinuplasty áÅÐ surgical
                                                        é
navigation system «Ö§¾ºÇ‹Òà¤Ã×ͧÁ×ÍàËŋҹժÇÂãËŒÊÒÁÒö¼‹ÒµÑ´ä´ŒÍ‹ҧÁѹ㨠áÅÐÊÒÁÒö¼‹ÒµÑ´
                                     è                è                é ‹                                      è
ࢌÒä»ã¹ä«¹ÑÊ·ÕÍÂÙš䴌ÁÒ¡¢Ö¹ Í‹ҧäáçµÒÁà¤Ã×ͧÁ×ÍàËŋҹÕÁÃÒ¤Òá¾§ áÅÐÂѧäÁ‹ÁËÅÑ¡°Ò¹ªÑ´à¨¹
                       è ‹Ö                       é                            è                    é Õ                Õ
NjҡÒÃ㪌à¤Ã×ͧÁ×ÍàËŋҹÕé ª‹ÇÂãËŒ¡Òü‹ÒµÑ´ä´Œ¼Å´Õ¢¹ ÃÇÁ·Ñ§ÂѧäÁ‹Á¡ÒÃÈÖ¡ÉÒ¶Ö§¤ÇÒÁ¤ØÁ¤‹Ò (cost-
                 è                                                                 Öé            é          Õ               Œ
effectiveness) ¢Í§¡ÒÃ㪌à¤Ã×ͧÁ×ÍàËŋҹÕé       è                 (47-50)
àǪÈÒʵÏ·¹Âؤ 2553
          Ñ                                                                                                       255

àÍ¡ÊÒÃ͌ҧÍÔ§
1.    Meltzer EO, Hamilos DL, Hadley JA, Lanza DC, Marple B., Nicklas RA, et al. Rhinosinusitis: Establishing
      definitions for clinical research and patient care. Otolaryngol Head Neck Surg 2004;131(6 SUPPL.):S1-62.
2.    Lethbridge-Cejku M, Rose D, Vickerie J. Summary health statistics for U.S. adults: National Health Interview
      Survey, 2004. National Center for Health Statistics. Vital Health Stat 2006;10(228):19-22.
3.    Bhattacharyya N. Clinical and symptom criteria for the accurate diagnosis of chronic rhinosinusitis. Laryngoscope
      2006;116:1185-91.
4.    Gwaltney JM, Jr. Acute community-acquired sinusitis. Clin Infect Dis 1996;23:1209-23.
5.    Bent JP III, Kuhn .A. Allergic fungal rhinosinusitis/polyposis. Allergy Asthma Proc 1996;17:259-68.
6.    Chandler JR, Langenbrunner DJ, Stevens ER. The pathogenesis of orbital complications in acute sinusitis.
      Laryngoscope 1970;80(9):1414-28.
7.    Busuttil A. Dysplastic epithelial changes in nasal polyps. Ann Otol Rhinol Laryngol 1978;87(3 Pt 1):416-20.
8.    Hasegawa M, Nasu M, Ohki M, Sugiuchi Y, Watanabe I. Malignant transformation of nasal polyp. Case
      report. Arch Otolaryngol Head Neck Surg 1988;114(3):336-7.
9.    Hadfield PJ, Rowe-Jones JM, Mackay IS. The prevalence of nasal polyps in adults with cystic fibrosis. Clin
      Otolaryngol 2000;25(1):19-22.
10.   Emanuel IA, Shah SB. Chronic rhinosinusitis: allergy and sinus computed tomography relationships. Otolaryngol
      Head Neck Surg 2000;123(6):687-91.
11.   Beninger M. Rhinitis, sinusitis and their relationship to allergies. Am J Rhinol 1992;6:37-43.
12.   Karlsson G, Holmberg K. Does allergic rhinitis predispose to sinusitis? Acta Otolaryngol Suppl 1994;515:26-8.
13.   Zacharek MA, Krouse JH. The role of allergy in chronic rhinosinusitis. Curr Opin Otolaryngol Head Neck Surg
      2003;11:196-200.
14.   Krause H.. Allergy and chronic rhinosinusitis. Otolaryngol Head Neck Surg 2003;128:14-6.
15.   Blumstein GI, Tuft LI. Allergy treatment in recurrent nasal polyposis: its importance and value. Am J Med Sci
      1957;234(3):269-80.
16.   English G. Nasal polyposis. In: GM E, editor. Otolaryngology. Philadelphia: Harper and Row; 1985. p. 1-30.
17.   Drake-Lee AB. Histamine and its release from nasal polyps: preliminary communication. J R Soc Med
      1984;77(2):120-4.
18.   Liu CM, Shun CT, Hsu MM. Lymphocyte subsets and antigen-specific IgE antibody in nasal polyps. Ann
      Allergy 1994;72(1):19-24.
19.   Spector SL, Bernstein IL, Li JT, Berger WE, Kaliner MA, Schuller DE, et al. Parameters for the diagnosis and
      management of sinusitis. J Allergy Clin Immunol 1998;102:S107-44.
20.   Hoover G, Newman LJ, Platts-Mills TA, Phillips CD, Gross CW, Wheatley LM. Chronic sinusitis: risk factors for
      extensive disease. J Allergy Clin Immunol 1997;100:185-91.
21.   Druce HM, Slavin RG. Sinusitis: a critical need for further study. J Allergy Clin Immunol 1991;88: 675-77.
22.   Oliveira CA, Sole D, Naspitz CK, Rachelefsky GS. Improvement of bronchial hyperresponsiveness in asthmatic
      children treated for concomitant sinusitis. Ann Allergy Asthma Immunol 1997;79:70-4.
23.   Klossek JM, Neukirch ., Pribil C, Jankowski R, Serrano E, Chanal I, et al. Prevalence of nasal polyposis in
      .rance: A cross-sectional, case-control study. Allergy 2005;60(2):233-7.
24.   Settipane GA, Chafee .H. Nasal polyps in asthma and rhinitis. A review of 6,037 patients. J Allergy Clin
      Immunol 1977;59(1):17-21.
256                                                                                  䫹ÑÊÍÑ¡àʺ áÅÐÃÔ´Êմǧ¨ÁÙ¡

25. Settipane G. Epidemiology of nasal polyps. In: Settipane G, Lund VJ, Bernstein JM, Tos M., editors. Nasal
    polyps: epidemiology, pathogenesis and treatment. Rhode Island: Oceanside Publications; 1997. p. 17-24.
26. Batra PS, Kern RC, Tripathi A, Conley DB, Ditto AM, Haines GK, 3rd, et al. Outcome analysis of endoscopic
    sinus surgery in patients with nasal polyps and asthma. Laryngoscope. 2003;113(10):1703-6.
27. Szczeklik A, Stevenson DD. Aspirin-induced asthma: advances in pathogenesis, diagnosis, and management.
    J Allergy Clin Immunol. 2003;111(5):913-21.
28. Spector SL, Wangaard CH, .arr RS. Aspirin and concomitant idiosyncrasies in adult asthmatic patients. J
    Allergy Clin Immunol. 1979;64(6 Pt 1):500-6.
29. Ogino S, Harada T, Okawachi I, Irifune M, Matsunaga T, Nagano T. Aspirin-induced asthma and nasal polyps.
    Acta Otolaryngol Suppl. 1986;430:21-7.
30. Batra PS, Kem RC, Tripathi A, Conley DB, Ditto AM, Haines GK 3rd, et al. Outcome analysis of endoscopic
    sinus surgery in patients with nasal polyps and asthma. Laryngoscope 2003;113(10):1703-6.
31. Szczeklik A, Nizankowska E, Duplaga M. Natural history of aspirin-induced asthma. AIANE Investigators.
    European Network on Aspirin-Induced Asthma. Eur Respir J 2000;16(3):432-6.
32. DiBaise JK, Olusola B., Huerter JV, Quigley EM. Role of GERD in chronic resistant sinusitis: A prospective,
    open label, pilot trial. Am J Gastroenterol 2002;97:843-50.
33. Ulualp SO, Toohill RJ, Hoffmann R, Shaker R. Possible relationship of gastroesophagopharyngeal acid reflux
    with pathogenesis of chronic sinusitis. Am J Rhinol 1999;13:197-202.
34. El-Serag HB, Sonnenberg A. Co-morbid occurrence of laryngeal or pulmonary disease with esophagitis in
    United States military veterans. Gastroenterology 1997;113:755-60.
35. Bothwell MR, Parsons DS, Talbot A, Barbero GJ, Wilder B. Outcome of reflux therapy on pediatric chronic
    sinusitis. Otolaryngol Head Neck Surg 1999;121:255-62.
36. DiBaise JK, Huerter JV, Quigley EM. Sinusitis and gastroesophageal reflux disease. Ann Intern Med
    1998;129:1078.
37. Oslen K, Kern E, Westbrook P. Sleep and breathing disturbance secondary to nasal obstruction. Otolaryngol
    Head Neck Surg 1981;89:804-10.
38. Klossek JM, Serrano E, Peloquin L, Percodani J, .ontanel JP, Pessey JJ. .unctional endoscopic sinus
    surgery and 109 mycetomas of paranasal sinuses. Laryngoscope 1997;107(1):112-7.
39. Brook I. The role of bacteria in chronic rhinosinusitis. Otolaryngol Clin N Am 2005;38(6):1171-92.
40. Thomas M, Yawn B, .okken W. European position paper on the primary care diagnosis and management of
    rhinosinusitis and nasal polyp 2007. Prim Care Resp J 2008;17(2):79-89.
41. .okkens WJ, Lund VJ, Mullol J, Bachert C, Cohen N, Cobo R, et al. European position paper on nasal polyp
    2007. Rhinology 2007;45(suppl 20):1-139.
42. Dolor RJ, Witsell DL, Hellkamp AS. Comparison of cefuroxime with or without intranasal fluticasone for the
    treatment of rhinosinusitis. JAMA 2001;286(24):3097-105.
43. Helmberg K, Juliesson S, Balder B. .luticasone propionate aqueous nasal spray in the treatment of nasal
    polyposis. Ann Allergy Asthma Immunol 1997;78(3):270-6.
44. Cervin A, Wallwork B. Anti-inflammatory effects of macrolide antibiotics in the treatment of chronic rhinosinusitis.
    Otolaryngol Clin N Am 2005;38(6):1339-50.
45. Meltzer EO, Bachert C, Staudinger H. Treating acute rhinosinusitis: comparing efficacy and safety of mometasone
    furoate nasal spray, amoxicillin, and placebo. J Allergy Clin Immunol 2005;116(6):1289-95.
46. KhalilH, Nunez DA. .unctional endoscopic sinus surgery for chronic rhinosinusitis. Cochrane Database of
    Systematic Reviews 2006, Issue 3. Art. No.: CD004458. DOI: 0.1002/14651858.CD004458.pub2.
àǪÈÒʵÏ·¹Âؤ 2553
          Ñ                                                                                                  257

47. Krouse JH, Christmas DA, Jr. Powered instrumentation in functional endoscopic sinus surgery. II: A comparative
    study. Ear Nose Throat J 1996;75(1):42.
48. Hackman TG, .erguson BJ. Powered instrumentation and tissue effects in the nose and paranasal sinuses.
    Curr Opin Otolaryngol Head Neck Surg 2005;13(1):22-6.
49. Metson R, Cosenza M, Gliklich RE, Montgomery WW. The role of image-guidance systems for head and neck
    surgery. Arch Otolaryngol Head Neck Surg 1999;125:1100–4.
50. Tabaee A, Hsu AK, Shrime MG, Rickert S, Close LG. Quality of life and complications following image-guided
    endoscopic sinus surgery. Otolaryngol Head Neck Surg 2006;135:76–80.
àǪÈÒʵÏ·¹Âؤ 2553
          Ñ                                                                                      º··Õè         259

                                                                                                  37
          ¡ÒÃä´ŒÂÔ¹º¡¾Ã‹Í§ã¹à´ç¡â´ÂÀÒ¾ÃÇÁáÅСÒäѴ¡Ãͧ
                      ¡ÒÃä´ŒÂÔ¹ã¹à´ç¡ááà¡Ô´
                                        ÍÒ¨ÒÏ ᾷ˭ԧËÁ‹ÍÁËÅǧ ¡Ñ­­·Í§ ·Í§ãË­‹
             ÀÒ¤ÇÔªÒâʵ ¹ÒÊÔ¡ ÅÒÃÔ§«Ç·ÂÒ ¤³Ðá¾·ÂÈÒʵÏÈÃÃÒª¾ÂÒºÒÅ ÁËÒÇÔ·ÂÒÅÑÂÁËÔ´Å
                                      Ô                   ÔÔ

         ¡ÒÃ䴌¹ÁÕ¤ÇÒÁÊíҤѭµ‹Í¡ÒþѲ¹Ò·Ò§ÊµÔ»­­Ò¢Í§Á¹ØÉ ੡ઋ¹à´ÕÂǡѺÃкº»ÃÐÊÒ·
                     Ô                                        ˜
ÃѺ¤ÇÒÁ ÃÙÊ¡´ŒÒ¹Í×¹æ à´ç¡·ÕÁâʵ»ÃÐÊÒ··Õ»¡µÔ¨Ð¿˜§àÊÕ§·Ø¡àÊÕ§·ÕÍÂÙÃÍºæ µÑǵѧᵋááà¡Ô´áÅÐ
            ŒÖ           è           è Õ          è                      è ‹                é
¨Ð¾ÂÒÂÒÁàÅÕ¹àÊÕ§µ‹Ò§æ ¡‹Íà¡Ô´à»š¹¡ÒÃÊ×ÍÊÒ÷ѧ·Ò§´ŒÒ¹ÀÒÉÒáÅСÒþٴ áÁŒÇÒà´ç¡áµ‹ÅФ¹
                                                    è     é                                       ‹
ÁÕÅѡɳÐ੾ÒеÑǢͧ¡ÒþѲ¹Ò¡Ò÷ҧÀÒÉÒáÅСÒÃÊ×èÍÊÒ÷Õèᵡµ‹Ò§¡Ñ¹ â´Â·ÑèÇä»áÅŒÇ
¾ÄµÔ¡ÃÃÁ¢Í§à´ç¡·ÕµÍºÊ¹Í§µ‹ÍàÊÕ§µÒÁª‹Ç§ÍÒÂØµÒ§æ¨Ð¤ÅŒÒ¤ÅÖ§¡Ñ¹ ઋ¹ ã¹à´ç¡àÅç¡æ¨ÐÁÕÍÒ¡ÒÃ
                           è                            ‹
ÊдاËÃ×ͼÇÒàÁ×Í䴌¹àÊÕ§´Ñ§ à´ç¡·ÕÍÒÂØà¡Ô¹ 6 à´×͹¨ÐÊÒÁÒöËѹä»ÁͧËÒµÒÁ·ÔȢͧáËÅ‹§¡íÒà¹Ô´
      Œ             è Ô                      è
àÊÕ Â § ËÃ× Í àÁ×è Í à´ç ¡ ÍÒÂØ » ÃÐÁÒ³ 1 »‚ ¨ ÐÊÒÁÒö·í Ò µÒÁÊÑè § áÅÐàÃÔè Á àÃÕ Â ¡ª×è Í ËÃ× Í ¾Ù ´ ໚ ¹ ¤í Ò æ
੾ÒФíÒ§‹ÒÂæä´Œ ໚¹µŒ¹ (µÒÃÒ§·Õè 1) à´ç¡·ÕÁ¡ÒÃ䴌¹º¡¾Ã‹Í§µÑ§áµ‹ááà¡Ô´ËÃ×ÍÊÙ­àÊÕÂã¹ÃÐËNjҧ
                                                è Õ             Ô    é
¡ÒþѲ¹Ò·Ò§ÀÒÉÒ¨Ð໚¹ÍØ»ÊÃä·íÒãËŒ¡ÒþѲ¹Ò·Ò§ÀÒÉÒáÅСÒþٴµÔ´¢Ñ´áÅÐŋҪŒÒ à¡Ô´»˜­ËÒ
·Ò§´ŒÒ¹¡ÒÃÈÖ¡ÉÒ, ÊÀÒ¾¨Ôµã¨áÅСÒÃࢌÒÊѧ¤Á ´Ñ§¹Ñ¹ºÔ´ÒÁÒôÒËÃ×ͼٷã¡ÅŒª´à´ç¡¤ÇÃËÁѹÊѧࡵ
                                                            é               Œ Õè Ô                     è
áÅÐʧÊÑÂNjҡÒÃ䴌¹¢Í§à´ç¡º¡¾Ã‹Í§¶ŒÒà´ç¡ÃÒÂã´ÁվĵԡÃÃÁ·ÕµÍºÊ¹Í§µ‹ÍàÊÕ§ªŒÒ¡Ç‹Òࡳ±,
                             Ô                                         è
äÁ‹µÍº-ʹͧµ‹ÍàÊÕ§ËÃ×ÍäÁ‹¾´·Ñ§æ·Õà¤Â·íÒä´Œ ¨Ö§¤ÇÃÃÕº»ÃÖ¡ÉÒᾷà¾×͵ÃǨÇÔ¹¨©ÑÂ, ÃÑ¡ÉÒáÅÐ
                                       Ù é è                                      è           Ô
¿„¹¿ÙÊÁÃöÀÒ¾¡ÒÃ䴌¹䴌Í‹ҧ·Ñ¹·‹Ç§·Õ
   œ                             Ô
         ÀÒÇк¡¾Ã‹Í§·Ò§¡ÒÃ䴌¹¢Í§à´ç¡ÁÕËÅÒÂẺ, ËÅÒÂÃдѺ ÍÒ¨¾ºä´Œã¹ËÙ¢Ò§à´ÕÂÇËÃ×ͷѧ
                                           Ô                                                    Œ                  é
2 ¢ŒÒ§ 䴌ᡋ ÃдѺËÙµÖ§¹ŒÍ¨¹¶Ö§ÃдѺËÙ˹ǡ, ໚¹áººªÑèǤÃÒÇ (temporary) ËÃ×ÍẺ¶ÒÇÃ
(permanent), ÁÕÁÒᵋ¡Òà¹Ô´ (congenital) ËÃ×Íà¡Ô´¢Ö¹ÀÒÂËÅѧ (acquired), ໚¹¤ÇÒÁ¼Ô´»¡µÔ¢Í§¡ÒÃ
                               í                      é
¹íÒàÊÕ§ (conductive) ËÃ×ÍÃкº»ÃÐÊÒ· (sensorineural) ËÃ×ÍẺ¼ÊÁ (Mixed Hearing loss)
         ÁÕ»¨¨ÑÂËÅÒ»ÃСÒ÷ÕÍҨʋ§¼Å¡Ãзºµ‹Í¡Ò÷íÒ§Ò¹¢Í§ËÙáÅÐÃкº»ÃÐÊÒ· ·íÒãËŒà´ç¡¡ÅØÁ
             ˜                           è                                                                       ‹
¹ÕÁâÍ¡ÒÊàÊÕ§µ‹Í¡ÒÃ䴌¹º¡¾Ã‹Í§ ẋ§ä´Œ 2 ÊÒà˵Ø(1) â´Â¡ÇŒÒ§ ¤×Í µÑ§áµ‹¡Òà¹Ô´ áÅÐ ÀÒÂËÅѧ
  é Õ          è                   Ô                                            é     í
¡ÒÃà¡Ô´
260                             ¡ÒÃ䴌¹º¡¾Ã‹Í§ã¹à´ç¡â´ÂÀÒ¾ÃÇÁáÅСÒäѴ¡Ãͧ¡ÒÃ䴌¹ã¹à´ç¡ááà¡Ô´
                                       Ô                                          Ô

          ÊÒà˵طÍÒ¨·íÒãËŒà¡Ô´¡ÒÃ䴌¹º¡¾Ã‹Í§µÑ§áµ‹¡Òà¹Ô´ä´Œá¡‹
                 Õè                  Ô         é    í
          !    ¡ÒõԴàª×ͧ͢·ÒáµÑ§áµ‹ÍÂÙ㹤ÃÃÀÁÒÃ´Ò àª‹¹ ËÑ´àÂÍÃÁѹ, «Ô¿ÅÊ à»š¹µŒ¹
                            é         é     ‹                                Ô
          !    ÀÒÇÐá·Ã¡«ŒÍ¹ËÅѧà¡Ô´ ઋ¹ µÑÇàËÅ×ͧ¨¹µŒÍ§à»ÅÕ¹¶‹ÒÂàÅ×Í´, à´ç¡ááà¡Ô´¹éÒ˹ѡ¹ŒÍÂ,
                                                            è                         í
               à´ç¡µŒÍ§ÍÂÙã¹ËÍÍÀÔºÒżٻÇÂà´ç¡ááà¡Ô´¹Ò¹¡Ç‹Ò 5 Çѹ, µÔ´àª×Í㹡ÃÐáÊàÅ×Í´áÅÐä´ŒÂÒ
                               ‹        Œ †                              é
               »¯ÔªÇ¹Ð·ÕÁ¾Éµ‹ÍË٠໚¹µŒ¹
                    Õ         è Õ Ô
          !    à´ç¡·ÕÁÊÁͧËÃ×ÍÃкº»ÃÐÊÒ··Õ¼´»¡µÔ «Ö§ÃÇÁ¶Ö§¡ÒõԴàª×ͧ͢ÊÁͧáÅÐàÂ×ÍËØÁÊÁͧ
                      è Õ                         è Ô è               é                 è Œ
          !    à´ç¡·ÕÁ¤ÇÒÁ¼Ô´»¡µÔ¢Í§¡ÒÃà¨ÃÔ­¢Í§°Ò¹¡ÐâËÅ¡, ãºË¹ŒÒáÅÐËÙ
                        è Õ
          !    âä·Ò§¾Ñ¹¸Ø¡ÃÃÁ·Ñ§·Õ໚¹¡ÅØÁÍÒ¡ÒÃáÅÐäÁ‹ãª‹¡ÅØÁÍÒ¡ÒÃ
                                    é è       ‹               ‹
          !    à´ç¡·ÕÁ¤¹ã¹¤Ãͺ¤ÃÑÇÁÕ¡ÒÃ䴌¹º¡¾Ã‹Í§áµ‹¡Òà¹Ô´áºº¶ÒÇÃ
                       è Õ                      Ô         í

          ÊÒà˵طÍÒ¨·íÒãËŒà¡Ô´¡ÒÃ䴌¹º¡¾Ã‹Í§ÀÒÂËÅѧ¡ÒÃà¡Ô´ 䴌ᡋ
                 Õè                  Ô
          !   âä¢Í§ËÙª¹¹Í¡áÅÐËÙª¹¡ÅÒ§ ઋ¹ ËÙª¹¡ÅÒ§ÍÑ¡àʺ, ᡌÇËÙ·ÐÅØ, ¹éÒã¹ËÙª¹¡ÅÒ§áÅÐ
                              Ñé                 Ñé                     Ñé                               í         Ñé
              ¢ÕËÍ´µÑ¹ ໚¹µŒ¹
                é ÙØ
           ! ¡ÒõԴàª×Í·Õà¡Ô´¢Ö¹ÀÒÂËÅѧ ઋ¹ àÂ×ÍËØÁÊÁͧÍÑ¡àʺ, ¤Ò§·ÙÁ ໚¹µŒ¹
                           é è é                               è Œ
           ! ÍѹµÃÒµ‹ÍËÙª¹ã¹¨Ò¡¡ÒÃ䴌¹àÊÕ§´Ñ§à¡Ô¹¡íÒ˹´
                                   Ñé                    Ô
           ! ÍØºµà˵طҧÈÕÃÉÐâ´Â੾Òаҹ¡ÐâËšᵡËÑ¡
                   Ñ Ô
           ! ¡ÒÃä´ŒÂÒ·ÕÁ¾Éµ‹ÍË٠ઋ¹ ÂÒ»¯ÔªÇ¹Ð, ÂÒà¤ÁպҺѴ ໚¹µŒ¹
                             è Õ Ô                         Õ                   í
           ¹Í¡¨Ò¡¡ÒÃÊѧࡵ¾ÄµÔ¡ÃÃÁ¢Í§à´ç¡µ‹Í¡Òõͺʹͧ¢Í§àÊÕ§áÅŒÇ »˜¨¨ØºÑ¹ÁÕ¡ÒõÃǨ
ÇÔ¹¨©Ñ¤Ѵ¡ÃͧÀÒÇСÒÃ䴌¹º¡¾Ã‹Í§ã¹à´ç¡µÑ§áµ‹ááà¡Ô´·Ø¡ÃÒ (universal newborn hearing
     Ô                                   Ô                      é
screening) à¾ÃÒФÇÒÁªØ¡¢Í§à´ç¡·ÕÁ¡Òú¡¾Ã‹Í§·Ò§¡ÒÃ䴌¹ᵋ¡Òà¹Ô´áºº¶ÒÇ÷ѧÊͧ¢ŒÒ§¾ºä´Œ
                                               è Õ                                 Ô       í                   é
»ÃÐÁÒ³ 1 – 3 ¤¹µ‹Íà´ç¡ááà¡Ô´Áժǵ 1,000 ¤¹(2) ´Ñ§¹Ñ¹¡ÒÃ䴌¹º¡¾Ã‹Í§áµ‹¡Òà¹Ô´¨Ö§¶×Íä´ŒÇÒ
                                                      ÕÔ                     é               Ô               í                ‹
¾ºä´Œº‹Í·ÕèÊØ´ã¹¤ÇÒÁ¼Ô´»¡µÔᵋááà¡Ô´ áÁŒÇ‹Òà´ç¡ááà¡Ô´·Õè໚¹¡ÅØ‹ÁàÊÕè§«Öè§ÁÕÊÒà˵آŒÒ§µŒ¹
¨Ð¾ºã¹ÍѵÃÒ·ÕèÊÙ§¡Ç‹Òà´ç¡ááà¡Ô´·ÑèÇä» 10 – 20 à·‹Ò(3) ᵋ»ÃÐÁÒ³¤ÃÖè§Ë¹Ö觢ͧà´ç¡·Õ辺NjÒ
ÁÕ¤ÇÒÁº¡¾Ã‹Í§·Ò§¡ÒÃ䴌¹µÑ§áµ‹¡Òà¹Ô´à»š¹à´ç¡·Õà¡Ô´»¡µÔáÅÐäÁ‹ÁÀÒÇÐàÊÕÂ§ã´æ(4) ¨Ö§à»š¹à˵ؼÅ
                                      Ô é           í                 è                        Õ   è
·ÕÁ¡ÒõÃǨ¤Ñ´¡Ãͧ¡ÒÃ䴌¹ᡋà´ç¡ááà¡Ô´·Ø¡ÃÒ â´Â੾ÒÐã¹»ÃÐà·È·Õ¾²¹ÒáÅŒÇ
   è Õ                                 Ô                                                             è Ñ
           ¡ÒõÃǨ¤Ñ´¡Ãͧ¡ÒÃ䴌¹ã¹à´ç¡ááà¡Ô´·Ø¡ÃÒ 㹻˜¨¨Øº¹ÁÕ໇ÒËÁÒÂà¾×͵ÃǨËÒà´ç¡·ÕÁÕ
                                           Ô                                             Ñ                 è                è
¡ÒÃ䴌¹º¡¾Ã‹Í§ÁÒ¡¡Ç‹Ò 30 – 40 à´«ÔàºÅ¢Ö¹ä»(1) ã¹à´ç¡µÑ§áµ‹ááà¡Ô´¨¹¶Ö§ÍÒÂØ 1 à´×͹ â´Â㪌
         Ô                                                   é                   é
à¤Ã×ͧµÃǨÍѵâ¹Áѵà¾×͵ÃǨ¤ÇÒÁ¼Ô´»¡µÔ¢Í§ËÙª¹ã¹ â´Â㪌 Otoacoustic Emission (OAE) ËÃ×Í
       è                  Ô è                                      Ñé
µÃǨ¤ÇÒÁ¼Ô´»¡µÔÃдѺ¡ŒÒ¹ÊÁͧâ´Â㪌 Automated Auditory Brainstem Response (AABR)
«Ö§à¤Ã×ͧ·Ñ§ 2 Ẻ¹ÕÁ¢Í´ÕáÅТŒÍàÊÕÂᵡµ‹Ò§¡Ñ¹ä» ᵋ¶Òà´ç¡ááà¡Ô´ã¹ËÍÍÀÔºÒÅËÃ×Í·ÕÁ¤ÇÒÁàÊÕ§
  è è é                  é ÕŒ                                              Œ                                     è Õ      è
¤ÇÃ㪌 à ¤Ã×è Í §µÃǨ¤ÇÒÁ¼Ô ´ »¡µÔ Ã Ð´Ñ º ¡Œ Ò ¹ÊÁͧ à¾ÃÒÐÊÒÁÒöÇÔ ¹Ô ¨ ©Ñ  âä·Õè ÁÕ ¤ ÇÒÁ¼Ô ´ ¢Í§
àÊŒ¹»ÃÐÊÒ·ä´Œ ઋ¹ auditory neuropathy(1) ÁÑ¡¹ÔÂÁµÃǨ 2 ¢Ñ¹µÍ¹ (2-step protocol) ˋҧ¡Ñ¹
                                                                                       é
 4-6 ÊÑ»´Òˏ´ÇÂà¤Ã×ͧÁ×Íà´ÔÁËÃ×Í ABR ¶ŒÒà´ç¡ÃÒÂ㴼šÒõÃǨ¤Ñ´¡ÃͧäÁ‹¼Ò¹¤ÇõÃǨ«éÒà¾×ÍÂ×¹
                 Œ     è                                                                              ‹               í è
ÂѹNjÒÁÕ¡ÒÃ䴌¹º¡¾Ã‹Í§ËÃ×ÍäÁ‹àÁ×ÍÍÒÂØ»ÃÐÁÒ³ 3 ¶Ö§ 6 à´×͹ à¾×ÍÃѺ¡Òÿ„¹¿ÙÊÀÒ¾¡ÒÃ䴌¹Í‹ҧ
                    Ô                        è                                       è           œ                     Ô
àǪÈÒʵÏ·¹Âؤ 2553
          Ñ                                                                                261

àËÁÒÐÊÁÀÒÂã¹ÍÒÂØ»ÃÐÁÒ³ 6 à´×͹ ઋ¹ 㪌à¤Ã×èͧª‹Ç¿˜§ ËÅѧ¨Ò¡¹Ñ鹤ÇõԴµÒÁ¼Åµ‹Íà¹×èͧ
ËÅѧ¡ÒÃ㪌à¤Ã×ͧª‹Ç¿˜§ Ç‹Òà´ç¡ÁÕ¾²¹Ò¡Ò÷ҧÀÒÉÒáÅСÒþٴ´Õ¢¹ËÃ×ÍäÁ‹áÅеÒÁ·Ñ¹à´ç¡ÇÑÂà´ÕÂÇ
                    è                  Ñ                      Öé
¡Ñ¹·ÕÁ¡ÒÃ䴌¹»¡µÔËÃ×ÍäÁ‹, ¡ÒÃÊÙ­àÊÕ¡ÒÃ䴌¹à¾ÔÁ¢Ö¹ËÃ×ÍäÁ‹ (á¼¹ÀÙÁ·Õè 1)
     è Õ              Ô                     Ô è é                      Ô
         áÁŒÇÒà´ç¡·Õ¼Ò¹¡ÒäѴ¡Ãͧ¡ÒõÃǨ¡ÒÃ䴌¹ãËŒËÒ áµ‹à»š¹à´ç¡ã¹¡ÅØÁàÊÕ§ËÃ×Íà´ç¡·ÕÁ»­ËÒ
                ‹       è ‹                    Ô                         ‹ è          è Õ ˜
·Ò§Ë٠ઋ¹ ¹éÒã¹ËÙª¹¡ÅÒ§¡ç¤ÇÃÁÒÃѺ¡ÒõÃǨ¤Ñ´¡Ãͧ«éÒ໚¹ÃÐÂÐ æ ¨¹¶Ö§ÍÒÂØ»ÃÐÁÒ³ 2 – 3 »‚
                  í       Ñé                        í
Í‹ҧäáçµÒÁà´ç¡·Ø¡ÃÒ¤ÇÃ䴌ú¡ÒôÙáÅàÍÒã¨ãÊ‹áÅеÃǨÇÔ¹¨©Ñ àÁ×ÍÁվĵԡÃÃÁ¡Òõͺʹͧ
                                     Ñ                    Ô         è
µ‹ÍàÊÕ§·Õ¼´»¡µÔä»
            è Ô
         àÁ×;ºÇ‹Òà´ç¡ÍÒ¨ÁÕ»­ËÒ·Ò§¡ÒÃ䴌¹ ÇÔ¸¡ÒõÃǨ·Ò§¡ÒÃ䴌¹à¾×ÍÂ×¹ÂѹÀÒÇСÒÃ䴌¹
              è                    ˜      Ô Õ                         Ô è                     Ô
º¡¾Ã‹Í§ ᾷ¤ÇõŒÍ§ËÒÊÒà˵Øâ´Â¡ÒõÃǨËҧ¡ÒÂÇ‹ÒÁÕ¤ÇÒÁ¼Ô´»¡µÔ¢Í§ÃкºÍ×è¹Ã‹ÇÁ´ŒÇÂ
ËÃ×ÍäÁ‹ ÊÒÁÒö¨Ñ´à»š¹¡ÅØÁÍÒ¡ÒÃËÃ×Íâä·Ò§¾Ñ¹¸Ø¡ÃÃÁä´ŒËÃ×ÍäÁ‹ à¾ÃÒÐ໚¹ÊÒà˵آͧà´ç¡·ÕÁ¡ÒÃ
                               ‹                                                          è Õ
º¡¾Ã‹Í§·Ò§¡ÒÃ䴌¹ᵋ¡Òà¹Ô´¶Ö§ÃŒÍÂÅÐ 50 ¹Í¡¨Ò¡¹Õâä¹éÒã¹ËÙª¹¡ÅÒ§áÅÐâäËÙª¹¡ÅÒ§ÍÑ¡àʺ
                             Ô   í                é í            Ñé             Ñé
໚¹âä·Õ¾ºº‹ÍÂã¹à´ç¡
          è

µÒÃÒ§·Õè 1 ¾Ñ²¹Ò¡Ò÷ҧÀÒÉÒ·Ñé§·Ñ¡ÉСÒÿ˜§áÅСÒþٴ¢Í§à´ç¡â´Â·ÑèÇä»(5)
         ÍÒÂØ                                        ¾Ñ²¹Ò¡ÒÃ
ááà¡Ô´ – 3 à´×͹      -   ÊдاàÁ×Í䴌¹àÊÕ§´Ñ§
                                Œ è Ô
                       -   »¯Ô¡ÃÂҵͺʹͧ ઋ¹ ÂÔÁ, à§Õº, ¾‹ÍáÁ‹(¼ÙàÅÕ§´Ù)¾Ù´¤ØÂ´ŒÇÂ
                                   ÔÔ                           é           Œ é
                       -   ´Ù´¹ÁªŒÒŧËÃ×Í´Ù´¹ÁàÃçÇ¢Ö¹àÁ×Í䴌¹àÊÕ§
                                                                  é è     Ô
                       -   ´ÙàËÁ×͹¨Ð¨íÒàÊÕ§¾‹ÍáÁ‹ä´Œ áÅÐËÂØ´ÃŒÍ§äËŒ
                       -   ·íÒàÊÕ§͌ÍáÍŒã¹ÅíÒ¤ÍàÁ×;ٴ´ŒÇ è
                       -   Ìͧäˌᵡµ‹Ò§¡Ñ¹ä»àÁ×ͤÇÒÁµŒÍ§¡Òõ‹Ò§¡Ñ¹
                                                          è
                       -   ÂÔÁàÁ×ÍÁͧàËç¹¾‹ÍáÁ‹
                             é è
4 – 6 à´×͹            -   ¡ÅÍ¡µÒä»Âѧ·ÔÈ·Ò§¢Í§áËÅ‹§·ÕÁҢͧàÊÕ§      è
                       -   ÁÕ»¯Ô¡ÃÂÒµ‹Í¹éÒàÊÕ§ (tone) ·Õà»ÅÕ¹仢ͧ¤¹¾Ù´áÅÐʹã¨àÊÕ§à¾Å§
                                      ÔÔ           í                è è
                       -   ªÍº¢Í§àÅ‹¹·Õ·ÒàÊÕ§䴌è í
                       -   ·íÒàÊÕ§ÊÙ§æµèÒæàËÁ×͹àÊÕ§¾Ù´
                                              í
                       -   Ê‹§àÊÕ§ÌͧàÁ×͵׹ൌ¹´Õã¨ËÃ×ÍäÁ‹¾Íã¨
                                                è è
                       -   àÅ‹¹àÊÕ§ã¹ÅíÒ¤ÍàÁ×ÍÍÂÙ¤¹à´ÕÂÇËÃ×ÍàÅ‹¹¡Ñº¾‹ÍáÁ‹
                                                       è ‹
7 à´×͹ – 1 »‚         -   ʹء¡Ñº¡ÒÃàÅ‹¹ “¨ÐàÍŽ”
                       -   ËѹáÅÐÁͧä»Âѧ·ÔÈ·Ò§¢Í§áËÅ‹§·ÕÁҢͧàÊÕ§     è
                       -   ËÂØ´¿˜§àÁ×;‹ÍáÁ‹¾´´ŒÇÂ
                                         è              Ù
                       -   ¨´¨íÒ¤íÒ§‹Ò æ (·Õ㪌㹪Õǵ»ÃШíÒÇѹ)䴌ઋ¹ “¢ŒÒÇ”,“ËÁèÒ”
                                                     è        Ô                    í
                       -   àÃÔÁÁÕ»¯Ô¡ÃÂҵͺʹͧËÃ×Í·íÒµÒÁ¤íÒ¢Í àª‹¹ ¤ÅÒ¹ËÃ×Íà´Ô¹ÁÒËÒàÁ×Í
                              è            ÔÔ                                            è
                           䴌¹àÊÕ§àÃÕ¡, ¾Âѡ˹ŒÒ ËÃ×;ٴ “àÍÒ” ËÃ×ͶÒÁÇ‹Ò “àÍÒäËÁ”
                                 Ô
262               ¡ÒÃ䴌¹º¡¾Ã‹Í§ã¹à´ç¡â´ÂÀÒ¾ÃÇÁáÅСÒäѴ¡Ãͧ¡ÒÃ䴌¹ã¹à´ç¡ááà¡Ô´
                         Ô                                          Ô

           ÍÒÂØ                               ¾Ñ²¹Ò¡ÒÃ
                  - ¾Ù´à»š¹¤íÒ·ÕäÁ‹Á¤ÇÒÁËÁÒ ઋ¹ “´Ò´Ò”, “ºÙºº”
                                        è Õ                         Ù Ù
                  - ¾ÂÒÂÒÁÊ×ÍÊÒäÇÒÁµŒÍ§¡ÒÃâ´Â¾Ù´ËÃ×Í㪌àÊÕ§µ‹Ò§ æ â´ÂäÁ‹ä´ŒÃͧäËŒ
                                è                                                   Œ
                    Í‹ҧà´ÕÂÇ
                  - àÅÕ¹àÊÕ§¤íÒ¾Ù´ä´ŒÁÒ¡¢Ö¹    é
                  - ¾Ù´ä´Œ 1 ËÃ×Í 2 ¤íÒ àª‹¹ “ºÒºÒ” “áÁ‹” (áÁŒÇҨоٴäÁ‹ª´)
                                                                  ‹         Ñ
1 – 2 »‚          - ÊÒÁÒöªÕºÍ¡Ê‹Ç¹µ‹Ò§ æ ¢Í§Ã‹Ò§¡ÒÂä´ŒàÁ×Ͷ١¶ÒÁ ઋ¹ ªÕä»·ÕËÙ
                              é                                 è              é è
                    àÁ×ͶÒÁÇ‹Ò “ËÙÍÂÙä˹”
                       è                    ‹
                  - ·íÒµÒÁ¤íÒÊѧ§‹ÒÂæáÅÐࢌÒ㨤íÒ¶ÒÁ§‹ÒÂæä´Œ ઋ¹ “àµÐºÍÅÁÒ”,
                                      è
                     “ä»à·ÕÂÇäËÁ”
                           è
                  - ªÍº¿˜§¹Ô·Ò¹ËÃ×Íà¾Å§§‹ÒÂæ
                  - ÊÒÁÒö¾Ù´¤íÒãËÁ‹æ à¾ÔÁ¢Ö¹·Ø¡à´×͹
                                              è é
                  - àÁ×Íã¡ÅŒÍÒÂØ 2 »‚ ¨ÐÊÒÁÒö¾Ù´ä´Œ 2 ¤íÒµÔ´¡Ñ¹ ઋ¹ “àÍÒÍÕ¡”, “¡Ô¹¹Á”
                         è
2 – 3 »‚          - ࢌÒ㨤íÒ·ÕÁ¤ÇÒÁËÁÒµç¡Ñ¹¢ŒÒÁ ઋ¹ “àÅç¡ – ãË­‹” “º¹ – ŋҧ”
                                  è Õ
                  - ·íÒµÒÁ¤íÒÊѧ«ŒÍ¹ 2 ¤íÒÊѧ䴌 ઋ¹ “ËÂÔº¢Í§àÅ‹¹ä»ãÊ‹¡Å‹Í§”
                                    è          è
                  - ¾Ù´»ÃÐ⤠2 – 3 ¤íÒä´Œ
àǪÈÒʵÏ·¹Âؤ 2553
          Ñ                                                                 263




       OAE = Otoacoustic Emission;
       AABR = Automated Auditory Brainstem Response;
       ABR= Auditory Brainstem Response

         á¼¹ÀÙÁÔ·Õè 1 ¢Ñ鹵͹¡ÒäѴ¡Ãͧ¡ÒÃä´ŒÂÔ¹à´ç¡ááà¡Ô´ã¹âç¾ÂÒºÒÅ(6)
264                          ¡ÒÃ䴌¹º¡¾Ã‹Í§ã¹à´ç¡â´ÂÀÒ¾ÃÇÁáÅСÒäѴ¡Ãͧ¡ÒÃ䴌¹ã¹à´ç¡ááà¡Ô´
                                    Ô                                          Ô

àÍ¡ÊÒÃ͌ҧÍÔ§
1.    Joint committee on infant hearing: American Academy of Audiology; American Academy of Pediatrics; American
      Speech-Language-Hearing Association; Directors of Speech and Hearing Programs in State Health and Welfare
      Agencies. Year 2007 position statement: Principles and Guidelines for Early Hearing Detection and Intervention
      Programs. Pediatrics. 2008; 120(4): 898-921.
2.    Nelson HD, Bougatsos C, Nygren P, Universal newborn hearing screening: Systematic review to update the
      2001 US preventive services task force recommendation. Pediatrics. 2008; 122(1):e266-76.
3.    White KR, Vohr BR, Behrens TR. Universal newborn hearing screening using transient evoked otoacoustic
      emissions: results of the Rhode Island hearing assessment project. Semin Hear. 1993; 14:18-29.
4.    Mehl AL, Thomson V. The Colorado newborn hearing screening project, 1992-1999: on the threshold of
      effective population-based universal newborn hearing screening. Pediatrics. 2002; 109(1). Available at: www.
      Pediatrics.org/cgi/content/full/109/1/e7
5.    American Speech-Language-Hearing Association. www.asha.org
6.    Atipas S, Chongkolwatana C. Newborn hearing screening: Overview. Siriraj Med J. 2009: 224-27.
àǪÈÒʵÏ·¹Âؤ 2553
          Ñ                                                                  º··Õè       265

                                                                               38
        ¡ÒÃÊÙ­àÊÕ¡ÒÃä´ŒÂÔ¹¨Ò¡¡ÒùíÒàÊÕ§àÊ×èÍÁã¹¼ÙŒ»†ÇÂà´ç¡
                                             ÍÒ¨ÒÏ ¹ÒÂᾷÍÒªÇÔ¹·Ã µÑ¹ä¾¨ÔµÃ
          ÀÒ¤ÇÔªÒâʵ ¹ÒÊÔ¡ ÅÒÃÔ§«Ç·ÂÒ ¤³Ðá¾·ÂÈÒʵÏÈÃÃÒª¾ÂÒºÒÅ ÁËÒÇÔ·ÂÒÅÑÂÁËÔ´Å
                                   Ô                 ÔÔ

Overview
           ÀÒÇСÒÃÊÙ­àÊÕ¡ÒÃ䴌¹¨Ò¡¡ÒùíÒàÊÕ§àÊ×ÍÁ ¹Ñºä´ŒÇÒ໚¹ÊÒà˵آͧ¡ÒÃÊÙ­àÊÕ¡ÒÃ䴌¹
                                Ô                 è         ‹                              Ô
ã¹à´ç¡·Õ辺䴌º‹Í ¨Ö§à»š¹¤ÇÒÁ¨íÒ໚¹·Õèâʵ ÈÍ ¹ÒÊԡᾷ ¡ØÁÒÃᾷ ÃÇÁ·Ñ駺ؤÅÒ¡Ã
·Ò§¡ÒÃᾷ¨ÐµŒÍ§ÁÕ¤ÇÒÁÃÙŒ ¤ÇÒÁࢌÒ㨠㹡ÒôÙáÅÃÑ¡ÉÒ¼ÙŒ»†Ç º·¤ÇÒÁ¹Õé¨Ð¡Å‹ÒǶ֧ÊÒà˵Ø
¢Í§ÀÒÇСÒÃÊÙ­àÊÕ¡ÒÃ䴌¹¨Ò¡¡ÒùíÒàÊÕ§àÊ×ÍÁã¹¼Ù»ÇÂà´ç¡ ÃÇÁ¶Ö§¡ÒôÙáÅÃÑ¡ÉÒ â´Â¨Ð์¹
                             Ô                è       Œ †
àÃ×ͧËÙª¹¡ÅÒ§ÍÑ¡àʺ (otitis media) «Ö§¾ºä´ŒºÍ·ÕÊ´ (1)
   è    Ñé                           è       ‹ èØ

Background
          ä´ŒÁ¡ÒÃÈÖ¡ÉÒà¡ÕÂǡѺÃкҴÇÔ·ÂҢͧâäËÙª¹¡ÅÒ§ÍÑ¡àʺ â´Â¾ºÇ‹ÒÃŒÍÂÅÐ 62 ¢Í§à´ç¡
              Õ          è                            Ñé
ÍÒÂØ 1 »‚ à¤Â໚¹ËÙª¹¡ÅÒ§ÍÑ¡àʺẺà©Õº¾Åѹ (acute otitis media ËÃ×Í AOM) Í‹ҧ¹ŒÍ 1 ¤Ãѧ
                     Ñé                                                                     é
áÅÐÃŒÍÂÅÐ 17 à¤Â໚¹ÁÒ¡¡Ç‹Ò 3 ¤Ãѧ ¹Í¡¨Ò¡¹Õ§¾ºÇ‹ÒÃŒÍÂÅÐ 83 ¢Í§à´ç¡ÍÒÂØ 3 »‚à¤Â໚¹ AOM
                                  é           é Ñ
Í‹ҧ¹ŒÍ 1 ¤Ãѧ áÅÐÃŒÍÂÅÐ 46 à¤Â໚¹ÁÒ¡¡Ç‹Ò 3 ¤Ãѧ
                é                                   é
          ÁÕÃÒ§ҹ¾ºÇ‹ÒÃŒÍÂÅÐ 90 ¢Í§à´ç¡ ÁÕÀÒÇйéÒã¹ËÙª¹¡ÅÒ§ (otitis media with effusion ËÃ×Í
                                                  í        Ñé
OME) 㹪‹Ç§¡‹Í¹ÇÑÂàÃÕ¹ â´Â¾ºÁҡ㹪‹Ç§ÍÒÂØ 6 à´×͹ ¶Ö§ 4 »‚(3) 㹪‹Ç§¢Çº»‚áá ÃŒÍÂÅÐ 50
                           (2)

¢Í§à´ç¡à¤Â໚¹ OME áÅÐÁÒ¡¡Ç‹ÒÃŒÍÂÅÐ 60 ¢Í§à´ç¡·ÕÍÒÂØ 2 »‚ à¤Â໚¹ OME(4) ¹Í¡¨Ò¡¹Õ§¾ºÇ‹Ò
                                                         è                           é Ñ
¼ÙŒ»†Ç·Õè໚¹ OME ÁÑ¡ÁÕ¡ÒÃÊÙ­àÊÕ¡ÒÃä´ŒÂԹẺ¡ÒÃÊÙ­àÊÕ¡ÒÃä´ŒÂÔ¹¨Ò¡¡ÒùíÒàÊÕ§àÊ×èÍÁ
(conductive hearing loss) â´ÂÍÒ¨Áռŵ‹Í¡Òÿ˜§àÊÕ§ ¡ÒèѺ·ÔÈ·Ò§¢Í§àÊÕ§ áÅÐÂѧÍÒ¨·íÒãËŒ
ÁÕ»­ËҾѲ¹Ò¡ÒôŒÒ¹ÀÒÉÒáÅСÒÃàÃÕ¹䴌(5)
    ˜

¤íÒ¹ÔÂÒÁ
        ¡ÒÃÊÙ­àÊÕ¡ÒÃä´ŒÂÔ¹¨Ò¡¡ÒùíÒàÊÕ§àÊ×èÍÁ (conductive hearing loss) ËÁÒ¶֧ ¤ÇÒÁ
¼Ô´»¡µÔ¢Í§¡Åä¡¡ÒùíÒàÊÕ§ «Ö§à¡Ô´¢Ö¹·Õ˪¹¹Í¡áÅÐËÙª¹¡ÅÒ§ 䴌ᡋ ¤ÇÒÁµÕºá¤º¢Í§ª‹Í§ËÙ ¡ÒÃÊѹ
                            è      é è Ù Ñé       Ñé                                     è
ÊÐà·×͹¢Í§á¡ŒÇËÙ ¡Å䡢ͧ¡Ãд١ÃÙ»¤ŒÍ¹ ·Ñ§ â¡Å¹ ã¹ËÙª¹¡ÅÒ§ ¡‹Í¹·Õ¨Ð¹íÒ¾Åѧ§Ò¹àÊÕ§ä»ÊÙËÙ
                                            è        Ñé            è                   ‹
ªÑ¹ã¹¼‹Ò¹·Ò§ oval window
  é
266                                                     ¡ÒÃÊÙ­àÊÕ¡ÒÃä´ŒÂÔ¹¨Ò¡¡ÒùíÒàÊÕ§àÊ×èÍÁã¹¼ÙŒ»†ÇÂà´ç¡

         ËÙªÑ鹡ÅÒ§ÍÑ¡àʺ (otitis media) ËÁÒ¶֧ ¡ÒÃÍÑ¡àʺ¢Í§ËÙª¹¡ÅÒ§ ÃÇÁ·Ñ§ mastoid air
                                                                 Ñé          é
cells áÅÐ temporal bone â´Â»ÃСͺ´ŒÇ ËÙª¹¡ÅÒ§ÍÑ¡àʺẺà©Õº¾Åѹ (acute otitis media
                                             Ñé
ËÃ×Í AOM) ÀÒÇСÒÃÁÕ¹Òã¹ËÙª¹¡ÅÒ§ (otitis media with effusion ËÃ×Í OME) áÅÐ ËÙª¹¡ÅÒ§ÍÑ¡àʺ
                         éí    Ñé                                              Ñé
ẺàÃ×ÍÃѧ (chronic otitis media ËÃ×Í COM)
       é

¾ÂÒ¸ÔÊÃÕÃÇÔ·ÂÒ áÅоÂÒ¸ÔÊÀÒ¾
            Middle ear cleft »ÃСͺ´ŒÇÂËÙª¹¡ÅÒ§ (middle ear) mastoid air cells ÃÇÁ·Ñ§ Eustachian
                                                        Ñé                                                    é
tube «Ö§à»š¹·Ò§µÔ´µ‹Í¡Ñ¹ÃÐËNjҧËÙª¹¡ÅÒ§áÅÐâ¾Ã§ËÅѧ¨ÁÙ¡ (nasopharynx) â´Â Eustachian tube
          è                                      Ñé
·íÒ˹ŒÒ·Õè 3 »ÃСÒà 䴌ᡋ 1) ventilation â´Â»ÃѺ¤ÇÒÁ´Ñ¹ÀÒÂã¹ËÙª¹¡ÅÒ§ãˌ෋ҡѺºÃÃÂÒ¡ÒÈ
                                                                                    Ñé
ÀÒ¹͡ 2) protection â´Â»‡Í§¡Ñ¹äÁ‹ãËŒàª×Íâä¨Ò¡â¾Ã§ËÅѧ¨Á١ࢌÒÊÙ˪¹¡ÅÒ§ áÅÐ 3) drainge
                                                               é                       ‹ Ù Ñé
â´Â໚¹·Ò§ÃкÒ¢ͧàËÅÇã¹ËÙª¹¡ÅÒ§ÊÙâ¾Ã§ËÅѧ¨ÁÙ¡ ã¹ÀÒÇл¡µÔ Eustachian tube ¨Ð»´ ᵋ
                                              Ñé           ‹
¨Ðແ´ã¹¡Ã³Õ·Á¡ÒâÂѺ¢Í§ soft palate ઋ¹¢³Ð¡Å×¹¹éÒÅÒ 㹡óշÕè Eustachian tube ·íÒ§Ò¹
                               Õè Õ                                        í
¼Ô´»¡µÔ (eustachian tube dysfunction) ઋ¹ ÁÕ¡ÒúÇÁ¨Ò¡¡ÒõԴàª×ÍäÇÃÑÊ ¨Ð·íÒãËŒäÁ‹ÊÒÁÒö»ÃѺ
                                                                                  é
¤ÇÒÁ´Ñ¹ã¹ËÙª¹¡ÅÒ§ä´ŒµÒÁ»¡µÔ ÍÒ¡ÒÈ·ÕÍÂÙã¹ËÙª¹¡ÅҧŴŧ ¤ÇÒÁ´Ñ¹ã¹ËÙª¹¡Åҧ໚¹Åº à¡Ô´ÀÒÇÐ
                          Ñé                           è ‹         Ñé                          Ñé
¹éҤѧã¹ËÙª¹¡ÅÒ§ (middle ear effusion) â´ÂÍÒ¨äÁ‹Áàª×Íâä ËÃ×ÍÁÕàª×ÍäÇÃÑÊËÃ×ÍẤ·ÕàÃÕ¡çä´Œ
    í è        Ñé                                                        Õ é              é
¹Í¡¨Ò¡¹Õé àª×Íâä¨Ò¡â¾Ã§ËÅѧ¨ÁÙ¡ÂѧÊÒÁÒö¼‹Ò¹ Eustachian tube ࢌÒÊÙ˪¹¡ÅÒ§ä´Œ´ÇÂ
                        é                                                                     ‹ Ù Ñé            Œ
            ã¹à´ç¡àÅ硹Ñé¹ÁÕâÍ¡ÒÊà¡Ô´ËÙªÑ鹡ÅÒ§ÍÑ¡àʺ䴌§‹Ò¡NjҼٌãË­‹ à¹×èͧ¨Ò¡ Eustachian tube
Êѹ¡Ç‹ÒáÅÐ ÇÒ§µÑÇã¹á¹Ç¹Í¹ÁÒ¡¡Ç‹Òã¹¼ÙãË­‹ áÅСŌÒÁà¹×Í tensor veli palatini «Ö§·íÒ˹ŒÒ·Õແ´
  é                                                          Œ                 é                            è         è
Eustachian tube ·íÒ§Ò¹ÂѧäÁ‹ÊÁºÙó
            ËÙª¹¡ÅÒ§ÍÑ¡àʺẺà©Õº¾Åѹ (acute otitis media ËÃ×Í AOM) ໚¹¡ÒÃÍÑ¡àʺà©Õº¾Åѹ
                  Ñé
à¹×ͧ¨Ò¡¡ÒõԴàª×ͧ͢ËÙª¹¡ÅÒ§ â´Âàª×Í·Õ໚¹ÊÒà˵ط¾ºº‹Í 䴌ᡋ Streptococcus pneumoniae,
     è                              é    Ñé           é è             Õè
Hemophilus influenzae áÅÐ Moraxella catarrhalis ʋǹàª×ÍÍ×¹·ÕÁÃÒ§ҹNjҾºä´Œ ઋ¹ Escherichia
                                                                          é è è Õ
coli, Klebsiella species, Pseudomonas aeruginosa, Staphylococcus aureus áÅÐ group A
streptococci ໚¹µŒ¹
            ÀÒÇйéÒã¹ËÙª¹¡ÅÒ§ (otitis media with effusion ËÃ×Í OME) ໚¹ÀÒÇзÕÁ¹Ò¤Ñ§ã¹ËÙª¹¡ÅÒ§
                             í        Ñé                                                             è Õ éí è     Ñé
â´ÂäÁ‹ÁÕÍÒ¡ÒÃáÅÐÍÒ¡ÒÃáÊ´§¢Í§¡ÒõԴàª×éÍẺà©Õº¾Åѹ ÍҨ໚¹µÒÁËÅѧ AOM ËÃ×ͨҡ
Eustachian tube dysfunction â´ÂäÁ‹ÁÍÒ¡ÒÃÍ׹㴹íÒÁÒ¡‹Í¹¡çä´Œ (5)
                                                    Õ            è
            ËÙª¹¡ÅÒ§ÍÑ¡àʺẺàÃ×ÍÃѧ (chronic otitis media ËÃ×Í COM) ໚¹ÊÀÒÇСÒõԴàª×֧ͫ
                     Ñé                     é                                                                        é è
µ‹Íà¹×ͧÁÒ¨Ò¡ AOM áÅŒÇÁÕ¡Ò÷ÐÅØ¢Í§á¡ŒÇËÙ ÁÕ˹ͧäËÅàÃ×ÍÃѧ໚¹æ ËÒÂæ â´Âàª×Í·Õ¾ºº‹Í 䴌ᡋ
        è                                                                    é                           é è
Pseudomonas aeruginosa, Staphylococcus aureus, Diphtheroids, anaerobic bacteria
àǪÈÒʵÏ·¹Âؤ 2553
          Ñ                                                                                  267

ÍÒ¡Ò÷ҧ¤ÅÔ¹Ô¡
         ¡ÒÃÇÔ¹¨©Ñ AOM ¹Ñ¹ ÁÕࡳ±¡ÒÃÇÔ¹¨©ÑÂâ´Â »ÃÐÇѵ໚¹à©Õº¾Åѹ ÁÕ middle ear effusion
                        Ô           é                   Ô                    Ô
áÅÐÁÕÍÒ¡ÒÃáÅÐÍÒ¡ÒÃáÊ´§¢Í§ middle ear inflammation «Ö§ä´Œá¡‹ÍÒ¡ÒÃ䢌áÅлǴËÙ ¶ŒÒËÒ¡
                                                                      (5, 6)
                                                                               è
¼ÙŒ»†ÇÂÁÕÍÒ¡ÒÃáÅÐÍÒ¡ÒÃáÊ´§¤Ãº 3 ¢ŒÍ ¶×ÍÇ‹Òä´ŒÃѺ¡ÒÃÇÔ¹Ô¨©ÑªѴਹ(6) â´Â¼ÙŒ»†ÇÂÁÑ¡ÁÕÍÒ¡ÒÃ
»Ç´Ë٠Ìͧ¡Ç¹ ÁÕ䢌 ã¹à´ç¡àÅç¡ÍҨ㪌ÁÍ´Ö§ãºËÙáÊ´§ÍÒ¡ÒÃà¨çº»Ç´ ã¹à´ç¡âµÊÒÁÒöºÍ¡ä´ŒÇÒ¡ÒÃ
                                                  ×                                             ‹
䴌¹Ŵŧ
      Ô
         ã¹¼Ù»ÇÂà´ç¡·Õ໚¹ OME ¹Ñ¹ ÁÑ¡ÁÕÍÒ¡ÒÃËÙÍÍ ä´ŒÂ¹äÁ‹ª´ ᵋ¶Òà´ç¡äÁ‹ÊÒÁÒöºÍ¡ÍÒ¡ÒÃ
                  Œ †             è         é                    ×é    Ô         Ñ   Œ
ä´ŒáÅÐ໚¹·Ñé§ 2 ¢ŒÒ§ ÍҨ䴌»ÃÐÇѵԨҡ¼ÙŒ»¡¤ÃͧNjÒàÃÕ¡áÅŒÇäÁ‹Ëѹ ËÃ×Íແ´â·Ã·ÑȹàÊÕ§´Ñ§
¹Í¡¨Ò¡¹Õà´ç¡ÍÒ¨ÁÕ»­ËÒàÃ×ͧ¾Ñ²¹Ò¡ÒôŒÒ¹ÀÒÉÒáÅСÒÃàÃÕ¹䴌
              é                 ˜     è
         ʋǹ¼Ù»Ç·Õ໚¹ COM ¹Ñ¹ ÁÑ¡ÁÕ»ÃÐÇѵÁ˹ͧäËŨҡËÙ໚¹æ ËÒÂæ ÁÑ¡ÊÑÁ¾Ñ¹¸¡º¡ÒÃ໚¹
                      Œ † è               é                  Ô Õ                             Ñ
ËÇÑ´ËÃ×͹éÒࢌÒËÙ ÍÒ¨à¤Â䴌ú¡ÒÃÃÑ¡ÉÒÁÒáÅŒÇᾷºÍ¡Ç‹ÒÁÕᡌÇËÙ·ÐÅØ ¡ÒÃ䴌¹Ŵŧ
                í                       Ñ                                                 Ô
         ¡ÒõÃǨËÙã¹¼ÙŒ»†Ç·Õè໚¹ AOM ¹Ñé¹ ¨Ð¾ºá¡ŒÇËÙ⻆§ á´§ ¢Ø‹¹ ÍÒ¨àËç¹Ë¹Í§ËÅѧᡌÇËÙ
ʋǹ㹼ٻÇ·Õ໚¹ OME ¨ÐµÃǨ¾ºá¡ŒÇËÙ¢¹ ·Öº ¹éÒã¹ËÙª¹¡ÅÒ§ÁÕÊàËÅ×ͧÍíҾѹ (amber color)
           Œ † è                                          Ø‹        í     Ñé       Õ
ÍÒ¨àË繿ͧÍÒ¡ÒÈ (air bubble) ËÃ×ÍÃдѺ¹éÒ (air fluid level) ä´Œ ¶ŒÒ໚¹ÁÒ¡¨ÐµÃǨ¾º retraction
                                                    í
¢Í§á¡ŒÇËÙä´Œ àÁ×͵ÃǨ´ŒÇ pneumatic otoscope ¨Ð¾ºÇ‹ÒᡌÇËÙ¢ÂѺŴŧËÃ×ÍäÁ‹¢ÂѺ 㹼ٻǷÕ໚¹
                          è                                                                 Œ † è
COM ¹Ñ¹ ÁÑ¡ÁÕᡌÇËÙ·ÐÅØ 㹪‹Ç§·ÕÁ¡ÒÃÍÑ¡àʺÁÒ¡¨Ð¾ºË¹Í§äËŨҡËÙª¹¡ÅÒ§¼‹Ò¹ÃÙ·ÐÅØÁÒÂѧ
         é                                    è Õ                                      Ñé
ÃÙËä´Œ ¹Í¡¨Ò¡¹Õ§ÍÒ¨¾º cholesteatoma «Ö§à¡Ô´¨Ò¡¡ÒÃÊÐÊÁ¢Í§ keratin debris ¨Ò¡ squamous
    Ù                       é Ñ                       è
epithelium ·ÕÁÒ¨Ò¡¢ÍºÃÙ·ÐÅØ¢Í§á¡ŒÇËÙ
                   è

¡ÒÃÇÔ¹Ô¨©ÑÂá¡âä
         ÀÒÇСÒÃÊÙ­àÊÕ¡ÒÃ䴌¹¨Ò¡¡ÒùíÒàÊÕ§àÊ×ÍÁÊÒÁÒöà¡Ô´¢Ö¹ä´Œ¨Ò¡ËÅÒÂÊÒà˵Ø(7) ´Ñ§¹Õé
                                    Ô            è                é
         1. ¤ÇÒÁ¼Ô´»¡µÔ¢Í§ª‹Í§ËÙ (ear canal abnormalities) 䴌ᡋ ÀÒÇТÕËÍ´µÑ¹ ÊÔ§á»Å¡»ÅÍÁ
                                                                        é ÙØ     è
㹪‹Í§ËÙ ÃÇÁ·Ñ§¤ÇÒÁ¼Ô´»¡µÔµ§áµ‹¡Òà¹Ô´¢Í§ª‹Í§ËÙ (ear canal atresia, stenosis)
                é             Ñé      í
         2. ¤ÇÒÁ¼Ô´»¡µÔ¢Í§á¡ŒÇËÙ (tympanic membrane abnormalities) 䴌ᡋ tympanosclerosis
ᡌÇËÙ·ÐÅØ (tympanic membrane perforation) áÅÐ severe Eustachian tube dysfunction ¨¹·íÒãËŒ
à¡Ô´ retraction áÅÐ atrophy ¢Í§ tympanic membrane
         3. ¤ÇÒÁ¼Ô´»¡µÔ¢Í§ËÙª¹¡ÅÒ§ (middle ear abnormalities) 䴌ᡋ middle ear effusion (¨Ò¡
                                 Ñé
AOM áÅÐ OME), cholesteatoma à¹×ͧ͡ áÅÐ vascular anomalies (ઋ¹ aberrant carotid artery)
                                        é
         4. ¤ÇÒÁ¼Ô´»¡µÔ¢Í§¡Ãд١ÃÙ»¤ŒÍ¹ ·Ñ§ â¡Å¹ ã¹ËÙª¹¡ÅÒ§ (ossicular chain abnormalities)
                                           è            Ñé
䴌ᡋ tympanosclerosis, ossicular malformation áÅÐ congenital ossicular chain fixation
268                                                                           ¡ÒÃÊÙ­àÊÕ¡ÒÃä´ŒÂÔ¹¨Ò¡¡ÒùíÒàÊÕ§àÊ×èÍÁã¹¼ÙŒ»†ÇÂà´ç¡

¡ÒôÙáÅÃÑ¡ÉÒ¼ÙŒ»†ÇÂ
                   ÊÔè§·ÕèÊíҤѭ·Õè¨Ð·íÒãËŒÊÒÁÒö´ÙáÅÃÑ¡ÉÒ¼ÙŒ»†ÇÂ䴌͋ҧàËÁÒÐÊÁ¹Ñé¹ á¾·Â¨íÒ໚¹·Õè¨ÐµŒÍ§
·íÒ¡ÒÃÇÔ¹Ô¨©ÑÂâä䴌Í‹ҧ¶Ù¡µŒÍ§´Ñ§ä´Œ¡Å‹ÒÇä»áÅŒÇ â´Â¡ÒõÃǨËÙ´ŒÇ pneumatic otoscope
¨ÐÊÒÁÒöª‹ÇÂãËŒ¡ÒÃÇÔ¹Ô¨©ÑÂáÁ‹¹ÂíÒÁÒ¡¢Öé¹(5) ¹Í¡¨Ò¡¹ÕéÂѧ¤ÇÃÊ‹§µÃǨ¡ÒÃä´ŒÂÔ¹ (audiogram)
à¾×Í»ÃÐàÁÔ¹¡ÒÃ䴌¹ â´Â੾ÒÐÍ‹ҧÂÔ§ 㹼ٻǷÕÁ»­ËҾѲ¹Ò¡ÒôŒÒ¹ÀÒÉÒ áÅÐÍҨʋ§µÃǨ
          è                              Ô                                    è             Œ † è Õ ˜
tympanogram à¾×ÍÂ×¹Âѹ¡ÒÃÇÔ¹¨©ÑÂ㹡óշ¡ÒÃÇÔ¹¨©ÑÂäÁ‹ª´à¨¹(5)
                                è                                  Ô                   Õè             Ô             Ñ
                   ¨Ò¡ clinical practice guideline 㹡ÒÃÇÔ¹¨©ÑÂáÅдÙáÅÃÑ¡ÉÒÀÒÇÐ AOM â´Â American    Ô
Academy of Pediatrics áÅÐ American Academy of .amily Physicians(6) ä´Œá¹Ð¹íÒãËŒ»ÃÐàÁÔ¹
ÍÒ¡ÒûǴáÅÐãËŒÂÒºÃÃà·ÒÍÒ¡ÒûǴµÒÁ¤ÇÒÁàËÁÒÐÊÁ 㹼ٻǷÕÍÒÂØ 6 à´×͹ ¶Ö§ 2 »‚ ·ÕÍÒ¡Òà                                     Œ † è                               è
äÁ‹ÁÒ¡ (»Ç´ËÙàÅ硹ŒÍ áÅÐÁÕ䢌µÒ¡Ç‹Ò 39 ͧÈÒà«Åà«ÕÂÊ) áÅСÒÃÇÔ¹¨©ÑÂäÁ‹ª´à¨¹ ËÃ×ͼٻÇÂÍÒÂØ
                                                                     èí                                                       Ô                Ñ        Œ †
µÑ§áµ‹ 2 »‚ ¢Ö¹ä»·Õ¡ÒÃÇÔ¹¨©ÑÂäÁ‹ª´à¨¹ ËÃ×Í䴌ú¡ÒÃÇÔ¹¨©ÑªѴਹ ᵋÁÍÒ¡ÒÃäÁ‹ÁÒ¡ ÍÒ¨ÃÑ¡ÉÒ
  é                       é        è                   Ô                  Ñ                       Ñ          Ô                           Õ
Ẻ´ÙÍÒ¡Òà â´Â·Õ§äÁ‹ãËŒÂÒµŒÒ¹¨ØÅªÕ¾ä´Œ ᵋµÍ§á¹‹ã¨Ç‹ÒÊÒÁÒö¹Ñ´µÃǨµÔ´µÒÁÍÒ¡ÒüٻÇÂä´Œ
                                       è Ñ                                                      Œ                                                          Œ †
ʋǹ¼Ù»Ç·ÕÁÍÒ¡ÒÃÁÒ¡ (»Ç´ËÙÁÒ¡ ËÃ×ÍÁÕ䢌µ§áµ‹ 39 ͧÈÒà«Åà«ÕÂÊ¢Ö¹ä») ËÃ×Í䴌ú¡ÒÃÇÔ¹¨©ÑÂ
            Œ † è Õ                                                                          Ñé                                     é              Ñ           Ô
·Õª´à¨¹ ËÃ×ÍÍÒÂØ¹ÍÂ¡Ç‹Ò 6 à´×͹ á¹Ð¹íÒãˌáÉÒâ´ÂãËŒÂÒµŒÒ¹¨ØÅªÕ¾ â´ÂãËŒ amoxicillin ã¹¢¹Ò´
     è Ñ                             Œ                                                    Ñ
80-90 Á¡./¡¡./Çѹ ᵋ¶ÒÁÕÍÒ¡ÒÃÁÒ¡ á¹Ð¹íÒãËŒÂÒ»¯ÔªÇ¹Ð·Õ¤Ãͺ¤ÅØÁàª×Í Haemophilus influenzae
                                                 Œ                                                       Õ     è                  é
áÅÐ Moraxella catarrhalis 䴌ᡋ amoxicillin-clavulanate â´ÂµÔ´µÒÁ»ÃÐàÁÔ¹·Õè 48-72 ªÑÇâÁ§ ¶ŒÒÍÒ¡Òà                                               è
äÁ‹´Õ¢Öé¹ ã¹¡ÅØ‹Á·Õèä´ŒÃѺ¡ÒÃÃÑ¡ÉÒẺ´ÙÍÒ¡Òà á¹Ð¹íÒãËŒàÃÔèÁãËŒÂÒµŒÒ¹¨ØÅªÕ¾ ʋǹ¡ÅØ‹Á·Õèä´ŒÂÒ
µŒÒ¹¨ØÅªÕ¾ á¹Ð¹íÒãËŒà»ÅÕ¹ÂÒµŒÒ¹¨ØÅªÕ¾µÒÁ¤ÇÒÁàËÁÒÐÊÁ è
                   ¡ÒÃÃÑ¡ÉҼٻǠOME ¹Ñ¹ ¨Ò¡ clinical practice guideline: otitis media with effusion
                                        Œ †                             é
ã¹»‚ ¾.È. 2547 á¹Ð¹íÒãˌཇҵԴµÒÁÍÒ¡ÒÃ໚¹àÇÅÒ 3 à´×͹ ¹Ñº¨Ò¡àÃÔèÁÁÕ effusion ËÃ×ÍàÃÔèÁ
·íÒ¡ÒÃÃÑ¡ÉÒ ã¹¡Ã³Õ·äÁ‹Á¾ÂÒ¸ÔÊÀÒ¾ã´æ ¢Í§á¡ŒÇË٠ઋ¹ retraction ËÃ×Í atelectasis ¢Í§á¡ŒÇËÙ(5)
                                               Õè Õ
à¹×ͧ¨Ò¡¾ºÇ‹ÒʋǹãË­‹ÀÒÇÐ OME ÊÒÁÒöËÒÂä´Œàͧ 㹪‹Ç§·Õ§ÁÕ¡ÒÃ䴌¹º¡¾Ã‹Í§¨Ò¡ OME ÍÂÙ‹
        è                                                                                                             è Ñ                  Ô
á¹Ð¹íÒãËŒ¨´ÊÀÒ¾áÇ´ÅŒÍÁãËŒà´ç¡ÊÒÁÒö¿˜§áÅÐàÃÕ¹ÃÙä´ŒµÒÁ¤ÇÒÁàËÁÒÐÊÁ ઋ¹ ¾Ù´ãËŒà´ç¡ä´ŒÂ¹
                       Ñ                                                                                   Œ                                                         Ô
ªÑ´à¨¹ Ëѹ˹ŒÒࢌÒËÒà´ç¡¢³Ð·Õ¾´ ãËŒà´ç¡¹Ñ§´ŒÒ¹Ë¹ŒÒ¢Í§ËŒÍ§àÃÕ¹    è Ù                è
                   ¡ÒÃãËŒÂÒµŒÒ¹¨ØÅªÕ¾¹Ñ¹ ÊÒÁÒö㪌໚¹·Ò§àÅ×͡䴌㹼ٻǺҧ¡ÅØÁ(8) 䴌ᡋ ¼Ù»Ç·Õ໚¹
                                                                é                                                        Œ †                 ‹       Œ † è
OME ¹Ò¹ 4 ÊÑ»´Òˏ¢¹ä» ·ÕÁ¤ÇÒÁàÊÕ§Ê٧㹡ÒÃà¡Ô´»˜­ËҾѲ¹Ò¡ÒôŒÒ¹ÀÒÉÒáÅСÒÃàÃÕ¹ÃÙ¨Ò¡
                                            Öé               è Õ            è                                                                                    Œ
¡ÒÃÁÕ¹Òã¹ËÙª¹¡ÅÒ§ ઋ¹ ¼Ù»Ç·ÕÁ¡ÒÃÊÙ­àÊÕ¡ÒÃ䴌¹ÍÂÙà´ÔÁ ¼Ù»Ç·ÕÁ»­ËҾѲ¹Ò¡ÒôŒÒ¹ÀÒÉÒ
              éí            Ñé                             Œ † è Õ                                      Ô ‹               Œ † è Õ ˜
¼Ù»ÇÂÍÍ·Ôʵԡ ¼Ù»ÇÂ¡ÅØÁÍÒ¡ÒôÒǹ ¼Ù»Ç·ÕÁÕ craniofacial disorder ¼Ù»Ç·ÕÁá¹Ç⹌Á·Õ¨Ð䴌ú
    Œ †                        Œ †                 ‹                            Œ † è                                                 Œ † è Õ            è         Ñ
¡ÒÃãÊ‹·Í»ÃѺ¤ÇÒÁ´Ñ¹â´Â·Õ§äÁ‹à¤Âä´ŒÂÒµŒÒ¹¨ØÅªÕ¾ÁÒ¡‹Í¹ ¼Ù»Ç·ÕÁÕ recurrent OME áÅÐÁÕ¤ÇÒÁ
                 ‹                                            è Ñ                                                      Œ † è
àÊÕ§Ê٧㹡ÒÃà¡Ô´»˜­ËҾѲ¹Ò¡ÒôŒÒ¹ÀÒÉÒáÅСÒÃàÃÕ¹ÃÙŒ â´Âá¹Ð¹íÒãËŒÂÒµŒÒ¹¨ØÅªÕ¾áºº single
      è
course ¹Ò¹ 10-14 Çѹ(5) ¡ÒÃ㪌ÂÒµŒÒ¹¨ØÅªÕ¾áÅÐÊàµÕÂÃÍ´¹¹ ÂѧäÁ‹Á¡ÒÃÈÖ¡ÉÒÇ‹Ò㪌䴌¼Åã¹ÃÐÂÐ                       Ñé             Õ
ÂÒÇ ¨Ö§äÁ‹ä´Œá¹Ð¹íÒãˌ㪌㹡ÒÃÃÑ¡ÉÒâ´Â·ÑÇä» ÊíÒËÃѺ antihistamine áÅÐ decongestant äÁ‹ä´Œ
                                                                                   è         (5)

¼Å㹡ÒÃÃÑ¡ÉÒ OME ´Ñ§¹Ñ¹¨Ö§äÁ‹ä´Œá¹Ð¹íÒãˌ㪌             é
àǪÈÒʵÏ·¹Âؤ 2553
          Ñ                                                                                  269

          ¡ÒÃÃÑ¡ÉÒ´ŒÇ¡Òü‹ÒµÑ´ 䴌ᡋ ¡ÒÃà¨ÒÐᡌÇËÙâ´Â㪌à¢çÁ´Ù´¹éÒã¹ËÙª¹¡ÅÒ§ (tympanocentesis)
                                                                   í      Ñé
à¾×ÍÊ‹§à¾ÒÐàª×Í ¡Òü‹ÒµÑ´à¨ÒÐᡌÇËÙ (myringotomy) ¡ÒÃãÊ‹·Í»ÃѺ¤ÇÒÁ´Ñ¹ (tympanostomy tube)
    è           é                                             ‹
áÅСÒü‹ÒµÑ´ adenoidectomy Áբͺ‹§ªÕé ´Ñ§¹Õé
                                    Œ
          ¢ŒÍº‹§ªÕ㹡Ò÷íÒ tympanocentesis(9) 䴌ᡋ ÁÕÍÒ¡ÒûǴËÙùáç 䢌ʧ ÍÒ¡ÒÃäÁ‹´¢¹ ËÃ×Í
                      é                                              Ø        Ù          Õ Öé
໚¹ÁÒ¡¢Ö¹ äÁ‹µÍºÊ¹Í§µ‹ÍÂÒµŒÒ¹¨ØÅªÕ¾ÀÒÂã¹ 24-48 ªÑÇâÁ§ ໚¹ AOM ã¹¢³Ð·Õä´ŒÂÒµŒÒ¹¨ØÅªÕ¾
            é                                              è                        è
à¾×ÍÃÑ¡ÉÒâäÍ×¹ÍÂÙ‹ ໚¹ AOM ã¹à´ç¡ááà¡Ô´ ËÃ×Í immunocompromised host
      è           è
          ¢ŒÍº‹§ªÕ㹡Ò÷íÒ myringotomy(9) 䴌ᡋ ÁÕ suppurative complication ¨Ò¡ AOM »Ç´ËÙÁÒ¡
                        é
¨Ò¡ AOM ແ´á¡ŒÇËÙãËŒ¡ÇŒÒ§¢Ö¹ËÅѧ·íÒ tympanocentesis áÅÐ acute barotitis
                                é
          ¢ŒÍº‹§ªÕ㹡ÒÃãÊ‹ tympanostomy tube(9) 䴌ᡋ ÁÕ suppurative complication ໚¹ OME ã¹ËÙ
                    é
Êͧ¢ŒÒ§¹Ò¹ 3 à´×͹¢Ö¹ä» ËÃ×Í໚¹ OME ã¹ËÙ˹֧¢ŒÒ§ ¹Ò¹ 6 à´×͹¢Ö¹ä» ᵋ¶ÒÁÕÃдѺ¡ÒÃ䴌¹ÊÙ§
                              é                      è                 é        Œ             Ô
¡Ç‹Ò 25 dB ËÃ×ÍÁÕ»­ËҾѲ¹Ò¡ÒôŒÒ¹ÀÒÉÒ ÍÒ¨¾Ô¨ÒóÒãÊ‹·Í»ÃѺ¤ÇÒÁ´Ñ¹àÃçÇ¢Ö¹ recurrent AOM
                            ˜                                   ‹                 é
·Õèä´ŒÃѺ antibiotic prophylaxis áÅŒÇäÁ‹ä´Œ¼Å, recurrent OME â´Â໚¹¹Ò¹ÃÇÁ¡Ñ¹Í‹ҧ¹ŒÍÂ
6-12 à´×͹ ÁÕ Eustachian tube dysfunction ઋ¹ 䴌ú hyperbaric oxygen, ÁÕ atelectasis ËÃ×Í
                                                        Ñ
retraction pocket ¢Í§á¡ŒÇËÙ áÅÐ㪌㹡óռҵѴ tympanoplasty ã¹à´ç¡·Õè Eustachian tube Âѧ·íÒ
                                                 ‹
§Ò¹äÁ‹ä´ŒµÒÁ»¡µÔ
          ʋǹ¡Òü‹ÒµÑ´ adenoidectomy ËÇÁ¡Ñº myringotomy áÅÐ tympanostomy tube insertion
Áբͺ‹§ªÕé 䴌ᡋ ¼Ù»Ç otitis media ·ÕÁ»­ËҢͧµ‹ÍÁ adenoid ËÇÁ´ŒÇ ઋ¹ ÁÕ obstructive sleep
        Œ                 Œ †          è Õ ˜
apnea ËÃ×Í chronic rhinosinusitis, áÅÐ㹼ٻǠrecurrent otitis media ·Õ䴌ú¡ÒÃãÊ‹ tympanostomy
                                             Œ †                         è Ñ
tube áÅŒÇ tube ËÅØ´ áÅШíÒ໚¹µŒÍ§ãÊ‹ tube «éÒ     í

¡ÒþÂҡóâä
                ¼Ù»Ç·Õ໚¹ AOM ÊÒÁÒöËÒÂä´Œàͧ ÃŒÍÂÅÐ 60 ÀÒÂã¹ 24 ªÑÇâÁ§ áÅÐÃŒÍÂÅÐ 80 ÀÒÂã¹
                  Œ † è                                                è
2-3 Çѹ â´Â·ÕÃÍÂÅÐ 10 ¢Í§à´ç¡·Õ໚¹ AOM ¨ÐÁÕ middle ear effusion ¹Ò¹ 3 à´×͹¢Ö¹ä» ã¹¢³Ð
      (10)
                           èŒ                è                                        é
·Õ¼»Ç·Õ໚¹ OME ¹Ñ¹ ÃŒÍÂÅÐ75-90 ÊÒÁÒöËÒÂä´ŒàͧÀÒÂã¹ 3 à´×͹ ᵋ¾ºÇ‹ÒÃŒÍÂÅÐ 30-40
      è ÙŒ † è                    é                                      (5)

¢Í§à´ç¡ÁÕ¡ÒáÅѺ໚¹«éÒ áÅÐÃŒÍÂÅÐ 5-10 ¢Í§ OME ໚¹¹Ò¹ÁÒ¡¡Ç‹ÒËÃ×Í෋ҡѺ 1 »‚(2, 11)
                                    í
                ¶Ö§áÁŒÇҼٻǷÕ໚¹ AOM áÅÐ OME ¨ÐÁÕ¡ÒþÂҡóâä·Õ´Õ â´Â·Õ¡ÒÃ䴌¹ÊÒÁÒö¡ÅѺ
                           ‹ Œ † è                                   è       è      Ô
ÊÙÊÀÒÇл¡µÔä´Œ ᵋ¶ÒËÒ¡äÁ‹ä´ŒÃº¡ÒôÙáÅÃÑ¡ÉÒ ËÃ×ÍÃÑ¡ÉÒäÁ‹¶¡µŒÍ§ ÍÒ¨à¡Ô´¡ÒÃÊÙ­àÊÕ¡ÒÃ䴌¹
  ‹                             Œ          Ñ                       Ù                           Ô
ã¹ÃÐÂÐÂÒÇä´Œ ઋ¹ COM «Öè§¼ÙŒ»†ÇÂ¡ÅØ‹Á¹ÕéÁÕᡌÇËÙ·ÐÅØ ÁÕ˹ͧäËŨҡËÙ໚¹æ ËÒÂæ ÍÒ¨ÁÕ
cholesteatoma ËÇÁ´ŒÇ «Ö§ÊÒÁÒö·íÒÅÒ¡Ãд١ÃÙ»¤ŒÍ¹ ·Ñ§ â¡Å¹ä´Œ ÃÇÁ¶Ö§ÍÒ¨¹íÒä»ÊÙÀÒÇÐá·Ã¡
                                      è                     è                           ‹
«ŒÍ¹Í×¹æ ·Ñ§ intratemporal áÅÐ intracranial complications
              è      é
                㹼ٻǠOME ËÃ×Í Eustachian tube dysfunction ·Õ໚¹Ãعáç ÍÒ¨ÁÕ retraction pocket
                       Œ †                                       è
«Ö§¨Ð·íÒãËŒà¡Ô´ cholesteatoma µÒÁÁÒä´Œ ËÃ×ÍÍÒ¨à¡Ô´¡ÒÃῺµÑǢͧᡌÇËٺҧʋǹ (atelectasis)
    è
ËÃ×ͷѧËÁ´ (adhesive otitis media) µÔ´¡Ñº¼¹Ñ§´ŒÒ¹ã¹¢Í§ËÙª¹¡ÅÒ§ à¡Ô´¡ÒÃÊÙ­àÊÕ¡ÒÃ䴌¹áÅÐ
            é                                                 Ñé                            Ô
â¤Ã§ÊÌҧÍ‹ҧ¶ÒÇà ¢Í§ËÙª¹¡ÅÒ§ «Ö§ÂÒ¡µ‹Í¡ÒÃᡌä¢
                                        Ñé     è
270                                                    ¡ÒÃÊÙ­àÊÕ¡ÒÃä´ŒÂÔ¹¨Ò¡¡ÒùíÒàÊÕ§àÊ×èÍÁã¹¼ÙŒ»†ÇÂà´ç¡

àÍ¡ÊÒÃ͌ҧÍÔ§
1.  Teele DW, Klein JO, Rosner B. Epidemiology of otitis media during the first seven years of life in children in
    greater Boston: a prospective, cohort study. J Infect Dis. 1989;160(1):83-94.
2. Tos M. Epidemiology and natural history of secretory otitis. Am J Otol. 1984;5(6):459-62.
3. Paradise JL, Rockette HE, Colborn DK, Bernard BS, Smith CG, Kurs-Lasky M, et al. Otitis media in 2253
    Pittsburgh-area infants: prevalence and risk factors during the first two years of life. Pediatrics. 1997;99(3):
    318-33.
4. Casselbrant ML, Mandel EM. Epidemiology. In: Rosenfeld RM, Bluestone CD, editors. Evidence-based otitis
    media. 2nd ed. Hamilton, Ontario: BC Decker Inc; 2003. p. 147-62.
5. Rosenfeld RM, Culpepper L, Doyle KJ, Grundfast KM, Hoberman A, Kenna MA, et al. Clinical practice
    guideline: Otitis media with effusion. Otolaryngol Head Neck Surg. 2004;130(5 Suppl):S95-118.
6. Diagnosis and management of acute otitis media. Pediatrics. 2004;113(5):1451-65.
7. Germiller JA. Hearing loss in children. In: Wetmore R., editor. Pediatric Otolaryngology. 1st ed. Philadelphia:
    Mosby; 2007. p. 60-76.
8. Rosenfeld RM, Bluestone CD. Clinical pathway for otitis media with effusion. In: Rosenfeld RM, Bluestone
    CD, editors. Evidence-based otitis media. 2nd ed. Hamilton(ON): BC Decker;2003. p. 303-24.
9. Bluestone CD. Role in management of otitis media. In: Bluestone CD, editor. Eustachain tube: structure,
    function , role in otitis media. 1st ed. Ontario: BC Decker; 2005. p. 145-76.
10. Rosenfeld RM, Kay D. Natural history of untreated otitis media. Laryngoscope. 2003;113(10):1645-57.
11. Williamson IG, Dunleavey J, Bain J, Robinson D. The natural history of otitis media with effusion—a three-year
    study of the incidence and prevalence of abnormal tympanograms in four South West Hampshire infant and
    first schools. J Laryngol Otol. 1994;108(11):930-4.
àǪÈÒʵÏ·¹Âؤ 2553
          Ñ                                                                    º··Õè       271

                                                                                39
     ¡ÒÃÊÙ­àÊÕ¡ÒÃä´ŒÂԹ㹼ٌ»†ÇÂà´ç¡¨Ò¡ÊÒà˵طҧ¾Ñ¹¸Ø¡ÃÃÁ
             (Hereditary Hearing Loss in Children)
                                              ÍÒ¨ÒÏ ¹ÒÂᾷ¹Ô¸ÔÇѪÏ ÇѲ¹ÇÔ¨Òó
                  ÀÒ¤ÇÔªÒ¡ØÁÒÃàǪÈÒʵÏ ¤³Ðá¾·ÂÈÒʵÏÈÃÃÒª¾ÂÒºÒÅ ÁËÒÇÔ·ÂÒÅÑÂÁËÔ´Å
                                                      ÔÔ

            ¡ÒÃÊÙ­àÊÕ¡ÒÃ䴌¹ (hearing loss) ËÃ×Í ÀÒÇк¡¾Ã‹Í§¢Í§¡ÒÃ䴌¹ (hearing impairment)
                                   Ô                                      Ô
໚¹ÀÒÇзÕ辺䴌º‹ÍÂã¹à´ç¡ áÅÐÁÕ¤ÇÒÁÊíҤѭµ‹Í¾Ñ²¹Ò¡Ò÷ҧÀÒÉÒ â´Â੾ÒжŒÒ¡ÒÃÊÙ­àÊÕÂ
¡ÒÃ䴌¹à¡Ô´¢Ö¹¡‹Í¹¶Ö§ÇÑ·Õà´ç¡¨ÐàÃÔÁÁÕ¾²¹Ò¡Ò÷ҧ¡Òþٴ (prelingual hearing loss) ¡çÍÒ¨·íÒãËŒ
        Ô          é                    è     è Ñ
¾Ù´äÁ‹ä´ŒËÃ×ÍäÁ‹ª´ ´Ñ§¹Ñ¹ ¡ØÁÒÃᾷ âʵ ÈÍ ¹ÒÊԡᾷ áÅÐᾷàǪ»¯Ôºµ·Ç仨֧ÁÕÊǹÊíҤѭ
                     Ñ         é                                            Ñ Ô Ñè    ‹
㹡Ò÷ըЪ‹ÇÂÇÔ¹¨©ÑÂà´ç¡·ÕÁ¡Òà 䴌¹¼Ô´»¡µÔáÅÐᡌ䢡‹Í¹·Õà´ç¡¨ÐàÃÔÁÁÕ»­ËÒ·Ò§¡Òþٴ ¤×Í
          è            Ô               è Õ      Ô                  è     è ˜
¡‹Í¹ÍÒÂØ 6 à´×͹ ÍØºµ¡Òó¢Í§»ÃÐÊÒ·ËÙ¾¡ÒÃᵋ¡Òà¹Ô´ (sensorineural hearing loss, SNHL)ã¹
                           Ñ Ô                    Ô      í
»ÃÐà·Èä·Â ¾ºä´Œ 1.7 ã¹ 1,000 ¢Í§·Òáááà¡Ô´(1) «Ö§à»š¹µÑÇàÅ¢·Õã¡ÅŒà¤Õ§¡Ñºã¹µ‹Ò§»ÃÐà·È ¤×Í
                                                           è           è
1-2 ã¹ 1,000 㹨íҹǹ¹Õ¾ºÇ‹Ò»ÃÐÁÒ³¤Ã֧˹֧¢Í§¼Ù»ÇÂà´ç¡ÁÕÊÒà˵بҡ¾Ñ¹¸Ø¡ÃÃÁáÅÐÁÑ¡¨ÐÁÕ
                (2)
                                     é               è è     Œ †
¡ÒÃÊÙ­àÊÕ¡ÒÃ䴌¹ᵋ¡Òà¹Ô´(3) ʋǹÍÕ¡¤Ã֧˹֧¨ÐÁÕÊÒà˵بҡÊÔ§áÇ´ÅŒÍÁઋ¹ ¡ÒÃ䴌úÂÒ¡ÅØÁ
                         Ô       í                  è è              è                  Ñ   ‹
aminoglycosides ¡ÒõԴàª×͵ѧᵋ㹤ÃÃÀ ઋ¹ TORCH ÀÒÇФÅÍ´¡‹Í¹¡íÒ˹´ 㹺·¤ÇÒÁ¹Õé
                                          é é
¨Ð¡Å‹ÒǶ֧ÃÒÂÅÐàÍÕ´੾ÒÐÊÒà˵آͧ¡ÒÃÊÙ­àÊÕ ¡ÒÃ䴌¹¨Ò¡¾Ñ¹¸Ø¡ÃÃÁÔ

ÊÒà˵طҧ¾Ñ¹¸Ø¡ÃÃÁ·Õè·íÒãËŒà¡Ô´¡ÒÃÊÙ­àÊÕ¡ÒÃä´ŒÂÔ¹
           »˜¨¨Øº¹âä·Ò§¾Ñ¹¸Ø¡ÃÃÁ·Õ໚¹ÊÒà˵آͧ¡ÒÃÊÙ­àÊÕ¡ÒÃ䴌¹ÁÕ»ÃÐÁÒ³ 400 âä áÅоº
                 Ñ                 è                               Ô
ÂÕ¹·Õà¡ÕÂÇ¢ŒÍ§áŌǻÃÐÁÒ³ 60 ÂÕ¹ ÊÒà˵طҧ¾Ñ¹¸Ø¡ÃÃÁÊÒÁÒöẋ§ä´Œà»š¹ 2 ¡ÅØÁãË­‹¤Í ÀÒÇÐ
     è è                         (4)
                                                                              ‹        ×
·Õ໚¹¡ÅØÁÍÒ¡Òà (syndromic hearing loss) áÅÐÀÒÇзÕäÁ‹à»š¹¡ÅØÁÍÒ¡Òà (nonsyndromic hearing
  è        ‹                                         è          ‹
loss) syndromic hearing loss ¤×Í âä·Ò§¾Ñ¹¸Ø¡ÃÃÁ·ÕÁ¤ÇÒÁ¼Ô´»¡µÔÍ‹ҧÍ×¹¹Í¡¨Ò¡¡ÒÃÊÙ­àÊÕÂ
                                                    è Õ                   è
¡ÒÃ䴌¹ «Ö§¾ºä´Œ»ÃÐÁÒ³ ÃŒÍÂÅÐ 30 ¢Í§ÊÒà˵طҧ¾Ñ¹¸Ø¡ÃÃÁ·Ñ§ËÁ´ ʋǹ nonsyndromic hearing
          Ô è                                                 é
loss ¤×Í âä·Ò§¾Ñ¹¸Ø¡ÃÃÁ·ÕèÁÕ¤ÇÒÁ¼Ô´»¡µÔ੾ÒСÒÃä´ŒÂÔ¹«Öè§¾ºà»š¹Ê‹Ç¹ãË­‹ (ÃŒÍÂÅÐ 70)
¢Í§ÊÒà˵طҧ¾Ñ¹¸Ø¡ÃÃÁ·Ñé§ËÁ´(5) «Öè§ÊÒÁÒöẋ§Â‹ÍÂŧä»ä´ŒÍÕ¡µÒÁÅѡɳСÒö‹Ò·ʹ·Ò§
¾Ñ¹¸Ø¡ÃÃÁ䴌ᡋ autosomal dominant, autosomal recessive, X-linked áÅÐ mitochondrial inheritance
(ÃÙ»·Õè 1) ËÃ×Íẋ§µÒÁ¤ÇÒÁ¼Ô´»¡µÔ¢Í§ÃкºÍ×¹·Õ¾ºÃ‹ÇÁ㹡óբͧ syndromic hearing loss
                                             è è
272                                     ¡ÒÃÊÙ­àÊÕ¡ÒÃ䴌¹㹼ٻÇÂà´ç¡¨Ò¡ÊÒà˵طҧ¾Ñ¹¸Ø¡ÃÃÁ
                                                         Ô    Œ †

¡ÒÃÊÙ­àÊÕ¡ÒÃä´ŒÂÔ¹ª¹Ô´à»š¹¡ÅØ‹ÁÍÒ¡Òà (Syndromic hearing loss)
            ¡ÅØ‹ÁÍÒ¡Ò÷ҧ¾Ñ¹¸Ø¡ÃÃÁ»ÃÐÁÒ³ 400 âä¨ÐÁÕ¡ÒÃÊÙ­àÊÕ¡ÒÃä´ŒÂԹ໚¹ÍÒ¡ÒùíÒËÃ×Í
ÍÒ¡Ò÷վºÃ‹ÇÁ¡Ñº¤ÇÒÁ¼Ô´»¡µÔÍ‹ҧÍ×¹ ´Ñ§¹Ñ¹¼Ù»ÇÂÍÒ¨¨ÐÁÒ¾ºá¾·Â´Ç»˜­ËÒ¡ÒÃ䴌¹ ઋ¹
          è                          è    é Œ †                  Œ               Ô
¾Ù´ªŒÒËÃ×ÍäÁ‹ËѹµÒÁàÊÕ§ ËÃ×ÍÍÒ¨ÁÒ¾ºá¾·Â´ŒÇ»˜­ËÒàÃ×èͧÍ×è¹ áµ‹á¾·ÂµÃǨ¾ºÇ‹Ò¼ÙŒ»†ÇÂ
ÁÕ¤ÇÒÁ¼Ô´»¡µÔ¢Í§¡ÒÃ䴌¹ËÇÁ´ŒÇ ´Ñ§¹Ñ¹¡ÒôÙáżٻÇÂã¹¡ÅØÁ¹Õ¨§¨íÒ໚¹·Õ¨ÐµŒÍ§ÍÒÈÑÂᾷ
                            Ô           é        Œ †      ‹ éÖ         è
¼ÙŒàªÕèÂǪҭËÅÒÂÊÒ¢Òà¾×è͵ÃǨËÒáÅдÙáŤÇÒÁ¼Ô´»¡µÔ¢Í§ÃкºÍ×è¹ ã¹º·¤ÇÒÁ¹Õé¨Ðẋ§¡ÅØ‹Á
¢Í§ syndromic hearing loss µÒÁ¤ÇÒÁ¼Ô´»¡µÔ·Õ辺ËÇÁáÅСµÑÇÍ‹ҧ¡ÅØ‹ÁÍÒ¡Ò÷Õ辺º‹ÍÂ
ã¹¡ÅØÁ¹Ñ¹æ(6)
        ‹ é




            ÃÙ»·Õè 1 áÊ´§¡ÅØ‹ÁÊÒà˵طҧ¾Ñ¹¸Ø¡ÃÃÁ¢Í§¡ÒÃÊÙ­àÊÕ¡ÒÃä´ŒÂÔ¹(5)

       1. âä¢Í§â¤ÃâÁâ«Á (Chromosome disorders) ·ÕÁ¡ÒÃÊÙ­àÊÕ¡ÒÃ䴌¹ËÇÁ´ŒÇÂ
                                                  è Õ               Ô
           âä¢Í§â¤ÃâÁâ«Á·Õ辺º‹Í·ÕèÊØ´¤×Í ¡ÅØ‹ÁÍÒ¡ÒôÒǹ (Down syndrome) «Ö觨оº
conductive hearing loss ä´Œ¶§ÃŒÍÂÅÐ 60-80 ¨Ò¡¤ÇÒÁ¼Ô´»¡µÔ¢Í§ËÙª¹¡ÅÒ§ »˜¨¨Ñ·շÒãËŒÁ¤ÇÒÁ
                              Ö                                   Ñé             è í Õ
¼Ô´»¡µÔ¢Í§ËÙª¹¡ÅÒ§ã¹à´ç¡¡ÅØÁÍÒ¡ÒôÒǹ¤Í Eustachian tube ᤺ pharyngeal hypotonia áÅÐ
              Ñé                ‹             ×
¡ÒõԴàª×Í·Ò§à´Ô¹ËÒÂ㨺‹ÍÂæ âä¢Í§â¤ÃâÁâ«ÁÍ×¹æ ઋ¹ ¡ÅØÁÍÒ¡Òà Turner ¨Ð¾ºÁÕ conductive
         é                                        è        ‹
ËÃ×Í mixed hearing loss 㹪‹Ç§ÇÑÂà´ç¡ ᵋàÁ×ÍÍÒÂØÁÒ¡¢Ö¹¨Ð໚¹ sensorineural hearing loss ¡ÅØÁ
                                            è         é                                     ‹
ÍÒ¡Òà velocardiofacial «Ö§à¡Ô´¨Ò¡¢Ò´ËÒÂ仢ͧâ¤ÃâÁâ«Á 22q11.2 ¡ÅØÁÍÒ¡ÒùըÐÁÕྴҹâËÇ‹
                         è                                           ‹        é
ËÑÇ㨾ԡÒÃᵋ¡Òà¹Ô´ áÅÐÅѡɳÐãºË¹ŒÒ·Õ¨Òà¾ÒÐ ¡ÒÃÊÙ­àÊÕ¡ÒÃä´ŒÂ¹ã¹¡ÅØÁÍÒ¡ÒùÕé à¡Ô´ä´Œ·§¨Ò¡
                 í                     èí                       Ô      ‹                Ñé
conductive áÅÐ sensorineural hearing loss
àǪÈÒʵÏ·¹Âؤ 2553
          Ñ                                                                                273

      2. ¡ÅØÁÍÒ¡Ò÷ÕÁ¤ÇÒÁ¼Ô´»¡µÔ¢Í§ÈÕÃÉÐáÅÐãºË¹ŒÒ (Craniofacial syndromes)
            ‹         è Õ
·ÕÁ¡ÒÃÊÙ­àÊÕ¡ÒÃ䴌¹ËÇÁ´ŒÇÂ
  è Õ               Ô
            䴌ᡋ¡ÅØÁÍÒ¡Ò÷ÕÁ¡Òû´¢Í§Ã͵‹Í¡ÐâËÅ¡ÈÕÃÉÐàÃçǡNjҡíÒ˹´ (craniosynostosis
                      ‹       è Õ
syndromes) ·Õ¾ºº‹ÍÂ䴌ᡋ¡ÅØÁÍÒ¡Òà Crouzon áÅÐ¡ÅØÁÍÒ¡Òà Apert «Ö§¡ÅØÁÍÒ¡ÒÃàËŋҹÕÁ¡ÒÃ
               è                ‹                      ‹             è ‹                é Õ
¶‹Ò·ʹ·Ò§¾Ñ¹¸Ø¡ÃÃÁẺÂչഋ¹ áÅÐà¡Ô´¨Ò¡¡ÒáÅÒ¾ѹ¸Ø¢Í§ÂÕ¹ fibroblast growth factor
receptor 2 (.G.R2) ·Ñ§ 2 ¡ÅØÁÍÒ¡ÒùըÐÁÕ conductive hearing loss ËÇÁ¡Ñº¡Òû´àÃçǡNjҡíÒ˹´
                        é   ‹        é
¢Í§ coronal sutures µÒ⻹ (exorbitism) à¹×ͧ¨Ò¡ª‹Í§¡ÐâËÅ¡ÊíÒËÃѺÅÙ¡µÒµ×¹ ᵋ¡ÅØÁÍÒ¡Òà Apert
                                          è                             é      ‹
¨ÐÁÕ¤ÇÒÁ¼Ô´»¡µÔ¢Í§Á×ÍáÅÐ෌Ҥ×Í ¹ÔÇÁ×Í ¹ÔÇà·ŒÒ äÁ‹á¡¨Ò¡¡Ñ¹ (syndactyly) ¹Í¡¨Ò¡¹Õé ¡ÅØÁÍÒ¡ÒÃ
                                   é        é                                         ‹
craniosynostosis ·Õ¾º sensorineural hearing loss ä´Œ¤Í Muenke syndrome «Ö§à¡Ô´¨Ò¡¡ÒáÅÒÂ
                    è                                ×                     è
¾Ñ¹¸Ø¢Í§ÂÕ¹ .G.R3
     

        3. ¡ÅØ‹ÁÍÒ¡Ò÷ҧ¾Ñ¹¸Ø¡ÃÃÁ·Õèà¡Ô´¨Ò¡¤ÇÒÁ¼Ô´»¡µÔ¢Í§ branchial arch ·Õè 1
áÅÐ 2
             âä·Õ¾ºº‹Í·ÕÊ´ã¹¡ÅØÁ¹Õ䴌ᡋ oculo-auriculo-vertebral (OAV) spectrum âä¹ÕÁ¡à»š¹
                  è         èØ         ‹ é                                                é Ñ
¤¹à´ÕÂÇ㹤Ãͺ¤ÃÑÇ áÅÐÁÕÊÒà˵ط·ÒãËŒà¡Ô´âäËÅÒ¡ËÅÒ·ѧ·Ò§¾Ñ¹¸Ø¡ÃÃÁáÅÐÊÔ§áÇ´ÅŒÍÁ ઋ¹
                                        Õè í                   é                  è
ÁÒôÒ໚¹àºÒËÇÒ¹¢³ÐµÑ§¤ÃÃÀ ÅѡɳФÇÒÁ¼Ô´»¡µÔᵋ¡Òà¹Ô´ã¹ OAV spectrum ¨Ðà¡Ô´¨Ò¡¤ÇÒÁ
                          é                                í
¼Ô´»¡µÔ¢Í§¡ÒÃÊÌҧÍÇÑÂÇзվ²¹ÒÁÒ¨Ò¡ branchial arch ·Õè 1 áÅÐ 2 䴌ᡋ ¤ÇÒÁ¼Ô´»¡µÔ¢Í§ËÙ
                                 è Ñ
ઋ¹ äÁ‹ÁãºËÙ ËÃ×ÍãºËÙàÅç¡ µÔ§Ë¹ŒÒËÙ ãºË¹ŒÒ 2 «Õ¡äÁ‹à·‹Ò¡Ñ¹ (hemifacial microsomia) ¤ÇÒÁ¼Ô´»¡µÔ
           Õ                   è
¢Í§µÒ ઋ¹ epibulbar dermoid áÅФÇÒÁ¼Ô´»¡µÔ¢Í§¡Ãд١ÊѹËÅѧ ¡ÒÃÊÙ­àÊÕ¡ÒÃ䴌¹·Õ¾ºÃ‹ÇÁÔ è
ʋǹãË­‹ ¨Ð໚¹ conductive hearing loss ʋǹ¹ŒÍÂÍÒ¨ÁÕ sensorineural hearing loss ¹Í¡¨Ò¡
¤ÇÒÁ¼Ô´»¡µÔ¢Í§ÈÕÃÉÐáÅÐãºË¹ŒÒáÅŒÇ OAV spectrum ÍÒ¨ÁÕ¤ÇÒÁ¼Ô´»¡µÔ¢Í§ÍÇÑÂÇÐÀÒÂã¹Ã‹ÇÁ´ŒÇÂ
ઋ¹ ¤ÇÒÁ¼Ô´»¡µÔ¢Í§ËÑÇã¨áÅÐäµáµ‹¡Òà¹Ô´ âä·Õ¾ºä´ŒºÍÂÃͧŧÁÒ¤×Í ¡ÅØÁÍÒ¡Òà Treacher-Collins
                                           í     è      ‹                  ‹
«Ö觨ÐÁÕ¤ÇÒÁ¼Ô´»¡µÔ¢Í§ÈÕÃÉÐáÅÐãºË¹ŒÒઋ¹¡Ñ¹áµ‹¨Ðᵡµ‹Ò§µÃ§·Õè ¤ÇÒÁ¼Ô´»¡µÔ¢Í§ãºË¹ŒÒ
áÅÐËÙ·§ 2 ¢ŒÒ§¨ÐàËÁ×͹¡Ñ¹ ¡ÅØÁÍÒ¡Òùըоº¤ÇÒÁ¼Ô´»¡µÔ¢Í§¡ÒÃ䴌¹»ÃÐÁҳÌÍÂÅÐ 40 ¡ÅØÁ
        Ñé                           ‹       é                           Ô                    ‹
ÍÒ¡Òà Treacher-Collins à¡Ô´¨Ò¡¡ÒáÅÒ¾ѹ¸Ø¢Í§ÂÕ¹ TCO.1 «Ö§ÁÕ¡Òö‹Ò·ʹẺÂչഋ¹
                                                                è

      4. ¡ÅØ‹ÁÍÒ¡Ò÷ҧ¾Ñ¹¸Ø¡ÃÃÁ·ÕèÁÕ¤ÇÒÁ¼Ô´»¡µÔ¢Í§¤ÍáÅÐËÙËÇÁ¡Ñ¹ (Cervico-
acoustic defects)
            âä·Õ¾ºº‹ÍÂã¹¡ÅØÁ¹Õ¤Í ¡ÅØÁÍÒ¡Òà Branchio-Oto-Renal (BOR) «Ö§à»š¹âä·Ò§¾Ñ¹¸Ø¡ÃÃÁ
                 è           ‹ é × ‹                                    è
·Õ¶Ò·ʹẺÂչഋ¹ áÅÐà¡Ô´¨Ò¡¡ÒáÅÒ¾ѹ¸Ø¢Í§ÂÕ¹ EYA1 ¤ÇÒÁ¼Ô´»¡µÔ·¾º¤×Í ãºËÙ¼´»¡µÔ
  è ‹                                                                     Õè        Ô
ÁÕµ§ËÃ×ÍÃÙàÅç¡æË¹ŒÒËÙ branchial cleft cyst ËÃ×Í fistula áÅФÇÒÁ¼Ô´»¡µÔ¢Í§äµ ¤ÇÒÁ¼Ô´»¡µÔ¢Í§
    Ôè
¡ÒÃ䴌¹¨ÐÁÕä´Œ·§ conductive hearing loss áÅÐ sensorineural hearing loss
        Ô          Ñé
274                                     ¡ÒÃÊÙ­àÊÕ¡ÒÃ䴌¹㹼ٻÇÂà´ç¡¨Ò¡ÊÒà˵طҧ¾Ñ¹¸Ø¡ÃÃÁ
                                                         Ô    Œ †

        5. âä¡Ãд١¾Ñ¹¸Ø¡ÃÃÁ (Skeletal dysplasias)·ÕÁ¡ÒÃÊÙ­àÊÕ¡ÒÃ䴌¹ËÇÁ´ŒÇÂ
                                                     è Õ                Ô
           âä¡Ãд١¾Ñ¹¸Ø¡ÃÃÁ·ÕÍÒ¨ÁÒ¾ºá¾·Â´ÇÂàÃ×ͧ»˜­ËÒ¡ÒÃ䴌¹ 䴌ᡋ ¡ÅØÁÍÒ¡ÒÃ
                                è             Œ è                 Ô        ‹
Stickler «Öè§¡ÒÃÊÙ­àÊÕ¡ÒÃä´ŒÂÔ¹¨Ð໚¹ª¹Ô´ sensorineural hearing loss ¤ÇÒÁ¼Ô´»¡µÔ
¢Í§ÃкºÍ׹䴌ᡋ ÊÒµÒÊѹ ¨Í»ÃÐÊÒ·µÒËÅØ´ÅÍ¡ (retinal detachment) ྴҹâËÇ‹ (cleft
            è             é
palate) áÅФÇÒÁ¼Ô´»¡µÔ¢Í§ÀÒ¾ÃѧÊÕ·Õè epiphysis áÅСÃд١ÊѹËÅѧ ¡ÅØÁÍÒ¡Òà Stickler
                                                                    ‹
à¡Ô´¨Ò¡¡ÒáÅÒ¾ѹ¸Ø¢Í§ÂÕ¹·ÕÊÌҧ¤ÍÅÅÒਹª¹Ô´·Õè 2 áÅÐ 11
                            è

       6. ¡ÅØÁÍÒ¡Ò÷ÕÁ¡ÒÃÊÙ­àÊÕ¡ÒÃ䴌¹ËÇÁ¡Ñº¤ÇÒÁ¼Ô´»¡µÔ¢Í§äµ
             ‹       è Õ               Ô
            ¡ÅØÁÍÒ¡Ò÷ÕÁ»­ËҢͧ¡ÒÃ䴌¹ËÇÁ¡Ñº¤ÇÒÁ¼Ô´»¡µÔäµ ä´Œá¡‹ ¡ÅØÁÍÒ¡Òà Alport «Ö§
               ‹          è Õ ˜               Ô                             ‹               è
ÁÕ¤ÇÒÁ¼Ô´»¡µÔ¢Í§äµà»š¹ chronic nephritis ·íÒãËŒÁÕ microscopic hematuria ËÇÁ¡Ñº¡Ò÷íÒ§Ò¹¢Í§
䵤‹ÍÂæá‹ŧ ʋǹ¡ÒÃÊÙ­àÊÕ¡ÒÃ䴌¹¨ÐàÃÔÁÍÒ¡ÒÃàÁ×ͼٻÇÂࢌÒÊÙÇÂÃØ¹ â´Â¡ÒÃÊÙ­àÊÕ¡ÒÃ䴌¹
                                        Ô       è    è Œ †      ŒÑ ‹                      Ô
¨Ð໚¹áºº sensorineural hearing loss ¹Í¡¨Ò¡¹ÕéÍÒ¨¾º¤ÇÒÁ¼Ô´»¡µÔ·Ò§µÒ໚¹µŒÍ¡ÃШ¡
(cataract) ËÃ×Í anterior lenticonus ä´Œ ¡Òö‹Ò·ʹ·Ò§¾Ñ¹¸Ø¡ÃÃÁ¢Í§¡ÅØÁÍÒ¡Òà Alport ÁÕä´ŒËÅÒÂ
                                                                     ‹
Ẻᵋ·¾ºº‹Í·ÕÊ´¤×ÍẺ X-linked â´Âà¡Ô´¨Ò¡¡ÒáÅÒ¾ѹ¸Ø¢Í§ÂÕ¹¤ÍÅÅÒਹª¹Ô´·Õè 4 «Ö§à»š¹
         Õè        èØ                                                                 è
â»ÃµÕ¹·ÕÊҤѭ㹠glomerular basement membrane
        èí

      7. ¡ÅØ‹ Á ÍÒ¡Ò÷Õè ÁÕ ¡ ÒÃÊÙ ­ àÊÕ Â ¡ÒÃä´Œ ÂÔ ¹ Ë Ç Á¡Ñ º ¤ÇÒÁ¼Ô ´ »¡µÔ ¢ ͧàÁç ´ ÊÕ
(Pigmentary abnormalities)
             µÑÇÍ‹ҧ¢Í§âÃ¤ã¹¡ÅØÁ¹Õé 䴌ᡋ ¡ÅØÁÍÒ¡Òà Waardenburg «Ö§à»š¹ syndromic hearing
                                ‹              ‹                    è
loss ·Õ¶Ò·ʹẺÂչഋ¹·Õ¾ºº‹Í·ÕÊ´ ¼Ù»Ç¨ÐÁÕ¡ÒÃÊÙ­àÊÕ¡ÒÃ䴌¹Ẻ sensorineural hearing
         è ‹               è         èØ Œ †                     Ô
loss ËÇÁ¡Ñº¤ÇÒÁ¼Ô´»¡µÔ¢Í§àÁç´ÊÕ·¼Ç˹ѧ ËÃ×ÍàÊŒ¹¼Á ઋ¹ ÁÕšɳлͼÁ¢ŒÒ§Ë¹ŒÒÊÕ¢ÒÇ (white
                                  Õè Ô                     Ñ
forelock) ËÃ×ÍÊբͧÁ‹Ò¹µÒ͋͹¼Ô´»¡µÔ (heterochromia irides) ¹Í¡¨Ò¡¹Õ¼»ÇÂÍÒ¨ÁÕ¤ÇÒÁ¾Ô¡ÒÃ
                                                                      é ÙŒ †
ᵋ¡Òà¹Ô´¢Í§á¢¹ ËÃ×Í Hirschsprung disease ËÇÁ´ŒÇÂ¡ÅØÁÍÒ¡Òà Waardenburg à¡Ô´¨Ò¡¡ÒáÅÒÂ
     í                                                 ‹
¾Ñ¹¸Ø¢Í§ÂÕ¹ PAX3, MIT., SNA12, EDNRB, EDN3 ËÃ×Í SOX10
       

       8. ¡ÅØÁÍÒ¡Ò÷ÕÁ¡ÒÃÊÙ­àÊÕ¡ÒÃ䴌¹ËÇÁ¡Ñº¤ÇÒÁ¼Ô´»¡µÔ¢Í§µÒ
             ‹       è Õ               Ô
             ã¹¡ÅØÁ¹Õâä·ÕÁ¤ÇÒÁÊíҤѭ·ÕÊ´¤×Í ¡ÅØÁÍÒ¡Òà Usher «Ö§ÁÕ¡Òö‹Ò·ʹ·Ò§¾Ñ¹¸Ø¡ÃÃÁ
                   ‹ é è Õ             èØ       ‹              è
ẺÂÕ¹´ŒÍ ¼Ù»Ç¨ÐÁÕ¡ÒÃÊÙ­àÊÕ¡ÒÃ䴌¹Ẻ sensorineural hearing loss µÑ§áµ‹ááà¡Ô´ áÅÐ
               Œ †                        Ô                               é
ËÅѧ¨Ò¡¹Ñ¹¨ÐàÃÔÁÁÕ¤ÇÒÁ¼Ô´»¡µÔ¢Í§¨Í»ÃÐÊÒ·µÒ ·ÕàÃÕÂ¡Ç‹Ò retinitis pigmentosa «Ö§à»š¹¡ÒÃàÊ×ÍÁ
         é       è                                è                          è          è
¢Í§¨Í»ÃÐÊÒ·µÒáÅйíÒä»ÊÙÍÒ¡ÒÃÁͧäÁ‹àËç¹ã¹àÇÅÒ¡ÅÒ§¤×¹ ÅÒ¹ÊÒÂµÒ (visual field) ᤺ŧ
                            ‹
¨¹¡ÃзѧµÒºÍ´àÁ×ÍࢌÒÊÙÇÂÃØ¹ ´Ñ§¹Ñ¹¡ÅØÁÍÒ¡Òà Usher ¨Ö§à»š¹ÊÒà˵ØÊҤѭ¢Í§¤ÇÒÁ¾Ô¡ÒëéÒ«ŒÍ¹
       è             è   ‹Ñ ‹      é ‹                            í                  í
·Ñ§¡ÒÃ䴌¹áÅСÒÃÁͧàËç¹ ·ÕÊҤѭ¤×Í retinitis pigmentosa ¨ÐÂѧäÁ‹»ÃÒ¡®ã¹ª‹Ç§ 10 »‚áá ᵋ
  é        Ô                  èí
¨ÐÊÒÁÒöµÃǨ¾º¤ÇÒÁ¼Ô´»¡µÔªÇ§áá¢Í§¨Í»ÃÐÊÒ·µÒä´Œ â´ÂÇÔ¸Õ electroretinography (ERG)
                                 ‹
àǪÈÒʵÏ·¹Âؤ 2553
          Ñ                                                                            275

¹Í¡¨Ò¡¹Õ¼»ÇÂ¡ÅØÁÍÒ¡Òà Usher ª¹Ô´·Õè 1 ÍÒ¨ÁÕ¤ÇÒÁ¼Ô´»¡µÔ¢Í§ vestibule ·íÒãËŒ¾²¹Ò¡ÒÃ
          é ÙŒ †  ‹                                                        Ñ
à¡ÕÂǡѺ¡Ò֍µÑÇઋ¹ ¡ÒùѧËÃ×Íà´Ô¹ªŒÒ¡Ç‹Ò»¡µÔ
   è                       è

       9. ¡ÅØÁÍÒ¡Ò÷ÕÁ¡ÒÃÊÙ­àÊÕ¡ÒÃ䴌¹ËÇÁ¡Ñº¤ÇÒÁ¼Ô´»¡µÔ¢Í§µ‹ÍÁäÃŒ·Í
             ‹       è Õ               Ô                             ‹
         ã¹¡ÅØÁ¹Õâä·ÕÊҤѭ·ÕÊ´¤×Í ¡ÅØÁÍÒ¡Òà Pendred «Ö§à»š¹ syndromic hearing loss ·Õ¾º
              ‹ é èí         èØ          ‹               è                            è
º‹Í·ÕÊ´ ÅѡɳзÕÊҤѭ¢Í§âä¹Õ¤Í ¡ÒÃÊÙ­àÊÕ¡ÒÃ䴌¹ᵋ¡Òà¹Ô´áºº sensorineural hearing
      èØ            èí            é ×                  Ô   í
loss ÍÂ‹Ò§ÃØ¹áç ËÇÁ¡Ñº¤ÇÒÁ¼Ô´»¡µÔ¢Í§â¤Ã§ÊÌҧ¢Í§¡Ãд١ temporal áÅÐËÙª¹ã¹ áÅФ;͡
                                                                          Ñé
ª¹Ô´äÁ‹à»š¹¾ÔÉ áµ‹¤Í¾Í¡¨ÐàÃÔÁáÊ´§ÍÒ¡ÒÃËÅѧࢌÒÊÙÇÂÃØ¹ ¤ÇÒÁ¼Ô´»¡µÔ¢Í§µ‹ÍÁä·ÃÍ´ à¡Ô´¨Ò¡
                             è                    ‹Ñ ‹
¤ÇÒÁº¡¾Ã‹Í§¢Í§ organification ¢Í§ iodine «Ö§ÊÒÁÒöµÃǨà¨Íä´Œ´Ç perchlorate discharge test
                                             è                     Œ
ʋǹ¤ÇÒÁ¼Ô´»¡µÔ¢Í§â¤Ã§ÊÌҧ¢Í§ËÙª¹ã¹ (bony labyrinth) ¨ÐÁÕšɳТͧ vestibular aqueduct
                                      Ñé                         Ñ
¢ÂÒÂãË­‹¢Öé¹·ÕèàÃÕÂ¡Ç‹Ò Mondini dysplasia «Öè§µÃǨà¨Íä´Œâ´ÂÀÒ¾ÃѧÊÕ¤ÍÁ¾ÔÇàµÍÏ (computed
tomography, CT) ¢Í§¡Ãд١ temporal âä¹Õ໚¹âä¾Ñ¹¸Ø¡ÃÃÁ ·Õ¶Ò·ʹẺÂÕ¹´ŒÍ áÅÐà¡Ô´¨Ò¡
                                           é                 è ‹
¡ÒáÅÒ¾ѹ¸Ø¢Í§ÂÕ¹ SLC26A4 (PDS)
               

       10. ¡ÅØÁÍÒ¡Ò÷ÕÁ¤ÇÒÁ¼Ô´»¡µÔ¢Í§ËÑÇã¨Ã‹ÇÁ¡Ñº¡ÒÃÊÙ­àÊÕ¡ÒÃ䴌¹
              ‹       è Õ                                         Ô
          âä·ÕÊÒ¤Ñ­ã¹¡ÅØÁ¹Õ¤Í ¡ÅØÁÍÒ¡Òà Jervell áÅÐ Lange-Nielson «Ö§¶‹Ò·ʹ·Ò§¾Ñ¹¸Ø¡ÃÃÁ
                   èí       ‹ é × ‹                                  è
ẺÂÕ¹´ŒÍ ¼Ù»Ç¨ÐÁÕ¡ÒÃÊÙ­àÊÕ¡ÒÃ䴌¹Ẻ sensorineural hearing loss ËÇÁ¡Ñº¤ÇÒÁ¼Ô´»¡µÔ
             Œ †                      Ô
¢Í§¤Å׹俿‡ÒËÑÇ㨠¤×ÍÁÕÃÐÂÐ QT interval ÂÒǡNjһ¡µÔ (ÁÒ¡¡Ç‹Ò 440 milliseconds) «Ö§ÍҨ໚¹
      è                                                                          è
ÊÒà˵طÒãËŒ¼»ÇÂàÊÕªÕǵ¡Ð·Ñ¹Ëѹ䴌 ´Ñ§¹Ñ¹¼Ù»Ç·ÕÁ¡ÒÃÊÙ­àÊÕ¡ÒÃ䴌¹ËÇÁ¡Ñº»ÃÐÇѵ·Á¤¹ã¹
        í ÙŒ †          Ô               é Œ † è Õ                  Ô               Ô Õè Õ
¤Ãͺ¤ÃÑÇàÊÕªÕǵ¡Ð·Ñ¹Ëѹ ໚¹âä¹Í¹ËÅѺµÒÂã¹·Òá (sudden infant death syndrome) ໚¹
                 Ô
ÅÁËÁ´ÊµÔºÍÂæ ËÃ×Í ¡ÅØÁÍÒ¡Òà long QT ¤ÇÃ䴌ú¡ÒõÃǨËÑÇã¨Í‹ҧÅÐàÍÕ´ ¡ÅØÁÍÒ¡ÒùÕà¡Ô´
           ‹              ‹                    Ñ                             ‹            é
¨Ò¡¡ÒáÅÒ¾ѹ¸Ø¢Í§ÂÕ¹ KCNQ1 áÅÐ KCNE1
                      

¡ÒÃÊÙ­àÊÕ¡ÒÃä´ŒÂÔ¹ª¹Ô´äÁ‹à»š¹¡ÅØ‹ÁÍÒ¡Òà (Nonsyndromic hearing loss)
       ໚¹âä·Ò§¾Ñ¹¸Ø¡ÃÃÁ·ÕèÁÕ¡ÒÃÊÙ­àÊÕ¡ÒÃä´ŒÂÔ¹ áÅÐäÁ‹ÁÕ¤ÇÒÁ¼Ô´»¡µÔÍ‹ҧÍ×è¹Ã‹ÇÁ´ŒÇÂ
â´ÂÁÕ¹·Õà¡ÕÂÇ¢ŒÍ§ 48 ÂÕ¹ âä¡ÅØÁ¹ÕÊÒÁÒöẋ§µÒÁÅѡɳСÒö‹Ò·ʹ·Ò§¾Ñ¹¸Ø¡ÃÃÁä´Œ´§¹Õé
      Õ è è                           ‹ é                                          Ñ
       1. ¡ÒÃÊÙ­àÊÕ¡ÒÃ䴌¹ẺÂÕ¹´ŒÍ (autosomal recessive nonsyndromic hearing loss)
                             Ô
¾ºä´Œ
       2. »ÃÐÁҳÌÍÂÅÐ 70 ¢Í§ nonsyndromic hearing loss ·Ñé§ËÁ´ áÅФÃÖè§Ë¹Ö觢ͧ
nonsyndromic hearing loss ·Õè¶‹Ò·ʹẺÂÕ¹´ŒÍ à¡Ô´¨Ò¡¡ÒáÅÒ¾ѹ¸Ø ¢Í§ÂÕ¹ GJB2
(connexin 26)(7) ¡ÒáÅÒ¾ѹ¸Ø·¾ºº‹Í·Õʴ㹪ÒǵÐÇѹµ¡¢Í§ÂÕ¹ GJB2 ¤×Í ¡ÒâҴËÒÂä»
                                  Õè         è Ø
¢Í§ guanine ·ÕµÒá˹‹§ 35 (35delG) ʋǹ㹻ÃÐà·ÈᶺàÍàªÕ ¡ÒáÅÒ¾ѹ¸Ø·¾ºº‹Í·ÕÊ´¤×Í
              è í                         (8)
                                                                       Õè        èØ
¡ÒâҴËÒÂ仢ͧ cytosine ·ÕµÒá˹‹§ 235 (235delC) ʋǹÂÕ¹Í×¹¾ºà»š¹Ê‹Ç¹¹ŒÍÂ
                               è í                (9)
                                                            è
276                                             ¡ÒÃÊÙ­àÊÕ¡ÒÃ䴌¹㹼ٻÇÂà´ç¡¨Ò¡ÊÒà˵طҧ¾Ñ¹¸Ø¡ÃÃÁ
                                                                 Ô    Œ †

                3. ¡ÒÃÊÙ­àÊÕ¡ÒÃ䴌¹ẺÂչഋ¹ (autosomal dominant nonsyndromic hearing loss)
                                              Ô
¼Ù»Ç·Õ໚¹âä¡ÅØÁ¹ÕÁ¡¨ÐÁÕ¡ÒÃÊÙ­àÊÕ¡ÒÃ䴌¹ ËÅѧ¨Ò¡¼Ù»ÇÂÁÕ¾²¹Ò¡Ò÷ҧÀÒÉÒàÃÕºÌÍÂáÅŒÇ
   Œ † è                  ‹ é Ñ                                 Ô             Œ †      Ñ
¤×ÍàÃÔÁµÑ§áµ‹ÍÒÂØ 10-20 »‚ ¢Ö¹ä» áÅÐÁÑ¡¨ÐÊÙ­àÊÕ¡ÒÃ䴌¹¢ŒÒ§à´ÕÂÇ ËÃ×ÍÊÙ­àÊÕ·ѧ 2 ¢ŒÒ§áµ‹ÃдѺ
            è é                       é                                     Ô                        é
äÁ‹Ã¹áç ÂÕ¹·Õ·ÒãËŒà¡Ô´¡ÒÃÊÙ­àÊÕ¡ÒÃ䴌¹ẺÂչഋ¹ÁÕ¤ÇÒÁËÅÒ¡ËÅÒÂÁÒ¡ »ÃСͺ´ŒÇÂÂÕ¹
          Ø           è í                                 Ô
·Õ·ÒãËŒà¡Ô´âäÍ‹ҧ¹ŒÍ 47 µíÒá˹‹§ ᵋäÁ‹Á¡ÒáÅÒ¾ѹ¸Ø¢Í§ÂÕ¹ã´Âչ˹֧·Õ¾ºº‹ÍÂ໚¹¾ÔàÈÉ
      è í                                                     Õ                                 è è
àËÁ×͹ÂÕ¹ connexin 26 ·Õ·ÒãËŒà¡Ô´¡ÒÃÊÙ­àÊÕ¡ÒÃ䴌¹ẺÂÕ¹´ŒÍÂ
                                  è í                                     Ô
                4. ¡ÒÃÊÙ­àÊÕ¡ÒÃ䴌¹Ẻ X-linked ÂÕ¹·ÕÊÒ¤Ñ­ã¹¡ÅØÁ¹Õ¤Í D.N3 ËÃ×Í POU3.4 «Ö§·íÒ
                                            Ô                          èí           ‹ é ×                    è
ãËŒà¡Ô´¡ÒÃÊÙ­àÊÕ¡ÒÃ䴌¹Ẻ¼ÊÁ â´Âʋǹ¢Í§ conductive hearing loss à¡Ô´¨Ò¡¡ÒÃàª×ÍÁµÔ´¡Ñ¹
                                Ô                                                                          è
¢Í§¡Ãд١â¡Å¹ (stapedial fixation) ᵋ¡ÒÃÃÑ¡ÉÒäÁ‹ãªŒ¡Òü‹ÒµÑ´¡Ãд١â¡Å¹ à¾ÃÒШзíÒãËŒà¡Ô´¡ÒÃ
ÃÑèǢͧ perilymph ä´Œ ¡ÒÃÇÔ¹Ô¨©ÑÂâ´Â㪌ÀÒ¾·Ò§ÃѧÊÕ¤ÍÁ¾ÔÇàµÍϢͧ¡Ãд١ temporal ¨ÐàËç¹
vestibular aqueduct ¢ÂÒÂãË­‹ áÅÐÁÕ·Ò§àª×ÍÁ¡Ñ¹ÃÐËNjҧ subarachnoid space áÅÐ cochlear
                                                            è
endolymph
                5. ¡ÒÃÊÙ­àÊÕ¡ÒÃ䴌¹·Õ¶Ò·ʹẺäÁⵤ͹à´ÃÕ à¡Ô´¨Ò¡¡ÒáÅÒ¾ѹ¸Ø¢Í§Âչ㹠DNA
                                          Ô è ‹                                                        
¢Í§äÁⵤ͹à´ÃÕ ·Õ¾ºº‹ÍÂ䴌ᡋ ¡ÒáÅÒ¾ѹ¸Ø·µÒá˹‹§ 1555 à»ÅÕ¹¨Ò¡ adenine ໚¹ guanine
                            è                                      Õè í                  è
ã¹ÂÕ¹ MTRNR1 «Ö觨зíÒãËŒà¡Ô´¡ÒÃÊÙ­àÊÕ¡ÒÃä´ŒÂÔ¹¨Ò¡¡ÒÃä´ŒÃѺÂÒ¡ÅØ‹Á aminoglycosides
ÍÕ¡µíÒá˹‹§¤×Í¡ÒáÅÒ¾ѹ¸Ø·µÒá˹‹§ 7445 à»ÅÕ¹¨Ò¡ adenine ໚¹ guanine ¢Í§ÂÕ¹ MTTS1
                                         Õè í                      è
ÅѡɳСÒö‹Ò·ʹ¾Ñ¹¸Ø¡ÃÃÁ¢Í§âä¡ÅØÁ¹Õé ¨Ð໚¹áºº¶‹Ò·ʹ¨Ò¡áÁ‹ä»ÊÙÅ¡·Ø¡¤¹ Í‹ҧäáçµÒÁ
                                                        ‹                                     ‹Ù
ÊÁҪԡ㹤Ãͺ¤ÃÑÇ·ÕèÁÕ¡ÒáÅÒ¾ѹ¸ØÍÒ¨äÁ‹ÁÕ¤ÇÒÁ¼Ô´»¡µÔ à¹×èͧ¨Ò¡¡ÒáÅÒ¾ѹ¸Øã¹äÁâµ
¤Í¹à´ÃÕÂÍÒ¨à¡Ô´à»š¹ºÒ§Ê‹Ç¹ äÁ‹ãª‹·§ËÁ´ (heteroplasmy) áÅÐÁÕ»¨¨ÑºҧÍ‹ҧ·Ò§ÊÔ§áÇ´ÅŒÍÁ
                                                     Ñé                                     ˜            è
«Ö§ÍÒ¨Áռŵ‹Í¡ÒÃáÊ´§ÍÍ¡¢Í§ÂÕ¹
    è                                           (10)



¡ÒÃÇÔ¹Ô¨©ÑÂÊÒà˵آͧ¡ÒÃÊÙ­àÊÕ¡ÒÃä´ŒÂÔ¹
        ¡ÒÃÇÔ¹¨©ÑÂÊÒà˵آͧ¡ÒÃÊÙ­àÊÕ¡ÒÃ䴌¹ ÁÕ¤ÇÒÁÊíҤѭ·Ñ§ã¹¡Òú͡¾ÂҡóâäáÅСÒÃ
              Ô                              Ô              é
ãËŒ¤Ò»ÃÖ¡ÉÒ·Ò§¾Ñ¹¸Ø¡ÃÃÁ·Õ¶¡µŒÍ§ ´Ñ§¹Ñ¹ ᾷ¨ÐµŒÍ§ÊÒÁÒö«Ñ¡»ÃÐÇÑµÔ µÃǨËҧ¡Ò áÅÐàÅ×Í¡
    í                     è Ù        é
¡ÒÃÊ׺¤Œ¹·ÕàËÁÒÐÊÁà¾×͹íÒä»ÊÙ·Ò§ÇÔ¹¨©ÑÂä´ŒáÅÐã¹ËÅÒ¡óըÒ໚¹¨ÐµŒÍ§ÍÒÈÑ·ÕÁᾷÊËÊÒ¢Ò
           è         è        ‹    Ô                      í
ઋ¹ âʵ ÈÍ ¹ÒÊԡᾷ ¡ØÁÒÃᾷ ᾷ¾¹¸ØÈÒʵÏ ¨Ñ¡ÉØá¾·Âã¹¡ÒÃÇÔ¹¨©ÑÂËÒÊÒà˵Ø
                                           Ñ                         Ô

         ¡Òëѡ»ÃÐÇѵÔ
           ¡Òëѡ»ÃÐÇѵԤÇÃàÃÔèÁ´ŒÇ¡ÒöÒÁÍÒÂØ·ÕèàÃÔèÁÁÕ¡ÒÃÊÙ­àÊÕ¡ÒÃä´ŒÂÔ¹ ¡ÒôíÒà¹Ô¹âä ઋ¹
ã¹¼ÙŒ»†Ç·ÕèÁÕ¡ÒÃÊÙ­àÊÕ¡ÒÃä´ŒÂÔ¹ÁÒ¡¢Öé¹àÃ×èÍÂæ µÒÁÍÒÂØ·Õèà¾ÔèÁ¢Ö鹤Çù֡¶Ö§ ¡ÅØ‹ÁÍÒ¡Òà Alport,
Pendred áÅÐ Stickler ¡ÒöÒÁÅѡɳТͧ¡ÒÃÊÙ­àÊÕ¡ÒÃ䴌¹áÅФÇÒÁÊÒÁÒö¾Ñ²¹Ò¡Ò÷ҧ
                                                               Ô
´ŒÒ¹¡Òþٴ«Ö§¶ŒÒ¼Ù»ÇÂÁÕÀÒÇÐ conductive hearing loss ÅѡɳСÒþٴ¢Í§¼Ù»ÇÂÁÑ¡¨Ðã¡ÅŒà¤Õ§»¡µÔ
               è Œ †                                                      Œ †
à¾ÃÒмٻÇÂÁÑ¡¨ÐÂѧ䴌¹àÊÕ§¢Í§µÑÇàͧ ᵋ¶Ò¼Ù»ÇÂÁÕÀÒÇÐ sensorineural hearing loss ¡Òþٴ
          Œ †            Ô                    Œ Œ †
¢Í§¼Ù»ÇÂÁÑ¡¨ÐࢌÒã¨ä´ŒÂÒ¡ ËÃ×ÍäÁ‹ÊÒÁÒö¾Ù´ä´ŒàÅÂà¾ÃÒÐäÁ‹ä´ŒÂ¹àÊÕ§¢Í§µÑÇàͧ ¡Òëѡ»ÃÐÇѵÔ
      Œ †                                                          Ô
àǪÈÒʵÏ·¹Âؤ 2553
          Ñ                                                                                    277

Í´Õµ¤ÇÃÃÇÁ¶Ö§ »ÃÐÇѵ¡Òõѧ¤ÃÃÀ ¡ÒäÅÍ´ »ÃÐÇѵ㹪‹Ç§ááà¡Ô´ »ÃÐÇѵ¡Òù͹âç¾ÂÒºÒÅ
                     Ô         é                    Ô                     Ô
¡ÒÃà¨çº»†Ç áÅÐÂÒ·Õà¤Â䴌úâ´Â੾ÒÐÂÒ·ÕÁ¼Åµ‹Í»ÃÐÊÒ·Ë٠ઋ¹ aminoglycosides ¡Òëѡ»ÃÐÇѵÔ
                   è       Ñ               è Õ
¤Ãͺ¤ÃÑǤÇëѡ»ÃÐÇѵÂÍ¹ä» 3 ªÑǤ¹ Ç‹ÒÊÁÒªÔ¡¤¹ã´ã¹¤Ãͺ¤ÃÑÇÁÕ»­ËÒàÃ×ͧ¡ÒÃ䴌¹ áÅÐ »ÃÐ
                       Ô Œ       è                               ˜      è         Ô
Çѵ¡ÒÃᵋ§§Ò¹ã¹à¤Ã×Í­ÒµÔ «Ö§¨Ðª‹Çº‹§ªÕÇÒ ÊÒà˵آͧ¡ÒÃÊÙ­àÊÕ¡ÒÃ䴌¹NjÒÍҨ໚¹âä¾Ñ¹¸Ø¡ÃÃÁ
   Ô                         è         é‹                           Ô
¢Í§ÂÕ¹´ŒÍÂ

        ¡ÒõÃǨËҧ¡ÒÂ
        ¡ÒõÃǨËҧ¡Ò¨Ð໚¹¡ÒõÃǨËÒ¤ÇÒÁ¼Ô´»¡µÔ·ÍÒ¨¾ºÃ‹ÇÁã¹ syndromic hearing loss
                                                           Õè
ઋ ¹ branchial cleft cyst ËÃ× Í fistula «Öè § ÁÑ ¡ ÍÂÙ‹ º ÃÔ à dz¤ÍµÃ§´Œ Ò ¹Ë¹Œ Ò ¢Í§¡ÅŒ Ò Áà¹×é Í
sternocleidomastoid ¤ÇÒÁ¼Ô´»¡µÔ¢Í§ãºËÙ µÔ§ËÃ×ÍÃÙ˹ŒÒËÙ µÒˋҧ ÊբͧÁ‹Ò¹µÒ »Í¼ÁÊÕ¢ÒÇ ÊÒÂ
                                         è
µÒÊѹÁÒ¡ pigmentary retinopathy 㹨ͻÃÐÊÒ·µÒ ¤Í¾Í¡ (goiter) ¤ÇÒÁ¼Ô´»¡µÔ¢Í§ÈÕÃÉÐ ãº
     é
˹ŒÒ áÅСÃд١ ʋǹ¡ÒõÃǨ¾ÔàÈÉ䴌ᡋ¡ÒõÃǨµÒâ´Â¨Ñ¡ÉØá¾·Â ËÃ×Í¡ÒõÃǨ vestibular
function

        ¡ÒÃÊ׺¤Œ¹à¾ÔÁàµÔÁ·Ò§ÃѧÊÕǹ¨©ÑÂáÅÐˌͧ»¯Ôºµ¡ÒÃ
                    è             Ô Ô             Ñ Ô
        ¡ÒÃàÅ×Í¡¡ÒÃÊ׺¤Œ¹à¾ÔÁàµÔÁ¤ÇþԨÒóҨҡ¢ŒÍÁÙÅ·Õä´Œ¨Ò¡¡Òëѡ»ÃÐÇѵáÅеÃǨËҧ¡ÒÂ
                            è                         è                     Ô
ઋ¹ ¡ÒÃÊ‹§ TORCH titer â´Â੾ÒÐ IgM áÅÐ urine CMV 㹡óÕʧÊÑ¡ÒõԴàª×͵ѧᵋ㹤ÃÃÀ
                                                                              é é
¡ÒõÃǨ»˜ÊÊÒÇÐ ¡Ò÷íÒ§Ò¹¢Í§äµ áÅÐÍÑŵÃÒ«ÒÇ´äµ 㹡óÕʧÊÑÂ¡ÅØ‹ÁÍÒ¡Òà Alport ËÃ×Í
Branchio-Oto-Renal ¡ÒÃÊ‹§µÃǨ¡Ò÷íÒ§Ò¹¢Í§µ‹ÍÁä·ÃÍ´ perchlorate discharge test 㹡óÕʧÊÑÂ
¡ÅØÁÍÒ¡Òà Pendred ¡ÒÃÊ‹§µÃǨ EKG, Holter monitoring 㹡óÕʧÊÑ ¡ÅØÁÍÒ¡Òà Jervell and
   ‹                                                                   ‹
Lange-Nielsen ¡ÒÃÊ‹§µÃǨ ERG 㹡óÕʧÊÑÂ¡ÅØÁÍÒ¡Òà Usher ʋǹ¡ÒÃÊ‹§µÃǨ·Ò§ÃѧÊÕǹ¨©Ñ·Õè
                                            ‹                                       Ô Ô
ÁÕ¤ÇÒÁÊíҤѭ¤×Í¡ÒÃÊ‹§µÃǨ CT ¢Í§¡Ãд١ temporal à¾×Í´Ù¤ÇÒÁ¼Ô´»¡µÔ¢Í§ labyrinth ·ÕàÃÕ¡NjÒ
                                                   è                                 è
Mondini dysplasia «Ö§¾ºã¹¡ÅØÁÍÒ¡Ò÷ÕÁ¡ÒÃÊÙ­àÊÕ¡ÒÃ䴌¹ËÅÒÂâä ઋ¹ ¡ÅØÁÍÒ¡Òà Pendred
                    è         ‹      è Õ                Ô                 ‹
ËÃ×Í ¨Ò¡¡ÒáÅÒ¾ѹ¸Ø¢Í§ÂÕ¹ POU3.4
                      

        ¡ÒõÃǨ·Ò§¾Ñ¹¸Ø¡ÃÃÁ
        ¤ÇÃàÅ×Í¡µÃǨâ´ÂÍÒÈѨҡ¢ŒÍÁÙŨҡ¡Òëѡ»ÃÐÇÑµÔ µÃǨËҧ¡Ò áÅСÒÃÊ׺¤Œ¹·Õä´Œ¡Å‹ÒÇ
                                                                                    è
¢ŒÒ§µŒ¹à¹×ͧ¨Ò¡»ÃÐà·Èä·ÂÂѧÊÒÁÒöµÃǨã¹ÃдѺÂչ䴌¨Ò¡Ñ´ ¨Ö§¨Ð¡Å‹ÒÇ੾ÒÐÂÕ¹·ÕÊÒÁÒöµÃǨ
          è                                               í                       è
䴌㹻ÃÐà·Èä·Â
        1. GJB 2 (connexin 26) áÅÐ GJB6 (connexin 30) ໚¹ÂÕ¹ã¹¡ÅØÁ gap junction proteins
                                                                         ‹
«Öè§·íÒ˹ŒÒ·Õè໚¹ª‹Í§·Ò§ÃÐËNjҧà«Åŏ·ÕèÍÂÙ‹µÔ´¡Ñ¹à¾×èÍãËŒÁÕ¡ÒÃÊ‹§¼‹Ò¹áÅÐÃÑ¡ÉÒ¤ÇÒÁÊÁ´ØÅ¢Í§
â»áµÊà«ÕÂÁäÍÍ͹ (K+) ÀÒÂã¹ËÙª¹ã¹ à¹×ͧ¨Ò¡¡ÒáÅÒ¾ѹ¸Ø¢Í§ÂÕ¹·Ñ§Êͧ¹Õ໚¹ÊÒà˵طÊҤѭ
                                 Ñé      è                            é     é        Õè í
¢Í§ nonsyndromic hearing loss â´Âã¹µ‹Ò§»ÃÐà·È¾ºÇ‹ÒÁÕÊÒà˵بҡ¡ÒáÅÒ¾ѹ¸Ø¢Í§ÂÕ¹ GJB2
                                                                                
»ÃÐÁҳÌÍÂÅÐ 20 ʋǹ㹻ÃÐà·Èä·Â¾ºÃŒÍÂÅÐ 12.8 â´Â¾º¡ÒáÅÒ¾ѹ¸Ø·ÕèµíÒá˹‹§ V37I
278                                       ¡ÒÃÊÙ­àÊÕ¡ÒÃ䴌¹㹼ٻÇÂà´ç¡¨Ò¡ÊÒà˵طҧ¾Ñ¹¸Ø¡ÃÃÁ
                                                           Ô    Œ †

ÁÒ¡·ÕèÊØ´(11) ´Ñ§¹Ñ鹨֧¤ÇþԨÒóÒÊ‹§µÃǨÂÕ¹·Ñé§Êͧ¹Õéã¹¼ÙŒ»†Ç·ÕèÁÕ¡ÒÃÊÙ­àÊÕ¡ÒÃä´ŒÂԹᵋ¡íÒà¹Ô´
Ẻ nonsyndromic hearing loss
          2. SLC26A4 (Pendrin) ໚¹ÂÕ¹·Õ·Ò˹ŒÒ·Õʧ¼‹Ò¹¤ÅÍäô áÅÐäÍâÍ´Õ¹ÀÒÂã¹à«Åŏ¢Í§µ‹ÍÁ
                                                 è í         è‹
ä·ÃÍ´ cochlea áÅÐäµ ¡ÒáÅÒ¾ѹ¸Ø¢Í§ÂÕ¹¹Õ·ÒãËŒà¡Ô´¡ÅØÁÍÒ¡Òà Pendred ¹Í¡¨Ò¡¹Õ¡ÒáÅÒÂ
                                                        é í       ‹                    é
¾Ñ¹¸Ø¢Í§ÂÕ¹ SLC26A4 Âѧ໚¹ÊÒà˵ط¾ºº‹Í¢ͧ¡ÒÃÊÙ­àÊÕ¡ÒÃ䴌¹㹻ÃÐà·Èä·Â ´Ñ§¹Ñ¹¨Ö§¤ÇÃ
                                        Õè                          Ô                    é
¾Ô¨ÒóÒÊ‹§µÃǨÂÕ¹¹Õéã¹¼ÙŒ»†Ç·ÕèÁÕ¤ÇÒÁ¼Ô´»¡µÔ¢Í§µ‹ÍÁä·ÃÍ´ ËÃ×Í ¾º¤ÇÒÁ¼Ô´»¡µÔ¨Ò¡
perchlorate discharge test ËÃ×Í CT ¢Í§¡Ãд١ temporal
          3. ¡ÒáÅÒ¾ѹ¸Øã¹ DNA ¢Í§äÁⵤ͹à´ÃÕ ¡ÒáÅÒ¾ѹ¸Ø·Õè໚¹ÊÒà˵ØÊíҤѭ¢Í§
¡ÒÃÊÙ­àÊÕ¡ÒÃ䴌¹ ¤×Í¡ÒáÅÒ¾ѹ¸Ø·µÒá˹‹§ 1555 à»ÅÕ¹¨Ò¡ adenine ໚¹ guanine «Ö§·íÒãËŒ
                      Ô                      Õè í               è                          è
à¡Ô´¡ÒÃÊÙ­àÊÕ¡ÒÃ䴌¹ ¨Ò¡¡ÒÃ䴌úÂÒ¡ÅØÁ aminoglycosides áÅСÒáÅÒ¾ѹ¸Ø·µÒá˹‹§ 3243
                         Ô           Ñ               ‹                            Õè í
à»ÅÕ¹¨Ò¡ adenine ໚¹ guanine «Ö§·íÒãËŒà¡Ô´¡ÅØÁÍÒ¡Ò÷ÕÁ¡ÒÃÊÙ­àÊÕ¡ÒÃ䴌¹ËÇÁ¡ÑºàºÒËÇÒ¹
    è                              è                       ‹    è Õ            Ô
´Ñ§¹Ñ¹¶ŒÒ«Ñ¡»ÃÐÇѵ䴌ÇÒ¼Ù»ÇÂà¤Â䴌úÂÒ ¡ÅØÁ aminoglycosides ËÃ×Í à»š¹àºÒËÇÒ¹ ËÃ×ÍÁÕ¡ÒÃ
      é              Ô ‹ Œ †           Ñ               ‹
¶‹Ò·ʹ·Ò§¾Ñ¹¸Ø¡ÃÃÁ㹤Ãͺ¤ÃÑÇ໚¹áººÊ‹§¼‹Ò¹¨Ò¡áÁ‹ä»ÂѧÅÙ¡ (maternal inheritance)
¤ÇþԨÒóÒÊ‹§µÃǨÂÕ¹àËŋҹÕé

¡ÒÃãËŒ¤íÒ»ÃÖ¡ÉÒ·Ò§¾Ñ¹¸Ø¡ÃÃÁÊíÒËÃѺ¤Ãͺ¤ÃÑÇ·ÕèÁպصÃÊÙ­àÊÕ¡ÒÃä´ŒÂÔ¹(6)
        !   ¡Ò÷Õè¨ÐãËŒ¤íÒ»ÃÖ¡ÉÒ·Ò§¾Ñ¹¸Ø¡ÃÃÁä´Œ¶Ù¡µŒÍ§áÁ‹¹ÂíÒ ¨íÒ໚¹·Õè¨ÐµŒÍ§ÁÕ¡ÒÃÇÔ¹Ô¨©ÑÂ
            ËÒÊÒà˵آͧ¡ÒÃÊÙ­àÊÕ¡ÒÃä´ŒÂÔ¹ ᵋã¹ËÅÒ¡óշÕèᾷäÁ‹ÊÒÁÒöãËŒ¡ÒÃÇÔ¹Ô¨©ÑÂ
            ÊÒà˵Øä´Œ â´Â੾ÒÐ nonsyndromic hearing loss ᾷÊÒÁÒöãËŒ¢ÍÁÙÅà¡ÕÂǡѺâÍ¡ÒÊ
                                                                              Œ è
            à¡Ô´«éÒã¹ÅÙ¡¤¹¶Ñ´ä» (empirical recurrence risk) ä´Œ´§¹Õé
                    í                                             Ñ
        !   ¶ŒÒ¤Ãͺ¤ÃÑǹѹäÁ‹ÁÊÁҪԡ㹤Ãͺ¤ÃÑǤ¹Í×¹ÁÕ¡ÒÃÊÙ­àÊÕ¡ÒÃ䴌¹ (sporadic) ´Ñ§¹Ñ¹
                          é      Õ                    è                     Ô            é
            ÊÒà˵ØÍÒ¨ÁÒ¨Ò¡ÊÔè§áÇ´ÅŒÍÁ ËÃ×;ѹ¸Ø¡ÃÃÁ¡çä´Œ âÍ¡ÒÊà¡Ô´«éíÒã¹ÅÙ¡¤¹¶Ñ´ä»ÊÙ­àÊÕÂ
            ¡ÒÃä´ŒÂÔ¹¨Ð»ÃÐÁҳÌÍÂÅÐ 10 (â´ÂµÑÇàÅ¢¨ÃÔ§¨ÐÍÂÙ‹ÃÐËNjҧÌÍÂÅÐ 0 ¶ŒÒÊÒà˵Øà¡Ô´
            ¨Ò¡ÊÔ§áÇ´ÅŒÍÁËÃ×Í¡ÒáÅÒ¾ѹ¸ØãËÁ‹ áÅÐÃŒÍÂÅÐ 25 ¶ŒÒ໚¹¡ÒÃÊÙ­àÊÕ¡ÒÃ䴌¹Ẻ
                      è                                                             Ô
            ÂÕ¹´ŒÍÂ)
        !   ¶ŒÒ㹤Ãͺ¤ÃÑǹѹÁÕ¾¹Í§·ŒÍ§à´ÕÂǡѹÁÕ¡ÒÃÊÙ­àÊÕ¡ÒÃ䴌¹ ËÃ×Í ºÔ´ÒÁÒôÒ໚¹­ÒµÔ
                              é Õè Œ                                      Ô
            ¾Õ¹Í§¡Ñ¹ (consanguinity) ÍÒ¨¨ÐµŒÍ§Ê§ÊÑÂÇ‹Ò໚¹¡Òö‹Ò·ʹ·Ò§¾Ñ¹¸Ø¡ÃÃÁẺÂÕ¹´ŒÍÂ
              è Œ
            áÅÐâÍ¡ÒÊà¡Ô´«éÒ෋ҡѺÌÍÂÅÐ 25
                            í
        !   ¶ŒÒºÔ´ÒÁÒôҤ¹ã´¤¹Ë¹Öè§áÅкصÃÁÕ¡ÒÃÊÙ­àÊÕ¡ÒÃä´ŒÂÔ¹ ÍÒ¨¨ÐµŒÍ§Ê§ÊÑÂNjҡÒÃ
            ¶‹Ò·ʹ·Ò§¾Ñ¹¸Ø¡ÃÃÁ໚¹áººÂչഋ¹ áÅÐâÍ¡ÒÊà¡Ô´«éÒ෋ҡѺÌÍÂÅÐ 50
                                                                      í
        !   ¶ŒÒºÔ´ÒÁÒôҤ¹ã´¤¹Ë¹Öè§ÁÕ¡ÒÃÊÙ­àÊÕ¡ÒÃä´ŒÂÔ¹ áÅÐÂѧäÁ‹Áպص÷ÕèÁÕ¡ÒÃÊÙ­àÊÕÂ
            ¡ÒÃ䴌¹ âÍ¡ÒÊ·Õ¨ÐÁÕÅ¡¤¹¶Ñ´ä»ÁÕ¡ÒÃÊÙ­àÊÕ¡ÒÃ䴌¹¨Ð෋ҡѺÌÍÂÅÐ 5
                        Ô      è     Ù                              Ô
        !   ¶ŒÒ·Ñ§ºÔ´ÒáÅÐÁÒôÒÁÕ¡ÒÃÊÙ­àÊÕ¡ÒÃ䴌¹ âÍ¡ÒÊ·Õ¨ÐÁÕºµÃÁÕ¡ÒÃÊÙ­àÊÕ¡ÒÃ䴌¹¨Ð
                  é                                Ô            è       Ø              Ô
            ෋ҡѺÌÍÂÅÐ 10
àǪÈÒʵÏ·¹Âؤ 2553
          Ñ                                                                                                       279

àÍ¡ÊÒÃ͌ҧÍÔ§
1.  Jariengprasert C, Lertsukprasert K, Kasemsuwan L ,et al. Newborn hearing screening using otoacoustic
    emission (OAEs): a 1-year study at Ramathibodi Hospital. Thai J Otolaryngol Head Neck Surg 2003;4:27–41.
2. Davis A, Parving A. Toward appropriate epidemiology data on childhood hearing disability: comparative
    European study of birth cohorts 1982–88. J Audiol Med. 1994;3:35–47.
3. Marazita ML, Ploughman LM, Rawlings B, Remington E, Arnos KS, Nance WE. Genetic epidemiological
    studies of early-onset deafness in the U.S. school-age population. Am J Med Genet. 1993;46:486–91.
4. Toriello HV, Reardon W, Gorlin R., editors. Hereditary hearing loss and its syndrome, 2nd ed. New York:
    Oxford University Press, 2004.
5. Kochhar A, Hildebrand MS, Smith RJ. Clinical aspects of hereditary hearing loss. Genet Med. 2007;9:393-408.
6. .alk RE, Honrubia D, .ischel-Ghodsian N. Hereditary hearing loss and deafness. In: Rimoin DL, Connor JM,
    Pyeritz RE, Korf BR, editors. Emery and Rimoin’s principles and practice of medical genetics, 5th ed. Philadelphia:
    Churchill Livingstone; 2007. p.3265-303.
7. Estivill X, .ortina P, Surrey S, Rabionet R, Melchionda S, D’Agruma L, et al. Connexin-26 mutations in
    sporadic and inherited sensorineural deafness. Lancet. 1998;351:394–8.
8. Snoeckx RL, Huygen PL, .eldmann D, Marlin S, Denoyelle ., Waligora J, et al. GJB2 mutations and degree
    of hearing loss: a multicenter study. Am J Hum Genet. 2005;77:945-57.
9. Ohtsuka A, Yuge I, Kimura S, Namba A, Abe S, Van Laer L,et al. GJB2 deafness gene shows a specific
    spectrum of mutations in Japan, including afrequent founder mutation. Hum Genet. 2003; 112:329–33.
10. .ischel-Ghodsian N. Mitochondrial mutations and hearing loss: paradigm for mitochondrial genetics. Am J Hum
    Genet. 1998;62:15-9.
11. Wattanasirichaigoon D, Limwongse C, Jariengprasert C, Yenchitsomanus PT, Tocharoenthanaphol C,
    Thongnoppakhun W, et al. High prevalence of V37I genetic variant in the connexin-26 (GJB2) gene among
    non-syndromic hearing-impaired and control Thai individuals. Clin Genet. 2004;66:452-60.
àǪÈÒʵÏ·¹Âؤ 2553
          Ñ                                                                    º··Õè       281

                                                                                40
                                ÊÒÂàÊÕ§໚¹ÍÑÁ¾Òµ
                                              ÍÒ¨ÒÏ ᾷ˭ԧ©Ñ¹·ÔªÒ ⪵ԡdzԪ
          ÀÒ¤ÇÔªÒ âʵ ¹ÒÊÔ¡ ÅÒÃÔ§«Ç·ÂÒ ¤³Ðá¾·ÂÈÒʵÏÈÃÃÒª¾ÂÒºÒÅ ÁËÒÇÔ·ÂÒÅÑÂÁËÔ´Å
                                    Ô                 ÔÔ

          âäÊÒÂàÊÕ§໚¹ÍÑÁ¾Òµà»š¹âä·Õ·ÒãËŒà¡Ô´àÊÕ§á˺ 㹼ٻǺҧÃÒÂÍÒ¨ÁÕ¡ÒÃÊíÒÅѡËÇÁ´ŒÇÂ
                                           è í                      Œ †
â´ÂÁÕÊÒà˵ØÁÒ¨Ò¡ÁÕ¾ÂÒ¸ÔÊÀÒ¾¢Í§àÊŒ¹»ÃÐÊÒ··ÕÁÒàÅÕ§¡ÅŒÒÁà¹×ͧ͢ÊÒÂàÊÕ§ ¤ÇÒÁ¼Ô´»¡µÔ¢Í§
                                                     è é                é
¢ŒÍ¡Ãд١͋͹¡Å‹Í§àÊÕ§ (cricoarytenoid joint fixation or subluxation) ËÃ×Íà¡Ô´¨Ò¡¡ÒÃÁÕ¾§¼×´Ñ
ÂÖ´µÔ´´ŒÒ¹ËÅѧ¡Å‹Í§àÊÕ§ (posterior glottic stenosis) ÊíÒËÃѺ㹷չ¨Ð¡Å‹ÒǶ֧੾ÒÐá¹Ç·Ò§¡ÒÃÃÑ¡ÉÒ
                                                                  è Õé
¼Ù»Ç·ÕÁÊÒÂàÊÕ§໚¹ÍÑÁ¾Òµ·Õà¡Ô´¨Ò¡¾ÂÒ¸ÔÊÀÒ¾¢Í§àÊŒ¹»ÃÐÊҷ෋ҹѹ
  Œ † è Õ                      è                                            é
          àÁ×ÍÁÕ¾ÂÒ¸ÔÊÀÒ¾¢Í§àÊŒ¹»ÃÐÊÒ·ÊÁͧ¤Ù·Õè 10 (vagus nerve) ËÃ×Íᢹ§·ÕÁÒàÅÕ§¡ÅŒÒÁà¹×Í
             è                                     ‹                             è é          é
¢Í§¡Å‹Í§àÊÕ§ 䴌ᡋ superior laryngeal nerve áÅÐ recurrent laryngeal nerve ¨Ð·íÒãËŒ¡ÒÃ
à¤Å×͹äËǢͧ¡ÅŒÒÁà¹×ÍàÊÕ§¼Ô´ä» à¡Ô´ÊÒÂàÊÕ§໚¹ÍÑÁ¾Òµ¢Ö¹ â´ÂÁÕÊÒà˵Øä´Œá¡‹ à¹×ͧ͡¢Í§ÍÇÑÂÇÐ
      è                é                                        é                 é
·ÕèÍÂÙ‹ã¡ÅŒàÊŒ¹»ÃÐÊÒ· ÃŒÍÂÅÐ 23 ໚¹à¹×éͧ͡ºÃÔàdz°Ò¹¡ÐâËÅ¡ÈÕÃÉÐ à¹×éͧ͡µ‹ÍÁä·ÃÍ´
à¹×ͧ͡ËÅÍ´ÍÒËÒà à¹×ͧ͡»Í´ Áѡ໚¹à¹×ͧ͡ª¹Ô´ÃŒÒ ÌÍÂÅÐ 20 äÁ‹·ÃÒºÊÒàËµØ ÃŒÍÂÅÐ 12
    é                    é                     é
ÊÒà˵بҡ¡Òü‹ÒµÑ´µ‹ÍÁä·ÃÍ´ ÃŒÍÂÅÐ 9 ÁÒ¨Ò¡¡Òü‹ÒµÑ´ÍÇÑÂÇзÕÍÂÙã¡ÅŒ¡ºàÊŒ¹»ÃÐÊÒ· ઋ¹
                                                                          è ‹ Ñ
°Ò¹¡ÐâËÅ¡ÈÕÃÉÐ ¡Ãд١ÊѹËÅѧ¤Í ¡Òü‹ÒµÑ´ã¹ª‹Í§Í¡            (1)



¡ÒûÃÐàÁÔ¹¼ÙŒ»†Ç·ÕèÁÕÀÒÇÐÊÒÂàÊÕ§໚¹ÍÑÁ¾Òµ
        ÁÕǵ¶Ø»ÃÐʧ¤à¾×ÍËÒÊÒà赯 áÅФÇÒÁÃØ¹áç¢Í§âä ÊíÒËÃѺ໚¹á¹Ç·Ò§ã¹¡ÒôÙáÅÃÑ¡ÉÒ
               Ñ         è
¼Ù»Ç·ÕÁÊÒÂàÊÕ§໚¹ÍÑÁ¾Òµ¢ŒÒ§à´ÕÂǨÐÁÕÍÒ¡ÒÃàÊÕ§á˺ËÃ×ÍÊíÒÅѡËÇÁ´ŒÇ ᵋ¼»Ç·ÕÁÊÒÂàÊÕ§
  Œ † è Õ                                                                  ÙŒ † è Õ
໚¹ÍÑÁ¾ÒµÊͧ¢ŒÒ§ÁÑ¡¨ÐÁÕÍÒ¡Òâͧ·Ò§à´Ô¹ËÒÂã¨ÍØ´¡Ñé¹ ¡ÒûÃÐàÁÔ¹¼ÙŒ»†Ç¨֧µŒÍ§ÍÒÈÑ¡ÒÃ
«Ñ¡»ÃÐÇѵ·ÅÐàÍÕ´à¾×ÍËÒÊÒàËµØ àª‹¹ »ÃÐÇѵ¡Òü‹ÒµÑ´ºÃÔàdzÅíÒ¤Í ¡ÒÃãÊ‹·Íª‹ÇÂËÒÂã¨ ÍØºµà˵Ø
          Ô Õè        è                   Ô                           ‹             Ñ Ô
·ÕÅÒ¤Í à»š¹µŒ¹ ÊíÒËÃѺ¡ÒõÃǨËҧ¡Ò ¨ÐµÃǨ·Ò§ËÙ ¤Í ¨ÁÙ¡ µÃǨ¡ÒâÂѺ¢Í§ÊÒÂàÊÕ§ ÅѡɳÐ
   èí
¢Í§ÊÒÂàÊÕ§ ÃÐÂÐˋҧ¡Ñ¹¢Í§ÊÒÂàÊÕ§Êͧ¢ŒÒ§ «Öè§¶ŒÒˋҧ¡Ñ¹ÁÒ¡¼ÙŒ»†Ç¨ÐÁÕÍÒ¡ÒÃÊíÒÅѡËÇÁä´Œ
¹Í¡¨Ò¡¹Õ§µŒÍ§µÃǨËҧ¡Ò·ҧÃкº»ÃÐÊÒ· â´Â੾ÒÐàÊŒ¹»ÃÐÊÒ·ÊÁͧ¤Ù·Õè 11 áÅÐ 12 à¹×ͧ
           é Ñ                                                          ‹               è
¨Ò¡à»š¹àÊŒ¹»ÃÐÊÒ··ÕÍÂÙã¡ÅŒà¤Õ§NjÒÁÕ¤ÇÒÁ¼Ô´»¡µÔËÃ×ÍäÁ‹´ÇÂ
                     è ‹                               Œ
282                                                                          ÊÒÂàÊÕ§໚¹ÍÑÁ¾Òµ

¡ÒõÃǨ¾ÔàÈÉà¾ÔèÁàµÔÁ (2)
        !   Strobovideolaryngoscopy ·íÒãËŒÊÒÁÒöàË繡ÒÃà¤Å×è͹äËǢͧ mucosal wave ä´Œ
            㹡óշÁ¾ÂÒ¸ÔÊÀÒ¾·ÕàÊŒ¹»ÃÐÊÒ·¨Ð¾ºÇ‹ÒäÁ‹ÁÕ mucosal wave ¹Í¡¨Ò¡¹Õ¨Ð·íÒãËŒàËç¹
                     Õè Õ           è                                             é
            ª‹Í§ÃÐËNjҧÊÒÂàÊÕ§ áÅÐÃдѺ¢Í§¡Ãд١͋͹ arytenoid Êͧ¢ŒÒ§ä´Œª´à¨¹¢Ö¹ ÊÒÁÒö
                                                                              Ñ        é
            ª‹ÇÂᡨҡ cricoarytenoid dislocation ä´Œ ¢ŒÍ¨íÒ¡Ñ´¢Í§ strobovideolaryngoscopy
            㹼ٻǷÕÁÕ glottic gap ¡ÇŒÒ§ ÍÍ¡àÊÕ§䴌㹪‹Ç§Êѹ æ ¨ÐäÁ‹ÊÒÁÒö¨Ñº mucosal wave
                Œ † è                                        é
            䴌
        !   Imaging ¡ÒÃÊ‹§µÃǨ computer tomography (CT) ËÃ×Í magnetic resonance imaging
            (MRI) ¢Í§ °Ò¹¡ÐâËÅ¡ÈÕÃÉÐ ¶Ö§ ª‹Í§Í¡Ê‹Ç¹º¹ (skull base – upper chest) µÒÁ·Ò§
            à´Ô¹¢Í§ÊŒ¹»ÃÐÊÒ·¤Ù·Õè 10 áÅÐ Recurrent laryngeal nerve à¾×ÍËÒÊÒà˵طÍÒ¨ÁÕ¾ÂÒ¸Ô
                                 ‹                                      è           Õè
            ÊÀÒ¾¢Í§àÊŒ¹»ÃÐÊÒ·
        !   Laryngeal electromyography (EMG) ¡ÒõÃǨ¹ÕÊÒÁÒö㪌ᡤÇÒÁ¼Ô´»¡µÔÇÒÁÕÊÒà˵Ø
                                                           é                             ‹
            ¨Ò¡ àÊŒ¹»ÃÐÊÒ·ËÃ×Í¢ŒÍ cricoarytenoid ¹Í¡¨Ò¡¹ÕéÂѧÊÒÁÒöºÍ¡¶Ö§µíÒá˹‹§¢Í§
            àÊŒ¹»ÃÐÊÒ··ÕÁ¤ÇÒÁ¼Ô´»¡µÔáÅÐá¹Ç⹌Á¡ÒáÅѺÁÒ·íÒ§Ò¹¢Í§àÊŒ¹»ÃÐÊҷ䴌͡´ŒÇÂ
                          è Õ                                                              Õ
        !   Acoustic áÅÐ Aerodynamic testing 㪌µÃǨÇÑ´¤Ø³ÀÒ¾àÊÕ§ 㪌à»ÃÕºà·Õº¤Ø³ÀÒ¾àÊÕ§
            ¡‹Í¹áÅÐËÅѧ¼‹ÒµÑ´

¡ÒÃÃÑ¡ÉÒ¼ÙŒ»†Ç·ÕèÁÕÊÒÂàÊÕ§໚¹ÍÑÁ¾ÒµË¹Öè§¢ŒÒ§
          1. ¡Òýƒ¡¾Ù´ (Voice therapy)
             ໚¹¡ÒÃÃÑ¡ÉÒà¾×ÍãËŒ¡Òû´¢Í§ÊÒÂàÊÕ§Êͧ¢ŒÒ§»´à¢ŒÒËҡѹ䴌ÁÒ¡¢Ö¹ â´Â¼Ù»Ç¨Ðà¡Ãç§
                            è                                               é      Œ †
¡ÅŒÒÁà¹×͵‹Ò§æ 㹡ÒÃÍÍ¡àÊÕ§¹ŒÍÂŧ 㹼ٻǷÕè glottic gap äÁ‹¡ÇŒÒ§ÁÒ¡ ¡Òýƒ¡ã¹ÃÐÂÐàÃÔÁµŒ¹
        é                                  Œ †                                          è
ÍÒ¨·íÒãËŒËÅÕ¡àÅÕ§¡Òü‹ÒµÑ´ä´Œ ËÃ×Í㪌ÃÇÁ¡Ñº¡Òü‹ÒµÑ´·íÒãËŒ¤³ÀÒ¾àÊÕ§´Õ§¢Ö¹
                 è              (3)
                                         ‹                     Ø              Ôè é
          2. ¡ÒÃÃÑ¡ÉÒ´ŒÇ¡Òü‹ÒµÑ´
             ໚¹¡ÒÃÃÑ¡ÉÒà¾×èÍãËŒÊÒÂàÊÕ§¢ŒÒ§·Õè໚¹ÍÑÁ¾Òµà¢ŒÒÁÒªÔ´¡ÑºÊÒÂàÊÕ§ÍÕ¡¢ŒÒ§àÇÅÒ
ÍÍ¡àÊÕ§ÁÒ¡·ÕÊ´ ¨Ð·íÒãËŒ¤³ÀÒ¾àÊÕ§áÅÐÍÒ¡ÒÃÊíÒÅÑ¡´Õ¢¹ ¡ÒÃÃÑ¡ÉÒ´ŒÇ¡Òü‹ÒµÑ´ÁÕËÅÒÂÇÔ¸¨Ð
                 èØ             Ø                               Öé                            Õ
¾Ô¨ÒóҨҡÃÐÂÐàÇÅҢͧ¡ÒÃà¡Ô´ÊÒÂàÊÕ§໚¹ÍÑÁ¾Òµ à¹×ͧ¨Ò¡¡Ò÷íÒ¼‹ÒµÑ´ÁÕ·§áººªÑǤÃÒÇáÅÐ
                                                            è                   Ñé     è
¶ÒÇà ¶ŒÒ໚¹ÁÒ¹Ò¹¡Ç‹Ò 1 »‚ áÊ´§Ç‹ÒÊÒÂàÊÕ§¨ÐäÁ‹¡ÅѺÁÒ·íÒ§Ò¹µÒÁ»¡µÔáÅŒÇ ¨Ð¾Ô¨ÒóҷíÒ¡ÒÃ
¼‹ÒµÑ´·Õ໚¹¡ÒÃᡌä¢â´Â¶ÒÇÃ
        è
          ! Injection augmentation ໚¹¡ÒéմÊÒÃà¾×Í˹عÊÒÂàÊÕ§ºÃÔàdz´ŒÒ¹¢ŒÒ§¢Í§ÊÒÂàÊÕ§
                                                         è
             (lateral to vocal ligament) ¢ŒÒ§·Õ໚¹ÍÑÁ¾Òµà¢ŒÒÁҵç¡ÅÒ§ãËŒÁÒ¡·ÕÊ´à¾×ͨл´ glottic
                                               è                              èØ è
             gap ÊÒ÷Õè¨Ð㪌µŒÍ§à»š¹ÊÒ÷Õè©Õ´§‹Ò à¡Ô´»¯Ô¡ÔÃÔÂҡѺËҧ¡Ò¹ŒÍ ÊÒÃᵋÅЪ¹Ô´·Õè㪌
             ÊÒÁÒöÍÂÙã¹Ã‹Ò§¡Ò¶ÒÇà ઋ¹ teflon ËÃ×Í ÍÂÙã¹Ã‹Ò§¡ÒªÑǤÃÒÇ¢Ö¹¡Ñºª¹Ô´¢Í§ÊÒ÷Õè
                          ‹                                   ‹        è      é
             ©Õ´ ઋ¹ hyaluronic acid áÅÐ hydroxylapatite ÍÂÙä´Œ 2 »‚ collagen ÍÂÙä´Œ»ÃÐÁÒ³
                                                                   ‹                 ‹
àǪÈÒʵÏ·¹Âؤ 2553
          Ñ                                                                                    283

           6 à´×͹ fascia ÍÂÙä´Œ 3 à´×͹ fat ÍÂÙä´Œ 3 à´×͹ ໚¹µŒ¹ (4) ÇÔ¸¡ÒéմÊÒ÷ÕÊÒÂàÊÕ§Êѹ
                               ‹                    ‹                      Õ          è         é
           ·íÒä´Œ·§´ÁÂÒÊź¼‹Ò¹·Ò§ direct laryngoscope áÅÐ ÇԸ㪌ÂÒªÒ੾ÒзÕâ´Â㪌à¢çÁ
                   Ñé                                                   Õ               è
           ¼‹Ò¹¼ÔÇ˹ѧ¤Í´ŒÒ¹Ë¹ŒÒ ࢌÒä»·Ò§ thyrohyoid ËÃ×Í cricothyroid membrane
       !   Medialization laryngoplasty ໚¹¡Òü‹ÒµÑ´Ë¹Ø¹ÊÒÂàÊÕ§¢ŒÒ§·Õ໚¹ÍÑÁ¾Òµ â´Â¼‹Òແ´
                                                                             è
           ª‹Í§·Õè¡Ãд١͋͹ thyroid à¾×èÍãÊ‹ÇÑÊ´Ø àª‹¹ «ÔÅÔ⤹ ËÃ×Í polytetrafluoroethylene
           (Gore-Tex) ࢌÒ仢ŒÒ§ÊÒÂàÊÕ§ (5) ¡Òü‹ÒµÑ´ª¹Ô´¹Õ¨Ð㪌㹡óշµÍ§¡ÒÃᡌä¢àÁ×ͤԴNjÒ
                                                            é                  Õè Œ       è
           ÊÒÂàÊÕ§¨ÐäÁ‹¡ÅѺÁÒ¢ÂѺÍÕ¡
       !   Arytenoid repositioning 㪌㹡óշÊÒÂàÊÕ§áÅÐ vocal process Êͧ¢ŒÒ§Ë‹Ò§¨Ò¡¡Ñ¹
                                                 Õè
           ÁÒ¡ ÊÒÁÒö·íÒä´Œ·§ÇÔ¸Õ adduction arytenopexy (5) ËÃ×Í arytenoid adduction (6) «Ö§
                                 Ñé                                                               è
           ¢Ö¹¡Ñº¤ÇÒÁ¶¹Ñ´¢Í§¼Ù¼ÒµÑ´
             é                      Œ ‹
       !   Reinnervation ໚¹¡Òõ‹ÍàÊŒ¹»ÃÐÊÒ·ÍҨ໚¹¡Òõ‹ÍÃÐËNjҧàÊŒ¹»ÃÐÊÒ· ËÃ×Í໚¹¡ÒÃ
           ¹íÒ¡ÅŒÒÁà¹×Íã¡ÅŒà¤Õ§·ÕàÅÕ§´ŒÇÂàÊŒ¹»ÃÐÊÒ·Í×¹ ઋ¹ omohyoid àÅÕ§´ŒÇ ansa cervicalis
                      é              è é               è                         é
           ÁÒµÔ´·Õè posterior cricoarytenoid

¡ÒÃÃÑ¡ÉÒ¼ÙŒ»†Ç·ÕèÁÕÊÒÂàÊÕ§໚¹ÍÑÁ¾ÒµÊͧ¢ŒÒ§
                ¼ÙŒ»†Ç·ÕèÁÒ¾ºá¾·Â´ŒÇÂÊÒÂàÊÕ§໚¹ÍÑÁ¾ÒµÊͧ¢ŒÒ§ÁÑ¡ÁÕ»˜­ËÒàÃ×èͧ·Ò§à´Ô¹ËÒÂã¨
ÍØ´¡Ñ¹ ´Ñ§¹Ñ¹¡ÒÃÃÑ¡ÉҼٻǷÕÁ¤ÇÒÁ¼Ô´»¡µÔã¹Åѡɳйը§ÁÕǵ¶Ø»ÃÐʧ¤à¾×Íແ´·Ò§à´Ô¹ËÒÂã¨ãËŒ
     é        é              Œ † è Õ                      éÖ Ñ          è
¡ÇŒÒ§¢Ö¹â´ÂãËŒÁ¼Åµ‹Í¡ÒÃà¡Ô´àÊÕ§á˺áÅÐÊíÒÅÑ¡¹ŒÍ·ÕÊ´ â´Â¡Ò÷íÒ laser posterior cordotomy
       é              Õ                                  èØ
ËÃ×Í arytenoidectomy à¾×Íແ´·Ò§à´Ô¹ËÒÂ㨴ŒÒ¹ËÅѧ ¹Í¡¨Ò¡¹Õé reinnervation ÁÕÃÒ§ҹNjÒÊÒÁÒö
                               è
ÃÑ¡ÉÒÊÒÂàÊÕ§໚¹ÍÑÁ¾ÒµÊͧ¢ŒÒ§ä´Œàª‹¹¡Ñ¹
                ¼ÙŒ»†Ç·ÕèÁÒ¾ºá¾·Â´ŒÇÂÍÒ¡ÒÃàÊÕ§á˺¨Ò¡¡ÒÃ໚¹ÊÒÂàÊÕ§໚¹ÍÑÁ¾Òµ ÍÒ¡ÒÃ
àÊÕ§á˺áÅÐÊíÒÅÑ¡¹Ñ¹·íÒãˌú¡Ç¹¡ÒôíÒà¹Ô¹ªÕǵ»ÃШíÒÇѹ ¡ÒÃÇÔ¹¨©ÑµŒÍ§ÍÒÈÑ¡Òëѡ»ÃÐÇѵáÅÐ
                           é                    Ô               Ô                        Ô
µÃǨËҧ¡ÒÂÍ‹ҧÅÐàÍÕ´à¾×ÍËÒÊÒà˵ØÊÒÂàÊÕ§໚¹ÍÑÁ¾Òµ ʋǹ¡ÒÃÃÑ¡Éҹѹ»˜¨¨Øº¹ÁÕ¡ÒÃÃÑ¡ÉÒ
                                 è                                        é      Ñ
ËÅÒÂÇÔ¸¢¹¡ÑºÃÐÂÐàÇÅÒ¡ÒôíÒà¹Ô¹âä ÍÒ¡Òâͧ¼Ù»Ç áÅлÃÐʺ¡Òó¢Í§á¾·Â¼Ã¡ÉÒàÅ×Í¡
         Õ Öé                                        Œ †                           ÙŒ Ñ
¾Ô¨ÒóÒ
284                                                                                             ÊÒÂàÊÕ§໚¹ÍÑÁ¾Òµ

àÍ¡ÊÒÃ͌ҧÍÔ§
1.    Gardner GM, Benninger MS. Vocal fold paralysis. In: Rubin JS, Sataloff RT, Korovin GS, editors. Diagnosis
      and treatment of voice disorders. 3rd ed. San Diago: Plural publishing Inc; 2006. p.471 – 491.
2.    Simpson CB, Cheung EJ. Evaluation of vocal fold paralysis. In: Sulica L, Blitzer A, editors. Vocal fold paralysis.
      Heidelberg: Springer-Verlag Berlin Heidelberg; 2006. p.55 – 62.
3.    Alatri LD, Galla S, Rigante M, Antonelli O, Buldrini S, Marchese MR. Role of early voice therapy in patients
      affected by unilateral vocal fold paralysis. J Laryngol Otol. 2008;122:936 –41.
4.    O’Leary MA, Grillone GA. Injection laryngoplasty. Otolaryngol Clin North Am. 2006;39:43 - 54.
5.    Zeitel SM. Adduction arytenopexy with medialization laryngoplasty and cricothyroid subluxation: A new approach
      to paralytic dysphonia. Operative techniques in Otolaryngology. Head and Neck surgery. 2000;10:9 – 16.
6.    Miller .R, Bryant GL, Netterville JL. Arytenoid adduction in vocal fold paralysis. Operative techniques in
      otoalryngology. Head and Neck Surgery.1999;10:36 – 41.
àǪÈÒʵÏ·¹Âؤ 2553
          Ñ                                                                        º··Õè        285

                                                                                     41
                       Hoarseness and Management :
                    ¡Ò÷íÒ§Ò¹¢Í§ÊÒÂàÊÕ§㹡ÒÃÍÍ¡àÊÕ§
                                         ÃͧÈÒʵÃÒ¨ÒÏ ᾷ˭ԧ¨ÕÃÐÊØ¢ ¨§¡ÅÇѲ¹Ò
           ÀÒ¤ÇÔªÒâʵ ¹ÒÊÔ¡ ÅÒÃÔ§«Ç·ÂÒ ¤³Ðá¾·ÂÈÒʵÏÈÃÃÒª¾ÂÒºÒÅ ÁËÒÇÔ·ÂÒÅÑÂÁËÔ´Å
                                    Ô                 ÔÔ

         àÊÕ§¾Ù´»¡µÔ»ÃСͺ´ŒÇÂÊÒÁʋǹ䴌ᡋ phonation ¤×ÍàÊÕ§᷌·à»Å‹§ÍÍ¡ÁÒ¨Ò¡ÊÒÂàÊÕ§
                                                                        Õè
articulation ¤×Í¡ÒÃ㪌ÍÇÑÂÇТͧª‹Í§»Ò¡ ÅÔ¹ ¿˜¹ ÃÔÁ½‚»Ò¡ ྴҹ㹡ÒÃÍ͡໚¹àÊÕ§¾ÂÑ­ª¹Ð
                                                é
ÊÃе‹Ò§æ áÅÐ໚¹¤íÒ áÅÐ resonance ¤×ͤÇÒÁ¡ŒÍ§¢Í§àÊÕ§«Ö§¨Ð»ÃѺ¤Ø³ÀÒ¾¢Í§àÊÕ§ ¨Ò¡â¾Ã§
                                                               è
·Ò§à´Ô¹ËÒÂã¨Ê‹Ç¹º¹â´Â੾ÒÐ â¾Ã§¢Í§¤ÍËÍ ÃÇÁ¶Ö§â¾Ã§¨ÁÙ¡áÅÐ䫹ÑÊ ã¹¡Ã³Õ¢Í§ÀÒÇÐàÊÕ§
á˺¨Ðà¡Ô´¨Ò¡¤ÇÒÁ¼Ô´»¡µÔã¹àÃ×ͧ¢Í§ phonation
                                  è
         ¡Å‹Í§àÊÕ§ÁÕ˹ŒÒ·Õ·ÊҤѭ 䴌ᡋ protection ¤×Í»¡»‡Í§·Ò§à´Ô¹ËÒÂã¨äÁ‹ãËŒÍÒËÒõ¡Å§ä»
                           è Õè í
¢³Ð¡Å× ¹ â´ÂÊÒÂàÊÕ Â §¨Ð» ´ ṋ ¹ ¡Å‹ Í §àÊÕ Â §¨Ð» ´ ṋ ¹ áÅСµÑ Ç ¢Öé ¹ áÅжŒ Ò ÁÕ Í ÒËÒÃËÃ× Í
ÊÔè§á»Å¡»ÅÍÁµ¡Å§ä»ã¹·Ò§à´Ô¹ËÒÂ㨠¡Òû´á¹‹¹¹Õé¨Ð໚¹ÊÔè§ÊíҤѭ㹡ÒÃÍÑ´ÅÁ㹻ʹà¾×èÍ㪌
㹡ÒÃäÍ «Ö§à»š¹ protective mechanism ·ÕÊҤѭ¢Í§¡Òû¡»‡Í§·Ò§à´Ô¹ËÒÂ㨠Respiration ¤×Í໚¹
             è                               èí
·Ò§¼‹Ò¹¢Í§ÍÒ¡ÒÈ·ÕèËÒÂ㨠â´ÂÁÕ¡ÒÃÈÖ¡ÉÒàª×èÍÇ‹Ò baroreceptor ·Õè¡Å‹Í§àÊÕ§ÍÒ¨ÁÕʋǹ㹡ÒÃ
¤Çº¤ØÁ¨Ñ§ËÇÐËÒÂ㨴ŒÇ áÅÐ phonation ¤×Í¡ÒÃÍÍ¡àÊÕ§
         ¡Ò÷íÒ§Ò¹¢Í§ÊÒÂàÊÕ§¢³ÐÍÍ¡àÊÕ§ËÃ×Í phonation ¨Ð¤‹Í¹¢ŒÒ§«Ñº«ŒÍ¹ â´ÂÊÒÂàÊÕ§
¨Ð»´áÅÐÅÁËÒÂã¨ÍÍ¡·Õ輋ҹÍÍ¡ÁҨзíÒãËŒÊÒÂàÊÕ§ÊÑè¹¾ÅÔéǵѴÍÒ¡ÒÈÍ͡໚¹¨Ñ§ËÇÐÍ‹ҧ
ÊÁèÒàÊÁÍ «Ö§¨ÐãËŒàÊÕ§ phonation·ÕÁ¤³ÀÒ¾·Õ´Õ ¡ÅŒÒÁà¹×ͷդǺ¤ØÁÊÒÂàÊÕ§¤×Í intrinsic laryngeal
    í          è                       è Õ Ø      è      é è
muscles »ÃСͺ´ŒÇ thyroarytenoids, lateral cricoarytenoids, posterior arytenoids, interarytenoids
áÅÐ cricothyrroids «Ö觨зíÒãËŒà¡Ô´¡ÒÃà¤Å×è͹äËǢͧÊÒÂàÊÕ§ÊÒÁÁÔµÔ¤×͹͡¨Ò¡à»´»´áÅŒÇ
ÂѧÁÕ¡ÒáÒúԴ¢Ö¹Å§ (upward and downward) à»ÅÕ¹¤ÇÒÁÂÒÇáÅФÇÒÁµÖ§ «Ö§à»ÅÕ¹ÃٻËҧ¢Í§
                   é                                   è                        è è
¢ÍºÊÒÂàÊÕ§´ŒÇÂ
         ¡ÒÃà»Å‹§àÊÕ§¨Ò¡ÊÒÂàÊÕ§»ÃСͺ´ŒÇ»˜¨¨Ñ ´Ñ§¹Õé
         1. ÁÕÅÁËÒÂã¨ÍÍ¡¨Ò¡»Í´à¾Õ§¾ÍáÅÐÊÁèÒàÊÁͷըзíÒãËŒÊÒÂàÊÕ§Êѹ «Ö§»¡µÔ㪌áçÅÁ
                                                     í     è                   è è
äÁ‹ÁÒ¡¹Ñ¡àÁ×Íà·Õº¡ÑºÅÁËÒÂã¨ÍÍ¡·Ñ§ËÁ´ ᵋ¶ÒÁÕ»­ËҡѺ»Í´ÁÒ¡æ ËÃ×͡ŌÒÁà¹×Í·Õà¡ÕÂÇ¢ŒÍ§
                 è                         é        Œ ˜                                 é è è
ઋ¹ COPD, myasthenis gravis «Ö§ÅÁËÒÂã¨ÍÍ¡¹ŒÍÂËÃ×ÍäÁ‹ÊÁèÒàÊÁͨ¹ÊÒÂàÊÕ§ÊѹäÁ‹ä´Œ¨§ËÇÐ
                                     è                           í                    è       Ñ
¨ÐÁÕÍÒ¡ÒÃàÊÕ§àºÒáÅÐá˺䴌 ·Ñ§¹Õ¡Ò÷íÒ§Ò¹¢Í§ intrinsic laryngeal muscles ¨ÐÁÕÊǹ㹡ÒÃ
                                    é é                                                     ‹
¤Çº¤ØÁáçÅÁâ´Âແ´»´ posterior glottis ´ŒÇÂ
286                                                                Hoarseness and Management

        2. ¡Òû´¢Í§ÊÒÂàÊÕ§ (vocal fold augmentation) «Öè§µŒÍ§»´¾Í´Õ·ÕèÅÁ¨Ð¼‹Ò¹ä´Œ
ã¹µíÒá˹‹§ midline â´Â໚¹¡Ò÷íÒ§Ò¹¢Í§ intrinsic laryngeal muscles ໚¹ËÅÑ¡ â´Â੾ÒÐ lateral
cricoarytenoid muscles ¶ŒÒÊÒÂàÊÕ§»´äÁ‹Ê¹Ô· (ઋ¹ unilateral vocal fold paralysis) ¨ÐÁÕÅÁÃÑÇ  è
¢³ÐÍÍ¡àÊÕ§ ¨Ñ§ËÇоÅÔéǢͧÊÒÂàÊÕ§¨Ð¼Ô´»¡µÔ àÊÕ§·ÕèÍÍ¡ÁÒ¨Ðá˺â´ÂÁÕ frequency áÅÐ
amplitude äÁ‹ÊÁèÒàÊÁÍ ¶ŒÒ»´á¹‹¹à¡Ô¹ä» (ઋ¹ adductor spasmodic dysphonia) ÅÁ·Õ¼Ò¹ÍÍ¡ÁÒ
                      í                                                                è ‹
¡ç¨ÐäÁ‹ä´Œ¨§ËÇÐÍաઋ¹¡Ñ¹ â´ÂàÊÕ§¨Ðá˺ऌ¹
              Ñ
         3. Vibratory property ¢Í§ÊÒÂàÊÕ§ ÊÒÂàÊÕ§¨ÐÁÕšɳÐ੾ÒФ×Í»ÃСͺ´ŒÇ ᡹ËÃ×Í
                                                              Ñ
“body” ·ÕÍÂÙ¹§áÅÐÁÕ elastic property ÊÙ§ body »ÃСͺ´ŒÇ vocalis muscle áÅÐ vocal ligament
             è ‹ Ôè
áÅÐʋǹ “cover” «Ö§à»š¹ mucosa ·ÕàÅ×͹ä»ÁÒä´Œà¾ÃÒÐÁÕ ªÑ¹ loose connective tissue ËÃ×Í superficial
                        è              è è                  é
layer of lamina propria ÍÂÙÃÐËNjҧ¡ÅÒ§ 㹡ÒÃÍÍ¡àÊÕ§ÊÒÂàÊÕ§¨Ð»´â´Â㪌 intrinsic laryngeal
                               ‹
muscles áçÅÁËÒÂã¨ÍÍ¡¨Ò¡ subglottis ¨Ð´Ñ¹ãˌແ´ ËÅѧ¨Ò¡¹Ñ¹áçÅÁ¨ÐŴŧ ¢ÍºÊÒÂàÊÕ§
                                                                      é
¨Ð»´ ¶ŒÒÁͧã¹á¹Ç coronal plane ¢ÍºÅ‹Ò§ (inferior edge) ¢Í§¢ÍºÊÒÂàÊÕ§¨Ðá¡ÍÍ¡¡‹Í¹
áÅŒÇäÅ‹Áҷբͺº¹ (superior edge) ·íÒãËŒ¢ÍºÊÒÂàÊÕ§à¤Å×͹·Õ໚¹¤Å×¹¢Í§ “cover” º¹ “body”
                è                                                è è      è
Í‹ҧÊÁèÒàÊÁÍà¡Ô´ÅѡɳзÕàÃÕÂ¡Ç‹Ò mucosal wave ¢Ö¹ Ëҧ¡ÒÂ㪌 intrinsic laryngeal muscle
         í                       è                      é
㹡ÒûÃѺÃٻËҧ¢Í§¢ÍºÊÒÂàÊÕ§ãˌ˹ÒËÃ×ͺҧ䴌´Ç ÊÔ§·Õ·ÒãËŒ¡ÒÃà¤Å×͹äËǢͧ body áÅÐ
                                                      Œ         è è í         è
cover ¼Ô´»¡µÔ ઋ¹ cyst, scar, cancer ¨Ð·íÒãËŒ¡ÒÃà¤Å×͹äËǢͺÊÒÂàÊÕ§áÅÐ mucosal wave
                                                          è
¼Ô´»¡µÔ ·íÒãËŒàÊÕ§á˺
        4. ÃٻËҧ¢Í§¢ÍºÊÒÂàÊÕ§ »¡µÔÊÒÂàÊÕ§¨Ð»´ áÅÐÁÕ¡ÒÃà¤Å×͹äËÇແ´»´ áÅСÒÃà¡Ô´
                                                                        è
mucosal wave ·ÕÁšɳРsymmetry ¢ŒÒ§«ŒÒÂáÅТÇÒ ÃٻËҧ¢Í§¢ÍºÊÒÂàÊÕ§ ·Õ¼´»¡µÔઋ¹
                          è ÕÑ                                                        è Ô
atrophy, ÁÕ mass, ÁÕnodules ¨Ð·íÒãËŒàÊÕ§á˺
         5. ¡ÒäǺ¤ØÁ length, tension «Ö§ intrinsic laryngeal muscles ¨ÐÊÒÁÒö¤Çº¤ØÁà¾×ÍãËŒ
                                           è                                                è
ä´ŒàÊÕ§ÊÙ§µèÒ áÅФسÀÒ¾àÊÕ§·ÕµÍ§¡ÒÃä´Œ
                  í                è Œ
         ¨ÐàËç¹Ç‹Ò intrinsic laryngeal muscles ¹Í¡¨Ò¡¨Ð»´ÊÒÂàÊÕ§ãËŒ¾ÍàËÁÒÐã¹¢³ÐÍÍ¡àÊÕ§
áÅŒÇ ÂѧÁÕÊǹ㹡ÒûÃѺÃٻËҧ¢Í§¢ÍºÊÒÂàÊÕ§ »ÃѺ¤ÇÒÁÂÒÇáÅФÇÒÁµÖ§ ´Ñ§¹Ñ¹»˜¨¨ÑÂËÅÑ¡
                    ‹                                                               é
·Õ辺º‹Í·Õè·íÒãËŒàÊÕ§á˺ ¤×ÍÊÒÂàÊÕ§»´äÁ‹ä´Œ «Öè§Ê‹Ç¹ãË­‹à¡Ô´¨Ò¡ vocal fold paralysis
ʋǹ¤ÇÒÁ¼Ô´»¡µÔ¨Ò¡ muscle ËÃ×Í cricioarytenoid joint ¨Ð¾ºä´Œ¹ŒÍÂ¡Ç‹Ò áÅФÇÒÁ¼Ô´»¡µÔ
¢Í§µÑÇÊÒÂàÊÕ§ (vocal fold mucosal disorder) ઋ¹ vocal nodule, tumor «Ö§á¹Ç·Ò§¡ÒÃÃÑ¡ÉÒ ËÃ×Í
                                                                            è
»‡Í§¡Ñ¹¢Ö¹¡ÑºâäᵋÅЪ¹Ô´
           é
àǪÈÒʵÏ·¹Âؤ 2553
          Ñ                                                                                           287

àÍ¡ÊÒÃ͌ҧÍÔ§
1.   Woodson GE. Laryngeal and pharyngeal function. In: Cummings CW et al, editor. Otolaryngology Head and
     Neck Surgery. 4th ed. Pennsylvania: Elviser Mosby Philadelphia; 2005. p. 1963-74.
2.   Hirano M. Phonosurgical anatomy of the larynx. In: .ord CN, Bless DM, editors. Phonosurgery. New York:
     Raven press; 1971. p. 25-42.
3.   Hirano M. Clinical examination of voice. New York: Springer-Verleg; 1991. p. 1-10, 43-65.
4.   Sant’Ambrogio .B, Mathew OP, Clark WD, Sant’Ambrogio G. Laryngeal influences on breathing pattern and
     posterior cricoarytenoid muscle activity. J Appl Physiol. 1985;58(4):1298-304.
àǪÈÒʵÏ·¹Âؤ 2553
          Ñ                                                                 º··Õè      289

                                                                             42
      ¡Òû‡Í§¡Ñ¹âäËÅÍ´àÅ×Í´ÊÁͧ·Ñé§¡‹Í¹áÅÐËÅѧ¡Òü‹ÒµÑ´
                (Perioperative Stroke Prevention)
                                                       ¹ÒÂᾷ ʧ¤ÃÒÁ ⪵ԡ͹تԵ
                                                            ¹ÒÂᾷ §ªÑ ¹ÔÅй¹·
                                       ÃͧÈÒʵÃÒ¨ÒÏ ᾷ˭ԧ ¹ÒÃҾà »ÃÐÂÙÃÇÔÇѲ¹
                                             ÈÒʵÃÒ¨ÒÏ ¹ÒÂᾷ ¹Ô¾¹¸ ¾Ç§ÇÃÔ¹·Ã
                                        ¤³Ðá¾·ÂÈÒʵÏÈÔÃÔÃÒª¾ÂÒºÒÅ ÁËÒÇÔ·ÂÒÅÑÂÁËÔ´Å

        ã¹¼ÙŒ»†Ç·ÕèÁÕ»˜¨¨ÑÂàÊÕè§µ‹ÍâäËÅÍ´àÅ×Í´ÊÁͧ·Õèä´ŒÃѺ¡Òü‹ÒµÑ´ËÃ×Í·íÒËѵ¶¡Ò÷ҧ¡ÒÃ
ᾷ¹Ñé¹ »˜­ËÒ¡ÒÃà¡Ô´âäËÅÍ´àÅ×Í´ÊÁͧµÕºËÃ×ÍÍØ´µÑ¹ÃÐËNjҧËÃ×ÍËÅѧ¡Ò÷íÒËѵ¶¡Òà áÅÐ
»˜­ËÒ¡ÒÃà¡Ô´ÀÒÇÐÊÁͧ¢Ò´àÅ×Í´¨Ò¡¡ÒÃàÊÕÂàÅ×Í´ÁÒ¡ËÅѧ¡Òü‹ÒµÑ´à»š¹ÊÔ§·Õ¾ºä´ŒºÍ áÅзíÒãËŒ
                                                                        è è       ‹
à¡Ô´¤ÇÒÁ¾Ô¡ÒÃáÅСÒÃÊÙ­àÊÕªÕǵÁÒ¡¢Ö¹(1-3) ¡ÒûÃÐàÁÔ¹¤ÇÒÁàÊÕ§áÅСÒôÙáÅÃÑ¡ÉÒ¼Ù»ÇÂÍ‹ҧ
                                    Ô    é                      è                   Œ †
àËÁÒÐÊÁáÅж١µŒÍ§ã¹ª‹Ç§àÇÅÒ¡‹Í¹áÅÐËÅѧËѵ¶¡ÒèЪ‹ÇÂÅ´¤ÇÒÁàÊÕè§µ‹Í¡ÒÃà¡Ô´¤ÇÒÁ
¾Ô¡ÒÃáÅСÒÃÊÙ­àÊÕªÕÇÔµ´Ñ§¡Å‹ÒÇä´Œ ÍѵÃÒ¤ÇÒÁàÊÕ觢ͧ¡ÒÃà¡Ô´ËÅÍ´àÅ×Í´ÊÁͧµÕºËÃ×ÍÍØ´µÑ¹
ÃÐËNjҧáÅÐËÅѧ¡Ò÷íÒËѵ¶¡Ò÷ҧ¡ÒÃᾷÁÕ¤ÇÒÁᵡµ‹Ò§¡Ñ¹µÒÁ»ÃÐàÀ·¢Í§Ëѵ¶¡Òôѧ¹Õé
(µÒÃÒ§·Õè 1) (4,5)
290                                          ¡Òû‡Í§¡Ñ¹âäËÅÍ´àÅ×Í´ÊÁͧ·Ñ§¡‹Í¹áÅÐËÅѧ¡Òü‹ÒµÑ´
                                                                         é

µÒÃÒ§·Õè 1 ËÑ µ ¶¡Ò÷ҧ¡ÒÃᾷ á ÅÐÍØ ºÑ µÔ ¡ Òó ¡ ÒÃà¡Ô ´ âäËÅÍ´àÅ× Í ´ÊÁͧµÕ º ËÃ× Í
           ÍØ´µÑ¹
Ëѵ¶¡Ò÷ҧ¡ÒÃᾷ           ¤ÇÒÁàÊÕè§      Ëѵ¶¡Ò÷ҧ¡ÒÃᾷ                        ¤ÇÒÁàÊÕè§
                             (%)                                                       (%)
¡Òü‹ÒµÑ´·ÑÇä»
           è                 0.08-0.7        CABG* 㹼ٻǷÕÁËÅÍ´àÅ×Í´á´§
                                                         Œ † è Õ                       5.0
                                             ¤ÒâõԴµÕº >50 % 2 ¢ŒÒ§
¡Òü‹ÒµÑ´ËÅÍ´àÅ×Í´á´§ 0.8-3.0                ¡Òü‹ÒµÑ´à»ÅÕ¹ÅÔ¹ËÑÇã¨
                                                          è é                          4.8-8.8
ʋǹ»ÅÒÂ
¡ÒÃãÊ‹ËÅÍ´ÅÇ´¤éíÒÂѹ       -                 ¡Òü‹ÒµÑ´ÅÍ´¤ÃÒºä¢Áѹã¹ËÅÍ´               5.5-6.1
ËÅÍ´àÅ×Í´á´§¤ÒâõԴáÅÐ                       àÅ×Í´á´§¤ÒâõԴ㹼ٻÇ·Õ໚¹âä
                                                                Œ † è
ãªŒÍØ»¡Ã³»‡Í§¡Ñ¹                            ËÅÍ´àÅ×Í´ÊÁͧµÕºËÃ×͵ѹ
¡Òü‹ÒµÑ´à»ÅÕ¹·Ò§à´Ô¹ 1.4-3.8
                è                            CABG*ã¹¼Ù»ÇÂËÅÍ´àÅ×Í´á´§¤ÒâõԴ
                                                       Œ †                             7.0
ËÅÍ´àÅ×Í´ËÑÇ㨠(CABG*)                       ÍØ´µÑ¹
¡Òü‹ÒµÑ´ÅÍ¡¤ÃÒºä¢Áѹ㹠2.5                  CABG* ¾ÃŒÍÁ¡Òü‹ÒµÑ´à»ÅÕ¹ÅÔ¹ËÑÇã¨
                                                                      è é              7.4
ËÅÍ´àÅ×Í´á´§¤ÒâõԴã¹
¼Ù»Ç·ÕäÁ‹à¤ÂÁÕÍÒ¡ÒÃÁÒ¡‹Í¹
   Œ † è
¡Òü‹ÒµÑ´·ÑÇä»ã¹¼Ù»ÇÂà¤Â 2.9
            è         Œ †                    ¡Òü‹ÒµÑ´ËÅÍ´àÅ×Í´á´§ãË­‹àÍÍÍÏµÒ         8.4
 ÁÕâäËÅÍ´àÅ×Í´ÊÁͧµÕºËÃ×Í
ÍØ´µÑ¹ËÃ×Í TIA** ÁÒ¡‹Í¹
- CABG* 㹼ٻǷÕÁËÅÍ´ 3.0
                  Œ † è Õ                    ¡Òü‹ÒµÑ´à»ÅÕ¹ÅÔ¹ËÑÇ㨾ÌÍÁ¡Ñ¹ 2-3 ÅÔ¹ 9.7
                                                          è é                      é
àÅ×Í´á´§¤ÒâõԴµÕº >50 %
¢ŒÒ§à´ÕÂÇ
- ¡Òü‹ÒµÑ´·ÕÈÃÉÐáÅÐ¤Í 4.8
              è Õ                            ¡ÒÃãÊ‹ËÅÍ´ÅÇ´¤éíÒÂѹËÅÍ´àÅ×Í´             <10.0
                                             ÀÒÂã¹ÊÁͧ
ËÁÒÂà赯 *CABG: coronary artery bypass graft, **TIA: Transient ischemic attack
·ÕÁÒ :
  è         ´Ñ´á»Å§¨Ò¡ N Engl J Med 2007;356:706-13 áÅÐ Mayo Clin Proc 2004;79:223-9
àǪÈÒʵÏ·¹Âؤ 2553
          Ñ                                                                                         291

ÊÒà˵Ø
         ¡ÒÃÈÖ¡ÉÒẺŒ͹ËÅѧ㹼ٻÇ 388 ÃÒ·ÕÁâäËÅÍ´àÅ×Í´ÊÁͧ¢Ò´àÅ×Í´ÀÒÂËÅѧ¡Òü‹Ò
                                Œ †            è Õ
µÑ´à»ÅÕ¹·Ò§à´Ô¹ËÅÍ´àÅ×Í´ËÑÇ㨠(coronary artery bypass graft:- CABG) ¾ºÇ‹ÒÊÒà˵ØÊǹãË­‹
       è                                                                         ‹
à¡Ô´¨Ò¡ÅÔÁàÅ×Í´¨Ò¡ËÑÇã¨ËÅØ´ä»ÍØ´ËÅÍ´àÅ×Í´ÊÁͧ ᵋÁÊǹ¹ŒÍÂà¡Ô´¨Ò¡¡ÒÃäËÅàÇÕ¹¢Í§Ãкº
          è                                         Õ‹
àÅ×ʹŴŧ Íѹà¹×ͧÁÒ¨Ò¡¡ÒÃÁÕËÅÍ´àÅ×Í´ÊÁͧËÃ×ÍËÅÍ´àÅ×Í´á´§ãË­‹·¤ÍµÕºËÃ×ÍÍØ´µÑ¹ ´Ñ§ÃÒÂ
                 è                                                 Õè
ÅÐàÍÕ´ã¹ÃÙ»·Õè 1  (6)




ÃÙ»·Õè 1 ÊÒà˵ءÒÃà¡Ô´âäËÅÍ´àÅ×Í´ÊÁͧÀÒÂËÅѧ¡Òü‹ÒµÑ´ CABG (¨íҹǹ 388 ÃÒÂ)
·ÕÁÒ : Likosky DS, Marrin C AS, Caplan LR, Baribeau YR, Morton JR, Weintraub RM, et al. Stroke. 2003;34:
  è
       2830-4.


¡ÒûÃÐàÁÔ¹»ÃÐ⪹¢Í§¡ÒÃÃÑ¡ÉÒ
        ¡ÒûÃÐàÁÔ¹ÃдѺ¤ÇÒÁ¹‹Òàª×Ͷ×ͧ͢¢ŒÍÁÙÅà¡ÕÂǡѺ»ÃÐ⪹ËÃ×ͼÅàÊÕ¢ͧ¡ÒÃÃÑ¡ÉÒ¨Ðẋ§
                                 è               è
໚¹ÃдѺâ´Â·Ñé§¹Õé ¡ÒÃẋ§ÃдѺ¢Í§¤ÇÒÁàª×èͶ×Í͌ҧÍÔ§¶Ö§¢ŒÍÁÙÅ¡ÒÃÇԨѷÕèËÅÒ¡ËÅÒÂâ´ÂÁÕÃÒÂ
ÅÐàÍÕ´µÒÁäÇŒã¹ÀÒ¤¼¹Ç¡(7)

¡ÒûÃÐàÁÔ¹¤ÇÒÁàÊÕè§
         ¡ÒôÙáżٻÇ¡‹Í¹áÅÐËÅѧ¡Òü‹ÒµÑ´ËÃ×Í·íÒËѵ¶¡Ò÷ҧ¡ÒÃᾷÁ¤ÇÒÁÊíҤѭÂÔ§µ‹Í¡ÒÃ
                  Œ †                                                Õ           è
·Õ¨Ð»‡Í§¡Ñ¹¡ÒÃà¡Ô´ËÅÍ´àÅ×Í´ÊÁͧµÕºËÃ×ÍÍØ´µÑ¹ áÅСÒû‡Í§¡Ñ¹ÀÒÇÐàÅ×Í´ÍÍ¡ÁÒ¡ÃÐËNjҧáÅÐ
  è
ËÅѧ¡Òü‹ÒµÑ´ËÃ×Í·íÒËѵ¶¡Òà ·Ñ§¹ÕËÅÑ¡ÊíҤѭ¢Í§¡ÒûÃÐàÁÔ¹¤ÇÒÁàÊÕ§䴌ᡋ ¡ÒÃẋ§¡ÅØÁ¼Ù»ÇÂ
                              é é                               è                  ‹ Œ †
µÒÁ¤ÇÒÁàÊÕ§㹡ÒÃà¡Ô´ËÅÍ´àÅ×Í´ÊÁͧµÕºËÃ×ÍÍØ´µÑ¹áÅСÒÃẋ§¡ÅØÁËѵ¶¡Ò÷ҧ¡ÒÃᾷµÒÁ
            è                                                 ‹
¤ÇÒÁàÊÕ§¢Í§¡ÒÃà¡Ô´àÅ×Í´ÍÍ¡
       è
292                                         ¡Òû‡Í§¡Ñ¹âäËÅÍ´àÅ×Í´ÊÁͧ·Ñ§¡‹Í¹áÅÐËÅѧ¡Òü‹ÒµÑ´
                                                                        é

      1. ¡ÒûÃÐàÁÔ¹¤ÇÒÁàÊÕ觢ͧ¼ÙŒ»†Ç âÍ¡ÒÊà¡Ô´âäËÅÍ´àÅ×Í´ÊÁͧµÕºËÃ×ÍÍØ´µÑ¹¨ÐÁÕ
¤ÇÒÁᵡµ‹Ò§¡Ñ¹µÒÁ¡ÅØÁ¤ÇÒÁàÊÕ§¢Í§¼Ù»Ç´ѧáÊ´§ã¹µÒÃÒ§·Õè 2(9)
                    ‹       è      Œ †

µÒÃÒ§·Õè 2 »ÃÐàÀ·¡ÅØ‹ÁàÊÕ觢ͧ¼ÙŒ»†ÇÂ
¤ÇÒÁàÊÕè§ ÅÔé¹ËÑÇã¨à·ÕÂÁ                 ÀÒÇÐËÑÇã¨àµŒ¹ÃÐÃÔ¡      ÀÒÇÐËÅÍ´àÅ×Í´´íÒÍØ´µÑ¹
(ÃŒÍÂÅÐ)                                  (Atrial fibrillation:   (Venous thrombo
                                          AF)                     embolism: VTE)
ÊÙ§ (>10)
        - ÅÔ¹ËÑÇã¨äÁµÃÑÅà·ÕÂÁ - »ÃÐàÁÔ¹¤Ðá¹¹¨Ò¡ -
                  é                                                  à¤ÂÁÕÀÒÇÐËÅÍ´àÅ×Í´´íÒÍØ´µÑ¹
            ·Ø¡ª¹Ô´                 CHADS2* : 5-6                    ÀÒÂã¹ 3 à´×͹
        - ÅÔ¹ËÑÇã¨àÍÍÍϵ¡à·ÕÂÁ - à¤Â໚¹âäËÅÍ´àÅ×Í´ -
                é              Ô                                     ÀÒÇÐàÅ×Í´á¢ç§µÑǧ‹Òª¹Ô´
            ÃØ¹à¡‹Òª¹Ô´ cage and
              ‹                     ÊÁͧµÕºËÃ×ÍÍØ´µÑ¹                ÃØ¹áç (ઋ¹ ÀÒÇТҴâ»ÃµÕ¹
            ball or tilting disc    ÁÒ¡‹Í¹ÀÒÂã¹ 3 à´×͹              C, â»ÃµÕ¹ S, antithrombin III,
        - à¤Â໚¹âäËÅÍ´àÅ×Í´ - âäËÑÇã¨ÃÙËÁÒµÔ¡
                                                                    ¡ÅØÁâä antiphospholipid
                                                                         ‹
            ÊÁͧµÕºËÃ×ÍÍØ´µÑ¹                                        á͹µÔºÍ´Õ ËÃ×ÍÁÕÀÒÇÐ
            ÁÒ¡‹Í¹ÀÒÂã¹ 6 à´×͹                                      ËÅÒÂÍ‹ҧËÇÁ¡Ñ¹)
»Ò¹¡ÅÒ§ ÅÔ¹ËÑÇã¨àÍÍÍϵ´à·ÕÂÁ »ÃÐàÁÔ¹¤Ðá¹¹¨Ò¡
          é                Ô                            -            ÁÕÀÒÇÐËÅÍ´àÅ×Í´´íÒÍØ´µÑ¹
(5-10)  ª¹Ô´ 2 ÅÔ¹ (bileaflet)
                    é              CHADS2* : 3-4                     ÀÒÂã¹ 3-12 à´×͹
        ËÇÁ¡ÑºÀÒÇе‹Í仹Õé                             -            ÀÒÇÐàÅ×Í´á¢ç§µÑǧ‹Òª¹Ô´
        - ËÑÇã¨àµŒ¹ÃÐÃÔ¡ (AF) ËÃ×Í                                   äÁ‹Ã¹áç 䴌ᡋ factor V Leiden
                                                                           Ø
        - à¤Â໚¹âäËÅÍ´àÅ×Í´                                        mutation, factor II mutation
            ÊÁͧÁÒ¡‹Í¹ ËÃ×Í TIA                                      ª¹Ô´ heterozygote
             - ËÃ×Í àºÒËÇÒ¹ ËÃ×Í                                  - ÁÕÀÒÇÐËÅÍ´àÅ×Í´´íÒÍ´µÑ¹«éÒ í
               ÀÒÇÐËÑÇã¨ÅŒÁàËÅÇËÃ×Í                               - ÁÐàÃç§·Õ§äÁ‹Ê§º ËÃ×Í àÃÔÁä´Œ
                                                                            èÑ               è
               ÍÒÂØÁÒ¡¡Ç‹Ò 75 »‚                                    ¡ÒÃÃÑ¡ÉÒÁÒÀÒÂã¹ 6 à´×͹
                                                                    ËÃ×Í ÁÐàÃç§·ÕèÃÑ¡ÉÒ´ŒÇ¡ÒÃ
                                                                    »ÃФѺ»ÃФͧ
µèÒ (<5)
  í          ÅÔ¹ËÑÇã¨àÍÍÍϵ´à·ÕÂÁ
               é             Ô            »ÃÐàÁÔ¹¤Ðá¹¹¨Ò¡         - ÁÕÀÒÇÐËÅÍ´àÅ×Í´´íÒÍØ´µÑ¹
             ª¹Ô´ 2 ÅÔ¹ (bileaflet) áÅÐ
                      é                    CHADS2* : 0-2 â´Â        ¤Ãѧà´ÕÂǹҹ¡Ç‹Ò 12 à´×͹
                                                                       é
             äÁ‹Á»¨¨Ñ¢ͧâäËÅÍ´
                 Õ ˜                      äÁ‹à¤Â໚¹âäËÅÍ´         áÅÐäÁ‹Á»¨¨ÑÂàÊÕ§Í×¹
                                                                             Õ ˜     è è
             àÅ×Í´ÊÁͧ                    àÅ×Í´ÊÁͧµÕºËÃ×Í
                                          ÍØ´µÑ¹ÁÒ¡‹Í¹
ËÁÒÂà赯 *CHADS2 : ¤×Í¡ÒèѴÃдѺ¤ÇÒÁàÊÕè§µÒÁ¤Ðá¹¹·Õèä´Œ 䴌ᡋ Congestive heart failure (1),
         Hypertension (1), Age >75 »‚ (1), Diabetis mellitus (1), Prior stroke or TIA (2)(8)
·ÕÁÒ :
  è      ´Ñ´á»Å§¨Ò¡ Chest 2008; 133:299s-339s.
àǪÈÒʵÏ·¹Âؤ 2553
          Ñ                                                                                 293

          ÇÔ¸¡ÒÃÃÑ¡ÉÒ·ÕÂÍÁÃѺ¡Ñ¹·ÑÇä»ä´Œá¡‹ ¡ÒÃ㪌ÂҡѹàÅ×Í´á¢ç§ (anticoagulant) ã¹¢¹Ò´ÃÑ¡ÉÒ
               Õ           è           è
(therapeutic dose) à¾×Í໚¹¡ÒÃÃÑ¡ÉÒª‹Ç§Ã͵‹Íà¹×ͧ (bridging therapy) ã¹¡ÅØÁ¼Ù»Ç·ÕÁ¤ÇÒÁàÊÕ§ÊÙ§
                       è                              è                        ‹ Œ † è Õ    è
(ÃдѺ¤ÇÒÁ¹‹Òàª×Ͷ×Íà¡Ã´ 1«Õ), ¡ÒÃ㪌ÂҡѹàÅ×Í´á¢ç§ã¹¢¹Ò´µèÒ (low dose) ËÃ×Í ¡ÒÃàÅ×͡㪌ÂÒ
                   è                                               í
¡Ñ¹àÅ×Í´á¢ç§ã¹¢¹Ò´ÃÑ¡ÉÒËÃ×Íã¹¢¹Ò´µèÒã¹¡ÅØÁ¼Ù»Ç·ÕÁ¤ÇÒÁàÊÕ§»Ò¹¡ÅÒ§ (ÃдѺ¤ÇÒÁàª×Ͷ×Í
                                              í      ‹ Œ † è Õ         è                      è
à¡Ã´ 2«Õ) áÅÐ ¡ÒÃäÁ‹ãªŒÂÒàÅÂã¹¡ÅØÁ¤ÇÒÁàÊÕ§µèÒ (ÃдѺ¤ÇÒÁ¹‹Òàª×Ͷ×Íà¡Ã´ 2«Õ) (µÒÃÒ§·Õè 3)
                                            ‹       è í                    è
«Ö§¨Ð¢Ö¹ÍÂÙ¡ºËѵ¶¡Ò÷ҧ¡ÒÃᾷáÅÐÅѡɳТͧ¼Ù»ÇÂᵋÅÐÃÒ ÊíÒËÃѺ¼Ù»Ç·ա¹ÂҡѹàÅ×Í´
    è é ‹ Ñ                                                  Œ †                 Œ † è Ô
á¢ç§ÍÂÙáÅŒÇ àÃÒÍÒ¨¨ÐËÂØ´ÂҡѹàÅ×Í´á¢ç§¹Ñ¹¡‹Í¹¡Òü‹ÒµÑ´ËÃ×Í¡Ò÷íÒËѵ¶¡ÒûÃÐÁÒ³ 5-6 Çѹ â´Â·Õè
        ‹                                         é
1-2 Çѹ¡‹Í¹¼‹ÒµÑ´ËÃ×Í·íÒËѵ¶¡ÒÃÃдѺ¡ÒÃá¢ç§µÑǢͧàÅ×Í´ (INR) ¤ÇùŒÍÂ¡Ç‹Ò 1.5 ËÒ¡ÁÕ¤Ò෋ҡѺ
                                                                                         ‹
1.5 ËÃ×ÍÁÒ¡¡Ç‹Ò ¤ÇÃãËŒ¡¹ÇÔµÒÁÔ¹ K 1-2 Á¡. áÅСÅѺÁÒàÃÔÁãËŒ¡¹ÂҡѹàÅ×Í´á¢ç§»ÃÐÁÒ³ 2-3 Çѹ
                               Ô                                 è   Ô
ËÅѧ¼‹ÒµÑ´ËÃ×ÍËѵ¶¡ÒÃ
          㹡ÒÃËÂØ´ÂҡѹàÅ×Í´á¢ç§·ÕáÉÒª‹Ç§Ã͵‹Íà¹×ͧ¡‹Í¹·íÒËѵ¶¡Òùѹ ÊíÒËÃѺ low molecular
                                         èÑ                è                 é
wieght heparin (LMWH) àÃÔÁËÂØ´·Õè 24 ªÑÇâÁ§¡‹Í¹·íÒËѵ¶¡Òà áÅÐÊíÒËÃѺ unfractionated heparin
                                 è              è
(UFH) àÃÔÁËÂØ´ÂÒ·Õè 4 ªÑÇâÁ§¡‹Í¹Ëѵ¶¡ÒÃʋǹ¡ÒÃËÂØ´ÂÒµŒÒ¹à¡Åç´àÅ×Í´ÁÕËÅÑ¡¡Òôѧ¹Õé ¤×Í ¡ÒÃãËŒ
             è               è
¡ÅØÁ irreversible antiplatelets «Ö§ä´Œá¡‹ ASA, clopidogel, ASA+dipyridamole ¤ÇÃËÂØ´ÂÒ¡‹Í¹Ëѵ¶¡ÒÃ
     ‹                               è
7-10 Çѹ ¶ŒÒã¹¡ÅØÁ reversible antiplatelets 䴌ᡋ cilostazol ¤ÇÃËÂØ´ÂÒ¡‹Í¹Ëѵ¶¡ÒûÃÐÁÒ³ 50
                     ‹
ªÑÇâÁ§ «Ö§ÃÐÂÐàÇÅÒ·ÕËÂØ´Âҹѹ¤íҹǹ¨Ò¡ª‹Ç§àÇÅÒ 5 ෋Ңͧ¤‹Ò¤ÃÖ§ªÕǵ¢Í§Âҹѹæ(10,11)
  è        è             è         é                                     è Ô        é

µÒÃÒ§·Õè 3 ¢¹Ò´ÂÒ low molecular wieght heparin (LMWH)
¢¹Ò´ÃÑ¡ÉÒ                            Dalteparin 200 ÂÙ¹µ/¡¡ ÇѹÅФÃѧ ËÃ×Í 100 ÂÙ¹µ/¡¡ ÇѹÅÐ
                                                        Ô             é           Ô
                                     2 ¤Ãѧ Enoxaparin 1.5 Á¡/¡¡ ÇѹÅФÃѧËÃ×Í 1 Á¡/¡¡ ÇѹÅÐ
                                          é                               é
                                     2 ¤Ãѧ Tinzaparin 175 ÂÙ¹µ/¡¡ ÇѹÅФÃѧ
                                            é                 Ô             é
¢¹Ò´µèÒ
      í                              Enoxaparin 30 Á¡ ÇѹÅÐ 2 ¤Ãѧé
                                     Dalteparin 5,000 ÂÙ¹µ ÇѹÅФÃѧ
                                                          Ô         é

         ¡ÅØÁ¼Ù»Ç·ÕÁ¤ÇÒÁàÊÕ§ÊÙ§ 䴌ᡋ ¼Ù»Ç·Õà¤Â໚¹âäËÑÇ㨢ҴàÅ×Í´ÁÒ¡‹Í¹ÀÒÂã¹ 3 à´×͹
            ‹ Œ † è Õ        è             Œ † è
ËÃ×ÍãÊ‹ bare metal coronary stent ÀÒÂã¹ 6 à´×͹ ËÃ×Í ãÊ‹ drug eluting coronary stent ÀÒÂã¹ 1 »‚
¤ÇáԹÂÒµŒÒ¹à¡Åç´àÅ×Í´µÅÍ´ª‹Ç§¡‹Í¹áÅÐËÅѧËѵ¶¡Òà à¾×ÍÅ´¤ÇÒÁàÊÕ§¢Í§¡ÒÃà¡Ô´ËÅÍ´àÅ×Í´
                                                           è           è
ËÑÇ㨵պµÑ¹«éÒ áµ‹ËÒ¡ÍÂٹ͡à˹×Í¡ÅØÁàÊÕ§´Ñ§¡Å‹ÒÇ¢ŒÒ§µŒ¹ ÍÒ¨ËÂØ´à©¾ÒÐ clopidogrel ෋ҹѹ¡‹Í¹
              í          ‹          ‹ è                                                     é
¡Ò÷íÒËѵ¶¡Òà     (9)

         2. ¡ÒûÃÐàÁÔ¹¤ÇÒÁàÊÕ觢ͧËѵ¶¡Ò÷ҧ¡ÒÃᾷ Ëѵ¶¡Ò÷ÕÁ¤ÇÒÁàÊÕ§ÊÙ§ÁÕâÍ¡ÒÊ
                                                                          è Õ      è
à¡Ô´ÀÒÇÐàÅ×Í´ÍÍ¡ÁÒ¡ËÅѧ¡Òü‹ÒµÑ´ÊÙ§¡Ç‹ÒËѵ¶¡Ò÷ÕÁ¤ÇÒÁàÊÕ§µèÒ ÊíÒËÃѺÍѵÃÒ¤ÇÒÁàÊÕ§¢Í§¡ÒÃ
                                                    è Õ       è í                       è
¼‹ÒµÑ´ÊÒÁÒö¨íÒṡ䴌໚¹¡ÅØÁ¤ÇÒÁàÊÕ§ÊÙ§áÅÐ¡ÅØÁ¤ÇÒÁàÊÕ§µèÒ áÊ´§´Ñ§µÒÃÒ§·Õè 4 ´Ñ§¹Ñ¹¡ÒÃ
                               ‹      è           ‹          è í                  (9,12)
                                                                                              é
àÅ×Í¡¢¹Ò´ÂÒáÅЪ‹Ç§àÇÅÒ·ÕàËÁÒÐÊÁ¢Í§¡ÒÃ㪌ÂҡѹàÅ×Í´á¢ç§ ¨Ö§ÁÕ¤ÇÒÁÊíҤѭÂÔ§ Ëѵ¶¡Ò÷ÕÁ¤ÇÒÁ
                           è                                                  è           è Õ
àÊÕ§ÊÙ§ÍÒ¨àÃÔÁãËŒÂҡѹàÅ×Í´á¢ç§ã¹¢¹Ò´ÃÑ¡ÉÒËÅѧ¼‹ÒµÑ´ 48-72 ªÑÇâÁ§ â´ÂàÅ×Í´µŒÍ§ËÂØ´ÍÍ¡¨Ò¡
   è            è                                                è
294                                       ¡Òû‡Í§¡Ñ¹âäËÅÍ´àÅ×Í´ÊÁͧ·Ñ§¡‹Í¹áÅÐËÅѧ¡Òü‹ÒµÑ´
                                                                      é

á¼Å¼‹ÒµÑ´ËÃ×ÍäÁ‹Á»­ËÒàÅ×Í´ÍÍ¡áÅŒÇ ËÒ¡¨íÒ໚¹µŒÍ§àÃÔÁÂÒ¡‹Í¹ 48-72 ªÑÇâÁ§ ÍҨ㪌 LMWH
                 Õ ˜                                 è              è
¢¹Ò´µèÒä´Œ ÊíÒËÃѺ¡ÅØÁËѵ¶¡ÒäÇÒÁàÊÕ§µèÒ ¶ŒÒäÁ‹Á»­ËÒàÃ×ͧàÅ×Í´ÍÍ¡¨Ò¡á¼ÅáÅŒÇÍ‹ҧ¹ŒÍÂ
       í  (9)
                        ‹            è í         Õ ˜     è
12 ªÑÇâÁ§ á¹Ð¹íÒãËŒàÃÔÁ LMWH ¢¹Ò´µèÒ ËÅѧËѵ¶¡Òà 24 ªÑÇâÁ§ËÃ×ÍàÅ×Í¡äÁ‹ãËŒ LMWH àÅ¡çä´Œ(9)
     è                è            í                   è

µÒÃÒ§·Õè 4 »ÃÐàÀ·¤ÇÒÁàÊÕ觢ͧËѵ¶¡Ò÷ҧ¡ÒÃᾷ
Ëѵ¶¡ÒäÇÒÁàÊÕè§ÊÙ§                                   Ëѵ¶¡ÒäÇÒÁàÊÕè§µèíÒ
- ¡Òü‹ÒµÑ´ËÅÍ´àÅ×Í´ËÑÇã¨â¤âùÒÃÕ                      - ¡ÒõѴµÔ§à¹×Íã¹ÅíÒäÊŒãË­‹
                                                                 è é
- ¡Òü‹ÒµÑ´à»ÅÕ¹ÅÔ¹ËÑÇã¨
               è é                                     - ¡ÒõѴµÑÇÍ‹ҧªÔ¹à¹×Íã¹äµËÃ×Í
                                                                           é é
- ¡Òü‹ÒµÑ´ÊÁͧáÅÐä¢ÊѹËÅѧ                              µ‹ÍÁÅÙ¡ËÁÒ¡
- ¡Òü‹ÒµÑ´ËÅÍ´àÅ×Í´á´§ãË­‹àÍÍÍÏµÒ                    - ¡Òü‹ÒµÑ´½˜§à¤Ã×ͧ¡ÃеعËÃ×Í
                                                                         è      Œ
- ¡Òü‹ÒµÑ´ËÅÍ´àÅ×ʹᴧʋǹ»ÅÒÂáÅСÒü‹ÒµÑ´              ¤Çº¤ØÁ¨Ñ§ËÇСÒÃൌ¹¢Í§ËÑÇã¨
  ãË­‹¢Í§ËÅÍ´àÅ×Í´Í×¹æ è
- ¡Òü‹ÒµÑ´ãË­‹·Ò§ÈÑÅ¡ÃÃÁ¡Ãд١
  ઋ¹ ¼‹ÒµÑ´à»ÅÕ¹¢ŒÍࢋÒËÃ×Í¢ŒÍÊÐ⾡
                 è
- ¡Òü‹ÒµÑ´µ¡áµ‹§â¤Ã§ÊÌҧ·Ò§ÈÑÅ¡ÃÃÁµ¡áµ‹§
- ¡Òü‹ÒµÑ´µ‹ÍÁÅÙ¡ËÁÒ¡áÅСÃÐà¾Òл˜ÊÊÒÇÐ

       Ëѵ¶¡Ò÷ҧ·Ñ¹µ¡ÃÃÁ ¡Òü‹ÒµÑ´µŒÍ¡ÃШ¡ áÅСÒü‹ÒµÑ´¼ÔÇ˹ѧ
          »˜¨¨Øº¹ÂѧäÁ‹¾ºÇ‹ÒÁÕ¤ÇÒÁᵡµ‹Ò§¡Ñ¹ã¹¡ÒÃà¡Ô´ÀÒÇÐàÅ×Í´ÍÍ¡ËÅѧ¡Òö͹¿˜¹ ÃÐËNjҧ¼Ù·Õè
                   Ñ                                                                          Œ
¡Ô¹ÂҡѹàÅ×Í´á¢ç§ËÃ×ÍËÂØ´ÂҡѹàÅ×Í´á¢ç§¡‹Í¹¡Òö͹¿˜¹(13) ᵋ¾ºÇ‹Ò¡ÒÃ㪌 tranexamic acid
¡ÅÑǻҡ¡‹Í¹ËÃ×ÍËÅѧ¶Í¹¿˜¹ÇѹÅÐ 4 ¤Ãѧ ໚¹àÇÅÒ 6-7 Çѹ ¨ÐÅ´âÍ¡ÒÊà¡Ô´ÀÒÇÐàÅ×Í´Í͡䴌´Õ
   é                                        é
áÁŒ¼ÙŒ»†Ç¨СԹÂҡѹàÅ×Í´á¢ç§ÍÂÙ‹¡çµÒÁ(9,14) ¼ÙŒ»†Ç·Õè¡Ô¹ÂÒµŒÒ¹à¡Åç´àÅ×Í´ ÊÒÁÒöãËŒÂÒáÍÊä¾ÃÔ¹
µ‹Íà¹×ͧ䴌·§¡‹Í¹áÅÐËÅѧËѵ¶¡ÒÃ(9) ÊíÒËÃѺÂÒ clopidogrel ãËŒ¾¨ÒóҵÒÁÀÒÇÐàÊÕ§¢Í§¼Ù»ÇÂ
        è     Ñé                                                   Ô                è     Œ †
໚¹ËÅÑ¡ ´Ñ§¹Ñ¹ÊÒÁÒöãËŒÂҡѹàÅ×Í´á¢ç§ (ÃдѺ¤ÇÒÁ¹‹Òàª×Ͷ×Íà¡Ã´ 1«Õ) áÅÐ áÍÊä¾ÃÔ¹ (ÃдѺ¤ÇÒÁ
                 é                                          è
¹‹Òàª×Ͷ×Íà¡Ã´ 1«Õ) ä´Œ·§¡‹Í¹áÅÐËÅѧ¡Òö͹¿˜¹
      è                    Ñé
          㹡Òü‹ÒµÑ´ªÔ¹à¹×ͧ͢¼ÔÇ˹ѧÊÒÁÒö㪌ÂҡѹàÅ×Í´á¢ç§áÅÐÂÒáÍÊä¾ÃÔ¹ ä´ŒµÅÍ´ª‹Ç§¡‹Í¹
                         é é
áÅÐËÅѧ ¡Òü‹ÒµÑ´ à¾ÃÒÐÂѧäÁ‹à¤Â¾º¡ÒÃà¡Ô´àÅ×Í´ÍÍ¡ÃØ¹áç (ÃдѺ¤ÇÒÁ¹‹Òàª×Ͷ×Íà¡Ã´ 1«Õ)(9,15)
                                                                                è
·Ñ§¹Õ¡Òü‹ÒµÑ´à»ÅÕ¹µŒÍ¡ÃШ¡àͧ¡çÁá¹Ç·Ò§»¯Ôºµã¹·Ò§à´ÕÂǡѹ¡ÑºËѵ¶¡Ò÷ҧ·Ñ¹µ¡ÃÃÁáÅÐ
  é é                 è                   Õ          Ñ Ô
¡ÒõѴµÑÇÍ‹ҧªÔ¹à¹×Í·Ò§¼ÔÇ˹ѧ
                     é é          (16-19)



       ¡Òü‹ÒµÑ´à˧´‹Ç¹
        㹡óշÁ¤ÇÒÁ¨íÒ໚¹µŒÍ§·íÒ¡Òü‹ÒµÑ´à˧´‹Ç¹ ¡ÒÃãËŒ fresh frozen plasma ËÃ×Í activated
                  Õè Õ
factor VII ËÇÁ¡Ñº ÇÔµÒÁÔ¹ K 2.5-5.0 Á¡. â´Â¡ÒáԹËÃ×Í¡Òéմ·Ò§ËÅÍ´àÅ×Í´ ¨Ðª‹ÇÂÅ´¡ÒÃàÊÕÂ
àÅ×Í´â´Â੾ÒСÒü‹ÒµÑ´·ÕµÍ§ÃÕº·íÒÀÒÂã¹ 12 ªÑÇâÁ§ (ÃдѺ¤ÇÒÁ¹‹Òàª×Ͷ×Íà¡Ã´ 2«Õ) ·Ñ§¹ÕËÒ¡
                           è Œ                 è                      è               é é
àǪÈÒʵÏ·¹Âؤ 2553
          Ñ                                                                                                      295

ÊÒÁÒöÃÍ¡Òü‹ÒµÑ´ä´Œ¶§ 18-24 ªÑÇâÁ§ ¡ÒÃãˌ੾ÒÐ ÇÔµÒÁÔ¹ K 2.5-5.0 Á¡. â´Â¡ÒáԹËÃ×Í¡Òéմ
                     Ö         è
·Ò§ËÅÍ´àÅ×Í´¡çÍÒ¨à¾Õ§¾ÍÊíÒËÃѺ¡Òü‹ÒµÑ´à˧´‹Ç¹ (ÃдѺ¤ÇÒÁ¹‹Òàª×Ͷ×Íà¡Ã´ 1«Õ)(9)
                                                                  è

àÍ¡ÊÒÃ͌ҧÍÔ§
1.    Dacey LJ, Likosky DS, Leavitt BJ, Lahey SJ, Quinn RD, Henadwz F Jr, et al. Perioperative stroke and long-
      term survival after coronary bypass graft surgery. Ann Thorac Surg. 2005;79:532-6.
2.    Bateman BT, Schumacher HC, Wang S, Shaefi S, Berman MF. Perioperastive acute ischemic stroke in
      noncardiac and nonvascular surgery : incidence, risk factors and outcomes. Anesthesiology. 2009;110:231-8.
3.    Eikelboom JW, Mehta SR, Anand SS, Xie C,Keith AA, Yusuf F, et al. Adverse impact of bleeding on
      prognosis in patients with acute coronary syndrome. Circulation. 2006;114:774-82.
4.    Magdy S. Perioperative stroke. N Engl J Med. 2007;356:706-13.
5.    Blacker DJ, Flemming KD, Link MJ, Brown RD. The periooperative cerebrovascular consultation: common
      cerebrovascular questions before general or cardiac surgery. Mayo Clin Proc. 2004;79:223-9.
6.    Likosky DS, Marrin C AS, Caplan LR, Baribeau YR, Morton JR, Weintraub RM, et al. Stroke. 2003;34: 2830-
      4.
7.    Broderick J, Connolly S, Feldmann E, Hanley D, Kase C, Krieger D, et al. Guidleines for the management of
      spontaneous intracerebral hemorrhage in adult: 2007 update. Circulation. 2007;116:e391-e413.
8.    Gage BF, Waterman AD, Shannon W, Boechler M, Rich MW, Radford MJ. Validation of clinical classification
      schemes for predicting stroke. JAMA. 2001;285:2864-70.
9.    Douketis JD, Berger PB, Dunn AS, Jaffer AK, Spyropoulos AC, Becker RC, et al. The perioperative managment
      of antithrombotic therapy: American Collage of Chest Physicians evidence-base clinical practice guidelines (8th
      edition). Chest. 2008;133:299s-339s.
10.   Patrono C, Coller B, Fitzgerald GA, Hirsh J, Roth G. Platelet-active drugs: the relationships among dose,
      effectiveness, and side effects: The Seventh ACCP conference on antithrombotic and thrombolytic therapy.
      Chest. 2004;126:234s-264s.
11.   Quinn MJ, Fitzgerald DJ. Ticlopidine and clopidogrel. Circulation. 1999;100:1667-72.
12.   Douketis JD, Johnson JA, Turpie AG. Low-molecular-weight heparin as bridging anticoagulation during interruption
      of wafarin. Arch Intern Med. 2004;164:1319-26.
13.   Saour JN, Ali HA, Mammo LA, Sieck JO. Dental procedures in patient receiving oral anticoagulation therapy.
      J Heart Valve Dis. 1994;3:315-7.
14.   Sacco R, Sacco M, Carpenedo M, Moia M. Oral surgery in patients on oral anticoagulant therapy : a
      randomized coparison of different INR target. J Throm Haemost. 2006;4:688-9.
15.   Kargi E, Babuccu O, Hosnuter M, Babucco B, Altinyazar C. Complication of minor cutaneous surgery in
      patients under anticoagulant treatment. Aesthetic Plast Surg. 2002;26:483-5.
16.   Hirschman DR, Morby LJ. A study of the safety of continued anticoagulation for cartaract surgery patients.
      Nurs Forum. 2006;41:30-37.
17.   Katz J, Feldman MA, Bass EB, Lubomski LH, Teilsch JM, Petty BG, et al. Risk and benefits of anticoagulant
      and antiplatelet medication use before cartaract surgery. Ophthalmology. 2003;110:1784-8.
18.   Lumme P, Laatikainen LT. Risk factors for intraoperative and early postoperative complication in extracapsular
      cartaract surgery. Eur J Ophthalmo. 1994;4:151-8.
19.   Kumar N, Jivan S, Thomas P, Mclure H. Sub-Tenon’s anesthesia with aspirin, warfarin and clopidogrel. J
      Cartaract Refract Surg. 2006;32:1022-5.
296                                          ¡Òû‡Í§¡Ñ¹âäËÅÍ´àÅ×Í´ÊÁͧ·Ñ§¡‹Í¹áÅÐËÅѧ¡Òü‹ÒµÑ´
                                                                         é

ÀÒ¤¼¹Ç¡
µÒÃÒ§áÊ´§ÃдѺ¤ÇÒÁ¹‹Òàª×èͶ×ͧ͢¢ŒÍÁÙÅ
Benefit (B) /      I : B >>> R         IIa : B >> R       IIb : B ? R       III : R > B
Risk (R)
Level A            Multiple RCT*       Some conflict      Greater conflict Multiple RCT*
(3-5 trials)
Level B            Single RCT* or       Some conflict     Greater comflict Single RCT* or
(2-3 trials)       none RCT*                                               none RCT*
Level C            Expert opinion      Expert opinion     Expert opinion Expert opinion
(1-2 trials)
Summary             Indicated          Reasonable         May be or unclear Not indicated
ËÁÒÂà赯 *RCT: randomized controlled trial
àǪÈÒʵÏ·¹Âؤ 2553
          Ñ                                                                        º··Õè        297

                                                                                     43
                             Scrub Typhus in Thailand
                                                                    Yupin Suputtamongkol
             Department of Medicine, Faculty of Medicine Siriraj Hospital, Mahidol University,

         Human rickettsioses, known to occur in Thailand, include mainly scrub typhus and
murine typhus. Scrub typhus is caused by Orientia tsutsugamushi, an obligate intracellular
Gram-negative bacterium that has a different cell wall structure and genetic makeup from those
of rickettsiae.(1) It is transmitted to humans by the bite of the larval stage of trombiculid mites
(chiggers). Endemic areas of scrub typhus include rural areas of South-East Asia throughout the
Asia Pacific rim and Northern Australia. More than a billion people are at risk of infection and
about one million cases occur annually.(2) In Thailand the report incidence of scrub typhus has
increased during the previous decade.(2, 3) Clinical manifestations of this infection varies widely
from a mild and self-limited febrile illness to a more severe course which may be fatal.2 Scrub
typhus is recently recognized as a common cause of acute undifferentiated fever both in
indigenous population and ill travelers returning from the tropics. (2, 3)
         Despite the availability of low cost and effective antibiotic treatment, scrub typhus
continues to cause significant morbidity and mortality in otherwise healthy adults and children.
The greatest challenge to clinician is early diagnosis of this infection, when antibiotic therapy is
most effective. The purpose of this presentation is to summarize the epidemiologic data using
new molecular tools, clinical manifestations and management of scrub typhus.

Epidemiology of scrub typhus in Thailand
        Scrub typhus was first reported in human from central region of Thailand in 1952(4) and
O. tsutsugamushi was first isolated from rodent trapped from the same area in
1955.(5)Leptotrombidium deliensis is the primary vector of O. tsutsugamushi. However several
other species have been implicated as vectors such as L. Chiangraiensis, L. imphalum and
Blankaartia acuscutellaris.(6)
        Nationwide seroepidemiological studies indicate that O. tsutsugamushi infection is
widespread in Thailand. The seropositivity rates of O. tsutsugamushi among soldiers and patients
298                                                                       Scrub Typhus in Thailand

with acute febrile illness varied from 5.4% to 21%. These surveys have found high point
prevalence, varied from 13-31% of inhabitants in suburban Bangkok, to 59 -77% of inhabitants of
3 villages in the northern and northern region respectively.(7) According to the unpublished
records of the Public Health Ministry of Thailand, fewer than 100 cases of scrub typhus were
reported annually before 1983, 750–900 cases/year were reported between 1988 and 1991, and
3,000- 5,000 cases/year has been reported since 2001.
        We conducted an epidemiological and clinical study of 1,663 patients with acute
undifferentiated fever, between October 2000 and March 2003 in 6 hospitals in rural Thailand;
four hospitals in the northeastern region, one hospital in the central region and one hospital in
the southern region. There were 268 (16.1%) patients with laboratory confirmed scrub typhus.(8)
The diagnosis of scrub typhus was made by PCR (101 out of 141 patients tested) or by indirect
immunofluorescent antibody (IFA) for combined Karp, Kato, and Gilliam strain of O.
tsutsugamushi (74 patients by a fourfold rising in titer to 1:400, 76 patients by a single titer to
  1:400, 17 patients by a fourfold rising in titer or stable titers of at least 1:200). Blood culture
for aerobic bacteria and serological tests for leptospirosis, dengue infection were negative in all
of these patients. Scrub typhus, murine typhus, and SFG rickettsioses were diagnosed in
7.8%, 2.4%, and 5% respectively in the subgroup analysis of these patients who presented
with severe manifestations in our recent publication.(9)

Clinical features
        The clinical presentations of scrub typhus are nonspecific. In our clinical study the
median duration of fever was 7 days in patients with scrub typhus. Headache, generalized
myalgia, and calf pain were very common. The classic manifestation of scrub typhus, includes
generalized lymphadenopathy, maculopapular rash and splenomegaly were not common in this
case series. Eschar was detected in 56 (20.9%) patients. Complications such as hepatic
dysfunction (defined as jaundice or total bilirubin 2.5 mg/dl, or high AST and/ or ALT level to
more than 120 IU, or high alkaline phosphatase level to more than 350 IU, or mixed abnormalities),
renal dysfunction (defined as oliguria or abnormal urea and/ or creatinine level), hypotension
(defined as systolic BP <90 mmHg on admission), congestive heart failure, or pulmonary
involvement (defined as abnormal chest radiography) were common in scrub typhus. Only 32%
of patients with scrub typhus did not have any complication on admission.
        Hepatic dysfunction was the most common complication. Pulmonary involvement was
found in approximately half of study group. The chest radiographic abnormalities were similar to
those previously reported, except that hilar lymphadenopathy was not as common as previously
àǪÈÒʵÏ·¹Âؤ 2553
          Ñ                                                                                    299

reported. Cardiac involvement defined by cardiomegaly or cardiac to thoracic ratio > 0.5 on PA
chest radiography or > 0.6 on AP chest radiography (36/119, 30.3%) or congestive heart failure
(23/119, 19.3%) were common abnormal radiographic findings in this study group. However this
finding was not associated with hypotension on admission. Approximately 12% of the patients
presented with multi-organ dysfunction mimic community-acquired septicemia in this case series.
         Overall seven patients with scrub typhus died in this case series. The causes of dead
in all except one patient were multi-organ failure including respiratory failure. ARDS was not a
prominent cause of death in this study. The cause of death (bleeding hepatoma) was unrelated
to scrub typhus in one patient. Scrub typhus was not included in the differential diagnosis
therefore no effective treatment was given in four out of six patients who died. In addition scrub
typhus was diagnosed in 18 out of 51 (35.3%) of patients who presented with septic shock in
one of the study hospital between November 2001 and January 2002. The mortality was 16.7%
in this subgroup of scrub typhus with septic shock.(10)

Conclusion
         Scrub typhus is presented with nonspecific symptoms and signs. Eschar is the only
clinical sign that differentiated scrub typhus from other infectious disease. Severe scrub typhus
can manifest as multi-organ dysfunction mimic septicemia from other causes and leptospirosis.
Unaware of the diagnosis of severe scrub typhus in these patients could lead to delay diagnosis
and high mortality.
         Awareness that scrub typhus is a prominent cause of acute undifferentiated fever in
adults in Thailand improves the probability of an accurate clinical diagnosis. Early recognition
and appropriate treatment reduce morbidity and mortality. Results from recent clinical studies
from Thailand indicate that rational antimicrobial therapy would be doxycycline in mild cases
and a combination of either cefotaxime or ceftriaxone and doxycycline in severe cases.
Azithromycin could be considered as an alternative treatment when ever doxycycline allergy is
suspected. This would be either curative, or have no ill-effect, in the majority of instances.
Failure to improve or defervesce within the next 48 hours would indicate the need to a thorough
reevaluation of clinical findings and initial laboratory investigation results and a need to change
antibiotic.
300                                                                                     Scrub Typhus in Thailand

References
1.  Tamura A, Ohashi N, Urakami H, Miyamura S. Classification of Rickettsia tsutsugamushi in a new genus,
    Orientia gen. nov., as Orientia tsutsugamushi comb nov. Int J Syst Bacteriol 1995;45:589-91.
2. Watt G, Parola P. Scrub typhus and tropical rickettsioses. Curr Opin Infect Dis 2003;16:429-36.
3. Suttinont C, Losuwanaluk K, Niwatayakul K, Hoontrakul S, Intaranongpai W, Silpasakorn S, et al. Causes of
    acute, undifferentiated, febrile illness in rural Thailand: results of a prospective observational study. Ann Trop
    Med Parasitol 2006;100: 363-70.
4. Trishnanda M, Vasuvat C, Harinasuta C. Investigation of scrub typhus in Thailand. J Trop Med Hyg 1964;67:215-9.
5. Traub R, Johnson P, Mirsse M, Elbel R. Isolation of Rickettsia tsutsugamushi from rodents from Thailand. Am
    J Trop Med Hyg 1954;3:356-9.
6. Lerdthusnee K, Khuntirat B, leepitakrat W, Tanskul P, Monkanna T, Khlaimanee N, et al. 2003. Vector
    competence of Leptotrombidium Chiangraiensis chiggers and transmission efficacy and isolation of Orientia
    tsutsugamushi. Ann N Y Acad Sci 2003;990:25-35.
7. Strickman D, Tanskul P, Eamsila C, Kelly DJ. Prevalence of antibodies to rickettsiae in the human population
    of suburban Bangkok. Am J Trop Med Hyg 1994;5:149- 53.
8. Suputtamongkol Y, Suttinont C, Niwatayakul K, Hoontrakul S, Limpaiboon R, Chierakul W, et al. Epidemiology
    and clinical aspects of rickettsioses in Thailand. Ann N Y Acad Sci 2009;1166:172- 9.
9. Suputtamongkol Y, Niwattayakul K, Suttinont C, Losuwanaluk K, Limpaiboon R, Chierakul W, et al. An open,
    randomized, controlled trial of penicillin, doxycycline, and cefotaxime for patients with severe leptospirosis. Clin
    Infect Dis 2004;39:1417-24.
10. Thap LC, Suparanond W, Treeprasertsook S, et al. Septic shock secondary to scrub typhus: characteristics
    and complications. Southeast Asian Trop Med Public Health 2002;33:780- 6.
àǪÈÒʵÏ·¹Âؤ 2553
          Ñ                                                                          º··Õè        301

                                                                                      44
        Molecular Epidemiology of Scrub Typhus in Thailand
                                                              Patimaporn Wongprompitak
          Department of Immunology, .aculty of Medicine Siriraj Hospital, Mahidol University,

          Scrub typhus is widely distributed in Asia Pacific region. This disease is caused by
Orientia tsutsugamushi infection. O. tsutsugamushi is an obligatory intracellular Gram-negative
bacteria. The pathogenesis of scrub typhus in humans is various, depending on the geographic
area because of an infection with the different strain of O. tsutsugamushi. The geographic
distribution study of the existing strains of O. tsutsugamushi will be beneficial for the epidemiology
and control of this disease. Several strains of O. tsutsugamushi have been reported in different
countries. The Gilliam, Karp, Kato, TA678, TA686, TA716, and TA763 strains have been
identified in South-East Asia and Australia by indirect immunofluorescence (I.) using polyclonal
and monoclonal antibodies. The Karp and Gilliam strains were the most prevalent in China,
Korea and Thailand. (1)

Molecular identification of scrub typhus in Thailand
        Genetic analysis of the antigenic protein encoding gene of O. tsutsugamushi, the 56-
kDa protein, 22?kDa protein and the 47?kDa protein, were used for genotypic identification.(1)
The molecular methods including PCR, restriction fragment-length polymorphism (R.LP), and
nucleotide sequencing of specific PCR products were used for direct comparison of products
from the same genes of O. tsutsugamushi. The previous study, a nested PCR based on the
56?kDa protein encoding gene and DNA sequencing of a 487 base pair PCR product were
performed to identify O. tsutsugamushi isolated from scrub typhus patients.(2) DNA from 62
seropositive patients with scrub typhus were extracted. Karp was reported to be the most
prevalent in Thailand with 97% (60/62) of positive samples, followed by Kato (3%; 2/62). Recently,
the entire OR. of the 56-kDa protein encoding gene of each isolates were characterized by
nucleotide sequencing, followed by phylogenetic analysis. (3) The majority isolates in Thailand
was Karp strain (65.2%), then Gilliam (26.1%), TA763 (4.3%) and others (4.3%).
302                                                  Molecular Epidemiology of Scrub Typhus in Thailand

Identification of O. tsutsugamushi in scrub typhus patients
         O. tsutsugamushi infection can be identified by serological tests but patient sera often
cross-react with the antigens from different strains. Recently, nested polymerase chain reaction
(PCR) was used for the identification of scrub typhus strains using gene encoding the specific
56-kDa protein of O. tsutsugamushi. In this study, genotypic identification of O. tsutsugamushi
in Thailand was investigated by genetic analysis using nucleotide sequencing and phylogenetic
analysis. The samples from patient with febrile illness were collected and selected for O.
tsutsugamushi infection using PCR amplification of specific 16S rRNA gene. The 56-kDa protein
encoding gene of these samples was amplified and analyzed for nucleotide sequences. The
nucleotide sequences of hypervariable region (VDI-IV) in this gene were compared with the
reference strains in Genbank database and phylogenetic tree was constructed (figure 1). There
were 4 major groups which related to O. tsutsugamushi strains (Karp, Gilliam, TA763 and
Kato). The most prevalent strain of O. tsutsugamushi in Thailand was Karp (43.8%; 28/64),
followed by Gilliam (34.4%; 22/64), TA763 (12.5%; 8/64) and Kato (4.7%; 3/64).

Application in the future
        The result of this study might be useful for developing the method for strain identification.
The nucleotide sequences alignment of hypervarible region in 56 KDa encoding gene will be
performed and strain specific primers will be selected for strain identification using nested PCR
amplification. The information of molecular epidemiology of scrub typhus could be also useful
for prevention and controlling of the disease in Thailand.

References
1.    Kelly DJ, .uerst PA, Ching WM, Richards AL. Scrub typhus: the geographic distribution of phenotypic and
      genotypic variants of Orientia tsutsugamushi. Clin Infect Dis 2009;48:S203-30.
2.    Blacksell SD, Luksameetanasan R, Kalambaheti T, Aukkanit N, Paris DH, McGready R, et al. Genetic typing
      of the 56-kDa type-specific antigen gene of contemporary Orientia tsutsugamushi isolates causing human scrub
      typhus at two sites in north-eastern and western Thailand. .EMS Immunol Med Microbiol 2008;52:335-42.
3.    Manosroi J, Chutipongvivate S, Auwanit W, Manosroi A. Determination and geographic distribution of Orientia
      tsutsugamushi serotypes in Thailand by nested polymerase chain reaction. Diagn Microbiol Infect Dis 2006;55:185-
      90.
àǪÈÒʵÏ·¹Âؤ 2553
          Ñ                                                                    303




.igure 1 Dendrogram representing the genetic relationships of samples from scrub
         typhus patients (represented in G alphabet followed by number (Gxx)) and
         reference O. tsutsugamushi strains based on the nucleotide sequence of the
         56-kDa protein encoding gene demonstrating the relationships between O.
         tsutsugamushi strains.
àǪÈÒʵÏ·¹Âؤ 2553
          Ñ                                                                       º··Õè       305

                                                                                   45
         Recent Advances in the Diagnosis of Scrub Typhus
                                                                              Wei-Mei Ching
                                Viral and Rickettsial Diseases Naval Medical Research Center

         Diagnosis of scrub typhus is generally based on the clinical presentation and the history
of a patient. However, differentiating scrub typhus from other acute tropical febrile illnesses
such as leptospirosis, murine typhus, malaria, dengue fever, and viral hemorrhagic fevers can
be difficult because of the similarities in these signs and symptoms. Besides the isolation of
the causative agent Orientia from patient blood as the confirmatory test, many modern
technologies have been applied in the development of diagnostic assays. Recent advances in
the diagnosis of scrub typhus are briefly described below, with emphasis on the activities
carried out in my laboratory.

Immuno-detection
         The early serological assays include Weil-Felix test (1916), indirect immunofluorescent
antibody test (IFA, 1963), indirect immunoperoxidase (IIP, 1982), passive hemagglutination
assay (1993), dipstick dot –blot assay (1995) and ELISA (1997). Almost all of the assays use
whole cell grown in egg yolk sac or tissue culture as the antigen. Due to the intracellular nature
of Orientia and the hazardous procedures which require biosafety level 3 (BSL3) facilities and
practices for large scale production, not many diagnostic laboratories have the ability to culture
and purify O. tsutsugamushi. It was not until 1993, Kim et. el.1 developed the first recombinant
antigen of the outer membrane protein, the 56 kDa antigen, which comprises 10-15% of the total
bacterial protein. This protein is an ideal antigen to be used in sero-diagnosis because sera from
95–99% of patients with scrub typhus recognize this variable 56 kDa antigen of O. tsutsugamushi.
             The availability of recombinant Orientia protein antigens that can be produced and
purified in large amounts and have similar antigenic properties as Orientia-derived antigens has
opened up a new avenue to develop low cost rapid assays. However, O. tsutsugamushi exhibits
considerable antigenic strain variation and the antigenic differences depend largely on the outer
membrane protein, that varies in size from 53 to 63 kDa. In order to develop a more broadly
306                                           Recent Advances in the Diagnosis of Scrub Typhus

reactive diagnostic reagent, we produced t truncated recombinant protein of the 56 kDa antigen
(r56) from three prototype strains (Karp, Gilliam, and Kato). The combination of these three r56
(Tri-r56) in ELISA performed as well as the combination of whole cell antigens from the same
strains in IFA. Table 1 shows Tri- r56 in ELISA has the same sensitivity as IFA for IgM detection.
The results for IgG are also in very good agreement (data not shown).

Table 1 Combination of r56 from three strains in ELISA can detect IgM as early as IFA




        The collaborative efforts of AccessBio and the DoD Laboratory at the Naval Medical
Research Center culminated in the development of a CareStartTM Scrub Typhus Combo Test
Device.This device was evaluated at the DoD Laboratorywith sera collected in Taiwan (Table 2)
and sera collected in the tropical environment of the Lao People’s Democratic Republic (Laos)
and Thailand (Table 3). Both evaluations have suggested that this test kit is sensitive (>90%)
and specific (>90%) for early diagnosis (IgM detection) as compared to IFA. On the basis of
data from stored patient samples, the AccessBio scrub typhus IgM rapid assay appears to
provide accurate results for the diagnosis of acute scrub typhus in a tropical setting where
scrub typhus is endemic.2 The ease of use and low cost of test kit have enhanced its
commercial applicability in the mostly underdeveloped endemic countries
        Table 2 The performance of CareStartTM Scrub Typhus Combo Test Device (using the
mixture of recombinant antigen r56 from three proto type strains) as compared to current gold
standard IFA using whole cell lyaste (mixture of three proto type strains).
àǪÈÒʵÏ·¹Âؤ 2553
          Ñ                                                                                         307

Table 2A DoD laboratory evaluation of CareStartTM Scrub Typhus Combo for IgM detection.
Comparison between the results of IgM of CareStartTM Scrub Typhus Combo and IFA IgM
                           Specificity Specificity % Sensitivity Sensitivity % Agreement %
Site 1: Access Bio            93/94            98.9%         18/19         94.7%           98.2%
Site 2: NMRC                  91/112           81.3%         93/98         94.9%           87.6%
Total                         184/206          89.3%         111/117       94.9%           91.3%

Table 2B DoD laboratory evaluation of CareStartTM Scrub Typhus Combo for IgG
         detection
Comparison between the results of total antibody of CareStartTM Scrub Typhus Combo and IFA total antibody
                 Specificity        Specificity % Sensitivity            Sensitivity % Agreement %
Site 1: Access Bio 92/94            97.9%              19/19           100%             98.2%
Site 2: NMRC       38/40            95%                117/120         97.5%            96.9%
Total              130/134          97%                136/139         97.7%            97.8%

Table 3 Overall diagnostic accuracy and sensitivity of the AccessBio scrub typhus
        Combo for detection of IgM and total antibodies compared to the results of the
        gold standard assay, IFA
Antibody             Sensitivity            Specificity          PPV                NPV
IgM                  96.8 (92.0–99.1) 93.3 (86.7–97.3) 94.5 (89.1–97.8) 96.1 (90.3–98.9)
Total antibody       97.6 (93.1–99.5) 71.4 (61.8–79.8) 80.3 (73.0–86.3) 96.2 (89.2–99.2)

         To encompass a broader spectrum of antigenic variations, we have produced the r56
from strain TA763, chigger isolate Lc-1, and four chimeric r56s based on the sequences of Karp
and TA763 in the variable regions. Three of these chimeric r56s (C1, C2, and C3) were as
reactive as either Karpr56 or TA763r56 against 14 strain specific sera from infected mice3,
suggesting that the chimeric r56 exibited broader reactivity as compared to their parent r56,
either from Karp or TA763.

Nucleic acid detection
          The value of serological assays for diagnosis of acute infection inclinical settings has
its limitations. This is because the earliest detection of antibodies is at least 4-5 days after the
onset of illness. In addition, there are high background titers in endemic populations. Therefore
308                                          Recent Advances in the Diagnosis of Scrub Typhus

antigen detection is important for early diagnosis. However, the amount of Orientia in scrub
typhus patients during bacteremia is very low (5-10 organisms/ul). The immuno-capture assay is
not sensitive enough without an additional step for sample concentration. With the advent of
polymerase chain reaction (PCR), Furuya et al. first demonstrated that amplification of the 56-
kDa protein gene was a reliable method for early diagnosis (1991). Later on, PCR, nested PCR,
and quantitative PCR against different target genes such as 16S RNA, 60 kDa GroEL heat
shock protein and 47 kDa HtrA1 gene were developed. The use of nucleic acid amplification
has provided sufficient sensitivity. However, this approach requires sample processing (DNA
extraction), sophisticated instrumentation, expensive temperature sensitive reagents, and
extensive training of the end user. Its application is suitable for hospital centers with high
complexity laboratories, but not for rudimentary point-of-care centers such as doctors offices in
endemic rural areas. Another potential disadvantage is that false positives due to DNA
contamination are often observed.
         Recently, Paris et al. described a new nucleic acid based assay using LAMP (loop-
mediated isothermal amplification) for the detection of Orientia (2008)(4). LAMP assay is quick,
easy to perform without the need of a thermal cycler for amplification. The Bst DNA polymerase
used in LAMP provides an additional advantage due to its insensitivity to blood borne components
including myoglobin, heme-blood protein complexes and immunoglobin, which inhibit the Taq
polymerase used in PCR. Thus much simpler sample preparation and reaction conditions are
required for LAMP compared to conventional PCR or real-time, quantitative PCR. Primers against
the Orientia specific region of groEL gene were designed using the Primer Explorer software of
Eiken (http://primerexplorer.jp/e/). The LAMP assay was carried out in a single tube 65C for 90
min for DNAs extracted from cultured Orientia, or Orientia infected buffy coat and whole blood
of confirmed scrub typhus patient. The detection limits were about 5 to 10 fold less than that of
qPCR. The results were in 100% agreement with those of the gold standard IFA. Therefore
LAMP assay has a very high potential to be used in rural areas.
         We have sequenced the 47 kDa antigen gene from 25 disparate strains previously
selected to cover the wide range of strain variation. The 25 strains included six proto type
strains, all but one of human origin and were isolated from different locations throughout the
Asia-Pacific-Australia endemic region. LAMP primers against the conserved region of 47kDa
gene were designed. The assay has been performed isothermally at 60?C for 60 or 90 minutes.
The detection limit is consistently around 200 copies/ 25uL reaction with occasional detection
of as few as 10 copies/25uL reaction. The sensitivity of this LAMP assay was similar to that of
real-time PCR experiments using the same primers and to that of the LAMP assay using GroEL
àǪÈÒʵÏ·¹Âؤ 2553
          Ñ                                                                                      309

gene as the target. So far this LAMP assay has been shown to detect at least 6 immunologically
and biologically disparate strains (Karp, Kato, Gilliam, TA763, TH11811, and TH1812) which
cover the major clades of prevalent strains of Orientia with similar sensitivity.(5)




Host response gene profile: the next generation diagnosis tool
         It has been hypothesized that (1) a unique set of early response genes for a specific
rickettsial pathogen can be defined in vitro by using the high-throughput cDNA microarray
technology. (2) The expression profile of these unique sets of genes can be detected in patient
blood cells. (3) The characterization of these unique genes can be used to differentiate rickettsial
infections as well as infections caused by other agents. The proof of this hypothesis will
undoubtedly lead to the development of diagnostic kits using cDNA microarrays containing
genes that change significantly in their expression level in response to infection. Furthermore,
the cDNA microarray technology could be used as a true multiplex diagnostic platform to
differentiate various infections. The application of this approach for early diagnosis is remarkable.
It can detect the infection of a particular pathogen long before the onset of symptoms, and
much earlier than the current method of nucleic acid based real-time PCR and antigen based
serology tests. Unlike the host responses monitored by microarray technology, antigen detection
assays require adequate amounts of bacterial DNA or antigen; achieved only through infection
for a few days or more, for optimal detection. Moreover, antibody detection assays usually
requires 5-10 days for the host to develop a significant enough immune response to detect
specific IgM and IgG antibodies. Gene profile signatures related to the time course of impending
illness can be especially helpful for physicians to treat patients properly.
310                                                      Recent Advances in the Diagnosis of Scrub Typhus

         As Orientia is an obligate intracellular pathogen, organisms disseminate from the skin
to target organs strongly suggest that they may enter the peripheral circulation. Walsh et al.
presented the evidence that Orientia was present in circulating white blood cells (mostly
mononuclear cells) of humans with acute scrub typhus (2001)(5). For determination of host
response genes that play a role in infection, we performed the in vitro study described below.
         Freshly isolated peripheral blood mononuclear cells (PBMC) from healthy donors were
infected with Orientia and samples were collected at 1 h, 4 h, 8 h or 18 h post infection. The
gene expression profiles were monitored by cDNA microarray. Among the 7489 genes 658
genes were up or down regulated upon infection. Semi-quantitative PCR using specific primers
that flank the mRNA splicing sites of these 658 genes were carried out to verify microarray
results using glyceraldehyde 3-phosphate dehydrogenase (GAPDH) as the reference gene. Among
these 658 genes, 22 genes were confirmed to beup or down regulated (Table 4). Quantitative
PCR using 18S rRNA as the reference further confirmed two genes (NM_001547 and NM_006187)
exhibited significant increase of expression Analysis of these 22 genes and the specific increase
of both NM_001547 and NM_006187 suggest the list of 22 genes appears to be unique for O.
tsutsugamushi infection and has the potential for use in differentiating infections caused by
viruses, bacteria, parasites and other pathogens.(6)

Table 4. List of genes confirmed by semi-quantitative PCR
Accessionnumber Name of Genes                                                                 Biological processes
NM_000530     myelin protein zero (Charcot-Marie-Tooth neuropathy 1B) (MPZ), Signal transduction
NM_000595     lymphotoxin alpha (TNF superfamily, member 1) (LTA),                 Signal transduction
NM_000801     FK506 binding protein 1A, 12kDa (FKBP1A), transcript variant 12B Signal transduction
NM_001547     interferon-induced protein with tetratricopeptide repeats 2 (IFIT2), Cell growth and/or maintenance

NM_001838     chemokine (C-C motif) receptor 7 (CCR7),                                        Signal transduction
NM_002498     NIMA (never in mitosis gene a)-related kinase 3 (NEK3), transcript variant 1,   Signal transduction
NM_002922     regulator of G-protein signalling 1 (RGS1),                                     Signal transduction
NM_002946     replication protein A2, 32kDa (RPA2),                                           Nucleotide and nucleic acid
                                                                                              metabolism
NM_002983     chemokine (C-C motif) ligand 3 (CCL3),                                          Immune response
NM_003205     transcription factor 12 (HTF4, helix-loop-helix transcription                   Nucleotide and nucleic acid
              factors 4) (TCF12), transcript variant 3                                        metabolism
NM_003404     tyrosine 3-monooxygenase/tryptophan 5-monooxygenase                             Signal transduction
              activation protein, beta polypeptide (YWHAB), transcript variant 1
NM_003906     MCM3 minichromosome maintenance deficient 3 (S. cerevisiae) Signal transduction
              associated protein (MCM3AP),
àǪÈÒʵÏ·¹Âؤ 2553
          Ñ                                                                                                    311

Accessionnumber Name of Genes                                                        Biological processes
NM_004551       NADH dehydrogenase (ubiquinone) Fe-S protein 3, 30kDa                Metabolism, Energy pathways
                (NADH-coenzyme Q reductase) (NDUFS3),
NM_005082       tripartite motif-containing 25 (TRIM25),                             Nucleotide and nucleic acid
                                                                                     metabolism
NM_005623       chemokine (C-C motif) ligand 8 (CCL8),                               Signal transduction
NM_006187       2'-5'-oligoadenylate synthetase 3, 100kDa (OAS3),                    Immune response
NM_007215       polymerase (DNA directed), gamma 2, accessory subunit                Nucleotide and nucleic acid
                (POLG2),                                                             metabolism
NM_015369       TP53TG3 protein (TP53TG3), transcript variant 1                      Regulation of cell cycle
NM_021991       junction plakoglobin (JUP), transcript variant 2                     Cell adhesion
NM_033340       caspase 7, apoptosis-related cysteine peptidase (CASP7),             Apoptosis
                transcript variant beta
NM_080657       radical S-adenosyl methionine domain containing 2 (RSAD2),           Immune response
NM_152998       enhancer of zeste homolog 2 (Drosophila) (EZH2), transcript          Nucleotide and nucleic acid
                variant 2                                                            metabolism


Bolded genes are down-regulated
        In summary, recent advances in the diagnosis of scrub typhus are exciting. Significant
progress has has already been made in rapid serological test and nucleic acid based molecular
detection. The establishment of host responsive gene profile specific to Orientia infection may
provide the opportunity for early diagnosis at the onset of illness.

References
1.   Kim IS, Seong SY, Woo SG, Choi MS, and Chang WH. High-level expression of a 56-kilodalton protein gene
     (bor56) of Rickettsia tsutsugamushi Boryong and its application to enzyme-linked immunosorbent assays. J.
     Clin Microbiol 1993;1:598-605.
2.   Blacksell SD, Jenjaroen K, Phetsouvanh R, Wuthiekanun V, Day NP, Newton PN, Ching WM. Accuracy of
     AccessBio Immunoglobulin M and Total Antibody Rapid Immunochromatographic Assays for the Diagnosis of
     Acute Scrub Typhus Infection. Clin Vaccine Immunol 2010;17:263-6.
3.   Chao CC, Zhang Z, Huber E, and Ching WM. Cross reactivity of various 56 kDa recombinant protein
     antigens with sera from Orientia tsutsugamushi infected mice. 5th International Conference on Rickettsiae and
     Rickettsial Diseases, May 18-20, 2008, Marseille, France.
4.   Paris DH, Blacksell SD, Newton PN, and Day NPJ. Simple, rapid and sensitive detection of Orientia tsutsugamushi
     by loop-isothermal DNA amplification. Trans R Soc Trop Med Hyg 2008;102:1239-46.
312                                                  Recent Advances in the Diagnosis of Scrub Typhus

5.    Chao CC, Huber E, Chen HW, and Ching WM. Detection of Orientia tsutsugamushi DNA using loop-mediated
      isothermal amplification: a rapid and sensitive alternative to real-time PCR, 24th Meeting of the American
      Society for Rickettsiology, July 31 – Aug 3, 2010, Skamania Lodge, Stevenson, Washington, USA.
6.    Chao CC, Li X, Hammamieh R, O’Leary B, Jett M and Ching WM. Identification of human peripheral
      leukocyte early response genes following infection with Orientia tsutsugamushi by DNA microarray and real-
      time PCR. Accepted by Chao CC The Open Infectious Diseases Journal, 2010.
àǪÈÒʵÏ·¹Âؤ 2553
          Ñ                                                                º··Õè      313

                                                                            46
                          Iron Chelation : New Hope
                                                                ´Í¡àµÍϪ®Ò ¾ÔÈÒž§È
                                                   ʶҺѹÇÔ¨ÂáÅоѲ¹Ò ͧ¤¡ÒÃàÀÊѪ¡ÃÃÁ
                                                            Ñ

            ͧ¤¡ÒÃàÀÊѪ¡ÃÃÁ䴌ǨÂÂҢѺàËÅ硪¹Ô´ÃѺ»Ãзҹ·ÕÁªÍÊÒÁÑ­Ç‹Ò deferiprone ËÃ×Í L1
                                ÔÑ                         è Õ ×è
áÅÐÁժ͡ÒäŒÒÇ‹Ò GPO-L-ONE Í‹ҧ¤ÃºÇ§¨ÃµÑ§áµ‹¡ÒÃÊѧà¤ÃÒÐˏǵ¶Ø´º¨¹¶Ö§à»š¹ÂÒàÁç´à¤Å×ͺ
         ×è                                     é                 Ñ Ô
ÃÇÁ¶Ö§ÁÕ¡ÒÃÇԨ´ŒÒ¹»ÃÐÊÔ·¸ÔÀÒ¾áÅФÇÒÁ»ÅÍ´ÀÑ¢ͧÂÒ à¾×Íãˌ䴌ÂÒ·ÕÁ¤³ÀÒ¾áÅÐÃÒ¤Ò¶Ù¡
                  Ñ                                           è       è Õ Ø
ãËŒ¼»Ç¸ÒÅÑÊ«ÕàÁÕ«֧à´ÔÁäÁ‹ÊÒÁÒöࢌҶ֧ÂÒ ä´ŒãªŒÂÒÍ‹ҧ·ÑǶ֧ ÂÒ GPO-L-ONE ÁÕ¤³ÀÒ¾
    ÙŒ †                è                                   è                       Ø
»ÃÐÊÔ·¸ÔÀÒ¾ áÅФÇÒÁ»ÅÍ´ÀÑÂà·‹Òà·ÕÂÁ¡ÑºÂÒµŒ¹áºº ᵋÃÒ¤ÒÂÒ¶Ù¡¡Ç‹ÒÂÒµŒ¹áººÁÒ¡




¢Ñ¹µÍ¹¡ÒÃÇÔ¨ÂáÅмÅÔµÂÒ GPO-L-ONE
  é         Ñ
          ¡ÒÃÇԨѡÒÃÊѧà¤ÃÒÐˏÇѵ¶Ø´Ôº ¾Ñ²¹ÒÇÔ¸¡ÒÃÊѧà¤ÃÒÐˏ¢¹ãËŒàËÁÒÐÊÁµ‹Í¡ÒüÅÔµã¹
                                                 Õ             Öé
          ÃÐ´ÑºÍØµÊÒË¡ÃÃÁ â´Â䴌ǵ¶Ø´º L1 ·ÕÁ¤ÇÒÁºÃÔÊ·¸Ôì
                                    Ñ Ô      è Õ        Ø
          ¡ÒþѲ¹ÒÊÙµÃÂÒàÁç´ ¹íÒÇѵ¶Ø´º L1 ·Õʧà¤ÃÒÐˏ䴌ÁÒ㪌àµÃÕÂÁ໚¹ÂÒàÁç´à¤Å×ͺ
                                        Ô     èÑ
          ¡Ò÷´Êͺ¤ÇÒÁ¤§µÑÇ ¹íÒÇѵ¶Ø´ºáÅÐÂÒàÁç´·ÕàµÃÕÂÁ䴌价´Êͺ¤ÇÒÁ¤§µÑǷѧÊÀÒ¾
                                          Ô           è                           é
          »¡µÔ áÅзÕÊÀÒ¾à˧ à¾×Í¡íÒ˹´ÍÒÂØ¢Í§Çѵ¶Ø´ºáÅÐÂÒÊíÒàÃç¨ÃÙ»
                    è           è                   Ô
314                                                           Iron Chelation : New Hope

      ¡ÒüÅÔµÇѵ¶Ø´ÔºáÅÐÂÒàÁç´à¤Å×ͺã¹ÃÐ´ÑºÍØµÊÒË¡ÃÃÁ àÁ×Í¡ÒÃÇԨ¡ÒÃÊѧà¤ÃÒÐˏ
                                                               è      Ñ
      Çѵ¶Ø´Ôºä´Œ¼Å´ÕáÅŒÇ Í§¤¡ÒÃàÀÊѪ¡ÃÃÁä´ŒÊÌҧâç§Ò¹¼ÅÔµÇѵ¶Ø´Ôº L1 ã¹ÃдѺ
      ÍØµÊÒË¡ÃÃÁ¢Ö¹ ·Õâç§Ò¹à¤ÁÕ«§µÑ§ÍÂÙ·ºÃÔàdzÃѧÊÔµ ¤ÅͧÊÔº ¨Ñ§ËÇÑ´»·ØÁ¸Ò¹Õ âç§Ò¹
                    é è           Öè é ‹ Õè
      ´Ñ§¡Å‹ÒÇ䴌ú¡ÒÃÃѺÃͧµÒÁËÅѡࡳ±ã¹¡ÒüÅÔµ·Õ´Õ (Good Manufacturing Practice,
                  Ñ                                  è
      GMP) áÅÐ㪌ǵ¶Ø´º L1 ·Õͧ¤¡ÒÃàÀÊѪ¡ÃÃÁÊѧà¤ÃÒÐˏ¢¹ 㹡ÒüÅÔµÂÒàÁç´à¤Å×ͺ
                     Ñ Ô       è                           Öé
      ·Õ轆Ò¼ÅÔµÂÒ
      ¡ÒÃÈÖ¡ÉÒªÕÇÊÁÁÙÅ (bioequivalence, BE) áÅСÒÃÈÖ¡ÉÒ¤‹ÒàÀÊѪ¨Å¹ÈÒʵÏ
      (pharmacokinetics, PK) â´Â ¼È. ´Ã.¹¾ÇÃó ÁÍÃÒàÅÊ ¤³ÐÇÔ·ÂÒÈÒʵÏ
      ÁËÒÇÔ·ÂÒÅÑÂÁËÔ´Å ¾ºÇ‹ÒÂÒ GPO-L-ONE ÁÕªÇÊÁÁÙšѺÂÒµŒ¹áºº(1) áÅÐä´Œ¢ÍÁÙÅ´ŒÒ¹
                                               Õ                            Œ
      àÀÊѪ¨Å¹ÈÒʵϢͧ¡ÒÃ㪌ÂÒ㹼ٻǪÒÇä·Â
                                      Œ †      (2)




       ÃдѺÂÒ㹫ÕÃÁ¢Í§ÂÒµŒ¹áºº (reference) áÅÐÂÒ GPO-L-ONE (test)
                   Ñè

      ¡ÒâÖé¹·ÐàºÕ¹ÂÒ Í§¤¡ÒÃàÀÊѪ¡ÃÃÁ䴌¹¢ŒÍÁÙÅ¡ÒþѲ¹ÒÂÒ GPO-L-ONE µ‹ÍÊíҹѡ
                                               ×è
      §Ò¹¤³Ð¡ÃÃÁ¡ÒÃÍÒËÒÃáÅÐÂÒ áÅÐ䴌ú·ÐàºÕ¹ÂÒÊÒÁÑ­ãËÁ‹ àÁ×ÍÇѹ·Õè 20 àÁÉÒ¹
                                            Ñ                       è
      2551
      â¤Ã§¡ÒÃÇԨѷҧ¤ÅÔ¹Ô¡ ͧ¤¡ÒÃàÀÊѪ¡ÃÃÁ䴌ʹѺʹعÁÙŹԸâäâÅËÔµ¨Ò§¸ÒÅÑÊ«ÕàÁÕÂ
                                                                Ô
      áË‹§»ÃÐà·Èä·Â áÅÐÊÁÒ¤ÁâÅËÔµÇÔ·ÂÒáË‹§»ÃÐà·Èä·Â ´íÒà¹Ô¹¡ÒÃÇÔ¨ÂÂÒÀÒÂ㵌ªÍ
                                                                          Ñ         ×è
      â¤Ã§¡Òà “¡ÒÃÈÖ¡ÉÒÇÔ¨ÂËÇÁÃÐËNjҧʶҺѹÃÐÂÐàÇÅÒµÔ´µÒÁ¼Ù»Ç 1 »‚ Ẻແ´à¼Âª×Í
                            Ñ                                  Œ †                     è
      ÂÒ ¡ÅØÁ¡ÒÃÃÑ¡ÉÒà´ÕÂÇ ã¹¡ÒûÃÐàÁÔ¹»ÃÐÊÔ·¸Ô¼Å áÅФÇÒÁ»ÅÍ´ÀÑ¢ͧÂÒÃѺ»Ãзҹ
            ‹
      GPO-L-ONE ·ÕÁ¼Åµ‹Í¡ÒÃÅ´ÃдѺ¸ÒµØàËÅç¡ã¹àÅ×Í´ ËÑÇ㨠µÑº 㹼ٻǸÒÅÑÊ«ÕàÁÕ·Õä´Œ
                     è Õ                                              Œ †         è
      ÃѺ¡ÒÃÇÔ¹Ô¨©ÑÂÇ‹ÒÁÕ¸ÒµØàËÅç¡ÊÐÊÁà¡Ô¹à¹×èͧÁÒ¨Ò¡¡ÒÃä´ŒÃѺàÅ×Í´” â´Â¡ÒÃÈÖ¡ÉÒÇÔ¨ÑÂ
àǪÈÒʵÏ·¹Âؤ 2553
          Ñ                                                                                                      315

             ´Ñ§¡Å‹ÒÇà¾×Í»ÃÐàÁÔ¹»ÃÐÊÔ·¸ÔÀÒ¾áÅмŢŒÒ§à¤Õ§¢Í§ÂҴѧ¡Å‹ÒÇ ã¹ 5 ʶҺѹ 䴌ᡋ
                         è
             âç¾ÂÒºÒÅÈÔÃÔÃÒª âç¾ÂÒºÒÅÃÒÁÒ¸Ôº´Õ âç¾ÂÒºÒŨØÌÒŧ¡Ã³ âç¾ÂÒºÒÅ
             ¾ÃÐÁ§¡Ø®à¡ÅŒÒ áÅÐâç¾ÂÒºÒŹ¤Ã»°Á ·íÒ¡ÒÃÈÖ¡ÉÒµÔ´µÒÁ¼Å¡ÒÃ㪌ÂÒã¹¼Ù»ÇÂà´ç¡   Œ †
             áÅмÙãË­‹Í‹ҧÅÐ 75 ¤¹ Í‹ҧã¡ÅŒª´à»š¹àÇÅÒ 1 »‚ â´ÂÁÕ ¼È. ¹¾.¹¾´Å ÈÔø¹ÒÃѵ¹¡ØÅ
                  Œ                           Ô                                   Ô
             ໚¹ËÑÇ˹ŒÒâ¤Ã§¡ÒÃÇÔ¨Â㹼ٻǼÙãË­‹ áÅÐÃÈ. ´Ã. ¹¾.ÇԻà ÇÔ»ÃСÉÔµ ໚¹ËÑÇ˹ŒÒ
                                     Ñ  Œ † Œ
             â¤Ã§¡ÒÃÇÔ¨Âã¹¼Ù»ÇÂà´ç¡ «Ö§àÁ×Í¡ÒÃÇÔ¨ÂÊÔ¹ÊØ´áŌǤÇÒÁÃÙµÒ§æ ·Õä´Œ¨Ò¡¡ÒÃÇԨ¨ÐÁÕ¡ÒÃ
                           Ñ Œ †       è è       Ñ é              Œ ‹    è           Ñ
             à¼Âá¾Ã‹à¾×ÍãËŒ¡ÒÃ㪌ÂÒ GPO-L-ONE ·Ñ§ã¹»ÃÐà·ÈáÅе‹Ò§»ÃÐà·È໚¹ä»Í‹ҧ»ÅÍ´ÀÑÂ
                       è                          é
             áÅÐÁÕ»ÃÐÊÔ·¸ÔÀÒ¾ÂÔ§¢Ö¹µ‹Íä»
                                 è é

àÍ¡ÊÒÃ͌ҧÍÔ§
1.   Morales NP, Limenta LMG, Yamanont P, Jirasomprasert T, Wilairat P, Chantharaksri, et al. Bioequivalence
     study of a film-coated tablet of deferiprone in healthy Thai volunteers. Int J Clin Pharmacol Ther Toxicol. 2009;
     47(5): 358-64.
2.   Limenta LMG, Jirasomprasert T, Tankaitlert J, Wilairat P, Chantharaksri, et al. UGT146 genotype-related
     pharmacokinetics of deferiprone (L1) in healthy volunteers. Br J Clin Pharmacol. 2008;65(6):908-16.
àǪÈÒʵÏ·¹Âؤ 2553
          Ñ                                                                       º··Õè       317

                                                                                   47
                   Deferasirox ÂҢѺàËÅ硪¹Ô´ÃѺ»Ãзҹ
                                      ¼ÙŒª‹ÇÂÈÒʵÃÒ¨ÒÏ ¹ÒÂᾷ¹¾´Å ÈÔÃÔ¸¹ÒÃѵ¹¡ØÅ
                      ÀÒ¤ÇÔªÒÍÒÂØÃÈÒʵÏ ¤³Ðá¾·ÂÈÒʵÏÈÔÃÔÃÒª¾ÂÒºÒÅ ÁËÒÇÔ·ÂÒÅÑÂÁËÔ´Å

Overview and Background
         ¼Ù»Ç·ÕÁÀÒÇÐâÅËÔµ¨Ò§àÃ×ÍÃѧáÅШíÒ໚¹µŒÍ§ä´ŒÃº¡ÒÃÃÑ¡ÉÒà¾×Íᡌä¢ÀÒÇÐâÅËÔµ¨Ò§ ÍÒ·Ôઋ¹
           Œ † è Õ                       é                       Ñ           è
âäâÅËÔµ¨Ò§¸ÒÅÑÊ«ÕàÁÕ ¡ÅØÁÍÒ¡Òà myelodysplastic syndromes (MDS) ໚¹µŒ¹ â´Â¡ÒÃãËŒàÅ×Í´
                               ‹
Í‹ҧÊÁèÒàÊÁÍ໚¹ÃÐÂÐàÇÅÒ¹Ò¹æ ËÃ×Í ä´ŒÃºàÅ×Í´á´§µÑ§áµ‹ 20 ˹‹ÇÂ¢Ö¹ä» ¨Ð¹íÒä»ÊÙ¡ÒÃÊÐÊÁ
         í                                             Ñ           é                é      ‹
¸ÒµØàËÅ硨¹à¡Ô´ÀÒÇÐàËÅç¡à¡Ô¹ Íѹ·íÒãËŒà¡Ô´ÍѹµÃÒµ‹ÍÍÇÑÂÇе‹Ò§æ¢Í§ Ëҧ¡Ò áÅÐÁռŵ‹ÍÍѵÃÒ
¡ÒÃÃÍ´ªÕÇÔµ¢Í§¼ÙŒ»†Ç ´Ñ§¹Ñ鹡ÒÃãËŒÂҢѺàËÅ硨֧ÁÕ¢ŒÍº‹§ªÕé㹡ÒÃ㪌㹼ٌ»†ÇÂàËŋҹÕé à¾×èÍ»‡Í§¡Ñ¹
äÁ‹ãËŒà¡Ô´ÍѹµÃÒµ‹ÍÍÇÑÂÇШ¹à¡Ô´¾ÂÒ¸ÔÊÀÒ¾·Õᡌä¢äÁ‹ä´Œ (irreversible pathology) ઋ¹ ÀÒÇеѺ
                                                           è
á¢ç§ (liver cirrhosis) ÀÒÇСŌÒÁà¹×ÍËÑÇã¨àÊ×ÍÁ (cardiomyopathy) áÅÐàºÒËÇÒ¹ ¡ÒÃÃÑ¡ÉÒ´ŒÇÂ
                                            é            è
ÂҢѺàËÅç¡ (iron chelation therapy) ໚¹ÇÔ¸à´ÕÂÇ㹡ÒÃÃÑ¡ÉÒÀÒÇÐàËÅç¡à¡Ô¹·Õà¡Ô´¢Ö¹¨Ò¡¡ÒÃ䴌úàÅ×Í´
                                                  Õ                                è é           Ñ
áÅЪ‹ÇÂÅ´ÍѵÃÒ¡ÒÃàÊÕªÕǵ㹼ٻÇÂ䴌͋ҧÁÕ¹ÂÊíҤѭ
                             Ô          Œ †                  Ñ
         ÂҢѺàËÅç¡·Õèä´ŒÃѺ¡ÒÃÂÍÁÃѺNjÒÁÕ»ÃÐÊÔ·¸ÔÀҾ㹡ÒâѺàËÅç¡ÍÍ¡¨Ò¡Ã‹Ò§¡Ò áÅÐ㪌
ã¹·Ò§¤ÅÔ¹¡Í‹ҧá¾Ã‹ËÅÒ¨¹à»š¹Áҵðҹ¤×Í deferoxamine (D.O; Desferal®) ᵋ¡ÒúÃÔËÒÃ
             Ô
ÂҢѺàËÅç¡ D.O ¹Ñ¹ÁÕ¤ÇÒÁÂØ§ÂÒ¡áÅС‹ÍãËŒà¡Ô´¤ÇÒÁà¨çº»Ç´ä´ŒÁÒ¡ à¹×ͧ¨Ò¡µŒÍ§ãªŒÇ¸©´à¢ŒÒ㵌
                     é                ‹                                          è        ÔÕ Õ
¼ÔÇ˹ѧÍ‹ҧµ‹Íà¹×ͧ 8-12 ªÑÇâÁ§ ·íÒãËŒ¼»ÇºҧÃÒÂäÁ‹ä´ŒÃºÂÒÍ‹ҧµ‹Íà¹×ͧ
                   è             è              ÙŒ †                 Ñ                è
         Deferasirox (Exjade ) ໚¹ÂҢѺàËÅ硪¹Ô´ÃѺ»Ãзҹ·ÕÁ㪌·Ò§¤ÅÔ¹¡ã¹»‚ ¾.È. 2548 ÁÕ
                                     ®
                                                                         è Õ            Ô
ÇÔ¸ºÃÔËÒÃÂÒ·ÕÊдǡ¤×ÍÃѺ»Ãзҹà¾Õ§ÇѹÅÐ 1 ¤Ãѧ·Ø¡Çѹ 䴌ú¡Òâֹ·ÐàºÕ¹¨Ò¡Í§¤¡ÒÃÍÒËÒÃ
   Õ           è                                               é       Ñ       é
áÅÐÂÒ·Ñé§ã¹»ÃÐà·ÈÊËÃѰÍàÁÃÔ¡ÒáÅÐÊËÀÒ¾ÂØâû áÅл˜¨¨ØºÑ¹ä´ŒÃѺ͹حҵ㹻ÃÐà·È·ÑèÇâÅ¡
ÁÒ¡¡Ç‹Ò 90 »ÃÐà·È(1) ÃÇÁ·Ñ§»ÃÐà·Èä·Ââ´Âͧ¤¡ÒÃÍÒËÒÃáÅÐÂÒã¹»‚ ¾.È. 2549 â´ÂÁբͺ‹§ãªŒ
                                   é                                                           Œ
ÊíÒËÃѺ¡ÒÃÃÑ¡ÉÒÀÒÇиҵØàËÅç¡à¡Ô¹àÃ×ÍÃѧ à¹×ͧ¨Ò¡¡Òö‹ÒÂàÅ×Í´ (transfusional haemosiderosis)
                                              é      è
㹼ٻǷÕ໚¹¼ÙãË­‹áÅÐà´ç¡ (ÍÒÂØÁÒ¡¡Ç‹ÒËÃ×Í෋ҡѺ 2 »‚)
     Œ † è       Œ

¤Ø³ÊÁºÑµÔ·Ò§àÀÊѪÇÔ·ÂÒ
         Deferasirox ໚¹Í¹Ø¾¹¸¢Í§ bis-hydroxyphenyl-triazole benzoic acid ÁÕ¤³ÊÁºÑµà»š¹
                              Ñ                                                  Ø    Ô
tridentate chelator ·Õ¨ºàËÅç¡â´ÂÍÒÈÑ 2 âÁàÅ¡ØÅ¢Í§ Deferasirox ¨Ñº¡ÑºàËÅç¡ (.e ) 1 ÍеÍÁ(2)
                      èÑ                                                      3+
318                                                            Deferasirox ÂҢѺàËÅ硪¹Ô´ÃѺ»Ãзҹ

àÁ×ÍÃѺ»Ãзҹä»áŌǨж١´Ù´«ÖÁÍ‹ҧÃÇ´àÃçÇâ´ÂÁÕ tmax 1-2 ªÑÇâÁ§áÅÐ mean elimination half-life
   è                                                          è
7-16 ªÑÇâÁ§ ¤ÇÒÁࢌÁ¢Œ¹¢Í§ÂÒã¹¾ÅÒÊÁÒ໚¹ÊѴʋǹ¡Ñº»ÃÔÁÒ³ÂÒ·Õú»Ãзҹ(4, 5) áÅÐÃдѺÂÒ
       è   (3)
                                                                     èÑ
ã¹¾ÅÒÊÁÒ¨ÐÍÂÙã¹ therapeutic level ÁÒ¡¡Ç‹Ò 24 ªÑÇâÁ§ Cmax, area-under-curve áÅÐ half life
                 ‹                                è
¨Ð¤ÅŒÒ¤ÅÖ§¡Ñ¹·Ñ§ã¹à´ç¡(ÍÒÂØ < 12»‚) áÅмÙãË­‹ (ÍÒÂØ > 12»‚) àÁ×ÍÃѺ»ÃзҹËÇÁ¡ÑºÍÒËÒèÐÁÕ¼Å
                   é                      Œ                     è
µ‹Í bioavailability ¢Í§ÂÒ deferasirox ¨Ö§á¹Ð¹íÒãˌú»ÃзҹÂÒ¡‹Í¹ÍÒËÒà 30 ¹Ò·Õ(6) ¾ºÇ‹ÒÂÒ
                                                    Ñ
ʋǹãË­‹ ÃŒÍÂÅÐ84 ¶Ù¡¢Ñº¶‹ÒÂÍÍ¡·Ò§Íب¨ÒÃÐáÅÐʋǹ¹ŒÍ ÌÍÂÅÐ8 ¶Ù¡¢ÑºÍÍ¡·Ò§»˜ÊÊÒÇÐ(7)

Clinical efficacy
           Cappellini áÅФ³Ðä´ŒÃÒ§ҹ¡ÒÃÈÖ¡ÉÒÃÐÂзÕè 3 ¢Í§¡ÒÃ㪌ÂÒ Deferasirox 㹼ٻǸÒÅÑÊ    Œ †
«ÕàÁÕ·Õ䴌úàÅ×ʹ໚¹»ÃШíÒáÅÐÁÕÍÒÂØÁÒ¡¡Ç‹Ò 2 »‚ â´Â¡ÒÃÊØÁãˌ䴌úÂÒ Deferasirox 296 ÃÒÂ
          è Ñ                                                   (8)
                                                                              ‹   Ñ
áÅÐÃѺÂÒ D.O 290 ÃÒ ¢¹Ò´¢Í§ÂÒ¢Ö¹ÍÂÙ¡º liver iron concentration (LIC) ¾ºÇ‹Ò¼Ù»Ç·ÕÁÃдѺ
                                                       é ‹ Ñ                               Œ † è Õ
LIC > 7 mg.e/dry weight ¨ÐÊÒÁÒöŴÃдѺ LIC, serum ferritin áÅÐ net body iron balance
ŧ䴌Í‹ҧÁÕ¹ÂÊíҤѭ·Ò§Ê¶Ôµ·§Êͧ¡ÅØÁ
                Ñ                     Ô Ñé              ‹
           Piga áÅФ³ÐÃÒ§ҹ¡ÒÃÈÖ¡ÉÒÃÐÂзÕè 2 ã¹¼ÙŒ»†Ç¼ٌãË­‹ 71 ÃÒ·ÕèÁÕÀÒÇÐàËÅç¡à¡Ô¹
ÃŒÍÂÅÐ 97 ¢Í§¼Ù»ÇÂ໚¹ thalassemia major hemosiderosis â´ÂãËŒÂÒã¹¢¹Ò´ 10 áÅÐ 20 mg/kg/
                    Œ †
d (n=24 ÃÒ ·Ñ§ 2 ¡ÅØÁ) à·Õº¡Ñº¡ÅØÁ·Õ䴌ú D.O 40 mg/kg/d ¹Ò¹ 5 Çѹ/ÊÑ»´Òˏ (n=23) ໚¹àÇÅÒ
                  é          ‹                    ‹ è Ñ
48 ÊÑ»´Òˏ ¾ºÇ‹Ò¼Ù»Ç·Õ䴌úÂÒ deferasirox 20 mg/kg/d ÁÕ¡ÒÃŴŧ¨Í§ LIC ã¡ÅŒà¤Õ§¡Ñº¼Ù»ÇÂ
                          Œ † è Ñ                                                                   Œ †
·Õ䴌úÂÒ D.O
    è Ñ
           ÃÒ§ҹ¡ÒÃÈÖ¡ÉÒÃÐÂзÕè 2 à¾×Í»ÃÐàÁÔ¹¤ÇÒÁ»ÅÍ´ÀÑÂáÅÐ tolerability ¢Í§ÂÒ deferasirox
                                                     è
㹼ٻǠsickle cell disease (n= 132 ÃÒÂ) à»ÃÕºà·Õº¡ÑºÂÒ D.O (n= 63)(9) ÍѵÃÒ¡ÒÃËÂØ´ÂÒã¡ÅŒ
      Œ †
à¤Õ§¡Ñ¹·Ñ§Êͧ¡ÅØÁ¤×Í deferasirox = 11.4% áÅÐ D.O = 11.1% ¡ÒÃŴŧ¢Í§ LIC àÁ×Í䴌úÂÒ໚¹
            é           ‹                                                                 è Ñ
àÇÅÒ 1 »‚ ¡çã¡ÅŒà¤Õ§¡Ñ¹·Ñ§Êͧ¡ÅØÁ
                               é           ‹
           Porter áÅФ³Ðä´ŒÃÒ§ҹ¡ÒÃÈÖ¡ÉÒÃÐÂзÕè 2 ¶Ö§»ÃÐÊÔ·¸ÔÀÒ¾¢Í§ÂÒ deferasirox 㹼ٻǠ        Œ †
·ÕÁÍÒÂØ 3-81 »‚ ·Õ໚¹âä myelodysplastic syndromes (n = 47 ÃÒÂ), Diamond-Blackfan anaemia
  è Õ                 è
(DBA; n = 30 ÃÒÂ), other rare anaemias (n = 22 ÃÒÂ) beta-thalassaemia (n = 85 ÃÒÂ)(10) ¾ºÇ‹Ò
¢¹Ò´ÂÒ 20-30 mg/kg/day ÊÒÁÒöŴÃдѺ LIC 㹼ٻǷÕÁ¤Ò LIC àÃÔÁµŒ¹ ³ 7 mg.e/dry weight
                                                                    Œ † è Õ ‹   è
䴌͋ҧÁÕ¹ÂÊíҤѭ·Ò§Ê¶ÔµÔ (P < 0.001) ¡ÒÃà»ÅÕ¹á»Å§¢Í§¤‹Ò LIC ÁÕ¤ÇÒÁÊÑÁ¾Ñ¹¸¡º»ÃÔÁÒ³ÂÒ
              Ñ                                               è                              Ñ
·Õ䴌ú (P <0.001) áÅлÃÔÁÒ³àËÅç¡·Õ䴌ú¨Ò¡¡ÒÃãËŒàÅ×Í´ (P<0.001) ¹Í¡¨Ò¡¹Õ¡ÒÃà»ÅÕ¹á»Å§
   è Ñ                                              è Ñ                                 é        è
¢Í§¤‹Ò serum ferritin ¡çÁ¤ÇÒÁÊÑÁ¾Ñ¹¸¡º¤‹Ò LIC «Ö§Ê¹ÑºÊ¹Ø¹¡ÒÃ㪌ÃдѺ serum ferritin ໚¹µÑÇ
                                 Õ                        Ñ       è
µÔ´µÒÁ¼Å¡ÒÃÃÑ¡ÉÒ´ŒÇÂÂÒ deferasirox
           ÃÒ§ҹ¡ÒÃÈÖ¡ÉÒ ESCALATOR study ¨Ò¡»ÃÐà·ÈµÐÇѹÍÍ¡¡Åҧ㹼ٻǠ!-thalassaemia
                                                                                    Œ †
major 237 ÃÒ·ÕÁÍÒÂØ 2 »‚¢¹ä» â´ÂàÃÔÁÂÒ deferasirox ·Õ¢¹Ò´ 20 mg/kg/d áÅлÃѺŴ¢¹Ò´
                     è Õ           Öé        (11)
                                                            è              è
ÂÒ 5-10 mg µÒÁserum ferritin áÅÐ safety marker àÁ×Í䴌úÂÒ 1 »‚¾ºÇ‹Ò ÃŒÍÂÅÐ 57 »ÃÐʺ¤ÇÒÁ
                                                                      è Ñ
àǪÈÒʵÏ·¹Âؤ 2553
          Ñ                                                                                 319

ÊíÒàÃç¨ã¹¡ÒÃÅ´¤‹Ò LIC (P = 0.016) áÅÐÁÕ a mean reduction ¢Í§ LIC = 3.4 mg .e/g dry weight
¼Ù»ÇÂʋǹãË­‹ ÃŒÍÂÅÐ 78.1 µŒÍ§»ÃѺ¢¹Ò´¢Í§ÂÒ¢Ö¹ä»ÁÒ¡¡Ç‹Ò 20 mg/kg/d ໚¹ 30 mg/kg/d
  Œ †                                                é
          Taher áÅФ³Ðä´Œ¡ÒÃÈÖ¡ÉÒŒ͹ËÅѧ㹼ٌ»†Ç·Ñé§à´ç¡áÅмٌãË­‹·Õèä´ŒÃѺàÅ×ʹ໚¹»ÃШíÒ
264 ÃÒ 䴌ᡋ !-thalassaemia, sickle cell disease áÅÐ myelodysplastic syndromes ·Õ䴌úÂÒ
                                                                                         è Ñ
ÁÒ¡¡Ç‹Ò 30 mg/kg/day áÅÐÁÕ median exposure to deferasirox 36 à´×͹ ¾ºÇ‹ÒÊÒÁÒöŴÃдѺ
                                                                          (12)

serum ferritin 䴌͋ҧÁÕ¹ÂÊíҤѭ·Ò§Ê¶ÔµáÅмŢŒÒ§à¤Õ§äÁ‹ä´Œáµ¡µ‹Ò§ä»¨Ò¡ÃÒ§ҹÍ×¹æ ¡ÒÃà¾ÔÁ
                          Ñ               Ô                                         è          è
¢¹Ò´¢Í§ÂÒäÁ‹ä´Œ·íÒãËŒ¡Ò÷íÒ§Ò¹¢Í§äµáÅеѺàÅÇŧ ¨Ö§¹ÑºÇ‹ÒÁÕ¤ÇÒÁ»ÅÍ´ÀÑÂÊíÒËÃѺ¼ÙŒ»†ÇÂ
«Ö§¢¹Ò´ÂҴѧ¡Å‹ÒÇÁÕ¤ÇÒÁÊíҤѭµ‹Í¡ÒùíÒÁÒ㪌㹼ٻÇ·ÕÁÀÒÇÐàËÅç¡à¡Ô¹Í‹ҧÁÒ¡
   è                                                   Œ † è Õ
          ¢ŒÍÁÙÅ·Ò§¤ÅÔ¹Ô¡Å‹ÒÊØ´«Öè§à»š¹ÃÒ§ҹ¼ÙŒ»†Ç·ÕèÁÒ¡·ÕèÊØ´ ¤×Í EPIC study ÈÖ¡ÉҼŢͧÂÒ
deferasirox໚¹àÇÅÒ 1 »‚㹼ٻǷÕ䴌úàÅ×ʹ໚¹»ÃШíÒáÅÐÁÕÀÒÇÐàËÅç¡à¡Ô¹ ¨íҹǹ 1,744 ÃÒ â´Â
                              Œ † è Ñ
·Õè໚¹¼ÙŒ»†ÇÂthalassemia (n=1115 ÃÒÂ), myelodysplastic syndromes (n=341 ÃÒÂ), aplastic
anemia (n=116 ÃÒÂ), sickle cell disease (n=80 ÃÒÂ), rare anemias (n=43 ÃÒÂ) and other transfused
anemias (n=49 ÃÒÂ) ¢¹Ò´ÂÒàÃÔÁµŒ¹ 20 mg/kg/day ¾ºÇ‹ÒÁÕÃдѺ serum ferritin Ŵŧ¨Ò¡ÃдѺ
                                   è
àÃÔÁµŒ¹ 264 ng /mL (p<0.0001)
       è                         (13)

          »ÃÐÊÔ·¸ÔÀÒ¾¢Í§ÂÒ deferasirox ¹Í¡¨Ò¡¡ÒÃÅ´ÃдѺ serum ferritin áÅÐ LIC áÅŒÇ
ÂѧÊÒÁÒöŴÃдѺ¢Í§ labile plasmairon (LPI) 㹼ٻǠ! -thalassemia major 䴌͡´ŒÇ LPI
                                                          Œ †                          Õ
¹Õ໚¹Ê‹Ç¹Ë¹Ö§¢Í§ non-transferrin-bound iron ·Õ¨ÐࢌÒä»ã¹à«ÅŏáÅÐÁÕÊǹËÇÁã¹ redox cycling
     é         è                                   è                       ‹
reactions ·íÒãËŒà¡Ô´ reactive
          Oxygen species ·Õ໚¹ÍѹµÃÒµ‹Íà«Åŏ䴌(14, 15) ÂÒ deferasirox ã¹¢¹Ò´·ÕÁÒ¡¡Ç‹Ò 20 mg/
                            è                                                    è
kg/day ÊÒÁÒöŴÃдѺ LPI 䴌͋ҧµ‹Íà¹×èͧ ´Ñ§¹Ñ鹨֧ÊÒÁÒöŴÀÒÇÐàËÅç¡à¡Ô¹Ê‹Ç¹·Õè໚¹
ÍѹµÃÒµ‹Íà¹×ÍàÂ×ÍáÅÐÍÇÑÂÇе‹Ò§æä´Œ(16, 17)
                 é è

Adverse events
         ÃÒ§ҹÍÒ¡ÒÃäÁ‹¾Ö§»ÃÐʧ¤Ê‹Ç¹ãË­‹·Õ辺ÃÐËNjҧ¡ÒÃÃÑ¡ÉÒ´ŒÇÂÂÒ deferasirox Í‹ҧ
µ‹Íà¹×èͧ¶Ö§ 1 »‚ ã¹¼ÙŒ»†Ç¼ٌãË­‹áÅÐà´ç¡(8) ¤×Í ÍÒ¡ÒâͧÃкº·Ò§à´Ô¹ÍÒËÒà 䴌ᡋ »Ç´·ŒÍ§
ÃŒÍÂÅÐ 13 ¤Å×¹äÊŒÍÒà¨Õ¹ÌÍÂÅÐ 11 ·ŒÍ§àÊÕÂÃŒÍÂÅÐ 8 ¼×¹·Õ¼Ç˹ѧ »ÃÐÁҳÌÍÂÅÐ 10 ÍÒ¡ÒÃ
                    è                                      è è Ô
´Ñ§¡Å‹ÒÇ¢Ö¹¡Ñº¢¹Ò´ÂÒ·Õ䴌ú ʋǹãË­‹ÍÒ¡ÒÃÃØ¹áçàÅ硹ŒÍ¶֧»Ò¹¡ÅÒ§ ÍÒ¡ÒûǴ·ŒÍ§à»š¹ä´Œ¹Ò¹
          é               è Ñ
¶Ö§ 8 Çѹâ´Â·ÑÇä»ÍÒ¡ÒâŒÒ§µŒ¹ËÒÂä´Œàͧ¶Ö§áÁŒ¨ÐÂѧ㪌ÂÒµ‹Íà¹×ͧ
                  è                                           è
         ¼Ù»ÇÂÃŒÍÂÅÐ 36 ¾ºÇ‹ÒÁÕÃдѺ creatinine 㹫ÕÃÁà¾ÔÁ¢Ö¹Í‹ҧäÁ‹µÍà¹×ͧ㹪‹Ç§ÃдѺ»¡µÔ
            Œ †                                         Ñè è é           ‹ è
áÅÐÁÑ¡äÁ‹à¡Ô¹ 2 ෋Ңͧ¤‹ÒµÑǺ¹¢Í§ª‹Ç§ÃдѺ»¡µÔ (upper limit of normal) «Ö§¢Ö¹¡Ñº¢¹Ò´ÂÒ·Õä´Œ
                                                                           è é             è
ÃѺ â´ÂÍÒ¡ÒáÅѺÊÙ»¡µÔä´ŒàͧáÅÐ㹺ҧ¤ÃѧÍÒ¨µŒÍ§Å´¢¹Ò´ÂÒŧ
                      ‹                      é
         ¼Ù»ÇÂÃŒÍÂÅÐ 2 ¾ºÇ‹Ò ÁÕ¡ÒÃà¾ÔÁ¢Ö¹¢Í§à͹ä«Á transaminases ·Õµº ÍÒ¡ÒùÕäÁ‹¢¹¡Ñº¢¹Ò´
             Œ †                      è é                            è Ñ       é Öé
ÂÒ·Õè㪌 áÅмٌ»†ÇÂʋǹãË­‹ÁÕÃдѺà͹ä«ÁÊÙ§¢Ö鹡‹Í¹àÃÔèÁ㪌ÂÒ deferasirox ¹Í¡¨Ò¡¹Õ龺¼ÙŒ»†ÇÂ
ÃŒÍÂÅÐ 0.3 ·ÕÁ¡ÒÃà¾ÔÁ¢Ö¹¢Í§à͹ä«Á transaminase ÁÒ¡¡Ç‹Ò 10 à·‹Ò ¢Í§¤‹ÒµÑǺ¹¢Í§ª‹Ç§ÃдѺ
                 è Õ    è é
320                                                                     Deferasirox ÂҢѺàËÅ硪¹Ô´ÃѺ»Ãзҹ

»¡µÔ «Ö§º‹§¶Ö§ÀÒÇеѺÍÑ¡àʺ ઋ¹à´ÕÂǡѺ¡ÒÃÃÑ¡ÉÒ´ŒÇÂÂҨѺ¸ÒµØàËÅç¡Í×¹æ
         è                                                           è
           ¾ºäÁ‹º‹ÍÂNjҼٌ»†Ç·Õèä´ŒÃѺÂÒ deferasiox à¡Ô´¡ÒÃÊÙ­àÊÕ¡ÒÃä´ŒÂÔ¹ ÀÒÇÐàŹʏµÒ¢Ø‹¹
(µŒÍ¡ÃШ¡àÃÔÁáá) ¾ºä´ŒÃÍÂÅÐ 0.3 àÁ×Íà·Õº¡Ñº¼Ù»Ç·Õ䴌ú D.O ¾ºÃŒÍÂÅÐ1.4(18) ໚¹·Õ¹ÒÊѧࡵ
             è               Œ           è        Œ † è Ñ                           è ‹
Ç‹ÒäÁ‹ÁÃÒ§ҹ¼Ù»Ç·Õú»Ãзҹ deferasirox áÅŒÇà¡Ô´ÀÒÇÐ agranulocytosis ¢Ö¹àÅÂ
       Õ         Œ † èÑ                                                     é

Cost effectiveness of deferasirox
         ÁÕÃÒ§ҹ¡ÒÃÈÖ¡ÉÒ 2 ©ºÑºà»ÃÕºà·Õº cost-effectiveness ¢Í§ÂÒ D.O áÅÐ deferasirox
ÃÒ§ҹ·Õ㪌 US model ¡ÒÃÃÑ¡ÉÒ´ŒÇ deferasirox ÁÕ¼ÅãËŒ¼»ÇÂÁÕà¾ÔÁ¢Ö¹ quality adjusted life years
          è                                           ÙŒ †    è é
(QALYs) per patient 4.5 »‚ â´ÂÁÕ lifetime cost 126,018 US dollars per patient ෋ҡѺ cost-
effectiveness ratio 28,255 US dollar per QALY 19 ÊíÒËÃѺÃÒ§ҹ·Õ㪌 UK model ¡ÒÃ㪌ÂÒ
                                                                    è
deferasirox ¨ÐÁÕ¤Ò㪌¨ÒÂÃÇÁ (net costs) ·ÕµÒ¡Ç‹Ò áÅÐ QALYs ·Õʧ¡Ç‹Ò¡ÒÃ㪌 D.O àÁ×Íà·Õº
                  ‹ ‹                     è èí                  èÙ                     è
㹼ٻǷÕÁ¹Ò˹ѡ 62 ¡¡. ¨ÐÁÕ incremental cost per QALY ෋ҡѺ 7,775.77 »Í¹´
    Œ † è Õ éí                                                                   (20)



ÊÃØ»
           ¡ÒÃãËŒàÅ×ʹ໚¹»ÃШíÒà¾×èÍÃÑ¡ÉÒÀÒÇЫմ·Õèà¡Ô´¢Öé¹ã¹â䵋ҧæ ÍÒ·Ôઋ¹ !-thalassemia
disease, myelodysplastic syndromes, sickle cell disease ¨Ð¹íÒä»ÊÙ‹ÀÒÇÐàËÅç¡à¡Ô¹áÅÐ
¼Åá·Ã¡«ŒÍ¹·ÕèÃŒÒÂáçµÒÁÁÒ ÂÒ deferasirox ໚¹ÂҢѺàËÅ硪¹Ô´ÃѺ»Ãзҹ·Õèä´ŒÃѺ¡ÒÃÈÖ¡ÉÒ
㹼ٻǻÃÐàÀ·µ‹Ò§æ Í‹ҧ¡ÇŒÒ§¢ÇÒ§ áÊ´§ãËŒàËç¹»ÃÐÊÔ·¸ÔÀÒ¾áÅФÇÒÁ»ÅÍ´ÀÑ ¼Å¡ÒÃÈÖ¡ÉÒ
    Œ †
㹼ٻǨíҹǹÁÒ¡¨Ò¡ EPIC study áÅСÒÃÈÖ¡ÉÒÃÐÂÐÂÒÇʹѺʹع¡ÒûÃѺ¢¹Ò´ÂÒµÒÁÃдѺ
     Œ †
serum ferritin à¾×èÍ»ÃѺᵋ§ãËŒàËÁÒÐÊÁÊíÒËÃѺ¼ÙŒ»†ÇÂᵋÅФ¹ àÃÔèÁÁÕÃÒ§ҹ¢ŒÍÁÙÅà¡ÕèÂǡѺ
»ÃÐÊÔ·¸ÔÀÒ¾¢Í§ÂÒ·ÕÁµÍ¸ÒµØàËÅç¡·ÕËÇ㨠«Ö§¹íÒä»ÊÙ¤ÇÒÁ¤Ò´ËÇѧ¶Ö§º·ºÒ·¢Í§Âҷѧ㹷ҧ»‡Í§¡Ñ¹
                       è Õ ‹            è Ñ è    ‹                              é
áÅÐÃÑ¡ÉÒ¡ÒÃÊÐÊÁ¢Í§¸ÒµØàËÅç¡·ÕËÇ㨠´Ñ§¹Ñ¹ÂÒDeferasirox¨Ö§à»š¹µÑÇá·¹¢Í§¤ÇÒÁ¡ŒÒÇ˹ŒÒ㹡ÒÃ
                                  è Ñ         é
ÃÑ¡ÉҼٻǷÕÁÀÒÇÐàËÅç¡à¡Ô¹áÅÐÁÕÈ¡ÂÀҾ㹡ÒûÃÐÂØ¡µãªŒã¹·Ò§¤ÅÔ¹¡´ŒÒ¹Í×¹æ µ‹Íä»ã¹Í¹Ò¤µ
         Œ † è Õ                      Ñ                               Ô     è

àÍ¡ÊÒÃ͌ҧÍÔ§
1.    Duffy-Warren . CA, Rigourd S, .rederick A. Exjade® (deferasirox) Basic Prescribing Information. 2008.
2.    Nick H, Acklin P, Lattmann R, et al. Development of tridentate iron chelators: from desferrithiocin to ICL670.
      Curr Med Chem. 2003;10:1065-76.
3.    Piga A, Galanello R, .orni GL, et al. Randomized phase II trial of deferasirox (Exjade, ICL670), a once-daily,
      orally-administered iron chelator, in comparison to deferoxamine in thalassemia patients with transfusional iron
      overload. Haematologica. 2006;91:873-80.
4.    Galanello R, Piga A, Alberti D, Rouan MC, Bigler H, Sechaud R. Safety, tolerability, and pharmacokinetics of
      ICL670, a new orally active iron-chelating agent in patients with transfusion-dependent iron overload due to
      beta-thalassemia. J Clin Pharmacol. 2003;43:565-72.
àǪÈÒʵÏ·¹Âؤ 2553
          Ñ                                                                                                           321

5.    Nisbet-Brown E, Olivieri N., Giardina PJ, et al. Effectiveness and safety of ICL670 in iron-loaded patients with
      thalassaemia: a randomised, double-blind, placebo-controlled, dose-escalation trial. Lancet. 2003;361:1597-602.
6.    Galanello R, Piga A, Cappellini MD, et al. Effect of food, type of food, and time of food intake on deferasirox
      bioavailability: recommendations for an optimal deferasirox administration regimen. J Clin Pharmacol. 2008;48:
      428-35.
7.    Waldmeier ., Bruin GJ, Glaenzel U, et al. Pharmacokinetics, metabolism, and disposition of deferasirox in beta-
      thalassemic patients with transfusion-dependent iron overload who are at pharmacokinetic steady state. Drug
      Metab Dispos. 2010;38:808-16.
8.    Cappellini MD, Cohen A, Piga A, et al. A phase 3 study of deferasirox (ICL670), a once-daily oral iron chelator,
      in patients with beta-thalassemia. Blood. 2006;107:3455-62.
9.    Vichinsky E, Onyekwere O, Porter J, et al. A randomised comparison of deferasirox versus deferoxamine for
      the treatment of transfusional iron overload in sickle cell disease. Br J Haematol. 2007;136:501-8.
10.   Porter J, Galanello R, Saglio G, et al. Relative response of patients with myelodysplastic syndromes and other
      transfusion-dependent anaemias to deferasirox (ICL670): a 1-yr prospective study. Eur J Haematol. 2008;80:
      168-76.
11.   Taher A, El-Beshlawy A, Elalfy MS, et al. Efficacy and safety of deferasirox, an oral iron chelator, in heavily iron-
      overloaded patients with beta-thalassaemia: the ESCALATOR study. Eur J Haematol. 2009;82:458-65.
12.   Taher A, Cappellini MD, Vichinsky E, et al. Efficacy and safety of deferasirox doses of >30 mg/kg per d in
      patients with transfusion-dependent anaemia and iron overload. Br J Haematol. 2009;147:752-9.
13.   Cappellini MD, Porter J, El-Beshlawy A, et al. Tailoring iron chelation by iron intake and serum ferritin: the
      prospective EPIC study of deferasirox in 1744 patients with transfusion-dependent anemias. Haematologica.
      2010;95:557-66.
14.   Esposito BP, Breuer W, Sirankapracha P, Pootrakul P, Hershko C, Cabantchik ZI. Labile plasma iron in iron
      overload: redox activity and susceptibility to chelation. Blood. 2003;102:2670–7.
15.   Porter JB. Pathophysiology of iron overload. Hematol Oncol Clin North Am. 2005;19 (suppl 1):7-12.
16.   Daar S, Pathare A, Nick H, et al. Reduction in labile plasma iron during treatment with deferasirox, a once-daily
      oral iron chelator, in heavily iron-overloaded patients with beta-thalassaemia. Eur J Haematol. 2009;82:454-7.
17.   Porter JB, Cappellini MD, El-Beshlawy A, et al. Effect of deferasirox on labile plasma iron levels in heavily iron-
      overloaded patients with transfusion-dependent anemias enrolled in the large-scale, prospective 1-year EPIC
      trial (abstract). Blood112. 2008;112:5411.
18.   Masera N, Rescaldani C, Azzolini M, et al. Development of lens opacities with peculiar characteristics in
      patients affected by thalassemia major on chelating treatment with deferasirox (ICL670) at the Pediatric Clinic
      in Monza, Italy. Haematologica. 2008;93:e9-10.
19.   Delea TE, Sofrygin O, Thomas SK, Baladi J., Phatak PD, Coates TD. Cost effectiveness of once-daily oral
      chelation therapy with deferasirox versus infusional deferoxamine in transfusion-dependent thalassaemia patients:
      US healthcare system perspective. Pharmacoeconomics. 2007;25:329-42.
20.   Karnon J, Tolley K, Oyee J, Jewitt K, Ossa D, Akehurst R. Cost-utility analysis of deferasirox compared to
      standard therapy with desferrioxamine for patients requiring iron chelation therapy in the United Kingdom. Curr
      Med Res Opin. 2008;24:1609-21.
àǪÈÒʵÏ·¹Âؤ 2553
          Ñ                                                                 º··Õè      323

                                                                             48
             ÂÒ¨Ò¡ÊÁعä¾Ã¡ÑºàǪÈÒʵÏàªÔ§»ÃШѡɏ
     Herbal Medicinal Products and Evidence-based Medicine
                                           ÍÒ¨ÒÏ àÀÊѪ¡ÃË­Ô§³Ñª¡Ã ÅéíÒàÅÔȡԨ
                                  ÃͧÈÒʵÃÒ¨ÒÏ ¹ÒÂᾷ»ÃÐÇԷ ÍѤÃàÊÃÕ¹¹·
                                                      ÍÒ¨ÒÏ »ÃÐʾ¾Ã ¾Ñ¹¸à¾ç§
                                        ÃͧÈÒʵÃÒ¨ÒÏ ¹ÒÂᾷ·ÇÕ àÅÒ˾ѹ¸
        ʶҹ¡ÒÃᾷἹä·Â»ÃÐÂØ¡µ ¤³Ðá¾·ÂÈÒʵÏÈÔÃÔÃÒª¾ÂÒºÒÅ ÁËÒÇÔ·ÂÒÅÑÂÁËÔ´Å

           㹪‹Ç§ 20 »‚·¼Ò¹ÁÒ á¹Ç¤Ô´àÃ×ͧàǪÈÒʵÏàªÔ§»ÃШѡɏ䴌·ÒãËŒº¤Åҡ÷ҧ¡ÒÃᾷ
                          Õè ‹           è                            í     Ø
ÁÕ¤ÇÒÁµ×¹µÑÇ㹡ÒÃËÒ¢ŒÍÁÙÅËÅÑ¡°Ò¹àªÔ§»ÃШѡɏ·´·Ê´ÁÒ»ÃÐÂØ¡µãªŒã¹àǪ»¯ÔºµÔ à¾×ÍãËŒ¡ÒôÙáÅ
           è                                      Õè Õ Õè Ø                     Ñ è
ÃÑ¡ÉÒ¼Ù»ÇÂÁÕ»ÃÐÊÔ·¸Ô¼ÅáÅлÅÍ´ÀÑÂÁÒ¡·ÕÊ´ ¡ÒôÙáÅÃÑ¡ÉÒ´ŒÇÂÈÒʵÏ¡ÒÃᾷἹä·Â«Ö§à»š¹
         Œ †                               èØ                                             è
ͧ¤¤ÇÒÁÃÙŒ·ÕèÊ׺·Í´¡Ñ¹ÁÒÂÒǹҹ¡çä´ŒÃѺÍÔ·¸Ô¾Å¨Ò¡á¹Ç¤Ô´¹Õéઋ¹¡Ñ¹ ¨Ö§à¡Ô´¤ÇÒÁµ×è¹µÑÇàÃ×èͧ
¡ÒÃ㪌ÂÒ¨Ò¡ÊÁعä¾Ãº¹ËÅÑ¡°Ò¹ÇÔªÒ¡Òà ¢³Ðà´ÕÂǡѹ¡ÃÐáÊ¡ÒÃ㪌¼ÅÔµÀѳ±¨Ò¡ÊÁعä¾Ã·ÑÇâÅ¡      è
¡çà¾ÔÁÁÒ¡¢Ö¹Í‹ҧµ‹Íà¹×ͧ ÁÕÁŤ‹Ò»‚ÅÐËÅÒ¾ѹŌҹ´ÍÅÅÒÏÊËÃѰ(1) äÁ‹ÇÒ¨Ð㪌໚¹ÂÒÃÑ¡ÉÒâä
       è      é               è   Ù                                       ‹
ÍÒËÒÃàÊÃÔÁÊØ¢ÀÒ¾ à¤Ã×ͧÊíÒÍÒ§ ËÃ×ÍÍÒËÒÃ
                            è
           ÊÒà˵ط·Òãˌʧ¤ÁËѹÁÒºÃÔâÀ¤¼ÅÔµÀѳ±¨Ò¡ÊÁعä¾Ã¡Ñ¹ÁÒ¡¢Ö¹ ʋǹ˹֧à¾ÃÒÐࢌÒã¨Ç‹Ò
                  Õè í Ñ                                                é        è
¼ÅÔµÀѳ±·ÕèÁÒ¨Ò¡¸ÃÃÁªÒµÔäÁ‹ÁÕÍѹµÃÒ áÅÐÍաʋǹ˹Öè§à¾ÃÒÐÍÔ·¸Ô¾Å¢Í§Ê×èÍ»ÃÐàÀ·µ‹Ò§æ
·Õè¹íÒàʹ͢ŒÍÁÙÅà¡ÕèÂǡѺ»ÃÐÊÔ·¸Ô¼Å¢Í§¼ÅÔµÀѳ±¨Ò¡ÊÁعä¾Ã ·Ñé§·Ò§â·Ã·Ñȹ ˹ѧÊ×;ÔÁ¾
ÍÔ¹àµÍÏà¹ç· ËÃ×ÍẺ»Ò¡µ‹Í»Ò¡ ᵋÊÍàËŋҹպҧ¤Ãѧ¡çäÁ‹ÊÒÁÒöãËŒ¢ÍÁÙŷդú¶ŒÇ¹ä´Œ à¹×ͧ¨Ò¡
                                      ×è      é        é            Œ         è       è
ÊÁعä¾ÃʋǹÁÒ¡ÂѧäÁ‹ÁËÅÑ¡°Ò¹·Ò§ÇÔªÒ¡Ò÷ÕÁÒʹѺʹع»ÃÐÊÔ·¸ÔÀÒ¾áÅФÇÒÁ»ÅÍ´ÀÑ ¶Ö§áÁŒ
                                Õ               è
ÊÁعä¾ÃºÒ§ª¹Ô´¨ÐÁÕ¡ÒÃÈÖ¡ÉÒÇԨ¡çµÒÁ ᵋËÅÑ¡°Ò¹·ÕÁ¤ÇÒÁ¹‹Òàª×Ͷ×Íã¹ÃдѺÊÙ§Áըҹǹ¹ŒÍÂ
                                    Ñ                       è Õ   è                 í
           ÊÁعä¾Ãä·Â·Õ¾ºº‹ÍµÒÁàÇçºä«µµÒ§æ 䴌ᡋ ¢ÁÔ¹ªÑ¹ ¿‡Ò·ÐÅÒÂâ¨Ã ÁÐÃØÁ ¡ÃЪÒ´íÒ
                        è                   ‹                   é
NjҹªÑ¡Á´ÅÙ¡ ¾ÃÔ¡ä·Â´íÒ ºÍÃÐà¾ç´ ྪÃÊѧ¦Òµ Ë­ŒÒ˹ǴáÁÇ ªØÁàËç´à·È ÃÒ§¨×´ ´Í¡¤íÒ½ÍÂ
µíÒÃѺÂÒµ‹Ò§æ ઋ¹ ÂÒËÍÁ ÂÒºÃÃà·ÒÃÔ´Êմǧ·ÇÒà ÂÒᡌäÍ à»š¹µŒ¹ ʋǹÁÒ¡¨íÒ˹‹ÒÂã¹ÃٻẺ
ÂÒàÁç´ ÂÒ᤻«ÙÅ ÂÒÅÙ¡¡Å͹ ËÃ×ÍÂÒª§ ¹Í¡¨Ò¡¹ÕéÂѧÁÕ·Õè໚¹ÂÒ㪌ÀÒ¹͡ ÍÒËÒÃàÊÃÔÁ áÅÐ
à¤Ã×ͧÊíÒÍÒ§
     è
324                                                    ÂÒ¨Ò¡ÊÁعä¾Ã¡ÑºàǪÈÒʵÏàªÔ§»ÃШѡɏ

ÂÒ¨Ò¡ÊÁعä¾Ã¡ÑºàǪÈÒʵÏàªÔ§»ÃШѡɏ
           àǪÈÒʵÏàªÔ§»ÃШѡɏ ËÃ×Í Evidence-based medicine (EBM) ËÁÒ¶֧ ¡ÒôÙáÅÃÑ¡ÉÒ
¼Ù»ÇÂâ´Â¡ÒùíÒËÅÑ¡°Ò¹·Õä´Œ¨Ò¡¡ÒÃÈÖ¡ÉÒã¹»ÃЪҡÃÁÒ»ÃСͺ¡ÒõѴÊԹ㨠·Ñ§¹ÕËÅÑ¡°Ò¹·Õ¹Ò
  Œ †                           è                                              é é       è í
ÁÒ㪌µÍ§à»š¹ËÅÑ¡°Ò¹·Õ´·Ê´·ÕÁÍÂÙã¹¢³Ð¹Ñ¹ áÅеŒÍ§ãªŒÍ‹ҧ¶Ù¡µŒÍ§µÒÁËÅÑ¡ÇÔªÒ¡Òà µÒÁ·íҹͧ
       Œ                  è Õ Õè Ø è Õ ‹     é
¤Ãͧ¸ÃÃÁ àËÁÒÐÊÁ áÅеç仵çÁÒ ¹Í¡¨Ò¡ËÅÑ¡°Ò¹·Õä´Œ¨Ò¡¡ÒÃÈÖ¡ÉÒÇԨ ËÅÑ¡°Ò¹àªÔ§»ÃШѡɏ
                                                        è                Ñ
ÍÒ¨ÁÒ¨Ò¡»ÃÐʺ¡Òó¢Í§¼ÙàªÕÂǪҭ ¤ÇÒÁÃÙáÅлÃÐʺ¡Òó¢Í§¼Ù»ÇÂËÃ×ͼٷ´áżٻÇ áÅÐ
                                    Œ è         Œ                   Œ †      Œ Õè Ù Œ †
¢ŒÍÁÙÅÍ×¹æ ઋ¹ ÀÙÁ»­­Ò·ŒÍ§¶Ô¹ ¹âºÒ¢ͧªÒµÔ ໚¹µŒ¹ àÁ×ÍËÅÑ¡°Ò¹ÁÕËÅÒ»ÃÐàÀ· ¨Ö§¤ÇÃ
         è            Ô ˜               è                 (2)
                                                              è
¾Ô¨ÒóҶ֧ÃдѺ¤ÇÒÁ¹‹Òàª×Ͷ×ͧ͢ËÅÑ¡°Ò¹áÅÐÃдѺ¢Í§¤íÒá¹Ð¹íÒµÒÁ¢ŒÍº‹§ãªŒ¡Í¹·Õ¨ÐµÑ´ÊÔ¹ã¨
                                  è                                             ‹ è
¹íÒÁÒ㪌㹡ÒôÙáÅÃÑ¡ÉҼٻǠ  Œ †
           àÁ×Í»‚¾.È. 2552 Oxford centre for evidence-based medicine ä´Œ»ÃѺ»Ãاá¹Ç·Ò§¡ÒèѴ
              è
ÃдѺ¢Í§ËÅÑ¡°Ò¹ã¹´ŒÒ¹¤ÇÒÁ¹‹Òàª×Ͷ×ÍáÅÐࡳ±¡ÒûÃÐàÁÔ¹ÃдѺ¢Í§¤íÒá¹Ð¹íÒãËÁ‹ ´Ñ§µÒÃÒ§·Õè
                                          è
1 áÅÐ 2 ¡ÒèѴÃдѺ¢Í§ËÅÑ¡°Ò¹¢Öé¹ÍÂÙ‹¡ÑºÃٻẺ¡ÒÃÈÖ¡ÉÒ໚¹ÊíҤѭ â´ÂÃдѺ 1 ËÁÒ¶֧
ËÅÑ¡°Ò¹·ÕÁͤµÔ¹Í·ÕÊ´
             è Õ     Œ èØ

µÒÃÒ§·Õè 1 ÃдѺ¢Í§ËÅÑ¡°Ò¹ (Levels of evidence)(3)
ÃдѺ       ࡳ±¡ÒûÃÐàÁÔ¹
1           Systematic review ¢Í§¡ÒÃÈÖ¡ÉÒÃٻẺ RCT* ·ÕᵋÅСÒÃÈÖ¡ÉÒãËŒ¼Åä»ã¹
                                                         è
            á¹Çà´ÕÂǡѹ /§Ò¹ÇÔ¨ÂÃٻẺ RCT* ·ÕÁªÇ§¤ÇÒÁàª×ÍÁѹ (Confidence Interval) ᤺
                               Ñ              è Õ ‹        è è
2           Systematic review ¢Í§¡ÒÃÈÖ¡ÉÒẺ cohort ·ÕᵋÅСÒÃÈÖ¡ÉÒãËŒ¼Åä»ã¹
                                                       è
            á¹Çà´ÕÂǡѹ / §Ò¹ÇÔ¨ÂÃٻẺ RCT* ·Õ´Í¤سÀÒ¾ áÅСÒÃÈÖ¡ÉÒẺ cohort
                                 Ñ              è Œ
3           Systematic review ¢Í§¡ÒÃÈÖ¡ÉÒẺ case-control / §Ò¹ÇԨ·ÕÁ¡ÒÃÈÖ¡ÉÒẺ
                                                                  Ñ è Õ
            case-control
4           §Ò¹ÇÔ¨ÂÃٻẺ Case-series / ¡ÒÃÈÖ¡ÉÒẺ cohort áÅÐ case-control ·Õ´Í¤سÀÒ¾
                  Ñ                                                           è Œ
5           ¤ÇÒÁàË繨ҡ¼ÙàªÕÂǪҭ / ¡ÒÃÇÔ¨Âã¹ËÅÍ´·´ÅͧËÃ×ÍÊѵǏ·´Åͧ
                           Œ è            Ñ
ËÁÒÂà赯 : ´Ñ´á»Å§ÁÒ¨Ò¡àÍ¡ÊÒÃ͌ҧÍÔ§ËÁÒÂàÅ¢ 3 ੾ÒÐʋǹ·Õè໚¹ËÅÑ¡°Ò¹à¡ÕèÂǡѺ
            »ÃÐÊÔ·¸Ô¼Å㹡ÒÃÃÑ¡ÉÒ ¡Òû‡Í§¡Ñ¹âä ¡ÒÃÈÖ¡ÉÒà¡ÕèÂǡѺÊÒà˵آͧâä áÅÐ
            ÍѹµÃÒ¨ҡ¡ÒÃ㪌
*RCT = Randomized controlled clinical trial
àǪÈÒʵÏ·¹Âؤ 2553
          Ñ                                                                                        325

µÒÃÒ§·Õè 2 ÃдѺ¢Í§¤íÒá¹Ð¹íÒ (Grades of recommendation)(3)
  ÃдѺ      ࡳ±¡ÒûÃÐàÁÔ¹
   A         ËÅÑ¡°Ò¹ÃдѺ 1 ·ÕÊÍ´¤ÅŒÍ§¡Ñ¹
                              è
   B         ËÅÑ¡°Ò¹ÃдѺ 2 ËÃ×Í 3 ·ÕÊÍ´¤ÅŒÍ§¡Ñ¹ ËÃ×Í ÃÒ§ҹà¾ÔÁàµÔÁ¨Ò¡ËÅÑ¡°Ò¹ÃдѺ 1
                                     è                         è
   C         ËÅÑ¡°Ò¹ÃдѺ 4 ËÃ×Í ÃÒ§ҹà¾ÔÁàµÔÁ¨Ò¡ËÅÑ¡°Ò¹ÃдѺ 2 ËÃ×Í 3
                                          è
   D         ËÅÑ¡°Ò¹ÃдѺ 5 ËÃ×Í ËÅÑ¡°Ò¹ÃдѺÍ×¹·ÕÁ¤ÇÒÁ¤ÅØÁà¤Ã×ÍËÃ×͢ѴáÂŒ§¡Ñ¹
                                               è è Õ

         ¶ŒÒ¡ÒõѴÊÔ¹ã¨ãËŒ¡ÒÃÃÑ¡ÉÒ¼ÙŒ»†Ç µÑé§ÍÂÙ‹º¹ËÅÑ¡¡ÒâͧàǪÈÒʵÏàªÔ§»ÃШѡɏ«Öè§àª×èͶ×Í
ã¹ËÅÑ¡°Ò¹·Õè໚¹ RCT ¤íÒ¶ÒÁ¤×ÍÂÒÊÁعä¾Ã¨ÐÊÒÁÒö¹íÒÁÒ㪌㹡ÒÃÃÑ¡ÉÒä´ŒËÃ×ÍäÁ‹ à¾ÃÒÐ
ËÅÑ¡°Ò¹·Õà¡ÕÂÇ¢ŒÍ§¡ÑºÂÒ¨Ò¡ÊÁعä¾ÃáÅÐÊÁعä¾Ãä·ÂʋǹÁҡ໚¹ÃдѺ 5 ¤×Í à»š¹¢ŒÍÁÙŨҡ¡ÒÃ
           è è
·´Åͧã¹ËÅÍ´·´Åͧ ÊѵǏ·´Åͧ ºÑ¹·Ö¡¨Ò¡µíÒÃÒËÃ×ͤÑÁÀÕϵ‹Ò§æ·Õè໚¹ÀÙÁÔ»˜­­Ò ໚¹µŒ¹
ʋǹ¢ŒÍÁÙÅ¡ÒÃÇԨѷҧ¤ÅÔ¹Ô¡·Õ蹋Òàª×èͶ×Í¡çÁÑ¡¨Ð໚¹ÊÁعä¾Ãà´ÕèÂÇ·ÕèÁÕ¡ÒÃ㪌¡Ñ¹ÁÒ¡ËÃ×ÍÁÕ¡ÒÃ㪌
ã¹·ÇÕ » ÍàÁÃÔ ¡ ÒËÃ× Í ÂØ â û ઋ ¹ ¿‡ Ò ·ÐÅÒÂâ¨ÃáÅТÁÔé ¹ ªÑ ¹ «Öè § ໚ ¹ ÊÁØ ¹ ä¾Ã¨í Ò ¹Ç¹¹Œ Í ÂÁÒ¡
àÁ×èÍà·Õº¡Ñº¨íҹǹÊÁعä¾Ã·ÕèÁÕ¡ÒÃ㪌ÍÂÙ‹¨ÃÔ§ã¹àǪ»¯ÔºÑµÔ«Öè§ÁÕÁÒ¡¡Ç‹Ò 500 ª¹Ô´ µÒÁ¢ŒÍÁÙŨҡ
ʶҹ¡ÒÃᾷἹä·Â»ÃÐÂØ¡µ ¤³Ðá¾·ÂÈÒʵÏÈÃÃÒª¾ÂÒºÒÅ ÁËÒÇÔ·ÂÒÅÑÂÁËÔ´Å
                                                     ÔÔ
         Í‹ҧäáç´ã¹ÃÐÂÐËÅѧ ºØ¤Åҡ÷շҧҹ´ŒÒ¹ÊÁعä¾Ãä´Œ¾ÂÒÂÒÁ·íÒ¡ÒÃÇԨ¶֧»ÃÐÊÔ·¸Ô¼Å
                   Õ                         è í                                         Ñ
áÅФÇÒÁ»ÅÍ´ÀÑ à¾×ÍãËŒ¡ÒÃ㪌ÂÒ¨Ò¡ÊÁعä¾Ã໚¹ä»Í‹ҧÊÁà˵ØÊÁ¼Å ઋ¹ ¡ÒÃËÒÊÒÃÊíҤѭ
                          è
¡Ò÷´Êͺķ¸Ô·Ò§àÀÊѪÇÔ·ÂҤǺ¤Ù仡Ѻ¡Ò÷´Åͧ·Ò§¤ÅÔ¹¡ ໚¹µŒ¹
                 ì                       ‹                      Ô

µÑÇÍ‹ҧ¡ÒÃÇÔà¤ÃÒÐˏËÅÑ¡°Ò¹àªÔ§»ÃШѡɏ¢Í§ÂÒ¨Ò¡ÊÁعä¾Ã
1. ¢ÁÔ鹪ѹ
         ÁÕªÍÇÔ·ÂÒÈÒʵÏÇÒ Curcuma longa L. ǧȏ Zingiberaceae ¤ÑÁÀÕÃÊÃþ¤Ø³ÂÒ(4) «Ö§ãªŒ
            ×è             ‹                                                           è
͌ҧÍÔ§ã¹·Ò§¡ÒÃᾷἹä·ÂÃкØÇÒ¢ÁÔ¹ªÑ¹ÁÕÊÃþ¤Ø³ “ᡌ䢌͹ºÑ§à¡Ô´áµ‹´Õ ªíÒÃÐâäÍѹºÑ§à¡Ô´
                                     ‹ é                      Ñ
µÒÁ¼ÔÇ˹ѧ ÃЧѺàµâª¸ÒµØãËŒ´º ᡌàÊÁËзíÒãËŒ¿¡ºÇÁ áÅᡌºÒ´á¼Å” áÅеÑÇÍ‹ҧµíÒÃѺÂÒ·ÕÁÕ
                               Ñ                                                            è
¢ÁÔ¹ªÑ¹à»š¹Ê‹Ç¹»ÃСͺ áÅÐÃкØÊÃþ¤Ø³äÇŒ ઋ¹ “¨Ñ¹·¹à·È ¢Ñ³±Ê¡Ã ËÑÇáËŒÇËÁÙ â¡°¡Ãд١ Njҹ
     é
¹éÒ ¢ÁÔ¹ªÑ¹ ਵÁÙÅà¾ÅÔ§ µíÒáÂà¤Ã×Í ¢Ô§Ê´ ÍѹNjÒÂÒËÁÙ¹¡ÃзíÒãËŒ¿¡ºÇÁÂØºÅ§” ËÃ×Í “¤Ø³¢ÁÔ¹ªÑ¹
  í é                                               ‹ Õé                              é
¢ÁԹ͌Í ÁÕÃÊà¼ç´ÃŒÍ¹ ᡌ¾ÉâÅËÔµ áÅÅÁ ᡌºÇÁ ᡌàÊÁËРᡌ䢌·§»Ç§ ᡌµÇ¾ÂÒ¸Ô¡ÃзíÒãËŒ¤¹
       é                     Ô                                  Ñé       Ñ                Ñ
·ÑÇÊÃþҧ¤ ᡌ½”
   è             ‚
         »˜¨¨Øº¹¢ÁÔ¹ªÑ¹¨Ñ´à»š¹ÂÒ¨Ò¡ÊÁعä¾Ã㹺ѭªÕÂÒ¨Ò¡ÊÁعä¾ÃáË‹§ªÒµÔ ¾.È. 2549 Áբͺ‹§ãªŒ
               Ñ é                                                                  Œ
㹡ÒúÃÃà·ÒÍÒ¡ÒÃṋ¹¨Ø¡àÊÕ´ ¹Í¡¨Ò¡¹Õ§¾ºÇ‹ÒÁÕ¡ÒÃ͌ҧÊÃþ¤Ø³µŒÒ¹¡ÒÃÍÑ¡àʺ µŒÒ¹ÁÐàÃç§
                                 (5)
                                            é Ñ
áÅеŒÒ¹Í¹ØÁÙÅ ÍÔÊÃдŒÇ ÃдѺ¢Í§ËÅÑ¡°Ò¹àªÔ§»ÃШѡɏáÅÐÃдѺ¢Í§¤íÒá¹Ð¹íÒÊíÒËÃѺ¢ÁÔ鹪ѹ
áÊ´§änj㹵ÒÃÒ§·Õè 3
326                                                   ÂÒ¨Ò¡ÊÁعä¾Ã¡ÑºàǪÈÒʵÏàªÔ§»ÃШѡɏ

µÒÃÒ§·Õè 3 ËÅÑ¡°Ò¹àªÔ§»ÃШѡɏ¢Í§¢ÁÔ鹪ѹ
 ¢ŒÍº‹§ãªŒ                                              ÃдѺ¢Í§          ÃдѺ¢Í§
                                                        ËÅÑ¡°Ò¹           ¤íÒá¹Ð¹íÒ
ÃÑ¡ÉÒÍÒ¡ÒÃṋ¹¨Ø¡àÊÕ´(5)                                    2                B
Å´¡ÒÃÍÑ¡àʺ(5-8)
- ¡Ãд١¢ŒÍÍÑ¡àʺàÃ×ÍÃѧ ¡ÒÃÍÑ¡àʺ¢Í§á¼ÅËÅѧ¼‹ÒµÑ´
                      é
  àÂ×ͺصÒÍÑ¡àʺàÃ×ÍÃѧ
     è              é                                        2, 4, 5          B
»‡Í§¡Ñ¹áÅÐÃÑ¡ÉÒá¼Åã¹·Ò§à´Ô¹ÍÒËÒÃ(5, 6, 8)                    2, 5             D*
µŒÒ¹àª×ÍẤ·ÕàÃÕÂ(5)
         é                                                   5                D*
µŒÒ¹ÍÑÅä«àÁÍÏ(8)                                            5                D
¢Ñº¹éÒ´Õ Å´¡ÒúպµÑǢͧÅíÒäÊŒ(5)
       í                                                     5                D
µŒÒ¹ÁÐàÃç§(6, 8) µŒÒ¹Í¹ØÁÅÍÔÊÃÐ(6, 9)
                         Ù                                   5                D
µŒÒ¹¡ÒÃà¡ÒÐ¡ÅØÁ¢Í§à¡Åç´àÅ×Í´(6)
                  ‹                                          5                D
ËÁÒÂà赯 * ËÅÑ¡°Ò¹ÁÕ¤ÇÒÁ¢Ñ´áÂŒ§¡Ñ¹

           áÁŒ¨ÐÁÕ§Ò¹ÇÔ¨ÂÁÒ¡ÁÒ·ÕʹѺʹع»ÃÐ⪹¢Í§¢ÁÔ¹ªÑ¹ã¹´ŒÒ¹µ‹Ò§æ ᵋ¡¾ºÇ‹ÒÁբ͢ѴáÂŒ§
                          Ñ      è                           é                ç      Œ
¡Ñ¹ÍÂÙºÒ§ ઋ¹ Ä·¸Ô㹡ÒÃÂѺÂѧàª×Í Helicobacter pyroli «Ö§à»š¹µŒ¹à˵آͧ¡ÒÃà¡Ô´á¼Å㹡ÃÐà¾ÒÐ
       ‹ Œ            ì        é é                         è
ÍÒËÒÃ(5) Ä·¸Ô㹡ÒÃÃÑ¡ÉÒá¼Å㹡ÃÐà¾ÒÐÍÒËÒ÷ÕÁ§Ò¹ÇԨ·ҧ¤ÅÔ¹¡ËÅÒªԹ ઋ¹ ÍÑ­ªÅÕáÅФ³Ð
                ì                                 è Õ    Ñ        Ô       é
(2529) Prucksunand áÅФ³Ð (1986 áÅÐ 2001) ¾ºÇ‹Ò¢ÁÔ鹪ѹÁÕ»ÃÐÊÔ·¸Ô¼Å㹡ÒÃÃÑ¡ÉÒá¼Å
㹡ÃÐà¾ÒÐÍÒËÒÃ(8) ᵋ Van Dau áÅФ³Ð (1998) ÃÒ§ҹNjҢÁÔ¹ªÑ¹äÁ‹Á»ÃÐÊÔ·¸Ô¼ÅàÁ×Íà·Õº¡Ñº
                                                                é       Õ          è
ÂÒËÅÍ¡ ´Ñ§¹Ñ¹¨Ò¡ËÅÑ¡°Ò¹àªÔ§»ÃШѡɏ·ÁÍÂÙ·ÒãËŒàª×ÍÁѹ䴌ÇÒ¢ÁÔ¹ªÑ¹ÊÒÁÒö㪌áÉÒÍÒ¡ÒÃṋ¹
           (6)
                  é                      Õè Õ ‹ í     è è ‹ é                   Ñ
¨Ø¡àÊÕ´䴌 ʋǹķ¸ÔµÒ¹¡ÒÃÍÑ¡àʺ áÁŒ¨ÐÁÕËÅÑ¡°Ò¹ÁÒʹѺʹع ᵋÃдѺ¢Í§¤íÒá¹Ð¹íÒÍÂÙã¹ÃдѺ
                        ì Œ                                                            ‹
B à¹×ͧ¨Ò¡¾ºÇ‹Ò§Ò¹ÇÔ¨ÂÁÕ¢¹Ò´¢Í§µÑÇÍ‹ҧ¹ŒÍ ¨Ö§ÂѧµŒÍ§¡ÒÃÈÖ¡ÉÒà¾ÔÁàµÔÁµ‹Íä»
     è                      Ñ                                         è

2. ¿‡Ò·ÐÅÒÂâ¨Ã
         ÁÕª×èÍÇÔ·ÂÒÈÒÊµÃÇ‹Ò Andrographis paniculata (Burm.f.) Wall. Ex. Nees ÍÂÙ‹ã¹Ç§È
Acanthaceae ÊÁعä¾Ãª¹Ô´¹ÕÁ¡ÒÃ㪌Áҹҹ㹻ÃÐÇѵÈÒʵÏ¡ÒÃᾷἹ¨Õ¹ ¡ÒÃᾷÍÒÂØÃàÇ·
                              é Õ                 Ô
ÍÔ¹à´Õ ÃÇÁ·Ñ§¡ÒÃᾷἹä·Â â´Â㪌ÃÊ¢Á¢Í§ÂÒ㹡ÒÃÃÑ¡ÉÒ¤ÇÒÁ¼Ô´»¡µÔ¢Í§ÃкºÂ‹ÍÂÍÒËÒÃ
               é
áÅÐŴ䢌 »˜¨¨ØºÑ¹¿‡Ò·ÐÅÒÂâ¨Ã໚¹ÊÁعä¾Ã·ÕèÁÕ¡ÒÃ㪌Í‹ҧÁÒ¡ã¹»ÃÐà·ÈᶺÊ᡹´Ôà¹àÇÕÂ
㹡ÒÃÃÑ¡ÉÒ¡ÒõԴàª×Í·Ò§à´Ô¹ËÒÂã¨Ê‹Ç¹º¹áÅÐ䢌ËÇÑ´(10) ã¹»ÃÐà·Èä·Â¿‡Ò·ÐÅÒÂâ¨Ã໚¹ÊÁعä¾Ã
                      é
㹺ѭªÕÂÒ¨Ò¡ÊÁعä¾ÃáË‹§ªÒµÔ ¾.È. 2549 Áբͺ‹§ãªŒã¹¡ÒúÃÃà·ÒÍÒ¡Ò÷ŒÍ§àÊÕÂäÁ‹µ´àª×Í ºÃÃà·Ò
                                            Œ                                  Ô é
ÍÒ¡ÒÃà¨çº¤Í ºÃÃà·ÒÍÒ¡ÒâͧâäËÇÑ´ ઋ¹ à¨çº¤Í ͋͹à¾ÅÕ »Ç´àÁ×Í¡ŌÒÁà¹×Í ¹éÒÁÙ¡äËÅ
                                                                     è          é í
໚¹µŒ¹(5) ã¹»‚ ¾.È. 2552 ª‹Ç§·ÕÁ¡ÒÃá¾Ã‹ÃкҴ¢Í§âä䢌ËÇÑ´ãË­‹ 2009 ÁÕ¤Òá¹Ð¹íÒãˌú»Ãзҹ
                                è Õ                                    í          Ñ
àǪÈÒʵÏ·¹Âؤ 2553
          Ñ                                                                           327

ÊÁعä¾ÃµÑǹÕ(11) ÃдѺ¢Í§ËÅÑ¡°Ò¹àªÔ§»ÃШѡɏáÅÐÃдѺ¢Í§¤íÒá¹Ð¹íÒÊíÒËÃѺ¿‡Ò·ÐÅÒÂâ¨ÃáÊ´§äÇŒ
             é
ã¹µÒÃÒ§·Õè 4

µÒÃÒ§·Õè 4 ËÅÑ¡°Ò¹àªÔ§»ÃШѡɏ¢Í§¿‡Ò·ÐÅÒÂâ¨Ã
¢ŒÍº‹§ãªŒ                                              ÃдѺ¢Í§         ÃдѺ¢Í§
                                                       ËÅÑ¡°Ò¹          ¤íÒá¹Ð¹íÒ
ºÃÃà·ÒÍÒ¡ÒâͧâäËÇÑ´ ઋ¹ à¨çº¤Í ͋͹à¾ÅÕÂ
»Ç´àÁ×Í¡ŌÒÁà¹×Í ¹éÒÁÙ¡äËÅ(8, 12)
         è            é í                                  1, 2               A
ºÃÃà·ÒÍÒ¡Ò÷ŒÍ§àÊÕÂäÁ‹µ´àª×Í(5, 8)
                                 Ô é                       2, 5               B
ºÃÃà·ÒÍÒ¡ÒÃà¨çº¤Í       (5)
                                                           2                  B
»‡Í§¡Ñ¹ËÇÑ´(8)                                             2                  B
ºÃÃà·ÒÍÒ¡Ò÷ŒÍ§àÊÕµԴàª×Í(5, 8)   é                       2, 5               D*
Ä·¸ÔºÂѧàª×ÍẤ·ÕàÃÕÂ
    ì Ñ é é                 (5, 8)
                                                           2, 5               D*
Ä·¸Ô͹æ·ÕÁ¡ÒÃÈÖ¡ÉÒ ä´Œá¡‹ Ä·¸ÔµÒ¹àª×ÍäÇÃÑÊ(8)
     ì ×è è Õ                          ì Œ é
Å´¡ÒÃÍÑ¡àʺ Ŵ䢌 ¡ÃеعÃкºÀÙÁ¤Á¡Ñ¹(5, 8)
               (5, 8)       (5, 8)
                                     Œ       Ô ØŒ          5                  D
ËÁÒÂà赯 * ËÅÑ¡°Ò¹ÁÕ¤ÇÒÁ¢Ñ´áÂŒ§¡Ñ¹

       ¨Ò¡ËÅÑ¡°Ò¹·Õʺ¤Œ¹ä´Œ ÃдѺ¢Í§¤íÒá¹Ð¹íÒãˌ㪌¿Ò·ÐÅÒÂâ¨ÃºÃÃà·ÒÍÒ¡ÒâͧâäËÇÑ´
                      è ×                                ‡
à¨çº¤Í áÅзŒÍ§àÊÕÂäÁ‹µ´àª×ÍÁÕ¤ÒÊÙ§¤×Í A ʋǹ¡ÒÃÃÑ¡ÉÒÍÒ¡Ò÷ŒÍ§àÊÕµԴàª×Í ¶Ö§áÁŒ¨ÐÁÕ§Ò¹ÇÔ¨Â
                        Ô é ‹                                           é                Ñ
·Ò§¤ÅÔ¹Ô¡ÃÒ§ҹ»ÃÐÊÔ·¸Ô¼Å´ŒÒ¹¹Õé ᵋ§Ò¹ÇÔ¨ÑÂËÅÒªÔé¹ÃкØÇ‹Ò¿‡Ò·ÐÅÒÂâ¨ÃäÁ‹ÁÕ¼Å㹡ÒõŒÒ¹
àª×ÍẤ·ÕàÃÕ ÃдѺ¢Í§¤íÒá¹Ð¹íÒÊíÒËÃѺ¢ŒÍº‹§ãªŒ¹¨§à·‹Ò¡Ñº D ¹Í¡¨Ò¡¹ÕÁÃÒ§ҹNjҿ‡Ò·ÐÅÒÂâ¨Ã
   é                                            Õé Ö                é Õ
ÍÒ¨·íÒãËŒà¡Ô´ anaphylactic shock ä´Œ¶ŒÒÃѺ»Ãзҹ㹢¹Ò´ÊÙ§(5, 12) ÍÒ¨·íÒãˌᢹ¢ÒªÒËÃ×Í
͋͹áçàÁ×èÍ㪌µÔ´µ‹Í¡Ñ¹¹Ò¹(5) ¨Ö§¤ÇÃÃÐÁÑ´ÃÐÇѧ㹡ÒÃ㪌 áÅÐäÁ‹¤ÇÃ㪌ã¹ÊµÃÕÁÕ¤ÃÃÀà¹×èͧ¨Ò¡
ÁÕÃÒÂ§Ò¹Ç‹Ò ·íÒãËŒà¡Ô´¡ÒÃá·Œ§(5)

3. ÁÐÃØÁ
        ÁÕªÍÇÔ·ÂÒÈÒʵÏÇÒ Moringa oleifera Lamarack ÍÂÙã¹Ç§È Moringaceae µÒÁÀÙÁ»­­Ò
           ×è           ‹                              ‹                           Ô ˜
´Ñ§à´ÔÁ¢Í§ä·Â ¹Í¡¨Ò¡ãªŒÁÐÃØÁ໚¹ÍÒËÒÃáÅŒÇ ÂѧÊÒÁÒö㪌à¡×ͺ·Ø¡Ê‹Ç¹¢Í§µŒ¹ÁÐÃØÁ໚¹ÂÒä´Œ
  é
à»Å×Í¡µŒ¹ÁÕÃÊÌ͹ ÃѺ»Ãзҹ໚¹ÂҢѺÅÁã¹ÊíÒäÊŒ ·íÒãËŒ¼ÒÂËÃ×ÍàÃÍ ¤ØÁ¸ÒµØÍ‹Í¹æ(13) ¤ÑÁÀÕÏ
ÊÃþ¤Ø³ÂÒ(4) ÃкØÇ‹ÒãºÁÐÃØÁÁÕÊÃþ¤Ø³ãªŒà»š¹¹éíÒ¡ÃÐÊÒÂÂÒ áÅеÑÇÍ‹ҧµíÒÃѺÂÒ·ÕèÁÕÁÐÃØÁ໚¹
ʋǹ»ÃСͺÃкØÊÃþ¤Ø³´Ñ§¹Õé “¤Ø³ãºá¤·Ñé§ ò ãºÊÁÕ ãºªØÁàËç´ ãºÁÐÃØÁ 㺾ÃÔ¡ä·Â ãºÁÐÃÐ
ãºÁÐä¿ ãºäÁŒ·§ ø ÊÔ§¹Õé ᡌ¹Í¹ÁÔËÅѺãËŒÃÐÊèÒÃÐÊÒ ãËŒàÍÒãºäÁŒ¹Õé á¡§¡Ô¹¡Ñº¢ŒÒÇ à¨ÃÔ­âÅËÔµ
                Ñé   è                      í
¹Í¹ËÅѺáÅ ãºäÁŒÍ¹¡Å‹ÒÇÁÒᵋ¡Í¹¹Ñ¹ ãºÍ‹Í¹¡Ô¹à¡Ô´â·É”
                   Ñ          ‹ é
328                                                      ÂÒ¨Ò¡ÊÁعä¾Ã¡ÑºàǪÈÒʵÏàªÔ§»ÃШѡɏ

        »˜¨¨Øº¹ÁÐÃØÁ໚¹ÊÁعä¾Ã·ÕÁ¡ÒÃ͌ҧÊÃþ¤Ø³ÁÒ¡ÁÒ ઋ¹ ÃÑ¡ÉÒâä¢Ò´ÊÒÃÍÒËÒà âä
              Ñ                    è Õ
µÒà¡×ͺ·Ø¡ª¹Ô´ âäàºÒËÇÒ¹ âä¤ÇÒÁ´Ñ¹âÅËÔµÊÙ§ âä¡Ãд١ âäÁÐàÃç§ âäàʹʏ àÊÃÔÁÊÌҧÀÙÁÔ
¤ØÁ¡Ñ¹ âäÅíÒäʌ͡àʺ âäÀÙÁᾌáÅÐÃÑ¡ÉÒá¼ÅàÃ×ÍÃѧ(14) ÃÇÁä»¶Ö§¡ÒÃ͌ҧNjÒÊÒÁÒö¹íÒÁÒ㪌¡º
  Œ              Ñ           Ô                 é                                        Ñ
âäËÇÑ´ 2009
        ËÅÑ¡°Ò¹·ÕÃкØà¡ÕÂǡѺ»ÃÐ⪹¢Í§ÁÐÃØÁÁÕÁÒ¡ÁÒ·ѧËÅÑ¡°Ò¹àªÔ§ÇÔ·ÂÒÈÒʵÏáÅзÕ໚¹
                   è    è                                é                            è
ºÑ¹·Ö¡µ‹Ò§æ Jed W .ahey (2005) ä´ŒÃǺÃÇÁ¢ŒÍÁÙÅËÅÑ¡°Ò¹µ‹Ò§æà¡ÕÂǡѺÁÐÃØÁäÇŒ ´Ñ§¹Õé ´ŒÒ¹ÊÒÃ
                                                                è
ÍÒËÒà ãºÁÐÃØÁÁÕÇÔµÒÁÔ¹àÍ á¤Åà«ÕÂÁ ¸ÒµØàËÅç¡ ÇÔµÒÁÔ¹«Õ áÅÐâ¾á·Êà«ÕÂÁÊÙ§ ¡ÒÃÈÖ¡ÉÒ´ŒÒ¹
¾Ä¡Éà¤ÁÕ (Phytochemical) ¾ºÇ‹Ò¾×ªã¹µÃСÙÅ Moringa ÁÕÊÒþǡ¹éÒµÒÅàªÔ§à´ÕÂÇáÅÐÊÒûÃСͺ
                                                              í         è
glucosinolates áÅÐ isothiocyanates ã¹»ÃÔÁÒ³ÁÒ¡ áÅÐÊÒÃà¤ÁÕËÅÒµÑÇ·Õ¾ºÁÕÃÒ§ҹNjÒÁÕÄ·¸Ôì
                                                                     è
Å´¤ÇÒÁ´Ñ¹âÅËÔµ µŒÒ¹ÁÐàÃç§ µŒÒ¹àª×ÍẤ·ÕàÃÕ ÃдѺ¢Í§ËÅÑ¡°Ò¹àªÔ§»ÃШѡɏáÅÐÃдѺ¢Í§¤íÒá¹Ð
                                 é
¹íÒÊíÒËÃѺÁÐÃØÁáÊ´§änj㹵ÒÃÒ§·Õè 5

µÒÃÒ§·Õè 5 ËÅÑ¡°Ò¹àªÔ§»ÃШѡɏ¢Í§ÁÐÃØÁ
¢ŒÍº‹§ãªŒ                                                  ÃдѺ¢Í§         ÃдѺ¢Í§
                                                           ËÅÑ¡°Ò¹          ¤íÒá¹Ð¹íÒ
Ä·¸ÔÅ´ÃдѺ¹éÒµÒÅã¹àÅ×Í´(15, 16)
     ì        í                                                4, 5               D
âäÀÙÁÔᾌáÅÐÃÑ¡ÉÒá¼ÅàÃ×éÍÃѧ(14)                              5                  D
Ä·¸ÔµÒ¹àª×ÍẤ·ÕàÃÕ àª×ÍÃÒ àª×ÍäÇÃÑÊ ¾ÂÒ¸Ô
    ì Œ é                é     é
ÂѺÂѧà«ÅŏÁÐàÃç§
       é          (17)
                                                               5                  D
»‡Í§¡Ñ¹¡ÒÃŴŧ¢Í§ÃдѺ¡ÅÙµÒä¸â͹(18)                           5                  D
Å´ÃдѺä¢ÁѹáÅÐà¾ÔÁÃдѺ HDLã¹àÅ×Í´(19)
                       è                                       5                  D
ÂѺÂѧ¡ÒÃà¡Ô´ÍÍ¡«ÔപѹáÅÐÊÒÁÒö¨ÑºÍ¹ØÁÅÍÔÊÃÐä´Œ(20)
         é                                Ù                    5                  D

        ¨ÐàËç¹ä´ŒÇÒáÁŒ¨ÐÁÕ¡ÒÃÈÖ¡ÉÒÇÔ¨ÂÄ·¸Ô¢Í§ÁÐÃØÁã¹´ŒÒ¹µ‹Ò§æÁÒ¡ÁÒ ᵋÊǹÁҡ໚¹¡ÒÃ
                  ‹                     Ñ      ì                                  ‹
·´ÅͧẺ in vitro áÅÐ in vivo ʋǹ¡ÒÃÈÖ¡ÉÒ·Ò§¤ÅÔ¹Ô¡·Õè·íÒ¡çäÁ‹ãª‹ÃٻẺ Randomized,
double-blind, placebo-controlled trials ¨Ö§·íÒãËŒÃдѺ¢Í§¤íÒá¹Ð¹íÒÍÂÙã¹ÃдѺµèÒ ÁÕà¾Õ§¡ÒÃÈÖ¡ÉÒ
                                                                     ‹        í
¹íÒËͧâ´Â Anthanont P áÅФ³Ð (2553) ·Õ·Ò¡ÒÃÈÖ¡ÉҼŢͧãºÁÐÃØÁµ‹ÍÃдѺ¹éÒµÒÅã¹àÅ×Í´áÅÐ
                                           è í                                  í
¡ÒÃËÅÑè§ÍÔ¹«ÙÅÔ¹ã¹ÍÒÊÒÊÁѤÃÊØ¢ÀÒ¾´Õ 10 ÃÒ «Öè§¾ºÇ‹Ò¡ÒÃÃѺ»ÃзҹãºÁÐÃØÁã¹¢¹Ò´ÊÙ§ÁÕ¼Å
µ‹Í¡ÒÃà¾ÔèÁ¡ÒÃËÅÑè§ÍÔ¹«ÙÅԹ䴌 Í‹ҧäáç´Õ ¤ÇÃÁÕ¡ÒÃÈÖ¡ÉÒà¾ÔèÁàµÔÁ¶Ö§»ÃÐÊÔ·¸Ô¼Å¢Í§ãºÁÐÃØÁ
µ‹Í¡ÒùíÒÁÒ㪌㹼ٻÇÂàºÒËÇÒ¹ª¹Ô´·Õè 2 µ‹Íä»
                    Œ †
àǪÈÒʵÏ·¹Âؤ 2553
          Ñ                                                                             329

4. ÂÒËÍÁ¹Çâ¡°
         ໚¹ÂÒµíÒÃѺ˹֧·ÕÁ¡ÒÃ㪌¡¹ÁÒ¡ÁÒ໚¹ÃÐÂÐàÇÅÒ¹Ò¹ »˜¨¨Øº¹¨Ñ´à»š¹ÂÒÊÒÁÑ­»ÃШíÒºŒÒ¹
                         è è Õ       Ñ                             Ñ
á¼¹âºÃÒ³ ã¹»ÃСÒÈ¡ÃзÃǧÊÒ¸ÒÃ³ÊØ¢ àÃ×ͧ ÂÒÊÒÁÑ­»ÃШíÒºŒÒ¹ ¾.È. 2542 áÅÐ໚¹ÂÒã¹
                                                   è
ºÑ­ªÕÂÒ¨Ò¡ÊÁعä¾ÃáË‹§ªÒµÔ ¾.È. 2549 Áբͺ‹§ãªŒà¾×ÍᡌÅÁÇÔ§àÇÕ¹ ¤Å×¹àËÕ¹ ÍÒà¨Õ¹ ã¹¼ÙʧÍÒÂØ
                                               Œ     è               è                ŒÙ
ᡌÅÁ»ÅÒÂ䢌 ÍÒ¡Òõ‹Ò§æ·Õ¾ºËÅѧ¨Ò¡¿„¹ä¢Œ ઋ¹ ÍÒ¡ÒäÅ×¹àËÕ¹ ÇÔ§àÇÕ¹ àº×ÍÍÒËÒà ·ŒÍ§Í×´
                               è             œ              è               è
͋͹à¾ÅÕ ÂÒµíÒÃѺ¹Õ»ÃСͺ´ŒÇÂà¤Ã×ͧÂÒ 56 ª¹Ô´ ¤×Í â¡°ÊÍ â¡°à¢ÁÒ â¡°ËÑǺÑÇ â¡°àªÕ§ â¡°
                     é                 è
¨ØÌÒÅÑÁ¾Ò â¡°¡Ãд١ â¡°¡ŒÒ¹¾ÃŒÒÇ â¡°¾Ø§»ÅÒ â¡°ª®ÒÁѧÊÕ à·Õ¹´íÒ à·Õ¹ᴧ à·Õ¹¢ÒÇ à·Õ¹
¢éÒÇà»Å×Í¡ à·Õ¹µÒµÑ¡áµ¹ à·Õ¹àÂÒÇ¾Ò³Õ à·Õ¹ÊѵµºØÉÂì à·Õ¹à¡Åç´ËÍ à·Õ¹µÒ¡º à»Å×Í¡ÊÁØ-
                       ê
ÅáÇŒ§ Ë­ŒÒµÕ¹¹¡ ὡËÍÁ à»Å×Í¡ªÐÅÙ´ à»ÃÒÐËÍÁ ÃÒ¡ä¤ÃŒà¤Ã×Í à¹×ÍäÁŒ¡ÄÉ³Ò ¢Í¹´Í¡ ¢Ô§áËŒ§
                                                                 é
´Õ»ÅÕ à¨µÁÙÅà¾ÅÔ§á´§ ÊФŒÒ¹ ªŒÒ¾ÅÙ áËŒÇËÁÙ ÅÙ¡¡ÃÐÇÒ¹ ¡Ò¹¾ÅÙ ´Í¡¨Ñ¹·¹ ÅÙ¡¨Ñ¹·¹ ͺàªÂ­Ç¹
ÅÙ¡¼Ñ¡ªÕÅÒ á¡‹¹Ê¹ ÊÑ¡¢Õ ÅÙ¡ÃÒª´Ñ´ ÅÙ¡ÊÒþѴ¾ÔÉ ¨Ñ¹·¹à·È ¨Ñ¹·¹á´§ ÅÙ¡¡ÃдÍÁ ºÍÃÐà¾ç´ à¡ÊÃ
ºÑÇËÅǧ ´Í¡ºØ¹¹Ò¤ ´Í¡¾Ô¡Å ´Í¡ÊÒÃÀÕ ´Í¡ÁÐÅÔ ¡ÃÐÅíҾѡ à¹×ÍÅÙ¡ÁТÒÁ»‡ÍÁ à¹×ÍÅÙ¡ÊÁ;ÔàÀ¡
                                 Ø                            é               é
ªÐàÍÁà·È áÅоÔÁàʹ ÃٻẺ¢Í§ÂÒ·ÕÁ㪌 ¤×Í ÂÒ¼§áÅÐÂÒàÁç´ ª¹Ô´¼§¡‹Í¹ÃѺ»ÃзҹµŒÍ§¹íÒä»
                                         è Õ
ÅÐÅÒ¡Ѻ¹éÒ¡ÃÐÊÒÂÂÒ àª‹¹ ¹éÒµŒÁÅÙ¡¼Ñ¡ªÕ ¹éÒµŒÁ¡ŒÒ¹ÊÐà´Ò ÅÙ¡¡ÃдÍÁáÅкÍÃÐà¾ç´ ËÃ×͹éÒÊØ¡(5)
             í                     í             í                                     í
         ¡ÒÃÈÖ¡ÉÒÄ·¸Ôì¢Í§ÂÒËÍÁ¹Çâ¡°·Õ辺໚¹¡ÒÃÈÖ¡ÉÒã¹ÊѵǏ·´Åͧ·Ñé§ËÁ´ ´Ñ§µÒÃÒ§·Õè 6
áÅÐäÁ‹¾º¤ÇÒÁ໚¹¾ÔÉàÁ×ÍÈÖ¡ÉÒ¤ÇÒÁ໚¹¾ÔÉà©Õº¾Åѹã¹ÊѵǏ·´Åͧ(8)
                           è

µÒÃÒ§·Õè 6 ËÅÑ¡°Ò¹àªÔ§»ÃШѡɏ¢Í§ËÍÁ¹Çâ¡°(8)
¢ŒÍº‹§ãªŒ                                                  ÃдѺ¢Í§         ÃдѺ¢Í§
                                                           ËÅÑ¡°Ò¹          ¤íÒá¹Ð¹íÒ
Ä·¸Ôà¾ÔÁ¤ÇÒÁ´Ñ¹âÅËÔµ áÅÐÁÕ¼ÅÅ´ÍѵÃÒ¡ÒÃൌ¹¢Í§ËÑÇã¨
       ì è                                                     5                D
à¾ÔÁÍѵÃÒ¡ÒÃäËÅàÇÕ¹àÅ×Í´·ÕÊÁͧ
   è                        è                                  5                D
ÂѺÂѧ¡ÒÃËÅѧ¡Ã´¢Í§¡ÃÐà¾ÒÐÍÒËÒÃ
          é è                                                  5                D
ÂѺÂѧ¡ÒÃË´µÑǢͧÅíÒäÊŒàÅç¡
        é                                                      5                D
Ä·¸Ô¡´»ÃÐÊҷʋǹ¡ÅÒ§
     ì                                                         5                D

º·ÊÃØ»
          ¨Ò¡¡ÒÃÇÔà¤ÃÒÐˏËÅÑ¡°Ò¹àªÔ§»ÃШѡɏ¢Í§µÑÇÍ‹ҧÂÒ¨Ò¡ÊÁعä¾Ã 4 ª¹Ô´·Õ㪌ºÍµÒÁËÅÑ¡
                                                                            è ‹
°Ò¹·Õ¤¹ä´Œ¨¹¶Ö§à´×͹ÁÔ¶¹Ò¹ ¾.È. 2553 ¾ºÇ‹Òẋ§ä´Œà»š¹ 3 ¡Ã³Õ ¤×Í
      è Œ                 Ø
          ¡Ã³Õ·Õè 1 ÂÒ¨Ò¡ÊÁعä¾Ã·ÕÁ¡ÒÃÇÔ¨ÂÁÒ¡áÅÐÁÕ§Ò¹ÇԨ·ҧ¤ÅÔ¹¡Ê¹ÑºÊ¹Ø¹¾ÍÊÁ¤Çà ¤×Í
                                   è Õ      Ñ             Ñ       Ô
¢ÁÔ鹪ѹáÅп‡Ò·ÐÅÒÂâ¨Ã
          ¡Ã³Õ·Õè 2 ÂÒ¨Ò¡ÊÁعä¾Ã·ÕÁ¡ÒÃÇÔ¨ÂÁÒ¡ ᵋ໚¹ã¹ÃдѺËÅÍ´·´ÅͧáÅÐÊѵǏ·´Åͧ ¤×Í
                                  è Õ     Ñ
ÁÐÃØÁ
330                                                                ÂÒ¨Ò¡ÊÁعä¾Ã¡ÑºàǪÈÒʵÏàªÔ§»ÃШѡɏ

          ¡Ã³Õ·Õè 3 ÂÒ¨Ò¡ÊÁعä¾Ã·ÕÁ¡ÒÃÈÖ¡ÉÒ¹ŒÍ ¤×Í ÂÒËÍÁ¹Çâ¡°
                                             è Õ
          ã¹ÊÀÒ¾¡Ò󏻨¨Øº¹ ÂѧÁÕà¤Ã×ͧÂÒáÅеíÒÃѺÂÒá¼¹ä·ÂÍÕ¡ÁÒ¡·ÕäÁ‹Á¡ÒÃÈÖ¡ÉÒã´æàÅÂ
                               ˜ Ñ               è                                      è Õ
ÊÒà˵طÕè¡ÒÃÇԨѷҧ¤ÅÔ¹Ô¡¢Í§ÂÒ¨Ò¡ÊÁعä¾ÃÁÕäÁ‹ÁÒ¡ ÍÒ¨ÁÒ¨Ò¡¢ŒÍ¨íÒ¡Ñ´ËÅÒ»ÃСÒà ઋ¹
¡ÒäǺ¤ØÁ¤Ø³ÀÒ¾¢Í§ÂÒ¨Ò¡ÊÁعä¾Ã·Õ㪌㹡Ò÷´Åͧ ¢ŒÍÁÙŨҡ¡ÒÃÈÖ¡ÉÒã¹ËÅÍ´·´ÅͧËÃ×Í
                                                   è
ÊѵǏ·´ÅͧäÁ‹à¾Õ§¾Í ·íÒãËŒÁ¢Í«Ñ¡¶ÒÁà¡ÕÂǡѺ¨ÃÔ¸ÃÃÁ¡ÒÃÇÔ¨Â㹤¹ ໚¹µŒ¹ Í‹ҧäáç´Õ “¶Ö§áÁŒ
                                    Õ Œ              è                          Ñ
¨Ð¢Ò´ËÅÑ¡°Ò¹·Õè໚¹ RCT ·Õè¨Ð·íÒãËŒÃдѺ¢Í§ËÅÑ¡°Ò¹ÁÕ¤ÇÒÁ¹‹Òàª×èͶ×Í໚¹ÃдѺ 1 ËÃ×ÍäÁ‹
ÁÕ¡ÒÃÇÔ¨ÑÂã´æàÅ ¡çÁÔä´ŒËÁÒ¤ÇÒÁÇ‹ÒÂÒ¨Ò¡ÊÁعä¾ÃäÁ‹ÁÕ»ÃÐÊÔ·¸ÔÀÒ¾ à¹×èͧ¨Ò¡¡ÒÃ㪌ÂÒ
¨Ò¡ÊÁØ ¹ ä¾Ã໚ ¹ ͧ¤ ¤ ÇÒÁÃÙŒ ·Õè à ¡Ô ´ ¨Ò¡¡ÒÃÊÑè § ÊÁÁÒÍ‹ Ò §ÂÒǹҹ¢Í§á¾·Â á ¼¹ä·Â
(á¼¹âºÃÒ³) áÅÐËÁ;׹ºŒÒ¹ÁÒ¡ÁÒ ´Ñ§¹Ñ¹¡ÒõѴÊÔ¹ã¨àÅ×͡㪌ÂÒÊÁعä¾Ã¨Ö§¤ÇÃ㪌¢ÍÁÙÅ
                                é                          é                                                 Œ
ËÅÒÂæ ´ŒÒ¹»ÃСͺ¡Ñ¹ ·Ñé§ËÅÑ¡°Ò¹àªÔ§»ÃШѡɏáÅÐͧ¤¤ÇÒÁÃÙŒ´Ñé§à´ÔÁ” äÁ‹¤ÇÃãËŒà¡Ô´¡Ã³Õ
àËÁ×͹㺢ÕàËÅç¡·ÕÁ¡ÒÃÇÔ¨ÂʹѺʹعNjÒÁռŪ‹Ç¤ÅÒ¡ѧÇÅáÅЪ‹ÇÂãËŒ¹Í¹ËÅѺ ¨Ö§ÁÕ¡ÒùíÒÁÒ¼ÅÔµ
             é       è Õ          Ñ
໚¹ÂÒàÁç´áÅÐ᤻«ÙÅà¾×Íãˌú»Ãзҹ䴌§ÒÂàËÁ×͹ÂÒá¼¹»˜¨¨Øº¹ «Ö§µ‹ÍÁÒ¾ºÇ‹Ò·íÒãËŒà¡Ô´ÀÒÇÐ
                              è Ñ                      ‹                          Ñ è
µÑºÍÑ¡àʺà©Õº¾Åѹ ¨¹Êíҹѡ§Ò¹¤³Ð¡ÃÃÁ¡ÒÃÍÒËÒÃáÅÐÂÒÊѧÃЧѺ¡ÒüÅÔµáÅÐàÃÕ¡à¡çº¤×¹ÂÒ¨Ò¡
                                                                         è
ÊÁعä¾Ã¢ÕàËÅç¡à´ÕÂÇ·ÕÁ¢Íº‹§ãªŒÊÒËÃѺª‹ÇÂãËŒ¹Í¹ËÅѺ ¡Ã³Õ¹áÊ´§ãËŒàËç¹Ç‹Ò¡ÒÃ㪌ÂÒ¨Ò¡ÊÁعä¾Ã
           é        è è ÕŒ              í                       (21)
                                                                           Õé
¤ÇäíÒ¹Ö§¶Ö§Í§¤¤ÇÒÁÃÙ´§à´ÔÁ´ŒÇ à¾ÃÒÐâ´Â·ÑÇä»ÈÒʵÏ¡ÒÃᾷἹä·Â¨ÐäÁ‹á¹Ð¹íÒÃѺ»Ãзҹ
                         Œ Ñé                            è
ÊÁعä¾ÃµÑÇà´ÕÂÇã¹¢¹Ò´ÊÙ§æ Áѡ㪌»ÃСͺ¡Ñ¹ËÅÒª¹Ô´à»š¹ÂÒµíÒÃѺà¾×ÍàÊÃÔÁÄ·¸ÔËÃ×ÍÅ´¾ÔÉºÒ§è           ì
Í‹ҧ¢Í§ÊÁعä¾Ãã¹µíÒÃѺ µÒÁÀÙÁ»­­Ò¢Í§ä·ÂÇԸú»Ãзҹ㺢ÕàËÅç¡ãËŒ»ÅÍ´ÀѤ×͵ŒÁËÃ×ʹͧ
                                          Ô ˜                ÕÑ                    é
àËŌҡ‹Í¹ ¨Ö§àÍÒ¹éÒÁÒÃѺ»Ãзҹ ËÃ×ͶŒÒ¨ÐÃѺ»Ãзҹ·Ñ§ãº¡çµÍ§¹íÒä»»ÃØ§à»š¹á¡§¢ÕàËÅç¡
                      í                                              é        Œ                      é
          â´ÂÊÃØ»¡ÒÃãËŒ¤ÇÒÁÊíҤѭ¡ÑºËÅÑ¡°Ò¹àªÔ§»ÃШѡɏà¾Õ§Í‹ҧà´ÕÂÇÁÒ¡à¡Ô¹ä» ÍÒ¨äÁ‹ÊÒÁÒö
·íÒãËŒ¡ÒÃ㪌ÂÒ¨Ò¡ÊÁعä¾Ãà¡Ô´¤ÇÒÁ»ÅÍ´ÀÑÂáÅÐÁÕ»ÃÐÊÔ·¸Ô¼Å µŒÍ§ÍÒÈÑÂͧ¤¤ÇÒÁÃٷ໚¹ÀÙÁ»­­Ò          Œ Õè     Ô ˜
´Ñ§à´ÔÁËÇÁ´ŒÇ ¢³Ðà´ÕÂǡѹ¶ŒÒäÁ‹ÁËÅÑ¡°Ò¹àªÔ§»ÃÐ¨Ñ¡Éã´æÁÒʹѺʹع ᾷ¼Ê§ãªŒÂÒ¨Ò¡ÊÁعä¾Ã
  é                                        Õ                                              ÙŒ Ñè
¡ç¤ÇÃ㪌µÒÁËÅÑ¡¡Òâͧ¡ÒÃᾷἹä·ÂáÅÐÁÕ¡ÒÃཇÒÃÐÇѧµÔ´µÒÁáÅÐà¡çº¢ŒÍÁÙÅãˌ໚¹Ãкº
áÅеŒÍ§ÃÐÇѧ¡ÒÃ㪌ÂÒ¨Ò¡ÊÁعä¾ÃÍ‹ҧäÁ‹ÊÁà˵ØÊÁ¼Åà¹×ͧ¨Ò¡¡ÒÃÍǴ͌ҧÊÃþ¤Ø³·Õà¡Ô¹¨ÃÔ§
                                                                       è                               è

àÍ¡ÊÒÃ͌ҧÍÔ§
1.    WHO. .act sheet N?134 2008 [cited 2010 May 17]; Available from: http://www.who.int/mediacentre/factsheets/
      fs134/en/index.html.
2.    Rattanachaiyanont M. Clinical evidence in menopause medicine: Part 2 evaluating the evidence. Siriraj Med
      J 2006;58(5).
3.    Phillips B, Ball C, Sackett D, et al. Oxford Centre for Evidence-based Medicine Levels of Evidence. 2009
      [updated 2009 March; cited 2010 June 08]; Available from: http://www.cebm.net/index.aspx?o=1025.
4.    ÁÙŹԸ¿¹¿ÙʧàÊÃÔÁ¡ÒÃᾷä·Âà´ÔÁ, âçàÃÕ¹ÍÒÂØÃàÇ·¸íÒç ʶҹ¡ÒÃᾷἹä·Â»ÃÐÂØ¡µ ¤³Ðá¾·ÂÈÒʵÏÈÃÔ
             Ô „œ ‹                                                                                            Ô
      ÃÒª¾ÂÒºÒÅ ÁËÒÇÔ·ÂÒÅÑÂÁËÔ´Å. µíÒÃÒ¡ÒÃᾷἹä·Âà´ÔÁ (á¾·ÂÈÒʵÏʧà¤ÃÒÐˏ ©ºÑºÍ¹ØÃ¡É) àÅ‹Á·Õè 1 ©ºÑºªíÒÃÐ
                                                                                            Ñ
      ¾.È.2550 à¹×èͧã¹ÁËÒÁ§¤ÅÇâáÒÊà©ÅÔÁ¾ÃЪ¹ÁÒÂØ 80 ¾ÃÃÉÒ ¾ÃкҷÊÁà´ç¨¾ÃÐ਌ÒÍÂÙ‹ËÑÇÀÙÁÔ¾ÅÍ´ØÅÂà´ª.
      ¡Ãا෾Ï: ÈØÀǹԪ¡ÒþÔÁ¾; ¾.È.2550.
àǪÈÒʵÏ·¹Âؤ 2553
          Ñ                                                                                                     331

5.    ¤³Ð¡ÃÃÁ¡ÒÃáË‹§ªÒµÔ´Ò¹ÂÒ. ºÑ­ªÕÂÒ¨Ò¡ÊÁعä¾Ã ¾.È.2549 µÒÁ»ÃСÒȤ³Ð¡ÃÃÁ¡ÒÃáË‹§ªÒµÔ´Ò¹ÂÒ (©ºÑº·Õè 5)
                              Œ                                                                       Œ
      ¾.È. 2549 àÃ×ͧºÑ­ªÕÂÒËÅÑ¡áË‹§ªÒµÔ ¾.È. 2547 (©ºÑº·Õè 4). ¡Ãا෾Ï: âç¾ÔÁ¾ªÁ¹ØÁÊˡó¡ÒÃà¡ÉµÃáË‹§»ÃÐà·Èä·Â
                    è                                                              Ø
      ¨íÒ¡Ñ´; 2549.
6.    Rotblatt M, Ziment I, editors. Evidence-based herbal medicine. Philadelphia: Hanley&Belfus, INC; 2002.
7.    Neha S, Ranvir GD, Jangade CR. Analgesic and antipyretic activities of Curcuma longa rhizome extracts in
      Wistar Rats. Veterinary World 2009;2(8):304-6.
8.    ÇÔÊ´Ò ÊØÇ·ÂÒÇѲ¹, ¾ÃŒÍÁ¨Ôµ ÈÃÅÑÁ¾, ¹¾ÁÒÈ ÊØ¹·Ãà¨ÃÔ­¹¹·, áÅФ³Ð. ÂÒ¨Ò¡ÊÁعä¾Ã㹺ѭªÕÂÒËÅÑ¡áË‹§ªÒµÔ:
         Ø      Ô
      ¢ŒÍÁÙź¹ËÅÑ¡°Ò¹·Ò§ÇÔªÒ¡ÒÃ. ¡Ãا෾Ï: áʧà·Õ¹¡ÒþÔÁ¾; ¾.È. 2552.
9.    Chen IN, Chang CC, Ng CC. antioxidant and antimicrobial activity of zingiberaceae plants in Taiwan. Plant
      .oods Hum Nutr 2008;63:15–20.
10.   Ulbricht CE, editor. Natural standard herb & supplement guide: an evidence-based reference Missouri: Mosby
      Inc.; 2010.
11.   ´Ç§¡ÁŠʨÔÃÇѲ¹Ò¡ØÅ. ÊÁعä¾Ã¿‡Ò·ÐÅÒÂâ¨ÃʺËÇÑ´2009. ¡Ãا෾¸ØÃ¡Ô¨. ¾.È.2552 Çѹ·Õè 19 ¡Ã¡®Ò¤Á 2552
      04:00.
12.   Coon JT, Ernst E. Andrographis paniculata in the treatment of upper respiratory tract infections: a systematic
      review of safety and efficacy. Planta Med. [Systematic review] 2004;70:293-8.
13.   àʧÕÂÁ ¾§ÉÃÍ´. äÁŒà·ÈàÁ×ͧä·Â. ¡Ãا෾Ï: âç¾ÔÁ¾¡Ãا¸¹; ¾.È.2522.
           è
14.   ÁÐÃØÁ ¾×ª¾×¹ºŒÒ¹ÁËÑȨÃÏ. ÇÒÃÊÒÃà¡ÉµÃ¡ÃÃÁ¸ÃÃÁªÒµÔ. ¾.È.2551:11-9.
                  é
15.   Dolly J, Kumar Rai P, Kumar A, Mehta S, Watal G. Effect of Moringa oleifera Lam. leaves aqueous extract
      therapy on hyperglycemic rats . J Ethnopharmacol. 2009;123(3):392-6.
16.   Anthanont P, Lumlerdkij N, Akarasereenont P, Vannasaeng S, Sriwijitkamol A. Moringa oleifera leaf increases
      insulin secretion after single dose administration in healthy subjects: a pilot study. 2010.
17.   .ahey JW. Moringa oleifera: A review of the medical evidence for its nutritional, therapeutic, and prophylactic
      properties. Part 1. Trees for Life. 2005;1.
18.   .akurazi S, Hairuszah I, Nanthini U. Moringa oleifera Lam prevents acetaminophen induced liver injury
      through restoration of glutathione level. .ood Chem Toxicol. 2008;46:2611–5.
19.   Komal Mehta L, Balaraman R, Amin AH, Bafna PA, Gulati OD. Effect of fruits of Moringa oleifera on the lipid
      profile of normal and hypercholesterolaemic rabbit. J Ethnopharmacol. 2003;86:191-5.
20.   Siddhuraju P, Becker K. Antioxidant properties of various solvent extracts of total phenolic constituents from
      three different agroclimatic origins of drumstick tree (Moringa oleifera Lam.) leaves . J Agric .ood Chem.
      2003;51:2144-55.
21.   ˹ѧÊ×;ÔÁ¾ä·ÂÃѰ. ÊѧÃЧѺÂÒÊÁعä¾Ã㺢ÕàËÅç¡à´ÕÂÇ ¾.È.2551 [cited 2551 04-07].
                            è                   é       è
àǪÈÒʵÏ·¹Âؤ 2553
          Ñ                                                                  º··Õè      333

                                                                              49
                   ËÅÑ¡¡ÒÃÊíҤѭ¢Í§¡ÒÃᾷἹä·Â
                                                  ÍÒ¨ÒϷѾ¾à·¾ ·Ô¾Âà¨ÃÔ­¸ÑÁ
                                               ÍÒ¨ÒÏÃѵ´ÒÇÃó ·Ô¾Âà¨ÃÔ­¸ÑÁ
                                        ÃͧÈÒʵÃÒ¨ÒÏ ¹ÒÂᾷ·ÇÕ àÅÒ˾ѹ¸
        ʶҹ¡ÒÃᾷἹä·Â»ÃÐÂØ¡µ ¤³Ðá¾·ÂÈÒʵÏÈÔÃÔÃÒª¾ÂÒºÒÅ ÁËÒÇÔ·ÂÒÅÑÂÁËÔ´Å

           »˜¨¨Øº¹»ÃÐà·Èä·ÂÁÕ¤ÇÒÁµ×¹µÑÇã¹àÃ×ͧ¡ÒÃ͹ØÃ¡ÉÀÁ»­­Ò«Ö§à»š¹Áô¡¢Í§ªÒµÔ àÁ×ÍÇѹ·Õè
                   Ñ                       è         è     Ñ Ù Ô ˜  è                    è
12 ÁÔ¶¹Ò¹ ¾.È.2550 ¤³ÐÃѰÁ¹µÃÕä´Œ»ÃСÒÈãªŒá¼¹ÂØ·¸ÈÒʵÏªÒµÔ ¡ÒþѲ¹ÒÀÙÁ»­­Òä·Â
         Ø                                                                         Ô ˜
ÊØ¢ÀÒ¾ÇÔ¶ä· ¾.È.2550-2554 «Ö§¤Ãͺ¤ÅØÁ¡ÒÃᾷἹä·Â´ŒÇ â´ÂÁÕ໇ÒËÁÒªѴਹ ઋ¹ ãËŒÁÕ
             Õ                        è
ÃкººÃÔ ¡ ÒáÒÃᾷ á ¼¹ä·Â·Õè ÁÕ Á ҵðҹ/¤Ø ³ ÀÒ¾ ·Ñ ´ à·Õ  Á¡Ñ º ÃкººÃÔ ¡ ÒáÒÃᾷ
á¼¹»˜¨¨Øº¹ÀÒÂã¹ 5 »‚ ÁÕ¡ÒÃà¾ÔÁÁÙŤ‹Ò/»ÃÔÁÒ³¡ÒÃ㪌ÂÒä·ÂáÅÐÂÒÊÁعä¾ÃÍ‹ҧ¹ŒÍÂÃŒÍÂÅÐ 25
               Ñ                         è
ÀÒÂã¹ 5 »‚ ໚¹µŒ¹       (1)

           ʶҹ¡ÒÃᾷἹä·Â»ÃÐÂØ¡µ«Öè§à»š¹Ë¹‹Ç§ҹ·Õè·íÒ˹ŒÒ·Õè¡íҡѺ´Ùáŧҹ¡ÒÃᾷ
á¼¹ä·Â¢Í§¤³Ðá¾·ÂÈÒʵÏÈÃÃÒª¾ÂÒºÒÅ ·Ñ§¡ÒèѴ¡ÒÃÈÖ¡ÉÒ ¡ÒúÃÔ¡Òà áÅСÒÃÇԨ¾Ѳ¹Ò
                                        ÔÔ             é                               Ñ
ÁÕ¤ÇÒÁàËç¹Ç‹Ò¡ÒþѲ¹ÒãËŒ¶Ö§à»‡ÒËÁÒ´ѧ¡Å‹ÒÇ໚¹àÃ×èͧ·Õè·íÒä´ŒäÁ‹ÂÒ¡ ËÒ¡à˧¾Ñ²¹Ò¤Ø³ÀÒ¾
¡ÒèѴ¡ÒÃÈÖ¡ÉÒ·Õè¼ÅÔµºØ¤ÅҡëÖè§·íÒàǪ»¯ÔºÑµÔ¡ÒÃᾷἹä·Â ¡ÒÃãËŒºÃÔ¡Ò÷ҧ¡ÒÃᾷ
á¼¹ä·Â «Öè§ÃÇÁ¶Ö§¡ÒüÅÔµÂÒ¨Ò¡ÊÁعä¾Ã·Õè㪌㹡ÒÃÃÑ¡ÉÒâäãËŒÁդسÀÒ¾ »ÅÍ´ÀÑ áÅÐÁÕ
»ÃÐÊÔ·¸Ô¼Å ¹Í¡¨Ò¡¹Õʧ·ÕÊҤѭäÁ‹Â§Ë‹͹¡Ç‹Ò¡Ñ¹¡ç¤Í¡ÒÃÊ×ÍÊÒÃãËŒº¤Åҡ÷ÕÍÂÙã¹ÃкºÊØ¢ÀÒ¾
                             é Ôè è í        Ôè          ×     è      Ø     è ‹
¢Í§»ÃÐà·Èâ´Â੾ÒÐᾷἹ»˜¨¨Øº¹áÅоÂÒºÒŠ䴌ࢌÒã¨á¹Ç¤Ô´ / ËÅÑ¡¡Òà áÅÐàË繤س¤‹Ò¢Í§
                                                  Ñ
¡ÒÃᾷἹä·Â ÃÇÁ·Ñ§á¹Ç·Ò§ã¹¡ÒúÙóҡÒáÒÃᾷἹä·Âã¹ÃкºÊØ¢ÀÒ¾¢Í§»ÃÐà·È
                                  é
           ã¹âÍ¡ÒÊ·Õ¤³Ðá¾·ÂÈÒʵÏÈÃÃÒª¾ÂÒºÒÅ ¨Ñ´§Ò¹©Åͧ 120 »‚¢Í§¡ÒÃʶһ¹ÒâçàÃÕ¹
                       è                          ÔÔ
ᾷ ã¹»‚ ¾.È. 2553 ¹Õé ʶҹ¡ÒÃᾷἹä·Â»ÃÐÂØ¡µ¢Í¹íÒàʹÍá¹Ç¤Ô´¾×é¹°Ò¹áÅÐ
ËÅÑ¡¡ÒôÙáÅÃÑ¡ÉÒÊØ¢ÀÒ¾´ŒÇÂÈÒʵÏ¡ÒÃᾷἹä·Â à¾ÃÒÐàËç¹Ç‹Ò໚¹á¹Ç¤Ô´áÅÐËÅÑ¡¡ÒÃ
·ÕÁ¤³¤‹ÒÍ‹ҧÂÔ§ â´Â੾ÒÐá¹Ç¤Ô´àÃ×ͧ¡ÒôÙáÅÊØ¢ÀҾ͋ҧ໚¹Í§¤ÃÇÁ «Ö§¤Ãͺ¤ÅØÁà˵ػ¨¨ÑÂ
   è Õ Ø             è                          è                         è                ˜
·Õà¡ÕÂÇ¢ŒÍ§¡ÑºÊØ¢ÀҾ͋ҧ¡ÇŒÒ§¢ÇÒ§áÅÐÊÁºÙóáºº
    è è
           à¾×ÍãˌࢌÒã¨á¹Ç¤Ô´´Ñ§¡Å‹ÒÇ¢ŒÒ§µŒ¹ ¨íÒ໚¹µŒÍ§·ÃÒº¤ÇÒÁÊÑÁ¾Ñ¹¸ÃÐËNjҧ¾Ø·¸ÈÒʹҡѺ
                 è
¤ÇÒÁ໚¹ÁÒËÃ×ÍÃÒ¡à˧ŒÒ¢Í§¡ÒÃᾷἹä·Â ࢌÒã¨á¹Ç¤Ô´àÃ×Í§ÊØ¢ÀÒ¾¡Ñº¤ÇÒÁÊÁ´ØÅ¢Í§ “¸ÒµØ”
                                                                 è
«Öè§ËÁÒ¶֧ͧ¤»ÃСͺËÅÑ¡¢Í§Ã‹Ò§¡ÒÂÁ¹ØÉáÅÐÊÃþÊÔè§·Ñé§ËÅÒÂã¹âÅ¡áÅШѡÃÇÒŠࢌÒã¨
ÊÁد°Ò¹ËÃ×Íà˵ػ˜¨¨Ñ¢ͧ¡ÒÃà¡Ô´âä«Öè§ÁÕËÅÒ¡ËÅÒÂáÅÐà¡ÕèÂÇ¢ŒÍ§ÊÑÁ¾Ñ¹¸¡Ñ¹Í‹ҧ¡ÇŒÒ§¢ÇÒ§
334                                                                                    ËÅÑ¡¡ÒÃÊíҤѭ¢Í§¡ÒÃᾷἹä·Â

µÅÍ´¨¹à¢ŒÒã¨ËÅÑ¡¡ÒôÙáÅÃÑ¡ÉÒ·Õ¤Ãͺ¤ÅØÁ·Ñ§¡ÒÃᡌ䢤ÇÒÁ¼Ô´»¡µÔ·à¡Ô´¢Ö¹ ¡ÒûÃѺÊÁ´ØÅ¸ÒµØ
                                è        é                   Õè é
¡ÒÃÅ´ËÃ×Í¡íҨѴà˵ػ¨¨Ñ·Õ໚¹ÊÁد°Ò¹¢Í§âä µÅÍ´¨¹¡ÒôÙáÅáÅÐÊ‹§àÊÃÔÁÊØ¢ÀÒ¾¢Í§Ã‹Ò§¡ÒÂ
                    ˜     è
áÅШԵã¨

ÃÒ¡à˧ŒÒ¢Í§¡ÒÃᾷἹä·Â
               ¹ÑºµÑ§áµ‹Í´Õµ ÍÒ¨¡Å‹ÒÇä´ŒÇÒ¤¹·Ø¡ªÒµÔ·¡ÀÒÉÒŌǹÁÕͧ¤¤ÇÒÁÃÙ·Ò§¡ÒÃᾷ¢Í§µ¹àͧ
                    é                               ‹                          Ø                                     Œ
ઋ¹ ¡ÒÃᾷἹ¨Õ¹¢Í§¨Õ¹ ¡ÒÃᾷÍÒÂØÃàÇ·¢Í§ÍÔ¹à´Õ ÊíÒËÃѺ»ÃÐà·Èä·Â¡çÁÕ¡ÒÃᾷ
á¼¹ä·Â
               ¡ÒÃᾷἹä·ÂÁÕÃÒ¡à˧ŒÒÁÒ¨Ò¡¡ÒÃᾷ㹾ط¸ÍÒÃÒÁ ¤ÑÁÀÕÏ¡ÒÃᾷἹä·Â
ÁÑ¡¢Ö¹µŒ¹´ŒÇº·ÊÇ´ÀÒÉÒºÒÅÕ µÑÇÍ‹ҧઋ¹ ʋǹµŒ¹¢Í§¤ÑÁÀÕÃÊÁد°Ò¹ÇÔ¹¨©Ñ ÁÕº·ÊÇ´à¾×ÍÊÑ¡¡ÒÃÐ
     é                                                                                                            Ô               è
¤Ø³¾ÃÐÃѵ¹µÃÑ ¢ŒÍ¤ÇÒÁµÍ¹Ë¹Ö§¡Å‹ÒÇÇ‹Ò           è                  (2)

               ÍËí ÍÀÔǹڷ ¾Ø·¸àʯþ°™ ¨ ÍËí ÍÀÔǹڷ ¸ÁÚÁí ¨ ÍÀÔǹڷ ¤³í ÍØµµÁí »Ç¡Ú¢ÒÁÔ ¤¹Ú¶í
                            Ô           Ú                                          Ô                      Ô                  Ú
àǪڪ»¡Ã³í ¹ÒÁ âÅ¡ËÔµí Ï
               ¤íÒá»Å .. ÍѹNjҢŒÒ ¹ÁÑÊ¡ÒÃáÅŒÇ «Ö§ÊÁà´ç¨¾Ãоط¸à¨ŒÒ¼Ù»ÃÐàÊÃÔ° ͹֧âÊ´ ÍѹNjҢŒÒ ¹ÁÑÊ¡Ò
                                                               è                                      Œ                è
ÃáÅŒÇ «Öè§¾ÃлÃÔÂѵԸÃÃÁážÃй¾âšصøÃÃÁ ͹Öè§âÊ´ áŌǢŒÒ¹Ñé¹ ¹ÁÑÊ¡ÒÃáÅŒÇ «Öè§ËÁÙ‹¾ÃÐÍÃÔÂ
ʧ¦ ÍÑ¹ÍØ´Á áŌǨѡ¡Å‹Òǫ֧¤ÑÁÀÕÏ ª×ÍNjҤÑÁÀÕÃᾷ Íѹ໚¹»ÃÐ⪹á¡‹âÅ¡ Ï
                                          è           è                    
               áÅÐʋǹµŒ¹¢Í§¤ÑÁÀÕÃâä¹Ô·Ò¹ ÁÕº·ÊÇ´¡Å‹ÒǶ֧ªÕÇ¡â¡ÁÒÃÀѨ¨ «Ö§µÒÁ¾Ø·¸»ÃÐÇѵ໚¹
                                                                                                                         è            Ô
ᾷ»ÃШíÒ¾ÃÐͧ¤¢Í§¾Ãоط¸à¨ŒÒ ¢ŒÍ¤ÇÒÁµÍ¹Ë¹Ö§Ç‹Ò                                     è       (2)

               ÍËí ªÕÇ¡â¡ÁÒÃÀ¨Ú⨠ÍÀÔǹڷµÇÒ ¾Ø·¸¤Ø³í àʯþ°™ à·ÇÔ¹·í ¡ÔµµÂÔÊÊÒÁÔ ¤¹Ú¶í âä¹Ô·Ò¹í
                                                        Ô Ú                  Ú                          Ú        Ú Ú
»ÁØ¢í ÍÔÊÊ·¸â¹ »µÔ¯°µí âšҹí ÍÔµÔ ÍÔÁ¹Ò »¡Òàù Ï
                ÕÔ ÚÔ           þ                               Ô
               ¤íÒá»Å .. ÍѹNjҢŒÒ ¼ÙŒÁÕ¹ÒÁâ¡ÁÒÃÀѨᾷ ¶ÇÒ¹ÁÑÊ¡ÒÃáÅŒÇ «Öè§¤Ø³á¡ŒÇ 3 »ÃСÒÃ
ÁÕ¾Ãоط¸Ãѵ¹Ð ໚¹µŒ¹ »ÃÐàÊÃÔ°â´ÂÇÔÃÂÐÂÔ§¹Ñ¡ ‹ÍÁ໚¹·Õ¹ÁÑÊ¡Òâͧ෾´ҷѧËÅÒ ¨Ñ¡µ¡áµ‹§
                                                           Ô è                               è                                 é
äÇŒ «Ö觤ÑÁÀÕÏᾷ¹ÒÁª×èÍÇ‹Ò âä¹Ô·Ò¹ ੾ÒоѡµÃ áË‹§·‹Ò¹¼ÙŒÁÕ¹ÒÁÇ‹ÒÄåÉÕÊÔ·¸Ô´ÒºÊ à¾×èͨÐãËŒ
໚¹·Õ¾§ ᡋʵǏâÅ¡·Ñ§ËÅÒ ´ŒÇ»ÃСÒôѧ¹ÕÏ
        è Öè          Ñ       é                                        é
               ¹Í¡¨Ò¡¹Õé ·ÄÉ®ÕàÃ×ͧ¸ÒµØ 4 «Ö§à»š¹ËÅÑ¡¡ÒÃÊíҤѭ㹷ҧ¡ÒÃᾷἹä·Â¡çÁ¡Å‹ÒÇäÇŒã¹
                                            è            è                                                                       Õ
¾ÃÐäµÃ»®¡ ´Ñ§¹Ñ鹡Ò䌹ËÒÃÒ¡°Ò¹¢Í§¡ÒÃᾷἹä·Â ¨Ö§µŒÍ§ÈÖ¡ÉÒ¡ÒÃàÂÕÂÇÂÒã¹ÍÔ¹à´ÕÂ
âºÃÒ³ â´Â੾ÒÐÃкº¡ÒÃᾷ㹾ط¸ÍÒÃÒÁ
               㹪‹Ç§ 1,700 – 1,800 »‚¡Í¹¤ÃÔʵ¡ÒÅ ¡ÒÃᾷã¹ÍÔ¹à´ÕÂ໚¹¡ÒÃàÂÕÂÇÂÒ´ŒÇÂäÊÂÈÒʵÏ
                                                  ‹
ÈÒÊ¹Ò º¹ÃÒ¡°Ò¹¤ÇÒÁàª×Í·ÕÇÒâäà¡Ô´¨Ò¡ÀÙµ¼Õ»ÈÒ¨ ·Ò§á¡Œ¨§µŒÍ§ãªŒ¾¸¡ÃÃÁ·Ò§äÊÂÈÒʵÏ Êѧ¤Á
                                       è è‹                                      ‚                  Ö           ÔÕ
㹪‹Ç§¹Ñ¹¹Ñº¶×ÍÈÒʹÒ΁¹´Ù ¡ÒÃẋ§ª¹ªÑ¹·Õà¤Ã‹§¤ÃÑ´·íÒãËŒËÁÍ໚¹¡ÅØÁ¤¹·Õ¶¡¡Å‹ÒÇÌҶ١¡Õ´¡Ñ¹
             é                                              é è                                               ‹          è Ù
à¾ÃÒÐàª×èÍÇ‹ÒËÁÍ໚¹¼ÙŒ·ÕèỴໄœÍ¹¨Ò¡¡ÒâŒÍ§à¡ÕèÂǡѺ¼ÙŒ¤¹·ÕèäÁ‹ºÃÔÊØ·¸Ôì ᵋ¹Ñ¡¾Ãµ¼ÙŒ¨ÒÃÔ¡áÅÐ
ÀÔ¡¢Ò¨Òù͡ÈÒʹÒ΁¹´Ù â´Â੾Òйѡ¾Ãµã¹¾Ø·¸ÈÒʹÒäÁ‹»¯Ôàʸ¡ÒäºËÒÊÁÒ¤Á¡ÑºËÁÍ·Õ໚¹                                                         è
¡ÅØÁ¤¹Ã‹Í¹àËÍÍ¡ÃÑ¡ÉÒ¼Ù¤¹ ¨Ö§à¡Ô´¡ÒÃáÅ¡à»ÅÕ¹¤ÇÒÁÃÙ¡¹ ¨¹¹íÒä»ÊÙ¡ÒûÃÐÁÇÅáÅСÒèѴÃкº
   ‹                               Œ                                     è               Œ Ñ                ‹
¢ŒÍÁÙÅ·Ò§´ŒÒ¹¡ÒÃᾷ·Á»ÃÐÊÔ·¸Ô¼Å à¹×ͧ¨Ò¡¤ÇÒÁÃÙÊÍ´ÃѺ¡Ñº¤íÒÊ͹ËÅѡ㹾ط¸ÈÒʹÒàÃ×ͧ·Ò§
                                     Õè Õ                    è                       Œ                                               è
àǪÈÒʵÏ·¹Âؤ 2553
          Ñ                                                                                    335

ÊÒ¡ÅÒ§ â´Â¡íÒ˹´¨Ò¡¤ÇÒÁÊÁ´ØÅ·Ñ§ÀÒÂã¹Ã‹Ò§¡ÒÂàͧáÅÐÃÐËNjҧËҧ¡Ò¡ѺÊÔ§áÇ´ÅŒÍÁ ·íÒãËŒ
                                      é                                         è
¡ÒÃàÂÕ Â ÇÂÒ¡ÅÒÂ໚ ¹ Ê‹ Ç ¹Ë¹Öè § ¢Í§¾Ø · ¸ÈÒÊ¹Ò ºÒ§Ê‹ Ç ¹¶Ù ¡ ÃǺÃÇÁÍÂÙ‹ ã ¹ÇÔ ¹Ñ  ÇÑ ´ ÂØ ¤ áá
à¡Ô´ÇѲ¹¸ÃÃÁ¡ÒÃᾷẺ¾Ø·¸ÍÒÃÒÁ ¤ÇÒÁÊÑÁ¾Ñ¹¸ã¹ÅѡɳзÕà¡×ٚ͡ѹÃÐËNjҧ¾Ø·¸ÈÒʹÒ
                                                                  è é
¡Ñº¡ÒÃᾷªÇÂÊ‹§àÊÃÔÁ¡ÒâÂÒµÑǢͧ¾Ø·¸ÈÒʹÒã¹ÍÔ¹à´Õ ¹íÒä»ÊÙ¡ÒÃÊ͹¡ÒÃᾷÍ‹ҧá¾Ã‹
               ‹                                                   ‹
ËÅÒÂã¹¡ÅØÁÇÑ´µ‹Ò§æ ã¹ÍÔ¹à´Õ ¨Ö§ÍÒ¨¡Å‹ÒÇä´ŒÇҾط¸ÈÒʹÒÁÕº·ºÒ·ÊíҤѭ㹡ÒÃʶһ¹ÒʶҺѹ
           ‹                                   ‹
¡ÒÃᾷáÅШѴÃкº¤ÇÒÁÃÙ·Ò§¡ÒÃᾷ¢Í§ÍÔ¹à´Õ «Ö§à»š¹µŒ¹áººã¹¡ÒâÂÒ¢ͺࢵ¡ÒôÙáÅ
                            Œ                       è
ÃÑ¡ÉÒ·Ò§¡ÒÃᾷ¢Í§ËÁ;ÃÐä»ÊÙ»ÃЪҪ¹ àÁ×ÍÈÒʹҾط¸à¼ÂἋࢌÒä»ã¹»ÃÐà·È·Ò§àÍàªÕÂ㵌
                                    ‹            è
áÅÐàÍàªÕµÐÇѹÍÍ¡à©Õ§㵌 ¤¹ã¹»ÃÐà·È¹Ñ¹¡çú¡ÒÃᾷẺ¾Ø·¸ÍÒÃÒÁä»´ŒÇÂ(3) µÑÇÍ‹ҧËÅÑ¡
                                            é Ñ
°Ò¹·Õ¾ºã¹ ÍâäÂÈÒÅ «Ö§¾º¡ÃШÒ·ÑǺÃÔàdzÃÒªÍҳҨѡâÍÁà´ÔÁ (ʋǹ˹֧¾ºã¹¾×¹·ÕÀÒ¤
      è                   è              è                                    è            é è
µÐÇѹÍÍ¡à©Õ§à˹×ͧ͢»ÃÐà·Èä·Â) áÅСÒ÷Õ辺NjҾÃÐʧ¦ã¹»ÃÐà·È·Õè¹Ñº¶×ÍÈÒʹҾط¸
ã¹á¶ºâÅ¡¹ÕãËŒ¡ÒÃÃÑ¡ÉÒ¼Ù»ÇÂâ䵋ҧæ ÍÕ¡·Ñ§ÇÑ´ËÅÒÂáË‹§ÁÑ¡ÁÕʶҹ¾ÂÒºÒÅÍÂÙ㹺ÃÔàdzÇÑ´´ŒÇÂ(4)
             é          Œ †                  é                              ‹

á¹Ç¤Ô´ËÅѡ㹡ÒÃᾷἹä·Â
         ¡ÒÃÊ׺·Í´¤ÇÒÁÃÙ·Ò§¡ÒÃᾷἹä·ÂÃٻẺ·ÕÊҤѭ ¤×Í¡Òúѹ·Ö¡Í§¤¤ÇÒÁÃÙ໚¹¤ÑÁÀÕÏ
                                 Œ                                èí                   Œ
ËÃ×͵íÒÃÒáÅФѴÅÍ¡µ‹Íæ¡Ñ¹ÁÒ ÃÇÁ·Ñ§¡ÒèÒÃÖ¡ã¹á¼‹¹ÈÔÅÒ»ÃдѺäÇŒµÒÁ¼¹Ñ§âºÊ¶áÅÐÈÒÅÒÃÒÂ
                                                      é
ÇÑ´¾ÃÐવؾ¹ÇÔÁÅÁѧ¤ÅÒÃÒÁÃÒªÇÃÁËÒÇÔËÒà áÅÐÇÑ´ÃÒªâÍÃÊÒÃÒÁÃÒªÇÃÇÔËÒà ÊíÒËÃѺ¤ÑÁÀÕÃËÃ×Í       
µíÒÃÒ·Õ໚¹ËÅÑ¡ÊíҤѭ㹡ÒÃÈÖ¡ÉÒÇÔªÒᾷἹä·Â¹Ñ¹ÁÕËÅÒÂàÅ‹Á ÁÕªÍàÃÕ¡µ‹Ò§æ ¡Ñ¹ ઋ¹ ¤ÑÁÀÕÏ
       è                                                        é       ×è
âä¹Ô·Ò¹ ¤ÑÁÀÕϸҵØÇÔÀѧ¤ ¤ÑÁÀÕϸҵØÇÔÇó ¤ÑÁÀÕÏÊÁد°Ò¹ÇÔ¹Ô¨©Ñ ¤ÑÁÀÕÏ»ÃжÁ¨Ô¹´Ò ¤ÑÁÀÕÏ
ÁËÒ⪵Ãѵ ໚¹µŒ¹ ¤ÑÁÀÕÏᵋÅÐàÅ‹ÁÁÑ¡¡Å‹ÒǶ֧ͧ¤¤ÇÒÁÃÙŒ¡ÅØ‹Áã´¡ÅØ‹Á˹Öè§ àª‹¹ ¤ÑÁÀÕÏâä¹Ô·Ò¹
¨Ð¡Å‹ÒǶ֧Ëҧ¡ÒÂÁ¹ØÉÇÒ»ÃСͺ¢Ö¹´ŒÇÂ¸ÒµØ áÅФÇÒÁ¼Ô´»¡µÔ·à¡Ô´¢Ö¹àÁ×͸ҵش§¡Å‹ÒÇ¡íÒàÃÔº
                                   ‹                é                Õè é è          Ñ
Ë‹͹ ËÃ×;ԡÒà ¤ÑÁÀÕÃÁËÒ⪵Ãѵ¨Ð¡Å‹ÒǶ֧âäâÅËÔµÃд٢ͧʵÃÕ à»š¹µŒ¹
                                                                            (2)

         àÁ×Í»ÃÐÁÇÅͧ¤¤ÇÒÁÃÙ·»ÃÒ¡¯ã¹¤ÑÁÀÕÃµÒ§æ ¾ºÇ‹Ò¤Ãͺ¤ÅØÁàÃ×ͧÊíÒ¤Ñ­æ µÑ§áµ‹¡ÒáíÒà¹Ô´
            è                           Œ Õè                 ‹            è       é
¢Í§âÅ¡áÅЪÕÇÔµÁ¹ØÉ ͧ¤»ÃСͺ¢Í§Ã‹Ò§¡ÒÂÁ¹ØÉ ¤ÇÒÁà¨çº»†Ç·Õèà¡Ô´¢Öé¹àÁ×èÍͧ¤»ÃСͺ
àËŋҹÑé¹·íÒ˹ŒÒ·Õè¼Ô´ä» ¤ÇÒÁᵡµ‹Ò§ÃÐËNjҧªÒÂáÅÐË­Ô§ ¡ÒäÅÍ´ ¡ÒôÙáÅÁÒôÒáÅзÒá
ËÅѧ¤ÅÍ´ ¡ÒôÙáÅà´ç¡àÅç¡ âä¡ÅØ‹Áµ‹Ò§æ áÅÐÇÔ¸Õ¡ÒÃÃÑ¡ÉÒ·Ñé§ÂÒ¨Ò¡ÊÁعä¾ÃáÅСÒÃÃÑ¡ÉÒ´ŒÇÂ
Ëѵ¶¡Òà ઋ¹ ¡ÒùǴ ÃÇÁ¶Ö§¾Ô¸¡ÃÃÁµ‹Ò§æ       Õ
         ¨Ò¡¡ÒÃÈÖ¡ÉÒáÅÐÇÔà¤ÃÒÐˏͧ¤¤ÇÒÁÃÙ·Ò§¡ÒÃᾷἹä·Â㹤ÑÁÀÕÃµÒ§æ »ÃÐÁÇÅä´ŒÇÒ
                                                          Œ                     ‹           ‹
ÁÕá¹Ç¤Ô´ËÅÑ¡·ÕÊҤѭÍ‹ҧ¹ŒÍ 5 àÃ×ͧ¤×Í
                 èí                            è
              ¸ÒµØ : ¤ÇÒÁÊÑÁ¾Ñ¹¸¢Í§Á¹ØÉ¡ºÊÔ§áÇ´ÅŒÍÁ âÅ¡ áÅШѡÃÇÒÅ
                                                        Ñ è
              ¤ÇÒÁ໚¹Á¹ØÉ·ÊÁºÙó Õè
              ÊÁد°Ò¹¡ÒÃà¡Ô´âä
              ¡ÒÃÃÑ¡ÉÒáÅÐÂÒÃÑ¡ÉÒâä
              ¤Ø³ÊÁºÑµ·´¢Í§á¾·Â¼Ã¡ÉÒ
                        Ô Õè Õ                   ÙŒ Ñ
336                                                                                                                     ËÅÑ¡¡ÒÃÊíҤѭ¢Í§¡ÒÃᾷἹä·Â

á¹Ç¤Ô´àÃ×èͧ¸ÒµØ : ¤ÇÒÁÊÑÁ¾Ñ¹¸¢Í§Á¹ØÉ¡ÑºÊÔè§áÇ´ÅŒÍÁ âÅ¡ áÅÐ
¨Ñ¡ÃÇÒÅ
           ¡ÒÃᾷἹä·ÂÁÕÁÁÁͧµ‹ÍÊÃþÊÔ§Ç‹ÒÁÕ¤ÇÒÁàª×ÍÁâ§ÊÑÁ¾Ñ¹¸¡¹ Í‹ҧ໚¹à˵Øà»š¹¼Å
                                                            Ø                             è                           è                                     Ñ
áÅÐ໚¹Í§¤ÃÇÁ á¹Ç¤Ô´àÃ×ͧ¸ÒµØà»š¹¾×¹°Ò¹ÊíҤѭ㹡ÒÃÈÖ¡ÉÒ¡ÒÃᾷἹä·Â Á¹ØÉ¨ÐÁÕ¤ÇÒÁ
                                             è                             é
ÊØ¢ÊºÒÂä´Œ¶ÒÁÕ¤ÇÒÁÃÙ¤ÇÒÁࢌÒã¨àÃ×ͧ¸ÒµØáÅÐÁÕ¤ÇÒÁÊÑÁ¾Ñ¹¸·¶¡µŒÍ§¡ÑºÊÔ§µ‹Ò§æ·ÕÍÂÙÃͺµÑÇ
                       Œ                   Œ                             è                                                      Õè Ù                      è            è ‹
           ¡ÒÃᾷἹä·Âàª×ÍÇ‹ÒËҧ¡ÒÂÁ¹ØÉ»ÃСͺ¢Ö¹¨Ò¡¸ÒµØ·Ñé§ 4 ËÃ×Í ÁËÒÀÙµÃÙ» 4 ¤×Í
                                                        è                                                           é
¸ÒµØ´Ô¹ ¸ÒµØ¹éíÒ ¸ÒµØÅÁ áÅÐ ¸ÒµØä¿ ¤ÑÁÀÕÃÇÊ·¸ÔÁÃä¡Å‹ÒÇÇ‹Ò (5)                          ÔØ
           “ÍѹÊÃÕáÒÂáË‹§àÃÒ·‹Ò¹·Ñ§ËÅÒ ¨Ð»ÃÒ¡¯Ç‹Ò¹ŒÍÂÇ‹ÒãË­‹ NjҵèÒNjҡÃдŒÒ§ Ç‹ÒÁѹNjҷ¹¹Ñ¹
                                                                    é                                                                            í                           è              é
ÍÒÈÑÂá¡‹»°ÇÕ¸ÒµØ ·Õ¨Ð໚¹¹éÒ໚¹àÂ×Í»Åѧà¤Ã‹§¤ÃÑ´ªØÁÁѹ¹Ñ¹ÍÒÈÑÂá¡‹ÍÒâ»¸ÒµØ ÍÒ⻸ҵع¹µÑ§ÍÂÙã¹
                                è                   í                 è è                           ‹             é                                                            Ñé é ‹
»°ÇÕ¸ÒµØ ä´Œ»°ÇÕ¸ÒµØà»š¹·Õµ§ ä´Œàµâª¸ÒµØà»š¹¼ÙÍÀÔºÒÅÃÑ¡ÉÒ ä´ŒÇÒâ¸ҵØà»š¹¼ÙÍ»¶ÑÁÀ ¨Ö§µÑ§ÍÂÙä´Œ
                                                 è Ñé                                       Œ                                                                       ŒØ             é ‹
໚¹Íѹ´Õ ÁÔä´ŒÃÇÁÔä´ŒäËÅÍÍ¡ ¡ÃзíÒÊÃÕáÒ»ÃÐà·È¹Ñ¹ ãËŒÍÁÍÂÙàµçÁ໚¹Íѹ´ÕÁä´Œº¡ÁÔä´Œ¾Ã‹Í§”
                         Ñè                                                                                  é           Ôè ‹                                       Ô
                      ¸ÒµØ´Ô¹ ËÃ×Í »°ÇÕ¸ÒµØ ä´Œá¡‹ ÍÇÑÂÇТͧËҧ¡Ò »ÃСͺ´ŒÇ ¼Á ¢¹ àÅçº ¿˜¹ ¼ÔÇ˹ѧ
                      ÊÁͧ ¡ÅŒÒÁà¹×Í àÍç¹ ¡Ãд١ 䢡Ãд١ ËÑÇ㨠ÁŒÒÁ µÑº ¾Ñ§¼×´ äµ »Í´ ÅíÒäÊŒ ÍÒËÒ÷Õà¾Ô§
                                               é                                                                                                                                        è è
                      ‹ÍÂãËÁ‹æ ÍÒËÒ÷մ´«ÖÁáÅŒÇ ÃÇÁ·Ñ§¢Í§àÊÕ  è Ù                             é
                      ¸ÒµØ¹éíÒ ËÃ×Í ÍÒâ»¸ÒµØ ä´Œá¡‹ ¢Í§àËÅǵ‹Ò§æ áÅÐÊÒá֧¢Í§á¢ç§ã¹Ã‹Ò§¡Ò »ÃСͺ                                              è
                      ´ŒÇÂàÅ×Í´ ´Õ àÊÁËР˹ͧ à˧×Í Áѹ ä¢Áѹ ¹éÒµÒ ¹éÒÅÒ ¹éÒ㹨ÁÙ¡ »˜ÊÊÒÇÐáÅйéÒ䢢ŒÍ
                                                                                   è                           í           í                 í                                      í
                      ¸ÒµØÅÁ ËÃ×Í ÇÒâÂ¸ÒµØ ä´Œá¡‹ ¾Åѧ§Ò¹·Õ¤Çº¤ØÁ¡ÒÃà¤Å×͹äËǢͧËҧ¡Ò »ÃСͺ´ŒÇ    è                                  è
                      ÅÁ¾Ñ´àº×ͧº¹ ÅÁ¾Ñ´àº×ͧŋҧ ÅÁã¹·ŒÍ§ ÅÁã¹ÅíÒäÊŒ ÅÁ¾Ñ´·ÑÇËҧ¡Ò áÅÐÅÁËÒÂã¨
                                   é                                   é                                                                                è
                      ¸ÒµØä¿ ËÃ×Í àµâª¸ÒµØ 䴌ᡋ ¾Åѧ¤ÇÒÁÌ͹áË‹§ªÕǵ·Õ·ÒãËŒÃÒ§¡ÒÂÍºÍØ¹ ¤ÇÒÁÌ͹                                  Ô è í ‹                                 ‹
                      áÅСÒÃà¼ÒäËÁŒ »ÃСͺ´ŒÇÂä¿ÍعËҧ¡Ò 俷շÒãËŒà¡Ô´¤ÇÒÁÇÔµ¡ ä¿·Õ·Òãˌᡋ áÅÐ
                                                                                        ‹                               è í                                             è í
                      ä¿Â‹ÍÂÍÒËÒÃ
           Á¹ØÉᵋÅФ¹¨ÐÁÕʋǹ»ÃСͺ¢Í§¸ÒµØ·Ñé§ 4 àËÁ×͹¡Ñ¹ ᵋÁÕÊѴʋǹ¢Í§¸ÒµØäÁ‹à·‹Ò¡Ñ¹
ÁÕ¸ÒµØã´¸ÒµØË¹Ö§à»š¹ãË­‹ àÃÕ¡NjҸҵØà¨ŒÒàÃ×͹ ᵋ¸ÒµØà¨ŒÒàÃ×͹«Ö§ÁÕÁҵѧᵋà¡Ô´ÁÕ¡ÒÃà»ÅÕ¹á»Å§
                            è                                                                                                        è               é                           è
ä´ŒµÒÁÍÔ·¸Ô¾Å¢Í§»˜¨¨Ñµ‹Ò§æ ઋ¹ ÍÒÂØ Ä´Ù¡ÒÅ ¡ÒÅàÇÅÒ ¶Ô¹·ÕÍÂÙ‹ áÅоĵԡÃÃÁ¢Í§¤¹æ ¹Ñ¹                                           è è                                                        é
â´Â»¡µÔÃÒ§¡Ò¨оÂÒÂÒÁ»ÃѺãËŒ¸ÒµØµÒ§æÍÂÙã¹ÀÒÇÐÊÁ´ØÅ ¶ŒÒ»ÃѺãËŒà¡Ô´ÀÒÇÐÊÁ´ØÅäÁ‹ä´ŒàÁ×Íã´
                ‹                                                              ‹              ‹                                                                                       è
¡ç¨Ðà¡Ô´âäËÃ×ͤÇÒÁà¨çº»†Ç¢ֹ                                é
           ÊÔ§·ÕÍÂÙÃͺµÑÇÁ¹ØÉ¡»ÃСͺ¢Ö¹¨Ò¡¸ÒµØ·§ 4 ઋ¹¡Ñ¹ àÁ×ÍÁͧÊÔ§·ÕÍÂÙáÇ´ÅŒÍÁÃͺµÑÇ¡ç¨Ð
             è è ‹                                        ç                      é                      Ñé                             è               è è ‹
àË繸ҵصҧæ ઋ¹ 俨ҡ¡Í§¿„¹ ÅÁ·Õ¾´¼‹Ò¹ ¹éÒ·ÕÍÂÙ㹤Åͧ ºÖ§ áÅдԹ·ÕÍÂÙ㹼׹Ἃ¹´Ô¹ ÀÙà¢Ò
              ‹                                                              è Ñ                  í è ‹                                                       è ‹
ÅѡɳÐÀÙÁ»ÃÐà·È«Ö§à»š¹¶Ô¹·ÕÍÂ٢ͧÁ¹ØÉ¡Á¤ÇÒÁµ‹Ò§¡Ñ¹ à¹×ͧ¨Ò¡àª×ÍNjһÃСͺ¢Ö¹¨Ò¡ÊѴʋǹ
                    Ô                è                è è ‹                            ç Õ                                   è                     è                     é
¢Í§¸ÒµØáµ¡µ‹Ò§¡Ñ¹ ໚¹·Õµ§áË‹§ÊÁد°Ò¹¢Í§â䵋ҧ¡Ñ¹ ઋ¹ ÀÙÁ»ÃÐà·È·Õ໚¹ÀÙà¢ÒÊÙ§ ¨Ñ´à»š¹
                                                   è Ñé                                                                                    Ô                    è
»ÃÐà·ÈÌ͹ ໚¹·Õµ§áË‹§ÊÁد°Ò¹¸ÒµØä¿ ÀÙÁ»ÃÐà·È·ÕáËŒ§áÅŒ§à»š¹¡ÃÇ´·ÃÒ ¨Ñ´à»š¹»ÃÐà·ÈÍºÍØ¹
                              è Ñé                                                   Ô                     è                                                                                  ‹
໚¹·ÕèµÑé§áË‹§ÊÁد°Ò¹¸ÒµØ¹éíÒ ÀÙÁÔ»ÃÐà·È·Õè໚¹ÅØ‹Á¹éíÒ ¨Ñ´à»š¹»ÃÐà·ÈàÂç¹ à»š¹·ÕèµÑé§áË‹§ÊÁد°Ò¹
¸ÒµØÅÁ ÀÙÁ»ÃÐà·È·Õµ´·ÐàÅ ¨Ñ´à»š¹»ÃÐà·È˹ÒÇ à»š¹·Õµ§áË‹§ÊÁد°Ò¹¸ÒµØ´¹(6)
                  Ô                    è Ô                                                                       è Ñé                                             Ô
àǪÈÒʵÏ·¹Âؤ 2553
          Ñ                                                                                                           337

         ¹Í¡¨Ò¡¹ÕÄ´Ù¡ÒÅ·Õᵡµ‹Ò§¡Ñ¹ ¡çÁÊÁد°Ò¹¢Í§¸ÒµØáµ¡µ‹Ò§¡Ñ¹ ઋ¹ Ä´ÙÃ͹ ໚¹ÊÁد°Ò¹
                         é           è                        Õ                                         Œ
¸ÒµØä¿ Ä´Ù½¹ ໚¹ÊÁد°Ò¹¸ÒµØÅÁ ʋǹĴÙ˹ÒÇ à»š¹ÊÁد°Ò¹¸ÒµØ¹Ò                          éí   (2)

         áÅÐàÁ×ÍÁͧä¡ÅÍÍ¡ä»ã¹ÃкºÊØÃÂШѡÃÇÒÅ ´Ç§´Òǵ‹Ò§æ ¡çÁͧ¤»ÃСͺ¢Í§¸ÒµØàª‹¹¡Ñ¹
                     è                                      Ô                               Õ
ᵋàª×͡ѹNjÒÁÕÊǹ»ÃСͺ¢Í§¸ÒµØµÒ§æ äÁ‹à·‹Ò¡Ñ¹ ´Ñ§¤íÒ͸ԺÒÂàÃ×ͧ¸ÒµØ»ÃШíҴǧ´ÒÇ·ÕÁÍÂÙ㹤ÑÁÀÕÏ
      è                ‹                            ‹                           è                              è Õ ‹
©Ñ¹·ÈÒʵÏ áÅФíÒ͸ԺÒÂàÃ×ͧ¸ÒµØ»ÃШíÒËÁÙ´ÒÇ·ÕÁÍÂÙ㹤ÑÁÀÕÃÊÁد°Ò¹ÇÔ¹¨©ÑÂÇ‹Ò
                                       è                          ‹   è Õ ‹                       Ô       (2)

             ¸ÒµØ»ÃШíҴǧ´ÒÇ ´Ç§¨Ñ¹·ÃáÅдÒǾÄËÑʺ´Õ໚¹¸ÒµØ´¹ ´ÒǾظáÅÐÈØ¡Ãà»š¹¸ÒµØ¹Ò Ô                               éí
             ´ÒÇÍѧ¤ÒÃ໚¹¸ÒµØÅÁ ´Ç§ÍҷԵáÅдÒÇàÊÒÏ໚¹¸ÒµØä¿ ´ÒÇàËŋҹն¡¡íÒ˹´ãˌ໚¹             é Ù
             ª×ͧ͢Çѹ㹠1 ÊÑ»´Òˏ «Ö§ÁÕ 7 Çѹ
               è                                        è
             ¸ÒµØ»ÃШíÒËÁÙ‹´ÒÇ ËÁÙ´ÒÇÃÒÈÕàÁÉ Êԧˏ ¸¹Ù ໚¹¸ÒµØä¿ ËÁÙ´ÒÇÃÒÈÕ¾ÄÉÀ ¡Ñ¹Â Áѧ¡Ã
                                                      ‹                                          ‹
             ໚¹¸ÒµØ´¹ ËÁÙ´ÒÇÃÒÈÕàÁ¶Ø¹ µØÅ ¡ØÁÀ ໚¹¸ÒµØÅÁ ËÁÙ´ÒÇÃÒÈաá® ¾Ô¨¡ ÁÕ¹ ໚¹¸ÒµØ
                               Ô   ‹                                                ‹                        Ô
             ¹éÒ ËÁÙ´ÒÇàËŋҹն¡¡íÒ˹´ãˌ໚¹ª×ͧ͢à´×͹ËÃ×ÍÃÒÈÕã¹ 1 »‚ «Ö§ÁÕ 12 à´×͹ËÃ×Í
                 í         ‹                é Ù                     è                                è
             12 ÃÒÈÕ â´Â¶×ͤµÔ·ÇÒàÁ×ÍâÅ¡ËÁعÃͺ´Ç§ÍҷԵࢌÒã¡ÅŒËÁÙ´ÒÇã´¡çãËŒàÃÕ¡àª×ÍËÁÙ´ÒÇ
                                              Õè ‹ è                                           ‹                   è ‹
             ¹Ñ¹à»š¹ª×ͧ͢à´×͹
                   é         è
         ¤ÇÒÁࢌÒã¨àÃ×ͧ¸ÒµØ¹¨Ð໚¹¾×¹°Ò¹·Õ¨Ð¹íÒä»ÊÙ¤ÇÒÁÃÙàÃ×ͧ ÊÁد°Ò¹ ËÃ×ÍàËµØµÒ§æ ·Õ·ÒãËŒ
                                 è       Õé               é     è         ‹ Œ è                                  ‹   è í
à¡Ô´âä «Ö§¨Ð¡Å‹ÒǶ֧ã¹á¹Ç¤Ô´àÃ×ͧÊÁد°Ò¹¡ÒÃà¡Ô´âä
          è                                       è

á¹Ç¤Ô´àÃ×èͧ¤ÇÒÁ໚¹Á¹ØÉ·ÕèÊÁºÙó
         ¾Ø·¸ÈÒʹÒÊ͹NjÒÊÔ§Áժǵ·ÕàÃÕ¡NjÒÁ¹ØÉ»ÃСͺ´ŒÇ 2 ʋǹ¤×Í ÃÙ»¸ÃÃÁ áÅÐ ¹ÒÁ¸ÃÃÁ
                                   è ÕÔ è
ÃÙ»¸ÃÃÁ¤×͸ÃÃÁªÒµÔ·ÁûËҧ ã¹·Õ¹ËÁÒ¶֧ ¡Ò ¤×Í ÃÙ» ËÃ×ÍÍÇÑÂÇе‹Ò§æ·Õ໚¹Ê‹Ç¹»ÃСͺ¢Í§
                          Õè Õ Ù         è Õé                                       è
Ëҧ¡Ò·ÕÁͧàËç¹ä´Œ ¹ÒÁ¸ÃÃÁ¤×͸ÃÃÁªÒµÔ·äÁ‹ÁûËҧᵋÃä´ŒÇÒÁÕÍÂÙ‹ ã¹·Õ¹ËÁÒ¶֧ ¨Ôµ ໚¹Ê‹Ç¹
           è                                       Õè Õ Ù         ÙŒ ‹         è Õé
·Õ·Ò˹ŒÒ·ÕúÃÙŒ ·íÒ§Ò¹¤Çº¤Ù¡º¡ÒÂÍ‹ҧ໚¹Ë¹Ö§à´ÕÂÇ àª×ÍNjҨԵ໚¹¹Ò ¡ÒÂ໚¹º‹ÒÇ ¤×ͨԵ·íÒ˹ŒÒ·Õè
     è í     èÑ                  ‹ Ñ                 è      è
¤Çº¤ØÁ¡Ò ¨ÔµÁÕšɳÐÍÒ¡Òà 4 Í‹ҧ ¤×Í àÇ·¹Ò ÊÑ­­Ò Êѧ¢Òà áÅÐÇÔ­­Ò³ àÁ×ÍÃÇÁ¡ÑºÃÙ»
                        Ñ                                                                      è
àÃÕ¡NjҢѹ¸·§ 5 ¡ÒÃᾷἹä·Â¡ç¡Å‹ÒǶ֧¢Ñ¹¸ 5 ´ŒÇ ´Ñ§µÑÇÍ‹ҧµÍ¹Ë¹Ö§¢Í§¤ÑÁÀÕûÃжÁ¨Ô¹´Ò
                Ñé                                                              è            
·ÕºÃÃÂÒ¾Ѳ¹Ò¡ÒâͧµÑÇ͋͹㹤ÃÃÀÁÒôÒÇ‹Ò
   è
         “àÁ×ͤÃÃÀä´Œ 5 à´×͹¨Ö§ÁÕ¨µáÅອ¨¢Ñ¹¸¾ÃŒÍÁ ÃÙ»¡Ú¢¹Ú⸠àÁ×͵ѧ໚¹ÃÙ»¤¹à¢ŒÒáÅŒÇ ÇÔ­­Ò³
              è                        Ô                                   è é                     þ
¡Ú¢¹Ú⸠¡çãËŒÁÇ­­Ò³ÃÙ¨¡Ç‹ÒÌ͹NjÒàÂç¹ ¶ŒÒáÅÁÒôҺÃÔâÀ¤ÍÒËÒÃÊÔ§Íѹà¼ç´ÃŒÍ¹à¢ŒÒä»àÁ×Íã´ ¡çãËŒ
                ÕÔ            ŒÑ                                            è                    è
Ì͹·ØÃ¹·ØÃÒ´ԹàÊ×Í¡ä»ÁÒ àÇ·¹Ò¡Ú¢¹Ú⸠àÇ·¹Ò¢Ñ¹¸¡º§à¡Ô´¢Ö¹µÒÁ¡Ñ¹ ¤×Í·ÕÍÂÙã¹·ŒÍ§¢Í§ÁÒôÒ
                   é                                          ç Ñ      é              è ‹
¹Ñé¹ÅíÒºÒ¡·¹·Ø¡¢àÇ·¹Ò´Ø¨ÊѵǏ㹹á ¤×͹Ñè§Âͧ¡Í´à¢‹ÒàÍÒ¡íÒÁ×Íãʋ㵌¤Ò§ ¼Ô¹Ë¹ŒÒࢌÒÊÙ‹¡Ãд١
ÊѹËÅѧ¢Í§ÁÒÃ´Ò ¼Ô¹ËÅѧÍÍ¡¢ŒÒ§¹ÒÀÕ ¡çÁÍ»ÁҴѧÅÙ¡ÇÒ¹ÃÍѹ¹Ñ§ÍÂÙã¹â¾Ã§äÁŒ¹¹ ¹Ñ§·Ñº¡ÃÐà¾ÒÐ
                                                ÕØ                       è ‹            Ñé è
ÍÒËÒÃà¡‹Ò ÍѹÍÒËÒÃãËÁ‹µÑé§ÍÂÙ‹º¹ÈÕÃÉÐ áŹéíÒÍÒËÒùÑ鹡çà¡ÃÍЫҺŧ价ҧ¡ÃÐËÁ‹ÍÁ à¾ÃÒÐÇ‹Ò
·ÒáÍÂÙ㹤ÃÃÀ¹¹¡ÃÐËÁ‹ÍÁແ´ ¤ÃѹÁÒôҺÃÔâÀ¤ÊÔ§Íѹ㴷դÇÃࢌÒä»ä´ŒáÅŒÇ ¡ç«Á«Òº ÍÍ¡¨Ò¡
         ‹           Ñé                       é           è          è                     Ö
¡ÃÐà¾ÒТŒÒÇ¡çàÅ×è͹ŧä»ã¹¡ÃÐËÁ‹ÍÁ ¡çä´ŒÃѺ»ÃзҹÍÒËÒâͧÁÒÃ´Ò ¡çªØ‹Áª×蹪١íÒÅѧ໚¹»¡µÔ
¶ŒÒÁÒôÒÁÔä´ŒºÃÔâÀ¤ÍÒËÒÃáÅÃÊÍÒËÒÃÁÔä´Œ«ÒºÅ§ä» ·Òá¹Ñ鹡çÁÔä´ŒÃѺÃÊÍÒËÒà ¨Ö§·ØÃ¹·ØÃÒÂ
¡ÃÐǹ¡ÃÐÇÒÂÃÐÊèíÒÃÐÊÒ´Ôé¹Ã¹µ‹Ò§æ”(2)
338                                                                ËÅÑ¡¡ÒÃÊíҤѭ¢Í§¡ÒÃᾷἹä·Â

        Á¹ØÉ¨ÐÁժǵ·ÕÊÁºÙó µŒÍ§ÁÕ¢¹¸·§ 5 ¤Ãº¶ŒÇ¹ºÃԺó Ëҡʋǹã´Ê‹Ç¹Ë¹Ö§¼Ô´»¡µÔä»
                   ÕÔ è                Ñ Ñé                Ù                  è
¡ç·Òãˌ໚¹¤¹¾Ô¡ÒÃËÃ×ÍäÁ‹ÊÁºÙó ઋ¹ ¤¹·ÕÊ­àÊÕ¤ÇÒÁ¨íÒ àÃÕÂ¡Ç‹Ò ¤¹ÊÑ­­ÒÇÔ»ÅÒÊ à»š¹µŒ¹
   í                                      èÙ

á¹Ç¤Ô´àÃ×èͧÊÁد°Ò¹¡ÒÃà¡Ô´âä
        ¨Ò¡á¹Ç¤Ô´àÃ×ͧ¸ÒµØ ¤ÇÒÁÊÑÁ¾Ñ¹¸¢Í§Á¹ØÉ¡ºÊÔ§áÇ´ÅŒÍÁ âÅ¡ áÅШѡÃÇÒÅ ¡ÒÃᾷ
                     è                                  Ñ è
á¼¹ä·Âàª×ÍÇ‹Òà˵ØáË‹§âäà¡Ô´¢Ö¹¨Ò¡¤ÇÒÁÊÑÁ¾Ñ¹¸´§¡Å‹ÒÇÁÕ¤ÇÒÁá»Ã»Ãǹ·íÒãËŒ¸ÒµØã¹Ã‹Ò§¡ÒÂ
           è                    é                    Ñ
àÊÕÂÊÁ´ØÅ ¨Ö§à¡Ô´âä¢Ö¹ ¤ÑÁÀÕÃËÅÒÂàÅ‹Á¡Å‹ÒǶ֧à˵ØáË‹§âä ઋ¹ ¤ÑÁÀÕÃÊÁد°Ò¹ÇÔ¹¨©Ñ ¤ÑÁÀÕøҵØ
                       é                                                       Ô         
ÇÔÀ§¤ ¤ÑÁÀÕøҵØÇÇó áÅФÑÁÀÕÃàǪÈÖ¡ÉÒ
    Ñ         Ô                         (2, 6)
                                                 ¤ÑÁÀÕøҵØÇÇó¡Å‹ÒÇÇ‹Òà˵ØáË‹§âäÁÕ 8 »ÃСÒÃ
                                                        Ô
¤×Í à˵Øà¡Ô´¨Ò¡ ¸ÒµØ¹éíÒ ¸ÒµØÅÁ ¸ÒµØä¿ ã¹Ã‹Ò§¡Ò¸ҵØã´¸ÒµØË¹Öè§ËÃ×ÍËÅÒ¸ҵØá»Ã»Ãǹ
¶ŒÒá»Ã»Ãǹ¾ÃŒÍÁ¡Ñ¹·Ñ§ 3 ¸ÒµØàÃÕ¡NjÒÊѹ¹ÔºÒµ à˵Øà¡Ô´¨Ò¡à»ÅÕè¹Ĵ١ÒŠઋ¹ ¡ÒÃ໚¹ËÇÑ´
                         é
㹪‹Ç§»ÅÒÂÄ´Ù½¹µŒ¹Ä´Ù˹ÒÇ à˵Øà¡Ô´¨Ò¡¡Ò÷íÒ§Ò¹ËÑ¡âËÁ ઋ¹ ¡¢Í§Ë¹Ñ¡à¡Ô¹¡íÒÅѧ·íÒãËŒà¡Ô´
ÍÒ¡ÒÃà¨çº»Ç´Ã‹Ò§¡Ò ËÃ×ÍÍÒ¨ÁÕà˵Øà¡Ô´¨Ò¡ÇÔºÒ¡¢Í§¡ÃÃÁ «Öè§¡ç¤×Í¡ÒáÃзíÒ·Õ輋ҹÁÒ àª‹¹
ÇÒ§¢Í§äÁ‹à»š¹ÃÐàºÕº·íÒãËŒÊдشˡŌÁà¡Ô´¡ÒúҴà¨çº ໚¹µŒ¹(2)

á¹Ç¤Ô´àÃ×èͧ¡ÒÃÃÑ¡ÉÒâäáÅÐÂÒÊÁعä¾Ã
         àÁ×èÍᾷÇÔ¹Ô¨©ÑÂâäµÒÁÊÁد°Ò¹¢Í§âäáÅŒÇ ã¹¤ÑÁÀÕϨк͡µíÒÃѺÂÒÊÁعä¾ÃÃٻẺ
µ‹Ò§æà¾×Í㪌㹡ÒÃÃÑ¡ÉÒ µÑÇÍ‹ҧÂÒµíÒÃѺ˹֧㹤ÑÁÀÕûÃжÁ¨Ô¹´Ò(2)
         è                                                        è         
         “ÂÒᡌÃҡᡌÊÐÍÖ¡ ·‹Ò¹ãËŒàÍÒ ¢ŒÒǵ͡ 1 ¢Ñ³±Ê¡Ã 1 à»ÃÕ§¾ÃÐ⤠1 à¡Å×Íà·È 1 ÂÒ¹ÕàÍÒ                é
àÊÁÍÀÒ¤ º´ÅÐÅÒ¹éÒ¼ÅÂ͵ŒÁ ¡Ô¹ËÒ”
                          í
         ËÃ×ͤíÒá¹Ð¹íÒãËŒ¼»Ç»¯Ôºµµ¹ãËŒ¶¡µŒÍ§ µÑÇÍ‹ҧ㹤ÑÁÀÕõ¡¡ÐÈÔÅÒ(2)
                                     ÙŒ †             Ñ Ô       Ù                      Ñ
         “.. 䢌¨Ò¾Ç¡¹ÕÂÍÁËŒÒÁÁÔãËŒÇÒ§ÂÒÌ͹à¼ç´ ÂÒà»ÃÕÂÇ Í‹ÒãËŒ»ÃФº¹Ç´ Í‹ÒãËŒ»Å‹Í»ÅÔ§
                  í           é ‹                                                é
Í‹ÒãËŒ¡Í¡àÍÒâÅËÔµÍÍ¡ Í‹ÒãËŒ¶¡¹éÒÁѹ àËŌҡçÍ‹ÒãËŒ¶¡ ¹éÒÌ͹¡çÍ‹ÒãËŒÍҺ͋ÒãËŒ¡¹ ÊŒÁÁÕ¤Çѹ
                                                    Ù í                         Ù í               Ô
ÁÕ¼Ç ¡Ð·Ô ¹éÒÁѹ ËŒÒÁÁÔãËŒ¡¹ ¶ŒÒã¤ÃäÁ‹ÃÙŒ ·íÒ¼Ô´´Ñ§¡Å‹ÒÇÁÒ¹Õé ¡ç¶§ÁóÀÒ¾¤ÇÒÁµÒ´ѧ¹ÕáÅ”
   Ô          í                         Ô                                           Ö                 é
         ÃÇÁ·Ñ§ÍÒ¨ºÍ¡ÇÔ¸¡ÒÃãËŒ·Ò¾Ô¸¡ÃÃÁµÒÁ¤ÇÒÁàª×ÍâºÃÒ³ µÑÇÍ‹ҧ㹤ÑÁÀÕûÃжÁ¨Ô¹´Ò (2)
                é                  Õ                 í Õ                      è              
         “¶ŒÒ¨Ðᡌ ãËŒ·ÒµÒÁºØÃÒ³àÊÕ¡‹Í¹ ·‹Ò¹ãËŒ·ÒºÑµÃ ô ÁØÁ àÍÒệ§¤ÅÖ§·ŒÍ§ ´ŒÇÂÁ¹µ¹Õé ÷ ·Õ
                            í                                             í
âÍÁÚ ªÔ ªÙ ÀÙ À ÊÇÒË áŌǨ֧àÍÒệ§·Õ¤ÅÖ§¹Ñ¹ÁÒ»˜¹Ãٻ˭ԧ¤¹ ñ ÃÙ»ÀÙà¢ÒÍѹ ñ Ãٻ䡋µÇ ñ ÃÙ»ÁŒÒ
                                                           è  é        œ                            Ñ
µÑÇ ñ àÍÒÅÙ¡äÁŒ ÷ ÊÔ§ ´Í¡äÁŒ ÷ ÊÔ§ áÅŒÇàÍÒ¢ŒÒÇÊÒÃâ»Ã¡ÅÒ§ÅÙ¡äÁŒ ºÙªÒ áÅŒÇàÍÒä»Ê‹§·Õ·ÈÍÒ¤à¹Â
                        è                         è                                              è Ô
·íÒ ó Çѹ ËÒ”
         ÊíÒËÃѺ¡ÒÃàµÃÕÂÁÂÒãËŒ¡Ñº¼ÙŒ»†Ç¹Ñé¹ á¾·Âá¼¹ä·Âã¹ÊÁÑÂâºÃÒ³¨ÐàµÃÕÂÁÂÒãËŒ¼ÙŒ»†ÇÂ
´ŒÇµ¹àͧ â´Â㪌¤ÇÒÁÃٷ໚¹ËÅÑ¡¡ÒÃÊíҤѭ ¤×Í ËÅÑ¡àÀÊѪ 4 䴌ᡋ (7)
                                  Œ Õè
         1. àÀÊѪÇѵ¶Ø ËÁÒ¶֧¤ÇÒÁÃÙà¡ÕÂǡѺÊÔ§·Õ¹ÒÁÒ㪌»ÃاÂÒËÃ×Í»ÃСͺ໚¹ÂÒ Ç‹ÒÁÕûÅѡɳÐ
                                                          Œ è       è è í                               Ù
ÃÊ ¡ÅÔ¹ ÊÕ áÅЪ×ÍÍÐäà ẋ§à»š¹ 3 »ÃÐàÀ· ¤×Í ¾×ªÇѵ¶Ø ËÁÒ¶֧ÊÁعä¾Ã¹Ò¹Òª¹Ô´ ÊѵǏÇѵ¶Ø
       è            è
ËÁÒ¶֧ ʋǹµ‹Ò§æ¢Í§ÊѵǏ·¹ÒÁÒ㪌»Ãا໚¹ÂÒ áÅÐ ¸ÒµØÇѵ¶Ø ËÁÒ¶֧ ¸ÒµØ·ÁÍÂÙ㹸ÃÃÁªÒµÔ
                                             Õè í                                         Õè Õ ‹
ËÃ×ÍÊÒ÷ÕÁ¹ØÉʧà¤ÃÒÐˏ¢¹ÁÒáÅйíÒÁÒ㪌»ÃاÂÒä´Œ
           è          Ñ                   Öé
àǪÈÒʵÏ·¹Âؤ 2553
          Ñ                                                                                                       339

            2. ÊÃþ¤Ø³àÀÊѪ ËÁÒ¶֧¤ÇÒÁÃÙŒà¡ÕèÂǡѺÊÁعä¾ÃÇ‹ÒÊÁعä¾ÃᵋÅеÑÇÁÕÃÊ໚¹Í‹ҧäÃ
à¾ÃÒÐÃʢͧÂÒ¨ÐáÊ´§¶Ö§ÊÃþ¤Ø³ã¹¡ÒÃÃÑ¡ÉÒâä ¹ÔÂÁẋ§à»š¹ 9 ÃÊ ÃʽҴ ÁÕÊÃþ¤Ø³ÊÁÒ¹
ÃÊËÇÒ¹ ÁÕÊÃþ¤Ø³«ÖÁ«Òºä»µÒÁà¹×Í ÃÊàÁÒàº×èÍ ÁÕÊÃþ¤Ø³á¡Œ¾É ÃÊ¢Á ÁÕÊÃþ¤Ø³á¡Œä¢Œ ª‹ÇÂ
                                           é                                      Ô
à¨ÃÔ­ÍÒËÒà ÃÊà¼ç´ÃŒÍ¹ ÁÕÊÃþ¤Ø³¢ÑºÅÁ ÃÊÁѹ ÁÕÊÃþ¤Ø³á¡ŒàÊŒ¹àÍç¹ ÃÊËÍÁàÂç¹ ÁÕÊÃþ¤Ø³
·íÒãËŒª¹ã¨ ÃÊà¤çÁ ÁÕÊÃþ¤Ø³«Òºä»µÒÁ¼ÔÇ˹ѧ ÃÊà»ÃÕéÂÇ ÁÕÊÃþ¤Ø³¡Ñ´àÊÁËÐ ¿Í¡âÅËÔµ
         ×è
            ¹Í¡¨Ò¡¹ÕéàÁ×è͹íÒÊÁعä¾ÃËÅÒª¹Ô´ÁÒ»ÃØ§à»š¹ÂÒµíÒÃѺµÒÁµíÒÃÒ¡ÒÃᾷἹä·Â
¨Ð¨Ñ´áº‹§ÂÒµíÒÃѺµÒÁÃʫ֧àÃÕ¡NjÒÃÊ»Ãиҹ ÁÕÍÂÙ´Ç ¡Ñ¹ 3 ÃÊ ¤×Í ÂÒÃÊàÂç¹ ä´Œá¡‹µÒÃѺÂÒ·ÕÁÕ
                               è                                  ‹ Œ                                      í          è
à¡Êô͡äÁŒ á ÅÐãºäÁŒ ·Õè ä Á‹ ÁÕ Ã ÊÃŒ Í ¹ ËÃ× Í µí Ò ÃÑ º ÂÒ·Õè ÁÕ Ê ÁØ ¹ ä¾Ã·Õè ÊØ Á ËÃ× Í à¼Ò໚ ¹ ¶‹ Ò ¹áÅŒ Ç à»š ¹
ʋǹ»ÃСͺ ઋ¹ ÂÒÁËÒ¹ÔÅá·‹§·Í§ ÂÒÃʹÕÁÊÃþ¤Ø³á¡Œä¢Œ ᡌ·Ò§àµâª¸ÒµØ ÂÒÃÊÌ͹ 䴌ᡋ
                                                    é Õ
µíÒÃѺÂÒ¡ÅØÁ·ÕÁÊÁعä¾ÃÃÊà¼ç´ÃŒÍ¹à»š¹Ê‹Ç¹»ÃСͺ ઋ¹ ¢Ô§ ¢‹Ò ¾ÃÔ¡ä·Â ÂÒÃʹÕÁÊÃþ¤Ø³¢ÑºÅÁ
                ‹ è Õ                                                                              é Õ
ᡌ·Ò§ÇÒâÂ¸ÒµØ ÂÒÃÊÊØ¢ØÁ 䴌ᡋ µíÒÃѺÂÒ·ÕÁÃÊäÁ‹Ã͹ËÃ×ÍäÁ‹àÂç¹ ÁÕÊÁعä¾Ã»ÃÐàÀ·â¡° à·Õ¹
                                                     è Õ                Œ
¡ÄÉ³Ò ¢Í¹´Í¡ ͺàªÂ ໚¹µŒ¹ ໚¹Ê‹Ç¹»ÃСͺ ઋ¹ ÂÒËÍÁµ‹Ò§æ ÁÕÊÃþ¤Ø³á¡ŒÅÁÇÔ§àÇÕ¹
ᡌ·Ò§ÍÒ⻸ҵØ
            3. ¤³ÒàÀÊѪ ËÁÒ¶֧¤ÇÒÁÃÙ㹡ÒèѴËÁÇ´ËÁÙÊÁعä¾Ãª¹Ô´µ‹Ò§æÁÒÃÇÁ¡Ñ¹à»š¹ª×Íà´ÕÂÇ
                                             Œ                            ‹                                     è
à¾×ÍãËŒ§Òµ‹Í¡Òè´¨íÒáÅСÒÃ»ÃØ§ÂÒ ÊÁعä¾ÃàËŋҹըÐÁÕÊÃþ¤Ø³ä»ã¹·Ò§à´ÕÂǡѹ
   è ‹                                                                é
            4. àÀÊÑ ª ¡ÃÃÁ ËÁÒ妅 § ¤ÇÒÁÃÙŒ ã ¹¡ÃÃÁÇÔ ¸Õ » ÃØ § ÂÒ¨Ò¡ÊÁØ ¹ ä¾Ã ¶Œ Ò ÂÒ»ÃСͺ´Œ Ç Â
ÊÁعä¾Ãà¾Õ§ª¹Ô´à´ÕÂÇàÃÕ¡NjÒÂÒà´ÕèÂÇ ¶ŒÒÁÕʋǹ»ÃСͺµÑé§áµ‹ 2 ª¹Ô´¢Öé¹ä»àÃÕÂ¡Ç‹Ò ÂÒµíÒÃѺ
ÊÁعä¾Ã·Õ໚¹Ê‹Ç¹»ÃСͺã¹ÂÒµíÒÃѺ˹֧æ ẋ§ä´Œà»š¹ 4 ¡ÅØÁ ¤×Í ÂÒËÅÑ¡ ÁÕÊÃþ¤Ø³ºíҺѴâä
              è                                è                                ‹
â´ÂµÃ§ ÂÒÃͧ ÁÕÊÃþ¤Ø³ª‹ÇºíҺѴÍÒ¡Òâͧâä·Õà¡Ô´á·Ã¡ËÃ×Íà¡Ô´µÒÁÁÒ ÂÒ¤ØÁ/ÂÒ»ÃСͺ
                                                                    è
ª‹Ç¤ØÁÄ·¸ÔÂÒÍ×¹ ËÃ×ͪ‹Ç»‡Í§¡Ñ¹âäáÅЪ‹ÇºíÒÃØ§ ÂÒªÙ¡ÅÔè¹ ªÙÃÊáÅÐᵋ§ÊբͧÂÒ ª‹Ç·íÒãËŒÂÒ
                 ì è
ÁÕ¡ÅÔ¹ ÃÊ ËÃ×ÍÊÕ¹ÒÃѺ»Ãзҹ
     è                ‹
            㹡ÒÃ»ÃØ§ÂÒ á¾·Âá¼¹ä·ÂµŒÍ§ÁÕ¤ÇÒÁÃÙ͹´ŒÇ ઋ¹µŒÍ§ÃÙÇÒÊÁعä¾Ã·Õ໚¹Ê‹Ç¹»ÃСͺ
                                                           Œ ×è                     Œ‹           è
¨Ð㪌ʴËÃ×Í㪌áËŒ§ ¨Ð㪌Êǹ㴢ͧµŒ¹ÊÁعä¾Ã µŒÍ§Å´Ä·¸Ô¡Í¹ËÃ×ÍäÁ‹ ¨ÐªÑ§ µÇ§ ÇÑ´ Í‹ҧäÃãˌ䴌
                             ‹                                              ì ‹             è
¢¹Ò´áÅйéíÒ˹ѡµÒÁ·Õ赌ͧ¡Òà ¨Ð㪌¹éíÒ¡ÃÐÊÒÂÂÒ «Öè§ËÁÒ¶֧¢Í§àËÅÇ·Õè㪌㹡ÒÃÅÐÅÒÂËÃ×Í
ʡѴÊÒÃÊíҤѭ¨Ò¡µÑÇÂÒÊÁعä¾ÃÍ‹ҧäà ໚¹µŒ¹
            ¡ÒÃ»ÃØ§ÂÒµíÒÃѺµÒÁÃٻẺ·Õè¡Å‹ÒÇänj㹵íÒÃÒ¡ÒÃᾷἹä·Â´Ñé§à´ÔÁ·ÕèÂѧ㪌¡Ñ¹ÍÂÙ‹ÁÒ¡
ã¹»˜¨¨Øº¹ 䴌ᡋ ÂÒµŒÁ ÂҴͧ áÅÐÂÒÅÙ¡¡Å͹ »˜¨¨Øº¹¡ÒüÅÔµÂÒ¨Ò¡ÊÁعä¾Ãä´Œ¾²¹ÒÃٻẺ¢Í§
            Ñ                                                   Ñ                                   Ñ
ÂÒãËŒ·¹ÊÁÑÂà¾×Íãˌú»Ãзҹ䴌Êдǡ¢Ö¹ 䴌ᡋ ÂÒ᤻«ÙÅ Âҵ͡àÁç´ ÂÒà¤Å×ͺàÁç´ ÃÇÁ·Ñ§ÁÕ¡ÒÃ
       Ñ            è Ñ                          é                                                            é
¤Çº¤ØÁ¡ÒüÅÔµãˌ໚¹ä»µÒÁËÅѡࡳ±áÅÐÇÔ¸¡Ò÷մ㹡ÒüÅÔµ (Good Manufacturing Practice
                                                        Õ          è Õ
ËÃ×Í GMP) ÂÒ¨Ò¡ÊÁعä¾Ã

á¹Ç¤Ô´àÃ×èͧ¤Ø³ÊÁºÑµÔ·Õè´Õ¢Í§á¾·Â¼ÙŒÃÑ¡ÉÒ
       ¨Ò¡ºÑ¹·Ö¡ã¹¤ÑÁÀÕÃµÒ§æ ¨ÐàËç¹Ç‹Ò ¡ÒÃᾷἹä·ÂãËŒ¤ÇÒÁÊíҤѭµ‹Í¡ÒûÅÙ¡½˜§¨ÃÔ¸ÃÃÁ
                         ‹
ઋ¹ ¤ÇÒÁ¡µÑ­­ý¡µàÇ·ÔµÒ ÃÙ¤³¢Í§¼Ù͹·ÕÁµÍµ¹ ¡Òú٪Ҽٷ¤ÇÃºÙªÒ à¤Òþàª×Í¿˜§¤íÒÊ͹¢Í§
                            Œ Ø    Œ ×è è Õ ‹         Œ Õè              è
340                                                                     ËÅÑ¡¡ÒÃÊíҤѭ¢Í§¡ÒÃᾷἹä·Â

¼ÙŒÁÕ¾ÃФس ¢ŒÍ¤ÇûÃоĵԻ¯ÔºÑµÔáÅФÇÃÅÐàÇŒ¹ ÃÇÁ·Ñé§¡Å‹ÒǶ֧â·ÉËÃ×ÍÊһ᪋§änj㹺ҧµÍ¹
¢Í§¤ÑÁÀÕÏ à¾×èÍãˌᾷà¡Ô´¤ÇÒÁËÇÒ´¡ÅÑÇáÅеÃÐ˹ѡ¶Ö§¤Ø³áÅÐâ·É¢Í§ÇԪҪվᾷ ¨Ðä´Œ
»ÃСͺÇÔªÒªÕ¾â´ÂäÁ‹»ÃÐÁÒ· ʋǹá¹Ç·Ò§ã¹¡ÒûÅÙ¡½˜§¨ÃÔ¸ÃÃÁ¹Ñé¹ ÁÑ¡à¢Õ¹¤íÒºÙªÒÊÔè§·Õè¤ÇÃ
à¤ÒþºÙªÒ ઋ¹ ¤Ø³¾ÃÐÃѵ¹µÃÑ ¤Ø³ºÔ´ÒÁÒÃ´Ò ¤ÃÙÍÒ¨ÒÏ ã¹Ê‹Ç¹µŒ¹¢Í§¤ÑÁÀÕÏ áÅÐÊÍ´á·Ã¡
¢ŒÍ¤Çû¯Ôºµã¹Ê‹Ç¹à¹×ÍËҢͧ¤ÑÁÀÕÏ(8)
            Ñ Ô       é

ÊÃØ»
        á¹Ç¤Ô´áÅÐËÅÑ¡¡Òâͧ¡ÒÃᾷἹä·Âã¹àÃ×Í§ÊØ¢ÀҾ໚¹ÊÔ§·Õ¹Òʹã¨ÁÒ¡ â´Â੾ÒÐ
                                                    è            è è ‹
á¹Ç¤Ô´àÃ×èͧ¤ÇÒÁÊÑÁ¾Ñ¹¸ÃÐËÇ‹Ò§ÊØ¢ÀÒ¾¡Ñº¤ÇÒÁÊÁ´ØÅ¢Í§¸ÒµØ·Õè໚¹Í§¤»ÃСͺ¢Í§Ã‹Ò§¡ÒÂ
¤ÇÒÁÊÁ´ØÅ¢Í§Ã‹Ò§¡Ò¡Ѻ¨Ôµã¨ áÅФÇÒÁÊÁ´ØÅ¡ÑºÊÔè§áÇ´ÅŒÍÁ ÃÇÁ·Ñé§á¹Ç¤Ô´àÃ×èͧÊÁد°Ò¹
¡ÒÃà¡Ô´âä«Öè§Áͧà˵ػ˜¨¨Ñ·Õè·íÒãËŒÊØ¢ÀÒ¾¼Ô´»¡µÔÍ‹ҧ¡ÇŒÒ§¢ÇÒ§áÅÐ໚¹Í§¤ÃÇÁ Ëҡᾷ
á¼¹»˜¨¨Øº¹áÅкؤÅÒ¡Ãã¹ÃкºÊØ¢ÀҾࢌÒã¨á¹Ç¤Ô´áÅÐËÅÑ¡¡ÒÃàËŋҹÕáÅÐʹ㨷íÒ¡ÒÃÈÖ¡ÉÒÇÔ¨Â
          Ñ                                                       é                    Ñ
à¾ÔÁàµÔÁ ¹Í¡¨Ò¡¨Ð໚¹¡ÒþѲ¹Òͧ¤¤ÇÒÁÃ٢ͧ¡ÒÃᾷἹä·Â«Ö§à»š¹ÀÙÁ»­­ÒÍѹ·Ã§¤Ø³¤‹Ò
   è                                       Œ                   è       Ô ˜
¢Í§ªÒµÔ ãËŒÁËÅÑ¡°Ò¹àªÔ§ÇÔªÒ¡ÒÃ໚¹·Õ¹Òàª×Ͷ×ÍÂÔ§¢Ö¹ Âѧ¨ÐÊÒÁÒö¹íÒÁÒ»ÃÐÂØ¡µãªŒã¹¡ÒôÙáÅ
             Õ                         è ‹ è   è é
ÃÑ¡ÉÒÊØ¢ÀÒ¾¢Í§»ÃЪҪ¹ä´ŒÍ¡´ŒÇÂÕ

àÍ¡ÊÒÃ͌ҧÍÔ§
1.    ¤³Ð¡ÃÃÁ¡ÒèѴ·íÒÂØ·¸ÈÒʵÏ¡ÒþѲ¹ÒÀÙÁ»­­Òä· ÊØ¢ÀÒ¾ÇÔ¶ä· ¡ÃÁ¾Ñ²¹Ò¡ÒÃᾷἹä·ÂáÅСÒÃᾷ·Ò§
                                                 Ô ˜                   Õ
      àÅ×Í¡ ¡ÃзÃǧÊÒ¸ÒÃ³ÊØ¢. á¼¹ÂØ·¸ÈÒʵÏªÒµÔ ¡ÒþѲ¹ÒÀÙÁ»­­Òä· ÊØ¢ÀÒ¾ÇÔ¶ä· ¾.È.2550-2554. ¡ÃØ§à·¾Ï :
                                                                   Ô ˜                  Õ
      âç¾ÔÁ¾Í§¤¡ÒÃʧà¤ÃÒÐˏ·ËÒü‹Ò¹ÈÖ¡; ¾.È. 2550.
2.    ÁÙŹԸ¿¹¿ÙʧàÊÃÔÁ¡ÒÃᾷä·Âà´ÔÁÏ, âçàÃÕ¹ÍÒÂØÃàÇ·¸íÒç ʶҹ¡ÒÃᾷἹä·Â»ÃÐÂØ¡µ ¤³Ðá¾·ÂÈÒʵÏ
             Ô „œ ‹
      ÈÔÃÃÒª¾ÂÒºÒÅ ÁËÒÇÔ·ÂÒÅÑÂÁËÔ´Å. µíÒÃÒ¡ÒÃᾷἹä·Âà´ÔÁ (á¾·ÂÈÒʵÏʧà¤ÃÒÐˏ ©ºÑºÍ¹ØÃ¡É) àÅ‹Á·Õè 1 ©ºÑºªíÒÃÐ
         Ô                                                                                     Ñ
      ¾.È. 2550 à¹×èͧã¹ÁËÒÁ§¤ÅÇâáÒÊà©ÅÔÁ¾ÃЪ¹ÁÒÂØ 80 ¾ÃÃÉÒ ¾ÃкҷÊÁà´ç¨¾ÃÐ਌ÒÍÂÙ‹ËÑÇÀÙÁÔ¾ÅÍ´ØÅÂà´ª.
      ¡Ãا෾Ï: ÈØÀǹԪ¡ÒþÔÁ¾; ¾.È. 2550.
3.    Kenneth G Zysk (¸ÕÃà´ª ÍØ·ÂÇÔ·ÂÒÃѵ¹ á»Å) : Asceticism and Healing in Ancient India : Medicine in the
                                   Ñ
      Buddhist Monastery ÅÑ·¸Ô¹¡¾ÃµáÅСÒÃàÂÕÂÇÂÒã¹ÍÔ¹à´ÕÂâºÃÒ³ : Ãкº¡ÒÃᾷ㹾ط¸ÍÒÃÒÁ. ¡Ãا෾Ï: Êíҹѡ
                                 Ñ
      §Ò¹¡Ô¨¡ÒÃâç¾ÔÁ¾Í§¤¡ÒÃʧà¤ÃÒÐˏ·ËÒü‹Ò¹ÈÖ¡ ã¹¾ÃкÃÁÃÒªÙ»¶ÑÁÀ; ¾.È. 2551.
4.    »Ãзպ ªØÁ¾Å. »ÃÐÇѵÈÒʵÏ¡ÒÃᾷἹä·Â. ¡Ãا෾Ï: Êíҹѡ¾ÔÁ¾ÁµÔª¹; ¾.È. 2545.
                            Ô
5.    ÁËÒǧȏ ªÒ­ºÒÅÕ. ¾ÃÐÇÔÊ·¸ÔÁÃä àÅ‹Áà´ÕÂǨº. ¡Ãا෾Ï: âç¾ÔÁ¾¸ÃÃÁºÃóҤÒà (ÍíÒ¹ÇÂÊÒʏ¹); ¾.È. 2550.
                               Ø
6.    ¾ÃÐÂÒ¾ÔȳػÃÐÊÒ·àǪ. àǪÈÖ¡ÉÒ á¾·ÂÈÒʵÏʧࢻ àÅ‹Á ñ. ¡Ãا෾Ï: âç¾ÔÁ¾ä·Â; Ã.È.127.
                                                       Ñ
7.    ÁÙŹԸ¿¹¿ÙʧàÊÃÔÁ¡ÒÃᾷä·Âà´ÔÁÏ, âçàÃÕ¹ÍÒÂØÃàÇ· (ªÕÇ¡â¡ÁÒÃÀѨ¨). µíÒÃÒàÀÊѪ¡ÃÃÁá¼¹ä·Â. ¡Ãا෾Ï:
              Ô „œ ‹
      ¾Ô¦à³È ¾ÃÔ¹·µ§ à«ç¹àµÍÏ; ¾.È. 2548.
                   é Ôé
8.    ·Ñ¾¾à·¾ ·Ô¾Âà¨ÃÔ­¸ÑÁ, ·ÇÕ àÅÒ˾ѹ¸, àÍ×;§È ¨µØÃ¸íÒç, ¸Ò¹Õ à·¾ÇÑŏ. ¨ÃÔ¸ÃÃÁ㹡ÒÃᾷἹä·Â. àǪºÑ¹·Ö¡
                                               é
      ÈÔÃÃÒª. 2553;3(1):15-22.
           Ô
àǪÈÒʵÏ·¹Âؤ 2553
          Ñ                                                                            º··Õè        341

                                                                                        50
                       ¡ÒÃÊ‹§àÊÃÔÁÊØ¢ÀÒ¾´ŒÇ¸ÃÃÁÒ¹ÒÁÑÂ
                                                           ÍÒ¨ÒÏÊÔÃÔ¡Ò¹µ ÀÙâ»Ã‹§
                                                          ÍÒ¨ÒÏ»ÃÐÁÇÅ ¤íÒᡌÇ
                                         ÃͧÈÒʵÃÒ¨ÒÏ ¹ÒÂᾷ·ÇÕ àÅÒ˾ѹ¸
         ʶҹ¡ÒÃᾷἹä·Â»ÃÐÂØ¡µ ¤³Ðá¾·ÂÈÒʵÏÈÔÃÔÃÒª¾ÂÒºÒÅ ÁËÒÇÔ·ÂÒÅÑÂÁËÔ´Å

         »ÃÐà·Èä·Â»ÃСÒÈ㪌¾ÃÐÃÒªºÑ­­ÑµÊ¢ÀÒ¾áË‹§ªÒµÔ àÁ×Í»‚ ¾.È. 2550 «Ö§ÁÒµÃÒ 46 ÃкØ
                                                   ÔØ                          è           è
ãËŒ¤³Ð¡ÃÃÁ¡ÒÃÊØ¢ÀÒ¾áË‹§ªÒµÔ ¨Ñ´·íÒ¸ÃÃÁ¹Ù­Ç‹Ò´ŒÇÂÃкºÊØ¢ÀÒ¾áË‹§ªÒµÔà¾×Í㪌໚¹¡ÃͺáÅÐ     è
á¹Ç·Ò§ã¹¡ÒáíÒ˹´¹âºÒÂ ÂØ·¸ÈÒʵÏ áÅСÒôíÒà¹Ô¹§Ò¹´ŒÒ¹ÊØ¢ÀÒ¾¢Í§»ÃÐà·È(1) ¸ÃÃÁ¹Ù­
NjҴŒÇÂÊØ¢ÀÒ¾áË‹§ªÒµÔ «Ö§»ÃСÒÈ㪌µÍÁÒã¹»‚ ¾.È. 2552 ä´ŒãËŒ¤ÇÒÁËÁÒ¢ͧ¤íÒÇ‹Ò “ÊØ¢ÀÒ¾” áÅÐ
                                   è      ‹
“¡ÒÃÊÌҧàÊÃÔÁÊØ¢ÀÒ¾” äÇŒ´§¹Õé (2)   Ñ
         ÊØ¢ÀÒ¾ ËÁÒ¤ÇÒÁÇ‹Ò ÀÒÇТͧÁ¹ØÉ·ÊÁºÙ󏷧·Ò§¡Ò ·Ò§¨Ôµ ·Ò§»˜­­Ò áÅзҧ
                                                      Õè               Ñé
Êѧ¤Á àª×ÍÁ⧡ѹ໚¹Í§¤ÃÇÁÍ‹ҧÊÁ´ØÅ
           è
         ¡ÒÃÊÌҧàÊÃÔÁÊØ¢ÀÒ¾ ËÁÒ¤ÇÒÁÇ‹Ò ¡ÒáÃзíÒ·ÕÁ§Ê‹§àÊÃÔÁáÅÐʹѺʹعãËŒº¤¤ÅÁÕÊ¢
                                                                          è Ø‹                   Ø   Ø
ÀÒÇзҧ¡Ò ¨Ôµ »˜­­Ò áÅÐÊѧ¤Á â´ÂʹѺʹع¾ÄµÔ¡ÃÃÁºØ¤¤ÅáÅСÒèѴ¡ÒÃÊÔ§áÇ´ÅŒÍÁáÅÐ              è
ÊÀÒ¾áÇ´ÅŒÍÁ à¾×ÍÊ‹§àÊÃÔÁÊØ¢ÀÒ¾áÅФسÀÒ¾ªÕǵ·Õ´¢Í§ºØ¤¤Å ¤Ãͺ¤ÃÑÇ ªØÁª¹ áÅÐÊѧ¤Á
                    è                                    Ô è Õ
         ¹Í¡¨Ò¡¹Ñ¹¸ÃÃÁ¹Ù­Ç‹Ò´ŒÇÂÊØ¢ÀÒ¾áË‹§ªÒµÔ ¾.È. 2552 Âѧ䴌¡Ò˹´á¹Ç·Ò§ÊíҤѭ¢Í§¡ÒÃ
                      é                                                              í
·íÒãËŒÁÊ¢ÀÒ¾¤×Í “¡ÒÃÊÃŒÒ§ÊØ¢ÀÒ¾ ¹íÒ¡Òë‹ÍÁÊØ¢ÀÒ¾” ·Ñ§¹Õà¾×ÍÁاÊÙ¡ÒÃÅ´¡ÒÃà¨çº»†Ç ¡ÒþԡÒÃ
        ÕØ                                                            é é è ‹ ‹
áÅСÒõÒ·ÕäÁ‹ÊÁ¤Çà áÅСÒÃÅ´¤‹Ò㪌¨Ò´ŒÒ¹ÊØ¢ÀÒ¾(2)
                  è                            ‹
         ã¹âÍ¡ÒÊ·Õ¤³Ðá¾·ÂÈÒʵÏÈÃÃÒª¾ÂÒºÒÅ ¨Ñ´§Ò¹©Åͧ 120 »‚¢Í§¡ÒÃʶһ¹ÒâçàÃÕ¹
                        è                   ÔÔ
ᾷ ã¹»‚¾.È. 2553 ʶҹ¡ÒÃᾷἹä·Â»ÃÐÂØ¡µ«§·íÒ˹ŒÒ·Õ¡Ò¡Ñº´ÙáÅâçàÃÕ¹ÍÒÂØÃàÇ·¸íÒç
                                                               Öè                è í
·Õè¨Ñ´¡ÒÃÊ͹ÊÒ¢ÒÇÔªÒ¡ÒÃᾷἹä·Â»ÃÐÂØ¡µ ä´Œ·º·Ç¹á¹Ç¤Ô´¡ÒÃÊÌҧàÊÃÔÁÊØ¢ÀÒ¾
·ÕèàÃÕÂ¡Ç‹Ò ¸ÃÃÁÒ¹ÒÁÑ ¢Í§ÈÒʵÃÒ¨ÒϹÒÂᾷÍÇ ࡵØÊԧˏ »ÃÁÒ¨ÒÏ·‹Ò¹Ë¹Ö觢ͧ
¤³Ðá¾·ÂÈÒʵÏÈÃÃÒª¾ÂÒºÒÅáÅÐ໚¹¼ÙÇÒ§»ÃѪ­ÒãËÁ‹ã¹¡ÒþѲ¹Ò¡ÒÃᾷἹä·Â «Ö§¹íÒ
                          ÔÔ                     Œ                                                 è
àʹÍäÇŒàÁ×Í»‚¾.È. 2530 ¾ºÇ‹Òá¹Ç¤Ô´´Ñ§¡Å‹ÒÇÂѧ·Ñ¹ÊÁÑÂáÁŒàÇÅҨм‹Ò¹ÁÒ¡Ç‹Ò 20 »‚¡µÒÁ áÅÐÂѧ
             è                                                                                 ç
ÊÍ´¤ÅŒÍ§¡Ñºá¹Ç·Ò§·Õ¡Ò˹´änj㹸ÃÃÁ¹Ù­Ç‹Ò´ŒÇÂÊØ¢ÀÒ¾áË‹§ªÒµÔ ¾.È. 2552 ÊÒÁÒö㪌໚¹¡Ãͺ
                               è í
¡ÒôíÒà¹Ô¹¡ÒÃÊ‹§àÊÃÔÁÊØ¢ÀÒ¾·ÕÃÇÁÊÁÑÂáÅмÊÁ¼ÊÒ¹ÀÙÁ»­­Ò¢Í§ä·ÂäÇŒ´Ç ¨Ö§ä´ŒàÃÕºàÃÕ§à¾×Í
                                       è‹                         Ô ˜                  Œ               è
à¼Âá¾Ã‹ãËŒ¼Ê¹ã¨ä´ŒÈ¡ÉÒã¹âÍ¡ÒʹÕé
               ÙŒ            Ö
342                                                                                      ¡ÒÃÊ‹§àÊÃÔÁÊØ¢ÀÒ¾´ŒÇ¸ÃÃÁÒ¹ÒÁÑÂ

¸ÃÃÁÒ¹ÒÁѤ×ÍÍÐäÃ
              ¨Ò¡¡ÒÃÈÖ¡ÉÒº·¤ÇÒÁàÃ×ͧ “á¡‹Í‹ҧʧ‹Ò” ·ÕÈÒʵÃÒ¨ÒϹÒÂᾷÍÇ ࡵØÊ§Ë ä´Œà¢Õ¹
                                                   è                             è                                          Ô
äÇŒàÁ×Í»‚ ¾.È. 2522 ÍÒ¨ÒϡŋÒÇÇ‹ÒÊѧ¤ÁâÅ¡¡íÒÅѧÁÕʴʋǹ¢Í§¼ÙʧÍÒÂØÁÒ¡¢Ö¹ áÅÐãËŒ¢Í¤Ô´Ç‹Ò “·Ø¡¤¹
         è                                                                 Ñ                  ŒÙ           é         Œ
µŒÍ§á¡‹ äÁ‹Áã¤Ã˹վ¹ ¨Ð´Ô¹Ã¹à´×ʹÌ͹Í‹ҧäáçµÍ§á¡‹ ·Ò§·Õ´¤Í ¾ÂÒÂÒÁËÒ»ÃÐ⪹ãËŒÁÒ¡
                   Õ         Œ             é                                 Œ                   è Õ ×
·ÕÊ´¨Ò¡¡ÒÃá¡‹ ËÃ×Í·íÒãËŒ¡ÒÃá¡‹Áâ·Éµ‹ÍµÑÇàͧ¹ŒÍ·ÕÊ´” ÃÇÁ·Ñ§ä´Œà¼Âá¾Ã‹á¹Ç¤Ô´Ç‹Ò¶ŒÒÁÕ¡Òû¯ÔºµÔ
     èØ                                                Õ                         èØ            é                                     Ñ
·Õ¶¡µŒÍ§ ¤¹á¡‹¡ÍÒ¨¨ÐÁÕÍÒÂØÂ¹ÁÒ¡¢Ö¹ ÁÕÊÁÃöÀÒ¾àÊ×ÍÁªŒÒŧ ÁÕàÇÅÒ·íÒ»ÃÐ⪹ãˌʧ¤ÁÂÒǹҹ
     è Ù                 ç                       ×           é                      è                                    Ñ
¢Öé¹ ÈÒʵÃÒ¨ÒϹÒÂᾷÍÇ ࡵØÊԧˏ ໚¹¼ÙŒ·ÕèÁÕ¤ÇÒÁÃÙŒ·Ò§¡ÒÃᾷ ÇÔ·ÂÒÈÒʵÏ¡ÒáÕÌÒ
áÅСÒû¯Ôºµ¡ÃÃÁ°Ò¹ (¡ÑÁÁѯ°Ò¹) 㹾ط¸ÈÒÊ¹Ò ä´ŒÍ¸ÔºÒÂãˌࢌÒã¨Ã‹Ò§¡ÒÂáÅÐÊÃÕÃÇÔ·ÂҢͧ
                     Ñ Ô
Á¹ØÉ »ÃÒ¡¯¡Òó¤ÇÒÁªÃÒ áÅÐâä·Õ¾ºä´Œã¹¼ÙʧÍÒÂØ áÅйíÒàʹÍá¹Ç·Ò§¡ÒôÙáÅÊØ¢ÀÒ¾àÁ×Í
                                                                 è     ŒÙ                                                              è
ÁÕÍÒÂØÁÒ¡¢Ö¹ à¾×Íãˌ§¤§ÁÕÊ¢ÀÒ¾´Õ àÃÕ¡Njһ˜¨¨ÑªÐÅͪÃÒ 5 »ÃСÒà 䴌ᡋ ¡Ò÷íÒã¨ãˌʺÒÂ
                 é è           Ñ               Ø
â´ÂÍÒÈѸÃÃÁÐ ¡ÒÃãËŒÂÒª‹ÇÂâ´Â੾ÒÐ ÇÔµÒÁÔ¹ ÎÍÏâÁ¹ ¡ÒáíÒ˹´âÀª¹Ò¡Òà ¡Òç´àÇŒ¹ËÃ×Í
Å´¡ÒÃàʾµ‹Ò§æ ઋ¹ ÊØÃÒ ¹ÒÃÕ ºØËÃÕè áÅСÒúíÒÃØ§ÃÑ¡ÉÒ¡ÒÂ(3)
              µ‹ÍÁÒã¹»‚ ¾.È. 2530 ˹‹Ç§ҹáÅлÃЪҪ¹ªÒÇä·Â·Ñ§»Ç§Ã‹ÇÁà©ÅÔÁ©Åͧ¾ÃÐÃÒª¾Ô¸Õ             é
ÁËÒÁ§¤ÅÊÁÑ·Õè¾ÃкҷÊÁà´ç¨¾ÃÐ਌ÒÍÂÙ‹ËÑÇÀÙÁÔ¾ÅÍ´ØÅÂà´ª·Ã§à¨ÃÔ­¾ÃЪ¹Á¾ÃÃÉÒ 5 Ãͺ
´ŒÇ¡ÒÃËÇÁ㨡ѹ´íÒà¹Ô¹¡Ô¨¡ÃÃÁµ‹Ò§æ Íѹ໚¹¤Ø³»ÃÐ⪹áÅÐÍØ·ÔȶÇÒÂ໚¹¾ÃÐÃÒª¡ØÈÅ
ÈÒʵÃÒ¨ÒϹÒÂᾷÍÇ ࡵØÊ§Ë ¨Ö§ä´Œ¨´·íÒâ¤Ã§¡Òà “¸ÃÃÁÒ¹ÒÁÑ” Íѹ໚¹á¹Ç·Ò§ÊÌҧ
                                                         Ô         Ñ
àÊÃÔÁÊØ¢ÀÒ¾ãËŒ¾Õ蹌ͧªÒÇä·Âä´Œ¹íÒä»»¯ÔºÑµÔà¾×èͤÇÒÁÁÕÍÒÂØÂ×¹ áÅкح¡ØÈÅ·Ñé§ÊÔé¹ÍØ·ÔȶÇÒÂ
໚¹¾ÃÐÃÒªÊÑ¡¡ÒÃÐà¾×ÍãËŒ¡Èżźح´ÅºÑ¹´ÒÅãËŒ¾ÃкҷÊÁà´ç¨¾ÃÐ਌ÒÍÂÙËǷçÁÕ¾ÃЪ¹ÁÒÂØ
                                 è           Ø                                                                   ‹ Ñ
Â×¹ÂÒÇ ·Ã§à»š¹Ã‹Á⾸ÔÃÁä·Ã¢Í§»Ç§ª¹ªÒÇä·ÂªÑÇ¡ÒŹҹ
                                 ì‹                                    è                   (4)

              ·‹Ò¹ÁÕ¤ÇÒÁàËç¹Ç‹Ò¡ÒÃÁÕÍÒÂØÂ¹ËÃ×ÍÊØ¢ÀÒ¾´Õ໚¹ÊÔ§·Õ·¡¤¹»ÃÒö¹Ò áÅÐä´Œ¾²¹Òá¹Ç¤Ô´
                                                           ×                           è è Ø                           Ñ
“á¡‹Í‹ҧʧ‹Ò” ¢ŒÒ§µŒ¹ ãËŒÁ¤ÇÒÁªÑ´à¨¹¢Ö¹àÃÕ¡NjÒËÅÑ¡ ¸ÃÃÁÒ¹ÒÁÑ â´Â»ÃÐÁÇÅãËŒàËç¹Ç‹Òà˵ػ¨¨ÑÂ
                                      Õ                        é                                                                   ˜
ÊíҤѭ·ÕÁ¼Åµ‹ÍÊØ¢ÀÒ¾ËÃ×ÍÍÒÂØ ¤×Í ¡Ò ¨Ôµ áÅСÃÃÁ («Ö§ã¹·Õ¹ËÁÒ¶֧¡ÒáÃзíÒËÃ×;ĵԡÃÃÁ)
             è Õ                                                                      è è Õé
¼ÙáÊǧËÒá¹Ç·Ò§¡Òû¯Ôºµà¾×ÍãËŒÁÊ¢ÀÒ¾´Õ äÁ‹à¨çº»†Ç áÅÐÁÕÍÒÂØÂ¹ÂÒÇ ¨ÐµŒÍ§ÈÖ¡ÉÒãˌࢌÒã¨Ç‹Ò
   Œ                                    Ñ Ô è              ÕØ                                          ×
à˵ػ¨¨Ñ·Õà¡ÕÂÇ¢ŒÍ§¡ÑºÊØ¢ÀÒ¾·Ñ§´ŒÒ¹Ã‹Ò§¡Ò ¨Ôµã¨ ÃÇÁ·Ñ§¤ÇÒÁÊÑÁ¾Ñ¹¸¢Í§Á¹ØÉµÍÊÔ§·ÕÁ¹ØÉ
           ˜      è è                                é                                   é                                 ‹ è è
à¡ÕÂÇ¢ŒÍ§ äÁ‹ÇÒ¨Ð໚¹µÑÇÁ¹ØÉàͧ (¾ÄµÔ¡ÃÃÁ) à¾×͹Á¹ØÉËÃ×ÍÊѧ¤Á áÅиÃÃÁªÒµÔáÇ´ÅŒÍÁ
      è                ‹                                                 è
              ´Ñ§¹Ñé¹Á¹ØÉ¨ÐÁÕÍÒÂØÂ×¹ËÃ×ÍÊØ¢ÀÒ¾´Õ ¨ÐµŒÍ§ãËŒ¤ÇÒÁãʋ㨡Ѻ »˜¨¨Ñ·Ñé§ 3 ´ŒÒ¹´Ñ§¡Å‹ÒÇ
·‹Ò¹¨Ö§¹íÒàʹÍá¹Ç»¯Ôºµ·¼ÊÁ¼ÊÒ¹ÃÐËNjҧàÃ×ͧ¢Í§ “¸ÃÃÁД «Ö§à»š¹ÀÙÁ»­­Ò¢Í§ªÒµÔ·ÊÒÁÒö
                                    Ñ Ô Õè                           è                            è      Ô ˜                  Õè
¹íÒÁÒ㪌㹡ÒôÙáÅàÃ×ͧ¨Ôµã¨áÅоĵԡÃÃÁ ¡Ñº “͹ÒÁÑ” Íѹ໚¹á¹Ç»¯Ôºµ¢Í§¤ÇÒÁäÁ‹ÁâäËÃ×Í
                           è                                                                                 Ñ Ô                 Õ
ÊØ¢ÀÒ¾ «Öè§ãªŒã¹¡ÒôÙáÅàÃ×èͧ¢Í§¡ÒÂáÅоĵԡÃÃÁ ÃÇÁàÃÕ¡á¹Ç¤Ô´áÅÐá¹Ç»¯ÔºÑµÔ·Ñé§ËÁ´Ç‹Ò
¸ÃÃÁÒ¹ÒÁÑ áÅÐä´ŒáÊ´§¤ÇÒÁËÁÒÂ໚¹ÊÑ­Åѡɳ´§ÃÙ»·Õè 1 (4)                       Ñ
àǪÈÒʵÏ·¹Âؤ 2553
          Ñ                                                                                                       343




                                              ÃÙ»·Õè 1 ¸ÃÃÁÒ¹ÒÁÑÂ

         ¡ÒÃÊ‹§àÊÃÔÁÊØ¢ÀÒ¾´ŒÇ¸ÃÃÁÒ¹ÒÁÑÂ
                   ¸ÃÃÁÒ¹ÒÁÑ ໚¹Ãкº»¯ÔºÑµÔ·ÕèÊÁºÙóáººã¹¡ÒÃÊÌҧàÊÃÔÁÊØ¢ÀÒ¾â´ÂÇÔ¸Õ¸ÃÃÁªÒµÔ
ãËŒ¤ÇÒÁÊíҤѭ¡Ñº»˜¨¨Ñ·ÕÁ¼Å¡Ãзºµ‹ÍÊØ¢ÀÒ¾áÅФÇÒÁÁÕÍÒÂØÂ¹·Ø¡»˜¨¨ÑÂÍ‹ҧ໚¹Í§¤ÃÇÁ ẋ§á¹Ç
                                   è Õ                                         ×
»¯ÔºµÍ͡໚¹ 3 ´ŒÒ¹¤×Í ¡ÒÂÒ¹ÒÁÑ ¨ÔµµÒ¹ÒÁÑ áÅЪÕÇÔµÒ¹ÒÁÑ ÊíÒËÃѺà¹×ÍËҷըйíÒàʹÍ
           Ñ Ô                                                                                    é           è
µ‹Í仹Õ໚¹ÊÒÃÐÊѧࢻ·ÕÊÃØ»ÁÒ¨Ò¡àÃ×ͧ “á¡‹Í‹ҧʧ‹Ò” áÅÐ “¸ÃÃÁÒ¹ÒÁÑ”
                 é                  è                è                                     (3, 4)

                   ¡ÒÂÒ¹ÒÁÑÂ
                   ¤×Í ¡ÒôÙáÅãËŒà¡Ô´Í¹ÒÁÑ¢ͧ¡Ò ໚¹¡ÒÃÊ‹§àÊÃÔÁÊØ¢ÀÒ¾¡Ò´ŒÇÂÇÔ¸¡ÒúÃÔËÒõ‹Ò§æ ¡ÒÂ
                                                                                                Õ
·ÕÍÂÙà©Â¨ÐÅŒÒáÅÐàÊ×ÍÁâ·ÃÁ ´Ñ§¹Ñ¹¡ÒúÃÔËÒáÒ¨֧ÁÕ¨´»ÃÐʧ¤à¾×Í·íÒãËŒÃÒ§¡ÒÂÁÕ¡ÒõͺⵌµÍ
   è ‹                         è           é                           Ø           è          ‹                       ‹
¡ÒáÃе،¹·Õè¾ÍàËÁÒÐ àËÁÒÐÊÁá¡‹ÇÑÂáÅÐÊÀҾËҧ¡Ò¢ͧºØ¤¤Å ÁØ‹§ãËŒà¡Ô´¼Å´Õ·ÕèÊØ´áÅÐ
àÊÕ§ÍѹµÃÒ¹ŒÍ·ÕÊ´ 㹡Òû¯Ôºµ¹¹¨íÒµŒÍ§ÁÕ¡Ò÷´ÊͺÊÀҾËҧ¡ÒÂà¾×ÍãËŒÊÒÁÒö¡íÒ˹´ÇÔ¸Õ
    è                          èØ             Ñ Ô Ñé                                        è
ÍÍ¡¡íÒÅѧ¡Ò·ÕàËÁÒÐÊÁáÅÐàÁ×Í»¯Ôºµä»ÃÐÂÐ˹֧áŌǡçµÍ§·´Êͺ«éÒà¾×Í´Ù ¤ÇÒÁ¡ŒÒÇ˹ŒÒ â´Â
                            è            è             Ñ Ô           è     Œ           í è
ÍÒ¨Êѧࡵ䴌ÇÒÇÔ¸·ãªŒ¹¹àËÁÒÐÊíÒËÃѺºØ¤¤ÅËÃ×ÍäÁ‹ ¶ŒÒäÁ‹àËÁÒСç¨Ðä´Œà»ÅÕ¹á»Å§ãªŒÇ¸·ãËŒ¼Å´Õ¡Ç‹Ò
                         ‹ Õ Õè Ñé                                                       è             Ô Õ Õè
µ‹Íä»
                   ÈÒʵÃÒ¨ÒϹÒÂᾷÍÇ ࡵØÊ§Ë ä´Œá¹Ð¹íÒ¡ÒºÃÔËÒÃäÇŒËÅÒÂÃٻẺ ·Ñ§ª¹Ô´·Õ»¯ÔºµÔ
                                                             Ô                                       é           è Ñ
ä´Œ§ÒÂâ´ÂäÁ‹¨Ò໚¹µŒÍ§ãªŒÍ»¡Ã³ã´æ ઋ¹ ¡ÒÃà´Ô¹ ¡ÒÃà¤Å×͹äËÇʋǹµ‹Ò§æ ¢Í§Ã‹Ò§¡ÒÂàÁ×ÍÍÂÙ¡º
        ‹                 í            Ø                                     è                                  è ‹ Ñ
·Õ«§ãªŒ¾¹·Õ¹Í 䴌ᡋ ¡ÒºÃÔËÒôŒÇ¡ÒËÍà¢‹Ò ¡Òá¢Ò ¡ÒÃä¡Ç¢Ò ¡Òá¢ÒªÕ¿Ò ¡ÒþѺµÑÇ
  è Öè ×é è Œ                                                                                       é ‡
¡ÒúԴµÑÇ ¡ÒÃà͹µÑÇ ¡ÒâÂÒÂÍ¡ ¡ÒáÃо×Íᢹ ¡ÒÃàËÂÕ´ᢹªÕ¿Ò ¡Òäǧᢹ ¡Òáᢹ       é ‡
¡ÒþѺᢹ ¡ÒÃÍÍ¡¡íÒÅѧÁ×Í ¡ÒÃÍÍ¡¡íÒÅѧ¢ŒÍÁ×Í ËÃ×ÍÃٻẺ·ÕèãªŒÍØ»¡Ã³«Öè§ÁÕÍÂً㹺ŒÒ¹àÃ×͹
äÁ‹µÍ§«×ÍËÒËÃ×Í·íÒãËÁ‹ ¤×Í à¡ŒÒÍÕÁ¾¹Ñ¡ 1 µÑÇ ¹Í¡¨Ò¡¹Õ§àʹÍÃٻẺ¡ÒÃÍÍ¡¡íÒÅѧ¡Ò·ը´·íÒ
          Œ é                                é Õ                         é Ñ                                      èÑ
à¤Ã×ͧÁ×Íà¾ÔÁàµÔÁẺ§‹ÒÂæ ¤×Íà¢Õ¹µÒÃÒ§äÇŒ·¾¹ àÃÕÂ¡Ç‹Ò ¡ŒÒÇµÒ ¡ŒÒÇൌ¹ ËÃ×Í¡ÒáŒÒÇ¢Ö¹Â×¹
      è                è                                       Õè ×é                                               é
º¹ÁŒÒ¹Ñè§ àÃÕÂ¡Ç‹Ò ¡ŒÒÇÁŒÒ ໚¹µŒ¹ ¹Í¡¨Ò¡¡ÒúÃÔËÒôѧ¡Å‹ÒÇ »˜¨¨ØºÑ¹âçàÃÕ¹ÍÒÂØÃàÇ·¸íÒç
Âѧ䴌¹Ò·‹Ò ÄåÉÕ´Ñ´µ¹ ÁÒ»ÃÐÂØ¡µãªŒÊÒËÃѺ¡ÒúÃÔËÒáÒÂà¾ÔÁàµÔÁ´ŒÇµÒÁÃÙ»·Õè 2
               í                                           í                     è
344                                                                 ¡ÒÃÊ‹§àÊÃÔÁÊØ¢ÀÒ¾´ŒÇ¸ÃÃÁÒ¹ÒÁÑÂ




                                  ÃÙ»·Õè 2 ¡ÒºÃÔËÒÃÃٻẺµ‹Ò§æ

        ¨ÔµµÒ¹ÒÁÑÂ
        ¤×Í ¡ÒôÙáÅãËŒà¡Ô´Í¹ÒÁÑ¢ͧ¨Ôµ Á¹ØÉ·¡¤¹ÁÕ¨µà»š¹¹ÒÂÁÕ¡ÒÂ໚¹º‹ÒÇ à¾ÃÒШԵ໚¹µÑÇ
                                                          Ø     Ô
¡íÒ˹´ ¡íҡѺ ËÃ×ͤǺ¤ØÁ¾ÄµÔ¡ÃÃÁ¢Í§¡Ò ·Ñ§¡ÒþٴáÅСÒáÃзíÒ ´Ñ§¹Ñ¹ÊÔ§ÊíҤѭ·ÕäÁ‹Â§Ë‹͹
                                                        é                    é è              è Ôè
ËÃ×ÍÊíҤѭÂÔ§¡Ç‹Ò¡ÒþѲ¹Ò¡Ò ¡ç¤Í¡ÒÃÊ‹§àÊÃÔÁÊØ¢ÀÒ¾¨Ôµ ËÃ×Í¡ÒþѲ¹Ò͹ÒÁÑ¢ͧ¨ÔµãËŒÁ¨µ·Õè
              è                       ×                                                             ÕÔ
ÊÁºÙó ¾ÃоÃËÁ¤Ø³ÒÀó (».Í.»Âصâµ) ¡Å‹ÒÇÇ‹Ò ¨Ôµ·ÕÊÁºÙó»ÃСͺ´ŒÇÂÀÒÇÐ 3 »ÃСÒà ¤×Í
                                           Ú                  è                                     (5)

        (1) ¤Ø³ÀÒ¾ 䴌ᡋ ¤Ø³¸ÃÃÁ ¤ÇÒÁàÁµµÒ¡ÃØ³Ò ¤ÇÒÁàÍ×Íà¿„Íà¼×ÍἋ ¤ÇÒÁ«×ÍÊѵ ໚¹µŒ¹
                                                                    é œ è                  è
        (2) ÊÁÃöÀÒ¾ 䴌ᡋ ¤ÇÒÁࢌÁá¢ç§Áѹ¤§ ¤ÇÒÁà¾ÕÂþÂÒÂÒÁ ¤ÇÒÁÁاÁѹ ʵÔáÅÐÊÁÒ¸Ô
                                                      è                           ‹ è
໚¹µŒ¹
        (3) ÊØ¢ÀÒ¾ 䴌ᡋ ¤ÇÒÁÊØ¢ ¤ÇÒÁ»µÍÁ㨠¤ÇÒÁËÒàÃÔ§àºÔ¡ºÒ¹ã¨ ¤ÇÒÁ¼‹Í§ãÊ à»š¹µŒ¹
                                                 Ô Ôè
        ´Ñ§¹Ñ¹¨Ôµ¨ÐÊÁºÙóä´ŒµÍ§ä´ŒÃº¡ÒþѲ¹Ò·Ñ§ 3 ´ŒÒ¹ ¡ÒþѲ¹Ò¨ÔµãËŒÁ¤³ÀÒ¾ ËÁÒ¶֧
                é                 Œ      Ñ                  é                    Õ Ø
¡ÒÃàÃÕ¹ÃÙãˌࢌÒã¨áÅл¯Ôºµä´Œ¶¡µŒÍ§µÒÁËÅÑ¡¤Ø³¸ÃÃÁ ¡ÒþѲ¹ÒãËŒ¨µÁÕÊÁÃöÀÒ¾ ¨Ð·íÒãËŒ¨µ
            Œ                 Ñ Ô Ù                                      Ô                              Ô
ÁÕ¾×é¹°Ò¹·ÕèࢌÁá¢ç§ÁÑ蹤§ ¨ÐÍÂÙ‹¹Ôè§áÅеÑé§ÁÑè¹ä´Œ àÃÕ¡NjÒÁÕÊÁÒ¸Ô àÁ×èÍÁÕÊÁÒ¸Ô ¨Ôµ¡ç¨ÐÊÒÁÒö
¾Ô¨ÒÃ³Ò ÃѺÃÙŒ àÃÕ¹ÃÙŒ ÊÔ§µ‹Ò§æ ä´ŒµÒÁ¤ÇÒÁ໚¹¨ÃÔ§ ࢌÒ㨪ÕǵáÅÐÊÃþÊÔ§·Ñ§ËÅÒµÒÁ¨ÃÔ§«Ö§¡ç¤Í
                          è                                       Ô        è é                     è ×
»˜­­Ò áÅÐÂѧÃÙ෋ҷѹNjҤÇû¯ÔºµµÍÊÔ§µ‹Ò§æ Í‹ҧäè֧¨Ð¶Ù¡µŒÍ§àËÁÒÐÊÁ ¼Ù·¾²¹Ò¨Ôµ¨¹ÁÕ
                  Œ                  Ñ Ô ‹ è                                           Œ Õè Ñ
¤Ø³ÊÁºÑµàª‹¹¹Õé ‹ÍÁ໚¹»ÃÐ⪹Í‹ҧÂÔ§µ‹Íµ¹àͧáÅÐÊѧ¤Á ·Ñ§¡Òû¯ÔºµË¹ŒÒ·Õ¡Òçҹ㹤ÇÒÁ
          Ô                                  è                       é      Ñ Ô      è
ÃѺ¼Ô´ªÍº ¡ÒôíÒà¹Ô¹ªÕǵ áÅСÒê‹ÇÂᡌ»­ËÒáÅÐÊÌҧÊÃäÊ§¤Á
                            Ô                  ˜                       Ñ
àǪÈÒʵÏ·¹Âؤ 2553
          Ñ                                                                                        345




                                   ÃÙ»·Õè 3 ¾Ñ²¹Ò¨ÔµãËŒÁդسÀÒ¾




                                ÃÙ»·Õè 4 ¾Ñ²¹Ò¨ÔµãËŒÁÕÊÁÃöÀÒ¾

           ¾ÃоÃËÁ¤Ø³ÒÀó (».Í.»Âصâµ) ͸ԺÒÂÇ‹Ò ¨Ôµ·Õ䴌ú¡ÒþѲ¹Ò¨Ð໚¹¨Ôµ·ÕÁ¤³¸ÃÃÁ
                                              Ú                 è Ñ                         è Õ Ø
«Ö§¨Ð¡íҡѺ¾ÄµÔ¡ÃÃÁãˌ໚¹ä»ã¹·Ò§·Õ´Õ ¶Ù¡µŒÍ§ àËÁÒÐÊÁ ᵋ¾ÄµÔ¡ÃÃÁ·Õ´ÍÒ¨äÁ‹Á¹¤§ ËÒ¡¢Ò´
  è                                      è                                   è Õ         Ñè
¹éíÒËÅ‹ÍàÅÕ駤س¸ÃÃÁ㹨Ե㨠«Öè§¡ç¤×ͤÇÒÁÊØ¢ ´Ñ§¹Ñ鹨֧µŒÍ§¾Ñ²¹Ò¨ÔµãËŒÁÕÊØ¢ÀÒ¾´ŒÇ ËÁÒ¶֧
¡ÒÃàÃÕ¹ÃÙŒáÅÐࢌÒã¨àÃ×èͧ¤ÇÒÁÊØ¢«Öè§ËÁÒ¶֧¤ÇÒÁµŒÍ§¡Ò÷Õèä´ŒÃѺ¡Òõͺʹͧ áÅФÇÒÁÊØ¢
ÁÕËÅÒ¢ѹ (5)䴌ᡋ
           é
           ¤ÇÒÁÊØ¢¢Ñé¹·Õè 1 ໚¹¤ÇÒÁÊØ¢·Õèà¡Ô´¨Ò¡¡ÒÃàʾÇѵ¶Ø ໚¹¤ÇÒÁÊØ¢·ÕµÍ§ËÒ µŒÍ§àÍÒ µŒÍ§
                                                                                     è Œ
䴌ǵ¶ØÁÒàʾ¨Ö§¨ÐÁÕ¤ÇÒÁÊØ¢ µŒÍ§¢Ç¹¢ÇÒÂËÒÁÒãˌ䴌¨§¨ÐÁÕ¤ÇÒÁÊØ¢ µŒÍ§ä´ŒµÍ§àʾ¨Ö§¨ÐÍÂÙä´Œ ¤×Í
     Ñ                                                    Ö                      Œ                ‹
äÁ‹ÁÕäÁ‹ä´Œ Á¹ØÉ·ÕèÁÕ¤ÇÒÁÊØ¢áºº¹ÕéáÊ´§Ç‹Ò¢Ò´á¤Å¹¤ÇÒÁÊØ¢ à»ÃÕºàÊÁ×͹ÊÙ­àÊÕÂÍÔÊÃÀÒ¾
ËÒ¡Êѧ¤ÁÁÕᵋ¼¤¹·ÕËÒ¤ÇÒÁÊØ¢áºº¹Õé ¡ç¨ÐµŒÍ§á‹§ªÔ§àºÕ´àºÕ¹¡Ñ¹ ÁÕ½ÒÂ˹֧䴌 ½†ÒÂ˹֧ʹËÃ×Í
                 ÙŒ è                                                      †       è           è
àÊÕ ¨Ö§à»š¹¤ÇÒÁÊØ¢·Õèà¡Ô´º¹¤ÇÒÁ·Ø¡¢¢Í§¼ÙŒÍ×è¹ ´Ñ§¹Ñé¹Á¹ØÉ¨Ö§µŒÍ§½ƒ¡µ¹àͧÍ‹ÒãËŒ¤ÇÒÁÊØ¢
µŒÍ§¢Ö¹¡ÑºÇѵ¶ØÁÒ¡ ½ƒ¡ãËŒ ÁÕ¡ç´Õ äÁ‹ÁÕ¡çä´Œ ¨¹¶Ö§¢Ñ¹ ÁÕ¡çä´Œ äÁ‹ÁÕ¡ç´Õ
         é                                            é
           ¤ÇÒÁÊØ¢¢Ñ¹·Õè 2 ໚¹¤ÇÒÁÊØ¢·Õà¡Ô´¨Ò¡¡ÒÃãËŒ´Ç¤ÇÒÁàÁµµÒ¡ÃØ³Ò àª‹¹ ¾‹ÍáÁ‹Á¤ÇÒÁ
                    é                           è           Œ                                       Õ
ÊØ¢àÁ×Íãˌᡋš àËç¹ÅÙ¡ÁÕ¤ÇÒÁÊØ¢µÑÇàͧ¡çÁ¤ÇÒÁÊØ¢ ËÒ¡ÊÒÁÒö¾Ñ²¹Òµ‹Íä»ãËŒ¤ÇÒÁàÁµµÒ¡ÃسÒ
       è       Ù                                    Õ
Ἃ¢ÂÒÂÍ͡件֧¼Ù͹ ¡ÒÃãËŒ¼Í¹ ãËŒÊǹÃÇÁ ãˌʧ¤Á ¡ç¨Ð·íÒãËŒµÇàͧÁÕ¤ÇÒÁÊØ¢ ¤ÇÒÁÊØ¢ã¹¢Ñ¹¹Õé
                        Œ ×è     ÙŒ ×è     ‹            Ñ               Ñ                             é
໚¹¤ÇÒÁÊØ¢Ã‹ÇÁ¡Ñ¹
           ¤ÇÒÁÊØ¢¢Ñ¹·Õè 3 ໚¹¤ÇÒÁÊØ¢·Õà¡Ô´¨Ò¡¡ÒôíÒà¹Ô¹ªÕǵ¶Ù¡µŒÍ§ÊÍ´¤ÅŒÍ§¡Ñº¤ÇÒÁ໚¹
                      é                           è               Ô
¨ÃÔ§¢Í§¸ÃÃÁªÒµÔ â´Â¸ÃÃÁªÒµÔ¢Í§ÇÔ¶ªÇµÁ¹ØÉ Á¹ØÉ´Òà¹Ô¹ªÕǵÍÂÙ·ÒÁ¡ÅÒ§¸ÃÃÁªÒµÔáÇ´ÅŒÍÁ
                                             Õ ÕÔ             í        Ô ‹ ‹
346                                                                                                             ¡ÒÃÊ‹§àÊÃÔÁÊØ¢ÀÒ¾´ŒÇ¸ÃÃÁÒ¹ÒÁÑÂ

áÅÐÊѧ¤Áà¾×͹Á¹ØÉ ´Ñ§¹Ñ¹â´Â¸ÃÃÁªÒµÔ¢Í§¡ÒôíÒà¹Ô¹ªÕǵÁ¹ØÉ¨§ÁÕ¤ÇÒÁÊØ¢¨Ò¡¡ÒÃä´ŒÍÒÈÑÂÍÂÙ‹
                             è                                é                                             Ô                Ö
ã¹ËÁÙà¾×͹Á¹ØÉ·Á¤ÇÒÁÊÑÁ¾Ñ¹¸Í¹´ÕµÍ¡Ñ¹ ª‹ÇÂàËÅ×ÍàÍ×ÍÍҷáѹ ä´ŒÍÒÈÑÂÍÂÙ㹸ÃÃÁªÒµÔáÇ´ÅŒÍÁ
                  ‹ è                        Õè Õ                              Ñ ‹                        é                               ‹
·ÕùÃÁ à¡×Í¡Ùŵ‹ÍªÕǵ ä´Œ¼Å§Ò¹Íѹà¡Ô´¨Ò¡¡ÒûÃСͺÍÒªÕ¾¡ÒçҹµÃ§µÒÁ¸ÃÃÁªÒµÔ¢Í§§Ò¹
      è ×è               é                          Ô
¤ÇÒÁÊØ¢·Õèà¡Ô´¨Ò¡¡ÒÃàʾºÃÔâÀ¤äÁ‹¨ÕÃѧÂÑè§Â×¹ Á¹ØÉ¤ÇþѲ¹ÒãËŒÊÒÁÒöËÒ¤ÇÒÁÊØ¢¨Ò¡¡ÒÃ
´íÒà¹Ô¹ªÕǵ·Õ¶¡µŒÍ§µÒÁ¤ÇÒÁ໚¹¨ÃÔ§¢Í§¸ÃÃÁªÒµÔ
                       Ô è Ù
                    ¤ÇÒÁÊØ¢¢Ñé¹·Õè 4 ໚¹¤ÇÒÁÊØ¢·Õèà¡Ô´¨Ò¡¡ÒÃ»ÃØ§áµ‹§¤ÇÒÁ¤Ô´ Á¹ØÉÁšɳоÔàÈÉ ¤×Í                                            ÕÑ
»Ãاᵋ§¤ÇÒÁ¤Ô´ä´Œ »Ãاᵋ§ãËŒ·Ø¡¢¡çä´Œ ¤×Íà¡çºàÍÒÍÒÃÁ³·ÕèäÁ‹´Õ ·Õè¢Ñ´ËÙ ¢Ñ´µÒ ¢Ñ´ã¨ àÍÒÁÒ
¤Ãع¤Ô´ãËŒäÁ‹ÊºÒÂ㨠¢Ø¹ÁÑÇ àÈÃŒÒËÁͧ ËÃ×Í»ÃØ§áµ‹§ãËŒÊØ¢¡çä´Œ ¤×Íà¡çºàÍÒᵋÍÒÃÁ³·´ÁÒ»ÃØ§áµ‹§
         ‹                                            ‹                                                                                               Õè Õ
ã¨ãˌʺÒ Á¹ØÉÊÒÁÒö½ƒ¡¡ÒÃ»ÃØ§áµ‹§Êآ䴌 ઋ¹ ¢³ÐËÒÂ㨾ٴã¹ã¨¾ÃŒÍÁ¡Ñº·íÒã¨ãËŒÊÍ´¤ÅŒÍ§
¡Ñº¤íÒ¾Ù´Ç‹Ò ¨Ôµã¨àºÔ¡ºÒ¹ËÒÂã¨à¢ŒÒ ¨Ôµã¨âÅ‹§àºÒËÒÂã¨ÍÍ¡ ËÃ×ÍËÒÂã¨à¢ŒÒÊÙ´àÍÒ¤ÇÒÁÊ´ª×¹ ËÒÂ㨠                                                                    è
ÍÍ¡¿Í¡ã¨ãˌʴãÊ
                    ¤ÇÒÁÊØ¢¢Ñ¹·Õè 5 ໚¹¤ÇÒÁÊØ¢·Õà¡Ô´ä´Œâ´ÂäÁ‹µÍ§»Ãاᵋ§ à¡Ô´¨Ò¡¡ÒþѲ¹ÒãËŒÁ»­­Ò
                                               é                                      è                 Œ                                                          Õ ˜
ãËŒÃ෋ҷѹ¤ÇÒÁ¨ÃÔ§¢Í§âÅ¡áÅЪÕǵ ·íÒãËŒÇÒ§ã¨Å§µÑÇʹԷ ʺÒ¡Ѻ·Ø¡ÊÔ§·Ø¡Í‹ҧ àÁ×ÍÃÙࢌÒ㨤ÇÒÁ
           ÙŒ                                                               Ô                                                    è                  è Œ
¨Ãԧਹ¨º´Õ ¤ÇÒÁÃ٨лÃѺ¤ÇÒÁÃÙÊ¡ãˌŧµÑÇ à»š¹ÊÀÒ¾¨Ôµ·ÕàÃÕº ʧº ´Ñ§¹Ñ¹Á¹ØÉ¤Çõѧ໇ÒËÁÒÂ
                                                 Œ                       ŒÖ                                   è                      é                     é
¡ÒþѲ¹Ò¨ÔµãËŒ¶Ö§ÃдѺÁÕ»˜­­Òãˌ䴌 à¾ÃÒл˜­­Ò¨Ð¹íÒÁÒ«Ö觤ÇÒÁÊØ¢¢Ñé¹·Õè 5 Íѹ໚¹¤ÇÒÁÊØ¢
·ÕÊÁºÙó ʺÒ·ÕÊ´ Á¹ØÉ·¾²¹Ò¤ÇÒÁÊØ¢¶Ö§¢Ñ¹·Õè 5 ¹Õé ¨Ð໚¹¼Ù¾ÃŒÍÁàÊǤÇÒÁÊØ¢·Ø¡Í‹ҧ㹠4
       è                                  èØ                        Õè Ñ                        é                    Œ
¢Ñ¹áá ᵋ¨Ð໚¹ÊØ¢·ÕäÁ‹Á¤ÇÒÁ·Ø¡¢à¨×Í»¹ äÁ‹Á¤ÇÒÁ¢Ø¹ÁÑÇ àª‹¹ ¤ÇÒÁ¡Ñ§ÇÅ ¤ÇÒÁàÊÕ´Ò ὧÍÂÙ‹
  é                                                è Õ                                        Õ       ‹
                    ªÕÇÔµÒ¹ÒÁÑÂ
                    ¡ÒôÙáÅàÃ×ͧ¡ÒÃ㪌ªÇµËÃ×Í¡ÒôíÒà¹Ô¹ªÕǵµÒÁËÅѡ͹ÒÁÑ 䴌ᡋ ¡ÒÃÃÑ¡ÉÒ¤ÇÒÁÊÐÍÒ´
                                           è                        ÕÔ                            Ô
¡ÒúÃÔâÀ¤ÍÒËÒäú¶ŒÇ¹ ¶Ù¡µŒÍ§ ¡ÒÃÅÐàÇŒ¹ÊÔ§·ÕäÁ‹¤ÇÃàʾ áÅСÒÃ㪌ªÇµã¡ÅŒª´¡Ñº¸ÃÃÁªÒµÔ        è è                                       ÕÔ        Ô
                    ¡ÒÃÃÑ¡ÉÒ¤ÇÒÁÊÐÍҴ໚¹àÃ×ͧ·Õá¹ÍÂÙ໚¹Ê‹Ç¹ÁÒ¡ ઋ¹ ¤ÇÒÁÊÐÍҴʋǹµÑÇ à¤Ã×ͧ
                                                                                  è è ÙŒ Ñ ‹                                                                             è
¹Ø§Ë‹Á ·ÕÍÂÙÍÒÈÑ ¡ÒÃ䴌úÍÒ¡ÒȺÃÔÊ·¸Ôì
    ‹                 è ‹                                   Ñ                      Ø
                    ¡ÒúÃÔâÀ¤ÍÒËÒë֧໚¹Ë¹Ö§ã¹»˜¨¨ÑÂÊբͧÁ¹ØÉ¹¹ ã¹áµ‹ÅÐÇѹÁ¹ØÉ¨ÐµŒÍ§ä´ŒÃºÍÒËÒÃ
                                                                  è             è           è                   Ñé                                               Ñ
ã¹»ÃÔÁÒ³·Õà¾Õ§¾Íà¾×ÍãËŒ´ÒçªÕǵÍÂÙä´Œ´ÇÂ´Õ ¡ÒÃÃѺ»Ãзҹ·Õ¶¡µŒÍ§¨ÐµŒÍ§ãˌ䴌úÊÒÃÍÒËÒÃ
                           è                            è       í             Ô ‹ Œ                                    è Ù                              Ñ
¤Ãº¶ŒÇ¹µÒÁËÅÑ¡âÀª¹Ò¡Òà µŒÍ§ÁÕ¤ÇÒÁËÅÒ¡ËÅÒÂà¾×èͤÇÒÁÊÁ´ØÅ¢Í§ÊÒÃÍÒËÒÃáÅÐá˸ҵØ
·ÕÃÒ§¡ÒµŒÍ§¡Òà ÍÒËÒÃÁÕ¤ÇÒÁÊÐÍÒ´ ÁÕ¤³ÀÒ¾ áÅлÅÍ´ÊÔ§·Õ໚¹¾ÔÉ áÅÐËҡ໚¹ÍÒËÒèҡ
       è‹                                                                               Ø                          è è
¸ÃÃÁªÒµÔ ·ÕÁ¡ÒÃ»ÃØ§áµ‹§¹ŒÍ·ÕÊ´¡ç¨ÐãËŒ»ÃÐ⪹Ê§ÊØ´ ËÒ¡ãËŒ¤ÇÒÁʹ㨤ÇÒÁÃÙàÃ×ͧÍÒËÒë֧
                               è Õ                                       èØ                         Ù                                            Œ è                       è
໚¹ÀÙÁÔ»˜­­Ò·ÕèªÒÇä·ÂÊÑè§ÊÁ¶‹Ò·ʹÊ׺µ‹Í¡Ñ¹ÁÒ ¨ÐàËç¹ä´ŒÇ‹ÒÍÒËÒÃä·ÂÍØ´Áä»´ŒÇ¼ѡ ¼ÅäÁŒ
áÅоתÊÁعä¾Ã «Ö§¨Ðª‹ÇÂ㹡ÒôÙáÅÊØ¢ÀҾ䴌 ¹Í¡¨Ò¡ÍÒËÒÃáÅŒÇÂѧÁÕà¤Ã×ͧ´×ÁáÅйéÒÊÁعä¾Ã´ŒÇÂ
                                        è                                                                                           è è           í
                    ¡ÒÃÍÂÙ‹ã¡ÅŒªÔ´¸ÃÃÁªÒµÔ ËÃ×ÍÍÂÙ‹¡Ñº¸ÃÃÁªÒµÔ ¨Ð·íÒãËŒÃÒ§¡ÒÂÁÕÊ¢ÀÒ¾´Õ à¹×ͧ¨Ò¡¡Òà                      ‹               Ø                    è
ä´ŒÊÁ¼ÑʡѺ¸ÃÃÁªÒµÔ ¹Í¡¨Ò¡¨Ðä´ŒàËç¹·ÑȹÕÂÀÒ¾ÍѹÊǧÒÁ ä´Œ¿§àÊÕ§¨Ò¡¸ÃÃÁªÒµÔáÅŒÇ ¨Ð·íÒ
              Ñ                                                                                                            ˜
ãˌ䴌ÍÒ¡ÒȺÃÔÊ·¸Ôì äÁ‹ÁÁžÔÉ ÍÒ¡ÒÈ·ÕºÃÔÊ·¸Ô¨ÐࢌÒ仿͡»Í´·íÒãËŒÃʡʴª×¹á¨‹ÁãÊ ÃÇÁ·Ñ§¡ÒÃ
                                      Ø                   Õ                          è Ø ì                                     ÙŒ Ö         è                          é
ä´Œ¾¡¼‹Í¹ ÁÕÍÃÂÒº¶µÒÁʺÒ ¨Ðª‹ÇÂÅ´¤ÇÒÁà¤ÃÕ´
                Ñ                  ÔÔ
àǪÈÒʵÏ·¹Âؤ 2553
          Ñ                                                                            347

        ¨Ò¡»ÃÐʺ¡Òó¢Í§ÈÒʵÃÒ¨ÒϹÒÂᾷÍÇ ࡵØÊ§Ë Ãкº»¯Ôºµ¹¨ÐãËŒ»ÃÐ⪹
                                                           Ô               Ñ Ô Õé
Í‹ҧ¨ÃÔ§¨Ñ§ àË繼ŴÕä´Œª´à¨¹ÁÒ¡ã¹¼Ù»¯Ôºµ·ÁÍÒÂØà¡Ô¹ 35 »‚¢¹ä» ¼Ù·ÁÍÒÂØ¹Í¡çÍÒ¨»¯Ôºµä´Œ
                         Ñ          Œ Ñ Ô Õè Õ               Öé   Œ Õè Õ    Œ          Ñ Ô
ä´Œ¼ÅàËÁ×͹¡Ñ¹áµ‹ÍҨഋ¹ªÑ´¹ŒÍ¡NjÒà¾ÃÒÐÊÀҾËҧ¡Ò´ÕÍÂÙ‹ ᵋ¡ÒÃàÃÔÁµŒ¹µÑ§áµ‹ÍÒÂØÂ§¹ŒÍ‹ÍÁ
                                                                   è     é        Ñ
¨ÐãËŒ¼ÅÁÒ¡¡Ç‹ÒàÃÔÁàÁ×ÍÍÒÂØÁÒ¡áÅŒÇ
                  è è             (4)




                        ÃÙ»·Õè 5 ÍÒËÒÃä·ÂÍØ´Á´ŒÇ¾ת¼Ñ¡ÊÁعä¾Ã




                               ÃÙ»·Õè 6 ÍÂÙ‹ã¡ÅŒªÔ´¸ÃÃÁªÒµÔ

ÊÃØ»
        ËÅÑ¡ “¸ÃÃÁÒ¹ÒÁÑ” ¢Í§ÈÒʵÃÒ¨ÒϹÒÂᾷÍÇ ࡵØÊ§Ë ໚¹Ãкº»¯Ôºµ·ÊÁºÙó
                                                             Ô              Ñ Ô Õè
Ẻ㹡ÒÃÊÌҧàÊÃÔÁÊØ¢ÀÒ¾â´ÂÇÔ¸Õ¸ÃÃÁªÒµÔ 㹡ÒôÙáÅ»˜¨¨Ñ·ÕèÁռšÃзºµ‹ÍÊØ¢ÀҾ͋ҧ໚¹
ͧ¤ÃÇÁ ·Ñ§·Ò§´ŒÒ¹¡Ò ¨Ôµ áÅоĵԡÃÃÁ ËÅÑ¡¡Òôѧ¡Å‹ÒÇÂѧ¤§·Ñ¹ÊÁÑ ÊÍ´¤ÅŒÍ§¡ÑºËÅÑ¡¡ÒÃ
           é
·Õ¡Ò˹´änj㹸ÃÃÁ¹Ù­ÊØ¢ÀÒ¾áË‹§ªÒµÔ ¾.È. 2552 áÅзÕÊҤѭ¤×Íä´Œ¼ÊÁ¼ÊÒ¹ÀÙÁ»­­Ò¢Í§ªÒµÔ
  è í                                             èí                    Ô ˜
äÇŒ´ŒÇ ¨Ö§àËÁÒÐÊÁ·Õè¨Ðà¼Âá¾Ã‹ãˌ㪌໚¹á¹Ç·Ò§ã¹¡ÒÃÊ‹§àÊÃÔÁÊØ¢ÀÒ¾µ‹Íä» ËÒ¡Êѧ¤Áä·Â
ÁÕ»ÃЪҡ÷ÕÁÊ¢ÀÒ¾¡ÒÂáÅШԵ´Õ ÁվĵԡÃÃÁ·Õ¶¡µŒÍ§ ‹ÍÁÊÒÁÒöª‹ÇÂàËÅ×͵¹àͧáÅÐÊѧ¤Áä·Â
             è ÕØ                          è Ù
áÅÐÊѧ¤Áâš䴌໚¹àÇÅÒÂÒǹҹ ÊÁ´Ñ§à¨µ¹ÒÃÁ³¢Í§ÈÒʵÃÒ¨ÒϹÒÂᾷÍÇ ࡵØÊ§Ë   Ô
348                                                                      ¡ÒÃÊ‹§àÊÃÔÁÊØ¢ÀÒ¾´ŒÇ¸ÃÃÁÒ¹ÒÁÑÂ

àÍ¡ÊÒÃ͌ҧÍÔ§
1.    Êíҹѡ§Ò¹¤³Ð¡ÃÃÁ¡ÒÃÊØ¢ÀÒ¾áË‹§ªÒµÔ. ¾ÃÐÃÒªºÑ­­ÑµÔÊØ¢ÀÒ¾áË‹§ªÒµÔ ¾.È.2550. ¡ÃØ§à·¾Ï : ËŒÒ§ËØŒ¹Ê‹Ç¹
      ¨íÒ¡Ñ´ Ê˾Ѳ¹ä¾ÈÒÅ; ¾.È.2550.
2.    Êíҹѡ§Ò¹¤³Ð¡ÃÃÁ¡ÒÃÊØ¢ÀÒ¾áË‹§ªÒµÔ. ¸ÃÃÁ¹Ù­Ç‹Ò´ŒÇÂÃкºÊØ¢ÀÒ¾áË‹§ªÒµÔ ¾.È.2552. ¡ÃØ§à·¾Ï : âç¾ÔÁ¾
      à¨.àÍÊ.¡ÒþÔÁ¾; ¾.È.2552.
3.    ÍÇ ࡵØÊ§Ë. á¡‹Í‹ҧʧ‹Ò. ã¹ ¹ÃÒ áÇÇÈà áÅФ³Ð. ÍÇ ¹ÔÁµÍ¹ØÊó. ¡Ãا෾Ï: ºÃÔÉ· ºØ­ÈÔáÒà ¾ÔÁ¾ ¨íÒ¡Ñ´;
                Ô                                               Ô                     Ñ       Ô
      ¾.È.2546, ˹ŒÒ 84-92.
4.    Èٹ¸ÃÃÁÒ¹ÒÁÑ ÍÒÂØÃàÇ·ÇÔ·ÂÒÅÑÂÏ ÁÙŹԸ¿¹¿ÙʧàÊÃÔÁ¡ÒÃᾷä·Âà´ÔÁÏ. ¸ÃÃÁÒ¹ÒÁÑÂ. ¡Ãا෾Ï: ÍÒÂØÃàÇ·
                                               Ô „œ ‹
      ÇÔ·ÂÒÅÑÂÏ; ¾.È.2536.
5.    ¾ÃоÃËÁ¤Ø³ÒÀó (».Í.»Âصâµ). ¤ÙÁͪÕǵ. ¡ÃØ§à·¾Ï : ºÃÔÉ· ¾ÔÁ¾ÊÇ ¨íÒ¡Ñ´; ¾.È.2548.
                                         ‹ × Ô                Ñ
àǪÈÒʵÏ·¹Âؤ 2553
          Ñ                                                               º··Õè      349

                                                                           51
    ¹Çѵ¡ÃÃÁ¡ÒþÂÒºÒÅ: ÇѲ¹¸ÃÃÁÊÌҧàÊÃÔÁÊØ¢ÀÒ¾·ÕèÂÑè§Â×¹
                                     ¼ÙŒª‹ÇÂÈÒʵÃÒ¨ÒÏ ´Í¡àµÍÏÇѹà¾ç­ ÀÔ­â­ÀÒÊ¡ØÅ
                      ÀÒ¤ÇÔªÒ¡ÒþÂÒºÒÅÍÒÂØÃÈÒʵÏ ¤³Ð¾ÂÒºÒÅÈÒʵÏ ÁËÒÇÔ·ÂÒÅÑÂÁËÔ´Å

           ¨Ò¡á¼¹¾Ñ²¹ÒÊØ¢ÀÒ¾áË‹§ªÒµÔ©ºÑº·Õè 10 (2550-2554) ÇÔÊ·ÑȹÃкºÊØ¢ÀÒ¾ä·ÂÁاÊÙ¡ÒÃ
                                                              Ñ                    ‹ ‹
¾Ñ²¹Ò·Ø¡ÀҤʋǹÍ‹ҧºÙóҡÒà ãËŒ»ÃЪҪ¹ÁÕÊ¢ÀÒ¾´Õ ÃкººÃÔ¡ÒÃ´Õ Êѧ¤Á´Õ ªÕǵÁÕ¤ÇÒÁÊØ¢Í‹ҧ
                                               Ø                             Ô
¾Íà¾Õ§ â´ÂÁÕ໇ÒËÁÒÂÊíҤѭ ¤×Í¡ÒþѲ¹ÒÊØ¢ÀÒ¾ä»ÊÙ‹ÃкºÊØ¢ÀÒ¾¾Íà¾Õ§(1) ¾ÂÒºÒÅ໚¹
ºØ¤Åҡ÷ÕÁº·ºÒ·ÊíҤѭ㹡ÒèѴ¡ÒáÒôÙáżٻÇ ·Ñ§ã¹ÃÐÂÐà©Õº¾Åѹ ÃÐÂп„¹¿Ù áÅСÒôÙáÅ
            è Õ                               Œ † é                        œ
µ‹Íà¹×èͧ·Õ躌ҹ ÃÇÁ·Ñé§¡ÒÃÊ‹§àÊÃÔÁÊØ¢ÀÒ¾¢Í§»ÃЪҪ¹·Ñé§ã¹ÃдѺºØ¤¤Å ¤Ãͺ¤ÃÑÇ áÅЪØÁª¹
à¾×ÍãËŒÁÊÁ´ØÅáÅФسÀÒ¾ªÕǵ·Õ´Õ ¡ÒÃ㪌¹Çѵ¡ÃÃÁà¾×;Ѳ¹Ò¡Òû¯Ôºµ¾ÂÒºÒÅáÅÐÃкººÃÔ¡ÒÃ
    è    Õ                    Ô è                  è              Ñ Ô
ÊØ¢ÀÒ¾¨Ö§à»š¹ÊÔ§¨íÒ໚¹ áÅеŒÍ§¡ÃзíÒÍ‹ҧµ‹Íà¹×ͧ à¾×͹íÒä»ÊÙDz¹¸ÃÃÁ¡ÒÃÊÌҧàÊÃÔÁÊØ¢ÀÒ¾
                 è                               è    è       ‹Ñ
·Õ§Â×¹
  è Ñè

¹Çѵ¡ÃÃÁ¡ÒþÂÒºÒšѺÇѲ¹¸ÃÃÁ¡ÒÃÊÌҧàÊÃÔÁÊØ¢ÀÒ¾·ÕèÂÑè§Â×¹
        ¹Çѵ¡ÃÃÁ  㹤ÇÒÁËÁÒµÒÁ¾¨¹Ò¹Ø¡ÃÁ©ºÑºÃÒªºÑ³±ÔµÂʶҹ»‚ ¾.È. 2542 ˹ŒÒ 565-
566 ËÁÒ¶֧ ÊÔ§·Õ·Ò¢Ö¹ãËÁ‹ËÃ×Íá»Å¡¨Ò¡à´ÔÁ «Ö§ÍÒ¨¨Ð໚¹¤ÇÒÁ¤Ô´ ÇÔ¸¡Òà ËÃ×ÍÍØ»¡Ã³ ໚¹µŒ¹
                   è è í é                     è                 Õ
â´Â¡Ãкǹ¡Òâͧ¹Çѵ¡ÃÃÁÁÑ¡àÃÔèÁ¨Ò¡¡Òù֡¤Ô´ ËÒá¹Ç·Ò§»ÃѺ»Ãاà»ÅÕè¹á»Å§ ÊÌҧÊÃä
¨Ò¡§Ò¹à´ÔÁ áÅйíÒä»ãªŒ¨¹à»š¹·Õá¾Ã‹ËÅÒ áÅÐà¡Ô´¡ÒþѲ¹ÒÍ‹ҧµ‹Íà¹×ͧµ‹Íä»
                               è                                   è
        »˜¨¨Øº¹ ¾ÂÒºÒÅä´ŒÁ¡ÒÃ㪌¹Çѵ¡ÃÃÁà¾×;Ѳ¹Ò¡Òû¯Ôºµ¾ÂÒºÒÅáÅÐÃкººÃÔ¡ÒÃÊØ¢ÀÒ¾
                 Ñ           Õ             è            Ñ Ô
»ÃСͺ´ŒÇ¡ÒäԴ¤Œ¹¹Çѵ¡ÃÃÁ·Ò§ÊØ¢ÀÒ¾ãËÁ‹æ ¡ÒÃ㪌¹Çѵ¡ÃÃÁ·ÕèÁÕ¼ÙŒ¤Ô´ËÃ×ͼÅÔµ¢Öé¹ áÅÐ
¡ÒûÃÐàÁÔ¹¼ÅàÁ×͹íÒ¹Çѵ¡ÃÃÁä»ãªŒã¹Ê¶Ò¹ºÃÔ¡ÒÃ·Ò§ÊØ¢ÀÒ¾(2) Í‹ҧäáçµÒÁ ·‹ÒÁ¡ÅÒ§¡ÃÐáÊ
                      è
âÅ¡ÒÀÔÇѲ¹ ¡ÒÃà»ÅÕè¹á»Å§¢Í§â¤Ã§ÊÌҧÊѧ¤Á àÈÃɰ¡Ô¨ áÅСÒÃàÁ×ͧ ¡ÒÃà¤Å×è͹ŒÒÂáÅÐ
â¤Ã§ÊÌҧ»ÃЪҡà ẺἹ¡ÒôíÒà¹Ô¹ªÕǵáÅСÒúÃÔâÀ¤ ÃкҴÇÔ·ÂÒáÅÐâÃ¤ÍØºµãËÁ‹ ¤ÇÒÁ
                                        Ô                                   Ñ Ô
ÃØ¹áç ÇÔºµÀ ෤â¹âÅÂÕ¢ÍÁÙÅ¢‹ÒÇÊÒáÒÃᾷ ¡ÒÃà»ÅÕ¹á»Å§´ŒÒ¹¸ÃÃÁªÒµÔáÅÐÊÔ§áÇ´ÅŒÍÁ
           Ñ Ô Ñ           Œ                          è                            è
ã¹Êѧ¤Áä·Â ·íÒãËŒ¾ÂÒºÒÅáÅкؤÅҡ÷ÕÁÊØ¢ÀÒ¾àÃÔÁµÃÐ˹ѡ áÅйŒÍÁ¹íÒ»ÃѪ­ÒàÈÃɰ¡Ô¨¾Íà¾Õ§
                                                 è
Íѹ໚¹á¹Ç·Ò§·Õ¾ÃкҷÊÁà´ç¨¾ÃÐ਌ÒÍÂÙËÇÀÙÁ¾ÅÍ´ØÅÂà´ª ·Ã§ÁÕ¾ÃÐÃÒª´íÒÃÑʪÕá¹Ðá¡‹¾Ê¡¹Ô¡Ã
                    è                 ‹ Ñ Ô                              é
ªÒÇä·ÂÁÒÍ‹ҧÂÒǹҹ ÁÒ㪌໚¹á¹Ç·Ò§¢Ñºà¤Å×͹ÃкºÊØ¢ÀÒ¾¾Íà¾Õ§ä»ÊÙ¡Òû¯ÔºµÍ‹ҧ¨ÃÔ§¨Ñ§
                                             è                       ‹         Ñ Ô
·Ñ§ã¹¡ÒôíÒà¹Ô¹ªÕǵ ¡ÒúÃÔËÒà áÅСÒþѲ¹Ò·Ò§´ŒÒ¹ÊØ¢ÀҾ㹷ءÁÔµÔ ·Ø¡ÃдѺ áÅзءÀҤʋǹ
  é                     Ô
Íѹ¨Ð¹íÒä»ÊÙ¡ÒþѲ¹Ò»ÃÐà·Èã¹ÃÐÂÐÂÒÇ ¤Ø³ÅѡɳТͧÃкºÊØ¢ÀÒ¾¾Íà¾Õ§ ÁÕ´§¹Õé(1)
              ‹                                                              Ñ
350                                             ¹Çѵ¡ÃÃÁ¡ÒþÂÒºÒÅ : ÇѲ¹¸ÃÃÁÊÌҧàÊÃÔÁÊØ¢ÀÒ¾·Õ§Â×¹
                                                                                              è Ñè

         !    ÁÕÃÒ¡°Ò¹·ÕࢌÁá¢ç§¨Ò¡¡ÒÃÁÕ¤ÇÒÁ¾Íà¾Õ§·Ò§ÊØ¢ÀÒ¾ã¹ÃдѺ¤Ãͺ¤ÃÑÇáÅЪØÁª¹
                             è
         !    ÁÕ¤ÇÒÁÃͺ¤ÍºáÅÐÃÙŒ¨Ñ¡»ÃÐÁҳ͋ҧÁÕà˵ؼÅã¹´ŒÒ¹¡ÒÃà§Ô¹¡ÒäÅѧ à¾×èÍÊØ¢ÀÒ¾ã¹
              ·Ø¡ÃдѺ
        ! ÁÕ¡ÒÃ㪌෤â¹âÅÂÕ·àËÁÒÐÊÁáÅÐ㪌Í‹ҧÃÙ෋ҷѹ â´Â์¹ÀÙÁ»­­Òä·ÂáÅСÒþ֧µ¹àͧ
                                     Õè                           Œ                      Ô ˜                è
        ! ÁպóҡÒôŒÒ¹¡ÒÃÊ‹§àÊÃÔÁÊØ¢ÀÒ¾ »‡Í§¡Ñ¹âä ÃÑ¡ÉÒ¾ÂÒºÒÅ ¿„¹¿ÙÊÀÒ¾áÅФØÁ¤Ãͧ
                      Ù                                                                         œ             Œ
              ¼ÙºÃÔâÀ¤
                Œ
        ! ÁÕÃкºÀÙÁ¤Á¡Ñ¹·ÕãËŒËÅÑ¡»ÃСѹáÅФØÁ¤ÃÍ§ÊØ¢ÀÒ¾
                            Ô ØŒ   è                       Œ
        ! ÁÕ¤³¸ÃÃÁ ¨ÃÔ¸ÃÃÁ áÅÐÃÙ¨¡¾Í
                    Ø                         ŒÑ
        ¨Ò¡¤Ø³ÅѡɳТͧÃкºÊØ¢ÀÒ¾¾Íà¾Õ§´Ñ§¡Å‹ÒÇ ÃкººÃÔ¡ÒÃÊØ¢ÀҾ䴌ÁÕ¡ÒþѲ¹Ò
¹Çѵ¡ÃÃÁÊÙ¡ÒÃÊÌҧÇѲ¹¸ÃÃÁÊØ¢ÀÒ¾¾Íà¾Õ§·Õ§Â׹͋ҧ໚¹ÃкºÁÒ¡¢Ö¹ ઋ¹ ÁÕ¡ÒúÙóҡÒÃ
            ‹                                         è Ñè                                    é
´ŒÒ¹¡ÒÃÊ‹§àÊÃÔÁÊØ¢ÀÒ¾ »‡Í§¡Ñ¹âä áÅп„¹¿ÙÊÀÒ¾ã¹âç¾ÂÒºÒÅÁÒ¡¢Ö¹ ÀÒÂ㵌á¹Ç¤Ô´âç¾ÂÒºÒÅ
                                                 œ                                     é
Ê‹§àÊÃÔÁÊØ¢ÀÒ¾ (health promoting hospital) äÁ‹ãª‹Á§à¾Õ§¡ÒÃÃÑ¡ÉÒÍ‹ҧà´ÕÂÇ áÅСÒèѴÃкº¡ÒÃ
                                                             Ø‹
ºÃÔËÒ÷ÃѾÂÒ¡ÃÊØ¢ÀÒ¾ (utilization management) à¾×Í¡ÒèѴ¡ÒôŒÒ¹¡ÒÃà§Ô¹¡ÒäÅѧ·ÕàËÁÒÐÊÁ
                                                                      è                                 è
໚¹µŒ¹ ¾ÂÒºÒÅàÃÔÁÁÕ¡ÒúÙóҡÒáÒôÙáżٻÇ·Õàª×ÍÁµ‹ÍÃÐËNjҧâç¾ÂÒºÒÅ ¡ÑºÃдѺ¤Ãͺ¤ÃÑÇ
                          è                        Œ † è è
áÅЪØÁª¹ â´Â¨Ñ´Ãкº discharge planning áÅÐ continuing care ·ÕÁ»ÃÐÊÔ·¸ÔÀÒ¾ÁÒ¡¢Ö¹ ÁÕ¡ÒÃè Õ                  é
¤Ô´¤Œ¹áÅÐ㪌෤â¹âÅÂÕ㹡ÒôÙáżٌ»†Ç·ÕèàËÁÒÐÊÁ ઋ¹ ¡ÒûÃдÔɰŠÍØ»¡Ã³µ‹Ò§æ ·ÕèÊÌҧ
¤ÇÒÁ»ÅÍ´ÀÑÂáÅФÇÒÁÊØ¢ÊºÒÂá¡‹¼»Ç ÁÕ¡ÒÃ㪌෤â¹âÅÂÕ¡ÒÃÊ×ÍÊÒÃà¾×Íà¾ÔÁª‹Í§·Ò§¡ÒÃࢌҶ֧
                                        ÙŒ †                                      è          è è
áÅеԴµÒÁ¼Ù»ÇÂÍ‹ҧ໚¹ÃкºÁÒ¡¢Ö¹ ¹Í¡¨Ò¡¹Õ¾ÂÒºÒÅÂѧÁÕÊǹËÇÁ㹡ÒÃÊÌҧàÊÃÔÁÀÒÇмٹÒ
               Œ †                          é                   é               ‹                               Œ í
´ŒÒ¹ÊØ¢ÀÒ¾¢Í§»ÃЪҪ¹·Ø¡ÃдѺ ÁÕ¡ÒùíÒÃкº¨ÔµÍÒÊÒáÅÐÁÔµÃÀÒ¾ºíҺѴÁÒ㪌㹡ÒâÂÒ§ҹ
ÍÒÊÒÊÁѤÃà¾×ÍÊØ¢ÀÒ¾áÅЪØÁª¹ÁÒ¡¢Ö¹ ÁÕ¡ÒÃÊ‹§àÊÃÔÁÀÙÁ»­­Ò·ŒÍ§¶Ô¹à¾×ÍÊØ¢ÀÒ¾ªØÁª¹ ઋ¹ ¡ÒÃ㪌
                  è                       é                             Ô ˜         è è
ÊÁعä¾Ãä·Â㹡ÒúѴÍÒ¡ÒÃáÅл˜­ËÒÊØ¢ÀÒ¾ áÅСÒèѴàÁ¹ÙÍÒËÒÃÊØ¢ÀÒ¾»ÃШíÒ·ŒÍ§¶Ô¹ à¾×Í໚¹                   è è
¢ŒÍÁÙÅá¡‹»ÃЪҪ¹áÅйíÒ仨Ѵ¡ÒÃÊØ¢ÀÒ¾µ¹àͧ䴌 ໚¹µŒ¹ ·Ñ§¹Õ¡Åä¡ÊíҤѭ㹡ÒÃÊÌҧ¹Çѵ¡ÃÃÁ
                                                                            é é
·Ò§¡ÒþÂÒºÒÅ·ÕÊÁ´ØÅáÅÐàËÁÒÐÊÁ µŒÍ§ÍÒÈѤÇÒÁËÇÁÁ×ͨҡ¾ÂÒºÒÅ·Ø¡ÃдѺ ·Ñ§½†ÒºÃÔ¡ÒÃ
                        è                                                                          é
áÅн†Ò¡ÒÃÈÖ¡ÉÒ ÃÇÁ·Ñ§·ÕÁÊØ¢ÀÒ¾áÅлÃЪҪ¹ à¾×ÍãËŒà¡Ô´ÃкºÊØ¢ÀÒ¾¾Íà¾Õ§·Õ§Â×¹
                                 é                                  è                             è Ñè

ÊÃØ»
        ¡ÒþѲ¹ÒÊØ¢ÀÒÇзÕ໚¹Í§¤ÃÇÁ·Ñ§´ŒÒ¹Ã‹Ò§¡Ò ¨Ôµã¨ Êѧ¤ÁáÅШԵÇÔ­­Ò³ ໚¹ÊÔ§¨íÒ໚¹
                           è            é                                         è
㹡ÒþѲ¹Ò¤¹áÅлÃÐà·È ¡ÒÃÊÌҧ¹Çѵ¡ÃÃÁ·Ò§¡ÒþÂÒºÒÅ·ÕèµÑé§ÍÂÙ‹º¹ÃÒ¡°Ò¹¢Í§»ÃѪ­Ò
àÈÃɰ¡Ô¨¾Íà¾Õ§Í‹ҧ᷌¨ÃÔ§ ¨Ð¹íÒä»ÊÙDz¹¸ÃÃÁ¡ÒÃÊÌҧàÊÃÔÁÊØ¢ÀÒ¾·Õ§Â×¹ â´ÂÁÕ¡ÒþѲ¹ÒÍ‹ҧ
                                     ‹Ñ                          è Ñè
µ‹Íà¹×ͧËÇÁ¡Ñ¹ÊÙÃкºÊØ¢ÀÒ¾¾Íà¾Õ§
      è          ‹

àÍ¡ÊÒÃ͌ҧÍÔ§
1.    Êíҹѡ¹âºÒÂáÅÐÂØ·ÈÒʵÏ ¡ÃзÃǧÊÒ¸ÒÃ³ÊØ¢. á¼¹¾Ñ²¹ÒÊØ¢ÀÒ¾áË‹§ªÒµÔ ©ºÑº·Õè 10, 2550.
2.    Èٹ¡ÒÃàÃÕ¹ÃÙ¹Çѵ¡ÃÃÁ·Ò§¡ÒþÂÒºÒÅ ÇÔ·ÂÒÅѾÂÒºÒÅÊÀÒ¡ÒªÒ´ä·Â. ¹Çѵ¡ÃÃÁ·Ò§¡ÒþÂÒºÒÅ, 2552.
                     Œ
àǪÈÒʵÏ·¹Âؤ 2553
          Ñ                                                                       º··Õè       351

                                                                                   52
                 Breast Cancer Prevention and Screening
                                          ÍÒ¨ÒÏ ¹ÒÂᾷ ´Í¡àµÍÏÊ׺ǧȏ ¨Ø±ÒÀÔÊÔ·¸Ôì
                       ÀÒ¤ÇÔªÒÈÑÅÂÈÒʵÏ ¤³Ðá¾·ÂÈÒʵÏÈÔÃÔÃÒª¾ÂÒºÒÅ ÁËÒÇÔ·ÂÒÅÑÂÁËÔ´Å

        âäÁÐàÃç§à»š¹âä·ÕèÃŒÒÂáç áÅÐ໚¹ÊÒà˵Øã¹¡ÒÃàÊÕªÕÇÔµã¹Íѹ´ÑºµŒ¹æ ã¹»ÃÐà·Èä·Â
¡ÒÃÃÑ¡ÉÒâäÁÐàÃç§ã¹»˜¨¨ØºÑ¹¹ÕéÁÕÇÔÇѲ¹Ò¡Ò÷Õ行ÒÇ˹ŒÒä»ÁÒ¡ Í‹ҧäáçµÒÁ ໚¹·Õè·ÃÒº¡Ñ¹´ÕÇ‹Ò
¼Å¡ÒÃÃÑ¡ÉÒâäÁÐàÃ秨Ðä´Œ¼Å´ÕÁÒ¡ÂÔ§¢Ö¹ ¶ŒÒâä¹Ñ¹ÁÕ¡ÒõÃǨ¾ºµÑ§áµ‹ã¹ÃÐÂÐàÃÔÁµŒ¹ ÍѵÃÒ¡ÒÃ
                                     è é          é             é           è
ÃÍ´ªÕǵ¢Í§¼Ù»ÇÂÁÐàÃç§ÊÑÁ¾Ñ¹¸â´ÂµÃ§¡Ñº¡Ò䌹¾ºÁÐàÃç§ã¹ÃÐÂÐàÃÔÁµŒ¹ ´Ñ§¹Ñ¹¨Ö§ÁÕ¡ÒþÂÒÂÒÁ
      Ô      Œ †                                                  è       é
¤Œ¹ËÒÁÐàÃç§ã¹ÃÐÂÐàÃÔÁµŒ¹ â´Â੾ÒÐÍ‹ҧÂÔ§ã¹¡ÅØÁÁÐàÃç§·Õ¾ºä´ŒºÍ ઋ¹ ÁÐàÃç§àµŒÒ¹Á ÁÐàÃç§µ‹ÍÁ
                    è                    è      ‹       è     ‹
ÅÙ¡ËÁÒ¡ ËÃ×Í ÁÐàÃç§»Ò¡Á´ÅÙ¡ ໚¹µŒ¹

Cancer prevention
          ¡ÒÃãËŒ¡Òû‡Í§¡Ñ¹ÊíÒËÃѺâäÁÐàÃç§ (cancer prevention) ¨ÐÂÔ§ª‹Ç·íÒãˌ͵ÃÒ¡ÒÃà¡Ô´âäµèÒ
                                                                    è            Ñ               í
ŧ áÅЪ‹ÇÂÅ´ÀÒÇСÒõÒ¨ҡâäÁÐàÃç§ä´Œ´Â§¢Ö¹ µÑÇÍ‹ҧ·ÕàËç¹ä´Œª´à¨¹ áÅÐÁշ㪌áÅŒÇã¹·Ò§¤ÅÔ
                                              Õ Ôè é        è         Ñ            Õè
¹Ô¡ ¤×Í ¡ÒÃ㪌Ǥ«Õ¹»‡Í§¡Ñ¹ human papilloma virus 㹡Òû‡Í§¡Ñ¹¡ÒÃà¡Ô´ÁÐàÃç§»Ò¡Á´ÅÙ¡ ໚¹µŒ¹
                Ñ
Í‹ҧäáçµÒÁ ¡Åä¡¡ÒÃà¡Ô´âäÁÐàÃç§Âѧ໚¹¡Åä¡·Õ«º«ŒÍ¹ áÅÐÂѧµŒÍ§·íÒ¡ÒÃÈÖ¡ÉÒÍÂÙ‹ ¨Ö§·íÒãËŒ¡ÒÃ
                                                     è Ñ
ËÒÇÔ¸»Í§¡Ñ¹âäÁÐàÃç§à»š¹àÃ×ͧ·Õ·Ò·Ò áÅÐÂØ§ÂÒ¡«Ñº«ŒÍ¹à»š¹Í‹ҧÂÔ§
      Õ ‡                     è è Œ             ‹                       è
          ¡Òû‡Í§¡Ñ¹ÁÐàÃç§ ËÃ×Í cancer prevention ÊÒÁÒöẋ§ä´Œà»š¹ 3 ÃдѺ ¤×Í primary, secondary
áÅÐ tertiary prevention ´Ñ§ÃÒÂÅÐàÍÕ´㹵ÒÃÒ§·Õè 1

µÒÃÒ§·Õè 1 ÃдѺ㹡Òû‡Í§¡Ñ¹âäÁÐàÃç§
 Level         Definition                                   Example
 Primary       Decrease risk of normal asymptomatic         - Screening
               individuals                                  - Smoking cessation
                                                            - Chemoprevention of breast cancer
                                                              in asymptomatic women
 Secondary Decrease progression of preneoplastic            Reverse preneoplasia (CIN,
           processes                                        leukoplakia with chemoprevention
 Tertiary  Decrease morbidity of established disease        Chemoprevention of second
                                                            malignancies
352                                                     Breast Cancer Prevention and Screening

            ·Õ¨ÃÔ§áÅŒÇ primary prevention ·Õ§Ò·ÕÊ´áÅдշʴ㹡Òû‡Í§¡Ñ¹âäÁÐàÃç§ ¤×Í ¡ÒÃËÅÕ¡àÅÕ§
               è                            è‹ èØ        Õè Ø                                  è
»˜¨¨ÑÂàÊÕ§㹡ÒÃà¡Ô´âäÁÐàÃç§ µÑÇÍ‹ҧઋ¹ ¡ÒÃËÂØ´ÊÙººØËÃըЪ‹ÇÂ㹡ÒÃËÅÕ¡àÅÕ§ÁÐàÃ移ʹ ¡ÒÃËÅÕ¡
         è                                                     è            è
àÅÕ§¡ÒÃ㪌ÂÒÎÍÏâÁ¹ºíҺѴ¡ç¨Ðª‹ÇÂËÅÕ¡àÅÕ§ÁÐàÃç§àµŒÒ¹Á ໚¹µŒ¹ Í‹ҧäáçµÒÁ ´Ñ§·Õ¡Å‹ÒÇ¢ŒÒ§µŒ¹
   è                                            è                                    è
áÅŒÇÇ‹Ò à¹×ͧ¨Ò¡âäÁÐàÃç§à»š¹âä·ÕÁ¡Åä¡¡ÒÃà¡Ô´âä·Õ«º«ŒÍ¹ áÅÐÁÐàÃç§áµ‹ÅЪ¹Ô´¡çÁÊÒà˵ØËÃ×Í
             è                          è Õ                è Ñ                         Õ
»˜¨¨ÑÂàÊÕ§·Õᵡµ‹Ò§¡Ñ¹ ¨Ö§à»š¹¡ÒÃÂÒ¡·Õ¨Ð·ÃҺ䴌ÇÒ»˜¨¨ÑÂã´·Õ໚¹»˜¨¨ÑÂàÊÕ§·Õá·Œ¨ÃÔ§ÊíÒËÃѺâä
           è è                                è        ‹         è         è è
ÁÐàÃç§áµ‹ÅЪ¹Ô´

¡ÒõÃǨ¤Ñ´¡ÃͧáÅСÒõÃǨÇÔ¹Ô¨©ÑÂàÃÔèÁµŒ¹ (Screening and early
detection)
         ÊíÒËÃѺ¡ÒõÃǨ screening ¨ÐËÁÒ¤ÇÒÁ¶Ö§ ¡ÒõÃǨ੾ÒÐã¹¼ÙŒ·ÕèäÁ‹ÁÕÍÒ¡ÒÃà·‹Ò¹Ñé¹
¹Ñ¹¤×Í à»š¹¡ÒõÃǨã¹ÃдѺ primary prevention Çѵ¶Ø»ÃÐʧ¤¢Í§¡ÒõÃǨ screening ¡çà¾×ͤŒ¹ËÒ
   è                                                                                è
¼Ù»ÇÂãËŒ¾ºÃÍÂâäµÑ§áµ‹Â§äÁ‹à»š¹ÁÐàÃç§ àª‹¹ ¡ÒõÃǨ¤Œ¹ËÒ atypical ductal cell ã¹ÁÐàÃç§àµŒÒ¹Á
  Œ †                   é       Ñ
ËÃ×Í ¡ÒõÃǨËÒÃÍÂâä CIN ã¹ÁÐàÃç§»Ò¡Á´ÅÙ¡ ໚¹µŒ¹
         ÊíÒËÃѺËÅÑ¡¡ÒÃ㹡ÒÃàÅ×Í¡·Õ¨Ð¡ÒõÃǨ¤Œ¹ËÒ screening âäÁÐàÃç§ ¤×Í ¡ÒõÃǨ screening
                                        è
¹Ñ¹¨ÐµŒÍ§ÁÕ»ÃÐ⪹à¡Ô´¢Ö¹ËÅѧ¡Ò÷íÒ à¾ÃÒСÒõÃǨ screening ໚¹¡ÒÃŧ·Ø¹·Õ¤Í¹¢ŒÒ§ÊÙ§ áÅÐ
     é                        é                                               è ‹
µŒÍ§¤íÒ¹Ö§¶Ö§¤ÇÒÁ¤ØÁ¤‹Ò㹡Ò÷íÒ ´Ñ§¹Ñ¹âäÁÐàÃ秷ըеŒÍ§·íÒ¡ÒõÃǨ screening ¨Ö§ÁբͷըеŒÍ§
                      Œ                     é               è                     Œ è
¾Ô¨ÒÃ³Ò ´Ñ§¹Õé
         1. ÁÐàÃ秷ըоԨÒóҷíÒ screening ¨ÐµŒÍ§à»š¹ÁÐàÃç§·Õ¾ºä´ŒºÍÂ
                    è                                               è   ‹
         2. ¡ÒõÃǨ¤Œ¹ËҨеŒÍ§ÁÕà¤Ã×ͧÁ×Í·ÕàËÁÒÐÊÁ 㪌䴌¨ÃÔ§ áÅÐÁÕ¤ÇÒÁäÇ áÅÐ ¤ÇÒÁ¨íÒà¾ÒÐ
                                              è          è
¡Ç‹Ò¡ÒõÃǨËҧ¡Ò·շÒ໚¹»¡µÔã¹·Ò§¤ÅÕ¹¡ ¹Ñ¹¤×Í ÊÒÁÒö·íÒ䴌㹻ÃЪҡèíҹǹÁÒ¡ ¡µÑÇ
                          è í                           Ô è
Í‹ҧઋ¹ ¡ÒõÃǨÂÕ¹¼Ô´»¡µÔà¾×ͤŒ¹ËÒÁÐàÃç§µ‹ÍÁÅÙ¡ËÁÒ¡ÍÒ¨·íÒä´Œ ᵋà¤Ã×ͧÁ×ÍÁÕÃÒ¤Òá¾§ áÅÐ
                                      è                                     è
à·¤â¹âÅÂÕäÁ‹ÊÒÁÒö·íÒ䴌㹷ҧ»¯ÔºµÔ ¡ÒÃà¡çºàÅ×Í´à¾×͵ÃǨÃдѺ PSA áÁŒ¨ÐÁÕ¤ÇÒÁ¨íÒà¾ÒйŒÍÂ
                                          Ñ                   è
¡Ç‹Ò ᵋ໚¹¡ÒõÃǨ·ÕàËÁÒÐÊÁ¡Ç‹Ò ໚¹µŒ¹
                           è
         3. ¡Òà screening ¨ÐµŒÍ§à¡Ô´»ÃÐ⪹ã¹¡ÒùíÒä»ÊÙ¡ÒÃÃÑ¡ÉÒ·ÕàËÁÒÐÊÁµ‹Íä» ã¹¡ÒÃÅ´
                                                                  ‹       è
ÍѵÃÒ¤ÇÒÁ¾Ô¡Òà ËÃ×Í Å´ÍѵÃÒ¡ÒÃàÊÕªÕǵ¨Ò¡âä ¡Å‹Òǧ‹ÒÂæ ¤×Í àÁ×Í screening ¾ºâäáŌǨÐ
                                                Ô                     è
µŒÍ§ÁÕ¡ÒÃÃÑ¡ÉÒ·ÕàËÁÒÐÊÁ·ÕÊÒÁÒöª‹Ç¼ٻÇÂä´Œ
                  è               è               Œ †
         4. ¡Òà screening ¹Ñ¹¨ÐµŒÍ§¹íÒÁÒÊÙÀÒÇÐÊØ¢ÀÒ¾·Õ´â´ÂÃÇÁ¢Í§»ÃЪҡà (total health
                                    é                 ‹         è Õ
benefit)

Screening and chemoprevention in breast cancer
        ÊíÒËÃѺã¹ÁÐàÃç§àµŒÒ¹Á ¡ÒÃãËŒ¡ÒõÃǨ¤Œ¹â´Â¡Ò÷íÒ screening ÊÒÁÒö·íÒãËŒºÃÃÅØ
¨Ø´ÁاËÁÒ´ѧ¡Å‹ÒǷѧ 4 ¢ŒÍ ã¹¢ŒÒ§µŒ¹ä´Œ à¾ÃÒÐ ÁÐàÃç§àµŒÒ¹Á໚¹ÁÐàÃç§·Õ¾ºº‹Í ¡ÒÃ㪌à¤Ã×ͧÁ×Í
     ‹              é                                                  è                è
㹡ÒõÃǨ¤Ñ´¡Ãͧ¡ç໚¹¡ÒõÃǨËҧ¡Ò áÅСÒÃ㪌෤¹Ô¤·Ò§ÃѧÊÕÇ·ÂÒ·ÕÊÒÁÒ¶·íÒä´Œ áÅÐâ´Â
                                                                   Ô     è
àǪÈÒʵÏ·¹Âؤ 2553
          Ñ                                                                                   353

੾ÒÐÍ‹ҧÂÔ§àÁ×͵ÃǨ¾ºÁÐàÃç§àµŒÒ¹ÁµÑ§áµ‹ã¹ÃÐÂÐàÃÔÁµŒ¹áÅŒÇ ¡ÒÃÃÑ¡ÉÒÊÒÁÒöª‹ÇÂà¾ÔÁÍѵÃÒ
                 è è                      é               è                         è
¡ÒÃÃÍ´ªÕǵ¢Í§¼Ù»ÇÂä´Œ áÅзíÒãˌʢÀÒ¾â´ÂÃÇÁ´Õ¢¹
              Ô      Œ †             Ø                 Öé
            ¡Ò÷íÒ primary prevention ÊíÒËÃѺÁÐàÃç§àµŒÒ¹Á ¡ç¤Í ¡Ò÷íÒ screening mammogram
                                                                ×
¹Ñ¹àͧ Í‹ҧäáçµÒÁ ¡ÒõÃǨ screening ÊíÒËÃѺ¤Œ¹ËÒÁÐàÃç§àµŒÒ¹Á ÊÒÁÒö·íÒä´Œ´Ç¡ÒõÃǨ
  è                                                                              Œ
breast self áÅÐ physician breast examination ä´ŒÍÕ¡´ŒÇ â´Â·ÕèÃÒÂÅÐàÍÕ´ÊíÒËÃѺ¡ÒõÃǨ
screening breast cancer ã¹¡ÅØÁ·Õ໚¹»ÃЪҡû¡µÔ ¤×Í ¼ÙË­Ô§·ÕäÁ‹Á¤ÇÒÁàÊÕÂ§ã´æ ¡Ñº ¡ÅØÁ·ÕÁÕ
                                 ‹ è                          Œ   è Õ      è          ‹ è
¤ÇÒÁàÊÕ§ÊÙ§ÍÒ¨ÁÕÃÒÂÅÐàÍÕ´µ‹Ò§¡Ñ¹àÅ硹ŒÍ ᵋ¨ÐäÁ‹¡Å‹ÒÇã¹ÃÒÂÅÐàÍÕ´㹺·¤ÇÒÁ¹Õé
          è
            ã¹á§‹¢Í§ chemoprevention ÊíÒËÃѺÁÐàÃç§àµŒÒ¹Á¹Ñ¹ ÁÕËÅÑ¡°Ò¹·Ò§¡ÒÃᾷËÅÒÂÍ‹ҧ
                                                            é
·Õ¹ÂÑ¹Ç‹Ò ¡ÒÃ㪌 chemoprevention ÁÕ»ÃÐ⪹ª´à¨¹ã¹¡Òû‡Í§¡Ñ¹¡ÒÃà¡Ô´ÁÐàÃç§àµŒÒ¹Á â´Â੾ÒÐ
    è ×                                         Ñ
Í‹ҧÂÔ§¡Òû‡Í§¡Ñ¹ã¹ÃдѺ secondary áÅÐ tertiary prevention ´Ñ§áÊ´§ã¹µÒÃÒ§·Õè 2
        è

µÒÃÒ§·Õè 2 ¡Òû‡Í§¡Ñ¹âäÁÐàÃç§àµŒÒ¹Á ã¹ÃдѺ primary, secondary áÅÐ tertiary
 Level             Modalities
 Primary           -   ¡ÒõÃǨ screening mammogram (áÅÐ/ËÃ×Í ultrasound)
                   -   ¡ÒÃËÅÕ¡àÅÕ§¡ÒÃ㪌ÂÒ hormonal replacement therapy
                                  è
                   -   Dietary control
                   -   ¡Ò÷íÒ prophylactic mastectomy 㹡óշ¼»ÇÂÁÕ¤ÇÒÁàÊÕ§㹡ÒÃà¡Ô´
                                                                  Õè ÙŒ †           è
                       ÁÐàÃç§àµŒÒ¹ÁÊÙ§
                   -   ¡ÒÃ㪌ÂÒµŒÒ¹ÎÍÏâÁ¹ tamoxifen ËÃ×Í raloxifen 㹼ٻǷÕÁ¤ÇÒÁàÊÕ§ÊÙ§
                                                                            Œ † è Õ         è
                       㹡ÒÃà¡Ô´ÁÐàÃç§àµŒÒ¹Á
 Secondary         -   ¡ÒõÃǨ screening mammogram (áÅÐ/ËÃ×Í ultrasound) µ‹Íà¹×ͧà¾×Í   è è
                       µÔ´µÒÁËÅѧµÃǨ¾ºÀÒÇÐ preneoplastic lesion ઋ¹ atypical ductal
                       hyperplasia
                   -   ¡Òü‹ÒµÑ´ prophylactic mastectomy 㹼ٻǷÕàè »š¹ lobular carcinoma in situ
                                                             Œ †
 Tertiary          -   ¡ÒÃ㪌ÂÒµŒÒ¹ÎÍÏâÁ¹à¾×èÍ»‡Í§¡Ñ¹¡ÒÃà¡Ô´ÁÐàÃç§àµŒÒ¹ÁÍÕ¡¢ŒÒ§ã¹¼ÙŒ»†ÇÂ
                       ·Õ໚¹ ductal carcinoma in situ
                         è
                   -   ¡ÒõÃǨ screening mammogram (áÅÐ/ËÃ×Í ultrasound) ËÅѧ¡ÒÃÃÑ¡ÉÒ
                       ÁÐàÃç§àµŒÒ¹Á´ŒÇÂÇÔ¸Õ breast conserving therapy

       ÊíÒËÃѺÃÒÂÅÐàÍÕ´㹡ÒõÃǨ screening ÁÐàÃç§àµŒÒ¹Á ´ŒÇ¡ÒõÃǨËҧ¡Ò áÅÐ ¡Ò÷íÒ
mammogram áÅÐ/ËÃ×Í ultrasound á¹Ð¹íÒãËŒ·ÒµÒÁ¤íÒá¹Ð¹íҢͧÈٹ¶¹ÂÃѡɏ âç¾ÂÒºÒÅÈÔÃÔ
                                          í                      Ñ
ÃÒª â´Âẋ§µÒÁª‹Ç§ÍÒÂØ ´Ñ§¹Õé
       - ÍÒÂØ 20 »‚¢¹ä» ¤ÇÃàÃÔÁµÃǨൌҹÁ´ŒÇµ¹àͧ·Ø¡à´×͹㹪‹Ç§ÍÒÂØ¹Õé äÁ‹¨Ò໚¹µŒÍ§·íÒ
                     Öé       è                                             í
          áÁÁâÁá¡ÃÁ
354                                                                Breast Cancer Prevention and Screening

          - ÍÒÂØ 35 »‚ ¤ÇõÃǨáÁÁâÁá¡ÃÁ໚¹¾×¹°Ò¹ áÅФÇõÃǨ·Ø¡ æ 2 »‚
                                             é
          - ÍÒÂØ 40 »‚ ¤ÇõÃǨáÁÁâÁá¡ÃÁ·Ø¡»‚
          - ÍÒÂØ 50 »‚¢¹ä» ¤ÇõÃǨáÁÁâÁá¡ÃÁ·Ø¡ 1-2 »‚
                       Öé

ÊÃØ»
         Cancer prevention ÊíÒÊËÃѺÁÐàÃç§àµŒÒ¹Á ÊÒÁÒöẋ§ä´Œà»š¹ÃдѺ primary, secondary áÅÐ
tertiary prevention ¡Ò÷íÒ screening mammogram (áÅÐ/ËÃ×Í ultrasound) ÊíÒËÃѺÁÐàÃç§àµŒÒ¹Á
ÍҨ໚¹ä´Œ·§ã¹ÃдѺ primary, secondary ËÃ×Í áÁŒáµ‹ tertiary ¡çä´Œ¢¹ÍÂÙ¡ºÇѵ¶Ø»ÃÐʧ¤ã¹¡Ò÷íÒ
             Ñé                                                   Öé ‹ Ñ
¡Ò÷íÒ screening mammogram áÅÐ/ËÃ×Í ultrasound ¢Í§àµŒÒ¹Á á¹Ð¹íÒãËŒ·ÒµÒÁ¤íÒá¹Ð¹íҢͧ
                                                                           í
Èٹ¶¹ÂÃѡɏ âç¾ÂÒºÒÅÈÔÃÃÒª
       Ñ                      Ô

àÍ¡ÊÒÃ͌ҧÍÔ§
1.    Zell JA, Mayskens .L. Cancer Prevention, Screening and Early Detection. In:Abeloff’s Clinical Oncology.
      Abeloff MD, et al. editors, 4th ed 2008: Philadelphia: Churchill Living stone p. 361.
2.    Blaha P, Dubsky P, .itzal . et al. Breast cancer chemoprevention- a vision not yet realized. Eur J Cancer Care
      2009; 18: 438-46.
3.    ÁÙŹԸȹ¶¹ÂÃѡɏ. ¤ÙÁÍáÅФíÒá¹Ð¹íÒ㹡ÒõÃǨൌҹÁ. ¡Ãا෾ÁËÒ¹¤Ã:Èٹ¶¹ÂÃѡɏ. ¾È. 2552
            Ô Ù Ñ           ‹ ×                                                       Ñ
àǪÈÒʵÏ·¹Âؤ 2553
          Ñ                                                                      º··Õè       355

                                                                                  53
  Screening in Common Gynecologic Cancer: Ovarian Cancer
                       Screening
                                                ÍÒ¨ÒÏ ᾷ˭ԧ»˜·ÁÒ àªÒǏ⾸Ôì·Í§
             ÀÒ¤ÇÔªÒÊÙµÈÒʵÏ-¹ÃÕàǪÇÔ·ÂÒ ¤³Ðá¾·ÂÈÒʵÏÈÃÃÒª¾ÂÒºÒÅ ÁËÒÇÔ·ÂÒÅÑÂÁËÔ´Å
                       Ô                                ÔÔ

          ÁÐàÃç§Ãѧ䢋ÁÕ¤ÇÒÁÃØ¹áçáÅÐ໚¹ÊÒà˵آͧ¡ÒÃàÊÕªÕÇÔµÊÙ§·ÕèÊØ´ã¹ÁÐàÃ秢ͧÍÇÑÂÇÐÃкº
Ê׺¾Ñ¹¸ØÊµÃÕ·Ñé§ËÁ´áÅÐ໚¹ÊÒà˵ءÒÃàÊÕªÕÇÔµ¨Ò¡âäÁÐàÃç§ã¹ÅíҴѺ·Õè 5 ¢Í§ÁÐàÃç§·Õ辺ã¹ÊµÃÕ
·Ñ§ËÁ´â´ÂÁÐàÃç§Ãѧ䢋ª¹Ô´à¹×ÍàÂ×ÍºØ¼Ç (epithelial ovarian cancer) ໚¹ª¹Ô´·Õ¾ºä´ŒºÍ·ÕÊ´¶Ö§
      é                        é è Ô                                           è    ‹ èØ
ÃŒÍÂÅÐ 80 àÁ×Íà»ÃÕºà·Õº¡ÑºÁÐàÃç§Ãѧ䢋ª¹Ô´Í×¹æ â´ÂÍÒ¡Òâͧ¼Ù»ÇÂâä¹ÕÁÒ¡¡Ç‹ÒÃŒÍÂÅÐ 80
                  è                                 è               Œ †     é
ÁÑ¡ÍÂÙ‹ã¹ÃÐÂзÕè 3 - 4 ¢Í§âäàÁ×èÍàÃÔèÁÁÒµÃǨÃÑ¡ÉÒ ·Ñé§¹Õéà¹×èͧ¨Ò¡Ãѧ䢋໚¹ÍÇÑÂÇзÕèÍÂÙ‹ÅÖ¡ã¹
                                                      (1)

ÍØ§àªÔ§¡ÃÒ¹ ã¹ÃÐÂÐáá æ ¢Í§âä¹Ñ¹ÁÑ¡äÁ‹ÁÍÒ¡ÒÃáÊ´§ã´æ ·Õ¨Òà¾ÒÐà¨ÒШ§¨¹¡Ç‹Ò¡ŒÍ¹·Õç䢋
  Œ                                         é   Õ              èí                          èÑ
¨ÐÁÕ¢¹Ò´ãË­‹ÁÒ¡ËÃ×ÍÁÕ¹Òà¡Ô´¢Ö¹ã¹ª‹Í§·ŒÍ§ (ascites) ·íÒãˌ͵ÃÒ¡ÒÃÍÂÙÃÍ´·Õè 5 »‚ (5-year survival
                            éí      é                      Ñ            ‹
rate) ¢Í§¼Ù»ÇÂâäÁÐàÃç§Ãѧ䢋ÃÐÂзÕè 3 - 4 ¹Ñ¹¹ŒÍ¡NjÒÃŒÍÂÅÐ 30 ᵋÊÒËÃѺ¼Ù»Ç·յÃǨ¾ºâä
              Œ †                             é                           í   Œ † è
µÑ§áµ‹ã¹ÃÐÂзÕè 1 ¹Ñ¹ÁÕ͵ÃÒ¡ÒÃÍÂÙÃÍ´·Õè 5 »‚ʧÁÒ¡¡Ç‹ÒÃŒÍÂÅÐ 90 «Ö§¶×ÍÇ‹Ò໚¹¤ÇÒÁᵡµ‹Ò§·ÕÁÕ
    é                   é Ñ              ‹        Ù             (2)
                                                                      è                       è
¤ÇÒÁÊíҤѭÍ‹ҧÂÔ§    è
          µÒÁʶԵ¢Í§»ÃÐà·È·Õ¾²¹ÒáÅŒÇ àª‹¹ »ÃÐà·Èã¹·ÇÕ»ÂØâûËÃ×ÍÍàÁÃÔ¡Ò ¾ºÇ‹ÒÁÕͺµ¡Òó
                    Ô             è Ñ                                                Ø Ñ Ô
¡ÒÃà¡Ô´âäÁÐàÃç§Ãѧ䢋»ÃÐÁÒ³ 15.5 ÃÒµ‹Í»ÃЪҡÃʵÃÕ 100,000 ÃÒµ‹Í»‚ËÃ×ÍÍÒ¨¡Å‹ÒÇä´ŒÇÒ           ‹
ÁÕ¤ÇÒÁªØ¡¢Í§âäµÅÍ´ª‹Ç§ªÕǵ¢Í§ÊµÃÕ(lifetime prevalence)»ÃÐÁҳÌÍÂÅÐ 1 - 2 â´ÂÁÑ¡à¡Ô´ã¹
                                Ô
¡ÅØÁʵÃÕ·ËÁ´ÃдÙä»áÅŒÇ (1 µ‹Í 2,500 ÃÒÂ)(3) ÊíÒËÃѺ㹻ÃÐà·Èä·ÂÁÕ¡ÒÃÊíÒÃǨâ´ÂʶҺѹÁÐàÃç§
        ‹  Õè
áË‹§ªÒµÔã¹»‚¾.È. 2543 ¾ºÇ‹ÒÁÕͺµ¡Òó¢Í§ÁÐàÃç§Ãѧ䢋 5 ÃÒµ‹Í»ÃЪҡÃʵÃÕ 100,000 ÃÒÂ
                                      Ø Ñ Ô

ÊÒà˵آͧÁÐàÃç§Ãѧ䢋
         ã¹»˜¨¨Øº¹ÂѧäÁ‹·ÃÒºÊÒà˵آͧ¡ÒÃà¡Ô´ÁÐàÃç§Ãѧ䢋 ᵋ¾ºÇ‹Ò¡ÒÃà¡Ô´ÁÐàÃç§Ãѧ䢋â´Â੾ÒÐ
                  Ñ
Í‹ҧÂÔ§ª¹Ô´à¹×ÍàÂ×ÍºØ¼Ç «Ö§à»š¹ÁÐàÃç§Ãѧ䢋·¾ºº‹Í·ÕÊ´ÁÕ¤ÇÒÁÊÑÁ¾Ñ¹¸¡º»˜¨¨ÑºҧÍ‹ҧ´Ñ§¹Õé
       è        é è Ô è                      Õè       èØ              Ñ
         »˜¨¨Ñ·ÕʧàÊÃÔÁËÃ×ÍÊÑÁ¾Ñ¹¸¡º¡ÒÃà¡Ô´ÁÐàÃç§Ãѧ䢋
                 è‹                  Ñ
         1. ¡ÒÃ໚¹âÊ´ËÃ×ÍäÁ‹ÁºµÃÕ Ø
         2. ÀÒÇÐÁÕºµÃÂÒ¡
                     Ø
         3. ¤ÇÒÁ¼Ô´»¡µÔ¢Í§ÊÒþѹ¸Ø¡ÃÃÁËÃ×ÍÂչʏºÒ§ª¹Ô´
356                         Screening in Common Gynecologic Cancer : Ovarian Cancer Screening

         ã¹¼Ù»ÇÂÁÐàÃç§Ãѧ䢋·§ËÁ´¾ºÇ‹ÒÃŒÍÂÅÐ 5-10 ÁÕ¤ÇÒÁÊÑÁ¾Ñ¹¸¡º¡Òö‹Ò·ʹ·Ò§¾Ñ¹¸Ø¡ÃÃÁ
              Œ †                Ñé                                 Ñ
(inherited predisposition) (1, 4, 5)
                                     â´ÂÁÕ¡Òö‹Ò·ʹ·Ò§¾Ñ¹¸Ø¡ÃÃÁẺ autosomal dominant ºØ¤¤Å
ã´¡çµÒÁ·ÕÁ¡Òö‹Ò·ʹ·Ò§¾Ñ¹¸Ø¡ÃÃÁ¢Í§ÊÒþѹ¸Ø¡ÃÃÁ·Õ¼´»¡µÔºÒ§ª¹Ô´àËŋҹÕé âÍ¡ÒÊ·Õ¨Ðà¡Ô´âä
          è Õ                                             è Ô                      è
ÁÐàÃç§Ãѧ䢋䴌ʧ¡Ç‹Ò»ÃЪҡÃâ´Â·ÑÇä»
                  Ù                     è

         ÍѵÃÒ¤ÇÒÁàÊÕ觪ÑèǪÕÇÔµµ‹Í¡ÒÃà¡Ô´ÁÐàÃç§Ãѧ䢋(6)
         »ÃЪҡ÷ÑÇä»
                    è                                                         ÃŒÍÂÅÐ 1.6
         ÁÕ­ÒµÔã¹ÅíҴѺ¢Ñ¹·Õè 1 ˹֧¤¹à»š¹âäàÁ×ÍÍÒÂØ < 55 »‚
                         é         è            è                             ÃŒÍÂÅÐ 5.2
         ÁÕ­ÒµÔã¹ÅíҴѺ¢Ñ¹·Õè 1 ˹֧¤¹à»š¹âäàÁ×ÍÍÒÂØ > 55 »‚
                             é       è            è                           ÃŒÍÂÅÐ 3.4
         ÁÕ­ÒµÔã¹ÅíҴѺ¢Ñ¹·Õè 1 Êͧ¤¹à»š¹âä
                           é                                                  ÃŒÍÂÅÐ 7
         ໚¹¾ÒËТͧÂÕ¹ BRCA1 ·Õ¼´»¡µÔ è Ô                                    ÃŒÍÂÅÐ 28 - 44
         ໚¹¾ÒËТͧÂÕ¹ BRCA2 ·Õ¼´»¡µÔ  è Ô                                   ÃŒÍÂÅÐ 27
         ໚¹¾ÒËТͧÂÕ¹ HNPCC ·Õ¼´»¡µÔ   è Ô                                  ÃŒÍÂÅÐ 12

          ¡Ò÷ÕÁ»ÃÐÇѵ¢Í§¤¹ã¹¤Ãͺ¤ÃÑÇ໚¹ÁÐàÃç§àµŒÒ¹ÁáÅÐ/ËÃ×ÍÁÐàÃç§Ãѧ䢋 â´Â੾ÒÐàÃÔÁ໚¹
               è Õ    Ô                                                                  è
àÁ×ÍÍÒÂØ¤Í¹¢ŒÒ§¹ŒÍÂáÅÐ໚¹ËÅÒ¤¹ ໚¹µÑǪպ§ä´ŒÇÒÍÒ¨ÁÕ¤ÇÒÁ¼Ô´»¡µÔ¢Í§ÊÒþѹ¸Ø¡ÃÃÁºÒ§ª¹Ô´
   è       ‹                              é ‹ ‹
ઋ¹ BRCA1 ËÃ×Í BRCA2 «Ö§ÍҨ䴌ú¡Òö‹Ò·ʹÁÒ¡¨Ò¡ºÔ´ÒËÃ×ÍÁÒÃ´Ò â»ÃµÕ¹·Õà¡Ô´¨Ò¡¡ÒÃ
                              è    Ñ                                                è
¼ÅÔµâ´ÂÊÒþѹ¸Ø¡ÃÃÁ·ÕÁ¤ÇÒÁ¼Ô´»¡µÔ¹¨ÐÊ‹§¼ÅàÊÕµ‹Í¢ºÇ¹¡Òë‹ÍÁá«Áà¹×ÍàÂ×Í ÊíÒËÃѺ㹤Ãͺ
                        è Õ          Õé                                    é è
¤ÃÑÇ·ÕÁ»ÃÐÇѵ¢Í§ÁÐàÃç§àÂ×ͺØâ¾Ã§Á´ÅÙ¡, ÁÐàÃç§ÅíÒäÊŒãË­‹, ÁÐàÃç§Ãѧ䢋 ËÃ×ÍÁÐàÃç§Í×¹ æ ÍÒ¨ÁÕ¡ÒÃ
      è Õ       Ô           è                                                     è
¶‹Ò·ʹ·Ò§¾Ñ¹¸Ø¡ÃÃÁ¢Í§ Lynch II ËÃ×Í hereditary non-polyposis colorectal cancer (HNPCC)
syndrome «Ö§ÊÁÒªÔ¡¢Í§¤Ãͺ¤ÃÑÇàËŋҹդÇèÐ䴌ú¡ÒõÃǨà¾ÔÁàµÔÁáÅзíÒ¾§ÈÒÇÅÕµÍä» (family
             è                          é       Ñ             è                       ‹
tree)

          »˜¨¨Ñ·ÕèÅ´ËÃ×Í»‡Í§¡Ñ¹¡ÒÃà¡Ô´ÁÐàÃç§Ãѧ䢋 (1)
          1. ¡ÒÃÁÕºµÃ ¾ºÇ‹Ò¡ÒÃÁÕºµÃ 1 ¤¹ª‹ÇÂÅ´¤ÇÒÁàÊÕ§µ‹Í¡ÒÃà¡Ô´ÁÐàÃç§Ãѧ䢋ÃÍÂÅÐ 30-40
                     Ø                   Ø                             è                           Œ
          2. ¡ÒÃ㪌ÂÒàÁç´¤ØÁ¡íÒà¹Ô´ ¾ºÇ‹Ò¡ÒÃ㪌ÂÒàÁç´¤ØÁ¡íÒà¹Ô´µÔ´µ‹Í¡Ñ¹µÑ§áµ‹ 5 »‚¢¹ä»ª‹ÇÂÅ´
                                                                                          é          Öé
¤ÇÒÁàÊÕ§ µ‹Í¡ÒÃà¡Ô´ÁÐàÃç§Ãѧ䢋ÃÍÂÅÐ 50
        è                              Œ
          3. ¡ÒÃ¾Ô ¨ ÒóҼ‹ Ò µÑ ´ ÃÑ § 䢋 à ¾×è Í »‡ Í §¡Ñ ¹ ¡ÒÃà¡Ô ´ âäã¹ÊµÃÕ ·Õè ÁÕ ¤ ÇÒÁ¼Ô ´ »¡µÔ ¢ ͧÊÒÃ
¾Ñ¹¸Ø¡ÃÃÁ (prophylactic oophorectomy)
          ÁÕ¡ÒÃá¹Ð¹íÒ¡Òü‹ÒµÑ´à¾×èÍÅ´ÍѵÃÒàÊÕè§µ‹Í¡ÒÃà¡Ô´âäÁÐàÃç§Ãѧ䢋ã¹ÊµÃÕ·ÕèÁÕ¤ÇÒÁ¼Ô´»¡µÔ
¢Í§ÊÒþѹ¸Ø¡ÃÃÁºÒ§ª¹Ô´ ઋ¹ÊµÃÕ·Õè໚¹ËÒËТͧ BRCA1 áÅÐ BRCA2 ·Õè¼Ô´»¡µÔ á¹Ð¹íÒÇ‹Ò
àÁ×ÍÁÕÍÒÂØ 35 »‚áÅÐÁÕ¤Ãͺ¤ÃÑÇ·ÕÊÁºÙóáÅŒÇ ¤ÇÃ䴌ú¡Òü‹ÒµÑ´»‚¡Á´ÅÙ¡·Ñ§ 2 ¢ŒÒ§ (bilateral salpingo-
   è                           è                              Ñ                   é
oophorectomy) ÊíÒËÃѺʵÃÕ·Õè໚¹ËÒËТͧ HNPCC ·Õè¼Ô´»¡µÔ ¤ÇÃä´ŒÃѺ¡Òü‹ÒµÑ´Á´ÅÙ¡áÅÐ
»‚¡Á´ÅÙ¡·Ñ§ 2 ¢ŒÒ§ (hysterectomy with bilateral salpingo-oophorectomy) áÅÐÃÐËNjҧ·Õ§äÁ‹ä´ŒÃº
             é                                                                                          è Ñ   Ñ
àǪÈÒʵÏ·¹Âؤ 2553
          Ñ                                                                                                   357

¡Òü‹ÒµÑ´¤Ç÷ըеÃǨ¤Ñ´¡ÃͧʵÃÕàËŋҹմÇ¡ÒõÃǨàÅ×Í´ËÒ CA125 ËÇÁ¡Ñº¡ÒõÃǨÍÑŵÃÒ
                è                        é Œ
«Òǹ·Ò§ª‹Í§¤Åʹ໚¹ÃÐÂÐæ      (7)

        ÂѧäÁ‹ÁÕ¢ŒÍ¾ÔÊÙ¨¹Ç‹Ò¡ÒõÃǨ¤Ñ´¡ÃͧâäÁÐàÃç§Ãѧ䢋¹Õé ¨Ðà¾ÔèÁÍѵÃÒ¡ÒÃÍÂÙ‹ÃÍ´â´ÂÃÇÁä´Œ
à¾ÃÒÐáÁŒÇÒÃѧ䢋·§ 2 ¢ŒÒ§¨Ð䴌ú¡Òü‹ÒµÑ´ÍÍ¡ä»áÅŒÇ ¡ç§ÁÕ¤ÇÒÁàÊÕ§µ‹Í¡ÒÃà¡Ô´ÁÐàÃç§·ÕàÂ×ͺتͧ
           ‹       Ñé            Ñ                     Ñ          è                  è è ‹
·ŒÍ§ä´Œ

¡ÒõÃǨ¤Ñ´¡ÃͧÁÐàÃç§Ãѧ䢋
            ÇÔ¸Õ¡Ò÷Õè¨Ð¹íÒÁÒ㪌㹡ÒõÃǨ¤Ñ´¡ÃͧâäÁÐàÃç§Ãѧ䢋¹Õé¤ÇõŒÍ§ÁÕ¤ÇÒÁäÇÊÙ§ (high
sensitivity) ÁÒ¡¡Ç‹ÒÃŒÍÂÅÐ 75 ÊíÒËÃѺâäã¹ÃÐÂзÕè 1 áÅÐÁÕ¤ÇÒÁ¨íÒà¾ÒÐÊÙ§ (high specificity)
ÁÒ¡¡Ç‹ÒÃŒÍÂÅÐ 99.6 à¾×ͷըзíÒãˌ䴌 positive predictive value Í‹ҧ¹ŒÍÂÃŒÍÂÅÐ 10 ¤×Í ã¹ÊµÃÕ
                                    è è
·Ñ§ËÁ´ 10 ÃÒ·ÕÁ¼Å¡ÒõÃǨ¤Ñ´¡Ãͧ໚¹ºÇ¡ µŒÍ§ÁռźǡÅǧäÁ‹à¡Ô¹ 9 ÃÒÂ(7) à¹×ͧ¨Ò¡àÁ×Í
    é                     è Õ                                                                        è            è
ÁռŵÃǨ¤Ñ´¡Ãͧ໚¹ºÇ¡áŌǨеŒÍ§ä´ŒÃѺ¡ÒõÃǨà¾ÔèÁàµÔÁ䴌ᡋ ¡Òü‹ÒµÑ´ laparoscopy ËÃ×Í
laparotomy µ‹Íä»(8)
            áÁŒÇÒâäÁÐàÃç§Ãѧ䢋¹¨ÐÁÕͺµ¡Òó¹ÍÂàÁ×Íà»ÃÕºà·Õº¡ÑºÁÐàÃç§Ê‹Ç¹Í×¹æ ᵋà¹×ͧ¨Ò¡à»š¹
                    ‹                     Õé Ø Ñ Ô                Œ è                   è              è
âä·ÕÁ͹µÃÒÂÁÒ¡¨Ö§ÁÕ¡Ò÷íÒÇÔ¨Âà¡ÕÂǡѺ¡ÒõÃǨ¤Ñ´¡Ãͧâä¡Ñ¹Í‹ҧ¡ÇŒÒ§¢ÇÒ§ ·ÕÁ¡ÒáŋÒǶ֧
        è ÕÑ                                     Ñ è                                             è Õ
¡Ñ¹ÁÒ¡·Õʴ䴌ᡋ¡ÒÃÇԨ¢ͧ The UK Collaborative Trial of Ovarian Cancer Screening (UKCTOCS) (9)
               èØ                 Ñ
«Ö§ÃÒ§ҹ¼Å prevalence screen àÁ×Íà´×͹àÁÉÒ¹ ¾.È. 2552 㹡ÒõÃǨ¤Ñ´¡ÃͧâäÁÐàÃç§
  è                                                    è
Ãѧ䢋ã¹ÊµÃÕÇÂËÁ´ÃдÙÍÒÂØ 50 - 74 »‚ ÃÇÁ·Ñ§ÊÔ¹ 202,638 ÃÒ «Ö§à»š¹¡ÒÃÇԨ·ÕÁ¢¹Ò´ãË­‹·Ê´
                      Ñ                                            é é     è           Ñ è Õ               Õè Ø
ã¹»˜¨¨Øº¹ â´Âà¡çº¢ŒÍÁÙÅÃÐËNjҧ»‚¾.È. 2544 ¶Ö§¾.È. 2548 ´ŒÇÂÇÔ¸¡ÒõÃÇ¨áººÊØÁÍ‹ҧÁÕÃкº
             Ñ                                                               Õ               ‹
(Randomized controlled trial) (¤Ø³ÀÒ¾ËÅÑ¡°Ò¹ÃдѺ 1) â´Â¨Ò¡¼Å¡ÒÃÈÖ¡ÉÒàº×ͧµŒ¹¾ºÇ‹Ò¡Òà      é
µÃǨ¤Ñ´¡ÃͧâäÁÐàÃç§Ãѧ䢋´Ç¡ÒõÃǨÇÑ´ÃдѺà«ÃÑÁ CA125 »‚ÅÐ 1 ¤Ãѧ áÅеÃǨÍÑŵÃÒ«Òǹ
                                             Œ                         è          é
Ãѧ䢋àÁ×ÍÁռšÒõÃǨàÅ×Í´·Õ¼´»¡µÔÁ¤ÇÒÁäÇÃŒÍÂÅÐ 89.4 ¤ÇÒÁ¨íÒà¾ÒÐÃŒÍÂÅÐ 99.8 ¤‹Ò positive
          è                                 è Ô          Õ
predictive value ÃŒÍÂÅÐ 43.3 㹡ÒõÃǨâäÁÐàÃç§Ãѧ䢋áÅÐÁÐàÃç§·‹Í¹íÒ䢋ÀÒÂã¹ÃÐÂÐàÇÅÒ 1 »‚
·ÕµÃǨ¤Ñ´¡Ãͧâä «Ö§¼Å´Ñ§¡Å‹ÒǹշÒãËŒÊÒÁÒöŴÍѵÃÒ¡Òü‹ÒµÑ´ã¹¡ÅØÁ·ÕÁ¼Å¡ÒõÃǨ¤Ñ´¡Ãͧ
      è                         è                  é í                           ‹ è Õ
໚¹ºÇ¡ ŧàËÅ×Í 2.3 ÊíÒËÃѺ¼Å¢Í§¡ÒõÃǨ¤Ñ´¡Ãͧâ䵋ÍÍѵÃÒ¡ÒõÒ¨ҡâä¹Ñ¹¨ÐÊÃØ»¼Åä´Œ            é
ã¹»‚¾.È. 2557
            à¹×ͧ¨Ò¡ÁÒ¡¡Ç‹ÒÃŒÍÂÅÐ 90 ¢Í§¼Ù»ÇÂÁÐàÃç§Ãѧ䢋äÁ‹Á¤ÇÒÁà¡ÕÂÇ¢ŒÍ§¡Ñº¡Òö‹Ò·ʹ·Ò§
                  è                                        Œ †           Õ     è
¾Ñ¹¸Ø¡ÃÃÁ ¨Ö§Ê¹ÑºÊ¹Ø¹ãËŒµÃǨ¤Ñ´¡Ãͧâäã¹ÊµÃÕ·ÕèÍÂÙ‹ã¹ÇÑÂËÁ´ÃдÙáÅŒÇËÃ×ÍÁÕÍÒÂØ 50 »‚¢Öé¹ä»
ᵋ㹤Ãͺ¤ÃÑÇ·ÕèÁÕ»ÃÐÇѵԡÒö‹Ò·ʹ·Ò§¾Ñ¹¸Ø¡ÃÃÁËÃ×ÍʧÊÑÂÇ‹ÒÁÕÊÒþѹ¸Ø¡ÃÃÁ·Õè¼Ô´»¡µÔ
ઋ¹ BRCA1, BRCA2 ËÃ×Í HNPCC ¤ÇÃàÃÔÁ¡ÒõÃǨ¤Ñ´¡ÃͧâäãËŒàÃçÇ¢Ö¹ â´ÂÁÕ¡ÒÃÈÖ¡ÉÒÇÔ¨Â
                                                                è                   é                           Ñ
ẺµÃǨµÔ´µÒÁ仢ŒÒ§Ë¹ŒÒ (Prospective cohort study) (¤Ø³ÀÒ¾ËÅÑ¡°Ò¹ÃдѺ 2) ã¹¡ÅØÁʵÃÕ·Õè                  ‹
ÁÕ¤ÇÒÁàÊÕ§ÊÙ§â´ÂàÃÔÁµÃǨµÑ§áµ‹ÍÒÂØ 35 »‚¢¹ä»â´Â¡ÒÃÇÑ´ÃдѺ CA125 ã¹àÅ×ʹËÇÁ¡Ñº¡ÒõÃǨ
                è             è         é                    Öé
ÍÑŵÃÒ«ÒǹÃ§ä¢‹·¡ 6 à´×͹ ´Ñ§á¼¹ÀÙÁÔ
                        Ñ Ø                  (3)
358                          Screening in Common Gynecologic Cancer : Ovarian Cancer Screening




         á¼¹ÀÙÁÔ áÊ´§á¹Ç·Ò§»¯ÔºÑµÔ㹡ÒôÙáÅʵÃÕ·ÕèÁÕ¤ÇÒÁàÊÕè§໚¹ÁÐàÃç§Ãѧ䢋 (3)

          ¡ÒõÃǨ¤Ñ´¡ÃͧâäÁÐàÃç§Ãѧ䢋ã¹ÊµÃÕ¡ÅØ‹Á·ÕèÁÕ¤ÇÒÁàÊÕè§ÊÙ§µÒÁá¼¹ÀÙÁԴѧ¡Å‹ÒǹÕ龺NjÒ
ÁÕ¤ÇÒÁ¨íÒà¾ÒÐÃŒÍÂÅÐ 98.7 áÅÐ ¤‹Ò positive predictive value ÃŒÍÂÅÐ 10 ÊíÒËÃѺ¤‹Ò¤ÇÒÁäǹѹ                       é
äÁ‹ÊÒÁÒö¤íҹdz䴌à¹×ͧ¨Ò¡µÃǨ¾ºÇ‹ÒÁÕ¼»ÇÂÁÐàÃç§Ãѧ䢋ã¹ÊµÃÕ¡ÅØÁ¹Õà¾Õ§ 1 ÃÒ «Ö§¼ÙǨ¤Դ
                           è                  ÙŒ †                                    ‹ é            è ŒÔÑ
Ç‹Òà¡Ô´¨Ò¡¨íҹǹ»ÃЪҡ÷չÒÁÒÈÖ¡ÉÒÁÕ¹ÍÂà¡Ô¹ä»
                                 è í        Œ
          ¡Ò÷Õè ¨ зí Ò ¡ÒõÃǨ¤Ñ ´ ¡ÃͧÁÐàÃç § ÃÑ § 䢋 à ª‹ ¹ ¹Õé ä ´Œ ¨ еŒ Í §àÃÔè Á ¨Ò¡¡ÒõÃǨËÒʵÃÕ ·Õè ÁÕ
¤ÇÒÁÊÕ§ÊÙ§, ÁÕËͧ»¯Ôºµ¡ÒÃÊíÒËÃѺ¡ÒõÃǨÇÑ´ÃдѺ CA125 áÅÐÁÕº¤Åҡ÷ÕÁ¤³ÀÒ¾ÊíÒËÃѺãËŒ
        è           Œ        Ñ Ô                                                       Ø      è Õ Ø
ºÃÔ¡ÒõÃǨÍÑŵÃÒ«ÒǹÍÇÑÂÇÐã¹ÍØŒ§àªÔ§¡ÃҹʵÃÕâ´Â੾ÒÐ «Öè§¡ÒõÃǨ¤Ñ´¡Ãͧઋ¹¹Õé¨Ð·íÒãËŒ
µÃǨ¾º¼ÙŒ»†ÇÂÁÐàÃç§Ãѧ䢋ã¹ÃÐÂÐááÁÒ¡¢Öé¹ ·íÒãˌ໚¹»ÃÐ⪹µ‹Í¡ÒÃÃÑ¡ÉÒáÅÐà¾ÔèÁÍѵÃÒ¡ÒÃ
ÍÂÙÃÍ´·Õè 5 »‚ ᵋ§äÁ‹Á¢ÍÁÙÅ·Õṋª´¶Ö§»ÃÐ⪹µÍÍѵÃÒ¡ÒÃÃÍ´ªÕǵâ´ÂÃÇÁáÅÐÂѧäÁ‹Á§Ò¹ÇÔ¨Â
    ‹                  Ñ Õ Œ         è Ñ                  ‹                         Ô                  Õ         Ñ
ã´¤íҹdz¶Ö§¤ÇÒÁ¤ØŒÁ¤‹Ò¢Í§¡ÒõÃǨ¤Ñ´¡Ãͧâäઋ¹¹ÕéÃÇÁ·Ñé§¼ÅàÊÕÂËÃ×ͼŢŒÒ§à¤Õ§¡Ã³Õ·ÕèÁÕ¼Å
¡ÒõÃǨ໚¹¼ÅºÇ¡Åǧ

ÊÃØ»
        ¨¹¶Ö§»˜¨¨Øº¹¹Õé ¡ÒõÃǨ¤Ñ´¡ÃͧâäÁÐàÃç§Ãѧ䢋§໚¹ËÑÇ¢ŒÍ·Õ§äÁ‹Á¢ÍÊÃØ»·Õª´à¨¹ÊíÒËÃѺ
                    Ñ                                   Ñ          è Ñ ÕŒ        è Ñ
¡ÅØ‹Á»ÃЪҡ÷ÑèÇæä» à¹×èͧ¨Ò¡à»š¹âä·Õ辺䴌¹ŒÍÂáÁŒÇ‹Ò¨ÐÁÕÍѹµÃÒÂÃŒÒÂáç ¡ÒõÃǨ¤Ñ´¡Ãͧ
¨Ö§¹‹Ò¨ÐÁÕ»ÃÐ⪹ÊÒËÃѺ»ÃÐªÒ¡Ã¡ÅØÁàÊÕ§«Ö§ä´Œá¡‹º¤¤Å·ÕÁ»ÃÐÇѵ·Ò§¾Ñ¹¸Ø¡ÃÃÁËÃ×ÍÁռšÒÃ
                      í              ‹ è è            Ø    è Õ        Ô
µÃǨNjÒÁÕ¤ÇÒÁ¼Ô´»¡µÔ¢Í§ÊÒþѹ¸Ø¡ÃÃÁºÒ§ª¹Ô´àª‹¹ BRCA1, BRCA2 ËÃ×Í HNPCC ÊíÒËÃѺ»ÃÐà´ç¹
·Õ§໚¹¢ŒÍ¶¡à¶Õ§¡Ñ¹ÍÂÙ䴌ᡋ
  è Ñ                      ‹
        1. àÁ×ÍÁռšÒõÃǨ¤Ñ´¡Ãͧ·Õ¼´»¡µÔ ¢Ñ¹µÍ¹µ‹Í令×Í¡ÒõÃǨ»ÃÐàÁÔ¹áÅСÒü‹ÒµÑ´
               è                       è Ô       é
ÍÒ¨·íÒãËŒà¡Ô´¾ÂÒ¸ÔÊÀÒ¾ËÃ×ÍÀÒÇÐá·Ã¡«ŒÍ¹ä´Œâ´Â੾ÒÐÍ‹ҧÂÔ§¡Ã³Õ໚¹·Õ໚¹¼ÅºÇ¡Åǧ ´Ñ§¹Ñ¹
                                                               è         è                  é
¨ÐµŒÍ§¤íÒ¹Ö§¶Ö§¢ŒÍ´Õ¢ŒÍàÊÕÂÃÐËNjҧ¤ÇÒÁàÊÕè§µ‹Í¡ÒÃà¡Ô´ÀÒÇÐá·Ã¡«ŒÍ¹ã¹ÊµÃÕ·ÕèÁռźǡÅǧáÅÐ
»ÃÐ⪹¡Ã³Õ·ÊµÃÕ¹¹Áռźǡ¨ÃÔ§ãËŒ´Õ
                 Õè     Ñé
àǪÈÒʵÏ·¹Âؤ 2553
          Ñ                                                                                                   359

         2. ¡ÒÃËÒÇÔ¸¡ÒõÃǨ¤Ñ´¡Ãͧ·ÕàËÁÒÐÊÁ·Ñ§ã¹´ŒÒ¹¤ÇÒÁäÇ, ¤ÇÒÁ¨íÒà¾ÒÐáÅФ‹Ò positive
                           Õ               è         é
predictive value «Ö§à¤Ã×ͧÁ×Í·Õ㪌㹻˜¨¨Øº¹¹Ñ¹ÂѧÁÕ¤ÇÒÁàËÁÒÐÊÁäÁ‹ÁÒ¡¾Í ¤ÇÒÁ·ŒÒ·Ò¤×͵ŒÍ§ËÒ
                   è è            è       Ñ é
à¤Ã×ͧÁ×ͪ¹Ô´ãËÁ‹·ÊÒÁÒöµÃǨ¾ºâä䴌µ§áµ‹ã¹ÃÐÂС‹Í¹à»š¹ÁÐàÃç§ËÃ×Í¡‹Í¹·Õ¨ÐÁÕÍÒ¡ÒÃ
    è                Õè                       Ñé                             è
         3. ¡ÒáíÒ˹´¡ÅØÁ»ÃЪҡÃ㹡ÒõÃǨ¤Ñ´¡Ãͧâä·ÕàËÁÒÐÊÁ à¹×ͧ¨Ò¡¼Ù»ÇÂÁÐàÃç§Ãѧ䢋
                                ‹                             è         è      Œ †
ÁÒ¡¡Ç‹ÒÃŒÍÂÅÐ 90 äÁ‹Á¤ÇÒÁà¡ÕÂÇ¢ŒÍ§¡Ñº¾Ñ¹¸Ø¡ÃÃÁáÅÐÁÑ¡à¡Ô´àÁ×ÍÍÒÂØÁÒ¡¡Ç‹Ò 50 »‚ ¡ÒõÃǨ¤Ñ´
                             Õ      è                           è
¡Ãͧâä੾ÒÐã¹¡ÅØÁ·ÕÁ»ÃÐÇѵ·Ò§¾Ñ¹¸Ø¡ÃÃÁ¨Ö§¤Ãͺ¤ÅØÁ»ÃЪҡ÷ÕÁ¤ÇÒÁàÊÕ§µ‹Í¡ÒÃà¡Ô´âä
                          ‹ è Õ       Ô                             è Õ    è
à¾Õ§ÌÍÂÅÐ 10 ෋ҹѹ ¨Ö§¤ÇäíÒ¹Ö§¶Ö§»ÃÐªÒ¡Ã¡ÅØÁãË­‹â´Â·ÑÇä»´ŒÇÂ
                        é                          ‹        è

àÍ¡ÊÒÃ͌ҧÍÔ§
1.   Berek JS, Natarajan S. Section VIII - Gynecologic oncology > 35 - ovarian and fallopian tube cancer In: Berek
     JS, editor. Berek & Novak’s Gynecology, 14th Edition. Lippincott Williams & Wilkins; 2007 p. 1457-549.
2.   Nossov V, Amneus M, Su ., Lang J, Janco JM, Reddy ST, et al. The early detection of ovarian cancer: from
     traditional methods to proteomics. Can we really do better than serum CA-125?. Am J Obstet Gynecol.
     2008;199(3):215-23.
3.   Bosse K, Rhiem K, Wappenschmidt B, Hellmich M, Madeja M, Ortmann M, et al. Screening for ovarian cancer
     by transvaginal ultrasound and serum CA125 measurement in women with a familial predisposition: a prospective
     cohort study. Gynecol. Oncol 2006;103(3):1077-82.
4.   Cannistra SA. Cancer of the ovary. N Engl J Med 2004;351(24):2519-29.
5.   Kavanagh JJ, Pecorelli S, Benedet J, See H, Ngan HY. Cancer of the ovary In: Benedet J, Pecorelli S, Ngan
     HY, Hacker N., editors. Staging classifications and clinical practice guidelines for gynaecological cancers
     .Elsevier; 2006. p. 95-121.
6.   Carlson KJ, Skates SJ, Singer DE. Screening for ovarian cancer. Ann Intern Med 1994 ;121(2):124-32.
7.   Bast RC, Jr., Brewer M, Zou C, Hernandez MA, Daley M, Ozols R, et al. Prevention and early detection of
     ovarian cancer: mission impossible? Recent Results Cancer Res. 2007;174:91-100.
8.   Jacobs IJ, Menon U. Progress and challenges in screening for early detection of ovarian cancer. Mol Cell
     Proteomics. 2004;3(4):355-66.
9.   Menon U, Gentry-Maharaj A, Hallett R, Ryan A, Burnell M, Sharma A, et al. Sensitivity and specificity of
     multimodal and ultrasound screening for ovarian cancer, and stage distribution of detected cancers: results of
     the prevalence screen of the UK Collaborative Trial of Ovarian Cancer Screening (UKCTOCS). Lancet Oncol.
     2009;10(4):327-40.
àǪÈÒʵÏ·¹Âؤ 2553
          Ñ                                                                     º··Õè       361

                                                                                 54
                  ¡Òû‡Í§¡Ñ¹ÀÒÇÐÊÁͧàÊ×èÍÁÃдѺ»°ÁÀÙÁÔ
                                      ¼ÙŒª‹ÇÂÈÒʵÃÒ¨ÒÏ ¹ÒÂᾷÇÕÃÈÑ¡´Ôì àÁ×ͧä¾ÈÒÅ
        ÀÒ¤ÇÔªÒàǪÈÒʵϻͧ¡Ñ¹áÅÐÊѧ¤Á ¤³Ðá¾·ÂÈÒʵÏÈÃÃÒª¾ÂÒºÒÅ ÁËÒÇÔ·ÂÒÅÑÂÁËÔ´Å
                         ‡                             ÔÔ

         ÀÒÇÐÊÁͧàÊ×èÍÁ໚¹âäàÃ×éÍÃѧ·Õè໚¹»˜­ËÒ¤ÇÒÁà¨çº»†ÇÂâ´ÂÃÇÁµ‹Í¼ÙŒ»†Ç ·íÒãËŒÊÙ­àÊÕÂ
¤ÇÒÁÊÒÁÒö㹡ÒôÙáŵ¹àͧ ÊÙ­àÊÕÂʶҹÀÒ¾·Ò§Êѧ¤Á áÅÐÂѧ¡‹ÍãËŒà¡Ô´ÀÒÃе‹Í¤Ãͺ¤ÃÑÇ
ÍÕ¡´ŒÇÂ(1) à¹×ͧ¨Ò¡¼Ù»Ç´Ùáŵ¹àͧäÁ‹ä´Œ ÁÕÍÒ¡Ò÷ҧ¾ÄµÔ¡ÃÃÁ·Õ¼´»¡µÔ ÍÒ¨¡‹ÍãËŒà¡Ô´ÍѹµÃÒÂËÃ×Í
              è       Œ †                                      è Ô
ú¡Ç¹¼ÙŒÍ×è¹ä´Œ ¹Í¡¨Ò¡¹Ñ鹤Ãͺ¤ÃÑÇáÅлÃÐà·ÈªÒµÔµŒÍ§ãªŒ¤‹Ò㪌¨‹ÒÂ㹡ÒôÙáÅÃÑ¡ÉÒ¼ÙŒ»†ÇÂ
໚¹»ÃÔÁÒ³ÁËÒÈÒÅ ä´ŒÁÕ¡ÒäҴ¡ÒóÇ‹Ò¨íҹǹ¼ÙŒ»†ÇÂâäÍÑÅä«àÁÍϨÐà¾ÔèÁ¢Ö鹨ҡ 26 Ōҹ¤¹
·ÑÇâš㹻˜¨¨Øº¹ ໚¹ 106 Ōҹ¤¹ ã¹»‚¾.È. 2593(2) ¼ÙʧÍÒÂØä·ÂÁժǧÍÒÂØ¢Â·Õ»ÅÍ´¨Ò¡»˜­ËÒ¤ÇÒÁ
  è               Ñ                                ŒÙ            ‹      Ñ è
¼Ô´»¡µÔ¢Í§¤ÇÒÁÊÒÁÒöÊÁͧ (cognitive impairment free life expectancy: CI.LE µÒÃÒ§·Õè 1)
·Õèᵡµ‹Ò§¡Ñ¹â´Â¼ÙŒÊÙ§ÍÒÂØË­Ô§¨ÐÁÕ CI.LE ·ÕèÊÑ鹡NjҼٌÊÙ§ÍÒÂØªÒ â´Â»˜¨¨Ñ·ÕèÊíҤѭ·Õè໚¹¼ÅãËŒ
¼ÙʧÍÒÂØÍÒÂØË­Ô§ÁÕ CI.LE ·Õʹ¡Ç‹Ò ¤×Í ÃдѺ¡ÒÃÈÖ¡ÉÒáÅÐàÈÃɰҹзռ˭ԧ´ŒÍ¡NjҼ٪ÒÂ(3)
  ŒÙ                        è Ñé                                      è ÙŒ              Œ
         ã¹»˜¨¨Øº¹¹Õ¶§áÁŒ¨ÐÁÕ¡Ò䌹¤ÇŒÒËÒÇԸ㹡ÒÃÃÑ¡ÉÒÀÒÇÐÊÁͧàÊ×ÍÁª¹Ô´µ‹Ò§æ Í‹ҧÁÒ¡ÁÒÂ
                    Ñ é Ö                     Õ                     è
ᵋ¡ÒÃÃÑ¡ÉÒʋǹãË­‹à·‹Ò·ÕèÁÕã¹»˜¨¨ØºÑ¹Âѧ໚¹¡ÒÃÃÑ¡ÉÒẺ»ÃФѺ»ÃФͧ áÅÐä´Œ¼Å¨íÒ¡Ñ´
¡ÒêÐÅÍ¡ÒÃà»ÅÕè¹á»Å§¢Í§âäËÃ×Í¡Òû‡Í§¡Ñ¹âä¨Ö§à»š¹ÊÔè§·ÕèÊíҤѭ㹡ÒèѴ¡ÒáѺ»˜­ËÒ
ÀÒÇÐÊÁͧàÊ×ÍÁã¹ÃдѺ»ÃЪҡà (whole population approach)
                è

µÒÃÒ§·Õè 1 áÊ´§ª‹ Ç §ÍÒÂØ ¢Ñ  ·Õè » ÅÍ´¨Ò¡»˜ ­ ËÒ¤ÇÒÁ¼Ô ´ »¡µÔ ¢ ͧ¤ÇÒÁÊÒÁÒöÊÁͧ
           (Cognitive impairment free life expectancy: CI.LE)(3)
à¾È       ÍÒÂØ (»‚)   Life expectancy       Cognitive impairment free life expectancy
                      (»‚)                  (CI.LE)
¼ÙªÒÂ
  Œ       50-54       26.9                  25.0
          55-59       23.2                  21.3
          60-64       19.7                  17.7
          65-69       16.3                  14.1
          70-74       13.2                  10.8
          75-79       10.4                  7.8
          80+         9.6                   7.5
362                                                   ¡Òû‡Í§¡Ñ¹ÀÒÇÐÊÁͧàÊ×èÍÁÃдѺ»°ÁÀÙÁÔ

à¾È      ÍÒÂØ (»‚)   Life expectancy      Cognitive impairment free life expectancy
                     (»‚)                 (CI.LE)
¼ÙË­Ô§
  Œ      50-54       29.4                 21.9
         55-59       25.3                 17.7
         60-64       21.4                 13.6
         65-69       17.7                 14.1
         70-74       14.2                 10.5
         75-79       11.0                 7.4
         80+         9.6                  7.0
·ÕÁÒ : Brookmeyer R, Johnson E, Ziegler-Graham K, Arrighi HM. .orecasting the global burden
  è
       of Alzheimer’s disease. Alzheimers Dement2007 Jul;3(3):186-91.

¡ÒôíÒà¹Ô¹âä¢Í§ÀÒÇÐÊÁͧàÊ×èÍÁ
          ᾷÁ¡¨Ð¤Ø¹à¤Â¡Ñº¡ÒôÙáżٻÇÂàÁ×ͼٻÇÂà¡Ô´ÍÒ¡Òâͧâä ᾷãËŒ¡ÒõÃǨ ÇÔ¹¨©ÑÂ
                  Ñ     Œ                 Œ † è Œ †                                   Ô
áÅÐÃÑ¡ÉÒ ¼Ù»ÇÂâäÍÑÅä«àÁÍÏÁÍÒÂØ¢Âà©ÅÕ 8-10 »‚µ§áµ‹àÃÔÁÁÕÍÒ¡Òâͧâä ᵋ㹻ÃÐà·Èä·Â
              Œ †                Õ       Ñ è        Ñé    è
¼Ù»ÇÂáÅÐ­ÒµÔ (ÃÇÁ¶Ö§ºØ¤¤Åҡ÷ҧ¡ÒÃᾷ) ÁÑ¡ÁÕ¤ÇÒÁµÐ˹ѡ¶Ö§âä¹Õ¹Í ¨Ö§·íÒãËŒ¼»ÇÂ
  Œ †                                                               é Œ             ÙŒ †
äÁ‹ä´ŒÃº¡ÒõÃǨÇÔ¹¨©ÑµѧᵋÃÐÂÐàÃÔÁáá
       Ñ              Ô   é            è      (4)

          ¡Òû‡Í §¡Ñ¹ âä¤Çôí Òà¹Ô ¹ ¡ÒõÅʹ㹪‹Ç§ latent phase áÅÐ preclinical phase
´Ñ§ÃÙ»·Õè 1




                     ÃÙ»·Õè 1 áÊ´§¡ÒôíÒà¹Ô¹âä¢Í§ÀÒÇÐÊÁͧàÊ×èÍÁ

º·ºÒ·áÅлÃÐÊÔ·¸ÔÀÒ¾¢Í§¡Òû‡Í§¡Ñ¹ÀÒÇÐÊÁͧàÊ×èÍÁ
        ÁҵáÒÃ㹡Òû‡Í§¡Ñ¹ÀÒÇÐÊÁͧàÊ×ÍÁÍÒ¨¾Ô¨ÒóÒ䴌໚¹ 3 ÃдѺ ´Ñ§¹Õé(5)
                                       è
        1. ¡Òû‡Í§¡Ñ¹âäÃдѺ»°ÁÀÙÁÔ (Primary prevention) ËÁÒ¶֧ ¡Òû‡Í§¡Ñ¹â䡋͹·Õè
¨ÐàÃÔÁÁÕ¡ÒÃà»ÅÕ¹á»Å§ã¹ÃдѺªÕÇÀÒ¾ ËÃ×Í¡Òû‡Í§¡Ñ¹»˜¨¨ÑÂàÊÕ§¢Í§âä ÊíÒËÃѺ»˜¨¨ÑÂàÊÕ§¢Í§
     è         è                                          è                        è
ÀÒÇÐÊÁͧàÊ×ÍÁ ä´ŒáÊ´§änj㹵ÒÃÒ§·Õè 2
             è
àǪÈÒʵÏ·¹Âؤ 2553
          Ñ                                                                                                  363

                    2. ¡Òû‡Í§¡Ñ¹âäÃдѺ·ØµÂÀÙÁÔ (Secondary prevention) ËÁÒ¶֧¡ÒõÃǨ¤Ñ´¡Ãͧâä
                                                 Ô
µÑ§áµ‹¼»ÇÂÂѧäÁ‹áÊ´§ÍÒ¡ÒÃÃØ¹áç à¾×Í·Õ¨Ð䴌ᡌ䢵ѧᵋÃÐÂÐáá áÁŒã¹»˜¨¨Øº¹ÁÕ¤ÇÒÁ¾ÂÒÂÒÁ
  é              ÙŒ †                              è è              é                              Ñ
·Õè¨ÐµÃǨ¤Ñ´¡ÃͧËÒ¼ÙŒ»†Ç·ÕèÁÕ¤ÇÒÁ¼Ô´»¡µÔàÅ硹ŒÍ¢ͧ¤ÇÒÁÊÒÁÒö¢Í§ÊÁͧ (mild cognitive
impairment : MCI) à¾×ͷըЪÐÅÍ¡ÒÃà¡Ô´âäÍÑÅä«àÁÍÏÍÍ¡ä» à¹×ͧ¨Ò¡¼Ù»Ç MCI ÁÕâÍ¡ÒÊà¡Ô´
                                 è è                                             è         Œ †
ÀÒÇÐÊÁͧàÊ×ÍÁâ´Â੾ÒÐâäÍÑÅä«àÁÍÏʧ¡Ç‹Ò»ÃЪҡ÷ÑÇä» ¤×Í âÍ¡ÒÊà»ÅÕ¹໚¹âäÍÑÅä«àÁÍÏ
                        è                              Ù              è                        è
ÃŒÍÂÅÐ 4.2 µ‹Í»‚ à·Õº¡ÑºÃŒÍÂÅÐ 1 - 2 µ‹Í»‚ã¹»ÃЪҡ÷ÑÇä» áµ‹¼Å¨Ò¡¡ÒÃãËŒÂÒà¾×ͪÐÅÍ¡ÒÃ
                          (6)
                                                                        è                              è
à¡Ô´âäÍÑÅä«àÁÍÏ ¾ºÇ‹Ò¨Ðä´Œ¼Å੾ÒÐã¹»‚áá෋ҹѹ ¹Í¡¨Ò¡¹Ñ¹ã¹»˜¨¨Øº¹ÂѧÁÕ¤ÇÒÁ¾ÂÒÂÒÁ·Õè
                                                                é             é              Ñ
¨Ð㪌µÑÇ·íÒ¹Òµ‹Ò§æ äÁ‹Ç‹Ò¨Ð໚¹¡ÒõÃǨ¤Å×è¹áÁ‹àËÅç¡ä¿¿‡ÒËÃ×Í¡ÒõÃǨ¹éíÒä¢ÊѹËÅѧ´Ñ§¡Å‹ÒÇ
¢ŒÒ§µŒ¹ à¾×Í·íÒ¹ÒÂâÍ¡ÒÊà¡Ô´ÀÒÇÐÊÁͧàÊ×ÍÁã¹Í¹Ò¤µ »˜¨¨Øº¹Âѧ໚¹àÃ×ͧ·Õ¤Í¹¢ŒÒ§ÂÒ¡·Õ¨ÐºÍ¡
                      è                                  è                Ñ              è è ‹               è
ä´ŒÇÒ¼Ù»ÇÂÃÒÂã´ÁÕâÍ¡ÒÊà¡Ô´ÀÒÇÐÊÁͧàÊ×ÍÁã¹Í¹Ò¤µ ¡àÇŒ¹ã¹¼Ù·Á¤ÇÒÁàÊÕ§·Ò§¾Ñ¹¸Ø¡ÃÃÁËÃ×Í
         ‹ Œ †                                       è                          Œ Õè Õ           è
ÍÂÙã¹ÊÀÒ¾áÇ´ÅŒÍÁ·ÕÍҨ໚¹ÊÒà˵آͧÀÒÇÐÊÁͧàÊ×ÍÁä´Œ
       ‹                       è                                  è
                    3. ¡Òû‡Í§¡Ñ¹âäÃдѺµµÔÂÀÙÁÔ (Tertiary prevention) ËÁÒ¶֧ ¡ÒêÐÅÍ¡ÒôíÒà¹Ô¹âä
àÁ×ͼٻÇÂÁÕÍÒ¡ÒÃáÊ´§¢Í§âäªÑ´à¨¹áÅŒÇ »˜¨¨Øº¹ÁÕÂÒËÅÒª¹Ô´·ÕÊÒÁÒöªÐÅÍ¡ÒôíÒà¹Ô¹âä䴌
      è Œ †                                                  Ñ                     è
ઋ¹ cholinesterase inhibitor, memantine áÅÐÇÔµÒÁÔ¹ÍÕ à»š¹µŒ¹ ¡Òû‡Í§¡Ñ¹¡ÒÃà¡Ô´âäËÅÍ´àÅ×Í´
ÊÁͧ«éÒ«ŒÍ¹ ËÃ×Í»˜¨¨Ñµ‹Ò§æ ·ÕÍÒ¨«éÒàµÔÁãËŒ¡Ò÷íÒ§Ò¹¢Í§ÊÁͧ¢Í§¼Ù»ÇÂàÅÇŧ¡ç໚¹¡ÅÇÔ¸¢Í§¡ÒÃ
               í                         è     í                                     Œ †                   Õ
»‡Í§¡Ñ¹âäÃдѺ¹Õé ¹Í¡¨Ò¡¹Ñ¹ÂѧÃÇÁ¶Ö§¡ÒÃᡌ䢻˜­ËÒ·Ò§¨ÔµàǪáÅоĵԡÃÃÁ·Õà¡Ô´ã¹¼Ù»Ç·Õè
                                       é                                                             è         Œ †
ÁÕÊÁͧàÊ×èÍÁ ÃÇÁ¶Ö§¡Ò÷íÒ¡ÒÂÀÒ¾ºíҺѴ «Ö觨Ъ‹Ç¼ٌ»†ÇÂáÅмٌ´Ùáżٌ»†ÇÂãËŒ´Õ¢Öé¹ä´ŒÃдѺ˹Öè§
¡ÒÃà¾ÔÁ¤Ø³ÀÒ¾¢Í§Ãкº¡ÒôÙáżٻÇÂäÁ‹ÇÒã¹ÃдѺ¤Ãͺ¤ÃÑÇËÃ×Í»ÃÐà·ÈªÒµÔ ઋ¹ ¡ÒõѧÊÁÒ¤Á
             è                               Œ †           ‹                                             é
¼Ù´áżٻÇÂÀÒÇÐÊÁͧàÊ×ÍÁ ¡Òýƒ¡·Ñ¡ÉСÒôÙáżٻÇ àËŋҹÕ໚¹µŒ¹ ¡ç໚¹¡Òê‹ÇªÐÅÍ»˜­ËÒ
    Œ Ù Œ †                        è                           Œ †          é
¢Í§¼Ù»Ç·Õà¡Ô´¨Ò¡ÊÁͧàÊ×ÍÁÇԸ˹֧
           Œ † è                     è     Õ è
364                                                     ¡Òû‡Í§¡Ñ¹ÀÒÇÐÊÁͧàÊ×èÍÁÃдѺ»°ÁÀÙÁÔ

µÒÃÒ§·Õè 2 »˜¨¨ÑÂàÊÕ觢ͧ¡ÒÃà¡Ô´ÀÒÇÐÊÁͧàÊ×èÍÁ(5)
»˜¨¨ÑÂàÊÕè§·Õ軇ͧ¡Ñ¹ËÃ×Íà»ÅÕè¹á»Å§ä´Œ        »˜¨¨ÑÂàÊÕè§·Õèà»ÅÕè¹á»Å§äÁ‹ä´Œ
!   ÀÒÇÐ͌ǹ                                    !   ÍÒÂØ
!   ¡ÒÃÊÙººØËÃÕè                                !   ÁÕ­ÒµÔÊÒµç·ÕÁÀÒÇÐÊÁͧàÊ×ÍÁ
                                                                   è Õ         è
!   ¡Òô×ÁÍÑÅ¡ÍÎÍŏ
            è                                   !   Mutation ¢Í§ÂÕ¹ APP, Presenilin 1 áÅÐ
!   ÀÒÇТҴÇÔµÒÁÔ¹                                  Presenilin 2
!   ¡ÒâҴ¡ÒÃÍÍ¡¡íÒÅѧ¡Ò                       !   APOE Genotype epsilon (?) 4/4
!   âä¤ÇÒÁ´Ñ¹àÅ×Í´ÊÙ§                          !   Down syndrome
!   âäàºÒËÇÒ¹áÅÐÀÒÇд×͵‹ÍÍÔ¹«ÙŹ
                           é          Ô         !   âä¾ÒÏ¡¹Êѹ áÅÐâä·Õà¡Ô´¨Ò¡¤ÇÒÁàÊ×ÍÁ
                                                             Ô           è              è
!   ÀÒÇÐä¢Áѹã¹àÅ×Í´¼Ô´»¡µÔ                         ¢Í§Ãкº»ÃÐÊÒ· (neurodegenerative
!   âäËÑÇ㨷շÒãËŒà¡Ô´âäËÅÍ´àÅ×Í´ÊÁͧª¹Ô´
                   è í                              disease) Í×¹æ
                                                               è
    ÅÔÁàÅ×Í´·ÕÁÒ¨Ò¡ËÑÇã¨ÍØ´µÑ¹(cardio-embolic
      è        è                                !   à¹×ͧ͡¢Í§ÊÁͧ
                                                       é
    stroke)
!   ÀÒÇÐÊÒÃâÎâÁ«ÔÊàµÍÕ¹ÊÙ§ã¹àÅ×Í´
    (hyperhomocysteinemia)
!   ¡ÒÃÃÑ¡ÉÒâ´ÂãËŒÎÍÏâÁ¹·´á·¹ (hormone
    replacement therapy)
!   ÍØºµà˵طÈÃÉÐ
        Ñ Ô      Õè Õ
!   ÃдѺ¡ÒÃÈÖ¡ÉÒµèíÒ
!   ÀÒÇТҴ͍͡«Ôà‹¹ã¹âÅËÔµ¢³Ð¤ÅÍ´
    (birth asphyxia)
!   ÀÒÇеԴàª×ÍÀÒÂã¹Á´ÅÙ¡ (intrauterine
                    é
    infection)
!   ÊÑÁ¼ÑÊÊÒþÔÉ
!   ÀÒÇЫÖÁÊѺʹà©Õº¾Åѹ (delirium)
!   ÀÒÇЫÖÁàÈÃŒÒ

¡Òû‡Í§¡Ñ¹ÀÒÇÐÊÁͧàÊ×èÍÁµÅÍ´·Ø¡ª‹Ç§ÍÒÂØ
(Life time course of prevention)
           ¡Òû‡Í§¡Ñ¹ÀÒÇÐÊÁͧàÊ×èÍÁã¹Í´ÕµÁѡ์¹ä»ã¹´ŒÒ¹¡Òû‡Í§¡Ñ¹âäàÁ×èÍ»ÃЪҡÃÁÕÍÒÂØ
ÇÑ¡ÅÒ§¤¹ËÃ×ÍÇÑÂÊÙ§ÍÒÂØà»š¹µŒ¹ä» Í‹ҧäáçµÒÁ¡Ò÷íÒ§Ò¹¢Í§ÊÁͧµŒÍ§ÁÕ¡ÒþѲ¹ÒÁҵѧᵋªÇ§
                                                                                     é    ‹
·ÕÍÂÙ㹤ÃÃÀÁÒÃ´Ò ¡Ò÷ÕÊÁͧÁÕÃдѺ¢Í§ÈÑ¡ÂÀÒ¾¡Ò÷íÒ§Ò¹ (cognitive reserve) ·ÕʧµÑ§áµ‹áá
  è ‹                    è                                                      èÙ é
àÃÔèÁ àÁ×èÍà¡Ô´¾ÂÒ¸ÔÊÀÒ¾¢Ö鹡ç¨Ð¶Ö§¢Õ´ (threshold) ·Õè·íÒãËŒà¡Ô´ÍÒ¡ÒèҡÀÒÇÐÊÁͧàÊ×èÍÁªŒÒŧ(7)
ÁØÁÁͧ¢Í§¡Òû‡Í§¡Ñ¹âäµÅÍ´·Ø¡ª‹Ç§ÍÒÂØ ÊÒÁÒöẋ§á¹Ç·Ò§¡Òû‡Í§¡Ñ¹Í͡䴌໚¹ 4 ÃдѺ
àǪÈÒʵÏ·¹Âؤ 2553
          Ñ                                                                                     365

         1. Genetic factors 䴌ᡋ ¤ÇÒÁ¼Ô´»¡µÔ mutation ¢Í§ÂÕ¹ amyloid precursor protein,
Presenilin 1 áÅÐ Presenilin 2 ໚¹µŒ¹ â´Â์¹ã¹¡Òû‡Í§¡Ñ¹ã¹´ŒÒ¹¡ÒõÃǨ·Ò§¾Ñ¹¸Ø¡ÃÃÁà¾×ÍËÒ       è
¤ÇÒÁ¼Ô´»¡µÔ㹭ҵԢͧ¼Ù»Ç ʋǹ Apo-lipoprotein E (APOE) Genotype epsilon (") 4/4 ÁÕ¼ÅãËŒ
                             Œ †
ÁÕ¡ÒÃÊÌҧÊÒà amyloid áÅзíÒãËŒ¼·ÁÕ genotype ´Ñ§¡Å‹ÒÇ à¡Ô´âäÍÑÅä«àÁÍÏàÃçÇ¢Ö¹ áÅмٻÇ MCI
                                     ÙŒ Õè                                         é       Œ †
·ÕÁÕ APOE " 4/4 ¨ÐÁÕâÍ¡ÒÊ´íÒà¹Ô¹âä໚¹âäÍÑÅä«àÁÍÏʧ¢Ö¹
  è                                                               Ù é
         2. Early life risk factors 䴌ᡋ ¡ÒôÙáŪ‹Ç§µÑ§¤ÃÃÀáÅФÅÍ´ à¾×ÍÅ´»˜­ËÒÀÒÇТҴ
                                                              é                  è
ÊÒÃÍÒËÒà ¡ÒõԴàª×Í㹤ÃÃÀ ¡ÒâҴÍÍ¡«Ôਹ㹪‹Ç§¤ÅÍ´ ¹Í¡¨Ò¡¹Ñ¹Ê¶Ò¹ÀÒ¾¢Í§¤Ãͺ¤ÃÑÇ
                      é                                                     é
ã¹´ŒÒ¹àÈÃɰҹР¢¹Ò´¢Í§¤Ãͺ¤ÃÑÇ ÍÒªÕ¾¢Í§ºÔ´ÒÁÒÃ´Ò ¡ÒÃÈÖ¡ÉÒ µÅÍ´¨¹¡ÒÃà¨ÃÔ­àµÔºâµ¢Í§
ᢹ¢ÒáÅÐÈÕÃÉÐã¹ÇÑÂà´ç¡ ÂѧÁռŵ‹ÍÃдѺ¢Í§ÈÑ¡ÂÀÒ¾¡Ò÷íÒ§Ò¹¢Í§ÊÁͧÍÕ¡´ŒÇÂ(8)
         3. Midlife risk factors(9) »˜¨¨ÑÂàÊÕ§ã¹ÇѼÙãË­‹·ÊҤѭẋ§Í͡໚¹ 2 »˜¨¨ÑÂËÅÑ¡ ¤×Í
                                                 è        Œ     Õè í
               ¡. »˜¨¨ÑÂàÊÕ§´ŒÒ¹¾ÄµÔ¡ÃÃÁ ઋ¹ ¡ÒÃÃѺ»ÃзҹÍÒËÒúҧª¹Ô´ áÅÐäÁ‹Ãº»Ãзҹ
                           è                                                             Ñ
ÍÒËÒúҧª¹Ô´ ¹éÒ˹ѡµÑÇà¡Ô¹ ÊÙººØËÃÕè ´×ÁÍÑÅ¡ÍÎÍŏ»ÃÔÁÒ³ÁÒ¡ ¢Ò´¡ÒÃÍÍ¡¡íÒÅѧ¡Ò ¡ÒÃËÇÁ
                    í                          è
¡Ô¨¡ÃÃÁ·Õ¾²¹Ò¤ÇÒÁÊÒÁÒö¢Í§ÊÁͧ ¡ÒÃà¡Ô´Íغµà赯 µÅÍ´¨¹¡ÒÃ䴌úÊÒþÔɵ‹Ò§æ ໚¹µŒ¹(10)
           è Ñ                                          Ñ Ô                   Ñ
               ¢. »˜¨¨ÑÂàÊÕè§·ÕèÁռŵ‹ÍËÅÍ´àÅ×Í´ ઋ¹ ¤ÇÒÁ´Ñ¹âÅËÔµÊÙ§ âäàºÒËÇÒ¹ ä¢Áѹã¹
àÅ×Í´ÊÙ§ âäËÑÇã¨àµŒ¹¼Ô´¨Ñ§ËÇÐ ËÃ×ÍâäÅÔ¹ËÑÇ㨾ԡÒà ໚¹µŒ¹
                                             é
         4. Late life risk factors 䴌ᡋ ¡ÒÃ㪌ÂÒºÒ§ª¹Ô´·ÕÁ¼Åµ‹Í¡Ò÷íÒ§Ò¹¢Í§ÊÁͧ ¤ÇÒÁ
                                                                      è Õ
¼Ô´»¡µÔ·Ò§àÁµÒºÍÅÔ¡áÅÐà¡Å×ÍáË ÍÒÃÁ³«ÁàÈÃŒÒ ÀÒÇЫÖÁÊѺʹà©Õº¾Åѹ áÅÐâäËÅÍ´àÅ×Í´
                                                     Ö
ÊÁͧ ໚¹µŒ¹ ¡ÒäǺ¤ØÁá¡Œä¢ midlife risk factors ã¹ÇÑÂÊÙ§ÍÒÂØÁ¡ä´Œ¼ÅäÁ‹ÁÒ¡ à¹×ͧ¨Ò¡ÁÕ»¨¨ÑÂ
                                                                          Ñ          è           ˜
´ŒÒ¹ÍÒÂØ«§à»š¹»˜¨¨ÑÂàÊÕ§¢Í§ÀÒÇÐÊÁͧàÊ×ÍÁ·ÕÊҤѭ·ÕàÅÕ§äÁ‹ä´Œ µÅÍ´¨¹¼ÙʧÍÒÂØÁ¡ÁÕ»¨¨ÑÂàÊÕ§
            Öè           è                         è èí     è è                 ŒÙ     Ñ ˜         è
ËÅÒÂÍ‹ҧËÇÁ¡Ñ¹ áÅСÒÃᡌ䢻˜¨¨ÑÂàÊÕ§¢Í§ midlife risk factors ÁÑ¡µŒÍ§ÍÒÈÑÂÃÐÂÐàÇÅÒ㹡ÒÃ
                                           è
àËç¹»ÃÐÊÔ·¸Ô¼Å

¼ÅÊÑÁÄ·¸Ôì¢Í§¡Òû‡Í§¡Ñ¹ÀÒÇÐÊÁͧàÊ×èÍÁ
           »˜¨¨ÑÂàÊÕ§ᵋÅÐÍ‹ҧÁÕ¤ÇÒÁÊÑÁ¾Ñ¹¸µÍ¡ÒÃà¡Ô´ÀÒÇÐÊÁͧàÊ×ÍÁäÁ‹à·‹Òà·ÕÂÁ¡Ñ¹ ¤ÇÒÁªØ¡¢Í§
                    è                          ‹                  è
»˜¨¨ÑÂàÊÕ§ᵋÅÐÍ‹ҧ㹻ÃЪҡÃÁÕ¤ÇÒÁᵡµ‹Ò§¡Ñ¹ÁÒ¡ áÅÐËÅÑ¡°Ò¹·Ò§ÇÔªÒ¡Ò÷ÕáÊ´§ãËŒàËç¹¶Ö§
         è                                                                        è
¤ÇÒÁÊÑÁ¾Ñ¹¸¢Í§¡Ò÷ջ¨¨ÑÂàÊÕ§àËŋҹѹÍÒ¨·íÒãËŒà¡Ô´ÀÒÇÐÊÁͧàÊ×ÍÁ¡çÁ¤ÇÒÁ¹‹Òàª×Ͷ×ÍäÁ‹à·‹Ò¡Ñ¹
                          è ˜     è      é                          è   Õ           è
´Ñ§áÊ´§ãËŒàËç¹ã¹µÒÃÒ§·Õè 3

µÒÃÒ§·Õè 3 áÊ´§¤ÇÒÁÊÑÁ¾Ñ¹¸áÅмÅÊÑÁÄ·¸Ôì¢Í§¡Òû‡Í§¡Ñ¹ÀÒÇÐÊÁͧàÊ×èÍÁ
¤ÇÒÁàÊÕè§                  ÍÒÂØ                ¾Ñ¹¸Ø¡ÃÃÁ          »˜¨¨ÑÂàÊÕè§´ŒÒ¹ËÅÍ´àÅ×Í´
                                                                   áÅСÒôíÒà¹Ô¹ªÕÇÔµ
Odds ratio                  25                  3-4                »ÃÐÁÒ³ 2
¤ÇÒÁªØ¡                     ¾ºº‹ÍÂÁÒ¡           ¾º¹ŒÍÂÁÒ¡          ¾ºº‹ÍÂ
ËÅÑ¡°Ò¹·Ò§ÇÔªÒ¡Òà           ªÑ´à¨¹              ªÑ´à¨¹             »Ò¹¡ÅÒ§ËÃ×ÍÂѧäÁ‹à¾Õ§¾Í
366                                                                 ¡Òû‡Í§¡Ñ¹ÀÒÇÐÊÁͧàÊ×èÍÁÃдѺ»°ÁÀÙÁÔ

àÍ¡ÊÒÃ͌ҧÍÔ§
1.  Muangpaisan W, Praditsuwan R, Assanasen J, Srinonprasert V, Assantachai P, Intalapaporn S, et al. Caregiver
    burden and needs of dementia caregivers in Thailand: a cross-sectional study. J Med Assoc Thai 2010;93(5):601-
    7.
2. Brookmeyer R, Johnson E, Ziegler-Graham K, Arrighi HM. .orecasting the global burden of Alzheimer’s
    disease. Alzheimers Dement 2007;3(3):186-91.
3. Muangpaisan W, Assantachai P, Intalapaporn S, Richardson K, Brayne C. Health expectancies in the older
    Thai population. Arch Gerontol Geriatr 2010;(Article in Press).
4. Jitapunkul S, Chansirikanjana S, Thamarpirat J. Undiagnosed dementia and value of serial cognitive impairment
    screening in developing countries: a population-based study. Geriatr Gerontol Int 2009;9(1):47-53.
5. ÇÕÃÈÑ¡´Ôì àÁ×ͧä¾ÈÒÅ. ÀÒÇÐÊÁͧàÊ×ÍÁã¹¼ÙʧÍÒÂØáÅСÒû‡Í§¡Ñ¹. ã¹: »ÃÐàÊÃÔ° ÍÑÊÊѹµªÑÂ, ºÃóҸԡÒÃ. »˜­ËÒÊØ¢ÀÒ¾
                                       è      ŒÙ
    ·Õ¾ºº‹ÍÂã¹¼ÙʧÍÒÂØ. ¡Ãا෾ÁËÒ¹¤Ã: ºÃÔÉ·ÂÙà¹Õ¹ ¤ÃÕàͪѹ ¨íÒ¡Ñ´; 2552. ˹ŒÒ 125-57.
      è            ŒÙ                            Ñ    è         è
6. Mitchell AJ, Shiri-.eshki M. Temporal trends in the long term risk of progression of mild cognitive impairment:
    a pooled analysis. J Neurol Neurosurg Psychiatry 2008;79(12):1386-91.
7. Gatz M, Prescott CA, Pedersen NL. Lifestyle risk and delaying factors. Alzheimer Dis Assoc Disord 2006;20(3
    Suppl 2):S84-8.
8. Borenstein AR, Copenhaver CI, Mortimer JA. Early-life risk factors for Alzheimer disease. Alzheimer Dis Assoc
    Disord 2006;20(1):63-72.
9. Bendlin BB, Carlsson CM, Gleason CE, Johnson SC, Sodhi A, Gallagher CL, et al. Midlife predictors of
    Alzheimer’s disease. Maturitas 2010;65(2):131-7.
10. .licker L. Life style interventions to reduce the risk of dementia. Maturitas 2009;63(4):319-22.
àǪÈÒʵÏ·¹Âؤ 2553
          Ñ                                                                                       º··Õè          367

                                                                                                    55
Harmonized Care for Older Patients : .ocus on Hospitalized Patients
                                       ¼ÙŒª‹ÇÂÈÒʵÃÒ¨ÒÏ ¹ÒÂá¾·ÂÃØ‹§¹ÔÃѹ´Ã »ÃдÔÉ°ÊØÇÃó
                           ÀÒ¤ÇÔªÒÍÒÂØÃÈÒʵÏ ¤³Ðá¾·ÂÈÒʵÏÈÔÃÔÃÒª¾ÂÒºÒÅ ÁËÒÇÔ·ÂÒÅÑÂÁËÔ´Å

           ໚¹·Õ·ÃÒº¡Ñ¹´ÕÇÒ ¼ÙʧÍÒÂØÁâÍ¡ÒÊà¨çº»†Ç´ŒÇÂâäà©Õº¾Åѹ䴌ºÍ áÅÐàÁ×Íà»ÃÕºà·Õº
                      è            ‹ ŒÙ           Õ                                              ‹         è
¡Ñº¼Ù»ÇÂÇÑÂ˹ØÁÊÒÇ ¼ÙʧÍÒÂØÁâÍ¡Òʷըж١ÃѺänjáÉÒã¹âç¾ÂÒºÒź‹ÍÂ¡Ç‹Ò ´ŒÇÂÍÒ¡Ò÷Õùáç
      Œ †               ‹       ŒÙ      Õ           è             Ñ                                                 èØ
¡Ç‹ Ò áÅÐÁÑ ¡ µŒ Í §ÍÂÙ‹ â ç¾ÂÒºÒŹҹ¡Ç‹ Ò à»‡ Ò ËÁÒÂÊí Ò ¤Ñ ­ 㹡Òô٠á ÅÃÑ ¡ ÉÒ¼ÙŒ »† Ç ÂÊÙ § ÍÒÂØ
                                                        (1)

ã¹âç¾ÂÒºÒÅ ¹Í¡à˹×ͨҡÃÑ¡ÉÒãËŒ¤ÇÒÁà¨çº»†Çª¹Ô´à©Õº¾ÅѹËÒÂËÃ×Í·ØàÅÒáÅŒÇ ¤×Í ·íÒãËŒ¤ÇÒÁ
ÊÒÁÒö㹡ÒôÙáŵ¹àͧ¢Í§¼ÙŒÊÙ§ÍÒÂØ´Õ¢Öé¹ ËÃ×ÍÍ‹ҧ¹ŒÍÂäÁ‹Å´Å§¨Ò¡à´ÔÁ Í‹ҧäáçµÒÁ ¼ÙŒ»†ÇÂ
ÊÙ§ÍÒÂØ·¶¡ÃѺänjáÉÒã¹âç¾ÂÒºÒÅ ÁÑ¡ÁռšÒÃÃÑ¡ÉÒ (outcome) ·ÕäÁ‹´Õ ÁÕ¤ÇÒÁàÊÕ§·Õ¨Ðà¡Ô´ÀÒÇÐ
           Õè Ù           Ñ                                                            è                 è è
á·Ã¡«ŒÍ¹·Õà¡Ô´¨Ò¡á¾·ÂáÅоÂÒºÒÅ (iatrogenic illness) ÊÙ§¡Ç‹Ò¼Ù»ÇÂÇÑÂ˹ØÁÊÒÇ 3-5 à·‹Ò(2,3) ¤ÇÒÁ
                    è                                                              Œ †             ‹
ÊÒÁÒö㹡ÒôÙáŵ¹àͧŴŧ (functional decline) ÃÒÇÃŒÍÂÅÐ 35 ÁÕâÍ¡ÒÊà¡Ô´ÀÒÇÐÊѺʹ           (4)

à©Õº¾Åѹ (delirium) áÅж١ÃѺänjáÉÒã¹âç¾ÂÒºÒÅ«éÒ (readmission)º‹Í¡NjҼٻÇÂÇÑÂ˹ØÁÊÒÇ(1)
                                               Ñ                          í                           Œ †         ‹
           ¼Å¢Í§¡ÒÃÃÑ¡ÉÒ¼ÙŒ»†ÇÂÊÙ§ÍÒÂØã¹âç¾ÂÒºÒÅ¢Ö鹡Ѻ»˜¨¨ÑÂËÅÑ¡ 3 »ÃСÒÃ䴌ᡋ ¤ÇÒÁ
ÃØ¹áç¢Í§âäËÃ×ͤÇÒÁà¨çº»†Çª¹Ô´à©Õº¾Åѹ·Õ·ÒãËŒµÍ§ÃѺ¼Ù»ÇÂäÇŒã¹âç¾ÂÒºÒÅ (impact of the
                                                              è í Œ            Œ †
acute illness) ÀÒÇÐàÊÕ§ÊÙ§¢Í§¼Ù»Ç·Õ໚¹ÍÂÙà´ÔÁ (the patient’s baseline vulnerability) ËÃ×Í ¤ÇÒÁ
                              è             Œ † è           ‹
͋͹áÍ ª‹Çµ¹àͧ䴌¹Í¢ͧ¼ÙʧÍÒÂØ (frailty) áÅÐÍѹµÃÒ·Õà¡Ô´¢Ö¹¡Ñº¼Ù»Ç¢³Ð·ÕÍÂÙâç¾ÂÒºÒÅ
                                Œ         ŒÙ                                è é              Œ †          è ‹
(hazards of the hospitalization)           (1)

           ÊíÒËÃѺ¤ÇÒÁÃØ¹áç¢Í§âä·Õ·ÒãËŒµÍ§ÃѺ¼Ù»ÇÂäÇŒã¹âç¾ÂÒºÒÅ (acute illness severity)
                                                 è í Œ           Œ †
໚¹»˜¨¨Ñ·ÕäÁ‹ÊÒÁÒöà»ÅÕ¹á»Å§ä´ŒÁÒ¡ ´Ñ§¹Ñ¹ 㹺·¤ÇÒÁ¹Õ¨Ð์¹à©¾ÒÐ ¡ÒûÃÐàÁÔ¹¼Ù»ÇÂÊÙ§ÍÒÂØ
                  è                 è                     é                  é                                Œ †
·ÕÁÀÒÇÐàÊÕ§ÊÙ§ (vulnerability) ÍѹµÃÒ·Õà¡Ô´¢Ö¹¡Ñº¼Ù»ÇÂÊÙ§ÍÒÂØ¢³Ð·ÕÍÂÙâç¾ÂÒºÒÅ áÅÐá¹Ç·Ò§
  è Õ           è                                     è é             Œ †                è ‹
»¯Ôºµ¢Í§á¾·Âà¾×Í»‡Í§¡Ñ¹ÍѹµÃÒ´ѧ¡Å‹ÒÇ ÃÇÁ·Ñ§¡ÒÃÇÒ§á¼¹¡ÒèíÒ˹‹Ò¼ٻÇÂÊÙ§ÍÒÂØÍ‹ҧÁÕ
       Ñ Ô                  è                                       é                                Œ †
¤Ø³ÀÒ¾

¡ÒûÃÐàÁÔ¹¼ÙŒ»†ÇÂÊÙ§ÍÒÂØ·ÕèÁÕÀÒÇÐàÊÕè§ÊÙ§
       ᾷ¤ÇûÃÐàÁÔ¹¼ÙʧÍÒÂØµ§áµ‹àÁ×ÍááÃѺ¼Ù»ÇÂänjáÉÒã¹âç¾ÂÒºÒÅ â´Â»ÃÐàÁԹẺ
                            ŒÙ      Ñé     è       Œ †       Ñ
ͧ¤ÃÇÁ ·Ñé§»˜­ËÒ·Ò§¡Ò ¨Ôµã¨ Êѧ¤Á áÅФÇÒÁÊÒÁÒö㹡ÒôÙáŵ¹àͧ ËÃ×Í·ÕèàÃÕ¡NjÒ
comprehensive geriatric assessment áÅÐÃкػ˜­ËÒ·Õ辺·Ø¡´ŒÒ¹ãËŒ¤Ãº¶ŒÇ¹ã¹ÃÒ¡Òû™­ËÒ
(problem list) à¾×ÍÃкØÀÒÇÐàÊÕ§ÊÙ§¢Í§¼Ù»Ç·Õ໚¹ÍÂÙà´ÔÁ «Ö§»˜¨¨Ñ·Õ㪌·Ò¹ÒÂNjҼٻÇÂÃÒÂã´ÁÕá¹Ç
                  è           è         Œ † è       ‹      è        è í          Œ †
368                                      Harmonized Care for Older Patients : .ocus on Hospitalized Patients

⹌Á·Õ¨Ðà¡Ô´ÀÒÇÐá·Ã¡«ŒÍ¹ áÅÐÁռšÒÃÃÑ¡ÉÒ·ÕäÁ‹´Õ ´Ñ§¹Õé
              è                                                              è
                 1. ÍÒÂØ¢Í§¼ÙŒ»†Ç áÁŒÍÒÂØ¨ÐäÁ‹ãª‹»¨¨ÑÂà´ÕÂÇ·Õ·ÒãËŒ¼Å¡ÒÃÃÑ¡ÉÒäÁ‹´Õ Í‹ҧäáçµÒÁ ÍÒÂØ
                                                                         ˜               è í
·Õʧ¢Ö¹ÁÕ¤ÇÒÁÊÑÁ¾Ñ¹¸¡ºÀÒÇÐá·Ã¡«ŒÍ¹¢Í§¡ÒÃÍÂÙâç¾ÂÒºÒÅ ¶×ÍNjҼٷÁÍÒÂØ 70 »‚¢¹ä»ÁÕÀÒÇÐ
  èÙ é                                      Ñ                                        ‹                            Œ Õè Õ                   Öé
àÊÕ§ÊÙ§
     è          (1)

                 2. ÀÒÇÐÊÁͧàÊ×ÍÁ (dementia) áÁŒÀÒÇйըоºº‹ÍÂã¹¼ÙʧÍÒÂØ áÅÐ໚¹»˜¨¨ÑÂàÊÕ§·ÕÊҤѭ
                                                 è                                é                       ŒÙ                                  è èí
¢Í§ÀÒÇÐÊѺʹà©Õº¾Åѹ (delirium) ᵋÁ¡äÁ‹ä´ŒÃº¡ÒÃÃкØänj㹠problem list ¢Í§¼Ù»Ç ÀÒÇÐÊÁͧ
                                                                     Ñ     Ñ                                                      Œ †   (5)

àÊ×ÍÁ à¾ÔÁ¤ÇÒÁàÊÕ§µ‹ÍÀÒÇÐÊѺʹà©Õº¾Åѹ (delirium) ã¹¼Ù»ÇÂÊÙ§ÍÒÂØ·ÍÂÙã¹âç¾ÂÒºÒŶ֧ 2.8
       è          è             è                                                            Œ †                      Õè ‹
à·‹Ò ´Ñ§¹Ñé¹ á¾·Â¤ÇäѴ¡ÃͧÀÒÇÐÊÁͧàÊ×èÍÁã¹¼ÙŒ»†ÇÂÊÙ§ÍÒÂØ·ÕèÃѺäÇŒã¹âç¾ÂÒºÒÅ·Ø¡ÃÒÂ
         (6)

â´Â੾ÒмٷÁÍÒÂØ 70 »‚¢¹ä» ¡ÒäѴ¡Ãͧ·íÒä´Œâ´ÂÊͺ¶ÒÁ­ÒµÔ·ã¡ÅŒª´Ç‹Ò¼Ù»ÇÂÁÕÍÒ¡ÒÃËŧÅ×Á
                     Œ Õè Õ                        Öé                                                          Õè Ô           Œ †
ÍÐäúŒÒ§ËÃ×ÍäÁ‹ ËÒ¡ÁÕãˌ¡µÑÇÍ‹ҧà¾×Í»ÃÐàÁԹNjҹ‹Ò¨Ð໚¹ÊÁͧàÊ×ÍÁËÃ×ÍäÁ‹ áÅÐÊͺ¶ÒÁNjҤÇÒÁ
                                                                 è                                           è
ÊÒÁÒö㹡ÒôÙáŵ¹àͧ·Õèà¡ÕèÂÇ¢ŒÍ§¡ÑºË¹ŒÒ·ÕèÊÁͧŴŧËÃ×ÍäÁ‹ ËÇÁ¡Ñº·´Êͺ mental status
¢Í§¼Ù»ÇÂÍ‹ҧ§‹ÒÂæ ઋ¹ ¤ÇÒÁãʋ㨠(attention), ¤ÇÒÁ¨íÒÃÐÂÐÊѹ (short-term memory), ¡ÒÃ㪌ÀÒÉÒ
            Œ †                                                                                 é
(language), ¡Òäíҹdz (calculation), ¤ÇÒÁÊÒÁÒöàÃ×ͧÃٻËҧáÅзÔÈ·Ò§ (visuospatial skill) ઋ¹
                                                                                       è
ãËŒ¼»ÇÂÇÒ´ÃÙ»µ‹Ò§æ ãËŒ´Ù ËÃ×Í㪌Ẻ·´Êͺ Thai Mental State Examination (TMSE) (7)
         ÙŒ †
                 3. ¤ÇÒÁÊÒÁÒö㹡ÒôÙáŵ¹àͧ (functional ability) ¤ÇÒÁÊÒÁÒö㹡ÒôÙáŵ¹àͧ
ÊÒÁÒö㪌·íÒ¹ÒÂÍѵÃÒµÒ¢ͧ¼ÙŒ»†ÇÂÊÙ§ÍÒÂØ·ÕèÍÂÙ‹ã¹âç¾ÂÒºÒÅä´Œ´Õ¡Ç‹ÒâäËÇÁ¢Í§¼ÙŒÊÙ§ÍÒÂØ
(comorbidity) ¤ÇÒÁÃØ¹áç¢Í§âä·Õ໚¹ (disease severity) áÅÐÃÐÂТͧâä·Õǹ¨©Ñ (staging or
                                                           è                                                                   èÔ Ô
diagnosis) ÃÇÁ¡Ñ¹ ´Ñ§¹Ñ¹á¾·Â¤ÇäѴ¡ÃͧNjҤÇÒÁÊÒÁÒö㹡ÒôÙáŵ¹àͧ¢Í§¼ÙʧÍÒÂØà»š¹
                                    (8)
                                                      é                                                                                       ŒÙ
Í‹ҧäà â´Â੾ÒмٷÁÍÒÂØ 70 »‚¢¹ä» â´ÂÊͺ¶ÒÁ¶Ö§¡Ô¨¡ÃÃÁ·Õ·Òã¹áµ‹ÅÐÇѹ ÃÇÁ·Ñ§¤ÇÒÁÊÒÁÒö
                                     Œ Õè Õ             Öé                                            è í                             é
㹡ÒôÙáŵ¹àͧ¢Ñ¹¾×¹°Ò¹ËÃ×Í basic activities of daily living (basic ADLs) áÅФÇÒÁÊÒÁÒö
                                  é é
㹡ÒôÙáŵ¹àͧ·ÕµÍ§ÍÒÈÑÂÍØ»¡Ã³ªÇ ËÃ×Í instrumental activities of daily living (instrumental
                                   è Œ                             ‹
ADLs) ¶ŒÒ໚¹ä´Œ¤ÇÃãËŒ¼Ê§ÍÒÂØà´Ô¹ãËŒ´Ù (the ‘‘get-up and go’’ test)(9) ´ŒÇ ËÒ¡¼ÙʧÍÒÂØäÁ‹ÊÒÁÒö
                                              ÙŒ Ù                                                                                ŒÙ
·íÒ basic activities of daily living (basic ADLs) ´ŒÇµ¹àͧ 3 ã¹ 6 Í‹ҧ¢Ö¹ä» 䴌ᡋ ¡ÒáԹ
                                                                             (10)
                                                                                                                               é
ÍÒËÒà ÍÒº¹éÒ áµ‹§µÑÇ ÅØ¡ÍÍ¡¨Ò¡àµÕ§ ࢌÒˌͧ¹éÒ áÅСÒáÅÑ¹ÍØ¨¨ÒÃÐËÃ×Í»˜ÊÊÒÇÐ ¶×ÍÇ‹ÒÁÕÀÒÇÐ
                       í                                                       í                   é
àÊÕ§ÊÙ§
   è
                    Inouye áÅФ³Ð¾ºÇ‹Ò ÁÕ¤Ò¶ÒÁ§‹ÒÂæ ·ÕªÇ·íÒ¹Ò¼ٻÇÂÊÙ§ÍÒÂØ·ÁâÍ¡ÒÊÊÙ§·Õ¨ÐÁÕ¤ÇÒÁ
                                                               í                 è ‹                 Œ †                 Õè Õ                  è
ÊÒÁÒö㹡ÒôÙáŵ¹àͧŴŧ (functional decline) ÃÐËNjҧ·ÕÍÂÙâç¾ÂÒºÒÅ ¤×Í                           è ‹                       (11)

                    ¡. ¼Ù»ÇÂÁÕá¼Å¡´·Ñº (pressure ulcer) ËÃ×ÍäÁ‹
                             Œ †
                    ¢. ¼Ù»ÇÂÁÕÀÒÇÐÊÁͧàÊ×ÍÁÍÂÙà´ÔÁ (baseline cognitive deficits) ËÃ×ÍäÁ‹
                              Œ †                            è         ‹
                    ¤. ¼Ù»ÇÂÁÕ¤ÇÒÁÊÒÁÒö㹡ÒôÙáŵ¹àͧ¹ŒÍÂÍÂÙà´ÔÁ (baseline functional impairment)
                               Œ †                                                            ‹
                            ËÃ×ÍäÁ‹
                    §. ¼ÙŒ»†ÇÂÁÕ¡Ô¨¡ÃÃÁ·Ò§Êѧ¤Á¡‹Í¹à¢ŒÒâç¾ÂÒºÒÅ (baseline social activity) ¹ŒÍÂ
                            ËÃ×ÍäÁ‹
àǪÈÒʵÏ·¹Âؤ 2553
          Ñ                                                                                  369

        ËÒ¡µÍºÇ‹Ò “äÁ‹ãª‹” µ‹Í·Ø¡¤íÒ¶ÒÁ ¼Ù»ÇÂÃÒ¹ѹÁÕâÍ¡ÒʹŒÍ (ÃŒÍÂÅÐ 8) ·Õ¨ÐÁÕ¤ÇÒÁÊÒÁÒö
                                          Œ †     é                          è
㹡ÒôÙáŵ¹àͧŴŧÃÐËNjҧ·ÕÍÂÙâç¾ÂÒºÒÅ ã¹·Ò§µÃ§¢ŒÒÁ ËÒ¡µÍºÇ‹Ò “㪋” 1-2 ¤íÒ¶ÒÁ ÁÕâÍ¡ÒÊ
                               è ‹
ÃŒÍÂÅÐ 28 ·Õ¨ÐÁÕ¤ÇÒÁÊÒÁÒö㹡ÒôÙáŵ¹àͧŴŧ áÅÐËÒ¡µÍºÇ‹Ò “㪋” 3-4 ¤íÒ¶ÒÁ ÁÕâÍ¡ÒÊÊÙ§
                 è
¶Ö§ÃŒÍÂÅÐ 63 ·Õ¨ÐÁÕ¤ÇÒÁÊÒÁÒö㹡ÒôÙáŵ¹àͧŴŧ(11)
                   è
        ´Ñ§¹Ñ¹ 㹡Òúѹ·Ö¡»ÃÐÇѵ¡ÒÃà¨çº»†Ç¢ͧ¼ÙʧÍÒÂØ ¨Ö§µŒÍ§ÁÕ¢ÍÁÙÅ·Õº¹·Ö¡äÇŒãˌࢌÒ㨶֧
               é                   Ô                Œ Ù            Œ     è Ñ
¤ÇÒÁÊÒÁÒö㹡ÒôÙáŵ¹àͧ áÅÐÊÁÃöÀÒ¾ÊÁͧ¢Í§¼Ù»Ç â´Â¡µÑÇÍ‹ҧ·Õ໚¹ÃÙ»¸ÃÃÁ¢Í§
                                                        Œ †                    è
¡Ô¨¡ÃÃÁ·Õ¼»Ç·íÒã¹áµ‹ÅÐÇѹäÇŒàÊÁÍ
          è ÙŒ †

ÍѹµÃÒ·Õèà¡Ô´¢Ö鹡Ѻ¼ÙŒ»†ÇÂÊÙ§ÍÒÂØ¢³Ð·ÕèÍÂÙ‹âç¾ÂÒºÒÅ áÅÐá¹Ç·Ò§
»¯ÔºÑµÔ·ÕèàËÁÒÐÊÁà¾×èÍ»‡Í§¡Ñ¹ÍѹµÃÒ´ѧ¡Å‹ÒÇ
          µÑÇÍ‹ҧ¢Í§ÍѹµÃÒ·ÕÍÒ¨à¡Ô´¢Ö¹¡Ñº¼Ù»ÇÂÊÙ§ÍÒÂØ â´Â੾ÒÐàÁ×ÍÍÂÙâç¾ÂÒºÒŹҹæ 䴌ᡋ
                                 è     é     Œ †                   è ‹
¤ÇÒÁÊÒÁÒö㹡ÒôÙáŵ¹àͧŴŧ (functional decline) ÀÒÇÐÊѺʹà©Õº¾Åѹ (delirium) ÀÒÇÐ
äÁ‹à¤Å×͹·Õè (immobility) áÅÐÀÒÇÐá·Ã¡«ŒÍ¹µ‹Ò§æ ઋ¹ ÀÒÇСŌÒÁà¹×ͽ†Íà¹×ͧ¨Ò¡¢Ò´¡ÒÃ㪌§Ò¹
        è                                                           é      è
(deconditioning) á¼Å¡´·Ñº (pressure ulcer) ¹Í¡¨Ò¡¹Ñ¹ÂѧÁÕ ÀÒÇзؾâÀª¹Ò¡Òà (malnutrition)
                                                        é
ÀÒÇЫÖÁàÈÃŒÒ (depression) áÅÐÀÒÇÐá·Ã¡«ŒÍ¹·Õà¡Ô´¨Ò¡á¾·ÂáÅоÂÒºÒÅ (iatrogenic illness)
                                                 è
â´Â੾ÒÐ ¡ÒÃÊѧ¡ÒÃÊ׺¤Œ¹áÅСÒÃÃÑ¡ÉÒ·ÕäÁ‹àËÁÒÐÊÁµ‹Í¼ÙʧÍÒÂØ(1) «Ö§¤ÇÒÁÃØ¹áç¢Í§¤ÇÒÁà¨çº
                   è                       è               ŒÙ         è
»†Ç·շÒãËŒµÍ§ÃѺ¼Ù»ÇÂäÇŒã¹âç¾ÂÒºÒÅ áÅÐÀÒÇÐàÊÕ§ÊÙ§¢Í§¼Ù»Ç·Õ໚¹ÍÂÙà´ÔÁ ÁÕº·ºÒ·ÊíҤѭ
       è í Œ         Œ †                             è         Œ † è         ‹
µ‹Í¡ÒÃà¡Ô´ÍѹµÃÒÂàËŋҹմÇÂ(1)
                             é Œ
          ÊíÒËÃѺ»ÃÐà´ç¹àÃ×ͧÀÒÇÐÊѺʹà©Õº¾Åѹ (delirium) áÅÐÀÒÇÐäÁ‹à¤Å×͹·Õè (immobility) ¨Ðä´Œ
                           è                                             è
ÁÕ¼¡Å‹ÒǶ֧㹺·¤ÇÒÁÍ×¹ ¨Ö§¨ÐäÁ‹¡Å‹ÒǶ֧㹺·¤ÇÒÁ¹Õé
    ÙŒ                   è

        ÀÒÇзؾâÀª¹Ò¡Òà (Malnutrition)
         ÀÒÇзؾâÀª¹Ò¡Òà (malnutrition) ໚¹ÀÒÇзվºº‹ÍÂã¹¼Ù»ÇÂÊÙ§ÍÒÂØ·ÍÂÙã¹âç¾ÂÒºÒÅ(12)
                                                         è     Œ †         Õè ‹
áÅÐÁÕ¤ÇÒÁÊÑÁ¾Ñ¹¸¡ºÍѵÃÒµÒ¢ͧ¼Ù»ÇÂÊÙ§ÍÒÂØ ᵋäÁ‹¤Í¶١ÃкØäÇŒã¹ÃÒ¡Òû˜­ËҢͧ¼Ù»ÇÂ
                      Ñ                Œ †        (13)
                                                           ‹                            Œ †
ઋ¹¡Ñ¹ ¨Ò¡»ÃÐʺ¡Òó¢Í§¼Ùà¢Õ¹¾ºÇ‹Ò ÁÕᾷ¨Ò¹Ç¹ÁÒ¡ÅÐàŵ‹Í»˜­ËҷؾâÀª¹Ò¡Òâͧ
                                   Œ                   í
¼Ù»ÇÂÊÙ§ÍÒÂØ áÁŒ·ÃҺNjҼٻÇÂÃÒ¹ѹÁÕÀÒÇÐâÅËÔµ¨Ò§ (anemia) ¡ÅŒÒÁà¹×ͽ†ÍÅÕº·Ñ§µÑÇ (generalized
  Œ †                      Œ †       é                               é         é
muscle wasting) áÅÐÁÕ serum albumin áÅÐ serum cholesterol µèÒ á¾·Â¤Çù֡¶Ö§ÀÒÇйÕËÒ¡
                                                                   í                     é
«Ñ¡»ÃÐÇѵÔä´ŒÇ‹Ò ¼ÙŒÊÙ§ÍÒÂØ (â´Â੾Òмٌ»†Ç·ÕèÁÕ¤ÇÒÁ¾Ô¡Ò÷ҧ¡ÒÂËÃ×Í·Ò§ÊÁͧ «Öè§äÁ‹ÊÒÁÒö
¡Ô¹ÍÒËÒôŒÇµ¹àͧ) ¹éÒ˹ѡµÑÇÅ´(12) ËÃ×ͼÍÁŧÍ‹ҧªÑ´à¨¹ ¡Ô¹ÍÒËÒÃä´Œ¹ÍÂŧ áÅеÃǨ¾º
                         í                                                   Œ
ÍÒ¡ÒÃáÊ´§¢Í§ÀÒÇзؾâÀª¹Ò¡ÒÃઋ¹ ¡ÅŒÒÁà¹×éͽ†ÍÅÕº (â´Â੾ÒСŌÒÁà¹×éÍ temporalis áÅÐ
deltoid) ËÃ×ÍÅÔ¹àÅÕ¹
               é è
         ᾷ¤ÇûÃÐàÁÔ¹ÊÀÒÇзҧâÀª¹Ò¡Òà (nutritional status) ¢Í§¼Ù»ÇÂÊÙ§ÍÒÂØµ§áµ‹ááÃѺ
                                                                       Œ †        Ñé
áÅлÃÐàÁԹ໚¹ÃÐÂÐæ µÅÍ´ª‹Ç§àÇÅÒ·Õ¼»ÇÂÍÂÙã¹âç¾ÂÒºÒÅ â´ÂÊѧࡵ¨Ò¡»ÃÔÁÒ³ÍÒËÒ÷ռ»ÇÂ
                                         è ÙŒ † ‹                                     è ÙŒ †
¡Ô¹áµ‹ÅÐÁ×Í ¹éÒ˹ѡµÑǢͧ¼Ù»Ç ÃÇÁ·Ñ§¼Å¡ÒõÃǨ·Ò§ËŒÍ§»¯Ôºµ¡ÒÃઋ¹ serum albumin ¤ÇÃÊ‹§
          é í                  Œ †        é                   Ñ Ô
370                          Harmonized Care for Older Patients : .ocus on Hospitalized Patients

àÊÃÔÁãËŒ¼»ÇÂä´Œ¡¹ÍÒËÒ÷Õà¤ÂªÍº â´ÂãËŒÁ­ÒµÔªÇ»‡Í¹ËÃ×ÍÍÂÙ໚¹à¾×͹¢³Ð¡Ô¹ÍÒËÒà ãËŒ¼»ÇÂ
          ÙŒ †   Ô        è               Õ   ‹            ‹   è                    ÙŒ †
䴌š¹Ñ§ Â×¹ à´Ô¹º‹ÍÂæ ÃÑ¡ÉÒÍÒ¡Ò÷ŒÍ§¼Ù¡¢Í§¼Ù»Ç (¤ÇÃãËŒ¼»Ç¶‹ÒÂÍØ¨¨ÒÃÐäÁ‹¹ÍÂ¡Ç‹Ò 3 Çѹ
    Ø è                                      Œ †         ÙŒ †              Œ
µ‹Í¤Ãѧ) ·º·Ç¹ÃÒ¡ÒÃÂÒÇ‹ÒÁÕÂÒ·Õ·ÒãËŒ¼»ÇÂàº×ÍÍÒËÒÃËÃ×ÍÃФÒ¡ÃÐà¾ÒÐÍÒËÒÃઋ¹ digoxin,
      é                          è í ÙŒ † è
theophylline ËÃ×Í NSAIDs ËÃ×ÍäÁ‹ ËÒ¡¼ÙŒ»†Ç¡ԹÍÒËÒÃä´Œ¹ŒÍ ¤ÇÃãËŒÍÒËÒÃàÊÃÔÁ (diet
supplementation) â´ÂàÃçÇ ÃÇÁ·Ñ§¾Ô¨ÒóҡÒÃãËŒÍÒËÒ÷ҧÊÒÂÂÒ§ (tube feeding) ¶ŒÒ¨íÒ໚¹ â´Â
                              é
੾ÒÐàÁ×ͼٻÇÂÃÒ¹ѹÁÕÀÒÇзؾâÀª¹Ò¡ÒÃÍ‹ҧÁÒ¡ Í‹ҧäáçµÒÁ äÁ‹¤ÇÃ㪌ÂÒ»ÃÐàÀ·¡Ãеع
         è Œ †       é                                                                   Œ
¤ÇÒÁÍÂÒ¡ÍÒËÒà (appetite stimulants) à¹×ͧ¨Ò¡äÁ‹Á»ÃÐ⪹ã¹ÃÐÂÐÂÒÇ áÅÐÁռŢŒÒ§à¤Õ§ÁÒ¡
                                        è        Õ

        ÀÒÇЫÖÁàÈÃŒÒ (Depression)
        ¨Ò¡¡ÒÃÈÖ ¡ ÉÒ ¾ºÍÒ¡ÒâͧÀÒÇÐ«Ö Á àÈÃŒ Ò ä´Œ ¶Ö § ÃŒ Í ÂÅÐ 20-25 ¢Í§¼ÙŒ »† Ç ÂÊÙ § ÍÒÂØ
ã¹âç¾ÂÒºÒÅ(14) «Ö§ÁÑ¡äÁ‹ä´ŒÃº¡ÒÃÇÔ¹¨©Ñ ¤ÇÒÁÊíҤѭ¢Í§ÀÒÇÐ¹Õ¤Í ÀÒÇйÕáÉÒä´Œ áÅÐËÒ¡ÇÔ¹¨©ÑÂ
                  è           Ñ      Ô                          é ×    éÑ                 Ô
áÅÐÃÑ¡ÉÒÍ‹ҧ¶Ù¡µŒÍ§ÃÇ´àÃçÇ ·íÒãËŒ¼Å¡ÒÃÃÑ¡ÉÒâ´ÂÃÇÁ¢Í§¼Ù»ÇÂÊÙ§ÍÒÂØ´¢¹
                                                            Œ †         Õ Öé
        ᾷ¤Çù֡¶Ö§ÀÒÇйÕé ËÒ¡¼Ù»ÇÂÊÙ§ÍÒÂØ«§»†ÇÂÍÂÙã¹âç¾ÂÒºÒÅ໚¹àÇÅÒ¹Ò¹ (â´Â੾ÒÐ
                                       Œ †      Öè     ‹
¼Ù»Ç·Õ໚¹âäÊÁͧàÊ×ÍÁ âäËÅÍ´àÅ×Í´ÊÁͧ ËÃ×Íâä¾ÒÏ¡¹Êѹ) äÁ‹ÂÁ äÁ‹¤Í¾ٴ äÁ‹¤ÍÂËÇÁ
  Œ † è                   è                               Ô         Ôé        ‹      ‹
Á×͡Ѻ¡ÒÃÃÑ¡ÉÒ äÁ‹¤ÍÂÁÕ¡ÒÅѧ㨠¡Ô¹ÍÒËÒùŒÍÂŧ ¹éÒ˹ѡµÑÇÅ´ áÅÐÁÕ¤ÇÒÁÊÒÁÒö㹡ÒôÙáŵ¹
                      ‹     í                      í
àͧŴŧ ËÒ¡ÇÔ¹¨©ÑÂä´Œ ᾷ¤ÇâͤÇÒÁËÇÁÁ×ͨҡ¤Ãͺ¤ÃÑǢͧ¼Ù»ÇÂ㹡Òê‹Ç»ÃФѺ
         (12)
                        Ô                                                 Œ †
»ÃФͧ¨Ôµã¨ »ÃѺÊÔ§áÇ´ÅŒÍÁ ઋ¹à¾ÔÁáʧÊNjҧã¹ËŒÍ§ »ÃÖ¡Éҹѡ¡ÒÂÀÒ¾ºíҺѴËÃ×͹ѡÍÒªÕǺíҺѴ
                    è              è
áÅÐËÒ¡¨íÒ໚¹ÍÒ¨µŒÍ§ÃÑ¡ÉÒâ´Â㪌ÂÒµŒÒ¹«ÖÁàÈÃŒÒ (antidepressants)

        ÀÒÇÐá·Ã¡«ŒÍ¹·Õèà¡Ô´¨Ò¡á¾·ÂáÅоÂÒºÒÅ (Iatrogenic illness)
         ÀÒÇÐá·Ã¡«ŒÍ¹·Õà¡Ô´¨Ò¡á¾·ÂáÅоÂÒºÒÅ·ÕÊҤѭ áÅÐà¡ÕÂÇ¢ŒÍ§¡Ñº¼Å¡ÒÃÃÑ¡ÉҢͧ¼Ù»ÇÂ
                                   è                         èí            è                        Œ †
ÊÙ§ÍÒÂØâ´ÂµÃ§ 䴌ᡋ ¼Åá·Ã¡«ŒÍ¹¨Ò¡¡ÒÃÊ׺¤Œ¹à¾ÔÁàµÔÁµ‹Ò§æ áÅСÒÃÃÑ¡ÉÒ´ŒÇÂÂÒËÃ×ÍÇԸ͹æ(15)
                                                           è                                   Õ ×è
ÊíÒËÃѺ¡ÒÃÊ׺¤Œ¹à¾ÔèÁàµÔÁª¹Ô´µ‹Ò§æ ã¹¼ÙŒ»†ÇÂÊÙ§ÍÒÂØ¹Ñé¹ ÍÒ¨·íÒãËŒà¡Ô´¤ÇÒÁÊÔé¹à»Å×ͧáÅÐÀÒÇÐ
á·Ã¡«ŒÍ¹¢Ö¹ä´Œâ´ÂäÁ‹¨Ò໚¹ «Ö§á¾·ÂÊÒÁÒöËÅÕ¡àÅÕ§»˜­ËҴѧ¡Å‹ÒÇä´Œ â´ÂÂÖ´ËÅÑ¡ “äÁ‹·ÒãËŒ
             é                 í          è                       è                                  í
¼Ù»ÇÂà¡Ô´ÍѹµÃÒ (do no harm)” â´Â¶ÒÁµ¹àͧ¡‹Í¹Êѧ¡ÒÃÊ׺¤Œ¹à¾ÔÁàµÔÁ·Ø¡¤ÃѧNjÒ(15)
  Œ †                                                         è                è     é
         ¡. ¡ÒÃÊ׺¤Œ¹¹Õ¨Ò໚¹ËÃ×ÍäÁ‹ à¾×ͪ‹ÇÂ㹡ÒÃÇÔ¹¨©ÑÂâä?
                          éí                  è                 Ô
         ¢. ¡ÒÃÊ׺¤Œ¹¹Õ໚¹ÇÔ¸¡Ò÷Õè invasive ¹ŒÍ·ÕÊ´·ÕÁÍÂÙËÃ×ÍäÁ‹?
                          é          Õ                     èØ è Õ ‹
         ¤. ¼Å¢Í§¡ÒÃÊ׺¤Œ¹¹Õé ¨Ðà»ÅÕ¹á¹Ç·Ò§¡ÒÃÃÑ¡ÉÒÊíÒËÃѺ¼Ù»ÇÂËÃ×ÍäÁ‹?
                                            è                                Œ †
         §. ᾷÃǸá»Å¼Å¢Í§¡ÒÃÊ׺¤Œ¹¹ÕÍ‹ҧ´ÕËÃ×ÍäÁ‹?
                   ÙŒ Ô Õ                             é
         ʋǹÇÔ¸¡ÒÃÃÑ¡ÉÒ´ŒÇÂÇÔ¸¡Ò÷Õè invasive ¡ç·ÒãËŒà¡Ô´ÀÒÇÐá·Ã¡«ŒÍ¹¢Ö¹ä´ŒºÍÂã¹¼Ù»ÇÂÊÙ§ÍÒ
                 Õ                      Õ                í                       é     ‹   Œ †
ÂØàª‹¹¡Ñ¹ ´Ñ§¹Ñ¹á¾·Â¤ÇöÒÁµ¹àͧ¡‹Í¹Êѧ¡ÒÃÃÑ¡ÉҴѧ¡Å‹ÒÇÇ‹Ò(15)
               é                                    è
         ¡. ¡ÒÃÃÑ¡ÉÒÇÔ¸¹¨Ò໚¹ÊíÒËÃѺ¼Ù»Ç¨ÃÔ§ËÃ×ÍäÁ‹?
                             Õ Õé í             Œ †
         ¢. ¡ÒÃÃÑ¡ÉÒÇÔ¸¹à»š¹ÇÔ¸·»ÅÍ´ÀÑ·ÕÊ´ÊíÒËÃѺ¼Ù»ÇÂËÃ×ÍäÁ‹?
                            Õ Õé       Õ Õè           èØ            Œ †
         ¤. ¡ÒÃÃÑ¡ÉÒÇÔ¸¹ä´Œ¼Å´ÕËÃ×ÍäÁ‹ áÅÐä´Œ»ÃÐ⪹¤Á¡Ñº¼Åá·Ã¡«ŒÍ¹·ÕÍÒ¨à¡Ô´¢Ö¹ËÃ×ÍäÁ‹?
                              Õ Õé                                      ØŒ         è     é
àǪÈÒʵÏ·¹Âؤ 2553
          Ñ                                                                                                            371

               §. ¼Ù»ÇÂáÅФÃͺ¤ÃÑÇÂÍÁÃѺ¡ÒÃÃÑ¡ÉÒÇÔ¸¹ä´ŒËÃ×ÍäÁ‹?
                      Œ †                                     Õ Õé
               ÊíÒËÃѺ¡ÒÃÃÑ¡ÉÒ´ŒÇÂÂÒã¹¼ÙŒ»†ÇÂÊÙ§ÍÒÂØ ໚¹»ÃÐà´ç¹·Õèᾷ¤ÇÃãËŒ¤ÇÒÁʹã¨à»š¹¾ÔàÈÉ
à¹×èͧ¨Ò¡¼ÙŒÊÙ§ÍÒÂØà»š¹¼ÙŒ»†Ç·ÕèÁÕá¹Ç⹌Á·Õè¨Ðà¡Ô´¼Å¢ŒÒ§à¤Õ§¨Ò¡ÂÒ (adverse drug reactions)
ä´Œ §‹ Ò Â¡Ç‹ Ò ¼ÙŒ »† Ç ÂÇÑ Â Í×è ¹ ¨Ò¡¡ÒÃà»ÅÕè  ¹á»Å§·Ò§ÊÃÕ Ã ÇÔ · ÂÒ·Ñé § pharmacokinetics áÅÐ
pharmacodynamics µÒÁÇÑ ¨íҹǹÂÒ·Õ¼»ÇÂ䴌ú áÅШíҹǹâäËÇÁ¢Í§¼Ù»ÇÂ(1)
                                                    è ÙŒ †     Ñ                                   Œ †
               ÊÒà˵ØË¹Ö§·Õ·ÒãËŒà¡Ô´»˜­ËҼŢŒÒ§à¤Õ§¨Ò¡ÂÒ¤×Í ¡ÒÃ㪌ÂÒËÇÁËÅÒ¢¹Ò¹ÁÒ¡à¡Ô¹¤ÇÃ
                          è è í
ËÃ×Í·ÕàÃÕÂ¡Ç‹Ò polypharmacy «Ö§ÁÕ¼ãËŒ¤Ò¨íÒ¡Ñ´¤ÇÒÁÇ‹Ò à»š¹¡ÒÃ㪌ÂÒËÅÒ¢¹Ò¹ã¹àÇÅÒà´ÕÂǡѹ
             è                           è ÙŒ í
«Ö§à¡Ô¹¤ÇÒÁ¨íÒ໚¹ áÅÐà¡Ô¹¡Ç‹Ò¢ŒÍº‹§ªÕ·Ò§¤ÅÔ¹¡ â´Â·ÑÇä»¶×ÍNjҨíҹǹÂҵѧᵋ 5 ª¹Ô´¢Ö¹ä»µ‹Í
     è                                        é             Ô      è                             é             é
¼Ù»Ç 1 ¤¹
  Œ †              (1)

               Beers áÅФ³Ð䴌ËÇÁ¡Ñ¹Ãкت×èÍÂÒ«Öè§¶×ÍÇ‹Ò໚¹ÂÒ·ÕèÁÕ¤ÇÒÁàÊÕè§ÊÙ§ÊíÒËÃѺ¼ÙŒ»†ÇÂÊÙ§ÍÒÂØ
(Beers list of potentially inappropriate medications for older adults) µÑ§áµ‹ ¤.È.1997 à¹×ͧ¨Ò¡
                                                                                          é                      è
໚¹ÂÒ·ÕÁ¼Å¢ŒÒ§à¤Õ§ÁÒ¡ ä´Œ»ÃÐ⪹¹ÍÂàÁ×Íà·Õº¡Ñº¤ÇÒÁàÊÕ§·Õ¼»ÇÂ䴌ú¨Ò¡ÂÒ áÅÐÁÕÂÒÍ×¹
               è Õ                               Œ è                         è è ÙŒ †               Ñ                     è
໚¹·Ò§àÅ×᷹͡ «Ö§ .ick áÅФ³Ðä´Œ»ÃѺ»ÃاÃÒ¡ÒÃÂҴѧ¡Å‹ÒÇãËŒ·¹ÊÁÑ¢ֹ㹠¤.È.2003
                             è                                                          Ñ              é                (16)

´Ñ§áÊ´§ã¹µÒÃÒ§
               ´Ñ§¹Ñ¹ ᾷ·´áżٻÇÂÊÙ§ÍÒÂØ¾§ÃÐÁÑ´ÃÐÇѧ㹡ÒÃÊѧÂÒÊíÒËÃѺ¼Ù»ÇÂ໚¹¾ÔàÈÉ ¾Ö§ËÅÕ¡àÅÕ§
                    é          Õè Ù Œ †           Ö                  è                Œ †                             è
ÂÒ·ÕÁ¤ÇÒÁàÊÕ§ÊÙ§µÒÁÃÒ¡ÒâŒÒ§µŒ¹ à¹×ͧ¨Ò¡ÁÕµÇàÅ×Í¡Í×¹·Õ»ÅÍ´ÀÑÂ¡Ç‹Ò áÅзÕÊҤѭ·ÕÊ´
         è Õ            è                             è          Ñ       è è                    (16)
                                                                                                         è í         è Ø
ãˌ´ËÅÑ¡ “start low, go slow” ËÃ×Í¡ÒÃàÃÔÁÊѧÂÒã¹¢¹Ò´µèÒ áŌǤ‹ÍÂæ »ÃѺ¢¹Ò´ÂÒà¾ÔÁ¢Ö¹ªŒÒæ
       Ö                                                è è            í                                     è é
㹡óշÕ赌ͧÊÑè§ÂÒÊíÒËÃѺâäàÃ×éÍÃѧ áÅо֧ËÅÕ¡àÅÕè§¡ÒÃÊÑè§ÂÒÁÒ¡à¡Ô¹¤ÇÒÁ¨íÒ໚¹ÊíÒËÃѺ¼ÙŒ»†ÇÂ
(polypharmacy) â´Â¶×Í໚¹Ë¹ŒÒ·Õ㹡Ò÷º·Ç¹ÃÒ¡ÒÃÂҢͧ¼Ù»Ç (review of treatment) µÑ§áµ‹
                                          è                                   Œ †                                  é
ááÃѺ¼ÙŒ»†Ç áÅзíÒ໚¹»ÃШíÒÍ‹ҧ¹ŒÍÂÊÑ»´ÒˏÅФÃÑ駨¹¨íÒ˹‹Ò¼ٌ»†Ç ÊíÒËÃѺ¡Ò÷º·Ç¹      (1)

ÃÒ¡ÒÃÂÒ¹Ñé¹ ÁÔ㪋à¾×èÍÅÍ¡ÃÒ¡ÒÃÂÒà´ÔÁãËŒ¤Ãº¶ŒÇ¹ ËҡᵋãËŒ¶ÒÁµ¹àͧ·Ø¡¤ÃÑé§·Õè·º·Ç¹Ç‹Ò
ÂÒ¹ÕéÂѧÁÕ¤ÇÒÁ¨íÒ໚¹ÊíÒËÃѺ¼ÙŒ»†ÇÂã¹¢³Ð¹ÕéËÃ×ÍäÁ‹ ËÒ¡µÍºÇ‹ÒäÁ‹¨íÒ໚¹ËÃ×ÍäÁ‹á¹‹ã¨ ãËŒËÂØ´ÂÒ
¹Ñ¹àÊÕÂ
   é

µÒÃÒ§ áÊ´§µÑÇÍ‹ҧÂÒ·ÕèäÁ‹àËÁÒÐÊÁ·Õè¨Ð㪌㹼ٌ»†ÇÂÊÙ§ÍÒÂØ ¨íÒṡµÒÁ¤ÇÒÁàÊÕè§
ÂÒ·ÕèÁÕ¤ÇÒÁàÊÕè§ÊÙ§µ‹Í¼ÙŒÊÙ§ÍÒÂØ                                 ÂÒ·ÕèÁÕ¤ÇÒÁàÊÕè§µ‹Í¼ÙŒÊÙ§ÍÒÂØ ᵋ¹ŒÍ¡NjÒ
Antidepressants:                                                  Antihypertensives:
- Amitriptyline, Doxepin                                          - Doxazosin
- Daily fluoxetine                                                - Reserpine at doses >0.25 mg
                                                                  - Clonidine
Long-acting benzodiazepines:                                      Cardiac drug: Digoxin
- .lurazepam, Chlordiazepoxide, Diazepam                          (should not exceed >0.125 mg/d except
  and Chlorazepate                                                treating atrial arrhythmias)
372                       Harmonized Care for Older Patients : .ocus on Hospitalized Patients

ÂÒ·ÕèÁÕ¤ÇÒÁàÊÕè§ÊÙ§µ‹Í¼ÙŒÊÙ§ÍÒÂØ                ÂÒ·ÕèÁÕ¤ÇÒÁàÊÕè§µ‹Í¼ÙŒÊÙ§ÍÒÂØ ᵋ¹ŒÍ¡NjÒ
Doses of short-acting benzodiazepines:           Antiplatelet aggregation: Short-acting
daily doses greater than                         dipyridamole
- Lorazepam 3 mg, Alprazolam 2 mg,               Antimigraine: Ergot mesyloids
    Temazepam 15 mg, Triazolam 0.25 mg           H2 receptor blockers: Cimetidine
Barbiturates (except phenobarbital)              Antianemics: .errous sulfate >325 mg/d
Antipsychotics: Thioridazine
Opioids: Pentazocine, Meperidine
Antihypertensives:
    Methyldopa, Short acting nifedipine
Antiarrhythmics: Disopyramide
Hypoglycemics: Chlorpropamide
Antiplatelet aggregating agents:
Ticlopidine
Muscle relaxants and antispasmodics:
Methocarbamol, Carisoprodol,
Chlorzoxazone, Cyclobenzaprine,
Orphenadrine and Oxybutynin
Gastrointestinal antispasmodic drugs:
Dicyclomine,Hyoscyamine, Propantheline,
Belladonna alkaloids, and Clidinium-
chlordiazepoxide (Librax)
Anticholinergics and antihistamines:
Chlorpheniramine, Diphenhydramine,
Hydroxyzine, Cyproheptadine, Promethazine
and Diphenhydramine
NSAIDs: Indomethacin
Long-term use of full-dosage, longer half
-life, non–COX-selective NSAIDs:
Naproxen and Piroxicam
Laxatives: Mineral oil
Long-term use of stimulant laxatives:
Bisacodyl, Cascara sagrada except
in the presence of opiate analgesic use
ËÁÒÂà赯 ´Ñ´á»Å§¨Ò¡ .ick DM, Cooper JW, Wade WE, et al(16)
àǪÈÒʵÏ·¹Âؤ 2553
          Ñ                                                                                                                373

¡ÒÃÇÒ§á¼¹¡ÒèíÒ˹‹Ò¼ٌ»†ÇÂÊÙ§ÍÒÂØÍ‹ҧÁդسÀÒ¾
           ᾷ¤ÇÃÇÒ§á¼¹¡ÒèíÒ˹‹Ò¼ٻÇ (discharge planning) µÑ§áµ‹Ç¹áá·Õú¼Ù»ÇÂÊÙ§ÍÒÂØ
                                                               Œ †                                    é   Ñ           èÑ Œ †
äÇŒã¹âç¾ÂÒºÒÅ â´ÂÍÒÈÑÂËÅÑ¡¢Í§ comprehensive geriatric assessment «Ö§·íÒã¹ÅѡɳÐ
                         (1,12)
                                                                                                                       è
ÊËÊÒ¢ÒÇÔªÒªÕ¾ à¾×Í¡ÒÃÇÒ§á¼¹¡ÒôÙáÅÃÑ¡ÉÒ¼Ù»ÇÂÍ‹ҧ໚¹Í§¤ÃÇÁ Çѵ¶Ø»ÃÐʧ¤¢Í§¡ÒÃÇÒ§á¼¹
                            è                                              Œ †
¡ÒèíÒ˹‹Ò¼ٻǤ×Í Ãкؼ»ÇÂÊÙ§ÍÒÂØ·ÁÀÒÇÐàÊÕ§ÊÙ§«Ö§ÍÒ¨µŒÍ§¾Ö§¾Ò¼Ù͹ËÅѧ¨íÒ˹‹ÒÂÍÍ¡¨Ò¡
                    Œ †                   ÙŒ †                  Õè Õ           è      è             è   Œ ×è
âç¾ÂÒºÒÅ »ÃÐÁÒ³ÃÐÂÐàÇÅÒ·Õ¤Ò´ÇèҼٻǨÓà»ç¹µéͧÍÂÙã¹âç¾ÂÒºÒÅ áÅÐÃкØÇÒ¤Ãͺ¤ÃÑÇ-
                                                       è           é è                   è                                 è
µŒÍ§àµÃÕÂÁ¡ÒÃÍ‹ҧäÃà¾×Í¡ÒôÙáżÙʧÍÒÂØÃÒ¹յÍä»·ÕºÒ¹
                                    è                    Œ Ù                 é ‹     è Œ   (12)

           àÁ×ÍÃѺ¼Ù»ÇÂänjáÉÒã¹âç¾ÂÒºÒÅ ËÅѧ¨Ò¡¡ÒûÃÐàÁÔ¹¤ÇÒÁà¨çº»†ÇÂáÅл˜­ËÒµ‹Ò§æ áÅŒÇ
              è         Œ †       Ñ
ᾷ¤ÇÃᨌ§¡ÒÃÇÔ¹Ô¨©ÑÂáÅÐá¹Ç·Ò§¡ÒôÙáÅÃÑ¡ÉÒ¼ÙŒ»†ÇÂãËŒ¼ÙŒ»†ÇÂáÅФÃͺ¤ÃÑÇ·ÃÒºµÒÁ¤ÇÒÁ
àËÁÒÐÊÁ áÅÐËÇÁ¡Ñ¹µÑé§à»‡ÒËÁÒ¢ͧ¡ÒÃÍÂÙ‹ÃÑ¡ÉÒµÑÇã¹âç¾ÂÒºÒŤÃÑé§¹Õéà¾×èÍãˌࢌÒ㨵ç¡Ñ¹
«Ö§á¾·Â¤Ç÷íÒ¡ÒÃÊ׺¤Œ¹à¾ÔÁàµÔÁáÅÐÃÑ¡ÉÒà¾×ÍÁا仵ÒÁ໇ÒËÁÒ·յ¡Å§¡Ñ¹äÇŒ ÃÇÁ·Ñ§¤íÒ¹Ö§¶Ö§¡ÒÃ
   è                                        è                          è ‹                        è                      é
»¯ÔºÑµÔà¾×èÍ·íÒãËŒ¼ÙŒ»†ÇÂÁÕ¤ÇÒÁÊÒÁÒö㹡ÒôÙáŵ¹àͧ´Õ¢Öé¹ (ËÃ×ÍÍ‹ҧ¹ŒÍÂäÁ‹àÅÇŧ) ä»´ŒÇÂ
ã¹ÃÐËNjҧ·Õ¼»ÇÂÍÂÙã¹âç¾ÂÒºÒŠᾷ㹰ҹмٹҢͧ·ÕÁ ¤ÇèѴãËŒÁ¡ÒûÃЪØÁ·ÕÁÊËÊÒ¢Ò
                è ÙŒ †          ‹                                                Œ í                         Õ
ÇԪҪվ͋ҧÊÁèíÒàÊÁÍ à¾×è͵ԴµÒÁ¼Å¡ÒÃÃÑ¡ÉÒ¾ÂÒºÒÅÇ‹Ò໚¹ä»µÒÁ໇ÒËÁÒ·Õè¡íÒ˹´ËÃ×ÍäÁ‹
áÅÐà¾×ÍÇÒ§á¼¹¡ÒèíÒ˹‹Ò¼ٻÇÂä»´ŒÇÂ
       è                                           Œ †
           ᾷ¤ÇèíÒ˹‹Ò¼ٻÇÂÊÙ§ÍÒÂØÍÍ¡¨Ò¡âç¾ÂÒºÒÅãËŒàÃçÇ·ÕÊ´ à¾×ÍÅ´ÀÒÇÐá·Ã¡«ŒÍ¹¨Ò¡
                                               Œ †                                                èØ è
¡ÒÃÍÂÙâç¾ÂÒºÒÅ áÅмٻǨÐä´Œ¡ÅѺä»ÍÂÙ¡º¤Ãͺ¤ÃÑÇáÅÐÊÔ§áÇ´ÅŒÍÁ·Õ¤¹à¤Â Í‹ҧäáçµÒÁ
         ‹                            Œ †                               ‹ Ñ                     è              è ØŒ
ᾷ¤ÇÃÃÐÇѧ¡ÒèíÒ˹‹Ò¼ٻÇÂÍÍ¡¨Ò¡âç¾ÂÒºÒÅàÃçÇà¡Ô¹ä» ઋ¹ ¤Ãͺ¤ÃÑÇÂѧäÁ‹¾ÃŒÍÁ·Õ¨Ð´ÙáÅ
                                                Œ †                                                                            è
¼Ù»Ç·պҹ ËÃ×ÍÍÒ¡Òâͧ¼Ù»ÇÂÂѧäÁ‹¤§·Õè (clinical instability) ã¹Çѹ¡‹Í¹¨íÒ˹‹Ò 䴌ᡋ à¾Ô§ÁÕÍÒ¡ÒÃ
  Œ † è Œ                                     Œ †                                                                            è
¡Åѹ»˜ÊÊÒÇÐäÁ‹ÍÂÙ‹ 䢌 ÊѺʹ à¨çºË¹ŒÒÍ¡ à˹×Í ËÑÇã¨àµŒ¹àÃçÇ ¤ÇÒÁ´Ñ¹âÅËÔµµèÒŧ ËÃ×Í diastolic
     é                                                                   è                                          í
blood pressure ÁÒ¡¡Ç‹Ò 105 ÁÁ.»ÃÍ·                           (17)



ÊÃØ»
        ÁÕ¼»ÇÂÊÙ§ÍÒÂØ¨Ò¹Ç¹ÁÒ¡·Õ¶¡ÃѺänjáÉÒã¹âç¾ÂÒºÒÅ´ŒÇÂÍÒ¡ÒÃà¨çº»†Çª¹Ô´à©Õº¾Åѹ
             ÙŒ †        í         è Ù          Ñ
·ÕÁ¼Å¡ÒÃÃÑ¡ÉÒ·ÕäÁ‹´Õ áÅФÇÒÁÊÒÁÒö㹡ÒôÙáŵ¹àͧŴŧ «Ö§à¡Ô´¨Ò¡¤ÇÒÁÃØ¹áç¢Í§âäËÃ×Í
  è Õ             è                                          è
¤ÇÒÁà¨çº»†Çª¹Ô´à©Õº¾Åѹ·Õ·ÒãËŒµÍ§ÃѺ¼Ù»ÇÂäÇŒã¹âç¾ÂÒºÒÅ ÀÒÇÐàÊÕ§ÊÙ§¢Í§¼Ù»Ç·Õ໚¹ÍÂÙ‹
                              è í Œ           Œ †                  è        Œ † è
à´ÔÁ áÅÐÍѹµÃÒ·Õà¡Ô´¢Ö¹¡Ñº¼Ù»Ç¢³Ð·ÕÍÂÙâç¾ÂÒºÒÅ ÃÇÁ·Ñ§ÀÒÇÐá·Ã¡«ŒÍ¹·Õà¡Ô´¨Ò¡á¾·ÂáÅÐ
                    è é      Œ †       è ‹                 é           è
¾ÂÒºÒÅ
        ໇ÒËÁÒÂÊíҤѭ㹡ÒôÙáÅÃÑ¡ÉÒ¼Ù»ÇÂÊÙ§ÍÒÂØã¹âç¾ÂÒºÒÅ ¹Í¡à˹×ͨҡÃÑ¡ÉÒãËŒâäËÃ×Í
                                          Œ †
¤ÇÒÁà¨çº»†Çª¹Ô´à©Õº¾ÅѹËÒÂËÃ×Í·ØàÅÒáÅŒÇ ¤×Í·íÒãËŒ¤ÇÒÁÊÒÁÒö㹡ÒôÙáŵ¹àͧ¢Í§¼ÙʧÍÒÂØ
                                                                                  ŒÙ
´Õ¢¹ ËÃ×ÍÍ‹ҧ¹ŒÍÂäÁ‹Å´Å§¨Ò¡à´ÔÁ ´Ñ§¹Ñ¹ ᾷ·Á˹ŒÒ·Õ´áÅÃÑ¡ÉÒ¼Ù»ÇÂÊÙ§ÍÒÂØ¨§µŒÍ§·ÃÒºÇÔ¸Õ
    Öé                                  é           Õè Õ è Ù   Œ †        Ö
»ÃÐàÁÔ¹¼Ù»ÇÂÊÙ§ÍÒÂØ·ÁÀÒÇÐàÊÕ§ÊÙ§ â´Â੾ÒФÇÒÁÊÒÁÒö㹡ÒôÙáŵ¹àͧ áÅÐÊÁÃöÀÒ¾
         Œ †          Õè Õ       è
ÊÁͧ¢Í§¼Ù»Ç¡‹Í¹à¢ŒÒâç¾ÂÒºÒÅ áÅÐᾷµÍ§µÃÐ˹ѡ¶Ö§ÍѹµÃÒµ‹Ò§æ ·ÕÍÒ¨à¡Ô´¢Ö¹¡Ñº¼Ù»ÇÂ
           Œ †                                    Œ                  è         é     Œ †
374                               Harmonized Care for Older Patients : .ocus on Hospitalized Patients

ÊÙ§ÍÒÂØ¢³Ð·ÕÍÂÙâç¾ÂÒºÒŠઋ¹ ¤ÇÒÁÊÒÁÒö㹡ÒôÙáŵ¹àͧŴŧ ÀÒÇÐÊѺʹà©Õº¾Åѹ ÀÒÇÐ
               è ‹
äÁ‹à¤Å×͹·Õè (immobility) ÀÒÇзؾâÀª¹Ò¡Òà ÀÒÇЫÖÁàÈÃŒÒ áÅÐÀÒÇÐá·Ã¡«ŒÍ¹·Õà¡Ô´¨Ò¡á¾·ÂáÅÐ
       è                                                                è
¾ÂÒºÒÅ (iatrogenic illness) â´Â੾ÒÐ ¡ÒÃÊѧ¡ÒÃÊ׺¤Œ¹áÅСÒÃÃÑ¡ÉÒ·ÕäÁ‹àËÁÒÐÊÁµ‹Í¼ÙʧÍÒÂØ
                                            è                      è             ŒÙ
áÅÐá¹Ç·Ò§»¯Ôºµ¢Í§á¾·Âà¾×ÍÅ´ËÃ×Í»‡Í§¡Ñ¹ÍѹµÃÒ´ѧ¡Å‹ÒÇ àÁ×ͤÇÒÁà¨çº»†ÇÂËÒÂËÃ×Í·ØàÅÒáÅŒÇ
                    Ñ Ô         è                             è
ᾷ¤ÇÃ໚¹¼Ù¹Ò·ÕÁÊËÊÒ¢ÒÇԪҪվ㹡ÒÃÇÒ§á¼¹¡ÒèíÒ˹‹Ò¼ٻÇ à¾×ÍãËŒ¤Ãͺ¤ÃÑÇÊÒÁÒö´ÙáÅ
                  Œ í                                       Œ †  è
¼Ù»ÇÂÊÙ§ÍÒÂØµÍä»ä´ŒÍ‹ҧÁÕ¤³ÀÒ¾
  Œ †           ‹             Ø

àÍ¡ÊÒÃ͌ҧÍÔ§
1.    Podrazik PM, Whelan CT. Acute hospital care for the elderly patient: Its impact on clinical and hospital systems
      of care. Med Clin North Am 2008;92:387–406.
2.    Brennan TA, Leape LL, Laird NM, et al. Incidence of adverse events and negligence in hospitalized patients.
      N Engl J Med 1991;324:370–6.
3.    Gillick MR, Serrell NA, Gillick LS. Adverse consequences of hospitalization in the elderly. Soc Sci Med
      1982;16:1033–8.
4.    Covinsky KE, Palmer RM, .ortinsky RH, et al. Loss of independence in activities of daily living in older adults
      hospitalized with medical illnesses: increased vulnerability with age. J Am Geriatr Soc 2003;51:451–8.
5.    Sternberg SA, Wolfson C, Baumgarten M. Undetected dementia in community-dwelling older people: the
      Canadian Study of Health and Aging. J Am Geriatr Soc 2000;48:1430–4.
6.    Inouye SK, Viscoli CM, Horwitz RI, et al. A predictive model for delirium in hospitalized elderly medical patients
      based on admission characteristics. Ann Intern Med 1993;119:474–81.
7.    ¡ÅØÁ¿„¹¿ÙÊÁÃöÀÒ¾ÊÁͧ. Ẻ·´ÊͺÊÁÃöÀÒ¾ÊÁͧ¢Í§ä·Â. ÊÒÃÈÔÃÃÒª 2536;45:359-74.
         ‹ œ                                                                  Ô
8.    Inouye SK, Peduzzi PN, Robinson JT, et al. Importance of functional measures in predicting mortality among
      older hospitalized patients. JAMA 1998;279:1187–93.
9.    Mathias S, Navak US, Isaacs B. Balance in elderly patients: the ‘‘get-up and go’’ test. Arch Phys Med Rehabil
      1986;67:387–9.
10.   Katz S, ford AB, Moskowitz RW, et al. Studies of illness in the aged: the index of ADL. JAMA 1963;185:914-9.
11.   Inouye SK, Wagner DR, Acampora D, et al. A predictive index for functional decline in hospitalized elderly
      patients. J Gen Intern Med 1993;8:645–52.
12.   Palmer RM. Acute hospital care. In Cassel CK, editor. Geriatric Medicine: An evidence-based approach. New
      York. Springer-Verlag;2003, p. 133-45.
13.   Constans T, Bacq Y, Brechet J., et al. Protein-energy malnutrition in elderly medical patients. J Am Geriatr Soc
      1992;40:263-8.
14.   Covinsky KE, .ortinsky RH, Palmer RM, et al. The relationship of depressive symptoms to health outcomes in
      acutely ill hospitalized elders. Ann Intern Med 1997;126:417-25.
15.   Barry PP. latrogenic disorders in the elderly: Preventive techniques. Geriatrics 1986;41:42-7.
16.   .ick DM, Cooper JW, Wade WE, et al. Updating the Beers criteria for potentially inappropriate medication use
      in older adults. Arch Intern Med 2003;163:2716–24.
17.   Brook RH, Kahn KL, Kosecoff J. Assessing clinical instability at discharge. The clinician’s responsibility. JAMA
      1992;268:1321-2.
àǪÈÒʵÏ·¹Âؤ 2553
          Ñ                                                                       º··Õè       375

                                                                                   56
    Harmonized Care for Older Patients : .ocus on Cognition
                                          ÍÒ¨ÒÏ ᾷ˭ԧÇÃÒÅѡɳ ÈÃÕ¹¹·»ÃÐàÊÃÔ°
                      ÀÒ¤ÇÔªÒÍÒÂØÃÈÒʵÏ ¤³Ðá¾·ÂÈÒʵÏÈÔÃÔÃÒª¾ÂÒºÒÅ ÁËÒÇÔ·ÂÒÅÑÂÁËÔ´Å

         ÀÒÇÐÊѺʹà©Õº¾Åѹ (Delirium) ໚¹ÀÒÇзÕÁ¡ÒÃà»ÅÕ¹á»Å§¢Í§¤ÇÒÁ¨íÒ ¤ÇÒÁãÊ‹ã¨
                                                        è Õ      è
áÅÐ ¾ÄµÔ¡ÃÃÁ «Ö§à¡Ô´¢Ö¹ÀÒÂã¹ÃÐÂÐàÇÅÒÍѹÊѹ (acute cognitive changes) ¹Ñºà»š¹»˜­ËÒ·Õ¾ºä´Œ
                   è       é                  é                                                 è
º‹ÍÂã¹¼ÙʧÍÒÂØ·¶¡ÃѺänjáÉÒã¹âç¾ÂÒºÒÅ «Ö§ºØ¤Åҡ÷ҧ¡ÒÃᾷ·ÁÊǹ㹡ÒôÙáżÙʧÍÒÂØ
         ŒÙ      Õè Ù        Ñ                  è                           Õè Õ ‹              ŒÙ
ÁÑ¡ÁÕ»ÃÐʺ¡Òóã¹¡ÒôÙáżٻÇÂ¡ÅØÁ¹ÕäÁ‹ÁÒ¡¡ç¹Í ᵋ»­ËÒ·ÕÊҤѭ¤×Í ÀÒÇйÕÁ¡¶Ù¡Áͧ¢ŒÒÁ
                                   Œ †   ‹ é        Œ       ˜      èí                   é Ñ
â´ÂÁÕ¡ÒÃÈÖ¡ÉÒ·Õè¾ºÇ‹Ò ÀÒÇÐÊѺʹà©Õº¾Åѹ¶Ù¡ÅÐàÅÂâ´ÂºØ¤Åҡ÷ҧ¡ÒÃᾷ䴌ÊÙ§¶Ö§
32-88 % (1-2) áÅÐËÒ¡ÀÒÇйÕäÁ‹ä´ŒÃº¡ÒõÃÐ˹ѡâ´Âᾷ ¼ÙʧÍÒÂØÁâÍ¡ÒÊ·Õ¨ÐÁÕ͵ÃÒ¡ÒõÒÂ
                                 é     Ñ                      ŒÙ          Õ        è        Ñ
ÊÙ§¢Ö¹¶Ö§ÊÍ§à·‹Ò (3) «Ö§Ê‹Ç¹Ë¹Ö§¡çÍҨ͸ԺÒÂä´Œ¨Ò¡¡Ò÷ÕÀÒÇÐÊѺʹà©Õº¾Åѹ㹼ÙʧÍÒÂØ ʋǹãË­‹
     é                 è       è                      è                              ŒÙ
à¡Ô´¨Ò¡ÀÒÇФÇÒÁà¨çº»†Ç·ҧ¡Ò ËÃ×Í à¡Ô´¨Ò¡¼Å¢ŒÒ§à¤Õ§¢Í§ÂÒ àÁ×ÍᾷäÁ‹·ÃÒº¶Ö§»˜­ËÒ áÅÐ
                                                                        è
äÁ‹ä´Œá¡Œä¢·ÕÊÒà赯 ¼Ù»Ç¨֧à¡Ô´ÁռŢŒÒ§à¤Õ§µ‹Ò§æ µÒÁÁÒä´Œ ´Ñ§¹Ñ¹¨Ö§ÁÕ¤ÇÒÁÊíҤѭ·ÕᾷáÅÐ
             è           Œ †                                          é                       è
ºØ¤¤Åҡ÷ҧ¡ÒÃᾷ ¨Ð䴌ࢌÒ㨶֧ÀÒÇйÕé à¾×ͨÐä´ŒªÇÂãËŒ¼Ê§ÍÒÂØ 䴌ú¡ÒÃÇÔ¹¨©ÑÂáÅÐÃÑ¡ÉÒ
                                                  è       ‹   ÙŒ Ù              Ñ        Ô
·ÕàËÁÒÐÊÁµ‹Íä»
  è

¤ÇÒÁÊíҤѭ¢Í§»˜­ËÒ
       ¤ÇÒÁªØ¡ (prevalence) ¢Í§¡ÒÃà¡Ô´ÀÒÇÐÊѺʹà©Õº¾Åѹ㹼ÙʧÍÒÂØ ÁÕ¤ÇÒÁᵡµ‹Ò§¡Ñ¹µÒÁ
                                                            ŒÙ
ÅѡɳТͧ¼ÙŒ»†Ç ¢ŒÍÁÙÅ¡ÒÃÈÖ¡ÉÒã¹µ‹Ò§»ÃÐà·È¨Ò¡µÒÃÒ§·Õè 1 áÊ´§ãËŒàËç¹Ç‹Ò ÀÒÇÐÊѺʹ
à©Õº¾Åѹ㹼ٌÊÙ§ÍÒÂØ ¾ºä´Œº‹Í áÅÐÁÕá¹Ç⹌Á¨Ð¾ºÁÒ¡¢Öé¹µÒÁ¤ÇÒÁÃØ¹áç¢Í§¤ÇÒÁà¨çº»†ÇÂ
¡ÒÃÈÖ¡ÉÒ«Ö§·íÒã¹¼Ù»ÇÂ㹢ͧÀÒ¤ÇÔªÒÍÒÂØÃÈÒʵÏ·âç¾ÂÒºÒÅÈÔÃÃÒª ¾ºÇ‹ÒÁÕ¤ÇÒÁªØ¡¢Í§ÀÒÇÐ
          è        Œ †                         Õè           Ô
ÊѺʹà©Õº¾ÅѹÊÙ§¶Ö§ 40.7% «Ö§äÁ‹¹ÍÂ仡Njҵ‹Ò§»ÃÐà·È áÊ´§ãËŒàËç¹Ç‹Ò »˜­ËÒ¹Õ¾ºä´ŒºÍÂ
                               è   Œ                                        é       ‹
ã¹»ÃÐà·Èä·Âઋ¹à´ÕÂǡѹ
376                                    Harmonized Care for Older Patients : .ocus on Cognition

µÒÃÒ§·Õè 1 µÒÃÒ§áÊ´§¤ÇÒÁªØ¡¢Í§¡ÒÃà¡Ô´ÀÒÇÐÊѺʹà©Õº¾Åѹ¢Í§¼ÙŒÊÙ§ÍÒÂØ·Õè¹Í¹ã¹
           âç¾ÂÒºÒÅ
ÅѡɳТͧ¼ÙŒ»†Ç                                      ¤ÇÒÁªØ¡
¼Ù»ÇÂÈÑÅ¡ÃÃÁ·ÑÇä»(4-5)
  Œ †             è                                   17-24%
¼Ù»Ç·ҧÍÍÏ⸻´¡Ê·¼ÒµÑ´áººäÁ‹©¡à©Ô¹(6)
   Œ †               Ô Õè ‹         Ø                 4-28%
¼ÙŒ»†ÇÂÍÒÂØÃ¡ÃÃÁ (7)
                                                      11-42%
¼Ù»Ç¼‹ÒµÑ´ËÑÇã¨(8)
    Œ †                                               3-47%
¼Ù»Ç¡Ãд١µŒ¹¢ÒËÑ¡(6)
     Œ †                                              4-53%
¼Ù»ÇÂÃÐÂзŒÒ (end of life)(9)
      Œ †                                             25-85%
¼Ù»ÇÂã¹ËͼٻÇÂÇÔ¡ÄµÔ (intensive care unit)(10)
       Œ †   Œ †                                      70-87%

       ¼ÙʧÍÒÂØ·ÁÀÒÇÐÊѺʹà©Õº¾Åѹ ÁÕá¹Ç⹌Á¨ÐÁÕ¼ÅÅѾ¸·Ò§¤ÅÔ¹¡·ÕäÁ‹´Õ (adverse clinical
         ŒÙ      Õè Õ                                                   Ô è
outcomes) Íѹ䴌ᡋ ·íÒãËŒÃÐÂÐàÇÅÒ·ÕÍÂÙâç¾ÂÒºÒŹҹ¢Ö¹, ¤‹Ò㪌¨ÒÂ㹡ÒÃÃÑ¡ÉÒ¾ÂÒºÒÅÊÙ§¢Ö¹,
                                    è ‹              é         ‹                       é
áÅÐ ·íÒãËŒà¾ÔÁÍѵÃÒ¡ÒÃà¡Ô´·Ø¾¾ÅÀÒ¾áÅÐÍѵÃÒ¡ÒõÒÂã¹¼ÙʧÍÒÂØ
             è                                         ŒÙ        (1, 7)



¾ÂÒ¸ÔÊÃÕÃÇÔ·ÂÒ (11-12)
         ¾ÂÒ¸ÔÊÃÕÃÇÔ·ÂҢͧ¡ÒÃà¡Ô´ÀÒÇÐÊѺʹà©Õº¾Åѹ ÂѧäÁ‹à»š¹·ÕࢌÒã¨´Õ «Ö§àª×ÍÇ‹Ò ÍÒ¨à¡Ô´¨Ò¡
                                                                è          è è
ËÅÒ¡Å䡾ÂÒ¸Ô¡Òà¹Ô´ ËÅÑ¡°Ò¹à·‹Ò·ÕÁÍÂÙã¹»˜¨¨Øº¹ ªÕ¹ÒÇ‹Ò ¼Å¢ŒÒ§à¤Õ§¢Í§ÂÒ »¯Ô¡ÃÂÒ¡ÒÃÍÑ¡àʺ
                   í               è Õ ‹       Ñ é í                            ÔÔ
ËÇÁ¡Ñº»¯Ô¡ÃÂÒ¡Òõͺʹͧµ‹ÍÀÒÇСÃеعà©Õº¾Åѹ (acute stress responses) ໚¹à˵ط·ÒãËŒ
              ÔÔ                         Œ                                                Õè í
à¡Ô´¡ÒÃà»ÅÕ¹á»Å§¢Í§ÊÒÃÊ×Í»ÃÐÊÒ· (neurotransmitter) áÅзíÒãËŒà¡Ô´ÀÒÇÐÊѺʹà©Õº¾Åѹ¢Ö¹
            è                è                                                                 é
«Ö§àª×ÍÇ‹ÒÊÒÃÊ×Í»ÃÐÊÒ·µÑÇ·ÕÁº·ºÒ·ÊíҤѭ·ÕÊ´ ¹‹Ò¨Ð໚¹ÊÒÃÊ×Í»ÃÐÊÒ· cholinergic «Ö§¾ºÇ‹ÒÁÕ
  è è            è         è Õ             èØ               è                         è
»ÃÔÁҳŴŧã¹ÀÒÇÐÊѺʹà©Õº¾Åѹ ¹Í¡¨Ò¡¹Ñé¹ ÊÒÃÊ×èÍ»ÃÐÊÒ·µÑÇÍ×è¹·ÕèÍÒ¨ÁÕº·ºÒ·ä´Œá¡‹
ÊÒà dopamine â´ÂÁÕ¡ÒÃÈÖ¡ÉÒ¾ºÇ‹Ò ÁÕ¡ÒÃà¾ÔÁ¢Ö¹¢Í§ÃдѺ dopamine ã¹ÊÁͧáÅÐà¡Ô´ÁÕ¤ÇÒÁäÁ‹
                                           è é
ÊÁ´ØÅ¢Í§Ãкº»ÃÐÊÒ· dopamine áÅÐ cholinergic

ÍÒ¡Ò÷ҧ¤ÅÔ¹Ô¡áÅСÒÃÇÔ¹Ô¨©ÑÂ
         ÍÒ¡ÒÃËÅÑ¡¢Í§ÀÒÇÐÊѺʹà©Õº¾Åѹ ¤×Í¡Ò÷ռ»ÇÂÁÕÊÁÃöÀÒ¾¢Í§ÊÁͧËÅÒÂ æ ´ŒÒ¹Å´
                                                        è ÙŒ †
ŧ ËÇÁ¡ÑºÁÕ¡ÒÃà»ÅÕ¹á»Å§ÃдѺ¤ÇÒÁÃÙÊ¡µÑÇ «Ö§à¡Ô´¢Ö¹©Ñº¾Åѹ â´ÂÍÒ¡ÒÃà´‹¹·ÕÁ¡·íÒãËŒ­ÒµÔ ËÃ×Í
                         è               ŒÖ       è      é                è Ñ
ºØ¤Åҡ÷ҧ¡ÒÃᾷʧࡵ䴌 ¤×Í ÃдѺ¤ÇÒÁÃÙÊ¡µÑÇ·Õà»ÅÕ¹á»Å§ä» «Ö§ã¹ÀÒÇÐÊѺʹà©Õº¾Åѹ
                               Ñ                    ŒÖ     è è       è
¹Ñ¹ ¾ºä´Œ·§áºº·ÕÁ¤ÇÒÁÇØ¹ÇÒ ÊѺʹ ËÃ×Í áºº·Õ«Á ÁÕ¤ÇÒÁÃÙÊ¡µÑÇŴŧ ʋǹ¤ÇÒÁ¨íÒ ¤ÇÒÁ
  é         Ñé             è Õ     ‹                   è Ö        ŒÖ
ãʋ㨷Õà»ÅÕ¹á»Å§¹Ñ¹ ºÒ§¤ÃѧÍÒ¡ÒÃÍÒ¨äÁ‹ª´à¨¹ ᾷÍÒ¨äÁ‹µÃÐ˹ѡËÒ¡äÁ‹ä´Œ·Ò¡Ò÷´Êͺ
       è è                   é       é          Ñ                             í
¹Í¡¨Ò¡¹Õé ¼Ù·Á»­ËÒÀÒÇÐÊѺʹà©Õº¾Åѹ ÍÒ¨ÁÕÍÒ¡ÒÃÍ×¹ æ ËÇÁÍÕ¡ Íѹ䴌ᡋ ÁÕÀÒ¾ËÅ͹, ÍÒÃÁ³
               Œ Õè Õ ˜                                       è
áÅоĵԡÃÃÁà»ÅÕè¹á»Å§ä» áÅÐÁÕǧ¨Ã¡Òù͹·Õèà»ÅÕè¹á»Å§ä» ¡ÅÒ§¤×¹äÁ‹¹Í¹áµ‹¹Í¹ÁÒ¡
µÍ¹¡ÅÒ§Çѹ ´Ñ§¹Ñ¹àÁ×Íã´·Õᾷ䴌ú¡ÒÃÃÒÂ§Ò¹Ç‹Ò ¼ÙʧÍÒÂØ¹Í¹äÁ‹ËÅѺ ¤ÇõÃÐË¹Ñ¡Ç‹Ò ¼ÙʧÍÒÂØ
                        é è      è     Ñ                   ŒÙ                       ŒÙ
ÍÒ¨ÁÕÀÒÇÐÊѺʹà©Õº¾Åѹ ¤ÇûÃÐàÁÔ¹¼Ù»Ç¡‹Í¹µÑ´ÊÔ¹ã¨Êѧ¡ÒÃÃÑ¡ÉÒ´ŒÇÂÂҹ͹ËÅѺ
                                            Œ †                 è
àǪÈÒʵÏ·¹Âؤ 2553
          Ñ                                                                                   377

           ¡ÒÃÇÔ¹¨©ÑÂÀÒÇÐÊѺʹà©Õº¾Åѹ ÍÒÈÑÂÍÒ¡Ò÷ҧ¤ÅÔ¹¡à»š¹ÊíҤѭ â´Âࡳ±¡ÒÃÇÔ¹¨©ÑÂ
                  Ô                                          Ô                                   Ô
Áҵðҹ·Õ㪌§¶×͡ѹµÒÁࡳ±·¡Ò˹´â´ÂÊÁÒ¤Á¨Ôµá¾·ÂÍàÁÃÔ¡¹ «Ö§»˜¨¨Øº¹ 㪌 DSM IV TR
              è Ñ                 Õè í                             Ñ è          Ñ
(Diagnostic and Statistical Manual of Mental Disorders, 4 edition, text revision) (11) ´Ñ§ã¹µÒÃÒ§
                                                         th

·Õè 2 «Ö§¨ÐàËç¹ä´ŒÇÒ ¡ÒÃÇÔ¹¨©ÑµÒÁࡳ±¹Õé ÁÕ¤ÇÒÁ«Ñº«ŒÍ¹¾ÍÊÁ¤Çà µŒÍ§ÍÒÈѤÇÒÁªíÒ¹Ò­¢Í§
         è           ‹         Ô
¼Ù»ÃÐàÁÔ¹ ·íÒãËŒäÁ‹Êдǡ㹡ÒùíÒÁÒ㪌㹷ҧ»¯ÔºµÔ
  Œ                                               Ñ
           ´Ñ§¹Ñ¹ ¨Ö§ÁÕ¼¤´à¡³±áºº¡ÃЪѺ ·ÕÊÒÁÒö¹íÒ㪌»¯Ôºµä´Œ§Ò¢ֹ â´Âࡳ±·Á¼¹ÒÁÒ㪌
                é         ÙŒ Ô             è                Ñ Ô ‹ é                    Õè Õ ÙŒ í
¡Ñ¹Í‹ҧá¾Ã‹ËÅÒ áÅÐÁÕ¡ÒÃÈÖ¡ÉÒ¤ÇÒÁáÁ‹¹ÂíÒäÇŒÁÒ¡·ÕÊ´ 䴌ᡋ ࡳ±·¤´¤Œ¹â´Â Inouye áÅÐ
                                                      èØ                 Õè Ô
¤³Ð àÃÕÂ¡Ç‹Ò Confusion Assessment Method (CAM) (µÒÃÒ§·Õè 3) â´Âä´ŒÁ¡ÒÃÈÖ¡ÉÒẺ໚¹
      (13)
                                                                              Õ
systematic review ¾ºÇ‹Ò(14)



µÒÃÒ§·Õè 2 ࡳ±¡ÒÃÇÔ¹Ô¨©ÑÂÀÒÇÐÊѺʹà©Õº¾Åѹ µÒÁ DSM IV TR
1. ÁÕ¡ÒÃà»ÅÕ¹á»Å§¢Í§ÃдѺ¤ÇÒÁÃÙÊ¡µÑÇ áÅÐ ¤ÇÒÁÊÒÁÒö㹡Òè´¨‹Í ¤§äÇŒ ËÃ×Í »ÃѺà»ÅÕ¹
               è                   ŒÖ                                                  è
   ¤ÇÒÁãÊ‹ã¨
2. ÁÕ ¡ ÒÃà»ÅÕè  ¹á»Å§ÊÁÃöÀÒ¾ÊÁͧ (ઋ ¹ ¤ÇÒÁ¨í Ò ¼Ô ´ »¡µÔ ¤ÇÒÁÃÑ º ÃÙŒ Ê ÀÒ¾áÇ´ÅŒ Í Á
   à»ÅÕè¹á»Å§ä» ËÃ×Í ÁÕ¡ÒÃà»ÅÕè¹á»Å§¤ÇÒÁÊÒÁÒö㹡ÒÃ㪌ÀÒÉÒ) ËÃ×Í à¡Ô´ÁÕ¤ÇÒÁÃѺÃÙŒ
   ¼Ô´»¡µÔ ÍѹäÁ‹ä´Œà¡Ô´¨Ò¡ÀÒÇФÇÒÁ¨íÒàÊ×ÍÁ
                                         è
3. ¡ÒÃà»ÅÕ¹á»Å§à¡Ô´¢Ö¹ÀÒÂã¹ÃÐÂÐàÇÅÒÍѹÊѹ (Áѡ໚¹ªÑÇâÁ§ ËÃ×Í Çѹ) áÅÐÁÕá¹Ç⹌Á·Õ¨ÐÁÕ¡ÒÃ
             è          é                   é        è                            è
   à»ÅÕ¹á»Å§ã¹ÃÐËNjҧÇѹ
        è
4. ¼Å¡Òëѡ»ÃÐÇÑµÔ µÃǨËҧ¡Ò ËÃ×ͼšÒÃÊ׺¤Œ¹·Ò§ËŒÍ§»¯Ôºµ¡Òà º‹§ªÕÇÒ ÀÒÇйÕÁÊÒà˵ØÁÒ¡
                                                          Ñ Ô        é‹       é Õ
   ¡Ç‹Ò˹֧Í‹ҧ ઋ¹ ÁÕ¤ÇÒÁà¨çº»†Ç·ҧ¡Ò ¨Ò¡ÂÒ ËÃ×ÍÊÒþÔÉ
           è
¡ÒÃÇÔ¹Ô¨©ÑÂÀÒÇÐ delirium µŒÍ§ÁÕ¡ÒÃà»ÅÕè¹á»Å§¤Ãºà¡³±·Ñé§ 4 ¢ŒÍ
ËÁÒÂà赯 *á»ÅÁÒ¨Ò¡ .ong TG, Tulebaev SR, Inouye SK. Delirium in elderly adults: diagnosis,
         prevention and treatment. Nat Rev Neurol. 2009;5(4):210-20.

µÒÃÒ§·Õè 3 Confusion Assessment Method
1. ÍÒ¡ÒÃà¡Ô´¢Ö¹Í‹ҧÃÇ´àÃçÇ ©Ñº¾Åѹ áÅÐ ÍÒ¡ÒÃà»ÅÕ¹á»Å§ äÁ‹¤§·Õè ã¹Ãͺ 24 ªÑÇâÁ§ (acute
              é                                      è                      è
   onset and fluctuation course)
2. ÁÕ¤ÇÒÁäÁ‹ãʋ㨠(inattention) äÁ‹ÁÊÁÒ¸Ô äÁ‹Ê¹ã¨ÊÔ§áÇ´ÅŒÍÁ
                                    Õ              è
3. ÁÕ¤ÇÒÁ¤Ô´ÊѺʹ ǡǹ äÁ‹»ÐµÔ´»Ðµ‹Í (disorganized thinking)
4. ÃдѺ¤ÇÒÁÃÙÊ¡µÑÇà»ÅÕ¹á»Å§ (altered level of consciousness)
                ŒÖ       è
¡ÒÃÇÔ¹Ô¨©ÑÂÀÒÇÐ delirium µŒÍ§ÁÕÍÒ¡ÒõÒÁ¢ŒÍ 1 áÅÐ 2 ËÇÁ¡Ñº ¢ŒÍ 3 ËÃ×Í 4
ËÁÒÂà赯 á»ÅÁÒ¨Ò¡ Inouye SK, van Dyck CH, Alessi CA, Balkin S, Siegal AP, Horwitz RI.
         Clarifying confusion: the confusion assessment method. A new method for detection of
         delirium.Ann Intern Med. 1990;113(12):941-8.
378                                    Harmonized Care for Older Patients : .ocus on Cognition

      ࡳ±´§¡Å‹ÒÇ ÁÕ¤ÇÒÁäÇ (sensitivity) áÅФÇÒÁ¨íÒà¾ÒÐ (specificity) ¤‹Í¹¢ŒÒ§´Õ ¤×Í 94%
            Ñ
áÅÐ 89% µÒÁÅíҴѺ

¡Òû‡Í§¡Ñ¹
        ÁÕ¢ÍÁÙź‹§ªÕÇÒ »ÃÐÁÒ³ 30-40 % ¢Í§ÀÒÇÐÊѺʹà©Õº¾Åѹ ÊÒÁÒö»‡Í§¡Ñ¹ä´Œ(11) â´Â¡ÒÃ
           Œ          é‹
¤Çº¤ØÁ»˜¨¨ÑÂàÊÕ§·Õ·ÒãËŒà¡Ô´ÀÒÇÐÊѺʹà©Õº¾Åѹ (11, 15) áÅÐã¹»˜¨¨Ñµ‹Ò§æ àËŋҹÕé ÂÒ à»š¹ÊÒà˵Ø
                  è è í
ÊíҤѭÍѹ˹Öè§·Õ軇ͧ¡Ñ¹ä´Œ â´ÂÂÒ·ÕèÍҨ໚¹à˵آͧÀÒÇÐÊѺʹà©Õº¾ÅѹÁÕÍÂÙ‹¤‹Í¹¢ŒÒ§ÁÒ¡(5, 16-17)
´Ñ§ä´ŒáÊ´§änj㹵ÒÃÒ§·Õè 4
        ÁÕ¡ÒÃÇÔ¨Âà¡ÕÂǡѺ¡Òû‡Í§¡Ñ¹ÀÒÇÐÊѺʹà©Õº¾Åѹ·Õ·ÒÍ‹ҧ໚¹Ãкº áÅШѴ໚¹¡ÒÃÈÖ¡ÉÒ
                   Ñ è                                              è í
·ÕÊҤѭ (landmark study) ¤×Í ¡ÒÃÈÖ¡ÉҢͧ Inouye «Ö§·íÒ¡ÒûÃѺà»ÅÕ¹»˜¨¨ÑÂáÇ´ÅŒÍÁ·ÕÁ¤ÇÒÁ
  èí                                                    (18)
                                                                è            è               è Õ
ÊÑÁ¾Ñ¹¸¡ºÀÒÇÐÊѺʹà©Õº¾ÅѹÍѹ䴌ᡋ ¡Ò÷º·Ç¹ÂÒ·Õ㪌 ¡ÒáÃеع¤ÇÒÁ¨íҼٻǠ¡ÒèѴµÒÃÒ§
         Ñ                                                        è        Œ        Œ †
¡ÒôÙáÅà¾×èÍãËŒ¼ÙŒÊÙ§ÍÒÂØÁÕǧ¨Ã¡Òù͹໚¹»¡µÔ ¡ÒáÃе،¹ãËŒ¼ÙŒ»†ÇÂÁÕ¡ÒÃà¤Å×è͹äËÇᵋà¹Ôè¹æ
(early ambulation)
        ¡ÒÃàÍÒÊÒÂÊǹ»˜ÊÊÒÇÐáÅйéÒà¡Å×ÍÍÍ¡àÁ×ÍËÁ´¢ŒÍº‹§ªÕé ¡ÒÃãËŒ¼»ÇÂ㪌à¤Ã×ͧª‹Ç¿˜§áÅÐ
                                        í             è                        ÙŒ †     è
áÇ‹¹µÒµÒÁ·Õ¼»ÇÂà¤Â㪌 áÅÐ ¡ÒÃãËŒÊÒùéÒà¾Õ§¾ÍµÒÁ¤ÇÒÁàËÁÒÐÊÁ ÁҵáÒôѧ¡Å‹ÒÇ¢ŒÒ§µŒ¹
             è ÙŒ †                        í
ÊÒÁÒöŴâÍ¡ÒÊ㹡ÒÃà¡Ô´ÀÒÇÐÊѺʹà©Õº¾Åѹ㹼ÙʧÍÒÂØ·¹Í¹âç¾ÂÒºÒÅä´ŒÁÒ¡¶Ö§ 40%
                                                             ŒÙ         Õè
        ¹Í¡¨Ò¡¹Õé ÂѧÁÕ¡ÒÃÈÖ¡ÉÒ·Õ·Òã¹¼ÙʧÍÒÂØ·à¢ŒÒÃѺ¡Òü‹ÒµÑ´ÃÑ¡ÉÒ¡Ãд١µŒ¹¢ÒËÑ¡(19) ¾ºÇ‹Ò
                                     è í ŒÙ        Õè
¡ÒûÃÖ¡ÉÒᾷ·Ò§ÍÒÂØÃÈÒʵϼٌÊÙ§ÍÒÂØ à¾×èÍãËŒ¡ÒôÙáÅÍ‹ҧ໚¹Í§¤ÃÇÁ ᡌä¢ÀÒÇзҧ
ÍÒÂØÃ¡ÃÃÁãËŒàËÁÒÐÊÁ¡‹Í¹¡Òü‹ÒµÑ´ ¨Ðª‹ÇÂÅ´¡ÒÃà¡Ô´ÀÒÇÐÊѺʹà©Õº¾ÅѹËÅѧ¼‹ÒµÑ´ä´Œ¶§ 36 %     Ö
â´ÂÃÐÂÐàÇÅÒ㹡Òù͹âç¾ÂÒºÒÅäÁ‹à»ÅÕ¹á»Å§    è
        ÁÕ¡ÒÃÈÖ¡ÉÒµ‹ÍÁÒ¾ºÇ‹Ò ËÒ¡ÁÕ¡ÒôÙáżÙʧÍÒÂØËÅѧ¼‹ÒµÑ´¡Ãд١µŒ¹¢ÒËÑ¡ã¹ËͼٻÇ·ÕÁÕ
                                (20)
                                                 ŒÙ                                       Œ † è
¡ÒèѴàµÃÕÂÁäÇŒÊÒËÃѺ´ÙáżÙʧÍÒÂØâ´Â੾ÒÐáÅÐÁا์¹¡Òû‡Í§¡Ñ¹áÅÐÃÑ¡ÉÒÀÒÇÐÊѺʹà©Õº¾Åѹ
                    í        ŒÙ                  ‹
¾ºÇ‹Ò ÊÒÁÒÃÅ´¡ÒÃà¡Ô´ÀÒÇÐÊѺʹà©Õº¾Åѹ¡ÒÃà¡Ô´¼Å¢ŒÒ§à¤Õ§µ‹Ò§æ ÃÇÁ¶Ö§ ¡ÒÃÅ´Çѹ¹Í¹
ã¹âç¾ÂÒºÒÅ´ŒÇÂ
àǪÈÒʵÏ·¹Âؤ 2553
          Ñ                                                                                 379

µÒÃÒ§·Õè 4 ÂÒ·ÕèÍҨ໚¹ÊÒà˵آͧÀÒÇÐÊѺʹà©Õº¾Åѹ㹼ٌÊÙ§ÍÒÂØ
¡ÅØ‹ÁÂÒ                     µÑÇÍ‹ҧÂÒ                                   ¤ÇÒÁàÊÕè§
Anticholinergics       Atropine, Scopolamine                             ÊÙ§
Benzodiazepines        Nitrazepam, .lurazepam                            ÊÙ§
                       Diazepam, Temazepam                               »Ò¹¡ÅÒ§
Opioid analgesics      Pethidine, Tramadol                               ÊÙ§
Antipsychotics         Thioridazine, Chlopromazine                       »Ò¹¡ÅÒ§
                       Risperidone                                       µèíÒ
Antiparkinsonian drugs Trihexyphenidyl, Benzatropoine                    ÊÙ§
                       Bromocriptine, Levodopa, Selegiline               »Ò¹¡ÅÒ§
Antidepressants        Amitriptline, Imipramine                          ÊÙ§
                       Nortriptyline, Desipramine                        »Ò¹¡ÅÒ§
                       SSRIs                                             µèíÒ
Anticonvulsants        Phenytoin                                         µèíÒ
H2 Antagonists         Cimetidine, Ranitidine, .amotidine                µèíÒ
H1 Antagonists         Diphenhydramine, Cyproheptadine,                  »Ò¹¡ÅÒ§¶Ö§µèíÒ
                       Chlorpheniramine, Hydroxyzine
¡ÅØ‹ÁÂÒ                     µÑÇÍ‹ҧÂÒ                                   ¤ÇÒÁàÊÕè§
Cardiovascular drugs        Quinidine, Digoxin, Methydopa,Beta-blocker   »Ò¹¡ÅÒ§
                            Diuretics, ACEIs                             µèíÒ
Corticosteroids             Prednisolone                                 »Ò¹¡ÅÒ§
NSAIDs                      Indomethacin                                 »Ò¹¡ÅÒ§
                            Ibuprofen                                    µèíÒ
Antibiotics                 Cephalosporins, Penicillin, Quinolones       µèíÒ
ËÁÒÂà赯 ´Ñ´á»Å§ÁÒ¨Ò¡ Brouquet A, Cudennec T, Benoist S, Moulias S, Beauchet A, Penna
         C, et al. Impaired mobility, ASA status and administration of tramadol are risk factors
         for postoperative delirium in patients aged 75 years or more after major abdominal
         surgery. Ann Surg. 2010;251(4):759-65. Moore AR, O’Keeffe ST. Drug-induced
         cognitive impairment in the elderly. Drugs Aging. 1999;15(1):15-28. Chutka DS,
         Takahashi PY, Hoel RW. Inappropriate medications for elderly patients. Mayo Clin
         Proc. 2004;79(1):122-39.
380                                    Harmonized Care for Older Patients : .ocus on Cognition

        ã¹´ŒÒ¹¢Í§ÂÒ ÁÕ¡ÒÃÈÖ¡ÉÒâ´Â¡ÒÃ㪌ÂÒà¾×Í»‡Í§¡Ñ¹¡ÒÃà¡Ô´ÀÒÇÐÊѺʹà©Õº¾ÅѹËÅѧ¼‹ÒµÑ´
                                               è
â´ÂÂÒ·ÕèÁÕ¡ÒÃÈÖ¡ÉÒ¾ºÇ‹ÒÊÒÁÒöŴ¡ÒÃà¡Ô´ÀÒÇÐÊѺʹà©Õº¾Åѹ ËÃ×Í ¤ÇÒÁÃØ¹áç¢Í§ÀÒÇÐ
ÊÑ º ʹà©Õ  º¾ÅÑ ¹ ä´Œ á ¡‹ ¡ÒÃãËŒ Â Ò haloperidol (21) ã¹¼ÙŒ »† Ç Â¡Ãд٠¡ µŒ ¹ ¢ÒËÑ ¡ , ¡ÒÃãËŒ
dexmedetomidine(22), risperidone(23) 㹼ٻǼ‹ÒµÑ´ËÑÇ㨠«Ö§ã¹·Ò§»¯Ôºµ¡ÒÃãËŒÂÒàËŋҹÕé µŒÍ§·íÒ
                                         Œ †              è              Ñ Ô
´ŒÇ¤ÇÒÁÃÐÁÑ´ÃÐÇѧ㹢¹Ò´·ÕàËÁÒÐÊÁ ¤Çº¤Ù仡Ѻ¡ÒôÙáÅ»˜¨¨ÑÂÍ×¹æ ·Õ໚¹¤ÇÒÁàÊÕ§¢Í§¡ÒÃà¡Ô´
                              è              ‹                    è    è            è
ÀÒÇÐÊѺʹà©Õº¾Åѹ㹼ÙʧÍÒÂØ
                           ŒÙ

¡ÒôÙáÅÃÑ¡ÉÒ
       ÀÒÇÐÊѺʹà©Õº¾Åѹ㹼ÙʧÍÒÂØ ÁÕÊÒà˵ØÊǹãË­‹¨Ò¡âä·Ò§ÍÒÂØÃ¡ÃÃÁ «Ö§Áѡ໚¹ÀÒÇÐ
                                   ŒÙ          ‹                            è
·ÕáÉÒä´Œ ´Ñ§¹Ñ¹ àÁ×;º¼ÙʧÍÒÂØ·ÁÀÒÇÐÊѺʹà©Õº¾ÅѹËÅÑ¡¡ÒôÙáÅàº×ͧµŒ¹»ÃСͺ´ŒÇÂËÅÑ¡ãË­‹
  èÑ           é è       ŒÙ     Õè Õ                             é
ÊÒÁ»ÃСÒà ¤×Í   (24)

       1. ËÒÊÒà˵ØáÅÐãËŒ¡ÒÃᡌä¢ÊÒà˵ط¤¹¾º
                                          Õè Œ
       2. ãËŒ¡ÒÃÃÑ¡ÉÒ»ÃФѺ»ÃФͧ
       3. ãËŒ¡ÒôÙáÅÍÒ¡ÒâͧÀÒÇÐÊѺʹà©Õº¾Åѹ

¡ÒÃËÒÊÒà˵آͧÀÒÇÐÊѺʹà©Õº¾Åѹ
         ÊÒà˵طÕ辺º‹Í·Õè໚¹»˜¨¨Ñ¡Ãе،¹ãËŒà¡Ô´ÀÒÇÐÊѺʹà©Õº¾Åѹ㹼ٌÊÙ§ÍÒÂØ ä´ŒáÊ´§äÇŒ
´Ñ§ã¹µÒÃÒ§·Õè 5 â´ÂʋǹãË­‹ÀÒÇйÕã¹¼ÙʧÍÒÂØÁ¡à¡Ô´¨Ò¡»˜¨¨ÑÂËÅÒÂÍ‹ҧËÇÁ¡Ñ¹(24-26) à¾ÃÒмÙʧÍÒÂØ
                                  é ŒÙ        Ñ                                          ŒÙ
ÁÑ¡ÁÕâäËÇÁÁÒ¡ áÅСԹÂÒËÅÒª¹Ô´ ·íÒãËŒÁ¤ÇÒÁàÊÕ§·Õ¨Ðà¡Ô´»˜­ËÒËÅÒÂÍ‹ҧ¢Ö¹¾ÃŒÍÁ æ ¡Ñ¹ä´Œ
                                            Õ       è è                        é
´Ñ§¹Ñé¹ ã¹¡ÒôÙáżٌÊÙ§ÍÒÂØ·ÕèÁÕÀÒÇÐÊѺʹà©Õº¾Åѹᾷ¼ÙŒ´ÙáŤÇõÃǨ´ÙÊÒà˵طÕè໚¹ä»ä´Œ
Í‹ҧ¤Ãͺ¤ÅØÁµÒÁ¤ÇÒÁàËÁÒÐÊÁ áÅÐãËŒ¡ÒÃᡌ䢻˜¨¨Ñ·Õᡌä¢ä´Œä»¾ÃŒÍÁæ ¡Ñ¹
                                                         è
         ÂÒ à»š¹ÊÒà˵ØÊҤѭ㹡Ò÷íÒãËŒà¡Ô´ÀÒÇÐÊѺʹà©Õº¾Åѹ ã¹¼ÙʧÍÒÂØ à¾ÃÒоºä´ŒºÍÂ
                        í                                            Œ Ù                    ‹
ã¹¼ÙʧÍÒÂØáÅÐ໚¹á¡Œä¢ä´ŒäÁ‹ÂÒ¡ ÂÒ·ÕÍҨ໚¹ÊÒà˵Øä´ŒáÊ´§äÇŒ´§µÑÇÍ‹ҧ㹵ÒÃÒ§·Õè 5 Í‹ҧäÃ
    ŒÙ                                 è                       Ñ
¡çµÒÁ ¹Í¡¨Ò¡ã¹µÒÃÒ§¹ÕéáÅŒÇ ÂѧÁÕÂÒÍÕ¡ÁÒ¡ÁÒ ·ÕèÍҨ໚¹ÊÒà˵آͧÀÒÇÐÊѺʹà©Õº¾Åѹ
ËÒ¡¾º¼ÙʧÍÒÂØ ÁÕÍÒ¡ÒÃÊѺʹ ËÅѧ䴌ÂÒª¹Ô´ãËÁ‹ ãËŒ¾§ÃÐÇÑ§Ç‹Ò ÂÒÍҨ໚¹à˵آͧÀÒÇдѧ¡Å‹ÒÇä´Œ
          ŒÙ                                         Ö

¡ÒÃãËŒ¡ÒÃÃÑ¡ÉÒ»ÃФѺ»ÃФͧ
         ໚¹¡ÒôÙáÅà¾×èÍ»‡Í§¡Ñ¹¡ÒÃà¡Ô´âäá·Ã¡«ŒÍ¹µ‹Ò§æ ·ÕèÍÒ¨à¡Ô´ã¹¢³Ð¹Í¹âç¾ÂÒºÒÅ
ã¹¼ÙŒÊÙ§ÍÒÂØ Íѹ䴌ᡋ ¡Ãе،¹ãËŒ¼ÙŒ»†ÇÂä´ŒÁÕ¡ÒÃà¤Å×è͹äËÇáÅЪ‹ÇµÑÇàͧ෋ҷÕè¼ÙŒ»†ÇÂÂѧ¾Í·íÒä´Œ
»‡Í§¡Ñ¹¡ÒÃà¡Ô´á¼Å¡´·Ñº ¡ÒÃãËŒ¼»ÇÂ䴌úÍÒËÒÃáÅÐÊÒùéÒÍ‹ҧà¾Õ§¾Í
                                    ÙŒ †    Ñ              í
àǪÈÒʵÏ·¹Âؤ 2553
          Ñ                                                                                       381

µÒÃÒ§·Õè 5 »˜¨¨Ñ¡Ãе،¹ãËŒà¡Ô´ÀÒÇÐÊѺʹà©Õº¾Åѹ
ÂÒ                       - ¡ÒÃ䴌úÂÒ·ÕÁ¼Åµ‹ÍÃкº»ÃÐÊҷʋǹ¡ÅÒ§ ઋ¹
                                    Ñ        è Õ
                            sedatives, hypnotics, narcotics, anticholinergic drugs
                         - ¡ÒâҴÂÒ Íѹ䴌ᡋ alcohol or drug withdrawal
                         - ¡ÒÃä´ŒÂÒËÅÒª¹Ô´Ã‹ÇÁ¡Ñ¹
¤ÇÒÁà¨çº»†Ç·ҧ¡Ò       䴌ᡋ ¡ÒõԴàª×Í ¡ÒÃÁÕ¡ÒÃà¨çº»†ÇÂà©Õº¾Åѹ·Õùáç ÀÒÇÐ
                                           é                           èØ
                         ¢Ò´ÍÍ¡«Ôਹ ÀÒÇФÇÒÁ´Ñ¹âÅËÔµµèÒ ¡ÒÃÁÕ䢌 ÀÒÇÐâÅËÔµ¨Ò§
                                                           í
                         ÀÒÇТҴ¹éÒ ÀÒÇТҴÊÒÃÍÒËÒà ÀÒÇзÕÁ¡ÒÃà»ÅÕ¹á»Å§
                                      í                          è Õ       è
                         ¢Í§à¡Å×ÍáË ÃдѺ¹éÒµÒÅ ËÃ×ͤÇÒÁ໚¹¡Ã´´‹Ò§ã¹àÅ×Í´
                                                 í
¡Òü‹ÒµÑ´                ¡Òü‹ÒµÑ´·Ò§ÍÍÏ⸻´¡Ê ¡Òü‹ÒµÑ´ËÑÇ㨠áÅСÒü‹ÒµÑ´ãË­‹
                                                   Ô
âä·Ò§Ãкº»ÃÐÊҷʋǹ¡ÅÒ§ ÀÒÇÐËÅÍ´àÅ×Í´ÊÁͧµÕº àÅ×Í´ÍÍ¡ã¹ÊÁͧ àÂ×ÍËØÁä¢ÊѹËÅѧ
                                                                      è Œ
                         ÍÑ¡àʺ ËÃ×Í àÂ×ÍËØÁÊÁͧÍÑ¡àʺ
                                          è Œ
»˜¨¨ÑÂáÇ´ÅŒÍÁ            ¡Òù͹ÍÂÙã¹ ICU, ¡Òö١¼Ù¡ÁÑ´ ¡ÒÃãÊ‹ÊÒÂÊǹ»˜ÊÊÒÇÐ
                                        ‹
                         ¡ÒÃ䴌ú¡Ò÷íÒËѵ¶¡ÒÃËÅÒª¹Ô´ ¤ÇÒÁà¨çº»Ç´ ÃÇÁ¶Ö§
                                 Ñ
                         ¤ÇÒÁà¤ÃÕ´·Ò§¨Ôµã¨
¡ÒâҴ¹Í¹                ¡ÒâҴ¹Í¹µÔ´µ‹Í¡Ñ¹à»š¹àÇÅÒ¹Ò¹
ËÁÒÂà赯 á»ÅáÅдѴá»Å§ÁÒ¨Ò¡ Inouye SK. Delirium in Older Persons. N Engl J Med.
         2006;354(11):1157-65.

¡ÒÃãËŒ¡ÒÃÃÑ¡ÉÒÍÒ¡ÒâͧÀÒÇÐÊѺʹà©Õº¾Åѹ
            ẋ§Í͡໚¹
            1. ¡ÒÃÃÑ¡ÉÒâ´ÂäÁ‹ãªŒÂÒ (Non-pharmacological management) «Ö§à»š¹ÊÔ§·Õ¤Ç÷íÒã¹¼Ù»ÇÂ
                                                                                       è è è     Œ †
·ÕÁÕ ÀÒÇÐÊѺʹà©Õº¾Åѹ·Ø¡ÃÒÂ
     è                              (11, 24, 26)
                                                 ¤íÒá¹Ð¹íҴѧ㹵ÒÃÒ§·Õè 6 ໚¹¡ÒÃÃǺÃÇÁÁÒ¨Ò¡¡ÒÃÈÖ¡ÉÒ
µ‹Ò§æ ´Ñ§¹Ñ¹ ã¹·Ò§»¯ÔºµÔ ¤ÇÃàÅ×͡㪌Ǹ·ÊÒÁÒö¹íÒÁÒ»ÃѺ㪌¡º¼Ù»ÇÂ㹤ÇÒÁ´ÙáÅä´Œ
                é           Ñ                    Ô Õ Õè                   Ñ Œ †
            2. ¡ÒÃÃÑ¡ÉÒâ´Â¡ÒÃ㪌ÂÒ (Pharmacological management) ÂÒ·Õ㪌ã¹ÀÒÇÐÊѺʹà©Õº¾Åѹ
                                                                                     è
໚¹à¾Õ§ÂÒ·Õ㪌¤Çº¤ØÁÍÒ¡Òà ¤ÇÃàÅ×͡㪌Í‹ҧàËÁÒÐÊÁ â´Â antipsychotic drugs Âѧ¤§à»š¹ÂÒËÅÑ¡
                  è
·ÕàÅ×͡㪌㹡ÒäǺ¤ØÁÍÒ¡ÒÃã¹¼Ù»ÇÂÀÒÇÐÊѺʹà©Õº¾Åѹ¨Ò¡¢ŒÍÁÙÅ·ÕÁ¡ÒÃÈÖ¡ÉÒÃǺÃÇÁÁÒ(11, 25,
   è                                  Œ †                                         è Õ
27-30)
         ã¹á§‹»ÃÐÊÔ·¸ÔÀÒ¾¢Í§ÂÒ ÂѧäÁ‹ÁÂÒµÑÇã´·ÕÁ»ÃÐ⪹à˹×͡NjҵÑÇÍ׹͋ҧÁÕ¹ÂÊíҤѭ·Ò§Ê¶ÔµÔ
                                             Õ            è Õ                      è       Ñ
´Ñ§¹Ñ¹ ÂÒã¹¡ÅØÁ typical antipsychotic ¤×Í haloperidol ¨Ö§Âѧ໚¹µÑÇ·Õá¹Ð¹íÒãˌ㪌໚¹µÑÇáá(11, 24-25,
         é          ‹                                                         è
27)
       ʋǹÂÒÍ×¹·ÕÁãËŒàÅ×͡㪌䴌 áÊ´§äÇŒ´§µÒÃÒ§·Õè 7
               è è Õ                           Ñ
            ÊíÒËÃѺ benzodiazepine ¹Ñ¹ ໚¹ÂÒ·Õ¤ÇÃËÅÕ¡àÅÕ§㹼ÙʧÍÒÂØ·ÁÀÒÇÐÊѺʹà©Õº¾Åѹ ¡
                                        é               è       è    ŒÙ         Õè Õ
àÇŒ¹áµ‹à»š¹ÀÒÇÐÊѺʹà©Õº¾Åѹ¨Ò¡¡ÒâҴÂÒ benzodiazepine ËÃ×Í ¢Ò´ alcohol
382                                         Harmonized Care for Older Patients : .ocus on Cognition

µÒÃÒ§·Õè 6 ¡ÒÃÃÑ¡ÉÒâ´ÂäÁ‹ãªŒÂÒã¹¼ÙŒ»†ÇÂÀÒÇÐÊѺʹà©Õº¾Åѹ
Providing support and orientation
!  ¡ÒÃÊ×ÍÊÒ÷ժ´à¨¹áÅСÃЪѺ ÁÕ¡ÒÃÂéÒàµ×͹Çѹ àÇÅÒ Ê¶Ò¹·Õè áÅÐá¹Ð¹íҺؤ¤Å·Õà¡ÕÂÇ¢ŒÍ§ã¹¡ÒÃ
          è                          è Ñ                                  í                       è è
   ÃÑ¡ÉÒ
! ÁÕ¡ÒÃ㪌ͻ¡Ã³ªÇº͡àÇÅÒáÅÐʶҹ·Õè ઋ¹ »¯Ô·¹ ¹Ò́¡Ò ËÃ×ÍÁÕµÒÃÒ§ºÍ¡¡Ô¨¡ÃÃÁ·Õ¨Ð·íÒ
                             Ø                 ‹                                     Ô                  è
! ÁÕʧ¢Í§·Õ¤¹à¤Â¢Í§¼Ù»ÇÂàͧÁÒäÇŒã¹ËŒÍ§
      Ôè                        è ØŒ               Œ †
! ·ÕÁ¼Ù´áÅ â´Â੾ÒÐ ¾ÂÒºÒÅ äÁ‹¤ÇÃà»ÅÕ¹º‹ÍÂà¡Ô¹ä»
         Œ Ù                                                                 è
! ÁÕ¡ÒÃãªŒÇ·ÂØ â·Ã·Ñȹ à¾×ÍãËŒ¼»Ç¼‹Í¹¤ÅÒ áÅÐ䴌úÃÙâÅ¡ÀÒ¹͡
                           Ô                            è    ÙŒ †                      Ñ Œ
! ãËŒ­ÒµÔ ¼Ù´áÅ ÁÒ¤ÍÂËÇÁ´ÙáÅ à¾×Íà¾ÔÁ¤ÇÒÁÃÙÊ¡»ÅÍ´ÀÑ áÅÐÍØ¹ã¨
                               Œ Ù                                     è è        ŒÖ          ‹
! ËÅÕ¡àÅÕ§¡Òü١ÁÑ´ ËÒ¡¨íÒ໚¹µŒÍ§¼Ù¡ ÍÒ¨ÁÕ¡ÒäÅÒ¡Òü١ ËÒ¡ÁÕ¤¹´ÙáÅã¡ÅŒª´ áÅмٻÇÂ
                   è                                                                                  Ô   Œ †
   äÁ‹ä´Œ·ÒÊÔ§·Õ໚¹ÍѹµÃÒÂ
                         í è è
Providing an unambiguous environment
! ¨Ñ´Ê¶Ò¹·Õ´áÅãËŒ´ÊºÒÂµÒ ÁժͧNjҧÃÐËNjҧàµÕ§Í‹ҧàËÁÒÐÊÁ
                                 è Ù             Ù             ‹
! ¾Ô¨ÒóҡÒÃÍÂÙËͧà´ÕÂÇ à¾×ÍãËŒ¼»ÇÂä´Œ¾¡¼‹Í¹ ËÅÕ¡àÅÕ§¡ÒáÃеعÁÒ¡à¡Ô¹ä»
                                             ‹ Œ è         è         ÙŒ †       Ñ        è      Œ
! äÁ‹à»ÅÕ¹µíÒá˹‹§àµÕ§¼Ù»Çº‹ÍÂà¡Ô¹ä»
             è                                         Œ †
! ËÅÕ¡àÅÕ§¡ÒþٴÈѾ·¡ÒÃᾷµÍ˹ŒÒ¼Ù»Ç à¾ÃÒÐÍÒ¨·íÒãËŒ¼»ÇÂËÇÒ´ÃÐáǧ䴌
                 è                                                 ‹        Œ †            ÙŒ †
! ¨Ñ´ãËŒÁáʧÊNjҧÍ‹ҧà¾Õ§¾Í
                       Õ
! ËÅÕ¡àÅÕ§¡ÒÃ㪌àÊÕ§´Ñ§à¡Ô¹ä» â´Â੾ÒÐàÇÅÒ¡ÅÒ§¤×¹
               è
! ¨Ñ´ãˌͳËÀÙÁËͧàËÁÒÐÊÁ äÁ‹Ã͹ ËÃ×ÍàÂç¹à¡Ô¹ä»
                     Ø                   Ô Œ                     Œ
Maintain competence
!   ¨Ñ´ËÒáÇ‹¹µÒ à¤Ã×ͧª‹Ç¿˜§ ¾Ñ¹»ÅÍÁ ·Õ¼»ÇÂà¤Â㪌ÍÂÙ‹ ÁÒãËŒ¼»ÇÂ㪌
                      è                 è ÙŒ †               ÙŒ †
!   ËÒ¡¨íÒ໚¹ ËÒ¤¹·ÕࢌÒã¨ÀÒÉÒ¼Ù»ÇÂÁÒª‹ÇÂÊ×ÍÊÒÃ
                        è         Œ †            è
!   ¾ÂÒÂÒÁãËŒ¼»Çª‹ÇÂàËÅ×͵¹àͧ෋ҷշÒä´Œ ¡ÃеعãËŒÁ¡ÒÃà¤Å×͹äËÇ
                 ÙŒ †                  è í         Œ    Õ         è
!   ãËŒ¼»ÇÂÁÕÊǹËÇÁ㹡ÒÃÃÑ¡ÉÒ àª‹¹ ¶ÒÁà¡ÕÂǡѺÍÒ¡ÒûǴ
        ÙŒ †   ‹                               è
!   ¾ÂÒÂÒÁàÅÕè§¡ÒáÃзíÒ·Õèú¡Ç¹¡Òù͹µÍ¹¡ÅÒ§¤×¹ ઋ¹ ¡ÒèѴàÇÅÒ¡ÒÃãËŒÂÒ·ÕèàËÁÒÐÊÁ
    ¡ÒÃÇÑ´ÊÑ­­Ò³ªÕ¾à·‹Ò·Õ¨Ò໚¹
                          èí
ËÁÒÂà赯 ´Ñ´á»Å§¨Ò¡ .ong TG, Tulebaev SR, Inouye SK. Delirium in elderly adults: diagnosis,
         prevention and treatment. Nat Rev Neurol. 2009;5(4):210-20. Inouye SK. Delirium
         in Older Persons. N Engl J Med.2006;354(11):1157-65. Meagher DJ. Regular review:
         Delirium: optimising management. BMJ. 2001;322(7279):144-9.
àǪÈÒʵÏ·¹Âؤ 2553
          Ñ                                                                             383

µÒÃÒ§·Õè 7 ¢¹Ò´¢Í§ÂÒ antipsychotic ã¹¼ÙŒ»†ÇÂÊÙ§ÍÒÂØ·ÕèÁÕÀÒÇÐÊѺʹà©Õº¾Åѹ
ÂÒ                                ¢¹Ò´ÂÒ·ÕèÁÕ¡ÒÃ㪌
Haloperidol                       PO 0.5-1 mg repeated at 2-4 hr if needed
                                  Usual maximum of 5 mg/d
                                  IM/IV 0.25-0.5 mg repeat at 30-60 min if needed
                                  Usual maximum of 2.5 mg/d
Risperidone                       PO 0.5 mg BID, repeated at 4 hr if needed
                                  Usual maximum of 2 mg/d
Olanzapine                        PO 2.5 mg-5mg OD. Usual maximum of 10 mg/d
Quetiapine                        PO 12.5 mg-25mg OD, may be increased q 1-2 days
                                  In elderly, dosages are rarely > 50 mg/d
Ziprasidone                       IM 10 mg every 2 hrs. Usual maximum of 40 mg/d
Aripiprazole                      PO 5-15 mg/d. Usual maximum of 30 mg/d
ËÁÒÂà赯 ´Ñ´á»Å§¨Ò¡ Attard A, Ranjith G, Taylor D. Delirium and its treatment. CNS Drugs.
         2008;22(8):631-44.

       ¤íÒá¹Ð¹íÒ·ÑÇä»ÊíÒËÃѺ¡ÒÃ㪌ÂÒ㹡ÒäǺ¤ØÁÀÒÇÐÊѺʹà©Õº¾Åѹ 䴌ᡋ(27)
                  è
       ! 㪌ÂÒ·ÕÅеÑÇ (one drug at a time)
       ! ¾ÂÒÂÒÁ㪌 sedatives áÅÐ antipsychotics ãËŒ¹Í·ÕÊ´à·‹Ò·Õ¨Ò໚¹
                                                    Œ    Ø      èí
       ! »ÃѺÂÒµÒÁÍÒÂØ ¢¹Ò´ áÅФÇÒÁÃØ¹áç¢Í§ÍÒ¡Òà â´Â¼ÙʧÍÒÂØ á¹Ð¹íÒãˌ㪌ÂÒ¤Ã֧˹֧
                                                           ŒÙ                  è è
           ¢Í§¢¹Ò´·Õ㪌㹤¹Ë¹ØÁÊÒÇ
                     è          ‹
       ! ¤‹ÍÂ æ »ÃѺÂÒà¾ÔÁµÒÁ¡Òõͺʹͧ
                              è
       ! ¤ÇÃÁÕ¡ÒõԴµÒÁ¾Ô¨Òóҷء 24 ªÑÇâÁ§ NjҵŒÍ§»ÃѺ¢¹Ò´ÂÒËÃ×ÍäÁ‹
                                           è
       ! ËÅѧ¨Ò¡ÍÒ¡Òôբ¹áÅŒÇ â´Â·ÑÇä» ÊÒÁÒöËÂØ´ÂÒä´ŒÀÒÂã¹ 7-10 Çѹ
                           Öé          è

ÊÃØ»
         ÀÒÇÐÊѺʹà©Õº¾Åѹ ໚¹»˜­ËÒ·Õà¡Ô´¢Ö¹º‹Í¡Ѻ¼ÙʧÍÒÂØ·¹Í¹ã¹âç¾ÂÒºÒÅ áÅС‹ÍãËŒà¡Ô´
                                       è é               ŒÙ   Õè
¼Åá·Ã¡«ŒÍ¹·ÕùáçµÒÁÁÒä´Œ ·ÕÊҤѭ¤×Í à»š¹ÀÒÇзջͧ¡Ñ¹ä´Œ ËҡᾷáÅкؤÅҡ÷մáÅ
               èØ                 èí                    è ‡                            è Ù
¼Ù»ÇÂãËŒ¤ÇÒÁãʋ㨠áÅШЪ‹Ç·íÒãËŒ¼ÅÅѾ¸ã¹¡ÒôÙáżٻÇÂÊÙ§ÍÒÂØ ໚¹ä»ã¹·Ò§·Õ´Õ ´Ñ§¹Ñ¹ à¾×ÍãËŒ
  Œ †                                                Œ †                   è       é è
¡ÒôÙáżÙʧÍÒÂØ·Ãº¡ÒÃÃÑ¡ÉÒã¹âç¾ÂÒºÒÅÁÕ¤³ÀÒ¾·Õ´¢¹ ºØ¤Åҡ÷ҧ¡ÒÃᾷ¤ÇÃãËŒ¤ÇÒÁ
          ŒÙ      Õè Ñ                        Ø        è Õ Öé
ãʋ㨠»‡Í§¡Ñ¹áÅдÙáÅÀÒÇйÕé
384                                             Harmonized Care for Older Patients : .ocus on Cognition

àÍ¡ÊÒÃ͌ҧÍÔ§
1.    Michaud L, Bula C, Berney A, Camus V, Voellinger R, Stiefel ., et al. Delirium: guidelines for general
      hospitals. J Psychosom Res. 2007;62(3):371-83.
2.    .laherty JH. Insomnia among hospitalized older persons. Clin Geriatr Med. 2008;24(1):51-67, vi.
3.    Kakuma R, du .ort GG, Arsenault L, Perrault A, Platt RW, Monette J, et al. Delirium in older emergency
      department patients discharged home: effect on survival. J Am Geriatr Soc. 2003;51(4):443-50.
4.    Sieber .E. Postoperative delirium in the elderly surgical patient. Anesthesiol Clin. 2009;27(3):451-64.
5.    Brouquet A, Cudennec T, Benoist S, Moulias S, Beauchet A, Penna C, et al. Impaired mobility, ASA status
      and administration of tramadol are risk factors for postoperative delirium in patients aged 75 years or more
      after major abdominal surgery. Ann Surg. 2010;251(4):759-65.
6.    Bruce AJ, Ritchie CW, Blizard R, Lai R, Raven P. The incidence of delirium associated with orthopedic
      surgery: a meta-analytic review. Int Psychogeriatr. 2007;19(02):197-214.
7.    Siddiqi N, House AO, Holmes JD. Occurrence and outcome of delirium in medical in-patients: a systematic
      literature review. Age & Ageing. 2006;35(4):350-64.
8.    van der Mast RC, Roest .H. Delirium after cardiac surgery: a critical review. J Psychosom Res. 1996;41(1):13-
      30.
9.    Breitbart W, Strout D. Delirium in the terminally ill. Clin Geriatr Med. 2000;16(2):357-72.
10.   Lee HB, DeLoatch CJ, Cho S, Rosenberg P, Mears SC, Sieber .E. Detection and management of pre-
      existing cognitive impairment and associated behavioral symptoms in the Intensive Care Unit. Crit Care Clin.
      2008;24(4):723-36, viii.
11.   .ong TG, Tulebaev SR, Inouye SK. Delirium in elderly adults: diagnosis, prevention and treatment. Nat Rev
      Neurol. 2009;5(4):210-20.
12.   Inouye SK. Delirium in older persons. N Engl J Med. 2006;354(11):1157-65.
13.   Inouye SK, van Dyck CH, Alessi CA, Balkin S, Siegal AP, Horwitz RI. Clarifying confusion: the confusion
      assessment method. A new method for detection of delirium.Ann Intern Med. 1990;113(12):941-8.
14.   Wei LA, .earing MA, Sternberg EJ, Inouye SK. The Confusion Assessment Method: a systematic review of
      current usage. J Am Geriatr Soc. 2008;56(5):823-30.
15.   Maldonado JR. Delirium in the acute care setting: characteristics, diagnosis and treatment. Crit Care Clin.
      2008;24(4):657-722, vii.
16.   Moore AR, O’Keeffe ST. Drug-induced cognitive impairment in the elderly. Drugs Aging. 1999 Jul;15(1):15-28.
17.   Chutka DS, Takahashi PY, Hoel RW. Inappropriate medications for elderly patients. Mayo Clin Proc. 2004
      Jan;79(1):122-39.
18.   Inouye SK, Bogardus ST, Jr., Charpentier PA, Leo-Summers L, Acampora D, Holford TR, et al. A multicomponent
      intervention to prevent delirium in hospitalized older patients. N Engl J Med. 1999;340(9):669-76.
19.   Marcantonio ER, .lacker JM, Wright RJ, Resnick NM. Reducing delirium after hip fracture: a randomized trial.
      J Am Geriatr Soc. 2001;49(5):516-22.
20.   Lundstrom M, Olofsson B, Stenvall M, Karlsson S, Nyberg L, Englund U, et al. Postoperative delirium in old
      patients with femoral neck fracture: a randomized intervention study. Aging Clin Exp Res. 2007;19(3):178-86.
21.   Kalisvaart KJ, de Jonghe J., Bogaards MJ, Vreeswijk R, Egberts TC, Burger BJ, et al. Haloperidol prophylaxis
      for elderly hip-surgery patients at risk for delirium: a randomized placebo-controlled study. J Am Geriatr Soc.
      2005;53(10):1658-66.
àǪÈÒʵÏ·¹Âؤ 2553
          Ñ                                                                                                       385

22. Maldonado JR, Wysong A, van der Starre PJ, Block T, Miller C, Reitz BA. Dexmedetomidine and the
    reduction of postoperative delirium after cardiac surgery. Psychosomatics. 2009;50(3):206-17.
23. Prakanrattana U, Prapaitrakool S. Efficacy of risperidone for prevention of postoperative delirium in cardiac
    surgery. Anaesth Intensive Care. 2007;35(5):714-9.
24. Inouye SK. Delirium in Older Persons. N Engl J Med. 2006;354(11):1157-65.
25. Markowitz JD, Narasimhan M. Delirium and antipsychotics: a systematic review of epidemiology and somatic
    treatment options. Psychiatry (Edgmont). 2008;5(10):29-36.
26. Meagher DJ. Regular review: Delirium: optimising management. BMJ. 2001;322(7279):144-9.
27. Attard A, Ranjith G, Taylor D. Delirium and its treatment. CNS Drugs. 2008;22(8):631-44.
28. Bourne RS, Tahir TA, Borthwick M, Sampson EL. Drug treatment of delirium: Past, present and future. J
    Psychosom Res. 2008;65(3):273-82.
29. Lonergan E, Britton AM, Luxenberg J, Wyller T. Antipsychotics for delirium. Cochrane Database Syst Rev.
    2007(2):CD005594.
30. Seitz DP, Gill SS, van Zyl LT. Antipsychotics in the treatment of delirium: a systematic review. J Clin Psychiatry.
    2007;68(1):11-21.
àǪÈÒʵÏ·¹Âؤ 2553
          Ñ                                                                       º··Õè       387

                                                                                   57
      Harmonized Care for Older Patients: .ocus on Mobility
                                       ÃͧÈÒʵÃÒ¨ÒÏ ᾷ˭ԧÇÔäÅ ¤Ø»µ¹ÔÃѵÔÈÑ¡ØÅ
                   ÀÒ¤ÇÔªÒàǪÈÒʵÏ¿¹¿Ù ¤³Ðá¾·ÂÈÒʵÏÈÃÃÒª¾ÂÒºÒÅ ÁËÒÇÔ·ÂÒÅÑÂÁËÔ´Å
                                    „œ                 ÔÔ

¤ÇÒÁÊíҤѭ¢Í§»˜­ËÒ
          ¼ÙʧÍÒÂØà»š¹»ÃÐªÒ¡Ã¡ÅØÁ·ÕÁá¹Ç⹌ÁࢌÒÃѺ¡ÒÃÃÑ¡ÉÒµÑÇã¹âç¾ÂÒºÒÅä´ŒºÍ¡NjҼٻÇÂ
              Œ Ù                 ‹ è Õ                                             ‹       Œ †
ÇÑÂÍ×¹æ à¹×ͧ´ŒÇÂÀÒÇÐâäàÃ×ÍÃѧµ‹Ò§æ «Ö§à¡Ô´¢Ö¹ã¹ÇѹÕé ÃÇÁ·Ñ§âÍ¡Òʢͧ¡Ò÷յͧ¹Í¹âç¾ÂÒºÒÅ
      è        è                é       è        é           é                è Œ
«éíÒÁÕÊÙ§¢Öé¹ äÁ‹Ç‹Ò¨Ò¡âäà´ÔÁËÃ×ÍâäãËÁ‹¡çµÒÁ áÅÐᵋÅФÃÑé§·Õ赌ͧࢌÒÃѺ¡ÒÃÃÑ¡ÉÒ໚¹¼ÙŒ»†ÇÂã¹
ÁÑ¡¨ÐÁռšÃзºµ‹ÍÊÁÃöÀÒ¾¤ÇÒÁÊÒÁÒöà´ÔÁ Áռŵ‹Í¡íÒÅѧÊíÒÃͧ¢Í§Ãкºµ‹Ò§æ ã¹Ã‹Ò§¡ÒÂ
ÍÕ¡·Ñé§ÁռšÃзºµ‹ÍÊÀÒ¾¨Ôµã¨Í‹ҧËÅÕ¡àÅÕè§ÁÔä´Œ ¼ÙŒ»†ÇºҧÃÒÂäÁ‹ÊÒÁÒöª‹ÇÂàËÅ×͵¹àͧ
㹡Ò÷íÒ¡Ô¨ÇѵûÃШíÒÇѹ䴌 à¡Ô´ÀÒÇо֧¾Ò ÍÒ¨à¡Ô´ÀÒÇЫÖÁàÈÃŒÒä´Œ ºÒ§ÃÒ·ŒÍá·Œ äÁ‹ÍÂÒ¡Áժǵ
                                          è                                                     ÕÔ
ÍÂÙµÍä» ´Ñ§¹Ñ¹¡ÒôÙáżÙʧÍÒÂØ·à¢ŒÒ¹Í¹ÃÑ¡ÉÒµÑÇã¹âç¾ÂÒºÒŤÇÃãËŒ¤ÇÒÁãʋ㨷ѧÀÒÇÐÊØ¢ÀÒ¾
    ‹ ‹           é          ŒÙ    Õè                                             é
¡ÒÂáÅÐÊØ¢ÀҾ㨤Ǻ¤Ù¡¹ä»  ‹ Ñ
          »˜­ËÒËÅÑ¡·Õ¾ºÃ‹ÇÁ㹡ÒôÙáżÙʧÍÒÂØ·à¢ŒÒÃѺ¡ÒÃÃÑ¡ÉÒµÑÇ໚¹¼Ù»ÇÂã¹âç¾ÂÒºÒÅ ¤×Í
                       è                    Œ Ù      Õè                   Œ †
ÀÒÇСÒÃäÁ‹à¤Å×͹äËÇ ËÃ×Í Immobilization syndrome «Ö§à»š¹¼Å¡Ãзºµ‹ÍËҧ¡ÒÂã¹Ãкºµ‹Ò§æ
                    è                                      è
Íѹà¡Ô´¨Ò¡¡Òù͹¹Ò¹ 䴌ᡋ ¡ÒÃà¡Ô´á¼Å¡´·Ñº ÀÒÇТŒÍÂÖ´µÔ´ ¡ÅŒÒÁà¹×ÍÅÕº ͋͹áç äÁ‹ÊÒÁÒö
                                                                        é
㪌§Ò¹ä´Œ ÀÒÇÐÅÔèÁàÅ×Í´ÍØ´¡Ñé¹ËÅÍ´àÅ×Í´´íÒ ÀÒÇФÇÒÁ´Ñ¹âÅËԵŴŧ¢³Ðà»ÅÕè¹·‹Ò ÃÇÁ·Ñé§
¡ÒõԴàª×ͧ͢Ãкºµ‹Ò§æ â´Â੾ÒСÒõԴàª×ͻʹ áÅзҧà´Ô¹»˜ÊÊÒÇР໚¹µŒ¹ ÀÒÇÐá·Ã¡«ŒÍ¹
            é                                      é
µ‹Ò§æ àËŋҹÕéÊ‹§¼Å¡Ãзºµ‹ÍÊÀҾËҧ¡ÒÂÍ‹ҧÁÒ¡ ·íÒãËŒÊÁÃöÀÒ¾·Ò§¡Ò¶´¶ÍÂàÃçÇÂÔè§¢Öé¹
ÍÕ¡·Ñ§ã¹ºÒ§ÃÒÂÍÒ¨·íÒãËŒà¡Ô´ÍѹµÃÒ¶֧ᡋªÇµä´Œ
        é                                       ÕÔ

¾ÂÒ¸ÔÊÃÕÃÇÔ·ÂÒ
        ¡ÒÃà»ÅÕ¹á»Å§·Õà¡Ô´¢Ö¹¡ÑºÃкºµ‹Ò§ æ ã¹Ã‹Ò§¡Ò¹ѹ ¾Í¨ÐÊÃØ»Êѹ æ ä´Œ´§¹Õé
               è       è é                             é           é       Ñ

        1. ¡ÒÃà»ÅÕ¹á»Å§¢Í§Ãкº¡ÅŒÒÁà¹×ÍáÅСÃд١
                  è                    é
         ¼Å¢Í§¡Òù͹¹Ò¹¨Ð¾º¡ÒÃÊÙ­àÊÕ¡íÒÅѧ¡ÅŒÒÁà¹×Íã¹ÍѵÃÒÃŒÍÂÅÐ 10-15 µ‹ÍÊÑ»´Òˏ ËÃ×Í
                                                   é
»ÃÐÁҳÌÍÂÅÐ 1-3 µ‹ÍÇѹ 㹤¹·Õ¹Í¹¹Ò¹ 3-5 ÊÑ»´Òˏ¨Ð¾ºÇ‹Ò¡íÒÅѧ¡ÅŒÒÁà¹×ÍŴŧ¤Ã֧˹֧(1)
                               è                                      é        è è
â´Â¨ÐÁռŵ‹Í¡ÅŒÒÁà¹×Í»ÃÐàÀ· I ÁÒ¡¡Ç‹Ò»ÃÐàÀ· II áÅÐ¡ÅØÁ¡ÅŒÒÁà¹×Í·Õ·Ò§Ò¹µŒÒ¹áç⹌Á¶‹Ç§
                    é                                ‹        é è í
388                                    Harmonized Care for Older Patients : .ocus on Mobility

âÅ¡ (antigravity muscles) Í‹ҧäáçµÒÁÍѵÃÒ¡ÒÃÅÕº¢Í§¡ÅŒÒÁà¹×ÍäÁ‹à·‹Ò¡Ñ¹ â´Â¾ºÇ‹Ò¡ÅŒÒÁà¹×Í
                                                                é                          é
Quadriceps ¡ÅŒÒÁà¹×éÍÃͺÊÐ⾡áÅСŌÒÁà¹×éÍËÅѧ¨ÐÅÕºàÃçÇ¡Ç‹Ò¡ÅØ‹ÁÍ×è¹æ ¡Ò÷ÕèÁÕ¡ÅŒÒÁà¹×éÍÅÕº
·ÑÇæ 仹ѹ ¨ÐÊ‹§¼Åµ‹Í¤ÇÒÁÊÒÁÒö㹡ÒÃÂ×¹ à´Ô¹ ¡ÒÃà¤Å×͹·Õè áÅÐ໚¹¼Åźµ‹Í¡ÒûÃÐÊÒ¹
  è          é                                                è
¡Ò÷íÒ§Ò¹¢Í§¡ÅŒÒÁà¹×Í¡ÅØÁµ‹Ò§æ (coordination) ¹Í¡¨Ò¡¹Õ§¾º¡ÒÃŴŧ¢Í§ myofilaments áÅÐ
                         é ‹                              é Ñ
sarcomeres áÅÐÀÒÇСŌÒÁà¹×ÍŌҧ‹Ò¨ҡ¡ÒÃŴŧ¢Í§ oxidative enzyme áÅÐ mitochondria
                                 é
          ã¹Ê‹Ç¹¢Í§àÍ繡ŌÒÁà¹×Í ¾º¡ÒÃË´Ãѧ¢Í§àÍç¹·Õà¡ÒТŒÒÁÊͧ¢ŒÍ (two-joint muscles) 䴌ᡋ
                                   é        é         è
¡ÅŒÒÁà¹×Í hamstring ¡ÅŒÒÁà¹×Í hip flexor áÅСŌÒÁà¹×Í gastrocnemius áÅÐÂѧ¾º¡ÒÃà»ÅÕ¹á»Å§
        é                    é                      é                                 è
¢Í§à¹×ÍàÂ×Íà¡ÕÂǾѹ·Õ˹ҵÑÇ¢Ö¹ ·íÒãËŒ¤ÇÒÁÂ×´ËÂØ¹¢Í§¢ŒÍµ‹Íµ‹Ò§ æ Ŵŧ
      é è è            è       é                 ‹
          ʋǹ¡Ãд١¹Ñé¹¾º¡Ò÷íÒÅÒ¡Ãд١·Õèà¾ÔèÁÁÒ¡¢Ö鹡NjҡÒÃÊÌҧà¹×éÍ¡Ãд١ à¹×èͧ¨Ò¡¢Ò´
áç¡Ãеع¨Ò¡¡ÒÃË´µÑǢͧ¡ÅŒÒÁà¹×Í·ÕÁµÍàÂ×ÍËØÁ¡Ãд١ (periostium) ·íÒãËŒà¡Ô´ÀÒÇСÃд١¾Ãع
           Œ                         é è Õ ‹ è Œ
ä´ŒËÒ¡ÁÕ¡Òù͹¹Ò¹

       2. ¡ÒÃà»ÅÕ¹á»Å§¢Í§ÃкºËÑÇã¨áÅÐËÅÍ´àÅ×Í´
                 è
           ¡ÒÃà»ÅÕ¹á»Å§¢Í§Ãкº¹Õ¤Í ¡ÒÃൌ¹¢Í§ËÑÇã¨ã¹¢³Ð¾Ñ¡ÁÕ¤Òà¾ÔÁ¢Ö¹ 1/2 beat µ‹ÍÇѹ
                   è                é ×                           ‹ è é
ʋǹ»ÃÔÁÒ³àÅ×Í´·ÕËÇ㨺պµÑÇã¹áµ‹ÅФÃѧ (stroke volume) »ÃÔÁÒ³àÅ×Í´·ÕËÇ㨺պµ‹Í˹֧¹Ò·Õ
                  è Ñ                   é                            è Ñ         è
(cardiac output) áÅФÇÒÁÊÒÁÒö㹡ÒÃ㪌ÍÍ¡«ÔਹÊÙ§ÊØ´ (VO2max) ¨ÐŴŧ
           ã¹´ŒÒ¹¤ÇÒÁ´Ñ¹âÅËÔµ ¾ºÇ‹Ò¡Òù͹¹Ò¹¨Ð·íÒãËŒà¡Ô´ÀÒÇФÇÒÁ´Ñ¹âÅËԵŴŧ㹢³Ð
à»ÅÕ¹·‹Ò à¹×ͧ¨Ò¡¡Åä¡¡ÒûÃѺµÑǢͧËÅÍ´àÅ×Í´àÊÕÂä» ¹Í¡¨Ò¡¹Õ§ÍÒ¨¾º¡ÒÃà¡Ô´ÅÔÁàÅ×Í´ÍØ´µÑ¹
    è        è                                             éÑ              è
ËÅÍ´àÅ×Í´ä´Œ§Ò¢ֹ «Ö§ÍҨ໚¹ÍѹµÃÒ¶֧ᡋªÇµä´Œ
               ‹ é è                       ÕÔ
           ʋǹÃкºËÒÂ㨠¾ºÇ‹Òà¡Ô´¡Òõպ¢Í§ËÅÍ´ÅÁ (atelectasis) ä´Œ§‹Ò ÃÇÁ¶Ö§àÊÁËÐ
ÍØ´µÑ¹ã¹ËÅÍ´ÅÁ (secretion obstruction)

       3. ¡ÒÃà»ÅÕ¹á»Å§¢Í§Ãкº·Ò§à´Ô¹»˜ÊÊÒÇÐ
                 è
          »˜­ËÒÃкº·Ò§à´Ô¹»˜ÊÊÒÇзվº¨Ò¡¡Òù͹¹Ò¹ ¤×Í »˜­ËÒ¡Òö‹Ò»˜ÊÊÒÇÐÂÒ¡ ·íÒãËŒ
                                    è
àËÅ×Í»ÃÔÁÒ³»˜ÊÊÒÇФŒÒ§ã¹¡ÃÐà¾Òл˜ÊÊÒÇÐÁÒ¡ áÅÐÊ‹§¼ÅãËŒà¡Ô´¡ÒõԴàª×Í·Ò§à´Ô¹»˜ÊÊÒÇÐà¾ÔÁ¢Ö¹
                                                                  é                 è é

       4. ¡ÒÃà»ÅÕ¹á»Å§¢Í§ÃкºÍ×¹æ ã¹Ã‹Ò§¡Ò 䴌ᡋ
                 è              è
          ¡Ò÷íÒ§Ò¹¢Í§ÅíÒäÊŒÃÇÁ·Ñé§¡ÒÃà¨ÃÔ­ÍÒËÒÃŴŧ, ÍÒÃÁ³à»ÅÕè¹á»Å§§‹ÒÂ, ºÒ§ÃÒÂ
ÁռšÃзºµ‹Í¡Òù͹ËÅѺ, ¤ÇÒÁ·¹¹éÒµÒÅŴŧ (decreased glucose tolerance), ¤ÇÒÁÊÁ´ØÅ
                                     í
¢Í§ä¹âµÃਹ໚¹Åº (negative nitrogen balance), ºÒ§¤ÃÑé§ÍÒ¨¾º¡ÒᴷѺ¢Í§àÊŒ¹»ÃÐÊÒ·
(entrapment neuropathy) ËÒ¡¹Í¹äÁ‹¶¡·‹Ò
                                   Ù
àǪÈÒʵÏ·¹Âؤ 2553
          Ñ                                                                                389

໇ÒËÁÒ¢ͧ¡Òÿ„œ¹¿Ù¼ÙŒÊÙ§ÍÒÂØ·Õèࢌҹ͹ÃÑ¡ÉÒµÑÇã¹âç¾ÂÒºÒÅ
          ໇ÒËÁÒÂÊíҤѭ¢Í§¡Òÿ„¹¿Ù¼»ÇÂ¡ÅØÁÊÙ§ÍÒÂØ¹Õé ¤×Í »‡Í§¡Ñ¹ÀÒÇÐá·Ã¡«ŒÍ¹·ÕÍÒ¨à¡Ô´¢Ö¹
                                œ ÙŒ †    ‹                                    è        é
¡ÑºÃкºµ‹Ò§æ ¨Ò¡¡Òù͹¹Ò¹ 㹼ٷ§¾Íª‹ÇÂàËÅ×͵¹àͧ䴌ºÒ§ ¤ÇÃãËŒÁ¡ÒÃÍÍ¡¡íÒÅѧà¾×ͤ§¡íÒÅѧ
                                 Œ Õè Ñ                      Œ      Õ            è
¡ÅŒÒÁà¹×Í áÅнƒ¡¡ÒÃÂ×¹à´Ô¹ â´ÂÍÒ¨µŒÍ§ãªŒà¤Ã×ͧª‹ÇÂà´Ô¹Ã‹ÇÁ´ŒÇÂ㹺ҧÃÒ áÅп„¹¿ÙÊÀÒ¾¨Ôµã¨
        é                                   è                               œ
áÅÐÊѧ¤ÁµÒÁ¤ÇÒÁàËÁÒÐÊÁ â´Â์¹àÃ×ͧ¤Ø³ÀÒ¾ªÕǵ¢Í§¼Ù»ÇÂ໚¹ÊíҤѭ
                                        è         Ô      Œ †

¡Òÿ„œ¹¿Ùã¹ÃÐÂÐáá
        ¡Òû‡Í§¡Ñ¹ÀÒÇÐá·Ã¡«ŒÍ¹·ÕÍÒ¨à¡Ô´¢Ö¹¡ÑºÃкºµ‹Ò§ æ ¨Ò¡¡Òù͹¹Ò¹¹Ñ¹ ÊÒÁÒö·íÒä´Œ
                                     è     é                                   é
â´Â¾ÂÒÂÒÁ¡ÃеعãËŒ¼»ÇÂÁÕ¡ÒÃà¤Å×͹äËÇàÃçÇ·ÕÊ´à·‹Ò·Õ·Òä´Œ (early mobilization) à¾×ÍãËŒÁ¡ÒÃÅØ¡¹Ñ§
                  Œ     ÙŒ †       è         èØ    è í                            è Õ        è
Â×¹ ËÃ×Íà´Ô¹ãËŒàÃçÇ·ÕÊ´ ËÒ¡¼Ù»ÇÂÂѧäÁ‹ÊÒÁÒöà¤Å×͹äËÇä´Œ ¨Ò¡ÊÀÒÇзҧËҧ¡ÒÂã´ æ ¡çµÒÁ
                     èØ        Œ †              è
¡Òÿ„¹¿ÙÍÒ¨µŒÍ§ÍÒÈѹѡ¡ÒÂÀÒ¾ºíҺѴ㹡ÒâÂѺ¢ŒÍµ‹Í ËÃ×ÍᾷÍÒ¨ª‹ÇÂÊ͹¡ÒÃËÒÂ㨠¡ÒÃäÍ
     œ
à¾×ÍÃкÒÂàÊÁËÐ ËÃ×Í¡ÒÃÍÍ¡¡íÒÅѧ¡Ò¢ŒÒ§àµÕ§§‹ÒÂæ à·‹Ò·Õ·Òä´Œ ᵋã¹ÃÐËNjҧ·Õ§äÁ‹ÊÒÁÒöÂ×¹
   è                                                   è í                    è Ñ
ËÃ×Íà´Ô¹ä´Œ¹¹ ¡ÒôÙáÅà¾×Í»‡Í§¡Ñ¹ÀÒÇÐá·Ã¡«ŒÍ¹àËŋҹÕÍÒ¨¡ÃзíÒä´Œâ´Â
            Ñé               è                       é
       1. ¡Òû‡Í§¡Ñ¹ÀÒÇТŒÍÂÖ´µÔ´
           !       ¡ÒèѴ·‹Ò¹Í¹·Õ¶¡µŒÍ§ (Positioning)(2)
                                      è Ù
                   ËÒ¡¨Ñ´·‹Ò¹Í¹äÁ‹¶Ù¡µŒÍ§ ¨Ð໚¹ÊÒà˵آͧ¡ÒÃà¡Ô´¢ŒÍµ‹ÍÂÖ´µÔ´ä´Œâ´Â੾ÒТŒÍ
ÊÐ⾡áÅТŒÍà¢‹Ò «Ö§ÁÑ¡µÔ´ã¹·‹Ò§Í áÅлÅÒÂ෌ҨЪÕŧŋҧ «Ö§à»š¹ÍØ»ÊÃ䵋͡Òýƒ¡Â×¹ËÃ×Íà´Ô¹
                        è                              é    è
ã¹àÇÅÒµ‹ÍÁÒ ºÒ§ÃÒÂÁÕ¡ÒõԴ¢Í§¢ŒÍäËÅ‹ ¡ÒèѴ·‹Ò·ÕàËÁÒÐÊÁÁÕÃÒÂÅÐàÍÕ´´Ñ§µ‹Í仹Õé
                                                     è
                   - ·‹Ò¹Í¹Ë§ÒÂ
                       㹡óշÁÍÁ¾Òµ¢Í§¡ÅŒÒÁà¹×Í àª‹¹ âäËÅÍ´àÅ×Í´ÊÁͧ·ÕÁ¡ÅŒÒÁà¹×Í͋͹áç
                               Õè Õ Ñ            é                            è Õ     é
¤ÃÖ§«Õ¡ ໚¹¼Ù·Áá¹Ç⹌Á㹡ÒÃà¡Ô´¢ŒÍÂÖ´µÔ´§‹Ò ´Ñ§¹Ñ¹·‹Ò¹Í¹Ë§Ò·ն¡µŒÍ§ ¤×ͨѴãËŒËÇäËÅ‹¡Ò§ÍÍ¡
   è          Œ Õè Õ                               é               è Ù              Ñ
(abduction) ¢ŒÍÁ×Í¡Ãд¡¢Ö¹àÅ硹ŒÍ 㪌¶§·ÃÒ´ѹºÃÔàdz greater trochanter à¾×Í»‡Í§¡Ñ¹äÁ‹ãËŒÊÐ⾡
                             é              Ø                               è
áºÐÍÍ¡ ¨Ñ´ãËŒ¢ÍࢋÒÍÂÙã¹·‹ÒàËÂÕ´µÃ§ äÁ‹¤ÇÃ㪌¹Í¹Ë¹Ø¹ãµŒà¢‹Ò à¾×Í»‡Í§¡Ñ¹¡ÒÃà¡Ô´¢ŒÍࢋÒáÅТŒÍ
                     Œ     ‹                                         è
ÊÐ⾡µÔ´§Í ¤ÇÃËÒäÁŒ©Ò¡ËÃ×ÍÍØ»¡Ã³»ÃФͧ¢ŒÍà·ŒÒãËŒ¢Íà·ŒÒÍÂÙã¹·‹ÒÁØÁ©Ò¡ à¾×Í»‡Í§¡Ñ¹»ÅÒÂ
                                                         Œ       ‹                è
෌ҵ¡ áÅСÒÃà¡Ô´àÍç¹ÃŒÍÂËÇÒÂË´Êѹŧ (ÃÙ»·Õè 1)
                                          é
390                                     Harmonized Care for Older Patients : .ocus on Mobility




ÃÙ»·Õè 1 ·‹Ò¹Í¹Ë§Ò·ն¡µŒÍ§ ¡Ò§ËÑÇäËÅ‹ ¡Ãд¡¢ŒÍÁ×ÍàÅ硹ŒÍ ¢ŒÍࢋÒàËÂÕ´µÃ§äÁ‹Ë¹Ø¹ËÁ͹
                       è Ù
         ãµŒà¢‹Ò ¨Ñ´¢ŒÍà·ŒÒãËŒÍÂÙ‹ã¹·‹ÒÁØÁ©Ò¡

              - ·‹Ò¹Í¹µÐᤧ
                 äÁ‹¤Çù͹µÐᤧ·Ñº¢ŒÒ§ã´¢ŒÒ§Ë¹Ö§à¾Õ§´ŒÒ¹à´ÕÂÇ à¹×ͧ¨Ò¡¨Ð·íÒãËŒà¡Ô´ÍÒ¡ÒÃ
                                                è                 è
»Ç´ºÃÔàdzËÑÇäËÅ‹ áÅТŒÍäËÅ‹µ´ä´Œ ÍÒ¨µÐᤧ·Ñº«ŒÒÂÊÅѺ¢ÇÒËÃ×͹͹˧Ò¡çä´Œ ã¹·‹Ò¹Í¹µÐᤧ
                            Ô
¤ÇèѴãËŒÁËÁ͹ãºãË­‹ÃͧᢹáÅТÒäÇŒ à¾×ÍÁÔãËŒ¢ÍäËÅ‹áÅÐÊÐâ¾¡ËØºà¢ŒÒã¹ÁÒ¡à¡Ô¹ä» áÅШѴãËŒ
           Õ                            è     Œ
ÁÕ¡ÒçÍࢋÒáÅÐÊÐ⾡àÅ硹ŒÍ (ÃÙ» 2)




ÃÙ»·Õè 2 ·‹Ò¹Í¹µÐᤧ ÁÕËÁ͹ãºãË­‹ÃͧᢹáÅТҴŒÒ¹º¹ ãËŒ§ÍࢋÒáÅÐÊÐ⾡àÅ硹ŒÍÂ

           !     ¡ÒúÃÔËÒÃà¾×ͤ§¾ÔÊ¢ŒÍµ‹Íµ‹Ò§æ (Range of motion exercise: ROM exercise)
                                è    Ñ
                 ã¹¼ÙŒ·ÕèÁÕÍÑÁ¾Òµ ¡ÒÃ͋͹áç¢Í§¡ÅŒÒÁà¹×éÍ ¨Ðà¾ÔèÁâÍ¡ÒÊà¡Ô´ÀÒÇТŒÍÂÖ´µÔ´ã¹
´ŒÒ¹¹Ñ¹æ ä´ŒºÍ ¡Òû‡Í§¡Ñ¹·íÒä´Œâ´Â¡ÒâÂѺ¢ŒÍµ‹Í·Ø¡¢ŒÍãˌʴ¾ÔÊ·բͨТÂѺ䴌㹷ء·ÔÈ·Ò§
      é        ‹                                                Ø Ñ è Œ
¤ÇÒÁ¶Õè¤×ÍãËŒ·íÒ 1-3 ¤ÃÑé§µ‹ÍÃͺ ÇѹÅÐ 1-2 Ãͺ໚¹Í‹ҧ¹ŒÍ 㹡óշÕè¼ÙŒ»†ÇÂÁÕÀÒÇÐà¡Ã秢ͧ
¡ÅŒÒÁà¹×éÍËÇÁ´ŒÇ (spasticity) µŒÍ§ºÃÔËÒôŒÇ¤ÇÒÁ¶Õè·ÕèÁÒ¡¡Ç‹Ò¹Õé â´ÂÁÕ¡ÒÃÇÑ´¾ÔÊÑ¢ŒÍµ‹Ò§æ äÇŒ
໚¹à¡³± ËÒ¡¾ÔÊ¢ŒÍàÃÔÁŴŧ¨Ò¡à´ÔÁ áÊ´§Ç‹ÒµŒÍ§à¾ÔÁ¤ÇÒÁ¶Õ¢Í§¡ÒúÃÔËÒâŒÍãËŒà¾ÔÁ¢Ö¹
                   Ñ         è                       è        è                      è é
àǪÈÒʵÏ·¹Âؤ 2553
          Ñ                                                                                   391

        2. ¡Òû‡Í§¡Ñ¹á¼Å¡´·Ñº
            ¼ÙŒÊÙ§ÍÒÂØ·ÕèÁÕâäµ‹Ò§æ ·Õ赌ͧࢌÒÃѺ¡ÒÃÃÑ¡ÉÒã¹âç¾ÂÒºÒŹÑé¹ à»š¹¡ÅØ‹ÁàÊÕè§·Õè¨Ðà¡Ô´
á¼Å¡´·ÑºÁÒ¡¡Ç‹Ò¼ÙŒ»†ÇÂ¡ÅØ‹ÁÍ×è¹ áÅÐàÁ×èÍÁÕá¼Å¡´·Ñºà¡Ô´¢Öé¹áÅŒÇ ÁÑ¡¨ÐÃØ¹áç à¹×èͧ¨Ò¡¤ÇÒÁ
µŒÒ¹·Ò¹¢Í§¼ÔÇ˹ѧáÅлÃÔÁÒ³ªÑ¹ä¢ÁѹáÅФÍÅÅÒਹŴŧ ¼Ù»Ç·ÑÇ价չ͹âç¾ÂÒºÒŹҹ
                                     é                          Œ † è        è
3 ÊÑ»´Òˏ ¾ºÇ‹ÒÁÕá¼Å¡´·ÑºÃŒÍÂÅÐ 7.7 áÅÐà¾ÔÁ¢Ö¹à»š¹ÃŒÍÂÅÐ 24 ã¹¡ÅØÁ¼ÙʧÍÒÂØ(3) 㹡Òû‡Í§¡Ñ¹
                                                  è é                   ‹ ŒÙ
á¼Å¡´·Ñº·íÒä´Œâ´Â¡ÒÃàÅ×Í¡ª¹Ô´¢Í§·Õ¹Í¹ãËŒàËÁÒÐÊÁ â´Â੾ÒмٻÇ·ÕÁ¡ÒÃÊÙ­àÊÕ¤ÇÒÁÃÙÊ¡
                                           è                         Œ † è Õ                    ŒÖ
¡ÒÃ㪌·¹Í¹¾ÔàÈÉ àª‹¹ ·Õ¹Í¹¹éÒ ·Õ¹Í¹ÅÁ ໚¹µŒ¹ ¼Ù»àµÕ§¤Çô֧ãËŒµ§àÊÁÍ ¡ÒþÂÒºÒżٻÇÂ
         Õè                   è     í è                  Œ Ù             Ö                    Œ †
µŒÍ§äÁ‹ÅÒ¡¶Ù¢³Ðà»ÅÕè¹·‹Ò·Ò§ ÃÇÁ·Ñé§¡ÒèѴ·‹Ò¹Í¹·Õè¶Ù¡µŒÍ§´Ñ§¡Å‹ÒÇ¢ŒÒ§µŒ¹ äÁ‹Ç‹Ò¨Ð໚¹¡ÒÃ
¹Í¹Ë§Ò ËÃ×͹͹µÐᤧ Ōǹª‹ÇÂÅ´¡ÒÃà¡Ô´Íغµ¡Òó¢Í§á¼Å¡´·Ñº ¹Í¡¨Ò¡¹Õ¡ÒþÅÔ¡µÐᤧ
                                                    Ñ Ô                              é
µÑǺ‹ÍÂæ ¡ç¨Ðª‹ÇÂÅ´áç¡´·Ñº¢Í§»ØÁ¡Ãд١䴌 µíÒá˹‹§á¼Å¡´·Ñº·Õ¾ºº‹Í 䴌ᡋ occiput, sacrum,
                                         †                         è
greater trochanter ºÃÔàdzµÒµØÁáÅÐÊŒ¹à·ŒÒ ໚¹µŒ¹ ¤ÇõÃǨÊÀÒ¾¼ÔÇ˹ѧºÃÔàdz·Õ»¡¤ÅØÁ»ØÁ¡Ãд١
                                  ‹                                              è       †
ºÃÔàdzµ‹Ò§æ àËŋҹÕé Ç‹ÒÁÕÃÍÂá´§·Õ¤§ÍÂÙ¹Ò¹à¡Ô¹ 30 ¹Ò·ÕËÃ×ÍäÁ‹ µŒÍ§ÃÐÇѧáÅÐàÅÕ§¡Òá´ºÃÔàdz
                                       è       ‹                                   è
¹Ñ¹¨¹¡Ç‹Ò¼ÔÇ˹ѧ¨Ð¡ÅѺ¤×¹ÊÙÀÒÇл¡µÔ ÊÔ§ÊíҤѭÍÕ¡»ÃСÒÃ˹֧¤×ͤŒ¹ËÒ»˜¨¨ÑÂàÊÕ§¢Í§¡ÒÃà¡Ô´á¼Å
  é                             ‹            è                è                è
¡´·ÑºáÅÐãËŒ¡ÒÃá¡Œä¢ à¾×èÍ໚¹¡Òû‡Í§¡Ñ¹¡ÒÃà¡Ô´á¼Å ઋ¹ ¤ÇÒÁª×é¹á©Ð¢Í§¼ÔÇ˹ѧ ÀÒÇÐ
                          (4)

·ØâÀª¹Ò¡Ò÷ÕèÁÑ¡¾ºÃ‹ÇÁä´Œº‹ÍÂã¹¼ÙŒÊÙ§ÍÒÂØ ÃÇÁ·Ñé§ÀÒÇЫմ Íѹ໚¹ÊÒà˵ØÊíҤѭ¢Í§¡ÒÃà¡Ô´
á¼Å¡´·Ñº
        3. ¡Òû‡Í§¡Ñ¹¡ÅŒÒÁà¹×ÍÅÕº
                             é
            ã¹¼ÙŒ»†Ç·ÕèÁÕ¡Òù͹¹Ò¹¨Ð¾ºÀÒÇСŌÒÁà¹×éÍÅպ䴌 ·Ñé§¡ÅŒÒÁà¹×éͧ͢ᢹáÅТÒËÒ¡
äÁ‹ãªŒ§Ò¹¹Ò¹¡çÍÒ¨à¡Ô´¡ÒÃÅպ䴌 ¨Ö§¤ÇÃÍÍ¡¡íÒÅѧ¡ÒÂà¾×èͤ§¤ÇÒÁá¢ç§áçáÅФÇÒÁ·¹·Ò¹¢Í§
¡ÅŒÒÁà¹×ÍàËŋҹѹäÇŒ ËÒ¡ÁÕ»­ËÒÍÑÁ¾Òµ¢Í§¡ÅŒÒÁà¹×ÍËÇÁ´ŒÇ ãËŒºÃÔËÒÃà¾×ͤ§¾ÔÊ¢ŒÍäÇŒ (passive
          é      é               ˜                  é                   è          Ñ
ROM exercise) ã¹ÃÒ·վÍÁÕá續ҧ¤ÇÃãËŒºÃÔËÒÃà¾×Íà¾ÔÁ¤ÇÒÁá¢ç§áç෋ҷշÒä´Œ ઋ¹ active
                            è                         è è                      è í
exercise ËÃ×Í strengthening exercise ·Ñ§¹Õ¢¹¡ÑºÃдѺ¡íÒÅѧ¢Í§¡íÒÅѧ¡ÅŒÒÁà¹×Í໚¹ÊíҤѭ ¡Ò÷Õè
                                          é é Öé                             é
¡ÅŒÒÁà¹×ͨÐÁÕáçà¾ÔÁ¢Ö¹ä´Œ¹¹ ¨íÒ໚¹·Õ¡ÅŒÒÁà¹×͵ŒÍ§ÍÍ¡áç·íÒ§Ò¹àͧ ¡Òê‹Ç·íÒâ´Â¼Ù͹¹Ñ¹ ¼Ù»ÇÂ
        é           è é       Ñé      è       é                                      Œ ×è é Œ †
¨Ðä´Œ»ÃÐ⪹à©¾ÒТŒÍäÁ‹µ´ ᵋ¡ÅŒÒÁà¹×ͨÐäÁ‹á¢ç§áç
                                   Ô       é
        4. ¡Òû‡Í§¡Ñ¹ÀÒÇÐÅÔÁàÅ×Í´ÍØ´¡Ñ¹ËÅÍ´àÅ×Í´´íÒ
                           è          é
              »˜¨¨ÑÂ˹֧¢Í§¡ÒÃà¡Ô´ÅÔÁàÅ×Í´ÍØ´¡Ñ¹ËÅÍ´àÅ×Í´´íÒ ¤×Í ¡Òäѧ¢Í§ÃкºäËÅàÇÕ¹ »ÃСͺ
                       è                è        é                         è
¡ÑºÀÒÇТҴ¹éÒ ·íÒãËŒàÅ×Í´¢Œ¹¢Ö¹¡Ç‹Ò»¡µÔ ã¹¼Ù·¹Í¹¹Ò¹áÅÐäÁ‹Á¡ÒÃ㪌§Ò¹¢Í§¡ÅŒÒÁà¹×ÍᢹáÅТÒ
                  í                 é           Œ Õè               Õ                 é
äÁ‹Á¡ÒÃË´µÑǢͧ¡ÅŒÒÁà¹×֧ͫ໚¹¡Åä¡ÊíҤѭ㹡ÒôѹàÅ×Í´ãËŒ¡ÅѺÊÙËÇ㨠¨Ö§à»š¹à˵ØãËŒà¡Ô´ÀÒÇÐÅÔÁ
     Õ                     é è                                         ‹ Ñ                   è
àÅ×Í´ÍØ´¡Ñ¹ËÅÍ´àÅ×Í´´íÒä´Œ§Ò¢ֹ áÁŒÀÒÇйըоº¹ŒÍÂã¹»ÃÐà·Èä·Â (¤ÇÒÁªØ¡ÃŒÍÂÅÐ 6.7)(5) ᵋ
          é                    ‹ é                 é
ËÒ¡à¡Ô´áÅŒÇ ÁÕ͹µÃÒ¶֧ªÕǵ ´Ñ§¹Ñ¹¤ÇáÃеعãËŒ¼»ÇÂÁÕ¡ÒÃà¤Å×͹äËÇâ´ÂàÃçÇ·ÕÊ´à·‹Ò·Õ·Òä´Œ
                    Ñ             Ô       é          Œ      ÙŒ †     è           è Ø     è í
ã¹ÃÐËNjҧ·Õ§äÁ‹ÊÒÁÒÃ¶ÅØ¡Â×¹ËÃ×Íà´Ô¹ä´Œ ¤ÇÃãËŒ¼»ÇÂÁÕ¡ÒáÃд¡à·ŒÒ¢Ö¹Å§º‹ÍÂæ (ankle pumping
              è Ñ                                      ÙŒ †                  é
exercise) (ÃÙ»·Õè 3) â´ÂÍÒ¨ãËŒ·Òàͧ¶ŒÒ·íÒä´Œ ËÒ¡¡ÅŒÒÁà¹×Í͋͹áçÁÒ¡ÍÒ¨ãËŒ­ÒµÔËÃ×ͺؤÅÒ¡Ã
                                      í                          é
¡ÒÃᾷªÇ¢ÂѺ¢ŒÍà·ŒÒãËŒ¼»ÇÂá·¹ ¹Í¡¨Ò¡¨Ðª‹Ç»‡Í§¡Ñ¹ÀÒÇÐÅÔÁàÅ×Í´ÍØ´¡Ñ¹ËÅÍ´àÅ×Í´´íÒáÅŒÇ
            ‹                   ÙŒ †                                    è      é
Âѧª‹Ç»‡Í§¡Ñ¹¡ÒÃË´Ãѧ¢Í§àÍç¹ÃŒÍÂËÇÒÂä´Œ´ÇÂ
                         é                    Œ
392                                     Harmonized Care for Older Patients : .ocus on Mobility




ÃÙ»·Õè 3 ¡ÒúÃÔËÒáÃд¡¢ŒÍ෌ҢÖé¹Å§ (Ankle pumping exercise) à¾×èÍ»‡Í§¡Ñ¹ÀÒÇÐÅÔèÁàÅ×Í´
         ÍØ´¡Ñ¹ã¹ËÅÍ´àÅ×Í´´íÒ
              é

       5. ¡Òû‡Í§¡Ñ¹¡ÒÃà¡Ô´¤ÇÒÁ´Ñ¹âÅËԵŴŧ㹢³Ðà»ÅÕ¹·‹Ò·Ò§
                                                    è
            ã¹ÀÒÇл¡µÔàÁ×ÍÁÕ¡ÒÃà»ÅÕ¹·‹Ò·Ò§¨Ò¡¹Í¹à»š¹¹Ñ§ ¤ÇÒÁ´Ñ¹âÅËԵŴŧ Ëҧ¡Ò¨еͺ
                         è           è                            è
ʹͧ´ŒÇ¡ÒõպËÅÍ´àÅ×Í´ ªÕ¾¨Ã¨Ðà¾ÔèÁ¢Öé¹ ¨Ö§·íÒãËŒ¤ÇÒÁ´Ñ¹âÅËÔµäÁ‹Å´Å§ ᵋ㹼ٌ·Õè¹Í¹¹Ò¹
â´Â੾ÒÐã¹¼ÙʧÍÒÂØ·¹Í¹¹Ò¹ 3 ÊÑ»´Òˏ¢¹ä» ¾ºÇ‹Ò¡Å䡹ըÐàÊÕÂ˹ŒÒ·Õä»(1) ¨Ö§·íÒãËŒ¤ÇÒÁ´Ñ¹
               ŒÙ     Õè                  Öé                        é   è
Ŵŧ㹢³Ðà»ÅÕ¹·‹Ò áÅÐ໚¹à˵ØãËŒàÅ×Í´ä»àÅÕ§ÊÁͧŴŧ㹢³Ðà»ÅÕ¹·‹Ò ¼Ù»Ç¨֧ÁÕÍÒ¡ÒÃ˹ŒÒ
                  è                               é                   è       Œ †
Á×´ àÇÕ¹ÈÕÃÉÐä´Œ ºÒ§ÃÒÂ໚¹ÊÒà˵ØãËŒÅÁä´Œ§Ò¢ֹ ÇÔ¸¡Òû‡Í§¡Ñ¹ÀÒÇйդÍãËŒ¼»ÇÂÍÂÙã¹·‹Ò¹Ñ§
                                       Œ ‹ é          (6)
                                                            Õ             é ×     ÙŒ † ‹     è
ºŒÒ§ ઋ¹ ÃÐËNjҧÁ×ÍÍÒËÒäÇÃä¢àµÕ§ÊÙ§ãËŒ¼»ÇÂÍÂÙã¹·‹Ò¹Ñ§Í‹ҧ¹ŒÍ 15 – 30 ¹Ò·Õ ÇѹÅÐ 2-3 Ãͺ
                    é                        ÙŒ †     ‹       è
µÒÁÁ×ÍÍÒËÒà ¡ç¨Ðª‹Ç»‡Í§¡Ñ¹ÀÒÇйÕä´Œ ã¹ÃÒ·Õà¡Ô´ÀÒÇйÕáÅŒÇ ÍҨ㪌᷋¹Â×¹ (tilt board standing)
      é                            é                è           é
ª‹ÇÂ㹡ÒûÃѺ·‹Ò·Ò§ â´Âãˌ¹ã¹Í§ÈÒ·Õ·¹ä´Œâ´ÂäÁ‹ÁÍÒ¡ÒÃ˹ŒÒÁ×´ ÇÔ§àÇÕ¹ ¹Ò¹ 20-30 ¹Ò·Õ
                             ×          è                 Õ
µ‹ÍÇѹ Í‹ҧäáçµÒÁ¡ÒÃÂ×¹º¹á·‹¹Â×¹¹Ñé¹µŒÍ§ãªŒàÇÅÒ ´Ñ§¹Ñ鹡Òû‡Í§¡Ñ¹ÀÒÇдѧ¡Å‹ÒÇ¢ŒÒ§µŒ¹¨Ö§ÁÕ
¤ÇÒÁÊíҤѭ
       6. ¡Òû‡Í§¡Ñ¹¡ÒõԴàª×éͻʹ¨Ò¡¡ÒÃÊíÒÅÑ¡
             ¡Òù͹¹Ò¹Áռŵ‹ÍÃкº¡ÒÃËÒÂã¨â´Â·íÒãËŒ¤ÇÒÁÊÒÁÒö¢Í§»Í´ (vital capacity
áÅÐ functional reserve capacity) ŴŧÌÍÂÅÐ 25-50(1) áÅлÃÐÊÔ·¸ÔÀҾ㹡ÒÃäÍã¹·‹Ò¹Í¹·íÒä´Œ
äÁ‹´¹¡ ÍÕ¡·Ñ§ã¹¼ÙʧÍÒÂØºÒ§ÃÒ·ÕÁ»­ËÒ¡ÒáÅ×¹ ËÃ×ͤÇÒÁÃÙµÇäÁ‹´Õ ¨ÐÂÔ§·íÒãËŒà¡Ô´¡ÒÃÊíÒÅѡ䴌§ÒÂ
     Õ Ñ     é ŒÙ                 è Õ ˜                    Œ Ñ     è                       ‹
¢Ö¹ à¾ÔÁ¤ÇÒÁàÊÕ§¢Í§¡ÒõԴàª×ͻʹ 㹼ٻǷÕÁšɳдѧ¡Å‹ÒÇ¢ŒÒ§µŒ¹¹Õé ÍÒ¨¨íÒ໚¹µŒÍ§ãËŒÍÒËÒÃ
  é è              è          é           Œ † è ÕÑ
·Ò§ÊÒÂÂÒ§ áÅШѴãËŒÍÂÙã¹·‹ÒÈÕÃÉÐÊÙ§ã¹¢³ÐãËŒÍÒËÒà ÁÕ¡ÒÃÈÖ¡ÉÒàÃ×ͧ¡ÒèѴãËŒ¼»Ç¹͹㹷‹Ò
                        ‹                                        è             ÙŒ †
ÈÕÃÉÐÊÙ§ (semi-recumbent position) ÊÒÁÒö»‡Í§¡Ñ¹¡ÒõԴàª×ͻʹ¨Ò¡¡ÒÃÊíÒÅѡ䴌(7) ¹Í¡¨Ò¡¹Õ¤ÇÃ
                                                         é                               é
ËÅÕ¡àÅÕ§ÂÒ·ÕÁÄ·¸Ô·ÒãËŒ§Ç§ à¾ÃÒШÐÂÔ§à¾ÔÁâÍ¡ÒÊà¡Ô´ÊíÒÅÑ¡ÁÒ¡¢Ö¹
         è      è Õ ì í ‹               è è                    é
             ¡ÒÃÊ͹¡ÒÃËÒÂã¨áÅСÒÃäÍ·Õ¶¡µŒÍ§¹Ñ¹ ¨ÐÊÒÁÒöª‹ÇÂÃкÒÂàÊÁËÐä´Œ´Õ áÅл‡Í§¡Ñ¹
                                            è Ù     é
¡ÒõԴàª×ͻʹ䴌 â´Â㪌෤¹Ô¤ deep breathing exercise ª‹ÇÂãËŒ»Í´¢ÂÒµÑÇ áÅСÒÃäÍ·Õ¶¡µŒÍ§
           é                                                                         è Ù
¨ÐÊÒÁÒö¢ÑºàÊÁËÐä´Œ´Õ â´ÂãËŒ¼»ÇÂËÒÂã¨à¢ŒÒãˌš·ÕÊ´ à¾×Íà¡çºÅÁäÇŒ áÅŒÇäÍÍ͡໚¹ªØ´æ (serial
                                ÙŒ †               Ö èØ è
cough) µ‹Íà¹×ͧ¡Ñ¹¨¹ÊØ´
              è
àǪÈÒʵÏ·¹Âؤ 2553
          Ñ                                                                                                                        393

           7. ¡Òû‡Í§¡Ñ¹¡ÒõԴàª×Í·Ò§à´Ô¹»˜ÊÊÒÇÐ
                                 é
               㹼ٻǷÕäÁ‹ÊÒÁÒö¶‹Ò»˜ÊÊÒÇÐä´Œ ËÃ×ÍÁÕÀÒÇл˜ÊÊÒÇÐàÅç´ÃÒ´ äÁ‹ÊÒÁÒö¤Çº¤ØÁä´Œ
                   Œ † è
ÍÒ¨¨íÒ໚¹µŒÍ§¤ÒÊÒÂÊǹ»˜ÊÊÒÇÐ à¾×ͪ‹ÇÂÃкÒ¹éÒ»˜ÊÊÒÇÐ ª‹Ç»‡Í§¡Ñ¹¡Òê׹á©Ð¢Í§¼ÔÇ˹ѧ
                                      è              í                       é
ºÃÔàdzàªÔ§¡ÃÒ¹ ÃÇÁ·Ñ§¤ÇÒÁÊдǡ㹡ÒþÂÒºÒżٻÇ Í‹ҧäáçµÒÁ¡ÒäÒÊÒÂÊǹ»˜ÊÊÒÇÐ໚¹
                         é                          Œ †
ÊÒà˵ØË¹Ö§¢Í§¡ÒÃà¡Ô´¡ÒõԴàª×Í·Ò§à´Ô¹»˜ÊÊÒÇÐ ´Ñ§¹Ñ¹¤ÇÃà»ÅÕ¹ÊÒÂÊǹ·Ø¡ 3 – 4 ÊÑ»´Òˏ´ÇÂ
           è                     é                      é     è                         Œ
ÇÔ¸»ÅÍ´àª×Í ÃÇÁ¶Ö§ãËŒ¹ÒÍ‹ҧà¾Õ§¾Í ¹Í¡¨Ò¡¹Õ¤ÇÃãËŒ¹§¶‹Ò»˜ÊÊÒÇдաNjҷ‹Ò¹Í¹ áÅÐÃÐÇѧàÃ×ͧ
   Õ         é             éí                   é         Ñè                              è
¡ÒÃäËÅŒ͹¡ÅѺ¢Í§¹éíÒ»˜ÊÊÒÇСÅѺÊÙ‹¡ÃÐà¾Òл˜ÊÊÒÇÐã¹¢³Ðà»ÅÕè¹·‹Ò·Ò§ ËÒ¡ÊÒÁÒöÊǹ
»˜ÊÊÒÇзԧ໚¹ÃÐÂÐæ 䴌͋ҧÊÁèÒàÊÁÍ ¡ç¨Ð໚¹¡Òê‹Ç»‡Í§¡Ñ¹¡ÒõԴàª×Íä´Œ´àª‹¹¡Ñ¹
         é                         í                                  é   Õ
           8. ¡Òýƒ¡·Ñ¡ÉÐ㹡ÒÃà¤Å×͹ŒÒµ¹àͧáÅСÒÃà¤Å×͹·Õè
                                  è                    è
             ã¹ÃÒ·Õ§¾ÍÅØ¡¹Ñ§ä´Œâ´ÂäÁ‹àÇÕ¹ÈÕÃÉÐ ãËŒ¾ÂÒÂÒÁÅØ¡ äÁ‹ãËŒ¹Í¹µÔ´àµÕ§ ¼Ù»ÇÂ¡ÅØÁ¹Õé
                          è Ñ                è                                                                          Œ †             ‹
Âѧ¤§ÊÒÁÒö½ƒ¡¡íÒÅѧ¡ÅŒÒÁà¹×éÍä´ŒºŒÒ§ ÃÇÁ¶Ö§·Ñ¡Éе‹Ò§æ 㹡ÒÃà¤Å×è͹·ÕèáÅÐà¤Å×è͹ŒÒµ¹àͧ
´Ñ§µ‹Í仹Õé
             ! ½ƒ¡·Ñ¡ÉСÒÃà¤Å×͹ŒÒµ¹àͧ (Transfer)
                                                  è
                     ·Ñ¡ÉСÒÃà¤Å×è͹ŒÒµ¹àͧ àÃÔèÁµÑé§áµ‹¡ÒþÅÔ¡µÐᤧµÑÇ ÅØ¡¨Ò¡·‹Ò¹Í¹ÁÒ໚¹
·‹Ò¹Ñ§áÅÐÂ×¹ ÍÒ¨µŒÍ§¡ÒäÇÒÁª‹ÇÂàËÅ×ͺŒÒ§µÒÁᵋ¤ÇÒÁÊÒÁÒö¢Í§¼Ù»ÇÂᵋÅФ¹ ½ƒ¡¡Ò֍µÑÇ
     è                                                                                           Œ †
¹Ñ§â´ÂÍÒÈÑ»ÃÐÊÒ·ÃѺ¤ÇÒÁÃÙÊ¡ÀÒÂã¹¢ŒÍ¢Í§á¢¹áÅÐ¢Ò ¢Ñ¹µ‹Í令×ÍÅØ¡¨Ò¡·‹Ò¹Ñ§ä»ÂѧࡌÒÍÕé ËÃ×Í
  è                                          ŒÖ                               é                                 è
öà¢ç¹ â´Âöà¢ç¹¨Í´ã¹á¹Çà©Õ§ 45 ͧÈÒ áÅÐËѹ˹ŒÒö价ҧ»ÅÒÂàµÕ§ ãˌ㪌ÁͨѺ·Õà·ŒÒᢹ                               ×              è
¢Í§à¡ŒÒÍÕËÃ×Íöà¢ç¹ à¡Ãç§¡ÅŒÒÁà¹×Í˹ŒÒ¢Ò (quadriceps muscle) à¾×ÍÅØ¡Â×¹ àÁ×ÍÂ׹䴌Á¹¤§áÅŒÇ
           é                                        é                                      è                  è               Ñè
¨Ö§àÍ×ÍÁ仨Ѻ·Õ·à·ŒÒᢹ¢Í§à¡ŒÒÍÕËÃ×Íöà¢ç¹ÍÕ¡´ŒÒ¹Ë¹Ö§ ¾ÃŒÍÁËÁØ¹à·ŒÒ áŌǨ֧¹Ñ§Å§à¡ŒÒÍÕËÃ×Íöà¢ç¹
       é          è Õè                          é                         è                               è           é
ʋǹ㹡ÒÃà¤Å×͹ŒÒµ¹àͧ¡ÅѺ¨Ò¡Ã¶à¢ç¹ä»ÂѧàµÕ§ ¡ç·Òã¹·íҹͧà´ÕÂǡѹ Ëҡᵋãˌ˹˹ŒÒö
                è                                                           í                                               Ñ
à¢ç¹ä»·Ò§ËÑÇàµÕ§¼Ù»Ç ºÒ§ÃÒÂÁÕ»­ËÒàÃ×ͧ¡Ò֍µÑÇËÇÁ¡Ñº¡ÅŒÒÁà¹×ÍÂѧ¤§Í‹Í¹áçÁÒ¡ ÍÒ¨µŒÍ§
                           Œ †                          ˜   è                                é
¡ÒäÇÒÁª‹ÇÂàËÅ×ͨҡ¼Ù´áÅ ¹Ñ¡¡ÒÂÀÒ¾ºíҺѴ¨ÐÊ͹෤¹Ô¤¡ÒÃà¤Å×͹ŒÒµ¹àͧãËŒ à¾×ͤÇÒÁ
                                   Œ Ù                                                         è                                      è
Êдǡ㹡ÒôÙáŪ‹ÇÂàËÅ×ͼٻÇ               Œ †
             ! ½ƒ¡·Ñ¡ÉФÇÒÁÊÒÁÒö㹡ÒÃà¤Å×͹·Õè (Ambulation)           è
                     ÇÔ¸Õ¡ÒÃà¤Å×è͹·Õè¢Í§¤¹·ÑèÇä»·ÕèÂÍÁÃѺ¤×Í¡ÒÃà´Ô¹ ᵋ¡Òýƒ¡·Ñ¡ÉÐ㹡ÒÃà´Ô¹¹Ñé¹
µŒÍ§ÍÒÈѤÇÒÁÊÒÁÒö¾×é¹°Ò¹ËÅÒ»ÃСÒà Íѹ䴌ᡋ ¤ÇÒÁÊÒÁÒö㹡Ò֍µÑÇÂ×¹·Õè´Õ¾Í
¡ÅŒÒÁà¹×Í¢ÒÁÕ¡ÒÅѧÁÒ¡¾Í·Õ¨Ð¤Çº¤ØÁࢋÒãËŒàËÂÕ´µÃ§ä´Œ ÃÇÁ¶Ö§¡íÒÅѧ¡ÅŒÒÁà¹×ÍàËÂÕ´µÐ⾡µŒÍ§
         é         í                     è                                                              é
ÁÒ¡¡Ç‹ÒÃдѺ 3 äÁ‹ÁÀÒÇТŒÍÂÖ´µÔ´ áÅÐÁÕ»ÃÐÊÒ·ÃѺ¤ÇÒÁÃÙÊ¡¢Í§¢ŒÍµ‹Í¢Òʋǹŋҧ´Õ
                               Õ                                                  ŒÖ
                     ¡Òýƒ¡¤ÇÒÁÊÒÁÒö㹡ÒÃà¤Å×͹·Õ¹¹ µŒÍ§àµÃÕÂÁàÃ×ͧ¡íÒÅѧ¡ÅŒÒÁà¹×Í¢Ò â´Â੾ÒÐ
                                                                   è è Ñé                è                        é
¡ÅŒÒÁà¹×éÍÃͺÊÐ⾡ ¡ÒÃÍÍ¡¡íÒÅѧ¡ÒÂÍÒ¨àÃÔèÁ·ÕèàµÕ§㹷‹Ò¹Í¹Ë§Ò áÅС¡Œ¹ÅÍ (ÃÙ» 4)
à¡Ã秤ŒÒ§äÇŒ ¹Ñº 1-5 ·íÒ«éÒ 10-20 ¤Ãѧµ‹ÍÃͺ ÇѹÅÐ 2-3 Ãͺ෋ҷշÒä´Œ áÅСŌÒÁà¹×ÍÍÕ¡¡ÅØÁ·ÕÁ¤ÇÒÁ
                                 í                    é                              è í                    é            ‹ è Õ
ÊíҤѭ·Õ誋ÇÂ㹡ÒÃÂ×¹áÅÐà´Ô¹ ¤×Í ¡ÅŒÒÁà¹×é͵Œ¹¢Ò â´ÂãËŒÍÍ¡áçàËÂÕ´ʻÃÔ§ãˌࢋÒàËÂÕ´µÃ§
(ÃÙ» 5) ãËŒ¡ÅŒÒÁà¹×ÍÍÍ¡á経ҹ¡ÑºáçʻÃÔ§·ÕÁ¤ÇÒÁ˹״µ‹Ò§¡Ñ¹ ËÃ×Í㹡óշҷպҹ äÁ‹ÁÍ»¡Ã³
                       é                                         è Õ                                 í è Œ                           ÕØ
ÍҨ㪌ËÁ͹¢ÇÒ§Ãͧ㵌ࢋÒã¹·‹Ò§Í áÅÐãËŒ¼»ÇÂàËÂÕ´ࢋҢֹ ¤ŒÒ§äÇŒ áÅзíÒ«éÒ 10-20 ¤Ãѧµ‹ÍÃͺ
                                                              ÙŒ †              é                     í                          é
ÇѹÅÐ 2-3 Ãͺ ¡çÊÒÁÒöà¾ÔÁ¡íÒÅѧ¡ÅŒÒÁà¹×Í䴌ઋ¹¡Ñ¹
                                       è                  é
394                                    Harmonized Care for Older Patients : .ocus on Mobility

               ËÅѧ¨Ò¡¹Ñ¹¨Ö§àÃÔÁ½ƒ¡¡Ò֍µÑÇÂ×¹ã¹ÃÒǤً â´ÂÁÕ¡Òö‹Ò¹éÒ˹ѡä»ÁÒÃÐËNjҧ¢Ò
                         é     è                                         í
·Ñ§Êͧ¢ŒÒ§Í‹ҧÁѹ¤§ ¢Ñ¹µ‹Í仨֧½ƒ¡¡ÒÃà´Ô¹ã¹ÃÒǤً ½ƒ¡¡ÒÃËÁعµÑÇ¡ÅѺ áÅнƒ¡¡ÒÃà´Ô¹ÀÒ¹͡
  é              è     é
ÃÒǤÙâ´Â¡ÒÃ㪌à¤Ã×ͧª‹ÇÂà´Ô¹·ÕàËÁÒÐÊÁà·‹Ò·Õ¨Ò໚¹ ª¹Ô´·Õ¹ÂÁ㪌㹼ÙʧÍÒÂØ ¤×Í ¤Í¡ª‹ÇÂà´Ô¹
     ‹             è             è            èí           è Ô       Œ Ù
áÁŒ¨Ðà¡Ð¡ÐáÅзíÒãËŒà´Ô¹ªŒÒ¡Ç‹Ò¡ÒÃ㪌äÁŒà·ŒÒ ᵋãËŒ¤ÇÒÁÁѹ¤§¢Í§¡ÒÃà´Ô¹ÁÒ¡¡Ç‹ÒäÁŒà·ŒÒ â´Â੾ÒÐ
                                                         è
¡Òýƒ¡à´Ô¹ã¹ª‹Ç§áá áÅÐàÁ×ͼٻÇÂÊÒÁÒöà´Ô¹ä´Œ´¢¹ ÍÒ¨à»ÅÕ¹໚¹äÁŒà·ŒÒã¹ÀÒÂËÅѧ䴌
                           è Œ †                    Õ Öé       è




                   ÃÙ»·Õè 4 ¡ÒúÃÔËÒÃà¾×èÍà¾ÔèÁ¡íÒÅѧ¡ÅŒÒÁà¹×éÍÃͺÊÐ⾡




                      ÃÙ»·Õè 5 ¡ÒúÃÔËÒÃà¾×èÍà¾ÔèÁ¡íÒÅѧ¡ÅŒÒÁà¹×é͵Œ¹¢Ò

           !   ½ƒ¡¡Òê‹ÇÂàËÅ×͵¹àͧ㹡ԨÇѵûÃШíÒÇѹ (Self care training)
               ¡Ò÷íÒ¡Ô¨ÇѵûÃШíÒÇѹ¹Ñ¹ µŒÍ§ÍÒÈÑ¡Ò÷íÒ§Ò¹¢Í§¡ÅŒÒÁà¹×ÍÁ×ÍáÅÐᢹ 㹡ÒÃ
                                       é                                   é
½ƒ¡¡ÅŒÒÁà¹×ÍÁ×ÍáÅÐᢹ ÍÒÈÑ¡Ò÷íÒ¡Ô¨¡ÃÃÁºíҺѴ (occupational therapy) ઋ¹ ¡ÒÃãÊäÁŒ·Á¤ÇÒÁ½„´
           é                                                                         Õè Õ
¡ÒúÃÔËÒôŒÇ peg board (ÃÙ»·Õè 6) ËÃ×Í shoulder bar (ÃÙ»·Õè 7) «Ö§¡Ô¨¡ÃÃÁàËŋҹըÐÊÒÁÒöà¾ÔÁ
                                                                  è               é         è
¾ÔÊ¢ͧ¢ŒÍäËŋ䴌´Õ áÅÐËÒ¡à¾ÔÁ¶Ø§·ÃÒÂËÃ×͹éÒ˹ѡ¶‹Ç§ ¨Ðª‹ÇÂà¾ÔÁ¡íÒÅѧ¡ÅŒÒÁà¹×Í ÃÇÁ·Ñ§¤ÇÒÁ
   Ñ                          è               í                     è           é         é
·¹·Ò¹¢Í§¡ÅŒÒÁà¹×Íᢹ䴌´Ç ¡Òýƒ¡ãËŒÁ¡ÒÅѧ¡ÅŒÒÁà¹×Íᢹ·Õ´áÅТŒÍäÁ‹µ´¹Ñ¹ à¾×Í¡ÒÃàµÃÕÂÁ
                   é        Œ             Õ í           é       è Õ          Ô é è
¾ÃŒÍÁÊíÒËÃѺ¡Òýƒ¡·Ñ¡ÉСÒÃ㪌ÁÍáÅÐᢹ㹡Ò÷íÒ¡Ô¨ÇѵûÃШíÒÇѹ äÁ‹ÇÒ¨Ð໚¹¡ÒõѡÍÒËÒÃãÊ‹
                                ×                                       ‹
àǪÈÒʵÏ·¹Âؤ 2553
          Ñ                                                                           395

»Ò¡ ¡ÒÃÍÒº¹éÒ ÅŒÒ§Ë¹ŒÒ á»Ã§¿˜¹ áÅÐᵋ§µÑÇ ÃÇÁ¶Ö§·íÒ¤ÇÒÁÊÐÍÒ´µ¹àͧÀÒÂËÅѧ¡ÒâѺ¶‹ÒÂ
            í
¹Ñ¹àͧ
  è




                            ÃÙ»·Õè 6 ¡ÒúÃÔËÒôŒÇ peg board




                          ÃÙ»·Õè 7 ¡ÒúÃÔËÒôŒÇ shoulder bar

          !     ¡ÒôÙáÅÊÀÒ¾¨Ôµã¨
                ¤ÇÃÁÕ¡ÒûÃÐàÁÔ¹ÊÀÒ¾¨Ôµã¨àº×ͧµŒ¹ ઋ¹ ¡ÒÃÊͺ¶ÒÁà¡ÕÂǡѺÊÀÒ¾¨Ôµã¨ ¤ÇÒÁÃÙŒ
                                           é                      è
ÊÖ¡ ÍÒÃÁ³ ¡ÒÃÃѺ»ÃзҹÍÒËÒà ¡Òù͹ËÅѺ ÃÇÁ·Ñ§¤ÇÒÁࢌÒã¨áÅзÑȹ¤µÔµÍ¤ÇÒÁà¨çº»†Ç ໚¹
                                                é                       ‹
µŒ¹ ºÒ§ÃÒÂÍÒ¨µŒÍ§»ÃÐàÁÔ¹à¾×ͤѴ¡ÃͧÀÒÇЫÖÁàÈÃŒÒâ´Â㪌Ẻ·´Êͺ à¹×ͧ¨Ò¡ÀÒÇЫÖÁàÈÃŒÒ໚¹
                             è                                      è
ÀÒÇзվºä´ŒºÍÂã¹¼ÙʧÍÒÂØ(8) áÅÐ໚¹à˵عÒä»ÊÙ¡Òæ‹ÒµÑǵÒÂã¹ÇÑÂÊÙ§ÍÒÂØ ÍÕ¡·Ñ§à»š¹ÍØ»ÊÃä·Õè
       è      ‹      ŒÙ                  í ‹                                é
ÊíҤѭ¢Í§¡Òÿ„¹¿ÙÊÀÒ¾ ¨Ö§¤ÇÃ䴌ú¡ÒûÃÐàÁÔ¹¤Ñ´¡ÃͧµÑ§áµ‹ÃÐÂÐàÃÔÁáá à¾×Í¡ÒÃᡌä¢Í‹ҧ¶Ù¡
                œ                Ñ                     é       è          è
µŒÍ§ â´Â¹Ñ¡¨ÔµÇÔ·ÂÒãËŒ¤Ò»ÃÖ¡ÉÒ ¨Ðª‹Ç»ÃÐàÁÔ¹ÊÀÒÇзҧ´ŒÒ¹¨Ôµã¨ áÅЪÕá¹Ð¡ÒûÃѺÊÀÒ¾¨Ôµ
                        í                                             é
㨷ըÐÂÍÁÃѺáÅдíÒçªÕǵÍÂÙ¡º¤ÇÒÁà¨çº»†Ç·ҧ¡ÒÂÍ‹ҧäÁ‹·¡¢ÁÒ¡¨¹à¡Ô¹ä»
    è                     Ô ‹ Ñ                            Ø
396                                               Harmonized Care for Older Patients : .ocus on Mobility

ÊÃØ»
        ¡ÒôÙáżٌÊÙ§ÍÒÂØ·ÕèࢌÒÃѺ¡ÒÃÃÑ¡ÉÒµÑÇ໚¹¼ÙŒ»†ÇÂã¹âç¾ÂÒºÒŹÑé¹ µŒÍ§¡ÒáÒôÙáÅ
·Ñ§·Ò§´ŒÒ¹Ã‹Ò§¡Ò áÅÐÊÀÒ¾¨Ôµã¨ â´ÂÍÒÈѤÇÒÁËÇÁÁ×ÍáÅФÇÒÁࢌÒ㨢ͧ­ÒµÔáÅФÃͺ¤ÃÑÇ
    é
㹡ÒÃÁÕʋǹËÇÁ·ÕèÊíҤѭ ¡ÒôÙáŷҧËҧ¡Ò¹Ñé¹ ã¹¼ÙŒ·ÕèÂѧäÁ‹¾ÃŒÍÁÃѺâ»Ãá¡ÃÁ¿„œ¹¿Ù ¤ÇÃãËŒ
¡Òû‡Í§¡Ñ¹ÀÒÇÐá·Ã¡«ŒÍ¹Íѹà¡Ô´¨Ò¡¡Òù͹¹Ò¹ ʋǹ¼Ù·ÊÀҾËҧ¡Ò¾ÌÍÁ½ƒ¡ ãËŒ¾ÂÒÂÒÁÅØ¡
                                                        Œ Õè
¹Ñ§ Â×¹ ËÃ×Íà´Ô¹à·‹Ò·Õ·Òä´Œ â´ÂÁÕ¤¹´ÙáÅãËŒ¡Òê‹ÇÂàËÅ×ͺŒÒ§ËÃ×ÍÍҨ㪌ͻ¡Ã³ªÇÂËÇÁ´ŒÇ ·Ñ§¹Õé
  è                   è í                                            Ø     ‹            é
¡ÒôÙáÅÁا์¹¤Ø³ÀÒ¾ªÕǵ·Õ´¢Í§¼ÙʧÍÒÂØà»š¹ÊíҤѭ
         ‹                Ô è Õ     ŒÙ

àÍ¡ÊÒÃ͌ҧÍÔ§
1.    Halar EM, Bell KR. Immobility and inactivity: Physiological and functional changes, prevention, and treatment.
      In: DeLisa JA, Gans BM, Walsh NE, eds. Physical Medicine & Rehabilitation; Principles and Practice, 4th ed.
      Philadelphia: Lippincott Williams & Wilkins, 2005:1447-67.
2.    Sharpless JW. Maintenance of joint mobility. In: Sharpless JW, ed. Mossman’s A problem-oriented approach to
      stroke rehabilitation, 2nd ed. Springfield: Charles C Thomas, 1982:83-143.
3.    Allman RM. Epidemiology of pressure sores in different populations. Decubitus 1989;2:30-3.
4.    O’Connor KC. Pressure ulcers. In: DeLisa JA, Gans BM, Walsh NE, eds. Physical Medicine & Rehabilitation;
      Principles and Practice, 4th ed. Philadelphia: Lippincott Williams&Wilkins, 2005:1605-18.
5.    Tongpiputh S, Kunavusant N, Senjunfichui C. Lower extremity deep vein thrombosis among the Thai patients
      with stroke. Neurol J Southeast Asia 1994;4:13-8.
6.    Chang NT, Yang NP, Chou P. Incidence, risk factors and consequences of falling injuries among the
      community-dwelling elderly in Shihpai, Taiwan. Aging Clin Exp Res 2010;22:70-7.
7.    d’Escrivan T, Guery B. Prevention and treatment of aspiration pneumonia in intensive care units. Treat Respir
      Med 2005;4:317-24.
8.    Covinsky KE, .ortinsky RH, Palmer RM, Kresevic DM, Landefeld CS. Relation between symptoms of
      depression and health status outcomes in acutely ill hospitalized older persons. Ann Intern Med 1997;126:417-
      25.
àǪÈÒʵÏ·¹Âؤ 2553
          Ñ                                                                                º··Õè        397

                                                                                            58
        Health Impacts of Environmental Threats in Thailand:
                     Epidemiological Aspects
                                                     ¹ÒÂᾷÊÁà¡ÕÂÃµÔ ÈÔÃÔÃѵ¹¾Ä¡É
             Êíҹѡâä¨Ò¡¡ÒûÃСͺÍÒªÕ¾áÅÐÊÔè§áÇ´ÅŒÍÁ ¡ÃÁ¤Çº¤ØÁâä ¡ÃзÃǧÊÒ¸ÒÃ³ÊØ¢

          ¨Ò¡¡Ò÷Õè»ÃÐà·Èä·Âä´ŒÁÕ¡ÒþѲ¹Ò»ÃÐà·È໚¹»ÃÐà·ÈÍØµÊÒË¡ÃÃÁ ä´Œ¡‹ÍãËŒà¡Ô´¡ÒÃ
à»ÅÕè¹á»Å§·Ñé§·Ò§´ŒÒ¹¡ÒÃàÁ×ͧ àÈÃɰ¡Ô¨ Êѧ¤Á¢Í§»ÃÐà·È â´Â੾ÒЪÕÇÔµ¤ÇÒÁ໚¹ÍÂÙ‹
¢Í§»ÃЪҪ¹ ¡ÒÃà»ÅÕ¹á»Å§´Ñ§¡Å‹ÒÇä´Œ¡ÍãËŒà¡Ô´¼Å¡Ãзº·Ñ§·Ò§´ŒÒ¹ºÇ¡áÅдŒÒ¹Åº â´Â੾ÒÐ
                      è                   ‹                          é
¼Å¡Ãзº·Ò§ÊØ¢ÀÒ¾áÅФسÀÒ¾ªÕǵ¢Í§»ÃЪҪ¹ ¼Å¡Ãзº·Ò§ÊØ¢ÀÒ¾·ÕÊҤѭ¤×Í ä´Œ¡ÍãËŒà¡Ô´
                                   Ô                                                         èí         ‹
âä·Õà¡Ô´¨Ò¡¡ÒþѲ¹ÒÀÒ¤ÍØµÊÒË¡ÃÃÁ ઋ¹ âä¨Ò¡¡ÒûÃСͺÍÒªÕ¾áÅÐâä¨Ò¡ÊÔ§áÇ´ÅŒÍÁ
       è                                                                                          è
«Ö§ÁռšÃзºµ‹Í»ÃЪҪ¹áÅÐÊѧ¤Á໚¹Ç§¡ÇŒÒ§ ¡‹ÍãËŒà¡Ô´¤ÇÒÁµ×¹µÑÇã¹»˜­ËҴѧ¡Å‹ÒÇã¹ÀÒ¾ÃÇÁ
   è                                                                       è
¢Í§»ÃÐà·È ʶҹ¡Ò󏻭ËҼšÃзºµ‹ÍÊØ¢ÀÒ¾áÅФسÀÒ¾ªÕǵ·Õà¡Ô´¨Ò¡»˜­ËÒÊÔ§áÇ´ÅŒÍÁ
                            ˜                                                  Ô è                  è
㹪‹Ç§ÃÐÂÐàÇÅÒ·Õ¼Ò¹ÁÒ¨¹¶Ö§»˜¨¨Øº¹·ÕÊҤѭ ¾Í¨ÐÊÃØ»ä´Œ´§µ‹Í仹Õé
                  è ‹             Ñ èí                             Ñ
          1. »˜­ËҼšÃзºµ‹ÍÊØ¢ÀÒ¾·Õà¡Ô´¨Ò¡¡Ô¨¡ÒÃÀÒ¤ÍØµÊÒË¡ÃÃÁ 㹪‹Ç§ÃÐÂÐàÇÅÒ·Õ¼Ò¹ÁÒ
                                      è                                                                   è ‹
¨¹¶Ö§»˜¨¨Øº¹ »˜­ËҼšÃзºµ‹ÍÊØ¢ÀÒ¾ËÃ×ͤسÀÒ¾ªÕǵ¢Í§»ÃЪҪ¹·Õà¡Ô´¨Ò¡ÀÒ¤ÍØµÊÒË¡ÃÃÁ
             Ñ                                            Ô                           è
µ‹Ò§æ ¹ÑºÇѹ¨Ð·ÇÕ¤ÇÒÁÊíҤѭÁÒ¡¢Ö¹àÃ×ÍÂæ â´ÂÍÒ¨¨Ð¾ºä´Œ¨Ò¡¡ÒÃà¼Âá¾Ã‹¢ÒǢͧÊ×ÍÁÇŪ¹áÅÐ
                                 é è                                                          ‹ è
¡ÒÃÌͧàÃÕ¹¢Í§ªÒǺŒÒ¹ËÃ×ͪØÁª¹µ‹Ò§æ ÃÇÁ·Ñ§¡ÒÃÈÖ¡ÉÒÇԨ¢ͧ¼ÙàªÕÂǪҭµ‹Ò§æ â´Â»˜­ËÒ·Õè
                                              é                        Ñ        Œ è
ÊíҤѭ·Õ辺¤×Í ¡ÒÃÃÑèÇäËŢͧÁžÔÉËÃ×ÍÊÒÃà¤ÁÕ¨Ò¡âç§Ò¹ËÃ×͡Ԩ¡ÒÃÍØµÊÒË¡ÃÃÁµ‹Ò§æ ä»Âѧ
ªØÁª¹µ‹Ò§æ ·Ñ§â´Âਵ¹ÒËÃ×Íà¡Ô´¨Ò¡Íغµà赯 ÊÒÃà¤ÁÕ·Á¡ÒÃÃÑÇäËŹѹÁÕËÅÒ¡ËÅÒª¹Ô´ 䴌ᡋ
               é                        Ñ Ô                  Õè Õ è                 é
ᡍʾÔÉ àª‹¹ áÍÁâÁà¹Õ ໚¹µŒ¹ ÊÒÃÅÐÅÒÂÍÔ¹·ÃÕ·ÃÐà˧‹Ò (VOC) ½Ø¹ÅÐÍͧµ‹Ò§æ 仨¹¶Ö§
                                                      Õè                                  †
ÊÒÃâÅËе‹Ò§æ ઋ¹ µÐ¡ÑÇᤴàÁÕÂÁ ÊÒÃ˹٠໚¹µŒ¹ ¡ÒÃÃÑÇäËŢͧÊÒþÔɴѧ¡Å‹ÒÇä´Œ¡ÍãËŒà¡Ô´
                          è                                      è                                    ‹
¼Å¡Ãзºµ‹ÍÊØ¢ÀÒ¾¢Í§»ÃЪҪ¹ ઋ¹ ¡ÒÃà¡Ô´¾ÔɨҡÊÒÃà¤ÁÕ´§¡Å‹ÒÇ ¡ÒÃà¡Ô´âäÃкºËÒÂã¨
                                                                             Ñ
âäÀÙÁÔᾌµ‹Ò§æ áÅС‹ÍãËŒà¡Ô´âäÁÐàÃç§ ¼Å¡Ãзº·Õèà¡Ô´¢Öé¹à»š¹áººà©Õº¾ÅѹáÅÐẺàÃ×éÍÃѧ
¢Ö¹ÍÂÙ¡ºª¹Ô´¤ÇÒÁ໚¹¾ÔÉáÅлÃÔÁÒ³¢Í§ÊÒþÔÉ·ÕÃÇäËÅ ¡Ã³ÕµÇÍ‹ҧ·ÕÊҤѭ¢Í§»˜­ËҴѧ¡Å‹ÒÇ
  é ‹ Ñ                                         è Ñè                     Ñ              èí
·Õè໚¹·Õèʹ㨢ͧ»ÃЪҪ¹ã¹ÃдѺ»ÃÐà·È ઋ¹ ¡Ã³Õ»˜­ËҼšÃзºµ‹ÍÊØ¢ÀÒ¾¢Í§»ÃЪҪ¹
¨Ò¡¹Ô¤ÁÍØµÊÒË¡ÃÃÁÁÒºµÒ¾Ø´ ¡Ã³Õ¡Òû¹à»„͹¢Í§ÊÒÃâÅËÐ˹ѡ㹹éÒ·Õà¡Ô´¨Ò¡¡Ô¨¡ÒÃàËÁ×ͧáË
                                            œ                                     í è
ઋ¹ ÊÒÃ˹ٷÕè Í.Ë͹¾ÔºÅ ¨.¹¤ÃÈÃÕ¸ÃÃÁÃÒª ÊÒõСÑÇ·Õ¤ÅÔµÕé ¨.¡Ò­¨¹ºØÃÕ áÅÐÊÒÃᤴàÁÕÂÁ·Õè
                        Ù                                   è è
Í.áÁ‹ÊÍ´ ¨.µÒ¡ ໚¹µŒ¹
398               Health Impacts of Environmental Threats in Thailand : Epidemiological Aspects

           2. »˜­ËҼšÃзºµ‹ÍÊØ¢ÀÒ¾·Õà¡Ô´¨Ò¡ÊÒÃà¤ÁÕ·Ò§¡ÒÃà¡ÉµÃ »ÃÐà·Èä·Â໚¹»ÃÐà·È
                                                      è
à¡ÉµÃ¡ÃÃÁ »ÃЪҡÃʋǹãË­‹¢Í§»ÃÐà·È´íÒà¹Ô¹ªÕǵ´ŒÇÂÍÒªÕ¾à¡ÉµÃ¡ÃÃÁ ઋ¹ ¡Ò÷íÒ¹Ò ·íÒÊǹ
                                                                 Ô
·íÒäË Í‹ҧäáçµÒÁ»˜¨¨Øº¹ä´ŒÁ¡ÒþѲ¹Òà·¤â¹âÅÂÕ·Ò§¡ÒÃà¡ÉµÃ໚¹Í‹ҧÁÒ¡ ·íÒãËŒà¡ÉµÃ¡Ã
                             Ñ              Õ
ä´Œ»ÃѺà»ÅÕè¹ÇÔ¸Õ¡Ò÷íҧҹẺ¸ÃÃÁªÒµÔ´Ñé§à´ÔÁ ÁÒ໚¹¡ÒþÖè§¾Òà·¤â¹âÅÂÕµ‹Ò§æ ઋ¹ ¡ÒÃ㪌
ÊÒÃà¤ÁÕ·Ò§¡ÒÃà¡ÉµÃµ‹Ò§ ¨Ò¡¢ŒÍÁÙŢͧ¡ÃÁÇÔªÒ¡ÒÃà¡ÉµÃ ¾ºÇ‹Ò ã¹áµ‹Åл‚ÁÕ¡ÒùíÒࢌÒ
Çѵ¶ØÍ¹µÃÒ·ҧ¡ÒÃà¡ÉµÃ ࢌÒÁÒã¹»ÃÐà·ÈäÁ‹µÒ¡Ç‹Ò»‚ÅÐ 6 ËÁ×¹µÑ¹ «Ö§»ÃСͺ´ŒÇ ÊÒáíҨѴ
         Ñ                                                    èí       è        è
áÁŧ ÊÒáíҨѴÇѪ¾×ª áÅÐÊÒáíҨѴÈѵÃÙ¾ªÍ×¹æ ໚¹µŒ¹ ¡ÒÃ㪌ÊÒÃà¤ÁÕµÒ§æ ´Ñ§¡Å‹ÒÇä´Œ¡ÍãËŒà¡Ô´
                                                        × è                   ‹              ‹
¼Å¡Ãзºµ‹ÍÊØ¢ÀÒ¾ ·Ñ§ã¹¡ÅØÁà¡ÉµÃ¡Ãàͧ ¤Ãͺ¤ÃÑǢͧà¡ÉµÃ¡ÃáÅЪØÁª¹ã¡ÅŒà¤Õ§ ÃÇÁ·Ñ§
                           é       ‹                                                             é
¼ÙºÃÔâÀ¤¡ç¤Í »ÃЪҡä¹ä·Â·Ñ§»ÃÐà·È â´Â¡‹ÍãËŒà¡Ô´âä¾ÔɨҡÊÒáíҨѴÈѵÃÙ¾ª «Ö§ÊíҹѡÃкҴ
  Œ            ×                       é                                              × è
ÇÔ·ÂÒ ¡ÃзÃǧÊÒ¸ÒÃ³ÊØ¢ ä´Œ¾º¡ÒÃÃÒ§ҹâä´Ñ§¡Å‹ÒÇ»‚ÅÐäÁ‹µÒ¡Ç‹Ò¾Ñ¹ÃÒ â´Â¢ŒÍÁÙŴѧ¡Å‹ÒÇ
                                                                         èí
¶×Í໚¹¢ŒÍÁÙŷյҡNjҤÇÒÁ໚¹¨Ãԧ໚¹Í‹ҧÁÒ¡
                  è èí
           3. »˜­ËÒÁžÔÉ·Ò§ÍÒ¡ÒÈ «Ö§à¡Ô´¨Ò¡¡ÒÃà¼Ò»†ÒáÅмÅÔµ¼Å·Ò§¡ÒÃà¡ÉµÃ ¡ÒèÃÒ¨ÃáÅÐ
                                                    è
¡ÒÃ㪌ªÕÇÔµ¢Í§»ÃЪҪ¹ 㹪‹Ç§ÃÐÂÐàÇÅÒ·Õ輋ҹÁÒ»ÃÐà·Èä·Âä´Œ»ÃÐʺ»˜­ËÒàÃ×èͧÁžÔÉ
·Ò§ÍÒ¡ÒÈËÅÒ¤Ãѧ ઋ¹ ¡Ã³Õ»­ËÒËÁÍ¡¤Çѹã¹ÀÒ¤à˹×Í áÅл˜­ËÒËÁÍ¡¤Çѹã¹ÀҤ㵌µÍ¹Å‹Ò§
                       é             ˜
â´Â·Ñé§ 2 ¡Ã³Õ´Ñ§¡Å‹ÒÇÊÒà˵ØËÅÑ¡ÁÒ¨Ò¡¡ÒÃà¼ÒäËÁŒ»†ÒäÁŒáÅмÅÔµ¼Å·Ò§¡ÒÃà¡ÉµÃ â´ÂÍÒ¨
໚¹¡ÒÃà¼Ò¢Í§»ÃЪҪ¹ã¹¾×¹·Õàͧ¢Í§à¢µÀÒ¤à˹×Í ËÃ×Í¡ÒÃà¼Ò¨Ò¡»ÃÐà·Èà¾×͹ºŒÒ¹ã¹¡Ã³Õ
                                 é è                                                     è
»˜­ËҢͧÀҤ㵌 ¨Ò¡»˜­ËÒÁžÔÉËÁÍ¡¤Çѹ¨Ò¡¡ÒÃà¼Ò´Ñ§¡Å‹ÒÇ ä´Œ¡ÍãËŒà¡Ô´¼Å¡Ãзºµ‹ÍÊØ¢ÀÒ¾
                                                                            ‹
¢Í§»ÃЪҪ¹ à¡Ô´¡ÒÃà¨çº»†ÇÂà¾ÔÁ¢Ö¹à»š¹¨íҹǹÁÒ¡¡Ç‹ÒËÁ×¹ÃÒ ã¹áµ‹ÅЪ‹Ç§·Õà¡Ô´à˵ءÒó â´Â
                                              è é                    è            è
¼Å¡Ãзº·ÕèÊíҤѭ¤×Í ¡ÒÃà¨çº»†ÇÂ໚¹âäÃкºËÒÂ㨠âäËÑÇã¨áÅÐËÅÍ´àÅ×Í´ áÅÐâä¼ÔÇ˹ѧ
໚¹µŒ¹ ¹Í¡¨Ò¡»˜­ËÒÁžÔÉ·Ò§ÍÒ¡ÒÈ ¨Ò¡»˜­ËÒËÁÍ¡¤Çѹã¹à¢µÀÒ¤à˹×ÍáÅÐÀҤ㵌´§¡Å‹ÒÇ                 Ñ
áÅŒÇ »˜­ËÒÁžÔÉ·Ò§ÍÒ¡ÒÈ·ÕÁÍÂÙ໚¹»ÃШíÒ ¤×Í »˜­ËÒÁžÔÉ·Ò§ÍÒ¡ÒÈã¹à¢µàÁ×ͧ·Õà¡Ô´¨Ò¡¡ÒÃ
                                  è Õ ‹                                                    è
¨ÃҨà ઋ¹ ã¹¡ÃØ§à·¾ÁËÒ¹¤Ã áÅÐࢵ»ÃÔÁ³±Å ËÃ×ÍࢵàÁ×ͧãË­‹æ ໚¹µŒ¹ ¡çÁ¤ÇÒÁÊíҤѭáÅÐ    Õ
¤ÇèÐä´ŒÃѺ¡ÒÃá¡Œä¢ »˜­ËҴѧ¡Å‹ÒÇà¡Ô´¨Ò¡¡ÒèÃҨ÷Õè¡‹ÍãËŒà¡Ô´á¡Ê¾ÔÉáÅн؆¹ÅÐÍͧµ‹Ò§ æ
ÃÇÁ·Ñ§ÍÒ¨¨Ðà¡Ô´¨Ò¡¡Òá‹ÍÊÌҧ ËÃ×ͨҡâç§Ò¹ÍصÊÒË¡ÃÃÁ áÁŒã¹Ê¶Ò¹¡Òó¢Í§»˜­ËҤسÀÒ¾
       é
ÍÒ¡ÒÈã¹¡ÃØ§à·¾ÁËÒ¹¤Ã¨Ð´Õ¢¹¡Ç‹Òà´ÔÁ Íѹà¹×ͧÁÒ¨Ò¡ÁÕ¡ÒþѲ¹ÒÃкº¡Òâ¹Ê‹§áººÃкºÃÒ§
                                         Öé                 è
ËÃ×Íö俿‡Ò ÃÇÁ·Ñé§ÁҵáÒÃó礏Í×è¹æ ᵋ¡çÂѧÁÕ¤ÇÒÁ¨íÒ໚¹·Õè¨ÐµŒÍ§ÁÕÁҵáÒÃ㹡ÒÃᡌä¢
ãËŒÁ»ÃÐÊÔ·¸ÔÀÒ¾ÁÒ¡¢Ö¹µ‹Íä»
     Õ                   é
           4. »˜­ËÒ¡ÒÃà»ÅÕ¹á»Å§¢Í§ÀÙÁÍÒ¡ÒÈ (climate change) »˜­ËҴѧ¡Å‹ÒǹѺ໚¹»˜­ËÒ
                               è                         Ô
ÃдѺâÅ¡·ÕÁ¡ÒáŋÒǶ֧áÅÐãËŒ¤ÇÒÁʹã¨ã¹·Ø¡Ç§¡ÒÃã¹»ÃÐà·Èµ‹Ò§æ ÃÇÁ·Ñ§»ÃÐà·Èä·Â´ŒÇÂ
              è Õ                                                                   é
»˜­ËÒ¡ÒÃà»ÅÕè¹á»Å§¢Í§ÀÙÁÔÍÒ¡ÒÈ ÁÕÊÒà˵ØËÅÑ¡ÁÒ¨Ò¡¡ÒÃà¼ÒäËÁŒ¾Ç¡ÊÒÿÍʫԊઋ¹
àª×éÍà¾ÅÔ§µ‹Ò§æ ¨Ò¡¡ÒèÃÒ¨ÃËÃ×ÍÀÒ¤ÍØµÊÒË¡ÃÃÁ¨¹¡‹ÍãËŒà¡Ô´á¡Ê CO2 ÁÒ¡à¡Ô¹»¡µÔ áÅÐ
Áռš‹ÍãËŒà¡Ô´ÀÒÇÐᡍÊàÃ×͹¡ÃШ¡ ·íÒãËŒ¾×é¹¼ÔÇâÅ¡ÁÕÍØ³ËÀÙÁÔÊÙ§¢Öé¹ áÅÐÁռšÃзºµÒÁÁÒ¶Ö§
ÊÀÒ¾ÀÙÁÔÍÒ¡ÒȢͧâÅ¡à¡Ô´¡ÒÃà»ÅÕè¹á»Å§ä» ¡ÒÃà»ÅÕè¹á»Å§´Ñ§¡Å‹ÒÇ¡‹ÍãËŒà¡Ô´»ÃÒ¡¯¡Òó
µ‹Ò§æ ÁÒ¡ÁÒ ઋ¹ ÀÒÇÐÍØ³ËÀÙÁ·à»ÅÕ¹á»Å§ÊØ´¢ÑÇ àª‹¹ à¡Ô´ÀÒÇÐáËŒ§áÅŒ§¼Ô´»¡µÔ㹺ҧࢵ
                                                Ô Õè è             é
àǪÈÒʵÏ·¹Âؤ 2553
          Ñ                                                                                                                                399

ºÒ§ºÃÔàdzÁÕͳËÀÙÁʧ¢Ö¹ÁÒ¡¨¹·íÒãËŒà¡Ô´¡ÒÃÅÐÅÒ¢ͧÀÙà¢Ò¹éÒá¢ç§·Õ¢ÇâÅ¡ à¡Ô´ÀÒÇÐÃдѺ¹éÒ·ÐàÅ
                    Ø                 ÔÙ é                                                            í       è Ñé                      í
ÊÙ§¢Öé¹ à»š¹µŒ¹ »ÃÒ¡¯¡Òóµ‹Ò§æ ´Ñ§¡Å‹ÒÇ¡‹ÍãËŒà¡Ô´¼Å¡Ãзºµ‹ÍÊØ¢ÀÒ¾áÅФسÀÒ¾ªÕÇÔµ¢Í§
»ÃЪҪ¹ ઋ¹ à¡Ô´¡ÒÃÃкҴ¢Í§âäµÔ´µ‹Í·Õ¹Òâ´ÂáÁŧ à¡Ô´¡ÒÃà¨çº»†ÇÂ໚¹âä¨Ò¡¤Å×¹¤ÇÒÁÌ͹
                                                                    è í                                                             è
ËÃ×ÍÍØ³ËÀÙÁ·Ê§ à¡Ô´¤ÇÒÁà´×ʹÌ͹¨Ò¡ÀѾԺµµÒ§æ ઋ¹ ÀÒÇÐáÅŒ§ ËÃ×͹éÒ·‹ÇÁ ໚¹µŒ¹ ¢³Ð¹Õé
                  Ô Õè Ù                                                      Ñ Ô ‹                                  í
ʶҹ¡Ò󏻭ËÒ¡ÒÃà»ÅÕ¹á»Å§¢Í§ÀÙÁÍÒ¡ÒÈ ¶×ÍÇ‹ÒÍÂÙ㹢ѹÇԡĵáÅŒÇ ´Ñ§¹Ñ¹¹Í¡¨Ò¡¡ÒÃËÒ
                      ˜                           è             Ô                                  ‹ é                        é
ÁҵáÒÃ㹡ÒÃÅ´¼Å¡Òá‹ÍãËŒà¡Ô´¡ÒÃà»ÅÕ¹á»Å§´Ñ§¡Å‹ÒÇ Âѧ¨ÐµŒÍ§¾Ô¨ÒóÒËÒÁҵáÒÃ㹡ÒÃ
                                                                  è
»ÃѺµÑÇà¾×ͨÐÊÒÁÒöÍÂÙÃÍ´µ‹Í»ÃÒ¡¯¡Ò󏷵ÒÁÁÒ´ŒÇÂ
             è                                ‹                                  Õè
         5. »˜­ËÒ͹ÒÁÑÂÊÔè§áÇ´ÅŒÍÁ´Ñé§à´ÔÁ ¹Í¡¨Ò¡»˜­ËÒÊÔè§áÇ´ÅŒÍÁ·ÕèÁռšÃзºµ‹ÍÊØ¢ÀÒ¾
ãËÁ‹æ ·Õà¡Ô´¢Ö¹ã¹»ÃÐà·ÈáÅŒÇ »˜­ËÒ͹ÒÁÑÂÊÔ§áÇ´ÅŒÍÁ´Ñ§à´ÔÁ¢Í§»ÃÐà·È¡ç§ÁÕÍÂÙ‹ ᵋ¨ÐÁÕ¤ÇÒÁ
           è é                                                            è                     é                      Ñ
«Ñº«ŒÍ¹ÁÒ¡¢Ö¹ áÅÐÁÕµ¹à˵آͧÊÒà˵ءÒÃà¡Ô´à»ÅÕ¹á»Å§ä» »˜­ËҴѧ¡Å‹ÒÇ ä´Œá¡‹ »˜­ËÒ¢ÂÐÁÙÅ
                          é             Œ                                             è
½Í »˜­ËÒ¹éÒÊÐÍÒ´·Õ㪌ÊÒËÃѺ¡ÒÃÍØ»âÀ¤áÅкÃÔâÀ¤ »˜­ËÒ¡ÒÃÊØ¢ÒÀÔºÒŵ‹Ò§æ ໚¹µŒ¹ »˜­ËÒ
                        í                   è í
¢ÂÐÁÙŽÍÂã¹»˜¨¨Øº¹ä´ŒÁ¤ÇÒÁÂØ§ÂÒ¡«Ñº«ŒÍ¹¢Ö¹ã¹ºÒ§¾×¹·Õè à¾ÃÒÐä´ŒÁ¡Òû¹à»„͹໚¹¢ÂÐÁÕ¾É
                                    Ñ           Õ         ‹                    é            é                      Õ            œ         Ô
(toxic waste) Íѹà¹×ͧÁÒ¨Ò¡¡ÒáíҨѴ¢ÂоÔɴѧ¡Å‹ÒÇäÁ‹¶¡ÇÔ¸Õ ËÃ×Í¡ÒÃÅÑ¡Åͺ·Ô§ ¨¹·íÒãËŒà¡Ô´¡Ã³Õ
                                è                                                             Ù                           é
ÌͧàÃÕ¹¢Í§ªÒǺŒÒ¹ ઋ¹ ·Õè ¨.ÊÃкØÃÕ à»š¹µŒ¹ ÃÇÁ·Ñ§ÂѧÁաóջ­ËÒ¡ÒùíÒࢌҢÂоÔɨҡµ‹Ò§ é                 ˜
»ÃÐà·È Íѹà¹×ͧÁÒ¨Ò¡¡ÒÃÃÙà·‹ÒäÁ‹¶§¡Òó¢Í§Ë¹‹Ç§ҹ·ÕÁÊǹà¡ÕÂÇ¢ŒÍ§´ŒÇÂ
                            è                       Œ       Ö                                     è Õ‹ è
         6. ¡ÒüÅÔµáÅÐ㪌¾Åѧ§Ò¹ ¾Åѧ§Ò¹¨Ò¡áËÅ‹§µ‹Ò§ æ ÁÕ¤ÇÒÁÊíҤѭµ‹ÍÁ¹ØÉ «Ö§Á¹ØÉ䴌¹Ò                                       è             í
ÁÒ㪌㹡Ԩ¡Òõ‹Ò§æ ÁÒ¡ÁÒ ·Ñ§¡Ãкǹ¡ÒüÅÔµ¨Ò¡ÀÒ¤ÍØµÊÒË¡ÃÃÁ ¡ÒÃ㪌ªÇµ»ÃШíÒÇѹáÅСÒÃ
                                                        é                                                              ÕÔ
¨ÃҨà ÏÅÏ »˜¨¨ØºÑ¹Á¹ØÉ㪌áËÅ‹§¾Åѧ§Ò¹ËÅÑ¡ ¤×Í ¨Ò¡«Ò¡¿ÍÊ«ÔÅ ËÃ×͹éíÒÁѹ»âµÃàÅÕÂÁ
ÃÇÁ·Ñ§¨Ò¡áËÅ‹§Í×¹ æ ઋ¹ ¨Ò¡¾Åѧ¹éÒ ¾ÅѧÅÁ ¾ÅѧáʧÍҷԵ ËÃ×ͨҡ¾Åѧ§Ò¹¹ÔÇà¤ÅÕÂÏ ¾Åѧ§Ò¹
       é                      è                               í
¨Ò¡áËÅ‹§µ‹Ò§æ áÁŒ¨ÐÁÕ»ÃÐ⪹µ‹ÍÁ¹ØÉ ᵋºÒ§áËÅ‹§¢Í§¡ÒüÅÔµ¾Åѧ§Ò¹ËÃ×Í¡Ãкǹ¡ÒÃ
¹íÒä»ãªŒ¡¡ÍãËŒà¡Ô´¼Å¡Ãзºµ‹ÍÁ¹ØÉ â´Â੾Òе‹ÍÊØ¢ÀÒ¾ ઋ¹ âç¼ÅÔµ¾Åѧ§Ò¹ä¿¿‡Ò¨Ò¡¶‹Ò¹ËÔ¹
            ç ‹
¡‹ÍãËŒà¡Ô´âäÃкºËÒÂ㨠âäÁÐàÃç§ à»š¹µŒ¹ ËÃ×Íâç¼ÅԵ俿‡Ò¾Åѧ§Ò¹¹ÔÇà¤ÅÕÂÏ «Öè§¡‹ÍãËŒ
à¡Ô´¼Å¡Ãзº¨Ò¡¡ÒÃÃÑÇäËŢͧÃѧÊÕ à»š¹µŒ¹ »˜¨¨Øº¹»ÃÐà·Èä·ÂÁÕ¤ÇÒÁµŒÍ§¡ÒþÅѧ§Ò¹ÁÒ¡¢Ö¹
                                          è                                             Ñ                                                   é
àÃ×èÍÂæ ¨Ö§ÁÕ¤ÇÒÁµŒÍ§¡ÒÃ㹡ÒÃËÒáËÅ‹§¼ÅÔµµ‹Ò§æ «Öè§ÊÁ¤ÇÃÁÕ¡ÒÃËÒÁҵáÒÃ㹡Òû‡Í§¡Ñ¹
¼Å¡Ãзº·Õ¨Ðà¡Ô´¢Ö¹ ÃÇÁ·Ñ§¡ÒÃᡌ䢻˜­ËÒ·Õà¡Ô´¢Ö¹ã¹»˜¨¨Øº¹·Õà¡Ô´¨Ò¡¡ÒüÅÔµáÅÐ㪌¾Åѧ§Ò¹
                è                 é                   é                             è é                 Ñ è
ã¹»˜¨¨Øº¹Ñ
         7. »˜­ËÒ¨Ò¡¡ÒâÂÒÂࢵàÁ×ͧ »˜¨¨Øº¹¨íҹǹ¤¹Í¾Â¾à¢ŒÒÁÒ·íÒ§Ò¹ã¹àÁ×ͧãË­‹ÁÒ¡¢Ö¹
                                                                            Ñ                                                                 é
¨¹·íÒãËŒà¡Ô´¡ÒâÂÒµÑǢͧࢵàÁ×ͧ ã¹Í¹Ò¤µ»ÃЪҡÃʋǹãË­‹¢Í§»ÃÐà·È¨ÐÍÂÙ‹ã¹à¢µàÁ×ͧ
«Ö§»˜­ËÒÊØ¢ÀÒÇТͧ¤¹ã¹à¢µàÁ×ͧ¨ÐÁÕ¤ÇÒÁÂØ§ÂÒ¡«Ñº«ŒÍ¹ÁÒ¡¡Ç‹Òࢵª¹º· ·Ñ§»˜­ËÒªÕǵ¤ÇÒÁ
  è                                                                     ‹                                                   é         Ô
໚¹ÍÂÙ‹ »˜­ËÒÊØ¢ÒÀÔºÒŵ‹Ò§æ »˜­ËÒ¤ÇÒÁáÍÍÑ´ »˜­ËÒ¤ÇÒÁÃØ¹áç »˜­ËÒ¡ÒÃá‹§ªÔ§·ÃѾÂÒ¡Ã
áÅСÒÃࢌҶ֧ºÃÔ¡ÒÃÊÒ¸Òóе‹Ò§æ ¢³Ð¹Õé»ÃÐà·Èä·Â䴌༪ԭ»˜­ËҴѧ¡Å‹ÒÇáÅŒÇ áµ‹»˜¨¨ØºÑ¹
ÂѧÁÕ¡ÒÃÈÖ¡ÉÒáÅоѲ¹ÒÁҵáÒÃËÃ×Íá¹Ç·Ò§ã¹¡ÒÃÃͧÃѺ»˜­ËҴѧ¡Å‹ÒǹŒÍÂÁÒ¡ ËÃ×ÍÂѧäÁ‹ÁÕ
»ÃÐÊÔ·¸ÔÀÒ¾
400                  Health Impacts of Environmental Threats in Thailand : Epidemiological Aspects

         8. »˜ ­ ËÒà·¤â¹âÅÂÕ á ÅÐÊØ ¢ ÀÒ¾ ã¹¢³Ð·Õè ÇÔ · ÂÒÈÒʵÏ á ÅÐà·¤â¹âÅÂÕ ÁÕ ¡ ÒÃ¾Ñ ² ¹Ò
ä»Í‹ҧÁÒ¡áÅÐÃÇ´àÃçÇä´Œ¡‹ÍãËŒà¡Ô´¼Å»ÃÐ⪹µ‹ÍÁ¹ØÉªҵÔÁÒ¡ÁÒ ᵋ෤â¹âÅÂÕàËŋҹÑé¹
¡çÍÒ¨¨Ð¡‹ÍãËŒà¡Ô´¼Å굋ÍÁ¹ØÉáÅÐÊÔè§áÇ´ÅŒÍÁ䴌ઋ¹¡Ñ¹ »˜¨¨ØºÑ¹ÁÕà·¤â¹âÅÂÕãËÁ‹æ ·Õèà¡Ô´¢Öé¹
·ÕÍÒ¨¨Ð¡‹ÍãËŒà¡Ô´¼Å¡Ãзºµ‹ÍÊØ¢ÀÒÇзդÇèÐÁÕ¡ÒÃÈÖ¡ÉÒáÅеԴµÒÁཇÒÃÐÇѧ·ÕÊҤѭ ¤×Í ¹Òâ¹
  è                                     è                                 è í
à·¤â¹âÅÂÕ ÊÒõѴµ‹Í·Ò§¾Ñ¹¸Ø¡ÃÃÁ ÃÇÁ·Ñ§ÊÔ§·ÕÁ¡ÒÃ㪌㹪Õǵ»ÃШíÒÇѹ·Õ¤ÇõԴµÒÁ ¤×Í ¡ÒÃ㪌
                                          é è è Õ           Ô         è
â·ÃÈѾ·ÁͶ×Í à»š¹µŒ¹
           ×
         9. »˜­ËÒÊÔ§áÇ´ÅŒÍÁÍ×¹æ ઋ¹ »˜­ËÒÍØºµÀµ‹Ò§æ ·Ñ§ÀÑ·Õà¡Ô´µÒÁ¸ÃÃÁªÒµÔáÅзÕà¡Ô´¨Ò¡
                    è        è                 Ñ Ô Ñ      é   è                      è
¡ÒáÃзíҢͧÁ¹ØÉ »˜­ËÒʧ¤ÃÒÁáÅФÇÒÁÃØ¹áçµ‹Ò§æ »˜­ËÒ¨Ò¡¡Òá‹Í¡ÒÃÌҠ»˜­ËÒâä
µÔ´µ‹ÍÃØ¹áç·Ñ§·ÕͺµãËÁ‹áÅÐÍØºµ«Ò ໚¹µŒ¹
               é èØ Ñ Ô         Ñ Ô éí

ÊÃØ»
       ¨Ò¡·Õ¡Å‹ÒÇÁÒ¢ŒÒ§µŒ¹¤§¨Ð·íÒãËŒàËç¹ÀÒ¾¢Í§Ê¶Ò¹¡Ò󏻭ËÒ·Ò§´ŒÒ¹ÊÔ§áÇ´ÅŒÍÁ ·ÕÁ¼Å
             è                                             ˜                 è       è Õ
¡Ãзºµ‹ÍÊØ¢ÀÒ¾¢Í§»ÃÐà·Èä´ŒÇÒ á¹Ç⹌Á¢Í§Ê¶Ò¹¡ÒóÁ¤ÇÒÁÃØ¹áçÁÒ¡¢Ö¹ áÅÐÁÕ¤ÇÒÁ«Ñº
                              ‹                          Õ                 é
«ŒÍ¹¢Í§¡ÒÃà¡Ô´ËÃ×Í¡‹Í»˜­ËÒÁÒ¡¢Ö¹ ÊÁ¤ÇÃ໚¹Í‹ҧÂÔ§·Õ˹‹Ç§ҹ·Õà¡ÕÂÇ¢ŒÍ§·Ñ§ÀÒ¤ÃѰáÅÐàÍ¡ª¹
                                é                è è          è è        é
ÃÇÁ·Ñ§ÀÒ¤»ÃЪҪ¹ ¤ÇõÃÐ˹ѡã¹Ê¶Ò¹¡Ò󏻭ËÒ·Õà¡Ô´¢Ö¹áÅÐËÇÁÁ×Í㹡ÒÃËÒÁҵáÒõ‹Ò§æ
     é                                      ˜      è é
à¾×Í¡Òû‡Í§¡Ñ¹áÅФǺ¤ØÁ»˜­ËҼšÃзº·Õà¡Ô´¨Ò¡ÁžÔÉÊÔ§áÇ´ÅŒÍÁ´Ñ§¡Å‹ÒÇÍ‹ҧà˧´‹Ç¹
   è                                     è             è

àÍ¡ÊÒÃ͌ҧÍÔ§
1.    .rumkin H. Environmental Health: .rom Global to Local., USA; Jossey-Bass Published, 2005.
2.    ÊÁà¡ÕÂÃµÔ ÈÔÃõ¹¾Ä¡É áÅФ³Ð. ÃÒ§ҹ¡ÒÃÈÖ¡ÉÒ àÃ×ͧ ʶҹ¡ÒóÍÒªÕÇ͹ÒÁÑÂáÅÐÊÔ§áÇ´ÅŒÍÁã¹»ÃÐà·Èä·Â
                   ÔÑ                                     è                             è
      Êíҹѡâä¨Ò¡¡ÒûÃСͺÍÒªÕ¾áÅÐÊÔ§áÇ´ÅŒÍÁ ¾.È. 2548, 2548.
                                        è
3.    ÊíҹѡÃкҴÇÔ·ÂÒ. ÊÃØ»ÃÒ§ҹ¡ÒÃཇÒÃÐÇѧâä 2551. ¡Ãا෾ÁËÒ¹¤Ã: âç¾ÔÁ¾Í§¤¡ÒÃÃѺʋ§ÊÔ¹¤ŒÒáÅоÑÊ´ØÀ³±,
                                                                                                           Ñ
      2551.
4.    Êíҹѡâä¨Ò¡¡ÒûÃСͺÍÒªÕ¾áÅÐÊÔ§áÇ´ÅŒÍÁ. ʶҹ¡Ò󏻭ËÒᤴàÁÕÂÁ ÍíÒàÀÍáÁ‹ÊÍ´ ¨Ñ§ËÇÑ´µÒ¡. ¨ØÅÊÒáÃÁ
                                          è                    ˜        è
      ¤Çº¤ØÁâä, 2547;15:7-9.
5.    Êíҹѡâä¨Ò¡¡ÒûÃСͺÍÒªÕ¾áÅÐÊÔ§áÇ´ÅŒÍÁ. ¡ÒÃÈÖ¡ÉÒʶҹ¡ÒóâÅËÐ˹ѡ㹹éÒºÃÔâÀ¤ã¹¾×¹·ÕàÊÕ§µ‹ÍÊÒÃ˹٢ͧ
                                      è                                        í           é è è
      »ÃÐà·Èä·Â. ¹¹·ºØÃ:Õ àÍ¡ÊÒÃÍÑ´ÊíÒà¹Ò, 2547.
àǪÈÒʵÏ·¹Âؤ 2553
          Ñ                                                                          º··Õè        401

                                                                                      59
            ¡ÒÃÈÖ¡ÉҼšÃзºµ‹ÍÊØ¢ÀÒ¾»ÃЪҪ¹·ÕèÍÒÈÑÂÍÂÙ‹
                   Ãͺ¹Ô¤ÁÍØµÊÒË¡ÃÃÁÁÒºµÒ¾Ø´
                                                        ÃͧÈÒʵèÒÏ ´Ã. ¹ÔµÂÒ ÇѨ¹ÐÀÙÁÔ
                                                ÃͧÈÒʵÃÒ¨ÒÏ ´Ã. ¹Ñ¹·ÇÃó ÇÔ¨ÔµÃÇÒ·¡ÒÃ
                                                 ¤³ÐÊÒ¸ÒÃ³ÊØ¢ÈÒʵÏ ÁËÒÇÔ·ÂÒÅѸÃÃÁÈÒʵÏ
                                                                         »ÃÒ³Õ ªÒ­³Ã§¤
                                                    ¤³Ðá¾·ÂÈÒʵÏ ÁËÒÇÔ·ÂÒÅѸÃÃÁÈÒʵÏ


          »ÃÐà·Èä·Âä´ŒÁÕ¡ÒþѲ¹Òã¹ÀÒ¤ÍØµÊÒË¡ÃÃÁµ‹Íà¹×èͧ¡Ñ¹ÁÒ໚¹àÇÅÒËÅÒ·ÈÇÃÃÉ
ã¹µŒ¹»‚ ¾.È. 2520 ÁÕ¡ÒüÅÑ¡´Ñ¹â¤Ã§¡ÒÃÍÕÊà·Ôù«ÕºÍÏ´ â´ÂÁÕ¡ÒÃÇÒ§á¼¹¾Ñ²¹ÒÍ‹ҧµ‹Íà¹×ͧ
                                                                                                    è
ÂÒǹҹÃÇÁ 50 »‚ ¡íÒ˹´ãËŒ¾¹·ÕºÃÔàdzáËÅÁ©ºÑ§ ¨Ñ§ËÇÑ´ªÅºØÃÕ à»š¹·ÕÃͧÃÑºÍØµÊÒË¡ÃÃÁàºÒ ઋ¹
                                  ×é è                                      è
¡ÒûÃСͺªÔé¹Ê‹Ç¹ÍØ»¡Ã³ä¿¿‡ÒÍÔàÅç¡·Ã͹ԡʏáÅоÅÒʵԡ áÅо×é¹·ÕèÁÒºµÒ¾Ø´¡íÒ˹´ãˌ໚¹
ࢵ¾Ñ ² ¹ÒÍØ µ ÊÒË¡ÃÃÁË¹Ñ ¡ ·Õè à ¡Õè  ǢŒ Í §¡Ñ º » â µÃàÅÕ Â Á áÅл â µÃà¤ÁÕ ¨í Ò ¹Ç¹ÁÒ¡ ÃÇÁ·Ñé §
ÍØµÊÒË¡ÃÃÁÍ×¹ ઋ¹ àËÅç¡ áÅлØÂà¤ÁÕ à»š¹µŒ¹(1) «Ö§ÃѰºÒÅÁÕ¤ÇÒÁÁاËÇѧNjÒâ¤Ã§¡ÒùըзíÒ¤ÇÒÁ
              è                        ‰                  è               ‹                  é
à¨ÃÔ­·Ò§àÈÃɰ¡Ô¨áÅоѲ¹ÒãËŒ»ÃÐà·Èä·Â໚¹»ÃÐà·ÈÍØµÊÒË¡ÃÃÁãËÁ‹
         ÍØµÊÒË¡ÃÃÁ»âµÃàÅÕÂÁáÅÐÍØµÊÒË¡ÃÃÁ»âµÃà¤ÁÕ໚¹áËÅ‹§¡íÒà¹Ô´¢Í§ÊÒÃÍÔ¹·ÃÕÂÃÐà˧‹Ò      
(Volatile organic compounds [VOCs]) ¡ÒÃÈÖ¡ÉÒ·Ò§¾ÔÉÇÔ·ÂÒ¾ºÇ‹Ò VOCs ºÒ§ª¹Ô´à»š¹ÊÒÃ
¡‹ÍÁÐàÃç§ àª‹¹ benzene áÅÐ vinyl chloride(2,3) áÅСÒÃÊÑÁ¼ÑÊ VOCs ºÒ§ª¹Ô´ã¹»ÃÔÁÒ³ÁÒ¡
ઋ¹ 1,3 butadiene, 1,2-dichloroethene, toluene, benzene, styrene áÅÐ xylene(2,4,5,6,7,8) ÍÒ¨·íÒãËŒ
à¡Ô´ÍÒ¡Ò÷ҧÃкº»ÃÐÊÒ··Ñ§áººà©Õº¾Åѹ áÅÐàÃ×ÍÃѧ ઋ¹ ÍÒ¡ÒäÅ×¹äÊŒ ÍÒà¨Õ¹ ÁÖ¹ÈÕÃÉÐ
                                é                           é                  è
§‹Ç§«ÖÁ «ÖÁàÈÃŒÒ à˹×ÍÂÅŒÒ ¡ÒÃÊÙ­àÊÕ¡Ò֍µÑÇ ÊÙ­àÊÕ¤ÇÒÁ·Ã§¨íÒ ¢Ò´ÊÁÒ¸Ô ¡ÅŒÒÁà¹×Í͋͹áç
                        è                                                                        é
¹Í¡¨Ò¡¹Õé ¡ÒÃÈÖ¡ÉÒã¹ÊѵǏ·´Åͧ¾ºÇ‹Ò¡ÒÃÊÑÁ¼ÑÊ 1,2-dicholroethene Áռŵ‹Í¡ÒÃà¨ÃÔ­àµÔºâµ¢Í§
µÑÇ͋͹(5) áÅСÒÃÈÖ¡ÉÒ·Ò§ÃкҴÇÔ·ÂÒËÅÒÂÃÒ§ҹ¾ºÇ‹Ò ÁÒôҷÕèÍÒÈÑÂÍÂÙ‹ã¡ÅŒÍصÊÒË¡ÃÃÁ
»âµÃà¤ÁÕËÃ×Íâç¡ÅÑè¹¹éíÒÁѹÁÕâÍ¡ÒÊ·ÕèãËŒ¡íÒà¹Ô´·Òᡋ͹¡íÒ˹´ áÅзÒáÁÕ¹éíÒ˹ѡµèíÒ¡Ç‹Ò
Áҵðҹ (9, 10, 11, 12)
         ã¹ÃÐÂÐ 2-3 »‚ ·Õ輋ҹÁÒ »ÃЪҪ¹â´ÂÃͺ¹Ô¤ÁÍØµÊÒË¡ÃÃÁÁÒºµÒ¾Ø´ÁÕ¡Òõ×è¹µÑǶ֧
¼Å¡Ãзºµ‹ÍÊØ¢ÀÒ¾·ÕÍҨ䴌ú¨Ò¡ÁžÔÉÍØµÊÒË¡ÃÃÁ ᵋ¡ÒÃÈÖ¡ÉÒ·Ò§ÃкҴÇÔ·ÂÒà¡ÕÂǡѺàÃ×ͧ¹Õé
                          è   Ñ                                                            è       è
402                    ¡ÒÃÈÖ¡ÉҼšÃзºµ‹ÍÊØ¢ÀÒ¾»ÃЪҪ¹·ÕèÍÒÈÑÂÍÂÙ‹Ãͺ¹Ô¤ÁÍØµÊÒË¡ÃÃÁÁÒºµÒ¾Ø´

ÁÕÍÂÙ‹Í‹ҧ¨íÒ¡Ñ´ ·íÒãËŒ¢Ò´¤ÇÒÁࢌÒ㨻˜­ËÒ·Õèà¡Ô´¢Öé¹ã¹¾×é¹·Õè¹Ô¤ÁÍØµÊÒË¡ÃÃÁÁÒºµÒ¾Ø´ ´Ñ§¹Ñé¹
¡ÒÃÈÖ¡ÉҼšÃзºµ‹ÍÊØ¢ÀÒ¾¨Ò¡ÁžÔÉã¹ÍÒ¡ÒÈ·ÕèÁÒ¨Ò¡ÍØµÊÒË¡ÃÃÁ¤ÃÑé§¹Õé ¨Ð·íÒãËŒÁÕ¢ŒÍÁÙÅ
·Ò§ÇÔªÒ¡ÒôŒÒ¹ÃкҴÇÔ·ÂÒÊÔè§áÇ´ÅŒÍÁáÅÐà¾ÔèÁ¤ÇÒÁࢌÒã¨Ê¶Ò¹¡Ò󏻘¨¨ØºÑ¹¢Í§¾×é¹·Õè áÅÐ
¤ÇÒÁàÊÕ觢ͧ»ÃЪҡÃã¹¾×é¹·ÕèÁÒºµÒ¾Ø´ Íѹ¨Ð໚¹»ÃÐ⪹µ‹Í¡ÒèѴ¡ÒäǺ¤ØÁáÅл‡Í§¡Ñ¹
¼Å¡Ãзºµ‹ÍÊØ¢ÀÒ¾¢Í§»ÃЪҪ¹µ‹Íä»

Çѵ¶Ø»ÃÐʧ¤
      Çѵ¶Ø»ÃÐʧ¤ËÅÑ¡¤×Í ÈÖ¡ÉÒ¤ÇÒÁÊÑÁ¾Ñ¹¸ÃÐËNjҧ¡ÒÃÍÒÈÑÂÍÂÙ‹Ãͺ¹Ô¤ÁÍØµÊÒË¡ÃÃÁ
ÁÒºµÒ¾Ø´ ¡Ñº¡ÒÃãËŒ¡Òà¹Ô´·Òᡋ͹¡íÒ˹´ ËÃ×Í·ÒáÁÕ¹Ò˹ѡááà¡Ô´µèҡNjһ¡µÔ áÅе‹Í¡ÒÃà¡Ô´
                   í                              éí            í
ÍÒ¡Ò÷ҧÃкº»ÃÐÊÒ·

ÇÔ¸Õ¡ÒÃÈÖ¡ÉÒ
              »ÃЪҡ÷ÕèÈÖ¡ÉÒ¤×ͼٌ·ÕèÍÒÈѺÃÔàdzâ´ÂÃͺ¹Ô¤ÁÍØµÊÒË¡ÃÃÁÁÒºµÒ¾Ø´ ÀÒÂã¹ÃÑÈÁÕ
»ÃÐÁÒ³ 10 ¡ÔâÅàÁµÃ¨Ò¡¹Ô¤ÁÏ áÅСÒÃÈÖ¡ÉÒ¤Ãѧ¹Õ»ÃСͺ´ŒÇ 3 ¡ÒÃÈÖ¡ÉÒ‹Í 䴌ᡋ
                                                       é é
              1. ¡ÒÃÈÖ¡ÉÒẺ population-based case-control study à¾×ÍÈÖ¡ÉÒ¤ÇÒÁàÊÕ§µ‹Í¡ÒäÅÍ´
                                                                                   è                è
¡‹Í¹¡íÒ˹´ ËÃ×Í ¡ÒäÅÍ´·Òá¹éÒ˹ѡááà¡Ô´µèҡNjһ¡µÔ â´Âà»ÃÕºà·Õº˭ԧ·ÕãËŒ¡Òà¹Ô´ºØµÃ
                                         í                í                                           è í
»¡µÔ ¨íҹǹ 487 ¤¹ ¡ÑºË­Ô§·Õè¤ÅÍ´¡‹Í¹¡íÒ˹´ ËÃ×Í ÁÕ¹éíÒ˹ѡáá·Òáà¡Ô´µèíҡNjһ¡µÔ
¨íҹǹ 229 ¤¹ â´Â¢³ÐµÑ§¤ÃÃÀä´ŒÍÒÈÑÂÍÂÙã¹¾×¹·ÕºÃÔàdz¹Ô¤ÁÍØµÊÒË¡ÃÃÁÁÒºµÒ¾Ø´
                                 é              ‹ é è
              2. ¡ÒÃÈÖ¡ÉÒẺ population-based survey à¾×ÍÈÖ¡ÉÒ¤ÇÒÁÊÑÁ¾Ñ¹¸¢Í§¡ÒÃà¡Ô´ÍÒ¡ÒÃ
                                                                   è
·Ò§Ãкº»ÃÐÊÒ· (subjective symptoms) ¡Ñº¡ÒÃÍÒÈÑÂÍÂÙ‹ºÃÔàdz¹Ô¤ÁÍØµÊÒË¡ÃÃÁÁÒºµÒ¾Ø´
«Ö§·íÒ¡ÒÃà¡çºÃǺÃÇÁ¢ŒÍÁÙÅâ´Â¡ÒÃÊÑÁÀÒɳ ¡ÅØÁµÑÇÍ‹ҧ·ÕÁÍÒÂØµ§áµ‹ 13 »‚ ¢Ö¹ä»·ÕÍÒÈÑÂã¹¾×¹·Õè
    è                                              ‹                     è Õ Ñé                 é      è              é
ÈÖ¡ÉÒ «Ö§ÁըҹǹµÑÇÍ‹ҧ·Ñ§ËÁ´ 17,515 ¤¹
              è í                  é
              3. ¡ÒÃÈÖ¡ÉÒẺ population-based survey à¾×ÍÈÖ¡ÉÒ¤ÇÒÁÊÑÁ¾Ñ¹¸¢Í§¡ÒÃà¡Ô´ÍÒ¡ÒÃ
                                                                     è
·Ò§·Ò§¨Ôµ»ÃÐÊÒ·¡Ñº¡ÒÃÍÒÈÑÂÍÂÙºÃÔàdz¹Ô¤ÁÍØµÊÒË¡ÃÃÁÁÒºµÒ¾Ø´ â´Â㪌Ẻ·´ÊͺÁҵðҹ
                                       ‹
à¾×Í·´Êͺ·Ò§»ÃÐÊÒ·¨ÔµÇÔ·ÂÒ (neuropsychological testing) ËÅÒªش ã¹¡ÅØÁµÑÇÍ‹ҧ¼Ù·ÁÍÒÂØ
        è                                                                                         ‹            Œ Õè Õ
µÑ§áµ‹ 6 »‚ ¢Ö¹ä» ·Õ·Ò¡ÒÃÊØÁẺÍÔÊÃШҡ»ÃЪҡÃã¹¾×¹·ÕÈ¡ÉÒ à¾×Í·´ÊͺÍÒ¡Ò÷ҧ¨Ôµ»ÃÐÊÒ·
  é                é     è í   ‹                                é è Ö            è
â´ÂÁըҹǹµÑÇÍ‹ҧ·Ñ§ËÁ´ 6,514 ¤¹
          í                  é
              à¹×ͧ¨Ò¡¢³Ð·íÒ¡ÒÃÈÖ¡ÉÒ äÁ‹Á¢ÍÁÙÅ¡ÒõÃǨÇÑ´ VOCs ã¹¾×¹·Õ·È¡ÉÒÊíÒËÃѺ¡ÒûÃÐàÁÔ¹
                 è                         Õ Œ                                       é è Õè Ö
¡ÒÃÊÑÁ¼ÑÊÊÒà VOCs ¢Í§¡ÅØÁµÑÇÍ‹ҧâ´ÂµÃ§ ´Ñ§¹Ñ¹ ¡ÒÃÈÖ¡ÉÒ¤Ãѧ¹Õ¨§ãªŒÃÐÂÐÃÐËNjҧ·ÕÍÂÙÍÒÈÑÂ
                                     ‹                      é                   é éÖ                          è ‹
¡ÑºÈٹ¡ÅÒ§¹Ô¤ÁÏ à»š¹µÑÇ᷹㹡ÒûÃÐàÁÔ¹¡ÒÃÊÑÁ¼ÑÊÁžÔÉÍÒ¡ÒȢͧ¡ÅØÁµÑÇÍ‹ҧ·ÕÍÂÙÍÒÈÑ          ‹              è ‹
ÃÍºæ ¹Ô¤ÁÍØµÊÒË¡ÃÃÁÁÒºµÒ¾Ø´ â´ÂÁÕÊÁÁص°Ò¹Ç‹Ò¼Ù·ÍÂÙã¡ÅŒ¹¤ÁÍØµÊÒË¡ÃÃÁÁÒºµÒ¾Ø´ ÁÕ¤ÇÒÁ
                                                 Ô            Œ Õè ‹ Ô
àÊÕ§µ‹Í¡ÒÃ䴌ú¼Å¡Ãзº·Ò§ÊØ¢ÀÒ¾ÁÒ¡¡Ç‹Ò¼Ù·ÍÒÈÑÂÍÂÙä¡Å¹Ô¤ÁÏ ¡ÒÃÇÑ´ÃÐÂзҧ㪌â»Ãá¡ÃÁ
      è              Ñ                               Œ Õè              ‹
ÊÒÃʹà·ÈàªÔ§ÀÙÁÈÒʵÏ (Geographic Information System) ¡ÒÃÇÑ´ÃÐÂзҧ¨Ð¶Ù¡Ãкؾ¡´´ŒÇÂà¤Ã×ͧ
                       Ô                                                                                 Ô Ñ            è
ºÍ¡¾Ô¡´´ŒÇ´ÒÇà·ÕÂÁ (Geopositioning System)
            Ñ
àǪÈÒʵÏ·¹Âؤ 2553
          Ñ                                                                              403

¼Å¡ÒÃÈÖ¡ÉÒ
         1. ¡ÒÃãËŒ¡Òà¹Ô´·Òᡋ͹¡íÒ˹´ áÅÐ ·Òá¹éÒ˹ѡ¹ŒÍ¡Njһ¡µÔ
                    í                                       í
             ¼Å¡ÒÃÇÔà¤ÃÒÐˏ¤ÇÒÁàÊÕ§µ‹Í¡ÒäÅÍ´¡‹Í¹¡íÒ˹´ áÅФÅÍ´·Òá¹éÒ˹ѡ¹ŒÍ¡Njһ¡µÔ
                                       è                                  í
â´Â㪌ÇÔ¸ÕÇÔà¤ÃÒÐˏẺ multiple logistic regression ¾ºÇ‹ÒË­Ô§·ÕèÍÂÙ‹ÀÒÂã¹ÃÑÈÁÕ 4 ¡ÔâÅàÁµÃ
¨Ò¡¹Ô¤ÁÏ ÁÕ¤ÇÒÁàÊÕ§ÁÒ¡¡Ç‹Ò¼Ù·ÍÒÈÑÂÍÂÙã¹ÃÑÈÁÕà¡Ô¹ 7 ¡ÔâÅàÁµÃ â´ÂÁÕ¤ÇÒÁàÊÕ§µ‹Í¡ÒäÅÍ´
                          è          Œ Õè         ‹                             è
¡‹Í¹¡íÒ˹´ (OR =1.84; 95% CI = 1.05-3.22) ¡ÒÃãËŒ¡Òà¹Ô´·Òá¹éÒ˹ѡááà¡Ô´µèҡNjһ¡µÔ
                                                                í      í          í
(OR= 1.02; 95% CI = 0.44- 2.38) áÅзÒáÁÕ¹Ò˹ѡµèÒ¡Ç‹ÒÍÒÂØ¤ÃÃÀ (OR=1.20; 95% CI = 0.43-
                                                     éí   í
3.38)
         2. ÍÒ¡Ò÷ҧÃкº»ÃÐÊÒ·
             1) ¼Å¡ÒÃÇÔà¤ÃÒÐˏ¢ÍÁÙÅ·Õä´Œ¨Ò¡¡ÒÃÊÑÁÀÒɳâ´Â㪌 ÇÔ¸Çà¤ÃÒÐˏẺ multiple logistic
                                   Œ       è                        ÕÔ
regression ¾ºÇ‹Ò ¼Ù·ÍÒÈÑÂÍÂÙËÒ§¨Ò¡¹Ô¤ÁÏ ã¹ÃÑÈÁÕäÁ‹à¡Ô¹ 3 ¡ÔâÅàÁµÃ ÁÕ¤ÇÒÁàÊÕ§µ‹Í¡ÒÃÁÕÍÒ¡ÒÃ
                        Œ Õè ‹ ‹                                            è
·Ò§Ãкº»ÃÐÊÒ·ºÒ§ÍÒ¡ÒÃÁÒ¡¡Ç‹Ò¼Ù·ÍÂÙËÒ§¨Ò¡¹Ô¤ÁÏ ã¹ÃÑÈÁÕÁÒ¡¡Ç‹Ò 7 ¡ÔâÅàÁµÃ 䴌ᡋ ÍÒ¡ÒÃ
                                          Œ Õè ‹ ‹
¤Å×¹äÊŒËÃ×ÍÍÒà¨Õ¹ (OR=1.32; 95%=1.10-1.58) §‹Ç§«ÖÁ (OR=1.46; 95% CI= 1.13-1.89) ͋͹ŌÒ
   è
(OR= 1.19; 95% CI = 1.00-1.41) ÇÔµ¡¡Ñ§ÇÅ (OR= 1.35; 1.12-1.61) ËŧÅ×Á§‹Ò (1.60; 1.37-1.87)
¢Ò´ÊÁÒ¸Ô (OR= 1.68; 95% CI= 1.33-2.13) ¡ÒÃä´Œ¡ÅÔ¹ÁžÔÉÍÒ¡ÒÈ (OR=4.91; 95% CI =4.16-
                                                        è
5.81)
             2) ¼Å¡ÒÃÇÔà¤ÃÒÐˏ¢ÍÁÙÅ¡Ò÷´Êͺ·Ò§»ÃÐÊÒ·¨ÔµÇÔ·ÂÒ (neuropsychological testing)
                                 Œ
â´Â㪌ǸÇà¤ÃÒÐˏẺ multiple linear regression â´Â·ÑÇ仾ºÇ‹Ò ¡ÅØÁ·ÕÍÂÙã¡ÅŒ¹¤ÁÍØµÊÒË¡ÃÃÁÏ
         ÔÕÔ                                                  è     ‹ è ‹     Ô
â´Â੾ÒÐÍ‹ҧÂÔ§ã¹ÃÑÈÁÕäÁ‹à¡Ô¹ 3 ¡ÔâÅàÁµÃ ÁÕ¤ÇÒÁ¨íÒÃÐÂÐÊѹ ¡ÒÃàËç¹áÅФÇÒÁÊÑÁ¾Ñ¹¸¢Í§¡ÒÃ
                  è                                               é
ÁͧàËç¹áÅСÒÃà¤Å×͹äËÇÁ×Í ´ŒÍ¡NjҼٷÍÂÙã¹ÃÑÈÁÕà¡Ô¹ 7 ¡ÔâÅàÁµÃ áÅСÒ÷´Êͺ SCL-90-R
                      è                       Œ Õè ‹
¾º¼ÙŒ·ÕèÍÂÙ‹ã¹ÃÐÂÐã¡ÅŒÊØ´ (<3 ¡ÔâÅàÁµÃ) ÁÕ¤ÇÒÁàÊÕè§µ‹ÍÍÒ¡ÒÃà¨çº»†Ç·ҧ¡ÒÂà¹×èͧ¨Ò¡ÊÒà˵Ø
·Ò§¨Ôµã¨ à¾ÔÁ¢Ö¹ÃŒÍÂÅÐ 41
              è é

ÊÃØ»
         ¡ÒÃÈÖ¡ÉÒ¹Õº§ªÕÇÒ¼Ù·ÍÒÈÑÂÍÂÙã¡ÅŒ¹¤ÁÏ ÁÕ¤ÇÒÁàÊÕ§µ‹ÍÀÒÇÐÊØ¢ÀÒ¾à¡ÕÂǡѺ ¡ÒäÅÍ´
                   é ‹ é ‹ Œ Õè      ‹   Ô            è                 è
¡‹Í¹¡íÒ˹´ áÅФÅÍ´·Òá¹éÒ˹ѡ¹ŒÍ¡Njһ¡µÔ áÅÐÍÒ¡Ò÷ҧÃкº»ÃÐÊÒ·ºÒ§ÍÒ¡Òà ÁÒ¡¡Ç‹Ò
                                í
¼Ù·ÍÒÈÑÂÍÂÙä¡Å¹Ô¤ÁÏ à¹×ͧ¨Ò¡á¼¹¡ÒþѲ¹ÒÍØµÊÒË¡ÃÃÁ㹺ÃÔàdz¾×¹·ÕÁÒºµÒ¾Ø´ ¨Ñ§ËÇÑ´ÃÐÂͧ
  Œ Õè       ‹            è                                    é è
໚¹á¼¹ÃÐÂÐÂÒÇ »ÃСͺ¡Ñº¢³Ð¹ÕéÁÕ¡ÒâѺà¤Å×è͹ãËŒ¾×é¹·Õèà·ÈºÒÅÁÒºµÒ¾Ø´à»š¹à¢µ¾Ñ²¹Ò
ÍØµÊÒË¡ÃÃÁ»ÃÐàÀ·»âµÃà¤ÁÕ â´Âä´ŒÁ¡Òõѧ¤³Ð·íÒ§Ò¹»ÃÐàÁÔ¹ÊÔ§áÇ´ÅŒÍÁÃÐ´ÑºÂØ·¸ÈÒʵÏ ÈÖ¡ÉÒ
                                    Õ é                    è
¤ÇÒÁ໚¹ä»ä´Œã¹¡ÒâÂÒ¹ԤÁÍØµÊÒË¡ÃÃÁáÅмѧàÁ×ͧࢵÁÒºµÒ¾Ø´ «Ö§¼Å¡ÒÃÈÖ¡ÉÒ¤Ãѧ¹Õé ¨Ð໚¹
                                                                è             é
¢ŒÍÁÙÅ·ÕèÁÕ»ÃÐ⪹µ‹Í¼ÙŒ¡íÒ˹´¹âºÒ¡Òû‡Í§¡Ñ¹¼Å¡Ãзºµ‹ÍÊØ¢ÀÒ¾ áÅйâºÒ¡ÒþѲ¹Ò
ÍØµÊÒË¡ÃÃÁ»âµà¤ÁÕã¹¾×¹·Õà·ÈºÒÅÁÒºµÒ¾Ø´µ‹Íä»
                            é è
404                    ¡ÒÃÈÖ¡ÉҼšÃзºµ‹ÍÊØ¢ÀÒ¾»ÃЪҪ¹·ÕèÍÒÈÑÂÍÂÙ‹Ãͺ¹Ô¤ÁÍØµÊÒË¡ÃÃÁÁÒºµÒ¾Ø´

àÍ¡ÊÒÃ͌ҧÍÔ§
1.  ¹Ô¤ÁÍØµÊÒË¡ÃÃÁÁÒºµÒ¾Ø´ (2552). ·íÒà¹Õºâç§Ò¹ÍصÊÒË¡ÃÃÁ. àÍ¡ÊÒÃäÁ‹µ¾Á¾à¼Âá¾Ã‹.Õ Ô
2.  Agency for Toxic Substances and Disease Registry. (2007a). Toxicological Profile for Benzene. U.S. Department
    of Health and Human services, Public Health Services, Atlanta. GA.
3. Agency for Toxic Substances and Disease Registry (ATSDR). (2004). Toxicological Profile for vinyl cholride.
    U.S. Department of Health and Human services, Public Health Services, Atlanta. GA.
4. Agency for Toxic Substances and Disease Registry (ATSDR). (1993). Toxicological Profile for 1,3 butadiene.
    U.S. Department of Health and Human services, Public Health Services, Atlanta. GA.
5. Agency for Toxic Substances and Disease Registry (ATSDR). (1996). Toxicological Profile for 1,2-dichloroethene.
    U.S. Department of Health and Human services, Public Health Services, Atlanta. GA.
6. Agency for Toxic Substances and Disease Registry. (2000). Toxicological Profile for toluene. U.S. Department
    of Health and Human services, Public Health Services, Atlanta. GA.
7. Agency for Toxic Substances and Disease Registry. (2007b). Toxicological Profile for styrenes. U.S. Department
    of Health and Human services, Public Health Services, Atlanta. GA.
8. Agency for Toxic Substances and Disease Registry. (2007c). Toxicological Profile for xylene. U.S. Department
    of Health and Human services, Public Health Services, Atlanta. GA.
9. Lin et. al, Increased risk of preterm delivery in areas with air pollution from a petroleum refinery plant in Taiwan.
    J Toxicol Environ Health A. 2001;64(8):637-44.
10. Lin et. al, Association between maternal exposure to elevated ambient sulfur dioxide during pregnancy and
    term low birth weight. Environ Res. 2004;96(1):41-50.
11. Tsai et. al, Increased incidence of preterm delivery in mothers residing in an industrialized area in Taiwan. J
    Toxicol Environ Health A. 2003;66(11):987-94.
12. Yang et. al, Increased risk of preterm delivery in areas with cancer mortality problems from petrochemical
    complexes. Environ Res. 2002;89(3):195-200.
àǪÈÒʵÏ·¹Âؤ 2553
          Ñ                                                                                     º··Õè         405

                                                                                                 60
                       Climate Change and Allergic Disease
                                                     ÍÒ¨ÒÏ ¹ÒÂᾷÇÃÇÔª­ àËÅ×ͧàǪ¡ÒÃ
                     ÀÒ¤ÇÔªÒÇÔ·ÂÒÀÙÁ¤Á¡Ñ¹ ¤³Ðá¾·ÂÈÒʵÏÈÃÃÒª¾ÂÒºÒÅ ÁËÒÇÔ·ÂÒÅÑÂÁËÔ´Å
                                    Ô ØŒ                      ÔÔ
                                            ¼ÙŒª‹ÇÂÈÒʵÃÒ¨ÒÏ ¹ÒÂᾷ »ÒÃÂÐ ÍÒȹÐàʹ
                   ÀÒ¤ÇÔªÒâʵ ¹ÒÊÔ¡ ÅÒÃÔ§« ¤³Ðá¾·ÂÈÒʵÏÈÃÃÒª¾ÂÒºÒÅ ÁËÒÇÔ·ÂÒÅÑÂÁËÔ´Å
                                                              ÔÔ
                                                  ÃͧÈÒʵÃÒ¨ÒÏ ¹ÒÂᾷ µ‹Í¾§É ·Í§§ÒÁ
                       ÀÒ¤ÇÔªÒÍÒÂØÃÈÒʵÏ ¤³Ðá¾·ÂÈÒʵÏÈÔÃÔÃÒª¾ÂÒºÒÅ ÁËÒÇÔ·ÂÒÅÑÂÁËÔ´Å

              ã¹»˜¨¨Øº¹ä´ŒÁ¡Òõѧ¢ŒÍÊѧࡵNjÒÁÕ¡ÒÃà¡Ô´ÍغµÀº‹Í¢ֹáÅÐÃØ¹áç¢Ö¹·ÑÇâÅ¡ÍÒ·Ôઋ¹¡ÒÃ
                         Ñ       Õ é                              Ñ Ô Ñ            é                   é è
à¡Ô´¤Å×¹ÂѡɏʹÒÁÔã¹àÍàªÕ àÁ×Íà´×͹¸Ñ¹ÇÒ¤Á ¤.È. 2004 ¾ÒÂØàÎÍÃÔह·ÕÁÅÃѰ New Orleans »ÃÐ
          è         Ö                     è                                                        è
à·ÈÊËÃѰÍàÁÃÔ¡Ò àÁ×Íà´×͹ÊÔ§ËÒ¤Á ¤.È. 2005 ¾ÒÂØãµŒ½¹¹ÒÏ¡Êã¹»ÃÐà·ÈàÁÕ¹ÁÒÏ àÁ×Íà´×͹
                             è                                            ؆             Ô                        è
¾ÄÉÀÒ¤Á ¤.È. 2008 áÅÐÅ‹ÒÊØ´á¼‹¹´Ô¹äËǤÃѧãË­‹ã¹»ÃÐà·ÈàÎµÔ àÁ×Íà´×͹Á¡ÃÒ¤Á ¤.È. 2010
                                                            é                                   è
ÍØºµÀµ‹Ò§æ ·Õà¡Ô´¢Ö¹ÍÒ¨ÁÕÊÒà˵ØÁÒ¨Ò¡ÀÒÇÐ global warming «Ö§¹Í¡¨Ò¡¨ÐÁռŵ‹Í¡ÒÃà¡Ô´ÀÑÂ
    Ñ Ô Ñ               è é                                                                è
¸ÃÃÁªÒµÔáÅŒÇ ÀÒÇÐ global warming ÂѧÁÕ¼Åâ´ÂµÃ§µ‹ÍÊØ¢ÀÒ¾¢Í§Á¹ØÉ´§¹Õ(1)                              Ñ é
              ! ÍѵÃÒ¡ÒÃà¨çº»†ÇÂáÅСÒÃàÊÕªÕǵ¨Ò¡¤Å×¹¤ÇÒÁÌ͹ (heat wave) à¾ÔÁÊÙ§¢Ö¹
                                                        Ô       è                                           è   é
              ! ¤ÇÒÁªØ¡¢Í§âäÀÙÁᾌáÅÐâä·Ò§à´Ô¹ËÒÂã¨à¾ÔÁ¢Ö¹
                                            Ô                                è é
              ! ÁÕ»ÃÔÁÒ³áÅСÒáÃШÒµÑǢͧÊÒá‹ÍÀÙÁᾌÁÒ¡¢Ö¹        Ô            é
              ¡ÒÃà»ÅÕè  ¹á»Å§¢Í§ºÃÃÂÒ¡ÒÈà¡Ô ´ ¨Ò¡¡ÒÃà¾Ôè Á ¢Öé ¹ ¢Í§¡ Ò «àÃ× Í ¹¡ÃШ¡·Õè Êí Ò ¤Ñ ­ ¤× Í
¡Ò«¤ÒϺ͹ä´Í͡䫴 (CO2) ÁռŷíÒãˌͳËÀÙÁâ´ÂÃÇÁà¾ÔÁÊÙ§¢Ö¹Í‹ҧµ‹Íà¹×ͧ (global warming)
                                                    Ø         Ô               è        é                è
áÅÐÁÕÊÀÒ¾ÀÙÁÍÒ¡ÒÈ·Õá»Ã»ÃǹÁÒ¡¢Ö¹ ¡Ò« CO2 à¡Ô´¢Ö¹ÁÒ¨Ò¡¡ÒûÃСͺ¡Ô¨ÇѵûÃШíÒÇѹµ‹Ò§æ
                      Ô           è           é                         é
¢Í§Á¹ØÉáÅСÃкǹ¡ÒüÅÔµã¹ÀÒ¤ÍØµÊÒË¡ÃÃÁ ÁÕ¡ÒäҴ¡ÒóÇ‹Ò¶Ö§áÁŒ¨ÐÁÕÁҵáÒÃ
Å´¡ÒÃà¡Ô´¡Ò« CO2 Í‹ҧ¨ÃÔ§¨Ñ§ ÍØ³ËÀÙÁâ´ÂÃÇÁ¢Í§âÅ¡¨Ðà¾ÔÁ»ÃÐÁÒ³ 1.8 oC 㹤.È. 2099
                                                      Ô                              è
ᵋËÒ¡»Å‹ÍÂãËŒÁ¡ÒÃà¾ÔÁ¢Ö¹¢Í§¡Ò« CO2 Í‹ҧµ‹Íà¹×ͧઋ¹ã¹»˜¨¨Øº¹ ÍØ³ËÀÙÁâ´ÂÃÇÁ¢Í§âÅ¡
                           Õ          è é                             è                      Ñ                Ô
¨Ðà¾ÔèÁ¶Ö§»ÃÐÁÒ³ 4 C 㹤.È. 2099 ¹Í¡¨Ò¡¡Ò« CO2 áÅŒÇ ¡Ò«Í×è¹æ ·Õè¡‹ÍãËŒà¡Ô´ÁÅÀÒÇÐ
                               o                (2)

㹺ÃÃÂÒ¡ÒÈ»ÃСͺ´ŒÇ¡Ò«ä¹âµÃਹä´Í͡䫴 (NO2) ¡Ò« methane âÍ⫹ (O3) particulate
matter (PM) ¤ÅÍâÿÅÙÍÍâäÒϺ͹ (C.C) áÅÐ diesel exhaust particle (DEP) ÁÅÀÒÇе‹Ò§æ
àËŋҹÕéÁÕʋǹÊÑÁ¾Ñ¹¸¡Ñº¡ÒÃà¡Ô´âäÀÙÁÔᾌáÅÐâäË×´«Öè§¾ºÇ‹ÒÁÕÍØºÑµÔ¡Òóà¾ÔèÁ¢Öé¹·ÑèÇâÅ¡ ÊíÒËÃѺ
ã¹»ÃÐà·Èä·Â ÍØºÑµÔ¡Òó¢Í§âä¨ÁÙ¡ÍÑ¡àʺÀÙÁÔᾌáÅÐâäË×´ÀÙÁÔᾌÊÙ§¢Öé¹à»š¹ÅíҴѺ «Öè§ÊÒà˵Ø
ʋǹ˹֧¹‹Ò¨ÐÁÕ¤ÇÒÁàª×ÍÁ⧡ѺÊÒá‹ÍÀÙÁᾌã¹ÍÒ¡ÒÈáÅÐÁÅÀÒÇзÕà¾ÔÁÊÙ§¢Ö¹
            è                       è                     Ô                                    è è        é
406                                                                                                     Climate Change and Allergic Disease

¼Å¢Í§ÁÅÀÒÇÐã¹ÍÒ¡Òȵ‹ÍÊÒá‹ÍÀÙÁÔᾌ
          ¹Í¡¨Ò¡ÁÅÀÒÇÐã¹ÍÒ¡ÒȨÐÁÕ¼Åâ´ÂµÃ§µ‹ÍÃкº·Ò§à´Ô¹ËÒÂ㨢ͧ¼Ù»ÇÂâäÀÙÁᾌáÅŒÇ                                                          Œ †                Ô
ÂѧÍҨʋ§¼Å·Ò§ÍŒÍÁ·íÒãËŒÁ»ÃÔÁÒ³ÊÒá‹ÍÀÙÁᾌã¹ÍÒ¡ÒÈà¾ÔÁ¢Ö¹ â´Â·ÕÁÅÀÒÇÐã¹ÍÒ¡ÒÈ·íÒãËŒ
                                         Õ                              Ô                                  è é            (3)
                                                                                                                                    è
¾×ªºÒ§ª¹Ô´¼ÅÔµÅÐÍͧà¡ÊÃà¾ÔèÁ¢Öé¹ ÅÐÍͧà¡ÊÃÁÕÊÒá‹ÍÀÙÁÔᾌ·ÕèÁÕ¤ÇÒÁÊÒÁÒö㹡Òá‹ÍÀÙÁÔᾌ
(allergenicity) à¾ÔÁ¢Ö¹ áÅÐÁÕÊǹª‹Ç»Ŵ»Å‹ÍªԹʋǹ¢¹Ò´àÅ硢ͧÅÐÍͧà¡Ê÷ÕÁÊÒá‹ÍÀÙÁᾌ
                             è é                   ‹                               é                                                             è Õ                    Ô
ÍÂÙ´ÇÂãËŒÍÍ¡ÁÒã¹ÍÒ¡ÒÈà¾ÔÁ¢Ö¹
     ‹ Œ                                   è é
          ¨Ò¡¡ÒÃÈÖ¡ÉÒ¤ÇÒÁÊÑÁ¾Ñ¹¸ÃÐËNjҧÁÅÀÒÇÐáÅÐÅÐÍͧà¡ÊâͧµŒ¹Ê¹ (Cupressus
arizonica) ã¹»ÃÐà·ÈÊ໹(4) ¾ºÇ‹ÒÊÒá‹ÍÀÙÁᾌ·Ê¡Ñ´¨Ò¡ÅÐÍͧà¡ÊõŒ¹Ê¹·Õ»ÅÙ¡ã¹¾×¹·Õ·Á¡ÒÃ
                                                                          Ô Õè                                                           è               é è Õè Õ
¨ÃÒ¨Ã˹Òṋ¹ã¹Â‹Ò¹ÍصÊÒË¡ÃÃÁ ·íÒãËŒ¤Òà©ÅÕ (mean) ¢Í§»¯Ô¡ÃÂÒÃ͹ٹ (wheal) 㹡Ò÷´Êͺ
                                                                   ‹ è                                                 ÔÔ
·Ò§¼ÔÇ˹ѧ (skin prick test) ¡Ñº¼Ù»ÇÂâäÀÙÁᾌʧ¡Ç‹Ò¤‹Òà©ÅÕ¢ͧ»¯Ô¡ÃÂÒµ‹ÍÊÒ÷ÕʡѴ¨Ò¡ÅÐÍͧ
                                                     Œ †             Ô Ù                                 è                      ÔÔ             è
à¡ÊâͧµŒ¹Ê¹·Õ»ÅÙ¡ã¹Êǹ·ÕäÁ‹ÁÁÅÀÒÇÐÍ‹ҧÁÕ¹ÂÊíҤѭ·Ò§Ê¶ÔµÔ ¡ÒÃÇÔà¤ÃÒÐˏâ»ÃµÕ¹¢Í§ÅÐÍͧ
                           è                è Õ                                         Ñ
à¡Êèҡ·Ñ§ÊͧáËÅ‹§¾º¤ÇÒÁᵡµ‹Ò§ã¹ÊÒá‹ÍÀÙÁᾌ Cup a 3 «Ö§¾ºà©¾ÒÐã¹ÅÐÍͧà¡Êèҡ¾×¹·Õè
                 é                                                                    Ô                              è                                                é
ÁÅÀÒÇÐ෋ҹѹ ¡ÒõÃǨ´ŒÇÂÇÔ¸Õ radioallergosorbent (RAST) inhibition ª‹ÇÂÂ×¹Âѹ¤ÇÒÁᵡµ‹Ò§
                       é
ã¹ allergenicity ¢Í§ÊÒá‹ÍÀÙÁᾌ¢Í§µŒ¹Ê¹¨Ò¡·Ñ§ÊͧáËÅ‹§¹Õé
                                                 Ô                               é
          ¡ÒÃÈÖ¡ÉÒã¹ÅѡɳФŌÒ¤ÅÖ§¡Ñ¹¨Ò¡»ÃÐà·ÈÊ໹à»ÃÕºà·ÕºÃÐËNjҧ allergenicity
¢Í§ÅÐÍͧà¡ÊÃË­ŒÒ (Lolium perenne) ã¹à¢µàÁ×ͧ¡Ñºã¹à¢µª¹º·(5) ¾ºÇ‹Ò¤‹Ò geometric mean
¢Í§»¯Ô¡ÃÂÒ wheal µ‹ÍÊÒÃʡѴ¨Ò¡ÅÐÍͧà¡ÊÃË­ŒÒã¹à¢µàÁ×ͧÊÙ§¡Ç‹Ò¤‹Ò¢Í§»¯Ô¡ÃÂÒµ‹ÍÊÒÃʡѴ¨Ò¡
            ÔÔ                                                                                                                              ÔÔ
ÅÐÍͧà¡ÊÃË­ŒÒã¹à¢µª¹º· ÊÍ´¤ÅŒÍ§¡Ñº»ÃÔÁÒ³â»ÃµÕ¹â´ÂÃÇÁ biological unit (BU) áÅлÃÔÁÒ³
ÊÒá‹ÍÀÙÁᾌ Lol p 5 µ‹Í¡ÃÑÁ¢Í§ÅÐÍͧà¡ÊÃË­ŒÒã¹à¢µàÁ×ͧ·Õʧ¡Ç‹Ò¢Í§à¢µª¹º·
               Ô                                                                                                èÙ
          ¤ÇÒÁÊÒÁÒö¢Í§ÅÐÍͧà¡ÊÃ㹡Òá‹ÍÀÙÁᾌ·à¾ÔÁ¢Ö¹ ÍÒ¨à¹×ͧÁÒ¨Ò¡»ÃÔÁÒ³â»ÃµÕ¹ÃÇÁ  Ô Õè è é                                 è
ËÃ×Í»ÃÔÁÒ³ÊÒá‹ÍÀÙÁᾌ·Ê§¢Ö¹ ËÃ×ÍÁÕͧ¤»ÃСͺ¢Í§ÊÒá‹ÍÀÙÁᾌºÒ§ª¹Ô´à¾ÔÁ¢Ö¹àª‹¹ã¹¡Ã³Õ¢Í§
                                   Ô Õè Ù é                                                                        Ô                  è é
Cup a 3 ¨Ò¡ÍÔ·¸Ô¾Å¢Í§ÁÅÀÒÇзÕÁ¼Åµ‹Í¡ÒÃà¨ÃÔ­àµÔºâµ¢Í§¾×ª ã¹¢³Ðà´ÕÂǡѹÁÅÀÒÇкҧª¹Ô´
                                                       è Õ                                                       (4)

Âѧ·íÒãËŒà¡Ô´»¯Ô¡ÃÂÒ·Ò§à¤ÁÕ¡ºâ»ÃµÕ¹ã¹ÊÒá‹ÍÀÙÁᾌ ·íÒãËŒÁ¤ÇÒÁÊÒÁÒö㹡ÒáÃеعÃкºÀÙÁÔ
                           ÔÔ                Ñ                                            Ô                   Õ                                        Œ
¤ØÁ¡Ñ¹ä´ŒÁÒ¡¢Ö¹´ŒÇ µÑÇÍ‹ҧ¢Í§»¯Ô¡ÃÂÒà¤ÁÕ´§¡Å‹ÒÇ¹Õ¤Í ¡ÒÃà¡Ô´ nitration ¢Í§¡Ã´ÍÐÁÔâ¹·ÕÁÕ
  Œ                      é                                      ÔÔ             Ñ                    é ×                                                                   è
benzene ring ઋ¹ tyrosine ·íÒ»¯Ô¡ÃÂҡѺÁÅÀÒÇÐã¹ÍÒ¡Òȫ֧ÁÕÃдѺä¹âµÃਹä´Í͡䫴 (NO2)
                                                         ÔÔ                                                 è
áÅÐâÍ⫹ (O3) ã¹»ÃÔÁÒ³ÊÙ§à¡Ô´à»š¹ nitrotyrosine ¨Ò¡¡ÒÃÈÖ¡ÉÒÁÅÀÒÇÐã¹ÍÒ¡ÒȺÃÔàdz‹ҹ          (6)

¡ÒèÃҨ÷դº¤Ñ§¢Í§àÁ×ͧÁÔǹԡ »ÃÐà·ÈàÂÍÃÁ¹Õ ¾ºÇ‹ÒÃдѺ¡ÒÃà¡Ô´ nitration ¢Í§â»ÃµÕ¹àÁ×ÍÊÑÁ¼ÑÊ
                   è Ñ è                                                                                                                                        è
¡ÑºÍÒ¡ÒȨҡºÃÔàdz´Ñ§¡Å‹ÒÇ¢Ö¹¡ÑºÊѴʋǹ¤ÇÒÁࢌÁ¢Œ¹¢Í§ NO2 áÅÐ O3 ¤ÇÒÁª×¹ÊÑÁ¾Ñ·¸ ÃÐÂÐàÇÅÒ
                                               é                                                                                       é
·ÕÊÁ¼ÑÊ (exposure time) ÍØ³ËÀÙÁÔ áÅлÃÔÁÒ³áʧᴴ â´Â¾º¡ÒÃà¡Ô´ nitration ÊÙ§ÊØ´àÁ×Íâ»ÃµÕ¹
    èÑ                                                                                          (7)
                                                                                                                                                            è
·íÒ»¯Ô¡ÃÂҡѺµÑÇÍ‹ҧÍÒ¡ÒÈã¹Ä´ÙÃ͹ª‹Ç§·Õ»ÃÒȨҡ½¹»ÅÒÂà´×͹¾ÄÉÀÒ¤Á¶Ö§µŒ¹à´×͹ÁÔ¶¹Ò¹
         ÔÔ                                                Œ          è                                                                                             Ø
¤.È. 2000 «Ö§ÁÕÁÅÀÒÇÐã¹ÃдѺÊÙ§·ÕÊ´ ¡ÒÃÈÖ¡ÉÒµ‹ÍÁÒà¡ÕÂǡѺ nitration ¢Í§ÊÒá‹ÍÀÙÁᾌ Bet v
                     è                                       èØ                                        è                                                  Ô
1a ¨Ò¡ÅÐÍͧà¡ÊâͧµŒ¹ birch (Betula spp.) ¾ºÇ‹Ò¼Ù»ÇÂâäÀÙÁᾌµÍÅÐÍͧà¡ÊâͧµŒ¹ birch
                                                                           (8)
                                                                                                  Œ †                       Ô ‹
ÁÕÃдѺá͹µÔºÍ´Õª¹Ô´ IgE µ‹Í nitrated-Bet v 1a ÊÙ§¡Ç‹Ò Bet v 1a ¸ÃÃÁ´Ò ¹Í¡¨Ò¡¹Ñ¹ nitrated-Bet                                                        é
v 1a ÂѧÁÕ epitope ·Õᵡµ‹Ò§¨Ò¡ Bet v 1a ¸ÃÃÁ´Ò «Ö§ÊÒÁÒö·íÒ»¯Ô¡ÃÂҡѺ«ÕÃÁ¢Í§¼Ù»ÇÂä´Œ
                                 è                                                                   è                             ÔÔ             Ñè              Œ †
àǪÈÒʵÏ·¹Âؤ 2553
          Ñ                                                                                         407

àÁ×͹íÒ nitrated-Bet v 1a ÁÒ·´Êͺ¡Ñºà«Åŏ basophilic leukemia Âѧ¾ºÇ‹Ò ÊÒÁÒö¡ÃеعãËŒÁ¡ÒÃ
   è                                                                              Œ    Õ
ËÅѧÊÒèҡà«Åŏ¹ä´ŒÊ§¡Ç‹Ò Bet v 1a ¸ÃÃÁ´ÒÍÕ¡´ŒÇÂ
     è               Õé Ù
         µÒÁ¸ÃÃÁªÒµÔàÁ×ÍÅÐÍͧà¡ÊÃË­ŒÒ (Phleum pratense) ¶Ù¡¹éÒ½¹¨Ð»Å‹Í pollen cytoplasmic
                          è                                   í
granule (PCG) «Ö§ÁÕ¢¹Ò´àÅç¡à¾Õ§ 3 äÁâ¤ÃàÁµÃáÅÐÁÕÊÒá‹ÍÀÙÁᾌµ´ÍÂÙ´ÇÂÍÍ¡ä»ã¹ÍÒ¡ÒÈ(9)
                   è                                            Ô Ô ‹ Œ
PCG ¨Ð¶Ù¡¾Ñ´¾Ò仵ÒÁ¡ÃÐáÊÅÁáÅÐà¤Å×͹仵ÒÁá¹Ç˹ŒÒ¢Í§¾ÒÂØ½¹¿‡Ò¤Ð¹Í§ áÅÐÊÒÁÒö
                                        è
¶Ù¡ÊÙ´ËÒÂã¨à¢ŒÒä»¶Ö§·Ò§à´Ô¹ËÒÂã¨Ê‹Ç¹Å‹Ò§ä´Œ ÁÅÀÒÇÐã¹ÍÒ¡ÒÈÍ‹ҧઋ¹ NO2 áÅÐ O3 ÁÕ¼Å
µ‹Í¡ÒûŴ»Å‹Í PCG â´Â¡Ò÷íÒÅÒ¼¹Ñ§ÅÐÍͧà¡ÊÃãˌແ´ÍÍ¡áÅлŴ»Å‹Í PCG ÍÍ¡ÁÒ
¤ÇÒÁࢌÁ¢Œ¹¢Í§ NO2 áÅÐ O3 ·Õʧ¢Ö¹¨ÐÂÔ§·íÒãËŒÁ»ÃÔÁÒ³ PCG ÁÒ¡¢Ö¹´ŒÇÂ(10)
                               èÙ é   è       Õ                   é

¼Å¢Í§µÐ¡Í¹à¼ÒäËÁŒ¨Ò¡àª×éÍà¾ÅÔ§´Õà«Åµ‹ÍÊÒá‹ÍÀÙÁÔᾌã¹ÍÒ¡ÒÈ
                ¡ÒÃà¼ÒäËÁŒ¢Í§àª×Íà¾ÅÔ§´Õà«Å·ÕÊÁºÙó ¨Ð·íÒãËŒÁà¾Õ§¹éÒáÅСÒ«¤ÒϺ͹ä´Í͡䫴
                                        é        è                     Õ     í
(CO2) à¡Ô´¢Ö¹ ᵋà¤Ã×ͧ¹µÊǹãË­‹Á¡ÒÃà¼ÒäËÁŒ·äÁ‹ÊÁºÙó ¨Ö§à¡Ô´ÁÕ¡Ò«ª¹Ô´µ‹Ò§æ ÅÐÍͧ¢Í§
                 é            è       ‹      Õ                  Õè               
àËÅÇ áÅеС͹ (particulate matter) à¡Ô´¢Ö¹ à¤Ã×ͧ¹µ´à«Å·íÒãËŒà¡Ô´µÐ¡Í¹ÁÒ¡¡Ç‹Òà¤Ã×ͧ¹µ
                                                   é         è     Õ                             è
ູ«Ô¹¸ÃÃÁ´Ò¡Ç‹Ò 10 à·‹Ò áÅÐÁÒ¡¡Ç‹Òà¤Ã×ͧ¹µàº¹«Ô¹·ÕÁÕ catalytic converter ¡Ç‹Ò 100 à·‹Ò
                                                     è               è
diesel exhaust particle (DEP) ʋǹãË­‹ÁÒ¡¡Ç‹ÒÃŒÍÂÅÐ 83 ÁÕ¢¹Ò´µÑ§áµ‹ 0.1 äÁâ¤ÃàÁµÃËÃ×ÍàÅç¡
                                                                               é
¡Ç‹Ò¹Ñé¹ (11, 12)
                   «Ö觨ѴÍÂÙ‹ã¹¡ÅØ‹ÁµÐ¡Í¹·ÕèÁÕ¢¹Ò´ÅÐàÍÕ´ (fine particulate matter; PM 2.5 ¢¹Ò´
0.1-2.5 äÁâ¤ÃàÁµÃ) ¨¹¶Ö§·ÕÁ¢¹Ò´ÅÐàÍÕ´¾ÔàÈÉ (ultrafine PM < 0.1; ¢¹Ò´àÅç¡¡Ç‹Ò 0.1 äÁâ¤ÃàÁµÃ)
                                  è Õ
͹ØÀÒ¤·ÕÁ¢¹Ò´àÅç¡¡Ç‹Ò 5 äÁâ¤ÃàÁµÃÊÒÁÒöŧä»ÊÐÊÁÍÂÙã¹ alveoli ä´Œ »ÃÐÁҳÌÍÂÅÐ 83
            è Õ                                                          ‹
¢Í§Í¹ØÀÒ¤·ÕèÁÕ¢¹Ò´»ÃÐÁÒ³ 2.5 äÁâ¤ÃàÁµÃ¨ÐÊÐÊÁÍÂً㹻ʹ DEP ¢¹Ò´àÅç¡àËŋҹÕé¨Ö§à»š¹
ʋǹÊíҤѭ·Õà¡ÕÂÇ¢ŒÍ§¡Ñº¡ÒÃà¡Ô´âä(12) â¤Ã§ÊÌҧ¢Í§ DEP »ÃСͺ仴ŒÇÂ᡹¤ÒϺ͹ (carbon core)
                è è
«Ö§¨Ð´Ù´«ÑºÊÒÃÍÍ᡹ԡâÁàÅ¡ØÅãË­‹ (high-molecular-weight organic compounds) ËÅÒ¡ËÅÒª¹Ô´
  è
໚¹¨íҹǹÁÒ¡ ¨Ò¡¡Ò÷´Åͧ¾ºÇ‹Ò DEP ÊÒÁÒö´Ù´«ÑºÊÒá‹ÍÀÙÁᾌ¨Ò¡ÅÐÍͧà¡ÊâͧµŒ¹ birch
                                                                           Ô
(Bet v 1) Ãѧᤨҡ¢¹áÁÇ (.el d 1) áÅÐÊØ¹¢ (Can f 1) áÅÐÊÒá‹ÍÀÙÁᾌ¨Ò¡äýع (Der p 1)
                                                       Ñ                             Ô        †
â´Â੾ÒÐÊÒá‹ÍÀÙÁᾌ¨Ò¡áÁÇ .el d 1 ÊÒÁÒö¨Ñº¡Ñº DEP ä´ŒÁÒ¡¡Ç‹ÒÊÒá‹ÍÀÙÁᾌ͹æ(13) DEP
                            Ô                                                               Ô ×è
¨Ö§¹‹Ò·Õ¨ÐÁÕÊǹ㹡ÒùíÒ¾ÒàÍÒÊÒá‹ÍÀÙÁᾌàËŋҹÕŧä»Âѧ·Ò§à´Ô¹ËÒÂã¨Ê‹Ç¹Å‹Ò§ µÐ¡Í¹·ÕÁ¢¹Ò´
        è ‹                                    Ô           é                           (13)
                                                                                                   è Õ
àÅ硵ѧᵋ 2.5 äÁâ¤ÃàÁµÃÅ§ä» (PM " 2.5) ÁÕÊÒà polycyclic aromatic hydrocarbons (PAH)
      é
໚¹Í§¤»ÃСͺ·ÕÊҤѭ áÅÐÊÒÁÒöª‹ÇÂÊÒá‹ÍÀÙÁᾌʧà¤ÃÒÐˏ recombinant Bet v 1 ãËŒ¡Ãеع
                         èí                                    Ô Ñ                                     Œ
basophil ·íÒãËŒà¡Ô´¡ÒÃáÊ´§ÍÍ¡¢Í§ CD63 à¾ÔÁÊÙ§¡Ç‹Ò¡ÒÃ㪌ᵋÊÒá‹ÍÀÙÁᾌ recombinant Bet v1
                                                         è                         Ô
à¾Õ§Í‹ҧà´ÕÂÇ     (14)



¼Å¢Í§¡ÒÃà»ÅÕè¹á»Å§ÊÀÒ¾ÍÒ¡Òȵ‹ÍÅÐÍͧà¡ÊÃ
       ÊÀÒ¾¡ÒôíÒçªÕÇÔµ¢Í§Á¹ØÉ㹻˜¨¨ØºÑ¹¾Öè§¾Ò¡ÒÃ㪌¾Åѧ§Ò¹¨Ò¡¡ÒÃà¼Ò¼ÅÒ­àª×éÍà¾ÅÔ§
¿ÍÊ«ÔÅ (fossil fuels) ໚¹Í‹ҧÁÒ¡ ·íÒãËŒà¡Ô´¡ÒûŴ»Å‹ÍÂáÅÐÊÐÊÁ¡Ò«¤ÒϺ͹ä´Í͡䫴 (CO2)
408                                                                                               Climate Change and Allergic Disease

㹪ѹºÃÃÂÒ¡ÒÈà¾ÔÁÊÙ§¢Ö¹ áÅÐÂѧÁÕ¡Ò«ÁÕà·¹ (CH4) ä¹µÃÑÊÍ͡䫴 (N2O) áÅÐ hydrocarbons
       é                              è           é                 
ÊÙ§¢Ö¹´ŒÇ «Ö§¡Ò«àËŋҹÕÁÊǹ·íÒãËŒà¡Ô´»ÃÒ¡¯¡ÒóàÃ×͹¡ÃШ¡ (long-lived greenhouse gases)(15)
     é               è                           é Õ‹
â´Â੾ÒÐ CO2 «Ö§´Ù´«Ñº¤ÇÒÁÌ͹änj㹪ѹºÃÃÂÒ¡ÒȢͧâÅ¡ ·íÒãˌͳËÀÙÁ¢Í§¾×¹¼ÔÇâÅ¡ÊÙ§¢Ö¹
                                    è                                     é                                         Ø          Ô        é                       é
áÅÐà¡Ô´¡ÒÃà»ÅÕ¹á»Å§ÊÀÒ¾ÍÒ¡ÒȢͧâÅ¡·Õùáç¹íÒä»ÊÙÀ¸ÃÃÁªÒµÔ·ÃÒÂáçà¾ÔÁ¢Ö¹ ¤ÇÒÁࢌÁ
                           è                                                      èØ             ‹ Ñ                    Õè Œ           è é
¢Œ¹¢Í§ CO2 㹺ÃÃÂÒ¡ÒÈ¡‹Í¹ÂØ¤ÍØµÊÒË¡ÃÃÁ (¤.È. 1750) ÍÂÙ·ÃдѺ 280 ± 10 ppm ÁÒ໚¹àÇÅÒ                   ‹ Õè
ËÅÒ¾ѹ»‚ 㹪‹Ç§àÇÅÒ»‚ 1960-2007 ÃдѺ¤ÇÒÁࢌÁ¢Œ¹¢Í§ CO2 㹺ÃÃÂÒ¡ÒÈä´Œà¾ÔÁ¢Ö¹Í‹ҧ
               (3)
                                                                                                                                                  è é
¹ŒÍÂÃŒÍÂÅÐ 22 ¨¹ÍÂÙ·ÃдѺ 385 ppm áÅÐÍѵÃÒ¡ÒâÂÒµÑǢͧ¡ÒûŴ»Å‹Í CO2 ä´Œà¾ÔÁ¢Ö¹¨Ò¡
                                          ‹ Õè                                                                                                        è é
ÃŒÍÂÅÐ 1.3 µ‹Í»‚ã¹Âؤ 1990 ໚¹ÃŒÍÂÅÐ 3.3 µ‹Í»‚ 㹪‹Ç§ÁÕ¹Ò¤Á ¤.È. 2000-2006 ÍØ³ËÀÙÁ¢Í§¾×¹¼ÔÇ                                                    Ô           é
âš䴌à¾ÔÁ¢Ö¹Í‹ҧ¹ŒÍ 0.6 ͧÈÒà«Åà«ÕÂʵѧᵋ»ÅÒÂȵÇÃÃÉ·Õè 19 ÁÕ¡ÒäҴ¡Ò󏶧ÃдѺ¤ÇÒÁ
             è é                                                               é                                                            Ö
ࢌÁ¢Œ¹¢Í§ CO2 ÀÒÂã¹»‚ ¤.È. 2100 ¨Ðà¾ÔÁ¢Ö¹à»š¹ 541 ¶Ö§ 970 ppm (µÒÁẺ¨íÒÅͧÍѵÃÒ¡ÒÃ㪌
                                                                         è é
¾Åѧ§Ò¹) «Ö§¨Ð·íÒãˌͳËÀÙÁ¢Í§¾×¹¼ÔÇâÅ¡à¾ÔÁ¢Ö¹ÍÕ¡ 1.4-5.8 ͧÈÒà«Åà«ÕÂÊ(3) ÍØ³ËÀÙÁ·Ê§¢Ö¹¹Õé
                 è                          Ø          Ô        é                è é                                                                 Ô Õè Ù é
ÍҨʋ§¼Å¡Ãзºµ‹ÍÊØ¢ÀÒ¾¢Í§Á¹ØÉ ઋ¹ ¡ÒÃá¾Ã‹¡ÃШÒ¢ͧâä«Ö§à´ÔÁà¤Â¾ºà©¾ÒÐã¹à¢µÃŒÍ¹                              è
¢Ö¹ä»Âѧ»ÃÐà·È㹫աâÅ¡·Ò§à˹×Í
  é
           ¾×ªà»š¹ÊÔ§Áժǵ·ÕÁ¤ÇÒÁÊÒÁÒö㹡Òõͺʹͧµ‹Í¡ÒÃà»ÅÕ¹á»Å§¹Õ䴌͋ҧÃÇ´àÃçÇ(16, 17)
                               è ÕÔ è Õ                                                                       è                  é
áÅмŢͧ¡ÒÃà»ÅÕ¹á»Å§ÊÀÒ¾ÍÒ¡ÒÈ·Õ͹¢Ö¹ä´Œ·ÒãËŒà¡Ô´¡ÒÃà»ÅÕ¹á»Å§µ‹Íǧ¨ÃªÕǵ¢Í§¾×ª ઋ¹
                                è                                     è Ø‹ é         í                      è                             Ô
àÇÅÒ·ÕàÃÔÁ¼ÅÔ´Í¡ (flowering time) ¢Í§¾×ªËÅÒª¹Ô´ã¹»ÃÐà·ÈÍѧ¡ÄÉà¡Ô´àÃçÇ¢Ö¹ 4.5 Çѹà·Õº¡Ñº
         è è                                                                                                                       é
ã¹·ÈÇÃÃÉ·Õ¼Ò¹ÁÒ ¡ÒÃà¾ÔÁ¢Ö¹¢Í§ CO2 áÅÐÍØ³ËÀÙÁÊÒÁÒö¡Ãеع¡ÒÃà¨ÃÔ­àµÔºâµ¢Í§¾×¹Ê‹Ç¹
                       è ‹              (18)
                                                         è é                               Ô                      Œ                                       é
ãË­‹ÃÇÁ¶Ö§¾×ª·Õ໚¹áËÅ‹§¢Í§ÅÐÍͧà¡Ê÷Õà¡ÕÂǡѺâäÀÙÁᾌ ¨¹¹íÒä»ÊÙ¡ÒÃà¾ÔÁ»ÃÔÁÒ³ÅÐÍͧà¡ÊÃ
                             è                                              è è                Ô                      ‹      è
ã¹ÍÒ¡ÒÈ ¡ÒÃà¾ÔÁ¤ÇÒÁÊÒÁÒö㹡Ò÷íÒãˌᾌ (allergenicity) Ä´Ù¡ÒŢͧÅÐÍͧà¡Êà (pollen
                                  è
season) ·ÕàÃçÇ¢Ö¹ áÅÐËÃ×ÍÂÒǹҹ¢Ö¹¡Ç‹Òà´ÔÁ áÅСÒáÃШÒª¹Ô´¢Í§¾×ªã¹à¢µµ‹Ò§æ ã¹áµ‹ÅÐ
                è é                                               é
»ÃÐà·Èà»ÅÕ¹á»Å§ä» è                           (3, 15)

           ¡ÒÃà»ÃÕºà·Õº¡ÒÃà¨ÃÔ­àµÔºâµ¢Í§ÇѪ¾×ª ragweed (Ambrosia artemisiifolia) ·Õà¨ÃÔ­àµÔºâµ                                              è
ã¹à¢µàÁ×ͧ¢Í§ÃѰ Maryland »ÃÐà·ÈÊËÃѰÍàÁÃԡҡѺ·Õà¨ÃÔ­àµÔºâµã¹à¢µª¹º· ¾ºÇ‹ÒÇѪ¾×ª            è                                       (19)

ã¹àÁ×ͧÁÕ¡Òç͡¢Í§àÁÅç´ 3-4 Çѹ¡‹Í¹ÇѪ¾×ªã¹ª¹º· ÁÕÁÇŪÕÇÀÒ¾¢Í§ÅíÒµŒ¹Ê‹Ç¹à˹×Í´Ô¹àÁ×èÍ
ÍÍ¡´Í¡ (above ground biomass) ÊÙ§¡Ç‹ÒÃŒÍÂÅÐ 189 à·Õº¡ÑºÇѪ¾×ªã¹ª¹º· ª‹Í´Í¡ (Catkin)
ÁÕ¢¹Ò´ÂÒǡNjÒáÅмÅÔµ»ÃÔÁÒ³ÅÐÍͧà¡ÊÃÁÒ¡¡Ç‹ÒÇѪ¾×ªã¹ª¹º· ᵋ»ÃÔÁÒ³¢Í§ÊÒá‹ÍÀÙÁᾌ                                                                               Ô
(Amb a 1) ¨Ò¡ÇѪ¾×ªã¹ª¹º·µ‹Í¹éÒ˹ѡ໚¹äÁâ¤Ã¡ÃÑÁ¢Í§â»ÃµÕ¹ (16.4 ± 0.7 ˹‹Çµ‹ÍäÁâ¤Ã¡ÃÑÁ
                                                              í
¢Í§â»ÃµÕ¹) ÊÙ§¡Ç‹Ò¢Í§ÇѪ¾×ªã¹àÁ×ͧ (¤‹Òà©ÅÕ 9-11.1 ˹‹Çµ‹ÍäÁâ¤Ã¡ÃÑÁ¢Í§â»ÃµÕ¹) ¤ÇÒÁᵡµ‹Ò§
                                                                             è
ã¹ÁÇŪÕÇÀÒ¾ áÅФÇÒÁÂÒǢͧª‹Í´Í¡¹Ñ¹ÊÑÁ¾Ñ¹¸¡ºÍسËÀÙÁáÅФÇÒÁࢌÁ¢Œ¹¢Í§ CO2 ã¹ÍÒ¡ÒÈ
                                                                       é                 Ñ           Ô
ã¹à¢µàÁ×ͧ ·ÕèÁÕÍØ³ËÀÙÁÔà©ÅÕèÂ㹪‹Ç§·ÕèÇѪ¾×ªà¨ÃÔ­àµÔºâµÊÙ§¡Ç‹Òࢵª¹º· 1.9 ͧÈÒà«Åà«ÕÂÊ
áÅÐÁÕ¤‹Òà©ÅÕè¢ͧ CO2 µÅÍ´ 24 ªÑèÇâÁ§¢Í§áµ‹ÅÐÇѹÊÙ§¡Ç‹ÒÃŒÍÂÅÐ 30-31 à·Õº¡Ñºã¹ª¹º·
¤ÇÒÁᵡµ‹Ò§ÃÐËNjҧÊÀÒ¾ÍÒ¡ÒÈã¹àÁ×ͧ¡Ñºª¹º·¹Õä´ŒáÊ´§ãËŒàË繼šÃзº¢Í§ÍسËÀÙÁáÅÐÃдѺ     é                                                           Ô
CO2 µ‹Í¾×ª·Õè¼ÅÔµÊÒá‹ÍÀÙÁÔᾌ ¹Í¡¨Ò¡¹Õé¡ÒÃà»ÃÕºà·Õº¡ÒÃà¨ÃÔ­àµÔºâµ¢Í§ÇѪ¾×ª ragweed
(A. artemisiifolia) ã¹ËŒÍ§·´Åͧ·ÕªÇ§àÇÅÒáÅÐÃдѺ CO2 ·Õᵡµ‹Ò§¡Ñ¹(20) ¾ºÇ‹ÒÃдѺ¢Í§ CO2 ÊÙ§
                                                             è ‹                                  è
àǪÈÒʵÏ·¹Âؤ 2553
          Ñ                                                                                         409

µÒÁ·Õ¤Ò´¡Òóã¹Í¹Ò¤µ (700 ppm) ¨ÐÊ‹§¼ÅãˌǪ¾×ª·Õ¶¡»Å‹ÍÂãËŒ§Í¡ªŒÒ (late dormancy release)
        è                                              Ñ    è Ù
áÁŒÇ‹Ò¨ÐÁÕª‹Ç§àÇÅÒ㹡ÒÃà¨ÃÔ­àµÔºâµÊÑé¹áµ‹ÁÕ¤ÇÒÁÊÙ§ áÅйéíÒ˹ѡÁÒ¡¡Ç‹ÒÇѪ¾×ª·Õèà¨ÃÔ­àµÔºâµ
¾ÃŒÍÁ¡Ñ¹ã¹ÃдѺ CO2 ã¹»˜¨¨Øº¹ (380 ppm) áÅÐÁÕ¡ÒüÅÔµÅÐÍͧà¡ÊÃà¾ÔÁ¢Ö¹ÃŒÍÂÅÐ 55 à·Õº¡Ñº
                                       Ñ                                           è é
ÇѪ¾×ª·ÕàµÔºâµ¾ÃŒÍÁ¡Ñ¹ã¹ÃдѺ CO2 ã¹»˜¨¨Øº¹ ¨Ö§·íÒãËŒ¤Ò´¡Òóä´ŒÇÒ¡ÒÃà»ÅÕ¹á»Å§ÊÀÒ¾ÍÒ¡ÒÈ
          è                                     Ñ                              ‹        è
·ÕèÁÕÍØ³ËÀÙÁÔáÅÐÃдѺ¤ÇÒÁࢌÁ¢Œ¹¢Í§ CO2 à¾ÔèÁ¢Öé¹ã¹Í¹Ò¤µ ¨Ð·íÒãËŒÁÕÃдѺ¢Í§ÅÐÍͧà¡ÊÃ
¢Í§ÇѪ¾×ª·Õ·ÒãËŒà¡Ô´ÀÙÁᾌʧ¢Ö¹ ÃдѺ¢Í§ÅÐÍͧà¡ÊÃã¹ÍÒ¡ÒÈ·Õʧ¢Ö¹ ¨Ð·íÒãËŒ¼»ÇÂâäÀÙÁᾌ
                  è í            Ô Ù é                                        èÙ é             ÙŒ †     Ô
ÁÕÍÒ¡ÒÃà¾ÔÁ¢Ö¹ áÅШíÒ໚¹µŒÍ§¾ºá¾·ÂÁÒ¡¢Ö¹
              è é                                  é  (21)

            ¹Í¡¨Ò¡¡ÒÃà»ÅÕ¹á»Å§ÊÀÒ¾ÍÒ¡ÒÈ·Õ͹¢Ö¹áÅÐÁÕ CO2 ÊÙ§¢Ö¹¨ÐÁռŵ‹ÍÇѪ¾×ª ragweed
                                  è                  è Ø‹ é                      é
«Ö§ÁÑ¡¼ÅÔµà¡ÊÃ㹪‹Ç§Ä´ÙãºäÁŒÃǧáÅŒÇ ÍØ³ËÀÙÁ·Ê§¢Ö¹µÍ¹»ÅÒÂÄ´Ù˹ÒÇÂѧÁռŵ‹Í¡ÒüÅÔ´Í¡áÅÐ
  è                                  ‹            Ô Õè Ù é
¼ÅÔµà¡ÊâͧäÁŒÂ¹µŒ¹·Õà¡ÕÂÇ¢ŒÍ§¡ÑºâäÀÙÁᾌã¹Ä´ÙãºäÁŒ¼ÅÔ´Ç ·íÒãˌĴ١ÒÅ·ÕÁÅÐÍͧà¡Êà (pollen
                          ×   è è             Ô                      Œ                    è Õ
season) àÃÔÁµŒ¹àÃçÇ¢Ö¹¡Ç‹Ò»¡µÔ ઋ¹ µŒ¹ birch ã¹»ÃÐà·Èà´¹ÁÒÏ¡ µŒ¹Ê¹ (Pinus spp.) ã¹»ÃÐà·È
               è            é                                            (22)

ÍÔµÒÅÕ áÅеŒ¹Ê¹ (Cryptomeria japonica) ã¹»ÃÐà·È­Õ»¹(24) ÍØ³ËÀÙÁ·Ê§¢Ö¹Âѧʋ§¼Å¡Ãзº
       (23)
                                                                è Ø†                 Ô Õè Ù é
µ‹Íࢵ¡ÒáÃШÒ¢ͧ¾×ª´ŒÇ 㹻‚ 2006 »ÃÐà·ÈÊËÃѰÍàÁÃÔ¡ÒµŒÍ§ÁÕ¡ÒûÃѺἹ·ÕèáÊ´§à¢µ
·ÕͳËÀÙÁµÒÊØ´¶Ö§¨Ø´àÂ×Í¡á¢ç§ãËŒ¶ÍÂ˹¢Ö¹ä»·Ò§à˹×Í à¹×ͧ¨Ò¡ÍسËÀÙÁ·Ê§¢Ö¹¡Ç‹Ò»‚ 1990(15)
    èØ       Ô èí                           é                          è              Ô Õè Ù é
ª¹Ô´¢Í§¾×ª·Õ¡ÍâäÀÙÁᾌã¹à¢µ·Ò§ãµŒ¨§ÍÒ¨ÁÕ¡ÒÃá¾Ã‹¡ÃШÒ¢ֹ价ҧࢵà˹×Íà¾ÔÁ¢Ö¹
                      è ‹      Ô          Ö                                é                        è é

¼Å¢Í§¡ÒÃà»ÅÕè¹á»Å§ÊÀÒ¾ÍÒ¡Òȵ‹Í·Ò§à´Ô¹ËÒÂã¨Ê‹Ç¹º¹
         à¹×ͧ¨Ò¡¡ÒþѲ¹ÒÍØµÊÒË¡ÃÃÁ¢Í§»ÃÐà·È ÃÇÁ·Ñ§¡ÒÃ㪌ÂÒ¹¾Ò˹зÕà¾ÔÁÁÒ¡¢Ö¹ ·íÒãËŒ
            è                                                é                 è è     é
à¡Ô´ÁžÔÉ·Ò§ÍÒ¡ÒÈà¾ÔèÁÁÒ¡¢Öé¹ «Öè§ÁžÔÉ·Ò§ÍÒ¡ÒÈàËŋҹÕéÊÒÁÒö·íÒãËŒà¡Ô´¼Å੾ÒзÕè
¤×Í ¡ÒÃÃФÒÂà¤×ͧ¢Í§àÂ×ͺبÁÙ¡ ·íÒãËŒà¡Ô´¡ÒÃÍÑ¡àʺ¢Í§àÂ×ͺبÁÙ¡ ÁÕ¡ÒÃÊÌҧ proinflammatory
                                è                              è
cytokines, chemokines, adhesion molecules áÅÐÁÕ¡ÒÃà¾ÔèÁ¢Ö鹢ͧ inflammatory cells
ã¹àÂ×ͺبÁÙ¡(25) à¡Ô´ÍÒ¡Òäѹ ¨ÒÁ áʺ ¤Ñ´¨ÁÙ¡ ¹éÒÁÙ¡äËÅä´Œ ¹Í¡¨Ò¡¹Ñ¹ÁžÔÉ·Ò§ÍÒ¡ÒÈ
      è                                                   í                  é
ÍÒ¨·íÒãËŒà¡Ô´ nasal mucosal damage áÅÐ impaired mucociliary clearance ·íÒãËŒÊÒÃÃФÒÂà¤×ͧ
ã¹ÍÒ¡ÒÈࢌÒ仡ÃеعàÂ×ͺبÁÙ¡ä´ŒÁÒ¡¢Ö¹ «Ö§¶ŒÒàÂ×ͺبÁÙ¡ºÇÁÍÂÙ໚¹ÃÐÂÐàÇÅÒ¹Ò¹ ÍÒ¨ÍØ´¡Ñ¹
                        Œ è                é   è      è            ‹                         é
ÃÙແ´¢Í§ä«¹ÑÊ ·íÒãËŒà¡Ô´ä«¹ÑÊÍÑ¡àʺµÒÁÁÒä´Œ ¹Í¡¨Ò¡¹Õé ÊÒÃà¤ÁÕàËŋҹѹºÒ§Ê‹Ç¹¶Ù¡´Ù´«ÖÁ
                                                 (26)
                                                                           é
¼‹Ò¹àÂ×èͺبÁ١ࢌÒä»ã¹Ã‹Ò§¡Ò´ŒÇ «Öè§Ã‹Ò§¡Ò¨ÐÁÕ¡Åä¡ã¹¡ÒáíҨѴ¤×Í oxidation reduction
conjugation áÅÐ degradation ÊÒÃà¤ÁÕàËŋҹըÐä»Å´¡Ò÷íÒ§Ò¹¢Í§ T-suppressor cells ·íÒãËŒ
                                             é
¡Ò÷íÒ§Ò¹¢Í§ T-helper cells ÁÒ¡¢Ö¹ (T-helper type-2-like phenotype) «Ö§¨Ð仡Ãеع B cell ãËŒÁÕ
                                      é                               è            Œ
¡ÒÃÊÌҧ immunoglobulin ÁÒ¡¢Ö¹ ·íÒãËŒ»¯Ô¡ÃÂÒ¡ÒÃÍÑ¡àʺ¨Ò¡ÀÙÁᾌà¾ÔÁ¢Ö¹ ÂÔ§·íÒãËŒàÂ×ͺبÁÙ¡
                                  é          ÔÔ                  Ô      è é è            è
äǵ‹Í¡Òö١¡Ãеعâ´ÂÊÔ§µ‹Ò§æÁÒ¡¢Ö¹ ·íÒãËŒÊÒá‹ÍÀÙÁᾌ áÁŒà¾Õ§àÅ硹ŒÍ ¡ç¡Ãеع·íÒãËŒà¡Ô´ÍÒ¡ÒÃ
                  Œ           è          é              Ô                        Œ
ä´Œ ´Ñ§¹Ñ¹¡ÒÃà»ÅÕ¹á»Å§¢Í§ÍÒ¡ÒÈáÅÐÁžÔÉ·Ò§ÍÒ¡ÒÈ ÊÒÁÒöÃèÇÁ¡Ñ¹à¾ÔÁÍØºµ¡Òóì¢Í§-
   (26)
              é       è                                                         è Ñ Ô
âä¨ÁÙ¡ÍÑ¡àʺÀÙÁᾌ áÅзíÒãËŒ¼»ÇÂâä¨ÁÙ¡ÍÑ¡àʺÀÙÁᾌÁÍÒ¡ÒÃÁÒ¡¢Ö¹ä´Œ (ÃÙ»·Õè 1)
                    Ô    (27)
                                    ÙŒ †                    Ô Õ          é
410                                              Climate Change and Allergic Disease




ÃÙ»·Õè 1 á¼¹ÀÙÁÔáÊ´§¤ÇÒÁÊÑÁ¾Ñ¹¸ÃÐËNjҧ¡ÒÃà»ÅÕè¹á»Å§¢Í§ÍÒ¡ÒÈ áÅСÒÃà¾ÔèÁ¢Ö鹢ͧ
         ÍØºÑµÔ¡Òó áÅФÇÒÁÃØ¹áç¢Í§âä¨ÁÙ¡ÍÑ¡àʺÀÙÁÔᾌ â´Â¡ÒÃà»ÅÕè¹á»Å§¨íҹǹ
         ¢Í§¾×ª áÅÐÅÐÍͧà¡ÊÃ
àǪÈÒʵÏ·¹Âؤ 2553
          Ñ                                                                                                      411

             »˜¨¨ØºÑ¹¼ÙŒ»†ÇÂÁÕá¹Ç⹌Á·Õè¨ÐÁÕ¡ÒÃÍÑ¡àʺàÃ×éͧÃѧ¢Í§àÂ×èͺبÁÙ¡à¾ÔèÁÁÒ¡¢Öé¹ ÍÒ¨à¡Ô´¨Ò¡
ÊÔ§áÇ´ÅŒÍÁ ÁžÔÉ·Ò§ÍÒ¡ÒÈ (â´Â੾ÒмٷÍÒÈÑÂÍÂÙã¹àÁ×ͧËÅǧ ËÃ×Í à¢µÍØµÊÒË¡ÃÃÁ) ÁÕ¡ÒÃ
  è                                              Œ Õè      ‹
㪌à¤Ã×èͧ»ÃѺÍÒ¡ÒÈÁÒ¡¢Öé¹ (àÂ×èͺبÁÙ¡ÊÑÁ¼ÑʡѺÍÒ¡ÒÈàÂç¹ÍÂÙ‹µÅÍ´àÇÅÒ)(28) àÁ×èÍàÂ×èͺبÁÙ¡ÊÑÁ¼ÑÊ
¡ÑºÍÒ¡ÒÈ·ÕèàÂç¹ ¨ÐÁÕ¡ÒÃÊÙ­àÊÕ¹éíÒáÅФÇÒÁÌ͹¨Ò¡àÂ×èͺبÁÙ¡ ¡ÒÃÊÙ­àÊÕ¹éíÒ·íÒãËŒà¡Ô´ÀÒÇÐ
hyperosmolarity ¢Í§ nasal epithelial lining fluid «Ö§¨Ð¡ÃеعãËŒà¡Ô´ mast cell activation áÅÐà¡Ô´
                                                       è        Œ
¡ÒáÃеعàÊŒ¹»ÃÐÊÒ·ÃѺÊÑÁ¼ÑÊã¹àÂ×ͺبÁÙ¡ ¡ÒÃÊÙ­àÊÕ¤ÇÒÁÌ͹¨Ð·íÒãˌͳËÀÙÁ¢Í§àÂ×ͺبÁÙ¡
              Œ                             è                                     Ø     Ô    è
Ŵŧ «Ö§¨Ðª‹Ç¡ÃеعàÊŒ¹»ÃÐÊÒ·ÃѺÊÑÁ¼ÑÊ㹨Á١ઋ¹¡Ñ¹ ¡ÒÃÊÙ­àÊÕ¹éÒ·íÒãËŒàÂ×ͺبÁÙ¡äÁ‹ÊÒÁÒö
           è               Œ                                                í         è
»ÃѺµÑÇä´Œ·Ñ¹ ÍÒ¨·íÒãËŒà¡Ô´ nasal epithelial damage ʋǹ¼Å¢Í§ mast cell activation áÅÐ
¡ÒÃËÅѧ mediators ÍÍ¡ÁҨзíÒãËŒ¼»ÇÂÁÕÍÒ¡Òäѹ¨ÁÙ¡ ¨ÒÁ ¤Ñ´¨ÁÙ¡áÅйéÒÁÙ¡äËÅä´Œ(29)
         è                                ÙŒ †                                      í

¼Å¢Í§¡ÒÃà»ÅÕè¹á»Å§ÊÀÒ¾ÍÒ¡Òȵ‹Í·Ò§à´Ô¹ËÒÂã¨Ê‹Ç¹Å‹Ò§
               ã¹¾×¹·Õ·Á¡ÒèÃҨäѺ¤Ñ§àª‹¹ã¹àÁ×ͧËÅǧãË­‹·§ËÅÒ¹ѹ¾ºÇ‹Ò¨ÐÁÕ¡Ò«·Õ¡ÍãËŒà¡Ô´ÁÅ
                       é è Õè Õ                  è                         Ñé            é            è ‹
ÀÒÇе‹Ò§æ ÁÒ¡ÁÒ«֧ÁÕÃÒ§ҹNjÒÁռŷíÒãËŒ¡ÒÃà¨ÃÔ­àµÔºâµ¢Í§»Í´ã¹à´ç¡ªŒÒŧ ¹Í¡¨Ò¡¹Õ¡ÒÃ
                                 è                                                                   (30)
                                                                                                                  é
ÊÑÁ¼ÑʡѺÍÒ¡ÒÈ·Õ»¹à»„͹´ŒÇÂÁÅÀÒÇШҡ¡ÒèÃҨâͧÂҹ¹µ´à«Å«Ö§ÁÕ»ÃÔÁÒ³¤ÒϺ͹áÅÐ
                             è        œ                                                    Õ   è
͹ØÀÒ¤àÅç¡ (ultrafine particle) ¨íҹǹÁÒ¡¹Ñ¹¨Ð·íÒãËŒÊÁÃöÀÒ¾»Í´¢Í§¼Ù»ÇÂâäË×´àÅÇŧ(31)
                                                                 é                               Œ †
¡ÒÃÈÖ¡ÉÒÇÔ¨Âã¹ÂØâûáÅлÃÐà·ÈÊËÃѰÍàÁÃÔ¡Ò¾ºÇ‹Òà´ç¡·ÕࢌÒÃѺ¡ÒÃÃÑ¡ÉÒã¹âç¾ÂÒºÒÅ´ŒÇÂâäË×´
                     Ñ                                                è
ÁÕºŒÒ¹ÍÂÙ‹ã¡ÅŒ¡ÑººÃÔàdz·ÕèÁÕ¡ÒèÃÒ¨Ã˹Òṋ¹àÁ×èÍà·Õº¡Ñºà´ç¡·ÕèࢌÒÃѺ¡ÒÃÃÑ¡ÉÒã¹âç¾ÂÒºÒÅ
´ŒÇÂâäÍ×¹(32-34)
                è
               ¡Ò«âÍ⫹«Ö§ÁÕ¤³ÊÁºÑµã¹¡ÒÃ໚¹µÑÇ oxidant ·Õ´¹¹ ÁÕÊǹÊÑÁ¾Ñ¹¸¡º¡ÒÃà¡Ô´â䵋ҧæ
                                è Ø            Ô                        è Õ Ñé       ‹             Ñ
¨Ò¡¡ÒÃÈÖ¡ÉÒÇÔ¨ÂẺ cohort ã¹à´ç¡ 3,535 ¤¹ «Ö§à´ÔÁäÁ‹Á»ÃÐÇѵ໚¹âäË×´ àÁ×͵ԴµÒÁä» 5 »‚
                           Ñ                                       è            Õ      Ô                è
¾ºÇ‹ÒÁÕà´ç¡ 265 ¤¹à¡Ô´à»š¹âäË×´¢Ö¹ â´Â¾ºÇ‹Òà´ç¡àËŋҹÕÍÂÙã¹¾×¹·Õ·ÁÃдѺâÍ⫹·Õʧ(35) ¡ÒÃÈÖ¡ÉÒ
                                                   é                 é ‹ é è Õè Õ                         èÙ
ÇÔ ¨Ñ  㹼ٌ ã Ë­‹ ¡ç ¾ ºÇ‹ Ò ¡ÒÃÊÑ Á ¼Ñ Ê ¡Ñ º ¡ Ò «âÍ⫹ã¹ÃÐ´Ñ º ÊÙ § ÁÕ Ê‹ Ç ¹à¡Õè  ǢŒ Í §¡Ñ º ¡ÒÃà¡Ô ´ âäË× ´
ઋ¹à´ÕÂǡѹ(36) ÊíÒËÃѺ¼Ù»Ç·Õ໚¹âäË×´àÃ×ÍÃѧÍÂÙ‹ ËÒ¡ÊÑÁ¼ÑʡѺ¡Ò«âÍ⫹¡ç¨Ð·íÒãËŒÍÒ¡Òâͧâä
                                     Œ † è                 é
àÅÇŧ´ŒÇ ¼Ù»Ç·ÕÊÁ¼ÑʡѺ¡Ò«âÍ⫹ÃдѺ 0.16-0.25 ppm ¨ÐÁÕ¤ÇÒÁäǵÑǢͧËÅÍ´ÅÁµ‹ÍÊÒÃ
                        Œ † èÑ
¡‹ÍÀÙÁᾌà¾ÔÁ¢Ö¹(37) ¹Í¡¨Ò¡¹Õ¡Ò«âÍ⫹ÂѧÁÕ¼Åâ´ÂµÃ§µ‹ÍÍѵÃÒ¡ÒõÒÂâ´ÂÃÇÁÍÕ¡´ŒÇÂ
           Ô        è é                    é 
               Particulate matter ¤×Í͹ØÀÒ¤¢¹Ò´àÅç¡ »ÃСͺ´ŒÇÂʋǹ·Õ໚¹¢Í§á¢ç§áÅТͧàËÅÇá¢Ç¹
                                                                                   è
ÅÍÂÍÂÙã¹ÍÒ¡ÒÈ à¡Ô´¢Ö¹¨Ò¡¡ÒÃà¼ÒäËÁŒ¢Í§àª×Íà¾ÅÔ§ã¹ÂÒ¹¾Ò˹ÐáÅÐâç§Ò¹ÍصÊÒË¡ÃÃÁ ͹ØÀÒ¤
             ‹                     é                           é
¢¹Ò´àÅç¡·ÕÁ«Å࿵໚¹Ê‹Ç¹»ÃСͺ·íÒãËŒà¡Ô´½¹¡Ã´ä´Œ ͹ØÀÒ¤·ÕÁ¢¹Ò´àÅç¡¡Ç‹Ò 2.5 äÁâ¤ÃàÁµÃ
                  è Õ Ñ                                                           è Õ
¨ÐÊÒÁÒö¼‹Ò¹à¢ŒÒä»ã¹ËÅÍ´ÅÁ¢¹Ò´àÅç¡Ê‹Ç¹»ÅÒÂä´Œ ·íÒãËŒà¡Ô´âäã¹Ãкº·Ò§à´Ô¹ËÒÂã¨áÅзíÒ
ãËŒÊÁÃöÀÒ¾»Í´Å´Å§(38) ¹Í¡¨Ò¡¹Õ§໚¹ÊÒà˵ØãËŒà¡Ô´âäÁÐàÃ移ʹ´ŒÇÂ(39)
                                                       é Ñ
               ¡Ò«ä¹âµÃਹÍ͡䫴 (NOx) à¡Ô´¨Ò¡ä¹âµÃਹ·íÒ»¯Ô¡ÔÃÔÂҡѺÍÍ¡«Ôਹ·ÕèÍØ³ËÀÙÁÔÊÙ§
ʋǹãË­‹à¡Ô´¨Ò¡¡ÒÃà¼ÒäËÁŒ¢Í§àª×Íà¾ÅÔ§áÅÐÂҹ¹µ áÁŒÇÒ¡Ò« NOx ¨ÐÊÅÒÂä»ä´ŒàͧÀÒÂã¹àÇÅÒ
                                                     é                   ‹
໚¹ªÑÇâÁ§¶Ö§à»š¹Çѹ ᵋ¡ÒÃÊÑÁ¼ÑÊ¡Ò«ª¹Ô´¹Õà¾Õ§ÃÐÂÐàÇÅÒÊѹ ¡çÊÒÁÒö·íÒãËŒÊÁÃöÀÒ¾»Í´Å´Å§
         è                                                   é                é
à¡Ô´¡ÒÃÍÑ¡àʺ¢Í§ËÅÍ´ÅÁ áÅÐÁÕ¤ÇÒÁäǵÑǢͧËÅÍ´ÅÁµ‹ÍÊÒá‹ÍÀÙÁᾌÁÒ¡¢Ö¹(40)                      Ô        é
412                                                     Climate Change and Allergic Disease

        ¡Ò««ÑÅà¿ÍÏÍ͡䫴 (SO2) 㹺ÃÃÂÒ¡ÒÈʋǹãË­‹à¡Ô´¨Ò¡¡ÒÃà¼Ò¶‹Ò¹ËԹ໚¹àª×éÍà¾ÅÔ§
¡ÒÃËÒÂã¨àÍÒ¡Ò« SO2 ࢌÒ仨зíÒãËŒà¡Ô´¡ÒÃË´µÑǢͧËÅÍ´ÅÁÍ‹ҧÃÇ´àÃçÇ »ÃÔÁÒ³¡Ò« SO2 0.5
ppm ¨Ð·íÒãËŒà¡Ô´¡ÒõպµÑǢͧËÅÍ´ÅÁã¹¼Ù»ÇÂâäË×´ä´Œ(41) ¢ŒÍÁÙŨҡ¡ÒûÃÐÁÒ³¡Ò󏺧ªÕÇÒ
                                            Œ †                                    ‹ é‹
ËÒ¡ÁÕ͵ÃÒ¡ÒÃ㪌¶Ò¹ËԹ໚¹àª×Íà¾Åԧઋ¹ã¹»˜¨¨Øº¹ »ÃÔÁÒ³¢Í§¡Ò« SO2 ¨Ðà¾ÔÁ¢Ö¹ÍÕ¡ÃŒÍÂÅÐ 74
      Ñ           ‹          é                  Ñ                      è é
¢Í§ÃдѺ·ÕǴ䴌㹻˜¨¨Øº¹ã¹»‚ ¤.È. 2030
           èÑ          Ñ               (42)



ÁҵáÒê‹ÇÂÅ´âšÌ͹
       !   㪌ËÅÍ´ä¿¿ÅÙÍÍàÃÊૹµËÃ×ÍËÅÍ´µÐà¡Õº᷹ËÅÍ´ä¿áºº¸ÃÃÁ´Ò¨Ðª‹ÇÂÅ´¡Ò«
           CO2 ä´Œ 150 »Í¹´/»‚
       !   㪌ö¹µãËŒ¹ÍÂŧ ¨Ðª‹ÇÂÅ´¡Ò« CO2 ä´Œ 1 »Í¹´/¡ÒâѺö 1 äÁŏ
                          Œ
       !   ª‹Ç¡ѹ»ÃÐËÂÑ´¹éÒÁѹ·Õ㪌ÊÒËÃѺÂÒ¹¾Ò˹Р¨Ðª‹ÇÂÅ´¡Ò« CO2 20 »Í¹´/¡ÒÃ㪌¹Ò
                                  í    è í                                             éí
           Áѹ 1 á¡ÅÅ͹
       !   ¾ÂÒÂÒÁ¤Ñ´á¡¢ÂÐ áÅÐࢌҡÃкǹ¡ÒùíÒ¡ÅѺÁÒ㪌ãËÁ‹ (recycle)
       !   㪌¹ÒÌ͹෋ҷըÒ໚¹ à¾×ÍÅ´¡ÒÃ㪌àª×Íà¾Åԧ㹡ÒÃËØ§µŒÁ
               éí            èí         è        é
       !   ËÅÕ¡àÅÕ§¡ÒÃ㪌ʹ¤ŒÒ·ÕÁ¡ÒúÃèØËºË‹ÍÁÒ¡à¡Ô¹¤ÇÒÁ¨íÒ໚¹ à¾×ÍÅ´»ÃÔÁÒ³¢ÂÐ ¨ÐÊÒ
                  è             Ô     è Õ     Õ                       è
           ÁÒöŴ¡Ò« CO2 ä´Œ 1,200 »Í¹´/¡ÒÃÅ´»ÃÔÁÒ³¢ÂÐÃŒÍÂÅÐ 10
       !   »ÃÑºÍØ³ËÀÙÁ¢Í§à¤Ã×ͧ»ÃѺÍÒ¡ÒÈãËŒàËÁÒÐÊÁ
                        Ô           è
       !   »´áÅжʹ»ÅÑ¡à¤Ã×ͧ㪌俿‡Ò·Ø¡¤ÃѧàÁ×ÍàÅԡ㪌
                            ê è                 é è
       !   ª‹Ç¡ѹ»ÅÙ¡µŒ¹äÁŒ ¾ºÇ‹ÒµÅÍ´ªÕǵ¢Í§µŒ¹äÁŒ 1 µŒ¹ ÊÒÁÒö´Ù´«Ñº¡Ò« CO2 ä´Œ»ÃÐÁÒ³
                                           Ô
           1 µÑ¹

º·ÊÃØ»
       ¡ÒÃà»ÅÕè¹á»Å§¢Í§ÍÒ¡ÒÈ áÅÐÁÅÀÒÇзÕèà¡Ô´¨Ò¡¡Ô¨¡ÃÃÁ¡ÒôíÒà¹Ô¹ªÕÇÔµ»ÃШíÒÇѹ
¢Í§Á¹ØÉ㹻˜¨¨ØºÑ¹ÁÕʋǹʋ§àÊÃÔÁãËŒà¡Ô´âäÀÙÁÔᾌÁÒ¡¢Öé¹ áÅзíÒãËŒÍÒ¡Òâͧ¼ÙŒ»†ÇÂÃØ¹áç¢Öé¹
ÁÅÀÒÇйÕ§Áռŵ‹Í¡ÒÃà¨ÃÔ­àµÔºâµ¢Í§¾×ª·Õ໚¹µŒ¹µÍ¢Í§ÊÒá‹ÍÀÙÁᾌã¹ÍÒ¡ÒÈ·íÒãËŒÁ¡ÒüÅÔµ
         é Ñ                               è                     Ô                  Õ
ÊÒá‹ÍÀÙÁÔᾌà¾ÔèÁ¢Öé¹ áÅÐà¾ÔèÁ¤ÇÒÁÊÒÁÒö㹡Òá‹Íà¡Ô´ÀÙÁÔᾌ ¨Ö§ÁÕ¤ÇÒÁÊíҤѭáÅШíÒ໚¹·ÕèàÃÒ
¨ÐµŒÍ§¾ÂÒÂÒÁ»‡Í§¡Ñ¹ ËÃ×Í·íÒãËŒà¡Ô´¡ÒÃà»ÅÕ¹á»Å§¢Í§ÍÒ¡ÒÈã¹âÅ¡àÃÒ ¹ŒÍ·ÕÊ´à·‹Ò·Õ¨Ð໚¹ä»ä´Œ
                                         è                               èØ      è
ઋ¹ ¡ÒÃó礏ŴÀÒÇÐâšÌ͹áÅÐÁžÔÉã¹ÍÒ¡ÒÈ
àǪÈÒʵÏ·¹Âؤ 2553
          Ñ                                                                                                          413

àÍ¡ÊÒÃ͌ҧÍÔ§
1.    Ayres JG, .orsberg B, Annesi-Maesano I, et al. Climate change and respiratory disease: European Respiratory
      Society position statement. Eur Respir J 2009;34(2):295-302.
2.    IPCC 2007: summary for policy makers. In: Solomon S, Qin D, Manning M, Chen Z, Marquis M, Averyt KB,
      et al, ed. Climate change 2007: the physical science basis Contribution of the Working Group I to the .ourth
      Assessment Report of the Intergovernmental Panel on Climate Change. Cambridge, United Kingdom, and
      New York: Cambridge University Press.
3.    Beggs PJ. Impacts of climate change on aeroallergens: past and future. Clin Exp Allergy 2004;34(10):1507-13.
4.    Cortegano I, Civantos E, Aceituno E, et al. Cloning and expression of a major allergen from Cupressus
      arizonica pollen, Cup a 3, a PR-5 protein expressed under polluted environment. Allergy 2004;59(5):485-90.
5.    Armentia A, Lombardero M, Callejo A, et al. Is Lolium pollen from an urban environment more allergenic than
      rural pollen? Allergol Immunopathol (Madr) 2002;30(4):218-24.
6.    .ranze T, Weller MG, Niessner R, Poschl U. Enzyme immunoassays for the investigation of protein nitration
      by air pollutants. Analyst 2003;128(7):824-31.
7.    .ranze T, Weller MG, Niessner R, Poschl U. Protein nitration by polluted air. Environ Sci Technol 2005;39(6):
      1673-8.
8.    Gruijthuijsen YK, Grieshuber I, Stocklinger A, et al. Nitration enhances the allergenic potential of proteins. Int
      Arch Allergy Immunol 2006;141(3):265-75.
9.    Behrendt H, Becker WM. Localization, release and bioavailability of pollen allergens: the influence of environmental
      factors. Curr Opin Immunol 2001;13(6):709-15.
10.   Motta AC, Marliere M, Peltre G, Sterenberg PA, Lacroix G. Traffic-related air pollutants induce the release of
      allergen-containing cytoplasmic granules from grass pollen. Int Arch Allergy Immunol 2006;139(4):294-8.
11.   Bartra J, Mullol J, del Cuvillo A, et al. Air pollution and allergens. J Investig Allergol Clin Immunol 2007;17
      Suppl 2:3-8.
12.   Sydbom A, Blomberg A, Parnia S, Stenfors N, Sandstrom T, Dahlen SE. Health effects of diesel exhaust
      emissions. Eur Respir J 2001;17(4):733-46.
13.   Ormstad H, Johansen BV, Gaarder PI. Airborne house dust particles and diesel exhaust particles as allergen
      carriers. Clin Exp Allergy 1998;28(6):702-8.
14.   Schober W, Belloni B, Lubitz S, et al. Organic extracts of urban aerosol (< or =PM2.5) enhance rBet v 1-
      induced upregulation of CD63 in basophils from birch pollen-allergic individuals. Toxicol Sci 2006;90(2):377-84.
15.   Shea KM, Truckner RT, Weber RW, Peden DB. Climate change and allergic disease. J Allergy Clin Immunol
      2008;122(3):443-53; quiz 54-5.
16.   Ziska LH, Epstein PR, Schlesinger WH. Rising CO(2), climate change, and public health: exploring the links to
      plant biology. Environ Health Perspect 2009;117(2):155-8.
17.   Peteet D. Sensitivity and rapidity of vegetational response to abrupt climate change. Proc Natl Acad Sci U S
      A 2000;97(4):1359-61.
18.   .itter AH, .itter RS. Rapid changes in flowering time in British plants. Science 2002;296(5573):1689-91.
19.   Ziska LH, Gebhard DE, .renz DA, .aulkner S, Singer BD, Straka JG. Cities as harbingers of climate change:
      common ragweed, urbanization, and public health. J Allergy Clin Immunol 2003;111(2):290-5.
20.   Rogers CA, Wayne PM, Macklin EA, et al. Interaction of the onset of spring and elevated atmospheric CO2
      on ragweed (Ambrosia artemisiifolia L.) pollen production. Environ Health Perspect 2006;114(6):865-9.
21.   Breton MC, Garneau M, .ortier I, Guay ., Louis J. Relationship between climate, pollen concentrations of
      Ambrosia and medical consultations for allergic rhinitis in Montreal, 1994-2002. Sci Total Environ 2006;370(1):
      39-50.
414                                                                      Climate Change and Allergic Disease

22. Rasmussen A. The effects of climate change on the birch pollen season in Denmark. Aerobiologia 2002;18:
    253-65.
23. .renguelli G, Tedeschini E, Veronesi ., Bricchi E. Airborne pine (Pinus spp.) pollen in the atmosphere of
    Perugia (Central Italy): Behavior of pollination in the two last decades. Aerobiologia 2002;18:223-8.
24. Teranishi H, Kenda Y, Katoh T, Kasuya M, Oura E, Taira H. Possible role of climate change in the pollen
    scatter of Japanese cedar Cryptomeria japonica in Japan. Climate Res 2000;14:65-70.
25. Saxon A, Diaz-Sanchez D. Air pollution and allergy: you are what you breathe. Nature immunology 2005;6(3):
    223-6.
26. Trevino RJ. Air pollution and its effect on the upper respiratory tract and on allergic rhinosinusitis. Otolaryngol
    Head Neck Surg 1996;114(2):239-41.
27. Bjorksten ., Suoniemi I. Time and intensity of first pollen contacts and risk of subsequent pollen allergies. Acta
    Medica Scandinavica 1981;209(4):299-303.
28. Braat JP, Mulder PG, Duivenvoorden HJ, Gerth Van Wijk R, Rijntjes E, .okkens WJ. Pollutional and meteorological
    factors are closely related to complaints of non-allergic, non-infectious perennial rhinitis patients: a time series
    model. Clin Exp Allergy 2002;32(5):690-7.
29. Assanasen P, Naclerio RM. Cold, dry air and hyperosmolar challenge in rhinitis. In: Pawankar R, Holgate ST,
    Rosenwasser LJ, ed. Allergy frontiers: Clinical manifestations. Tokyo: Springer; 2009:157-71.
30. Gauderman WJ, Vora H, McConnell R, et al. Effect of exposure to traffic on lung development from 10 to 18
    years of age: a cohort study. Lancet 2007;369(9561):571-7.
31. McCreanor J, Cullinan P, Nieuwenhuijsen MJ, et al. Respiratory effects of exposure to diesel traffic in persons
    with asthma. N Engl J Med 2007;357(23):2348-58.
32. Edwards J, Walters S, Griffiths RK. Hospital admissions for asthma in preschool children: relationship to major
    roads in Birmingham, United Kingdom. Arch Environ Health 1994;49(4):223-7.
33. Lin S, Munsie JP, Hwang SA, .itzgerald E, Cayo MR. Childhood asthma hospitalization and residential
    exposure to state route traffic. Environ Res 2002;88(2):73-81.
34. Nicolai T, Carr D, Weiland SK, et al. Urban traffic and pollutant exposure related to respiratory outcomes and
    atopy in a large sample of children. Eur Respir J 2003;21(6):956-63.
35. McConnell R, Berhane K, Gilliland ., et al. Asthma in exercising children exposed to ozone: a cohort study.
    Lancet 2002;359(9304):386-91.
36. McDonnell W., Abbey DE, Nishino N, Lebowitz MD. Long-term ambient ozone concentration and the incidence
    of asthma in nonsmoking adults: the AHSMOG Study. Environ Res 1999;80(2 Pt 1):110-21.
37. Holz O, Mucke M, Paasch K, et al. Repeated ozone exposures enhance bronchial allergen responses in
    subjects with rhinitis or asthma. Clin Exp Allergy 2002;32(5):681-9.
38. Brunekreef B, .orsberg B. Epidemiological evidence of effects of coarse airborne particles on health. Eur
    Respir J 2005;26(2):309-18.
39. Pope CA, 3rd, Burnett RT, Thun MJ, et al. Lung cancer, cardiopulmonary mortality, and long-term exposure to
    fine particulate air pollution. JAMA 2002;287(9):1132-41.
40. Barck C, Lundahl J, Hallden G, Bylin G. Brief exposures to NO2 augment the allergic inflammation in asthmatics.
    Environ Res 2005;97(1):58-66.
41. Peden DB. Mechanisms of pollution-induced airway disease: in vivo studies. Allergy 1997;52(38 Suppl):37-44;
    discussion 57-8.
42. Energy Information Administration. International Energy Outlook 2008. Available at http://www.eia.doe.gov/
    oiaf/ieo/coal.html. Accessed March 30, 2008.
àǪÈÒʵÏ·¹Âؤ 2553
          Ñ                                                                º··Õè      415

                                                                            61
¡ÅàÁç´¡Ò÷íҧҹ໚¹·ÕÁ´ÙáżٻÇ¡ÐâËÅ¡ÈÕÃÉÐáÅÐãºË¹ŒÒ¼Ô´»¡µÔ
                               Œ †
Tip and Tricks of Multidisciplinary Approach in Craniofacial Care
                                       ÈÒʵÃÒ¨ÒÏ ¹ÒÂᾷÈÃÕ»ÃÐÊÔ·¸Ôì ºØ­ÇÔÊØ·¸Ôì
                    ÀÒ¤ÇÔªÒÈÑÅÂÈÒʵÏ ¤³Ðá¾·ÂÈÒʵÏÈÔÃÔÃÒª¾ÂÒºÒÅ ÁËÒÇÔ·ÂÒÅÑÂÁËÔ´Å
                                        ¼ÙŒª‹ÇÂÈÒʵÃÒ¨ÒÏ ´Ã.ÈÃÕÇÔÁÅ Áâ¹àªÕèÂǾԹԨ
                 ÀÒ¤ÇÔªÒàǪÈÒʵÏ¿¹¿Ù ¤³Ðá¾·ÂÈÒʵÏÈÃÃÒª¾ÂÒºÒÅ ÁËÒÇÔ·ÂÒÅÑÂÁËÔ´Å
                                  „œ                 ÔÔ
                                                  ·Ñ¹µá¾·ÂË­Ô§ÇÃó´Õ ¾ÅÒ¹ØÀÒ¾
                         §Ò¹·Ñ¹µ¡ÃÃÁ ¤³Ðá¾·ÂÈÒʵÏÈÔÃÔÃÒª¾ÂÒºÒÅ ÁËÒÇÔ·ÂÒÅÑÂÁËÔ´Å

          Craniofacial anomalies ËÁÒ¶֧¤ÇÒÁ¼Ô´»¡µÔ·à¡Ô´¢Ö¹¡Ñº¡ÐâËÅ¡ÈÕÃÉÐáÅÐãºË¹ŒÒ ÍÒ¨à¡Ô´
                                                    Õè é
¢Ö¹â´Â໚¹Ê‹Ç¹Ë¹Ö§¢Í§¡ÅØÁÍÒ¡Òà (syndrome) µ‹Ò§æËÃ×ÍÍÒ¨à¡Ô´¢Ö¹àͧâ´ÂäÁ‹·ÃÒºÊÒà˵ØáÅÐäÁ‹
  é                  è     ‹                                     é
¾ºÃ‹ÇÁ¡Ñº¡ÅØÁÍÒ¡ÒÃã´æ
               ‹
          ¡ÒôÙáżٻÇ»ҡáËÇ‹§à¾´Ò¹âËÇ‹«§ÁÕâÍ¡Òʾºä´ŒÁÒ¡·ÕÊ´¢Í§¤ÇÒÁ¼Ô´»¡µÔ¡ÐâËÅ¡ÈÕÃÉÐ
                   Œ †                     Öè                 èØ
áÅÐãºË¹ŒÒáÅФÇÒÁ¼Ô´»¡µÔ͹æáµ‹¡Òà¹Ô´ ÁÕǵ¶Ø»ÃÐʧ¤à¾×Í·íÒãËŒ¼»ÇÂ䴌ú¡ÒÃᡌä¢ãËŒËÒÂËÃ×Í
                              ×è     í        Ñ           è        ÙŒ † Ñ
ã¡ÅŒà¤Õ§¤ÇÒÁ»¡µÔáÅÐÊÒÁÒö´íÒçªÕǵÍÂÙã¹Êѧ¤Á䴌͋ҧ»¡µÔÊ¢·Ñ§·Ò§ÃٻËҧ ˹ŒÒ·Õ¡Ò÷íÒ§Ò¹
                                       Ô ‹                     Ø é             è
áÅШԵ㨠໚¹¡ÒôÙáÅâ´Â·ÕÁÇÔ·ÂÒ¡Ò÷ջÃСͺ´ŒÇ¼ÙàªÕÂǪҭ¨Ò¡ÊÒ¢Òµ‹Ò§æ ઋ¹ÈÑÅÂᾷ
                                         è            Œ è
µ¡áµ‹§ ÃѧÊÕᾷ·Ò§¡ÒÃÇÔ¹Ô¨©Ñ ¼ÙŒãËŒ¤íÒ»ÃÖ¡ÉÒ´ŒÒ¹¾Ñ¹¸ØÈÒʵÏ ¹Ñ¡á¡Œä¢¡ÒþٴáÅÐÀÒÉÒ
·Ñ¹µá¾·Â¨´¿˜¹ ·Ñ¹µá¾·ÂÊÒËÃѺà´ç¡ ·Ñ¹µá¾·Â»ÃдÔɰРâʵ ÈÍ ¹ÒÊԡᾷ ¹Ñ¡âʵÊÑÁ¼ÑÊ
             Ñ                   í
ÇÔ·ÂÒ »ÃÐÊÒ·ÈÑÅÂᾷ ¨Ñ¡ÉØá¾·Â ÈÑÅÂᾷªÍ§»Ò¡áÅСÃд١¢Ò¡ÃÃä¡Ã áÅÐÇÔÊ­­Õᾷ
                                                 ‹                               Ñ
໚¹µŒ¹ (1)



Çѵ¶Ø»ÃÐʧ¤¢Í§¡ÒÃÍÀÔ»ÃÒÂ
        1. ¹íÒàʹÍÅѡɳÐÍÒ¡ÒÃʋǹãË­‹·Õ辺¢Í§¼ÙŒ»†Ç¡ÐâËÅ¡ÈÕÃÉÐáÅÐãºË¹ŒÒ¼Ô´»¡µÔà¾×èÍ
ãˌᾷ·Çä»ÊÒÁÒöÇÔ¹¨©ÑÂä´Œ áÅÐÊÒÁÒöʋ§µ‹Í¼Ù»ÇÂä´Œ
          Ñè           Ô                      Œ †
        2. ¹íÒàʹͻ˜­ËҢͧ¡ÒÃÃÑ¡ÉÒáÅСÒ÷íҧҹ໚¹·ÕÁâ´Â੾ÒÐ ã¹Ê‹Ç¹¢Í§·Ñ¹µá¾·Â
¨Ñ´¿˜¹ ¹Ñ¡ÍÃöºíҺѴáÅÐÈÑÅÂᾷµ¡áµ‹§
        3. ¹íÒàʹͻÃѪ­Ò㹡Ò÷íÒ§Ò¹ »ÃÐ⪹¢Í§¡Ò÷íҧҹ໚¹·ÕÁáÅÐá¹Ç·Ò§á¡Œä¢
        4. ¹íÒàʹÍÃٻẺµ‹Ò§æ¢Í§·ÕÁ´Ùáżٌ»†ÇÂ¡ÅØ‹Á¹Õé áÅÐá¹Ç·Ò§¾Ñ²¹Ò͹Ҥµ¢Í§·ÕÁ
âç¾ÂÒºÒÅÈÔÃÔÃÒª
416                             ¡ÅàÁç´¡Ò÷íҧҹ໚¹·ÕÁ´ÙáżٻÇ¡ÐâËÅ¡ÈÕÃÉÐáÅÐãºË¹ŒÒ¼Ô´»¡µÔ
                                                            Œ †

µÒÃÒ§·Õè 1 ʶԵԼٌ»†Ç Craniomaxillofacial anomalies (CM.) ·ÕèÁÒµÃǨ·Ò§·Ñ¹µ¡ÃÃÁ¨Ñ´¿˜¹
           »‚ ¾.È 2550 – 2552
                              §Ò¹·Ñ¹µ¡ÃÃÁ âç¾ÂÒºÒÅÈÔÃÔÃÒª
                        Type of patient                              Cases
Group 1 : cleft lip and cleft palate/ facial cleft
                   New born                                            93
                   Childhood and adult                                 14
                   Pierre Robin sequence                                3
Group 2 : craniosynostosis syndrome
                   Apert’s syndrome                                    4
                   Crouzon’s syndrome                                  3
                   Treacher Collin syndrome                            1
                   Brachycephaly                                       1
Group 3 : facial deformity & AVM
                   TMJ problem                                         8
                   Hemifacial hypertrophy                              8
                   Aterio-venous malformation (AVM)                    7
                   Retrusion                                           1
                   Prognathism                                         7
                   Hemifacial microsomia                               6
Group 4 : trauma
                   .racture with mal-union                             4
Group 5 : others
                   Arinia                                              1
                   .rontonasal dysplasia                               1
                   Robinov syndrome                                    1
                   OSAS                                                1
Group 6 : Non – CM.
                   Orthodontic and orthognathic surgery                10
Total                                                                 174
àǪÈÒʵÏ·¹Âؤ 2553
          Ñ                                                                                   417




    ÃÙ»·Õè 1 ÅѡɳТͧ¤¹ä¢Œ·ÕèÁÕ¤ÇÒÁ¼Ô´»¡µÔ¢Í§¡ÐâËÅ¡ÈÕÃÉÐáÅÐãºË¹ŒÒª¹Ô´µ‹Ò§æ

          ¼Ù»ÇÂ¡ÅØÁ craniofacial anomalies ·ÕÍÒ¨¾ºä´Œã¹·Ò§·Ñ¹µ¡ÃÃÁ¨Ñ´¿˜¹Áѡ໚¹¡ÅØÁÍÒ¡ÒÃ
              Œ †       ‹                                  è                                 ‹
·Õ¾º¼Ô´»¡µÔ㹡ÒÃà¨ÃÔ­¢Í§¢Ò¡ÃÃä¡Ãº¹áÅТҡÃÃä¡Ãŋҧ
      è
          ¼ÙŒ»†ÇÂ¡ÅØ‹ÁÍÒ¡Ò÷Õè·íÒãËŒ¢Ò¡ÃÃä¡Ãº¹à¨ÃÔ­¹ŒÍ¼Դ»¡µÔ䴌ᡋ¼ÙŒ»†ÇÂã¹¡ÅØ‹ÁÍÒ¡Òà Apert,
Crouzon áÅÐ Pfeiffer ¼Ù»ÇÂàËŋҹըÐÁÕ¡ÒÃàª×ÍÁ¡Ñ¹¢Í§ÃÍ»ÃÐÊÒ¹á¹Ç¡Ãд١ºÃÔàdz¡ÐâËÅ¡ÈÕÃÉÐ
                              Œ †          é             è
áÅТҡÃÃä¡Ãº¹àÃçǡNjÒàÇÅÒÍѹ¤Çà (craniosynostosis) ¨Ö§à»š¹ÊÒà˵ØãËŒ¢Ò¡ÃÃä¡Ãº¹¶Ù¡ÂѺÂѧ           é
¡ÒÃà¨ÃÔ­ã¹·Ø¡æ·ÔÈ·Ò§ àÁ×ÍÊÑÁ¾Ñ¹¸¡º¢Ò¡ÃÃä¡Ãŋҧ·Õ໚¹»¡µÔ¨§áÊ´§ÍÍ¡ÅѡɳТͧ Skeletal
                                     è           Ñ                    è     Ö
class III ËÇÁ¡Ñº¤ÇÒÁ¼Ô´»¡µÔã¹á¹Ç´Ô§ ¿˜¹àÃÕ§µÑÇ«ŒÍ¹à¡Ãعáç
                                                   è
          ¼Ù»ÇÂ¡ÅØÁÍÒ¡Ò÷շÒãËŒ¢Ò¡ÃÃä¡Ãŋҧà¨ÃÔ­¹ŒÍ¼Դ»¡µÔ䴌ᡋ¼»Ç Pierre Robin sequence,
             Œ †      ‹           è í                                           ÙŒ †
Treacher Collins Syndrome áÅÐáÊ´§ÍÍ¡ÅѡɳРSkeleton class II â´Â¢Ò¡ÃÃä¡Ãº¹ÍÒ¨¨ÐÁÕ
¡ÒÃà¨ÃÔ­¹ŒÍ¡Njһ¡µÔઋ¹¡Ñ¹ ᵋäÁ‹Ã¹áç෋Òã¹¢Ò¡ÃÃä¡Ãŋҧ
                                               Ø
          ¤ÇÒÁ¼Ô´»¡µÔÍ¡»ÃÐàÀ·ºÃÔàdz¡ÐâËÅ¡ÈÕÃÉÐáÅÐãºË¹ŒÒ¤×Í ¡ÅØÁ craniofacial microsomia
                            Õ                                                        ‹
à´ÔÁà¤Âª×Í Hemifacial microsomia ᵋà¾ÃÒÐÁÑ¡¾º¤ÇÒÁ¼Ô´»¡µÔã¹Ê‹Ç¹¢Í§¡ÐâËÅ¡ÈÕÃÉÐËÇÁ´ŒÇÂ
           è
àÊÁÍ ¨Ö§à»ÅÕ蹪×èÍãËÁ‹ ¼ÙŒ»†ÇÂÃÒ¹Õé¨ÐÁÕãºË¹ŒÒàºÕéÂÇäÁ‹ÊÁÁҵà (facial asymmetry) â´Â¤ÇÒÁ
¼Ô´»¡µÔ¨ÐäÁ‹´¢¹àÁ×ͼٻÇÂÁÕÍÒÂØÁÒ¡¢Ö¹ áÅÐ໚¹µÑ§áµ‹¡Òà¹Ô´ ¾ÂÒ¸Ô¡Òà¹Ô´ÍÂÙ·Õè branchial arch
                  Õ Öé è Œ †                         é       é            í            í   ‹
(unilateral) ·Õè 1 áÅÐ 2ã¹¢³Ð·Õã¹âä Romberg disease ¼Ù»Ç¨ÐáÊ´§ÅѡɳТͧ facial asymmetry
                                       è                                Œ †
ઋ¹¡Ñ¹ ᵋäÁ‹ä´Œà»š¹µÑ§áµ‹¡Òà¹Ô´ áÅШÐàÃÔÁà¡Ô´¤ÇÒÁ¼Ô´»¡µÔã¹ÇÑÂ˹ØÁÊÒÇ ¤ÇÒÁ¼Ô´»¡µÔ¨Ðà¡Ô´¢Ö¹
                          é        í                   è                      ‹                é
੾ÒÐʋǹ¢Í§ soft tissue ·Õ»¡¤ÅØÁ¡Ãд١ 䴌ᡋª¹ä¢ÁѹáÅСŌÒÁà¹×Í áµ‹äÁ‹¾º¤ÇÒÁ¼Ô´»¡µÔ
                                         è                     Ñé                        é
·Õ¡Ãд١ãºË¹ŒÒáÅТҡÃÃä¡Ã¨Ö§ÂѧäÁ‹·ÃÒºÊÒà˵ءÒÃà¡Ô´
  è
          ¡ÒÃÃÑ¡ÉÒà¾×èÍᡌ䢤ÇÒÁ¼Ô´»¡µÔ¢Í§¢Ò¡ÃÃä¡ÃáÅÐÅѡɳÐÃٻ˹ŒÒã¹¼ÙŒ»†ÇÂ¡ÅØ‹Áµ‹Ò§æ
·Õ¡Å‹ÒÇÁÒ¢ŒÒ§µŒ¹ÂÖ´ËÅÑ¡ÊíҤѭ¤×ÍÁاᡌ䢡Ãд١ʋǹ·Õ¼´»¡µÔ ´ŒÇÂÇÔ¸Õ conventional osteotomy ËÃ×Í
    è                                        ‹                    è Ô
ÇÔ¸Õ distraction osteogenesis
418                            ¡ÅàÁç´¡Ò÷íҧҹ໚¹·ÕÁ´ÙáżٻÇ¡ÐâËÅ¡ÈÕÃÉÐáÅÐãºË¹ŒÒ¼Ô´»¡µÔ
                                                           Œ †

       ·Ñ¹µá¾·Â¨Ñ´¿˜¹à»š¹Ë¹Öè§ã¹¡ÅØ‹ÁºØ¤Åҡ÷ÕèËÇÁ¡Ñ¹ã¹¡ÒÃÃÑ¡ÉÒ ÁÕ˹ŒÒ·Õè㹡ÒÃÇÔ¹Ô¨©ÑÂÇ‹Ò
ÍÇÑÂÇÐã´·Õè໚¹ÍÇÑÂÇзÕèÁÕ¤ÇÒÁ¼Ô´»¡µÔáÅÐ໚¹µŒ¹à˵ØáË‹§»˜­ËÒáÅеŒÍ§ä´ŒÃѺ¡ÒÃá¡Œä¢ ÃÇÁ·Ñé§
ÇÒ§á¼¹¡ÒÃÃÑ¡ÉÒà¾×ÍãËŒ¼»ÇÂÊÒÁÒöº´à¤ÕÂÇä´ŒµÒÁ»¡µÔáÅÐÍҨᡌä¢ÃٻËҧãºË¹ŒÒãËŒ´¢¹à·‹Ò·Õè
                    è     ÙŒ †           é                                        Õ Öé
໚¹ä»ä´Œ
        (2)



á¹Ç·Ò§¡ÒÃÃÑ¡ÉÒ·Ò§·Ñ¹µ¡ÃÃÁ¨Ñ´¿˜¹Ã‹ÇÁ¡Ñº¡Òü‹ÒµÑ´
µÒÃÒ§·Õè 2 Time Estimates for Surgical – Orthodontic Treatment(3)
Stage of Treatment               Time Required      Comments
1. Presurgical orthodontics       2 to 12 months    Interval varies with difficulty of alignment
2. Surgery/hospitalization        1 to 5 days       Hospital stay typically requires 1 or 2 day.
                                                    One-jaw surgery now can be done without
                                                    overnight hospitalization.
3. Patient under surgeon’s care 3 to 8 weeks        Less time is required with rigid fixation
   before beginning postsurgical                    (3 to 5 weeks) than with maxillomandibular
   orthodontics                                     fixation (5 to 8 weeks)
4. Postsurgical orthodontics     3 to 6 months      Interval longer than 6 months indicates
                                                    a problem or inadequate preparation
àǪÈÒʵÏ·¹Âؤ 2553
          Ñ                                                            419

µÑÇÍ‹ҧ¤¹ä¢Œ·Õèä´ŒÃѺ¡ÒÃÃÑ¡ÉÒ
                               Bilateral cleft lip & palate

                 ¡‹Í¹



                 ËÅѧ




                        ¡‹Í¹



                        ËÅѧ



                           ÃÙ»·Õè 2 ¤¹ä¢Œ Bilat. Cleft lip & palate



                ¡‹Í¹




                ËÅѧ
                  ÃÙ»·Õè 3 ¤¹ä¢Œ Obturator with Nasoalveolar Molding
420                 ¡ÅàÁç´¡Ò÷íҧҹ໚¹·ÕÁ´ÙáżٻÇ¡ÐâËÅ¡ÈÕÃÉÐáÅÐãºË¹ŒÒ¼Ô´»¡µÔ
                                                Œ †



      ¡‹Í¹



      ËÅѧ


                    ÃÙ»·Õè 4 ¤¹ä¢Œ Mandibular prognathism



                       .acial asymmetry
       Orthodontics & orthognatic surgery (two jaw surgery)

             ¡‹Í¹



             ËÅѧ




        ¡‹Í¹


        ËÅѧ

                      ÃÙ»·Õè 5 ¤¹ä¢Œ .acial asymmetry
àǪÈÒʵÏ·¹Âؤ 2553
          Ñ                                                                                  421

¤ÇÒÁÊíҤѭ¢Í§»˜­ËÒ㹡ÒÃÃÑ¡ÉÒ ¡Ò÷íҧҹ໚¹·ÕÁ »ÃѪ­Òã¹
¡Ò÷íÒ§Ò¹ áÅÐá¹Ç·Ò§á¡Œä¢
·Ò§·Ñ¹µ¡ÃÃÁ
        ´ŒÒ¹¼Ù»ÇÂ
              Œ †
          1. ¼Ù»ÇÂÁÑ¡»ÃÐʺ»˜­ËÒ°Ò¹ÐÂÒ¡¨¹(4)
                    Œ †
                 ¤ÇèѴÁÙÅ¹Ô¸Ô ¡Í§·Ø¹ ËÃ×ÍÊÀÒ¡ÒªÒ´ ª‹Ç¤‹ÒÃÑ¡ÉÒ¾ÂÒºÒÅ »˜¨¨Øº¹ÁÕâ¤Ã§¡ÒÃÂÔÁ
                                                                               Ñ                é
ÊÇÂàÊÕ§ãÊ´ÙáÅà´ç¡¼Ù»Ç»ҡáËÇ‹§à¾´Ò¹âËÇ‹ «Ö§¨ÐÊÔ¹ÊØ´â¤Ã§¡ÒÃÀÒÂã¹»ÅÒ»‚ ¾.È. 2553 ¹Õé
                         Œ †                      è é
          2. ¼Ù»ÇÂʋǹãË­‹à»š¹¼Ù·Á¡ÒÃÈÖ¡ÉÒ¹ŒÍÂ
                     Œ †              Œ Õè Õ
                 ¡ÒÃࢌҶ֧¢ŒÍÁÙÅ ¡ÒÃãËŒ¤Ò͸ԺÒÂàÃ×ͧ¡Òû¯ÔºµµÇµ‹Ò§æ ઋ¹ ¡‹Í¹ËÃ×ÍËÅѧãÊ‹à¤Ã×ͧ
                                             í       è      Ñ Ô Ñ                             è
Á×Í·Ò§·Ñ¹µ¡ÃÃÁ¨Ñ´¿˜¹ ¤ÇÃ͸ԺÒÂÍ‹ҧªÑ´à¨¹ ÊѹáÅÐ䴌㨤ÇÒÁ ËÅѧ¨Ò¡¹Ñ¹¨íÒ໚¹µŒÍ§Áռ͸ԺÒÂ
                                                   é                     é                 ÙŒ
áÅеÃǨÊͺà¾×Í์¹¤ÇÒÁࢌÒ㨷ն¡µŒÍ§ÍÕ¡¤Ãѧ ʋǹ¡ÒÃÃÑ¡Éҹѹ¨íÒ໚¹µŒÍ§»¯ÔºµµÍ¼Ù»Ç´ŒÇÂ
                  è                 è Ù         é                 é              Ñ Ô ‹ Œ †
¤ÇÒÁàÁµµÒ·ÕʧÁÒ¡¾Í
             è Ù
        ´ŒÒ¹¼Ù»¯Ôºµ§Ò¹
              Œ Ñ Ô
            3. »˜­ËҢͧ¼Ù»ÇÂÁÑ¡ÁÕ¤ÇÒÁÂÒ¡áÅЫѺ«ŒÍ¹ (5)
                             Œ †
                ¤ÇÃÁÕ ¡ ÒûÃÐªØ Á µÃǨÇÔ ¹Ô ¨ ©Ñ  ãËŒ ¤ ÇÒÁàËç ¹ 㹡ÒÃÃÑ ¡ ÉÒâ´ÂÊËÇÔ · ÂÒ¡ÒÃ
(multidisciplinary) ¤Çº¤Ù¡¹Í‹ҧÊÁèÒàÊÁÍ ÁÕ¡ÒÃà¾ÔÁ¾Ù¹¤ÇÒÁÃÙã¹¡ÅØÁâ´Â¨Ñ´¡ÒúÃÃÂÒ study
                         ‹ Ñ                    í                  è         Œ      ‹
group »ÃЪØÁÇÔªÒ¡Òà ËÃ×Í´Ù§Ò¹µÒÁʶҹ·ÕµÒ§æ              è ‹
                ¼Ù»¯Ôºµ§Ò¹¾Ö§µÃÐ˹ѡáÅÐÀÒ¤ÀÙÁã¨ã¹§Ò¹·Õ·Ò·Ò áÅÐÁÕâÍ¡ÒÊ㹡ÒþѲ¹ÒÍ‹ҧ
                  Œ Ñ Ô                                          Ô      è Œ
ÁÒ¡ ¤ÇÃÁÕ¤ÇÒÁÍ´·¹áÅÐäÁ‹·Í¶ÍÂ㹡Òû¯ÔºµË¹ŒÒ·Õè
                                    Œ                       Ñ Ô
            4. ¡ÒÃãËŒà¡ÕÂõԫ§¡Ñ¹áÅСѹ㹷ÕÁ¼Ù»¯Ôºµ§Ò¹
                                 Öè                           Œ Ñ Ô
                ¼Ù»¯Ôºµ§Ò¹¤Çþ֧»¯ÔºµµÍ¡Ñ¹Í‹ҧ¡ÑÅÂÒ³ÁÔµÃ·Õ´Õ ¤ÇÃãËŒà¡ÕÂõԵ͡ѹáÅФԴNjÒ
                   Œ Ñ Ô                          Ñ Ô ‹                        è          ‹
·Ø¡¤¹ÅŒÇ¹ÁÕ¤ÇÒÁÊíҤѭ㹷ءÊÒ¢Ò ¡ÒÃÃÑ¡ÉÒ¨ÐÊíÒàÃç¨ÁÔä´Œ¶Ò¢Ò´ÊÒ¢Òã´ÊÒ¢Ò˹֧ ¹Í¡¨Ò¡¹Õ§໚¹
                                                                      Œ               è     éÑ
¡ÒÃÅ´ÍѵµÃÒ (ego) ã¹µÑÇàͧãˌè¡¡Ò÷íҧҹ໚¹·ÕÁ
                                        ÙŒ Ñ
            5. ¡íÒÅѧ¤¹¼Ù»¯Ôºµ§Ò¹
                          Œ Ñ Ô
                ÍÒ¨·íÒã¹ÃÙ»¼Ù»¯Ôºµ§Ò¹ÍÒÊÒÊÁѤúҧàÇÅÒ ¨Ñ´à»š¹Èٹ¡ÅÒ§¡ÒÃàÃÕ¹¡ÒÃÊ͹´ŒÒ¹
                               Œ Ñ Ô
¹Õâ´Â੾ÒÐ áÅÐÁÕ¼»ÃÐÊÒ¹§Ò¹·Õ´áÅÐࢌÁá¢ç§ (co-ordinator)
  é                  ÙŒ                   è Õ
            6. ´ŒÒ¹¤‹ÒµÍºá·¹¼Ù»¯Ôºµ§Ò¹     Œ Ñ Ô
                ÍÒ¨ÁÕ¹âºÒÂà¾ÔÁ¤‹ÒµÍºá·¹ãËŒ¼»¯Ôºµ§Ò¹ã¹ÊÒ¢Ò·Õ¢Ò´á¤Å¹ ÊÔ§ÊíҤѭ¼Ù»¯ÔºµÔ
                                      è                        ÙŒ Ñ Ô             è     è   Œ Ñ
§Ò¹¤ÇÃÁÕ¤ÇÒÁÊØ¢áÅФÇÒÁÀÒ¤ÀÙÁã¨ã¹¤ÇÒÁàÊÕÂÊÅзíÒ§Ò¹à¾×ͼٴÍÂâÍ¡ÒÊ ª‹ÇÂÅ´ª‹Í§Ç‹Ò§·Ò§
                                              Ô                             è Œ Œ
àÈÃɰʶҹРÃÐËNjҧ¤¹ÃÇÂáÅФ¹´ŒÍÂâÍ¡ÒÊ
422                                       ¡ÅàÁç´¡Ò÷íҧҹ໚¹·ÕÁ´ÙáżٻÇ¡ÐâËÅ¡ÈÕÃÉÐáÅÐãºË¹ŒÒ¼Ô´»¡µÔ
                                                                      Œ †

»ÃÐ⪹¢Í§¡Ò÷íҧҹ໚¹·ÕÁ
        ¼Ù»Ç¡ÐâËÅ¡ÈÕÃÉÐáÅÐãºË¹ŒÒ¼Ô´»¡µÔ (craniofacial anomalies)(6)
          Œ †
        1. ÁÕâÍ¡ÒÊä´Œ¾º¼ÙÁ¤ÇÒÁÃÙŒ ¤ÇÒÁàªÕÂǪҭã¹ÊÒ¢Òµ‹Ò§æËÅÒ¡ËÅÒÂÊÒ¢Ò à¾ÕÍແ´ÁØÁÁͧ
                          Œ Õ            è                                    è
㹡ÒÃÃÑ¡ÉÒãËÁ‹æà¾ÔÁ¢Ö¹
                   è é
        2. ÊÒÁÒö¹íÒ¢ŒÍÁÙżٻÇÂÁҨѴ·íÒ໚¹¼Å§Ò¹ã¹´ŒÒ¹µ‹Ò§æàª‹¹ Ἃ¹¾Ñº ¤ÙÁÍÃÒ§ҹ¼Ù»ÇÂ
                              Œ †                                         ‹ ×       Œ †
µíÒÃÒ µÅÍ´¨¹ÊÌҧ§Ò¹ÇÔ¨ÂãËÁ‹æä´Œ
                        Ñ
        3. ÊÌҧâÍ¡ÒÊ㹡ÒþѲ¹Ò¤ÇÒÁÃÙ੾ÒеÑǼٻ¯Ôºµ§Ò¹µÅÍ´¨¹Ë¹‹Ç§ҹâ´ÂÃÇÁ ¾Ö§ÃÐÅÖ¡
                                      Œ        Œ Ñ Ô
àÊÁÍNjһ˜­ËÒáÅÐÍØ»ÊÃä·Õà¡Ô´¢Ö¹à»š¹¤ÇÒÁ·ŒÒ·ÒÂÊÒÁÒö¹íÒÁÒᡌä¢áÅоѲ¹Òã¹ÅíҴѺµ‹Íä»
                            è é

͹Ҥµ¢Í§·ÕÁ
        ÁÕ¡ÒûÃÐàÁÔ¹¡Ò÷íÒ§Ò¹·Õ¼Ò¹ÁҢͧ¤ÅÔ¹¡á¡Œä¢¤ÇÒÁ¼Ô´»¡µÔ¢Í§ãºË¹ŒÒáÅСÐâËÅ¡ÈÕÃÉÐ
                               è ‹             Ô
µÑ§áµ‹ ¾.È. 2535 ¨¹¶Ö§»˜¨¨Øº¹ ¾.È. 2553 ໚¹àÇÅÒ 19 »‚áÅŒÇ µÅÍ´¨¹ÍÀÔ»ÃÒ¶֧͹Ҥµ¢Í§·ÕÁ
  é                         Ñ
µ‹Íä»ã¹àÃ×ͧ¡ÒÃ໚¹¤ÅÔ¹¡ËÃ×ÍÈٹ¡ÒÃÃÑ¡ÉÒà¾×;Ѳ¹Ò§Ò¹´ŒÒ¹¹ÕãËŒ¡ÒÇ˹ŒÒµ‹Íä»(7)
          è             Ô                    è               é Œ

àÍ¡ÊÒÃ͌ҧÍÔ§
1.    ºÇÃÈÔŻРàªÒǏª¹. ¡ÒôÙáÅẺÊËÇÔ·ÂÒ¡Òâͧ¼Ù»Ç»ҡáËÇ‹§ ྴҹâËÇ‹ áÅФÇÒÁ¾Ô¡ÒÃᵋ¡Òà¹Ô´¢Í§ãºË¹ŒÒáÅÐ
                        ×è                                Œ †                                            í
      ¡ÐâËÅ¡ÈÕÃÉÐ / ºÇÃÈÔŻРªÇ¹ª×¹, ອ¨ÁÒÈ ¾Ã¸Ò¹Õ, ¨ÒÃØ³Õ Ãѵ¹ÂÒµÔ¡Å. ¢Í¹á¡‹¹: ÈÔÃÀ³±ÍÍ¿à«ç·; 2547.
                                          è                                      Ø                 Ô Ñ
2.    ÊÁõÃÕ ÇÔ¶¾Ã “àÍ¡ÊÒûÃСͺ¤íÒÊ͹ËÑÇ¢ŒÍ Craniofacial syndrome” ¤³Ð·Ñ¹µá¾·Â¨ÌÒÏ 2008
                  Õ                                                                              Ø
3.    Proffit WR, et.al. Comtemporary treatment of dentofacial deformity. Mosby ;2003.
4.    ¤ÙÁÍ¡ÒôíÒà¹Ô¹§Ò¹â¤Ã§¡Òà “ÂÔÁÊÇ àÊÕ§ãÊ” ÊíҹѡºÃÔËÒÃÊÒ¸ÒÃ³ÊØ¢ÀÙÁÀÒ¤ ¡ÃзÃǧÊÒ¸ÒÃ³ÊØ¢ ¾ÔÁ¾¤Ãѧ·Õè 2
        ‹ ×                             é                                           Ô                                é
      ¡Ñ¹ÂÒ¹ 2550 âç¾ÔÁ¾àÇÔä¾ÃÔ¹· 93 ¡Ãا෾ÁËÒ¹¤Ã 10200
                                      é
5.    Kummer AW Cleft palate and craniofacial anomalies: the effect on speech and resonance San Diego
      2001:Singular
6.    ÃѧÊÔ ¶ÒÇÃѧ¡ÙÃ. Interdisciplinary study àgroup in Taipei, the efficiency active leaning in dentistry ÇÒÃÊÒà We care
      We share 2010:2:1
7.    ÈÃÕ»ÃÐÊÔ·¸Ôì ºØ­ÇÔÊ·¸Ô.ì »ÃÐʺ¡Òó 10 »‚ 㹤ÅÔ¹¡ÈÑÅ¡ÃÃÁãºË¹ŒÒáÅСÐâËÅ¡ÈÕÃÉÐÈÔÃÃÒª ¡ÒûÃЪØÁÇÔªÒ¡ÒÃ
                           Ø                                  Ô                                        Ô
      ¤ÃºÃͺ 10 »‚ ¢Í§¤ÅÔ¹¡¤ÇÒÁ¾Ô¡ÒáÐâËÅ¡ÈÕÃÉÐáÅÐãºË¹ŒÒÈÔÃÃÒª 2545:1
                                Ô                                        Ô
àǪÈÒʵÏ·¹Âؤ 2553
          Ñ                                                                                          423

¡ÅàÁç´¡Ò÷íÒ§Ò¹¢Í§¹Ñ¡ÍÃöºíҺѴ㹰ҹÐ໚¹ÊÁÒªÔ¡¡ÅØ‹Á˹Öè§
¢Í§·ÕÁ´Ùáżٌ»†Ç¡ÐâËÅ¡ÈÕÃÉÐáÅÐãºË¹ŒÒ·Õè¼Ô´»¡µÔ
»ÃѪ­Ò¡Ò÷íÒ§Ò¹
             à¾×ÍãËŒÊÍ´¤ÅŒÍ§¡Ñº»ÃѪ­Ò¡Ò÷íÒ§Ò¹¢Í§ Siriraj Craniomaxillofacial Team 㹡ÒôÙáÅÃÑ¡ÉÒ
                è
¼Ù»Ç·ÕÁ¤ÇÒÁ¼Ô´»¡µÔ¢Í§¡ÐâËÅ¡ÈÕÃÉÐáÅÐãºË¹ŒÒ·ÕÁ§ÁѹãËŒ¼»ÇÂÊÒÁÒöÃѺ»ÃзҹÍÒËÒÃä´Œ
   Œ † è Õ                                                    è Ø‹ è   ÙŒ †
ÁÕ˹ŒÒµÒÃÙ»ÅѡɳÐâ¤Ã§ÊÌҧãºË¹ŒÒ·Õè´Õ áÅÐÁÕ¡Òþٴ·Õ軡µÔ ´Ñ§¹Ñé¹»ÃѪ­Ò¡Ò÷íÒ§Ò¹¢Í§ÊÒ¢Ò
ÍÃöºíҺѴ ¤×Í ª‹ÇÂàËÅ×Í Ê‹§àÊÃÔÁ ½ƒ¡ËÑ´ á¡Œä¢ ¿„¹¿ÙãËŒ¼»Ç·ءÃÒÂÁÕ “ ¾Ù´ªÑ´ àÊÕ§ãÊ ä´Œã¨¤ÇÒÁ”
                                                           œ      ÙŒ †
ãËŒàËÁ×͹¤¹»¡µÔËÃ×Íã¡ÅŒà¤Õ§»¡µÔÁÒ¡·ÕÊ´à·‹Ò·Õ·Òä´Œ «Ö§ËÁÒ¤ÇÒÁÇ‹Ò ¼Ù»Ç¤ÇÃ䴌ú¡ÒúÃÔ¡ÒÃ
                                                   èØ     è í       è           Œ †          Ñ
·Õ´·Ê´ ¹Ñ¡ÍÃöºíҺѴ¼ÙãËŒºÃÔ¡Ò÷ءÃÒ¤ÇÃ㪌·ÃѾÂҡ÷ءÍ‹ҧ·ÕÁÃÇÁ¶Ö§¡ÒÃÊ‹§»ÃÖ¡ÉÒà¾×Íà¾ÔÁ
    è Õ Õè Ø                   Œ                                            è Õ                   è è
¤Ø³ÀÒ¾¢Í§§Ò¹ºÃÔ¡Òà ¹Ñ¡ÍÃöºíҺѴ¤ÇõÃÐ˹ѡ¶Ö§¢Õ´¨íÒ¡Ñ´¢Í§ÇÔªÒªÕ¾ áÅÐÊ׺ËÒ¤íÒá¹Ð¹íÒáÅÐ
Ê‹ § »ÃÖ ¡ ÉÒàÁ×è Í ¡Òô٠á żٌ »† Ç Âà¡Ô ¹ ¢Õ ´ ¤ÇÒÁÊÒÁÒö¢Í§µ¹àͧ·Õè ä ´Œ ¨ Ò¡¡Òýƒ ¡ ½¹àÃÕ Â ¹ÃÙŒ á ÅÐ
»ÃÐʺ¡Òó
             µÑÇá»ÃàÊÃÔÁ㹡ÒûÃÐàÁÔ¹áÅÐÃÑ¡ÉÒµÒÁࡳ±ÁҵðҹÊҡŤ×Í ¼Ù·Á»­ËÒ¡ÒþٴáÅÐŒ Õè Õ ˜
ÀÒÉÒ¤ÇÃä´ŒÃѺ¡ÒûÃÐàÁÔ¹â´ÂÊÁÒªÔ¡¢Í§·ÕÁÊËÊÒ¢ÒÇÔªÒªÕ¾ áÅФÇÃä´ŒÃѺ¡Òýƒ¡á¡Œä¢¿„œ¹¿Ù
¡ÒþٴáÅСÒÃÊ×ÍÊÒÃàÁ×;ٴÀÒÉÒ¾Ù´áÅСÒÃÊ×ÍÊÒ÷ÕàºÕ§ູ¨Ò¡»¡µÔ
                     è       è                          è      è è

¡Ò÷íҧҹ໚¹·ÕÁÊËÊÒ¢ÒÇÔªÒªÕ¾(1-4)
        ÇÔ¸¡ÒÃࢌҶ֧»˜­ËÒ ÇÔ¸¡ÒèѴ¡ÒôÙáÅ»˜­ËÒÃÇÁ ËÇÁ¡Ñ¹à»š¹¡Ò÷íҧҹẺÊËÊÒ¢ÒÇÔªÒªÕ¾
           Õ                  Õ
¡ÒûÃÐàÁÔ¹áÅÐÃÑ¡ÉÒ¼Ù»ÇÂÁÕ¤ÇÒÁÊíҤѭà¾ÃÒмÙàªÕÂǪҭã¹áµ‹ÅÐÇÔªÒªÕ¾ÊÒÁÒöãËŒ¡ÒûÃÐàÁÔ¹
                        Œ †                    Œ è
ÇÔ¹¨©Ñ ãËŒ¢ÍÁÙÅ·Õᵡµ‹Ò§ËÅÒ¡ËÅÒ ÊÒÁÒöàµÃÕÂÁá¼¹¡ÒôÙáÅÃÑ¡ÉÒâ´Â੾ÒÐá¡‹¼»ÇÂÃÒ·Õè
   Ô         Œ     è                                                           ÙŒ †
ÁÕ»­ËҫѺ«ŒÍ¹ ¼ÙàªÕÂǪҭã¹áµ‹ÅÐÇÔªÒªÕ¾ÊÒÁÒö´ÙáÅ»˜­ËÒ·Õʺà¹×ͧÁÒ¨Ò¡¤ÇÒÁº¡¾Ã‹Í§¹Ñ¹ä´Œ
     ˜            Œ è                                      è× è                     é
·íÒãËŒ¤ÇÒÁº¡¾Ã‹Í§·Ø¡Í‹ҧ䴌ÃѺ¡ÒôÙáÅá¡Œä¢ ¡ÒûÃÐàÁÔ¹áÅСÒôÙáÅÃÑ¡ÉҢͧ·ÕÁÊËÊÒ¢Ò
ÇԪҪվ㹡ÒôÙáżٌ»†ÇÂ¡ÅØ‹Á¹Õé䴌ᡋ ¡Òü‹ÒµÑ´á¡Œä¢ ¡ÒûÃÐàÁÔ¹·Õè¤Ãͺ¤ÅØÁ¶Ö§¡ÒûÃÐàÁÔ¹
â¤Ã§ÊÌҧáÅоѲ¹Ò¡ÒâͧÍÇÑÂÇзÕà¡ÕÂÇ¢ŒÍ§ ¡ÒõÃǨ¡ÒÃ䴌¹ ¡ÒûÃÐàÁÔ¹¡ÒþٴáÅÐÀÒÉÒ
                                    è è                      Ô
à¨ÃÔ­àµÔºâµáÅоѲ¹Ò¡Òâͧ¿˜¹ ¡ÒÃʺ¢Í§¿˜¹áÅÐãºË¹ŒÒ ¡ÒûÃѺµÑÇ·Ò§ÍÒÃÁ³áÅÐÊѧ¤Á

ÊÁÒªÔ¡¢Í§·ÕÁÊËÊÒ¢ÒÇÔªÒªÕ¾(1-4)
        ÊÁÒªÔ¡ËÅÑ¡¢Í§·ÕÁÊËÊÒ¢ÒÇÔªÒªÕ¾¢Í§ Siriraj craniomaxillofacial team »ÃСͺ´ŒÇÂ
¼ÙàªÕÂǪҭ¨Ò¡ÊÒ¢Òµ‹Ò§æ´Ñ§¹Õé 䴌ᡋ ᾷÈÅÂÈÒʵϵ¡áµ‹§ ᾷ¼àªÕÂǪҭἹ¡âʵ ¹ÒÊÔ¡
  Œ è                                      Ñ                   ÙŒ è
ÅÒÃÔ§¤ ¾ÂÒºÒÅ ¡ØÁÒÃᾷ ᾷ¼àªÕÂǪҭ·Ò§¾Ñ¹¸ØÈÒʵÏ ¹Ñ¡ÍÃöºíҺѴ (ËÃ×͹ѡᡌ䢡ÒÃ
                                    ÙŒ è
¾Ù´ ËÃ×͹ѡàǪÈÒʵÏ¡ÒÃÊ×ͤÇÒÁËÁÒÂ) ¹Ñ¡âʵÊÑÁ¼ÑÊÇÔ·ÂÒ ·Ñ¹µá¾·Âà©¾Òзҧà´ç¡ ·Ñ¹µá¾·Â
                         è
¨Ñ´¿˜¹ ¹Ñ¡¨ÔµÇÔ·ÂÒ/¨Ôµá¾·Â) áÅйѡÊѧ¤Áʧà¤ÃÒÐˏ
424                             ¡ÅàÁç´¡Ò÷íҧҹ໚¹·ÕÁ´ÙáżٻÇ¡ÐâËÅ¡ÈÕÃÉÐáÅÐãºË¹ŒÒ¼Ô´»¡µÔ
                                                            Œ †

¢ŒÍ´Õ¢Í§¡Ò÷íҧҹ໚¹·ÕÁÊËÊÒ¢ÒÇÔªÒªÕ¾(1-4)
         ¢ŒÍ´Õ¢Í§¡ÒôÙáÅẺÊËÊÒ¢ÒÇÔªÒªÕ¾·Õ·Ò§Ò¹à»š¹·ÕÁ¤×Í à»š¹¡ÒôÙáżٻÇÂâ´Â¼ÙàªÕÂǪҭ
                                           è í                            Œ †   Œ è
ÇÔªÒªÕ¾µ‹Ò§æâ´ÂÁÕ¼»ÇÂ໚¹Èٹ¡ÅÒ§ ·íÒãˌ䴌¡ÒôÙáÅ·ÕÁ¤³ÀÒ¾áÅÐÁÕ»ÃÐÊÔ·¸ÔÀÒ¾·Ñ§´ŒÒ¹¡ÒÃ
                    ÙŒ †                             è Õ Ø                       é
ࢌҶ֧»˜­ËÒ¡ÒûÃÐàÁÔ¹áÅСÒôÙáÅÃÐËNjҧÊÒ¢ÒÇÔªÒªÕ¾
         ¢ŒÍ´Õ¢Í§¡ÒÃÁÕ¨´»ÃÐʧ¤¢Í§¡Ò÷íҧҹËÇÁ¡Ñ¹ ¤×Í ãËŒºÃÔ¡ÒôÙáÅ·ÕÁ¼»ÇÂ໚¹Èٹ¡ÅÒ§
                         Ø                                            è Õ ÙŒ †
Å´¤ÇÒÁÊѺʹ«éíÒ«ŒÍ¹¢Í§º·ºÒ·¡Ò÷íÒ§Ò¹¢Í§áµ‹ÅÐÇÔªÒªÕ¾ ÊÌҧ¡Ò÷íҧҹ໚¹·ÕÁ Å´¤ÇÒÁ
àËÅ×ÍÁÅéÒáÅÐà¾ÔÁ¤ÇÒÁàÊÁÍÀÒ¤¢Í§ÊÒ¢ÒÇÔªÒªÕ¾ ·íÒãËŒà¡Ô´¡ÒôÙáÅÍ‹ҧµ‹Íà¹×ͧ ໇ÒËÁÒ¢ͧ¡ÒÃ
    è í         è                                                       è
ÃÑ¡ÉÒËÇÁ¡Ñ¹ ẋ§»˜¹à·¤¹Ô¤ÇÔ¸¡ÒÃ㪌ÃÇÁ¡Ñ¹à¾×Í¡ÒÃÃÑ¡ÉÒ·Ò§¡ÒÃᾷáÅСÒÃÈÖ¡ÉÒ
                             Õ      ‹       è

ÅѡɳСÒ÷íÒ§Ò¹¢Í§·ÕÁÊËÊÒ¢ÒÇÔªÒªÕ¾(1-6)
       ¡Åä¡¡Ò÷íҧҹËÇÁ¡Ñ¹¢Í§ Siriraj craniomaxillofacial team ໚¹ÅѡɳСÒûÃЪØÁËÇÁ
Ẻ craniomaxillofacial forum áÅÐ craniomaxillofacial conference â´ÂÁÕÊÒ¢ÒÈÑÅÂÈÒʵϵ¡áµ‹§
໚¹á¡¹ËÅÑ¡ ÁÕ¼»ÃÐÊÒ¹§Ò¹ÃÐËNjҧÊҢҷѧËÁ´ ÁÕ¡ÒÃÍÍ¡µÃǨ·ÕËͧµÃǨâä¼Ù»Ç¹͡ËÇÁ¡Ñ¹
               ÙŒ                        é                     è Œ           Œ †
¡Ò÷íÒ§Ò¹Ê×ÍÊÒÃàª×ÍÁµ‹Í¡Ñ¹â´Â㪌àǪÃÐàºÕ¹ ¡Òúѹ·Ö¡áÅШѴ·íÒÃÒ§ҹ ¡ÒõԴµ‹ÍÊ×ÍÊÒÃÃÐËNjҧ
           è      è                                                              è
ºØ¤ÅÒ¡ÃáÅÐËÃ×͡Ѻ·ÕÁ§Ò¹ ¡ÒÃâ·ÃÈѾ·»ÃÖ¡ÉÒãËŒ¤Òá¹Ð¹íÒËÃ×Í¡ÒÃÊѧࡵ¡Òóâ´ÂµÃ§
                                                  í

       ÃٻẺ¡Ò÷íÒ§Ò¹(2,3,6)
       ¢Ñ¹µÍ¹ ÃٻẺ¢Í§¡Ò÷íҧҹ໚¹·ÕÁ 䴌ᡋ ·ÕÁ§Ò¹Ê‹§¡ÒûÃÖ¡ÉÒÃÐËNjҧ¡Ñ¹ ãËŒËÃ×Í/¢Í¤íÒ
         é
á¹Ð¹íÒã¹¼Ù»ÇÂÃÒ·ÕÁ¤ÇÒÁÅíҺҡ㹡ÒÃÇÔ¹¨©ÑÂá¡âä ·ÕÁ§Ò¹à»š¹áËÅ‹§¤ÇÒÁÃÙáÅÐáËÅ‹§¡ÒÃ
           Œ †     è Õ                  Ô                                     Œ
ÈÖ¡ÉÒ ÊÁÒªÔ¡·ÕÁ§Ò¹ÊÒÁÒöãËŒ¡ÒûÃÐàÁÔ¹ºÒ§Í‹ҧ·ÕäÁ‹ÊÒÁÒö·íÒä´Œ´ÇÂÇÔªÒªÕ¾à´ÕÂÇà´ÕÂÇæ ઋ¹
                                                 è                Œ              è
imaging studies, ¡ÒûÃÐàÁÔ¹¡ÒÃÃÑ¡ÉÒ´ŒÇÂÇÔ¸¡Òü‹ÒµÑ´ ¡ÒûÃÐàÁÔ¹àÊÕ§¾Ù´´ŒÇÂÇÔ¸¾àÈÉ
                                          Õ                                  Õ Ô

¤ÇÒÁÃѺ¼Ô´ªÍº¢Í§·ÕÁ§Ò¹(1-4)
        ¶Ö§áÁŒÇÒÊÁÒªÔ¡·ÕÁÊËÊÒ¢ÒÇÔªÒªÕ¾ÁÕ˹ŒÒ·Õú¼Ô´ªÍºã¹ÃÒÂÅÐàÍÕ´·Õᵡµ‹Ò§¡Ñ¹ ᵋâ´Â
               ‹                                èÑ                  è
·ÑÇä»áŌǷÕÁ§Ò¹¨Ð¤ÇÒÁÃѺ¼Ô´ªÍºÃ‹ÇÁ¡Ñ¹ ¤×Í
  è
        - ·Ø¡½†Ò¤ÇõÃÐ˹ѡ¶Ö§¤ÇÒÁµŒÍ§¡Òâͧ¼Ù»ÇÂᵋÅÐÃÒÂáÅÐãËŒ¤ÇÒÁª‹ÇÂàËÅ×Í
                                                   Œ †
        - ¼ÙŒãËŒºÃÔ¡ÒõŒÍ§ÁÕ¡ÒûÃÐàÁÔ¹¼ÙŒ»†ÇÂ໚¹ÃÐÂÐæÍ‹ҧÊÁèíÒàÊÁ͵ÒÁࡳ±Áҵðҹ
ÇÔªÒªÕ¾¢Í§µ¹àͧ
        - ·ÕÁÊËÊÒ¢ÒÇÔªÒªÕ¾¤ÇèѴµÒÃÒ§àÇÅÒ»ÃЪØÁáÅÐÍÀÔ»ÃÒÂËÇÁ¡Ñ¹ÃÐËNjҧ·ÕÁ
        - ·ÕÁÊËÊÒ¢ÒÇÔªÒªÕ¾¤ÇþѲ¹ÒÇÒ§á¼¹¡ÒÃÃÑ¡ÉÒµÒÁ¤ÇÒÁµŒÍ§¡Òâͧ¼Ù»Ç   Œ †
        - ¼ÙãËŒºÃÔ¡ÒÃᵋÅÐÊÒ¢Ò¤Ç贺ѹ·Ö¡¡ÒôÙáÅÃÑ¡Éҷء͋ҧ
             Œ
        - ·ÕÁÊËÊÒ¢ÒÇÔªÒªÕ¾¤ÇÃÊ×ÍÊÒâŒÍÁÙÅ·Õ¾ºáÅÐãËŒ¢ÍàʹÍá¹Ð
                                 è            è        Œ
àǪÈÒʵÏ·¹Âؤ 2553
          Ñ                                                                            425

ÍØ»ÊÃä¡Ò÷íÒ§Ò¹¢Í§·ÕÁÊËÊÒ¢ÒÇÔªÒªÕ¾
        »˜¨¨Ñ·ÕèÍÒ¨¡‹ÍãËŒà¡Ô´ÍØ»ÊÃä¢Í§¡Ò÷íҧҹ໚¹·ÕÁ䴌ᡋ ¡Òýƒ¡½¹à©¾Òзҧ·ÕèÁÕ¨íÒ¡Ñ´
»ÃÐʺ¡Òó¢Í§áµ‹ÅÐÊÒ¢ÒÇÔªÒªÕ¾·Õᵡµ‹Ò§¡Ñ¹ ¤ÇÒÁᵡµ‹Ò§¢Í§ÇѲ¹¸ÃÃÁ Êѧ¤Á ÊÔ§áÇ´ÅŒÍÁ
                                       è                                         è
¤ÇÒÁàµçÁã¨ËÃ×ͤÇÒÁµŒÍ§¡Òâͧ¼Ù»Ç¼ÙúºÃÔ¡ÒÃ
                                     Œ † ŒÑ
        ¢Õ´¨íÒ¡Ñ´¢Í§§Ò¹ºÃÔ¡ÒÃẺ·ÕÁÊËÊÒ¢ÒÇԪҪվ䴌ᡋ »˜¨¨Ñ´ŒÒ¹¤ÇÒÁäÁ‹¤Å‹Í§·Ò§àÈÃɰ¡Ô¨
¡ÒâҴá¤Å¹áËÅ‹§·Ø¹·ÃѾ »˜¨¨Ñ´ŒÒ¹¤ÇÒÁµŒÍ§¡ÒäÇÒÁ¨íÒ໚¹·Ò§¡ÒÃᾷ ¡Ñº¤ÇÒÁµŒÍ§¡ÒÃ
¤ÇÒÁ¨íÒ໚¹·Ò§¡ÒÃÈÖ¡ÉÒ »˜¨¨Ñ´ŒÒ¹ÀÙÁÈÒʵϾ¹·ÕÍÂÙÍÒÈÑ »˜¨¨Ñ´ŒÒ¹¼ÙÁÊǹ䴌ÊǹàÊÕ ºØ¤¤Å
                                         Ô        ×é è ‹             Œ Õ‹      ‹
·ÕÊÒÁ ¨íҹǹ¼ÙãËŒºÃÔ¡Ò÷բҴá¤Å¹ §º»ÃÐÁÒ³·ÕäÁ‹à¾Õ§¾Í »˜¨¨Ñ´ŒÒ¹¾‹ÍáÁ‹¼»¡¤Ãͧ·Ñ§·Ò§
  è             Œ          è                        è                       ÙŒ      é
´ŒÒ¹Êѧ¤Á àÈÃɰ¡Ô¨ ¤ÇÒÁà¤ÃÕ´áÅÐÍÒÃÁ³ »˜¨¨Ñ´ŒÒ¹¾‹ÍáÁ‹¼»¡¤Ãͧ·ÕÍÒ¨¶Ù¡¤Ãͺ§íÒ´ŒÇ¤ÇÒÁ
                                                          ÙŒ       è
µŒÍ§¡ÒÃÃѺ¡ÒûÃÐàÁÔ¹ ´ÙáÅÃÑ¡ÉÒáÅÐᡌ䢷ÕÁ¢´¨íÒ¡Ñ´ ·íÒãËŒäÁ‹ÁÊ·¸ÔàÅ×Í¡µÒÁ¤ÇÒÁµŒÍ§¡Òâͧ
                                            è Õ Õ            ÕÔ
¼ÙúºÃÔ¡Òà »˜¨¨Ñ´ŒÒ¹à´ç¡ËÃ×ͼٻÇ·ҧ´ŒÒ¹â¤Ã§ÊÌҧËҧ¡ÒÂ ÇØ²ÀÒÇзҧʵԻ­­Ò áÅÐÍÒÃÁ³
  ŒÑ                             Œ †                          Ô           ˜

»˜­ËҢͧ¼ÙŒ»†Ç¡ÐâËÅ¡ÈÕÃÉÐáÅÐãºË¹ŒÒ·Õè¼Ô´»¡µÔ(1,6-7)
         »˜­ËÒ·Õ໚¹¼ÅÊ׺à¹×ͧÊÔ§·Õà¡Ô´µÒÁËÅѧ¨Ò¡¤ÇÒÁ¼Ô´»¡µÔ¢Í§¡ÐâËÅ¡ ÈÕÃÉÐáÅÐãºË¹ŒÒÁÕ
                  è         è è è
ËÅÒÂÍ‹ҧ 䴌ᡋ ¤ÇÒÁº¡¾Ã‹Í§¢Í§¡Òô×Á-¡Ô¹ »˜­ËÒËÙ¹Ò˹ǡ »˜­ËÒ¡ÒÃÊÙ­àÊÕ¡ÒÃ䴌¹Ẻ
                                           è          éí                          Ô
¡ÒùíÒàÊÕ§àÊÕ ¤ÇÒÁ¼Ô´»¡µÔ¢Í§àÊÕ§¾Ù´áÅФÇÒÁÊѹ¾ŒÍ§ (¤ÇÒÁ¡ŒÍ§¡Ñ§ÇÒ¹) ¢Í§àÊÕ§¾Ù´ »˜­ËÒ
                                                 è
¾Ù´äÁ‹ª´ ÍØºµ¡Òóà¡Ô´»˜­ËÒ·Ò§ÀÒÉÒ¨Ò¡¡ÒÃàÃÕ¹ÃÙËÃ×Í¡ÒÃ͋ҹ·Õ¼´»¡µÔà¾ÔÁ¢Ö¹ »˜­ËÒ¡ÒÃ
       Ñ      Ñ Ô                                   Œ            è Ô     è é
ʺàÃÕ§µÑǢͧ¿˜¹áÅТҡÃÃä¡Ã »˜­ËÒ·Ò§¨Ôµã¨ÍÒÃÁ³Ê§¤Á ¡ÒûÃѺµÑǢͧ¤Ãͺ¤ÃÑǵ‹Í¤ÇÒÁ
                                                         Ñ
¼Ô´»¡µÔáÅзÕà¡ÕÂÇ¢ŒÍ§¡ÑºÃÙ»ÅѡɳáÅФÇÒÁŋҪŒÒ㹡ÒÃàÃÕ¹ÃÙ¡ÒÃࢌÒÊѧ¤Á ¡Ò÷íÒ§Ò¹¢Í§ÅíÒ¤Í
             è è                                           Œ
¼Ô´»¡µÔËÃ×ÍŴŧÀÒÂËÅѧ¡Òü‹ÒµÑ´»´ÃÙÃÇ㹪‹Í§»Ò¡ µÅÍ´¨¹»˜­ËÒ·Õà¡Ô´Ã‹ÇÁ¡Ñº¡ÅØÁÍÒ¡ÒüԴ
                                        Ñè                           è         ‹
»¡µÔ (syndrome) µ‹Ò§æ

º·ºÒ·¢Í§¹Ñ¡ÍÃöºíҺѴ(1-6)
         º·ºÒ·¢Í§¹Ñ¡ÍÃöºíҺѴ㹡ÒôÙáÅÃÑ¡ÉҼٻǷÕÁ¤ÇÒÁ¼Ô´»¡µÔ¢Í§¡ÐâËÅ¡ ÈÕÃÉÐáÅÐãº
                                                 Œ † è Õ
˹ŒÒ 䴌ᡋ ¡ÒûÃÐàÁÔ¹ ¡ÒÃÇÒ§á¼¹¡ÒÃÃÑ¡ÉÒ ¡Òýƒ¡á¡Œä¢¡Òþٴ ¡ÒÃãËŒ¤ÇÒÁÃÙáÅФíÒ»ÃÖ¡ÉÒ
                                                                               Œ
á¹Ð¹íÒ ¡ÒèѴàµÃÕÂÁẺ½ƒ¡ËÑ´¡ÒúŒÒ¹ ¡ÒõԴµÒÁ»ÃÐàÁÔ¹¼ÅÍ‹ҧÊÁèÒàÊÁÍ ¡Ò贺ѹ·Ö¡§Ò¹
                                                                   í
ºÃÔ¡Ò÷ÕèãËŒ ¡ÒÃÊ‹§»ÃÖ¡ÉÒ·ÕÁ§Ò¹·Õèà¡ÕèÂÇ¢ŒÍ§ ¡Òýƒ¡ÍºÃÁ¾‹ÍáÁ‹¼ÙŒ»¡¤Ãͧ ¾ÕèàÅÕé§ËÃ×ͺؤÅÒ¡Ã
·Õà¡ÕÂÇ¢ŒÍ§
  è è

¡ÒûÃÐàÁÔ¹â´Â¹Ñ¡ÍÃöºíҺѴ(1-7)
           ¹Ñ¡ÍÃöºíҺѴ¨Ð·íÒ¡ÒûÃÐàÁÔ¹¡ÒþٴáÅÐÀÒÉÒµÒÁ¢Ñ¹µÍ¹µÒÁÇØ²ÀÒÇÐ ¡ÒþѲ¹Ò
                                                         é         Ô
¡ÒÃà¨ÃÔ­àµÔºâµ áÅÐÍÒÂØ¢Í§¼Ù»Ç «Ö§ä´Œá¡‹
                           Œ † è
426                             ¡ÅàÁç´¡Ò÷íҧҹ໚¹·ÕÁ´ÙáżٻÇ¡ÐâËÅ¡ÈÕÃÉÐáÅÐãºË¹ŒÒ¼Ô´»¡µÔ
                                                            Œ †

         - ¡ÒõÃǨ¤Ñ´¡Ãͧ¾Ñ²¹Ò¡ÒäÇÒÁÊÒÁÒö㹡ÒÃÃѺÃÙáÅСÒÃáÊ´§ÍÍ¡¢Í§ÀÒÉÒ
                                                                Œ
         - ¤ÇÒÁÊÒÁÒö㹡ÒÃà»Å‹§àÊÕ§¾Ù´ (¤ÇÒÁªÑ´à¨¹¢Í§àÊÕ§¾Ù´) ·ÕÃÇÁ¶Ö§ÅѡɳТѹµÍ¹¢Í§
                                                                      è          é
¡ÒþѲ¹Ò¡Òþٴ
         - ÅѡɳÐÃٻẺ¢Í§¡ÒÃÍÍ¡àÊÕ§ ઋ¹ ¡ÒþٴÃдѺàÊÕ§ ¾ÂÒ§¤ ¤íÒà´ÕÂÇ ÇÅÕ ËÃ×Í¡ÒÃ
                                                                            è
¾Ù´¤ØÂʹ·¹Ò
         - ·Ñ¡ÉФÇÒÁÊÒÁÒö㹡ÒÃ㪌¡ÅŒÒÁà¹×Í·Õà¡ÕÂÇ¢ŒÍ§¡Ñº¡ÒÃÍÍ¡àÊÕ§
                                             é è è
         - ¤ÇÒÁªÑ´à¨¹·Õ¤Ê¹·¹Ò¿˜§à¢ŒÒã¨ä´Œ (intelligibility)
                         è Ù‹
         - ¡Òõͺʹͧ·Õ¡Ãеع䴌
                              è Œ
         - ¡ÒÃà»Å‹§àÊÕ§ (phonation)
         - ¤ÇÒÁÊѹ¾ŒÍ§¢Í§àÊÕ§¾Ù´ (resonation) «Ö§»ÃÐàÁÔ¹´ŒÇ¡ÒÃÇÔ¸âʵÊÑ·ÈÒʵÏáÅÐÇÔ¸¡ÒÃ㪌
                  è                              è                  Õ                Õ
à¤Ã×èͧÁ×Í (perceptual and instrumentation measures) ¡ÒÃ㪌à¤Ã×èͧÁ×Í àª‹¹ nasendoscopy,
videofluoroscopy, nasometer, pressure flow, ¡ÒûÃÐàÁÔ¹ÅÁÃÑÇ·Ò§¨ÁÙ¡ (nasal air emission),
                                                                  è
¡ÒõÃǨÍÇÑÂÇÐ㹪‹Í§»Ò¡ áÅСÒÃãËŒ¢ÍÁÙÅ·ÕµÃǨ¾ºá¡‹¼»ÇÂáÅÐËÃ×ͤÃͺ¤ÃÑÇ
                                     Œ     è               ÙŒ †

àÇÅÒ·ÕèàËÁÒÐÊÁ¢Í§¡ÒôÙáÅÃÑ¡ÉÒ½ƒ¡á¡Œä¢»˜­ËҢͧÊÒ¢ÒÍÃöºíҺѴ(1-6)
        ¡ÒôÙáÅÃÑ¡ÉÒ·Ò§´ŒÒ¹ÍÃöºíҺѴ¤ÇÃãËŒàÃçÇ·ÕÊ´à·‹Ò·Õ·Òä´Œ (early intervention) ¢ŒÍÁÙÅ·ÕÁÕ
                                                        èØ è í                              è
ã¹»˜¨¨Øº¹¾ºÇ‹Ò»ÃÐÁҳÌÍÂÅÐ 50-75 ¢Í§¼Ù·Á»Ò¡áËÇ‹§áÅÐËÃ×ÍྴҹâËÇ‹µÍ§ÃѺ¡Òýƒ¡á¡Œä¢¡ÒÃ
        Ñ                               Œ Õè Õ                           Œ
¾Ù´ã¹ÇÑÂà´ç¡ áÅÐÁÕ»ÃÐÁҳÌÍÂÅÐ 20-38 ¢Í§¼Ù·Á»Ò¡áËÇ‹§áÅÐËÃ×ÍྴҹâËÇ‹µÍ§ÃѺ¡ÒÃᡌä¢
                                                 Œ Õè Õ                        Œ
¡Ò÷íÒ§Ò¹·Õ¼´»¡µÔ¢Í§ª‹Í§¤Í (velopharyngeal dysfunction ËÃ×Í VPD) ¹Í¡¨Ò¡¹Õ§¾ºÇ‹Òà´ç¡·Õè
            è Ô                                                                  é Ñ
ÁÕ»Ò¡áËÇ‹§áÅÐËÃ×ÍྴҹâËNjᵋÁÃкº»ÃÐÊÒ·»¡µÔÊÒÁÒö¾Ñ²¹Ò¡ÒþٴáÅÐÀÒÉÒ·Õ»¡µÔä´Œ ã¹
                               Õ                                                     è
¡ÒôÙáÅᡌ䢻˜­ËÒ¹Ñé¹äÁ‹á¹Ð¹íÒãˌ㪌àÇÅÒËÃ×ÍáËÅ‹§·ÃѾÂҡáѺ·Ñ¡ÉзÕ赌ͧ¡ÒÃÅ´·Ñ¡ÉйÑ鹿
¤ÇÃÊ͹ãËŒ¾ÍáÁ‹¼»¡¤Ãͧ໚¹¤ÃÙÊ͹ÀÒÉÒ·Õ´¨Ðä´Œ»ÃÐ⪹ÁÒ¡¡Ç‹Ò
             ‹    ÙŒ                         è Õ

¡ÒôÙáÅÃÑ¡ÉÒ·Õèᵡµ‹Ò§¡Ñ¹(1-6)
        »˜­ËÒ¾Ù´äÁ‹ªÑ´·Õ辺㹼ٌ»†ÇÂᵋÅÐÃÒÂÍÒ¨äÁ‹àËÁ×͹¡Ñ¹ ·íÒãˌ෤¹Ô¤¡Òýƒ¡ÃÑ¡ÉÒᡌä¢
»˜­ËÒ‹ÍÁᵡµ‹Ò§¡Ñ¹ä» ¡ÒôÙáÅÃÑ¡ÉÒ¼Ù»ÇÂ¡ÅØÁ¹ÕµÍ§¤Ãͺ¤ÅØÁ¶Ö§ÊÀÒ¾ËÃ×Í»˜­ËÒ·Ò§´ŒÒ¹¨Ôµ
                                        Œ †   ‹ é Œ
ã¨áÅÐÍÒÃÁ³´Ç ´Ñ§¹Ñ¹¡Òýƒ¡á¡Œä¢»˜­ËÒ´ŒÇÂÇÔ¸ã´æ·ÕÍÒ¨·íÒãËŒà´ç¡´ÙäÁ‹´µÍÊѧ¤ÁËÃ×Í¡ÅØÁà´ç¡ÇÑÂ
               Œ     é                         Õ    è               Õ ‹           ‹
à´ÕÂǡѹáÅŒÇ àÇÅÒÃÑ¡ÉÒ½ƒ¡á¡Œä¢µŒÍ§ãËŒ¡ÒôÙáÅá¡໚¹à©¾ÒеÑǺؤ¤ÅãËŒÁ¤ÇÒÁ໚¹ÊѴʋǹ
                                                                     Õ

¡Ã³ÕÅѡɳÐã´·Õ赌ͧãËŒ¡ÒôÙáÅÃÑ¡ÉÒ·Ò§ÍÃöºíҺѴ(1-6)
       ¨Ò¡ËÅÑ¡°Ò¹·Ò§¤ÅÔ¹¡ ¤ÇÒÁÃÙ·Ò§ÇÔ·ÂÒÈÒʵÏ¡ÒÃᾷ áÅлÃÐʺ¡Ò󏾺NjÒ
                          Ô        Œ
       - »˜­ËÒ¾Ù´äÁ‹ª´·Õà¡Ô´µÒÁ¾Ñ²¹Ò¢Í§à´ç¡ (developmental defect) ¤ÇÃ䴌ú¡Òýƒ¡á¡Œä¢
                      Ñ è                                                 Ñ
¡Òþٴâ´Â㪌ËÅѡࡳ±à´ÕÂǡѺà´ç¡»¡µÔ·äÁ‹Á»­ËÒ»Ò¡áËÇ‹§áÅÐËÃ×ÍྴҹâËÇ‹·¾´äÁ‹ª´
                                      Õè Õ ˜                                Õè Ù Ñ
àǪÈÒʵÏ·¹Âؤ 2553
          Ñ                                                                                427

       - ÅѡɳоٴäÁ‹ª´·Õ໚¹ä»µÒÁࡳ±ÍÒÂØäÁ‹¨Ò໚¹µŒÍ§½ƒ¡á¡Œä¢¡Òþٴ
                          Ñ è                     í
       - ¤ÇÒÁº¡¾Ã‹Í§¢Í§¡Òþٴ·ÕèäÁ‹ªÑ´¨Ò¡ãªŒ¡ÒþٴÍ×è¹á·¹¡ÒÃÍÍ¡àÊÕ§¾Ù´·Õè¶Ù¡µŒÍ§
(maladaptive / compensatory) µŒÍ§ä´ŒÃº¡Òýƒ¡á¡Œä¢¡Òþٴ
                                     Ñ
       - ÅѡɳоٴäÁ‹ª´ºÒ§Í‹ҧà¡Ô´¨Ò¡¡ÒôѴá»Å§¡ÒÃ㪌ÍÇÑÂÇÐãËÁ‹¹Ò¨Ð»Å‹ÍÂä» äÁ‹µÍ§½ƒ¡
                        Ñ                                        ‹              Œ
ᡌä¢
       - ÅѡɳоٴäÁ‹ª´·ÕäÁ‹á¹‹¹Í¹µŒÍ§ä´ŒÃº¡ÒÃÇÔ¹¨©ÑÂãËÁ‹áÅСÒýƒ¡á¡Œä¢
                           Ñ è              Ñ       Ô

ÅѡɳСÒýƒ¡µŒÍ§à©¾ÒÐà¨ÒШ§(1,2,5-6)
          ÅѡɳÐÇÔ¸·´ã¹¡Òýƒ¡á¡Œä¢¡Òþٴ¤×ÍÇÔ¸·Á¤ÇÒÁ੾ÒÐà¨ÒШ§Í‹ҧªÑ´à¨¹ ËÒ¡ÁÕ»­ËÒ
                   Õ Õè Õ                     Õ Õè Õ                                    ˜
¾Ù´äÁ‹ª´¡ç¤Çýƒ¡á¡Œä¢¤ÇÒÁªÑ´à¨¹¢Í§àÊÕ§¾Ù´â´ÂµÃ§àÅ ઋ¹¡ÒÃ㪌Ǹ¡ÒÃàÃÕ¹Ã٢ͧ¡ÅŒÒÁà¹×Í
        Ñ                                                          ÔÕ          Œ              é
(motor learning approach) Ê͹¡ÒÃÍÍ¡àÊÕ§µÒÁÅѡɳаҹ¡Ã³¢Í§áµ‹ÅÐàÊÕ§ àÅ×Í¡àÊÕ§
·Õ赌ͧ㪌ÍÇÑÂÇТͧª‹Í§»Ò¡¨Ò¡¢ŒÒ§¹Í¡·ÕèàËç¹ä´ŒªÑ´à¨¹ áÅÐà»ÅÕè¹໚¹àÊÕ§·Õè㪌ÍÇÑÂÇзÕèÍÂÙ‹¢ŒÒ§
㹪‹Í§»Ò¡àÁ×Íà´ç¡·íÒä´Œ´¢¹
              è           Õ Öé

¤íÒá¹Ð¹íÒáÅСÒÃãËŒ¤ÇÒÁÃÙŒ(2-5)
         ¤íÒá¹Ð¹íÒáÅФÇÒÁÃÙ·¤ÇÃãˌᡋ¼»ÇÂËÃ×;‹ÍáÁ‹¼»¡¤Ãͧà´ç¡ä´Œá¡‹ ¡Òú͡¤ÇÒÁÊíҤѭ¢Í§
                              Œ Õè     ÙŒ †           ÙŒ
¡ÒÃÃÑ¡ÉÒá¡Œä¢ ¤ÇÃÃкØÇÒÊԧ㴷յͧà»ÅÕ¹á»Å§ ¤ÇÒÁÃÙ·¾§Áա͹¡Òýƒ¡àÊÕ§¾ÂÑ­ª¹Ðµ‹Ò§æ
                           ‹ è è Œ           è                Œ Õè Öè ‹
(ઋ¹ ʋǹµ‹Ò§æ¢Í§ÍÇÑÂÇзÕ㪌) ¤ÇÒÁᵡµ‹Ò§¢Í§àÊÕ§໇ÒËÁÒ·յͧ¡Òýƒ¡á¡Œä¢áÅÐÅѡɳÐàÊÕ§
                            è                                        è Œ
·Õ¾´äÁ‹ª´ ÇÔ¸¡ÒÃàÅÕ¹Ẻ¡ÒÃÍÍ¡àÊÕ§·Õ¶¡µŒÍ§
  è Ù     Ñ Õ                                  è Ù
         ·Ø¡¤¹·Õà¡ÕÂÇ¢éͧµéͧµÃÐ˹ѡÇèҼٻǡÓÅѧàÃÕ¹ÃÙšɳСÒÃãªé§Ò¹¢Í§¡ÅéÒÁà¹×ÍÃٻẺ-
                è è                       é è            éÑ                      é
ãËÁ‹ ¤ÇÒÁ¶Õ¢Í§¡Òýƒ¡àÃÔÁµŒ¹¨Ò¡ 100 ¤Ãѧ໚¹¡ÒÃàÃÔÁµŒ¹·Õ´Õ
             è           è                 é       è        è

ÅíҴѺ¢Í§àÊÕ§·Õè㪌½ƒ¡(1-6)
        ÅíҴѺ¢Ñ¹¢Í§¡Òýƒ¡ÍÍ¡àÊÕ§àÃÔÁ¨Ò¡§‹ÒÂä»ÂÒ¡ ¨Ò¡·ÕʧࡵàËç¹ÍÇÑÂÇзÕ㪌㹡ÒÃÍÍ¡àÊÕ§
                é                    è                  èÑ               è
ä´Œ§Ò¡‹Í¹ ¢Ñ¹µÍ¹ÅíҴѺ¢Í§¡ÒÃàÅ×Í¡½ƒ¡ÍÍ¡àÊÕ§ 䴌ᡋ
    ‹         é
        - ¡ÒÃÍ͡˹‹ÇÂàÊÕ§à´ÕÂÇæ
        - ¡ÒÃÍÍ¡àÊÕ§àÅÕ¹ẺàÊÕ§¾ÂÒ§¤
        - ¡ÒÃÍÍ¡àÊÕ§àÅÕ¹ẺàÊÕ§¤íÒ
        - ¡ÒÃÍÍ¡àÊÕ§àÅÕ¹ẺàÊÕ§ÇÅÕ
        - ¡Òú͡ª×ÍÃÙ»
                    è
        - ¡Òõͺ¤íÒ¶ÒÁ
        - ¡Òþٴ»ÃÐâ¤Êѹæé
428                             ¡ÅàÁç´¡Ò÷íҧҹ໚¹·ÕÁ´ÙáżٻÇ¡ÐâËÅ¡ÈÕÃÉÐáÅÐãºË¹ŒÒ¼Ô´»¡µÔ
                                                            Œ †

        - ¡Òþٴ»ÃÐ⤷իº«ŒÍ¹ áÅÐ
                           è Ñ
        - ¡ÒÃʹ·¹Ò¾Ù´¤ØÂ
        ¼Ù»Ç¤Çýƒ¡¨¹ÁÕ·¡ÉФÇÒÁÊÒÁÒö·Õ¨Ð¾Ù´ä´Œª´à¨¹¶Ù¡µŒÍ§ÃŒÍÂÅÐ 100 à¾ÃÒÐËÒ¡äÁ‹ÁÕ
          Œ †            Ñ                  è       Ñ
¤ÇÒÁÊÒÁÒöã¹ÃдѺ¹Õ¨Ð·íÒãËŒäÁ‹ÊÒÁÒö¾Ù´ä´Œª´µÅÍ´àÇÅÒ (äÁ‹ÁÕ carryover) ¡Å‹ÒǤ×ͼٻǾٴ
                     é                         Ñ                                  Œ †
ä´Œ¶¡µŒÍ§à¾Õ§ºÒ§ºÃÔº· äÁ‹à¡Ô´à»š¹¹ÔÊ¡Òþٴ·Õª´à¨¹µÅÍ´àÇÅÒ à·‹Ò¡ÑºÇ‹Ò¡Òýƒ¡á¡Œä¢äÁ‹»ÃÐʺ
    Ù                                Ñ        è Ñ
¼ÅÊíÒàÃ稵ÒÁ·Õµ§äÇŒ
              è Ñé

ª‹Ç§ÍÒÂØ·ÕèàËÁÒÐÊÁ(1-6)
          ª‹Ç§ÍÒÂØã´·Õ¤ÇÃàÃÔÁµŒ¹¡ÒôÙáÅÃÑ¡ÉÒáÅСÒýƒ¡á¡Œä¢¡Òþٴ ¨ÃÔ§æáŌǡÒôÙáÅÃÑ¡ÉÒ·íÒä´Œ
                      è     è
µÑ§áµ‹à´ç¡ÇÑ·Òᨹ¶Ö§ÇѼÙãË­‹ ¨¹¡Ç‹Ò¨Ðä´ŒµÒÁ໇ÒËÁÒ·յ§äÇŒ ¤ÇÒÁÊíÒàÃ稷մ·Ê´ä´Œ¨Ò¡¡ÒôÙáÅ
  é                           Œ                         è Ñé               è Õ Õè Ø
¼Ù»ÇÂẺ·ÕÁÊËÊÒ¢ÒÇÔªÒªÕ¾·Õ»ÃСͺ´ŒÇ¼ÙàªÕÂǪҭ੾ÒдŒÒ¹µ‹Ò§æ ¡Òýƒ¡á¡Œä¢¡ÒþٴàÃÔÁä´Œ
      Œ †                       è             Œ è                                       è
µÑ§áµ‹à´ç¡ÍÒÂØ 2 »‚â´ÂàÅ×Í¡¡Ô¨¡ÃÃÁ¡Òýƒ¡·ÕʹءʹҹáÅÐÁÕẺ½ƒ¡ËÑ´¡ÒúŒÒ¹Ã‹ÇÁ´ŒÇÂ
    é                                       è

µÒÃÒ§àÇÅÒ¡Òýƒ¡
         µÒÃÒ§àÇÅÒ¡Òýƒ¡á¡Œä¢¡ÒþٴµŒÍ§¨Ñ´µÒÁ¤ÇÒÁàËÁÒÐÊÁ¡Ñº¤ÇÒÁ໚¹ä»ä´Œ¢Í§·Ñé§
¹Ñ¡ÍÃöºíҺѴ ¤Ãͺ¤ÃÑÇáÅмٻÇ ¤íÒá¹Ð¹íÒ·ÑÇä»ä´Œá¡‹ ÃÐÂÐàÇÅÒ»ÃÐÁÒ³ 30 - 60 ¹Ò·Õ «Ö§¨Ð
                              Œ †              è                                         è
µÒÁÍÒÂØÇ²ÀÒÇТͧà´ç¡ ½ƒ¡º‹ÍÂÁÒ¡à·‹Ò·Õ·Òä´Œ ¡Òýƒ¡º‹Í¤Ãѧª‹Ç§àÇÅÒÊѹæ ઋ¹¤ÃѧÅФÃÖ§ªÑÇâÁ§
          Ø Ô                             è í               é        é        é      è è
½ƒ¡·Ø¡Çѹ´Õ¡Ç‹Ò¡Òýƒ¡à´×͹ÅФÃѧæÅÐ 3 ªÑÇâÁ§ Í‹ҧäáçµÒÁ¤ÇÒÁ¶Õ¢Í§¡Òýƒ¡·íÒ¡ÒúŒÒ¹ÁÑ¡¼Ñ¹á»Ã
                               é        è                      è
¡Ñº¢Ö¹ÍÂÙ¡ºµÒÃÒ§àÇÅÒ¡Ô¨¡ÃÃÁ¢Í§¤Ãͺ¤ÃÑÇ ËÒ¡¤Ãͺ¤ÃÑÇãËŒ¤ÇÒÁÊíҤѭ·íÒÊÁèÒàÊÁÍ‹ÍÁä´Œ¼Å
     é ‹ Ñ                                                                  í
´Õ¡Ç‹Ò

¡Òýƒ¡á¡Œä¢»˜­ËÒ·Õ躌ҹÊíÒËÃѺà´ç¡àÅç¡(1,2,6)
        ¡ÒÃÃÑ¡ÉҨоԨÒóҡÒÃàÅ×͡Ẻ½ƒ¡ËѴᡌ䢻˜­ËÒ¾Ù´äÁ‹ªÑ´áºº·Õ躌ҹàͧ (home
program) ¨Ðä´Œ¼Å´Õ ¶ŒÒ¾‹ÍáÁ‹¼»¡¤Ãͧà´ç¡µŒÍ§¡Òà ÁÕ¤ÇÒÁÂÔ¹´ÕáÅÐÊÒÁÒöàÃÕ¹ÃÙ·¡ÉÐãËÁ‹ ¶ŒÒ¾‹Í
                              ÙŒ                                           Œ Ñ
áÁ‹¼ÙŒ»¡¤Ãͧà´ç¡à¢ŒÒã¨à˵ؼÅÇѵ¶Ø»ÃÐʧ¤¢Í§¡Òýƒ¡á¡Œä¢áºº early intervention Ẻ home
program ÁÕ¡ÒÃÊ͹ãËŒ¤ÇÒÁÃÙá¡‹¾ÍáÁ‹¼»¡¤Ãͧ
                             Œ ‹          ÙŒ
        ¡Òýƒ¡ËѴᡌ䢻˜­ËÒ¾Ù´äÁ‹ª´áºº·ÕºÒ¹ äÁ‹ä´Œ¼Å´ÕáÅÐäÁ‹á¹Ð¹íÒ ËÒ¡¾‹ÍáÁ‹¼»¡¤Ãͧà´ç¡
                                        Ñ          è Œ                             ÙŒ
ÁÕ¤ÇÒÁà¤ÃÕ´ÊÙ§ ËÃ×Í ¾‹ÍáÁ‹¼»¡¤Ãͧ·ÕÁ¤ÇÒÁÊÒÁÒö㹡ÒûÃѺµÑǡѺ»˜­ËҢͧà´ç¡äÁ‹´äÁ‹à¡‹§
                                 ÙŒ          è Õ                                        Õ
ËÃ×Í ¾‹ÍáÁ‹¼»¡¤Ãͧà´ç¡ÁÕ¤ÇÒÁÅíҺҡ㹡ÒÃÊÒÁÒöàÃÕ¹ÃÙ·¡ÉÐãËÁ‹ ËÃ×Í ¶ŒÒ¾‹ÍáÁ‹¼»¡¤Ãͧà´ç¡
             ÙŒ                                           Œ Ñ                   ÙŒ
ÁÕ¤ÇÒÁÅíҺҡ㹡Ò÷íÒ¤ÇÒÁࢌÒã¨ËÃ×ÍäÁ‹à¢ŒÒã¨à˵ؼÅÇѵ¶Ø»ÃÐʧ¤¢Í§¡Òýƒ¡á¡Œä¢áµ‹à¹Ô¹æáººè
home program ËÃ×Í ¶ŒÒ¡Òýƒ¡·ÕºÒ¹¨Ð·íÒãËŒ¾ÍáÁ‹¼»¡¤ÃͧࢌÒ㨼Դ¤Ô´Ç‹Òà´ç¡¨Ð¾Ù´äÁ‹ä´Œ äÁ‹¨ÐàÅ×Í¡
                                    è Œ          ‹     ÙŒ
㪌¡Òýƒ¡·ÕºÒ¹ã¹¡Ã³ÕàËŋҹÕé
           è Œ
àǪÈÒʵÏ·¹Âؤ 2553
          Ñ                                                                                                  429

¡ÒûÃÖ¡ÉÒ·ÕÁÊËÊÒ¢ÒÇÔªÒªÕ¾â´Â¹Ñ¡ÍÃöºíҺѴ(1,2,4,5)
         ¹Ñ¡ÍÃöºíҺѴ¨ÐÊ‹§»ÃÖ¡ÉÒ·ÕÁÊËÊÒ¢ÒÇÔªÒªÕ¾àÁ×ͼٻÇÂÁÕ¤ÇÒÁ¼Ô´»¡µÔ¢Í§¡ÐâËÅ¡ ÈÕÃÉÐ
                                                     è Œ †
áÅÐãºË¹ŒÒ ËÃ×Í àÁ×ÍʧÊÑÂNjҼٻÇÂÁÕ»­ËÒ¤ÇÒÁ¡ŒÍ§¡Ñ§ÇÒ¹¢Í§àÊÕ§¾Ù´ ËÃ×Í àÁ×ͽƒ¡á¡Œä¢»˜­ËÒ VPD
                  è          Œ †   ˜                                     è
áÅŒÇäÁ‹¾ºÇ‹ÒÁÕ¼ÅÊíÒàÃç¨ÀÒÂËÅѧ¡Òýƒ¡ 6-8 ÊÑ»´Òˏ
         ÅѡɳÐྴҹâËÇ‹áÅФÇÒÁ¼Ô´»¡µÔ¢Í§â¤Ã§ÊÌҧ·Õ·ÒãËŒà¡Ô´ VPD ÁÑ¡·íÒãËŒà¡Ô´»˜­ËÒ·Õ«º
                                                       è í                               è Ñ
«ŒÍ¹ ¡ÒûÃÐàÁÔ¹ÅѡɳÐáÅл˜­ËÒ໚¹ÊÔ§ÊíҤѭ ·ÕªÇÂãËŒà¡Ô´¡ÒÃÇÔ¹¨©Ñ·ն¡µŒÍ§áÅÐÇÒ§á¼¹¡ÒÃ
                                       è         è ‹           Ô     è Ù
ÃÑ¡ÉÒ·ÕÁ»ÃÐÊÔ·¸ÔÀÒ¾ ¡Ò÷íҧҹẺÊËÊÒ¢ÒÇԪҪվ໚¹¡ÒôÙáÅÃÑ¡ÉÒẺÁҵðҹÊíÒËÃѺ¼Ù»ÇÂ
       è Õ                                                                             Œ †
·ÕÁ¤ÇÒÁ¼Ô´»¡µÔ¢Í§¡ÐâËÅ¡ ÈÕÃÉÐáÅÐãºË¹ŒÒ
  è Õ

àÍ¡ÊÒÃ͌ҧÍÔ§
1.   Peterson-.alzone SJ, Hardin-Jones MA, Karnell MP. Cleft Palate Speech. 3rd ed. St. Louis (MO): Mosby, Inc;
     2001.
2.   Peterson-.alzone SJ, Trost-Cardamone JE, Karnell MP & Hardin-Jones M. The Clinicain’s Guide to Treating Cleft
     Palate Speech. St Louis, MO: Mosby Elsevier; 2006.
3.   Shprintzen R, Bardach J. (Ed.) Cleft Palate Speech Management. St. Louis: Mosby; 1995.
4.   Bardach J, Morris H. (Ed.) Multidisciplinary Management of Cleft Lip and Palate. Philadelphia: WB Saunders;
     1990.
5.   Golding – Kushner KJ. Therapy techniques for Cleft Palate Speech and Related Disorders. San Diego, CA:
     Singular; 2001.
6.   Kummer A. Cleft Palate and Craniofacial Anomalies: the Effects on Speech and Resonance. San Diego, CA:
     Singular; 2001.
7.   Zemlin WR. Speech and hearing science: anatomy and physiology. 4th ed. Englewood Cliffs (NJ): Prentice-
     Hall; 1997.
430                     ¡ÅàÁç´¡Ò÷íҧҹ໚¹·ÕÁ´ÙáżٻÇ¡ÐâËÅ¡ÈÕÃÉÐáÅÐãºË¹ŒÒ¼Ô´»¡µÔ
                                                    Œ †

ʶԵԼٌ»†Ç Craniomaxillofacial anomalies ·ÕèÁÒÃѺºÃÔ¡Òâͧ
ÊÒ¢ÒÍÃöºíҺѴ ÀÒ¤ÇÔªÒàǪÈÒʵÏ¿„œ¹¿Ù ¤³Ðá¾·ÂÈÒʵÏÈÔÃÔÃÒª¾ÂÒºÒÅ
»‚ ¾.È. 2550 – 2552
àǪÈÒʵÏ·¹Âؤ 2553
          Ñ           431
àǪÈÒʵÏ·¹Âؤ 2553
          Ñ                                                                    º··Õè       433

                                                                                62
                          Movement Disorder Surgery
                                                     ÍÒ¨ÒÏ ¹ÒÂᾷÈÃѳ ¹Ñ¹·ÍÒÃÕ
                                             ÍÒ¨ÒÏ ¹ÒÂᾷºÃþµ ÊÔ·¸Ô¹ÒÁÊØÇÃó
                                                  ÍÒ¨ÒÏ ¹ÒÂᾷͤ¤¾§É ¹ÔµÊ§Ë
                                                                     Ñ          Ô Ô
                       ÀÒ¤ÇÔªÒÈÑÅÂÈÒʵÏ ¤³Ðá¾·ÂÈÒʵÏÈÔÃÔÃÒª¾ÂÒºÒÅ ÁËÒÇÔ·ÂÒÅÑÂÁËÔ´Å
                                     ÃͧÈÒʵÃÒ¨ÒÏ ᾷ˭ԧ¡¹¡ÇÃó ºØ­­¾ÔÊ®°Š   Ô
                                                 ÍÒ¨ÒÏ ¹ÒÂᾷÍÀÔªÒµÔ ¾ÔÈÒž§È
                      ÀÒ¤ÇÔªÒÍÒÂØÃÈÒʵÏ ¤³Ðá¾·ÂÈÒʵÏÈÃÃÒª¾ÂÒºÒÅ ÁËÒÇÔ·ÂÒÅÑÂÁËÔ´Å
                                                        ÔÔ

        ¡ÒÃÃÑ¡ÉÒâä¡ÒÃà¤Å×͹äËǼԴ»Ã¡µÔª¹Ô´µ‹Ò§æ ¹Ñ¹ ¹Í¡¨Ò¡¡ÒÃÃÑ¡ÉÒâ´ÂÂÒààÅŒÇ ÂѧÁÕ¡ÒÃ
                            è                           é
ÃÑ¡ÉÒ´ŒÇ¡Òü‹ÒµÑ´ ¶ŒÒ¼Ù»Çµͺʹͧµ‹ÍÂÒäÁ‹´Õ «Ö§µÑ§àോà´×͹¡Ã¡®Ò¤Á 2547 ¶Ö§ à´×͹¾ÄÉÀÒ¤Á
                        Œ †                    è é
2553 ¤³Ð¼Ùà¢Õ¹䴌·Ò¡Òü‹ÒµÑ´ä»ÁÒ¡¡Ç‹Ò 187 ÃÒ (äÁ‹¹ºÃÇÁ¼Ù»Ç hemifacial spasm) «Ö§¾º
           Œ          í                                   Ñ    Œ †                    è
Ç‹ÒÁÕÀÒ¾ÃÇÁ¢Í§¡Òü‹ÒµÑ´áÅмÅÅѾ¸´§¹Õé
                                    Ñ

âä¾ÒϡԹÊѹ (Parkinson’s disease)
        ¼Ù»ÇÂâä¾ÒÏ¡¹Êѹ·ÕµÍºÊ¹Í§´ÕµÍÂÒ â´ÂÁÕ motor symptoms »ÃÐàÁÔ¹â´Â UPDRS-III
          Œ †          Ô      è           ‹
´Õ¢¹ÁÒ¡¡Ç‹Ò 30% ËÅѧ¡Ô¹ÂÒ levodopa àോÁ»­ËҢͧ¡ÒÃãËŒÂÒÍѹà¹×ͧ¨Ò¡ÁÕ motor fluctuation,
   Öé                                        Õ ˜                     è
dyskinesia ËÃ×Í intractable tremor ໚¹¢ŒÍº‹§ªÕ¢Í§¡Ò÷íÒ¼‹ÒµÑ´ ͹֧¼Ù»ÇµŒÍ§äÁ‹ÁÕ dementia ààÅÐ
                                               é                  è Œ †
unsolved depression ààÅÐäÁ‹¤ÇèÐÁÕ on-time speech problem, on-time swallowing problem ËÃ×Í
on-time gait problem

       ¡Òü‹ÒµÑ´ unilateral thalamotomy
          µíÒá˹‹§ target ¢Í§ thalamotomy ·ÕÂÍÁÃѺ¡Ñ¹·ÑÇä»ä´Œá¡‹ ventrointermediate nucleus
                                               è          è
(Vim) «Ö§ÁÕ¨´à´‹¹ã¹¡ÒÃÅ´ÍÒ¡ÒÃÊѹ¢Í§á¢¹´ŒÒ¹µÃ§¢ŒÒÁ䴌͋ҧªÑ´à¨¹ã¹¡ÒõԴµÒÁÃÐÂÐÂÒÇ1 ᵋ
        è Ø                        è
thalamotomy ÁբͨíÒ¡Ñ´·ÕÍÒ¡ÒÃËÅÑ¡Í×¹æ¢Í§ Parkinson’s disease Íѹ䴌ᡋ rigidity, bradykinesia
                  Œ       è          è
áÅÐ postural instability «Ö§ÊÌҧ»˜­ËÒµ‹Í¼Ù»ÇÂÁÒ¡¡Ç‹Ò tremor äÁ‹´¢¹ ÃÇÁ·Ñ§äÁ‹ÊÒÁÒö·Õ¨Ð·íÒ
                            è              Œ †                   Õ Öé     é             è
bilateral procedures ä´Œâ´Â»ÅÍ´ÀÑÂáÅж×Í໚¹¢ŒÍËŒÒÁ ´Ñ§¹Ñ¹ unilateral thalamotomy ¨Ö§Áշ㪌
                                                            é                             Õè
¨íҡѴ੾ÒмٻÇ tremor-dominant Parkinson’s disease ·ÕÍÒ¡ÒÃÍ×¹æ µÍºÊ¹Í§´ÕµÍÂÒ áÅÐÁÕá¹Ç
              Œ †                                       è     è                ‹
⹌ÁNjҨÐÂѧ¤§µÍºÊ¹Í§´ÕµÍä»ã¹Í¹Ò¤µ ¼Å¡Òü‹ÒµÑ´ unilateral Vim-thalamotomy 3 ÃÒ¾ºÇ‹Ò
                              ‹
434                                                                   Movement Disorder Surgery

ãËŒ¼ÅÅ´ÍÒ¡ÒÃÊѹ䴌ÁÒ¡¡Ç‹Ò 80% 㹡ÒõԴµÒÁÁÒ¡¡Ç‹Ò 4 »‚ ààÅÐäÁ‹¾º¼Å¢ŒÒ§à¤Õ§¡Òü‹ÒµÑ´
                 è
Unilateral Pallidotomy
         µíÒá˹‹§ target ¢Í§ pallidotomy ·ÕÂÍÁÃѺ¡Ñ¹·ÑÇä» ä´Œá¡‹ posteroventral globus pallidus
                                           è           è
par interna (GPi) «Ö§ÁÕ¨´à´‹¹ã¹¡ÒÃÅ´ÍÒ¡Òà dyskinesia ¢Í§Ã‹Ò§¡Ò´ŒÒ¹µÃ§¢ŒÒÁ䴌͋ҧÁÒ¡
                      è Ø
㹡ÒõԴµÒÁÃÐÂÐÂÒÇ2 ÃÇÁ·Ñ§ÊÒÁÒöŴÍÒ¡ÒÃËÅÑ¡µ‹Ò§æ (¹Í¡à˹×ͨҡ tremor) ¢Í§ Parkinson’s
                             é
disease ä´Œ´Ç ¡Ò÷íÒ bilateral procedures ¶×ÍÇ‹ÒÁÕ¤ÇÒÁàÊÕ§ᵋäÁ‹ãª‹¢ÍËŒÒÁ ¼Å¡Òü‹ÒµÑ´ unilateral
             Œ                                            è           Œ
pallidotomy 17 ÃÒ ¾ºÇ‹ÒÁÕ»ÃÐÊÔ·¸ÔÀҾŴÍÒ¡Òà dyskinesia ŧ䴌ÁÒ¡¡Ç‹Ò 85% 㹡ÒõԴµÒÁ
5 »‚ ààÅÐÊÒÁÒöŴÍÒ¡Òà off-time Parkinsonism ŧ䴌Í‹ҧªÑ´à¨¹ã¹ª‹Ç§»‚ààáæ àോ»ÃÐÊÔ·¸ÔÀÒ¾
¹ÕéÅ´¹ŒÍÂŧàËÅ×Íà¾Õ§ 30% ¨Ò¡¡ÒûÃÐàÁÔ¹â´Â UPDRS-III 㹡ÒõԴµÒÁÃÐÂÐÂÒÇ ÃÇÁ·Ñé§
»ÃÐÊÔ·¸ÔÀҾ㹡ÒÃÅ´ tremor äÁ‹ÊÁèÒàÊÁÍàËÁ×͹ thalamotomy à¹×ͧ¨Ò¡¼Å㹡ÒÃÅ´ tremor
                                      í                                 è
ÁÕ¤ÇÒÁᵡµ‹Ò§¡Ñ¹Í‹ҧÁÒ¡ã¹¼Ù»ÇÂᵋÅÐÃÒÂáÅÐäÁ‹ÊÒÁÒö¤Ò´à´Òä´Œ¡Í¹¼‹ÒµÑ´ ¾ºÁÕÀÒÇÐàà·Ã¡
                                 Œ †                                      ‹
«ŒÍ¹¨Ò¡¡Òü‹ÒµÑ´ dysarthria 1 ÃÒÂààÅÐ asymptomatic intracerebral hemorrhage 1 ÃÒÂ

        ¡Òü‹ÒµÑ´ bilateral subthalamic deep brain stimulation
         ໚¹¡Òü‹ÒµÑ´·ÕèÁÕÃÒ§ҹ¼Å¡ÒõԴµÒÁÃÐÂÐÂÒÇ·Õè´Õ·ÕèÊØ´3 ÊÒÁÒöŴÍÒ¡ÒÃËÅÑ¡µ‹Ò§æ
¢Í§ Parkinson’s disease 䴌͋ҧÁÒ¡ ÃÇÁ·Ñ§ÊÒÁÒö·íÒ bilateral procedures ä´Œâ´Â»ÅÍ´ÀÑÂ
                                              é
´ŒÇ¢ŒÍ´Õµ‹Ò§æ´Ñ§¡Å‹ÒǨ֧·íÒãˌ໚¹¡Òü‹ÒµÑ´ä´Œ·Õèä´ŒÃѺ¡ÒÃÂÍÁÃѺàà¾Ã‹ËÅÒÂÁÒ¡·ÕèÊØ´ã¹»˜¨¨ØºÑ¹
¼Å¡Òü‹ÒµÑ´¼Ù»Ç 64 ÃÒÂã¹Ã.¾.ÈÔÃÃÒª ¾ºÇ‹Òª‹ÇÂÅ´ÍÒ¡Òà off-time Parkinsonism »ÃÐàÁÔ¹â´Â
              Œ †                  Ô
UPDRS-III ŧ䴌 60% 㹡ÒõԴµÒÁÁÒ¡¡Ç‹Ò 2 »‚ ÃÇÁ·Ñ§ÊÒÁÒöŴ»ÃÔÁÒ³ÂÒ levodopa ŧ䴌 33%
                                                       é
ààÅÐÁÕ¼»Ç 13% ·ÕÊÒÁÒöËÂØ´ÂÒä´Œ·¡µÑÇ ¾ºÁÕÀÒÇÐàà·Ã¡«ŒÍ¹ asymtomatic intracerebral
       ÙŒ †         è                  Ø    4

hemorrhage 1 ÃÒÂ, stimulation-induced dysarthria 2 ÃÒÂ, transient hypomania 3 ÃÒ ààÅÐ infection
1 ÃÒ ÍÒ¡Ò÷յͺʹͧ´ÕÁÒ¡µ‹Í¡Òü‹ÒµÑ´ 䴌ᡋ tremor, off-time rigidity ààÅÐ dyskinesia ÍÒ¡ÒÃ
               è
·ÕµÍºÊ¹Í§»Ò¹¡ÅÒ§µ‹Í¡Òü‹ÒµÑ´ 䴌ᡋ off-time bradykinesia áÅÐ off-time postural instability
  è
ʋǹÍÒ¡Òà on-time freezing ààÅÐ on-time postural instability ¹Ñ¹ µÍºÊ¹Í§äÁ‹´µÍ¡Òü‹ÒµÑ´
                                                               é             Õ ‹

        ¡Òü‹ÒµÑ´ bilateral pallidal deep brain stimulation
             ໚¹¡Òü‹ÒµÑ´·Õä´Œ¼Åã¹ÃÐÂÐááã¡ÅŒà¤Õ§¡Ñº bilateral subthalamic deep brain stimulation
                                    è
ᵋ ÁÕ ¢Œ Í ¨í Ò ¡Ñ ´ ·Õè ä Á‹ Ê ÒÁÒöŴÂÒŧ䴌 5 ÃÇÁ·Ñé§ã¹ÃÐÂÐÂÒÇÁÕ»ÃÐÊÔ·¸ÔÀҾ㹡ÒÃÅ´ off-time
Parkinsonism ä´Œ¹ÍÂ¡Ç‹Ò bilateral subthalamic deep brain stimulation6 ¨Ö§·íÒãËŒäÁ‹à»š¹·Õ¹ÂÁá¾Ã‹
                             Œ                                                             è Ô
ËÅÒ ¼Å¡Òü‹ÒµÑ´¼Ù»Ç 1 ÃÒ ¾ºÇ‹Òª‹ÇÂÅ´ÍÒ¡Òà off-time Parkinsonism ä´Œª´à¨¹àª‹¹à´ÕÂǡѺ
                                Œ †                                              Ñ
bilateral subthalamic deep brain stimulation ᵋÁ¢Í´Õ·äÁ‹ÁÕ stimulation-induced dyskinesia áÅÐ
                                                          Õ Œ Õè
stimulation-induced psychiatric adverse effect ¨Ö§·íÒãËŒÊÒÁÒö·íÒ postoperative programming
ä´Œ§ÒÂ¡Ç‹Ò bilateral subthalamic deep brain stimulation ÁÒ¡ «Ö§ÍÒ¨¨ÐàËÁÒÐÊÁ¡Ñº¼Ù»Ç·ÕÁ¢Í
    ‹                                                                è                   Œ † è Õ Œ
¨íÒ¡Ñ´ ·ÕäÁ‹ÊÒÁÒöà´Ô¹·Ò§ÁÒ·íÒ postoperative programming º‹Í¤Ãѧ䴌
           è                                                            é
àǪÈÒʵÏ·¹Âؤ 2553
          Ñ                                                                                            435

         ¡Òü‹ÒµÑ´ bilateral pedunculopontine deep brain stimulation
        ໚¹¡Òü‹ÒµÑ´·ÕÍÒ¨¨Ðª‹ÇÂÅ´ÍÒ¡Òà on-time freezing ààÅÐ on-time postural instability «Ö§
                          è                                                                    è
äÁ‹µÍºÊ¹Í§µ‹Í bilateral subthalamic deep brain stimulation »˜¨¨Øº¹Âѧ¨Ñ´ÍÂÙ㹢ѹ·´Åͧ ÁÕÃÒ§ҹ
                                                            7
                                                                    Ñ       ‹ é
¡Òü‹ÒµÑ´¨Ò¡·ÑèÇâÅ¡¨íҹǹ¹ŒÍ ÃÇÁ·Ñé§ÁÕÃÒ§ҹ·Õèä´Œ¼ÅáÅÐäÁ‹ä´Œ¼Å ¼Å¡Ò÷íÒ¼‹ÒµÑ´ bilateral
pedunculopontine deep brain stimulation ã¹ Ã.¾.ÈÔÃÃÒª¡Ñº¼Ù»Ç¾ÒÏ¡¹Êѹ 1 ÃÒ ·ÕÁ»­ËÒ
                                                        Ô       Œ †       Ô            è Õ ˜
postural instability «Ö§äÁ‹µÍºÊ¹Í§µ‹ÍÂÒ ¾ºÇ‹Ò¡Òü‹ÒµÑ´ª‹ÇÂÅ´»˜­ËÒ¡ÒÃà´Ô¹¨Ò¡ on-time freezing
                       è
ààÅÐ on-time postural instability ä´Œ ᵋäÁ‹à¡Ô¹ 50% áÅÐä´Œ¼Å´ÕÍÂÙà¾Õ§»ÃÐÁÒ³ 6 à´×͹෋ҹѹ
                                                                  ‹                          é

âä´ÕÊâ·à¹Õ (Dystonia)
         Primary general dystonia ààÅÐ primary segmental dystonia
            ¼Ù»Ç primary general dystonia ààÅÐ primary segmental dystonia ¹Ñ¹»˜¨¨Øº¹ÂѧäÁ‹ÁÕ
              Œ †                                                                     é      Ñ
effective medical treatment (¡àÇŒ¹ rare cases ¢Í§ dopamine responsive dystonia) ààÅÐ໚¹
¢ŒÍº‹§ªÕ¢Í§¡Òü‹ÒµÑ´8 «Ö§¡Òü‹ÒµÑ´¹Ñ¹äÁ‹¤ÇèÐÃͨ¹¡ÃзѧÁÕ bony deformity à¡Ô´¢Ö¹ ã¹»˜¨¨Øº¹Âѧ
         é                è         é                      è                            é             Ñ
äÁ‹Á¢ÍÊÃØ»¢Í§ optimal target ¢Í§¡Òü‹ÒµÑ´ dystonia ·Õª´à¨¹ ÁÕÃÒ§ҹ¼Å¡Òü‹ÒµÑ´·Õ´·§¨Ò¡
    Õ Œ                                                   è Ñ                                  è Õ Ñé
thalamic, pallidal áÅÐ subthalamic procedures ᵋ·Õèä´ŒÃѺ¡ÒÃÂÍÁÃѺá¾Ã‹ËÅÒÂÁÒ¡·ÕèÊØ´
ã¹»˜¨¨Øº¹ ¤×Í ¡Òü‹ÒµÑ´ bilateral pallidal deep brain stimulation «Ö§ÁÕÃÒ§ҹNjÒä´Œ¼Å´Õ â´Â੾ÒÐ
            Ñ                                                       è
´ÕÁÒ¡·ÕÊ´µ‹Í primary general dystonia ª¹Ô´ DYT-1 áÅСÒõͺʹͧ¹Ñ¹ÁÕšɳÐ໚¹ delay and
           èØ                                       9
                                                                         é Ñ
gradual response â´ÂÍÒ¡ÒèФ‹ÍÂæ´Õ¢¹ã¹ª‹Ç§àÇÅÒËÅÒÂà´×͹ ¼Å¡Òü‹ÒµÑ´ bilateral pallidal deep
                                        Öé
brain stimulation 㹼ٻǠ8 ÃÒ ¾ºÇ‹ÒÍÒ¡Òà dystonia »ÃÐàÁÔ¹â´Â B.MDRS ´Õ¢¹ÁÒ¡¶Ö§ 71%
                        Œ †                                                               Öé
¶Ö§áÁŒÇҼٻǷѧËÁ´¨ÐäÁ‹ãª‹ primary general dystonia ª¹Ô´ DYT-1 ¡çµÒÁ ¡Òõͺʹͧ·Ñ§ËÁ´
        ‹ Œ † é                                                                                    é
ᵡµ‹Ò§¨Ò¡ÃÒ§ҹ㹵‹Ò§»ÃÐà·È â´Â¼Ù»Ç´բ¹Í‹ҧÃÇ´àÃçÇ ã¹àÇÅÒà¾Õ§äÁ‹¡ªÇâÁ§ËÃ×ÍäÁ‹¡Ç¹
                                           Œ †   Öé                             Õè Ñè                   Õè Ñ
áÅоºÇ‹Ò dystonia ª¹Ô´ mobile dystonia, spasmodic dysphonia ààÅÐ laryngopharyngeal dystonia
¹Ñ¹µÍºÊ¹Í§´ÕÍ‹ҧÁÒ¡µ‹Í¡Òü‹ÒµÑ´ ¾ºÀÒÇÐàà·Ã¡«ŒÍ¹ infection ¨Ò¡¡Òü‹ÒµÑ´ 1 ÃÒÂ
  é

         Secondary dystonia
        ÀÒÇÐ secondary dystonia ¹Ñ¹»˜¨¨Øº¹ÂѧÁÕÃÒ§ҹ¡Òõͺʹͧµ‹Í¡Òü‹ÒµÑ´·ÕäÁ‹à๋¹Í¹
                                    é       Ñ                                       è
áÅÐäÁ‹Á¢ÍÊÃØ» ¼Å¡Òü‹ÒµÑ´´ŒÇÂÇÔ¸Õ bilateral pallidal stimulation 㹼ٻǠ14 ÃÒ ¾ºÇ‹Ò¼Ù»ÇÂ
        Õ Œ                                                          Œ †                    Œ †
µÍºÊ¹Í§µ‹Í¡Òü‹ÒµÑ´àൡµ‹Ò§¡Ñ¹Í‹ҧÁÒ¡ µÑ§àോÍÒ¡Òôբ¹ªÑ´à¨¹ ¨¹¶Ö§äÁ‹´¢¹ ¹Í¡¨Ò¡¹Ñ¹ÁÕ
                                              é            Öé                  Õ Öé           é
¼ÙŒ»†ÇºҧÃÒ·Õè¡ÒõͺʹͧŴ¹ŒÍÂŧ àÁ×èÍ·íÒ¡ÒõԴµÒÁã¹ÃÐÂÐÂÒÇ ¢ŒÍÊѧࡵ·Õèä´Œ¤×Í ¡ÅØ‹Á·Õè
µÍºÊ¹Í§´ÕµÍ¡Òü‹ÒµÑ´ ¤×Í secondary dystonia ¨Ò¡ tardive disorder ¡ÅØÁ·ÕµÍºÊ¹Í§»Ò¹¡ÅÒ§
             ‹                                                           ‹ è
¤×Í secondary dystonia ¨Ò¡ pantothenate kinase-associate neurodegeneration (PKAN, Hallovorden-
Spatz disease), stroke, traumatic brain injury ààÅÐ hemidystonia ʋǹ¡ÅØÁ·ÕµÍºÊ¹Í§äÁ‹´Õ ¤×Í
                                                                           ‹ è
secondary dystonia ¨Ò¡ cerebral palsy, CNS infection ààÅÐ Huntington’s disease ¾ºÀÒÇÐ
àà·Ã¡«ŒÍ¹¨Ò¡¡Òü‹ÒµÑ´ Parkinsonism 1 ÃÒ ààÅÐ infection 2 ÃÒ à¹×ͧ¨Ò¡»˜¨¨Øº¹ÂѧäÁ‹ÁÕ challenge
                                                                 è           Ñ
436                                                                     Movement Disorder Surgery

test ÊíÒËÃѺ¾Âҡó¡Òõͺʹͧ¢Í§¼Ù»ÇÂâä´ÕÊâ·à¹Õ µ‹Í¡Òü‹ÒµÑ´ deep brain stimulation
                                       Œ †
´Ñ§¹Ñ¹¨Ö§äÁ‹ÊÒÁÒöÃÙ䴌ṋ¹Í¹Ç‹Ò ¼Ù»ÇÂÃÒÂ㴨дբ¹ÁÒ¡¹ŒÍ ෋Òã´ËÅѧ¼‹ÒµÑ´ ËÃ×ÍÍÒ¨¨ÐäÁ‹´¢¹
     é               Œ             Œ †          Öé                                          Õ Öé
àÅ ¨Ò¡»ÃÐʺ¡Òó¢Í§¼Ùà¢Õ¹áÅÐÃÒ§ҹ¢Í§¡ÒÃÈÖ¡ÉÒÍ×¹æ ¾ºÇ‹Ò¡ÅØÁ¼Ù»Ç·ÕÁá¹Ç⹌Á¨Ð
                           Œ                            è   10-21
                                                                         ‹ Œ † è Õ
µÍºÊ¹Í§´ÕÁÒ¡ 䴌ᡋ primary dystonia, segmental dystonia, mobile dystonia ààÅÐ tardive dystonia
¡ÅØ‹Á¼ÙŒ»†Ç·ÕèÁÕá¹Ç⹌ÁµÍºÊ¹Í§»Ò¹¡ÅÒ§¶Ö§µÍºÊ¹Í§¹ŒÍÂ䴌ᡋ hemidystonia, secondary
dystonia ¨Ò¡ PKAN, post-stroke dystonia ààÅÐ post-traumatic dystinia áÅÐ¡ÅØÁ¼Ù»Ç·ÕÁá¹Ç⹌Á
                                                                            ‹ Œ † è Õ
äÁ‹µÍºÊ¹Í§ 䴌ᡋ secondary dystonia ¨Ò¡ cerebral palsy, CNS infection ààÅÐ Huntington’s
disease

        Cervical dystonia
          ¼ÙŒ»†Ç cervical dystonia ·ÕèäÁ‹µÍºÊ¹Í§µ‹Í medical treatment ໚¹¢ŒÍº‹§ªÕé¢Í§¡Ò÷íÒ
¼‹ÒµÑ´ «Ö§äÁ‹¤ÇèÐÃÍ¡Òü‹ÒµÑ´¨¹¡ÃзѧÁÕ cervical spine degeneration à¡Ô´¢Ö¹ »˜¨¨Øº¹¡Òü‹ÒµÑ´
          è                                 è                                 é          Ñ
ÁÕ 2 ÇÔ¸ËÅÑ¡¤×Í selective peripheral denervation àËÁÒÐÊÁ¡Ñº¼Ù»Çª¹Ô´ simple cervical dystonia
        Õ                                                         Œ †
Íѹ䴌àà¡‹ torticollis, laterocollis ËÃ×Í retrocollis ¼Å¡Òü‹ÒµÑ´¼Ù»Ç 6 ÃÒ¾ºÇ‹Ò¼Ù»ÇÂÁÕÍÒ¡ÒôÕ
                                                       22
                                                                   Œ †               Œ †
¢Ö¹ »ÃÐàÁÔ¹â´Â Tsui’s score 70% ààÅÐäÁ‹¾º¼Å¢ŒÒ§à¤Õ§ bilateral pallidal deep brain stimulation
  é
໚¹¡ÒÃÃÑ¡ÉÒ·Õ§ÁÕÃÒ§ҹäÁ‹ÁÒ¡¹Ñ¡ààÅÐÂѧäÁ‹ÁÃÒ§ҹ long-term outcomes ¼Å¡Òü‹ÒµÑ´¼Ù»ÇÂ
                  è Ñ                                Õ                                        Œ †
5 ÃÒ ¾ºÇ‹Ò¶Ö§ààÁŒ¼ÙŒ»†Ç¨ÐÁÕÍÒ¡ÒôբÖé¹ àോäÁ‹ä´Œ¼Å´Õ仡NjҡÒü‹ÒµÑ´ selective peripheral
denervation Í‹ҧÁÕ¹ÂÊíҤѭ ´Ñ§¹Ñ¹»˜¨¨Øº¹¼Ùà¢Õ¹¨Ö§¨íÒ¡Ñ´¡ÒÃ㪌੾ÒÐ¡Ã³Õ complex cervical
                              Ñ           é     Ñ Œ
dystonia ·ÕäÁ‹àËÁÒСѺ selective peripheral denervation ෋ҹѹ «Ö§ä´Œàà¡‹ cervical dystonia ª¹Ô´
                è                                                é è
antecollis, cervical dystonia ·ÕÁûà຺äÁ‹à๋¹Í¹ ËÃ×ÍÁÕ significant extra-cervical symptom
                                     è ÕÙ
ËÇÁ´ŒÇÂ͹֧¼Å¡ÒÃÃÑ¡ÉÒã¹âç¾ÂÒºÒÅÈÔÃÃÒª¾ºÇ‹Ò¼Ù»ÇºҧÃÒµŒÍ§ãªŒ¡Òü‹ÒµÑ´·Ñ§ÊͧÇÔ¸ÃÇÁ¡Ñ¹
              è                               Ô           Œ †                      é       Õ‹
¨Ö§¨Ðä´Œ¼ÅÅѾ¸·´·Ê´Õè Õ Õè Ø

âäÊÑ蹨ҡÊÒà˵ØÍ×è¹æ (Nonparkinsonian tremor)
         ¹Í¡à˹×ͨҡâä¾ÒÏ¡¹ÊѹáÅŒÇ ÍÒ¡ÒÃÊѹ¨Ò¡ÊÒà˵ØÍ¹æ ઋ¹ essential tremor, traumatic
                                Ô                 è            ×è
brain injury, multiple sclerosis ËÃ×Í midbrain stroke ·ÕÁÍÒ¡ÒÃÃØ¹ààç ààÅÐäÁ‹µÍºÊ¹Í§µ‹Í¡ÒÃ
                                                          è Õ
ÃÑ¡ÉÒ´ŒÇÂÂÒ à»š¹¢ŒÍº‹§ªÕ¢Í§¡Òü‹ÒµÑ´´ŒÇÂÇÔ¸Õ unilateral thalamotomy ËÃ×Í bilateral thalamic deep
                        é
brain stimulation ¡ÒäѴàÅ×Í¡¼Ù»ÇÂà¾×Í·íÒ¼‹ÒµÑ´ÁÕ¤ÇÒÁÊíҤѭ໚¹Í‹ҧÁÒ¡ à¹×ͧ¨Ò¡¼Ù»Ç tremor
                               Œ † è                                           è        Œ †
¨Ò¡ traumatic brain injury, multiple sclerosis ËÃ×Í midbrain stroke ¹Ñ¹ÁÕ brain lesions ÍÂÙà´ÔÁ ¨Ö§ÁÕ
                                                                        é                    ‹
brain reserve ·ÕµÒ ¡ÒúҴà¨çºà¾ÔÁàµÔÁà¾Õ§àÅ硹ŒÍ¨ҡ¡Òü‹ÒµÑ´ ÍҨ໚¹ÍѹµÃÒµ‹Í¼Ù»ÇÂààÅÐ
                 è èí               è                                                       Œ †
¨Ñ´Ç‹ÒÁÕ¤ÇÒÁàÊÕ§µ‹Í¡Òü‹ÒµÑ´ÊÙ§ ¼Ù»Ç·ÕÁ»­ËÒ dementia, speech problem, swallowing problem
               è                   Œ † è Õ ˜
ËÃ×Í ataxia äÁ‹àËÁÒСѺ¡Ò÷íÒ¼‹ÒµÑ´ ¼Ù»Ç multiple sclerosis ·ÕÁ¡ÒôíÒà¹Ô¹âä·ÕÃÇ´àÃçÇ ËÃ×ÍÁÕ
                                         Œ †                        è Õ              è
àà¹Ç⹌Á·Õ¨Ð໚¹ nonfunctional limb ËÅѧ¼‹ÒµÑ´Íѹà¹×ͧ¨Ò¡ weakness, ataxia ËÃ×Í profound sensory
          è                                         è
loss äÁ‹àËÁÒСѺ¡Ò÷íÒ¼‹ÒµÑ´ ¹Í¡¨Ò¡¹Ñ¹¨ÐµŒÍ§á¡ÍÒ¡ÒÃÊѹª¹Ô´ cerebellar tremor ÍÍ¡¨Ò¡
                              23
                                             é                    è
àǪÈÒʵÏ·¹Âؤ 2553
          Ñ                                                                                   437

cerebellar ataxia ·Ñ§¹Õà¹×ͧ¨Ò¡ tremor ¨ÐÊÒÁÒö´Õ¢¹ä´Œ¨Ò¡¡Òü‹ÒµÑ´áµ‹ cerebellar ataxia ¨ÐäÁ‹
                     é é è                           Öé
´Õ¢Öé¹ËÃ×ÍÍÒ¨¨Ð·ÃشŧËÅѧ¼‹ÒµÑ´ µíÒàà˹‹§ target ·Õèä´ŒÃѺ¡ÒÃÂÍÁÃѺá¾Ã‹ËÅÒ¢ͧ¡Òü‹ÒµÑ´
nonparkinsonian tremor 䴌ᡋ Vim àËÁ×͹¡Ñºã¹ Parkinsonian tremor àോÁÃÒ§ҹáÂŒ§¶Ö§¡ÒÃ
                                                                                Õ
targeting ·Õè ventral oroposterior nucleus (VOp) ËÃ×Í·Õè subthalamic region ºÃÔàdz zona inserta
                                                  23

(Zi) ÃÇÁ·Ñ§ subthalamic white matter Ç‹Òä´Œ¼Å´Õ¡Ç‹Ò Vim23,24,25 ¼Ùà¢Õ¹àÅ×Í¡·Õ¨Ð target ·Õè VOp ã¹
          é                                                       Œ           è
¡Ã³Õ·à»š¹ cerebellar tremor áÅШРtarget ·Õè Zi ËÇÁ´ŒÇ¶ŒÒÁÕÍÒ¡ÒÃÊѹ·ÕÊǹµŒ¹ (proximal tremor)
       Õè                                                             è è‹
ËÃ×Íʋǹ¡ÅÒ§ (truncal tremor) ¼Å¡Òü‹ÒµÑ´¼Ù»Ç 7 ÃÒ´ŒÇÂÇÔ¸Õ VOp-Zi thalamotomy áÅÐ VOp-Zi
                                              Œ †
deep brain stimulation ´Ñ§¡Å‹ÒǾºÇ‹Ò postural tremor (¨Ò¡ essential tremor) µÍºÊ¹Í§´Õ¡Ç‹Ò
cerebellar tremor (¨Ò¡ traumatic brain injury, multiple sclerosis ËÃ×Í midbrain stroke) áÅÐÍÒ¡ÒÃ
Êѹ·ÕÊǹ»ÅÒ (distal limb tremor) µÍºÊ¹Í§´Õ¡Ç‹ÒÍÒ¡ÒÃÊѹ·ÕÊǹµŒ¹ (proximal limb tremor) ààÅÐ
  è è‹                                                      è è‹
ʋǹ¡ÅÒ§ (truncal tremor) µÒÁÅíҴѺ

âä¡ÅŒÒÁà¹×éÍË´à¡Ãç§ (Spasticity)
        Spasticity ·Õà¡Ô´¢Ö¹¨Ò¡ upper motor neuron lesion ¹Ñ¹ã¹ºÒ§¤ÃѧÁÕ»ÃÐ⪹ã¹¡Òê‹ÇÂ
                        è é                                   é         é
maintain good posture àോ spasticity ·ÕùààçÁÒ¡à¡Ô¹ä»¨Ð໚¹ÍØ»ÊÃäµ‹Í voluntary movement
                                          èØ
¢Ñ´¢ÇÒ§¡ÒôÙáÅáÅСÒ÷íÒ¡ÒÂÀÒ¾ºíҺѴ ºÒ§¤Ãѧ·íÒãËŒà¡Ô´¡ÒÃË´Ãѧ¢Í§¡ÅŒÒÁà¹×Í ÁÕàÊŒ¹àÍç¹ËÃ×Í¢ŒÍ
                                                  é                é           é
µÔ´ ËÃ×ÍÁÕ spasticity-related pain ÊÔ§àËŋҹÕ໚¹â·ÉààÅÐÊÁ¤ÇÃ䴌ú¡ÒÃÃÑ¡ÉÒ «Ö§ã¹¡Ã³Õ·Ã¡ÉÒäÁ‹
                                     è       é                   Ñ           è       Õè Ñ
ä´Œ¼Å´ŒÇÂÇÔ¸¡ÒÃäÁ‹¼ÒµÑ´ààÅŒÇ ÊÁ¤ÇþԨÒóҶ֧¡ÒÃÃÑ¡ÉÒâ´Â¡Òü‹ÒµÑ´ «Ö§»ÃÐʺ¡Òó¨Ò¡¡ÒÃ
             Õ        ‹                                                   è
¼‹ÒµÑ´ä´Œ¼ÅÅѾ¸´§¹Õé
                  Ñ

        Selective Peripheral Neurotomy
         àÅ×Í¡ãªŒã¹¡Ã³Õ focal spasticity ËÃ×Í multifocal spasticity ¼Ù»Ç·ÕàËÁÒÐÊÁ㹡Òü‹ÒµÑ´
                                                                      Œ † è
¤×ͼٌ»†Ç·ÕèÁÕ੾ÒÐÀÒÇСŌÒÁà¹×éÍË´à¡Ãç§ â´ÂäÁ‹ÁÕ¤ÇÒÁ¼Ô´»¡µÔ·Ò§ÍÍÏ⸻´Ô¤Ê â´Â੾ÒÐ
ÀÒÇСŌÒÁà¹×ÍàÊŒ¹àÍç¹Ë´ÃѧËÃ×ÍÀÒÇТŒÍµÔ´ «Ö§ÊÒÁÒö·íÒ¡ÒÃá¡ spasticity áÅÐ contracture ¡‹Í¹
                é           é                 è
¼‹ÒµÑ´ä´Œâ´Â¡Ò÷íÒ preoperative nerve block ¼Å¡Òü‹ÒµÑ´¨íҹǹ 140 neurotomy 㹼ٻǠ38 Œ †
ÃÒ ¾ºÇ‹ÒÃдѺ spasticity »ÃÐàÁÔ¹â´Â modified Asworth score Ŵŧâ´Âà©ÅÕ 75 % ààÅÐ passive
                                                                            è
range of movement à¾ÔÁ¢Ö¹â´Âà©ÅÕ 30 ͧÈÒ ã¹ª‹Ç§µÔ´µÒÁ 1 »‚ ¼Ù»Ç 9 ÃÒ«֧䴌ú¡Òü‹ÒµÑ´
                        è é         è                               Œ †        è Ñ
selective tibial neurotomy ÁÕ gait function ´Õ¢¹ ¼Ù»Ç 6 ÃÒ«֧¡‹Í¹¼‹ÒµÑ´äÁ‹ÊÒÁÒö¹Ñ§ä´Œà¹×ͧ
                                                Öé Œ †            è                  è     è
¨Ò¡ÁÕÍÒ¡ÒÃà¡Ã秢ͧ¢ÒÁÒ¡ÊÒÁÒö¹Ñ§ä´ŒËÅѧ¼‹ÒµÑ´ obturator neurotomy áÅÐ sciatic neurotomy
                                      è

        Microsurgical DREZotomy (dorsal root entry zone lesion)
        àÅ×Í¡ãªŒã¹¡Ã³Õ general spasticity ËÃ×Í regional spasticity ·ÕÁÕ permanent disabling
                                                                        è
neurological deficit ààÅÐäÁ‹ÁÕ potential ambulation ¼Å¡Òü‹ÒµÑ´¼Ù»Ç¨íҹǹ 3 ÃÒ ¾ºÇ‹ÒãËŒ¼ÅÅ´
                                                                 Œ †
ÃдѺ spasticity »ÃÐàÁÔ¹â´Â modified Asworth score ŧ 100 %
438                                                                  Movement Disorder Surgery

        Selective dorsal rhizotomy
          ¹ÔÂÁ㪌㹡ÒÃÃÑ¡ÉÒ¼Ù»ÇÂà´ç¡·ÕÁÀÒÇÐÊÁͧ¾Ô¡Òà (cerebral palsy) «Ö§ÁÕ»­ËÒ¡ÅŒÒÁà¹×Í
                               Œ †      è Õ                                 è ˜               é
Ë´à¡Ãç§·Õ¢ÒÊͧ¢ŒÒ§ (spastic diplegia) ¡Òü‹ÒµÑ´¹Õ໚¹»ÃÐ⪹ÁÒ¡ã¹ÃÒ·աÒÅѧ¢Í§¢Ò (motor
           è                                        é                     è í
strength) ÍÂÙã¹à¡³±´Õ ÃдѺʵԻ­­Ò¢Í§¼Ù»ÇÂÍÂÙã¹à¡³±´Õ áÅмٻÇÂÁÕ੾ÒÐ spasticity â´Â
               ‹                    ˜        Œ †       ‹           Œ †
·ÕäÁ‹ÁÕ joint contracture ËÃ×Í tendon shortening ¹Í¡¨Ò¡¹Õé ÍÒ¨¾Ô¨ÒóҼ‹ÒµÑ´ã¹ÃÒ·ÕÁ¡ÅŒÒÁà¹×Í
    è                                                                             è Õ           é
Ë´à¡Ãç§·ÕèᢹáÅТҷÑé§Êͧ¢ŒÒ§ (spastic quadriplegia) «Öè§ãËŒ¼Å¡ÒÃÃÑ¡ÉÒ·Õ褋͹¢ŒÒ§´Õ ¼ÙŒ»†ÇÂ
·ÕàËÁÒÐÊÁ㹡Òü‹ÒµÑ´ ¤×Í ¼Ù»Ç cerebral palsy ·ÕÁÊÒà˵بҡ perinatal asphyxia ËÃ×Í low birth
  è                             Œ †                è Õ
weight áÅÐÁÕÈ¡ÂÀÒ¾·Õ¨Ð ambulate ä´Œ ¼Å¡Òü‹ÒµÑ´¼Ù»Ç¨íҹǹ 4 ÃÒ ¾ºÇ‹Ò gait function ´Õ¢¹
                 Ñ        è                               Œ †                              Öé
áÅмٻǺҧÃÒÂÊÒÁÒöÁÕ voluntary movement ·Õ´¢¹¢Í§¢Ò·Ñ§Êͧ¢ŒÒ§
      Œ †                                             è Õ Öé   é

        Longitudinal myelotomy
         àÅ×Í¡ãªŒã¹¡Ã³Õ complete spinal cord lesion áÅÐÁÕ severe spasticity ¢Í§¢ÒËÃ×ÍÁÕ severe
spasticity-related pain »˜¨¨Øº¹Áշ㪌¹ÍÂŧÁÒ¡à¹×ͧ¨Ò¡à»š¹ destructive surgery ·Õ¤Í¹¢ŒÒ§ extensive
                              Ñ Õè Œ            è                               è ‹
áÅÐÁÕ neurological deficit ÁÒ¡ ËÒ¡àÅ×Í¡¼ÙŒ»†Ç·ÕèäÁ‹àËÁÒÐÊÁ ÍÕ¡·Ñé§¡Òü‹ÒµÑ´¹Õé¶Ù¡á·¹·Õè´ŒÇÂ
intrathecal baclofen therapy «Öè§¹ÔÂÁ·íÒã¹»˜¨¨ØºÑ¹¡Ñº¼ÙŒ»†Ç·ÕèÁÕ severe spasticity ·Õèà¡Ô´¨Ò¡
ÃÍÂâäºÃÔàdzä¢ÊѹËÅѧ ¼Å¡Òü‹ÒµÑ´¼Ù»Ç 4 ÃÒ·ÕÁ੾ÒÐ severe spasticity ¢Í§¢Ò䴌ú¡ÒÃ
                                         Œ †        è Õ                                     Ñ
¼‹ÒµÑ´ Bischof II myelotomy (modified Bischof myelotomy ËÃ×Í T-myelotomy) ÁÕÍÒ¡ÒÃà¡Ãç§Å´Å§
â´ÂÁÕ spasm frequency scale Ŵŧ¨Ò¡ÃдѺ 4 (ÁÕÍÒ¡ÒÃà¡Ãç§ÁÒ¡¡Ç‹Ò 10 ¤Ãѧµ‹ÍÇѹ) ໚¹ÃдѺ 0
                                                                             é
(äÁ‹ÁÍÒ¡ÒÃà¡Ãç§àÅÂ) ã¹¢³Ð·Õ¼»ÇÂÍÕ¡ 1 ÃÒ·ÕÁÕ severe spasticity ¢Í§¢ÒËÇÁ¡Ñº severe pain
     Õ                           è ÙŒ †           è
¨Ò¡ spasticity 䴌ú¡Òü‹ÒµÑ´ Pourpre myelotomy ÁÕ spasm frequency scale Ŵŧ¨Ò¡ÃдѺ 4
                     Ñ
໚¹ÃдѺ 0 áÅÐäÁ‹ÁÍÒ¡ÒûǴ¨Ò¡ spasticity ÍÕ¡àÅÂ
                       Õ

        Intrathecal baclofen pump
        ÁÕ¨´à´‹¹·Õ໚¹ non-destructive reversible procedure àËÁÒÐÊÁ·ÕàÅ×Í¡ãªŒã¹¡Ã³Õ regional ËÃ×Í
           Ø      è                                                  è
generalized spasticity ·Õ¼»ÇÂÊÒÁÒöÃѺÀÒÃФ‹Ò㪌¨Ò¤‹ÒÍØ»¡Ã³ààÅÐÂÒä´Œ à¹×ͧ¨Ò¡ intrathecal
                         è ÙŒ †                        ‹                       è
baclofen ÂѧÁÕÃÒ¤Òá¾§ äÁ‹ÁÕã¹»ÃÐà·Èä·ÂáÅеŒÍ§¢Í͹حҵ¹íÒà¢ŒÒ ¼Å¡Òü‹ÒµÑ´¼ÙŒ»†Ç¨íҹǹ
5 ÃÒ ¾ºÇ‹ÒãËŒ¼ÅÅ´ spasticity ¨Ò¡ÊÒà˵صҧæ â´Â੾ÒзÕà¡Ô´¨Ò¡ÃÍÂâäºÃÔàdzä¢ÊѹËÅѧ䴌
                                              ‹                è
ªÑ´à¨¹

âäÍ×è¹æ
       ¹Í¡à˹×ͨҡâ䵋ҧæ´Ñ§¡Å‹ÒÇ¢ŒÒ§µŒ¹ààÅŒÇ ÂѧÁÕâä¡ÒÃà¤Å×͹äËǼԴ»Ã¡µÔ͹ ·ÕÊÒÁÒö
                                                               è             ×è è
ÃÑ¡ÉÒä´Œâ´Â¡Òü‹ÒµÑ´ àോ»¨¨Øº¹ÂѧäÁ‹Á¢ÍÊÃØ»·Õª´à¨¹ à¹×ͧ¨Ò¡à»š¹âä·Õ¾º¹ŒÍÂÁÒ¡ ËÃ×ÍÂѧÁÕǸÕ
                          ˜ Ñ         Õ Œ     è Ñ      è             è                   Ô
áÅмšÒÃÃÑ¡ÉÒ·ÕäÁ‹à๋¹Í¹
                 è
àǪÈÒʵÏ·¹Âؤ 2553
          Ñ                                                                                                    439

         Hemiballism
         ÀÒÇÐ hemiballism ໚¹ÀÒÇÐ hyperkinetic movement ÃٻẺ·ÕÁ¤ÇÒÁÃØ¹áçÁÒ¡·ÕÊ´
                                                                      è Õ              è Ø
áÅÐÊÒÁÒö·íÒãËŒ¤¹ä¢ŒÁÕ exhaustion 䴌͋ҧÁÒ¡ ᵋÊǹãË­‹ hemiballism ÁÑ¡¨ÐËÒÂä»àͧ ã¹
                                                     ‹
¡Ã³Õ·Õè hemiballism äÁ‹ËÒÂä»àͧËÅѧ¡ÒõԴµÒÁ໚¹àÇÅÒ¹Ò¹¾ÍÊÁ¤Çà ÊÁ¤ÇþԨÒóҶ֧¡Òü‹Ò
µÑ´ «Öè§ÁÕÃÒ§ҹ¡ÒüšÒü‹ÒµÑ´·Õè´Õ·Ñ駨ҡ thalamotomy ààÅÐ pallidotomy ¼Å¡Òü‹ÒµÑ´¼ÙŒ»†ÇÂ
persistent hemiballism 1 ÃÒ´ŒÇÂÇÔ¸Õ pallidotomy ¾ºÇ‹Ò hemiballism ËÒÂä»ã¹¡ÒõԴµÒÁ 5 »‚

         Tourette syndrome
         »˜¨¨Øº¹ÁÕÃÒ§ҹ¼Å·Õ´¨Ò¡¡Òü‹ÒµÑ´ deep brain stimulation àോµÒàà˹‹§ target ¢Í§¡ÒÃ
               Ñ              è Õ                                           í
¼‹ÒµÑ´ÂѧÁÕ¤ÇÒÁËÅÒÂËÅÒ¡ ÁÕÃÒ§ҹ¼Å¡Òü‹ÒµÑ´·Õè´Õ·Ñ駨ҡ anteromedial globus pallidus,
posterolateral globus pallidus, anterior limb of internal capsule, neuclear accumben ààÅÐ medial
thalamus «Ö§ÁÕÃÒ§ҹ¨íҹǹ¼Ù»ÇÂÁÒ¡·ÕÊ´ â´Â¨Ð target ·Õè centromedian parafasicular complex
             è                  Œ †        èØ
(CM-Pfc) ËÇÁ¡Ñº Ventral oraoanterior nucleus (VOa) ¢Í§ thalamus26 ¼Å¡Òü‹ÒµÑ´¼Ù»Ç 2 ÃÒÂ
                                                                                      Œ †
´ŒÇÂÇÔ¸Õ bilateral CM-Pfc-VOa deep brain stimulation ààÅÐÍÕ¡ 1 ÃÒ´ŒÇÂÇÔ¸Õ bilateral pallidal deep
brain stimulation ¾ºÇ‹Òª‹ÇÂãËŒ motor tics ààÅÐ vocal tics ´Õ¢¹Öé

àÍ¡ÊÒÃ͌ҧÍÔ§
1.  Kelly PJ, Gillingham .J. The long-term results of stereotaxic surgery and L-dopa therapy in patients with
    Parkinson’s disease. A 10-year follow-up study. J Neurosurg 1980;53(3):332-7.
2. .ine J,Duff J, Chen R, Chir B, Hutchison W, Lozano AM, Lang AE. Long-term follow-up of unilateral pallidotomy
    in advance Parkinson’s disease. N Engl J Med 2000;342(23):1708-14.
3. Krack P, Batir A, Van Blercom N, Charbardes S, .raix V, Ardouin C, Koudsie A, Limousine PD, Benazzouz A,
    LeBus J., Benabid AL, Pollak P. .ive-year follow-up of bilateral stimulation of the subthalamic nucleus in
    advance Parkinson’s disease. N Engl J Med 2003;349(20):1925-34.
4. Nunta-aree S, Sithinamsuwan B, Boonyapisit K, Pisarnpong A. 2 year outcomes of subthalamic deep brain
    stimulation for idiopathic Parkinson’s disease. J Med Assoc Thai 2010;93(5):529-40.
5. Deep brain stimulation for Parkinson’s disease study group. Deep brain stimulation of the subthalamic nucleus
    or the par interna of the globus pallidus in Parkinson’s disease. N Engl J Med 2001;345(13):956-63.
6. Volkmann J, Albert N, Vogas J, Sturm V, Schnitzler A, .reund HJ. Long-term results of bilateral pallidal
    stimulation in Parkinson’s disease. Ann Neurol 2004;55(6):871-5.
7. Stefani A, Lozano AM, Peppe A, Stanzione P, Galati S, Tropepi D, Pierantozzi M, Brusa L, Scarnati E,
    Mazzone P. Bilateral deep brain stimulation of the pedunculopontine and subthalamic nuclei in severe Parkinson’s
    disease. Brain 2007;130:1596-1607.
8. .rench Stimulation du Pallidum Interne dans la Dystonie (SPIDY) Study Group. Bilateral deep brain stimulation
    of the globus pallidus in primary general dystonia. N Engl J Med 2005;352:459-67.
9. Coubes P, Rouberrtie A, Vayssiere N, Hemm S, Echenne B. Treatment of DYT1-generalised dystonia by
    stimulation of the internalglobus pallidus. Lancet 2000;355(9222):2220-1.
10. Alkhani A, Bohlega S: Unilateral pallidotomy for hemidystonia. Mov Disord 2006;21(6):852-5.
440                                                                                   Movement Disorder Surgery

11. Biolsi B, Cif L, El .ertit H: Long-term follow-up of Huntington disease treated by bilateral deep brain stimulation
    of the internal globus pallidus. J Neurosurg 2008;109:130–2.
12. Chuang C, .ahn S, .rucht SJ: The natural history and treatment of acquired hemidystonia: report of 33 cases
    and review of the literature. J Neurol Neurosurg Psychiatry 2002;72:59–67.
13. Coubes P, Echenne B, Cif L, et al: Electrical stimulation of the internal globus pallidus in generalized dystonia.
    Mov Disord 2002;17 (Suppl 5):S6.
14. Gruber D, Trottenberg T, Kivi A, et al: Long-term effects of pallidal deep brain stimulation in tardive dystonia.
    Neurology 2009;73:53-8.
15. Holloway K, Baron M, Brown R, et al: Deep brain stimulation for dystonia: a meta-analysis. Neuromodulation
    2006;9:253–61.
16. Justeson CR, Penn RD, Kroin JS, et al: Stereotactic pallidotomy in a child with Hallervorden-Spatz disease.
    Case report. J Neurosurg 1999;90:551-4.
17. Loher TJ, Hasdemir MG, Burgunder JM, et al: Long-term follow-up study of chronic globus pallidus internus
    stimulation for posttraumatic hemidystonia. J Neurosurg 2000;92:457–60.
18. Starr PA, Turner RS, Rau G, et al: Microelectrode – guided implantation of deep brain stimulators into the
    globus pallidus internus for dystonia: techniques, electrode locations, and outcomes. Neurosurg .ocus 2004;
    17(1):E4:20-31.
19. Umemura A, Jaggi JL, Dolinskas CA, et al: Pallidal deep brain stimulation for longstanding severe generalized
    dystonia in Hallervorden-Spatz syndrome. Case report. J Neurosurg 2004;100:706–9.
20. Volkmann J, Benecke R: Deep brain stimulation for dystonia: patient selection and evaluation. Mov Disord
    2002;17(Suppl. 3):S112-5.
21. Yianni J, Bain P, Giladi N, et al: Globus pallidus internus deep brain stimulation for dystonic conditions: a
    prospective audit. Mov Disord 2003;18:436–2.
22. Bertrand CM. Selective peripheral denervation for spasmodic torticollis:surgical technique, results, and observations
    in 260 cases. Surg Neurol 1993;40(2):96-103.
23. Alusi S H; Aziz T Z; Glickman S; Jahanshahi M; Stein J .; Bain P G. Stereotactic lesional surgery for the
    treatment of tremor in multiple sclerosis: a prospective case-controlled study. Brain 2001;124:1576-89.
24. Nandi D; Chir M; Liu X; Bain P; Parkin S; Joint C; Winter J; Stein J; Scott R; Gregory R; Aziz T. Electrophysiological
    confirmation of the zona incerta as a target for surgical treatment of disabling involuntary arm movements in
    multiple sclerosis: use of local field potentials. Journal of clinical neuroscience 2002;9(1):64-8.
25. Plaha P, Patel NK, Gill SS. Stimulation of the subthalamic region for essential tremor. J Neurosurg 2004;101:305-
    11.
26. Servello D, Porta M, Sassi M, Brambilla A, Robertson MM. Deep brain stimulation in 18 patients with severe
    Gilles de la Tourette syndrome refractory to treatment: the surgery and stimulation. J Neurol Neurosurg
    Psychiatry 2008;79:136-42.
àǪÈÒʵÏ·¹Âؤ 2553
          Ñ                                                                  º··Õè      441

                                                                              63
    Neurosurgical Perspective of Mild Traumatic Brain Injury
                                             ÍÒ¨ÒÏ ¹ÒÂᾷºÃþµ ÊÔ·¸Ô¹ÒÁÊØÇÃó
                                         ÃͧÈÒʵÃÒ¨ÒÏ ¹ÒÂᾷ»ÃШѡɏ ÈÃÕþվѲ¹
                      ÀÒ¤ÇÔªÒÈÑÅÂÈÒʵÏ ¤³Ðá¾·ÂÈÒʵÏÈÔÃÔÃÒª¾ÂÒºÒÅ ÁËÒÇÔ·ÂÒÅÑÂÁËÔ´Å

Overview
       Background
       Definition
       Pathophysiology
       Classification
       Diagnosis
       Postconcussive symptom
       Postconcussion syndrome
       Guideline for management
       Sport related concussion

Background
        ¡ÒúҴà¨çº¢Í§ÊÁͧ (Traumatic brain injury ËÃ×Í TBI) ໚¹ÀÒÇзվºº‹Í áÅÐÁÕ¤ÇÒÁ
                                                                        è
ÊíҤѭã¹àǪ»¯ÔºµÔ »ÃÐÁÒ³¡ÒóÇÒ 80 % ¢Í§ TBI ·Ñ§ËÁ´à»š¹ mild TBI (MTBI) ã¹¢³Ð·Õè 20 %
                  Ñ                 ‹               é
·ÕàËÅ×Í໚¹ moderate áÅÐ severe TBI ÃÇÁ¡Ñ¹ ¾ºÇ‹Ò MTBI à¡Ô´ã¹à¾ÈªÒÂÁÒ¡¡Ç‹Òà¾ÈË­Ô§ (1, 2)
  è
â´ÂÁÕÊÒà˵طÕèÊíҤѭ 䴌ᡋ ÍØºÑµÔà˵بÃҨ÷ҧº¡ ¡ÒÃˡŌÁËÃ×͵¡¨Ò¡·ÕèÊÙ§ ÍØºÑµÔà˵بҡ¡ÒÃ
·íÒ§Ò¹ ÍØºÑµÔà˵بҡ¡ÕÌÒáÅСÒö١·íÒÃŒÒÂËҧ¡Ò (3) ÊíÒËÃѺ㹻ÃÐà·Èä·Â¾ºÇ‹Ò TBI ໚¹¡ÒÃ
ºÒ´à¨çº·Õ¾º»ÃÐÁÒ³ 30 % ¢Í§¡ÒúҴà¨çºÃعáç«Ö§ TBI ¶×Í໚¹¡ÒúҴà¨çºÍѹ´ÑºµŒ¹¢Í§Íغµà˵Ø
          è                                     è                                    Ñ Ô
¨ÃҨ÷ҧº¡·Ñé§ËÁ´ ¨ÐàËç¹ä´ŒÇ‹Ò¼ÙŒ»†Ç·ÕèÁÕ MTBI ໚¹¼ÙŒ»†Ç·Õè¡ÅØ‹ÁãË­‹·ÕèÊØ´¢Í§ TBI ´Ñ§¹Ñé¹
                       (4)

¡ÒôÙáÅÃÑ¡ÉÒàº×ͧµŒ¹ã¹¼Ù»ÇÂ¡ÅØÁ¹Õ¨§ÁÕ¤ÇÒÁÊíҤѭ â´Â੾ÒÐÍ‹ҧÂÔ§¡ÒõÃǨËÒÀÒÇкҴà¨çº
                é          Œ †   ‹ éÖ                              è
ÀÒÂ㹡ÐâËÅ¡ÈÕÃÉÐ (intracranial injury) ·ÕÍÒ¨à¡Ô´Ã‹ÇÁ¡Ñº MTBI áÅСÒôÙáÅÃÑ¡ÉÒÍÒ¡ÒÃáÅÐ
                                            è
¡ÅØÁÍÒ¡ÒüԴ»¡µÔ·à¡Ô´ËÅѧÊÁͧ¡Ãзº¡ÃÐà·×͹ (postconcussion symptom áÅÐ syndrome)
    ‹               Õè
442                                      Neurosurgical Perspective of Mild Traumatic Brain Injury

Definition
         ÁÕ¡ÒÃãËŒ¤Ò¹ÔÂÒÁ¢Í§¤íÒÇ‹Ò mild head injury, mild TBI áÅÐ cerebral concussion ¡Ñ¹Í‹ҧ
                        í
¡ÇŒÒ§¢ÇÒ§ â´Âã¹àǪ»¯ÔºµÁ¡ÒÃ㪌¤ÒàËŋҹÕá·¹¡Ñ¹¤‹Í¹¢ŒÒ§º‹Í¤Ãѧ ᵋ㹤ÇÒÁ໚¹¨ÃÔ§áÅŒÇ ¹ÔÂÒÁ
                            Ñ Ô Õ      í        é                é
¢Í§¤íÒàËŋҹÕÁ¤ÇÒÁᵡµ‹Ò§¡Ñ¹ «Ö§¾ÍÊÃØ»ä´Œ´§µ‹Í仹Õé
              é Õ                  è              Ñ
         Mild head injury ¤×Í¡ÒúҴà¨çº·ÕÈÃÉЫ֧¼Ù»ÇÂÁÕ Glasgow coma score ÍÂÙ㹪‹Ç§¤Ðá¹¹
                                          è Õ       è Œ †                       ‹
µÑ§áµ‹ 13-15 â´Â์¹¡ÒúҴà¨çº¢Í§ÍÇÑÂÇТͧÈÕÃÉÐ໚¹ËÅÑ¡ ઋ¹ ˹ѧÈÕÃÉÐ ãºË¹ŒÒ ¡ÐâËÅ¡ÈÕÃÉÐ
  é
໚¹µŒ¹ â´Â·Õ¼»ÇÂÍÒ¨¨ÐÁÕËÃ×ÍäÁ‹ÁÕ TBI ËÇÁ´ŒÇ¡çä´Œ (5)
               è ÙŒ †
         Mild traumatic brain injury ¤×ÍÀÒÇÐ˹ŒÒ·Õ¡Ò÷íÒ§Ò¹¢Í§ÊÁͧ¶Ù¡Ãº¡Ç¹ ÍѹÁÕÊÒà˵Ø
                                                          è
ÁÒ¨Ò¡ÍØºÑµÔà赯 ·íÒãËŒà¡Ô´ loss of consciousness ໚¹àÇÅÒ 20 ¹Ò·ÕËÃ×͹ŒÍÂ¡Ç‹Ò áÅÐ/ËÃ×ÍÁÕ
retrograde amnesia â´Â·Õ¨ÐµŒÍ§ÁÕ Glasgow coma score ÍÂÙ㹪‹Ç§¤Ðá¹¹µÑ§áµ‹ 13-15 ËÇÁ¡ÑºäÁ‹ÁÕ
                             è                              ‹            é
focal neurological deficit áÅмÅàÍç¡«àϤÍÁ¾ÔÇàµÍÏ (CT scan) ¢Í§ÊÁͧÍÂÙã¹à¡³±»¡µÔ (5-7)
                                                                            ‹
         Cerebral concussion ¤×Í¡ÒÃà»ÅÕ¹á»Å§¢Í§¡Ò÷íÒ§Ò¹¢Í§ÊÁͧẺà©Õº¾Åѹ ÍѹÁÕ
                                              è
ÊÒà˵ØÁÒ¨Ò¡ÍØºµà赯 â´ÂÍÒ¨à¡Ô´ËÃ×ÍäÁ‹à¡Ô´ loss of consciousness ¡çä´Œ ʋǹãË­‹¡ÒÃà»ÅÕ¹á»Å§
                      Ñ Ô                                                            è
´Ñ§¡Å‹ÒǨФ§ÍÂÙäÁ‹à¡Ô¹ 24 ªÑÇâÁ§ ËÅѧ¨Ò¡¹Ñ¹¼Ù»ÇÂÍÒ¨¨ÐÁÕÍÒ¡ÒÃËÇÁºÒ§Í‹ҧ ઋ¹ »Ç´ÈÕÃÉÐËÃ×Í
                    ‹            è         é Œ †
àÇÕ¹ÈÕÃÉР໚¹µŒ¹ «Ö§ÍÒ¡ÒÃàËŋҹըÐËÒÂÀÒÂã¹ 2 - 3 ÊÑ»´Òˏ (5)
                          è          é
         Í‹ҧäáçµÒÁ໚¹·ÕÂÍÁÃѺ¡Ñ¹â´Â·ÑÇä»Ç‹ÒÊÒÁÒö㪌¤ÒÇ‹Ò MTBI áÅÐ cerebral concussion
                               è            è                 í
á·¹«Ö§¡Ñ¹áÅСѹ䴌
       è

Pathophysiology
          ÀÂѹµÃÒµ‹ÍÈÕÃÉзíÒãËŒà¡Ô´áç¡ÃÐá·¡·Ñ¹·ÕµÍà¹×ÍÊÁͧ㹪‹Ç§ÃÐÂÐàÇÅÒ·ÕʹÁÒ¡ ÁÕ¡ÒÃ
                                                         ‹ é                       è Ñé
¶‹ÒÂà·áç¡ÃÐá·¡ä»Âѧà¹×ÍÊÁͧ â´Â·ÔÈ·Ò§¢Í§áç·Õà¡Ô´¢Ö¹à»š¹ä´Œ·§áçá¹ÇµÃ§ (linear force)
                            é                             è é           Ñé
áÅÐáçËÁع (rotational force) linear force »ÃСͺ´ŒÇÂáç·Õà¡Ô´ã¹ª‹Ç§·ÕÁ¤ÇÒÁà˧ (acceleration
                                                                è          è Õ
force) áÅÐáç·Õà¡Ô´ã¹ª‹Ç§·ÕÁ¤ÇÒÁ˹‹Ç§ (deceleration force)(5, 8) ¡ÒúҴà¨çºÀÒÂ㹡ÐâËÅ¡ÈÕÃÉÐ
                è             è Õ
·Ñ§ primary brain injury ઋ¹ diffuse axonal injury ËÃ×Í brain contusion áÅÐsecondary brain injury
  é
ઋ¹ epidural hematoma, subdural hematoma ËÃ×Í traumatic intracerebral hematoma ÊÒÁÒö
à¡Ô´µÒÁËÅѧ MTBI 䴌ᵋ໚¹ÊѴʋǹ·Õ¹ÍÂÁÒ¡àÁ×Íà·Õº¡ÑºâÍ¡ÒÊà¡Ô´¡ÒúҴà¨çºÀÒÂ㹡ÐâËÅ¡
                                        è Œ         è
ÈÕÃÉзÕà¡Ô´µÒÁËÅѧ moderate áÅÐ severe TBI (5, 7) ¾ºÇ‹Ò¼Ù»Ç MTBI ¹ŒÍÂ¡Ç‹Ò 1 % ·ÕÁ¡ÒÃ
        è                                                         Œ †                       è Õ
ºÒ´à¨çºÀÒÂ㹡ÐâËÅ¡ÈÕÃÉÐ ·ÕµÍ§¡ÒáÒü‹ÒµÑ´ÃÑ¡ÉÒ
                                  è Œ                      (9)



Diagnosis
       㹡ÒÃÇÔ¹¨©Ñ MTBI ¹ÔÂÁ㪌ࡳ±¡ÒÃÇÔ¹¨©Ñ¢ͧ The American Congress of Rehabilitation
               Ô                             Ô
Medicine Special Interest Group on Mild Traumatic Brain Injury «Ö§ä´ŒÃº¡ÒþѲ¹Òâ´Â The Mild
                                                                 è Ñ
àǪÈÒʵÏ·¹Âؤ 2553
          Ñ                                                                                     443

Traumatic Brain Injury Committee of the Head Injury Interdisciplinary Special Interest Group (6, 10)
â´ÂÁÕࡳ±´§µ‹Í仹Õé
            Ñ
        MTBI ໚¹¡ÒÃú¡Ç¹¡Ò÷íÒ§Ò¹¢Í§ÊÁͧÍѹÁÕÊÒàËµØ¨Ò¡ÍØºµà赯 â´ÂÁÕࡳ±Í‹ҧ¹ŒÍÂ
                                                                     Ñ Ô
˹֧¢ŒÍ¨Ò¡¢ŒÍµ‹Í仹Õé
   è
               Loss of consciousness
               ¨íÒà˵ءÒóªÇ§¡‹Í¹à¡Ô´Íغµà˵ØËÃ×ÍËÅѧà¡Ô´Íغµà˵تǧááäÁ‹ä´Œ
                            ‹              Ñ Ô                 Ñ Ô         ‹
               ¡ÒÃà»ÅÕ¹á»Å§¢Í§ mental status ઋ¹ ÁÖ¹§§ ÊѺʹ ໚¹µŒ¹
                       è
               Focal neurological deficit «Ö§ÍҨ໚¹ªÑǤÃÒÇËÃ×͵‹Íà¹×ͧ
                                            è         è                  è
               â´Â·Õ¤ÇÒÁÃØ¹áç¢Í§ TBI ¨ÐµŒÍ§äÁ‹Ã¹áç¡Ç‹Òࡳ±µÍ仹ը§¨ÐãËŒ¡ÒÃÇÔ¹¨©Ñ MTBI
                     è                            Ø                ‹         éÖ        Ô
               Loss of consciousness äÁ‹à¡Ô¹ 30 ¹Ò·Õ
               â´ÂËÅѧ 30 ¹Ò·Õ¼»ÇµŒÍ§ÁÕ Glasgow coma score 13 - 15 áÅÐ
                                ÙŒ †
               Post-traumatic amnesia äÁ‹¹Ò¹¡Ç‹Ò 24 ªÑÇâÁ§
                                                        è

Classification
       ä´ŒÁ¡ÒÃẋ§ÃдѺ¤ÇÒÁÃØ¹áç¢Í§ MTBI äÇŒËÅÒÂÃٻẺ â´ÂÃٻẺ«Ö§à»š¹·ÕÂÍÁÃѺ¡Ñ¹
           Õ                                                         è    è
Í‹ҧá¾Ã‹ËÅÒÂáÅÐÁÕ»ÃÐ⪹ã¹á§‹¡ÒôÙáÅÃÑ¡ÉÒ ¤×Í¡ÒÃẋ§â´Â The European Federation of
Neurological Societies (EFNS) (11) ´Ñ§áÊ´§ã¹µÒÃÒ§·Õè 1

µÒÃÒ§·Õè 1 ¡ÒÃẋ§ÃдѺ¤ÇÒÁÃØ¹áç¢Í§ MTBI â´Â EFNS
 Category           ¹ÔÂÒÁ
 0                  Glasgow coma score = 15, äÁ‹ÁÕ loss of consciousness, äÁ‹ÁÕ post-traumatic
                    amnesia (¶×ÍÇ‹Òã¹ category ¹ÕäÁ‹ÁÕ TBI à¡Ô´¢Ö¹)
                                                 é               é
 1                  Glasgow coma score = 15, loss of consciousness ¹ŒÍÂ¡Ç‹Ò 30 ¹Ò·Õ,
                    post-traumatic amnesia ¹ŒÍÂ¡Ç‹Ò 1 ªÑÇâÁ§, äÁ‹Á»¨¨ÑÂàÊÕ§㹡ÒÃà¡Ô´¡ÒúҴà¨çº
                                                        è          Õ ˜    è
                    ÀÒÂ㹡ÐâËÅ¡ÈÕÃÉеÒÁËÅѧ MTBI
 2                  Glasgow coma score = 15, ÁÕ»¨¨ÑÂàÊÕ§㹡ÒÃà¡Ô´¡ÒúҴà¨çºÀÒÂ㹡ÐâËÅ¡
                                                   ˜        è
                    ÈÕÃÉеÒÁËÅѧ MTBI
 3                  Glasgow coma score = 13 - 14, loss of consciousness ¹ŒÍÂ¡Ç‹Ò 30 ¹Ò·Õ,
                    post-traumatic amnesia ¹ŒÍÂ¡Ç‹Ò 1 ªÑÇâÁ§, ÍÒ¨ÁÕËÃ×Í äÁ‹Á»¨¨ÑÂàÊÕ§㹡ÒÃà¡Ô´
                                                          è                  Õ ˜    è
                    ¡ÒúҴà¨çºÀÒÂ㹡ÐâËÅ¡ÈÕÃÉеÒÁËÅѧ MTBI
»˜¨¨ÑÂàÊÕ§㹡ÒÃà¡Ô´¡ÒúҴà¨çºÀÒÂ㹡ÐâËÅ¡ÈÕÃÉеÒÁËÅѧ MTBI ´Ñ§áÊ´§ã¹µÒÃÒ§·Õè 2
                  è

µÒÃÒ§·Õè 2 »˜¨¨ÑÂàÊÕè§㹡ÒÃà¡Ô´¡ÒúҴà¨çºÀÒÂ㹡ÐâËÅ¡ÈÕÃÉеÒÁËÅѧ MTBI
             ÁÕ»ÃÐÇѵͺµà˵ØäÁ‹ª´à¨¹ËÃ×ÍäÁ‹·ÃҺNjÒà¡Ô´Íغµà˵ت¹Ô´ã´
                       ÔØ Ñ Ô      Ñ                     Ñ Ô
             ÁÕ post-traumatic amnesia µ‹Íà¹×ͧâ´ÂµÅÍ´
                                             è
             ÁÕ retrograde amnesia ໚¹àÇÅÒ¹Ò¹¡Ç‹Ò 30 ¹Ò·Õ
             ÁÕÍÒ¡ÒÃáÊ´§¢Í§¡ÐâËÅ¡ÈÕÃÉÐᵡ ËÃ×Ͱҹ¡ÐâËÅ¡ÈÕÃÉÐᵡ
             »Ç´ÈÕÃÉÐÍÂ‹Ò§ÃØ¹áç
             ÍÒà¨Õ¹
             ÁÕ focal neurological deficit
             ªÑ¡
             ÍÒÂØ¹ÍÂ¡Ç‹Ò 2 »‚
                     Œ
             ÍÒÂØÁÒ¡¡Ç‹Ò 60 »‚
             ÁÕ¤ÇÒÁ¼Ô´»¡µÔ¢Í§Ãкº¡ÒÃá¢ç§µÑǢͧàÅ×Í´
             ÍØºµà˵طà¡Ô´¨Ò¡¤ÇÒÁàÃçÇÊÙ§
                 Ñ Ô     Õè
             䴌úáÍÅ¡ÍÎÍŏËÃ×ÍÊÒÃàʾµÔ´
                   Ñ

Postconcussive symptom
             Postconcussive symptom ¤×ÍÍÒ¡Ò÷Õà¡Ô´µÒÁËÅѧ MTBI ËÃ×Í cerebral concussion ¾ºä´Œ
                                                         è
ÁÒ¡¶Ö§ 43.5 % ¢Í§¼Ù»Ç·ÕÁÕ MTBI Bonen áÅФ³Ðä´Œ·Ò¡ÒÃà»ÃÕºà·ÕºÃÐËNjҧ¼Ù»Ç·ÕÁÕ cerebral
                              Œ † è      (12)
                                                                      í                               Œ † è
concussion Êͧ¡ÅØÁ ¡ÅØÁáá໚¹¡ÅØÁ·ÕÁÕ cerebral concussion ËÇÁ¡Ñº postconcussive symptom
                          ‹ ‹                 ‹ è
áÅÐ¡ÅØÁËÅѧ໚¹¡ÅØÁ·ÕÁÕ cerebral concussion â´Â·ÕäÁ‹ÁÕ postconcussive symptom ¾ºÇ‹Ò¡Ò÷´
         ‹                   ‹ è                              è
Êͺ attention ·ÕàÇÅÒ 6 à´×͹ËÅѧà¡Ô´¡ÒúҴà¨çº¢Í§¡ÅØÁ·ÕÁÕ postconcussive symptom ä´Œ¼ÅäÁ‹´Õ
                     è                                               ‹ è
à·‹Ò¡ÅØÁ·ÕäÁ‹ÁÕ postconcussive symptom ¨ÐàËç¹ä´ŒÇÒ postconcussive symptom ÍÒ¨¨ÐÁÕ¼Å
        ‹ è                                        (13)
                                                                        ‹
¡Ãзºµ‹Í cognitive function ä´Œã¹ÃÐÂÐÂÒÇ
             ÍÒ¡Ò÷ÕÊҤѭáÅоºº‹ÍÂÁÕ´§µ‹Í仹Õé
                       èí                      Ñ
             »Ç´ÈÕÃÉÐ (Post-traumatic headache) ໚¹ÍÒ¡Ò÷վºä´ŒºÍ·ÕÊ´µÒÁËÅѧ MTBI ¡ÒÃÃÑ¡ÉÒ
                                                                            è   ‹ èØ
ËÅÑ¡¤×Í¡ÒÃãËŒÂÒᡌ»Ç´¡ÅØÁ paracetamol ËÃ×Ínon-steroidal anti-inflammatory drugs (NSAIDs)
                                     ‹
¤ÇÃËÅÕ¡àÅÕ§ÂÒ·ÕÁÊǹ»ÃСͺ¢Í§ opioids ¹Í¡¨Ò¡¹Õ¤ÇÃãËŒ¤Òá¹Ð¹íÒáÅÐÂ×¹Âѹᡋ¼»ÇÂÇ‹Òâ´Â
                è       è Õ‹                                    é             í                                ÙŒ †
·ÑÇä»ÍÒ¡ÒûǴÈÕÃÉÐËÅѧÊÁͧ¡Ãзº¡ÃÐà·×͹ÁÑ¡¨ÐËÒÂã¹àÇÅÒäÁ‹¡Ê»´Òˏ
    è                                                                                Õè Ñ      (5, 14, 15)

             àÇÕ¹ÈÕÃÉÐ (Dizziness) áÅФÅ×¹äÊŒ (nausea) ໚¹ÍÒ¡Ò÷ÕÁ¡¾ºã¹ª‹Ç§ááËÅѧà¡Ô´ MTBI
                                                 è                               è Ñ
«Ö§äÁ‹·ÃÒºÊÒà˵ءÒÃà¡Ô´·Õṋª´ ÍÒ¨ÁÕÊÒà˵Øä´Œ·§¨Ò¡ peripheral áÅÐ central vestibular dysfunction
  è                                 è Ñ                    Ñé
â´Â·ÑÇ仡ÒÃãËŒÂÒÃÑ¡ÉÒäÁ‹¤ÍÂÁÕ»ÃÐ⪹ª´à¨¹¹Ñ¡áµ‹ÍÒ¨¾Ô¨ÒóÒãËŒÂÒÃЧѺÍÒ¡ÒäÅ×¹äÊŒÍÒà¨Õ¹
      è                                ‹             Ñ                                                       è
ઋ¹ metoclopramide à¾×ͺÃÃà·ÒÍÒ¡ÒäÅ×¹äÊŒ ¹Í¡¨Ò¡¹Õ¤ÇÃá¹Ð¹íÒãËŒ¼»ÇÂËÅÕ¡àÅÕ§¡Ô¨¡ÃÃÁ·Õè
                                  è                    è                  é               ÙŒ †             è
·íÒãËŒÁÍÒ¡ÒÃÁÒ¡¢Ö¹áÅФÇù͹¾Ñ¡¨¹¡Ç‹ÒÍÒ¡Òèдբ¹(5, 14, 15)
           Õ               é                                      Öé
àǪÈÒʵÏ·¹Âؤ 2553
          Ñ                                                                                445

       ¤ÇÒÁ¼Ô´»¡µÔ¢Í§¡ÒÃÁͧàËç¹ (Visual disturbance) ໚¹ÍÒ¡Ò÷վºä´ŒºÍ ¼Ù»ÇÂÁÑ¡
                                                                       è               ‹ Œ †
¨ÐäÁ‹ÊÒÁÒö⿡ÑÊÇѵ¶Øã¹ÃÐÂÐã¡ÅŒä´Œ«§ÍÒ¡ÒùըÐËÒÂä´ŒàͧàÁ×ÍàÇÅÒ¼‹Ò¹ä»
                                    Öè       é              è            (5, 14, 15)

       ÍÒÃÁ³©Ø¹à©ÕÂÇ (Irritability) áÅФÇÒÁ¼Ô´»¡µÔ¢Í§¡Òù͹ËÅѺ (post-traumatic
sleep disturbance) ໚¹ÍÒ¡Ò÷վºä´ŒºÍÂ㹪‹Ç§ááËÅѧ¡ÒúҴà¨çº ¼Ù»ÇÂÁÑ¡äÁ‹ÊÒÁÒö·¹µ‹Í
                              è        ‹                           Œ †
áʧÊNjҧ, àÊÕ§ú¡Ç¹, ¡ÒÃʹ·¹ÒËÃ×Í¡ÒÃࢌÒÊѧ¤Áä´Œ ¡ÒÃÃÑ¡ÉÒâ´ÂËÅÕ¡àÅÕ§ÊÔ§¡Ãеع, ãËŒ¾¡¼‹Í¹
                                                                     è è             Œ     Ñ
áÅÐËÅÕ¡àÅÕ§¡ÒáÅѺ价íÒ§Ò¹ËÃ×ÍàÃÕ¹àÃçÇà¡Ô¹ä» ÊíÒËÃѺ¡ÒÃÃÑ¡ÉÒÍÒ¡Òù͹äÁ‹ËÅѺÍÒ¨¾Ô¨ÒóÒ
           è
ãËŒÂҹ͹ËÅѺ㹪‹Ç§ÃÐÂÐàÇÅÒÊѹ æ äÁ‹¤ÇÃãËŒã¹ÃÐÂÐÂÒÇ à¹×ͧ¨Ò¡ÂÒÍÒ¨äÁ‹ä´Œ¼Å(5, 14, 15)
                            é                            è

Postconcussive syndrome
         ÊÔè§ÊíҤѭ·Õè¤ÇèзÃÒº¤×Í MTBI, postconcussive symptom áÅÐ postconcussive
syndrome ÁÕ¤ÇÒÁËÁÒÂäÁ‹àËÁ×͹¡Ñ¹(15, 16) MTBI ໚¹¡ÒúҴà¨çº¢Í§ÊÁͧà¾Õ§àÅ硹ŒÍÂ㹵͹à¡Ô´
ÍØºÑµÔà赯 «Öè§äÁ‹ä´Œº‹§ºÍ¡¶Ö§¤ÇÒÁ¼Ô´»¡µÔËÃ×Í outcome ·Õè¨Ðà¡Ô´ËÅѧ¨Ò¡¹Ñé¹ postconcussive
symptom ໚¹ÍÒ¡Ò÷Õà¡Ô´µÒÁËÅѧ TBI «Ö§ÃÇÁ·Ñ§ MTBI ËÃ×Í cerebral concussion ´ŒÇ ʋǹ
                         è                 è   é
postconcussive syndrome ËÃ×Í postconcussional disorder ໚¹¡ÅØÁÍÒ¡Ò÷Õà¡Ô´µÒÁËÅѧ TBI «Ö§
                                                                  ‹        è            è
ÁÕ¤ÇÒÁ«Ñº«ŒÍ¹¡Ç‹Ò postconcussive symptom »ÃСͺ´ŒÇÂÍÒ¡Òõ‹Ò§ æ «Ö§ÁÕ¤ÇÒÁàª×ÍÁ⧡ѹ
                                                                         è       è
â´Â·ÕÍÒ¡ÒÃÍ‹ҧ˹֧ÍÒ¨¨ÐÁÕ¼ÅãËŒà¡Ô´ÍÒ¡ÒÃÍÕ¡Í‹ҧ˹֧ ËÃ×Í¡ÒÃÃÑ¡ÉÒãËŒÍÒ¡ÒÃÍ‹ҧ˹֧´Õ¢¹ÍÒ¨
       è               è                            è                              è Öé
ÁÕ¼ÅãËŒÍÒ¡ÒÃÍÕ¡Í‹ҧ˹֧´Õ¢¹ â´Â·ÑÇ仨ÐãËŒ¡ÒÃÇÔ¹¨©Ñ postconcussive syndrome ÊíÒËÃѺ
                           è Öé (14, 15)
                                         è              Ô
¼Ù»Ç·Õ§¤§ÁÕ postconcussive symptom ¹Ò¹¡Ç‹Ò 3 - 6 à´×͹(5)
  Œ † è Ñ
         ÃÒÂÅÐàÍÕ´¢Í§ postconcussive syndrome(14, 15, 17) ´Ñ§áÊ´§ã¹µÒÃÒ§·Õè 3

µÒÃÒ§·Õè 3 ¤ÇÒÁ¼Ô´»¡µÔ·Õ辺㹠postconcussive syndrome
                                        Neuropsychiatric symptoms
 Somatic symptoms
                            Cognitive disorders               Behavioral disorders
 Headache                   Difficulty concentrating          Emotional disorders
 Dizziness                  Dementia                          (depression, emotional lability,
 Nausea                     (loss of intellectual ability and irritability, lack of motivation)
 Fatigue                    impaired short-term memory) Personality changes
 Visual disturbance         Impaired judgment                 Loss of libido
 Hyposmia or anosmia                                          Sleep disturbances
 Hearing difficulty                                           Intolerance to light
 Balance difficulty                                           Intolerance to loud noise
 Seizure
446                                     Neurosurgical Perspective of Mild Traumatic Brain Injury

Guideline for management
        ä´ŒÁ¡ÒþѲ¹Ò guideline 㹡ÒôÙáÅÃÑ¡ÉҼٻǠMTBI ¨íҹǹÁÒ¡ÁÒ«֧à¡×ͺ·Ø¡ guideline
            Õ                                      Œ †                      è
ŌǹáÅŒÇᵋÁÕÇѵ¶Ø»ÃÐʧ¤à¾×è͵ÃǨËÒ¡ÒúҴà¨çºÀÒÂ㹡ÐâËÅ¡ÈÕÃÉÐãˌ䴌µÑé§áµ‹ã¹ÃÐÂеŒ¹
ËÅѧà¡Ô´¡ÒúҴà¨çº 㹺·¤ÇÒÁ¹Õ¨Ð¢Í¡Å‹ÒǶ֧ guideline ·ÕÊҤѭ 2 Í‹ҧ 䴌ᡋ EFNS guideline
                                  é                         èí
ÊíÒËÃѺ MTBI (ÃÙ»·Õè 1) áÅÐ clinical practice guideline 㹡ÒôÙáÅÃÑ¡ÉҼٻǷÕÁÕ mild head injury
              (11)
                                                                        Œ † è
â´ÂÃÒªÇÔ·ÂÒÅÑ ÈÑÅÂᾷáË‹§»ÃÐà·Èä·Â ÇÔ·ÂÒÅÑ»ÃÐÊÒ·ÈÑÅÂᾷ ¡ÃÁ¡ÒÃᾷáÅÐʶҺѹ
»ÃÐÊÒ·ÇÔ·ÂÒ (4) (ÃÙ»·Õè 2)




                               ·íÒ¡Òü‹ÒµÑ´ÃÑ¡ÉÒáÅÐ
                                   ÃѺäÇŒÃÑ¡ÉÒã¹
                                neurotrauma center




ÃÙ»·Õè 1   Guideline 㹡ÒôÙáÅÃÑ¡ÉÒ¼ÙŒ»†Ç·ÕèÁÕ MTBI â´Â The European Federation of
           Neurological Societies (EFNS), ÊíÒËÃѺ¹ÔÂÒÁ¢Í§ category 0 ¶Ö§ 3 ä´ŒáÊ´§äÇŒã¹
           µÒÃÒ§·Õè 1 áÅÐ 2
àǪÈÒʵÏ·¹Âؤ 2553
          Ñ                                                                          447

µÒÃÒ§·Õè 4 ¤ÇÒÁ¼Ô´»¡µÔ¢Í§ CT brain µÒÁ guideline 㹡ÒôÙáÅÃÑ¡ÉÒ¼ÙŒ»†Ç·Õè MTBI ¢Í§
           The European Federation of Neurological Societies (EFNS)
           ¡ÐâËÅ¡ÈÕÃÉÐÃŒÒÇ (Linear skull fracture)
           ¡ÐâËÅ¡ÈÕÃÉÐáµ¡ÂØº (Depressed skull fracture)
           °Ò¹¡ÐâËÅ¡ÈÕÃÉÐᵡ (Basal skull fracture)
           àÅ×Í´ÍÍ¡¹Í¡àÂ×ÍËØÁÊÁͧªÑ¹´ÙÃÒ (Extradural ËÃ×Í epidural hematoma)
                            è Œ        é
           àÅ×Í´Í͡㵌àÂ×ÍËØÁÊÁͧªÑ¹´ÙÃÒ (Subdural hematoma)
                          è Œ        é
           à¹×ÍÊÁͧªéÒ (Cerebral contusion)
              é      í
           àÅ×Í´ÍÍ¡ÀÒÂã¹à¹×ÍÊÁͧ (Intracerebral hemorrhage)
                              é
           àÅ×Í´Í͡㵌àÂ×ÍËØÁÊÁͧªÑ¹ÍÐáä¹Í´ (Subarachnoid hemorrhage)
                         è Œ       é
           ÍÒ¡ÒÈÀÒÂ㹡ÐâËÅ¡ÈÕÃÉÐ (Pneumocephalus)




ÃÙ»·Õè 2   Clinical practice guideline 㹡ÒôÙáÅÃÑ¡ÉÒ¼ÙŒ»†Ç·ÕèÁÕ mild head injury â´ÂÃÒª
           ÇÔ·ÂÒÅÑÂÈÑÅÂᾷáË‹§»ÃÐà·Èä·Â ÇÔ·ÂÒÅÑ»ÃÐÊÒ·ÈÑÅÂᾷ ¡ÃÁ¡ÒÃᾷ
           áÅÐʶҺѹ»ÃÐÊÒ·ÇÔ·ÂÒ, GCS = Glasgow coma score,
448                                     Neurosurgical Perspective of Mild Traumatic Brain Injury

      ÊíÒËÃѺ¹ÔÂÒÁ¢Í§»˜¨¨ÑÂàÊÕè§·Õè¨Ð¾º¤ÇÒÁ¼Ô´»¡µÔã¹ÊÁͧµèíÒ »Ò¹¡ÅÒ§ áÅÐÊÙ§ ´Ñ§áÊ´§
ã¹µÒÃÒ§·Õè 5

µÒÃÒ§·Õè 5 »˜¨¨ÑÂàÊÕè§·Õè¨Ð¾º¤ÇÒÁ¼Ô´»¡µÔã¹ÊÁͧµÒÁ clinical practice guideline 㹡ÒÃ
           ´ÙáÅÃÑ¡ÉҼٻǷÕÁÕ mild head injury â´ÂÃÒªÇÔ·ÂÒÅÑÂÈÑÅÂᾷáË‹§»ÃÐà·Èä·Â
                        Œ † è
           ÇÔ·ÂÒÅÑ»ÃÐÊÒ·ÈÑÅÂᾷ ¡ÃÁ¡ÒÃᾷáÅÐʶҺѹ»ÃÐÊÒ·ÇÔ·ÂÒ
 »˜¨¨ÑÂàÊÕè§µèíÒ             »˜¨¨ÑÂàÊÕè§»Ò¹¡ÅÒ§              »˜¨¨ÑÂàÊÕè§ÊÙ§
 äÁ‹ÁÕÍÒ¡Òà                   ÍÒà¨Õ¹¹ŒÍÂ¡Ç‹Ò 2 ¤ÃÑ§é          ÁÕÍÒ¡ÒÃáÊ´§«Ö§º‹§ªÕÇÒÁÕ¡ÐâËÅ¡
                                                                               è         é‹
 GCS ෋ҡѺ 15               ÁÕ»ÃÐÇѵÊźËÅѧà¡Ô´à˵Ø
                                        Ô                      ÈÕÃÉÐᵡ 䴌ᡋ ¤ÅíÒ¾ºÃÍÂᵡ
 äÁ‹ÁÍÒ¡ÒûǴÈÕÃÉÐ
     Õ                        ÁÕÍÒ¡ÒûǴÈÕÃÉÐ                  ¢Í§¡ÐâËÅ¡ÈÕÃÉÐ, ¾º cerebrospinal
 ¡ÒúҴà¨çº¢Í§Ë¹Ñ§ÈÕÃÉÐ       ¨íÒà˵ءÒóËÅѧà¡Ô´à˵ØäÁ‹ä´Œ   fluid ÃÑÇ«ÖÁ·Ò§á¼Å, ÃͪéÒÃͺ
                                                                       è                      í
 ઋ¹ ˹ѧÈÕÃÉЪéÒËÃ×Í
                 í            (post-traumatic amnesia)         ´Ç§µÒËÃ×ÍËÅѧãºËÙ, àÅ×Í´Í͡㵌
 á¼Å©Õ¡¢Ò´                    ÊźªÑǤÃÙ‹ (ÇÔ¹Ò·Õ)
                                    è                          àÂ×ÍᡌÇËÙËÃ×ÍàÅ×Í´ÍÍ¡·Ò§
                                                                  è
                              ÁÕ¡Òô×ÁáÍÅ¡ÍÎÍŏËÃ×Í
                                      è                        ¨ÁÙ¡ËÃ×ÍËÙ ÍÒà¨Õ¹ÁÒ¡¡Ç‹Ò
                              㪌ÊÒÃàʾµÔ´Ã‹ÇÁ´ŒÇ             ËÃ×Í෋ҡѺ 2 ¤Ãѧé
                              GCS ááÃѺ 13 – 14               GCS ŴŧÍ‹ҧ¹ŒÍ 2 ¤Ðá¹¹
                              ÍÒÂØÁÒ¡¡Ç‹ÒËÃ×Í෋ҡѺ 60 »‚     â´Â·ÕäÁ‹ÁÊÒà˵ØÍ¹Í¸ÔºÒÂ
                                                                     è Õ           ×è
                                                               Focal neurological sign
                                                               Penetrating skull injury
                                                               ¤ÅíÒ¾º depressed skull fracture
                                                               ¡ÐâËÅ¡ÈÕÃÉÐᵡÁÕá¼Åແ´ÍÍ¡ÊÙ‹
                                                               ÀÒ¹͡ (compound skull fracture)
                                                               ÍÒ¡ÒêѡËÅѧà¡Ô´ÍغµàËµØ Ñ Ô
                                                               GCS 13 – 14 â´ÂäÁ‹ÁáÍÅ¡ÍÎÍŏ Õ
                                                               ËÃ×ÍÊÒÃàʾµÔ´ÁÒà¡ÕÂÇ¢ŒÍ§
                                                                                      è
GCS = Glasgow coma score

Sport related concussion
        Cerebral concussion ·Õà¡ÕÂÇ¢ŒÍ§¡Ñº¡ÒÃàÅ‹¹¡ÕÌÒ (sport related concussion) ¾ºä´ŒºÍÂã¹
                              è è                                                       ‹
¡ÅØÁà´ç¡áÅÐÇÑÂÃØ¹ â´Â੾ÒЪ‹Ç§ÁѸÂÁ«Ö§Ê‹Ç¹ãË­‹à¡Ô´¨Ò¡¡ÒÃàÅ‹¹¿ØµºÍÅ(18) ª¹Ô´¢Í§¡ÕÌÒ·ÕÁͺµÔ
   ‹            ‹                     è                                                è ÕØ Ñ
¡Òó¢Í§ MTBI ÊÙ§ 䴌ᡋ ÍàÁÃÔ¡¹¿ØµºÍÅ ¿ØµºÍÅ ª¡ÁÇ ÎÍ¡¡Õ¹Òá¢ç§ ÂÔÁ¹Òʵԡ ÁÇ»ÅéÒ
                                  Ñ                                é éí                       í
ᢋ§Ã¶ÁÍàµÍÏ䫤áÅÐö¹µ ¢ÕÁÒ »˜¹¨Ñ¡ÃÂÒ¹ Ê¡Õ ´íÒ¹éÒ(19)
                               è Œ ›                  í
àǪÈÒʵÏ·¹Âؤ 2553
          Ñ                                                                                  449

        㹡ÒÃÇÔ¹Ô¨©Ñ sport related concussion ºÒ§¤ÃÑé§ÍÒ¨ÁÕ¤ÇÒÁÂÒ¡ÅíҺҡ㹡ÒÃÇÔ¹Ô¨©ÑÂ
à¹×èͧ¨Ò¡¹Ñ¡¡ÕÌÒÁÑ¡»¯ÔàʸÍÒ¡ÒüԴ»¡µÔáÅÐà¡çºÍÒ¡ÒüԴ»¡µÔà¾×èÍ·Õè¨Ð䴌ᢋ§¢Ñ¹µ‹ÍËÃ×ÍäÁ‹ãËŒ
¶Ù¡ÃЧѺ¡ÒÃᢋ§¢Ñ¹ ´Ñ§¹Ñ¹á¾·Â¼´áŨíÒ໚¹µŒÍ§ÁÕ¤ÇÒÁʧÊÑÂÀÒÇйÕäÇŒ·¡àÁ×Í(20)
                        é       ÙŒ Ù                           é Ø è
        ÍÒ¡ÒÃã¹ sport related concussion ·ÕÁ¤ÇÒÁÃØ¹áç«Ö§¤ÇÃãËŒÍÍ¡¨Ò¡¡ÒÃᢋ§¢Ñ¹ à¾×ÍÊ‹§µÑÇ
                                           è Õ          è                          è
ÊíÒËÃѺµÃǨáÅÐÃÑ¡ÉÒµ‹Í ´Ñ§áÊ´§ã¹µÒÃÒ§·Õè 6
                          (20)



µÒÃÒ§·Õè 6 ÍÒ¡ÒÃã¹ sport related concussion «Ö觤ÇÃãËŒÍÍ¡¨Ò¡¡ÒÃᢋ§¢Ñ¹
 ÍÒ¡Òà                                               ¡ÒõÃǨËҧ¡ÒÂ
 ÊѺʹ                                               Level of consciousness
 àÇÕ¹ÈÕÃÉÐ                                          Gait áÅÐ balance
 ÊÙ­àÊÕ¤ÇÒÁ¨íÒ                                      Memory test
 µÒÁÑÇ                                               Visual acuity
 àËç¹ÀÒ¾«ŒÍ¹                                         Extraocular movement áÅÐ nystagmus

        ¡ÒÃ͹حҵãËŒ¡ÅѺä»àÅ‹¹¡ÕÌÒ䴌͡¤Ãѧ (return to play) ¢Ö¹¡Ñº¤ÇÒÁÃØ¹áç¢Í§ cerebral
                                            Õ é                   é
concussion ·Õèà¡Ô´¢Öé¹ â´ÂÂÖ´ËÅÑ¡äÇŒàÊÁÍÇ‹Ò ÂѧäÁ‹¤ÇÃãËŒ¼ÙŒ»†Ç·ÕèÁÕ postconcussive symptom
¡ÅѺä»àÅ‹¹ËÃ×Íᢋ§¢Ñ¹¡ÕÌÒ(17) ·Ñ§¹Õé guideline ·Õ¹ÂÁ㪌ÊÒËÃѺ¡ÒÃ͹حҵãËŒ¡ÅѺ໚¹àÅ‹¹¡ÕÌÒ䴌͡
                                é                è Ô    í                                      Õ
¤Ãѧ㹠sport related concussion ¤×Í guideline ¢Í§ American Academy of Neurology (AAN)
   é                                                                                     (17, 21)

(µÒÃÒ§·Õè 7)

µÒÃÒ§·Õè 7 Guideline ÊíÒËÃѺ¡ÒÃ͹حҵãËŒ¡ÅѺ໚¹àÅ‹¹¡ÕÌÒä´ŒÍÕ¡¤ÃÑé§ã¹ sport related
           concussion â´Â American Academy of Neurology (AAN)
                                                           ÃÐÂÐàÇÅÒ·ÕÊÒÁÒö͹حҵãËŒ¡ÅѺ
                                                                     è
                                                           ä»àÅ‹¹¡ÕÌÒä´ŒÍÕ¡¤ÃÑé§ (ÁÕ¢ŒÍáÁŒÇ‹Ò
Grade ¢Í§ cerebral concussion â´Â AAN                      µŒÍ§äÁ‹ÁÍÒ¡ÒÃáÅŒÇáÅСÒûÃÐàÁÔ¹
                                                                   Õ
                                                           ·Ñé§ã¹¢³Ð¾Ñ¡áÅÐÍÍ¡¡íÒÅѧ¡ÒÂÍÂÙ‹
                                                           ã¹à¡³±»¡µÔ)
Grade 1                             Concussion             15 ¹Ò·ÕËÃ×͹ŒÍ¡NjÒ
ÁÖ¹§§ªÑǤÃÒÇ, äÁ‹ÁÊź,
       è          Õ                 ¤Ãѧà´ÕÂÇ
                                       é
postconcussive symptom              Concussion             1 ÊÑ»´Òˏ
ËÒÂä»ÀÒÂã¹àÇÅÒäÁ‹à¡Ô¹ 15 ¹Ò·Õ       ËÅÒ¤Ãѧ é
450                                             Neurosurgical Perspective of Mild Traumatic Brain Injury

                                                                     ÃÐÂÐàÇÅÒ·ÕÊÒÁÒö͹حҵãËŒ¡ÅѺ
                                                                               è
                                                                     ä»àÅ‹¹¡ÕÌÒä´ŒÍÕ¡¤ÃÑé§ (ÁÕ¢ŒÍáÁŒÇ‹Ò
Grade ¢Í§ cerebral concussion â´Â AAN                                µŒÍ§äÁ‹ÁÍÒ¡ÒÃáÅŒÇáÅСÒûÃÐàÁÔ¹
                                                                             Õ
                                                                     ·Ñé§ã¹¢³Ð¾Ñ¡áÅÐÍÍ¡¡íÒÅѧ¡ÒÂÍÂÙ‹
                                                                     ã¹à¡³±»¡µÔ)
Grade 2                                   Concussion                 1 ÊÑ»´Òˏ
ÁÖ¹§§ªÑǤÃÒÇ, äÁ‹ÁÊź,
       è          Õ                       ¤Ãѧà´ÕÂÇ
                                             é
postconcussive symptom                    Concussion                 2 ÊÑ»´Òˏ
à¡Ô´à»š¹àÇÅÒ¹Ò¹¡Ç‹Ò 15 ¹Ò·Õ               ËÅÒ¤Ãѧ é
                                          Concussion ¤Ãѧà´ÕÂÇ
                                                          é          1 ÊÑ»´Òˏ
                                          Êź㹪‹Ç§àÇÅÒ໚¹
                                          ÇÔ¹Ò·Õ
Grade 3                                   Concussion ¤Ãѧà´ÕÂÇ
                                                        é
ÁÕÊź                                     Êź㹪‹Ç§àÇÅÒ໚¹          2 ÊÑ»´Òˏ
                                          ¹Ò·Õ
                                                                     1 à´×͹ËÃ×͹ҹ¡Ç‹Ò
                                           Concussion ËÅÒ¤Ãѧ
                                                             é
                                                                     ¢Ö¹ÍÂÙ¡º´ØÅ¾Թ¨¢Í§á¾·Â¼´áÅ
                                                                       é ‹ Ñ        Ô         ÙŒ Ù

Summary
        MTBI ໚¹ÀÒÇзվºº‹ÍÂ㹼ٻǷÕä´ŒÃºÍØºµà赯 ¡ÒõÃǨËÒ¡ÒúҴà¨çºÀÒÂ㹡ÐâËÅ¡
                           è      Œ † è Ñ Ñ Ô
ÈÕÃÉÐã¹ÃÐÂÐááÁÕ¤ÇÒÁÊíҤѭ ᾷ¼´áŤÇÃÁÕ¤ÇÒÁÃÙà¡ÕÂǡѺ¾ÂÒ¸ÔÊÃÕÃÇÔ·ÂÒ ¡ÒÃÇÔ¹¨©ÑÂáÅÐ
                                     ÙŒ Ù         Œ è                       Ô
á¹Ç·Ò§¡ÒôÙáÅÃÑ¡ÉҼٻǠMTBI ¹Í¡¨Ò¡¹Õ§¤Ç÷ÃÒºà¡ÕÂǡѺ¡ÒÃẋ§¡ÅØÁ¼Ù»ÇµÒÁ»˜¨¨ÑÂàÊÕ§
                       Œ †                é Ñ       è            ‹ Œ †            è
à¾×Í·Õ¨Ðä´ŒãËŒ¡ÒôÙáÅÃÑ¡ÉÒ·ÕàËÁÒÐÊÁµ‹Íä»
   è è                       è

àÍ¡ÊÒÃ͌ҧÍÔ§
1.    Jennett B. Epidemiology of head injury. J Neurol Neurosurg Psychiatry 1996;60(4):362–9.
2.    Kraus JF, McArthur DL, Silverman TA, Jayaraman M. Epidemiology of brain injury. In Naravan RK, Wilberger
      JE, Povlishock JT, (Eds.), Neurotrauma. New York: McGraw-Hill: 1996.
3.    Kraus JF, Nourjah P. The epidemiology of mild uncomplicated brain injury. J Trauma 1988;28(12):1637–43.
4.    á¹Ç·Ò§¡ÒÃÃÑ¡ÉÒ¡ÒúҴà¨çº·ÕÈÃÉÐ (Clinical practice guideline for head injury). ÃÒªÇÔ·ÂÒÅÑÂÈÑÅÂᾷáË‹§»ÃÐà·È
                                   è Õ
      ä·Â, ÇÔ·ÂÒÅÑ»ÃÐÊÒ·ÈÑÅÂᾷáË‹§»ÃÐà·Èä·Â, ¡ÃÁ¡ÒÃᾷ ¡ÃзÃǧÊÒ¸ÒÃ³ÊØ¢, ʶҺѹ»ÃÐÊÒ·ÇÔ·ÂÒ ¡ÃÁ
      ¡ÒÃᾷ ¡ÃзÃǧÊÒ¸ÒÃ³ÊØ¢, ¾.È. 2552.
5.    Anderson T, Heitger M, Macleod AD. Concussion and mild head injury. Pract Neurol 2006;6(6):342-57.
àǪÈÒʵÏ·¹Âؤ 2553
          Ñ                                                                                                      451

6.    Definition of mild traumatic brain injury developed by the Mild Traumatic Brain Injury Committee of the Head
      Injury Interdisciplinary Special Interest Group of the American Congress of Rehabilitation Medicine. J Head
      Trauma Rehabil 1993:8(3):86-7.
7.    Alexander MP. Mild traumatic brain injury: Pathophysiology, natural history, and clinical management. Neurology
      1995;45(7):1253-60.
8.    Madikians A, Giza CC. A clinician’s guide to the pathophysiology of traumatic brain injury. Indian J Neurotrauma
      2006;3(1):9-17.
9.    Haydel MJ, Preston CA, Mills TJ, Luber S, Blaudeau E, DeBlieux PM. Indications for computed tomography
      in patients with minor head injury. N Engl J Med 2000;343(2):100–5.
10.   Ruff RM, Iverson GL, Barth JT, Bush SS, Broshek DK, the NAN Policy and Planning Committee.
      Recommendations for diagnosing a mild traumatic brain injury: a national academy of neuropsychology
      education paper. Arch Clin Neuropsychol 2009;24 (1):3-10.
11.   Vos PE, Battistin L, Birbamer G, Gerstenbrand F, Potapov A, Prevec T, Stepan ChA, Traubner P, Twijinstra A,
      Vecsei L, von Wild K; European Federation of Neurological Societies. EFNS guideline on mild traumatic brain
      injury: report of an EFNS task force. Eur J Neurol 2002 9(3):207-19.
12.   Chambers J, Cohen SS, Hemminger L, Prall JA, Nichols JS. Mild traumatic brain injuries in low-risk trauma
      patients. J Trauma 1996;41(6):976-80.
13.   Bohnen N, Jolles J, Twijnstra A. Neuropsychological deficits in patients with persistent symptoms six months
      after mild head injury. Neurosurgery 1992;30(5):695-6.
14.   Arciniegas DB, Anderson CA, Topkoff J, McAllister TW. Mild traumatic brain injury: a neuropsychiatric approach
      to diagnosis, evaluation, and treatment. Neuropsychitr Dis Treat 2005;1(4):311-27.
15.   Smith DH. Postconcussional symptoms not a syndrome. Psychosomatics 2006;47(3):271.
16.   Riggio S, Wong M. Neurobehavioral sequelae of traumatic brain injury. Mount Sinai J Med 2009;76:163-72.
17.   Greenberg MS. Handbook of Neurosurgery 6th ed. Ontario: Thieme;2006.
18.   Thurman DJ, Branche CM, Sniezek JE. The epidemiology of sports related traumatic brain injuries in the
      United States: recent developments. J Head Trauma Rehabil 1998;13(2):1–8.
19.   Sturmi JE, Smith C, Lombardo JA. Mild brain trauma in sports diagnosis and treatment guidelines. Sports Med
      1998;25(6):351-8.
20.   Majerske CW, Mihalik JP, Ren D, Collins MW, Reddy CC, Lovell MR, Wagner AK. Concussion in sports:
      postconcussive activity, levels, symptoms, and neurocognitive performance. J Athl Train 2008;43(3):265-74.
21.   Heck J, Rosa R. Evaluating mild head injuries incorporating the standardized assessment of concussion. Sport
      Med Updates 2001;15(2):46-52.
àǪÈÒʵÏ·¹Âؤ 2553
          Ñ                                                                  º··Õè       453

                                                                               64
  Neuropsychiatric Disorders after Mild Traumatic Brain Injury
                                                ÍÒ¨ÒÏ ᾷ˭ԧ¾Ã¨ÔÃÒ »ÃÔÇѪÃÒ¡ØÅ
                    ÀÒ¤ÇÔªÒ¨ÔµàǪÈÒʵÏ ¤³Ðá¾·ÂÈÒʵÏÈÃÃÒª¾ÂÒºÒÅ ÁËÒÇÔ·ÂÒÅÑÂÁËÔ´Å
                                                      ÔÔ


         ¡ÒúҴà¨çº·ÕÈÃÉÐáÅÐÊÁͧ ໚¹»˜­ËÒÊÒ¸ÒÃ³ÊØ¢·ÕÊҤѭ¢Í§»ÃÐà·Èä·Â â´ÂÃŒÍÂÅÐ 77
                      è Õ                                      èí
¢Í§¼Ù»ÃÐÊºÍØºµà˵بҡ¡ÒèÃҨèÐÁÕÍÒ¡ÒúҴà¨çº·ÕÈÃÉÐËÇÁ´ŒÇ «Ö§áÁŒÇÒʋǹãË­‹à»š¹¡ÒÃ
      Œ           Ñ Ô                                      è Õ             è ‹
ºÒ´à¨çº·ÕÈÃÉÐáÅÐÊÁͧàÅ硹ŒÍ¶֧»Ò¹¡ÅÒ§ ᵋ¡Ê§¼ÅãËŒà¡Ô´¤‹Ò㪌¨Ò·ѧ·Ò§µÃ§áÅзҧ͌ÍÁÊÙ§
          è Õ                                        ç‹                ‹ é
¶Ö§»‚ÅÐ 40 ŌҹºÒ· (1) »˜­ËÒ¡ÒûÃÐÊºÍØºµà˵غҴà¨çº·Ò§ÊÁͧàÅ硹ŒÍ (mild traumatic brain
                                           Ñ Ô
injury) ¾ºä´ŒºÍÂã¹à´ç¡ ÇÑÂÃØ¹ ¼ÙãË­‹µÍ¹µŒ¹ áÅмÙʧÍÒÂØ(2-3) áÅоºã¹à¾ÈªÒÂÁÒ¡¡Ç‹Òà¾ÈË­Ô§
                ‹            ‹ Œ                        ŒÙ
¡ÒúҴà¨çº´Ñ§¡Å‹ÒÇÊ‹§¼ÅãËŒ¤ÇÒÁÊÒÁÒö¢Í§¼Ù»ÇÂŴŧ áÅÐÁÕ¤ÇÒÁàÊÕ§·Õ¨Ðà¡Ô´âä·Ò§¨ÔµàǪ
                                                 Œ †                     è è
ÁÒ¡¡Ç‹Ò¼ÙŒ·ÕèäÁ‹»ÃÐÊºÍØºÑµÔà˵ض֧ 2.8 à·‹Ò ·íÒãËŒà¡Ô´¼ÅàªÔ§Åºµ‹Í¡Ò÷íÒ§Ò¹ Êѧ¤Á ÊÑÁ¾Ñ¹¸
                                            (4)

ÀÒ¾ÃÐËNjҧºØ¤¤Å ÃÇÁä»¶Ö§¤Ø³ÀÒ¾ªÕǵ¢Í§·Ñ§¼Ù»Ç áÅЭҵԼ´áÅÍÕ¡´ŒÇÂ(5-6)
                                        Ô       é Œ †             ÙŒ Ù

¹ÔÂÒÁ
        Mild traumatic brain injury (MTBI) µÒÁ¹ÔÂÒÁ¢Í§ American Congress of Rehabilitation
Medicine (ACRM) Brain Injury Special Interest Group (7) ËÁÒ¶֧ ¡ÒúҴà¨çº·ÕÈÃÉзÕà¡Ô´¤ÇÒÁ
                                                                             è Õ    è
¼Ô´»¡µÔ·Ò§ÊÃÕÃÇÔ·ÂҢͧ˹ŒÒ·ÕèÊÁͧ (physiological disruption) «Öè§áÊ´§à»š¹ÍÒ¡ÒÃÍ‹ҧ¹ŒÍÂ
1 ã¹ 4 ¢ŒÍ´Ñ§µ‹Í仹Õé
        1. ÃÐÂÐàÇÅÒ·Õ¼»ÇÂËÁ´ÊµÔ (duration of loss of consciousness; LOC) ¹ŒÍÂ¡Ç‹Ò 30 ¹Ò·Õ
                        è ÙŒ †
áÅÐ Glasgow Coma Score (GCS) ËÅѧ¼Ù»Ç¿„¹¨Ò¡¡ÒÃËÁ´ÊµÔ ÁÕ¤Ò 13 -15 ¤Ðá¹¹
                                         Œ † œ                    ‹
        2. ÁÕ¡ÒÃÊÙ­àÊÕ¤ÇÒÁ¨íÒà¡ÕÂǡѺà˵ءÒó¡Í¹Íغµà˵ØËÃ×ÍËÅÑ§ÍØºµà赯 â´Â post-traumatic
                                  è                ‹    Ñ Ô             Ñ Ô
amnesia (PTA) ¹ŒÍÂ¡Ç‹Ò 24 ªÑÇâÁ§
                               è
        3. ÁÕ¡ÒÃà»ÅÕ¹á»Å§¢Í§ÊÀÒ¾¨Ôµ (mental state)ã¹¢³Ð·Õà¡Ô´ÍغµàËµØ àª‹¹ ÃÙÊ¡ÁÖ¹§§ ÊѺʹ
                      è                                       è     Ñ Ô          ŒÖ
disorientate
        4. Focal neurological deficit (s) «Ö§ÍÒ¨ÁժǤÃÒÇËÃ×ÍäÁ‹¡ä´Œ
                                            è        Ñè         ç
¾ÂÒ¸ÔÊÃÕÃÇÔ·ÂÒ
454                                     Neuropsychiatric Disorders after Mild Traumatic Brain Injury

         ¾ÂÒ¸ÔÊÃÕÃÇÔ·ÂҢͧâä·Ò§»ÃÐÊÒ·¨ÔµàǪÈÒʵÏ (neuropsychiatric disorders) ËÅѧà¡Ô´
MTBI ໚¹¼ÅÃÇÁ¢Í§¡Åä¡ËÅÒª¹Ô´ ·Ñ駨ҡáç¡ÃзíÒ¨Ò¡ÀÒ¹͡ (external forces) ¡ÒÃÊ‹§
ÊÑ­­Ò³ã¹ÃдѺà«Åŏ (cytotoxic cascade) ¤ÇÒÁ¼Ô´»¡µÔ¢Í§ÊÒÃÊ×Í»ÃÐÊÒ· ÃÇÁ¶Ö§ÀÒÇÐá·Ã¡«ŒÍ¹
                                                                             è
¨Ò¡áç´Ñ¹ã¹¡ÃÐâËÅ¡ÈÕÃÉÐ áÅÐÃкºÍ×¹æ ¢Í§Ã‹Ò§¡Ò ઋ¹ ¤ÇÒÁäÁ‹ÊÁ´ØÅ¢Í§ÍÔàÅç¤â·ÃäÅ· ÀÒÇÐ
                                         è
«Õ´ áÅСÒõԴàª×Í à»š¹µŒ¹
                     é        (8)

         ª¹Ô´¢Í§áç¡ÃзíÒ¨Ò¡ÀÒ¹͡·Õ·ÒãËŒà¡Ô´ MTBI 䴌ᡋ
                                           è í
         1. áç¡ÃÐá·¡ (Contact or impact forces) ¾ºä´ŒºÍ ÍÒ¨·íÒãËŒà¡Ô´ÊÁͧªéÒ (contusion)
                                                                    ‹                         í
áÅÐàÅ×Í´ÍÍ¡ã¹ÊÁͧ䴌 µíÒá˹‹§¢Í§ÊÁͧ·Õ䴌ú¼Å¡Ãзºä´Œ§Ò ¤×Í frontal lobe ´ŒÒ¹Ë¹ŒÒáÅÐ
                                               è Ñ                         ‹
´ŒÒ¹Å‹Ò§ áÅÐ temporal lobe
         2. áçà©×Í (Inertia forces) ÁÑ¡¾ºã¹¡Ã³Õͺµà˵طÁ¡ÒÃËÁع ¡ÃЪҡ ËÃ×Íà»ÅÕ¹¤ÇÒÁ
                       è                                Ø Ñ Ô         Õè Õ                        è
à˧ (acceleration-deceleration mechanism) ઋ¹ ö¾ÅÔ¡¤ÇèÒ ¡ÒÃàÅ‹¹ºÑ¹¨Õ¨Á»Š ÏÅÏ áçà©×ͨзíÒ
                                                                  í              é Ñê               è
ãËŒà¡Ô´¡Òô֧Â×´¢Í§àÊŒ¹»ÃÐÊÒ· áÅйíÒä»ÊÙ‹ diffuse axonal injury «Ö§â´Â·ÑÇä»ÁÑ¡äÁ‹¾º¤ÇÒÁ¼Ô´
                                                                               è        è
»¡µÔã¹ CT áÅÐ MRI brain ´Ñ§¹Ñ¹ÍÒ¡Ò÷ҧ¨ÔµàǪ·Õà¡Ô´¢Ö¹ËÅѧ MTBI ¨Ö§äÁ‹¨Ò໚¹µŒÍ§ÊÑÁ¾Ñ¹¸¡º
                                  é                      è é                              í           Ñ
µíÒá˹‹§¢Í§ÊÁͧªéÒ·ÕµÃǨ¾º´ŒÇ MRI brain àÊÁÍä» µíÒá˹‹§¢Í§ÊÁͧ·Õ¾º¡ÒúҴà¨çº¨Ò¡
                         í è                                  (9)
                                                                                            è
áçà©×ÍÂä´ŒºÍ 䴌ᡋ white matter ¢Í§ frontal lobe ´ŒÒ¹Ë¹ŒÒáÅдŒÒ¹Å‹Ò§, temporal lobe, upper
       è        ‹
brainstem, parasagittal white matter of the cerebrum áÅÐ corpus callosum ÃÇÁ·Ñ§ Gray-white      é
matter junctions ¢Í§ cerebral cortex ¹Í¡¨Ò¡¹Õ¼»ÇºҧÃÒÂÍÒ¨ÁÕÊÁͧªéÒËÇÁ´ŒÇÂä´Œ
                                                 é ÙŒ †                               í
         ·Ñé§¹ÕéÍØºÑµÔà˵غҧª¹Ô´ÊÒÁÒöà¡Ô´áç¡ÃзíÒä´Œ·Ñé§Êͧª¹Ô´ ઋ¹ ÍØºÑµÔà˵بҡ¡ÒÃÃÐàºÔ´
໚¹µŒ¹
        ÍÒ¡ÒüԴ»¡µÔ·Ò§¨ÔµàǪ (Neuropsychiatric disturbances) ã¹¼ÙŒ»†Ç MTBI
       MTBI ·íÒãËŒà¡Ô´¼Å¡Ãзºµ‹Í¼Ù»ÇÂã¹´ŒÒ¹ÍÒ¡Òõ‹Ò§æ 4 ´ŒÒ¹ ´Ñ§µ‹Í仹Õé
                                    Œ †
       1) ÍÒ¡Ò÷ҧËҧ¡Ò ઋ¹ »Ç´ÈÕÃÉÐ »Ç´¤Í ÁÖ¹§§ àÇÕ¹ÈÕÃÉкŒÒ¹ËÁع (vertigo) ͋͹à¾ÅÕÂ
§‹Ç§¹Í¹ ËÙÍÍ ªÑ¡
             ×é
       2) ÍÒ¡Ò÷ҧ cognition ઋ¹ ¤ÇÒÁ¨íÒäÁ‹´Õ ÊÁÒ¸ÔŴŧ ÇÔà¤ÃÒÐˏ»ÃÐÁÇżŢŒÍÁÙŪŒÒŧ
¡ÒõѴÊÔ¹ã¨á»Å¡ä»¨Ò¡à´ÔÁ ¡ÒÃ㪌à˵ؼÅŴŧ ¤ÇÒÁÊÒÁÒö㹡ÒÃÊ×èÍÊÒÃŴŧ áÅÐÁÕ¤ÇÒÁ
¼Ô´»¡µÔ¢Í§ executive function ઋ¹ ¡ÒÃÇÒ§á¼¹ ¡ÒèѴÅíҴѺ¤ÇÒÁÊíҤѭ¢Í§§Ò¹ ໚¹µŒ¹
       3) ÍÒ¡Ò÷ҧÍÒÃÁ³ ઋ¹ «ÖÁàÈÃŒÒ ÇÔµ¡¡Ñ§ÇÅ ¤ÇÒÁʹ㨵‹ÍÊÔ§ÃͺµÑÇŴŧ à©ÂàÁ (apathy)
                                                              è
¤Çº¤ØÁÍÒÃÁ³ä´ŒäÁ‹´Õ ˧ش˧Դ ÍÒÃÁ³á»Ã»Ãǹ§‹ÒÂ
       4) ÍÒ¡Ò÷ҧ¾ÄµÔ¡ÃÃÁ ઋ¹ ¡ŒÒÇÃŒÒÇ ¢Ò´¡ÒÃÂѺÂѧ (disinhibition) ¹Í¹äÁ‹ËÅѺËÃ×͹͹
                                                       é
ÁÒ¡¢Ö¹ ¡ÃÐǹ¡ÃÐÇÒ ¾ÄµÔ¡ÃÃÁ·Ò§à¾Èà»ÅÕ¹á»Å§
     é                                     è
       ¼Ù»ÇÂÃŒÍÂÅÐ 50 áÅÐ 80 ¨ÐËÒ¨ҡÍÒ¡ÒâŒÒ§µŒ¹ä´Œã¹àÇÅÒ 1 à´×͹ áÅÐ 6 à´×͹ µÒÁÅíҴѺ(8)
         Œ †
Í‹ҧäáçµÒÁÁÕ¼»ÇÂÍÕ¡»ÃÐÁҳÌÍÂÅÐ 12-30(4, 10) ·ÕèÂѧ¤§ÁÕÍÒ¡ÒÃàÃ×éÍÃѧ áÅÐ໚¹âä·Ò§¨ÔµàǪ
                ÙŒ †
àǪÈÒʵÏ·¹Âؤ 2553
          Ñ                                                                                455

ÀÒÂã¹ 1 »‚ËÅѧà¡Ô´Íغµà赯 (µÒÃÒ§·Õè 1) «Ö§¡ÒÃཇÒÃÐÇѧáÅÐÃÑ¡ÉÒâä·Ò§¨ÔµàǪµÑ§áµ‹ÃÐÂÐáá¹Ñ¹
                     Ñ Ô                  è                                    é          é
ÁÕ¤ÇÒÁÊíҤѭÍ‹ҧÁÒ¡µ‹Í¼ÅÅѾ¸¢Í§¡Òÿ„¹¿Ù¼»ÇÂãËŒ¡ÅѺ¤×¹ÊÙ‹ function à´ÔÁ
                                            œ ÙŒ †                        (10)



µÒÃÒ§·Õè 1 ¤ÇÒÁªØ¡¢Í§âä¨ÔµàǪÀÒÂã¹ 1 »‚ËÅѧà¡Ô´ Mild Traumatic Brain Injury(4, 10)
 âä                                ¤ÇÒÁªØ¡¢Í§âä¨ÔµàǪÀÒÂã¹ 1 »‚ËÅѧà¡Ô´ MTBI (ÃŒÍÂÅÐ)
                                    ÃÇÁ           âä¨ÔµàǪ੾ÒзÕà¡Ô´¢Ö¹ãËÁ‹ËÅÑ§ÍØºµà˵Ø
                                                                  è     é           Ñ Ô
 âä¨ÔµàǪ·Ñ§ËÁ´
            é                  25.5 - 33.9        23.7
 Major depressive disorder     17.4               6.8
 Generalized anxiety disorder  13.4               10.0
 Posttraumatic stress disorder 13.0               7.8
 Social phobia                 12.8               7.2
 Substance use disorder        5.7 – 9.3          2.2
 Panic disorder                9.0                4.9
 Agoraphobia                   7.5                3.7
 Obsessive-compulsive disorder 4.0                1.8
 Psychotic disorder            3                  äÁ‹ÁÕ¢ŒÍÁÙÅ
 Somatoform disorder           1.5                äÁ‹ÁÕ¢ŒÍÁÙÅ

¡ÒûÃÐàÁÔ¹¼ÙŒ»†Ç MTBI
      ¹Í¡¨Ò¡¡ÒûÃÐàÁԹઋ¹à´ÕÂǡѺ·Õ㪌㹼ٻÇ·ÑÇæ ä»áÅŒÇ ¡ÒûÃÐàÁÔ¹¼Ù»Ç MTBI ÁÕ¢Í
                                         è     Œ † è                            Œ †          Œ
¾Ô¨ÒóҴѧ¹Õé(8)
      1. ËÒËÅÑ¡°Ò¹¢Í§¡ÒÃà¡Ô´ MTBI 䴌ᡋ ¡ÒÃÁÕáç¡ÃзíÒ¨Ò¡ÀÒ¹͡ áÅÐÁռŵ‹ÍËҧ¡ÒÂ
¼Ù»Ç¨¹ÁÕ¤ÇÒÁ¼Ô´»¡µÔ·Ò§»ÃÐÊÒ·ÊÃÕÃÇÔ·ÂÒÍ‹ҧà©Õº¾Åѹ ઋ¹ ËÁ´ÊµÔ ¤ÇÒÁ¨íÒàÊ×ÍÁ ÁÖ¹§§
  Œ †                                                                                 è
ºÒ§ÃÒÂÍÒ¨º‹¹Ç‹ÒÃÙÊ¡àËÁ×͹àËç¹´ÒÇ à»š¹µŒ¹
                    ΅
      2. ¡ÒûÃÐàÁÔ¹·Ò§¨ÔµàǪ (Neuropsychiatric evaluation) ¤ÇäíÒ¹Ö§¶Ö§»˜¨¨Ñ 3 ¡ÅØÁ ´Ñ§¹Õé
                                                                                        ‹
          ¡. »˜¨¨ÑÂà´ÔÁ¡‹Í¹à¡Ô´Íغµà赯 (Pre-injury factors) 䴌ᡋ ÍÒÂØ à¾È ¾Ñ¹¸Ø¡ÃÃÁ ÃдѺʵÔ
                                   Ñ Ô
                 »˜­­Òà´ÔÁ âä»ÃШíÒµÑÇ ÀÒÇзҧ¨ÔµàǪ ¡ÒÃ㪌ÂÒáÅÐÊÒÃàʾµÔ´ »˜¨¨Ñ·ҧÊѧ¤Á
                 àÈÃɰҹРÊÔ§áÇ´ÅŒÍÁ ¾ÄµÔ¡ÃÃÁªÍºàÊÕ§ (risk-taking behaviors)
                            è                           è
          ¢. ÅѡɳСÒúҴà¨çº (Injury characteristics) 䴌ᡋ ª¹Ô´ µíÒá˹‹§ áÅФÇÒÁÃØ¹áç
                 ¢Í§¡Ò÷íÒÅÒÂÃкº»ÃÐÊÒ· ໚¹µŒ¹ ÅѡɳТͧ¡ÒúҴà¨çº¹ÕéÊÒÁÒö·íÒ¹ÒÂ
                 »˜­ËÒ·Ò§ neuropsychiatric function ·Ñ§ 4 ´ŒÒ¹¢ŒÒ§µŒ¹ä´Œ
                                                      é
          ¤. »˜¨¨ÑÂËÅѧà¡Ô´ÍغѵÔà赯 (Post-injury factors) 䴌ᡋ ¡ÒôÙáÅ»ÃФѺ»ÃФͧ¨Ò¡
                 ¤Ãͺ¤ÃÑÇ ¡ÒÃ䴌ú¡ÒÃÃÑ¡ÉÒáÅп„¹¿ÙÍ‹ҧ·Ñ¹·‹Ç§·ÕáÅÐàËÁÒÐÊÁ ʶҹÀÒ¾·Ò§
                                 Ñ                œ
                 Êѧ¤Á àÈÃɰҹРáÅл˜­ËÒ·Ò§¡¯ËÁÒ ໚¹µŒ¹
456                                                  Neuropsychiatric Disorders after Mild Traumatic Brain Injury

      »˜¨¨Ñ¢ŒÒ§µŒ¹·Ñé§ 3 ¡ÅØ‹Á ÊÒÁÒöÁռŵ‹Í¡Ñ¹áÅСѹ áÅÐÁÕÍÔ·¸Ô¾Åµ‹Í neuropsychiatric
symptoms ·Ñ§ã¹á§‹¢Í§ÅѡɳÐÍÒ¡Òà ¡Òä§ÍÂÙ‹ áÅСÒÃËÒ¨ҡÍÒ¡ÒÃ
           é

¡ÒÃÃÑ¡ÉÒ
              ¡ÒÃÃÑ¡ÉҼٻǠMTBI ·ÕÁÀÒÇзҧ¨ÔµàǪ ¤ÇÃ㪌¡ÒÃÃÑ¡ÉÒẺͧ¤ÃÇÁ ¤ÇÃÃÑ¡ÉÒÍÒ¡ÒÃ
                                 Œ †                    è Õ
µ‹Ò§æ ãËŒ¤Ãͺ¤ÅØÁ´ŒÇ¡ÒÃ㪌ÂÒãËŒ¹Í·ÕÊ´à·‹Ò·Õ¨Ð໚¹ä»ä´Œ ¼Ù»Ç·ÕÁÕ MTBI ÁÑ¡¨Ðäǵ‹Í¡ÒÃà¡Ô´
                                                                Œ èØ         è              Œ † è
¼Å¢ŒÒ§à¤Õ§¨Ò¡ÂÒä´Œ§Ò ´Ñ§¹Ñ¹ãËŒàÃÔÁÂÒ·Õ¢¹Ò´µèÒ áÅлÃѺ¢Ö¹ªŒÒæ â´Â¾ÂÒÂÒÁËÅÕ¡àÅÕ§ÂÒ·ÕÅ´
                                     ‹           é            è        è       í        é                                    è       è
seizure threshold áÅÐÂÒ·Õè·íÒãËŒ¡Òÿ„œ¹¿Ù cognition ªŒÒŧ ઋ¹ phenytoin, phenobarbital,
benzodiazepine, clonidine, haloperidol (¢¹Ò´ > 10 mg/d) ໚¹µŒ¹(11) ¼Ù»ÇÂÁÑ¡ÁÕ¡Òõͺʹͧµ‹Í       Œ †
ÂÒªŒÒ áÅÐàÁ×Í»ÃѺÂÒ¶Ö§¢¹Ò´ÊÙ§ÊØ´áÅŒÇ ÍÒ¨µŒÍ§ãªŒàÇÅÒ´ÙÍÒ¡ÒùҹËÅÒÂà´×͹ ¹Í¡¨Ò¡¹Õé ¤ÇÃãËŒ
                   è
¡ÒÃÃÑ¡ÉÒÍÒ¡ÒÃÍ×¹æ ·ÕÍҨú¡Ç¹¼Ù»Ç ઋ¹ ÍÒ¡ÒûǴ ÍÒ¡Òäѹ ໚¹µŒ¹
                             è          è                    Œ †
              ã¹·Õ¹¨Ð¢Í¡Å‹ÒǶ֧¡ÒÃ㪌ÂÒ໚¹ËÅÑ¡ Í‹ҧäáçµÒÁ¡ÒÃãËŒ¤ÇÒÁÃÙ¡º¼Ù»ÇÂáÅÐ­ÒµÔ ÃÇÁ·Ñ§
                  è Õé                                                                               Œ Ñ Œ †                             é
ãËŒ¡ÒÅѧã¨áÅЪ‹ÇÂàËÅ×Íà¡ÕÂǡѺ¡ÒûÃѺµÑǵ‹Í¡ÒÃà¨çº»†ÇÂ໚¹ÊÔ§ÊíҤѭ ÁÕ¡ÒÃÈÖ¡ÉÒ¾ºÇ‹Ò·Ñ§»ÃЪҪ¹
      í                                    è                                          è                                    é
·ÑÇä»áÅкؤÅҡ÷ҧ¡ÒÃᾷ ÁÑ¡äÁ‹à¢ŒÒ㨼Ţͧ MTBI ·ÕÁµÍ neuropsychiatric function ¢Í§
   è                                                                                 è Õ ‹
¼Ù»Ç ·íÒãËŒà¡Ô´¤ÇÒÁÃÙÊ¡àªÔ§Åºµ‹Í¼Ù»Ç áÅкҧÃÒ¶١¡Å‹ÒÇËÒÇ‹Òá¡ÅŒ§»†Ç ¨¹ä´ŒÃº¡ÒôÙáÅÍ‹ҧ
  Œ †                                ŒÖ                     Œ †                                                    Ñ
äÁ‹àËÁÒÐÊÁ           (12-13)
                               ¡ÒûÃѺ¾ÄµÔ¡ÃÃÁ ¡Òü‹Í¹¤ÅÒ¤ÇÒÁà¤ÃÕ´ áÅд֧¤Ãͺ¤ÃÑÇࢌÒÁÒÁÕÊǹËÇÁ                             ‹
໚¹ÊÔ§ÊíҤѭµ‹Í¡ÒÃÃÑ¡ÉÒ ÃÇÁ·Ñ§à»š¹¡ÒÃແ´âÍ¡ÒÊãËŒ­ÒµÔä´ŒÃкÒ ÃѺ·ÃÒº¢ŒÍÁÙÅáÅÐÁÕ¤ÇÒÁ¤Ò´
        è                                           é
ËÇѧ·ÕÊÍ´¤ÅŒÍ§¡Ñº¤ÇÒÁ໚¹¨ÃÔ§ ÃÇÁ·Ñ§àÃÕ¹ÃÙǸ¡ÒèѴ¡ÒþĵԡÃÃÁ¢Í§¼Ù»ÇÂáÅÐÍÒÃÁ³¢Í§µÑÇ
          è                                                        é     ŒÔÕ                             Œ †
­ÒµÔàͧàÁ×Í༪ԭ¡ÑºÍÒ¡ÒÃà¨çº»†Ç¢ͧ¼Ù»Ç´ŒÇ «Ö§¨Ð·íÒãËŒ¼Å¡ÒÃÃÑ¡ÉÒâ´ÂÃÇÁ´Õ¢¹ÁÒ¡
                è                                                    Œ †           è                                 Öé
              ã¹»˜¨¨Øº¹ ÂÒ·ÕÁËÅÑ¡°Ò¹àªÔ§»ÃШѡɏÊÒËÃѺÃÑ¡ÉÒÍÒ¡Ò÷ҧ¨ÔµàǪ¢Í§¼Ù»Ç MTBI Âѧ¤‹Í¹
                           Ñ           è Õ                               í                                   Œ †
¢ŒÒ§ÁÕ¨Ò¡Ñ´ (µÒÃÒ§·Õè 2) ᾷ¨§¤ÇÃ㪌ÂÒâ´Â¤íÒ¹Ö§¶Ö§¤ÇÒÁàËÁÒÐÊÁµ‹Í¼Ù»ÇÂᵋÅÐÃÒ ãËŒ¢ÍÁÙÅ
            í                                         Ö                                                 Œ †                      Œ
áÅТͤÇÒÁÂÔ¹ÂÍÁ¨Ò¡¼Ù»ÇÂáÅÐ/ËÃ×Í­ÒµÔ à½‡ÒÃÐÇѧµÔ´µÒÁ¼ÅÍѹäÁ‹¾§»ÃÐʧ¤¨Ò¡ÂÒ »ÃÐàÁÔ¹
                                             Œ †                                                   Ö
»ÃÐÊÔ·¸ÔÀÒ¾¡ÒÃÃÑ¡ÉÒ áÅзº·Ç¹¤ÇÒÁ¨íÒ໚¹¢Í§¡ÒÃ㪌ÂÒÍÂÙàÊÁÍ                                 ‹
              ¹Í¡¨Ò¡¹Õé¼ÙŒà¢Õ¹ÁÕ¤ÇÒÁàËç¹Ç‹Ò 㹺ÃÔº·¢Í§Êѧ¤Áä·Â »˜¨¨Ñ·ÕèÊíҤѭÍÕ¡¢ŒÍ·Õè¤ÇùíÒÁÒ
¾Ô¨ÒÃ³Ò ¤×Í àÈÃɰ°Ò¹Ð¢Í§¼Ù»Ç ¡µÑÇÍ‹ҧઋ¹ ÂÒ fluoxetine áÁŒ¨ÐÁÕËÅÑ¡°Ò¹Ê¹ÑºÊ¹Ø¹ã¹¡ÒÃ
                                                   Œ †
ÃÑ¡ÉÒÍÒ¡ÒëÖÁàÈÃŒÒã¹ MTBI ¹ŒÍÂ¡Ç‹Ò sertraline ᵋ¼Å¢ŒÒ§à¤Õ§¹ŒÍÂà·‹Òæ¡Ñ¹ áÅÐÃÒ¤Ò¶Ù¡¡Ç‹Òà¡Ô¹
10 à·‹Ò á¾·Â¤ÇõŒÍ§àʹͷҧàÅ×Í¡Í×¹æ áÅÐãËŒ¢ÍÁÙÅ»ÃСͺ¡ÒõѴÊÔ¹ã¨á¡‹¼»ÇÂËÃ×Í­ÒµÔ´ÇÂ
                                                                 è               Œ                            ÙŒ †                     Œ
áÁŒ·Ò§àÅ×Í¡Í×¹æ ¹Ñ¹ÍÒ¨ÁÕËÅÑ¡°Ò¹·Ò§ÇÔ·ÂÒÈÒʵÏÁÒʹѺʹع¹ŒÍ¡NjҡçµÒÁ á¹Ç¤ÇÒÁ¤Ô´¹ÕÊÍ´
                      è        é                                                                                                   é
¤ÅŒÍ§¡Ñº¹ÔÂÒÁ¡ÒÃ㪌ÂÒÍ‹ҧÊÁà˵ØÊÁ¼Å (rational drug use) ¢Í§Í§¤¡ÒÃ͹ÒÁÑÂâÅ¡·ÕÇÒ “Rational                              è‹
use of drugs requires that patients receive medications appropriate to their clinical needs, in
doses that meet their own individual requirements for an adequate period of time, and the
lowest cost to them and their community.” (14)
àǪÈÒʵÏ·¹Âؤ 2553
          Ñ                                                                                                     457

µÒÃÒ§·Õè 2 ¡ÒÃ㪌ÂÒÃÑ¡ÉÒ neuropsychiatric symptoms ã¹¼ÙŒ»†Ç MTBI (11, 15-17)
    Neuropsychiatric Symptoms ÂÒ                             ¢¹Ò´àÃÔÁµŒ¹ (mg/day) ¢¹Ò´ÂÒ໇ÒËÁÒ (mg/day)
                                                                    è
    Depression                       Sertraline              25                        25 - 200
                                     Citalopram              10                        20 - 50
                                     Fluoxetine              10                        20 - 40
                                     Amitriptyline a         10 - 25                   75 - 250
    Cognitive disturbance            Methylphenidate         5 - 10                    10 - 30 (0.25 - 0.3 mg/kg)
                                     Donepezil               5                         5 - 10
                                     Rivastigmine            3                         3 - 12
                                     Bromocriptine           2.5                       < 100
    Aggressiveness b                 Propanolol              20 - 30                   60 - 400
                                     Pindolol                40                        40 - 100
                                     Buspirone               10                        45 - 60
                                     Sodium valproate        200 - 500                 750 - 1,000
                                     Carbamazepine           200 - 400                 400 - 1200
    Psychosis                        Olanzapine c            5                         5 - 20
                                     Haloperidol c           2-5                       < 10
    Mania                            Sodium valproate        200 - 500                 750 - 1,000
    Insomnia                         Trazodone               25 - 50                   50 - 150
a
  㪌Í‹ҧÃÐÁÑ´ÃÐÇѧ à¹×ͧ¨Ò¡ÂÒÅ´ seizure threshold
                        è
b
  ÍÒ¨ÃÑ¡ÉÒâ´Â㪌ÂÒÃÑ¡ÉÒÍÒ¡Òà depression ã¹µÒÃҧ䴌ઋ¹¡Ñ¹
c
  㪌¢¹Ò´µèÒáÅÐÃÐÂÐÊѹ෋ҷըÒ໚¹ à¹×ͧ¨Ò¡ÂҢѴ¢ÇÒ§¡Òÿ„¹¿Ù´Ò¹ cognition
            í             é  èí       è                  œ Œ


ÊÃØ»
         Neuropsychiatric disorders ÊÒÁÒö¾ºä´ŒºÍ¶֧˹֧ã¹ÊÒÁ¢Í§¼Ù»Ç·ÕÁÕ mild traumatic
                                                ‹        è         Œ † è
brain injury Ê‹§¼Å¡Ãзºµ‹ÍÊØ¢ÀÒ¾áÅФسÀÒ¾ªÕǵ¢Í§¼Ù»ÇÂáÅФÃͺ¤ÃÑÇä´ŒÁÒ¡ áÅÐ໚¹»˜­ËÒ
                                              Ô      Œ †
·Ò§ÊÒ¸ÒÃ³ÊØ¢·ÕÊҤѭ ºØ¤Åҡ÷ҧ¡ÒÃᾷ¨§¤ÇÃཇÒÃÐÇѧ áÅлÃÐàÁÔ¹ÍÒ¡Òà à¾×ÍãËŒ¡ÒÃÃÑ¡ÉÒ
                  èí                        Ö                               è
á¡‹¼»ÇÂÍ‹ҧàËÁÒÐÊÁ
    ÙŒ †

àÍ¡ÊÒÃ͌ҧÍÔ§
1.     Suriyawongpaisal P, Kanchanasut S. Road traffic injuries in Thailand: Trends, selected underlying determinants
       and status of intervention. Injury Control and Safety Promotion. 2003;10(1-2):95-104.
2.     Massagli TL, Fann JR, Burington BE, Jaffe KM, Katon WJ, Thompson RS. Psychiatric illness after mild
       traumatic brain injury in children. Arch Phys Med Rehabil. 2004;85(9):1428-34.
3.     Schwarzbold M, Diaz A, Martins ET, Rufino A, Amante LN, Thais ME, et al. Psychiatric disorders and
       traumatic brain injury. Neuropsychiatr Dis Treat. 2008;4(4):797-816.
458                                          Neuropsychiatric Disorders after Mild Traumatic Brain Injury

4.    Fann JR, Burington B, Leonetti A, Jaffe K, Katon WJ, Thompson RS. Psychiatric illness following traumatic
      brain injury in an adult health maintenance organization population. Arch Gen Psychiatry. 2004;61(1):53-61.
5.    Rogers JM, Read CA. Psychiatric comorbidity following traumatic brain injury. Brain Inj. 2007;21(13-14):1321-
      33.
6.    Petchprapai N, Winkelman C. Mild traumatic brain Injury: determinants and subsequent quality of life. a review
      of the literature. Journal of Neuroscience Nursing. 2007;39(5):13.
7.    Mild Traumatic Brain Injury Committee ACoRM, Head Injury Interdisciplinary Special Interest Group. Definition
      of mild traumatic brain injury. Journal of Head Trauma Rehabilitation. 1993;8(3):86-7.
8.    Silver JM, McAllister TW, Arciniegas DB. Depression and cognitive complaints following mild traumatic brain
      injury. Am J Psychiatry. 2009;166(6):653-61.
9.    Koponen S, Taiminen T, Kurki T, Portin R, Isoniemi H, Himanen L, et al. MRI findings and Axis I and II
      psychiatric disorders after traumatic brain injury: a 30-year retrospective follow-up study. Psychiatry Res.
      2006;146(3):263-70.
10.   Bryant RA, O’Donnell ML, Creamer M, McFarlane AC, Clark CR, Silove D. The Psychiatric Sequelae of
      Traumatic Injury. Am J Psychiatry. 2010;167(3):312-20.
11.   Lombardi F. Pharmacological treatment of neurobehavioural sequelae of traumatic brain injury. European
      Journal of Anaesthesiology. 2008;25(Suppl 42):131-6.
12.   Guilmette TJ, Paglia MF. The public’s misconceptions about traumatic brain injury: a follow up survey. Archives
      of Clinical Neuropsychology. 2004;19(2):183-9.
13.   Swift TL, Wilson SL. Misconceptions about brain injury among the general public and non-expert health
      professionals: an exploratory study. Brain Injury. 2001;15:149-65.
14.   WHO. The Rational Use of Drugs: Report of the Conference of Experts. Geneva: WHO,1985.
15.   Fann JR, Hart T, Schomer KG. Treatment for Depression after Traumatic Brain Injury: A Systematic Review.
      Journal of Neurotrauma. 2009;26(12):2383-402.
16.   Warden DL, Gordon B, McAllister TW, Silver JM, Barth JT, Bruns J, et al. Guidelines for the Pharmacologic
      Treatment of Neurobehavioral Sequelae of Traumatic Brain Injury. Journal of Neurotrauma. 2006;23(10):1468-
      501.
17.   Silver JM, Yudofsky SC, Hales RE. Neuropsychiatric aspects of traumatic brain injury. In: Yudofsky SC, Hales
      RE, editors. The American Psychiatric Publishing textbook of neuropsychiatry and behavioral neurosciences:
      American Psychiatric Publishing; 2008. p. 595-648.
àǪÈÒʵÏ·¹Âؤ 2553
          Ñ                                                                        º··Õè        459

                                                                                     65
              ÀÒ¾ÃѧÊÕÇÔ¹Ô¨©ÑÂÃкº»ÃÐÊÒ·ã¹¼ÙŒ»†ÇÂÍØºÑµÔà˵Ø
                                                    ÍÒ¨ÒÏ ᾷ˭ԧÊÔÃÔÍà µÃÔµÃСÒÃ
                          ÀÒ¤ÇÔªÒÃѧÊÕÇ·ÂÒ ¤³Ðá¾·ÂÈÒʵÏÈÃÃÒª¾ÂÒºÒÅ ÁËÒÇÔ·ÂÒÅÑÂÁËÔ´Å
                                       Ô                 ÔÔ

         ¡ÒúҴà¨çº·Ò§ÊÁͧ㹼ٻÇÂÍØºµà˵ؾºä´ŒÍÂٺͤÃѧã¹àǪ»¯ÔºµÔ à¹×ͧ¨Ò¡Íغµà˵طà¡Ô´
                                    Œ †       Ñ Ô          ‹ ‹ é          Ñ è      Ñ Ô          Õè
¢Ö¹Ê‹Ç¹ãË­‹à¡Ô´¨Ò¡¡ÒÃ㪌ö㪌¶¹¹ «Ö§ã¹»˜¨¨Øº¹¾ºÇ‹ÒÁÕ¡ÒúҴà¨çºÍÂÙã¹¢Ñ¹ÃØ¹áçÍÂٺͤÃѧ
  é                                         è          Ñ                    ‹ é        ‹ ‹         é
à¹×ͧ¨Ò¡¡ÒÃ㪌¤ÇÒÁàÃçÇÊÙ§áÅФÇÒÁ»ÃÐÁҷ㹡ÒÃ㪌Âҹ¹µ¾ºÁÒ¡¢Ö¹ ´Ñ§¹Ñ¹¡ÒÃá»Ã¼ÅÀÒ¾ÃѧÊÕ
     è                                                                é       é
ÇÔ¹¨©Ñ·ҧÃкº»ÃÐÊÒ·ã¹¼Ù»ÇÂÇÔ¡Äµã¹¡ÅØÁ¹Õ¨§ÁÕ¤ÇÒÁ¨íÒ໚¹Í‹ҧÂÔ§ à¾×ÍÊ׺¤Œ¹ÀÒÇÐÇԡĵԷÍÒ¨
       Ô                      Œ †                 ‹ éÖ               è è                     Õè
໚¹ÍѹµÃÒ¶֧ªÕǵ áÅеŒÍ§ä´ŒÃº¡Òê‹ÇÂàËÅ×ÍÃÑ¡ÉÒâ´Â´‹Ç¹
                  Ô               Ñ
         ÀÒ¾ÃѧÊÕÇÔ¹Ô¨©Ñ·ÕèàËÁÒÐÊÁã¹¼ÙŒ»†ÇÂÍØºÑµÔàËµØ ä´Œá¡‹ ÀÒ¾ plain film áÅÐ ÀÒ¾àÍç¡«àÏ
¤ÍÁ¾ÔÇàµÍÏ (CT scan)3 à¹×ͧ¨Ò¡¼Ù»ÇÂʋǹãË­‹Á¡ÁÕÊ­­Ò³ªÕ¾·ÕäÁ‹¤§·Õè áÅеŒÍ§¡ÒÃà¤Ã×ͧÁ×Í
                               è        Œ †              Ñ Ñ       è                       è
·Õ·Ò¡ÒõÃǨ䴌Í‹ҧÃÇ´àÃçÇ áÅÐãËŒ¢ÍÁÙÅ·ÕàËÁÒÐÊÁ¡Ñº¡ÒôÙáÅÃÑ¡ÉÒ¼Ù»ÇÂã¹ÀÒÇÐà˧´‹Ç¹
    è í                                   Œ        è                    Œ †

¡ÒÃà»ÃÕºà·Õº¢ŒÍä´Œà»ÃÕºàÊÕÂà»ÃÕº¢Í§à¤Ã×èͧÁ×Í·Õè㪌㹡ÒõÃǨ
ÇÔ¹Ô¨©Ñ·ҧÃкº»ÃÐÊÒ·1, 2, 3
        Plain film
           ¢ŒÍä´Œà»ÃÕº - ÊдǡÃÇ´àÃçÇ áÅÐÁÕ㪌â´Â·ÑÇä»
                                                    è
           ¢ŒÍàÊÕÂà»ÃÕº - ÁբͨíҡѴ㹡ÒûÃÐàÁÔ¹¡ÒÃᵡ¢Í§¡Ãд١ªÔ¹àÅç¡æ ºÃÔàdz°Ò¹ÊÁͧ
                               Œ                                   é
áÅСÃд١ãºË¹ŒÒ
           ¢ŒÍº‹§ªÕé – ´Ù¡ÒÃᵡ¢Í§¡ÃÐâËÅ¡ÈÃÕÉÐËÃ×Í¡Ãд١ÊѹËÅѧʋǹµ‹Ò§æã¹àº×ͧµŒ¹
                                                                             é
           ¢ŒÍ¤ÇÃÃÐÇѧ - à¹×ͧ¨Ò¡¡ÒõÃǨÁÕ¡ÒÃÊÑÁ¼ÑÊÃѧÊÕ´§¹Ñ¹¡ÒõÃǨµŒÍ§ÃÐÁÑ´ÃÐÇѧ㹼ٻÇÂ
                             è                           Ñ é                          Œ †
·Õµ§¤ÃÃÀ ¶ŒÒ¨íÒ໚¹µŒÍ§·íÒ ¤ÇáѹÃѧÊÕâ´ÂàÊ×͵СÑÇ
  è Ñé                                       é    è

        CT scan
           ¢ŒÍä´Œà»ÃÕº – ÃÇ´àÃçÇáÅÐàËÁÒÐÊÁ㹡ÒôÙàÅ×Í´Í͡㹺ÃÔàdzµ‹Ò§æ¢Í§Ã‹Ò§¡Ò áÅÐ
¡Òô١ÒÃᵡËÑ¡¢Í§¡Ãд١ªÔ¹àÅç¡æ ઋ¹ ¡Ãд١·ÕºÃÔàdz°Ò¹ÊÁͧáÅСÃд١ãºË¹ŒÒ
                           é                   è
           ¢ŒÍàÊÕÂà»ÃÕº - ¼Ù»ÇÂ䴌úÃѧÊÕ ËÃ×ÍÍҨ䴌ú¡ÒéմÊÒ÷ֺÃѧÊÕ«§ÍÒ¨ÁÕÍÒ¡ÒÃᾌ䴌
                             Œ †    Ñ                 Ñ                  Öè
(¶ŒÒ¼Ù»ÇÂÁÕ»ÃÐÇѵᾌÍÒËÒ÷ÐàÅà¹×ͧ¨Ò¡ÁÕÊÒÃäÍâʹչ໚¹Í§¤»ÃСͺ)
      Œ †        Ô               è
460                                                 ÀÒ¾ÃѧÊÕÇÔ¹Ô¨©ÑÂÃкº»ÃÐÊÒ·ã¹¼ÙŒ»†ÇÂÍØºÑµÔà˵Ø

           ¢ŒÍº‹§ªÕé - ´Ù¡ÃÐâËÅ¡ÈÃÕÉСÃд١°Ò¹ÊÁͧáÅÐãºË¹ŒÒᵡ ÃÇÁ·Ñ§ÀÒÇÐàÅ×Í´ÍÍ¡ã¹à¹×Í
                                                                         é                     é
ÊÁͧºÃÔàdzµ‹Ò§áÅлÃÐàÁÔ¹ÀÒÇÐÊÁͧºÇÁáÅСÒÃàÅ×͹µÑǢͧà¹×ÍÊÁͧ
                                                      è          é
           ¢ŒÍ¤ÇÃÃÐÇѧ - à¹×ͧ¨Ò¡¡ÒõÃǨÁÕ¡ÒÃÊÑÁ¼ÑÊÃѧÊÕ ´Ñ§¹Ñ¹¡ÒõÃǨµŒÍ§ÃÐÁÑ´ÃÐÇѧ㹼ٻÇÂ
                              è                                é                          Œ †
·Õµ§¤ÃÃÀ ¶ŒÒ¨íÒ໚¹µŒÍ§·íÒ¤ÇáѹÃѧÊÕâ´ÂàÊ×͵СÑÇ ¹Í¡¨Ò¡¹Õ¶ÒµŒÍ§©Õ´ÊÒ÷ֺÃѧÊյͧÃÐÇѧ㹼ٻÇÂ
  è Ñé                                      é    è         é Œ                  Œ          Œ †
·ÕàÊÕ§äµÇÒÂ
   è è

        MRI
            ¢ŒÍä´Œà»ÃÕº - ÊÒÁÒöµÃǨ´ÙàÅ×Í´·ÕÍÍ¡·Õ໚¹¨Ø´àÅç¡·ÕÍÒ¨ÁͧäÁ‹àËç¹â´Â CT scan ઋ¹
                                                   è   è          è
ã¹ÀÒÇÐ Diffuse axonal injury (DAI) áÅÐÊÒÁÒöºÍ¡¡ÒúҴà¨çº¢Í§à¹×ÍÊÁͧáÅÐä¢ÊѹËÅѧ䴌´Õ
                                                                      é
¡Ç‹Ò CT scan
            ¢ŒÍàÊÕÂà»ÃÕº - ÁբͨíҡѴ㹡ÒûÃÐàÁÔ¹¡ÒÃᵡ¢Í§¡Ãд١ªÔ¹àÅç¡æ ºÃÔàdz°Ò¹ÊÁͧ
                                   Œ                                    é
áÅСÃд١ãºË¹ŒÒ
            ¢ŒÍº‹§ªÕé - 㪌àÇÅÒ㹡ÒõÃǨ¹Ò¹ áÅÐäÁ‹àËÁÒÐÊÁ㹼ٻǷÕÊ­­Ò³ªÕ¾äÁ‹¤§·Õè ¹Í¡¨Ò¡
                                                               Œ † èÑ
¹Õ§㪌·Ò¡ÒõÃǨäÁ‹ä´Œã¹¼Ù»Ç·ÕʧÊÑÂÇ‹ÒÁÕʧá»Å¡»ÅÍÁ·Õ໚¹âÅËÐÍÂÙÀÒÂã¹Ã‹Ò§¡Ò à¾ÃÒШÐà¡Ô´
  éÑ í                         Œ † è        Ôè              è       ‹
ÍѹµÃÒÂä´Œ
            ¢ŒÍ¤ÇÃÃÐÇѧ - µŒÍ§ÃÐÁÑ´ÃÐÇѧ㹼ٻÇÂà¤Â¼‹ÒµÑ´à»ÅÕ¹ÅÔ¹ËÑÇã¨ËÃ×ÍãÊ‹à¤Ã×ͧ¡ÃеعËÑÇã¨
                                               Œ †            è é                è      Œ
ËÃ×ͼ‹ÒµÑ´ãÊ‹ clip ·ÕËÅÍ´àÅ×Í´ÊÁͧ, ¼Ù»Ç·աÅÑÇ·Õ᤺, ¼Ù»Ç·աÒ÷íÒ§Ò¹¢Í§äµäÁ‹´,Õ ¼Ù»Ç·ÕʧÊÑÂ
                     è                Œ † è          è   Œ † è                      Œ † è
NjҨÐÁÕâÅËÐá»Å¡»ÅÍÁ·ÕºÃÔàdzµÒáÅеÒÁʋǹµ‹Ò§æ¢Í§Ã‹Ò§¡ÒÂ
                             è

¢ŒÍ¤ÇÃÃÐÇѧ㹡ÒÃá»Ã¼Å CT scan
         àÅ×Í´·ÕÍÍ¡ãËÁ‹ÊǹãË­‹äÁ‹¨Ò໚¹µŒÍ§ÁÕ hyperdensity àÊÁÍä»à¹×ͧ¨Ò¡ÊÒÁÒöàËç¹à»š¹
                 è         ‹          í                              è
isodensity ËÃ×Í hypodensity 䴌㹡óշ¼»ÇÂÁÕÀÒÇÐâÅËÔµ¨Ò§Í‹ҧÁÒ¡â´Â¤‹Ò hematocrit µèÒ¡Ç‹Ò
                                         Õè ÙŒ †                                    í
10 g/dl ໚¹µŒ¹ ËÃ×Íã¹¼ÙŒ»†Ç·ÕèÁÕÀÒÇСÒÃá¢ç§µÑǢͧàÅ×Í´¼Ô´»¡µÔ¨Ò¡ÀÒÇÐ disseminated
intravascular coagulopathy (DIC)
         1. ÁբͨíҡѴ㹡ÒÃá»Ã¼ÅàÅ×Í´·ÕÍÍ¡ºÃÔàdz¹Í¡à¹×ÍÊÁͧ㹺ÃÔàdz intratemporal region,
               Œ                            è             é
subfrontal region ËÃ×Í posterior fossa áÅÐ diffuse axonal injury
         2. 㹡ÒõÃǨÇÔ¹¨©Ñ¼ٻÇÂÍØºµà赯 ¤ÇôÙÀҾ㹠window ·ÕàËÁÒÐÊÁઋ¹¡ÒôÙà¹×ÍÊÁͧ
                             Ô  Œ †     Ñ Ô                      è                é
¡ç¤ÇÃ㪌 brain window ¡ÒõÃǨ´ÙÇÒÁÕ¡Ãд١ËÑ¡ËÃ×ÍäÁ‹¡¤ÇôٴÇ bone window áÅжŒÒÊÒÁÒö´Ù
                                    ‹                  ç      Œ
ÀÒ¾ã¹ËÅÒÂÃйҺ ઋ¹ coronal áÅÐ sagittal ËÇÁ¡Ñº axial ¡ç¨Ðª‹ÇÂà¾ÔÁ¤ÇÒÁ¶Ù¡µŒÍ§ã¹¡ÒõÃǨ
                                                                   è
ÇÔ¹Ô¨©ÑÂä´ŒáÁ‹¹ÂíÒÂÔè§¢Öé¹ â´Â੾ÒСÒô١Ãд١·ÕèËÑ¡ºÃÔàdz°Ò¹ÊÁͧ ¡Ãд١ãºË¹ŒÒáÅСÃд١
temporal bone ໚¹µŒ¹
àǪÈÒʵÏ·¹Âؤ 2553
          Ñ                                                                                  461

ª¹Ô´¢Í§¡ÒúҴà¨çº·Ò§ÊÁͧáÅСÃÐâËÅ¡ÈÕÃÉÐÊÒÁÒöá¡䴌໚¹4
        1. ¡ÒúҴà¨çºàº×ͧµŒ¹
                        é
              à¡Ô´à¹×ͧ¨Ò¡áç¡ÃÐá·¡â´ÂµÃ§Ê‹§¼ÅãËŒà¡Ô´¡ÒúҴà¨çº â´Â¡ÒúҴà¨çºÊÒÁÒöà¡Ô´ä´Œ
                      è
µÑé§áµ‹ªÑé¹¼ÔÇ˹ѧ¶Ö§à¹×éÍÊÁͧ ¢Öé¹ÍÂÙ‹¡Ñº¤ÇÒÁÃØ¹áç¢Í§¡ÒúҴà¨çºàª‹¹ ˹ѧÈÕÃÉЪéíÒºÇÁËÃ×Í
©Õ¡¢Ò´¡ÃÐâËÅ¡ÈÕÃÉÐᵡ, à¹×ÍÊÁͧªéÒ, ¡ÒúҴà¨çº¢Í§ axon (diffuse axonal injury : DAI),
                                    é        í
¡ÒúÇÁ¢Í§à¹×ÍÊÁͧ, àÅ×Í´ÍÍ¡ã¹à¹×ÍÊÁͧáÅй͡à¹×ÍÊÁͧ (epidural, subdural, subarachnoid
                  é                       é              é
hemorrhage)໚¹µŒ¹ «Ö§¨Ð¡Å‹ÒÇã¹ÃÒÂÅÐàÍÕ´ã¹ËÑÇ¢ŒÍÊíҤѭ´Ñ§¹Õé
                          è
              1.1 ÀÒÇСÃÐâËÅ¡ÈÕÃÉÐᵡ (Skull fracture)4, 5, 6 ÀÒÇйÕ龺ËÇÁ¡Ñº¡ÒúҴà¨çº
·Õùáç¢Í§ÊÁͧ䴌»ÃÐÁÒ³ 2/3 â´Â¡ÒÃᵡ¢Í§¡ÃÐâËÅ¡ÈÕÃÉÐẋ§ä´ŒËÅÒÂÅѡɳдѧ¹Õé
   èØ
                    1.1.1 Linear skull fracture ¨Ð¾ºà»š¹ÃÍÂᵡ¢Í§¡ÃÐâËÅ¡ÈÕÃÉзբͺ¤ÁªÑ´áÅÐ
                                                                                   è
                          ÁÑ¡¾º¡ÒúҴà¨çºËÃ×Í¡Òéա¢Ò´¢Í§ªÑ¹Ë¹Ñ§ÈÕÃÉÐËÇÁ´ŒÇ ¡ÒÃᵡª¹Ô´¹Õé
                                                              é
                          à¡Ô´¨Ò¡ low-energy blunt trauma áÅÐÍÒ¨·íÒãËŒà¡Ô´¼Åá·Ã¡«ŒÍ¹·Ò§´ŒÒ¹
                          ËÅÍ´àÅ×Í´ä´Œ ¶ŒÒÁÕ¡ÒÃᵡ¼‹Ò¹ vascular channel, venous sinus ËÃ×Í suture
                          ઋ¹¡ÒÃà¡Ô´ epidural hematoma áÅÐ venous sinus thrombosis ໚¹µŒ¹â´Â
                          ¡ÒÃᵡ¢Í§¡ÃÐâËÅ¡ÈÕÃÉЪ¹Ô´¹ÕéÊÒÁÒöµÃǨ¾ºä´ŒµÑé§áµ‹¡Òö‹ÒÂÀÒ¾
                          plain film skull (ÃÙ»·Õè 1)
                                       Þ

                                                                                Þ

ÃÙ»·Õè 1 áÊ´§¡ÒÃᵡ¢Í§¡ÃÐâËÅ¡ÈÕÃÉЪ¹Ô´ linear fracture ã¹ÀÒ¾ plain film (ÅÙ¡ÈÃã¹
         ÀÒ¾«ŒÒÂ) áÅÐÁÕ¡ÒÃᵡ¢Í§¡ÃÐâËÅ¡ÈÕÃÉÐã¹ÀÒ¾ CT scan ·ÕèºÃÔàdz left parietal
         region (ÅÙ¡ÈÃã¹ÀÒ¾¢ÇÒ)

               1.1.2 Depressed skull fracture ¡ÒÃᵡ¢Í§¡ÃÐâËÅ¡ÈÕÃÉЪ¹Ô´¹Õéà¡Ô´¨Ò¡
                     high-energy ·Õ¡Ãзºº¹ small surface ¢Í§¡ÃÐâËÅ¡ÈÕÃÉÐ «Ö§Ê‹Ç¹ãË­‹¾º
                                   è                                       è
                     ºÃÔàdz frontoparietal region à¹×ͧ¨Ò¡¡Ãд١ºÒ§ áÅСÒÃᵡ¢Í§¡Ãд١
                                                     è
                     ª¹Ô´¹ÕÍÒ¨¾ºä´Œ·§ open wound áÅÐ closed wound «Ö§¡ÒÃÇÔ¹¨©ÑÂʋǹãË­‹
                           é           Ñé                             è      Ô
                     㪌 CT scan à¹×ͧ¨Ò¡ªÔ¹¡Ãд١·ÕºµÑǨҡ¡ÒÃᵡËÑ¡ÁÑ¡ÁÕ¢¹Ò´àÅç¡áÅÐ
                                     è       é         è Ø
462                                                    ÀÒ¾ÃѧÊÕÇÔ¹Ô¨©ÑÂÃкº»ÃÐÊÒ·ã¹¼ÙŒ»†ÇÂÍØºÑµÔà˵Ø

                   ¡Ò÷íÒ CT scan ¨ÐÊÒÁÒöºÍ¡ºÃÔàdz·ÕÁ¡Òá´àºÕ´¢Í§à¹×ÍÊÁͧáÅÐ
                                                                  è Õ                         é
                   ÊÒÁÒöãËŒ¢ÍÁÙÅà¡ÕÂǡѺ¡ÒÃàÅ×Í´ÍÍ¡ã¹à¹×ÍÊÁͧ¡‹Í¹¡ÒÃÃÑ¡ÉÒ䴌͡´ŒÇÂ
                                   Œ   è                           é                                Õ
             1.1.3 Diastatic fracture ໚¹¡ÒÃᵡ¢Í§¡ÃÐâËÅ¡ÈÕÃÉзÕèᵡ¼‹Ò¹ suture
                   ¡ÒÃᵡª¹Ô´·íÒãËŒ suture á¡ÍÍ¡áÅÐÍÒ¨·íÒãËŒÁÕ¡Òéա¢Ò´¢Í§ dural
                   venous sinus ·íÒãËŒà¡Ô´ venous epidural hematoma ¡ÒÃᵡª¹Ô´¹ÕÁ¡¾º               é Ñ
                   㹼ٻǷÒáËÃ×Íà´ç¡àÅç¡
                       Œ †
             1.1.4 Skull base fracture ໚ ¹ ¡ÒÃᵡ¢Í§¡Ãд٠¡ °Ò¹¡ÃÐâËÅ¡ÈÕ Ã ÉÐ
                   CT scan Ẻ thin slices à¹×ͧ¨Ò¡¡Òô١ºÃÔàdz¹ÕÁ¢¹Ò´àÅç¡ ¡ÒÃᵡ
                                                       è                         é Õ
                   ª¹Ô ´ ¹Õé ÁÑ ¡ ¾ºã¹¡Ã³Õ ·Õè ÁÕ ¡ ÒúҴà¨ç º ¨Ò¡ÍØ ºÑ µÔ à 赯 ·Õè ÃØ ¹ áçáÅÐÁÑ ¡ ÁÕ ¼ Å
                   µÒÁÁҢͧ¡ÒúҴà¨çºàª‹¹ ¡Ò÷íÒ§Ò¹¢Í§Ãкº»ÃÐÊÒ·¼Ô´»¡µÔઋ¹
                   ¡ÒÃÁͧàËç¹, ¡ÒÃ䴌¹ ËÃ×ÍÍÒ¨¾º¡Ñº¡ÒúҴà¨çº¢Í§ËÅÍ´àÅ×ʹ䴌ઋ¹
                                           Ô
                   arterial dissection, aneurysm ËÃ×Í arteriovenous fistula ໚¹µŒ¹ à¹×ͧ¨Ò¡     è
                   ºÃÔàdz¡Ãд١°Ò¹ÊÁͧÁÕ foramen áÅÐ fissure µ‹Ò§æ ·Õ໚¹·Ò§à´Ô¹¢Í§àÊŒ¹
                                                                                     è
                   »ÃÐÊÒ·áÅÐËÅÍ´àÅ×Í´·Õèä»àÅÕé§ÊÁͧ·ÕèÊíҤѭ·Ñé§ËÅÍ´àÅ×Í´á´§áÅÐ
                   ËÅÍ´àÅ×Í´´íÒ (ÃÙ»·Õè 2)




                                                               Þ



ÃÙ»·Õè 2 ÀÒ¾ CT scan bone window ¢Í§¡Ãд١ºÃÔàdz°Ò¹ÊÁͧ áÊ´§ horizontal linear
         fracture ¢Í§ left temporal bone ºÃÔàdz mastoid part (ÅÙ¡ÈÃ) â´ÂÁÕ¡ÒÃᵡ
         ¢Í§¡Ãд١¼‹Ò¹ä»Âѧ middle ear cavity «Öè§·íÒãËŒÁÕàÅ×Í´Í͡㹺ÃÔàdz middle ear
         cavity áÅÐÍÒ¨ÁÕ¡ÒÃà¤Å×͹µÑǢͧ¡Ãд١ËÙÃÇÁ´ŒÇ«֧ÁÑ¡ÁռšѺ¡ÒÃ䴌¹¢Í§¼Ù»ÇÂ
                               è                 ‹         è               Ô     Œ †
         ËÇÁ´ŒÇÂ
àǪÈÒʵÏ·¹Âؤ 2553
          Ñ                                                                             463

            1.2 à¹×éÍÊÁͧºÇÁªéíÒ«Öè§ÍÒ¨¾ºÇ‹ÒÁÕàÅ×Í´ÍÍ¡ÀÒÂã¹à¹×éÍÊÁͧ·ÕèºÇÁªéíÒ¹Õé´ŒÇÂ
ËÃ×ÍäÁ‹¡çä´Œ (cerebral contusion ËÃ×Í hemorrhagic brain contusion)4, 5, 6 «Ö§¾ºã¹ºÃÔàdzã´
                                                                             è
¡çä´ŒáÅоºä´ŒËÅÒ¨شã¹à¹×ÍÊÁͧ·Ñ§ã¹´ŒÒ¹·ÕÁáçÁÒ¡ÃÐá·¡ (coup) ËÃ×Íã¹´ŒÒ¹µÃ§¢ŒÒÁ¡Ñºáç·Õè
                           é       é         è Õ
ÁÒ¡ÃÐá·¡ (contrecoup) ᵋºÃÔàdz·Õ¤Í¹¢ŒÒ§¨íÒà¾ÒСѺÀÒÇйվººÃÔàdz·ÕÍÂÙã¡ÅŒ¡º°Ò¹¡ÃÐâËÅ
                                     è ‹                       é          è ‹ Ñ
¡ÈÕÃÉÐà¹×ͧ¨Ò¡à»š¹ºÃÔàdz·Õà¹×ÍÊÁͧÊÒÁÒö¡ÃÐá·¡áÅÐà¡Ô´¡ÒêéÒä´Œ§Ò ઋ¹ ºÃÔàdz anterior,
          è                  è é                                      í ‹
inferior áÅÐ lateral surfaces ¢Í§ temporal áÅÐ frontal lobes «Ö§¨Ð¡ÃÐá·¡¡ÑºÊ‹Ç¹¡Ãд١ʋǹ
                                                                    è
sphenoid wing áÅÐ floor of anterior cranial fossa ໚¹µŒ¹ (ÃÙ»·Õè 3)




ÃÙ»·Õè 3 ÀÒ¾ CT scan áÊ´§ hyperdensity lesion at both inferior frontal region áÊ´§
         hemorrhagic brain contusion áÅÐÁÕ¡ÒúÇÁ¢Í§à¹×éÍÊÁͧÃÍºæ ºÃÔàdzà¹×éÍÊÁͧ
         ·ÕèÁÕàÅ×Í´ÍÍ¡«Öè§áÊ´§ÀҾ໚¹ºÃÔàdz·ÕèÁÕ hypodensity area ÃÍºæ ºÃÔàdz·ÕèÁÕ
         àÅ×Í´ÍÍ¡ã¹à¹×éÍÊÁͧ áÅÐÁÕ acute subdural hematoma ·ÕºÃÔàdz left temporo-
                                                               è
         occipital region

             1.3 Penetrating wound 4,6 ઋ¹ ¨Ò¡ÅÙ¡¡ÃÐÊØ¹»„¹, ¢Í§ÁÕ¤Áµ‹Ò§æ ËÃ×ͼŨҡ¡ÒÃ
ºÒ´à¨çºàª‹¹ àÈÉ¡Ãд١ ¡ÒúҴà¨çºª¹Ô´¹Õ·ÒãËŒà¡Ô´¡Òéա¢Ò´¢Í§à¹×ÍàÂ×ͺÃÔàdz·Õà¡Ô´¡ÒúҴà¨çº
                                        é í                          é è           è
µÑé§áµ‹ ¼ÔÇ˹ѧ, ˹ѧÈÕÃÉÐ, dura mater, pia mater, à¹×éÍÊÁͧ áÅÐËÅÍ´àÅ×Í´·ÕèÍÂÙ‹ã¹á¹Ç¡ÒÃ
ºÒ´à¨çº«Ö§ÊÒÁÒö·íÒãËŒà¡Ô´ä´Œµ§áµ‹¡Òéա¢Ò´¢Í§ËÅÍ´àÅ×Í´, pseudoaneurysm, arteriovenous
           è                    Ñé
fistula áÅÐ vascular dissection ໚¹µŒ¹
             1.4 Diffuse axonal injury (DAI)4,5,6 ¼ÙŒ»†Ç·ÕèÁÕÀÒÇйÕéÁÑ¡ÁÕÍÒ¡Ò÷ҧÃкº»ÃÐÊÒ·
ÁÒ¡¡Ç‹ÒÀÒ¾·Ò§ÃѧÊÕ·µÃǨ¾ºâ´Â੾ÒжŒÒ·íÒ¡ÒõÃǨ´ŒÇ CT scan ᵋÁ¡ä´Œ¢ÍÁÙÅÁÒ¡¢Ö¹áÅÐ
                       Õè                                                    Ñ   Œ      é
ÍҨࢌÒä´Œ¡ÑºÍÒ¡Òâͧ¼ÙŒ»†Ç¶ŒÒ·íÒ¡ÒõÃǨ´ŒÇÂà¤Ã×èͧ Magnetic resonance imaging (MRI)7
à¹×ͧ¨Ò¡¡ÒúҴà¨çºáºº¹ÕÁ¡¾ºã¹¼Ù»Ç·ÕÁ¡ÒúҴà¨çº·Õà¡Ô´¨Ò¡áç rotational acceleration ËÃ×Í
    è                      é Ñ      Œ † è Õ               è
464                                               ÀÒ¾ÃѧÊÕÇÔ¹Ô¨©ÑÂÃкº»ÃÐÊÒ·ã¹¼ÙŒ»†ÇÂÍØºÑµÔà˵Ø

decerelation movement ·íÒãËŒà¡Ô´¡Òéա¢Ò´¢Í§ axon «Ö§ºÃÔàdz¢Í§à¹×ÍÊÁͧ·Õ¾º¡ÒúҴà¨çº
                                                           è           é       è
Ẻ¹Õä´ŒºÍ¤×Í gray-white junction, inferior part or lateral part of body of corpus callosum,
       é ‹
splenium of corpus callosum, brain stem, superior cerebellar peduncle áÅÐ internal capsule
â´Â¶ŒÒ·íÒ¡ÒõÃǨ´ŒÇ CT scan ÍÒ¨äÁ‹¾º¤ÇÒÁ¼Ô´»¡µÔ¢Í§à¹×ÍÊÁͧËÃ×;ºÁÕ¨´àÅ×Í´ÍÍ¡¢Í§
                                                               é                 Ø
à¹×éÍÊÁͧ㹺ÃÔàdz´Ñ§¡Å‹ÒÇ¢ŒÒ§µŒ¹(ÃÙ»·Õè 4) ᵋ¶ŒÒ·íÒ¡ÒõÃǨ´ŒÇÂà¤Ã×èͧ MRI ÊÒÁÒöµÃǨ¾º
¤ÇÒÁ¼Ô´»¡µÔä´ŒÁÒ¡¡Ç‹Ò¤×ÍÍÒ¨¾ºä´Œµ§áµ‹Á¡ÒúÇÁ¢Í§à¹×ÍÊÁͧ੾ÒШش·ÕÁ¡Òéմ¢Ò´â´Â¾ºÁÕ
                                    Ñé    Õ              é                è Õ
ÊÑ­­Ò³ÀÒ¾ÊÙ§ã¹ÀÒ¾ T2WI ËÃ×Í .LAIR ËÃ×;ºÁÕ¨´àÅ×Í´ÍÍ¡¡çä´Œâ´Â¨ÐáÊ´§ÊÑ­­Ò³à»š¹ signal
                                                  Ø
void ã¹ÀÒ¾ gradient image ËÃ×Í susceptibility weight image




ÃÙ»·Õè 4 áÊ´§¨Ø´àÅ×Í´ÍÍ¡ã¹à¹×éÍÊÁͧ«Öè§áÊ´§à»š¹ hyperdensity spots 㹺ÃÔàdz·ÕèÁÑ¡
         ¨Ðà¡Ô´ diffuse axonal injury «Öè§à¡Ô´¨Ò¡¡Òéա¢Ò´¢Í§ white matter 㹺ҧ¤ÃÑé§ÍÒ¨
         ¾ºà¾Õ§ºÃÔàdz·ÕèÁÕ hypodensityâ´ÂäÁ‹¾º¨Ø´àÅ×Í´ÍÍ¡¡çä´Œ

            1.5 Epidural hematoma 1-6 ໚¹ÀÒÇÐàÅ×Í´ÍÍ¡¹Í¡à¹×ÍÊÁͧ·Õ¾ºäÁ‹ºÍ ʋǹãË­‹
                                                               é        è        ‹
ÁÑ¡¾º ËÇÁ¡ÑºÀÒÇСÃÐâËÅ¡ÈÕÃÉÐᵡ»ÃÐÁÒ³ 80-90% áÅÐÁÑ¡¾ººÃÔàdz·ÕÁáçÁÒ¡ÃÐá·¡   è Õ
(coup site) ÀÒÇйÕà¡Ô´¨Ò¡¡Òéա¢Ò´¢Í§ËÅÍ´àÅ×Í´ºÃÔàdz¼ÔǢͧ dura mater ઋ¹ËÅÍ´àÅ×Í´ middle
                  é
meningeal artery (MMA) »ÃÐÁÒ³ 85-90% ËÃ×Í dural venous sinus »ÃÐÁÒ³ 10-15% àÅ×Í´·ÕÍÍ¡   è
ã¹ÀÒÇйըÐÁÕšɳÐ໚¹ÃÙ» biconvex ËÃ×Í lens shaped ·ÕÍÂÙÃÐËNjҧ bony calvarium áÅÐ dura
          é    Ñ                                        è ‹
mater ÁÑ¡¾ºÃ‹ÇÁ¡Ñº mass effect ·ÕÁµÍà¹×ÍÊÁͧ¢ŒÒ§à¤Õ§áÅзíÒãËŒ à¡Ô´ brain herniation ä´ŒºÍÂ
                                  è Õ ‹ é                                                 ‹
ઋ¹ subfalcine ËÃ×Í descending transtentorial herniation ÁÑ¡¾ºà»š¹ºÃÔàdz supratentorium
ÁÒ¡¡Ç‹Ò infratentorium àÅ×Í´·ÕÍÍ¡ºÃÔàdz¹Õ¨ÐäÁ‹ÊÒÁÒö¢ŒÒÁ suture ä´Œ ÀÒÇйÕÍÒ¨¾ºËÅѧ¨Ò¡ÁÕ
                              è             é                              é
¡ÒúҴà¨çºä´Œ»ÃÐÁÒ³ 24-48 ªÑÇâÁ§ áÅоºÁÕ¡ÒâÂÒ¢¹Ò´¢Í§¡ŒÍ¹àÅ×Í´·ÕÍ͡䴌 àÃÕ¡NjÒÁÕ lucid
                                è                                     è
interval 㹡Ò÷ҧÇÔ¹¨©Ñ·ҧÃѧÊÕá¹Ð¹íÒãˌǴ¤ÇÒÁ˹ҢͧàÅ×Í´·ÕÍÍ¡à¹×ͧ¨Ò¡»ÃÔÁÒ³¢Í§àÅ×Í´·Õè
                      Ô                   Ñ                  è     è
àǪÈÒʵÏ·¹Âؤ 2553
          Ñ                                                                               465

ÍÍ¡Áռŵ‹Í¡ÒÃÃÑ¡ÉҢͧ¼Ù»ÇÂઋ¹ ¶ŒÒàÅ×Í´·ÕÍÍ¡ÁÕ¤ÇÒÁ˹ҹŒÍÂ¡Ç‹Ò 15 ÁÔÅÅÔàÁµÃËÃ×Í·íÒãËŒà¡Ô´
                          Œ †               è
subfalcine herniation ¹ŒÍÂ¡Ç‹Ò 5 ÁÔÅÅÔàÁµÃáÅÐÁÕ Glasgow Coma Score (GCS) ÁÒ¡¡Ç‹Ò 8 ÃÇÁ·Ñ§
                                                                                        é
äÁ‹ÁÕÍÒ¡Ò÷ҧÃкº»ÃÐÊÒ·ÍÒ¨ÊÒÁÒöÃÑ¡ÉÒẺäÁ‹µŒÍ§¼‹ÒµÑ´â´Â㪌¡ÒõԴµÒÁ»ÃÔÁÒ³àÅ×Í´·Õè
ÍÍ¡â´Â CT scan 㹪‹Ç§àÇÅÒ 6-8 ªÁ.ÀÒÂËÅѧ䴌úºÒ´à¨çº ໚¹µŒ¹8 ,9
                                                Ñ




ÃÙ»·Õè 5 ÀÒ¾ CT scan non-contrast study áÊ´§ len-shaped ËÃ×Í biconvex hyperdensity
         fluid collection ºÃÔàdz epidural area ·ÕèºÃÔàdz left temporal region áÅÐ ÀÒ¾ bone
         window áÊ´§¡ÒÃᵡ¢Í§¡Ãд١·ÕèÍÂÙ‹à˹×ͺÃÔàdz´Ñ§¡Å‹ÒÇËÇÁ´ŒÇÂ

           1.6 Subdural hematoma 4,5,6 ໚¹ÀÒÇÐàÅ×Í´·ÕÍ͡㹺ÃÔàdzÃÐËNjҧ dura mater áÅÐ
                                                           è
pia mater àÅ×Í´·ÕÍÍ¡¨ÐÁÕšɳРcrescent shaped extra-axial fluid collection ·ÕÍÂÙà˹×Í cerebral
                    è          Ñ                                             è ‹
hemisphere â´ÂàÅ×Í´·ÕÍÍ¡ºÃÔàdz¹Õ¨ÐäÁ‹ÊÒÁÒö¢ŒÒÁ falx ä´Œ ᵋÊÒÁÒö¾ºä´Œ·Õè interhemispheric
                       è             é
fissure áÅÐ tentorium cerebelli àÅ×Í´·ÕÍÍ¡ºÃÔàdz¹Õ·ÒãËŒà¡Ô´¼ÅµÒÁÁÒ¤×Í brain herniation áÅÐ
                                         è           é í
à¹×ÍÊÁͧºÇÁä´ŒºÍ áÅÐà¡Ô´ä´Œ§ÒÂâ´Â੾ÒÐã¹¼Ù»ÇÂÍÒÂØÁÒ¡·ÕÁà¹×ÍÊÁͧàËÕÂÇËÃ×Íã¹¼Ù»ÇÂà´ç¡
   é              ‹                ‹             Œ †           è Õ é      è           Œ †
·Õà¹×ÍÊÁͧÂѧäÁ‹âµàµçÁ·Õè à¹×ͧ¨Ò¡ÀÒÇйÕàÅ×Í´·ÕÍÍ¡¨Ðà¡Ô´¨Ò¡¡Òéա¢Ò´¢Í§ bridging vein ËÃ×Í
  è é                        è             é   è
cortical vessels àÅ×Í´·ÕÍÍ¡·ÕºÃÔàdz¹ÕÊÒÁÒöẋ§à»š¹ÃÐÂе‹Ò§æ µÒÁ density ¢Í§àÅ×Í´·ÕÇ´ä´Œ
                         è       è     é                                                  èÑ
¨Ò¡¡Ò÷íÒ CT scan ´Ñ§¹Õé
               1.6.1 Acute subdural hematoma àÅ×Í´·ÕÍÍ¡¨ÐÁÕšɳРhyperdensity àÁ×Í
                                                             è       Ñ                       è
                      à·Õº¡Ñº gray mater ËÃ×ÍÍÒ¨ÁÕšɳРmixed hyper/hypo density ¶ŒÒ໚¹
                                                         Ñ
                      active bleeding ᵋÍÒ¨ÁÕÅѡɳРisodensity ä´Œ¶ŒÒ¼ÙŒ»†ÇÂÁÕÀÒÇÐâÅËÔµ
                      ¨Ò§Í‹ҧÁÒ¡ (hemoglobin <8-10 g/dl)
466                                            ÀÒ¾ÃѧÊÕÇÔ¹Ô¨©ÑÂÃкº»ÃÐÊÒ·ã¹¼ÙŒ»†ÇÂÍØºÑµÔà˵Ø




ÃÙ»·Õè 6 ÀÒ¾ CT scan non-contrast study áÊ´§ acute subdural hematoma «Ö§¾ºà»š¹ mixed
                                                                           è
         hyperdensity áÅÐ hypodensity extra-axial fluid collection ·ÕèºÃÔàdz right
         frontotemporal region «Öè§áÊ´§Ç‹Ò¹‹Ò¨ÐÁÕÀÒÇÐ active bleeding ÍÂÙ‹

             1.6.2 Subacute subdural hematoma àÅ×Í´·ÕÍÍ¡¨ÐÁÕšɳРisodensity ¡Ñº gray
                                                         è       Ñ
                   mater ¨Ö§ÍÒ¨·íÒãËŒËҢͺࢵ¢Í§àÅ×Í´·ÕÍ͡䴌äÁ‹ª´à¨¹ ´Ñ§¹Ñ¹¡ÒéմÊÒ÷ֺ
                                                       è           Ñ       é
                   ÃѧÊÕÍÒ¨ª‹ÇÂ㹡ÒÃÇÔ¹¨©ÑÂä´Œ´Â§¢Ö¹à¾ÃÒÐÊÒ÷ֺÃѧÊÕ¨Ðä»ÍÂÙã¹ËÅÍ´àÅ×Í´
                                        Ô      Õ Ôè é                        ‹
                   ·Õ¼Ç¢Í§à¹×ÍÊÁͧ·íÒãËŒàÅ×Í´·ÕÍÍ¡ºÃÔàdz subdural area µÃǨ¾ºä´Œª´à¨¹
                      è Ô      é                è                                  Ñ
                   ÂÔ§¢Ö¹ (ÃÙ»·Õè 7)
                     è é




ÃÙ»·Õè 7 ÀÒ¾ CT scan non-contrast áÅÐ contrast study áÊ´§ isodensity extra-axial fluid
         collection at both cerebral convexity «Öè§ÁռŷíÒãËŒà¹×éÍÊÁͧºÇÁ ÀÒÂËÅѧ¡Òéմ
         ÊÒ÷ֺÃѧÊÕã¹ÀÒ¾¢ÇÒ ¾ºÇ‹Òª‹ÇÂ㹡Òú͡¢Íºà¢µ¢Í§àÅ×ʹ㹺ÃÔàdz subdural
         space ãˌᡪѴਹ¡Ñºà¹×éÍÊÁͧ·ÕèÍÂÙ‹ã¡ÅŒà¤Õ§
àǪÈÒʵÏ·¹Âؤ 2553
          Ñ                                                                             467

              1.6.3 Chronic subdural hematoma àÅ×Í´·ÕÍ͡䴌ÊÅÒÂä»à¡×ͺËÁ´·íÒãËŒ density
                                                      è
                    ã¡ÅŒà¤Õ§ density ¢Í§¹éÒËÅ‹ÍÊÁͧáÅÐä¢ÊѹËÅѧ ºÒ§¤Ãѧ·íÒãËŒá¡䴌ÂÒ¡¨Ò¡
                                           í                           é
                    subdural hygroma ÍÒ¨µŒÍ§ãªŒ»ÃÐÇѵªÇÂ㹡ÒÃÇÔ¹¨©Ñ (ÃÙ»·Õè 8)
                                                        Ô ‹        Ô




ÃÙ»·Õè 8 ÀÒ¾ CT non-contrast study áÊ´§ chronic subdural hematoma «Öè § ÀÒ¾
         áÊ´§hypodensity extra-axial fluid collection ·Õè density ã¡ÅŒà¤Õ§ CS. density
         ·ÕèºÃÔàdz bilateral frontal region

             1.7 Traumatic subarachnoid hemorrhage 4,5,6 ÍØºµà˵Øà»š¹ÊÒà˵ØËÅÑ¡·ÕÊҤѭ㹡ÒÃ
                                                             Ñ Ô                 èí
à¡Ô´ subarachnoid hemorrhage áÅлÃÔÁÒ³¢Í§ subarachnoid hemorrhage ¡çÁ¼Åµ‹ÍÍÒ¡Òâͧ
                                                                             Õ
¼Ù»ÇÂઋ¹ ÀÒÇСÒâҴàÅ×Í´¢Í§à¹×ÍÊÁͧµÒÁÁÒÀÒÂËÅѧ¡ÒÃà¡Ô´Íغµà˵Øà¹×ͧ¨Ò¡ÁÕÀÒÇÐËÅÍ´
  Œ †                                é                             Ñ Ô    è
àÅ×Í´Ë´µÑÇ (vasospasm) «Ö§ÊÒÁÒöà¡Ô´ä´Œµ§áµ‹ 2-3 Çѹáá¶Ö§ 2 ÊÑ»´ÒˏÀÒÂËÅѧ¡ÒúҴà¨çº
                            è               Ñé
â´ÂÀÒÇйըеÃǨ¾ºÁÕàÅ×Í´ÍÍ¡·ÕºÃÔàdz subarachnoid space ÃÐËNjҧ cerebral sulci ËÃ×Í cisterns
           é                      è
·ÕÍÂÙºÃÔàdzã¡ÅŒà¤Õ§¡ÑººÃÔàdz·ÕÁà¹×ÍÊÁͧªéÒËÃ×Íã¡ÅŒºÃÔàdz·ÕÁÕ subdural hemorrhage ËÃ×ͺÃÔàdz
   è ‹                         è Õ é      í                è
·ÕÁ¡ÃÐâËÅ¡ÈÕÃÉÐᵡ໚¹µŒ¹ (ÃÙ»·Õè 9)
    è Õ




ÃÙ»·Õè 9 ÀÒ¾ CT scan non-contrast áÊ´§àÅ×Í´ÍÍ¡ºÃÔàdz subarachnoid spaces «Ö§ÀÒ¾   è
         áÊ´§ abnormal hyperdensity fluid collection ·ÕºÃÔàdz subarachnoid space ºÃÔàdz
                                                       è
         both frontoparietal regions
468                                                           ÀÒ¾ÃѧÊÕÇÔ¹Ô¨©ÑÂÃкº»ÃÐÊÒ·ã¹¼ÙŒ»†ÇÂÍØºÑµÔà˵Ø

               1.8 Dural venous sinus injury 4,5,6 ໚¹ÀÒÇзÕà¡Ô´ä´ŒÀÒÂËÅѧ¡ÒúҴà¨çº·Õ¾º¡ÒÃ
                                                             è                           è
ᵡ¢Í§¡ÃÐâËÅ¡ÈÕÃÉзÕà¡Ô´ã¡ÅŒ dural venous sinus ઋ¹ ¡Ãд١°Ò¹¡ÃÐâËÅ¡ÈÕÃÉкÃÔàdz petrous
                           è
bone, sphenoid bone, occipital bone ËÃ×Í¡Ãд١¡ÃÐâËÅ¡ÈÕÃÉкÃÔàdz vertex area «Ö§¡ÒÃÇÔ¹¨©ÑÂ
                                                                                   è         Ô
ÀÒÇйÕã¹ÃÐÂÐááÍÒ¨·íÒä´ŒÂÒ¡ à¹×ͧ¨Ò¡¡Ò÷íÒ CT scan ¢Í§¼Ù»ÇÂÍØºµà˵ØÁ¡·íÒẺäÁ‹©´ÊÒÃ
        é                           è                           Œ †    Ñ Ô   Ñ             Õ
·ÖºÃѧÊÕà¹×ͧ¨Ò¡à»š¹ÀÒÇЩءà©Ô¹·ÕäÁ‹¤ÇÃÃͼŠserum creatinine à¹×ͧ¨Ò¡ÍÒ¨ÁÕÀÒÇзÕàÊÕ§µ‹ÍªÕǵ
           è                      è                                 è                è è       Ô
·ÕµÍ§ä´ŒÃº¡ÒõÃǨÃÑ¡ÉÒ¡‹Í¹ ´Ñ§¹Ñ¹¶ŒÒÀÒÇзÕàÊÕ§µ‹ÍªÕǵ䴌ú¡ÒÃÃÑ¡ÉÒáÅŒÇ áÅжŒÒµÃǨ¾ºÁÕ
  è Œ        Ñ                        é          è è      Ô Ñ
¡ÒÃᵡ¢Í§¡Ãд١¡ÃÐâËÅ¡ÈÕÃÉкÃÔàdzã¡ÅŒà¤Õ§ dural venous sinus ËÃ×ÍÁÕÍÒ¡Ò÷ÕʧÊÑÂÀÒÇÐ   è
dural venous sinus thrombosis ઋ¹ÁÕ¤ÇÒÁ´Ñ¹ÀÒÂã¹ÊÁͧáÅСÃÐâËÅ¡ÈÕÃÉÐà¾ÔÁ¢Ö¹ ¡ç¤Ç÷íÒ¡ÒÃ
                                                                               è é
µÃǨ CT scanâ´Â¡ÒéմÊÒ÷ֺÃѧÊÕà¾×͵ÃǨËÒÀÒÇдѧ¡Å‹ÒÇ
                                        è

        2 ÀÒÇÐá·Ã¡«ŒÍ¹¨Ò¡¡ÒúҴà¨çº 䴌ᡋ 4,,5,6
            2.1 Brain herniation 䴌ᡋ ¡ÒÃàÅ×͹µÑǢͧà¹×ÍÊÁͧ¨Ò¡ÀÒÇÐÊÁͧºÇÁ·íÒãËŒÁ¡ÒÃ
                                              è              é                            Õ
¡´àºÕ  ´¡Œ Ò ¹ÊÁͧáÅÐËÅÍ´àÅ× Í ´¢Œ Ò §à¤Õ  §·í Ò ãËŒ à ¡Ô ´ ÀÒÇÐÊÁͧ¢Ò´àÅ× Í ´ã¹ºÃÔ à dz·Õè
¶Ù¡¡´¨¹·íÒãËŒÁÀÒÇСÒ÷íÒ§Ò¹·Õ¼´»¡µÔઋ¹ ¡´à¹×ÍÊÁͧºÃÔàdz medulla oblongata ·íÒãËŒÁÀÒÇÐ
                Õ                è Ô             é                                      Õ
¡ÒÃËÂØ´ËÒÂã¨à»š¹µŒ¹ â´Â·Ò§ÃѧÊÕÇ·ÂÒ䴌ẋ§ª¹Ô´¢Í§¡ÒÃàÅ×͹µÑǢͧà¹×ÍÊÁͧ´Ñ§¹Õé Subfalcine
                                     Ô                         è       é
herniation, Uncal herniation, Tonsillar herniation, Descending transtentorial herniation áÅÐ
Ascending transtentorial herniation ໚¹µŒ¹
            2.2 Obstructive hydrocephalus à¡Ô´¨Ò¡¡ÒúÇÁ¢Í§à¹×ÍÊÁͧ仡´àºÕ´·Ò§à´Ô¹
                                                                     é
cerebrospinal fluid
            2.3 Communicating hydrocephalus ¨Ò¡¤ÇÒÁ¼Ô´»¡µÔ㹡Òôٴ¡ÅѺ cerebrospinal
fluid
            2.4 ÀÒÇСÒõԴàª×Íã¹à¹×ÍÊÁͧ (encephalitis) ËÃ×Í㹺ÃÔàdz subarachnoid space
                              é        é
(meningitis)
            2.5 ÀÒÇÐÁÕÅÁ㹡ÃÐâËÅ¡ÈÕÃÉÐ (pneumocephalus)

àÍ¡ÊÒÃ͌ҧÍÔ§
1.    ¡ÄÉ¯Õ »ÃÐÀÒÊÇѵ,ÇÅÑÂÅѡɳ ªÑÂÊٵà áÅÐÍÀÔ­­Ò à¨ÃÔ­ÈÑ¡´Ô.ì Diagnostic radiology.·Õ«¨Õ ¾ÃÔ¹µÔ§ 2546.
                                                                                         Õ é é
2.    Chi – Shing Zee, John L.Go. Imaging of head trauma - neuroimaging clinics of North America. Philadelphia: W.
      B. Saunders 2002; 349.
3.    Derek A. Bruce.Imaging after head trauma: why, when and which. Child’s Nerv Syst 2000; 16:755–9.
4.    Anne G. Osborn, Salzman, A. James Barkovich. Diagnostic imaging : brain. Amirsys2009.
5.    Anne Osborn. Diagnostic neuroradiology. Mosby 1994; 936.
6.    Robert I. Grossman ,David M. Yousem. Neuroradiology : The Requisites. Mosby 2010;619.
7.    Scheid R, Preul C, Gruber O, Wiggins C, von Cramon DY.Diffuse Axonal Injury Associated with Chronic
      Traumatic Brain Injury: Evidence from T2*-weighted Gradient-echo Imaging at 3 T. AJNR Am J Neuroradiol
      2003;24(6):1049–56.
8.    Sullivan TP, Jarvik JG, Cohen WA. .ollow-up of Conservatively Managed Epidural Hematomas: Implications
      for Timing of Repeat CT. AJNR Am J Neuroradiol 1999; 20(1):107–13.
àǪÈÒʵÏ·¹Âؤ 2553
          Ñ                                                                   º··Õè       469

                                                                               66
     ÀÒ¾ÇÔ¹Ô¨©ÑÂã¹¼ÙŒ»†Ç·Õèä´ŒÃѺºÒ´à¨çººÃÔàdzËÅÍ´àÅ×Í´á´§
                             ¨Ò¡ÍغѵÔà˵Ø
              (Imaging of Traumatic Arterial Injury)
                                               ÍÒ¨ÒÏ ᾷ˭ԧ¨ÔµÃÅÑ´´Ò ÇÐÈÔ¹Ãѵ¹
                        ÀÒ¤ÇÔªÒÃѧÊÕÇ·ÂÒ ¤³Ðá¾·ÂÈÒʵÏÈÃÃÒª¾ÂÒºÒÅ ÁËÒÇÔ·ÂÒÅÑÂÁËÔ´Å
                                     Ô                 ÔÔ

        ¡ÒúҴà¨çº¢Í§ËÅÍ´àÅ×Í´á´§¨Ò¡Íغµà˵Øà¡Ô´ä´Œ¡º·Ø¡Ê‹Ç¹¢Í§Ã‹Ò§¡Ò 㹼ٻÇ·Õ䴌ú
                                               Ñ Ô          Ñ                         Œ † è Ñ
ºÒ´à¨çººÃÔàdzËÅÍ´àÅ×Í´á´§¹Ñ¹¨íÒ໚¹µŒÍ§ãËŒ¡ÒÃÇÔ¹¨©ÑÂáÅÐÃÑ¡ÉÒâ´Âà˧´‹Ç¹ à¹×ͧ¨Ò¡¶ŒÒ»Å‹ÍÂ
                                é                    Ô                         è
·Ô§äÇŒ¨Ð·íÒãËŒàÊÕÂàÅ×Í´ÁÒ¡¨¹¶Ö§ªÕǵ䴌 ËÃ×ÍàÊÕÂÍÇÑÂÇзÕËÅÍ´àÅ×Í´¹Ñ¹æä»àÅÕ§ ã¹·Õ¹¨Ð¢Í¡Å‹ÒǶ֧
  é                                Ô                   è           é     é       è Õé
¡ÒúҴà¨çº¢Í§ËÅÍ´àÅ×Í´á´§ºÃÔàdzᢹ¢Ò (extremities) «Ö§¾ºä´ŒºÍ áÅÐÁÕǸ¡ÒõÃǨ·Ò§ÀÒ¾
                                                          è          ‹      ÔÕ
ÇÔ¹¨©ÑºҧÍ‹ҧ·Õ੾ÒÐ áÅÐ ¡ÒúҴà¨çº¢Í§ËÅÍ´àÅ×Í´á´§ãË­‹ªÍ§Í¡ (thoracic aorta) à¹×ͧ¨Ò¡
    Ô               è                                            ‹                         è
໚¹ÀÒÇÐà˧´‹Ç¹ ᾷ·Ëͧ©Ø¡à©Ô¹µŒÍ§µÃÐ˹ѡ¶Ö§ÀÒÇйÕé ¨íÒ໚¹µŒÍ§ÊÒÁÒöãËŒ¡ÒÃÇÔ¹¨©ÑÂáÅÐ
                           Õè Œ                                                          Ô
ÃÑ¡ÉÒ䴌͋ҧÃÇ´àÃçÇ à¾×ÍÃÑ¡ÉÒªÕǵ¼Ù»ÇÂ
                         è        Ô Œ †

¡ÒúҴà¨çº¢Í§ËÅÍ´àÅ×Í´ºÃÔàdzᢹáÅТÒ
          ¾ºä´Œ¨Ò¡·Ñ§¨Ò¡ blunt áÅÐ penetrating injury â´Â clinical outcome ¢Í§¼Ù»ÇÂàËŋҹբ¹
                     é                                                          Œ †       é Öé
¡Ñº¡ÒÃ䴌ú¡ÒÃÇÔ¹¨©ÑÂáÅСÒÃÃÑ¡ÉÒ·ÕÃÇ´àÃçÇ «Ö§·íÒãˌŴ¡ÒÃàÊÕÂàÅ×Í´ áÅÐÃÑ¡ÉÒÍÇÑÂÇÐänj䴌(1,2)
            Ñ      Ô                     è      è
¼Ù»Ç·Õ䴌úºÒ´à¨çºàÁ×ÍÊ‹§ÁҶ֧ˌͧ©Ø¡à©Ô¹ ¨Ð䴌ú¡ÒõÃǨËҧ¡Ò »ÃÐàÁÔ¹ºÒ´á¼Å ËÇÁ¡Ñº
  Œ † è Ñ                 è                         Ñ
»ÃÐÇѵ·ä´Œ ʋǹãË­‹Á¡¨Ðà¾Õ§¾Í·Õ¨ÐºÍ¡Ç‹ÒÁÕ¡ÒúҴà¨çº¢Í§ËÅÍ´àÅ×Í´á´§ºÃÔàdz¹Ñ¹æËÃ×ÍäÁ‹
       Ô Õè            Ñ               è                                            é
ᵋ㹼ٻǺҧÃÒ ¡ÒõÃǨËҧ¡Ò¾ºà¾Õ§ soft sign (µÒÃÒ§·Õè 1) «Ö§º‹§Ç‹ÒÍÒ¨¨ÐÁÕ¡ÒúҴà¨çº
        Œ †                                                          è
¢Í§ËÅÍ´àÅ×Í´á´§ ã¹¼Ù»ÇÂ¡ÅØÁ¹ÕµÍ§ä´ŒÃº¡ÒõÃǨÊ׺¤Œ¹à¾ÔÁàµÔÁ à¾×Íãˌ䴌ú¡ÒÃÇÔ¹¨©Ñ·Õṋ¹Í¹
                         Œ †   ‹ é Œ       Ñ             è         è     Ñ        Ô   è
Ç‹ÒÁÕ¡ÒúҴà¨çº¢Í§ËÅÍ´àÅ×Í´á´§ËÃ×ÍäÁ‹ ÁÕµíÒá˹‹§¢Í§¡ÒúҴà¨çºÍÂÙ‹·Õèã´ áÅÐÁÕÅѡɳÐã´
ÃÇÁ¶Ö§ã¹¡ÅØ‹Á¼ÙŒ»†Ç·ÕèµÃǨËҧ¡ÒÂáŌǾºÇ‹ÒÁÕ¡ÒúҴà¨çº¢Í§ËÅÍ´àÅ×ʹᴧṋ¹Í¹ ¡ÒõÃǨ
·Ò§ÀÒ¾ÇÔ¹Ô¨©ÑÂà¾ÔèÁàµÔÁ¡çÁÕ»ÃÐ⪹à¾×èÍ´Ù¡ÒúҴà¨çº¢Í§ËÅÍ´àÅ×Í´, ¢Íºà¢µ¢Í§ÃÍÂâä,
¡ÒúҴà¨çº¢Í§ÍÇÑÂÇТŒÒ§à¤Õ§ à¾×ÍÇÒ§á¼¹¡ÒÃÃÑ¡ÉÒãËŒàËÁÒÐÊÁáÅÐÅ´àÇÅÒ㹡Òü‹ÒµÑ´
                                     è
470                                               ÀÒ¾ÇÔ¹Ô¨©ÑÂã¹¼ÙŒ»†Ç·Õèä´ŒÃѺºÒ´à¨çººÃÔàdzËÅÍ´àÅ×Í´á´§¨Ò¡ÍغѵÔà˵Ø

µÒÃÒ§·Õè 1 ÍÒ¡ÒÃáÊ´§ã¹¼ÙŒ»†Ç·ÕèÁÕ¡ÒúҴà¨çº¢Í§ËÅÍ´àÅ×Í´á´§ºÃÔàdzʋǹ»ÅÒÂᢹ
           áÅТÒ
 Hard signs                                                                          Soft signs
 Loss of pulses                                                                      Cool limb
 Expanding hematoma                                                                  Nonexpanding hematoma
 Thrill or bruit                                                                     Change in color
 Pulsatile bleeding                                                                  Nonpulsatile bleeding

              µÑ§áµ‹ »‚ ¾.È. 2513 ¨¹¶Ö§»˜¨¨Øº¹ ¡ÒõÃǨ´ŒÇ conventional angiography Âѧ¶×Í໚¹ gold
                é                                                    Ñ
standard 㹡ÒÃÇÔ¹¨©ÑÂÀÒÇСÒúҴà¨çº¢Í§ËÅÍ´àÅ×Í´á´§ «Ö§¶×ÍÇ‹Ò໚¹ÇÔ¸·Á¤ÇÒÁ»ÅÍ´ÀÑÂÁÒ¡
                             Ô                                                                            è                      Õ Õè Õ
¡Ç‹ÒàÁ×Íà·Õº¡Ñº¡ÒÃÇÔ¹¨©Ñ´ŒÇ¡Òü‹ÒµÑ´ áÅÐÂѧÊÒÁÒöãËŒ¡ÒÃÃÑ¡ÉÒËÇÁ´ŒÇÂ䴌㹺ҧÀÒÇРઋ¹
            è                          Ô
arteriovenous fistula, arterial dissection, pseudoaneurysm ໚¹µŒ¹(2,3)
              ᵋ conventional angiography ໚¹ÇÔ¸¡ÒõÃǨÇÔ¹¨©Ñ·դ͹¢ŒÒ§¨ÐÁÕ¤ÇÒÁàÊÕ§àÁ×Íà·Õº¡Ñº
                                                                                Õ                Ô          è ‹                            è è
¡ÒõÃǨÇÔ¹¨©Ñ´ŒÇÂÇÔ¸Í¹æ ¾ºÁÕ͵ÃÒ¡ÒõÒÂä´Œ»ÃÐÁҳÌÍÂÅÐ 1–2 áÅСÒõÃǨµŒÍ§ÁÕ·Á
                     Ô                   Õ ×è                 Ñ                                                          (2,4,5)
                                                                                                                                                                Õ
§Ò¹·Õ¾ÃŒÍÁ·Ñ§á¾·Â¼µÃǨ,਌Ò˹ŒÒ·Õà·¤¹Ô¤,¾ÂÒºÒÅ,à¤Ã×ͧÁ×Í·Õ㪌µÃǨ áÅеŒÍ§ãªŒàÇÅÒ㹡ÒÃ
       è               é            ÙŒ                            è                                     è          è
àµÃÕÂÁÍØ»¡Ã³ «Ö§·íÒãËŒµÍ§ãªŒàÇÅҷѧËÁ´ã¹¡ÒõÃǨÍ‹ҧ¹ŒÍ 45 ¹Ò·Õ ¶Ö§ 1 ªÑÇâÁ§ ¢Ö¹ä»
                         è                 Œ                    é                                                                        è            é
              ÊíÒËÃѺ¡ÒõÃǨÇÔ¹¨©Ñ´ŒÇÂÇԸ͹æ ÁÕ¢Í´Õ ¢ŒÍàÊÕ µ‹Ò§¡Ñ¹ä» ´Ñ§¹Õé
                                                Ô                   Õ ×è              Œ
              - Color Doppler ultrasonography (CDUS) ÊÒÁÒö㪌䴌·¹·Õã¹ËŒÍ§©Ø¡à©Ô¹ ᵋÁ¤ÇÒÁäÇ                        Ñ                                  Õ
¤‹Í¹¢ŒÒ§µèÒ àÁ×Íà·Õº¡Ñº angiography áÅеŒÍ§ãªŒ¼Á¤ÇÒÁªíҹҭ㹡ÒõÃǨ ÁբͨíҡѴ㹡ÒÃ
                  í è                                                                       ÙŒ Õ                                      (6)
                                                                                                                                              Œ
µÃǨºÃÔàdz¼ÔÇ˹ѧ·ÕÁºÒ´á¼Å áÅÐʋǹ·Õãʋང͡
                               è Õ                                        è
              - Magnetic resonance angiography (MRA) ໚¹Íա˹֧ÇÔ¸·ãªŒã¹¡ÒÃÇÔ¹¨©ÑÂâä¢Í§                              è Õ Õè                   Ô
ËÅÍ´àÅ×Í´ ᵋäÁ‹¤ÍÂá¾Ã‹ËÅÒÂÁÒ¡¹Ñ¡ã¹¼Ù»ÇÂÍØºµà赯 à¹×ͧ¨Ò¡äÁ‹àËÁÒÐÊíÒËÃѺ¼Ù»ÇÂ˹ѡ·ÕµÍ§
                           ‹                                                Œ †         Ñ Ô          è                                      Œ †             è Œ
䴌ú¡ÒÃཇÒÃÐÇѧÍ‹ҧã¡ÅŒª´ áÅÐÂѧÁÕà¤Ã×ͧ¨íҹǹ¹ŒÍÂã¹»ÃÐà·Èä·Â
     Ñ                                            Ô (7)
                                                                              è
              - Computed tomographic angiography (CTA) ã¹»˜¨¨Øº¹ÇÔDz¹Ò¡Òâͧà¤Ã×ͧàÍ¡«àÏ                      Ñ Ñ                                 è
¤ÍÁ¾ÔÇàµÍÏ (computed tomography: CT) ä´Œ¾²¹Òä»Áҡ໚¹áººª¹Ô´ËÅÒÂËÑÇÇÑ´ (multi-detector,
                                                                                    Ñ
MDCT) ·íÒãËŒÊÒÁÒöµÃǨ´ÙÃкºËÑÇã¨áÅÐËÅÍ´àÅ×Í´ä´Œ´¢¹ÁÒ¡ 㹡ÒÃÈÖ¡ÉÒ·Õ¼Ò¹ÁÒáÊ´§ãËŒàËç¹                Õ Öé                                è ‹
Ç‹Ò CTA ÊÒÁÒöãËŒ¡ÒÃÇÔ¹¨©ÑÂâä·Ò§ËÅÍ´àÅ×Í´ä´Œ´Õ à·Õº෋ҡѺ conventional angiography(8-12)
                                              Ô
¢ŒÍ´ÕÍ¹æ ¢Í§¡ÒõÃǨ´ŒÇÂà¤Ã×ͧ CT ¤×Í ÊÒÁÒö·íÒ¡ÒõÃǨ䴌ËÅÒÂæÍÇÑÂÇÐ㹡ÒõÃǨà¾Õ§
         ×è                                            è
¤Ãѧà´ÕÂÇ «Ö§ã¹¤¹ä¢Œ·»ÃÐÊºÍØºµà˵ع¹ ÁÑ¡¾º¡ÒúҴà¨çºã¹ËÅÒÂæÍÇÑÂÇÐËÇÁ¡Ñ¹ â´Â¡ÒõÃǨ
   é               è             Õè                       Ñ Ô          Ñé
㪌àÇÅÒäÁ‹¹Ò¹ ÃÐËNjҧµÃǨÊÒÁÒöཇÒÃÐÇѧ ÊÑ­­Ò³ªÕ¾¢Í§¤¹ä¢Œä´ŒµÅÍ´ ¨íҹǹà¤Ã×èͧ CT
¤‹Í¹¢ŒÒ§¨Ðá¾Ã‹ËÅÒ¡ÃШÒÂÍÂÙ·Ç»ÃÐà·È àÁ×Íà·Õº¡Ñº¨íҹǹà¤Ã×ͧµÃǨ angiography áÅÐà¤Ã×ͧ
                                                         ‹ Ñè                     è                              è                                            è
µÃǨ¤Å×¹áÁ‹àËÅç¡ä¿¿‡Ò ¼Å¡ÒõÃǨÊÒÁÒö¹íÒä»ÇÒ§á¼¹¡ÒÃÃÑ¡ÉÒáÅм‹ÒµÑ´ä´Œ·¹·Õ ¢Ñ¹µÍ¹
              è                                                                                                                                   Ñ       é
㹡ÒõÃǨáÅСÒûÃÐÁÇÅÀÒ¾ËÅѧ¡ÒõÃǨ (post processing) ÊÒÁÒö½ƒ¡à¨ŒÒ˹ŒÒ·Õèà·¤¹Ô¤
àǪÈÒʵÏ·¹Âؤ 2553
          Ñ                                                                                          471

·íÒä´Œ¤Í¹¢ŒÒ§§‹Ò¡NjÒàÁ×Íà·Õº¡Ñº¡ÒõÃǨ´ŒÇ conventional angiography áÅÐÇÔ¸¡ÒõÃǨ·ÕÁ¤ÇÒÁ
       ‹                è                                                   Õ        è Õ
»ÅÍ´ÀÑÂÁÒ¡¡Ç‹Ò

ÇÔ¸Õ¡ÒõÃǨ
         - ¢Íºà¢µËÃ×ͺÃÔàdz·Õ¨Ð·íÒ¡ÒõÃǨ 㹺ҧʶҺѹÍÒ¨¨Ð·íÒ¡ÒõÃǨ੾ÒкÃÔàdz·Õè
                                            è
ʧÊÑÂÇ‹ÒÁÕÃÍÂâä ઋ¹µÃǨ੾ÒкÃÔàdz»ÅÒÂᢹ㹡óշÕè¤ÅíÒªÕ¾¨Ãʋǹ»ÅÒÂäÁ‹ä´Œ ᵋ¨Ò¡
»ÃÐʺ¡Òó á¹Ð¹íÒÇ‹Ò㹼ٻǷÕä´ŒÃºÍØºµàËµØ Ê‹Ç¹ãË­‹Á¡ÁÕ¡ÒúҴà¨çºËÅÒÂʋǹÃÇÁ¶Ö§Ê‹Ç¹µŒ¹
                              Œ † è Ñ Ñ Ô                             Ñ
¢Í§ËÅÍ´àÅ×Í´ áÅСÒúҴà¨çº¢Í§ËÅÍ´àÅ×Í´ºÃÔàdzᢹ¢Ò¹Ñ¹ÁÑ¡µŒÍ§¡Òô٢ͺࢵ¢Í§ÃÍÂâä
                                                                              é
¨¹¶Ö§ËÅÍ´àÅ×ʹʋǹ»ÅÒÂᢹ¢Ò (distal run-off) ¨Ö§á¹Ð¹íÒãËŒµÃǨµÑ§áµ‹ºÃÔàdz aortic arch ª‹Í§Í¡
                                                                                    é
ʋǹº¹ 仨¹¶Ö§Ê‹Ç¹»ÅÒ¢ͧᢹ¢ŒÒ§¹Ñ¹æ 㹡óշ䴌úºÒ´à¨çººÃÔàdz·Ãǧ͡ ઋ¹ ÍØºµà˵بҡ
                                                é               Õè Ñ                                 Ñ Ô
ö¹µ, ö¨Ñ¡ÃÂҹ¹µ,·íÒÃŒÒÂËҧ¡Ò ËÃ×Í ¨Ò¡ÍÒÇØ¸»„¹ áÅÐã¹ÃÒ·Õè¤ÅíÒªÕ¾¨Ãʋǹ»ÅÒ¢Ò
äÁ‹ä´Œ ¤ÇõÃǨËÅÍ´àÅ×Í´á´§µÑ§áµ‹ã¹ºÃÔàdzª‹Í§·ŒÍ§ä»¨¹¶Ö§»ÅÒ¢Òઋ¹¡Ñ¹ ã¹¡Ã³Õ·ä´ŒÃºÍØºµà˵Ø
                                      é                                                         Õè Ñ Ñ Ô
ºÃÔàdzª‹Í§·ŒÍ§áÅÐàªÔ§¡ÃҹËÇÁ´ŒÇ ઋ¹ ÍØºµà˵بҡö¹µ, ö¨Ñ¡ÃÂҹ¹µ,·íÒÃŒÒÂËҧ¡Ò ËÃ×Í
                                                           Ñ Ô
¨Ò¡ÍÒÇØ¸»„¹ ãËŒµÃǨºÃÔàdzᢹËÃ×͢ҷѧÊͧ¢ŒÒ§Ã‹ÇÁ¡Ñ¹ à¹×ͧ¨Ò¡ÊÒÁÒö¹íÒä»à»ÃÕºà·Õº¡Ñ¹
                                                       é                    è
ᵋ¶ŒÒÁÕ»ÃÐÇѵԡÒúҴà¨çºà©¾ÒÐʋǹ·Õèṋ¹Í¹¡ÒõÃǨà¾Õ§ºÃÔàdz·ÕèʧÊÑÂÇ‹ÒÁÕÃÍÂâä仨¹¶Ö§
distal run-off ¡çà¾Õ§¾Í㹡ÒÃÇÔ¹¨©Ñ      Ô
         - à¤Ã×ͧ CT ·Õ㪌µÃǨµŒÍ§à»š¹à¤Ã×ͧẺª¹Ô´ËÅÒÂËÑÇÇÑ´ áÅФÇÃ໚¹ª¹Ô´ 16 ËÑÇÇÑ´ (16-
                  è         è                            è
slice MDCT) ¢Ö¹ä» ÊíÒËÃѺà¤Ã×ͧ 4-slice ËÃ×Í 8-slice CT ÊÒÁÒö㪌µÃǨ䴌 ᵋºÃÔàdzʋǹ»ÅÒÂ
                      é                 è
¢Í§á¢¹ áÅлÅÒÂ¢Ò ÍÒ¨¨Ðá»Å¼Å¡ÒõÃǨ䴌äÁ‹´¹¡                       Õ Ñ
         - ¡ÒõÃǨµŒÍ§ãªŒ¡ÒõѴµÃǨẺ slice ºÒ§ â´Â slice thickness äÁ‹¤ÇÃà¡Ô¹ 2 ÁÁ.
         - Contrast medium (ÊÒ÷ֺÃѧÊÕ) ¤ÇÃ㪌 nonionic contrast ª¹Ô´·ÕÁ¤ÇÒÁࢌÁ¢Í§ iodine
                                                                                      è Õ
300 mgI/mL ¢Ö¹ä» â´Â㪌»ÃÐÁÒ³ 100 – 120 ÁÅ. áÅР㪌à¤Ã×ͧ injector ©Õ´´ŒÇÂÍѵÃÒàÃçÇ 4-5 ÁÁ./
                é                                                         è
sec (໚¹¤‹Ò»ÃÐÁÒ³·Õ㪌㹼ٻǼÙãË­‹·Çä»)
                          è        Œ † Œ          Ñè
         - Venous access ¡ÒõÃǨËÅÍ´àÅ×Í´â´Â·ÑÇ仹ѹ¹ÔÂÁ©Õ´ÊÒ÷ֺÃѧÊÕ¼Ò¹ËÅÍ´àÅ×Í´´íÒ
                                                                    è   é                   ‹
·Õ¢Í¾Ñºá¢¹¢ÇÒ áµ‹ã¹ÃÒ·յͧ¡ÒõÃǨËÅÍ´àÅ×Í´ºÃÔàdzᢹ¹Ñ¹ á¹Ð¹íÒãËŒ©´ÊÒ÷ֺÃѧÊÕ¼Ò¹·Ò§
  èŒ                           è Œ                                              é         Õ              ‹
ËÅÍ´àÅ×Í´´íÒ·Õ¢Ò ËÃ×Í á¢¹½˜§µÃ§¢ŒÒÁ à¹×ͧ¨Ò¡¶ŒÒ©Õ´ÊÒ÷ֺÃѧÊÕ¼Ò¹ËÅÍ´àÅ×Í´´íÒ·Õᢹ´ŒÒ¹à´ÕÂÇ
                    è               ›                è                            ‹           è
¡Ñºá¢¹·ÕµÍ§¡ÒõÃǨ ¨ÐÁÕ streak artifact ¨Ò¡ÊÒ÷ֺÃѧÊÕã¹ËÅÍ´àÅ×Í´´íÒÁÒº´ºÑ§ËÅÍ´àÅ×Í´á´§
          è Œ
¢ŒÒ§à¤Õ§ ¢ŒÍ´ŒÍ¢ͧ¡ÒéմÊÒ÷ֺÃѧÊÕ¼‹Ò¹·Ò§¢Ò¹Ñé¹ ¤×Í à»´àÊŒ¹ÂÒ¡¡Ç‹Ò, à¨çº¡Ç‹Ò à¹×èͧ¨Ò¡
à¹×ÍàÂ×ͺҧ¡Ç‹Ò 㪌àÇÅÒ delayed time ¹Ò¹¡Ç‹Ò, ¤ÇÒÁࢌÁ¢Í§ÊÒ÷ֺÃѧÊÕã¹ËÅÍ´àÅ×Í´·ÕµÃǨŴŧ
   é è                                                                                             è
ºŒÒ§àÅ硹ŒÍ ¨Ò¡ÃÐÂзҧ¨Ò¡ËÅÍ´àÅ×Í´´íÒ¢Òä»ÊÙËÇã¨ÂÒǡNjҨҡᢹ ÊíÒËÃѺ¢ŒÍ´ŒÍ¢ͧ¡ÒÃ
                                                               ‹ Ñ
©Õ´ÊÒ÷ֺÃѧÊÕ¼Ò¹ËÅÍ´àÅ×Í´´íÒ·Õᢹ«ŒÒ ¤×Í ¨ÐÁÕ streak artifact ¢Í§ÊÒ÷ֺÃѧÊÕã¹ËÅÍ´àÅ×Í´ left
                        ‹                     è
brachiocephalic vein º´ºÑ§ origin áÅРʋǹµŒ¹¢Í§ËÅÍ´àÅ×Í´á´§ right brachiocepahlic, left common
carotid, left subclavian artery
472                            ÀÒ¾ÇÔ¹Ô¨©ÑÂã¹¼ÙŒ»†Ç·Õèä´ŒÃѺºÒ´à¨çººÃÔàdzËÅÍ´àÅ×Í´á´§¨Ò¡ÍغѵÔà˵Ø

             - àÇÅÒ·ÕàÃÔÁ scan µÃǨáÅÐ (àÇÅҷѧËÁ´·Õ㪌㹡ÒõÃǨ) total scan time ໚¹ÊÔ§ÊíҤѭ
                         è è                           é     è                                    è
Áҡ㹡ÒõÃǨ CT angiography ¢³Ð·íÒ¡ÒõÃǨµŒÍ§ãËŒºÃÔàdz·ÕµÃǨÍÂÙã¹ arterial phase ÁÕ¤ÇÒÁ
                                                                             è        ‹
ࢌÁ¢Í§ËÅÍ´àÅ×Í´á´§·ÕÁÒ¡·ÕÊ´      è     èØ
             ÀÒ¤ÇÔªÒÃѧÊÕÇ·ÂÒ âç¾ÂÒºÒÅÈÔÃÃҪ㪌 “ bolus tracking techniques “ ¤×Í ¡ÒÃÇÒ§¨Ø´
                                Ô                  Ô
·Õʹ㨠(.OV) ·ÕµÒá˹‹§ËÅÍ´àÅ×ʹʋǹµŒ¹¡Ç‹ÒºÃÔàdz·Õ¨ÐµÃǨ áÅзíÒ¡ÒõÃǨ«éÒæ·ÕºÃÔàdz¹Õé
     è                  è í                                        è                          í è
¨¹¾ºÇ‹ÒÁÕÊÒ÷ֺÃѧÊÕࢌÒÁÒã¹ËÅÍ´àÅ×Í´ºÃÔàdz¹Õé ¨Ö§àÃÔèÁµÑ´µÃǨ (àÃÔèÁscan) «Öè§ãªŒà¾×èÍËÒàÇÅÒ
·ÕàËÁÒÐÊÁ㹡ÒÃàÃÔÁ scan ¢Í§áµ‹Åкؤ¤Å â´Â¨ÐÇÒ§µíÒá˹‹§·Õ¨Ð·´ÊͺäÇŒ·Õè aortic arch 㹡ÒÃ
   è                        è                                            è
µÃǨ upper extremities áÅÐÇÒ§µíÒá˹‹§äÇŒ·Õè mid ¶Ö§ distal abdominal aorta 㹡ÒõÃǨ lower
extremities â´Â¨ÐàÃÔÁ scan àÁ×͵íÒá˹‹§´Ñ§¡Å‹ÒÇÁÕ¤Ò¤ÇÒÁࢌÁ 150 – 200 housefield unit (HU)
                              è          è                     ‹
ᵋ㹺ҧʶҺѹÍÒ¨¡íÒ˹´àÇÅÒ㹡ÒÃàÃÔÁ scan â´Â͌ҧÍÔ§µÒÁµíÒá˹‹§·Õ¨ÐµÃǨ â´Â㪌 delay
                                               è                                        è
time 25-30 ÇÔ¹Ò·Õ ã¹¡ÒõÃǨ upper extremities áÅÐ㪌 delay time 40-45 ÇÔ¹Ò·Õ ã¹¡ÒõÃǨ lower
extremities ÊíÒËÃѺ¡ÒõÃǨºÃÔàdz¤ÍáÅÐËÑÇäËÅ‹ ¨Ð㪌 delay time ¹ŒÍÂ¡Ç‹Ò ãªŒ·Õè 20 ÇÔ¹Ò·Õ(13)
             à¹×ͧ¨Ò¡¡ÒõÃǨËÅÍ´àÅ×Í´á´§¢Í§ extremities µÑ§áµ‹ÊǹµŒ¹¢Í§ËÅÍ´àÅ×ʹ仨¹¶Ö§
                è                                                      é        ‹
ʋǹ»ÅÒ¹ѹ໚¹ÃÐÂзҧ·ÕÂÒÇáÅТ¹Ò´ËÅÍ´àÅ×Í´àÅç¡Å§ àÇÅҷѧËÁ´·Õ㪌㹡ÒõÃǨ ໚¹Íա˹֧
                  é                   è                                    é        è               è
¤‹Ò·ÕµÍ§ãËŒ¤ÇÒÁÊíҤѭ à¹×ͧ¨Ò¡¶ŒÒàÇÅҷѧËÁ´·Õ㪌㹡ÒõÃǨ¹Ò¹à¡Ô¹ä»¡ç¨Ð·íÒãËŒºÃÔàdz»ÅÒÂ
       è Œ                          è                é     è
·Õè scan ໚¹ venous phase ·íÒãËŒÁËÅÍ´àÅ×Í´´íÒÁÒ»¹ã¹ÀÒ¾ ËÃ×ͶŒÒàÇÅҷѧËÁ´·Õ㪌㹡ÒõÃǨ
                                           Õ                                              é è
àÃçÇà¡Ô¹ä»·íÒãËŒàÅ×Í´ÂѧäÁ‹ä»¶Ö§Ê‹Ç¹»ÅÒ¢ͧ extremities ·íÒãËŒá»Å¼ÅºÃÔàdzʋǹ»ÅÒÂᢹáÅÐ
»ÅÒ¢ÒäÁ‹ä´Œ
             ÊíÒËÃѺ¡ÒõÃǨ lower extremities ¨Ð㪌àÇÅҷѧËÁ´·Õ㪌㹡ÒõÃǨ»ÃÐÁÒ³ 20-25 ÇÔ¹Ò·Õ
                                                                 é   è
ᵋ㹼ٻÇÂÊÙ§ÍÒÂØ (>60 »‚) ¨ÐµŒÍ§ãªŒàÇÅҷѧËÁ´·Õ㪌㹡ÒõÃǨà¾ÔÁ¢Ö¹ ÍÂÙ·»ÃÐÁÒ³ 40-50 ÇÔ¹Ò·Õ
           Œ †                                   é       è                     è é ‹ Õè
áÅÐã¹ÃÒ·ÕʧÊÑÂÇ‹ÒÁÕ¡ÒúҴà¨çº·ÕËÅÍ´àÅ×Í´´íÒËÇÁ´ŒÇ ¨ÐµŒÍ§ÁÕ delayed phase »ÃÐÁÒ³ 25-35
                    è                        è
ÇÔ¹Ò·Õ ËÅѧ¨Ò¡àÃÔÁµÑ´µÃǨ arterial phase ËÃ×ÍÁÑ¡¨ÐµÑ´µÃǨµ‹ÍËÅѧ¨Ò¡·ÕµÃǨ arterial phase àÊÃç¨(13)
                      è                                                           è

Post processing áÅÐ Data analysis
          ¢ŒÍÁÙÅ·Õä´Œ¨Ò¡¡ÒõÃǨ´ŒÇ CT ¨Ð໚¹à»š¹ÀÒ¾µÑ´¢ÇÒ§ (axial view) «Ö§á»Å¼Åä´Œ¤Í¹¢ŒÒ§
                   è                                                          è           ‹
ÂÒ¡ã¹¼Ù·äÁ‹ªÒ¹Ò­ à¹×ͧ¨Ò¡ËÅÍ´àÅ×Í´á´§ÁÕšɳÐÂÒǵÒÁ¤ÇÒÁÂÒǢͧËҧ¡Ò ¨Ò¡¹Ñ¹ÀÒ¾
          Œ Õè í         è                     Ñ                                            é
CT ¹Õé¨Ð¶Ù¡¹íÒä»·íÒ post processing â´Â¡ÒÃÊÌҧÀÒ¾ãËÁ‹ã¹áººµ‹Ò§æ ઋ¹ 2D multiplanar
reformation (MPR), 3D volume-rendering (VR) áÅÐ Maximum intensity projection (MIP) «Ö§à»š¹    è
ÀÒ¾·Õ¹ÂÁ㪌 ·íÒãËŒá»Å¼Åä´Œ§Ò¢ֹ áÅÐà¾ÔÁ¤ÇÒÁáÁ‹¹ÂíÒ㹡ÒÃá»Å¼Å
      è Ô                      ‹ é          è                         (5, 14)
                                                                                áÅйíÒä»ãªŒã¹¡ÒÃ
ÇÒ§á¼¹¡ÒÃÃÑ¡ÉÒä´ŒÊдǡ¢Ö¹    é
          㹡ÒÃá»Å¼ÅàÃҨйíÒ¢ŒÍÁÙŷѧËÁ´ ¤×Í axial data áÅÐÀÒ¾·Õä´Œ¨Ò¡¡Ò÷íÒ reconstruction
                                     é                              è
ª¹Ô´µ‹Ò§æ äÁ‹ÇÒ¨Ð໚¹ 2D MPR, 3D VR áÅÐ MIP ÁÒ㪌ÃÇÁ¡Ñ¹
                 ‹                                     ‹    (5, 11)

          »ÃÐ⪹¢Í§ÀÒ¾ 3D VR ¹Ñ¹ ¹Í¡¨Ò¡¨ÐãËŒ¢ÍÁÙŢͧµÑÇËÅÍ´àÅ×Í´àËÁ×͹ÀÒ¾·Õä´Œ¨Ò¡ÀÒ¾
                                   é              Œ                                    è
catheter angiogram áÅŒÇ Âѧ䴌¢ÍÁÙŢͧà¹×ÍàÂ×Í·ÕÍÂÙÃÍºæ ¤×Í muscle, subcutaneous tissue áÅÐ
                                Œ         é è è ‹
àǪÈÒʵÏ·¹Âؤ 2553
          Ñ                                                                                   473

bone ´ŒÇ áÅÐÀÒ¾ VR ¹Õ¨Ð·íÒãËŒàÃÒÇÔ¹¨©ÑÂÃÍÂâä·Õ໚¹ segment ËÃ×Í focal occlusion ä´Œ´¡Ç‹Ò
                           é           Ô             è                                    Õ
¡Òô٨ҡÀÒ¾µÑ´¢ÇÒ§à¾Õ§Í‹ҧà´ÕÂÇ ¡ÒÃ㪌ÀÒ¾ VR ËÇÁ´ŒÇ ¨Ð·íÒãËŒàÃÒàËç¹á¹ÇàÊŒ¹àÅ×Í´µÅÍ´
·Ñ§àÊŒ¹ áÅÐàËç¹µíÒá˹‹§·Õ໚¹ÃÍÂâä䴌ª´à¨¹ (ÃÙ»·Õè 1)
    é                    è                 Ñ
          ÀÒ¾ MIP ËÇÁ¡Ñº¡ÒÃź¡Ãд١ (bone removal) 㹺ÃÔàdz·Õ䴌úºÒ´à¨çº ¨Ð㪌㹡ÒÃÇÔ¹¨©ÑÂ
                                                                è Ñ                     Ô
¡ÒúҴà¨çº ºÃÔàdz¤Í, ËÑÇäËÅ‹ áÅÐ ºÃÔàdzàªÔ§¡ÃÒ¹ ä´Œ´Õ ÃÇÁ¶Ö§ºÃÔàdz¢Í§ extravasation ¢Í§
contrast media ¹Ñ¹ ¨ÐàËç¹ä´Œ´ã¹ÀÒ¾ MIP (ÃÙ»·Õè 2) ᵋäÁ‹¤ÇÃ㪌ÀÒ¾ MIP Í‹ҧà´ÕÂÇ㹡ÒÃá»Å¼Å
                  é           Õ
CTA à¹×ͧ¨Ò¡ÍÒ¨·íÒãËŒäÁ‹ÊÒÁÒö¡ÒÃÇÔ¹¨©ÑÂÃÍÂâ䢹ҴàÅç¡æä´Œ à¹×ͧ¨Ò¡ÀÒ¾ MIP ໚¹¡ÒÃÃÇÁ
        è                                Ô                        è
contrast ã¹á¹ÇÃйҺà´ÕÂǡѹ ´Ñ§¹Ñ¹¨ÐµŒÍ§á»Å¼Å¨Ò¡ÀÒ¾ËÅÒÂæÃйҺËÇÁ¡ÑºÀÒ¾ axial view
                                   é
àÊÁÍ
          ÀÒ¾ 2D MPR ໚¹¡ÒôÙÃÍÂâäã¹ÃйҺµ‹Ò§æ ¤×Í axial, saggital áÅÐ coronal image
«Ö§¨Ð·íÒãËŒàËç¹ÃÍÂâäªÑ´à¨¹¢Ö¹ â´ÂÃÍÂâä·ÕºÃÔàdz´ŒÒ¹Ë¹ŒÒáÅÐËÅѧ¢Í§ËÅÍ´àÅ×Í´¨ÐáÊ´§ä´Œ´Õ
  è                             é              è
ã¹ÀÒ¾ axial ËÃ×Í saggital image ÃÍÂâä·ÕºÃÔàdz´ŒÒ¹º¹áÅÐŋҧ¢Í§ËÅÍ´àÅ×Í´¨ÐáÊ´§ä´Œ´ã¹
                                             è                                              Õ
ÀÒ¾ coronal image ໚¹µŒ¹
          ÀÒ¾ oblique view àËÁÒÐÊíÒËÃѺ¡ÒôÙÃÍÂâä¢Í§ËÅÍ´àÅ×Í´ºÃÔàdz·ÕÁ¡ÒÃ⤌§ËÃ×ÍËÑ¡ÁØÁ
                                                                          è Õ
ઋ¹ aortic arch, ËÅÍ´àÅ×Í´ºÃÔàÇ³ÍØ§àªÔ§¡ÃÒ¹, ËÅÍ´àÅ×Í´ºÃÔàdzÃͺËÑÇäËŋ໚¹µŒ¹
                                     Œ

CT angiographic sign of arterial injury
        »ÃСͺ´ŒÇ direct áÅÐ indirect signs

Direct sign
        Direct sign ¤×Í ¡ÒþºÃÍÂâä·ÕµÇËÅÍ´àÅ×Í´ º‹§Ç‹ÒÁÕ¡ÒúҴà¨çº¢Í§ËÅÍ´àÅ×Í´ ÁÑ¡µŒÍ§
                                        è Ñ
·íÒ¡ÒÃÃÑ¡ÉÒâ´Â¡Òü‹ÒµÑ´ ËÃ×Í endovascular »ÃСͺ´ŒÇ ¡ÒÃÍØ´µÑ¹¢Í§ËÅÍ´àÅ×Í´ (occlusion),
¡ÒþºÅÔÁàÅ×Í´ã¹ËÅÍ´àÅ×Í´ (thrombus formation), intimal dissection, pseudoaneurysm, active
         è
extravasation, arteriovenous fistula ËÃ×Í ¡ÒþºÅѡɳТͧ arterial spasm ¤×Í ¡ÒÃË´à¡Ã秢ͧ
ËÅÍ´àÅ×Í´á´§ªÑǤÃÒÇ «Ö§ÊÒÁÒö¡ÅѺÁÒ໚¹»¡µÔä´Œ
                  è      è
        1. Active arterial extravasation of contrast material ¤×Í ¡ÒõÃǨ¾ººÃÔàdz·ÕÁÕ contrast
                                                                                   è
media ÃÑÇÍÍ¡ÁÒ ÍÂٹ͡ËÅÍ´àÅ×Í´ contrast media àËŋҹըСÃШÒÂÍÂÙÃͺæÅѡɳÐ໚¹»„¹
           è          ‹                                        é           ‹                œ
äÁ‹Á¢Íºà¢µ «Ö§à»š¹ direct sign ¢Í§ arterial injury à¡Ô´¨Ò¡¡Òéա¢Ò´¢Í§¼¹Ñ§ËÅÍ´àÅ×Í´·Ø¡ªÑ¹
    Õ           è                                                                             é
â´ÂµíÒá˹‹§·ÕÁÕ contrast media ÃÑÇÍÍ¡ÁÒ ¤×Í µíÒá˹‹§·Õà¡Ô´¡ÒúҴà¨çº¢Í§µÑÇËÅÍ´àÅ×Í´á´§
              è                    è                       è
¡ÒÃ㪌ÀÒ¾ MIP ¨ÐáÊ´§ºÃÔàdz·ÕÁÕ contrast extravasation ä´Œª´à¨¹ (ÃÙ»·Õè 2) ᵋµÒá˹‹§¢Í§ÃÙÃÇ
                                 è                               Ñ              í               Ñè
µŒÍ§´Ù¨Ò¡ axial image ËÇÁ¡Ñº 2D-MPR ã¹á¹Ç coronal áÅÐ saggital image
        2. Pseudoaneurysmal formation ¤×Í ¡Òþº out-pouching ¢Í§ contrast media Â×¹ÍÍ¡  è
Áҹ͡µÑÇËÅÍ´àÅ×Í´á´§ µ‹Ò§¨Ò¡ extravasation µÃ§·Õè pseudoaneurysm ¹Ñ¹¨Ð¾º contrast media
                                                                         é
474                                     ÀÒ¾ÇÔ¹Ô¨©ÑÂã¹¼ÙŒ»†Ç·Õèä´ŒÃѺºÒ´à¨çººÃÔàdzËÅÍ´àÅ×Í´á´§¨Ò¡ÍغѵÔà˵Ø

໚¹¡Ðà»ÃÒÐ ÅŒÍÁÃͺ´ŒÇ adventitia ËÃ×Í à¹×ÍàÂ×Í¢ŒÒ§à¤Õ§ áÅШÐÁÕÊǹ·ÕµÍ¡ÑºµÑÇËÅÍ´àÅ×Í´ ÀÒ¾
                                                      é è                              ‹ è ‹
MIP áÅÐ 3D VR ¨ÐáÊ´§µíÒá˹‹§áÅТͺࢵ¢Í§ pseudoaneurysm ä´Œª´à¨¹                                Ñ
               3. ¡ÒÃÍØ´µÑ¹ (occlusion) ¤×Í ¡ÒÃäÁ‹¾º contrast media ã¹ËÅÍ´àÅ×Í´á´§ â´ÂÍÒ¨¾ºà»š¹
ÃÍÂâ䢹ҴàÅç¡ (focal ËÃ×Í short segment) ËÃ×Í ÃÍÂâ䢹ҴãË­‹ (long segment) â´Â¶ŒÒà¡Ô´ÁÕ
occlusion ÍÂÙ¹Ò¹ ¨Ð¾º collateral vessels ËÇÁ´ŒÇ ¡ÒôٵÒá˹‹§·ÕÁ¡ÒÃÍØ´µÑ¹¢Í§ËÅÍ´àÅ×Í´
                        ‹                                                        í          è Õ
¨Ò¡ÀÒ¾ axial Í‹ҧà´ÕÂÇ ÍÒ¨·íÒãËŒäÁ‹àË繤ÇÒÁ¼Ô´»¡µÔ·à»š¹ focal ËÃ×Í short segment occlusion
                                                                      Õè
ä´Œ á¹Ð¹íÒãˌ㪌ÀÒ¾ coronal MIP ËÃ×Í coronal 3D VR ËÇÁ´ŒÇ (ÃÙ»·Õè 1) ¢ŒÍÁÙÅ·Õä´Œ¨Ò¡ÀÒ¾ CTA                  è
¹Ñ¹ ¹Í¡¨Ò¡¡Òú͡µíÒá˹‹§¢Í§¡ÒÃÍØ´µÑ¹áÅŒÇ ÂѧÊÒÁÒöºÍ¡ distal run off ¢Í§ËÅÍ´àÅ×ʹʋǹ
  é
»ÅÒ¹Ñé¹æä´Œ ÁÕ»ÃÐ⪹ã¹¡ÒÃ㪌ÇÒ§á¼¹¡ÒÃÃÑ¡ÉÒ ÃÇÁ¶Ö§¡ÒûÃÐàÁÔ¹µíÒá˹‹§¢Í§ distal
anastomosis ã¹ÃÒ·յͧ·íÒ¡Òü‹ÒµÑ´ bypass graft ¤Ã‹ÍÁ¼‹Ò¹µíÒá˹‹§¢Í§ËÅÍ´àÅ×Í´á´§·ÕÁÕ
                                   è Œ                                                                                          è
¡ÒÃÍØ´µÑ¹
               4. Dissection ¾ºà»š¹ eccentric stenosis ¢Í§µÑÇËÅÍ´àÅ×Í´á´§ à¡Ô´¨Ò¡¡Òéա¢Ò´
¢Í§¼¹Ñ§ËÅÍ´àÅ×Í´ªÑ¹ intima â´Â¾ºà»š¹ÅѡɳШѹ·ÃàÊÕÂÇã¹ÀÒ¾µÑ´¢ÇÒ§ (ÃÙ»·Õè 3) ÍÒ¨¾º intimal
                              é                                   é
flap (intraluminal linear filling defect) ËÃ×Í segmental thrombus ã¹ÃÒ·ÕÁ¡ÒúҴà¨çº¢Í§ªÑ¹ intima
                                                                                           è Õ                        é
à¾Õ§àÅ硹ŒÍ ÍÒ¨¾ºà¾Õ§ÅѡɳТͧ irregular lumen ¢Í§ËÅÍ´àÅ×Í´ºÃÔàdz¹Ñ¹æ «Ö§µŒÍ§ãªŒ¤ÇÒÁ                  é      è
ÅÐàÍÕ´㹡ÒÃÇÔ¹¨©Ñ µŒÍ§ãªŒ axial image ËÇÁ¡Ñº saggital MPR áÅÐ coronal MPR ËÇÁ´ŒÇÂ
                          Ô
               5. Arteriovenous fistula formation à¡Ô´¨Ò¡¡Òéա¢Ò´¢Í§ËÅÍ´àÅ×Í´á´§áÅÐËÅÍ´àÅ×Í´
´íÒ·ÕÍÂÙª´¡Ñ¹·íÒãËŒà¡Ô´ÃÙÃÇàª×ÍÁµ‹Í¡Ñ¹ ¡ÒÃÇÔ¹¨©ÑÂÀÒÇÐ AV fistula ¹Ñ¹ ¨ÐµŒÍ§áÊ´§µíÒá˹‹§·Õè artery
          è ‹ Ô                        Ñè è             Ô                            é
µ‹Í¡Ñº vein áÅТ¹Ò´¢Í§ fistular site à¾×Í㪌ÇÒ§á¼¹¡ÒÃÃÑ¡ÉÒ â´Â¡Òû´ÃÙÃǹѹ Åѡɳзվº
                                                   è                                                       Ñè é             è
¨Ò¡ CTA ¤×Í ¡Òþº contrast ã¹ËÅÍ´àÅ×Í´´íҵѧᵋ㹠arterial phase â´ÂËÅÍ´àÅ×Í´´íÒºÃÔàdz
                                                                é
¹Ñ¹æ ÁÑ¡ÁÕ¢¹Ò´ãË­‹¢¹´ŒÇ ËÇÁ¡Ñº¡ÒþºµíÒá˹‹§¢Í§ÃÙÃÇÃÐËNjҧËÅÍ´àÅ×Í´á´§áÅдíÒ (ÃÙ»·Õè 4)
    é                           Öé                                       Ñè
¢ŒÍÊѧࡵ㹡ÒÃËÒµíÒá˹‹§¢Í§ÃÙÃǹѹ ¤×Í ¡ÒÃËÒµíÒá˹‹§·ÕàÃÔÁ¾º early fill vein ¡µÑÇÍ‹ҧã¹ÃÙ»
                                            Ñè é                            è è
·Õè 4 ¨ÐàÃÔÁ¾º contrast ã¹ËÅÍ´àÅ×Í´´íÒ·ÕµÒá˹‹§¢Í§ popliteal vein (äÅ‹¢¹ä»µÒÁ superficial
                è                                    è í                                              Öé
femoral vein, iliac vein ¨¹¶Ö§ inferior vena cava) ¨Ò¡¹Ñ¹ãªŒÀÒ¾ axial äÅ‹´ºÃÔàdzÃͺࢋÒà¾×ÍËÒ
                                                                    é                               Ù                     è
µíÒá˹‹§·ÕËÅÍ´àÅ×Í´á´§©Õ¡¢Ò´ ËÇÁ¡Ñº¡ÒÃ㪌ÀÒ¾ saggital MPR áÅÐ coronal MPR ¨Ð¾ºµíÒá˹‹§
                  è
ÃÙÃÇä´Œ§Ò¢ֹ áÅÐ㪌àÇÅÒ¹ŒÍÂŧ ᵋã¹ÃÒ·ÕÁÃÃÇËÅÒµíÒá˹‹§¡ç¨Ð´ÙÂÒ¡¢Ö¹ áÅÐ㹼ٻǷÕÁàÈÉ
      Ñè ‹ é                                           è Õ Ù Ñè                                   é               Œ † è Õ
¡ÃÐÊØ¹ËÃ×ÍâÅËÐàËÅ×ÍÍÂÙ‹ ¨ÐÁÕ streak artifact ú¡Ç¹¡ÒÃËÒµíÒá˹‹§ÃÙÃÇ «Ö§ÍÒ¨µŒÍ§ãªŒ¡ÒõÃǨÍ×¹æ
                                                                                        Ñè è                                  è
ઋ¹ conventional angiography ËÇÁ»ÃÐàÁԹ໚¹ÃÒÂæä»
               6. Arterial spasm ໚¹¡ÒÃË´à¡Ã秢ͧËÅÍ´àÅ×Í´á´§ «Ö§à¡Ô´¨Ò¡¡ÒúҴà¨çº¢Í§à¹×ÍàÂ×Í
                                                                                   è                                     é è
ÃÍºæ «Ö§·íÒãËŒ¤ÅíÒªÕ¾¨ÃºÃÔàdzʋǹ»ÅÒÂäÁ‹ä´ŒËÃ×Íä´ŒàºÒ ·íÒãˌʧÊÑÂÇ‹ÒÁÕ¡ÒúҴà¨çº¢Í§ËÅÍ´àÅ×Í´
             è
à¡Ô´¢Ö¹ ã¹¼Ù»ÇÂ¡ÅØÁ¹Õ¡ÒõÃǨâ´Â CTA ¨ÐÁÕ»ÃÐ⪹ã¹á§‹·ºÍ¡ÃÍÂâäNjÒ໚¹ÃÍÂâä·ÕäÁ‹Ã¹áç
           é        Œ †     ‹ é                                               Õè                                     è Ø
äÁ‹µÍ§ÃѺ¡Òü‹ÒµÑ´ áÅСÒõÃǨäÁ‹ invasive ¡ÒÃË´à¡Ã秢ͧËÅÍ´àÅ×Í´¨Ð໚¹áººªÑǤÃÒÇ áÅÐ
        Œ                                                                                                          è
ÊÒÁÒö¡ÅѺÁÒ໚¹»¡µÔä´Œ Åѡɳзվº¨Ò¡ CTA ໚¹ concentric smooth narrowing ¢Í§ËÅÍ´
                                                 è
àÅ×Í´á´§ºÃÔàdz¹Ñ鹿 ã¹ÀÒ¾ axial ¨Ð¾ºÇ‹Ò ¢¹Ò´àÊŒ¹¼‹ÒÈٹ¡ÅÒ§¢Í§ËÅÍ´àÅ×Í´á´§ÁÕ¢¹Ò´
àǪÈÒʵÏ·¹Âؤ 2553
          Ñ                                                                                 475

àÅç¡Å§ â´Âà·Õº¡ÑºËÅÍ´àÅ×Í´ÃдѺà´ÕÂǡѹ㹽˜§µÃ§¢ŒÒÁ (㹡óշ½§µÃ§¢ŒÒÁäÁ‹ÁÃÍÂâä) ÃÍÂ
                                              ›                  Õè ˜›      Õ
âä¢Í§ arterial spasm ¹Ñ¹Áѡ໚¹ÃÍÂâäẺ long segment µÒÁá¹ÇÂÒǢͧËÅÍ´àÅ×Í´ ´Ñ§¹Ñ¹
                          é                                                           é
¨ÐáÊ´§ÃÍÂâä䴌´ã¹ÀÒ¾ coronal MIP (ÃÙ»·Õè 5) ¢ŒÍÁÙÅ·Õä´Œ¨Ò¡ CT ¹Í¡¨Ò¡ÃÍÂâä¢Í§ËÅÍ´àÅ×Í´
                    Õ                                è
áÅŒÇ ÂѧãËŒÃÒÂÅÐàÍÕ´à¡ÕÂǡѺà¹×ÍàÂ×ÍÃͺæ áÅÐ ¡Ãд١ºÃÔàdz¹Ñ¹
                        è       é è                          é

Indirect sign
           Indirect sign ¤×Í ÃÍÂâä·ÕÍÂÙÃͺ¹Í¡¢Í§µÑÇËÅÍ´àÅ×Í´ (perivascular soft tissue) «Ö§¶ŒÒ
                                      è ‹                                                   è
¾ººè§ÇèÒÍÒ¨¨ÐÁÕ¡ÒúҴà¨çº¢Í§ËÅÍ´àÅ×Í´ã¡Åéà¤Õ§ »ÃСͺ´éÇ perivascular hematoma, á¹Ç-
·ÔÈ·Ò§¢Í§¡ÃÐÊØ¹¼‹Ò¹ËÃ×͵Դ¡Ñº neurovascular bundle, ÃÍ©ա¢Ò´¢Í§à¹×ÍàÂ×Í¢ŒÒ§à¤Õ§ «Ö§ÍÂÙËÒ§
                                                                       é è             è ‹ ‹
¨Ò¡ËÅÍ´àÅ×Í´¹ŒÍÂ¡Ç‹Ò 5 ÁÁ.       (15)

           ¢ŒÍ¨íÒ¡Ñ´¢Í§ CT angiography ã¹¼Ù»ÇÂÍØºµà˵ط¾ºä´ŒºÍ à¡Ô´¨Ò¡ metallic streak artifact
                                              Œ †   Ñ Ô     Õè   ‹
㹼ٻǷն¡ÂÔ§ ËÃ×Í ¶Ù¡á·§´ŒÇÂÍÒÇØ¸·Õ໚¹àËÅç¡ ã¹¼Ù»ÇÂ¡ÅØÁ¹Õ·ÒãËŒ¡ÒÃá»Å¼ÅÂÒ¡ µŒÍ§ãªŒÀÒ¾
      Œ † è Ù                             è             Œ †    ‹ é í
ã¹ÃйҺµ‹Ò§æ ÃÇÁ¶Ö§¡Òô٠indirect sign ઋ¹ äÁ‹¾º extravasation ¢Í§ contrast media 㹺ÃÔàdz
·ÕÁ¡ÒúҴà¨çº ËÃ×Í¡Òþº contrast media ã¹Ê‹Ç¹»ÅÒ¢ͧËÅÍ´àÅ×Í´á´§ 㹡ÒÃÊѹ¹ÔɰҹNjÒ
  è Õ
äÁ‹Á¡ÒúҴà¨çº¢Í§ËÅÍ´àÅ×Í´á´§ ᵋã¹ÃÒ·ÕÁÕ artifact ¤‹Í¹¢ŒÒ§ÁÒ¡¨¹äÁ‹ÊÒÁÒöá»Å¼Å¨Ò¡ CTA
       Õ                                          è
ä´Œ ¤ÇèеŒÍ§µÃǨ conventional angiography à¾ÔÁàµÔÁ  è
           ¡ÒõÃǨ·Õ¡Å‹ÒǶ֧·Ñ§ËÁ´ã¹µÍ¹µŒ¹ ໚¹¡ÒõÃǨ¡ÒúҴà¨çº¢Í§ËÅÍ´àÅ×Í´á´§ ÀÒ¾ËÃ×Í
                      è        é
¢ŒÍÁÙÅ·Õä´ŒäÁ‹àËÁÒÐ㹡ÒÃá»Å¼ÅÃÍÂâä¢Í§ËÅÍ´àÅ×Í´´íÒ ã¹¡ÒõÃǨÍÒ¨¾º pseudothrombus
         è
â´Â¾ºÅѡɳÐ໚¹ filling defect ã¹ËÅÍ´àÅ×Í´´íÒ à¡Ô´¨Ò¡¡ÒüÊÁ¡Ñ¹ÃÐËNjҧ unfilled blood ¡Ñº
contrast media 㹡ÒõÃǨ CTA ·íÒãˌࢌÒ㨼ԴNjÒ໚¹ thrombus ã¹ËÅÍ´àÅ×Í´´íÒ àÃÒ¨Ö§äÁ‹¤ÇÃ
á»Å¼ÅËÅÍ´àÅ×Í´´íÒ㹡ÒõÃǨ CTA «Ö§¡ÒèеÃǨ´ÙËÅÍ´àÅ×Í´´íҹѹ ¨ÐµŒÍ§ãªŒ delayed phase
                                            è                        é
àÊÁÍ

¡ÒúҴà¨çº¢Í§ËÅÍ´àÅ×Í´á´§ãË­‹ª‹Í§Í¡ (Traumatic disruption of the
thoracic aorta)
         ¤×Í ¡Òéա¢Ò´¢Í§ËÅÍ´àÅ×Í´á´§ thoracic aorta «Ö§à¡Ô´ËÅѧ¨Ò¡ä´ŒÃºáç¡ÃÐá·¡ÍÂ‹Ò§ÃØ¹áç
                                                         è             Ñ
ºÃÔàdzª‹Í§Í¡ (blunt chest trauma) ໚¹¡ÒúҴà¨çº·Õùáç ¼Ù»ÇÂʋǹãË­‹¡Ç‹ÒÃŒÍÂÅÐ 80 àÊÕªÕǵ
                                                    èØ           Œ †                        Ô
ã¹·Õà¡Ô´à赯 ¹ŒÍ¡NjÒÃŒÍÂÅÐ 20 ¶Ö§Á×Íᾷ áÅÐ䴌ú¡ÒÃÇÔ¹¨©ÑÂáÅÐÃÑ¡ÉÒ ÊíÒËÃѺ penetrating
     è                                               Ñ            Ô
injury µ‹Í aorta ¹Ñ¹ ¼Ù»ÇÂÁÑ¡àÊÕªÕǵ¡‹Í¹ÁÒ¾ºá¾·Â
                   é Œ †              Ô
         ¼Ù»Ç traumatic disruption of aorta ·Õ¶§Á×Íᾷ¹¹à¡×ͺ·Ñ§ËÁ´à»š¹ partial disruption
              Œ †                              è Ö          Ñé       é
¤×Í ÁÕ¡Òéա¢Ò´¢Í§ªÑ¹ intima áÅÐ media ºÒ§Ê‹Ç¹ ËÃ×Í ·Ñ§ËÁ´ áÅÐàËÅ×Íà¾Õ§ªÑ¹ adventitia
                        é                                      é                é
(ã¹ÃÒ·Õ໚¹ complete disruption ÁÑ¡àÊÕªÕǵ·Ñ¹·Õã¹·Õà¡Ô´à˵Ø) ¤ÇÒÁÊíҤѭ¤×Í á¾·Â¤ÇõŒÍ§ÃÕº
          è                                 Ô          è
ãËŒ¡ÒÃÇÔ¹¨©ÑÂáÅÐÃÑ¡ÉÒ à¾ÃÒСÒéա¢Ò´¢Í§¼¹Ñ§ËÅÍ´àÅ×Í´ÁÑ¡¨Ð໚¹ÁÒ¡¢Ö¹ ¡ÅÒÂ໚¹ complete
            Ô                                                            é
tear áÅÐ rupture ·íÒãËŒ¼»ÇÂàÊÕªÕǵ䴌
                          ÙŒ †      Ô
476                                ÀÒ¾ÇÔ¹Ô¨©ÑÂã¹¼ÙŒ»†Ç·Õèä´ŒÃѺºÒ´à¨çººÃÔàdzËÅÍ´àÅ×Í´á´§¨Ò¡ÍغѵÔà˵Ø

         µíÒá˹‹§·Õ¾ºà¡Ô´¡Òéա¢Ò´ÁÒ¡·ÕÊ´ (95%) ¤×Í proximal descending aorta µíÒá˹‹§·Õà¡ÒÐ
                       è                  èØ                                            è
¢Í§ ligamentum arteriosum µíÒá˹‹§Í×¹ ¤×Í ascending aorta, origin of brachiocephalic artery
                                        è
áÅÐ supradiaphragmatic aorta
         Chest radiography áÁŒ¨ÐÁÕ¤ÇÒÁäÇáÅФÇÒÁ¨íÒà¾ÒеèÒ áµ‹¡Á¤ÇÒÁÊíҤѭ à¹×ͧ¨Ò¡µÃǨ
                                                                í         ç Õ    è
ä´ŒàÃçÇ à»š¹ imaging áá㹡ÒõÃǨ¼Ù»Ç blunt chest injury ʋǹãË­‹¨Ð¶‹ÒÂã¹·‹Ò¹Í¹à¾ÃÒмٌ
                                      Œ †
»†ÇÂÍÒ¡ÒÃ˹ѡ ÊÔ§·Õ¾ºä´Œ (ÃÙ»·Õè 6) ¤×Í widening of mediastinum ÁÒ¡¡Ç‹Ò 8 «Á., ¡Òþº
                         è è
mediastinal hematoma Åѡɳн‡Ò¢ÒǺÃÔàdz aorticpulmonary window áÅÐäÁ‹¾º¢Íºà¢µ¢Í§
aortic knob, ¡ÒþºËÅÍ´ÅÁ ËÃ×Í NG tube ã¹ËÅÍ´ÍÒËÒà ¶Ù¡àºÕ´价ҧ¢ÇÒ, ¡Òö١¡´àºÕ´ŧ
´ŒÒ¹Å‹Ò§¢Í§ left main bronchus, ¡Òþº apical cap ½‡Ò¢ÒǷմҹ㹢ͧ»Í´¡ÅÕº«ŒÒº¹, ¡Òþº
                                                              è Œ
sternum ËÃ×Í «Õâ¤Ã§·Õè 1 áÅÐ 2 ËÑ¡ ¶ŒÒ¾ºÅѡɳÐàËŋҹÕ㹼ٻǠblunt chest injury ¨ÐµŒÍ§¹Ö¡¶Ö§
                  è                                        é Œ †
traumatic disruption of aorta ´ŒÇÂàÊÁÍ ã¹Ê¶Ò¹·Õ··Òä´ŒáÅмٻÇÂÁÕ vital signs ·Õè stable ¾Í
                                                   è Õè í           Œ †
á¹Ð¹íÒãËŒµÃǨà¾ÔÁàµÔÁâ´Â CT
                     è
          ¢ŒÍÊѧࡵ¡Òþº widening of mediastinum ¨Ò¡ chest radiography ¹Ñ¹ÍÒ¨¾ºà»š¹ false
                                                                              é
positive 䴌㹼ٻÇÂÊÙ§ÍÒÂØ áÅÐ໚¹·‹Ò¹Í¹
                 Œ †
         CT ã¹»˜¨¨Øº¹à»š¹ MDCT 㪌àÇÅÒµÃǨ¹ŒÍ àËÁÒÐÊíÒËÃѺ¡ÒõÃǨËÅÍ´àÅ×Í´ ¹íÒÁÒÊÌҧ
                           Ñ
ÀÒ¾ã¹ÃйҺµ‹Ò§æãªŒªÇÂ㹡ÒÃÇÔ¹¨©ÑÂä´Œ´Õ ÊÔ§·Õ¾ºã¹¼Ù»Ç traumatic disruption of aorta ¤×Í
                             ‹    Ô          è è          Œ †
abnormal aortic contour ¢Í§ËÅÍ´àÅ×Í´á´§, pseudoaneurysm, pseudocoarctation, focal bulge
¢Í§ËÅÍ´àÅ×Í´, intimal flap ã¹ËÅÍ´àÅ×Í´ áÅоº indirect findings ¤×Í periaortic hematoma,
mediastinal hematoma ᵋ¡Òþº mediastinal hematoma ¹Ñ¹äÁ‹¨Òà¾ÒСѺ disruption of aorta
                                                                  é     í
ÍÒ¨¾ºã¹¡ÒúҴà¨çº¢Í§ÍÇÑÂÇÐ áÅÐËÅÍ´àÅ×Í´Í×¹æã¹ mediastinum ¡çä´Œ
                                                 è

àÍ¡ÊÒÃ͌ҧÍÔ§
1.    Anderson RJ, Hobson RW, 2nd, Padberg .T, Jr., Swan KG, Lee BC, Jamil Z, et al. Penetrating extremity
      trauma: identification of patients at high-risk requiring arteriography. J Vasc Surg. 1990 ;11(4):544-8.
2.    McCorkell SJ, Harley JD, Morishima MS, Cummings DK. Indications for angiography in extremity trauma. Am
      J Roentgenol. 1985;145(6):1245-7.
3.    Soto JA, Munera ., Morales C, Lopera JE, Holguin D, Guarin O, et al. .ocal arterial injuries of the proximal
      extremities: helical CT arteriography as the initial method of diagnosis. Radiology. 2001;218(1):188-94.
4.    Gillespie DL, Woodson J, Kaufman J, Parker J, Greenfield A, Menzoian JO. Role of arteriography for blunt or
      penetrating injuries in proximity to major vascular structures: an evolution in management. Ann Vasc Surg.
      1993;7(2):145-9.
5.    Miller-Thomas MM, West OC, Cohen AM. Diagnosing traumatic arterial injury in the extremities with CT
      angiography: pearls and pitfalls. Radiographics. 2005;25 Suppl 1:S133-42.
6.    Bergstein JM, Blair J., Edwards J, Towne JB, Wittmann DH, Aprahamian C, et al. Pitfalls in the use of color-
      flow duplex ultrasound for screening of suspected arterial injuries in penetrated extremities. J Trauma.
      1992;33(3):395-402.
àǪÈÒʵÏ·¹Âؤ 2553
          Ñ                                                                                                          477

7.    Yaquinto JJ, Harms SE, Siemers PT, .lamig DP, Griffey RH, .oreman ML. Arterial injury from penetrating
      trauma: evaluation with single-acquisition fat-suppressed MR imaging. Am J Roentgenol. 1992;158(3):631-3.
8.    Catalano C, .raioli ., Laghi A, Napoli A, Bezzi M, Pediconi ., et al. Infrarenal aortic and lower-extremity arterial
      disease: diagnostic performance of multi-detector row CT angiography. Radiology. 2004;231(2):555-63.
9.    Katz DS, Hon M. CT angiography of the lower extremities and aortoiliac system with a multi-detector row
      helical CT scanner: promise of new opportunities fulfilled. Radiology. 2001;221(1):7-10.
10.   Martin ML, Tay KH, .lak B, .ry PD, Doyle DL, Taylor DC, et al. Multidetector CT angiography of the aortoiliac
      system and lower extremities: a prospective comparison with digital subtraction angiography. Am J Roentgenol.
      2003;180(4):1085-91.
11.   Ota H, Takase K, Igarashi K, Chiba Y, Haga K, Saito H, et al. MDCT compared with digital subtraction
      angiography for assessment of lower extremity arterial occlusive disease: importance of reviewing cross-
      sectional images. Am J Roentgenol. 2004;182(1):201-9.
12.   Rubin GD, Schmidt AJ, Logan LJ, Sofilos MC. Multi-detector row CT angiography of lower extremity arterial
      inflow and runoff: initial experience. Radiology. 2001;221(1):146-58.
13.   .ishman EK, Horton KM, Johnson PT. Multidetector CT and three-dimensional CT angiography for suspected
      vascular trauma of the extremities. Radiographics. 2008 ;28(3):653-65; discussion 65-6.
14.   Rieger M, Mallouhi A, Tauscher T, Lutz M, Jaschke WR. Traumatic arterial injuries of the extremities: initial
      evaluation with MDCT angiography. Am J Roentgenol. 2006;186(3):656-64.
15.   Pieroni S, .oster BR, Anderson SW, Kertesz JL, Rhea JT, Soto JA. Use of 64-row multidetector CT angiography
      in blunt and penetrating trauma of the upper and lower extremities. Radiographics. 2009;29(3):863-76.
àǪÈÒʵÏ·¹Âؤ 2553
          Ñ                                                                               º··Õè        479

                                                                                           67
                    Imaging of Trauma : Abdominal Trauma
                                                   ÍÒ¨ÒÏ ᾷ˭ԧÇÃóÇÃÒ§¤ ÊØ·¸Ô¤ÕÃÕ
                            ÀÒ¤ÇÔªÒÃѧÊÕÇ·ÂÒ ¤³Ðá¾·ÂÈÒʵÏÈÃÃÒª¾ÂÒºÒÅ ÁËÒÇÔ·ÂÒÅÑÂÁËÔ´Å
                                         Ô                  ÔÔ

          ¡ÒÃÇÔ¹Ô¨©ÑÂÀÒÇСÒúҴà¨çºµ‹ÍÍÇÑÂÇÐ㹪‹Í§·ŒÍ§Âѧ¤§à»š¹»˜­ËÒã¹àǪ»¯ÔºÑµÔ©Ø¡à©Ô¹ÍÂÙ‹
¤‹Í¹¢ŒÒ§ÁÒ¡ â´Â੾ÒСÒúҴà¨çº¨Ò¡áç¡ÃÐá·¡ÀÒ¹͡ (blunt abdominal trauma) «Ö§¾ºÇ‹Ò               è
¡ÒõÃǨËҧ¡ÒÂᵋà¾Õ§Í‹ҧà´ÕÂÇäÁ‹ÊÒÁÒöãËŒ¡ÒÃÇÔ¹¨©Ñ¶֧¡ÒúҴà¨çº¢Í§ÍÇÑÂÇÐ㹪‹Í§·ŒÍ§ä´Œ
                                                                Ô
Í‹ҧṋ¹Í¹áÅÐáÁ‹¹ÂíÒ ¡ÒÃÊ‹§µÃǨà¾ÔÁàµÔÁ·Ò§ÃѧÊÕǹ¨©Ñ ¨Ö§à¢ŒÒÁÒÁÕº·ºÒ·à»š¹Í‹ҧÁÒ¡ ´Ñ§¹Ñ¹
                                              è           Ô Ô                                              é
¨Ö§ÁÕ¤ÇÒÁ¨íÒ໚¹·Õᾷ·Çä»áÅÐÈÑÅÂᾷ ¤Ç÷íÒ¤ÇÒÁ¤Ø¹à¤Â¡ÑºÀÒ¾¡ÒõÃǨ·Ò§ÃѧÊÕàº×ͧµŒ¹
                   è               Ñè                               Œ                                é
Í‹ҧ¤Ã‹ÒÇæä´Œ
          ໚¹·Õ·ÃÒº¡Ñ¹´Õ¶§¡Åä¡¡ÒúҴà¨çºµ‹Íª‹Í§·ŒÍ§ «Ö§áº‹§ä´Œà»š¹Êͧ»ÃÐàÀ·¤×Í
                è                Ö                                è
          1. ¡ÒúҴà¨çºµ‹Íª‹Í§·ŒÍ§¨Ò¡áç¡ÃÐá·¡ÀÒ¹͡ (Blunt abdominal trauma) ÍÒ¨à¡Ô´¨Ò¡
ÍØºµà˵ءÒèÃÒ¨Ã ÍØºµà˵بҡ¡ÒáÕÌÒ ¡Ò÷íÒÃŒÒÂËҧ¡Ò ËÃ×Í¡Òõ¡¨Ò¡·Õʧ ໚¹µŒ¹ â´ÂÁÕ¡Åä¡
      Ñ Ô                  Ñ Ô                                                      èÙ
¡ÒúҴà¨çºà¡Ô´¨Ò¡    (1)

              1.1 Compressive mechanism ໚¹áç¡´«Ö§ÍÒ¨·íÒÍѹµÃÒµ‹Í solid organs ËÃ×ÍËÅÍ´
                                                              è
àÅ×Í´ ·íÒãËŒà¡Ô´ laceration, hematomas áÅÐ thrombosis ËÃ×ÍÍÒ¨·íÒÍѹµÃÒµ‹Í hollow viscera
organs ·íÒãËŒà¡Ô´ perforation ËÃ×Í rupture ¢Ö¹ä´Œ é
              1.2 Deceleration mechanism ໚¹¡Åä¡·Õ·ÒãËŒà¡Ô´ shearing forces ËÇÁ¡Ñº stretching
                                                           è í
forces ÍÒ¨·íÒãËŒà¡Ô´ÍѹµÃÒµ‹ÍÍÇÑÂÇÐÀÒÂ㹪‹Í§·ŒÍ§ â´Â੾ÒÐËÅÍ´àÅ×Í´·Õ«§¢Ö§¨Ò¡¨Ø´àÃÔÁµŒ¹·Õè
                                                                                        è Öè       è
µÔ´á¹‹¹¡Ñº¼¹Ñ§ª‹Í§·ŒÍ§ä»ÂѧÍÇÑÂÇÐÀÒÂ㹪‹Í§·ŒÍ§·Õ¾Í¨ÐÁÕ¡ÒÃà¤Å×͹·Õä´ŒºÒ§ ¹íÒä»ÊÙ¡Òéա¢Ò´¢Í§
                                                        è                 è è Œ              ‹
ËÅÍ´àÅ×Í´
          2. ¡ÒúҴà¨çºµ‹Íª‹Í§·ŒÍ§¨Ò¡¡ÒÃá·§·ÐÅØ·Ò§Ë¹ŒÒ·ŒÍ§ (Penetrating abdominal trauma)
äÁ‹Ç‹Ò¨Ò¡ÁÕ´á·§ ¡ÃÐÊØ¹»„¹ËÃ×ͧ͢ÁÕ¤Áª¹Ô´Í×è¹ â´Â¶ŒÒ·ÃÒºÇÔ¶Õ¡ÃÐÊØ¹ËÃ×Íá¹Ç¢Í§ÁÕ´¨Ð·íÒãËŒ
ÊÒÁÒö¤Ò´à´ÒÍÇÑÂÇзÕÍÒ¨à¡Ô´ÍѹµÃÒÂä´Œ
                               è
              ã¹·Ò§»¯ÔºµàÁ×ͼٻÇ·Õ䴌ú¡ÒúҴà¨çºµ‹Íª‹Í§·ŒÍ§ÁÒ¶Ö§Âѧˌͧ©Ø¡à©Ô¹ ÊÔ§áá·Õ¤ÇÃ
                             Ñ Ô è Œ † è Ñ                                                     è        è
¡ÃзíÒ¤×Í primary survey à¾×Í»ÃÐàÁÔ¹ÊÀÒÇзÑÇä»áÅÐÊÑ­­Ò³ªÕ¾¢Í§¼Ù»Ç â´Â¾ºÇ‹Ò¶ŒÒ¼Ù»ÇÂ
                                        è             è                         Œ †                    Œ †
ÁÕÊ­­Ò³ªÕ¾äÁ‹¤§·Õè (hemodynamic instablility) ¤ÇÃãËŒ¡ÒÃÃÑ¡ÉÒà¾×ͪ‹ÇªÕǵ¡‹Í¹ äÁ‹¤ÇÃÊ‹§µÃǨ
    Ñ                                                                       è       Ô
à¾ÔèÁàµÔÁ·Ò§ÃѧÊÕÇÔ¹Ô¨©ÑÂã´æã¹¢³Ð¹Ñé¹ à¾ÃÒШÐ໚¹¡ÒÃà¾ÔèÁ morbidity áÅÐ mortality ᵋËÒ¡
»ÃÐàÁÔ¹ primary survey ´ÙáŌǾºÇ‹Ò¼Ù»ÇÂÁÕÊ­­Ò³ªÕ¾¤§·Õ´áÅÐÁÕá¹Ç⹌Á·Õ¨Ðà¡Ô´¡ÒúҴà¨çºµ‹Í
                                          Œ †       Ñ                 è Õ             è
ÍÇÑÂÇÐ㹪‹Í§·ŒÍ§ä´Œ¡¤Ç÷ըÐÊ‹§µÃǨà¾ÔÁàµÔÁ·Ò§ÃѧÊÕǹ¨©Ñµ‹Íä»
                         ç            è         è            Ô Ô
480                                                      Imaging of Trauma : Abdominal Trauma

º·ºÒ·¢Í§ÃѧÊÕÇÔ¹Ô¨©Ñµ‹ÍÀÒÇСÒúҴà¨çºµ‹Íª‹Í§·ŒÍ§
           ໚¹·ÕÂÍÁÃѺNjҡÒõÃǨËҧ¡ÒÂäÁ‹à¾Õ§¾Í·Õ¨Ðº‹§ºÍ¡¶Ö§ÀÒÇСÒúҴà¨çºµ‹ÍÍÇÑÂÇÐ
                 è                                        è
㹪‹Í§·ŒÍ§ä´Œ ¡ÒõÃǨ·Ò§ÃѧÊÕǹ¨©Ñ¨֧ÁÕº·ºÒ·ÊíҤѭ໚¹Í‹ҧÁÒ¡ ¡Òö‹Ò¿ÅÁàÍ¡«àϪͧ·ŒÍ§
                              Ô Ô                                                        ‹
(plain abdomen) ÊÒÁÒöãËŒ¢ÍÁÙÅä´Œ´ã¹¡Ã³Õ ઋ¹ ¼Ù»Ç penetrating abdominal trauma ¨Ò¡ÍÒÇØ¸
                            Œ         Õ           Œ †
»„¹¡çÊÒÁÒöàËç¹à§Ò¢Í§¡ÃÐÊØ¹ä´Œª´à¨¹ ËÃ×Í㹼ٻǠblunt abdominal trauma ¡ÒõÃǨ plain
                                    Ñ         Œ †
abdomen ÊÒÁÒö㪌»ÃÐàÁÔ¹ÀÒÇСÃд١Ëѡ㹺ÃÔàdz«Õâ¤Ã§Ê‹Ç¹Å‹Ò§ ¡Ãд١ÊѹËÅѧʋǹ͡ª‹Ç§Å‹Ò§
                                                        è
áÅÐàÍÇÃÇÁ¶Ö§¡ÃÐ´Ù¡ÍØ§àªÔ§¡ÃÒ¹ «Ö§ÀÒÇСÃд١Ëѡ㹺ÃÔàdzàËŋҹÕÁ¡à¡ÕÂÇ¢ŒÍ§ËÃ×;ºÃ‹ÇÁ¡Ñº¡ÒÃ
                      Œ           è                            é Ñ è
ºÒ´à¨çº¢Í§ÍÇÑÂÇÐ㹪‹Í§·ŒÍ§ä´Œ Í‹ҧäáçµÒÁ¡ÒõÃǨ plain abdomen ¡çäÁ‹à¾Õ§¾Í·Õ¨ÐºÍ¡¶Ö§ÃÒÂ
                                                                                  è
ÅÐàÍÕ´¢Í§¡ÒúҴà¨çºµ‹ÍÍÇÑÂÇе‹Ò§æä´Œâ´ÂµÃ§ ´Ñ§¹Ñ¹ã¹»˜¨¨Øº¹¡ÒõÃǨ·Ò§ÃѧÊÕǹ¨©Ñ·ÕÁº·ºÒ·
                                                   é        Ñ                 Ô Ô    è Õ
ÊíҤѭ㹠abdominal trauma ¤×Í¡ÒõÃǨÇÔ¹¨©Ñ´ŒÇÂà¤Ã×ͧÍÑŵÌҫÒǹ (ultrasonography) áÅÐà¤Ã×ͧ
                                         Ô            è                                    è
àÍ¡«àϤÍÁ¾ÔÇàµÍÏ (computed tomography)

¡ÒõÃǨÇÔ¹Ô¨©Ñ´ŒÇÂà¤Ã×èͧÍÑŵÌҫÒǹ (Ultrasonography)
          ໚¹¡ÒõÃǨ·Õ·Òä´Œ§Ò ÃÒ¤Ò¶Ù¡ áÅÐÁÕ㪌¡¹Í‹ҧá¾Ã‹ËÅÒ ¹Í¡¨Ò¡¹Õ§໚¹¡ÒõÃǨ·Õè
                         è í ‹                       Ñ                         é Ñ
ÊÒÁÒö·íÒä´Œ¢ŒÒ§àµÕ§ â´ÂäÁ‹µŒÍ§à¤Å×è͹ŒÒ¼ٌ»†Ç «Öè§àËÁÒÐÊÁ¡Ñº¼ÙŒ»†Ç·Õèä´ŒÃѺ¡ÒúҴà¨çº
µ‹ÍÍÇÑÂÇÐËÅÒÂÃкºáÅÐÊÒÁÒö·íÒ仾ÌÍÁ¡Ñº¡Òê‹ÇªÕǵàº×ͧµŒ¹ä´ŒÍ¡´ŒÇ Í‹ҧäáçµÒÁ¡ÒÃ
                                                         Ô é          Õ
µÃǨ´ŒÇÂà¤Ã×ͧÍÑŵÌҫÒǹÂ§ÁբʹŒÍÂÍÂÙËÅÒ»ÃСÒà »ÃСÒÃÊíҤѭ¤×ͤسÊÁºÑµ¢Í§¼ÙµÃǨ ËÒ¡
              è                Ñ Œ             ‹                                   Ô       Œ
໚¹¼Ù´Í»ÃÐʺ¡Òó ËÃ×ÍäÁ‹àªÕÂǪҭà¾Õ§¾Í ÍÒ¨·íÒãˌ䴌¼Å¼Ô´¾ÅÒ´ä´Œ ´Ñ§¹Ñ¹¡ÒõÃǨ´ŒÇÂ
      Œ Œ                                è                                             é
à¤Ã×ͧÍÑŵÌҫÒǹ¨§ÁÕäÇŒà¾×Í ¤Ñ´¡Ãͧ ¡ÒúҴà¨çº¢Í§ÍÇÑÂÇÐ㹪‹Í§·ŒÍ§ ÁÒ¡¡Ç‹Ò·Õ¨ÐËÇѧ¼Åãˌ䴌
    è                 Ö      è                                                           è
ÃÒÂÅÐàÍÕ´¡ÒúҴà¨çº ¢Í§áµ‹ÅÐÍÇÑÂÇÐÍ‹ҧáÁ‹¹ÂíÒ «Öè§à·¤¹Ô¤¡ÒõÃǨ·Õè㪌»¯ÔºÑµÔÁÒ¡·ÕèÊØ´ã¹
»˜¨¨Øº¹¤×Í focused assessment for the sonographic examination of the trauma patient (.AST)(2)
       Ñ
໚¹à·¤¹Ô¤¡ÒõÃǨÇÔ¹¨©Ñ·շÒä´ŒÃÇ´àÃçÇà¾×͹íÒÁÒ㪌»ÃÐàÁÔ¹ÀÒÇСÒúҴà¨çºµ‹Íª‹Í§·ŒÍ§ áÅÐ
                          Ô     è í              è
ÊÒÁÒö¡ÃзíÒä´Œ§ÒÂâ´Âᾷ·Çä»ËÃ×ÍÈÑÅÂᾷ â´Âã¹ËÅÒÂʶҺѹ㪌¡ÒõÃǨ .AST ໚¹Ë¹Ö§
                    ‹                 Ñè                                                         è
ã¹ secondary survey ÍÕ¡´ŒÇ ¡ÒõÃǨ .AST ໚¹¡ÒõÃǨ·ÕÁ¨´ÁاËÁÒÂËÅÑ¡ à¾×ÍËÒÊÒùéÒËÃ×Í
                                                           è ÕØ ‹                    è         í
àÅ×ʹ㹪‹Í§àÂ×ÍËØÁËÑÇã¨áÅÐ㹪‹Í§·ŒÍ§ «Ö§à»š¹¡ÒûÃÐàÁÔ¹·Ò§ÍŒÍÁ Njҹ‹Ò¨ÐÁÕ¡ÒúҴà¨çº¢Í§ÍÇÑÂÇÐ
                è Œ                          è
ÀÒÂ㹪‹Í§·ŒÍ§ à·¤¹Ô¤¹Õé»ÃСͺ´ŒÇ¡ÒõÃǨµÒÁµíÒá˹‹§Áҵðҹ 4 µíÒá˹‹§ 䴌ᡋ(2,3,4)
(µíÒá˹‹§ 1-4 ã¹ÃÙ»·Õè 1(3))
          1. ºÃÔàdz subxiphoid region â´ÂÇÒ§ probe µÒÁá¹Ç¹Í¹ (transverse view) 㵌µÍ¢Íº      ‹
ŋҧ¢Í§¡Ãд١ xiphoid process à¾×͵ÃǨ´ÙÀÒÇйéÒËÃ×ÍàÅ×Í´ÍÍ¡ 㹪‹Í§àÂ×ÍËØÁËÑÇ㨠ÃÇÁ¶Ö§¡ÒÃ
                                           è       í                      è Œ
ºÒ´à¨çºµ‹ÍµÑº¡ÅÕº«ŒÒ´ŒÇÂ
          2. ºÃÔàdzª‹Í§·ŒÍ§Ê‹Ç¹º¹´ŒÒ¹¢ÇÒ â´ÂÇÒ§ probe µÒÁá¹ÇµÑ§·ÕºÃÔàdzàÊŒ¹ anterior ËÃ×Í mid
                                                                é è
axillary ´ŒÒ¹¢ÇÒÃÐËNjҧ¡Ãд١«Õâ¤Ã§·Õè 11 áÅÐ 12 à¾×͵ÃǨËÒàÅ×Í´ËÃ×ÍÊÒùéÒ·ÕºÃÔàdz Morison’s
                                    è                  è                   í è
pouch «Ö§à»š¹ª‹Í§ÃÐËNjҧµÑº¡ÅÕº¢ÇÒáÅÐäµ¢ŒÒ§¢ÇÒ ÃÇÁ¶Ö§àÅ×Í´ËÃ×ÍÊÒùéÒºÃÔàdzª‹Í§ãµŒ¡ÐºÑ§ÅÁ
           è                                                            í
àǪÈÒʵÏ·¹Âؤ 2553
          Ñ                                                                             481

¢ŒÒ§¢ÇÒ (right subphrenic space) ÍÕ¡´ŒÇ ¹Í¡¨Ò¡¹Õ§ÊÒÁÒöàË繡ÒúҴà¨çºµ‹ÍµÑº¡ÅÕº¢ÇÒáÅÐ
                                                  é Ñ
äµ¢ŒÒ§¢ÇҺҧʋǹ䴌
         3. ºÃÔàdzª‹Í§·ŒÍ§Ê‹Ç¹º¹´ŒÒ¹«ŒÒ â´ÂÇÒ§ probe µÒÁá¹ÇµÑ§·ÕºÃÔàdzàÊŒ¹ posterior ËÃ×Í
                                                                 é è
mid axillary ´ŒÒ¹«ŒÒÂÃÐËNjҧ¡Ãд١«Õèâ¤Ã§·Õè 10 áÅÐ 11 à¾×è͵ÃǨËÒàÅ×Í´ËÃ×ÍÊÒùéíÒ·ÕèºÃÔàdz
splenorenal pouch «Ö觤×ͪ‹Í§ÃÐËNjҧÁŒÒÁáÅÐäµ¢ŒÒ§«ŒÒ¹Ñè¹àͧ ÃÇÁ¶Ö§àÅ×Í´ËÃ×ÍÊÒùéíÒºÃÔàdz
ª‹Í§ãµŒ¡ÐºÑ§ÅÁ¢ŒÒ§«ŒÒ (left subphrenic space) ÍÕ¡´ŒÇ ¹Í¡¨Ò¡¹Õ§ÊÒÁÒöàË繡ÒúҴà¨çºµ‹Í
                                                               é Ñ
ÁŒÒÁáÅÐäµ¢ŒÒ§«ŒÒºҧʋǹ䴌
         4. ºÃÔàdzª‹Í§·ŒÍ§Ê‹Ç¹Å‹Ò§ â´ÂÇÒ§ probe µÒÁá¹Ç¹Í¹áÅÐá¹ÇµÑ§·ÕºÃÔàdzà˹×͵‹Í¡Ãд١
                                                                     é è
pubic symphysis »ÃÐÁÒ³ 4 ૹµÔàÁµÃ à¾×͵ÃǨËÒàÅ×Í´ËÃ×ÍÊÒùéÒ㹪‹Í§ÍاàªÔ§¡ÃÒ¹ «Ö§ÍÂÙ‹
                                             è                     í       Œ            è
ÃÐËNjҧ¡ÃÐà¾Òл˜ÊÊÒÇзҧ´ŒÒ¹Ë¹ŒÒáÅÐÅíÒäÊŒµÃ§ (rectum) ·Ò§´ŒÒ¹ËÅѧ㹼ٌ»†ÇÂà¾ÈªÒÂ
·ÕàÃÕÂ¡Ç‹Ò Pouch of Douglas ʋǹ㹼ٻÇÂà¾ÈË­Ô§¡ç¤Í rectouterine ËÃ×Í retrovesical recess «Ö§
  è                                  Œ †              ×                                    è
໚¹ª‹Í§ÃÐËNjҧÁ´ÅÙ¡·Ò§´ŒÒ¹Ë¹ŒÒáÅÐÅíÒäÊŒµÃ§·Ò§´ŒÒ¹ËÅѧ




                           ÃÙ»·Õè 1 áÊ´§µíÒá˹‹§¡ÒõÃǨ .AST

        ¹Í¡¨Ò¡µíÒá˹‹§Áҵðҹ´Ñ§¡Å‹ÒÇ¢ŒÒ§µŒ¹áÅŒÇ ÂѧÍÒ¨à¾ÔÁ¡ÒõÃǨ໚¹·Ò§àÅ×͡䴌͡Êͧ
                                                            è                         Õ
µíÒá˹‹§¤×͵íÒá˹‹§ª‹Í§Í¡Ê‹Ç¹Å‹Ò§·Ñ§¢ÇÒáÅЫŒÒ (µíÒá˹‹§ * ã¹ÃÙ»·Õè 1) â´ÂÇÒ§ probe µÒÁá¹Ç
                                   é
µÑ§ã¹µíÒá˹‹§·Õʧ¡Ç‹ÒµíÒá˹‹§Áҵðҹ·Õè 2 áÅÐ 3 µÒÁÅíҴѺâ´Â·Ñ§ÊͧµíÒá˹‹§¹ÕÁ»ÃÐ⪹à¾×Í
  é            èÙ                                              é              é Õ        è
㪌µÃǨËÒÊÒùéÒËÃ×ÍàÅ×ʹ㹪‹Í§Í¡
               í
482                                                      Imaging of Trauma : Abdominal Trauma

          Í‹ҧäáçµÒÁ¤ÇÒÁáÁ‹¹ÂíÒ㹡ÒõÃǨ¾ºàÅ×Í´ËÃ×ÍÊÒùéíÒã¹µíÒá˹‹§´Ñ§¡Å‹ÒÇ¢ŒÒ§µŒ¹¹Ñé¹
¢Öé¹ÍÂÙ‹¡ÑºËÅÒ»˜¨¨Ñ«Öè§»˜¨¨ÑÂËÅÑ¡¤×Í»ÃÔÁÒ³ â´Â¨Ò¡¡ÒÃÈÖ¡ÉҢͧ Branney áÅФ³Ð(3) ¾ºÇ‹Ò
»ÃÔÁÒ³àÅ×Í´ËÃ×ÍÊÒùéҷչͷÕÊ´·Õ¨ÐÊÒÁÒöµÃǨ¾ºä´Œ¨Ò¡¡ÒõÃǨ´ŒÇÂà·¤¹Ô¤ .AST ෋ҡѺ
                          í è Œ èØ è
200 ÁÔÅÅÔŵà â´Â¤ÇÒÁäǢͧ¡ÒõÃǨ´ŒÇÂà·¤¹Ô¤¹Õ¨Ðà¾ÔÁá»Ã¼Ñ¹µÒÁ»ÃÔÁÒ³àÅ×Í´ËÃ×ÍÊÒùéÒ·Õà¾ÔÁ
             Ô                                     é è                                     í è è
¢Ö¹ÍÕ¡´ŒÇ Í‹ҧäáçµÒÁ¨Ò¡¢ŒÍÁÙÅ·Õ¼Ò¹ÁÒ¾ºÇ‹Ò¡ÒõÃǨ .AST ÁÕ¤ÇÒÁäÇÊ٧㹡ÒõÃǨËÒàÅ×Í´
  é                                  è ‹
ËÃ×ÍÊÒùéÒ㹪‹Í§·ŒÍ§ (sensitivity 0.64-0.98)(3) áÅÐÁÕ¤ÇÒÁ¨íÒà¾ÒÐÊ٧ઋ¹¡Ñ¹ (0.86-1.0)(3) ´Ñ§¹Ñ¹¨Ö§
           í                                                                                   é
¤ÇõÃǨ .AST ã¹·Ø¡ÃÒ¢ͧ abdominal trauma
          Í‹ҧäáçµÒÁ㹺ҧ¡Ã³Õ¢Í§ solid organ injury ¡ÅѺ¾ºÇ‹Ò¡ÒõÃǨ .AST ÍÒ¨¨Ð໚¹¼Å
źâ´Â੾ÒÐã¹ÃÒ·Õ໚¹ intraparenchymal injury(3) áÅÐ㹡óշ¡ÒúҴà¨çºà¡Ô´¢Ö¹·Õ㹺ÃÔàdz
                        è                                          Õè               é è
retroperitoneum ´Ñ§¹Ñ¹¡ÒõÃǨ .AST ¨Ö§äÁ‹ÊÒÁÒö¹íÒÁÒ㪌»ÃÐàÁÔ¹¡ÒúҴà¨çºµ‹Íª‹Í§·ŒÍ§ä´Œà¾Õ§
                      é
Í‹ҧà´ÕÂÇ ¨Ö§¤ÇþԨÒóҡÒõÃǨà¾ÔÁàµÔÁà¾×ͤŒ¹ËÒ¡ÒúҴà¨çºµ‹ÍÍÇÑÂÇÐ㹪‹Í§·ŒÍ§ã¹ÃÒ·ÕʧÊÑÂ
                                       è     è                                               è
µ‹Íä» â´ÂÍҨ໚¹¡ÒõÃǨÍÑŵÌҫÒǹà·¤¹Ô¤ÁҵðҹËÃ×Í¡ÒõÃǨ´ŒÇÂà¤Ã×èͧàÍ¡«àÏ
¤ÍÁ¾ÔÇàµÍÏ ໚¹µŒ¹

¡ÒõÃǨÇÔ¹Ô¨©Ñ´ŒÇÂà¤Ã×èͧàÍ¡«àϤÍÁ¾ÔÇàµÍÏ
(Computed tomography – CT Scan)
          ã¹»˜¨¨Øº¹à»š¹·ÕÂÍÁÃѺ¡Ñ¹Ç‹Ò¡ÒõÃǨÇÔ¹¨©Ñ´ŒÇÂà¤Ã×ͧàÍ¡«àϤÍÁ¾ÔÇàµÍÏ ໚¹¡ÒõÃǨ
                  Ñ      è                           Ô              è
·ÕàËÁÒÐÊÁáÅÐáÁ‹¹ÂíÒÁÒ¡·ÕÊ´ ·Ñ§ã¹¡ÅØÁ¼Ù»Ç blunt áÅÐ penetrating abdominal trauma ·ÕÁÕ
   è                           èØ é            ‹ Œ †                                             è
ÊÑ­­Ò³ªÕ¾¤§·Õè â´Â¤Ç÷íÒã¹·Ø¡ÃÒ·ÕÁá¹Ç⹌Á¨ÐÁÕ¡ÒúҴà¨çºµ‹ÍÍÇÑÂÇÐ㹪‹Í§·ŒÍ§ ´Ñ§àª‹¹¼Ù»ÇÂ
                                           è Õ                                               Œ †
·ÕÁ¡Ãд١àªÔ§¡ÃÒ¹ËÃ×Í¡Ãд١ÊѹËÅѧʋǹ͡áÅÐàÍÇËÑ¡ ¡ÅØÁ¼Ù»Ç·Õ䴌úºÒ´à¨çºã¹ª‹Í§Í¡ ÃÇÁ¶Ö§
  è Õ                                                           ‹ Œ † è Ñ
¡Ãд١«Õâ¤Ã§Ê‹Ç¹Å‹Ò§ËÑ¡ áÅмٻÇ·ÕÁ»ÊÊÒÇÐ໚¹àÅ×Í´ ໚¹µŒ¹(2)
          è                      Œ † è Õ ˜
          ¡ÒõÃǨ´ŒÇÂà¤Ã×ͧàÍ¡«àϤÍÁ¾ÔÇàµÍϤÇ÷íÒã¹¡ÅØÁ¼Ù»Ç·ÕÁÊ­­Ò³ªÕ¾¤§·Õè à¾ÃÒеŒÍ§
                           è                                       ‹ Œ † è ÕÑ
ÁÕ¡ÒÃà¤Å×͹ŒÒÂä»ÂѧˌͧµÃǨáÅÐ㪌àÇÅÒ¾ÍÊÁ¤ÇÃ㹡ÒõÃǨ Í‹ҧäáçµÒÁã¹»˜¨¨Øº¹à·¤â¹âÅÂÕ
            è                                                                       Ñ
¢Í§à¤Ã×ͧ䴌¾²¹Òä»ÁÒ¡ ÁÕ¡ÒÃà¾ÔÁ¨íҹǹËÑǵÃǨÁÒ¡¢Ö¹ àÃÕÂ¡Ç‹Ò à¤Ã×ͧàÍ¡«àϤÍÁ¾ÔÇàµÍϪ¹Ô´
        è      Ñ                     è                        é           è
ËÅÒÂËÑǵÃǨ (multidetector computed tomography) «Ö§·íÒãËŒ¡ÒõÃǨ㪌àÇÅÒ¹ŒÍÂà¾Õ§äÁ‹¡¹Ò·Õ
                                                            è                             Õè
¡çÊÒÁÒöµÃǨ䴌·ÇËҧ¡Ò ÃÇÁ·Ñ§ÊÒÁÒöµÃǨ䴌ÀÒ¾·ÕÅÐàÍÕ´áÅÐÃÇ´àÃçÇÁÒ¡¢Ö¹ ¨Ö§ÊÒÁÒö
                    Ñè                   é                       è              é
㪌µÃǨ¡ÒúҴà¨çº¢Í§ËÅÍ´àÅ×ʹ䴌໚¹Í‹ҧ´Õ ÃÇÁ·Ñ§ÊÒÁÒöµÃǨ´ÙÍÇÑÂÇзջÃÐàÁԹ䴌¤Í¹¢ŒÒ§
                                                       é                      è         ‹
Âҡઋ¹ ¡ÒúҴà¨çºµ‹ÍÅíÒäÊŒ ໚¹µŒ¹
          à·¤¹Ô¤¡ÒõÃǨ´ŒÇÂà¤Ã×ͧàÍ¡«àϤÍÁ¾ÔÇàµÍÏâ´Â¡ÒÃ㪌ÊÒ÷ֺÃѧÊÕ©´·Ò§ËÅÍ´
                                       è                                          Õ
àÅ×Í´ (intravascular contrast medium) ÁÕ¤ÇÒÁ¨íÒ໚¹Í‹ҧÁÒ¡áÅÐá¹Ð¹íÒãˌ㪌㹷ءÃÒ·ÕäÁ‹ÁÕ     è
¢ŒÍËŒÒÁ ઋ¹ ¼ÙŒ»†ÇÂâÃ¤äµ ËÃ×ÍÁÕ»ÃÐÇѵԡÒÃᾌÊÒ÷ֺÃѧÊÕ Ê‹Ç¹¡ÒÃãËŒÊÒ÷ֺÃѧÊÕ·Ò§»Ò¡ (oral
contrast medium) Âѧ໚¹·Õ¶¡à¶Õ§¡Ñ¹ÍÂÙ¶§»ÃÐ⪹·ä´Œã¹¡ÒûÃÐàÁÔ¹¡ÒúҴà¨çº¢Í§ÅíÒäÊŒáÅÐ
                             è                  ‹ Ö      Õè
â·É«Ö§ÍÒ¨à¡Ô´¨Ò¡¡ÒÃÊíÒÅѡ㹼ٻÇ·ÕÁ¡ÒúҴà¨çºã¹ËÅÒÂÍÇÑÂÇÐÃÇÁ·Ñ§ÊÁͧ´ŒÇ ´Ñ§¹Ñ¹á¾·Âà¨ŒÒ
      è                           Œ † è Õ                                   é         é
¢Í§ä¢ŒáÅÐÃѧÊÕᾷ¨§¤ÇÃËÇÁ¡Ñ¹¾Ô¨ÒóÒ໚¹¡Ã³Õä»
                       Ö
àǪÈÒʵÏ·¹Âؤ 2553
          Ñ                                                                             483

        ¡ÒúҴà¨çºµ‹ÍÍÇÑÂÇÐ㹪‹Í§·ŒÍ§à¡Ô´ä´Œ·§ solid áÅÐ hollow viscus organ «Ö§¨ÐÁÕšɳÐ
                                             Ñé                                è     Ñ
·Ò§ÃѧÊÕ ÃÇÁ¶Ö§à·¤¹Ô¤¡ÒõÃǨáÅСÒûÃÐàÁÔ¹¤ÇÒÁÃØ¹áç¢Í§áµ‹ÅÐÍÇÑÂÇÐ ·Õᵡµ‹Ò§¡Ñ¹ ´Ñ§àª‹¹
                                                                         è

¡ÒúҴà¨çºµ‹ÍµÑº
        »˜¨¨Øº¹¡ÒõÃǨ´ŒÇÂà¤Ã×ͧàÍ¡«àϤÍÁ¾ÔÇàµÍÏࢌÒÁÒÁÕº·ºÒ·Í‹ҧÁҡ㹡ÒûÃÐàÁÔ¹
              Ñ                è
¤ÇÒÁÃØ¹áç¢Í§¡ÒúҴà¨çºµ‹ÍµÑºáÅÐÃÇÁ¶Ö§¡ÒÃÇÒ§á¼¹¡ÒÃÃÑ¡ÉÒâ´Â¾ºÇ‹Ò¡ÒÃÃÑ¡ÉÒẺ
»ÃФѺ»ÃФͧâ´ÂäÁ‹¼‹ÒµÑ´à¢ŒÒÁÒÁÕº·ºÒ·ÁÒ¡¢Öé¹â´Â੾ÒÐã¹¡ÅØ‹Á¼ÙŒ»†Ç·ÕèÁÕÊÑ­­Ò³ªÕ¾¤§·Õè(5)
¡ÒõÃǨ´ŒÇÂà¤Ã×ͧàÍ¡«àϤÍÁ¾ÔÇàµÍϨЪ‹Ç»ÃÐàÁÔ¹¤ÇÒÁÃØ¹áç ÃкصÒá˹‹§¢Í§¡ÒúҴà¨çº
                è                                                     í
·ÕèµÑº »ÃÔÁÒ³àÅ×Í´Í͡㹪‹Í§·ŒÍ§ ÃÇÁ¶Ö§¡ÒúҴà¨çº ·Õ辺ËÇÁ¡ÑºÍÇÑÂÇÐÍ×è¹·Ñé§ã¹ª‹Í§·ŒÍ§áÅÐ
retroperitoneum ¹Í¡¨Ò¡¹Õé Âѧ¹íÒÁÒ㪌㹡ÒõÃǨµÔ´µÒÁ¼Å 㹼ٻǷÕáÉÒẺ»ÃФѺ»ÃФͧ
                                                               Œ † èÑ
â´ÂäÁ‹¼ÒµÑ´ÍÕ¡´ŒÇÂ
        ‹
        ÅѡɳСÒúҴà¨çº·ÕµÃǨ¾ºä´Œá¡‹ laceration, hematoma ·Ñ§áºº subcapsular áÅÐ
                            è                                       é
intraparenchyma, active hemorrhage ÃÇÁ¶Ö§¡ÒúҴà¨çºµ‹ÍËÅÍ´àÅ×Í´ÀÒÂ㹵ѺÍÕ¡´ŒÇ ¹Í¡¨Ò¡
¹ÕÍÒ¨¾ºÅѡɳРcontusion áÅÐ periportal low attenuation ËÇÁ´ŒÇ â´Âã¹»˜¨¨Øº¹¹ÔÂÁ¨íÒṡÃдѺ
  é                                                                        Ñ
¤ÇÒÁÃØ¹áç¢Í§¡ÒúҴà¨çºµ‹ÍµÑºâ´Â㪌Ãкº¢Í§ American Association for the Surgery of
Trauma (AAST) ´Ñ§µÒÃÒ§·Õè 1(5)

µÒÃÒ§·Õè 1 áÊ´§ AAST liver injury grading system
 Grade         Description
 I             Hematoma: subcapsular, <10% surface area
               Laceration: capsular tear, <1 cm in parenchymal depth
 II            Hematoma: subcapsular, 10%–50% surface area; intraparenchymal, <10 cm
               in diameter Laceration: 1–3 cm in parenchymal depth, <10 cm in length
 III           Hematoma: subcapsular, >50% surface area or expanding or ruptured
               subcapsular hematoma with active bleeding; intraparenchymal, >10 cm or
               expanding or ruptured Laceration: > 3 cm in parenchymal depth
 IV            Hematoma: ruptured intraparenchymal hematoma with active bleeding
               Laceration: parenchymal disruption involving 25%–75% of a hepatic lobe or
               one to three Couinaud segments within a single lobe
 V             Laceration: parenchymal disruption involving >75% of a hepatic lobe or more
               than three Couinaud segments within a single lobe
               Vascular: juxtahepatic venous injuries (ie, retrohepatic vena cava or central
               major hepatic veins)
 VI            Vascular: hepatic avulsion
484                                                  Imaging of Trauma : Abdominal Trauma

¡ÒúҴà¨çºµ‹ÍÁŒÒÁ
          ÁŒÒÁ໚¹ÍÇÑÂÇзÕ䴌úºÒ´à¨çºÁÒ¡·Õʴ㹪‹Í§·ŒÍ§ â´Â੾ÒÐ blunt abdominal trauma(6)
                          è Ñ              èØ
¡ÒÃÇÒ§á¼¹¡ÒÃÃÑ¡ÉÒã¹»˜¨¨Øº¹àÃÔÁÃÑ¡ÉÒẺ»ÃФѺ»ÃФͧâ´ÂäÁ‹¼ÒµÑ´ÁÒ¡¢Ö¹ ·Ñ§¹ÕÊǹãË­‹à»š¹
                               Ñ è                             ‹        é é é‹
¼ÙŒ»†Ç·ÕèÁÕÊÑ­­Ò³ªÕ¾¤§·Õè ÅѡɳСÒúҴà¨çº·ÕèµÃǨ¾ºä´Œá¡‹ laceration, hematoma ·Ñé§áºº
subcapsular áÅÐ intraparenchyma, active hemorrhage ÃÇÁ¶Ö§¡ÒúҴà¨çºµ‹ÍËÅÍ´àÅ×ʹ䴌ᡋ
pseudoaneurysm áÅÐ posttraumatic arteriovenous fistula ÍÕ¡´ŒÇÂ(1) â´Âã¹»˜¨¨Øº¹¹ÔÂÁ¨íÒṡ
                                                                             Ñ
ÃдѺ¤ÇÒÁÃØ¹áçâ´Â㪌Ãкº¢Í§ American Association for the Surgery of Trauma (AAST)
´Ñ§µÒÃÒ§·Õè 2(6)

µÒÃÒ§·Õè 2 áÊ´§ AAST splenic Injury grading system
 Grade        Description
 I            Hematoma: subcapsular, nonexpanding, <10% surface area
              Laceration: capsular tear, nonbleeding, parenchymal depth <1 cm
 II           Hematoma: subcapsular, nonexpanding, 10%–50% surface area;
              intraparenchymal, nonexpanding, <5 cm in diameter
              Laceration: capsular tear, active bleeding; 1–3 cm parenchymal depth that does
              not involve a trabecular vessel
 III          Hematoma: subcapsular, >50% surface area or expanding or ruptured subcapsular
              hematoma with active bleeding; intraparenchymal, >5 cm or expanding
              Laceration: > 3 cm in parenchymal depth or involving trabecular vessels
 IV           Hematoma: ruptured intraparenchymal hematoma with active bleeding
              Laceration: laceration involving segmental or hilar vessel producing major
              devascularization (>25% of spleen)
 V            Laceration: completely shattered spleen
              Vascular: hilar vascular injury that devascularizes spleen

¡ÒúҴà¨çºµ‹Íäµ
        ʋǹãË­‹¢Í§¼Ù»Ç·Õ䴌ú¡ÒúҴà¨çºµ‹ÍäµÁÑ¡à¡Ô´¨Ò¡ blunt abdominal trauma â´Â¼Ù»ÇÂ
                     Œ † è Ñ                                                          Œ †
ʋǹãË­‹Á¡ÁÕÍÒ¡Òû˜ÊÊÒÇÐ໚¹àÅ×ʹËÇÁ´ŒÇÂâ´ÂÍҨ໚¹ä´Œ·§ gross hematuria ËÃ×ÍÍÒ¨µÃǨ¾º
           Ñ                                               Ñé
à¾Õ§ microscopic hematuria Í‹ҧäáçµÒÁ¼Ù»ÇºҧÃÒ·ÕÁ¡ÒúҴà¨çºµ‹Í䵡çÍÒ¨¨ÐäÁ‹ÁÍÒ¡ÒÃ
                                            Œ †        è Õ                          Õ
¢Í§»˜ÊÊÒÇÐ໚¹àÅ×ʹËÇÁ´ŒÇÂàÅ¡çä´Œ ´Ñ§¹Ñ¹»ÃÐÇѵáÅСÒõÃǨËҧ¡ÒÂÍÒ¨äÁ‹ªÇÂãˌ䴌¡ÒÃÇÔ¹¨©ÑÂ
                                         é        Ô                     ‹              Ô
·Õ¤Ãº¶ŒÇ¹ ¡ÒõÃǨ·Ò§ÃѧÊÕǹ¨©Ñ¨֧¤Ç÷íÒà¾ÔÁàµÔÁã¹ÃÒµ‹Í仹Õé
  è                         Ô Ô                 è             (7)
àǪÈÒʵÏ·¹Âؤ 2553
          Ñ                                                                                         485

          1. ¼Ù»Ç·ÕÁ»ÊÊÒÇÐ໚¹àÅ×Í´
                Œ † è Õ ˜
          2. ¼ÙŒ»†Ç·ÕèµÃǨ¾ºÇ‹ÒÁÕàÁç´àÅ×Í´á´§»¹ÍÂÙ‹ã¹»˜ÊÊÒÇÐËÇÁ¡Ñº¤ÇÒÁ´Ñ¹âÅËÔµµèíÒ (systolic
blood pressure<90 mmHg) ËÃ×ÍʧÊÑÂNjҨÐÁÕ¡ÒúҴà¨çºµ‹ÍÍÇÑÂÇÐ㹪‹Í§·ŒÍ§Í×¹æÃ‹ÇÁ´ŒÇ        è
          3. ¼ÙŒ»†Ç·ءÃÒ·Õèä´ŒÃѺ¡ÒúҴà¨çºµ‹Íª‹Í§·ŒÍ§¨Ò¡áç¡ÃÐá·¡ÀÒ¹͡â´ÂÁÕ¡Åä¡·ÕèÁÕ
á¹Ç⹌Á¨Ðà¡Ô´ÍѹµÃÒµ‹ÍäµÃ‹ÇÁ´ŒÇ ´Ñ§àª‹¹¡Òõ¡¨Ò¡·Õʧ ÁÕÃÍ¿¡ªéÒàÅ×Í´¤Ñ§·Õ¼Ç˹ѧºÃÔàdzºÑ¹
                                                          èÙ               í            è è Ô      é
àÍÇ ¡Ãд١«Õâ¤Ã§Ê‹Ç¹Å‹Ò§ËÃ×Í¡Ãд١ÊѹËÅѧʋǹ͡áÅÐàÍÇËÑ¡ ¶Ö§áÁŒÇÒ¨ÐäÁ‹ÁÍÒ¡Òû˜ÊÊÒÇÐ໚¹
                 è                                                              ‹          Õ
àÅ×ʹËÇÁ´ŒÇ¡çµÒÁ
          4. ¼Ù»Ç·ÕÁÕ penetrating abdominal injury ·ÕµÒá˹‹§ºÑ¹àÍÇ ª‹Í§Í¡Ê‹Ç¹Å‹Ò§áÅЪ‹Í§·ŒÍ§
               Œ † è                                  è í           é
ʋǹº¹â´Â໚¹¼Ù»ÇÂ¡ÅØÁ·Õ§ÁÕÊ­­Ò³ªÕ¾¤§·Õè à¾ÃÒжŒÒ¼Ù»ÇÂÁÕ¤ÇÒÁ´Ñ¹µèÒÍ‹ҧÁÒ¡ ÊÑ­­Ò³ªÕ¾
                      Œ †    ‹ è Ñ Ñ                         Œ †                      í
äÁ‹¤§·Õ¤Ç÷íÒ¡Òü‹ÒµÑ´ÃÑ¡Éҷѹ·Õâ´ÂäÁ‹µÍ§ÃÍ¡ÒõÃǨÇÔ¹¨©ÑÂà¾ÔÁàµÔÁ
        è                                    Œ                 Ô       è
          ¡ÒõÃǨ intravenous pyelography (IVP) ໚¹¡ÒõÃǨÇÔ¹¨©ÑÂàº×ͧµŒ¹·ÕÊÒÁÒö¹íÒÁÒ㪌
                                                                         Ô          é          è
»ÃÐàÁÔ¹¡Ò÷íÒ§Ò¹¢Í§äµä´ŒÍ‹ҧ¤Ã‹ÒÇæ áÅÐÊÒÁÒö·íÒ䴌㹼ٻÇ·ÕäÁ‹ÊÒÁÒöà¤Å×͹ŒÒÂä»Âѧˌͧ
                                                                 Œ † è                       è
àÍ¡«àϤÍÁ¾ÔÇàµÍÏ䴌 ÃÇÁ·Ñ§ÊÒÁÒö·íÒã¹ËŒÍ§¼‹ÒµÑ´ËÃ×Í¢ŒÒ§àµÕ§¼Ù»ÇÂä´ŒàÅ ᵋÍ‹ҧäáçµÒÁ
                                  é                                          Œ †
IVP äÁ‹ÊÒÁÒöãËŒ¢ŒÍÁÙÅã¹ÃÒÂÅÐàÍÕ´¢Í§¡ÒúҴà¨çºµ‹Íäµ ¡ÒûÃÐàÁÔ¹¤ÇÒÁÃØ¹áçËÃ×Í¡ÒÃ
ºÒ´à¨çºµ‹ÍÍÇÑÂÇÐÍ×¹æ·ÕÁ¡¾ºÃ‹ÇÁ´ŒÇÂã¹¡ÅØÁ¼Ù»Ç blunt abdominal trauma
                          è è Ñ                ‹ Œ †
          ¡ÒõÃǨÇÔ¹¨©Ñ·ÕàËÁÒÐÊÁ·ÕÊ´ã¹»˜¨¨Øº¹¤×Í ¡ÒõÃǨ´ŒÇÂà¤Ã×ͧàÍ¡«àϤÍÁ¾ÔÇàµÍÏâ´Â
                           Ô    è      èØ          Ñ                          è
´ÙšɳРlaceration, hematoma ¡ÒúҴà¨çºµ‹Í¡ÃÇÂäµáÅз‹ÍäµÊ‹Ç¹µŒ¹ ÃÇÁ¶Ö§¡Òéա¢Ò´¢Í§
    Ñ
ËÅÍ´àÅ×Í´äµä´ŒÍ¡´ŒÇ ¤Ç÷íÒ¡ÒõÃǨ·Ñ§¡‹Í¹áÅÐËÅѧ¡ÒéմÊÒ÷ֺÃѧÊÕ â´ÂÀÒÂËÅѧ¡ÒéմÊÒÃ
                        Õ                  é
·ÖºÃѧÊÕ¹ÂÁµÃǨ໚¹ multiphases »ÃСͺ´ŒÇ corticomedullary áÅÐ nephrographic phases «Ö§
          Ô                                                                                          è
ÊÒÁÒö´Ùä´Œ·§ËÅÍ´àÅ×Í´áÅÐà¹×Íäµ ¹Í¡¨Ò¡¹Õ¤ÇõÃǨ delayed phase »ÃÐÁÒ³ 5-10 ¹Ò·Õ´ÇÂ
                   Ñé               é            é                                               Œ
à¾×èÍ´Ù¡ÒÃÃÑèǢͧÊÒ÷ֺÃѧÊÕ·Õè¢ÑºÍÍ¡ÁÒ·Ò§»˜ÊÊÒÇÐÍÍ¡¹Í¡Ãкº·Ò§à´Ô¹»˜ÊÊÒÇÐã¹ÃÒ·ÕèÁÕ¡ÒÃ
©Õ¡¢Ò´¢Í§¡ÃÇÂäµËÃ×Í·‹ÍäµÃ‹ÇÁ´ŒÇ ¡ÒûÃÐàÁÔ¹¤ÇÒÁÃØ¹áç¢Í§¡ÒúҴà¨çºµ‹ÍäµÊÒÁÒö¨íÒṡ
µÒÁÃкº¢Í§ AAST ´Ñ§µÒÃÒ§áÊ´§·Õè 3(7) ¹Í¡¨Ò¡¹Õ¡ÒõÃǨ´ŒÇÂà¤Ã×ͧàÍ¡«àϤÍÁ¾ÔÇàµÍϧ
                                                       é                          è                    Ñ
ÊÒÁÒö¹í Ò ÁÒ㪌 µ ÃǨµÔ ´ µÒÁ¼ÅáÅлÃÐàÁÔ ¹ ÀÒÇÐá·Ã¡«Œ Í ¹¨Ò¡¡ÒúҴà¨ç º µ‹ Í äµ´Ñ § ઋ ¹
perinephric abscess, urinoma, arteriovenous fistula áÅÐ pseudoaneurysm ໚¹µŒ¹
486                                                          Imaging of Trauma : Abdominal Trauma

µÒÃÒ§·Õè 3 áÊ´§ AAST renal injury grading system
 Grade         Description
 I             Normal contusion: microscopic or gross hematuria with normal urologic findings
               Hematoma: nonexpanding subcapsular hematomas with no laceration
 II            Hematoma: nonexpanding perinephric (perirenal) hematomas confined to the
               retroperitoneum
               Laceration: superficial cortical lacerations less than 1 cm in depth without
               collecting system injury
 III           Laceration: renal lacerations greater than 1 cm in depth without collecting system injury
 IV            Laceration: renal lacerations extending through the renal cortex, medulla and
               collecting system
               Vascular injury: injuries involving the main renal artery or vein with contained
               hematoma, segmental infarctions without associated lacerations
 V             Laceration: shattered kidney, ureteropelvic junction avulsions
               Vascular injury: complete laceration (avulsion) or thrombosis of the main renal
               artery or vein that devascularizes the kidney

¡ÒúҴà¨çºµ‹Í¡ÃÐà¾Òл˜ÊÊÒÇÐ
         ʋǹãË­‹à¡Ô´¨Ò¡ blunt abdominal trauma â´Â¼Ù»ÇÂÁÑ¡ÁÕÀÒÇСÃд١àªÔ§¡ÃÒ¹ËѡËÇÁ´ŒÇÂ(8,9)
                                                     Œ †
´Ñ§¹Ñ¹¼Ù»ÇÂ¡ÅØÁ¹Õ¤ÇÃ䴌ú¡ÒõÃǨà¾×Í»ÃÐàÁÔ¹¡ÒúҴà¨çº¢Í§¡ÃÐà¾Òл˜ÊÊÒÇÐ â´Â੾ÒÐã¹ÃÒÂ
      é Œ †    ‹ é       Ñ            è
·ÕÁ»ÊÊÒÇÐ໚¹àÅ×ʹËÇÁ´ŒÇ ¹Í¡¨Ò¡¹Õ¼»Ç·ÕÁ»ÊÊÒÇÐ໚¹àÅ×ʹᵋ¡Ãд١àªÔ§¡ÃÒ¹äÁ‹Ë¡ ËÃ×ÍÁÕ
  è Õ ˜                                 é ÙŒ † è Õ ˜                                 Ñ
à¾Õ§ microscopic hematuria ᵋÁÍÒ¡Òà suprapubic pain ËÃ×Í»˜ÊÊÒÇÐÅíÒºÒ¡¡çÍÒ¨¨Ð¾Ô¨ÒóÒ
                                   Õ
µÃǨÇÔ¹¨©ÑÂà¾ÔÁàµÔÁ´ŒÇ¡çä´Œ â´ÂÁÕ¡ÒûÃÐàÁÔ¹ÃдѺ¤ÇÒÁÃØ¹áçµÒÁ AAST ẋ§à»š¹ 5 ÃдѺ´Ñ§
          Ô     è
µÒÃÒ§·Õè 4(9)

µÒÃÒ§·Õè 4 áÊ´§ AAST urinary bladder injury grading system
 Grade         Description
 I             Bladder contusion, intramural hematoma and partial thickness laceration
 II            Extraperitoneal wall lacerations < 2 cm
 III           Extraperitoneal wall lacerations > 2 cm and intraperitoneal lacerations < 2 cm
 IV            Intraperitoneal lacerations > 2 cm
 V             Intraperitoneal or extraperitoneal lacerations that extend into the bladder neck or trigone
àǪÈÒʵÏ·¹Âؤ 2553
          Ñ                                                                                   487

         Í‹ҧäáçµÒÁã¹·Ò§»¯Ôºµ¹ÂÁ¨íÒṡ໚¹ 4 ª¹Ô´µÒÁ consensus panel of the Societe
                                 Ñ Ô Ô
Internationale D’Urologie ¤×ͪ¹Ô´·Õè 1 bladder contusion ª¹Ô´·Õè 2 intraperitoneal rupture ª¹Ô´·Õè
                          (9)

3 extraperitoneal rupture áÅЪ¹Ô´·Õè 4 combined injury «Ö§¡ÒõÃǨ·Ò§ÃѧÊÕǹ¨©ÑÂÊÒÁÒö¨íÒṡ
                                                         è                  Ô Ô
µÒÁÃкº¹Õ䴌໚¹Í‹ҧ´Õ ¡ÒõÃǨÇÔ¹¨©Ñ·ÕàËÁÒÐÊÁ¤×Í retrograde (conventional) cystography
            é                          Ô   è
áÅÐã¹»˜¨¨Øº¹àÃÔÁÁÕ¡ÒõÃǨ CT cystography á¾Ã‹ËÅÒÂÁÒ¡¢Ö¹(10) â´Â¾ºÇ‹Òä´Œ¼Å´ÕàËÁ×͹¡Ñ¹
              Ñ è                                              é
ã¹á§‹¢Í§¡ÒõÃǨ¾ºáÅШíÒṡª¹Ô´¢Í§ urinary bladder injury â´Â¨Ð¾ºÅѡɳСÒÃÃÑÇ«ÖÁ¢Í§      è
ÊÒ÷ֺÃѧÊÕÍÍ¡¹Í¡¡ÃÐà¾Òл˜ÊÊÒÇÐä»ã¹µíÒá˹‹§µ‹Ò§æ ´Ñ§àª‹¹ÊÒ÷ֺÃѧÊÕÅŒÍÁÃͺÅíÒäÊŒ ÍÂÙ‹ã¹
paracolic gutter ËÃ×Í¡ÃШÒ·ÑÇä»ã¹ peritoneal cavity ¡ç¨ÐáÊ´§¶Ö§ intraperitoneal bladder rupture
                              è
ËÃ×;ºÊÒ÷ֺÃѧÊÕá·Ã¡ä»ã¹ pelvic cavity, abdominal wall, penis áÅÐ scrotum ¡ç¨ÐáÊ´§¶Ö§
extraperitoneal bladder rupture Í‹ҧäáçµÒÁÁÕ¢Íá¹Ð¹íÒ㹡óշ¼»ÇÂÁÕàÅ×Í´ÍÍ¡·Ò§·‹Í»˜ÊÊÒÇÐ
                                               Œ                 Õè ÙŒ †
¤ÇÃÃÐÇѧÀÒÇÐ urethral injury ËÇÁ´ŒÇ¨֧¤ÇûÃÐàÁÔ¹´ŒÇ¡ÒõÃǨ retrograde urethrography
¡‹Í¹¡ÒÃãÊ‹ÊÒÂÊǹ»˜ÊÊÒÇзء¤Ãѧ(9) é

¡ÒúҴà¨çºµ‹ÍÍÇÑÂÇÐÍ×è¹ã¹ª‹Í§·ŒÍ§áÅÐ retroperitoneum
         ¹Í¡¨Ò¡ÍÇÑÂÇÐÊíҤѭ´Ñ§¡Å‹ÒÇ¢ŒÒ§µŒ¹áÅŒÇ ÂѧÁÕ¡ÒúҴà¨çºµ‹ÍÍÇÑÂÇÐÍ×¹æ·Õ¾ºä´Œ¹Í¡NjÒ
                                                                              è è          Œ
ᵋÍÒ¨ÁÕ¡ÒÃÇÔ¹¨©Ñ·դ͹¢ŒÒ§ÂÒ¡¡Ç‹Ò ´Ñ§àª‹¹ ¡ÒúҴà¨çºµ‹ÍµÑºÍ‹Í¹ ÅíÒäÊŒáÅÐ mesentery ÃÇÁ¶Ö§
                Ô     è ‹
ÀÒÇÐàÅ×Í´ÍÍ¡ËÃ×Í¡ÒúҴà¨çº¢Í§ÍÇÑÂÇÐã¹ retroperitoneal space ໚¹µŒ¹ ¡ÒõÃǨ´ŒÇÂ
à¤Ã×ͧÍÑŵÌҫÒǹ¨ÐÁÕ¤ÇÒÁäÇáÅФÇÒÁáÁ‹¹ÂíÒ¤‹Í¹¢ŒÒ§µèÒ ÍÇÑÂÇÐàËŋҹը§¤ÇûÃÐàÁÔ¹´ŒÇ¡ÒõÃǨ
    è                                                      í           éÖ
àÍ¡«àϤÍÁ¾ÔÇàµÍÏ໚¹ËÅÑ¡ 㹡ÒûÃÐàÁÔ¹¡ÒúҴà¨çºµ‹ÍÅíÒäÊŒÃÇÁ¶Ö§ÀÒÇÐÅíÒäÊŒ·ÐÅØ ä´ŒÁ¡Òà      Õ
¡Å‹ÒǶ֧¡ÒÃ㪌ÊÒ÷ֺÃѧÊÕ·Ò§»Ò¡ (oral contrast medium) 㹡ÒõÃǨàÍ¡«àϤÍÁ¾ÔÇàµÍÏ â´Â
¾ºÇ‹Ò¶ŒÒÁÕ¡Ò÷ÐÅØ¢Í§ÅíÒäÊŒ¨Ð·íÒãËŒàËç¹ÊÒ÷ֺÃѧÊÕÃÑèÇÍÍ¡ÁÒ㹪‹Í§·ŒÍ§(11) ËÇÁ¡Ñº¡ÒÃàËç¹
extraluminal air, bowel discontinuity, intramural air, intramural hematoma, bowel wall thickening
& enhancement, mesenteric infiltration ᵋ㹺ҧʶҺѹäÁ‹Ê¹ÑºÊ¹Ø¹ãˌ㪌 oral contrast medium
à¾ÃÒСѧÇÅàÃ×ͧ¡ÒÃÊíÒÅÑ¡â´Â੾ÒÐ㹼ٻǷÕÍÒ¡Òä‹Í¹¢ŒÒ§Ãعáç ËÃ×ÍÁÕ¡ÒúҴà¨çºµ‹ÍÊÁͧËÇÁ
              è                           Œ † è
´ŒÇ ÍÒ¨·íÒãËŒÁ¡ÒÃÃÙʵԷŴ¹ŒÍÂŧàÊÕ§µ‹Í¡Òà aspiration ÁÒ¡¢Ö¹ ¨Ö§¤ÇþԨÒóÒ໚¹ÃÒÂæ ä»
                  Õ Œ Õè                è                           é
ᵋÊíÒËÃѺ㹼ٌ»†Ç·ÕèÁÕ¡ÒúҴà¨çºµ‹ÍµÑºÍ‹Í¹ ¾ºÇ‹Ò¡ÒáԹÊÒ÷ֺÃѧÊÕËÃ×ÍÊÒùéíÒ¡‹Í¹¡ÒõÃǨ
¨Ðª‹ÇÂᡵѺ͋͹áÅÐÅíÒäÊŒàÅç¡Ê‹Ç¹´ÙâÍ´Õ¹Á ä´Œ´ÁÒ¡ ·íÒãËŒ¡ÒûÃÐàÁÔ¹ pancreatic injury ä´ŒáÁ‹¹
                                             Ñ     Õ
ÂíÒÁÒ¡¢Ö¹ â´Âã¹ÃÒ·ÕÁÕ pancreatic injury ¨Ð¾ºÅѡɳдѧઋ¹ pancreatic fractures, laceration,
         é                è
contusion, hematoma ໚¹µŒ¹(1)
488                                                               Imaging of Trauma : Abdominal Trauma

àÍ¡ÊÒÃ͌ҧÍÔ§
1.  Rhea JT. CT of Abdominal Trauma in Mann .A. Emergency radiology categorical course in diagnostic
    radiology RSNA 2004 Syllabus, 2004:91-112
2. .eliciano DV, Mattox KL, Moore EE. Trauma, 6th ed. New York: McGraw-Hill companies, 2008:261-328
3. Korner M, Krotz MM, Degenhart C, et al. Current role of emergency US in patients with major trauma.
    Radiographic 2008;28:225-44
4. Shanmuganathan K, Killeen KL. Imaging of abdominal trauma in Mirvis SE, Shanmuganathan K. Imaging of
    trauma and critical care, 2nd ed. Philadelphia: WB Saunders, 2003:369-517
5. Yoon W, Jeong YY, Kim JK, et al. CT in blunt liver trauma. Radiographic 2005;25:87-104
6. Yaghmai V. Splenic trauma and surgery in Gore RM, Levine MS. Textbook of gastrointestinal radiology, 3rd ed.
    Philadelphia: WB Saunders, 2008:2051-64
7. Alonso RC, Nacenta SB, Martinez PD, et al. Kidney in danger: CT findings of blunt and penetrating renal
    trauma. Radiographics 2009; 2033-53
8. Dunnick NR, Sandler CM, Newhouse JH, et al. Urinary tract trauma in Textbook of uroradiology, 3rd ed.
    Philadelphia: Lippincott Williams & Wilkins, 2001:451-83
9. Ramchandani P, Buckler PM. Imaging of genitourinary trauma. AJR 2009;192:1514-23
10. Vaccaro JP, Brody JM. CT cystography in the evaluation of major bladder trauma. Radiographic 2000;20:1373-
    81
11. Brody JM, Leighton DB, Murphy BL, et al. CT of blunt trauma bowel and mesenteric injury: typical findings and
    pitfalls in diagnosis. Radiographics 2000;20:1525-36
àǪÈÒʵÏ·¹Âؤ 2553
          Ñ                                                                 º··Õè      489

                                                                             68
Traumatic Cerebrovascular Injury : Neurosurgical Perspective
                                                     ÍÒ¨ÒÏ ¹ÒÂᾷàÍ¡ÇØ²Ô ¨Ñ¹á¡ŒÇ1,2
                                             ÍÒ¨ÒÏ ¹ÒÂᾷ·ÇÕÈÑ¡´Ôì àÍ×éͺح­ÒÇѲ¹1,2
                                              ÃͧÈÒʵÃÒ¨ÒÏ ᾷ˭ԧÍÑ­ªÅÕ ªÙâ蹏2
                      1
                       ÀÒ¤ÇÔªÒÈÑÅÂÈÒʵÏ ¤³Ðá¾·ÂÈÒʵÏÈÔÃÔÃÒª¾ÂÒºÒÅ ÁËÒÇÔ·ÂÒÅÑÂÁËÔ´Å
                        2
                         ÀÒ¤ÇÔªÒÃѧÊÕÇ·ÂÒ ¤³Ðá¾·ÂÈÒʵÏÈÃÃÒª¾ÂÒºÒÅ ÁËÒÇÔ·ÂÒÅÑÂÁËÔ´Å
                                      Ô                  ÔÔ

          ÀÒÇÐ traumatic cerebrovascular injury ໚¹ÀÒÇзվºäÁ‹ºÍÂᵋÁ¤ÇÒÁÊíҤѭ «Ö§ÍÒ¨
                                                               è  ‹      Õ             è
·íÒãËŒ¼ÙŒ»†Ç¶֧ᡋªÕÇÔµ ¶ŒÒãËŒ¡ÒÃÃÑ¡ÉÒäÁ‹àËÁÒÐÊÁÍ‹ҧ·Ñ¹·‹Ç§·Õ ¢³Ð¹ÕéÂѧäÁ‹ÁÕ¡ÒÃÃÒ§ҹã¹
»ÃÐà·Èä·Â áµ‹ÍØºÑµÔ¡Òó¨Ò¡ÃÒ§ҹ¢Í§µ‹Ò§»ÃÐà·ÈÍÂÙ‹ÃÐËNjҧ 0.18-1.55 % ¢Í§¼ÙŒ»†ÇÂ
·ÕÃºÍØºµà赯 ¡ÒÃÃÑ¡ÉÒ¼Ù»ÇÂã¹¡ÅØÁ¹Õ§ÁÕ¤ÇÒÁ«Ñº«ŒÍ¹ÁÒ¡¢Ö¹à¹×ͧ¨Ò¡¼Ù»ÇÂÁÑ¡ÁÕ¡ÒúҴà¨çºÃкº
    èÑ Ñ Ô                  Œ †    ‹ é Ôè                   é è     Œ †
Í׹ËÇÁ´ŒÇÂ
  è
          㹺·¤ÇÒÁ¹Õ¨Ð¤Ãͺ¤ÅØÁà¹×ÍËҴѧ¹Õé
                       é             é
          1. Classification of traumatic cerebrovascular injury
             1.1 Anatomical consideration
             1.2 Pathological consideration
          2. ¡ÒôÙáżٻÇ·ÕÁÀÒÇÐ traumatic cerebrovascular injury (Evaluation and treatment
                         Œ † è Õ
option for traumatic cerebrovascular injury)

Classification of traumatic cerebrovascular injury
       ã¹»˜¨¨Øº¹ÂѧäÁ‹Á¡ÒèíÒṡ traumatic cerebrovascular injury ·Õ໚¹·ÕÂÍÁÃѺ«Ö§ÍÒ¨à¹×ͧ
               Ñ        Õ                                           è     è       è      è
ÁÒ¨Ò¡¡ÒúҴà¨çºÁÕËÅÒ¡Åä¡áÅоÂÒ¸ÔÊÀÒ¾ÁÕä´ŒËÅÒ¡ËÅÒ 㹷Õè¹Õé¨Ð¢Í¨íÒṡ traumatic
cerebrovascular injury µÒÁËÑÇ¢ŒÍµ‹Ò§æ´Ñ§¹Õé
       By mechanisms of injury
          Penetrating cerebrovascular injury
          Nonpenetrating cerebrovascular injury
          Iatrogenic injury
          Cranial injury with secondary cerebrovascular injury
490                               Traumatic Cerebrovascular Injury : Neurosurgical Perspective

       By location of injury
          Cervical portion injury
          Skull base portion injury
          Intracranial portion injury
       By vascular type injury
          Arterial system injury
          Venous system and dural sinus injury
       By arterial distribution
          Carotid artery injury
                Common carotid artery injury
                Internal carotid artery injury
                External carotid artery injury
          Vertebral artery injury
       By pathological finding
          Arterial side
                Occlusion
                Dissection
                .alse aneurysm
                Arteriovenous fistula
          Venous side
                Dural tears
                Compression of the pial vein and venous thrombosis
       ã¹·Õè¹Õé¨Ð¢ÍÊÃØ»à»š¹ 2 ¨íҾǡà¾×èͧ‹Òµ‹Í¤ÇÒÁࢌÒ㨤×Í â´ÂµíÒá˹‹§¡ÒúҴà¨çº·Ò§
¡ÒÂÇÔÀÒ¤ (by anatomical consideration ) áÅÐ â´Â¾ÂÒ¸ÔÊÀÒ¾·Õà¡Ô´¢Ö¹ (by pathological finding)
                                                             è é

        ¡ÒÃẋ§â´ÂµíÒá˹‹§¡ÒúҴà¨çº·Ò§¡ÒÂÇÔÀÒ¤
                ICA              Relevant Regional Anatomy                   Remark
Cervical carotid artery        Cervical spine                   Carotid dissection, Carotid
                                                                occlusion : Cerebral emboli
Petrous carotid artery         Temporal bone, Ear ossicles,     Carotid occlusion : Cerebral
                               Lower Cranial Nerve              emboli
Cavernous carotid artery       Cavernous sinus, Sphenoid sinus, .alse carotid aneurysm : massive
                               Cranial Nerve III, IV, V1, V2    epistaxis, Subarachnoid hemorrhage
                                                                (intradural extension)
àǪÈÒʵÏ·¹Âؤ 2553
          Ñ                                                                                              491

                ICA                    Relevant Regional Anatomy                      Remark
Supraclinoid carotid artery         Anterior cranial base, Dura, Optic .racture of anterior cranial base with
                                    nerve                              optic nerve compression and ICA
                                                                       occlusion
Cortical branches of carotid artery Brain parenchyma, .alx cerebri, .alse aneurysm of ACA : .alx cerebri
distribution                        Tentorium, Cranial Nerve           .alse aneurysm of PCA : Tentorium
                                                                       cerebri
                                                                       .alse aneurysm of MCA : Skull
                                                                       fracture

          ECA                          Relevant Regional Anatomy                    Remark
Internal Maxillary Artery (IMA)     Pterygoid plate, Maxillary sinus    .alse aneurysm of IMA :
                                                                        Maxillofacial fracture
Other branches                      .acial artery - IMA                 Regional anastomosis

                                           Posterior Circulation
        Vertebral artery              Relevant Regional Anatomy                       Remark
V1 segment                          Subclavian artery
V2 segment (foraminal segment)      .oramen transversaium               .racture of Cervical spine : Vertebral
                                                                        artery dissection or occlusion
V3 segment                          Atlantooccipital joint
V4 segment (intradural portion)     PICA origin, Brainstem              Brainstem ischemia

        ¡ÒÃẋ§â´Â¾ÂÒ¸ÔÊÀÒ¾·Õà¡Ô´¢Ö¹
                             è     é
        Arterial occlusion
        ¼Ù»ÇÂʋǹãË­‹Á¡ÁÒ´ŒÇÂÍÒ¡Òà cerebral emboli ÁÒ¡¡Ç‹Ò insufficient hemodynamic flow
          Œ †           Ñ
¡Òëѡ»ÃÐÇѵ¨ÐÁÕÊǹª‹ÇÂᡷѧÊͧÀÒÇÐÍÍ¡¨Ò¡¡Ñ¹ ¡ÒõÃǨCT/CT perfusion/ MRI «Ö§áÊ´§
                 Ô ‹            é                                                        è
µíÒá˹‹§¢Ò´àÅ×Í´·Õè watershed area ª‹Ç¡ÒÃÇÔ¹¨©ÑÂÀÒÇÐ insufficient hemodynamic flow ¡ÒÃÃÑ¡ÉÒ
                                             Ô
¢Ö¹ÍÂÙ¡ºÇ‹Ò¼Ù»ÇÂÁÒ´ŒÇÂÍÒ¡Òâͧ cerebral emboli ËÃ×Í insufficient hemodynamic flow
  é ‹ Ñ       Œ †
        Intracranial false aneurysm
        â´Â·ÑÇä»ÁÑ¡à¡Ô´¨Ò¡¡Òéա¢Ò´¢Í§ cortical artery ·ÕÊÁ¾Ñ¹¸¡º rigid structure ઋ¹ ¡ÐâËÅ
               è                                          èÑ         Ñ
¡ÈÕÃÉÐËÃ×Í Tentorium cerebelli ËÃ×Í .alx cerebri ÁÑ¡à¡Ô´ã¹¼Ù»ÇÂà´ç¡ÁÒ¡¡Ç‹Ò¼ÙãË­‹ ¨Ø´»ÃÐʧ¤
                                                             Œ †             Œ
¢Í§¡ÒÃÃÑ¡ÉÒ¤×Í¡Òû‡Í§¡Ñ¹äÁ‹ãËŒÁàÅ×ʹࢌÒä»ã¹ false aneurysm à¾×Í»‡Í§¡Ñ¹¡ÒÃᵡäÁ‹ÇÒ¨Ð໚¹
                                  Õ                                è                   ‹
¡ÒÃÃÑ¡ÉÒ´ŒÇ¡Òü‹ÒµÑ´ËÃ×Í¡ÒÃÃÑ¡ÉÒ·Ò§ËÅÍ´àÅ×Í´¡çµÒÁ
492                                  Traumatic Cerebrovascular Injury : Neurosurgical Perspective

          Arteriovenous fistula
          Traumatic carotid-cavernous fistula (traumatic CC.) â´Â·ÑÇä»ÁÑ¡à¡Ô´¨Ò¡¡Òéա¢Ò´
                                                                           è
¢Í§ meningeal artery ã¹ cavernous sinus ÀÒÂËÅѧ¨Ò¡Íغµà˵ث§â´ÂÁÒ¡ÁÑ¡à¡Ô´ËÅÑ§ÍØºµà˵Ø
                                                               Ñ Ô    Öè                     Ñ Ô
¨Ñ¡ÃÂҹ¹µ·äÁ‹ä´ŒÊÇÁËÁÇ¡¡Ñ¹¹çÍ¡ ¼Ù»ÇÂÁÑ¡ÁÒ´ŒÇÂÍÒ¡ÒÃ䴌¹àÊÕ§ã¹ËÙ (auditory bruit), ÍÒ¡ÒÃ
                   Õè                    Œ †                       Ô
·Ò§µÒઋ¹ µÒ⻹ (exopthalmos/proptosis) ¤ÇÒÁ´Ñ¹ã¹ÅÙ¡µÒÊÙ§â´ÂÍҨ໚¹¢ŒÒ§à´ÕÂǡѹËÃ×Í
¢ŒÒ§µÃ§¢ŒÒÁ¡Ñº¢ŒÒ§·ÕÁÕ CC. ¡çä´Œ ¨Ö§ÁÕ¤ÇÒÁ¨íÒ໚¹Í‹ҧÂÔ§·ÕµÍ§»ÃÐàÁÔ¹ÍÒ¡Ò÷ҧµÒâ´Â¨Ñ¡ÉØá¾·Â
                         è                               è è Œ
·Ñ§¡‹Í¹áÅÐËÅѧ¡ÒÃÃÑ¡ÉÒ ÀÒÇÐá·Ã¡«ŒÍ¹·ÕÁ¤ÇÒÁÃŒÒÂáç໚¹Í‹ҧÂÔ§¤×Í false aneurysm ¢Í§
  é                                          è Õ                         è
cavernous portion of internal carotid artery «Ö§¼Ù»Ç¨ÐÁÒ´ŒÇÂÍÒ¡ÒÃàÅ×Í´¡íÒà´ÒäËÅ໚¹æ ËÒÂæ
                                                 è Œ †
㹡óչ¶Í໚¹ÀÒÇÐà˧´‹Ç¹ ¡ÒõÃǨ CTA ¨ÐàËç¹ abnormal enhancing mass ã¹ sphenoid sinus
           Õé ×
¨íÒ໚¹Í‹ҧÂÔ§·Õ¼»Ç¨еŒÍ§¶Ù¡Ê‹§µÑÇä»ÃѺ¡ÒÃÃÑ¡ÉÒ¶Ù¡µŒÍ§
                è è ÙŒ †
          Vertebro-vertebral fistula (VV.) ໚¹ÀÒÇзվºä´Œ¹ÍÂàÁ×Íà»ÃÕºà·Õº¡Ñº CC. â´Â·ÑÇ
                                                       è        Œ è                              è
ä»ÁÑ¡à¡Ô´¨Ò¡¡Òéա¢Ò´¢Í§ vertebral artery ã¹µíÒá˹‹§·Õã¡ÅŒ¡º vertebral venous plexus
                                                             è Ñ
          â´Â·ÑÇä»ã¹»˜¨¨Øº¹¡ÒÃÃÑ¡ÉÒ·Ò§ËÅÍ´àÅ×͡໚¹¡ÒÃÃÑ¡ÉÒËÅѡᵋ¨ÐÁÕ¼»ÇºҧÃÒ·Õ§µŒÍ§
                 è         Ñ                                                   ÙŒ †         èÑ
ÃÑ¡Éҷѧ¡Òü‹ÒµÑ´áÅСÒÃÑ¡ÉÒ·Ò§ËÅÍ´àÅ×ʹËÇÁ¡Ñ¹
        é
          Arterial dissection
          ÁÑ¡¾ºã¹ anterior circulation ÁÒ¡¡Ç‹Ò posterior circulation â´Â·ÑÇä»ÍҨẋ§à»š¹
                                                                             è
          - Subintimal dissection ÁÑ¡¨Ð¾º intraluminal stenosis, arterial occlusion ¼Ù»ÇÂÍÒ¨
                                                                                        Œ †
ÁÒ´ŒÇ local mass effect, stroke «Ö§ÍÒ¨à¡Ô´¨Ò¡ thrombosis, emboli ËÃ×Í occlusion of penetrating
                                    è
artery
          - Subadventitial dissection ÁÑ¡¨Ð¾º pseudoaneurysm formation ¼Ù»ÇÂÍÒ¨ÁÒ´ŒÇÂ
                                                                                    Œ †
hemorrhagic stroke ઋ¹ subarachnoid hemorrhage, intracerebral hemorrhage
        External carotid artery injury
        â´Â·ÑÇä»ÁÑ¡à¡Ô´Ã‹ÇÁ¡Ñº maxillofacial injury «Ö§ÍÒ¨à¡Ô´¨Ò¡ blunt ËÃ×Ípenetrating injury ¡çä´Œ
              è                                       è
¼Ù»ÇÂÁÑ¡ÁÒ´ŒÇ massive epistaxis ¼Ù»ÇÂà¾Õ§ʋǹ¹ŒÍÂ෋ҹѹ·ÕÁÒ´ŒÇ neurological deficit «Ö§ÁÑ¡
  Œ †                              Œ †                        é è                              è
à¡Ô´¨Ò¡ cerebral emboli Cerebral angiogram ÍÒ¨¾ºÅѡɳТͧ false aneurysm, missing artery
ËÃ×Í active bleeding «Ö§¾ºä´Œ¹ÍÂ
                       è      Œ
        Cerebral venous injury
       Dural sinus tear ÁÑ¡à¡Ô´ã¹ºÃÔàdz·Õã¡ÅŒ¡ºµíÒá˹‹§·ÕÁ¡ÐâËÅ¡ÈÕÃÉÐᵡ (impact site) â´Â
                                          è Ñ             è Õ
àÈÉ¡Ãд١¨Ð·íÒãËŒÁ¡Òéա¢Ò´¢Í§ dural sinus 㹺ÃÔàdz¹Ñ¹ ¡ÒõÃǨâ´Â CT ÁÑ¡¨Ð¾º epidural
                    Õ                                   é
hematoma ã¹µíÒá˹‹§·ÕÊÁ¾Ñ¹¸¡º dural sinus injury
                        èÑ       Ñ
       Venous sinus or cortical vein thrombosis ÁÑ¡à¡Ô´ã¹ºÃÔàdz·Õã¡ÅŒ¡ºµíÒá˹‹§·ÕÁ¡ÐâËÅ¡
                                                                 è Ñ              è Õ
ÈÕÃÉÐᵡ (impact site) â´ÂàÈÉ¡Ãд١仡´·íÒãËŒÁÍ´¡Ñ¹¢Í§ venous sinus/cortical vein 㹺ÃÔàdz
                                                ÕØ é
¹Ñ¹áÅÐÍÒ¨ÁÕ¼ÅãËŒÁ¡ÒúÇÁ¢Í§ÊÁͧ·ÕµÍ§ãªŒ venous drainage
  é               Õ                   è Œ
àǪÈÒʵÏ·¹Âؤ 2553
          Ñ                                                                            493

¡ÒûÃÐàÁÔ¹¼ÙŒ»†Ç·ÕèʧÊÑÂÀÒÇÐ traumatic cerebrovascular injury
         1. Basic and advanced trauma life support Âѧ໚¹¡ÒÃÃÑ¡ÉÒàº×ͧµŒ¹·ÕÁ¤ÇÒÁ¨íÒ໚¹
                                                                      é       è Õ
         2. »ÃÐàÁÔ¹ neurological deficit
         3. ¡ÒÃÊ׺¤Œ¹à¾ÔÁàµÔÁ
                            è
             3.1 CT áÅÐ CTA
                 ໚¹¡ÒÃÊ׺¤Œ¹·ÕÊÒÁÒöµÃǨËÒ¾ÂÒ¸ÔÊÀÒ¾¢Í§ÊÁͧáÅÐ ¡ÒúҴà¨çº¢Í§ËÅÍ´
                                     è
àÅ×Í´ä´Œ¾ÃŒÍÁ¡Ñ¹ã¹ÃÐÂÐàÇÅÒÍѹÊÑé¹ ¹Í¡¨Ò¡¹ÕéµíÒá˹‹§¢Í§àÅ×Í´·ÕèÍÍ¡ËÃ×Í¡ÐâËÅ¡ÈÕÃÉзÕèᵡ
ÊÒÁÒöª‹ÇÂÇÒ§á¼¹¡ÒÃÃÑ¡ÉÒËÃ×Í»‡Í§¡Ñ¹ÀÒÇÐá·Ã¡«ŒÍ¹¨Ò¡¡Ò÷íÒ¼‹ÒµÑ´ CT áÅÐ/ËÃ×Í CTA Âѧ
ÁÕÊǹª‹ÇÂÊíÒËÃѺ¡ÒõԴµÒÁ¡ÒÃà»ÅÕ¹á»Å§ÀÒÂËÅѧ¡ÒÃÃÑ¡ÉÒ
     ‹                                     è
             3.2 Cerebral angiogram
                 ໚¹¡ÒÃÊ׺¤Œ¹·ÕÊÒÁÒöµÃǨËÒ ¡ÒúҴà¨çº¢Í§ËÅÍ´àÅ×Í´ä´Œ¾ÃŒÍÁ¡Ñ¹¡Ñº¡ÒÃ㪌
                                   è
ÃѧÊÕÃÇÁÃÑ¡ÉÒä´Œã¹àÇÅÒà´ÕÂǡѹ ¹Í¡¨Ò¡¹Õ§ÊÒÁÒö»ÃÐàÁÔ¹ cerebral hemodynamic (cerebral blood
       ‹                                     éÑ
flow, collateral circulation and occlusion test)
             3.3 MRI áÅÐ MRA
                 ໚¹¡ÒÃÊ׺¤Œ¹·ÕèÊÒÁÒöµÃǨËÒ¾ÂÒ¸ÔÊÀÒ¾¢Í§ÊÁͧáÅСÒúҴà¨çº¢Í§ËÅÍ´
àÅ×Í´ä´Œ¾ÃŒÍÁ¡Ñ¹áµ‹¨Ò໚¹µŒÍ§ãªŒàÇÅÒ㹡ÒõÃǨ·Õ¹Ò¹áÅÐÍÒ¨äÁ‹àËÁÒÐÊÁ㹼ٻǷÕä´ŒÃºÍØºµÔà˵Ø
                         í                       è                         Œ † è Ñ
·ÕÍÒ¡ÒÃäÁ‹¤§·Õè
   è
             3.4 Transcranial Doppler ultrasound (TCD)
                 ໚¹¡ÒÃÊ׺¤Œ¹·ÕÊÒÁÒöµÃǨËÒÍØºµ¡Òó¢Í§ÅÔÁàÅ×Í´ËÅØ´ÅÍÂã¹ÊÁͧ (cerebral
                                 è                 Ñ Ô        è
emboli) ¹Í¡¨Ò¡¹Õ§ÊÒÁÒö»ÃÐàÁÔ¹ cerebral hemodynamic (cerebral blood flow, collateral
                     é Ñ
circulation)
             3.5 Brain SPECT without and with stress test
                 ໚¹¡ÒÃÊ׺¤Œ¹·ÕÊÒÁÒö»ÃÐàÁÔ¹ cerebral hemodynamic (cerebral blood flow,
                                       è
collateral circulation) ·Ñ§¹ÕÍҨ㪌ÃÇÁ¡Ñº¡ÒõÃǨÇԸ͹ઋ¹ balloon occlusion test
                           é é           ‹           Õ ×è

¡ÒôÙáÅÃÑ¡ÉÒ¼ÙŒ»†ÇÂÁÕÀÒÇÐ traumatic cerebrovascular injury
        Multidisciplinary team approach ÁÕ¤ÇÒÁÊíҤѭÍ‹ҧÂÔ§ »ÃСͺ´ŒÇ neurovascular team
                                                           è
(neurointerventionist neurosurgeon) trauma surgeon ¨Ñ¡ÉØá¾·Â ᾷËÙ ¤Í ¨ÁÙ¡ ¡ÒÃÃÑ¡ÉÒÁÕ
ËÅÒÂÇÔ¸¢¹ÍÂÙ¡º¾ÂÒ¸ÔÊÀÒ¾áÅТŒÍÁÙŨҡ¡ÒÃÊ׺¤Œ¹µ‹Ò§æ´Ñ§·Õä´Œ¡Å‹ÒÇÁÒáŌǢŒÒ§µŒ¹ â´Â·ÑÇä»ÁÑ¡
        Õ Öé ‹ Ñ                                             è                      è
µŒÍ§ãªŒ¡ÒÃÃÑ¡ÉÒËÅÒÂÇÔ¸ÃÇÁ¡Ñ¹
                         Õ‹
       Goal of treatment for arterial injury
       1. »‡Í§¡Ñ¹ÀÒÇÐàÅ×Í´ÍÍ¡ (acute hemorrhage or hemorrhagic infarction)
       2. »‡Í§¡Ñ¹ÀÒÇÐÊÁͧ¢Ò´àÅ×Í´ (acute or late cerebral infarction)
494                               Traumatic Cerebrovascular Injury : Neurosurgical Perspective

           2.1 »‡Í§¡Ñ¹ÀÒÇÐÅÔÁàÅ×Í´ (emboli)
                            è
           2.2 »‡Í§¡Ñ¹ÀÒÇÐàÅ×Í´ä»àÅÕ§ÊÁͧäÁ‹à¾Õ§¾Í (inadequate cerebral blood flow)
                                    é

       ·Ò§àÅ×͡㹡ÒÃÃÑ¡ÉÒ
       1. Conservative treatment and/or medical treatment
       2. Endovascular treatment
       3. Surgical treatment

       ¡ÒÃàÅ×Í¡ÇÔ¸¡ÒÃÃÑ¡ÉÒNjҨÐ㪌Ǹ㴹ѹ¢Ö¹ÍÂÙ¡ºËÅÒ»˜¨¨Ñ ઋ¹
                    Õ                Ô Õ é é ‹ Ñ
       1. µíÒá˹‹§¢Í§ÃÍÂâä (Location of pathology)
       2. ÅѡɳТͧ¾ÂÒ¸ÔÊÀÒ¾ áÅСÒôíÒà¹Ô¹âä (Pathology and natural history)
       3. Hemodynamic cerebral circulation áÅÐ cerebral reserve
       4. ¤ÇÒÁàÊÕ§áÅмÅá·Ã¡«ŒÍ¹·ÕÍÒ¨à¡Ô´¢Ö¹¨Ò¡¡ÒÃÃÑ¡ÉÒᵋÅÐÇÔ¸Õ (Risk and benefit of
                  è                   è      é
treatment option)
       5. »ÃÐʺ¡Òó¢Í§á¾·Â¼·Ò¡ÒÃÃÑ¡ÉÒ
                                ÙŒ í

        ¡ÒÃÃÑ¡ÉÒ´ŒÇÂÇÔ¸¡ÒÃ㪌ÊÒÂÊǹ·Ò§ËÅÍ´àÅ×Í´ (Endovascular Treatment)
                         Õ
        1. .low preservation procedure ઋ¹ ¡ÒÃãÊ‹ stent ËÃ×Í balloon à¾×ÍÍØ´µíÒá˹‹§¢Í§ÃÍÂÃÑÇ
                                                                         è                   è
¢Í§àÊŒ¹àÅ×Í´á´§
        2. .low disruption procedure ઋ¹ ¡ÒÃãÊ‹ coil, detachable balloon ËÃ×Í¡ÒÃÍØ´´ŒÇ¡ÒÇ
(glue embolization)

       ¡ÒÃÃÑ¡ÉÒ´ŒÇÂÇÔ¸¼ÒµÑ´ (Surgical treatment)
                        Õ ‹
       â´Â¨Ðẋ§ÇÔ¸¡ÒÃÃÑ¡ÉÒ໚¹ 2 ÇÔ¸¤Í
                   Õ                 Õ ×
       1. .low preservation procedure
       2. .low disruption procedure without or with flow augmentation procedure
àǪÈÒʵÏ·¹Âؤ 2553
          Ñ                                                                                    495

    Procedure                                      Surgical technique
    .low preservation procedure                    Normal anatomical preservation
                                                      - Direct repair
                                                      - End-to-end anastomosis
                                                   Bypass procedure (flow augmentation procedure)
    .low disruption procedure                      Proximal occlusion
                                                   Trapping

            Direct surgical repair ໚¹¡ÒÃÃÑ¡ÉÒ·Õ໚¹ ideal ᵋ·Òä´ŒÂÒ¡à¹×ͧ¨Ò¡ã¹ÃÐÂÐááËÅѧà¡Ô´
                                                 è              í          è
ÍØºµà˵ØÁ¡ÁÕÀÒÇÐÊÁͧºÇÁ ÃÇÁ·Ñ§¡ÒÃÃÑ¡ÉÒÇÔ¸¹Á¡ãªŒä´Œà©¾ÒÐàÊŒ¹àÅ×Í´¢¹Ò´ãË­‹à·‹Ò¹Ñ¹
   Ñ Ô        Ñ                        é             Õ Õé Ñ                               é
            End-to-end anastomosis without or with artery graft â´Â·ÑÇä»Áѡ㪌㹼ٻÇ·ÕÁÕ false
                                                                         è           Œ † è
aneurysm of cortical artery áÅÐÁÕ¢¹Ò´àÅç¡ à¹×ͧ¨Ò¡ÊÒÁÒöµÑ´µ‹Íä´Œâ´ÂµÃ§
                                                   è
            Bypass procedure 㪌ÊÒËÃѺ¼Ù»Ç·ÕäÁ‹ÁÕ collateral flow ·Õà¾Õ§¾Í (inadequate collateral
                                    í     Œ † è                      è
flow) «Ö§¡Ò÷íÒ flow disruption procedure䴌ᡋ proximal occlusion ËÃ×Í trapping ÍҨ㪌໚¹¡ÒÃ
        è
ÃÑ¡ÉÒà´ÕÂÇ ËÃ×ÍËÇÁ¡Ñº flow augmentation procedure ã¹¡Ã³Õ inadequate cerebral blood flow
          è

Option of Bypass Procedure
 Bypass                            Blood flow (ml/min) Donor-Recipient
 Low flow bypass                   15-25              Superficial temporal artery-Middle cerebral
                                                      artery bypass (STA-MCA bypass)
 Medium flow bypass                40-70              Radial artery-Middle cerebral artery bypass
 High flow bypass                  70-140             EC-IC bypass with Saphenous vein graft

        Goal of treatment for venous injury
        1. »‡Í§¡Ñ¹ÀÒÇФÇÒÁ´Ñ¹ã¹¡ÐâËÅ¡ÈÕÃÉÐÊÙ§ (increase intracranial pressure)
        2. »‡Í§¡Ñ¹ÀÒÇÐàÅ×Í´ÍÍ¡ (hemorrhagic infarction)

       ·Ò§àÅ×͡㹡ÒÃÃÑ¡ÉÒ
       1. Conservative treatment and/or medical treatment
       2. Surgical treatment ઋ¹
          2.1 ¡Òü‹ÒµÑ´à¾×ÍàÍÒ¡Ãд١ʋǹ·Õ¡´ÍÍ¡ (Craniotomy with remove bony fragment)
                          è               è
ËÃ×Í¡Òü‹ÒµÑ´à¾×Íä»àÂ纫‹ÍÁ venous system â´ÂµÃ§ ¢ŒÍ¤ÇÃÃÐÇѧÊíÒËÃѺ¡ÒÃàÂ纫‹ÍÁ venous
                è
496                                Traumatic Cerebrovascular Injury : Neurosurgical Perspective

system ¤×ÍÍÒ¨·íÒä´ŒÂÒ¡à¹×ͧ¨Ò¡¼¹Ñ§¤‹Í¹¢ŒÒ§ºÒ§áÅÐâÍ¡ÒʷըРpatent ËÅѧ¼‹ÒµÑ´Áչ͡NjҡÒÃ
                            è                           è                     Œ
«‹ÍÁ arterial site à¹×ͧ¨Ò¡ flow ·ÕµÒ¡Ç‹Ò
                      è            è èí
            2.2 ¡Òü‹ÒµÑ´à¾×ÍàÍÒ¡ÐâËÅ¡ÈÕÃÉÐÍÍ¡à¾×ÍÅ´¤ÇÒÁ´Ñ¹ã¹ÊÁͧ (Craniectomy) ÊíÒËÃѺ
                              è                  è
¼Ù»Ç·ÕÁÀÒÇФÇÒÁ´Ñ¹ã¹¡ÐâËÅ¡ÈÕÃÉÐÊÙ§Í‹ҧµ‹Íà¹×ͧ·ÕäÁ‹ÊÒÁÒö¤Çº¤ØÁä´Œ
  Œ † è Õ                                       è è

ÀÒÇÐá·Ã¡«ŒÍ¹·ÕèÍÒ¨à¡Ô´¢Öé¹
        1. Post-traumatic vasospasm ÁÑ¡¾ºã¹¼Ù»Ç·ÕÁÕ Glasgow coma score ·ÕµÒáÅÐÍÒÂØ¹ÍÂ
                                                 Œ † è                         è èí          Œ
Calcium channel blocker ÍÒ¨ÁÕÊǹª‹ÇÂÅ´¤ÇÒÁÃØ¹áç
                                ‹
        2. Ischemic stroke ÍÒ¨à¡Ô´ä´Œ·§ã¹ÃÐÂÐáá«Ö§ÁÑ¡à¡Ô´¨Ò¡ emboli ËÃ×Íã¹ÃÐÂÐËÅѧ«Ö§ÁÑ¡
                                       Ñé            è                                     è
à¡Ô´¨Ò¡ inadequate cerebral blood flow
        3. Hemorrhagic stroke ÍÒ¨à¡Ô´¨Ò¡ ruptured false aneurysm of cortical artery (MCA,
ACA, PCA, etc.)
        4. Massive epistaxis ÍÒ¨à¡Ô´¨Ò¡ ruptured false aneurysm of internal carotid artery ËÃ×Í
external carotid artery
        5. Venous infarction
        6. Increase intracranial pressure â´Â·ÑÇ仡ÒÃÃÑ¡ÉÒÁÑ¡àÃÔÁ´ŒÇ¡ÒÃÃÑ¡ÉÒ´ŒÇ medical
                                               è                è
treatment 㹡óշ¤ÇÒÁ´Ñ¹ã¹¡ÐâËÅ¡ÈÕÃÉÐÊÙ§Í‹ҧµ‹Íà¹×ͧ ÍÒ¨¾Ô¨ÒóҡÒÃÃÑ¡ÉÒâ´Â¡Òü‹ÒµÑ´
                    Õè                                 è
àÍÒ¡ÐâËÅ¡ÈÕÃÉÐÍÍ¡ (Craniectomy)
àǪÈÒʵÏ·¹Âؤ 2553
          Ñ                                                                 º··Õè      497

                                                                             69
   Interventional Radiology Management in Traumatic Patient
                  (Body and Peripheral Artery)
                                              ÍÒ¨ÒÏ ¹ÒÂᾷÊÁÃÒª ¸ÃÃÁ¸ÃÇѲ¹
                      ÀÒ¤ÇÔªÒÃѧÊÕÇ·ÂÒ ¤³Ðá¾·ÂÈÒʵÏÈÃÃÃÒª¾ÂÒºÒÅ ÁËÒÇÔ·ÂÒÅÑÂÁËÔ´Å
                                   Ô                 ÔÔ

          ¡ÒÃÃÑ¡ÉÒ¼Ù»ÇÂÍØºµà˵ة¡à©Ô¹ã¹»˜¨¨Øº¹à»š¹¡ÒÃÃÑ¡ÉÒâ´Â·ÕÁᾷÊËÊÒ¢ÒÇÔªÒ â´Âᾷ
                          Œ † Ñ Ô Ø                 Ñ
ÃѧÊÕÃÇÁÃÑ¡ÉÒÃкºËÅÍ´àÅ×Í´¡ç໚¹Ë¹Ö§ã¹·ÕÁᾷ·Áº·ºÒ·ÊíҤѭ à¾ÃÒоÂÒ¸ÔÊÀÒ¾·Õà¡Ô´¢Ö¹Ê‹Ç¹
      ‹                                  è                  Õè Õ                    è é
ÁÒ¡à¡Ô´·ÕËÅÍ´àÅ×Í´ äÁ‹ÇÒ¨Ð໚¹ËÅÍ´àÅ×Í´©Õ¡¢Ò´ (extravasation) ËÅÍ´àÅ×ʹ⻆§¾Í§ (false
            è                  ‹
aneurysm) ËÃ×Í ËÅÍ´àÅ×Í´á´§µ‹Í¡ÑºËÅÍ´àÅ×Í´´íÒ¼Ô´»¡µÔ (AV fistula) ໚¹µŒ¹ ¡ÒÃÃÑ¡ÉÒ¾ÂÒ¸Ô
ÊÀÒ¾¢Í§ËÅÍ´àÅ×Í´àËŋҹչ͡¨Ò¡¡ÒÃÃÑ¡ÉÒâ´Â¡Òü‹ÒµÑ´áÅŒÇ ¡ÒÃÃÑ¡ÉÒ´ŒÇ¡ÒÃÍØ´ËÅÍ´àÅ×Í´â´Â
                                 é
¼‹Ò¹·Ò§ÊÒÂÊǹ¹Ñ¹¡ç໚¹¡ÒÃÃÑ¡ÉÒ·ÕÊÒÁÒö·íÒä´Œ§ÒÂáÅÐÀÒÇÐá·Ã¡«ŒÍ¹¹ŒÍÂŧàÁ×Íà»ÃÕºà·Õº
                        é              è                ‹                         è
¡Ñºã¹Í´Õµ à¹×ͧ¨Ò¡à·¤â¹âÅÂÕ¡ÒüÅÔµ¢Í§ÇÑÊ´ØÍ»¡Ã³µÒ§æ ÁÕ¤ÇÒÁ¡ŒÒÇ˹ŒÒ·Ñ§ÊÒÂÊǹËÅÍ´àÅ×Í´
                  è                                   Ø          ‹              é
¢¹Ò´àÅç¡·Õ·ÒãËŒÊÒÁÒöࢌҶ֧ËÅÍ´àÅ×Í´·ÕÁ¾ÂÒ¸ÔÊÀҾ䴌§Ò¢ֹ ËÃ×ÍÇÑÊ´ØÊÒËÃÑºÍØ´ËÅÍ´àÅ×Í´·Õè
              è í                          è Õ                      ‹ é       í
ÁÕ¡ÒþѲ¹ÒÁÒ¡¢Ö¹àª‹¹ ¢´ÅÇ´ÍØ´ËÅÍ´àÅ×Í´¢¹Ò´àÅç¡ (microcoil) ËÃ×Í µÑǶ‹Ò§¢ÂÒÂËÅÍ´àÅ×Í´
                      é
(covered stent) ໚¹µŒ¹ ´Ñ§¹Ñ¹¡Ò÷ÃÒº¶Ö§¢ŒÍº‹§ªÕé ÇÔ¸¡ÒÃÃÑ¡ÉÒ áÅмŢͧ¡ÒÃÃÑ¡ÉÒ´ŒÇÂÇԸʹËÅÍ´
                                   é                      Õ                          ÕØ
àÅ×Í´¹Ñ¹¨Ö§à»š¹ÊÔ§·ÕÁ»ÃÐ⪹ÊÒËÃѺᾷ··Ò¡ÒÃÃÑ¡ÉÒ¼Ù»ÇÂÍØºµà˵ة¡à©Ô¹
        é           è è Õ            í         Õè í                Œ †  Ñ Ô Ø
          ¡ÒÃÃÑ¡ÉÒ¼‹Ò¹·Ò§ÊÒÂÊǹà¾×èÍÍØ´ËÅÍ´àÅ×Í´ã¹áµ‹ÅÐÍÇÑÂÇйÑé¹ÁÕ¤ÇÒÁᵡµ‹Ò§¡Ñ¹µÒÁ
ÅѡɳÐ੾ÒТͧËÅÍ´àÅ×Í´ã¹áµ‹ÅÐÍÇÑÂÇÐ «Ö§·Ò§¼Ùà¢Õ¹¨Ð¡Å‹ÒÇá¡໚¹ÍÇÑÂÇдѧ¹Õé
                                                  è            Œ
          1. ÀÂѹµÃÒµ‹ÍµÑº
          2. ÀÂѹµÃÒµ‹Íäµ
          3. ÀÂѹµÃÒµ‹ÍÁŒÒÁ
          4. ÀÂѹµÃÒµ‹Í¡Ãд١àªÔ§¡ÃÒ¹
          5. ÀÂѹµÃÒµ‹ÍËÅÍ´àÅ×ʹᢹáÅТÒ

ÀÂѹµÃÒµ‹ÍµÑº (Traumatic liver injury)
       µÑºà»š¹ÍÇÑÂÇзվº¡ÒúҴà¨çº¨Ò¡Íغµà˵غÍ·Õʴ㹪‹Í§·ŒÍ§ áÅÐ໚¹ÊÒà˵آͧÀÒÇÐ
                       è                     Ñ Ô ‹ èØ
àÅ×Í´ÍÍ¡¨¹·íÒãËŒàÊÕªÕǵ䴌 10-15% ã¹»˜¨¨Øº¹¡ÒõÃǨáÅÐÃÑ¡ÉÒ·Ò§ÃѧÊÕÃÇÁÃÑ¡ÉÒÁÕº·ºÒ·Í‹ҧ
                         Ô                 Ñ                        ‹
ÁÒ¡â´Â੾ÒÐã¹ÃÒ·ÕÊ­­Ò³ªÕ¾¤§·Õè
                      èÑ
498                                  Interventional Radiology Management in Traumatic Patient

          ¢ŒÍº‹§ªÕé㹡ÒõÃǨËÅÍ´àÅ×Í´áÅÐÃÑ¡ÉÒ´ŒÇÂÇÔ¸ÕÍØ´ËÅÍ´àÅ×Í´¹Ñé¹ »˜¨¨ØºÑ¹à·¤â¹âÅÂբͧ
àÍ¡«àϤÍÁ¾ÔÇàµÍÏ¡ÒÇ˹ŒÒä»ÁÒ¡·íÒãËŒàÃÒÊÒÁÒöµÃǨ¾º¤ÇÒÁ¼Ô´»¡µÔ¢Í§µÑºáÅÐËÅÍ´àÅ×Í´
                         Œ
ä´Œ¡Í¹ ËÒ¡¾ºÇ‹ÒÁÕ¤ÇÒÁ¼Ô´»¡µÔ¨Ãԧઋ¹ ËÅÍ´àÅ×Í´©Õ¡¢Ò´ (extravasation) ËÅÍ´àÅ×ʹ⻆§¾Í§
     ‹
(false aneurysm) ËÃ×Í ËÅÍ´àÅ×Í´á´§µ‹Í¡ÑºËÅÍ´àÅ×Í´´íÒ¼Ô´»¡µÔ (AV fistula) áŌǹѹ ¼Ù»Ç¡ç¤ÇÃ
                                                                                 é Œ †
ä´ŒÃѺ¡ÒõÃǨËÅÍ´àÅ×Í´áÅÐÃÑ¡ÉÒ´ŒÇÂÇÔ¸ÕÍØ´ËÅÍ´àÅ×Í´¼‹Ò¹·Ò§ÊÒÂÊǹµ‹Íä» ¹Í¡¨Ò¡¹ÕéÁÕ
ºÒ§ÃÒ§ҹá¹Ð¹íÒãËŒµÃǨËÅÍ´àÅ×Í´´ŒÇÂÊÒÂÊǹ㹼ٻÇ·ÕÁ¡ÒúҴà¨çº¢Í§µÑºÃعáçã¹ÃдѺ 4
                                                    Œ † è Õ
áÅÐ 5 µÒÁ liver injury scale (revision 1994) à¹×ͧ¨Ò¡¼Ù»ÇÂ¡ÅØÁ¹ÕÁâÍ¡Òʾº¤ÇÒÁ¼Ô´»¡µÔ¢Í§
                                                è        Œ †     ‹ é Õ
ËÅÍ´àÅ×Í´¤‹Í¹¢ŒÒ§ÁÒ¡ ¼Ù»ÇÂÍÕ¡¡ÅØÁ·Õ¤ÇÃ䴌ú¡ÒõÃǨ¤×ͼٻÇ·ÕÁÀÒÇÐàÅ×Í´ÍÍ¡ã¹ÀÒÂËÅѧ (late
                              Œ †    ‹ è    Ñ                Œ † è Õ
onset bleeding) «Ö§¨ÐÁÕÍÒ¡ÒÃáÊ´§ä´Œá¡‹ ÃдѺ¤ÇÒÁࢌÁ¢Œ¹àÅ×ʹŴŧâ´ÂäÁ‹·ÃÒºÊÒà赯 ËÃ×ÍàÅ×Í´
                       è
Í͡㹷ҧà´Ô¹ÍÒËÒèҡÀÒÇÐàÊŒ¹àÅ×Í´á´§µ‹Í¡Ñº·Ò§à´Ô¹¹éÒ´Õ à»š¹µŒ¹
                                                           í
          ã¹·Ò§¡ÅѺ¡Ñ¹¼Ù»Ç·ÕÁÀÒÇÐàÅ×Í´ÍÍ¡ÁÒ¡¨¹¤ÇÒÁ´Ñ¹âÅËÔµµèÒ (shock) ¤ÇÃ䴌ú¡Òü‹ÒµÑ´
                           Œ † è Õ                                    í              Ñ
©Ø¡à©Ô¹ (explore laparotomy) à¾×ÍËŒÒÁàÅ×Í´áÅлÃÐàÁÔ¹´ÙÍÇÑÂÇÐʋǹÍ׹㹪‹Í§·ŒÍ§ ËÃ×ͼٻÇ·ÕʧÊÑÂ
                                   è                                è               Œ † è
ÀÒÇÐÅíÒäÊŒ·ÐÅØ¡¤ÇÃ䴌ú¡Òü‹ÒµÑ´·Ñ¹·Õઋ¹¡Ñ¹
                    ç       Ñ
          à·¤¹Ô¤·ÕÊҤѭ㹡ÒõÃǨ¤×ÍàÃÒµŒÍ§·ÃÒº¡ÒÂÇÔÀÒ¤¢Í§ËÅÍ´àÅ×Í´·Õä»àÅÕ§µÑºÍ‹ҧÅÐàÍÕ´
                      èí                                                è é
«Ö§¨Ð¾º¤ÇÒÁËÅÒ¡ËÅÒÂã¹áµ‹Åкؤ¤Å à¾ÃÒжŒÒËÒ¡àÃÒäÁ‹ÊÒÁÒöµÃǨËÅÍ´àÅ×Í´·Õä»àÅÕ§µÑº
  è                                                                                    è é
ãËŒ¤Ãº·Ø¡àÊŒ¹ ¨Ð·íÒãËŒà¡Ô´¼ÅźÅǧ䴌 (false negative) ʋǹÇÑʴط㪌ʹËÅÍ´àÅ×Í´¹Ñ¹¢Ö¹¡Ñº¾ÂÒ¸Ô
                                                                  Õè Ø            é é
ÊÀÒ¾·Õ¾ºàª‹¹ àÅ×Í´ÍÍ¡¨Ò¡àÊŒ¹àÅ×ʹ⻆§¾Í§ àÅ×Í´ÍÍ¡¨Ò¡àÊŒ¹àÅ×Í´¢¹Ò´ãË­‹ËÃ×ÍÍÍ¡¨Ò¡ËÅÍ´
        è
àÅ×Í´á´§µ‹Í¡ÑºËÅÍ´àÅ×Í´´íÒ¼Ô´»¡µÔ¡¤ÇÃ㪌ÇÊ´ØÍ´»ÃÐàÀ·¢´ÅÇ´ (coil) ໚¹µŒ¹
                                         ç    Ñ Ø
àǪÈÒʵÏ·¹Âؤ 2553
          Ñ                                                                                                            499

         ¼Å¡ÒÃÃÑ¡ÉҢͧ¡ÒÃÍØ´ËÅÍ´àÅ×Í´¼‹Ò¹·Ò§ÊÒÂÊǹ¹Ñ¹ÍÂÙ·»ÃÐÁÒ³ 83-88% ʋǹÀÒÇÐ
                                                          é ‹ Õè
á·Ã¡«ŒÍ¹·ÕÊÒÁÒö¾ºä´Œàª‹¹ ÀÒÇТҴàÅ×Í´¢Í§µÑº ½‚˹ͧ㹵Ѻ ¡ÒÃÍÑ¡àʺ¢Í§¶Ø§¹éÒ´Õ
             è                                                                 í
         ·Õ¡Å‹ÒÇÁÒ¢ŒÒ§µŒ¹à»š¹ÀÒÇФÇÒÁ¼Ô´»¡µÔ¢Í§ËÅÍ´àÅ×Í´á´§ ᵋ㹵Ѻ¹Ñ¹¡ÒúҴà¨çº¢Í§
           è                                                             é
ËÅÍ´àÅ×Í´´íҹѹ¡çÊÒÁÒö¾ºä´ŒáÅÐÁÕ¤ÇÒÁÊíҤѭઋ¹¡Ñ¹à¹×ͧ໚¹ÊÒà˵آͧàÅ×Í´Í͡㹪‹Í§·ŒÍ§
                é                                       è
»ÃÔÁÒ³ÁÒ¡ä´Œ ઋ¹ÁÕ¡Òéա¢Ò´¢Í§ËÅÍ´àÅ×Í´´íҵѺ·Õã¡ÅŒ¡ºËÅÍ´àÅ×Í´´íÒ¢¹Ò´ãË­‹ (inferior vena
                                                  è Ñ
cava) ໚¹µŒ¹ ¡ÒÃÃÑ¡ÉÒâ´Â·ÑÇ令ÇÃ䴌ú¡Òü‹ÒµÑ´©Ø¡à©Ô¹ ᵋÁºÒ§ÃÒ§ҹ·ÕÊÒÁÒÃ¶ÍØ´ËÅÍ´àÅ×Í´
                            è        Ñ                     Õ          è
´íÒ·Õ䴌úºÒ´à¨çºâ´Â㪌µÇ¶‹Ò§¢ÂÒÂËÅÍ´àÅ×Í´»´¡Ñ¹µíÒá˹‹§·ÕàÅ×Í´Í͡䴌
     è Ñ                 Ñ                      é            è

ÀÂѹµÃÒµ‹Íäµ (Traumatic renal injury)
              äµà»š¹ÍÇÑÂÇзÕÍÂÙÊǹËÅѧ㹪‹Í§·ŒÍ§ (retroperitoneum) áÅÐÁÕ¡Ãд١«Õâ¤Ã§Ê‹Ç¹Å‹Ò§ª‹ÇÂ
                            è ‹‹                                                                           è
»‡Í§¡Ñ¹¡ÒáÃзº¡ÃÐà·×͹ ·íÒãËŒ¡ÒúҴà¨çº¢Í§äµ¹Ñ¹ ʋǹÁÒ¡äÁ‹Ã¹áçÊÒÁÒöÃÑ¡ÉÒẺ»ÃФѺ
                                                                      é                Ø
»ÃФͧ䴌 »˜¨¨Øº¹àÍ¡«àϤÍÁ¾ÔÇàµÍÏÁº·ºÒ·Í‹ҧÁҡ㹡ÒèíÒṡ¤ÇÒÁÃØ¹áç¢Í§¡ÒúҴà¨çº
                       Ñ                              Õ
·Õäµä´Œà»š¹Í‹ҧ´Õ·ÒãËŒ¾º¾ÂÒ¸ÔÊÀÒ¾µ‹Ò§æáÅÐÊÒÁÒöÇÒ§á¼¹ÃÑ¡ÉÒ·ÕàËÁÒÐÊÁä´ŒÁÒ¡¢Ö¹
     è                   í                                                                  è                        é
             ¡ÒúҴà¨çº¢Í§äµ·ÕµÍ§ä´ŒÃº¡ÒÃÃÑ¡ÉÒâ´Â¡Òü‹ÒµÑ´ ¾ºä´Œ»ÃÐÁÒ³ 5-10% ¢Í§¼Ù»ÇÂ
                                  è Œ         Ñ                                                                (1)
                                                                                                                       Œ †
·Ñ§ËÁ´ â´Â੾ÒÐÍ‹ҧÂԧ㹼ٻǷÕä´ŒÃºÍØºµà˵طÁ¡ÒáÃзº¡ÃÐà·×͹ÍÂ‹Ò§ÃØ¹áçÃдѺ 5 µÒÁ
       é                     è Œ † è Ñ Ñ Ô                         Õè Õ
AAST classification system ¤×ÍÁÕ¡Òéա¢Ò´¢Í§ËÅÍ´àÅ×Í´·Õ¢Çäµ                       è Ñé
             ¡ÒÃÃÑ¡ÉÒ·Ò§ÃѧÊÕÃÇÁÃÑ¡ÉÒËÅÍ´àÅ×Í´ÁÕº·ºÒ·ã¹¼Ù»Ç·աÒúҴà¨çº¢Í§ËÅÍ´àÅ×Í´·Õ¾º
                              ‹                                            Œ † è                                         è
ä´ŒºÍÂ䴌ᡋ ËÅÍ´àÅ×ʹ⻆§¾Í§ áÅÐ ËÅÍ´àÅ×Í´á´§µ‹Í¡ÑºËÅÍ´àÅ×Í´´íÒ «Ö§â´Â·ÑÇ仨оºã¹
         ‹                                                                                             è     è
¼Ù»Ç·ÕÁ¡ÒúҴà¨çº¢Í§äµÃдѺ 3 ¢Ö¹ä» áÅмٻÇÂÍÕ¡¡ÅØÁ˹֧¤×ͼٻÇ·Õ䴌úºÒ´à¨çº¨Ò¡¢Í§
  Œ † è Õ                                       é       (2)
                                                               Œ †          ‹ è          Œ † è Ñ
ÁÕ¤Á (penetrating injury) «Ö§â´Â·ÑÇ仨Ðà¡Ô´¨Ò¡¡ÒõÃǨ·Ò§¡ÒÃᾷ (iatrogenic) ઋ¹ ¡Ò÷íÒ
                                è           è
renal biopsy ËÃ×Í percutaneous nephrostomy ໚¹µŒ¹ ´Ñ§¹Ñ¹¼Ù»Ç·ÕÁ»ÃÐÇѵ´§¡Å‹ÒÇËÇÁ¡ÑºÍÒ¡ÒÃ
                                                                          é Œ † è Õ                Ô Ñ
áÊ´§·Õ¾ºä´ŒºÍ¤×Í»˜ÊÊÒÇÐ໚¹àÅ×Í´ËÃ×ͻǴËÅѧËÇÁ¡ÑºÃдѺ¤ÇÒÁࢌÁ¢Œ¹¢Í§àÅ×ʹŴŧ ¤ÇÃä´Œ
           è         ‹
ÃѺ¡ÒõÃǨËÅÍ´àÅ×Í´´ŒÇÂÊÒÂÊǹáÅÐËÒ¡¾º¤ÇÒÁ¼Ô´»¡µÔ´§¡Å‹ÒÇ¢ŒÒ§µŒ¹¡çÊÒÁÒöÃÑ¡ÉÒ´ŒÇÂÇÔ¸Õ
                                                                                Ñ
¡ÒÃÍØ´ËÅÍ´àÅ×Í´
             à¹×ͧ¨Ò¡äµà»š¹ÍÇÑÂÇзÕÁËÅÍ´àÅ×Í´ËÅÑ¡ä»àÅÕ§à¾Õ§àÊŒ¹à´ÕÂǤ×Í renal artery ´Ñ§¹Ñ¹¡ÒÃÍØ´
                è                       è Õ                             é                                          é
ËÅÍ´àÅ×Í´¢Í§äµ¨Ö§µŒÍ§¡ÃзíÒÍ‹ҧÃÐÁÑ´ÃÐÇѧà¾ÃÒÐÁÕâÍ¡ÒÊà¡Ô´¡ÒõÒ¢ͧà¹×Íäµä´ŒÁÒ¡ ¡ÒÃÍØ´                   é
ËÅÍ´àÅ×Í´¤ÇÃãÊ‹ÊÒÂÊǹࢌÒä»ã¡ÅŒ¡ºµíÒá˹‹§¢Í§¾ÂÒ¸ÔÊÀÒ¾ãËŒÁÒ¡·ÕÊ´áŌǨ֧·íÒ¡ÒÃÍØ´ËÅÍ´
                                                  Ñ                                             èØ
àÅ×Í´ ÇÑʴط㪌ÊǹÁҡ㪌໚¹¢´ÅÇ´¢¹Ò´àÅç¡ (micro coil) à¹×ͧ¨Ò¡¾ÂÒ¸ÔÊÀҾʋǹÁÒ¡à¡Ô´¢Ö¹·Õè
                  Õè ‹                                                        è                                            é
ËÅÍ´àÅ×Í´äµÊ‹Ç¹»ÅÒ ÇÑÊ´ØÍ´ËÅÍ´àÅ×Í´»ÃÐàÀ·Í¹ØÀҤ䴌ᡋ gelatin sponge ËÃ×Í polyvinyl
                                      Ø
alcohol ¹Ñé¹ãªŒ¹ŒÍÂà¹×èͧ¨Ò¡ÍÒ¨·íÒãËŒà¡Ô´¡ÒÃÍØ´ËÅÍ´àÅ×Í´Í×è¹·ÕèäÁ‹µŒÍ§¡ÒÃä´ŒÁÒ¡ (non target
embolization) ·íÒãËŒà¡Ô´¡ÒâҴàÅ×Í´¢Í§à¹×Íäµà¾ÔÁ¢Ö¹ä´Œ ¡ÒÃÃÑ¡ÉÒ´ŒÇÂÇÔ¸¡ÒÃÍØ´ËÅÍ´àÅ×Í´´Ñ§¡Å‹ÒÇ
                                                         é    è é                             Õ
¹Ñ¹ ÊÒÁÒöŴâÍ¡ÒÊ¡ÒÃÊÙ­àÊÕÂäµà¾ÔÁÁÒ¡¢Ö¹
   é                                                è       é
500                                  Interventional Radiology Management in Traumatic Patient




       ¼Å¡ÒÃÃÑ¡ÉÒ´ŒÇÂÇԸʹËÅÍ´àÅ×ʹ㹼ٻǷÕÁ¡ÒúҴà¨çº¢Í§äµ¹Ñ¹ä´Œ¼Å´ÕÁÒ¡ã¹»˜¨¨Øº¹
                         ÕØ             Œ † è Õ                  é               Ñ
ÃÒ§ҹ¤ÇÒÁÊíÒàÃ稻ÃÐÁÒ³ 84-100% ÀÒÇÐá·Ã¡«ŒÍ¹·ÕÍÒ¨à¡Ô´¢Ö¹¾ºä´Œ¹Í 䴌ᡋ ÍÒ¡ÒûǴ
                                  (3)
                                                  è       é         Œ
post embolization syndrome ËÃ×ÍÀÒÇСÒâҴàÅ×Í´¢Í§äµ«Ö§â´Â·ÑÇ仼ٻǨÐäÁ‹ÁÍÒ¡ÒÃ
                                                     è      è   Œ †      Õ

ÀÂѹµÃÒµ‹ÍÁŒÒÁ (Traumatic splenic injury)
        ÁŒÒÁ໚¹ÍÇÑÂÇзվº¡ÒúҴà¨çºä´ŒºÍ¨ҡ¡ÒÃà¡Ô´Íغµà赯 áÅÐà¹×ͧ¨Ò¡à»š¹ÍÇÑÂÇзÕÁàÅ×Í´
                        è                   ‹               Ñ Ô      è                 è Õ
ä»àÅÕ§»ÃÔÁÒ³ÁÒ¡ ¡ÒúҴà¨çº·Õà¡Ô´¡ÑºÁŒÒÁ¨Ö§ÁÕ͹µÃÒ¤‹Í¹¢ŒÒ§ÁÒ¡ »˜¨¨Øº¹¡ÒÃÃÑ¡ÉÒà»ÅÕ¹¨Ò¡
      é                        è                 Ñ                     Ñ             è
¡Òü‹ÒµÑ´ÁÒ໚¹¡ÒÃÃÑ¡ÉÒẺ»ÃФѺ»ÃФͧËÃ×Í¡ÒÃÃÑ¡ÉÒâ´Â¡ÒÃÍØ´ËÅÍ´àÅ×Í´ÁÒ¡¢Ö¹ à¹×ͧ¨Ò¡
                                                                                  é è
¡Òü‹ÒµÑ´ÁŒÒÁÍÍ¡¹Ñ¹·íÒãËŒà¡Ô´ÀÒÇÐá·Ã¡«ŒÍ¹ã¹ÀÒÂËÅѧ¤×ÍÁÕâÍ¡ÒʵԴàª×Í encapsulated Ấ·ÕàÃÕÂ
                   é                                               é
à¾ÔÁ¢Ö¹
    è é
        ¡ÒõÃǨàÍ¡«àϤÍÁ¾ÔÇàµÍÏ㹼ٻÇ·ÕÁÊ­­Ò³ªÕ¾¤§·ÕÊÒÁÒöª‹Çº͡¤ÇÒÁÃØ¹áç,
                                           Œ † è Õ Ñ            è
ª¹Ô´áÅеíÒá˹‹§¢Í§¡ÒÃà¡Ô´¾ÂÒ¸ÔÊÀÒ¾ ÃÇÁ·Ñ§ª‹ÇÂÇÒ§á¼¹¡ÒÃÃÑ¡ÉÒ ËÒ¡¾º¾ÂÒ¸ÔÊÀҾઋ¹¨Ø´
                                               é
àÅ×Í´ÍÍ¡ ËÃ×ÍËÅÍ´àÅ×ʹ⻆§¾Í§ ¡ç¤ÇÃ䴌ú¡ÒÃÃÑ¡ÉÒâ´Â¡ÒÃÍØ´ËÅÍ´àÅ×Í´ ã¹·Ò§¡ÅѺ¡Ñ¹ã¹¼Ù»ÇÂ
                                         Ñ                                                 Œ †
·ÕʧÊÑ¡ÒúҴà¨çº¢Í§ÁŒÒÁáÅÐÁÕÊ­­Ò³ªÕ¾äÁ‹¤§·Õè ઋ¹ÁÕÀÒÇФÇÒÁ´Ñ¹âÅËÔµµèÒ ¤ÇÃ䴌ú¡ÒÃÃÑ¡ÉÒ
  è                              Ñ                                       í         Ñ
´ŒÇ¡Òü‹ÒµÑ´·Ñ¹·Õ
        ã¹»˜¨¨Øº¹ proximal splenic coil embolization ¶×Í໚¹Áҵðҹ㹡ÒÃÃÑ¡ÉҼٻǷÕÁ¡ÒÃ
                Ñ                                                              Œ † è Õ
ºÒ´à¨çº¢Í§ÁŒÒÁÍÂ‹Ò§ÃØ¹áç·Ñ§ã¹º·ºÒ·¢Í§ preoperative surgical splenectomy áÅСÒÃÃÑ¡ÉÒ
                             é
ẺäÁ‹µÍ§¼‹ÒµÑ´ ËÅÑ¡¡Òâͧ¡ÒÃÍØ´ËÅÍ´àÅ×ʹẺ¹Õ¹¹ à¹×ͧÁÒ¨Ò¡ ÁŒÒÁ໚¹ÍÇÑÂÇзÕÁÕ collateral
         Œ                                           é Ñé è                     è
àǪÈÒʵÏ·¹Âؤ 2553
          Ñ                                                                                   501

supply ¤‹Í¹¢ŒÒ§ÁÒ¡ 䴌ᡋ pancreatic artery, short gastric artery áÅÐ gastroepiploic artery ´Ñ§¹Ñ¹
                                                                                                 é
àÁ×èÍÁÕ¡ÒÃÍØ´ËÅÍ´àÅ×Í´·ÕèʋǹµŒ¹¢Í§ splenic artery ¨Ðª‹ÇÂÅ´»ÃÔÁÒ³àÅ×Í´·Õèä»àÅÕé§ÁŒÒÁ໚¹
Í‹ҧÁÒ¡ ·íÒãËŒ¨´àÅ×Í´ÍÍ¡µ‹Ò§æÊÒÁÒöËÂØ´ä´Œ ᵋäÁ‹·ÒãËŒà¡Ô´¡ÒõÒ¢ͧà¹×ÍÁŒÒÁà¹×ͧ¨Ò¡ÂѧÁÕ
                 Ø                                       í                    é        è
collateral supply




         ¹Í¡¨Ò¡¹ÕËÒ¡¾º¾ÂÒ¸ÔÊÀÒ¾·ÕµÒá˹‹§ã´µíÒá˹‹§Ë¹Ö§·Õ໚¹ÊÒà˵آͧÀÒÇÐàÅ×Í´ÍÍ¡ ઋ¹
                   é                      è í             è è
ÁÕàÊŒ¹àÅ×ʹ⻆§¾Í§¢¹Ò´àÅç¡ã¹ÃдѺ interpolar artery ¡ÒÃÍØ´ËÅÍ´àÅ×ʹ੾ÒÐàÊŒ¹àÅ×Í´·ÕÁ¾ÂÒ¸Ô
                                                                                     è Õ
ÊÀÒ¾´ŒÇ¢´ÅÇ´¢¹Ò´àÅç¡¡çÊÒÁÒö·íÒ䴌ઋ¹¡Ñ¹ ᵋ¡ÒÃÍØ´ËÅÍ´àÅ×Í´â´Â㪌ÇÊ´ØÍ´ËÅÍ´àÅ×Í´ª¹Ô´
                                                                       Ñ Ø
·Õ໚¹Í¹ØÀҤઋ¹ gelatin sponge ¹Ñ¹äÁ‹à»š¹·Õ¹ÂÁà¹×ͧ¨Ò¡·íÒãËŒà¡Ô´¡ÒõÒ¢ͧÁŒÒÁà¾ÔÁ¢Ö¹ Í‹ҧ
  è                                     é          è Ô è                         è é
äáçµÒÁËÒ¡ÁÕ¤ÇÒÁà˧´‹Ç¹ã¹¡ÒÃÍØ´ËÅÍ´àÅ×ʹઋ¹¼ÙŒ»†ÇÂÁÕÊÑ­­Ò³ªÕ¾á‹ŧ¢³Ð·íÒ¡ÒÃÃÑ¡ÉÒ
¡ÒÃÍØ´ËÅÍ´àÅ×Í´â´Â㪌 gelatin sponge ÊÒÁÒö·íÒ䴌ઋ¹¡Ñ¹
         ÁÕ¡ÒÃÃÒ§ҹ¼Å¡ÒÃÃÑ¡ÉÒ´ŒÇÂÇÔ¸¡ÒÃÍØ´ËÅÍ´àÅ×Í´ splenic artery 㹡ÒúҴà¨çº¢Í§ÁŒÒÁ
                                              Õ
»ÃÐÁÒ³ 87-100% ¢Í§¼Ù»Ç·ÕÁÍÒ¡Òôբ¹áÅÐÊÒÁÒöà¡çºÃÑ¡ÉÒÁŒÒÁänj䴌 (salvageable spleen)
                     (4)
                              Œ † è Õ           Öé
ʋǹ¡ÒÃÃÑ¡ÉÒ´ŒÇÂÇԸʹËÅÍ´àÅ×ʹẺ proximal splenic coil embolization ¡çãËŒ¼Å¡ÒÃÃÑ¡ÉÒ·Õ´Õ
                         ÕØ                                                               è
ઋ¹¡Ñ¹ã¹¡ÅØÁ·ÕÁ¡ÒúҴà¨çº¢Í§ÁŒÒÁÃØ¹áçÃдѺ 4 áÅÐ 5 â´Â·Õè salvageable rate »ÃÐÁÒ³ 80%
             ‹ è Õ                                                                        (5)

         ÀÒÇÐá·Ã¡«ŒÍ¹·ÕÍÒ¨à¡Ô´¢Ö¹¨Ò¡¡ÒÃÍØ´ËÅÍ´àÅ×Í´ÁŒÒÁ䴌ᡋ ÍÒ¡ÒûǴ, post embolization
                            è         é
syndrome, splenic infarction ËÃ×Í splenic abscess ໚¹µŒ¹
502                                                Interventional Radiology Management in Traumatic Patient

ÀÂѹµÃÒµ‹Í¡Ãд١àªÔ§¡ÃÒ¹ (Pelvic fracture)
                ¡Ãд١àªÔ§¡Ãҹᵡ¨Ò¡ÍغѵÔà˵عÑé¹ ¾ºã¹¼ÙŒ»†Ç·Õèä´ŒÃѺ¡ÒáÃÐá·¡ÍÂ‹Ò§ÃØ¹áçáÅÐÁÕ
ÍѹµÃÒ¶֧ªÕǵ¨Ò¡¡ÒÃàÊÕÂàÅ×Í´»ÃÔÁÒ³ÁÒ¡ ¡ÒÃÃÑ¡ÉÒàº×ͧµŒ¹¤×Í¡Òà resuscitation â´Â¡ÒÃãËŒÊÒÃ
                      Ô                                                                é
¹éíÒáÅÐʋǹ»ÃСͺ¢Í§àÅ×Í´à¾×èÍãËŒÊÑ­­Ò³ªÕ¾¤§·Õè ËÇÁ¡Ñº¡ÒÃÂÖ´µÃÖ§¡Ãд١àªÔ§¡ÃÒ¹ (pelvic
fixation) à¾×ÍÅ´¡ÒÃÊÙ­àÊÕÂàÅ×Í´ Í‹ҧäáçµÒÁÁÕ¼»Ç»ÃÐÁÒ³ 5-20% ·Õ䴌ú¡ÒÃÃÑ¡ÉҴѧ¡Å‹ÒÇáÅŒÇ
                   è                                                      ÙŒ †                               è Ñ
ÂѧÁÕàÅ×Í´ÍÍ¡ÁÒ¡ÍÂÙ‹ «Ö§¡ÒÃÃÑ¡ÉÒã¹¼Ù»ÇÂ¡ÅØÁ¹ÕÂÒ¡á¡‹¡Òü‹ÒµÑ´à¾×ÍËŒÒÁàÅ×Í´à¹×ͧ¨Ò¡äÁ‹ÊÒÁÒö
                               è                     Œ †              ‹ é                             è          è
ËҨش·ÕàÅ×Í´Í͡䴌ª´à¨¹ã¹¢³Ð¼‹ÒµÑ´ ¹Í¡¨Ò¡¹Õ¡Ò÷íÒ hypogastric artery ligation ¡çä´Œ¼ÅäÁ‹´Õ
              è              Ñ                                                 é
à¹×ͧ¨Ò¡áÁŒ¨Ð¼Ù¡àÊŒ¹àÅ×Í´´Ñ§¡Å‹ÒÇáÅŒÇ àÊŒ¹àÅ×Í´ collateral µ‹Ò§æÂѧÊÒÁÒöÁÒ·íÒãËŒà¡Ô´àÅ×Í´ÍÍ¡
      è
ä´Œ à¾ÃÒЩйѹ¡ÒÃÃÑÉÒâ´Â¡ÒÃÍØ´ËÅÍ´àÅ×Í´¼‹Ò¹·Ò§ÊÒÂÊǹ¨Ö§ÁÕº·ºÒ·ã¹ÀÒÇÐàÅ×Í´ÍÍ¡¨Ò¡
                        é
¡ÃÐ´Ù¡ÍØ§àªÔ§¡ÃҹᵡËÑ¡ã¹ÃÒ·ռ»ÇÂÁÕÊ­Ò³ªÕ¾äÁ‹¤§·Õè
                Œ                             è ÙŒ †             Ñ
                ¡ÒÃᵡ¢Í§¡Ãд١àªÔ§¡Ãҹẋ§ä´Œà»š¹ËÅÒª¹Ô´ä´Œá¡‹ lateral compression, anteroposterior
compression, vertical shear áÅÐ combined mechanism àÃÕ§µÒÁÅíҴѺ¤ÇÒÁÃØ¹áç ã¹¡ÅØÁ¼Ù»Ç                                      ‹ Œ †
·ÕÁ¡ÒÃᵡËÑ¡ª¹Ô´ lateral compression ¹Ñ¹ÁÑ¡¨ÐäÁ‹Ã¹áçà¹×ͧ¨Ò¡ ligament µ‹Ò§äÁ‹¶¡·íÒÅÒÂ
    è Õ                                                            é                 Ø         è                         Ù
·íÒãËŒàÅ×Í´ÍÍ¡»ÃÔÁÒ³äÁ‹ÁÒ¡ ¼Ù»ÇÂ¡ÅØÁ¹Õ·¨Ò໚¹µŒÍ§ä´ŒÃº¡ÒÃÍØ´ËÅÍ´àÅ×Í´ÁÕà¾Õ§ 1% ã¹·Ò§µÃ§
                                      Œ †             ‹ é Õè í                             Ñ
¢ŒÒÁ¼Ù»Ç·ÕÁ¡Ãд١àªÔ§¡ÃҹᵡËÑ¡ª¹Ô´·ÕàËÅ×ÍÁÕ¤ÇÒÁ¨íÒ໚¹µŒÍ§ä´ŒÃº¡ÒÃÍØ´ËÅÍ´àÅ×Í´¶Ö§ 18-28%
           Œ † è Õ                                         è                                            Ñ
                ¢ŒÍº‹§ªÕ㹡ÒÃÃÑ¡ÉÒ´ŒÇÂÇÔ¸·Ò§ÃѧÊÕÃÇÁÃÑ¡Éҹѹ¤Ç÷íÒ㹼ٻǷÕÁÊ­­Ò³ªÕ¾äÁ‹¤§·ÕËÅѧ¨Ò¡
                          é               Õ                  ‹                   é               Œ † è ÕÑ                  è
ä´Œ·Ò pelvic fixation áÅÐ resuscitation Í‹ҧàËÁÒÐÊÁáÅŒÇ ËÃ×ͼٻÇ·յÃǨ¾º¨Ø´àÅ×Í´ÍÍ¡, àÊŒ¹
         í                                                                                         Œ † è
àÅ×ʹ⻆§¾Í§, ¢¹Ò´¡ŒÍ¹àÅ×Í´ãË­‹¢¹¨Ò¡àÍ¡«àϤÍÁ¾ÔÇàµÍÏ
                                                  Öé
                ¡‹Í¹¡ÒõÃǨËÅÍ´àÅ×Í´ã¹¼ÙŒ»†Ç·ÕèÁÕ¡Ãд١àªÔ§¡Ãҹᵡ¹Ñé¹ á¾·Â¼ÙŒ·íÒ¡ÒõÃǨ¤ÇÃ
»ÃÐàÁԹNjҾÂÒ¸ÔÊÀÒ¾¹‹Ò¨Ðà¡Ô´·ÕËÅÍ´àÅ×Í´¢ŒÒ§¢ÇÒËÃ×ͪŒÒ à¹×ͧ¨Ò¡¡Òà puncture´ŒÒ¹µÃ§¢ŒÒÁ¡Ñº
                                        è                                                    è
·ÕÁ¾ÂÒ¸ÔÊÀÒ¾¨ÐÊдǡᡋ¡ÒõÃǨáÅСÒÃÍØ´ËÅÍ´àÅ×Í´ÁÒ¡¡Ç‹Ò
     è Õ
                ËÅѧ¨Ò¡¡ÒõÃǨËÅÍ´àÅ×Í´ËÒ¡¾ºµíÒá˹‹§àÅ×Í´ÍÍ¡·ÕèªÑ´à¨¹àÃÒ¡çÊÒÁÒöÃÑ¡ÉÒâ´Â
superselective embolization ੾ÒеíÒá˹‹§·ÕèàÅ×Í´ÍÍ¡ â´ÂÇÑÊ´Ø·ÕèãªŒÍØ´ËÅÍ´àÅ×Í´ÍÒ¨¨Ð໚¹
¢´ÅÇ´, ¡ÒÇÍØ´ËÅÍ´àÅ×Í´ ËÃ×Í gelatin sponge ¢Ö¹ÍÂÙ¡ºµíÒá˹‹§áÅоÂÒ¸ÔÊÀÒ¾·Õ¾º ã¹·Ò§µÃ§
                                                                             é ‹ Ñ                                 è
¢ŒÒÁËÒ¡äÁ‹¾º¨Ø´àÅ×Í´ÍÍ¡ªÑ´à¨¹áµ‹¼ÙŒ»†ÇÂÁÕÍÒ¡ÒÃáÊ´§¢Í§àÅ×Í´ÍÍ¡ËÃ×ÍÁÕÊÑ­­Ò³ªÕ¾äÁ‹¤§·Õè
¡ÒÃÍØ´ËÅÍ´àÅ×Í´ internal iliac ·Ñ§Êͧ¢ŒÒ§â´Â gelatin sponge ¡çÊÒÁÒö·íÒ䴌ઋ¹¡Ñ¹ â´Â gelatin
                                            é
sponge ¨ÐÊÒÁÒöª‹ÇÂÅ´»ÃÔÁÒ³¢Í§àÅ×Í´·Õä»àÅÕÂ§ÍØ§àªÔ§¡ÃÒ¹·íÒãˌŴ¡ÒÃàÊÕÂàÅ×Í´ä´Œ ¹Í¡¨Ò¡¹Õé
                                                                     è é Œ
gelatin sponge ໚¹ÇÑÊ´ØÍ´ËÅÍ´àÅ×Í´·ÕÁ¤ÇÒÁ»ÅÍ´ÀÑÂà¹×ͧ¨Ò¡à»š¹¡ÒÃÍØ´ËÅÍ´àÅ×Í´à¾Õ§ªÑǤÃÒÇ
                                 Ø                     è Õ                               è                                    è
ËÅÍ´àÅ×Í´ÊÒÁÒö recanalize ä´ŒËÅѧ¨Ò¡ÍØ´ËÅÍ´àÅ×Í´»ÃÐÁÒ³ 1-2 ÊÑ»´Òˏ ·íÒãˌŴ¡ÒÃà¡Ô´ÀÒÇÐ
á·Ã¡«ŒÍ¹¨Ò¡¡ÒâҴàÅ×Í´¢Í§ÍÇÑÂÇÐã¹ÍاàªÔ§¡Ãҹ䴌                Œ
                ¼Å¡ÒÃÃÑ¡ÉÒÀÒÇÐàÅ×Í´ÍÍ¡¨Ò¡¡Ãд١àªÔ§¡ÃҹᵡËÑ¡â´ÂÇԸʹËÅÍ´àÅ×Í´¾ºÇ‹Òä´Œ¼Å»ÃÐ               ÕØ
ÁÒ³ 80-100% â´ÂÊÒÁÒö¾ºÀÒÇÐá·Ã¡«ŒÍ¹ä´Œ»ÃÐÁÒ³ 5% ઋ¹ ¡ÒõÒ¢ͧà¹×ÍàÂ×ÍÍÇÑÂÇÐã¹
                        (6)
                                                                                                                     é è
ÍØ§àªÔ§¡ÃÒ¹ ઋ¹ ¼ÔÇ˹ѧ ¡ÃÐà¾Òл˜ÊÊÒÇÐ ÅíÒäÊŒãË­‹Êǹŋҧ ໚¹µŒ¹
  Œ                                                                                ‹
àǪÈÒʵÏ·¹Âؤ 2553
          Ñ                                                                                                                  503

ÀÂѹµÃÒµ‹ÍËÅÍ´àÅ×ʹᢹáÅÐ¢Ò (Traumatic injury of extremities)
         ¡ÒúҴà¨çº¢Í§ËÅÍ´àÅ×Í´·Õᢹ¢Ò¹Ñ¹ ¶×ÍÇ‹ÒÁÕ¤ÇÒÁÊíҤѭÁÒ¡â´Â੾ÒÐ㹼ٻǷÕÁÀÒÇÐ
                                                  è              é                                             Œ † è Õ
¢Ò´àÅ×Í´·Õᢹ¢Ò«Ö§ÍÒ¨¨Ðà¡Ô´¨Ò¡ËÅÍ´àÅ×Í´©Õ¡¢Ò´ ËÅÍ´àÅ×Í´ÍØ´µÑ¹ ËÃ×Í¡ŒÍ¹àÅ×Í´¢¹Ò´ãË­‹
               è       è
¡´·ÑºËÅÍ´àÅ×Í´·Õᢹ¢Ò «Ö§¡ÒÃÇÔ¹¨©Ñ¤ÇÒÁ¼Ô´»¡µÔ¢Í§ËÅÍ´àÅ×Í´ÁÕ¤ÇÒÁÊíҤѭÁÒ¡ à¾ÃÒÐËÒ¡
                     è           è              Ô
·íÒ¡Òü‹ÒµÑ´ä´ŒÍ‹ҧ·Ñ¹·‹Ç§·Õ¡¨ÐÊÒÁÒöª‹Ç¿„¹à¹×ÍàÂ×ͺÃÔàdz·Õ¢Ò´àÅ×Í´ä´Œ ´Ñ§¹Ñ¹¡ÒõÃǨËÅÍ´
                                          ç                         œ é è     è                            é
àÅ×Í´´ŒÇÂÊÒÂÊǹËÅÍ´àÅ×Í´¨Ö§ÁÕ¤ÇÒÁÊíҤѭ·Ñ§ã¹¡Òú͡ª¹Ô´¢Í§¾ÂÒ¸ÔÊÀÒ¾áÅеíÒá˹‹§·Õ¶¡µŒÍ§
                                                               é                                                       è Ù
¹Í¡¨Ò¡¹Õ¡ÒÃÍØ´ËÅÍ´àÅ×Í´·Õ໚¹ÊÒà˵آͧàÅ×Í´ÍÍ¡äÁ‹ÇÒ¨Ð໚¹ËÅÍ´àÅ×ʹ⻆§¾Í§ ËÅÍ´àÅ×Í´á´§
           é                       è                                        ‹
µ‹Í¡ÑºËÅÍ´àÅ×Í´´íÒ ËÃ×Í¡Òéա¢Ò´¢Í§ËÅÍ´àÅ×Í´¡çÊÒÁÒö·íÒä´Œ·¹·ÕËÒ¡¾º¤ÇÒÁ¼Ô´»¡µÔ¨Ò¡¡Òà     Ñ
µÃǨËÅÍ´àÅ×Í´´ŒÇÂÊÒÂÊǹ
         ÍÒ¡ÒÃáÊ´§·ÕÊҤѭ·ÕªÇº‹§¶Ö§¾ÂÒ¸ÔÊÀÒ¾¢Í§ËÅÍ´àÅ×Í´(hard sign) 䴌ᡋ pulse deficit,
                         èí          è ‹
active bleeding, thrill or bruit, expanding hematoma «Ö§ËÒ¡µÃǨ¾ºÇ‹ÒÁÕ pules deficit ¹Ñ¹º‹§ªÕÇÒ
                                                                          è                                        é            é‹
ÁÕ¾ÂÒ¸ÔÊÀÒ¾¢Í§ËÅÍ´àÅ×Í´»ÃÐÁÒ³ 56-87% ¶ŒÒ¾º bruit ËÃ×Í thrill º‹§ªÕÇÒÁÕ¾ÂÒ¸ÔÊÀÒ¾¢Í§ËÅÍ´            é‹
àÅ×Í´»ÃÐÁÒ³ 100% áÅжŒÒ¾ºÅѡɳРexpanding hematoma ¨Ð¾º¾ÂÒ¸ÔÊÀÒ¾¢Í§ËÅÍ´àÅ×Í´
»ÃÐÁÒ³ 38% ´Ñ§¹Ñ¹¡ÒõÃǨËҧ¡Ò¹ѹÊíҤѭà¾ÃÒзíÒãˌᾷ¼·Ò¡ÒÃÃÑ¡ÉÒ¤íÒ¹Ö§¶Ö§¾ÂÒ¸ÔÊÀÒ¾
                   é                                     é                        ÙŒ í
¢Í§ËÅÍ´àÅ×Í´áÅÐÊ‹§µÃǨÇÔ¹¨©ÑÂà¾ÔÁàµÔÁµ‹Íä»
                                        Ô           è
         »˜¨¨Øº¹àÍ¡«àϤÍÁ¾ÔÇàµÍÏ¡ÁÊǹª‹ÇÂÍ‹ҧÁҡ㹡óշʧÊѾÂÒ¸ÔÊÀÒ¾¢Í§ËÅÍ´àÅ×Í´
                 Ñ                                    ç Õ‹                          Õè
¢¹Ò´¡ÅÒ§¶Ö§¢¹Ò´ãË­‹ ᵋã¹ËÅÍ´àÅ×Í´·ÕÁ¢¹Ò´àÅç¡¡Ç‹Ò 2 ÁÁ. ¹Ñ¹ÂѧãËŒÃÒÂÅÐàÍÕ´䴌äÁ‹´à·‹Ò¡Ñº
                                                           è Õ                         é                                Õ
¡ÒõÃǨ¼‹Ò¹·Ò§ÊÒÂÊǹËÅÍ´àÅ×Í´
         ¤ÇÒÁàËÁÒÐÊÁ¢Í§¡ÒÃÃÑ¡ÉÒÃÐËNjҧ¡Òü‹ÒµÑ´ËÃ×Í¡ÒÃÍØ´ËÅÍ´àÅ×Í´¤ÇþԨÒóÒ㹼ٻǠ                                        Œ †
ᵋÃÒ ¡ÒÃÃÑ¡ÉÒâ´ÂÇԸʹËÅÍ´àÅ×Í´¹Ñ¹¨ÐàËÁÒÐÊÁ¡Ñº¾ÂÒ¸ÔÊÀÒ¾¢Í§ËÅÍ´àÅ×Í´·ÕÍÂÙšઋ¹ distal
                          ÕØ                           é                                                     è ‹Ö
profunda femoris ໚¹µŒ¹ ËÃ×Í㹼ٻǷÕäÁ‹·ÃÒºµíÒá˹‹§¢Í§¾ÂÒ¸ÔÊÀҾṋª´ËÃ×ÍÁÕ¾ÂÒ¸ÔÊÀÒ¾
                                              Œ † è                                                      Ñ
ËÅÒµíÒá˹‹§
         à¹×ͧ¨Ò¡á¢¹áÅТҹѹÁÕàÊŒ¹àÅ×Í´ collateral vessel ¨íҹǹÁÒ¡ ´Ñ§¹Ñ¹ÇÔ¸¡ÒÃÍØ´ËÅÍ´àÅ×Í´
             è                        é                                                                é Õ
¹Ñ¹¢Ö¹¡ÑºµíÒá˹‹§áÅÐÅѡɳТͧ¾ÂÒ¸ÔÊÀҾઋ¹ ËÅÍ´àÅ×ʹ⻆§¾Í§·ÕºÃÔàdzàÊŒ¹àÅ×ʹʋǹ»ÅÒÂ
  é é                                                                                           è
ઋ¹ distal branch of profunda femoris ¡ÒÃÃÑ¡ÉÒÊÒÁÒö·íÒä´Œ´Ç¡ÒÃÍØ´ËÅÍ´àÅ×ʹʋǹµŒ¹·Õ¶´
                                                                                Œ                                             è Ñ
¨Ò¡µíÒá˹‹§¢Í§¾ÂÒ¸ÔÊÀÒ¾à¾Õ§Í‹ҧà´ÕÂÇ áµ‹ã¹·Ò§¡ÅѺ¡Ñ¹ËÒ¡¾ºËÅÍ´àÅ×ʹ⻆§¾Í§·ÕËÅÍ´                                         è
àÅ×ʹʋǹµŒ¹àª‹¹ proximal of profunda femoris ¡ÒÃÍØ´ËÅÍ´àÅ×Í´¨ÐµŒÍ§ÍØ´·Ñ§Ê‹Ç¹µŒ¹áÅÐʋǹ»ÅÒ          é
à¾×Í»‡Í§¡Ñ¹ collateral vessel ÁÒàÅÕ§µíÒá˹‹§·ÕÁ¾ÂÒ¸ÔÊÀÒ¾ ÇÑʴط㪌ʹʋǹÁÒ¡¨Ð㪌ª¹Ô´¢´ÅÇ´
     è                                      é                      è Õ                     Õè Ø
à¹×ͧ¨Ò¡ÊÒÁÒöÇÒ§µíÒá˹‹§ä´ŒáÁ‹¹ÂíÒᵋ¡ÒÇÊíÒËÃÑºÍØ´ËÅÍ´àÅ×Í´¡çÊÒÁÒö㪌䴌ઋ¹¡Ñ¹¢Ö¹¡ÑºµíÒ
   è                                                                                                                 é
á˹‹§¢Í§¾ÂÒ¸ÔÊÀҾ㹼ٻÇÂᵋÅÐÃÒÂ
                             Œ †
504                                            Interventional Radiology Management in Traumatic Patient




      ¼Å¡ÒÃÃÑ¡ÉÒ´ŒÇÂÇÔ¸¡ÒÃÍØ´ËÅÍ´àÅ×Í´¹Ñ¹ÍÂÙ·»ÃÐÁÒ³ 85-100%(7) áÅÐÀÒÇÐá·Ã¡«ŒÍ¹·Õà¡Ô´
                         Õ                é ‹ Õè                                 è
¢Ö¹¾ºä´Œ¹Í ઋ¹ non target embolization ËÃ×Í puncture site complication ໚¹µŒ¹
  é      Œ

àÍ¡ÊÒÃ͌ҧÍÔ§
1.    Miller KS, McAninch JW. Radiographic assessment of renal trauma: our 15-year experience. J Urol 1995;
      154:352–5.
2.    Hagiwara A, Sakaki S, Goto H, et al. The Role of Interventional Radiology in the Management of Blunt Renal
      Injury: A Practical Protocol J Trauma. 2001;51:526–31.
3.    .lacker R, Paolini RM, Lima S. Management of traumatic hematuria by selective renal artery embolization. J
      Urol 1984;132:662-7.
4.    Drooz AT, Curtis AL, Allen TE, et al. Quality improvement guidelines for percutaneous transcatheter embolization.
      J Vasc Interv Radiol 2004;14:S237-42.
5.    Haan JM, Biffl W, Knudson M. Splenic embolization revisited: a multicenter review. J Trauma 2004;56:542-7.
6.    .angio P, Asehnoune K, Edouard A, et al. Early embolization and vasopressor administration for management
      of life-threatening hemorrhage from pelvic fracture. J Trauma 2005;58:978-84.
7.    Teitelbaum GP, Reed RA, Larsen D, et al. Microcatheter embolization of non-neurologic traumatic vascular
      lesions. J Vasc Interv Radiol 1993;4:149-54.
8.    Michael J. Pentecost. Interventional therapies of hepatic malignancy. In: Stanley Baum, Michael J. Pentecost,
      eds. Abrams’ Angiography Interventional radiology. Philadelphia: Lippincott Williams & Wilkins, 2006:516-35.
àǪÈÒʵÏ·¹Âؤ 2553
          Ñ                                                                  º··Õè       505

                                                                               70
      ¹Í¹¡Ã¹áÅÐÀÒÇÐËÒÂ㨼Դ»¡µÔ¢³ÐËÅѺª¹Ô´ÍØ´¡Ñé¹
 (Snoring and Obstructive Sleep Disordered Breathing; OSDB)
                                        ¼ÙŒª‹ÇÂÈÒʵÃÒ¨ÒÏ ¹ÒÂᾷÇÔª­ ºÃóËÔÃÑ­
          ÀÒ¤ÇÔªÒâʵ ¹ÒÊÔ¡ ÅÒÃÔ§«Ç·ÂÒ ¤³Ðá¾·ÂÈÒʵÏÈÃÃÒª¾ÂÒºÒÅ ÁËÒÇÔ·ÂÒÅÑÂÁËÔ´Å
                                   Ô                   ÔÔ


        ¹Í¹¡Ã¹à»š¹ÍÒ¡ÒÃÍ‹ҧ˹֧«Ö§¾ºä´ŒºÍÂÁÒ¡áÅÐà¡Ô´¢Ö¹ä´Œã¹·Ø¡à¾È ·Ø¡ÇÑ àÊÕ§¡Ã¹à¡Ô´
                                  è è         ‹                 é
¨Ò¡¡Ò÷ÕÅÁËÒÂ㨡íÒÅѧà¤Å×͹¼‹Ò¹·Ò§à´Ô¹ËÒÂã¨Ê‹Ç¹µŒ¹·Õµºá¤ºÅ§ ã¹ÅѡɳзÕ໚¹ turbulent flow
         è                  è                         è Õ                    è
áÅзíÒãËŒà¡Ô´¡ÒÃÊѹÊÐà·×͹¢Í§à¹×ÍàÂ×ÍÃͺ¢ŒÒ§ â´ÂµíÒá˹‹§·Õ᤺¢Í§·Ò§à´Ô¹ËÒÂ㨠ÍÒ¨àÃÔÁµÑ§áµ‹
                  è             é è                           è                        è é
¨ÁÙ¡ (nasal cavity) â¾Ã§ËÅѧ¨ÁÙ¡ (nasopharynx) ྴҹ͋͹ (soft palate) ¤ÍËÍ (oropharynx)
µ‹ÍÁ·ÍūԹ (tonsils) ⤹ÅÔ¹ (base of tongue) ¨¹¶Ö§ºÒ§Ê‹Ç¹¢Í§¡Å‹Í§àÊÕ§ (larynx) ·Ñ§¹ÕàÊÕ§¡Ã¹
                          é                                                       é é
¹Í¡¨Ò¡¨Ð¡‹ÍãËŒà¡Ô´¤ÇÒÁÃíÒ¤Ò­Í‹ҧÁÒ¡ ¡Ñº¤Ù¹Í¹ ËÃ×ͼٷ¾¡ÍÒÈÑÂËÇÁ´ŒÇ ÂѧÍҨ໚¹ÍÒ¡ÒÃáÊ´§
                                            ‹        Œ Õè Ñ
(sign) ·ÕÊҤѭÍ‹ҧ˹֧¢Í§¡ÅØÁâäÀÒÇÐËÒÂ㨼Դ»¡µÔ¢³ÐËÅѺª¹Ô´ÍØ´¡Ñ¹ (obstructive sleep-
         èí            è      ‹                                       é
disordered breathing; OSDB) â´Ââä¡ÅØ‹Á¹ÕéËÒ¡àÃÕ§µÒÁÅíҴѺ¤ÇÒÁÃØ¹áç¨Ò¡¹ŒÍÂä»ÁÒ¡
¨Ð»ÃСͺ´ŒÇ ÀÒÇй͹¡Ã¹¸ÃÃÁ´Ò (primary snoring), ¡ÅØÁÍÒ¡Òèҡ·Ò§à´Ô¹ËÒÂã¨Ê‹Ç¹µŒ¹µÕº
                                                            ‹
᤺ (upper airway resistance syndrome; UARS) ¡ÅØÁÍÒ¡ÒÃËÂØ´ËÒÂ㨢³ÐËÅѺª¹Ô´ÍØ´¡Ñ¹
                                                       ‹                                    é
(obstructive sleep apnea (OSA) ËÃ×Í obstructive sleep apnea hypopnea syndrome; OSAHS)
áÅкҧ¤Ãѧ ÍÒ¨¨Ñ´ obesity hypoventilation (Pickwickian) syndrome ÃÇÁÍÂÙ´ÇÂ(1)
            é                                                            ‹ Œ
506                                               ¹Í¹¡Ã¹áÅÐÀÒÇÐËÒÂ㨼Դ»¡µÔ¢³ÐËÅѺª¹Ô´ÍØ´¡Ñ¹
                                                                                           é




                                                                         Obesity hypoventilation




                                      Upper airway resistance syndrome
                                                  (UARS)



 Intermittent snoring (physiologic)

                ÃÙ»·Õè 1 á¼¹ÀÙÁÔÅíҴѺ¤ÇÒÁÃØ¹áç¢Í§âä ¨Ò¡¹ŒÍ              Ý    ÁÒ¡


          ã¹»˜¨¨Øº¹ÁÕÃÒ§ҹ¡ÒÃÇԨ¨íҹǹÁÒ¡¾ºÇ‹ÒÀÒÇÐËÂØ´ËÒÂ㨢³ÐËÅѺª¹Ô´ÍØ´¡Ñ¹«Ö§ÁÕÍÒ¡ÒÃ
                    Ñ                      Ñ                                                é è
¹Í¹¡Ã¹à»š¹ÍÒ¡ÒÃÊíҤѭ¹Õé ÁռšÃзº·ÕÊҤѭµ‹ÍÊØ¢ÀÒ¾ËÅÒÂÍ‹ҧ ઋ¹ ¼Ù·à»š¹âäÍÒ¨ÁÕÍÒ¡ÒÃ
                                                      èí                           Œ Õè
͋͹à¾ÅÕÂËÃ×ͧ‹Ç§ÁÒ¡¼Ô´»¡µÔã¹àÇÅÒ¡ÅÒ§Çѹ (excessive daytime sleepiness; EDS) ¨¹·íÒ§Ò¹
ä´ŒäÁ‹àµçÁ·Õè áÅÐÁÕ¤ÇÒÁàÊÕ§µ‹ÍÍØºµà˵صҧ æ ·Ñ§·Ò§´ŒÒ¹¨ÃÒ¨ÃáÅÐÍØºµà˵بҡ¡Ò÷íҧҹ䴌ʧ
                              è              Ñ Ô      ‹       é              Ñ Ô                      Ù
¶Ö§ 2-3 à·‹ÒàÁ×Íà·Õº¡Ñº¤¹»¡µÔ ¹Í¡¨Ò¡¹Õ§¾ºÇ‹ÒÁÕ¤ÇÒÁÊÑÁ¾Ñ¹¸Í‹ҧÁÕ¹ÂÊíҤѭ ËÃ×ÍÍҨ໚¹
                è                      (2)
                                                          é Ñ                       Ñ
»˜¨¨ÑÂàÊÕ觢ͧâä¤ÇÒÁ´Ñ¹âÅËÔµÊÙ§(3) âäËÑÇã¨áÅÐËÅÍ´àÅ×Í´ ઋ¹ cardiac arrhythmia áÅÐ
myocardial infarction(4) âä·Ò§ÊÁͧ ઋ¹ stroke(5) µÅÍ´¨¹ÀÒÇЫÖÁàÈÃŒÒàÃ×ÍÃѧ6 ÊÁÃöÀÒ¾·Ò§
                                                                                 é
à¾ÈàÊ×ÍÁ(7) áÅÐÍҨ໚¹ÊÒà˵آͧ¡ÒÃË‹ÒÌҧ㹤ÙÊÁÃÊä´Œ ·ÕÊҤѭ¶ŒÒÁÕÀÒÇÐËÂØ´ËÒÂ㨢³ÐËÅѺ
        è                                                         ‹   èí
ã¹à´ç¡ ÍÒ¨·íÒãËŒ¾Ñ²¹Ò¡Ò÷Ñé§´ŒÒ¹Ã‹Ò§¡Ò ¨Ôµã¨áÅÐʵԻ˜­­Ò ÁÕ¤ÇÒÁ¼Ô´»Ã¡µÔ ઋ¹ ÍÒ¨à¡Ô´
¾ÄµÔ¡ÃÃÁ¡ŒÒÇÃŒÒǫء«¹ÁÒ¡ »˜ÊÊÒÇÐô·Õ¹Í¹º‹Í áÅÐÁռšÒÃàÃÕ¹á‹ŧ(8) Í‹ҧäáçµÒÁ¶ŒÒ¼Ù»ÇÂ
                                                    è                                             Œ †
䴌ú¡ÒÃÇÔ¹¨©Ñ áÅСÒÃÃÑ¡ÉÒ¤ÇÒÁ¼Ô´»¡µÔàËŋҹÕÍ‹ҧ¶Ù¡µŒÍ§áÅÐàËÁÒÐÊÁ ÍÒ¨ª‹ÇÂÅ´ÀÒÇÐá·Ã¡
    Ñ         Ô                                                 é
«ŒÍ¹´Ñ§¡Å‹ÒÇáÅÐãËŒ¼»ÇÂÁÕ¤³ÀÒ¾ªÕǵ·Õ´¢¹ä´Œ
                       ÙŒ †       Ø              Ô è Õ Öé
          ÊíÒËÃѺ¢ŒÍÁÙŷҧʶԵԢͧÍÒ¡Òù͹¡Ã¹áÅÐ¡ÅØ‹ÁÍÒ¡ÒÃËÂØ´ËÒÂ㨢³ÐËÅѺª¹Ô´ÍØ´¡Ñé¹
(obstructive sleep apnea syndrome; OSAS) 㹤¹ä·Â ¹Ñ¹ÂѧäÁ‹·ÃÒºµÑÇàÅ¢·Õṋª´ ᵋ¨Ò¡¡ÒÃ
                                                                    é                   è Ñ
ÈÖ¡ÉÒã¹µ‹Ò§»ÃÐà·È¾ºÇ‹Ò ÁÕ¼·¹Í¹¡Ã¹à»š¹»ÃШíÒ ã¹¤¹ª‹Ç§ÍÒÂØ 30-35 »‚»ÃÐÁҳÌÍÂÅÐ 20 ã¹
                                    ÙŒ Õè
¼ÙªÒ áÅÐÃŒÍÂÅÐ 5 ã¹¼ÙË­Ô§ ËÃ×Í㹤¹ÍÒÂØÁÒ¡¡Ç‹Ò 60 »‚ ¨Ð¹Í¹¡Ã¹à»š¹»ÃШíÒÃÒÇ ÃŒÍÂÅÐ 60
  Œ                         Œ
ã¹¼ÙªÒ áÅÐÃŒÍÂÅÐ 40 ã¹¼ÙË­Ô§(9) ʋǹ¤ÇÒÁªØ¡ (prevalence) ¢Í§¡ÅØÁÍÒ¡ÒÃËÂØ´ËÒÂ㨢³ÐËÅѺ
      Œ                         Œ                                          ‹
ª¹Ô´ÍØ´¡Ñ¹ ã¹¼ÙãË­‹Ç·íÒ§Ò¹ (30-60 »‚) ¾º»ÃÐÁҳÌÍÂÅÐ 4 ã¹¼ÙªÒ áÅÐÃŒÍÂÅÐ 2 ã¹¼ÙË­Ô§(10)
           é      Œ      Ñ                                               Œ                      Œ
àǪÈÒʵÏ·¹Âؤ 2553
          Ñ                                                                                                                        507

·Ñ§¹Õàª×ÍNjҨоºä´ŒÁÒ¡¡Ç‹Ò¹Õã¹¼ÙʧÍÒÂØ ÊíÒËÃѺà´ç¡ª‹Ç§¡‹Í¹ÇÑÂàÃÕ¹áÅлÃжÁµŒ¹ (ÍÒÂØ 3-6 »‚)
  é é è                     é ŒÙ
¾ºÇ‹ÒÁÕÍÒ¡Òù͹¡Ã¹à»š¹»ÃШíÒÃÒÇÃŒÍÂÅÐ 7–10 áÅÐÁÕ¡ÅØ‹ÁÍÒ¡ÒÃËÂØ´ËÒÂ㨢³ÐËÅѺ
ª¹Ô´ÍØ´¡Ñé¹ÃŒÍÂÅÐ 1-2 ·Ñé§à¾ÈªÒÂáÅÐË­Ô§(11, 12) «Öè§ã¡ÅŒà¤Õ§¡Ñº¡ÒÃÈÖ¡ÉÒã¹à´ç¡ä·Â·Õ辺ÃÒÇ
ÃŒÍÂÅÐ 0.69 (13)

¾ÂÒ¸ÔÊÃÕÃÇÔ·ÂÒáÅмÅÊ׺à¹×ͧ¢Í§ÀÒÇÐËÒÂ㨼Դ»Ã¡µÔ¢³ÐËÅÑºáººÍØ´¡Ñ¹
                         è                                    é
           ·Ò§à´Ô¹ËÒÂã¨Ê‹Ç¹µŒ¹¢Í§¤¹àÃҹѹ à»ÃÕºàÊÁ×͹·‹ÍÅÁ·ÕÊÒÁÒÃ¶ÂØºµÑÇŧ䴌ËÒ¡ÁÕ¤ÇÒÁ´Ñ¹
                                                          é                                  è
ã¹·‹Í¹Ñ¹µèҡNjҤÇÒÁ´Ñ¹¢Í§ºÃÃÂÒ¡ÒÈ áµ‹à¾×ÍãËŒÊÒÁÒöËÒÂã¨ä´ŒÍ‹ҧ»¡µÔ ¼¹Ñ§¢Í§·Ò§à´Ô¹
         é í                                                         è
ËÒÂ㨨֧ÁÕ¡Åä¡à¾×ÍãËŒ·Ò§à´Ô¹ËÒÂã¨à»´¡ÇŒÒ§µÅÍ´àÇÅÒ â´ÂÍÒÈÑ¡Ò÷íÒ§Ò¹¢Í§¡ÅŒÒÁà¹×͵‹Ò§æ
                          è                                                                                               é
â´Â੾ÒÐÍ‹ҧÂÔ§ ʋǹ·Õ·Ò˹ŒÒ·Õ¢ÂÒ·ҧà´Ô¹ËÒÂã¨Ê‹Ç¹µŒ¹ (pharyngeal dilator muscles) «Ö§
                        è                 è í       è                                                                                   è
¨ÐÁÕ¤ÇÒÁµÖ§µÑǺҧʋǹµÅÍ´àÇÅÒ (tonic contraction) áÅÐË´µÑÇÁÒ¡¢Ö¹¢³ÐËÒÂã¨à¢ŒÒ (phasic                  é
contraction) â´Â໚¹¼Å¨Ò¡¡ÒáÃеع¢Í§ÈٹËÒÂã¨ã¹ÊÁͧ (respiratory center) ËÇÁ¡Ñº»¯Ô¡ÃÂÒ
                                                        Œ                                                                        ÔÔ
µ‹ÍµŒÒ¹¤ÇÒÁ´Ñ¹Åºã¹ª‹Í§·Ò§à´Ô¹ËÒÂ㨠(negative pressure reflex) Í‹ҧäáçµÒÁã¹¢³Ð·ÕÃÒ§           (16)
                                                                                                                                 è‹
¡ÒÂËÅѺ ¡Åä¡¡Ò÷íÒ§Ò¹´Ñ§¡Å‹ÒǨÐŴŧ «Ö§ã¹¤¹»¡µÔ¨ÐÂѧÁÕ·Ò§à´Ô¹ËÒÂ㨷աnjҧà¾Õ§¾Íã¹
                                                                   è                                             è
·Ø¡ÃÐÂе‹Ò§æ ¢Í§¡Òù͹ ¨Ö§äÁ‹ÁÍÒ¡ÒÃã´æ à¡Ô´¢Ö¹        Õ                        é
           ÊíÒËÃѺ㹼ٷÁÍÒ¡ÒáÒù͹¡Ã¹áÅÐÀÒÇÐËÒÂ㨼Դ»Ã¡µÔ¢³ÐËÅÑºáººÍØ´¡Ñ¹¹Ñ¹ »˜¨¨Øº¹
                            Œ Õè Õ                                                                                 é é                Ñ
àª×ÍNjҹ‹Ò¨ÐÁÕ»¨¨Ñ·ҧ¡ÒÂÇÔÀÒ¤ (anatomical factors) ·Õ·ÒãËŒ·Ò§à´Ô¹ËÒÂã¨á¤º¡Ç‹Ò¤¹»¡µÔ ઋ¹
   è                ˜                                                            è í                                     (17)

¤ÇÒÁäÁ‹ÊÁ´ØÅÃÐËNjҧâ¤Ã§ÊÌҧ¢Í§ãºË¹ŒÒáÅÐÅíҤ͡Ѻ»ÃÔÁҵâͧà¹×ÍàÂ×Í·ÕÍÂÙÀÒÂ㹫֧ÍÒ¨ÁÕÍÂÙ‹            é è è ‹            è
à´ÔÁ ËÃ×Í à¡Ô´¨Ò¡¡Ò÷ÕÁ¾ÂÒ¸ÔÊÀÒ¾µ‹Ò§æ ¢Ö¹ÁÒÀÒÂËÅѧËÇÁ¡Ñº »˜¨¨Ñ·ҧÊÃÕÃÇÔ·ÂÒ (physiological
                                      è Õ                     é
factors) ÍÕ¡ËÅÒÂÍ‹ҧ â´Â੾ÒÐÍ‹ҧÂÔ§ã¹Ê‹Ç¹¢Í§ ¤ÇÒÁ¼Ô´»¡µÔ㹡Åä¡¡Òû‡Í§¡Ñ¹µ¹àͧ¢Í§
          (16)
                                                            è
Ãкº·Ò§à´Ô¹ËÒÂ㨴ѧ¡Å‹ÒÇ¢ŒÒ§µŒ¹ ¼Å¢Í§¡Ò÷շҧà´Ô¹ËÒÂã¨á¤ºÅ§¡Ç‹Ò»¡µÔã¹¢³Ð¹Í¹ËÅѺ
                                                                             è
·íÒãËŒÃÒ§¡Ò¨íÒ໚¹µŒÍ§à¾ÔÁáç㹡ÒÃËÒÂã¨à¢ŒÒÊٻʹÁÒ¡¢Ö¹ (increase inspiratory effort) à¾×ÍãËŒ
       ‹                                    è                            ‹             é                                       è
ä´ŒÍÒ¡ÒÈÍ‹ҧ¾Íà¾Õ§ ¨Ö§à»š¹¼ÅãËŒ·Ò§à´Ô¹ËÒÂã¨ÁÕ¤ÇÒÁ´Ñ¹à»š¹Åº (negative airway pressure)
ÁÒ¡¡Ç‹Òà´ÔÁ ¨¹ºÒ§¤ÃѧÍÒ¨·íÒãËŒ·Ò§à´Ô¹ËÒÂã¨Ê‹Ç¹µŒ¹ÂغµÑÇŧ¨¹à¡Ô´¡ÒÃÍØ´¡Ñ¹ (collapse of upper
                                    é                                                                      é
airway) áÅÐÁÕ¡ÒÃÅ´µèÒŧ¢Í§ÍÍ¡«Ôਹã¹àÅ×Í´ (oxygen desaturation) ËÃ×ÍËÇÁ¡Ñº ÁÕ¡ÒÃà¾ÔÁ¢Ö¹
                                        í                                                                                     è é
¢Í§¤ÇÒÁ´Ñ¹¡Ò« CO2 ã¹àÅ×Í´à¹×ͧ¨Ò¡ÀÒÇÐ hypoventilation «Ö§¼Å´Ñ§¡Å‹ÒǨСÅÒÂ໚¹Ç§¨Ã¡ÅѺ
                                                  è                                        è
(negative feedback) 仡Ãеع chemoreceptor ·Ñ§Ê‹Ç¹¢Í§ peripheral áÅÐ central ·íÒãËŒÊÁͧµ×¹
                                                Œ                          é                                                        è
µÑǡNjÒà´ÔÁ (arousal) áÅÐÁÕ tone ¢Í§ respiratory muscle à¾ÔÁ¢Ö¹ à¾×Íແ´·Ò§à´Ô¹ËÒÂã¨ãËŒ¡ÇŒÒ§
                                                                                         è é è
áÅÐÁÕ ventilation 䴌͡¤Ãѧ Í‹ҧäáçµÒÁàÁ×ÍËҧ¡ÒÂࢌÒÊÙÃÐÂСÒÃËÅѺÍÕ¡¤Ãѧ ¡ç¨Ðà¡Ô´à˵ءÒó
                                 Õ é                            è                    ‹                       é
¤ÅŒÒÂà´ÔÁ໚¹Ç§¨Ã«éÒ䴌͡ â´ÂÁÕÃÒ§ҹNjҼٻÇ·ÕÁÕ OSAHS ËÅÒÂÃÒÂÁÕ arousal threshold ÊÙ§
                              í Õ                                 Œ † è
¡Ç‹Ò¤¹»¡µÔ ·íÒãËŒÁÀÒÇÐ hypoxemia ä´ŒÁÒ¡¢Ö¹
               (18)
                                  Õ                                    é
           ¼ÅÊ׺à¹×ͧ¢Í§¡Ò÷ÕËÂØ´ËÒÂ㨠ËÃ×ÍËÒÂã¨á¼‹Ç໚¹ÃÐÂÐæ ¨Ò¡·Ò§à´Ô¹ËÒÂ㨵պ᤺ËÃ×Í
                      è                       è
ÁÕ¡ÒÃÍØ´¡Ñ鹴ѧ¡Å‹ÒÇ ÊÒÁÒö·íÒãËŒÁռŵ‹ÍËҧ¡ÒÂËÅÒÂÃкºµÒÁÁÒ â´Â੾ÒÐÍ‹ҧÂÔè§·Ò§´ŒÒ¹
neuropsychological áÅÐ cardiovascular system µÑÇÍ‹ҧ ઋ¹ 㹡óշ¼»ÇÂËÒÂ㨼Դ»¡µÔ                       Õè ÙŒ †
508                                                          ¹Í¹¡Ã¹áÅÐÀÒÇÐËÒÂ㨼Դ»¡µÔ¢³ÐËÅѺª¹Ô´ÍØ´¡Ñ¹
                                                                                                      é

¢³ÐËÅѺáÅÐÁÕ¡Òâͧ¡ÃеعÊÁͧ (arousals) º‹ÍÂæ ¨Ð·íÒãËŒ¼»ÇÂÁչ͹ËÅѺäÁ‹µÍà¹×ͧáÅÐËÅѺ
                                    Œ                                    ÙŒ †                                  ‹ è
äÁ‹Å¡à¾Õ§¾Í Ëҧ¡Ò¨֧ÍÂÙã¹ÀÒÇÐÍ´¹Í¹àÃ×ÍÃѧ (chronic sleep deprivation) «Ö§¼Å´Ñ§¡Å‹Òǹ͡
     Ö                            ‹                 é                                               (19)
                                                                                                            è
¨Ò¡¨Ð·íÒãËŒ ¼Ù»ÇÂÃÙʡ͋͹à¾ÅÕÂà¹×ͧ¨Ò¡¹Í¹ËÅѺäÁ‹ä´ŒàµçÁ·ÕáÅÐÁÕÍÒ¡Òç‹Ç§ã¹àÇÅÒ¡ÅÒ§ÇѹÁÒ¡
                  Œ † ŒÖ              è                                è
¡Ç‹Ò»¡µÔ Âѧʋ§¼ÅãËŒ»ÃÐÊÔ·¸ÔÀҾ㹡Ò÷íÒ§Ò¹ ¤ÇÒÁ¨íÒ ËÃ×Í¡ÒÃàÃÕ¹ÃÙá‹ŧ ÍÒ¨à¡Ô´ÍÒÃÁ³«ÁàÈÃŒÒ
                                                                                     Œ                                    Ö
˧ش˧Դ§‹Ò ¢Ò´ÊÁÒ¸Ô ËÃ×ÍáÁŒ¡ÃзѧÊÁÃöÀÒ¾·Ò§à¾ÈŴŧ «Ö§·íÒãËŒ¼»ÇÂÁÕ»­ËÒ·Ò§ºØ¤ÅÔ¡
                         (20)
                                          è                                (7)
                                                                                   è              ÙŒ †           ˜
ÀÒ¾ áÅзҧÊѧ¤ÁµÒÁÁÒä´Œ
         ÊíÒËÃѺ¼Åµ‹Í cardiovascular system ¹Ñ¹ÁÕ¡Åä¡·Õ«º«ŒÍ¹ ᵋàª×ÍÇ‹ÒʋǹãË­‹ ໚¹¼Å¨Ò¡
                                                      é          è Ñ                       è
¡Ò÷Õè Ãкº»ÃÐÊÒ·Íѵâ¹ÁÑµÔ sympathetic ¶Ù¡¡Ãеع໚¹àÇÅÒ¹Ò¹¨Ö§·íÒ§Ò¹ÁÒ¡¡Ç‹Ò»¡µÔ(21) ઋ¹
                            Ô                             Œ
ËÒ¡ÁÕ¡ÒÃŴŧ¢Í§ÃдѺ O2 ã¹àÅ×Í´º‹ÍÂÁÒ¡ ÍÒ¨¡ÃеعãËŒÁ¡ÒÃËÅѧ catecholamine à¾ÔÁ¢Ö¹ ·íÒãËŒ
                                                            Œ        Õ           è                                    è é
àÊŒ¹àÅ×Í´·ÑÇËҧ¡Ò ÃÇÁ¶Ö§àÊŒ¹àÅ×ʹ㹻ʹ˴µÑÇàÃ×ÍÃѧ «Ö§àª×ÍÇ‹Ò໚¹ÊÒà˵ØãËŒ à¡Ô´âä¤ÇÒÁ´Ñ¹âÅËÔµ
              è                                         é     è è
ÊÙ§ áÅÐÁÕ pulmonary hypertension «Ö§¶ŒÒ໚¹ÍÂ‹Ò§ÃØ¹áçÍÒ¨·íÒãËŒÁÕ right ventricular hypertrophy
                                        è
áÅÐ right heart failure 㹺ҧ¡Ã³ÕËÒ¡ÁÕÃдѺÍÍ¡«Ôਹã¹àÅ×Í´µèÒÁÒ¡ ÍÒ¨·íÒãËŒËÇã¨àµŒ¹¼Ô´
                          (22)
                                                                                       í                            Ñ
¨Ñ§ËÇÐ (cardiac arrhythmia), ËÃ×Í¡ÃеعãËŒà¡Ô´âä¡ÅŒÒÁà¹×ÍËÑÇ㨢ҴàÅ×Í´ (ischemic heart disease)
                                            Œ                  é
µÅÍ´¨¹ âäËÅÍ´àÅ×Í´ÊÁͧ (cerebrovascular disease) µÒÁÁÒ(22, 23) ¹Í¡¨Ò¡¹Õ§ÁÕ¡ÒÃÈÖ¡ÉÒ·Õè                       é Ñ
¾º¡ÒÃà¾ÔÁ¢Ö¹¢Í§ systemic inflammation áÅСÒ÷íÒ§Ò¹¢Í§à¡Ãç´àÅ×Í´
           è é                                                                               (21, 24)
                                                                                                        ã¹¼Ù»ÇÂàËŋҹÕé «Ö§
                                                                                                                Œ †         è
àª×ÍÇ‹Ò໚¹¡Åä¡Íաʋǹ·Õ·ÒãËŒà¡Ô´ÀÒÇÐá·Ã¡«ŒÍ¹Ã‹ÇÁ´ŒÇÂä´Œ ÊíÒËÃѺà´ç¡ ¶ŒÒÁÕ¡ÒâҴÍÍ¡«Ôਹ
   è                          è í
º‹Í æ ËÃ×͹͹ËÅѺäÁ‹Ê¹Ô·ËÃ×ÍËÅѺäÁ‹Å¡à¾Õ§¾Í ¨ÐÊ‹§¼ÅÊíҤѭµ‹Í¾Ñ²¹Ò¡Ò÷ѧ·Ò§Ã‹Ò¡ÒÂáÅÐ
                                                  Ö                                                       é
ʵԻ­­Ò ઋ¹ à´ç¡ÍÒ¨à¨ÃÔ­àµÔºâµªŒÒ¡Ç‹Ò»¡µÔ (failure to thrive) à¹×ͧ¨Ò¡ÎÍÏâÁ¹¡ÒÃà¨ÃÔ­àµÔºâµ
       ˜                                                                       è
(growth Hormorne) ¨ÐËÅѧÁÒ¡ã¹àÇÅÒËÅѺâ´Â੾ÒÐÍ‹ҧÂÔ§ÃÐÂСÒÃËÅѺÅÖ¡ (slow wave sleep)(25)
                               è                                   è
¹Í¡¨Ò¡¹Õà´ç¡ºÒ§ÃÒÂÍÒ¨ÁվĵԡÃÃÁ·Õ¡ÒÇÃŒÒÇ «Ø¡«¹¼Ô´»¡µÔ ËÃ×ÍÁÕ»­ËÒ·Ò§ÍÒÃÁ³áÅмšÒÃ
            é                                 è Œ                                        ˜
àÃÕ¹á‹ŧ䴌   (26)



ÅѡɳÐÍÒ¡Ò÷ҧ¤ÅÔ¹Ô¡
          ÅѡɳÐÍÒ¡Ò÷ҧ¤ÅÔ¹¡¢Í§ÀÒÇÐËÒÂ㨼Դ»¡µÔ¢³ÐËÅѺ (OSDB) ¢Ö¹ÍÂÙ¡º¤ÇÒÁÃØ¹áç
                              Ô                                          é ‹ Ñ
¢Í§âä ઋ¹ ¶ŒÒ¼Ù»ÇÂ໚¹ÀÒÇй͹¡Ã¹áºº¸ÃÃÁ´Ò (primary ËÃ×Í simple snoring) ÍÒ¨ÁÕà¾Õ§
                 Œ †
ÍÒ¡Òù͹¡Ã¹´Ñ§à»š¹»ÃШíÒ (habitual snoring) â´Â·ÕäÁ‹ÁÍÒ¡ÒÃÍ‹ҧÍ×¹ ᵋ¶Ò໚¹¡ÅØÁÍÒ¡Òèҡ
                                                 è Õ             è     Œ       ‹
·Ò§à´Ô¹ËÒÂã¨Ê‹Ç¹µŒ¹µÕºá¤º upper airway resistance syndrome (UARS) ËÃ×Í ÀÒÇÐËÂØ´ËÒÂã¨
¢³ÐËÅѺª¹Ô´ÍØ´¡Ñ¹ (obstructive sleep apnea hypopnea syndrome; OSAHS) «Ö§ÁÕšɳФŌÒÂ
                  é                                                        è Ñ
¡Ñ¹ ¼Ù»ÇÂÍÒ¨ÁÕÍÒ¡ÒÃáÅÐÍÒ¡ÒÃáÊ´§ 䴌ᡋ
      Œ †
          1. ÍÒ¡Ò÷Õà¡Ô´¢Ö¹ª‹Ç§¡ÅÒ§¤×¹ (Nocturnal symptoms) ËÃ×ÍÍÒ¡Òâ³Ð¹Í¹ËÅѺ ·Õ¾º
                     è    é                                                           è
º‹Í ઋ¹ ÍÒ¡Òù͹¡Ã¹ËÃ×ÍËÒÂã¨àÊÕ§´Ñ§à»š¹»ÃШíÒ ¹Í¹ËÅѺäÁ‹Ê¹Ô· ¹Í¹¡ÃÐÊѺ¡ÃÐʋҾÅÔ¡
µÑǺ‹Í ºÒ§¤ÃѧÍÒ¨ÁÕÍÒ¡ÒÃàËÁ×͹ÊíÒÅÑ¡ (choking) ËÃ×Í ËÒÂã¨äÁ‹ÍÍ¡ Êдاµ×¹ áÅÐà˧×ÍÍÍ¡ÁÒ¡
               é                                                     Œ è         è
àǪÈÒʵÏ·¹Âؤ 2553
          Ñ                                                                                                509

¼Ô´»¡µÔ ¹Í¡¨Ò¡¹ÕÍÒ¨ÁռʧࡵàËç¹Ç‹Ò¼Ù»ÇÂËÂØ´ËÒÂ㨠(witnessed apnea) ËÃ×ÍËÒÂã¨äÁ‹ÊÁèÒ
                      é       ÙŒ Ñ           Œ †                                                    í
àÊÁÍ ã¹à´ç¡ÍÒ¨Áշҹ͹·Õ¼´»¡µÔ ઋ¹ªÍº¹Í¹¤ÇèÒ ËÃ×Í ¹Í¹µÐᤧ áÅкҧÃÒÂÍÒ¨ÁÕÍÒ¡ÒÃ
                          ‹        è Ô                  í
»˜ÊÊÒÇÐô·Õ¹Í¹ (enuresis) ä´Œ
              è
         2. ÍÒ¡Ò÷Õà¡Ô´¢Ö¹ª‹Ç§¡ÅÒ§Çѹ (Daytime symptoms) ËÃ×ÍÍÒ¡ÒÃËÅѧ¨Ò¡·Õµ¹¹Í¹áÅŒÇ
                        è   é                                                              è ×è
ઋ¹ »Ç´ÈÕÃÉÐ ËÃ×Í ¤ÍáËŒ§º‹ÍÂã¹µÍ¹àªŒÒ ¼Ù»ÇÂËÅÒÂÃÒÂÁÕÍÒ¡Òç‹Ç§¹Í¹ã¹ÃÐËNjҧÇѹÁÒ¡¡Ç‹Ò
                                                  Œ †
»¡µÔ ¨¹·íÒãËŒÁÕ »ÃÐÊÔ·¸ÔÀҾ㹡Ò÷íÒ§Ò¹ËÃ×Í¡ÒÃàÃÕ¹ÃÙŒá‹ŧ áÅÐÁÕÍÒÃÁ³«ÖÁàÈÃŒÒ ËÃ×Í
ÊÁÃöÀÒ¾·Ò§à¾ÈŴŧ䴌 ÊíÒËÃѺ¼Ù»ÇÂà´ç¡ ÍÒ¨ÁÕÍÒ¡ÒÃáÊ´§áµ¡µ‹Ò§¨Ò¡¼ÙãË­‹ä´Œ ઋ¹ ÍÒ¡ÒÃ
                                         Œ †                                        Œ
§‹Ç§¼Ô´»¡µÔÍÒ¨äÁ‹ª´à¨¹ ᵋáÊ´§ÍÍ¡ ¤ÅŒÒÂÀÒÇЫء«¹ÁÒ¡¡Ç‹Ò»Ã¡µÔ (hyperactivity) áÅÐÁÕÊÁÒ¸Ô
                    Ñ
Êѹ (inattentiveness, attention deficit disorder) ËÃ×Í Ë§Ø´Ë§Ô´§‹Ò (hyperirritability) áÅÐÁվĵԡÃÃÁ
  é
¡ŒÒÇÃŒÒÇ (behavioral problems) ¨¹·íÒãËŒÁ»­ËÒ·Ò§´ŒÒ¹¡ÒÃàÃÕ¹ËÃ×Í¡ÒÃࢌÒÊѧ¤Áä´Œ
                                              Õ ˜

¡ÒÃÇÔ¹Ô¨©ÑÂ
         ¡ÒÃÇÔ¹¨©Ñ·Õ໚¹Áҵðҹ ¢Í§âä¡ÅØÁÀÒÇÐËÒÂ㨼Դ»¡µÔ¢³ÐËÅѺ (OSDB) ¨íÒ໚¹µŒÍ§
                         Ô         è                    ‹
ÍÒÈÑ¢ŒÍÁÙŨҡ »ÃÐÇÑµÔ ¡ÒõÃǨËҧ¡Ò áÅÐ ¡ÒõÃǨ¾ÔàÈÉà¾ÔÁàµÔÁ 䴌ᡋ        è
         1. ¡ÒöÒÁ»ÃÐÇÑµÔ (History taking) ¶ŒÒ໚¹ä»ä´Œ¤ÇöÒÁ¨Ò¡·Ñ§ ¼Ù»ÇÂáÅФٹ͹ËÃ×ͼٷÕè
                                                                                      é Œ †          ‹         Œ
ÍÒÈÑÂËÇÁÍÂÙ´Ç à¹×ͧ¨Ò¡¼Ù»ÇÂʋǹÁÒ¡¨ÐäÁ‹·ÃÒºÍÒ¡Ò÷Õà¡Ô´¢Ö¹¢³Ð·Õµ¹àͧËÅѺ â´Â㹡ÒÃ
                     ‹ Œ             è         Œ †                        è é              è
«Ñ¡»ÃÐÇѵ¹Í¡à˹×ͨҡ ÍÒ¡Òõ‹Ò§æ ·Õ໚¹ä»ä´Œ¢Í§âä·Ò§à´Ô¹ËÒÂã¨ÍØ´¡Ñ¹¢³ÐËÅѺáÅŒÇ ¤ÇöÒÁ
            Ô                                      è                                     é
¶Ö§ÃٻẺ¡Òù͹ËÅѺ¢Í§¼Ù»Ç´ŒÇ (sleep history pattern) ઋ¹ àÇÅÒࢌҹ͹ ËÃ×ÍàÇÅÒµ×¹¹Í¹
                                              Œ †                                                        è
·‹Ò¹Í¹·Õ㪌»ÃШíÒ àª‹¹ ¹Í¹Ë§Ò ËÃ×͹͹µÐᤧ ¤ÇÒÁ¶Õ¢Í§¡ÒÃÃÙÊ¡µÑÇËÃ×͵׹¢Ö¹ÁÒÃÐËNjҧ·Õ¹Í¹
          è                                                   è                ŒÖ            è é             è
(wake after sleep onset; WASO) ÃÇÁ¶Ö§àÇÅÒ·Õ㪌¹Í¹¡ÅÒ§Çѹ (daytime nap) ´ŒÇ ¹Í¡¨Ò¡¹Õé
                                                           è
¤ÇöÒÁà¡ÕÂǡѺ»˜¨¨ÑÂàÊÕ§¢Í§âä ઋ¹ ¡ÒÃà¾ÔÁ¢Ö¹¢Í§¹éÒ˹ѡ ÍÒ¡ÒÃà¡ÕÂǡѺâä·Ò§à´Ô¹ËÒÂã¨
              è                          è                è é     í                    è
»ÃÐÇѵԤÃͺ¤ÃÑÇ »ÃÐÇѵԡÒÃ㪌ÂÒ àª‹¹ Âҹ͹ËÅѺ ÂÒ¤ÅÒ¡ŌÒÁà¹×éÍ »ÃÐÇѵԡÒô×èÁ alcohol
ÃÇÁ¶Ö§»ÃÐÇѵâä»ÃШíÒµÑÇ ·ÕÊҤѭ ઋ¹ ¤ÇÒÁ´Ñ¹âÅËÔµÊÙ§ âä¡ÅŒÒÁà¹×ÍËÑÇ㨢ҴàÅ×Í´ ËÃ×ÍÍØºµà˵Ø
                      Ô                      èí                                   é                        Ñ Ô
·Õà¤Âà¡Ô´¢Ö¹¡Ñº¼Ù»Ç ໚¹µŒ¹
     è          é              Œ †
         2. ¡ÒõÃǨËҧ¡Ò (Physical examination) ÁÕ¨´»ÃÐʧ¤à¾×Í ËÒµíÒá˹‹§·ÕÍҨ໚¹ÊÒà˵Ø
                                                                Ø                   è              è
¢Í§¡ÒÃÍØ´¡Ñ¹·Ò§à´Ô¹ËÒÂã¨, »ÃÐàÁÔ¹ÀÒÇÐá·Ã¡«ŒÍ¹, áÅÐà¾×Í໚¹¡ÒûÃÐàÁÔ¹¡‹Í¹àÅ×Í¡ÇԸáÉÒ
                   é                                                       è                               ÕÑ
·ÕàËÁÒÐÊÁ¡Ñº¼Ù»ÇÂ
       è                     Œ †
                  2.1 ¡ÒõÃǨàº×éͧµŒ¹ ·ÕÊҤѭ䴌ᡋ vital signs â´Â੾ÒÐÍ‹ҧÂÔ§ ªÕ¾¨ÃáÅФÇÒÁ
                                                     èí                                          è
´Ñ¹âÅËÔµ áÅÐ ÅѡɳзÑÇä» (General appearance) ¢Í§¼Ù»Ç ઋ¹ ÃٻËҧ (body habitus) ¡ÒÃ
                                       è                              Œ †
ªÑ§¹éÒ˹ѡáÅÐÇѴʋǹÊÙ§ à¾×ͤíҹdzËÒ¤‹Ò body mass index (BMI) áÅСÒÃÇÑ´¤ÇÒÁÂÒÇàÊŒ¹Ãͺǧ
  è í                                      è
¢Í§ÅíÒ¤Í (neck circumference) ໚¹µŒ¹
                  2.2 ¡ÒõÃǨËҧ¡Ò·ҧâʵ ÈÍ ¹ÒÊÔ¡ (Oto-Rhino-Laryngologic, Head and Neck
examination) «Ö§à»š¹ºÃÔàdzÊíҤѭ¢Í§·Ò§à´Ô¹ËÒÂʋǹµŒ¹·Õ໚¹ÊÒà˵آͧâä䴌 â´ÂàÃÔÁ¡ÒõÃǨ
                           è                                        è                                  è
µÑ§áµ‹ÀÒ¹͡ ઋ¹ ÅѡɳÐâ¤Ã§ÊÌҧ¢Í§ÈÕÃÉÐáÅÐãºË¹ŒÒ (craniofacial structure) ÃٻËҧ¢Í§¤Í
   é
510                                                           ¹Í¹¡Ã¹áÅÐÀÒÇÐËÒÂ㨼Դ»¡µÔ¢³ÐËÅѺª¹Ô´ÍØ´¡Ñ¹
                                                                                                       é

ÃÇÁ¶Ö§¡ÒõÃǨÀÒÂã¹â¾Ã§¨ÁÙ¡áÅЪ‹Í§»Ò¡ (nasal and oral cavity) Í‹ҧÅÐàÍÕ´ µÑ§áµ‹ ÅѡɳР                      é
¢Í§¡ÒÃʺ¿˜¹ (occlusion) ºÃÔàdzª‹Í§¤Í (oropharynx) â¾Ã§ËÅѧ¨ÁÙ¡ (nasopharynx) ⤹ÅÔ¹ËÃ×Í                                     é
ºÃÔàdz hypopharynx µÅÍ´¨¹ºÃÔàdz¡Å‹Í§àÊÕ§ (larynx) ໚¹µŒ¹
                     ÅÑ ¡ ɳзÕè Í Ò¨¾ºä´Œ º‹ Í Â¨Ò¡¡ÒõÃǨË Ò §¡ÒÂã¹¼ÙŒ »† Ç Â¡ÅØ‹ Á ¹Õé ä´Œ á ¡‹ ¤Ò§ËØ º
(retrognathia), inferior turbinate swelling «Ö§ÍÒ¨à¡Ô´¨Ò¡¡ÒõԴàª×ÍËÃ×ÍÀÙÁᾌ, ¼¹Ñ§¡Ñ¹ª‹Í§¨ÁÙ¡¤´
                                                       è                               é      Ô             é
ÃÔ´Êմǧ¨ÁÙ¡ 䫹ÑÊÍÑ¡àʺ µ‹ÍÁÍдԹÍ´âµ (adenoid hypertrophy) â´Â੾ÒÐÍ‹ҧÂÔ§ã¹à´ç¡ áÅÐ                       è
ã¹ÃдѺ oropharynx ÍÒ¨µÃǨ¾ºµ‹ÍÁ·Í¹«ÔÅⵠྴҹ͋͹ (soft palate) ËÃ×Í ÅԹ䡋 (uvula) ÂÒÇ              é
¼¹Ñ§¤Í´ŒÒ¹¢ŒÒ§ (tonsillar pillars and lateral pharyngeal wall) Ë¹Ò áÅÐ⤹ÅÔ¹·ÕãË­‹ â´Â੾ÒÐ         é è
Í‹ҧÂԧ㹤¹ÍŒÇ¹ ¹Í¡¨Ò¡¹Õé ºÒ§¤ÃѧÍÒ¨µÃǨ¾º ¡ÅØÁâä·Ò§¾Ñ¹¸Ø¡ÃÃÁ µÅÍ´¨¹à¹×ͧ͡ËÃ×ÍÁÐàÃç§
        è                                   é                         ‹                                 é
ª¹Ô´µ‹Ò§æ 㹺ÃÔàdz¹Õä´Œ       é
                      ã¹à´ç¡·Õ໚¹âäʋǹÁÒ¡¨ÐµÃǨ¾º µ‹ÍÁ·Í¹«ÔÅáÅе‹ÍÁÍдչÍ´âµ «Ö§¨íÒ໚¹
                                  è                                                                                   è
µŒÍ§µÃǨËÙÃÇÁ´ŒÇ à¹×ͧ¨Ò¡ÍÒ¨¾ºÀÒÇÐËÙª¹¡ÅÒ§ÍÑ¡àʺ¨Ò¡¡ÒÃÁչҢѧ (otitis media with effusion;
               ‹            è                            Ñé                                éí
OME) «Ö§µŒÍ§·íÒ¡ÒÃÃÑ¡ÉÒËÇÁ¡Ñ¹ ÊíÒËÃѺ㹼ÙãË­‹ÊǹÁÒ¡ ¨ÐµÃǨ¾ºÅѡɳзҧà´Ô¹ËÒÂã¨Ê‹Ç¹
           è                                                 Œ      ‹
º¹·Õ᤺áÅмԴ»¡µÔä´ŒËÅÒµíÒá˹‹§ (ÃÙ»·Õè 5)
      è
               2.3 ¡ÒõÃǨËҧ¡ÒµÒÁÃкºÍ×è¹ æ (Systemic examination) ·ÕÊҤѭ䴌ᡋ Ãкº             èí
ËÑÇã¨áÅÐËÅÍ´àÅ×Í´, ·Ò§à´Ô¹ËÒÂã¨Ê‹Ç¹Å‹Ò§ áÅÐ Ãкº»ÃÐÊÒ· ໚¹µŒ¹ ·Ñ§¹Õà¾×ÍËÒâäËÇÁ·Õ໚¹         é é è                         è
ÊÒà赯 ËÃ×Í໚¹ÀÒÇÐá·Ã¡«ŒÍ¹·ÕÊҤѭ       èí
          3. ¡ÒõÃǨ¾ÔàÈÉà¾ÔèÁàµÔÁ (Special investigation)
          à¹×èͧ¨Ò¡»ÃÐÇѵÔáÅСÒõÃǨËҧ¡Ò 㹼ٌ»†Ç·ÕèÁÕ»˜­ËÒ´ŒÒ¹¡Òù͹ËÅѺ Áѡ䴌¢ŒÍÁÙÅ
·Õ¨Ò¡Ñ´ à¾ÃÒмٻÇÂàͧ ÁÑ¡äÁ‹·ÃÒºÍÒ¡Ò÷Õà¡Ô´¢Ö¹ ËÃ×ÍÍÒ¨ãËŒ¢ÍÁÙÅ·ÕäÁ‹µÃ§¡ÑºÊÔ§·Õà¡Ô´¢Ö¹¨ÃÔ§ã¹¢³Ð
  èí              Œ †                                è é                           Œ     è         è è é
ËÅѺ ´Ñ§¹Ñ¹à¾×ÍãËŒ¡ÒÃÇÔ¹¨©ÑÂá¡âä¢Í§¼Ù»ÇÂ¡ÅØÁ¹Õ䴌͋ҧÅÐàÍÕ´áÅлÃÐàÁÔ¹¤ÇÒÁÃØ¹áç䴌Í‹ҧ
             é è                Ô                  Œ †          ‹ é
¶Ù¡µŒÍ§ ¨Ö§¹ÔÂÁ㪌¡ÒõÃǨ¾ÔàÈÉâ´Â੾ÒÐÍ‹ҧÂÔ§ ¡Ò÷´Êͺ¡Òù͹ËÅѺ (sleep test) «Ö§·íÒãËŒ
                                                                 è                                                        è
ÊÒÁÒöàÅ×Í¡ÇÔ¸¡ÒÃÃÑ¡ÉÒãËŒ¡º¼Ù»ÇÂ䴌͋ҧàËÁÒÐÊÁ ¹Í¡¨Ò¡¹Õ§ÁÕ¡ÒõÃǨ¾ÔàÈÉÍ×¹æ ·ÕÁ¤ÇÒÁ
                   Õ                Ñ Œ †                                            é Ñ                          è     è Õ
ÊíҤѭ áÅзíÒãËŒÇÒ§á¼¹¡ÒÃÃÑ¡ÉÒä´Œ´Â§¢Ö¹ ઋ¹ ¡ÒõÃǨà¾×ÍËÒµíÒá˹‹§¤ÇÒÁ¼Ô´»¡µÔ¢Í§à´Ô¹ËÒÂ
                                              Õ Ôè é                           è
㨠áÅСÒõÃǨà¾×ÍËÒâäËÇÁ ËÃ×Í ÀÒÇÐá·Ã¡«ŒÍ¹¨Ò¡âäËÂØ´ËÒÂ㨢³ÐËÅѺª¹Ô´ÍØ´¡Ñ¹ ·Ñ§¹Õé
                          è                                                                                              é é
¤ÇþԨÒóҡÒÃÊ‹§µÃǨãËŒàËÁÒÐÊÁÊíÒËÃѺ¼Ù»ÇÂ໚¹ ÃÒÂæ ä»      Œ †
               3.1 ¡Ò÷´Êͺ¡Òù͹ËÅѺ (Sleep test)
                     ໚¹¡ÒõÃǨÃкºµ‹Ò§æ¢Í§Ã‹Ò§¡Ò¢³Ð·Õ¹Í¹ËÅѺ â´Â੾ÒÐÍ‹ҧÂÔ§ÃкºËÒÂã¨
                                                                             è                            è
áÅÐÃкº»ÃÐÊÒ· ÍÒ¨àÃÕ¡ª×ÍÍ×¹Ç‹Ò sleep study ËÃ×Í polysomnography ¡çä´Œ »˜¨¨Øº¹¹ÔÂÁẋ§
                                     è è                                                                            Ñ
ª¹Ô´¢Í§¡Ò÷´Êͺ¡Òù͹ËÅѺ Í͡໚¹ÃдѺµ‹Ò§æ «Ö§¤ÇÃàÅ×͡ʋ§µÃǨµÒÁ¤ÇÒÁàËÁÒÐÊÁ
                                                                        (27)
                                                                                 è
䴌ᡋ
àǪÈÒʵÏ·¹Âؤ 2553
          Ñ                                                                                                     511

                  3.1.1 ¡ÒõÃǨ level I polysomnography ( PSG) ËÃ×Í comprehensive,
attended in lab PSG
                  ¶×ÍÇ‹Ò໚¹ÇÔ¸µÃǨã¹ÃдѺ gold standard ËÃ×ÍÇÔ¸´·Ê´ã¹»˜¨¨Øº¹·Õ㪌à¾×Í¡ÒÃÇÔ¹¨©ÑÂ
                                     Õ                                            Õ Õ Õè Ø      Ñ è è             Ô
áÅлÃÐàÁÔ¹¤ÇÒÁÃØ¹áç¢Í§ OSDB «Ö§¡ÒõÃǨÇÔ¸¹·Òä´Œâ´ÂãËŒ¼»Ç¹͹ã¹ËŒÍ§ÊíÒËÃѺ¡ÒõÃǨ
                                                      è             Õ Õé í              ÙŒ †
੾ÒЫ֧ÍÒ¨àÃÕÂ¡Ç‹Ò Sleep laboratory ËÃ×Í ã¹Ê¶Ò¹·Õ¨´änj͋ҧàËÁÒÐÊÁ â´ÂÁÕ਌Ò˹ŒÒ·Õè (sleep
         è                                                                 èÑ
technician) ª‹ÇµԴ electrodes áÅÐཇҵÅÍ´¤×¹ ¡ÒõÃǨÃдѺ¹Õé 㪌à¾×ÍÇÑ´µÑÇá»Ãµ‹Ò§æ «Ö§àº×ͧ  è                 è é
µŒ¹ (äÁ‹µÒ¡Ç‹Ò 7 Í‹ҧ )䴌ᡋ
           èí
                  ! ¤Å׹俿‡ÒÊÁͧ
                             è                                                  (Electroencephalogram : EEG)
                  ! ¤Å׹俿‡Ò ¡ÅŒÒÁà¹×Í
                           è                            é                       (Electromyogram : EMG)
                  ! ¤Å׹俿‡ÒÅÙ¡µÒ
                               è                                                (Eletrooculogram : EOG)
                  ! ¤Å׹俿‡ÒËÑÇã¨
                         è                                                      (Eletrocardiogram : EKG)
                  ! ÅÁËÒÂ㨷ҧ¨ÁÙ¡ áÅÐ/ ËÃ×Í »Ò¡                                (Nasal and/ or oral airflow)
                  ! ¡ÒÃà¤Å×͹äËǢͧ·Ãǧ͡
                                   è                                            (Thoracic movement)
                  ! ¡ÒÃà¤Å×͹äËǢͧ·ŒÍ§
                                 è                                              (Abdominal movement)
                  ! ¤ÇÒÁࢌÁ¢Œ¹¢Í§ O2 ã¹àÅ×Í´                                   (Blood oxygen saturation : Sat O2)
                  ! ¡Òúѹ·Ö¡ÇÔ´ÀÒ¾ËÃ×ÍàÊÕ§¡Ã¹
                                             Õ                                  (Video and snoring sound recording)
                  »ÃÐ⪹à¾ÔèÁàµÔÁ¢Í§¡ÒõÃǨẺ¹Õé ¤×ÍÊÒÁÒö㪌»ÃÐàÁÔ¹âäà¡ÕèÂǡѺ¡Òù͹
ËÅѺÍ‹ҧÍ×è¹ä´Œ´ŒÇ ઋ¹ âäÅÁªÑ¡ ¡ÅŒÒÁà¹×éÍ¡Ãеء µÅÍ´¨¹¡ÒÃà¤Å×è͹äËÇËÃ×Í ¾ÄµÔ¡ÃÃÁ
¼Ô´»¡µÔ¢³ÐËÅѺ ¹Í¡¨Ò¡¹Õ§ÍÒ¨µÃǨ¾ºÀÒÇÐËÑÇã¨àµŒ¹¼Ô´¨Ñ§ËÇÐ (cardiac arrhythmia) ä´Œ áÅÐ
                                       é Ñ
â´Â੾ÒÐÍ‹ҧÂÔ§ ÊÒÁÒö㪌à¾×͵ѧÃдѺ¤‹Ò¤ÇÒÁ´Ñ¹ÅÁ (PAP titration) ËÃ×Í ¡ÒûÃѺÃÐÂТͧ
                    è                          è é
à¤Ã×ͧÁ×Í㹪‹Í§»Ò¡ (oral appliances titration) ÃÇÁ¶Ö§ÊÒÁÒöãËŒ¡Òê‹ÇÂàËÅ×ͼٻÇÂẺ©Ø¡à©Ô¹ä´Œ
      è                                                                                           Œ †
´ŒÇ¶ŒÒ¨íÒ໚¹ à¹×èͧ¨Ò¡ÁÕ à¨ŒÒ˹ŒÒ·Õè¤ÍÂཇÒÍÂÙ‹ã¹ËŒÍ§¤Çº¤ØÁ «Öè§ÍÂÙ‹ã¡ÅŒà¤Õ§ µÅÍ´·Ñ駤׹
Í‹ҧäáçµÒÁà¹×èͧ¨Ò¡»˜¨¨ØºÑ¹ÁÕâç¾ÂÒºÒÅã¹»ÃÐà·È ·ÕèÊÒÁÒöãËŒ¡ÒúÃÔ¡ÒÃã¹Ê‹Ç¹¹Õ鹌ÍÂÁÒ¡
¼Ù»Ç¨֧ÁÑ¡µŒÍ§ÃͤÔǵÃǨ໚¹àÇÅÒ¹Ò¹
  Œ †
                  3.1.2 ¡ÒõÃǨ level II polysomnography (PSG) ËÃ×Í comprehensive,
unattended portable PSG.
                  ¡ÒõÃǨẺ¹Õ¤ÅŒÒ¡ѺÇÔ¸ááÁÒ¡ ᵋµÒ§¡Ñ¹µÃ§·ÕäÁ‹Á਌Ò˹ŒÒ·ÕཇҵÅÍ´àÇÅÒ â´Â
                                           é               Õ                  ‹           è Õ      è
Áѡ໚¹¡ÒõÃǨ¹Í¡Ê¶Ò¹·Õઋ¹ µÒÁËͼٻÇ ËÃ×Í µÒÁºŒÒ¹ «Ö§¹ÔÂÁ㪌㹡óշ¼»ÇÂäÁ‹Êдǡ
                                        è                 Œ †                         è               Õè ÙŒ †
㹡ÒÃà¤Å×͹ŒÒ Í‹ҧäáçµÒÁ à¹×ͧ¨Ò¡äÁ‹Á਌Ò˹ŒÒ·ÕཇҵÅÍ´àÇÅÒ ¢ŒÍÁÙŨ֧ÍÒ¨¤ÅÒ´à¤Å×͹ËÃ×Í
              è                                 è             Õ            è                                  è
äÁ‹ÊÒÁÒöãËŒ¡ÒÃÃÑ¡ÉÒ䴌͋ҧ·Ñ¹·‹Ç§·Õä´Œ ´Ñ§¹Ñ鹡ÒõÃǨẺ¹Õé ¨Ö§ÁÕËÅÑ¡°Ò¹Ê¹ÑºÊ¹Ø¹¡ÒÃ㪌
»ÃÐ⪹¹ÍÂ¡Ç‹Ò ¡ÒõÃǨẺ·ÕÁ਌Ò˹ŒÒ·Õà½‡Ò ËÃ×Í level I PSG (27)
                Œ                                 è Õ           è
                  3.1.3 ¡ÒõÃǨ level III sleep study ËÃ×Í limited channels PSG
                  ¡Ò÷´Êͺ¡Òù͹ËÅѺª¹Ô´¹Õé 㪌Ǵ¤‹ÒµÑÇá»Ã·ÕÊҤѭ 4-6 Í‹ҧ â´Â੾ÒÐÍ‹ҧÂÔ§
                                                                  Ñ                èí                               è
Ãкº¡ÒÃËÒÂ㨢³ÐËÅѺ ઋ¹ ÇÑ´ÅÁËÒÂ㨠¡ÒÃà¤Å×͹äËǢͧ˹ŒÒÍ¡ËÃ×Í·ŒÍ§ ÃдѺÍÍ¡«Ôਹ
                                                                         è
512                                                               ¹Í¹¡Ã¹áÅÐÀÒÇÐËÒÂ㨼Դ»¡µÔ¢³ÐËÅѺª¹Ô´ÍØ´¡Ñ¹
                                                                                                           é

ã¹àÅ×Í´ áÅФÅ×è¹ä¿¿‡ÒËÑÇ㨠ËÃ×ÍàÊÕ§¡Ã¹ Í‹ҧäáçµÒÁ¢ŒÍÁÙÅ·Õèä´ŒÁÕ¢ŒÍ¨íÒ¡Ñ´ËÅÒÂÍ‹ҧáÅÐäÁ‹
ÅÐàÍÕ´෋ҡѺ¡ÒõÃǨ´ŒÇÂÊͧÇÔ¸áá ઋ¹ äÁ‹ÊÒÁÒöºÍ¡ÃÐÂСÒù͹ËÅѺ·Õ¶¡µŒÍ§ áÅÐäÁ‹Á਌Ò
                                               Õ                                                            è Ù                    Õ
˹ŒÒ·Õà½‡Ò ¤‹Òµ‹Ò§æ ·ÕµÃǨ䴌¨§ÁÑ¡¤ÅÒ´à¤Å×͹¨Ò¡¤ÇÒÁ໚¹¨ÃÔ§º‹Í Í‹ҧäáçµÒÁ¢ŒÍ´Õ¢Í§ÇÔ¸¹Õé
          è                    è         Ö                       è                                                                     Õ
¤×Í ÊÒÁÒöµÃǨ䴌¹Í¡Ê¶Ò¹·Õè áÅФ‹Ò㪌¨Ò¶١¡Ç‹Ò »˜¨¨Øº¹¨Ö§á¹Ð¹íÒãˌ㪌੾ÒÐ㹡óշ¨Ò໚¹
                                                               ‹              Ñ                                            Õè í
෋ҹѹ ઋ¹ ¼Ù»Ç·ÕÁÍÒ¡ÒêѴਹࢌÒä´Œ¡º ÀÒÇÐ OSA ÃÐ´ÑºÃØ¹áç áÅÐ ¨íÒ໚¹µŒÍ§ÃÕºãËŒ¡ÒÃÃÑ¡ÉÒ
        é        Œ † è Õ                                     Ñ
ᵋÁ»­ËÒàÃ×ͧ¤‹Ò㪌¨Ò ËÃ×Í ¡Ã³Õ¼»ÇÂâä»ÃШíÒµÑǺҧÍ‹ҧáÅÐäÁ‹ÊÒÁÒöà¤Å×͹ŒÒ¼ٻÇÂä´Œ
       Õ ˜     è             ‹                   ÙŒ †                                                               è     Œ †
໚¹µŒ¹ Í‹ҧäáçµÒÁ¶ŒÒ¼Å¡Ò÷´ÊͺÍÍ¡ÁÒäÁ‹µÃ§¡ÑºÍÒ¡ÒüٻÇ·ÕʧÊÑ ¤ÇÃÊ‹§»ÃÖ¡ÉÒ¼ÙàªÕÂÇŒ † è                                       Œ è
ªÒ­à©¾Òзҧµ‹Íä»
                    3.1.4 ¡ÒõÃǨ level IV sleep study ËÃ×Í single or dual channel test
                    ¡ÒõÃǨª¹Ô´¹Õ¤ÅŒÒ¡ѺẺ level III ᵋǴ¤‹Ò·ÕÊҤѭäÁ‹à¡Ô¹ 2 Í‹ҧ ઋ¹ ¡ÒÃÇÑ´
                                       é                                  Ñ         èí
ÃдѺÍÍ¡«Ôਹ ËÃ×Í ¡ÒÃÇÑ´ÅÁËÒÂã¨à¢ŒÒÍÍ¡ ¢³ÐËÅѺ ´Ñ§¹Ñ¹¨Ö§ãªŒà¾×Í»ÃÐàÁÔ¹àº×ͧµŒ¹ ËÃ×͵ԴµÒÁ
                                                                            é          è                      é
ËÅѧ¡ÒÃÃÑ¡ÉÒºÒ§ÍÂèÒ§ ੾ÒÐ㹡óշäÁèÊÒÁÒöµÃǨ¡Òù͹ËÅѺẺÍ×¹æ ·Õ¡ÅèÒÇÁÒáÅéÇà·èÒ-
                                                        èÕ                                          è           è
¹Ñ¹ áÅÐ äÁ‹ÊÒÁÒö㪌à¾×ÍÂ×¹Âѹ¡ÒÃÇÔ¹¨©Ñ ËÃ×ÍÇÒ§á¼¹¡ÒÃÃÑ¡ÉÒ䴌͋ҧ¶Ù¡µŒÍ§(27)
   é                               è                  Ô
                    ÊíÒËÃѺ¡ÒõÃǨÍ×¹ æ Í‹ҧã´Í‹ҧ˹֧ ¹Í¡à˹×ͨҡ¹Õé ઋ¹ ¡ÒÃÍÑ´à·»àÊÕ§ËÃ×Í
                                             è                       è
ÀÒ¾ (audio ËÃ×Í video tape) ¢³Ð¹Í¹ËÅѺ ËÃ×Í¡Òúѹ·Ö¡àÊÕ§¡Ã¹ (snoring measures) ᵋ
à¾Õ§Í‹ҧà´ÕÂÇ ÍÒ¨ª‹ÇÂãËŒµÃÐ˹ѡNjҼٻÇÂÍÒ¨ÁÕÀÒÇÐËÒÂ㨼Դ»¡µÔ¢³ÐËÅѺ ᵋäÁ‹ÊÒÁÒö㪌
                                                           Œ †
à¾×Í¡ÒÃÇÔ¹¨©ÑÂâä䴌
     è      Ô
                    ¤‹Ò·Õèä´Œ¨Ò¡¡ÒõÃǨ polysomnography ·ÕÊҤѭ áÅÐ ¤Ç÷ÃÒº¤ÇÒÁËÁÒÂàº×ͧ
                                                                                èí                                                   é
µŒ¹ 䴌ᡋ
                    1. ¡ÒÃËÂØ´ËÒÂ㨠(Apnea) ¤×Í ÀÒÇзÕäÁ‹ÁÅÁËÒÂã¨à¢ŒÒÍÍ¡ºÃÔàdz¨ÁÙ¡áÅлҡ
                                                                       è Õ
໚¹ÃÐÂÐàÇÅÒÍ‹ҧ¹ŒÍ 2 respiratory cycles ã¹à´ç¡ ËÃ×Í äÁ‹¹ÍÂ¡Ç‹Ò 10 ÇÔ¹Ò·Õ ã¹¼ÙãË­‹ â´Â·ÑÇä»
                                                                                Œ                                 Œ              è
ẋ§¡ÒÃËÂØ´ËÒÂã¨Í͡໚¹ 3 ª¹Ô´ µÒÁ¡ÒÃà¤Å×͹äËǢͧ·Ãǧ͡áÅзŒÍ§ «Ö§ºÍ¡¶Ö§¤ÇÒÁ¾ÂÒÂÒÁ
                                                                   è                                  è
㹡ÒÃËÒÂ㨠(Respiratory effort) ໚¹´Ñ§¹Õé
                          1.1 Obstructive apnea ¤×Í ¡ÒÃËÂØ´ËÒÂã¨ã¹¢³Ð·ÕÁ¤ÇÒÁ¾ÂÒÂÒÁ㹡ÒÃËÒ      è Õ
㨠(respiratory effort)
                          1.2 Central apnea ¤×Í ¡ÒÃËÂØ´ËÒÂã¨â´ÂäÁ‹Á¤ÇÒÁ¾ÂÒÂÒÁ㹡ÒÃËÒÂ㨠   Õ
(without respiratory effort)
                          1.3 Mixed apnea ¤×Í ¡ÒÃËÂØ´ËÒÂ㨷ÕÁ·§ÊͧẺáá ËÇÁ¡Ñ¹ ·Õ¾ºº‹Í ¤×ͪ‹Ç§
                                                                        è Õ Ñé                                        è
áá໚¹ central apnea áÅЪ‹Ç§ËÅѧ໚¹ obstructive apnea
                    2. ¡ÒÃËÒÂã¨á¼‹ÇàºÒ (Hypopnea) ¤×Í ¡Ò÷ÕÅÁËÒÂã¨à¢ŒÒÍ͡ᵋÅФÃѧ¹ŒÍÂŧ¡Ç‹Ò
                                                                                  è                                     é
»¡µÔ ᵋäÁ‹¶§¢Ñ¹ËÂØ´ËÒÂ㨠(ã¹¼ÙãË­‹ËÁÒ¶֧¡ÒÃÁÕÅÁËÒÂã¨Å´Å§äÁ‹µÒ¡Ç‹Ò 30%) ËÇÁ¡Ñº ¡ÒÃÅ´
              Ö é                          Œ                                                 èí
ŧ¢Í§¤ÇÒÁࢌÁ¢Œ¹ÍÍ¡«Ôਹã¹àÅ×Í´ (oxygen desaturation) Í‹ҧ¹ŒÍ 4% ·Ñ§¹Õ㹺ҧʶҺѹ (ËÃ×Í               é é
¼Ù»ÇÂà´ç¡) ÍÒ¨àÅ×͡㪌¹ÂÒÁÍ׹䴌 ¤ÇÒÁËÁÒ¢ͧ hypopnea ã¹»˜¨¨Øº¹¨Ö§¤§ÁÕ¤ÇÒÁËÅÒ¡ËÅÒÂ(28)
  Œ †                            Ô   è                                                   Ñ
Í‹ҧäáçµÒÁ Âѧàª×ÍÇ‹Ò hypopnea ¹‹Ò¨ÐÁռŵ‹ÍÊØ¢ÀҾ䴌¤ÅŒÒ¡Ѻ apnea(29)
                        è
àǪÈÒʵÏ·¹Âؤ 2553
          Ñ                                                                                   513

                   3. Apnea-hypopnea index (AHI) ¤×Í ¤‹Òà©ÅÕ¢ͧ ¨íҹǹ apnea áÅÐ hypopnea
                                                              è
·Õà¡Ô´¢Ö¹ÃÇÁ¡Ñ¹µ‹ÍªÑÇâÁ§¢Í§¡ÒÃËÅѺ (total sleep time; TST) »˜¨¨Øº¹Áѡ㪌ÊÅѺ¡Ñº¤íÒÇ‹Ò respiratory-
    è é                è                                         Ñ
disturbance index (RDI) «Ö§ÁÕ¤ÇÒÁËÁÒÂã¡ÅŒà¤Õ§¡Ñ¹áµ‹¤Ãͺ¤ÅØÁ respiratory effort-related arousals
                               è
(RERA) «Ö§à»š¹¡ÒÃËÒÂ㨽„´·ÕÁšɳФŌÒ hypopnea ᵋäÁ‹à¢ŒÒ¡Ñº¹ÔÂÒÁ¢Í§ hyponea ËÃ×Í
               è                 è ÕÑ
apnea ·ÕÁÍÂÙã¹»˜¨¨Øº¹´ŒÇÂ
             è Õ ‹         Ñ
                   ¹Í¡¨Ò¡¤ÇÒÁËÁÒµ‹Ò§æ ´Ñ§¡Å‹ÒÇáÅŒÇ ÂѧÁÕ¢ÍÁÙÅÍ×¹ ¨Ò¡¡Ò÷´Êͺ¡Òù͹ËÅѺ
                                                            Œ      è
·ÕÁ¤ÇÒÁÊíҤѭáÅФÇþԨÒóÒËÇÁ´ŒÇ ઋ¹ ¤‹ÒµèÒÊØ´ ËÃ×Í ¤‹Òà©ÅÕ¢ͧÃдѺÍÍ¡«Ôਹã¹àÅ×Í´,
     è Õ                                           í                 è
ÃÐÂе‹Ò§æ ¢Í§¡Òù͹ËÅѺ (sleep stages) ¡ÒÃà¤Å×͹äËǢͧ¡ÅŒÒÁà¹×Í (movement) ËÃ×Í
                                                       è                  é
Í×¹ æ «Ö§¨Ðª‹ÇÂãËŒÊÒÁÒöá»Å¼Å¡ÒõÃǨ áÅÐÇÒ§á¼¹¡ÒÃÃÑ¡ÉÒ ä´ŒÍ‹ҧ¶Ù¡µŒÍ§áÅÐàËÁÒÐÊÁ
  è        è
ÁÒ¡¢Ö¹   é
                   »˜¨¨Øº¹¹ÔÂÁẋ§¤ÇÒÁÃØ¹áç¢Í§ obstructive sleep disordered breathing (OSDB)
                         Ñ
µÒÁ¤‹Ò AHI ËÃ×Í RDI ໚¹ËÅÑ¡ Í‹ҧäáçµÒÁ ¶ŒÒÍÒÈѤ‹ÒÃдѺÍÍ¡«Ôਹã¹àÅ×ʹËÇÁ´ŒÇ ÍҨẋ§
ÃдѺ¤ÇÒÁÃØ¹áç ä´Œ´§¹Õé     Ñ
 Severity of disease (s)                            RDI              Lowest O2 saturation
                                                    (AHI)            (LSAT)
 Primary snoring                                    <5               " 90
 Upper airway resistance syndrome                   <5               "90
 (UARS)
 Mild OSA                                           5-15             " 85
 Moderate OSA                                       15 -29           70-84
 Severe OSA                                         >30              < 70

         ¨Ð¾ºÇ‹Ò㹡ÒÃÇÔ¹¨©ÑÂá¡âäÃÐËNjҧ primary snoring ¡Ñº UARS ¹Ñ¹ ¨Ð㪌šɳзҧ
                          Ô                                                    é         Ñ
¤ÅÔ¹¡à»š¹ÊíҤѭ Í‹ҧäáçµÒÁ ¡ÒÃÂ×¹Âѹ¡ÒÃÇÔ¹¨©ÑÂÁҵðҹ ¢Í§ UARS ÍÒ¨µŒÍ§ãªŒ¡ÒõÃǨ
     Ô                                            Ô
¾ÔàÈÉ àª‹¹ esophageal manometry ËÃ×Í ¶ŒÒäÁ‹ÊÒÁÒöµÃǨ䴌ÍÒ¨´Ù¨Ò¡ nasal pressure transducer
á·¹ «Ö§¼Ù»ÇÂ¡ÅØÁ¹Õé ¨ÐÁÕ intrathoracic pressure ·Õ໚¹Åº¡Ç‹Ò»¡µÔ ÊíÒËÃѺ¡ÒÃÇÔ¹¨©ÑÂÇ‹Ò໚¹ OSAS
        è Œ †      ‹                                è                            Ô
ã¹¼Ù»ÇÂà´ç¡ »˜¨¨Øº¹¨Ð㪌ÍÒ¡Òà ËÇÁ¡Ñº ¤‹Ò RDI > 1 ᵋ§äÁ‹Á¢Íµ¡Å§·Õª´à¨¹ã¹¡ÒÃẋ§ÃдѺ
    Œ †               Ñ                                   Ñ Õ Œ          è Ñ
¤ÇÒÁÃØ¹áç    (30)

         3.2 ¡ÒõÃǨ·Ò§à´Ô¹ËÒÂã¨Ê‹Ç¹º¹ (Upper airway assessment)
            ¨Ø´»ÃÐʧ¤¢Í§¡ÒõÃǨà¾ÔÁàµÔÁ·Õ¾àÈÉ ã¹Ê‹Ç¹¹Õé à¾×ÍËÒµíÒá˹‹§·ÕÍÒ¨·íÒãËŒ·Ò§à´Ô¹
                                       è      è Ô               è                  è
ËÒÂã¨Ê‹Ç¹º¹ÍØ´¡Ñ¹ «Ö§à»š¹ÊÒà˵آͧâä ·íÒãËŒÊÒÁÒöÇÒ§á¼¹¡ÒÃÃÑ¡ÉÒä´Œ´Â§¢Ö¹ â´Â੾ÒÐÍ‹ҧ
                     é è                                                   Õ Ôè é
ÂÔ§¨ÐÁÕ»ÃÐ⪹ÁÒ¡ÊíÒËÃѺ¡Òü‹ÒµÑ´ ·Ñ§¹Õ¤ÇÃàÅ×Í¡µÃǨµÒÁ¤ÇÒÁàËÁÒÐÊÁÊíÒËÃѺ¼Ù»ÇÂᵋÅÐÃÒÂ
  è                                      é é                                         Œ †
µÑÇÍ‹ҧ¢Í§¡ÒõÃÇ¨ã¹¡ÅØÁ¹Õé 䴌ᡋ
                            ‹
514                                           ¹Í¹¡Ã¹áÅÐÀÒÇÐËÒÂ㨼Դ»¡µÔ¢³ÐËÅѺª¹Ô´ÍØ´¡Ñ¹
                                                                                       é

             3.2.1 ¡ÒÃʋͧ¡ÅŒÍ§ÀÒÂã¹·Ò§à´Ô¹ËÒÂã¨Ê‹Ç¹µŒ¹ (Upper airway endoscopy) ÊÒÁÒö
㪌䴌·§ flexible ËÃ×Í rigid endoscope â´Â·íÒã¹¢³Ð·Õ¼»ÇÂÍÂÙã¹·‹Ò¹Ñ§ËÃ×Í·‹Ò¹Í¹¡çä´Œ ¹Í¡¨Ò¡
       Ñé                                            è ÙŒ †     ‹   è
¹Õ§ÍÒ¨µÃǨ㹼ٻǺҧÃÒ¢³Ð·ÕËÅѺ (sleep endoscopy) «Ö§¨Ðä´Œ¢ÍÁÙÅ·Õ໚¹¶Ù¡µŒÍ§ÁÒ¡¢Ö¹(31)
  é Ñ               Œ †                 è                     è       Œ     è            é
             3.2.2 ¡Òö‹ÒÂÀÒ¾ÃѧÊÕ (X-ray) ºÃÔàdz¡ÐâËÅ¡ÈÕÃÉРઋ¹ film lateral skull, lateral
cephalometry, ËÃ×Í panoramic view à¾×Í´Ùâ¤Ã§ÊÌҧ¡Ãд١ãºË¹ŒÒ ¢Ò¡ÃÃä¡Ã áÅÐà¹×ÍàÂ×ͧ͢·Ò§
                                          è                                    é è
à´Ô¹ËÒÂã¨Ê‹Ç¹º¹ ઋ¹ »ÃÐàÁÔ¹¢¹Ò´¢Í§µ‹ÍÁ adenoid ËÃ×Í¡ÒÃÇÒ§á¼¹¼‹ÒµÑ´ºÃÔàdz¢Ò¡ÃÃä¡Ã
(jaw surgery) ໚¹µŒ¹
             3.2.3 ¡ÒõÃǨ¾ÔàÈÉÍ×¹ æ ઋ¹ CT scan, MRI, fluoroscopy of airway ËÃ×Í acoustic
                                    è
analysis »˜¨¨Øº¹Âѧ㪌ã¹à¾×ͧҹÇÔ¨Â໚¹ËÅÑ¡ ᵋäÁ‹¹ÂÁ㪌㹷ҧ»¯ÔºµÔ(32)
                  Ñ           è       Ñ            Ô                    Ñ
          3.3 ¡ÒõÃǨËÒâäµÒÁÃкº (Systemic assessment)
             à¾×ÍËÒâäËÇÁáÅлÃÐàÁÔ¹ÀÒÇÐá·Ã¡«ŒÍ¹¨Ò¡ OSA ËÃ×Íà¾×ÍàµÃÕÂÁ¡Òü‹ÒµÑ´ ·Ñ§¹Õé
                è                                                         è                é
¤ÇþԨÒóÒÊ‹§µÃǨ 㹡óշʧÊÑÂ໚¹ÃÒÂæ ä» àª‹¹ ¡ÒõÃǨ CBC (complete blood count)
                                Õè
à¾×Í´ÙÀÒÇÐ polycythemia ¡Òö‹ÒÂÀÒ¾ x-ray ·Ãǧ͡à¾×Í»ÃÐàÁÔ¹ÀÒÇÐ right heart failure ËÃ×Í
    è                                                       è
cor pulmonale ¡ÒõÃǨ arterial blood gas áÅСÒõÃǨà¡ÕÂǡѺµ‹ÍÁä¸ÃÍ´ ઋ¹ thyroid
                                                                  è
function test ໚¹µŒ¹

¡ÒÃÃÑ¡ÉÒ
        á¹Ç·Ò§¡ÒÃÃÑ¡ÉҼٻǷÕÁÀÒÇÐËÒÂ㨼Դ»¡µÔ¢³ÐËÅѺª¹Ô´ÍØ´¡Ñ¹¹Ñ¹ ¢Ö¹ÍÂÙ¡ºËÅÒ»˜¨¨ÑÂ
                         Œ † è Õ                                   é é é ‹ Ñ
ઋ¹ ÊÒà˵ØáÅФÇÒÁÃØ¹áç¢Í§âä ¤ÇÒÁµŒÍ§¡ÒÃáÅФÇÒÁËÇÁÁ×ͧ͢¼Ù»Ç µÅÍ´¨¹ ¢ŒÍ´Õ¢ÍàÊÕÂ
                                                                  Œ †                  Œ
ËÃ×Í¢ŒÍ¨íÒ¡Ñ´¢Í§¡ÒÃÃÑ¡ÉÒᵋÅÐẺ ´Ñ§¹Ñ¹¡‹Í¹¡ÒõѴÊÔ¹ã¨àÅ×Í¡ÇÔ¸¡ÒÃÃÑ¡ÉÒ á¾·ÂáÅмٻǤÇÃ
                                       é                      Õ                    Œ †
ÁÕ¡ÒþԨÒóÒËÇÁ¡Ñ¹ â´Â¼Ù»Ç¤ÇÃ䴌ú¤íÒá¹Ð¹íÒà¾×ÍãËŒµÃÐ˹ѡ¶Ö§ÍѹµÃÒµ‹Ò§æ ·ÕÍÒ¨à¡Ô´¢Ö¹
                           Œ †       Ñ           è                            è          é
¨Ò¡âä¹ÕéËÒ¡»Å‹Í·Ôé§äÇŒ Í‹ҧäáçµÒÁËÒ¡ÊÒÁÒöàÅ×Í¡¡ÒÃÃÑ¡ÉÒ䴌͋ҧ¶Ù¡µŒÍ§áÅÐàËÁÒÐÊÁ
¨Ðª‹ÇÂãˌ͵ÃÒ¡ÒÃàÊÕªÕǵ¡‹Í¹àÇÅÒÍѹ¤ÇÃŴŧ áÅзíÒãËŒ¤³ÀÒ¾ªÕǵ¢Í§·Ñ§¼Ù»Ç´բ¹
           Ñ           Ô                              Ø         Ô     é Œ †     Öé
        â´Â·ÑÇä» àÃÒ¹ÔÂÁẋ§¡ÒÃÃÑ¡ÉÒÍ͡໚¹ËÅÒÂ¡ÅØÁ ´Ñ§¹Õé
              è                                     ‹
       1. ¡ÒÃÃÑ¡ÉÒẺ͹ØÃѡɏ (Conservative treatment)
            ¡ÒÃÃÑ¡ÉÒ¡ÅØÁ¹Õ¤ÇÃ໚¹¾×¹°Ò¹·ÕÊҤѭÊíÒËÃѺ¼Ù»Ç·ءÃÒ äÁ‹ÇÒ¨ÐÁÕ¤ÇÒÁÃØ¹áçÃдѺ
                          ‹ é          é        èí           Œ †                   ‹
ã´ ¨Ø´»ÃÐʧ¤ ËÅÑ¡¢Í§¡ÒÃÃÑ¡ÉÒ´ŒÇÂÇÔ¸¹Õé ¨Ð์¹à¡ÕÂǡѺ¡Òû¯Ôºµàº×ͧµŒ¹¢Í§¼Ù»ÇÂàͧ µÑÇÍ‹ҧ
                                            Õ         è               Ñ Ô é          Œ †
·ÕÊҤѭ ઋ¹
    èí
            1.1 ¡ÒÃÅ´¹éÒ˹ѡ (Weight reduction) àËÁÒÐÊíÒËÃѺ¼Ù·Íǹ (obesity) ËÃ×Í ¼Ù·ÁÕ
                            í                                               Œ Õè Œ         Œ Õè
¹éÒ˹ѡà¡Ô¹ (overweight) «Ö§¨Ðª‹ÇÂÅ´¤ÇÒÁÃØ¹áç¢Í§âäŧ䴌 à¹×ͧ¨Ò¡¡ÒÃÅ´¹éÒ˹ѡ¨Ðª‹ÇÂÅ´
  í                           è                                  (33)
                                                                         è             í
»ÃÔÁÒµÃà¹×ÍàÂ×Íä¢Áѹ (fatty tissue) 㹺ÃÔàdz·Ò§à´Ô¹ËÒÂã¨Ê‹Ç¹º¹ áÅÐ ª‹ÇÂãËŒÃкº¡ÒÃËÒÂã¨
           é è
â´ÂÃÇÁ´Õ¢Öé¹ ·Ñé§¹ÕéÇÔ¸Õ¡Ò÷Õèä´ŒÊíҤѭ·ÕèÊØ´ÊíÒËÃѺ¼Å´Õã¹ÃÐÂÐÂÒÇ µŒÍ§ÍÒÈѤÇÒÁµÑé§ã¨¨Ãԧ㹡ÒÃ
à»ÅÕè¹ÃٻẺ¡ÒÃ㪌ªÕÇÔµ (life style change) ·Ñé§¡ÒäǺ¤ØÁÍÒËÒà ÃÇÁ¶Ö§ ¡ÒÃÍÍ¡¡íÒÅѧ¡ÒÂ
·ÕàËÁÒÐÊÁ ໚¹µŒ¹
    è
àǪÈÒʵÏ·¹Âؤ 2553
          Ñ                                                                                            515

            1.2 ¡ÒÃÁÕʢ͹ÒÁÑ¡Òù͹·Õ´Õ (Good sleep hygiene) ઋ¹ ¡ÒÃ㪌àÇÅҹ͹ËÅѺ¾Ñ¡
                      Ø                      è
¼‹Í¹ãËŒ¾Íà¾Õ§áÅе‹Íà¹×ͧ ¡ÒõѧàÇÅÒࢌҹ͹áÅе׹¹Í¹·ÕÊÁèÒàÊÁÍáÅÐàËÁÒÐÊÁ ÃÇÁ¶Ö§¡ÒûÃѺ
                         è        é                          è        è í
à»ÅÕ¹·‹Ò¹Í¹ ઋ¹ ¶ŒÒäÁ‹Á¢ÍËŒÒÁ ËÃ×Í äÁ‹½¹¨¹à¡Ô¹ä» ÍÒ¨¹Í¹µÐᤧ ËÃ×Í ¹Í¹ÈÕÃÉÐÊÙ§(34)
    è                         Õ Œ                      „
«Ö§ÍÒ¨ª‹ÇÂãËŒÍÒ¡ÒâͧâäŴŧ䴌 ໚¹µŒ¹
  è
            1.3 ¡ÒÃËÅÕ¡àÅÕ§¡ÒÃÃѺ»ÃзҹÂÒºÒ§ª¹Ô´ ઋ¹ Âҹ͹ËÅѺ ÂÒ¤ÅÒ¡ŌÒÁà¹×Í ËÃ×Í
                           è                                                               é
ÂÒ·ÕÁÄ·¸Ô¡´»ÃÐÊҷʋǹ¡ÅÒ§ ÃÇÁ¶Ö§ à¤Ã×ͧ´×Á·Õ¼ÊÁ alcohol ª‹Ç§¡‹Í¹¹Í¹ à¹×ͧ¨Ò¡ÊÔ§àËŋҹÕé
      è Õ ì                                      è è è                          è      è
¨Ð·íÒãËŒ¡ÅŒÒÁà¹×Í·Ò§à´Ô¹ËÒÂã¨Ë‹͹µÑÇÁÒ¡¢Ö¹ áÅÐËҧ¡ÒÂÅ´¡Òõͺʹͧµ‹Í¡ÒâҴÍÍ¡«Ôਹ
                   é                                 é
·íÒãËŒÃÐÂÐàÇÅҢͧ apnea ÂÒÇ¢Ö¹ Ê‹§¼ÅãËŒÁÍÒ¡ÒâͧâÃ¤ÃØ¹áçÁÒ¡¡Ç‹Òà´ÔÁ(35)
                                    é              Õ
            1.4 ¡ÒÃÃÑ¡ÉÒâäËÇÁ·ÕÍҨ໚¹ÊÒà赯 ËÃ×Í»˜¨¨ÑÂàÊÕ§ ·Õ¾ºä´ŒºÍ ઋ¹ âäàÂ×ͺبÁÙ¡
                                      è                                   è è ‹          è
ÍÑ¡àʺ¨Ò¡ÀÙÁᾌ 䫹ÑÊ ÍÑ¡àʺ µ‹ÍÁ·ÍÅ«ÔÅÍÑ¡àʺàÃ×ÍÃѧ ÀÒÇÐ hypothyroidism ÀÒÇЫÖÁàÈÃŒÒ
                 Ô                                             é
µÅÍ´¨¹âäÃкº»ÃÐÊÒ·áÅСŌÒÁà¹×Í «Ö§¨Ðª‹ÇÂãËŒ¼»Ç¹͹¡Ã¹Å´Å§ áÅФسÀÒ¾ªÕǵ´Õ¢¹(36)
                                           é è                   ÙŒ †                 Ô Öé
໚¹µŒ¹
            ÊíÒËÃѺ¡ÒÃÃÑ¡ÉÒ´ŒÇÂÂÒ·Õ¨Òà¾ÒÐÊíÒËÃѺÀÒÇÐËÂØ´ËÒÂ㨢³ÐËÅѺª¹Ô´ÍØ´¡Ñ¹ (OSAHS)
                                        èí                                          é
ÁÕ¡ÒÃÈÖ¡ÉÒÇԨ¨íҹǹÁÒ¡¢Ö¹ à¡ÕÂǡѺÂÒºÒ§ª¹Ô´ ઋ¹ ÂÒ·ÕÁÄ·¸Ô¡´¡Òù͹ËÅѺÃÐÂÐ REM «Ö§
               Ñ             é è                                       è Õ ì                 è
ª‹ÇÂÅ´àÇÅÒ㹡ÒÃà¡Ô´ apnea áÅзíÒãËŒÁ¡ÒÃà¾ÔÁ¢Ö¹¢Í§ oxygen saturation ä´Œ «Ö§àª×ÍÇ‹Ò ÍÒ¨ÁÕ
                                               Õ         è é                      è è
»ÃÐ⪹ã¹¼ÙŒ»†ÇºҧÃÒ ᵋ»˜¨¨ØºÑ¹ÂѧäÁ‹ÁÕËÅÑ¡°Ò¹Ç‹ÒÁÕÂÒã´ÁÕ»ÃÐÊÔ·¸Ô¼Åà¾Õ§¾Í·Õè¨Ð໚¹¡ÒÃ
ÃÑ¡ÉÒËÅÑ¡â´ÂµÃ§(37)
         2. ¡ÒÃÃÑ¡ÉÒâ´Âà¤Ã×èͧÁ×;ÔàÈÉ (Special device)
             2.1 à¤Ã×èͧÊÌҧ¤ÇÒÁ´Ñ¹ÅÁºÇ¡à¾×èÍແ´¢ÂÒ·ҧà´Ô¹ËÒÂ㨠(Positive airway
pressure therapy; PAP) »˜¨¨Øº¹¡ÒÃÃÑ¡ÉÒ´ŒÇÂà¤Ã×ͧÁ×͹Õé ¶×ÍÇ‹Ò໚¹ÇÔ¸·ÁËÅÑ¡°Ò¹¨Ò¡§Ò¹ÇÔ¨Â
                                         Ñ                   è                  Õ Õè Õ                   Ñ
¨íҹǹÁÒ¡ÃͧÃÑºÇ‹Ò ÁÕ»ÃÐÊÔ·¸ÔÀÒ¾ (efficacy) áÅФÇÒÁ»ÅÍ´ÀÑÂÊÙ§·ÕèÊØ´Í‹ҧ˹Öè§ã¹¡ÒÃÃÑ¡ÉÒ
OSAHS(38) ·Ñ§¹Õ¼Å´Õã¹ÃÐÂÐÂÒǹѹ¢Ö¹ÍÂÙ¡º¡Ò÷ռ»ÇµŒÍ§ÊÒÁÒö㪌à¤Ã×ͧ䴌µÅÍ´ÃÐÂÐàÇÅҹ͹
               é é                      é é ‹ Ñ       è ÙŒ †                è
áÅÐ㪌·¡¤×¹ ËÅÑ¡¡Òä×Í ¡ÒÃ㪌¤ÇÒÁ´Ñ¹ÅÁ·Õ໚¹ºÇ¡à¾×ͪ‹Ç¶‹Ò§¢ÂÒ (pneumatic splint) ·Ò§à´Ô¹
         Ø                                        è             è
ËÒÂã¨Ê‹Ç¹µŒ¹ äÁ‹ãËŒà¡Ô´¡ÒÃÍØ´¡Ñ¹ (collapse) ÅѡɳСÒ÷íÒ§Ò¹¢Í§à¤Ã×ͧª¹Ô´¹Õ¤Í à¤Ã×ͧ¨ÐໆÒ
                                      é                                       è            é ×     è
ÅÁ¼‹Ò¹ ·‹ÍÅÁ áÅÐࢌÒ˹ŒÒ¡Ò¡ (mask) «Ö§¤Ãͺ¨ÁÙ¡ ËÃ×ͻҡ¢Í§¼Ù»Ç «Ö§¨Ð㪌੾ÒÐàÇÅÒ·Õ¨Ð
                                                è                    Œ †             è                 è
¹Í¹ËÅѺ à¤Ã×ͧÁ×ͪ¹Ô´¹ÕÁËÅÒÂẺ ÍҨ໚¹·Ñ§ Ẻ¤ÇÒÁ´Ñ¹¤§·Õè (continuous positive airway
                  è          é Õ                    é
pressure; CPAP) Ẻ¤ÇÒÁ´Ñ¹ÅÁ 2 ÃдѺ (bilevel positive airway pressure; BiPAP) ËÃ×ÍẺµÑ§                  é
¤ÇÒÁ´Ñ¹Íѵâ¹ÁÑµÔ (Auto-PAP) ໚¹µŒ¹ Í‹ҧäáçµÒÁ ¡ÒÃÃÑ¡ÉÒÇÔ¸¹ÍÒ¨ÁբͨíÒ¡Ñ´ ËÃ×ͼŢŒÒ§
                                                                       Õ Õé              Œ
à¤Õ§䴌 ઋ¹ à¡Ô´á¼Å¡´·Ñº ºÃÔàdz·Õ˹ŒÒ¡Ò¡¤Ãͺ ËÃ×Í¡ÒÃÍÑ¡àʺ¢Í§àÂ×ͺØã¹¨ÁÙ¡ «Ö§¤ÇÃ䴌ú¡ÒÃ
                                           è                             è                     è     Ñ
ÃÑ¡ÉÒËÇÁ´ŒÇ ¹Í¡¨Ò¡¹Õ¼»ÇÂËÅÒÂÃÒÂÍÒ¨ÃÙÊ¡ÍÖ´ÍÑ´áÅÐäÁ‹µÍ§¡ÒÃ㪌à¤Ã×ͧ à¹×ͧ¨Ò¡äÁ‹ÊÐ
                (39)
                               é ÙŒ †               ŒÖ             Œ                   è         è
´Ç¡ 㹡ÒôÙáÅÃÑ¡ÉÒ ËÃ×Í ¡Òþ¡¾Òã¹ÃÐËNjҧà´Ô¹·Ò§ áÅÐÃÒ¤Ò¤‹Í¹¢ŒÒ§á¾§ ໚¹µŒ¹
             2.2 à¤Ã×èͧÁ×Í㹪‹Í§»Ò¡ÃÑ¡Éҹ͹¡Ã¹ (Oral appliances; OAs)
             ¡ÒÃÃÑ¡ÉÒÇÔ¸Õ¹Õé໚¹¡ÒÃãÊ‹à¤Ã×èͧÁ×͹Õéã¹»Ò¡¢³Ð¹Í¹ËÅѺ «Öè§ÁÕ»ÃÐ⪹ã¹ÃÒ·Õè¡ÒÃ
ÍØ´¡Ñ¹¢Í§·Ò§à´Ô¹ËÒÂã¨ÁÕ¤ÇÒÁÃØ¹áçäÁ‹ÁÒ¡ ઋ¹ã¹¡ÅØÁ·Õ໚¹ primary snoring UARS ËÃ×Í mild
     é                                                         ‹ è
516                                                              ¹Í¹¡Ã¹áÅÐÀÒÇÐËÒÂ㨼Դ»¡µÔ¢³ÐËÅѺª¹Ô´ÍØ´¡Ñ¹
                                                                                                          é

to moderate OSA(40) ÁÑ¡àÅ×͡㪌ã¹ÃÒ·ÕäÁ‹ÊÒÁÒö·¹¼Å¢ŒÒ§à¤Õ§¢Í§ CPAP ËÃ×ÍäÁ‹µÍ§¡ÒÃÃÑ¡ÉÒ
                                       è                                         Œ
´ŒÇÂÇÔ¸¼ÒµÑ´ ËÅÑ¡¡Òä×Í à¤Ã×ͧÁ×Í·ÕãÊ‹¨Ð·íÒãËŒ¢Ò¡ÃÃä¡Ãŋҧ ËÃ×Í⤹ÅÔ¹à¤Å×͹µÑÇä»´ŒÒ¹Ë¹ŒÒ à¾×Í
       Õ ‹                  è      è                                é è                      è
ãËŒªÍ§·Ò§à´Ô¹ËÒÂ㨺ÃÔàdzÅíҤ͡njҧ¢Ö¹ à¤Ã×ͧÁ×ͪ¹Ô´¹Õâ´Â·ÑÇä»áº‹§ÍÍ¡ ໚¹ª¹Ô´ à¤Ã×ͧ´Ö§ÅÔ¹
    ‹                                    é     è        é    è                      è      é
ÁÒ´ŒÒ¹Ë¹ŒÒ (tongue retaining device; TRD) áÅÐ à¤Ã×èͧÁ×ÍàÅ×è͹¢Ò¡ÃÃä¡ÃŋҧÁÒ´ŒÒ¹Ë¹ŒÒ
(mandibular advancement splint; MAS) ໚¹µŒ¹ Í‹ҧäáçµÒÁ ¡‹Í¹¡ÒÃÃÑ¡ÉÒ¤ÇõÃÇ¨ÊØ¢ÀÒ¾
¿˜¹áÅЪ‹Í§»Ò¡´ŒÇ ¹Í¡¨Ò¡¹Õ¡ÒÃÃÑ¡ÉÒÇÔ¸´§¡Å‹ÒÇ ÍÒ¨ÁռŢŒÒ§à¤Õ§µ‹Í¢ŒÍ¢Ò¡ÃÃä¡ÃáÅСÒÃʺ
                               é           Õ Ñ
µÑǢͧ¿˜¹ (occlusion) ã¹ÃÐÂÐÂÒÇ ¨Ö§µŒÍ§µÔ´µÒÁ¡ÒÃÃÑ¡ÉÒÍ‹ҧÊÁèÒàÊÁÍ(40)
                                                                 í
           3. ¡ÒÃÃÑ¡ÉÒâ´ÂÇÔ¸Õ¼‹ÒµÑ´ (Surgical treatment)
                   ¡ÒÃÃÑ¡ÉÒÇÔ¸¹Õé ÁÕ¨´»ÃÐʧ¤à¾×Í á¡Œä¢Åѡɳзҧ¡ÒÂÇÔÀÒ¤ â´Âà¾ÔÁ¢¹Ò´¢Í§ª‹Í§·Ò§
                                   Õ Ø               è                                                           è
à´Ô¹ËÒÂã¨Ê‹Ç¹º¹ ËÃ×Íà¾ÔÁ¤ÇÒÁµÖ§µÑǢͧà¹×ÍàÂ×Í ã¹µíÒá˹‹§·ÕÍҨ໚¹ÊÒà˵آͧâä ¢ŒÍº‹§ªÕÊÒËÃѺ
                                    è                  é è                       è                                            éí
¡ÒÃÃÑ¡ÉÒ´ŒÇ¡Òü‹ÒµÑ´ã¹»˜¨¨Øº¹ 䴌ᡋ ¡Ã³Õ·µÃǨ¾ºµíÒá˹‹§¢Í§¡ÒÃÍØ´¡Ñ¹·Ò§à´Ô¹ËÒÂã¨ä´Œª´
                                               Ñ           Õè                                                é                       Ñ
ਹ ËÃ×Í ãªŒ¡Ã³Õ·ÅÁàËÅǨҡ¡ÒÃÃÑ¡ÉÒâ´ÂÇԸ͹ ¹Í¡¨Ò¡¹Õé ÂѧÍҨ㪌໚¹·Ò§àÅ×Í¡àÊÃÔÁËÇÁ¡Ñº
                            Õè Œ                              Õ ×è
ÇԸ͹ ઋ¹ ÍÒ¨ª‹ÇÂãˌ㪌 CPAP(41) ËÃ×Í oral appliances ä´Œ¼Å´Õ§¢Ö¹(42) áÅÐ Í‹ҧ¹ŒÍ·ÕÊ´ ÍÒ¨
    Õ ×è                                                                                  Ôè é                               èØ
ª‹ÇÂÅ´àÊÕ§¡Ã¹ËÃ×ͤÇÒÁÃØ¹áç¨Ò¡¡ÒÃËÂØ´ËÒÂã¨ä´Œ
                »˜¨¨Øº¹ÁÕ¡Òü‹ÒµÑ´ÃÑ¡ÉÒËÅÒÂÍ‹ҧ «Ö§ÍҨ㪌Ǹã´ÇԸ˹֧ ËÃ×Í ãªŒËÅÒÂÍ‹ҧËÇÁ¡Ñ¹ â´Â
                       Ñ                                 è           ÔÕ Õ è
µŒÍ§àÅ×Í¡ãËŒàËÁÒÐÊÁ¡Ñº¼Ù»ÇÂᵋÅÐÃÒ »ÃÐàÀ·¢Í§¡Òü‹ÒµÑ´·Õ㪌ºÍÂ䴌ᡋ
                                      Œ †                                                è ‹
                   3.1 ¡Òü‹ÒµÑ´ºÃÔàdz¨ÁÙ¡ (Nasal surgery) 㪌à¾×Íᡌ䢤ÇÒÁ¼Ô´»Ã¡µÔ ã¹ÃÒ·ÕÁ¡ÒÃ
                                                                                     è                                           è Õ
ÍØ´¡Ñ¹¢Í§â¾Ã§¨ÁÙ¡ (nasal cavity) ¨¹¶Ö§ nasopharynx µÑÇÍ‹ҧઋ¹ ¡Òü‹ÒµÑ´Å´¢¹Ò´¢Í§ turbinate
         é
´ŒÇÂÇÔ¸µÒ§æ (Inferior turbinate reduction) ¡Òü‹ÒµÑ´µ¡áµ‹§¼¹Ñ§¡Ñ¹ª‹Í§¨ÁÙ¡ (septoplasty) ¡ÒÃàÊÃÔÁ
              Õ ‹                                                                      é
¤ÇÒÁá¢ç§áç¢Í§»‚¡¨ÁÙ¡ (nasal valve reconstruction) ¡Òü‹ÒµÑ´àÍÒÃÔ´Êմǧ¨ÁÙ¡ÍÍ¡ (polypectomy)
áÅСÒÃá¡Œä¢ nasopharyngeal stenosis ໚¹µŒ¹ â´ÂÁÕ¡ÒÃÈÖ¡ÉÒ¾ºÇ‹Ò¡ÒÃᡌä¢ÀÒÇÐ nasal
obstruction ´ŒÇ¡Òü‹ÒµÑ´¹Õ¨Ð·íÒãËŒ¡Ã¹¹ŒÍÂŧ ·íÒ§Ò¹ã¹àÇÅÒ¡ÅÒ§Çѹ´Õ¢¹ áÅÐã¹ÃÒ·ÕáÉÒ´ŒÇÂ
                                          é                                                           Öé                  èÑ
radiofrequency (R.) ËÅѧ·íÒ ¼Ù»ÇÂÊÒÁÒö㪌 CPAP ä´Œ´¢¹ áÅФÇÒÁ´Ñ¹ CPAP ·Õ㪌¡¹ÍÂŧ
                                                 Œ †                        Õ Öé                                         è ç Œ
´ŒÇ     (41)

                   3.2 ¡Òü‹ÒµÑ´µ‹ÍÁ·Í¹«ÔÅ (Tonsillectomy) Áբͺ‹§ªÕã¹ÃÒ·ÕÁµÍÁ·Í¹«ÔÅ⵪Ѵਹ
                                                                                   Œ         é             è Õ ‹
¹ÔÂÁ·íÒËÇÁ¡Ñº¡Òü‹ÒµÑ´ºÃÔàdzྴҹ͋͹ (palatal surgery) ËÃ×Íã¹à´ç¡·Õ໚¹ OSAS ÁÑ¡·íÒËÇÁ                è
¡Ñº adenoidectomy «Ö§¡Òü‹ÒµÑ´Ê‹Ç¹ãË­‹ä´Œ¼Å´ÕÁÒ¡(43) ËÅѧ¼‹ÒµÑ´¼Ù»ÇÂʋǹÁÒ¡ÁÕÍÒ¡ÒáùáÅÐ
                                 è                                                             Œ †
ÍÒ¡Òç‹Ç§¡ÅÒ§ÇѹŴŧªÑ´à¨¹ áÅÐ â´Â੾ÒÐÍ‹ҧÂÔ§ã¹¼Ù»ÇÂà´ç¡ÁÕÃÒ§ҹNjҷíÒãËŒÀÒÇÐËÂØ´ËÒÂã¨
                                                                   è Œ †
¢³ÐËÅѺŴŧÁÒ¡,¤Ø³ÀÒ¾ªÕǵ´Õ¢¹(44) áÅмšÒÃàÃÕ¹´Õ¢¹´ŒÇÂ
                                              Ô Öé                       Öé
                   3.3 ¡Òü‹ÒµÑ´ºÃÔàdzྴҹ͋͹ (Palatal surgery) ã¹¡ÅØÁ¹Õé ·Õ¹ÂÁ·íÒ ä´Œá¡‹        ‹               è Ô
                         3.3.1 Uvulopalatopharyngoplasty (UPPP)໚¹¡Òü‹ÒµÑ´àÍÒ redundant soft tissue
ºÒ§Ê‹Ç¹ ºÃÔàdz soft palate, uvula áÅÐ pharyngeal wall ÍÍ¡ áÅŒÇàÂ纫‹ÍÁà¾×ÍãËŒªÍ§¤ÍºÃÔàdz                             è ‹
oropharynx ¡ÇŒÒ§áÅе֧ÁÒ¡¢Ö¹ ÁÑ¡·íÒËÇÁ¡Ñº tonsillectomy ËÃ×Í¡Òü‹ÒµÑ´ºÃÔàdz¨ÁÙ¡ áÅÐ⤹
                                            é
ÅÔ¹ ã¹»˜¨¨Øº¹ÁÕà·¤¹Ô¤¡Òü‹ÒµÑ´ËÅÒÂÇÔ¸Õ(45-47) â´Â¹ÔÂÁà¡çº uvula äÇŒÁÒ¡¢Ö¹à¾×ÍÅ´ÀÒÇÐá·Ã¡«ŒÍ¹
  é                  Ñ                                                                               é è
àǪÈÒʵÏ·¹Âؤ 2553
          Ñ                                                                                                                                             517

¢ŒÍº‹§ªÕ¢Í§¡Òü‹ÒµÑ´ª¹Ô´¹Õ䴌ᡋ ¼Ù»Ç OSDB ·ÕµÃǨ¾ºÇ‹ÒµíÒá˹‹§ÍØ´¡Ñ¹¢Í§·Ò§à´Ô¹ËÒÂ㨹‹Ò¨Ð
               é                          é      Œ †                         è                                             é
ÍÂÙã¹ÃдѺ soft palate ËÃ×ÍäÁ‹ÊÒÁÒö㪌à¤Ã×ͧÁ×ͪ¹Ô´Í×¹æ ä´Œ ¡Òü‹ÒµÑ´¹ÕÁ¡ä´Œ¼Å´Õã¹ÃÒ·ÕÁÕ
          ‹                                                             è                     è                                    é Ñ                        è
¹éÒ˹ѡµÑÇäÁ‹ÁÒ¡¹Ñ¡ áÅÐ tonsils âµ Í‹ҧäáçµÒÁ¡Ã³Õ·¼»ÇÂÁÕÍÒ¡ÒÃÃØ¹áç ËÅѧ¼‹ÒµÑ´ËÅÒÂ
  í                                                  (48)
                                                                                                  Õè ÙŒ †
ÃÒ ÍÒ¨ÂѧÁÕ¡ÒÃËÂØ´ËÒÂ㨺‹Í «Ö§µŒÍ§ãªŒ¡ÒÃÃÑ¡ÉÒÍ‹ҧÍ×¹à¾ÔÁàµÔÁ ¨Ö§¤ÇõÃǨ polysomnography
                                               è                                            è è
à¾×͵ԴµÒÁ¼ÅËÅѧ¡ÒÃÃÑ¡ÉÒÀÒÂã¹ 6 à´×͹
        è
                            3.3.2 Uvulopalatoplasty (UPP) ໚¹¡Òü‹ÒµÑ´àÍÒ redundant tissue ºÒ§Ê‹Ç¹ºÃÔàdz
uvula áÅÐ palate ÍÍ¡ ÊÒÁÒö ·íÒä´ŒËÅÒÂÇÔ¸Õ àª‹¹ 㪌 laser(49), ¤Å×¹¤ÇÒÁ¶ÕÇ·ÂØ (Radiofrequency;                 è               èÔ
R.) ËÃ×Í ãªŒ¨ä¿¿‡Ò ËÇÁ¡Ñº¡ÒÃàÂçº (modified CAPSO) ໚¹µŒ¹ ÇÔ¸¹ÊÒÁÒö·íÒ ÀÒÂ㵌ÂÒªÒ
                         Õé                                                            (50)
                                                                                                                          Õ Õé
੾ÒзÕè â´ÂäÁ‹µÍ§´ÁÂÒÊź áÅÐ㪌àÇÅÒ·íÒà¾Õ§ 15 – 20 ¹Ò·Õ ¢ŒÍº‹§ªÕ»¨¨Øº¹ ¤×Í㪌áÉÒÍÒ¡ÒÃ
                             Œ                                                                                           é ˜ Ñ                 Ñ
¡Ã¹ª¹Ô´¸ÃÃÁ´Ò (primary snoring) ËÃ×Í OSA ã¹ÃдѺ·ÕäÁ‹Ã¹áç áÅÐÁÕÊÒà˵ØÁÒ¨Ò¡¡ÒÃÍØ´¡Ñ¹ÃÐ   è Ø                                                          é
´Ñº soft palate
                            3.3.3 ¡ÒÃÃÑ¡ÉÒ´ŒÇ¤Å×¹¤ÇÒÁ¶ÕÇ·ÂØ (Radiofrequency volumetric tissue reduction;
                                                        è                   èÔ
R.VTR) ໚¹¡ÒÃ㪌à¢çÁª¹Ô´¾ÔàÈÉ (needle electrode) «Ö§ÊÒÁÒö»Å‹Í¤Å×¹¤ÇÒÁ¶ÕÇ·ÂØ ¨Õà¹×ÍàÂ×Í è                                    è             èÔ é é è
ྴҹ͋͹ (soft palate) ËÃ×Í ·Ò§à´Ô¹ËÒÂã¨Ê‹Ç¹µŒ¹ºÃÔàdzÍ×¹ ઋ¹ 㹨ÁÙ¡ (turbinate), ⤹ÅÔ¹                è                                                é
(base of tongue), áÅе‹ÍÁ·Í¹«ÔÅ ËÅÑ¡¡ÒâͧÇÔ¸¹Õé ¤×Í ¡ÒÃà»ÅÕ¹¤Å×¹àÊÕ§໚¹¾Åѧ§Ò¹¤ÇÒÁ
                                                                                    Õ                             è          è
Ì͹ à¾×èÍ·íÒãËŒà¡Ô´ coagulation necrosis ÀÒÂã¹à¹×éÍàÂ×èÍ㵌àÂ×èͺؼÔÇ (submucosa) áŌǵ‹ÍÁÒ
¡ÅÒÂ໚¹¾Ñ§¼×´ (scar tissue) ·´á·¹ «Ö§¨Ð·íÒãËŒà¹×ÍàÂ×ͺÃÔàdz·ÕáÉÒ ÁÕ¡ÒÃË´áÅе֧µÑÇ (tissue
                                                               è                   é è                         èÑ
contraction) ËÃ×Í Å´»ÃÔÁҵà (volume reduction) â´Â¼Å´Ñ§¡Å‹ÒÇÍÒ¨·íÒãËŒ·Ò§à´Ô¹ËÒÂ㨡njҧ¢Ö¹                                                                   é
¢ŒÍ´Õ¢Í§¡ÒÃÃÑ¡ÉÒ´ŒÇÂÇÔ¸¹¤Í »ÃÔÁÒ³¤ÇÒÁÌ͹·Õà¹×ÍàÂ×Í䴌ú ¨ÐµèҡNjҡÒÃ㪌àÅà«ÍÏËÃ×ͨÕä¿¿‡Ò
                                      Õ Õé ×                                   è é è Ñ                              í                               é
¸ÃÃÁ´ÒÁÒ¡ ¨Ö§·íÒãËŒà¡Ô´ÍѹµÃÒµ‹Íà¹×ÍàÂ×ÍÃͺ¢ŒÒ§â´Â੾ÒÐÍ‹ҧÂÔ§àÂ×ͺؼǹŒÍÂ¡Ç‹Ò (mucosal
                                                          é è                                                         è è Ô
preservation) ·íÒãËŒÍÒ¡ÒÃà¨çº»Ç´¨Ò¡¡ÒÃÃÑ¡ÉÒ¹ŒÍ¡NjÒÇԸ͹ â´ÂÊÒÁÒö·íÒÀÒÂ㵌ÂÒªÒ੾ÒзÕè      Õ ×è   (51)

㪌àÇÅÒ㹡Ò÷íÒà¾Õ§ 10-15 ¹Ò·Õ áÅÐÁÕ¤ÇÒÁàÊÕ§¨Ò¡¡ÒÃÃÑ¡ÉÒµèÒÁÒ¡(52, 53) ¨Ö§ÊÒÁÒö·íÒ«éÒä´ŒËÒ¡
                                                                          è                                í                                     í
¨íÒ໚¹ ÁÕÃÒ§ҹ¶Ö§¼Å¡ÒÃ㪌 R. ÃÑ¡ÉҼٻǷÕÁÍÒ¡ÒäѴ¨ÁÙ¡àÃ×ÍÃѧ ¾ºÇ‹ÒÊÒÁÒöŴÍÒ¡Òõ‹Ò§æ
                                                                 Œ † è Õ                                     é
ä´Œ´Õ áÅмŹѹÍÒ¨¤§ÍÂÙä´Œ¹Ò¹¶Ö§ 2 »‚ ʋǹ¼Å¢Í§ R. µ‹Í palate ¡çÁÃÒ§ҹNjÒÊÒÁÒöŴÍÒ¡ÒÃ
                       é            ‹                  (54)
                                                                                                                       Õ
¡Ã¹ áÅФÇÒÁ§‹Ç§¼Ô´»¡µÔã¹àÇÅÒ¡ÅÒ§Çѹ䴌                              (23, 24)
                                                                               ¹Í¡¨Ò¡¹Õé ËÒ¡·íÒ R. ËÅÒÂÃдѺ¾ÃŒÍÁ¡Ñ¹ (multi-
level R.VTR) ÍÒ¨·íÒãËŒ ¼Ù»Ç OSA ÁÕ¤³ÀÒ¾ªÕǵ·Õ´¢¹ä´Œ ã¡ÅŒà¤Õ§¡Ñº¡ÒÃ㪌 CPAP55
                                        Œ †                  Ø                  Ô è Õ Öé
                            3.3.4 ¡Òý˜§äËÁ¾ÔÅÅ‹ÒÏ (Palatal pillar implants) ໚¹¡ÒùíÒÇÑʴؾàÈɤŌÒ¾ÅÒʵԡ                          Ô
«Ö§¼‹Ò¹¡ÒÃÃѺÃͧ¤ÇÒÁ»ÅÍ´ÀÑ ÅѡɳÐ໚¹á·‹§¢¹Ò´àÅç¡ ½˜§ºÃÔàdzྴҹ͋͹ à¾×ÍãËŒà¡Ô´¡Òõ֧µÑÇ
    è                                                                                                                                    è
áÅÐÅ´¡ÒÃÊѹÊÐà·×͹¢³Ð·ÕËÒÂã¨à¢ŒÒ ·íÒãˌŴàÊÕ§¡Ã¹Å§ä´Œ ¢ŒÍ´Õ ¤×Í ÊÒÁÒö·íÒÀÒÂ㵌㪌ÂÒªÒ
                  è                          è
੾ÒзÕè ÍÒ¡ÒÃà¨çº»Ç´¨Ò¡¡ÒÃÃÑ¡ÉÒ¹ŒÍ áÅÐàª×ÍNjҹ‹Ò¨Ðä´Œ¼ÅàÃçÇáÅÐÍÂÙä´Œ¹Ò¹¡Ç‹Ò¡ÒÃ㪌¤Å×¹
                                                                                 è                                               ‹                      è
¤ÇÒÁ¶ÕÇ·ÂØ¨à¾´Ò¹Íè͹ ÍÂèÒ§äáçµÒÁà¹×ͧ¨Ò¡äËÁ¾ÔÅÅèÒÃì à»ç¹ foreign bodies ¨Ö§ÁÕá¹Çâ¹éÁÇèÒ ÇÑÊ´Ø-
              è Ô éÕ                                       è
·Õ½§äÇŒ¨Ðà¤Å×͹¨Ò¡µíÒá˹‹§à´ÔÁáÅÐËÅØ´ä´Œ ÊíÒËÃѺ¼Å㹡ÒÃÃÑ¡ÉÒ OSAS ÂѧäÁ‹á¹‹ª´ »˜¨¨Øº¹ÁÕ¢Í
      è ˜            è                                                                                                                     Ñ       Ñ Œ
º‹§ªÕËÅÑ¡ ¤×Í ¡Òáùª¹Ô´¸ÃÃÁ´Ò (primary snoring) «Ö§ÁÕµÒá˹‹§¢Í§àÊÕ§¡Ã¹ÁÒ¨Ò¡ºÃÔàdz soft
            é                                                                         è í
palate
518                                                                          ¹Í¹¡Ã¹áÅÐÀÒÇÐËÒÂ㨼Դ»¡µÔ¢³ÐËÅѺª¹Ô´ÍØ´¡Ñ¹
                                                                                                                      é

                   3.4 ¡Òü‹ÒµÑ´ºÃÔàdz⤹ÅÔé¹ (Base of tongue surgery)
                        »˜¨¨Øº¹ÁÕ¡Òü‹ÒµÑ´ºÃÔàdz¹ÕËÅÒÂÇԸઋ¹ ¡ÒÃ㪌¤ÇÒÁ¶ÕÇ·ÂØ (R.) ¨Õ⤹ÅÔ¹à¾×Íãˌ˴
                                 Ñ                            é                Õ                            èÔ                       é          é è
µÑÇáÅÐÁÕ¢¹Ò´àÅç¡Å§, ¡Òü‹ÒµÑ´à¾×èÍ¢ÂѺ·Õèà¡ÒТͧ¡ÅŒÒÁà¹×éÍÅÔé¹ÁÒ´ŒÒ¹Ë¹ŒÒâ´Â¡ÒÃà¨ÒСÃд١
mandible (inferior mandibulotomy and genioglossal advancement) «Ö§¨Ð·íÒãËŒ·Ò§à´Ô¹ËÒÂã¨Ê‹Ç¹                  è
¹Õé¡ÇŒÒ§¢Öé¹ ¹Í¡¨Ò¡¹ÕéÂѧÁÕÃÒ§ҹÇÔ¸ÕÍ×è¹æ ઋ¹ ¡ÒÃ㪌àª×Í¡ä»ÃŒÍÂ⤹ÅÔé¹áÅŒÇÁÒ¼Ù¡¡Ñº screw
·Õ´µÔ´¡Ñº mandible ·Ò§´ŒÒ¹Ë¹ŒÒ à¾×Í»‡Í§¡Ñ¹äÁ‹ãˌʵ¡ä»´ŒÒ¹ËÅѧ (tongue suspension) ÃÇÁ
   è Ö                                                   è                       Ôé
¶Ö§¡ÒõѴºÒ§Ê‹Ç¹¢Í§¡Åҧ⤹ÅÔé¹ÍÍ¡ (midline partial glossectomy) 㹺ҧÃÒÂâ´ÂÍҨ㪌
à¤Ã×ͧÁ×;ÔàÈÉ àª‹¹ coblator ËÃ×Í laser µÑ´Í͡໚¹µŒ¹ ¢ŒÍº‹§ªÕÊÒËÃѺ¡ÒÃÃÑ¡ÉÒÇÔ¸¹Õé ¤×Í ¼Ù»Ç·ÕÁÕ
        è                                                                                          éí                                      Õ       Œ † è
severe OSA áÅÐÁÕ¡ÒÃÍØ´¡Ñ¹¢Í§·Ò§à´Ô¹ËÒÂã¨ã¹ÃдѺ⤹ÅÔ¹ ઋ¹ ã¹ÃÒ·Õ⤹ÅÔ¹ÁÕ¢¹Ò´ãË­‹
                                           é                                                     é                           è               é
ËÃ×Í lingual tonsil ⵠ໚¹µŒ¹ Í‹ҧäáçµÒÁ¡Òü‹ÒµÑ´àËŋҹÕÁ¤ÇÒÁàÊÕ§¨Ò¡¼Åá·Ã¡«ŒÍ¹¤‹Í¹¢ŒÒ§   é Õ          è
ÊÙ§ áÅмšÒü‹ÒµÑ´ÂѧäÁ‹á¹‹¹Í¹56 »˜¨¨Øº¹¨Ö§¹ÔÂÁ㪌໚¹à¾Õ§¡ÒÃÃÑ¡ÉÒàÊÃÔÁ (adjunctive treatment)
                                                            Ñ
ËÇÁ¡Ñº¡Òü‹ÒµÑ´Í×¹ ઋ¹ UPPP à¾×ÍãËŒ¼Å¡Òü‹ÒµÑ´´Õ¢¹(57) ´Ñ§¹Ñ¹¨Ö§µŒÍ§¾Ô¨ÒóÒàÅ×͡㪌ã¹à©¾ÒÐ
                              è                      è                              Öé              é è
¼Ù»ÇºҧÃÒÂÍ‹ҧÃÐÁÑ´ÃÐÇѧ
  Œ †
                   3.5 ¡Òü‹ÒµÑ´ºÃÔàdz ª‹Í§¤ÍʋǹŋҧáÅÐ ¡Å‹Í§àÊÕ§ (Hypopharyngeal and
laryngeal surgery)
                        ¡Òü‹ÒµÑ´ã¹¡ÅØÁ¹Õé ÁÕ¨´»ÃÐʧ¤¢ÂÒ·ҧà´Ô¹ËÒÂ㨠ʋǹ·ÕÍÂÙã¡ÅŒ¡Å‹Í§àÊÕ§ «Ö§
                                               ‹       Ø                                                               è ‹                                 è
»˜¨¨Øº¹¹ÔÂÁ㪌 ໚¹à¾Õ§¡ÒÃÃÑ¡ÉÒàÊÃÔÁઋ¹à´ÕÂǡѺ¡Òü‹ÒµÑ´ºÃÔàdz⤹ÅÔ¹ µÑÇÍ‹ҧ¢Í§¡Òü‹ÒµÑ´
             Ñ                                                                                                  é
ã¹¡ÅØÁ¹Õéઋ¹ hyoid myotomy and suspension áÅÐ supraglottoplasty «Ö§à»š¹¡Òõ¡áµ‹§à¹×Í
           ‹                                                         (58)                                      (59)
                                                                                                                           è                             é
àÂ×ͺÃÔàdzà˹×͡ŋͧàÊÕ§ à¾×Í»‡Í§¡Ñ¹¡ÒÃÍØ´¡Ñ¹¢³ÐËÅѺ
    è                                        è                     é
                   3.6 ¡Òü‹ Ò µÑ ´ àÅ×è Í ¹¢Ò¡ÃÃä¡Ãº¹áÅÐÅ‹ Ò §ÁÒ´Œ Ò ¹Ë¹Œ Ò (Maxillomandibular
advancement , MMA)
                        ໚¹¡Òü‹ÒµÑ´àÅ×͹ ¡Ãд١·Ñ§ maxilla áÅÐ mandible ÁÒ´ŒÒ¹Ë¹ŒÒÁÒ à¾×Í·íÒãËŒ·Ò§
                                                 è               é                                                                               è
à´Ô¹ËÒÂ㨡njҧ¢Ö¹ áÁŒÇҼšÒÃÃÑ¡ÉÒã¹ÃÐÂÐÂÒÇ´Õ áµ‹à»š¹¡Òü‹ÒµÑ´ãË­‹·µÍ§ãªŒàÇÅÒÃÑ¡ÉÒ¹Ò¹
                           é       ‹                                        (60)
                                                                                                                        Õè Œ
ÃÇÁ¶Ö§ÍÒ¨µŒÍ§ÁÕ¡ÒèѴ¿˜¹Ã‹ÇÁ´ŒÇ·íÒãËŒ¤Ò㪌¨ÒÂÊÙ§ ËÅѧ¡ÒÃÃÑ¡ÉҼٻǨÐÁÕâ¤Ã§Ë¹ŒÒ·Õà»ÅÕ¹ä»(61)
                                                           ‹ ‹                                        Œ †                                      è è
áÅÐÍÒ¨ÁÕ»­ËÒ´ŒÒ¹¡ÒÃà¤ÕÂÇÍÒËÒÃ䴌㹪‹Ç§áá ¢ŒÍº‹§ªÕÊÒËÃѺ¡ÒÃÃÑ¡ÉÒ´ŒÇÂÇÔ¸¹Õé ¤×Í ãªŒã¹ÃÒ·Õè
                 ˜                   é                                                    éí                                             Õ
ÁÕÀÒÇÐËÂØ´ËÒÂ㨢³ÐËÅÑºÃØ¹áçÁÒ¡ áÅÐ ÅŒÁàËÅǨҡ¡ÒÃÃÑ¡ÉÒ´ŒÇÂÇԸ͹                                                   Õ ×è
                   3.7 ¡ÒÃà¨ÒÐËÅÍ´ÅÁ¤Í (Tracheostomy) ໚¹¡Òü‹ÒµÑ´à¾×ÍãËŒ ¼Ù»ÇÂÊÒÁÒöËÒÂ㨠                       è             Œ †
¼‹Ò¹·‹ÍºÃÔàdzËÅÍ´ÅÁ¤Íâ´ÂäÁ‹¼Ò¹·Ò§à´Ô¹ËÒÂã¨Ê‹Ç¹º¹ ¶×ÍÇ‹Ò໚¹¡ÒÃÃÑ¡ÉÒ·Õ»ÃÐÊÔ·¸Ô¼ÅÊÙ§ÊØ´
                                                   ‹                                                                                   è
à¡×ͺ 100% ¶ŒÒ¼Ù»ÇÂäÁ‹Á¤ÇÒÁ¼Ô´»¡µÔ¨Ò¡¡Òù͹ËÅѺËÃ×Í¡ÒÃËÒÂã¨Í‹ҧÍ׹ËÇÁ´ŒÇ Í‹ҧäÃ
                             Œ †       Õ                                                                                       è
¡çµÒÁ à¹×ͧ¨Ò¡¼Ù»ÇµŒÍ§ÁÕÃà¨ÒÐ¤Í ·íÒãˌǸ¡ÒùÕäÁ‹à»š¹·Õ¹ÂÁáÅÐ àÅ×Í¡Áѡ㪌໚¹·Ò§àÅ×Í¡ÊØ´·ŒÒÂ
               è          Œ †            Ù                    ÔÕ          é              è Ô
¡Ã³Õ·Õè¼ÙŒ»†ÇÂÁÕÍÒ¡ÒÃÃØ¹áçÁÒ¡ ËÃ×ÍÁÕÀÒÇÐá·Ã¡«ŒÍ¹¨Ò¡âä áÅÐÅŒÁàËÅǨҡ¡ÒÃÃÑ¡ÉÒ´ŒÇÂ
ÇԸ͹æÕ ×è
                   à¹×ͧ¨Ò¡ ÀÒÇÐËÂØ´ËÒÂ㨢³ÐËÅѺ¹Õ໚¹âäàÃ×ÍÃѧ ÁÑ¡ÁÕºÃÔàdz·ÕÍ´¡Ñ¹¢Í§·Ò§à´Ô¹ËÒÂã¨
                      è                                               é                é                             èØ é
ËÅÒµíÒá˹‹§ ¼Ù»ÇÂËÅÒÂÃÒ ¨Ö§ÍÒ¨µŒÍ§ÃѺ¡Òü‹ÒµÑ´ÁÒ¡¡Ç‹Ò 1 ª¹Ô´ ËÃ×Í º‹ÍÂ¡Ç‹Ò 1 ¤Ãѧ(57) «Ö§
                         Œ †                                                                                                                        é        è
àǪÈÒʵÏ·¹Âؤ 2553
          Ñ                                                                                                   519

¡Òü‹ÒµÑ´áµ‹ÅÐÇÔ¸¹¹ÁÕ¤ÇÒÁàÊÕ§µ‹ÍÀÒÇÐá·Ã¡«ŒÍ¹áÅÐä´Œ¼Å¡ÒÃÃÑ¡ÉÒäÁ‹à·‹Ò¡Ñ¹ ´Ñ§¹Ñ¹¡‹Í¹¼‹Ò
                     Õ Ñé        è                                                       é
µÑ´¨Ö§¨íÒ໚¹µŒÍ§ÁÕÇҧἹ͋ҧÅÐàÍÕ´ µÑ§áµ‹¡ÒÃàµÃÕÂÁ¾ÃŒÍÁ¼Ù»Ç¡‹Í¹¼‹ÒµÑ´, ¢³ÐÍÂÙã¹ËŒÍ§¼‹Ò
                                        é                     Œ †                      ‹
µÑ´ áÅСÒôÙáÅËÅѧ¼‹ÒµÑ´ à¾×Í»‡Í§¡Ñ¹ ËÃ×Íᡌ䢻˜­ËÒá·Ã¡«ŒÍ¹·ÕÍÒ¨à¡Ô´¢Ö¹ ઋ¹ ËÅѧ¼‹ÒµÑ´ã¹
                               è                                  è          é
ª‹Ç§áá ¼Ù»ÇºҧÃÒÂÍÒ¨ÁÕÀÒÇзҧà´Ô¹ËÒÂã¨ÍØ´¡Ñ¹ÁÒ¡¢Ö¹ à¹×ͧ¨Ò¡¡ÒúÇÁ¢Í§à¹×ÍàÂ×ÍÃͺæ
               Œ †                                  é      é è                       é è
ºÃÔàdz¼‹ÒµÑ´ ËÃ×ÍÍÒ¨ÁÕàÅ×Í´ÍÍ¡ÁÒ¡¼Ô´»¡µÔä´Œ ¹Í¡¨Ò¡¹Õ¼»ÇÂÍÒ¨ÁÕ¡ÒÃà»ÅÕ¹á»Å§Í‹ҧÃÇ´àÃçÇ
                                                       é ÙŒ †              è
ã¹ÊÃÕÃÇÔ·ÂҢͧÃкºËÑÇã¨áÅÐËÅÍ´àÅ×Í´ ·íÒãËŒÁ¤ÇÒÁàÊÕ§µ‹Í pulmonary edema, ËÑÇã¨àµŒ¹¼Ô´
                                                Õ       è
¨Ñ§ËÇÐ (arrhythmia), ËÃ×Í âäËÑÇ㨢ҴàÅ×Í´ (ischemic heart attack) ä´Œ ໚¹µŒ¹(62) Í‹ҧäáçµÒÁ
¶ŒÒàµÃÕÂÁ¡ÒÃ䴌͋ҧàËÁÒÐÊÁ âÍ¡ÒÊËÃ×ͤÇÒÁàÊÕ§µ‹Í¼Ù»Ç ·Ñ§¨Ò¡¡Òü‹ÒµÑ´ËÃ×ͼŢͧ¡ÒôÁ
                                                  è   Œ †      é
ÂÒÊź¨ÐÁÕ¹ÍÂŧÁÒ¡ áÅÐ ËÒ¡¼Ù»ÇµԴµÒÁࢌÒÃѺ¡ÒÃÃÑ¡ÉÒÍ‹ҧµ‹Íà¹×ͧ ¨Ðª‹ÇÂãËŒ¡ÒÃÃÑ¡ÉÒ
                   Œ      (63)
                                    Œ †                                  è
ä´Œ¼Å´Õ·Ê´ã¹ÃÐÂÐÂÒÇ
          Õè Ø

ÊÃØ»
            ¹Í¹¡Ã¹ ໚¹ÍÒ¡ÒÃÍ‹ҧ˹֧¢Í§ÀÒÇÐËÒÂ㨼Դ»¡µÔ¢³ÐËÅѺª¹Ô´ÍØ´¡Ñ¹«Ö§à»š¹¤ÇÒÁ¼Ô´
                                               è                                      é è
»¡µÔ·¾ºä´ŒºÍ áÁŒÇÒ¢ŒÍÁÙÅà¡ÕÂǡѺâä¹Õ㹤¹ä·Âã¹»˜¨¨Øº¹ÂѧÁÕäÁ‹ÁÒ¡ ᵋàª×ÍNjҨÐ໚¹»˜­ËÒ·Õè
         Õè        ‹       ‹          è          é          Ñ                  è
ÊíҤѭ·Ò§´ŒÒ¹ÊÒ¸ÒÃ³ÊØ¢Í‹ҧ˹֧¢Í§»ÃÐà·È à¹×ͧ¨Ò¡¤ÇÒÁ¼Ô´»¡µÔàËŋҹչ͡¨Ò¡¨ÐÁռŵ‹Í
                                             è         è                         é
ÊØ¢ÀÒ¾¢Í§µÑǼٻÇÂàͧáÅŒÇ ÂѧÊÒÁÒöʋ§¼Å¡ÃзºÍÕ¡ËÅÒÂÍ‹ҧµ‹ÍÊѧ¤ÁÃͺ¢ŒÒ§ÍÕ¡´ŒÇ ´Ñ§¹Ñ¹
                     Œ †                                                                        é
¡ÒÃÈÖ¡ÉÒà¾×ÍãˌࢌÒã¨à¡ÕÂǡѺ¾×¹°Ò¹¢Í§âä áÅÐÊÒÁÒöãËŒ¤Òá¹Ð¹íҼٻǶ֧¢Ñ¹µÍ¹ã¹¡ÒõÃǨ
                 è             è        é                     í      Œ †            é
ÇÔ¹¨©Ñ ËÃ×Í ¡ÒôÙáÅÃÑ¡ÉҼٻǷն¡µŒÍ§ µÅÍ´¨¹ÊÒÁÒöʋ§»ÃÖ¡ÉÒ¼ÙàªÕÂǪҭ䴌Í‹ҧàËÁÒÐÊÁ
       Ô                           Œ † è Ù                          Œ è
¹Í¡¨Ò¡¨Ðª‹ÇºÃÃà·Ò»˜­ËÒµ‹Ò§æ ¨Ò¡ÀÒÇÐá·Ã¡«ŒÍ¹¢Í§âäãˌŴŧáÅŒÇ ÂѧÍÒ¨ª‹ÇÂãËŒ¤³ÀÒ¾          Ø
ªÕǵ¢Í§¼Ù»ÇÂáÅм٤¹ã¹Êѧ¤Á´Õ¢¹ÍÕ¡´ŒÇ »˜¨¨Øº¹ÁÕ§Ò¹ÇԨ·ÕãËŒ¤ÇÒÁÃÙà¡ÕÂǡѺâäàËŋҹÕÃÇÁ¶Ö§
     Ô       Œ †         Œ                Öé         Ñ     Ñ è         Œ è                  é
·Ò§àÅ×͡㹡ÒÃÃÑ¡ÉÒ·Õà¾ÔÁ¢Ö¹Í‹ҧÃÇ´àÃçÇ ´Ñ§¹Ñ¹á¾·Â¨§¤ÇÃËÁѹµÔ´µÒÁ¤ÇÒÁÃÙãËŒ·¹ÊÁÑÂÍÂÙàÊÁÍ
                             è è é                 é     Ö      è                  Œ Ñ        ‹
à¾×ÍãËŒÊÒÁÒö¹íÒä»»ÃÐÂØ¡µãªŒä´ŒÍ‹ҧàËÁÒÐÊÁ áÅÐà¡Ô´»ÃÐ⪹Ê§ÊØ´µ‹Í¼Ù»Çµ‹Íä»
   è                                                              Ù        Œ †

àÍ¡ÊÒÃ͌ҧÍÔ§
1.   Anstead M, Phillips B. The spectrum of sleep-disordered breathing. Respir Care Clin N Am. 1999 ;5(3):363-77
2.   J. T-S, A J-G, Cordero-Guevara J. ea. The association between sleep apnea and the risk of traffic accidents. N
     Engl J Med 1999;340:847-51.
3.   Kapa S, Sert Kuniyoshi .H, Somers VK. Sleep apnea and hypertension: interactions and implications for
     management. Hypertension. 2008;51(3):605-8.
4.   McNicholas WT, Bonsigore MR. Sleep apnoea as an independent risk factor for cardiovascular disease:
     current evidence, basic mechanisms and research priorities. Eur Respir J. 2007;29(1):156-78.
5.   Munoz R, Duran-Cantolla J, Martinez-Vila E, Gallego J, Rubio R, Aizpuru ., et al. Severe sleep apnea and risk
     of ischemic stroke in the elderly. Stroke. 2006;37(9):2317-21.
6.   Sharafkhaneh A, Giray N, Richardson P, Young T, Hirshkowitz M. Association of psychiatric disorders and
     sleep apnea in a large cohort. Sleep. 2005;28(11):1405-11.
520                                                      ¹Í¹¡Ã¹áÅÐÀÒÇÐËÒÂ㨼Դ»¡µÔ¢³ÐËÅѺª¹Ô´ÍØ´¡Ñ¹
                                                                                                  é

7.    Teloken PE, Smith EB, Lodowsky C, .reedom T, Mulhall JP. Defining association between sleep apnea
      syndrome and erectile dysfunction. Urology. 2006;67(5):1033-7.
8.    Capdevila OS, Kheirandish-Gozal L, Dayyat E, Gozal D. Pediatric obstructive sleep apnea: complications,
      management, and long-term outcomes. Proceedings of the American Thoracic Society. 2008;5(2):274-82.
9.    Lugaresi E C., Coccagna G, Baruzzi A. . Snoring and the obstructive apnea syndrome. Electroencephalogr
      Clin Neurophysiol (Suppl) 1982;35:421-30.
10.   Young T, Palta M, Dempsey J, Skatrud J, Weber S, Badr S. The occurrence of sleep-disordered breathing
      among middle-aged adults. N Engl J Med. 1993;328(17):1230-5.
11.   Schechter MS. Technical report: diagnosis and management of childhood obstructive sleep apnea syndrome.
      Pediatrics. 2002;109(4):e69.
12.   Lumeng JC, Chervin RD. Epidemiology of pediatric obstructive sleep apnea. Proc Am Thorac Soc. 2008;5(2):242-
      52.
13.   Wanaporn Anuntaseree M, Korpong Rookkapan M, Surachai Kuasirikul M, Paramee Thongsuksai M. Snoring
      and obstructive sleep apnea in Thai school-age children: Prevalence and predisposing factors Pediatric
      Pulmonology 32 ( 3):222 - 7
14.   Silber MH, Ancoli-Israel S, Bonnet MH, Chokroverty S, Grigg-Damberger MM, Hirshkowitz M, et al. The visual
      scoring of sleep in adults. J Clin Sleep Med. 2007;3(2):121-31.
15.   Carskadon MA DW. Normal human sleep: an overview. Kryer MH, Roth T, Dement WC, eds Principles and
      practice of sleep medicine, 4th ed Philadelphia: WB Saunders,2005:16-28.
16.   .ogel RB MA, White DP. Sleep. 2: pathophysiology of obstructive sleep apnoea/hypopnoea syndrome.
      Thorax 2004;59(2):159-63.
17.   Schwab RJ, Gupta KB, Gefter WB, Metzger LJ, Hoffman EA, Pack AI. Upper airway and soft tissue anatomy
      in normal subjects and patients with sleep-disordered breathing. Significance of the lateral pharyngeal walls.
      Am J Respir Crit Care Med. 1995;152(5 Pt 1):1673-89.
18.   Akay M, Leiter JC, Daubenspeck JA. Reduced respiratory-related evoked activity in subjects with obstructive
      sleep apnea syndrome. J Appl Physiol. 2003;94(2):429-38.
19.   Durmer JS, Dinges D.. Neurocognitive consequences of sleep deprivation. Semin Neurol. 2005;25(1):117-29.
20.   Engleman H, Joffe D. Neuropsychological function in obstructive sleep apnoea. Sleep Med Rev. 1999;3(1):59-
      78.
21.   Hamilton GS, Solin P, Naughton MT. Obstructive sleep apnoea and cardiovascular disease. Internal medicine
      journal. 2004;34(7):420-6.
22.   Golbin JM, Somers VK, Caples SM. Obstructive sleep apnea, cardiovascular disease, and pulmonary
      hypertension. Proceedings of the American Thoracic Society. 2008;5(2):200-6.
23.   Piccirillo J. TS. Sleep-disordered breathing. In: Cummings Otolaryngology Head & Neck Surgery, 3rd ed St
      Louis: Mosby-Year Book. 1998:1546-71.
24.   Peng B, Li SW, Kang H, Huang XZ. Cognitive and emotional impairment in obstructive sleep apnea syndrome.
      Chinese medical sciences journal = Chung-kuo i hsueh k’o hsueh tsa chih / Chinese Academy of Medical
      Sciences. 2004;19(4):262-5.
25.   Greene MG, Carroll JL. Consequences of sleep-disordered breathing in childhood. Curr Opin Pulm Med.
      1997;3(6):456-63.
26.   Owens JA. Neurocognitive and behavioral impact of sleep disordered breathing in children. Pediatric pulmonology.
      2009;44(5):417-22.
27.   Kushida CA, Littner MR, Morgenthaler T, Alessi CA, Bailey D, Coleman J, Jr., et al. Practice parameters for
      the indications for polysomnography and related procedures: an update for 2005. Sleep. 2005;28(4):499-521.
àǪÈÒʵÏ·¹Âؤ 2553
          Ñ                                                                                                     521

28. Ruehland WR, Rochford PD, O’Donoghue .J, Pierce RJ, Singh P, Thornton AT. The new AASM criteria for
    scoring hypopneas: impact on the apnea hypopnea index. Sleep. 2009;32(2):150-7.
29. Sleep-related breathing disorders in adults: recommendations for syndrome definition and measurement techniques
    in clinical research. The Report of an American Academy of Sleep Medicine Task .orce. Sleep. 1999;22(5):667-
    89.
30. Redline S, Budhiraja R, Kapur V, Marcus CL, Mateika JH, Mehra R, et al. The scoring of respiratory events
    in sleep: reliability and validity. J Clin Sleep Med. 2007 15;3(2):169-200.
31. Thakkar K, Yao M. Diagnostic studies in obstructive sleep apnea. Otolaryngol Clin North Am. 2007;40(4):785-
    805.
32. Stuck BA, Maurer JT. Airway evaluation in obstructive sleep apnea. Sleep Med Rev. 2008;12(6):411-36.
33. Newman AB, .oster G, Givelber R, Nieto .J, Redline S, Young T. Progression and regression of sleep-
    disordered breathing with changes in weight: the Sleep Heart Health Study. Arch Intern Med. 2005;165(20):2408-
    13.
34. Penzel T, Moller M, Becker H., Knaack L, Peter JH. Effect of sleep position and sleep stage on the
    collapsibility of the upper airways in patients with sleep apnea. Sleep. 2001;24(1):90-5.
35. Peppard PE, Austin D, Brown RL. Association of alcohol consumption and sleep disordered breathing in men
    and women. J Clin Sleep Med. 2007;3(3):265-70.
36. Stewart MG. Identification and management of undiagnosed and undertreated allergic rhinitis in adults and
    children. Clin Exp Allergy. 2008;38(5):751-60.
37. Morgenthaler TI KS, Lee-Chiong T, Alessi C, Boehlecke B, Brown T, Coleman J, .riedman L, Kapur V, Owens
    J, Pancer J, Swick T; Standards of Practice Committee; American Academy of Sleep Medicine. Practice
    parameters for the medical therapy of obstructive sleep apnea. Sleep. 2006;29(8):1031-5.
38. Kushida CA, Littner MR, Hirshkowitz M, Morgenthaler TI, Alessi CA, Bailey D, et al. Practice parameters for
    the use of continuous and bilevel positive airway pressure devices to treat adult patients with sleep-related
    breathing disorders. Sleep. 2006;29(3):375-80.
39. Pepin JL, Leger P, Veale D, Langevin B, Robert D, Levy P. Side effects of nasal continuous positive airway
    pressure in sleep apnea syndrome. Study of 193 patients in two .rench sleep centers. Chest. 1995;107(2):375-
    81.
40. Kushida CA, Morgenthaler TI, Littner MR, Alessi CA, Bailey D, Coleman J, Jr., et al. Practice parameters for
    the treatment of snoring and Obstructive Sleep Apnea with oral appliances: an update for 2005. Sleep.
    2006;29(2):240-3.
41. Powell NB, Zonato AI, Weaver EM, Li K, Troell R, Riley RW, et al. Radiofrequency treatment of turbinate
    hypertrophy in subjects using continuous positive airway pressure: a randomized, double-blind, placebo-controlled
    clinical pilot trial. The Laryngoscope. 2001;111(10):1783-90.
42. Zeng B NA, Qian J, Petocz P, Darendeliler MA, Cistulli PA. Influence of nasal resistance on oral appliance
    treatment outcome in obstructive sleep apnea. Sleep. 2008;31(4):543-7.
43. Clinical practice guideline: diagnosis and management of childhood obstructive sleep apnea syndrome. Pediatrics.
    2002;109(4):704-12.
44. Mitchell RB, Kelly J, Call E, Yao N. Long-term changes in quality of life after surgery for pediatric obstructive
    sleep apnea. Archives of otolaryngology—head & neck surgery. 2004;130(4):409-12.
45. Woodson BT, Robinson S, Lim HJ. Transpalatal advancement pharyngoplasty outcomes compared with
    uvulopalatopharygoplasty. Otolaryngol Head Neck Surg. 2005;133(2):211-7.
46. Powell N, Riley R, Guilleminault C, Troell R. A reversible uvulopalatal flap for snoring and sleep apnea
    syndrome. Sleep. 1996;19(7):593-9.
522                                                      ¹Í¹¡Ã¹áÅÐÀÒÇÐËÒÂ㨼Դ»¡µÔ¢³ÐËÅѺª¹Ô´ÍØ´¡Ñ¹
                                                                                                  é

47. Pang KP, Tan R, Puraviappan P, Terris DJ. Anterior palatoplasty for the treatment of OSA: three-year results.
    Otolaryngol Head Neck Surg. 2009;141(2):253-6.
48. .riedman M, Ibrahim H, Joseph NJ. Staging of obstructive sleep apnea/hypopnea syndrome: a guide to
    appropriate treatment. The Laryngoscope. 2004;114(3):454-9.
49. .erguson KA, Heighway K, Ruby RR. A randomized trial of laser-assisted uvulopalatoplasty in the treatment of
    mild obstructive sleep apnea. Am J Respir Crit Care Med. 2003;167(1):15-9.
50. Pang KP, Terris DJ. Modified cautery-assisted palatal stiffening operation: new method for treating snoring and
    mild obstructive sleep apnea. Otolaryngol Head Neck Surg. 2007;136(5):823-6.
51. Rombaux P, Hamoir M, Bertrand B, Aubert G, Liistro G, Rodenstein D. Postoperative pain and side effects
    after uvulopalatopharyngoplasty, laser-assisted uvulopalatoplasty, and radiofrequency tissue volume reduction
    in primary snoring. The Laryngoscope. 2003;113(12):2169-73.
52. Back LJ, Hytonen ML, Roine RP, Malmivaara AO. Radiofrequency ablation treatment of soft palate for
    patients with snoring: a systematic review of effectiveness and adverse effects. The Laryngoscope.
    2009;119(6):1241-50.
53. Kezirian EJ, Powell NB, Riley RW, Hester JE. Incidence of complications in radiofrequency treatment of the
    upper airway. The Laryngoscope. 2005;115(7):1298-304.
54. Porter MW, Hales NW, Nease CJ, Krempl GA. Long-term results of inferior turbinate hypertrophy with
    radiofrequency treatment: a new standard of care? The Laryngoscope. 2006;116(4):554-7.
55. Woodson BT, Steward DL, Weaver EM, Javaheri S. A randomized trial of temperature-controlled radiofrequency,
    continuous positive airway pressure, and placebo for obstructive sleep apnea syndrome. Otolaryngol Head
    Neck Surg. 2003;128(6):848-61.
56. Kezirian EJ, Goldberg AN. Hypopharyngeal surgery in obstructive sleep apnea: an evidence-based medicine
    review. Archives of otolaryngology—head & neck surgery. 2006;132(2):206-13.
57. Lin HC, .riedman M, Chang HW, Gurpinar B. The efficacy of multilevel surgery of the upper airway in adults
    with obstructive sleep apnea/hypopnea syndrome. The Laryngoscope. 2008;118(5):902-8.
58. Bowden MT, Kezirian EJ, Utley D, Goode RL. Outcomes of hyoid suspension for the treatment of obstructive
    sleep apnea. Archives of otolaryngology—head & neck surgery. 2005;131(5):440-5.
59. Zafereo ME, Taylor RJ, Pereira KD. Supraglottoplasty for laryngomalacia with obstructive sleep apnea. The
    Laryngoscope. 2008;118(10):1873-7.
60. Li KK, Powell NB, Riley RW, Troell RJ, Guilleminault C. Long-Term Results of Maxillomandibular Advancement
    Surgery. Sleep Breath. 2000;4(3):137-40.
61. Li KK, Riley RW, Powell NB, Guilleminault C. Patient’s perception of the facial appearance after maxillomandibular
    advancement for obstructive sleep apnea syndrome. J Oral Maxillofac Surg. 2001;59(4):377-80; discussion
    80-1.
62. Kezirian EJ, Weaver EM, Yueh B, Deyo RA, Khuri S., Daley J, et al. Incidence of serious complications after
    uvulopalatopharyngoplasty. The Laryngoscope. 2004;114(3):450-3.
63. Chung SA, Yuan H, Chung .. A systemic review of obstructive sleep apnea and its implications for
    anesthesiologists. Anesthesia and analgesia. 2008;107(5):1543-63.
àǪÈÒʵÏ·¹Âؤ 2553
          Ñ                                                                 º··Õè      523

                                                                             71
                                     Narcolepsy
                                                 ÍÒ¨ÒÏ ¹ÒÂᾷÇѲ¹ªÑ ⪵ԹÑÂÇѵáØÅ
                                    Èٹ¹Ô·ÃÃѡɏÈÔÃÔÃÒª âç¾ÂÒºÒÅÈÔÃÔÃÒª ÁËÒÔ·ÂÒÅÑÂÁËÔ´Å


       âä¹Õ龺䴌º‹ÍÂ໚¹Íѹ´ÑºÊͧÃͧ¨Ò¡ obstructive sleep apnea ·Õè¼ÙŒ»†ÇÂÁÒËÒᾷ
à¹×ͧ¨Ò¡ excessive daytime sleepiness(1) âä¹ÕÁ¼Åµ‹Í¡ÒäǺ¤ØÁ¡Åä¡¡Òù͹ËÅѺáÅе׹ ·ÒãËŒ
   è                                          é Õ                               è
Áռŵ‹Í¢Íºà¢µ¢Í§ÀÒÇСÒù͹ËÅѺã¹áµ‹ÅЪ‹Ç§¼Ô´»¡µÔ “state boundary disorder” ¡Å‹ÒǤ×Í·íÒ
ãËŒ¡Òù͹ËÅѺẺ REM (rapid eye movement) á·Ã¡à¢ŒÒÁÒã¹¢³Ðµ×¹(2)  è

ÃкҴÇÔ·ÂÒ
         ¤ÇÒÁªØ¡¢Í§âä¹Õã¹»ÃÐà·ÈÊËÃѰÍàÁÃÔ¡ÒÁÕ»ÃÐÁÒ³ 0.02-0.18%(3-5) («Ö§¤ÇÒÁ¶Õ¹¨Ðã¡ÅŒà¤Õ§
                          é                                             è      è Õé
¡Ñºâä multiple sclerosis) ÊíÒËÃѺã¹àÍàªÕÂÁÕÃÒ§ҹ¨Ò¡ÃÐà·È­Õ»¹¾ºÇ‹ÒÁÕ¤ÇÒÁªØ¡»ÃÐÁÒ³ 0.16-
                                                             è Ø†
0.18% 㹡ÒÃÇÔ¹¨©ÑÂẺ narcolepsy with cataplexy ÁÕͺµ¡Òó»ÃÐÁÒ³ 0.74 µ‹Í»ÃЪҡÃ
      (6-7)
                     Ô                                   Ø Ñ Ô
100,000 ¤¹µ‹Í»‚ ªÒÂáÅÐË­Ô§¾ºä´Œà·‹Ò¡Ñ¹ â´ÂʋǹãË­‹âäÁÑ¡àÃÔÁã¹ÇÑÂÃØ¹ËÃ×ͼÙãË­‹µÍ¹µŒ¹
                 (8)                         (9-11)
                                                                  è       ‹     Œ
ᵋ¡ÍÒ¨¾ºä´Œã¹à´ç¡ÍÒÂØ¹ÍÂ¡Ç‹Ò 5 »‚ËÃ×ÍÁÒ¡¡Ç‹Ò 40 »‚ ÍÒ¡ÒâͧâäÁÑ¡á‹ŧÃÇ´àÃçÇ㹪‹Ç§ 2-3
    ç                       Œ
áá¢Í§¡ÒôíÒà¹Ô¹âäáÅФ§ÍÂÙઋ¹¹Ñ¹ä»µÅÍ´(12)
                                 ‹    é

¾ÂÒ¸Ô¡íÒà¹Ô´¢Í§âä
         ÊÒà˵آͧâäÍÒ¨ÁÕä´ŒËÅÒÂÍ‹ҧÃÒ§ҹ¡ÒÃÈÖ¡ÉҴѧµ‹Í仹Õé
         1. ÊÒà˵طҧ¾Ñ¹¸Ø¡ÃÃÁ ʋǹãË­‹áÅŒÇÁÑ¡à¡Ô´à»š¹áºº sporadic ᵋÍ‹ҧäáçµÒÁ¡ÒÃÈÖ¡ÉÒ
ʋǹãË­‹Á¡¨Ð·íÒã¹ narcolepsy with cataplexy ÁÕ¡ÒþºÇ‹ÒâÍ¡ÒÊà¡Ô´ÀÒÇйըоºä´Œ¶§ÃŒÍÂÅÐ 1-2 ã¹
            Ñ                                                           é            Ö
¼Ù·ÁÕ first-degree relative ໚¹âä¹Õé «Ö§ÊÙ§¡Ç‹Ò»ÃЪҡÃâ´Â·ÑǶ֧ 10-40 à·‹Ò «Ö§ÊÍ´¤ÅŒÍ§¡Ñº
  Œ Õè                                   è                   è                (5,13)
                                                                                       è
¡Ò÷վºÇ‹Ò¤Ùá½´ÁÕâÍ¡ÒÊ໚¹âäàËÁ×͹¡Ñ¹ÃÒÇÃŒÍÂÅÐ 25-31(5)㹡ÒÃÈÖ¡ÉÒã¹¼ÙŒ»†Ç Caucasian
       è      ‹
¾ºÇ‹ÒÃŒÍÂÅÐ 85-98 ÁÕ human leukocyte antigen (HLA) DR2 ãËŒ¼ÅºÇ¡ ᵋ㹼ٻÇ African-American
                                                                          Œ †
¾ºÇ‹Ò HLA DR2 ¾ºäÁ‹ÁÒ¡¹Ñ¡ ᵋ¡ÅѺ¾º DQB1*0602 ÁÒ¡¡Ç‹Ò¤ÇÒÁ¶Õè¢Í§ DQB1*0602
ã¹ Caucasian, African-Americans áÅЪÒÇ­Õ»¹ÃÒÇÃŒÍÂÅÐ 25, 38 áÅÐ 12 µÒÁÅíҴѺ ¹Í¡¨Ò¡¹Õé
                                                 è Ø†
ÃŒÍÂÅÐ 76 ¢Í§¼Ù»Ç·ÕÁÕ DQB1*0602 ¨ÐÁÕ¡ÒÃáÊ´§ÍÍ¡¢Í§ narcolepsy with cataplexy ᵋàËÅ×Í
                 Œ † è
524                                                                                         Narcolepsy

à¾Õ§ÌÍÂÅÐ 41 ·Õ¨ÐáÊ´§Í͡Ẻà´ÕÂǡѹã¹ÃÒ·Õè DQB1*0602 ãËŒ¼Åź Í‹ҧäáçµÒÁ DQB1*0602
                      è
ÍÒ¨¾ºä´ŒÊ§¶Ö§ÃŒÍÂÅÐ 24 ã¹»ÃЪҡû¡µÔ(5,14)
                  Ù
         2. Hypocretin system Êѹ¹ÔɰҹNjÒÇ‹Òâä¹ÕÍÒ¨à¡Ô´¨Ò¡Å´Å§¢Í§ÊÒÃÊ×Í»ÃÐÊÒ·ã¹ÊÁͧ
                                                                 é                          è
ઋ¹ orexin-A áÅÐ orexin-B (hypocretin-1 áÅÐ hypocretin-2) «Ö§¶Ù¡¤Çº¤ØÁâ´Â prepro-orexin gene(15-16)
                                                                         è
·ÕÍÂÙã¹Ê‹Ç¹ lateral hypothalamus ÊÒÃÊ×Í»ÃÐÊÒ··Ñ§ÊͧµÑǹըÐ仨Ѻ·Õè orexin1 (hypocretin1) áÅÐ
  è ‹                                            è           é             é
orexin2 (hypocretin2) receptors ÊÒà orexin ·Ñ§Êͧª¹Ô´¹Õ¨ÐËÅѧÍÍ¡ÁÒ㹪‹Ç§µ×¹áÅÐ仡Ãеعʋǹ
                                                       é               é     è          è            Œ
¢Í§ÊÁͧ·Õ㪌㹡Òä§ÊÀÒ¾¢Í§¡Òõ׹ ઋ¹ locus ceruleus, raphe nuclei áÅÐ tuberomammillary
                è                              è
nucleus áÅÐÂѺÂѧ REM sleep ·íÒãËŒÊÀÒÇÐËÅѺµ×¹¤§µÑÇ äÁ‹·ÒãËŒÊǹ REM sleep ࢌÒÁÒÍÂÙ‹
         (17-21)
                            é                                        è            í ‹
ã¹¢³Ðµ×¹áÅÐ non-REM sleep ä´Œâ´Â§‹ÒÂ
          è                           (22-23)

         㹤¹ÁÕ¡ÒÃÈÖ¡ÉÒ¾ºÇ‹ÒÃдѺ¢Í§ÊÒà hypocretin ÁÕÃдѺµèÒã¹¹éÒä¢ÊѹËÅѧ¢Í§¼Ù»Ç·Õ໚¹
                                                                                 í í             Œ † è
narcolepsy â´Â੾ÒÐÍ‹ҧÂÔ§ã¹ÃÒ¼ٻÇ·ÕÁÍÒ¡Òà cataplexy ·ÕÁÕ DQB1*0602 ãËŒ¼ÅºÇ¡(24-28) «Ö§
                                    è         Œ † è Õ                          è                       è
ÊÍ´¤ÅŒÍ§¡Ñº¡ÒÃÈÖ¡ÉÒªÔ¹à¹×ÍÊÁͧ¢Í§¼Ù»Ç narcoleptic with cataplexy ÁÕà«Åŏ·ÊÌҧ hypocretin
                                é é                Œ †                                        Õè
ŴŧÃÒÇÃŒÍÂÅÐ 90        (29-31)

         3. ÀÒÇÐ autoimmune ÁÕËÅÑ¡°Ò¹Ç‹ÒÁÕ¡Òþº¨íҹǹ¢Í§ astrocytes à¾ÔÁ¢Ö¹ã¹ºÃÔàdzà«Åŏ  è é
·ÕÊÌҧ orexin «Ö§ÍÒ¨¨ÐÁÕÊÒà˵ØÁÒ¨Ò¡¡ÒÃàÊ×ÍÁÊÅÒ¢ͧÃкº»ÃÐÊÒ·ËÃ×Í¡ÒÃÍÑ¡àʺ(30,32) Í‹ҧ
   è                è                                    è
äáçµÒÁ¡ÒÃÈÖ¡ÉÒ¶Ö§ Surrogate markers µ‹Ò§æ·ÕÍÒ¨à¡ÕÂÇ¢ŒÍ§¡Ñº¡ÒÃÍÑ¡àʺઋ¹ ÃдѺ¢Í§ oligoclonal
                                                           è   è
band ã¹¹éÒä¢ÊѹËÅѧ ÃдѺ microglia áÅÐ tumor necrosis factor ã¹ hypothalamus, serum
              í
autoantbodies áÅÐ neuroimaging ÂѧäÁ‹¾ºËÅÑ¡°Ò¹·Õ¹Âѹ䴌Í‹ҧṋª´ è ×                Ñ

¡ÒÃáÊ´§ÍÍ¡·Ò§¤ÅÔ¹Ô¡
          ÍÒ¡Ò÷Õà¡Ô´¢Ö¹à»š¹¼ÅÁÒ¨Ò¡¤ÇÒÁ¼Ô´»¡µÔ¢Í§¡ÒäǺ¤ØÁ¡ÒÃËÅѺµ×¹·Õ¼´»¡µÔ ÁÕÊǹ¢Í§
                     è é                                                       è è Ô           ‹
REM sleep á·Ã¡à¢ŒÒÁÒ㹪‹Ç§¢Í§ non-REM sleep ËÃ×ͪ‹Ç§¡Òõ׹ «Ö§¨Ð·íÒãËŒà¡Ô´ÅѡɳÐ੾ÒÐ 4
                                                                  è è
Í‹ҧ (tetrad) «Ö§ä´Œá¡‹excessive daytime sleepiness (EDS), cataplexy, hypnagogic hallucinations
                 è
áÅÐ sleep paralysis à¾Õ§ÌÍÂÅÐ 30 ¢Í§¼Ù»ÇÂ෋ҹѹ·ÕÁÀÒÇйդú·Ñ§ 4 Í‹ҧ ¼Ù»ÇÂà´ç¡ÁÑ¡ÁÕÍÒ
                                               Œ †    é è Õ     é            é       Œ †
¡ÒÃäÁ‹¤Ãº 4 Í‹ҧ ʋǹãË­‹áŌǤÇù֡¶Ö§àÊÁÍ㹼ٻǷÕÁÒ´ŒÇ EDS
                                                     Œ † è
          1. Excessive daytime sleepiness ¤Çþºã¹¼Ù»Ç·ءÃÒ ÃÐÂÐàÇÅÒ¡Òù͹ËÅѺ㹠24
                                                         Œ †
ªÑÇâÁ§¢Í§¼Ù»ÇÂàËŋҹըÐäÁ‹áµ¡µ‹Ò§¨Ò¡»¡µÔ ᵋ¨ÐÁÕâÍ¡ÒÊËÅѺ䴌§ÒµÅÍ´·Ñ§Çѹã¹Ê¶Ò¹¡Òó
  è          Œ †         é                                                 ‹       é
µ‹Ò§æ·ÕäÁ‹¤ÇÃÁÕ§Ò¡Njһ¡µÔઋ¹ÃÐËNjҧ¡Òþٴ ¡Ô¹ ¢ÑºÃ¶ áÅÐÍÒ¨ËÅѺ䴌â´ÂäÁ‹ÁÍÒ¡ÒÃàµ×͹·íÒ
        è          ‹                                                                  Õ
ãËŒà¡Ô´ÀÒÇзÕàÃÕÂ¡Ç‹Ò sleep attacks à¹×ͧ¨Ò¡¡Òù͹ËÅѺ㹼ٻÇÂàËŋҹÕà¡Ô´à¹×ͧ¨Ò¡ REM
               è                     (33-34)
                                                è                       Œ †      é        è
á·Ã¡à¢ŒÒÁÒ㹪‹Ç§¡Òõ׹¨Ö§ÁÑ¡ÁÕšɳзÕàÃÕÂ¡Ç‹Ò REM type nap «Ö§áµ¡µ‹Ò§¨Ò¡ EDS ·Õà¡Ô´¨Ò¡
                           è       Ñ         è                           è                   è
obstructive sleep apnea ¡Å‹ÒǤ×ÍÁÑ¡Êѹæ áÅÐÁÕ½¹Ã‹ÇÁ´ŒÇ àÇÅÒµ×¹¨Ò nap Áѡʴª×¹ µ×¹µÍ¹àªŒÒ
                                          é        ˜                  è                  è è
Áѡʴª×è¹ à¹×èͧ¨Ò¡¡Òù͹ËÅѺÁÑ¡à¡Ô´àÇÅÒã´¡çä´Œ¨Ö§ÍÒ¨·íÒãËŒ¼ØŒ»†ÇÂàËç¹ÀÒ¾«ŒÍ¹ µÒÅÒ ÁÕ
automatic behavior ઋ¹¢ÑºÃ¶àÅ·ҧá¡ à¢Õ¹˹ѧÊ×Íä´Œâ´ÂäÁ‹ÃµÇ     ÙŒ Ñ
àǪÈÒʵÏ·¹Âؤ 2553
          Ñ                                                                                                           525

         2. Cataplexy ¾ºä´ŒÃÒÇÃŒÍÂÅÐ 60-70 ÁÑ¡à¡Ô´¢Ö¹ã¹ª‹Ç§ 3-5 »‚ááËÅѧ onset ¢Í§ narcolepsy12
                                                                         é
໚¹ÍÒ¡ÒÃ͋͹áç¢Í§¡ÅŒÒÁà¹×ͧ͢Ëҧ¡Ò·ѧÊͧ¢ŒÒ§à»š¹ÃÐÂÐàÇÅÒÊѹæ à¡Ô´à¹×ͧ¨Ò¡ REM á·Ã¡
                                         é                 é                                   é          è
ࢌÒÁÒ㹪‹Ç§¡Òõ׹ ¤ÇÒÁÃØ¹áç·Õ¾ºÍÒ¨µÑ§áµ‹à»š¹áººÃعáç¤×Í͋͹áç·Ñ§µÑÇ·íÒãËŒÅÁä´Œ ËÃ×Í໚¹
                          è                è        é                                              é            Œ
ºÒ§Ê‹Ç¹¢Í§Ã‹Ò§¡ÒÂáÅÐàÅ硹ŒÍ¡ç䴌ઋ¹ÈÕÃÉе¡ ࢋÒ͋͹ËÃ×Íà¤ÕÂÇäÁ‹¶¹Ñ´à¹×ͧ¨Ò¡ÁÕ¡ÒÃ͋͹áç
                                                                                       é              è
¢Í§¡ÅŒÒÁà¹×Í masseter ᵋÍÒ¡ÒÃ͋͹áç¨ÐäÁ‹à¡Ô´¡Ñº¡ÅŒÒÁà¹×Í·Õ㪌㹡ÒÃËÒÂã¨áÅÐà¤Å×͹äËÇÅÙ¡
                é                                                                  é è                               è
µÒ ÍÒ¡ÒÃàËŋҹÕÁ¡¶Ù¡¡Ãеعâ´ÂÍÒÃÁ³·Ã¹áçઋ¹ËÑÇàÃÒÐ µ×¹àµŒ¹ËÃ×Íâ¡Ã¸ ÍÒ¡ÒÃÁÑ¡äÁ‹¹Ò¹
                        é Ñ            Œ              Õè Ø                           è
à¡Ô¹ 2 ¹Ò·ÕáÅФÇÒÁÃÙÊ¡µÑÇ¢³ÐÁÕÍÒ¡ÒÃÂѧ໚¹»¡µÔ ¨Ö§·íÒãËŒ¼»ÇÂÃÙÊ¡¡ÅÑǵ‹Í¡ÒèÐà¡Ô´ÍÒ¡ÒÃ
                                ΅                                    (35-36)
                                                                                         ØŒ † Œ Ö
áÅТ³ÐÁÕÍÒ¡ÒÃÁÒ¡
         3. Sleep paralysis ໚¹ÍÒ¡ÒäŌÒ¤ÅÖ§¡Ñº·Õ¤¹ä·ÂàÃÕÂ¡Ç‹Ò “¼ÕÍÒ” ¼Ù»Ç¨ÐÁÕÍÒ¡ÒÃäÁ‹
                                                                             è                       í Œ †
ÊÒÁÒöà¤Å×͹äËÇËҧ¡ÒÂ䴌㹪‹Ç§ 1-2 ¹Ò·Õáᢳе׹¹Í¹ ÁÑ¡ÁÕÍÒ¡ÒÃàËç¹ÀÒ¾ËÅ͹ ¤ÅŒÒÂËÒÂã¨
             è                                                             è
äÁ‹Í͡ËÇÁ´ŒÇ ¼Ù»ÇÂÁÑ¡¡ÅÑÇÀÒÇйÕÁÒ¡à¹×ͧ¨Ò¡¡ÅÑǨÐ໚¹ÍÑÁ¾ÒµËÃ×ÍàÊÕªÕǵ ¡ÒÃÁÕ sensory
                            Œ †               é         è                                                     Ô
stimuli ºÒ§Í‹ҧઋ¹¡ÒÃÊÑÁ¼ÑÊËÃ×;ٴ¤ØÂ áÅСÒù͹㹷‹Ò·Õ¼´»¡µÔ¨Ðª‹ÇÂÅ´ÍÒ¡ÒùÕŧ䴌 ÍÒ¡ÒÃ
                                                                               è Ô                                é
¹ÕÊÁ¾Ñ¹¸¡º¡Ò÷Õè REM á·Ã¡à¢ŒÒÁÒ㹪‹Ç§¡Òõ׹
  éÑ       Ñ                                                     è
         4. Hypnagogic hallucination ໚¹ÍÒ¡ÒÃàËç¹ÀÒ¾ËÅ͹ àÊÕ§ËÃ×ͤÇÒÁÃÙÊ¡á»Å¡æ·Õà¡Ô´¢Ö¹                 ŒÖ            è é
㹪‹Ç§¢³Ðµ×¹¹Í¹ Áѡ໚¹áººà»š¹àÃ×ͧÃÒÇ ÁժǵªÕÇÒ
                  è                             è             ÕÔ
               ʋǹÍÒ¡ÒÃÍ×¹æ·ÕÍÒ¨¾ºÃ‹ÇÁ䴌㹼ٻÇ narcolepsy ઋ¹ hypnapompic hallucination
                                   è è                       Œ †
(Ẻà´ÕÂǡѺ hypnagogic hallucination ᵋ໚¹¢³ÐËÅѺ) ¹Í¹äÁ‹ËÅѺ µ×¹º‹Í¡ÅÒ§´Ö¡ ÁÕ¡ÒÃà¤Å×͹      è                        è
äËǢͧᢹ¢Ò¼Ô´»¡µÔ¢³ÐËÅѺ (periodic limb movement) ¹éÒ˹ѡ¢Ö¹ ¡ÒÃà¤Å×͹äËǼԴ»¡µÔ¢³Ð
                                                                                 í           é          è
(REM behavior disorder)
               ã¹¼Ù»ÇÂà´ç¡¨ÐÁÕÍÒ¡ÒÃáÊ´§·Õᵡµ‹Ò§ÍÍ¡ä»àª‹¹ EDS ¨Ð¾º¹ŒÍÂà¹×ͧ¨Ò¡¼Ù»ÇÂÍÒ·Õè
                      Œ †                         è                                                         è       Œ †
¨ÐµÍº ºÒ§¤ÃѧÁÒ´ŒÇ«ء«¹ËÃ×ÍÍÂÙäÁ‹Ê¢ ÊÁÒ¸Ôʹ ¡ÒÃàÃÕ¹á‹ŧËÃ×Í¡ŒÒÇÃŒÒÇ
                    é                        ‹ Ø                   Ñé

¡ÒÃÇÔ¹Ô¨©ÑÂ(37)
        â´ÂʋǹãË­‹¡ÒÃÇÔ¹¨©ÑÂÁѡ䴌¨Ò¡»ÃÐÇÑµÔ ¡ÒõÃǨËҧ¡ÒÂÁÑ¡»¡µÔ ¡ÒÃÂ×¹Âѹ¡ÒÃÇÔ¹¨©ÑÂâä
                           Ô                                                       Ô
ÁÑ¡µŒÍ§ãªŒ¡ÒõÃǨ¡Òù͹ËÅѺºÒ§Í‹ҧઋ¹ ¡ÒõÃǨ¡Òù͹ËÅѺã¹ËŒÍ§»¯ÔºÑµÔ¡ÒÃẺ»¡µÔ
(polysomnography) áÅÐ ¡ÒõÃǨ multiple sleep latency test ËÇÁ´ŒÇ ¡ÒÃÇÔ¹¨©Ñ¤ÇÃá¡âä
                                                                           Ô
ÍÍ¡¨Ò¡ÀÒÇÐÍ×¹·ÕÍÒ¨·íÒãËŒà¡Ô´ÍÒ¡Ò÷դŌÒ¤ÅÖ§ narcolepsy (symptomatic narcolepsy) ઋ¹¡ÒÃ
               è è                   è
ÁÕ¾ÂÒ¸ÔÊÀÒ¾·Õè hypothalamus ¡ÒõԴàª×Í ÍØºµà˵طÈÃÉÐ Niemann-Pick disease type C ËÃ×Í
                                       é   Ñ Ô    Õè Õ
sleep-disordered breathing ໚¹µŒ¹
        ¡ÒõÃǨ¾ºã¹ polysomnography ÁÑ¡µÃǨ¾ºÇ‹ÒÁÕ´ª¹Õ¡Òõ׹ (arousal index) ÊÙ§¼Ô´»¡µÔ
                                                         Ñ      è
ÁÕ»ÃÐÊÔ·¸ÔÀҾ㹡Òù͹ (sleep efficiency) Ŵŧ ÁÕ REM onset Êѹŧ (¾º REM 㹪‹Ç§ 20 ¹Ò·Õ
                                                              é
áá ËÅѧ¡Òù͹ËÅѺ) ÍÒ¨¾ºÁÕ periodic limb movement áÅÐ REM behavior disorder ä´ŒºÍ     ‹
¡ÒõÃǨ¹ÕÁ»ÃÐ⪹Í‹ҧÁÒ¡¤×ͪ‹ÇÂá¡âä·ÕÊҤѭ¤×Í sleep-disordered breathing «Ö§¾ºä´ŒºÍÂ
           é Õ                               èí                                è          ‹
ÁÒ¡¡Ç‹ÒÍ͡䴌
526                                                                               Narcolepsy

         ¡ÒõÃǨ multiple sleep latency test ໚¹¡ÒõÃǨ·Õ㪌㹡ÒÃÂ×¹Âѹ¡ÒÃÇÔ¹¨©ÑÂâ´Â»¡µÔ
                                                           è                    Ô
ÁÑ¡µÃǨµÍ¹¡ÅÒ§ÇѹµÒÁËÅѧ polysomnography ·ÕÂÒǹҹ¾ÍÍ‹ҧ¹ŒÍ 6 ªÑÇâÁ§ ¡ÒõÃǨ¹Õ¨Ð
                                                      è                     è               é
ãËŒ¼»Ç¹͹ 4-5 ¤Ãѧ ¤ÃѧÅÐ 15-20 ¹Ò·Õ ·Ø¡ 2 ªÑÇâÁ§ áŌǴ٤ÇÒÁ¶Õ·¼»ÇÂÁÕ sleep onset REM
    ÙŒ †            é é                           è              è Õè ÙŒ †
period (SOREM) â´Â¶×ÍÇ‹ÒãËŒ¼ÅºÇ¡àÁ×͵ÃǨ¾ºµÑ§áµ‹Êͧ¤Ãѧ¢Ö¹ä» Í‹ҧäáçµÒÁ¡ÒõÃǨ¹ÕÁ¼Å
                                         è          é     é é                           é Õ
źÅǧ䴌ÃÍÂÅÐ 20-30 ¹Í¡¨Ò¡¹ÕÍÒÂØ·ÁÒ¡¢Ö¹¨Ð·íÒÁÕâÍ¡Òʶ١µÃǨ¾º¹ŒÍÂŧ áÅСÒÃ㪌ÂÒºÒ§
              Œ                  é         Õè é
Í‹ҧÍÒ¨·íÒãËŒà¡Ô´¼ÅºÇ¡ä´ŒÅǧઋ¹ antidepressants ËÃ×Í stimulants
         ¡ÒõÃǨ HLA áÅÐÃдѺ hypocretin ã¹¹éÒä¢ÊѹËÅѧ (ÃдѺ cutoff ·Õè 110 pg/ml) ÍÒ¨ª‹ÇÂ
                                                í
㹡ÒÃÇÔ¹¨©ÑÂá¡âä ᵋäÁ‹·Ò¡Ñ¹â´Â·ÑÇä» Áѡ㪌㹡ÒÃÇÔ¨ÂËÃ×Íã¹ÃÒ·ÕÁ»­ËÒã¹´ŒÒ¹¡ÒÃÇÔ¹¨©ÑÂ
            Ô               í          è                Ñ             è Õ ˜              Ô
âä෋ҹѹ »˜¨¨Øº¹¡ÒõÃǨàËŋҹÕ§äÁ‹Áã¹»ÃÐà·Èä·Â
          é      Ñ                 é Ñ Õ

¡ÒÃÃÑ¡ÉÒ
       ẋ§Í͡໚¹ 2 ËÅÑ¡ãË­‹¤Í
                              ×
       ¡ÒÃÃÑ¡ÉÒ´ŒÒ¹¾ÄµÔ¡ÃÃÁ
      ¡ÒÃÃÑ¡ÉÒ¹Õ¤ÇÃá¹Ð¹íÒãËŒ¼»Ç·ءÃÒ·ѧ¹Õà¾×ÍÅ´¤ÇÒÁàÊÕ§㹡ÒÃà¡Ô´ sleep attack áÅÐ à¾ÔÁ
                      é           ÙŒ †      é é è        è                              è
¤Ø³ÀÒ¾ªÕǵ â´ÂÁÕËÅÑ¡¤×Í
         Ô  (38,39)

      ! ÃÑ¡ÉÒÊØ¢¹ÔÊ¡Òù͹ (Sleep hygiene) ãËŒ¹Í¹Í‹ҧ¹ŒÍ 7.5-8ªÑÇâÁ§µ‹Í¤×¹ ࢌÒáÅÐ
                             Ñ                                        è
           µ×¹¹Í¹ãËŒµÃ§àÇÅÒ
             è
      ! ¡ÒÃãËŒÁªÇ§àÇÅҹ͹ÃÐËNjҧÇѹ »ÃÐÁÒ³ 15-20 ¹Ò·Õ ÇѹÅлÃÐÁÒ³ 1 ¤Ãѧ ·Ñ§¹Õà¾×Í
                        Õ ‹                                                    é é é è
           ª‹ÇÂÅ´ EDS
      ! Å´¡ÒÃ㪌ÂÒËÃ×ÍÍÒËÒ÷ÕèÍÒ¨à¾ÔèÁ EDS ºÒ§Í‹ҧઋ¹áÍÅ¡ÍÎÍŏ ÍÒËÒ÷ÕèÁÕ»ÃÔÁÒ³
           ¹éÒµÒÅÊÙ§ ÍÒËÒÃÁ×Í˹ѡ
               í                é
      ! ãËŒ¤ÇÒÁÁÑè¹ã¨¼ÙŒ»†Ç ¤Ãͺ¤ÃÑÇáÅÐÊѧ¤ÁÇ‹Òâä¹ÕéÊÒÁÁÒöÃÑ¡ÉÒãËŒ´Õ¢Öé¹ä´Œ áÅФÇÃ
           ¡ÃеعãËŒÁ¡¨¡ÃÃÁËÇÁ¡Ñº¼Ù͹àÊÁÍæàª‹¹ ¡ÒÃࢌÒÊѧ¤Á àÅ‹¹¡ÕÌÒ໚¹µŒ¹
                    Œ       Õ Ô        Œ ×è
       ¡ÒÃÃÑ¡ÉÒ´ŒÇÂÂÒ
       ¡. ¡ÒÃÃÑ¡ÉÒÀÒÇÐ EDS(40-42)
          ! CNS stimulants ઋ ¹ methylphenidate, dextroamphetamine sulphate,
             methamphetamine áÅÐ amphetamine ã¹»ÃÐà·Èä·Â㪌 methylphenidate ໚¹Ê‹Ç¹
             ãË­‹¢¹Ò´·ÕãËŒ¤Í 10-30 mg ÇѹÅÐ 2-3 ¤Ãѧ ÊÒÁÒöãËŒä´ŒÊ§ÊØ´¶Ö§ 100 mg ¡Åä¡¡ÒÃ
                          è ×                      é               Ù
             Í͡ķ¸Ô¤´Ç‹Ò¹‹Ò¨Ð¼‹Ò¹·Ò§¡ÒÃà¾ÔÁ¡Ò÷íÒ§Ò¹¢Í§ dopaminergic system ºÃÔàdz
                      ì Ô                    è
             ¡ŒÒ¹ÊÁͧâ´Â¼‹Ò¹·Ò§ nigrostriatal áÅÐ ·Ò§ mesocorticolimbic pathway ¡Òõͺ
             ʹͧ¾ºÇ‹ÒÊÒÁÒöŴÀÒÇÐ EDS ä´ŒÃÒÇÃŒÍÂÅÐ 65-85 áÅТֹÍÂÙ¡º¢¹Ò´ÂÒ ÂÒ¹ÕÁÕ
                                                                     é ‹ Ñ             é
             ¼Å¢ŒÒ§à¤Õ§·ÕÊҤѭ¤×ͻǴÈÕÃÉÐ ¤Å×¹äÊŒÍÒà¨Õ¹ ÍÒ¨·íÒãËŒ¡Òù͹ËÅѺª‹Ç§¡ÅÒ§¤×¹
                           èí                  è
             á‹ŧ ˧ش˧ԴáÅе׹ൌ¹§‹ÒÂ
                                è
àǪÈÒʵÏ·¹Âؤ 2553
          Ñ                                                                                                         527

              ! Modafinil ÂÒµÑǹÕé㪌¡Ñ¹á¾Ã‹ËÅÒ ¡Åä¡¡ÒÃÍ͡ķ¸Ôì¤Ô´Ç‹Ò¹‹Ò¨Ðà¡Ô´¨Ò¡¡ÒÃà¾ÔèÁ
                dopamine áÅÐ norepinephine ¢ŒÍ´Õ¤ÍäÁ‹Ãº¡Ç¹¡Òù͹µÍ¹¡ÅÒ§¤×¹áÅÐÂѺÂѧ
                                                        ×                                  é
                REM sleep ·Õ¨ÐࢌÒÊ٪ǧµ×¹ä´Œ´Õ »˜¨¨Øº¹ÂѧäÁ‹ÁÂÒ¹Õã¹»ÃÐà·Èä·Â
                              è         ‹ ‹ è         Ñ       Õ é
          ¢. ¡ÒÃÃÑ¡ÉÒ cataplexy (43-44)

             ! Tricyclic antidepressants áÅÐ selective serotonin reuptake inhibitor (SSRI)
             ! Sodium oxybate ໚¹ÂÒ·Õ໚¹ÃѺÃͧâ´Âͧ¤¡Òà .DA ã¹ÊËÃѰÍàÁÃÔ¡ÒÃ㹡ÒÃÃÑ¡ÉÒ
                                            è
                cataplexy ÂѧäÁ‹Á¨Ò˹‹ÒÂã¹»ÃÐà·Èä·Â
                                  Õí

àÍ¡ÊÒÃ͌ҧÍÔ§
1.    Zeman, A, Britton, T, Douglas, N, et al. Narcolepsy and excessive daytime sleepiness. BMJ 2004; 329:724.
2.    Broughton R, Mullington J. Chronobiological aspects of narcolepsy. Sleep 1994;17(8suppl.):s35-44.
3.    Hublin C, Partinen M, Kaprio J, et al. Epidemiology of narcolepsy. Sleep 1994;17(Suppl.):S7-12.
4.    Silber MH, Krahn LE, Olson EJ, et al. The epidemiology of narcolepsy in Olmstead County, Minnesota: a
      population based study. Sleep 2002;25:197-202.
5.    Mignot E. Genetic and familial aspects of narcolepsy. Neurology 1998;50(Suppl.):S54-S59.
6.    Honda Y. Census of narcolepsy, cataplexy and sleep life among teenagers in .ujisawa city. Sleep Res
      1979;8:191.
7.    Tashiro T, Kanbayashi T, Hishikawa Y. An epidemiological study of narcolepsy in Japanese. Ann Neurol
      1994;35:709-716.
8.    Longstreth, WT Jr, Koepsell, TD, Ton, TG, et al. The epidemiology of narcolepsy. Sleep 2007; 30:13.
9.    Ohayon, MM, Priest, RG, Zulley, J, et al. Prevalence of narcolepsy symptomatology and diagnosis in the
      European general population. Neurology 2002;58:1826.
10.   Coleman, RM, et al. Sleep-wake disorders based on a polysomnographic diagnosis. A national cooperative
      study. JAMA 1982;247:997.
11.   Silber, MH, Krahn, LE, Olson, EJ, Pankratz, VS. The epidemiology of narcolepsy in Olmsted County, Minnesota:
      a population-based study. Sleep 2002;25:197.
12.   Okun, ML, Lin, L, Pelin, Z, et al. Clinical aspects of narcolepsy-cataplexy across ethnic groups. Sleep 2002;
      25:27.
13.   Billiard M, Pasquie-Magnetto V, Heckman M, et al. .amily studies in narcolepsy. Sleep 1994;17(Suppl.):S54-59.
14.   Mignot E. Genetics of narcolepsy and other sleep disorders. Am J Hum Genet. Jun 1997;60(6):1289-302.
15.   Sakurai, T, Amemiya, A, Ishii, M, et al. Orexins and orexin receptors: a family of hypothalamic neuropeptides
      and G protein-coupled receptors that regulate feeding behavior. Cell 1998;92:573.
16.   de Lecea, L, Kilduff, TS, Peyron, C, et al. The hypocretins: hypothalamus-specific peptides with neuroexcitatory
      activity. Proc Natl Acad Sci USA 1998;95:322.
17.   Hagan, JJ, Leslie, RA, Patel, S, et al. Orexin A activates locus coeruleus cell firing and increases arousal in the
      rat. Proc Natl Acad Sci USA 1999;96:10911.
18.   Bayer, L, Eggermann, E, Serafin, M, et al. Orexins (hypocretins) directly excite tuberomammillary neurons. Eur
      J Neurosci 2001;14:1571.
19.   Yamanaka, A, Tsujino, N, .unahashi, H, et al. Orexins activate histaminergic neurons via the orexin 2
      receptor. Biochem Biophys Res Commun 2002;290:1237.
528                                                                                                  Narcolepsy

20. Eriksson, KS, Sergeeva, O, Brown, RE, Haas, HL. Orexin/hypocretin excites the histaminergic neurons of the
    tuberomammillary nucleus. J Neurosci 2001;21:9273.
21. Brown, RE, Sergeeva, O, Eriksson, KS, Haas, HL. Orexin A excites serotonergic neurons in the dorsal raphe
    nucleus of the rat. Neuropharmacology 2001;40:457.
22. Saper, CB, Chou, TC, Scammell, TE. The sleep switch: hypothalamic control of sleep and wakefulness.
    Trends Neurosci 2001;24:726.
23. Scammell, TE. The neurobiology, diagnosis, and treatment of narcolepsy. Ann Neurol 2003;53:154.
24. Dauvilliers, Y, Baumann, CR, Carlander, B, et al. CS. hypocretin-1 levels in narcolepsy, Kleine-Levin syndrome,
    and other hypersomnias and neurological conditions. J Neurol Neurosurg Psychiatry 2003;74:1667.
25. Mignot, E, Lammers, GJ, Ripley, B, et al. The role of cerebrospinal fluid hypocretin measurement in the
    diagnosis of narcolepsy and other hypersomnias. Arch Neurol 2002;59:1553.
26. Nishino, S, et al. Hypocretin (orexin) deficiency in human narcolepsy. Lancet 2000;355:39.
27. Kanbayashi, T, Inoue, Y, Chiba, S, et al. CS. hypocretin-1 (orexin-A) concentrations in narcolepsy with and
    without cataplexy and idiopathic hypersomnia. J Sleep Res 2002;11:91.
28. Dalal, MA, Schuld, A, Haack, M, et al. Normal plasma levels of orexin A (hypocretin-1) in narcoleptic patients.
    Neurology 2001;56:1749.
29. Peyron, C, .araco, J, Rogers, W, et al. A mutation in a case of early onset narcolepsy and a generalized
    absence of hypocretin peptides in human narcoleptic brains. Nat Med 2000;6:991.
30. Thannickal, T, et al. Reduced number of hypocretin neurons in human narcolepsy. Neuron 2000;27:469.
31. Crocker, A, Espana, RA, Papadopoulou, M, et al. Concomitant loss of dynorphin, NARP, and orexin in
    narcolepsy. Neurology 2005;65:1184.
32. Erlich, SS, Itabashi, HH. Narcolepsy: A neuropathologic study. Sleep 1986;9:126.
33. Broughton, R, Dunham, W, Newman, J, et al. Ambulatory 24 hour sleep-wake monitoring in narcolepsy-
    cataplexy compared to matched controls. Electroencephalogr Clin Neurophysiol 1988;70:473.
34. Dantz, B, Edgar, DM, Dement, WC. Circadian rhythms in narcolepsy: studies on a 90 minute day.
    Electroencephalogr Clin Neurophysiol 1994;90:24.
35. Guilleminault, C, Gelb, M. Clinical aspects and features of cataplexy. Adv Neurol 1995;67:65.
36. Anic-Labat, S, Guilleminault, C, Kraemer, HC, et al. Validation of a cataplexy questionnaire in 983 sleep-
    disorders patients. Sleep 1999;22:77.
37. American Academy of Sleep Medicine. International classification of sleep disorders, second edition: Diagnostic
    and coding manual. Westchester, IL American Academy of Sleep Medicine, 2005.
38. Rogers, AE, Aldrich, MS, Lin, X. A comparison of three different sleep schedules for reducing daytime
    sleepiness in narcolepsy. Sleep 2001;24:385.
39. Mullington, J, Broughton, R. Scheduled naps in the management of daytime sleepiness in narcolepsy-cataplexy.
    Sleep 1993;16:444.
40. Mitler, MM, et al. Narcolepsy and its treatment with stimulants. ASDA standards of practice. Sleep 1994;17:352.
41. Boivin, DB, Montplaisir, J, Petit, D, et al. Effects of modafinil on symptomatology of human narcolepsy. Clin
    Neuropharmacol 1993;16:46.
42. Mitler, MM, Hajdukovic, R, Erman, MK. Treatment of narcolepsy with methamphetamine. Sleep 1993; 16:306.
43. Vignatelli, L, D’Alessandro, R, Candelise, L. Antidepressant drugs for narcolepsy. Cochrane Database Syst
    Rev 2005;CD003724.
44. Tunnicliff, G. Sites of action of gamma-hydroxybutyrate (GHB)—a neuroactive drug with abuse potential. J
    Toxicol Clin Toxicol 1997;35:581.
àǪÈÒʵÏ·¹Âؤ 2553
          Ñ                                                                                      º··Õè         529

                                                                                                  72
           Surgical Treatment for Sleep Disordered Breathing
                                          ¼ÙŒª‹ÇÂÈÒʵÃÒ¨ÒÏ ¹ÒÂᾷÇÔª­ ºÃóËÔÃÑ­
            ÀÒ¤ÇÔªÒâʵ ¹ÒÊÔ¡ ÅÒÃÔ§«Ç·ÂÒ ¤³Ðá¾·ÂÈÒʵÏÈÃÃÒª¾ÂÒºÒÅ ÁËÒÇÔ·ÂÒÅÑÂÁËÔ´Å
                                     Ô                  ÔÔ

        »˜¨¨Øº¹·Ò§àÅ×͡㹡ÒÃÃÑ¡Éҹ͹¡Ã¹áÅÐÀÒÇÐËÂØ´ËÒÂ㨢³ÐËÅѺª¹Ô´ÍØ´¡Ñ¹ (obstructive
               Ñ                                                                                   é
sleep apnea : OSA) ÁÕÍÂ٤͹¢ŒÒ§ÁÒ¡ ¡ÒõѴÊÔ¹ã¨àÅ×Í¡ÇԸáÉҹѹ¢Ö¹ÍÂÙ¡ºËÅÒ»˜¨¨Ñ ઋ¹ ¤ÇÒÁ
                           ‹ ‹                                        ÕÑ          é é ‹ Ñ
ÃØ¹áçáÅÐÊÒà˵ط໚¹ä»ä´Œ¢Í§âä ¤ÇÒÁµŒÍ§¡Òâͧ¼Ù»Ç µÅÍ´¨¹¢ŒÍ´Õ ¢ŒÍàÊÕ ËÃ×Í¢ŒÍ¨íÒ¡Ñ´¢Í§
                  Õè                                              Œ †
¡ÒÃÃÑ¡ÉÒᵋÅÐẺ 㹡óշ¼»ÇÂ໚¹à¾Õ§ÀÒÇй͹¡Ã¹¸ÃÃÁ´Ò (primary snoring) ¡ÒÃÃÑ¡ÉÒ
                                      Õè ÙŒ †
·Õ¹ÂÁÁѡ໚¹áººÍ¹ØÃ¡É (conservative treatment) ઋ¹ ¡ÒÃÅ´¹éÒ˹ѡ ¡ÒûÃÑºÊØ¢Í¹ÒÁÑ¡ÒÃ
  è Ô                    Ñ                                                           í
¹Í¹ (sleep hygiene) ¡ÒÃËÅÕ¡àÅÕ§ÂÒºÒ§ª¹Ô´ ઋ¹ Âҹ͹ËÅѺ ËÃ×Íà¤Ã×ͧ´×Á·Õ¼ÊÁáÍÅ¡ÍÎÍŏ
                                              è                                            è è è
áÅÐÃÑ¡ÉÒâäËÇÁ·Õ¾ºä´ŒºÍ ઋ¹ àÂ×ͺبÁÙ¡ÍÑ¡àʺ¨Ò¡ÀÙÁᾌ ໚¹µŒ¹ ËÃ×Í㹡óշ¼»ÇÂÁÕÀÒÇÐ
                     è         ‹                  è                      Ô                               Õè ÙŒ †
ËÂØ´ËÒÂ㨢³ÐËÅѺª¹Ô´ÍØ´¡Ñé¹ (OSA) ¡ÒÃ㪌à¤Ã×èͧÊÌҧ¤ÇÒÁ´Ñ¹ÅÁºÇ¡à¾×èÍແ´¢ÂÒ·ҧà´Ô¹
ËÒÂ㨠(continuous positive airway pressure therapy : CPAP) ¨Ñ´Ç‹Ò໚¹ÇԸáÉÒÁҵðҹ·ÕÁÕ         ÕÑ                 è
»ÃÐÊÔ·¸ÔÀÒ¾áÅÐÁÕ¤ÇÒÁ»ÅÍ´ÀÑÂÊÙ§ µÃҺ෋ҷռ»ÇÂÊÒÁÒö㪌à¤Ã×ͧ䴌µÅÍ´·Ø¡¤×¹ Í‹ҧäáçµÒÁ
                                                         è ÙŒ †                    è
¡ÒÃÃÑ¡ÉÒẺµ‹Ò§ æ ¢ŒÒ§µŒ¹ÍÒ¨ÁբͨíÒ¡Ñ´ÍÂÙäÁ‹¹Í ઋ¹ ¼Ù»Ç·չ͹¡Ã¹´Ñ§ÁÒ¡áÁŒÇÒ¨Ð໚¹à¾Õ§
                                                Œ     ‹ Œ             Œ † è                            ‹
ÀÒÇСù¸ÃÃÁ´Ò ÍÒ¨ÃÑ¡ÉÒäÁ‹ä´Œ¼Å´ŒÇÂÇÔ¸ÕẺ͹ØÃѡɏ ËÃ×͡óշÕè¼ÙŒ»†ÇÂÁÕ¢ŒÍº‹§ªÕé㹡ÒÃ㪌
à¤Ã×èͧ CPAP ¡çÂѧÁÕ¼ÙŒ»†Ç¨íҹǹäÁ‹¹ŒÍ ·Õ軯Ôàʸ¡ÒÃ㪌à¤Ã×èͧ ËÃ×ÍäÁ‹ÊÒÁÒö㪌à¤Ã×èͧ䴌Í‹ҧ
àËÁÒÐÊÁ (poor compliance) «Ö§ÃÒ§ҹ㹵‹Ò§»ÃÐà·È¾ºÇ‹Ò ¼Ù»Ç·Õ㪌à¤Ã×ͧ CPAP Í‹ҧÊÁèÒàÊÁÍ
                                        è                                  Œ † è         è                       í
äÁ‹¹ÍÂ¡Ç‹Ò ¤×¹ÅÐ 4 ªÑÇâÁ§ã¹áµ‹ÅÐÊÑ»´Òˏ Áչ͡NjÒÃŒÍÂÅÐ 50 ´Ñ§¹Ñ¹¼Ù»ÇÂàËŋҹÕé ÍÒ¨ÁÕ¤ÇÒÁ
      Œ                è                               Œ                      (1)
                                                                                       é Œ †
àËÁÒÐÊÁ¡Ñº¡ÒÃÃÑ¡ÉÒ·Ò§àÅ×Í¡ ઋ¹ ¡Òü‹ÒµÑ´ ÁÒ¡¡Ç‹ÒÇÔ¸¡ÒÃÃÑ¡ÉÒ¢ŒÒ§µŒ¹ «Ö§áÁŒÇҼšÒÃÃÑ¡ÉÒ
                                                                       Õ                      è      ‹
ÍÒ¨äÁ‹¶§¢Ñ¹ËÒ¢Ҵ ᵋ¼»Ç¨íҹǹäÁ‹¹Íµͺʹͧµ‹Í¡ÒÃÃÑ¡ÉÒ ÁÕ¤ÇÒÁÃØ¹áç¢Í§âäŴŧ
         Ö é                     ÙŒ †               Œ
¤Ø³ÀÒ¾ªÕǵ´Õ¢¹ áÅÐÁÕ¤ÇÒÁ¾Ö§¾Í㨨ҡ¡ÒÃÃÑ¡ÉÒ·Õµ¹àͧàÅ×Í¡ (2, 3)
             Ô Öé                                               è

á¹Ç·Ò§¡ÒÃÃÑ¡ÉÒâ´ÂÇÔ¸Õ¼‹ÒµÑ´ (Surgical treatment)
        ¡ÒÃÃÑ¡ÉÒâ´Â¡Òü‹ÒµÑ´ãªŒËÅÑ¡¡Òà ¡ÒÃᡌä¢Åѡɳзҧ¡ÒÂÇÔÀÒ¤à¾×Íà¾ÔÁ¢¹Ò´¢Í§·Ò§à´Ô¹
                                                                      è è
ËÒÂã¨Ê‹Ç¹º¹ 㹺ÃÔàdzµíÒá˹‹§·ÕÍÒ¨à¡Ô´¡ÒÃÍØ´¡Ñ¹ â´ÂÁբͺ‹§ªÕã¹»˜¨¨Øº¹ 䴌ᡋ ¼Ù»Ç·յÃǨ
                                 è             é      Œ    é        Ñ         Œ † è
¾ºµíÒá˹‹§¢Í§¡ÒÃÍØ´¡Ñé¹·Ò§à´Ô¹ËÒÂã¨ä´ŒªÑ´à¨¹ ËÃ×Í ¡Ã³Õ·Õè¡ÒÃÃÑ¡ÉÒÍ×è¹äÁ‹»ÃÐʺ¼ÅÊíÒàÃç¨
ËÃ×ÍäÁ‹ÊÒÁÒöÃÑ¡ÉÒä´Œâ´ÂÇÔ¸ÕÍ×è¹ ¹Í¡¨Ò¡¹Õé¡Òü‹ÒµÑ´ÍÒ¨ª‹ÇÂàÊÃÔÁãËŒ¡ÒÃÃÑ¡ÉÒ´ŒÇÂÇÔ¸ÕÍ×è¹ àª‹¹
530                                                                     Surgical Treatment for Sleep Disordered Breathing

¡ÒÃ㪌 CPAP (4) ËÃ×Í oral appliances ä´Œ¼Å´Õ§¢Ö¹(5) ËÃ×Í㪌¡Òü‹ÒµÑ´ª‹ÇÂÅ´ÍÒ¡ÒÃËÃ×ͤÇÒÁÃØ¹áç
                                                                             Ôè é
¢Í§âä㹼ٻǺҧÃÒÂŧ䴌 ã¹»˜¨¨Øº¹ÇÔ¸¡Òü‹ÒµÑ´ÃÑ¡ÉÒÁÕ¤ÇÒÁËÅÒ¡ËÅÒ ¨íÒ໚¹µŒÍ§àÅ×Í¡ãËŒ
                  Œ †                                             Ñ Õ
àËÁÒÐÊÁ¡Ñº¼Ù»ÇÂᵋÅÐÃÒ 䴌ᡋ
                         Œ †
            1. ¡Òü‹ÒµÑ´á¡Œä¢¤ÇÒÁ¼Ô´»Ã¡µÔºÃÔàdz¨ÁÙ¡ (Nasal surgery) Áբͺ‹§ªÕã¹ÃÒ·ÕÁ¡Òà                                  Œ        é         è Õ
ÍØ´¡Ñ鹢ͧâ¾Ã§¨ÁÙ¡ áÅÐ/ËÃ×Í ª‹Í§ËÅѧâ¾Ã§¨ÁÙ¡ (nasopharynx) ÁÕ»ÃÐ⪹ã¹ÃÒ·Õè¨íÒ໚¹
µŒÍ§ãªŒ CPAP µ‹Íà¹×ͧËÅѧ¨Ò¡¡Òü‹ÒµÑ´´ŒÇ µÑÇÍ‹ҧઋ¹ ¡ÒÃÅ´¢¹Ò´¢Í§ turbinate ´ŒÇ¡ÒèդÅ×¹
                                      è                                                                                                        é è
¤ÇÒÁ¶ÕÇ·ÂØ (R. ablation of inferior turbinate) ¡Òü‹ÒµÑ´á¡Œä¢¼¹Ñ§¡Ñ¹ª‹Í§¨ÁÙ¡¤´ (septoplasty)
           èÔ                                                                                          é
¡Òü‹ÒµÑ´ÃÔ´Êմǧ¨ÁÙ¡ (polypectomy) ÃÇÁ¶Ö§¡ÒÃᡌä¢ÀÒÇеպ᤺¢Í§ª‹Í§ËÅѧâ¾Ã§¨ÁÙ¡
(nasopharyngeal stenosis) ໚¹µŒ¹ â´ÂÁÕ¡ÒÃÈÖ¡ÉÒ¾ºÇ‹Ò¡ÒÃᡌä¢ÀÒÇÐÍØ´¡Ñ¹¢Í§â¾Ã§¨ÁÙ¡ ¨Ð·íÒ                                 é
ãËŒ¡Ã¹¹ŒÍÂŧ ·íÒ§Ò¹ã¹àÇÅÒ¡ÅÒ§Çѹ´Õ¢¹ áÅФÇÒÁ´Ñ¹¢Í§ CPAP ·ÕµÍ§ãªŒÅ´Å§(6) ¹Í¡¨Ò¡¹Õé
                                                                      Öé                                   è Œ
ÁÕÃÒÂ§Ò¹Ç‹Ò R. ablation of inferior turbinate Âѧª‹ÇÂà¾ÔÁ CPAP compliance 䴌͡´ŒÇÂ(4)
                                                                                    è                                       Õ
            2. ¡ÒõѴµ‹ÍÁ·Í¹«ÔÅ (Tonsillectomy) áÅÐ/ËÃ×͵‹ÍÁÍдԹÍ´ (Adenoidectomy)
·íÒã¹ÃÒ·ÕÁµÍÁ·Í¹«ÔÅâµ áÅÐÍÒ¨·íÒËÇÁ¡Ñº adenoidectomy ã¹à´ç¡·Õ໚¹ OSAS «Ö§¼Å¡ÒÃ
                è Õ ‹                                                                                         è                            è
¼‹ÒµÑ´Áѡ䴌¼Å´Õ â´ÂÁÕÃÒ§ҹNjÒËÅѧ¡Òü‹ÒµÑ´ ÍÒ¡Òâͧâä´Õ¢¹ÁÒ¡ ÃÇÁ¶Ö§Ê‹§¼ÅãËŒ¡ÒÃàÃÕ¹             Öé
´Õ¢¹ä´Œ´ÇÂ
      Öé      Œ    (7)

            3. ¡Òü‹ÒµÑ´ºÃÔàdzྴҹ͋͹ (Soft palate surgery) «Ö§ÁÕËÅÒÂÇÔ¸Õ àª‹¹                 è
                 3.1 ¡Òü‹ÒµÑ´µ¡áµ‹§ÅԹ䡋áÅÐྴҹ͋͹ (Uvulopalatopharyngoplasty; UPPP) ËÃ×Í
                                                           é
Uvulopalatoplasty (UPP) ËÅÑ¡¡Òä×Í¡Òü‹ÒµÑ´àÍÒ redundant soft tissue ºÃÔàdz pharyngeal wall
áÅÐ palatine tonsils ÍÍ¡ ËÇÁ¡Ñº¡ÒõѴºÒ§Ê‹Ç¹¢Í§ uvula à¾×Í·íÒãËŒºÃÔàdz oropharynx ¡ÇŒÒ§¢Ö¹  è                                                     é
¹ÔÂÁ㪌áÉÒã¹ÃÒ·Õàª×ÍNjҵíÒá˹‹§ÍØ´¡Ñ¹¢Í§·Ò§à´Ô¹ËÒÂã¨ÍÂÙÃдѺྴҹ͋͹ (soft palate) áÅÐ
            Ñ                           è è                         é                          ‹
äÁ‹ÊÒÁÒö㪌à¤Ã×ͧÁ×ͪ¹Ô´Í×¹æ ä´Œ ¡Òü‹ÒµÑ´¹ÕÍҨ䴌¼Å´Õ â´Â੾ÒÐÍ‹ҧÂÔ§ã¹ÃÒ·ÕÁÕ tonsil ¤‹Í¹
                             è                   è                             é                                      è              è
¢ŒÒ§ãË­‹ áÅÐÁÕ¹Ò˹ѡµÑÇäÁ‹ÁÒ¡¹Ñ¡ Í‹ҧäáçµÒÁ ¡Ã³Õ·¼»ÇÂÁÕ¡ÒÃËÂØ´ËÒÂã¨Ãعáç (severe
                               éí                            (8)
                                                                                       Õè ÙŒ †
apnea) ËÅѧ¼‹ÒµÑ´ËÅÒÂÃÒÂÍÒ¨ÂѧÁÕ¡ÒÃËÂØ´ËÒÂ㨺‹Í ¨íÒ໚¹µŒÍ§ãªŒ¡ÒÃÃÑ¡ÉÒÍ×¹à¾ÔÁàµÔÁ ´Ñ§¹Ñ¹                                     è è                    é
¨Ö§¤ÇõÃǨ Polysomnography à¾×͵ԴµÒÁ¼ÅËÅѧ¡ÒÃÃÑ¡ÉÒÀÒÂã¹ 6 à´×͹ »˜¨¨Øº¹ÁÕ¡ÒûÃÐÂØ¡µ
                                                         è                                                      (9)
                                                                                                                                 Ñ
à·¤¹Ô¤¡Òü‹ÒµÑ´à¾×Íãˌ䴌¼Å´Õ§¢Ö¹áÅÐÀÒÇÐá·Ã¡«ŒÍ¹Å´Å§ ÃÇÁ¶Ö§¡ÒÃäÁ‹µ´Ê‹Ç¹¢Í§ÅԹ䡋ÍÍ¡ä»
                                    è               Ôè é                                                            Ñ                  é
(modified PPP)
                 3.2 ¡ÒÃ㪌¤Å×¹¤ÇÒÁ¶ÕÇ·ÂØ (Radiofrequency ablation; R. ablation) ËÅÑ¡¡Òä×Í ¡ÒÃ㪌
                                             è         èÔ
¤Å×¹¤ÇÒÁ¶ÕÇ·ÂØ ¨ÕºÃÔàdzà¹×ÍàÂ×Í àª‹¹ ¨ÁÙ¡ (turbinate) ྴҹ͋͹ (soft palate) ËÃ×Í⤹ÅÔ¹ (base
    è            èÔ é                           é è                                                                                      é
of tongue) à¾×Í·íÒãËŒà¡Ô´¾Åѧ§Ò¹¤ÇÒÁÌ͹ áÅÐ coagulation necrosis «Ö§µ‹ÍÁÒ¨Ðà¡Ô´ scar tissue
                       è                                                                                 è
·íÒãËŒÁ¡ÒÃË´µÑǢͧà¹×ÍàÂ×Í (volume contraction) ໚¹¼ÅãËŒ·Ò§à´Ô¹ËÒÂ㨡njҧ¢Ö¹ ¡ÒÃÃÑ¡ÉÒÇÔ¸¹Õé
         Õ                                  é è                                                                                é                 Õ
·íÒä´Œâ´Â㪌à¢çÁª¹Ô´¾ÔàÈÉ (needle electrode) ᷧࢌÒä»ã¹à¹×ÍàÂ×Í㵌àÂ×ÍºØ¼Ç (submucosa) 㹺ÃÔàdz
                                                                                      é è             è Ô
·ÕµÍ§¡Òà »˜¨¨Øº¹¹ÔÂÁ㪌㹡ÒÃÃÑ¡ÉҼٻǷÕÁÀÒÇй͹¡Ã¹ª¹Ô´¸ÃÃÁ´Ò (primary snoring) ËÃ×Í
  è Œ                             Ñ                                Œ † è Õ
໚¹ OSA ã¹ÃдѺ·ÕäÁ‹Ã¹áç ÍҨ㪌Ǹ¹ÃÇÁ¡Ñº¨Õä¿¿‡Ò ËÃ×Í ¡ÒÃàÂçº «Ö§ÊÒÁÒö·íÒÀÒÂ㵌ÂÒªÒ
                                         è Ø                     Ô Õ Õé ‹         é                         è
੾ÒзÕè áÅÐ㪌àÇÅÒ·íÒà¾Õ§ 15 – 20 ¹Ò·Õ ¼Ù»ÇÂʋǹÁÒ¡äÁ‹µÍ§¹Í¹âç¾ÂÒºÒÅ ¢ŒÍ´Õ¢Í§¡ÒÃÃÑ¡ÉÒ
                                                                         Œ †             Œ
àǪÈÒʵÏ·¹Âؤ 2553
          Ñ                                                                                                                                                             531

´ŒÇÂÇÔ¸Õ¹Õé¤×Í »ÃÔÁÒ³¤ÇÒÁÌ͹·Õèà¹×éÍàÂ×èÍä´ŒÃѺ ¨ÐµèíҡNjҡÒÃ㪌àÅà«ÍÏËÃ×ͨÕéä¿¿‡Ò¸ÃÃÁ´Ò ¨Ö§Å´
ÍѹµÃÒµ‹Íà¹×ÍàÂ×ÍÃͺæ áÅзíÒãËŒÍÒ¡ÒûǴËÅѧ¡ÒÃÃÑ¡ÉÒ¹ŒÍ¡NjÒÇԸ͹ ÁÕÃÒ§ҹNjҼŢͧ R.
                    é è                                                                                                            Õ ×è
palate ÊÒÁÒö·íÒãˌŴÍÒ¡ÒáùáÅФÇÒÁ§‹Ç§¼Ô´»¡µÔã¹àÇÅÒ¡ÅÒ§Çѹ                                                                                  á Å Ð ÁÕ ¡ Ò Ã ÈÖ ¡ É Ò
à»ÃÕºà·ÕºÍÒ¡ÒûǴËÅѧ¨Ò¡¡Ò÷íÒ R., LAUP, áÅÐ UPPP «Ö§¾ºÇ‹ÒÍÒ¡ÒûǴ ËÅѧ·íÒ R.                                                è
¹ŒÍÂ¡Ç‹Ò LAUP áÅÐ UPPP Í‹ҧÁÕ¹ÂÊíҤѭ                                    Ñ                (10)

                  3.3 Palatal pillar implants ໚¹¡ÒùíÒÇÑʴؤŌÒÂäËÁ¾ÅÒʵԡ 份˜§ºÃÔàdzྴҹ͋͹
à¾×ÍãËŒà¡Ô´¡ÒÃá¢ç§µÑÇÁÒ¡¢Ö¹ áÅÐÅ´¡ÒÃÊѹÊÐà·×͹ºÃÔàdz´Ñ§¡Å‹ÒÇ «Ö§ª‹ÇÂÅ´àÊÕ§¡Ã¹Å§ä´Œ(11) ¢ŒÍ´Õ
       è                                     é                                      è                                            è
¤×ÍÊÒÁÒö·íÒä´Œâ´Â㪌ÂÒªÒ੾ÒзÕè ä´Œ¼ÅÃÇ´àÃçǡNjҡÒÃÃÑ¡ÉÒ´ŒÇ¤Å×¹¤ÇÒÁ¶ÕÇ·ÂØ áÅÐàª×ÍÇ‹Ò                                                 è         èÔ                      è
¼Å¨ÐÍÂÙä´Œ¹Ò¹â´Â·íÒà¾Õ§¤Ãѧà´ÕÂÇ Í‹ҧäáçµÒÁ à¹×ͧ¨Ò¡ÇÑÊ´Ø·½§à»š¹ foreign bodies ÁÕá¹Ç⹌Á
            ‹                                              é                                      è                       Õè ˜
·ÕÇÊ´Ø·½§äÇŒ¨Ðà¤Å×͹¨Ò¡µíÒá˹‹§à´ÔÁáÅÐËÅØ´ä´Œ ÍÕ¡·Ñ§¼Å㹡ÒÃÃÑ¡ÉÒ OSAS ÂѧäÁ‹á¹‹ª´ ´Ñ§¹Ñ¹
   è Ñ Õè ˜                   è                                                                           é                                                       Ñ         é
¢ŒÍº‹§ªÕ㹡ÒÃÃÑ¡ÉÒ´ŒÇÂÇÔ¸¹ã¹»˜¨¨Øº¹¤×Í ¡Òáùª¹Ô´¸ÃÃÁ´Ò (primary snoring) «Ö§ÁÕÊÒà˵ØÁÒ¨Ò¡
          é                                 Õ Õé                      Ñ                                                                            è
¤ÇÒÁ¼Ô´»¡µÔã¹µíÒá˹‹§ºÃÔàdz soft palate
            4. ¡Òü‹ÒµÑ´ºÃÔàdz⤹ÅÔ¹ (Base of tongue/ hypopharyngeal surgery) Áբͺ‹§ªÕã¹ÃÒÂ
                                                                    é                                                                                  Œ             é
·ÕÁ⤹ÅÔ¹ãË­‹ ËÃ×ÍÁÕ¡ÒÃÍØ´¡Ñ¹¢Í§·Ò§à´Ô¹ËÒÂã¨ã¹ÃдѺ⤹ÅÔ¹ »˜¨¨Øº¹ÁÕ¡Òü‹ÒµÑ´ËÅÒÂÇÔ¸Õ àª‹¹
    è Õ       é                                          é                                                            é              Ñ
¡ÒÃ㪌¤Å×¹¤ÇÒÁ¶ÕÇ·ÂØ¨Õé à¾×Íãˌ⤹ÅԹ˴µÑÇáÅÐÁÕ¢¹Ò´àÅç¡Å§ ¡Òü‹ÒµÑ´¹íÒ insertion ¢Í§¡ÅŒÒÁà¹×Í
                è          èÔ                    è                      é                                                                                                     é
genioglossus ÁÒäÇŒ´Ò¹Ë¹ŒÒ (mandibular osteotomy with genioglossus advancement) à¾×ÍãËŒ
                                  Œ                                                                                                                                     è
retrolingual airway ¡ÇŒÒ§¢Ö¹ ËÃ×Í¡ÒÃ㪌àª×Í¡ä»ÃŒÍÂ⤹ÅÔ¹áÅŒÇÁÒ¼Ù¡¡Ñº screw ·Õ´µÔ´¡Ñº¡Ãд١
                                               é                                                             é                                    è Ö
¡ÃÒÁ (mandible) ·Ò§´ŒÒ¹Ë¹ŒÒ à¾×͡ѹäÁ‹ãˌʵ¡ä»´ŒÒ¹ËÅѧ (tongue suspension) ¹Í¡¨Ò¡¹Õé ¼Ù»ÇÂ
                                                             è                        Ôé                                                                               Œ †
ºÒ§ÃÒÂÍҨ䴌ú»ÃÐ⪹¨Ò¡¡ÒõѴºÒ§Ê‹Ç¹¢Í§â¤¹ÅÔ¹ÍÍ¡ à¾×ÍÅ´¢¹Ò´¢Í§â¤¹ÅÔ¹ (midline laser
                      Ñ                                                                               é             è                                é
glossectomy) ÊíÒËÃѺÃÒ·ÕÁ¢¹Ò´ lingual tonsil âµÁÒ¡¡çÍÒ¨µÑ´Í͡䴌´Ç laser Í‹ҧäáçµÒÁ
                                                     è Õ                                                                                  Œ
ÇÔ ¸Õ ¡ Òü‹ Ò µÑ ´ ઋ ¹ ¹Õé ã ¹»˜ ¨ ¨Ø ºÑ ¹ ÂÑ § ãËŒ ¼ ÅäÁ‹ á ¹‹ ¹ ͹ áÅÐÁÕ ¤ ÇÒÁàÊÕè  §¨Ò¡¼Åá·Ã¡«Œ Í ¹
¤‹Í¹¢ŒÒ§ÊÙ§ ´Ñ§¹Ñ¹¨Ö§ãªŒà»š¹¡ÒÃÃÑ¡ÉÒËÇÁ¡Ñº¡Òü‹ÒµÑ´ª¹Ô´Í×¹à¾×ÍàÊÃÔÁãËŒ¼Å¡Òü‹ÒµÑ´´Õ¢¹ (12)
                        é è                                                                                      è è                                        Öé
            5. ¡Òü‹ÒµÑ´àÅ×͹¢Ò¡ÃÃä¡ÃÁÒ´ŒÒ¹Ë¹ŒÒ (Maxillomandibular advancement MMA) ໚¹
                                      è
¡Òü‹ÒµÑ´à¾×èÍàÅ×è͹·Ñé§ maxilla áÅÐ mandible ÁÒ´ŒÒ¹Ë¹ŒÒ ·íÒãËŒ·Ò§à´Ô¹ËÒÂã¨Ê‹Ç¹ËÅѧµ‹ÍÅÔé¹
(retrolingual airway) ¡ÇŒÒ§¢Ö¹ áÁŒÇÒ໚¹¡Òü‹ÒµÑ´ãË­‹·µÍ§ãªŒàÇÅÒ¹Ò¹ ᵋ¼Å¡ÒÃÃÑ¡ÉÒã¹ÃÐÂÐÂÒÇ
                                                   é              ‹                                     Õè Œ
¾ºÇ‹Òä´Œ¼Å´Õ Áբͺ‹§ªÕã¹ÃÒ·Õ໚¹Ãعáç áÅÐÅŒÁàËÅǨҡ¡Òü‹ÒµÑ´´ŒÇÂÇԸ͹ «Ö§ÍÒ¨·íÒãËŒËÅÕ¡
                   (13)
                                Œ         é                    è                                                                            Õ ×è è
àÅÕ§¡ÒÃà¨ÒФÍä´Œ
     è
            6. Tracheostomy ໚¹¡ÒÃÊÌҧ·Ò§à´Ô¹ËÒÂã¨ãËŒ¼Ò¹·Ò§ËÅÍ´ÅÁ¤Í â´ÂäÁ‹µÍ§ËÒÂ㨠                             ‹                                            Œ
¼‹Ò¹Ãкº·Ò§à´Ô¹ËÒÂã¨Ê‹Ç¹º¹·ÕÁ¡ÒÃÍØ´¡Ñ¹ ¶×Í໚¹¡ÒÃÃÑ¡ÉÒ·Õä´Œ¼Åà¡×ͺ 100 % ¶ŒÒ¼Ù»ÇÂäÁ‹ÁÕ
                                                                 è Õ                     é                              è                                        Œ †
¤ÇÒÁ¼Ô´»¡µÔ¨Ò¡¡Òù͹ËÅѺ ËÃ×Í¡ÒÃËÒÂã¨Í‹ҧÍ׹ËÇÁ´ŒÇ Í‹ҧäáçµÒÁà¹×ͧ¨Ò¡¼Ù»ÇµŒÍ§ÁÕ           è                                               è          Œ †
ÃÙà¨ÒÐ¤Í ¨Ö§Áѡ㪌໚¹·Ò§àÅ×Í¡¡Ã³Õ·¼»ÇÂÁÕÍÒ¡ÒÃÃØ¹áçÁÒ¡ ÁÕÀÒÇÐá·Ã¡«ŒÍ¹ áÅÐÅŒÁàËÅǨҡ
                                                                            Õè ÙŒ †
¡ÒÃÃÑ¡ÉÒ´ŒÇÂÇԸ͹ æ ·Ñ§ËÁ´
                         Õ ×è           é
            7. ¡Òü‹ÒµÑ´Í×¹ æ ઋ¹ ¡Òü‹ÒµÑ´¡ÃÐà¾ÒÐà¾×ÍÅ´¹éÒ˹ѡ (bariatric surgery) «Ö§ÁÕËÅÒÂÇÔ¸Õ
                                    è                                                               è          í                                         è
ÁÕÃÒ§ҹNjÒÊÒÁÒöª‹ÇÂÅ´¤ÇÒÁÃØ¹áç¢Í§ÀÒÇÐËÂØ´ËÒÂ㨢³ÐËÅѺ䴌´Õ
532                                                      Surgical Treatment for Sleep Disordered Breathing

          â´ÂÊÃØ» ¡Òü‹ÒµÑ´ÃÑ¡ÉÒÀÒÇй͹¡Ã¹ áÅÐÀÒÇÐËÂØ´ËÒÂ㨢³ÐËÅѺª¹Ô´ÍØ´¡Ñ¹ ÁÕÍÂÙËÅÒÂ
                                                                                é    ‹
ÇÔ¸Õ ÁÕ¤ÇÒÁàÊÕè§µ‹ÍÀÒÇÐá·Ã¡«ŒÍ¹ µÅÍ´¨¹¼Å¢Í§¡ÒÃÃÑ¡ÉÒᵡµ‹Ò§¡Ñ¹ ´Ñ§¹Ñé¹ ¡Òü‹ÒµÑ´¨Ðä´Œ
¼ÅÊíÒàÃ稴շʴ ¨Ö§µŒÍ§¤íÒ¹Ö§¶Ö§ÅѡɳТͧâä·Õᵡµ‹Ò§¡Ñ¹ã¹¼Ù»ÇÂᵋÅÐÃÒ â´Âᾷ¤ÇÃãËŒ¢ÍÁÙÅ
              Õè Ø                           è             Œ †                         Œ
á¡‹¼»Ç à¾×ÍãËŒà¡Ô´¤ÇÒÁࢌÒ㨷ն¡µŒÍ§¡‹Í¹¡ÒõѴÊԹ㨼‹ÒµÑ´ à¾×Í»‡Í§¡Ñ¹áÅÐᡌä¢ÀÒÇÐá·Ã¡«ŒÍ¹
     ÙŒ †       è                 è Ù                          è
·ÕÍÒ¨à¡Ô´¢Ö¹ä´ŒÍ‹ҧ·Ñ¹·‹Ç§·Õ ÃÇÁ¶Ö§µÔ´µÒÁ¡ÒÃÃÑ¡ÉÒËÅѧ¼‹ÒµÑ´ä´ŒÍ‹ҧµ‹Íà¹×ͧ
  è         é                                                             è

àÍ¡ÊÒÃ͌ҧÍÔ§
1.    Kribbs NB, Pack AI, Kline LR, Smith PL, Schwartz AR, Schubert NM, et al. Objective measurement of
      patterns of nasal CPAP use by patients with obstructive sleep apnea. Am Rev Respir Dis 1993;147(4):
      887-95.
2.    Steward DL, Weaver EM, Woodson BT. Multilevel temperature-controlled radiofrequency for obstructive sleep
      apnea: extended follow-up. Otolaryngol Head Neck Surg 2005;132(4):630-5.
3.    .erguson KA, Cartwright R, Rogers R, Schmidt-Nowara W. Oral appliances for snoring and obstructive sleep
      apnea: a review. Sleep 2006;29(2):244-62.
4.    Powell NB, Zonato AI, Weaver EM, Li K, Troell R, Riley RW, et al. Radiofrequency treatment of turbinate
      hypertrophy in subjects using continuous positive airway pressure: a randomized, double-blind, placebo-controlled
      clinical pilot trial. Laryngoscope 2001;111(10):1783-90.
5.    Zeng B, Ng AT, Qian J, Petocz P, Darendeliler MA, Cistulli PA. Influence of nasal resistance on oral appliance
      treatment outcome in obstructive sleep apnea. Sleep 2008;31(4):543-7.
6.    Zonato AI, Bittencourt LR, Martinho .L, Gregorio LC, Tufik S. Upper airway surgery: the effect on nasal
      continuous positive airway pressure titration on obstructive sleep apnea patients. Eur Arch Otorhinolaryngol
      2006;263(5):481-6.
7.    Gozal D. Sleep-disordered breathing and school performance in children. Pediatrics 1998;102(3 Pt 1):
      616-20.
8.    .riedman M, Ibrahim H, Bass L. Clinical staging for sleep-disordered breathing. Otolaryngol Head Neck Surg
      2002;127(1):13-21.
9.    Sher AE, Schechtman KB, Piccirillo J.. The efficacy of surgical modifications of the upper airway in adults with
      obstructive sleep apnea syndrome. Sleep 1996;19(2):156-77.
10.   Rombaux P, Hamoir M, Bertrand B, Aubert G, Liistro G, Rodenstein D. Postoperative pain and side effects
      after uvulopalatopharyngoplasty, laser-assisted uvulopalatoplasty, and radiofrequency tissue volume reduction
      in primary snoring. Laryngoscope 2003;113(12):2169-73.
11.   .riedman M, Schalch P, Lin HC, Kakodkar KA, Joseph NJ, Mazloom N. Palatal implants for the treatment of
      snoring and obstructive sleep apnea/hypopnea syndrome. Otolaryngol Head Neck Surg 2008;138(2):
      209-16.
12.   Kezirian EJ, Goldberg AN. Hypopharyngeal surgery in obstructive sleep apnea: an evidence-based medicine
      review. Arch Otolaryngol Head Neck Surg 2006;132(2):206-13.
13.   Li KK, Powell NB, Riley RW, Troell RJ, Guilleminault C. Long-Term Results of Maxillomandibular Advancement
      Surgery. Sleep Breath 2000;4(3):137-40.
àǪÈÒʵÏ·¹Âؤ 2553
          Ñ                                                                                                533

14. Denbar MA. A case study involving the combination treatment of an oral appliance and auto-titrating CPAP
    unit. Sleep Breath 2002;6(3):125-8.
15. Chan AS, Lee RW, Cistulli PA. Dental appliance treatment for obstructive sleep apnea. Chest 2007;132(2):693-
    9.
16. Hoffstein V. Review of oral appliances for treatment of sleep-disordered breathing. Sleep Breath 2007;11(1):
    1-22.
àǪÈÒʵÏ·¹Âؤ 2553
          Ñ                                                                    º··Õè       535

                                                                                73
                    Management for Dysphagia Patients
                                        ÃͧÈÒʵÃÒ¨ÒÏ ¹ÒÂᾷ⪤ªÑ àÁ¸ÕäµÃÃѵ¹
                                                               ¹Ò§ÊÒÇ๵ÃÒ ºÑÇ¡¹¡
                                           ¼ÙŒª‹ÇÂÈÒʵÃÒ¨ÒÏ ¹ÒÂᾷÀÒÇÔ¹ à¡É¡ØÅ
                                                   ÍÒ¨ÒÏ ¹ÒÂᾷÇÃØµÁ ¾§ÈÒ¾Ôª­
                                                     ÍÒ¨ÒÏ á¾·ÂË­Ô§ÊØ¹Ñ¹· ͧÍÒ¨
          ÀÒ¤ÇÔªÒâʵ ¹ÒÊÔ¡ ÅÒÃÔ§«Ç·ÂÒ ¤³Ðá¾·ÂÈÒʵÏÈÃÃÒª¾ÂÒºÒÅ ÁËÒÇÔ·ÂÒÅÑÂÁËÔ´Å
                                   Ô                   ÔÔ

¡ÒáÅ×¹ (Swallowing or deglutition)
       ໚¹»˜¨¨Ñ¾׹°Ò¹ÊíҤѭÍ‹ҧ˹֧µ‹Í¡ÒôíÒçªÕǵ¢Í§Á¹ØÉ à¹×ͧ¨Ò¡Á¹ØÉ¨Ò໚¹µŒÍ§¡Ô¹
                   é                    è            Ô               è        í
ÍÒËÒ÷ÕèÁÕ»ÃÐ⪹áÅÐä´Œ»ÃÔÁÒ³à¾Õ§¾Í à¾×èÍãËŒà¡Ô´à»š¹¾Åѧ§Ò¹·Õèà¾Õ§¾Íµ‹Í¡ÒÃà¨ÃÔ­àµÔºâµ
áÅСԨ¡ÃÃÁµ‹Ò§æ 㹡ÒôíÒçªÕ¾ ¡ÒáÅ׹໚¹¢ºÇ¹¡ÒÃàº×ͧµŒ¹·ÕÁ˹ŒÒ·ÕʧÍÒËÒèҡ·Ò§à´Ô¹
                                                         é     è Õ       è ‹
ÍÒËÒÃʋǹµŒ¹ 䴌ᡋ ª‹Í§»Ò¡ (oral cavity) ¤ÍËÍ (pharynx) áÅÐËÅÍ´ÍÒËÒà (esophagus) ä»Âѧ
·Ò§à´Ô¹ÍÒËÒÃʋǹŋҧ·ÕàÃÔÁµŒ¹¨Ò¡¡ÃÐà¾ÒÐÍÒËÒÃ໚¹µŒ¹ä» ¡ÒáÅ×¹·Õ»¡µÔ¨Ò໚¹µŒÍ§»ÃСͺ´ŒÇÂ
                       è è                                         è   í
â¤Ã§ÊÌҧÍÇÑÂÇдѧ¡Å‹ÒÇ·Õ軡µÔ áÅÐÁÕ¡Ò÷íÒ§Ò¹¢Í§Ãкº¡ÅŒÒÁà¹×éÍ áÅÐÃкº»ÃÐÊÒ··Õè·íÒ§Ò¹
»ÃÐÊÒ¹µ‹Íà¹×ͧ¡Ñ¹à»š¹Í‹ҧ´Õ
            è
       㹡ÒáÅ×¹¹Ñ¹ àÁ×ÍÍÒËÒÃࢌÒÊ٪ͧ»Ò¡áÅŒÇ ¨Ð¼‹Ò¹Å§ÊÙ¤ÍËÍÂáÅÐËÅÍ´ÍÒËÒà áÅм‹Ò¹
                     é è              ‹ ‹                   ‹
µ‹Íŧä»ã¹¡ÃÐà¾ÒÐÍÒËÒÃáÅÐÅíÒäÊŒ«§¨Ñ´à»š¹·Ò§à´Ô¹ÍÒËÒÃʋǹŋҧµ‹Íä» ÊÒÁÒöẋ§¢Ñ¹µÍ¹¢Í§
                                   Öè                                           é
¡ÒáÅ×¹ ãˌࢌÒã¨â´Â§‹ÒÂ໚¹ ó ¢Ñ¹µÍ¹
                                 é
       1. ¢Ñ¹µÍ¹ã¹ª‹Í§»Ò¡ (Oral phase)
            é
                 à¡Ô´¢Ö¹àÁ×ÍãÊ‹ÍÒËÒÃࢌÒä»ã¹ª‹Í§»Ò¡ Ëҧ¡Ò¨зíÒ¡ÒÃàµÃÕÂÁʋǹ¢Í§ÍÒËÒÃãËŒÁšɳÐ
                       é è                                                               ÕÑ
àËÁÒÐÊÁ·Ñ§ã¹´ŒÒ¹ÃٻËҧ ¢¹Ò´ áÅФÇÒÁ˹״·ÕàËÁÒÐÊÁà¾×ÍãËŒ¡Å׹䴌Í‹ҧ¤Å‹Í§µÑÇ ´Ñ§¹Ñ¹¢Ñ¹µÍ¹
               é                                    è         è                         é é
¹Õ¨ÐµŒÍ§ÍÒÈÑÂÍÇÑÂÇÐËÅÒÂÍ‹ҧ·ÕµÍ§·íҧҹËÇÁ¡Ñ¹ä´ŒÍ‹ҧàËÁÒÐÊÁ 䴌ᡋ ÃÔÁ½‚»Ò¡ (lips) ¡Ãоا
   é                                   è Œ                                                    Œ
ᡌÁ (buccal mucosa) ¡Ãд١¢Ò¡ÃÃä¡Ã (upper and lower jaws) ¿˜¹ (teeth) µ‹ÍÁ¹éÒÅÒ (salivary
                                                                                    í
glands) ÅÔ¹ (tongue) áÅÐྴҹ»Ò¡ (palate)
             é
                 ¢Ñ¹µÍ¹ã¹ª‹Í§»Ò¡¹Õé µŒÍ§ÍÒÈÑ¡Ò÷íҧҹËÇÁ¡Ñ¹¢Í§¡ÅŒÒÁà¹×ÍËÅÒÂÁÑ´«Ö§¶Ù¡¤Çº¤ØÁâ´Â
                   é                                                     é        è
àÊŒ¹»ÃÐÊÒ·ÊÁͧ¤Ù·Õè 5,7,9,10,11, áÅÐ 12 àÁ×ÍÍÒËÒÃÁÕ¢¹Ò´ ÃٻËҧáÅФÇÒÁ˹״·ÕàËÁÒÐÊÁµ‹Í
                          ‹                       è                                   è
¡ÒáÅ×¹áÅŒÇ à¾´Ò¹»Ò¡¨Ð¡µÑÇ¢Öé¹ä»»´â¾Ã§ËÅѧ¨ÁÙ¡ (nasopharynx) »‡Í§¡Ñ¹äÁ‹ãËŒÍÒËÒÃ
ÃÑèǼ‹Ò¹¢Öé¹â¾Ã§¨ÁÙ¡ä´Œ ¢³Ðà´ÕÂǡѹ¡ÅŒÒÁà¹×éÍ⤹ÅÔ鹨ÐË´µÑǵèíÒŧà¾×èÍແ´¤ÍËÍ (pharynx)
ãËŒ¡ÇŒÒ§¢Ö¹ ¨Ò¡¹Ñ¹ÅԹʋǹ˹ŒÒ¨Ð·íÒ˹ŒÒ·Õ¡ÇÒ´ÍÒËÒÃãˌŧä»ã¹¤ÍË͵‹Íä»
           é            é é                    è
536                                                         Management for Dysphagia Patients

        2. ¢Ñ¹µÍ¹ã¹¤ÍËÍ (Pharyngeal phase)
             é
             ¢Ñ¹µÍ¹¢Í§¡ÒáÅ×¹ã¹Ê‹Ç¹¹Õ¶¡¤Çº¤ØÁâ´ÂÊÁͧã¹Ê‹Ç¹¡ŒÒ¹ÊÁͧ ã¹ÀÒÇ¡Òó¡Å×¹·Õè
               é                          é Ù
»¡µÔàÁ×ÍÍÒËÒü‹Ò¹¨Ò¡ª‹Í§»Ò¡à¢ŒÒÊÙ¤ÍËÍ Ãкº»ÃÐÊÒ·áÅСŌÒÁà¹×Íã¹Ê‹Ç¹¢Í§¤ÍËͨзíÒ
           è                            ‹                            é
˹ŒÒ·Õ໚¹Ãкº·ÕµÍà¹×ͧ¡Ñ¹Í‹ҧÁÕ¨§ËÇÐ «Ö§ä´Œá¡‹¡Òû‡Í§¡Ñ¹äÁ‹ãËŒÍÒËÒÃäËÅŒ͹¢Ö¹ä»ã¹â¾Ã§¨ÁÙ¡
         è        è ‹ è               Ñ       è                                  é
(nasal regurgitation) ¡ÅŒÒÁà¹×ͼ¹Ñ§¤ÍËÍ·íÒ˹ŒÒ·ÕººµÑÇÅѡɳФŌÒÂÅÙ¡ÊÙº (sequential peristalsis)
                              é                   è Õ
à¾×ÍÊ‹§¼‹Ò¹ÍÒËÒèҡ¤ÍËÍÂŧÊÙËÅÍ´ÍÒËÒà 㹢³Ð¹Ñ¹¡Å‹Í§àÊÕ§¨Ð¶Ù¡Â¡µÑÇáÅÐà¤Å×͹ÁÒ¢ŒÒ§Ë¹ŒÒ
   è                              ‹                   é                              è
à¾×Í໚¹¡ÒÃແ´ËÙô´ŒÒ¹º¹¢Í§ËÅÍ´ÍÒËÒà (upper esophageal sphincter) ãËŒ¡ÇŒÒ§¢Ö¹ ÍÒËÒèÐ
     è                  Ù                                                              é
ä´Œ¼Ò¹Å§ËÅÍ´ÍÒËÒôŒÇ¤ÇÒÁÊдǡ ã¹¢³Ð¡Å×¹ÍÒËÒà ÊÁͧ¨ÐÃЧѺ¡Ò÷íÒ§Ò¹¢Í§Ãкº·Ò§
       ‹
à´Ô¹ËÒÂ㨪ÑÇ¢³Ð˹֧ Ê‹§¼ÅãËŒÁ¡Òû´µÑǢͧÊÒÂàÊÕ§ (vocal cords) »‡Í§¡Ñ¹äÁ‹ãËŒª¹Ê‹Ç¹¢Í§ÍÒËÒÃ
             è            è     Õ                                             Ôé
¼‹Ò¹¡Å‹Í§àÊÕ§ŧÊÙËÅÍ´ÅÁä´Œ àÁ×ÍÍÒËÒÃŧÊÙËÅÍ´ÍÒËÒÃàÃÕºÌÍÂáÅŒÇ ¡Å‹Í§àÊÕ§¨Ð¡ÅѺÊÙµÒá˹‹§
                    ‹               è           ‹                                        ‹ í
à´ÔÁ¾ÃŒÍÁ¡Ñº¡ÒÃàÃÔÁµŒ¹·íÒ§Ò¹ãËÁ‹¢Í§Ãкº¡ÒÃËÒÂ㨠ÊÒÂàÊÕ§¨Ðແ´¡ÇŒÒ§ÍÍ¡à¾×ÍãËŒÍÒ¡ÒÈࢌÒÊÙ‹
                      è                                                            è
ËÅÍ´ÅÁµ‹Íä»
        3. ¢Ñ¹µÍ¹ã¹ËÅÍ´ÍÒËÒà (Esophageal phase)
             é
          àÁ×ÍËÙô´ŒÒ¹º¹¢Í§ËÅÍ´ÍÒËÒà (upper esophageal sphincter) ແ´ ÍÒËÒü‹Ò¹Å§ËÅÍ´
             è Ù
ÍÒËÒà ¡ÅŒÒÁà¹×ÍËÅÍ´ÍÒËÒèкպµÑÇÊ‹§¼‹Ò¹ÍÒËÒÃŧä»ã¹¡ÃÐà¾ÒÐÍÒËÒà 㹢³Ð¹Ñ¹¡ÅŒÒÁà¹×Í
                é                                                            é       é
ËÙô¨ÐË´µÑÇà¾×Í»‡Í§¡Ñ¹¡ÒÃŒ͹¡ÅѺ¢Í§ÍÒËÒâֹÁÒÂѧ¤ÍËÍÂÍÕ¡
   Ù          è                            é

ÀÒÇСÅ×¹ÅíÒºÒ¡ (Dysphagia)
       ÀÒÇСÅ×¹ÅíҺҡ໚¹»˜­ËÒÊíҤѭµ‹Í¤Ø³ÀÒ¾ªÕÇÔµ¢Í§¼ÙŒ»†Ç ÀÒÇСÅ×¹ÅíÒºÒ¡ÊÒÁÒö
¨íÒṡ䴌ã¹ËÅÒÂÃٻẺ 䴌ᡋ
           1. ¨íÒṡµÒÁ¢Ñ¹µÍ¹¢Í§¡ÒáÅ×¹ (phase of swallowing) «Ö§áº‹§Â‹ÍÂ໚¹ 2 »ÃÐàÀ·
                           é                                        è
䴌ᡋ
              1.1. ¡Å×¹ÅíÒºÒ¡¨Ò¡¢Ñ¹µÍ¹ã¹ª‹Í§»Ò¡áÅФÍËÍ (oropharyngeal dysphagia)
                                     é
              1.2. ¡Å×¹ÅíÒºÒ¡¨Ò¡¢Ñ¹µÍ¹ã¹ËÅÍ´ÍÒËÒà (esophageal dysphagia)
                                       é
           2. ¨íÒṡµÒÁÅѡɳзյÃǨ¾º (characteristics) ẋ§Â‹ÍÂ໚¹ 3 »ÃÐàÀ· 䴌ᡋ
                                   è
              2.1. ͋͹áçäÁ‹Á»ÃÐÊÔ·¸ÔÀÒ¾ (weak or ineffective swallow)
                                Õ
              2.2. ¼Ô´·ÔÈ·Ò§ (misdirected swallow) 䴌ᡋÍÒËÒÃäËÅŒ͹¢Ö¹â¾Ã§¨ÁÙ¡ (nasal
                                                                           é
                   regurgitation) ËÃ×Íà¡Ô´¡ÒÃÊíÒÅѡŧ·Ò§à´Ô¹ËÒÂ㨠(aspiration) ໚¹µŒ¹
              2.3. 㪌àÇÅÒÁÒ¡¡Ç‹Ò»¡µÔ (delayed swallow)
           3. ¨íÒṡµÒÁÊÒà赯 (causes) «Ö§áº‹§à»š¹ÊÒà˵ØËÅÑ¡æä´Œ 3 »ÃÐàÀ· 䴌ᡋ
                                            è
              3.1. ÊÒà˵طҧâ¤Ã§ÊÌҧ (structural causes) 䴌ᡋ ¤ÇÒÁ¼Ô´»¡µÔ·Ò§¡ÒÂÇÔÀÒ¤
                   à¹×ͧ͡¢Í§·Ò§à´Ô¹ÍÒËÒÃʋǹµŒ¹ ¡ÒÃÍÑ¡àʺ ÊÔ§á»Å¡»ÅÍÁ ËÅѧ¡Òü‹ÒµÑ´
                      é                                          è
                   ËÃ×Í©ÒÂáʧ ໚¹µŒ¹
              3.2. ÊÒà˵طҧÃкº»ÃÐÊÒ·áÅСŌÒÁà¹×Í (neuromuscular or functional causes)
                                                      é
                   䴌ᡋâäËÃ×ÍÀÒÇмԴ»¡µÔ¢Í§ÊÁͧ àÊŒ¹»ÃÐÊÒ·ÊÁͧ àÊŒ¹»ÃÐÊҷʋǹ»ÅÒÂ
àǪÈÒʵÏ·¹Âؤ 2553
          Ñ                                                                                     537

                     ʋǹàª×ÍÁ¢Í§»ÅÒ»ÃÐÊÒ·áÅСŌÒÁà¹×Í (neuromuscular junction) áÅÐ/ËÃ×Í
                            è                            é
                     ¡ÅŒÒÁà¹×Í à»š¹µŒ¹
                              é
                3.3. ÊÒà˵طҧ¨Ôµã¨áÅÐÊѧ¤Á (psychosocial causes) ઋ¹ ÀÒÇÐà¤ÃÕ´ âä·Ò§
                     ¨ÔµàǪ µŒÍ§¡ÒÃÅ´¹éÒ˹ѡ ÏÅÏ à»š¹µŒ¹
                                       í

¡ÒÃÊíÒÅÑ¡ (Aspiration/coughing/choking)
          ¡ÒÃÊíÒÅÑ¡ ¤×Í ÀÒÇ¡Òó·à¡Ô´¢Ö¹àÁ×ͼٻÇÂÁÕÀÒÇСÅ×¹ÅíÒºÒ¡ ¡Å‹ÒǤ×ÍÁÕʧá»Å¡»ÅÍÁ¼‹Ò¹
                                        Õè é è Œ †                           Ôè
¡Å‹Í§àÊÕ§ࢌÒä»ÊÙËÅÍ´ÅÁ «Ö§ÊÔ§á»Å¡»ÅÍÁàËŋҹѹÍÒ¨¨Ð໚¹ÍÒËÒà ¹éÒ ËÃ×ÍáÁŒáµ‹¹ÒÅÒµ¹àͧ
                    ‹             è è                    é            í               éí
àÁ×ÍÁÕʧá»Å¡»ÅÍÁàËŋҹռҹŧä»ã¹ËÅÍ´ÅÁ ÍÒ¨·íÒãËŒà¡Ô´¡ÒÃÍÑ¡àʺµÔ´àª×ͧ͢·Ò§à´Ô¹ã¨Ê‹Ç¹
   è Ôè                       é ‹                                         é
ŋҧ «Ö§ä´Œá¡‹ »Í´ÍÑ¡àʺµÔ´àª×Í (pneumonia) ½‚㹻ʹ (lung abscess) ËÃ×Í㹼ٻǺҧÃÒÂÍÒ¨
       è                            é                                           Œ †
à¡Ô´ÍѹµÃÒ¨¹¶Ö§¢Ñ¹Ãкº·Ò§à´Ô¹ËÒÂã¨ÅŒÁàËÅÇ (respiratory failure) ¨¹¶Ö§¢Ñ¹àÊÕªÕǵ䴌 ¡ÒÃÊíÒÅÑ¡
                      é                                                 é           Ô
໚¹»˜­ËÒ·Õ¾ºº‹ÍÂã¹¼Ù»ÇÂÍÑÁ¾Òµ áÅмٻÇÂ¡ÅØÁÁÐàÃç§ÈÕÃÉÐáÅÐ¤Í ¨Ò¡¡ÒÃÈÖ¡ÉÒ¾ºÇ‹Ò¼Ù»ÇÂ
               è          Œ †                 Œ †    ‹                                   Œ †
ÍÑÁ¾ÒµäÁ‹Ç‹Ò¨Ðà¡Ô´¨Ò¡àÅ×Í´ÍÍ¡ã¹ÊÁͧ ËÃ×ÍÊÁͧ¢Ò´àÅ×Í´¡çµÒÁÁÕâÍ¡ÒÊàÊÕè§µ‹Í¡ÒÃ໚¹»Í´
ÍÑ¡àʺµÔ´àª×ÍÁÒ¡¡Ç‹Ò¤¹»¡µÔ¶§ 6-7 à·‹Ò áÅÐâÍ¡ÒÊàÊÕ§µ‹Í¡ÒÃàÊÕªÕǵÊÙ§¶Ö§ 3 à·‹Ò Ê‹Ç¹ã¹¼Ù»ÇÂ
             é                        Ö                    è        Ô                     Œ †
ÁÐàÃ秪‹Í§»Ò¡ ¡Å‹Í§àÊÕ§áÅФÍËÍ ¨Ð¾ºÇ‹ÒÁÕ»­ËÒÊíÒÅѡ䴌·§¡‹Í¹áÅÐËÅѧ¡ÒÃÃÑ¡ÉÒ áÅСÒÃ
                                                   ˜           Ñé
ÃÑ¡ÉÒäÁ‹ÇÒ¨Ð໚¹¡Òü‹ÒµÑ´áÅÐ/ËÃ×Í¡ÒéÒÂáʧ¡çÅǹ໚¹ÊÒà˵ØÊҤѭ¢Í§¡ÒáÅ×¹ÅíÒºÒ¡áÅСÒÃ
           ‹                                           Œ          í
ÊíÒÅÑ¡·Ñ§ÊÔ¹
         é é

¡ÒáÅ×¹ÅíÒºÒ¡ã¹¼ÙŒ»†ÇÂÍÑÁ¾Òµ
          ã¹¼Ù»ÇÂÍÑÁ¾Òµ¹Ñ¹ ¡Ò÷ÕÊÁͧäÁ‹ÊÒÁÒö·íҧҹ䴌»¡µÔ ¨ÐÊ‹§¼Å¡Ãзº¡ÃÐà·×͹â´ÂµÃ§
                Œ †         é       è
µ‹ÍàÊŒ¹»ÃÐÊÒ·ÊÁͧ«Ö§ÁÕ˹ŒÒ·Õ¤Çº¤ØÁ¡ÅŒÒÁà¹×͵‹Ò§æ ·Õà¡ÕÂÇ¢ŒÍ§¡Ñº¡ÒáÅ×¹ ·íÒãËŒ¢¹µÍ¹¢Í§¡ÒÃ
                       è       è                 é            è è                        Ñé
¡Å× ¹ äÁ‹ à »š ¹ ÃкºÃÐàºÕ  ºÍ‹ Ò §·Õè ¤ ÇèÐ໚ ¹ ¼ÙŒ »† Ç ÂÍÑ Á ¾Òµ¨ÐÁÕ Í Ò¡ÒÃ¼Ô ´ »¡µÔ ¢ ͧÃкº
¡ÒáÅ׹䴌µ§áµ‹¢¹ª‹Í§»Ò¡ ¤ÍËÍÂáÅÐËÅÍ´ÍÒËÒà â´ÂÍÒ¡ÒèÐÁÒ¡ËÃ×͹ŒÍ¢ֹÍÂÙ¡ºµíÒá˹‹§
                 Ñé Ñé                                                                 é ‹ Ñ
áÅТ¹Ò´à¹×éÍÊÁͧ·Õè¶Ù¡¡Ãзº¡ÃÐà·×͹ ÍÒ¡ÒüԴ»¡µÔ·Õèà¡Ô´¢Öé¹ÊÒÁÒö͸ԺÒµÒÁ¢Ñ鹵͹
¢Í§¡ÒáÅ×¹ ´Ñ§¹Õé
        ª‹Í§»Ò¡
        ¼Ù»ÇÂÍÑÁ¾Òµ¨ÐÁÕ¡ÒÃ͋͹áç¢Í§¡ÅŒÒÁà¹×Í㹪‹Í§»Ò¡ ÍÒËÒÃáÅйéÒÍÒ¨ÁÕ¡ÒÃÃÑÇäËÅÍÍ¡
           Œ †                                  é                    í         è
¹Í¡ÃÔÁ½‚»Ò¡ à¹×ͧ¨Ò¡¡ÅŒÒÁà¹×ÍÃÔÁ½‚»Ò¡ÁÕ¡ÒÃ͋͹áçäÁ‹ÊÒÁÒö»´ä´ŒÊ¹Ô· ¼Ù»ÇÂäÁ‹ÊÒÁÒöà¤ÕÂÇ
               è              é                                          Œ †          é
ÍÒËÒÃãËŒÅÐàÍÕ´䴌¨Ò¡á纴à¤ÕéÂǢͧ¢Ò¡ÃÃä¡Ã·Õè͋͹áÍŧ ¡ÅŒÒÁà¹×éÍÅÔé¹Í‹Í¹áçäÁ‹ÊÒÁÒö
¤ÅØ¡à¤ÅŒÒÍÒËÒà ËÃ×ͨѴÃٻËҧáÅТ¹Ò´ÍÒËÒÃãËŒ¾ÍàËÁÒе‹Í¡ÒáÅ×¹ ¢³Ð·Õ¡ÅŒÒÁà¹×Íྴҹ»Ò¡
                                                                       è     é
·Ò§´ŒÒ¹ËÅѧ¢Í§ª‹Í§»Ò¡äÁ‹ÊÒÁÒö¤Çº¤ØÁÍÒËÒÃãËŒÍÂÙ㹪‹Í§»Ò¡ä´Œ ÍÒËÒúҧʋǹÍÒ¨ÃÑÇäËÅŧ
                                                  ‹                              è
ä»ã¹¤ÍËÍ¡‹Í¹àÇÅÒÍѹÊÁ¤Çà ʋ§¼ÅãËŒ¼»ÇÂà¡Ô´¡ÒÃÊíÒÅÑ¡ËÃ×ÍäÍ¡‹Í¹¨Ð¡Å×¹ÍÒËÒôŒÇ«éÒ
                                       ÙŒ †                                        í
        ¹Í¡¨Ò¡¹Ñ¹¡ÒÃÊ‹§¼‹Ò¹¢Í§ÍÒËÒèҡª‹Í§»Ò¡Å§ÊÙ¤ÍË͵ŒÍ§ÍÒÈѤÇÒÁá¢ç§áçáÅФÇÒÁ
                 é                                   ‹
ÊÑÁ¾Ñ¹¸·´¢Í§¡ÅŒÒÁà¹×ÍÅÔ¹ ྴҹ»Ò¡ áÅÐ⤹ÅÔ¹ àÇÅÒ·Õ㪌㹡ÒÃÊ‹§¼‹Ò¹¢Í§ÍÒËÒèҡª‹Í§»Ò¡
         Õè Õ         é é                     é        è
538                                                         Management for Dysphagia Patients

ŧÊÙ¤ÍËÍÂã¹¼Ù»ÇÂÍÑÁ¾Òµ¨Ð¹Ò¹¡Ç‹Ò»¡µÔ ¹Í¡¨Ò¡¹Ñ¹¡Ò÷աŌÒÁà¹×Íྴҹ»Ò¡Í‹Í¹áçʋ§¼ÅãËŒ
    ‹           Œ †                          é      è       é
ྴҹ»Ò¡äÁ‹ÊÒÁÒö»´â¾Ã§ËÅѧ¨ÁÙ¡ã¹¢³Ð¡Å׹䴌Í‹ҧÁÕ»ÃÐÊÔ·¸ÔÀÒ¾ ·íÒãËŒÁºÒ§Ê‹Ç¹¢Í§ÍÒËÒÃ
                                                                      Õ
ÃÑǼ‹Ò¹¢Ö¹Âѧ¨ÁÙ¡¢Í§¼Ù»ÇÂä´Œ
  è      é            Œ †
        ¤ÍËÍÂ
        ´Ñ§·Õ¡Å‹ÒÇáÅŒÇÇ‹ÒËҧ¡ÒÂÁ¹ØÉ»ÃСͺ´ŒÇ¡Åä¡·ÕÊÅѺ«Ñº«ŒÍ¹ ã¹¢³Ð·Õ¡Å×¹ÍÒËÒà Ãкº
             è                                        è                  è
¡ÒÃËÒÂ㨨ÐËÂØ´·íÒ§Ò¹ ¡ÒÃÊíÒÅѡ㹼ٌ»†ÇÂÍÑÁ¾ÒµÊ‹Ç¹ãË­‹¨Ðà¡Ô´¢Öé¹ã¹¢Ñ鹵͹¡ÒáÅ׹ʋǹ¹Õé
¡Ò÷աŌÒÁà¹×ͼ¹Ñ§¤ÍËÍÂäÁ‹ÊÒÁÒöºÕºµÑÇä´Œ»¡µÔ ·íÒãËŒ¡ÒÃÊ‹§¼‹Ò¹ÍÒËÒèҡ¤ÍËÍÂÊ‹§¼‹Ò¹ä»Âѧ
      è        é
ËÅÍ´ÍÒËÒÃä´ŒªÒŧ ÍÕ¡·Ñ§¡Å‹Í§àÊÕ§äÁ‹ÊÒÁÒö¡µÑÇä´Œã¹ÃдѺ·ÕàËÁÒÐÊÁ áÅÐÊÒÂàÊÕ§äÁ‹»´µÑÇ
                 Œ         é                                 è                      
àͧ䴌ʹԷ ·íÒãËŒÁºÒ§Ê‹Ç¹¢Í§ÍÒËÒÃäËż‹Ò¹¡Å‹Í§àÊÕ§ŧä»ã¹ËÅÍ´ÅÁ à¡Ô´¡ÒÃäÍáÅÐÊíÒÅÑ¡¢Ö¹
                      Õ                                                               é
¹Í¡¨Ò¡¹Ñé¹áÅŒÇã¹¼ÙŒ»†ÇÂÍÑÁ¾Òµ ÁÑ¡äÁ‹ÊÒÁÒö¡Å×¹ÍÒËÒäíÒ˹Öè§æ ä´ŒËÁ´ã¹¤ÃÑé§à´ÕÂÇ ·íÒãËŒÁÕ
àÈÉÍÒËÒäŒÒ§ÍÂÙ·ºÃÔàdz¤ÍËÍ àÁ×ͼٻÇÂàÃÔÁ¡ÒÃËÒÂ㨠ÊÒÂàÊÕ§ÁÕ¡ÒÃແ´¡ÇŒÒ§ ·íÒãËŒàÈÉÍÒËÒÃ
                   ‹ Õè            è Œ † è
·ÕàËÅ×ͤŒÒ§àËŋҹѹËÅØ´Å§ä»ã¹ËÅÍ´ÅÁà¡Ô´¡ÒÃÊíÒÅÑ¡áÅСÒÃäÍ䴌ઋ¹¡Ñ¹
  è                 é
        ËÅÍ´ÍÒËÒÃ
        ¡ÒÃ໚¹ÍÑÁ¾Òµ¨ÐÊ‹§¼ÅãËŒËÙÃÙ´´ŒÒ¹º¹¢Í§ËÅÍ´ÍÒËÒÃäÁ‹ÊÒÁÒöແ´¡ÇŒÒ§ä´ŒµÒÁ»¡µÔ
·íÒãËŒÍÒËÒÃÊ‹§¼‹Ò¹¨Ò¡¤ÍËÍÂŧÊÙ‹ËÅÍ´ÍÒËÒÃä´ŒÅíÒºÒ¡¢Öé¹ ¹Í¡¨Ò¡¹Ñé¹Âѧʋ§¼Å¶Ö§¡ÒúպµÑÇ
¢Í§¡ÅŒÒÁà¹×ÍËÅÍ´ÍÒËÒà ·íÒãËŒÍÒËÒÃÊ‹§¼‹Ò¹ä»¶Ö§¡ÃÐà¾ÒÐÍÒËÒÃä´ŒªÒŧ´ŒÇÂ
           é                                                 Œ

¡ÒáÅ×¹ÅíÒºÒ¡ã¹¼ÙŒ»†ÇÂÁÐàÃç§ÈÕÃÉÐáÅФÍ
          ʋǹ»˜­ËÒ¡Å×¹ÅíÒºÒ¡ã¹¼Ù»ÇÂÁÐàÃç§ÈÕÃÉÐáÅФ͹ѹ ¡çઋ¹à´ÕÂǡѺ¼Ù»ÇÂÍÑÁ¾ÒµËÃ×ͼٻÇÂ
                                    Œ †                      é             Œ †                Œ †
·ÕÁ¤ÇÒÁ¼Ô´»¡µÔ¢Í§Ãкº»ÃÐÊÒ·áÅСŌÒÁà¹×Í ·Õ¤ÇÒÁ¼Ô´»¡µÔÊÒÁÒöà¡Ô´¢Ö¹ä´Œã¹·Ø¡¢Ñ¹µÍ¹¢Í§
    è Õ                                        é è                          é            é
¡ÒáÅ×¹ ᵋâ´ÂÁÒ¡áÅŒÇÁѡ໚¹¤ÇÒÁ¼Ô´»¡µÔ㹢ѹµÍ¹¢Í§ª‹Í§»Ò¡áÅФÍËÍ (oropharyngeal
                                                    é
dysphagia) ÁÒ¡¡Ç‹Ò㹢ѹµÍ¹¢Í§ËÅÍ´ÍÒËÒà (esophageal dysphagia) â´Â¡‹Í¹¡ÒÃÃÑ¡ÉÒ ÍÒ¡ÒÃ
                          é
¹íҢͧ¼Ù»ÇÂ¡ÅØÁ¹ÕÁ¡ÁÒ¾ºá¾·Â´ÇÂÍÒ¡ÒáÅ×¹ÅíÒºÒ¡ áÅÐ/ËÃ×Í¡Å×¹à¨çºÍÂÙáÅŒÇ ¼Ù»ÇºҧÃÒÂ
          Œ †      ‹ é Ñ                Œ                                      ‹     Œ †
¹éÒ˹ѡµÑÇŴŧÍ‹ҧÁÒ¡ áÅÐàÁ×Í·íÒ¡ÒÃÃÑ¡ÉÒ â´Â੾ÒСÒü‹ÒµÑ´ áÁŒ¨ÐµÑ´à¹×ÍÃŒÒÂÍÍ¡ä» ¼Ù»ÇÂ
  í                               è                                              é           Œ †
¨íҹǹ˹֧¡çÍÒ¨ÂѧµŒÍ§à¼ªÔ­¡ÑºÀÒÇСÅ×¹ÅíÒºÒ¡µ‹Íä» ·Ñ§¹Õ¢¹ÍÂÙ¡ººÃÔàdzáÅлÃÔÁÒ³à¹×ÍàÂ×Í·Õè
              è                                             é é Öé ‹ Ñ                     é è
¶Ù¡µÑ´ÍÍ¡ä» Ãкº¡ÅŒÒÁà¹×ÍáÅÐàÊŒ¹»ÃÐÊÒ··Õ¤§àËÅ×ÍÍÂÙÊÒÁÒö·íҧҹ䴌Á»ÃÐÊÔ·¸ÔÀÒ¾à¾Õ§ä˹
                             é                  è         ‹              Õ
µÅÍ´¨¹¡Òë‹ÍÁá«Á·´á·¹à¹×ÍàÂ×Í·Õ¶¡µÑ´ÍÍ¡ (reconstruction) ¹Ñ¹à¾Õ§¾ÍËÃ×ÍäÁ‹ ໚¹µŒ¹ ʋǹ
                                 é è è Ù                               é
¡ÒéÒÂáʧ¡çÁ¼Åµ‹Í¡ÒáÅ×¹ ໚¹µŒ¹Ç‹Ò·íÒãËŒ»ÃÔÁÒ³¹éÒÅÒ¹ŒÍÂŧ ÁÕá¼Åà¡Ô´¢Ö¹ã¹ª‹Í§»Ò¡ ËÃ×Í
                 Õ                                      í                          é
ÁÕ¾§¼×´ (fibrosis) à¡Ô´¢Ö¹·Õ¡ÅŒÒÁà¹×Í·Õà¡ÕÂÇ¢ŒÍ§ Ê‹§¼Åµ‹Í¡ÒáÒúպµÑǢͧ·‹Í·Ò§à´Ô¹ÍÒËÒÃ
        Ñ                é è         é è è

¡ÒÃÃÑ¡ÉÒ
      ¡ÒÃÃÑ¡ÉÒ¢Ö¹ÍÂÙ¡ºÃÐÂÐàÇÅÒáÅÐÊÒà˵آͧ¡Òû†Ç ¼Ù»ÇÂËÅѧ¡Òü‹ÒµÑ´ãË­‹¢Í§ÁÐàÃç§ÈÕÃÉÐ
                 é ‹ Ñ                              Œ †
áÅÐ¤Í ËÃ×Í ¼Ù»ÇÂÍÑÁ¾Òµà©Õº¾Åѹ â´Â੾ÒжŒÒÃÍÂâäÍÂÙ·¡Ò¹ÊÁͧáÅŒÇ ¼Ù»Ç¨ÐäÁ‹ÊÒÁÒö
             Œ †                                      ‹ Õè Œ          Œ †
àǪÈÒʵÏ·¹Âؤ 2553
          Ñ                                                                                                                                      539

¡Å×¹ÍÒËÒÃä´Œ ¶ŒÒ¡Å×¹ÍÒËÒáç¨Ðà¡Ô´¡ÒÃÊíÒÅÑ¡áÅСÒÃäÍÍÂ‹Ò§ÃØ¹áç ã¹¼Ù»ÇÂàËŋҹÕáÁŒáµ‹¹ÒÅÒ                              Œ †                   é         éí
¢Í§µ¹àͧ¡ç§¡Å×¹äÁ‹ä´Œ ¹éÒÅÒµԴ·Õ¤Ò§ÍÂÙ㹤ÍÍÒ¨äËż‹Ò¹¡Å‹Í§àÊÕ§ŧÊÙËÅÍ´ÅÁ¡‹Í»˜­ËÒãËŒà¡Ô´
                    Ñ                 í                      è Œ ‹                                                 ‹
¡ÒÃÍÑ¡àʺµÔ´àª×Í䴌ઋ¹¡Ñ¹ ¼Ù»ÇÂ¡ÅØÁ¹ÕµÍ§§´ãËŒÍÒËÒ÷ҧ»Ò¡¡‹Í¹ ¡ÒÃãËŒÍÒËÒÃÊÒÁÒöãËŒ·Ò§
                      é                           Œ †          ‹ é Œ
ÊÒÂÂÒ§¼‹Ò¹¨Á١ŧÊÙ¡ÃÐà¾ÒÐÍÒËÒà (nasogastric tube) ËÃ×Í¡ÒÃà¨ÒÐãÊ‹·Í¨Ò¡¡ÃÐà¾ÒÐÍÒËÒü‹Ò¹
                              ‹                                                                                ‹
¼¹Ñ§Ë¹ŒÒ·ŒÍ§ (gastrostomy) ·íÒãËŒ¼»ÇÂ䴌úÍÒËÒÃáÅоÅѧ§Ò¹·Õà¾Õ§¾Í¨¹¡Ç‹ÒÊÀҾËҧ¡ÒÂ
                                                                ÙŒ †   Ñ                             è
¼Ù»Ç¨дբ¹ ¹Í¡¨Ò¡¹Ñ¹¡ÒôÙáÅ·ÑÇ仡ç໚¹ÊÔ§·ÕÊҤѭ 䴌ᡋ¡ÒÃËÁѹ´Ù´¹éÒÅÒÂáÅÐàÊÁËÐ ¡ÒèѴ
  Œ †        Öé                     é                      è              è èí                         è                 í
·‹Ò¹Í¹ãËŒËÇÊÙ§ (˹عËÁ͹ËÃ×Íä¢ËÑÇàµÕ§ãˌʧ¢Ö¹) ¡Ò÷íÒ¡ÒÂÀÒ¾ºíҺѴà¾×ͽƒ¡ãËŒ¼»ÇÂä´ŒäÍÍ‹ҧ
                Ñ                                                        Ù é                                               è          ÙŒ †
ÁÕ»ÃÐÊÔ·¸ÔÀÒ¾ ໚¹µŒ¹
          ÊíÒËÃѺ¼Ù»Ç·ÕÍÂÙã¹ÃÐÂп„¹µÑÇ ¡Òýƒ¡¡Å×¹ (swallowing therapy) ¶×Í໚¹ËÑÇã¨ÊíҤѭ¢Í§
                        Œ † è ‹                          œ
¡ÒÃÃÑ¡ÉÒ ¡ÒáÅ×¹·ÕÁ»ÃÐÊÔ·¸ÔÀÒ¾¤×Í¡ÒáÅ×¹·Õä´ŒÍÒËÒÃã¹»ÃÔÁÒ³·ÕàËÁÒÐÊÁ ÅѡɳТͧÍÒËÒÃ
                             è Õ                                             è                           è
·ÕËÅÒ¡ËÅÒ áÅÐäÁ‹Á¡ÒÃÊíÒÅÑ¡ËÃ×Í¡ÒÃäÍ àÁ×ͼٻÇÂàÃÔÁ¿„¹¨Ò¡ÍÒ¡Òû†Ç «Ö§ËÁÒ¶֧Ãкº¡ÒÃ
    è                             Õ                                        è Œ † è œ                                              è
äËÅàÇÕ¹¢Í§àÅ×Í´ã¹ÊÁͧ´Õ¢¹ ËÃ×ÍÃкº¡ÅŒÒÁà¹×ÍáÅлÃÐÊÒ·ÁÕ¡Òÿ„¹µÑÇ´Õ¢¹ã¹ÃдѺ˹֧ ¼Ù»ÇÂ
                                               Öé                                    é                     œ                   Öé                 è Œ †
¤ÇÃ䴌ú¡ÒõÃǨÊÁÃöÀÒ¾¡ÒáÅ×¹ ã¹»˜¨¨Øº¹¡ÒõÃǨËÅÑ¡æ ÁÕ 2 »ÃÐàÀ· ¤×Í ¡ÒõÃǨ¡ÒÃ
        Ñ                                                                      Ñ
¡Å×¹¼‹Ò¹ÀÒ¾·Ò§ÃѧÊÕ (videofluoroscopy) áÅСÒõÃǨ¡ÒáÅ×¹´ŒÇ¡Ōͧʋͧ¼‹Ò¹·Ò§¨ÁÙ¡áÅÐ
¤ÍËÍ (fibreoptic endoscopic evaluation of swallowing) «Ö§ã¹¡ÒõÃǨ·Ñ§Êͧ»ÃÐàÀ·µŒÍ§ÍÒÈÑ     è                         é
¼ÙªÒ¹Ò­·Ò§ÃѧÊÕÇ·ÂÒáÅзҧËÙ ¤Í ¨ÁÙ¡ 䴌ᡋᾷ ¾ÂÒºÒÅ ¹Ñ¡ÍÃöºíҺѴ áÅйѡ¡ÒÂÀÒ¾ºíҺѴ
   Œ í                     Ô
໚¹µŒ¹ 㹡ÒõÃǨÊÁÃöÀÒ¾¡ÒáÅ×¹ ᾷáÅзÕÁ§Ò¹¨Ðä´Œ¢ÍÁÙÅ·Õ໚¹»ÃÐ⪹«§ÊÒÁÒö                    Œ             è                             Öè
¹íÒÁÒ㪌µÍ¡ÒúíҺѴÃÑ¡ÉÒ¼Ù»ÇÂä´Œ â´ÂËÅÑ¡¡ÒáÒôÙáÅÃÑ¡ÉҼٻǠ»ÃСͺ´ŒÇÂ
           ‹                              Œ †                                                  Œ †
          1. ÍÒËÒÃ
                  1.1 ¤ÇÒÁ˹״¢Í§ÍÒËÒà (consistency) ·ÑèÇ仼ٌ»†ÇÂã¹ÃÐÂп„œ¹µÑÇ ÍÒËÒ÷ÕèàËÁÒÐ
                      µ‹Í¡ÒáÅ×¹¤ÇÃÁÕ¤ÇÒÁ˹״ÃдѺ˹Öè§ äÁ‹¤ÇÃ໚¹¢Í§àËÅÇ·Õà´ÕÂÇ µÑÇÍ‹ҧઋ¹
                      ⨍¡»˜¹ âÂà¡Ôµ «Ø»¢Œ¹ ¢¹Á¾Ç¡Çع µÐ⡌ ໚¹µŒ¹ Í‹ҧäáçµÒÁã¹¢³Ð·íÒ¡ÒõÃǨ
                                ›          ê                                     Œ
                      ÊÁÃöÀÒ¾¡ÒáÅ×¹ ᾷáÅзÕÁ§Ò¹ÊÒÁÒö»ÃÐàÁÔ¹¤ÇÒÁ˹״¢Í§ÍÒËÒ÷Õè
                      àËÁÒÐÊÁµ‹Í¼Ù»ÇÂä´Œã¹ã¹ÃдѺ˹֧ ÊÒÁÒöá¹Ð¹íÒÍÒËÒ÷ռ»ÇÂÊÒÁÒö¡Å׹䴌
                                                   Œ †                                 è                                     è ÙŒ †
                      ¤Å‹Í§µÑÇ áÅÐäÁ‹à¡Ô´¡ÒÃÊíÒÅÑ¡
                  1.2 ¢¹Ò´¢Í§ÍÒËÒ÷ÕàËÁÒÐÊÁ (bolus size) 㹡Òýƒ¡¡Å×¹ ¼Ù»Ç¨Ð䴌ú¡ÒÃá¹Ð¹íÒ
                                                       è                                                              Œ †                    Ñ
                      ¶Ö§¢¹Ò´ÍÒËÒÃᵋÅФíÒ·ÕèàËÁÒÐÊÁ
          2. ·‹ÒÊíÒËÃѺ¡Å×¹ÍÒËÒà (position) ·‹Òàº×ͧµŒ¹·ÕàËÁÒÐÊíÒËÃѺ¼Ù»ÇÂÍÑÁ¾Òµ¤×Í ãˌ˹ÈÕÃÉÐ
                                                                                   é       è                 Œ †                                   Ñ
ä»·Ò§¢ŒÒ§·ÕÍ͹áçáÅС‹Í¹¡ÒáÅ×¹ãËŒ¾ÂÒÂÒÁ¡´áÅÐà¡Ã秤ҧ¢Í§µ¹àͧࢌÒÊÙ˹ŒÒÍ¡
                   è‹                                                                                                               ‹
          3. ¡ÒôÙáÅÊØ¢ÀÒ¾·ÑÇä» ä´Œá¡‹¡Òýƒ¡äÍãËŒÁ»ÃÐÊÔ·¸ÔÀÒ¾ ¡ÒôÙáÅ͹ÒÁѪ‹Í§»Ò¡ µÅÍ´¨¹
                                             è                                           Õ
¡ÒÃ㪌ÂÒÃÑ¡ÉÒÍÒ¡ÒõÒÁ¤ÇÒÁàËÁÒÐÊÁ
          4. ¡ÒôÙáÅÊÀÒ¾¨Ôµã¨ ¡ÒÃãËŒ¡íÒÅѧ㨼ٌ»†ÇÂ໚¹ÊÔè§ÊíҤѭ áÅоÂÒÂÒÁªÕéãËŒàËç¹Ç‹Ò¼ÙŒ»†ÇÂ
ÊÒÁÒö¡Å׹䴌¶ÒÁÕ¤ÇÒÁµÑ§ã¨½ƒ¡áÅÐäÁ‹ÂÍ·ŒÍ
                         Œ              é                            ‹
540                                                      Management for Dysphagia Patients

         5. Í×¹æ ઋ¹ ¡ÒÃ㪌ÂÒ ¡ÒáÃеعÃкº¡ÅŒÒÁà¹×ÍáÅÐàÊŒ¹»ÃÐÊÒ·´ŒÇÂä¿¿‡Ò (pharyngeal
              è                        Œ            é
stimulation) ¡ÒÂÀÒ¾ºíҺѴ੾ÒÐʋǹ à¾×Íà¾ÔÁ¤ÇÒÁá¢ç§áç¢Í§¡ÅŒÒÁà¹×Í·Õà¡ÕÂÇ¢ŒÍ§¡ÒáÅ×¹ «Ö§
                                         è è                     é è è                 è
µŒÍ§ÍÂÙ㹤ÇÒÁ´ÙáÅÍ‹ҧã¡ÅŒª´¢Í§á¾·ÂáÅзÕÁ§Ò¹·Õà¡ÕÂÇ¢ŒÍ§
       ‹                     Ô                   è è
       ¡Òÿ„œ¹¿Ù¡ÒáÅ×¹
       ¡Òÿ„¹¿Ù¡ÒáÅ×¹ (Dysphagia rehabilitation) ໚¹ËÑÇã¨ÊíҤѭÍÕ¡Êԧ˹֧µ‹Í¡ÒÃÃÑ¡ÉÒ¼Ù»ÇÂ
                œ                                                     è è               Œ †
·ÕÁ¤ÇÒÁ¼Ô´»¡µÔ¢Í§¡ÒáÅ×¹ àÁ×ͤ¹ä¢Œä´ŒÃº¡ÒûÃÐàÁÔ¹ à¾×ÍËÒ¤ÇÒÁ¼Ô´»¡µÔ·à¡Ô´¢Ö¹áÅŒÇ ¡ÒÃÇÒ§
  è Õ                        è          Ñ               è                 Õè é
á¼¹¡ÒÃÃÑ¡ÉÒ à»š¹àÃ×èͧ¨íÒ໚¹áÅÐÊíҤѭ ã¹Ê‹Ç¹¢Í§¡Òÿ„œ¹¿Ù¡ÒáÅ×¹ ´Ñ§µÒÃÒ§·Õè 1 ¡ÒÃÃÑ¡ÉÒ
ÊÒÁÒö·Õ¨Ð¾Ô¨ÒóÒẋ§ÍÍ¡ 仵ÒÁ¡ÅØÁÍÒ¡Òâͧâä·Õ·ÒãËŒà¡Ô´¤ÇÒÁ¼Ô´»¡µÔ¢Í§¡ÒáÅ×¹ ᵋ
          è                           ‹               è í
ã¹·Ò§»¯ÔºµáŌǡÒûÃѺà»ÅÕ¹¾×¹°Ò¹¡Ò÷íÒ§Ò¹¢Í§Ã‹Ò§¡Ò·ÕÁ¼Åµ‹Í¡ÒáÅ×¹ ÃÇÁ¶Ö§ÅѡɳТͧ
            Ñ Ô            è é                             è Õ
ÍÒËÒ÷Õú»Ãзҹ¡çʧ¼Å䴌ઋ¹¡Ñ¹
       èÑ            ‹

µÒÃÒ§·Õè 1 ¡ÅØ‹ÁÍÒ¡Ò÷ÕèÁÕ¤ÇÒÁ¼Ô´»¡µÔ¨Ò¡¡ÒáÅ×¹áÅмšÃзº·Õèà¡Ô´¢Öé¹
 ¡ÅØ‹Á¤¹ä¢Œ                                    ¼Å¡Ãзº·Õèà¡Ô´¢Öé¹
 ¼ÙʧÍÒÂØ
   ŒÙ                                        ¡Å×¹ÅíÒºÒ¡ ÁÕ¡ÅŒÒÁà¹×Í·Õà¡ÕÂÇ¢ŒÍ§¡Ñº¡ÒáÅ×¹
                                                                  é è è
                                             ͋͹áç ¿˜¹Ã‹Ç§ áÅСÒüÅÔµ¹éÒÅÒÂŴŧ
                                                                           í
 ÍÑÁ¾Òµ (stroke)                             ÁռŨҡ¡Ò÷íÒ˹ŒÒ·Õ¢Í§Ãкº»ÃÐÊÒ·
                                                                   è
                                             ¡ÅŒÒÁà¹×͵‹Ò§æ áÅÐÊÁͧ¼Ô´»¡µÔ
                                                     é
 Multiple sclerosis ËÃ×Í Parkinson’s disease ¼Å¡Ãзº¨Ò¡Ãкº»ÃÐÊÒ·áÅСŌÒÁà¹×éÍ
 ÁÐàÃ秪‹Í§»Ò¡ ¡Å‹Í§àÊÕ§áÅФÍËÍ            Ãкº»ÃÐÊÒ·áÅСŌÒÁà¹×Ͷ١·íÒÅÒ¨ҡÃÍÂ
                                                                       é
                                             âäáÅШҡ¡ÒÃÃÑ¡ÉÒ
 䴌úºÒ´à¨çº·Ò§ÈÕÃÉÐáÅФÍ
     Ñ                                       Ãкº»ÃÐÊÒ·áÅСŌÒÁà¹×éͶ١·íÒÅÒÂ
 Chronic heartburn, internal burns ¨Ò¡       â¤Ã§ÊÌҧ¢Í§¡ÅŒÒÁà¹×͵‹Ò§æ ã¹ËÅÍ´ÍÒËÒÃ
                                                                     é
 ÃѺÊÒþÔÉËÃ×Í radiotherapy                  ¶Ù¡·íÒÅÒÂ
 ¤¹ä¢Œ·Á¡ÒõԴàª×Í (laryngitis, tonsillitis,
         Õè Õ      é                         »˜­ËÒ¨Ò¡â¤Ã§ÊÌҧ ËÅÍ´ÍÒËÒÃ᤺
 herpes) ËÃ×͡ŌÒÁà¹×ÍËÅÍ´ÍÒËÒÃË´à¡Ãç§
                     é

       ¡Òÿ„¹¿Ùẋ§Í͡䴌 2 ·Ò§ ¤×Í
            œ
       1. ¡Òÿ„¹¿Ù·Ò§ÍŒÍÁ (Indirect therapy)
               œ
       2. ¡Òÿ„¹¿Ù·Ò§µÃ§ (Direct therapy)
                 œ
        ¡Òÿ„¹¿Ù·Ò§ÍŒÍÁ (Indirect therapy)
              œ
        ໚¹¡Òýƒ¡â´ÂäÁ‹ãªŒÍÒËÒÃËÃ×ͧ͢àËÅÇ áµ‹à»š¹¡ÒÃàµÃÕÂÁ¤ÇÒÁ¾ÃŒÍÁ¢Í§Ã‹Ò§¡Ò·ÕÁÊǹè Õ‹
ÊÑÁ¾Ñ¹¸¡º¡ÒáÅ×¹ â´Â¡Òýƒ¡»ÃѺà»ÅÕ¹¡Ò÷íÒ§Ò¹¢Í§Ã‹Ò§¡ÒÂ
         Ñ                          è
        1. ¶ŒÒ¡ÅŒÒÁà¹×Í·ÕÁÊǹª‹ÇÂ㹡ÒáÅ×¹à¡Ô´ÀÒÇÐ͋͹áç ઋ¹ ¢Ò¡ÃÃä¡Ã ÅÔ¹ ÁÕÀÒÇÐ͋͹áç
                      é è Õ‹                                              é
µŒÍ§ÁÕ¡Òýƒ¡ºÃÔËÒáŌÒÁà¹×Í੾ÒÐʋǹ
                           é
àǪÈÒʵÏ·¹Âؤ 2553
          Ñ                                                                              541

        2. ½ƒ¡¡ÒÃËÒÂã¨ãˌšÁÒ¡¢Ö¹à¾×ͪ‹ÇÂãËŒ¡ÅŒÒÁà¹×ÍÅÔ¹áÅСŋͧàÊÕ§ÁÕ¡ÒÅѧà¾ÔÁ¢Ö¹ Âѧª‹ÇÂÅ´
                          Ö      é è                 é é                í      è é
ÍÒ¡ÒÃà¡Ã秢ͧËҧ¡ÒÂ
        3. ËŒÒÁÃѺ»ÃзҹÍÒËÒâ³Ð·ÕÍÂÙã¹·‹Ò¤ÃÖ§¹Ñ§¤ÃÖ§¹Í¹ ÍÒ¨·íÒãËŒà¡Ô´ ¡ÒÃäËŢͧ¹éÒËÃ×Í
                                     è ‹          è è è                                  í
ÍÒËÒÃŧÊÙ·Ò§à´Ô¹ËÒÂã¨ä´Œ ¨¹ÍÒ¨à¡Ô´ÀÒÇлʹª×¹ËÃ×ͻʹµÔ´àª×Í àÇÅÒ·Ò¹¹éÒËÃ×ÍÍÒËÒà äËÅ‹
          ‹                                        é           é            í
µŒÍ§µÑ§µÃ§
      é
        4. ¶ŒÒ¡Å×¹ÍÒËÒÃáŌǵԴ ËŒÒÁ¹Í¹Å§¡Ñº¾×¹ ãˌ¹¢Ö¹áÅŒÇÂ״Ëҧ¡ÒÂʋǹº¹áÅÐà´Ô¹Ãͺæ
                                              é       × é
㹪‹Ç§àÇÅÒÊѹæ ÍÒ¨¨Ðª‹ÇÂãËŒÍÒËÒÃäËÅŧ·ŒÍ§ä´Œ
            é
        5. ¶ŒÒ¿˜¹»ÅÍÁËÅÇÁ¨ÐµŒÍ§á¡Œä¢ãˌṋ¹¢Ö¹  é
        6. ËŒÒÁÃѺ»ÃзҹÍÒËÒá‹Í¹¹Í¹ 3 ªÑÇâÁ§ ¶ŒÒÍÒËÒõԴã¹ËÅÍ´ÍÒËÒ÷ѧ¤×¹ÍÒ¨·íÒãËŒ
                                            è                                   é
à¡Ô´ÍÒ¡ÒÃäÁ‹ÊºÒµÑÇáÅÐÍÒ¨à¡Ô´ÍÒ¡ÒÃà¨çºã¹¤Í
       ¡Òÿ„¹¿Ù·Ò§µÃ§ (Direct therapy)
            œ
       ½ƒ¡â´Â㪌ÍÒËÒÃËÃ×ͧ͢àËÅÇ㹡ÒáÃеع¡Òýƒ¡¡Å×¹
                                          Œ
       ¡ÒûÃѺà»ÅÕ¹¡ÒáÅ×¹
                  è
        1. µÑ´ÍÒËÒÃáÅŒÇà¤ÕÂÇÍÒËÒÃãˌ໚¹ªÔ¹àÅç¡æ
                               é               é
        2. ¶ŒÒËÒ¡Ç‹ÒÁÕ¡ÒÃÊÙ­àÊÕ¡ÒÃÃѺ¡ÅÔè¹áÅÐÃʪҵÔÍÒËÒà ¨¹·íÒãËŒ¹éíÒÅÒ¼ÅÔµÍÍ¡ÁÒ
äÁ‹à¾Õ§¾Í ÍҨʋ§¼ÅãËŒà¡Ô´ÍÒ¡ÒÃäÁ‹ÍÂÒ¡¡Ô¹ÍÒËÒà «Ö§ÍҨᡌ䢴ŒÇ¡ÒûÃѺà»ÅÕ¹´ŒÇ¡Òõ¡áµ‹§
                                                     è                   è
ÍÒËÒÃãËŒËÅÒ¡ÊÕʹ   Ñ
        3. 㪌à¤Ã×ͧ´×ÁËÅÒ¡ÊÕʹà¾×ͪ‹Ç¡ÃеعãËŒ¡Å×¹ÍÒËÒü‹Ò¹Å§ä»ä´Œ
                  è è                Ñ è           Œ
        4. µŒÍ§ÁÕàÇÅÒ·Õà¾Õ§¾Í㹡ÒÃÃѺ»ÃзҹÍÒËÒà äÁ‹¤ÇÃà˧ÃÕºà¡Ô¹ä»
                           è
        5. ËÅÕ¡àÅÕ§¡ÒÃ㪌¿¹¡Ñ´ªŒÍ¹¢³Ð·Õ»Í¹ÍÒËÒà à¾×Í»‡Í§¡Ñ¹»¯Ô¡ÃÂÒ¡ÒáÅ×¹Íѵâ¹ÁѵÔ
                     è           ˜            è ‡        è         ÔÔ
        6. ÃѺ»ÃзҹÍÒËÒÃã¹Ê¶Ò¹·Õ·Ê§ºáÅÐà§Õº äÁ‹Ááç¡´´Ñ¹¨Ò¡¡ÒÃÂ×¹Áͧ¨Ò¡¤¹Ãͺ¢ŒÒ§
                                         è Õè          Õ
        7. ¤¹ä¢ŒµÍ§ÍÂÙã¹·‹ÒµÑ§µÃ§ËÅѧ¨Ò¡·Õ¡Å×¹ÍÒËÒÃ令ÃѧáááÅŒÇ »ÃÐÁÒ³ 20 ¹Ò·Õ à¾×ÍãËŒ
                       Œ     ‹     é             è         é                        è
ṋã¨Ç‹Ò㹪‹Í§»Ò¡äÁ‹ÁÍÒËÒÃÍÂÙã¹»Ò¡áÅÐã¹µÔ´ã¹ËÅÍ´ÍÒËÒà à¾×Í»‡Í§¡Ñ¹¡ÒáÅ×¹«éÒÍ‹ҧàÃçÇ
                         Õ            ‹                        è                í
¶ŒÒËҡNjҹíÒÍÒËÒÃãËŒ¤¹ä¢ŒÃͺµ‹Íä»
       ¡ÒûÃѺà»ÅÕ¹ÍÒËÒÃ
                  è
       ¶ŒÒÁÕ»˜­ËÒã¹Ê‹Ç¹¢Í§ËÅÍ´ÍÒËÒÃʋǹŋҧ ¡Å×¹áÅŒÇäÁ‹äËż‹Ò¹Å§ä´Œ§‹Ò ¤ÇèÐÁÕ¡ÒÃ
»ÃѺà»ÅÕ¹ÍÒËÒÃãËŒ¹ÁáÅÐàËÅÇ¢Ö¹ ᵋ¡µÍ§ÃÐÇѧ㹡ÒÃà¡Ô´
        è             Ôè      é      ç Œ
       1. ¡ÒÃäËÅŧ¢Í§ÍÒËÒ÷ÕàÃçÇà¡Ô¹ä» ÂÒ¡µ‹Í¡ÒäǺ¤ØÁ ·íÒãËŒäËÅŧÊÙ·Ò§à´Ô¹ËÒÂã¨áÅÐ
                                è                                      ‹
»Í´ä´Œ¡Ò÷ÕÍÒËÒÃÁÕ¤ÇÒÁ˹Ò˹״·íÒãËŒà¡Ô´¡ÒÃÃѺÃÙä´Œ§Ò¢³Ð¡Å×¹
            è                                  Œ ‹
       2. ÍÒËÒ÷ÕÁÃÊà»ÃÕÂÇ·íÒãËŒ¡ÒáÅ×¹ÁÕ»¯Ô¡ÃÂÒ·Õ໚¹Íѵâ¹ÁÑµÔ ÍÂÒ¡µ‹Í¡ÒäǺ¤ØÁ
                  è Õ    é                   ÔÔ è
       3. ÍÒËÒ÷Õ赡ᵋ§ãËŒ´Ù¹‹ÒÃѺ»Ãзҹ¨Ð໚¹µÑÇ¡Ãе،¹¤ÇÒÁÍÂÒ¡ÃѺ»ÃзҹÍÒËÒÃ
¨¹·íÒãˌúÌ͹·ÕÍÂÒ¡¨ÐÃѺ»ÃзҹÍÒËÒÃàÃçÇà¡Ô¹ä»
          Õ     è
542                                                                    Management for Dysphagia Patients

        4. ÍÒËÒ÷Õèá¢ç§¤ÇûÃѺà»ÅÕè¹ãËŒ¢Œ¹ËÃ×͹ÔèÁ¢Öé¹áµ‹¡çµŒÍ§Å´¡ÒÃà¤ÕéÂÇãËŒ¹ŒÍÂŧáÅеŒÍ§
㪌áçäÁ‹Áҡ㹡ÒôѹËÃ×Í¡Å×¹ãˌŧä»ÂѧËÅÍ´ÍÒËÒÃ
           ¡ÒÃàµÃÕÂÁÍÒËÒÃáÅЪ¹Ô´¢Í§ÍÒËÒà 㹡Òýƒ¡¡Å×¹ÁÕ¤ÇÒÁÊÑÁ¾Ñ¹¸¡¹Í‹ҧÁÒ¡àËÁ×͹
                                                                           Ñ
¡Ñº¡ÒáÒÃàµÃÕÂÁ¤ÇÒÁá¢ç§áç¢Í§¡ÅŒÒÁà¹×Í·Õà¡ÕÂÇ¢ŒÍ§¡Ñº¡ÒáÅ×¹ áÅÐÂѧÃÇÁ¶Ö§¡Ò÷íÒ§Ò¹·ÕàËÁÒÐ
                                      é è è                                          è
ÊÁáÅж١µŒÍ§¢Í§¡Å‹Í§àÊÕ§¢³Ð·ÕÁ¡ÒáÅ×¹
                                è Õ

àÍ¡ÊÒÃ͌ҧÍÔ§
1.    Shipley KG, McAfee JG. Assessment in speech-language pathology. 3rded. Delmar learning: USA, 2004,
      390-406
2.    Crary MA, Groher ME. Introduction to adult swallowing disorders. Elsevier Science,USA, 2003.
3.    Palmer JB, Drennan JC, Baba M. Evaluation and treatment of swallowing impairments. AA.P 2000; Apirl;15.
4.    Burkhead LM, Sapienza CM, Rosenbek JC. Strength-training exercise in dysphagia rehabilitation: Principle,
      procedures, and directions for future research. Dysphagia 2007;22 :251-265
5.    Logemann JA. The role of exercise programs for dysphagia patients. Dysphagia 2005;20:139-140.
6.    Johnson A., Jacobson BH. Medical speech-language pathology a practitioner’s guide. Thieme: New York,
      1998.
7.    McKinstry A, Tranter M, Sweeney J. Outcomes of dysphagia intervention in a pulmonary rehabilitation program.
      Dysphagia 2010;25:104-11.
8.    Speyer R, Baijens L, Heijnen M, Zwijnenberg I. Effects of therapy in oropharyngeal dysphagia by speech-
      language therapist: a systematic review. Dysphagia 2010;25:40-6.
àǪÈÒʵÏ·¹Âؤ 2553
          Ñ                                                                         º··Õè        543

                                                                                     74
                    ÀÒÇÐàÅ×Í´Í͡㹷ҧà´Ô¹ÍÒËÒÃʋǹº¹
                      (Upper Gastro-intestinal Bleeding)
                                                     ÍÒ¨ÒÏ ¹ÒÂᾷÇÃÒÂØ »ÃѪ­¡ØÅ
                       ÀÒ¤ÇÔ¢ÒÍÒÂØÃÈÒʵÏ ¤³Ðá¾·ÂÈÒʵÏÈÔÃÔÃÒª¾ÂÒºÒÅ ÁËÒÇÔ·ÂÒÅÑÂÁËÔ´Å

º·¹íÒáÅÐÃкҴÇÔ·ÂÒ
           ÀÒÇÐàÅ×Í´Í͡㹷ҧà´Ô¹ÍÒËÒÃʋǹº¹ (Upper gastro-intestinal Bleeding;UGIB) ËÁÒ¶֧
¡Ò÷ÕÁàÅ×Í´ÍÍ¡ã¹ËÅÍ´ÍÒËÒà ¡ÃÐà¾ÒÐÍÒËÒà ËÃ×ÍÅíÒäÊŒàÅç¡Ê‹Ç¹µŒ¹·ÕÍÂÙà˹×͵‹Í ligament of
       è Õ                                                               è ‹
Treitz (ᵋ㹻˜¨¨Øº¹¹Ñº¶Ö§á¤‹ºÃÔàdz ampulla of vater ʋǹµíÒá˹‹§µ‹Í¨Ò¡ºÃÔàdz¹Õ仨¹¶Ö§ terminal
                    Ñ                                                            é
ileum ¶×Í໚¹ mid GI bleeding) ʋǹàÅ×Í´·ÕÍÍ¡µèÒ¡Ç‹Òligament of Treitz (ã¹»˜¨¨Øº¹µèÒ¡Ç‹Ò terminal
                                           è     í                              Ñ í
ileum) 仨¹¶Ö§ÅíÒäÊŒãË­‹Êǹ»ÅÒ (anus) ¶×Í໚¹ lower GI bleeding (â´Â¹ÔÂÒÁËÁÒ¶֧ÀÒÇзÕè
                           ‹
àÅ×Í´Í͡੾ÒÐã¹ÅíÒäÊŒãË­‹¹¹àͧ) ¹Í¡¨Ò¡¹Õ§ÊÒÁÒöẋ§Â‹ÍµÒÁÅѡɳÐáÅлÃÔÁÒ³àÅ×Í´·Õè
                              Ñè                é Ñ
ÍÍ¡ 䴌ᡋ overt GI bleeding ËÁÒ¶֧ÀÒÇÐàÅ×Í´ÍÍ¡·ÕÊÒÁÒöÁͧàËç¹ä´Œ´ÇµÒà»Å‹ÒäÁ‹ÇÒ¨Ð໚¹
                                                          è                Œ               ‹
ÍÒà¨Õ¹໚¹àÅ×Í´ (red blood, coffee ground) ËÃ×Ͷ‹ÒÂ໚¹àÅ×Í´ (hematochezia, melena), occult
GI bleeding ËÁÒ¶֧ÀÒÇÐàÅ×Í´ÍÍ¡·ÕäÁ‹ÊÒÁÒöÁͧàËç¹ä´Œ´ÇµÒà»Å‹Ò ᵋ·ÃҺ䴌¨Ò¡¡ÒõÃǨ
                                        è                     Œ
·Ò§à¤ÁÕ¤Ífecal occult test ËÃ×Í໚¹¼ÅµÒÁÁÒ¨Ò¡¡ÒÃàÊÕÂàÅ×Í´µ‹Íà¹×ͧ໚¹ÃÐÂÐàÇÅÒ˹֧¹Ñ¹¤×Í
            ×                                                          è                     è è
ÀÒÇÐâÅËÔµ¨Ò§áºº iron deficiency anemia ʋǹ obscure GI bleeding ËÁÒ¶֧ÀÒÇÐàÅ×Í´ÍÍ¡·Õ§           è Ñ
äÁ‹ÊÒÁÒöËÒÊÒà˵ØÍ¸ÔºÒÂä´Œ·§æ ·Õ䴌ú¡ÒõÃǨʋͧ¡ÅŒÍ§áŌǷѧ gastroscopy áÅÐ colonoscopy
                                   Ñé è Ñ                        é
áÅÐÀÒÇдѧ¡Å‹ÒÇÂѧ¤§´íÒà¹Ô¹ÍÂÙ‹ (overt ËÃ×Í occult bleeding)
           ÀÒÇÐàÅ×Í´Í͡㹷ҧà´Ô¹ÍÒËÒÃʋǹº¹à»š¹ÀÒÇЩءà©Ô¹·Ò§ÍÒÂØÃÈÒʵÏ·Õ辺䴌º‹ÍÂ
»ÃÐÁÒ³ 5 ෋ҢͧÀÒÇÐàÅ×Í´Í͡㹷ҧà´Ô¹ÍÒËÒÃʋǹŋҧ â´ÂÁÒ¡¡Ç‹Ò 300,000 ÃÒ·ÕࢌÒÃѺ            è
¡ÒÃÃÑ¡ÉÒã¹âç¾ÂÒºÒŵ‹Í»‚ áÅÐÂѧ¤§à»š¹»˜­ËÒµ‹Íà¹×ͧ¨¹¶Ö§»˜¨¨Øº¹ áÁŒ¨ÐÁÕ¡ÒþѲ¹Ò·Ñ§ã¹á§‹
                                                            è        Ñ                          é
¡ÒÃÇÔ¹¨©ÑÂáÅСÒÃÃÑ¡ÉÒ ã¹»ÃÐà·ÈÊËÃѰÍàÁÃÔ¡Ò ÁÕ¼»ÇÂࢌÒÃѺ¡ÒÃÃÑ¡ÉÒã¹âç¾ÂÒºÒÅ´ŒÇÂÀÒÇÐ
         Ô                                           ÙŒ †
àÅ×Í´Í͡㹷ҧà´Ô¹ÍÒËÒÃà©ÅÕ 102 ÃÒµ‹Í»ÃЪҡà 100,000 ÃÒ ʋǹ¢ŒÍÁÙŢͧÈٹÊͧ¡ÅŒÍ§
                                 è                                                       ‹
·Ò§à´Ô¹ÍÒËÒÃâç¾ÂÒºÒÅÈÔÃÔÃÒªµÑé§áµ‹»‚¾.È. 2549 – 2551 ¾ºÇ‹ÒÁÕ¼ÙŒ»†Ç·Õèä´ŒÃѺ¡ÒÃʋͧ¡ÅŒÍ§
à¾×èÍÇÔ¹Ô¨©ÑÂáÅÐÃÑ¡ÉÒÀÒÇдѧ¡Å‹ÒǹÕé·Ñé§ÊÔé¹ 1,163 ÃÒ (áÅТŒÍÁÙÅ 3 »‚Œ͹ËÅѧ¨Ò¡»˜¨¨ØºÑ¹¾º
ÁÒ¡¡Ç‹Ò 160 – 200 ÃÒµ‹Í»‚)
544                                                                   ÀÒÇÐàÅ×Í´Í͡㹷ҧà´Ô¹ÍÒËÒÃʋǹº¹

        ÀÒÇÐàÅ×Í´Í͡㹷ҧà´Ô¹ÍÒËÒÃʋǹº¹¾ºº‹ÍÂã¹¼Ù»ÇÂà¾ÈªÒÂáÅÐÊÙ§ÍÒÂØ (68% ÍÒÂØÁÒ¡
                                                                      Œ †
¡Ç‹Ò 60 »‚, 28% ÍÒÂØÁÒ¡¡Ç‹Ò 80 »‚) «Ö§¤ÅŒÒ¤ÅÖ§¡Ñº¢ŒÍÁÙŢͧÈÔÃÃÒª (71% ໚¹à¾ÈªÒÂ, 29%
                                                 è                               Ô
໚¹à¾ÈË­Ô§ áÅÐʋǹãË­‹Áâä»ÃШíÒµÑÇËÇÁ´ŒÇÂ䴌ᡋ âäËÑÇã¨, ¤ÇÒÁ´Ñ¹âÅËÔµÊÙ§áÅÐàºÒËÇÒ¹)
                                   Õ
ÍѵÃÒµÒ»ÃÐÁÒ³ 6-11% «Öè§à»š¹·Õ蹋Òá»Å¡ã¨à¾ÃÒÐäÁ‹ä´Œà»ÅÕè¹á»Å§ä»¨Ò¡¢ŒÍÁÙÅÊÔº»‚·Õ輋ҹ
ÁÒ(ʋǹãË­‹à¡Ô´¡Ñº¼Ù»ÇÂÊÙ§ÍÒÂØáÅÐÁÕâä»ÃШíÒµÑÇ·ÕÊҤѭ) ´Ñ§¹Ñ¹¡ÒôÙáÅÃÑ¡ÉÒ¼Ù»ÇÂÀÒÇдѧ¡Å‹ÒÇ
                      Œ †                                    èí           é                    Œ †
µŒÍ§ÍÒÈѤÇÒÁËÇÁÁ×ÍáÅСÒ÷íҧҹ໚¹·ÕÁ¢Í§á¾·ÂËÃ×ÍÍÒÂØÃᾷ·ÑèÇä», ÍÒÂØÃᾷ
·Ò§à´Ô¹ÍÒËÒÃ, ÈÑÅÂᾷ áÅÐã¹»˜¨¨Øº¹¤§µŒÍ§¹ÑºÃÇÁÃѧÊÕᾷ´Ç à¾×ÍãËŒà¡Ô´»ÃÐÊÔ·¸ÔÀÒ¾ÊÙ§ÊØ´
                                               Ñ                               Œ     è
»ÃÐÁÒ³ 80-85% ¢Í§¼Ù»Ç·ÕÁàÅ×Í´Í͡㹷ҧà´Ô¹ÍÒËÒÃʋǹº¹ àÅ×Í´ÊÒÁÒöËÂØ´ä´Œàͧ ·ÕàËÅ×Í
                              Œ † è Õ                                                                       è
ÍÕ¡ 20% Âѧ¤§ÁÕàÅ×Í´ÍÍ¡µ‹Íà¹×ͧËÃ×ÍàÅ×Í´ÍÍ¡«éÒ䴌͡ ¡ÅØÁ¹Õ¶Í໚¹¡ÅØÁàÊÕ§ÊÙ§ (high-risk)
                                       è                    í Õ             ‹ é ×            ‹ è
à¹×ͧ¨Ò¡ÁÕ͵ÃÒ»†ÇÂáÅÐÍѵÃÒµÒÂà¾ÔÁ¢Ö¹ ¨ÐàËç¹ä´ŒÇÒ¶ŒÒÊÒÁÒö¨íÒṡ¼Ù»ÇÂÍÍ¡µÒÁ¤ÇÒÁàÊÕ§
     è        Ñ                              è é                ‹                      Œ †                      è
¢ŒÒ§µŒ¹â´ÂÍÒÈÑÂÍÒ¡Òà ÍÒ¡ÒÃáÊ´§áÅТŒÍÁÙŨҡ¡ÒÃʋͧ¡ÅŒÍ§ ¨Ðª‹Ç¡íÒ˹´á¹Ç·Ò§ã¹¡ÒôÙáÅ
ÃÑ¡ÉÒãËŒà¡Ô´»ÃÐ⪹Ê§ÊØ´µ‹Í¼Ù»ÇÂä´Œ ÍÒ¡Ò÷չҼٻÇÂÁÒ¾ºá¾·ÂÊǹãË­‹à»š¹ÍÒ¡Ò÷պ§Ç‹ÒÁÕ
                          Ù           Œ †              è í Œ †                     ‹                    è ‹
àÅ×Í´Í͡㹷ҧà´Ô¹ÍÒËÒà 䴌ᡋ ÍÒà¨Õ¹໚¹àÅ×Í´ (hemetemesis) ¶‹Ò´íÒ (melena) ËÃ×Í㹡óշÕè
àÅ×Í´ÍÍ¡»ÃÔÁÒ³ÁÒ¡áÅÐÅíÒäÊŒººµÑÇàÃçÇ ÍÒ¨¾ºÅѡɳж‹ÒÂÍØ¨¨ÒÃÐ໚¹àÅ×Í´Ê´ (hematochezia)
                                         Õ
ËÃ×Í ´íÒá´§ (maroon stool) ä´Œ «Ö§¡Ã³ÕËÅѧ¹ÕµÍ§á¡¨Ò¡ÀÒÇÐàÅ×Í´Í͡㹷ҧà´Ô¹ÍÒËÒÃʋǹŋҧ
                                           è       é Œ
ãËŒ´Õ ÃÇÁä»¶Ö§ÍÒ¡Ò÷Õ໚¹¼Å¨Ò¡¡ÒÃàÊÕÂàÅ×Í´ËÃ×Í»ÃÔÁÒ³ÊÒùéÒã¹Ã‹Ò§¡ÒÂ䴌ᡋ ˹ŒÒÁ×´ ã¨Êѹ
                            è                                                í                                    è
໚¹ÅÁËÁ´ÊµÔ ໚¹µŒ¹ ¢ŒÍÁÙŢͧâç¾ÂÒºÒÅÈÔÃÃҪ㹪‹Ç§»‚ ¾.È. 2549-2551 ¾ºÇ‹Ò¤Ã֧˹֧¢Í§
                                                        Ô                                          è è
¼Ù»Ç nonvariceal GI bleeding ÁÒ´ŒÇ melena ·ÕàËÅ×ÍÁÒ´ŒÇÂÍÒ¡Òà hematemesis coffee ground
   Œ †                                                    è
áÅÐ hematochezia µÒÁÅíҴѺ ã¹á§‹¢Í§¡ÒôÙáÅÃÑ¡ÉÒâ´Â·ÑÇä»Áѡẋ§ UGIB Í͡໚¹ 2 ¡ÅØÁµÒÁ
                                                                    è                                     ‹
ÊÒà˵ØËÅÑ¡æ ¡Å‹ÒǤ×Í nonvariceal bleeding áÅÐ variceal bleeding ᵋ㹺·¹Õ¨Ð¡Å‹ÒǶ֧¡ÒûÃÐàÁÔ¹
                                                                                           é
¼Ù»ÇÂàº×ͧµŒ¹ã¹ºÒ§ËÑÇ¢ŒÍ ËÅÑ¡¡ÒÃá¡ÃÐËNjҧ nonvariceal áÅÐ variceal ÃÇÁä»¶Ö§ÊÒà˵ØáÅСÒÃ
  Œ † é
´ÙáÅÃÑ¡ÉÒ੾ÒмٻÇÂã¹¡ÅØÁ nonvariceal GI bleeding «Ö§¤Åͺ¤ÅØÁ¶Ö§à¡³±¡ÒèíÒṡ¼Ù»ÇµÒÁ
                  Œ †            ‹                                è                                 Œ †
¤ÇÒÁàÊÕè§(risks stratification) ¡ÒÃÃÑ¡ÉÒâ´Â์¹àÃ×èͧ¡ÒÃ㪌ÂÒ (Pharmacotherapy) áÅСŋÒÇ
¾ÍÊѧࢻà¡ÕÂǡѺ¡ÒÃÃÑ¡ÉÒ¼‹Ò¹·Ò§¡ÒÃʋͧ¡ÅŒÍ§ (endoscopic therapy) ¡ÒÃÃÑ¡ÉÒ¼‹Ò¹·Ò§ÃѧÊÕÇ·ÂÒ
            è                                                                                                 Ô
(radiologic intervention) áÅСÒü‹ÒµÑ´ (surgical therapy)

¡ÒûÃÐàÁÔ¹¼ÙŒ»†ÇÂã¹àº×éͧµŒ¹ (Initial assessment)
         ໚¹ÊÔ§ÊíҤѭ·Õʴ㹡ÒôÙáżٻÇ·ÕÁÀÒÇÐàÅ×Í´Í͡㹷ҧà´Ô¹ÍÒËÒÃ䴌ᡋ ¡ÒûÃÐàÁÔ¹
               è        è Ø          Œ † è Õ
¤ÇÒÁÃÙÊ¡µÑÇ »ÃÐÊÔ·¸ÔÀÒ¾¢Í§Ãкº·Ò§à´Ô¹ËÒÂ㨠áÅÐÊÑ­­Ò³ªÕ¾ (´Ñ§µÒÃÒ§·Õè 1) à¾ÃÒÐÁÕº·ºÒ·
      ΅
ÊíҤѭáÅÐáÁ‹¹ÂíÒ㹡Òú‹§ºÍ¡¶Ö§¤ÇÒÁÃØ¹áç¢Í§ÀÒÇдѧ¡Å‹ÒÇ «Ö§¨ÐÁռŵ‹Íá¹Ç·Ò§ãËŒ¡ÒôÙáÅ
                                                           è
ÃÑ¡ÉÒ¼Ù»ÇÂã¹àº×ͧµŒ¹
       Œ †        é
àǪÈÒʵÏ·¹Âؤ 2553
          Ñ                                                                                         545

µÒÃÒ§·Õè 1 ¡ÒûÃÐàÁÔ¹¤ÇÒÁÃØ¹áç¢Í§ÀÒÇÐàÅ×Í´Í͡㹷ҧà´Ô¹ÍÒËÒÃ
 ÍѵÃÒ¡ÒÃൌ¹ªÕ¾¨Ã (PR) ¤ÇÒÁ´Ñ¹âÅËÔµ (BP)          ÅѡɳÐÐÀÒ¹͡Í×è¹æ »ÃÐÁÒ³à»ÍÏૹµ¢Í§
                                                   (volume depletion) ¡ÒÃàÊÕÂàÅ×Í´ (% of blood loss)
 Normal                   Normal                  Dry lip, thirsty           0-10
 > 100/min                Orthostatic hypotension .ainting, syncope          10-30
 >100/min                 Hypotension             Cold extremities sweating,
                                                  oliguria mental change > 30

          ʋǹ¡ÒûÃÐàÁÔ¹¤ÇÒÁÃØ¹áçàº×ͧµŒ¹â´Â㪌¤ÇÒÁࢌÁ¢Œ¹¢Í§àÅ×Í´ (Hb ËÃ×Í Hct) ໚¹µÑÇ
                                          é
¡íÒ˹´·ÕèᾷËÅÒ·‹Ò¹¹ÔÂÁ㪌 ໚¹ÊÔè§·ÕèÂѧäÁ‹äÇ¾Í à¹×èͧ¨Ò¡µŒÍ§ãªŒÃÐÂÐàÇÅÒ˹Öè§»ÃÐÁÒ³
24-72 ªÑÇâÁ§áá㹡ÒûÃѺÊÁ´ØÅ¢Í§ÊÒùéÒã¹ËÅÍ´àÅ×Í´ËÅѧ¡ÒÃà¡Ô´ÀÒÇдѧ¡Å‹ÒÇ ´Ñ§¹Ñ¹µŒÍ§ÃÐÁÑ´
        è                                     í                                     é
ÃÐÇѧ㹡ÒÃ㪌¤Ò¹Õá»Å¼Å㹪‹Ç§áá
                    ‹ é
          ¡ÒÃãÊ‹ÊÒ nasogastric tube (NG tube) ã¹ÀÒÇйշҹŒÍÂŧÁÒ¡ã¹»˜¨¨Øº¹ áÅСÒ÷íÒ Iced
                                                       é í                 Ñ
saline nasogastric lavage ã¹»˜¨¨Øº¹äÁ‹Á¤ÇÒÁ¨íÒ໚¹ à¹×ͧ¨Ò¡ÁÕ¡ÒÃÈÖ¡ÉÒªÑ´à¨¹Ç‹Ò äÁ‹ä´ŒªÇÂã¹
                                        Ñ   Õ           è                                  ‹
¡ÒÃËÂØ´àÅ×ʹᵋÍ‹ҧ㴠áÅÐÍÒ¨¡‹ÍãËŒà¡Ô´ÀÒÇÐhypothermia «Ö§ÁÕ¼ÅãËŒ¤ÇÒÁ´Ñ¹âÅËÔµ¢Í§¼Ù»ÇÂ
                            (6)
                                                              è                              Œ †
µèÒŧ ´Ñ§¹Ñ¹·Õ§Áշ㪌ÍÂÙã¹»˜¨¨Øº¹ä´Œá¡‹
  í           é è Ñ Õè ‹              Ñ
          1. à¾×ÍÂ×¹ÂѹÀÒÇÐàÅ×Í´Í͡㹷ҧà´Ô¹ÍÒËÒÃʋǹº¹ã¹¡Ã³Õ·»ÃÐÇѵäÁ‹ª´à¨¹ ᵋµÍ§ÃÐÇѧ
                  è                                              Õè      Ô Ñ           Œ
à¾ÃÒÐãËŒ¼ÅźÅǧ (15-20%) 䴌㹡óÕàÅ×Í´ÍÍ¡¨Ò¡ÅíÒäÊŒàÅç¡Ê‹Ç¹µŒ¹ ÇÔ¸·ºÍ¡ä´Œ´·Ê´Ç‹ÒäÁ‹ÁÊÒà˵Ø
                                                                    Õ Õè     Õ Õè Ø      Õ
¢Í§àÅ×Í´Í͡㹷ҧà´Ô¹ÍÒËÒÃʋǹµŒ¹¤×Íä´Œ¹Ò´Õ¨Ò¡¡ÒÃãÊ‹ÊÒ´ѧ¡Å‹ÒÇ
                                                éí
          2. à¾×èÍ»ÃÐàÁÔ¹¤ÇÒÁÃØ¹áç¢Í§ÀÒÇÐàÅ×Í´Í͡㹷ҧà´Ô¹ÍÒËÒà ¨Ò¡¡ÒÃÈÖ¡ÉÒ¾ºÇ‹Ò
ÅѡɳТͧÊÒäѴËÅѧ㹡ÃÐà¾ÒзÕä´Œ¨Ò¡¡ÒÃãÊ‹ÊÒÂÊÒÁÒöºÍ¡¶Ö§¤ÇÒÁÃØ¹áç¢Í§ÀÒÇÐàÅ×Í´ÍÍ¡
                          è         è
áÅÐÍѵÃÒµÒÂä´Œ ¡Å‹ÒǤ×Í ¾º¤ÇÒÁÃØ¹áç¢Í§àÅ×Í´·ÕÍÍ¡ 10, 13, 23 % áÅÐÍѵÃÒµÒ 6, 10, 18 %
                                                     è
¶ŒÒäÁ‹¾ºàÅ×Í´ ä´Œ coffee ground ËÃ×Íä´Œ red blood ¨Ò¡¡Òà lavage µÒÁÅíҴѺ
          3. à¾×ÍàµÃÕÂÁ¡ÃÐà¾ÒÐÍÒËÒÃãËŒÊÐÍÒ´ ÊíÒËÃѺ¡ÒõÃǨʋͧ¡ÅŒÍ§·Ò§à´Ô¹ÍÒËÒÃà¾×ÍÇÔ¹¨©ÑÂ
                è                                                                     è Ô
áÅÐãËŒ¡ÒÃÃÑ¡ÉÒ «Ö§à»š¹¢ŒÍº‹§ªÕºÍ·ÕÊ´ã¹»˜¨¨Øº¹
                        è       é ‹ èØ             Ñ

Resuccitation
         àÁ×Íä´ŒÁ¡ÒûÃÐàÁÔ¹¼Ù»ÇÂâ´Â㪌¢ÍÁÙŴѧ¡Å‹ÒÇ¢ŒÒ§µŒ¹áÅŒÇ ¤ÇÃÃÕº´íÒà¹Ô¹¡Òà resuscitation
             è       Õ                Œ †         Œ
·Ñ¹·Õ ·Ñ§¹Õ¢¹¡Ñº¤ÇÒÁÃØ¹áç¢Í§¡ÒÃàÊÕÂàÅ×Í´â´Âã¹àº×ͧµŒ¹ÊÒÁÒö㪌·§ crystalloids áÅÐ colloids
        é é Öé                                                   é                Ñé
㹡Òà resuscitation 仡‹Í¹ä´Œ ᵋËÅÑ¡¡ÒÃÊíҤѭ¤×Í ¤ÇÃÁÕÊÒÃͧàÅ×Í´ áÅÐͧ¤»ÃСͺ¢Í§àÅ×Í´
                                                                          í
Í×¹æ ઋ¹ à¡Ãç´àÅ×Í´ ËÃ×Í ..P ãËŒà¾Õ§¾Íµ‹Í¤ÇÒÁµŒÍ§¡Òà áÅÐãËŒ blood components µ‹Ò§æ
  è
µÒÁ¤ÇÒÁ¨íÒ໚¹à·‹Ò¹Ñ¹ ¡Å‹ÒǤ×Í ãËŒÃдѺ¢Í§ hemoglobin ÁÒ¡¡Ç‹ÒËÃ×Í෋ҡѺ 8 gm/dl ¶ŒÒäÁ‹Áâä
                             é                                                                     Õ
»ÃШí Ò µÑ Ç à¡Õè Â Ç¡Ñ º ËÑ Ç ã¨ (¶Œ Ò ÁÕ ¤ ÇÃÁÒ¡¡Ç‹ Ò ËÃ× Í à·‹ Ò ¡Ñ º 10 gm/dl), platelet ¤ÇÃÁÒ¡¡Ç‹ Ò
50,000 cell/mm3 áÅÐ äÁ‹ÁÕ coagulopathy
546                                                        ÀÒÇÐàÅ×Í´Í͡㹷ҧà´Ô¹ÍÒËÒÃʋǹº¹

¡ÒÃá¡ÃÐËNjҧ nonvariceal áÅÐ variceal GI bleeding
          ËÅѧ¨Ò¡ãËŒÊÒùéҡѺ¼Ù»ÇÂã¹àº×ͧµŒ¹ÃÇÁ·Ñ§àÅ×Í´ (resuccitation) ¨¹¼Ù»ÇÂÁÕÃдѺÊÑ­­Ò³
                         í     Œ †     é         é                          Œ †
ªÕ¾¤§·ÕáÅФÇÒÁࢌÁ¢Œ¹àÅ×Í´ã¹ÃдѺ·ÕàËÁÒÐÊÁáÅŒÇ µ‹Í令§µŒÍ§á¡ÀÒÇÐàÅ×Í´ÍÍ¡·Ò§à´Ô¹ÍÒËÒÃ
        è                            è
ʋǹº¹ÃÐËNjҧ nonvariceal ¡Ñº variceal à¾ÃÒСÒÃãËŒ¡ÒÃÃÑ¡ÉÒã¹ÅíҴѺµ‹Í仡‹Í¹ä´ŒÃº¡ÒÃʋͧ¡ÅŒÍ§
                                                                                Ñ
ÊíÒËÃѺ 2 ÀÒÇдѧ¡Å‹Òǹѹᵡµ‹Ò§¡Ñ¹ «Ö§ÁÕËÅÑ¡¡ÒôѧµÒÃÒ§·Õè 2
                           é             è

µÒÃÒ§·Õè 2 ¡ÒÃá¡ÀÒÇÐàÅ×Í´ÍÍ¡·Ò§à´Ô¹ÍÒËÒÃʋǹº¹ÃÐËNjҧ nonvariceal ¡Ñº variceal GI
           bleeding
 Variceal bleeding                                 Nonvariceal bleeding
 Painless bleeding                                 Pain or Painless bleeding
 Hematemesis (mostly red blood)                    Hematemesis, coffee ground or melena
 Usually hemodynamic change or Hct < 30%           With or without hemodynamic change
 Evidence of portal hypertension                   No evidenc of portal hypertension

¡ÒèíÒṡ¼ÙŒ»†ÇµÒÁ¤ÇÒÁàÊÕè§ (Risks stratification)
          ¡Ò÷ÕèÁÕàÅ×Í´ÍÍ¡«éíÒ (recurrent bleeding) ¨Ð໚¹µÑǾÂҡóâä¢Í§ÀÒÇÐàÅ×Í´ÍÍ¡
·Ò§à´Ô¹ÍÒËÒÃʋǹº¹ ¡Ò÷ÕèÊÒÁÒöºÍ¡¶Ö§ÀÒÇдѧ¡Å‹ÒÇä´ŒµÑé§áµ‹àÃÔèÁµŒ¹·Õ辺¼ÙŒ»†Ç¨ÐÊÒÁÒö
ª‹ÇÂÅ´ÍѵÃÒµÒÂãËŒ¡º¼Ù»ÇÂä´Œ ´Ñ§¹Ñ¹¡ÒûÃÐàÁÔ¹¼Ù»ÇÂã¹àº×ͧµŒ¹¨Ò¡¢ŒÍÁÙž׹°Ò¹, ÍÒ¡ÒÃáÅÐ
                       Ñ Œ †           é           Œ †      é           é
ÍÒ¡ÒÃáÊ´§ (clinical predictors) áÅÐà¾ÔèÁàµÔÁ¨Ò¡¡ÒÃʋͧ¡ÅŒÍ§ (endoscopic predictors)
´Ñ§µÒÃÒ§·Õè 3 áÅÐ4 ¨ÐÊÒÁÒö¨íÒṡ¼Ù»ÇÂÍ͡໚¹¡ÅØÁàÊÕ§µèÒáÅÐÊÙ§ (low & high risk group)
                                         Œ †           ‹ è í
à¾×Í㪌¡Ò˹´¤ÇÒÁÃÕº´‹Ç¹ã¹¡ÒõÃǨÇÔ¹¨©ÑÂáÅÐãËŒ¡ÒÃÃÑ¡ÉÒ੾ÒÐ «Ö§ÁÕ¤ÇÒÁ¨íÒ໚¹Í‹ҧÂԧ㹡ÒÃ
   è í                                    Ô                     è                 è
´ÙáÅÃÑ¡ÉÒ¼Ù»ÇÂÀÒÇÐàÅ×Í´ÍÍ¡·Ò§à´Ô¹ÍÒËÒÃʋǹº¹ã¹»˜¨¨Øº¹ à¾ÃÒШзíÒãˌᾷÊÒÁÒöãËŒ¡ÒÃ
            Œ †                                           Ñ
ÃÑ¡ÉÒ·ÕàËÁÒÐÊÁáÅÐà¡Ô´»ÃÐ⪹Ê§ÊØ´¡Ñº¼Ù»ÇÂᵋÅÐÃÒÂä´Œ
        è                            Ù       Œ †

µÒÃÒ§·Õè 3 clinical predictors ÊíÒËÃѺ¡Ò÷ÕèÁÕàÅ×Í´ÍÍ¡«éíÒáÅÐÍѵÃÒµÒÂà¾ÔèÁ¢Öé¹
        Adverse clinical prognostic factors for UGI bleeding (clinical predictors)
 Age > 60 years                                        Hemodynamic instability at presentation
 Presence of comorbid medical conditions               Severe hemorrhage
 Onset of bleeding in hospital                         Red NG lavage
 History of hematochezia or melena                     Multiple blood transfusion (>5 units)
 Need for emergency surgical intervention              Continued or recurrent bleeding
 Variceal bleeding, malignancy, aortoenteric fistula   APACHE II > 10
àǪÈÒʵÏ·¹Âؤ 2553
          Ñ                                                                                             547

µÒÃÒ§·Õè 4 endoscopic predictors ÊíÒËÃѺ¡Ò÷ÕèÁÕàÅ×Í´ÍÍ¡«éíÒáÅÐÍѵÃÒµÒÂà¾ÔèÁ¢Öé¹
    Adverse endoscopic prognostic factors for UGI bleeding (endoscopic predictors)
 Active bleeding (arterial bleeding rather than oozing, Ulcer size (generally > 2 cm.)
 nonbleeding visible vessel (NBVV), adherent clot)
 Ulcer location (posterior lesser gastric curvature     Lesion type (varices, cancer)
 or posterior duodenal bulb)

         â´Â¼Ù»Ç·ÕÁÕ risk factors µ‹Ò§æ ´Ñ§¡Å‹ÒÇ¢ŒÒ§µŒ¹¤ÇÃ䴌ú¡ÒôÙáÅã¹ËÍÍÀÔºÒżٻÇÂ˹ѡ
              Œ † è                                            Ñ                   Œ †
(intensive care unit) ¶ŒÒ໚¹ä»ä´Œ·§¹Õà¾×ÍãËŒÊÒÁÒöµÔ´µÒÁÍÒ¡Òà áÅÐ resuscitation ¼Ù»ÇÂä´Œ
                                      Ñé é è                                           Œ †
Í‹ҧàËÁÒÐÊÁµ‹Íä»
         ã¹»˜¨¨Øº¹ÁÕ¡ÒùíÒàÍÒ»˜¨¨Ñ´ѧ¡Å‹ÒÇ¢ŒÒ§µŒ¹ÁÒÃÇÁ¡Ñ¹áÅСíÒ˹´ãˌ໚¹¤Ðá¹¹à¾×ÍãËŒ§ÒÂã¹
                 Ñ                                                                è ‹
¡ÒÃá¡¡ÅØÁàÊÕ§ (risk group) model ·Õ໚¹µŒ¹áººáÅйÔÂÁÁÒ¡·Õʴ㹡ÒÃ㪌»ÃÐàÁÔ¹âÍ¡ÒÊà¡Ô´
           ‹ è                             è                     èØ
re-bleeding áÅСÒÃàÊÕªÕǵ¢Í§¼Ù»ÇÂã¹·Ò§¤ÅÔ¹¡ ¤×Í Rockall Risk Scores Scheme (2) «Ö§ÁÕÃÒÂ
                           Ô      Œ †            Ô                                      è
ÅÐàÍÕ´´Ñ§µÒÃÒ§·Õè 5

µÒÃÒ§·Õè 5 Rockall Risk Scores Scheme

              Value                                                Score
                                    0                 1                 2                  3
Age(years)                          < 60              60-79             >80                        -
Evidence of shock                    No                 Tachyacardia Hypotension                    -
                                                        (SBP!100,HR!100) (SBP<100)
Comorbidity                        No major             -                Cardiac failure Renal failure, liver
                                   comorbidity                           IHD, any major failure, disseminated
                                                                         comorbidity        malignancy
Diagnosis                          Mallory-Weiss tear, All other         Malignancy of              -
                                   no lesion identified diagnoses        Upper GI tract
                                   and no bleeding
                                   stigmata
Stigmata of recent hemorrhage      None or dark                          Blood in upper             -
                                   spot only                             GI tract ,adherent
                                                                         clot, visible or
                                                                         spurting vessel
ËÁÒÂà赯 SBP:systolic blood pressure (mmHg), HR:heart rate (beat/min)
548                                                      ÀÒÇÐàÅ×Í´Í͡㹷ҧà´Ô¹ÍÒËÒÃʋǹº¹

        â´Â¡ÅØÁ high risk ¶×ÍàÍÒ¤Ðá¹¹ ! 4 , moderate risk 2-3 áÅÐ low risk 0-1 ¾ºÇ‹Ò¡ÅØÁ
                ‹                                                                         ‹
high risk, moderate áÅÐ low risk ÁÕ͵ÃÒ¡ÒÃàÊÕªÕǵ´Ñ§µÒÃÒ§·Õè 6 â´Â㹡óշÕè score <2 ¹Ñ¹
                                      Ñ           Ô                                     é
mortality rate µèÒÁÒ¡ ¨Ö§ÊÒÁÒöãËŒ¡ÒôÙáżٻÇÂẺ¼Ù»Ç¹͡䴌 ʋǹ¡Ã³Õ·Õè score ÁÒ¡¡Ç‹Ò 5
                  í                        Œ †      Œ †
¹Ñ¹ ¼Ù»Ç¤ÇÃ䴌ú¡ÒôÙáÅã¹âç¾ÂÒºÒÅÍ‹ҧã¡ÅŒª´ «Ö§ÃÇÁ¶Ö§¡ÒôÙáÅã¹ËͼٻÇÂ˹ѡ (ICU)
  é Œ †             Ñ                           Ô       è                  Œ †
´ŒÇÂËÒ¡ÁÕ score ÁÒ¡¡Ç‹Ò 7

µÒÃÒ§·Õè 6 ¤ÇÒÁÊÑÁ¾Ñ¹¸ÃÐËNjҧ Rockall score áÅÐÍѵÃÒµÒÂ
                                     Mortality without               Mortality with
            Score
                                       re-bleeding                    re-bleeding
              "2                           <1%                               -
               3                            2%                             10%
               4                            4%                             16%
               5                            8%                             23%
               6                           10%                             33%
               7                           15%                             43%
              >8                           28%                             53%

        ¨ÐàËç¹ä´ŒÇ‹Ò Rockall scores ໚¹ scores ·Õ褋͹¢ŒÒ§ÊÁºÙóà¾ÃÒÐ㪌¢ŒÍÁÙÅ·Ò§¤ÅÔ¹Ô¡
ËÇÁ¡Ñº¼Å¨Ò¡¡ÒÃʋͧ¡ÅŒÍ§ ·íÒãËŒ»ÃÐàÁÔ¹àÃ×ͧ¢Í§ rebleeding áÅÐÍѵÃÒµÒÂä´Œ¤Í¹¢ŒÒ§´Õ ᵋ¡ÒÃ
                                         è                                  ‹
·ÕµÍ§ãªŒ¢ÍÁÙÅ·Ò§¤ÅÔ¹¡Ã‹ÇÁ¡Ñº¢ŒÍÁÙŨҡ¡ÒÃʋͧ¡ÅŒÍ§¡çÁ¢ÍàÊÕ¡ŋÒǤ×Í äÁ‹¤ÍÂàËÁÒÐÊÁÊíÒËÃѺ¡ÒÃ
    è Œ  Œ            Ô                              ÕŒ                ‹
»ÃÐàÁÔ¹ã¹àº×ͧµŒ¹¡‹Í¹·Õ¼»Ç¨Ð䴌ú¡ÒÃʋͧ¡ÅŒÍ§ (before endoscopy) ª‹Ç§ËÅѧÁÕ¡ÒÃÈÖ¡ÉÒÁÒ¡
             é          è ÙŒ †     Ñ
¢Ö¹áÅоºÇ‹Ò Glasgow Blatchford Admission Risk Markers ÊÒÁÒö㪌䴌´ã¹¡ÒáíÒ˹´á¹Ç·Ò§
  é                                                                      Õ
㹡ÒôÙáżٻÇ «Ö§¢ŒÍ´Õ¢Í§ risk markers ¹Õ¤ÍäÁ‹µÍ§¡ÒâŒÍÁÙŨҡ¡Ò÷íÒ endoscopy ¨Ö§àËÁÒÐ
            Œ †     è                      é ×     Œ
·Õ¨Ð¹íÒä»ãªŒã¹Ê¶Ò¹¾ÂÒºÒÅ·Õ໚¹ primary care ´Ñ§ÃÒÂÅÐàÍÕ´㹵ÒÃÒ§·Õè 7
     è                         è               (3)



µÒÃÒ§·Õè 7 Glasgow Blatchford Admission Risk Markers
              BUN             Hemoglobin              Systolic BP        Other markers
             (mMol/l)            (g/L)                (mmHg)                 score
          value score      men women score         value score         value         score
          6.5-8     2    120-130 100-120     1    100-109    1      Pulse>100/min     1
           8-10     3    100-120     -       3     90-99     2      Melena            1
          10-25     4        -       -        -    < 90      3      Syncope           2
           >25      6     <100    <100       6       -       -      Liver failure     2
                                                                    cardiac failure   2
àǪÈÒʵÏ·¹Âؤ 2553
          Ñ                                                                                      549

        Glasgow Blatchford score ·ÕÁÒ¡¡Ç‹Ò 0 ¶×Í໚¹ high risk µ‹Í rebleeding «Ö§¼Ù»Ç¤ÇÃä´Œ
                                    è                                           è Œ †
ÃѺ¡ÒôÙáÅã¹âç¾ÂÒºÒÅ          ÁÕ¡ÒÃÈÖ¡ÉÒà»ÃÕºà·ÕºÃÐËNjҧ Rockall scores áÅÐ Blatchford
scores ¾ºÇ‹Ò Blatchford scores ÁÕ¤ÇÒÁäÇ áÅФÇÒÁ¨íÒà¾ÒÐÁÒ¡¡Ç‹Ò㹡Òú‹§ªÕ¼»ÇÂ¡ÅØÁ¹Õé é ÙŒ † ‹
â´ÂÊÒÁÒöŴ¡ÒÃÃѺ¼Ù»ÇÂࢌÒÃѺ¡ÒÃÃÑ¡ÉÒ·ÕäÁ‹¨Ò໚¹Å§ä´Œ¶§ 28%
                      Œ †                  è í              Ö     (4)

        㹤ÇÒÁàË繢ͧ¼Ùà¢Õ¹¤Ô´Ç‹Ò Blatchford score ¹‹Ò¨ÐàËÁÒÐÊÁÊíÒËÃѺ¤Ñ´¡Ãͧ¼Ù»Ç·ըÒ໚¹
                          Œ                                                      Œ † èí
µŒÍ§ÃѺänjáÉÒã¹âç¾ÂÒºÒÅà¾×ÍÃѺ¡ÒÃÃÑ¡ÉÒ´ŒÇ¡ÒÃʋͧ¡ÅŒÍ§ ´Ñ§¹Ñ¹¤ÇÃ㪌µ§áµ‹ááàÃÔÁ·Õ¾º¼Ù»ÇÂ
             Ñ               è                                 é         Ñé       è è Œ †
ʋǹ Rockall scores àËÁÒÐÊíÒËÃѺ¡ÒûÃÐàÁÔ¹àÃ×ͧ¢Í§¡Ò÷ըÐÁÕàÅ×Í´ÍÍ¡«éÒáÅÐÍѵÃÒµÒÂÁÒ¡¡Ç‹Ò
                                              è           è            í
à¾ÃÒÐ㪌¢ÍÁÙŨҡ¡ÒÃʋͧ¡ÅŒÍ§Ã‹ÇÁ´ŒÇ «Ö§¤ÇÃ㪌ã¹àÇÅÒµ‹ÍÁÒ
           Œ                            è

ÊÒà˵آͧ nonvariceal GI bleeding
         ¢ŒÍÁÙŢͧâç¾ÂÒºÒÅÈÔÃÃҪ㹪‹Ç§2-3 »‚·¼Ò¹ÁÒ ¾ºÇ‹ÒÃŒÍÂÅÐ 77 ¢Í§¼Ù»Ç·ÕÁÒ´ŒÇ upper
                               Ô              Õè ‹                        Œ † è
GI bleeding ໚¹ nonvariceal bleeding áÅÐÃŒÍÂÅÐ 22 ໚¹ variceal bleeding µÒÃÒ§·Õè 8 áÊ´§¶Ö§
ÊÒà˵صҧæ·Õ໚¹ä»ä´Œ¢Í§ÀÒÇÐnonvariceal bleeding à»ÃÕºà·Õº¢ŒÍÁÙŢͧâç¾ÂÒºÒÅÈÔÃÃÒª¡Ñº
       ‹       è                                                                      Ô
¢Í§µ‹Ò§»ÃÐà·È    (5)



µÒÃÒ§·Õè 8 Etiology of non variceal GI bleeding
          Causes              Silverstein et al, 1981   Kachintorn U et al, Siriraj Hospital 1998-2000
Peptic ulcer                          50 %                                  40-50 %
Erosions                              35 %                                  20-35 %
Varices                               10 %                                   8-15%
Mallory- Weiss tear                    8%                                    8-15%
Esophagitis                            5%                                     6%
Neoplasm                              3-5 %                                   3%
Angiodysplasia /GAVE                  1-2 %                                     -
Dieulafoy lesion                      1-2 %                                     -
Miscellaneous                          6%                                     7%

         ¨ÐàËç¹ä´ŒÇ‹Òâäá¼Å໚»µÔ¡Âѧ¤§à»š¹ÊÒà˵طÕ辺º‹ÍÂÁÒ¡·ÕèÊØ´¢Í§ÀÒÇÐ nonvariceal GI
bleeding áÁŒÇÒàÇÅҨм‹Ò¹ä»¹Ò¹ à¹×ͧ¨Ò¡ÊÒà˵ØÊҤѭ¤×Íàª×ÍẤ·ÕàÃÕ H. Pylori ·ÕÍÒÈÑÂÍÂÙã¹
               ‹                     è           í        é                      è     ‹
¡ÃÐà¾ÒÐ «Ö§à¾Ô§¤Œ¹¾º¤ÇÒÁÊíҤѭ㹪‹Ç§ËÅѧ áÅÐÍÕ¡»˜­ËÒ¨Ò¡¡ÒÃãËŒÂÒ¡ÅØÁPPIã¹¼Ù»ÇÂ¡ÅØÁàÊÕ§
           è è                                                        ‹      Œ †   ‹ è
·Õ㪌ÂҾǡ NSAIDs áÅÐáÍÊä¾ÃÔ¹ ÂѧÁըҹǹ¹ŒÍÂÍÂÙ‹ (10%) ´Ñ§¹Ñ¹¤ÇÃãËŒ¤ÇÒÁÊíҤѭ¡Ñº»˜­ËÒ
  è                                     í                       é
àËŋҹÕà¾×ÍÅ´¨íҹǹ¼Ù»ÇÂã¹ÀÒÇÐàËŋҹÕãËŒ¹ÍÂŧ
       é è             Œ †             é Œ
550                                                        ÀÒÇÐàÅ×Í´Í͡㹷ҧà´Ô¹ÍÒËÒÃʋǹº¹

Endoscopic therapy
        ËÅѧ¨Ò¡¡ÒôÙáÅÃÑ¡ÉÒ¼Ù»ÇÂã¹àº×ͧµŒ¹¨¹ÊÀÒÇÐËҧ¡ÒÂâ´Â·ÑÇ令§·ÕáÅŒÇ ¡ÒûÃÐàÁÔ¹¼ÙŒ
                                 Œ †       é                          è      è
»†Ç upper GI bleeding à¾×Í·íÒ endoscopy ¡çÁ¤ÇÒÁÊíҤѭÂÔ§ ¨Ò¡¡ÒÃÈÖ¡ÉÒ·Õ¼Ò¹ÁÒ¾ºÇ‹Ò (7)
                             è                  Õ                è                 è ‹
¼Ù»ÇÂã¹¡ÅØÁ high risk ´ŒÇÂÇÔ¸»ÃÐàÁÔ¹¢ŒÒ§µŒ¹ ¤ÇÃ䴌ú¡ÒÃʋͧ¡ÅŒÍ§ÀÒÂã¹ 24 ªÑÇâÁ§áá¢Í§¡ÒÃ
  Œ †       ‹                  Õ                         Ñ                       è
ÁÒÃѺ¡ÒõÃǨÃÑ¡ÉÒ (early endoscopy) (àÃçǡNjҹÕ§äÁ‹Á¢ÍÁÙÅNjҴաNjÒ) ʋǹ¼Ù»ÇÂ¡ÅØÁ low risk
                                                   é Ñ Õ Œ                     Œ †       ‹
ÊÒÁÒö·íÒ¡ÒÃʋͧ¡ÅŒÍ§à»š¹áºº¼Ù»Ç¹͡䴌 ¡ÒÃʋͧ¡ÅŒÍ§¹Ñ¹ÊÒÁÒö»ÃÐàÁÔ¹ÍѵÃÒ¡ÒÃà¡Ô´àÅ×Í´
                                     Œ †                       é
ÍÍ¡«éíÒáÅÐÍѵÃÒµÒÂä´Œ¨Ò¡¡ÒÃÊѧࡵ endoscopic stigmata ¢Í§á¼Å·ÕèàËç¹ ´Ñ§ÃÒÂÅÐàÍÕ´
ã¹ÀÒ¾»ÃСͺ·Õè 1 áÅеÒÃÒ§·Õè 8 «Ö§ãËŒ»ÃÐ⪹·§ã¹¡ÅØÁ high risk áÅÐ low risk ¡Å‹ÒǤ×Í ¶ŒÒ¾º
                                         è          Ñé     ‹
ÅѡɳÐá¼ÅẺ adherent clot, nonbleeding visible vessel (NBVV) ËÃ×Í active bleeding ·Õ¶Í      è ×
໚¹high risk ulcer ¤ÇÃ䴌ú¡Ò÷íÒ endoscopic therapy «Ö§¨Ðª‹ÇÂÅ´ ÍѵÃÒ¡ÒÃà¡Ô´àÅ×Í´ÍÍ¡«éÒ,
                           Ñ                                 è                                 í
ÃÐÂÐàÇÅÒ¡ÒÃÃÑ¡ÉÒã¹âç¾ÂÒºÒÅ ¨íҹǹ¢Í§àÅ×Í´·ÕµÍ§ãËŒáÅÐÅ´¤ÇÒÁ¨íÒ໚¹ÊíÒËÃѺ¡Òü‹ÒµÑ´ä´Œ
                                                       è Œ
áÁŒ¨ÐäÁ‹ÊÒÁÒöŴ mortality ¡çµÒÁ ÊíÒËÃѺ¡Ò÷íÒ endoscopic therapy ¾ºÇ‹Ò combination of
endoscopic interventions ãËŒ¼Å´Õ¡Ç‹Ò¡Ò÷íÒsingle interventions(7) â´Â¾ºÇ‹Ò¡ÒÃ㪌 thermal method,
hemoclip, thermal or hemoclip ËÇÁ¡Ñº¡Òéմadrenaline ´Õ¡Ç‹Ò¡Òéմadrenalineà¾Õ§Í‹ҧà´ÕÂÇ
ᵋ¶Ò¾ºÅѡɳÐá¼ÅẺ clean base ËÃ×Í flat spot ¶×Í໚¹ low risk ulcer ¡çäÁ‹Á¤ÇÒÁ¨íÒ໚¹
      Œ                                                                                Õ
µŒÍ§·íÒ endoscopic therapy ᵋÍ‹ҧ㴠ãËŒ¡ÒÃÃÑ¡ÉÒ仵ÒÁᵋª¹Ô´, µíÒá˹‹§áÅÐÊÒà˵آͧ
á¼Å¹Ñé¹

µÒÃÒ§·Õè 9 endoscopic stigmata of recent hemorrhage in peptic ulcer
      Ulcer characteristic                  Re-bleeding rate                 Mortality
Clean base                                         5%                          1-2%
.lat spot                                         10%                           3%
Adherent clot                                     22%                           7%
Non bleeding visible vessel (NBVV)                43%                          11%
Active bleeding                                   55%                          11%
àǪÈÒʵÏ·¹Âؤ 2553
          Ñ                                                                                           551




                  ÀÒ¾»ÃСͺ·Õè 1 bleeding stigmata of recent peptic ulcer

            ¡Ò÷íÒ routine second look endoscopy ¾ºÇ‹ÒäÁ‹Á»ÃÐ⪹ÁÒ¡¹Ñ¡(11) ¡àÇŒ¹Ç‹Òʋͧ¡ÅŒÍ§
                                                                       Õ
¤ÃѧááàËç¹äÁ‹ª´à¨¹à¹×ͧ¨Ò¡ÁÕàÅ×Í´¤ŒÒ§ÍÂ٨ҹǹÁÒ¡ ËÃ×;º high risk stigmata ·Õ¼»ÇÂ䴌ú
   é                Ñ         è                    ‹í                                        è ÙŒ †     Ñ
ÂÒ·Õè ÁÕ ¼ ŵ‹ Í ¡ÒÃá¢ç § µÑ Ç ¢Í§àÅ× Í ´ÍÂÙ‹ ËÃ× Í ¼ÙŒ »† Ç ÂÁÕ Í Ò¡ÒÃË¹Ñ ¡ ÁÒ¡äÁ‹ Ê ÒÁÒö·¹µ‹ Í ¡ÒÃà¡Ô ´
 re-bleeding ä´Œ ¡Ò÷íÒ second look endoscopy â´Â·Õ§äÁ‹ÁÕ recurrent of bleeding ÍÒ¨ÁÕ»ÃÐ⪹
                                                                  è Ñ
            㹡óնÒà¡Ô´ re-bleeding «Ö§¾ºä´Œ 15-20% áÅÐÁÑ¡à¡Ô´ÀÒÂã¹ 72 ªÑÇâÁ§ááËÅѧ¨Ò¡ÊÒÁÒö
                      Œ                  è                                          è
ËÂØ´àÅ×Í´´ŒÇ endoscopic therapy 䴌㹤Ãѧáá á¹Ð¹íÒãËŒ·Òendoscopy «éÒ áÅоÂÒÂÒÁËÂØ´
                                                    é                     í               í
àÅ×Í´´ŒÇ endoscopic interventions ÍÕ¡ à¹×ͧ¨Ò¡ÁÕ¡ÒÃÈÖ¡ÉÒ¾ºÇ‹Òª‹ÇÂÅ´âÍ¡ÒÊ surgery áÅÐ
                                                      è
äÁ‹à¾ÔÁ mortality ¢Í§¼Ù»Ç Í‹ҧäáçµÒÁ¡Ò÷íÒ surgery ·ÕªÒà¡Ô¹ä»ã¹ÃÒ·ÕÁ¤ÇÒÁ¨íÒ໚¹¹Ñ¹ ¡çà¾ÔÁ
      è                   Œ †                                         è Œ             è Õ           é     è
¤ÇÒÁàÊÕ§µ‹Í¼Ù»Ç´ŒÇ ´Ñ§¹Ñ¹¡Ò÷íҧҹËÇÁ¡Ñ¹ÃÐËNjҧᾷÍÒÂØÃ¡ÃÃÁáÅÐÈÑÅ¡ÃÃÁ¨Ö§ÁÕ¤ÇÒÁ
          è       Œ †             é
ÊíҤѭÁÒ¡·Õ¨Ðª‹ÇÂãËŒ¼»ÇÂ䴌ú¡ÒÃÃÑ¡ÉÒ·Õ¶¡µŒÍ§ àËÁÒÐÊÁáÅÐÃÇ´àÃçÇ
               è            ÙŒ †    Ñ              è Ù

Surgery
       ¡ÒÃÃÑ¡ÉҼٻǠupper GI bleeding ã¹·Ò§ÈÑÅ¡ÃÃÁã¹»˜¨¨Øº¹ÁÕº·ºÒ·Å´Å§¨Ò¡à´ÔÁÁÒ¡
                   Œ †                                          Ñ
à¹×ͧ¨Ò¡¡ÒþѲ¹Ò´ŒÒ¹à·¤â¹âÅÂÕ áÅÐà·¤¹Ô¤ãËÁ‹æ·Ò§´ŒÒ¹ endoscopy Í‹ҧäáçµÒÁã¹¼Ù»ÇÂ
   è                                                                                    Œ †
ºÒ§ÃÒ¡çÍÒ¨ÁբͨíҡѴ㹡Ò÷íÒ endoscopic interventions ઋ¹ cancer bleeding, active bleeding
                Œ
from posterior wall of duodenum («Ö§àÅ×Í´ÁÑ¡ÍÍ¡¨Ò¡ branch ¢Í§ gastroduodenal artery ·ÕÁ¡
                                   è                                                      è Ñ
໚¹á¢¹§¢¹Ò´ãË­‹) ËÃ×Í bleeding «Ö§ÍÒ¨à¡Ô´¨Ò¡ aortoenteric fistula ໚¹µŒ¹ ¤ÇûÃÖ¡ÉÒᾷ
                                     è
·Ò§ÈÑÅ¡ÃÃÁËÇÁ´ÙáÅ´ŒÇÂàÊÁÍ
552                                                         ÀÒÇÐàÅ×Í´Í͡㹷ҧà´Ô¹ÍÒËÒÃʋǹº¹

        ¢ŒÍº‹§ªÕ㹡ÒûÃÖ¡ÉÒÈÑÅ¡ÃÃÁ䴌ᡋ
                é
        1. äÁ‹ÊÒÁÒöÃÑ¡ÉÒâ´Â endoscopic interventions ä´Œ
        2. Re-bleeding ËÅѧ¨Ò¡¡Ò÷íÒ second endoscopic interventions
        3. Massive GI bleeding â´Â¼Ù»ÇµŒÍ§ä´ŒÃº blood transfusion ÁÒ¡¡Ç‹Ò 6 units
                                    Œ †        Ñ
        4. àÅ×Í´ÍÍ¡µÅÍ´àÇÅÒáÅÐäÁ‹ÊÒÁÒö»ÃÐàÁÔ¹´ŒÇ endoscopy ä´Œ

Radiologic intervention
        ¡ÒÃÃÑ¡ÉÒ´ŒÇ¡Ò÷íÒ angiogram áÅÐ embolization ¹Ñ¹ ÁÑ¡¨Ð·íÒ੾ÒÐ㹡óշÕè failed
                                                               é
endoscopic treatment ᵋÁ¡ä´Œ»ÃÐ⪹ã¹¡Ã³Õ·àÅ×Í´ÍÍ¡´ŒÇ»ÃÔÁÒ³·ÕÁÒ¡¡Ç‹Ò 0.5-1.0 «Õ«Õ
                               Ñ                   Õè                    è
µ‹Í¹Ò·Õ¨§¨ÐàË繨شàÅ×Í´ÍÍ¡ (extravasation point) ä´Œª´à¨¹ áÅÐÊÒÁÒö·íÒ¡ÒÃÍØ´ËÅÍ´àÅ×Í´ä´Œ
          Ö                                           Ñ
âÍ¡ÒÊÊíÒàÃ稻ÃÐÁÒ³ 50-75% ᵋ¡ÁâÍ¡ÒÊà¡Ô´ complications µ‹Ò§æä´Œ ઋ¹ contrast induced
                                     ç Õ
renal failure, aortic dissection, thrombosis ໚¹µŒ¹ (1) ᵋ¶ÍÇ‹Ò໚¹Íա˹֧·Ò§àÅ×Í¡·Õ¹Òʹã¨
                                                             ×             è          è ‹
ã¹»˜¨¨Øº¹ã¹¡Ã³Õ·äÁ‹ÊÒÁÒö·íÒendoscopic interventionsËÃ×ͼ‹ÒµÑ´ä´Œ
        Ñ           Õè

¡ÒÃÃÑ¡ÉÒ´ŒÇÂÂÒ (Medical treatment )
         à¹×ͧ¨Ò¡ platelet aggregation áÅÐ clot formation ໚¹¡Åä¡ÊíҤѭÊíÒËÃѺ¡ÒÃá¢ç§µÑǢͧ
            è
àÅ×Í´ áÅоºÇ‹Ò¨ÐŴŧã¹ÀÒÇзÕ໚¹¡Ã´ã¹¡ÃÐà¾ÒÐÍÒËÒà ´Ñ§¹Ñ¹¡ÒÃÃÑ¡ÉÒËÅѡ㹼ٻÇÂ¡ÅØÁ¹Õ¤Í
                                 è                                 é             Œ †      ‹ é ×
¡ÒÃÅ´¤ÇÒÁ໚¹¡Ã´ã¹¡ÃÐà¾ÒÐÍÒËÒÃŧ ( pH>6 ) «Ö§¨Ò¡¢ŒÍÁÙÅáÅСÒÃÈÖ¡ÉÒµ‹Ò§æã¹»˜¨¨Øº¹ÊÃØ»
                                                     è                                     Ñ
ä´ŒÇÒ proton pump inhibitor(PPI) ໚¹ÂÒ·ÕàËÁÒÐÊÁ·ÕÊ´ÊíÒËÃѺ㪌㹡ÒÃÃÑ¡ÉÒÀÒÇÐ upper GI
       ‹                                        è         èØ
bleeding ª¹Ô´ non variceal bleeding â´Â¾ºÇ‹Ò ¡ÒÃãËŒ PPI µÑ§áµ‹áá ¡‹Í¹¡Ò÷íÒ endoscopy
                                                                 é
·ÕàÃÕÂ¡Ç‹Ò pre-emtive treatment ¹Ñ¹ ÊÒÁÒöŴ high risk bleeding stigmata ·ÕµÍ§·íÒ therapeutic
   è                               é                                        è Œ
intervention ä´Œ áÅÐÅ´ÃÐÂÐàÇÅÒ¡ÒÃÍÂÙâç¾ÂÒºÒŠᵋäÁ‹Á¼Åµ‹ÍÍѵÃÒ¡ÒÃà¡Ô´àÅ×Í´ÍÍ¡«éÒáÅÐ
                                          ‹                    Õ                               í
ÍѵÃÒµÒÂËÃ×ÍÅ´¡Òü‹ÒµÑ´ â´ÂÊÒÁÒöãˌ䴌·§ª¹Ô´ high dose oral, IV (40 Á¡ ·Ø¡ 12 ªÑÇâÁ§)
                                                  Ñé                                         è
ËÃ×Í continuous regimen (80 Á¡ ©Õ´áŌǵÒÁ´ŒÇÂË´ࢌÒËÅÍ´àÅ×Í´´íÒ 8 Á¡./ªÁ.) ᵋ㹻˜¨¨Øº¹         Ñ
ÂѧäÁ‹ÁÕËÅÑ¡°Ò¹Â×¹ÂѹªÑ´à¨¹Ç‹Òª¹Ô´ã´´Õ·ÕèÊØ´ÊíÒËÃѺÃÐÂйÕé ᵋà¹×èͧ¨Ò¡»˜­ËÒã¹àÃ×èͧcost
effectiveness ·ÕµÍ§¤íÒ¹Ö§¶Ö§àÊÁÍ ã¹¤ÇÒÁàËç¹Ê‹Ç¹µÑǢͧ¼Ùà¢Õ¹¤Ô´Ç‹Òâ´Â·ÑÇæä»¤ÇÃãˌẺ oral
                  è Œ                                        Œ            è
ËÃ×Í IV 40 Á¡.·Ø¡ 12 ªÁ. ¡àÇŒ¹¡Ã³ÕµÍ仹Õé 䴌ᡋ ¼Ù»Ç·ÕÁàÅ×Í´ÍÍ¡»ÃÔÁÒ³ÁÒ¡áÅÐ/ËÃ×ÍÁÕâä
                                        ‹              Œ † è Õ
»ÃШíÒµÑÇ·ÕÍÒ¨à¡Ô´¼ÅàÊÕ¨ҡʶҹСÒ󏴧¡Å‹ÒÇ, äÁ‹ÊÒÁÒö·íÒ early endoscopy ä´Œ ËÃ×Íʶҹ
              è                             Ñ
·Õ·äÁ‹ÊÒÁÒö·íÒ endoscopic interventions 䴌͋ҧÁÕ»ÃÐÊÔ·¸ÔÀÒ¾
  è Õè
         ᵋ¶ÒËÅѧ¨Ò¡·íÒ endoscopy ¾ºÇ‹ÒÁÕ high risk of bleeding stigmata ઋ¹ spurting /oozing
                Œ
ËÃ×Í non bleeding visible vessel áÅÐ䴌ú¡Ò÷íÒ therapeutic interventions ઋ¹ hemoclip
                                              Ñ
application, gold probe coaptation , adrenaline injection áÅŒÇ ¨ÐÊÒÁÒöŴâÍ¡ÒÊà¡Ô´ rebleeding
¨Ò¡à´ÔÁ 50-90% àËÅ×Í 15-30% ä´Œ ¹Í¡¨Ò¡¹ÕéÂѧÁÕ¡ÒÃÈÖ¡ÉÒÂ×¹Âѹ¶Ö§»ÃÐ⪹Ã‹ÇÁ¢Í§¡ÒÃãËŒ
àǪÈÒʵÏ·¹Âؤ 2553
          Ñ                                                                                                    553

continuous high dose IV PPI regimen ´Ñ§¡Å‹ÒÇ¢ŒÒ§µŒ¹¹Ò¹ 3-5 ÇѹµÒÁËÅѧ¡Ò÷íÒ endoscopic therapy
«Ö§¾ºÇ‹ÒÊÒÁÒöŴ re-bleeding áÅÐ surgery ä´Œ(7) áÅмٻǤÇÃ䴌ú¡ÒÃÊѧࡵÍÒ¡ÒÃã¹âç
  è                                                         Œ †         Ñ
¾ÂÒºÒŵ‹ÍÍ‹ҧ¹ŒÍ 72 ªÑÇâÁ§ ËÅѧ¨Ò¡¹Ñ¹ãËŒ¡ÒÃÃÑ¡ÉÒ仵ÒÁᵋª¹Ô´, µíÒá˹‹§áÅÐÊÒà˵آͧ
                               è               é
á¼Å¹Ñ¹ ʋǹ㹡óշÕè endoscopic finding ໚¹ low re-bleeding risk ÊÒÁÒöãËŒ¼»ÇÂàÃÔÁÃѺ
      é                                                                               ÙŒ † è
»ÃзҹÍÒËÒà áÅÐ ÍÍ¡¨Ò¡âç¾ÂÒºÒÅä´ŒàÃçÇ¢Ö¹ÀÒÂã¹ 24 ªÑÇâÁ§
                                                  é               è
             ʋǹ¡ÒÃ㪌 Histamine 2 –receptor antagonist (H2 RA) ¹Ñ¹ÁÕ meta-analysis ¨¹¶Ö§»‚
                                                                    é
¤.È. 2002 áÊ´§Ç‹Ò H2RA ÁÕ»ÃÐ⪹ã¹¡ÒÃÅ´ÍѵÃÒàÅ×Í´ÍÍ¡«éÒáÅСÒü‹ÒµÑ´ÊíÒËÃѺ gastric ulcer
                                                                í
ᵋäÁ‹Á¼Åµ‹Í duodenal ulcer áÅж֧áÁŒ¨ÐãËŒ continuous high dose H2RA ¡çäÁ‹Á¼Åµ‹ÍÍѵÃÒàÅ×Í´
           Õ                                                                  Õ
ÍÍ¡«éÒ ÍѵÃÒµÒÂáÅСÒü‹ÒµÑ´àª‹¹¡Ñ¹ Í‹ҧäáçµÒÁàÁ×ÍÁÕ¡Ò÷íÒ meta-analysis 㹤ÃѧËÅѧæ áÅÐ
        í                                                è                          é
à»ÃÕºà·Õº¡Ñº endoscopic interventions áÅÐ PPI ¡ÅѺ¾ºÇ‹Ò H2RA ÁÕ»ÃÐ⪹¹Í¡NjÒÍ‹ҧ
                                                                                  Œ
ªÑ´à¨¹ ÊÃØ»ã¹»˜¨¨Øº¹äÁ‹á¹Ð¹íÒãˌ㪌 H2RA ໚¹ÂÒËÅѡ㹡ÒÃÃÑ¡ÉÒÀÒÇÐ acute non variceal
          (7)
                          Ñ
upper GI bleeding ÍÕ¡µ‹Íä»
             ¡ÒÃ㪌 Somatostatin ËÃ×Í Octreotide 㹡ÒÃÃÑ¡ÉÒÀÒÇйÕé ¾ºÇ‹ÒÊÒÁÒöŴ recurrent of
bleeding ä´Œ´¡Ç‹Ò placebo ᵋàÁ×Íà»ÃÕºà·Õº¡Ñº H2RA, PPI áÅÐ endoscopic treatment
                    Õ                 è
áÅŒÇäÁ‹¾ºÇ‹Òᵡµ‹Ò§¡Ñ¹Í‹ҧÁÕ¹ÂÊíҤѭ·Ò§Ê¶ÔµÔ ´Ñ§¹Ñ¹ ¨Ö§äÁ‹á¹Ð¹íÒãˌ㪌ÂÒ¡ÅØÁ¹Õઋ¹¡Ñ¹(7)
                                   Ñ                   é                     ‹ é

Helicobactor pylori ¡Ñº¡ÒÃà¡Ô´àÅ×Í´Í͡㹷ҧà´Ô¹ÍÒËÒÃ
          à¹×ͧ¨Ò¡»ÃÐÁÒ³ 70% ¢Í§ acute upper GI bleeding ¹Ñ¹à¡Ô´¨Ò¡ peptic ulcer bleeding
             è                                                     é
áÅÐ gastric erosions áÅШҡ¡ÒÃÈÖ¡ÉÒ·Õ¼Ò¹ÁÒ¾ºÇ‹Ò H.pylori ¹Ñ¹ÊÑÁ¾Ñ¹¸Í‹ҧªÑ´à¨¹¡Ñº¡ÒÃ
                                               è ‹                     é
à¡Ô´ gastric ulcer áÅÐ duodenal ulcer ÁÒ¡¶Ö§ 80-100% Í‹ҧäáçµÒÁÁÕ¢ÍÁÙÅNjҡÒõÃǨËÒ H.Pylori
                                                                           Œ
´ŒÇÂÇÔ¸Õ rapid urease test ã¹¢³Ð·ÕÁÕ active bleeding ¹Ñ¹ÍÒ¨ãËŒ¼Å false negative ¨Ò¡¡Ò÷ÕÁàÅ×Í´»¹
                                  è                    é                                è Õ
¨Ö§á¹Ð¹íÒãËŒ·Ò¡ÒõÃǨÍ‹ҧ¹ŒÍ 2 ÇÔ¸Õ à¾×Í¡ÒÃÂ×¹Âѹ¼Å¹‹Ò¨ÐÁÕ»ÃÐ⪹¡Ç‹Ò «Ö§äÁ‹¨Ò໚¹µŒÍ§·íÒ
                í                            è                                   è í
·Ñ¹·Õã¹¢³Ð·Õ§ÁÑ»­ËÒ active bleeding ÍÂÙ‹ ´Ñ§¹Ñ¹ã¹¼Ù»Ç·ÕÁÒ´ŒÇ»˜­ËÒ ulcer bleeding ·Ø¡ÃÒÂ
                  è Ñ ˜                            é     Œ † è
ã¹·ÕÊ´¤ÇÃ䴌ú¡ÒõÃǨËÒ H. Pylori àÊÁÍ áÅÐËÒ¡¾ºÇ‹ÒÁÕ¡ÒõԴàª×Í ¤Ç÷íÒ¡ÒÃÃÑ¡ÉÒ à¾ÃÒÐä´Œ
    èØ              Ñ                                                    é
ÃѺ¡ÒÃÂÍÁÃѺNjҪ‹ÇÂÅ´âÍ¡ÒÊà¡Ô´ recurrent peptic ulcer 䴌͋ҧªÑ´à¨¹

References :
1.   Grace H. Elta. Yamada Text book of Gastroenterology, 4th ed. 2003:698-723.
2.   Christopher S. Huang,David R. Lichtenstein.Nonvariceal upper gastrointestinal bleeding.Gastroenterology clinics
     of north America. 2003;32(4):1053-78.
3.   Chen IC, Hung MS et al. Risk scoring systems to predict need for clinical intervention for patients with
     nonvariceal upper gastrointestinal tract bleeding. Am J Emerg Med. 2007;25(7):774-9.
4.   Robert A Enns,Yves M Gagnon et al. Validation of the Rockall scoring system for outcomes from non-variceal
     upper gastrointestinal bleeding in a Canadian setting. World J Gastroenterology. 2006;12(28):7779-85.
554                                                                  ÀÒÇÐàÅ×Í´Í͡㹷ҧà´Ô¹ÍÒËÒÃʋǹº¹

5.    Hamid Hussain,Seth Lapin et al.Clinical scooring systems for determining the Prognosis of Gastrointestinal
      bleeding. Gastroenterology clinics of north America. 2000;29(2):445-64.
6.    Thomas J. Savides, Dennis M.Jensen.Therapeutic Gastroenterology clinics of north America Endoscopy for
      Nonvariceal Gastrointestinal Bleeding. 2000;29(2):465-88.
7.    Alan Barkun,Marc Bardou et al.Concensus Recommendation for Managing Patients with Nonvariceal Upper
      Gastrointestinal Bleeding.Ann Intern Med. 2003;139:843-57.
8.    Mitshell S. Cappell, David .rieddel.Medical Clinic of North America. 2008;92:491-509.
àǪÈÒʵÏ·¹Âؤ 2553
          Ñ                                                                  º··Õè      555

                                                                              75
                Management of Esophageal Varices and
                  Esophageal Variceal Hemorrhage
                                          ¼ÙŒª‹ÇÂÈÒʵÃÒ¨ÒÏ ᾷ˭ԧÈÔÇоà äªÂ¹ØÇѵÔ
                                                     ÍÒ¨ÒÏ ᾷ˭ԧ¹¹·ÅÕ à¼‹ÒÊÇÑÊ´Ôì
                                                      ÍÒ¨ÒÏ ¹ÒÂá¾·ÂÊØ¾¨¹ ¹ÔèÁ͹§¤
                      ÀÒ¤ÇÔªÒÍÒÂØÃÈÒʵÏ ¤³Ðá¾·ÂÈÒʵÏÈÔÃÔÃÒª¾ÂÒºÒÅ ÁËÒÇÔ·ÂÒÅÑÂÁËÔ´Å

           ÀÒÇÐ portal hypertension (PH) ¤×Í ÀÒÇзÕèÁÕ¤‹Ò¤ÇÒÁᵡµ‹Ò§ÃÐËNjҧ¤ÇÒÁ´Ñ¹ã¹
ËÅÍ´àÅ×Í´´íÒ portal áÅÐËÅÍ´àÅ×Í´´íÒãË­‹ (inferior vena cava) à¡Ô¹ 5 mmHg â´Â»¡µÔ
¤ÇÒÁᵡµ‹Ò§ÃÐËNjҧ¤ÇÒÁ´Ñ¹ã¹ËÅÍ´àÅ×Í´´íÒ¾ÍÏ·Å (portal pressure gradient) ¨ÐÍÂÙÃÐËNjҧ
                                                     Ñ                                ‹
1-5 mm Hg ¹Í¡¨Ò¡¹Õã¹ÀÒÇÐ PH ÂѧÁÕ¡ÒÃà»ÅÕ¹àÊŒ¹·Ò§äËÅàÇÕ¹¢Í§àÅ×Í´â´Â¡ÒÃÊÌҧ portal
                         é                      è
systemic collaterals ¢Ö¹ÁÒ໚¹·Ò§ÅÑ´¢Í§àÅ×Í´«Ö§¨Ð·íÒãËŒÁ¡ÒÃäËÅàÇÕ¹¢Í§àÅ×Í´¨Ò¡ portal system
                       é                      è         Õ
ࢌÒä»ÊÙÃкº¡ÒÃäËÅàÇÕ¹ systemic â´ÂµÃ§â´ÂàÅ×Í´¨ÐäÁ‹¼Ò¹µÑº àÊŒ¹àÅ×Í´ collaterals ·Õà¡Ô´¢Ö¹
         ‹                                                 ‹                            è é
䴌ᡋàÊŒ¹àÅ×Í´¢Í´ã¹ËÅÍ´ÍÒËÒÃ-¡ÃÐà¾ÒÐÍÒËÒà (gastroesophageal varices) àÁ×ÍÁÕ portal pressure
                                                                           è
ÊÙ§¢Ö¹àÃ×ÍÂæ ¡ç¨ÐÁÕ¡ÒÃ⻆§µÑǢͧàÊŒ¹àÅ×Í´¢Í´àËŋҹÕáÅÐà¡Ô´àÅ×Í´Í͡㹷ÕÊ´ (variceal bleeding)
     é è                                           é                  èØ

Esophageal varices and esophageal variceal hemorrhage
        ¤ÇÒÁªØ¡¢Í§àÊŒ¹àÅ×Í´¢Í´ã¹ËÅÍ´ÍÒËÒâͧ¼ÙŒ»†Ç·ÕèÁÕÀÒÇеѺá¢ç§·Õèä´ŒµÃǨʋͧ¡ÅŒÍ§
·Ò§à´Ô¹ÍÒËÒÃʋǹµŒ¹ (esophagogastroduodenoscopy, EGD) »ÃÐÁҳÌÍÂÅÐ 30-40 áÅоº
àÊŒ¹àÅ×Í´¢Í´ã¹ËÅÍ´ÍÒËÒö֧ 60% ã¹¼ÙŒ»†ÇµѺá¢ç§ÃÐÂÐÊØ´·ŒÒ (decompensated cirrhosis)
¨Ò¡¡ÒÃÈÖ¡ÉÒ¡ÒÃà¡Ô´¢Í§àÊŒ¹àÅ×Í´ã¹ËÅÍ´ÍÒËÒà (esophageal varices, EV) â´Â Groszmann áÅÐ
¤³Ð¾ºÇ‹Ò¤‹Ò hepatic venous pressure gradient (HVPG) ·ÕÁÒ¡¡Ç‹Ò 10 mmHg ໚¹»˜¨¨Ñº‹§ºÍ¡
                                                         è
(predictor) ·ÕÊҤѭ㹡ÒÃà¡Ô´ EV
                èí
        ÍØºµ¡Òó¢Í§¡ÒÃà¡Ô´àÊŒ¹àÅ×Í´¢Í´ã¹ËÅÍ´ÍÒËÒÃ㹼ٻǵѺá¢ç§¾º»ÃÐÁҳÌÍÂÅÐ 5-8
            Ñ Ô                                            Œ †
µ‹Í»‚áÅÐàÊŒ¹àÅ×Í´¢Í´¢¹Ò´àÅç¡ (small EV) ¨Ðâµ¢Ö¹¢ÂÒµÑÇ໚¹¢¹Ò´ãË­‹ (large EV) ã¹ÍѵÃÒ
                                                  é
ÃŒÍÂÅÐ 5-30 µ‹Í»‚ âÍ¡ÒÊ·Õà¡Ô´àÊŒ¹àÅ×Í´ÍÍ¡¨Ò¡àÊŒ¹àÅ×Í´¢Í´áµ¡»ÃÐÁҳÌÍÂÅÐ 15 µ‹Í»‚ àÁ×Íà¡Ô´
                         è                                                          è
ÀÒÇÐàÅ×Í´ÍÍ¡¨Ò¡àÊŒ¹àÅ×Í´¢Í´ã¹ËÅÍ´ÍÒËÒüٻǨÐÁÕ͵ÃÒàÊÕªÕǵ¶Ö§ÃŒÍÂÅÐ 15-20
                                              Œ †      Ñ       Ô
556                    Management of Esophageal Varices and Esophageal Variceal Hemorrhage

                 ¡ÒÃÇÔ¹¨©ÑÂÀÒÇÐ EV ¤Ç÷íÒâ´Â¡ÒÃʋͧ¡ÅŒÍ§µÃǨ·Ò§à´Ô¹ÍÒËÒÃʋǹµŒ¹ ¡ÒÃÇÔ¹¨©ÑÂâ´Â
                       Ô                                                                      Ô
ÇԸ͹ÂѧäÁ‹¶Í໚¹Áҵðҹ ºÒ§¡Ã³ÕÁ¼ãªŒ¨Ò¹Ç¹à¡Åç´àÅ×Í´ª‹Çº‹§¶Ö§ÀÒÇзըÐÁÕ EV ઋ¹¨íҹǹ
   Õ ×è             ×                           Õ ÙŒ í                                 è
platelet count <100,000/mm áÅСÒõÃǨÍÑŵÃÒ«Òǹà¾×Í»ÃÐàÁÔ¹ portal vein diameter ¶ŒÒÁÕ
                                     3
                                                                        è
¢¹Ò´ >13 mm ¹Í¡¨Ò¡¹Ñ¹ÂѧÁÕ¡ÒÃÈÖ¡ÉÒ¾ºÇ‹Ò¼Ù»Ç ·ÕÁÕ platelet count ¹ŒÍÂ¡Ç‹Ò 88,000 /mm3
                                   é                            Œ † è
ËÃ×͵ÃǨ¾ºÁÕÁÒÁ⵨оº large varices ¶Ö§ÃŒÍÂÅÐ 28 àÁ×Íà·Õº¡ÑºÃŒÍÂÅÐ 7 ã¹¡ÅØÁ·ÕäÁ‹Á»¨¨ÑÂ
                         Œ                                            è                    ‹ è Õ ˜
´Ñ§¡Å‹ÒÇ ¡ÒõÃǨ¾º EV â´Â¡Ò÷íÒ CT scan ËÃ×Í¡Ò÷íÒ fibroscan à¾×Í´ÙÀÒÇмѧ¼×´ã¹µÑºàÃÒÂѧ
                                                                                 è
äÁ‹¶Í໚¹¡ÒÃÇÔ¹¨©ÑÂÁҵðҹ áÅÐäÁ‹Á¢Íº‹§ªÕ·µÍ§ãËŒ¡ÒÃÃÑ¡ÉÒ ¢³Ð¹Õ§äÁ‹ÁµÇªÕÇ´ã´æ ·ÕÁ¤ÇÒÁ
        ×                  Ô                   Õ Œ       é Õè Œ               é Ñ Õ Ñ éÑ        è Õ
äÇà¾Õ§¾Í¨ÐãËŒ¡ÒÃÇÔ¹¨©ÑÂä´ŒÇҼٻǷÕ໚¹µÑºá¢ç§¨ÐÁÕ EV ËÃ×ÍäÁ‹ ´Ñ§¹Ñ¹¼Ù»Ç·Õ䴌ú¡ÒÃÇÔ¹¨©ÑÂ
                               Ô       ‹ Œ † è                                  é Œ † è Ñ             Ô
Ç‹Ò໚¹µÑºá¢ç§¤ÇÃ䴌ú¡Ò÷íÒ endoscopy à¾×Í໚¹¡ÒÃʹѺʹع¡ÒÃÇÔ¹¨©ÑµѺá¢ç§áÅеÃǨËÒ EV
                             Ñ                         è                    Ô
¡Ã³Õ·¼»Ç·դÃѧáá·ÕµÃǨäÁ‹¾º EV á¹Ð¹íÒãËŒÁ¡ÒõÃǨ«éÒ໚¹ÃÐÂÐæ à¾×Í»ÃÐàÁÔ¹áÅеԴµÒÁ
            Õè ÙŒ † è é          è                                Õ       í          è
â´Â·ÑÇ令Ç÷íÒ·Ø¡ 2-3 »‚ ÊíÒËÃѺ¼Ù»Ç·յÃǨ¾º small EV 㹡ÒÃʋͧ¡ÅŒÍ§¤ÃѧááËÃ×ͼٻÇ·Õè
          è                                 Œ † è                                        é        Œ †
ÁÕ decompensated cirrhosis ¤ÇõԴµÒÁ·Ø¡»‚

¡ÒÃẋ§ÃÐÂТͧàÊŒ¹àÅ×Í´¢Í´ã¹ËÅÍ´ÍÒËÒÃ
          ¡ÒÃẋ§ÃÐÂТͧàÊŒ¹àÅ×Í´¢Í´ã¹ËÅÍ´ÍÒËÒà (ÃÙ»·Õè 1) ¹Ñ¹ÁÕËÅÒ¡ËÅÒÂᵋ»­ËÒ¤×ÍÇ‹ÒÁÕ
                                                                é                   ˜
¤ÇÒÁá»Ã»Ãǹ㹡ÒÃ͋ҹÁҡઋ¹¡Ñ¹ ÁÕ¡ÒÃá¹Ð¹íÒNjҡÒÃẋ§ÃÐÂТͧàÊŒ¹àÅ×Í´¢Í´ã¹ËÅÍ´ÍÒËÒÃ
µÒÁÇÔ¸¢Í§ Japanese Research Society for portal hypertension classification ¹Ñ¹ãªŒ§ÒÂáÅй‹Ò
        Õ                                                                       é ‹
¨Ð¹íÒÁÒ»ÃÐÂØ¡µãªŒã¹´Õã¹àǪ»¯ÔºµÔ ¡ÒÃẋ§ÃÐÂТͧàÊŒ¹àÅ×Í´¢Í´ã¹ËÅÍ´ÍÒËÒ÷Õ㪌㹻˜¨¨Øº¹
                                    Ñ                                             è         Ñ
䴌ᡋ
          ! ¤ÇÒÁÂÒÇ (extent) ¢Í§àÊŒ¹àÅ×Í´¢Í´ÇѴ໚¹ «Á. ¹Ñº¨Ò¡ gastroesophageal junction
          ! ¢¹Ò´ (size) ¢Í§àÊŒ¹àÅ×Í´¢Í´ (.0 – äÁ‹Á; .1- àÅç¡ µÃ§ äÁ‹¤´à¤ÕÂÇ; .2 - ¤´à¤ÕÂÇ
                                                        Õ                    é            é
             ᵋàÅç¡¡Ç‹ÒÃŒÍÂÅÐ 50 ¢Í§ÃÑÈÁÕ; .3 – ¤´à¤ÕÂÇáÅÐãË­‹¡Ç‹ÒÃŒÍÂÅÐ 50 ¢Í§ÃÑÈÁÕ
                                                      é
          ! ÊÕ (color) ¢Í§àÊŒ¹àÅ×Í´¢Í´ (ÊÕ¤ÅéÒ ËÃ×ÍÊÕ¢ÒÇ)
                                             í
          ! Red signs (red wale marking, cherry-red spot, hematocystic spot)
          ¾ºÇ‹Ò predictor ÊíÒËÃѺ¡ÒÃà¡Ô´àÅ×Í´ÍÍ¡¨Ò¡àÊŒ¹àÅ×Í´¢Í´ã¹ËÅÍ´ÍÒËÒâֹÍÂÙ¡º 3 »˜¨¨ÑÂ
                                                                               é ‹ Ñ
䴌ᡋ ¢¹Ò´, red wale markings áÅФÇÒÁÃØ¹áç¢Í§âäµÑº (Child-Pugh score) ¢Í§¼Ù»Ç     Œ †
àǪÈÒʵÏ·¹Âؤ 2553
          Ñ                                                                               557




            ÃÙ»·Õè 1 áÊ´§ÀÒ¾¡ÒÃẋ§ÃÐÂТͧËÅÍ´àÅ×Í´¢Í´ã¹ËÅÍ´ÍÒËÒÃ

¡Òû‡Í§¡Ñ¹¡ÒÃà¡Ô´àÊŒ¹àÅ×Í´¢Í´ã¹ËÅÍ´ÍÒËÒÃ
(Pre-primary prophylaxis)
        ¡ÒÃÈÖ¡ÉҢͧ Groszmann áÅФ³Ð㹼ٻǵѺá¢ç§à¾×Í´Ù͵ÃÒ¡ÒÃà¡Ô´ EV áÅлÃÐàÁÔ¹¼Å
                                              Œ †           è Ñ
¢Í§¡ÒÃãËŒÂÒ timolol «Ö§à»š¹ non-selective beta-blocker (BB) 㹡Òû‡Í§¡Ñ¹¡ÒÃà¡Ô´ EV ¹Ñ¹¾ºÇ‹Ò
                      è                                                                é
¼Ù»ÇµѺá¢ç§¨íҹdz 213 ¤¹·Õ§äÁ‹ÁÕ EV à¡Ô´¢Ö¹ ẋ§¼Ù»ÇÂ໚¹ 2 ¡ÅØÁâ´ÂãËŒÂÒ timolol áÅÐ placebo
  Œ †                        èÑ             é       Œ †          ‹
µÔ´µÒÁµÃǨʋͧ¡ÅŒÍ§ EGD ¼ÙŒ»†ÇÂà¾×è͵ÃǨ EV ໚¹ÃÐÂÐàÇÅÒà©ÅÕè»ÃÐÁÒ³ 4 »‚¾ºÇ‹ÒÍѵÃÒ
¡ÒÃà¡Ô´ EV, ËÃ×Í¡ÒÃà¡Ô´àÅ×Í´ÍÍ¡¨Ò¡ EV äÁ‹áµ¡µ‹Ò§¡Ñ¹ã¹¼Ù»Ç·ѧ 2 ¡ÅØÁ ¨Ö§à»š¹¢ŒÍÊÃØ»Ç‹Ò
                                                             Œ † é        ‹
¡ÒÃãËŒÂÒ BB 㹼ٻǵѺá¢ç§¹Ñ¹äÁ‹ÊÒÁÒö»‡Í§¡Ñ¹ËÃ×ͪÐÅÍ¡ÒÃà¡Ô´ EV ä´Œ ¨Ö§äÁ‹á¹Ð¹íÒ¡ÒÃàÃÔÁ
                  Œ †           é                                                            è
ãËŒÂÒ BB 㹼ٻǷÕ䴌ú¡ÒÃÇÔ¹¨©ÑÂÀÒÇеѺá¢ç§ (â´Â·Õ§äÁ‹ä´ŒÊͧ¡ÅŒÍ§·Ò§à´Ô¹ÍÒËÒûÃÐàÁÔ¹ EV)
             Œ † è Ñ          Ô                      èÑ       ‹
à¾×Í»‡Í§¡Ñ¹¡ÒÃà¡Ô´ EV á¹Ð¹íÒãËŒµÃǨʋͧ¡ÅŒÍ§«éÒÍÕ¡·Ø¡ 2-3 »‚
    è                                          í

¡Òû‡Í§¡Ñ¹¡ÒÃᵡ¢Í§àÊŒ¹àÅ×Í´¢Í´ã¹ËÅÍ´ÍÒËÒÃ
(Primary prophylaxis for esophageal variceal bleeding)
        ¡ÒÃÅ´¤ÇÒÁ´Ñ¹ã¹ÀÒÇÐ PH ¹Ñ鹨ÐÊÒÁÒöʋ§¼Å»‡Í§¡Ñ¹¡ÒÃà¡Ô´ variceal bleeding ä´Œ
â´ÂÇÔ¸¡ÒÃÅ´¤ÇÒÁ´Ñ¹¹Ñ¹ÍҨ໚¹¡ÒÃãËŒÂÒÃÑ¡ÉÒ (medical treatment) ËÃ×Í local treatment ઋ¹
      Õ              é
¡ÒÃʋͧ¡ÅŒÍ§·Ò§à´Ô¹ÍÒËÒÃáÅÐ㪌ÂÒ§ÃÑ´àÊŒ¹àÅ×Í´¢Í´ (esophageal band ligation, EBL) ¡ÒÃÊÌҧ
·Ò§à´Ô¹¢Í§àÅ×Í´ãËÁ‹¢Í§â´Â¡ÒÃãÊ‹ stent ã¹àÊŒ¹àÅ×Í´´íÒ㹵Ѻ (portal-systemic shunt) ËÅÑ¡¡ÒÃ
ãËŒÂÒÅ´¤ÇÒÁ´Ñ¹ã¹ PH ¹Ñé¹ ÁÕ·Ñé§¡ÒÃãËŒÂÒ vasoconstrictors áÅÐ vasodilators â´Â¼ÅÃÇÁ¨Ð
ä»Å´¤ÇÒÁµŒÒ¹·Ò¹ã¹ËÅÍ´àÅ×ʹ㹵Ѻ ÂҴѧ¡Å‹ÒǤ×Í propranolol, nadolol, carvedilol, isosorbide-
558                   Management of Esophageal Varices and Esophageal Variceal Hemorrhage

5- mononitrate (ISMN) ÊíÒËÃѺ non-selective ß- blocker (propranolol, nadolol, carvedilol) ¹Ñ¹ÊÒÁÒö
                                                                                            é
Å´¤ÇÒÁ´Ñ¹ã¹ËÅÍ´àÅ×Í´¾ÍϵÅä´Œâ´Â¡ÒÃÍ͡ķ¸Ôì cardiac output ¼‹Ò¹ ß1-blockade áÅÐÍ͡ķ¸Ôì
                               Ñ
ª‹ÇÂãËŒàÅ×Í´äËż‹Ò¹ splanchnic circulation ¹ŒÍÂŧ·íÒãËŒ»ÃÔÁÒ³àÅ×Í´·Õ¼Ò¹à¢ŒÒÊÙ‹ portal system
                                                                          è ‹
¹ŒÍÂŧ â´ÂÍ͡ķ¸¼Ò¹ ß2-blockade ·íÒãËŒà¡Ô´¡ÒÃË´µÑǢͧËÅÍ´àÅ×Í´ã¹ splanchnic circulation
                    ‹

µÒÃÒ§·Õè 1 ÂÒ·Õè㪌㹡Òû‡Í§¡Ñ¹ÀÒÇÐàÊŒ¹àÅ×ʹᵡáÅÐÅ´¤ÇÒÁ´Ñ¹ã¹¾ÍÏ·ÑÅ
Propranolol                   20 mg bid                   Primary, secondary prophylaxis
Nadolol                       40 mg bid                   Primary, secondary prophylaxis
Carvedilol                    6.25 mg bid                 Primary, secondary prophylaxis
Isosorbide 5-mononitrate      10-20 mg bid                Primary, secondary prophylaxis
                                                          Only with beta-blocker

             ¨Ò¡¡ÒÃÈÖ¡ÉÒÇÔ¨Âã¹Í´Õµ¾ºÇ‹Ò¡ÒÃãËŒÂÒ¡ÅØÁ non-selective ß-blocker ¹Ñ¹¨Ðª‹Ç»‡Í§¡Ñ¹¡ÒÃ
                            Ñ                        ‹                          é
à¡Ô´ EV hemorrhage ä´Œ ᵋ¾ºÇ‹Ò¼Å´Ñ§¡Å‹ÒǨÐä´Œ»ÃÐ⪹Í‹ҧÁÕ¹ÂÊíÒ¤Ñ­ã¹¡ÅØÁ medium-large
                                                                        Ñ           ‹
EV «Öè§¾ºÇ‹ÒÍѵÃÒ¡ÒÃà¡Ô´ÀÒÇÐàÅ×Í´ÍÍ¡¨Ò¡ EV ¹Ñé¹ã¹¼ÙŒ»†ÇÂ¡ÅØ‹Á·Õèä´ŒÃѺÂÒËÅÍ¡à·Õº¡Ñº
non-selective ß-blocker ໚¹ÃŒÍÂÅÐ 30 áÅÐ 14 µÒÁÅíҴѺ ¨Ö§à»š¹¢ŒÍá¹Ð¹íÒNjҤÇÃàÃÔèÁÂÒ
non-selective ß-blocker àÁ×è͵ÃǨ¾º EV ¢¹Ò´ .2 ËÃ×Í medium-large ໚¹µŒ¹ä»àÁ×èÍãËŒÂÒ
non-selective ß-blocker á¹Ð¹íÒãËŒ»ÃѺ¢¹Ò´ÂÒà¾×Íãˌ͵ÃÒ¡ÒÃൌ¹¢Í§ËÑÇ㨪ŒÒŧÍ‹ҧ¹ŒÍ ÌÍÂÅÐ 25
                                                 è Ñ
¨Ò¡¤‹ÒàÃÔÁµŒ¹ËÃ×Í»ÃÐÁÒ³ 55-60 ¤Ãѧµ‹Í¹Ò·Õ¢³Ð¾Ñ¡
             è                         é
             ¡ÒÃÈÖ¡ÉÒ meta-analysis ¢Í§ Khuroo áÅФ³Ðã¹»‚ ¤.È. 2005 áÅÐ Tripathi áÅФ³Ð
ã¹»‚ 2007 à¾×Íà»ÃÕºà·Õº»ÃÐÊÔ·¸ÔÀÒ¾¢Í§ ÂÒ non-selective ß-blocker áÅÐ EBL 㹡Òû‡Í§¡Ñ¹
                  è
¡ÒÃà¡Ô´ EV hemorrhage ¹Ñ¹¾ºÇ‹Òä´Œ¼Å¤ÅŒÒ¤ÅÖ§¡Ñ¹ ¡Å‹ÒǤ×Í EBL ÊÒÁÒöŴ¤ÇÒÁàÊÕ§¢Í§¡ÒÃ
                              é                                                            è
à¡Ô´àÅ×Í´ÍÍ¡¨Ò¡àÊŒ¹àÅ×Í´¢Í´¢Í§ËÅÍ´ÍÒËÒäÃѧáá䴌ÃÍÂÅÐ 37-43 àÁ×Íà·Õº¡Ñº¼Ù»Ç·Õ䴌úÂÒ
                                                   é        Œ                 è       Œ † è Ñ
ᵋÍѵÃÒµÒ¨ҡÀÒÇÐàÅ×Í´ÍÍ¡áÅÐÍѵÃÒµÒÂâ´ÂÃÇÁäÁ‹áµ¡µ‹Ò§Í‹ҧÁÕ¹ÑÂÊíҤѭ ´Ñ§¹Ñé¹ã¹¡Ã³Õ
·Õè¼ÙŒ»†ÇÂäÁ‹ÊÒÁÒö·¹µ‹ÍÂÒ non-selective ß-blocker ä´ŒËÃ×ÍÇ‹ÒÁռŢŒÒ§à¤Õ§¨Ò¡ÂÒ ËÃ×ͼٌ»†ÇÂ
àÅ×Í¡·Õ¨Ð·íÒ¡ÒÃʋͧ¡ÅŒÍ§áÅÐ EBL àÃÒ¡çÊÒÁÒöàÅ×Í¡¡Ò÷íÒ EBL à¾×Í»‡Í§¡Ñ¹¡ÒÃà¡Ô´àÅ×Í´ÍÍ¡¨Ò¡
         è                                                            è
àÊŒ¹àÅ×Í´¢Í´ä´Œ ¡ÒÃʋͧ¡ÅŒÍ§à¾×Í»‡Í§¡Ñ¹¹Ñ¹á¹Ð¹íÒãËŒ·Ò·Ø¡ 3-4 ÊÑ»´Òˏ¨¹¡Ç‹Ò¢¹Ò´àÊŒ¹àÅ×Í´¢Í´
                                   è        é             í
¨ÐàÅç¡à¡Ô¹¡Ç‹Ò·Õ¨Ð·íÒ¡ÒÃÃÑ¡ÉÒä´ŒËÃ×ÍàÊŒ¹àÅ×Í´¢Í´ËÁ´ä»
                    è
             ¨Ò¡¢ŒÍÁÙŵ‹Ò§æ ¨Ö§à»š¹¢ŒÍá¹Ð¹íÒÇ‹ÒäÁ‹¤ÇÃàÃÔèÁãËŒÂÒà¾×èÍ»‡Í§¡Ñ¹ÀÒÇÐ EV hemorrhage
ã¹¼ÙŒ»†Ç·ÕèÁÕàÊŒ¹àÅ×Í´¢Í´¢¹Ò´àÅç¡ËÃ×ͼٌ»†Ç·ÕèÂѧäÁ‹ÁÕàÊŒ¹àÅ×Í´¢Í´ã¹ËÅÍ´ÍÒËÒ÷ÕèàË繨ҡ¡ÒÃ
ʋͧ¡ÅŒÍ§ ¡àÇŒ¹áµ‹ã¹¼Ù»Ç·ÕÁàÊŒ¹àÅ×Í´¢Í´¢¹Ò´àÅç¡áµ‹ÁÕ red colour signs ËÃ×Í㹼ٻǷÕÁÀÒÇÐ
                           Œ † è Õ                                                      Œ † è Õ
µÑºá¢ç§ÃÐÂÐÊØ´·ŒÒ Child-Pugh C ËÇÁ¡Ñº¡ÒõÃǨ¾º small EV ã¹¼Ù»ÇÂàËŋҹѹÍÒ¨¾Ô¨ÒóÒàÃÔÁ
                                                                          Œ †     é             è
ãËŒÂÒ¡ÅØÁ non-selective ß-blocker ä´Œà¾×Í»‡Í§¡Ñ¹¡ÒÃà¡Ô´ÀÒÇÐàÅ×Í´ÍÍ¡¨Ò¡àÊŒ¹àÅ×Í´¢Í´áµ¡ 㹡óÕ
           ‹                             è
·Õèä´ŒàÃÔèÁãËŒÂÒá¡‹¼ÙŒ»†ÇÂáÅŒÇäÁ‹¨íÒ໚¹µŒÍ§·íÒ¡ÒõÃǨ EGD «éíÒà¾×èÍ´Ù¢¹Ò´¡ÒâÂÒµÑǢͧ
àǪÈÒʵÏ·¹Âؤ 2553
          Ñ                                                                              559

àÊŒ¹àÅ×Í´¢Í´ÍÕ¡ ¶ŒÒã¹¡ÅØÁ¼Ù»ÇµѺá¢ç§·ÕÁÕ small EV áÅÐÂѧäÁ‹ä´ŒàÃÔÁãËŒÂÒÃÑ¡ÉÒ»‡Í§¡Ñ¹á¹Ð¹íÒãËŒ
                        ‹ Œ †          è                          è
µÃǨʋͧ¡ÅŒÍ§ EGD «éÒÍÕ¡·Ø¡ 1-2 »‚
                     í

ÀÒÇÐàÅ×Í´Í͡㹷ҧà´Ô¹ÍÒËÒÃà©Õº¾Åѹ¨Ò¡àÊŒ¹àÅ×Í´¢Í´ã¹ËÅÍ´
ÍÒËÒÃᵡ (Acute Esophageal Varcieal Hemorrhage)
        ¡ÒÃÃÑ¡ÉÒÀÒÇÐàÅ×Í´ÍÍ¡¨Ò¡àÊŒ¹àÅ×Í´¢Í´ã¹ËÅÍ´ÍÒËÒÃã¹»˜¨¨Øº¹»ÃСͺ仴ŒÇÂ
                                                                      Ñ
        1. ¡ÒÃÃÑ¡ÉÒ´ŒÇÂÂÒ
        2. ¡ÒÃÃÑ¡ÉÒâ´Â¡ÒÃʋͧ¡ÅŒÍ§
        3. Balloon tamponade (Sengstaken-Blakemore tube)
        4. Transjugular intrahepatic portosystemic shunt (TIPS)
        5. ¡Òü‹ÒµÑ´
        ¡ÒÃà»ÃÕºà·ÕºÅѡɳТŒÍ´Õ¢ÍàÊÕ¢ͧ¡ÒÃÃÑ¡ÉÒâ´ÂÇÔ¸µÒ§æáÊ´§ã¹µÒÃÒ§·Õè 2 â´Âá¹Ç·Ò§
                                      Œ                     Õ ‹
¡ÒÃÃÑ¡ÉÒ áº‹§à»š¹
        ¡ÒÃÃÑ¡ÉÒ¡‹Í¹Ê‹Í§¡ÅŒÍ§ »ÃСͺ仴ŒÇ¡ÒÃÃÑ¡ÉÒ´ŒÇÂÂÒ ËÃ×Í balloon tamponade
        ¡ÒÃÃÑ¡ÉÒâ´Â¡ÒÃʋͧ¡ÅŒÍ§ ẋ§à»š¹ esophageal variceal sclerotherapy (EVS) ໚¹¡ÒÃ
ÃÑ¡ÉÒâ´Â¡Òéմ sclerosing agent à¾×Í໚¹¡Òà obliterate àÊŒ¹àÅ×Í´ ᵋ»¨¨Øº¹ÁÕ¡Ò÷íÒ¹ŒÍÂŧ áÅÐ
                                    è                                ˜ Ñ
esophageal variceal band ligation (EVL) ໚¹¡ÒÃÃÑ¡ÉÒâ´Â¡ÒÃ㪌 rubber band 仼١àÊŒ¹àÅ×Í´¢Í´
ã¹»˜¨¨Øº¹¹ÔÂÁ·íҡѹÁÒ¡à¹×ͧ¨Ò¡·íÒ§‹ÒÂáÅÐÁռŢŒÒ§à¤Õ§¹ŒÍÂáÅÐä´Œ¼Å´Õ
        Ñ                 è
        ¡ÒÃÃÑ¡ÉÒËÅѧʋͧ¡ÅŒÍ§ »ÃСͺ´ŒÇ¡ÒÃ㪌ÂÒ ¡Òû‡Í§¡Ñ¹àÅ×Í´ÍÍ¡«éíÒ (secondary
prophylaxis) áÅСÒÃãËŒÂÒ»¯ÔªÇ¹Ð»‡Í§¡Ñ¹
                               Õ

µÒÃÒ§·Õè 2 à»ÃÕºà·Õº¼Å¢Í§¡ÒÃÃÑ¡ÉÒÀÒÇÐàÅ×Í´ÍÍ¡¨Ò¡àÊŒ¹àÅ×Í´¢Í´ã¹ËÅÍ´ÍÒËÒÃ
           ´ŒÇÂÇÔ¸Õµ‹Ò§æ
                           ¡ÒÃʋͧ¡ÅŒÍ§            Somatostatin         S-B tube
ËÂØ´àÅ×Í´ (ÃŒÍÂÅÐ)         70-90                   60-75                80-100
àÅ×Í´ÍÍ¡«éÒ (ÃŒÍÂÅÐ)
           í               20                      40                   50
ÀÒÇÐá·Ã¡«ŒÍ¹ (ÃŒÍÂÅÐ)      2-22                    ¹ŒÍÂÁÒ¡              15-68
¤ÇÒÁàÃçÇ㹡ÒÃËÂØ´àÅ×Í´     ·Ñ¹·Õ                   1-2 ªÁ.              ·Ñ¹·Õ
ÃÒ¤Ò                       +++                     ++++                 +

       1. ¡ÒÃÃÑ¡ÉÒ´ŒÇ¡ÒÃ㪌ÂÒ
       ÂÒËÅÑ¡ã¹¡ÅØÁ¹Õ»ÃСͺ仴ŒÇ somatostatin áÅÐ analogue (ઋ¹ octreotide, vapreotide),
                  ‹ é
vasopressin áÅÐ analogue, ß-blocker áÅÐ nitrate
560                  Management of Esophageal Varices and Esophageal Variceal Hemorrhage

        Somatostatin áÅÐ analogue (octreotide áÅÐ vapreotide)
        á¹Ð¹íÒãËŒ somatostatin ã¹¢¹Ò´ 250 äÁâ¤Ã¡ÃÑÁ©Õ´ µÒÁ´ŒÇÂË´·Ò§ËÅÍ´àÅ×Í´´íÒ 250
äÁâ¤Ã¡ÃÑÁ/ªÁ. ËÃ×Í㪌 octreotide 50 äÁâ¤Ã¡ÃÑÁ©Õ´ µÒÁ´ŒÇÂË´·Ò§ËÅÍ´àÅ×Í´´íÒ 50 äÁâ¤Ã¡ÃÑÁ/ªÁ.
¾ºÇ‹Ò somatostatin ÊÒÁÒöŴ hepatic venous pressure gradient, variceal pressure áÅÐ azygos
blood flow ä´Œ ᵋ¨ÐÁÕ¼Å㹡ÒÃÅ´à¾Õ§ªÑèǤÃÒÇ ´Ñ§¹Ñ鹨֧¨íÒ໚¹µŒÍ§ãËŒã¹ÃٻẺË´·Ò§
ËÅÍ´àÅ×Í´´íÒµ‹Í ÊÒÁÒö¤Çº¤ØÁàÅ×Í´ÍÍ¡¨Ò¡àÊŒ¹àÅ×Í´¢Í´ã¹ËÅÍ´ÍÒËÒÃä´ŒàÁ×Íà·Õº¡ÑºÂÒËÅÍ¡
                                                                          è
«Ö§ä´Œ¼Å¾Íæ ¡Ñº terlipressin
  è
        Octreotide áÅÐ vapreotide ¨ÐÁÕ¤Ò¤ÃÖ§ªÕǵ¹Ò¹¡Ç‹Ò somatostatin ÊÒÁÒöŴ hepatic
                                          ‹ è Ô
venous pressure gradient áÅÐ azygos blood flow ᵋäÁ‹Å´¤ÇÒÁ´Ñ¹ã¹àÊŒ¹àÅ×Í´¢Í´¼Å·Õä´Œ¾Íæ
                                                                                    è
¡Ñº¡ÒÃÃÑ¡ÉÒ´ŒÇ terlipressin
        Vasopressin áÅÐ analogue (terlipressin)
        Vasopressin ໚¹ splanchnic vasoconstrictor ·Õáç ¨Ö§·íÒãËŒäÁ‹à»š¹·Õ¹ÂÁ㪌 à¹×ͧ¨Ò¡
                                                            è                 è Ô       è
¼Å¢ŒÒ§à¤Õ§ terlipressin «Ö§à»š¹ vasopressin analogue (¢¹Ò´·Õ㪌 2 Á¡. ·Ø¡ 4 ªÁ. ÊíÒËÃѺ¤¹ä·Â
                           è                                  è
á¹Ð¹íÒãˌ㪌 1 Á¡. ·Ø¡ 8 ªÁ.¨ÐàËÁÒÐÊÁ¡Ç‹ÒáÅÐà¡Ô´¼Å¢ŒÒ§à¤Õ§ÍÒ·Ô ischemia ¹ŒÍ¡NjÒ) ¹Ñ¹      é
ÊÒÁÒöŴ hepatic venous pressure gradient áÅФÇÒÁ´Ñ¹ã¹àÊŒ¹àÅ×Í´¢Í´ ÃÇÁ·Ñ§ azygos blood
                                                                                  é
flow ä´Œ´ŒÇ ¾ºÇ‹Ò terlipressin ´Õ¡Ç‹ÒÂÒËÅ͡㹡ÒÃËÂØ´àÅ×Í´ÍÍ¡ áÅÐÂѧ·íÒãˌŴ renal
vasoconstrictor system activity ª‹ÇÂãËŒ¡Ò÷íÒ§Ò¹¢Í§äµ´Õ¢¹ã¹¼Ù»Ç·Õ໚¹ hepatorenal syndrome
                                                         Öé     Œ † è
Í‹ҧäáç´Õ¤ÇèÐÃÐÇѧNjÒÂÒ¹ÕéÊÒÁÒö·íÒãËŒà¡Ô´ ischemic complication ä´Œâ´Â੾ÒÐã¹¼ÙŒ»†ÇÂ
·ÕÁ»­ËÒªçͤ¨Ò¡ hypovolemia áÅÐäÁ‹á¹Ð¹íÒãˌ㪌ÂÒ¹Õ㹼ٻǷÕÁâäËÑÇã¨
  è Õ ˜                                                é Œ † è Õ

        2. ¡ÒÃÃÑ¡ÉÒ´ŒÇ balloon tamponade
           ¡ÒÃÃÑ¡ÉÒ´ŒÇ balloon tamponade â´Â㪌 Sengstaken-Blakemore (S-B) tube (ÃÙ»·Õè 2)
ÂÑ § ÁÕ ¤ ÇÒÁ¨Óà»ç ¹ ã¹»ÃÐà·Èä·Âà¹× è Í §¨Ò¡¡ÒÃÃÑ ¡ ÉÒ´é Ç Â¡ÒÃÊè Í §¡Åé Í §ÂÑ § äÁè Ê ÒÁÒö·Óä´é
ã¹·Ø¡âç¾ÂÒºÒÅ ´Ñ§¹Ñé¹á¾·Â¨ºãËÁ‹ËÃ×ÍÍÒÂØÃᾷ·ÑèÇ令ÇèÐÁÕ¤ÇÒÁÃÙŒ¤ÇÒÁࢌÒã¨ã¹¡ÒÃ㪌
S-B tube ໚¹Í‹ҧ´Õ â´Â·ÑèÇä»ã¹âç¾ÂÒºÒÅ·ÕèÁÕÊÒÁÒöãËŒ¡ÒÃÃÑ¡ÉÒâ´Â¡ÒÃʋͧ¡ÅŒÍ§ä´Œ¡ç
äÁ‹á¹Ð¹íÒãˌ㪌 S-B tube ¡àÇŒ¹àÊÕÂᵋNjҨÐ໚¹ bridging therapy ÊíÒËÃѺ¼ÙŒ»†Ç·ÕèʧÊÑÂÇ‹Ò
¨ÐàÅ×Í´ÍÍ¡¨Ò¡àÊŒ¹àÅ×Í´¢Í´ã¹ËÅÍ´ÍÒËÒà ᵋãËŒÂÒã¹¡ÅØÁ somatostatin ËÃ×Í terlipressin ä»áÅŒÇ
                                                            ‹
1-2 ªÑÇâÁ§áÅŒÇÂѧÁÕàÅ×Í´ÍÍ¡ÍÂÙÁÒ¡ áÅмٻÇÂÂѧÍÂÙã¹ÀÒÇзÕäÁ‹àËÁÒе‹Í¡ÒÃʋͧ¡ÅŒÍ§
        è                       ‹          Œ †        ‹          è
           ËÅÑ¡¡ÒÃ㪌 S-B tube á¹Ð¹íÒÇ‹Ò gastric balloon ¤ÇÃ㪌ÅÁ»ÃÐÁÒ³ 200-250 ÁÅ.áŌǶ‹Ç§ÊÒÂ
S-B tube ´ŒÇ¹éÒ˹ѡ 0.5 ¡¡. (ÁÑ¡¨Ð㪌¢Ç´¹éÒà¡Å×Í 500 ÁÅ.) áÅŒÇÊѧࡵ´ÙÇÒàÅ×Í´ËÂØ´ÍÍ¡ËÃ×ÍäÁ‹
                  í                             í                          ‹
¶ŒÒÂѧäÁ‹ËÂØ´¡çá¹Ð¹íÒNjҤÇèÐãÊ‹ÅÁã¹ esophageal balloon ´ŒÇÂáç´Ñ¹ 20-40 ÁÁ.»ÃÍ· (µ‹Í three
way ࢌҡѺÊÒ·Õ㪌Ǵ¤ÇÒÁ´Ñ¹) à¹×ͧ¨Ò¡ËÅÍ´ÍÒËÒÃ㹤¹ä·ÂÁÕ¢¹Ò´Êѹ¡Ç‹Ò¤¹µÐÇѹµ¡ ´Ñ§¹Ñ¹
                    è Ñ              è                                   é                     é
ËÅѧ¨Ò¡ãÊ‹¤ÇÒÁ´Ñ¹ã¹ esophageal balloon áÅŒÇÍÒ¨·íÒãËŒ¼»ÇÂËÂØ´ËÒÂã¨ä´Œ â´Â·ÑÇ仨Ðá¹Ð¹íÒ
                                                              ÙŒ †                     è
àǪÈÒʵÏ·¹Âؤ 2553
          Ñ                                                                                   561

ãËŒãÊ‹·ÍËÒÂã¨ãËŒ¡º¼Ù»Ç´ŒÇ áÅеŒÍ§ãÊ‹ NG tube ࢌҨÁÙ¡ÍÕ¡¢ŒÒ§¢Í§¼Ù»Ç «Ö§¨Ð·íÒãËŒ¼»ÇÂ
       ‹          Ñ Œ †                                             Œ †    è        ÙŒ †
ÁÕ¤ÇÒÁÍÖ´ÍÑ´Í‹ҧÁÒ¡ ËÅѧãÊ‹ S-B tube àÊÃ稤ÇÃàªç¤µíÒá˹‹§ÊÒ·ء¤Ãѧâ´Â¡ÒÃàÍ¡«àÏà¾×Í
                                                                      é                  è
´ÙµíÒá˹‹§ â´Â·ÑèÇä» S-B tube ¨Ð·íÒãËŒàÅ×Í´ËÂØ´Í͡䴌·Ñ¹·Õ áÅÐÁÑ¡¨Ð¤ÒÊÒÂäÇŒ 24-48 ªÁ.
â´Â·ÑèÇä»ËÅѧ 24 ªÁ.¶ŒÒäÁ‹ÁÕ»˜­ËÒàÅ×Í´ÍÍ¡¡ç¨Ð´Ù´ÅÁã¹ esophageal balloon ÍÍ¡áŌǴÙÇ‹ÒÁÕ
àÅ×Í´ÍÍ¡ËÃ×ÍäÁ‹ ¶ŒÒäÁ‹Á¡´´ÅÁã¹ gastric balloon ÍÍ¡¶ŒÒäÁ‹ÁàÅ×Í´ÍÍ¡¡çʧ¼Ù»ÇÂä»ÃѺ¡ÒÃÃÑ¡ÉÒ
                        Õ ç Ù                            Õ           ‹ Œ †
â´Â¡ÒÃʋͧ¡ÅŒÍ§µ‹Íä»




       ÃÙ»·Õè 2 Sengstaken-Blakemore tube ÃÙ»·Õè 3 Endoscopic variceal band ligation

        3. ¡ÒÃÃÑ¡ÉÒ´ŒÇ¡ÒÃʋͧ¡ÅŒÍ§
         ¡ÒõÃǨáÅÐÃÑ¡ÉÒ´ŒÇ¡ÒÃʋͧ¡ÅŒÍ§ ¹ÑºÇ‹Ò໚¹»ÃÐ⪹Í‹ҧÁҡ㹼ٻǷÕàÅ×Í´ÍÍ¡¨Ò¡
                                                                                Œ † è
àÊŒ¹àÅ×Í´¢Í´ã¹ËÅÍ´ÍÒËÒë֧ÊÒÁÒö·íÒä´Œ·§ endoscopic variceal band ligation (EVL) áÅÐ
                              è               Ñé
endoscopic variceal sclerotherapy (EVS) «Ö§¨Ð㪌 sclerosing agent ÍÒ·Ô polidocanol, ethanolamine,
                                          è
ethanol, tetradecyl sulfate áÅÐ sodium morrhuate
         ã¹»˜¨¨Øº¹¡Ò÷íÒ EVL ¶×Í໚¹µÑÇàÅ×Í¡áá¢Í§¡ÒÃÃÑ¡ÉÒ´ŒÇ¡ÒÃʋͧ¡ÅŒÍ§ (ÃÙ»·Õè 3) EVL ¹Ñ¹
                 Ñ                                                                               é
´Õ¡Ç‹Ò EVS ÊíÒËÃѺ¡ÒÃËÂØ´àÅ×Í´áÅСÒû‡Í§¡Ñ¹àÅ×Í´ÍÍ¡«éÒ áÅÐÁÕÀÒÇÐá·Ã¡«ŒÍ¹·ÕµÒ¡Ç‹Ò EVS
                                                            í                         è èí
¹Í¡¨Ò¡¹Õé EVL Âѧª‹ÇÂãˌ͵ÃÒ¡ÒÃÃÍ´ªÕ¾¢Í§¼Ù»Ç´բ¹ áÅШíҹǹ¤Ãѧ㹡ÒÃʋͧ¡ÅŒÍ§à¾×Í¡íҨѴ
                           Ñ                     Œ †   Öé              é                      è
àÊŒ¹àÅ×Í´¢Í´ãËŒËÁ´¹ŒÍÂ¡Ç‹Ò ÁÕ¡ÒÃÈÖ¡ÉÒ¡ÒÃ㪌 EVL ËÇÁ¡Ñº EVS à»ÃÕºà·Õº¡Ñº¡ÒÃ㪌 EVL
Í‹ҧà´ÕÂǾºÇ‹Ò¼Å¢Í§¡ÒÃÈÖ¡ÉÒÂѧäÁ‹µÃ§¡Ñ¹ ¨Ö§äÁ‹ä´Œ¢ÍÊÃØ»·Õṋª´ Í‹ҧäáç´Õ EVS ¹Ñ¹ÁÕ͵ÃÒ
                                                          Œ    è Ñ                           é Ñ
¤ÇÒÁÊíÒàÃç¨Ê٧㹡óշàÅ×Í´ÍÍ¡àÃçÇÁÒ¡áÅÐàÅ×Í´ÍÍ¡ÁÒ¡¨¹º´ºÑ§äÁ‹ÊÒÁÒöÁͧàËç¹àÊŒ¹àÅ×Í´¢Í´
                       Õè
ã¹ËÅÍ´ÍÒËÒÃä´Œ ËÃ×Í㹡óշàÊŒ¹àÅ×Í´¢Í´ÁÕ¢¹Ò´àÅç¡à¡Ô¹¡Ç‹Ò·Õ¨ÐÃÑ´ä´Œ ¹Ñ¡ÇԨºҧ¡ÅØÁä´Œá¹Ð¹íÒ
                                Õè                                è              Ñ         ‹
ãˌ㪌 argon plasma coagulation à¾×ÍÅ´âÍ¡ÒÊàÊŒ¹àÅ×Í´¢Í´«éÒËÅѧ¨Ò¡·Õ¡Ò¨Ñ´ varices ä»áÅŒÇ
                                     è                          í           è í
Í‹ҧäá紤§µŒÍ§ÁÕ¡ÒÃÈÖ¡ÉÒà¾ÔÁàµÔÁà¾×ÍÂ×¹Âѹ·ÄɮչÕé
           Õ                       è   è
562                  Management of Esophageal Varices and Esophageal Variceal Hemorrhage

        4. Transjugular intrahepatic portosystemic shunt (TIPS)
         ໚¹¡ÒÃÅ´ portal pressure «Ö§à»š¹ÊÒà˵ØÊҤѭ㹡Ò÷íÒãËŒàÅ×Í´Í͡㹼ٻÇÂ¡ÅØÁ¹Õé «Ö§à»š¹
                                     è            í                             Œ †    ‹ è
¡Ò÷íÒ shunt â´Â¼‹Ò¹·Ò§ jugular vein ·íÒãËŒ hepatic áÅÐ portal vein ÁÕ·Ò§µÔ´µ‹Íâ´Â㪌 expandable
metallic stent ¾ºÇ‹ÒÁÕ͵ÃÒ¤ÇÒÁÊíÒàÃç¨ã¹¡Ò÷íÒËѵ¶¡Òùն§ÃŒÍÂÅÐ 93-96 áÅÐÁÕÀÒÇÐá·Ã¡«ŒÍ¹
                        Ñ                                 é Ö
»ÃÐÁҳÌÍÂÅÐ 10-15 ¾ºÇ‹ÒÃŒÍÂÅÐ 25 ¢Í§¼Ù»ÇÂËÅѧ·íÒËѵ¶¡ÒùըÐÁÕ hepatic encephalopathy
                                              Œ †                   é
¡ÒÃà¡Ô´¡ÒÃÍØ´µÑ¹ËÃ×͵պ¢Í§ TIPS ¾ºä´Œã¹ 1 »‚ËÅѧ·íÒ «Ö§»˜­ËÒ¹ÕÊÒÁÒöᡌä¢ä´Œâ´Â¡ÒÃãÊ‹ stent
                                                        è         é
ãËÁ‹à¢ŒÒä»ã¹ stent à´ÔÁ ËÃ×Í¡Òö‹Ò§ stent à´ÔÁ¡çä´Œ

        5. ¡Òü‹ÒµÑ´
           ã¹»˜¨¨Øº¹¡Òü‹ÒµÑ´à¾×Í·íÒ shunt ã¹¼Ù»ÇÂ¡ÅØÁ¹ÕŴŧÍ‹ҧÁÒ¡à¹×ͧ¨Ò¡ »ÃÐÊÔ·¸ÔÀÒ¾¢Í§
                   Ñ            è               Œ †    ‹ é                  è
¡ÒÃÊ‹ Í §¡ÅŒ Í §áÅСÒÃ㪌  ҹÑé ¹ ´Õ ¢Öé ¹ ¡ÒÃÃÑ ¡ ÉÒÍÒ¨·í Ò ä´Œ ⠴¡Ò÷í Ò portocaval shunt,
devascularization, áÅСÒõѴÁŒÒÁ
           â´ÂÊÃØ»àÁ×ÍÁÕ¼»Ç·ÕʧÊÑÂÇ‹ÒàÅ×Í´ÍÍ¡¨Ò¡àÊŒ¹àÅ×Í´¢Í´ã¹ËÅÍ´ÍÒËÒà á¹Ð¹íÒÇ‹ÒËÅѧ¨Ò¡ÃѺ
                     è ÙŒ † è
¼ÙŒ»†ÇÂäÇŒã¹âç¾ÂÒºÒÅ ãËŒ resuscitation ¾Ô¨ÒóÒãËŒÂÒ¡ÅØ‹Á vasoactive drug (äÁ‹á¹Ð¹íÒãˌ㪌
vasopressin) 仡‹Í¹·Õ¨Ð䴌ú¡ÒÃʋͧ¡ÅŒÍ§ á¹Ð¹íÒãËŒãÊ‹ S-B tube ໚¹ bridging therapy ËÃ×Íã¹
                         è    Ñ
ÃÒ·ÕÁàÅ×Í´ÍÍ¡ÁÒ¡ËÃ×ÍÊÀÒ¾¼Ù»ÇÂäÁ‹àËÁÒСѺ¡ÒÃʋͧ¡ÅŒÍ§ ¶ŒÒäÁ‹ÊÒÁÒö·íÒ¡ÒÃʋͧ¡ÅŒÍ§ä´ŒãËŒ
       è Õ                        Œ †
¾Ô¨ÒóҷíÒ TIPS ໚¹ second-line treatment ã¹ÃÒ·ÕäÁ‹µÍºÊ¹Í§µ‹Í¡ÒÃÃÑ¡ÉҷѧËÁ´ãËŒ¾¨ÒóÒ
                                                        è                        é       Ô
¡Ò÷íÒ¼‹ÒµÑ´à»š¹ rescue therapy

¡ÒÃÃÑ¡ÉÒËÅѧ¡ÒÃʋͧ¡ÅŒÍ§
        ¡ÒÃãËŒÂÒ vasoactive drug
      â´Â·ÑÇ令ÇÃãËŒÂÒ vasoactive drug µ‹Íä»ÍÕ¡ 2-5 ÇѹËÅѧ¡ÒÃÃÑ¡ÉÒ´ŒÇ¡ÒÃʋͧ¡ÅŒÍ§ «Ö§¨Ð
           è                                                                          è
ÊÒÁÒöŴ¡ÒÃàÅ×Í´ÍÍ¡«éÒä´Œ áÁŒÇÒ¨ÐäÁ‹Á¼ÅÅ´ÍѵÃÒ¡ÒÃàÊÕªÕǵ
                     í        ‹       Õ                    Ô

        ¡ÒÃãËŒÂÒ»¯ÔªÇ¹Ð»‡Í§¡Ñ¹
                    Õ
        à¹×ͧ¨Ò¡Íغµ¡Òó¢Í§ bacteremia ã¹¼Ù»ÇÂ¡ÅØÁ¹ÕËÅѧàÅ×Í´ÍÍ¡¤‹Í¹¢ŒÒ§ÊÙ§ ¨Ö§á¹Ð¹íÒãËŒ
            è        Ñ Ô                        Œ †  ‹ é
ãËŒÂÒ»¯ÔªÇ¹Ðâ´ÂÁÕ¨´»ÃÐʧ¤à¾×ÍŴẤ·ÕàÃÕÂã¹ÅíÒäÊŒ á¹Ð¹íÒãËŒÂÒ norfloxacin 400 Á¡. ÇѹÅÐ
          Õ           Ø           è
2 ¤Ãѧã¹ÃÙ»ÃѺ»Ãзҹ໚¹àÇÅÒ 7 Çѹ «Ö§¨Ðª‹ÇÂÅ´¡ÒõԴàª×Í spontaneous bacterial peritonitis
     é                               è                   é
áÅÐÅ´ÍѵÃÒ¡ÒõԴàª×Í·ÑÇä»ã¹¼Ù»Ç áÅÐÍѵÃÒ¡ÒÃàÊÕªÕǵ䴌 ã¹ÃÒ·ռ»ÇÂÂѧÃѺ»ÃзҹäÁ‹ä´Œ
                        é è      Œ †                   Ô           è ÙŒ †
á¹Ð¹íÒãˌ㪌ÂÒ»¯ÔªÇ¹Ð·Õà·Õº෋ҡѹã¹ÃÙ»©Õ´ «Ö§ÍÒ¨¾Ô¨ÒóÒãËŒÂÒ ceftriaxone 1 ¡ÃÑÁµ‹ÍÇѹ໚¹
                   Õ        è                 è
àÇÅÒ 7 Çѹ «Ö§¾Ô¨ÒóÒãËŒÂÒ©Õ´¹Õâ´Â੾ÒÐ㹼ٻǵѺá¢ç§ Child C
              è                é            Œ †
àǪÈÒʵÏ·¹Âؤ 2553
          Ñ                                                                                    563

¡Òû‡Í§¡Ñ¹àÅ×Í´ÍÍ¡«éíÒ (secondary prophylaxis)
         ¼Ù»Ç·ÕÃÍ´ªÕǵ¨Ò¡ÀÒÇÐàÅ×Í´ÍÍ¡¨Ò¡àÊŒ¹àÅ×Í´¢Í´ã¹ËÅÍ´ÍÒËÒûÃÐÁÒ³ 1 ã¹ 3 ¨ÐÁÕ
           Œ † è                 Ô
àÅ×Í´ÍÍ¡«éÒä´ŒÀÒÂã¹ 6 ÊÑ»´ÒˏáÅÐÃŒÍÂÅÐ 40-60 ¢Í§¼Ù»ÇÂ¡ÅØÁ¹Õ¨ÐàÊÕªÕǵ䴌 ´Ñ§¹Ñ¹¡Òû‡Í§¡Ñ¹
              í                                                Œ †  ‹ é             Ô     é
àÅ×Í´ÍÍ¡«éÒ¨Ö§ÁÕ¤ÇÒÁÊíҤѭ ·Ò§àÅ×Í¡¢Í§¡Òû‡Í§¡Ñ¹ 䴌ᡋ ¡ÒÃʋͧ¡ÅŒÍ§ ¡ÒÃãËŒÂÒ non-selective
                í
ß-blocker + nitrate, TIPS ËÃ×Í¡Òü‹ÒµÑ´ ¶Ö§áÁŒ¨ÐÁÕ·Ò§àÅ×Í¡Áҡᵋ͵ÃÒ¡ÒÃàÊÕªÕǵ¡çÁ䴌Ŵ¹ŒÍÂ
                                                                            Ñ           Ô Ô
ŧÍ‹ҧªÑ´à¨¹ áÊ´§ãËŒàËç¹Ç‹Ò¼Ù»ÇÂ¡ÅØÁ¹ÕÁ¡àÊÕªÕǵà¹×ͧ¨Ò¡¤ÇÒÁÃØ¹áç¢Í§µÑÇâäàͧÁÔ㪋¨Ò¡
                                           Œ † ‹ é Ñ         Ô è
àÅ×Í´ÍÍ¡â´ÂµÃ§
         ¡ÒÃ㪌ÂÒ non-selective ß-blocker ઋ¹ propranolol ¤ÇÃà¾ÔÁ¢¹Ò´ÂÒ¨¹ÊÒÁÒöŴªÕ¾¨Ãŧ
                                                                        è
ÃŒÍÂÅÐ 25 ËÃ×ÍÁÕ͵ÃҢͧªÕ¾¨Ã 50-55 ¤Ãѧ/¹Ò·Õ ʋǹ nadolol 䴌ú¤ÇÒÁ¹ÔÂÁÁÒ¡¢Ö¹à¹×ͧ¨Ò¡ãËŒ
                          Ñ                        é                      Ñ              é è
¡Ô¹ÇѹÅФÃѧ䴌·ÒãËŒÊдǡ¡Ñº¼Ù»Ç (ᵋÂÒ¹ÕäÁ‹Áã¹»ÃÐà·Èä·Â) ã¹ÃÒ·ÕÁ¼Å¢ŒÒ§à¤Õ§¢Í§ÂÒËÃ×Í
                  é    í                  Œ †          é Õ                    è Õ
ÁÕ¢ÍËŒÒÁ㹡ÒÃ㪌ઋ¹à»š¹âä¶Ø§ÅÁ⻆§¾Í§ ÊÒÁÒöãËŒÂÒ isosorbide mononitrate ËÇÁä´Œ ¾ºÇ‹Ò
    Œ
¨Ðª‹ÇÂÅ´ portal pressure ä´Œ´Õ¢Öé¹àÁ×èÍà·Õº¡Ñº¡ÒÃ㪌 propranolol Í‹ҧà´ÕÂÇ Ê‹Ç¹¡ÒáíҨѴ
àÊŒ¹àÅ×Í´¢Í´ã¹ËÅÍ´ÍÒËÒÃâ´Â¡ÒÃʋͧ¡ÅŒÍ§áÅзíÒ EVS ËÃ×Í EVL ¤Ç÷íÒ·Ø¡ 3-4 ÊÑ»´Òˏ¨¹¡Ãзѧ           è
äÁ‹ÁÕàÊŒ¹àÅ×Í´¢Í´ËÅѧ¨Ò¡¹Ñ鹤Ç÷íÒ¡ÒÃʋͧ¡ÅŒÍ§«éíÒ·Ø¡ 6 à´×͹ ¡ÒÃÈÖ¡ÉÒà¾×èÍà»ÃÕºà·Õº
»ÃÐÊÔ·¸ÔÀÒ¾¢Í§ÇÔ¸¡Òû‡Í§¡Ñ¹µ‹Ò§æ ÊÃØ»Ç‹Ò ¡ÒÃ㪌 non-selective ß-blocker ËÇÁ¡Ñº EVL ¹Ñ¹ÁÕ
                               Õ                                                                é
»ÃÐÊÔ·¸ÔÀÒ¾·Õ´·Ê´ ÊíÒËÃѺ¼Ù»Ç·Õ§ÁÕàÅ×Í´ÍÍ¡«éҷѧæ·Õ䴌ú·Ñ§ÂÒáÅСÒÃʋͧ¡ÅŒÍ§áÅŒÇ á¹Ð¹íÒ
                    è Õ Õè Ø           Œ † è Ñ             í é è Ñ é
ãËŒ·Ò TIPS ʋǹ¡Ò÷íÒ¡Òü‹ÒµÑ´ shunt ¹Ñ¹ ¾ºÇ‹Òª‹ÇÂÅ´âÍ¡ÒÊà¡Ô´àÅ×Í´ÍÍ¡«éÒᵋäÁ‹ä´ŒÅ´ÍѵÃÒ
      í                                              é                                í
¡ÒÃàÊÕªÕǵ¨Ö§¤Ç÷íÒ㹼ٻǷÕäÁ‹µÍºÊ¹Í§µ‹Í¡ÒÃÃÑ¡ÉÒ´ŒÇÂÇԸ͹áÅŒÇ෋ҹѹ ¹Í¡¨Ò¡¹Ñ¹ã¹¼Ù»ÇÂ
            Ô                      Œ † è                           Õ ×è           é         é Œ †
·ÕÁÀÒÇÐàÅ×Í´ÍÍ¡«éÒ¤ÇþԨÒóҡÒÃà»ÅÕ¹µÑº (liver transplantation) ËÇÁ´ŒÇÂ
  è Õ                        í                   è
àǪÈÒʵÏ·¹Âؤ 2553
          Ñ                                                                        º··Õè        565

                                                                                     76
        Embolization for Upper Gastrointestinal Hemorrhage
                                          ¼ÙŒª‹ÇÂÈÒʵÃÒ¨ÒÏ ᾷ˭ԧÇÅÑÂÅѡɳ ªÑÂÊÙµÃ
                          ÀÒ¤ÇÔªÒÃѧÊÕÇ·ÂÒ ¤³Ðá¾·ÂÈÒʵÏÈÃÃÒª¾ÂÒºÒÅ ÁËÒÇÔ·ÂÒÅÑÂÁËÔ´Å
                                       Ô                   ÔÔ

          ¼Ù»ÇÂÀÒÇÐàÅ×Í´Í͡㹷ҧà´Ô¹ÍÒËÒÃà©Õº¾Åѹ (acute gastrointestinal hemorrhage, GIH)
            Œ †
·Õ¨Ð䴌ú¡ÒûÃÖ¡ÉÒà¾×Í¡ÒõÃǨ visceral angiography ÍҨẋ§ä´Œà»š¹ 3 ¡ÅØÁ䴌ᡋ
    è   Ñ                     è                                                   ‹
          ¡ÅØÁ·Õè 1 – ¼Ù»Ç·ÕÁÀÒÇÐàÅ×Í´ÍÍ¡àÃ×ÍÃѧ໚¹æ ËÒÂæ (chronic intermittent bleeding) ¨¹·íÒãËŒ
              ‹         Œ † è Õ                  é
Ëҧ¡Ò«մ ¡Ò÷íÒ angiography à¾×Í¡ÒÃËÒ¾ÂÒ¸ÔÊÀÒ¾¢Í§ËÅÍ´àÅ×Í´ ᵋ¨ÐäÁ‹¾ºÅѡɳРcontrast
                                        è
extravasation ¡ÒÃʋͧ¡ÅŒÍ§ã¹·Ò§à´Ô¹ÍÒËÒÃã¹¼Ù»ÇÂ¡ÅØÁ¹Õ¨Ðä´Œ»ÃÐ⪹ÁÒ¡¡Ç‹Ò
                                                       Œ †       ‹ é
          ¡ÅØÁ·Õè 2 – ¼Ù»Ç·ÕÁÀÒÇÐàÅ×Í´ÍÍ¡ÍÂ‹Ò§ÃØ¹áçÍÒ¨¶Ö§ªÕǵ (severe life - threatening bleeding)
                ‹        Œ † è Õ                                      Ô
ᵋàÅ×Í´ËÂØ´áÅŒÇ áÅÐÁÕâÍ¡ÒÊà¡Ô´ÀÒÇÐàÅ×Í´ÍÍ¡«éÒ (rebleeding) ä´Œ·¡¢³Ð ¼Ù»ÇÂ¡ÅØÁ¹Õ¤ÇÃ䴌ú
                                                        í                      Ø    Œ † ‹ é       Ñ
¡ÒõÃǨ·Ò§àǪÈÒʵϹÇà¤ÅÕÂÏ (nuclear scan) ¡‹Í¹ ¶ŒÒ¾º¼ÅºÇ¡ ¨Ö§¤Ç÷íÒ angiography µ‹Í
                                Ô
ËÃ×ͶŒÒ¨Ð·íÒ angiography ·Ñ¹·Õ ÍÒ¨µŒÍ§©Õ´ÊÕ«Òà¾×͵ÃǨËҨشàÅ×Í´ÍÍ¡·Ø¡æ 2-3 ¹Ò·Õ 㹺ҧ¡Ã³Õ
                                                   éí è
¡Ò÷íÒ provocative bleeding â´Â¡ÒéմÂÒࢌÒËÅÍ´àÅ×Í´á´§´ŒÇ ઋ¹ vasodilators, heparin ËÃ×Í
thrombolytics ÍÒ¨ª‹Ç·íÒãËŒàËç¹µíÒá˹‹§¢Í§¨Ø´àÅ×Í´Í͡䴌´¢¹             Õ Öé
          ¡ÅØ‹Á·Õè 3 – ¼Ù»Ç·ÕÁÀÒÇÐàÅ×Í´ÍÍ¡ÍÂ‹Ò§ÃØ¹áç (active bleeding) µÅÍ´àÇÅÒ «Ö§ÍÒ¨¹íÒä»
                          Œ † è Õ                                                          è
ÊÙÀÒÇЪçͤµÒÁÁÒä´Œ ¼Ù»ÇÂ¡ÅØÁ¹ÕàËÁÒÐÊÁÍ‹ҧÂÔ§·Õ¨Ð·íÒ angiography ËÇÁ¡Ñº¡ÒÃÍØ´¡Ñ¹ËÅÍ´àÅ×Í´
  ‹                         Œ †     ‹ é               è è                                é
(transarterial embolization, TAE)
          »ÃСÒ÷ÕÊҤѭ ¤×Í ¤ÇÃá¡ÍÒ¡ÒÃáÅСÒõÃǨ¾º·Ò§¤ÅÔ¹¡ãˌ䴌ÇÒ ¼Ù»ÇÂÁÕÀÒÇÐàÅ×Í´
                     èí                                                      Ô   ‹ Œ †
Í͡㹷ҧà´Ô¹ÍÒËÒÃʋǹº¹ËÃ×Íʋǹŋҧ (upper or lower GIH) ÊÒà˵آͧàÅ×Í´ÍÍ¡¨Ò¡
·Ò§à´Ô¹ÍÒËÒÃʋǹµŒ¹ ´Ñ§áÊ´§ã¹µÒÃÒ§ ᵋÀÒÇзÕÊÒÁÒö·íÒ endovascular treatment 䴌ᡋ
                                                           è
duodenal ulcer, gastric ulcer, post surgical bleeding, tumor, inflammatory condition, gastritis,
post endoscopic shincterotomy áÅÐ trauma µÒÁÅíҴѺ ¡Ò÷íÒ catheter-directed angiography
ÊÒÁÒöàË繨شàÅ×Í´ÍÍ¡´ŒÇÂÍѵÃÒ 0.5 ÁÔÅÅÔÅԵõ‹Í¹Ò·Õ(1) â´ÂÁÕ¤ÇÒÁäÇÃŒÍÂÅÐ 40-86 áÅÐ
¤ÇÒÁ¨íÒà¾ÒÐÊÙ§¶Ö§ÃŒÍÂÅÐ 100(2) ¹Í¡¨Ò¡¡ÒéմÊÕࢌÒËÅÍ´àÅ×Í´áÅŒÇ ÂѧÊÒÁÒöª‹ÇÂËÇÁÃÑ¡ÉÒä´Œ
â´Â¡ÒÃÍØ´¡Ñ¹ËÅÍ´àÅ×Í´ «Ö§à»š¹ÇÔ¸·ãªŒÃ¡ÉÒÀÒÇÐàÅ×Í´ÍÍ¡·ÕÁ¤ÇÒÁÊíÒàÃ稷ҧ෤¹Ô¤ (technical
                  é               è       Õ Õè Ñ                     è Õ
success ¤×Í angiographic cessation of bleeding) ÊÙ§ÃŒÍÂÅÐ 91-100 áÅФÇÒÁÊíÒàÃ稷ҧ¤ÅÔ¹¡ (clinical
                                                                                             Ô
success ¤×Í àÅ×Í´ËÂØ´ÀÒÂã¹ 30 Çѹ) ໚¹ÃŒÍÂÅÐ 81-91          (3)
566                                         Embolization for Upper Gastrointestinal Hemorrhage

µÒÃÒ§áÊ´§ÊÒà˵آͧÀÒÇÐàÅ×Í´ÍÍ¡à©Õº¾Åѹ㹷ҧà´Ô¹ÍÒËÒÃʋǹµŒ¹
        Peptic ulcer
        Gastritis
        Portal hypertension (varices)
        Mallory-Weiss tear
        Marginal ulcer
        Iatrogenic (post biopsy, percutaneous gastrostomy)
        Arteriovenous malformation/angiodysplasia
        Dieulafoy lesion
        Tumor
        Pseudoaneurysm
        Hemobilia
        Hemosuccous entericus
        Pseudo-bleeding (swallowed blood from nasopharygeal source)
        Aortoenteric fistula

Transarterial embolization
          ¡ÒÃÍØ´¡Ñ¹ËÅÍ´àÅ×Í´ÍÒ¨¶×Í໚¹¡ÒÃÃÑ¡ÉÒÍ‹ҧáá (primary treatment) ¢Í§ÀÒÇÐ upper
                        é
áÅÐ lower GIH ¡Ò÷íÒ embolization ÁÕ¢ŒÍä´Œà»ÃÕº¡Ç‹Ò¡ÒÃãËŒÂÒ vasoconstrictors ¼‹Ò¹·Ò§
ËÅÍ´àÅ×Í´á´§ 䴌ᡋ 㪌àÇÅÒÃÑ¡ÉÒàÃçÇ¡Ç‹Ò áÅмÅá·Ã¡«ŒÍ¹·Ò§Ãкº (systemic complication)
µèÒ¡Ç‹Ò áµ‹Ç¸·Ò¡ÒÃÍØ´¡Ñ¹ËÅÍ´àÅ×Í´¹Ñ¹µŒÍ§ãªŒà·¤¹Ô¤·ÕÅÐàÍÕ´͋͹¡Ç‹Ò¡ÒÃãËŒÂÒ ¡Åä¡ÊíҤѭ¢Í§
  í           ÔÕ í            é       é              è
¡ÒÃÍØ´¡Ñ¹ËÅÍ´àÅ×Í´·Õ·ÒãËŒàÅ×Í´ËÂØ´¤×Í ¡ÒÃÅ´¡ÒÃäËż‹Ò¹¢Í§àÅ×Í´ã¹ËÅÍ´àÅ×Í´á´§ (arterial
          é               è í
perfusion) ä»Âѧ¨Ø´àÅ×Í´ÍÍ¡ ¡ÒÃË´µÑǢͧËÅÍ´àÅ×ʹ੾ÒзÕè (local vasospasm) áÅФÇÒÁÊÒÁÒö
㹡ÒÃá¢ç§µÑǢͧàÅ×Í´¢Í§¼Ù»Ç    Œ †
          ÊÒÃÍØ´¡Ñ¹ËÅÍ´àÅ×Í´ÁÕËÅÒ»ÃÐàÀ· ÍҨ໚¹ÊÒ÷ÕÍ´¡Ñ¹ªÑǤÃÒÇ àª‹¹ Gelfoam «Ö§à»š¹
                      é                                   èØ é è                           è
ÊÒ÷չÂÁ㪌·Ê´ã¹¡ÒÃÃÑ¡ÉÒÀÒÇÐàÅ×Í´Í͡㹷ҧà´Ô¹ÍÒËÒà ËÃ×ÍÊÒ÷ÕÍ´¡Ñ¹¶ÒÇÃ䴌ᡋ polyvinyl
      è Ô        Õè Ø                                                èØ é
alcohol (Ivalon) particles áÅÐ tissue adhesives ઋ¹ isobutyl 2-cyanoacrylate (glue) áÅÐ
enbucrylate «Öè§à»š¹¢Í§àËÅÇáÅШÐá¢ç§µÑÇÍ‹ҧÃÇ´àÃçÇàÁ×èÍÊÑÁ¼ÑʡѺ»ÃШØã¹àÅ×Í´ ¡Òéմ¡ÒǹÕé
µŒÍ§©Õ´¼‹Ò¹ coaxial catheter system «Ö§µŒÍ§ÃÐÇѧ¼Åá·Ã¡«ŒÍ¹¤×Í ÀÒÇÐÅíÒäÊŒ¢Ò´àÅ×Í´ËÃ×ÍÅíÒäÊŒ
                                        è
µÕºá¤º ʋǹ double-lumen balloon-tipped catheter ÍҨ㪌à¾×ÍÍØ´¡Ñ¹ËÅÍ´àÅ×Í´ªÑǤÃÒÇ ËÃ×Í㪌
                                                             è     é              è
à¾×Í»‡Í§¡Ñ¹äÁ‹ãËŒÊÒÃÍØ´¡Ñ¹ËÅÍ´àÅ×Í´ËÅØ´ä»ÂѧºÃÔàdz·ÕäÁ‹µÍ§¡Òà ¢ŒÍàÊÕ¢ͧ balloon-tipped catheter
    è                       é                       è Œ
¤×Í¡ÒÃÍØ´¡Ñ¹ËÅÍ´àÅ×ʹ໚¹·Õµ¹·Ò§·íÒãËŒàÅ×Í´ä»àÅÕ§ºÃÔàdz»ÅÒ·ҧ䴌͡
            é                     è Œ             é                      Õ
àǪÈÒʵÏ·¹Âؤ 2553
          Ñ                                                                                     567

          Wool- ËÃ×Í nylon-turfed stainless steel coils ÊÒÁÒö㪌ʹ¡Ñ¹ËÅÍ´àÅ×Í´·ÕÁ¢¹Ò´ãË­‹
                                                                  Ø é             è Õ
ä´ŒÊíÒàÃç¨ã¹¡Ã³Õ·Õè GelfoamäÁ‹ÊÒÁÒÃ¶ÍØ´¡Ñé¹ËÅÍ´àÅ×Í´ä´Œ¼Å ¡ÒÃ㪌 microcoils 㹡ÒÃÍØ´¡Ñé¹
ËÅÍ´àÅ×Í´â´Â㪌ÃÇÁ¡Ñº microcatheter ¹ÔÂÁ㪌ã¹ÀÒÇÐàÅ×Í´ÍÍ¡¨Ò¡·Ò§à´Ô¹ÍÒËÒÃʋǹŋҧ¡Ñ¹ÁÒ¡
                   ‹
ã¹»˜¨¨Øº¹ ᵋâ´Â·ÑÇ仡ÒÃ㪌ÊÒÃÍØ´¡Ñ¹ËÅÍ´àÅ×Í´ËÅÒÂÍ‹ҧÍҨ䴌¼Å´Õ¡Ç‹ÒÊÒÃÍØ´¡Ñ¹ËÅÍ´àÅ×Í´
          Ñ          è                é                                         é
à¾Õ§Í‹ҧà´ÕÂÇâ´Â੾ÒÐã¹ÀÒÇÐàÅ×Í´ÍÍ¡¨Ò¡·Ò§à´Ô¹ÍÒËÒÃʋǹº¹         (1)

          ¡ÒÃàÅ×Í¡ÊÒÃÍØ´¡Ñé¹ËÅÍ´àÅ×Í´ (embolic agent) µŒÍ§¤íÒ¹Ö§¶Ö§»˜¨¨ÑÂËÅÒÂÍ‹ҧ 䴌ᡋ
µíÒá˹‹§¢Í§¨Ø´àÅ×Í´ÍÍ¡ ¡ÒÃãÊ‹ËÅÍ´Êǹ¢¹Ò´àÅç¡ (microcatheter) ࢌÒä»ã¡ÅŒÃÍÂâä䴌ÁÒ¡à¾Õ§ã´
áÅФÇÒÁ¶¹Ñ´¢Í§ÃѧÊÕᾷ¼ÙŒ·íÒ¡ÒÃÃÑ¡ÉÒ ¡ÒÃÍØ´¡Ñé¹ËÅÍ´àÅ×Í´¤Ç÷íÒ¨¹¡Ç‹Ò contrast
extravasation ¨ÐËÒÂ仨ҡÀÒ¾ angiogram áÅФÇéմÊÒ÷ֺÃѧÊÕ´Í¡¤ÃѧÀÒÂËÅѧ¡ÒÃÍØ´¡Ñ¹ËÅÍ´
                                                                 ÙÕ é                 é
àÅ×Í´»ÃÐÁÒ³ 10-15 ¹Ò·Õ à¾×Íãˌṋã¨Ç‹Ò¡ÒÃÍØ´¡Ñ¹ËÅÍ´àÅ×Í´¹Ñ¹ÊÁºÙóáÅÐäÁ‹ÁÕ collateral ÁÒª‹ÇÂ
                              è                 é            é
àÅÕ§ºÃÔàdz¨Ø´àÅ×Í´Í͡䴌͡
   é                        Õ

¼Å¡ÒÃÃÑ¡ÉÒ
        ¡ÒÃÍØ´¡Ñ¹ËÅÍ´àÅ×Í´á´§ã¹ÀÒÇÐàÅ×Í´Í͡㹷ҧà´Ô¹ÍÒËÒÃʋǹµŒ¹¨Ò¡âäá¼Å㹡ÃÐà¾ÒÐ
                  é
ÍÒËÒà (peptic ulcer) ¨Ð·íÒ¡çµÍàÁ×Í¡ÒÃʋͧ¡ÅŒÍ§àÍç¹â´Ê⤻äÁ‹»ÃÐʺ¤ÇÒÁÊíÒàÃç¨ àÁ×Íà»ÃÕºà·Õº
                             ‹ è                                               è
¼Å¡ÒÃÃÑ¡ÉÒÇԸʹ¡Ñ¹ËÅÍ´àÅ×Í´á´§¡Ñº¡Òü‹ÒµÑ´¨Ð¾ºÇ‹Ò 㹼ٻǷÕÁÍÒÂØà©ÅÕ 75 »‚ áÅмٻÇÂ
                ÕØ é                                        Œ † è Õ       è            Œ †
·ÕèÁÕ¤ÇÒÁàÊÕè§µ‹ÍâäËÑÇã¨ÃÇÁ·Ñé§ä´ŒÃѺÂÒ»‡Í§¡Ñ¹¡ÒÃá¢ç§µÑǢͧàÅ×Í´ÍÂÙ‹¡‹Í¹ÁÕÀÒÇÐàÅ×Í´ÍÍ¡«éíÒ
ËÅѧ·íÒ¡ÒÃÍØ´¡Ñ¹ËÅÍ´àÅ×Í´»ÃÐÁҳÌÍÂÅÐ 29 µŒÍ§·íÒ¡Òü‹ÒµÑ´ã¹ÀÒÂËÅѧÌÍÂÅÐ 16 áÅоºÍѵÃÒ
                é
¡ÒõÒ¶֧ÌÍÂÅÐ 25

¼Åá·Ã¡«ŒÍ¹¨Ò¡¡ÒÃÍØ´¡Ñé¹ËÅÍ´àÅ×Í´
        ¡ÒÃÍØ´¡Ñ¹ËÅÍ´àÅ×Í´áÁŒ¨Ðä´Œ¼Å´Õ ÍÒ¨ÁÕ¼Åá·Ã¡«ŒÍ¹¨Ò¡ÊÒÃÍØ´¡Ñ¹ËÅÍ´àÅ×Í´ËÅØ´à¢ŒÒä»
                é                                                    é
ã¹ÍÇÑÂÇзÕäÁ‹µÍ§¡Òà ÍÒ¨·íÒãËŒÍÇÑÂÇÐ¹Ñ¹æ ¢Ò´àÅ×Í´ËÃ×ÍÁÕà¹×͵ÒÂà¡Ô´¢Ö¹ ᵋÊÒÁÒö»‡Í§¡Ñ¹ä´Œ
           è Œ                       é                   é         é
â´Â㪌ËÅÍ´ÊǹẺºÍÅÅÙ¹ ÍØ´änj㹺ÃÔàdzËÅÍ´àÅ×ʹʋǹµŒ¹ ¢³Ð·Õè©Õ´ÊÒÃÍØ´¡Ñé¹ËÅÍ´àÅ×Í´
ࢌÒ仺ÃÔàdzʋǹ»ÅÒ¢ͧËÅÍ´Êǹ ¼Åá·Ã¡«ŒÍ¹Í×¹æ ·ÕÍÒ¨¾ºä´Œá¡‹ ËÅѧ¨Ò¡¡ÒÃ㪌 Gelfoam
                                               è      è
ÍØ´¡Ñ¹ËÅÍ´àÅ×Í´ ¼Ù»ÇÂÁÑ¡¨ÐÁÕ䢌¢¹»ÃÐÁÒ³ 39 ͧÈÒà«Åà«ÕÂÊ»ÃÐÁÒ³ 24-36 ªÑÇâÁ§ ᵋ¨ÐËÒÂ
     é            Œ †           Öé                                        è
ä´Œàͧ ¡ÒõÃǨàÅ×Í´ÁÑ¡äÁ‹¾ºàª×Í¡‹ÍâäáÅлÃÔÁÒ³àÁç´àÅ×Í´¢ÒÇã¹àÅ×Í´ÁÑ¡¨Ð»¡µÔ
                              é

ÊÃØ»
         ¡ÒÃÍØ ´ ¡Ñé ¹ ËÅÍ´àÅ× Í ´ã¹ÀÒÇÐàÅ× Í ´Í͡㹷ҧà´Ô ¹ ÍÒËÒà 㹻˜ ¨ ¨Ø ºÑ ¹ ໚ ¹ ·Õè  ÍÁÃÑ º
â´Â¡ÇŒÒ§¢ÇÒ§ â´Â੾ÒÐÂÔ§ÁÕ¡ÒþѲ¹ÒÍØ»¡Ã³µÒ§æ ઋ¹ microcatheter áÅÐ embolic agents
                              è                  ‹
¨Ö§·íÒãËŒ¼Å㹡ÒÃÃÑ¡ÉÒ´Õ§¢Ö¹ ¡ÒÃãËŒÂÒ vasoconstrictors ©Õ´ªŒÒæ ࢌÒä»ã¹ËÅÍ´àÅ×Í´á´§ ÂѧÁÕ·Õè
                           Ôè é
ãªŒã¹¡Ã³Õ diffuse bleeding áÅÐäÁ‹ÊÒÁÒö·íÒ superselective catheterization ä´Œ ¢ŒÍ¨íÒ¡Ñ´·ÕÊҤѭèí
568                                                  Embolization for Upper Gastrointestinal Hemorrhage

¢Í§¡ÒÃÃÑ¡ÉÒ´ŒÇÂÇÔ¸¡ÒÃÍØ´¡Ñ¹ËÅÍ´àÅ×Í´àÁ×Íà·Õº¡Ñº¡ÒÃʋͧ¡ÅŒÍ§àÍç¹â´Ê⤻ËÃ×Í¡Òü‹ÒµÑ´¤×Í
                    Õ      é                è
äÁ‹ÊÒÁÒö·íÒä´Œá¾Ã‹ËÅÒÂã¹âç¾ÂÒºÒÅ·ÑÇæ ä» Â¡àÇŒ¹Ê¶ÒºÑ¹·Ò§¡ÒÃᾷãË­‹æ ËÃ×ÍâçàÃÕ¹
                                          è
ᾷ෋ҹÑé¹ ¡ÒÃÃÑ¡ÉÒÀÒÇÐàÅ×Í´Í͡㹷ҧà´Ô¹ÍÒËÒäÇ÷íÒ¡ÒÃÍØ´¡Ñé¹ËÅÍ´àÅ×ʹËÇÁ¡Ñº
¡ÒÃʋͧ¡ÅŒÍ§àÍç¹â´Ê⤻ 㹡óբͧ¼Ù»Ç·ÕÁÕ massive arterial bleeding ¤Ç÷íÒ angiography
                                     Œ † è
áÅÐ embolization ¡‹Í¹ ʋǹ¼Ù»Ç intermittent bleeding ¤ÇÃ䴌ú¡ÒÃʋͧ¡ÅŒÍ§àÍç¹â´Ê⤻¡‹Í¹
                             Œ †                                Ñ
´Ñ§¹Ñé¹ ¤ÇÒÁÊíÒàÃç¨ã¹¡ÒÃÃÑ¡ÉÒ¼ÙŒ»†Ç¨֧¢Öé¹ÍÂÙ‹¡Ñº¤ÇÒÁËÇÁÁ×͡ѹÍ‹ҧ´ÕÃÐËNjҧÍÒÂØÃᾷáÅÐ
ÈÑÅÂᾷÃкº·Ò§à´Ô¹ÍÒËÒà ËÇÁ¡ÑºÃѧÊÕᾷ´Ò¹ÃѧÊÕÃÇÁÃÑ¡ÉÒ
                                                   Œ     ‹

àÍ¡ÊÒÃ͌ҧÍÔ§
1.    Baum ST. Arteriographic diagnosis and treatment of gastrointestinal bleeding. In: Baum ST, Pentecost MJ,
      eds. Abram’s angiography interventional radiology. 2nd ed. Philadelphia, Pa: Lippincott, Williams & Wilkins,
      2006;488-513.
2.    Lee EW, Laberge JM. Differential diagnosis of gastrointestinal bleeding. Tech Vasc Interv Radiol 2005;7:112-
      22.
3.    Kuo W, Lee DE, Saad WE, Patel N, Sahler lG, Waldman DL. Superselective microcoil embolization for the
      treatment of lower gastrointestinal hemorrhage. J Vasc Interv Radiol 2003;14:1503-9.
àǪÈÒʵÏ·¹Âؤ 2553
          Ñ                                                                       º··Õè        569

                                                                                    77
              General Aspects of Tumor Microenvironment
                                          Assistant Professor Peti Thuwajit, M.D. Ph.D.
         Department of Immunology, .aculty of Medicine Siriraj Hospital, Mahidol University

        Cancer is still a major problem in medicine. It is the leading cause of death in Thai
people within many years. Cancer cells could be developed from each cell type in the whole
body, especially epithelial cells. Normally epithelial cells could function as protector and
transporter, which supported by a various type of the cells beneath and nearby including connective
tissue cells, vascular cells and muscle cells. When tissues are going to pathological stage, the
immunological cells will infiltrate and play role in both promoting and repairing of the abnormal
conditions. This could be showing as inflammation and repairing processes, including fibrosis
and angiogenesis, even though the pathological stage is still exist. Carcinogenesis is one of the
inflammatory conditions which involved a numbers of cells. After epithelial cells turning to
malignant, the cancer cells will be going to infiltrate the underlying tissue layers and the cells
lying beneath become closer. They still have interaction with neighboring cells and environment
and also need supporting from their surrounding environment too.(1,2) On the other hand,
microenvironment in tumor area could suppress or destroy the cancer cells too.(1,2) The major
cells that play roles in tumor progression are including the resident cells and the infiltrated
migratory cell, for example, the circulating immunological cells. The most common resident cell
found in tumor microenvironment is fibroblast.(3) It could not only produce collagens and
extracellular matix for structural support but it could also produce a lot of peptides or small
signaling molecules that could affect tumor cell growth, survival and metastasis.(3,4) So the
control of fibroblast should be a target for cancer management.(5) Immunological cells are the
most abundant infiltrating cell in tumor microenvironment. Some of immunological cells are
residence, for example, macrophages and dendritic cells. The immunological cells which are
the major infiltrating cell in tumor microenvironment are including polymorphonuclear cells and
lymphocytes. One of the examples of the importance of immunological cells in tumor biology is
from the recent studies that showed the effect of NKG2D ligand expression in tumor biology.(6)
570                                                   General Aspects of Tumor Microenvironment

NKG2D is the lectin family receptor presented on membrane of many types of immune cells
including natural killer (NK) cells, cytotoxic T lymphocyte, !" T lymphocyte, macrophages and
some groups of helper T cell. The finding showed that regulation of NKG2D by NKG2D ligends
could affect the activity of NK cell and tumor survival. (6) In Thai people there are a polymorphism
of many types of NKG2D ligands have been reported.(7,8)
         There are not only cells play role in tumor microenvironment, the extracellular matrix
molecules are also having the effect on tumor progression. Collagen could retard the migration
of cancer cells by its structure but it may promote epithelial-mesenchymal transition (EMT) and
stimulate cell migration by itself.(9) Small molecules which have cell signaling effects to tumor
cells are using this space for their actions. These small molecules could be proteins, peptides,
steroids, etc. They could regulate tumor cell growth, metastasis and also angiogenesis. Some
proteins could help tumor cells evade from immune system. One of the examples for this group
of protein is mucin. Mucin is a family of protein with heavy glycosylation. MUC1 is a mucin
found in many types of cancers, including cholangiocarcinoma. It has been hypothesized that
MUC1 production could protect tumor cells from the recognition by immune cell due to its
glycosylation as a barrier for detection.(10) In cholangiocarcinoma, MUC1 has been reported its
association with poor prognosis.(10,11) Unlike MUC1, MUC5AC and MUC6 are mucins found
increased expression in cholangiocarcinoma too but they did not show the association with
poor prognosis.(11-13) MUC6 seems to associate with good prognosis of cholangiocarcinoma in
one study.(13)
         Trefoil factor family is a group of protein that could regulate the migration and invasion
in cancer metastasis process. T..1 and T..2 are found in cholangiocarcinoma but not show
association with survival of the patients.(12,13) However, due to their function, T..s are considered
as a target for study their roles in cancer metastasis. Another interesting protein is periostin, a
protein that could be produced from cancer cells and fibroblast in extracellular matrix and has
many effects to cancer including activation of cell growth, induce invasion and promote
angiogenesis. It has been reported the over-expression in cholangiocarcinoma with in vitro tumor
promoting effect.(14)
         Tumor metastasis and angiogenesis are the hot topic for studying. Both processes are
needed tumor microenvironment for promoting their progression. So, tumor microenvironment
should involve in all steps of tumor progression and cells or molecules inside should be considered
as targets for studying and controlling of tumor progression. In this session will discuss about
tumor microenvironment in the current study and its propose as the target for cancer therapy.
àǪÈÒʵÏ·¹Âؤ 2553
          Ñ                                                                                                        571

References
1.    Mbeunkui ., Johann DJ Jr. Cancer and the tumor microenvironment: a review of an essential relationship.
      Cancer Chemother Pharmacol. 2009;63(4):571-82.
2.    Witz IP. The tumor microenvironment: the making of a paradigm. Cancer Microenviron. 2009;2 Suppl 1:
      9-17.
3.    Pietras K, Ostman A. Hallmarks of cancer: interactions with the tumor stroma. Exp Cell Res. 2010;316(8):1324-
      31.
4.    Chuaysri C, Thuwajit P, Paupairoj A, Chau-In S, Suthiphongchai T, Thuwajit C. Alpha-smooth muscle actin-
      positive fibroblasts promote biliary cell proliferation and correlate with poor survival in cholangiocarcinoma.
      Oncol Rep. 2009;21(4):957-69.
5.    Plz?k J, Lacina L, Chovanec M, Dvor?nkov? B, Szabo P, Cada Z, Smetana K Jr. Epithelial-stromal interaction
      in squamous cell epithelium-derived tumors: an important new player in the control of tumor biological properties.
      Anticancer Res. 2010;30(2):455-62.
6.    Champsaur M, Lanier LL. Effect of NKG2D ligand expression on host immune responses. Immunol Rev.
      2010;235(1):267-85.
7.    Romphruk AV, Romphruk A, Naruse TK, Raroengjai S, Puapairoj C, Inoko H, Leelayuwat C. Polymorphisms
      of NKG2D ligands: diverse RAET1/ULBP genes in northeastern Thais. Immunogenetics. 2009;61(9):
      611-7.
8.    Jumnainsong A, Romphruk AV, Jearanaikoon P, Klumkrathok K, Romphruk A, Luanrattanakorn S, Leelayuwat
      C. Association of polymorphic extracellular domains of MICA with cervical cancer in northeastern Thai population.
      Tissue Antigens. 2007;69(4):326-33.
9.    Medici D, Nawshad A. Type I collagen promotes epithelial-mesenchymal transition through ILK-dependent
      activation of N.-kappaB and LE.-1. Matrix Biol. 2010;29(3):161-5.
10.   Park SY, Roh SJ, Kim YN, Kim SZ, Park HS, Jang KY, Chung MJ, Kang MJ, Lee DG, Moon WS. Expression
      of MUC1, MUC2, MUC5AC and MUC6 in cholangiocarcinoma: prognostic impact. Oncol Rep. 2009;22(3):
      649-57.
11.   Boonla C, Sripa B, Thuwajit P, Cha-On U, Puapairoj A, Miwa M, Wongkham S. MUC1 and MUC5AC mucin
      expression in liver fluke-associated intrahepatic cholangiocarcinoma. World J Gastroenterol. 2005 28;11(32):4939-
      46.
12.   Thuwajit P, Chawengrattanachot W, Thuwajit C, Sripa B, May .E, Westley BR, Tepsiri NN, Paupairoj A,
      Chau-In S. Increased T..1 trefoil protein expression in Opisthorchis viverrini-associated cholangiocarcinoma is
      important for invasive promotion. Hepatol Res. 2007;37(4):295-304.
13.   Thuwajit P, Chawengrattanachot W, Thuwajit C, Sripa B, Paupairoj A, Chau-In S. Enhanced expression of
      mucin 6 glycoprotein in cholangiocarcinoma tissue from patients in Thailand as a prognostic marker for
      survival. J Gastroenterol Hepatol. 2008;23(5):771-8.
14.   Utispan K, Thuwajit P, Abiko Y, Charngkaew K, Paupairoj A, Chau-in S, Thuwajit C. Gene expression profiling
      of cholangiocarcinoma-derived fibroblast reveals alterations related to tumor progression and indicates periostin
      as a poor prognostic marker. Mol Cancer. 2010;9:13.
àǪÈÒʵÏ·¹Âؤ 2553
          Ñ                                                                          º··Õè        573

                                                                                      78
        Cancer-associated .ibroblasts in Tumor Progression
                                     Assistant Professor Chanitra Thuwajit, Ph.D., M.D.
           Department of Immunology .aculty of Medicine Siriraj Hospital, Mahidol University

         Tumor progression requires a crosstalk between cancer cells and tumor microenvironment
via several interactions of both cell-to-cell and substance-to-cell manners. Among these interactions,
cancer-associated fibroblasts (CA.s) are the most attention both as recipients to the signals
from cancer cells, immune cells and extracellular matrix (ECM); and as producers of pro-
tumorigenic signals which can facilitate the progression and aggressiveness of the cancers.
         The purpose of this talk is to introduce the importance of CA.s in cancer which have
been made during the last several years. These include the explanation of what CA.s originate
from, the specific characters and genetic status of CA.s, and roles of CA.s in particular in
cancer progression. The translational studies of using CA.s as therapeutic targets is of great
interest to mention herein. .inally, our data of CA.s in cholangiocarcinoma (CCA) which is
nowadays the major health problem in the North and Northeastern parts of the country will be
mentioned.

The origin of CA.s
         CA.s are simply defined as fibroblasts found in cancers. They have specific characters
in particular the expression of activated fibroblast markers importantly !-smooth muscle actin
(!-SMA), fibroblast-activated protein (.AP). Several researches indicate distinct CA.s subsets
probably originated from different sources. There are three main explanations regarding the
origin of CA.s. Local fibroblasts or fibroblast precursors, stimulated by members of growth
factors and cytokines, have generally been considered as the major source of CA.s.
The experiment in mouse models demonstrated bone marrow-derived precursor cells in the
contribution of CA.s population.(1) Moreover, it has been suggested that CA.s are derived from
malignant epithelial cells or endothelial cells undergoing mesenchymal transitions. (2, 3)
574                                          Cancer-associated .ibroblasts in Tumor Progression

The genetic alterations of CA.s
         What is egg or chicken between the abnormalities of CA.s and the mutations occurred
in tumor cells is still not clear. The controversial results showed that characters of CA.s have
been maintained both in the absence and the presence of malignant cells. In case of CA.s
stability in the absence of malignant cells, the genetic and epigenetic alterations within CA.s
are involved. Using microdissected fibroblasts from breast cancer and head and neck squamous
cell carcinoma, p53 mutations and loss-of-heterozygosity are common events.(4, 5) Moreover,
epigenetic alterations in CA.s have been detected from fibroblasts isolated from breast and
prostate cancers.(6, 7)

Roles of CA.s in cancer progression
         There is a complex interplay of reciprocal stromal-epithelial interactions resulting in
changes in the ECM and the tumor stroma. Carcinogenesis arises from the loss or breakdown
of this interaction rather than from epithelial or stromal mutation alone.(8) Several studies in
mouse models of genetically altered fibroblasts demonstrated a direct involvement of resident
fibroblasts in the initiation of cancer. However, many more research works so far have been
performed and indicated roles of CA.s in cancer progression. It is more than believable that
CA.s are sources of secreted growth factors, ECM-degrading proteases, invasive factors, and
angiogenic factors. .or example, CA.s are known to produce insulin-like growth factors in head
and neck cancer.(9) The ECM components such as various types of collagen have been
demonstrated the cross-link to the malignant cells which then cause integrin ligation leading to
PI3K and AKT survival signaling pathways. Matrix metalloproteases (MMPs), cathepsins, and
plasminogen activators are produced from CA.s and needed for cancer invasion and
metastasis.(10) To induce neovascular formation and the recruitment of endothelial progenitor
cells, CA.s are sources of vascular endothelial growth factors, fibroblast growth factor-2, and
stomal-derived factor-1.

Clinical implications of CA.s
        The more evidence of CA.s in the progression of several cancers leading to the provincing
value of using CA.s in the clinical application. A key study regarding gene expression profile in
breast cancer revealed the significance of genes expressed in stromal cells as prognostic
predictors.(11) In addition, in colorectal cancer CA.s abundance has been shown to associate
with bad prognosis.(12, 13)
àǪÈÒʵÏ·¹Âؤ 2553
          Ñ                                                                                     575

         CA.s can be the therapeutic targets through either the interfering with the recruitment
or expansion of CA.s in cancer tissues or the interfering with secreted CA.s-derived pro-
tumorigenic signals. Members of the platelet-derived growth factor (PDG.) family of growth
factors are well established regulator of tumor fibroblasts and pericytes.(14) Targeting of stromal
PDG. receptors, in experimental tumors, increase tumor drug uptake. In addition, inhibition of
stromal PDG. receptors induce anti-tumoral effects in cervix and colorectal cancers. Several
tyrosine kinase inhibitors with anti-PDG.R activity, such as imatinib, sorafenib, and sunitinib,
are presently approved and under clinical development.
         Recently, CA.s have been proven to secrete CXCL14 chemokine(15), suggesting this
protein and its yet-to-be identified receptor as the targets for inhibition. Newly published studies
have been performed to find out the specific signal pathway in CA.s to be inhibited including a
recent finding of hedgehog-signaling as a novel pathway for anti-stromal therapy.(16) .inally,
immunotherapy-approached have been employed to target CA.s in particular .AP antibody are
the most attractive candidate drug with the committed effects in animal models.(17) Though
clinical studies are more needed, it is promising for targeting CA.s as the treatment in cancer
patients.

Cholangiocarcinoma-associated fibroblasts and role in cancer
progression
        Our group has recently reported the in vitro tumorigenic effects of CA.s derived from
CCA patients through both contact and non-contact fashions.(18) In addition, the result supported
the previous findings in other cancers that the abundance of !-SMA positive fibroblasts correlated
to the short survival time of CCA patients. In order to identify the tumorigenic genes in CCA
fibroblasts, the gene expression profile of CA.s isolated from CCA patients undergone
hepatectomy was performed in comparison to that of normal fibroblasts.(19) Oligonucleotide
microarrays were used and certain genes involved in induction of cancer progression have been
proposed. Of most interest, periostin (PN) has been confirmed the expression in only CA.s
whereas no expressions in cancer cells or other stromal cells. In addition, patients who have
high level of PN had shorter survival time than the ones with low PN level. The in vitro studies
on roles of PN indicated the effects of PN to induce cancer cell proliferation and invasion.
Taken together, it is promising that in CCA, fibroblasts take part in cancer progression and
fibroblast-derived substances at least PN could be used as the poor prognostic markers. The
mechanism of action of PN on CCA cells and its effect in induction of MMPs are under
investigating in our lab. In addition, the other CA.s-derived substances in particular growth
576                                                   Cancer-associated .ibroblasts in Tumor Progression

factors, cytokines, chemokines represented from the oligonucleotide microarray and from the
study using protein chip assay (unpublished data) are of value to explore their roles in CCA. The
ultimate goal is to challenge targeting CA.s to attenuate tumorigenic induction and progression
in CCA patients.

References
1.    Direkze NC, Hodivala-Dilke K, Jeffery R, Hunt T, Poulsom R, Oukrif D, et al. Bone marrow contribution to
      tumor-associated myofibroblasts and fibroblasts. Cancer Res. 2004;64(23):8492-5.
2.    Radisky DC, Kenny PA, Bissell MJ. .ibrosis and cancer: do myofibroblasts come also from epithelial cells via
      EMT? J Cell Biochem. 2007;101(4):830-9.
3.    Zeisberg EM, Potenta S, Xie L, Zeisberg M, Kalluri R. Discovery of endothelial to mesenchymal transition as
      a source for carcinoma-associated fibroblasts. Cancer Res. 2007;67(21):10123-8.
4.    Patocs A, Zhang L, Xu Y, Weber ., Caldes T, Mutter GL, et al. Breast-cancer stromal cells with TP53
      mutations and nodal metastases. N Engl J Med. 2007;357(25):2543-51.
5.    Weber ., Xu Y, Zhang L, Patocs A, Shen L, Platzer P, et al. Microenvironmental genomic alterations and
      clinicopathological behavior in head and neck squamous cell carcinoma. JAMA. 2007;297(2):187-95.
6.    Hu M, Yao J, Cai L, Bachman KE, van den Brule ., Velculescu V, et al. Distinct epigenetic changes in the
      stromal cells of breast cancers. Nat Genet. 2005;37(8):899-905.
7.    Hanson JA, Gillespie JW, Grover A, Tangrea MA, Chuaqui R., Emmert-Buck MR, et al. Gene promoter
      methylation in prostate tumor-associated stromal cells. J Natl Cancer Inst. 2006;98(4):255-61.
8.    Weaver VM, Gilbert P. Watch thy neighbor: cancer is a communal affair. J Cell Sci. 2004;117(Pt 8):1287-90.
9.    Strnad H, Lacina L, Kolar M, Cada Z, Vlcek C, Dvorankova B, et al. Head and neck squamous cancer stromal
      fibroblasts produce growth factors influencing phenotype of normal human keratinocytes. Histochem Cell Biol.
      2010;133(2):201-11.
10.   Joyce JA, Pollard JW. Microenvironmental regulation of metastasis. Nat Rev Cancer. 2009;9(4):239-52.
11.   .inak G, Bertos N, Pepin ., Sadekova S, Souleimanova M, Zhao H, et al. Stromal gene expression predicts
      clinical outcome in breast cancer. Nat Med. 2008;14(5):518-27.
12.   Tsujino T, Seshimo I, Yamamoto H, Ngan CY, Ezumi K, Takemasa I, et al. Stromal myofibroblasts predict
      disease recurrence for colorectal cancer. Clin Cancer Res. 2007;13(7):2082-90.
13.   Henry LR, Lee HO, Lee JS, Klein-Szanto A, Watts P, Ross EA, et al. Clinical implications of fibroblast
      activation protein in patients with colon cancer. Clin Cancer Res. 2007;13(6):1736-41.
14.   Ostman A, Heldin CH. PDG. receptors as targets in tumor treatment. Adv Cancer Res. 2007;97:247-74.
15.   Augsten M, Hagglof C, Olsson E, Stolz C, Tsagozis P, Levchenko T, et al. CXCL14 is an autocrine growth
      factor for fibroblasts and acts as a multi-modal stimulator of prostate tumor growth. Proc Natl Acad Sci U S A.
      2009;106(9):3414-9.
16.   Rudin CM, Hann CL, Laterra J, Yauch RL, Callahan CA, .u L, et al. Treatment of medulloblastoma with
      hedgehog pathway inhibitor GDC-0449. N Engl J Med. 2009;361(12):1173-8.
17.   Loeffler M, Kruger JA, Niethammer AG, Reisfeld RA. Targeting tumor-associated fibroblasts improves cancer
      chemotherapy by increasing intratumoral drug uptake. J Clin Invest. 2006;116(7):1955-62.
àǪÈÒʵÏ·¹Âؤ 2553
          Ñ                                                                                                     577

18. Chuaysri C, Thuwajit P, Paupairoj A, Chau-In S, Suthiphongchai T, Thuwajit C. Alpha-smooth muscle actin-
    positive fibroblasts promote biliary cell proliferation and correlate with poor survival in cholangiocarcinoma.
    Oncol Rep. 2009;21(4):957-69.
19. Utispan K, Thuwajit P, Abiko Y, Charngkaew K, Paupairoj A, Chau-in S, et al. Gene expression profiling of
    cholangiocarcinoma-derived fibroblast reveals alterations related to tumor progression and indicates periostin as
    a poor prognostic marker. Mol Cancer. 2010;9:13.
àǪÈÒʵÏ·¹Âؤ 2553
          Ñ                                                                   º··Õè        579

                                                                               79
  Digital Image Processing and Data Management for Clinical
                Registry and Clinical Research
                                                    ÍÒ¨ÒÏ ´Í¡àµÍÏ»ÃоѲ¹ ÊØÃÔ¼Å
                                 ˹‹ÇªÕÇÊÒÃʹà·ÈáÅШѴ¡ÒâŒÍÁÙÅÇԨ ʶҹʋ§àÊÃÔÁ¡ÒÃÇÔ¨Â
                                                                   Ñ                   Ñ
                                         ¤³Ðá¾·ÂÈÒʵÏÈÔÃÔÃÒª¾ÂÒºÒÅ ÁËÒÇÔ·ÂÒÅÑÂÁËÔ´Å

       ÍØ»ÊÃä»ÃСÒÃ˹֧ÊíÒËÃѺ¡Ò÷íÒẺÊͺ¶ÒÁ ¡ÒèѴ·íÒ clinical registry ËÃ×ͧҹ clinical
                          è
research ¤×Í¡ÒÃà¡çº¢ŒÍÁÙÅ (data entry) ãËŒÍÂÙã¹ÃÙ»´Ô¨µÍÅ à¾×ͤÇÒÁÊдǡ㹡ÒÃÇÔà¤ÃÒÐˏáÅзíÒ
                                             ‹       Ô      è
ÃÒ§ҹ¶Ö§áÁŒÇÒã¹»˜¨¨Øº¹ à¤Ã×ͧ¤ÍÁ¾ÔÇàµÍÏÁ㪌¡¹Í‹ҧá¾Ã‹ËÅÒ ᵋ¡ÒùíÒ data entry ÁÒ㪌
              ‹        Ñ     è                 Õ Ñ
§Ò¹ ÂѧÁբͨíÒ¡Ñ´¾ÍÊÁ¤Çà µÒÃÒ§·Õè 1 à»ÃÕºà·Õº¢ŒÍ´ÕáÅТŒÍàÊÕÂÃÐËNjҧ¡ÒÃà¡çº¢ŒÍÁÙÅࢌÒà¤Ã×ͧ
          Œ                                                                               è
¤ÍÁ¾ÔÇàµÍÏâ´ÂµÃ§¼‹Ò¹·Ò§àÇçºä«µ·ÕèÊÌҧ¢Öé¹â´Â੾ÒÐÊíÒËÃѺâ¤Ã§¡ÒáѺ¡ÒáÃÍ¡¢ŒÍÁÙÅ
ã¹áºº¿ÍÏÁ¡ÃдÒÉ·Õ㪌¡¹ÍÂÙ·Çä»
                      è Ñ ‹ Ñè

µÒÃÒ§·Õè 1 µÒÃÒ§à»ÃÕºà·Õº¢ŒÍÁÙÅ
.orm               ¢ŒÍ´Õ                                        ¢ŒÍàÊÕÂ
Web-based form 1. ¢ŒÍÁÙÅÍÂÙã¹ÃٻẺ´Ô¨µÍžÌÍÁ㪌§Ò¹
                             ‹            Ô                     1. 㪌àÇÅÒ㹡ÒþѲ¹Ò¹Ò¹
                 2. µÃǨÊͺ¢ŒÍÁÙÅ䴌㹢³Ð¡ÃÍ¡¢ŒÍÁÙÅ             2. ¤‹Ò㪌¨ÒÂ㹡ÒþѲ¹ÒÊÙ§
                                                                           ‹
                 3. Å´ºÃÔÁÒ³¢Í§àÍ¡ÊÒ÷Õ㪌§Ò¹
                                            è                   3. ÁբͨíÒ¡Ñ´àÃ×ͧ¢Í§¡ÒÃ
                                                                       Œ        è
                 4. ¢ŒÍÁÙÅÍѾഷẺ·Ñ¹·Õ                           ᡌ䢻ÃѺà»ÅÕ¹  è
                 5. ·íҧҹ䴌·¡Ê¶Ò¹·Õ¶ÒÁÕ¡ÒÃàª×ÍÁµ‹Í
                                 Ø    è Œ         è             4. ¡Ò÷íÒ§Ò¹¹Í¡Ê¶Ò¹·Õ·Ò     è í
                    internet                                       ä´ŒÅÒºÒ¡
                                                                         í
                                                                5. àÊÕÂàÇÅÒ¡ÒÃͺÃÁ¡ÒÃ㪌§Ò¹
Paper-based form 1. ¡ÒõÃǨÊͺ¡ÑºàÍ¡ÊÒõŒ¹©ºÑº·íÒä´Œ§Ò  ‹      1. 㪌àÍ¡ÊÒÃã¹ÃÙ»¡ÃдÒÉ
                 2. ÁÕ¤ÇÒÁÂ×´ËÂØ¹ã¹¡ÒûÃѺà»ÅÕ¹ᡌ䢿ÍÏÁ
                                   ‹          è                    ¨íҹǹÁÒ¡
                 3. 㪌§º»ÃÐÁҳ㹡Ò÷íÒ§Ò¹¹ŒÍ                  2. àÊÕÂàÇÅÒ·íÒ¢ŒÍÁÙÅãËŒÍÂÙ‹
                 4. ¼Ù¡ÃÍ¡¢ŒÍÁÙÅÁÕ¤ÇÒÁ¤Ø¹à¤Â㹡Ò÷íÒ§Ò¹
                      Œ                 Œ                          ã¹ÃٻẺ´Ô¨µÍÅ Ô
                 5. ÁÕ¤ÇÒÁ¤Å‹Í§µÑÇ㹡Òþ¡¾Òà¾×Í¡ÃÍ¡¢ŒÍÁÙÅ
                                                è               3. ¡ÒÃá»Å§¢ŒÍÁÙÅ໚¹´Ô¨µÍÅÔ
                    ã¹Ê¶Ò¹·ÕµÒ§ æ ઋ¹ ˌͧ©Ø¡à©Ô¹ ¢ŒÒ§àµÕ§
                               è ‹                                 㪌àÇÅÒ¹Ò¹ ÁÕ¤Ò㪌¨ÒÂ
                                                                                      ‹ ‹
                    ¤¹ä¢ŒËÃ×͹͡ʶҹ·Õè                            áÅÐÁÕâÍ¡ÒʼԴ¾ÅÒ´ÊÙ§
580 Digital Image Processing and Data Management for Clinical Registry and Clinical Research

          ¨Ò¡µÒÃÒ§¾ºÇ‹Ò¡ÒáÃÍ¡¢ŒÍÁÙÅŧ¡ÃдÒɹÑé¹ÂѧÁÕ¤ÇÒÁ¨íÒ໚¹ÍÂÙ‹ à¾ÃÒÐãËŒ¤ÇÒÁÃÙŒÊÖ¡
·Õè໚¹¸ÃÃÁªÒµÔ¡Ç‹Ò ¼ÙŒãªŒ¤ØŒ¹à¤ÂáÅÐÂÍÁÃѺÃкºä´Œ´Õ¡Ç‹Ò Å´ÀÒÃÐ㹡Òýƒ¡ÍºÃÁ¡ÒÃ㪌§Ò¹
àËÁÒÐÊÁÊí Ò ËÃÑ º ¡Ò÷í Ò áººÊͺ¶ÒÁ·Õè ÁÕ ¼ÙŒ ¡ ÃÍ¡¢Œ Í ÁÙ Å ¨í Ò ¹Ç¹ÁÒ¡ à¾ÃÒÐÊÒÁÒö¡ÃШÒÂ
ẺÊͺ¶ÒÁãËŒ¼ÙŒãªŒ¡ÃÍ¡¢ŒÍÁÙÅä´Œ¾ÃŒÍÁ¡Ñ¹áÅÐÂѧàËÁÒÐÊÁÊíÒËÃѺẺ¿ÍÏÁ·Õè¨íÒ໚¹µŒÍ§ÁÕ
¤ÇÒÁ¤Å‹Í§µÑÇ㹡Òþ¡¾ÒáÅÐÊдǡ㹡ÒáÃÍ¡¢ŒÍÁÙÅã¹Ê¶Ò¹·ÕµÒ§æ ઋ¹ ˌͧ©Ø¡à©Ô¹ ¢ŒÒ§àµÕ§
                                                                      è ‹
¤¹ä¢Œ ËÃ×͹͡ʶҹ·Õè ໚¹µŒ¹ ᵋ»˜­ËÒËÅÑ¡¢Í§¡ÒÃà¡çº¢ŒÍÁÙÅŧẺ¿ÍÏÁ·Õè໚¹¡ÃдÒÉ
¤×Í¡ÒÃà»ÅÕ¹¢ŒÍÁÙÅ㹡ÃдÒÉãËŒÍÂÙã¹ÃÙ»´Ô¨µÍÅ à¾×ͤÇÒÁÊдǡ㹡ÒÃ㪌§Ò¹
             è                          ‹       Ô              è
          â´Â·ÑèÇä» ¡Ò÷íÒ data entry ¨Ò¡áºº¿ÍÏÁ¡ÃдÒɨÐ㪌਌Ò˹ŒÒ·Õè㹡ÒÃ͋ҹ¢ŒÍÁÙÅ
¨Ò¡¡ÃдÒÉáÅоÔÁ¾Å§ã¹à¤Ã×ͧ¤ÍÁ¾ÔÇàµÍÏ «Ö§¨Ð㪌àÇÅÒ¹Ò¹áÅÐÁÕâÍ¡ÒʼԴ¾ÅÒ´ÊÙ§ â´Â੾ÒÐ
                                  è                     è
Ẻ¿ÍÏÁ·ÕèÁÕ¢ŒÍÁÙŨíҹǹÁÒ¡ ºÒ§¤ÃÑé§ÍÒ¨ÁÕ¡ÒÃà¾ÔèÁ¤ÇÒÁÊдǡáÅÐÅ´¤ÇÒÁ¼Ô´¾ÅҴ㹡ÒÃ
¡ÃÍ¡¢ŒÍÁÙÅ ´ŒÇ¡ÒÃà¾ÔÁ¢Ñ¹µÍ¹á»Å§ÃËÑÊà¾×ÍÅ´»ÃÔÁÒ³¢ŒÍÁÙŷյͧ¾ÔÁ¾à¢ŒÒà¤Ã×ͧ¤ÍÁ¾ÔÇàµÍÏ
                              è é                   è                  è Œ             è
ઋ¹ ¡ÒÃࢌÒÃËÑʨѧËÇÑ´ãˌ໚¹µÑÇàÅ¢ àÁ×è͵ŒÍ§¡ÒáÃÍ¡¢ŒÍÁÙŨѧËÇÑ´¡Ãا෾ÁËÒ¹¤Ã ¼ÙŒà¢ŒÒÃËÑÊ
¨Ðá»Å§à»š¹àÅ¢ 1 ¶ŒÒ໚¹¨Ñ§ËÇÑ´¡ÃкÕè ¼ÙࢌÒÃËÑʨÐá»Å§à»š¹àÅ¢ 2 àÁ×Í਌Ò˹ŒÒ·Õ¡ÃÍ¡¢ŒÍÁÙŨѧËÇÑ´
                                              Œ                            è       è
¡çà¾Õ§ᵋ¾Á¾µÇàÅ¢ÃËÑʢͧ¨Ñ§ËÇÑ´¹Ñ¹ äÁ‹¨Ò໚¹µŒÍ§¾ÔÁ¾ªÍ¨Ñ§ËÇÑ´·Ñ§ËÁ´¡ÒÃࢌÒÃËÑÊâ´Â·ÑÇä»
               Ô Ñ                          é     í                ×è        é             è
¨ÐࢌÒÃËÑÊ໚¹µÑÇàÅ¢·Ñ§ËÁ´ à¾×Íãˌ਌Ò˹ŒÒ·ÕÊÒÁÒö¡ÃÍ¡¢ŒÍÁÙÅâ´Â¡ÒÃ㪌ệ¹µÑÇàÅ¢ (numeric
                          é         è                 è
pad) ·ÕÍÂÙ·Ò§´ŒÒ¹¢ÇҢͧệ¹¾ÔÁ¾ (keyboard) 㹡ÒáÃÍ¡ ·íÒãËŒ¡ÒáÃÍ¡¢ŒÍÁÙÅÁÕ¤ÇÒÁÃÇ´àÃçÇ
         è ‹
ÁÒ¡¢Öé¹ Í‹ҧäáçµÒÁ ¡ÒÃà¾ÔèÁ¢Ñ鹵͹¡ÒÃࢌÒÃËÑÊËÁÒ¶֧à¾ÔèÁ਌Ò˹ŒÒ·ÕèËÃ×Íà¾ÔèÁÀÒÃЧҹãËŒ
ÁÒ¡¢Ö¹áÅÐâÍ¡ÒʼԴ¾ÅÒ´ÂѧÊÙ§ÍÂÙÁÒ¡
       é                              ‹
          ÊíÒËÃѺ§Ò¹·ÕµÍ§¡ÒäÇÒÁ¶Ù¡µŒÍ§ÊÙ§ ઋ¹ clinical trial ÁÑ¡¨ÐÁÕ¡ÒùíÒÃкº¡ÒáÃÍ¡¢ŒÍÁÙÅ
                      è Œ
«éíÒ (double data entry) ÁÒ㪌à¾×èÍà¾ÔèÁ¤ÇÒÁ¶Ù¡µŒÍ§áÁ‹¹ÂíÒ â´ÂÁÕ਌Ò˹ŒÒ·Õè 2 ¤¹ ¡ÃÍ¡¢ŒÍÁÙÅ
ªØ´à´ÕÂǡѹ áÅŒÇ㪌â»Ãá¡ÃÁ¤ÍÁ¾ÔÇàµÍÏà»ÃÕºà·Õº¢ŒÍÁÙŷѧÊͧ ËÒ¡ÁÕ¨´·Õᵡµ‹Ò§¡Ñ¹ ¨ÐµŒÍ§¡ÅѺ
                                                                 é             Ø è
仵ÃǨÊͺáÅÐá¡Œä¢ ¨¹¡Ç‹Ò¢ŒÍÁÙŷѧÊͧªØ´àËÁ×͹¡Ñ¹ ¨ÐàËç¹Ç‹ÒÀÒÃÐ ÃÐÂÐàÇÅÒ áÅФ‹Ò㪌¨ÒÂ
                                          é                                                  ‹
¨Ðà¾ÔÁ¢Ö¹à»š¹·ÇÕ¤³
      è é          Ù
          ˹‹ÇªÕÇÊÒÃʹà·ÈáÅСÒèѴ¡ÒâŒÍÁÙÅÇԨ ¨Ö§¾Ñ²¹ÒÃкº¡ÒÃÊ᡹ÀÒ¾ à¾×ÍÍíҹǤÇÒÁ
                                                             Ñ                           è
Êдǡ㹡ÒùíÒࢌҢŒÍÁÙÅ â´Â㪌෤â¹âÅÂÕ㹡ÒèѴ¡ÒÃÀÒ¾ ¡ÒÃ͋ҹºÒÏ⤌´ áÅÐà¤Ã×Í¢‹ÒÂ
ã»ÃÐÊÒ· (neural network) ÊíÒËÃѺ¡ÒÃ͋ҹÅÒÂÁ×Í ã¹¡ÒÃá»Å§¢ŒÍÁÙŨҡÀÒ¾Ê᡹¢Í§áºº¿ÍÏÁ
¡ÃдÒÉãˌ໚¹¢ŒÍÁÙÅ´Ô¨µÍÅâ´ÂÍѵâ¹ÁÑµÔ â´ÂÁÕ¢¹µÍ¹¡Ò÷íÒ§Ò¹ËÅÑ¡ ´Ñ§á¼¹ÀÙÁ·Õè 1
                            Ô                             Ñé                         Ô
àǪÈÒʵÏ·¹Âؤ 2553
          Ê‹§áºº¿ÍÏÁ (Template)




                                                            Ñ
               Ê‹§áºº¿ÍÏÁ

                   scan




                    Ê‹§¢ŒÍÁÙÅ¡ÅѺ




                                                  581
á¼¹ÀÙÁÔ·Õè 1 áÊ´§¢Ñ鹵͹¡Ò÷íÒ§Ò¹¢Í§ÃкºÊ᡹ÀÒ¾
582 Digital Image Processing and Data Management for Clinical Registry and Clinical Research

        ã¹á§‹¢Í§¼Ù㪌¨ÐàËç¹Ç‹Ò ¢Ñ¹µÍ¹ã¹¡ÒáÃÍ¡¢ŒÍÁÙÅŧà¤Ã×ͧ¤ÍÁ¾ÔÇàµÍϨÐËÒÂä» ¼Ù㪌¨ÐÃÙÊ¡
                    Œ            é                        è                       Œ        ŒÖ
àÊÁ×Í¹Ç‹Ò ¢ŒÍÁÙÅ·Õ¡Ã͡ŧ¡ÃдÒɨж١á»Å§ãˌ໚¹¢ŒÍÁÙÅã¹ÃÙ»´Ô¨µÍÅ ¾ÃŒÍÁÊíÒËÃѺ¡ÒùíÒä»ãªŒ§Ò¹
                  è                                           Ô
ä´Œ·Ñ¹·Õ ¹Í¡¨Ò¡¹ÕéÃкº¡ÒÃÊ᡹ÀÒ¾·íҧҹ䴌ÃÇ´àÃçǡNjҡÒÃ㪌਌Ò˹ŒÒ·Õè¡ÃÍ¡¢ŒÍÁÙÅÁÒ¡
ẺÊͺ¶ÒÁ¨íҹǹ¡Ç‹Ò 2,000 ªØ´ÊÒÁÒöá»Å§áÅйíÒ¢ŒÍÁÙÅä»ÇÔà¤ÃÒÐˏ¼Åä´ŒÀÒÂã¹ 2 Çѹ
´ŒÇ¤ÇÒÁáÁ‹¹ÂíÒ¡Ç‹ÒÃŒÍÂÅÐ 99.5 ´ŒÇÂÃкºÊ᡹·Õ¾²¹Ò¢Ö¹¹Õé ¼Ù㪌¨§ÊÒÁÒö·ØÁà·ä»·Õ»ÃÐà´ç¹
                                                è Ñ     é       Œ Ö        ‹        è
ÊíҤѭ¢Í§â¤Ã§¡Òà 䴌ᡋ¡ÒÃÍ͡ẺáÅеѴÊԹ㨠à¾×èÍà¡çº¢ŒÍÁÙÅãËŒ¤Ãº¶ŒÇ¹áÅÐà¡Ô´»ÃÐ⪹
ÇÒ§á¼¹¡ÒÃÇÔà¤ÃÒÐˏáÅСÒ÷íÒÃÒ§ҹ·ÕÁ»ÃÐÊÔ·¸ÔÀÒ¾ â´ÂäÁ‹µÍ§¡Ñ§ÇšѺ§Ò¹¡ÃÍ¡¢ŒÍÁÙÅ·Õ§ÂÒ¡
                                       è Õ                  Œ                         è Ø‹
áÅÐÁÕâÍ¡ÒʼԴ¾ÅÒ´ÊÙ§

      ÃкºÊ᡹ÀÒ¾¢Í§Ë¹‹ÇªÕÇÊÒÃʹà·È
      ã¹Ê‹Ç¹µ‹Í¨Ò¡¹Õé ¼Ùà¢Õ¹¨Ð͸ԺÒÂÃÒÂÅÐàÍÕ´¢Í§ÃкºÊ᡹ ÊíÒËÃѺ·‹Ò¹¼Ùʹ㨡Ò÷íÒ§Ò¹
                        Œ                                               Œ
¢Í§Ãкº «Ö§¨Ðä´Œ·ÃÒº¶Ö§à·¤â¹âÅÂշ㪌áÅТŒÍ¨íÒ¡Ñ´·ÕÁÍÂÙã¹¢³Ð¹Õé
          è                         Õè            è Õ ‹

         ¡ÒÃÊ᡹ÀÒ¾
         ÀÒ¾·ÕÊ᡹ࢌÒÁÒÊÙÃкº¨Ð¶Ù¡á»Å§ãˌ໚¹ÀÒ¾¢ÒÇ´íÒ ¤ÇÒÁÅÐàÍÕ´ 200 dpi «Ö§à¾Õ§¾Í
              è             ‹                                                     è
·Õ¨Ð¹íÒä»ãªŒã¹¡ÒûÃÐÁÇżÅÀÒ¾áÅÐ͋ҹÅÒÂÁ×Íâ´ÂÃкºà¤Ã×Í¢‹ÒÂã»ÃÐÊÒ· (neural network)
  è
áÅÐÁÕ¢¹Ò´äÁ‹ãË­‹à¡Ô¹ä» à¾×ͤÇÒÁàÃçÇ㹡ÒÃÃѺʋ§¢ŒÍÁÙÅáÅлÃÐËÂÑ´¾×¹·Õà¡çº¢ŒÍÁÙÅã¹à¤Ã×ͧáÁ‹¢ÒÂ
                          è                                     é è                 è    ‹
(server)

       ¡ÒÃ͋ҹºÒÏ⤌´
       ÀÒ¾·Õ¶¡Ê᡹ࢌÒÁҨж١¹íÒä»»ÃÐÁÇżŴŒÇÂâ»Ãá¡ÃÁ͋ҹºÒÏ⤌´ ·ÕÍÂÙÊǹº¹¢Í§áºº
              è Ù                                                   è ‹‹
¿ÍÏÁ ´Ñ§µÑÇÍ‹ҧÃÙ»·Õè 1
àǪÈÒʵÏ·¹Âؤ 2553
          Ñ                                                                                             583




                         ÃÙ»·Õè 1 áÊ´§ÀҾẺ¿ÍÏÁ¡ÃдÒÉáÅкÒÏ⤌´

        à¾×èÍãËŒÃкº·ÃҺNjÒẺ¿ÍÏÁ·ÕèÊ᡹ࢌÒÁÒ¹Ñé¹à»š¹¢Í§â¤Ã§¡ÒÃã´ áÅÐÁÕ¨íҹǹ¡Õè˹ŒÒ
à¾×Í㪌㹡ÒõÃǨÊͺNjÒÀÒ¾·ÕÊ᡹ࢌÒÁÒÁըҹǹ˹ŒÒ¤Ãº¶ŒÇ¹ËÃ×ÍäÁ‹
   è                         è           í

           ¡ÒûÃѺᵋ§ÀÒ¾
           àÁ×͵ÃǨÊͺÃËÑʺÒÏ⤌´áÅФÇÒÁ¤Ãº¶ŒÇ¹àÃÕºÌÍÂáÅŒÇ ÀÒ¾¨Ð¶Ù¡Ê‹§µ‹ÍÁÒÂѧâ»Ãá¡ÃÁ
              è
·ÕÊͧ à¾×Í»ÃÐàÁÔ¹ÀҾNjÒÁÕ¨´ÊÑ­­Ò³¡Ç¹ (noise) ÁÒ¡¨¹ÍÒ¨¨Ðú¡Ç¹¡ÒÃá»Å§¢ŒÍÁÙÅËÃ×ÍäÁ‹
    è       è                      Ø
¶ŒÒËÒ¡ÁÕÁÒ¡à¡Ô¹ä» ¨Ð㪌෤¹Ô¤ã¹¡ÒèѴ¡ÒÃÀÒ¾à¾×ÍÅ´¨Ø´Ãº¡Ç¹Å§ (despeckle) áÅлÃÐàÁԹNjÒ
                                                             è
ÀÒ¾àÍÕ Â §ËÃ× Í äÁ‹ «Öè § ໚ ¹ »˜ ­ ËÒ·Õè ¾ ºº‹ Í Â à¹×è Í §¨Ò¡¡Ò÷í Ò §Ò¹¢Í§ÅÙ ¡ ¡ÅÔé § ´Ö § ¡ÃдÒɢͧ
à¤Ã×ͧÊ᡹à¹ÍÏ·Ò§Ò¹äÁ‹ÊÍ´¤ÅŒÍ§¡Ñ¹ »˜­ËÒÁÑ¡¨Ðà¡Ô´¢Ö¹àÁ×ÍÁÕ¡ÒÃÍÒÂØãªŒ§Ò¹¢Í§ÅÙ¡¡ÅÔ§à¾ÔÁÁÒ¡¢Ö¹
       è                í                                        é è                              é è       é
ËÃ×Í໚¹»˜­ËÒ·Õ¡ÃдÒÉàͧ ·ÕÍÒ¨¨ÐÁÕÃÍÂÂѺ ËÒ¡ÀÒ¾·ÕÊ᡹ࢌÒÁÒàÍÕ§à¡Ô¹ä»¨Ð·íÒãËŒµÒá˹‹§
                      è              è                             è                                  í
·Õè ¡í Ò Ë¹´äÇŒ Êí Ò ËÃÑ º ¡ÒÃá»Å§¢Œ Í ÁÙ Å ¤ÅÒ´à¤Å×è Í ¹¨Ö § µŒ Í §ãªŒ à ·¤¹Ô ¤ ¡Òäí Ò ¹Ç³Ç‹ Ò ÀÒ¾àÍÕ Â §ä»
¡ÕͧÈÒáÅÐËÁعÀÒ¾à¾×Íãˌ䴌ÀÒ¾·ÕÍÂÙã¹á¹ÇµÑ§
  è                          è            è ‹         é
584 Digital Image Processing and Data Management for Clinical Registry and Clinical Research

        ¡Òô֧¢ŒÍÁÙŨҡµíÒá˹‹§·Õè¡íÒ˹´äÇŒÊíÒËÃѺá»Å§¢ŒÍÁÙÅ
        ¢ŒÍÁÙŨҡÀÒ¾·Õ¶¡»ÃѺãËŒàËÁÒÐÊÁáŌǨж١´Ö§ÍÍ¡ÁÒ¨Ò¡µíÒá˹‹§µ‹Ò§ æ ·Õ¡Ò˹´äÇŒáÅŒÇ
                       è Ù                                                 è í
â´ÂàÁ×ÍÃкº·íҧҹ䴌¶¡µŒÍ§ ÀÒ¾·ÕÍÂÙ㹡Ãͺ·Ø¡¡Ãͺ¨Ð¶Ù¡´Ö§ÍÍ¡ÁÒ´ŒÇ¤ÇÒÁáÁ‹¹ÂíÒ ÁÕ¤ÇÒÁ
      è                 Ù           è ‹
¼Ô´¾ÅÒ´äÁ‹à¡Ô¹ 2 ¨Ø´¾Ô¡à«Å (pixels) ´Ñ§µÑÇÍ‹ҧÃÙ»·Õè 2




       ¡) Checkbox                              ¢) ÅÒÂÁ×͵ÑÇàÅ¢
          ÃÙ»·Õè 2 áÊ´§¤ÇÒÁáÁ‹¹ÂíÒ㹡ÒûÃѺµíÒá˹‹§¢Í§¡Ãͺ㹡ÒõѴ¢Íº

         â´Â·ÑÇä» â»Ãá¡ÃÁã¹ÅѡɳйÕÁ¡¨Ð´Ö§¢ŒÍÁÙÅ´ŒÇ¡ÒÃ͌ҧÍÔ§µíÒá˹‹§¡Ãͺ¨Ò¡àÊŒ¹¢ÍºËÅÑ¡
                è                      é Ñ
෋ҹѹ (ÃÙ»·Õè 1) ᵋ·Ò§Ë¹‹ÇÂÏ ¾ºÇ‹Ò¡ÒÃ͌ҧÍԧ෋ҹѹÂѧäÁ‹Á¤ÇÒÁáÁ‹¹ÂíÒ¾Í Ë¹‹ÇÂÏ ¨Ö§µŒÍ§¾Ñ²¹Ò
      é                                              é       Õ
à·¤¹Ô¤ã¹¡ÒûÃѺµíÒá˹‹§ÊíÒËÃѺ¡Ãͺ·Ø¡¡ÃͺãËŒáÁ‹¹ÂíÒ¢Öé¹ ·íÒãËŒ¡ÒÃá»Å§ÅÒÂÁ×Íã¹¢Ñ鹵͹
µ‹Íä»·íҧҹ䴌¶¡µŒÍ§ÁÒ¡¢Ö¹Í‹ҧªÑ´à¨¹
                    Ù         é

       ¡ÒÃ͋ҹÅÒÂÁ×Íà¾×èÍá»Å§¢ŒÍÁÙÅÀҾ໚¹´Ô¨ÔµÍÅ
       ¢ŒÍÁÙÅÀÒ¾¨Ò¡áµ‹ÅСÃͺ¨Ð¶Ù¡¹íÒÁÒ»ÃÐÁÇżŴŒÇÂÃкºà¤Ã×Í¢‹ÒÂã»ÃÐÊÒ· (neural
network) à¾×è͵ѴÊԹNjÒÅÒÂÁ×Íã¹ÀÒ¾¹Ñé¹à»š¹ÍÐäà ª¹Ô´¢ŒÍÁÙÅËÅÑ¡·Õè˹‹ÇÂÏ㪌§Ò¹ÍÂÙ‹ã¹¢³Ð¹Õé¤×Í
¢ŒÍÁÙÅ»ÃÐàÀ· checkbox áÅеÑÇàÅ¢ ¡ÒûÃÐÁÇżŠcheckbox ¹Ñ鹨Ч‹Ò¡NjҡÒÃ͋ҹÅÒÂÁ×Í
µÑÇàÅ¢ÁÒ¡ ¨Ö§äÁ‹à»š¹»˜­ËÒà·‹Ò㴹ѡ ᵋ¡ÒÃ͋ҹÅÒÂÁ×͵ÑÇàÅ¢ÁÕ¤ÇÒÁ«Ñº«ŒÍ¹ÁÒ¡ áÅÐâ»Ãá¡ÃÁ
àǪÈÒʵÏ·¹Âؤ 2553
          Ñ                                                                                   585

͋ҹÅÒÂÁ×Í·Õè«×éÍÅÔ¢ÊÔ·¸Ôì¨Ò¡µ‹Ò§»ÃÐà·È¡çäÁ‹ÊÒÁÒöãËŒ¼Å´Õà·‹Ò·ÕèºÃÔÉÑ·¡Å‹ÒÇ͌ҧ à¾ÃÒСÒÃà¢Õ¹
µÑÇàÅ¢¢Í§¤¹ä·Â¨ÐÁÕ¤ÇÒÁᵡµ‹Ò§¨Ò¡µ‹Ò§»ÃÐà·È ઋ¹¤¹ä·Âà¢Õ¹àÅ¢ 1 áÅÐ 2 ËÅÒÂẺ
ÁÑ¡¨Ðà¢Õ¹àÅ¢ 7 Ẻ·ÕÁ¢´¤Ñ¹µÃ§¡ÅÒ§ àÅ¢ 9 ·Õà¢Õ¹Ëҧ⤌§ ËÃ×͵ç (ÃÙ»·Õè 3)
                        è Õ Õ è                è




                           ÃÙ»·Õè 3 áÊ´§µÑÇàÅ¢·ÕèÁÕ¡ÒÃà¢Õ¹µ‹Ò§¡Ñ¹

       ·Ò§Ë¹‹ Ç ÂÏ ¨Ö § ½ƒ ¡ Ãкºà¤Ã× Í ¢‹ Ò Âã»ÃÐÊÒ·àͧ´Œ Ç Â¢Œ Í ÁÙ Å ÀÒ¾ÅÒÂÁ× Í ¨ÃÔ § ÁÒ¡¡Ç‹ Ò
700,000 ÀÒ¾ ·íÒãËŒ¤ÇÒÁáÁ‹¹ÂíÒ㹡ÒÃ͋ҹÅÒÂÁ×͵ÑÇàŢ㹻˜¨¨Øº¹ÊÙ§¡Ç‹ÒÃŒÍÂÅÐ 99
                                                               Ñ

         ¡ÒõÃǨ·Ò¹¢ŒÍÁÙÅ
         ¤ÇÒÁáÁ‹¹ÂíÒÁÒ¡¡Ç‹ÒÃŒÍÂÅÐ 99 Âѧ¤§äÁ‹à¾Õ§¾ÍÊíÒËÃѺ§Ò¹·ÕÁ¤ÇÒÁÊíҤѭÁÒ¡·ÕµÍ§¡ÒÃ
                                                                è Õ              è Œ
¤ÇÒÁ¶Ù¡µŒÍ§ÊÙ§ÊØ´ ¢ŒÍÁÙÅ¡ÒÃá»Å§ÀÒ¾·Ñ§ËÁ´¨Ö§¶Ù¡¹íÒÁÒµÃǨÊͺÍÕ¡¤Ãѧ´ŒÇÂ਌Ò˹ŒÒ·Õ¢Í§Ë¹‹ÇÂÏ
                                    é                             é            è
·íÒãˌ䴌¤³ÀÒ¾ã¹ÅѡɳТͧ¡Ò÷íÒ double data entry â´Ââ»Ãá¡ÃÁ¤ÍÁ¾ÔÇàµÍÏ·Ò˹ŒÒ·Õ㹡ÒÃ
          Ø                                                                 í        è
¡ÃÍ¡¢ŒÍÁÙŤÃÑé§áá áÅÐÁÕ¡ÒõÃǨÊͺ«éíÒ´ŒÇÂ਌Ò˹ŒÒ·Õè¢Í§Ë¹‹ÇÂÏ â´Â¡ÒÃ㪌à¤Ã×èͧÁ×͵‹Ò§ æ
·Õ˹‹ÇÂÏ ¾Ñ²¹Ò¢Ö¹ ·íÒãËŒ¤ÇÒÁ¶Ù¡µŒÍ§ã¹»˜¨¨Øº¹ÁÕÁÒ¡¡Ç‹ÒÃŒÍÂÅÐ 99.5
  è              é                         Ñ

          ¡ÒèѴà¡çºáÅСÒô֧¢ŒÍÁÙÅä»ãªŒ
          ¢ŒÍÁÙÅ·ÕµÃǨÊͺ¤ÇÒÁ¶Ù¡µŒÍ§áŌǨж١¨Ñ´à¡çºã¹°Ò¹¢ŒÍÁÙÅ (relational database) ÊÒÁÒö
                  è
´Ö§¢ŒÍÁÙÅÍÍ¡ÁҷѧËÁ´ËÃ×ͺҧʋǹ µÒÁà§×͹䢷ռ㪌¡Ò˹´ä´ŒÍ‹ҧÊдǡÃÇ´àÃçÇ áÅÐÊÒÁÒöʋ§
                    é                    è     è ÙŒ í
¢ŒÍÁÙÅãËŒ¼ãªŒä´Œã¹ÃٻẺ·ÕµÍ§¡Òà ઋ¹ã¹ÃٻẺä¿ÅµÇÍÑ¡Éà (text file) ä¿ÅÊÒËÃѺ Microsoft Excel
            ÙŒ            è Œ                       Ñ                     í
ä¿ÅÊíÒËÃѺ¡ÒÃÇÔà¤ÃÒÐˏ´ŒÇÂâ»Ãá¡ÃÁ·Ò§Ê¶ÔµÔ ઋ¹ SPSS áÅÐÊÌҧÃÒ§ҹµÒÁ·Õè¼ÙŒãªŒÍ͡Ẻ
¢ŒÍÁÙŷѧËÁ´¨ÐÁÕ¡Ò÷íÒÊíÒÃͧà¾×ͤÇÒÁ»ÅÍ´ÀÑ¢ͧ¢ŒÍÁÙÅ áÅСíÒ˹´ÊÔ·¸Ô¢Í§¼Ù㪌㹡ÒÃࢌҶ֧
        é                       è                                               Œ
¢ŒÍÁÙÅ
586 Digital Image Processing and Data Management for Clinical Registry and Clinical Research

        ¢ŒÍ¨íÒ¡Ñ´¢Í§Ãкºã¹»˜¨¨ØºÑ¹
        ã¹»˜¨¨Øº¹ Ãкº·íҧҹ䴌´ÁÒ¡¡Ñº¢ŒÍÁÙÅ checkbox áÅеÑÇàÅ¢ ᵋ¤ÇÒÁÊÒÁÒö㹡ÒÃ͋ҹ
                Ñ                   Õ
µÑÇÍÑ¡ÉÃÀÒÉÒÍѧ¡ÄÉÂѧ·íÒä´ŒäÁ‹´¹¡ ¨íÒ໚¹µŒÍ§ÊÐÊÁ¢ŒÍÁÙÅà¾ÔÁàµÔÁà¾×Í㪌㹡Òýƒ¡à¤Ã×Í¢‹ÒÂãÂ
                                   Õ Ñ                         è     è
»ÃÐÊÒ· ʋǹµÑÇÍÑ¡ÉÃÀÒÉÒä·ÂÂѧäÁ‹ÊÒÁÒö㪌§Ò¹ä´Œ â´Â·ÑÇ仢ŒÍ¨íÒ¡Ñ´àËŋҹÕäÁ‹à»š¹»˜­ËÒà·‹Ò
                                                             è                é
㴹ѡ à¾ÃÒТŒÍÁÙÅʋǹãË­‹¨ÐÍÂÙã¹ÃÙ» checkbox áÅеÑÇàÅ¢ÍÂÙáÅŒÇ Ê‹Ç¹¢ŒÍÁÙŵÑÇÍÑ¡ÉÃÁÑ¡¨ÐÊÒÁÒö
                               ‹                           ‹
á»Å§ãˌ໚¹µÑÇàŢ䴌 ¨Ö§ÁÕ¢ÍÁÙÅ·Õ໚¹µÑÇÍÑ¡ÉèÃÔ§ÍÂÙäÁ‹ÁÒ¡¹Ñ¡ã¹â¤Ã§¡Ò÷ÑÇä»
                           Œ     è                  ‹                   è

       ʶҹ·ÕèµÔ´µ‹ÍÊíÒËÃѺ¼ÙŒ·Õèʹã¨ÃкºÊ᡹ÀÒ¾
       ˹‹ÇªÕÇÊÒÃʹà·ÈáÅШѴ¡ÒâŒÍÁÙÅÇԨ ʶҹʋ§àÊÃÔÁ¡ÒÃÇÔ¨Â
                                             Ñ               Ñ
       µÖ¡Í´ØÅÂà´ªÇÔ¡ÃÁ ªÑ¹ 12 ¤³Ðá¾·ÂÈÒʵÏÈÃÃÒª¾ÂÒºÒÅ ÁËÒÇÔ·ÂÒÅÑÂÁËÔ´Å
                           é                      ÔÔ
       â·Ã. 02-419- 6666-70 ËÃ×Í VPN 08-8227-5937
àǪÈÒʵÏ·¹Âؤ 2553
          Ñ                                                                           º··Õè        587

                                                                                       80
           Research and Road to Innovation and Business
                                                      ÃͧÈÒʵÃÒ¨ÒÏ ÇÃóРÁËÒ¡ÔµµÔ¤Ø³
                        ÀÒ¤ÇÔªÒ»ÃÊÔµÇÔ·ÂÒ ¤³Ðá¾·ÂÈÒʵÏÈÃÃÒª¾ÂÒºÒÅ ÁËÒÇÔ·ÂÒÅÑÂÁËÔ´Å
                                                            ÔÔ
                                                                         ¾ÔÁ¾»ÃÐä¾ ¸ÕÃЪվ
                                           ÈٹºÃÔËÒ÷ÃѾʹ·Ò§»˜­­Ò ÁËÒÇÔ·ÂÒÅÑÂÁËÔ´Å
                                                               Ô
                                                                     ¸ÒÃÔ¹ àÍÕèÂÁྪÃÒ¾§È
                                                                   ºÃÔɷËÇÁ·Ø¹ÊµÒ§¤ ¨íÒ¡Ñ´
                                                                       Ñ
                                                ¼ÙŒª‹ÇÂÈÒʵÃÒ¨ÒÏ ´Í¡àµÍϸ¹¾Å ÇÕÃÒÊÒ
                                                           ÇÔ·ÂÒÅѨѴ¡Òà ÁËÒÇÔ·ÂÒÅÑÂÁËÔ´Å

           ¤ÇÒÁËÁÒ¢ͧ¡ÒÃÇÔ¨ÂÁÕ¤Ò¨íÒ¡Ñ´¤ÇÒÁä´ŒËÅÒ¤ÇÒÁËÁÒ ¡Å‹ÒÇâ´ÂÃÇÁ ¡ÒÃÇÔ¨ÂËÁÒ¶֧
                                   Ñ í                                                         Ñ
¡Òõѧ¤íÒ¶ÒÁËÃ×Í¡Ãкǹ¡ÒäԴ áÅйíÒÁÒ´íÒà¹Ô¹¡ÒÃÍ‹ҧ໚¹Ãкºà¾×ÍËÒ¤íҵͺ (ͧ¤¤ÇÒÁÃÙŒ
        é                                                                         è
ãËÁ‹) ãËŒ¡º»˜­ËÒ·Õà¡Ô´¢Ö¹·Ø¡ª¹Ô´·Ñ§·Ò§ÇÔ·ÂÒÈÒʵÏáÅÐÊѧ¤ÁÈÒʵÏ ¹Ñ¡ÇԨ¤×ͼٷ´Òà¹Ô¹¡ÒÃ
               Ñ        è é                  é                                        Ñ    Œ Õè í
¤Œ¹¤ÇŒÒËÒ¤ÇÒÁÃÙŒáÅФíҵͺ㹻ÃÐà´ç¹·ÕèʧÊÑ â´ÂÁÕÃÐàºÕºÇÔ¸ÕÍѹ໚¹·ÕèÂÍÁÃѺã¹áµ‹ÅÐÈÒʵÏ
·Õèà¡ÕèÂÇ¢ŒÍ§ «Ö觤Ãͺ¤ÅØÁ·Ñé§á¹Ç¤Ô´ Áâ¹·Ñȹ áÅÐÇÔ¸Õ¡Ò÷Õè㪌㹡ÒÃÃǺÃÇÁ áÅÐÇÔà¤ÃÒÐˏ¢ŒÍÁÙÅ
ÁËÒÇÔ·ÂÒÅÑÂÁËÔ´Å໚¹Ê¶ÒºÑ¹¡ÒÃÈÖ¡ÉҪѹ¹íҢͧ»ÃÐà·È ໚¹·Õ衵‹ÍÊÒ¸Òóª¹ã¹´ŒÒ¹¡ÒÃ໚¹
                                                é                        è ÙŒ Ñ
ÁËÒÇÔ·ÂÒÅÑÂáË‹§¡ÒÃÇԨѠ«Öè§ÁÕ§Ò¹·ÕèÁÕÅѡɳÐÊÌҧÊÃä ´íÒà¹Ô¹¡ÒÃÍ‹ҧ໚¹Ãкºà¾×èÍà¾ÔèÁ¾Ù¹
¤Åѧ¤ÇÒÁÃÙŒ ·Ñ駤ÇÒÁÃÙŒ·Õèà¡ÕèÂǡѺÁ¹ØÉ ÇѲ¹¸ÃÃÁ áÅÐÊѧ¤Á áÅÐÁÕ¡ÒÃ㪌¤ÇÒÁÃÙŒàËŋҹÕé à¾×èÍ¡ÒÃ
»ÃдÔɰФ´¤Œ¹ÊÔ§ãËÁ‹æ ·ÕÁ»ÃÐ⪹ â´Â䴌ʹѺʹعãËŒ¹¡ÇÔ¨ÂÊÌҧ¼Å§Ò¹¤Ø³ÀÒ¾ ÊÒÁÒö¹íÒ§Ò¹
             Ô     è           è Õ                                 Ñ Ñ
ÇÔ¨Â仵‹ÍÂÍ´µÒÁ¤ÇÒÁµŒÍ§¡ÒâͧªØÁª¹ Êѧ¤ÁáÅлÃÐà·È «Ö§¡ÒÃÇԨ»ÃÐÂØ¡µ (applied research)
    Ñ                                                                  è        Ñ
¹Ñºà»š¹¡ÒÃÇÔ¨ÑÂÍÕ¡´ŒÒ¹Ë¹Öè§ ·ÕèÁØ‹§¹íҼšÒÃÇÔ¨ÑÂä»ãªŒ»ÃÐ⪹ ÍÒ·Ôઋ¹ ¡ÒùíҼŧҹä»ãªŒ
ã¹àªÔ§¾Ò³ÔªÂáÅÐÀÒ¤ÍØµÊÒË¡ÃÃÁ  㹡ÒùÕÁ¡ÁÕàÃ×ͧà¡ÕÂǡѺ§Ò¹·ÃѾʹ·Ò§»˜­­ÒÁÒà¡ÕÂÇ¢ŒÍ§
                                                    é Ñ è è                         Ô             è
µÑ Ç Í‹ Ò §¼Å§Ò¹ÇÔ ¨Ñ  àªÔ § »ÃÐÂØ ¡ µ ã ¹ÀÒ¤ÇÔ ª Ò»ÃÊÔ µ ÇÔ · ÂÒ ¤³Ðá¾·ÂÈÒʵÏ ÈÔ ÃÔ Ã Òª¾ÂÒºÒÅ
ÁËÒÇÔ·ÂÒÅÑÂÁËÔ´Å ·ÕÊÒÁÒö¹íÒ§Ò¹¹Çѵ¡ÃÃÁ·Õä´ŒÁÒ¡‹Í»ÃÐ⪹àªÔ§¾Ò³ÔªÂ 䴌ᡋ ÍØ»¡Ã³¡¡½Ø¹
                         è                             è                                            Ñ †
à¤Ã×ͧᡵÑÇäýع à¤Ã×ͧãËŒàÅ×Í´ÂØ§Íѵâ¹ÁÑµÔ à»š¹µŒ¹
      è              †     è
588                                            Research and Road to Innovation and Business




 ÃÙ»·Õè 1. ÍØ»¡Ã³¡¡½Ø¹
                     Ñ †        ÃÙ»·Õè 2. à¤Ã×ͧᡵÑÇäýع
                                              è           †   ÃÙ»·Õè 3. à¤Ã×ͧãËŒàÅ×Í´ÂØ§Íѵâ¹ÁѵÔ
                                                                            è
    (Siriraj dust trap)                 (Mite Isolator)

        ÁËÒÇÔ·ÂÒÅÑÂÁËÔ´Åä´Œ´íÒà¹Ô¹¡ÒÃÊ‹§àÊÃÔÁãËŒà¡Ô´¼Å§Ò¹ÇÔ¨ÑÂãˌ䴌ͧ¤¤ÇÒÁÃÙŒãËÁ‹ÍÂÙ‹Í‹ҧ
µ‹Íà¹×ͧ áÅÐÁռŧҹÇÔ¨Âã¹ÅѡɳÐͧ¤¤ÇÒÁÃٷ䴌ú¡ÒÃà¼Âá¾Ã‹ã¹ÇÒÃÊÒùҹҪҵÔ໚¹¨íҹǹ
      è               Ñ                     Œ Õè Ñ
ÁÒ¡Í‹ҧÊÁèÒàÊÁÍ ã¹»˜¨¨Øº¹¼Å§Ò¹ÇԨ¢ͧÁËÒÇÔ·ÂÒÅÑÂÁËÔ´Å໚¹·ÕÂÍÁÃѺáÅлÃШѡɏµÍÊѧ¤Á
           í              Ñ          Ñ                         è                      ‹
·Ñ§ã¹»ÃÐà·Èä·Âàͧ áÅÐã¹ÃдѺ¹Ò¹ÒªÒµÔ 㹨íҹǹ¼Å§Ò¹ÇԨ·Õ໚¹Í§¤¤ÇÒÁÃÙ¹Á¨Ò¹Ç¹Ë¹Ö§
  é                                                       Ñ è                Œ Õé Õ í      è
·ÕèÊÒÁÒö¹íÒä»»ÃÐÂØ¡µáÅС‹ÍãËŒà¡Ô´à·¤â¹âÅÂÕãËÁ‹æ µÅÍ´¨¹à¡Ô´¤ÇÒÁ¾ÃŒÍÁ·Õè¨Ð¶‹Ò·ʹ
à·¤â¹âÅÂÕãˌᡋÀÒ¤àÍ¡ª¹à¾×èÍ¡‹ÍãËŒà¡Ô´»ÃÐ⪹µ‹ÍÊѧ¤Áâ´ÂÃÇÁáÅлÃÐ⪹ã¹àªÔ§¾Ò³ÔªÂ
ÁËÒÇÔ·ÂÒÅÑÂÁËԴŨ֧䴌¨´µÑ§ÈٹºÃÔËÒ÷ÃѾʹ·Ò§»˜­­Ò ÁËÒÇÔ·ÂÒÅÑÂÁËÔ´Å «Ö§à»š¹Ë¹‹Ç§ҹ
                        Ñ é                  Ô                             è
·Õú¼Ô´ªÍºã¹¡ÒùíҼŧҹÇÔ¨Âà¾×Í»ÃÐÂØ¡µãªŒã¹àªÔ§¾Ò³ÔªÂÍ‹ҧÁÕ»ÃÐÊÔ·¸ÔÀÒ¾
  èÑ                         Ñ è

¡ÒôíÒà¹Ô¹§Ò¹¢Í§ÈٹºÃÔËÒ÷ÃѾÊÔ¹·Ò§»˜­­Ò
        ẋ§ä´Œà»š¹ 4 ʋǹ 䴌ᡋ ¡ÒÃÊÌҧ·ÃѾʹ·Ò§»˜­­Ò (creation) ¡ÒäØÁ¤Ãͧ·ÃѾʹ
                                                 Ô                         Œ           Ô
·Ò§»˜­­Ò (protection) ¡ÒùíÒ·ÃѾʹ·Ò§»˜­­Òä»ãªŒ»ÃÐ⪹ (exploitation) áÅСÒû¡»‡Í§
                                     Ô
ÊÔ·¸Ôã¹·ÃѾʹ·Ò§»˜­­Ò (enforcement) «Ö§áµ‹ÅÐʋǹ¨ÐÁÕº·ºÒ·áÅÐ˹ŒÒ·ÕáÅСÒôíÒà¹Ô¹§Ò¹
              Ô                            è                            è
´Ñ§¹Õé

        ¡ÒÃÊÌҧ·ÃѾʹ·Ò§»˜­­Ò
                       Ô
         à¾×ÍʹѺʹعáÅÐÊ‹§àÊÃÔÁãËŒà¡Ô´¡ÒÃÊÌҧ·ÃѾʹ·Ò§»˜­­Ò ¨Ö§ÁÕ¡ÒôíÒà¹Ô¹¡ÒÃ㹡ÒÃÊÌҧ
            è                                         Ô
¤ÇÒÁࢌÒã¨ã¹àÃ×ͧ·ÃѾʹ·Ò§»˜­­Òãˌᡋ¼»¯Ôºµ§Ò¹ã¹ÁËÒÇÔ·ÂÒÅÑÂÁËÔ´Å ÃÇÁ¶Ö§ãËŒàÅç§àËç¹¶Ö§
                 è      Ô                    ÙŒ Ñ Ô
»ÃÐ⪹¨Ò¡¡ÒÃ㪌·ÃѾÊÔ¹·Ò§»˜­­Òà¾×è;Ѳ¹ÒÊѧ¤Á »ÃÐà·ÈªÒµÔ â´Â¡ÒûÃЪÒÊÑÁ¾Ñ¹¸
¨Ñ´ÍºÃÁÊÑÁÁ¹Ò ãËŒ¤ÇÒÁÃÙàÃ×ͧ·ÃѾʹ·Ò§»˜­­Ò ã¹´ŒÒ¹µ‹Ò§æ ÃÇÁ¶Ö§¡ÒÃÊ׺¤Œ¹¢ŒÍÁÙÅ·ÃѾʹ
                          Œ è          Ô                                                   Ô
·Ò§»˜­­Ò ઋ¹ ÊÔ·¸ÔºÑµÃá¡‹¼ÙŒ»¯ÔºÑµÔ§Ò¹áÅйѡÈÖ¡ÉÒ áÅÐãËŒºÃÔ¡ÒÃᡋ˹‹Ç§ҹÀÒ¹͡
¾ÃŒÍÁ·Ñ§¨Ñ´ãËŒÁ¼»ÃÐÊÒ¹§Ò¹´ŒÒ¹·ÃѾʹ·Ò§»˜­­Òà¾×Í»ÃÐÊÒ¹§Ò¹áÅÐàª×ÍÁâ§໚¹à¤Ã×Í¢‹ÒÂ
       é           Õ ÙŒ                  Ô              è                 è
㹡Ò÷íҧҹËÇÁ¡Ñ¹ áÅÐʹѺʹع áÅмÅÑ¡´Ñ¹ãËŒà¡Ô´¡ÒÃËÇÁÁ×͡ѺÀÒ¤ÍØµÊÒË¡ÃÃÁ㹡ÒÃÊÌҧ
¼Å§Ò¹·ÃѾʹ·Ò§»˜­­Ò à¾×ÍãËŒà¡Ô´¡ÒùíÒä»ãªŒ»ÃÐ⪹ä´Œ¨ÃÔ§á¡‹ÀÒ¤ÍØµÊÒË¡ÃÃÁ áÅзíÒ¡ÒÃ
               Ô              è
àǪÈÒʵÏ·¹Âؤ 2553
          Ñ                                                                                           589

àÊÒÐËҼŧҹÇԨ ͧ¤¤ÇÒÁÃÙŒ áÅÐà·¤â¹âÅÂÕ·ÁÍÂÙã¹ÁËÒÇÔ·ÂÒÅÑÂÁËÔ´Å áÅйíҼŧҹàËŋҹѹ
               Ñ                         Õè Õ ‹                                   é
ÁÒ¾Ô¨ÒóҴíÒà¹Ô¹¡Òõ‹Í仵ÒÁ¤ÇÒÁàËÁÒÐÊÁ

        ¡ÒäØÁ¤ÃͧáÅл¡»‡Í§·ÃѾʹ·Ò§»˜­­Ò
             Œ                    Ô
          à¾×Í໚¹¡ÒáÃеعãËŒÁ¡ÒÃÊÌҧ·ÃѾʹ·Ò§»˜­­ÒáÅСÒùíÒä»ãªŒ»ÃÐ⪹ ¨Ö§µŒÍ§ÁÕ¡ÒÃ
              è            Œ    Õ             Ô
¤ØŒÁ¤Ãͧ¼Å§Ò¹·ÃѾÊÔ¹·Ò§»˜­­ÒÍ‹ҧàËÁÒÐÊÁà¾×èÍ»‡Í§¡Ñ¹äÁ‹ãËŒÁÕ¡ÒÃÅÐàÁÔ´ÊÔ·¸Ô㹼ŧҹ
·ÃѾʹ·Ò§»˜­­Ò¢Í§ÁËÒÇÔ·ÂÒÅÑÂÁËÔ´Å â´Â¨Ñ´ãËŒÁ¤³Ð͹ءÃÃÁ¡ÒúÃÔËÒèѴ¡Ò÷ÃѾʹ·Ò§
        Ô                                             Õ                              Ô
»˜­­Ò à¾×ÍãËŒ¤Ò»ÃÖ¡ÉÒáÅоԨÒóҤس¤‹ÒáÅФÇÒÁàËÁÒÐÊÁ㹡ÒäØÁ¤Ãͧ·ÃѾʹ·Ò§»˜­­Ò
            è     í                                                    Œ       Ô
áÅСÒùíҼŧҹä»ãªŒ»ÃÐ⪹ «Ö§¤³Ð¡ÃÃÁ¡ÒûÃСͺ´ŒÇ¼ٷç¤Ø³Çز¨Ò¡ÊÒ¢ÒÇÔªÒµ‹Ò§æ
                                      è                           Œ       Ô
áÅШѴãËŒÁ¡ÒûÃЪØÁà´×͹ÅФÃѧ â´Â㹡ÒûÃЪØÁᵋÅФÃѧÍÒ¨àªÔ­¼ÙàªÕÂǪҭ੾ÒзҧࢌÒËÇÁ
                Õ                 é                        é          Œ è
´ŒÇÂ໚¹¡Ã³Õä»
          ¹Í¡¨Ò¡¹Õé ÂѧãËŒºÃÔ¡ÒÃãËŒ¤Ò»ÃÖ¡ÉÒã¹àÃ×ͧ·Õà¡ÕÂǡѺ·ÃѾʹ·Ò§»˜­­Ò áÅкÃÔ¡ÒôŒÒ¹
                                    í           è è è               Ô
¡ÒäØÁ¤ÃͧÊÔ·¸Ôã¹·ÃѾʹ·Ò§»˜­­Òᡋ˹‹Ç§ҹÀÒ¹͡à¾×Í໚¹¡ÒÃãËŒºÃÔ¡ÒÃᡋʧ¤Á
     Œ                       Ô                                è                  Ñ

        ¡ÒùíÒ·ÃѾʹ·Ò§»˜­­Òä»ãªŒ»ÃÐ⪹
                     Ô
        ÁÕ¡ÒôíÒà¹Ô¹¡Òôѧ¹Õé
        1. ¨Ñ´àµÃÕÂÁ¢ŒÍÁÙÅà¾×Í¡ÒùíҼŧҹä»ãªŒ»ÃÐ⪹ ઋ¹ ¨Ñ´·íÒ·íÒà¹Õº¼Å§Ò¹ (IP portfolio)
                                è
ÈÖ¡ÉÒ¤ÇÒÁ໚¹ä»ä´Œã¹´ŒÒ¹µ‹Ò§æ (feasibility study) á¼¹¸ØÃ¡Ô¨ (business plan) »ÃÐàÁÔ¹ÁÙŤ‹Ò (IP
valuation) °Ò¹¢ŒÍÁÙżÅÔµÀѳ±áÅмŧҹ¢Í§ÁËÒÇÔ·ÂÒÅÑÂÁËÔ´Å
        2. ¨Ñ´àµÃÕÂÁ¤ÇÒÁ¾ÃŒÍÁãËŒ¼Å§Ò¹·ÃѾÊÔ¹·Ò§»˜­­ÒáÅÐà·¤â¹âÅÂÕ à¾×èÍ¡ÒùíÒä»ãªŒ
»ÃÐ⪹áÅоѲ¹ÒãËŒà¡Ô´¸ØÃ¡Ô¨·Õ㪌෤â¹âÅÂբͧÁËÒÇÔ·ÂÒÅÑÂÁËÔ´Å ã¹ÃٻẺ·ÕàËÁÒÐÊÁ ઋ¹
                                      è                                                    è
´íÒà¹Ô¹¡ÒÃà¾×èÍãËŒà¡Ô´¡Òú‹Áà¾ÒиØÃ¡Ô¨ º‹Áà¾ÒÐà·¤â¹âÅÂÕ ¡ÒÃà¾ÔèÁÁÙŤ‹Ò¢Í§¼Å§Ò¹ ઋ¹
¡ÒÃÊÌҧ¼ÅÔµÀѳ±µ¹áºº (prototype) ¡ÒþÔʨ¹à·¤â¹âÅÂÕ (proof of concept) ¡Ò÷´ÅͧµÅÒ´
                     Œ                                 Ù
(market trial) ¡ÒèѴËÒáËÅ‹§·Ø¹ (matching fund) ËÃ×Í»ÃÐÊÒ¹§Ò¹¡ÑºàÍ¡ª¹ãËŒÁ¡ÒÃËÇÁÁ×Í㹡Òà Õ
¼ÅÔµã¹ÃдѺ¡Ö§ÍصÊÒË¡ÃÃÁËÃ×Í¡ÒþѲ¹Òµ‹ÍÂÍ´¼Å§Ò¹à¾×Í㪌ã¹àªÔ§¾Ò³ÔªÂ (industry liaison)
               è                                                   è
        3. ´íÒà¹Ô¹¡ÒÃà¾×͹íÒ·ÃѾʹ·Ò§»˜­­Òä»ãªŒ»ÃÐ⪹ã¹ÃٻẺµ‹Ò§ æ ´Ñ§¹Õé
                            è             Ô
            ! ¡ÒÃ͹حҵãˌ㪌ʷ¸Ôã¹·ÃѾʹ·Ò§»˜­­Ò (Technology licensing) ´íÒà¹Ô¹¡ÒÃ
                                        Ô            Ô
                 àÊÒÐËÒ¡ÅØÁ໇ÒËÁÒ¼Ù㪌»ÃÐ⪹¨Ò¡·ÃѾʹ·Ò§»˜­­Ò áÅеԴµ‹Í»ÃÐÊÒ¹§Ò¹
                              ‹               Œ                      Ô
                 ÃÇÁ¶Ö§·íÒ¡ÒÃà¨Ã¨Òµ‹ÍÃͧàÃ×ͧÊÔ·¸Ô»ÃÐ⪹ ¨Ñ´·íÒáÅеÃǨÊÑ­­Òµ‹Ò§æ
                                                  è
            ! ¡Òö‹Ò·ʹ෤â¹âÅÂÕ Ê¹ÑºÊ¹Ø¹ãËŒÁ¡Òö‹Ò·ʹ෤â¹âÅÂÕãˌᡋÀÒ¤ÍØµÊÒË¡ÃÃÁ
                                                            Õ
                 ÃÇÁ¶Ö § Ê¹Ñ º Ê¹Ø ¹ ãËŒ à ¡Ô ´ ¡ÒÃÊÃŒ Ò §¤ÇÒÁË Ç ÁÁ× Í ÃÐËÇ‹ Ò §ÁËÒÇÔ · ÂÒÅÑ Â ÁËÔ ´ ÅáÅÐ
                 ÀÒ¤àÍ¡ª¹ 㹡ÒÃÇԨ áÅоѲ¹Òã¹ÅѡɳРindustry-university linkage
                                            Ñ
            ! ¡ÒèѴµÑ§ºÃÔÉ··Õ»ÃСͺ¸ØÃ¡Ô¨â´Â㪌¼Å§Ò¹·ÃѾʹ·Ò§»˜­­Ò¢Í§ÁËÒÇÔ·ÂÒÅÑÂ
                          é       Ñ è                                       Ô
                 ÁËÔ´Å㹡ÒôíÒà¹Ô¹§Ò¹ (start up and spin off company)
590                                              Research and Road to Innovation and Business

           !         ¨Ñ´ãËŒÁ¡ÒüÅÔµáÅШѴ¨íÒ˹‹Ò¼ÅÔµÀѳ±¢Í§ÁËÒÇÔ·ÂÒÅÑÂÁËÔ´ÅãËŒàËÁÒÐÊÁ ઋ¹
                               Õ
                     ¨Ñ´µÑ§µÑÇá·¹¨íÒ˹‹Ò ¨Ñ´ËÒ¼Ù¼ÅÔµ
                          é                      Œ
              4. ÊÌҧà¤Ã×Í¢‹ÒÂáÅФÇÒÁËÇÁÁ×͡Ѻ˹‹Ç§ҹÀÒ¹͡áÅлÃЪÒÊÑÁ¾Ñ¹¸¼Å§Ò¹ãËŒ
໚¹·Õè¡á¡‹Ê§¤Á
       è ÙŒ Ñ      Ñ
                 㹡óշ¼Å§Ò¹ÇÔ¨Âã´·ÕÊÒÁÒöµ‹ÍÂÍ´ä´Œ ÁËÒÇÔ·ÂÒÅÑÂÁËÔ´Åä´ŒÁ˹‹Ç§ҹ·ÕÃͧÃѺઋ¹
                            Õè         Ñ è                                    Õ        è
ºÃÔɷËÇÁ·Ø¹ ʵҧ¤ ¨íÒ¡Ñ´ (STANG Holdings Company) «Ö§ä´Œ¨´µÑ§¢Ö¹ã¹»‚ ¾.È. 2547 ໚¹¡ÒÃ
     Ñ                                                         è Ñ é é
ËÇÁ·Ø¹ÃÐËNjҧÁËÒÇÔ·ÂÒÅÑÂÁËÔ´Å ¸¹Ò¤ÒþѲ¹ÒÇÔÊÒˡԨ¢¹Ò´¡ÅÒ§áÅТ¹Ò´Â‹ÍÁáË‹§»ÃÐà·Èä·Â
(¸¾Ç.) áÅÐ Êíҹѡ§Ò¹¹Çѵ¡ÃÃÁáË‹§ªÒµÔ (ͧ¤¡ÒÃÁËÒª¹) (ʹª.) ºÃÔɷËÇÁ·Ø¹ ʵҧ¤ ¨íÒ¡Ñ´
                                                                           Ñ
ÁÕਵ¹ÒÃÁ³ã¹¡Òõ‹ÍÂÍ´§Ò¹ÇÔªÒ¡ÒÃáÅЧҹÇԨ ·Ò§´ŒÒ¹ÇÔ·ÂÒÈÒʵÏ à·¤â¹âÅÂÕ áÅйÇѵ¡ÃÃÁ
                                                       Ñ
(science, technology, and innovation) ã¹àªÔ§¾Ò³ÔªÂ â´ÂʹѺʹعâ¤Ã§¡ÒÃã¹ÃٻẺ¡ÒÃËÇÁ
ŧ·Ø¹ (venture capital) áÅÐËÇÁÊÌҧÁÙŤ‹Òà¾ÔÁ (value enhancement) ãˌᡋâ¤Ã§¡ÒÃËÇÁŧ·Ø¹
                                                     è
â´Â:
                 ! ËÇÁãËŒ·¹ã¹¡ÒôíÒà¹Ô¹¡Ô¨¡ÒÃ
                                   Ø
                 ! àÊÒÐËҾѹ¸ÁԵ÷ҧ¸ØÃ¡Ô¨·ÕàËÁÒÐÊÁ ࢌÒËÇÁŧ·Ø¹ã¹â¤Ã§¡ÒÃ
                                               è
                 ! ãËŒ¤ÇÒÁª‹ÇÂàËÅ×Í㹡ÒèѴËÒ¼ÙºÃÔËÒ÷ÕàËÁÒÐÊÁ
                                                   Œ       è
                 ! ËÇÁʹѺʹعáÅÐãËŒ¤ÇÒÁ¤Ô´àËç¹ã¹¡ÒþѲ¹Ò¼ÅÔµÀѳ±áÅкÃÔ¡Òà à¾×͵ͺʹͧ
                                                                                     è
                     ÅÙ¡¤ŒÒ áÅмÙ㪌 Œ
                 ! Ê‹§àÊÃÔÁãËŒâ¤Ã§¡ÒÃËÇÁŧ·Ø¹ä´Œà¢ŒÒ¶Ö§à¤Ã×Í¢‹Ò·ҧ¸ØÃ¡Ô¨¢Í§ºÃÔÉÑ· Íѹ¨Ð¹íÒä»ÊÙ‹
                     ¡ÒÃ䴌š¤ŒÒ áÅоѹ¸ÁԵ÷ҧ¸ØÃ¡Ô¨Í×¹æ ã¹Í¹Ò¤µ
                                 Ù                       è
                 ! àÊÃÔÁÊÌҧ¤ÇÒÁà©Õº¤Á·Ò§¸ØÃ¡Ô¨ (business acumen) ãËŒ¡º¼ÙºÃÔËÒÃ
                                                                             Ñ Œ
                 ! ãËŒ¤ÇÒÁª‹ÇÂàËÅ×Í㹡ÒÃÈÖ¡ÉÒ¤ÇÒÁ໚¹ä»ä´Œ·Ò§¸ØÃ¡Ô¨ áÅСÒèѴ·íÒá¼¹¸ØÃ¡Ô¨


µÑÇÍ‹ҧâ¤Ã§¡Ò÷Õèä´ŒÃѺ¡ÒÃʹѺʹع
        ºÃÔÉÑ· â¡¡ÃÕ¹ ¨íÒ¡Ñ´
        ¼ÅÔµáÅШíÒ˹‹ÒÂÊÔ¹¤ŒÒ¹ÔàÇÈÊØ¢ÀÒ¾ (EcoHealth) ·ÕãËŒ¤ÇÒÁÊíҤѭ¡Ñº¡ÒùíÒà·¤â¹âÅÂշ໚¹
                                                       è                               Õè
ÁԵáѺÊÔ§áÇ´ÅŒÍÁÁÒ㪌㹡ÒþѲ¹ÒÊØ¢ÀÒ¾¢Í§Á¹ØÉ ºÃÔÉ·ä´Œ¾²¹Ò¼ÅÔµÀѳ± “ºŒÒ¹Âا” à¾×Í
         è                                                 Ñ    Ñ                         è
㪌㹡ÒäǺ¤ØÁáÅСíÒ¨Ñ´ÂØ§ÅÒ à¾×ÍÅ´¤ÇÒÁàÊÕ§¡ÒõԴàª×ÍäÇÃÑÊ䢌àÅ×Í´ÍÍ¡
                                  è          è           é

        ºÃÔÉÑ· ÍԹ⹿ه´ (ä·ÂᏴ) ¨íÒ¡Ñ´
        ¼ÅÔµáÅШíÒ˹‹Ò¼ÅÔµÀѳ±ÍÒËÒ÷Õè¾Ñ²¹Ò¨Ò¡§Ò¹ÇÔ¨ÑÂ/¹Çѵ¡ÃÃÁ·Õèà¡ÕèÂǡѺ¢ŒÒÇ ä´Œá¡‹
¢ŒÒǡŌͧ§Í¡ºÃèض§ µÃÒ “Nutra GABA Rice” áÅÐ ¹éÒÁѹÃíÒ¢ŒÒǪ¹Ô´á¤»«ÙÅ µÃÒ “Nutra Oris 10”
                   Ø                            í
àǪÈÒʵÏ·¹Âؤ 2553
          Ñ                                                                                  591

        Xcellerex Inc.
         ¾Ñ²¹Ò ¼ÅÔµ áÅШíÒ˹‹Ò Ãкº·Õ㪌෤â¹âÅÂÕ੾ÒÐ (proprietary technology) ¢Í§ºÃÔÉ·
                                            è                                                 Ñ
ÊíÒËÃѺ¡ÒüÅÔµÂÒáÅмÅÔµÀѳ±ªÇâÁàÅ¡ØÅ ໚¹Ãкº·ÕÊÒÁÒöª‹ÇÂãËŒ¡ÒüÅÔµÁÕ¤ÇÒÁ¤Å‹Í§µÑÇÁÒ¡
                                    Õ                     è
¢Ö¹ àÃçÇ¢Ö¹ â´ÂÁÕµ¹·Ø¹·ÕµÒŧàÁ×Íà·Õº¡ÑºÇÔ¸¡Ò÷Õ㪌㹻˜¨¨Øº¹
  é       é         Œ     è èí     è è        Õ   è               Ñ
         ÁËÒÇÔ·ÂÒÅÑÂÁËÔ´ÅÁռŧҹÇԨ·Õ䴌ú¡ÒõվÁ¾ã¹ÇÒÃÊÒÃÇÔªÒ¡ÒÃÃдѺ¹Ò¹ÒªÒµÔã¹°Ò¹
                                          Ñ è Ñ         Ô
¢ŒÍÁÙÅÊÒ¡Åà¾ÔÁ¢Ö¹Í‹ҧµ‹Íà¹×ͧ ¨Ò¡¨íҹǹ 360 ¼Å§Ò¹ÇԨ 㹻‚ ¾.È.2540 ໚¹ 1,457 ¼Å§Ò¹ÇÔ¨Â
                è é              è                              Ñ                               Ñ
ã¹»‚¾.È. 2551 (ÃÙ»·Õè 4) ã¹·íҹͧà´ÕÂǡѹ ¨íҹǹ¼Å§Ò¹ÇԨ»ÃÐàÀ·º·¤ÇÒÁ¢Í§ÁËÒÇÔ·ÂÒÅÑÂÁËÔ´Å
                                                            Ñ
·Õ䴌ú¡ÒÃ͌ҧÍÔ§·Ò§ÇÔªÒ¡ÒÃã¹°Ò¹¢ŒÍÁÙÅ ISI ä´Œà¾ÔÁ¢Ö¹¨Ò¡ 295 º·¤ÇÒÁ ã¹»‚¾.È. 2542 ໚¹ 635
    è Ñ                                             è é
º·¤ÇÒÁ ã¹»‚¾.È. 2550 ¡àÇŒ¹»‚¾.È. 2551 ·ÕŴŧàËÅ×Í 397 º·¤ÇÒÁ ᵋ¨Ò¹Ç¹¤Ãѧ·Õ䴌ú¡ÒÃ
                                                è                          í       é è Ñ
͌ҧÍÔ§à¾ÔÁ¢Ö¹Í‹ҧÃÇ´àÃçǨҡ 120 ¤Ãѧ ã¹»‚¾.È. 2542 ໚¹ 11,789 ¤Ãѧ ã¹»‚¾.È. 2551 (µÒÃÒ§·Õè 1)
            è é                         é                           é
àÁ×;ԨÒóҨíҹǹ¡ÒõվÁ¾à©¾ÒдŒÒ¹ÇÔ·ÂÒÈÒʵÏáÅÐà·¤â¹âÅÂբͧÁËÒÇÔ·ÂÒÅÑÂã¹»ÃÐà·Èä·Â
     è                         Ô
ÁËÒÇÔ·ÂÒÅÑÂÁËÔ´ÅÁըҹǹ¡ÒõվÁ¾Ê§Êش໚¹Íѹ´ÑºË¹Ö§¢Í§»ÃÐà·È ÃͧŧÁÒ¤×Í ¨ØÌÒŧ¡Ã³
                        í             Ô Ù                     è
ÁËÒÇÔ·ÂÒÅÑ ÁËÒÇÔ·ÂÒÅÑÂàªÕ§ãËÁ‹ ÁËÒÇÔ·ÂÒÅÑÂʧ¢ÅÒ¹¤ÃÔ¹·Ã áÅÐÁËÒÇÔ·ÂÒÅÑÂà¡ÉµÃÈÒʵÏ
µÒÁÅíҴѺ (µÒÃÒ§·Õè 2)




ÃÙ»·Õè 4 ¼Å§Ò¹ÇÔ ¨Ñ  ¢Í§ÁËÒÇÔ · ÂÒÅÑ Â ÁËÔ ´ Å·Õè µÕ ¾Ô Á ¾ ã ¹ÇÒÃÊÒÃÇÔ ª Ò¡ÒÃÃÐ´Ñ º ¹Ò¹ÒªÒµÔ
         ã¹°Ò¹¢ŒÍÁÙÅÊÒ¡ÅÃÐËNjҧ»‚¾.È. 2540 - 2551 (¢ŒÍÁÙÅ ³ Çѹ·Õè 30 ÁÔ¶¹Ò¹ 2552)
                                                                                  Ø
·ÕÁÒ : ÃÒ§ҹ»ÃШíÒ»‚ 2552 ÁËÒÇÔ·ÂÒÅÑÂÁËÔ´Å
  è
592                                                      Research and Road to Innovation and Business

µÒÃÒ§·Õè 1 ¼Å§Ò¹ÇԨѻÃÐàÀ·º·¤ÇÒÁ·Õèä´ŒÃѺ¡ÒÃ͌ҧÍÔ§·Ò§ÇÔªÒ¡ÒÃã¹°Ò¹¢ŒÍÁÙÅ ISI
»‚       ¨íҹǹ                               ¨íҹǹ¤ÃÑé§·Õèä´ŒÃѺ¡ÒÃ͌ҧÍÔ§ ã¹»‚ ¾.È.                     ÃÇÁ
¾.È.     º·¤ÇÒÁ
         ·Õèä´ŒÃѺ 2542    2543     2544 2545        2546 2547        2548     2549 2550         2551
         ¡ÒÃ
         ͌ҧÍÔ§
2552      49      0        0       0       0         0        0       0        0         0       0        66
2551      397     0        0       0       0         0        0       0        0         0       260      928
2550      635     0        0       0       0         0        0       0        0         226     1,700    3,029
2549      596     0        0       0       0         0        0       0        228       1,171   1,915    4,313
2548      551     0        0       0       0         0        0       297      1,335     1,802   1,993    6,464
2547      506     0        0       0       0         0        174     1,123    1,522     1,702   1,871    7,264
2546      486     0        0       0       0         101      732     1,207    1,147     1,194   1,228    6,179
2545      369     0        0       0       82        477      810     865      833       890     884      5,265
2544      351     0        0       67      409       630      627     723      674       645     690      4,804
2543      322     0        69      439     690       728      671     807      677       629     639      5,682
2542      295     120      524     781     769       796      729     696      670       665     609      6,658
ÃÇÁ       4,557   120      593     1,287   1,950     2,732    3,743   5,718    7,086     8,924   11,789   50,652
·ÕÁÒ : ¢ŒÍÁÙŨҡ°Ò¹¢ŒÍÁÙÅ ISI ³ Çѹ·Õè 30 ÁÔ¶¹Ò¹ 2552
  è                                          Ø

µÒÃÒ§·Õè 2 ¨íҹǹ¡ÒõվÔÁ¾´ŒÒ¹ÇÔ·ÂÒÈÒʵÏáÅÐà·¤â¹âÅÂբͧÁËÒÇÔ·ÂÒÅÑ 5 Íѹ´Ñºáá
           ¢Í§»ÃÐà·Èä·Â
 ÁËÒÇÔ·ÂÒÅÑÂ                                 2545            2546       2547             2548        2549
 ÁËÒÇÔ·ÂÒÅÑÂÁËÔ´Å                            433             597        509              712         711
 ¨ØÌÒŧ¡Ã³ÁËÒÇÔ·ÂÒÅÑ                       341             464        428              597         706
 ÁËÒÇÔ·ÂÒÅÑÂàªÕ§ãËÁ‹                        175             212        213              294         341
 ÁËÒÇÔ·ÂÒÅÑÂʧ¢ÅÒ¹¤ÃÔ¹·Ã                    143             130        117              197         249
 ÁËÒÇÔ·ÂÒÅÑÂà¡ÉµÃÈÒʵÏ                      86              124        97               194         184
·ÕÁÒ : ÊÇ·ª. (2550)
  è

        ÊíÒËÃѺ¼Å§Ò¹ÇԨѻÃÐàÀ·ÊÔ·¸ÔºÑµÃ ÁËÒÇÔ·ÂÒÅÑÂÁËÔ´ÅÁռŧҹÇԨѷÕèÂ×蹢ͨ´ÊÔ·¸ÔºÑµÃ
ÃÐËNjҧ»‚ ¾.È. 2522-2548 ¨íҹǹ 28 ÃÒ¡Òà «Ö§à»š¹Íѹ´Ñº·ÕÊÒÁ¢Í§ÁËÒÇÔ·ÂÒÅÑÂã¹»ÃÐà·È áÅÐ
                                              è          è
¼Å§Ò¹ÇԨ·Õ䴌úÊÔ·¸ÔºµÃÁըҹǹ 4 ÃÒ¡Òà ໚¹Íѹ´Ñº·ÕÊͧ¢Í§»ÃÐà·È ã¹¢³Ð·Õ»‚ ¾.È. 2549
          Ñ è Ñ       Ñ     í                         è                      è
¼Å§Ò¹ÇԨ·Õ¹¢Í¨´ÊÔ·¸ÔºµÃÁըҹǹ 13 ÃÒ¡Òà ໚¹Íѹ´Ñº·ÕÊͧ¢Í§»ÃÐà·È áÅмŧҹÇÔ¨Â
           Ñ è ×è         Ñ   í                             è                           Ñ
·Õ䴌úÊÔ·¸ÔºµÃÁըҹǹ 2 ÃÒ¡Òà ໚¹Íѹ´Ñº·ÕÊÒÁ¢Í§»ÃÐà·È (µÒÃÒ§·Õè 3)
  è Ñ         Ñ   í                         è
àǪÈÒʵÏ·¹Âؤ 2553
          Ñ                                                                                                     593

µÒÃÒ§·Õè 3 ¨íҹǹ¡ÒÃÂ×¹¢ÍÊÔ·¸ÔºµÃáÅÐÊÔ·¸ÔºµÃ·Õ䴌ú¢Í§ÁËÒÇÔ·ÂÒÅÑ 5 Íѹ´Ñºáá¢Í§ä·Â
                      è        Ñ          Ñ è Ñ
                                                 »‚ 2522 – 2548                           »‚ 2549
    ÁËÒÇÔ·ÂÒÅÑ                           ¨íҹǹ           ¨íҹǹ               ¨íҹǹ         ¨íҹǹ
                                          ¡ÒÃÂ×¹¨´
                                               è           ÊÔ·¸ÔºÑµÃ            ¡ÒÃÂ×¹¨´
                                                                                     è         ÊÔ·¸ÔºÑµÃ
                                          ÊÔ·¸ÔºÑµÃ        ·Õ䴌ú
                                                             è Ñ                ÊÔ·¸ÔºÑµÃ      ·Õ䴌ú
                                                                                                 è Ñ
    ¨ØÌÒŧ¡Ã³ÁËÒÇÔ·ÂÒÅÑ                 71                 6                  25                 2
    ÁËÒÇÔ·ÂÒÅÑÂÁËÔ´Å                      28                 4                  13                 2
    ÁËÒÇÔ·ÂÒÅÑÂà¡ÉµÃÈÒʵÏ                66                 3                  7                  3
    ÁËÒÇÔ·ÂÒÅÑÂʧ¢ÅÒ¹¤ÃÔ¹·Ã              14                 2                  6                  1
    ÁËÒÇÔ·ÂÒÅÑÂàªÕ§ãËÁ‹                  16                 1                  10                 0
·ÕÁÒ : ¡ÃÁ·ÃѾʹ·Ò§»˜­­Ò
  è              Ô

           ÁËÒÇÔ·ÂÒÅÑÂÁËÔ´ÅÁÕ¡Åä¡¡Òö‹Ò·ʹ෤â¹âÅÂÕ (¡ÒèѴ¡Ò÷ÃѾÊÔ¹·Ò§»˜­­Ò
¡ÒÃŧ·Ø¹ã¹¸ØÃ¡Ô¨à·¤â¹âÅÂÕ ¡Òú‹Áà¾ÒиØÃ¡Ô¨ áÅСÒþѲ¹Ò¤ÇÒÁ໚¹¼Ù»ÃСͺ¡ÒÃ) ¡ÒþѲ¹Ò
                                                                   Œ
¼Å§Ò¹ÇÔ¨Âã¹àªÔ§¾Ò³ÔªÂ áÅСÒÃãËŒºÃÔ¡ÒÃÇÔªÒ¡Òà ઋ¹ ¡ÒèѴµÑ§ÈٹºÃÔËÒ÷ÃѾʹ·Ò§»˜­­Ò
            Ñ                                              é                   Ô
à¾×èͺÃÔËÒèѴ¡Òçҹ´ŒÒ¹·ÃѾÊÔ¹·Ò§»˜­­Ò ¡ÒèѴµÑé§Èٹ¾Ñ²¹Ò»˜­­Ò¤Áà¾×èÍ´Ùáŧҹ
´ŒÒ¹¡ÒúÃÔ¡ÒÃÇÔªÒ¡ÒâͧÁËÒÇÔ·ÂÒÅÑ áÅСÒèѴµÑ駺ÃÔÉѷËÇÁ·Ø¹ ʵҧ¤ ¨íÒ¡Ñ´1 â´ÂÁÕ¡ÒÃ
´íÒà¹Ô¹§Ò¹áºººÃÔÉÑ·àÍ¡ª¹ à¾×èÍ·íÒ˹ŒÒ·Õèŧ·Ø¹ã¹ºÃÔÉÑ·à·¤â¹âÅÂÕà¡Ô´ãËÁ‹¢Í§ÁËÒÇÔ·ÂÒÅÑÂ
¹Í¡¨Ò¡¹Õé ÁËÒÇÔ·ÂÒÅÑÂÁËÔ´Åä´Œ¡Ò˹´¹âºÒ·ÃѾʹ·Ò§»˜­­Ò â´ÂÁËÒÇÔ·ÂÒÅÑÂ໚¹à¨ŒÒ¢Í§
                                 í                Ô
·ÃѾʹ·Ò§»˜­­Ò·Ñ§ËÁ´·Õº¤ÅÒ¡ÃáÅÐ˹‹Ç§ҹÀÒÂ㹢ͧÁËÒÇÔ·ÂÒÅѾѲ¹Ò¢Ö¹¨Ò¡¡Ô¨¡ÃÃÁ
         Ô            é    è Ø                                               é
¡ÒÃÇԨ¢ͧÁËÒÇÔ·ÂÒÅÑ áÅÐä´Œ¡Ò˹´Ê‹Ç¹áº‹§ÃÒÂä´Œ¨Ò¡·ÃѾʹ·Ò§»˜­­Ò ´Ñ§µÒÃÒ§·Õè 4
       Ñ                       í                             Ô




1
     ºÃÔɷËÇÁ·Ø¹ ʵҧ¤ ¨íÒ¡Ñ´ ¨Ñ´µÑ§¢Ö¹àÁ×Í»‚¾.È. 2547 â´ÂÁÕ·¹¨´·ÐàºÕ¹ 200 ŌҹºÒ· ÁËÒÇÔ·ÂÒÅÑÂÁËÔ´Å໚¹¼Ù¶Í
           Ñ                           é é è                     Ø                                                Œ ×
     ËØ¹ãË­‹ ÃŒÍÂÅÐ 60 ¸¹Ò¤ÒþѲ¹ÒÇÔÊÒˡԨ¢¹Ò´¡ÅÒ§áÅТ¹Ò´Â‹ÍÁáË‹§»ÃÐà·Èä·Â ÃŒÍÂÅÐ 20 áÅÐÊíҹѡ§Ò¹¹Çѵ¡ÃÃÁ
       Œ
     áË‹§ªÒµÔ ÃŒÍÂÅÐ 20 Çѵ¶Ø»ÃÐʧ¤ËÅÑ¡¢Í§ºÃÔÉ·¤×Í¡ÒúÃÔËÒèѴ¡Ò÷ÃѾʹ·Ò§»˜­­ÒáÅйÇѵ¡ÃÃÁ¢Í§ÁËÒÇÔ·ÂÒÅÑÂÁËÔ´Å
                                                Ñ                        Ô
     à¾×ÍãËŒà¡Ô´¡ÒþѲ¹ÒáÅСÃдѺ¼Å§Ò¹ÇÔ¨Âä»ÊÙàªÔ§¾Ò³ÔªÂ ºÃÔÉ·ÂѧãËŒºÃÔ¡Òáͧ·Ø¹Ã‹ÇÁ·Ø¹ (venture capital) ¡ÒþѲ¹Ò
         è                                    Ñ    ‹               Ñ
     á¼¹¸ØÃ¡Ô¨ áÅСÒýƒ¡ÍºÃÁà¾×;Ѳ¹Ò¸ØÃ¡Ô¨à·¤â¹âÅÂÕ ·Ñ§¹ÕÁËÒÇÔ·ÂÒÅÑÂÁËÔ´ÅÁÕ¹âºÒÂãËŒºÃÔɷËÇÁ·Ø¹ ʵҧ¤ ¨íÒ¡Ñ´
                                   è                       é é                               Ñ
     ¶×ÍËØ¹ã¹ºÃÔÉ·à¡Ô´ãËÁ‹ÁÒ¡¡Ç‹ÒÃŒÍÂÅÐ 50
             Œ     Ñ
594                                                         Research and Road to Innovation and Business

µÒÃÒ§·Õè 4 â¤Ã§ÊÌҧʋǹẋ§ÃÒÂä´Œ¨Ò¡·ÃѾÊÔ¹·Ò§»˜­­Ò¢Í§ÁËÒÇÔ·ÂÒÅÑÂÁËÔ´Å
                                                    ÊÔ·¸ÔºÑµÃ                                 ÅÔ¢ÊÔ·¸Ôì
 ¼Ù¤´¤Œ¹/਌Ңͧ
   Œ Ô                                              50%                                       70%
 ¼ÙŒ¨Ñ´¡ÒáÒüÅÔµ                                   -                                         20%
 ÁËÒÇÔ·ÂÒÅÑÂ                                        30%                                       4%
 ¤³Ð                                                10%                                       3%
 ÀÒ¤ÇÔªÒ                                            10%                                       3%
 ·ÕÁÒ : Virasa (2009)2
   è


           Í‹ҧäáçµÒÁ §Ò¹ÇԨ¢ͧ Virasa (2009) ÃкØÇÒ ÁËÒÇÔ·ÂÒÅÑÂÁËÔ´ÅÂѧ¤§ÁÕ»­ËÒã¹´ŒÒ¹
                               Ñ                       ‹                           ˜
¡Òö‹Ò·ʹ෤â¹âÅÂÕáÅСÒùíҼŧҹÇÔ¨Âä»ãªŒ»ÃÐ⪹ã¹àªÔ§¾Ò³ÔªÂàª‹¹¡Ñ¹ à¹×ͧ¨Ò¡ÇѲ¹¸ÃÃÁ
                                            Ñ                                  è
áÅФÇÒÁʹã¨ËÅÑ¡¢Í§ÁËÒÇÔ·ÂÒÅÑÂ์¹´ŒÒ¹ÇÔªÒ¡ÒÃÁÒ¡¡Ç‹ÒàªÔ§¾Ò³ÔªÂ ·Ñȹ¤µÔ¢Í§¼ÙŒºÃÔËÒÃ
ÁËÒÇÔ·ÂÒÅÑ·ÕäÁ‹ãª‹¼»ÃСͺ¡ÒÃáÅÐäÁ‹Á»ÃÐʺ¡Òóã¹ÀÒ¤¸ØÃ¡Ô¨¨Ö§ÍÒ¨äÁ‹¡ÅŒÒŧ·Ø¹ã¹¡Ô¨¡ÃÃÁ
                 è     ÙŒ                 Õ
·ÕÁ¤ÇÒÁàÊÕ§ÊÙ§ ¹Ñ¡ÇÔ¨Âã¹ÁËÒÇÔ·ÂÒÅÑÂàͧÂѧ¢Ò´¤ÇÒÁµÃÐ˹ѡáÅФÇÒÁࢌÒã¨Ãкº¡Òö‹Ò·ʹ
  è Õ        è            Ñ
à·¤â¹âÅÂբͧÁËÒÇÔ·ÂÒÅÑ à¹×ͧ¨Ò¡¢Ò´¡ÒÃÊ×ÍÊÒà »ÃЪÒÊÑÁ¾Ñ¹¸ áÅСÒÃãËŒ¢ÍÁÙÅ¢‹ÒÇÊÒÃà¾×Í
                                 è              è                                Œ         è
ÊÃŒ Ò §¤ÇÒÁµÃÐË¹Ñ ¡ à¡Õè Â Ç¡Ñ º Ãкº¹Õé ¹Í¡¨Ò¡¹Õé ˹‹ Ç Â§Ò¹ÀÒÂ㹢ͧÁËÒÇÔ · ÂÒÅÑ Â ÂÑ § ¢Ò´
¡ÒÃÁͧÀÒ¾ÃÇÁ·Õè¨Ð·íÒãËŒà¡Ô´¾ÂÒÂÒÁËÇÁ¡Ñ¹ã¹¡ÒüÅÑ¡´Ñ¹¡Òö‹Ò·ʹ෤â¹âÅÂÕáÅСÒùíÒ
¼Å§Ò¹ÇÔ¨ÑÂä»ãªŒã¹àªÔ§¾Ò³ÔªÂ áÅÐâ¤Ã§ÊÌҧͧ¤¡Ã·ÕèʹѺʹع¼ÙŒ»ÃСͺ¡Ò÷ҧ෤â¹âÅÂÕÂѧ
·íÒãËŒ¡Ò÷íҧҹ㹷ҧ»¯Ôºµà»š¹áººá¡ʋǹ ã¹¢³Ð·Õ˹‹Ç§ҹ·Õ·Ò˹ŒÒ·Õ¶Ò·ʹ෤â¹âÅÂÕ
                             Ñ Ô                         è       è í     è ‹
¢Í§ÁËÒÇÔ·ÂÒÅÑÂÁËÔ´ÅÂѧ´íÒà¹Ô¹§Ò¹â´ÂºØ¤ÅҡâͧÁËÒÇÔ·ÂÒÅÑÂ໚¹Ê‹Ç¹ãË­‹ «Öè§ÂѧäÁ‹ÁÕ¤ÇÒÁ
àªÕÂǪҭ㹴ŒÒ¹¸ØÃ¡Ô¨áÅСÒõÅÒ´ áÅйѡÇԨ¨íҹǹÁÒ¡ÂѧµŒÍ§¡Ò÷íÒ§Ò¹ÍÂÙᵋ੾ÒÐã¹ËŒÍ§
   è                                          Ñ                              ‹
»¯Ôºµ¡ÒÃ
       Ñ Ô

àÍ¡ÊÒÃ͌ҧÍÔ§
1.    ˹ѧÊ×ͤÇÒÁÃÙŒàº×éͧµŒ¹´ŒÒ¹·ÃѾÊÔ¹·Ò§»˜­­Ò (Introduction to Intellectual Property) ¡ÃÁ·ÃѾÊÔ¹·Ò§»˜­­Ò
      ¡ÃзÃǧ¾Ò³ÔªÂ
2.    www.ipthaialand.org
3.    www.mucip.mahidol.ac.th
4.    www.stangholding.mahidol.ac.th
5.    Virasa T. (2009). University technology transfer and commercialization: The case of Mahidol University, Thailand.
      The Role and Impact of Universities in a National Innovation System, NUS Entrepreneurship Centre, National
      University of Singapore.
àǪÈÒʵÏ·¹Âؤ 2553
          Ñ                                                                                           º··Õè          595

                                                                                                       81
                   Transplantation : Medico-legal Investigation
                                                       ÃͧÈÒʵÃÒ¨ÒÏ ¹ÒÂᾷ»ÃÕªÒ ÈÔÃԷͧ¶ÒÇÃ
                                                      ¤³Ðá¾·ÂÈÒʵÏÈÔÃÔÃÒª¾ÂÒºÒÅ ÁËÒÇÔ·ÂÒÅÑÂÁËÔ´Å

               ¡ÒûÅÙ¡¶‹ÒÂÍÇÑÂÇÐ໚¹¤ÇÒÁ¡ŒÒÇ˹ŒÒÊÙ§ÊØ´á¢¹§Ë¹Ö§·Ò§¡ÒÃᾷ ·ÕÊÒÁÒöª‹ÇªÕǵ
                                                                          è                       è                  Ô
¼Ù»ÇÂËÃ×Í·íÒãËŒ¤³ÀÒ¾ªÕǵ¢Í§¼Ù䴌ú¡ÒûÅÙ¡¶‹ÒÂÍÇÑÂÇдբ¹ÁÒ¡ »˜­ËÒÊíҤѭÍѹ˹֧㹻˜¨¨Øº¹
    Œ †                     Ø            Ô      Œ Ñ                    Öé                                    è     Ñ
¤×ͼٺÃÔ¨Ò¤ÍÇÑÂÇÐÁչ͠â´Â·ÑÇ仡ÒúÃÔ¨Ò¤ÍÇÑÂÇÐÁÕ 2 ÅѡɳÐ䴌ᡋ ¼ÙºÃÔ¨Ò¤ÁÕÊ¢ÀҾËҧ¡ÒÂ
           Œ                       Œ        è                                         Œ             Ø
»¡µÔ ÊÒÁÒöºÃÔ¨Ò¤ºÒ§Ê‹Ç¹¢Í§ÍÇÑÂÇÐä´ŒáÅÐáÊ´§à¨µ¹Ò¢Í§µ¹àͧ䴌 (living donor) áÅмٺÃÔ¨Ò¤                           Œ
·ÕÁÊÁͧµÒ äÁ‹ÊÒÁÒöáÊ´§à¨µ¹Ò¢Í§µ¹àͧ䴌 (cadaveric donor) ¼Ùà¢Õ¹»¯Ôºµ§Ò¹·Õµ¡Íغµà˵Ø
       è Õ                                                                          Œ           Ñ Ô       è Ö Ñ Ô
ÁÕÊǹà¡ÕÂÇ¢ŒÍ§¡Ñº¼ÙºÃÔ¨Ò¤ã¹¡ÅØÁ·Õè 2 ໚¹Ê‹Ç¹ãË­‹ ¨Ö§¨Ð¡Å‹ÒǶ֧¼ÙºÃÔ¨Ò¤ã¹¡ÅØÁ¹Õé
         ‹ è                   Œ              ‹                                 Œ             ‹
               㹪‹Ç§ 3 »‚·¼Ò¹ÁÒ ËÍÍÀÔºÒÅµÖ¡ÍØºµà˵شáżٺÃÔ¨Ò¤ÍÇÑÂÇÐ cadaveric donor ¨íҹǹ·Ñ§
                                 Õè ‹                   Ñ Ô  Ù Œ                                                         é
ÊÔ¹ 12 ÃÒ (ẋ§à»š¹ ¾.È. 2550 ¨íҹǹ 3 ÃÒÂ, ¾.È. 2551 ¨íҹǹ 5 ÃÒ áÅо.È. 2552 ¨íҹǹ 4
  é
ÃÒÂ) ʋǹãË­‹¢Í§¼ÙŒºÃÔ¨Ò¤ÍÇÑÂÇÐ໚¹ªÒ (¨íҹǹ 10 ÃÒ ·ÕèàËÅ×Í໚¹¼ÙŒË­Ô§ 1 ÃÒÂáÅÐà´ç¡
1 ÃÒÂ) àÁ×ÍÁÕ¼»Ç·Õ䴌úºÒ´à¨çº·Ò§ÊÁÍ§ÃØ¹áç áÅÐʧÊÑÂÇ‹ÒÊÁͧµÒ ¾ÂÒºÒÅ·ÕËÍÍÀÔºÒŨÐ
                 è ÙŒ † è Ñ                                                                             è
»ÃÖ¡ÉҡѺᾷ਌Ңͧ䢌ËÃ×ÍᾷÊÒ¢Ò»ÃÐÊÒ·ÈÑÅÂÈÒʵÏ à¾×;ԨÒóÒNjҨÐ໚¹¼ÙºÃÔ¨Ò¤ÍÇÑÂÇÐ
                                                                            è                         Œ
ä´ŒËÃ×ÍäÁ‹ Ëҡ໚¹ä»ä´Œ¡¨ÐàÃÔÁ¾Ô¨ÒóҵÒÁࡳ±¡ÒÃÇÔ¹¨©ÑÂÊÁͧµÒÂã¹¼Ù»ÇÂÃÒ¹ѹ ¡Å‹ÒǤ×Í
                                        ç è                          Ô                  Œ †                é
¼Ù»Ç¨еŒÍ§äÁ‹ÃÊ¡µÑÇâ´ÂäÁ‹ä´Œà»š¹¼Å¨Ò¡ÂÒ ÍØ³ËÀÙÁã¹Ã‹Ò§¡ÒµèÒ ¤ÇÒÁ¼Ô´»¡µÔ¢Í§Ãкºµ‹ÍÁäÃŒ
      Œ †                 ÙŒ Ö                                 Ô                  í
·‹ÍáÅÐàÁµÐºÍÅÔ¡ ËÃ×ÍÊÀÒÇЪçÍ¡ áÅмٻÇÂäÁ‹ÊÒÁÒöËÒÂã¨ä´Œàͧâ´ÂäÁ‹ä´ŒÃºÂÒ¤ÅÒ¡ŌÒÁà¹×Í
                                                    Œ †                                     Ñ                          é
¼Ù»ÇÂÁÕÊÁͧ·ÕàÊÕÂËÒÂäÁ‹ÊÒÁÒö¡ÅѺÁÒ໚¹»¡µÔä´Œ àÁ×ͼٻÇÂÍÂÙã¹ÊÀÒ¾´Ñ§¡Å‹ÒǨ֧䴌ú¡ÒõÃǨ
     Œ †             è                                           è Œ †        ‹                                Ñ
Êͺà¾×ÍÂ×¹ÂѹÊÁͧµÒµÒÁࡳ±´§µ‹Í仹Õé
             è                                    Ñ      (1)

               1. äÁ‹Á¡ÒÃà¤Å×͹äËÇã´æ ä´Œàͧ äÁ‹ÁÍÒ¡Òêѡ äÁ‹ÁÕ decorticate ËÃ×Í decerebrate rigidity
                       Õ              è                   Õ
               2. äÁ‹ÁÃà¿Å¡«¢Í§á¡¹ÊÁͧ ·Ñ§ 6 »ÃСÒä×Í
                         ÕÕ                          é
                  1) Dilated and fixed pupils
                  2) Absence of corneal reflex
                  3) No motor response within the cranial nerve distribution
                  4) Absence of oculocephalic reflex (Doll’s head phenomena)
                  5) Absence of vestibular response to caloric stimulation
                  6) Absence of gag and cough reflex
596                                                    Transplantation : Medico-legal Investigation

          3. äÁ‹ÊÒÁÒöËÒÂã¨ä´Œàͧ ·´Êͺ䴌â´Â¡ÒÃËÂØ´à¤Ã×ͧª‹ÇÂËÒÂ㨠(ãËŒÍÍ¡«Ôਹ·Ò§ÊÒÂÂÒ§
                                                             è
ࢌÒã¹ËÅÍ´ÅÁ) ໚¹àÇÅÒÍ‹ҧ¹ŒÍ 10 ¹Ò·Õ áÅФÍ´ÙÇÒÁÕ¡ÒÃËÒÂã¨ËÃ×ÍäÁ‹ ¢³Ð·Õ·´Êͺ¨Ð
                                                         ‹                                      è
µŒÍ§ÁÕ¤Ò¤ÇÒÁ´Ñ¹¢Í§¤ÒϺ͹ä´Í͡䫴ã¹¡ÃÐáÊàÅ×Í´ (pCO2) äÁ‹µÒ¡Ç‹Ò 60 ÁÁ.»ÃÍ·.
        ‹                                                                èí
          4. ÊÀÒÇСÒõÃǨ¾ºã¹¢ŒÍ 1, 2 áÅÐ 3 ¹Õé ¨ÐµŒÍ§äÁ‹Á¡ÒÃà»ÅÕ¹á»Å§à»š¹àÇÅÒÍ‹ҧ¹ŒÍÂ
                                                                   Õ        è
12 ªÑÇâÁ§ ¨Ö§¨Ð¶×Íä´ŒÇÒÊÁͧµÒÂ
      è                ‹
          ¼Ùǹ¨©ÑÂÊÁͧµÒ¨СÃзíÒâ´Âͧ¤¤³Ðᾷ 3 ¤¹ â´Âᾷ਌Ңͧ¼Ù»ÇÂáÅÐÍÕ¡ 1 ã¹
            ŒÔ Ô                                                                      Œ †
2 ¤¹ ¨Ð໚¹á¾·ÂÊÒ¢Ò»ÃÐÊÒ·ÈÑÅÂÈÒʵÏ ͧ¤¤³Ðᾷ¹µÍ§äÁ‹»ÃСͺ´ŒÇÂᾷ¼¡ÃзíÒ¡ÒÃ
                                                           Õé Œ                              ÙŒ
¼‹ÒµÑ´»ÅÙ¡¶‹ÒÂÍÇÑÂÇÐÃÒ¹ѹ áÅÐÁÕ¼ÍҹǡÒÃŧ¹ÒÁÃѺÃͧ¡ÒÃÇÔ¹¨©ÑÂÊÁͧµÒÂáÅÐ໚¹¼Ùŧ¹ÒÁ
                               é   ÙŒ í                                Ô                          Œ
ÃѺÃͧ¡ÒõÒ ¼Ù»ÃÐÊÒ¹§Ò¹¢Í§Èٹ»ÅÙ¡¶‹ÒÂÍÇÑÂÇÐ ¨Ð䴌ú¡ÒÃᨌ§µÑ§áµ‹µ¹à¾×Í»ÃÐÊÒ¹§Ò¹¡Ñº
                  Œ                                            Ñ              é   Œ è
·ÕÁ§Ò¹áÅÐà¨Ã¨Ò¡Ñº­ÒµÔ¼»Ç ÃÇÁ·Ñ§¡ÒõÃǨ·Ò§ËŒÍ§»¯Ôºµ¡ÒÃ
                             ÙŒ †       é                        Ñ Ô
          »˜­ËÒã¹»˜¨¨Øº¹¤×Í ¡ÒâͤÇÒÁÂÔ¹ÂÍÁ¨Ò¡­ÒµÔ¼»ÇÂ㹡ÒúÃÔ¨Ò¤ÍÇÑÂÇÐÁÕ¢¹µÍ¹Å‹ÒªŒÒ
                           Ñ                          ÙŒ †                                Ñé
áÅСÒúҴà¨çºÃ‹ÇÁËÃ×ÍÀÒÇСÒõԴàª×Í·Õà¡Ô´Ã‹ÇÁ´ŒÇ ·íÒãËŒàÁ×Ͷ֧àÇÅҵѴÊÔ¹ÊÁͧµÒ ÍÇÑÂÇÐäÁ‹
                                          é è                        è
ÍÂÙã¹ÊÀÒ¾àËÁÒÐÊÁ·Õ¨Ð㪌㹡ÒûÅÙ¡¶‹ÒÂä´Œ ·íÒãËŒ¡ÒúÃÔ¨Ò¤ÍÇÑÂÇÐÁըҹǹ¹ŒÍÂ
    ‹                    è                                                      í

àÍ¡ÊÒÃ͌ҧÍÔ§
1.    »ÃСÒÈá¾·ÂÊÀÒ àÃ×ͧ “ࡳ±¡ÒÃÇÔ¹¨©ÑÂÊÁͧµÒ”
                       è              Ô
àǪÈÒʵÏ·¹Âؤ 2553
          Ñ                                                                      º··Õè       597

                                                                                  82
                          ¤ÇÒÁ¼Ô´»¡µÔ¢Í§ÊÒÂàÊÕ§
                       (Vocal folds mucosal disorders)
                                                 ÍÒ¨ÒÏ ¹ÒÂᾷ侺Ùŏ ÊØÃՏ¾§É
          ÀÒ¤ÇÔªÒ âʵ ¹ÒÊÔ¡ ÅÒÃÔ§«Ç·ÂÒ ¤³Ðá¾·ÂÈÒʵÏÈÃÃÒª¾ÂÒºÒÅ ÁËÒÇÔ·ÂÒÅÑÂÁËÔ´Å
                                    Ô                 ÔÔ

Vocal nodule




            à¡Ô´ºÃÔàdzÃ͵‹ÍÃÐËNjҧ´ŒÒ¹Ë¹ŒÒ 1/3 µ‹Í¡Ñº´ŒÒ¹ËÅѧ 2/3 ¢Í§ÊÒÂàÊÕ§ ÁÑ¡à¡Ô´·Ñ§Êͧ¢ŒÒ§
                                                                                         é
à¡Ô´¨Ò¡¡ÒúÇÁ¹éÒºÃÔàdz submucosa ÁÑ¡à¡Ô´ã¹¤¹·Õ㪌àÊÕ§ÁÒ¡ 㪌àÊÕ§¼Ô´ÇԸ໚¹àÇÅÒ¹Ò¹ 㹪‹Ç§
                     í                                        è                       Õ
áᶌҾѡ¡ÒÃ㪌àÊÕ§ àÊÕ§¨Ð¤‹ÍÂæ´Õ¢¹ä´Œ ᵋ¶ÒÂѧ¤§ãªŒàÊÕ§¼Ô´ÇÔ¸µÍ仨ÐÁÕ¾§¼×´à¢ŒÒÁÒá·¹·Õè ·íÒãËŒ
                                           Öé           Œ                 Õ ‹     Ñ
àÊÕ§´Õ¢¹ªŒÒŧ ¨ÐÁÕÍÒ¡ÒÃàÊÕ§á˺ÁÒ¡ËÃ×͹ŒÍÂä´Œã¹ÃÐËNjҧÇѹᵋ㹪‹Ç§ÊÒÂæÁÑ¡¨Ð໚¹ÁÒ¡¡Ç‹Ò
         Öé
ª‹Ç§àªŒÒ à¹×ͧ¨Ò¡¼Ù»ÇÂä´Œ¾¡àÊÕ§㹵͹¡ÅÒ§¤×¹áÅÐàÃÔÁ㪌àÊÕ§ËÅѧ¨Ò¡µ×¹¹Í¹ ¡ÒÃÃÑ¡ÉÒâ´Â
                 è        Œ †          Ñ                        è               è
¡Òþѡ¡ÒÃ㪌àÊÕ§áÅСÒýƒ¡¾Ù´ã¹¡Ã³Õ·¼»ÇÂÁÕ¡Òþٴ·Õ¼´ÇÔ¸Õ ¹Í¡¨Ò¡¹Ñ¹¤ÇõŒÍ§ãËŒÊÒÂàÊÕ§
                                                Õè ÙŒ †           è Ô               é
ÁÕ¤ÇÒÁªØÁª×¹â´Â¡Òô×Á¹éÒÁÒ¡æ áÅФÇÃËÅÕ¡àÅÕ§ÍÒËÒ÷շÒãËŒ¤ÍáËŒ§àª‹¹ ÍÒËÒ÷ʹ ¡Òá¿
             ‹ é              è í                         è           è í
໚¹µŒ¹ ¡ÒÃ㪌ÂÒÍÒ¨¨Ð㪌à¾×ÍÅ´¡ÒúÇÁ໚¹¾Ç¡ steroid ·Ò¹ã¹ª‹Ç§ÊÑ¹æ ¡Òü‹ÒµÑ´¨Ð·íÒ㹡óÕ
                                    è                                         é
·Õè vocal nodule ·ÕÁ¾§¼×´à¢ŒÒÁÒá·¹·ÕáÅŒÇ áÅÐ䴌ú¡ÒÃÃÑ¡ÉÒâ´Â¡ÒÃ㪌ÂÒáÅСÒû¯ÔºµµÇÍ‹ҧ
                       è Õ Ñ                  è             Ñ                           Ñ Ô Ñ
¹ŒÍ 3 à´×͹áÅŒÇÍÒ¡ÒÃäÁ‹´¢¹à·‹Ò¹Ñ¹Õ Öé   é
598                                                                    ¤ÇÒÁ¼Ô´»¡µÔ¢Í§ÊÒÂàÊÕ§

Vocal fold hemorrhage áÅÐ Vocal fold (hemorrhagic) polyp




         à¡Ô´¨Ò¡¡ÒõÐ⡹áçæáŌǷíÒãËŒàÊŒ¹àÅ×Í´·ÕÊÒÂàÊÕ§ᵡà¡Ô´ÁÕàÅ×Í´ÍÍ¡ÍÂÙ㹪ѹ¼ÔǢͧ
                                                    è                              ‹ é
ÊÒÂàÊÕ§ ËÃ×Íà¡Ô´ã¹¼Ù»Ç·աÒÅѧ䴌úÂÒÅÐÅÒÂÅÔÁàÅ×Í´«Ö§â´Â·ÑÇä»ÁÑ¡¨ÐËÒÂä»ä´ŒÀÒÂã¹ 2 ÊÑ»´Òˏ
                     Œ † è í       Ñ          è         è      è
ᵋÍ‹ҧäáçµÒÁÍÒ¨¨Ðà¡Ô´¡Òç͡¢Öé¹ÁҢͧʌ¹àÅ×Í´·ÕèÍÂÙ‹¢ŒÒ§ãµŒ·íÒãËŒà¡Ô´à»š¹µÔè§à¹×é͹ٹ¢Öé¹ÁÒä´Œ
àÃÕ¡ hemorrhagic polyp â´ÂÁÑ¡¨Ðà¡Ô´·ÕÊÒÂàÊÕ§¢ŒÒ§à´ÕÂÇ෋ҹѹ ¡ÒÃÃÑ¡ÉÒãËŒËÂØ´ÂÒÅÐÅÒÂÅÔÁàÅ×Í´
                                      è                      é                            è
ã¹ÃÒ·աÒÅѧ䴌úÂÒÍÂÙ‹ áÅÐà¹×ͧ¨Ò¡¡Ã´·ÕäËÅŒ͹¢Ö¹ÁÒ¨Ò¡¡ÃÐà¾ÒТֹÁҷաŋͧàÊÕ§¨Ð·íÒãËŒ
        è í        Ñ           è          è           é                é     è
àÊŒ¹àÅ×Í´¢ÂÒµÑÇÁÒ¡¢Ö鹴ѧ¹Ñ鹨֧¤ÇäǺ¤ØÁ¡Ã´äËÅŒ͹´ŒÇ áÅФÇÃá¹Ð¹íÒ¼ÙŒ»†ÇÂãˌ㪌àÊÕ§
Í‹ҧ¶Ù¡ÇÔ¸Õâ´ÂËÅÕ¡àÅÕ§¡ÒõÐ⡹àÊÕ§´Ñ§ÁÒ¡æ áÅÐá¹Ð¹íÒÇÔ¸Õ´ÙáÅàÊŒ¹àÊÕ§â´ÂãËŒ´×èÁ¹éíÒÁÒ¡æ
äÁ‹¾Ù´à¤Œ¹àÊÕ§ ËÅÕ¡àÅÕè§ÍÒËÒ÷Õè·íÒãËŒÊÒÂàÊÕ§áËŒ§àª‹¹¡Òá¿áÅТͧ·Í´ ã¹ÃÒ·Õè polyp
ÁÕ¢¹Ò´àÅç¡ÍÒ¨¨ÐËÒÂä»àͧ䴌ã¹àÇÅÒ໚¹à´×͹æ ᵋâ´Â·ÑÇä»ÁÑ¡¨ÐµŒÍ§¼‹ÒµÑ´ÍÍ¡ â´Â·Õ¾ÂÒÂÒÁ
                                                          è                            è
à¡çº mucosa ·Õ´äÇŒãËŒÁÒ¡·ÕÊ´ à¾×ͷըзíÒãËŒ¡ÒÃà¤Å×͹äËǢͧ¼ÔǢͧÊÒÂàÊÕ§¨Ð¡ÅѺÁÒã¡ÅŒà¤Õ§
               è Õ        èØ è è                  è
»¡µÔÁÒ¡·ÕÊ´ èØ

Intracordal cyst (¶Ø§¹éíÒ·ÕèÊÒÂàÊÕ§)
àǪÈÒʵÏ·¹Âؤ 2553
          Ñ                                                                               599

         à¡Ô´¡ÒÃÍØ´µÑ¹¢Í§µ‹ÍÁ·ÕèÍÂÙ‹ºÃÔàdzªÑé¹¼ÔǢͧÊÒÂàÊÕ§ â´ÂÊÒà˵ØÍÒ¨à¡Ô´¨Ò¡¡ÒõÐ⡹
㪌àÊÕ§ÁÒ¡áŌǷíÒãËŒà¡Ô´¾Ñ§¼×´·ÕÃແ´¢Í§µ‹ÍÁ·ÕÊÌҧàÁ×Í¡ (mucous) ºÃÔàdzÊÒÂàÊÕ§·íÒãËŒà¡Ô´¡ÒÃ
                                 èÙ            è
ÍØ´µÑ¹¢Í§µ‹ÍÁáÅŒÇà¡Ô´à»š¹¶Ø§¹éÒµÒÁÁÒ ã¹ºÒ§ÃÒ¶ا¹éÒÍҨᵡàͧ䴌 ᵋºÒ§ÃÒ¡礧ÍÂÙÍ‹ҧ¹Ñ¹
                               í                      í                               ‹      é
·íÒãËŒà¡Ô´ÍÒ¡ÒÃàÊÕ§á˺µÅÍ´àÇÅÒ ¡ÒÃÃÑ¡ÉÒâ´Â¡Òü‹ÒµÑ´àÍҶا¹éÒÍÍ¡(excision) ËÃ×Íແ´·Ò§
                                                                   í
ãËŒ¹Ò㹶ا¹éÒÊÒÁÒöÃкÒÂÍÍ¡ÁÒä´Œ (marsupialization)
     éí      í

Bilateral diffuse polyposis (Reinke’s edema or smoker’s polyposis)




       ÁÕ¡ÒúÇÁ㹪ѹ㵌àÂ×ÍºØ¼Ç (Reinke’s space) ·ÑÇæä»·ÕÊÒÂàÊÕ§·Ñ§ 2 ¢ŒÒ§ ÁÑ¡¨Ðà¡Ô´¨Ò¡
                    é     è Ô                           è   è        é
¡ÒÃÃФÒÂà¤×ͧ¨Ò¡¤ÇѹºØËÃÕÃÇÁ¡ÑºÁÕ¡ÒÃ㪌àÊÕ§ÁÒ¡ ¼Ù»Ç¨оٴÁÕàÊÕ§µèҡNjһ¡µÔ (lower pitch)
                         è‹                       Œ †              í
áÅÐäÁ‹ÊÒÁÒö¢Öé¹àÊÕ§ÊÙ§ä´ŒàËÁ×͹à´ÔÁ µÃǨ´Ù¨Ð¾ºÊÒÂàÊÕ§ºÇÁ¹éíÒµÅÍ´á¹Ç¢Í§ÊÒÂàÊÕ§
ÍÒ¨µŒÍ§à¨ÒдÙÃдѺÎÍÏâÁ¹ä·ÃÍ´´ŒÇÂ㹡óշÕèʧÊÑÂÃдѺÎÍÏâÁ¹µèíÒà¹×èͧ¨Ò¡·íÒãËŒÊÒÂàÊÕ§
ºÇÁ䴌ઋ¹¡Ñ¹ ¡ÒÃÃÑ¡ÉÒâ´Â¡ÒÃãËŒ¼»ÇÂËÂØ´ÊÙºººØËÃÕáÅоѡ¡ÒÃ㪌àÊÕ§ ã¹ÃÒ·ÕÍÒ¡ÒÃäÁ‹´¢¹
                                  ÙŒ †                è                     è          Õ Öé
ÍÒ¨·íÒ¡Òü‹ÒµÑ´â´Â¡ÒÃÅÍ¡àÍÒʋǹ¼ÔÇ·ÕºÇÁÍÍ¡ºÒ§Ê‹Ç¹à¾×Í·íÒãËŒàÊÕ§´Õ¢¹
                                       è                  è            Öé

Contact ulcer ËÃ×Í Granuloma
600                                                                        ¤ÇÒÁ¼Ô´»¡µÔ¢Í§ÊÒÂàÊÕ§

           ÁÑ¡¨Ðà¡Ô´¨Ò¡¡¡Ò÷աô¨Ò¡¡ÃÐà¾ÒÐÍÒËÒÃäËÅŒ͹¢Ö¹ÁÒ·Õ¤ÍáÅСŋͧàÊÕ§·Ò§´ŒÒ¹ËÅѧ
                             è                              é è
·íÒãËŒà¡Ô´à»š¹á¼Å¢Ö¹ÁÒºÃÔàdz¡Å‹Í§àÊÕ§¤‹Í¹ÁÒ·Ò§´ŒÒ¹ËÅѧ ( vocal process of arythenoid )
                      é
â´Â·ÕËÅѧ¨Ò¡¡ÒÃËÒ¢ͧá¼ÅáÅŒÇÍÒ¨à¡Ô´à»š¹ granuloma ¢Ö¹ÁÒ ã¹ºÒ§ÃÒÂÍÒ¨ÁÕ»ÃÐÇѵà¤ÂãÊ‹·Í
       è                                                  é                     Ô      ‹
ª‹ÇÂËÒÂã¨ÁÒ¡‹Í¹·íÒãËŒà¡Ô´ÁÕá¼Å¨Ò¡¡ÒᴷѺ (pressure necrosis)ºÃÔàdz vocsal process ä´Œ·Ò í
ãËŒà¡Ô´ granuloma µÒÁÁÒ ÃÑ¡ÉÒâ´Â¡ÒÃãËŒÂÒÃÑ¡ÉҡôäËÅŒ͹áÅлÃѺ¾ÄµÔ¡ÃÃÁ¡Ò÷ҹÍÒËÒÃ
áÅСÒù͹ ¡ÒÃ㪌 steroid ÊÒÁÒö·íÒãËŒ granuloma ÂØºÅ§ä´Œã¹ºÒ§ÃÒ ¡Òü‹ÒµÑ´àÍÒ granuloma
Í͡令ÇäԴ¶Ö§à»š¹à»š¹Íѹ´Ñº·ŒÒÂæáÅФÇ÷íÒ㹡óշ¢ÇàÅç¡æ à¹×ͧ¨Ò¡ËÅѧ¡Òü‹ÒµÑ´¨Ðà¡Ô´
                                                    Õè Ñé       è
á¼Å¢Ö¹ÁÒÍÕ¡·íÒãËŒà¡Ô´ granuloma ¢Ö¹ÁÒãËÁ‹ä´ŒÍ¡
         é                         é         Õ

àÍ¡ÊÒÃ͌ҧÍÔ§
1.    Bastian RW: Benign Vocal .old Mucosal Disorders, Cummings Otolaryngology Head & Neck Surgery 4th
      edition: 2150-2184.
2.    Kleinsasser O: Pathogenesis of vocal cord polyps, Ann Otol Rhinol Laryngol 1982; 91:378.
àǪÈÒʵÏ·¹Âؤ 2553
          Ñ                                                                  º··Õè       601

                                                                               83
 Hearing Loss in Children: 120 year Evolution in Management
                                         ¼ÙŒª‹ÇÂÈÒʵÃÒ¨ÒÏ á¾·ÂË­Ô§ÊØÇѨ¹Ò ͸ÔÀÒÊ
          ÀÒ¤ÇÔªÒâʵ ¹ÒÊÔ¡ ÅÒÃÔ§«Ç·ÂÒ ¤³Ðá¾·ÂÈÒʵÏÈÃÃÒª¾ÂÒºÒÅ ÁËÒÇÔ·ÂÒÅÑÂÁËÔ´Å
                                   Ô                   ÔÔ

¡ÒõÃǨ¡ÒÃä´ŒÂÔ¹ã¹à´ç¡
         ¡ÒõÃǨ¡ÒÃ䴌¹¨Ð·íÒãËŒ·ÃÒºÃдѺ¢Í§¡ÒÃ䴌¹º¡¾Ã‹Í§µÅÍ´¨¹ª¹Ô´¢Í§¤ÇÒÁ¼Ô´»¡µÔ
                       Ô                              Ô
ઋ¹ ¡ÒùíÒàÊÕ§º¡¾Ã‹Í§ (conductive hearing loss) ËÃ×Í»ÃÐÊÒ·ÃѺàÊÕ§º¡¾Ã‹Í§ (sensori-neural
hearing loss) à¾×ͨÐ䴌áÉÒËÃ×Í¿„¹¿ÙÊÁÃöÀҾ䴌Í‹ҧàËÁÒÐÊÁ ¡ÒõÃǨ¡ÒÃ䴌¹ã¹à´ç¡
                 è       Ñ        œ                                               Ô
¨ÐÁÕǸµÃǨᵡµ‹Ò§¨Ò¡¡ÒõÃǨ㹼ÙãË­‹à¹×ͧ¨Ò¡ÇÔ¸µÃǨ·Õ㪌µÒÁ»¡µÔã¹¼ÙãË­‹ ઋ¹ Pure tone
      ÔÕ                            Œ     è        Õ     è            Œ
audiometry ÍҨ䴌¼ÅäÁ‹á¹‹¹Í¹¶ŒÒà´ç¡äÁ‹à¢ŒÒã¨ÇÔ¸¡ÒõÃǨËÃ×ÍäÁ‹ÃÇÁÁ×Í áÅÐäÁ‹ÊÒÁÒö㪌µÃǨ
                                               Õ               ‹
à´ç¡àÅç¡ä´Œ
         â´Â·ÑÇä»áŌǡÒõÃǨ¡ÒÃ䴌¹ã¹à´ç¡áº‹§Í͡䴌໚¹ 2 »ÃÐàÀ· ¤×Í
              è                       Ô
         1. ¡ÒõÃǨẺÊѧࡵ¾ÄµÔ¡ÃÃÁ¡Òõͺʹͧµ‹ÍàÊÕ§ (Behavioral hearing test)
         2. ¡ÒõÃǨâ´ÂÇÑ´¼Å¡Òõͺʹͧ·Ò§ÊÃÕÃÇÔ·ÂÒä¿¿‡Ò (Electrophysiologic test)

¡ÒõÃǨẺÊѧࡵ¾ÄµÔ¡ÃÃÁ¡Òõͺʹͧµ‹ÍàÊÕ§(1,2)
          ÁÕËÅÒÂÇÔ¸«§àËÁÒÐÊÁµÒÁᵋÅЪ‹Ç§ÍÒÂØ à¹×ͧ¨Ò¡à´ç¡áµ‹ÅÐÇѨÐÁվĵԡÃÃÁáÅФÇÒÁäÇ
                   Õ Öè                          è
㹡ÒáÒõͺʹͧµ‹ÍàÊÕ§ᵡµ‹Ò§¡Ñ¹ 䴌ᡋ
          - Behavioral observation audiometry àËÁÒСѺà´ç¡ááà¡Ô´¶Ö§ 2 ¢Çº ໚¹¡ÒÃÊѧࡵ
¾ÄµÔ¡ÃÃÁ¡Òõͺʹͧµ‹ÍàÊÕ§ ઋ¹ ¡ÒáÃоÃÔºµÒ Êдا ËÃ×ÍËѹµÒÁàÊÕ§
                                                          Œ
          - Visual reinforcement audiometry àËÁÒСѺà´ç¡µÑ§áµ‹ÍÒÂØ 6 à´×͹¢Ö¹ä»¶Ö§ 3 ¢Çº
                                                             é                é
ÇÔ¸¡ÒõÃǨ¨Ð¡Ãеع¤ÇÒÁʹ㨢ͧà´ç¡ä´ŒÁÒ¡¡Ç‹Ò Behavioral observation audiometry ¨Ö§àË繡ÒÃ
     Õ               Œ
µÍºÊ¹Í§µ‹ÍàÊÕ§䴌ª´à¨¹¢Ö¹ â´Âà´ç¡¨ÐÃѺÃÙÇÒ¶ŒÒÁÕàÊÕ§´Ñ§áŌǨÐÁÕÀÒ¾ËÃ×ͧ͢àÅ‹¹·Õà¤Å×͹äËÇ
                          Ñ é               Œ‹                                   è è
ä´ŒµÒÁÁÒãËŒàËç¹
          - Speech reception threshold àËÁÒСѺà´ç¡µÑ§áµ‹ÍÒÂØ 2 ¶Ö§ 4 ¢Çº µÃǨâ´ÂãËŒà´ç¡¾Ù´
                                                        é
µÒÁËÃ×Í·íÒµÒÁ¤íÒÊѧ§‹ÒÂæ â´Â㪌ÃдѺàÊÕ§µ‹Ò§æ
                        è
          - Conditioned play audiometry àËÁÒСѺà´ç¡µÑ§áµ‹ÍÒÂØ 3 ¢Çº¢Ö¹ä» â´ÂªÇ¹à´ç¡àÅ‹¹ ઋ¹
                                                      é               é
àÁ×Í䴌¹àÊÕ§¡çãËŒËÂÍ´Å١ᡌÇŧ¡Å‹Í§ ໚¹µŒ¹
   è    Ô
602                              Hearing Loss in Children: 120 year Evolution in Management

          - Pure tone audiometry ໚¹ÇÔ¸µÃǨ¡ÒÃ䴌¹Áҵðҹ·Õ㪌µÃǨ㹼ÙãË­‹ ÊÒÁÒöµÃǨ
                                        Õ           Ô           è           Œ
à´ç¡µÑ§áµ‹ÍÒÂØ 3 ¢Çº¢Ö¹ä»·ÕÃÇÁÁ×ÍáÅÐࢌÒã¨ÇÔ¸¡ÒõÃǨ â´ÂãËŒ¿§àÊÕ§¤ÇÒÁ¶ÕµÒ§æ áÅзíÒÊÑ­­Ò³
        é             é    è‹                Õ              ˜           è ‹
Ç‹ÒàÃÔÁ䴌¹àÊÕ§·Õ¤ÇÒÁ´Ñ§ÃдѺã´
      è    Ô       è

¡ÒõÃǨâ´ÂÇÑ´¼Å¡Òõͺʹͧ·Ò§ÊÃÕÃÇÔ·ÂÒä¿¿‡Ò(2-4)
         ໚¹¡ÒûÃÐàÁÔ¹ÃдѺ¡ÒÃä´ŒÂÔ¹·Ò§ÍŒÍÁ 㪌µÃǨ䴌µÑé§áµ‹ááà¡Ô´ ÁÕ»ÃÐ⪹ã¹¡Ã³Õ·Õè
ÂѧäÁ‹ÊÒÁÒöµÃǨ¡ÒÃä´ŒÂÔ¹â´ÂÊѧࡵ¾ÄµÔ¡ÃÃÁ¡Òõͺʹͧµ‹ÍàÊÕ§䴌ªÑ´à¨¹ ËÃ×Íã¹à´ç¡·ÕèÁÕ
¾Ñ²¹Ò¡ÒêŒÒËÃ×Í¡ÒÃ䴌¹º¡¾Ã‹Í§Ãعáç«Ö§äÁ‹µÍºÊ¹Í§µ‹ÍàÊÕ§ ÇÔ¸µÃǨâ´Â·ÑÇ令ŌÒ¤ÅÖ§¡Ñ¹
                           Ô               è                    Õ          è
â´ÂãËŒà´ç¡ÍÂÙ¹§æ ËÃ×ÍËÅѺáŌǡÃеع´ŒÇÂàÊÕ§ ¨Ðä´Œ¼Å¡Òõͺʹͧ·Ò§ÊÃÕÃÇÔ·ÂÒä¿¿‡ÒÍÍ¡ÁÒ
              ‹ Ôè                    Œ
à¾×Íà·Õºà¤Õ§໚¹ÃдѺ¡ÒÃ䴌¹ ÁÕǸ¡ÒõÃǨËÅÒÂÇÔ¸Õ ä´Œá¡‹
    è                          Ô ÔÕ
         - Otoacoustic emissions ໚¹¡ÒÃÇÑ´¡Òõͺʹͧ¢Í§à«Åŏ¢¹ªÑ¹¹Í¡ (outer hair cell)
                                                                     é
·Õ˪¹ã¹
  è Ù Ñé
         - Auditory brainstem response ໚¹¡ÒõÃǨàÊŒ¹·Ò§¡ÒÃÃѺàÊÕ§¶Ö§ÃдѺ¡ŒÒ¹ÊÁͧ
         - Auditory steady-state response ¨ÐáÊ´§¡Òõͺʹͧ·Ò§ÊÃÕÃÇÔ·ÂÒä¿¿‡Ò·Õ¤ÇÒÁ¶ÕµÒ§æ
                                                                              è     è ‹
ã¹ÃٻẺ¤ÅŒÒ Audiogram
         ¡ÒõÃǨ¡ÒÃ䴌¹ã¹à´ç¡â´Â੾ÒÐÍ‹ҧÂÔ§ã¹ÃÒ·ÕʧÊÑÂÇ‹ÒÁÕ¡ÒÃ䴌¹º¡¾Ã‹Í§¨íÒ໚¹µŒÍ§
                         Ô                     è       è               Ô
ÍÒÈÑ¡ÒõÃǨËÅÒÂÇÔ¸»ÃСͺ¡Ñ¹·Ñ§¡ÒõÃǨẺÊѧࡵ¾ÄµÔ¡ÃÃÁ¡Òõͺʹͧµ‹ÍàÊÕ§ËÇÁ¡Ñº
                       Õ            é
¡ÒõÃǨâ´ÂÇÑ´¼Å¡Òõͺʹͧ·Ò§ÊÃÕÃÇÔ·ÂÒä¿¿‡Ò ¹Í¡¨Ò¡¹Õ§µŒÍ§µÃǨ«éÒ໚¹ÃÐÂÐà¾×ÍÂ×¹Âѹ
                                                           é Ñ           í        è
¼ÅµÃǨ·Õṋ¹Í¹
           è

¡Òÿ„œ¹¿ÙÊÁÃöÀÒ¾¡ÒÃä´ŒÂÔ¹(5)
         ¤×Í¡Òê‹ÇÂãËŒà´ç¡·ÕÁ¡ÒÃ䴌¹º¡¾Ã‹Í§ÊÒÁÒöÊ×ÍÊÒÃáÅÐÍÂÙÃÇÁ¡Ñº¼Ù͹ã¹Êѧ¤Áä´Œ´¢¹
                            è Õ       Ô              è         ‹‹       Œ ×è           Õ Öé
â´Â¡ÅØÁºØ¤Åҡ÷ըÐËÇÁÁ×͡ѹà¾×ͪ‹ÇÂàËÅ×ͼٻÇ»ÃСͺ´ŒÇÂ
       ‹            è               è      Œ †
         - ᾷ ¹Í¡¨Ò¡âʵÈ͹ÒÊԡᾷáÅŒÇ ÂѧÍÒ¨µŒÍ§ÁÕᾷã¹ÊÒ¢ÒÍ×¹æ ËÇÁ´ÙáÅ»˜­ËÒ
                                                                         è
·Õà¡ÕÂÇ¢ŒÍ§¡Ñº¼Ù»ÇÂã¹ÃÐÂÐÂÒÇ àª‹¹ ¡ØÁÒÃᾷ ¨Ñ¡ÉØá¾·Â ÍÒÂØÃᾷ ËÃ×ͨԵᾷ ໚¹µŒ¹
  è è           Œ †
         - ¹Ñ¡âʵÊÑÁ¼ÑÊÇÔ·ÂÒ
         - ¹Ñ¡ÍÃöºíҺѴ
         - ¤ÃÙ¡ÒÃÈÖ¡ÉÒ¾ÔàÈÉ
         - ¹Ñ¡¨ÔµÇÔ·ÂÒ
         - ¹Ñ¡Êѧ¤ÁÇÔ·ÂÒ áÅÐÊѧ¤Áʧà¤ÃÒÐˏ
         ¢Ñ¹µÍ¹µ‹Ò§æ ¢Í§¡Òÿ„¹¿ÙÊÁÃöÀÒ¾¡ÒÃ䴌¹ ¤×Í
           é                    œ                  Ô
         - »ÃÐàÁÔ¹ÃдѺ¡ÒÃ䴌¹   Ô
         - ͸ԺÒÂãËŒ¼»¡¤ÃͧËÃ×ͤÃͺ¤ÃÑÇࢌÒ㨻˜­ËҢͧ¼Ù»ÇÂáÅÐÇÔ¸¡Òê‹ÇÂàËÅ×Í
                       ÙŒ                                Œ †       Õ
àǪÈÒʵÏ·¹Âؤ 2553
          Ñ                                                                                       603

        - á¹Ð¹íÒ¡ÒÃ㪌ͻ¡Ã³à¾×ͪ‹ÇÂãˌ䴌¹´Õ¢¹µÒÁ¤ÇÒÁàËÁÒÐÊÁ¢Í§¼Ù»ÇÂᵋÅÐÃÒ ઋ¹
                          Ø       è         Ô Öé                         Œ †
à¤Ã×ͧª‹Ç¿˜§ ËÃ×Í¡Òü‹ÒµÑ´½˜§»ÃÐÊÒ·ËÙà·ÕÂÁ
    è
        - ¡Òýƒ¡¿˜§ ½ƒ¡¾Ù´ áÅÐᡌ䢡Òþٴ
        - ¼ÙŒ»†ÇºҧÃÒÂÍҨ䴌ÃѺ¤íÒá¹Ð¹íÒ㹡ÒÃÊ×èÍÊÒôŒÇÂÇÔ¸ÕÍ×è¹Ã‹ÇÁ¡Ñº¡Òÿ˜§áÅоٴ ઋ¹
¡ÒÃ͋ҹÃÔÁ½‚»Ò¡ (lip reading) ËÃ×Í¡ÒÃ㪌ÀÒÉÒ·‹Ò·Ò§ (sign language) ઋ¹ÀÒÉÒÁ×Í à»š¹µŒ¹
        - ¡ÒÃá¹Ðá¹Ç·Ò§¡ÒÃÈÖ¡ÉÒáÅÐÍÒªÕ¾
        - »ÃÐàÁÔ¹ÃдѺ¡ÒÃ䴌¹ ¾Ñ²¹Ò¡Ò÷ҧ¡Òÿ˜§áÅСÒþٴ໚¹ÃÐÂÐ
                                Ô

à¤Ã×èͧª‹Ç¿˜§ (Hearing aids)
             ໚¹ÍØ»¡Ã³·ªÇ¢ÂÒÂàÊÕ§à¾×ͪ‹ÇÂãËŒ¿§ä´Œª´à¨¹ÁÒ¡¢Ö¹ â´Â·ÑÇ仨Ð㪌䴌¼Åã¹¼Ù·ÁÃдѺ
                            Õè ‹           è         ˜ Ñ            é        è              Œ Õè Õ
¡ÒÃ䴌¹º¡¾Ã‹Í§ã¹ÃдѺ¹ŒÍÂ¶Ö§ÃØ¹áç ᵋ¶Ò¡ÒÃ䴌¹º¡¾Ã‹Í§ÃعáçÁÒ¡ËÃ×ÍËÙ˹ǡ¡ç¨ÐäÁ‹à¾Õ§
           Ô                                     Œ       Ô
¾Í·Õ¨Ðª‹ÇÂàËÅ×ͼٻÇÂä´Œ «Ö§µŒÍ§¾Ô¨ÒóҡÒÿ„¹¿ÙÊÁÃöÀÒ¾¡ÒÃ䴌¹´ŒÇÂÇԸ͹ ઋ¹ ¡Òü‹ÒµÑ´
       è                Œ †       è                œ                       Ô        Õ ×è
½˜§»ÃÐÊÒ·ËÙà·ÕÂÁ
             à¤Ã×èͧª‹Ç¿˜§·Õè´Õ¨ÐÊÒÁÒöµÑ駤‹Ò¤ÇÒÁ´Ñ§ãËŒÁÕ¢Õ´¨íÒ¡Ñ´ÍÂً㹪‹Ç§·Õ还§áÅŒÇʺÒÂËÙ¡íÒÅѧ´Õ
äÁ‹¤ÍÂà¡Ô¹ä»áÅÐäÁ‹´§à¡Ô¹ä» µÅÍ´¨¹ÊÒÁÒö»ÃѺàÊÕ§·ØÁàÊÕ§áËÅÁä´Œ¾ÍàËÁÒСѺÃдѺ¡ÒÃ
     ‹                        Ñ                                  Œ
ä´ŒÂÔ¹¢Í§¼ÙŒãªŒ »ÃÐ⪹·Õè¼ÙŒ·ÕèÁÕ¡ÒÃä´ŒÂÔ¹º¡¾Ã‹Í§áµ‹ÅÐÃÒ¨Ðä´ŒÃѺ¨Ò¡à¤Ã×èͧª‹Ç¿˜§ÁÕäÁ‹à·‹Ò¡Ñ¹
·Ñé§¹Õé¢Öé¹ÍÂÙ‹¡ÑºÊÒà˵آͧ¡ÒÃä´ŒÂÔ¹º¡¾Ã‹Í§, ÃдѺ¡ÒÃä´ŒÂÔ¹·ÕèàËÅ×ÍÍÂÙ‹, ÍÒÂØ, àªÒǹ»˜­­Ò
µÅÍ´¨¹¤ÇÒÁ¾ÃŒÍÁ·Ò§´ŒÒ¹Ã‹Ò§¡ÒÂ

»ÃÐÊÒ·ËÙà·ÕÂÁ (Cochlear implant)
          à¤Ã×ͧª‹Ç¿˜§äÁ‹ÊÒÁÒöª‹ÇÂãËŒ¼·Á¡ÒÃ䴌¹º¡¾Ã‹Í§ä´ŒÂ¹´Õ¢¹·Ø¡ÃÒÂàÊÁÍä»â´Â੾ÒÐ
              è                          ÙŒ Õè Õ    Ô           Ô Öé
ã¹¼ÙŒ·ÕèÁÕ¡ÒÃä´ŒÂÔ¹º¡¾Ã‹Í§ÍÂ‹Ò§ÃØ¹áçËÃ×ÍËÙ˹ǡ ´Ñ§¹Ñé¹ã¹¡Ã³ÕàËŋҹÕéàÁ×èÍ㪌à¤Ã×èͧª‹Ç¿˜§áÅŒÇ
äÁ‹ä´Œ¼Å ¼ÙŒ»†Ç¨֧¨íÒ໚¹µŒÍ§ÍÒÈѹÇѵ¡ÃÃÁãËÁ‹ÁÒª‹ÇÂãËŒÃѺ¿˜§àÊÕ§䴌 ¤×Í¡Òü‹ÒµÑ´ãÊ‹»ÃÐÊÒ·
ËÙà·ÕÂÁ
          »ÃÐÊÒ·ËÙà·ÕÂÁ¤×Íà¤Ã×ͧÁ×Í·Õà»ÅÕ¹ÊÑ­­Ò³àÊÕ§ãˌ໚¹ÊÑ­­Ò³ä¿¿‡Ò à¾×Í¡Ãеع»ÃÐÊÒ·
                              è      è è                                       è       Œ
ÃѺàÊÕ§µ‹Íä»ÂѧÊÁͧ «Ö§¨Ð»ÃСͺ´ŒÇ 2 ʋǹËÅÑ¡ ¤×Í
                          è
          - ʋǹ·ÕÍÂٹ͡¡ÐâËÅ¡ÈÕÃÉÐ ¤×Í à¤Ã×ͧá»Å§ÊÑ­­Ò³ (sound processor) ÁÕšɳÐàËÁ×͹
                   è ‹                            è                                Ñ
à¤Ã×ͧª‹Ç¿˜§áºº·Ñ´ËÅѧËÙËÃ×ÍẺ¡Å‹Í§ ໚¹µÑÇÃѺàÊÕ§áÅŒÇá»Å§àÊÕ§໚¹ÊÑ­­Ò³Ãкº´Ô¨µÍÅ
    è                                                                                    Ô
          - ʋǹ»ÃÐÊÒ·ËÙà·ÕÂÁ (implant) ·Õ¼ÒµÑ´½˜§äÇŒ·¡ÐâËÅ¡ÈÕÃÉÐ㵌˹ѧÈÕÃÉÐ ¨Ðá»Å§ÊÑ­­Ò³
                                              è ‹     Õè
Ãкº´Ô¨ÔµÍÅãˌ໚¹ÊÑ­­Ò³ä¿¿‡ÒáÅŒÇÊ‹§ä»ÂѧÊÒ electrode «Öè§ÊÍ´ÍÂÙ‹ã¹ËÙªÑé¹ã¹ à¾×èÍ¡Ãе،¹
àÊŒ¹»ÃÐÊÒ·ÃѺàÊÕ§áÅÐÊ‹§µ‹Íä»ÂѧÊÁͧ
          ¡Òü‹ÒµÑ´½˜§»ÃÐÊÒ·ËÙà·ÕÂÁÁÕ¤Ò㪌¨ÒÂÊÙ§ÁÒ¡äÁ‹µÒ¡Ç‹Òá»´áʹºÒ· àÊÕ§·Õ䴌¹¨Ðµ‹Ò§
                                       ‹ ‹               èí                          è Ô
仨ҡàÊÕ§µÒÁ¸ÃÃÁªÒµÔ ¨Ö§µŒÍ§ÍÒÈÑ¡Òýƒ¡¿˜§áÅнƒ¡¾Ù´Í‹ҧÊÁèíÒàÊÁÍ «Öè§µŒÍ§ãªŒàÇÅÒ¿„œ¹¿Ù
604                                          Hearing Loss in Children: 120 year Evolution in Management

ÊÁÃöÀÒ¾¡ÒÃ䴌¹ËÅÒÂà´×͹ËÃ×Í໚¹»‚ã¹à´ç¡·ÕäÁ‹à¤Â䴌¹àÊÕ§ËÃ×;ٴ䴌ÁÒ¡‹Í¹ ᵋ¶Ò໚¹
                  Ô                        è         Ô                          Œ
¼Ù·Ê­àÊÕ¡ÒÃ䴌¹ÀÒÂËÅѧ¨Ò¡·Õà¤Â¾Ù´ä´ŒÁÒáÅŒÇ ¡Òÿ„¹¿ÙÊÁÃöÀÒ¾¡ÒÃ䴌¹¨Ð§‹Ò¡NjÒáÅÐ
  Œ Õè Ù        Ô            è                    œ                    Ô
㪌ÃÐÂÐàÇÅÒ¹ŒÍ¡NjÒ

»ÃÐÊÒ·ËÙà·ÕÂÁª¹Ô´½˜§·Õ行ҹÊÁͧ (Auditory brainstem implant)
          㹡óշàÊŒ¹»ÃÐÊÒ·ÊÁͧ¤Ù·Õè 8 ÁÕ¤ÇÒÁ¼Ô´»¡µÔ·§ 2 ¢ŒÒ§ ËÃ×ÍäÁ‹ÁàÊŒ¹»ÃÐÊÒ·ÊÁͧ¤Ù·Õè 8
                   Õè               ‹                  Ñé                 Õ                   ‹
µÑé§áµ‹¡íÒà¹Ô´ ¡ÒÃ㪌à¤Ã×èͧª‹Ç¿˜§ËÃ×ͼ‹ÒµÑ´ãÊ‹»ÃÐÊÒ·ËÙà·ÕÂÁ·ÕèËÙªÑé¹ã¹¨ÐäÁ‹ä´Œ¼Åà¹×èͧ¨Ò¡äÁ‹ÁÕ
àÊŒ¹»ÃÐÊÒ·ÃѺàÊÕ§ ¡Òÿ„¹¿ÙÊÁÃöÀÒ¾·Ò§¡ÒÃ䴌¹¨Ö§µŒÍ§¡Ãеع·Õè auditory nucleus ºÃÔàdz
                            œ                        Ô            Œ
¡ŒÒ¹ÊÁͧâ´ÂµÃ§ ÅѡɳСÒ÷íÒ§Ò¹¢Í§ÍØ»¡Ã³¨Ð¤ÅŒÒ¤ÅÖ§¡Ñº»ÃÐÊÒ·ËÙà·ÕÂÁª¹Ô´·ÕãÊ‹ã¹ËÙª¹ã¹è      Ñé
ᵡµ‹Ò§¡Ñ¹à¾Õ§µíÒá˹‹§¢Í§ electrode ·ÕèÇÒ§äÇŒ·Õè auditory nucleus ºÃÔàdz¡ŒÒ¹ÊÁ᷹ͧ·Õè
¨ÐÊÍ´äÇŒã¹ËÙª¹ã¹ ËÅѧ¼‹ÒµÑ´¡çµÍ§ãªŒàÇÅÒ㹡Òýƒ¡¿˜§áÅп„¹¿ÙÊÁÃöÀÒ¾¡ÒÃ䴌¹ઋ¹à´ÕÂǡѹ
                Ñé                Œ                         œ                     Ô

àÍ¡ÊÒÃ͌ҧÍÔ§
1.    Northern JL, Downs MP. Behavioral hearing testing. In: Northern JL, Downs MP, editors. Hearing in Children.
      5th ed. Baltimore: Lippincott Williams & Wilkins, 2002. p. 159-206.
2.    Diefendorf AO. Detection and assessment of hearing loss in infants and children. In: Katz J, Medwetsky L,
      Burkard R, editors. Handbook of Clinical Audiology. 5 th ed. United States of America: Lippincott Willliams &
      Wilkins, 2002. p. 469-480.
3.    Norton S, Gorga MP, Widen JE, .olsom RC, et al. Identification of Neonatal Hearing Impairment: Evaluation
      of Transient Evoked Otoacoustic Emission, Distortion Product Otoacoustic Emission, and Auditory Brainstem
      Response Test Performance. Ear and Hearing 2000; 21:5:508-528
4.    Northern JL, Downs MP. Physiologic hearing tests. In: Northern JL, Downs MP, editors. Hearing in Children.
      5th ed. Baltimore: Lippincott Williams & Wilkins; 2002. p 209-257.
5.    Hull RH. What is aural rehabilitation? In: Hull RH, editor. Aural rehabilitation, serving children and adultsHearing
      loss. 4th ed. Canada: Singular; 2001. p. 3-17.
àǪÈÒʵÏ·¹Âؤ 2553
          Ñ                                                                           605

                                          ´Ñª¹Õ
¡                                             ¼¾¿
¡Ãд١ËÑ¡à˵Øâäà¹×ͧ͡¡Ãд١
                         é                    ¼Ù»Ç¡ÐâËÅ¡ÈÕÃÉÐáÅÐãºË¹ŒÒ
                                                Œ †
    ¡ÒÃÃÑ¡ÉÒ, 219                                   ¡ÒôÙáÅ໚¹·ÕÁ, 415
¡ÒÃà¡Ô´»¯Ô¡ÃÂÒÃÐËNjҧÂÒ, 69
             ÔÔ                               ᾌÍÒËÒÃ
¡ÒÃ䴌¹º¡¾Ã‹Í§ã¹à´ç¡, 259
        Ô                                           ¡ÒÃÇÔ¹¨©ÑÂ, 21
                                                          Ô
    ¡ÒäѴ¡Ãͧ¡ÒÃ䴌¹, 259Ô                  ¿‡Ò·ÐÅÒÂâ¨Ã, 326
    ÊÒà˵بҡ¡ÒùíÒàÊÕ§àÊ×ÍÁ, 265è
    ÊÒà˵طҧ¾Ñ¹¸Ø¡ÃÃÁ, 271                   À
¡Òû‡Í§¡Ñ¹âä                                 ÀÒ¾ÃѧÊÕǹ¨©ÑÂã¹¼Ù»ÇÂÍØºµà˵Ø
                                                       Ô Ô      Œ †     Ñ Ô
    ÀÒÇÐÊÁͧàÊ×ÍÁ, 361 è                         ¡ÃÐà¾Òл˜ÊÊÒÇÐ, 486
    ÁÐàÃç§àµŒÒ¹Á, 351                            ¡ÒúҴà¨çºµ‹ÍµÑº, 483
    ÁÐàÃç§Ãѧ䢋, 355                            ¡ÒúҴà¨çºµ‹Íäµ, 484
¡ÒÃᾷἹä·Â, 333                              ª‹Í§·ŒÍ§, 479
    á¹Ç¤Ô´àÃ×ͧ¡ÒÃÃÑ¡ÉÒâäáÅÐÂÒÊÁعä¾Ã, 338
             è                                   ÁŒÒÁ, 484
    á¹Ç¤Ô´àÃ×ͧ¤ÇÒÁ໚¹Á¹ØÉ·ÊÁºÙó, 337
               è                    Õè           Ãкº»ÃÐÊÒ·, 459
    á¹Ç¤Ô´àÃ×ͧ¤Ø³ÊÁºÑµ·´¢Í§á¾·Â¼ÙŒ
                 è           Ô Õè Õ              ËÅÍ´àÅ×Í´á´§ãË­‹ªÍ§Í¡, 475
                                                                      ‹
ÃÑ¡ÉÒ, 339                                       ËÅÍ´àÅ×Í´ºÃÔàdzᢹáÅТÒ, 469
    á¹Ç¤Ô´àÃ×ͧ¸ÒµØ, 336
                   è                             ÍÇÑÂÇÐËÅѧª‹Í§·ŒÍ§, 487
    á¹Ç¤Ô´àÃ×ͧÊÁد°Ò¹¡ÒÃà¡Ô´âä, 338
                     è                        ÀÒÇÐàÅ×Í´Í͡㹷ҧà´Ô¹ÍÒËÒÃʋǹº¹, 543
¡ÒÃÊ‹§àÊÃÔÁÊØ¢ÀÒ¾                             ÀÒÇÐËÒÂ㨼Դ»¡µÔ¢³ÐËÅѺª¹Ô´ÍØ´¡Ñ¹, 505
                                                                              é
    ¸ÃÃÁÒ¹ÒÁÑÂ, 341
                                              ÁÂ
    ÇѲ¹¸ÃÃÁÊÌҧàÊÃÔÁÊØ¢ÀÒ¾·Õ§Â×¹, 349
                                       è Ñè
¡ÒÃÍÍ¡¡íÒÅѧ¡Ò                               ÁÐÃØÁ, 327
    ã¹âä¤ÇÒÁ´Ñ¹âÅËÔµÊÙ§, 155                 ÂÒµŒÒ¹¾ÔÉ
    ã¹âäàºÒËÇÒ¹, 159                             ÀÒÇоÔÉà©Õº¾Åѹ, 135
    ËÅѧ¡Ò÷íÒËѵ¶¡ÒÃËÃ×ͼ‹ÒµÑ´ËÑÇã¨, 143     ÂÒËÍÁ¹Çâ¡°, 329

¢ ·-¸ ¹                                       Ã
¢ÁÔ¹ªÑ¹, 325
   é                                          ÃѧÊÕáÉÒ
                                                    Ñ
¤ÇÒÁ¼Ô´»¡µÔ¢Í§ÊÒÂàÊÕ§, 597                        ¡ÒÃÃÑ¡ÉÒÁÐàÃç§ÈÕÃÉÐáÅÐÅíÒ¤Í, 113
·Òá¡Ç¹¼Ô´»Ã¡µÔ, 13                                ÀÒ¾¹íÒÇÔ¶,Õ 117
¸ÃÃÁÒ¹ÒÁÑÂ, 341                               âä¢Í§·ÇÒÃ˹ѡáÅÐÅíÒäÊŒµÃ§, 177
¹Í¹¡Ã¹, 505                                   âäàª×ÍÃÒ·Õ¼Ç˹ѧªÑ¹ÅÖ¡, 59
                                                      é  è Ô       é
606                                                                            ´Ñª¹Õ

âä䫹ÑÊÍÑ¡àʺ áÅÐÃÔ´Êմǧ¨ÁÙ¡, 241       A
âäÁÐàÃ秨͵Òã¹à´ç¡                       ADE
    ¡ÒÃÃÑ¡ÉÒ, 47                              see adverse drug event, 95, 98
    ¡ÒÃÃÑ¡ÉÒ´ŒÇÂÂÒà¤ÁպҺѴ, 51
                        í                 ADR
âäÁÐàÃç§ÈÕÃÉÐáÅÐÅíÒ¤Í                        see adverse drug reaction, 98
    ÃѧÊÕáÉÒ, 113
          Ñ                               adverse drug event, 95, 98
âäËÅÍ´àÅ×Í´ÊÁͧ                          adverse drug reaction
    ¡Òû‡Í§¡Ñ¹¡‹Í¹áÅÐËÅѧ¡Òü‹ÒµÑ´, 289       adverse event, 98
                                              harm, 98
ÇÊ
                                          anal fissure, 178
àǪÈÒʵÏàªÔ§»ÃШѡɏ                     anorectal disorders, 177
    ÂÒ¨Ò¡ÊÁعä¾Ã, 323                         anal fissure, 178
ÊÀÒ¾áÇ´ÅŒÍÁáÅÐÊØ¢ÀÒ¾                          fistula in ano, 179
    ¹Ô¤ÁÍØµÊÒË¡ÃÃÁÁÒºµÒ¾Ø´, 401               hemorrhoid, 177
    âäÀÙÁᾌ, 405
           Ô                                  perianal abscess, 179
ÊÁعä¾Ã                                   antidote
    ¢ÁÔ¹ªÑ¹, 325
       é                                      4-methylpyrazole, 139
    ¿‡Ò·ÐÅÒÂâ¨Ã, 326                          acute intoxication, 135
    ÁÐÃØÁ, 327                                antivenom, 136
    ÂÒËÍÁ¹Çâ¡°, 329                           atropine, 136
    àǪÈÒʵÏàªÔ§»ÃШѡɏ, 323                current status in Thailand, 75
ÊÌҧàÊÃÔÁÊØ¢ÀÒ¾, 349                         cyanide antidote kit, 138
ÊÒµҼԴ»¡µÔ                                  ethanol, 137
    ¡ÒÃÃÑ¡ÉÒ´ŒÇ LASIK, 43                    fomepizole, 139
ÊÒÂàÊÕ§                                      glucagon, 139
    ¡Ò÷íÒ§Ò¹, 285                            hydroxycobalamine, 139
    ໚¹ÍÑÁ¾Òµ, 281                           pralidoxime, 137
ËÍ                                            pyridoxine, 140
                                              vitamin-k1, 138
à˵ءÒóäÁ‹¾§»ÃÐʧ¤¨Ò¡¡ÒÃ㪌ÂÒ
              Ö
                                          antivenom, 136
ã¹âç¾ÂÒºÒÅ
                                          atropine
     ¡Ò䌹ËÒ, 95
                                              as antidote, 136
     ¡ÒÃÇÑ´ÍѵÃÒ, 95
ÍØºµà˵ؤÍÊкѴ, 163
   Ñ Ô
àǪÈÒʵÏ·¹Âؤ 2553
          Ñ                                                                                       607

BC                                                          elimination interactions, 71
breast cancer                                               metabolism interactions, 71
     prevention and screening, 351                          pharmacodynamic interactions, 71
burn unit, 211                                          DUB
CAM                                                         see dysfunctional uterine bleeding, 229
     see confusion assessment method, 377               dysfunctional uterine bleeding, 229
cancer-associated fibroblasts, 573                      dysphagia, 535
childhood seizure and epilepsy, 1                       dysphagia rehabilitation, 540
cholangiocarcinoma-associated fibroblasts, 575
                                                        E
CI.LE
     see cognitive impairment free life                 environmental threats
         expectancy, 361                                    health impacts of, 397, 401, 405
climate change                                          epithelial cell culture in ophthalmology
     allergic disease, 405                                  corneal, 37
cognitive impairment free life expectancy, 361              mucosal, 37
comprehensive geriatric assessment, 367                 esophageal varices, 555
confusion assessment method, 377                        ethanol
corneal limbal epithelial stem cell, 35                     as antidote, 137
craniofacial care                                       evidence-based medicine
     multidisciplinary approach, 415                        herbal medicinal products, 323
cultivated epithelial cell in ophthalmology, 35         exercise
cyanide antidote kit, 138                                   after cardiac surgery or intervention, 143
                                                            for diabetes mellitus, 159
D                                                           for hypertension, 155
data management                                             prescription, 156
     for clinical registry and clinical research, 579   eye cancer in pediatrics
deglutition, 535                                            chemotherapy, 51
deferasirox, 317                                            treatment, 47
digital image processing
                                                        .
     for clinical registry and clinical research, 579
drug administration pitfalls, 81, 87                    fistula in ano, 179
drug interactions, 69                                   fomepizole
     absorption interactions, 70                             as antidote, 139
     distribution interactions, 70                      food allergy
                                                             diagnosis, 21
608                                                                               ´Ñª¹Õ

fungal skin infection, 53, 59           imaging of trauma
    deep infection, 59                       abdomen, 479
fussy baby, 13                               CT angiographic sign, 473
                                             kidney, 484
GH                                           limb vessels, 469
global warming, 405                          liver, 483
glucagon                                     neurological system, 459
    as antidote, 139                         retroperitoneal organs, 487
harmonized care for older patients           spleen, 484
    acute cognitive changes, 375             thoracic aorta, 475
    cognition, 375                           urinary bladder, 486
    delirium, 375                       interventional radiology
    depression, 370                          for traumatic injury of extremities, 503
    hospitalized patients, 367               for traumatic liver injury, 497
    iatrogenic illness, 370                  for traumatic patient, 497
    malnutrition, 369                        for traumatic pelvic fracture, 502
    mobility, 387                            for traumatic renal injury, 499
hearing loss in children, 259, 601           for traumatic splenic injury, 500
    hereditary, 271                     iron chelation, 313
    obstructive, 265                         deferasirox, 317
    screening, 259
hemorrhoid, 177                         KL
hepatocellular carcinoma                ketamine
    management, 183                         for postoperative pain management in
herbal medicinal products                       pediatric patient, 126
    evidence-based medicine, 323        ketorolac
hoarseness                                  for postoperative pain management in
    management, 285                             pediatric patient, 126
hydroxycobalamine                       LASIK, 43
    as antidote, 139
                                        M
I                                       4-methylpyrazole
IGRT                                       as antidote, 139
   see image-guided radiotherapy, 117   medication error, 98
àǪÈÒʵÏ·¹Âؤ 2553
          Ñ                                                                          609

mild traumatic brain injury                 PET/CT
    neuropsychiatric disorders after, 453        for cancer in head and neck region, 103
    neurosurgical perspective, 441          postconcussive syndrome, 445
    postconcussive syndrome, 445            postoperative pain
    sport related concussion, 448                ketamine, 126
movement disorder surgery, 433              postoperative pain
    dystonia, 435                                ketorolac, 126
    hemiballism, 439                        postoperative pain
    Parkinson’s disease, 433                     management in pediatric patient, 125
    spasticity, 437                         postoperative pain
    Tourette syndrome, 439                       paracetamol, 127
MTBI                                        postoperative pain
    see mild traumatic brain injury, 411,        tramadol, 127
445, 448                                    pralidoxime
                                                 as antidote, 137
NO                                          pyridoxine
narcolepsy, 523                                  as antidote, 140
neuroanesthesia
    neuro-interventional perspective, 131   R
obstructive sleep apnea, 529                radiotherapy, 117
OSA                                             image-guided radiotherapy, 117
    see obstructive sleep apnea, 529        research and business, 587
ovarian cancer                              rhinosinusitis, 241
    screening, 355                          robotic surgery, 197

P                                           S
paracetamol                                 scrub typhus
    for postoperative pain management in         diagnosis, 305
        pediatric patient, 127                   in Thailand, 297
pathologic fracture                              molecular epidemiology in Thailand, 301
    impending fracture, 221                 Siriraj trauma center, 203, 205
pathologic fracture                         sleep disordered breathing
    treatment of , 219                           obstructive type, 505
perianal abscess, 179                            surgical treatment, 529
                                            snoring, 505
610                                                                                          ´Ñª¹Õ

sport related concussion, 448                        traumatic cerebrovascular injury
stem cell                                                 neurosurgical perspective, 489
    corneal limbal epithelial, 35                    trigger tool, 95
stroke                                                    global trigger tool, 99
    perioperative prevention of, 289                 tumor microenvironment, 569
surgical treatment for sleep disordered
    breathing, 529                                   UVW
swallowing therapy, 539                              upper gastro-intestinal bleeding, 543
swallowing, 535                                           embolization for, 565
                                                     vitamin-k1
T                                                         as antidote, 138
tramadol                                             vocal cord
    for postoperative pain management in                  function, 285
        pediatric patient, 127                            paralysis, 281
transplantation                                      volatile organic compounds, 401
    live donor liver transplantation, the first      whiplash injury, 163
        case in Thailand, 193                             conservative treatment, 171
    liver transplantation in Siriraj hospital, 189             myogenic cause, 171
    medico-legal investigation, 595
àǪÈÒʵϷѹÂؤ 2553
ISBN   978-974-11-1329-3




              ÃÒ¤Ò 400 ºÒ·

ประชุมวิชาการ ศิริราช 53

  • 2.
    i àǪÈÒʵÏ·¹Âؤ 2553 Ñ ºÃóҸԡÒà Á³Õ Ãѵ¹äªÂÒ¹¹·, ¾.º. ´ÒÃÒÇÃó ǹЪÔǹÒÇÔ¹, ¾.º. ÇÒ³Õ ÇÔÊ·¸ÔàÊÃÕǧȏ, ¾.º. Ø ì ÇÔ·Ã ªÔ¹ÊNjҧÇѲ¹¡ØÅ, ¾.º. Ù ÁÒ¹¾ ¾Ô·¡ÉÀÒ¡Ã, ¾.º. Ñ ¤³Ðá¾·ÂÈÒʵÏÈÃÃÒª¾ÂÒºÒÅ ÔÔ ÁËÒÇÔ·ÂÒÅÑÂÁËÔ´Å ¾.È. 2553
  • 3.
    àǪÈÒʵÏ·¹Âؤ 2553 Ñ Ê§Ç¹ÅÔ¢ÊÔ·¸Ôì ¨Ñ´¾ÔÁ¾ ¤³Ðá¾·ÂÈÒʵÏÈÃÃÒª¾ÂÒºÒÅ ÔÔ ¨íҹǹ¾ÔÁ¾ 1,000 àÅ‹Á áÅÐ CD 4,000 Ἃ¹ ÊÔ§ËÒ¤Á 2553 ISBN 978-974-11-1329-3 ¾ÔÁ¾·Õè ºÃÔÉ· ¾Õ.àÍ.ÅÕ¿ÇÔ§ ¨íÒ¡Ñ´ Ñ è 4 «ÍÂÊÔù¸Ã 7 ºÒ§¾ÅÑ´ ¡Ãا෾ÁËÒ¹¤Ã 10700 Ô â·ÃÈѾ· 0 2881 9890 â·ÃÊÒà 0 2881 9894
  • 4.
    iii ¤íÒ¹íÒ Ë¹Ñ§Ê×Í “àǪÈÒʵϷѹÂؤ” ໚¹Ë¹Ñ§Ê×ÍàÅ‹Ááá¢Í§â¤Ã§¡ÒõíÒÃÒÈÔÃÔÃÒª ·Õè¼ÅÔµ¢Öé¹ ã¹ÅѡɳÐ໚¹ series ÃÒ»‚ ÁÕÇѵ¶Ø»ÃÐʧ¤à¾×èÍÃǺÃÇÁ¤ÇÒÁÃÙŒ·Ò§¡ÒÃᾷáÅÐà·¤â¹âÅÂÕ ·Õà¡ÕÂÇ¢ŒÍ§ â´Â໚¹ËÑÇ¢ŒÍ·Õ·¹ÊÁÑÂáÅСíÒÅѧ䴌ú¤ÇÒÁʹã¨ã¹»‚¹¹æ à¾×ÍãËŒÊÍ´¤ÅŒÍ§¡ÑºÊÀÒ¾¡Òó è è è Ñ Ñ Ñé è ¢Í§¡ÒÃÊ‹§àÊÃÔÁáÅÐʹѺʹع¡ÒÃÈÖ¡ÉÒµ‹Íà¹×èͧ µÅÍ´¨¹Ê‹§àÊÃÔÁ¤ÇÒÁ¶Ù¡µŒÍ§áÅлÃÐÊÔ·¸ÔÀÒ¾ ¢Í§àǪ»¯ÔºµÔ Ñ »‚¾·¸ÈÑ¡ÃÒª 2553 ໚¹»‚·âçàÃÕ¹ᾷáË‹§áá¢Í§»ÃÐà·Èä·ÂÁÕÍÒÂØ¤Ãº 120 »‚ áÅÐ Ø Õè ໚¹»‚·Ë¹Ñ§Ê×ÍàǪÈÒʵÏ·¹ÂؤàÅ‹Ááá¢Í§ series 䴌ແ´µÑǢֹ㹪×Í “àǪÈÒʵÏ·¹Âؤ 2553” Õè Ñ é è Ñ ·Ñé § ¹Õé à ¾×è Í ãËŒ Ë ¹Ñ § Ê× Í àǪÈÒʵÏ ·Ñ ¹ ÂØ ¤ àÅ‹ Á áá¹Õé ÁÕ Ê‹ Ç ¹Ã‹ Ç Á㹡ÒÃà©ÅÔ Á ©ÅͧÇÒÃÐ´Ñ § ¡Å‹ Ò Ç ¤³Ðá¾·ÂÈÒʵÏÈÔÃÔÃÒª¾ÂÒºÒÅ໚¹âçàÃÕ¹ᾷáË‹§áá¢Í§»ÃÐà·Èä·Â·Õèä´ŒÃѺ¾ÃÐÁËÒ ¡ÃسҸԤ³ ¨Ò¡Í§¤¾ÃлÃÐÁØ¢·Ø¡¾ÃÐͧ¤ 㹡ÒÃÊÒ¹µ‹Í¾ÃÐÃÒª»³Ô¸Ò¹áË‹§Í§¤¾ÃкҷÊÁà´ç¨ Ø ¾ÃлÃÁÔ ¹ ·ÃÁËÒ¨Ø Ì Òŧ¡Ã³ ¾ÃÐ¨Ø Å ¨ÍÁà¡ÅŒ Ò à¨Œ Ò ÍÂÙ‹ ËÑ Ç ·Õè ä ´Œ · ç¾ÃÐ¡ÃØ ³ Òâ»Ã´à¡ÅŒ Ò Ï à»´âçÈÔÃÃÒª¾ÂÒºÒÅã¹»‚¾·¸ÈÑ¡ÃÒª 2431 áÅÐແ´âçàÃÕ¹ᾷáË‹§áá㹻‚¾·¸ÈÑ¡ÃÒª 2433 Ô Ø Ø «Öè§ã¹»˜¨¨ØºÑ¹ÁÕª×èÍNjҤ³Ðá¾·ÂÈÒʵÏÈÔÃÔÃÒª¾ÂÒºÒÅ ÁËÒÇÔ·ÂÒÅÑÂÁËÔ´Å âçàÃÕ¹ᾷáË‹§¹Õé ä´Œ·íÒ¡ÒüÅԵᾷáÅкؤÅҡ÷ҧ¡ÒÃᾷÍÍ¡ÊÙ‹Êѧ¤Áä·Â µÅÍ´¨¹Â×¹ËÂѴ㹡Ò÷íÒ˹ŒÒ·Õè ºíҺѴ´ÙáÅÃÑ¡ÉҼٻǠ¾Ñ²¹ÒÇÔªÒ¡ÒôŒÒ¹¡ÒÃᾷáÅСÒÃÊÒ¸ÒÃ³ÊØ¢ ãËŒà¡Ô´¤ÇÒÁà¨ÃÔ­¡ŒÒÇ˹ŒÒ Œ † ¤Çº¤Ù¡ºÊѧ¤Áä·ÂÁÒµÅÍ´ 120 »‚ ·Õ¼Ò¹ÁÒ ‹ Ñ è ‹ ˹ѧÊ×ÍàÅ‹Á¹Õä´ŒÃǺÃÇÁº·¤ÇÒÁ·Ò§ÇÔªÒ¡Òèҡ¤³Ð¼Ù¹¾¹¸«§à»š¹¼ÙàªÕÂǪҭ੾Òзҧ é Œ Ô Öè Œ è ·Ñé§ÀÒÂã¹áÅÐÀÒ¹͡¤³Ðá¾·ÂÈÒʵÏÈÔÃÔÃÒª¾ÂÒºÒÅ à¹×èͧ¨Ò¡à¹×éÍËÒÇÔªÒã¹Ë¹Ñ§Ê×ÍàÅ‹Á¹Õé ÁÕ¤ÇÒÁËÅÒ¡ËÅÒÂÁÒ¡ ¡Í§ºÃóҸԡÒè֧䴌¨´ËÑÇ¢ŒÍµ‹Ò§æ ໚¹¡ÅØÁæ µÒÁÊÒ¢ÒÇÔªÒ Ñ ‹ ¡Í§ºÃóҸԡÒÃáÅФ³Ð¼ÙŒ¹Ô¾¹¸ÁÕ¤ÇÒÁÁØ‹§ÁÑè¹·Õè¨Ð¹íÒ¤ÇÒÁÃÙŒ·Õèä´ŒÃǺÃÇÁÁÒàÃÕºàÃÕ§ ໚¹Ë¹Ñ§Ê×Íà¾×ÍãËŒº¤Åҡ÷ҧ¡ÒÃᾷ·¡·‹Ò¹ÊÒÁÒö¹íÒä»ãªŒÍÒ§ÍÔ§ã¹àǪ»¯ÔºµÔ Íѹ¨Ð¡‹ÍãËŒà¡Ô´ è Ø Ø Œ Ñ »ÃÐ⪹Ê§ÊØ´µ‹Í¤Ø³ÀÒ¾ªÕǵ·Õ´¢Í§»Ç§ª¹ªÒÇä·Â Ù Ô è Õ ¡Í§ºÃóҸԡÒÃ
  • 5.
    iv ¤íÒ¹ÔÂÁ “àǪÈÒʵϷѹÂؤ 2553” ໚¹Ë¹Ñ§Ê×Í·Ò§ÇÔªÒ¡Ò÷Õè¼ÅԵ໚¹ series ÃÒ»‚ àÅ‹Ááá ¢Í§â¤Ã§¡ÒõíÒÃÒÈÔÃÔÃÒª ¤³Ðá¾·ÂÈÒʵÏÈÔÃÔÃÒª¾ÂÒºÒÅ ÁËÒÇÔ·ÂÒÅÑÂÁËԴŠ˹ѧÊ×ÍàÅ‹Á¹Õé ä´Œ à ǺÃÇÁ¤ÇÒÁÃÙŒ á ÅФÇÒÁ¡Œ Ò Ç˹Œ Ò ·Ò§¡ÒÃᾷ á ÅÐÊÒ¸ÒÃ³ÊØ ¢ â´Âä´Œ ÃÑ º ¤ÇÒÁË Ç ÁÁ× Í à»š¹Í‹ҧ´Õ§¨Ò¡¤³Ð¼Ù¹¾¹¸«§à»š¹¼ÙàªÕÂǪҭ੾Òзҧã¹ÃдѺ»ÃÐà·È·Ñ§ÀÒÂã¹áÅÐÀÒ¹͡ Ôè Œ Ô Öè Œ è é ¤³Ðá¾·ÂÈÒʵÏ ÈÔ ÃÔ Ã Òª¾ÂÒºÒÅ â´ÂÁØ‹ § ์ ¹ ¡Òùí Ò Í§¤ ¤ ÇÒÁÃÙŒ ÇÔ · ÂÒ¡ÒÃáÅÐà·¤â¹âÅÂÕ ·Ò§¡ÒÃᾷ··¹ÊÁÑÂáÅÐ໚¹àÅÔÈÁÒ»ÃÐÂØ¡µãªŒÍ‹ҧàËÁÒÐÊÁÊíÒËÃѺ¡ÒôÙáÅÊØ¢ÀÒ¾¢Í§¤¹ä·Â Õè Ñ ã¹¹ÒÁ¢Í§¤³º´Õ¤³Ðá¾·ÂÈÒʵÏÈÃÃÒª¾ÂÒºÒÅ ÁËÒÇÔ·ÂÒÅÑÂÁËÔ´Å ¡ÃмÁ¢Í¢Íº¤Ø³ ÔÔ ¡Í§ºÃóҸԡÒà áÅмٌ¹Ô¾¹¸·Ø¡·‹Ò¹·Õèä´Œ¨Ñ´·íÒãˌ˹ѧÊ×ÍàǪÈÒʵϷѹÂؤàÅ‹Á¹Õé ¡ÃмÁËÇѧ໚¹ Í‹ҧÂÔè§Ç‹Ò˹ѧÊ×ÍàÅ‹Á¹Õé¨Ð໚¹»ÃÐ⪹µ‹Íᾷ ¾ÂÒºÒÅ áÅкؤÅҡ÷ҧ¡ÒÃᾷ·Ø¡ÊÒ¢Ò «Ö觨С‹ÍãËŒà¡Ô´»ÃÐ⪹ÊÙ§ÊØ´µ‹Í¤Ø³ÀÒ¾ªÕÇÔµ¢Í§ÁËÒª¹ªÒÇä·Â ãËŒÊÍ´¤ÅŒÍ§¡Ñº»ÃÐà´ç¹ËÅÑ¡ ¢Í§¡Ô¨¡ÃÃÁ·Õèà©ÅÔÁ©ÅͧÇÒÃзÕèâçàÃÕ¹ᾷáË‹§áá¢Í§»ÃÐà·Èä·ÂÁÕÍÒÂØ¤Ãº 120 »‚ ¤×Í “âçàÃÕ¹ᾷÈÃÃÒªà¾×ÍÊѧ¤Á 120 »‚áË‹§¤ÇÒÁ¡ŒÒÇ˹ŒÒ” ÔÔ è ÈÒʵÃÒ¨ÒϤÅÔ¹¡¹ÒÂᾷ¸ÃÇѲ¹ ¡ØÅ·¹Ñ¹·¹ Ô Õ ¤³º´Õ¤³Ðá¾·ÂÈÒʵÏÈÃÃÒª¾ÂÒºÒÅ ÔÔ ÁËÒÇÔ·ÂÒÅÑÂÁËÔ´Å
  • 6.
    v ¡Í§ºÃóҸԡÒà ª×Í-Ê¡ØÅ è ´ÒÃÒÇÃó ǹЪÔǹÒÇÔ¹ ÇØ²¡ÒÃÈÖ¡ÉÒ Ô ¾.º., ».ªÑ¹ÊÙ§ (ÍÒÂØÃÈÒʵÏ), Ç.Ç. µ¨ÇÔ·ÂÒ, é Í.Ç. ¾ÂÒ¸ÔÇ·ÂÒ¤ÅÔ¹¡ Ô Ô µíÒá˹‹§·Ò§ÇÔªÒ¡Òà ÃͧÈÒʵÃÒ¨ÒÏ ˹‹Ç§ҹ ÊÒ¢ÒÇÔªÒâ»Ã⵫ÑÇ ÀÒ¤ÇÔªÒ»ÃÊÔµÇÔ·ÂÒ Ê¶ÒºÑ¹ ¤³Ðá¾·ÂÈÒʵÏÈÃÃÒª¾ÂÒºÒÅ ÁËÒÇÔ·ÂÒÅÑÂÁËÔ´Å ÔÔ ª×Í-Ê¡ØÅ è Á³Õ Ãѵ¹äªÂÒ¹¹· ÇØ²¡ÒÃÈÖ¡ÉÒ Ô ¾.º., ».ªÑ¹ÊÙ§ (ÊÙµÈÒʵÏ-¹ÃÕàǪÇÔ·ÂÒ), Ç.Ç. ÊÙµÈÒʵÏ-¹ÃÕàǪÇÔ·ÂÒ, é Ô Ô Cert. .ellow in Reproductive Biology, Ç.Ç. àǪÈÒʵÏ¡ÒÃà¨ÃÔ­¾Ñ¹¸Ø, Í.Ç. àǪÈÒʵϤÃͺ¤ÃÑÇ, Ç·.Á. (¡ÒþѲ¹ÒÊØ¢ÀÒ¾) µíÒá˹‹§·Ò§ÇÔªÒ¡Òà ÈÒʵÃÒ¨ÒÏ ˹‹Ç§ҹ ˹‹Çµ‹ÍÁäÃŒ·Í·Ò§¹ÃÕàǪ ÊÒ¢ÒÇÔªÒàǪÈÒʵÏ¡ÒÃà¨ÃÔ­¾Ñ¹¸Ø ‹ ÀÒ¤ÇÔªÒÊÙµÈÒʵÏ-¹ÃÕàǪÇÔ·ÂÒ Ô Ê¶ÒºÑ¹ ¤³Ðá¾·ÂÈÒʵÏÈÃÃÒª¾ÂÒºÒÅ ÁËÒÇÔ·ÂÒÅÑÂÁËÔ´Å ÔÔ ª×Í-Ê¡ØÅ è ÇÒ³Õ ÇÔÊ·¸ÔàÊÃÕǧȏ Ø ì ÇØ²¡ÒÃÈÖ¡ÉÒ Ô ¾.º., ».ªÑ¹ÊÙ§ (¡ØÁÒÃàǪÈÒʵÏ), Ç.Ç. ¡ØÁÒÃàǪÈÒʵÏ, é Dip. of Dermatology, Cert. in Ped. Dermatology, Í.Ç. (àǪÈÒʵϤÃͺ¤ÃÑÇ), Í.Ç. (¡ØÁÒÃàǪÈÒʵÏ µ¨ÇÔ·ÂÒ) µíÒá˹‹§·Ò§ÇÔªÒ¡Òà ÃͧÈÒʵÃÒ¨ÒÏ ˹‹Ç§ҹ ÊÒ¢Òâä¼ÔÇ˹ѧ ÀÒ¤ÇÔªÒ¡ØÁÒÃàǪÈÒʵÏ ʶҺѹ ¤³Ðá¾·ÂÈÒʵÏÈÃÃÒª¾ÂÒºÒÅ ÁËÒÇÔ·ÂÒÅÑÂÁËÔ´Å ÔÔ ª×Í-Ê¡ØÅ è ÇÔ·Ã ªÔ¹ÊNjҧÇѲ¹¡ØÅ Ù ÇØ²¡ÒÃÈÖ¡ÉÒ Ô ¾.º., Ç.Ç.(ÈÑÅÂÈÒʵÏ), Ph.D. (London) µíÒá˹‹§·Ò§ÇÔªÒ¡Òà ÍÒ¨ÒÏ ˹‹Ç§ҹ ÊÒ¢ÒÇÔªÒÈÑÅÂÈÒʵÏ·Çä» ÀÒ¤ÇÔªÒÈÑÅÂÈÒʵÏ Ñè ʶҺѹ ¤³Ðá¾·ÂÈÒʵÏÈÃÃÒª¾ÂÒºÒÅ ÁËÒÇÔ·ÂÒÅÑÂÁËÔ´Å ÔÔ
  • 7.
    vi ª×Í-Ê¡ØÅ è ÁÒ¹¾ ¾Ô·¡ÉÀÒ¡Ã Ñ ÇØ²¡ÒÃÈÖ¡ÉÒ Ô ¾.º., Í.Ç.(ÍÒÂØÃÈÒʵÏ) Diplomate, American Board of Internal Medicine Diplomate, American Board of Medical Genetics .ellowship in Clinical Genetics and Clinical Molecular Genetics µíÒá˹‹§·Ò§ÇÔªÒ¡Òà ¼ÙªÇÂÈÒʵÃÒ¨ÒÏ Œ ‹ ˹‹Ç§ҹ ÊÒ¢ÒÇÔªÒàǪ¾Ñ¹¸ØÈÒʵÏ ÀÒ¤ÇÔªÒÍÒÂØÃÈÒʵÏ ʶҺѹ ¤³Ðá¾·ÂÈÒʵÏÈÃÃÒª¾ÂÒºÒÅ ÁËÒÇÔ·ÂÒÅÑÂÁËÔ´Å ÔÔ
  • 8.
    vii ÃÒ¹ÒÁ¼ÙŒ¹Ô¾¹¸ Wei Mei Ching ¡Ñ­­·Í§ ·Í§ãË­‹ Doctor ÍÒ¨ÒÏ ᾷ˭ԧ ËÁ‹ÍÁËÅǧ Viral and Rickettsial Diseases Department ÀÒ¤ÇÔªÒâʵ ¹ÒÊÔ¡ ÅÒÃÔ§«Ç·ÂÒ Ô Naval Medical Research Center, MD, USA ¤³Ðá¾·ÂÈÒʵÏÈÔÃÔÃÒª¾ÂÒºÒÅ ÁËÒÇÔ·ÂÒÅÑÂÁËÔ´Å ¡¹¡ÇÃó ºØ­­¾ÔÊ®°ŠÔ ÃͧÈÒʵÃÒ¨ÒÏ ᾷ˭ԧ à¡ÃÕ§ÈÑ¡´Ôì ¨ÕÃÐᾷ ÀÒ¤ÇÔªÒÍÒÂØÃÈÒʵÏ ÈÒʵÃÒ¨ÒÏ ¹ÒÂᾷ ¤³Ðá¾·ÂÈÒʵÏÈÔÃÔÃÒª¾ÂÒºÒÅ ÀÒ¤ÇÔªÒ¡ØÁÒÃàǪÈÒʵÏ ÁËÒÇÔ·ÂÒÅÑÂÁËÔ´Å ¤³Ðá¾·ÂÈÒʵÏÈÔÃÔÃÒª¾ÂÒºÒÅ ÁËÒÇÔ·ÂÒÅÑÂÁËÔ´Å ¡ÁŷԾ ËÒ­¼´Ø§¡Ô¨ ÃͧÈÒʵÃÒ¨ÒÏ ᾷ˭ԧ ¤íÒÁØ¡ ¤ÃÍ§ÂØ·¸ ÀÒ¤ÇÔªÒàǪÈÒʵÏ¿¹¿Ù „œ ¹Ò§ÊÒÇ ¤³Ðá¾·ÂÈÒʵÏÈÔÃÔÃÒª¾ÂÒºÒÅ ÀÒ¤ÇÔªÒÃѧÊÕÇ·ÂÒ Ô ÁËÒÇÔ·ÂÒÅÑÂÁËÔ´Å ¤³Ðá¾·ÂÈÒʵÏÈÔÃÔÃÒª¾ÂÒºÒÅ ÁËÒÇÔ·ÂÒÅÑÂÁËÔ´Å ¡ÅÕºÊäº ÊÃþ¡Ô¨ ¼ÙªÇÂÈÒʵÃÒ¨ÒÏ ᾷ˭ԧ Œ ‹ ¨Ñ¹¨ÔÃÒ à¾ªÃÊØ¢ÈÔÃÔ ÀÒ¤ÇÔªÒ¡ØÁÒÃàǪÈÒʵÏ ¼ÙªÇÂÈÒʵÃÒ¨ÒÏ ᾷ˭ԧ Œ ‹ ¤³Ðá¾·ÂÈÒʵÏÈÔÃÔÃÒª¾ÂÒºÒÅ ÀÒ¤ÇÔªÒÃѧÊÕÇ·ÂÒ Ô ÁËÒÇÔ·ÂÒÅÑÂÁËÔ´Å ¤³Ðá¾·ÂÈÒʵÏÈÔÃÔÃÒª¾ÂÒºÒÅ ÁËÒÇÔ·ÂÒÅÑÂÁËÔ´Å ¡ŒÍ§à¢µ àËÃÕÂ­ÊØÇÃó ¼ÙªÇÂÈÒʵÃÒ¨ÒÏ ¹ÒÂᾷ Œ ‹ ¨Ñ¹·¹ÃÑÈÁ ¨Ñ¹·¹Âԧ§ è ÀÒ¤ÇÔªÒÈÑÅÂÈÒʵÏÍÍÏ⸻´Ô¤ÊáÅÐ ÍÒ¨ÒÏ ᾷ˭ԧ ¡ÒÂÀÒ¾ºíҺѴ ÀÒ¤ÇÔªÒÈÑÅÂÈÒʵÏÍÍÏ⸻´Ô¤ÊáÅÐ ¤³Ðá¾·ÂÈÒʵÏÈÔÃÔÃÒª¾ÂÒºÒÅ ¡ÒÂÀÒ¾ºíҺѴ ÁËÒÇÔ·ÂÒÅÑÂÁËÔ´Å ¤³Ðá¾·ÂÈÒʵÏÈÔÃÔÃÒª¾ÂÒºÒÅ ÁËÒÇÔ·ÂÒÅÑÂÁËÔ´Å
  • 9.
    viii ¨ÔµÃÅÑ´´Ò ÇÐÈÔ¹Ãѵ¹ ª¹ÔµÃÒ ¸ØÇ¨Ôµµ ÍÒ¨ÒÏ ᾷ˭ԧ ¼ÙªÇÂÈÒʵÃÒ¨ÒÏ ´Í¡àµÍÏ ᾷ˭ԧ Œ ‹ ÀÒ¤ÇÔªÒÃѧÊÕÇ·ÂÒ Ô ÀÒ¤ÇÔªÒÇÔ·ÂÒÀÙÁ¤Á¡Ñ¹ Ô ØŒ ¤³Ðá¾·ÂÈÒʵÏÈÔÃÔÃÒª¾ÂÒºÒÅ ¤³Ðá¾·ÂÈÒʵÏÈÔÃÔÃÒª¾ÂÒºÒÅ ÁËÒÇÔ·ÂÒÅÑÂÁËÔ´Å ÁËÒÇÔ·ÂÒÅÑÂÁËÔ´Å ¨ÕÃÐÊØ¢ ¨§¡ÅÇѲ¹Ò ªØµÇªÂ âµÇÔ¡¡Ñ ÔÔ Ñ ÃͧÈÒʵÃÒ¨ÒÏ ᾷ˭ԧ ÍÒ¨ÒÏ ¹ÒÂᾷ ÀÒ¤ÇÔªÒâʵ ¹ÒÊÔ¡ ÅÒÃÔ§«Ç·ÂÒ Ô ÀÒ¤ÇÔªÒÈÑÅÂÈÒʵÏ ¤³Ðá¾·ÂÈÒʵÏÈÔÃÔÃÒª¾ÂÒºÒÅ ¤³Ðá¾·ÂÈÒʵÏÈÔÃÔÃÒª¾ÂÒºÒÅ ÁËÒÇÔ·ÂÒÅÑÂÁËÔ´Å ÁËÒÇÔ·ÂÒÅÑÂÁËԴŠਵ¹ ÅíÒÂͧàʶÕÂà ⪤ªÑ àÁ¸ÕäµÃÃѵ¹ ÍÒ¨ÒÏ ¹ÒÂᾷ ÃͧÈÒʵÃÒ¨ÒÏ ¹ÒÂᾷ ÀÒ¤ÇÔªÒâʵ ¹ÒÊÔ¡ ÅÒÃÔ§«Ç·ÂÒ Ô ÀÒ¤ÇÔªÒâʵ ¹ÒÊÔ¡ ÅÒÃÔ§«Ç·ÂÒ Ô ¤³Ðá¾·ÂÈÒʵÏÈÔÃÔÃÒª¾ÂÒºÒÅ ¤³Ðá¾·ÂÈÒʵÏÈÔÃÔÃÒª¾ÂÒºÒÅ ÁËÒÇÔ·ÂÒÅÑÂÁËÔ´Å ÁËÒÇÔ·ÂÒÅÑÂÁËÔ´Å à¨É®Ò ºÑǺح¹íÒ ³Ã§¤ àÅÔÈÍÃæÂÁ³Õ ÍÒ¨ÒÏ ¹ÒÂᾷ ÃͧÈÒʵÃÒ¨ÒÏ ¹ÒÂᾷ ÀÒ¤ÇÔªÒ¡ØÁÒÃàǪÈÒʵÏ ÀÒ¤ÇÔªÒÈÑÅÂÈÒʵÏ ¤³Ðá¾·ÂÈÒʵÏÈÔÃÔÃÒª¾ÂÒºÒÅ ¤³Ðá¾·ÂÈÒʵÏÈÔÃÔÃÒª¾ÂÒºÒÅ ÁËÒÇÔ·ÂÒÅÑÂÁËÔ´Å ÁËÒÇÔ·ÂÒÅÑÂÁËÔ´Å ©Ñ¹·ÔªÒ ⪵ԡdzԪ ³Ñª¡Ã ÅéÒàÅÔȡԨ í ÍÒ¨ÒÏ ᾷ˭ԧ ÍÒ¨ÒÏ àÀÊѪ¡ÃË­Ô§ ÀÒ¤ÇÔªÒâʵ ¹ÒÊÔ¡ ÅÒÃÔ§«Ç·ÂÒ Ô Ê¶Ò¹¡ÒÃᾷἹä·Â»ÃÐÂØ¡µ ¤³Ðá¾·ÂÈÒʵÏÈÔÃÔÃÒª¾ÂÒºÒÅ ¤³Ðá¾·ÂÈÒʵÏÈÔÃÔÃÒª¾ÂÒºÒÅ ÁËÒÇÔ·ÂÒÅÑÂÁËÔ´Å ÁËÒÇÔ·ÂÒÅÑÂÁËÔ´Å ª®Ò ¾ÔÈÒž§È ³Ñ°¾Ã à·ÈÐÇÔºÅ Ø ´Í¡àµÍÏ ¼ÙªÇÂÈÒʵÃÒ¨ÒÏ ᾷ˭ԧ Œ ‹ ʶҺѹÇÔ¨ÑÂáÅоѲ¹Ò ÀÒ¤ÇÔªÒ¨Ñ¡ÉØÇ·ÂÒ Ô Í§¤¡ÒÃàÀÊѪ¡ÃÃÁ ¤³Ðá¾·ÂÈÒʵÏÈÔÃÔÃÒª¾ÂÒºÒÅ ÁËÒÇÔ·ÂÒÅÑÂÁËÔ´Å
  • 10.
    ix ³Ñ°ÇØ²Ô Ãʹ͹ѹµ ¸¹¾Å ÇÕÃÒÊÒ ¼ÙªÇÂÈÒʵÃÒ¨ÒÏ ¹ÒÂᾷ Œ ‹ ¼ÙªÇÂÈÒʵÃÒ¨ÒÏ ´Í¡àµÍÏ Œ ‹ ÀÒ¤ÇÔªÒ¨Ñ¡ÉØÇ·ÂÒ Ô ÇÔ·ÂÒÅÑ¡ÒèѴ¡Òà ¤³Ðá¾·ÂÈÒʵÏÈÔÃÔÃÒª¾ÂÒºÒÅ ÁËÒÇÔ·ÂÒÅÑÂÁËÔ´Å ÁËÒÇÔ·ÂÒÅÑÂÁËÔ´Å ¸ÇѪªÑ ÍѤÃÇÔ¾¸ Ø µ‹Í¾§É ·Í§§ÒÁ ÍÒ¨ÒÏ ¹ÒÂᾷ ¼ÙªÇÂÈÒʵÃÒ¨ÒÏ ¹ÒÂᾷ Œ ‹ ÀÒ¤ÇÔªÒÈÑÅÂÈÒʵÏ ÀÒ¤ÇÔªÒÍÒÂØÃÈÒʵÏ ¤³Ðá¾·ÂÈÒʵÏÈÔÃÔÃÒª¾ÂÒºÒÅ ¤³Ðá¾·ÂÈÒʵÏÈÔÃÔÃÒª¾ÂÒºÒÅ ÁËÒÇÔ·ÂÒÅÑÂÁËÔ´Å ÁËÒÇÔ·ÂÒÅÑÂÁËÔ´Å ¸Ñ­à´ª ¹ÔÁÁÒ¹ÇØ²¾§É Ô ·ÇÕÈ¡´Ôì àÍ×ͺح­ÒÇѲ¹ Ñ é ¼ÙªÇÂÈÒʵÃÒ¨ÒÏ ¹ÒÂᾷ Œ ‹ ÍÒ¨ÒÏ ¹ÒÂᾷ ÀÒ¤ÇÔªÒÈÑÅÂÈÒʵÏ ÀÒ¤ÇÔªÒÈÑÅÂÈÒʵÏ ¤³Ðá¾·ÂÈÒʵÏÈÔÃÔÃÒª¾ÂÒºÒÅ ¤³Ðá¾·ÂÈÒʵÏÈÔÃÔÃÒª¾ÂÒºÒÅ ÁËÒÇÔ·ÂÒÅÑÂÁËÔ´Å ÁËÒÇÔ·ÂÒÅÑÂÁËÔ´Å ¸Ñ¹ÂÒÃѵ¹ ǧȏǹҹØÃ¡É Ñ ·ÇÕ àÅÒ˾ѹ¸ ÍÒ¨ÒÏ ᾷ˭ԧ ÃͧÈÒʵÃÒ¨ÒÏ ¹ÒÂᾷ ÀÒ¤ÇÔªÒÊÙµÈÒʵÏ-¹ÃÕàǪÇÔ·ÂÒ Ô Ê¶Ò¹¡ÒÃᾷἹä·Â»ÃÐÂØ¡µ ¤³Ðá¾·ÂÈÒʵÏÈÔÃÔÃÒª¾ÂÒºÒÅ ¤³Ðá¾·ÂÈÒʵÏÈÔÃÔÃÒª¾ÂÒºÒÅ ÁËÒÇÔ·ÂÒÅÑÂÁËÔ´Å ÁËÒÇÔ·ÂÒÅÑÂÁËÔ´Å ¸ÒÃÔ¹ àÍÕÂÁྪÃÒ¾§È è ·Ñ¾¾à·¾ ·Ô¾Âà¨ÃÔ­¸ÑÁ ¹Ò ÍÒ¨ÒÏ ºÃÔɷËÇÁ·Ø¹ÊµÒ§¤ ¨íÒ¡Ñ´ Ñ Ê¶Ò¹¡ÒÃᾷἹä·Â»ÃÐÂØ¡µ ¤³Ðá¾·ÂÈÒʵÏÈÔÃÔÃÒª¾ÂÒºÒÅ ¸ÕÃ´Ò ¾ÅÍÂྪà ÁËÒÇÔ·ÂÒÅÑÂÁËÔ´Å ÍÒ¨ÒÏ ᾷ˭ԧ ÀÒ¤ÇÔªÒàǪÈÒʵÏ¿¹¿Ù „œ ¸¹¡Ã ÈÔÃÊÁØ·Ã Ô ¤³Ðá¾·ÂÈÒʵÏÈÔÃÔÃÒª¾ÂÒºÒÅ àÀÊѪ¡Ã ÁËÒÇÔ·ÂÒÅÑÂÁËÔ´Å ½†ÒÂàÀÊѪ¡ÃÃÁ âç¾ÂÒºÒÅÈÔÃÔÃÒª ¤³Ðá¾·ÂÈÒʵÏÈÔÃÔÃÒª¾ÂÒºÒÅ ÁËÒÇÔ·ÂÒÅÑÂÁËÔ´Å
  • 11.
    x ¸ÕÃÇØ²Ô ¸ÃÃÁÇԺŏÈÃÕ Ù ¹Ñ¹·ÇÃó ÇÔ¨µÃÇÒ·¡ÒÃ Ô ÍÒ¨ÒÏ ¹ÒÂᾷ ÃͧÈÒʵÃÒ¨ÒÏ ´Í¡àµÍÏ ÀÒ¤ÇÔªÒÈÑÅÂÈÒʵÏÍÍÏ⸻´Ô¤ÊáÅÐ ÀÒ¤ÇÔªÒÃѧÊÕÇ·ÂÒ Ô ¡ÒÂÀÒ¾ºíҺѴ ¤³ÐÊÒ¸ÒÃ³ÊØ¢ÈÒʵÏ ¤³Ðá¾·ÂÈÒʵÏÈÔÃÔÃÒª¾ÂÒºÒÅ ÁËÒÇÔ·ÂÒÅѸÃÃÁÈÒʵÏ ÁËÒÇÔ·ÂÒÅÑÂÁËÔ´Å ¹ÒÃҾà »ÃÐÂÙÃÇÔDz¹ Ñ ¹¹·ÅÕ à¼‹ÒÊÇÑÊ´Ôì ÃͧÈÒʵÃÒ¨ÒÏ ᾷ˭ԧ ÍÒ¨ÒÏ ᾷ˭ԧ ÀÒ¤ÇÔªÒÍÒÂØÃÈÒʵÏ ÀÒ¤ÇÔªÒÍÒÂØÃÈÒʵÏ ¤³Ðá¾·ÂÈÒʵÏÈÔÃÔÃÒª¾ÂÒºÒÅ ¤³Ðá¾·ÂÈÒʵÏÈÔÃÔÃÒª¾ÂÒºÒÅ ÁËÒÇÔ·ÂÒÅÑÂÁËÔ´Å ÁËÒÇÔ·ÂÒÅÑÂÁËÔ´Å ¹ÔµÂÒ ÇѨ¹ÐÀÙÁÔ ¹¾´Å ÈÔø¹ÒÃѵ¹¡ØÅ Ô ÃͧÈÒʵÃÒ¨ÒÏ ´Í¡àµÍÏ ¼ÙªÇÂÈÒʵÃÒ¨ÒÏ ¹ÒÂᾷ Œ ‹ ¤³ÐÊÒ¸ÒÃ³ÊØ¢ÈÒʵÏ ÀÒ¤ÇÔªÒÍÒÂØÃÈÒʵÏ ÁËÒÇÔ·ÂÒÅѸÃÃÁÈÒʵÏ ¤³Ðá¾·ÂÈÒʵÏÈÔÃÔÃÒª¾ÂÒºÒÅ ÁËÒÇÔ·ÂÒÅÑÂÁËÔ´Å ¹Ô¸ÇªÃ ÇѲ¹ÇÔ¨Òó ÔÑ ÍÒ¨ÒÏ ¹ÒÂᾷ ¹ÃÔÈ ¡Ô¨³Ã§¤ ÀÒ¤ÇÔªÒ¡ØÁÒÃàǪÈÒʵÏ ÃͧÈÒʵÃÒ¨ÒÏ ¹ÒÂᾷ ¤³Ðá¾·ÂÈÒʵÏÈÔÃÔÃÒª¾ÂÒºÒÅ ÀÒ¤ÇÔªÒ¨Ñ¡ÉØÇ·ÂÒ Ô ÁËÒÇÔ·ÂÒÅÑÂÁËÔ´Å ¤³Ðá¾·ÂÈÒʵÏÈÔÃÔÃÒª¾ÂÒºÒÅ ÁËÒÇÔ·ÂÒÅÑÂÁËÔ´Å ¹Ô¾¹¸ ¾Ç§ÇÃÔ¹·Ã ÈÒʵÃÒ¨ÒÏ ¹ÒÂᾷ ¹Ñ¹·¡Ò¹µ àÍÕÂÁǹҹ¹·ªÑ è ÀÒ¤ÇÔªÒÍÒÂØÃÈÒʵÏ ¼ÙªÇÂÈÒʵÃÒ¨ÒÏ ᾷ˭ԧ Œ ‹ ¤³Ðá¾·ÂÈÒʵÏÈÔÃÔÃÒª¾ÂÒºÒÅ ÀÒ¤ÇÔªÒÃѧÊÕÇ·ÂÒ Ô ÁËÒÇÔ·ÂÒÅÑÂÁËÔ´Å ¤³Ðá¾·ÂÈÒʵÏÈÔÃÔÃÒª¾ÂÒºÒÅ ÁËÒÇÔ·ÂÒÅÑÂÁËԴŠ๵ÃÒ ºÑÇ¡¹¡ ¹Ò§ÊÒÇ ÀÒ¤ÇÔªÒâʵ ¹ÒÊÔ¡ ÅÒÃÔ§«Ç·ÂÒ Ô ¤³Ðá¾·ÂÈÒʵÏÈÔÃÔÃÒª¾ÂÒºÒÅ ÁËÒÇÔ·ÂÒÅÑÂÁËÔ´Å
  • 12.
    xi ºÃþµ ÊÔ·¸Ô¹ÒÁÊØÇÃó »ÃÐÇѲ¹ â¦ÊÔµÐÁ§¤Å ÍÒ¨ÒÏ ¹ÒÂᾷ ÍÒ¨ÒÏ ¹ÒÂᾷ ÀÒ¤ÇÔªÒÈÑÅÂÈÒʵÏ ÀÒ¤ÇÔªÒÈÑÅÂÈÒʵÏ ¤³Ðá¾·ÂÈÒʵÏÈÔÃÔÃÒª¾ÂÒºÒÅ ¤³Ðá¾·ÂÈÒʵÏÈÔÃÔÃÒª¾ÂÒºÒÅ ÁËÒÇÔ·ÂÒÅÑÂÁËÔ´Å ÁËÒÇÔ·ÂÒÅÑÂÁËԴŠອ¨ÒÀÒ à¢ÕÂÇËÇÒ¹ »ÃÐÇԷ ÍѤÃàÊÃÕ¹¹· ÍÒ¨ÒÏ ᾷ˭ԧ ÃͧÈÒʵÃÒ¨ÒÏ ¹ÒÂᾷ ÀÒ¤ÇÔªÒÃѧÊÕÇ·ÂÒ Ô Ê¶Ò¹¡ÒÃᾷἹä·Â»ÃÐÂØ¡µ ¤³Ðá¾·ÂÈÒʵÏÈÔÃÔÃÒª¾ÂÒºÒÅ ¤³Ðá¾·ÂÈÒʵÏÈÔÃÔÃÒª¾ÂÒºÒÅ ÁËÒÇÔ·ÂÒÅÑÂÁËÔ´Å ÁËÒÇÔ·ÂÒÅÑÂÁËÔ´Å »¯ÔÁҾà ǧɏ¾ÃËÁ¾Ô·¡ÉÑ »ÃÐàǪ ÁËÒÇÔ·µÇ§È Ô ´Í¡àµÍÏ ÍÒ¨ÒÏ ¹ÒÂᾷ ÀÒ¤ÇÔªÒÇÔ·ÂÒÀÙÁ¤Á¡Ñ¹ Ô ØŒ ÀÒ¤ÇÔªÒÈÑÅÂÈÒʵÏ ¤³Ðá¾·ÂÈÒʵÏÈÔÃÔÃÒª¾ÂÒºÒÅ ¤³Ðá¾·ÂÈÒʵÏÈÔÃÔÃÒª¾ÂÒºÒÅ ÁËÒÇÔ·ÂÒÅÑÂÁËÔ´Å ÁËÒÇÔ·ÂÒÅÑÂÁËÔ´Å »ÃШѡɏ ÈÃÕþվ²¹ Ñ »ÃÐʾ¾Ã ¾Ñ¹¸à¾ç§ ÃͧÈÒʵÃÒ¨ÒÏ ¹ÒÂᾷ ÍÒ¨ÒÏ ÀÒ¤ÇÔªÒÈÑÅÂÈÒʵÏ ʶҹ¡ÒÃᾷἹä·Â»ÃÐÂØ¡µ ¤³Ðá¾·ÂÈÒʵÏÈÔÃÔÃÒª¾ÂÒºÒÅ ¤³Ðá¾·ÂÈÒʵÏÈÔÃÔÃÒª¾ÂÒºÒÅ ÁËÒÇÔ·ÂÒÅÑÂÁËÔ´Å ÁËÒÇÔ·ÂÒÅÑÂÁËÔ´Å »ÃоѲ¹ ÊØÃÂ¼Å Ô ÍÒ¨ÒÏ ´Í¡àµÍÏ »ÃÒ³Õ ªÒ­³Ã§¤ ʶҹʋ§àÊÃÔÁ¡ÒÃÇԨѠÍÒ¨ÒÏ ¤³Ðá¾·ÂÈÒʵÏÈÔÃÔÃÒª¾ÂÒºÒÅ ¤³Ðá¾·ÂÈÒʵÏ ÁËÒÇÔ·ÂÒÅÑÂÁËÔ´Å ÁËÒÇÔ·ÂÒÅѸÃÃÁÈÒʵÏ »ÃÐÁÇÅ ¤íÒá¡ŒÇ »ÃÕªÒ Á¹·¡Ò¹µÔ¡Å Ø ÍÒ¨ÒÏ ¼ÙªÇÂÈÒʵÃÒ¨ÒÏ ´Í¡àµÍÏ àÀÊѪ¡Ã Œ ‹ ʶҹ¡ÒÃᾷἹä·Â»ÃÐÂØ¡µ ½†ÒÂàÀÊѪ¡ÃÃÁ âç¾ÂÒºÒÅÈÔÃÔÃÒª ¤³Ðá¾·ÂÈÒʵÏÈÔÃÔÃÒª¾ÂÒºÒÅ âç¾ÂÒºÒÅÈÔÃÔÃÒª ÁËÒÇÔ·ÂÒÅÑÂÁËÔ´Å
  • 13.
    xii »ÃÕªÒ ÈÔ÷ͧ¶ÒÇÃ Ô ¾Ã¨ÔÃÒ »ÃÔǪÃÒ¡ØÅ Ñ ÃͧÈÒʵÃÒ¨ÒÏ ¹ÒÂᾷ ÍÒ¨ÒÏ ᾷ˭ԧ ÀÒ¤ÇÔªÒÈÑÅÂÈÒʵÏ ÀÒ¤ÇÔªÒ¨ÔµàǪÈÒʵÏ ¤³Ðá¾·ÂÈÒʵÏÈÔÃÔÃÒª¾ÂÒºÒÅ ¤³Ðá¾·ÂÈÒʵÏÈÔÃÔÃÒª¾ÂÒºÒÅ ÁËÒÇÔ·ÂÒÅÑÂÁËÔ´Å ÁËÒÇÔ·ÂÒÅÑÂÁËÔ´Å »˜·ÁÒ àªÒǏ⾸Էͧ ì ¾Ã¾ÃËÁ àÁ×ͧáÁ¹ ÍÒ¨ÒÏ ᾷ˭ԧ ÃͧÈÒʵÃÒ¨ÒÏ ¹ÒÂᾷ ÀÒ¤ÇÔªÒÊÙµÈÒʵÏ-¹ÃÕàǪÇÔ·ÂÒ Ô ÀÒ¤ÇÔªÒÈÑÅÂÈÒʵÏ ¤³Ðá¾·ÂÈÒʵÏÈÔÃÔÃÒª¾ÂÒºÒÅ ¤³Ðá¾·ÂÈÒʵÏÈÔÃÔÃÒª¾ÂÒºÒÅ ÁËÒÇÔ·ÂÒÅÑÂÁËÔ´Å ÁËÒÇÔ·ÂÒÅÑÂÁËÔ´Å »˜·ÁÒ à͡⾸Ôì ¾ÔÁ¾»ÃÐä¾ ¸ÕÃЪվ ÃͧÈÒʵÃÒ¨ÒÏ ´Í¡àµÍÏ ¹Ò§ ÀÒ¤ÇÔªÒÇÔ·ÂÒÀÙÁ¤Á¡Ñ¹ Ô ØŒ ÃÑ¡ÉÒ¡ÒÃÃͧ¼ÙŒÍíҹǡÒà ¤³Ðá¾·ÂÈÒʵÏÈÔÃÔÃÒª¾ÂÒºÒÅ ÈٹºÃÔËÒ÷ÃѾÊÔ¹·Ò§»˜­­Ò ÁËÒÇÔ·ÂÒÅÑÂÁËÔ´Å ÁËÒÇÔ·ÂÒÅÑÂÁËÔ´Å »ÒÃÂÐ ÍÒȹÐàʹ à¾ç­Ç´Õ ¾Ñ²¹»ÃÕªÒ¡ØÅ ¼ÙªÇÂÈÒʵÃÒ¨ÒÏ ¹ÒÂᾷ Œ ‹ ÍÒ¨ÒÏ ᾷ˭ԧ ÀÒ¤ÇÔªÒâʵ ¹ÒÊÔ¡ ÅÒÃÔ§«Ç·ÂÒ Ô ÀÒ¤ÇÔªÒµ¨ÇÔ·ÂÒ ¤³Ðá¾·ÂÈÒʵÏÈÔÃÔÃÒª¾ÂÒºÒÅ ¤³Ðá¾·ÂÈÒʵÏÈÔÃÔÃÒª¾ÂÒºÒÅ ÁËÒÇÔ·ÂÒÅÑÂÁËÔ´Å ÁËÒÇÔ·ÂÒÅÑÂÁËÔ´Å »‚µÔ ¸ØÇ¨Ôµµ 侺Ùŏ ÊØÃ¾§É Õ  ¼ÙªÇÂÈÒʵÃÒ¨ÒÏ ´Í¡àµÍÏ ¹ÒÂᾷ Œ ‹ ÍÒ¨ÒÏ ¹ÒÂᾷ ʶҹʋ§àÊÃÔÁ¡ÒÃÇԨѠÀÒ¤ÇÔªÒâʵ ¹ÒÊÔ¡ ÅÒÃÔ§«Ç·ÂÒ Ô ¤³Ðá¾·ÂÈÒʵÏÈÔÃÔÃÒª¾ÂÒºÒÅ ¤³Ðá¾·ÂÈÒʵÏÈÔÃÔÃÒª¾ÂÒºÒÅ ÁËÒÇÔ·ÂÒÅÑÂÁËÔ´Å ÁËÒÇÔ·ÂÒÅÑÂÁËÔ´Å ¾§È¡Ã µÑ¹µÔÅ»¡Ã Õ  ÀÒÇÔ¹ à¡É¡ØÅ ¼ÙªÇÂÈÒʵÃÒ¨ÒÏ ¹ÒÂᾷ Œ ‹ ¼ÙªÇÂÈÒʵÃÒ¨ÒÏ ¹ÒÂᾷ Œ ‹ ÀÒ¤ÇÔªÒâʵ ¹ÒÊÔ¡ ÅÒÃÔ§«Ç·ÂÒ Ô ÀÒ¤ÇÔªÒâʵ ¹ÒÊÔ¡ ÅÒÃÔ§«Ç·ÂÒ Ô ¤³Ðá¾·ÂÈÒʵÏÈÔÃÔÃÒª¾ÂÒºÒÅ ¤³Ðá¾·ÂÈÒʵÏÈÔÃÔÃÒª¾ÂÒºÒÅ ÁËÒÇÔ·ÂÒÅÑÂÁËÔ´Å ÁËÒÇÔ·ÂÒÅÑÂÁËÔ´Å
  • 14.
    xiii ÀÔ­¹ÔµÒ µÑ¹¸ØÇ¹ÔµÂ ÃоԹ·Ã ¾ÔÁÅÈÒʹµÔì ÃͧÈÒʵÃÒ¨ÒÏ ᾷ˭ԧ ÍÒ¨ÒÏ ¹ÒÂᾷ ÀÒ¤ÇÔªÒ¨Ñ¡ÉØÇ·ÂÒ Ô ÀÒ¤ÇÔªÒÈÑÅÂÈÒʵÏÍÍÏ⸻´Ô¤ÊáÅÐ ¤³Ðá¾·ÂÈÒʵÏÈÔÃÔÃÒª¾ÂÒºÒÅ ¡ÒÂÀÒ¾ºíҺѴ ÁËÒÇÔ·ÂÒÅÑÂÁËÔ´Å ¤³Ðá¾·ÂÈÒʵÏÈÔÃÔÃÒª¾ÂÒºÒÅ ÁËÒÇÔ·ÂÒÅÑÂÁËÔ´Å Á§¤Å ÍØÂ»ÃÐàÊÃÔ°¡ØÅ ¼ÙªÇÂÈÒʵÃÒ¨ÒÏ ¹ÒÂᾷ Œ ‹ Ãѵ´ÒÇÃó ·Ô¾Âà¨ÃÔ­¸ÑÁ ÀÒ¤ÇÔªÒ¾ÂÒ¸ÔÇ·ÂÒ Ô ÍÒ¨ÒÏ ¤³Ðá¾·ÂÈÒʵÏÈÔÃÔÃÒª¾ÂÒºÒŠʶҹᾷἹä·Â»ÃÐÂØ¡µ ÁËÒÇÔ·ÂÒÅÑÂÁËÔ´Å ¤³Ðá¾·ÂÈÒʵÏÈÔÃÔÃÒª¾ÂÒºÒÅ ÁËÒÇÔ·ÂÒÅÑÂÁËÔ´Å Á³Õ Ãѵ¹äªÂÒ¹¹· ÈÒʵÃÒ¨ÒÏ ᾷ˭ԧ ÃØ§¹Ôù´Ã »ÃдÔÉ°ÊØÇÃó ‹ Ñ ÀÒ¤ÇÔªÒÊÙµÈÒʵÏ-¹ÃÕàǪÇÔ·ÂÒ Ô ¼ÙªÇÂÈÒʵÃÒ¨ÒÏ ¹ÒÂᾷ Œ ‹ ¤³Ðá¾·ÂÈÒʵÏÈÔÃÔÃÒª¾ÂÒºÒÅ ÀÒ¤ÇÔªÒÍÒÂØÃÈÒʵÏ ÁËÒÇÔ·ÂÒÅÑÂÁËÔ´Å ¤³Ðá¾·ÂÈÒʵÏÈÔÃÔÃÒª¾ÂÒºÒÅ ÁËÒÇÔ·ÂÒÅÑÂÁËԴЧªÑ ¹ÔÅй¹· ÍÒ¨ÒÏ ¹ÒÂᾷ ÅÐÍͧÈÃÕ ÍѪª¹ÕÂÐÊ¡ØÅ ÀÒ¤ÇÔªÒÍÒÂØÃÈÒʵÏ ÈÒʵÃÒ¨ÒÏ ᾷ˭ԧ ¤³Ðá¾·ÂÈÒʵÏÈÔÃÔÃÒª¾ÂÒºÒÅ ÀÒ¤ÇÔªÒ¨Ñ¡ÉØÇ·ÂÒ Ô ÁËÒÇÔ·ÂÒÅÑÂÁËÔ´Å ¤³Ðá¾·ÂÈÒʵÏÈÔÃÔÃÒª¾ÂÒºÒÅ ÁËÒÇÔ·ÂÒÅÑÂÁËÔ´Å Â§ÂØ·¸ ÈÔÃDz¹ÍÑ¡Éà ÔÑ ÍÒ¨ÒÏ ´Í¡àµÍÏ ¹ÒÂᾷ ÇÃÁÔ¹·Ã àËÃÕÂ­ÊØÇÃó ÀÒ¤ÇÔªÒÈÑÅÂÈÒʵÏ ÍÒ¨ÒÏ ¹ÒÂᾷ ¤³Ðá¾·ÂÈÒʵÏÈÔÃÔÃÒª¾ÂÒºÒÅ ÀÒ¤ÇÔªÒÈÑÅÂÈÒʵÏ ÁËÒÇÔ·ÂÒÅÑÂÁËÔ´Å ¤³Ðá¾·ÂÈÒʵÏÈÔÃÔÃÒª¾ÂÒºÒÅ ÁËÒÇÔ·ÂÒÅÑÂÁËÔ´Å ÂØ¾¹ ÈØ¾·¸Á§¤Å Ô Ø ÈÒʵÃÒ¨ÒÏ ᾷ˭ԧ ÇÃó´Õ ¾ÅÒ¹ØÀÒ¾ ÀÒ¤ÇÔªÒÍÒÂØÃÈÒʵÏ ÍÒ¨ÒÏ ·Ñ¹µá¾·ÂË­Ô§ ¤³Ðá¾·ÂÈÒʵÏÈÔÃÔÃÒª¾ÂÒºÒÅ §Ò¹·Ñ¹µ¡ÃÃÁ âç¾ÂÒºÒÅÈÔÃÔÃÒª ÁËÒÇÔ·ÂÒÅÑÂÁËÔ´Å ¤³Ðá¾·ÂÈÒʵÏÈÔÃÔÃÒª¾ÂÒºÒÅ ÁËÒÇÔ·ÂÒÅÑÂÁËÔ´Å
  • 15.
    xiv ÇÃóÇÃÒ§¤ ÊØ·¸Ô¤ÃÕ Õ ÇÅÑÂÅѡɳ ªÑÂÊٵà ÍÒ¨ÒÏ ᾷ˭ԧ ¼ÙªÇÂÈÒʵÃÒ¨ÒÏ ᾷ˭ԧ Œ ‹ ÀÒ¤ÇÔªÒÃѧÊÕÇ·ÂÒ Ô ÀÒ¤ÇÔªÒÃѧÊÕÇ·ÂÒ Ô ¤³Ðá¾·ÂÈÒʵÏÈÔÃÔÃÒª¾ÂÒºÒÅ ¤³Ðá¾·ÂÈÒʵÏÈÔÃÔÃÒª¾ÂÒºÒÅ ÁËÒÇÔ·ÂÒÅÑÂÁËÔ´Å ÁËÒÇÔ·ÂÒÅÑÂÁËÔ´Å ÇÃóРÁËÒ¡ÔµµÔ¤³ Ø ÇѲ¹ªÑ ⪵ԹÂÇѵáØÅ Ñ ÃͧÈÒʵÃÒ¨ÒÏ ÍÒ¨ÒÏ ¹ÒÂᾷ ÀÒ¤ÇÔªÒ»ÃÊÔµÇÔ·ÂÒ ÀÒ¤ÇÔªÒÍÒÂØÃÈÒʵÏ ¤³Ðá¾·ÂÈÒʵÏÈÔÃÔÃÒª¾ÂÒºÒÅ ¤³Ðá¾·ÂÈÒʵÏÈÔÃÔÃÒª¾ÂÒºÒÅ ÁËÒÇÔ·ÂÒÅÑÂÁËÔ´Å ÁËÒÇÔ·ÂÒÅÑÂÁËÔ´Å ÇÃÇÔª­ àËÅ×ͧàǪ¡Òà Çѹà¾ç­ ÀÔ­â­ÀÒÊ¡ØÅ ÍÒ¨ÒÏ ¹ÒÂᾷ ÍÒ¨ÒÏ ´Í¡àµÍÏ ÀÒ¤ÇÔªÒÇÔ·ÂÒÀÙÁ¤Á¡Ñ¹ Ô ØŒ ¤³Ð¾ÂÒºÒÅÈÒʵÏ ¤³Ðá¾·ÂÈÒʵÏÈÔÃÔÃÒª¾ÂÒºÒÅ ÁËÒÇÔ·ÂÒÅÑÂÁËÔ´Å ÁËÒÇÔ·ÂÒÅÑÂÁËÔ´Å ÇÔª­ ºÃóËÔÃ­Ñ ÇÃÒÂØ »ÃѪ­¡ØÅ ¼ÙªÇÂÈÒʵÃÒ¨ÒÏ ¹ÒÂᾷ Œ ‹ ÍÒ¨ÒÏ ¹ÒÂᾷ ÀÒ¤ÇÔªÒâʵ ¹ÒÊÔ¡ ÅÒÃÔ§«Ç·ÂÒ Ô ÀÒ¤ÇÔªÒÍÒÂØÃÈÒʵÏ ¤³Ðá¾·ÂÈÒʵÏÈÔÃÔÃÒª¾ÂÒºÒÅ ¤³Ðá¾·ÂÈÒʵÏÈÔÃÔÃÒª¾ÂÒºÒÅ ÁËÒÇÔ·ÂÒÅÑÂÁËÔ´Å ÁËÒÇÔ·ÂÒÅÑÂÁËÔ´Å ÇÔ·Ã ªÔ¹ÊNjҧÇѲ¹¡ØÅ Ù ÇÃÒÅѡɳ ÈÃÕ¹¹·»ÃÐàÊÃÔ° ÍÒ¨ÒÏ ¹ÒÂᾷ ÍÒ¨ÒÏ ᾷ˭ԧ ÀÒ¤ÇÔªÒÈÑÅÂÈÒʵÏ ÀÒ¤ÇÔªÒÍÒÂØÃÈÒʵÏ ¤³Ðá¾·ÂÈÒʵÏÈÔÃÔÃÒª¾ÂÒºÒÅ ¤³Ðá¾·ÂÈÒʵÏÈÔÃÔÃÒª¾ÂÒºÒÅ ÁËÒÇÔ·ÂÒÅÑÂÁËÔ´Å ÁËÒÇÔ·ÂÒÅÑÂÁËÔ´Å ÇÔÀÒÀó ÈÃÕ¾¨¹¸ÃÃÁ ÇÃØµÁ ¾§ÈÒ¾Ôª­ ¹Ò§ ÍÒ¨ÒÏ ¹ÒÂᾷ ½†Ò¡ÒþÂÒºÒÅ ÀÒ¤ÇÔªÒâʵ ¹ÒÊÔ¡ ÅÒÃÔ§«Ç·ÂÒ Ô ¤³Ðá¾·ÂÈÒʵÏÈÔÃÔÃÒª¾ÂÒºÒÅ ¤³Ðá¾·ÂÈÒʵÏÈÔÃÔÃÒª¾ÂÒºÒÅ ÁËÒÇÔ·ÂÒÅÑÂÁËÔ´Å ÁËÒÇÔ·ÂÒÅÑÂÁËÔ´Å
  • 16.
    xv ÇÔÅÒÇѳ ¶ÔÃÀѷþ§È ÈÃѳ ¹Ñ¹·ÍÒÃÕ ÍÒ¨ÒÏ ᾷ˭ԧ ÍÒ¨ÒÏ ¹ÒÂᾷ ÀÒ¤ÇÔªÒàǪÈÒʵÏ¿¹¿Ù „œ ÀÒ¤ÇÔªÒÈÑÅÂÈÒʵÏ ¤³Ðá¾·ÂÈÒʵÏÈÔÃÔÃÒª¾ÂÒºÒÅ ¤³Ðá¾·ÂÈÒʵÏÈÔÃÔÃÒª¾ÂÒºÒÅ ÁËÒÇÔ·ÂÒÅÑÂÁËÔ´Å ÁËÒÇÔ·ÂÒÅÑÂÁËÔ´Å ÇÔäÅ ¤Ø»µ¹ÃµÈ¡ØÅ ÔÑ Ô Ñ ÈÃÕ»ÃÐÊÔ·¸Ôì ºØ­ÇÔÊ·¸Ôì Ø ÃͧÈÒʵÃÒ¨ÒÏ ᾷ˭ԧ ÈÒʵÃÒ¨ÒÏ ¹ÒÂᾷ ÀÒ¤ÇÔªÒàǪÈÒʵÏ¿¹¿Ù „œ ÀÒ¤ÇÔªÒÈÑÅÂÈÒʵÏ ¤³Ðá¾·ÂÈÒʵÏÈÔÃÔÃÒª¾ÂÒºÒÅ ¤³Ðá¾·ÂÈÒʵÏÈÔÃÔÃÒª¾ÂÒºÒÅ ÁËÒÇÔ·ÂÒÅÑÂÁËÔ´Å ÁËÒÇÔ·ÂÒÅÑÂÁËÔ´Å ÇÔÉ³Ø ¡ÑÁ·Ã·Ô¾Â ÈÃÕÇÁÅ Áâ¹àªÕÂǾԹ¨ Ô è Ô ¼ÙªÇÂÈÒʵÃÒ¨ÒÏ ¹ÒÂᾷ Œ ‹ ¼ÙªÇÂÈÒʵÃÒ¨ÒÏ ´Í¡àµÍÏ Œ ‹ ÀÒ¤ÇÔªÒàǪÈÒʵÏ¿¹¿Ù „œ ÀÒ¤ÇÔªÒàǪÈÒʵÏ¿¹¿Ù „œ ¤³Ðá¾·ÂÈÒʵÏÈÔÃÔÃÒª¾ÂÒºÒÅ ¤³Ðá¾·ÂÈÒʵÏÈÔÃÔÃÒª¾ÂÒºÒÅ ÁËÒÇÔ·ÂÒÅÑÂÁËÔ´Å ÁËÒÇÔ·ÂÒÅÑÂÁËÔ´Å ÇÕÃÇ´Õ ¨Ñ¹·Ã¹ÔÀÒ¾§È ÈÔÇоà äªÂ¹ØÇµÔ Ñ ÍÒ¨ÒÏ ᾷ˭ԧ ¼ÙªÇÂÈÒʵÃÒ¨ÒÏ ᾷ˭ԧ Œ ‹ ÀÒ¤ÇÔªÒàÀÊѪÇÔ·ÂÒ ÀÒ¤ÇÔªÒÍÒÂØÃÈÒʵÏ ¤³Ðá¾·ÂÈÒʵÏÈÔÃÔÃÒª¾ÂÒºÒÅ ¤³Ðá¾·ÂÈÒʵÏÈÔÃÔÃÒª¾ÂÒºÒÅ ÁËÒÇÔ·ÂÒÅÑÂÁËÔ´Å ÁËÒÇÔ·ÂÒÅÑÂÁËÔ´Å ÇÕÃÈÑ¡´Ôì àÁ×ͧä¾ÈÒŠʧ¤ÃÒÁ ⪵ԡ͹تµÔ ¼ÙªÇÂÈÒʵÃÒ¨ÒÏ ¹ÒÂᾷ Œ ‹ ¹ÒÂᾷ àǪÈÒʵϻͧ¡Ñ¹áÅÐÊѧ¤Á ‡ ÀÒ¤ÇÔªÒÍÒÂØÃÈÒʵÏ ¤³Ðá¾·ÂÈÒʵÏÈÔÃÔÃÒª¾ÂÒºÒÅ ¤³Ðá¾·ÂÈÒʵÏÈÔÃÔÃÒª¾ÂÒºÒÅ ÁËÒÇÔ·ÂÒÅÑÂÁËÔ´Å ÁËÒÇÔ·ÂÒÅÑÂÁËÔ´Å
  • 17.
    xvi ʺ§ ÈÃÕÇÃóºÙó ÊÃÇÔÈ ÇÕÃÇÃó ÃͧÈÒʵÃÒ¨ÒÏ ¹ÒÂᾷ ÍÒ¨ÒÏ ¹ÒÂᾷ ÀÒ¤ÇÔªÒ¨Ñ¡ÉØÇ·ÂÒ Ô ÀÒ¤ÇÔªÒ¡ØÁÒÃàǪÈÒʵÏ ¤³Ðá¾·ÂÈÒʵÏÈÔÃÔÃÒª¾ÂÒºÒÅ ¤³Ðá¾·ÂÈÒʵÏÈÔÃÔÃÒª¾ÂÒºÒÅ ÁËÒÇÔ·ÂÒÅÑÂÁËÔ´Å ÁËÒÇÔ·ÂÒÅÑÂÁËÔ´Å ÊÁà¡ÕÂÃµÔ ÈÔÃõ¹¾Ä¡É ÔÑ ÊѨ¨Ò ã¨à¤Ã‹§ ´Í¡àµÍÏ ¹ÒÂᾷ ¹Ò ¹ÒÂᾷªíÒ¹Ò­¡ÒþÔàÈÉ ÀÒ¤ÇÔªÒÃѧÊÕÇ·ÂÒ Ô ÃÑ¡ÉÒÃÒª¡ÒÃá·¹¼ÙŒÍíҹǡÒà ¤³Ðá¾·ÂÈÒʵÏÈÔÃÔÃÒª¾ÂÒºÒÅ Êíҹѡâä¨Ò¡¡ÒûÃСͺÍÒªÕ¾ áÅÐ ÁËÒÇÔ·ÂÒÅÑÂÁËÔ´Å ÊÔè§áÇ´ÅŒÍÁ¡ÃÁ¤Çº¤ØÁâä ¡ÃзÃǧÊÒ¸ÒÃ³ÊØ¢ ÊÑÁÁ¹ â©Á©Ò ¼ÙªÇÂÈÒʵÃÒ¨ÒÏ ¹ÒÂᾷ Œ ‹ ÊÁªÑ ÅÔÁÈÃÕ¨ÒàÃÔ­ é í ÀÒ¤ÇÔªÒàǪÈÒʵϻͧ¡Ñ¹áÅÐÊѧ¤Á ‡ ÍÒ¨ÒÏ ¹ÒÂᾷ ¤³Ðá¾·ÂÈÒʵÏÈÔÃÔÃÒª¾ÂÒºÒÅ ÀÒ¤ÇÔªÒÈÑÅÂÈÒʵÏ ÁËÒÇÔ·ÂÒÅÑÂÁËÔ´Å ¤³Ðá¾·ÂÈÒʵÏÈÔÃÔÃÒª¾ÂÒºÒÅ ÁËÒÇÔ·ÂÒÅÑÂÁËÔ´Å ÊÔáҹµ ÀÙâ»Ã‹§ Ô ÍÒ¨ÒÏ ÊÁÃÒª ¸ÃÃÁ¸ÃÇѲ¹ ʶҹ¡ÒÃᾷἹä·Â»ÃÐÂØ¡µ ÍÒ¨ÒÏ ¹ÒÂᾷ ¤³Ðá¾·ÂÈÒʵÏÈÔÃÔÃÒª¾ÂÒºÒÅ ÀÒ¤ÇÔªÒÃѧÊÕÇ·ÂÒ Ô ÁËÒÇÔ·ÂÒÅÑÂÁËÔ´Å ¤³Ðá¾·ÂÈÒʵÏÈÔÃÔÃÒª¾ÂÒºÒÅ ÁËÒÇÔ·ÂÒÅÑÂÁËÔ´Å ÊÔÃÍà µÃÔµÃСÒÃ Ô ÍÒ¨ÒÏ ᾷ˭ԧ ÊÁÄ´Õ ©ÑµÃÊÔÃà¨ÃÔ­¡ØÅ Ô ÀÒ¤ÇÔªÒÃѧÊÕÇ·ÂÒ Ô ¼ÙªÇÂÈÒʵÃÒ¨ÒÏ ᾷ˭ԧ Œ ‹ ¤³Ðá¾·ÂÈÒʵÏÈÔÃÔÃÒª¾ÂÒºÒÅ ÀÒ¤ÇÔªÒàÀÊѪÇÔ·ÂÒ ÁËÒÇÔ·ÂÒÅÑÂÁËÔ´Å ¤³Ðá¾·ÂÈÒʵÏÈÔÃÔÃÒª¾ÂÒºÒÅ ÁËÒÇÔ·ÂÒÅÑÂÁËÔ´Å Ê׺ǧȏ ¨Ø±ÒÀÔÊ·¸Ôì Ô ÍÒ¨ÒÏ ¹ÒÂᾷ ÀÒ¤ÇÔªÒÈÑÅÂÈÒʵÏ ¤³Ðá¾·ÂÈÒʵÏÈÔÃÔÃÒª¾ÂÒºÒÅ ÁËÒÇÔ·ÂÒÅÑÂÁËÔ´Å
  • 18.
    xvii ÊØªÒ´Ò ÍÔ¹·ÇÔDz¹ Ñ ÊØÇ¨¹Ò ͸ÔÀÒÊ Ñ ¼ÙªÇÂÈÒʵÃÒ¨ÒÏ ᾷ˭ԧ Œ ‹ ¼ÙªÇÂÈÒʵÃÒ¨ÒÏ ᾷ˭ԧ Œ ‹ ÀÒ¤ÇÔªÒÊÙµÈÒʵÏ-¹ÃÕàǪÇÔ·ÂÒ Ô ÀÒ¤ÇÔªÒâʵ ¹ÒÊÔ¡ ÅÒÃÔ§«Ç·ÂÒ Ô ¤³Ðá¾·ÂÈÒʵÏÈÔÃÔÃÒª¾ÂÒºÒÅ ¤³Ðá¾·ÂÈÒʵÏÈÔÃÔÃÒª¾ÂÒºÒÅ ÁËÒÇÔ·ÂÒÅÑÂÁËÔ´Å ÁËÒÇÔ·ÂÒÅÑÂÁËÔ´Å ÊØ¹¹· ͧÍÒ¨ Ñ Í¹Ñ­­ ྱdzԪ ÍÒ¨ÒÏ ᾷ˭ԧ ¼ÙªÇÂÈÒʵÃÒ¨ÒÏ ¹ÒÂᾷ Œ ‹ ÀÒ¤ÇÔªÒâʵ ¹ÒÊÔ¡ ÅÒÃÔ§«Ç·ÂÒ Ô ÀÒ¤ÇÔªÒâʵ ¹ÒÊÔ¡ ÅÒÃÔ§«Ç·ÂÒ Ô ¤³Ðá¾·ÂÈÒʵÏÈÔÃÔÃÒª¾ÂÒºÒÅ ¤³Ðá¾·ÂÈÒʵÏÈÔÃÔÃÒª¾ÂÒºÒÅ ÁËÒÇÔ·ÂÒÅÑÂÁËÔ´Å ÁËÒÇÔ·ÂÒÅÑÂÁËÔ´Å ÊØ»ÃÕªÒ ÍÑÊǡҭ¨¹ ÍÀÔªÒµÔ ¾ÔÈÒž§È ÍÒ¨ÒÏ ¹ÒÂᾷ ÍÒ¨ÒÏ ¹ÒÂᾷ ÀÒ¤ÇÔªÒÈÑÅÂÈÒʵÏ ÀÒ¤ÇÔªÒÍÒÂØÃÈÒʵÏ ¤³Ðá¾·ÂÈÒʵÏÈÔÃÔÃÒª¾ÂÒºÒÅ ¤³Ðá¾·ÂÈÒʵÏÈÔÃÔÃÒª¾ÂÒºÒÅ ÁËÒÇÔ·ÂÒÅÑÂÁËÔ´Å ÁËÒÇÔ·ÂÒÅÑÂÁËÔ´Å ÊØ¾¨¹ ¹ÔÁ͹§¤ è Í÷Ñ ¾ÔºÅâÀ¤Ò¹Ñ¹· Ù ÍÒ¨ÒÏ ¹ÒÂᾷ ÃͧÈÒʵÃÒ¨ÒÏ ᾷ˭ԧ ÀÒ¤ÇÔªÒÍÒÂØÃÈÒʵÏ ÀÒ¤ÇÔªÒ¡ØÁÒÃàǪÈÒʵÏ ¤³Ðá¾·ÂÈÒʵÏÈÔÃÔÃÒª¾ÂÒºÒÅ ¤³Ðá¾·ÂÈÒʵÏÈÔÃÔÃÒª¾ÂÒºÒÅ ÁËÒÇÔ·ÂÒÅÑÂÁËÔ´Å ÁËÒÇÔ·ÂÒÅÑÂÁËÔ´Å ÊØÁ¹ÑÊ ºØ³ÂÐÃѵàǪ ÍѤ¤¾§É ¹ÔµÊ§Ë Ô Ô ÍÒ¨ÒÏ ¹ÒÂᾷ ÍÒ¨ÒÏ ¹ÒÂᾷ ÀÒ¤ÇÔªÒµ¨ÇÔ·ÂÒ ÀÒ¤ÇÔªÒÈÑÅÂÈÒʵÏ ¤³Ðá¾·ÂÈÒʵÏÈÔÃÔÃÒª¾ÂÒºÒÅ ¤³Ðá¾·ÂÈÒʵÏÈÔÃÔÃÒª¾ÂÒºÒÅ ÁËÒÇÔ·ÂÒÅÑÂÁËÔ´Å ÁËÒÇÔ·ÂÒÅÑÂÁËÔ´Å ÊØÇÃÃ³Õ ÊØÃàÈóÕǧȏ ÍÑ­ªÅÕ ªÙâ蹏 ÈÒʵÃÒ¨ÒÏ ᾷ˭ԧ ÃͧÈÒʵÃÒ¨ÒÏ ᾷ˭ԧ ÀÒ¤ÇÔªÒÇÔÊ­­ÕÇ·ÂÒ Ñ Ô ÀÒ¤ÇÔªÒÃѧÊÕÇ·ÂÒ Ô ¤³Ðá¾·ÂÈÒʵÏÈÔÃÔÃÒª¾ÂÒºÒÅ ¤³Ðá¾·ÂÈÒʵÏÈÔÃÔÃÒª¾ÂÒºÒÅ ÁËÒÇÔ·ÂÒÅÑÂÁËÔ´Å ÁËÒÇÔ·ÂÒÅÑÂÁËÔ´Å
  • 19.
    xviii ÍѰ¾Ã µÃСÒÃʧ‹Ò ÍØäÃÇÃó ÈÔÅ»ÈØÀ¡Ãǧȏ ÍÒ¨ÒÏ ¹ÒÂᾷ àÀÊѪ¡ÃË­Ô§ ÀÒ¤ÇÔªÒÈÑÅÂÈÒʵÏ ½†ÒÂàÀÊѪ¡ÃÃÁ âç¾ÂÒºÒÅÈÔÃÔÃÒª ¤³Ðá¾·ÂÈÒʵÏÈÔÃÔÃÒª¾ÂÒºÒÅ ¤³Ðá¾·ÂÈÒʵÏÈÔÃÔÃÒª¾ÂÒºÒÅ ÁËÒÇÔ·ÂÒÅÑÂÁËÔ´Å ÁËÒÇÔ·ÂÒÅÑÂÁËÔ´Å ÍÑÉ®Ò àÁ¸àÈÃɰ àÍ¡ÇØ²Ô ¨Ñ¹á¡ŒÇ ¼ÙªÇÂÈÒʵÃÒ¨ÒÏ ¹ÒÂᾷ Œ ‹ ÍÒ¨ÒÏ ¹ÒÂᾷ ÀÒ¤ÇÔªÒÈÑÅÂÈÒʵÏ ÀÒ¤ÇÔªÒÈÑÅÂÈÒʵÏ ¤³Ðá¾·ÂÈÒʵÏÈÔÃÔÃÒª¾ÂÒºÒÅ ¤³Ðá¾·ÂÈÒʵÏÈÔÃÔÃÒª¾ÂÒºÒÅ ÁËÒÇÔ·ÂÒÅÑÂÁËÔ´Å ÁËÒÇÔ·ÂÒÅÑÂÁËÔ´Å ÍÒªÇÔ¹·Ã µÑ¹ä¾¨ÔµÃ ÍÒ¨ÒÏ ¹ÒÂᾷ ÀÒ¤ÇÔªÒâʵ ¹ÒÊÔ¡ ÅÒÃÔ§«Ç·ÂÒ Ô ¤³Ðá¾·ÂÈÒʵÏÈÔÃÔÃÒª¾ÂÒºÒÅ ÁËÒÇÔ·ÂÒÅÑÂÁËÔ´Å
  • 20.
    xix ÊÒúѭ ¤íÒ¹íÒ iii ¤íÒ¹ÔÂÁ iv ¡Í§ºÃóҸԡÒà v ÃÒ¹ÒÁ¼ÙŒ¹Ô¾¹¸ vii ËÑÇ¢ŒÍàÃ×èͧµÒÁÊÒ¢ÒÇÔªÒ ¡ØÁÒÃàǪÈÒʵÏ 1 Childhood Seizure and Epilepsy 1 ÊÃÇÔÈ ÇÕÃÇÃó 2 ·Òá¡Ç¹¼Ô´»Ã¡µÔ 13 à¡ÃÕ§ÈÑ¡´Ôì ¨ÕÃÐᾷ 3 ¡ÒÃÇÔ¹¨©Ñ¡ÒÃᾌÍÒËÒÃÊíÒËÃѺàǪ»¯Ôºµ·Çä» Ô Ñ Ô Ñè 21 Í÷Ñ ¾ÔºÅâÀ¤Ò¹Ñ¹· Ù ¨Ñ¡ÉØÇÔ·ÂÒ 4 Cultivated Epithelial Cell in Ophthalmology, When and How? 35 ÀÔ­¹ÔµÒ µÑ¹¸ØÇ¹ÔµÂ, ³Ñ°¾Ã à·ÈÐÇÔºÅ, »˜·ÁÒ à͡⾸Ô,ì Á§¤Å ÍØÂ»ÃÐàÊÃÔ°¡ØÅ Ø 5 ¡ÒÃÃÑ¡ÉÒÀÒÇÐÊÒµҼԴ»¡µÔ´Ç LASIK: ÊÔ§¹‹ÒÃٹ͡à˹×ͨҡ¡Ò÷íÒàÅÊÔ¡ Œ è Œ 43 ³Ñ°ÇØ²Ô Ãʹ͹ѹµ, ʺ§ ÈÃÕÇÃóºÙó, ¹ÃÔÈ ¡Ô¨³Ã§¤ 6 New Era for Pediatric Eye Cancer Treatment 47 ÅÐÍͧÈÃÕ ÍѪª¹ÕÂÐÊ¡ØÅ 7 ¡ÒÃÃÑ¡ÉÒÁÐàÃ秨͵Òã¹à´ç¡´ŒÇÂÂÒà¤ÁպҺѴ í 51 à¨É®Ò ºÑǺح¹íÒ, ¡ÅÕºÊäº ÊÃþ¡Ô¨ µ¨ÇÔ·ÂÒ 8 .ungal Skin Infection: A Neighborhood Touch 53 ÊØÁ¹ÑÊ ºØ­ÂÐÃѵàǪ 9 âäàª×ÍÃÒ·Õ¼Ç˹ѧªÑ¹ÅÖ¡ é è Ô é 59 à¾ç­Ç´Õ ¾Ñ²¹»ÃÕªÒ¡ØÅ
  • 21.
    xx àÀÊѪÇÔ·ÂÒ 10 ¡ÒÃà¡Ô´»¯Ô¡ÃÂÒÃÐËNjҧÂÒ·ÕÁ¤ÇÒÁÊíҤѭ·Ò§¤ÅÔ¹¡ ÔÔ è Õ Ô 69 ÊÁÄ´Õ ©ÑµÃÊÔÃà¨ÃÔ­¡ØÅ Ô 11 Availability of Antidote: A Current Status in Thailand 75 ¸¹¡Ã ÈÔÃÊÁØ·Ã Ô 12 Drug Administration Pitfalls: .rom Practitioner to Patient 81 »ÃÕªÒ Á¹·¡Ò¹µÔ¡Å Ø 13 Drug Administration Pitfalls: Case Studies 87 ÍØäÃÇÃó ÈÔÅ»ÈØÀ¡Ãǧȏ 14 ¡ÒÃ㪌 Trigger Tool 㹡Ò䌹ËÒáÅÐÇÑ´ÍѵÃÒà˵ءÒóäÁ‹¾§»ÃÐʧ¤ Ö 95 ¨Ò¡¡ÒÃ㪌ÂÒã¹âç¾ÂÒºÒÅ ÇÕÃÇ´Õ ¨Ñ¹·Ã¹ÔÀÒ¾§È ÃѧÊÕÇÔ·ÂÒ 15 PET/CT for Cancer in Head and Neck Region: Thyroid 103 and Nonthyroid Carcinoma ອ¨ÒÀÒ à¢ÕÂÇËÇÒ¹ 16 ¡ÒÃÃÑ¡ÉÒÁÐàÃç§ÈÕÃÉÐáÅÐÅíҤʹŒÇÂÃѧÊÕáÉÒ Ñ 113 ¨Ñ¹¨ÔÃÒ à¾ªÃÊØ¢ÈÔÃÔ 17 ÀÒ¾¹íÒÇÔ¶Õ ÃѧÊÕáÉÒ¡ŒÒÇä¡Å Ñ 117 ¹Ñ¹·¡Ò¹µ àÍÕÂÁǹҹ¹·ªÑÂ, ¤íÒÁØ¡ ¤ÃÍ§ÂØ·¸, ÊѨ¨Ò ã¨à¤Ã‹§ è ÇÔÊÑ­­ÕÇÔ·ÂÒ 18 Postoperative Pain Management in Pediatric Patients: What’s New? 125 What’s Recommendation? ÊØÇÃÃ³Õ ÊØÃàÈóÕǧȏ 19 Outcome Improving in Neuroanesthesia: Neuro-interventional Perspective 131 ÍÑ­ªÅÕ ªÙâ蹏 àǪÈÒʵÏ»‡Í§¡Ñ¹áÅÐÊѧ¤Á 20 ¤ÇÒÁÊíҤѭ¢Í§ÂÒµŒÒ¹¾ÔÉ㹡ÒôÙáżٻÇÂÀÒÇоÔÉà©Õº¾Åѹ Œ † 135 ÊÑÁÁ¹ â©Á©ÒÂ
  • 22.
    xxi àǪÈÒʵÏ¿„œ¹¿Ù 21 ¡ÒÃÍÍ¡¡íÒÅѧËÅѧ¡Ò÷íÒËѵ¶¡ÒÃËÃ×ͼ‹ÒµÑ´ËÑÇ㨠143 ¡ÁŷԾ ËÒ­¼´Ø§¡Ô¨ 22 ¡ÒÃÍÍ¡¡íÒÅѧ¡ÒÂã¹âä¤ÇÒÁ´Ñ¹âÅËÔµÊÙ§ 155 ÇÔÅÒÇѳ ¶ÔÃÀѷþ§È 23 ¡ÒÃÍÍ¡¡íÒÅѧ¡ÒÂã¹âäàºÒËÇÒ¹ 159 ÇÔÅÒÇѳ ¶ÔÃÀѷþ§È 24 ÍØºµà˵ؤÍÊкѴ Ñ Ô 163 ÇÔÉ³Ø ¡ÑÁ·Ã·Ô¾Â 25 Whiplash Injury: Myogenic Cause and Conservative Treatment 171 ¸ÕÃ´Ò ¾ÅÍÂྪà ÈÑÅÂÈÒʵÏ 26 âä¢Í§·ÇÒÃ˹ѡáÅÐÅíÒäÊŒµÃ§·Õ¾ºº‹Í è 177 ÇÃÁÔ¹·Ã àËÃÕÂ­ÊØÇÃó 27 Hepatocellular Carcinoma: Management in the New Era 183 ÊÁªÑ ÅÔÁÈÃÕ¨ÒàÃÔ­, Â§ÂØ·¸ ÈÔÃDz¹ÍÑ¡ÉÃ, ÊØ»ÃÕªÒ ÍÑÊǡҭ¨¹, ªØµÇªÂ âµÇÔ¡ÀÑ é í ÔÑ ÔÔ Ñ 28 Exceeding 100 Liver Transplantations in Siriraj Hospital 189 Â§ÂØ·¸ ÈÔÃDz¹ÍÑ¡ÉÃ, ÊÁªÑ ÅÔÁÈÃÕ¨ÒàÃÔ­, »ÃÐÇѲ¹ â¦ÊÔµÐÁ§¤Å, »ÃÐàǪ ÁËÒÇÔ·µÇ§È, ÔÑ é í Ô ÊØ»ÃÕªÒ ÍÑÊǡҭ¨¹, ªØµÇªÂ âµÇÔ¡ÀÑ ÔÔ Ñ 29 The .irst Live Donor Liver Transplantation in Thailand 193 Â§ÂØ·¸ ÈÔÃDz¹ÍÑ¡ÉÃ, ÊÁªÑ ÅÔÁÈÃÕ¨ÒàÃÔ­, »ÃÐÇѲ¹ â¦ÊÔµÐÁ§¤Å, »ÃÐàǪ ÁËÒÇÔ·µÇ§È, ÔÑ é í Ô ÊØ»ÃÕªÒ ÍÑÊǡҭ¨¹, ªØµÇªÂ âµÇÔ¡ÀÑ ÔÔ Ñ 30 Robotic Surgery for General Surgeons: .uture or .antasy 197 ÇÔ·Ã ªÔ¹ÊNjҧÇѲ¹¡ØÅ, ¸ÇѪªÑ ÍѤÃÇÔ¾¸, ÍѰ¾Ã µÃСÒÃʧ‹Ò, ÍÑÉ®Ò àÁ¸àÈÃɰ Ù Ø ¸Ñ­à´ª ¹ÔÁÁÒ¹ÇØ²¾§É, ³Ã§¤ àÅÔÈÍÃæÂÁ³Õ Ô 31 Siriraj Trauma Center 203 »ÃÕªÒ ÈÔ÷ͧ¶ÒÇÃ Ô 32 Siriraj Trauma Center 205 ÇÔÀÒÀó ÈÃÕ¾¨¹¸ÃÃÁ 33 Journey to Excellent Burn Unit 211 ¾Ã¾ÃËÁ àÁ×ͧáÁ¹
  • 23.
    xxii ÈÑÅÂÈÒʵÏÍÍÏ⸻´Ô¤Ê áÅСÒÂÀÒ¾ºíҺѴ 34 Treatmentof Pathologic .racture 219 ¨Ñ¹·¹ÃÑÈÁ ¨Ñ¹·¹Âԧ§, ¸ÕÃÇØ²Ô ¸ÃÃÁÇԺŏÈÃÕ, ÃоԹ·Ã ¾ÔÁÅÈÒ¹µÔ,ì ¡ŒÍ§à¢µ àËÃÕÂ­ÊØÇÃó è Ù ÊÙµÈÒʵÏ-¹ÃÕàǪÇÔ·ÂÒ Ô 35 Practical Management of Dysfunctional Uterine Bleeding 229 ¸Ñ¹ÂÒÃѵ¹ ǧȏǹҹØÃ¡É, ÊØªÒ´Ò ÍÔ¹·ÇÔDz¹, Á³Õ Ãѵ¹äªÂÒ¹¹· Ñ Ñ âʵ ¹ÒÊÔ¡ ÅÒÃÔ§«Ç·ÂÒ Ô 36 䫹ÑÊÍÑ¡àʺ áÅÐÃÔ´Êմǧ¨ÁÙ¡ 241 »ÒÃÂÐ ÍÒȹÐàʹ, ¾§È¡Ã µÑ¹µÔÅ»¡Ã, ͹ѭ­ ྱdzԪ, ਵ¹ ÅíÒÂͧàʶÕÂÃ Õ  37 ¡ÒÃ䴌¹º¡¾Ã‹Í§ã¹à´ç¡â´ÂÀÒ¾ÃÇÁáÅСÒäѴ¡Ãͧ¡ÒÃ䴌¹ã¹à´ç¡ááà¡Ô´ Ô Ô 259 ¡Ñ­­·Í§ ·Í§ãË­‹ 38 ¡ÒÃÊÙ­àÊÕ¡ÒÃ䴌¹¨Ò¡¡ÒùíÒàÊÕ§àÊ×ÍÁã¹¼Ù»ÇÂà´ç¡ Ô è Œ † 265 ÍÒªÇÔ¹·Ã µÑ¹ä¾¨ÔµÃ 39 ¡ÒÃÊÙ­àÊÕ¡ÒÃ䴌¹㹼ٻÇÂà´ç¡¨Ò¡ÊÒà˵طҧ¾Ñ¹¸Ø¡ÃÃÁ Ô Œ † 271 ¹Ô¸ÇªÃ ÇѲ¹ÇÔ¨Òó ÔÑ 40 ÊÒÂàÊÕ§໚¹ÍÑÁ¾Òµ 281 ©Ñ¹·ÔªÒ ⪵ԡdzԪ 41 Hoarseness and Management 285 ¨ÕÃÐÊØ¢ ¨§¡ÅÇѲ¹Ò ÍÒÂØÃÈÒʵÏ 42 ¡Òû‡Í§¡Ñ¹âäËÅÍ´àÅ×Í´ÊÁͧ·Ñ§¡‹Í¹áÅÐËÅѧ¡Òü‹ÒµÑ´ é 289 ʧ¤ÃÒÁ ⪵ԡ͹تµ, §ªÑ ¹ÔÅй¹·, ¹ÒÃҾà »ÃÐÂÙÃÇÔDz¹, ¹Ô¾¹¸ ¾Ç§ÇÃÔ¹·Ã Ô Ñ 43 Scrub Typhus in Thailand 297 ÂØ¾¹ ÈØ¾·¸Á§¤Å Ô Ø 44 Molecular Epidemiology of Scrub Typhus in Thailand 301 »¯ÔÁҾà ǧɏ¾ÃËÁ¾Ô·¡É Ñ 45 Recent Advances in the Diagnosis of Scrub Typhus 305 Wei Mei Ching
  • 24.
    xxiii 46 Iron Chelation:New Hope 313 ª®Ò ¾ÔÈÒž§È 47 Deferasirox ÂҢѺàËÅ硪¹Ô´ÃѺ»Ãзҹ 317 ¹¾´Å ÈÔø¹ÒÃѵ¹¡ØÅ Ô ËÑÇ¢ŒÍàÃ×èͧÊËÊÒ¢ÒÇÔªÒªÕ¾ ¡ÒÃÊ‹§àÊÃÔÁÊØ¢ÀÒ¾áÅСÒû‡Í§¡Ñ¹âä 48 ÂÒ¨Ò¡ÊÁعä¾Ã¡ÑºàǪÈÒʵÏàªÔ§»ÃШѡɏ 323 ³Ñª¡Ã ÅéÒàÅÔȡԨ, »ÃÐÇԷ ÍѤÃàÊÃÕ¹¹·, »ÃÐʾ¾Ã ¾Ñ¹¸à¾ç§, ·ÇÕ àÅÒ˾ѹ¸ í 49 ËÅÑ¡¡ÒÃÊíҤѭ¢Í§¡ÒÃᾷἹä·Â 333 ·Ñ¾¾à·¾ ·Ô¾Âà¨ÃÔ­¸ÑÁ, Ãѵ´ÒÇÃó ·Ô¾Âà¨ÃÔ­¸ÑÁ, ·ÇÕ àÅÒ˾ѹ¸ 50 ¡ÒÃÊ‹§àÊÃÔÁÊØ¢ÀÒ¾´ŒÇ¸ÃÃÁÒ¹ÒÁÑ 341 ÊÔáҹµ ÀÙâ»Ã‹§, »ÃÐÁÇÅ ¤íÒᡌÇ, ·ÇÕ àÅÒ˾ѹ¸ Ô 51 ¹Çѵ¡ÃÃÁ¡ÒþÂÒºÒÅ: ÇѲ¹¸ÃÃÁÊÌҧàÊÃÔÁÊØ¢ÀÒ¾·Õ§Â×¹ è Ñè 349 Çѹà¾ç­ ÀÔ­â­ÀÒÊ¡ØÅ 52 Breast Cancer Prevention and Screening 351 Ê׺ǧȏ ¨Ø±ÒÀÔÊ·¸Ôì Ô 53 Screening in Common Gynecologic Cancer: Ovarian Cancer Screening 355 »˜·ÁÒ àªÒǏ⾸Էͧ ì 54 ¡Òû‡Í§¡Ñ¹ÀÒÇÐÊÁͧàÊ×ÍÁÃдѺ»°ÁÀÙÁÔ è 361 ÇÕÃÈÑ¡´Ôì àÁ×ͧä¾ÈÒÅ ¡ÒôÙáżٌÊÙ§ÍÒÂØ 55 Harmonized Care for Older Patients: .ocus on Hospitalized Patients 367 ÃØ§¹Ôù´Ã »ÃдÔÉ°ÊØÇÃó ‹ Ñ 56 Harmonized Care for Older Patients: .ocus on Cognition 375 ÇÃÒÅѡɳ ÈÃÕ¹¹·»ÃÐàÊÃÔ° 57 Harmonized Care for Older Patients: .ocus on Mobility 387 ÇÔäÅ ¤Ø»µ¹ÃµÈ¡ØÅ ÔÑ Ô Ñ
  • 25.
    xxiv ÊÔè§áÇ´ÅŒÍÁáÅÐÊØ¢ÀÒ¾ 58 Health Impactsof Environmental Threats in Thailand: 397 Epidemiological Aspects ÊÁà¡ÕÂÃµÔ ÈÔÃõ¹¾Ä¡É ÔÑ 59 ¡ÒÃÈÖ¡ÉҼšÃзºµ‹ÍÊØ¢ÀÒ¾»ÃЪҪ¹·ÕèÍÒÈÑÂÍÂÙ‹Ãͺ¹Ô¤ÁÍØµÊÒË¡ÃÃÁÁÒºµÒ¾Ø´ 401 ¹ÔµÂÒ ÇѨ¹ÐÀÙÁ.Ô ¹Ñ¹·ÇÃó ÇÔ¨µÃÇÒ·¡ÒÃ, »ÃÒ³Õ ªÒ­³Ã§¤ Ô 60 Climate Change and Allergic Disease 405 ÇÃÇÔª­ àËÅ×ͧàǪ¡ÒÃ, »ÒÃÂÐ ÍÒȹÐàʹ, µ‹Í¾§É ·Í§§ÒÁ Craniofacial Care 61 ¡ÅàÁç´¡Ò÷íҧҹ໚¹·ÕÁ´ÙáżٻÇ¡ÐâËÅ¡ÈÕÃÉÐáÅÐãºË¹ŒÒ¼Ô´»¡µÔ Œ † 415 ÈÃÕ»ÃÐÊÔ·¸Ôì ºØ­ÇÔÊ·¸Ô,ì ÈÃÕÇÁÅ Áâ¹àªÕÂǾԹ¨, ÇÃó´Õ ¾ÅÒ¹ØÀÒ¾ Ø Ô è Ô Movement Disorders 62 Movement Disorder Surgery 433 ÈÃѳ ¹Ñ¹·ÍÒÃÕ, ºÃþµ ÊÔ·¸Ô¹ÒÁÊØÇÃó, ÍѤ¤¾§É ¹ÔµÊ§Ë, ¡¹¡ÇÃó ºØ­­¾ÔÊ®°‚, ÔÔ Ô ÍÀÔªÒµÔ ¾ÔÈÒž§È Traumatic Brain Injury 63 Neurosurgical Perspective of Mild Traumatic Brain Injury 441 ºÃþµ ÊÔ·¸Ô¹ÒÁÊØÇÃó, »ÃШѡÉì ÈÃÕþվ²¹ì Ñ 64 Neuropsychiatric Disorders after Mild Traumatic Brain Injury 453 ¾Ã¨ÔÃÒ »ÃÔǪÃÒ¡ØÅ Ñ ¡ÒúҴà¨çº¢Í§ËÅÍ´àÅ×Í´ 65 ÀÒ¾ÃѧÊÕǹ¨©ÑÂÃкº»ÃÐÊÒ·ã¹¼Ù»ÇÂÍØºµàËµØ Ô Ô Œ † Ñ Ô 459 ÊÔÃÍà µÃÔµÃСÒÃ Ô 66 ÀÒ¾ÇÔ¹¨©ÑÂ㹼ٻǷÕ䴌úºÒ´à¨çººÃÔàdzËÅÍ´àÅ×Í´á´§¨Ò¡ÍغµàËµØ Ô Œ † è Ñ Ñ Ô 469 ¨ÔµÃÅÑ´´Ò ÇÐÈÔ¹Ãѵ¹ 67 Imaging of Trauma: Abdominal Trauma 479 ÇÃóÇÃÒ§¤ ÊØ·¸Ô¤ÃÕ Õ
  • 26.
    xxv 68 Traumatic CerebrovascularInjury: Neurosurgical Perspective 489 àÍ¡ÇØ²Ô ¨Ñ¹á¡ŒÇ, ·ÇÕÈ¡´Ôì àÍ×ͺح­ÒÇѲ¹, ÍÑ­ªÅÕ ªÙâ蹏 Ñ é 69 Interventional Radiology Management in Traumatic Patient 497 (Body and Peripheral Artery) ÊÁÃÒª ¸ÃÃÁ¸ÃÇѲ¹ ÀÒÇмԴ»¡µÔ¢Í§¡Òù͹ËÅѺ 70 ¹Í¹¡Ã¹áÅÐÀÒÇÐËÒÂ㨼Դ»¡µÔ¢³ÐËÅѺª¹Ô´ÍØ´¡Ñ¹ é 505 ÇÔª­ ºÃóËÔí Ñ 71 Narcolepsy 523 ÇѲ¹ªÑ ⪵ԹÂÇѵáØÅ Ñ 72 Surgical Treatment for Sleep Disordered Breathing 529 ÇÔª­ ºÃóËÔí Ñ ÀÒÇмԴ»¡µÔ¢Í§¡ÒáÅ×¹ 73 Management for Dysphagia Patients 535 ⪤ªÑ àÁ¸ÕäµÃÃѵ¹, ๵ÃÒ ºÑÇ¡¹¡, ÀÒÇÔ¹ à¡É¡ØÅ, ÇÃØµÁ ¾§ÈÒ¾Ôª­, ÊØ¹¹· ͧÍÒ¨ Ñ ÀÒÇÐàÅ×Í´Í͡㹷ҧà´Ô¹ÍÒËÒÃʋǹº¹ 74 ÀÒÇÐàÅ×Í´Í͡㹷ҧà´Ô¹ÍÒËÒÃʋǹº¹ 543 ÇÃÒÂØ »ÃѪ­¡ØÅ 75 Management of Esophageal Varices and Esophageal Variceal Hemorrhage 555 ÈÔÇоà äªÂ¹ØÇµ,Ô ¹¹·ÅÕ à¼‹ÒÊÇÑÊ´Ô,ì ÊØ¾¨¹ ¹ÔÁ͹§¤ Ñ è 76 Embolization for Upper Gastrointestinal Hemorrhage 565 ÇÅÑÂÅѡɳ ªÑÂÊٵà ¡ÒÃÇÔ¨ÑÂáÅÐÇÔ·ÂÒÈÒʵϾ×é¹°Ò¹·Ò§¡ÒÃᾷ 77 General Aspects of Tumor Microenvironment 569 »‚µÔ ¸ØÇ¨Ôµµ 78 Cancer-associated .ibroblasts in Tumor Progression 573 ª¹ÔµÃÒ ¸ØÇ¨Ôµµ
  • 27.
    xxvi 79 Digital ImageProcessing and Data Management for Clinical 579 Registry and Clinical Research »ÃоѲ¹ ÊØÃÂ¼Å Ô 80 Research and Road to Innovation and Business 587 ÇÃóРÁËÒ¡ÔµµÔ¤³, ¾ÔÁ¾»ÃÐä¾ ¸ÕÃЪվ, ¸ÒÃÔ¹ àÍÕÂÁྪÃÒ¾§È, ¸¹¾Å ÇÕÃÒÊÒ Ø è ¡¯ËÁÒ·ҧ¡ÒÃᾷ 81 Transplantation: Medico-legal Investigation 595 »ÃÕªÒ ÈÔ÷ͧ¶ÒÇÃ Ô 82 ¤ÇÒÁ¼Ô´»¡µÔ¢Í§ÊÒÂàÊÕ§ 597 侺Ùŏ ÊØÃ¾§É Õ  83 Hearing Loss in Children: 120 year Evolution in Management 601 ÊØÇ¨¹Ò ͸ÔÀÒÊ Ñ ´Ñª¹Õ ´Ñª¹Õ 605
  • 28.
    àǪÈÒʵÏ·¹Âؤ 2553 Ñ º··Õè 1 1 Childhood Seizure and Epilepsy ÍÒ¨ÒÏ ¹ÒÂᾷÊÃÇÔÈ ÇÕÃÇÃó ÀÒ¤ÇÔªÒ¡ØÁÒÃàǪÈÒʵÏ ¤³Ðá¾·ÂÈÒʵÏÈÔÃÔÃÒª¾ÂÒºÒÅ ÁËÒÇÔ·ÂÒÅÑÂÁËÔ´Å ÍÒ¡Òêѡ (seizure) ໚¹Ë¹Öè§ã¹ÍÒ¡Ò÷ҧÃкº»ÃÐÊÒ··Õ辺䴌º‹ÍÂã¹àǪ»¯ÔºÑµÔ·ÑèÇä» â´ÂʋǹãË­‹¢Í§¼Ù»ÇÂ¡ÅØÁ¹Õ¨ÐÁÕ»ÃÐÇѵ¡ÒÃà¤Å×͹äËǢͧËҧ¡Ò·ռ´»¡µÔઋ¹ à¡Ãç§ ËÃ×Í à¡Ãç§ Œ † ‹ é Ô è è Ô ¡Ãеء·Ñé§µÑÇ ¼ÙŒ»†ÇºҧÃÒÂÍÒ¨ÁÕᤋÍÒ¡ÒÃàËÁ‹ÍÅÍ ¤ÇÒÁÃÙŒÊÖ¡µÑÇŴŧ ËÃ×ÍÁÕÍÒ¡ÒäŌÒÂÊд،§ ÍÒ¡Òôѧ¡Å‹ÒÇÍҨ໚¹ÍÒ¡ÒêѡËÃ×ÍäÁ‹ãª‹¡ä´Œ ´Ñ§¹Ñ¹¡ÒÃãËŒ¡ÒÃÇÔ¹¨©Ñ¼ٻÇÂ¡ÅØÁ¹ÕᾷµÍ§ÍÒÈÑ ç é Ô Œ † ‹ é Œ ¡Òëѡ»ÃÐÇѵԷÕè´Õà¾×èÍá¡NjÒ໚¹ÍÒ¡ÒêѡËÃ×ÍäÁ‹ áÅжŒÒ㪋໚¹ÍÒ¡Òêѡª¹Ô´ã´ ʋǹ¡ÒõÃǨ Ëҧ¡ÒÂáÅСÒÃÊ‹§µÃǨ·Ò§ËŒÍ§»¯ÔºÑµÔ¡Ò÷Õè¨íÒ໚¹àª‹¹ ¡ÒõÃǨ¤Å×è¹ä¿¿‡ÒÊÁͧËÃ×Í ¡ÒõÃǨ ÀÒ¾¶‹Ò¤Å×¹áÁ‹àËÅç¡ä¿¿‡ÒÊÁͧ¨Ðª‹ÇÂʹѺʹع㹡ÒÃÇÔ¹¨©ÑÂâä ËÒÊÒà˵آͧÍÒ¡Òêѡ áÅÐ è Ô ãËŒ¡ÒÃÃÑ¡ÉÒ·ÕàËÁÒÐÊÁ è ÊÒà˵آͧÍÒ¡Òêѡ¹Ñ¹ÁÕä´ŒËÅÒÂÍ‹ҧ ÍÒ¨à¡Ô´¨Ò¡âä¢Í§ÊÁͧàͧઋ¹ âäËÅÍ´àÅ×Í´ÊÁͧ é ÁÐàÃç§ã¹ÊÁͧ ËÃ×ÍâäÅÁªÑ¡ (epilepsy) ¹Í¡¨Ò¡¹Õ§ÁÕâä·Ò§Ã‹Ò§¡ÒÂÍ×¹æ ÍÕ¡«Ö§Áռŵ‹ÍÊÁͧáÅÐ é Ñ è è ·íÒãËŒà¡Ô´ÍÒ¡Òêѡ䴌 «Ö§¡ÒÃÃÑ¡ÉÒ¨Ðᵡµ‹Ò§¡Ñ¹ä»ã¹áµ‹ÅÐâä ´Ñ§¹Ñ¹á¾·Â¨§¤ÇÃÁÕ¤ÇÒÁÃÙŒ ¤ÇÒÁ è é Ö à¢ŒÒ㨶֧á¹Ç·Ò§ã¹¡ÒôÙáÅÃÑ¡ÉҼٻǷÕÁÍÒ¡ÒùÕ໚¹Í‹ҧ´Õ Œ † è Õ é ¤íÒ¨íÒ¡Ñ´¤ÇÒÁ ÍÒ¡Òêѡ (seizure) ໚¹ÍÒ¡Òâͧ¼Ù»Ç·ÕÁ¼ÅÁÒ¨Ò¡¡ÃÐáÊä¿¿‡Ò¢Í§à«ÅŏÊÁͧ·Õ·Ò§Ò¹ Œ † è Õ è í ÁÒ¡¼Ô´»¡µÔ (excessive neuronal electrical discharge) ·íÒãËŒà¡Ô´¤ÇÒÁà»ÅÕ¹á»Å§·Ò§Ã‹Ò§¡ÒÂ è ¢Í§¼Ù»Ç ÍÒ¡ÒÃáÊ´§·Ò§Ã‹Ò§¡Ò¹ѹÁÕä´ŒËÅÒÂÍ‹ҧઋ¹ ÍÒ¡Òêѡ à¡Ãç§ ¡Ãеء (motor seizure) Œ † é ¡ÒÃà»ÅÕè¹á»Å§·Ò§¤ÇÒÁÃÙŒÊÖ¡ (sensory seizure) ¤ÇÒÁ¼Ô´»¡µÔ·Ò§ÍÒÃÁ³ (psychic seizure) ໚¹µŒ¹ ÍÒ¡Òêѡ ẋ§à»š¹ 2 ¡ÅØÁãË­‹æ ´Ñ§¹Õé ‹ 1. Provoked seizure ËÃ×Í symptomatic seizure ËÁÒ¶֧ ÍÒ¡Òêѡ·Õà¡Ô´¢Ö¹â´ÂÁÕ»¨¨Ñ è é ˜ Í×¹ÁÒ¡Ãеعઋ¹¡Òêѡ·ÕÁÊÒà˵ØÁÒ¨Ò¡âä·Ò§¡ÒÂËÃ×Í ¤ÇÒÁ¼Ô´»¡µÔ·Ò§ÊÁͧ·Õà¡Ô´¢Ö¹ã¹¢³Ð¹Ñ¹ è Œ è Õ è é é áÅÐàÁ×Í»˜¨¨ÑÂËÃ×ÍâäàËŋҹÕËÒ ÍÒ¡Òêѡ¡ç¨ÐËÒÂä»àª‹¹¡Ñ¹ ÊÒà˵آͧÍÒ¡ÒÃªÑ¡ã¹¡ÅØÁ¹ÕÁÁÒ¡ÁÒ è é ‹ é Õ ´Ñ§áÊ´§änj㹵ÒÃÒ§·Õè 1 2. Unprovoked seizure ËÁÒ¶֧ ÍÒ¡Òêѡ·Õà¡Ô´¢Ö¹â´Â·ÕäÁ‹Á»¨¨ÑÂÍ×¹ÁÒ¡Ãеع è é è Õ ˜ è Œ
  • 29.
    2 Childhood Seizure and Epilepsy µÒÃÒ§·Õè 1 ÊÒà˵آͧ symptomatic seizure ·Õ辺º‹Í ! Cerebrovascular disease: Thrombosis, embolism, hemorrhage, vasculitis ! Central nervous system infection: Meningitis, encephalitis, brain abscess ! Hypoxic-ischemic encephalopathy ! Brain tumor ! Hypotensive/Hypertensive encephalopathy ! Metabolic: hypoglycemia, hypo/hypernatremia, hypocalcemia, hypomagnesemia ! Head injury ! Congenital brain malformation ! Drug / drug withdrawal ! Inborn errors of metabolism ! Degenerative brain disease ! .ebrile seizure ã¹¼Ù»ÇÂà´ç¡¹Ñ¹ ÍÒ¨ÁÕÍÒ¡ÒÃÍ×¹æ·Õà¡Ô´¢Ö¹ªÑÇ¢³Ð (paroxysmal events) ·ÕÁšɳкҧÍ‹ҧ Œ † é è è é è è ÕÑ ¤ÅŒÒ¡ѺÍÒ¡Òêѡ ·íÒãËŒÍÒ¨ÊѺʹ¡ÑºÍÒ¡Òêѡ䴌 â´Âᵡµ‹Ò§¡Ñ¹ä»µÒÁᵋÅЪ‹Ç§ÍÒÂØ (1) ´Ñ§áÊ´§ änj㹵ÒÃÒ§·Õè 2 µÒÃÒ§·Õè 2 Paroxysmal non-epileptic events ã¹à´ç¡·Õ¾ºº‹ÍÂᡵÒÁª‹Ç§ÍÒÂØ è Neonates Infants Children and adolescents Sleep myoclonus Apnea Breath-holding spell, Syncope, Hyperexplexia Jitteriness Sandifer, Day dreaming Sleep myoclonus Abnormal movement eg. Chorea, Tics Benign paroxysmal torticolis Benign paroxysmal vertigo Spasmus nutans Hyperventilation syndrome Opsoclonus Psychologic disorder Night mare / night terror Narcolepsy ËÁÒÂà赯 ´´á»Å§¨Ò¡àÍ¡ÊÒÃËÁÒÂàÅ¢ 1 Ñ âäÅÁªÑ¡ (epilepsy) ¤×Íâä·Õ¼»ÇÂÁÕÍÒ¡Òêѡâ´ÂäÁ‹Á»¨¨Ñ¡Ãеع (unprovoked seizure) è ÙŒ † Õ ˜ Œ ÁÒ¡¡Ç‹Ò 2 ¤Ãѧ¢Ö¹ä» é é
  • 30.
    àǪÈÒʵÏ·¹Âؤ 2553 Ñ 3 âäÅÁªÑ¡ÁÕÊÒà˵ØáÅоÂÒ¸Ô¡Òà¹Ô´ä´ŒËÅÒÂÍ‹ҧ ã¹·Õ¹¢Íẋ§µÒÁÊÒà˵Øä´Œ´§¹Õé (2) í è Õé Ñ 1. Idiopathic: âäÅÁªÑ¡¹ÕäÁ‹ä´Œà¡Ô´¨Ò¡¾ÂÒ¸ÔÊÀÒ¾ã¹ÊÁͧᵋÁÊÒà˵Øà¹×ͧ¨Ò¡¾Ñ¹¸Ø¡ÃÃÁ é Õ è 2. Symptomatic epilepsy: âäÅÁªÑ¡·ÕÁÊÒà˵ØÁÒ¨Ò¡¡Ò÷ÕÁ¾ÂÒ¸ÔÊÀÒ¾¢Í§ÊÁͧ«Ö§ÍÒ¨ è Õ è Õ è ໚¹¾ÂÒ¸ÔÊÀÒ¾·Õà¡Ô´¢Ö¹ÁÒ¹Ò¹ áÅÐäÁ‹Á¡ÒÃà»ÅÕ¹á»Å§ ઋ¹ cortical dysplasia, congenital brain è é Õ è anomaly, á¼Å໚¹¨Ò¡¡Ò÷Õà¤Â໚¹âäÊÁͧÍÑ¡àʺ (encephalitis), à¤ÂÁÕàÅ×Í´ÍÍ¡ã¹ÊÁͧáÅÐä´Œ è ÃѺ¡Òü‹ÒµÑ´, à¤ÂÁÕ»ÃÐÇѵ¢Í§ÊÁͧ¢Ò´ÍÍ¡«Ôਹ (birth asphyxia) ËÃ×ÍÍÒ¨¨ÐÁÕÊÒà˵بҡ¡Ò÷Õà¹×Í Ô è é ÊÁͧ¶Ù¡·íÒÅÒ¨ҡâä metabolic ËÃ×Í degenerative brain disorder 3. Cryptogenic âäÅÁªÑ¡·Õ¤Ò´Ç‹Ò¹‹Ò¨ÐÁÕÊÒà˵بҡҡ÷ÕÁ¾ÂÒ¸ÔÊÀÒ¾¢Í§ÊÁͧ ᵋ¡Òà è è Õ Ê‹§µÃǨ·Ò§ËŒÍ§»¯Ôºµ¡ÒÃã¹»˜¨¨Øº¹ÂѧäÁ‹ÊÒÁÒöµÃǨ¾ºä´Œ Ñ Ô Ñ â´ÂÊÃØ» ÍÒ¡ÒêѡáÅÐâäÅÁªÑ¡¹Ñ¹áµ¡µ‹Ò§¡Ñ¹ â´ÂÁÕá¹Ç·Ò§¡ÒÃÇÔ¹¨©Ñ´ѧἹÀÙÁ·Õè 1 é Ô Ô á¼¹ÀÙÁÔ·Õè 1 á¹Ç·Ò§¡ÒÃÇÔ¹Ô¨©ÑÂÍÒ¡ÒêѡáÅÐâäÅÁªÑ¡ ¡ÒÃẋ§»ÃÐàÀ·¢Í§ÍÒ¡Òêѡ (Seizure classification) ¡ÒÃẋ§»ÃÐàÀ·¢Í§ÍÒ¡Òêѡ·ÕÂÍÁÃѺáÅÐ㪌¡¹á¾Ã‹ËÅÒ·ÕÊ´¤×Í¡ÒÃẋ§µÒÁ International è Ñ èØ League Against Epilepsy (ILAE) ã¹»‚ ¤.È. 1981 â´ÂÍÒÈÑÂÅѡɳÐÍÒ¡Òêѡ (clinical seizure (3) description) áÅСÒÃà»ÅÕ¹á»Å§¢Í§¤Å׹俿‡ÒÊÁͧ (electroencephalography, EEG) ໚¹ËÅѡ㹠è è ¡ÒÃẋ§ «Ö§áº‹§»ÃÐàÀ·¢Í§ÍÒ¡Òêѡ䴌 3 »ÃÐàÀ· ¤×Í partial seizure, generalized seizure áÅÐ è unclassified seizure
  • 31.
    4 Childhood Seizure and Epilepsy Partial seizure (.ocal seizure) (4) Partial ËÃ×Í focal seizure ໚¹ÍÒ¡Òêѡ«Ö§à¡Ô´¨Ò¡¡Ò÷ÕÁ¡ÃÐáÊä¿¿‡Ò·ÕÁÒ¡¼Ô´»¡µÔà¡Ô´¢Ö¹ è è Õ è é ¨Ò¡ÊÁͧʋǹã´Ê‹Ç¹Ë¹Ö§ â´Â¡ÃÐáÊä¿¿‡Ò´Ñ§¡Å‹ÒÇÍÒ¨¤§ÍÂÙ·à´ÔÁËÃ×Í ÍÒ¨à¤Å×͹价ÕÊÁͧʋǹÍ׹䴌 è ‹ Õè è è è «Ö§¨ÐÁռŵ‹ÍÅѡɳСÒêѡ¢Í§¼Ù»Ç ÍÒ¡ÒêѡẺ¹Õẋ§ä´ŒÍ¡à»š¹ 2 ª¹Ô´Â‹Í¤×Í è Œ † é Õ 1. Simple partial seizure (SPS) ã¹¢³ÐªÑ¡¼Ù»Ç¨ÐÂѧÃÙÊ¡µÑÇ (consciousness) ·Õ´ÍÂÙ‹ Œ † ŒÖ è Õ ÅѡɳСÒêѡ¢Í§¼ÙŒ»†Ç¹Ñ鹨ТÖé¹ÍÂÙ‹¡ÑºÇ‹ÒÊÁͧʋǹ㴶١¡Ãе،¹â´Â¡ÃÐáÊä¿¿‡Ò·Õè¼Ô´»¡µÔ ¼Ù»ÇÂÍÒ¨¨ÐÁÕÍÒ¡ÒÃà¤Å×͹äËǢͧËҧ¡Ò·ռ´»¡µÔ (motor seizure) ઋ¹ à¡Ãç§ ¡Ãеء ʋǹ˹֧ Œ † è è Ô è ʋǹ㴢ͧËҧ¡Ò ઋ¹ãºË¹ŒÒ äËÅ‹ ᢹ Á×Í ¢ÒËÃ×Íà·ŒÒ ¢ŒÒ§ã´¢ŒÒ§Ë¹Ö§ ºÒ§ÃÒÂÍÒ¨¨ÐÁÕÍÒ¡Ò÷ҧ è ¤ÇÒÁÃÙÊ¡ËÃ×Í »ÃÐÊÒ·ÊÑÁ¼ÑʾÔàÈÉÍ×¹æ (somatosensory or special-sensory seizure) ઋ¹ ªÒᢹ ŒÖ è ¢Ò¢ŒÒ§ã´¢ŒÒ§Ë¹Ö§ àËç¹áʧ 䴌¹àÊÕ§ ËÃ×Íä´Œ¡ÅÔ¹µ‹Ò§æ ·Õ¼´»¡µÔ è Ô è è Ô 2. Complex partial seizure (CPS) ¼ÙŒ»†Ç¨ÐÁÕ impairment of consciousness «Öè§ consciousness ·Õ㪌¡¹ã¹âäÅÁªÑ¡¹Ñ¹»ÃСͺ´ŒÇ 2 ʋǹ¤×Í responsiveness (¡Òõͺʹͧµ‹Í è Ñ é ÊÔ§àÃŒÒ ËÃ×Í·íÒµÒÁ¤íÒÊѧÍ‹ҧÁÕ¤ÇÒÁËÁÒÂ) áÅÐ awareness (¡ÒÃÃѺÃÙáÅÐÊÒÁÒö¨´¨íÒà˵ءÒó è è Œ µ‹Ò§æ ·Õèà¡Ô´¢Öé¹ã¹¢³Ð·ÕèÁÕÍÒ¡Òêѡ) ¼ÙŒ·Õ辺àË繡Òêѡ¢Í§¼ÙŒ»†ÇÂÍÒ¨¨Ð͸ԺÒÂNjҼٌ»†ÇÂÁÕÍÒ¡Òà àËÁèÍ à»ç¹ÅÁ ËÁ´ÊµÔ ËÃ×ͺҧ¤ÃѧÍÒ¨¨Ð´ÙàËÁ×͹ÃÙÊ¡µÑÇ´ÕáµèäÁè·ÓµÒÁ¤ÓÊѧ ã¹¢³Ð·Õª¡¹Ñ¹ ¼Ù»ÇÂ- é éÖ è è Ñ é é è ºÒ§ÃÒÂÍÒ¨¨ÐÁÕ¡ÒÃà¤Å×è͹äËǢͧËҧ¡Ò«éíÒæ àÃÕÂ¡Ç‹Ò automatism «Öè§¼ÙŒ»†ÇÂÍÒ¨¨Ð¢ÂѺ»Ò¡ àËÁ×͹à¤ÕÂÇ ËÃ×Í¡Å×¹ (lips smacking, swallowing) ¨ÑºÁ×ÍËÃ×ÍËÂÔº¨ÑºÊÔ§¢Í§µ‹Ò§æ ËÃ×Íà´Ô¹ä»ÁÒ é è «Ö§à»š¹¾ÄµÔ¡ÃÃÁ·ÕäÁ‹Á¤ÇÒÁËÁÒ â´Â·ÑÇä»ÃÐÂÐàÇÅÒ·Õª¡»ÃÐÁÒ³ 2-3 ¹Ò·Õ (30 ÇÔ¹Ò·Õ – 10 ¹Ò·Õ) è è Õ è è Ñ ¹Í¡¨Ò¡¹ÕÍÒ¨¾ºÍÒ¡ÒùíÒ pre-ictal symptom (aura) «Ö§à»š¹¤ÇÒÁÃÙÊ¡·Õ¼»Çºҧ¤¹ÍÒ¨¨Ð͸ԺÒ é è Œ Ö è ÙŒ † ä´Œ¡Í¹ÁÕÍÒ¡Òêѡ ´Ñ§·Õ¾ºã¹ SPS ËÅѧ¨Ò¡ªÑ¡ (post-ictal state) ¼Ù»ÇÂÁÑ¡¨ÐÁÕÍÒ¡ÒÃÊѺʹ䴌µÍ ‹ è Œ † ‹ ໚¹¹Ò·Õ ¼ÙŒ»†Ç·ÕèàÃÔèÁµŒ¹¡Òêѡ´ŒÇ SPS ËÃ×Í CPS ¹Ñé¹ÍÒ¨¨ÐÁÕ¡ÒÃà¡Ãç§ËÃ×Í¡Ãеء¢Í§Ã‹Ò§¡Ò ·Ñ§µÑǵÒÁÁÒ ¨ÐàÃÕÂ¡Ç‹Ò partial seizure evolving to secondarily generalized seizure ´Ñ§¹Ñ¹¼Ù»Ç·Õè é é Œ † ÁÕ¼¾ºÇ‹ÒÁÕÍÒ¡ÒÃà¡Ãç§¡Ãеء·Ñ§µÑǹѹÍÒ¨¨Ð໚¹¡ÒêѡẺ focal ¹íÒÁÒ¡‹Í¹¡çä´Œ ÙŒ é é Generalized seizure (4) Generalized seizure ໚¹ÍÒ¡Òêѡ·Õà¡Ô´¢Ö¹¨Ò¡¡ÒÃà»ÅÕ¹á»Å§¢Í§¡ÃÐáÊä¿¿‡Ò·Õè¡Ãеع è é è Œ ÊÁͧ·ÑèÇæä»¾ÃŒÍÁ¡Ñ¹·Ñé§Êͧ¢ŒÒ§ ·íÒãËŒÁռŵ‹Í¤ÇÒÁÃÙŒÊÖ¡µÑÇáÅÐ ¡ÒÃà¤Å×è͹äËǢͧ¡ÅŒÒÁà¹×éÍ ·ÕäÁ‹¨Òà¾Òзբҧ㴢ŒÒ§Ë¹Ö§¢Í§Ã‹Ò§¡Ò generalized seizure ẋ§Í͡໚¹ 4 ¡ÅØÁãË­‹æ 䴌ᡋ è í è Œ è ‹ 1. Tonic-clonic seizure (grand mal) ¼Ù»Ç¨ÐÁÕ¤ÇÒÁÃÙÊ¡µÑÇ·ÕŴŧ ËÇÁ¡ÑºÍÒ¡ÒÃà¡Ãç§ áÅÐ/ Œ † ŒÖ è ËÃ×Í¡Ãеء¢Í§ÅíÒµÑÇ, ᢹ¢Ò â´Â·ÑèÇä»ÍÒ¡Òêѡ¨ÐàÃÔèÁµŒ¹´ŒÇÂÍÒ¡ÒÃà¡Ãç§ (tonic phase) áÅŒÇ µÒÁÁÒ´ŒÇÂÍÒ¡ÒáÃеء (clonic phase) ª‹Ç§·ÕèÁÕÍÒ¡Òêѡ¼ÙŒ»†ÇÂÍÒ¨ÁÕÍÒ¡Ò÷ҧÃкº»ÃÐÊÒ· Íѵâ¹ÁѵÃÇÁ´ŒÇ¤×Í ÁÕÁÒ¹µÒ¢ÂÒÂ, ¹éÒÅÒ¿ÙÁ»Ò¡, à˧×ÍÍÍ¡, »˜ÊÊÒÇÐ ÍØ¨¨ÒÃÐÃÒ´ ËÅѧ¨Ò¡ªÑ¡ Ô‹ ‹ í è ¼Ù»ÇÂÁÑ¡¨ÐÁÕÍÒ¡ÒÃà¾ÅÕ ÊѺʹ ËÅÑºä» ÍÒ¡Òêѡª¹Ô´¹Õé ¼Ù¤¹·ÑÇä»ÁÑ¡ÃÙ¨¡ã¹ª×Í ÅÁºŒÒËÁÙ ¼Ù»Ç Œ † Œ è ŒÑ è Œ †
  • 32.
    àǪÈÒʵÏ·¹Âؤ 2553 Ñ 5 ºÒ§ÃÒÂÍÒ¨¨ÐÁÕÍÒ¡ÒÃà¡Ã秢ͧ¡ÅŒÒÁà¹×éÍÍ‹ҧà´ÕÂÇâ´ÂäÁ‹ÁÕÍÒ¡ÒáÃеءµÒÁÁÒ àÃÕÂ¡Ç‹Ò tonic seizure ¼Ù»ÇºҧÃÒÂÍÒ¨ÁÕÍÒ¡ÒáÃеء¢Í§¡ÅŒÒÁà¹×Í໚¹¨Ñ§ËÇÐÍ‹ҧà´ÕÂÇ àÃÕÂ¡Ç‹Ò clonic seizure Œ † é 2. Absence seizure (petit mal) ÍÒ¡ÒêѡẺàËÁ‹Í ¼Ù»Ç¨ÐËÂØ´·íÒ¡Ô¨¡ÃÃÁ·Õ¡ÒÅѧ·íÒÍÂÙ‹ Œ † è í ·Ñ¹·Õâ´ÂäÁ‹ÁÍÒ¡ÒÃàµ×͹¡‹Í¹ ª‹Ç§·Õª¡¼Ù»ÇÂäÁ‹ÊÒÁÒöµÍºÊ¹Í§µ‹ÍÊÔ§àÃŒÒä´Œ µÒÁÑ¡¨ÐÁͧ¨ŒÍ§ä» Õ è Ñ Œ † è ¢ŒÒ§Ë¹ŒÒËÃ×Í¡ÅÍ¡¢Ö¹º¹ä´ŒàÅ硹ŒÍ ¼Ù»Ç¨СÅѺÁÒÊÙÀÒÇÐà´ÔÁ·Ñ¹·Õ â´ÂäÁ‹ÁÍÒ¡Òâͧ postictal é Œ † ‹ Õ àÅ ÃÐÂÐàÇÅÒÁÑ¡¨ÐÊѹ»ÃÐÁÒ³ 5-10 ÇÔ¹Ò·Õ ¼Ù»ÇÂÍÒ¨¨ÐÁÕÍÒ¡ÒëéÒº‹ÍÂæ ä´Œ¶§ÇѹÅÐ 100 ¤Ãѧ é Œ † í Ö é ᾷÊÒÁÒöµÃǨà¾×èͪ‹ÇÂÇÔ¹Ô¨©Ñ absence seizure ä´Œâ´Â¡ÒÃãËŒ¼ÙŒ»†Ç·íÒ hyperventilation »ÃÐÁÒ³ 2-3 ¹Ò·Õ ¨ÐÊÒÁÒö¡ÃеعãËŒ¼»ÇÂÁÕÍÒ¡Òêѡ䴌 Œ ÙŒ † 3. Myoclonic seizure ໚¹¡ÒêѡẺ·ÕèÁÕ¡ÒáÃеء¢Í§¡ÅŒÒÁà¹×éÍÍ‹ҧÃÇ´àÃçǤŌÒÂÍÒ ¡ÒÃÊдا ÁÑ¡¨Ð໚¹á¤‹ 1-2 ¤Ãѧ ÀÒÂã¹àÇÅÒäÁ‹¡Ç¹Ò·Õ (sporadic brief muscle jerks) ᵋ¨ÐäÁ‹ÁÍÒ¡Òà Œ é Õè Ô Õ ¡Ãеء໚¹¨Ñ§ËÇÐÍ‹ҧµ‹Íà¹×ͧ ¼Ù»ÇÂÁÑ¡¨ÐäÁ‹Ê­àÊÕ¤ÇÒÁÃÙÊ¡µÑÇ¢³ÐªÑ¡ ÍÒ¡ÒáÃеءÍÒ¨¨Ð໚¹ è Œ † Ù ŒÖ ·Õ¡ÅŒÒÁà¹×ͺÃÔàdzãºË¹ŒÒ, ᢹ¢Ò, ÅíÒµÑÇ â´ÂÍÒ¨¨Ð໚¹·ÕÅТŒÒ§ËÃ×Í໚¹·Ñ§ 2 ¢ŒÒ§¾ÃŒÍÁ¡Ñ¹¡çä´Œ è é é 4. Atonic seizure (drop attack) ໚¹ÍÒ¡Òêѡ·ÕàÊÕ¤ÇÒÁµÖ§µÑǢͧ¡ÅŒÒÁà¹×ÍÍ‹ҧ·Ñ¹·Õ è é ·Ñ¹ã´ ¡Òêѡª¹Ô´¹Õà¡Ô´¢Ö¹Í‹ҧÃÇ´àÃçÇâ´ÂäÁ‹ÁÍÒ¡ÒùíÒáÅÐËÅѧªÑ¡¼Ù»Ç¡ç¨ÐÃٵǷѹ·Õ ÍÒ¡Òêѡ é é Õ Œ † Œ Ñ ª¹Ô´¹ÕÍÒ¨¨Ð·íÒãËŒ¼»ÇÂÅŒÁ ä´ŒÃºÍØºµà˵Øä´Œ é ÙŒ † Ñ Ñ Ô Unclassified seizure ໚¹ÍÒ¡Òêѡ·ÕäÁ‹ÊÒÁÒö¨Ñ´ÍÂÙã¹¡ÅØÁã´æä´Œàª‹¹ infantile spasm, neonatal seizure è ‹ ‹ ¡ÅØ‹ÁÍÒ¡Òêѡ (Epileptic syndrome) ¹Í¡¨Ò¡¡ÒÃẋ§»ÃÐàÀ·¢Í§ÍÒ¡Òêѡ¢Í§ ILAE ã¹»‚ ¤.È. 1981 «Ö§ãªŒà©¾ÒÐÅѡɳÐÍÒ¡ÒÃ è ªÑ¡áÅФÇÒÁ¼Ô´»¡µÔ¢Í§¤Å׹俿‡ÒÊÁͧ໚¹ËÅÑ¡¹Ñ¹ ÂѧÁÕ¡ÒÃẋ§»ÃÐàÀ·¢Í§âäÅÁªÑ¡ÍաẺ˹֧ è é è «Ö§¨Ð㪌šɳÐÍÒ¡Òêѡ ÍÒÂØ·¼»ÇÂàÃÔÁÁÕÍÒ¡Òêѡ »˜¨¨Ñ·աÃеعãËŒÁ¡Òêѡ ÃдѺʵԻ­­Ò è Ñ Õè ÙŒ † è è Œ Õ ˜ »ÃÐÇѵ¤Ãͺ¤ÃÑÇ ¤ÇÒÁ¼Ô´»¡µÔ¢Í§¡ÒõÃǨËҧ¡Ò·ҧÃкº»ÃÐÊÒ· ¼Å¡ÒõÃǨÀÒ¾¶‹Ò¢ͧ Ô ÊÁͧáÅÐÊÒà˵آͧ¡Òêѡ ÁÒ¾Ô¨ÒóÒËÇÁ´ŒÇ«֧ÊÒÁÒöÃǺÃÇÁ¼Ù»ÇÂàËŋҹÕãˌ໚¹¡ÅØÁàÃÕ¡ è Œ † é ‹ epileptic syndrome ¹Í¡¨Ò¡¨ÐÊÒÁÒöãËŒá¹Ç·Ò§ã¹¡ÒÃÃÑ¡ÉÒઋ¹ÂҡѹªÑ¡·Õä´Œ¼Å´Õ㹡ÒäǺ¤ØÁ è ÍÒ¡ÒêѡáÅŒÇ ÂѧÊÒÁÒöºÍ¡¡ÒþÂҡóâä䴌´Ç epileptic syndrome ·ÕÊҤѭ·Õ¾ºº‹ÍÂã¹à´ç¡ Œ èí è 䴌ᡋ (5,6,7) 1. West syndrome ÁÑ¡¾ºã¹à´ç¡àÅç¡ÍÒÂØ¹ÍÂ¡Ç‹Ò 1 »‚ â´Â¨Ð¾ºº‹ÍÂ㹪‹Ç§ÍÒÂØ 4-6 à´×͹ Œ â´ÂÅѡɳЪѡ¨Ð໚¹áººà¡Ãç§á¢¹ ¢Ò§ÍËÃ×ÍàËÂÕ´¨Ò¡µÑǷѹ·Õ ÈÕÃÉÐÍÒ¨¼§¡ÁÒ¢ŒÒ§Ë¹ŒÒËÃ×Íà§Â 仢ŒÒ§ËÅѧ¡çä´Œ ÃÐÂÐàÇÅÒ»ÃÐÁÒ³ 1-2 ÇÔ¹Ò·Õ ÍÒ¡ÒÃÁÑ¡¨Ðà¡Ô´à»š¹ªØ´æ áÅÐÁÑ¡¨Ð໚¹µÍ¹·Õà¤ÅÔÁËÅѺ è é ËÃ×Íà¾Ô§µ×¹ãËÁ‹æ àÃÕ¡ÍÒ¡Òêѡª¹Ô´¹ÕÇÒ infanfile spasm ¼Ù»ÇÂÁÑ¡¨ÐÁÕ¾²¹Ò¡ÒêŒÒËÇÁ´ŒÇ ¼Å¡Òà è è é‹ Œ † Ñ µÃǨ¤Å׹俿‡ÒÊÁͧ¨Ð¾ºÅѡɳмԴ»¡µÔ·àÃÕÂ¡Ç‹Ò hypsarrhythmia ʋǹ˹֧¢Í§¼Ù»Ç·Õ໚¹ west è Õè è Œ † è syndrome ¨ÐÁÕÊÒà˵Øàª‹¹ tuberous sclerosis, congenital brain malformation, hypoxic ischemic
  • 33.
    6 Childhood Seizure and Epilepsy encephalopathy, metabolic disorder ¡ÒþÂҡóâäÁÑ¡¨ÐäÁ‹¤ÍÂ´Õ Ê‹Ç¹ãË­‹àÁ×ͼٻÇÂâµ¢Ö¹ ‹ è Œ † é ÍÒ¨¨ÐÁÕÍÒ¡ÒêѡẺÍ׹ËÇÁ´ŒÇ áÅÐÁÕ¾²¹Ò¡ÒêŒÒËÃ×Ͷ´¶Í ¡ÒÃÃÑ¡ÉÒ㹺ҧÃÒÂÍÒ¨µÍºÊ¹Í§ è Ñ µ‹ÍÂÒ vigabatrin, ACTH 2. Benign Rolandic Epilepsy (BRE) ËÃ×Í Benign childhood epilepsy with centrotemporal spike ÁÑ¡¾ºã¹à´ç¡ª‹Ç§ÍÒÂØ 3-13 »‚ ¾ºÁÒ¡·Õʴ㹪‹Ç§ 7-9 »‚ ÍÒ¡Òêѡ໚¹áºº focal seizure èØ ¤×ÍÁÕ¡ÒáÃеء·ÕãºË¹ŒÒáÅÐÁÕàÊÕ§ã¹ÅíÒ¤Í ËÃ×ͪҺÃÔàdzãºË¹ŒÒ«Õ¡ã´«Õ¡Ë¹Ö§¡‹Í¹áÅŒÇÍÒ¨µÒÁÁÒ è è ´ŒÇ¡ÒÃà¡Ãç§¡Ãеء·Ñé§µÑÇ ÍÒ¡ÒêѡÁÑ¡¨Ðà¡Ô´µÍ¹¹Í¹ËÅѺ ÃÐÂÐàÇÅÒ㹡ÒêѡÁÑ¡¨ÐÊÑé¹äÁ‹à¡Ô¹ 1-3 ¹Ò·Õ ¼Ù»ÇÂÁÕ¾²¹Ò¡Òà áÅСÒõÃǨËҧ¡Ò»¡µÔ ¡ÒõÃǨ¤Å׹俿‡ÒÊÁͧ ¨Ð¾º epileptiform Œ † Ñ è discharge ºÃÔàdz centro-temporal ¢Í§ÊÁͧ´ŒÒ¹ã´´ŒÒ¹Ë¹Ö§ËÃ×ͷѧÊͧ´ŒÒ¹ ¼Ù»ÇÂàËŋҹըÐÁÕ¡Òà è é Œ † é ¾Âҡóâä´Õ ÍÒ¡Òêѡª¹Ô´¹ÕÁ¡¨ÐäÁ‹Ã¹áçáÅÐà¡Ô´äÁ‹ºÍ ÍÒ¡Òêѡ¨ÐËÒÂä´ŒàͧàÁ×ÍÍÒÂØ»ÃÐÁÒ³ é Ñ Ø ‹ è 15-16 »‚ ´Ñ§¹Ñ¹ÍÒ¨äÁ‹µÍ§ãËŒÂҡѹªÑ¡¡çä´Œ ᵋ¶ÒÁÕÍÒ¡Òêѡº‹Í ªÑ¡ÃعáçËÃ×ͪѡ㹪‹Ç§¡ÅÒ§Çѹ·Õè é Œ Œ ÍÒ¨à¡Ô´ÍѹµÃÒµ‹Í¼Ù»ÇÂä´Œ ÍÒ¨¾Ô¨ÒóÒãËŒÂҡѹªÑ¡à»š¹ÃÒÂæä» Œ † 3. Childhood/Juvenile absence epilepsy (CAE/JAE) ¾ºã¹à´ç¡ÍÒÂØ 4-8 áÅÐ 8-12 »‚µÒÁ ÅíҴѺ ÍÒ¡ÒêѡʋǹãË­‹à»š¹áºº absence seizure â´Â¾ºä´ŒºÍ¶էÁÒ¡¡Ç‹Ò 10 ¤Ãѧµ‹ÍÇѹ ÍÒ¨ ‹ é ¾ºÍÒ¡ÒêѡÍ׹洌ÇÂઋ¹ generalized tonic-clonic seizure «Ö§¾º»ÃÐÁҳÌÍÂÅÐ 40 áÅÐ 80 è è 㹼ٻǠCAE áÅÐ JAE µÒÁÅíҴѺ ¡Ò÷íÒ hyperventilation test ¹Ò¹ 2-3 ¹Ò·Õ ÍÒ¨¡ÃеعãËŒ¼»Ç Œ † Œ ÙŒ † ÁÕÍÒ¡ÒÃàËÁ‹Íä´Œ ¡ÒõÃǨ¤Å׹俿‡ÒÊÁͧ¨Ð¾º generalized 3 Hz spike and wave complexes è ¡ÒþÂҡóâ䤋͹¢ŒÒ§´Õ ¼Ù»ÇÂÁÑ¡µÍºÊ¹Í§´ÕµÍÂÒ valproic acid ËÃ×Í lamotrigine ¤ÇÃãËŒÂÒ໚¹ Œ † ‹ àÇÅҹҹ͋ҧ¹ŒÍ 2 »‚ ¶ŒÒäÁ‹ÁÍÒ¡Òêѡ«éÒ ÍÒ¨ÊÒÁÒöËÂØ´ÂÒä´Œ Õ í 4. Juvenile myoclonic epilepsy (JME) ¾ºº‹ÍÂã¹à´ç¡ÇÑÂÃØ¹ÍÒÂØ 12-18 »‚ ¼Ù»Ç¨ÐàÃÔÁµŒ¹‹ Œ † è ´ŒÇÂÅѡɳЪѡẺÊдا (myoclonic seizure) ¢Í§á¢¹ ¢Ò ËÑÇäËÅ‹ ÁÑ¡¨ÐÁÕÍÒ¡ÒÃËÅѧµ×¹¹Í¹ ºÒ§·Õ Œ è ¼Ù»ÇÂÍÒ¨¨ÐäÁ‹·ÃҺNjÒ໚¹ÍÒ¡Òêѡà¾Õ§ᵋÃʡNjҢÂѺᢹ¢Òä´ŒäÁ‹¤Å‹Í§àËÁ×͹»¡µÔ (clumsiness) Œ † ÙŒ Ö ¼ÙŒ»†ÇÂʋǹãË­‹ÁÑ¡¨ÐÁÒ¾ºá¾·ÂàÁ×èÍÁÕÍÒ¡ÒêѡẺ generalized tonic-clonic seizure ¼ÙŒ»†Ç ¡ÅØ‹Á¹ÕéÁÑ¡¨ÐªÑ¡ÁÒ¡¢Öé¹¶ŒÒÁÕÍÒ¡ÒÃà¤ÃÕ´ Í´¹Í¹ ¼ÙŒ»†ÇÂÁÕʵԻ˜­­ÒáÅСÒõÃǨËҧ¡Ò»¡µÔ ¡ÒõÃǨ¤Å׹俿‡ÒÊÁͧ¾º¤ÇÒÁ¼Ô´»¡µÔ·àÃÕÂ¡Ç‹Ò 4-6 Hz polyspike or spike and wave complexes è Õè ÍÒ¡Òêѡª¹Ô´¹ÕµÍºÊ¹Í§´ÕµÍÂÒ valproic acid ᵋ¼»ÇµŒÍ§ÃѺ»ÃзҹÂÒ仵ÅÍ´ªÕǵ à¹×ͧ¨Ò¡ é ‹ ÙŒ † Ô è ¶ŒÒËÂØ´ÂÒ¼Ù»ÇÂà¡×ͺ·Ø¡¤¹¨ÐÁÕÍÒ¡Òêѡ«éÒä´Œ Œ † í 5. Lennox-Gastaut syndrome (LGS) ¾ºã¹à´ç¡àÅ硪‹Ç§ÍÒÂØ 3-5 »‚ â´Â¨ÐÁÕÍÒ¡Òêѡ䴌 ËÅÒÂẺ䴌ᡋ tonic, atonic, atypical absence áÅÐ myoclonic seizure ¼Ù»Ç¨ÐÁÕ¾²¹Ò¡ÒêŒÒ Œ † Ñ ËÃ×Ͷ´¶Í ¤Å׹俿‡ÒÊÁͧÁÕ¤ÇÒÁ¼Ô´»¡µÔ·àÃÕÂ¡Ç‹Ò slow spike and wave ʋǹãË­‹¢Í§¼Ù»Ç è Õè Œ † ¡ÅØÁ¹ÕÁ¡¨ÐÁÕÊÒà赯 (symptomatic) ઋ¹ HIE, brain malformation, CNS infection »ÃÐÁҳÌÍÂÅÐ ‹ é Ñ 25 ¢Í§¼Ù»Ç¨ÐÁÕ»ÃÐÇÑµÔ infantile spasm ¹íÒÁÒ¡‹Í¹ã¹ª‹Ç§¢Çº»‚áá ¼Ù»ÇÂ¡ÅØÁ¹ÕÁ¡ÒþÂҡó Œ † Œ † ‹ é Õ âä·ÕäÁ‹´Õ ÁÑ¡äÁ‹µÍºÊ¹Í§ËÃ×͵ͺʹͧ¹ŒÍµ‹ÍÂҡѹªÑ¡ ÂÒ·Õ㪌¤ÇÃ໚¹ÂÒ·ÕáÉÒÍÒ¡Òêѡ䴌ËÅÒ è è èÑ
  • 34.
    àǪÈÒʵÏ·¹Âؤ 2553 Ñ 7 Ẻ ઋ¹ valproic acid, topiramate, lamotrigine, clonazepam ¼Ù»ÇÂʋǹãË­‹¨ÐÁÕÍÒ¡Òêѡ¨¹âµ Œ † ໚¹¼ÙãË­‹ Œ á¹Ç·Ò§ã¹¡ÒÃÇÔ¹Ô¨©Ñ¼ٌ»†ÇÂâäÅÁªÑ¡ âäÅÁªÑ¡à»š¹âä·Õ¾ºä´Œ¤Í¹¢ŒÒ§º‹Í â´Â੾ÒÐã¹¼Ù»ÇÂà´ç¡ ¨Ò¡¡ÒÃÈÖ¡ÉÒã¹µ‹Ò§»ÃÐà·È è ‹ Œ † ¾ºÇ‹Ò ÍØºµ¡Òó¢Í§âäÅÁªÑ¡ÁÕÍÂÙ»ÃÐÁÒ³ 44-50 ¤¹µ‹Í»ÃЪҡà 100,000 ¤¹µ‹Í»‚ (2) «Ö§ÍÒÂØ Ñ Ô ‹ è ·ÕàÊÕ§·Õ¨ÐÁÕÍÒ¡ÒêѡÁÒ¡·ÕÊ´ÁÕÍÂÙ‹ 2 ª‹Ç§¤×Í ª‹Ç§ 4-5 »‚áá¢Í§ªÕǵ ÍØºµ¡Òó»ÃÐÁÒ³ 100/100,000 è è è èØ Ô Ñ Ô ã¹à´ç¡ÍÒÂØ¹ŒÍÂ¡Ç‹Ò 1 »‚ áÅÐ ª‹Ç§ÍÒÂØÁÒ¡¡Ç‹Ò 50 »‚¢Öé¹ä» (ÍØºÑµÔ¡Òó»ÃÐÁÒ³ 180/100,000 㹤¹·ÕÁÍÒÂØ 85 »‚ ã¹»ÃÐà·Èä·ÂÁÕ¡ÒÃÈÖ¡ÉÒã¹»‚ ¾.È. 2534-2535 ¾ºÇ‹Ò¼Ù·¶¡ÊíÒÃǨ·ÕÍÒÂØÁÒ¡¡Ç‹Ò è Õ Œ Õè Ù è 5 »‚à¤ÂÁÕÍÒ¡Òêѡã¹ÍѵÃÒ 29.2 µ‹Í»ÃЪҡà 1,000 ¤¹ â´Â·ÑÇä»á¾·ÂÁ¡¨ÐäÁ‹ÁâÍ¡ÒÊ·Õ¨ÐàËç¹ÍÒ¡Òêѡ¢Í§¼Ù»Ç´ŒÇµÑÇàͧ ´Ñ§¹Ñ¹ÊÔ§·ÕÊҤѭ·ÕÊ´ è Ñ Õ è Œ † é è èí èØ ã¹¡ÒÃÇÔ¹Ô¨©ÑÂâäÅÁªÑ¡¡ç¤×Í¡Òëѡ»ÃÐÇѵÔÍ‹ҧÅÐàÍÕ´à¾×èÍãˌ䴌¢ŒÍÁÙÅÁÒ¡¾Í·Õè¨ÐºÍ¡ÅѡɳР¡Òêѡ䴌 â´ÂÍÒÈÑ»ÃÐÇѵ¨Ò¡¼Ù»ÇÂáÅмÙàËç¹à˵ءÒó «Ö§ÁÕá¹Ç·Ò§¡Òëѡ»ÃÐÇѵ´§¹Õé Ô Œ † Œ è Ô Ñ 1. ÍÒ¡Òá‹Í¹à¡Ô´ÍÒ¡Òêѡ (pre-ictal symptom) ¼ÙŒ»†ÇÂÍÒ¨¨ÐÁÕÍÒ¡ÒùíÒ (prodrome) «Ö§äÁ‹ÁšɳШíÒà¾ÒРઋ¹ »Ç´ÈÕÃÉÐ ¡ÃÐÊѺ¡ÃÐʋҠ«Ö§à¡Ô´¢Ö¹¡‹Í¹·Õ¨ÐÁÕÍÒ¡Òêѡ ËÃ×ÍÍÒ¡ÒÃàµ×͹ è ÕÑ è é è (aura) â´Â¼ÙŒ»†ÇÂÍÒ¨ÃÙŒÊÖ¡µÑÇNjҡíÒÅѧ¨ÐªÑ¡ ÍÒ¡ÒÃàµ×͹àËŋҹÑ鹨ТÖé¹ÍÂÙ‹¡ÑºµíÒá˹‹§¢Í§ÊÁͧ·Õè ¡‹ÍãËŒà¡Ô´ÍÒ¡Òêѡ ઋ¹ ªÒ ¤Å×¹äÊŒ ÍÒà¨Õ¹ »Ç´·ŒÍ§ ËÙáÇ‹Ç àËç¹ÀÒ¾ËÃ×Íáʧ·Õ¼´»¡µÔ ໚¹µŒ¹ è è Ô ã¹à´ç¡ÍÒ¨¨Ð͸ԺÒÂ໚¹¤íÒ¾Ù´äÁ‹ä´Œáµ‹ÍÒ¨áÊ´§ÍÍ¡´ŒÇ·‹Ò·Ò§ËÃ×;ĵԡÃÃÁ«éÒæ ઋ¹ ËÂØ´àÅ‹¹ í ÌͧäËŒ ÇÔ§ÁÒËÒ¼Ù»¡¤Ãͧ·Ø¡¤Ãѧ ¡‹Í¹·Õ¨ÐÁÕÍÒ¡Òêѡ è Œ é è 2. ÍÒ¡Òâ³ÐªÑ¡ (ictal symptom) ¼Ù»ÇÂÍÒ¨¨ÐÁÕ¡ÒÃà»ÅÕ¹á»Å§¡ÒÃÃÙÊµÔ ÁÕ¡ÒÃà¤Å×͹äËÇ Œ † è Œ è ¢Í§Ã‹Ò¡Ò·ռ´»¡µÔઋ¹ à¡Ãç§ ¡Ãеء·Ñ§µÑÇËÃ×Í¢ŒÒ§ã´¢ŒÒ§Ë¹Ö§ ÈÕÃÉÐËÃ×͵ÒËѹ仴ŒÒ¹ã´´ŒÒ¹Ë¹Ö§ è Ô é è è ¾Ù´äÁ‹ª´ËÃ×;ٴäÁ‹ä´Œ ÁÕ¤ÇÒÁÃÙÊ¡·Ò§Ã‹Ò§¡Ò·Õà»ÅÕÂ¹ä» ÁվĵԡÃÃÁ¼Ô´»¡µÔ Ñ ŒÖ è è 3. ÍÒ¡ÒÃËÅѧ¨Ò¡ÍÒ¡Òêѡ (post-ictal symptom) ¼Ù»ÇÂÍÒ¨¨ÐÁÕÍÒ¡ÒÃÊѺʹ (confusion) Œ † ¨íÒà˵ءÒó·à¡Ô´¢Ö¹äÁ‹ä´Œ §‹Ç§¹Í¹ ͋͹à¾ÅÕ ËÃ×Í ÍÒ¨¨ÐÁÕÍÒ¡ÒÃ͋͹áç¢Í§á¢¹¢Ò´ŒÒ¹ã´´ŒÒ¹ Õè é ˹֧ (Todd’s paralysis) «Ö§¨Ðº‹§Ç‹ÒÁÕ¨´àÃÔÁµŒ¹¢Í§¡ÒêѡÁÒ¨Ò¡ÊÁͧ´ŒÒ¹µÃ§¢ŒÒÁ ÍÒ¡ÒÃËÅѧªÑ¡ è è Ø è ÍÒ¨¹Ò¹à»š¹¹Ò·Õ ËÃ×ͪÑÇâÁ§ ᵋÁ¡¨ÐäÁ‹à¡Ô¹ 24 ªÑÇâÁ§ è Ñ è 4. »ÃÐÇѵ·à¡ÕÂǡѺ¡ÒêѡÍ×¹æ ઋ¹ ÍÒÂØ·àÃÔÁÁÕÍÒ¡Òêѡ ¤ÇÒÁ¶Õè ÃÐÂÐàÇÅÒ㹡Òêѡ »˜¨¨ÑÂ Ô Õè è è Õè è ·ÕÁÊǹ¡Ãеع·íÒãËŒª¡ ÊØ¢ÀÒ¾·Ò§¡Ò·ÑÇæä»¡‹Í¹ÁÕÍÒ¡Òêѡ ໚¹µŒ¹ è Õ‹ Œ Ñ è 5. »ÃÐÇѵ¡Òõѧ¤ÃÃÀáÅСÒäÅÍ´ »ÃÐÇѵ¡ÒÃà¨ÃÔ­àµÔºâµáÅоѲ¹Ò¡Òà »ÃÐÇѵ¡ÒÃà¨çº Ô é Ô Ô »†Çµ‹Ò§ æ ઋ¹ ¡ÒúҴà¨çº¢Í§ÈÕÃÉÐ ¡ÒõԴàª×ͧ͢ÊÁͧËÃ×Íâä·Ò§¡ÒÂÍ×¹æ »ÃÐÇѵ¡ÒÃ䴌ú é è Ô Ñ ÂÒËÃ×ÍÊÒþÔÉ »ÃÐÇѵ¡ÒÃà¨çº»†ÇÂËÃ×ÍâäÅÁªÑ¡ã¹¤Ãͺ¤ÃÑÇ Ô ¹Í¡¨Ò¡¡Òëѡ»ÃÐÇѵ·´áÅŒÇ ¡ÒõÃǨËҧ¡Ò¤ÇèФÃͺ¤ÅØÁ¶Ö§¡ÒõÃǨËҧ¡Ò·ÑÇä» Ô Õè Õ è (general physical examination) áÅÐ ¡ÒõÃǨËҧ¡Ò·ҧÃкº»ÃÐÊÒ· (neurological examination) «Öè§¡ÒõÃǨËҧ¡ÒÂʋǹãË­‹ÍÒ¨¨ÐäÁ‹¾º¤ÇÒÁ¼Ô´»¡µÔ ᵋ㹼ٌ»†ÇºҧÃÒÂÍÒ¨µÃǨ¾º¤ÇÒÁ
  • 35.
    8 Childhood Seizure and Epilepsy ¼Ô ´ »¡µÔ º Ò§Í‹ Ò §·Õè ¨ Ъ‹ Ç Â㹡ÒÃÇÔ ¹Ô ¨ ©Ñ  âä·Õè ¾ ºÃ‹ Ç Á¡Ñ º âäÅÁªÑ ¡ ä´Œ à ª‹ ¹ ¡ÒõÃǨ¾º hypopigmented macule 㹼ٻǠtuberous sclerosis complex ËÃ×Í¡ÒõÃǨ¾º port-wine stain Œ † 㹼ٻǠSturge-Weber syndrome Œ † á¹Ç·Ò§¡ÒÃÊ‹§µÃǨ·Ò§ËŒÍ§»¯ÔºÑµÔ¡ÒÃà¾×èÍËÒÊÒà˵آͧÍÒ¡Òêѡ (8,9) ¡ÒÃÊ‹§µÃǨ·Ò§ËŒÍ§»¯Ôºµ¡ÒÃà¾×ÍËÒÊÒà˵آͧÍÒ¡Òêѡ¹Ñ¹ ¤ÇèÐàÅ×͡ʋ§áµ‹·¨Ò໚¹áÅÐ Ñ Ô è é Õè í àËÁÒÐÊÁ¡Ñº¼Ù»ÇÂã¹áµ‹ÅÐÃÒ á¹Ç·Ò§·ÕÊÁÒ¤Á¡ØÁÒÃᾷáÅÐÊÁÒ¤ÁâäÅÁªÑ¡ã¹ÊËÃѰÍàÁÃÔ¡Ò Œ † è á¹Ð¹íÒÁÕ´§¹Õé Ñ 1. ¡ÒõÃǨàÅ×Í´ ઋ¹ glucose, electrolytes, calcium, magnesium ¨ÐÁÕ»ÃÐ⪹ ¶ŒÒ¼ÙŒ »†ÇÂÁÕÍÒ¡ÒÃÍÒà¨Õ¹ ¶‹ÒÂàËÅÇ ¢Ò´¹éÒ ËÃ×ÍÁÕÍÒ¡ÒÃËÁ´ÊµÔËÅѧªÑ¡¤‹Í¹¢ŒÒ§¹Ò¹ í 2. ¡ÒÃÊ‹§ toxicology screening ¤Ç÷ըÐÊ‹§µÃǨàÁ×ÍʧÊÑÂNjҼٻÇÂÍҨ䴌úÊÒþÔÉËÃ×ÍÊÔ§ è è Œ † Ñ è àʾµÔ´·ÕÍÒ¨·íÒãËŒà¡Ô´ÍÒ¡Òêѡ è 3. ¡ÒÃà¨ÒйéÒä¢ÊѹËÅѧ (lumbar puncture) á¹Ð¹íÒãËŒ·Òã¹à©¾ÒÐÃÒ·ÕʧÊÑÂÇ‹ÒÁÕ¡ÒõԴàª×Í í í è é ã¹Ãкº»ÃÐÊҷઋ¹ÁÕ ÃдѺ¤ÇÒÁÃÙÊ¡µÑÇŴŧ ËÃ×͵ÃǨ¾º sign of meningeal irritation ŒÖ 4. ¡ÒÃÊ‹§µÃǨ¤Å׹俿‡ÒÊÁͧ (electroencephalography, EEG) á¹Ð¹íÒãˌʧµÃǨ¤Å×¹ è ‹ è ä¿¿‡ÒÊÁͧ㹼ٻÇ first unprovoked seizure ·Ø¡ÃÒ à¹×ͧ¨Ò¡ÍÒ¨¨Ð·íÒ¹ÒÂâÍ¡ÒÊ·Õ¨ÐÁÕÍÒ¡Òà Œ † è è ªÑ¡«éÒ ËÃ×ͪ‹ÇÂ㹡ÒÃÇÔ¹¨©Ñ epileptic syndrome ºÒ§Í‹ҧ䴌 í Ô 5. ¡ÒÃÊ‹§µÃǨÀÒ¾¶‹Ò¢ͧÊÁͧ (neuroimaging study) ¡ÒÃÊ‹§µÃǨ·Õ´·Ê´¤×Í¡ÒõÃǨ è Õ Õè Ø magnetic resonance imaging (MRI) ¢Í§ÊÁͧ á¹Ð¹íÒãËŒµÃǨ㹼ٻÇ·ÕÁ¤ÇÒÁ¼Ô´»¡µÔ·Ò§ÊÁͧ Œ † è Õ äÁ‹Ç‹Ò´ŒÒ¹ÊµÔ»˜­­ÒËÃ×Í´ŒÒ¹¡ÅŒÒÁà¹×éÍ, ¾º¤ÇÒÁ¼Ô´»¡µÔ¨Ò¡¡ÒõÃǨËҧ¡Ò·ҧÃкº»ÃÐÊÒ·, 㹼ٻǠpartial seizure ËÃ×Í㹼ٻǷÕÁÍÒÂØ¹ÍÂ¡Ç‹Ò 1 »‚ Œ † Œ † è Õ Œ ¡ÒÃÃÑ¡ÉÒâäÅÁªÑ¡ (10,11) 㹼ٻǷÕÁÍÒ¡Òêѡ¤Ãѧáá ᾷ··Ò¡ÒÃÃÑ¡ÉÒ¤ÇèÐÇÔà¤ÃÒÐˏãËŒ´ÇÒ¼Ù»ÇÂÊÁ¤ÇÃ䴌ú Œ † è Õ é Õè í Õ‹ Œ † Ñ ÂҡѹªÑ¡ËÃ×ÍäÁ‹ ¨Ò¡¢ŒÍÁÙŷҧʶԵ¾ºÇ‹Ò¼Ù»Ç·ÕÁÍÒ¡Òêѡ¤Ãѧáá¨ÐÁÕÍÒ¡Òêѡ«éÒä´ŒÃÍÂÅÐ 25- Ô Œ † è Õ é í Œ 75 â´Â¤ÇÃᨌ§ãËŒ¼»¡¤ÃͧËÃ×ͼٻÇ·ÃÒºáÅоԨÒóÒËÇÁ¡Ñ¹¡‹Í¹ãËŒ¡ÒÃÃÑ¡ÉÒ ã¹ºÒ§¤Ãѧᾷ ÙŒ Œ † é ÍÒ¨¨ÐàÃÔÁãËŒ¡ÒÃÃÑ¡ÉÒÀÒÂËÅѧ¨Ò¡¡Òêѡà¾Õ§¤Ãѧà´ÕÂǶŒÒËÒ¡Ç‹Ò ¼Ù»ÇÂËÃ×ͼٻ¡¤ÃͧÁÕ¤ÇÒÁ¡Ñ§ÇÅ è é Œ † Œ Í‹ҧÊÙ§·Õ¨ÐàÊÕ§µ‹Í¡Òêѡ«éÒ Ê‹Ç¹¼Ù»Ç·ÕÁÍÒ¡ÒêѡÁÒ¡¡Ç‹Ò 2 ¤Ãѧ¢Ö¹ä» ᾷÁ¡¨ÐãËŒ¡ÒÃÃÑ¡ÉÒ è è í Œ † è Õ é é Ñ ´ŒÇÂÂҡѹªÑ¡ä´ŒàÅÂà¹×ͧ¨Ò¡¼Ù»ÇÂ¡ÅØÁ¹Õ¨ÐÁÕâÍ¡Òʪѡ«éÒä´Œ¤Í¹¢ŒÒ§ÁÒ¡ ÃŒÍÂÅÐ 70 è Œ † ‹ é í ‹ ËÅѧ¨Ò¡¾Ô¨ÒóÒáÅŒÇNjҼٻǤÇÃ䴌úÂҡѹªÑ¡ ᾷ¤Ç÷ÃÒºËÅѡ㹡ÒÃàÃÔÁÂҡѹªÑ¡ Œ † Ñ è (antiepileptic drugs, AED) (12,13) ´Ñ§¹Õé
  • 36.
    àǪÈÒʵÏ·¹Âؤ 2553 Ñ 9 1. àÅ×Í¡ÂÒ·ÕàËÁÒÐÊÁ¡ÑºÍÒ¡Òêѡ¢Í§¼Ù»ÇÂ è Œ † .irst line drug in partial seizure : Phenytoin, phenobarbital,carbamazepine, valproic acid Primary generalized tonic-clonic seizure : Phenytoin, phenobarbital, carbamazepine, valproic acid Absence, myoclonic, atonic seizure : Valproic acid Infantile spasm : Vigabatrin, ACTH 2. ¤ÇÃàÃÔÁÂҡѹªÑ¡´ŒÇÂÂÒª¹Ô´à´ÕÂÇ¡‹Í¹ (monotherapy) è 3. ¡ÒÃàÃÔÁÂÒ¤ÇÃãËŒÂÒã¹¢¹Ò´µèÒ à¾×ÍãËŒ¼»ÇÂÊÒÁÒö·¹µ‹Í¼Å¢ŒÒ§à¤Õ§·ÕÍÒ¨à¡Ô´¢Ö¹ áÅÐ è í è ÙŒ † è é »ÃѺ¢¹Ò´ ÂÒãˌʧ¢Ö¹Í‹ҧªŒÒæ ¨¹¡Ç‹Ò¼Ù»Ç¨ÐäÁ‹ÁÍÒ¡ÒêѡËÃ×ÍàÃÔÁÁռŢŒÒ§à¤Õ§¢Í§ÂÒ ¢¹Ò´áÅÐ Ù é Œ † Õ è ¤ÇÒÁ¶Õ¢Í§¡ÒÃãËŒÂҡѹªÑ¡·Õ㪌ºÍÂã¹»ÃÐà·Èä·ÂáÊ´§änj㹵ÒÃÒ§·Õè 3 è è ‹ 4. ºÃÔËÒÃÂÒµÒÁÅѡɳТͧàÀÊѪ¨Å¹ÈÒʵϢͧÂÒᵋÅЪ¹Ô´ 5. ¤Ç÷ÃÒº¶Ö§¼Å¢ŒÒ§à¤Õ§¢Í§ÂÒᵋÅЪ¹Ô´ áÅзÃÒº¶Ö§àÇÅҷըлÃÐàÁÔ¹¼Å¡ÒÃÃÑ¡ÉҢͧ è ÂÒª¹Ô´¹Ñ¹æ ÃÇÁ·Ñ§¢ŒÍº‹§ªÕ㹡ÒÃÊ‹§µÃǨáÅÐá»Å¼ÅÃдѺÂҡѹªÑ¡ã¹àÅ×Í´ é é é 6. àÁ×ͼٻÇÂä´ŒÂҡѹªÑ¡ã¹¢¹Ò´·ÕàËÁÒÐÊÁ ᵋÍÒ¡ÒêѡÂѧäÁ‹ÊÒÁÒö¤Çº¤ØÁä´Œ´Õ ËÃ×ÍÁÕ è Œ † è ¼Å¢ŒÒ§à¤Õ§¢Í§ÂÒª¹Ô´áá·Õ㪌 ¤ÇþԨÒóÒàÃÔÁÂҡѹªÑ¡ª¹Ô´·Õè 2 â´Â¤íÒ¹Ö§¶Ö§¡ÒÃÍ͡ķ¸Ô¢Í§ÂÒ è è ì ¡Ñ¹ªÑ¡áÅÐ drug interaction ´ŒÇ 7. ã¹àǪ»¯Ôºµ·Ç仹ÔÂÁãËŒÂҡѹªÑ¡á¡‹¼»ÇµԴµ‹Í¡Ñ¹à»š¹ÃÐÂÐàÇÅÒ¹Ò¹ 2 »‚¡Í¹¾Ô¨ÒÃ³Ò Ñ Ô Ñè ÙŒ † ‹ ËÂØ´ÂҡѹªÑ¡¶ŒÒ¼Ù»ÇÂäÁ‹ÁÍÒ¡Òêѡ«éÒ »˜¨¨Ñ·շÒãËŒÁâÍ¡Òʪѡ«éÒÍÕ¡ÊÙ§¢Ö¹¡ç¤Í ÊÒà˵آͧ¡Òêѡ Œ † Õ í è í Õ í é × ¤ÇÒÁ¼Ô´»¡µÔ¢Í§¤Å×¹ÊÁͧ áÅÐÍÒÂØ·àÃÔÁÁÕÍÒ¡Òêѡ 㹡óշ¾¨ÒóÒáÅŒÇÇ‹ÒÊÁ¤ÇÃËÂØ´ÂÒ è Õè è (14) Õè Ô ¡Ñ¹ªÑ¡¹Ñ¹¤ÇÃÅ´ÂҡѹªÑ¡Å§Í‹ҧªŒÒæ «Ö§â´Â·ÑÇä»ÁÑ¡¨Ð¤‹ÍÂæ ËÂØ´ÂҡѹªÑ¡â´Â㪌ÃÐÂÐàÇÅÒ»ÃÐÁÒ³ é è è 2-3 à´×͹
  • 37.
    10 Childhood Seizure and Epilepsy µÒÃÒ§·Õè 3 ¢¹Ò´áÅФÇÒÁ¶Õè¢Í§¡ÒÃãËŒÂҡѹªÑ¡·Õè㪌º‹ÍÂã¹»ÃÐà·Èä·Â Drug Initial dose Maintenance dose .requency Therapeutic level Metabolism (mg/kg/day) (mg/kg/day) (mg/L) Phenobarbital 3-5 3-8 bid, hs 10-40 Hepatic Phenytoin 5 5-8 bid, hs 10-20 Hepatic Carbamazepine 10-15 10-30 tid, bid (CR) 4-12 Hepatic Valproic acid 10-15 30-60 tid, bid (chrono) 50-120 Hepatic Topiramate 1 5-9 bid - Renal 70% Levetiracetam 10 20-60 bid - Renal 70% Lamotrigine 0.5 5-10 bid - Renal 70% Oxcarbazepine 10 20-50 bid - Renal 70% ÊÃØ» âäÅÁªÑ¡ã¹à´ç¡à»š¹âä·Ò§ÊÁͧ·Õ¾ºä´ŒºÍÂã¹àǪ»¯ÔºµÔ ᾷ¤ÇÃÁÕ¤ÇÒÁÃÙ·à¡ÕÂÇ¢ŒÍ§¡Ñº è ‹ Ñ Œ Õè è ÍÒ¡Òêѡ áÅÐâäÅÁªÑ¡ãËŒ´Õ ÁÕ¤ÇÒÁÊÒÁÒö·Õ¨Ð«Ñ¡»ÃÐÇÑµÔ µÃǨËҧ¡Ò àÅ×͡ʋ§¡ÒõÃǨ¾ÔàÈÉ è Í×¹æ 䴌͋ҧàËÁÒÐÊÁà¾×ÍÇÔà¤ÃÒÐˏÇÒ¼Ù»ÇÂÁÕÍÒ¡ÒêѡËÃ×ÍäÁ‹ ¶ŒÒÁÕÍÒ¡Òêѡ໚¹ÍÒ¡Òêѡª¹Ô´ã´ è è ‹ Œ † ¨Óà»ç¹µéͧãËé¡ÒÃÃÑ¡ÉÒËÃ×ÍäÁè ËÃ×ͨѴà¢éÒà»ç¹¡ÅØÁ epileptic syndrome ª¹Ô´ã´ä´éËÃ×ÍäÁè ¤ÇÃÁÕ¤ÇÒÁ- è ÃÙ㹡ÒÃàÅ×Í¡ÂҡѹªÑ¡·ÕàËÁÒÐÊÁ¡ÑºÍÒ¡Òêѡ·Õ¼»ÇÂÁÕ ¤Ç÷ÃÒº¶Ö§¼Å¢ŒÒ§à¤Õ§¢Í§ÂÒµ‹Ò§æ·ÕÍÒ¨¨Ð Œ è è ÙŒ † è à¡Ô´¢Ö¹ áÅФÇÃ͸ԺÒÂâäàº×ͧµŒ¹ãˌᡋ¼»Ç à¾×ÍãËŒ¼»ÇÂËÃ×ͼٻ¡¤ÃͧàËç¹¶Ö§¤ÇÒÁÊíҤѭ㹡Òà é é ÙŒ † è ÙŒ † Œ ÃÑ¡ÉÒ áÅШÐä´Œ»¯ÔºµµÇãËŒ¶¡µŒÍ§µ‹Íä» Ñ Ô Ñ Ù àÍ¡ÊÒÃ͌ҧÍÔ§ 1. Obeid M, Mikati MA. Expanding spectrum of paroxysmal events in children: Potential mimickers of epilepsy. Pediatr Neurol. 2007;37:309-16. 2. Baulac M. Epilepsy. In: Schapira AHV, Byrne E, editors. Neurology and clinical neuroscience. Philadelphia: Mosby Elsevier; 2007. p.673-718 3. The Commission on Classification and Terminology of the International League Against Epilepsy. Proposal for revised clinical and electroencephalographic classification of epileptic seizures. Epilepsia. 1981;22:489-501. 4. Holmes GL, Nordli DR. Generalized, focal and multifocal seizure. In: Swaiman K., Ashwal S, .erriero DM, editors. Pediatric neurology: principles and practice. Philadelphia: Mosby Elsevier; 2006. p. 1019-54. 5. The Commission on Classification and Terminology of the International League Against Epilepsy. Proposal for revised classification of epilepsies and epileptic syndromes. Epilepsia. 1989;30:389-99. 6. Roger J, Bureau M, Dravet C, Genton P, Tassinari CA, Wolf P. Epileptic syndromes in infancy, childhood and adolescence. 3rd ed. London: John Libbey; 2002. 7. Arzimanoglou A, Guerrini R, Aicardi J. Aicardi’s epilepsy in children. 3rd ed. Philadelphia: Lippincott William & Wilkins; 2004.
  • 38.
    àǪÈÒʵÏ·¹Âؤ 2553 Ñ 11 8. Hirtz D, Ashwal S, Berg A, et al. Practice parameter: evaluating a first nonfebrile seizure in children: report of the quality standards subcommittee of the American Academy of Neurology, The Child Neurology Society, and The American Epilepsy Society. Neurology. 2000;55:616-23. 9. Browne TR, Holmes GL. Epilepsy. N Engl J Med. 2001;344:1145-51. 10. Hirtz D, Berg A, Bettis D, et al. Practice parameter: treatment of the child with a first unprovoked seizure: Report of the Quality Standards Subcommittee of the American Academy of Neurology and the Practice Committee of the Child Neurology Society. Neurology. 2003;60:166-75. 11. Shinnar S, Berg AT, Moshe SL, et al. The risk of seizure recurrence after a first unprovoked afebrile seizure in childhood: an extended follow-up. Pediatrics. 1996;98:216-25. 12. Brodie M, Dichter M. Antiepileptic drugs. N Engl J Med. 1996;334(3):168-75. 13. Dichter M, Brodie M. New antiepileptic drugs. N Engl J Med. 1996;334(24):1583-90. 14. Practice parameter: a guideline for discontinuing antiepileptic drugs in seizure-free patients – summary statement. Report of the Quality Standards Subcommittee of the American Academy of Neurology. Neurology. 1996;47(2): 600-2.
  • 40.
    àǪÈÒʵÏ·¹Âؤ 2553 Ñ º··Õè 13 2 ·Òá¡Ç¹¼Ô´»Ã¡µÔ (.ussy Baby) ÈÒʵÃÒ¨ÒÏ ¹ÒÂᾷà¡ÃÕ§ÈÑ¡´Ôì ¨ÕÃÐᾷ ÀÒ¤ÇÔªÒ¡ØÁÒÃàǪÈÒʵÏ ¤³Ðá¾·ÂÈÒʵÏÈÔÃÔÃÒª¾ÂÒºÒÅ ÁËÒÇÔ·ÂÒÅÑÂÁËÔ´Å .ussy baby äÁ‹Á¤Ò¨íÒ¡Ñ´¤ÇÒÁÊҡŠ㹤ÇÒÁËÁÒ¢ͧ¼Ùà¢Õ¹ ËÁÒ¶֧·Òá·ÕÁÍÒ¡ÒÃÍ‹ҧ Õ í Œ è Õ ã´Í‹ҧ˹֧µ‹Í仹Õé 䴌ᡋ µ×¹´Ù´¹Áº‹Í ˧ش˧ԴàÇÅÒ´Ù´¹Á ¡Ç¹ ËÃ×ÍÌͧÁÒ¡ ÍÒ¡ÒâͧÅÙ¡ÁռŠè è ãËŒáÁ‹äÁ‹ÁàÇÅҹ͹µÍ¹¡ÅÒ§¤×¹áÅоѡ¼‹Í¹µÍ¹¡ÅÒ§Çѹ ¨¹à¡Ô´¤ÇÒÁà¤ÃÕ´ Õ ÊÒà˵آͧ·Òá¡Ç¹áÅдٴ¹Áº‹ÍÂẋ§µÒÁÃÐÂÐàÇÅÒËÅѧà¡Ô´ä´Œ´§¹Õé Ñ 1. ÊÑ»´Òˏááæ ËÅѧà¡Ô´¢³Ð·Õ¹Ò¹ÁáÁ‹Â§Áչ͠è éí Ñ Œ 2. ÃÐÂзչҹÁáÁ‹Áà¾Õ§¾Í è éí Õ ÊÒà˵Øã¹ÊÑ»´Òˏááæ ËÅѧà¡Ô´¢³Ð·Õ¹Ò¹ÁáÁ‹Â§Áչ͠è éí Ñ Œ ! ·Òá䴌¹ÁáÁ‹äÁ‹¾Í¨Ò¡¡Òû¯ÔºµµÒÁ¢ŒÍ»¯Ôºµ¢Í§¡ÒÃãËŒ¹ÁáÁ‹äÁ‹¶¡µŒÍ§ ¡Òû¯ÔºµÔ Ñ Ô Ñ Ô Ù Ñ ·Õ¶¡µŒÍ§¤×Í è Ù - ÍØÁÅÙ¡´Ù´¹Á¶Ù¡µŒÍ§ Œ - ãˌš´Ù´¹Á 8-12 Á×͵‹ÍÇѹ Ù é - ´Ù´áµ‹ÅÐൌҹҹ 10-15 ¹Ò·ÕµÍàµŒÒ áÅÐãËŒ´´·Ñ§ÊͧൌҷءÁ×Í (੾ÒÐã¹ÃÐÂÐáá ‹ Ù é é ËÅѧ¤ÅÍ´ ¢³Ð·Õ¹Ò¹ÁáÁ‹àÃÔÁ¶Ù¡¼ÅÔµËÃ×ÍäÁ‹¾Í) è éí è ! áÁ‹ÁÕൌҹÁ¤Ñ´¨Ò¡¡ÒÃÊÌҧ¹éíÒ¹Áà¾ÔèÁ ᵋ¹éíÒ¹ÁäÁ‹¶Ù¡ÃкÒ à¹×èͧ¨Ò¡»¯ÔºÑµÔµÒÁ¢ŒÍ »¯Ôºµ¢Í§¡ÒÃãËŒ¹ÁáÁ‹äÁ‹¶¡µŒÍ§ ÁÕ¼ÅãËŒ·Òá´Ù´¹Á (latch on) ä´ŒÅÒºÒ¡à¾ÃÒÐÅÒ¹ Ñ Ô Ù í ËÑǹÁáÁ‹á¢ç§ ! ÊѺʹÇÔ¸»Í¹¹Á ËÃ×ÍËÑǹÁ (nipple confusion) ¡Òû¯Ôºµ·¶¡µŒÍ§¤×Í ãˌš´Ù´¨Ò¡àµŒÒ Õ ‡ Ñ Ô Õè Ù Ù ËÅÕ¡àÅÕè§¡Òû‡Í¹¹Á·ÕèäÁ‹ãª‹ÇÔ¸Õ¸ÃÃÁªÒµÔ¹Ò¹à»š¹Çѹ ËŒÒÁ´Ù´¨Ø¡¹Áã¹ 6 ÊÑ»´Òˏáá ËÅѧà¡Ô´ à¾ÃÒÐ໚¹ÃÐÂзÕáÁ‹¼ÅÔµ¹éÒ¹ÁÂѧäÁ‹à¾Õ§¾ÍáÅл‡Í§¡Ñ¹ÀÒÇÐÊѺʹËÑǹÁã¹ÅÙ¡ è í ¡ÒüÅÔµà¾Õ§¾Í µŒÍ§ÍÒÈÑ¡ÒáÃеع·ÕÅÒ¹ËÑǹÁáÅÐËÑǹÁ´ŒÇ¡Òôٴ¢Í§ÅÙ¡ Œ è ! à¤Ã‹§¤ÃÑ´àÇÅÒ´Ù´¹Á ¡Òû¯ÔºÑµÔ·Õè¶Ù¡¤×ÍÃÐÂÐááãËŒ´Ù´µÒÁÅÙ¡µŒÍ§¡Òà Í‹Òà¤Ã‹§¤ÃÑ´ ¡ÑºàÇÅÒ ãˌš´Ù´¹Á¡‹Í¹·ÕÅ¡ËÔÇÁÒ¡ ¶ŒÒËÔÇÁÒ¡ ·íÒãˌʧºâ´Â»‡Í¹¹ÁºÕºàÅ硹ŒÍ´ŒÇ ٠èÙ ËÅÍ´Ë´ (dropper) ËÃ×ͪŒÍ¹ à¾×ÍãËŒ·Òáʧº áŌǨ֧ãˌš´Ù´¨Ò¡àµŒÒ è Ù ! ·ÒáÁÕŹ¶Ù¡ÂÖ´µÃÖ§ (tongue-tie) Ôé
  • 41.
    14 ·Òá¡Ç¹¼Ô´»Ã¡µÔ ÊÒ˵Øã¹ÃÐÂзչҹÁáÁ‹Áà¾Õ§¾Í è éí Õ ! ¡ÒÃ䴌ú੾ÒйéÒ¹Áʋǹ˹ŒÒ (foremilk/hindmilk imbalance) Ñ í ! ¹éÒ¹ÁáÁ‹ÁÁÒ¡à¡Ô¹ (breast milk oversupply/overproduction of milk) í Õ ! ·Òá¤Ñ´¨ÁÙ¡ ! ÀÒÇÐ͌͹ 3 à´×͹ (evening colic) ÅÙ¡ä´ŒÃѺ¹ÁáÁ‹äÁ‹¾Í ÍÒ¡ÒÃáÊ´§¢Í§ÅÙ¡·Õ䴌ú¹ÁáÁ‹¾ÍÁÕ´§¹Õé è Ñ Ñ ! ÅÙ¡ËÂØ´´Ù´¹Áàͧ ËÃ×͹͹ËÅѺËÅѧ´Ù´¹Á ! ¹Í¹ËÅѺ¹Ò¹ 2-3 ªÁ. ! ¹éíÒ˹ѡ¡ÅѺ¤×¹à·‹Ò¡Ñº¹éíÒ˹ѡááà¡Ô´ÀÒÂã¹ 2 ÊÑ»´Òˏ áÅŒÇà¾ÔèÁ¢Öé¹ÇѹÅлÃÐÁÒ³ 30 ¡ÃÑÁ ! àÁ×ÍÍÒÂØ 3-5 Çѹ ¶‹Ò»˜ÊÊÒÇÐ 3-5 ¤Ãѧµ‹ÍÇѹ áÅж‹ÒÂÍØ¨¨ÒÃÐ 3-4 ¤Ãѧµ‹ÍÇѹ è é é ! àÁ×ÍÍÒÂØ 5-7 Çѹ ¶‹Ò»˜ÊÊÒÇÐ 4-6 ¤Ãѧµ‹ÍÇѹ áÅж‹ÒÂÍØ¨¨ÒÃÐ 3-6 ¤Ãѧµ‹ÍÇѹ è é é ! 䴌¹àÊÕ§¡Å×¹¹Á (swallow sound) àÁ×ÍáÁ‹ÊÌҧ¹éÒ¹Áä´ŒÁÒ¡¾Í ËÇÁ¡ÑºÅÙ¡´Ù´áÅСÅ×¹ Ô è í ¹Áä´Œ´Õ ÍÒ¡ÒÃáÊ´§·Õº§Ç‹ÒáÁ‹Á¹Ò¹Áà¾Õ§¾ÍÁÕ´§¹Õé è ‹ Õ éí Ñ ! ൌҹÁµÖ§¡‹Í¹ãˌš´Ù´¹Á áÅйØÁÀÒÂËÅѧÅÙ¡´Ù´ Ù ‹ ! ൌҷÕäÁ‹¶¡´Ù´ÁÕ¹Ò¹ÁË´ (let-down reflex) ¢³ÐÅÙ¡´Ù´¹Á è Ù éí ¤íÒá¹Ð¹íÒà¾×ÍãËŒáÁ‹»¯Ôºµã¹Çѹáá æ ËÅѧ¤ÅÍ´ à¾×Í¡Ãеع¡ÒÃÊÌҧ¹éÒ¹Á è Ñ Ô è Œ í ! Ê͹áÁ‹ãËŒÍÁÅÙ¡´Ù´¹ÁãËŒ¶¡µŒÍ§ ØŒ Ù ! ãˌš´Ù´¡Ãеع 8-12 Á×͵‹ÍÇѹ Ù Œ é ! ¤ÇÃãˌš´Ù´¹ÁàÁ×Í·ÒááÊ´§ÍÒ¡ÒÃËÔÇ ä´Œá¡‹ ¡Òõ׹µÑÇ (alertness) ÁÒ¡¢Ö¹ ¡ÒÃà¤Å×͹ Ù è è é è äËÇ (physical activity) ÁÒ¡¢Ö¹ ¡Ò÷íÒ·‹Ò´Ù´¹Á (mouthing) Ëѹ»Ò¡ËÒËÑǹÁ (rooting) é äÁ‹¤ÇÃÃͨ¹¡ÃзѧÅ١Ìͧ à¾ÃÒСÒÃÌͧ໚¹ÍÒ¡ÒÃáÊ´§·ŒÒÂÊØ´¢Í§¤ÇÒÁËÔÇ è ! ãËŒ´´¹Ò¹¨¹¡ÃзѧÅÙ¡¾Í㨠»Ã¡µÔãËŒ´´áµ‹ÅÐൌҹҹ 10-15 ¹Ò·Õ Ù è Ù ! ¡ÒÃàÃÔÁµŒ¹´Ù´áµ‹ÅÐÁ×Í ãËŒ´´ÊÅѺൌҷÕàÃÔÁµŒ¹´Ù´ã¹Á×Í·ÕáÅŒÇ è é Ù è è é è ! ã¹ÊÑ»´Òˏáá æ ËÅѧ¤ÅÍ´ áÁ‹ÍÒ¨µŒÍ§»ÅØ¡ÅÙ¡ãËŒ´´¹Á ËÒ¡ÅÙ¡àÇŒ¹ª‹Ç§µ×¹à¾×Í´Ù´¹Áᵋ Ù è è ÅÐÁ×͹ҹà¡Ô¹ 4 ªÑÇâÁ§¨Ò¡àÇÅÒ·ÕàÃÔÁµŒ¹´Ù´¹Áã¹Á×Í·ÕáÅŒÇ é è è è é è ! ËŒÒÁãËŒ¹Òà»Å‹ÒËÃ×͹éÒ¡ÅÙâ¤Ê éí í
  • 42.
    àǪÈÒʵÏ·¹Âؤ 2553 Ñ 15 ¶ŒÒáÁ‹Á¹Ò¹ÁäÁ‹¾Í¨ÃÔ§ ¤Çû¯Ôºµ´§¹Õé Õ éí Ñ Ô Ñ ! 㪌ËÅÍ´Ë´ (dropper) ËÂÍ´¹Á¼ÊÁ·ÕÅÒ¹ËÑǹÁ ËÃ×Í»‡Í¹¹ÁÅÙ¡´ŒÇÂÇÔ¸¡ÒÅÑ¡¹éÒ´ŒÇ è Õ í ËÅÍ´ãËŒÍÒËÒà (feeding tube) ËÁÒÂàÅ¢ 5 áÅС¢Ç´¹ÁãËŒµÒ à¾×ÍäÁ‹ãËŒ¹Ò¹ÁäËÅà¢ŒÒ èí è éí »Ò¡ÅÙ¡àÃçÇä» áÅÐÅÙ¡µÔ´¤ÇÒÁàÃçǢͧ¡ÒÃäËÅ ·íÒãˌš˧ش˧ԴàÇÅÒ´Ù´¨Ò¡àµŒÒ·Õ¹Ò¹Á Ù è éí äËŪŒÒ¡Ç‹Ò ! »ÃÔÁÒ³¹Á¼ÊÁ¤íҹdzµÒÁÊٵôѧ¹Õé 20-30 ÁÅ. x ¹éÒ˹ѡááà¡Ô´ x ÍÒÂØ/¨íҹǹÁ×͹Á í é ! »ÃФѺ»ÃФͧáÁ‹äÁ‹ãËŒà¤ÃÕ´ ËÇÁ¡Ñº¡Òê‹ÇÂãˌšÍÔÁ·ŒÍ§áÅÐʧº ¤ÇÒÁà¤ÃÕ´áÅСÒà ٠è äÁ‹ä´Œ¾¡¼‹Í¹ÁÕ¼ÅãËŒ¡ÒüÅÔµ¹éÒ¹ÁÁÕ¹ÍÂ Ñ í Œ ¡ÒÃä´ŒÃѺ¹éíÒ¹Áʋǹ˹ŒÒ ËÃ×͹éíÒ¹ÁáÁ‹ÁÕÁÒ¡à¡Ô¹ ÍÒ¡ÒâͧáÁ‹··Òá䴌ú੾ÒйéÒ¹Áʋǹ˹ŒÒ/¹éÒ¹ÁáÁ‹ÁÁÒ¡à¡Ô¹ÁÕ´§¹Õé Õè Ñ í í Õ Ñ ! ÁÕÍÒ¡ÒäѴൌҹÁº‹ÍÂæ (engorged breasts) ! ¹éÒ¹ÁáÁ‹äËÅໂ¡á©Ð (leaking) ÃÐËNjҧÁ×͹Á í é ! ¢³Ðãˌš´Ù´ ¹éÒ¹ÁäËŨҡൌҢŒÒ§·ÕäÁ‹¶¡´Ù´¨íҹǹÁÒ¡ (forceful letdown) Ù í è Ù ! áÁ‹Á»­ËÒ plugged ducts ËÃ×Í mastitis Õ ˜ ! àÁ×èÍÊÔé¹ÊØ´¡Òôٴ¹Á ËÑǹÁà»ÅÕè¹໚¹ÊÕ¢ÒÇ ËÃ×ÍÁÕÃ;Ѻ (crease) ¨Ò¡¡Ò÷Õè·Òá ¾ÂÒÂÒÁÅ´¤ÇÒÁàÃçÇ㹡ÒÃäËŢͧ¹éÒ¹Á í ÍÒ¡Òâͧ·Òá·Õ¾ºä´Œá¡‹ÍÒ¡ÒÃÍ‹ҧã´Í‹ҧ˹֧µ‹Í仹Õé è è ! »¯Ôàʸ´Ù´¹Á¨Ò¡àµŒÒ (breast refusal) ËÃ×Í ·Òá㪌àÇÅÒ´Ù´¹ÁÊѹ (shortened feeds) é ! áÊ´§Í͡NjÒËÔÇ ÍÂÒ¡´Ù´º‹Í ! ´Ù´¹Áº‹ÍÂÁÒ¡ ÍÒ¨·Ø¡ªÑÇâÁ§ è ! ´Ô¹ÊÙà¾×ÍäÁ‹ãËŒÊÒÅÑ¡ é Œ è í ! ÁÕÍÒ¡Òà colic-like symptoms ! ·ŒÍ§Í×´¨Ò¡ÁÕÅÁÁÒ¡ ! áËÇйÁ (spitting-up) ÍÒà¨Õ¹ ! äÍ ¢ÂŒÍ¹ (gag) ÃÕº¡Å×¹ (gulp) àÁ×ÍàÃÔÁ´Ù´¨Ò¡ letdown reflex ·Õáç è è è ! ¶‹ÒÂÍØ¨¨ÒÃÐ໚¹¹éÒÊÕà¢ÕÂÇËÃ×Í໚¹¿Í§ ºÒ§¤ÃѧÁÕàÅ×Í´»¹ í é ! ¹éÒ˹ѡà¾ÔÁÁÒ¡¡Ç‹Ò 30 ¡ÃÑÁµ‹ÍÇѹ ËÃ×Íà¾ÔÁ¹ŒÍ í è è ! ÃÐËNjҧ´Ù´àµŒÒ ËÂØ´´Ù´¹Á·Ñ¹·Õ à¾×ÍËÂØ´¤ÇÒÁàÃçǢͧ¡ÒÃäËÅ è ! ͌һҡáÅмÅШҡൌҺ‹ÍÂæ ! »¯Ôàʸ´Ù´¹Á໚¹¾Ñ¡æ ¨Ò¡¡ÒõŒÍ§à˧¡Å×¹¹Á·ÕËÅѧÁÒ¡ è è
  • 43.
    16 ·Òá¡Ç¹¼Ô´»Ã¡µÔ ! ·Ò᪋ǵÑÇàͧâ´Âà»ÅÕ¹¡ÒçѺൌҹÁ ·íÒãËŒ latch on äÁ‹¶¡µŒÍ§ áÅдٴᵋËǹÁ è Ù Ñ à¾×ÍÅ´¡ÒÃäËÅ ·Õ·ÒãËŒáÁ‹à¨çºËÑǹÁ è è í ! ·ÒáäÁ‹´´¹Áàͧ ᵋ¡Å×¹¹Á·ÕäËÅÍÍ¡ÁÒ¨Ò¡ËÑǹÁ (passive suckling) Ù è ÍÒ¡Òâͧ·Òáà¡Ô´¨Ò¡¡ÒÃ䴌ú¹Á·ÕÁä¢Áѹ¹ŒÍ (foremilk) ·íÒãËŒ¹Ò¹Á¼‹Ò¹¡ÃÐà¾ÒÐàÃçÇ Ñ è Õ éí ÁÕáÅç¤âµÊ¼‹Ò¹à¢ŒÒÅíÒäÊŒÁÒ¡ áÅж١à»ÅÕ¹໚¹¡Ò« è á¹Ç·Ò§»¯Ôºµà¾×Íᡌä¢ÀÒÇйÕÁËÅÒÂÇÔ¸Õ ´Ñ§¹Õé Ñ Ô è é Õ ! ºÕº/»˜Á»Š ¹éÒ¹ÁÍÍ¡ ¨¹¹éÒ¹ÁäËŪŒÒ ¡‹Í¹ãˌš´Ù´ à¾×ÍÅ´ foremilk ·ÕÅ¡¨Ð䴌úáÅÐ  í í Ù è èÙ Ñ ! ¡Ãеع letdown reflex ·Õ·ÒãËŒ¹Ò¹Á¾Ø§ÍÍ¡áçã¹ÃÐÂÐáἋҹ仡‹Í¹ Œ è í éí ‹ ! Å´¨íҹǹ¤Ãѧ㹡Òôٴ¹ÁÍÕ¡àµŒÒ à¾×ÍÂѺÂѧ¡ÒÃäËŢͧ¹éÒ¹Áã¹àµŒÒ¹Á (galactostasis) é è í ·ÕäÁ‹¶¡´Ù´ à¾×ÍãËŒ¡ÒÃÊÌҧ¹Á¹ŒÍÂŧ è Ù è ! ËÅÕ¡àÅÕ§¡ÒÃÃкÒ¹Á¨Ò¡àµŒÒ (¨Ò¡¡ÒÃãˌš´Ù´¹Á) à¾ÃÒШСÃеع¡ÒÃÊÌҧ¹éÒ¹Á è Ù Œ í ¡àÇŒ¹àÁ×ÍáÁ‹¤´àµŒÒ¹ÁÁÒ¡ ¡Òúպ¹éÒ¹ÁËÃ×Íãˌš´Ù´àµŒÒ ·íÒà¾×ÍãËŒËÒ¤ѴൌҹÁ෋ҹѹ è Ñ í Ù è é ! äÁ‹¡Ò˹´¤ÇÒÁ¹Ò¹¢Í§¡Òôٴ¹ÁൌÒáá í ! ãËŒ´´¹Á¨¹à¡ÅÕ§ൌҡ‹Í¹ãËŒ´´ÍÕ¡àµŒÒ â´ÂÃÍãˌšËÂØ´¹Áàͧ ËÃ×Í´Ù´¨¹àËÅѺ ËÃ×Í´Ù´ Ù é Ù Ù ¡Å×¹ªŒÒŧ äÁ‹¨Ò໚¹µŒÍ§´Ù´ÊÍ§àµŒÒ ¶ŒÒൌҹÁÂѧ¤Ñ´ ãËŒºº¹éÒ¹ÁÍ͡෋ҷշÒãËŒËÒ¤Ѵ í Õ í è í ! ãËŒ´´àµŒÒà´ÕÂÇ (unilateral breastfeeding) ËÃ×Í cetain time block (block feeding) ãËŒ´´ ٠٠ൌÒà´ÕÂǹҹ 4-12 ªÁ. à¾×ÍÅ´¡ÒÃÊÌҧ¹éÒ¹Á ËҡൌҹÁ·ÕäÁ‹¶¡´Ù´ÁÕÍÒ¡ÒäѴ ãËŒºº è í è Ù Õ ¹éÒ¹ÁÍÍ¡ à¾Õ§¾ÍᤋãËŒËÒ¤Ѵ í ¡ÒÃà»ÅÕ¹·‹ÒÍØÁÅÙ¡´Ù´¹Áà¾×Í»‡Í§¡Ñ¹ÊíÒÅÑ¡ è Œ è ! ·‹ÒáÁ‹¹§ ãËŒÍÁ·‹Ò football hold ¨Ñ´ãËŒÈÃÉÐÅÙ¡ÍÂÙʧ¡Ç‹ÒൌҢ³Ð´Ù´¹Á Ñè ØŒ Õ ‹Ù ! ·‹ÒáÁ‹¹Í¹ ãˌš¹Í¹¤ÇèÒº¹Í¡¢³Ð´Ù´¹ÁáÁ‹ à¾×͵ŒÒ¹áç⹌Á¶‹Ç§ Ù í è ¡ÒäѴ¨ÁÙ¡ ÍÒ¡Ò÷ÕáÊ´§Ç‹Ò·Òá¤Ñ´¨ÁÙ¡¤×Í ÅÙ¡à¤Â´Ù´¹Áä´Œ´Õ ÍÂÙ‹ æ ´Ù´¹Á 3-4 ¤íÒ áÅŒÇ͌һҡÌͧ ËÃ×Í è ÊкѴ˹ŒÒË¹Õ áÅÐÌͧ¡Ç¹ äÁ‹´´¹Á Ù ¡ÒÃÇÔ¹¨©ÑÂ Ô ! 䴌¹àÊÕ§¤Ñ´¨ÁÙ¡ (sniffle ËÃ×Í snuffle) Ô ! àÁ×Í㪌˿§ (stethoscope) ¨‹Í˹ŒÒÃÙ¨ÁÙ¡ ¨Ð䴌¹àÊÕ§ÅÁËÒÂã¨àÇÅÒËÒÂ㨠·Òá·Õ»Ã¡µÔ è Ù ˜ Ô è áÅй͹ËÅѺ ¡Òÿ˜§ÅÁËÒÂ㨷ըÁÙ¡ ¨ÐäÁ‹ä´ŒÂ¹àÊÕ§ è Ô ! 㪌ãÂÊíÒÅÕ¨Í˹ŒÒÃÙ¨ÁÙ¡·ÕÅТŒÒ§ ¢ŒÒ§·Õ¤´ ãÂÊíÒÅÕ¨Ðà¤Å×͹¹ŒÍÂËÃ×ÍäÁ‹à¤Å×͹ ‹ è Ñ è è
  • 44.
    àǪÈÒʵÏ·¹Âؤ 2553 Ñ 17 ¡ÒÃÃÑ¡ÉÒ ! ËÂÍ´¹éÒà¡Å×ÍࢌÒÃÙ¨ÁÙ¡¢ŒÒ§ÅÐ 5 Ë´ ·Ø¡ 2-3 ªÑÇâÁ§ í è ! ËÒ¡äÁ‹ä´Œ¼Å ãˌ㪌ÊÒÅÕ¾¹»ÅÒÂäÁŒ·àµÃÕÂÁàͧáÅÐÁÕ¢¹Ò´àÃÕÂÇàÅ硤ŌÒ¾ÃÔ¡¢Õ˹٠áÅÐ í Ñ Õè é ªØº¹éÒà¡Å×Íàªç´ã¹ÃÙ¨ÁÙ¡ ËÒ¡à¡Ô´¨Ò¡¹éÒÁÙ¡ ¡ÒÃàªç´¹éÒÁÙ¡ÍÍ¡ ÍÒ¡ÒäѴ¨ÁÙ¡¨ÐËÒÂä» í í í ! ËÒ¡ÁÕ¹ÒÁÙ¡ÁÒ¡ ãˌ㪌 finger tip connector ´Ù´ÃÙ¨Á١ᵋÅТŒÒ§ ´ŒÇÂáç´Ù´ -100 ÁÁ.»ÃÍ· éí ! ËÒ¡äÁ‹ ä ´Œ ¼ Å ãËŒ Ë ÂÍ´ÂÒ·Õè ·í Ò ãËŒ à Â×è Í ºØ ¨ ÁÙ ¡ ÂØ º ºÇÁ (0.5% ephedrine, 0.025% oxymetazoline HCl) ·Ø¡ 8 ªÑÇâÁ§ è âä»Ç´·ŒÍ§ËÃ×Í͌͹ÊÒÁà´×͹ (Evening colic) âä»Ç´·ŒÍ§ËÃ×Í͌͹ÊÒÁà´×͹ËÁÒ¶֧ÀÒÇзջÃСͺ´ŒÇÂÅѡɳе‹Í仹Õé è 1. ÍÒ¡ÒÃÃØ¹áçà¡Ô´¢Ö¹·Ñ¹·Õ·¹ã´ áÅÐà¡Ô´«éÒ æ ã¹àÇÅÒà´ÕÂǡѹ (paroxysms of irritability) é Ñ í 2. ¡Ç¹ (fussing) ËÃ×ÍÌͧäËŒà¡Ô¹ 3 ªÑÇâÁ§µ‹ÍÇѹ è 3. ÁÕÍÒ¡ÒÃÁÒ¡¡Ç‹Ò 3 Çѹµ‹ÍÊÑ»´Òˏ áÅÐ໚¹¹Ò¹¡Ç‹Ò 3 ÊÑ»´Òˏ 4. ÁÕàÊÕ§Ìͧ·ÕµÒ§¨Ò¡àÊÕ§Ìͧã¹ÀÒÇÐÍ×¹ æ ¤×ÍÌͧäËŒ´Ç¤ÇÒÁà¨çº»Ç´ËÃ×Íá¼´àÊÕ§ è ‹ è Œ (screaming) ·Õ·ÒãËŒàÊÕ§ÌͧÁÕàÊÕ§ÊÙ§ (higher pitch) áÅдѧÁÒ¡ (more intensity) ¡Ç‹ÒàÊÕ§Ìͧ è í ã¹ÀÒÇÐÍ×¹ è 5. ÁÕÍÒ¡ÒÃáÊ´§ÍÍ¡·Ò§¡ÒÂÀÒ¾ ઋ¹ ¤ÇÒÁµÖ§¢Í§¡ÅŒÒÁà¹×Íà¾ÔÁ (hypertonia) é è 6. äÁ‹ÁǸ¡ÒÃã´ æ ·Õ¨Ð»Åͺ (soothing effort) ãËŒ·Òáʧºä´Œ ÕÔÕ è 7. ·ÒṋÒÃÑ¡áÅлáµÔ·¡Í‹ҧàÁ×ÍäÁ‹ÁÍÒ¡ÒûǴ·ŒÍ§ áÅÐÁÕ¹Ò˹ѡà¾ÔÁ»Ã¡µÔ Ø è Õ éí è ÊÒà˵Øà¡Ô´¨Ò¡¡ÒûǴ·ŒÍ§·ÕèÁÕÊÒà˵طÑé§·Õè·ÃÒºáÅÐäÁ‹·ÃÒº ÍÒ¨à¡Ô´¨Ò¡·Òá¡Å×¹ÅÁ ÁÒ¡ä» ä´ŒÃº¹ÁÁÒ¡ä» ËÃ×Íä´ŒÍÒËÒúҧª¹Ô´ â´Â੾ÒзÕÁÊǹ»ÃСͺ¨íҾǡệ§ÊÙ§ «Ö§ÁÕ¼ÅãËŒ Ñ è Õ‹ è ÁÕ¡Ò«¨Ò¡fermentation ã¹ÅíÒäÊŒÁÒ¡ ÁÕ¼ÅãËŒ·Í§Í×´áÅÐṋ¹·ŒÍ§ ËÃ×Íᾌâ»ÃµÕ¹¢Í§¹ÁÇÑÇ  Œ ¡ÒÃÇÔ¹¨©Ñ µŒÍ§ÁÕšɳФú·Ñ§ 7 ¢ŒÍ´Ñ§¡Å‹ÒÇ »Ã¡µÔ¾ºã¹·ÒáµèÒ¡Ç‹Ò 3 à´×͹ â´ÂÁÕ Ô Ñ é í ÅѡɳÐ੾ÒФ×Í ÍÒ¡ÒûÃÒ¡¯ËÅѧ¤ÅÍ´ 2-3 ÊÑ»´Òˏ áÅÐÁÕÍÒ¡Òõ͹º‹ÒÂËÃ×ÍàÂç¹ ·ÒáÌͧ àÊÕ§´Ñ§ÁÒ¡·Ñ¹·Õ·¹ã´ ¡ÒÃÌͧÁÑ¡µ‹Íà¹×ͧ áÅÐ໚¹¾Ñ¡ æ ¹Ò¹ËÅÒªÑÇâÁ§ ãºË¹ŒÒÍҨᴧ¡èÒ ËÃ×Í Ñ è è í ÁÕ«Õ´Ãͺ»Ò¡ ·ŒÍ§Í×´áÅÐá¢ç§ ¢Ò§Í¾ÑºÍÂÙ‹º¹·ŒÍ§áÅÐÍÒ¨àËÂÕ´Í͡໚¹¤ÃÑ駤ÃÒÇ Á×Í¡íÒṋ¹ à·ŒÒÁÑ¡àÂç¹ ¡ÒÃÌͧÍÒ¨ËÂØ´µ‹ÍàÁ×èÍ·ÒáÌͧ¨¹ËÁ´áç ºÒ§¤ÃÑé§ÍÒ¡ÒûǴÍÒ¨·ØàÅÒàÁ×èÍ·Òá ¼ÒÂÅÁËÃ×Ͷ‹ÒÂÍØ¨¨ÒÃÐ ÍØºµ¡ÒâͧÀÒÇÐã¹µ‹Ò§»ÃÐà·È ¾ºã¹·ÒáÌÍÂÅÐ 8-45 àÁ×ÍàÃÔÁÁÕÍÒ¡ÒÃ Ñ Ô è è ¡ÒÃÇÔ¹Ô¨©ÑÂÍÒÈÑ¡ÒõÃǨËҧ¡ÒÂÍ‹ҧÅÐàÍÕ´ áÅСÒÃÇÔ¹Ô¨©ÑÂá¡âäÍ×è¹ æ ઋ¹ ËÙÍÑ¡àʺ ·Ò§à´Ô¹»˜ÊÊÒÇÐÍÑ¡àʺ ÅíÒäÊŒ¡Å×¹¡Ñ¹ (intussusception) äÊŒàÅ×͹áÅÐÅíÒäÊŒ¶¡ºÕºà¤Œ¹ (strangulated è Ù hernia) ໚¹µŒ¹ ·ÒáÍÒ¨à¡Ô´ÍÒ¡ÒêŒÒ ¼ÙŒà¢Õ¹¾º·ÒáËÅÒÂÃÒ·Õèä´ŒÃѺ¹ÁáÁ‹Í‹ҧà´ÕÂÇã¹ à´×͹áááÅÐÁÕÍÒ¡ÒûǴ·ŒÍ§àÁ×ÍÍÒÂØ 1 à´×͹àÈÉ ËÅѧãËŒ¹ÁÇÑÇä´Œ 1 ÊÑ»´Òˏ è
  • 45.
    18 ·Òá¡Ç¹¼Ô´»Ã¡µÔ ¡Òû‡Í§¡Ñ¹ »‡Í¹¹Á·ÒááÅÐäÅ‹ÅÁËÅѧÁ×͹ÁãËŒ¶¡µŒÍ§áÅйҹ¾Í Ëҡ㪌¹Á¼ÊÁ µŒÍ§ÍØÁ é Ù Œ ·ÒááÅж×͢Ǵ¹ÁãËŒ¶¡µŒÍ§ Í‹һŋÍÂãËŒ·ÒáÌͧ¹Ò¹ áÅл‡Í§¡Ñ¹¡ÒáÅ×¹ÅÁ Í‹һ‡Í¹¹ÁÁÒ¡ Ù ËÃ×͹ŒÍÂä» ¡ÒÃÃÑ¡ÉÒ ã¹µíÒÃÒÁÑ¡¡Å‹ÒÇÇ‹Ò äÁ‹ÁÕ¡ÒÃÃÑ¡ÉÒã´ æ ·ÕèãËŒ¼Å໚¹·Õ蹋ҾÍ㨠äÁ‹Ç‹Ò¨Ð໚¹ ÂҢѺÅÁ ÂÒà˹çºà¾×ÍãËŒ·Òá¶‹Ò ËÃ×ÍÂҹ͹ËÅѺ ÇÒ§·ÒáãËŒ¹Í¹¤ÇèÒ¢ÇÒ§º¹µÑ¡¤Ø³áÁ‹ËÃ×Í è í º¹¡ÃÐ້ҹéÒÍØ¹ÍÒ¨ª‹ÇºÃÃà·Ò í ‹ ÍÒËÒ÷Õ໚¹ÊÒà˵آͧ͌͹ÊÒÁà´×͹·Õ¾ºº‹Í·ÕÊ´¤×Í ¼ÅÔµÀѳ±¹ÁáÅжÑÇÅÔʧ ËÒ¡·Òá è è èØ è 䴌ú¹ÁáÁ‹áÅÐÁÕÍÒ¡ÒÃàÁ×ÍãËŒ¹ÁÇÑÇ ãËŒ¾¨Òóҧ´¹ÁÇÑÇ ËÒ¡¾ºã¹·Òá·ÕàÅÕ§¹ÁáÁ‹Í‹ҧà´ÕÂÇáÅÐ Ñ è Ô è é ¤Ø³áÁ‹´×èÁ¹Á ãËŒ¤Ø³áÁ‹§´´×èÁ¹Á ¶ŒÒ¡ÒûǴ·ŒÍ§à¡Ô´¨Ò¡á¾Œâ»ÃµÕ¹¹ÁÇÑÇ ·Òá¨ÐËÂØ´ÃŒÍ§ ËÒ¡äÁ‹ãª‹á¾Œâ»ÃµÕ¹ã¹¹ÁÇÑÇ «Ñ¡¶ÒÁ»ÃÐÇѵÍÒËÒâͧ¤Ø³áÁ‹ 䴌ᡋ ¼ÅÔµÀѳ±¹ÁÍ×¹æ (cheese, Ô è yogurt, äÍÈ¡ÃÕÁ) ¹Á¶ÑÇàËÅ×ͧ 䢋 ¢ŒÒÇâ¾´ ¼Ñ¡ (´Í¡¡ÐËÅèÒ ËÑǼѡ¡Ò´ broccoli áµ§¡ÇÒ ËÑÇËÍÁ è í ¡ÃÐà·ÕÂÁ ໚¹µŒ¹) ¡Òç´ÍÒËÒÃᵋÅЪ¹Ô´ãËŒ§´¹Ò¹ 7-10 Çѹ ¶ŒÒÍÒ¡Ò÷ÒáäÁ‹´¢¹áÊ´§Ç‹ÒÍÒËÒÃ Õ Öé ·Õ§´äÁ‹ãª‹ÊÒà赯 è à¹×ͧ¨Ò¡¼Ùà¢Õ¹¾ºÇ‹Ò㹤Ãͺ¤ÃÑÇ·ÕÁ·ÒỆǴŒÇÂÀÒÇйÕé ºØ¤¤Å·Ø¡¤¹ã¹¤Ãͺ¤ÃÑǨÐÁÕ è Œ è Õ ¤ÇÒÁà¤ÃÕ´ÁÒ¡â´Â੾ÒФسáÁ‹ ºÒ§¤¹¶Ö§¡ÑºÃŒÍ§äËŒ áÅÐäÁ‹ÍÂÒ¡ãËŒàÇÅÒàÂç¹ÁÒ¶Ö§ ºÒ§¤ÃÑé§ à»š¹ÊÒà˵آͧ¡Ò÷ÐàÅÒСѹ㹤Ãͺ¤ÃÑÇ á¾·Â¨§µŒÍ§¾ÂÒÂÒÁÅ´¤ÇÒÁà¤ÃÕ´ãËŒ áÅоÂÒÂÒÁ¾Ù´ Ö ãËŒ¤³¾‹ÍࢌÒ㨤ÇÒÁà¤ÃÕ´¢Í§¤Ø³áÁ‹ à¾×ÍãËŒÍÀѤسáÁ‹ ¤Ø³áÁ‹ºÒ§¤¹àÅ‹ÒÇ‹Ò àÇÅÒÅ١ÌͧÁÒ¡ æ Ø è ¤Ô´µÕÅ¡ ËÃ×Í·Ô§ÅÙ¡ ¼Ùà¢Õ¹䴌¾ÂÒÂÒÁËÒÂÒÁÒºÃÃà·ÒÀÒÇйÕà¾×ÍãËŒà¡Ô´¤ÇÒÁʧºÊآ㹤Ãͺ¤ÃÑÇ Ù é Œ é è â´Â㪌Áҵѧᵋ»‚ ¾.È. 2520 ¡‹Í¹·Õ¨ÐÁÕÃÒ§ҹà¡ÕÂǡѺ¼ÅàÊÕ¢ͧÂÒ¹Õé ¾ºÇ‹Ò ¡ÒÃãËŒ dicyclomine é è è hydrochloride ª¹Ô´¹éÒàª×ÍÁ 1 ÁÅ. (10 Á¡./5 ÁÅ.) ·Ò§»Ò¡ ÇѹÅÐ˹֧¤Ãѧ ¡‹Í¹àÇÅÒÌͧ¤ÃÖ§ªÑÇâÁ§ í è è é è è ª‹Ç»‡Í§¡Ñ¹ÍÒ¡ÒûǴ·ŒÍ§ä´Œ´Õ ¡ÒÃÊѧÂÒäÁ‹¤ÇÃãËŒ¨Ò¹Ç¹ÁÒ¡ ¤ÇÃÊѧãËŒà¾Õ§ 15 ÁÅ. à¾×Í´Ù¡Òà è í è è µÍºÊ¹Í§áÅоÔʨ¹ÇÒà¡Ô´¨Ò¡¡ÒûǴ·ŒÍ§ËÃ×ÍäÁ‹ Ëҡ໚¹ÀÒÇйÕé ¨ÐàËç¹¼Å㹤׹áá·ÕãËŒÂÒ ÃÐÂÐ Ù ‹ è ËÅѧÁÕÃÒ§ҹ¡ÒÃ㪌ÂÒ¹Õé¨Ò¡ÊËÃѰÍàÁÃÔ¡Ò ·Õ辺NjҷÒá·Õèä´ŒÃѺÂÒ¹ÕéÁÕËÑÇã¨ËÂØ´àµŒ¹ «Öè§¼ÙŒà¢Õ¹ äÁ‹à¤Â¾ºàÅ ÍÒ¨à¾ÃÒмÙà¢Õ¹㪌»ÃÔÁÒ³ÂÒ¹ŒÍ áÅÐãËŒ»Í¹â´Â㪌·Ë´ËÃ×Í¡Ãк͡ÂÒ áÅÐãËŒàÁ×Í Œ ‡ Õè è ṋã¨Ç‹Ò·Òá໚¹âä͌͹ÊÒÁà´×͹ ¡ÒÃãËŒÂÒ¨Ö§µŒÍ§ãËŒ´Ç¤ÇÒÁÃÐÁÑ´ÃÐÇѧáÅÐàÁ×ͨíÒ໚¹¨ÃÔ§ æ Œ è Í‹ÒãËŒÂÒà¡Ô¹¢¹Ò´ áÅÐÅͧËÂØ´ÂÒàÁ×Í·Òá´Õ¢¹ è Öé àÍ¡ÊÒÃ͌ҧÍÔ§ 1. à¡ÃÕ§ÈÑ¡´Ôì ¨ÕÃÐᾷ. àÍ¡ÊÒúÃÃÂÒ Advanced course in breastfeeding: common problems in breastfed neonates. ¡ÒûÃЪØÁÇÔªÒ¡ÒûÃШíÒ»‚ 2553 ÃÒªÇÔ·ÂÒÅÑ¡ØÁÒÃᾷáË‹§»ÃÐà·Èä·Â ³ âçáÃÁ à«ç¹·ÃÒÅÒ á¡Ã¹´ ÁÔÃÒ¨ ºÕª ÃÕÊÍÏ· ¾Ñ·ÂÒ ¨Ñ§ËÇÑ´ ªÅºØÃÕ Çѹ·Õè 21 àÁÉÒ¹ 2553. 2. à¡ÃÕ§ÈÑ¡´Ôì ¨ÕÃÐᾷ. ¡ÒÃàÅÕ§ÅÙ¡´ŒÇ¹ÁáÁ‹:»˜­ËÒ·Õ¾ºº‹ÍÂã¹·Òá. ã¹: ÊØ¹·Ã ·Í་Ҿѹ¸, ¾ÔÁÅÃѵ¹ ä·Â¸ÃÃÁÂÒ é è ¹¹·, à¡ÃÕ§ÈÑ¡´Ôì ¨ÕÃÐᾷ. ºÃóҸԡÒÃ. Neonatology 2009. ¡Ãا෾Ï: ºÃÔÉ· ¸¹Òà¾ÃÊ ¨íÒ¡Ñ´, 2552:33-42. Ñ 3. à¡ÃÕ§ÈÑ¡´Ôì ¨ÕÃÐᾷ. 32 »˜­ËÒã¹·Òáááà¡Ô´: ¡Òû‡Í§¡Ñ¹áÅСÒôÙáÅ. ¡Ãا෾Ï: ºÃÔÉ· áÍ´·ÕÁ ¤ÃÕàͪѹ ¨íÒ¡Ñ´, Ñ è 2542.
  • 46.
    àǪÈÒʵÏ·¹Âؤ 2553 Ñ 19 4. American Academy of Pediatrics, American College of Obstetricians and Gynecologists. Guidelines for perinatal care. 6th ed. Elk Grove Village, IL:AAP; Washington DC: ACOG; 2007: 235-7. 5. American Academy of Pediatrics Section on Breastfeeding. Breastfeeding and the use of human milk. Pediatrics. 2005;115:496–506. 6. Lester BM. Definition and diagnosis of colic. In: Sauls HS, Redfern DE, eds. Colic and excessive cry. Report of the 105th Ross Conference on Pediatric Research. Columbus: Abbot Laboratories, 1997. 7. World Health Organization. Evidence for the ten steps to successful breastfeeding. Geneva: World Health Organization, Division of Child Health and Development, 1998. http://www.who.int/nutrition/publications/ evidence_ten_step_eng.pdf
  • 48.
    àǪÈÒʵÏ·¹Âؤ 2553 Ñ º··Õè 21 3 ¡ÒÃÇÔ¹Ô¨©Ñ¡ÒÃᾌÍÒËÒÃÊíÒËÃѺàǪ»¯ÔºÑµÔ·ÑèÇä» (The Diagnosis of .ood Allergy in Clinical Practice) ÃͧÈÒʵÃÒ¨ÒÏ ᾷ˭ԧÍ÷Ñ ¾ÔºÙÅâÀ¤Ò¹Ñ¹· ÀÒ¤ÇÔªÒ¡ØÁÒÃàǪÈÒʵÏ ¤³Ðá¾·ÂÈÒʵÏÈÔÃÔÃÒª¾ÂÒºÒÅ ÁËÒÇÔ·ÂÒÅÑÂÁËÔ´Å »¯Ô¡ÃÂÒäÁ‹¾§»ÃÐʧ¤·à¡Ô´¨Ò¡¡ÒÃÃѺ»ÃзҹÍÒËÒà (adverse reaction to food) ÍÒ¨à¡Ô´ ÔÔ Ö Õè â´Â¼‹Ò¹¡Åä¡·Ò§ÀÙÁ¤Á¡Ñ¹ (immune-mediated) «Ö§àÃÕÂ¡Ç‹Ò »¯Ô¡ÃÂÒᾌÍÒËÒà (food allergy/ food Ô ØŒ è ÔÔ hypersensitivity) ËÃ×Í»¯Ô¡ÔÃÔÂÒäÁ‹¾Ö§»ÃÐʧ¤·Õèà¡Ô´¨Ò¡¡ÒÃÃѺ»ÃзҹÍÒËÒà â´ÂäÁ‹¼‹Ò¹¡Åä¡ ·Ò§ÀÙÁ¤Á¡Ñ¹ ·ÕàÃÕÂ¡Ç‹Ò food intolerance «Ö§ÍÒ¨ÁÕÍÒ¡ÒÃËÅÒÂÍ‹ҧ·ÕÁ¤ÇÒÁ¤ÅŒÒ¤ÅÖ§¡Ñº»¯Ô¡ÃÂÒ Ô ØŒ è è è Õ ÔÔ á¾ŒÍÒËÒà ÊÒà˵آͧ food intolerance ÍÒ¨à¡Ô´¨Ò¡ËÅÒ»˜¨¨Ñ 䴌ᡋ ÊÒþÔÉ»¹à»„͹ã¹ÍÒËÒà œ ¤Ø³ÊÁºÑµ·Ò§àÀÊѪÇÔ·ÂҢͧÍÒËÒà ઋ¹ caffeine 㹡Òá¿ ÀÒÇТҴ lactase enzyme ËÃ×Í »¯Ô¡ÃÂÒ Ô ÔÔ à©¾ÒеÑǢͧ¼Ù»ÇÂ(1) 㹺·¹Õ¨Ð¡Å‹ÒǶ֧»¯Ô¡ÃÂÒᾌÍÒËÒÃ໚¹Ê‹Ç¹ãË­‹ Œ † é ÔÔ ¤ÇÒÁªØ¡¢Í§»¯Ô¡ÔÃÔÂÒᾌÍÒËÒà ¤ÇÒÁªØ¡¢Í§»¯Ô¡ÃÂÒᾌÍÒËÒþºä´ŒÃÍÂÅÐ 6-8 ã¹à´ç¡ÍÒÂØ¹ÍÂ¡Ç‹Ò 3 »‚ áÅÐÃŒÍÂÅÐ 3.5–4 ÔÔ Œ Œ ã¹¼ÙãË­‹ ¤ÇÒÁªØ¡¢Í§»¯Ô¡ÃÂÒᾌÍÒËÒ÷Õá·Œ¨ÃÔ§ ¹‹Ò¨Ðä´Œ¨Ò¡¡Ò÷íÒ oral food challenge ¡ÒÃÈÖ¡ÉÒ Œ (2) ÔÔ è ã¹»ÃÐà·Èä·Ââ´ÂÊÒ¸Ôµ Êѹµ´ØÊÔµáÅФ³Ð ä´ŒÊíÒÃǨâ´Â㪌ẺÊͺ¶ÒÁã¹à´ç¡ÍÒÂØ 6 à´×͹¶Ö§ 6 »‚¨Ò¹Ç¹ 656 ÃÒ ¾º»¯Ô¡ÃÂÒäÁ‹¾§»ÃÐʧ¤¨Ò¡ÍÒËÒÃÃŒÍÂÅÐ 6.25(3) ᵋ¨Ò¡¡Ò÷´Êͺ oral í ÔÔ Ö food challenge ã¹à´ç¡¡ÅØÁ¹ÕºÒ§Ê‹Ç¹ ¾ºÇ‹ÒÁÕ¼»ÇÂà¾Õ§ÌÍÂÅÐ 0.5 ·ÕÁ»¯Ô¡ÃÂÒᾌÍÒËÒèÃÔ§(3) ‹ é ÙŒ † è Õ ÔÔ ¤ÇÒÁªØ¡¢Í§»¯Ô¡ÃÂÒᾌÍÒËÒþºÊÙ§¢Ö¹ã¹à´ç¡·ÕÁâäÀÙÁᾌ͹æ ËÇÁ´ŒÇ ઋ¹ à´ç¡·Õ໚¹âä ÔÔ é è Õ Ô ×è è ¼ÔÇ˹ѧÍÑ¡àʺ¨Ò¡ÀÙÁᾌª¹Ô´Ãعáç»Ò¹¡ÅÒ§¶Ö§ÃعáçÁÒ¡ (moderate to severe atopic dermatitis) Ô ¾º¤ÇÒÁªØ¡¢Í§»¯Ô¡ÃÂÒᾌÍÒËÒê¹Ô´·Õ¼Ò¹ IgE (IgE-mediated) ÊÙ§¢Ö¹¶Ö§ÃŒÍÂÅÐ 37(4) ÔÔ è ‹ é ÍÒËÒ÷Õè¡‹ÍãËŒà¡Ô´»¯Ô¡ÔÃÔÂÒᾌ䴌º‹ÍÂ䴌ᡋ ¹ÁÇÑÇ ä¢‹ ¶ÑèÇàËÅ×ͧ ệ§ÊÒÅÕ ÍÒËÒ÷ÐàÅ ¶ÑÇÅÔʧ áÅÐ tree nut(1) â´Âã¹à´ç¡àÅ硨оº¤ÇÒÁªØ¡¢Í§¡ÒÃᾌ¹ÁÇÑÇáÅÐ䢋䴌ʧ¡Ç‹Òã¹¼ÙãË­‹ è Ù Œ ʋǹ¡ÒÃᾌÍÒËÒ÷ÐàÅáÅÐtree nut ¾ºã¹¼ÙãË­‹ÁÒ¡¡Ç‹Òã¹à´ç¡(2) ÊíÒËÃѺ¹ÁÇÑǾºÇ‹ÒÃŒÍÂÅÐ 2.5(5) Œ ¢Í§à´ç¡·Òá¨ÐÁÕ»¯Ô¡ÃÂÒᾌ¹ÁÇÑÇÀÒÂã¹ÍÒÂØ 1 »‚áá «Ö§ÃŒÍÂÅÐ 60 ໚¹»¯Ô¡ÃÂÒª¹Ô´ IgE-mediated ÔÔ è ÔÔ »¯Ô¡ÃÂÒᾌ䢋¾ºä´ŒÃÍÂÅÐ 1.6 ã¹à´ç¡àÅç¡(6) â´Â໚¹ª¹Ô´ IgE-mediated à¡×ͺ·Ñ§ËÁ´ »¯Ô¡ÃÂÒ ÔÔ Œ é ÔÔ á¾Œ¶ÇÅÔʧ¾ºä´ŒÃÍÂÅÐ 0.8 ã¹à´ç¡ »¯Ô¡ÃÂÒᾌ¼ÅäÁŒáÅÐ tree nut ¾ºÃŒÍÂÅÐ 0.1-4.3 »¯Ô¡ÃÂÒ Ñè Œ (7) ÔÔ ÔÔ
  • 49.
    22 ¡ÒÃÇÔ¹Ô¨©Ñ¡ÒÃᾌÍÒËÒÃÊíÒËÃѺàǪ»¯ÔºÑµÔ·ÑèÇä» á¾Œá»‡§ÊÒÅÕ ¶ÑÇàËÅ×ͧ áÅÐ§Ò ¾º¹ŒÍ¡NjÒÃŒÍÂÅÐ 1(8) ʋǹ»¯Ô¡ÃÂÒäÁ‹¾§»ÃÐʧ¤¨Ò¡ÊÒÃ»ÃØ§áµ‹§ è ÔÔ Ö (food additive) ¾ºä´ŒÃÍÂÅÐ 1-2 ã¹à´ç¡ ã¹»ÃÐà·Èä·Â ¾ºÊÒà˵آͧ»¯Ô¡ÃÂÒäÁ‹¾§»ÃÐʧ¤¨Ò¡ Œ (9) ÔÔ Ö ¹ÁÇÑÇáÅÐ䢋ÁÒ¡·ÕÊ´ã¹à´ç¡àÅç¡ Ê‹Ç¹ã¹à´ç¡âµ¾ºÊÒà˵بҡÍÒËÒ÷ÐàÅÁÒ¡·ÕÊ´ ÃͧŧÁÒ䴌ᡋ èØ èØ ¹ÁÇÑÇáÅÐ䢋µÒÁÅíҴѺ (3) ÍÒ¡ÒÃáÅÐÍÒ¡ÒÃáÊ´§¢Í§»¯Ô¡ÔÃÔÂÒᾌÍÒËÒà »¯Ô¡ÃÂÒᾌÍÒËÒÃÊÒÁÒöáÊ´§ÍÒ¡ÒÃä´ŒËÅÒÂÃкº 䴌ᡋ Ãкº¼ÔÇ˹ѧ ·Ò§à´Ô¹ËÒÂ㨠ÔÔ ·Ò§à´Ô¹ÍÒËÒà áÅÐËÑÇã¨/ËÅÍ´àÅ×Í´ â´ÂÍÒ¨à¡Ô´¾ÃŒÍÁ¡Ñ¹ËÅÒÂÃкºËÃ×ÍáÊ´§ÍÒ¡ÒÃà¾Õ§Ãкºã´ ÃкºË¹Ö§ ¹Í¡¨Ò¡¹Õ§¾ºÁÕ¤ÇÒÁÃØ¹áçµÑ§áµ‹ÍÒ¡ÒùŒÍ¨¹¶Ö§ÍÒ¡ÒÃÃØ¹áçÁҡઋ¹ ÀÒÇЪçͤ ËÃ×Í è éÑ é anaphylaxis ໚¹µŒ¹ ÍÒ¡ÒÃᾌÍÒËÒÃᵋÅÐÍÒ¡ÒÃÍÒ¨à¡Ô´¨Ò¡¡Åä¡·Õᵡµ‹Ò§¡Ñ¹ ¤×Í IgE-mediated, non-IgE- è mediated ËÃ×Í mixed IgE áÅÐ non-IgE-mediated reaction â´ÂÊÒÁÒö¨íÒṡÍÒ¡ÒÃáÊ´§ä´ŒµÒÁ ÃкºáÅСÅä¡·Õᵡµ‹Ò§¡Ñ¹´Ñ§µÒÃÒ§·Õè 1 â´ÂÍÒ¡Ò÷ҧÃкº¼ÔÇ˹ѧáÅзҧà´Ô¹ÍÒËÒÃ໚¹Ãкº è ·ÕáÊ´§ÍÒ¡Òú‹Í·ÕÊ´(10) è èØ µÒÃÒ§·Õè 1 »¯Ô¡ÔÃÔÂÒᾌÍÒËÒÃẋ§µÒÁÃкº·ÕèáÊ´§ÍÒ¡ÒÃáÅСÅä¡¡ÒÃà¡Ô´âä Ãкº·Õè IgE-mediated ¡Åä¡ÃÇÁ·Ñé§ lgE Non-IgE-mediated ¼Ô´»¡µÔ áÅÐ non-IgE- mediated ·ÑÇËҧ¡Ò è Anaphylaxis, food- (generalized) dependent exercise- induced anaphylaxis ¼ÔÇ˹ѧ ¼×¹ÅÁ¾ÔÉ, angioedema, âä¼ÔÇ˹ѧÍÑ¡àʺ¨Ò¡ è Contact dermatitis, ¼×¹á´§ (flushing), acute ÀÙÁᾌ (atopic è Ô dermatitis contact urticaria dermatitis), contact herpetiformis dermatitis ·Ò§à´Ô¹ÍÒËÒà Oral allergy syndrome Allergic eosinophilic Allergic proctocolitis, (OAS), gastrointestinal esophagitis (AEE), food protein-induced anaphylaxis allergic eosinophilic enterocolitis syndrome, gastroenteritis (AEG) celiac disease, infantile colic ·Ò§à´Ô¹ËÒÂ㨠àÂ×ͺبÁÙ¡/µÒÍÑ¡àʺ¨Ò¡ âäË×´ è Pulmonary ÀÙÁᾌ, ËÅÍ´ÅÁµÕº Ô hemosiderosis à©Õº¾Åѹ (Heiner’s syndrome) ËÁÒÂà赯 ´´á»Å§¨Ò¡àÍ¡ÊÒÃ͌ҧÍÔ§ËÁÒÂàÅ¢ 1 Ñ
  • 50.
    àǪÈÒʵÏ·¹Âؤ 2553 Ñ 23 1. ÍÒ¡ÒÃáÊ´§·Õà¡Ô´¢Ö¹·ÑÇËҧ¡Ò è é è 1.1 ÀÒÇÐᾌùáç¨Ò¡ÍÒËÒà (.ood-induced anaphylaxis) Ø .ood-induced anaphylaxis ¨Ñ´à»š¹ÍÒ¡Ò÷ÕÁ¤ÇÒÁÃØ¹áçÁÒ¡·ÕÊ´¢Í§»¯Ô¡ÃÂÒª¹Ô´ è Õ èØ ÔÔ IgE-mediated »¯Ô¡ÃÂÒᾌÍÒËÒÃ໚¹ÊÒà˵طÊҤѭ¢Í§¡ÒÃà¡Ô´ anaphylaxis ÍÒËÒ÷վºà»š¹ ÔÔ Õè í (11-13) è ÊÒà˵Øä´ŒºÍ 䴌ᡋ ÍÒËÒ÷ÐàÅ ¶ÑÇÅÔʧ áÅÐ tree nut ã¹»ÃÐà·Èä·Â¼Ù¹¾¹¸áÅФ³Ð ä´ŒÃǺÃÇÁ ‹ è Œ Ô ¼ÙŒ»†ÇÂà´ç¡áÅмٌãË­‹·Õèä´ŒÃѺ¡ÒÃÇÔ¹Ô¨©ÑÂÇ‹Ò໚¹ anaphylaxis ·Õèä´ŒÃѺ¡ÒÃÃÑ¡ÉÒẺ¼ÙŒ»†ÇÂã¹ ·Õèâç ¾ÂÒºÒÅÈÔÃÃÒª ¾ºÇ‹Ò ¡ÒÃᾌÍÒËÒÃ໚¹ÊÒà˵آͧ¡ÒÃà¡Ô´ anaphylaxis ã¹¼Ù»ÇÂÃŒÍÂÅÐ 24(14) ¹Í¡ Ô Œ † ¨Ò¡¹Õ§¾ºÇ‹ÒÍÒËÒ÷ÐàÅâ´Â੾ÒСا໚¹ÊÒà˵ط¾ºº‹Í·ÕÊ´¢Í§¡ÒÃà¡Ô´»¯Ô¡ÃÂÒᾌÍÒËÒÃẺ é Ñ Œ Õè èØ ÔÔ anaphylaxis ã¹»ÃÐà·Èä·Â (14-16) ÍÒ¡ÒÃáÊ´§Ê‹Ç¹ãË­‹¢Í§ anaphylaxis ÁÑ¡à¡Ô´ÀÒÂã¹Ë¹Ö§ªÁ. ËÅѧÃѺ»ÃзҹÍÒËÒÃ è ·Õᾌ àÇÅÒ·ÕàÃÔÁÁÕÍÒ¡Òà (onset) ¨Ò¡ÍÒËÒà ÁÑ¡¨ÐªŒÒ¡Ç‹Òã¹¡ÅØÁ anaphylaxis ·Õà¡Ô´¨Ò¡áÁŧµ‹Í è è è ‹ è ËÃ×Í¡ÒéմÂÒ áµ‹ËÒ¡áÊ´§ÍÒ¡ÒÃàÃçÇÁÑ¡¨ÐÁÕÍÒ¡ÒÃÃØ¹áç »˜¨¨ÑÂàÊÕè§µ‹Í¡ÒÃà¡Ô´ severe (17) anaphylaxis 䴌ᡋ »¯Ô¡ÔÃÔÂÒᾌ¶ÑèÇÅÔʧ âäË×´ ÇÑÂÃØ‹¹ áÅСÒÃäÁ‹ä´ŒÃѺ epinephrine ËÃ×Íä´ŒÃѺ epinephrine ŋҪŒÒ(18) ¡ÒÃà¡Ô´ÍÒ¡Òà anaphylaxis «éÒËÅѧà¡Ô´ÍÒ¡ÒäÃѧáá (biphasic reaction) í é ¾ºä´ŒÃÍÂÅÐ 25 ã¹»¯Ô¡ÃÂÒᾌÍÒËÒ÷Õùá稹¶Ö§àÊÕªÕǵËÃ×Íã¡ÅŒàÊÕªÕǵ (fatal ËÃ×Í near-fatal Œ ÔÔ èØ Ô Ô food reaction) â´ÂÁÑ¡¾ºã¹¼Ù»Ç·Õᾌ¶ÇáÅÐÍÒËÒ÷ÐàÅ (17) Œ † è Ñè 1.2 ÀÒÇÐá¾ŒÃØ¹áçËÅѧÃѺ»ÃзҹÍÒËÒÃáÅÐÍÍ¡¡íÒÅѧ¡Ò (.ood-dependent, exercise–induced anaphylaxis, .DEIA) 㹼ٻǷÕÁÀÒÇйÕé ¨Ðà¡Ô´ÍÒ¡Òà anaphylaxis ËÅѧ¨Ò¡·ÕÍÍ¡¡íÒÅѧ¡ÒÂÀÒÂã¹àÇÅÒ Œ † è Õ è 2-4 ªÁ. ËÅѧ¨Ò¡ÃѺ»ÃзҹÍÒËÒ÷Õ໚¹ÊÒàËµØ áµ‹ËÒ¡ÍÍ¡¡íÒÅѧ¡ÒÂà¾Õ§Í‹ҧà´ÕÂÇâ´ÂäÁ‹ä´ŒÃº è Ñ »ÃзҹÍÒËÒê¹Ô´¹Ñé¹ÁÒ¡‹Í¹ ËÃ×ÍÃѺ»ÃзҹÍÒËÒê¹Ô´¹Ñé¹â´Â·ÕèäÁ‹ä´ŒÍÍ¡¡íÒÅѧ¡ÒµÒÁËÅѧ ¨ÐäÁ‹à¡Ô´ÍÒ¡Òà anaphylaxis ¾ºã¹à¾ÈË­Ô§ÁÒ¡¡Ç‹Òà¾ÈªÒ áÅÐÁÑ¡¾ºã¹ª‹Ç§ÇÑÂÃØ¹µÍ¹»ÅÒ ‹ ¶Ö§ª‹Ç§ÍÒÂØ 30 »‚ ÃŒÍÂÅÐ 60 ¢Í§¼Ù»ÇÂã¹¡ÅØÁ¹ÕÁâäË×´ËÃ×ÍâäÀÙÁᾌ͹ËÇÁ´ŒÇ Œ † ‹ é Õ Ô ×è (1) ệ§ÊÒÅÕ໚¹ÍÒËÒ÷ÕèÁÕÃÒ§ҹNjÒ໚¹ÊÒà˵Øä´Œº‹Í·ÕèÊØ´ã¹»ÃÐà·È­Õè»Ø†¹ ã¹ÂØâû ¾ºÇ‹Ò¼Ñ¡à»š¹ÊÒà˵ط¾ºº‹Í ʋǹÍÒËÒÃÍ×¹·ÕÁÃÒ§ҹNjÒ໚¹ÊÒà˵آͧ .DEIA䴌ᡋ shellfish, Õè è è Õ hazelnut, ¢ŒÒÇâ¾´ ¼Ñ¡ªÕ½Ãѧ »ÅÒ ä¢‹ àËç´ ¡ÃÐà·ÕÂÁ à¹×ÍËÁÙ à¹×ÍÇÑÇ áÅТŒÒÇ(19) â´Â¼Ù»ÇÂÍÒ¨à¤Â è é é Œ † ÁÕ»ÃÐÇѵᾌÍÒËÒôѧ¡Å‹ÒÇÁÒ¡‹Í¹ã¹ÇÑÂà´ç¡ Ô ÍÒ¡ÒÃáÊ´§·ÕÊҤѭ䴌ᡋ ÍÒ¡ÒÃáÊ´§·Ò§¼ÔÇ˹ѧ ·Ò§à´Ô¹ËÒÂ㨠»Ç´·ŒÍ§ ͋͹à¾ÅÕ èí áÅÐËÁ´ÊµÔ â´ÂÍÒ¡Ò÷ҧ¼ÔÇ˹ѧ໚¹ÍÒ¡Ò÷Õ辺º‹Í ÁÑ¡¾ºà»š¹¼×è¹ÅÁ¾ÔÉ angioedema áÅÐ ¼×è¹á´§ ʋǹÍÒ¡ÒÃËͺà˹×èÍ (dyspnea) ¾ºä´Œ»ÃÐÁҳÌÍÂÅÐ 60 ÁÕÅѡɳÐ੾ÒФ×ÍÁÕ ¤ÇÒÁÃÙÊ¡¤ÅŒÒÂÊíÒÅÑ¡ (choking sensation) ã¹ÅíÒ¤Í «Ö§àª×ÍÇ‹ÒäÁ‹ä´Œà¡Ô´¨Ò¡ËÅÍ´ÅÁË´µÑÇ áµ‹¹Ò¨Ð ŒÖ è è ‹ à¡Ô´¨Ò¡ angioedema ¢Í§·Ò§à´Ô¹ËÒÂã¨Ê‹Ç¹º¹ ÍÒ¡ÒÃËÁ´ÊµÔÃÐËNjҧÍÍ¡¡íÒÅѧ¡Ò¾ºä´Œ ÃŒ Í ÂÅÐ 30 â´ÂÃŒ Í ÂÅÐ 80 ¢Í§¼ÙŒ »† Ç Â·Õè ÁÕ Í Ò¡ÒÃËÁ´ÊµÔ ¨ÐáÊ´§ÍÒ¡ÒÃÀÒÂã¹ 2 ªÁ. ËÅѧÃѺ»ÃзҹÍÒËÒ÷Õ໚¹ÊÒà˵Ø(19) è
  • 51.
    24 ¡ÒÃÇÔ¹Ô¨©Ñ¡ÒÃᾌÍÒËÒÃÊíÒËÃѺàǪ»¯ÔºÑµÔ·ÑèÇä» ã¹»ÃÐà·Èä·Â »˜­¨ÁÒ »Ò¨ÒÏÃÇÁ¡Ñº¼Ù¹¾¹¸áÅФ³Ð ä´ŒÃÒ§ҹ¼Ù»Ç 5 ÃÒ·Õè ‹ Œ Ô Œ † ÁÕÍÒ¡Òà .DEIA ¨Ò¡á»‡§ÊÒÅÕ ¼Ù»Ç 4 ã¹ 5 ÃÒÂäÁ‹Á»ÃÐÇѵÀÁᾌÍ‹ҧÍ×¹ ÍÒ¡ÒÃà¡Ô´ËÅѧÃѺ»Ãзҹ Œ † Õ Ô Ù Ô è ÍÒËÒ÷ÕÁệ§ÊÒÅÕ 10-30 ¹Ò·Õ ¼Ù»Ç·ءÃÒÂÁÕÍÒ¡Ò÷ҧ¼ÔÇ˹ѧ ¼Ù»ÇÂÃŒÍÂÅÐ 80 ÁÕÍÒ¡ÒÃÃкº·Ò§ è Õ Œ † Œ † à´Ô¹ËÒÂ㨠ÌÍÂÅÐ 40 ÁÕÍÒ¡ÒÃÃкº·Ò§à´Ô¹ÍÒËÒà áÅÐÃŒÍÂÅÐ 60 ÁÕ¤ÇÒÁ´Ñ¹âÅËԵŴŧ ¼Ù»Ç·ءŒ † ÃÒÂãËŒ¼Å¡Ò÷´Êͺ·Õ໚¹ºÇ¡µ‹Í¡ÒÃÊСԴ¼ÔÇ˹ѧâ´Â㪌¹ÒÂÒ·ÕʡѴ¨Ò¡á»‡§ÊÒÅÕ è éí è (20) ËÅѧ¨Ò¡ä´ŒÃº¡ÒÃÇÔ¹¨©ÑÂâä ¼Ù»Ç¤ÇÃ䴌ú¤íÒá¹Ð¹íÒãËŒ§´ÍÍ¡¡íÒÅѧ¡ÒÂËÅѧÃѺ Ñ Ô Œ † Ñ »ÃзҹÍÒËÒ÷Õ໚¹ÊÒà˵ØÍ‹ҧ¹ŒÍ 4-6 ªÁ. ¼Ù»Ç¤ÇÃËÅÕ¡àÅÕ§ÍÒËÒ÷Õ໚¹ÊÒà赯 äÁ‹¤ÇÃÍÍ¡¡íÒÅѧ è Œ † è è ¡Ò¤¹à´ÕÂÇ ¤Çþ¡ÂÒ©Õ´ epinephrine µÔ´µÑÇàÊÁÍ áÅФÇÃÁÕ»Ò·պ͡âäáÅСÒÃÃÑ¡ÉÒàº×ͧµŒ¹ ‡ è é (anaphylaxis card) µÔ´µÑÇàÊÁÍ (1) 2. ÍÒ¡ÒÃáÊ´§·Ò§¼ÔÇ˹ѧ 2.1 ¼×¹ÅÁ¾ÔÉáÅÐ angioedema è ÍÒ¡ÒÃÅÁ¾ÔÉáÅÐ angioedema Ẻà©Õº¾Åѹ (acute urticaria and angioedema) ¨Ñ´ä´ŒÇÒ໚¹ÍÒ¡Ò÷վºº‹Í·ÕÊ´ã¹¡ÅØÁ»¯Ô¡ÃÂÒᾌÍÒËÒ÷ÕáÊ´§ÍÒ¡ÒÃÃÇ´àÃçÇ ¡ÒÃÈÖ¡ÉÒ¼Ù»ÇÂà´ç¡ ‹ è èØ ‹ ÔÔ è Œ † ã¹»ÃÐà·Èä·Ââ´ÂÁ¹µÃÕ µÙŒ¨Ô¹´ÒáÅФ³Ð áÅÐÈÔÃÔÇÃó ǹҹءÙÅáÅФ³Ð ¾ºÇ‹Ò»ÃÐÁÒ³ ÃŒ Í ÂÅÐ 7-10 ¢Í§¼ÙŒ »† Ç Âà´ç ¡ ·Õè ÁÕ Í Ò¡ÒÃÅÁ¾Ô É áººà©Õ  º¾ÅÑ ¹ ÁÕ Ê ÒàËµØ à ¡Õè  ǢŒ Í §¡Ñ º ÍÒËÒ÷Õè ÃѺ»Ãзҹ(21,22) µ‹Ò§¨Ò¡¡ÒÃÈÖ¡ÉÒã¹¼ÙãË­‹·ÁÍÒ¡ÒÃÅÁ¾ÔÉẺà©Õº¾Åѹ ¾ºÍÒËÒÃ໚¹ÊÒà赯 Œ Õè Õ à¾Õ§ÌÍÂÅÐ 1 ʋǹÍÒ¡ÒÃÅÁ¾ÔÉáÅÐangioedema ẺàÃ×ÍÃѧ (chronic urticaria and angioedema) (23,24) é ã¹¼ÙãË­‹ ¾ºÁÕÊÒà˵بҡÍÒËÒÃä´Œ¹ÍÂÁÒ¡ ¼Ù¹¾¹¸áÅФ³Ð䴌ȡÉÒ¼Ù»ÇÂà´ç¡·Õ໚¹¼×¹ÅÁ¾ÔÉàÃ×ÍÃѧ Œ Œ Œ Ô Ö Œ † è è é 94 ÃÒ ·íÒ¡Ò÷´Êͺ¼ÔÇ˹ѧâ´Â¡ÒÃÊСԴ (skin prick test) ä´Œ¼ÅºÇ¡µ‹ÍÍÒËÒÃÃŒÍÂÅÐ 35 Í‹ҧ äáç´Õ àÁ×Í·íÒ¡Ò÷´Êͺâ´Â¡ÒÃãˌú»ÃзҹÍÒËÒ÷ÕʧÊÑ (food challenge) ã¹¡ÅØÁ·ÕÁ»ÃÐÇÑµÔ è Ñ è ‹ è Õ ¡ÒÃà¡Ô´¼×¹·ÕÊÁ¾Ñ¹¸¡ºÍÒËÒèíҹǹ 9 ÃÒ ¾ºÇ‹Ò 6 ÃÒÂÁÕÍÒ¡ÒÃËÅѧ·íÒ food challenge ¼Ù»Ç è èÑ Ñ Œ † 4 ã¹ 6 ÃÒ·ÕÁÕ food challenge ໚¹ºÇ¡ËÒ¨ҡÍÒ¡Òü׹ÅÁ¾ÔÉàÃ×ÍÃѧàÁ×ÍËÂØ´ÃѺ»ÃзҹÍÒËÒà è è é è ·ÕʧÊÑ ´Ñ§¹Ñ¹ ÍÒËÒÃÍҨ໚¹ÊÒà˵آͧ¼×¹ÅÁ¾ÔÉàÃ×ÍÃѧã¹à´ç¡ ¡Òëѡ»ÃÐÇѵâ´ÂÅÐàÍÕ´ÍҨ໚¹ è (25) é è é Ô µÑǪչÒãËŒÁ¡Ò÷´Êͺ¡ÒÃᾌÍÒËÒÃà¾ÔÁàµÔÁ é í Õ è 2.2 âä¼ÔÇ˹ѧÍÑ¡àʺ¨Ò¡ÀÙÁᾌ (Atopic dermatitis, AD) Ô âä¼ÔÇ˹ѧÍÑ¡àʺ¨Ò¡ÀÙÁÔᾌÁÑ¡áÊ´§ÍÒ¡ÒõÑé§áµ‹ã¹ÇÑ·Òá â´ÂÁÕÅѡɳСÒà ¡ÃШÒ¢ͧ¼×¹·Õ¨Òà¾ÒÐ ÁÕÍÒ¡ÒÃàÃ×ÍÃѧẺ໚¹æ ËÒÂæ ¤Ñ¹ áÅÐÊÑÁ¾Ñ¹¸¡ºâäÀÙÁᾌ͹ઋ¹ âä è èí é Ñ Ô ×è Ë×´ áÅÐàÂ×ͺبÁÙ¡ÍÑ¡àʺ¨Ò¡ÀÙÁᾌ ÃŒÍÂÅÐ 35-40 ¢Í§¼Ù»ÇÂà´ç¡·Õ໚¹âä¼ÔÇ˹ѧÍÑ¡àʺ¨Ò¡ÀÙÁÔ è Ô (26) Œ † è ᾌª¹Ô´»Ò¹¡ÅÒ§¶Ö§Ãعáç ÁÕ»¯Ô¡ÔÃÔÂÒᾌÍÒËÒÃËÇÁ´ŒÇ ¡Åä¡¡ÒÃà¡Ô´âä¹Õé ໚¹ä´Œ¨Ò¡ IgE- (4) mediated áÅÐ cell-mediated reaction »ÃÐÁҳ˹֧ã¹ÊÒÁ¢Í§¼Ù»ÇÂà´ç¡ÊÒÁÒöËÒ¨ҡ¡ÒÃᾌ è Œ † ÍÒËÒÃáÅÐÁÕÍÒ¡Òôբ¹ ÀÒÂã¹ 2-3 »‚ ·Ñ§¹Õ¢¹¡Ñºª¹Ô´¢Í§ÍÒËÒ÷Õᾌ áÅФÇÒÁà¤Ã‹§¤ÃѴ㹡Òà Öé (26) é é Öé è ËÅÕ¡àÅÕ§ÍÒËÒ÷Õᾌ è è
  • 52.
    àǪÈÒʵÏ·¹Âؤ 2553 Ñ 25 3. ÍÒ¡ÒÃáÊ´§·Ò§Ãкº·Ò§à´Ô ¹ ÍÒËÒà (Immediate gastrointestinal hypersensitivity) ÍÒ¡ÒÃáÊ´§·Ò§Ãкº·Ò§à´Ô¹ÍÒËÒÃÁÑ¡à¡Ô´Ã‹ÇÁ¡ÑºÍÒ¡ÒÃáÊ´§·Ò§ÃкºÍ×¹ ઋ¹ Ãкº è ¼ÔÇ˹ѧ ËÃ×Í ·Ò§à´Ô¹ËÒÂ㨠â´ÂÁÑ¡áÊ´§ÍÒ¡ÒÃÀÒÂã¹ÃÐÂÐàÇÅÒ໚¹¹Ò·Õ¶§ 2 ªÁ. ËÅѧÃѺ»Ãзҹ (27) Ö ÍÒËÒ÷Õᾌ ÍÒ¡ÒÃáÊ´§ä´Œá¡‹ ¤Å×¹äÊŒ »Ç´·ŒÍ§ »Ç´ºÔ´ ÍÒà¨Õ¹ ¶‹ÒÂàËÅÇ ã¹à´ç¡·ÒáÍÒ¨äÁ‹áÊ´§ è è ÍÒ¡ÒÃÍÒà¨Õ¹·Ñ¹·ÕËÅѧÃѺ»ÃзҹÍÒËÒ÷Õᾌ ᵋÍÒ¨áÊ´§ÍÒ¡ÒÃÍÒà¨Õ¹໚¹¤Ãѧ¤ÃÒÇËÇÁ¡Ñº¡Òà è é äÁ‹à¨ÃÔ­àµÔºâµ (failure to thrive) 3.1 Pollen-food allergy syndrome (Oral allergy syndrome, OAS) ໚¹»¯Ô¡ÃÂÒᾌ·à¡Ô´àÁ×ÍàÂ×ͺتͧ»Ò¡ÊÑÁ¼ÑʡѺ¼Ñ¡áÅмÅäÁŒÊ´ â´Â໚¹ÅѡɳРÔÔ Õè è è ‹ ÀÙÁᾌÊÁ¼ÑÊ (contact allergy) ¨Ö§ÁÑ¡áÊ´§ÍÒ¡ÒÃÍÒ¡ÒäѹáÅкÇÁºÃÔàdzÃÔÁ½‚»Ò¡ ÅÔ¹ ྴҹ»Ò¡ Ô Ñ é áÅÐã¹ÅíÒ¤Í ÍÒ¨ÁÕÍÒ¡ÒäѹËÙ ËÃ×Íṋ¹ã¹ÅíÒ¤ÍËÇÁ´ŒÇ ÁÑ¡äÁ‹áÊ´§ÍÒ¡ÒÃã¹ÃкºÍ×¹ ÍÒ¡Òà è ÁÑ¡à¡Ô´àÃçÇáÅÐËÒÂä´ŒÃÇ´àÃçÇËÅѧËÂØ´ÃѺ»Ãзҹ âä¹Õ龺㹼ٌãË­‹ÁÒ¡¡Ç‹Òà´ç¡ áÅоºº‹Í 㹻ÃÐà·ÈµÐÇѹµ¡ â´Â੾ÒмٷᾌÅÐÍͧà¡Êà birch, ragweed áÅÐ mugwort(28) â»ÃµÕ¹ã¹¼Ñ¡áÅÐ Œ Õè ¼ÅäÁŒ·Õè໚¹ÊÒá‹ÍÀÙÁÔᾌ«Öè§ÁÕ»¯Ô¡ÔÃÔÂÒᾌ¢ŒÒÁ¡ÅØ‹Á¡ÑºÅÐÍͧà¡ÊÃä´Œº‹ÍÂ䴌ᡋ ¡ÅØ‹Á ÁÐà¢×Íà·È, áµ§ (melon), ¡ÕÇÕ «Ö§ÁÕ»¯Ô¡ÃÂÒᾌ¢ÒÁ¡ÅØÁ¡ÑºÅÐÍͧà¡ÊÃË­ŒÒ ໚¹µŒ¹ â´Â·ÑÇ仼ٻÇÂʋǹãË­‹ è ÔÔ Œ ‹ è Œ † ÁÑ¡¨ÐÃѺ»Ãзҹ¼Ñ¡áÅмÅäÁŒàËŋҹÕËÅѧ¨Ò¡»ÃØ§ÊØ¡ÁÒáÅŒÇä´Œ â´ÂäÁ‹áÊ´§ÍÒ¡ÒüԴ»¡µÔ à¾ÃÒÐÊÒÃ é ¡‹ÍÀÙÁᾌÊǹãË­‹¶¡·íÒÅÒ´ŒÇ¤ÇÒÁÌ͹(29) Ô ‹ Ù 3.2 Allergic eosinophilic gastroenteropathy ໚¹¡ÅØ‹Áâä·ÕèÁÕ¡ÒÃÍÑ¡àʺ¨Ò¡¡ÒÃÁÕ eosinophil ä»ÊÐÊÁã¹Ãкº·Ò§à´Ô¹ÍÒËÒà µÑ§áµ‹ËÅÍ´ÍÒËÒà ¡ÃÐà¾ÒÐÍÒËÒè¹¶Ö§ÅíÒäÊŒ ·íÒãËŒà¡Ô´âä allergic eosinophilic esophagitis (AEE) é ËÃ×Í allergic eosinophilic gastroenteritis (AEG) ¢Ö¹¡ÑºµíÒá˹‹§¢Í§âä ÍÒ¡ÒÃáÊ´§¨Ö§¢Ö¹¡ÑºµíÒá˹‹§ é é ¢Í§ÃÍÂâäáÅФÇÒÁÃØ¹áç¢Í§¡ÒÃÍÑ¡àʺ â´ÂÍÒ¡Ò÷վºº‹ÍÂ䴌ᡋ »Ç´·ŒÍ§ ¤Å×¹äÊŒ àº×ÍÍÒËÒà è è è ÍÒà¨Õ¹ áÅж‹ÒÂàËÅÇ à¹×ͧ¨Ò¡µíÒá˹‹§·Õ¾º¡ÒÃÍÑ¡àʺ䴌ºÍ¤×Í Ê‹Ç¹àÂ×ÍºØ¼Ç (mucosa) ËÒ¡à¡Ô´ è è ‹ è Ô ¡ÒÃÍÑ¡àʺ㹺ÃÔàdzªÑ¹¡ÅŒÒÁà¹×ͧ͢¼¹Ñ§·Ò§à´Ô¹ÍÒËÒà ¨ÐÊ‹§¼ÅãËŒà¡Ô´¡ÒõպµÑÇ áÅСÒúպµÑÇ é é ·Õ¼´»¡µÔ (dysmotility) ¢Í§·Ò§à´Ô¹ÍÒËÒà ʋǹ¡ÒÃÍÑ¡àʺ·Õà¡Ô´ã¹ªÑ¹ serosa ¨ÐÊ‹§¼ÅãËŒà¡Ô´¹éÒã¹ è Ô è é í ª‹Í§·ŒÍ§ (ascites) ä´Œ (30,33) âä¹Õéà¡Ô´ä´Œã¹·Ø¡ÍÒÂØáÅШѴ໚¹»¯Ô¡ÔÃÔÂÒᾌÍÒËÒ÷Õèà¡Ô´¼‹Ò¹¡Åä¡·Ñé§ IgE áÅÐ non-IgE-mediated reaction âä AEE ¾ºä´ŒºÍÂã¹¼ÙãË­‹ ᵋ»¨¨Øº¹àÃÔÁ¾ºÁÒ¡¢Ö¹ã¹à´ç¡·Òá ‹ Œ ˜ Ñ è é ¨¹¶Ö§ÇÑÂÃØ¹ ã¹à´ç¡ÁÑ¡áÊ´§ÍÒ¡ÒÃẺ¡Ã´äËÅŒ͹ (gastroesophageal reflux disease, GERD) ‹ àÃ×ÍÃѧ ÍÒà¨Õ¹໚¹¤Ãѧ¤ÃÒÇ »Ç´·ŒÍ§ ¡Å×¹ÅíÒºÒ¡ ˧ش˧Դ äÁ‹ÂÍÁÃѺ»ÃзҹÍÒËÒà ÁÕ»­ËÒ é é ˜ 㹡Òù͹ËÅѺáÅÐäÁ‹µÍºÊ¹Í§µ‹Í¡ÒÃÃÑ¡ÉÒ´ŒÇÂÂÒÃÑ¡ÉÒ GERD(34) ã¹¼ÙãË­‹Á¡áÊ´§ÍÒ¡ÒÃÍÖ´ÍÑ´ Œ Ñ ã¹·ŒÍ§ ṋ¹·ŒÍ§ (food impaction) áÅСÅ×¹ÅíÒºÒ¡ (35) ã¹¼Ù»ÇÂà´ç¡·Õ໚¹ AEG ºÒ§ÃÒÂÍÒ¨¾ºÀÒÇÐ protein-losing enteropathy ËÇÁ´ŒÇ Œ † è ·íÒãˌʭàÊÕÂâ»ÃµÕ¹ä»·Ò§Íب¨ÒÃÐ â´ÂµÃǨ¾ºÃдѺ !1antitrypsin ã¹Íب¨ÒÃÐÊÙ§¢Ö¹ ¡ÒÃÊÙ­àÊÕ ٠é
  • 53.
    26 ¡ÒÃÇÔ¹Ô¨©Ñ¡ÒÃᾌÍÒËÒÃÊíÒËÃѺàǪ»¯ÔºÑµÔ·ÑèÇä» â»ÃµÕ¹à¡Ô´¨Ò¡¡ÒÃà¾ÔÁ¢Ö¹¢Í§ permeability ¢Í§ÅíÒäÊŒ ʋǹ eosinophilia ¾ºä´Œ»ÃÐÁҳÌÍÂÅÐ 50 è é 㹼ٻǠAEE áÅÐÃŒÍÂÅÐ 66 㹼ٻǠAEG ¹Í¡¨Ò¡¹Õ§¾ºÀÒÇÐÀÙÁᾌ (atopy) 㹼ٻǠAEG Œ † Œ † é Ñ Ô Œ † ¶Ö§ÃŒÍÂÅÐ 70 ¼Ù»ÇÂʋǹãË­‹ÁÊÒà˵بҡ¡ÒÃᾌÍÒËÒÃáÅÐÍÒ¡ÒÃÁÑ¡´Õ¢¹ËÅѧ¨Ò¡§´ÍÒËÒôѧ¡Å‹ÒÇ Œ † Õ Öé â´ÂÍÒËÒ÷Õ໚¹ÊÒà˵Øä´ŒºÍ¤×Í ¹ÁÇÑÇ ¹Á¶ÑÇàËÅ×ͧ 䢋 ệ§ÊÒÅÕ áÅлÅÒ(36) è ‹ è ¡ÒõѴªÔ¹à¹×ͺÃÔàdzÃÍÂâä仵ÃǨ ¶×Í໚¹¡ÒõÃǨ·ÕãËŒ¼ÅáÁ‹¹ÂíÒ·ÕÊ´ÊíÒËÃѺ¡Òà é é è èØ ÇÔ¹¨©ÑÂâä (gold standard) â´Â¨Ð¾º eosinophil ºÃÔàdzÃÍÂâäÁÒ¡¡Ç‹Ò»Ã¡µÔ â´Âࡳ±¢Í§ Ô ¨íҹǹ eosinophil ·ÕèÁÒ¡¡Ç‹Ò»Ã¡µÔ¨Ðᵡµ‹Ò§¡Ñ¹ã¹áµ‹ÅеíÒá˹‹§ Í‹ҧäáç´Õ ¡ÒõѴªÔé¹à¹×éÍ äÁ‹ÊÒÁÒöºÍ¡ÊÒà˵آͧâä䴌 ¡Ò÷´Êͺ¼ÔÇ˹ѧâ´Â¡ÒÃÊСԴ ËÃ×͵ÃǨ IgE ã¹àÅ×Í´·Õ¨Òà¾ÒÐ èí µ‹ÍÍÒËÒùѹ ÁÑ¡äÁ‹ÊÒÁÒöº‹§ªÕ¶§ÍÒËÒ÷Õ໚¹ÊÒà˵Øä´Œ·§ËÁ´ à¹×ͧ¨Ò¡ÊÒÁÒöà¡Ô´¨Ò¡·Ñ§ IgE é é Ö è Ñé è é áÅÐ non-IgE-mediated reaction ÍÒ¨µŒÍ§ÍÒÈÑ¡Ò÷íÒ oral food challenge ¹Ò¹Í‹ҧ¹ŒÍ 3-5 Çѹ à¾×ÍãËŒ¼»ÇÂáÊ´§ÍÒ¡ÒÃËÇÁ¡Ñº·íÒãËŒ¾º eosinophil ¨Ò¡¡ÒõÃǨªÔ¹à¹×Í(29) è ÙŒ † é é ¡ÒÃÃÑ¡ÉÒâ´Â¡Òç´ÍÒËÒ÷Õ໚¹ÊÒà˵ØÍ‹ҧ¹ŒÍ 8 ÊÑ»´Òˏ¨§¨Ðà¾Õ§¾Í·Õ¨Ð·íÒãËŒ è Ö è ÍÒ¡ÒÃËÒÂä» áÅеŒÍ§ãªŒàÇÅÒÍ‹ҧ¹ŒÍ 12 ÊÑ»´Òˏ¨§¨Ð·íÒãˌšɳзҧ histology ¡ÅѺÊÙÀÒÇÐ Ö Ñ ‹ »¡µÔ ¼Ù»ÇºҧÃÒÂÍÒ¨µŒÍ§ÃѺ»ÃзҹÍÒËÒ÷Õᾌ¹Í (hypoallergenic formula) ËÃ×ÍÍÒËÒà (37) Œ † è Œ ·Õ·Ò¨Ò¡¡Ã´ÍÐÁÔ⹠ʋǹ¡ÒÃÃѺ»ÃзҹÂÒ corticosteroid ËÃ×Í¡ÒÃ㪌 corticosteroid ª¹Ô´ÊÙ´ÁÒÃѺ è í »Ãзҹ¹Ñ¹ ÊÒÁÒöª‹ÇºÃÃà·ÒÍÒ¡ÒÃä´ŒÃÇ´àÃçÇ é 3.3 ¡ÅØÁÍÒ¡ÒÃÅíÒäʌ͡àʺ¨Ò¡¡ÒÃᾌÍÒËÒà (.ood protein-induced enterocolitis ‹ Ñ syndrome, .PIES) ¡ÅØÁÍÒ¡Òùվºº‹ÍÂã¹à´ç¡ÇÑ·ÒáÍÒÂØÃÐËNjҧ˹֧ÊÑ»´Òˏ¶§ÊÒÁà´×͹áá ÍÒ¡Òà ‹ é è Ö ·Õ¾ºº‹Í¤×Í ÍÒ¡ÒÃÍÒà¨Õ¹ËÇÁ¡Ñº¶‹ÒÂàËÅÇ «Ö§ÍÒ¨ÁÕ¤ÇÒÁÃØ¹áçÁÒ¡áÅйíÒä»ÊÙÀÒÇТҴ¹éÒä´Œ è è ‹ í â´Â¾ºÀÒÇЪçͤ ËÃ×ͤÇÒÁ´Ñ¹µèÒä´Œ¶§ÃŒÍÂÅÐ 15 ¢Í§¼Ù»Ç áÅÐÍҨ໚¹ÍÒ¡ÒÃáá·Õ¹Ò¼Ù»Ç í Ö Œ † (38) è í Œ † ÁÒâç¾ÂÒºÒÅ ÍÒ¡ÒÃÍÒà¨Õ¹ÁÑ¡à¡Ô´ÀÒÂã¹ 1-4 ªÁ. ááËÅѧÃѺ»ÃзҹÍÒËÒ÷Õᾌ ËÅѧ¨Ò¡¹Ñ¹ è é ÍÒ¡Òö‹ÒÂàËÅǨÐà¡Ô´µÒÁÁÒÀÒÂã¹ 4-8 ªÁ. ¡ÒõÃǨàÅ×Í´¾ºÁÕ¡ÒÃà¾ÔÁ¢Ö¹¢Í§ neutrophil ¶ŒÒËÒ¡ è é (38) ¼Ù»ÇÂÂѧ¤§ÃѺ»ÃзҹÍÒËÒ÷ÕᾌµÍà¹×ͧ ÍÒ¨à¡Ô´ÍÒ¡Òö‹ÒÂàËÅÇ»¹àÅ×Í´ ÍÒà¨Õ¹àÃ×ÍÃѧ «Õ´ ·ŒÍ§Í×´ Œ † è ‹ è é failure to thrive áÅÐ albumin ã¹àÅ×Í´µèÒµÒÁÁÒä´Œ 㹺ҧÃÒÂÍÒ¨Âѧ¤§ÁÕÀÒÇж‹ÒÂàËÅǵ‹Íà¹×ͧ í è ä´Œ¹Ò¹¶Ö§ÊͧÊÑ»´ÒˏËÅѧ¨Ò¡¼ÙŒ»†ÇÂËÂØ´ÃѺ»ÃзҹÍÒËÒ÷ÕèᾌáÅŒÇ «Öè§ÍÒ¨¡Ô´¨Ò¡ÀÒÇТҴ disaccharidase enzyme ÍÒ¡ÒÃÍ×¹æ ·ÕÍÒ¨¾ºÃ‹ÇÁ´ŒÇÂ䴌ᡋ «Õ´ «ÖÁ ÍÒ¡ÒÃà¢ÕÂǤÅéÒ (cyanosis), è è í metabolic acidosis áÅÐ methemoglobinemia ¼Ù»ÇÂÁѡ䴌ú¡ÒÃÇÔ¹¨©Ñ·ÕÅÒªŒÒ â´Âã¹ÃÐÂÐáá Œ † Ñ Ô è‹ ¨íÒ໚¹µŒÍ§ÇÔ¹¨©ÑÂá¡âäÍ׹ËÇÁ´ŒÇÂઋ¹ ¡ÒõԴàª×Í㹡ÃÐáÊàÅ×Í´ (sepsis), metabolic disorder Ô è é áÅÐ surgical abdominal emergency âä¹ÕÁ¡¾ºã¹¼Ù»Ç·մÁ¹Á¼ÊÁ â´Â»˜¨¨Øº¹ÂѧäÁ‹ÁÃÒ§ҹ㹼ٻÇ·մÁ¹ÁáÁ‹àÅ é Ñ Œ † è ×è Ñ Õ Œ † è ×è ÍÒËÒ÷Õ໚¹ÊÒà˵ØÊǹãË­‹¤Í ¹ÁÇÑÇáÅйÁ¶ÑÇàËÅ×ͧ â´Â¾ºÇ‹Ò»ÃÐÁҳÌÍÂÅÐ 50 ¢Í§à´ç¡·Õè è ‹ × è (38) ᾌ¹ÁÇÑǨÐᾌ¹Á¶ÑÇàËÅ×ͧËÇÁ´ŒÇ ã¹à´ç¡âµÍÒ¨¾ºÊÒ˵بҡÍÒËÒÃÍ׹䴌 ઋ¹ 䢋 ệ§ÊÒÅÕ ¶ÑÇ è (38) è è ¢ŒÒÇ ¢ŒÒÇâ͍µ ¢ŒÒǺÒÏàŏ ä¡‹ »ÅÒ áÅмÅäÁŒ â´ÂÃŒÍÂÅÐ 65 ¢Í§¼Ù»Ç¨ÐÁÕ»ÃÐÇÑµÔ .PIES ¨Ò¡ (38-41) Œ †
  • 54.
    àǪÈÒʵÏ·¹Âؤ 2553 Ñ 27 ᾌ¹ÁÇÑÇáÅйÁ¶ÑÇàËÅ×ͧÍÂ١͹áÅŒÇ Ê‹Ç¹ÍÒËÒ÷ÐàŨíҾǡ crustacean ¾ºà»š¹ÊÒà˵آͧ .PIES è ‹ ‹ ã¹¼ÙãË­‹ Œ ¡Ò÷´Êͺ¼ÔÇ˹ѧâ´Â¡ÒÃÊСԴ ËÃ×͵ÃǨ IgE ã¹àÅ×Í´·Õ¨Òà¾Òе‹ÍÍÒËÒÃÁÑ¡ãËŒ¼Å èí ź ¡ÒõÃÇ¨ÍØ¨¨ÒÃоºàÅ×Í´»¹ (occult blood), neutrophil, eosinophil áÅÐ Charcot-Leyden crystal µÃǨ stool reducing substance ÍÒ¨ãËŒ¼ÅºÇ¡ä´Œ ¡ÒÃÂ×¹Âѹ¡ÒÃÇÔ¹¨©ÑÂâä¹Õé äÁ‹ä´ŒÍÒÈÑ¡ÒõÃǨ Ô ·Ò§ËŒÍ§»¯Ôºµ¡Òà ᵋÍÒÈÑ»ÃÐÇѵÃÇÁ¡Ñº¡Ò÷íÒ elimination diet-challenge test áÅŒÇãËŒ¼ÅºÇ¡ ¤×Í Ñ Ô Ô‹ àÁ×ͧ´ÍÒËÒ÷ÕʧÊÑÂÇ‹ÒᾌáŌǾºÇ‹Ò¼Ù»ÇÂÁÕÍÒ¡Òôբ¹ÀÒÂã¹ 72 ªÁ. àÁ×ͼٻÇÂÍÂÙã¹ÀÒÇл¡µÔ è è Œ † Öé è Œ † ‹ áÅŒÇ ¾Ô¨ÒóҷíÒ oral challenge ÍÒËÒê¹Ô´à´ÔÁã¹»ÃÔÁÒ³â»ÃµÕ¹ 0.6 ¡ÃÑÁµ‹Í¹éÒ˹ѡµÑÇ˹֧¡¡. í è ¼Ù»ÇÂà¡Ô´ÍÒ¡ÒÃઋ¹à´ÔÁÍÕ¡ ʋǹÁÒ¡à¡Ô´ÍÒ¡ÒÃÀÒÂã¹ 2 ªÁ. à¹×ͧ¨Ò¡âä¹Õ¾ºÀÒÇЪçͤ ËÃ×ͤÇÒÁ Œ † è é ´Ñ¹ã¹àÅ×Í´µèÒä´Œ¶§ÃŒÍÂÅÐ 15 ¨Ö§Áբ;֧ÃÐÇѧ㹡Ò÷íÒ oral food challenge ¤×ͤÇ÷íÒ¡Ò÷´Êͺ´Ñ§ í Ö Œ ¡Å‹ÒÇ੾ÒÐ㹡óշäÁ‹á¹‹ã¨ã¹¡ÒÃÇÔ¹¨©Ñ¨ҡ»ÃÐÇÑµÔ áÅФÇ÷´ÊͺÀÒÂ㵌¡ÒôÙáŢͧᾷáÅÐ Õè Ô ¾ÂÒºÒÅÍ‹ҧã¡ÅŒª´ ÀÒÂã¹âç¾ÂÒºÒÅ·ÕÁÍ»¡Ã³¡Òê‹ÇªÕǵ·Õ¤Ãº¤Ãѹ෋ҹѹ â´ÂµŒÍ§ÁÕ¡ÒÃແ´ Ô è ÕØ Ô è é àÊŒ¹ (intravenous access) àµÃÕÂÁ¾ÃŒÍÁàÊÁÍ ËÒ¡ÁÕ»ÃÐÇѵà¡Ô´ÍÒ¡ÒÃÃØ¹áçËÅѧ¨Ò¡ÃѺ»Ãзҹ Ô ÍÒËÒûÃÔÁÒ³à¾Õ§àÅ硹ŒÍ ¤ÇÃÅ´»ÃÔÁÒ³â»ÃµÕ¹ã¹ÍÒËÒ÷շ´ÊͺŧàËÅ×Í 0.15–0.3 ¡ÃÑÁµ‹Í¹éÒ è í ˹ѡµÑÇ˹֧¡¡. è ¡ÒôíÒà¹Ô¹âä ¾ºÇ‹ÒʋǹãË­‹¼»ÇÂâä¹Õ·á¾Œ¹ÁÇÑÇáÅйÁ¶ÑÇàËÅ×ͧ ÁÑ¡à¡Ô´ÀÒÇÐ ÙŒ † é Õè è tolerance ÀÒÂã¹ÍÒÂØ 3 »‚ »˜¨¨Øº¹¾ºÁÕÃÒ§ҹ¡ÒÃà¡Ô´âä¹Õã¹¼Ù»ÇÂ¡ÅØÁÍÒÂØ·ÁÒ¡¢Ö¹ áÅоºÇ‹Ò Ñ é Œ † ‹ Õè é ÁÕâÍ¡ÒÊ·ÕâäÂѧ¤§ÍÂÙ‹ (persistent) ¹Ò¹¢Ö¹ è é (39) 3.4 ÅíÒäÊŒãË­‹Í¡àʺ¨Ò¡¡ÒÃᾌÍÒËÒà (.ood protein-induced colitis) Ñ âä¹ÕÁ¡¾ºã¹à´ç¡ÇÑ·ÒáÍÒÂØ¹ÍÂ¡Ç‹Ò 4 à´×͹ ¼Ù»ÇÂÁÑ¡ÁÒ¾ºá¾·Â´ÇÂÍÒ¡Òà é Ñ Œ Œ † Œ ¶‹ÒÂÍØ¨¨ÒÃл¹àÅ×ʹ໚¹æ ËÒÂæ â´ÂäÁ‹ÁÍÒ¡ÒüԴ»¡µÔ͹æ à¹×ÍÍØ¨¨ÒÃÐÁÑ¡ÁÕšɳлáµÔ ¼Ù»ÇÂ Õ ×è é Ñ Œ † ÁÑ¡ÁÕÊ¢ÀÒ¾·ÑÇ任áµÔáÅÐäÁ‹Á»­ËÒ¹éÒ˹ѡ¢Ö¹ªŒÒËÃ×͹éÒ˹ѡ¹ŒÍ ÍÒ¨µÃǨ¾ºÀÒÇЫմ albumin Ø è Õ ˜ í é í ã¹àÅ×Í´µèÒàÅ硹ŒÍ áÅÐÁÕ eosinophil ã¹àÅ×Í´ÊÙ§àÅ硹ŒÍÂ㹺ҧÃÒÂ(42-44) ¤ÇÒÁªØ¡¢Í§âäÂѧäÁ‹·ÃÒº í ṋª´ ÍÒËÒ÷Õ໚¹ÊÒà˵Øä´ŒºÍ ¤×Í ¹ÁÇÑÇ áÅйÁ¶ÑÇàËÅ×ͧ »ÃÐÁҳÌÍÂÅÐ 60 ¢Í§¼Ù»ÇÂâä¹Õé Ñ è ‹ è Œ † ´×Á¹ÁáÁ‹à¾Õ§Í‹ҧà´ÕÂÇ «Ö§ÍҨ䴌úâ»ÃµÕ¹¹ÁÇÑǨҡ¡Ò÷ÕÁÒôҴ×Á¹ÁÇÑÇ áÅÐÊ‹§¼‹Ò¹â»ÃµÕ¹ è (42-44) è Ñ è è ¹ÁÇÑÇÍÍ¡ÁҡѺ¹éíÒ¹ÁáÁ‹ »˜¨¨ØºÑ¹àÃÔèÁÁÕÃÒ§ҹâä¹Õéã¹¡ÅØ‹Áà´ç¡âµÍÒÂØ 2-14 »‚ â´ÂÁÕÊÒà˵بҡ ᾌ¹ÁÇÑÇઋ¹¡Ñ¹ ¡ÒÃÇÔ¹Ô¨©ÑÂá¡âä µŒÍ§á¡¨Ò¡âäµÔ´àª×éÍã¹Ãкº·Ò§à´Ô¹ÍÒËÒÃ, necrotizing enterocolitis, âäÅíÒäÊŒ¡Å×¹¡Ñ¹ (intussusception), anal fissure áÅФÇÒÁ¼Ô´»¡µÔ¢Í§¡ÒÃá¢ç§µÑÇ ¢Í§àÅ×Í´ (coagulation disorder) ¡ÒÃÇÔ¹¨©ÑÂÍÒÈÑ¡Ò÷íÒ elimination diet-challenge test â´Â Ô ¼Ù»Ç¨ÐÁÕÍÒ¡Òôբ¹ªÑ´à¨¹ÀÒÂã¹ 72-96 ªÁ. ËÅѧ¨Ò¡§´ÍÒËÒ÷Õᾌ áÅÐàÁ×Í·íÒ oral challenge ¼Ù»Ç Œ † Öé è è Œ † ¨ÐÁÕÍÒ¡ÒÃà¡Ô´¢Ö¹ãËÁ‹ÀÒÂã¹ÃÐÂÐàÇÅÒËÅÒªÁ. ËÃ×ÍËÅÒÂÇѹ á¹Ð¹íÒãËŒ·Ò oral challenge ËÇÁ´ŒÇ é í à¾×ÍËÅÕ¡àÅÕ§¡Òç´ÍÒËÒÃËÃ×Íà»ÅÕ¹ª¹Ô´¢Í§¹Á«Ö§ÁÕÃÒ¤Òá¾§â´ÂäÁ‹¨Ò໚¹ ÃÇÁ·Ñ§à¾×ÍËÅÕ¡àÅÕ§ è è è è í é è è ¡Òç´ÍÒËÒÃâ´ÂäÁ‹¨Ò໚¹ã¹ÁÒôҷյͧãËŒ¹ÁºØµÃ ¡ÒôíÒà¹Ô¹âä 㹼ٻǷÕÁÍÒ¡Òà proctocolitis í è Œ Œ † è Õ ¨Ò¡¹ÁÇÑÇËÃ×͹Á¶ÑÇàËÅ×ͧ ÁÑ¡ËÒÂÀÒÂã¹ 6 à´×͹¶Ö§ 2 »‚ËÅѧ¨Ò¡§´ÍÒËÒ÷Õᾌ è è
  • 55.
    28 ¡ÒÃÇÔ¹Ô¨©Ñ¡ÒÃᾌÍÒËÒÃÊíÒËÃѺàǪ»¯ÔºÑµÔ·ÑèÇä» 3.5 Dietary protein-induced enteropathy âä¹ÕÁ¡¾ºã¹¼Ù»ÇÂÇÑ·ÒááÅÐà´ç¡àÅç¡ÀÒÂã¹ 2 »‚áá(27) ¼Ù»ÇÂÁÑ¡áÊ´§ÍÒ¡Òà é Ñ Œ † Œ † ÀÒÂã¹ÃÐÂÐàÇÅÒäÁ‹¡Ê»´ÒˏËÅѧàÃÔÁÃѺ»ÃзҹÍÒËÒ÷Õ໚¹ÊÒà赯 â´ÂÍÒ¡Ò÷վºº‹Í ¤×Í ÍÒ¡Òà Õè Ñ è è è ¶‹ÒÂàËÅÇàÃ×ÍÃѧ ¹éÒ˹ѡ¢Ö¹¹ŒÍÂáÅÐ failure to thrive Íѹ໚¹¼Å¨Ò¡ÀÒÇСÒôٴ«ÖÁ¼Ô´»Ã¡µÔ ÍÒ¡Òà é í é ÍÒà¨Õ¹¾ºä´Œ»ÃÐÁҳÌÍÂÅÐ 70 ÀÒÇÐÍØ¨¨ÒÃÐÁÕä¢ÁѹÁÒ¡ (steatorrhea) ¾ºä´ŒÃÍÂÅÐ 80 ÀÒÇÐ Œ «Õ´¾ºä´ŒÃÍÂÅÐ 40 㹺ҧÃÒÂÍÒ¨ÁÕ¡ÒÃàÊÕÂâ»ÃµÕ¹ä»ã¹ÅíÒäÊŒ (protein-losing enteropathy) ·íÒãËŒ Œ à¡Ô´ albumin ã¹àÅ×Í´µèÒáÅкÇÁ ËÇÁ¡Ñº¾ºÃдѺ !1 antitrypsin ã¹àÅ×Í´à¾ÔÁ¢Ö¹ ÍÒËÒ÷Õ໚¹ÊÒà赯 í è é è ·Õ¾ºº‹Í·ÕÊ´ ¤×Í ¹ÁÇÑÇ ÍÒËÒÃÍ×¹·ÕÁÃÒ§ҹ䴌ᡋ ¶ÑÇàËÅ×ͧ 䢋 »ÅÒ ¢ŒÒÇ ä¡‹ ¸Ñ­¾×ª áÅÐÍÒËÒà è èØ è è Õ è ·ÐàÅ ¡ÒõÃǨ·Ò§ËŒÍ§»¯Ôºµ¡Òà ¾º reducing substance áÅÐä¢Áѹã¹Íب¨ÒÃÐ µÃǨ D- Ñ Ô xylose test ãËŒ¼Å¼Ô´»Ã¡µÔ «Ö§º‹§ºÍ¡¶Ö§ÀÒÇСÒôٴ«ÖÁ¼Ô´»Ã¡µÔ áÅеÃǨ¾ºÀÒÇзØâÀª¹Ò¡Òà è ä´Œ ઋ¹ albumin ã¹àÅ×Í´µèÒ «Õ´ áÅТҴÇÔµÒÁԹठ໚¹µŒ¹ ¡ÒõÃǨªÔ¹à¹×ͨҡ¡ÒÃʋͧ¡ÅŒÍ§ í é é ¾ºÅѡɳТͧ patchy villous atrophy, crypt hyperplasia áÅÐÁÕ¡ÒÃÊÐÊÁ¢Í§ lymphocyte ÀÒ 㹪ѹ lamina propia ¢Í§¼¹Ñ§ÅíÒäÊŒàÅç¡ ¡ÒÃà»ÅÕ¹á»Å§´Ñ§¡Å‹ÒǹíÒä»ÊÙÀÒÇСÒôٴ«ÖÁ¼Ô´»Ã¡µÔ, é è ‹ protein-losing enteropathy, albumin ã¹àÅ×Í´µèÒ ÁÕÃдѺ complement Ŵŧ ºÇÁ «Õ´ áÅÐÍÒ¡Òà í áÊ´§Í×¹æ ¢Í§ÀÒÇзØâÀª¹Ò¡Òà ·íÒãËŒà¡Ô´ failure to thrive è ¡ÒÃÇÔ¹¨©ÑÂâäÍÒÈÑ»ÃÐÇÑµÔ ¼Å¡ÒÃʋͧ¡ÅŒÍ§áÅЪԹà¹×Í Ã‹ÇÁ¡Ñº¡Ò÷íÒ elimination Ô é é diet-challenge test ËÅѧ¨Ò¡àÃÔÁ·íÒ elimination diet ¼Ù»Ç¨ÐÁÕÍÒ¡Òôբ¹ªŒÒæ ÀÒÂã¹ÃÐÂÐàÇÅÒËÅÒÂ è Œ † Öé Çѹ¶Ö§ÊÑ»´Òˏ ¡ÒÃÇÔ¹¨©ÑÂá¡âä µŒÍ§¾Ô¨ÒóÒÊÒà˵ØÍ¹æ ·Õ·ÒãËŒà¡Ô´ÀÒÇÐ enteropathy 䴌ᡋ Ô ×è è í âäµÔ´àª×Íઋ¹ Çѳâä âä·Ò§ metabolic, lymphangiectasia áÅÐ celiac disease ¡ÒÃÈÖ¡ÉÒã¹¼ÙŒ é »†Ç·ÕÁÕ enteropathy ¨Ò¡¡ÒÃᾌ¹ÁÇÑÇ ¾ºÇ‹ÒÁÑ¡ÁÕÍÒ¡Òôբ¹ÀÒÂã¹ÍÒÂØ 2 »‚ â´ÂÁÕÊǹ¹ŒÍ·ÕÍÒ¨ è Öé ‹ è ÂѧÁÕÍÒ¡ÒÃàÃ×ÍÃѧ¨¹¶Ö§ÇÑÂà´ç¡âµ é (27,45) 4. ÍÒ¡ÒÃáÊ´§·Ò§Ãкº·Ò§à´Ô¹ËÒÂ㨠»¯Ô¡ÔÃÔÂÒᾌÍÒËÒ÷ÕèáÊ´§ÍÒ¡Ò÷ҧÃкº·Ò§à´Ô¹ËÒÂ㨹Ñé¹¾ºä´ŒäÁ‹º‹Í â´ÂÍÒ¡Òà áÊ´§áººà©Õº¾Åѹઋ¹ àÂ×èͺبÁÙ¡ÍÑ¡àʺ (rhinitis), ËÒÂã¨àÊÕ§ËÇÕ´ (wheezing) ËÃ×ÍâäË×´ Áѡ໚¹¡Å䡼‹Ò¹ IgE-mediated reaction «Ö§ÁÑ¡¾ºÃ‹ÇÁ¡ÑºÍÒ¡ÒÃáÊ´§ã¹ÃкºÍ×¹æ ઋ¹ ¼ÔÇ˹ѧ ËÃ×Í è è ·Ò§à´Ô¹ÍÒËÒà «Ö§ÍҨࢌÒࡳ·¡ÒÃÇÔ¹¨©Ñ¢ͧÍÒ¡ÒÃᾌùáç (anaphylaxis) ÊÔ§·ÕµÍ§µÃÐ˹ѡ è Ô Ø è è Œ äÇŒàÊÁͤ×Í ¼Ù»ÇÂâäË×´·Õà¡Ô´ÍÒ¡Òà anaphylaxis ¨Ò¡á¾ŒÍÒËÒÃÁÑ¡ÁÕ¤ÇÒÁàÊÕ§µ‹Í¡ÒÃàÊÕªÕǵ(18) Œ † è è Ô ã¹¼Ù»ÇÂà´ç¡áÅмÙãË­‹·à»š¹âäË×´ ¾ºÁÕÊÒà˵بҡÍÒËÒÃä´ŒÃÍÂÅÐ 2-8 Œ † Œ Õè Œ ʋǹÍÒ¡ÒÃáÊ´§Í׹䴌ᡋ ¡ÅØÁ non-IgE-mediated reaction ઋ¹ food-induced pulmonary è ‹ hemosiderosis (Heiner’s syndrome) ÁÑ¡¾ºã¹¼ÙŒ»†ÇÂà´ç¡·ÒááÅÐà´ç¡àÅç¡ ¼ÙŒ»†Ç¨ÐÁÕÍÒ¡Òà (29) »Í´ÍÑ¡àʺ«éÒæ (recurrent pneumonia), àÊÕÂàÅ×Í´ã¹·Ò§à´Ô¹ÍÒËÒà «Õ´¨Ò¡¡ÒâҴ¸ÒµØàËÅç¡ áÅÐ í failure to thrive(46) ÀÒ¾ÃѧÊջʹ¾ºÁÕ pulmonary infiltration «Ö§à¡Ô´¨Ò¡ÁÕàÅ×Í´ÍÍ¡ÀÒÂ㹶اÅÁ è
  • 56.
    àǪÈÒʵÏ·¹Âؤ 2553 Ñ 29 áÅÐ interstitial lung tissue â´ÂÊÒÁÒöµÃǨ¾º hemosiderin–laden macrophage ã¹ÊÒùéÒ¨Ò¡ í ¡ÃÐà¾ÒÐ (gastric aspirate) ã¹µÍ¹àªŒÒ ËÃ×Í㹪Թà¹×ͧ͢»Í´ ËÒ¡äÁ‹ä´ŒÃº¡ÒÃÃÑ¡ÉÒáÅÐÁÕàÅ×Í´ÍÍ¡ é é Ñ «éÒËÅÒ¤Ãѧ¨Ð¹íÒä»ÊÙ‹ fibrosis áÅÐ restrictive lung disease ä´Œ í é ¼Ù»ÇÂʋǹãË­‹Á¡áÊ´§ÍÒ¡Ò÷ҧÃкº·Ò§à´Ô¹ËÒÂã¨àª‹¹ ËÒÂã¨àÃçÇ «Ö§µŒÍ§á¡¨Ò¡âä Œ † Ñ è »Í´ÍÑ¡àʺµÔ´àª×Í áµ‹âä¹ÕÁ¡äÁ‹Á䢌 ºÒ§ÃÒ·ÕÁÍÒ¡Ò÷ҧ»Í´¹ŒÍ ÍÒ¨ÁÒ¾ºá¾·Â´ÇÂÍÒ¡Òà é é Ñ Õ è Õ Œ «Õ´¨Ò¡¡ÒâҴ¸ÒµØàËÅç¡ âä¹ÕÊǹãË­‹ÊÁ¾Ñ¹¸¡º¡ÒÃᾌ¹ÁÇÑÇ ¹Í¡¨Ò¡¹Õ§ÁÕÃÒ§ҹ㹼ٻÇ·Õᾌ é‹ Ñ Ñ é Ñ Œ † è 䢋áÅÐà¹×ÍËÁÙ é (29) ¡ÒÃÇÔ¹¨©ÑÂÍÒÈÑ¡Ò÷íÒ elimination diet áŌǼٻÇÂÁÕÍÒ¡Òôբ¹ ʋǹ¡ÒõÃǨ serum Ô Œ † Öé precipitating antibody µ‹Í¹ÁÇÑÇ ËÃ×ÍÍÒËÒÃÍ×¹æ ÊÒÁÒöª‹ÇÂʹѺʹع¡ÒÃÇÔ¹¨©ÑÂä´Œ ¹Í¡¨Ò¡¹Õé è Ô ÂѧÍÒ¨µÃǨ¾ºÁÕ eosinophil Ê٧㹡ÃÐáÊàÅ×Í´ä´Œ ¡ÒÃÇÔ¹Ô¨©Ñ ¡Òëѡ»ÃÐÇѵÍ‹ҧÅÐàÍÕ´áÅСÒõÃǨËҧ¡Ò ໚¹¾×¹°Ò¹ÊíҤѭ·ÕªÇÂ㹡ÒÃÇÔ¹¨©ÑÂâä Ô é è ‹ Ô â´Âã¹àº×ͧµŒ¹¹Ñ¹¤ÇÃÇÔ¹¨©ÑÂá¡âä¨Ò¡»¯Ô¡ÃÂÒ·ÕäÁ‹¾§»ÃÐʧ¤Í¹æ ·Õà¡Ô´¨Ò¡ÍÒËÒà ËÒ¡ÍÒ¡Òà é é Ô ÔÔ è Ö ×è è ࢌÒä´Œ¡º»¯Ô¡ÃÂÒᾌÍÒËÒà ¤ÇÃᡵ‹ÍÇ‹Ò໚¹ª¹Ô´ IgE-mediated ËÃ×Í non-IgE-mediated à¾×ÍÇÒ§ Ñ ÔÔ è á¼¹¡ÒõÃǨà¾ÔÁàµÔÁµ‹Íä» è 1. ¡ÒÃËÅÕ¡àÅÕè§ÍÒËÒ÷ÕèʧÊÑ (Elimination diet) ¡ÒÃËÅÕ¡àÅÕ§ÍÒËÒ÷ÕʧÊѹѹ ¹Í¡¨Ò¡¨Ðª‹ÇÂ㹡ÒÃÇÔ¹¨©ÑÂâäáÅŒÇ Âѧ໚¹¡ÒÃÃÑ¡ÉÒ è è é Ô »¯Ô¡ÃÂÒäÁ‹¾§»ÃÐʧ¤·à¡Ô´¨Ò¡ÍÒËÒ÷ѧª¹Ô´·Õà¡Ô´â´Â¼‹Ò¹áÅÐäÁ‹¼Ò¹¡Åä¡·Ò§ÀÙÁ¤Á¡Ñ¹ ¡Ò÷íÒ ÔÔ Ö Õè é è ‹ Ô ØŒ elimination diet ÊÒÁÒö໚¹¡ÒõÃǨ¤Ñ´¡Ãͧ (screening test) ¡‹Í¹¡ÒþԨÒóҷíÒ food challenge ä´Œ ËÒ¡ÍÒ¡ÒÃäÁ‹´¢¹ËÅѧ·íÒ elimination diet Í‹ҧà¤Ã‹§¤ÃÑ´ áÊ´§Ç‹Ò¼Ù»ÇÂÍҨᾌÍÒËÒê¹Ô´Í×¹ Õ Öé Œ † è ËÃ×ÍÍҨᾌÍÒËÒê¹Ô´¹Ñ¹ ᵋÃÐÂÐàÇÅÒ¡Ò÷íÒ elimination diet ÂѧäÁ‹¹Ò¹¾Í ËÃ×Í ÍÒ¨µŒÍ§ÇÔ¹¨©Ñ é Ô á¡âäÍ×¹ ËÒ¡¼Ù»ÇÂÁÕÍÒ¡Òôբ¹¨¹à»š¹»¡µÔËÅѧ·íÒ elimination diet ËÇÁ¡Ñº¼Ù»ÇÂÁÕÍÒ¡ÒáÅѺ è Œ † Öé Œ † ໚¹«éÒËÅѧãËŒÅͧÃѺ»ÃзҹÍÒËÒùѹÍÕ¡¤Ãѧ ÊÒÁÒöª‹ÇÂʹѺʹع¡ÒÃÇÔ¹¨©ÑÂä´Œ ¢ŒÍ¤ÇÃÃÐÇѧ㹠í é é Ô ¡Ò÷íÒ elimination diet ¤×Í ÍÒ¨¹íÒä»ÊÙÀÒÇзØâÀª¹Ò¡ÒÃä´Œ ËÒ¡µŒÍ§§´ÍÒËÒÃËÅÒª¹Ô´ áÅÐ/ËÃ×Í ‹ §´ÍÒËÒÃ໚¹ÃÐÂÐàÇÅÒ¹Ò¹ 2. ¡Ò÷´Êͺ¼ÔÇ˹ѧâ´Â¡ÒÃÊСԴ (Skin prick test, SPT) ¡Ò÷´Êͺ¼ÔÇ˹ѧâ´Â¡ÒÃÊСԴ ໚¹¡ÒõÃǨ¤Ñ´¡Ãͧ¼Ù»Ç·ÕʧÊÑÂᾌÍÒËÒÃẺ IgE- Œ † è mediated Í‹ҧäáçµÒÁ ËÒ¡ãËŒ¼ÅºÇ¡ ¤×Í ¢¹Ò´µØÁ¹Ù¹ (wheal) ÁÒ¡¡Ç‹Ò 3 ÁÁ. àÁ×Íà·Õº¡Ñº negative ‹ è control á»Å¼ÅNjҼٌ»†ÇÂÁÕ IgE ·Õè¨íÒà¾Òе‹ÍÍÒËÒê¹Ô´¹Ñé¹ ËÃ×ÍàÃÕ¡NjÒÁÕÀÒÇÐ sensitization ᵋäÁ‹ä´ŒÂ¹ÂѹNjÒᾌÍÒËÒê¹Ô´¹Ñ¹ SPT ÁÕ¤Ò positive predictive value (PPV) ¹ŒÍ¡NjÒÃŒÍÂÅÐ 40 × é ‹ ᵋÁ¤Ò negative predictive value (NPV) ÊÙ§ÁÒ¡¡Ç‹ÒÃŒÍÂÅÐ 95 ¨Ö§ÍÒ¨¡Å‹ÒÇä´ŒÇÒ SPT ·ÕãËŒ¼Åź Õ ‹ ‹ è
  • 57.
    30 ¡ÒÃÇÔ¹Ô¨©Ñ¡ÒÃᾌÍÒËÒÃÊíÒËÃѺàǪ»¯ÔºÑµÔ·ÑèÇä» ¹Ñ¹ÊÒÁÒö·Õ¨ÐºÍ¡Ç‹Ò¼Ù»ÇÂäÁ‹ä´ŒÁ¡ÒÃᾌÍÒËÒÃẺ IgE-mediated ä´Œà¡×ͺ·Ñ§ËÁ´ ᵋËÒ¡ãËŒ é è Œ † Õ é ¼ÅºÇ¡ ໚¹à¾Õ§¡Òú‹§ªÕÇÒÍҨᾌÍÒËÒà ¨Ö§äÁ‹¤ÇÃá¹Ð¹íÒãËŒ¼»Ç§´ÍÒËÒÃâ´ÂÍÒÈÑ¢ŒÍÁÙŨҡ¡ÒÃ é‹ ÙŒ † ·íÒ SPT à¾Õ§Í‹ҧà´ÕÂÇ ¤Ç÷íÒ¡Ò÷´Êͺµ‹Íâ´ÂÇÔ¸Õ oral food challenge Í‹ҧäáç´Õ ¡Ã³Õ·Á»ÃÐÇÑµÔ Õè Õ á¾ŒÍÒËÒÃÃØ¹áçẺ anaphylaxis ËÒ¡ SPT ãËŒ¼ÅºÇ¡µ‹ÍÍÒËÒùѹ ¶Ö§áÁŒÇÒ¤‹Ò PPV ¹ŒÍÂ¡Ç‹Ò é ‹ ÃŒÍÂÅÐ 40 ¡ç¤ÇþԨÒóÒÇÔ¹¨©ÑÂÇ‹ÒᾌÍÒËÒà áÅÐá¹Ð¹íÒãËŒàÅÕ§ÍÒËÒê¹Ô´¹Ñ¹ Ô è é 3. ¡ÒõÃǨ IgE ·Õ¨Òà¾Òе‹ÍÍÒËÒà (.ood-specific IgE) è í ¡ÒõÃǨ IgE ·Õ¨Òà¾Òе‹ÍÍÒËÒà ໚¹¡ÒõÃǨàÅ×Í´¢Í§¼Ù»ÇÂà¾×ÍËÒ IgE ·Õ¨Òà¾Òе‹Í èí Œ † è èí ÍÒËÒà ¨Ö§ãªŒã¹¡Ã³ÕʧÊÑÂᾌÍÒËÒÃẺ IgE-mediated ÇÔ¸¹Á¤ÇÒÁäǹŒÍ¡NjҡÒ÷íÒ SPT ÃÒ¤Ò Õ Õé Õ á¾§¡Ç‹ÒáÅÐ㪌àÇÅÒ㹡ÒõÃǨ¹Ò¹¡Ç‹Ò ʋǹãË­‹Á¡¾Ô¨ÒóҵÃǨÇÔ¸¹ã¹¡Ã³Õ·¼»ÇÂäÁ‹ÊÒÁÒö Ñ Õ Õé Õè ÙŒ † ·íÒ SPT 䴌ઋ¹ äÁ‹ÊÒÁÒöËÂØ´ÂÒ antihistamine ä´Œ ÁÕÃÍÂâä·Õ¼Ç˹ѧÁÒ¡ ઋ¹ âä¼ÔÇ˹ѧÍÑ¡àʺ è Ô ¨Ò¡ÀÙÁᾌ ËÃ×Í dermographism áÅÐ㹡óշÁ»ÃÐÇѵÍÒ¡ÒÃᾌ·Ã¹áçÁÒ¡ Ô Õè Õ Ô Õè Ø ËÒ¡¡ÒõÃǨãËŒ¼ÅºÇ¡ ¡ÒÃá»Å¼ÅàËÁ×͹¡Ò÷íÒ SPT ¤×Í ¼Ù»ÇÂÁÕÀÒÇÐ sensitization Œ † ᵋäÁ‹ä´Œº§ºÍ¡Ç‹Ò¼Ù»ÇÂᾌÍÒËÒê¹Ô´¹Ñ¹¨ÃÔ§ ¨Ö§¤Ç÷íÒ¡Ò÷´Êͺµ‹Íâ´ÂÇÔ¸Õ oral food challenge ‹ Œ † é Í‹ҧäáçµÒÁ ÃдѺ¢Í§ IgE ·Õ¨Òà¾Òе‹ÍÍÒËÒÃᵋÅЪ¹Ô´·ÕÁ¤ÒÊÙ§ÁÒ¡¢Ö¹ ÁÑ¡ÊÑÁ¾Ñ¹¸¡ºâÍ¡ÒÊ·Õè èí è Õ ‹ é Ñ ¼Ù»ÇÂáÊ´§ÍÒ¡ÒÃᾌÍÒËÒ÷Õʧ¢Ö¹ ¹Í¡¨Ò¡¹Õé ÂѧÊÒÁÒöµÃǨÃдѺ IgE ·Õ¨Òà¾Òе‹ÍÍÒËÒÃ໚¹ Œ † èÙ é èí ÃÐÂÐà¾×ͪ‹Ç·íÒ¹ÒÂâÍ¡ÒÊ·Õ¼»Ç¨ÐËÒ¨ҡâäËÃ×Íà¡Ô´ÀÒÇÐ tolerance ¡Å‹ÒǤ×Í ËÒ¡ÃдѺ IgE è è ÙŒ † ·Õè¨íÒà¾Òе‹ÍÍÒËÒÃŴŧÁÑ¡ÊÑÁ¾Ñ¹¸¡ÑºâÍ¡ÒÊËÒ¨ҡâä·ÕèÊÙ§¢Öé¹ ÁÕ¡ÒÃÈÖ¡ÉÒËÒÃдѺ¢Í§ IgE ·Õè¨íÒà¾Òе‹ÍÍÒËÒà ·ÕèãËŒ¤‹Ò PPV ÊÙ§(47-50) à¾×èÍÅ´¤ÇÒÁàÊÕè§áÅФ‹Ò㪌¨‹Ò·Õè¨ÐµŒÍ§·íÒ oral food challenge ÃдѺ¢Í§ IgE ·Õ¨Òà¾Òе‹ÍÍÒËÒÃᵋÅЪ¹Ô´áÅФÇÒÁ¶Ù¡µŒÍ§ã¹¡Ò÷íÒ¹Ò¡ÒÃà¡Ô´ÍÒ¡Òà èí àÁ×Í·íÒ oral food challenge áÊ´§ã¹µÒÃÒ§·Õè 2 ã¹·Ò§µÃ§¡Ñ¹¢ŒÒÁ ¡ÒõÃǨäÁ‹¾ºÃдѺ IgE ·Õ¨Òà¾ÒÐ è èí µ‹ÍÍÒËÒùѹÊÒÁÒö¾ºã¹¼Ù»Ç·ÕáÊ´§ÍÒ¡ÒÃᾌÍÒËÒÃä´ŒÃÍÂÅÐ 10-25 é Œ † è Œ (51)
  • 58.
    àǪÈÒʵÏ·¹Âؤ 2553 Ñ 31 µÒÃÒ§·Õè 2 ÃдѺ¢Í§ IgE ·Õè¨íÒà¾Òе‹ÍÍÒËÒÃᵋÅЪ¹Ô´ áÅФÇÒÁ¶Ù¡µŒÍ§ã¹¡Ò÷íÒ¹Ò¡Òà à¡Ô´ÍÒ¡ÒÃàÁ×èÍ·íÒ oral food challenge ÍÒËÒà ÃдѺ IgE ·Õè¨íÒà¾Òе‹ÍÍÒËÒà Positive predictive value (kUA/L) (PPV) 䢋 ÍÒÂØ > 2 »‚ 7 98 ÍÒÂØ < 2 »‚ 2 95 Milk ÍÒÂØ > 2 »‚ 15 95 ÍÒÂØ < 2 »‚ 5 95 ¶ÑÇÅÔʧ è 14 95 »ÅÒ 20 100 ¶ÑÇàËÅ×ͧ è 30 73 ệ§ÊÒÅÕ 26 74 Tree nut ~15 ~95 ËÁÒÂà赯 ´´á»Å§¨Ò¡ Sampson HA. .ood allergy—accurately identifying clinical reactivity. Allergy 2005;60 Suppl Ñ 79:19-24. 4. ¡Ò÷´Êͺâ´Â¡ÒÃÃѺ»ÃзҹÍÒËÒ÷ÕèʧÊÑ (Oral food challenge test) ¡Ò÷´Êͺâ´Â¡ÒÃÃѺ»ÃзҹÍÒËÒ÷ÕèʧÊÑ ¶×Í໚¹¡Ò÷´Êͺ·ÕèÁÕ¤ÇÒÁáÁ‹¹ÂíÒÊÙ§ â´Â¡ÒÃàÅ×Í¡ÍÒËÒ÷ըзíÒ¡Ò÷´Êͺ¢Ö¹¡Ñº»ÃÐÇѵáÅмŠSPT ËÃ×Í IgE ·Õ¨Òà¾Òе‹ÍÍÒËÒà ¤Ç÷íÒ è é Ô èí ¡Ò÷´ÊͺÀÒÂ㵌¡ÒôÙáŢͧºØ¤Åҡ÷ҧ¡ÒÃᾷ áÅÐÁÕÍØ»¡Ã³¾ÃŒÍÁ㹡Òê‹ÇªÕÇÔµËÒ¡ à¡Ô´ÍÒ¡ÒÃᾌ·Ã¹áç â´Â੾ÒСóÕʧÊÑÂᾌÍÒËÒÃẺ IgE-mediated reaction áÅÐ .PIES ¼Ù»Ç Õè Ø Œ † ·ÕÁ»ÃÐÇѵᾌùá窹Դ anaphylaxis ÁÕ¤ÇÒÁàÊÕ§ÊÙ§µ‹Í¡ÒÃà¡Ô´¼Å¢ŒÒ§à¤Õ§·Õùáç¨Ò¡¡Ò÷´Êͺ è Õ Ô Ø è èØ ¨Ö§¤Ç÷íÒ¡Ò÷´Êͺµ‹ÍàÁ×èÍäÁ‹ÊÒÁÒöº‹§ªÕéÍÒËÒ÷Õè໚¹ÊÒà˵Øä´Œ¨Ò¡»ÃÐÇѵÔáÅСÒõÃǨ·Ò§ ˌͧ»¯Ôºµ¡Òà ËÃ×;ԨÒóҷíҡóշàª×ÍNjһ¯Ô¡ÃÂÒᾌ¹¹ä´ŒËÒ´ÕáÅŒÇ ¡Ã³Õ¢Í§»¯Ô¡ÃÂÒᾌ·áÊ´§ Ñ Ô Õè è ÔÔ Ñé ÔÔ Õè ÍÒ¡Ò÷ҧÃкº·Ò§à´Ô¹ÍÒËÒà ·ÕµÍ§ÍÒÈÑ¡ÒõÃǨªÔ¹à¹×Í¡‹Í¹áÅÐËÅѧÃѺ»ÃзҹÍÒËÒ÷ÕʧÊÑÂ è Œ é é è 㹡ÒÃÇÔ¹¨©ÑÂ Ô ¡ÒÃÃÑ¡ÉÒ ËÅÑ¡¡ÒôÙáÅÃÑ¡ÉҼٻǷÕÁÍÒ¡ÒÃᾌÍÒËÒä×Í ¡ÒÃËÅÕ¡àÅÕ§ÍÒËÒ÷Õᾌ ¡ÒÃཇÒÊѧࡵáÅÐ Œ † è Õ è è
  • 59.
    32 ¡ÒÃÇÔ¹Ô¨©Ñ¡ÒÃᾌÍÒËÒÃÊíÒËÃѺàǪ»¯ÔºÑµÔ·ÑèÇä» ÃÑ¡ÉÒÍÒ¡ÒÃᾌ·à¡Ô´¢Ö¹ áÅСÒÃãËŒÍÒËÒ÷´á·¹Í‹ҧàËÁÒÐÊÁà¾×Í»‡Í§¡Ñ¹ÀÒÇзØâÀª¹Ò¡Òà Õè é è àÍ¡ÊÒÃ͌ҧÍÔ§ 1. Nowak-Wegrzyn A, Sampson HA. Adverse reactions to foods. Med Clin North Am. 2006;90:97-127. 2. Sicherer SH, Sampson HA. 9. .ood allergy. J Allergy Clin Immunol. 2006;117:S470-5. 3. Santadusit S, Atthapaisalsarudee S, Vichyanond P. Prevalence of adverse food reactions and food allergy among Thai children. J Med Assoc Thai. 2005;88 Suppl 8:S27-32. 4. Eigenmann PA, Sicherer SH, Borkowski TA, Cohen BA, Sampson HA. Prevalence of IgE-mediated food allergy among children with atopic dermatitis. Pediatrics. 1998;101:E8. 5. Sampson HA. 9. .ood allergy. J Allergy Clin Immunol. 2003;111:S540-7. 6. Eggesbo M, Botten G, Halvorsen R, Magnus P. The prevalence of allergy to egg: a population-based study in young children. Allergy. 2001;56:403-11. 7. Sicherer SH, Munoz-.urlong A, Sampson HA. Prevalence of peanut and tree nut allergy in the United States determined by means of a random digit dial telephone survey: a 5-year follow-up study. J Allergy Clin Immunol. 2003;112:1203-7. 8. Zuidmeer L, Goldhahn K, Rona RJ, Gislason D, Madsen C, Summers C, et al. The prevalence of plant food allergies: a systematic review. J Allergy Clin Immunol. 2008;121:1210-8. 9. .uglsang G, Madsen C, Saval P, Osterballe O. Prevalence of intolerance to food additives among Danish school children. Pediatr Allergy Immunol. 1993;4:123-9. 10. Sampson HA. .ood allergy. Part 1: immunopathogenesis and clinical disorders. J Allergy Clin Immunol. 1999;103:717-28. 11. Yocum MW, Butterfield JH, Klein JS, Volcheck GW, Schroeder DR, Silverstein MD. Epidemiology of anaphylaxis in Olmsted County: A population-based study. J Allergy Clin Immunol. 1999;104:452-6. 12. Brown A., McKinnon D, Chu K. Emergency department anaphylaxis: A review of 142 patients in a single year. J Allergy Clin Immunol. 2001;108:861-6. 13. Smit DV, Cameron PA, Rainer TH. Anaphylaxis presentations to an emergency department in Hong Kong: incidence and predictors of biphasic reactions. J Emerg Med. 2005;28:381-8. 14. Jirapongsananuruk O, Bunsawansong W, Piyaphanee N, Visitsunthorn N, Thongngarm T, Vichyanond P. .eatures of patients with anaphylaxis admitted to a university hospital. Ann Allergy Asthma Immunol. 2007;98: 157-62. 15. Poachanukoon O, Paopairochanakorn C. Incidence of anaphylaxis in the emergency department: a 1-year study in a university hospital. Asian Pac J Allergy Immunol. 2006;24:111-6. 16. Piromrat K, Chinratanapisit S, Trathong S. Anaphylaxis in an emergency department: a 2-year study in a tertiary-care hospital. Asian Pac J Allergy Immunol. 2008;26:121-8. 17. Golden DB. Patterns of anaphylaxis: acute and late phase features of allergic reactions. Novartis .ound Symp. 2004;257:101-10. 18. Bock SA, Munoz-.urlong A, Sampson HA. .atalities due to anaphylactic reactions to foods. J Allergy Clin Immunol. 2001;107:191-3. 19. Morita E, Kunie K, Matsuo H. .ood-dependent exercise-induced anaphylaxis. J Dermatol Sci. 2007;47:109-17. 20. Pacharn P, Jirapongsananuruk O, Daengsuwan T, Vichyanond P, Visitsunthorn N. Wheat-dependent, exercise- induced anaphylaxis in Thai children: a report of 5 cases. Asian Pac J Allergy Immunol. 2009;27:115-20. 21. Tuchinda M, Srimaruta N, Habanananda S, Vareenil J, Assatherawatts A. Urticaria in Thai children. Asian Pac J Allergy Immunol. 1986;4:41-5.
  • 60.
    àǪÈÒʵÏ·¹Âؤ 2553 Ñ 33 22. Wananukul S, Chatchatee P, Chatproedprai S. .ood induced urticaria in children. Asian Pac J Allergy Immunol. 2005;23:175-9. 23. Kulthanan K, Chiawsirikajorn Y, Jiamton S. Acute urticaria: etiologies, clinical course and quality of life. Asian Pac J Allergy Immunol. 2008;26:1-9. 24. Zuberbier T, Ifflander J, Semmler C, Henz BM. Acute urticaria: clinical aspects and therapeutic responsiveness. Acta Derm Venereol. 1996;76:295-7. 25. Jirapongsananuruk O, Pongpreuksa S, Sangacharoenkit P, Visitsunthorn N, Vichyanond P. Identification of the etiologies of chronic urticaria in children: A prospective study of 94 patients. Pediatr Allergy Immunol. 2010;21:508-14. 26. Sicherer SH, Sampson HA. .ood hypersensitivity and atopic dermatitis: pathophysiology, epidemiology, diagnosis, and management. J Allergy Clin Immunol. 1999;104:S114-22. 27. Sampson HA. Update on food allergy. J Allergy Clin Immunol. 2004;113:805-19. 28. Bircher AJ, Van Melle G, Haller E, Curty B, .rei PC. IgE to food allergens are highly prevalent in patients allergic to pollens, with and without symptoms of food allergy. Clin Exp Allergy. 1994;24:367-74. 29. Sampson HA, Burks AW. Adverse reactions to foods. In: Adkinson N. Jr, Bochner BS, Busse WW, Holgate ST, Lemanske R. Jr, Simons .ER, editors. Middleton’s allergy, principle & practice. 7th ed. Philadelphia: Mosby. 2009. p. 1139-67. 30. Lee CM, Changchien CS, Chen PC, Lin DY, Sheen IS, Wang CS, et al. Eosinophilic gastroenteritis: 10 years experience. Am J Gastroenterol. 1993;88:70-4. 31. Moon A, Kleinman RE. Allergic gastroenteropathy in children. Ann Allergy Asthma Immunol. 1995;74:5-12. 32. Snyder JD, Rosenblum N, Wershil B, Goldman H, Winter HS. Pyloric stenosis and eosinophilic gastroenteritis in infants. J Pediatr Gastroenterol Nutr. 1987;6:543-7. 33. Khan S, Orenstein SR. Eosinophilic gastroenteritis masquerading as pyloric stenosis. Clin Pediatr (Phila). 2000;39:55-7. 34. Rothenberg ME. Eosinophilic gastrointestinal disorders (EGID). J Allergy Clin Immunol. 2004;113:11-28. 35. Noel RJ, Putnam PE, Rothenberg ME. Eosinophilic esophagitis. N Engl J Med. 2004;351:940-1. 36. Maloney J, Nowak-Wegrzyn A. Educational clinical case series for pediatric allergy and immunology: allergic proctocolitis, food protein-induced enterocolitis syndrome and allergic eosinophilic gastroenteritis with protein- losing gastroenteropathy as manifestations of non-IgE-mediated cow’s milk allergy. Pediatr Allergy Immunol. 2007;18:360-7. 37. Kelly KJ. Eosinophilic gastroenteritis. J Pediatr Gastroenterol Nutr. 2000;30 Suppl:S28-35. 38. Sicherer SH, Eigenmann PA, Sampson HA. Clinical features of food protein-induced enterocolitis syndrome. J Pediatr. 1998;133:214-9. 39. Nowak-Wegrzyn A, Sampson HA, Wood RA, Sicherer SH. .ood protein-induced enterocolitis syndrome caused by solid food proteins. Pediatrics. 2003;111:829-35. 40. Levy Y, Danon YL. .ood protein-induced enterocolitis syndrome—not only due to cow’s milk and soy. Pediatr Allergy Immunol. 2003;14:325-9. 41. Bruni ., Peroni DG, Piacentini GL, De Luca G, Boner AL. .ruit proteins: another cause of food protein-induced enterocolitis syndrome. Allergy. 2008;63:1645-6. 42. Lake AM, Whitington P., Hamilton SR. Dietary protein-induced colitis in breast-fed infants. J Pediatr .1982;101: 906-10. 43. Machida HM, Catto Smith AG, Gall DG, Trevenen C, Scott RB. Allergic colitis in infancy: clinical and pathologic aspects. J Pediatr Gastroenterol Nutr. 1994;19:22-6.
  • 61.
    34 ¡ÒÃÇÔ¹Ô¨©Ñ¡ÒÃᾌÍÒËÒÃÊíÒËÃѺàǪ»¯ÔºÑµÔ·ÑèÇä» 44. Pumberger W, Pomberger G, Geissler W. Proctocolitis in breast fed infants: a contribution to differential diagnosis of haematochezia in early childhood. Postgrad Med J. 2001;77:252-4. 45. Savilahti E. .ood-induced malabsorption syndromes. J Pediatr Gastroenterol Nutr. 2000;30 Suppl:S61-6. 46. Heiner DC, Sears JW, Kniker WT. Multiple precipitins to cow’s milk in chronic respiratory disease. A syndrome including poor growth, gastrointestinal symptoms, evidence of allergy, iron deficiency anemia, and pulmonary hemosiderosis. Am J Dis Child. 1962;103:634-54. 47. Sampson HA. .ood allergy—accurately identifying clinical reactivity. Allergy. 2005;60 Suppl 79:19-24. 48. Boyano Martinez T, Garcia-Ara C, Diaz-Pena JM, Munoz .M, Garcia Sanchez G, Esteban MM. Validity of specific IgE antibodies in children with egg allergy. Clin Exp Allergy. 2001;31:1464-9. 49. Garcia-Ara C, Boyano-Martinez T, Diaz-Pena JM, Martin-Munoz ., Reche-.rutos M, Martin-Esteban M. Specific IgE levels in the diagnosis of immediate hypersensitivity to cows’ milk protein in the infant. J Allergy Clin Immunol. 2001;107:185-90. 50. Clark AT, Ewan PW. Interpretation of tests for nut allergy in one thousand patients, in relation to allergy or tolerance. Clin Exp Allergy. 2003;33:1041-5. 51. Sicherer SH, Sampson HA. .ood allergy. J Allergy Clin Immunol. 2010;125:S116-25.
  • 62.
    àǪÈÒʵÏ·¹Âؤ 2553 Ñ º··Õè 35 4 Cultivated Epithelial Cell in Ophthalmology, When and How? ÃͧÈÒʵÃÒ¨ÒÏ ᾷ˭ԧÀÔ­¹ÔµÒ µÑ¹¸ØÇ¹ÔµÂ ¼ÙŒª‹ÇÂÈÒʵÃÒ¨ÒÏ ᾷ˭ԧ³Ñ°¾Ã à·ÈÐÇÔºØÅ ÀÒ¤ÇÔªÒ¨Ñ¡ÉØÇ·ÂÒ ¤³Ðá¾·ÂÈÒʵÏÈÃÃÒª¾ÂÒºÒÅ ÁËÒÇÔ·ÂÒÅÑÂÁËÔ´Å Ô ÔÔ ÃͧÈÒʵÃÒ¨ÒÏ ´Í¡àµÍÏ»˜·ÁÒ à͡⾸Ôì ÀÒ¤ÇÔªÒÇÔ·ÂÒÀÙÁ¤Á¡Ñ¹ ¤³Ðá¾·ÂÈÒʵÏÈÃÃÒª¾ÂÒºÒÅ ÁËÒÇÔ·ÂÒÅÑÂÁËÔ´Å Ô ØŒ ÔÔ ¼ÙŒª‹ÇÂÈÒʵÃÒ¨ÒÏ ¹ÒÂᾷÁ§¤Å ÍØÂ»ÃÐàÊÃÔ°¡ØÅ ÀÒ¤ÇÔªÒ¾ÂÒ¸ÔÇ·ÂÒ ¤³Ðá¾·ÂÈÒʵÏÈÃÃÒª¾ÂÒºÒÅ ÁËÒÇÔ·ÂÒÅÑÂÁËÔ´Å Ô ÔÔ WHEN? àÁ×èÍäè֧¨íÒ໚¹µŒÍ§·íÒ¡ÒÃÃÑ¡ÉÒ´ŒÇ cultivated epithelial cell Background Corneal limbal epithelial stem cell ËÃ×Í à«Åŏµ¹¡íÒà¹Ô´¢Í§¼ÔÇ¡ÃШ¡µÒ໚¹à«Åŏ··Ò˹ŒÒ·Õè Œ Õè í ÊÌҧà«Åŏ¼Ç¡ÃШ¡µÒ (corneal epithelial cell) à«Åŏ¹¾ºÍÂÙ·ºÃÔàdzÃ͵‹Í¢Í§µÒ´íҡѺµÒ¢ÒÇ Ô Õé ‹ Õè (limbus; áÊ´§ã¹ÀÒ¾·Õè 1) áÅÐ໚¹»˜¨¨ÑÂ˹֧·ÕÊҤѭ㹡Ò䧤ÇÒÁãʢͧ¡ÃШ¡µÒ (cornea) â´Â è èí ¨Ð¤Í¡ѹäÁ‹ãËŒà«Åŏ¢Í§àÂ×ÍºØµÒ (conjunctiva) ÃØ¡à¢ŒÒÁÒ㹡ÃШ¡µÒ(1) é è ÀÒ¾·Õè 1 áÊ´§µíÒá˹‹§¢Í§ limbus «Öè§ÁÕ corneal epithelial stem cell ÍÂÙ‹ ÍÒ¡Ò÷ҧ¤ÅÔ¹¡ Ô ËÒ¡ corneal limbal stem cell àÊ×ÍÁÊÀҾ仨зíÒãËŒà¡Ô´ÀÒÇÐ corneal limbal stem cell è deficiency(1,2) «Ö§ÁռŷíÒãËŒÁàÊŒ¹àÅ×Í´áÅÐà«Åŏ¢Í§àÂ×ͺصÒÃØ¡à¢ŒÒÁÒã¹¼ÔǢͧ¡ÃШ¡µÒ à¡Ô´á¼ÅËÅØ´ è Õ è Å͡໚¹æ ËÒÂæ ¡ÃШ¡µÒ¢Ø¹ áÅеÒÁÑÇŧ «Ö§¾ºä´Œã¹ÀÒÇÐÀÙÁᾌ·µÒÍÂ‹Ò§ÃØ¹áç ¡ÅØÁÍÒ¡Òà ‹ è Ô Õè ‹ Stevens Johnson ÍѹµÃÒ¨ҡÊÒÃà¤ÁÕ àª‹¹ ¡Ã´ ËÃ×Í´‹Ò§à¢ŒÒµÒ ¡ÒõԴàª×Í·Õ¡ÃШ¡µÒ µÒ·Õ䴌ú é è è Ñ
  • 63.
    36 Cultivated Epithelial Cell in Ophthalmology, When and How? ¡Òü‹ÒµÑ´ËÅÒÂæ ¤Ãѧ(3) ¼Ù»Ç¨ÐÁÕÍÒ¡ÒõÒÁÑÇŧ ᾌáʧ äÁ‹ÊºÒÂµÒ «Ö§ËÒ¡à¡Ô´ÀÒÇдѧ¡Å‹ÒǹÕé é Œ † è ¡ÒÃÃÑ¡ÉÒâ´Â¡Òü‹ÒµÑ´à»ÅÕ¹¡ÃШ¡µÒµÒÁ»¡µÔà¾Õ§Í‹ҧà´ÕÂÇ (corneal transplantation ËÃ×Í è penetrating keratoplasty) ¨ÐäÁ‹ÁâÍ¡ÒÊ»ÃÐʺ¼ÅÊíÒàÃç¨ÃÐÂÐÂÒÇä´ŒàÅ ´Ñ§¹Ñ¹¨Ö§¨íÒ໚¹µŒÍ§·íÒ¡ÒÃ Õ é ÃÑ¡ÉÒºÒ§»ÃСÒÃà¾×Í¿„¹¿ÙÊÀÒ¾¢Í§¡ÃШ¡µÒ¡‹Í¹ è œ (4) ¡ÒÃÃÑ¡ÉÒᵋà´ÔÁ 㹼ٻǷÕ໚¹ corneal limbal stem cell deficiency â´ÂÃͺ¡ÃШ¡µÒ ᵋà´ÔÁ¨Ð·íÒ¡Òà Œ † è ÃÑ¡ÉÒâ´ÂÇÔ¸Õ»ÅÙ¡¶‹ÒÂà«ÅŏµŒ¹¡íÒà¹Ô´ (stem cell) â´ÂµÃ§ (in vivo corneal limbal stem cell transplantation)(2, 4) «Ö§ÍҨ㪌à«Åŏ¢Í§¼Ù»ÇÂàͧËÃ×ͨҡ¼ÙºÃÔ¨Ò¤ ´Ñ§¹Õé è Œ † Œ 1. Autograft ã¹ÃÒ·Õ໚¹ corneal limbal stem cell deficiency ¢Í§µÒ¢ŒÒ§à´ÕÂÇ ÂѧÁÕà«Åŏ·Õè è »¡µÔã¹µÒÍÕ¡¢ŒÒ§Ë¹Ö§ ¨ÐÊÒÁÒö㪌à«Åŏµ¹¡íÒà¹Ô´¨Ò¡µÒ¢ŒÒ§·Õ»¡µÔ¢Í§¼Ù»ÇÂàͧ â´ÂàÍÒà¹×ÍàÂ×Í è Œ è Œ † é è ºÃÔàdzÃ͵‹Í¢Í§µÒ´íÒáÅеҢÒÇ (limbus) ÁÒ»ÅÙ¡¶‹ÒÂâ´ÂµÃ§ 2. Allograft ã¹ÃÒ·յҷѧÊͧ¢ŒÒ§à»š¹ corneal limbal stem cell deficiency ÍҨ㪌à«Åŏ è é ¨Ò¡­ÒµÔ àÃÕÂ¡Ç‹Ò living related corneal limbal allograft ËÃ×ͨҡµÒ¼ÙºÃÔ¨Ò¤ (allograft) â´Â¹íÒʋǹ Œ ·Õ໚¹Ã͵‹Í¢Í§µÒ´íҡѺµÒ¢ÒÇÁÒ»ÅÙ¡¶‹ÒÂâ´ÂµÃ§ è WHY? ·íÒäÁµŒÍ§ãªŒ cultivated epithelial cell 㹡ÒÃÃÑ¡ÉÒ·Ò§µÒ ¡Ò÷íÒ in vivo corneal limbal stem cell transplantation »˜­ËÒ·Õ¾º¤×Í ËÒ¡¹íÒà«Åŏ¼Í¹ è ÙŒ ×è ÁÒ»ÅÙ¡¶‹Ò (allograft) ¨ÐÁÕâÍ¡ÒÊà¡Ô´»¯Ô¡ÃÂÒµ‹ÍµŒÒ¹ (rejection) ÊÙ§ áÅеŒÍ§ÃѺ»ÃзҹÂÒ¡´ ÔÔ ÀÙÁµÒ¹·Ò¹ (immunosuppressive drug) Í‹ҧµ‹Íà¹×ͧà¾×Í»‡Í§¡Ñ¹äÁ‹ãËŒà¡Ô´»¯Ô¡ÃÂҴѧ¡Å‹ÒÇ ã¹¡Ã³Õ Ô Œ è è ÔÔ ¼Ù»ÇÂ໚¹âä·ÕµÒ¢ŒÒ§à´ÕÂÇ «Ö§¨Ð㪌à«Åŏ¨Ò¡µÒ¢ŒÒ§·Õ»¡µÔ¢Í§¼Ù»ÇÂÁÒ»ÅÙ¡¶‹Ò ËÃ×ͼٻÇ·Õ໚¹âä Œ † è è è Œ † Œ † è ·ÕµÒ·Ñ§Êͧ¢ŒÒ§áÅеŒÍ§¡ÒÃ㪌à«Åŏ¨Ò¡µÒ¢Í§­ÒµÔ ᾷ¨ÐäÁ‹ÊÒÁÒö¹íÒà«Åŏ¨Ò¡µÒ¢ŒÒ§·Õ»¡µÔ è é è ÍÍ¡ÁÒ䴌㹻ÃÔÁÒ³ÁÒ¡æ ºÒ§¤Ãѧ»ÃÔÁÒ³¢Í§à«Åŏ¨§äÁ‹à¾Õ§¾Í·Õ¨Ð»ÅÙ¡¶‹ÒÂà¾×Í»‡Í§¡Ñ¹¾Ñ§¼×´·Õ¨Ð é Ö è è è ÃØ¡à¢ŒÒ¡ÃШ¡µÒä´Œ ã¹ÃÐÂÐÂÒÇ ä´ŒÁÕ¤ÇÒÁ¾ÂÒÂÒÁ㹡Ò䌹ËÒÇÔ¸ÕãËÁ‹ã¹¡ÒûÅÙ¡¶‹ÒÂà«ÅŏµŒ¹¡íÒà¹Ô´¢Í§¼ÔÇ¡ÃШ¡µÒ á·¹¡ÒÃ㪌à¹×éÍàÂ×èÍä»»ÅÙ¡¶‹ÒÂãˌᡋ¼ÙŒ»†ÇÂâ´ÂµÃ§ ᵋ¨Ð¹íÒà«Åŏ·Õ赌ͧ¡ÒÃÁÒà¾ÒÐàÅÕé§ã¹ËŒÍ§ »¯Ôºµ¡Òá‹Í¹ ¨¹ä´Œ»ÃÔÁÒ³áÅÐÅѡɳеÒÁ·ÕµÍ§¡Òà ËÅѧ¨Ò¡¹Ñ¹¨Ö§¹íÒà«Åŏ´§¡Å‹ÒÇÁÒ»ÅÙ¡¶‹ÒÂ Ñ Ô è Œ é Ñ ãˌᡋ¼»ÇÂÀÒÂËÅѧ 㹡ÒäѴàÅ×Í¡à«Åŏ·¨Ð¹íÒÁÒà¾ÒÐàÅÕ§ ã¹»˜¨¨Øº¹ÁÕ 2 ª¹Ô´¤×Í ÙŒ † Õè é Ñ 1. à«Åŏ¢Í§¡ÃШ¡µÒ (corneal epithelium) 2. à«Åŏ¢Í§àÂ×ͺØã¹Ã‹Ò§¡Ò (mucosal epithelium) è
  • 64.
    àǪÈÒʵÏ·¹Âؤ 2553 Ñ 37 HOW? ¨Ð㪌 cultivated epithelial cell ÁÒÃÑ¡ÉÒ䴌͋ҧäà Corneal epithelial cell culture ¡ÒÃà¾ÒÐàÅÕ§â´Â㪌 corneal limbal stem cell à¾×Íà¾ÔÁ¨íҹǹ¢Í§ stem cell ¡‹Í¹¹íÒä» é è è »ÅÙ¡¶‹ÒÂãËŒÁÕ»ÃÔÁÒ³ÁÒ¡¾Í¡Ñº¤ÇÒÁµŒÍ§¡ÒÃáÅÐÅ´âÍ¡ÒÊ¡ÒÃà¡Ô´»¯Ô¡ÔÃÔÂÒµ‹ÍµŒÒ¹à¹×éÍàÂ×èÍ â´Â ·íÒ¡ÒÃà¾ÒÐàÅÕ§à«Åŏã¹ËŒÍ§»¯Ôºµ¡Òú¹àÂ×ÍááŌǨ֧¹íÒ¡ÅѺ任ÅÙ¡¶‹ÒÂãˌᡋ¼»Ç ÊÒÁÒö é Ñ Ô è ÙŒ † à¾ÒÐàÅÕ§à«Åŏ¨Ò¡¢¹Ò´ 2 ÁÁ. ໚¹ 2 «Á. ã¹àÇÅÒ 2 - 4 ÊÑ»´Òˏ ·íÒãËŒ¡Ò÷íÒ¼‹ÒµÑ´ª¹Ô´ autograft é ໚¹ä»Í‹ҧÁÕ»ÃÐÊÔ·¸ÔÀÒ¾ÁÒ¡¢Ö¹ â´ÂÊÒÁÒöà¾ÔÁ»ÃÔÁÒ³à«ÅŏãËŒà¾Õ§¾Í·Õ¨Ð¤ÅØÁ¼ÔÇ¡ÃШ¡µÒ é è è ·Ñ§ËÁ´ä´Œ áÅÐã¹¡Ã³Õ allograft ¡ÒÃà¾ÒÐàÅÕ§à«Åŏ¡Í¹¹íÒä»»ÅÙ¡¶‹Ò¨зíÒãËŒâÍ¡ÒÊà¡Ô´»¯Ô¡ÃÂÒ é é ‹ ÔÔ µ‹ÍµŒÒ¹ (graft rejection) ¹ŒÍ¡NjҡÒü‹ÒµÑ´áººà´ÔÁ à¹×ͧ¨Ò¡à«Åŏ·¹ÒÁÒ»ÅÙ¡¶‹ÒÂÁÕà¾Õ§à«Åŏ è Õè í ªÑ¹¼ÔÇ෋ҹѹ é é ¡ÒÃà¾ÒÐàÅÕé§áÅлÅÙ¡¶‹ÒÂà«ÅŏÁÕÃÒ§ҹ¤ÃÑé§áá㹻‚ ¤.È. 1997 ·Õè»ÃÐà·ÈÍÔµÒÅÕ ¨Ò¡ÃÒ§ҹµ‹Ò§»ÃÐà·È¾ºÇ‹Ò»ÃÐʺ¼ÅÊíÒàÃ稻ÃÐÁҳÌÍÂÅÐ 75(5) áÅÐãËŒ¼Å´Õ¡Ç‹Ò¡ÒûÅÙ¡¶‹Ò à«Åŏâ´ÂµÃ§ ʋǹ㹻ÃÐà·Èä·Â ¤³Ðá¾·ÂÈÒʵÏÈÃÃÒª¾ÂÒºÒÅâ´Â¤ÇÒÁËÇÁÁ×ͧ͢ÀÒ¤ÇÔªÒ ÔÔ ¨Ñ¡ÉØÇ·ÂÒ ÀÒ¤ÇÔªÒÇÔ·ÂÒÀÙÁ¤Á¡Ñ¹ ÀÒ¤ÇÔªÒ¾ÂÒ¸ÔÇ·ÂÒ áÅÐÈٹà¹×ÍàÂ×ͪÕÇÀÒ¾¡ÃØ§à·¾Ï ä´Œ·Ò¡ÒÃ Ô Ô ØŒ Ô é è í à¾ÒÐàÅÕ§ corneal limbal stem cell ã¹ËŒÍ§»®Ôºµ¡ÒÃáÅлÅÙ¡¶‹ÒÂãˌᡋ¼»Ç·ѧ allograft áÅÐ é Ñ Ô ÙŒ † é autograft ÊíÒàÃç¨à»š¹¤Ãѧáá㹻ÃÐà·Èä·Âã¹»‚ ¾.È. 2550 â´Âä´Œ¼ÒµÑ´·íÒ cultivated corneal epithelial é ‹ transplantation ·Ñ§ËÁ´ÃÇÁ 14 ÃÒÂ é ¨Ò¡¡ÒõÃǨµÔ´µÒÁ¼ÙŒ»†Ç¾ºÇ‹ÒÁÕ¡ÒÃÍÑ¡àʺ¢Í§µÒŴŧ à«Åŏ·Õè»ÅÙ¡¶‹ÒÂÊÒÁÒö ¤§ÊÀÒ¾ÍÂÙä´Œâ´ÂäÁ‹ËÅØ´ÅÍ¡ ¼Å¡ÒõÃǨÊͺ·Ò§¾ÂÒ¸ÔÇ·ÂÒ·Õè 1 à´×͹ËÅѧ¼‹ÒµÑ´ ¾ºÇ‹ÒäÁ‹Áà«Åŏ ‹ Ô Õ ¢Í§àÂ×ͺصÒÃØ¡ÅéÒࢌÒÁÒ㹺ÃÔàdz¢Í§¡ÃШ¡µÒ ¡Ò÷íÒઋ¹¹Õ໚¹¡ÒÃàµÃÕÂÁ¤ÇÒÁ¾ÃŒÍÁãËŒ¡ÃШ¡µÒ è í é à¾×Íà¾ÔÁâÍ¡Òʷըм‹ÒµÑ´à»ÅÕ¹¡ÃШ¡µÒãËŒ»ÃÐʺ¤ÇÒÁÊíÒàÃç¨ã¹Í¹Ò¤µÊÙ§¢Ö¹ è è è è é Mucosal epithelial cell culture 㹼ٻǷÕÁ¾ÂÒ¸ÔÊÀÒ¾¢Í§µÒ·Ñ§Êͧ¢ŒÒ§ ઋ¹¡ÅØÁÍÒ¡Òà Stevens Johnson ËÃ×͵ҷѧÊͧ Œ † è Õ é ‹ é ¢ŒÒ§ä´ŒÃºÍѹµÃÒ¨ҡÊÒÃà¤ÁÕ ËÒ¡¨íÒ໚¹µŒÍ§·íÒ cultivated corneal epithelial transplantation ᾷ Ñ ¨ÐäÁ‹ÊÒÁÒö·íÒâ´Â㪌à«Åŏ¢Í§¼Ù»ÇÂàͧ䴌 µŒÍ§ãªŒà»š¹ allograft «Ö§¾º»˜­ËÒÇ‹ÒÂѧ¨íÒ໚¹µŒÍ§ãªŒÂÒ Œ † è ¡´ÀÙÁµÒ¹·Ò¹ áÅÐÂѧÁÕâÍ¡ÒÊà¡Ô´ graft rejection ä´Œ ´Ñ§¹Ñ¹ ¨Ö§ÁÕ¤ÇÒÁ¾ÂÒÂÒÁ·Õ¨Ð¹íÒà«Åŏ͹ Ô Œ é è ×è ¢Í§¼Ù»ÇÂÁÒ㪌᷹à«Åŏ¡ÃШ¡µÒà¾×ÍËÅÕ¡àÅÕ§»˜­ËÒ¹Õé Œ † è è à«Åŏ¢Í§àÂ×ͺػҡ (oral mucosal epithelium) ¾ºÇ‹Ò໚¹à«Åŏ·àËÁÒÐÊÁ à¹×ͧ¨Ò¡ÁÕšɳРè Õè è Ñ ¢Í§ differentiation µèÒ áº‹§à«ÅŏàÃçÇ äÁ‹ÁÕ keratin áÅÐÁÕ¤ÇÒÁªØÁª×¹àÁ×͹íÒÁÒà¾ÒÐàÅÕ§º¹àÂ×Íá í ‹ é è é è ÅѡɳРrugae ¢Í§ mucosa ¨ÐËÒÂä» áÅÐÁÕšɳÐà«Åŏ¤ÅŒÒ corneal epithelium ´Ñ§¹Ñ¹ Kinoshita Ñ é áÅФ³Ð ¨Ö§ä´Œ¹Òà«Åŏ¢Í§àÂ×ͺػҡÁÒ㪌»ÅÙ¡¶‹Ò·յҼٻÇ àÃÕÂ¡Ç‹Ò cultivated oral mucosal (6) í è è Œ † epithelial transplantation (COMET) «Ö§ÃÒÂ§Ò¹Ç‹Ò ÊÒÁÒö·íÒãˌŴ¡ÒÃÍÑ¡àÊºã¹µÒ Å´àÊŒ¹àÅ×Í´·Õè è ¡ÃШ¡µÒ ÃÑ¡ÉÒÊÀÒ¾¼ÔÇãËŒ¤§·¹ äÁ‹à¡Ô´á¼Å¶ÅÍ¡ ᵋÍ‹ҧäáçµÒÁ à¹×ͧ¨Ò¡à«Åŏ¢Í§àÂ×ͺػҡ¹Õé è è
  • 65.
    38 Cultivated Epithelial Cell in Ophthalmology, When and How? äÁ‹ãª‹à«Åŏ¢Í§¡ÃШ¡µÒàÁ×èÍ»ÅÙ¡¶‹ÒÂà«ÅŏáÅŒÇ ÊÑ¡ÃÐÂÐ˹Ö觨ÐÁÕàÊŒ¹àÅ×Í´¡ÅѺࢌÒÁÒã¹µÒã¹Ê‹Ç¹ periphery ä´Œ ÀÒ¤ÇÔªÒ¨Ñ¡ÉØÇ·ÂÒ ÀÒ¤ÇÔªÒÀÙÁ¤Á¡Ñ¹ áÅÐÀÒ¤ÇÔªÒ¾ÂÒ¸ÔÇ·ÂÒ ¤³Ðá¾·ÂÈÒʵÏÈÃÃÒª Ô Ô ØŒ Ô ÔÔ ¾ÂÒºÒÅ ä´ŒàÃÔÁ§Ò¹ÇԨ¹յ§áµ‹»‚ ¾.È. 2552 ä´Œ·Ò¡Òü‹ÒµÑ´ãˌᡋ¼»Ç 䴌¼ÒµÑ´·Ñ§ËÁ´ 6 ÃÒ è Ñ é Ñé í ÙŒ † ‹ é 7 µÒ ¡ÒÃà¾ÒÐàÅÕé§à«Åŏ ¡ÒÃà¾ÒÐàÅÕé§ corneal limbal stem cell ã¹áµ‹ÅÐÃÒ§ҹÁÕǸà¾ÒÐàÅÕ§·Õᵡµ‹Ò§¡Ñ¹ ẋ§à»š¹ 2 ẺãË­‹æ 䴌ᡋ explants culture ÔÕ é è system «Ö§¤×Í¡ÒÃÇÒ§ªÔ¹à¹×Í·ÕÁà«Åŏ·§ªÔ¹º¹àÂ×Íá (amniotic membrane)(7-10) ËÃ×Í substrate Í×¹ è é é è Õ Ñé é è è ઋ¹ fibrin gel ¡Ñº suspension culture system(11-14) «Ö§¨Ð‹ÍÂà«Åŏãˌ໚¹à«Åŏà´ÕÂÇæ ¡‹Í¹ áŌǨ֧ è è ÇÒ§à«Åŏº¹ substrate ËÃ×Í amniotic membrane «Ö§ã¹ºÒ§ÃÒ§ҹ¨Ð㪌 3T3 feeder layer ໚¹µÑÇ è ¡ÃеعãËŒà«Åŏâµä´ŒàÃçÇ ¡ÒùíÒ amniotic membrane ÁÒ㪌 à¹×ͧ¨Ò¡ amniotic membrane ÁÕ growth Œ è factor µ‹Ò§æ ·ÕªÇÂãËŒà«Åŏà¨ÃÔ­àµÔºâµä´Œ´Õ è ‹ (15) ·Õ褳Ðá¾·ÂÈÒʵÏÈÔÃÔÃÒª¾ÂÒºÒŠʋǹ¡ÒÃà¾ÒÐàÅÕé§à«Åŏ¹Ñé¹à¾ÒÐàÅÕ駺¹ amniotic membrane áÅÐÁÕ¢¹µÍ¹´Ñ§µ‹Í仹Õé Ñé ¡ÒÃà¾ÒÐàÅÕé§ corneal limbal stem cell ໚¹¡ÒÃàÅÕ§à«ÅŏẺ explants â´Â¹íÒ limbal tissue ·ÕÂÍ´ŒÇ dispase ÁÒàÅÕ§º¹àÂ×Í é è ‹ é è á amniotic membrane (AM) ·Õ¢´ epithelium cell ÍÍ¡ËÁ´ àÅÕ§ã¹ÍÒËÒÃàÅÕ§à«Åŏ (keratinocyte è Ù é é growth medium: KGM) à¾ÒÐàÅÕ§㹠CO2 incubator ÍØ³ËÀÙÁÔ 37 C ÀÒÂ㵌ÊÀÒÇзÕÁ¡Ò«¤ÒϺ͹ é í è Õ  ä´Í͡䫴ÃÍÂÅÐ 5 ໚¹àÇÅÒ 2-3 ÊÑ»´Òˏ Œ ¡Ò÷´Êͺ¤Ø³ÊÁºÑµ¤ÇÒÁ໚¹à«Åŏµ¹¡íÒà¹Ô´¢Í§à¹×ÍàÂ×Í·Õà¾ÒÐàÅÕ§¹Õ´ÇÂÇÔ¸·Ò§¾ÂÒ¸ÔÇ·ÂÒ Ô Œ é è è é é Œ Õ Ô â´Â ¡ÒÃÂŒÍÁÊÕ hematoxylin & eosin (H&E) áÅÐÈÖ¡ÉҤسÊÁºÑµ¢Í§ epithelial differentiation marker Ô (cytokeration K (CK) 12 and CK3) áÅÐ stem cell marker (ABCG2) ´ŒÇÂÇÔ¸Õ reverse transcription- polymerase chain reaction (RT-PCR) áÅÐ immunoperoxidase áÅŒÇÈÖ¡ÉÒÇ‹Òà«Åŏ·àÅÕ§䴌Á¤³ÊÁºÑµÔ Õè é Õ Ø ¢Í§â¤Ã§ÊÌҧáÅÐá͹µÔਹ¤ÅŒÒ¡Ѻ corneal limbal stem cell ËÃ×ÍäÁ‹ «Ö§Åѡɳдѧ¡Å‹ÒǤ×Í è 1. à«ÅŏÁûËҧ¤‹Í¹¢ŒÒ§¡ÅÁ¶Ö§àËÅÕÂÁ «ÑÂâµ¾ÅÒÊÁµÔ´ÊÕá´§ ¹ÔÇà¤ÅÕÂʵԴÊÕ¹Òà§Ô¹â»Ã‹§ ÕÙ è éí àÁ×ÍÂŒÍÁ´ŒÇÂÊÕ H&E (ÀÒ¾·Õè 2) è 2. ÂŒÍÁµÔ´á͹µÔਹ p63, AE1/AE5 «Ö§áÊ´§Ç‹Òà«ÅŏÁ¤³ÊÁºÑµà»š¹ stem cell áÅÐÂŒÍÁ è Õ Ø Ô µÔ´ CK12 㹪ѹº¹¢Í§à«Åŏ áÊ´§Ç‹Òà«Åŏ·à¾ÒÐàÅÕ§໚¹à«Åŏ¢Í§ corneal epithelium(16-18) é Õè é 3. à«Åŏ·à¾ÒÐàÅÕ§ÀÒÂ㵌ÊÀÒÇдѧ¡Å‹ÒÇàÁ×Í·´ÊͺÇÔ¸Õ RT-PCR ¾ºÇ‹ÒÁÕ¡ÒÃáÊ´§ÍÍ¡¢Í§ Õè é è ABCG2 CK 3 áÅÐ CK12 «Ö§Â×¹ÂѹNjÒ໚¹à«Åŏ¢Í§¡ÃШ¡µÒ·Õ·Ò˹ŒÒ·Õ໚¹ stem cell è è í è
  • 66.
    àǪÈÒʵÏ·¹Âؤ 2553 Ñ 39 ÀÒ¾·Õè 2 áÊ´§ÀÒ¾·Ò§¾ÂÒ¸ÔÇÔ·ÂÒ ¢Í§¡ÒÃà¾ÒÐàÅÕé§ Corneal Limbal stem cell : (A) ÂŒÍÁÊÕ H&E, (B) ÂŒ Í Á immunohistochemistry áÊ´§¶Ö § á͹µÔ à ¨¹·Õè á Ê´§ÍÍ¡ áÅÐ äÁ‹áÊ´§ÍÍ¡º¹¼ÔÇà«Åŏ ÂŒÍÁ p63 áÊ´§¶Ö§¡ÒÃ໚¹ stem cell, (C) ÂŒÍÁ CK12 µÔ ´ à«Åŏ ªÑé ¹ º¹ áÊ´§¶Ö § à«Åŏ ·Õè á º‹ § µÑ Ç à¨ÃÔ ­ àµÔ º âµä´Œ à »š ¹ à«Åŏ ¢ ͧ corneal epithelium ¡ÒÃà¾ÒÐàÅÕé§ oral mucosal epithelium ´íÒà¹Ô¹¡ÒÃà¾ÒÐàÅÕ§ human oral mucosal epithelial cell ã¹ÍÒËÒÃàÅÕ§à«Åŏã¹ÊÀÒÇзÕäÁ‹ é é è ÁÕ serum áÅÐ feeder cell ໚¹àÇÅÒ 2-3 ÊÑ»´Òˏ áÅŒÇÈÖ¡ÉҤسÊÁºÑµ¢Í§ epithelial differentiation Ô marker (cytokeration K (CK) 12 and CK3) áÅÐ stem cell marker (ABCG2) ´ŒÇÂÇÔ¸Õ reverse transcription-polymerase chain reaction (RT-PCR) à«Åŏ·à¾ÒÐàÅÕ§ÀÒÂ㵌ÊÀÒÇдѧ¡Å‹ÒÇÁÕ¡Òà Õè é áÊ´§ÍÍ¡¢Í§ CK3 áÅÐ ABCG2 ᵋäÁ‹áÊ´§ÍÍ¡¢Í§ CK12 «Ö§áÊ´§Ç‹Ò໚¹à«Åŏ·¤ÅŒÒ¡ÃШ¡µÒ è Õè ᵋäÁ‹ãª‹à«Åŏ¢Í§¡ÃШ¡µÒ ¡Ò÷íÒ¼‹ÒµÑ´á¡‹¼ÙŒ»†Ç ¡Ò÷íÒ¼‹ÒµÑ´ CCET áÅÐ COMET ÁÕËÅÑ¡¡ÒÃà´ÕÂǡѹ¤×Í ÅÍ¡¾Ñ§¼×´·Õ¤ÅØÁ ocular surface è ÍÍ¡ ·Ñ§ã¹Ê‹Ç¹¢Í§ cornea áÅÐ conjunctiva ÇÒ§¹éÒÂÒ 0.02% mitomycin C à¾×Í»‡Í§¡Ñ¹¡ÒáÅѺ é í è ໚¹«éҢͧ¾Ñ§¼×´ ¨Ò¡¹Ñ¹ÇÒ§àÂ×Íá·ÕÁà«Åŏ¢Í§ corneal epithelium ËÃ×Í oral mucosal epithelium í é è è Õ ÍÂÙ‹ àÂ纵Դ¡Ñº sclera áÅÐ cornea ʋǹ·ÕÅÍ¡¾Ñ§¼×´ÍÍ¡áÅŒÇ(6-8, 10, 19,20) «Ö§¨Ð¾ºÇ‹ÒÊÒÁÒö·íÒãËŒÁÕ è è à«Åŏ¤ÅØÁá¼Åä´Œ·§ËÁ´ËÃ×Íà¡×ͺ·Ñ§ËÁ´µÑ§áµ‹ËÅѧ¼‹ÒµÑ´ ã¹ÃÒ·Õà¹×Í¡ÃШ¡µÒ¢Ø¹ ËÅѧ¨Ò¡á¼ÅµÔ´´Õ Ñé é é è é ‹ ¡ÒÃÍÑ¡àʺŴŧ ᵋ¡ÃШ¡µÒÂѧ¢Ø¹ÍÂÙ‹ ¨Ð·íÒ¡ÒÃà»ÅÕ¹¡ÃШ¡µÒµ‹Íä» ‹ è
  • 67.
    40 Cultivated Epithelial Cell in Ophthalmology, When and How? ÀÒ¾·Õè 3áÊ´§ÀÒ¾¼ÙŒ»†Ç Corneal Limbal stem cell deficiency ¢Í§âç¾ÂÒºÒÅÈÔÃÔÃÒª¡‹Í¹ ¼‹ÒµÑ´ (A, C, E) áÅÐËÅѧ¼‹ÒµÑ´ (B, D, .) : (A) ¼ÙŒ»†ÇÂâ´¹ÊÒÃà¤ÁÕࢌҵҾºÇ‹ÒÁÕàÊŒ¹ àÅ×ʹࢌÒÁÒ㹡ÃШ¡µÒ, ( B) ËÅѧ¼‹ÒµÑ´ CCET ª¹Ô´ autograft ¹Ò¹ 2 à´×͹, (C) ¼ÙŒ»†ÇÂÀÙÁÔᾌ ÁÕµÒáËŒ§ áÅÐÁÕàÊŒ¹àÅ×ʹࢌÒÁÒ㹡ÃШ¡µÒ 2 µÒ, (D) ËÅѧ¼‹ÒµÑ´ CCET ª¹Ô´ allograft ¹Ò¹ 3 à´×͹, (E) ¼ÙŒ»†ÇÂâ´¹ÊÒÃà¤ÁÕࢌҵҾºÇ‹ÒÁÕàÊŒ¹àÅ×Í´ ࢌÒÁÒ㹡ÃШ¡µÒ·Ñé§Êͧ¢ŒÒ§, (.) ËÅѧ¼‹ÒµÑ´ COMET 8 à´×͹ ¡ÒþÂҡóâä ¡ÒûÅÙ¡¶‹ÒÂà«Åŏâ´Â㪌à«Åŏà¾ÒÐàÅÕ§¹ÑºÇ‹Ò໚¹¡ŒÒÇãËÁ‹¢Í§¡ÒÃÃÑ¡ÉÒâäà«Åŏ¼Ç¡ÃШ¡ é Ô µÒàÊ×ÍÁ ÊíÒËÃѺ¼Å¡ÒÃÃÑ¡ÉÒ ä´ŒÁÃÒ§ҹänjᵡµ‹Ò§¡Ñ¹ã¹áµ‹ÅÐÃÒ§ҹ Í‹ҧäáçµÒÁ¨íҹǹ¼Ù»Ç è Õ Œ † ã¹áµ‹ÅÐÃÒ§ҹÁÕ¨íҹǹäÁ‹ÁÒ¡¹Ñ¡ ã¹¼ÙŒ»†Ç·ÕèÃѺ¡ÒÃÃÑ¡ÉÒ´ŒÇ¡Òü‹ÒµÑ´ CCET ÁÕ¤ÇÒÁÊíÒàÃç¨ à©ÅÕÂÃŒÍÂÅÐ 75-80 ʋǹ㹼ٻÇ·Õú¡ÒÃÃÑ¡ÉÒ´ŒÇ¡Òü‹ÒµÑ´ COMET ÁÕ¤ÇÒÁÊíÒàÃç¨à©ÅÕÂÃŒÍÂÅÐ è Œ † èÑ è 67 - 100 (5)
  • 68.
    àǪÈÒʵÏ·¹Âؤ 2553 Ñ 41 àÍ¡ÊÒÃ͌ҧÍÔ§ 1. Li DQ, Tseng SC. Differential regulation of keratinocyte growth factor and hepatocyte growth factor/scatter factor by different cytokines in human corneal and limbal fibroblasts. J Cell Physiol. 1997;172(3):361-72. 2. Dua HS, Azuara-Blanco A. Limbal stem cells of the corneal epithelium. Surv Ophthalmol. 2000;44(5):415-25. 3. Puangsricharern V, Tseng SC. Cytologic evidence of corneal diseases with limbal stem cell deficiency. Ophthalmology. 1995;102(10):1476-85. 4. Prabhasawat P. Corneal limbal stem cells. Siriraj Med J. 2006;58:728-9. 5. Shortt AJ, Secker GA, Notara MD, Limb GA, Khaw PT, Tuft SJ, et al. Transplantation of ex vivo cultured limbal epithelial stem cells: a review of techniques and clinical results. Surv Ophthalmol. 2007;52(5):483-502. 6. Nakamura T, Inatomi T, Sotozono C, Amemiya T, Kanamura N, Kinoshita S. Transplantation of cultivated autologous oral mucosal epithelial cells in patients with severe ocular surface disorders. Br J Ophthalmol. 2004 ;88(10):1280-4. 7. Koizumi N, Inatomi T, Suzuki T, Sotozono C, Kinoshita S. Cultivated corneal epithelial stem cell transplantation in ocular surface disorders. Ophthalmology. 2001;108(9):1569-74. 8. Nakamura T, Inatomi T, Sotozono C, Koizumi N, Kinoshita S. Successful primary culture and autologous transplantation of corneal limbal epithelial cells from minimal biopsy for unilateral severe ocular surface disease. Acta Ophthalmol Scand. 2004;82(4):468-71. 9. Grueterich M, Espana EM, Touhami A, Ti SE, Tseng SC. Phenotypic study of a case with successful transplantation of ex vivo expanded human limbal epithelium for unilateral total limbal stem cell deficiency. Ophthalmology. 2002;109(8):1547-52. 10. Sangwan VS, Matalia HP, Vemuganti GK, .atima A, Ifthekar G, Singh S, et al. Clinical outcome of autologous cultivated limbal epithelium transplantation. Indian J Ophthalmol. 2006;54(1):29-34. 11. Daya SM, Watson A, Sharpe JR, Giledi O, Rowe A, Martin R, et al. Outcomes and DNA analysis of ex vivo expanded stem cell allograft for ocular surface reconstruction. Ophthalmology. 2005;112(3):470-7. 12. Nakamura T, Inatomi T, Sotozono C, Ang LP, Koizumi N, Yokoi N, et al. Transplantation of autologous serum- derived cultivated corneal epithelial equivalents for the treatment of severe ocular surface disease. Ophthalmology. 2006;113(10):1765-72. 13. Pellegrini G, Traverso CE, .ranzi AT, Zingirian M, Cancedda R, De Luca M. Long-term restoration of damaged corneal surfaces with autologous cultivated corneal epithelium. Lancet. 1997;349(9057):990-3. 14. Rama P, Bonini S, Lambiase A, Golisano O, Paterna P, De Luca M, et al. Autologous fibrin-cultured limbal stem cells permanently restore the corneal surface of patients with total limbal stem cell deficiency. Transplantation. 2001;72(9):1478-85. 15. Prabhasawat P, Tseng SC. Impression cytology study of epithelial phenotype of ocular surface reconstructed by preserved human amniotic membrane. Arch Ophthalmol. 1997;115(11):1360-7. 16. Kawasaki S, Tanioka H, Yamasaki K, Connon CJ, Kinoshita S. Expression and tissue distribution of p63 isoforms in human ocular surface epithelia. Exp Eye Res. 2006;82(2):293-9. 17. Paladino G, Marino C, La Terra Mule S, Civiale C, Rusciano D, Enea V. Cytokeratin expression in primary epithelial cell culture from bovine conjunctiva. Tissue Cell. 2004;36(5):323-32. 18. Kasper M, Moll R, Stosiek P, Karsten U. Patterns of cytokeratin and vimentin expression in the human eye. Histochemistry. 1988;89(4):369-77.
  • 69.
    42 Cultivated Epithelial Cell in Ophthalmology, When and How? 19. Tsai RJ, Li LM, Chen JK. Reconstruction of damaged corneas by transplantation of autologous limbal epithelial cells. N Engl J Med. 2000;343(2):86-93. 20. Kinoshita S, Koizumi N, Nakamura T. Transplantable cultivated mucosal epithelial sheet for ocular surface reconstruction. Exp Eye Res. 2004;78(3):483-91.
  • 70.
    àǪÈÒʵÏ·¹Âؤ 2553 Ñ º··Õè 43 5 ¡ÒÃÃÑ¡ÉÒÀÒÇÐÊÒµҼԴ»¡µÔ´ŒÇ LASIK : ÊÔè§¹‹ÒÃÙŒ¹Í¡à˹×ͨҡ¡Ò÷íÒàÅÊÔ¡ (Beyond Lasik) ¼ÙŒª‹ÇÂÈÒʵÃÒ¨ÒÏ ¹ÒÂᾷ³Ñ°ÇØ²Ô Ãʹ͹ѹµ ÃͧÈÒʵÃÒ¨ÒÏ ¹ÒÂᾷʺ§ ÈÃÕÇÃóºÙó ÃͧÈÒʵÃÒ¨ÒÏ ¹ÒÂᾷ¹ÃÔÈ ¡Ô¨³Ã§¤ ÀÒ¤ÇÔªÒ¨Ñ¡ÉØÇ·ÂÒ ¤³Ðá¾·ÂÈÒʵÏÈÃÃÒª¾ÂÒºÒÅ ÁËÒÇÔ·ÂÒÅÑÂÁËÔ´Å Ô ÔÔ ÀÒÇÐÊÒµҼԴ»¡µÔ ÀÒÇÐÊÒµҼԴ»¡µÔ ໚¹ÊÒà˵ØãËŒà¡Ô´ÍÒ¡ÒõÒÁÑÇ ·Õ¾ºä´ŒºÍÂã¹·Ø¡ÍÒÂØ ᵋÊÒÁÒö·íÒãËŒ è ‹ ÁͧàËç¹ä´Œ´¢¹´ŒÇ¡ÒÃÊÇÁáÇ‹¹µÒ ¤Í¹á·¤àŹʏ ËÃ×Í¡Ò÷íÒàÅÊÔ¡ ¡Ò÷ÕàÃÒ¨ÐÁͧàËç¹ä´Œª´à¨¹¹Ñ¹ Õ Öé è Ñ é áʧ·ÕÊͧࢌҵҵŒÍ§¶Ù¡ÃÇÁáʧ¼‹Ò¹¡ÃШ¡µÒáÅÐàŹʏµÒ ËÃ×Íâ¿¡ÑÊáŌǵ¡Å§¾Í´Õ·¨ÍµÒ ¶ŒÒ¡ÒÃ è‹ Õè ÃÇÁáʧäÁ‹¾Í´Õ áʧ¨ÐäÁ‹ÃÇÁ·Õ¨ÍµÒ·íÒãËŒà¡Ô´ÀÒÇÐÊÒµҼԴ»¡µÔµÒ§æ 䴌ᡋ ÀÒÇÐÊÒµÒÊѹ ÊÒÂ è ‹ é µÒÂÒÇ áÅÐÊÒµÒàÍÕ§ ÊÒµÒÊÑé¹ (Myopia) à¡Ô´¨Ò¡¡íÒÅѧ¡ÒÃÃÇÁáʧ¢Í§µÒ·Õ·ÒãËŒ¨´â¿¡Ñʢͧáʧµ¡Å§Ë¹ŒÒ¨Í è í Ø µÒ ÍÒ¨à¡Ô´¨Ò¡ÅÙ¡µÒÂÒÇËÃ×Í¡ÃШ¡µÒÁÕ¤ÇÒÁ⤌§ÁÒ¡à¡Ô¹ä» ¼Ù·ÁÊÒµÒÊѹ¨Ö§ÁͧàËç¹ä´Œã¹ÃÐÂÐ Œ Õè Õ é ã¡ÅŒ ᵋ¨ÐÁͧäÁ‹ª´ã¹ÃÐÂÐä¡Å Ñ ÊÒµÒÂÒÇ (Hyperopia) à¡Ô´¨Ò¡¡íÒÅѧ¡ÒÃÃÇÁáʧ¢Í§µÒ ·Õ·ÒãËŒ¨´â¿¡Ñʢͧáʧµ¡Å§ËÅѧ è í Ø ËÃ×ÍàÅÂ¨ÍµÒ ÍÒ¨à¡Ô´¨Ò¡ÅÙ¡µÒÊѹËÃ×Í¡ÃШ¡µÒÁÕ¤ÇÒÁ⤌§áº¹à¡Ô¹ä» ¼Ù·ÁÊÒµÒÂÒǨ֧ÁͧäÁ‹ª´ é Œ Õè Õ Ñ ·Ñ§ã¹ÃÐÂÐã¡ÅŒËÃ×Íä¡Å ÀÒÇÐÊÒµÒÂÒǹÕäÁ‹ãª‹ª¹Ô´à´ÕÂǡѺÊÒµÒÂÒÇã¹¼ÙʧÍÒÂØ é é ŒÙ ÊÒµÒàÍÕ§ (Astigmatism) à¡Ô´¨Ò¡¡Ò÷աÒÅѧ¡ÒÃÃÇÁáʧ¢Í§µÒã¹á¡¹µ‹Ò§æäÁ‹à·‹Ò¡Ñ¹ è í ·íÒãËŒ¨´â¿¡ÑʢͧáʧäÁ‹¡ÅÁËÃ×ÍÁÕËÅÒ¨ش à¡Ô´¨Ò¡¡ÃШ¡µÒäÁ‹¡ÅÁ ÀÒÇйÕÍÒ¨à¡Ô´Ã‹ÇÁ¡ÑºÀÒÇÐÊÒÂ Ø é µÒÊѹ ËÃ×ÍÂÒÇä´Œ é ÊíÒËÃѺÀÒÇÐÊÒµÒÂÒÇã¹¼ÙʧÍÒÂØ (Presbyopia) äÁ‹ãª‹ÀÒÇÐÊÒµÒÂÒÇ»¡µÔ à¹×ͧ¨Ò¡à»š¹ Œ Ù è ÀÒÇзÕà¡Ô´¨Ò¡¡ÒÃàÊ×ÍÁ¢Í§¡ÅŒÒÁà¹×Íã¹µÒ·Õ㪌㹡ÒûÃѺÃÐÂÐÁͧã¡ÅŒ-ä¡Å ·íÒãËŒÁͧã¡ÅŒäÁ‹ª´ «Ö§ è è é è Ñ è ÀÒÇÐÊÒµÒÂÒÇã¹¼ÙʧÍÒÂØ¹¨ÐàÃÔÁÁÕÍÒ¡ÒÃã¹¼Ù·ÁÍÒÂØ»ÃÐÁÒ³ 40 »‚¢¹ä» ŒÙ Õé è Œ Õè Õ Öé
  • 71.
    44 ¡ÒÃÃÑ¡ÉÒÀÒÇÐÊÒµҼԴ»¡µÔ´Ç Lasik : ÊÔ§¹‹ÒÃٹ͡à˹×ͨҡ¡Ò÷íÒàÅÊÔ¡ Œ è Œ ¡ÒÃᡌä¢ÀÒÇÐÊÒµҼԴ»¡µÔ´ŒÇÂàÅÊÔ¡ ¡Ò÷íÒàÅÊÔ¤ (LASIK: Laser in-situ keratomileusis) ¤×Í ¡ÒÃᡌä¢ÀÒÇÐÊÒµҼԴ»¡µÔ â´Â¡ÒÃ㪌àÅà«ÍÏ â´Â·ÑÇ仨Ð㪌à¤Ã×ͧÁ×Í·ÕÊҤѭ 2 ª¹Ô´ ¤×Í à¤Ã×ͧᡪѹ¡ÃШ¡µÒ (microkeratome) è è èí è é «Ö§à»š¹ãºÁÕ´·íÒ¡ÒÃᡪѹ¼ÔÇ¡ÃШ¡µÒ¡‹Í¹ áŌǨ֧㪌à¤Ã×ͧàÍç¡ä«àÁÍÏàÅà«ÍÏ (Excimer Laser) è é è ·íÒ¡ÒÃà»ÅÕè¹á»Å§¤ÇÒÁ⤌§¢Í§¡ÃШ¡µÒãËŒàËÁÒСѺÊÒµҢͧᵋÅФ¹ àÍç¡ä«àÁÍÏàÅà«ÍÏ «Ö§à»š¹àÅà«ÍÏ·Á¤ÇÒÁÂÒǤÅ×¹Êѹ ໚¹áʧàÅà«ÍÏẺàÂç¹ «Ö§¨Ð·íÒ»®Ô¡ÃÂÒ੾Òо׹¼ÔÇ·ÕÊÁ¼ÑÊ è Õè Õ è é è ÔÔ é èÑ à·‹Ò¹Ñé¹äÁ‹¡ÃШÒÂä»´ŒÒ¹¢ŒÒ§ËÃ×Í·ÐÅØà¢ŒÒä»ÀÒÂã¹ÅÙ¡µÒ àÁ×èÍÂÔ§àÅà«ÍÏàÊÃç¨áŌǨ֧»´¡ÃШ¡µÒ ·ÕèᡪÑé¹äÇŒ´ŒÇÂà¤Ã×èͧᡪÑ鹡ÃШ¡µÒ¡ÅѺä»â´ÂäÁ‹µŒÍ§àÂçº ¡ÃШ¡µÒ¨ÐÊÁÒ¹µÔ´¡Ñ¹àͧµÒÁ ¸ÃÃÁªÒµÔ ÊÒÁÒö㪌áÉÒÀÒÇÐÊÒµҼԴ»¡µÔª¹Ô´ÊÒµÒÊѹ ÊÒµÒÂÒÇ ÊÒµÒàÍÕ§ áÅÐá¼Å·Õè Ñ é ¡ÃШ¡µÒ ¾Ñ²¹Ò¡Òâͧ¡ÒÃ㪌àÅà«ÍÏ㹡Ò÷íÒàÅÊÔ¡ ¡Ò÷íÒàÅÊÔ¡ä´ŒÁ¡ÒþѲ¹Òâ´Â¹íÒà·¤â¹âÅÂÕàÅà«ÍϪ¹Ô´ .emtoSecond laser ÁÒ㪌㹡ÒÃ Õ á¡ªÑ¹¡ÃШ¡µÒá·¹¡ÒÃ㪌ãºÁÕ´ (microkeratome) ¼Å·Õä´Œ¤Í¤ÇÒÁáÁ‹¹ÂíÒÊÙ§áÅо׹¼ÔÇ¡ÃШ¡µÒ é è × é ·ÕèÁÕ¤ÇÒÁàÃÕºÁÒ¡ ¡ÒÃᡌä¢ÊÒµҼԴ»¡µÔ¨Ö§ÁÕ»ÃÐÊÔ·¸ÔÀÒ¾áÅлÅÍ´ÀÑÂÁÒ¡¢Öé¹ ·íÒãËŒ¡Ò÷íÒ àÅÊÔ¡ÁÕ¡ÒÃ㪌àÅà«ÍÏ·§¡Ãкǹ¡Òà «Ö§ÀÒ¤ÇÔªÒ¨Ñ¡ÉØÇ·ÂÒâ´ÂÈٹàÅÊÔ¡ÈÔÃÃҪ໚¹áË‹§áá㹻ÃÐà·È Ñé è Ô Ô ä·Â·Õ¹Òà·¤â¹âÅÂÕ¹ÁÒ㪌¡Ò÷íÒàÅÊÔ¡´ŒÇ .emtoSecond laser ¹Õä´Œ¼Ò¹¡ÒÃÃѺÃͧ¨Ò¡Í§¤¡Òà è í Õé é ‹ ÍÒËÒÃáÅÐÂÒ (US-.DA) áÅÐÂѧ໚¹à·¤â¹âÅÂÕà´ÕÂÇ·Õͧ¤¡Òà NASA áË‹§»ÃÐà·ÈÊËÃѰÍàÁÃÔ¡ÒàÅ×͡㪌 è 㹡ÒÃÃÑ¡ÉÒÀÒÇÐÊÒµҼԴ»¡µÔá¡‹¹¡ºÔ¹ÍÇ¡ÒÈÑ ¢ŒÍ¤Ç÷ÃÒº¹Í¡à˹×ͨҡ¡Ò÷íÒàÅÊÔ¡ ¼ÙŒ·Õè·ÕèÁÒÃѺ¡Ò÷íÒàÅÊԡʋǹãË­‹à»š¹¼ÙŒ·ÕèÁÕÊÒµÒÊÑé¹ «Öè§¼ÙŒ·ÕèÁÕÊÒµÒÊÑé¹ÃдѺÁÒ¡ËÃ×Í »Ò¹¡ÅÒ§ÍÒ¨¾ºÀÒÇзҧµÒ·ÕÁâÍ¡ÒÊ·íÒãËŒ¼Å¡Ò÷íÒàÅÊÔ¡äÁ‹´ËÃ×ÍàÊÕ§µ‹Íâä·Ò§µÒÍ×¹æËÅѧ¡Òà è Õ Õ è è ·íÒàÅÊÔ¡ 䴌ᡋ âä¢Í§¨ÍµÒ (Retinal consideration before LASIK) ! Chorioretinal disorders associated with myopia 䴌ᡋ - ¨ÍÃѺÀÒ¾àÊ×ÍÁ¨Ò¡ÀÒÇÐÊÒµÒÊѹ (myopic macular degeneration) â´Â·ÑÇ仨Рè é è ¾ºã¹¼Ù·ÁÊÒµÒÊѹÁÒ¡ (ÁÒ¡¡Ç‹Ò -6.00 diopters) ·íÒãˌšµÒÂÒÇ ÁÕ sclera ºÒ§ Œ Õè Õ é Ù - Lattice retinal degeneration ¾ºã¹¼ÙŒ·ÕèÁÕÊÒµÒÊÑé¹µÑé§áµ‹¹ŒÍ (-1.00 diopter) 仨¹¶Ö§ÁÒ¡ â´ÂÁÕâÍ¡Òʾºä´ŒÁÒ¡¡Ç‹Ò¤¹·ÕÁÊÒµһ¡µÔ 15% ËÒ¡¾ºÀÒÇйÕÍÒ¨ è Õ é µŒÍ§ä´ŒÃº¡ÒÃÂÔ§àÅà«ÍÏ·¨ÍµÒ¡‹Í¹¡Ò÷íÒàÅÊÔ¡à¾×Í»‡Í§¡Ñ¹¨ÍµÒÅÍ¡µÑÇ â´Â੾ÒÐ Ñ Õè è
  • 72.
    àǪÈÒʵÏ·¹Âؤ 2553 Ñ 45 ¼Ù·Á»ÃÐÇѵàË繨ش´íÒÅÍÂä»ÁÒ àËç¹áʧ¤ÅŒÒ¿‡Òáź ËÃ×Íà¤ÂÁը͵ÒËÅØ´ÅÍ¡ÁÒ Œ Õè Õ Ô ¡‹Í¹ã¹µÒÍÕ¡¢ŒÒ§ - ÀÒÇШ͵ÒÅÍ¡µÑÇ «Ö§äÁ‹àËÁÒСѺ¡Ò÷íÒàÅÊÔ¡ è - ÀÒÇТͧ¨ÍµÒÍ×¹æ ·ÕÍÒ¨à¡ÕÂÇ¢ŒÍ§¡Ñº¨ÍµÒÅÍ¡µÑÇ àª‹¹ white without pressure, è è è cobble stone degeneration ¡ÒÃà¾ÔÁ¤ÇÒÁ´Ñ¹µÒã¹ÃÐËNjҧ¢Ñ¹µÍ¹¡Ò÷íÒàÅÊÔ¡ÍÒ¨·íÒãËŒÁ¡ÒÃË´ËÃ×Í¢ÂÒµÑÇ¢Í§ÇØ¹µÒ è é Õ Œ (vitreous) «Ö§ÍÒ¨·íÒãËŒÁ¡Òô֧Ãѧ¨ÍµÒáÅÐà¡Ô´¤ÇÒÁ¼Ô´»¡µÔ·¨ÍµÒä´Œ è Õ é Õè ÀÒÇФÇÒÁ´Ñ¹µÒÊÙ§ áÅÐâ䵌ÍËÔ¹ µŒÍËÔ¹¤×Í¡ÅØÁâä·Õ·ÒãËŒà¡Ô´¤ÇÒÁ¼Ô´»Ã¡µÔ¢Í§¢ÑÇ»ÃÐÊÒ·µÒ (optic disc) â´Âà¡ÕÂÇ¢ŒÍ§¡Ñº ‹ è í é è ¤ÇÒÁ´Ñ¹µÒ (intraocular pressure) ËÃ×Í¡ÒÃÊÙ­àÊÕÂÅÒ¹ÊÒÂµÒ (visual field) ¤ÇÒÁ´Ñ¹µÒ¢Í§¤¹»¡µÔ ¨ÐäÁ‹à·‹Ò¡Ñ¹ áÅÐÁÕ¡ÒÃà»ÅÕ¹á»Å§¢Ö¹Å§ä´ŒµÒÁàÇÅÒµ‹Ò§æ ¢Í§Çѹ (diurnal variation) â´Â·ÑÇ令ÇÒÁ è é è ´Ñ¹µÒ¨ÐäÁ‹à¡Ô¹ 21 ÁÔÅÅÔàÁµÃ»ÃÍ· ᵋ¤¹»¡µÔºÒ§¤¹ÍÒ¨ÁÕ¤ÇÒÁ´Ñ¹µÒÊÙ§¡Ç‹Ò¹Õé ᵋäÁ‹ä´Œ·ÒãËŒà¡Ô´ í ¤ÇÒÁ¼Ô´»¡µÔ¢Í§¢ÑÇ»ÃÐÊÒ·µÒËÃ×ÍÅÒ¹ÊÒµҡç¨ÐäÁ‹¶ÍÇ‹Ò໚¹â䵌ÍËÔ¹ ᵋ໚¹ÀÒÇФÇÒÁ´Ñ¹µÒÊÙ§ é × (ocular hypertension) áÅÐÂѧÁÕ¼»ÇÂÍÕ¡¡ÅØÁ·ÕáÁŒ¤ÇÒÁ´Ñ¹µÒÂѧäÁ‹Ê§à¡Ô¹¤‹Ò»¡µÔᵋ¢Ç»ÃÐÊÒ·µÒ ÙŒ † ‹ è Ù Ñé ¡ç¶Ù¡·íÒÅÒ ÅÒ¹ÊÒµÒ᤺ŧ ¼ÙŒ»†ÇµŒÍËÔ¹¡ÅØ‹Á¹ÕéàÃÕÂ¡Ç‹Ò à»š¹â䵌ÍËÔ¹ª¹Ô´¤ÇÒÁ´Ñ¹µÒäÁ‹ÊÙ§ (normal tension glaucoma) »˜¨¨ÑÂàÊÕ§¢Í§â䵌ÍËÔ¹»ÃСͺ´ŒÇ¼ٷÁ»ÃÐÇѵÁ­ÒµÔ໚¹µŒÍËÔ¹ ¼Ù·Õè è Œ Õè Õ Ô Õ Œ ÁÕÊÒµÒÊѹËÃ×ÍÂÒÇÁÒ¡æ ¼Ù»ÇÂàºÒËÇÒ¹ áÅмÙʧÍÒÂØ ¹Í¡¨Ò¡¹Õ§ÁÕµÍËÔ¹ª¹Ô´·ØµÂÀÙÁÔ (secondary é Œ † ŒÙ éÑ Œ Ô glaucoma) ¤×Í µŒÍËÔ¹·Õà¡Ô´¨Ò¡ÊÒà˵ØÍ¹ 䴌ᡋ ÀÒÇÐàºÒËÇÒ¹¢Ö¹¨ÍµÒ (proliferative diabetic è ×è é retinopathy) ÍØºµà˵طҧµÒµ‹Ò§æ ¡ÒõԴàª×ÍËÃ×Í¡ÒÃÍÑ¡àÊºã¹µÒ (uveitis) ¡ÒÃ㪌ÂÒ¡ÅØÁÊàµÕÂÃÍ´ Ñ Ô é ‹ (steroid induced glaucoma) µÅÍ´¨¹â䵌͡ÃШ¡ (phacomorphic glaucoma, phacolytic glaucoma) ¼Ù·ÁÀÒÇФÇÒÁ´Ñ¹µÒÊÙ§ ËÃ×Íâ䵌ÍËÔ¹ äÁ‹àËÁÒзըзíÒàÅÊÔ¡ à¹×ͧ¨Ò¡ã¹ÃÐËNjҧ¡Ãкǹ Œ Õè Õ è è ¡Ò÷íÒàÅÊÔ¡·Õ¨Ð·íÒ¡ÒÃᡪѹ¡ÃШ¡µÒ·Ñ§´ŒÇÂãºÁÕ´ (microkeratome) ËÃ×Í .emtoSecond Laser è é é ¨Ð·íÒãËŒ¤ÇÒÁ´Ñ¹ÀÒÂã¹µÒÊÙ§¢Ö¹ªÑǤÃÒÇ ªÖ§ÍÒ¨·íÒãËŒÁ¡Ò÷íÒÅÒ¢ÑÇ»ÃÐÊÒ·µÒÁÒ¡¢Ö¹ä´Œ Í‹ҧäà é è è Õ é é ¡çµÒÁ¡ÒÃᡪѹ¡ÃШ¡µÒ´ŒÇ .emtoSecond Laser ÍÒ¨à¾ÔÁ¤ÇÒÁ´Ñ¹µÒ¹ŒÍ¡NjÒàÁ×Íà·Õº¡Ñº¡Òà é è è 㪌 microkeratome ÀÒÂËÅѧ¡Ò÷íÒàÅÊÔ¡¡ÃШ¡µÒ¨ÐºÒ§Å§·íÒãËŒ¡ÒÃÇÑ´¤‹Ò¤ÇÒÁ´Ñ¹µÒà»ÅÕ¹á»Å§ è ä´Œ â´Â¨Ðä´Œ¤Ò¤ÇÒÁ´Ñ¹µÒµèҡNjҤÇÒÁ໚¹¨ÃÔ§ ´Ñ§¹Ñ¹¡ÒõԴµÒÁ¡ÒÃÃÑ¡ÉÒµŒÍËԹ㹼ٷ·ÒàÅÊÔ¡¨Ð ‹ í é Œ Õè í ·íÒä´ŒÂÒ¡¢Ö¹ é
  • 73.
    46 ¡ÒÃÃÑ¡ÉÒÀÒÇÐÊÒµҼԴ»¡µÔ´Ç Lasik : ÊÔ§¹‹ÒÃٹ͡à˹×ͨҡ¡Ò÷íÒàÅÊÔ¡ Œ è Œ àÍ¡ÊÒÃ͌ҧÍÔ§ 1. Hyams SW, Neumann E. Peripheral retina in myopia. With particular reference to retinal breaks. Br J Ophthalmol 1969;53(5):300-6. 2. Mirshahi A, Schopfer D, Gerhardt D, et al. Incidence of posterior vitreous detachment after laser in situ keratomileusis. Graefes Arch Clin exp Ophthalmol 2006;244:149-53. 3. Hernandez-Verdejo JL, Teus MA, Roman JM, Boliver G. Porcine model to compare real-time intraocular pressure during LASIK with a mechanical microkeratome and femtosecond laser. Invest Ophthalmol Vis Sci 2007;48:68-72.
  • 74.
    àǪÈÒʵÏ·¹Âؤ 2553 Ñ º··Õè 47 6 New Era for Pediatric Eye Cancer Treatment ÈÒʵÃÒ¨ÒÏ ᾷ˭ԧÅÐÍͧÈÃÕ ÍѪª¹ÕÂÐÊ¡ØÅ ÀÒ¤ÇÔªÒ¨Ñ¡ÉØÇ·ÂÒ ¤³Ðá¾·ÂÈÒʵÏÈÃÃÒª¾ÂÒºÒÅ ÁËÒÇÔ·ÂÒÅÑÂÁËÔ´Å Ô ÔÔ âäÁÐàÃ秨͵Òã¹à´ç¡ ËÃ×Í retinoblastoma (RB) ໚¹âäÁÐàÃç§·ÕèÁÕµŒ¹¡íÒà¹Ô´ã¹ÅÙ¡µÒ ·Õ辺º‹Í·ÕèÊØ´ã¹ÇÑÂà´ç¡ µÑé§áµ‹ááà¡Ô´¶Ö§ÍÒÂØ»ÃÐÁÒ³ 5 »‚ ã¹Í´Õµ¡ÒÃÃÑ¡ÉÒâä¹Õé¨íÒ໚¹µŒÍ§·íÒ ¼‹ÒµÑ´¹íÒÅÙ¡µÒÍÍ¡ (enucleation) ã¹¼Ù»ÇÂà¡×ͺ·Ø¡ÃÒ à¾×Í»‡Í§¡Ñ¹¡ÒÃá¾Ã‹¡ÃШÒ¢ͧà«ÅŏÁÐàÃç§ Œ † è 仹͡ÅÙ¡µÒ ¡ÒÃÃÑ¡ÉÒÍÕ¡ÇԸ˹֧«Ö§ãªŒÁÒ¡ã¹Í´Õµ ᵋ»¨¨Øº¹Áշ㪌¹ÍÂŧÁÒ¡ 䴌ᡋ ¡ÒéÒÂÃѧÊÕ Õ è è ˜ Ñ Õè Œ ÃÑ¡ÉÒ (external beam radiotherapy, EBR)(1) ¡ÒÃÃÑ¡ÉÒ·Ñé§ÊͧÇÔ¸Õ¹ÕéÁÕ¢ŒÍ´ŒÍ·ÕèÊíҤѭ ¡Å‹ÒǤ×Í ¡Òü‹ÒµÑ´¹íÒÅÙ¡µÒÍ͡໚¹¼ÅãËŒ¼ÙŒ»†ÇÂÊÙ­àÊÕ¡ÒÃÁͧàËç¹Í‹ҧ¶ÒÇà â´Â੾Òмٌ·Õè໚¹âÃ¤ã¹µÒ ·Ñé§Êͧ¢ŒÒ§ 㹺ҧ¤ÃÑé§µÒ·Õè໚¹âäÂѧÁÕʋǹ¢Í§¨ÍµÒ·Õè·íÒ§Ò¹»¡µÔËŧàËÅ×ÍÍÂÙ‹ ËÒ¡ÁÕ¡ÒÃÃÑ¡ÉÒ ·Õ誋ÇÂãËŒÊÒÁÒöà¡çºµÒ¢ŒÒ§¹Ñé¹änj䴌 ¡ç¨Ð·íÒãËŒ¼ÙŒ»†ÇÂ㪌ÊÒµҪ‹ÇÂàËÅ×͵¹àͧ䴌 «Öè§¹íÒä»ÊÙ‹¡Òà ¾Ñ²¹Ò¡ÒÃâ´ÂÃÇÁ¢Í§à´ç¡·Õ໚¹»¡µÔ ÊíÒËÃѺ¡ÒéÒÂÃѧÊÕáÉÒÍÒ¨¡‹ÍÁÐàÃç§áººÍ×¹æ ઋ¹ ÁÐàÃç§ è Ñ è ¡Ãд١ µÒÁÁÒã¹ÀÒÂËÅѧ â´Â੾ÒÐËÒ¡©ÒÂÃѧÊÕã¹à´ç¡·ÕÍÒÂØµÒ¡Ç‹Ò 1 »‚ ¤ÇÒÁàÊÕ§¨ÐÊÙ§¢Ö¹ÁÒ¡(2) è èí è é ´ŒÇÂÇѵ¶Ø»ÃÐʧ¤·¨ÐËÅÕ¡àÅÕ§¼ÅàÊÕÂàËŋҹÕé ¨Ö§à»š¹·ÕÁҢͧ¡ÒäԴ¤Œ¹ÇÔ¸¡ÒÃÃÑ¡ÉÒãËÁ‹æ Õè è è Õ ã¹¡ÒáíҨѴà«ÅŏÁÐàÃç§ã¹ÅÙ¡µÒ ¢³Ðà´ÕÂǡѹ䴌ÁÕ¡ÒÃÃÇÁµÑǢͧ¨Ñ¡ÉØá¾·Â·Ñé§ã¹·ÇÕ»ÂØâûáÅÐ ÍàÁÃÔ¡Ò à¾×èͨѴẋ§¡ÅØ‹ÁÁÐàÃç§µÒÁ¤ÇÒÁÃØ¹áç¨Ò¡¹ŒÍÂä»ÁÒ¡ â´ÂÍÒÈÑ¢¹Ò´áÅеíÒá˹‹§ ¡ŒÍ¹ÁÐàÃç§ÀÒÂã¹ÅÙ¡µÒ ÃÇÁ¶Ö§¡ÒõÃǨ¾ºà«ÅŏÁÐàÃç§ã¹ÇعµÒ (vitreous seeding) ¹Í¡¨Ò¡¹Õ§ÁÕ Œ é Ñ ¤íÒá¹Ð¹íÒÇÔ¸¡ÒÃÃÑ¡ÉÒµÒÁ¡ÅØÁâäµ‹Ò§æ ´ŒÇÂ(3,4) Õ ‹ 㹡óշ¡Í¹ÁÐàÃç§¢¹Ò´àÅç¡ àÊŒ¹¼‹ÒÈٹ¡ÅÒ§äÁ‹à¡Ô¹ 3 ÁÔÅÅÔàÁµÃ ᾷÊÒÁÒöãËŒ¡ÒÃÃÑ¡ÉÒ Õè Œ â´Â¡ÒèÕàÅà«ÍÏ (laser photocoagulation) ËÃ×ͨդÇÒÁàÂç¹ (cryotherapy) ä»Âѧ¡ŒÍ¹ à¾×Í·íÒÅÒÂà«Åŏ é é è ÁÐàÃç§â´ÂµÃ§ ÇÔ¸¡ÒùըзíÒãËŒà¡Ô´á¼Å໚¹·Õ¨ÍµÒºÃÔàdz·ÕáÉÒ Ê‹Ç¹¡ŒÍ¹ÁÐàÃ秨н†ÍÃҺŧáÅÐ (5) Õ é è èÑ ËÒÂä»ã¹·ÕÊ´ ʋǹãË­‹¨ÐàËç¹¼Åä´ŒÀÒÂËÅѧãËŒ¡ÒÃÃÑ¡ÉÒä»áÅŒÇ 1 ¶Ö§ 3 ¤Ãѧ ËÒ¡¡ŒÍ¹ÂѧäÁ‹µÍºÊ¹Í§ èØ é µ‹Í¡ÒÃÃÑ¡ÉÒËÅѧ¨Ò¡¨Õä»áÅŒÇ 3 ¤Ãѧ ¤ÇþԨÒóÒà»ÅÕ¹ÇÔ¸¡ÒÃÃÑ¡ÉÒãËÁ‹ ¼Å¢ŒÒ§à¤Õ§ã¹ÃÐÂÐÂÒÇ é é è Õ ¢Í§¡ÒèÕéàÅà«ÍÏáÅСÒèÕé¤ÇÒÁàÂç¹ ä´Œá¡‹ ÀÒÇШ͵ҩա¢Ò´ËÃ×ͨ͵ÒÅÍ¡ËÅØ´ ÊÒµÒÊÑé¹ËÃ×Í ÊÒµÒàÍÕ§ µŒÍ¡ÃШ¡ Á‹Ò¹µÒ½†Í ËÃ×ÍÁ‹Ò¹µÒÍÑ¡àʺ ÊíÒËÃѺÁÐàÃç§¢¹Ò´»Ò¹¡ÅÒ§ áÅеÃǨäÁ‹¾ºà«ÅŏÁÐàÃç§¡ÃШÒÂä»ã¹ÇعµÒ ÍÒ¨ÃÑ¡ÉÒâ´Â Œ ¡ÒÃãËŒÂÒà¤ÁպҺѴ©Õ´à¢ŒÒËÅÍ´àÅ×Í´´íÒËÇÁ¡Ñ¹ 2 ¶Ö§ 3 ª¹Ô´ à¾×ÍÅ´¢¹Ò´¡ŒÍ¹ (chemoreduction) í è µÒÁ´ŒÇ¡ÒèÕàÅà«ÍÏËÃ×ͨդÇÒÁàÂç¹(6) ÂÒà¤ÁպҺѴ·Õ¹ÂÁ㪌㹻˜¨¨Øº¹·Õä´Œ¼Å¤‹Í¹¢ŒÒ§´ÕµÍÁÐàÃ秪¹Ô´ é é í è Ô Ñ è ‹
  • 75.
    48 New Ere for Pediatric Eye Cancer Treatment ¹Õé 䴌ᡋ carboplatin, etoposide áÅÐ vincristine Í‹ҧäáçµÒÁµŒÍ§¤íÒ¹Ö§¶Ö§¼Å¢ŒÒ§à¤Õ§·ÕÃÒÂáç èŒ ·Ñ§ã¹ÃÐÂÐÊѹáÅÐÃÐÂÐÂÒǢͧÂÒà¤ÁպҺѴ ·ÕÊҤѭ䴌ᡋ ¡Òá‹ÍÁÐàÃç§àÁç´àÅ×Í´¢ÒÇ â´Â੾ÒÐ é é í è í ¨Ò¡¡ÒÃ㪌ÂÒ etoposide ËÒ¡µÃǨ¾ºà«ÅŏÁÐàÃç§ã¹ÇعµÒ ¡ÒÃãËŒÂÒà¤ÁպҺѴࢌÒËÅÍ´àÅ×Í´´íÒ (7) Œ í ¨ÐäÁ‹¤‹ÍÂÁռŵ‹Íà«ÅÅçÁÐàÃç§àËŋҹÑé¹ à¹×èͧ¨Ò¡äÁ‹ÁÕËÅÍ´àÅ×Í´ä»àÅÕé§ÀÒÂã¹ÇØŒ¹µÒ ¡ÒÃà¾ÔèÁÂÒ cyclosporine »ÃÔÁÒ³Ê٧ࢌÒËÅÍ´àÅ×Í´´íÒ â´ÂãËŒÃÇÁ¡ÑºÂÒà¤ÁպҺѴà´ÔÁ à¾×ÍËÇѧ¼ÅÅ´¡ÒâѺÂÒ ‹ í è à¤ÁպҺѴÍÍ¡¨Ò¡à«ÅŏÁÐàÃç§ (multidrug resistance reversal agent) ¾ºÇ‹ÒÍÒ¨ª‹ÇÂÅ´»ÃÔÁÒ³à«Åŏ í ÁÐàÃç§ã¹ÇعµÒä´Œã¹ÃÐÂÐÊѹæ(8) ᵋ¼ÅÃÐÂÐÂÒÇÂѧäÁ‹à»š¹·Õ¹Ò¾Í㨠à¹×ͧ¨Ò¡ÍѵÃÒ¡ÒáÅѺ໚¹«éÒÊÙ§ Œ é è ‹ è í ¹Í¡¨Ò¡¹Õé¼Å¢ŒÒ§à¤Õ§¢Í§ cyclosporine ÍÒ¨ÃØ¹áç䴌 ઋ¹ ÀÒÇФÇÒÁ´Ñ¹àÅ×Í´ÊÙ§ (malignant hypertension) áÅоÔɵ‹Íäµ (nephrotoxicity) ໚¹µŒ¹(9) ã¹ÃÐÂÐ 10 »‚·¼Ò¹ÁÒ ÁÕ¤ÇÒÁ¾ÂÒÂÒÁ·Õ¨Ð¡íҨѴà«ÅŏÁÐàÃç§ã¹ÇعµÒâ´ÂÇÔ¸µÒ§æ 䴌ᡋ Õè ‹ è Œ Õ ‹ ¡ÒéմÂÒà¤ÁÕºíҺѴ melphalan ࢌÒÇØŒ¹µÒâ´ÂµÃ§ (intravitreal melphalan) ËÃ×Í¡ÒéմÂÒ (10) carboplatin 㵌àÂ×ÍµÒ (subconjunctival carboplatin)(11) â´ÂËÇѧ¼ÅãËŒÂÒ«ÖÁ¼‹Ò¹µÒ¢ÒÇ (sclera) è ࢌÒÊÙ‹ÇØŒ¹µÒã¹»ÃÔÁÒ³à¾ÔèÁ¢Ö鹡NjҡÒúÃÔËÒÃÂÒ·Ò§ËÅÍ´àÅ×Í´´íÒ ¼Å¡ÒÃÃÑ¡ÉÒ¾ºÇ‹ÒÊÒÁÒö Å´»ÃÔÁÒ³à«ÅŏÁÐàÃç§ã¹ÇعµÒä´Œ ᵋ¨Ò¹Ç¹¼Ù»Ç·ÕÃÒ§ҹÂѧäÁ‹ÁÒ¡áÅйҹ¾Í·Õ¨ÐÊÃØ»ä´ŒÇÒÇÔ¸¡Òà Œ í Œ † è è ‹ Õ ÃÑ¡ÉÒ¹ÕÁ»ÃÐÊÔ·¸ÔÀÒ¾´ÕáÅлÅÍ´ÀÑ é Õ à¹×ͧ¨Ò¡¼Å¢ŒÒ§à¤Õ§¢Í§ÂÒà¤ÁպҺѴ·ÕãËŒ·Ò§ËÅÍ´àÅ×Í´´íÒÁÕÁÒ¡ áÅÐÍÒ¨ÃØ¹áç¶Ö§àÊÕªÕǵ è í è Ô ä´Œ ¨Ö§ÁÕ¼¤´ÇÔ¸ºÃÔËÒÃÂÒâ´Â©Õ´ melphalan ࢌÒËÅÍ´àÅ×Í´á´§ ophthalmic artery ·Õä»àÅÕ§ÅÙ¡µÒ ÙŒ Ô Õ è é â´ÂµÃ§ (intraarterial melphalan) ÇÔ¸Õ¡ÒùÕéáÁŒÁÕ¡ÒÃàÃÔèÁ㪌㹻ÃÐà·È­Õè»Ø†¹à»š¹¤ÃÑé§ááàÁ×èÍ»‚ (12) ¾.È. 2531 áÅÐÁÕ¼»Ç·Õ䴌ú¡ÒÃÃÑ¡ÉÒÁÒ¡¡Ç‹Ò 200 ÃÒÂáÅŒÇ áµ‹¡ÒùíÒà·¤¹Ô¤¡ÒÃÃÑ¡ÉÒä»»ÃÐÂØ¡µ ÙŒ † è Ñ ãªŒã¹»ÃÐà·ÈÍ×¹æ à¾Ô§¨ÐÁÕàÁ×Í 2-3 »‚·¼Ò¹ÁÒ ¤³Ðá¾·ÂÈÒʵÏÈÃÃÒª¾ÂÒºÒÅ໚¹Ê¶ÒºÑ¹áË‹§áá è è è Õè ‹ ÔÔ ã¹»ÃÐà·Èä·Â·Õ¹ÒÇÔ¸¡ÒùÕÁÒ㪌áÉÒ¼Ù»ÇÂÁÐàÃ秨͵Òã¹à´ç¡µÑ§áµ‹à´×͹ÊÔ§ËÒ¤Á ¾.È. 2552 â´Â è í Õ é Ñ Œ † é ¾Ô¨ÒóÒ㪌੾ÒмٷäÁ‹µÍºÊ¹Í§µ‹ÍÂÒËÃ×Íà¡Ô´¼Åá·Ã¡«ŒÍ¹·Õùáç¨Ò¡¡ÒÃÃÑ¡ÉÒ´ŒÇÂÂÒà¤ÁպҺѴ Œ Õè èØ í ࢌÒËÅÍ´àÅ×Í´´íÒ ¨Ò¡¡ÒõԴµÒÁ¼Ù»ÇÂã¹ÃÐÂÐÊѹ ¾ºÇ‹ÒäÁ‹Á¼Åá·Ã¡«ŒÍ¹·ÕùáÃ§ã´æ áÅЪ‹ÇÂãËŒ Œ † é Õ èØ àÅÕ§¡Òü‹ÒµÑ´¹íÒÅÙ¡µÒÍ͡䴌㹼ٻǺҧÃÒÂ è Œ † â´ÂÊÃØ» á¹Ç·Ò§¡ÒÃÃÑ¡ÉÒ¼ÙŒ»†ÇÂâäÁÐàÃ秨͵Òã¹à´ç¡ÁÕ·ÔÈ·Ò§ä»ã¹¡ÒÃËÅÕ¡àÅÕè§¡Òà ©ÒÂÃѧÊÕÃÑ¡ÉÒáÅСÒü‹ÒµÑ´¹íÒÅÙ¡µÒÍÍ¡ â´Âà»ÅÕè¹ä»ãªŒ¡ÒÃÃÑ¡ÉÒ´ŒÇÂÂÒà¤ÁÕºíҺѴ·Ñé§·Ò§ ËÅÍ´àÅ×Í´´íÒáÅСÒéմÂÒࢌÒËÅÍ´àÅ×Í´á´§·Õä»àÅÕ§ÅÙ¡µÒâ´ÂµÃ§ ¡ÒõÃǨµÔ´µÒÁ¼Ù»Ç·Õ䴌ú è é Œ † è Ñ ¡ÒÃÃÑ¡ÉÒÇÔ¸´§¡Å‹ÒÇã¹ÃÐÂÐÂÒÇ ¨Ðª‹ÇÂãËŒ·ÃÒº¶Ö§»ÃÐÊÔ·¸ÔÀÒ¾¢Í§¡ÒÃÃÑ¡ÉÒ áÅмÅá·Ã¡«ŒÍ¹µ‹Ò§æ Õ Ñ ·ÕÍÒ¨à¡Ô´¢Ö¹ä´Œ è é àÍ¡ÊÒÃ͌ҧÍÔ§ 1. Broaddus E, Topham A, Singh AD. Survival with retinoblastoma in the USA: 1975-2004. Br J Ophthalmol 2009;93:24-7. 2. Abramson DH, .rank CM. Second nonocular tumors in survivors of bilateral retinoblastoma: a possible age effect on radiation-related risk. Ophthalmology 1998; 105:573-9.
  • 76.
    àǪÈÒʵÏ·¹Âؤ 2553 Ñ 49 3. Murphree AL. Intraocular retinoblastoma: The case for a new group classification. Ophthalmol Clin North Am 2005;18:41–53. 4. Chantada G, Doz ., Antoneli CB, et al. A proposal for an international retinoblastoma staging system. Pediatr Blood Cancer 2006;47:801-5. 5. Atchaneeyasakul LO, Wongsiwaroj C, Uiprasertkul M, Sanpakit K, Thephamongkhol K, Trinavarat A. Prognostic factors and treatment outcomes of retinoblastoma in pediatric patients: a single-institution study. Jpn J Ophthalmol 2009;53:35-9. 6. Murphree AL, Villablanca JG, Deegan W. 3rd, et al. Chemotherapy plus local treatment in the management of intraocular retinoblastoma. Arch Ophthalmol 1996;114:1348-56. 7. RamaChandran S, Ariffin H. Secondary acute myeloid leukemia after etoposide therapy for haemophagocytic lymphohistiocytosis. Pediatr Blood Cancer 2009;53:488-90. 8. Chan HS, DeBoer G, Thiessen JJ, et al. Combining cyclosporin with chemotherapy controls intraocular retinoblastoma without requiring radiation. Clin Cancer Res 1996;2:1499-508. 9. Colombo D, .lori L, Altomare G, Aste N, Sgarbi S. Clinical outcome evaluation following cyclosporine a treatment in moderate to severe psoriasis: a retrospective study. Int J Immunopathol Pharmacol 2010; 23:363- 7. 10. Kaneko A, Suzuki S. Eye-preservation treatment of retinoblastoma with vitreous seeding. Jpn J Clin Oncol 2003; 33:601-7. 11. Abramson DH, .rank CM, Dunkel IJ. A phase I/II study of subconjunctival carboplatin for intraocular retinoblastoma. Ophthalmology 1999; 106:1947-50. 12. Yamane T, Kaneko A, Mohri M. The technique of ophthalmic arterial infusion therapy for patients with intraocular retinoblastoma. Int J Clin Oncol 2004; 9:69-73.
  • 78.
    àǪÈÒʵÏ·¹Âؤ 2553 Ñ º··Õè 51 7 ¡ÒÃÃÑ¡ÉÒÁÐàÃ秨͵Òã¹à´ç¡´ŒÇÂÂÒà¤ÁÕºíҺѴ ÍÒ¨ÒÏ ¹ÒÂᾷà¨É®Ò ºÑǺح¹íÒ ¼ÙŒª‹ÇÂÈÒʵÃÒ¨ÒÏ ᾷ˭ԧ¡ÅÕºÊäº ÊÃþ¡Ô¨ ÀÒ¤ÇÔªÒ¡ØÁÒÃàǪÈÒʵÏ ¤³Ðá¾·ÂÈÒʵÏÈÔÃÔÃÒª¾ÂÒºÒÅ ÁËÒÇÔ·ÂÒÅÑÂÁËÔ´Å ¡ÒÃÃÑ¡ÉÒÁÐàÃ秨͵Òâ´Â·ÑèÇ仨Ð໚¹ multimodality approach ¼ÙŒ»†Ç·ÕèÁÐàÃç§ÁÕ¢¹Ò´ »Ò¹¡ÅÒ§ áÅÐäÁ‹Á¡ÒÃá¾Ã‹¡ÃШÒ¢ͧâä ÍÒ¨ãËŒ¡ÒÃÃÑ¡ÉÒ´ŒÇ laser therapy ËÇÁ¡Ñº¡ÒÃãËŒÂÒ Õ à¤ÁÕºíҺѴ ʋǹã¹ÃÒ·ÕèÁÕ¡ÒÃÅØ¡ÅÒÁ¢Í§âäʋǹãË­‹¨ÐµŒÍ§¼‹ÒµÑ´¹íÒÅÙ¡µÒÍÍ¡ (enucleation) ËÇÁ¡Ñº¡ÒÃãËŒÂÒà¤ÁպҺѴáÅСÒéÒÂÃѧÊÕáÉÒ ´Ñ§¹Ñ¹¡ÒõÃǨ¾ºâä¹Õµ§áµ‹ÃÐÂÐáááÅÐ䴌ú í Ñ é é Ñé Ñ ¡ÒÃÃÑ¡ÉÒÍ‹ҧÃÇ´àÃçÇÍÒ¨·íÒãËŒ¼ÙŒ»†ÇÂÁÕâÍ¡ÒÊËÅÕ¡àÅÕè§¡Òü‹ÒµÑ´¹íÒÅÙ¡µÒÍÍ¡áÅÐÁÕâÍ¡ÒÊ ËÒ¢Ҵ䴌ÁÒ¡¢Ö¹ é ÂÒà¤ÁպҺѴ·Õ¹ÂÁ㪌㹡ÒÃÃÑ¡ÉÒ retinoblastoma 䴌ᡋÂÒ¡ÅØÁ platinum compound ઋ¹ í è Ô ‹ carboplatin, alkylating agent ઋ¹ cyclophosphamide, antitumor antibiotic ઋ¹ doxorubicin, topoisomerase inhibitor ઋ¹ etoposide áÅÐ vinca alkaloid ઋ¹ vincristine ໚¹µŒ¹ â´ÂàÅ×͡㪌ÂÒ à¤ÁպҺѴËÅÒª¹Ô´Ã‹ÇÁ¡Ñ¹ (combination chemotherapy) à¾×ͪ‹ÇÂàÊÃÔÁÄ·¸Ô㹡Ò÷íÒÅÒÂà«Åŏ í è ì ÁÐàÃç§ ÊٵâͧÂÒà¤ÁպҺѴ·Õ¹ÂÁ㪌ÁÒ¡·ÕÊ´¤×Í carboplatin ËÇÁ¡Ñº vincristine áÅÐ etoposide í è Ô èØ «Ö§ãËŒ¼Å¡ÒÃÃÑ¡ÉÒ·Õ´¾ÍÊÁ¤Çà Í‹ҧäáçµÒÁã¹»˜¨¨Øº¹ÁÕá¹Ç⹌Á¨ÐãËŒÂÒ·ÕÁ¤ÇÒÁá繌ÍÂŧ (less è è Õ Ñ è Õ intensive) ã¹ÃÒ·ÕâäÁÕ¡ÒÃÅØ¡ÅÒÁäÁ‹ÁÒ¡ (international staging ¹ŒÍÂ¡Ç‹Ò group B)(1) à¾×ÍËÅÕ¡àÅÕ§ è è è ¡ÒÃãËŒÂÒ topoisomerase inhibitor «Öè§ÁÕ¤ÇÒÁàÊÕè§µ‹Í¡ÒÃà¡Ô´âäÁÐàÃç§«éíÒ«ŒÍ¹ (secondary malignancy) ã¹»‚ ¾.È. 2538 ÁÕ¡ÒÃÈÖ¡ÉÒ¾ºÇ‹Ò melphalan ໚¹ÂÒ·ÕÁ»ÃÐÊÔ·¸ÔÀÒ¾ÊÙ§ÊØ´àÁ×Íà·Õº¡Ñº è Õ è ÂÒà¤ÁպҺѴª¹Ô´Í׹㹡Ò÷íÒÅÒ retinoblastoma cell line ã¹ÃÐÂÐËÅѧ¨Ö§ÁÕ¤ÇÒÁ¾ÂÒÂÒÁ·Õ¨ÐºÃÔËÒà í è è ÂÒ melphalan ࢌÒ੾ÒзÕè·Ò§ ophthalmic artery á·¹¡ÒÃãËŒÂÒ·Ò§ËÅÍ´àÅ×Í´´íÒʋǹ»ÅÒ (peripheral vein) à¾×ÍÅ´¼Å¢ŒÒ§à¤Õ§µ‹ÍÍÇÑÂÇÐÍ×¹æ ¢Í§Ã‹Ò§¡Ò ¡ÒÃÃÑ¡ÉÒâ´ÂÇÔ¸´§¡Å‹ÒÇäÁ‹¾ºÇ‹Ò è è Õ Ñ ·íÒãËŒà¡Ô´¼Åá·Ã¡«ŒÍ¹à©¾ÒзշùáçáÅСÒõͺʹͧ¢Í§¡ŒÍ¹ÁÐàÃç§µ‹ÍÂÒ¤‹Í¹¢ŒÒ§´Õ(2) è Õè Ø ÊíÒËÃѺ¼ÙŒ»†Ç·ÕèâäÁÕ¡ÒáÃШÒÂÍÍ¡¹Í¡ÅÙ¡µÒ (extraocular disease) ໚¹¡ÅØ‹Á·ÕèÁÕ ¡ÒþÂҡóâääÁ‹´Õ áÁŒÇ‹Ò¨ÐãËŒ¡ÒÃÃÑ¡ÉÒ´ŒÇÂÂÒà¤ÁÕºíҺѴËÇÁ¡Ñº¡ÒéÒÂÃѧÊÕÁÑ¡¨ÐäÁ‹ÊÒÁÒö ¤Çº¤ØÁâä䴌 ¨Ö§àÃÔÁÁռȡÉÒ¡ÒÃãËŒÂÒà¤ÁպҺѴ¢¹Ò´Ê٧ËÇÁ¡Ñº autologous hemotopoietic stem è ÙŒ Ö í cell rescue ã¹¼Ù»ÇÂ¡ÅØÁ´Ñ§¡Å‹ÒÇ â´ÂËÅÑ¡¡ÒÃ໚¹¡ÒÃà¡çºà«Åŏµ¹¡íÒà¹Ô´àÁç´àÅ×Í´¢Í§¼Ù»ÇÂ᪋á¢ç§ Œ † ‹ Œ Œ †
  • 79.
    52 ¡ÒÃÃÑ¡ÉÒÁÐàÃ秨͵Òã¹à´ç¡´ŒÇÂÂÒà¤ÁպҺѴ í äÇŒ¡Í¹¡ÒÃãËŒÂÒà¤ÁպҺѴ¢¹Ò´ÊÙ§ àÁ×ͼٻÇÂ䴌úÂÒà¤ÁպҺѴ¢¹Ò´ÊÙ§à¾×ÍËÇѧ¼Å㹡ÒáíҨѴ ‹ í è Œ † Ñ í è à«ÅŏÁÐàÃç§·ÕÁÍÂÙã¹Ã‹Ò§¡Ò ¼Ù»Ç¨Ð䴌úà«Åŏµ¹¡íÒà¹Ô´àÁç´àÅ×Í´¢Í§µ¹àͧ¡ÅѺࢌÒä»à¾×ÍÅ´âÍ¡ÒÊ è Õ ‹ Œ † Ñ Œ è 㹡ÒÃà¡Ô´¼Åá·Ã¡«ŒÍ¹¨Ò¡¡Òá´¡Ò÷íÒ§Ò¹¢Í§ä¢¡Ãд١ áÁŒÇÒ¨ÐÁÕ¼»ÇÂã¹áµ‹ÅÐÃÒ§ҹ¨íҹǹ‹ ÙŒ † äÁ‹ÁҡᵋÁá¹Ç⹌Á·Õ¨ÐµÍºÊ¹Í§µ‹Í¡ÒÃÃÑ¡ÉÒ´Õ Õ è (3,4) ã¹»‚ ¾.È. 2547 àÃÔÁÁÕ¡ÒÃ㪌ÂÒà¤ÁպҺѴª¹Ô´ãËÁ‹ ¤×Í topotecan «Ö§à»š¹ topoisomerase è í è inhibitor 㹡ÒÃÃÑ¡ÉÒ retinoblastoma â´ÂÁÕ¡ÒÃÈÖ¡ÉÒ¨Ò¡»ÃÐà·ÈÊËÃѰÍàÁÃÔ¡Ò ãªŒ topotecan 㹼ٻǠretinoblastoma ·ÕäÁ‹µÍºÊ¹Í§µ‹ÍÂÒà¤ÁպҺѴÊÙµÃÁҵðҹ «Ö§¼Å¡ÒÃÃÑ¡ÉÒÂѧµŒÍ§µÔ´µÒÁ Œ † è í è µ‹Íä» (5) ¼Å¢ŒÒ§à¤Õ§¨Ò¡¡ÒÃÃÑ¡ÉÒ´ŒÇÂÂÒà¤ÁպҺѴ¹Í¡¨Ò¡ÍÒ¡ÒäÅ×¹äÊŒ ÍÒà¨Õ¹ áÅС´¡Ò÷íÒ§Ò¹ í è ¢Í§ä¢¡Ãд١áÅŒÇ ¼ÅàÊÕÂã¹ÃÐÂÐÂÒÇ·ÕèÊíҤѭ¤×Í¡ÒÃà¾ÔèÁâÍ¡ÒÊ㹡ÒÃà¡Ô´âäÁÐàÃç§«éíÒ«ŒÍ¹ â´Âã¹ÃÒ·Õ䴌úÃѧÊÕáÉÒËÇÁ´ŒÇ¨оºÇ‹ÒÁÕ¤ÇÒÁàÊÕ§µ‹Í¡ÒÃà¡Ô´ÁÐàÃç§¡Ãд١ª¹Ô´ osteosarcoma è Ñ Ñ è ¢Í§à¹×ÍàÂ×ͺÃÔàdz·Õ䴌úÃѧÊÕ Ê‹Ç¹ÂÒà¤ÁÕºÒºÑ´ã¹¡ÅØÁ alkylating agents ઋ¹ cyclophosphamide é è è Ñ í ‹ áÅÐ topoisomerase inhibitor ઋ¹ etoposide ¨Ðà¾ÔÁ¤ÇÒÁàÊÕ§㹡ÒÃà¡Ô´ acute myeloid leukemia è è ä´Œ ´Ñ§¹Ñ¹¡ÒþԨÒóÒãËŒ¡ÒÃÃÑ¡ÉÒ´ŒÇÂÂÒà¤ÁպҺѴáÅСÒéÒÂÃѧÊըеŒÍ§¡ÃзíÒÍ‹ҧÃͺ¤Íº áÅÐ é í µÔ´µÒÁ¼Ù»ÇÂã¹ÃÐÂÐÂÒÇà¾×ÍཇÒÃÐÇѧâäÁÐàÃç§«éÒ«ŒÍ¹·ÕÍÒ¨¨Ðà¡Ô´¢Ö¹µÒÁÁÒä´Œ Œ † è í è é àÍ¡ÊÒÃ͌ҧÍÔ§ 1. Rodriguez-Galindo C, Wilson MW, Haik BG, Merchant TE, Billups CA, Shah N, Cain A, Langston J, Lipson M, Kun LE, Pratt CB. Treatment of intraocular retinoblastoma with vincristine and carboplatin. J Clin Oncol. 2003;21(10):2019-25. 2. Yamane T, Kaneko A, Mohri M. The technique of ophthalmic arterial infusion therapy for patients with intraocular retinoblastoma. Int J Clin Oncol. 2004;9(2):69-73. 3. Kremens B, Wieland R, Reinhard H, et al. High dose chemotherapy with autologous stem cell rescue in children with retinoblastoma. Bone Marrow Transplant 2003; 31(12): 281-4. 4. Dunkel IJ, Chan HS, Jubran R, Chantada GL, Goldman S, Chintagumpala M, Khakoo Y, Abramson DH. High-dose chemotherapy with autologous hematopoietic stem cell rescue for stage 4B retinoblastoma. Pediatr Blood Cancer. 2010;55(1):149-52. 5. Chantada GL, .andiño AC, Casak SJ, Mato G, Manzitti J, Schvartzman E. Activity of topotecan in retinoblastoma. Ophthalmic Genet. 2004;25(1):37-43
  • 80.
    àǪÈÒʵÏ·¹Âؤ 2553 Ñ º··Õè 53 8 .ungal Skin Infection: A Neighbourhood Touch ÍÒ¨ÒÏ ¹ÒÂá¾·ÂÊØÁ¹ÑÊ ºØ³ÂÐÃѵàǪ ÀÒ¤ÇÔªÒµ¨ÇÔ·ÂÒ ¤³Ðá¾·ÂÈÒʵÏÈÃÃÒª¾ÂÒºÒÅ ÁËÒÇÔ·ÂÒÅÑÂÁËÔ´Å ÔÔ àª×ÍÃÒ໚¹¨ØÅªÕ¾·ÕÍÂÙã¡ÅŒµÇÁ¹ØÉ ÍÒÈÑÂÍÂÙº¹ËÃ×ÍÀÒÂã¹µÑÇÁ¹ØÉàͧ àª×ÍÃÒʋǹ˹֧ÍÂÙã¹ é è ‹ Ñ ‹ é è ‹ ÊÔ§áÇ´ÅŒÍÁ ÁÕ·§»ÃÐ⪹áÅÐâ·É â·É¢Í§àª×ÍÃÒ¤×Í·íÒãËŒà¡Ô´âä·Ñ§ã¹Á¹ØÉ ã¹ÊѵǏ ÃÇÁ·Ñ§ÊѵǏ è Ñé é é é ·Õã¡ÅŒª´¡ÑºÁ¹ØÉઋ¹ÊѵǏàÅÕ§ è Ô é ¼ÔÇ˹ѧ໚¹ÍÇÑÂÇзÕèÍÂÙ‹ÀÒÂ¹Í¡ÊØ´¢Í§Ã‹Ò§¡Ò ¡ÒÃà»ÅÕè¹á»Å§ã´æ·Õè¼ÔÇ˹ѧ¨Ö§ÊÒÁÒö Êѧࡵ䴌§Ò¡NjҡÒÃà»ÅÕ¹á»Å§ã¹ÍÇÑÂÇÐÍ×¹æ ÃÍÂâä·Õ¼Ç˹ѧ ËÇÁ·Ñ§Ê‹Ç¹»ÃСͺ¢Í§¼ÔÇ˹ѧ ‹ è è è Ô é ઋ¹ àÅçº ¢¹ ËÃ×ÍàÊŒ¹¼ÁÍÒ¨à¡Ô´âäàª×éÍÃÒâ´Â·ÕèàÃÔèÁ¨Ò¡äÁ‹ÁÕÍÒ¡ÒÃã´æ ઋ¹àÅçºÁÕ¤ÇÒÁ¼Ô´»¡µÔ â´Â·ÕäÁ‹ÁÍÒ¡Òà à¡Ô´à»š¹áËÅ‹§ÊÐÊÁ¢Í§àª×Í¡ÃШÒÂ仵ÒÁ·ÕµÒ§æ ËÃ×͵ԴºØ¤¤ÅÍ×¹æ àÅ硹ŒÍ ઋ¹ è Õ é è ‹ è à¡Ô´ÍÒ¡ÒÃÍÑ¡àʺᴧ¼×蹤ѹ ËÃ×ÍáÁŒ¡ÃзÑè§à»š¹ÍѹµÃÒ·íÒãËŒà¡Ô´¤ÇÒÁ¾Ô¡Òà ·Ø¾¾ÅÀÒ¾ ËÃ×Í àÊÕªÕǵ Ô ¡ÒõԴàª×éÍÃÒ·Õè¼ÔÇ˹ѧà¡Ô´âä䴌µÑé§áµ‹Ê‹Ç¹·Õèµ×é¹ÊØ´¢Í§¼ÔÇ˹ѧઋ¹ªÑé¹¢Õéä¤Å ˹ѧ¡íÒ¾ÃŒÒ Å֡ŧÁÒ㹪ѹ˹ѧ᷌ ËÃ×Íã¹Ê‹Ç¹ÅÖ¡¢Í§¼ÔÇ˹ѧªÑ¹ÅÖ¡¡Ç‹Ò ËÃ×Íà¡Ô´àª×ÍÃÒ¡ÃШÒ·ÑÇ仵ÒÁËҧ¡Ò é é é è áÅÐÂѧÊÒÁÒöµÔ´àª×Íä´Œ·àÅçº àÊŒ¹¢¹ áÅÐàÊŒ¹¼Á é Õè ¡ÒõԴàª×ÍÃÒ·Õ¼Ç˹ѧªÑ¹µ×¹áÅзÕàÊŒ¹¼ÁáÅÐàÅ纹ѹ áÁŒÇÒʋǹãË­‹¨ÐäÁ‹à»š¹»˜­ËÒ·íÒãËŒ é è Ô é é è é ‹ àÊÕªÕǵ ᵋ¡Á¤ÇÒÁÊíҤѭઋ¹¡ÒáÃзºµ‹Í¤Ø³ÀÒ¾ªÕǵ¢Í§¼Ù»Ç·ѧ¨Ò¡ÃÍÂâä·Õº¤¤ÅÍ×¹¾ºàËç¹ Ô ç Õ Ô Œ † é è Ø è ´Ù¹ÒÃѧà¡Õ¨ ¼Ù»Ç¢Ҵ¤ÇÒÁÁѹ㨠¨Ò¡ÍÒ¡Òâͧ¼×¹àª‹¹ÍÒ¡Òäѹ ÍÒ¡ÒûǴ ·Ñ§¼×¹áÅÐÍÒ¡Òà ‹ Œ † è è é è Ê‹§¼Å¡Ãзºµ‹Í¡Ô¨ÇѵûÃШíÒÇѹ ËÃ×Íàª×ÍÃÒ·ÕÍÂÙ¹¹à»š¹áËÅ‹§âä·ÕÊÒÁÒöá¾Ã‹¡ÃШÒÂä»ÂѧÍÇÑÂÇÐ é è ‹ Ñé è ʋǹÍ×¹¢Í§µ¹àͧ ËÃ×͵Դµ‹Íä»Âѧ¼Ù͹䴌 âäàª×ÍÃҪѹµ×¹·Õ¼Ç˹ѧ·Õ¤Ç÷ÃÒºÁÕ´§¹Õé è Œ ×è é é é è Ô è Ñ 1. âäµÔ´àª×Í¡ÅÒ¡ ·Õ¼Ç˹ѧàÅçº àÊŒ¹¼ÁáÅÐ˹ѧÈÕÃÉÐ é è Ô 2. âäµÔ´àª×ÍÃÒ·ÕàÅçº (onychomycosis) é è 3. âäµÔ´àª×ͨҡàª×Íà¡Å×͹ ·íÒãËŒà¡Ô´âäà¡Å×͹ Ãѧᤠ¼×¹¼ÔÇ˹ѧÍÑ¡àʺ㹵íÒá˹‹§·ÕÁµÍÁ é é é é è è Õ ‹ ä¢Áѹ ÏÅÏ 4. âäµÔ´àª×ÍÂÕʵá¤¹´Ô´Ò é 5. âäµÔ´àª×ÍÃÒª¹Ô´µ×¹Í×¹æ é é è º·¤ÇÒÁ¹Õ¨Ð¡Å‹ÒǶ֧àª×ÍÃÒª¹Ô´µ×¹ 2 ¡ÅØÁ·Õ໚¹»˜­ËÒ¡ÒÃÃÑ¡ÉÒáÅСÒÃÇÔ¹¨©Ñ¤×Íâä¡ÅÒ¡ é é é ‹ è Ô áÅÐàª×ÍÃÒ·ÕàÅçº é è
  • 81.
    54 .ungal Skin Infection: A Neighbourhood Touch âä¡ÅÒ¡ (Dermatophytosis) âä¡ÅÒ¡ ໚¹âä¼ÔÇ˹ѧ·Õ¾ºä´ŒºÍÂÁҡ㹤¹·Ø¡ÇÑ ºÒ§¤ÃѧÍÒ¨¾ºà»š¹¾ÃŒÍÁ¡Ñ¹ËÅÒÂ è ‹ é ¤¹ã¹ºŒÒ¹ ã¹âçàÃÕ¹ ËÃ×ÍÇÑ´ àª×Í¡ÅÒ¡ÊÒÁÒö·íÒãËŒà¡Ô´âäµÒÁ¼ÔÇ˹ѧ䴌᷺·Ø¡Ê‹Ç¹¢Í§Ã‹Ò§¡Ò é âä¡ÅÒ¡à¡Ô´¨Ò¡àª×ÍÃÒã¹¡ÅØÁ dermatophyte «Ö§áº‹§µÒÁáËÅ‹§·ÕÁҢͧàª×ÍÍ͡䴌໚¹àª×Í·Õµ´µ‹Í é ‹ è è é é è Ô ¨Ò¡Á¹ØÉ (anthropophilic dermtophytosis) µÔ´µ‹Í¨Ò¡ÊѵǏ (zoophilic dermatophytosis) áÅШҡ ÊÔ§áÇ´ÅŒÍÁ (geophilic dermatophytosis) ¡Ò÷ըзÃÒºª¹Ô´¢Í§àª×ÍÃÒµ‹Ò§æ ¨Ð·ÃҺ䴌¨Ò¡¼Å¡Òà è è é à¾ÒÐáÅШíÒṡàª×ÍÃÒ (fungal culture and identification) Ç‹Òàª×Í¡ÅÒ¡ÊÒ¾ѹ¸ØµÒ§æ ¡Ñ¹¹Ñ¹ÁÒ¨Ò¡ é é  ‹ é áËÅ‹§ã´ à¹×ͧ¨Ò¡¡ÒÃ㪌à¾Õ§¡Òâٴ¢ØÂ·Õ¼Ç˹ѧË´´ŒÇÂÊÒÃÅÐÅÒ potassium hydroxide (KOH) è è Ô µÃǨ´ŒÇ¡Ōͧ¨ØÅ·ÃÃȹ «Ö§à»š¹¡ÒõÃǨ·Õ·Òä´Œ§Ò 䴌¼ÅäÇ áÅÐÃÒ¤ÒäÁ‹á¾§¹Ñ¹¨ÐäÁ‹ÊÒÁÒöºÍ¡ è è í ‹ é ª¹Ô´ÊÒ¾ѹ¸Ø¢Í§âä¡ÅÒ¡ä´Œ âä¡ÅÒ¡·Õµ´µ‹ÍÁÒ¨Ò¡ÊѵǏ¨ÐÁÕ¤ÇÒÁÃØ¹áç·ÕÁÒ¡¡Ç‹Òª¹Ô´·Õµ´µ‹ÍÁÒ¨Ò¡Á¹ØÉ ÍÒ¨¾º è Ô è è Ô ºØ¤¤ÅÍ׹㹺ŒÒ¹à»š¹â䴌Ǡâ´Â·ÕʵǏ·àÅÕ§¹Ñ¹ÍÒ¨äÁ‹¾º¤ÇÒÁ¼Ô´»¡µÔ·¢¹¢Í§ÊѵǏàÅÕ§ᵋ»ÃСÒà è è Ñ Õè é é Õè é ã´ ÊѵǏàÅÕ§·Õ¾ºà»š¹âä¡ÅÒ¡ä´ŒºÍÂઋ¹¡Ãе‹Ò áÅÐ¡ÅØÁÊѵǏ¿¹á·Ð áÁÇ áÅÐÊØ¹¢ «Ö§à»š¹ÊѵǏ é è ‹ ‹ ˜ Ñ è àÅÕ§·Õã¡ÅŒª´Á¹ØÉ ¼×¹¡ÅÒ¡ã¹Á¹ØÉ¨Ò¡ÊѵǏàÅÕ§ÁÑ¡¾ºà´‹¹ºÃÔàdz¹Í¡Ã‹Á¼ŒÒ ÁÕÍÒ¡ÒÃÃØ¹áç¼Ù»Ç é è Ô è é Œ † ÁÑ¡ÁÒ¾ºá¾·Âã¹àÇÅÒÍѹÊѹ é âä¡ÅÒ¡·Õ¢¹µÒÁ¼ÔÇ˹ѧ¨ÐÁÕšɳÐ໚¹Ç§æ ËÃ×Í໚¹´Ç§æ áÅÐÁÕÍÒ¡Òäѹ ÁÕªÍàÃÕ¡ è Öé Ñ ×è ¨íÒṡµÒÁʋǹµ‹Ò§æ ¢Í§¼ÔÇ˹ѧ ¶ŒÒ໚¹¼ÔÇ˹ѧʋǹàÃÕº·ÕèäÁ‹ÁÕ¢¹ àÃÔèÁáá¨Ð¢Öé¹à»š¹µØ‹Áá´§æ áŌǤ‹ÍÂæ ÅØ¡ÅÒÁÍÍ¡ä»à»š¹Ç§ ÁբͺࢵªÑ´à¨¹ ¢Íº¨Ð¹Ù¹àÅ硹ŒÍ ÁÕÊá´§ ÁÑ¡ÁÕµÁ¹éÒãÊàÅç¡æ Õ Ø‹ í ËÃ×Í¢ØÂ¢ÒÇæÍÂÙÃͺæÇ§ ¢Íºà¢µÃͺǧ¨ÐªÑ´à¨¹ (active border) ǧ¹Õ¨ÐÅØ¡ÅÒÁ¢ÂÒÂÍÍ¡ä»àÃ×ÍÂæ ‹ é è ʋǹ¼ÔÇ˹ѧ·ÕÍÂٵç¡Åҧǧ¨Ð´ÙÁšɳзÕ໚¹»¡µÔ ÁÒ¡¡Ç‹ÒºÃÔàdz¢ÍºÇ§à¹×ͧ¨Ò¡à»š¹Ê‹Ç¹·Õ໚¹ è ‹ ÕÑ è è è ¡‹Í¹áÅÐàÃÔÁËÒÂáÅŒÇ Ç§¢Í§âä¡ÅÒ¡ÍÒ¨¢Ö¹à»š¹Ç§µÔ´æ¡Ñ¹ËÅÒÂǧ ËÃ×Í໚¹Ç§«ŒÍ¹¡Ñ¹¡çä´Œ ºÒ§¤Ãѧ è é é ¡ç¢¹¾ÃŒÍÁ¡Ñ¹ËÅÒÂáË‹§¡çä´Œ ¼Ù»ÇºҧÃÒ·Õä´ŒÂÒ·Ò¡ÅØÁÊàµÕÂÃÍ´Áҷҷѧ¨Ò¡·Õᾷ ËÃ×Í«×ÍÂÒ Öé Œ † è ‹ é è é ·Òàͧâ´Â੾ÒШҡÌҹ¢ÒÂÂÒÍÒ¨à¡Ô´ÃÍÂâä·ÕàÃÕÂ¡Ç‹Ò tinea incognito «Ö§ÍÒ¨äÁ‹¾ºÅѡɳÐ໚¹ è è ǧᴧ¢Í§âä¡ÅÒ¡´Ñ§¡Å‹ÒÇ áµ‹¼¹¡ÅѺÅÒÁ¢Ö¹Í‹ҧÁÒ¡ËÅѧ·ÒÂÒ âä¡ÅÒ¡·Õ¾ºº‹ÍµÒÁµíÒá˹‹§ ×è é è µ‹Ò§æ ઋ¹·Õ¢Ò˹պáÅкÃÔàdzʋǹ¡Ò§à¡§ã¹ËÃ×Í·ÕàÃÕ¡NjÒÊѧ¤Ñ§ ¢Ö¹à»š¹Ç§·Õ¢Ò˹պâ´Â੾ÒТÒ˹պ è è é è ·Ñ§Êͧ¢ŒÒ§ áÅÐÅØ¡ÅÒÁÍÍ¡ä»àÃ×ÍÂæ ªŒÒæ ÍÒ¨ÁÕÃÍÂÁÕʤÅéÒæ ¨Ò¡ÒÃà¡Ô´ÃÍ´íÒËÅѧ¨Ò¡¡ÒÃÍÑ¡àʺ é è Õ í à¾ÃÒÐàª×Í¡ÅÒ¡ã¹Ê‹Ç¹¹Õà¡×ͺ·Ñ§ËÁ´à¡Ô´¨Ò¡àª×Í¡ÅÒ¡·Õµ´µ‹Í¨Ò¡Á¹ØÉä»ÂѧÁ¹ØÉ «Ö§ÁÑ¡¨ÐÁÕ¤ÇÒÁ é é é é è Ô è ÃØ¹áç㹡Òá‹Íâä·Õ¹Í¡NjҪ¹Ô´µÔ´¨Ò¡ÊѵǏËÃ×ÍÊÔ§áÇ´ÅŒÍÁ ᵋ¡¡Íâä·ÕÁ¤ÇÒÁàÃ×ÍÃѧ䴌ÁÒ¡¡Ç‹Ò è Œ è ç ‹ è Õ é âä¡ÅÒ¡·ÕÅÒµÑÇ (tinea corporis) ÁÑ¡ÁÕ¼¹á´§à»š¹Ç§ÁÕÍÒ¡Òäѹ ºÒ§¤¹ÍÒ¨à¡Ò¨¹¹éÒàËÅ×ͧà¿ÍÐËÃ×Í èí ×è í ¼ÔÇË¹Ñ§Ë¹Ò ºÒ§¤¹ÍÒ¨à¡Ò¨¹µÔ´àª×ÍẤ·ÕàÃÕÂÍÑ¡àʺá·Ã¡«ŒÍ¹ä´Œ ʋǹâä¡ÅÒ¡·Õà·ŒÒ (tinea pedis) é è ËÃ×Í·ÕÁÍ (tinea manuum) ÁÕËÅÒÂÅѡɳÐÍÒ¨ÁÕ¡ÒÃÍÑ¡àʺᴧ໚¹µØÁ¹éÒãÊ à»š¹¢ØÂ˹ÒáËŒ§ ËÃ×Í è × ‹ í à¡Ô´ºÃÔàdz§‹ÒÁ¹ÔÇà·ŒÒ âäÁѡ໚¹àÃ×ÍÃѧÁÕ¡ÒáÅѺ໚¹«éÒä´ŒºÍ é é í ‹ âä¡ÅÒ¡·Õ˹ѧÈÕÃÉÐáÅÐàÊŒ¹¼Á (tinea capitis) Áѡ໚¹âä·Õà¡Ô´ã¹à´ç¡¡‹Í¹à»š¹ÇÑÂÃØ¹ ÁÕ·§ è è ‹ Ñé ª¹Ô´·ÕÁÍÒ¡ÒÃÍÑ¡àʺºÒ§¤ÃÑ§ÃØ¹áç໚¹Ë¹Í§ áÅЪ¹Ô´·ÕäÁ‹ÁÍÒ¡ÒÃÍÑ¡àʺ «Ö§·Ø¡ª¹Ô´¨ÐÁÕšɳРè Õ é è Õ è Ñ
  • 82.
    àǪÈÒʵÏ·¹Âؤ 2553 Ñ 55 ÊíҤѭ¤×ÍÁÕ¼ÁËÅØ´Ã‹Ç§ ã¹»ÃÐà·Èä·Âàª×Í¡ÅÒ¡·Õ˹ѧÈÕÃÉÐáÅÐàÊŒ¹¼ÁÁÑ¡à¡Ô´¨Ò¡àª×Í·ÕÁÒ¨Ò¡ÊѵǏ é è é è â´Â੾ÒÐ Microsporum canis «Ö§»ÃÐÇѵ¡ÒÃÊÑÁ¼ÑÊÊѵǏàÅÕ§ÁÕ¤ÇÒÁÊíҤѭÁÒ¡ ÁԩйѹÍÒ¨µÔ´µ‹Í è Ô é é ä»ÂѧºØ¤¤ÅÍ׹㹺ŒÒ¹â´ÂÁÕʵǏàÅÕ§໚¹¾ÒËÐ è Ñ é âäàª×éÍÃÒ·ÕèàÅçº (Onychomycosis) ¾ºä´ŒºÍÂã¹àǪ»¯ÔºµÔ ໚¹ÀÒÇзն¡ÇÔ¹¨©Ñ¼Դ¾ÅÒ´ä´ŒºÍ ·Ñ§·Õ໚¹¤ÇÒÁ¼Ô´»¡µÔ¢Í§àÅçº ‹ Ñ è Ù Ô ‹ é è ¨Ò¡ÀÒÇÐÍ×è¹áŌǶ١ÇÔ¹Ô¨©ÑÂ໚¹âäàª×éÍÃÒ·ÕèàÅçº â´Âᾷàͧ ËÃ×ͨҡ¤ÇÒÁࢌÒ㨢ͧ¼ÙŒ»†Ç â´Â·ÑÇä» ¹Í¡¨Ò¡¹Ñ¹âäàª×ÍÃÒ·ÕàÅçºà»š¹âä·ÕµÍ§ÍÒÈÑÂÃÐÂÐàÇÅҹҹ㹡ÒÃÃÑ¡ÉÒ ÂÒ·Õ㪌ÁÃÒ¤Ò è é é è è Œ è Õ ÊÙ§ áÅÐÂѧÍÒ¨ÁÕ»¯Ô¡ÃÂÒÃÐËNjҧÂÒä´Œ ºÒ§¡Ã³ÕÍҨ໚¹ÍѹµÃÒ¶֧ªÕǵ ÔÔ Ô âäàª×é Í ÃÒ·Õè à Åç º ¤× Í ¡Ò÷Õè à Åç º ËÃ× Í Ê‹ Ç ¹»ÃСͺ¢Í§àÅç º µÔ ´ àª×é Í ÃÒ ·Ñé § ¨Ò¡àª×é Í ¡ÅÒ¡ (dermatophytes) àª×éÍÂÕʵ (yeasts) àª×éÍÃÒÊÒ·ÕèäÁ‹ãª‹àª×éÍ¡ÅÒ¡ËÃ×ÍÍÒ¨àÃÕ¡NjҡÅÒ¡à·ÕÂÁ (nondermatophyte molds) ʋǹâä “¡ÅÒ¡·ÕàÅçº (tinea ungium)” ¹Ñ¹¨Ð໚¹¤íÒ¨íÒà¾ÒзÕ㪌ÊÒËÃѺ è é è í ¡ÒõԴàª×Í੾ÒÐàª×Í¡ÅÒ¡«Ö§Ê‹Ç¹ãË­‹Á¡¨Ð·ÃÒº¨Ò¡¡ÒõÃǨ·Ò§ËŒÍ§»¯Ôºµ¡Òà é é è Ñ Ñ Ô ¤ÇÒÁ¼Ô´»¡µÔ¢Í§àÅçºà»š¹ÊÔ§·Õ¾ºä´ŒºÍÂã¹àǪ»¯ÔºµÔ â´Â·ÑÇä»áŌǼٻÇÂÁÑ¡ÁÕ¤ÇÒÁࢌÒã¨Ç‹Ò è è ‹ Ñ è Œ † ¤ÇÒÁ¼Ô´»¡µÔ¢Í§àÅçºÁÑ¡¨Ð໚¹âäàª×ÍÃÒ·ÕàÅçº ·Ñ§·Õ¤ÇÒÁ¨ÃÔ§áÅŒÇÍÒ¨¨Ðà¡Ô´¢Ö¹¨Ò¡¤ÇÒÁ¼Ô´»¡µÔ é è é è é ¨Ò¡ÀÒÇÐÍ×¹æ ઋ¹âäÊÐà¡ç´à§Ô¹·ÕàÅçº ¤ÇÒÁ¼Ô´»¡µÔ¨Ò¡ÀÂѹµÃÒµ‹ÍàÅçº ¤ÇÒÁ¼Ô´»¡µÔ¢Í§àÅçº è è ·Õà¡Ô´¢Ö¹Ã‹ÇÁ¡Ñºâä¼ÔÇ˹ѧÍ×¹æ ËÃ×Íâä·Ò§¡ÒÂ໚¹µŒ¹ ºÒ§¤Ãѧ¡ÒÃ㪌à¾Õ§ᤋšɳÐÀÒ¹͡·ÕÁÕ è é è é Ñ è ¤ÇÒÁ¼Ô ´ »¡µÔ ¢ ͧàÅç º ᵋ à ¾Õ Â §Í‹ Ò §à´Õ  ÇÍÒ¨ÁÕ ¤ ÇÒÁ¼Ô ´ ¾ÅÒ´à¡Ô ´ ¢Öé ¹ ä´Œ Ë Ò¡äÁ‹ ÁÕ ¡ ÒõÃǨ ·Ò§ËŒÍ§»¯Ôºµ¡ÒÃÂ×¹Âѹ¡ÒÃÇÔ¹¨©ÑÂâä Ñ Ô Ô âäàª×ÍÃÒ·ÕàÅ纹ѹ¾ºä´ŒºÍÂâ´ÂÁÕ»¨¨ÑÂàÊÕÂ§ã¹¡ÅØÁ·ÕÁÍÒÂØÁÒ¡ à¾ÈªÒ ÁÕâäËÇÁ ઋ¹ é è é ‹ ˜ è ‹ è Õ àºÒËÇÒ¹ ÀÒÇоËͧÀÙÁԤ،Á¡Ñ¹ ÀÒÇÐà˧×èÍÍÍ¡ÁÒ¡ ¡ÒÃäËÅàÇÕ¹¢Í§ËÅÍ´àÅ×ʹʋǹ»ÅÒÂäÁ‹´Õ ÁÕÀÂѹµÃÒµ‹ÍàÅ纺‹ÍÂæ áÅÐÁÕ¤ÇÒÁ¼Ô´ÃÙ»¢Í§àÅçºÍÂ١͹ àÅçºà·ŒÒ¾ºâäàª×ÍÃÒ·ÕàÅçºä´ŒºÍ¡NjÒàÅçº ‹ ‹ é è ‹ Á×ÍÁÒ¡ ´ŒÇÂÁÕ»¨¨ÑÂËÅÒ»ÃСÒ÷ÕʹѺʹعãËŒà¡Ô´âä·ÕàÅçºà·ŒÒÁÒ¡¡Ç‹ÒàÅçºÁ×Í ˜ è è ÅѡɳСÒÃà»ÅÕ¹á»Å§¢Í§àÅ纷շÒãˌʧÊÑÂÇ‹Ò໚¹âäàª×ÍÃҹѹÁÕËÅÒ»ÃСÒà â´Â·ÑÇä» è è í é é è áŌǨíҹǹ¢Í§àÅ纷Õ໚¹âäàª×ÍÃÒÁÑ¡¨ÐÁÕà¾Õ§äÁ‹¡àÅçº ¼Ù»Ç·ÕÁ¤ÇÒÁ¼Ô´»¡µÔËÅÒÂæ àÅ纨íҹǹ è é Õè Œ † è Õ ÁÒ¡ÁÑ¡¨Ð໚¹âäÁÒ¹Ò¹ÁÒ¡â´ÂäÁ‹Ê¹ã¨ã¹¤ÇÒÁ¼Ô´»¡µÔ¢Í§àÅçºËÃ×ÍÁԩйѹ¡çÁ¡¨ÐÁÕÀÒÇÐÀÙÁ¤Á¡Ñ¹ é Ñ Ô ØŒ º¡¾Ã‹Í§Ã‹ÇÁÍÂÙ‹´ŒÇ â´Â·ÑèÇä»áÅŒÇâäàª×éÍÃÒ·ÕèàÅ纨ÐäÁ‹ÁÕÍÒ¡ÒÃã´æ ·Ñé§ÍÒ¡ÒûǴ ÍÒ¡ÒÃªÒ ÍÒ¡Òäѹ ËÃ×ÍÍÒ¡ÒÃÍ׹㴷շÒãËŒµÍ§ÁÒ¾ºá¾·Â ¡àÇŒ¹Ç‹ÒÍÒ¡ÒÃàËŋҹѹà¡Ô´¨Ò¡âä¼ÔÇ˹ѧËÃ×Í è è í Œ é ÀÒÇÐÍ×¹æ ÃÇÁ·Ñ§âä¡ÅÒ¡·Õ¼Ç˹ѧ Íѹ໚¹à˵ØãËŒ¼»ÇµŒÍ§ÁÒ¾ºá¾·Â ËÒ¡¾ºàÅçºËÅÒÂæ àÅçº è é è Ô ÙŒ † â´Â੾ÒÐà¡×ͺ·Ø¡àÅ红ͧ·Ñ§àÅçºÁ×ÍáÅÐà·ŒÒÁÕ¤ÇÒÁ¼Ô´»¡µÔ¡¹Ò¨Ð¹Ö¡¶Ö§¤ÇÒÁ¼Ô´»¡µÔ¢Í§àÅ纨ҡâä é ç ‹ ·Ò§¡ÒÂÁÒ¡¡Ç‹Ò ¤ÇÒÁ¼Ô´»¡µÔ¢Í§àÅçºÁÕµ§áµ‹¡ÒÃ˹ҵÑǢֹ㵌àÅçº (subungual hyperkeratosis) ¨¹à¡Ô´ÀÒÇÐ Ñé é µÑÇàÅçº (nail plate) á¡ÍÍ¡¨Ò¡°Ò¹àÅçº (nail bed) ·ÕàÃÕÂ¡Ç‹Ò onycholysis ÁÕ¼ÇàÅ红آÃÐäÁ‹àÃÕº è Ô ÅѡɳÐàËÁ×͹ÁÕ¡ÒüءË͹·ÕµÇàÅçº ËÃ×ÍÁÕ¡ÒÃà»ÅÕ¹á»Å§¢Í§ÊÕàÅ纷վºº‹ÍÂÁÕšɳТÒÇ·Öº¢Ø¹ è Ñ è è Ñ ‹
  • 83.
    56 .ungal Skin Infection: A Neighbourhood Touch ËÃ×Í¢ÒÇ໚¹¢ØÂ ËÃ×ÍÍÒ¨¨ÐÁÕÊÍ¹æ ·ÕàÅçº ºÒ§¤Ãѧ¾ºÅѡɳзռÇàÅçºàÃÕº»¡µÔᵋÁ¤ÇÒÁ¼Ô´»¡µÔ Õ ×è è é è Ô Õ ÍÂٷ㵌àÅçºà»š¹µŒ¹ ໚¹·Õ¹ÒÊѧࡵNjҡÒþºÁÕšɳÐàÅçºà»š¹ËÅØÁ (pitting nail) «Ö§¾ºä´Œã¹âä¢Í§ ‹ Õè è ‹ Ñ è àÅçºËÅÒÂâäઋ¹âäÊÐà¡ç´à§Ô¹·ÕàÅçºà»š¹¤ÇÒÁ¼Ô´»¡µÔ·Á¡äÁ‹ãª‹ÊÒà˵بҡâäàª×ÍÃҢͧàÅçº è Õè Ñ é µíÒá˹‹§¢Í§¡ÒÃà¡Ô´¹Ñ¹¨Ð¾ºä´ŒºÍÂã¹Ê‹Ç¹»ÅÒÂáÅдŒÒ¹¢ŒÒ§¢Í§àÅçº ·Ñ§¹Õ¨ÐÊÍ´¤ÅŒÍ§¡Ñº é ‹ é é ÅѡɳЪ¹Ô´¢Í§àª×ÍÃÒ·ÕàÅ纷վºº‹Í·ÕÊ´¤×ͪ¹Ô´·ÕàÃÕÂ¡Ç‹Ò distal lateral subungual onychomycosis é è è èØ è (DLSO) «Ö§ÁÕ¤ÇÒÁ¼Ô´»¡µÔàÃÔÁ¨Ò¡Ê‹Ç¹»ÅÒÂËÃ×Í´ŒÒ¹¢ŒÒ§¢Í§àÅçºäŋࢌÒÁÒËÒʋǹµŒ¹¢Í§àÅçºà¾ÃÒÐ è è àª×ÍÃÒࢌҨҡ·Ò§ hyponychium ¢Í§Ê‹Ç¹ distal áÅÐ lateral ¹Ñ¹àͧ ËÃ×ÍÁԩйѹ¡çÊÒÁÒö¾º¤ÇÒÁ é è é ¼Ô´»¡µÔ¢Í§µÑÇàÅ纨ҡ¼ÔÇàÅçº¹Í¡ÊØ´ â´ÂÍÒ¨àËç¹ÁÕ¡ÒÃà»ÅÕè¹á»Å§¢Í§¼ÔÇàÅçºàª‹¹à»š¹ÊÕ¢ÒÇ à¾ÃÒÐà¡Ô´¨Ò¡àª×ÍࢌÒâ´ÂµÃ§·ÕµÇàÅçº â´Â੾ÒÐàÅçºà·ŒÒ«Ö§¨ÐÊÍ´¤ÅŒÍ§¡ÑºÅѡɳзվºä´ŒÃͧŧÁÒ é è Ñ è è ¨Ò¡ DLSO ·ÕàÃÕÂ¡Ç‹Ò white superficial onychomycosis (WSO) ʋǹµŒ¹¢Í§µÑÇàÅçº (proximal part è of the nail plate) ·ÕÁ¡ÒÃà»ÅÕ¹á»Å§µÑ§ááàÃÔÁ¹Ñ¹¾ºä´Œ¹ÍÂÁÒ¡à¾ÃÒÐ໚¹ª¹Ô´¢Í§àª×ÍÃÒ·ÕàÅçº è Õ è é è é Œ é è ·ÕàÃÕÂ¡Ç‹Ò proximal subungual onychomycosis (PSO) «Ö§ÍÒ¨µŒÍ§ËÒÀÒÇоËͧÀÙÁ¤Á¡Ñ¹ã¹¡Ã³Õ¹Õé è è Ô ØŒ ¡ÒõÃǨ·Ò§ËŒÍ§»¯Ôºµ¡ÒÃã¹âäàª×ÍÃÒ·ÕàÅçºÁÕ¤ÇÒÁÊíҤѭÁҡ㹡ÒÃÇÔ¹¨©ÑÂâä ¤Ç÷íÒ Ñ Ô é è Ô ·Ø¡ÃÒÂà¾×èÍ㪌·Ñé§¡ÒÃÇÔ¹Ô¨©ÑÂâäµÑé§áµ‹ááàÃÔèÁ áÅÐà¾×è͵ԴµÒÁ¡ÒÃÃÑ¡ÉÒ ¡ÒÃ㪌ᵋà¾Õ§ÅѡɳРÀÒ¹͡ᵋà¾Õ§Í‹ҧà´ÕÂÇ㹡ÒÃÇÔ¹¨©ÑÂÍÒ¨·íÒãËŒ¡ÒÃÇÔ¹¨©Ñ¼Դ¾ÅÒ´ ໚¹à˵ØãËŒ¼»ÇÂ䴌úÂÒ Ô Ô ÙŒ † Ñ µŒÒ¹àª×éÍÃÒâ´Â੾ÒÐ¡ÅØ‹ÁÂÒÃѺ»Ãзҹâ´ÂäÁ‹¨íÒ໚¹ ÂÒÁÕÃÒ¤ÒÊÙ§ µŒÍ§ãªŒÃÐÂÐàÇÅÒ㹡ÒÃÃÑ¡ÉÒ ÂÒǹҹËÅÒÂà´×͹ àÊÕ§µ‹Í¼Å¢ŒÒ§à¤Õ§áÅл¯Ô¡ÃÂÒÃÐËNjҧÂÒËÅÒª¹Ô´ ¡ÒõÃǨ·Ò§ËŒÍ§»¯ÔºµÔ è ÔÔ Ñ ¡ÒÃÊÒÁÒö·íÒä´Œ§‹ÒÂã¹à¡×ͺ·Ø¡Ë¹‹ÇºÃÔ¡Ò÷ҧ¡ÒÃᾷ ¤×Í¡ÒõÃǨ´ŒÇÂÊÒÃÅÐÅÒ KOH ¡ÒõÃǨˌͧ»¯Ôºµ¡Òõ‹ÍÁÒ·Õ¤Ç÷íÒ໚¹Í‹ҧÂÔ§â´Â੾ÒÐâäàª×ÍÃÒ·ÕàÅçºà·ŒÒ ¶Ö§áÁŒÇҨТŒÍ¨íÒ¡Ñ´ Ñ Ô è è é è ‹ ·Õ¨ÐÊÒÁÒö¡ÃзíÒä´Œã¹Ê¶ÒºÑ¹¡ÒÃᾷºÒ§áË‹§¡ç¤Í¡ÒÃà¾ÒÐàª×ÍÃÒáÅСÒèíÒṡàª×ÍÃÒ¡‹Íâä è × é é Í‹ҧäáçµÒÁ¡ÒõÃǨ KOH ·ÕÍÒ¨¨Ð´ÙÇÒ¡ÃзíÒä´Œ§Ò äÁ‹«º«ŒÍ¹ ÃÒ¤ÒäÁ‹á¾§ ä´Œ¼Å¡ÒÃ è ‹ ‹ Ñ µÃǨ·ÕÃÇ´àÃçÇÊÒÁÒöÃͼÅä´Œ¹¹ Âѧ໚¹Ëѵ¶¡Ò÷Õ§µŒÍ§ÍÒÈÑ·ѧ·Ñ¡ÉÐáÅлÃÐʺ¡Òóã¹¡Òô٠è Ñé è Ñ é áÅÐá»Å¼Å ÍÒ¨¾º¼ÅºÇ¡Åǧ ¼ÅźÅǧ䴌 â´Â੾ÒÐàÅ纫֧໚¹ keratin ·ÕÁ¤ÇÒÁ˹ÒÁÒ¡¡Ç‹Ò è è Õ ¢ØÂ·Õèä´Œ¨Ò¡¼ÔÇ˹ѧÁÒ¡µŒÍ§ãªŒÃÐÂÐàÇÅÒ㹡ÒÃÅÐÅÒ¢ͧ¢ØÂ·ÕèÂÒǹҹ¡Ç‹Ò¼ÔÇ˹ѧ ¡ÒÃÃÕº´ÙÍ‹ҧ ÃÇ´àÃçÇÍÒ¨à¡Ô´¼ÅźÅǧ ¡Ãкǹ¡ÒÃ㹡ÒõÃǨ·Ò§ËŒÍ§»¯Ôºµ¡Ò÷ѧ¡ÒôٴÇ KOH áÅСÒÃà¾ÒÐàª×ÍÃҹѹµŒÍ§àÃÔÁ Ñ Ô é Œ é é è ÁÒ¨Ò¡ ¡ÒÃà¡çºÊÔè§Ê‹§µÃǨÍ‹ҧ¶Ù¡µŒÍ§ ¡ÒõÃÕÂÁ slide à¾×èÍ¡ÒõÃǨ áÅСÒÃá»Å¼Å¡ÒõÃǨ µÒÁÅíҴѺ ¡ÒÃà¡çºÊÔ§Ê‹§µÃǨÍ‹ҧ¶Ù¡µŒÍ§ÁÕ¤ÇÒÁÊíҤѭÁÒ¡à¾ÃÒШзíÒãˌ䴌ʧʋ§µÃǨ·Õ¾ºÁÕàª×ÍÃÒ è Ôè è é ¡‹ÍâäÍÂÙ¨ÃÔ§æ ËÅÕ¡àÅÕ§¡Òþºàª×ÍÃÒ¡ÅØÁ»¹à»„͹ «Ö§¾ºÍÂÙµÒÁÊÔ§áÇ´ÅŒÍÁ ã¹¼Ù»ÇÂËÅÒÂÃÒ ‹ è é ‹ œ è ‹ è Œ † àª×ÍÃÒ»¹à»„͹àËŋҹաÍҨ໚¹µŒ¹à˵آͧ¡ÒÃà¡Ô´âä·ÕàÅçºä´Œâ´ÂµÃ§áµ‹¡µÍ§ÁÕËÅѡࡳ±ã¹¡ÒÃ é œ é ç è ç Œ ÇÔ¹¨©ÑÂâä¡ÅØÁ¹Õé Ô ‹ ¡ÒÃà¡çºÊÔ§Ê‹§µÃǨ¨Ò¡àÅ红ֹ¡Ñºª¹Ô´¢Í§àª×ÍÃÒ·ÕàÅ纹ѹ¶ŒÒ໚¹ª¹Ô´ DLSO «Ö§¾ºä´ŒºÍ è é é è é è ‹ ·ÕÊ´¹Ñ¹¤ÇÃà¡çºÊÔ§Ê‹§µÃǨ¨Ò¡ÃÍÂâä¢Í§àÅ纨ҡʋǹ·ÕÍÂÙã¡ÅŒ·Ê´¢Í§ nail bed ·Õ»¡µÔ â´Â¡ÒÃ㪌 èØ é è è ‹ Õè Ø è
  • 84.
    àǪÈÒʵÏ·¹Âؤ 2553 Ñ 57 ¡ÃÃä¡ÃµÑ´àÅçº µÑ´Ê‹Ç¹»ÅÒ¢ͧàÅ纷ÕÁ¡¨ÐᡵÑÇÍÍ¡ ¤×͵Ѵʋǹ·Õ໚¹ onycholysis ÍÍ¡ ÃÇÁ·Ñ§ è Ñ è é ʋǹàÅ纷Õ˹ҵÑÇ â´ÂµÑ´à¢ŒÒä»ËÒʋǹ·ÕÍÂÙ‹ proximal ¡Ç‹Ò¨¹¶Ö§Ã͵‹Í¢Í§àÅ纷մ»¡µÔ à¾ÃÒеíÒá˹‹§ è è è Ù ¹Õ໚¹Ê‹Ç¹·ÕÊÒÁÒö¾ºàª×ÍÃÒ·ÕÁªÇµ (viable fungi) ä´ŒÁÒ¡·ÕÊ´ ËÅѧ¨Ò¡¹Ñ¹ãªŒÁ´¼‹ÒµÑ´ËÃ×Í curette é è é è Õ ÕÔ èØ é Õ ¢Ù´àÍÒʋǹ·Õ˹ҵÑǢͧ nail bed ¡Òþºàª×ÍÃÒ·ÕàÅçºà·ŒÒâ´Â੾ÒÐàª×Í¡ÅÒ¡¨ÐÁÕ¤ÇÒÁÊÑÁ¾Ñ¹¸ è é è é ¾ºº‹Í¡Ѻ¡Òþºâäàª×éÍÃÒ·Õèà·ŒÒàͧ ઋ¹¾ºâä¡ÅÒ¡·Õèà·ŒÒ (tinea pedis) ËÇÁ¡Ñº¡ÅÒ¡·ÕèàÅçº (tinea ungium) 㹡ÒÃà¡çºÊÔ§Ê‹§µÃǨ¡ç¤ÇÃà¡çº·Ñ§·ÕàÅçºà·ŒÒ áÅзÕ෌ҾÌÍÁæ¡Ñ¹ è é è è
  • 86.
    àǪÈÒʵÏ·¹Âؤ 2553 Ñ º··Õè 59 9 âäàª×éÍÃÒ·Õè¼ÔÇ˹ѧªÑé¹ÅÖ¡ (Deep .ungal Skin Infection) ÍÒ¨ÒÏ ᾷ˭ԧà¾ç­Ç´Õ ¾Ñ²¹»ÃÕªÒ¡ØÅ ÀÒ¤ÇÔªÒµ¨ÇÔ·ÂÒ ¤³Ðá¾·ÂÈÒʵÏÈÃÃÒª¾ÂÒºÒÅ ÁËÒÇÔ·ÂÒÅÑÂÁËÔ´Å ÔÔ âäàª×ÍÃÒ·Õ¼Ç˹ѧªÑ¹ÅÖ¡»ÃСͺ´ŒÇ 2 ¡ÅØÁ âäãË­‹æ ¤×Íâäàª×ÍÃÒ·Õ¼Ç˹ѧªÑ¹Å֡੾ÒзÕè é è Ô é ‹ é è Ô é (subcutaneous mycoses) áÅÐ âäàª×ÍÃÒã¹Ã‹Ò§¡Ò·ÕÁ¡ÒáÃШÒÂÁÒÊÙ¼Ç˹ѧ (systemic mycoses) é è Õ ‹ Ô â´Âã¹ÀÒÇÐááÁÑ¡à¡Ô´¨Ò¡¡ÒÃ䴌úàª×ÍÃÒ¡‹Íâä·Õ»¹à»„͹ÍÂÙã¹ÊÔ§áÇ´ÅŒÍÁÀÒ¹͡ઋ¹ ´Ô¹ ¹éÒ Ñ é è œ ‹ è í áÁŧºÒ§ª¹Ô´ ËÃ×ͫҡ¾×ª«Ò¡ÊѵǏ â´Âàª×ÍÃҨм‹Ò¹à¢ŒÒÊÙ¼Ç˹ѧ·Ò§ºÒ´á¼Å ÁÕÃÒÂ§Ò¹ÍØºµ¡Òó é ‹ Ô Ñ Ô ¢Í§âä䴌º‹ÍÂã¹á¶º»ÃÐà·È·ÕèÍÂÙ‹ã¹à¢µÃŒÍ¹ª×é¹â´Â੾ÒÐã¹»ÃÐà·Èä·Â¡ç¾ºÁÕ¼ÙŒ»†Ç·Õè໚¹ âäàª×ÍÃÒ·Õ¼Ç˹ѧªÑ¹Å֡੾ÒзÕÍÂÙ໚¹ÃÐÂÐ ÊíÒËÃѺ systemic mycoses ໚¹ÀÒÇзÕà¡Ô´¨Ò¡¡Òà é è Ô é è ‹ è µÔ´àª×ÍÃÒ©ÇÂâÍ¡ÒÊ (opportunistic infection) ·Õ¾ºã¹¡ÅØÁ¼Ù»Ç·ÕÁÀÒÇÐÀÙÁ¤Á¡Ñ¹º¡¾Ã‹Í§ ઋ¹ é è ‹ Œ † è Õ Ô ØŒ ¼Ù»Ç·Õ䴌úà¤ÁպҺѴËÃ×ͼٻÇÂàʹʏ «Ö§ÁÑ¡¨ÐÁÕÍÒ¡ÒÃáÅÐÍÒ¡ÒÃáÊ´§¢Í§¡ÒõԴàª×Íã¹ËÅÒÂÃкº Œ † è Ñ í Œ † è é ËÇÁ´ŒÇ ઋ¹ Ãкº·Ò§à´Ô¹ËÒÂ㨠áÅÐ ÃкºäËÅàÇÕ¹àÅ×Í´(1) ´Ñ§¹Ñ鹡ÒÃÃÙŒáÅÐࢌÒ㨶֧ÊÒà赯 ¾ÂÒ¸ÔÊÀÒ¾¢Í§âäáÅСÒôíÒà¹Ô¹âä¨Ðª‹ÇÂãˌᾷáÅкؤ¤Åҡ÷ҧ¡ÒÃᾷÊÒÁÒöãËŒ¡Òà ÃÑ¡ÉÒáÅдÙáżٻÇÂ䴌͋ҧÁÕ»ÃÐÊÔ·¸ÔÀÒ¾ ã¹·Õ¹¨Ð¢Í¡Å‹ÒǶ֧ subcutaneous mycoses ໚¹ËÅÑ¡ Œ † è Õé à¹×ͧ¨Ò¡à»š¹ÀÒÇзÕÁ¡ÒôíÒà¹Ô¹âä·Õ¤Í¹¢ŒÒ§àÃ×ÍÃѧ «Ö§¡ÒÃÃÑ¡ÉÒ¨íÒ໚¹µŒÍ§ÍÒÈÑÂÂÒµŒÒ¹àª×ÍÃÒ è è Õ è ‹ é è é ª¹Ô´ÃѺ»Ãзҹ໚¹ÃÐÂÐàÇÅÒ¹Ò¹ ËÇÁ¡Ñº¡Òü‹ÒµÑ´ºÃÔàdzÃÍÂâä·Õ¼Ç˹ѧÍÍ¡ (surgical excision) è Ô ËÃ×Í㪌¡ÒÃÃÑ¡ÉÒÇԸ͹æÃ‹ÇÁ´ŒÇ ઋ¹ ¤ÇÒÁÌ͹»ÃФº (local heat therapy) ËÃ×Í ¡Òþ‹¹¤ÇÒÁàÂç¹ Õ ×è (cryotherapy)(2) âäàª×ÍÃÒ·Õ¼Ç˹ѧª¹Ô´ subcutaneous mycoses »ÃСͺ´ŒÇ 5 âäÊíҤѭ·Õ¤Ç÷ÃÒº¤×Í é è Ô è 1. Sporotrichosis 2. Chromoblastomycosis 3. Mycetoma 4. Pheohyphomycosis 5. Subcutaneous Zygomycosis ÊíÒËÃѺÊíÒËÃѺâäÍ×¹ã¹¡ÅØÁ¹Õ«§¾ºäÁ‹ºÍÂáÅÐäÁ‹¤Í¾ºã¹»ÃÐà·Èä·Â ¤×Í Lobomycosis è ‹ é Öè ‹ ‹ áÅÐ Rhinosporidiosis ¨ÐäÁ‹¡Å‹ÒǶ֧㹺·¤ÇÒÁ¹Õé
  • 87.
    60 âäàª×ÍÃÒ·Õ¼Ç˹ѧªÑ¹ÅÖ¡ é è Ô é 1. Sporotrichosis ໚¹âäµÔ´àª×éÍÃÒ·ÕèÁÕÍÒ¡ÒÃáÊ´§¢Í§ÃÍÂâä·Õè¼ÔÇ˹ѧËÇÁ¡Ñº¡ÒõԴàª×éÍ·ÕèËÅÍ´¹éíÒàËÅ×ͧ (lymphatic involvement) ÁÕ¡ÒôíÒà¹Ô¹âä·ÕàÃ×ÍÃѧ áÅÐÁÕÃÒ§ҹ¡ÒáÃШÒ¢ͧâää»ÂѧºÃÔàdzÍ×¹ è é è ¢Í§Ã‹Ò§¡Ò ઋ¹ ¡Ãд١áÅÐÍÇÑÂÇÐÀÒÂã¹Ã‹Ò§¡Ò àª×ÍÃÒ¡‹Íâä ¤×Í Sporothrix schenckii ໚¹ é àª×éÍÃÒ·ÕèÁÕ 2 ÃٻẺ (dimorphic fungi) ÍÒÈÑÂÍÂÙ‹ã¹ÊÔè§áÇ´ÅŒÍÁµÒÁ¸ÃÃÁªÒµÔâ´Â¨ÐÍÂÙ‹ã¹ÃÙ»¢Í§ ¡ÒÃÊÌҧÊÒÂÃÒ㹸ÃÃÁªÒµÔ (mold) ᵋàÁ×ÍÁÕ¡ÒõԴàª×ÍࢌÒÊÙÃÒ§¡Ò¨ÐÍÂÙã¹ÃÙ»¢Í§ÂÕʵ ¡ÒõԴàª×Í è é ‹‹ ‹ é ࢌÒÊÙ¼Ç˹ѧ¼‹Ò¹·Ò§ºÒ´á¼Å·Õ»¹à»„͹àª×ͨҡ¡Òö١˹ÒÁ·ÔÁµíÒ ¡Òö١ÊѵǏ ઋ¹ ˹٠¡Ãе‹ÒÂ, ‹ Ô è œ é è ÊØ¹¢, áÁÇ ¡Ñ´áÅŒÇÁÕàª×Í»¹à»„͹¨Ò¡ÊÔ§áÇ´ÅŒÍÁ¼‹Ò¹à¢ŒÒÊÙ¼Ç˹ѧºÃÔàdzºÒ´á¼Å ÁÕÃÒÂ§Ò¹ÍØºµ¡Òó Ñ é œ è ‹ Ô Ñ Ô ¢Í§âäã¹á¶º»ÃÐà·È·ÕÁÍÒ¡ÒÈÌ͹áÅÐÌ͹ª×¹ ઋ¹ áÍ¿ÃÔ¡Ò㵌, àÁ¡«Ôâ¡, ºÃÒ«ÔÅ áÅлÃÐà·È è Õ é ã¹àÍàªÕ ¾ÂÒ¸ÔÊÃÕÃÇÔ·ÂÒáÅÐÊÒà赯 àÁ×Íàª×Í¡‹Íâ伋ҹࢌÒÊÙ¼Ç˹ѧ¢Í§¼Ù»Ç ¨ÐÁÕÃÐÂп˜¡µÑÇ »ÃÐÁÒ³ 7 – 30 Çѹ ¡‹Í¹à¡Ô´ è é ‹ Ô Œ † ÃÍÂâä·Õè¼ÔÇ˹ѧ ¼ÙŒ»†ÇºҧÃÒ¨ÐäÁ‹ÁÕÍÒ¡ÒÃáÊ´§¢Í§âäᵋµÃǨ¾ºÁÕÀÙÁÔµŒÒ¹·Ò¹µ‹Íàª×éÍâä¹Õé à¡Ô´¢Ö¹ä´Œ â´Â੾ÒÐ㹤¹·Õ·Ò§Ò¹à¡ÕÂǡѺ¾×ª¼Ñ¡ â´Â·íÒ¡Ò÷´Êͺ·Õ¼Ç˹ѧ´ŒÇ Sporotrichin é è í è è Ô ãËŒ¼ÅºÇ¡ ã¹¼ÙŒ»†ÇÂàͪäÍÇÕ ¾ºÁÕÃÒ§ҹ¡ÒõԴàª×éÍẺ¡ÃШÒÂã¹ËÅÒÂÃкº¢Í§Ã‹Ò§¡Ò (disseminated sporotrichosis) (1,3) ÅѡɳÐÍÒ¡Ò÷ҧ¤ÅÔ¹Ô¡ ÍÒ¡ÒÃáÊ´§·Ò§¤ÅÔ¹¡¢Í§ sporotrichosis ẋ§à»š¹ 2 Ẻ ¤×Í subcutaneous form áÅÐ Ô systemic form â´Â¾º subcutaneous from ä´ŒºÍ¡NjÒáÅÐẋ§à»š¹ 2 »ÃÐàÀ· ¤×Í ‹ 1. Lymphangitic form ¾ºà»š¹á¼ÅᵡËÅÒµíÒá˹‹§µÒÁºÃÔàdzᢹ ¢Ò, à·ŒÒ ·Õã¡ÅŒ¡º è Ñ ºÒ´á¼Å·Õàª×ÍࢌÒÊÙ¼Ç˹ѧ â´Âá¼Å¨ÐàÃÕ§µÑÇ໚¹àÊŒ¹µÒÁ·Ò§à´Ô¹¹éÒàËÅ×ͧ áÅÐÁÕ¡ÒÃÍÑ¡àʺ¢Í§ è é ‹ Ô í ·‹Í¹éÒàËÅ×ͧËÇÁ´ŒÇ ( ÃÙ»·Õ1) í è ÃÙ»·Õè 1 ÃÍÂâäµÒÁá¹Ç·‹Í¹éíÒàËÅ×ͧ㹠sporotrichosis
  • 88.
    àǪÈÒʵÏ·¹Âؤ 2553 Ñ 61 2. .ixed form «Ö§µíÒá˹‹§¢Í§ÃÍÂâä¨ÐÍÂÙ੾ÒзÕè ÁÕä´ŒËÅÒÂÃٻẺ ઋ¹ papulonodular, è ‹ ulcerous ËÃ×Í verrucous variant ÊíÒËÃѺ systemic form ¢Í§ sporotrichosis ¹Ñ¹ ¨ÐÁÕÃÍÂâä é ã¹ËÅÒÂÍÇÑÂÇй͡¨Ò¡¼ÔÇ˹ѧ ઋ¹ ·Õ»Í´Ã‹ÇÁ¡ÑºÁÕ¢ÍÍÑ¡àʺ (arthritis) áÅÐ àÂ×ÍËØÁÊÁͧÍÑ¡àʺ è Œ è Œ (meningitis) ä´Œ ¡ÒõÃǨ·Ò§ËŒÍ§»¯Ôºµ¡ÒÃ Ñ Ô ¡ÒõÃǨŒÍÁàª×ͨҡ˹ͧ·Õä´Œ¨Ò¡ºÒ´á¼Å ËÃ×Í¡ÒõѴªÔ¹à¹×ͨҡÃÍÂâä â´Â¨Ð¾ºÂÕʵ é è é é 䴌ᵋÁ¨Ò¹Ç¹¹ŒÍ áÅÐÊÒÁÒöà¾ÒÐàÅÕ§àª×Íâ´Â㪌 Sabouraud’s dextrose agar â´Â¨Ðà¡Ô´â¤âÅ¹Õ Õí é é ¢Í§ÊÒÂÃÒ·Õè 25 C áÅÐàÁ×Íà¾ÒÐàÅÕ§àª×Í´ŒÇ Brain-heart infusion agar ·ÕͳËÀÙÁÔ 37°C ÊíÒËÃѺ¡Òà í è é é èØ µÃǨªÔ¹à¹×Í·Ò§¨ØÅ¾ÂÒ¸ÔÇ·ÂҨоº¡ÒÃÍÑ¡àʺª¹Ô´á¡Ã¹ÙâÅÁÒ Ã‹ÇÁ¡ÑºÁÕ¡ÒÃÃÇÁµÑǢͧ¹ÔÇâµÃ¿Å é é Ô áÅоºÂÕʵ ÃٻËҧÃÕ ËÃ×Í cigar-shape »¹ÍÂÙä´Œ ‹ ¡ÒÃÃÑ¡ÉÒáÅСÒþÂҡóâä ÁÕ¡ÒÃ㪌ÂÒµŒÒ¹àª×ÍÃÒ àª‹¹ potassium iodide 4-6 ÁÅ.ÇѹÅÐ 3 ¤Ãѧ (4-6 ¡ÃÑÁ/Çѹ ), itraconazole é é 100-200 Á¡./Çѹ ËÃ×Í terbinafine 250-500 Á¡./Çѹ µÔ´µ‹Í¡Ñ¹»ÃÐÁÒ³ 3-6 à´×͹ËÇÁ¡Ñº¡ÒûÃФº Ì͹ (local heat therapy) ÊíÒËÃѺ¡ÒõԴàª×ÍẺ¡ÃШÒÂËÅÒÂÃкº¤ÇþԨÒóÒ㪌 amphotericin é B ·Ò§ËÅÍ´àÅ×Í´´íÒ â´ÂãËŒÂÒµ‹Íä»ÍÕ¡»ÃÐÁÒ³ 1 ÊÑ»´ÒˏËÅѧÃÍÂâäËÃ×ÍÍÒ¡Ò÷ҧ¤ÅÔ¹¡´Õ¢¹ Ô Öé ËÃ×ÍËÒÂáÅŒÇ (2) 2. Chromoblastomycosis (Chromomycosis) ໚¹âäµÔ´àª×ÍÃÒ·Õ¼Ç˹ѧªÑ¹ÅÖ¡·ÕÁ¡ÒôíÒà¹Ô¹âäàÃ×ÍÃѧâ´Âà¡Ô´¨Ò¡ ÃÒ´íÒ (dematiaceous é è Ô é è Õ é fungi) â´ÂÁѡ໚¹¡ÒõԴàª×Í੾Òзշ·ÒãËŒà¡Ô´ÃÍÂâäºÃÔàdz¼ÔÇ˹ѧ·Õ¤ÍÂæ ÅÒÁáÅТÂÒ¢¹Ò´ é è Õè í è ‹ Í‹ҧªŒÒæ â´Â¾ºÅѡɳШíÒà¾ÒТͧàª×éÍ¡‹Íâä໚¹à«ÅŏÃÙ»¡ÅÁ ·ÕèÁÕ¼¹Ñ§Ë¹ÒÊÕ¹éíÒµÒÅËÃ×Í´íÒ ÍÂÙ‹à´ÕèÂÇæ ËÃ×Í໚¹¡ÅØ‹ÁàÃÕÂ¡Ç‹Ò sclerotic body ËÃ×Í muriform body â´ÂÁÕÍØºÑµÔ¡Òó¢Í§âä ã¹·ÇÕ»ÍàÁÃÔ¡Ò¡ÅÒ§, ÍàÁÃÔ¡Ò㵌, áÍ¿ÃÔ¡ÒáÅÐàÍàªÕÂ(4) ¾ÂÒ¸ÔÊÃÕÃÇÔ·ÂÒáÅÐÊÒà赯 àª×Í¡‹Íâä໚¹àª×ÍÃÒ´íÒ·ÕÍÂÙã¹ÊÔ§áÇ´ÅŒÍÁ (saprophytic fungi) â´Â¾ºä´Œã¹ ¹éÒ, ´Ô¹, «Ò¡¾×ª é é è ‹ è í áÅСԧäÁŒ·Çä»â´Âàª×ͨм‹Ò¹à¢ŒÒÊÙºÒ´á¼ÅáŌǡ‹ÍãËŒà¡Ô´ÃÍÂâä¢Ö¹ àª×Í·Õ¾ºº‹Í¤×Í Phialophora è Ñè é ‹ é é è verrucosa, .onsecaea pedrosoi, .onsecaea compactum, Wangiella dermatitidis áÅÐ Cladophialophora carrionii â´Âàª×éͨСÃе،¹ãËŒà¡Ô´¡ÒÃÍÑ¡àʺẺá¡Ã¹ÙâÅÁÒáÅзíÒãËŒÁÕ¡Òà ˹ҵÑÇ¢Ö¹¢Í§¼ÔÇ˹ѧ㹪ѹ˹ѧ¡íҾÌÒÍ‹ҧÁÒ¡ ·ÕàÃÕÂ¡Ç‹Ò pseudoepitheliomatous hyperplasia é é è
  • 89.
    62 âäàª×ÍÃÒ·Õ¼Ç˹ѧªÑ¹ÅÖ¡ é è Ô é ÅѡɳÐÍÒ¡Ò÷ҧ¤ÅÔ¹Ô¡ à¡Ô´ÃÍÂâäÁÑ¡à¡Ô´ºÃÔàdzµíÒá˹‹§·Õ¶¡¡ÃÐá·¡ä´ŒºÍ ઋ¹ ᢹ ¢Ò à·ŒÒ ÁÕšɳÐ໚¹»„¹ è Ù ‹ Ñ œ Ë¹Ò ¼ÔÇ¢ÃØ¢ÃÐ ¤‹ÍÂæÅÒÁªŒÒæ â´Â੾ÒкÃÔàdz¢Íº¢Í§ÃÍÂâä¨Ð¤‹ÍÂæ ¢ÂÒ¡njҧÍÍ¡ 㪌àÇÅÒ ¹Ò¹à»š¹à´×͹¶Ö§à»š¹»‚ â´ÂäÁ‹ÁÍÒ¡ÒüԴ»¡µÔ͹ Áպҧʋǹ¢Í§ÃÍÂâä·ÕËÒÂä´ŒàͧáŌǡÅÒÂ໚¹ Õ ×è è á¼Å໚¹ (ÃÙ»·Õè 2) «Ö§¨Ò¡ÅѡɳÐÃÍÂâä´Ñ§¡Å‹ÒǵŒÍ§·íÒ¡ÒÃÇÔ¹¨©ÑÂá¡âä¨Ò¡ÃÍÂâä·Õà¡Ô´¨Ò¡àª×Í è Ô è é Çѳâä·ÕèÁÕÅÑ¡É³Ð¢ÃØ¢ÃÐ (tuberculosis verrucosa cutis; TVC) áÅÐÃÍÂâä·Õèà¡Ô´¨Ò¡àª×éÍ ÁÑÂâ¤áº¤·ÕàÃÕª¹Ô´Í×¹æ (nontuberculous mycobacterial infection; NTM) è ÃÙ»·Õè 2 ÃÍÂâä¢ÃØ¢ÃТ¹Ò´ãË­‹ã¹ chromyblastomycosis ¡ÒõÃǨ·Ò§ËŒÍ§»¯Ôºµ¡ÒÃ Ñ Ô ¡ÒâٴºÃÔàdz¼ÔǢͧÃÍÂâä (skin scraping) à¾×Í仵ÃǨâ´ÂÇÔ¸Õ KOH examination ¨ÐÊÒ è ÁÒö¾º sclerotic bodies ËÃ×Í muriform bodies (ÃÙ»·Õè 3) ä´Œ ¡ÒõѴªÔ¹à¹×͵ÃǨ·Ò§¨ØÅ¾ÂÒ¸Ô é é ÇÔ·ÂÒ ¨Ð¾º¡ÒÃà»ÅÕ¹á»Å§Ë¹ÒµÑǢͧªÑ¹Ë¹Ñ§¡íҾÌÒÍ‹ҧÁÒ¡ ËÇÁ¡ÑºÁÕ¡ÒÃÍÑ¡àʺẺá¡Ã¹ÙâÅÁÒ è é ·ÕÁà«ÅŏàÁç´àÅ×Í´¢ÒÇËÅÒª¹Ô´ â´Â੾ÒйÔÇâµÃ¿Å ໚¹ suppurative granuloma 㹪ѹ˹ѧ᷌ è Õ é áÅоº sclerotic bodies »¹ÍÂÙã¹Ë‹ÍÁà¹×͵ÒÂáÅÐ㹪ѹ˹ѧ¡íҾÌÒä´Œ ‹ é é
  • 90.
    àǪÈÒʵÏ·¹Âؤ 2553 Ñ 63 ÃÙ»·Õè 3 Sclerotic bodies ¨Ò¡ KOH examination ¡ÒÃÃÑ¡ÉÒáÅСÒþÂҡóâä ã¹ÃÍÂâ䢹ҴàÅç¡¡ÒÃÃÑ¡ÉÒËÅÑ¡¤×Í surgical excision ᵋã¹ÃÍÂâä·ÕÁ¢¹Ò´ãË­‹ÂÒËÅÑ¡ è Õ ·Õ㪌㹡ÒÃÃÑ¡ÉÒ ¤×Í ÂÒµŒÒ¹àª×ÍÃÒª¹Ô´ÃѺ»Ãзҹઋ¹ itraconazole 200-400 Á¡./Çѹ ËÃ×Í terbinafine è é 250-500 Á¡./Çѹ ¨¹¡Ç‹ÒÃÍÂâä¨ÐËÒ«֧㪌àÇÅÒËÅÒÂà´×͹¶Ö§à»š¹»‚ ÊíÒËÃѺã¹ÃÒ·ÕÁÃÍÂâä໚¹ è è Õ ºÃÔàdz¡ÇŒÒ§ÁÒ¡ ÍÒ¨¾Ô¨ÒóÒãËŒÂÒ amphotericin B (¢¹Ò´ 1 Á¡./¡¡./Çѹ) ·Ò§ËÅÍ´àÅ×Í´´íÒ Ã‹ÇÁ¡Ñº¡ÒÃ㪌¡ÒÃÃÑ¡ÉÒâ´ÂÇԸ͹ ઋ¹ ¡Òü‹ÒµÑ´ ËÃ×Í ¡ÒÃ㪌¤ÇÒÁÌ͹ (local heat therapy) ËÃ×Í Õ ×è ¤ÇÒÁàÂç¹ (cryotherapy) 㹡ÒÃÃÑ¡ÉÒÃÍÂâä䴌 ᵋ¤ÇÃàÃÔÁËÅѧ¨Ò¡ãËŒÂÒÃѺ»Ãзҹä»áÅŒÇÃÐÂÐ˹֧ è è à¹×ͧ¨Ò¡ÁÕÃÒ§ҹ¢Í§¡ÒáÃШÒ¢ͧàª×Íä»ÊÙºÃÔàdz¢ŒÒ§à¤Õ§ËÅѧ¡Òü‹ÒµÑ´ä´Œ è é ‹ (2,4) 3. Mycetoma (Maduromycosis, Madura foot) ໚¹¡ÒõԴàª×éÍàÃ×éÍÃѧ·Õè¼ÔÇ˹ѧ੾ÒзÕè à¡Ô´¨Ò¡àª×éÍÃÒ ËÃ×ͨҡ higher bacteria ¡ÅØ‹Á actinomycetes â´Âàª×ʹѧ¡Å‹ÒǨÐÍÂÙÃÇÁ¡Ñ¹à»š¹¡ÅØÁ àÃÕÂ¡Ç‹Ò grain »Ð»¹ÍÂÙã¹à¹×ÍàÂ×Í·ÕÁ¡ÒÃÍÑ¡ é ‹ ‹ ‹ é è è Õ àʺ â´Â¶ŒÒà¡Ô´¨Ò¡¡ÒõԴàª×ÍÃÒ¨ÐàÃÕÂ¡Ç‹Ò eumycetoma áÅжŒÒà¡Ô´¨Ò¡¡ÒõԴàª×Í higher bacteria é é ·ÕÁšɳÐ໚¹àÊŒ¹ÊÒ¨ÐàÃÕÂ¡Ç‹Ò actinomycetoma â´Âã¹·Õ¹¨Ð¡Å‹ÒǶ֧ eumycetoma ໚¹ËÅÑ¡ è ÕÑ è Õé ÊÒà˵ØáÅÐàª×Í¡‹Íâä é à¡Ô´¨Ò¡àª×ÍÃÒ·ÕÍÂÙ㹸ÃÃÁªÒµÔ ã¹´Ô¹ 㹾ת â´Âà¡Ô´¡ÒõԴàª×ͼ‹Ò¹·Ò§¼ÔÇ˹ѧµÒÁËÅѧ é è ‹ é penetrating injury àª×ÍÃÒ¡‹Íâä໚¹ä´Œ·§ª¹Ô´ÃÒäÁ‹ÁÊÕ (hyaline fungi) «Ö§ grain ¨Ð໚¹ÊÕ´Ò «Ö§ é Ñé Õ è í è ¨íÒ໚¹µŒÍ§à¾ÒÐàª×Íà¾×Í¡ÒèíÒṡª¹Ô´¢Í§ÃÒ áµ‹·¾ºà»š¹ÊÒà˵Øä´ŒºÍ ¤×Í Madurella mycetomatis é è Õè ‹ ÅѡɳÐÍÒ¡Ò÷ҧ¤ÅÔ¹Ô¡ Eumycetoma ÁÕ¡ÒôíÒà¹Ô¹âäẺ¤‹ÍÂ໚¹¤‹ÍÂä» ÃÍÂâä¨ÐâµÍ‹ҧªŒÒæ áÅÐÁÕÅ¡É³Ð Ñ ·Ò§¤ÅÔ¹¡·ÕÊҤѭ 3 »ÃСÒà (ÃÙ»·Õè 4) ¤×Í Ô èí
  • 91.
    64 âäàª×ÍÃÒ·Õ¼Ç˹ѧªÑ¹ÅÖ¡ é è Ô é 1. ÃÍÂâäÅѡɳÐ໚¹¡ŒÍ¹ (tumefaction) 2. à¡Ô´ÃÙ·ÐÅØÁ˹ͧÍÍ¡ÁÒ·ÕºÃÔàdz¼ÔǢͧÃÍÂâä (sinus drainage) Õ è 3. µÃǨ¾º¡ÅØÁ¢Í§ÊÒÂÃÒ (grains) »¹ÁҡѺ˹ͧ¨Ò¡ÃÙᵡ·ÐÅØ ‹ ÃÍÂâäÁÑ¡¾ºä´Œº‹Í·ÕèºÃÔàdz à·ŒÒ, ¢Ò ËÃ×ÍÁ×Í «Öè§à»š¹µíÒá˹‹§·Õèà¡Ô´ºÒ´á¼Åä´Œº‹Í ã¹ÃÍÂâä·Õ໚¹¹Ò¹æ ¨ÐÁÕ¡ÒÃÅÒÁä»·Õ¡Ãд١à¡Ô´à»š¹ osteomyelitis «Ö§¹íÒä»ÊÙ¤ÇÒÁ¾Ô¡ÒÃä´Œ ¼Ù»Ç è è è ‹ Œ † ÁÑ¡äÁ‹ÁÍÒ¡ÒÃà¨çº ¹Í¡¨Ò¡¨ÐÁÕ¡ÒÃᵡ໚¹á¼Å·ÕºÃÔàdz¼ÔÇ˹ѧ«Ö§·íÒãËŒ¼»ÇÂÁÕÍÒ¡ÒÃà¨çºä´Œ Õ è è ÙŒ † (1,3) ÃÙ»·Õè 4 Åѡɳзҧ¤ÅÔ¹Ô¡¢Í§ mycetoma ¡ÒõÃǨ·Ò§ËŒÍ§»¯Ôºµ¡ÒÃ Ñ Ô ÊÒÁÒöµÃǨ¾º grain ·Õ»¹ÍÂÙã¹Ë¹Í§ºÃÔàdzÃÙແ´¢Í§á¼Å¨Ò¡µíÒá˹‹§ÃÍÂâä «Ö§ÊÒÁÒö è ‹ è àËç¹ä´Œ´ÇµÒà»Å‹ÒáÅжŒÒ¹íÒä»´Ù´Ç¡Ōͧ¨ØÅ·ÃÃȹ ¡ç¨ÐàËç¹¡ÅØÁ¡ŒÍ¹¢Í§ÊÒÂÃÒ ¡ÒõÃǨªÔ¹à¹×Í Œ Œ ‹ é é ¨Ò¡ºÃÔàdzÃÍÂâä à¾×Í´Ùšɳзҧ¨ØÅ¾ÂÒ¸ÔÇ·ÂҨоº grain »¹ÍÂÙã¹Ê‹Ç¹¢Í§à¹×͵Ò ·ÕÁ¡Òà è Ñ Ô ‹ é è Õ ÍÑ¡àʺẺá¡Ã¹ÙâÅÁÒËÇÁ¡ÑºÁÕ¹ÇâµÃ¿ÅÁÒÃÇÁ¡Ñ¹ (ÃÙ»·Õè 5) áÅÐÁÕ¾§¼×´ÅŒÍÁÃͺºÃÔàdz·ÕÁ¡ÒÃ Ô Ñ è Õ ÍÑ¡àʺ㹪ѹ˹ѧ᷌ â´Â¨ÐàËç¹ÊÒÂÃҪѴਹ¨Ò¡¡ÒÃÂŒÍÁ H&E áÅÐÊÒÁÒöŒÍÁ¾ÔàÈÉ´ŒÇ GMS é à¾×ÍáÊ´§ÊÒÂÃÒä´Œª´à¨¹¢Ö¹ ¡ÒÃà¾ÒÐàª×ͨЪ‹ÇÂ㹡ÒèíÒṡÊÒ¾ѹ¸Ø¢Í§àª×ÍÃÒ¡‹Íâä è Ñ é é  é ÃÙ»·Õè 5 ÅÑ¡É³Ð¡ÅØ‹Á¢Í§ÊÒÂÃÒ (grain) ·ÕèµÃǨ¾ºã¹ÃÍÂâä;H&E x 100
  • 92.
    àǪÈÒʵÏ·¹Âؤ 2553 Ñ 65 ¡ÒÃÃÑ¡ÉÒáÅСÒþÂҡóâä ¡ÒÃãËŒÂÒµŒÒ¹àª×ÍÃÒª¹Ô´ÃѺ»Ãзҹઋ¹ itraconazole ËÃ×Í terbinafine ËÇÁ¡Ñº surgical é debridement ¶×Í໚¹¡ÒÃÃÑ¡ÉÒËÅÑ¡¶Ö§áÁŒ¡Òõͺʹͧµ‹ÍÂÒµŒÒ¹àª×ÍÃÒ¨ÐäÁ‹´¹¡ ᵋ¨Ðª‹ÇªÐÅÍ é Õ Ñ ¡ÒôíÒà¹Ô¹âäŧ䴌 ¡Òü‹ÒµÑ´ amputation ã¹ÃÒ·ÕÃÍÂâäÁÕºÃÔàdz¡ÇŒÒ§ËÃ×ÍäÁ‹µÍºÊ¹Í§µ‹Í¡Òà è ÃÑ¡ÉÒ´ŒÇÂÂÒÃѺ»ÃзҹËÃ×ÍÁÕÀÒÇÐ osteomyelitis ËÇÁ´ŒÇÂ໚¹¡ÒÃÃÑ¡ÉÒ·Õ໚¹ definitive treatment è ᵋ¼»ÇÂÁÑ¡»¯Ôàʸ¡ÒÃÃÑ¡ÉÒ´ŒÇÂÇÔ¸¹áÅÐàÅ×Í¡·Õ¨ÐÃѺ»ÃзҹÂÒµ‹Íà¹×ͧ໚¹ÃÐÂÐàÇÅÒ¹Ò¹ ÙŒ † Õ Õé è è 4. Phaeohyphomycosis (Phaeomycotic cyst) ໚¹¡ÒõԴàª×éÍÃÒ·Õè¼ÔÇ˹ѧ·Õ辺䴌äÁ‹º‹Í «Öè§ÁÕÍÒ¡ÒÃ໚¹«ÕʵàÃ×éÍÃѧ·Õè¼ÔÇ˹ѧ (ÃÙ»·Õè 6) â´Âàª×éÍ¡‹Íâäà¡Ô´¨Ò¡ÃÒ´íÒ (dematiaceous fungi) àª×éÍ·Õ辺໚¹ÊÒà˵Øä´Œº‹Í¤×Í Exophiala jeanselmei áÅÐ Wangiella dermatitidis ¾º¡ÒõԴàª×Íä´Œã¹á¶ºÀÙÁÀÒ¤·ÕÁÍÒ¡ÒÈÌ͹ª×¹ ¨Ðà¡Ô´ é Ô è Õ é ¡ÒõԴàª×Íä´Œ·§ã¹¼Ù»Ç·ÕÁÀÁ¤Á¡Ñ¹à»š¹»¡µÔ ËÃ×ͼٻÇ·ÕÁÀÁ¤Á¡Ñ¹µèÒ¡çä´Œ ¡ÒÃÇÔ¹¨©ÑÂâäÁÑ¡·íÒ é Ñé Œ † è Õ Ù Ô ØŒ Œ † è Õ Ù Ô ØŒ í Ô ä´Œ¨Ò¡¡ÒõѴ¼ÔÇ˹ѧºÃÔàdzÃÍÂâäÁÒµÃǨ «Ö§Åѡɳзҧ¨ØÅ¾ÂÒ¸ÔÇ·ÂÒ ¨Ð¾º«Õʵ·Á¼¹Ñ§Ë¹Ò è Ô Õè Õ ºÃÔàdz¼¹Ñ§»ÃСͺ´ŒÇ¡ÒÃÍÑ¡àʺª¹Ô´á¡Ã¹ÙâÅÁÒ ·ÕÁÊÒÂÃÒÊѹæ·ÕÁʹҵÒÅ»¹ÍÂÙáÅÐÅŒÍÁÃͺ è Õ é è Õ Õ éí ‹ ´ŒÇ fibrous capsule ´ŒÒ¹¹Í¡ (ÃÙ»·Õè 7.1 áÅÐ 7.2) â´Â¼Ù»ÇÂÁÑ¡äÁ‹ÁÍÒ¡ÒÃã´æ ÃÒª¹Ô´äÁ‹ÁÊÕ (hyaline Œ † Õ Õ fungi) ¡çÊÒÁÒö¡‹Íâäã¹ÅѡɳÐà´ÕÂǡѹ䴌àÃÕÂ¡Ç‹Ò hyalohyphomycotic cyst ¡ÒÃÃÑ¡ÉÒ¤×Í¡Òà ¼‹ Ò µÑ ´ ÃÍÂâäÍÍ¡¨Ò¡Ã‹ Ò §¡Ò ÁÕ Ã Ò§ҹ¢Í§¡ÒáÅÑ º ໚ ¹ «éí Ò ä´Œ ã ¹¼ÙŒ »† Ç Â·Õè ÁÕ ÀÙ ÁÔ ¤ØŒ Á ¡Ñ ¹ µèí Ò (immunocompromised host) ÃÙ»·Õè 6 ÃÍÂâä໚¹«ÕµÊãµŒ¼ÔÇ˹ѧ㹠phaeohyphomycosis
  • 93.
    66 âäàª×ÍÃÒ·Õ¼Ç˹ѧªÑ¹ÅÖ¡ é è Ô é ÃÙ»·Õè 7.1 cystic-like lesion 㹪ѹ˹ѧ᷌ (H&E x 10) é ÃÙ»·Õè 7.2 ÊÒÂÃÒ㹫ÑÂâµ¾ÅÒÊ«ÖÁ¢Í§ giant cell (PAS x 400) 5. Subcutaneous Zygomycosis (Entomophtoromycosis, Basidiobolomycosis áÅÐ Conidiobolomycosis) ໚¹ tropical subcutaneous mycosis ·Õ¾ºäÁ‹ºÍ «Ö§ÁÕ¡ÒâÂÒ¢ͧÃÍÂâäÍ‹ҧªŒÒæ è ‹ è ·íÒãËŒà¡Ô´¡ÒúÇÁ໚¹´Ò¹á¢ç§ºÃÔàdz¼ÔÇ˹ѧ·ÕÁ¡ÒõԴàª×Í «Ö§àª×Í¡‹Íâäẋ§ä´Œà»š¹ 2 ¡ÅØÁãË­‹ ¤×Í è Õ é è é ‹ Basidiobolus ranarum â´ÂÁÑ¡¡‹Íâäã¹à´ç¡ ÃÍÂâäÁѡ໚¹·ÕèºÃÔàdzᢹ ¢Ò ËÃ×ÍÅíÒµÑÇ ¤‹ÍÂæ ÅÒÁÍ‹ҧªŒÒæ ·íÒãËŒ¼Ç˹ѧ໚¹´Ò¹á¢ç§ àÃÕ¡ wooden cellulitis (ÃÙ»·Õè 8) áÅÐÁÕá¼ÅᵡÍÍ¡ÊÙÀÒÂ Ô ‹ ¹Í¡ä´Œ àª×Í¡‹ÍâäÍÕ¡ª¹Ô´¤×Í Conidiobolus coronatus «Ö§ÁÑ¡¡‹Íâä㹼ÙãË­‹ â´ÂÃÍÂâäÁÑ¡à¡Ô´ºÃÔàdz é è Œ â¾Ã§¨ÁÙ¡ áŌǤ‹ÍÂæ ÅÒÁä»ÂѧºÃÔàdzãºË¹ŒÒ ·íÒãËŒà¡Ô´ÅѡɳÐ˹ŒÒºÇÁá¢ç§ áÅзíÒãËŒà¡Ô´¡Òà ¼Ô´ÃÙ»¢Í§ãºË¹ŒÒ ¨ÁÙ¡áÅлҡ «Ö§àª×Í¡‹Íâä·Ñ§ 2 ª¹Ô´¹Õé ໚¹àª×ÍÃÒ·ÕÍÂÙµÒÁ¸ÃÃÁªÒµÔ (saprophyte) è é é é è ‹ ã¹´Ô¹ ¹éÒ «Ò¡¾×ª áÅÐáÁŧºÒ§ª¹Ô´ áÅÐࢌÒÊÙ¼Ç˹ѧ·Ò§ traumatic inoculation ¡ÒÃÇÔ¹¨©ÑÂâä í ‹ Ô Ô ¨íÒ໚¹µŒÍ§·íÒ skin biopsy ¨Ò¡ÃÍÂâä仵ÃǨ·Ò§¨ØÅ¾ÂÒ¸ÔÇ·ÂÒáÅзíÒ¡ÒÃà¾ÒÐàª×ͨҡà¹×ÍàÂ×Í Ô é é è à¾×ͨíÒṡàª×Í·Õ໚¹ÊÒà˵صÍä» è é è ‹ (1,6)
  • 94.
    àǪÈÒʵÏ·¹Âؤ 2553 Ñ 67 ÃÙ»·Õè 8 ÅѡɳÐÃÍÂâä·Õ赌¹á¢¹ã¹ subcutaneous zygomycosis Åѡɳзҧ¨ØÅ¾ÂÒ¸ÔÇ·ÂҨоº¡ÒÃÍÑ¡àʺẺá¡Ã¹ÙâÅÁÒ·ÕÁà«Åŏª¹Ô´ÍÕâÍÊÔ⹿Å »¹ÍÂÙ‹ Ô è Õ à»š¹¨íҹǹÁÒ¡ áÅШоºÊÒÂÃÒ¢¹Ò´ãË­‹ª¹Ô´äÁ‹Á¼¹Ñ§¡Ñ¹ (broad nonseptate hyphae) ·ÕÁÕ refractile Õ é è eosinophilic material ÅŒÍÁÃͺÍÂÙ‹ ·ÕàÃÕÂ¡Ç‹Ò Splendore-Hoeppli phenomenon è âä¹ÕÁ¡µÍºÊ¹Í§´ÕµÍ¡ÒÃÃÑ¡ÉÒÂÒµŒÒ¹àª×ÍÃÒª¹Ô´ÃѺ»Ãзҹઋ¹ itaconazole 100 – 200 é Ñ ‹ é Á¡./Çѹ ¹Í¡¨Ò¡¹Õ§ÊÒÁÒöÃÑ¡ÉÒ´ŒÇÂÂÒ cotrimoxazole áÅÐ potassium iodide «Ö§ÁÕÃÒ§ҹ¡Òà é Ñ è µÍºÊ¹Í§¤‹Í¹¢ŒÒ§´Õ (5,6) àÍ¡ÊÒÃ͌ҧÍÔ§ 1. Rivitti AE, Aoki V. Deep fungal infection in tropical countries. Clin in Dermatol. 1999; 17: 171-90. 2. Koga T, Matsuda T, Matsumoto T, Masutaka .. Therapeutic approaches to subcutaneous mycoses. Am J Clin Dermatol. 2003; 4: 5537-43. 3. Queiroz-Telles ., McGinnis MR, Salkin I, Graybill JR. Subcutaneosu mycoses. Infect Dis Clin N Am. 2003; 17: 59-85. 4. Queiroz-Telles ., Esterre P, Peres-Blanco M, Vitale RG, Salgado CG, Bonifaz A. Chromoblastomycosis: an overview of clinical manifestations, diagnosis and treatment. Med Mycol. 2009; 47: 3-15. 5. Restrepo A. Treatment of tropical mycoses. J Am Acad Dermatol. 1994; 31: S91-102. 6. Skiada A, Petrikkos G. Cutaneous zygomycosis. Clin Microbiol Infect. 2009; 15: 41-5.
  • 96.
    àǪÈÒʵÏ·¹Âؤ 2553 Ñ º··Õè 69 10 ¡ÒÃà¡Ô´»¯Ô¡ÔÃÔÂÒÃÐËNjҧÂÒ·ÕèÁÕ¤ÇÒÁÊíҤѭ·Ò§¤ÅÔ¹Ô¡ (Clinically Significant Drug Interactions) ¼ÙªÇÂÈÒʵÃÒ¨ÒÏ ᾷ˭ԧÊÁÄ´Õ ©ÑµÃÊÔÃà¨ÃÔ­¡ØÅ Œ ‹ Ô ÀÒ¤ÇÔªÒàÀÊѪÇÔ·ÂÒ ¤³Ðá¾·ÂÈÒʵÏÈÃÃÒª¾ÂÒºÒÅ ÁËÒÇÔ·ÂÒÅÑÂÁËÔ´Å ÔÔ »˜¨¨Øº¹¹Õ¤ÇÒÁ¡ŒÒÇ˹ŒÒ´ŒÒ¹¡ÒÃᾷáÅÐÊÒ¸ÒÃ³ÊØ¢à¾ÔÁ¢Ö¹Í‹ҧÃÇ´àÃçÇ ¡ÒÃÇÔ¹¨©ÑÂâä Ñ é è é Ô áÅСÒÃÃÑ¡ÉÒ¼Ù»ÇÂÁÕ»ÃÐÊÔ·¸ÔÀÒ¾·Õ´¢¹ ·íÒãËŒÍÒÂØà©ÅÕ¢ͧ¤¹àÃÒÂÒǹҹÁÒ¡¢Ö¹ÂÒãËÁ‹æ ·Õ䴌ú Œ † è Õ Öé è é è Ñ ¡ÒþѲ¹Ò¢Ö¹ÁÒ¶Ù¡¹íÒÁÒ㪌à¾ÔÁÁÒ¡¢Ö¹ âÍ¡ÒÊ·Õ¼»Ç¨Ð䴌úÂÒËÅÒª¹Ô´Ã‹ÇÁ¡Ñ¹¨Ö§à¾ÔÁÁÒ¡¢Ö¹ é è é è ÙŒ † Ñ è é ´Ñ§¹Ñ¹ÃÒ§ҹ¡ÒÃà¡Ô´»¯Ô¡ÃÂÒÃÐËNjҧÂÒ¨Ö§ÁÕÁÒ¡¢Ö¹ ÃÇÁ¶Ö§ÂÒºÒ§¢¹Ò¹¶Ù¡¶Í´ÍÍ¡¨Ò¡·ŒÍ§µÅÒ´ é ÔÔ é à¹×ͧ¨Ò¡¡Ò÷ÕÂҹѹÁÕâÍ¡ÒʷըзíÒãËŒà¡Ô´à˵ءÒóäÁ‹¾§»ÃÐʧ¤·Ã¹áç¨Ò¡¡ÒÃ㪌Âҹѹ è è é è Ö Õè Ø é àÁ×ÍÁÕ¡ÒúÃÔËÒÃÂÒËÇÁ¡Ñ¹µÑ§áµ‹ 2 ª¹Ô´¢Ö¹ä»¨ÐÁÕâÍ¡ÒÊ·Õ¨Ðà¡Ô´»¯Ô¡ÃÂÒÃÐËNjҧÂÒ ´Ñ§¹Ñ¹ è é é è ÔÔ é ᾷ¼ÙŒÃÑ¡ÉÒ¨Ö§µŒÍ§ÁÕ¤ÇÒÁÃÐÁÑ´ÃÐÇѧàÁ×èÍ㪌ÂÒËÅÒ¢¹Ò¹Ã‹ÇÁ¡Ñ¹ ¼ÙŒ»†ÇºҧÃÒ·Õè仾ºá¾·Â ÁÒ¡¡Ç‹Ò 1 ·‹Ò¹ËÃ×ÍÁÒ¡¡Ç‹Ò 1 âç¾ÂÒºÒÅ ÍÒ¨à¡Ô´»˜­ËÒ䴌úÂÒ«éÒ«ŒÍ¹¡Ñ¹Ã‹ÇÁ´ŒÇ à¹×ͧ¨Ò¡á¾·Â Ñ í è ËÃ×ÍàÀÊѪ¡Ãàͧ¤§äÁ‹ÊÒÁÒö·Õè¨Ð¨´¨íÒ¡ÒÃà¡Ô´»¯Ô¡ÔÃÔÂÒÃÐËNjҧÂÒ·Õèà¡Ô´¢Öé¹ä´Œ·Ñé§ËÁ´ »˜¨¨ØºÑ¹ ¨Ö§ÁÕ¡ÒþѲ¹Òâ»Ãá¡ÃÁ¤ÍÁ¾ÔÇàµÍÏÊÒàÃç¨ÃÙ»·Õ¨Ðª‹Çº͡NjÒÂÒã´ÁÕ»¯Ô¡ÃÂÒµ‹Í¡Ñ¹ «Ö§¨ÐÊÒÁÒö í è ÔÔ è ª‹ÇÂᾷáÅÐàÀÊѪ¡Ãä´Œã¹ÃдѺ˹Öè§ áµ‹ËÅÒ·‹Ò¹·Õèà¤Â㪌â»Ãá¡ÃÁàËŋҹÕé¨Ð¾ºÇ‹ÒÁÕ¡ÒÃÃÐºØ »¯Ô¡ÔÃÔÂÒÃÐËNjҧÂÒ·ÕèÊÒÁÒöà¡Ô´¢Öé¹ä´ŒÁÒ¡ÁÒ ÊÔè§ÊíҤѭ¤×ͤÇèеŒÍ§¾Ô¨ÒóÒNjһ¯Ô¡ÔÃÔÂÒ ´Ñ§¡Å‹ÒǹÑé¹ÁÕ¤ÇÒÁÊíҤѭ·Ò§¤ÅÔ¹Ô¡ËÃ×ÍäÁ‹ ¨ÐÊ‹§¼Å¡Ãзºµ‹Í¼ÙŒ»†ÇÂÍ‹ҧäà ¤ÇÒÁÃØ¹áç´Ñ§¡Å‹ÒÇ ÁÒ¡¹ŒÍÂà¾Õ§㴠µŒÍ§ÁÕ¡ÒÃà»ÃÕºà·Õº»ÃÐ⪹áÅФÇÒÁàÊÕ§·ÕÍÒ¨¨Ðà¡Ô´¢Ö¹Ç‹ÒÊÔ§ã´¤ØÁ¤‹ÒËÃ×Í è è é è Œ àËÁÒÐÊÁ¡Ç‹Ò ¡ÒÃà¡Ô´»¯Ô¡ÃÂÒÃÐËNjҧÂÒ (Drug interactions) ÔÔ ¡ÒÃà¡Ô´»¯Ô¡ÃÂÒÃÐËNjҧÂÒàÁ×;ԨÒóҵÒÁ¤Ø³ÊÁºÑµ·Ò§àÀÊѪÇÔ·ÂÒ¨ÐÊÒÁÒöẋ§¡Åä¡ ÔÔ è Ô ¡ÒÃà¡Ô´Ç‹Òà¡Ô´¨Ò¡¤Ø³ÊÁºÑµ·Ò§àÀÊѪ¨Å¹ÈÒʵÏ (Pharmacokinetic Interaction) ËÃ×ͨҡ¤Ø³ÊÁºÑµÔ Ô ·Ò§àÀÊѪ¾ÅÈÒʵÏ (Pharmacodynamic Interaction) ¡Ãкǹ¡Ò÷ҧàÀÊѪ¨Å¹ÈÒʵϹÑé¹»ÃСͺ´ŒÇ 4 ¡Ãкǹ¡ÒÃËÅÑ¡ 䴌ᡋ ¡Òôٴ«ÖÁ (absorption) ¡ÒáÃШÒÂÂÒ (distribution) ¡ÒÃà»ÅÕè¹á»Å§ÂÒ (metabolism) áÅСÒâ¨Ñ´ÂÒ (elimination or excretion) «Ö§·Ø¡¡Ãкǹ¡ÒÃÊÒÁÒöà¡Ô´»¯Ô¡ÃÂÒÃÐËNjҧÂÒä´Œ·§ÊÔ¹ è ÔÔ Ñé é
  • 97.
    70 ¡ÒÃà¡Ô´»¯Ô¡ÃÂÒÃÐËNjҧÂÒ·ÕÁ¤ÇÒÁÊíҤѭ·Ò§¤ÅÔ¹¡ ÔÔ è Õ Ô ¡ÒÃà¡Ô´»¯Ô¡ÔÃÔÂÒÃÐËNjҧÂÒ¨Ò¡¡Ãкǹ¡Òôٴ«ÖÁÂÒ (Absorption interactions) à¹×ͧ¨Ò¡¡Ò÷ռ»ÇµŒÍ§ºÃÔËÒÃÂÒËÅÒª¹Ô´¾ÃŒÍÁ¡Ñ¹ ÍҨʋ§¼Å¡Ãзºµ‹Í¡Òôٴ«ÖÁÂÒä´Œ è è ÙŒ † µÑÇÍ‹ҧ·ÕèªÑ´à¨¹ ઋ¹ ÂÒ»¯ÔªÕǹÐã¹¡ÅØ‹Á fluoroquinolone ËÒ¡ÃѺ»Ãзҹ¡ÑºÂÒºÒ§ª¹Ô´·ÕèÁÕ Í§¤»ÃСͺ¢Í§»ÃШغǡ (cation) ઋ¹ .e2+, Ca2+, Al3+ ÍÒ¨¨Ð¨ÑºµÑǡѹ (chelation) áÅж١¢ÑºÍÍ¡ ¨Ò¡Ã‹Ò§¡Ò â´Â·ÕäÁ‹¶¡´Ù´«ÖÁࢌÒÊÙÃÒ§¡Ò ʋ§¼ÅãËŒ¡ÒÃÃÑ¡ÉÒÍÒ¡ÒõԴàª×ÍäÁ‹ä´Œ¼Å ¨¹ÍҨʋ§¼ÅàÊÕ è Ù ‹‹ é µ‹Í¼Ù»ÇÂä´Œ ¹Í¡¨Ò¡¹Ñ¹ÂÒºÒ§ª¹Ô´·íÒãËŒ¡ÒÃà¤Å×͹äËǢͧ·Ò§à´Ô¹ÍÒËÒÃŴŧ ઋ¹ÂÒᡌ»Ç´¡ÅØÁ Œ † é è ‹ opioids ·íÒãËŒÂÒºÒ§ª¹Ô´µ¡¤ŒÒ§ÍÂً㹡ÃÐà¾ÒÐÍÒËÒùҹ 㪌àÇÅÒ㹡ÒÃà¤Å×è͹·Õèä»ÂѧÅíÒäÊŒàÅç¡ «Ö§à»š¹ºÃÔàdz·Õ¶¡´Ù´«ÖÁä´ŒªÒ ¡Ç‹ÒÂÒ¨ÐࢌÒÊÙÃÒ§¡ÒÂáÅÐä´Œ¼Å¡ÒÃÃÑ¡ÉÒ¡ç¨ÐªŒÒµÒÁä»´ŒÇ è è Ù Œ ‹‹ ¡ÒÃà¡Ô´»¯Ô¡ÔÃÔÂÒÃÐËNjҧÂÒ¨Ò¡¡Ãкǹ¡ÒáÃШÒÂÂÒ (Distribution interactions) ÁÑ¡¨Ðà¡Ô´¢Ö¹¡ÑºÂÒ·ÕÁ¤³ÊÁºÑµ¨º¡Ñºâ»ÃµÕ¹ÊÙ§ ÂÒ·ÕÁ¤ÇÒÁÊÒÁÒö㹡ÒèѺ¡Ñºâ»ÃµÕ¹ä´Œ é è Õ Ø ÔÑ è Õ ÁÒ¡¨Ðä»á‹§¨Ñº¡Ñºâ»ÃµÕ¹ ¨¹ÍÒ¨·íÒãËŒÂÒÍ×è¹·ÕèÁÕ¤ÇÒÁáç㹡ÒèѺ¡Ñºâ»ÃµÕ¹·ÕèµèíÒ¡Ç‹ÒÍÂÙ‹ã¹ÃÙ» ÍÔÊÃÐÁÒ¡¢Ö¹ (free form) ¨Ö§Í͡ķ¸Ôä´ŒÁÒ¡¢Ö¹ ËÃ×ÍÍÒ¨à¡Ô´¾ÔɨҡÂÒä´Œ§Ò¢ֹ´ŒÇ 㹡óչ¨§¤Çà é ì é ‹ é Õé Ö ãËŒ¤ÇÒÁÊíҤѭ¡ÑºÂÒ·ÕèÁդسÊÁºÑµÔ¨Ñº¡Ñºâ»ÃµÕ¹·ÕèÁÒ¡¡Ç‹ÒÃŒÍÂÅÐ 95 ¢Öé¹ä» áÅÐ໚¹ÂÒ·ÕèÁմѪ¹Õ ¡ÒÃÃÑ¡ÉÒ᤺ (narrow therapeutic index) µÑÇÍ‹ҧ¡ÒÃà¡Ô´»¯Ô¡ÃÂÒ¹Õé ઋ¹ ¡Ò÷ռ»Ç·Õ䴌úÂÒ ÔÔ è ÙŒ † è Ñ warfarin ໚¹»ÃШíÒ áÅÐÊÒÁÒö¤Çº¤ØÁÃдѺ INR ä´Œ´Õ µ‹ÍÁÒ䴌úÂÒã¹¡ÅØÁ NSAIDs «Ö§ÁÕ¤³ÊÁºÑµÔ Ñ ‹ è Ø ä»á‹§¨Ñº¡Ñºâ»ÃµÕ¹ä´Œ´Õ ·íÒãËŒ warfarin Í͡ķ¸Ôä´ŒÁÒ¡¢Ö¹ ¤‹Ò INR à¾ÔÁÁÒ¡¢Ö¹à¡Ô´âÍ¡ÒÊ·Õ¨ÐÁÕàÅ×Í´ ì é è é è Í͡䴌§Ò¢ֹ ‹ é µÒÃÒ§·Õè 1 áÊ´§ÂÒ·ÕÁ¤³ÊÁºÑµ¨º¡Ñºâ»ÃµÕ¹ÊÙ§ (>95%) (1) è Õ Ø Ô Ñ ª×èÍÂÒ ¤ÇÒÁÊÒÁÒö㹡ÒèѺ¡Ñºâ»ÃµÕ¹ (%) Amitriptyline 96 Chlopromazine 96 Diazepam 97 .urosemide 99 Glybenclamide 95 Ibuprofen 99 Indomethacin 97 Ketoconazole 99 Thyroxine 99 Warfarin 99.5
  • 98.
    àǪÈÒʵÏ·¹Âؤ 2553 Ñ 71 ¡ÒÃà¡Ô´»¯Ô¡ÔÃÔÂÒÃÐËNjҧÂÒ¨Ò¡¡Ãкǹ¡ÒÃà»ÅÕè¹á»Å§ÂÒ (Metabolism interactions) ¡Ãкǹ¡ÒÃà»ÅÕ¹á»Å§ÂÒ໚¹¡Ãкǹ¡Ò÷ÕÍÒ¨·íÒãËŒà¡Ô´»¯Ô¡ÃÂÒ·Õ¾ºä´Œ¤Í¹¢ŒÒ§º‹ÍÂáÅÐ è è ÔÔ è ‹ ÁÕ¡ÒÃÈÖ¡ÉÒ¤‹Í¹¢ŒÒ§ÁÒ¡ã¹»˜¨¨Øº¹ â´Â੾ÒÐÂÒ·ÕÁ¡ÒÃà»ÅÕ¹á»Å§â´ÂÍÒÈÑÂà͹ä«Á cytochrome Ñ è Õ è P450 ã¹»˜¨¨Øº¹¡ÒþѲ¹ÒÂÒãËÁ‹¹¹Áբ͡íÒ˹´ãËŒ·Ò¡ÒÃÈÖ¡ÉҤسÊÁºÑµ¢Í§ÂÒãËÁ‹·à¡ÕÂÇ¢ŒÍ§¡Ñº Ñ Ñé Œ í Ô Õè è Ãкºà͹ä«Á¹â´ÂÅÐàÍÕ´¡‹Í¹ à¹×ͧ¨Ò¡ÁÕ¤ÇÒÁ¨íÒ໚¹Ç‹ÒÂҴѧ¡Å‹ÒÇÍÒ¨·íÒãËŒà¡Ô´»¯Ô¡ÃÂÒÃÐËNjҧ Õé è ÔÔ ÂÒàÁ×Í㪌ÃÇÁ¡ÑºÂÒÍ×¹æ ã¹·Ò§¤ÅÔ¹¡¹Ñ¹á¾·Â¤ÇÃÃÐÁÑ´ÃÐÇѧ¡ÒÃ㪌ÂÒ·ÕÁ¤³ÊÁºÑµà»š¹ enzyme è ‹ è Ô é è Õ Ø Ô inducer ËÃ×Í enzyme inhibitor ·Õ໚¹µÑÇËÅÑ¡ (major) ËÃ×Í·Õà¤ÂÁÕÃÒ§ҹNjҷíÒãËŒà¡Ô´»¯Ô¡ÃÂÒÃÐËNjҧ è è ÔÔ ÂÒ·ÕÁ¤ÇÒÁÃØ¹áç à͹ä«Á·Á¤ÇÒÁÊíҤѭ·Õ㪌㹡ÒÃà»ÅÕ¹á»Å§ÂÒ㹤¹ ઋ¹ CYP3A4, CYP2D6, è Õ Õè Õ è è CYP3C19 ໚¹µŒ¹ µÑÇÍ‹ҧ¡ÒÃà¡Ô´»¯Ô¡ÃÂÒ·ÕÊҤѭઋ¹¡ÒÃ㪌ÂÒ¡ÅØÁ HMGCoA reductase inhibitor ÔÔ èí ‹ (¡ÅØÁ statins) ºÒ§ª¹Ô´ ઋ¹ simvastatin, atorvastatin ¡ÑºÂÒã¹¡ÅØÁ fibrates «Ö§ÁÕ¡ÒÃà»ÅÕ¹á»Å§ ‹ ‹ è è ÂÒ¼‹Ò¹ enzyme CYP3A4 ઋ¹à´ÕÂǡѹ ÍÒ¨·íÒãËŒ¼»ÇÂà¡Ô´ÀÒÇСŌÒÁà¹×ÍÊÅÒ (rhabdomyolysis) ÙŒ † é ¡ÒÃ㪌ÂÒ·Ò§¨ÔµàǪËÅÒª¹Ô´Ã‹ÇÁ¡Ñ¹ «Öè§ÁÑ¡¨Ð㪌 CYP 2D6 㹡ÒÃà»ÅÕè¹á»Å§ÂÒઋ¹à´ÕÂǡѹ ÍÒ¨·íÒãËŒà¡Ô´ÀÒÇÐËÑÇã¨àµŒ¹¼Ô´¨Ñ§ËÇÐ ¡ÒÃà¡Ô´»¯Ô¡ÔÃÔÂÒÃÐËNjҧÂÒ¨Ò¡¡Ãкǹ¡Òâ¨Ñ´ÂÒ (Elimination interactions) ¡Ãкǹ¡Òâ¨Ñ´ÂÒËÃ×Í¢¨Ñ´¢Í§àÊÕÂÍÍ¡¨Ò¡Ã‹Ò§¡Ò¹ѹʋǹãË­‹¨Ð¶Ù¡¢¨Ñ´ÍÍ¡â´Â¡Ò÷íÒ é ˹ŒÒ·Õ¢Í§äµáÅÐÃкº¢Ñº¶‹Ò»˜ÊÊÒÇÐ ÊíÒËÃѺ¡ÒÃà¡Ô´»¯Ô¡ÃÂÒ·Õà¡Ô´ã¹¢Ñ¹µÍ¹¹Õé ઋ¹ ¡ÒÃà»ÅÕ¹á»Å§ è ÔÔ è é è ¤ÇÒÁ໚¹¡Ã´-´‹Ò§ (pH) ÀÒÂã¹Ãкº¢Ñº¶‹Ò»˜ÊÊÒÇÐÍÒ¨Áռŵ‹Í¡ÒâѺ¶‹ÒÂÂÒºÒ§ª¹Ô´ ÂÒºÒ§ª¹Ô´ ä»ÂѺÂѧ¡Ãкǹ¢Ñº¶‹ÒÂÂÒÍÕ¡ª¹Ô´·Ò§·‹Íäµ (renal tubular secretion) µÑÇÍ‹ҧઋ¹ ÂÒ probenecid é ÊÒÁÒöÂѺÂѧ¡ÒâѺ¶‹ÒÂÂÒ¡ÅØÁ penicillins ´ŒÇ¡Å䡹Õé é ‹ ¡ÒÃà¡Ô´»¯Ô¡ÔÃÔÂÒÃÐËNjҧÂÒâ´Â¡Ãкǹ¡Ò÷ҧàÀÊѪ¾ÅÈÒʵÏ (Pharmacodynamic interactions) ¡ÒÃà¡Ô´»¯Ô¡ÃÂÒâ´Â¡Ãкǹ¡Ò÷ҧàÀÊѪ¾ÅÈÒʵϹ¹ÁÑ¡¨Ðà¡Ô´¼Å·Õᾷ¼ãªŒÂÒÊÒÁÒö ÔÔ Ñé è ÙŒ ¤Ò´¡Òóä´Œ à¹×ͧ¨Ò¡¼Å´Ñ§¡Å‹ÒÇà¡Ô´¢Ö¹¨Ò¡¤Ø³ÊÁºÑµ¢Í§áµ‹ÅЪ¹Ô´ µÑÇÍ‹ҧઋ¹ ¡Ò÷ÕËÇã¨àµŒ¹ªŒÒ è é Ô è Ñ àÁ×ÍÁÕ¡ÒÃ㪌ÂÒã¹¡ÅØÁ beta-blockers ËÇÁ¡ÑºÂÒ digitalis ¨ÐàËç¹ä´ŒÇÒÂҷѧ 2 ª¹Ô´Í͡ķ¸Ô·µÒá˹‹§ è ‹ ‹ é ì Õè í ËÃ×͵ÑÇÃѺ (receptors) ·Õᵡµ‹Ò§¡Ñ¹ ᵋ¨ÐÊ‹§¼ÅãËŒËÇã¨àµŒ¹ªŒÒŧ¨¹ÍÒ¨à¡Ô´ÍѹµÃÒ¡Ѻ¼Ù»ÇÂä´Œ è Ñ Œ † ¡ÒÃ㪌ÂÒã¹¡ÅØÁ angiotensin converting enzyme inhibitors (ACEIs) ËÇÁ¡ÑºÂÒ spironolactone «Ö§ ‹ è ໚¹ÂҢѺ»˜ÊÊÒÇÐã¹¡ÅØÁ potassium sparing diuretics ÍҨʋ§¼ÅãËŒÁÃдѺ⻵ÑÊà«ÕÂÁã¹àÅ×Í´ÊÙ§¢Ö¹ä´Œ ‹ Õ é
  • 99.
    72 ¡ÒÃà¡Ô´»¯Ô¡ÃÂÒÃÐËNjҧÂÒ·ÕÁ¤ÇÒÁÊíҤѭ·Ò§¤ÅÔ¹¡ ÔÔ è Õ Ô »ÃÐ⪹¢Í§¡ÒÃà¡Ô´»¯Ô¡ÔÃÔÂÒÃÐËNjҧÂÒ áÁŒÇ‹Òã¹·Ò§¤ÅÔ¹Ô¡ ᾷÁÑ¡¨ÐËÅÕ¡àÅÕè§¡ÒÃÊÑè§ãªŒÂÒ·ÕèÁÕ»¯Ô¡ÔÃÔÂÒÃÐËNjҧÂÒ ÍѹÍÒ¨¨Ð Ê‹§¼ÅàÊÕ¡Ѻ¼Ù»ÇÂä´Œ ᵋËÅÑ¡¡Òâͧ¡ÒÃà¡Ô´»¯Ô¡ÃÂÒÃÐËNjҧÂҹѹ¹íÒÁÒ㪌»ÃÐ⪹ä´Œ ઋ¹¡ÒÃ㪌ÂÒ Œ † ÔÔ é ritonavir «Ö§à»š¹ÂÒµŒÒ¹äÇÃÑÊã¹¡ÅØÁ protease inhibitor ÂÒª¹Ô´¹ÕÁ¤³ÊÁºÑµà»š¹ enzyme inhibitor è ‹ é Õ Ø Ô ä»ÂѺÂѧ¡Ò÷íÒ§Ò¹¢Í§ CYP3A4 àÁ×ÍãËŒÃÇÁ¡ÑºÂÒ saquinavir «Ö§à»š¹ÂÒµŒÒ¹äÇÃÑÊã¹¡ÅØÁ protease é è ‹ è ‹ inhibitor ઋ¹à´ÕÂǡѹ ¨Ð·íÒãËŒÃдѺÂÒ saquinavir ã¹àÅ×Í´ÊÙ§¢Öé¹¶Ö§ 20 à·‹Ò ¨Ö§ÊÒÁÒö㪌ÂÒ (2) saquinavir ã¹¢¹Ò´·Õ¹ÍÂŧ ÊÒÁÒöŴ¼Å¢ŒÒ§à¤Õ§¨Ò¡ÂÒáÅÐà¾ÔÁ»ÃÐÊÔ·¸ÔÀÒ¾¢Í§ÂÒ´ŒÇ ໚¹¡ÒÃ è Œ è 㪌»ÃÐ⪹â´Â¼‹Ò¹¡Ãкǹ¡ÒâͧÃкº enzyme cytochrome P450 ¡Ò÷íÒãËŒ»ÊÊÒÇÐ໚¹´‹Ò§ ˜ (alkalinized urine) à¾×Íà˧¡ÒâѺ¶‹ÒÂÂÒ aspirin ÍÍ¡ 㹡óշ䴌úÂÒ aspirin à¡Ô¹¢¹Ò´ ¡ÒÃÃÑ¡ÉÒ è Õè Ñ ¼Ù»Ç·Õ䴌úÂÒ¦‹ÒáÁŧ¡ÅØÁ organophosphate ´ŒÇ¡ÒÃãËŒÂÒ atropine ËÃ×Í¡ÒÃãËŒÂÒ naloxone Œ † è Ñ ‹ 㹡ÒÃÃÑ¡ÉÒ¡ÒÃà¡Ô´ÀÒÇÐ opioid overdose ¡ç໚¹¡ÒÃ㪌»ÃÐ⪹¢Í§¡ÒÃà¡Ô´»¯Ô¡ÃÂÒâ´Â¡Ãкǹ ÔÔ ¡Ò÷ҧàÀÊѪ¾ÅÈÒʵÏઋ¹¡Ñ¹ µÑÇÍ‹ҧÃÒ§ҹËÃ×Í¡ÒÃÈÖ¡ÉÒã¹àÃ×èͧ»¯Ô¡ÔÃÔÂÒÃÐËNjҧÂÒ·ÕèÁÕ¤ÇÒÁÊíҤѭ ·Ò§¤ÅÔ¹Ô¡ ¼Å¢Í§¡ÒÃ㪌ÂÒ erythromycin ¡Ñº¤ÇÒÁàÊÕ§·Õ¨ÐàÊÕªÕǵ·ÕÁÊÒà˵بҡËÑÇ㨠è è Ô è Õ ÁÕ¡ÒÃÈÖ¡ÉÒã¹»ÃÐà·ÈÊËÃѰÍàÁÃÔ¡Ò(3) ¾ºÇ‹ÒËÒ¡¼Ù»ÇÂ㪌ÂÒ erythromycin ËÇÁ¡ÑºÂÒÍ×¹æ Œ † è ·ÕÁ¤³ÊÁºÑµà»š¹ CYP3A4 inhibitor ઋ¹ ÂÒ¦‹Òàª×ÍÃÒ ÂÒ¡ÅØÁ calcium channel blockers ઋ¹ è Õ Ø Ô é ‹ verapamil, diltiazem ¨ÐÁÕ¼»ÇÂàÊÕªÕǵà©Õº¾Åѹ·ÕÁÊÒà˵بҡËÑÇã¨à¾ÔÁ¢Ö¹Í‹ҧÁÕ¹ÂÊíҤѭ·Ò§Ê¶ÔµÔ ÙŒ † Ô è Õ è é Ñ ¨Ö§ÁÕ¤íÒá¹Ð¹íÒãËŒËÅÕ¡àÅÕè§¡ÒÃ㪌ÂÒ erythromycin ËÇÁ¡ÑºÂÒ·ÕèÁդسÊÁºÑµÔ໚¹ strong CYP3A4 inhibitor ¡ÒÃà¡Ô´»¯Ô¡ÃÂÒÃÐËNjҧÂÒàÁ×Í㪌 amiodarone ÔÔ è ÂÒ amiodarone ໚¹ÂÒ·ÕÁ¡ÒÃ㪌¡¹¤‹Í¹¢ŒÒ§ÁÒ¡ã¹»˜¨¨Øº¹ à¾×ͪ‹Ç¤Ǻ¤ØÁ¨Ñ§ËÇСÒÃൌ¹ è Õ Ñ Ñ è ¢Í§ËÑÇ㨠Í‹ҧäáçµÒÁÂÒ¹ÕÁÃÒ§ҹ¡ÒÃà¡Ô´»¯Ô¡ÃÂÒÃÐËNjҧÂҡѺÂÒÍÕ¡ËÅÒª¹Ô´·ÕÊҤѭ(4)ઋ¹ é Õ ÔÔ èí àÁ×Í㪌ÃÇÁ¡Ñº digoxin ÂÒ amiodarone ¨Ðä»ÂѺÂѧ¡Òâ¨Ñ´ digoxin ÍÍ¡¨Ò¡Ã‹Ò§¡ÒÂâ´Â੾ÒÐã¹ è ‹ é ª‹Ç§ 1-2 Çѹáá·Õ䴌úÂÒËÇÁ¡Ñ¹ ¨Ö§ÁÕ¤Òá¹Ð¹íÒãˌŴ¢¹Ò´ÂÒ digoxin ŧ¤Ã֧˹֧ àÁ×ÍàÃÔÁãËŒÂҷѧ 2 è Ñ í è è è è é ª¹Ô´¹ÕÃÇÁ¡Ñ¹ à¾×ÍËÅÕ¡àÅÕ§¡ÒÃà¡Ô´¾Ôɨҡ digoxin Ëҡ㪌ÂÒ amiodarone ËÇÁ¡ÑºÂÒ phenytoin é‹ è è ¨Ð¾ºÇ‹ÒÃдѺÂÒ phenytoin ã¹àÅ×Í´¨ÐÊÙ§¢Ö¹¡Ç‹Òà´ÔÁ 2 à·‹Ò «Ö§à»š¹¼ÅÁÒ¨Ò¡¡Ò÷Õè amiodarone ä» é è ÂѺÂѧ¡Ò÷íÒ§Ò¹¢Í§à͹ä«Á CYP2C9 ¹Í¡¨Ò¡¹Õ§¾ºÇ‹Ò amiodarone ÂѧÁÕ»¯Ô¡ÃÂҡѺÂÒÍ×¹æÍÕ¡ é é Ñ ÔÔ è ËÅÒª¹Ô´ ઋ¹ warfarin, beta-blockers, theophylline ໚¹µŒ¹
  • 100.
    àǪÈÒʵÏ·¹Âؤ 2553 Ñ 73 ¡ÒÃà¡Ô´»¯Ô¡ÃÂÒÃÐËNjҧÂÒ·Õ㪌·Ò§¨ÔµàǪ ÔÔ è âä·Ò§¨Ô µ àǪ໚ ¹ âä·Õè ÁÑ ¡ ¨ÐÁÕ ¡ ÒÃ㪌  ÒËÅÒª¹Ô ´ Ë Ç Á¡Ñ ¹ ઋ ¹ ÂÒµŒ Ò ¹«Ö Á àÈÃŒ Ò (antidepressant) ËÇÁ¡ÑºÂÒ·Õ㪌áÉÒÍÒ¡Ò÷ҧ¨Ôµ (antipsychotics) ËÃ×ÍËÇÁ¡ÑºÂÒ¤ÅÒ¡ѧÇšŨÁ è Ñ ‹ benzodiazepines ÂҴѧ¡Å‹ÒÇÍÒ¨à¡Ô´»¯Ô¡ÃÂÒÃÐËNjҧÂÒä´Œ¤Í¹¢ŒÒ§ÁÒ¡ µÑÇÍ‹ҧઋ¹ ÂÒ fluoxetine ÔÔ ‹ (5) ·Õ໚¹ÂÒµŒÒ¹ÍÒ¡ÒëÖÁàÈÃŒÒã¹¡ÅØÁ selective serotonin reuptake inhibitors (SSRIs) ·ÕÁ¡ÒÃ㪌¡¹ è ‹ è Õ Ñ ¤‹Í¹¢ŒÒ§ÁÒ¡ ᵋÂÒ¹ÕÁ¤³ÊÁºÑµà»š¹µÑÇÂѺÂѧ¡Ò÷íÒ§Ò¹¢Í§à͹ä«Á CYP2D6 ·Õ¤Í¹¢ŒÒ§áç áÅÐ é Õ Ø Ô é è ‹ ÂѧÂѺÂÑé§¡Ò÷íÒ§Ò¹¢Í§ CYP2C9 ÍÕ¡´ŒÇ àÁ×èÍ㪌ËÇÁ¡Ñº antipsychotics ઋ¹ haloperidol, fluphenazine, perphenazine ¨Ð·íÒãËŒÃдѺÂÒ antipsychotics ã¹àÅ×Í´ÊÙ§¢Ö¹ÁÒ¡ ¨¹à¡Ô´ÍѹµÃÒÂá¡‹ é ¼Ù»ÇÂä´Œ Œ † º·ÊÃØ» ¡ÒÃà¡Ô´»¯Ô¡ÃÂÒÃÐËNjҧÂÒ·ÕÁ¤ÇÒÁÊíҤѭ·Ò§¤ÅÔ¹¡¹Ñ¹ ÊÒÁÒöà¡Ô´ä´Œã¹¼Ù»Ç·ء»ÃÐàÀ· ÔÔ è Õ Ô é Œ † ºÒ§¤ÃÑé§ÍÒ¨ÁÕ¤ÇÒÁÃØ¹á稹ÍҨ໚¹ÍѹµÃÒ¶֧ᡋªÕÇÔµ ᾷ¼ÙŒãªŒÂÒ¤§äÁ‹ÊÒÁÒö·Õè¨Ð¨´¨íÒ ¤Ø³ÊÁºÑµ¢Í§ÂÒä´Œ·§ËÁ´ ᵋ¤ÇÃÃÐÁÑ´ÃÐÇѧàÁ×͵ŒÍ§ãªŒÂÒ㹡óմ§¹Õé Ô Ñé è Ñ 1. ¼Ù»ÇÂÊÙ§ÍÒÂØ à¹×ͧ¨Ò¡¼Ù»ÇÂ¡ÅØÁ¹ÕÁâÍ¡ÒÊ䴌úÂÒËÇÁ¡Ñ¹ËÅÒª¹Ô´ áÅФÇÒÁÊÒÁÒö Œ † è Œ † ‹ é Õ Ñ ã¹¡ÒÃà»ÅÕ¹á»Å§áÅТ¨Ñ´ÂÒÅ´¹ŒÍÂŧ è 2. ¼ÙŒ»†Ç·Õè㪌ÂÒËÅÒª¹Ô´Ã‹ÇÁ¡Ñ¹ ¼ÙŒ»†ÇºҧÃÒÂÁÕâä»ÃШíÒµÑÇËÅÒÂâä µŒÍ§¾ºá¾·Â ËÅÒ·‹Ò¹ ËÅÒÂá¼¹¡ ·íÒãˌ䴌úÂÒËÅÒª¹Ô´ ´Ñ§¹Ñ¹¨Ö§¤ÇÃÁÕ¡Ò÷º·Ç¹ÂÒ·Õ㪌ÃÇÁ¡Ñ¹ÍÂÙÍ‹ҧÊÁèÒ Ñ é è ‹ ‹ í àÊÁÍ 3. ÂÒ·ÕÁ´ª¹Õ¡ÒÃÃÑ¡ÉÒ᤺ (narrow therapeutic index) ÂÒã¹¡ÅØÁ¹Õé ËÒ¡ÁÕÃдѺÂÒ·Õʧ¡Ç‹Ò è Õ Ñ ‹ èÙ ÃдѺ¡ÒÃÃÑ¡ÉÒà¾Õ§àÅ硹ŒÍ¡çÍÒ¨·íÒãËŒà¡Ô´ÍѹµÃÒÂá¡‹¼»ÇÂä´Œ ઋ¹ warfarin, digoxin, theophylline ÙŒ † 4. ÂÒ·ÕÁ¤³ÊÁºÑµ¨º¡Ñºâ»ÃµÕ¹ÊÙ§ ઋ¹ NSAIDs, warfarin è Õ Ø ÔÑ 5. ÂÒ·ÕÁ¤³ÊÁºÑµà»š¹ strong enzyme inducer or inhibitor è Õ Ø Ô 6. ÂÒ·ÕÁ¤³ÊÁºÑµã¹¡Òâ¨Ñ´ÂÒẺ saturation kinetics ËÃ×Í zero-order kinetics «Ö§ÁÕ͵ÃÒ è Õ Ø Ô è Ñ ¡Òâ¨Ñ´ÂÒ¤§·Õè áÁŒÇÒÃдѺÂÒã¹àÅ×Í´¨ÐÊÙ§ÁÒ¡¨¹¶Ö§ÃдѺà¡Ô´¾ÔÉ ¡çäÁ‹ÊÒÁÒöà˧¢¨Ñ´ÍÍ¡¨Ò¡Ã‹Ò§ ‹ ¡ÒÂä´Œ ઋ¹ ÂÒ phenytoin, theophylline 7. ÂÒ·Õ¨Ò໚¹µŒÍ§ãªŒà»š¹àÇÅÒ¹Ò¹æ áÅеŒÍ§¡ÒÃãËŒÃдѺÂÒã¹àÅ×Í´¤§·Õè à¾×ͤǺ¤ØÁâä èí è ઋ¹ÂҡѹªÑ¡ (antiepileptic drugs) ÂÒµŒÒ¹¡ÒÃൌ¹¼Ô´¨Ñ§ËÇТͧËÑÇ㨠(antiarrhythmic drugs)
  • 101.
    74 ¡ÒÃà¡Ô´»¯Ô¡ÃÂÒÃÐËNjҧÂÒ·ÕÁ¤ÇÒÁÊíҤѭ·Ò§¤ÅÔ¹¡ ÔÔ è Õ Ô àÍ¡ÊÒÃ͌ҧÍÔ§ 1. Manzi S., Shannon M. Drug interaction-a review. Clin Ped Emerg Med. 2005;6:93-102. 2. Piscitelli CS, Gallicano DK. Interaction among drugs for HIV and opportunistic infections. N Engl J Med. 2001;344:984-96. 3. Ray AW, Murray TK, Meredith S, Narasimhulu SS, Hall K, Stein MC. Oral erythromycin and the risk of sudden death from cardiac cause. N Engl J Med. 2004;351:1089-96. 4. Trujillo CT, Nolan EP. Antiarrhythmic agents: drug interactions of clinical significant. Drug Safety. 2000;28:509- 32. 5. Spina E, Scordo GM. Clinically significant drug interactions with antidepressants in the elderly. Drugs Aging. 2002;19:299-20.
  • 102.
    àǪÈÒʵÏ·¹Âؤ 2553 Ñ º··Õè 75 11 Availability of Antidote: A Current Status in Thailand àÀÊѪ¡Ã ¸¹¡Ã ÈÔÃÔÊÁطà ˹‹Ç¢ŒÍÁÙÅÂÒáÅоÔÉÇÔ·ÂÒ âç¾ÂÒºÒÅÈÔÃÔÃÒª ÁËÒÇÔ·ÂÒÅÑÂÁËÔ´Å ÂÒµŒÒ¹¾ÔÉ (Antidotes) ¨Ñ´à»š¹ÂÒ·ÕÁ¤ÇÒÁÊíҤѭ㹡Òê‹ÇÂàËÅ×ͼٷ䴌úÊÒþÔÉ ÀÒÇоÔÉ è Õ Œ Õè Ñ ºÒ§ª¹Ô´¨íÒ໚¹·Õè¨ÐµŒÍ§ä´ŒÃѺÂÒµŒÒ¹¾ÔÉÍ‹ҧ·Ñ¹·‹Ç§·Õ ઋ¹ÀÒÇоÔɨҡä«ÂÒä¹´ ÀÒÇоÔɨҡ ÂÒ¡ÅØ‹Á cardiac glycosides Í‹ҧäáçµÒÁÀÒÇФÇÒÁ໚¹¾ÔÉ (intoxication) ໚¹ÀÒÇзÕèäÁ‹ä´Œ à¡Ô´¢Ö¹º‹Í¤Ãѧ ¤ÇÒÁµŒÍ§¡ÒÃÂÒµŒÒ¹¾Ôɨ֧à¡Ô´¢Ö¹à»š¹¤Ãѧ¤ÃÒÇ áÅкҧ¤Ãѧʶҹ¾ÂÒºÒÅ¡çäÁ‹ÁÕ é é é é é ¼ÙàªÕÂǪҭ·Õ¨ÐãËŒ¤Òá¹Ð¹íÒ·ÕàËÁÒÐÊÁà¡ÕÂǡѺ¡ÒÃ㪌ÂÒµŒÒ¹¾ÔÉ ¡ÒÃÊíÒÃͧÂÒµŒÒ¹¾ÔÉ ¡Í»Ã¡Ñº Œ è è í è è ÂÒµŒÒ¹¾ÔÉËÅÒÂÃÒ¡ÒÃ໚¹ÂÒ¡íÒ¾ÃŒÒ (orphan drugs) «Ö§ËÁÒ¶֧໚¹ÂÒ·ÕÁ¤ÇÒÁ¨íÒ໚¹ã¹¡ÒÃ㪌 è è Õ áµ‹ÁÕ¢ŒÍ¨íҡѴ㹡ÒÃࢌҶ֧ ઋ¹äÁ‹ÁÕ¼ÙŒ¼ÅÔµ äÁ‹ÁÕ¡ÒùíÒà¢ŒÒ ¨Ö§à»š¹¤ÇÒÁàÊÕè§·ÕèàÁ×èÍà¡Ô´ÀÒÇФÇÒÁ ໚¹¾ÔÉà¡Ô´¢Ö¹áŌǨÐäÁ‹ÁÂÒµŒÒ¹¾ÔÉãˌ㪌 é Õ ÁÕ¡ÒÃÈÖ¡ÉÒËÅÒªÔé¹·Õèà¡ÕèÂÇ¢ŒÍ§¡Ñº¡ÒÃÊíÒÃǨ¶Ö§¡ÒÃÊíÒÃͧÂÒµŒÒ¹¾ÔÉã¹µ‹Ò§»ÃÐà·È ઋ¹ ¡ÒÃÈÖ¡ÉÒâ´ÂÊͺ¶ÒÁËÑÇ˹ŒÒá¼¹¡àÀÊѪ¡ÃÃÁã¹Ê¶Ò¹¾ÂÒºÒÅ·ÕÁá¼¹¡©Ø¡à©Ô¹ 3 áË‹§¤×ÍÁÅÃѰè Õ â¤âÅÃÒâ´ Á͹µÒ¹Ò à¹ÇÒ´Ò »ÃÐà·ÈÊËÃѰÍàÁÃÔ¡Ò ¾ºÇ‹ÒÁÕà¾Õ§ 1 ʶҹ¾ÂÒºÒŨҡ 108 áË‹§ ·ÕÁ¡ÒÃÊíÒÃͧÂÒµŒÒ¹¾ÔÉÍ‹ҧà¾Õ§¾Í â´Â¾ºÇ‹Ò naloxone ໚¹ÂÒ·ÕÁ¡ÒÃÊíÒÃͧà¾Õ§¾ÍÁÒ¡·ÕÊ´ è Õ è Õ èØ áÅоºÇ‹Ò digoxin immune .ab ໚¹ÂÒ·ÕèÁÕ¡ÒÃÊíÒÃͧà¾Õ§¾Í¹ŒÍ·ÕèÊØ´(1) ÊíÒËÃѺʶҹ¡Òó ã¹ÃѰÍ͹µÒÃÔâÍ »ÃÐà·È¤Ò¹Ò´Ò¡ç¾ºÇ‹ÒäÁ‹áµ¡µ‹Ò§¡Ñ¹ â´Â¨Ò¡¡ÒÃÊíÒÃǨʶҹ¾ÂÒºÒÅ 179 áË‹§ ¾ºÇ‹ÒÁÕà¾Õ§ÌÍÂÅÐ 9 ෋ҹѹ·ÕÁ¡ÒÃÊíÒÃͧ digoxin immune .ab Í‹ҧà¾Õ§¾Í áÅоºÇ‹ÒÁÕʶҹ é è Õ ¾ÂÒºÒÅà¾Õ§ 1 áË‹§à·‹Ò¹Ñé¹·ÕèÁÕ¡ÒÃÊíÒÃͧÂÒµŒÒ¹¾ÔÉã¹»ÃÔÁÒ³·Õèà¾Õ§¾Í¨Ò¡ÃÒ¡ÒÃÂÒµŒÒ¹¾ÔÉ ·ÕÊÁ¤ÇÃÁÕ 10 ÃÒ¡Òà ¹Í¡¨Ò¡¹Ñ¹áÅŒÇÂѧ¾ºÇ‹Ò ÃҤҢͧÂÒµŒÒ¹¾ÔÉÁÕ¤ÇÒÁÊÑÁ¾Ñ¹¸¹Í¡ѺÍѵÃÒ è é Œ ¡ÒÃÊíÒÃͧÂÒµŒÒ¹¾ÔÉ ¹Ñ¹ËÁÒ¤ÇÒÁÇ‹Ò ÃҤҢͧÂÒäÁ‹ãª‹»¨¨Ñ·յ´ÊÔ¹¡Ò÷ÕÁËÃ×ÍäÁ‹Á¡ÒÃÊíÒÃͧ (2) è ˜ è Ñ è Õ Õ ÂÒµŒÒ¹¾ÔÉ ã¹»ÃÐà·Èà´ÕÂǡѹᵋ໚¹·ÕðºÃÔµª â¤ÅÍÁàºÕ ¾ºÇ‹Ò ã¹ÃÒ¡ÒÃÂÒµŒÒ¹¾ÔÉ·ÕÊÁ¤Çà èÑ Ô è ÁÕäÇŒ 14 ÃÒ¡ÒùѹäÁ‹Áʶҹ¾ÂÒºÒÅã´àÅ·ÕÁ¡ÒÃÊíÒÃͧÂÒµŒÒ¹¾ÔÉÍ‹ҧà¾Õ§¾Í â´Â·ÕÁ¡ÒÃÊíÒÃͧ é Õ è Õ è Õ ÂÒµŒÒ¹¾ÔÉà¾Õ§¾Íà¾Õ§ᤋ 4 ÃÒ¡ÒÃ෋ҹѹ ¹Í¡¨Ò¡¹Ñ¹Âѧ¾ºÇ‹Ò¤ÇÒÁᵡµ‹Ò§¢Í§Ê¶Ò¹¾ÂÒºÒÅ é é ÂѧÁÕÍ·¸Ô¾Åµ‹Í¡ÒÃÊíÒÃͧÂÒµŒÒ¹¾ÔÉ´ŒÇ ઋ¹ ʶҹ¾ÂÒºÒÅ·ÕÁ˹‹Ç trauma, ʶҹ¾ÂÒºÒÅ·Õ໚¹ Ô è Õ è âçàÃÕ¹ᾷáÅÐʶҹ¾ÂÒºÒÅ·ÕèÍÂÙ‹ã¡ÅŒà¢µàÁ×ͧ¨ÐÁÕÍѵÃÒ¡ÒÃÊíÒÃͧÂÒµŒÒ¹¾ÔÉÊÙ§¡Ç‹ÒÍ‹ҧÁÕ ¹ÑÂÊíҤѭ·Ò§Ê¶ÔµàÁ×Íà·Õº¡ÑºÊ¶Ò¹¾ÂÒºÒÅ·ÕäÁ‹Á˹‹Ç trauma äÁ‹ä´Œà»š¹âçàÃÕ¹ᾷ áÅÐʶҹ Ô è è Õ ¾ÂÒºÒÅ·ÕÍÂÙä¡ÅࢵàÁ×ͧ(3) è ‹
  • 103.
    76 Availability of Antidote : A Current Status in Thailand Í‹ҧäáçµÒÁàÁ×è;ԨÒóÒã¹ÃÒÂÅÐàÍÕ´¾ºÇ‹ÒÂÒµŒÒ¹¾ÔɺҧÃÒ¡Òà ઋ¹ sodium bicarbonate, N-acetylcysteine, ethanol, áÅÐ naloxone ÁÕ¡ÒÃÊíÒÃͧ㹻ÃÔÁÒ³·Õà¾Õ§¾Í¤×ÍÃŒÍÂÅÐ è 77, 64, 49 áÅÐ 47 µÒÁÅíҴѺ ã¹¢³Ð·Õ«ÃÁµŒÒ¹¾Ôɧ٠ÇÔµÒÁÔ¹ºÕË¡ ¡Å٤ҡ͹ áÅÐ digoxin immune è ÕÑ .ab ÁÕ¡ÒÃÊíÒÃͧ¹ŒÍÂÁÒ¡¤×ÍÃŒÍÂÅÐ 13, 7, 7, áÅÐ 5 µÒÁÅíҴѺ(3) ÊíÒËÃѺʶҹ¡Òóã¹»ÃÐà·Èä·Â à¹×ͧ¨Ò¡ÂѧäÁ‹Á¡ÒÃÈÖ¡ÉÒµÔ´µÒÁÍ‹ҧ໚¹Ãкº ᵋ¨Ò¡ è Õ »ÃÐʺ¡Òó¡ÒÃãËŒ¤Ò»ÃÖ¡ÉҢͧÈٹ¾ÉÇÔ·ÂÒ âç¾ÂÒºÒÅÈÔÃÃÒª ¾ºÇ‹Ò âç¾ÂÒºÒŪØÁª¹ËÅÒ í Ô Ô áË‹§ã¹¾×¹·ÕËÒ§ä¡Å ËÃ×Í ¡Ãзѧâç¾ÂÒºÒÅÈٹµÒÁ¨Ñ§ËÇÑ´ãË­‹æ »ÃÐʺ»˜­ËÒ¡ÒâҴá¤Å¹ é è ‹ è ¡ÒÃäÁ‹ÁÂÒµŒÒ¹¾ÔÉÊíÒÃͧã¹Ê¶Ò¹¾ÂÒºÒÅ ·íÒãËŒ»ÃÐʺ¤ÇÒÁÂÒ¡ÅíҺҡ㹡ÒÃãËŒ¤ÇÒÁª‹ÇÂàËÅ×Í Õ ¼Ù»Ç ઋ¹ 㹡óշ¼»Ç¡ԹÂҡѹªÑ¡ºÒ§ª¹Ô´·ÕÍ͡ķ¸Ôà¹Ô¹¹Ò¹ (controlled release formulation Œ † Õè ÙŒ † è ì è of antiepileptic drugs) ¨íÒ໚¹·Õè¨ÐµŒÍ§ãËŒ polyethylene glycol ã¹ÊÒÃÅÐÅÒ electrolytes ·ÕàËÁÒÐÊÁ (Colyte ) à¾×ͪ‹ÇÂà˧¡Òâ¨Ñ´ÂÒ·Õ§äÁ‹¶¡´Ù´«ÖÁãËŒÍÍ¡¨Ò¡·Ò§à´Ô¹ÍÒËÒà ᵋ»ÃÒ¡¯Ç‹Ò è ® è è Ñ Ù ÁÕËÅÒÂáË‹§·ÕäÁ‹Á¡ÒÃÊíÒÃͧÂÒ¹ÕäÇŒ â´ÂÁÒ¡¨ÐÁÕ¡ÒÃÊíÒÃͧÊÒÃÅÐÅÒ¢ͧà¡Å×Íâ«à´ÕÂÁ¿ÍÊ࿵᷹ è Õ é «Ö§ãªŒá·¹¡Ñ¹äÁ‹ä´Œ ËÃ×Í㹡óբͧ¡ÒÃÃÑ¡ÉÒÀÒÇÐ extrapyramidal symptoms (EPS) ¨Ò¡ high- è potency antipsychotics ¡ç¾ºÇ‹Òã¹Ê¶Ò¹¾ÂÒºÒÅËÅÒÂáË‹§äÁ‹ÁÕ benztropine injection (Cogentin ) ® ·íÒãˌ໚¹»˜­ËÒ㹡Òê‹ÇÂàËÅ×ͼٻÇ·ÕÁÍÒ¡ÒÃÁÒ¡¨¹äÁ‹ÊÒÁÒöãËŒÂÒ·Ò§»Ò¡ä´Œ Œ † è Õ ¹Í¡¨Ò¡»˜­ËÒ¡ÒÃÊíÒÃͧÂÒ ¡ÒâҴá¤Å¹ÂÒµŒÒ¹¾ÔÉ «Ö§à»š¹ÊÀÒ¾»˜­ËÒ·Õ¾ºÇ‹Ò¤ÅŒÒ¤ÅÖ§ è è ¡Ñº»ÃÐà·È·Õ¾²¹ÒáÅŒÇ Âѧ¾ºÇ‹Ò ÊíÒËÃѺ»ÃÐà·Èä·Â ¡ÒÃÇÔ¹¨©Ñ ¡ÒõÃǨ·Ò§ËŒÍ§»¯Ôºµ¡ÒÃà¾×Í è Ñ Ô Ñ Ô è ÇÔ¹¨©ÑÂÀÒÇоÔÉÂѧ¡ÃзíÒä´ŒÂÒ¡ÅíÒºÒ¡ ઋ¹ ËÅÒÂʶҹ¾ÂÒºÒÅã¹¡ÃØ§à·¾ÁËÒ¹¤Ã ËÃ×Í»ÃÔÁ³±Å Ô äÁ‹ÊÒÁÒöµÃǨÇÑ´ÃдѺÂÒ¾ÒÃÒ૵ÒÁÍÅä´Œ ¡ÒÃÊ‹§«ÕÃÁ仵ÃǨ·ÕʶҺѹÍ×¹¡ç·Òä´ŒÂÒ¡áÅÐ㪌àÇÅÒ Ñ è è í ¹Ò¹¨¹äÁ‹à»š¹»ÃÐ⪹µ‹Í¡ÒõѴÊԹ㨷ҧ¤ÅÔ¹Ô¡ ·íÒãËŒÂҡ㹡ÒõѴÊÔ¹àÃÔèÁ¡ÒÃãËŒ¡ÒÃÃÑ¡ÉÒ ¡ÒõÃǨÂ×¹Âѹ¡ÒÃÊÑÁ¼ÑÊ (exposure confirmation test) ¾ÒÃÒ¤ÇÍ·´ŒÇÂÇÔ¸Õ dithionite test ÂѧäÁ‹ ¤Ãͺ¤ÅØÁã¹ËÅÒÂæ ʶҹ¾ÂÒºÒÅ ·íÒãËŒ¡ÒõѴÊÔ¹ã¨àÃÔèÁ¡ÒÃÃÑ¡ÉÒ´ŒÇ immunosuppressants 㹼ٻǷÕÁ»ÃÐÇѵ¡ÒÃÊÑÁ¼ÑÊäÁ‹ª´à¨¹·íÒä´ŒÅÒºÒ¡ ËÃ×Í¡ÒõÃǨ¤‹Ò·Ò§à¤ÁÕ¤ÅÔ¹¡¾×¹°Ò¹ ઋ¹ liver Œ † è Õ Ô Ñ í Ô é function tests ËÅÒÂʶҹ¾ÂÒºÒÅ¡çäÁ‹ÊÒÁÒö¡ÃзíÒä´Œ¹Í¡àÇÅÒÃÒª¡Òà «Ö§â´Â»¡µÔáŌǼٻÇÂ è Œ † ·Õèä´ŒÃѺÊÒþÔÉÁÑ¡à¡Ô´à˵ØáÅÐÁÒ¾ºá¾·Âã¹ª‹Ç§¹Í¡àÇÅÒÃÒª¡Òà ·íÒãËŒà¡Ô´¤ÇÒÁÂÒ¡ÅíÒºÒ¡á¡‹ ᾷ¼Ã¡ÉÒ ÙŒ Ñ ÊíÒËÃѺ»ÃÐà´ç¹·ÕÁ¤ÇÒÁ¡Ñ§ÇÅÍÕ¡»ÃСÒÃ˹֧¤×Í ¡ÒÃ㪌ÂÒµŒÒ¹¾ÔÉã¹ÊµÃÕÁ¤ÃÃÀ à¾ÃÒÐÍ‹ҧ è Õ è Õ äáçµÒÁÊÔ§·ÕàÃÒ¹íÒÁÒ㪌㹡Òê‹ÇªÕǵ¼Ù·à¡Ô´¤ÇÒÁ໚¹¾ÔÉ¡ç¤ÍÂÒÍ‹ҧ˹֧¹Ñ¹àͧ «Ö§¡çÍÒ¨¨ÐÊ‹§¼Å è è Ô Œ Õè × è è è µ‹Í·Òá㹤ÃÃÀä´Œ ÁÕ¡ÒÃÈÖ¡ÉÒà¡ÕÂǡѺàÃ×ͧ¹ÕÍ‹ҧ໚¹Ãкºâ´Â໚¹¡Ò÷º·Ç¹ÇÒÃÊÒÃŒ͹ËÅÑ§ä» è è é ã¹ÃÐËNjҧ»‚ ¾.È. 2509 ¶Ö§»‚ ¾.È. 2544 ¾ºÇ‹Ò ÊÒÁÒöẋ§»ÃÐàÀ·¢Í§ÂÒµŒÒ¹¾ÔÉä´Œ 3 »ÃÐàÀ· µÒÁ¤ÇÒÁàÊÕ§¢Í§¡Òá‹ÍÅÙ¡ÇÔû (teratogenic risk) ´Ñ§¹Õé(4) è Ù ¡. ÂÒµŒÒ¹¾ÔÉ·ÕäÁ‹Á¤ÇÒÁàÊÕ§ ËÃ×ÍÁÕ¤ÇÒÁàÊÕ§µèÒÁҡ㹡Òá‹ÍÅÙ¡ÇÔû (probably do not è Õ è è í Ù represent measurable teratogenic risk) ઋ¹ atropine, calcium chloride ËÃ×Í calcium gluconate áÅÐ pyridoxine
  • 104.
    àǪÈÒʵÏ·¹Âؤ 2553 Ñ 77 ¢. ÂÒµŒÒ¹¾ÔÉ·ÕÁ¤ÇÒÁàÊÕ§㹡Òá‹ÍÅÙ¡ÇÔû ¶ŒÒ㪌㹢ŒÍº‹§ãªŒ·¹Í¡à˹×Í仨ҡ¡ÒÃ㪌à¾×Í è Õ è Ù Õè è ໚¹ÂÒµŒÒ¹¾ÔÉ (known to be human teratogens for indication other than poisoning) ઋ¹ ethanol, methylene blue, penicillamine ¤. ÂÒµŒÒ¹¾ÔÉ·ÕèäÁ‹ÁÕ¤ÇÒÁàÊÕè§㹡Òá‹ÍÅÙ¡ÇÔÃÙ»Íѹà¹×èͧÁҨҡ໚¹ÊÒ÷ÕèÁÕã¹Ã‹Ò§¡ÒÂᵋ äÁ‹·ÃÒº¼Å·Õà¡Ô´àÁ×Í㪌㹢¹Ò´·ÕáÉÒ¤ÇÒÁ໚¹¾ÔÉ àª‹¹ folinic acid, glucagon, hydroxycobalamin, è è èÑ áÅÐ vitamin K µÒÃÒ§·Õè 1 ¤íÒá¹Ð¹íÒ㹡ÒÃÊíÒÃͧÂÒµŒÒ¹¾ÔÉÊíÒËÃѺʶҹ¾ÂÒºÒÅ·ÕèÃѺ¼ÙŒ»†Ç©ءà©Ô¹(5) ÅѡɳФíÒá¹Ð¹íÒ ËÅÑ¡°Ò¹ ÂÒµŒÒ¹¾ÔÉ ¢ŒÍº‹§ãªŒã¹¡ÒõŒÒ¹¾ÔÉ ¤ÇÃÁÕ¡Òà ¤ÇÃÁÕÂÒ ¤ÇÃÁÕÂÒ »ÃСͺ ÊíÒÃͧ 㪌㹠㪌·¹·ÕA Ñ ¤íÒá¹Ð¹íÒB 60 ¹Ò·Õ Acetylcysteine Acetaminophen Y Y N I (IV form) II (Oral) Atropine sulfate Organophosphorus Y Y Y III and N-methyl carbamate insecticides Calcium gluconate .luoride, calcium Y Y Y III channel blocking agents Calcium disodium Lead Y N N II EDTA Cyanide antidote kit Cyanide poisoning Y Y Y III Hydroxocobalamin Cyanide poisoning Y Y Y II Deferoxamine Acute iron poisoning Y Y N II Ethanol Methanol or ethylene Y Y N III glycol poisoning .lumazenil Benzodiazepines toxicity Y Y Y III Methylene blue Methemoglobinemia Y Y Y II Naloxone Opioid and opiate drugs Y Y Y I Octreotide Sulfonylurea-induced Y Y N II hypoglycemia Physostigmine Anticholinergic syndromes Y Y Y II Pralidoxime Organophosphorus Y Y NCC II insecticide poisoning Pyridoxine (Vitamin B6) INH, hydrazine and Y Y Y III derivatives
  • 105.
    78 Availability of Antidote : A Current Status in Thailand ÅѡɳФíÒá¹Ð¹íÒ ÂÒµŒÒ¹¾ÔÉ ¢ŒÍº‹§ãªŒã¹¡ÒõŒÒ¹¾ÔÉ ¤ÇÃÁÕ¡Òà ¤ÇÃÁÕÂÒ ¤ÇÃÁÕÂÒ ËÅÑ¡°Ò¹ »ÃСͺ ÊíÒÃͧ 㪌㹠㪌·¹·ÕAÑ ¤íÒá¹Ð¹íÒB 60 ¹Ò·Õ Sodium bicarbonate Sodium channel blocking Y Y Y II drugs, urine or serum alkalinization A ã¹Ê¶Ò¹¾ÂÒºÒÅʋǹãË­‹ ¤íÒÇ‹Ò ¤ÇÃãËŒÁÂÒ㪌·¹·Õ ËÁÒ¶֧¡ÒÃÁÕÂÒµŒÒ¹¾ÔÉÍÂÙã¹á¼¹¡©Ø¡à©Ô¹ Õ Ñ ‹ B ẋ§µÒÁ¹éÒ˹ѡ¢Í§ËÅÑ¡°Ò¹; I ä´ŒÁÒ¨Ò¡§Ò¹ÇÔ¨ÂáººÊØÁ·ÕÁ¤³ÀÒ¾ÊÙ§ ÁÕ¡Òû¡»´ áÅÐÁÒ¨Ò¡¡Ò÷íÒÍÀÔÇà¤ÃÒÐˏ (meta- í Ñ ‹ è Õ Ø Ô analysis) ·Õ»ÃСͺ´ŒÇ§ҹÇÔ¨ÂáººÊØÁ·ÕÁ¤³ÀÒ¾ÊÙ§ II ä´ŒÁÒ¨Ò¡§Ò¹ÇԨ·ÕäÁ‹ãª‹¡ÒÃÊØÁ ¡ÒÃÈÖ¡ÉÒẺ仢ŒÒ§Ë¹ŒÒ è Ñ ‹ è Õ Ø Ñ è ‹ ¡ÒÃÇԨ·ÕäÁ‹ä´Œ»¡»´ ¡ÒÃÈÖ¡ÉÒẺÊíÒÃǨ·ÕÁ¤³ÀÒ¾ÊÙ§ ËÃ×Í¡ÒÃÈÖ¡ÉÒẺÍÒÊÒÊÁѤà III ä´ŒÁÒ¨Ò¡ case-series Ñ è è Õ Ø áººÂŒÍ¹ËÅѧ ¡Ã³ÕÈ¡ÉÒ ¤ÇÒÁàËç¹¼ÙàªÕÂǪҭ ËÃ×Í¡ÒÃÈÖ¡ÉÒã¹ÊѵǏ·´Åͧ Ö Œ è C ¤³Ð¡ÃÃÁ¡ÒÃäÁ‹ºÃÃÅØ¤ÇÒÁàËç¹Ã‹ÇÁ ¤íÒá¹Ð¹íÒÃÒ¡ÒâͧÂÒµŒÒ¹¾ÔÉ 20 ÃÒ¡Ò÷ÕèÁѡ㪌áÅÐÁÕ¢ŒÍ¡íÒ˹´ãËŒ ¡ÒÃÊíÒÃͧÂÒ ¤×Í(6) 1. á¹Ð¹íÒãËŒÁ¡ÒÃÊíÒÃͧÂÒÍ‹ҧÊÁèÒàÊÁÍ: N-acetylcysteine, crotalid snake antivenin, Õ í calcium gluconate ËÃ×Í calcium chloride, sodium bicarbonate, cyanide antidote kit, deferoxamine, digoxin immune .ab, dimercaprol, atropine, ethanol, formepizole, glucagon, methylene blue, naloxine, pralidoxime, pyridoxine 2. ·Õè » ÃÐªØ Á ÂÑ § äÁ‹ º ÃÃÅØ ¢Œ Í µ¡Å§à¡Õè Â Ç¡Ñ º ¡ÒÃÊí Ò ÃͧÂÒÍ‹ Ò §ÊÁèí Ò àÊÁÍ: flumazenil, physostigmine 3. äÁ‹á¹Ð¹íÒãËŒÁ¡ÒÃÊíÒÃͧÂÒÍ‹ҧÊÁèÒàÊÁÍ: black widow antivenin, ethylenediamine Õ í tetraacetic acid (EDTA) Í‹ҧäáçµÒÁÊíÒËÃѺ㹻ÃÐà·Èä·Â¹Ñ¹ÂѧµŒÍ§ÁÕ¡ÒùíÒ¤íÒá¹Ð¹íҢͧ¼ÙàªÕÂǪҭàËŋҹÕÁÒ é Œ è é »ÃѺ㪌͡¤Ãѧà¹×ͧ¨Ò¡»˜­ËÒ¤ÇÒÁÊÒÁÒö㹡ÒüÅÔµËÃ×Í¡ÒÃࢌҶ֧ÂҴѧ¡Å‹ÒÇ Õ é è ÊÃØ» ÂÒµŒÒ¹¾ÔÉÁÕ¤ÇÒÁÊíҤѭÍ‹ҧÂÔ§ÊíÒËÃѺ¼Ù·à¡Ô´ÀÒÇоÔÉ¢Ö¹ Í‹ҧäáçµÒÁà¹×ͧ¨Ò¡ÂÒàËŋҹÕé è Œ Õè é è ໚¹ÂÒ¡íÒ¾ÃŒÒ áÅÐÁÕ»­ËÒ㹡ÒÃࢌҶ֧ÂÒ ¨Ö§ÁÕ¤ÇÒÁ¨íÒ໚¹áÅÐÁÕ¤ÇÒÁÊíҤѭ㹡Ò÷ÕᵋÅÐʶҹ ˜ è ¾ÂÒºÒŨоԨÒóҶ֧¤ÇÒÁ¨íÒ໚¹ËÃ×Íá¹Ç·Ò§¡ÒÃÊÌҧà¤Ã×Í¢‹Ò¡ÒÃࢌҶ֧ÂÒµŒÒ¹¾ÔÉ·ÕèÁÕ »ÃÐÊÔ·¸ÔÀÒ¾ ËÇÁ仡ѺÈÑ¡ÂÀÒ¾¢Í§Ê¶Ò¹¾ÂÒºÒÅ㹡ÒõÃǨÇÔ¹¨©ÑÂÀÒÇФÇÒÁ໚¹¾ÔÉ Ô
  • 106.
    àǪÈÒʵÏ·¹Âؤ 2553 Ñ 79 àÍ¡ÊÒÃ͌ҧÍÔ§ 1. Dart RC, Stark Y, .ulton B, Koziol-McLain J, Lowenstein SR. Insufficient stocking of poisoning antidotes in hospital pharmacies. JAMA 1996;276 (18):1508-10. 2. Juurlink DN, McGuigan MA, Paton TW, Redelmeier DA. Availability of antidotes at acute care hospitals in Ontario. CMAJ 2001;165 (1):27-30. 3. Gorman SK, Zed PJ, Pursell RA, Brubacher J, Willis GA. Antidote stocking in British Columbia hospitals. CJEM 2003;5 (1):12-7. 4. Bailey B. Are there teratogenic risks associated with antidotes used in the acute management of poisoned pregnant women?. Birth Defects Res A Clin Mol Teratol 2003;67:133-40. 5. Dart RC, Borron SW, Caravati EM, Cobaugh DJ, Curry SC, .alk JL, et al. Expert consensus guidelines for stocking of antidotes in hospitals that provide emergency care. Ann Emerg Med 2009; 54 (3): 386-94. 6. Betten DP, Vohra RB, Cook MD, Matteucci MJ, Clark R.. Antidote use in the critically ill poisoned patient. J Intensive Care Med 2006;21 (5):255-77.
  • 108.
    àǪÈÒʵÏ·¹Âؤ 2553 Ñ º··Õè 81 12 Drug Administration Pitfalls: from Practitioner to Patient àÀÊѪ¡Ã ¼ÙŒª‹ÇÂÈÒʵÃÒ¨ÒÏ ´Í¡àµÍÏ»ÃÕªÒ Á¹·¡Ò¹µÔ¡ØÅ ÀÒ¤ÇÔªÒàÀÊѪ¡ÃÃÁ ¤³ÐàÀÊѪÈÒʵÏ ÁËÒÇÔ·ÂÒÅÑÂÁËÔ´Å ¡ÒúÃÔËÒÃÂÒ (drug administration) ãˌᡋ¼»ÇÂÍ‹ҧ¶Ù¡µŒÍ§áÅлÅÍ´ÀÑÂ໚¹à»‡ÒËÁÒ ٌ † ·ÕèÊíҤѭ㹡Ãкǹ¡ÒÃÃÑ¡ÉÒ´ŒÇÂÂÒ ¤ÇÒÁ¼Ô´¾ÅҴ㹡ÒúÃÔËÒÃÂÒÍÒ¨¡‹ÍãËŒà¡Ô´¼ÅàÊÕµ‹Í¤ÇÒÁ à¨çº»†ÇÂáÅСÒÃàÊÕªÕǵ¢Í§¼Ù»Ç ¨Ö§¨íÒ໚¹µŒÍ§ÁÕÃкº¡ÒúÃÔËÒÃÂÒ·Õ䴌ú¡ÒÃÍ͡ẺáÅеԴµÒÁ Ô Œ † è Ñ ¤ÇÒÁ¤ÅÒ´à¤Å×͹¢Í§¢Ñ¹µÍ¹µ‹Ò§æ ä´Œ ÃÇÁ¶Ö§ ÁÕ¤ÇÒÁËÇÁÁ×ÍÃÐËNjҧºØ¤ÅÒ¡ÃÊÒ¸ÒÃ³ÊØ¢ÊÒ¢Òµ‹Ò§æ è é äÁ‹Ç‹Ò¨Ð໚¹á¾·Â¼ÙŒÊÑè§ãªŒÂÒáÅÐà¢Õ¹¤íÒÊÑè§ãªŒÂÒ ¾ÂÒºÒżٌÃѺ¤íÒÊÑè§ãªŒÂÒ ¡ÒÃàºÔ¡ÂҨҡˌͧÂÒ ¡ÒõÃǨÊͺ¤ÇÒÁ¶Ù¡µŒÍ§¢Í§ÂҡѺ¤íÒÊÑè§ãªŒÂÒ«éíÒ ¡ÒèѴàµÃÕÂÁÂÒ ¡ÒüÊÁÂÒ áÅСÒúÃÔËÒà ÂÒã¹á¡‹¼ÙŒ»†Ç áÅÐàÀÊѪ¡Ã¼ÙŒµÃǨÊͺ¤ÇÒÁ¶Ù¡µŒÍ§áÅÐàËÁÒÐÊÁ¢Í§ÂÒ·ÕèᾷÊÑè§ àµÃÕÂÁÂÒ ã¹ÃٻẺ·ÕàËÁÒÐÊÁ¡ÒèѴʋ§ÂÒä»ÂѧËͼٻÇ áÅеԴµÒÁ¡ÒÃ㪌ÂÒã¹ËͼٻÇ ÃÇÁ¶Ö§¡Ãкǹ¡ÒÃ è Œ † Œ † Í×¹æ ·ÕʹѺʹع¤ÇÒÁ¶Ù¡µŒÍ§áÅлÅÍ´ÀÑÂ㹡ÒúÃÔËÒÃÂÒ·ÕàÀÊѪ¡ÃÁÕº·ºÒ·â´ÂµÃ§ ઋ¹ ¡ÒèѴ è è è «×ÍÂÒ·ÕÁûÅѡɳТͧºÃèØÀ³±·áµ¡µ‹Ò§¡Ñ¹à¾×Í»‡Í§¡Ñ¹¤ÇÒÁ¤ÅÒ´à¤Å×͹·Ò§ÂÒ ¡ÒèѴ·íÒÊÃØ» é è ÕÙ Ñ Õè è è ÃÒ§ҹ¤ÇÒÁ¤ÅÒ´à¤Å×͹·Ò§ÂÒ à¾×͹íÒä»ÊÙ¡ÒÃÇÔà¤ÃÒÐˏËÒÊÒà赯 áÅСÒáíÒ˹´Ãкº¡ÒúÃÔËÒà è è ‹ ¨Ñ´¡Ò÷ҧÂÒà¾×èÍᡌä¢áÅÐÅ´âÍ¡ÒÊ㹡ÒÃà¡Ô´¢ŒÍ¼Ô´¾ÅÒ´¹Ñé¹ ¡ÒèѴ·íÒÁҵðҹËÃ×Íá¹Ç·Ò§ ¡ÒÃàµÃÕÂÁÂÒáÅСÒúÃÔËÒÃÂÒºÒ§ª¹Ô´ â´Â੾ÒÐÍ‹ҧÂÔ§ ÂÒ·ÕÁ¤ÇÒÁàÊÕ§ÊÙ§ ໚¹µŒ¹ º·ºÒ· è è Õ è àËŋҹÕé¨ÐµŒÍ§´íÒà¹Ô¹ä»Í‹ҧÊÍ´¤ÅŒÍ§áÅлÃÐÊÒ¹¡Ñ¹¨Ò¡ÇԪҪվᵋÅÐÊÒ¢Ò à¾×èÍãËŒà¡Ô´Ãкº ¡ÒõÃǨÊͺ«éÒ Íѹ¨Ð¹íÒä»ÊÙ¡ÒÃÅ´âÍ¡ÒÊ㹡ÒÃà¡Ô´¤ÇÒÁ¼Ô´¾ÅҴ㹡ÒúÃÔËÒÃÂÒµ‹Íä»(1) í ‹ ¡Ãкǹ¡ÒúÃÔËÒÃÂÒ ¡Ãкǹ¡ÒúÃÔËÒÃÂÒà¾×èͤÇÒÁ»ÅÍ´ÀÑ¢ͧ¼ÙŒ»†Ç ÁÕ¢Ñ鹵͹µ‹Ò§æ ·Õ赌ͧ¾Ô¨ÒÃ³Ò ´Ñ§µ‹Í仹Õé(1) 1. ¡ÒÃà¢Õ¹¤íÒÊѧ㪌ÂÒÁÕ¤ÇÒÁªÑ´à¨¹ ¶Ù¡µŒÍ§ áÅлÅÍ´ÀÑ â´Â੾ÒÐÂÒ·ÕãËŒâ´ÂÇÔ¸¡Òéմ è è Õ «Ö§¨íÒ໚¹µŒÍ§ÁÕ¡ÒüÊÁ (reconstitution) áÅÐà¨×ͨҧ (dilution) ´ŒÇÂÊÒùéÒª¹Ô´µ‹Ò§æ ¡‹Í¹¹íÒÂÒ è í 仺ÃÔËÒÃãˌᡋ¼»Ç ¡ÒÃà¢Õ¹¤íÒÊѧ㪌ÂÒ·ÕäÁ‹ä´ŒÃкت¹Ô´¢Í§ÊÒùéÒ ¤ÇÒÁࢌÁ¢Œ¹¢Í§ÂÒàµÃÕÂÁËÅѧ ÙŒ † è è í à¨×ͨҧ ÃÇÁ¶Ö§ÍѵÃÒ¡ÒÃË´ÂÒãˌᡋ¼»Ç ÍҨʋ§¼ÅãËŒ¼Ãº¤íÒÊѧ㪌ÂÒäÁ‹ä´Œ»¯ÔºµµÒÁá¹Ç·Ò§ËÃ×Í ÙŒ † ÙŒ Ñ è Ñ Ô Áҵðҹ·Õè¶Ù¡µŒÍ§ã¹¡ÒÃàµÃÕÂÁáÅкÃÔËÒÃÂÒ ¨¹ÍÒ¨·íÒãËŒà¡Ô´ÍѹµÃÒµ‹Í¼ÙŒ»†ÇÂä´Œ â´Â੾ÒÐ Í‹ҧÂÔ§ ÂÒã¹¡ÅØÁ·ÕµÍ§ÃÐÁÑ´ÃÐÇѧ¡ÒÃ㪌ʧ è ‹ è Œ Ù
  • 109.
    82 Drug Administration Pitfalls : from Practitioner to Patient 2. ¡ÒÃÃѺ¤íÒÊÑè§ãªŒÂÒáÅСÒ÷º·Ç¹¤íÒÊÑè§ãªŒÂÒ ¼ÙŒÃѺ¤íÒÊÑè§ãªŒÂÒµŒÍ§à¢ŒÒ㨤íÒÊÑè§ãªŒÂÒ Í‹ҧ᷌¨ÃÔ§ ËҡʧÊÑÂ㹤íÒÊѧ㪌ÂÒã´æ ¨ÐµŒÍ§Ê×ÍÊÒáѺ¼Ùʧ㪌ÂÒà¾×Í·íÒ¤ÇÒÁࢌÒ㨷ء¤Ãѧ ¨Ö§¨íÒ໚¹ è è Œ Ñè è é ·Õâç¾ÂÒºÒŵŒÍ§¡íÒ˹´¹âºÒ·ժ´à¨¹ã¹¡ÒÃÊ‹§àÊÃÔÁãËŒà¡Ô´¡ÒÃÊ×ÍÊÒÃÃÐËNjҧÇÔªÒªÕ¾ãËŒà¡Ô´à»š¹ è è Ñ è ÇѲ¹¸ÃÃÁͧ¤¡Ã «Ö§à»š¹ÇѲ¹¸ÃÃÁà¾×ͤÇÒÁ»ÅÍ´ÀÑ¢ͧ¼Ù»ÇÂ㹡ÒÃ㪌ÂÒ ÃÇÁ·Ñ§ËÒ¡äÁ‹à¢ŒÒã¨ËÃ×Í è è Œ † é ¢Ò´¤ÇÒÁÃÙã¹µÑÇÂÒª¹Ô´ã´æ ·Ñ§¼Ùʧ㪌ÂÒáÅмÙú¤íÒÊѧ㪌ÂҨеŒÍ§»ÃÖ¡ÉÒàÀÊѪ¡Ãà¾×Íãˌ䴌¢ÍÁÙÅ Œ é Œ Ñè ŒÑ è è Œ ¢Í§ÂÒ·Õ¶¡µŒÍ§è Ù 3. ¡ÒÃàµÃÕÂÁÂҷѧã¹ÃٻẺÂÒ©Õ´áÅÐÂÒÃѺ»Ãзҹ ¼ÙàµÃÕÂÁÂÒ©Õ´µŒÍ§ÁÕ¤ÇÒÁÃÙã¹ÂÒ·Õ¨Ð é Œ Œ è àµÃÕÂÁ·Ñ§ã¹á§‹ª¹Ô´¢Í§ÊÒùéҷըйíÒÁÒ¼ÊÁà¾×ÍãËŒÂÒËÅѧ¼ÊÁÁÕ¤ÇÒÁ¤§µÑÇ䴌͋ҧàËÁÒÐÊÁ ÃÐÂÐ é í è è àÇÅÒ·ÕÂÒ¤§µÑÇ ÊÀÒ¾áÇ´ÅŒÍÁáÅл˜¨¨Ñµ‹Ò§æ ·ÕÁ¼Åµ‹Í¤ÇÒÁ¤§µÑǢͧÂÒàµÃÕÂÁËÅѧ¼ÊÁ áÅФÇÒÁ è è Õ à¢ŒÁ¢Œ¹ÊØ´·ŒÒÂËÅѧà¨×ͨҧÂÒ·Õ¨ÐäÁ‹¡ÍãËŒà¡Ô´ÍѹµÃÒµ‹Í¼Ù»ÇÂàÁ×͹íÒÂÒ¹Õ仩մãˌᡋ¼»Ç áÅСÒÃ è ‹ Œ † è é ÙŒ † Êѧࡵ¤ÇÒÁäÁ‹à¢ŒÒ¡Ñ¹¢Í§ÂÒáÅÐÊÒùéÒ·Ò§¡ÒÂÀÒ¾ ÊíÒËÃѺ¼ÙàµÃÕÂÁÂÒÃѺ»Ãзҹ㹺ҧÃٻẺ·Õè í Œ ÁÕ¤ÇÒÁ੾Òй͡à˹×ͨҡÃٻẺÂÒàÁç´ áÅÐÂÒ᤻«ÙÅ·ÑÇæ ä» àª‹¹ ÂÒàÁç´·Õà¤Å×ͺÊÒúҧª¹Ô´ è è ·ÕªÇ¤Ǻ¤ØÁ¡ÒÃÍ͡ķ¸Ô¢Í§ÂÒËÃ×ÍÃÑ¡ÉÒ¤ÇÒÁ¤§µÑǢͧÂÒ áÅÐÂÒàÁç´·ÕÍ͡ķ¸ÔªÒæ â´Â¹íÒÂÒ è ‹ ì è ì Œ ¹Ñ¹ÁÒàµÃÕÂÁâ´ÂÇÔ¸¾àÈɵ‹Ò§æ ¼ÙàµÃÕÂÁµŒÍ§ÁÕ¤ÇÒÁÃÙ¶§¤ÇÒÁ¨íÒà¾ÒТͧ¼ÅÔµÀѳ±àËŋҹÕé ઋ¹ ÂÒ é Õ Ô Œ Œ Ö ºÒ§ª¹Ô´äÁ‹ÊÒÁÒöËѡẋ§ä´Œ ËÃ×ÍäÁ‹ÊÒÁÒöº´ä´Œ à¾×ÍãËŒ¼»Ç·ҧÊÒÂãËŒÍÒËÒà ໚¹µŒ¹ è ÙŒ † 4. ¡ÒúÃÔËÒÃÂÒãˌᡋ¼»Ç ¼ÙºÃÔËÒÃÂÒµŒÍ§ÁÕ¤ÇÒÁÃÙà¡ÕÂǡѺÍѵÃÒàÃçÇ㹡ÒéմÂÒËÃ×ÍË´ ÙŒ † Œ Œ è ÂÒãˌᡋ¼»Ç áÅÐÇÔ¶·Ò§ãËŒÂҷյͧˌÒÁ ઋ¹ ËŒÒÁãËŒÂÒºÒ§ª¹Ô´â´Â¡ÒéմẺ bolus ໚¹µŒ¹ ÙŒ † Õ è Œ ÃÇÁ¶Ö§ÊÀÒÇСÒ÷íÒ§Ò¹¢Í§Ã‹Ò§¡Ò¼ٻÇÂÍҨ໚¹¢ŒÍËŒÒÁ¢Í§¡ÒÃãËŒÂÒ㹺ҧÇÔ¶Õ àª‹¹ äÁ‹¤ÇÃãËŒÂÒ Œ † â´Â¡ÒéմࢌҡŌÒÁà¹×ͼٻÇ·ÕÁÃдѺà¡Åç´àÅ×Í´µèÒ ¼Ù»Ç·Õ䴌úÂÒ·Ò§ÊÒÂãËŒÍÒËÒà ¼ÙºÃÔËÒÃÂÒ é Œ † è Õ í Œ † è Ñ Œ ¨ÐµŒÍ§à¢ŒÒ㨶֧¤Ø³ÊÁºÑµÔ·Ò§à¤ÁբͧÂÒ áÅл¯Ô¡ÔÃÔÂÒ·ÕèÍÒ¨à¡Ô´¢Öé¹ä´ŒÃÐËNjҧÂҡѺÊÒÂãËŒÍÒËÒà ÃٻẺÂÒ·ÕäÁ‹ÊÒÁÒö¶Ù¡º´à¾×ÍãËŒ¼Ò¹ÊÒÂãËŒÍÒËÒÃä´Œ ໚¹µŒ¹ è è ‹ 5. ¡ÒõԴµÒÁáÅлÃÐàÁÔ¹¼ÙŒ»†Ç ໚¹Ê‹Ç¹·ÕèÁÕ¤ÇÒÁÊíҤѭ·ÕèÊØ´ ºØ¤ÅÒ¡ÃÊÒ¸ÒÃ³ÊØ¢ ·Õà¡ÕÂÇ¢ŒÍ§¨ÐµŒÍ§ÁÕá¼¹¡ÒõԴµÒÁ¼Ù»Ç·ҧ¡ÒÃ㪌ÂÒ â´Â੾ÒÐÍ‹ҧÂÔ§ÂÒºÒ§ª¹Ô´·ÕÁ¾ÉÊÙ§ ËÃ×Í è è Œ † è è Õ Ô ¡‹ÍãËŒà¡Ô´ÍÒ¡ÒÃäÁ‹¾§»ÃÐʧ¤¨Ò¡¡ÒÃ㪌ÂÒä´ŒÁÒ¡ Ö ¡ÒÃà¢Õ¹¤íÒÊÑè§ãªŒÂÒ áÅФÇÒÁ¼Ô´¾ÅÒ´·ÕèÍÒ¨à¡Ô´¢Öé¹ ¡ÒÃà¢Õ¹¤íÒÊѧ㪌ÂÒµŒÍ§ÁÕ¤ÇÒÁ¶Ù¡µŒÍ§µÒÁËÅÑ¡ÇÔªÒ¡ÒÃáÅЪѴਹà¾Õ§¾ÍãËŒ¹Òä»»¯ÔºµÔ è í Ñ ä´Œ â´Â੾ÒÐÍ‹ҧÂÔè§ÂÒ©Õ´ËÃ×ÍÂÒÃѺ»ÃзҹºÒ§ª¹Ô´·ÕèÁÕÃٻẺÂÒ੾ÒÐ äÁ‹à¢Õ¹¤íÒÊÑè§ãªŒÂÒ ·ÕäÁ‹à»š¹ÁҵðҹËÃ×ÍÊÒÁÒöá»Åä´ŒËÅÒ¤ÇÒÁËÁÒ à¾ÃÒÐÍÒ¨à¡Ô´¢ŒÍ¼Ô´¾ÅҴ㹡Òû¯Ôºµä´Œ è Ñ Ô ¤ÇÒÁ¼Ô´¾ÅÒ´·ÕÁ¡¾ºä´ŒºÍÂáÅÐÁÕ¤ÇÒÁÊíҤѭ㹡ÒÃà¢Õ¹¤íÒÊѧ㪌ÂÒ ä´Œá¡‹ è Ñ ‹ è (1) 1. ¡ÒÃäÁ‹Ãкت¹Ô´¢Í§ÊÒùéÒ·Õ¹ÒÁÒ¼ÊÁËÃ×Íà¨×ͨҧÂÒ©Õ´ ·íÒãËŒ¾ÂÒºÒÅÍÒ¨äÁ‹·ÃÒºÇ‹Ò í è í µŒÍ§ãªŒÂÒÊÒùéíÒª¹Ô´ã´ã¹¡ÒüÊÁáÅÐà¨×ͨҧÂÒ ÂÒ©Õ´ËÅÒª¹Ô´ÊÒÁÒö¼ÊÁËÃ×Íà¨×ͨҧ´ŒÇ ÊÒùéÒËÅÒ»ÃÐàÀ· ઋ¹ 0.9% sodium chloride (NSS) ËÃ×Í 5% dextrose in water (D5W) ᵋÂÒ í ÍÕ¡¨íҹǹ˹֧¨íÒ໚¹µŒÍ§¼ÊÁ´ŒÇÂÊÒùéÒºÒ§ª¹Ô´à·‹Ò¹Ñ¹ à¾×ÍãËŒÂÒËÅѧ¼ÊÁáÅÐà¨×ͨҧÁÕ¤ÇÒÁ¤§µÑÇ è í é è
  • 110.
    àǪÈÒʵÏ·¹Âؤ 2553 Ñ 83 ·ÕèÂÒǹҹ໚¹ÃÐÂÐàÇÅÒà¾Õ§¾Í·Õè¨Ð¹íÒä»ãˌᡋ¼ÙŒ»†Ç´ŒÇ¡ÒÃË´ÂÒ·Ò§ËÅÍ´àÅ×Í´´íÒä´Œ ઋ¹ cotrimoxazole ã¹ÃٻẺÂÒ©Õ´ »ÃСͺ´ŒÇ trimethoprim 㹤ÇÒÁࢌÁ¢Œ¹ 16 ÁÔÅÅÔ¡ÃÑÁ/ÁÔÅÅÔÅµÃ Ô ÂÒª¹Ô´¹ÕÊÒÁÒö¹íÒä»à¨×ͨҧ䴌·§ NSS ËÃ×Í D5W Í‹ҧäáçµÒÁ ¤ÇÒÁ¤§µÑÇËÅѧ¼ÊÁ¨Ðᵡµ‹Ò§ é Ñé ¡Ñ¹ ¡ÒüÊÁÂÒ¹Õ¡º D5W ¨Ð·íÒãËŒÂÒÁÕ¤ÇÒÁ¤§µÑÇÂÒǹҹ¡Ç‹Ò à¹×ͧ¨Ò¡ÂÒ¹ÕÁ¤³ÊÁºÑµà»š¹´‹Ò§Í‹Í¹ é Ñ è é Õ Ø Ô ¨Ö§ÁÕ¤ÇÒÁÊÒÁÒö㹡ÒÃÅÐÅÒµèÒã¹ÊÒÃÅÐÅÒ·ÕÁÕ pH ÊÙ§ ᵋ¡ÒÃÅÐÅÒ¨ÐÊÙ§¢Ö¹ã¹ÊÒÃÅÐÅÒ·ÕÁÕ í è é è pH µèÒ à¹×ͧ¨Ò¡ D5W ÁÕ pH µèÒ¡Ç‹Ò NSS ¨Ö§·íÒãËŒÂÒ cotrimoxazole ÅÐÅÒÂã¹ D5W ä´Œ´¡Ç‹Ò í è í Õ ã¹ NSS ÃÇÁ·Ñ§¡ÒÃà¡Ô´µÐ¡Í¹ÂÒä´ŒÂÒ¡¡Ç‹Ò áÅÐÂÒÁÕ¤ÇÒÁ¤§µÑÇ´Õ¡Ç‹Ò é (2) 2. ¡ÒÃäÁ‹ÃкؤÇÒÁࢌÁ¢Œ¹¢Í§ÂÒËÅѧÅÐÅÒÂáÅÐà¨×ͨҧáÅŒÇ â´Â·ÑÇä» ¼Ùʧ㪌ÂÒÁÑ¡äÁ‹ÃкØè Œ Ñè ¤ÇÒÁࢌÁ¢Œ¹¢Í§ÂÒËÅѧÅÐÅÒÂáÅÐà¨×ͨҧáÅŒÇ ·íÒãËŒ¾ÂÒºÒÅäÁ‹·ÃҺNjҵŒÍ§¡ÒäÇÒÁࢌÁ¢Œ¹¢Í§ÂÒ à·‹Òã´ ËÃ×ͺ‹Í¤Ãѧ·Õ¼Ê§ãªŒÂÒÍÒ¨µŒÍ§¡ÒèíÒ¡Ñ´»ÃÔÁÒ³ÊÒùéÒ·Õãˌᡋ¼»Ç´ŒÇÂà˵ؼŵ‹Ò§æ ¡çÍÒ¨ é è ÙŒ Ñè í è ÙŒ † ÊѧãËŒà¨×ͨҧÂÒ´ŒÇ¤ÇÒÁࢌÁ¢Œ¹·Õʧ¡Ç‹Ò¤ÇÒÁࢌÁ¢Œ¹µÒÁ»¡µÔ ¤ÇÒÁࢌÁ¢Œ¹¢Í§ÂÒÁÕ¼Åâ´ÂµÃ§¡Ñº è èÙ ¤ÇÒÁ¤§µÑǢͧÂÒ ÂÒ·ÕÁ¤ÇÒÁࢌÁ¢Œ¹ÊÙ§¨ÐÁÕ¤ÇÒÁ¤§µÑǵèÒ ¨¹ÍÒ¨·íÒãËŒÂÒµ¡à»š¹µÐ¡Í¹ËÃ×ÍÊÅÒ è Õ í µÑÇä´Œ ´Ñ§¹Ñé¹ ¤ÇÒÁÃÙŒàÃ×èͧ¤ÇÒÁࢌÁ¢Œ¹ÊÙ§ÊØ´¢Í§ÂÒ·ÕèÊÒÁÒöà¨×ͨҧ䴌 ¨Ö§ÁÕ¤ÇÒÁÊíҤѭ ઋ¹ cotrimoxazole ÊÒÁÒö¼ÊÁä´ŒËÅÒ¤ÇÒÁࢌÁ¢Œ¹ µÑ§áµ‹ cotrimoxazole 1 ÁÔÅÅÔŵÃã¹ D5W 25 é Ô ÁÔÅÅÔŵÃ, 20 ÁÔÅÅÔŵÃ, 15 ÁÔÅÅÔŵà áÅÐ 10 ÁÔÅÅÔŵà ᵋ¤ÇÒÁࢌÁ¢Œ¹àËŋҹըÐÁÕ¤ÇÒÁ¤§µÑǹҹ 6, Ô Ô Ô Ô é 4, 2 áÅÐ 1 ªÑÇâÁ§µÒÁÅíҴѺ áÅÐäÁ‹ÊÒÁÒö¼ÊÁÂÒ cotrimoxazole 1 ÁÔÅÅÔŵà 㹠D5W ¹ŒÍÂ¡Ç‹Ò è Ô 10 ÁÔÅÅÔŵÃä´Œ à¹×ͧ¨Ò¡ÂÒ¨ÐÁÕ¤ÇÒÁ¤§µÑǵèÒáÅÐÍÒ¨µ¡µÐ¡Í¹ä´Œ·¹·Õ Ô è í Ñ (2) 3. ¡ÒÃÃкؤÇÒÁࢌÁ¢Œ¹¢Í§ÂÒᵋäÁ‹à»š¹ÊÒ¡Å áÅÐÊÒÁÒöá»Å¤ÇÒÁËÁÒÂä´ŒËÅÒÂÍ‹ҧ ઋ¹ ¡ÒÃÊѧ dopamine (1:1) ÍÒ¨ÁÕ¤ÇÒÁËÁÒ¶֧ dopamine 1 ÁÔÅÅÔŵÃã¹ NSS 1 ÁÔÅÅÔŵà ËÃ×Í è Ô Ô dopamine 1 vial µ‹Í NSS 1 ¶Ø§ ËÃ×Í dopamine 1 ÁÔÅÅÔ¡ÃÑÁ ã¹ NSS 1 ÁÔÅÅÔŵà ໚¹µŒ¹ Ô 4. ¡ÒÃäÁ‹Á¤ÒÊѧ㪌ÂÒ·Õ໚¹Áҵðҹ (standard order) â´Â੾ÒÐÂÒ·ÕÁ¤ÇÒÁàÊÕ§ÊÙ§ ઋ¹ Õ í è è è Õ è ¼Ùʧ㪌ÂÒÊÒÁÒöÊѧÂÒ potassium chloride injection ä´ŒËÅÒ¡ËÅÒ Œ Ñè è 5. ¡ÒÃÊÑè§ãªŒÂÒÃѺ»Ãзҹ·ÕèÁդسÅѡɳÐ੾ÒÐ ã¹¢¹Ò´áÅÐÇÔ¸Õ㪌·ÕèäÁ‹¶Ù¡µŒÍ§ ÂÒÃѺ »ÃзҹËÅÒª¹Ô´¨Ð¶Ù¡àµÃÕÂÁ¢Öé¹ãËŒÁդسÊÁºÑµÔ㹡ÒûŴ»Å‹ÍÂÂÒÍ‹ҧªŒÒæ â´ÂÊÔè§·Õè¤Çº¤ØÁ ¡ÒûŴ»Å‹ÍÂÂÒÁÑ¡¨Ð໚¹à»Å×Í¡¹Í¡·ÕËÁµÑÇÂÒäÇŒ ઋ¹ ʋǹ¢Í§á¤»«ÙÅ ÊÒ÷Õà¤Å×ͺÂÒàÁç´·ÕÍÒ¨ è ØŒ è è ÁͧäÁ‹àËç¹´ŒÇµÒà»Å‹Ò ÊÒ÷Õèà¤Å×ͺº¹àÁç´ÂÒ¢¹Ò´àÅç¡æ (pellet) ·ÕèºÃèØÅ§ã¹á¤»«ÙŠ໚¹µŒ¹ ÂÒàËŋҹÕäÁ‹ÊÒÁÒö·Õ¨ÐËÑ¡ ËÃ×ÍÍÒ¨¨ÐËѡ䴌 ᵋäÁ‹ÊÒÁÒöº´ÂÒä´Œ à¹×ͧ¨Ò¡¡ÒÃËÑ¡ËÃ×ͺ´ÂÒÍÒ¨ é è è ä»·íÒÅÒÂÃкº¡ÒäǺ¤ØÁÂÒ Ê‹§¼ÅãËŒÂÒ¨íҹǹÁÒ¡¶Ù¡»Å´»Å‹ÍÂÍÍ¡ÁҾÌÍÁæ ¡Ñ¹ ¨¹¼ÙŒ»†Ç ÍÒ¨à¡Ô´¾ÔɨҡÂÒä´Œ ´Ñ§¹Ñé¹ ¡ÒÃÊÑè§ãªŒÂÒàËŋҹÕé ¨Ö§äÁ‹ÊÒÁÒöÊÑè§ãËŒº´ÂÒä´Œ áÁŒÇ‹Ò¼ÙŒ»†ÇÂÃÒ¹Ñé¹ äÁ‹ÊÒÁÒöÃѺ»ÃзҹÂÒáÅÐãÊ‹ÊÒÂãËŒÍÒËÒÃÍÂÙ‹ ¼ÙŒÊÑè§ãªŒÂÒÍÒ¨µŒÍ§àÅ×Í¡ÂÒ¹Ñé¹ã¹ÃٻẺÍ×è¹æ ·ÕÊÒÁÒöº´áÅÐãʋŧã¹ÊÒÂãËŒÍÒËÒÃä´Œ ËÃ×ÍÍÒ¨¨íÒ໚¹µŒÍ§ãËŒÂҹѹã¹ÃٻẺÂÒ©Õ´ ઋ¹ phenyotin è é ª¹Ô´á¤»«ÙÅ 300 ÁÔÅÅÔ¡ÃÑÁäÁ‹ÊÒÁÒöແ´á¤»«ÙÅà¾×ÍãËŒÂÒä´Œ ¨íÒ໚¹µŒÍ§à»ÅÕ¹ä»ãªŒÂÒ phenytoin è è ª¹Ô´ÂÒàÁç´ 50 ÁÔÅÅÔ¡ÃÑÁá·¹ ໚¹µŒ¹
  • 111.
    84 Drug Administration Pitfalls : from Practitioner to Patient »˜¨¨Ñ·ÕÍÒ¨·íÒãËŒ¼Ê§ãªŒÂÒäÁ‹ÃкآÍÁÙŵ‹Ò§æ ·Õ¨Ò໚¹ã¹¡ÒÃàµÃÕÂÁÂÒãËŒ¤Ãº¶ŒÇ¹ ÍÒ¨à¡Ô´¨Ò¡ è ÙŒ Ñè Œ èí ¡ÒâҴ¢ŒÍÁÙÅ㹡ÒÃàµÃÕÂÁÂÒ¹Ñ¹æ «Ö§¼Ùʧ㪌ÂÒÊÒÁÒö»ÃÖ¡ÉÒàÀÊѪ¡Ãâç¾ÂÒºÒÅà¾×͢͢ŒÍÁÙÅ¡Òà é è Œ Ñè è àµÃÕÂÁÂÒᵋÅЪ¹Ô´ä´Œ «Ö§¨Ðª‹ÇÂãËŒ¤ÒÊѧ㪌ÂÒÁÕ¤ÇÒÁªÑ´à¨¹áÅоÂÒºÒÅÊÒÁÒö¹íÒä»àµÃÕÂÁÂÒä´Œ è í è Í‹ҧ¶Ù¡µŒÍ§áÅлÅÍ´ÀÑÂá¡‹¼»Ç ٌ † ¡ÒÃÃѺ¤íÒÊÑè§ãªŒÂÒáÅСÒ÷º·Ç¹¤íÒÊÑè§ãªŒÂÒ ¼Ù·Ãº¤íÒÊѧ㪌ÂÒ ¨ÐµŒÍ§·º·Ç¹¤íÒÊѧ㪌ÂÒãËŒª´à¨¹ ¤ÇÒÁ¼Ô´¾ÅÒ´·ÕÁ¡¾ºä´ŒºÍ ¤×Í(1) Œ Õè Ñ è è Ñ è Ñ ‹ 1. ¼Ùú¤íÒÊѧ㪌ÂÒäÁ‹ä´Œ·º·Ç¹¤ÇÒÁàËÁÒÐÊÁ㹡ÒÃÊѧ㪌ÂÒ â´Â੾ÒÐã¹á§‹¢Í§¡ÒÃàµÃÕÂÁ ŒÑ è è ÂÒ ä´Œá¡‹ ª¹Ô´¢Í§ÊÒùéÒ·Õ㪌¼ÊÁËÃ×Íà¨×ͨҧÂÒ ¤ÇÒÁࢌÁ¢Œ¹¢Í§ÊÒùéÒËÅѧà¨×ͨҧ ª¹Ô´¢Í§ÂÒàÁç´ í è í ·ÕË¡º´äÁ‹ä´Œ ໚¹µŒ¹ è Ñ 2. ÍÒ¨¨Ð·º·Ç¹áÅÐÁÕ¢ÍʧÊÑÂᵋäÁ‹Êͺ·Ç¹¡ÅѺä»Âѧ¼Ùʧ㪌ÂÒ Œ Œ Ñè 3. Êͺ·Ç¹¡ÅѺᵋäÁ‹ÁDz¹¸ÃÃÁͧ¤¡ÃËÃ×ÍÃкº¢Í§Í§¤¡Ã·ÕʹѺʹع¡ÒÃÊͺ·Ç¹¡ÅѺ ÕÑ è Ê‹§¼ÅãËŒ¤ÒÊѧ㪌ÂÒ·ÕäÁ‹ª´à¨¹¶Ù¡¹íÒ仨ѴàµÃÕÂÁÂÒãˌᡋ¼»Ç ¨¹ÍÒ¨à¡Ô´ÍѹµÃÒµ‹Í¼Ù»ÇÂä´Œ í è è Ñ ÙŒ † Œ † ¡ÒÃàµÃÕÂÁÂÒ·Ñé§ã¹ÃٻẺÂÒ©Õ´áÅÐÂÒÃѺ»Ãзҹ ¡ÒÃàµÃÕÂÁÂÒâ´Â¾ÂÒºÒÅã¹ËͼٻÇÂ໚¹ÊÔ§·Õ¾ºàËç¹ä´Œ·Çä» ËÒ¡¤íÒÊѧ㪌ÂÒÁÕ¤ÇÒÁ¶Ù¡µŒÍ§ Œ † è è Ñè è ËÃ×Íä´ŒÃѺ¡Ò÷º·Ç¹ãËŒ¶Ù¡µŒÍ§áÅÐàËÁÒÐÊÁ ¡çÍÒ¨¨ÐÅ´¤ÇÒÁ¼Ô´¾ÅÒ´ã¹¢Ñ鹵͹¹Õéä´ŒÁÒ¡ ¢ŒÍ¼Ô´¾ÅҴ㹢ѹµÍ¹¡ÒÃàµÃÕÂÁÂÒ·ÕÍÒ¨à¡Ô´¢Ö¹ 䴌ᡋ(1) é è é ¡ÒÃà¡çºÂÒ·Õ¼ÊÁáÅŒÇᵋ§äÁ‹à¨×ͨҧáÅÐÂѧ㪌äÁ‹ËÁ´ã¹µÙàÂç¹ ´Ñ§·Õ¡Å‹ÒÇ¢ŒÒ§µŒ¹áÅŒÇÇ‹Ò ¤ÇÒÁ è Ñ Œ è ¤§µÑǢͧÂҨеèÒ·ÕÊ´àÁ×ÍÂÒÁÕ¤ÇÒÁࢌÁ¢Œ¹ÊÙ§·ÕÊ´ ÂÒ©Õ´ËÅÒª¹Ô´·ÕÍÂÙã¹ÃÙ»¼§àÁ×ÍÅÐÅÒÂáŌǨÐÁÕ í èØ è èØ è ‹ è ¤ÇÒÁ¤§µÑǵèÒ¡Ç‹ÒàÁ×͹íÒÂҹѹä»à¨×ͨҧµ‹Í Í‹ҧäáçµÒÁ ÁÑ¡¾ºÇ‹ÒÂѧÁÕ¡ÒÃà¡çºÂÒËÅѧ¼ÊÁáŌǷÕ㪌 í è é è äÁ‹ËÁ´ã¹µÙàÂç¹ â´Â੾ÒСÒÃ㪌ÂÒã¹¼Ù»ÇÂà´ç¡«Ö§Áѡ㪌ÂÒ¨íҹǹ¹ŒÍ¡NjÒ㹼ٻǼÙãË­‹ ¡ÒÃà¡çº Œ Œ † è Œ † Œ ÂÒ·Õè㪌äÁ‹ËÁ´¹Ñé¹äÁ‹ãª‹ÊÔè§·ÕèäÁ‹¶Ù¡µŒÍ§ Ëҡᵋ¼ÙŒ·Õè¨Ðà¡çºÂÒµŒÍ§ÁÕ¤ÇÒÁÃÙŒàÃ×èͧ¤ÇÒÁ¤§µÑǢͧÂÒ áµ‹ÅЪ¹Ô´à»š¹Í‹ҧ´Õ ËÒ¡ÂÒ¹Ñé¹ÁÕ¤ÇÒÁ¤§µÑǵèíÒäÁ‹ÊÒÁÒöà¡çºänj䴌 ¡ç¨íÒ໚¹µŒÍ§·Ôé§ÂÒ¹Ñé¹ä» â´Â੾ÒÐÍ‹ҧÂÔ§ ËÒ¡ÁÕ¢ÍÁÙžºÇ‹Ò àÁ×ÍÂҹѹÊÅÒµÑÇÍҨ䴌ÊÒ÷Õ໚¹¾Ôɵ‹Í¼Ù»Ç ઋ¹ ¡ÒÃÊÅÒÂ è Œ è é è Œ † µÑǢͧ ceftazidime ¨Ðä´ŒÊÒà pyridine «Öè§ÁÕ¾Ôɵ‹ÍµÑºáÅÐäµ à»š¹µŒ¹ ËÒ¡ÂÒ¹Ñé¹ÁÕÃÒ¤Òá¾§ ÍÒ¨¨íÒ໚¹·ÕµÍ§ÁÕÃкº¡ÒüÊÁÂÒʋǹ¡ÅÒ§ à¾×Í¡ÃШÒÂÂҹѹä»ÂѧËͼٻÇÂÍ×¹æ ·ÕÁ¼»Ç·ըÒ໚¹ è Œ è é Œ † è è Õ ÙŒ † è í µŒÍ§ãªŒÂÒ㹪‹Ç§àÇÅÒà´ÕÂǡѹ ¡ÒúÃÔËÒÃÂÒãˌᡋ¼ÙŒ»†Ç ¡ÒùíÒÂÒ仺ÃÔËÒÃãˌᡋ¼»ÇÂÁÕ¤ÇÒÁÊíҤѭ·Ñ§ã¹á§‹¢Í§¡ÒÃÃкصǼٻÇ·ն¡µŒÍ§ ᵋ㹢³Ð ÙŒ † é Ñ Œ † è Ù à´ÕÂǡѹÁÕ»ÃÐà´ç¹¤ÇÒÁ¼Ô´¾ÅÒ´·ÕÍÒ¨à¡Ô´¢Ö¹ä´ŒËÅÒ»ÃСÒôѧ¹Õé è é (1)
  • 112.
    àǪÈÒʵÏ·¹Âؤ 2553 Ñ 85 1. ¤ÇÒÁ¤§µÑǢͧÂҨеŒÍ§ÂÒǹҹ¨¹¶Ö§àÁ×ÍãËŒÂÒ´ŒÇ¡ÒÃË´ÂÒ·Ò§ËÅÍ´àÅ×Í´´íÒãˌᡋ è ¼ÙŒ»†Ç¨¹ËÁ´ ´Ñ§·Õè¡Å‹ÒÇ¢ŒÒ§µŒ¹Ç‹Ò ÂÒ©Õ´·Õè¼ÊÁáÅÐà¨×ͨҧáŌǨÐÁÕ¤ÇÒÁ¤§µÑǪÑèÇÃÐÂÐàÇÅÒ˹Öè§ ·Õᵡµ‹Ò§¡Ñ¹ ઋ¹ 2 ªÑÇâÁ§ ´Ñ§¹Ñ¹ ÃÐÂÐàÇÅÒ 2 ªÑÇâÁ§¹Õ໚¹àÇÅҵѧᵋ¾ÂÒºÒÅàµÃÕÂÁÂÒàÊÃç¨ä» è è é è é é ¨¹¶Ö§¡ÒÃãËŒÂÒ´ŒÇ¡ÒÃË´ÂÒ·Ò§ËÅÍ´àÅ×Í´´íÒá¡‹¼ÙŒ»†Ç¨¹ËÁ´ «Öè§äÁ‹ãª‹àÇÅÒµÑé§áµ‹¾ÂÒºÒÅ àµÃÕÂÁÂÒàÊÃ稨¹¶Ö§àÇÅÒàÃÔÁãËŒÂÒ´ŒÇ¡ÒÃË´ÂÒá¡‹¼»Ç à¾ÃÒÐËÒ¡àÇÅÒ㹡ÒÃË´ÂÒµŒÍ§ãªŒÃÐÂÐ è ÙŒ † àÇÅÒ¹Ò¹ ã¹ÃÐËNjҧ¹Ñ¹ ÂÒÍÒ¨¨ÐËÁ´ÍÒÂØ áÅÐà¡Ô´à»š¹µÐ¡Í¹ã¹ÊÒ¹éÒà¡Å×Íä´Œ é í 2. ¤ÇÒÁࢌҡѹäÁ‹ä´ŒÃÐËNjҧÂÒ©Õ´·Õ¹ÒÁÒË´ÂÒ·Ò§ËÅÍ´àÅ×Í´´íÒãˌᡋ¼»Ç¾ÌÍÁæ ¡Ñ¹ è í ÙŒ † ËÃ×Íã¹àÇÅÒã¡ÅŒà¤Õ§¡Ñ¹ º‹Í¤Ãѧ·Õ¼»ÇÂÍÒ¨ÁÕÊÒ¹éÒà¡Å×Íà¾Õ§ÊÒÂà´ÕÂÇ áÅШíÒ໚¹µŒÍ§ãËŒÂÒ©Õ´ é è ÙŒ † í ·Ø¡ª¹Ô´¼‹Ò¹·Ò§ÊÒ¹éÒà¡Å×͹Õé ¨Ö§ÍÒ¨¨íÒ໚¹µŒÍ§ãËŒÂÒ©Õ´ 2 ª¹Ô´¼‹Ò¹·Ò§ Y-site «Ö§¨Ð·íÒãËŒÂÒ©Õ´ í è ·Ñ§Êͧª¹Ô´¹Õ¼ÊÁÃÇÁ¡Ñ¹ã¹ªÑÇÃÐÂÐàÇÅÒ˹֧¡‹Í¹·Õ¨ÐࢌÒÊÙÃÒ§¡Ò¢ͧ¼Ù»Ç ¾ºÇ‹ÒÂÒËÅÒª¹Ô´àÁ×Í é é è è è ‹‹ Œ † è ¼ÊÁÃÇÁ¡Ñ¹ã¹ Y-site áÁŒà¾Õ§ÃÐÂÐàÇÅÒÊÑ¹æ ¡çÍҨࢌҡѹäÁ‹ä´Œ áÅÐà¡Ô´à»š¹µÐ¡Í¹¢Ö¹·Ñ¹·Õ ઋ¹ é é ceftriaxone äÁ‹¤ÇÃãËŒ¼Ò¹ Y-site ËÇÁ¡ÑºÊÒÃÅÐÅÒ·ÕÁÕ calcium ໚¹Í§¤»ÃСͺ à¾ÃÒШзíÒãËŒÂÒ ‹ è ceftriaxone µ¡µÐ¡Í¹à»š¹ ceftriaxone calcium ·Ñ¹·Õ 3. ÍѵÃÒàÃçÇ㹡ÒÃãËŒÂҩմᵋÅЪ¹Ô´ÁÕ¤ÇÒÁᵡµ‹Ò§¡Ñ¹ ÂÒºÒ§ª¹Ô´ÊÒÁÒöãˌ䴌µÑé§áµ‹ bolus áÅÐË´ªŒÒࢌÒËÅÍ´àÅ×Í´´íÒ áµ‹ÂÒºÒ§ª¹Ô´äÁ‹ÊÒÁÒöãˌẺ bolus ä´Œ ´ŒÇÂà˵ؼŠ·Õᵡµ‹Ò§¡Ñ¹ä» ¼ÙºÃÔËÒÃÂÒ¨Ö§¨íÒ໚¹µŒÍ§ÁÕ¤ÇÒÁÃÙàÃ×ͧÂÒᵋÅЪ¹Ô´à»š¹Í‹ҧ´Õ ઋ¹ ¡ÒÃãËŒ morphine è Œ Œ è Ẻ bolus ÍÒ¨¡ÃеعãËŒ mast cell ËÅѧ histamine ¨¹·íÒãËŒ¤ÇÒÁ´Ñ¹âÅËÔµµèÒä´Œ ¡ÒÃãËŒ phenytoin Œ è í Ẻ bolus ÍÒ¨·íÒãËŒËÇã¨ËÂØ´¡Ò÷íҧҹ䴌 à¹×ͧ¨Ò¡ ʋǹ¼ÊÁ¢Í§ phenytoin injection ÁÕ propylene Ñ è glycol ໚¹Ê‹Ç¹¼ÊÁ ¡Òéմ propylene glycol Í‹ҧÃÇ´àÃçÇÁÕ¼ÅàÊÕµ‹Í¡ÒÃൌ¹¢Í§ËÑÇ㨠ËÃ×Í ¡ÒéմÂÒ amphotericin B Ẻ bolus ·íÒãËŒà¡Ô´¾Ôɵ‹Íäµä´Œ ໚¹µŒ¹ 4. ¡ÒÃãËŒÂÒºÒ§ª¹Ô´ËÃ×ͺҧÃٻẺÍÒ¨äÁ‹ÊÒÁÒöãˌ㹺ҧÇÔ¶·Ò§ãËŒÂÒä´Œ ઋ¹ ceftriaxone Õ ã¹ÃٻẺÂҩմࢌҡŌÒÁà¹×Í äÁ‹ÊÒÁÒö¹íÒ仩մࢌҷҧËÅÍ´àÅ×Í´´íÒä´Œ à¹×ͧ¨Ò¡ÂÒ¹Õ¨ÐÁҾÌÍÁ é è é ¡ÑºÊÒùéÒ«Ö§¼ÊÁÂÒ lidocaine à¾×ÍÅ´¤ÇÒÁà¨çº»Ç´ã¹¡ÒéմࢌҡŌÒÁà¹×Í ËÒ¡¼ÊÁ ceftriaxone í è è é ´ŒÇÂÊÒùéíÒ¹ÕéáŌǹíÒ仩մࢌÒËÅÍ´àÅ×Í´´íÒ ¨Ð·íÒãËŒËÑÇã¨àµŒ¹ªŒÒŧ áÅзíÒãËŒ¼ÙŒ»†ÇÂàÊÕªÕÇԵ䴌 ¹Í¡¨Ò¡¹Õé ¼Ù»Ç·ÕÁ¤ÇÒÁ¼Ô´»¡µÔ¢Í§Ã‹Ò§¡ÒºҧÍ‹ҧÍÒ¨äÁ‹ÊÒÁÒöãËŒÂÒ㹺ҧÇÔ¶·Ò§ãËŒÂÒä´Œ ઋ¹ Œ † è Õ Õ äÁ‹ÊÒÁÒö©Õ´ÂÒࢌҡŌÒÁà¹×Í㹼ٻǷÕÁÀÒÇÐà¡Åç´àÅ×Í´µèÒä´Œ ໚¹µŒ¹ é Œ † è Õ í 5. ÂÒÃѺ»Ãзҹ·Õ¨Ò໚¹µŒÍ§ÃѺ»ÃзҹµÒÁàÇÅÒÃѺ»ÃзҹÍÒËÒà à¹×ͧ¨Ò¡ÍÒËÒÃÍÒ¨ èí è ÁÕ¼Åà¾ÔÁËÃ×ÍÅ´¡Òôٴ«ÖÁÂÒä´Œ ¨Ö§¨íÒ໚¹µŒÍ§ãËŒ¼»ÇÂÃѺ»ÃзҹÂÒã¹àÇÅÒ·ÕÊÍ´¤ÅŒÍ§¡ÑºÁ×ÍÍÒËÒà è ÙŒ † è é ¡Å‹ÒǤ×Í ãËŒÂÒ¡‹Í¹ÍÒËÒà ËÁÒ¶֧ãËŒÂÒ¡‹Í¹ÃѺ»ÃзҹÍÒËÒÃÍ‹ҧ¹ŒÍ¤ÃÖ觪ÑèÇâÁ§ áÅÐãËŒÂÒ ËÅѧÍÒËÒà ËÁÒ¶֧ ãËŒÂÒËÅѧÍÒËÒ÷ѹ·Õ ໚¹µŒ¹ ¹Í¡¨Ò¡¹Õé ÍÒËÒúҧª¹Ô´ÍÒ¨Áռŵ‹Í¡Òôٴ«ÖÁ ¢Í§ÂÒ àª‹¹ ÍÒËÒÃ¡ÅØÁâ»ÃµÕ¹ÍҨŴ¡Òôٴ«ÖÁ¢Í§ÂÒ levodopa ¹Í¡¨Ò¡¹Õé ÍÒËÒúҧª¹Ô´ÍÒ¨à¡Ô´ ‹ »¯Ô¡ÃÂҡѺÂÒ·Õú»Ãзҹ ઋ¹ ¼Ñ¡ãºà¢ÕÂÇ·ÕÁǵÒÁԹठÍҨŴ¡Ò÷íÒ§Ò¹¢Í§ warfarin ä´Œ ໚¹µŒ¹ ÔÔ èÑ è ÕÔ
  • 113.
    86 Drug Administration Pitfalls : from Practitioner to Patient ¡ÒõԴµÒÁáÅлÃÐàÁÔ¹¼ÙŒ»†ÇÂËÅѧ¨Ò¡ºÃÔËÒÃÂÒáÅŒÇ ¡ÒõԴµÒÁáÅлÃÐàÁÔ¹¼ÙŒ»†ÇÂËÅѧ䴌ÃѺÂÒÁÕ¤ÇÒÁÊíҤѭ·Õè¨ÐÃкØä´ŒÇ‹Ò ¼ÙŒ»†Çµͺʹͧ µ‹Í¡ÒÃÃÑ¡ÉÒËÃ×ÍäÁ‹ ËÃ×Íà¡Ô´ÍÒ¡ÒÃäÁ‹¾Ö§»ÃÐʧ¤¨Ò¡¡ÒÃ㪌ÂÒËÃ×ÍäÁ‹ ÃÇÁ¶Ö§ÊÒÁÒöÊѧࡵ ¤ÇÒÁ¼Ô´»¡µÔ·ÍÒ¨à¡Ô´¢Ö¹¡Ñº¼Ù»ÇÂä´Œ ઋ¹(1) Õè é Œ † 1. ÂÒàÊ×ÍÁÊÀÒ¾ã¹ÊÒ¹éÒà¡Å×ÍÃÐËNjҧË´ÂÒ «Ö§¾ºä´Œâ´Â੾ÒÐÍ‹ҧÂÔ§ ÂÒ·ÕÁ¤ÇÒÁ è í è è è Õ ¤§µÑǵèÒ ËÃ×ÍÂÒ䴌ú¡ÒüÊÁáÅÐàµÃÕÂÁÁÒ㹤ÇÒÁࢌÁ¢Œ¹ËÃ×ͪ¹Ô´¢Í§ÊÒùéÒ·ÕäÁ‹àËÁÒÐÊÁ ËÃ×Í í Ñ í è ã¹ËÅÒ¤ÃѧÍÒ¨à¡Ô´¨Ò¡ÂÒ·ÕàÊ×ÍÁÊÀÒ¾à¹×ͧ¨Ò¡ÍسËÀÙÁËͧÊÙ§à¡Ô¹¡Ç‹Ò·ÕÂÒ¨ÐÁÕ¤ÇÒÁ¤§µÑÇÍÂÙä´Œ é è è è Ô Œ è ‹ â´ÂʋǹãË­‹Áµ¹¡íÒà¹Ô´ÁÒ¨Ò¡»ÃÐà·Èã¹·ÇÕ»ÂØâûáÅлÃÐà·ÈÊËÃѰÍàÁÃÔ¡Ò «Ö§ÁÕͳËÀÙÁËͧ·Õè Õ Œ è Ø Ô Œ 25 ͧÈÒà«Åà«ÕÂÊ áÅÐÁÑ¡ÃкطÕè©ÅÒ¡ËÃ×ͺÃèØÀѳ±Ç‹Ò¤§µÑÇ·ÕèÍØ³ËÀÙÁÔˌͧ ᵋ㹻ÃÐà·Èä·Â ÍØ³ËÀÙÁÔˌͧÍÒ¨ËÁÒ¶֧ 30 ͧÈÒà«Åà«ÕÂÊ «Öè§ÂÒÍÒ¨àÊ×èÍÁÊÀÒ¾àÃçǡNjҷÕèÃкØã¹©ÅÒ¡ÂÒä´Œ ¡ÒõԴµÒÁáÅлÃÐàÁÔ¹¼Ù»Ç·Õ㪌ÂÒ¹Õ¨§ÁÕ¤ÇÒÁÊíҤѭ Œ † è éÖ 2. ¼Ù»ÇÂà¡Ô´ÍÒ¡ÒÃᾌÂÒËÃ×ÍÍÒ¡ÒÃäÁ‹¾§»ÃÐʧ¤¨Ò¡¡ÒÃ㪌ÂÒ ã¹»˜¨¨Øº¹ ÂÒËÅÒª¹Ô´ Œ † Ö Ñ ·Õ·ÒãËŒà¡Ô´¡ÒÃᾌÂÒ¢ŒÒÁ¡ÅØÁ¡Ñ¹ä´Œ ÍÒ¨äÁ‹ä´Œà»š¹ÂÒ·ÕáÉÒâäà´ÕÂǡѹËÃ×ÍäÁ‹ä´ŒÁªÍÂҷդŌÒ¡ѹ è í ‹ èÑ Õ ×è è ·íÒãËŒ¼Ê§ãªŒÂÒËÃ×ͼٺÃÔËÒÃÂÒÍҨࢌÒ㨼Դ¤Ô´Ç‹ÒÂҷѧÊͧª¹Ô´¹ÕäÁ‹à¡Ô´¡ÒÃᾌÂÒ¢ŒÒÁ¡ÅØÁ¡Ñ¹ä´Œ ઋ¹ ÙŒ Ñè Œ é é ‹ ÂÒᡌ»Ç´áÅÐÅ´¡ÒÃÍÑ¡àÊºã¹¡ÅØÁ COXIB ºÒ§ª¹Ô´ ÍÒ¨à¡Ô´¡ÒÃᾌÂÒ¢ŒÒÁ¡ÅØÁ¡ÑºÂÒ»¯ÔªÇ¹Ðã¹¡ÅØÁ ‹ ‹ Õ ‹ sulfa ä´é à¹×ͧ¨Ò¡ÂҷѧÊͧ¡ÅØÁÁÕâ¤Ã§ÊÃéÒ§¢Í§ sulfonamide à»ç¹µé¹ ´Ñ§¹Ñ¹ ËÒ¡¨Óà»ç¹µéͧãªéÂÒ è é è é ã¹¡ÅØ‹Á COXIB ã¹¼ÙŒ»†Ç·ÕèÁÕ»ÃÐÇѵÔᾌÂÒ»¯ÔªÕǹÐã¹¡ÅØ‹Á sulfa ¡ÒõԴµÒÁ¼ÙŒ»†Ç·Õè㪌ÂÒ¨Ö§ ÁÕ¤ÇÒÁÊíҤѭ㹡Òû‡Í§¡Ñ¹¡ÒÃà¡Ô´¡ÒÃᾌÂÒä´Œ ÊÃØ» ¡ÒúÃÔËÒÃÂÒãˌᡋ¼ÙŒ»†ÇÂÍ‹ҧ¶Ù¡µŒÍ§áÅлÅÍ´ÀÑÂÁÕ¤ÇÒÁÊíҤѭ·ÕèºØ¤ÅÒ¡ÃÊÒ¸ÒÃ³ÊØ¢ ·Ø¡ÊÒ¢ÒµŒÍ§Ã‹ÇÁÁ×͡ѹ ʹѺʹعáÅÐÊ‹§àÊÃÔÁÃкºã¹¡ÒúÃÔËÒÃÂÒ·Õ´ãˌᡋ¼»Ç àÃÔÁµÑ§áµ‹¡ÒÃà¢Õ¹ è Õ ÙŒ † è é ¤íÒÊѧ㪌ÂÒ ¡ÒÃÃѺ¤íÒÊѧ㪌ÂÒáÅСÒ÷º·Ç¹¤íÒÊѧ㪌ÂÒ ¡ÒÃàµÃÕÂÁÂÒ ¡ÒúÃÔËÒÃÂÒãˌᡋ¼»Ç áÅÐ è è è ÙŒ † ¡ÒõԴµÒÁáÅлÃÐàÁÔ¹¼Ù»ÇÂËÅѧ¨Ò¡ºÃÔËÒÃÂÒáÅŒÇ º·¤ÇÒÁ¹Õä´Œ·º·Ç¹¤ÇÒÁ¼Ô´¾ÅÒ´µ‹Ò§æ 㹡Òà Œ † é ºÃÔËÒÃÂÒã¹áµ‹ÅТѹµÍ¹ à¾×ÍÊзŒÍ¹ãËŒàËç¹¶Ö§»˜­ËÒ·Õà¡ÕÂǡѺÂÒ·Õʧ¼Å¡Ãзºµ‹Í¤ÇÒÁ»ÅÍ´ÀÑ é è è è è‹ ã¹¡ÒÃ㪌ÂҢͧ¼Ù»Ç àÀÊѪ¡Ãâç¾ÂÒºÒÅ໚¹ºØ¤ÅÒ¡ÃÊÒ¸ÒÃ³ÊØ¢·ÕÊÒÁÒöãËŒ¤Ò»ÃÖ¡ÉÒàÃ×ͧÂÒá¡‹ Œ † è í è ·Ñ§á¾·ÂáÅоÂÒºÒÅà¾×ÍãËŒ¡ÒúÃÔËÒÃÂÒ໚¹ä»ä´ŒÍ‹ҧ¶Ù¡µŒÍ§áÅлÅÍ´ÀÑ é è àÍ¡ÊÒÃ͌ҧÍÔ§ 1. ¸Ô´Ò ¹Ô§ÊÒ¹¹·, ÊØÇ²¹Ò ¨ØÌÒÇѲ¹·Å, »ÃÕªÒ Á¹·¡Ò¹µÔ¡Å. ºÃóҸԡÒÃ. ¡ÒúÃÔËÒÃÂÒà¾×ͤÇÒÁ»ÅÍ´ÀÑ¢ͧ¼Ù»ÇÂ. Ñ Ø è Œ † ¡Ãا෾ÁËÒ¹¤Ã: ÊÁÒ¤ÁàÀÊѪ¡ÃÃÁâç¾ÂÒºÒÅ (»ÃÐà·Èä·Â); 2552. 2. Trissel LA, editor. Handbook of injectable drug. 13th ed. Bethesda: American Society of Health-System Pharmacists; 2005.
  • 114.
    àǪÈÒʵÏ·¹Âؤ 2553 Ñ º··Õè 87 13 Drug Administration Pitfalls : Case Study àÀÊѪ¡ÃË­Ô§ ÍØäÃÇÃó ÈÔÅ»ÈØÀ¡Ãǧȏ ½†ÒÂàÀÊѪ¡ÃÃÁ ¤³Ðá¾·ÂÈÒʵÏÈÔÃÔÃÒª¾ÂÒºÒÅ ÁËÒÇÔ·ÂÒÅÑÂÁËÔ´Å º·¹íÒ ¤ÇÒÁ¼Ô´¾ÅҴ㹡ÒúÃÔËÒÃÂÒ©Õ´à¡Ô´ä´Œ¨Ò¡ËÅÒÂÊÒà˵Øä´Œá¡‹ ¤ÇÒÁࢌҡѹäÁ‹ä´Œ¢Í§ÂÒ ¤ÇÒÁ¤§µÑǢͧÂÒËÅѧ¼ÊÁ (reconstitution) ¤ÇÒÁ¤§µÑǢͧÂÒ©Õ´ËÅѧà¨×ͨҧ (dilution) ¼Å¢Í§ÍѵÃÒ àÃçǢͧ¡ÒéմÂÒ/Ë´ÂÒ·Ò§ËÅÍ´àÅ×Í´´íÒµ‹Í¼ÙŒ»†Ç ໚¹µŒ¹ 㹺·¹Õé¢Í¡¡Ã³ÕÈÖ¡ÉÒáÅÐ á¹Ç·Ò§á¡Œä¢à¾×Í໚¹µÑÇÍ‹ҧ㹡ÒúÃÔËÒÃÂÒÍ‹ҧ¶Ù¡µŒÍ§áÅÐÅ´¤ÇÒÁ¼Ô´¾ÅÒ´·ÕÍÒ¨à¡Ô´¢Ö¹ä´Œ(1) è è é ¡ÒÃÈÖ¡ÉÒ¤ÇÒÁࢌҡѹäÁ‹ä´Œ áÅФÇÒÁ¤§µÑǢͧÂÒ©Õ´ËÅѧ¼ÊÁ / à¨×ͨҧ ¡Ã³ÕÈÖ¡ÉÒ·Õè 1 ¼ÙŒ»†ÇªÒÂÍÒÂØ 37 »‚ ¹éíÒ˹ѡ 45 ¡ÔâÅ¡ÃÑÁ ࢌÒÃѺ¡ÒÃÃÑ¡ÉÒã¹âç¾ÂÒºÒÅ´ŒÇÂÍÒ¡Òà µÔ´àª×ÍÃÒ Histoplasma ÍÂ‹Ò§ÃØ¹áç ᾷʧÂÒ©Õ´ amphotericin B (conventional) ¢¹Ò´ 32 ÁÔÅÅÔ¡ÃÑÁ é Ñè (0.7 ÁÔÅÅÔ¡ÃÑÁµ‹Í¡ÔâÅ¡ÃÑÁµ‹ÍÇѹ) Ë´ࢌÒËÅÍ´àÅ×Í´´íÒ¹Ò¹ 6 ªÑèÇâÁ§ ¾ÂÒºÒŨ֧àµÃÕÂÁÂÒ©Õ´ amphotericin B (¢Ç´ÅÐ 50 ÁÔÅÅÔ¡ÃÑÁ) ¼ÊÁ¹éÒ¡ÅѹÊíÒËÃѺ©Õ´ 10 ÁÔÅÅÔŵà ¼ÊÁ¨¹ä´ŒÊÒÃÅÐÅÒÂãÊ í è Ô ´Ù´ÂÒ»ÃÔÁҵà 6.4 ÁÔÅÅÔŵà à¾×͹íÒä»à¨×ͨҧµ‹Íã¹ NSS 100 ÁÔÅÅÔŵà ËÅѧà¨×ͨҧ¾ºÇ‹ÒÁյС͹ Ô è Ô ÍÂÙã¹ÊÒÃÅÐÅÒ ¨Ö§ÃÕºâ·ÃÈѾ·Êͺ¶ÒÁàÀÊѪ¡Ã·Ñ¹·Õ ‹ à¡Ô´ÍÐäâÖ鹡Ѻ¡ÒüÊÁáÅÐà¨×ͨҧÂÒ㹤ÃÑé§¹Õé ¢Ñ¹µÍ¹¡ÒüÊÁÂÒ ÁÕ¤ÇÒÁ¶Ù¡µŒÍ§â´Â¡ÒÃ㪌¹Ò¡ÅѹÊíÒËÃѺ©Õ´ 10 ÁÔÅÅÔŵà ¼ÊÁ¡Ñº¼§ÂÒ é éí è Ô 50 ÁÔÅÅÔ¡ÃÑÁ ä´ŒÊÒÃÅÐÅÒ·ÕÁ¤ÇÒÁࢌÁ¢Œ¹¢Í§ amphotericin B 5 ÁÔÅÅÔ¡ÃÑÁµ‹ÍÁÔÅÅÔŵà ¶ŒÒ㪌äÁ‹ËÁ´ è Õ Ô ÊÒÁÒöà¡çºÊÒÃÅÐÅÒ¹Õä´Œ ᵋµÍ§à¡çºãËŒ¾¹áʧ ·ÕͳËÀÙÁÔ 25 ͧÈÒà«Åà«ÕÂÊ ÂÒÁÕ¤ÇÒÁ¤§µÑǹҹ é Œ Œ èØ 24 ªÑÇâÁ§ áÅÐ ·ÕͳËÀÙÁÔ 2 – 8 ͧÈÒà«Åà«ÕÂÊ ÂÒÁÕ¤ÇÒÁ¤§µÑǹҹ 7 Çѹ(2, 3) è èØ ¢Ñ¹µÍ¹¡ÒÃà¨×ͨҧ ÁբͼԴ¾ÅÒ´ 2 »ÃСÒà ¤×Í ª¹Ô´¢Í§ÊÒùéÒ·Õ㪌à¨×ͨҧáÅлÃÔÁÒµÃ é Œ í è ¢Í§ÊÒùéÒ·Õ㪌 (¤ÇÒÁࢌÁ¢Œ¹¢Í§ÊÒÃÅÐÅÒ·Õä´Œ) ¡ÒùíÒÂÒ·Õ¼ÊÁáÅŒÇÁÒà¨×ͨҧµ‹Í µŒÍ§àÅ×Í¡ª¹Ô´ í è è è ¢Í§ÊÒùéÒãËŒàËÁÒÐÊÁ ÊíÒËÃѺÂÒ amphotericin B ¾ºÇ‹ÒÊÒùéÒᵋÅЪ¹Ô´Áռŵ‹Í¤ÇÒÁ¤§µÑǴѧ¹Õé(2) í í
  • 115.
    88 Drug Administration Pitfalls : Case Study 1. ã¹ NSS ËÃ×ÍÊÒùéÒ·ÕÁÊǹ»ÃСͺ¢Í§ sodium chloride ઋ¹ D5S ÂÒ¨Ðà¡Ô´¡Òà í è Õ‹ µ¡µÐ¡Í¹ÀÒÂã¹ 2 ªÑÇâÁ§ËÅѧà¨×ͨҧ è 2. ã¹ D5W ·Õ¤ÇÒÁࢌÁ¢Œ¹ 0.7-1 ÁÔÅÅÔ¡ÃÑÁµ‹ÍÁÔÅÅÔŵà ¾ºÇ‹Ò amphotericin B ¨Ð¤§µÑÇÍÂÙä´Œ è Ô ‹ Í‹ҧ¹ŒÍ 24 ªÑÇâÁ§·ÕͳËÀÙÁÔ 25 ͧÈÒà«Åà«ÕÂÊ â´ÂäÁ‹µÍ§à¡çº¾Œ¹áʧ è èØ Œ ´Ñ§¹Ñ¹ amphotericin B ÁÕ¤ÇÒÁ¤§µÑÇã¹ D5W ÁÒ¡¡Ç‹Ò NSS ¨Ö§¤ÇÃà¨×ͨҧÂÒ¹Õã¹ D5W é é ËŒÒÁà¨×ͨҧÂÒã¹ NSS à´ç´¢Ò´ à¾ÃÒÐÂÒ¨Ðà¡Ô´¡Òõ¡µÐ¡Í¹ä´Œ ÊíÒËÃѺ»ÃÔÁÒµÃÊÒùéíÒ·Õè㪌㹡ÒÃãËŒ·Ò§ËÅÍ´àÅ×Í´´íÒ ¤ÇÒÁࢌÁ¢Œ¹ÊÙ§ÊØ´µŒÍ§äÁ‹à¡Ô¹ 0.1 ÁÔÅÅÔ¡ÃÑÁµ‹ÍÁÔÅÅÔŵà ´Ñ§¹Ñ¹¤ÇÃà¨×ͨҧµ‹Íã¹ÊÒùéÒãˌ䴌»ÃÔÁÒµÃäÁ‹µÒ¡Ç‹Ò 320 ÁÔÅÅÔŵà áÅФÇÃ Ô é í èí Ô ãªŒ·¹·ÕÀÒÂËÅѧ¡ÒÃàµÃÕÂÁ áÅÐäÁ‹¨Ò໚¹µŒÍ§à¡çºãËŒ¾¹áʧ Ñ í Œ ¨Ð»‡Í§¡Ñ¹/ᡌ䢻˜­ËÒ¤ÇÒÁäÁ‹¤§µÑǢͧÂÒ¹ÕéÍ‹ҧäà 1. µŒÍ§à»ÅÕ¹ÇÔ¸¡ÒÃàµÃÕÂÁÂÒ¹Õâ´Âà¨×ͨҧã¹ÊÒùéÒ D5W ෋ҹѹ è Õ é í é 2. ¤ÇÃà¨×ͨҧµ‹Íã¹ÊÒùéÒãˌ䴌»ÃÔÁÒµÃäÁ‹µÒ¡Ç‹Ò 320 ÁÔÅÅÔŵà (¤ÇÒÁࢌÁ¢Œ¹ÊÙ§ÊØ´äÁ‹à¡Ô¹ í èí Ô 0.1 ÁÔÅÅÔ¡ÃÑÁµ‹ÍÁÔÅÅÔŵÃ) Ô 3. ¡ÒáíÒ˹´ÇÔ¸¼ÊÁÂÒ amphotericin B ãˌ໚¹Áҵðҹà´ÕÂÇã¹âç¾ÂÒºÒÅ ¨Ðª‹Ç»‡Í§¡Ñ¹ Õ »˜­ËÒ¤ÇÒÁäÁ‹¤§µÑÇä´Œ (µÒÃÒ§·Õè 1) µÒÃÒ§·Õè 1 ÇÔ¸Õ¡ÒüÊÁ/à¨×ͨҧ amphotericin B áÅФÇÒÁ¤§µÑÇã¹¢Ñ鹵͹µ‹Ò§æ(1-3) ÅíҴѺ·Õè ÇÔ¸Õ¡ÒüÊÁ/à¨×ͨҧ ¤ÇÒÁ¤§µÑÇ 1 ແ´ÀÒª¹ÐºÃèØÂÒ©Õ´ amphotericin B 24 ªÑÇâÁ§·ÕͳËÀÙÁÔ è èØ 50 ÁÔÅÅÔ¡ÃÑÁ áÅмÊÁ´ŒÇ¹éÒ¡ÅѹÊíÒËÃѺ©Õ´ í è 25 ͧÈÒà«Åà«ÕÂÊ »ÃÔÁҵà 10 ÁÔÅÅÔÅµÃ Ô (à¡çº¾Œ¹áʧ) 7 Çѹ ·ÕͳËÀÙÁÔ 2-8 ͧÈÒà«Åà«ÕÂÊ èØ (à¡çº¾Œ¹áʧ) 2 ¹íÒÊÒÃÅÐÅÒ·ռÊÁáÅŒÇä»à¨×ͨҧµ‹Í´ŒÇ D5W è ¤ÇÃ㪌·¹·ÕÀÒÂËÅѧ¡ÒÃ Ñ ãˌ䴌¤ÇÒÁࢌÁ¢Œ¹ÊÙ§ÊØ´äÁ‹à¡Ô¹ 0.1 ÁÔÅÅÔ¡ÃÑÁ àµÃÕÂÁ (äÁ‹µÍ§à¡çº¾Œ¹áʧ) Œ µ‹ÍÁÔÅÅÔÅԵà 3 ʋͧ´ÙµÐ¡Í¹ áÅоԨÒóÒÊբͧÊÒÃÅÐÅÒ ·Õà¨×ͨҧáÅŒÇ â´Â㪌¡ÃдÒÉÊÕ¢ÒÇáÅÐÊÕ´Ò è í 4 ¹íÒÂÒ·Õà¨×ͨҧáÅŒÇä»·ÕàµÕ§¼Ù»Ç è è Œ † 5 ʋͧ´ÙµÐ¡Í¹ áÅоԨÒóÒÊբͧÊÒÃÅÐÅÒ ·Õà¨×ͨҧáÅŒÇ è
  • 116.
    àǪÈÒʵÏ·¹Âؤ 2553 Ñ 89 ÅíҴѺ·Õè ÇÔ¸Õ¡ÒüÊÁ/à¨×ͨҧ ¤ÇÒÁ¤§µÑÇ 6 ¹íÒÂÒä»Ë´ࢌÒËÅÍ´àÅ×Í´´íҢͧ¼Ù»Ç Œ † â´Â¾Ô¨ÒóÒÇ‹ÒÁÕÂÒÍ×¹æ ·ÕµÍ§Ë´¼‹Ò¹ªØ´ è è Œ ãËŒ¹Òà¡Å×Íà´ÕÂǡѹËÃ×ÍäÁ‹ áÅÐÁÕ¤ÇÒÁࢌҡѹ䴌 éí ËÃ×ÍäÁ‹ 7 àÃÔÁË´ÂÒࢌÒËÅÍ´àÅ×Í´´íÒãˌᡋ¼»ÇÂÍ‹ҧªŒÒæ è ÙŒ † â´Â㪌àÇÅÒ㹡ÒÃË´ÂÒ¹Ò¹ 2-6 ªÑÇâÁ§è 8 ʋͧ´ÙµÐ¡Í¹ áÅоԨÒóÒÊբͧÊÒÃÅÐÅÒ ·Õà¨×ͨҧáÅŒÇ â´Â㪌¡ÃдÒÉÊÕ¢ÒÇáÅÐÊÕ´Ò è í ໚¹ÃÐÂÐ 9 àÁ×ÍË´ÂÒàÊÃç¨ÊÔ¹áÅŒÇãËŒ flush ÊÒÂãËŒÂÒ·Ø¡¤Ãѧ è é é ¢ŒÍ¤Ô´·Õä´Œ¨Ò¡¡Ã³ÕÈ¡ÉÒ¹Õé è Ö ã¹¡ÒüÊÁ/à¨×ͨҧÂÒ ÊÒùéíÒÁռŵ‹Í¤ÇÒÁ¤§µÑǢͧÂÒ ¶ŒÒàÅ×͡㪌ÊÒùéíÒäÁ‹¶Ù¡µŒÍ§ÍÒ¨ ·íÒãËŒà¡Ô´¡Òõ¡µÐ¡Í¹áÅÐÁÕ͹µÃÒµ‹Í¼Ù»ÇÂä´Œ ¨Ö§¤ÇÃÈÖ¡ÉÒ¢ŒÍÁÙÅãËŒ¶¡µŒÍ§¡‹Í¹àÃÔÁ·íÒ¡ÒüÊÁ/ Ñ Œ † Ù è à¨×ͨҧÂÒ ¡Ã³ÕÈÖ¡ÉÒ·Õè 2 ¼ÙŒ»†ÇÂË­Ô§ÍÒÂØ 50 »‚ ¹éíÒ˹ѡ 50 ¡ÔâÅ¡ÃÑÁ ࢌÒÃѺ¡ÒÃÃÑ¡ÉÒã¹âç¾ÂÒºÒÅ´ŒÇÂâäÀÙÁÔ µŒÒ¹·Ò¹º¡¾Ã‹Í§·ÕèµÔ´àª×éÍ Cytomegalovirus ᾷÊÑè§ÂÒ©Õ´ ganciclovir 250 ÁÔÅÅÔ¡ÃÑÁ Ë´ࢌÒËÅÍ´àÅ×Í´´íÒ·Ø¡ 12 ªÑÇâÁ§ â´Â¤íÒÊѧᾷÃкش§¹Õé ganciclovir (500 ÁÔÅÅÔ¡ÃÑÁµ‹Í¢Ç´) è è Ñ ¼ÊÁ¹éÒ¡ÅѹÊíÒËÃѺ©Õ´ 10 ÁÔÅÅÔŵà ´Ù´ÂÒ»ÃÔÁҵà 5 ÁÔÅÅÔŵà à¨×ͨҧµ‹Íã¹ NSS ãˌ䴌»ÃÔÁҵà í è Ô Ô 20 ÁÔÅÅÔÅԵà àÁ×èÍ·íÒµÒÁ¢Ñ鹵͹áÅŒÇ ÂѧÁÕÊÒÃÅÐÅÒÂÂÒàËÅ×Í㹢Ǵ ¾ÂÒºÒŨ֧¹íÒà¡çºã¹µÙŒàÂç¹ ª‹Í§¸ÃÃÁ´Ò àÁ×Ͷ֧àÇÅÒ¡ÒÃãËŒÂÒ¤Ãѧµ‹Íä» ¢³Ð¹íÒÂÒÍÍ¡¨Ò¡µÙàÂç¹ä´ŒÊ§à¡µàË繵С͹㹢ǴÂÒ è é Œ Ñ ¨Ö§ÃÕºâ·ÃÊͺ¶ÒÁàÀÊѪ¡ÃÇ‹ÒÂѧ㪌µÍä´ŒËÃ×ÍäÁ‹ ‹ ¡ÒüÊÁÂÒ¹ÕéÁÕ¢Ñ鹵͹㴷Õè¼Ô´¾ÅÒ´áÅÐÍÒ¨·íÒãËŒÂÒÁÕ¤ÇÒÁ¤§µÑÇŴŧ ¢Ñ¹µÍ¹¡ÒüÊÁÂÒ àÅ×Í¡¹éÒ¡ÅѹÊíÒËÃѺ©Õ´¼ÊÁ¼§ÂÒ ÁÕ¤ÇÒÁ¶Ù¡µŒÍ§ â´ÂÂÒ©Õ´ ganciclovir é í è ¢¹Ò´ 500 ÁÔÅÅÔ¡ÃÑÁµ‹Í¢Ç´ ¨Ð¼ÊÁ´ŒÇ¹éíÒ¡ÅÑè¹ÊíÒËÃѺ©Õ´ 10 ÁÔÅÅÔÅԵà 䴌ÊÒÃÅÐÅÒ·ÕèÁÕ¤ÇÒÁ ࢌÁ¢Œ¹ 50 ÁÔÅÅÔ¡ÃÑÁµ‹ÍÁÔÅÅÔŵà à¹×ͧ¨Ò¡ÊÒÃÅÐÅÒÂÁÕ¤Ò pH ÊÙ§»ÃÐÁÒ³ 11 ´Ñ§¹Ñ¹¡ÒÃàµÃÕÂÁÂÒ Ô è ‹ é µŒÍ§·íÒ´ŒÇ¤ÇÒÁÃÐÁÑ´ÃÐÇѧ ¤ÇÃãÊ‹¶§Á×ÍÂÒ§ áÅÐÊÇÁáÇ‹¹µÒ¹ÔÃÀÑ à¾×Í»‡Í§¡Ñ¹¡ÒÃÊÑÁ¼ÑʹéÒÂÒËÒ¡ Ø è í ¢Ç´ÂÒᵡ ËÃ×͹éÒÂÒË¡ ¼§ÂÒ·ÕÅÐÅÒÂáÅŒÇÁÕ¤ÇÒÁ¤§µÑǹҹ 12 ªÑÇâÁ§·ÕͳËÀÙÁÔ 25 ͧÈÒà«Åà«ÕÂÊ í è è èØ áµ‹¶Ò¹íÒÂÒà¡çºã¹µÙàÂ繨ÐÁÕâÍ¡ÒÊà¡Ô´¡Òõ¡µÐ¡Í¹ä´Œ(3, 4) Œ Œ
  • 117.
    90 Drug Administration Pitfalls : Case Study ¢Ñ鹵͹¡ÒÃà¨×ͨҧÂÒ´ŒÇ NSS ÁÕ¢ŒÍ¼Ô´¾ÅÒ´ËÃ×ÍäÁ‹ 㹡ÒÃà¨×ͨҧÂÒ¹Õé ÊÒÁÒöàÅ×͡㪌ÊÒùéÒä´Œ·§ NSS áÅÐ D5W ᵋ¢Í¼Ô´¾ÅÒ´·Õ¾º¤×Í í Ñé Œ è »ÃÔÁҵâͧÊÒùéÒ·Õ㪌 㹡ÒÃãËŒÂÒâ´ÂË´ࢌÒËÅÍ´àÅ×Í´´íÒ ãËŒÁ¤ÇÒÁࢌÁ¢Œ¹ÊÙ§ÊØ´äÁ‹à¡Ô¹ 10 í è Õ ÁÔÅÅÔ¡ÃÑÁµ‹ÍÁÔÅÅÔŵà ÊÒÃÅÐÅÒÂËÅѧà¨×ͨҧÁÕ¤ÇÒÁ¤§µÑǹҹ 24 ªÑÇâÁ§·ÕͳËÀÙÁÔ 2–8 ͧÈÒà«Åà«ÕÂÊ Ô è èØ â´ÂäÁ‹·ÒãËŒà¡Ô´¡Òõ¡µÐ¡Í¹ í (2, 3) ¨Ð»‡Í§¡Ñ¹/ᡌ䢻˜­ËÒ¤ÇÒÁäÁ‹¤§µÑǢͧÂÒ¹ÕéÍ‹ҧäà 1. à¾ÔèÁ»ÃÔÁÒµÃÊÒùéíÒ NSS ໚¹ 100 ÁÔÅÅÔÅԵà (¤ÇÒÁࢌÁ¢Œ¹¢Í§ÂÒ©Õ´ ganciclovir ËÅѧà¨×ͨҧ෋ҡѺ 2.5 ÁÔÅÅÔ¡ÃÑÁµ‹ÍÁÔÅÅÔŵÃ) «Ö§äÁ‹à¡Ô¹¤ÇÒÁࢌÁ¢Œ¹ÊÙ§ÊÙ´·ÕÊÒÁÒöãˌ䴌·Ò§ËÅÍ´ Ô è è àÅ×Í´´íÒ 2. ¡ÒáíÒ˹´ÇÔ¸¼ÊÁÂÒ ganciclovir ãˌ໚¹Áҵðҹà´ÕÂÇã¹âç¾ÂÒºÒÅ ¨Ðª‹Ç»‡Í§¡Ñ¹ Õ »˜­ËÒ¤ÇÒÁäÁ‹¤§µÑÇä´Œ (µÒÃÒ§·Õè 2) µÒÃÒ§·Õè 2 ÇÔ¸Õ¡ÒüÊÁ/à¨×ͨҧ ganciclovir áÅФÇÒÁ¤§µÑÇã¹¢Ñ鹵͹µ‹Ò§æ(1-4) ÅíҴѺ·Õè ÇÔ¸Õ¡ÒüÊÁ/à¨×ͨҧ ¤ÇÒÁ¤§µÑÇ 1 ແ´ÀÒª¹ÐºÃèØÂÒ©Õ´ ganciclovir 50 ÁÔÅÅÔ¡ÃÑÁ 12 ªÑÇâÁ§·ÕͳËÀÙÁÔ è èØ áÅмÊÁ´ŒÇ¹éÒ¡ÅѹÊíÒËÃѺ©Õ´ »ÃÔÁҵà í è 25 ͧÈÒà«Åà«ÕÂÊ 10 ÁÔÅÅÔŵÃà¢Â‹Ò¢Ç´¨¹¼§ÂÒÅÐÅÒÂËÁ´ Ô 2 ¹íÒÊÒÃÅÐÅÒ·ռÊÁáÅŒÇä»à¨×ͨҧµ‹Í´ŒÇ D5W è 24 ªÑÇâÁ§·ÕͳËÀÙÁÔ è èØ ËÃ×Í NSS ãˌ䴌¤ÇÒÁࢌÁ¢Œ¹ÊÙ§ÊØ´äÁ‹à¡Ô¹ 2-8ͧÈÒà«Åà«ÕÂÊ 0.1 ÁÔÅÅÔ¡ÃÑÁµ‹ÍÁÔÅÅÔÅµÃ Ô 3 ʋͧ´ÙµÐ¡Í¹ áÅоԨÒóÒÊբͧÊÒÃÅÐÅÒ ·Õà¨×ͨҧáÅŒÇ â´Â㪌¡ÃдÒÉÊÕ¢ÒÇáÅÐÊÕ´Ò è í 4 ¹íÒÂÒ·Õà¨×ͨҧáÅŒÇä»·ÕàµÕ§¼Ù»Ç è è Œ † 5 ʋͧ´ÙµÐ¡Í¹ áÅоԨÒóÒÊբͧÊÒÃÅÐÅÒ ·Õà¨×ͨҧáÅŒÇ è 6 ¹íÒÂÒä»Ë´ࢌÒËÅÍ´àÅ×Í´´íҢͧ¼Ù»Ç â´Â Œ † ¾Ô¨ÒóÒÇ‹ÒÁÕÂÒÍ×¹æ ·ÕµÍ§Ë´¼‹Ò¹ªØ´ãËŒ¹Òà¡Å×Í è è Œ éí à´ÕÂǡѹËÃ×ÍäÁ‹ áÅÐÁÕ¤ÇÒÁࢌҡѹ䴌ËÃ×ÍäÁ‹ 7 àÃÔÁË´ÂÒࢌÒËÅÍ´àÅ×Í´´íÒãˌᡋ¼»ÇÂÍ‹ҧªŒÒæ è ÙŒ † â´Â㪌àÇÅÒ㹡ÒÃË´ÂÒ¹Ò¹¡Ç‹Ò 1 ªÑÇâÁ§ è 8 ʋͧ´ÙµÐ¡Í¹ áÅоԨÒóÒÊբͧÊÒÃÅÐÅÒ ·Õà¨×ͨҧáÅŒÇ â´Â㪌¡ÃдÒÉÊÕ¢ÒÇáÅÐÊÕ´Ò è í ໚¹ÃÐÂÐ 9 àÁ×ÍË´ÂÒàÊÃç¨ÊÔ¹áÅŒÇãËŒ flush ÊÒÂãËŒÂÒ·Ø¡¤Ãѧ è é é ËÁÒÂà赯 : à¹×ͧ¨Ò¡ÊÒÃÅÐÅÒÂÁÕ¤Ò pH ÊÙ§»ÃÐÁÒ³ 11 ´Ñ§¹Ñ¹¡ÒÃàµÃÕÂÁÂÒµŒÍ§·íÒ´ŒÇ¤ÇÒÁÃÐÁÑ´ÃÐÇѧ ¤ÇÃãÊ‹¶§Á×ÍÂÒ§ è ‹ é Ø áÅÐÊÇÁáÇ‹¹µÒ¹ÔÃÀÑ à¾×Í»‡Í§¡Ñ¹¡ÒÃÊÑÁ¼ÑʹéÒÂÒËÒ¡¢Ç´ÂÒᵡ ËÃ×͹éÒÂÒË¡ è í í
  • 118.
    àǪÈÒʵÏ·¹Âؤ 2553 Ñ 91 ¢ŒÍ¤Ô´·Õä´Œ¨Ò¡¡ÒÃÈÖ¡ÉÒ¹Õé è 1. ÂÒ·Õ¼ÊÁáŌǨÐÁÕ¤ÇÒÁ¤§µÑǵèÒ¡Ç‹ÒÂÒ·Õ¼ÊÁáÅÐà¨×ͨҧáÅŒÇ è í è 2. ¡ÒÃà¡çºÂÒËÅѧ¼ÊÁ äÁ‹¨Ò໚¹µŒÍ§à¡çºã¹µÙàÂç¹·Ø¡ª¹Ô´ ÂÒºÒ§ª¹Ô´ËŒÒÁà¡çºã¹µÙàÂç¹à¾ÃÒÐ í Œ Œ ÍÒ¨µ¡µÐ¡Í¹ä´Œ ¡Ã³ÕÈÖ¡ÉÒ·Õè 3 ¼ÙŒ»†ÇªÒÂÍÒÂØ 58 »‚ ࢌÒÃѺ¡ÒÃÃÑ¡ÉÒµÑÇã¹âç¾ÂÒºÒÅ´ŒÇÂâäËÅÍ´ÍÒËÒÃÍÑ¡àʺª¹Ô´ ÃØ¹áç (severe reflux esophagitis) ᾷ¨§ÊѧÂÒ©Õ´ pantoprazole ãËŒ©´·Ò§ËÅÍ´àÅ×Í´´íÒ Ö è Õ 40 ÁÔÅÅÔ¡ÃÑÁ ÇѹÅÐ 1¤ÃÑé§ Çѹ¹Õé¼ÙŒ»†ÇÂÁÕÍÒ¡ÒÃàÇÕ¹ÈÕÃÉÐÁÒ¡ ᾷÊÑè§ÂÒ©Õ´ dimenhydrinate 50 ÁÔÅÅÔ¡ÃÑÁà¾ÔÁ µÒÁ¤íÒÊѧ´Ñ§¹Õé ÂÒ©Õ´ pantoprazole 40 ÁÔÅÅÔ¡ÃÑÁ ¼ÊÁ NSS 10 ÁÔÅÅÔŵÃÃÇÁ¡Ñº è è Ô ÂÒ©Õ´ dimenhydrinate 1 ËÅÍ´ (50 ÁÔÅÅÔ¡ÃÑÁµ‹ÍÁÔÅÅÔÅÔµÃ) ¼ÊÁã¹ËÅÍ´©Õ´ÂÒà´ÕÂǡѹ à¢Â‹Ò ãˌࢌҡѹ áŌǹíÒ仺ÃÔËÒÃãËŒ¼»ÇÂâ´Â©Õ´·Ò§ËÅÍ´àÅ×Í´´íÒªŒÒæã¹àÇÅÒ 5 ¹Ò·Õ ÙŒ † à¡Ô´ÍÐäâֹ é ËÅѧ¨Ò¡¼ÊÁÂÒ©Õ´ dimenhydrinate 50 ÁÔÅÅÔ¡ÃÑÁ¡ÑºÂÒ©Õ´ pantoprazole µÒÁᾷʧáÅŒÇ Ñè ¾ÂÒºÒÅÊѧࡵàË繵С͹ÊÕ¢ÒÇà¡Ô´¢Ö¹ã¹ËÅÍ´©Õ´ÂÒ ¨Ö§Êͺ¶ÒÁàÀÊѪ¡Ã·Ñ¹·Õà¾×ÍÂ×¹ÂѹNjÒÊÒÁÒö é è 㪌µÍä´ŒËÃ×ÍäÁ‹ àÀÊѪ¡Ãä´ŒµÃǨÊͺ¤ÇÒÁࢌҡѹ䴌¢Í§ÂÒã¹ËÅÍ´©Õ´ÂÒà´ÕÂǡѹ¨Ò¡°Ò¹¢ŒÍÁÙÅ(2) ‹ ¾ºÇ‹ÒµÃ§¡Ñºà˵ءÒ󏷾ÂÒºÒžº ¨Ö§á¹Ð¹íÒäÁ‹ãˌ㪌ÂÒµ‹Í仵ŒÍ§·Ô§Âҷѹ·Õ Õè é ¼ÅàÊÕ¨ҡ¤ÇÒÁࢌҡѹäÁ‹ä´Œ¢Í§ÂÒ·Õèà¡Ô´¢Ö鹡Ѻ¼ÙŒ»†Ç¤×ÍÍÐäà µÐ¡Í¹ÂÒ·Õà¡Ô´¢Ö¹àÁ×͹íÒ仩մࢌҷҧËÅÍ´àÅ×Í´´íÒãˌᡋ¼»Ç µÐ¡Í¹ÂҹѹÍÒ¨äËÅà¢ŒÒ è é è ÙŒ † é ã¹ÃкºäËÅàÇÕ¹âÅËÔµ ÍÒ¨·íÒãËŒà¡Ô´¡ÒÃÍØ´µÑ¹àÊŒ¹àÅ×Í´½Í·íÒãËŒà¡Ô´à¹×éÍàÂ×è͵ÒÂ੾ÒÐʋǹ ÁռŷíÒãËŒ¼»ÇÂà¡Ô´ÍѹµÃÒ¶֧ªÕǵ䴌 ÙŒ † Ô ¨Ð»‡Í§¡Ñ¹ËÃ×Íᡌ»˜­ËÒ¹Õé䴌͋ҧäà 1. ¡íÒ˹´ÃÒª×ÍÂÒ·Õ㪌ºÍÂáÅÐäÁ‹à¢ŒÒ¡ÑºÂÒª¹Ô´Í×¹æ àÁ×ͼÊÁÃÇÁ¡Ñ¹ã¹ËÅÍ´©Õ´ÂÒà´ÕÂǡѹ è è ‹ è è 2. á¡©Õ´ÂÒᵋÅЪ¹Ô´ â´ÂäÁ‹ÃÇÁã¹ËÅÍ´©Õ´ÂÒà´ÕÂǡѹ 3. ÍÒ¨à»ÅÕ¹ÇÔ¸¡ÒÃãËŒÂÒ໚¹áºº Y-site ¨Ò¡°Ò¹¢ŒÍÁÙÅ(2) ¾ºÇ‹ÒÂÒ©Õ´ pantoprazole è Õ ¤ÇÒÁࢌÁ¢Œ¹ 0.16- 0.8 ÁÔÅÅÔ¡ÃÑÁµ‹ÍÁÔÅÅÔŵà ÊÒÁÒöãˌẺ Y-site ËÇÁ¡Ñº ÂÒ©Õ´ dimenhydrinate Ô ¤ÇÒÁࢌÁ¢Œ¹ 0.5-1 ÁÔÅÅÔ¡ÃÑÁµ‹ÍÁÔÅÅÔŵà ¨ÐÁÕ¤ÇÒÁ¤§µÑǹҹ 12 ªÑÇâÁ§·ÕͳËÀÙÁÔ 23 ͧÈÒà«Åà«ÕÂÊ Ô è èØ 4. ¡‹Í¹áÅÐÃÐËNjҧãËŒÂÒá¡‹¼»Ç ¤ÇÃÊѧࡵNjÒÊÒÃÅÐÅÒÂÂÒÁյС͹à¡Ô´¢Ö¹ËÃ×ÍäÁ‹ ÙŒ † é
  • 119.
    92 Drug Administration Pitfalls : Case Study ¢ŒÍ¤Ô´·Õä´Œ¨Ò¡¡Ã³ÕÈ¡ÉÒ¹Õé è Ö ¡ÒüÊÁÂҵѧᵋÊͧª¹Ô´¢Ö¹ä»ã¹ËÅÍ´©Õ´ÂÒ ËÃ×Í㹶ا¹éÒà¡Å×Íà´ÕÂǡѹ ¶ŒÒäÁ‹á¹‹ã¨Ç‹ÒÂÒà¢ŒÒ é é í ¡Ñ¹ä´ŒËÃ×ÍäÁ‹ ¤ÇûÃÖ¡ÉÒàÀÊѪ¡Ã¡‹Í¹·íÒ¡ÒúÃÔËÒÃÂÒ ¡Ã³ÕÈÖ¡ÉҼŢͧÍѵÃÒàÃçǢͧ¡ÒéմÂÒ/Ë´ÂÒࢌÒËÅÍ´àÅ×Í´´íÒµ‹Í¼ÙŒ»†Ç ¡Ã³ÕÈÖ¡ÉÒ·Õè 4 ¼ÙŒ»†ÇªÒÂࢌÒÃѺ¡ÒÃÃÑ¡ÉÒã¹âç¾ÂÒºÒÅ´ŒÇ¡ÒõԴàª×éÍÀÒÂ㹪‹Í§·ŒÍ§ª¹Ô´«Ñº«ŒÍ¹ (complicated intra-abdominal infection) ËÇÁ¡Ñº septicaemia ᾷʧÂÒ©Õ´ ertapenem 1 ¡ÃÑÁ Ñè Ë´ࢌҷҧËÅÍ´àÅ×Í´´íÒ ÇѹÅÐ 1 ¤ÃÑé§ ÂÒ©Õ´ metronidazole 500 ÁÔÅÅÔ¡ÃÑÁ Ë´ࢌҷҧ ËÅÍ´àÅ×Í´´íÒ ·Ø¡ 8 ªÑÇâÁ§ ÊíÒËÃѺ ertapenem ãËŒºÃÔËÒÃÂÒâ´Â¼ÊÁ¼§ÂÒ´ŒÇ NSS áÅÐà¨×ͨҧµ‹Í è ´ŒÇ NSS 50 ÁÔÅÅÔŵà Ë´ࢌÒËÅÍ´àÅ×Í´´íÒãËŒ¼»ÇªŒÒæà»š¹àÇÅÒ 15 ¹Ò·Õ ʋǹ metronidazole Ô ÙŒ † ãˌ˴·Ò§ËÅÍ´àÅ×Í´´íÒ໚¹àÇÅÒ 15 ¹Ò·Õઋ¹à´ÕÂǡѹ ËÅѧ䴌úÂÒ ¼Ù»ÇÂà¡Ô´¼×¹á´§µÒÁÅíÒµÑÇ Ñ Œ † è ÁÕÍÒ¡ÒúÇÁá´§ºÃÔàdz·Õè©Õ´ ¾ÂÒºÒŨ֧ÃÕºÃÒ§ҹãˌᾷ·ÃÒº áÅоÂÒºÒÅâ·ÃÁÒÊͺ¶ÒÁ àÀÊѪ¡Ãà¾×ÍãËŒªÇµÃǨ·Ò¹ÍѵÃÒàÃçÇ㹡ÒÃãËŒÂÒNjҶ١µŒÍ§ËÃ×ÍäÁ‹ è ‹ ÍѵÃÒàÃçǢͧ¡ÒÃãËŒÂÒ㹤ÃÑé§¹ÕéÁÕ¢ŒÍ¼Ô´¾ÅÒ´ã´·ÕèÍҨʋ§¼ÅãËŒà¡Ô´ÍѹµÃÒµ‹Í¼ÙŒ»†Ç 䴌? ã¹¼ÙŒ»†ÇÂÃÒ¹Õéä´ŒÃѺ¡ÒÃË´ÂÒ©Õ´ ertapenem áÅÐ metronidazole ·Ò§ËÅÍ´àÅ×Í´´íÒ ÀÒÂã¹àÇÅÒ 15 ¹Ò·Õ ໚¹ÍѵÃÒ·ÕàÃçÇà¡Ô¹ä» µÒÁ¢ŒÍÁÙÅ㹡ÒúÃÔËÒÃÂÒ©Õ´ ertapenem 㹡óշãËŒ è Õè ·Ò§ËÅÍ´àÅ×Í´´íÒ¤ÇÃË´ÂÒªŒÒæ ã¹àÇÅÒ 30 ¹Ò·Õ ÍÒ¡ÒÃäÁ‹¾§»ÃÐʧ¤à©¾Òзշ¾ºº‹Í 䴌ᡋ Ö è Õè ÍÒ¡ÒÃá·Ã¡«ŒÍ¹¢Í§ËÅÍ´àÅ×Í´´íÒ¨Ò¡·ÕèãËŒÂÒ (infused vein complications) ¾ºÃŒÍÂÅÐ 5–7, ËÅÍ´àÅ×Í´´íÒÍÑ¡àʺ/ËÅÍ´àÅ×Í´´íÒÍÑ¡àʺÁÕÅÁàÅ×Í´ ¾ºÃŒÍÂÅÐ 2 ¹Í¡¨Ò¡¹Õ§ÍÒ¨à¡Ô´¤ÇÒÁ¼Ô´»¡µÔ Ôè é Ñ ¢Í§¼ÔÇ˹ѧ ઋ¹ ¼×¹á´§ ¤Ñ¹ è (3, 4) ʋǹÂÒ©Õ´ metronidazole äÁ‹¤ÇÃãˌẺ IV push ÃÐÂÐàÇÅÒ㹡ÒÃË´ÂÒࢌÒËÅÍ´àÅ×Í´ ´íÒâ´Â·ÑÇä»ÁÒ¡¡Ç‹Ò 1 ªÑÇâÁ§ (ºÒ§°Ò¹¢ŒÍÁÙÅá¹Ð¹íÒãˌ㪌àÇÅÒ 30-60 ¹Ò·Õ) ÍÒ¡ÒÃäÁ‹¾§»ÃÐʧ¤·Õè è è Ö ¾ºä´Œ¨Ò¡¡ÒÃË´ÂÒ·Ò§ËÅÍ´àÅ×Í´´íÒ䴌ᡋ ËÅÍ´àÅ×Í´´íÒÍÑ¡àʺ ´Ñ§¹Ñ¹¨Ö§¤ÇÃË´ÂÒࢌÒËÅÍ´àÅ×Í´ é ´íÒÍ‹ҧªŒÒæ (2-4) ¨Ð»‡Í§¡Ñ¹/ᡌ䢻˜­ËÒ¹Õé䴌͋ҧäà 1. ¡ÒúÃÔËÒÃÂÒ©Õ´ ertapenem 㹡óշãËŒ·Ò§ËÅÍ´àÅ×Í´´íÒ¤ÇÃË´ÂÒªŒÒæ ã¹àÇÅÒ 30 Õè ¹Ò·Õ ÂÒ©Õ´ metronidazole 㹡óշãËŒ·Ò§ËÅÍ´àÅ×Í´´íÒÃÐÂÐàÇÅÒ㹡ÒÃãËŒÁÒ¡¡Ç‹Ò 1 ªÑÇâÁ§ Õè è 2. ËÒ¡äÁ‹á¹‹ã¨ÃÐÂÐàÇÅÒ㹡ÒÃãËŒÂÒãËŒâ·ÃÈѾ·Êͺ¶ÒÁàÀÊѪ¡Ã¡‹Í¹¡ÒÃãËŒÂÒ·Ø¡¤Ãѧ é
  • 120.
    àǪÈÒʵÏ·¹Âؤ 2553 Ñ 93 º·ÊÃØ» ¨Ò¡¡Ã³ÕÈ¡ÉÒ·Õ䴌¡µÑÇÍ‹ҧÁÒ¢ŒÒ§µŒ¹ ÁÕËÅÒ»˜¨¨Ñ·շÒãËŒà¡Ô´¤ÇÒÁ¼Ô´¾ÅҴ㹺ÃÔËÒÃÂÒ Ö è è í ©Õ´´Ñ§¹Ñ¹¼Ù··Ò˹ŒÒ·ÕºÃÔËÒÃÂÒ©Õ´¨Ö§¨íÒ໚¹µŒÍ§·ÃÒºÇÔ¸¡ÒúÃÔËÒÃÂÒ·ÕàËÁÒÐÊÁ¢Í§ÂÒᵋÅЪ¹Ô´ é Œ Õè í è Õ è à¾×ÍãËŒ¼»ÇÂ䴌ú¤ÇÒÁ»ÅÍ´ÀÑÂÊÙ§ÊØ´ è ÙŒ † Ñ àÍ¡ÊÒÃ͌ҧÍÔ§ 1. ¸Ô´Ò ¹Ô§ÊÒ¹¹·, ÊØÇ²¹Ò ¨ØÌÒÇѲ¹·Å, »ÃÕªÒ Á¹·¡Ò¹µÔ¡Å. ºÃóҸԡÒÃ. ¡ÒúÃÔËÒÃÂÒà¾×ͤÇÒÁ»ÅÍ´ÀÑ¢ͧ¼Ù»ÇÂ. Ñ Ø è Œ † ¡Ãا෾ÁËÒ¹¤Ã: ÊÁÒ¤ÁàÀÊѪ¡ÃÃÁâç¾ÂÒºÒÅ (»ÃÐà·Èä·Â); 2552. 2. Trissel LA. Handbook on injectable drugs. 15th ed. Bethesda: American Society of Health-System Pharmacists; 2009. 3. Lacy C., Armstrong LL, Goldman MP, et al, editors. Drug information handbook. 19th ed. Hudson: Lexi-Comp; 2010. 4. Phelps SJ, Hak EB, Crill CM, editors. Teddy bear book: pediatric injectable drugs. 8th ed. Bethesda: American Society of Health-System Pharmacists; 2007.
  • 122.
    àǪÈÒʵÏ·¹Âؤ 2553 Ñ º··Õè 95 14 ¡ÒÃ㪌 Trigger Tool 㹡Ò䌹ËÒáÅÐÇÑ´ÍѵÃÒ à˵ءÒóäÁ‹¾Ö§»ÃÐʧ¤¨Ò¡¡ÒÃ㪌ÂÒã¹âç¾ÂÒºÒÅ ÍÒ¨ÒÏ ᾷ˭ԧÇÕÃÇ´Õ ¨Ñ¹·Ã¹ÔÀÒ¾§È ÀÒ¤ÇÔªÒàÀÊѪÇÔ·ÂÒ ¤³Ðá¾·ÂÈÒʵÏÈÃÃÒª¾ÂÒºÒÅ ÁËÒÇÔ·ÂÒÅÑÂÁËÔ´Å ÔÔ Trigger tool (trigger á»ÅÇ‹Ò µÑÇÊ‹§ÊÑ­­Ò³ áÅÐ tool á»ÅÇ‹Ò à¤Ã×ͧÁ×Í) ໚¹ÇÔ¸¡ÒÃ㹡Òà è Õ ¤Œ¹ËÒà˵ءÒóäÁ‹¾§»ÃÐʧ¤¨Ò¡¡ÒÃ㪌ÂÒ (adverse drug event; ADE) â´ÂÁÕËÅÑ¡¡Òä×Í ¡ÒáíÒ˹´ Ö ºÑ­ªÕÃÒ¡Òà trigger «Ö§à»š¹ÃÒ¡Òâͧ¤íÒÊíҤѭ·ÕÁ¤ÇÒÁ໚¹ä»ä´ŒÊ§·Õ¨Ðà¡ÕÂÇ¢ŒÍ§¡Ñºà˵ءÒó è è Õ Ù è è äÁ‹¾§»ÃÐʧ¤¨Ò¡¡ÒÃ㪌ÂÒ·Õ¡ÍãËŒà¡Ô´ÍѹµÃÒÂá¡‹¼»Ç áÅФŒ¹ËÒ¤íÒÊíҤѭàËŋҹѹã¹àǪÃÐàºÕ¹ Ö è ‹ ÙŒ † é ¼Ù»ÇÂã¹â´Â¡ÒÃÊØÁ·º·Ç¹àǪÃÐàºÕ¹Œ͹ËÅѧ àÁ×ͼٷº·Ç¹¾º¤íÒÊíҤѭàËŋҹѹÁѹ¨Ð·íÒ˹ŒÒ·Õ໚¹ Œ † ‹ è Œ é è µÑ Ç Ê‹ § ÊÑ ­ ­Ò³à¾×è Í à»š ¹ ¨Ø ´ àÃÔè Á µŒ ¹ ãËŒ ¼ÙŒ · º·Ç¹àǪÃÐàºÕ  ¹à¢Œ Ò ä»µÔ ´ µÒÁà赯 ¡ Òó ·Õè à¡ÕèÂÇ¢ŒÍ§¡Ñº¤íÒÊíҤѭ¹Ñ鹿 áÅоԨÒóÒÇ‹Ò໚¹à˵ءÒóäÁ‹¾Ö§»ÃÐʧ¤¨Ò¡¡ÒÃ㪌ÂÒ·Õè¡‹ÍãËŒà¡Ô´ ÍѹµÃÒÂá¡‹¼»ÇÂËÃ×ÍäÁ‹ ¶ŒÒ㪋µÍ§»ÃÐàÁÔ¹ÃдѺ¤ÇÒÁÃØ¹áç¢Í§ÍѹµÃÒ¹ѹ´ŒÇ ÇÔ¸¡ÒùÕ໚¹ÇÔ¸¡Òà ٌ † Œ é Õ é Õ ·Õ¾²¹Ò¢Ö¹â´Â The Institute for Healthcare Improvement (IHI) «Ö§à»š¹Í§¤¡Ã·ÕäÁ‹áÊǧËҼšíÒäà è Ñ é è è µÑ§ÍÂÙã¹»ÃÐà·ÈÊËÃѰÍàÁÃÔ¡Ò ÁÕ໇ÒËÁÒÂ㹡ÒþѲ¹Ò»ÃѺ»Ãا¡ÒôÙáÅÊØ¢ÀÒ¾·ÑÇâÅ¡ áÅÐ Premier é ‹ è «Öè§à»š¹Ê˾ѹ¸´ŒÒ¹¡ÒôÙáÅÊØ¢ÀÒ¾»ÃСͺ´ŒÇÂâç¾ÂÒºÒŨíҹǹ 1,600 áË‹§·ÑèÇ»ÃÐà·È ÊËÃѰÍàÁÃÔ¡Ò(1) IHI ¹íÒ trigger tool ÁÒ㪌¤Ãѧááà¾×ͤŒ¹ËÒà˵ءÒóäÁ‹¾§»ÃÐʧ¤¨Ò¡¡ÒÃ㪌ÂÒ é è Ö â´ÂÊÒÁÒö¤Œ¹ËÒáÅÐÃкؤÇÒÁÃØ¹áç¢Í§ÍѹµÃÒ·Õà¡Ô´¨Ò¡¡ÒÃ㪌ÂÒã¹Ê¶Ò¹¾ÂÒºÒÅËÅÒÂÃдѺ è µÑ§áµ‹âç¾ÂÒºÒŪØÁª¹¨¹¶Ö§âç¾ÂÒºÒÅâçàÃÕ¹ᾷ(2) ÇÔ¸¡ÒùÕ䴌ú¡Ò÷´ÊͺáÅеվÁ¾à»š¹ é Õ é Ñ Ô §Ò¹ÇԨ·ÕÃкØÇÒ trigger tool ໚¹ÇÔ¸¡Ò÷չÒàª×Ͷ×Í ÁÕ»ÃÐÊÔ·¸ÔÀÒ¾ ¤‹Ò㪌¨ÒÂ㹡ÒôíÒà¹Ô¹¡ÒõèÒ(3) Ñ è ‹ Õ è ‹ è ‹ í áÅÐ໚¹ÇÔ¸¡Ò÷մ㹡ÒÃÇÑ´ÍѵÃÒ¡ÒÃà¡Ô´à˵ءÒóäÁ‹¾§»ÃÐʧ¤ã¹ÀÒ¾ÃÇÁ¢Í§âç¾ÂÒºÒÅ µ‹ÍÁÒ Õ è Õ Ö (4) IHI ¨Ö§ä´Œ¾Ñ²¹ÒÇÔ¸Õ¡ÒùÕéÍ‹ҧµ‹Íà¹×èͧ ¨¹ã¹»˜¨¨ØºÑ¹ÇÔ¸Õ¡ÒùÕé¹Í¡¨Ò¡¨Ð㪌໚¹µÑÇÊ‹§ÊÑ­­Ò³ à¾×èͤŒ¹ËÒà˵ءÒóäÁ‹¾Ö§»ÃÐʧ¤¨Ò¡¡ÒÃ㪌ÂÒáÅŒÇÂѧ㪌໚¹µÑÇÊ‹§ÊÑ­­Ò³à¾×èͤŒ¹ËÒà˵ءÒó äÁ‹¾Ö§»ÃÐʧ¤·Ø¡´ŒÒ¹·Õèà¡Ô´¢Ö鹨ҡ¡ÒôÙáÅÃÑ¡ÉÒ¼ÙŒ»†Ç´ŒÇ ઋ¹ ¡ÒôÙáżٌ»†Ç·ÑèÇä» ¡ÒÃ㪌ÂÒ ¡Òü‹ÒµÑ´ ¡ÒôÙáżٻÇÂÇԡĵ ¡ÒôÙáÅÁÒôÒáÅзÒá ¡ÒôÙáżٻÇ©ءà©Ô¹ ´ŒÇÂà˵ؼŴѧ¡Å‹ÒÇ Œ † Œ † IHI ¨Ö§à»ÅÕ¹ª×ÍàÃÕ¡ÇÔ¸¡ÒùÕãËÁ‹à»š¹ Global trigger tool ᵋ㹺·¤ÇÒÁ¹Õ¨ÐãËŒ¤ÇÒÁÊíҤѭ੾ÒÐ è è Õ é é trigger tool à¾×ͤŒ¹ËÒà˵ءÒóäÁ‹¾§»ÃÐʧ¤¨Ò¡¡ÒÃ㪌ÂÒ෋ҹѹ è Ö é
  • 123.
    96 ¡ÒÃ㪌 Trigger Tool 㹡Ò䌹ËÒáÅÐÇÑ´ÍѵÃÒà˵ءÒóäÁ‹¾§»ÃÐʧ¤¨Ò¡¡ÒÃ㪌ÂÒã¹âç¾ÂÒºÒÅ Ö ÀÙÁÔËÅѧáÅФÇÒÁ໚¹ÁÒ à˵ءÒóäÁ‹¾Ö§»ÃÐʧ¤¨Ò¡ÂÒ¶×Í໚¹¤ÇÒÁàÊÕè§ÊÙ§ÊØ´·ÕèÍÒ¨¡‹ÍãËŒà¡Ô´ÍѹµÃÒÂá¡‹¼ÙŒ»†Ç à¹×ͧ¨Ò¡ÂÒ໚¹ÊÔ§ÊíҤѭ·Õ¶¡ãªŒºÍ·ÕÊ´ã¹âç¾ÂÒºÒÅ ¹Í¡¨Ò¡¹Õ¢¹µÍ¹¡ÒÃ㪌ÂÒÂѧÁÕ¤ÇÒÁ«Ñº«ŒÍ¹ è è è Ù ‹ èØ é Ñé áÅÐÍÒÈÑ·ÕÁÊËÊÒ¢ÒÇÔªÒªÕ¾ 䴌ᡋ ᾷ àÀÊѪ¡Ã áÅоÂÒºÒÅ(2) ¨¹¶Ö§»˜¨¨ØºÑ¹ÂѧäÁ‹·ÃÒº ÍØºµ¡Òó·á¹‹¹Í¹¢Í§à˵ءÒóäÁ‹¾§»ÃÐʧ¤¨Ò¡¡ÒÃ㪌ÂÒ áÅÐÂѧäÁ‹ÁǸ¡ÒÃã´·Õ㪌໚¹Áҵðҹ Ñ Ô Õè Ö ÕÔÕ è 㹡ÒÃÃкØÍغѵԡÒó¹Õé ¨Ò¡ÃÒ§ҹ¡ÒÃÈÖ¡ÉÒÇԨѷÕ輋ҹÁÒ¾ºÇ‹Ò ÍØºÑµÔ¡Òó¢Í§à˵ءÒó äÁ‹¾§»ÃÐʧ¤¨Ò¡¡ÒÃ㪌ÂÒÁÕ¤ÇÒÁᵡµ‹Ò§¡Ñ¹¢Ö¹¡Ñº¤íÒ¨íÒ¡Ñ´¤ÇÒÁ¢Í§¼ÅÅѾ¸·µÍ§¡ÒÃÈÖ¡ÉÒ áÅÐ Ö é Õè Œ ÇÔ ¸Õ ¡ Ò÷Õè ã ªŒ Bate áÅФ³ÐÃÒÂ§Ò¹ÍØºÑµÔ¡Òó¢Í§à˵ءÒóäÁ‹¾Ö§»ÃÐʧ¤¨Ò¡¡ÒÃ㪌ÂÒã¹ (5) âç¾ÂÒºÒŵµÔÂÀÙÁÔáË‹§Ë¹Öè§à»š¹ 6.5 à˵ءÒóµ‹Í 100 ¤ÃÑ駢ͧ¡ÒÃÃѺµÑÇäÇŒã¹âç¾ÂÒºÒÅ(6) ᵋàÁ×è;ԨÒóÒ੾ÒÐà˵ءÒóäÁ‹¾Ö§»ÃÐʧ¤¨Ò¡¡ÒÃ㪌ÂÒÃÐ´ÑºÃØ¹á羺NjÒÁÕÍØºÑµÔ¡ÒóÅ´Å§ àËÅ×Í 2.8 µ‹Í 100 ¤ÃÑ駢ͧ¡ÒÃÃѺµÑÇäÇŒã¹âç¾ÂÒºÒÅ «Öè§ã¡ÅŒà¤Õ§¡ÑºÃÒ§ҹ¢Í§ Classen áÅФ³Ð·Õ¾ºÍغµ¡Òó¢Í§à˵ءÒóäÁ‹¾§»ÃÐʧ¤¨Ò¡¡ÒÃ㪌ÂÒÃÐ´ÑºÃØ¹áçã¹âç¾ÂÒºÒŵµÔÂÀÙÁÔ è Ñ Ô Ö áË‹§Ë¹Ö§à»š¹ 2 à˵ءÒóµÍ 100 ¤Ãѧ¢Í§¡ÒÃÃѺµÑÇäÇŒã¹âç¾ÂÒºÒÅ(7) è ‹ é ã¹Í´Õµ¤ÇÒÁ¾ÂÒÂÒÁ㹡Ò䌹ËÒà˵ءÒóäÁ‹¾§»ÃÐʧ¤¨Ò¡¡ÒÃ㪌ÂÒ¨ÐÁا์¹¡ÒÃÃÒ§ҹ Ö ‹ ¤ÇÒÁ¼Ô´¾ÅÒ´ ËÃ×ͤÇÒÁ¤ÅÒ´à¤Å×͹ (error) ·Õà¡Ô´¢Ö¹¨Ò¡¡ÒÃ㪌ÂÒ º¹ÊÁÁµÔ°Ò¹·ÕÇÒ¡Òû‡Í§¡Ñ¹ è è é è‹ ¤ÇÒÁ¤ÅÒ´à¤Å×͹·Ò§ÂҹըЪ‹ÇÂÅ´âÍ¡ÒÊ㹡ÒÃà¡Ô´à˵ءÒóäÁ‹¾§»ÃÐʧ¤¨Ò¡¡ÒÃ㪌ÂÒ«Ö§¨Ð¹íÒä» è é Ö è ÊÙ‹¡ÒÃÅ´ÍѹµÃÒ·Õè¨Ðà¡Ô´á¡‹¼ÙŒ»†Ç â´ÂÁÕ¡ÒûÃÐÁÒ³¡ÒóÇ‹Òã¹áµ‹Åл‚ÁÕ¼ÙŒ»†ÇÂàÊÕªÕÇÔµ¨Ò¡à赯 ¤ÇÒÁ¤ÅÒ´à¤Å×è͹¹Õé໚¹¨íҹǹÁÒ¡¹Ñºà»š¹¾Ñ¹æ ÃÒ ᵋ»ÃÒ¡¯Ç‹ÒàÁ×èÍÇÔà¤ÃÒÐˏ¢ŒÍÁÙÅàËŋҹÕé â´ÂÅÐàÍÕ´áÅŒÇ ¨Ð¾ºÇ‹Ò¨íҹǹ¤ÇÒÁ¤ÅÒ´à¤Å×͹·Õà¡Ô´¢Ö¹äÁ‹ä´ŒÁ¤ÇÒÁÊÑÁ¾Ñ¹¸â´ÂµÃ§¡Ñº¨íҹǹ è è é Õ à˵ءÒóäÁ‹¾§»ÃÐʧ¤¨Ò¡¡ÒÃ㪌ÂÒ·Õ¡ÍãËŒà¡Ô´ÍѹµÃÒÂá¡‹¼»Ç ·Ñ§¹Õà¹×ͧ¨Ò¡¤ÇÒÁ¤ÅÒ´à¤Å×͹ Ö è ‹ ÙŒ † é é è è ·Õèà¡Ô´¢Öé¹Ê‹Ç¹ãË­‹¹Ñ鹨ж١µÃǨ¾ºä´Œ¡‹Í¹·Õè¨Ð໚¹ÍѹµÃÒÂá¡‹¼ÙŒ»†Ç áÅÐʋǹ¹ŒÍ¢ͧ¤ÇÒÁ ¤ÅÒ´à¤Å×͹·Õà¡Ô´¢Ö¹¡Ñº¼Ù»Ç¹ѹ᷺¨ÐäÁ‹¡ÍãËŒà¡Ô´ÍѹµÃÒÂá¡‹¼»Ç ¶Ö§áÁŒÇÒ¨Ðà¡Ô´ÍѹµÃÒ¢ֹ è è é Œ † é ‹ ÙŒ † ‹ é Áѡ໚¹ÃдѺ·ÕäÁ‹Ã¹áç áÅмٻÇÂÃÒ¹ѹæ ÁÑ¡äÁ‹¨Ò໚¹µŒÍ§ä´ŒÃº¡ÒôÙáÅ໚¹¾ÔàÈÉ ËÃ×ÍãËŒ¡ÒÃÃÑ¡ÉÒ è Ø Œ † é í Ñ ã´æ à¾ÔÁàµÔÁ ¹Í¡¨Ò¡¹Õ§¾ºÇ‹ÒÃÒ§ҹ¤ÇÒÁ¤ÅÒ´à¤Å×͹·Õà¡Ô´¢Ö¹¹Ñ¹ä´ŒÁÒ¨Ò¡ÃÒÂ§Ò¹ÍØºµ¡Òó è (3) é Ñ è è é é Ñ Ô «Ö§à»š¹¡ÒÃÃÒ§ҹµÒÁ¤ÇÒÁÊÁѤÃ㨠¡Ò÷º·Ç¹àǪÃÐàºÕ¹㹢³Ð·Õ¼»ÇÂÍÂÙã¹âç¾ÂÒºÒÅ ËÃ×Í è è ÙŒ † ‹ ¡Ò÷º·Ç¹àǪÃÐàºÕ¹Œ͹ËÅѧËÅѧ¨Ò¡·Õ¼»ÇÂä´Œ¶¡¨íÒ˹‹ÒÂÍÍ¡¨Ò¡âç¾ÂÒºÒÅä»áÅŒÇ à»š¹ÇÔ¸¡Òà è ÙŒ † Ù Õ ·ÕäÁ‹Á»ÃÐÊÔ·¸ÔÀҾ෋ҷդÇà à¹×ͧ¨Ò¡ÁÕËÅÒ§ҹÇԨ·ÕÃкØÇÒ㹨íҹǹ¤ÇÒÁ¤ÅÒ´à¤Å×͹·Ñ§ËÁ´ è Õ è è Ñ è ‹ è é ·Õà¡Ô´¢Ö¹¹Ñ¹ÁÕ¡ÒÃÃÒ§ҹà¾Õ§ᤋÃÍÂÅÐ 10 -20 ෋ҹѹ áÅÐʋǹãË­‹¢Í§à˵ءÒó·ÃÒ§ҹ¹Ñ¹ è é é Œ é Õè é (ÃŒÍÂÅÐ 90-95) äÁ‹ä´Œ¡ÍãËŒà¡Ô´ÍѹµÃÒÂá¡‹¼»Ç ´Ñ§¹Ñ¹¨Ö§ÁÕ¤ÇÒÁ¨íÒ໚¹Í‹ҧÂÔ§·Õ¼ÁÊǹà¡ÕÂÇ¢ŒÍ§ ‹ ÙŒ † (1) é è è ÙŒ Õ ‹ è ¨ÐµŒÍ§ËÒÇÔ¸¡Ò÷Õä´Œ¼Å¡Ç‹Ò㹡Ò䌹ËÒà˵ءÒ󏷡ÍãËŒà¡Ô´ÍѹµÃÒÂá¡‹¼»Ç¨ÃÔ§æ áÅдíÒà¹Ô¹¡ÒÃ Õ è Õè ‹ ÙŒ † »ÃѺà»ÅÕ¹Ãкº¡Ò÷íÒ§Ò¹à¾×ÍÅ´ÍѹµÃÒ´ѧ¡Å‹ÒÇ è è (4) ã¹»˜¨¨Øº¹¡Ò䌹ËÒà˵ءÒóäÁ‹¾§»ÃÐʧ¤¨Ò¡¡ÒÃ㪌ÂÒ¨Ö§ä´ŒÁ¡ÒÃà»ÅÕ¹á¹Ç·Ò§ä»¨Ò¡ Ñ Ö Õ è à´ÔÁ â´ÂÁØ‹§à¹Œ¹¡Ò䌹ËÒà˵ءÒó·Õè·íÒãËŒà¡Ô´ÍѹµÃÒÂá¡‹¼ÙŒ»†Ç¨ÃÔ§æ â´ÂäÁ‹¤íÒ¹Ö§Ç‹Òà˵ءÒó àËŋҹѹ¨Ðà¡Ô´¨Ò¡¤ÇÒÁ¤ÅÒ´à¤Å×͹ËÃ×ÍäÁ‹ áÅеѧ໇ÒËÁÒÂà¾×ÍÅ´ÍѹµÃÒÂàËŋҹѹ «Ö§¢ŒÍ´Õ¢Í§¡Òà é è é è é è
  • 124.
    àǪÈÒʵÏ·¹Âؤ 2553 Ñ 97 ¤Œ¹ËÒÍѹµÃÒ·Õà¡Ô´á¡‹¼»ÇÂÁÕËÅÒ»ÃСÒÃ(3, 8) ઋ¹ ໚¹¡ÒþԨÒóÒàªÔ§Ãкº·ÕµÃ§»ÃÐà´ç¹ÁÒ¡ è ÙŒ † è ¡Ç‹Òà´ÔÁ à¹×ͧ¨Ò¡ÍѹµÃÒ·Õà¡Ô´¢Ö¹¡Ñº¼Ù»ÇÂÁÕ¤ÇÒÁÊÑÁ¾Ñ¹¸â´ÂµÃ§¡Ñº¼ÅÅѾ¸·Ò§¤ÅÔ¹¡ (clinical è è é Œ † Ô outcome) ¢Í§¼ÙŒ»†Ç ´Ñ§¹Ñé¹à¾×èͼÅÅѾ¸·Ò§¤ÅÔ¹Ô¡·Õè´Õ¢Öé¹¼ÙŒà¡ÕèÂÇ¢ŒÍ§¨ÐµŒÍ§¾ÂÒÂÒÁÅ´ÍѹµÃÒÂŧ â´Â์¹¡ÒõÃǨÊͺÃкº¡Ò÷íÒ§Ò¹à¾×ͤŒ¹ËҨش´ŒÍÂáÅоÂÒÂÒÁ¾Ñ²¹Ò»ÃѺ»ÃاãËŒ´¢¹¶×Í໚¹ è Õ Öé ¡ÒþѲ¹ÒÍ‹ҧµ‹Íà¹×ͧ µ‹Ò§¨Ò¡¡Ò䌹ËÒ¤ÇÒÁ¤ÅÒ´à¤Å×͹ã¹Í´Õµ«Ö§à»š¹¡ÒÃ์¹·Õ¡Ãкǹ¡Òà è è è è ·íÒ§Ò¹ àÁ×è;º¤ÇÒÁ¤ÅÒ´à¤Å×è͹áÅŒÇÁÕ¡ÒõԴµÒÁÅÖ¡Å§ä» ÊØ´·ŒÒÂÁÑ¡¨Ðŧ·ŒÒ´ŒÇ¡ÒþºÇ‹Ò ÁÕ¼··Ò¼Ô´¾ÅÒ´ «Ö§Ê‹§¼ÅãËŒ¼»¯Ôºµ§Ò¹à¡Ô´¤ÇÒÁà¤ÃÕ´ áÅСÅÑǷըж١ŧâ·É ¹Í¡¨Ò¡¹Õ¡ÒÃ์¹ ÙŒ Õè í è ÙŒ Ñ Ô è é ¡Ò䌹ËÒÍѹµÃÒ·Õà¡Ô´¡Ñº¼Ù»Ç áÅФÇÒÁ¾ÂÒÂÒÁ·Õ¨ÐÅ´ÍѹµÃÒÂàËŋҹѹÂѧÊÒÁÒöµÍºâ¨·Â è Œ † è é ¢Í§¼Ù»Ç·յͧ¡ÒáÒÃÃÑ¡ÉÒ¾ÂÒºÒÅ·Õ»ÅÍ´ÀÑ Œ † è Œ è (3) Trigger tool ໚¹Ë¹Ö§ã¹ÇÔ¸¡Ò䌹ËÒà˵ءÒóäÁ‹¾§»ÃÐʧ¤·à¹Œ¹¡Ò䌹ËÒÍѹµÃÒ·Õà¡Ô´ è Õ Ö Õè è ¡Ñº¼Ù»Ç á¹Ç¤Ô´ã¹¡ÒÃ㪌 trigger à¾×ͤŒ¹ËÒà˵ءÒóäÁ‹¾§»ÃÐʧ¤¨Ò¡¡Ò÷º·Ç¹àǪÃÐàºÕ¹àÃÔÁ Œ † è Ö è µŒ¹ã¹»‚¾.È. 2517 â´Â Jick µ‹ÍÁÒã¹»‚ ¾.È. 2535 Classen ¹íÒÁҾѲ¹Ò㪌¡ºÃкº¤ÍÁ¾ÔÇàµÍÏ (9) Ñ à¾×ͤŒ¹ËÒ¡ÒÃà¡Ô´à˵ءÒóäÁ‹¾§»ÃÐʧ¤¨Ò¡¡ÒÃ㪌ÂÒ â´Â¡íÒ˹´¤íÒÊíҤѭà¾×Í㪌໚¹µÑÇÊ‹§ÊÑ­­Ò³ è Ö è ã¹ÃٻẺ electronic trigger áÅŒÇàª×ÍÁµ‹Í¡ÑºÃкº¤ÍÁ¾ÔÇàµÍϢͧâç¾ÂÒºÒÅ·ÕÁ¢ÍÁÙÅàǪÃÐàºÕ¹ è è Õ Œ ¼Ù»Ç áÅÐ㪌¤ÍÁ¾ÔÇàµÍϪǤѴ¡ÃͧËÒµÑÇÊ‹§ÊÑ­­Ò³¹Ñ¹æ ¨Ò¡¢ŒÍÁÙÅàǪÃÐàºÕ¹ ·Ø¡¤Ãѧ·ÕÁ¡Òà Œ † ‹ é é è Õ ¾ºµÑÇÊ‹§ÊÑ­­Ò³ã¹ãº¤íÒÊÑè§á¾·Â ËÃ×ÍàÍ¡ÊÒâͧàÀÊѪ¡Ã ¤ÍÁ¾ÔÇàµÍϨйѺáÅкѹ·Ö¡µÑÇÊ‹§ ÊÑ­­Ò³àËŋҹѹÃÒ§ҹ໚¹ possible ADE ËÁÒ¶֧ ÁÕâÍ¡ÒÊà¡Ô´à˵ءÒóäÁ‹¾§»ÃÐʧ¤¨Ò¡¡Òà é Ö ãªŒÂÒ ÃÒ§ҹàËŋҹѹ¨Ð¶Ù¡Ê‹§ãËŒàÀÊѪ¡ÃÇѹµ‹ÍÇѹà¾×͹íÒä»ãªŒã¹¡Ò÷º·Ç¹àǪÃÐàºÕ¹à¾×ͤŒ¹ËÒ¡Òà é è è à¡Ô´à˵ءÒóäÁ‹¾§»ÃÐʧ¤¨Ò¡ÂÒ ¨ÐàËç¹Ç‹ÒÇÔ¸¡Òâͧ Classen µŒÍ§ãªŒ¤ÍÁ¾ÔÇàµÍÏÃÇÁ´ŒÇ¨֧໚¹ Ö (2) Õ ‹ ¢ŒÍ¨íÒ¡Ñ´·Õ·ÒãˌǸ¹äÁ‹à»š¹·Õá¾Ã‹ËÅÒ à¹×ͧ¨Ò¡äÁ‹àËÁÒСѺâç¾ÂÒºÒÅʋǹãË­‹·Â§äÁ‹ä´ŒãªŒÃкº è í Ô Õ Õé è è Õè Ñ ¤ÍÁ¾ÔÇàµÍÏ㹡ÒÃà¡çº¢ŒÍÁÙÅàǪÃÐàºÕ¹㹢³Ð¹Ñ¹ ´Ñ§¹Ñ¹ã¹»‚ ¾.È. 2543 IHI áÅÐ Premier ¨Ö§ä´Œµ§ é é Ñé ¡ÅØÁ¼ÙàªÕÂǪҭ¨Ò¡ËÅÒÂÊÒ¢ÒÇÔªÒªÕ¾·ÕÁÊǹà¡ÕÂÇ¢ŒÍ§ã¹¡ÒôÙáÅÃÑ¡ÉÒ¼Ù»ÇÂà¾×;Ѳ¹Ò trigger tool ‹ Œ è è Õ‹ è Œ † è à¾×ͤŒ¹ËÒà˵ءÒóäÁ‹¾§»ÃÐʧ¤¨Ò¡¡ÒÃ㪌ÂÒ·Õ§Òµ‹Í¡ÒÃàÃÕ¹ÃÙŒ áÅÐÊÒÁÒö¹íÒä»ãªŒä´Œ·Ç仵ÒÁ è Ö è‹ Ñè âç¾ÂÒºÒŵ‹Ò§æ ËÅѧ¾Ñ²¹Òä´ŒÊÒàÃç¨ã¹»‚ ¾.È. 2546 trigger tool ä´Œ¶¡¹íÒä»ãªŒÍ‹ҧ¡ÇŒÒ§¢ÇÒ§ (2) í Ù ã¹âç¾ÂÒºÒÅËÅÒÂÃŒÍÂáË‹§ã¹ËÅÒÂæ »ÃÐà·È áÅÐã¹»‚ ¾.È. 2547 IHI áÅÐ Premier ä´Œ¨´·íÒ¤ÙÁÍ Ñ ‹ × ¡Ò䌹ËÒáÅÐÇÑ´ÍѵÃÒà˵ءÒóäÁ‹¾§»ÃÐʧ¤¨Ò¡¡ÒÃ㪌ÂÒâ´Â㪌 trigger tool ¢Ö¹ ËÅѧ¨Ò¡¹Ñ¹ IHI Ö é (10) é ä´Œ¾²¹Ò trigger tool Í‹ҧµ‹Íà¹×ͧà¾×͹íÒä»ãªŒã¹´ŒÒ¹Í×¹æ ¢Í§¡ÒôÙáÅÃÑ¡ÉҼٻǷչ͡à˹×Í Ñ è è è Œ † è 仨ҡ¡ÒÃ㪌ÂÒ ã¹»‚ ¾.È. 2550 IHI ä´Œ¨´·íÒ¤ÙÁÍ¡Ò䌹ËÒáÅÐÇÑ´ÍѵÃÒà˵ءÒóäÁ‹¾§»ÃÐʧ¤â´Â㪌 Ñ ‹ × Ö global trigger tool ¡Ò÷Õà»ÅÕ¹ä»àÃÕÂ¡Ç‹Ò global trigger tool à¹×ͧ¨Ò¡à»š¹¡ÒÃ㪌µÇÊ‹§ÊÑ­­Ò³ (11) è è è Ñ ã¹·Ø¡´ŒÒ¹¢Í§¡ÒôÙáÅÃÑ¡ÉÒ «Ö§»ÃСͺ´ŒÇ ¡ÒôÙáżٻÇ·ÑÇä» ¡ÒÃ㪌ÂÒ ¡Òü‹ÒµÑ´ ¡ÒôÙáÅ è Œ † è ¼Ù»ÇÂÇԡĵ ¡ÒôÙáÅÁÒôÒáÅзÒá áÅСÒôÙáżٻÇ©ءà©Ô¹ »˜¨¨Øº¹ IHI Âѧ¤§´íÒà¹Ô¹¡ÒþѲ¹Ò Œ † Œ † Ñ áÅлÃѺ»Ãا¡ÒÃ㪌 global trigger tool Í‹ҧµ‹Íà¹×ͧ¨¹¢³Ð¹Õ¤ÁÍàÅ‹ÁÅ‹ÒÊØ´·Õä´Œ»ÃѺᡌ䢤×Í ¤ÙÁÍ è é Ù‹ × è ‹ × ¢Í§»‚ ¾.È. 2552 (1)
  • 125.
    98 ¡ÒÃ㪌 Trigger Tool 㹡Ò䌹ËÒáÅÐÇÑ´ÍѵÃÒà˵ءÒóäÁ‹¾§»ÃÐʧ¤¨Ò¡¡ÒÃ㪌ÂÒã¹âç¾ÂÒºÒÅ Ö ÊíÒËÃѺ»ÃÐà·Èä·Âä´ŒÁ¡ÒáŋÒǶ֧ trigger tool ઋ¹¡Ñ¹ ´Ñ§¨ÐàËç¹ä´Œ¨Ò¡¡ÒèѴ·íÒàÍ¡ÊÒÃ Õ ÀÒÉÒä·Ââ´ÂʶҺѹ¾Ñ²¹ÒáÅÐÃѺÃͧ¤Ø³ÀÒ¾¢Í§âç¾ÂÒºÒÅ (¾Ã¾.) àÃ×ͧ¡Ò䌹ËÒáÅÐÇÑ´ÍѵÃÒ è à˵ءÒó·äÁ‹¾§»ÃÐʧ¤â´Â㪌 trigger tool Õè Ö (4) ¹ÔÂÒÁ à˵ءÒóäÁ‹¾Ö§»ÃÐʧ¤¨Ò¡¡ÒÃ㪌ÂÒ (Adverse drug event; ADE) µÒÁ¤íÒ¹ÔÂÒÁ¢Í§Í§¤¡ÒÃ͹ÒÁÑÂâÅ¡ (World Health Organization; WHO) ËÁÒ¶֧ à˵ءÒó ÍѹµÃÒ (noxious event) ËÃ×Íà˵ءÒó·Áä´ŒÁ§ËÇѧ (unintended event) ·Õà¡Ô´¢Ö¹Íѹà¹×ͧÁÒ¨Ò¡ Õè Ô Ø‹ è é è ¡ÒÃ㪌ÂÒ㹤¹ à¾×èÍÇѵ¶Ø»ÃÐʧ¤ã¹¡Òû‡Í§¡Ñ¹ ÇÔ¹Ô¨©Ñ ÃÑ¡ÉÒ ËÃ×Íà»ÅÕè¹á»Å§¡Ò÷íÒ§Ò¹¢Í§ Ëҧ¡ÒÂ(10) ẋ§à»š¹ 2 ª¹Ô´ 䴌ᡋ 1. ÍÒ¡ÒÃäÁ‹¾Ö§»ÃÐʧ¤¨Ò¡¡ÒÃ㪌ÂÒ (Adverse drug reaction; ADR) ໚¹à˵ءÒó äÁ‹¾§»ÃÐʧ¤¨Ò¡¡ÒÃ㪌ÂÒ·Õà¡Ô´¢Ö¹áÁŒÇÒ¨ÐÁÕ¡ÒÃ㪌ÂҹѹÍ‹ҧ¶Ù¡µŒÍ§àËÁÒÐÊÁáÅŒÇ àª‹¹ ¡ÒÃᾌÂÒ Ö è é ‹ é ·Õ¼»ÇÂäÁ‹à¤ÂÁÕ»ÃÐÇѵᾌÂҹѹÁÒ¡‹Í¹ ËÃ×Í¡ÒÃà¡Ô´¼Å¢ŒÒ§à¤Õ§¨Ò¡ÂÒ ¶×Í໚¹à˵ءÒóäÁ‹¾§»ÃÐʧ¤ è ÙŒ † Ô é Ö ¨Ò¡Âҷջͧ¡Ñ¹äÁ‹ä´Œ è ‡ 2. ¤ÇÒÁ¤ÅÒ´à¤Å×͹·Ò§ÂÒ (Medication error) ໚¹¤ÇÒÁ¼Ô´¾ÅÒ´·Õàè ¡Ô´¢Ö¹ä´Œã¹·Ø¡¢Ñ¹µÍ¹ è é é ¢Í§¡ÒÃ㪌ÂÒ µÑ§áµ‹¡ÒÃÊѧÂÒ¨¹ÂÒ¶Ö§¼Ù»Ç «Ö§à¡ÕÂÇ¢ŒÍ§¡Ñº¼Ù»ÃСͺÇÔªÒªÕ¾ËÅÒÂÇÔªÒªÕ¾ 䴌ᡋ é è Œ † è è Œ ᾷ àÀÊѪ¡Ã áÅоÂÒºÒÅ ¢Ñ¹µÍ¹¢Í§¡ÒÃ㪌ÂÒ ä´Œá¡‹ ¡ÒÃÊѧÂÒ (prescribing drug) ¡ÒäѴÅÍ¡ é è ÂÒ (transcribing drug) ¡Òè‹ÒÂÂÒ (dispensing drug) áÅСÒúÃÔËÒÃÂÒ (administering drug)(12) ¶×Í໚¹à˵ءÒóäÁ‹¾§»ÃÐʧ¤¨Ò¡Âҷջͧ¡Ñ¹ä´Œ ·Ñ§¹Õ¤ÇÒÁ¤ÅÒ´à¤Å×͹·Ò§ÂÒ·Õà¡Ô´¢Ö¹ã¹áµ‹ÅФÃѧ Ö è ‡ é é è è é é äÁ‹¨Ò໚¹µŒÍ§¡‹ÍãËŒà¡Ô´ÍѹµÃÒÂá¡‹¼»ÇÂàÊÁÍä» í ÙŒ † à˵ءÒóäÁ‹¾Ö§»ÃÐʧ¤ (Adverse event; AE) à˵ءÒóã´æ (äÁ‹¨Ò¡Ñ´Ç‹ÒµŒÍ§à¡ÕÂÇ¢ŒÍ§¡Ñº¡ÒÃ㪌ÂÒ) ·Õ¡ÍãËŒà¡Ô´ÍѹµÃÒÂá¡‹¼»Ç·Õ໚¹ í è è ‹ ÙŒ † è ¼Å¨Ò¡¡ÒôÙáÅÃÑ¡ÉÒ áÅÐäÁ‹ãª‹¡Ãкǹ¡ÒõÒÁ¸ÃÃÁªÒµÔ¢Í§âä (3) ÍѹµÃÒ (Harm) ¡ÒÃÊÙ­àÊÕªÕÇÔµ ËÃ×Í¡ÒÃÊÙ­àÊÕÂâ¤Ã§ÊÌҧ ËÃ×Í¡ÒÃÊÙ­àÊÕ¡Ò÷íÒ˹ŒÒ·Õè¢Í§Ã‹Ò§¡ÒÂËÃ×Í ¨Ôµã¨ «Ö§ÍҨ໚¹¡ÒÃÊÙ­àÊÕªÑǤÃÒÇËÃ×ͶÒÇáçä´Œ(10) è è Trigger tool for measuring adverse drug events ã¹»‚ ¾.È. 2543 IHI áÅÐ Premier ä´Œ¾²¹Ò trigger tool à¾×Í㪌㹡Ò䌹ËÒà˵ءÒó Ñ è äÁ‹¾§»ÃÐʧ¤¨Ò¡ÂÒ â´ÂàÃÔÁµÑ§áµ‹¡ÒùíÒ¤íÒ¹ÔÂÒÁ¢Í§à˵ءÒóäÁ‹¾§»ÃÐʧ¤¨Ò¡ÂҢͧͧ¤¡ÒÃ Ö è é Ö Í¹ÒÁÑÂâÅ¡ÁÒ㪌 à¾×ÍãËŒÁ¤ÇÒÁࢌÒã¨à»š¹ä»ã¹á¹Ç·Ò§à´ÕÂǡѹ ½ƒ¡ËÑ´ºØ¤Åҡ÷ҧ¡ÒÃᾷà¾×Í è Õ è
  • 126.
    àǪÈÒʵÏ·¹Âؤ 2553 Ñ 99 ·º·Ç¹àǪÃÐàºÕ¹â´ÂäÁ‹ãªŒ¤ÍÁ¾ÔÇàµÍÏࢌҪ‹Ç áÅСíÒ˹´ÃдѺ¤ÇÒÁÃØ¹áç¢Í§à˵ءÒó äÁ‹¾§»ÃÐʧ¤¨Ò¡ÂÒâ´Â´Ñ´á»Å§¨Ò¡´Ñª¹Õ¡ÒèѴÃдѺ¤ÇÒÁÃØ¹áç¢Í§¤ÇÒÁ¤ÅÒ´à¤Å×͹¢Í§ The Ö è National Coordinating Council for Medication Error Reporting and Prevention (NCC MERP)(13) â´ÂµÑ´¢ŒÍ¤ÇÒÁÇ‹Ò “¤ÇÒÁ¤ÅÒ´à¤Å×͹·Õ¹ÒÁÒÊÙ‹” ÍÍ¡à¹×ͧ¨Ò¡ trigger tool ¹ÕµÍ§¡Ò䌹ËÒÍѹµÃÒ è è í è é Œ â´ÂäÁ‹¤íÒ¹Ö§Ç‹ÒÍѹµÃÒ¹Ñ鹨Ðà¡Ô´¨Ò¡¤ÇÒÁ¤ÅÒ´à¤Å×è͹ËÃ×ÍäÁ‹ áÅÐàÅ×Í¡¹íҴѪ¹Õ¡ÒèѴÃдѺ ÁÒ㪌à¾Õ§ 5 ÃдѺ¨Ò¡·Ñ§ËÁ´ 9 ÃдѺ â´ÂàÅ×͡੾ÒÐÃдѺ·Õ¡ÍãËŒà¡Ô´ÍѹµÃÒÂá¡‹¼»Ç 䴌ᡋ é è ‹ ÙŒ † ! ÃдѺ E ËÁÒ¶֧ ÍѹµÃÒªÑǤÃÒǵ‹Í¼Ù»Ç µŒÍ§ãËŒ¡ÒÃÃÑ¡ÉÒ è Œ † ! ÃдѺ . ËÁÒ¶֧ ÍѹµÃÒªÑǤÃÒǵ‹Í¼Ù»Ç µŒÍ§¹Í¹âç¾ÂÒºÒÅ ËÃ×ÍÍÂÙâç¾ÂÒºÒÅ è Œ † ‹ ¹Ò¹¢Ö¹ é ! ÃдѺ G ËÁÒ¶֧ ÍѹµÃÒ¶ÒÇõ‹Í¼Ù»Ç Œ † ! ÃдѺ H ËÁÒ¶֧ ÍѹµÃÒÂÃØ¹áç¶Ö§¢Ñ¹µŒÍ§ãËŒ¡ÒÃÃÑ¡ÉÒà¾×ͪ‹ÇªÕǵ (sustain life) é è Ô ! ÃдѺ I ËÁÒ¶֧ ¼Ù»ÇÂàÊÕªÕǵ Œ † Ô áÅÐä´Œ¨´·íÒ¤ÙÁÍá¹Ð¹íÒá¹Ç·Ò§ã¹¡ÒÃ㪌 trigger tool(10) áÅÐ global trigger tool(1) ´Ñ§¹Õé Ñ ‹ × 1. ¨Ñ´µÑ§·ÕÁ ã¹·ÕÁ¤ÇûÃСͺ´ŒÇºؤÅÒ¡ÃÍ‹ҧ¹ŒÍ 3 ¤¹ â´ÂµŒÍ§ÁÕᾷÍ‹ҧ¹ŒÍ 1 é ¤¹ áÅмٷ·Ò˹ŒÒ·Õ㹡Ò÷º·Ç¹àǪÃÐàºÕ¹Í‹ҧ¹ŒÍ 2 ¤¹ ºØ¤¤Å·Õ·Ò˹ŒÒ·Õ·º·Ç¹àǪÃÐàºÕ¹ Œ Õè í è è í è ¤ÇÃÁÕ¤ÇÒÁÃÙ´Ò¹¡ÒÃᾷ áÅФعà¤Â¡ÑºÊ‹Ç¹»ÃСͺáÅÐà¹×ÍËÒã¹àǪÃÐàºÕ¹ ·ÕÁ¢Í§âç¾ÂÒºÒÅ Œ Œ Œ é ·ÕÁ»ÃÐʺ¡Òóã¹¡ÒÃ㪌 trigger tool ÁÑ¡àÅ×Í¡¾ÂÒºÒÅËÃ×ÍàÀÊѪ¡Ãà¾×Í·íÒ˹ŒÒ·Õ¹(1) ʋǹᾷ¨Ò è Õ è è Õé í ໚¹µŒÍ§ÁÕÍÂÙã¹·ÕÁà¾×ͪ‹Çµͺ¢ŒÍʧÊÑ¢ͧ¼Ù·º·Ç¹àǪÃÐàºÕ¹ ÊÃØ»áÅШѴÃдѺ¤ÇÒÁÃØ¹áç¢Í§ ‹ è Œ à˵ءÒóäÁ‹¾§»ÃÐʧ¤ Ö 2. ·ÕÁµ¡Å§Ã‹ÇÁ¡Ñ¹ã¹¡ÒèѴ·íҺѭªÕÃÒ¡Òà trigger â´ÂÍÒ¨àÃÔèÁµŒ¹¨Ò¡ÍŒÒ§ÍÔ§¨Ò¡ºÑ­ªÕ ÃÒ¡Òà trigger ¢Í§ IHI ઋ¹ 㹤ÙÁÍ¡ÒÃÇÑ´ÍѵÃÒà˵ءÒóäÁ‹¾§»ÃÐʧ¤¨Ò¡ÂÒâ´Â㪌 trigger tool ‹ × Ö ©ºÑº»‚ ¾.È. 2547 «Ö§Áըҹǹ 19 triggers ËÃ×ͤÙÁÍ¡ÒÃÇÑ´ÍѵÃÒà˵ءÒóäÁ‹¾§»ÃÐʧ¤â´Â㪌 (10) è í ‹ × Ö global trigger tool ©ºÑº»‚ ¾.È. 2552 ã¹ËÁÇ´¡ÒÃ㪌ÂÒ (medication module triggers) «Ö§Áըҹǹ (1) è í 13 triggers ·Ñ§¹Õ·ÁÊÒÁÒö»ÃѺà»ÅÕ¹ºÑ­ªÕÃÒ¡Òà trigger ä´Œà¾×ÍãËŒàËÁÒÐÊÁ¡ÑººÃÔº·¢Í§âç é é Õ è è ¾ÂÒºÒÅ 3. ÊØÁàÅ×Í¡àǪÃÐàºÕ¹·Õ¨Ð¹íÒÁÒ·º·Ç¹ ໇ÒËÁÒ ¤×Í ·º·Ç¹àǪÃÐàºÕ¹Í‹ҧ¹ŒÍ 20 ‹ è ©ºÑºµ‹Íà´×͹ÊíÒËÃѺᵋÅÐâç¾ÂÒºÒÅ áÅФÇáÃШÒ¡Ò÷º·Ç¹ÍÍ¡ä» àª‹¹ 10 ©ºÑºµ‹ÍÊͧ ÊÑ»´Òˏâ´ÂÁÕá¹Ç·Ò§ã¹¡ÒÃàÅ×Í¡àǪÃÐàºÕ¹ ´Ñ§¹Õé ! àǪÃÐàºÕ¹¢Í§¼Ù»Ç·ÕÁÍÒÂØµ§áµ‹ 18 »‚¢¹ä» Œ † è Õ Ñé Öé ! àǪÃÐàºÕ¹¢Í§¼Ù»Ç·չ͹âç¾ÂÒºÒÅäÁ‹¹ÍÂ¡Ç‹Ò 24 ªÑÇâÁ§ ¶ŒÒ͌ҧÍÔ§¨Ò¡¤ÙÁÍ Œ † è Œ è ‹ × ¡ÒÃÇÑ´ÍѵÃÒà˵ءÒóäÁ‹¾§»ÃÐʧ¤â´Â㪌 global trigger tool »‚ ¾.È. 2552 ËÃ×Í Ö (1) àǪÃÐàºÕ¹¢Í§¼Ù»Ç·չ͹âç¾ÂÒºÒÅäÁ‹¹ÍÂ¡Ç‹Ò 48 ªÑÇâÁ§ ¶ŒÒ͌ҧÍÔ§¨Ò¡¤ÙÁÍ Œ † è Œ è ‹ × ¡ÒÃÇÑ´ÍѵÃÒà˵ءÒóäÁ‹¾§»ÃÐʧ¤¨Ò¡ÂÒâ´Â㪌 trigger tool »‚ ¾.È. 2547 Ö (10) ! àǪÃÐàºÕ¹·ÕÁãºÊÃØ»¡ÒèíÒ˹‹Ò¼ٻÇ áÅÐŧÃËÑÊÇÔ¹¨©ÑÂâäáÅŒÇ è Õ Œ † Ô
  • 127.
    100 ¡ÒÃ㪌 TriggerTool 㹡Ò䌹ËÒáÅÐÇÑ´ÍѵÃÒà˵ءÒóäÁ‹¾§»ÃÐʧ¤¨Ò¡¡ÒÃ㪌ÂÒã¹âç¾ÂÒºÒÅ Ö ! äÁ‹¤ÇÃàÅ×Í¡àǪÃÐàºÕ¹¢Í§¼ÙŒ»†Ç¨ԵàǪ ËÃ×ͼٌ»†ÇÂàǪÈÒʵÏ¿„œ¹¿Ù à¹×èͧ¨Ò¡ äÁ‹ä´ŒÁ¡ÒÃÈÖ¡ÉÒ¡ÒÃ㪌 trigger tool ã¹¼Ù»ÇÂàËŋҹÕé Õ Œ † ! ËÅѧ¨Ò¡ä´ŒàǪÃÐàºÕ¹·ÕèࢌÒࡳ±áŌǹíÒàǪÃÐàºÕ¹àËŋҹÑé¹ÁҤѴàÅ×Í¡áººÊØ‹Á (·Ø¡àǪÃÐàºÕ¹·Õ¼Ò¹à¡³±ÁâÍ¡ÒÊ㹡Òö١àÅ×Í¡à·‹Òæ ¡Ñ¹) ઋ¹ ÍÒ¨¾ÔÁ¾ÃÒª×Í è ‹ Õ è àǪÃÐàºÕ¹·Ñ§ËÁ´à¢ŒÒࡳ± áÅŒÇàÅ×Í¡àǪÃÐàºÕ¹·Ø¡ÅíҴѺ·ÕʺÁÒ·º·Ç¹ é èÔ 4. ËÅÑ¡¡Ò÷º·Ç¹àǪÃÐàºÕ¹ ! µÑé§à»‡Ò㹡ÒÃ㪌àÇÅÒ·º·Ç¹àǪÃÐàºÕ¹ᵋÅЩºÑºäÁ‹à¡Ô¹ 20 ¹Ò·Õ â´ÂµŒÍ§ÃÐÅÖ¡ äÇŒàÊÁÍNjҡÒ÷º·Ç¹¹Õ໚¹¡ÒÃÁاËÒ trigger äÁ‹ä´Œà»š¹¡ÒÃ͋ҹàǪÃÐàºÕ¹·Ñ§©ºÑº é ‹ é ¹Í¡¨Ò¡¹Õ¡Ò÷º·Ç¹àǪÃÐàºÕ¹·Õ¹Ò¹¡Ç‹Ò 20 ¹Ò·Õ ÁÑ¡¨ÐäÁ‹ä´Œ¢ÍÁÙŷյͧ¡ÒÃà¾ÔÁ é è Œ è Œ è ÁÒ¡¢Ö¹é ! ¼Ù·º·Ç¹¤Ç䌹ËÒÊÔ§µ‹Í仹Õé 䴌ᡋ Œ è - ¡ÒÃãËéÃËÑÊÍÐäÃàÁ×ͨÓ˹èÒ (â´Â੾ÒÐÍÂèÒ§ÂÔ§ ¡ÒõԴàª×Í ÀÒÇÐá·Ã¡«é͹ è è é ¡ÒÃÇÔ¹¨©ÑÂâä¨íÒà¾ÒкҧÍ‹ҧ) Ô - ºÑ¹·Ö¡ÊÃØ»¡ÒèíÒ˹‹Ò (¤Œ¹ËÒÊÃØ»¡ÒûÃÐàÁÔ¹áÅСÒÃÃÑ¡ÉÒ·Õè੾ÒÐà¨ÒШ§ ÃÐËNjҧ¹Í¹âç¾ÂÒºÒÅ) - ¤íÒÊѧ¡ÒÃ㪌ÂҢͧᾷáÅкѹ·Ö¡¡ÒÃãËŒÂҢͧ¾ÂÒºÒÅ è - ¼Å¡ÒõÃǨ·Ò§ËŒÍ§»¯Ôºµ¡ÒÃ Ñ Ô - ºÑ¹·Ö¡¡Òü‹ÒµÑ´ - ºÑ¹·Ö¡·Ò§¡ÒþÂÒºÒÅ - Progress note ¢Í§á¾·Â - ¶ŒÒÁÕàÇÅÒàËÅ×Í ÍÒ¨¨Ð´ÙʋǹÍ×蹢ͧàǪÃÐàºÕ¹ ઋ¹ ºÑ¹·Ö¡¡Òëѡ»ÃÐÇÑµÔ µÃǨËҧ¡Ò 㺻ÃÖ¡ÉÒ Ë¹‹Çµ‹Ò§æ ! ¡Òþº trigger äÁ‹ä´ŒËÁÒ¤ÇÒÁNjҨÐà¡Ô´à˵ءÒóäÁ‹¾§»ÃÐʧ¤àÊÁÍä» à¾Õ§ᵋ Ö à»š¹¡ÒÃÊ‹§ÊÑ­­Ò³Ç‹ÒÍÒ¨¨Ðà¡Ô´à˵ءÒóäÁ‹¾Ö§»ÃÐʧ¤¢Öé¹ (ºÒ§ trigger ¡ç໚¹ à˵ءÒóäÁ‹¾§»ÃÐʧ¤ã¹µÑÇàͧ´ŒÇÂ) àÁ×;ºÇ‹ÒÁÕ trigger ãËŒ·º·Ç¹àǪÃÐàºÕ¹ Ö è ã¹Ê‹Ç¹·Õèà¡ÕèÂÇ¢ŒÍ§¡Ñº trigger ¹Ñé¹à¾×èÍ´ÙÇ‹ÒÁÕà˵ءÒóäÁ‹¾Ö§»ÃÐʧ¤à¡Ô´¢Öé¹ËÃ×ÍäÁ‹ µÑÇÍ‹ҧઋ¹ àÁ×;ºÇ‹Ò INR > 6 ¼Ù·º·Ç¹¤Ç䌹ËÒÇ‹ÒÁÕàÅ×Í´ÍÍ¡ ËÃ×Í ÁÕ¡ÒÃŴŧ è Œ ¢Í§ hemoglobin ¨¹µŒÍ§ãËŒàÅ×Í´ ËÃ×ÍÁÕà˵ءÒóäÁ‹¾§»ÃÐʧ¤Í¹æ ·Õ໚¹¼ÅÁÒ¨Ò¡ Ö ×è è ¡ÒÃÁÕ¤Ò INR ÊÙ§¡Ç‹Ò»¡µÔËÃ×ÍäÁ‹ ‹ ! ¡ÒþԨÒóÒÇ‹Òà¡Ô´à˵ءÒóäÁ‹¾§»ÃÐʧ¤ËÃ×ÍäÁ‹ ãËŒÁͧ¨Ò¡ÁØÁ¢Í§¼Ù»ÇÂâ´ÂãËŒ¼ÙŒ Ö Œ † ·º·Ç¹¤Ô ´ Ç‹ Ò ¶Œ Ò ËÒ¡¼ÙŒ · º·Ç¹à»š ¹ ¼ÙŒ »† Ç Â¨ÐʺÒÂã¨ËÃ× Í äÁ‹ ·Õè à ¡Ô ´ à赯 ¡ Òó ¹Õé ¡Ñºµ¹àͧ ¶ŒÒäÁ‹ÊºÒÂ㨡çáÊ´§Ç‹Òà¡Ô´ÍѹµÃÒ¢ֹ áŌǾԨÒóҵ‹Íä»Ç‹Òà˵ءÒó¹Õé é ໚¹Ê‹Ç¹Ë¹Ö§¢Í§¡ÒôíÒà¹Ô¹âäµÒÁ¸ÃÃÁªÒµÔ ËÃ×Í໚¹ÀÒÇÐá·Ã¡«ŒÍ¹¨Ò¡¡ÒôÙáÅ è ÃÑ¡ÉÒ·ÕäÁ‹àËÁÒÐÊÁËÃ×ÍäÁ‹ ¶ŒÒ㪋 IHI ¨ÐäÁ‹¶Í໚¹à˵ءÒóäÁ‹¾§»ÃÐʧ¤à¹×ͧ¨Ò¡ è × Ö è
  • 128.
    àǪÈÒʵÏ·¹Âؤ 2553 Ñ 101 IHI ¨Ð์¹à©¾ÒÐà˵ءÒóäÁ‹¾Ö§»ÃÐʧ¤·Õèà¡Ô´¨Ò¡¡ÒáÃзíÒà¾×èÍ¡ÒôÙáÅÃÑ¡ÉÒ à·‹Ò¹Ñ¹ à˵ءÒó·à¡Ô´¨Ò¡¡ÒôÙáÅÃÑ¡ÉÒ·ÕäÁ‹ä´Œà»š¹ä»µÒÁÁҵðҹ¨ÐäÁ‹¶Í໚¹ é Õè è × à˵ءÒóäÁ‹¾§»ÃÐʧ¤ µÑÇÍ‹ҧઋ¹ ¼Ù»Ç¤ÇÒÁ´Ñ¹âÅËÔµÊÙ§·Õ¤Çº¤ØÁ¤ÇÒÁ´Ñ¹âÅËÔµ Ö Œ † è ä´ŒäÁ‹´¨¹à¡Ô´ÀÒÇÐá·Ã¡«ŒÍ¹ÁÕàÊŒ¹àÅ×ʹᵡã¹ÊÁͧà¡Ô´ÍÑÁ¾Òµ¢Ö¹¨ÐäÁ‹¶ÍÇ‹Ò໚¹ Õ é × à˵ءÒóäÁ‹¾Ö§»ÃÐʧ¤µÒÁ IHI ᵋ¶ŒÒ¼ÙŒ»†ÇÂä´ŒÃѺÂÒµŒÒ¹¡ÒÃá¢ç§µÑǢͧàÅ×Í´ ¨¹·íÒãËŒÁÕàÅ×Í´ÍÍ¡ã¹ÊÁͧà¡Ô´à»š¹ÍÑÁ¾Òµ¶×ÍÇ‹Ò໚¹à˵ءÒóäÁ‹¾Ö§»ÃÐʧ¤ 㹺ҧ¤Ãѧ¶ŒÒäÁ‹á¹‹ã¨¤ÇûÃÖ¡ÉÒᾷ㹷ÕÁãËŒªÇµѴÊÔ¹ é ‹ ! ¶ŒÒ¾ºÇ‹ÒÁÕà˵ءÒóäÁ‹¾Ö§»ÃÐʧ¤à¡Ô´¢Öé¹ ãËŒ¨Ñ´ÃдѺ¤ÇÒÁÃØ¹áç¢Í§à˵ءÒó â´Â㪌´ª¹Õ¡ÒèѴÃдѺ¤ÇÒÁÃØ¹áç·Õ´´á»Å§¨Ò¡ NCC MERP Ñ è Ñ ! ¶ŒÒ·º·Ç¹áŌǾº trigger ᵋäÁ‹¾ºà˵ءÒóäÁ‹¾Ö§»ÃÐʧ¤ ãËŒÁͧËÒ trigger Í×¹æ µ‹Íä» è 5. ¡ÒÃà¡çºáÅйíÒàʹ͢ŒÍÁÙÅ ¶ŒÒ㪌 trigger tool 㹡Ò䌹ËÒà˵ءÒóäÁ‹¾§»ÃÐʧ¤¨Ò¡¡ÒÃ㪌ÂÒ(10) ¢ŒÍÁÙÅ·Õä´Œ¨Ò¡ Ö è ·Ø¡ 2 ÊÑ»´ÒˏÊÒÁÒö¹íÒÁÒ¤íҹdzÍѵÃÒ¡ÒÃà¡Ô´à˵ءÒóäÁ‹¾Ö§»ÃÐʧ¤¨Ò¡¡ÒÃ㪌ÂÒµ‹Í¾Ñ¹¤ÃÑé§ ¢Í§¡ÒÃ䴌úÂÒ (ADE per 1,000 doses) áÅÐÃŒÍÂÅСÒÃà¡Ô´à˵ءÒóäÁ‹¾§»ÃÐʧ¤¨Ò¡ÂÒã¹¼Ù»ÇÂ Ñ Ö Œ † ·ÕèÃѺµÑÇäÇŒã¹âç¾ÂÒºÒÅ (percent of admissions with an ADE) µÔ´µÒÁ¢ŒÍÁÙÅ·Õè¤íҹdz䴌 ·Ø¡ 2 ÊÑ»´Òˏ áÊ´§ã¹ run chart à¾×Í´Ù¡ÒÃà»ÅÕ¹á»Å§ áÅФÇ÷íÒ¡ÃÒ¿áÊ´§¡ÒèѴÃдѺ¤ÇÒÁ è è ÃØ¹áç¢Í§ÍѹµÃÒ·Õà¡Ô´¢Ö¹ áÅйíÒÁÒ㪌㹡ÒûÃѺ»Ãاà¾×ͤÇÒÁ»ÅÍ´ÀÑ¢ͧ¼Ù»Ç è é è Œ † àÍ¡ÊÒÃ͌ҧÍÔ§ 1. Griffin .A, Resar RK. IHI Global Trigger Tool for Measuring Adverse Events (Second Edition). IHI Innovation Series white paper. Cambridge, Massachusetts: Institute for Healthcare Improvement; 2009. (Available on www.IHI.org). 2. Rozich JD, Haraden CR, Resar RK. Adverse drug event trigger tool: a practical methodology for measuring medication related harm. Qual Saf Health Care2003 Jun;12(3):194-200. 3. Resar RK, Rozich JD, Classen D. Methodology and rationale for the measurement of harm with trigger tools. Qual Saf Health Care2003 Dec;12 Suppl 2:ii39-45. 4. ʶҺѹ¾Ñ²¹ÒáÅÐÃѺÃͧ¤Ø³ÀÒ¾âç¾ÂÒºÒÅ. ¡Ò䌹ËÒáÅÐÇÑ´ÍѵÃÒà˵ءÒó·äÁ‹¾§»ÃÐʧ¤â´Â㪌 Trigger Tool. Õè Ö ¡Ãا෾ÁËÒ¹¤Ã: ʶҺѹ¾Ñ²¹ÒáÅÐÃѺÃͧ¤Ø³ÀÒ¾âç¾ÂÒºÒÅ;2549. 5. Bates DW, Leape L. Adverse drug reactions. In: Carruthers SG, Hoffman BB, Melmon KL, Nierenberg DW, editors. Melmon and Morrelli’s Clinical Pharmacology, 4th ed. McGraw-Hill; 2000. p. 1223-56. 6. Bates DW, Cullen DJ, Laird N, Petersen LA, Small SD, Servi D, et al. Incidence of adverse drug events and potential adverse drug events: Implications for Prevention. JAMA, 1995;274(1):29-34. 7. Classen DC, Pestotnik SL, Evans RS, Burke JP. Computerized Surveillance of Adverse Drug Events in Hospital Patients. JAMA1991;266(20):2847-51. 8. Layde PM, Maas LA, Teret SP, Brasel KJ, Kuhn EM, Mercy JA, et al. patient safety efforts should focus on medical injuries. JAMA 2002;287(15):1993-7.
  • 129.
    102 ¡ÒÃ㪌 TriggerTool 㹡Ò䌹ËÒáÅÐÇÑ´ÍѵÃÒà˵ءÒóäÁ‹¾§»ÃÐʧ¤¨Ò¡¡ÒÃ㪌ÂÒã¹âç¾ÂÒºÒÅ Ö 9. Jick H. Drugs-remarkably toxic. N Engl J of Med 1974;291(16):824-8. 10. Institute for Healthcare Improvement. Trigger Tool for Measuring Adverse Drug Events. Cambridge, Massachusetts: IHI; 2004. 11. Griffin .A, Resar RK. IHI Global Trigger Tool for Measuring Adverse Events. IHI Innovation Series white paper. Cambridge, Massachusetts; 2007. (Available on www.IHI.org). 12. Bates DW, Boyle DL, Vander Vliet MB. Relationship between medication errors and adverse drug events. J Gen Intern Med 1995;10:199-205. 13. National Coordinatin Council for Medication Error Reporting and Prevention (NCC MERP) Index for Categorizing Errors. Available from: http://www.nccmerp.org/medErrorCatIndex.html. Accessed June 10, 2010.
  • 130.
    àǪÈÒʵÏ·¹Âؤ 2553 Ñ º··Õè 103 15 PET/CT for Cancer in Head and Neck Region: Thyroid and Nonthyroid Carcinoma ÍÒ¨ÒÏ ᾷ˭ԧອ¨ÒÀÒ à¢ÕÂÇËÇÒ¹ ÀÒ¤ÇÔªÒÃѧÊÕÇ·ÂÒ ¤³Ðá¾·ÂÈÒʵÏÈÃÃÒª¾ÂÒºÒÅ ÁËÒÇÔ·ÂÒÅÑÂÁËÔ´Å Ô ÔÔ ÁÐàÃ秺ÃÔàdzÈÕÃÉÐ áÅÐÅíÒ¤Í໚¹ÁÐàÃç§·ÕèÁÕ¤ÇÒÁÊíҤѭáÅоºä´Œº‹Í â´Â¾º»ÃÐÁÒ³ ÃŒÍÂÅÐ 5 ¢Í§ÁÐàÃ秷ѧËÁ´ ÁÕ¼»ÇÂÁÐàÃç§ÃÒÂãËÁ‹»ÃÐÁÒ³ 550,000 ÃÒµ‹Í»‚ áÅÐ໚¹ÊÒà˵آͧ é ÙŒ † ¡ÒÃàÊÕªÕǵ»ÃÐÁÒ³ 300,000 ÃÒµ‹Í»‚ ª¹Ô´¢Í§à«ÅŏÁÐàÃç§·Õ¾ºÁÒ¡·Õʴ໚¹à«Åŏª¹Ô´ squamous Ô è èØ cell carcinoma ¹Í¡à˹×ͨҡÁÐàÃ秺ÃÔàdzÈÕÃÉÐáÅÐÅíҤͷվºä´Œ·Çä»ã¹àǪ»¯ÔºµÍ¹ä´Œá¡‹ ÁÐàÃç§ è Ñè Ñ ÔÑ ¢Í§â¾Ã§¨ÁÙ¡, paranasal sinus, lip and oral cavity, nasopharynx, oropharynx, hypopharynx, salivary gland áÅÐ larynx áÅŒÇ ÂѧÃÇÁ¶Ö§ malignant melanoma, invasive skin cancer áÅÐ soft tissue sarcoma (rhabdomyosarcoma áÅÐ osteosarcoma) 㹺ÃÔàdzÈÕÃÉÐáÅÐÅíÒ¤Í «Ö§ÃÇÁÁÐàÃç§ è ¢Í§ä·ÃÍ´ áÅоÒÃÒä·ÃÍ´´ÇÂ ÍØºµ¡Òó¢Í§ÁÐàÃç§ä·ÃÍ´¾º»ÃÐÁÒ³ 4-9 ÃÒ µ‹Í 100,000 Œ Ñ Ô ÃÒµ‹Í»‚ ¡ÒÃÃÑ¡ÉÒÁÐàÃç§ÈÕÃÉÐáÅÐÅíÒ¤Íâ´Â·ÑÇä» »ÃСͺ´ŒÇ¡Òü‹ÒµÑ´ ÃѧÊÕáÉÒ áÅÐà¤ÁպҺѴ è Ñ í µ‹Ò§¨Ò¡¡ÒÃÃÑ¡ÉÒÁÐàÃç§ä·ÃÍ´«§»ÃСͺ´ŒÇ ¡Òü‹ÒµÑ´áÅСÒÃãËŒÊÒÃÃѧÊÕäÍâÍ´Õ¹ (radioiodine) Öè ໚¹ËÅÑ¡ ¡ÒÃÃÑ¡ÉÒ¼Ù»ÇÂÁÐàÃ秢ͧä·ÃÍ´ ¨íÒ໚¹µŒÍ§ÁÕ¡ÒûÃÐàÁÔ¹ÃÐÂТͧâä â´Â¾Ô¨ÒóҡÒà Œ † ÅØ¡ÅÒÁ¢Í§ÁÐàÃç§ä»ºÃÔàdz¢ŒÒ§à¤Õ§ µ‹ÍÁ¹éÒàËÅ×ͧ áÅСÒÃá¾Ã‹¡ÃШÒ¢ͧÁÐàÃç§ä»ÍÇÑÂÇÐˋҧä¡Å í «Ö§Áռŵ‹Í¡ÒÃÃÑ¡ÉÒáÅСÒþÂҡóâä¤ÅŒÒ¤ÅÖ§¡Ñº¡ÒÃÃÑ¡ÉÒÁÐàÃ秢ͧÍÇÑÂÇÐÍ×¹ ¡ÒûÃÐàÁÔ¹ è è ÃÐÂÐ (staging) ¢Í§ÁÐàÃç§ÈÕÃÉÐáÅÐÅíÒ¤Í ÍÒÈÑ¡Òëѡ»ÃÐÇÑµÔ ¡ÒõÃǨËҧ¡Ò ¡ÒõÃǨ¼‹Ò¹¡ÅŒÍ§ (endoscopy) ¡ÒõÃǨÀÒ¾ÃѧÊÕ CT ËÃ×Í MRI áÅеŒÍ§ÍÒ¨¨íÒ໚¹µŒÍ§ÍÒÈÑ¡Ò÷íÒÍÑŵÃÒ«Òǹ´ ËÇÁ¡ÑºµÃǨªÔ¹à¹×Í (fine needle aspiration biopsy) »ÃСͺ¡Ñº¼Å·Ò§¾ÂÒ¸ÔÇ·ÂÒ㹼ٻǺҧÃÒ é é Ô Œ † ÊíÒËÃѺ¡ÒûÃÐàÁÔ¹ÃÐÂТͧÁÐàÃç§ä·ÃÍ´ ÍÒÈÑ¡Òëѡ»ÃÐÇÑµÔ ¡ÒõÃǨËҧ¡Ò ¼Å·Ò§ ¾ÂÒ¸ÔÇ·ÂÒáÅСÒõÃǨ·Ò§àǪÈÒʵϹÇà¤ÅÕÂÏ total body scan ¡ÒõÃǨÀÒ¾¶‹Ò·ҧÃѧÊÕ¨§ÁÕ Ô Ô Ö º·ºÒ·ÊíҤѭµ‹Í¡Òú͡ÃÐÂТͧâäÁÐàÃ秺ÃÔàdzÈÕÃÉÐáÅÐÅíÒ¤Í áÅÐÁÐàÃç§ä·ÃÍ´ ÃÇÁ·Ñé§ ¡ÒûÃÐàÁÔ¹¼Å¡ÒÃÃÑ¡ÉÒáÅСÒûÃÐàÁÔ¹¡ÒáÅѺ໚¹«éíҢͧâä ¡ÒõÃǨÀÒ¾ÃѧÊÕ´Ç CT áÅÐ MRI ãËŒ¢ÍÁÙÅ´ŒÒ¹¡ÒÂÇÔÀҤ䴌´Õ ÁÕ¤ÇÒÁàËÁÒÐÊÁ㹡Òà Œ Œ »ÃÐàÁÔ¹ÃÐÂТͧâä à¾×ÍÇÒ§á¼¹¡ÒÃÃÑ¡ÉÒàÃÔÁµŒ¹ ᵋÁ¡¾º»˜­ËÒ㹡ÒûÃÐàÁÔ¹à¹×ͧ͡·ÕàËÅ×ÍÍÂÙ‹ è è Ñ é è (residual tumor) ËÃ×Íà¹×ͧ͡·Õ¡ÅѺ໚¹«éÒ (recurrent tumor) ÀÒÂËÅѧ¡ÒÃÃÑ¡ÉÒ ã¹»˜¨¨Øº¹¡ÒõÃǨ é è í Ñ
  • 131.
    104 PET/CT for Cancer in Head and Neck Region : Thyroid and Nonthyroid Carcinoma Positron Emission Tomography (PET) ËÃ×Í㪌 PET ËÇÁ¡Ñº¡ÒõÃǨÀÒ¾ÃѧÊÕ (PET/CT) ÁÕº·ºÒ· ÊíҤѭ㹡ÒûÃÐàÁÔ¹¡Ò÷íÒ§Ò¹ (function) ¢Í§à«ÅŏáÅÐà¹×ÍàÂ×Í ÊÒÁÒöãËŒ¢ÍÁÙÅà¾ÔÁàµÔÁà¡ÕÂǡѺ é è Œ è è àÁµÐºÍÅÔÊÁáÅÐÍÒ¨ª‹ÇÂá¡ÁÐàÃç§ÍÍ¡¨Ò¡à¹×ÍàÂ×Í»¡µÔä´Œ é è PET ໚¹à¤Ã×ͧÁ×ÍÈÖ¡ÉÒàÁµÐºÍÅÔÊÁ¢Í§à«Åŏ â´Â㪌ÊÒÃàÀÊѪÃѧÊÕ·áÊ´§¶Ö§¡Ò÷íÒ§Ò¹¢Í§ è Õè à«ÅŏµÒ§æ ´Ñ§µÒÃÒ§·Õè 1 ‹ µÒÃÒ§·Õè 1 áÊ´§¤ÇÒÁÊÑÁ¾Ñ¹¸¢Í§ÊÒÃàÀÊѪÃѧÊÕ·Õè㪌¡Ñº PET scan ¡ÑºàÁµÐºÍÅÔÊÁµ‹Ò§æ ÊÒÃàÀÊѪÃѧÊÕ àÁµÐºÍÅÔÊÁ .luorine-18-fluorodeoxyglucose (18.-.DG) Glucose metabolism Carbon-11-methionine(11C-ME ), .-18-fluoroethyltyrosine Amino acid transporter (18. –.ET) .luorine-18-fluoromisonidazole (18.-.MISO), Hypoxia Copper-64-diacetylmethylthiosemicarbazone (64Cu-ATSM) .luorine-18-octreotide analogues (18.-DOTATOC), Somatostatin receptor Gallium-68-octreotide analogues (68Ga-DOTATOC) .luorine-18-fluorodihydroxyphenylalanine (18.-.DOPA) Dopamine metabolism Nitrogen-13-Ammonia (13N- Ammonia) Tissue perfusion Carbon-11-choline (11C-Choline), Carbon-11-acetate Lipid áÅÐ fatty acid metabolism (11C-acetate), ¡ÒþѲ¹Ò¡ÒõÃǨ â´Âà¾ÔÁ¡ÒõÃǨÀÒ¾ÃѧÊÕ CT ࢌҡѺ¡ÒõÃǨ PET scan à¾×ÍáÊ´§ è è ¡ÒÂÇÔÀÒ¤áÅÐ ¡ÒûÃѺª´àªÂ¤‹ÒÊÑ­­Ò³ÃѧÊÕ (attenuation correction) ·íÒãˌ䴌¢ŒÍÁÙŶ١µŒÍ§ áÁ‹¹ÂíÒÁÒ¡¢Öé¹ »˜¨¨ØºÑ¹ PET/CT ÁÕ»ÃÐ⪹ÁÒ¡·Ñé§´ŒÒ¹¡ÒÃÇÔ¹Ô¨©ÑÂâäÃкº»ÃÐÊÒ· áÅÐ âäËÑÇ㨠ᵋÁ¡ÒÃ㪌Í‹ҧá¾Ã‹ËÅÒÂáÅоѲ¹ÒÍ‹ҧµ‹Íà¹×ͧÁÒ¡ã¹âäÁÐàÃç§ Õ è ¡ÒÃàµÃÕÂÁ¼ÙŒ»†Ç ¼Ù»Ç·ÕÁÒÃѺ¡ÒõÃǨ¨íÒ໚¹µŒÍ§§´ÍÒËÒÃ໚¹àÇÅÒ 5-6 ªÑÇâÁ§ã¹ÇѹµÃǨ à¾×ÍÅ´ÃдѺ Œ † è è è ÍÔ¹«ÙŹ áÅСÅÙâ¤Êã¹àÅ×Í´ à¹×ͧ¨Ò¡»ÃÔÁÒ³¡ÅÙâ¤Ê·Õà¾ÔÁ¢Ö¹¨Ðà¡Ô´¡ÒÃá‹§¢Ñº (competitive tumor Ô è è è é displacement) ¢Í§ .DG(1-3) ¼ÙŒ»†Ç¨Ðä´ŒÃѺ¡ÒõÃǨÇÑ´ÃдѺ¹éíÒµÒÅã¹àÅ×Í´¡‹Í¹¡ÒõÃǨ ÃдѺ ¹éíÒµÒÅã¹àÅ×Í´·ÕèàËÁÒÐÊÁ¤ÇÃÁÕ¤‹Ò¹ŒÍÂ¡Ç‹Ò 150 mg/dl ËÒ¡¼ÙŒ»†ÇÂÁÕÃдѺ¹éíÒµÒÅã¹àÅ×Í´ÊÙ§¡Ç‹Ò 200 mg/dl ¤ÇÃàÅ×è͹¡ÒõÃǨ áÅеŒÍ§¤Çº¤ØÁÃдѺ¹éíÒµÒÅãËŒàËÁÒÐÊÁ¡‹Í¹ÃѺ¡ÒõÃǨãËÁ‹ ¡ÒÃÊ‹§µÃǨµŒÍ§¤íÒ¹Ö§¶Ö§¼Å¡ÒõÃǨ·Õ¶¡µŒÍ§ Å´âÍ¡ÒÊà¡Ô´¼ÅºÇ¡Åǧ (false positive) ¨Ò¡¡Òà è Ù
  • 132.
    àǪÈÒʵÏ·¹Âؤ 2553 Ñ 105 ÍÑ¡àʺ (inflammation) ËÃ×ͼÅźÅǧ (false negative) ¨Ò¡ stunning ¢Í§ viable tumor ÊíÒËÃѺ ÃÐÂÐàÇÅÒ·ÕàËÁÒÐÊÁ㹡ÒõÃǨ PET scan ´Ñ§áÊ´§ã¹µÒÃÒ§·Õè 2 è µÒÃÒ§·Õè 2 áÊ´§ÃÐÂÐàÇÅÒ·ÕèàËÁÒÐÊÁ㹡ÒõÃǨ PET scan ÀÒÇТͧ¼ÙŒ»†ÇÂÀÒÂËÅѧ àÇÅÒ·ÕèàËÁÒÐÊÁ㹡ÒõÃǨ PET scan ¡ÒõÃǨÃÑ¡ÉÒ ËÅѧ¡ÒõÃǨÃÑ¡ÉÒ ¼Ù»ÇÂËÅѧ¡ÒõѴªÔ¹à¹×Í Œ † é é 1 ÊÑ»´Òˏ ¼Ù»ÇÂËÅѧ¡Òü‹ÒµÑ´ Œ † 6 ÊÑ»´Òˏ ºÒ§¤ÃѧÍÒ¨à»ÅÕ¹á»Å§ãËŒàËÁÒÐÊÁ é è ¢Ö¹¡Ñº invasive ¢Í§¡Òü‹ÒµÑ´ é ¼Ù»ÇÂËÅѧ radiofrequency ablation (R.) Œ † 4 ÊÑ»´Òˏ ¼Ù»ÇÂËÅѧãËŒÂÒà¤ÁպҺѴ Œ † í 2-4 ÊÑ»´Òˏ ¼Ù»ÇÂËÅѧ©ÒÂÃѧÊÕ Œ † 2-6 à´×͹ ¼Ù»ÇÂËÅѧÃÑ¡ÉÒ´ŒÇ Œ † 1 ÊÑ»´Òˏ-1 à´×͹ Granulocyte colony-stimulating factor (G-CS.) ÊÒÃàÀÊѪÃѧÊÕ ÊÒÃàÀÊѪÃѧÊÕ·¹ÂÁ㪌 ¤×Í 18.-.DG à¹×ͧ¨Ò¡à«ÅŏÁÐàÃç§ ÁÕ͵ÃҢͧ¡Ãкǹ¡Òà glycolysis Õè Ô è Ñ ÊÙ§¡Ç‹Òà«Åŏ»¡µÔ ¨Ò¡ Warburg effect àÁ×Í䴌úÊÒà .DG à«ÅŏÁÐàÃ秨ÐÁÕ¡ÒÃÊÐÊÁ .DG ÊÙ§¡Ç‹Ò (4) è Ñ à«Åŏ»¡µÔ à¹×ͧ¨Ò¡ÁÕ¡ÒùíÒ¡ÅÙâ¤ÊࢌÒà«Åŏ¼Ò¹ Glut-1 transporter áÅÐÁÕÃдѺàÍ繫ÑÂÁ hexokinase è ‹ ÊÙ§¡Ç‹Òà«Åŏ»¡µÔà¾×Í㪌㹢ºÇ¹¡Òà glycolysis ´Ñ§áÊ´§ã¹á¼¹ÀÒ¾·Õè 1 è á¼¹ÀÒ¾·Õè 1 áÊ´§ glucose metabolism áÅСÒà uptake .DG ã¹à«Åŏ
  • 133.
    106 PET/CT for Cancer in Head and Neck Region : Thyroid and Nonthyroid Carcinoma ¡Òö‹ÒÂÀÒ¾áÅСÒÃá»Å¼Å ÀÒ¾¶‹Ò PET ÁÕ¤ÇÒÁªÑ´à¨¹á§‹¡ÒÂÇÔÀÒ¤¹ŒÍ¡NjÒÀÒ¾ÃѧÊÕ CT ËÃ×Í MRI áÅСÒáÃШÒ µÑǢͧ .DG 㹺ÃÔàdzÈÕÃÉÐáÅÐÅíÒ¤Í ¤‹Í¹¢ŒÒ§«Ñº«ŒÍ¹ â´Â¾º¡Òà uptake ¢Í§à¹×ÍàÂ×ͺÃÔàdzÈÕÃÉÐ é è áÅÐÅíÒ¤Íã¹ÀÒÇл¡µÔ 䴌ᡋ ºÃÔàdz¡ÅŒÒÁà¹×Í µ‹ÍÁ¹éÒàËÅ×ͧ µ‹ÍÁ¹éÒÅÒ áÅÐà¹×ÍàÂ×Íä¢Áѹª¹Ô´ é í í é è brown tissue ¨Ö§äÁ‹á¹Ð¹íÒãËŒ¼»ÇÂà¤ÕÂÇ ¾Ù´ ËÃ×Í͋ҹ˹ѧÊ×Í»ÃÐÁÒ³ 1 ªÑÇâÁ§ ËÅѧ©Õ´ .DG «Ö§à»š¹ ÙŒ † é è è uptake period à¹×ͧ¨Ò¡Áռŵ‹ÍÀÒ¾¶‹Ò 㹡ÒÃá»Å¼Å¨Ð㪌¤Ò standardize uptake value (SUV) è ‹ ª‹ÇÂ㹡ÒäíҹdzËÒ»ÃÔÁÒ³ÃѧÊÕ·ÊÐÊÁã¹à¹×ÍàÂ×Í â´Â¤‹Ò Õè é è SUV = Region of interest (ROI) activity (mCi/ml) X body weight (g) Injected dose (mCi) 㹼ٻǹéÒ˹ѡÁÒ¡ ¡ÒÃ㪌¤Ò lean body mass ËÃ×Í body surface area á·¹¹éÒ˹ѡ ¨Ðä´Œ¤Ò·Õè Œ † í ‹ í ‹ áÁ‹¹ÂíÒÁÒ¡¡Ç‹Ò¨Ò¡¡ÒÃÈÖ¡ÉÒ¾ºÇ‹Ò ¤‹Ò semiquantitative analysis ¢Í§ SUV ª‹ÇÂá¡ benign ¡Ñº malignancy ä´Œâ´Â¤‹Ò SUV max ÁÒ¡¡Ç‹Ò 3.0 䴌ú¡ÒÃàʹÍãˌ໚¹ threshold value ¢Í§¡ÒÃ໚¹ Ñ ÁÐàÃç§ (4) ¢ŒÍ¨íÒ¡Ñ´¡ÒõÃǨ PET scan PET/CT ÍÒ¨äÁ‹ÊÒÁÒöáÊ´§ÃÍÂâä·ÕÁ¢¹Ò´¹ŒÍÂ¡Ç‹Ò 1 «Á. ËÃ×ͺÃÔàdz·ÕÁ¡ÒÃÍÑ¡àʺ䴌 è Õ è Õ à¹×ͧ¨Ò¡ .DG ¶Ù¡¨Ñºã¹ºÃÔàdz·ÕÁ¡ÒÃÍÑ¡àʺ¨Ò¡¡ÒÃÊÌҧ granulation tissue áÅÐ macrophages è è Õ ä»ÍÂÙºÃÔàdz¹Ñ¹ÁÒ¡ ‹ é Clinical applications º·ºÒ·¢Í§ PET/CT ã¹ÁÐàÃç§ÈÕÃÉÐáÅÐÅíÒ¤Í 1. ¡ÒûÃÐàÁÔ¹ÃÐÂТͧâä (Staging): PET ÁÕ¤ÇÒÁáÁ‹¹ÂíÒ´Õ¡Ç‹Ò CT áÅÐ MRI ¨Ò¡¡Òà ÈÖ¡ÉҢͧ Schoder áÅФ³Ð(5) ¾ºÇ‹Ò ¤ÇÒÁäǢͧ PET ෋ҡѺÌÍÂÅÐ 87-90 ã¹¢³Ð·Õ¤ÇÒÁäǢͧ è CT ËÃ×Í MRI ෋ҡѺÌÍÂÅÐ 61-97 áÅФÇÒÁ¨íÒà¾ÒТͧ PET ෋ҡѺÌÍÂÅÐ 80-93 ã¹¢³Ð·Õ¤ÇÒÁ è ¨íÒà¾ÒТͧ CT ËÃ×Í MRI ෋ҡѺÌÍÂÅÐ 21-100 ·Ñ§¹Õé PET äÁ‹¹ÂÁ㪌ÊÒËÃѺ primary tumor à¹×ͧ é Ô í è ¨Ò¡»˜­ËÒ´ŒÒ¹¤ÇÒÁÊÒÁÒö㹡ÒèíÒṡ㹡ÒûÃÐàÁÔ¹¡ÒáÃШÒ¢ͧÁÐàÃç§à©¾ÒзÕè ᵋÊÒÁÒö »ÃÐàÁÔ¹¡ÒÃÅØ¡ÅÒÁ¢Í§âä仵‹ÍÁ¹éÒàËÅ×ͧ䴌໚¹Í‹ҧ´Õ ¡ÒÃÈÖ¡ÉҢͧ Schoder áÅФ³Ð(6) ¾ºÇ‹Ò í ¤ÇÒÁäǢͧ PET ÊíÒËÃѺ¡ÒûÃÐàÁÔ¹ÃÐÂТͧµ‹ÍÁ¹éíÒàËÅ×ͧ (N staging) ෋ҡѺÌÍÂÅÐ 90 ã¹¢³Ð·Õ¤ÇÒÁäǢͧ CT, MRI áÅÐ ultrasound ෋ҡѺÌÍÂÅÐ 82, 80 áÅÐ 72 µÒÁÅíҴѺ ¤ÇÒÁ è ¨íÒà¾ÒТͧ PET, CT, MRI áÅÐ ultrasound ෋ҡѺÌÍÂÅÐ 94, 85, 79 áÅÐ 70 µÒÁÅíҴѺ ¨Ö§ÁÕ¡ÒÃ
  • 134.
    àǪÈÒʵÏ·¹Âؤ 2553 Ñ 107 á¹Ð¹íÒãËŒµÃǨ㹼ٻÇ·ÕÁÃÐÂе‹ÍÁ¹éÒàËÅ×ͧ໚¹ N0 «Ö§ÍÒ¨ÁÕ occult nodal metastases ä´Œ áÁŒ Œ † è Õ í è NjҺҧ¡ÒÃÈÖ¡ÉÒ ¾ºÇ‹Ò micrometastasis äÁ‹ÊÒÁÒö¾ºã¹ PET/CT ᵋ¤ÇõÃǨ´ŒÇ sentinel lymph node áÅж‹ÒÂÀÒ¾ãËŒªÑ´à¨¹ÁÒ¡¢Öé¹´ŒÇ SPECT ËÃ×Í SPECT/CT â´Â੾ÒÐÍ‹ҧÂÔè§ã¹¡ÅØ‹Á ÁÐàÃ秢ͧÅÔ¹áÅз͹«ÔÅ(7)¹Í¡¨Ò¡¹Õé PET ÂѧÁÕ»ÃÐ⪹ã¹¡ÒûÃÐàÁÔ¹¡ÃШÒ¢ͧÁÐàÃç§ä»·ÕËÒ§ é è ‹ ä¡Å ઋ¹ ª‹Í§·Ãǧ͡, 䢡Ãд١ áÅеѺ áÅÐÂѧÁÕº·ºÒ·ª‹ÇÂãËŒ¾º synchronous lesion (8) 2. âä·Õè¡ÅѺ໚¹«éíÒ (Recurrent disease): ã¹¢³Ð·Õè CT áÅÐ MRI ÁբͨíҡѴ㹡ÒÃá¡ Œ ÀÒÇСÒáÅѺ໚¹«éÒ ¨Ò¡ÊÀÒ¾ËÅѧ¡ÒÃÃÑ¡ÉÒ´ŒÇ¡Òü‹ÒµÑ´ËÃ×Í©ÒÂÃѧÊÕ áµ‹ PET ÊÒÁÒöãËŒ¢ÍÁÙÅ í Œ áÊ´§¶Ö§ viable ËÃ×Í recurrent tumor ä´ŒáÁ‹¹ÂíÒ¡Ç‹Ò ¾ºÇ‹Ò PET ÁÕ¤ÇÒÁäÇáÅФÇÒÁ¨íÒà¾ÒÐÊíÒËÃѺ ËÒ recurrent disease ෋ҡѺ ÃŒÍÂÅÐ 84-100 áÅÐ ÃŒÍÂÅÐ 61-93 µÒÁÅíҴѺ(9) ¶ŒÒᡵÒÁµíÒá˹‹§ ¢Í§¡ÒáÅѺ໚¹«éÒ ¾ºÇ‹Ò¤ÇÒÁäÇÊíÒËÃѺµíÒá˹‹§à´ÔÁ (local) 㹺ÃÔàdzà´ÔÁ (regional) áÅеíÒá˹‹§ í ·ÕÁ¡ÒáÃШÒ (distant) ෋ҡѺ ÃŒÍÂÅÐ 97, 92 áÅÐ 94 µÒÁÅíҴѺ áÅФÇÒÁ¨íÒà¾ÒÐ෋ҡѺ ÃŒÍÂÅÐ è Õ 79, 95 áÅÐ 96 µÒÁÅíҴѺ(4) áÊ´§ãËŒàËç¹Ç‹Ò PET àËÁÒÐÊÁµ‹Í¡ÒûÃÐàÁÔ¹ recurrent disease ·Õè regional and distant metastases ʋǹ¤‹Ò¤ÇÒÁ¨íÒà¾ÒФ‹Í¹¢ŒÒ§µèÒà¾ÃÒÐÁռźǡÅǧ ¨Ò¡¡ÒÃÍÑ¡àʺ í ËÃ×͵Դàª×Í àÁ×Íà»ÃÕºà·Õº PET 㹡ÒõÃǨËÒ recurrent disease ¡Ñº MRI ¾ºÇ‹Ò¤ÇÒÁäÇáÅÐ é è ¤ÇÒÁ¨íÒà¾ÒТͧ PET ÊÙ§¡Ç‹Ò MRI â´Â¤ÇÒÁäǢͧ PET áÅÐ MRI ෋ҡѺÌÍÂÅÐ 100 áÅÐ 62 µÒÁÅíҴѺ ¤ÇÒÁ¨íÒà¾ÒТͧ PET áÅÐ MRI ෋ҡѺ ÃŒÍÂÅÐ 93 áÅÐ 43 µÒÁÅíҴѺ(10) àÁ×Íà»ÃÕº è à·Õº¡Ñº¡ÒõÃǨ·Ò§àǪÈÒʵϹÇà¤ÅÕÂÏ͹㹡ÒõÃǨËÒ recurrent disease ¾ºÇ‹Ò PET ÁÕ¤ÇÒÁ Ô ×è äÇÊÙ§¡Ç‹Ò Sestamibi, Tetrofosmin ËÃ×Í Thallium ¤×Í෋ҡѺ ÃŒÍÂÅÐ 100, 73 áÅÐ 64 µÒÁÅíҴѺ ã¹¢³Ð·Õ¤ÇÒÁ¨íÒà¾ÒÐ෋ҡѹ (ÃŒÍÂÅÐ 96)(11,12) è 3. ¡ÒûÃÐàÁÔ¹¡Òõͺʹͧµ‹Í¡ÒÃÃÑ¡ÉÒ (Treatment response) áÅСÒþÂҡó âä (Prognosis evaluation): PET ÁÕ¤ÇÒÁáÁ‹¹ÂíÒ㹡ÒûÃÐàÁÔ¹ËÅѧ¡ÒÃÃÑ¡ÉÒ´ŒÇÂà¤ÁպҺѴáÅÐí ©ÒÂÃѧÊÕÊÒËÃѺÁÐàÃç§ÈÕÃÉÐáÅÐÅíÒ¤Í â´Â¡ÒÃÈÖ¡ÉÒ systemic review áÅÐ meta-analysis ¢Í§ Isles í MG áÅФ³Ð(13) ¾ºÇ‹Ò sensitivity, specificity, PPV áÅÐ NPV ¢Í§ PET 㹡ÒõÃǨËÒ residual ËÃ×Í recurrent squamous cell carcinoma ¢Í§ÈÕÃÉÐáÅÐÅíÒ¤Í à·‹Ò¡ÑºÃŒÍÂÅÐ 94, 82, 75 áÅÐ 95 µÒÁÅíҴѺ ¹Í¡¨Ò¡¹Õ¡ÒÃ㪌 PET/CT ÊÒÁÒöµÃǨËÒ persistent disease ä´Œ´¡Ç‹Ò contrast-enhanced é Õ CT ÀÒÂËÅѧãËŒ¡ÒÃÃÑ¡ÉÒËÇÁà¤ÁպҺѴáÅÐÃѧÊÕâ´Â¤ÇÒÁáÁ‹¹ÂíҢͧ PET/CT áÅÐ contrast-enhanced í CT ෋ҡѺÌÍÂÅÐ 74.1 áÅÐ 59.3 µÒÁÅíҴѺ (14) ¡ÒÃÈÖ¡ÉÒà»ÃÕºà·Õº¤ÇÒÁäÇáÅФÇÒÁ¨íÒà¾ÒТͧ PET/CT áÅÐ CT ¢Í§ Andrade áÅФ³Ð(15) 㹡ÒûÃÐàÁÔ¹¡Òõͺʹͧ¡ÒÃÃÑ¡ÉÒ´ŒÇ¡ÒéÒÂÃѧÊÕ ¾ºÇ‹Ò ¤ÇÒÁäǢͧ PET/CT áÅÐ CT ෋ҡѺÌÍÂÅÐ 77 áÅÐ 92 µÒÁÅíҴѺ ¤ÇÒÁ¨íÒà¾ÒТͧ PET/ CT áÅÐ CT ෋ҡѺÌÍÂÅÐ 93, 47 µÒÁÅíҴѺ ã¹¢³Ð·Õ¡ÒÃÈÖ¡ÉҢͧ Ong áÅФ³Ð(16) ¾ºÇ‹Ò¤ÇÒÁ è äÇ, ¤ÇÒÁ¨íÒà¾ÒÐ, positive predictive value (PPV) áÅÐ negative predictive value (NPV) ¢Í§ PET/CT 㹡ÒûÃÐàÁÔ¹ÃÍÂâ䤧àËÅ×Íã¹µ‹ÍÁ¹éÒàËÅ×ͧ (residual nodal disease) ÀÒÂËÅѧ¡ÒÃãËŒ í ¡ÒÃÃÑ¡ÉÒËÇÁà¤ÁպҺѴáÅÐÃѧÊÕ à·‹Ò¡ÑºÃŒÍÂÅÐ 71, 89, 38 áÅÐ 97 µÒÁÅíҴѺ áÊ´§Ç‹Ò¶ŒÒ¡ÒõÃǨ í PET/CT ãËŒ¼Å»¡µÔÊÒÁÒöµÑ´¡ÒÃÇÔ¹¨©ÑÂâä໚¹«éÒ੾ÒзÕè (locoregional disease) ÍÍ¡ä»ä´Œ Ô í
  • 135.
    108 PET/CT for Cancer in Head and Neck Region : Thyroid and Nonthyroid Carcinoma ÊíÒËÃѺ¡ÒûÃÐàÁÔ¹¡ÒõͺʹͧÃÐÂеŒ¹¢Í§¡ÒÃÃÑ¡ÉÒÊÒÁÒöµÃǨ´ŒÇ PET ËÅѧ¡ÒéÒÂÃѧÊÕ 4- 8 ÊÑ»´Òˏ(15,17) ¼Å·Õä´ŒÊÒÁÒö»ÃÐàÁÔ¹¤ÇÒÁàËÁÒÐÊÁ¢Í§¡ÒÃÃÑ¡ÉÒ áÅÐÍҨʋ§¼Åãˌᾷ¼Ã¡ÉÒ è ÙŒ Ñ à»ÅÕ¹ÇÔ¸¡ÒÃÃÑ¡ÉÒËÃ×ÍÊٵáÒÃÃÑ¡ÉÒ·Õä´Œ¼Å´Õ¡Ç‹Ò áÅФÇÃÊ‹§»ÃÐàÁÔ¹¡Òõͺʹͧµ‹Í¡ÒÃÃÑ¡ÉÒ è Õ è »ÃÐÁÒ³ 12 ÊÑ»´ÒˏËÅѧ©ÒÂÃѧÊÕ Í‹ҧäáçµÒÁÁÕÃÒ§ҹ¼ÅºÇ¡Åǧ ¨Ò¡¡Òþº .DG uptake (18) ã¹ÀÒÇÐ osteonecrosis(19) »˜¨¨Øº¹ÁÕ¡ÒÃ㪌ÊÒÃàÀÊѪÃѧÊÕ͹㹡ÒÃÈÖ¡ÉÒ¡Òõͺʹͧµ‹Í¡ÒÃÃÑ¡ÉÒ Ñ ×è à¾×Íãˌ䴌¢ÍÁÙÅ·Õ໚¹»ÃÐ⪹ÁÒ¡¢Ö¹ ઋ¹ Esther áÅФ³Ð(20) ¾ºÇ‹Ò18. .LT ÊÒÁÒö»ÃÐàÁÔ¹¡ÒÃ è Œ è é µÍºÊ¹Í§ÃÐÂеŒ¹¢Í§¡ÒÃÃÑ¡ÉÒËÅѧ¡ÒéÒÂÃѧÊÕ ã¹¡ÅØÁÁÐàÃ秢ͧª‹Í§»Ò¡áÅФÍËÍÂ䴌໚¹Í‹ҧ´Õ ‹ 4. ¡ÒÃÇÒ§á¼¹ÃѧÊÕÃÑ¡ÉÒ (Radiotherapy planning): PET ÊÒÁÒöãËŒ¢ŒÍÁÙÅ´ŒÒ¹ àÁµÐºÍÅÔÊÁà¾×͹íÒÁÒ㪌»ÃСͺ¡Ñº CT à¾×ÍÇÒ§á¼¹¡ÒéÒÂÃѧÊÕ áÅÐ㪌¡Ò˹´à¤ŒÒâ¤Ã§¢Í§»ÃÔÁҵà è è í à¹×éͧ͡䴌¶Ù¡µŒÍ§ÁÒ¡·ÕèÊØ´ ÁÕ¡ÒÃÈÖ¡ÉÒ¾ºÇ‹Ò¤ÇÒÁá»Ã»ÃǹÃÐËNjҧ¼ÙŒ»ÃÐàÁÔ¹ (inter-individual variation) 㹡ÒÃÇÒ´ GTV ŴŧàÁ×Í㪌¡ÒÃÇÒ§á¼¹´ŒÇ PET/CT àÁ×Íà·Õº¡Ñº¡ÒÃ㪌 CT à¾Õ§Í‹ҧ è è à´ÕÂÇ áµ‹Â§äÁ‹ÁËÅÑ¡°Ò¹á¹‹ª´Ç‹ÒÍѵÃÒ¡ÒÃÃÍ´ªÕǵ¢Í§¼Ù»Ç·Õ㪌 PET/CT µ‹Ò§¨Ò¡¼Ù»Ç·ÕÇÒ§á¼¹ (21) Ñ Õ Ñ Ô Œ † è Œ † è ´ŒÇ CT ËÃ×Í MRI Í‹ҧäà ¹Í¡¨Ò¡¹Õé PET ÂѧÊÒÁÒö·íÒ¹Ò¼šÒÃÃÑ¡ÉҢͧ¼Ù»ÇÂä´Œ ´Ñ§¡ÒÃÈÖ¡ÉÒ Œ † â´Â Chung áÅФ³Ð ¾ºÇ‹Ò metabolic tumor volume (MTV) ·Õè 40 ml ໚¹¨Ø´µÑ´·ÕºÍ¡¶Ö§¡Òà (22) è µÍºÊ¹Í§¡ÒÃÃÑ¡ÉÒáÅмٌ»†Ç·ÕèÁÕ MTV ÁÒ¡¡Ç‹Ò 40 ÁÅ. ÁÕÍѵÃÒ¡ÒõͺʹͧẺ complete response ËÃ×ÍäÁ‹¾º¡ÒáÅѺ໚¹«éíÒ µèíҡNjҼٌ»†ÇÂÁÕ MTV ¹ŒÍ¡NjÒËÃ×Í෋ҡѺ 40 ÁÅ. Í‹ҧÁÕ ¹ÑÂÊíҤѭ ¹Í¡¨Ò¡¹Ñ¹ PET ÂѧÁբʹÕã¹´ŒÒ¹¤ÇÒÁÊÒÁÒö㹡ÒÃÃкØÃÍÂâä·Õ͹䴌´ÇÂ é Œ è ×è Œ 5. ÁÐàÃç§·ÕäÁ‹¾ºÃÍÂâäàÃÔÁáá (Cancer of unknown primary): PET ÁÕ¤ÇÒÁäÇÊíÒËÃѺ è è ¡ÒõÃǨËÒ unknown primary cancer ෋ҡѺÌÍÂÅÐ 8-46(23, 24) ¢³Ð·Õ¡ÒÃ㪌 PET/CT ÁÕ¤ÇÒÁäÇÊÙ§ è ¶Ö§ÃŒÍÂÅÐ 68 áÅÐÁÕ¤ÇÒÁáÁ‹¹ÂíÒÊÙ§¡Ç‹Ò¡ÒõÃǨÃѧÊÕǹ¨©Ñ·ÑÇä»ä´Œá¡‹ mammogram, ultrasound (25) Ô Ô è áÅÐ CT ¹Í¡¨Ò¡¹Õé PET ÂѧÊÒÁÒöµÃǨ¾ºÃÍÂâäá¾Ã‹¡ÃШÒ·ѧºÃÔàdzã¡ÅŒà¤Õ§áÅÐÃÐÂÐä¡Å (23) é 䴌㹼ٻÇÂÃÐÂÐ N2 ¨Ö§á¹Ð¹íÒãËŒµÃǨ PET 㹡óշ¼ÅµÃǨËҧ¡ÒÂáÅСÒõÃǨ panendoscopy Œ † Õè äÁ‹¾º¤ÇÒÁ¼Ô´»¡µÔ㹼ٻǠâ´Â¶ŒÒµÃǨ PET áÅÐ panendoscopy »¡µÔ¨ÐÁÕâÍ¡Òʾº primary Œ † tumor ã¹ÀÒÂËÅѧ¹ŒÍ¡NjÒÃŒÍÂÅÐ 6(26) 6. ÀÒÇТҴÍÍ¡«Ôਹ¢Í§à¹×éͧ͡ (Tumor hypoxia): ¾ºÇ‹Òà«Åŏ·¢Ò´ÍÍ¡«Ôਹ㹠Õè ÁÐàÃç§ÈÕÃÉÐáÅÐÅíÒ¤Í ÁÕ¤ÇÒÁÊÑÁ¾Ñ¹¸¡ºÍѵÃÒÃÍ´ªÕǵ¢Í§¼Ù»Ç·ÕŴŧ à¹×ͧ¨Ò¡à«ÅŏÁÐàÃ秨еÒÂ Ñ Ô Œ † è è ¹ŒÍÂŧ ¨Ò¡¡Òô×͵‹Íà¤ÁպҺѴ ËÃ×ÍÃѧÊÕáÉÒ ¡ÒõÃǨ PET â´Â㪌ÊÒÃàÀÊѪÃѧÊÕª¹Ô´ 18.-MISO é í Ñ ÊÒÁÒöáÊ´§µíÒá˹‹§ºÃÔàdz·Õè¢Ò´ÍÍ¡«Ôਹ䴌(27) ÊÒÃàÀÊѪÃѧÊÕÍ×è¹·Õè㪌¤×Í 64Cu-ATSM(28) áÅÐÁÕ á¹Ç⹌Á㹡ÒþѲ¹ÒÊÒÃàÀÊѪÃѧÊÕãËÁ‹ æ à¾×è͵ÃǨËÒ¤ÇÒÁ˹Òṋ¹¢Í§à«Åŏ (cell density), ¡ÒâҴÍÍ¡«Ôਹ ËÃ×Í¡Ãкǹ¡ÒõÒ¢ͧà«ÅŏẺ apoptosis(30) º·ºÒ·¢Í§ PET/CT ã¹ÁÐàÃç§ä·ÃÍ´ 1. ¡ŒÍ¹¢Í§ä·ÃÍ´ (Thyroid nodule): .DG ÁÕ uptake ä´Œ·§¡ŒÍ¹à¹×Íä·ÃÍ´ª¹Ô´äÁ‹ Ñé é ÃŒÒÂáÅÐ ¡ŒÍ¹à¹×ÍÁÐàÃç§ áÁŒÇÒÁÐàÃç§ÁÑ¡ÁÕàÁµÐºÍÅÔÊÁÁÒ¡¡Ç‹Ò ¡ÒÃÈÖ¡ÉҢͧ Bloom áÅФ³Ð(30) é ‹ 㪌¨´µÑ´ SUV á¡ÃÐËNjҧà¹×ÍäÁ‹ÃÒ ¡ÑºÁÐàÃç§ ÊÒÁÒöᡨҡ¡ÒÃ㪌 SUVs ·ÕÁÒ¡¡Ç‹Ò 8.5 ᵋ Ø é Œ è
  • 136.
    àǪÈÒʵÏ·¹Âؤ 2553 Ñ 109 ¡ÒÃÈÖ¡ÉҢͧ Kim JM áÅФ³Ð(31) ¾ºÇ‹ÒÁդҷѺ«ŒÍ¹¡Ñ¹ÃÐËNjҧà¹×ÍàÂ×ÍÊͧª¹Ô´¹Õé ã¹·Ò§»¯Ôºµ¨§ ‹ é è Ñ ÔÖ äÁ‹ÊÒÁÒö㪌 SUV Í‹ҧà´ÕÂÇ㹡ÒõѴÊԹNjÒ໚¹ÁÐàÃç§ËÃ×ÍäÁ‹ ¨íÒ໚¹µŒÍ§ãªŒ¡ÒõÃǨÍ׹ËÇÁ´ŒÇ è ઋ¹ ¡Ò÷íÒÍÑŵÃÒ«Òǹ´ÃÇÁ¡ÑºµÃǨªÔ¹à¹×Í ‹ é é 2. ÁÐàÃç§ä·ÃÍ´·Õè¡ÅѺ໚¹«éíÒ (Recurrent thyroid cancer): à¹×ͧ¨Ò¡ÃдѺ serum è thyroglobulins (Tg) ໚¹ tumor marker ·ÕÁ¤ÇÒÁ¨íÒà¾ÒÐÊÙ§ÊíÒËÃѺÁÐàÃç§ä·ÃÍ´ª¹Ô´ differentiated è Õ ã¹¼Ù»Ç·ռҵѴµ‹ÍÁä·ÃÍ´ÍÍ¡ËÁ´ ËÃ×Ͷ١·íÒÅÒÂËÁ´´ŒÇ radioiodine ¤ÇÃÁÕÃдѺ serum Tg Œ † è ‹ ¹ŒÍÂ¡Ç‹Ò 3 ng/ml ËÃ×ÍÇÑ´äÁ‹ä´Œ 㹡óշÃдѺ Tg ÁÒ¡¡Ç‹Ò 10 ng/ml àÁ×Ͷ١¡Ãеع´ŒÇ TSH º‹§ªÕ¶§ Õè è Œ é Ö ¡ÒÃÁÕÁÐàÃç§ËŧàËÅ×ÍÍÂÙ‹ áÅÐÁÐàÃç§ÍÒ¨à»ÅÕ¹ä»à»š¹ undifferentiated «Ö§µŒÍ§ãËŒ¡ÒÃÃÑ¡ÉÒÍ×¹ ઋ¹ è (32) è è ¡Òü‹ÒµÑ´ËÃ×Í©ÒÂÃѧÊÕ PET ¨Ö§ÁÕ»ÃÐ⪹ã¹¡ÒõÃǨËÒà¹×éͧ͡·ÕèÂѧ¤§ÍÂÙ‹ËÃ×ÍÁÕ¡ÒáÃШÒ 㹼ٻÇÂÁÐàÃç§ä·ÃÍ´·¤Ò Tg ËÃ×Í Tg antibody ÊÙ§¼Ô´»¡µÔ ᵋ Total Body Scan (TBS) »¡µÔ Œ † Õè ‹ à¾×ͪ‹Ç¨íÒṡNjҼٻÇÂã´ÊÒÁÒö¼‹ÒµÑ´ä´Œ áÅÐÂѧá¹Ð¹íÒ㪌㹼ٻÇ·Õ䴌ú radioiodine ¢¹Ò´ÊÙ§ è Œ † Œ † è Ñ ËÅÒ¤ÃѧáÅÐÁÕâÍ¡ÒÊà¡Ô´ÀÒÇÐá·Ã¡«ŒÍ¹ÊÙ§¨Ò¡¡ÒÃ㪌 radioiodine ·Ñ§à¾×Í¡ÒÃÇÔ¹¨©ÑÂáÅÐÃÑ¡ÉÒ ËÅÒ é é è Ô ÃÒ§ҹ ¾ºÇ‹Ò .DG PET ÁÕ¤ÇÒÁäÇáÅФÇÒÁ¨íÒà¾ÒÐ㹡ÒÃÊ׺¤Œ¹ÁÐàÃç§¼Ù»ÇÂä·ÃÍ´·Õè Tg ÊÙ§ (33-35) Œ † ¼Ô´»¡µÔ ᵋ TBS »¡µÔÃÐËNjҧÌÍÂÅÐ 85 áÅÐÃŒÍÂÅÐ 94 ·íÒãËŒà¡Ô´¡ÒÃà»ÅÕ¹á»Å§¡ÒÃÃÑ¡ÉÒã¹¼ÙŒ è »†Ç¡NjÒÃŒÍÂÅÐ 50 ¹Í¡¨Ò¡¹Õ¡Ò÷ÕÁÐàÃ秨Ѻ .DG ÁÒ¡ áÊ´§¶Ö§àÁµÐºÍÅÔÊÁÊÙ§ 㹡ÒÃÈÖ¡ÉҢͧ (36) é è Wang áÅФ³Ð ¾ºÇ‹Ò SUVs ÁÒ¡¡Ç‹Ò 10 ໚¹µÑǺ‹§ªÕé ÍѵÃÒ¡ÒÃÃÍ´ªÕǵ·ÕµÒ ¤ÇÒÁÊÑÁ¾Ñ¹¸¢Í§ (37) Ô è èí .DG áÅÐ radioiodine ¨Ö§à»š¹ä»ã¹·Ò§µÃ§¡Ñ¹¢ŒÒÁµÒÁ»ÃÒ¡¯¡Òóáºº flip-flop ¤×Í poorly differentiated metastases ÁÕ .DG uptake ÊÙ§ ᵋ radioiodine uptake µèÒÁÒ¡ËÃ×Íá·ºäÁ‹ÁàÅ 㹠í Õ ¢³Ð·Õè well differentiated ÁÕ radioiodine uptake Ê٧ᵋ .DG uptake µèÒ ¹Í¡¨Ò¡¹Õ¡ÒõÃǨ í é somatostatin receptor scintigraphy (Tc-99m Hynictoc) ÊÒÁÒöËÒÃÍÂâÃ¤ã¹¡ÅØÁ¼Ù»ÇÂÁÐàÃç§ (38) ‹ Œ † ä·ÃÍ´·Õè Tg ÊÙ§¼Ô´»¡µÔ ᵋ TBS »¡µÔ áÅоº»ÃÒ¡¯¡Òó flip-flop ¡Ñº .DG 䴌ઋ¹à´ÕÂǡѹ ¹Í¡ ¨Ò¡¹Õé PET ÂѧÁÕ¤ÇÒÁäÇã¡ÅŒà¤Õ§¡Ñº bone scan ᵋ¤ÇÒÁ¨íÒà¾ÒÐáÅФÇÒÁáÁ‹¹ÂíÒÊÙ§¡Ç‹Ò bone scan 㹡ÒÃËÒÃÍÂâäá¾Ã‹¡ÃШÒÂ仡Ãд١(39) Í‹ҧäáçµÒÁ PET ÁÕ¤ÇÒÁäǵèÒÊíÒËÃѺ ¡ÒáÃШÒÂä» í ·Õ»Í´ áÅоº¼ÅºÇ¡Åǧ㹼ٷÁÕ unilateral vocal cord activity è Œ Õè ¹Í¡¨Ò¡¢ŒÍº‹§ªÕ¢Ò§µŒ¹ PET/CT Âѧª‹ÇµÃǨËÒ à¹×ͧ͡»°ÁÀÙÁª¹Ô´·ÕÊͧ (second primary éŒ é Ô è tumor) ã¹¼Ù»ÇÂä´Œ ¨Ö§¾ºÇ‹Ò PET/CT ໚¹¡ÒõÃǨ·Ò§àÅ×Í¡ÊíÒËÃѺÁÐàÃç§ÈÕÃÉÐáÅÐÅíÒ¤Í㹡Òà Œ † »ÃÐàÁÔ¹¡ÒáÅѺ໚¹«éíÒ »ÃÐàÁÔ¹¤ÇÒÁÅŒÁàËÅǢͧ¡ÒÃÃÑ¡ÉÒÃÐÂеŒ¹ »ÃÐàÁÔ¹¼Å¢Í§¡ÒÃÃÑ¡ÉÒ, »ÃÐàÁÔ¹ÀÒÇТҴÍÍ¡«Ôਹ »ÃÐàÁÔ¹à¾×ÍÇÒ§á¼¹¡‹Í¹ÃѧÊÕáÉÒ áÅÐÁÕº·ºÒ·ã¹¼Ù»ÇÂÁÐàÃç§ä·ÃÍ´ è Ñ Œ † ¡ÅØÁ Tg ËÃ×Í TgAb ÊÙ§ ᵋ TBS »¡µÔ Í‹ҧäáç´Õ ¡ÒõÃǨ PET/CT ÂѧäÁ‹à»š¹·Õá¾Ã‹ËÅÒÂã¹»ÃÐà·È ‹ è ä·Â »ÃСͺ¡Ñº¤‹Ò㪌¨ÒÂ㹡ÒõÃǨ·Õ¤Í¹¢ŒÒ§ÊÙ§áÅÐäÁ‹ÍÂÙã¹¢ŒÍº‹§ªÕ¡ÒÃàºÔ¡¨‹Ò¢ͧ¡ÃÁºÑ­ªÕ¡ÅÒ§ ‹ è ‹ ‹ é ¨Ö§à»š¹Ë¹ŒÒ·Õ¢Í§·ÕÁᾷ·¨Ð¾Ô¨ÒóÒÇ‹Ò PET/CT ¹Ñ¹ãËŒ»ÃÐ⪹Í‹ҧ¤ØÁ¤‹ÒËÃ×ÍäÁ‹ ¡ÒÃÈÖ¡ÉÒ¶Ö§ è Õè é Œ ¤ÇÒÁ¤ØŒÁ¤‹Òã¹áµ‹ÅТŒÍº‹§ªÕé áÅоԨÒóҢŒÍº‹§ªÕéãËÁ‹æ ¨Ö§ÁÕ¤ÇÒÁÊíҤѭÍ‹ҧÂÔè§à¾×è͹íÒä»ÊÙ‹¡Òà ¾Ñ²¹Ò¡ÒôÙáÅÃÑ¡ÉҼٻǵ‹Íä» Œ †
  • 137.
    110 PET/CT for Cancer in Head and Neck Region : Thyroid and Nonthyroid Carcinoma àÍ¡ÊÒÃ͌ҧÍÔ§ 1. Wahl RL. Targeting glucose transporters for tumor imaging: “sweet” idea, “sour ” result. J Nucl Med 1996; 37:1038-41. 2. Kostakoglu L, Agress H Jr, Goldsmith SJ. Clinical role of .DG PET in evaluation of cancer patients. Radiographics 2003;23(2):315-40. 3. Warburg O, Posener K, Negelein E. On the metabolism of cancer cells. Biochem Z 1924;152:319-44. 4. Wong RJ, Lin DT, Sch?der H, Patel SG, Gonen M, Wolden S, et al. Diagnostic and prognostic value of [(18).]fluorodeoxyglucose positron emission tomography for recurrent head and neck squamous cell carcinoma. J Clin Oncol 2002;20(20):4199-208. 5. Sch?der H, Yeung HW. Positron emission imaging of head and neck cancer, including thyroid carcinoma. Semin Nucl Med 2004;34(3):180-97. 6. Sch?der H, Yeung HW, Gonen M, Kraus D, Larson SM. Head and neck cancer: clinical usefulness and accuracy of PET/CT image fusion. Radiology 2004;231(1):65-72. 7. Blide A, Von Buchwald C, Mortensen J, Marving J, Therkidsen MH, Kirkegaard J, et al. The role of SPECT- CT in the lymphoscintigraphic identification of sentinel nodes in patients with oral cancer. Acta Otolaryngol 2006;1269(10):1096-103. 8. Haerla SK, Strobel K, Hany T., Sidler D, Stoeckli SJ. (18).-.DG-PET/CT versus panendoscopy for the detection of synchronous second primary tumors in patients with head and neck squamous cell carcinoma. Head Neck. 2010;32(3):319-25. 9. Yamamoto Y, Wong TZ, Turkington TG, Hawk TC, Coleman RE. Head and neck cancer: dedicated .DG PET/CT protocol for detection-phantom and initial clinical studies. Radiology 2007;244(1):263-72. 10. Yen R., Hung RL, Pan MH, Wang YH, Huang KM, Lui LT, et al. 18-fluoro-2-deoxy-glucose positron emission tomography in detecting residual/recurrent nasopharyngeal carcinomas and comparison with magnetic resonance imaging. Cancer 2003;98(2):283-7. 11. Kao CH, Shiau YC, Shen YY, Yen R.. Detection of recurrent or persistent nasopharyngeal carcinomas after radiotherapy with technetium-99m methoxyisobutylisonitrile single photon emission computed tomography and computed tomography: comparison with 18-fluoro-2-deoxyglucose positron emission tomography. Cancer 2002;94(7):1981-6. 12. Kao CH, Tsai Sc, Wang JJ, Ho YJ, Yen R., Ho ST. Comparing 18-fluoro-2-deoxyglucose positron emission tomography with a combination of technetium 99m tetrofosmin single photon emission computed tomography and computed tomography to detect recurrent or persistent nasopharyngeal carcinomas after radiotherapy. Cancer 2001;92(2):434-9. 13. Isles MG, McConkey C, Mehanna HM. A systematic review and meta-analysis of the role of positron emission tomography in the follow up of head and neck squamous cell carcinoma following radiotherapy or chemoradiotherapy. Clin Otolaryngol 2008;33(3):210-22. 14. Chen AY, Vilaseca I, Hudgins PA, Schuster D, Halkar R. PET-CT VS contrast-enhanced CT: what is the role for each after chemoradiation for advanced oropharyngeal cancer? Head Neck 2006;28 (6):487-95. 15. Andrade RS, Heron DE, Degirmenci B, .ilho PA, Branstetter B., Seethala RR, et al. Posttreatment assessment of response using .DG-PET/CT for patients treated with definitive radiation therapy for head and neck cancers. Int J Radiat Oncol Biol Phys 2006;65(5):1315-22.
  • 138.
    àǪÈÒʵÏ·¹Âؤ 2553 Ñ 111 16. Ong Sc, Sch?der H, Lee NY, Patel SG, Carlson D, .ury M, et al. Clinical utility of 18.-.DG PET/CT in assessing the neck after concurrent chemoradiotherapy for locoregional advanced head and neck cancer. JNM 2008;49 (4):532-40. 17. Kim SY, Lee SW, Nam SY, Im KC, Kim JS, Oh SJ, et al. The feasibility of 18.-.DG PET scans 1 month after completing radiotherapy of squamous cell carcinoma of the head and neck. J Nucl Med 2007;48 (3):373-8. 18. Yao M, Smith RB, Graham MM, Hoffman HT, Tan H, .unk G., et al. The role of .DG PET in management of neck metastasis from head-and-neck cancer after definitive radiation treatment. Int J Radiat Oncol Biol Phys 2005;63(4):991-9. 19. Liu SH, Chang JT, Ng SH, Chan SC, Yen TC. .alse positive fluorine-18-fluorodeoxy-D-glucose positron emission tomography finding caused by osteoradionecrosis in a nasopharyngeal carcinoma patient. Br J Radiol 2004;77(915):257-60. 20. Troost EG, Bussink J, Hoffmann AL, Boerman OC, Oyen WJ, Kaanders JH. 18.-.LT PET/CT for early response monitoring and dose escalation in oropharyngeal tumors. J Nucl Med 2010;51(6):866-74. 21. Ciemik I., Dizendorf E, Baumert BG, Reiner B, Burger C, Davis JB, et al. Radiation treatment planning with an integrated positron emission and computed tomography (PET/CT): a feasibility study. Int J Radiat Oncol Biol Phys 2003;57(3):853-63. 22. Chung MK, Jeong HS, Park SG, Jang JY, Son YI, Choi JY, et al. Metabolic tumor volume of (18.)- fluorodeoxyglucose positron emission tomography/computed tomography predicts short-term outcome to radiotherapy with or without chemotherapy in pharyngeal cancer. Clin Cancer Res. 2009; 15(18):5861-5868. 23. Kole AC, Nieweg OE, Prium J, Hoekstra HJ, Koops HS, Roodenburg JL, et al. Detection of unknown occult primary tumors using positron emission tomography. Cancer 1998;82(6):1160-6. 24. Graven KM, Keyes JW Jr, Williums DW 3rd, McGuirt W., Joyce WT 3rd. Occult primary tumors of the head and neck: lack of benefit from positron emission tomography imaging with 2- (.18)fluoro-2-deoxy-D-glucose. Cancer 1999;86(1):114-8. 25. Wartski M, Le Stanc E, Gontier E, Vilain D, Banal A, Tainturier C, e al. In search of an unknown primary tumor presenting with cervical metastases: performance of hybrid .DG-PET-CT. Nucl Med Commun 2007;28(5):365- 71 26. Miller .R, Karnad AB, Eng T, Hussey DH, Stan McGuff H, Otto RA. Management of the unknown primary carcinoma: lone-term follow-up on a negative PET scan and negative panendoscopy. Head Neck 2008;30(1); 28-34. 27. Rajendren JG, Hendrickson KR, Spence AM, Muzi M, Krohn KA, Mankoff DA. Hypoxia imaging-directed radiation treatment planning. Eur J Nucl Med Mol Imaging 2006;33 (Suppl 1):44-53. 28. Myerson RJ, Singh AK, Bigott HM, Cha B, Engelbach JA, Kim J, et al. Monitoring the effect of mild hyperthermia on tumour hypoxia by Cu-ATSM PET scanning. Int J Hyperthermia 2006;22(2):93-115. 29. Grosu AL, Piert M, Weber WA, Jeremic B, Picchio M, Schratzenstaller U, et al. Positron emission tomography for radiation treatment planning. Strahlenther Onkol 2005;181(8):483-99. 30. Bloom AD, Adler LP, Shuck JM. Determinatiom of malignancy of thyroid nodules with positron emission tomography. Surgery 1993;114(4):728-34. 31. Kim JM, Ryu JS, Kim TY, Kim WB, Kwon GY, Gong G, et al. 18.-fluorodeoxyglucose positron emission tomography does not predict malignancy in thyroid nodules cytologically diagnosed as follicular neoplasm. J Clin Endocrinol Metab 2007;92(5):1630-4.
  • 139.
    112 PET/CT for Cancer in Head and Neck Region : Thyroid and Nonthyroid Carcinoma 32. Singer PA, Cooper DS, Daniels GH, Ladenson PW, Greenspan .S, Levy EG, et al. Treatment guidelines for patients with thyroid nodules and well-differentiated thyroid cancer. American Thyroid Association. Arch Intern Med 1996;156(19):2165-72. 33. Wang W, Macapinlac H, Larson SM, Yeh SD, Akhurst T, .inn RD, et al. [18.]-2-fluoro-2-deoxy-D-glucose positron emission tomography localized residual thyroid cancer in patients with negative 131I whole body scans and elevated serum thyroglobulin levels. J Clin Endocrinol Metab 1999;84:2291-302. 34. Grunwald ., Schomburg A, Bender H, Klemm E, Menzel C, Bultmann T, et al. .luorine-18 fluorodeoxyglucose positron emission tomography in the follow-up of differentiated thyroid cancer. Eur J Nucl Med 1996;23:312-9. 35. Chung JK, So Y, Lee JS, Choi CW, Lim SM, Lee DS, et al. Value of .DG PET in papillary thyroid carcinoma with negative I-131 whole-body scan. J Nucl Med 1999;40(6):986-92. 36. Lind P, Kresnik E, Kumnig G, Gallowitsch HJ, Igerc I, Matschnig S, et al. 18.-.DG-PET in the follow-up of thyroid cancer. Acta Med Austrica 2003;30(1):17-21. 37. Wang W, Larson SM, .azzari M, Tickoo SK, Kolbert K, Sgouros G, et al. Prognostic value of (18.) fluorodeoxyglucose positron emission tomographic scanning in patients with thyroid cancer. J Clin Endocrinol Metab 2000;85(3):1107-13. 38. Phan HT, Jager PL, Plukker JT, Wolffenbuttel BH, Dierckx RA, Links TP. Detection of bone metastases in thyroid cancer patients: bone scintigraphy or 18.-.DG PET? Nucl Med Commun 2007;28(8):597-602. 39. Ito S, Kato K, Ikeda M, Iwano S, Makino N, Tadokoro M, et al. Comparison of 18.-.DG PET and bone scintigraphy in detection of bone metastases of thyroid cancer. J Nucl Med 2007;48(6):889-95. 40. Bombardieri E, Buscombe J, Lucignani G, Schober O, editors. Advances in Nuclear Oncology: Diagnosis and Therapy.1st ed. United kingdom: Informa UK Ltd; 2007. 41. Lin EC, Alavi A, editors. PET and PET/CT: A clinical guide.2nd ed. New York: Thieme Medical Publishers, Inc.; 2009.
  • 140.
    àǪÈÒʵÏ·¹Âؤ 2553 Ñ º··Õè 113 16 ¡ÒÃÃÑ¡ÉÒÁÐàÃç§ÈÕÃÉÐáÅÐÅíҤʹŒÇÂÃѧÊÕÃÑ¡ÉÒ ¼ÙŒª‹ÇÂÈÒʵÃÒ¨ÒÏ ᾷ˭ԧ¨Ñ¹¨ÔÃÒ à¾ªÃÊØ¢ÈÔÃÔ ÀÒ¤ÇÔªÒÃѧÊÕÇ·ÂÒ ¤³Ðá¾·ÂÈÒʵÏÈÃÃÒª¾ÂÒºÒÅ ÁËÒÇÔ·ÂÒÅÑÂÁËÔ´Å Ô ÔÔ ÁÐàÃç§ÈÕÃÉÐáÅÐÅíÒ¤Í໚¹ÁÐàÃç§·Õ¾ºº‹ÍÂâ´Â੾ÒÐã¹à¾ÈªÒ ¨Ò¡Ê¶Ôµ¢Í§Ê¶ÒºÑ¹ÁÐàÃç§ è Ô áË‹§ªÒµÔ¾ºÇ‹ÒÁÐàÃç§ÈÕÃÉÐáÅÐÅíÒ¤Í໚¹âäÁÐàÃç§·Õ¾ºº‹ÍÂ໚¹ÅíҴѺ·Õè 3 áÅл˜¨¨ÑÂàÊÕ§·ÕÊҤѭ è (1) è èí ¤×Í¡ÒÃÊÙººØËÃÕáÅд×ÁÊØÃÒ è è ÁÐàÃç§ÈÕÃÉÐáÅÐÅíҤ͹Ñé¹ÁÕ¤ÇÒÁᵡµ‹Ò§¡Ñ¹ã¹´ŒÒ¹ÊÃÕÃÇÔ·ÂÒ㹡Ò÷íÒ§Ò¹ (physiologic function) ¢Í§ÍÇÑÂÇÐᵋÅÐʋǹ 䴌ᡋ ª‹Í§»Ò¡ (oral cavity) ª‹Í§¤Í (oropharynx) ¡Å‹Í§àÊÕ§ (larynx) ¤ÍËÍ (hypopharynx) áÅÐâ¾Ã§ËÅѧ¨ÁÙ¡ (nasopharynx) ¡ÒÃÃÑ¡ÉÒÁÐàÃç§ÈÕÃÉÐáÅÐÅíҤ͹Ñé¹ ÁÕ¨´»ÃÐʧ¤·µÍ§¡ÒèÐà¾ÔÁ¤Ø³ÀÒ¾ªÕǵ¢Í§¼Ù»Ç¹͡à˹×ͨҡ¡ÒÃËÒ¢Ҵ¨Ò¡âäà¾×ÍäÁ‹ãËŒà¡Ô´ Ø Õè Œ è Ô Œ † è ¤ÇÒÁ¼Ô´ÃÙ»ËÃ×ÍäÁ‹ÊÒÁÒö㪌§Ò¹ä´ŒµÒÁ»¡µÔ «Ö§¡ÒÃÃÑ¡Éҹѹ¨Ð໚¹¡ÒÃÃÑ¡ÉÒËÇÁ¡Ñ¹·Ñ§¡Òü‹ÒµÑ´ è é é ¡ÒÃÃÑ¡ÉÒ´ŒÇÂÃѧÊÕáÅСÒÃãËŒÂÒà¤ÁպҺѴ ·Ñ§¹Õ¢¹ÍÂÙ¡ºµíÒá˹‹§¢Í§ÃÍÂâäáÅÐÃÐÂТͧâä í é é Öé ‹ Ñ â´Â·ÑèÇ仡ÒÃÃÑ¡ÉÒ´ŒÇÂÃѧÊÕ໚¹¡ÒÃÃÑ¡ÉÒà¾×èÍËÇѧ¼Å¤Çº¤ØÁâä੾ÒзÕè â´ÂÁÕº·ºÒ· ·Ñ§à»š¹¡ÒÃÃÑ¡ÉÒËÅÑ¡ (definitive treatment) áÅСÒÃÃÑ¡ÉÒËÇÁ¡Ñº¡Òü‹ÒµÑ´ (postoperative radiation é therapy) ÃѧÊÕÃÑ¡ÉÒÁÕº·ºÒ·à»š¹¡ÒÃÃÑ¡ÉÒËÅѡ㹼ٌ»†ÇÂÁÐàÃç§ÈÕÃÉÐáÅÐÅíҤͷÑé§ã¹ÃÐÂеŒ¹áÅÐ ÃÐÂÐÅØ¡ÅÒÁ੾ÒзÕè â´Â੾ÒÐÍ‹ҧÂÔ§ã¹µíÒá˹‹§·ÕçÊÕáÉÒÁÕâÍ¡ÒʨÐà¡çºÃÑ¡ÉÒÍÇÑÂÇÐàÍÒänj䴌 è èÑ Ñ àª‹¹ã¹¼Ù»ÇÂÁÐàÃ秡ŋͧàÊÕ§ ¡ÒÃÃÑ¡ÉÒ´ŒÇÂÃѧÊÕ㹡óշ¡Í¹ÁÐàÃç§ÁÕ¢¹Ò´ãË­‹áÅÐÍÒ¨ÁÕ¡ÒÃÅØ¡ÅÒÁ Œ † (2) Õè Œ ä»·ÕµÍÁ¹éÒàËÅ×ͧã¡ÅŒà¤Õ§¹Ñ¹ÁÑ¡¨Ð໚¹¡ÒÃÃÑ¡ÉÒËÇÁ¡Ñº¡ÒÃãËŒÂÒà¤ÁպҺѴ㹪‹Ç§ÃÐÂÐàÇÅÒ·Õ䴌ú è ‹ í é í è Ñ ¡ÒéÒÂÃѧÊÕ (concurrent chemoradiation) â´Â¾ºÇ‹Òä´Œ¼Å¡ÒÃÃÑ¡ÉÒ·Õ´¡Ç‹Ò¡ÒéÒÂÃѧÊÕà¾Õ§Í‹ҧè Õ à´ÕÂÇ (à¾ÔÁÍѵÃÒ¡ÒÃÁժǵÃÍ´·Õè 5 »‚ »ÃÐÁҳÌÍÂÅÐ 4.5)(3) ʋǹ¡ÒÃÃÑ¡ÉÒ´ŒÇÂÃѧÊÕµÒÁËÅѧ¡Òà è ÕÔ ¼‹ÒµÑ´ (postoperative radiation therapy)¹Ñ¹ ÍÒ¨¨ÐãËŒÃÇÁ¡ÑºÂÒà¤ÁպҺѴ㹡óշÁ¤ÇÒÁàÊÕ§ÊÙ§ é ‹ í Õè Õ è µ‹Í¡ÒÃà¡Ô´¡ÅѺ໚¹ãËÁ‹¢Í§âä ઋ¹ µÒÁËÅѧ¡Òü‹ÒµÑ´·ÕÁÕ positive/closed to margin ËÃ×Í¡ÒÃÁÕ è extracapsular extension ¢Í§ cervical lymph nodes (4-6) ã¹»˜¨¨Øº¹¹Í¡à˹×ͨҡ¡ÒÃÃÑ¡ÉÒ¼Ù»ÇÂÁÐàÃç§ÈÕÃÉÐ áÅÐÅíÒ¤ÍÂÒà¤ÁպҺѴáÅŒÇÂѧÁÕ¢ÍÁÙÅ·Ò§ Ñ Œ † í Œ ¡ÒÃᾷ·¾ºÇ‹Ò¡ÒÃãËŒÂÒã¹¡ÅØÁ targeted therapy ઋ¹ÂÒ anti EG.R (epidermal growth factor Õè ‹ receptor) ËÇÁ¡Ñº¡ÒéÒÂÃѧÊÕ¹¹ãËŒ¼Å¡ÒÃÃÑ¡ÉÒ·Õ´¡Ç‹Ò¡ÒéÒÂÃѧÊÕà¾Õ§Í‹ҧà´ÕÂÇ â´Âà¾ÔÁ¼Å¡Òà Ñé è Õ è ¤Çº¤ØÁâä੾ÒзÕáÅÐÍѵÃÒ¡ÒÃÁժǵÃÍ´¢Í§¼Ù»Ç·Õè 5 »‚ »ÃÐÁҳÌÍÂÅÐ 9 áÅÐÂѧÁÕ¡ÒÃÈÖ¡ÉÒ è ÕÔ Œ † (7) µ‹Íà¹×èͧ·Õ赌ͧ¡ÒþÔÊÙ¨¹¼Å¡ÒÃÃÑ¡ÉÒ´ŒÇ¡ÒéÒÂÃѧÊÕËÇÁ¡Ñº¡ÒÃãËŒÂÒà¤ÁÕºíҺѴáÅÐÂÒã¹¡ÅØ‹Á targeted therapy ·Ñ§ã¹¼Ù»Ç·ÕäÁ‹ÊÒÁÒö¼‹ÒµÑ´ä´ŒËÃ×Íã¹¼Ù»ÇÂËÅѧ¼‹ÒµÑ´ é Œ † è Œ †
  • 141.
    114 ¡ÒÃÃÑ¡ÉÒÁÐàÃç§ÈÕÃÉÐáÅÐÅíҤʹŒÇÂÃѧÊÕáÉÒ Ñ ¡ÒÃÃÑ¡ÉÒ´ŒÇ¡ÒéÒÂÃѧÊÕẺ»¡µÔ¹¹¨Ð©ÒÂÃѧÊÕǹÅÐ 1 ¤Ãѧµ‹Íà¹×ͧ¡Ñ¹·Ø¡Çѹ áÅÐÁժǧ Ñé Ñ é è ‹ àÇÅÒËÂØ´¾Ñ¡ã¹ÃÐËNjҧÊÑ»´Òˏ (conventional fractionation) â´Â㪌ÃÐÂÐàÇÅÒ㹡ÒÃÃÑ¡ÉÒÃÇÁ·Ñ§ËÁ´ é »ÃÐÁÒ³ 6-7 ÊÑ»´Òˏ ä´ŒÁÕ¡ÒÃÈÖ¡ÉÒ·Õè·íÒ¡ÒéÒÂÃѧÊÕÃÑ¡ÉÒ´ŒÇ¨íҹǹ¤ÃÑé§·Õèà¾ÔèÁ¢Öé¹ã¹Ë¹Öè§Çѹ (2-3 ¤Ãѧµ‹ÍÇѹ) (hyperfractionation radiation therapy) ËÃ×ÍÃǺÃÐÂÐàÇÅÒ¡ÒéÒÂÃѧÊÕãˌʹŧ໚¹ é Ñé 5 ÊÑ»´Òˏâ´Â©ÒÂÃѧÊÕµÍà¹×ͧ¡Ñ¹·Ø¡ÇѹäÁ‹ÁǹËÂØ´ (accelerated radiation therapy) àÁ×Íà»ÃÕºà·Õº ‹ è ÕÑ è ¡Ñº¡ÒéÒÂÃѧÊÕẺ»¡µÔ¹Ñé¹¾ºÇ‹Ò¡ÒéÒÂÃѧÊÕẺ alterfractionation (hyperfractionation ËÃ×Í accelerated fractionation) ¹Ñé¹ÍÒ¨¨ÐÁռŷíÒãËŒ¡ÒäǺ¤ØÁâä੾ÒзÕè´Õ¢Öé¹áÅйíÒä»ÊÙ‹ÍѵÃÒ ¡ÒÃÁÕªÕÇÔµÃÍ´·Õè 5 »‚à¾ÔèÁ¢Öé¹ÃŒÍÂÅÐ3.4(8) ᵋÍ‹ҧäáçµÒÁ¡ÒéÒÂÃѧÊÕËÅÒ¤ÃÑé§µ‹ÍÇѹ ËÃ×Í ¡ÒéÒÂÃѧÊÕáºÃÇÁÃÐÂÐãËŒÊÑé¹Å§¹Ñé¹ÍÒ¨·íÒãËŒà¡Ô´¼Å¢ŒÒ§à¤Õ§ÃÐÂÐà©Õº¾Åѹ·ÕèÁÒ¡¢Öé¹ä´ŒáÅÐ ÍÒ¨¨ÐäÁ‹Êдǡµ‹Í¼Ù»ÇÂáÅлÃÔÁÒ³§Ò¹¢Í§âç¾ÂÒºÒÅ ·íÒãËŒ¡ÒéÒÂÃѧÊÕẺËÅÒ¤Ãѧµ‹ÍÇѹÍÒ¨ Œ † é ¨ÐäÁ‹à»š¹·Õ¹ÂÁ㹡ÒÃÃÑ¡ÉÒ·ÑÇä» è Ô è ¡ÒÃÇÒ§á¼¹´ŒÇÂÃѧÊÕáÉÒã¹¼Ù»ÇÂÁÐàÃç§ÈÕÃÉÐáÅÐÅíҤ͹ѹ䴌Á¡ÒþѲ¹Ò¨Ò¡¡ÒéÒÂÃѧÊÕ Ñ Œ † é Õ áººÊͧÁÔµÔ ÁÒ໚¹¡ÒéÒÂÃѧÊÕÊÒÁÁÔµÔ (three dimensional conformal radiation therapy: 3DCRT) áÅÐÃѧÊÕÊÒÁÁÔµá»Ã¤ÇÒÁࢌÁ (intensity modulated radiation therapy: IMRT) â´ÂÍÒÈÑÂËÅÑ¡¡ÒÃ Ô ¢Í§¡ÒÃࢌÒáÅлÃѺÅíÒáʧ¨Ò¡ËÅÒ·ÔÈ·Ò§à¾×ÍãËŒÅÒáʧ¹Ñ¹à»š¹ä»µÒÁÃٻËҧ¢Í§¡ŒÍ¹ÁÐàÃ秷յͧ è í é è Œ ¡ÒÃÃÑ¡ÉÒ â´ÂËÇѧ·Õ¨Ðà¾ÔÁ»ÃÔÁÒ³áʧãˌʧáÅФÃͺ¤ÅØÁÁÒ¡¢Ö¹áÅÐÅ´»ÃÔÁÒ³áʧä»ÂѧÍÇÑÂÇÐ è è Ù é ÊíҤѭã¡ÅŒà¤Õ§ ઋ¹ àÊŒ¹»ÃÐÊÒ·µÒ ä¢ÊѹËÅѧ áÅСŒÒ¹ÊÁͧ ¹Í¡¨Ò¡¹Õ§ÊÒÁÒöŴ¼Å¢ŒÒ§à¤Õ§ é Ñ ·ÕÍÒ¨¨Ðà¡Ô´¢Ö¹¡Ñºµ‹ÍÁ¹éÒÅÒ ·íÒãˌŴÀÒÇйéÒÅÒÂáËŒ§ (xerostomia) ÀÒÂËÅѧ¡ÒéÒÂÃѧÊÕä´Œ (9) è é í í (ÃÙ»·Õè 1) ¡ÒáíÒ˹´µíÒá˹‹§ÃÍÂâäÁÕ¤ÇÒÁÊíҤѭÁҡ㹡ÒÃÇÒ§á¼¹¡ÒÃÃÑ¡ÉÒ´ŒÇÂÃѧÊÕ â´Â¨ÐÍÒÈÑ ¨Ò¡¡ÒõÃǨËҧ¡ÒÂáÅÐÀÒ¾·Ò§ÃѧÊÕÇÔ¹Ô¨©Ñ ઋ¹ ÀÒ¾à͍¡«àϤÍÁ¾ÔÇàµÍÏ (CT scan) ËÃ×Í ÀÒ¾àÍç¡«àϤÅ×¹áÁ‹àËÅç¡ (MRI) áÅÐã¹»˜¨¨Øº¹ä´ŒÁ¤ÇÒÁ¾ÂÒÂÒÁ·Õ¨Ð¹íÒÀÒ¾ PET / CT scan ·ÕãËŒ è Ñ Õ è è ¢ŒÍÁÙŷѧ´ŒÒ¹¡ÒÂÇÔÀÒ¤ (anatomy) áÅзҧ´ŒÒ¹ªÕÇÇÔ·ÂҢͧµÑÇ¡ŒÍ¹ÁÐàÃç§ (biologic information) é ÁÒ㪌㹡ÒÃÇÒ§á¼¹·Ò§ÃѧÊÕáÉÒ «Ö§ÍÒ¨¨Ð·íÒãËŒ¡ÒáíÒ˹´¢Íºà¢µ¢Í§¡ŒÍ¹ÁÐàÃç§ã¹¡ÒÃÇÒ§á¼¹ Ñ è ¡ÒÃÃÑ¡ÉÒ´ŒÇÂÃѧÊÕÁÕ¤ÇÒÁᵡµ‹Ò§¡Ñ¹àÁ×èÍà»ÃÕºà·Õº¡Ñº¡ÒáíÒ˹´µíÒá˹‹§·Õè¨ÐÃÑ¡ÉÒ¨Ò¡ÀÒ¾ à͍¡«àϤÍÁ¾ÔÇàµÍÏ (10) ¹Í¡¨Ò¡¡ÒÃÇÒ§á¼¹¡ÒÃÃÑ¡ÉÒ·ÕÁ¤ÇÒÁ«Ñº«ŒÍ¹ã¹¡ÒÃÃÑ¡ÉÒ´ŒÇÂÃѧÊÕÊÒÁÁÔµÔ (3 DCRT) áÅÐ è Õ ÃѧÊÕÊÒÁÁÔµá»Ã¤ÇÒÁࢌÁ (IMRT) ¹Ñ¹ ÀÒ¾·Ò§ÃѧÊÕǹ¨©ÑÂÂѧÁÕº·ºÒ··Õ¨Ðª‹ÇÂ㹡ÒÃÂ×¹ÂѹµíÒá˹‹§ Ô é Ô Ô è ¢Í§¡ŒÍ¹ÁÐàÃç§ã¹¢³Ð·Õ¡ÒÅѧ©ÒÂÃѧÊÕ à¾×ÍãËŒ¡ÒéÒÂÃѧÊÕ¹¹ÁÕ¤ÇÒÁáÁ‹¹ÂíÒ໚¹ä»µÒÁ·Õä´ŒÇÒ§á¼¹ è í è Ñé è äÇŒ «Ö§àÃÕ¡NjҡÒéÒÂÃѧÊÕâ´ÂÍÒÈÑÂÀÒ¾¹íÒÇÔ¶Õ (imaged guided radiation therapy: IGRT) â´Â໚¹ è ¡ÒÃÊÌҧÀÒ¾à͍¡«àϢͧ¼Ù»Çº¹àµÕ§©ÒÂÃѧÊÕã¹µíÒá˹‹§à´ÕÂǡѺ·ÕÇÒ§á¼¹à¾×Í»ÃѺ¡ÒéÒÂÃѧÊÕ Œ † è è ãˌ໚¹ä»µÒÁá¼¹·ÕÇÒ§äÇŒ è â´ÂÊÃØ»¡ÒÃÃÑ¡ÉÒ´ŒÇÂÃѧÊÕ໚¹¡ÒÃÃÑ¡ÉÒËÅѡ㹼ٌ»†ÇÂÁÐàÃç§ÈÕÃÉÐáÅÐÅíÒ¤Í â´Â໚¹¡Òà ÃÑ¡ÉÒ·Õ㪌ÃÇÁ¡Ñº¡Òü‹ÒµÑ´áÅÐ/ËÃ×Í¡ÒÃãËŒÂÒà¤ÁպҺѴ ã¹»˜¨¨Øº¹ä´ŒÁ¡ÒþѲ¹ÒÇÔ¸¡ÒéÒÂÃѧÊÕãËŒ è ‹ í Ñ Õ Õ
  • 142.
    àǪÈÒʵÏ·¹Âؤ 2553 Ñ 115 ¤Ãͺ¤ÅØÁ¡ŒÍ¹ÁÐàÃç§ Å´¼Å¢ŒÒ§à¤Õ§µ‹ÍÍÇÑÂÇзÕÊҤѭã¡ÅŒà¤Õ§ áÅÐÁÕ¤ÇÒÁáÁ‹¹ÂíÒÁÒ¡¢Ö¹ à¾×ÍËÇѧ èí é è ¼Å㹡ÒäǺ¤ØÁâäáÅÐÅ´¼Å¢ŒÒ§à¤Õ§·Õà¡Ô´¨Ò¡¡ÒÃÃÑ¡ÉÒ è ÃÙ»·Õè 1 ¡ÒÃÇÒ§á¼¹¡ÒÃÃÑ¡ÉÒ¼ÙŒ»†ÇÂÁÐàÃç§â¾Ã§ËÅѧ¨ÁÙ¡ (nasopharyngeal carcinoma) ´ŒÇÂÃѧÊÕÊÒÁÁÔµÔá»Ã¤ÇÒÁࢌÁ (IMRT) «Öè§áÊ´§ãËŒàËç¹Ç‹ÒÊÒÁÒöŴ»ÃÔÁÒ³ÃѧÊÕ ä»·ÕèÍÇÑÂÇÐÊíҤѭઋ¹ ¡ŒÒ¹ÊÁͧ áÅÐÃÇÁä»¶Ö§¡ÒÃÅ´»ÃÔÁÒ³ÃѧÊÕä»·Õ赋ÍÁ¹éíÒÅÒ ¡Å‹Í§àÊÕ§ áÅЪ‹Í§»Ò¡´ŒÇ àÍ¡ÊÒÃ͌ҧÍÔ§ 1. Attasara P. Cancer registry 2008. National Cancer Institute. 2009:1-18. 2. .orastiere AA, Goepfert H, Maor M, Pajak T., Weber R, Morrison W, et al. Concurrent chemotherapy and radiotherapy for organ preservation in advanced laryngeal cancer. N Engl J Med. 2003;349(22): 2091-8. 3. Pignon JP, le Maitre A, Bourhis J. Meta-analyses of chemotherapy in head and neck cancer (MACH-NC): an update. Int J Radiat Oncol Biol Phys. 2007;69(2 Suppl):S112-4. 4. Cooper JS, Pajak T., .orastiere AA, Jacobs J, Campbell BH, Saxman SB, et al. Postoperative concurrent radiotherapy and chemotherapy for high-risk squamous-cell carcinoma of the head and neck. N Engl J Med. 2004;350(19):1937-44. 5. Bernier J, Domenge C, Ozsahin M, Matuszewska K, Lefebvre JL, Greiner RH, et al. Postoperative irradiation with or without concomitant chemotherapy for locally advanced head and neck cancer. N Engl J Med. 2004;350(19):1945-52. 6. Bernier J, Cooper JS, Pajak T., van Glabbeke M, Bourhis J, .orastiere A, et al. Defining risk levels in locally advanced head and neck cancers: a comparative analysis of concurrent postoperative radiation plus chemotherapy trials of the EORTC (#22931) and RTOG (# 9501). Head Neck. 2005 Oct;27(10):843-50.
  • 143.
    116 ¡ÒÃÃÑ¡ÉÒÁÐàÃç§ÈÕÃÉÐáÅÐÅíҤʹŒÇÂÃѧÊÕáÉÒ Ñ 7. Bonner JA, Harari PM, Giralt J, Cohen RB, Jones CU, Sur RK, et al. Radiotherapy plus cetuximab for locoregionally advanced head and neck cancer: 5-year survival data from a phase 3 randomised trial, and relation between cetuximab-induced rash and survival. Lancet Oncol. 2010;11(1):21-8. 8. Bourhis J, Overgaard J, Audry H, Ang KK, Saunders M, Bernier J, et al. Hyperfractionated or accelerated radiotherapy in head and neck cancer: a meta-analysis. Lancet. 2006;368(9538):843-54. 9. Pow EH, Kwong DL, McMillan AS, Wong MC, Sham JS, Leung LH, et al. Xerostomia and quality of life after intensity-modulated radiotherapy vs. conventional radiotherapy for early-stage nasopharyngeal carcinoma: initial report on a randomized controlled clinical trial. Int J Radiat Oncol Biol Phys. 2006;66(4):981-91. 10. Guido A, .uccio L, Rombi B, Castellucci P, Cecconi A, Bunkheila ., et al. Combined 18.-.DG-PET/CT imaging in radiotherapy target delineation for head-and-neck cancer. Int J Radiat Oncol Biol Phys. 2009;73(3): 759-63.
  • 144.
    àǪÈÒʵÏ·¹Âؤ 2553 Ñ º··Õè 117 17 ÀÒ¾¹íÒÇÔ¶Õ ÃѧÊÕÃÑ¡ÉÒ¡ŒÒÇä¡Å ¼ÙŒª‹ÇÂÈÒʵÃÒ¨ÒÏ ᾷ˭ԧ¹Ñ¹·¡Ò¹µ àÍÕèÂÁǹҹ¹·ªÑ ¹Ò§ÊÒǤíÒÁØ¡ ¤ÃÍ§ÂØ·¸ ¹ÒÂÊѨ¨Ò ã¨à¤Ã‹§ ÀÒ¤ÇÔªÒÃѧÊÕÇ·ÂÒ ¤³Ðá¾·ÂÈÒʵÏÈÃÃÒª¾ÂÒºÒÅ ÁËÒÇÔ·ÂÒÅÑÂÁËÔ´Å Ô ÔÔ ã¹»˜¨¨Øº¹¡ÒéÒÂÃѧÊÕáÉÒâäÁÕ¤ÇÒÁ¡ŒÒÇ˹ŒÒáÅоѲ¹Ò ¨Ò¡¡ÒéÒÂÃѧÊÕ·¡Ò˹´¢Íºà¢µ Ñ Ñ Õè í â´Â㪌ÀÒ¾àÍ¡«àÏ·Çä» (conventional radiotherapy) ÁÒ㪌໚¹ÃѧÊÕÊÒÁÁÔµ·ãªŒÀÒ¾àÍ¡«àÏ Ñè Ô Õè ¤ÍÁ¾ÔÇàµÍÏÁÒª‹ÇÂ㹡ÒÃÇÒ§á¼¹¡ÒÃÃÑ¡É Ò (three dimensional conformal radiotherapy, 3D-CRT) áÅе‹ÍÁÒä´ŒÁ¡ÒþѲ¹Ò»ÃÐÂØ¡µ¹Ò¤ÇÒÁ¡ŒÒÇ˹ŒÒ¢Í§¡ÒõÃǨÇÔ¹¨©Ñ´ŒÇÂÀÒ¾àÍ¡«àÏ ÁÒ㪌ÃÇÁ Õ í Ô ‹ ໚¹ÁÔµ·Êà¾×Í·íÒãËŒ¡ÒéÒÂÃѧÊÕä»ÂѧµíÒá˹‹§·ÕµÍ§¡ÒÃÁÕ¤ÇÒÁáÁ‹¹ÂíÒáÅÐà·Õ§µÃ§ÁÒ¡¢Ö¹àÃÕÂ¡Ç‹Ò Ô Õè Õè è è Œ è é ÃѧÊÕÊÁµÔ ËÃ×ÍÃѧÊÕÀÒ¾¹íÒÇÔ¶Õ (image-guided radiotherapy, IGRT) Õè Ô ¹ÔÂÒÁ¢Í§ÃѧÊÕÀÒ¾¹íÒÇÔ¶Õ ã¹Ë¹Ñ§Ê×Í͌ҧÍÔ§áÅÐàÍ¡ÊÒõ‹Ò§æ ¡íÒ˹´¹ÔÂÒÁ¢Í§ÃѧÊÕÀÒ¾¹íÒÇÔ¶Õänjᵡµ‹Ò§¡Ñ¹ÍÂÙ‹ºŒÒ§ ᵋâ´Â·ÑèÇä»ÃѧÊÕÀÒ¾¹íÒÇÔ¶ÕÁÑ¡ËÁÒ¤ÇÒÁ¶Ö§¡ÒùíÒÀÒ¾àÍ¡«àϪ¹Ô´µ‹Ò§æÁÒ㪌㹡Ãкǹ¡Òà ©ÒÂÃѧÊÕ ä´Œá¡‹ ÀÒ¾àÍ¡«àÏ¿ÅÙÍÍâÃÊ⤻ ÀÒ¾àÍ¡«àϤÍÁ¾ÔÇàµÍϷ㪌㹡ÒáíÒ˹´¢Íºà¢µ Õè ¡ÒéÒÂÃѧÊÕ ÀÒ¾àÍ¡«àϺ¹à¤Ã×ͧ©ÒÂÃѧÊշ㪌㹡ÒõÃǨÊͺµíÒá˹‹§¡ÒéÒÂÃѧÊÕ ¹Í¡¨Ò¡¹Õé è Õè ÂѧÃÇÁ¤ÇÒÁ¶Ö§¡ÒùíÒ¤ÇÒÁ¡ŒÒÇ˹ŒÒ¢Í§¡ÒõÃǨÀÒ¾ÇÔ¹¨©ÑÂÂØ¤ãËÁ‹à¢ŒÒÁÒËÇÁà¾×ÍãËŒ¡ÒéÒÂÃѧÊÕ Ô è ÂØ¤ãËÁ‹ÁÕ¤ÇÒÁáÁ‹¹ÂíÒà·Õ觵ç¢Öé¹ ä´Œá¡‹ ¡ÒùíÒÀÒ¾ functional imaging ઋ¹ PET-CT, MR spectroscopy ࢌÒÁÒª‹ÇÂ㹡ÒáíÒ˹´µíÒá˹‹§¡ŒÍ¹à¹×ͧ͡ËÃ×Í໇ÒËÁÒ·յͧ¡ÒéÒÂÃѧÊÕ áÅÐ é è Œ ¡ÒÃ㪌ÀÒ¾ gating CT ÁÒ㪌㹡Òê‹ÇÂ㹡óբͧÍÇÑÂÇзÕÁ¡ÒÃà¤Å×͹äËÇã¹ÃÐËNjҧ¡ÒéÒÂÃѧÊÕ è Õ è ¨Ò¡¡ÒÃËÒÂ㨠ËÃ×Í¡ÒÃà¤Å×͹äËÇÍ×¹æ ¹Í¡¨Ò¡¹Õ§ÁÕà·¤â¹âÅÂÕ¡ÒÃ㪌ÀÒ¾àÍ¡«àÏ ËÃ×ÍàÍ¡«àÏ è è é Ñ ¤ÍÁ¾ÔÇàµÍÏ·µ´ÍÂÙã¹ËŒÍ§©ÒÂÃѧÊÕ (on board Imager/ in room imager) ÁÒª‹ÇÂ㹡ÒûÃѺµíÒá˹‹§ Õè Ô ‹ ¡ÒéÒÂÃѧÊÕ áÅЪ‹ÇÂ㹡ÒõԴµÒÁ㹡óշÕ袹Ҵ¡ŒÍ¹à¹×éͧ͡ÁÕ¡ÒÃà»ÅÕè¹á»Å§ã¹ÃÐËNjҧª‹Ç§ ¡ÒéÒÂÃѧÊÕ
  • 145.
    118 ÀÒ¾¹íÒÇÔ¶Õ ÃѧÊÕáÉÒ¡ŒÒÇä¡Å Ñ »ÃÐ⪹¢Í§ÃѧÊÕÀÒ¾¹íÒÇÔ¶Õ ¡ÒÃ㪌ÀÒ¾¹íÒÇÔ¶ÁÒª‹ÇÂ㹡ÒéÒÂÃѧÊÕ ÁÕ»ÃÐ⪹ªÇÂ㹡ÒÃÃÑ¡ÉÒ´ŒÇÂÃѧÊÕáÉÒ ´Ñ§¹Õé Õ ‹ Ñ ! ·íÒãËŒàÃÒÊÒÁÒö¡íÒ˹´µíÒá˹‹§¡ŒÍ¹à¹×ͧ͡䴌áÁ‹¹ÂíÒ¢Ö¹ â´Â¨Ò¡à´ÔÁ¡ÒáíÒ˹´ é é µíÒá˹‹§à»‡ÒËÁÒÂ㹡ÒÃÃÑ¡ÉÒÍÒÈѨҡ bony áÅÐ surface anatomy landmark µ‹ÍÁÒÁÕ¡ÒÃ㪌ÀÒ¾ àÍ¡«àϤÍÁ¾ÔÇàµÍÏ (CT scan)ÁÒ㪌㹡ÒôٵÒá˹‹§ áÅÐÃÐÂе‹ÍÁÒã¹Âؤ¢Í§ÃѧÊÕÊÁµÔ ËÃ×ÍÃѧÊÕ í Õè Ô ÀÒ¾¹í Ò ÇÔ ¶Õ IGRT ÁÕ ¡ Òùí Ò â»Ãá¡ÃÁ¤ÍÁ¾Ô Ç àµÍÏ ·Õè Ê ÒÁÒöª‹ Ç Â㹡Òùí Ò ÀÒ¾ MRI, MR spectroscopy, PET-CT ÁÒ»ÃÐÁÇÅࢌҡѺÀÒ¾ CT scan ·íÒãËŒàÃÒÊÒÁÒö¡íÒ˹´·ÃÒºµíÒá˹‹§ ¢Í§¡ŒÍ¹à¹×ͧ͡áÅСÒáÃШÒ¢ͧà¹×ͧ͡·ÕáÁ‹¹ÂíÒÁÒ¡¢Ö¹ (ÀÒ¾·Õè 1) é é è é ! 㹡óշÁ¡ÒÃà¤Å×͹äËǢͧÍÇÑÂÇе‹Ò§æ ¡ÒÃ㪌çÊÕÀÒ¾¹íÒÇÔ¶ª¹Ô´ 4D-CT ËÃ×Í Õè Õ è Ñ Õ gating CT ¨Ð·íÒãËŒàÃÒÊÒÁÒö·ÃÒº·ÔÈ·Ò§¡ÒÃà¤Å×͹äËÇ áÅÐÊÒÁÒö¡íÒ˹´¢Íºà¢µ¡ÒÃ è ©ÒÂÃѧÊÕä´Œ¶¡µŒÍ§µÒÁµíÒá˹‹§ÁÒ¡¢Ö¹ â´Â·ÑÇä»ã¹¡ÒÃ㪌çÊÕáÉÒÁÐàÃ移ʹ ËÃ×ÍÁÐàÃ秵Ѻ Ù é è Ñ Ñ «Ö§ÁÕ¡ÒÃà¤Å×͹äËǵÒÁ¡ÒÃËÒÂ㨠ᾷçÊÕáÉÒ·Õ·Ò¡ÒÃÃÑ¡ÉҼٻǨеŒÍ§ÁÕ¡ÒÃà¼×͢ͺࢵ·Õ¨Ð è è Ñ Ñ è í Œ † è è ©ÒÂÃѧÊÕà¾×èÍãËŒ¤Ãͺ¤ÅØÁµíÒá˹‹§à¹×éͧ͡ «Öè§¡ÒÃ㪌 4D-CT ¨Ð·íÒãËŒàÃÒ·ÃÒº·Ôȷҧ㹡Òà à¤Å×͹äËÇ·Õṋ¹Í¹ ·íÒãËŒàÃÒÊÒÁÒö¡íÒ˹´¢Íºà¢µã¹¡ÒéÒÂÃѧÊÕµÒÁ¡ÒÃà¤Å×͹äËǢͧ¡ŒÍ¹à¹×Í è è è é §Í¡ä´ŒÍ‹ҧ¶Ù¡µŒÍ§ (ÀÒ¾·Õè 2) ! ¡ÒÃ㪌 gating system ¢Í§ÃкºÃѧÊÕÀÒ¾¹íÒÇÔ¶Õ ·íÒãËŒàÃÒÊÒÁÒö·Õè¨Ðàª×èÍÁâ§ ¨Ñ§ËÇСÒÃËÒÂ㨡Ѻª‹Ç§àÇÅÒ·Õ§áʧÃѧÊÕáÉÒä´Œ ઋ¹ã¹ÁÐàÃ移ʹ ËÃ×Í ÁÐàÃ秵Ѻ á·¹·ÕàÃÒ è Ô Ñ è ¨ÐµŒÍ§·íÒ¡ÒéÒÂÃѧÊÕ໚¹ºÃÔàdz¡ÇŒÒ§à¾×ÍãËŒ¤Ãͺ¤ÅØÁ¡ÒÃà¤Å×͹äËǢͧ¡ŒÍ¹ÁÐàÃç§ àÃÒÊÒÁÒö¨Ð㪌 è è gating system ¡íÒ˹´ª‹Ç§ÃÐÂÐ㹡ÒÃແ´ÅíÒÃѧÊÕä»Âѧ¨Ñ§ËÇзÕà¹×ͧ͡ࢌÒÁÒÍÂÙã¹µíÒá˹‹§·Õ੾ÒÐ è é ‹ è à¨ÒШ§ ·íÒãËŒàÃÒäÁ‹¨Ò໚¹µŒÍ§©ÒÂÃѧÊÕ໚¹ºÃÔàdz¡ÇŒÒ§ÁÒ¡à¡Ô¹ä» «Ö§ÍÒ¨¡‹ÍãËŒà¡Ô´ÍѹµÃÒµ‹Íà¹×Í í è é àÂ×Í»¡µÔ ઋ¹ »Í´ ËÃ×Í µÑº ä´ŒÁÒ¡ (ÀÒ¾·Õè 3) è
  • 146.
  • 147.
    120 ÀÒ¾¹íÒÇÔ¶Õ ÃѧÊÕáÉÒ¡ŒÒÇä¡Å Ñ ! ¡ÒÃ㪌 on board imager/ in room imager «Öè§à»š¹à¤Ã×èͧàÍ¡«àÏ·ÕèµÔ´ÍÂÙ‹º¹ à¤Ã×èͧ©ÒÂÃѧÊÕ ËÃ×ÍÍÂÙ‹ã¹ËŒÍ§©ÒÂÃѧÊÕ ¨Ðª‹ÇµÃǨÊͺµíÒá˹‹§ã¹¡ÒéÒÂÃѧÊÕ ·íÒãËŒàÃÒ ÊÒÁÒö©ÒÂÃѧÊÕä»Âѧ໇ÒËÁÒÂä´Œ¶Ù¡µŒÍ§áÁ‹¹ÂíÒ ã¹Âؤ¢Í§ÃѧÊÕÀÒ¾¹íÒÇÔ¶Õ ¹Í¡¨Ò¡ÁÕà¤Ã×ͧ è àÍ¡«àÏ port film ËÃ×Í electronic portal imaging device (EPID) ·Õ㪌㹡ÒéÒÂÀÒ¾àÍ¡«àÏ MV è image ºÃÔàdz·Õ·Ò¡ÒéÒÂÃѧÊÕà¾×͵ÃǨÊͺµíÒá˹‹§ bony anatomy landmark à¾×͵ÃǨÊͺ¡Òà è í è è ¨Ñ´·‹Ò㹡ÒéÒÂÃѧÊÕáÅŒÇ ã¹ËŒÍ§©ÒÂÃѧÊշ໚¹ IGRT ÂѧÁÕ¡ÒõԴµÑ§ÍØ»¡Ã³ fluoroscope ã¹ËŒÍ§ Õè é ©ÒÂÃѧÊÕ໚¹ in room imager (ÀÒ¾·Õè 4) ËÃ×Í on board imager (OBI) ·ÕÊÒÁÒö·íÒÀÒ¾àÍ¡«àÏ KV è image ·ÕÊÒÁÒöãËŒÀÒ¾àÍ¡«àÏ·ª´à¨¹¡Ç‹ÒẺ MV image (ÀÒ¾·Õè 5) áÅÐ cone beam CT (CBCT) è Õè Ñ ·Õ໚¹à¤Ã×ͧÁ×ÍàÍ¡«àϤÍÁ¾ÔÇàµÍϵ´ÍÂÙ¡ºà¤Ã×ͧ©ÒÂÃѧÊÕ ·íÒãËŒàÃÒÊÒÁÒöµÃǨÊͺä»ÂѧµíÒá˹‹§ è è Ô ‹ Ñ è ÍÇÑÂÇÐÀÒÂã¹ àËç¹à»‡ÒËÁÒ¡ŒÍ¹à¹×ͧ͡ ËÃ×ͺÃÔàdz·ÕµÍ§¡ÒéÒÂÃѧÊÕ䴌͋ҧªÑ´à¨¹ ËÃ×Í «Ö§ÁÕ é è Œ è »ÃÐ⪹Í‹ҧÁÒ¡â´Â੾ÒÐ㹡ÒéÒÂÃѧÊÕä»ÂѧµíÒá˹‹§·Õ໇ÒËÁÒÂ㹡ÒéÒÂÃѧÊÕäÁ‹ä´ŒÂ´µÔ´ ËÃ×Í è Ö à»š¹ä»µÒÁµíÒá˹‹§¢Í§ bony anatomy landmark µÅÍ´àÇÅÒ (ÀÒ¾·Õè 6)
  • 148.
  • 149.
    122 ÀÒ¾¹íÒÇÔ¶Õ ÃѧÊÕáÉÒ¡ŒÒÇä¡Å Ñ ! ÃѧÊÕÀÒ¾¹íÒÇÔ¶ªÇÂ㹡ÒõÃǨÊͺµíÒá˹‹§¡ÒéÒÂÃѧÊÕ·áÁ‹¹ÂíÒ àÁ×Íà¡Ô´¤ÇÒÁ Õ ‹ Õè è Áѹã¨ã¹¡ÒéÒÂÃѧÊÕ仵çµÒÁµíÒá˹‹§·ÕÇÒ§á¼¹äÇŒ ·íÒãËŒÊÒÁÒöŴ¢Íºà¢µ¡ÒéÒÂÃѧÊÕ è è ŧ䴌 ¡ÒáíÒ˹´¢Íºà¢µã¹¡ÒéÒÂÃѧÊÕâ´Â·ÑÇ仵ŒÍ§ÁÕ¡ÒÃà¾ÔÁ¢Íºà¢µ·ÕàÃÕÂ¡Ç‹Ò planning target è è è volume (PTV) margin à¾×Íᡌ»­ËÒ¡ÒÃà¤Å×͹µíÒá˹‹§¢Í§à¹×ͧ͡ã¹Ã‹Ò§¡Ò ¨Ò¡¡ÒÃËÒÂ㨠ËÃ×Í è ˜ è é ¡ÒÃà»ÅÕ¹µíÒá˹‹§ ¢Í§¡ÃÐà¾ÒÐÍÒËÒà ÅíÒäÊŒ ¡ÃÐà¾Òл˜ÊÊÒÇÐ áÅÐ ·´á·¹ã¹¡Ã³Õ·¡ÒèѴ·‹Ò è Õè 㹡ÒÃÃÑ¡ÉÒᵋÅÐÇѹÁÕ¤ÇÒÁ¤ÅÒ´à¤Å×͹ ·ÕàÃÕÂ¡Ç‹Ò set up error ·Õà¡Ô´¢Ö¹ã¹áµ‹ÅÐÇѹ «Ö§¢Íºà¢µ·Õè è è è é è à¾ÔÁ¢Ö¹àËŋҹբ¹¡ÑºµíÒá˹‹§ ¡ÒÃà¤Å×͹·ÕáÅÐ âÍ¡ÒÊ㹡ÒÃà¡Ô´¡ÒäÅÒ´à¤Å×͹㹡ÒéÒÂÃѧÊÕ â´Â è é é Öé è è è ·ÑÇ仺ÃÔàdz·ÕÁ¡ÒÃà¤Å×͹äËǹŒÍ ઋ¹ ÊÁͧ ¢Íºà¢µ·Õà¾ÔÁ¢Ö¹à¾Õ§ 0.5 ÁÔÅÅÔàÁµÃã¹·Ø¡´ŒÒ¹¡çà¾Õ§ è è Õ è è è é ¾Í·Õ¨Ð»‡Í§¡Ñ¹¡ÒäÅÒ´à¤Å×͹ ᵋ㹵íÒá˹‹§·ÕÁ¡ÒäÅÒ´à¤Å×͹ÁÒ¡ ઋ¹ µ‹ÍÁÅÙ¡ËÁÒ¡·ÕÁ¡Òà è è è Õ è è Õ à»ÅÕ¹µíÒá˹‹§µÒÁ¨íҹǹ¹éÒ㹡ÃÐà¾Òл˜ÊÊÒÇÐ áÅлÃÔÁÒ³ÅÁã¹àäµÑÁ ¢Íºà¢µ·ÕµÍ§ãªŒÍÒ¨ è í è Œ ÁÒ¡¶Ö§ 1.5 ૹµÔàÁµÃ â´Â੾ÒÐã¹á¹Ç˹ŒÒ-ËÅѧ «Ö§¡ÒÃà¾ÔÁ¢Íºà¢µã¹¡ÒéÒÂÃѧÊÕà¾×ͪ´àªÂã¹ è è è ʋǹ¹Õé ÁռŷíÒãËŒàÃÒµŒÍ§©ÒÂÃѧÊÕâ´Â¡ÃÐà¾Òл˜ÊÊÒÇÐáÅÐàäµÑÁà¾ÔÁ¢Ö¹´ŒÇ ´Ñ§¹Ñ¹ã¹Âؤ¢Í§ÃѧÊÕ è é é ÀÒ¾¹íÒÇÔ¶·àÃÒÊÒÁÒöµÃǨÊͺàËç¹µíÒá˹‹§µ‹ÍÁÅÙ¡ËÁÒ¡·Ø¡Çѹ ¤ÇÒÁ¨íÒ໚¹ã¹¡ÒÃà¾ÔÁ¢Íºà¢µ Õ Õè è ¡ÒéÒÂÃѧÊÕ¨§Å´Å§ ÍÇÑÂÇзÕÍÂÙã¡ÅŒà¤Õ§¨Ö§ä´ŒÃº»ÃÔÁÒ³ÃѧÊÕŴŧ´ŒÇÂ Ö è ‹ Ñ ¡ÒùíÒÃѧÊÕÀÒ¾¹íÒÇÔ¶ÕÁÒ㪌ã¹â䵋ҧæ !¡ÒéÒÂÃѧÊÕºÃÔàdzÈÕÃÉÐáÅÐÅíÒ¤Í ¡ÒÃ㪌ÃѧÊÕÀÒ¾¹íÒÇÔ¶Õ㹺ÃÔàdzÈÕÃÉÐáÅÐÅíÒ¤ÍÁÕ »ÃÐ⪹ËÅÑ¡æ ¤×Í
  • 150.
    àǪÈÒʵÏ·¹Âؤ 2553 Ñ 123 1. 㹡óշÕèµíÒá˹‹§·Õ赌ͧ¡ÒéÒÂÃѧÊÕÍÂÙ‹ã¡ÅŒÍÇÑÂÇÐÊíҤѭ ઋ¹ µÒ àÊŒ¹»ÃÐÊÒ· ¡ŒÒ¹ÊÁͧ ·ÕèÁÕ¤ÇÒÁ·¹µ‹ÍÃѧÊÕä´Œ¹ŒÍ ¡ÒÃ㪌ÃѧÊÕÀÒ¾¹íÒÇÔ¶ÕµÃǨÊͺµíÒá˹‹§¡ÒéÒÂÃѧÊÕ¡‹Í¹ ·Ø ¡ ¤ÃÑé § ¨Ð·í Ò ãËŒ à ÃÒÁÕ ¤ ÇÒÁÁÑè ¹ 㨷Õè ¨ ÐËźàÅÕè  §¡Ò÷Õè ÃÑ § ÊÕ ä »¶Ù ¡ ÍÇÑ Â ÇÐÊí Ò ¤Ñ ­ à¡Ô ¹ »ÃÔ Á Ò³ÃÑ § ÊÕ ·Õ¡Ò˹´ä´Œ è í 2. 㹡óաÒéÒÂÃѧÊÕÁÐàÃ秺ÃÔàdzÈÕÃÉÐáÅÐÅíҤͷÕÁµÍÁ¹éÒàËÅ×ͧ¢¹Ò´ãË­‹ àÁ×Í è Õ ‹ í è ãËŒ¡ÒéÒÂÃѧÊÕä»ÁÑ¡¾ºÇ‹Òµ‹ÍÁ¹éÒàËÅ×ͧÁÕ¢¹Ò´àÅç¡Å§ ·íÒãËŒµÒá˹‹§·Õ©ÒÂÃѧÊÕÁ¡ÒäÅÒ´à¤Å×Í¹ä» í í è Õ è ´Ñ§¹Ñ鹡ÒÃ㪌ÀÒ¾¹íÒÇÔ¶Õ cone beam CT µÃǨÊͺµíÒá˹‹§ áÅÐÅѡɳТͧ¡ÒÂÇÔÀÒ¤¡‹Í¹¡Òà ©ÒÂÃѧÊըЪ‹ÇÂᾷ㹡ÒÃàÅ×Í¡¡ÒÃà»ÅÕ¹Ἱ¡ÒÃÃÑ¡ÉÒä´Œ´¢¹ è Õ Öé 3. 㹡ó¡ÒéÒÂÃѧÊÕºÃÔàdzÈÕÃÉÐáÅÐÅíÒ¤ÍÁÑ¡·íÒãËŒ¼ÙŒ»†ÇÂÁÕ¹éíÒ˹ѡŴŧ ·íÒãËŒ µíÒá˹‹§·Õè©ÒÂÃѧÊÕÁÕ¡ÒäÅÒ´à¤Å×èÍ¹ä» ´Ñ§¹Ñ鹡ÒÃ㪌ÀÒ¾¹íÒÇÔ¶Õ cone beam CT µÃǨÊͺ µíÒá˹‹§ áÅÐÅѡɳТͧ¡ÒÂÇÔÀÒ¤¡‹Í¹¡ÒéÒÂÃѧÊըЪ‹ÇÂᾷ㹡ÒÃàÅ×Í¡¡ÒÃà»ÅÕ¹Ἱ¡Òà è ÃÑ¡ÉÒä´Œ´¢¹ Õ Öé ! ¡ÒéÒÂÃѧÊÕºÃÔàdz·Ãǧ͡ ¡ÒéÒÂÃѧÊÕºÃÔàdz·Ãǧ͡ »˜­ËÒãË­‹·¾ºÁѡ໚¹àÃ×ͧ Õè è ¢Í§¡Ò÷ÕÍÇÑÂÇе‹Ò§æÁÕ¡ÒÃà¤Å×͹äËǵÒÁ¡ÒÃËÒÂ㨠´Ñ§¹Ñ¹¡ÒÃ㪌çÊÕÀÒ¾¹íÒÇÔ¶¨§ÁÕ¤ÇÒÁ¨íÒ໚¹ è è é Ñ ÕÖ ·ÕªÇÂ㹡ÒéÒÂÃѧÊÕãËŒ¤Ãͺ¤ÅØÁµíÒá˹‹§à¹×ͧ͡·ÕµÍ§¡Òà â´ÂäÁ‹â´ÂÍÇÑÂÇзÕÊҤѭ ઋ¹ »Í´ è ‹ é è Œ èí ËÃ×ÍËÑÇã¨ÁÒ¡à¡Ô¹ä» â´Â¡ÒÃ㪌 gating CT, ¡ÒéÒÂÃѧÊÕâ´Â㪌 gating system ´Ñ§·Õ¡Å‹ÒÇáÅŒÇã¹ è àº×ͧµŒ¹ «Ö§¡ÒéÒÂÃѧÊÕºÃÔàdz·Ãǧ͡·ÕÁ¡ÒÃ㪌çÊÕÀÒ¾¹íÒÇÔ¶ÁÒª‹Ç·ÕÊҤѭ ¤×Í ¡ÒéÒÂÃѧÊÕáÉÒ é è è Õ Ñ Õ èí Ñ ÁÐàÃ移ʹ ÁÐàÃç§àµŒÒ¹Á ! ¡ÒéÒÂÃѧÊÕºÃÔàdzª‹Í§·ŒÍ§Ê‹Ç¹º¹ ¡ÒéÒÂÃѧÊÕºÃÔàdzµÑº µÑºÍ‹Í¹ ·ÕÁ¡ÒÃà¤Å×͹äËÇ è Õ è µÒÁ¡ÒÃËÒÂ㨠¡ÒÃ㪌ÃѧÊÕÀÒ¾¹íÒÇÔ¶Õã¹Ãкº gating system ÁÕ¤ÇÒÁ¨íÒ໚¹ ઋ¹à´ÕÂǡѺ¡Òà ©ÒÂÃѧÊÕ㹺ÃÔàdz·Ãǧ͡ ! ¡ÒéÒÂÃѧÊÕºÃÔàdzª‹Í§·ŒÍ§Ê‹Ç¹Å‹Ò§ ¡ÒéÒÂÃѧÊÕºÃÔàdzª‹Í§àªÔ§¡ÃÒ¹´ŒÇÂà·¤¹Ô¤¡ÒéÒ ÃѧÊÕ·Çä» conventional radiotherapy ÍÒ¨äÁ‹Á¤ÇÒÁ¨íÒ໚¹µŒÍ§ãªŒÃ§ÊÕÀÒ¾¹íÒÇÔ¶ÁÒª‹ÇÂ áµ‹ã¹¡Ã³Õ Ñè Õ Ñ Õ ·Õ¡ÒéÒÂÃѧÊÕ໚¹ÃѧÊÕÊÒÁÁÔµá»Ã¤ÇÒÁࢌÁ (intensity modulated radiotherapy- IMRT) ·ÕÁ¡ÒûÃѺ è Ô è Õ ÅíÒÃѧÊÕà¾×ÍÅ´¼Å¢ŒÒ§à¤Õ§·ÕÍÒ¨à¡Ô´µ‹ÍÅíÒäÊŒ ¡ÃÐà¾Òл˜ÊÊÒÇÐ áÅР䢡Ãд١ ·íÒãËŒ¢Íºà¢µ¡ÒéÒ è è ÃѧÊÕ᤺ áÅÐÃѧÊÕÁ§à»‡Òä»Âѧ੾ÒеíÒá˹‹§ 㹡óÕઋ¹¹Õ¾ºÇ‹Ò¡ÒÃ㪌çÊÕÀÒ¾¹íÒÇÔ¶Á¤ÇÒÁÊíҤѭ Ø‹ é Ñ Õ Õ ÍÂèÒ§ÁÒ¡ à¹×ͧ¨Ò¡¾ºÇèÒà»éÒËÁÒÂ㹡ÒéÒÂÃѧÊÕ㹺ÃÔàdzªèͧàªÔ§¡ÃÒ¹ àªè¹ ÁÐàÃç§µèÍÁÅÙ¡ËÁÒ¡ è ÁÐàÃç§»Ò¡Á´ÅÙ¡ áÅÐ ÁÐàÃç§¡ÃÐà¾Òл˜ÊÊÒÇÐ ÍÇÑÂÇÐàËŋҹÕÁ¡ÒÃà¤Å×͹µíÒá˹‹§µÒÁ¨íҹǹ¹éÒã¹ é Õ è í ¡ÃÐà¾Òл˜ÊÊÒÇÐ áÅÐÅÁã¹ÅíÒäÊŒ ·íÒãËŒ¡ÒéÒÂÃѧÊÕ¨ÐäÁ‹¤Ãͺ¤ÅØÁµíÒá˹‹§·ÕµÍ§¡ÒÃä´Œ ÃѧÊÕÀÒ¾ è Œ ¹íÒÇÔ¶¨Ðª‹ÇÂ㹡ÒôٵÃǨÊͺµíÒá˹‹§¡‹Í¹¡ÒéÒÂÃѧÊÕ Õ
  • 151.
    124 ÀÒ¾¹íÒÇÔ¶Õ ÃѧÊÕáÉÒ¡ŒÒÇä¡Å Ñ àÍ¡ÊÒÃ͌ҧÍÔ§ 1. Mell LK, Pawlicki T, Jiang SB, Mundt AJ. Image-Guided Radiation Therapy. In: Halperin EC, Perez CA, Brady LW, eds. Perez and Brady’s Principles and Practice of Radiation Oncology, 5th Edition. Philadelphia: Lippincott Williams & Wilkins, 2008;263-99. 2. Keall PJ, Vedam SS, George R et al. Respiratory regulatory gated 4D CT acquisition: concept and proof of principle, Phys. Eng. Sci. Med, A. 2007; 211-20. 3. Jaffray DA, Brock KK, Sharpe M. Advanced Imaging and Guidance System for Use in Intensity Modulated RT. In: Bortfeld T, Schmidt-Ullrich R, De Neve W and Wazer DE. Image-Guide IMRT. Berlin, Heidelberg, Springer, 2006;217-27. 4. Létourneau D, Martinez AA, Lockman D, Yan D, Vargas C, Ivaldi G, Wong J. Assessment of residual error for online cone-beam CT-guided treatment of prostate cancer patients. Int J Radiat Oncol Biol Phys. 2005; 62(4):1239-46.
  • 152.
    àǪÈÒʵÏ·¹Âؤ 2553 Ñ º··Õè 125 18 Postoperative Pain Management in Pediatric Patients: What’s New? What’s Recommendation? ÈÒʵÃÒ¨ÒÏ á¾·ÂË­Ô§ÊØÇÃÃ³Õ ÊØÃàÈóÕǧȏ ÀÒ¤ÇÔªÒÇÔÊ­­ÕÇ·ÂÒ ¤³Ðá¾·ÂÈÒʵÏÈÃÃÒª¾ÂÒºÒÅ ÁËÒÇÔ·ÂÒÅÑÂÁËÔ´Å Ñ Ô ÔÔ ¤ÇÒÁà¨çº»Ç´ËÅѧ¼‹ÒµÑ´ã¹¼ÙŒ»†ÇÂà´ç¡Âѧ¤§ÁÕÍØºÑµÔ¡ÒóÊÙ§·Ñé§ã¹»ÃÐà·È áÅе‹Ò§»ÃÐà·È ÊíÒËÃѺã¹âç¾ÂÒºÒÅÈÔÃÃÒªËÅѧ¨Ò¡ÁÕ¡Òúѹ·Ö¡¤Ðá¹¹¤ÇÒÁ»Ç´â´Â㪌à¤Ã×ͧÇÑ´·ÕàËÁÒÐÊÁµÒÁ Ô è è ÍÒÂØà»š¹ÊÑ­­Ò³ªÕ¾·Õè 5 ¾ºÍغµ¡Òó¤ÇÒÁ»Ç´ËÅѧ¼‹ÒµÑ´ÃŒÍÂÅÐ 9.7 ã¹·Òáááà¡Ô´, ÃŒÍÂÅÐ 44 Ñ Ô ã¹·Òá áÅÐÃŒÍÂÅÐ 44 ã¹à´ç¡âµ(2) ´Ñ§¹Ñ¹¤ÇÒÁ¾ÂÒÂÒÁ·Õ¨ÐÅ´ÃдѺ¤ÇÒÁ»Ç´ËÅѧ¼‹ÒµÑ´ã¹à´ç¡ (1) é è Âѧ¤§ÁÕÍ‹ҧµ‹Íà¹×ͧ è ¡ÅÂØ·¸·ÕèÊíҤѭ䴌ᡋ¡ÒþѲ¹ÒÃкº¡ÒôÙáÅÃЧѺ»Ç´µÅÍ´¨¹¡ÒÃãËŒ¤ÇÒÁÃٌᡋᾷ ¾ÂÒºÒÅáÅмٻ¡¤Ãͧ ¡ÒÃ㪌෤¹Ô¤áÅÐÂÒᡌ»Ç´·ÕàËÁÒÐÊÁ Œ è ÂÒã¹¡ÅØÁ opioids Âѧ¤§à»š¹ÂÒ·Õ¹ÂÁ㪌ÃЧѺ»Ç´ÊíÒËÃѺ¡Òü‹ÒµÑ´·Õ·ÒãËŒ»Ç´ÃдѺ»Ò¹¡ÅÒ§ ‹ è Ô è í ËÃ×ÍÃØ¹áç ¨Ò¡ÒÃÈÖ¡ÉÒã¹à´ç¡¨íҹǹ 10,762 ¤¹ã¹»ÃÐà·ÈÍѧ¡ÄÉ·Õ䴌ú opioid infusion ¾ºÇ‹ÒÁÕ è Ñ cardiac arrest 1 ÃÒ ¨Ò¡ÀÒÇÐ aspiration pneumonitis áÅÐ underlying neurological condition, ÁÕÀÒÇÐ respiratory depression 14 ÃÒ«֧µŒÍ§ãªŒ naloxone á¡Œä¢ ¨íҹǹ 8 ÃÒÂ(3) ´Ñ§¹Ñ¹¡ÒÃ㪌෤¹Ô¤ è é áÅÐÂÒᡌ»Ç´Í×¹æ àÊÃÔÁẺ multimodal analgesia ¨Ö§à»š¹·Õ¹ÂÁà¾×ͪ‹ÇÂàÊÃÔÁÄ·¸ÔÃЧѺ»Ç´ ª‹ÇÂÅ´ è è Ô è ì »ÃÔÁÒ³ opioids ·Õ㪌áÅÐÅ´¼Å¢ŒÒ§à¤Õ§¨Ò¡ÂÒŧ è ¡ÒþѲ¹ÒÃкº¡ÒôÙáÅÃЧѺ»Ç´ÁÕËÅÒÂÇÔ¸Õ ä´Œá¡‹ Ãкº¡ÒôÙáÅÃЧѺ»Ç´â´ÂÇÔÊ­­Õᾷ Ñ áÅÐÃкº¡ÒôÙáÅÃЧѺ»Ç´â´Âᾷ áÅоÂÒºÒÅ਌Ңͧ䢌â´ÂÁÕÇÔÊÑ­­Õᾷ໚¹·Õè»ÃÖ¡ÉÒ(4) ÃкºááÊÒÁÒöãËŒ¡ÒÃÃЧѺ»Ç´Í‹ҧÁÕ»ÃÐÊÔ·¸ÔÀÒ¾Ê٧ᵋ´áżٻÇÂä´ŒäÁ‹·Ç¶Ö§ à¹×ͧ¨Ò¡ÁÕÇÊ­­Õ Ù Œ † Ñè è ÔÑ á¾·ÂäÁ‹à¾Õ§¾Í ÃкºËÅѧ¨Ð´ÙáżٻÇÂä´Œ¤Ãͺ¤ÅØÁÁÒ¡¡Ç‹Ò ᵋÍÒ¨ÁÕ»­ËÒã¹´ŒÒ¹»ÃÐÊÔ·¸ÔÀÒ¾(4,6) Œ † ˜ «Ö§¤ÇÃÁÕ¡ÒþѲ¹Òã¹ËÅÒÂæ ´ŒÒ¹ä´Œá¡‹ è 1. ¡ÒûÃÐàÁÔ¹¤ÇÒÁà¨çº»Ç´¢Í§¼ÙŒ»†ÇÂà´ç¡áµ‹ÅÐÇÑÂâ´Â㪌à¤Ã×èͧÁ×Í·ÕèàËÁÒÐÊÁµÒÁÍÒÂØ Í‹ҧ໚¹ÃÙ»¸ÃÃÁ áÅе‹Íà¹×ͧËÅѧ¼‹ÒµÑ´à»š¹ÊÑ­­Ò³ªÕ¾·Õè 5 Í‹ҧ¹ŒÍ 3 Çѹ è 2. ¡ÒÃ㪌ǸºÒºÑ´¤ÇÒÁ»Ç´·ÕàËÁÒÐÊÁ¡ÑºÃдѺ¤ÇÒÁ»Ç´ ÔÕ í è 3. ¡ÒÃãËŒ¤ÇÒÁÃÙᡋᾷ áÅоÂÒºÒÅà¡ÕÂǡѺ¡ÒÃãËŒÂÒÃЧѺ»Ç´ Œ è 4. ¡ÒÃ㪌ẺÊѧ¡ÒÃÃÑ¡ÉÒÊíÒËÃѺᾷ«§ÁÕª¹Ô´ÂÒ ¢¹Ò´ÂÒ áÅÐÃÐÂÐˋҧ㹡ÒÃãËŒÂÒ·Õè è Öè àËÁÒÐÊÁÊíÒËÃѺà´ç¡µÅÍ´¨¹¡ÒÃÊѧ¡ÒÃÃÑ¡ÉÒẺ nurse controlled analgesia(7) è
  • 153.
    126 Postoperative Pain Management in Pediatric Patients : What’s New? Recommendation? 5. ¡ÒèѴẋ§ procedure-specific pain «Ö§¼Ù»Ç·Õ䴌ú¡Òü‹ÒµÑ´·Õ·ÒãËŒÁ¤ÇÒÁ»Ç´ÃдѺ è Œ † è Ñ è í Õ »Ò¹¡ÅÒ§¶Ö§Ãعáç ¤ÇûÃÖ¡ÉÒÇÔÊ­­Õá¾·ÂÑ 6. ¡ÒÃãËŒ¼»¡¤ÃͧÁÕÊǹª‹ÇÂàËÅ×Í㹡ÒÃÃЧѺ»Ç´ËÅѧ¼‹ÒµÑ´ ÙŒ ‹ à·¤¹Ô¤ãËÁ‹æ 䴌ᡋ ¡ÒÃ㪌 ultrasound-guided nerve block «Ö§¨Ðª‹ÇÂãËŒ¡Òà block nerve è ·íÒä´ŒáÁ‹¹ÂíÒ ãªŒÂÒªÒ¹ŒÍÂŧ «Öè§¹‹Ò¨Ð·íÒãËŒ»ÃÐÊÔ·¸ÔÀÒ¾´Õ¡Ç‹ÒÇÔ¸Õ¡ÒÃẺ´Ñé§à´ÔÁ(8) ¼Å¢ŒÒ§à¤Õ§ ¨Ò¡ÂÒªÒŴŧ(9) áÅÐâÍ¡ÒÊà¡Ô´¡ÒúҴà¨çºµ‹ÍàÊŒ¹»ÃÐÊÒ·¹‹Ò¨ÐŴŧ áÁŒÂѧäÁ‹ÁռšÒÃÈÖ¡ÉÒ ÍŒÒ§ÍÔ§à¾×ÍÂ×¹Âѹà¹×ͧ¨Ò¡ÁÕͺµ¡ÒóµÒÁÒ¡(10) à·¤¹Ô¤Í×¹æ ·Õ㪌§ÒÂáÅоÔʨ¹ÇÒä´Œ¼Å´Õã¹¼ÙãË­‹ è è Ø Ñ Ô èí è è ‹ Ù ‹ Œ 䴌ᡋ ¡ÒúÃÔËÒÃÂÒªÒÍ‹ҧµ‹Íà¹×ͧã¹á¼Å¼‹ÒµÑ´ è (11) ÊíÒËÃѺÂÒ·Õ㪌àÊÃÔÁÄ·¸Ôᡌ»Ç´¢Í§ opioids 䴌ᡋ ketorolac, ketamine, paracetamol è ì IV/PR áÅÐÂÒ·ÕÍҨ㪌·´á·¹ opioids â´ÂÁÕÄ·¸Ô¡´¡ÒÃËÒÂ㨹ŒÍÂ¡Ç‹Ò ä´Œá¡‹ ¡ÒÃ㪌 tramadol è ì infusion ã¹à´ç¡ Ketorolac ໚¹ non – steroidal anti – inflammatory drug ª¹Ô´©Õ´à¢ŒÒËÅÍ´àÅ×Í´ «Ö§Ê¡Ñ´¡Ñ¹¡Ò÷íÒ§Ò¹ è é ¢Í§ cyclooxygenase (COX) system, Å´¡ÒÃÊѧà¤ÃÒÐˏ prostaglandins áÅÐÅ´ inflammatory cascade ÂÒ ketorolac ໚¹ racemic mixture ¢Í§ COX–1 áÅÐ COX–2 inhibitors àÁ×èÍ㪌 ËÇÁ¡Ñº opioids ËÅѧ¼‹ÒµÑ´ ¾ºÇ‹Ò ÊÒÁÒöŴ»ÃÔÁÒ³¤ÇÒÁµŒÍ§¡Òà opioids ä´Œ(12) àÁ×Í㪌ÂÒ·Õ¢¹Ò´ è è 0.5–1 Á¡./¡¡. ·Ø¡ 4–6 ªÁ. IV ã¹·ÒáÍÒÂØ 6–18 à´×͹ äÁ‹¾ºÇ‹ÒÁÕ¡ÒÃÊÐÊÁ¢Í§ÂÒ áÅÐÃÒ§ҹ (13) ¡ÒÃ㪌ÂÒã¹¢¹Ò´ 1 Á¡./¡¡. IV ã¹·Òáááà¡Ô´¤Ãº¡íÒ˹´ áÅС‹Í¹¡íÒ˹´¨íҹǹ 18 ÃÒ äÁ‹¾º ¤ÇÒÁà»ÅÕ¹á»Å§ã¹ÃкºâÅËÔµÇÔ·ÂÒ ¡Ò÷íÒ§Ò¹¢Í§µÑº áÅÐäµ(14) ÂÒ¹Õ¨§¹‹Ò¨ÐÁÕ»ÃÐ⪹ã¹à´ç¡ è éÖ à¹×ͧ¨Ò¡äÁ‹ÁÄ·¸Ô¡´¡ÒÃËÒÂ㨠àÁ×Í㪌ÃÇÁ¡Ñº opioids ¨ÐÅ´¢¹Ò´ÂÒ opioids ·ÕµÍ§ãªŒ ·íÒãˌķ¸Ô¡´ è Õ ì è ‹ è Œ ì ¡ÒÃËÒÂã¨Å´Å§ ÂÒ¹ÕÁËÅÑ¡°Ò¹Ç‹Ò㪌䴌Í‹ҧ»ÅÍ´ÀÑÂã¹à´ç¡ ¢³Ð·ÕÂÒ»ÃÐàÀ· COX–2 inhibitors é Õ è ª¹Ô´©Õ´Í×¹æ ÂѧäÁ‹ÁËÅÑ¡°Ò¹Â×¹Âѹ¤ÇÒÁ»ÅÍ´ÀÑÂã¹à´ç¡ è Õ Ketamine ໚¹ÂÒÊź·ÕÁ㪌ÁÒ¹Ò¹ ÃÐÂл˜¨¨Øº¹ÁÕ¡ÒùíÒ ketamine ã¹¢¹Ò´µèÒÁҡ໚¹ subanesthetic è Õ Ñ í dose ÁÒ㪌ÃÇÁ¡Ñº opioids à¾×ÍàÊÃÔÁÄ·¸Ôì opioids áÅÐÁռŠopioid – sparing effect(15) ÂÒ¹ÕÍ͡ķ¸Ôì ‹ è é ·ÕÃкº»ÃÐÊҷʋǹ¡ÅÒ§ ·íÒ˹ŒÒ·Õ໚¹ NMDA receptor antagonist áÅзÕÃкº»ÃÐÊҷʋǹ»ÅÒ è è è ÁÕÄ·¸ÔºÂѧàÍ繫ÑÂÁ nitric oxide synthase(16) ¢¹Ò´ÂÒ·Õ㪌 0.1 – 0.4 Á¡./¡¡./ªÁ. ª‹ÇÂÅ´ÃдѺ ì Ñ é è ¤ÇÒÁ»Ç´ËÅѧ¼‹ÒµÑ´ª‹Í§·ŒÍ§ ¼‹ÒµÑ´·Í¹«ÔÅ ¤ÇÒÁ»Ç´¨Ò¡à¹×éͧ͡ áÅÐ neuropathic pain â´Â ÁÕÄ·¸Ô¢Ò§à¤Õ§¹ŒÍÂÁÒ¡(17-19) ÇԸ㪌͹ æ 䴌ᡋ continuous subcutaneous infusion 0.1 Á¡./¡¡./ªÁ. ì Œ Õ ×è ÊíÒËÃѺᡌ»Ç´ã¹¼ÙŒ»†ÇºҴà¨çº¨Ò¡ÍغѵÔà˵Ø(15) ¡ÒéմÂÒÃͺ·Í¹«ÔÅ (peritonsillar infiltration) ÊÒÁÒöŴÃдѺ¡ÒûǴ㹼ٌ»†Ç¼‹ÒµÑ´·Í¹«ÔÅ(20) ËÃ×Í¡ÒÃãËŒ ketamine 0.5 Á¡./¡¡. IV ¡‹Í¹
  • 154.
    àǪÈÒʵÏ·¹Âؤ 2553 Ñ 127 ¼‹ÒµÑ´à¾Õ§¤Ãѧà´ÕÂÇÊÒÁÒöŴ»ÃÔÁÒ³ opioids ·Õ¼»ÇµŒÍ§¡ÒÃËÅѧ¼‹ÒµÑ´ adenoid áÅз͹«ÔÅ é è ÙŒ † ä´Œ (21) Paracetamol ª¹Ô´·Õ㪌䴌ÊÒËÃѺ¡Òü‹ÒµÑ´·ÕµÍ§§´¹éÒáÅÐÍÒËÒÃËÅѧ¼‹ÒµÑ´ä´Œá¡‹ ª¹Ô´à˹纷ÇÒë֧ÁÕ㪌ÁÒ è í è Œ í è ¹Ò¹ã¹µ‹Ò§»ÃÐà·È ᵋ䴌ú͹حҵãˌ㪌㹻ÃÐà·Èä·Âã¹àÇÅÒäÁ‹¹Ò¹¹Õé ¢¹Ò´ÂÒ·Õ㪌 30 Á¡./¡¡. Ñ è ÃдѺÂÒã¹àÅ×Í´¤Ò´à´ÒÂÒ¡¨Ò¡¡ÒúÃÔËÒ÷ҧ·ÇÒà ÊíÒËÃѺÂÒª¹Ô´©Õ´à¢ŒÒËÅÍ´àÅ×Í´´íÒÁÕ㪌 ã¹µ‹Ò§»ÃÐà·È ¹ÔÂÁ㪌ã¹à´ç¡(22-24) ÊíÒËÃѺ·Òáááà¡Ô´µŒÍ§ÃÐÇѧÀÒÇоÔɵ‹ÍµÑº ¤ÇÃÅ´¢¹Ò´ÂÒáÅÐ µÃǨËÒÃдѺ unconjugated bilirubin ã¹àÅ×Í´à¾×Í»ÃѺÃдѺÂÒ(25) è Tramadol ໚¹ aminocyclohexanol derivative ËÃ×Í 4–phenylpiperidine analogue ¢Í§ codeine ¡Åä¡¡ÒÃÍ͡ķ¸ÔÃЧѺ»Ç´ÁÕ 3 ·Ò§ 䴌ᡋ ì (1) ¡ÒÃʡѴ¡Ñ¹¡Òôٴ¡ÅѺ¢Í§ norepinephrine é (2) à¾ÔÁ¡ÒÃËÅѧ áÅÐÅ´¡Òôٴ¡ÅѺ¢Í§ serotonin ã¹ spinal cord è è (3) ¼Å !–opioid receptor Í‹ҧ͋͹«Ö觨Ѻ¡Ñº opioid receptor ͋͹¡Ç‹Ò morphine 6,000 à·‹Ò (26) àÁµÐºÍÅÔÊÁ¢Í§ tramadol à¡Ô´¢Ö¹ä´Œ 2 ·Ò§¤×Í é (1) â´Â O–demethylation 㹵Ѻ (CYP2D6) ໚¹ O–demethyl tramadol (M1) «Ö§¨Ñº¡Ñº è opioid–!–receptor ä´Œ´¡Ç‹Ò tramadol 200 à·‹Ò ÊíÒËÃѺ·Òá·ÕÁ¡ÒâѺ¶‹Ò M1 ä´Œ¹ÍÂÍÒ¨à¡Ô´ÍѹµÃÒÂ Õ è Õ Œ µ‹Í¡Òá´¡ÒÃËÒÂ㨨ҡ M1 䴌ᵋ¹ÍÂ¡Ç‹Ò opioids Í‹ҧäáç´ÁÃÒ§ҹ¡ÒÃÈÖ¡ÉÒ¾ºÇ‹Ò clearance Œ Õ Õ ¢Í§ M1 à¡×ͺÊÁºÙóµÑé§áµ‹ post conceptual age (PCA = ÍÒÂØã¹¤ÃÃÀ + ÍÒÂØËÅѧ¤ÅÍ´) ·Õè 44 ÊÑ»´Òˏ (2) â´Â N–demethylation (CYP 3A) ໚¹ N–demethyl tramadol(27) ¢¹Ò´ÂÒ·Õ㪌ã¹à´ç¡ bolus 1–2 Á¡./¡¡., infusion 0.1–0.2 Á¡./¡¡./ªÁ. IV (26) ¾ºÇ‹ÒãËŒ¼Å è ¡ÒÃÃЧѺ»Ç´ä´Œ´Õ ¡ÒÃãËŒÂҹյͧÃÐÇѧ㹼ٻÇ·Õä´ŒÂÒµŒÒ¹ÀÒÇЫÖÁàÈÃŒÒã¹¡ÅØÁ selective serotonic reuptake é Œ Œ † è ‹ inhibitor (SSRI) «Öè§Í͡ķ¸Ôì·íҹͧà´ÕÂǡѺ tramadol ¤×Í à¾ÔèÁ¡ÒÃËÅÑè§áÅÐÅ´¡Òôٴ¡ÅѺ ¢Í§ serotonin ÍÒ¨·íÒãËŒÁ¡Òäѧ¢Í§ serotonin â´ÂÁÕÃÐÂÐàÇÅҵѧᵋ䴌ÂÒ¨¹à¡Ô´ÍÒ¡Òä‹Í¹¢ŒÒ§Êѹ Õ è é é ÍÒ¡ÒÃ䴌ᡋÁ‹Ò¹µÒ¢ÂÒ à˧×èÍÍÍ¡ÁÒ¡ ËÑÇã¨àµŒ¹àÃçÇ ä¢ŒËÃ×ÍÍØ³ËÀÙÁÔ¡ÒÂÊÙ§¡Ç‹Ò»¡µÔÁÒ¡ ¤ÇÒÁ´Ñ¹âÅËÔµÊÙ§ËÃ×͵èҡNjһ¡µÔ ÍÒ¡ÒáÃÐÊѺ¡ÃÐʋҠ˹ÒÇÊѹ ᢹ¢ÒÊѹ ÃÕà¿Å¡«äǡNjһ¡µÔ í è è ᢹ¢Ò¡Ãеءà¡Ãç§ËÃ×ͪѡ à¡Ô´¡ÒÃÊÅÒ¢ͧ¡ÅŒÒÁà¹×éÍ (rhabdomyolysis), DIC ÃÇÁ¶Ö§ÀÒÇÐ äµÇÒÂä´Œ (28)
  • 155.
    128 Postoperative Pain Management in Pediatric Patients : What’s New? Recommendation? àÍ¡ÊÒÃ͌ҧÍÔ§ 1. Aroonpruksakul N, Suraseranivongse S. Quality of post-operative pain control in infants and neonates. Siriraj Med J. 2009;61(5):245-8. 2. Suraseranivongse S, Khuvichitsuwan P, Sriverachai P, Boonthitikul S, Homchan W. Quality assessment and risk factors of postoperative pain in children. Thai J Anesthesiology. 2006;32(4):261-8. 3. Morton N, Errera A. APA national audit of pediatric opioid infusions. Pediatr Anesth. 2010; 20: 119–125. 4. Ready LB, Oden R, Chadwick HS, et al. Development of an anesthesiology-based postoperative pain management service. Anesthesiology. 1988;68:100-6. 5. Lee A, Chan S, Chen PP, Gin T, Lau AS. Economic evaluations of acute pain service programs: a systematic review. Clin J Pain. 2007;23(8):726-73. 6. Shapiro A, Edna Z, Kantor M, Memrod J, .redman B. Establishing a nurse-based, Anesthesiologist-supervised inpatient acute pain service: experience of 4,617 patients. J Clin Anesth. 2004;16:415-20. 7. Howard R, Lloydthomas A, Thomas M, Williams DG, Saul R, Bruce E, Peters J.Nurse-controlled analgesia (NCA) following major surgery in 10 000 patients in a children’s hospital. Pediatr Anesth. 2010;20:126–34. 8. Willschke H, Marhofer P, B?senberg A, Johnston S, Wanzel O, Cox SG, et al. Ultrasonography for ilioinguinal/ iliohypogastric nerve blocks in children. Br J Anaesth. 2005;95(2):226-30. 9. Weintraud M, Lundblad M, Kettner SC, Willschke H, Kapral S, L?nnqvist PA, et al. Ultrasound versus landmark-based technique for ilioinguinal-iliohypogastric nerve blockade in children: the implications on plasma levels of ropivacaine. Anesth Analg. 2009;108(5):1488-92. 10. Walker KJ, McGrattan K, Aas-Eng K, Smith A.. Ultrasound guidance for peripheral nerve blockade. Cochrane Database Syst Rev. 2009;(4):CD006459. 11. Karthikesalingam A, Walsh SR, Markar SR, Sadat U, Tang TY, Malata CM. Continuous wound infusion of local anaesthetic agents following colorectal surgery: systematic review and meta-analysis.World J Gastroenterol. 2008;14:5531-5. 12. Krotz ., Schiele TM, Klauss V, Sohn HY. Selective COX-2 inhibitors and risk of myocardial infarction. J Vasc Res. 2005;42:312–24. 13. Lynn AM, Bradford H, Kantor ED, Seng K, Salinger DH, Chen J, et al. Postoperative ketorolac tromethamine use in infants aged 6–18 months: the effect on morphine usage, safety assessment, and stereo-specific pharmacokinetics. Anesth Analg. 2007;104:1040–51. 14. Papacci p, de .rancisci G, Iacobucci T, Giannantonio C, de Carolis MP, Zecca E. Use of intravenous ketorolac in the neonate and premature babies. Pediatr Anesth. 2004;14:487–92. 15. Tucker A, Kim Y, Nadeson R et al. Investigation of potentiation of analgesic effects of fentanyl by ketamine in humans: a double blinded, randomized, placebo controlled, crossover study of experimental pain. BMC Anesthesiol. 2005;5:2–14. 16. Granry JC, Dube L, Turroques H et al. Ketamine: new uses for an old drug. Curr Opin Anaesthesiol. 2000;13:299–302. 17. Grande LA, O’Donnell BR, .itzgibbon DR et al. Ultra-low dose ketamine and memantine treatment for pain in an opiodtolerant oncology patient. Anesth Analg. 2008;107:1380–83. 18. Hocking G, Cousins MJ. Ketamine in chronic pain management: an evidence-based review. Anesth Analg. 2003;97:1730–39. 19. Gurnani A, Sharma PK, Rautela RS et al. Analgesia for acute musculoskeletal trauma: low-dose subcutaneous infusion of ketamine. Anaesth Intens Care. 1996;24:32–6.
  • 156.
    àǪÈÒʵÏ·¹Âؤ 2553 Ñ 129 20. Dal D, Celebi N, Gaye E et al. The efficacy of intravenous or peritonsillar infiltration of ketamine for postoperative pain relief in children following adenotonsillectomy. Pediatr Anesth. 2007;17:263–9. 21. Aspinall RL, Mayor A. A prospective randomized controlled study of the efficacy of ketamine for postoperative pain relief in children after adenotonsillectomy. Paediatr Anaesth. 2001;11: 333–6. 22. Palmer GM, Chen SP, Smith KR, Hardikar W. Introduction and audit of intravenous paracetamol at a tertiary paediatric teaching hospital. Anaesth Intensive Care. 2007;35:702–6 23. Murat I, Baujard C, .oussat C, et al. Tolerance and analgesic efficacy of a new i.v. paracetamol solution in children after inguinal hernia repair. Paediatr Anaesth. 2005;15:663–70. 24. Capici ., Ingelmo PM, Davidson A, et al. Randomized controlled trial of duration of analgesia following intravenous or rectal acetaminophen after adenotonsillectomy in children. Br J Anaesth. 2008;100:251–5. 25. Palmer GM , Atkins M, Anderson BJ, Smith KR, Culnane TJ,McNally CM, et al.I.V. acetaminophen pharmacokinetics in neonates after multiple doses. Br J Anaesth.2008;101(4):523–30. 26. Grond S, Sablotzki A. Clinical pharmacology of tramadol. Clin Pharmacokinet. 2004;43:879–923. 27. Allegaert K, Anderson BJ, Verbesselt R, Debeer A, de Hoon J, Devlieger H,et al. Tramadol disposition in the very young: an attempt to assess in vivo cytochrome P-450 2D6 activity. Br J Anaesth.2005;95(2):231–9. 28. Kitson R, Carr B. Tramadol and severe serotonin syndrome. Anaesthesia. 2005;60(9):934-5
  • 158.
    àǪÈÒʵÏ·¹Âؤ 2553 Ñ º··Õè 131 19 Outcome Improvement in Neuroanesthesia : Neuro-interventional Perspective Assistant Professor Anchalee Churojana Department of Radiology, .aculty of Medicine Siriraj Hospital, Mahidol University Interventional Neuroradiology is a treatment modality of vascular diseases of central nervous system (CNS) and head & neck region with certain overlapped aspects with neurosurgery, head & neck surgery and vascular surgery, by means of endovascular access to deliver therapeutic agents such as embolic materials, sclerosing and chemotherapeutic drugs including mechanical devices. The purpose of the procedure is either definite treatment or preoperative devascularization. It can be broadly grouped as 1. Embolization procedure: with the purpose to occlude vessels in the diseases with abnormal vascular channels or high vascularization. Those diseases are arteriovenous malformations (AVMs), arteriovenous fistulas, carotid-cavernous fistulas, intracranial aneurysms, traumatic aneurysms and preoperative devascularization of tumors. Diseases Embolic agent Comment AVMs N-butyl cyanoacrylate (NBCA or Glue) Carotid-cavernous fistulas Detachable balloon (CC.s) Aneurysms Detachable coils May need nondetachable balloon or stent-assisted coiling Arteriovenous fistulas NBCA or coils depending on size of fistulas Dural arteriovenous shunts NBCA and/or fibered coils Usually NBCA using fpr or detachable coils transarterial feeder occlusion and coils using for dural sinus or venous packing Preoperative tumor Particles (polyvinyl alcohols embolizations or PVA)
  • 159.
    132 Outcome Improvement in Neuroanesthesia : Neuro-interventional Perspective 1. Dilatation procedure: with purpose to open up the narrowed arteries, or perform angioplasty with or without stenting in the occluded vascular disease including mechanical thrombectomy or clot retrieval in acute embolic stroke. 2. Transarterial infusion: with the purpose for intraarterial thrombolysis in acute stroke or chemotherapy in certain cancers such as transophthalmic artery chemo-infusion for retinoblastoma, palliative transarterial chemo-infusion for nasopharyngeal cancer. 3. Percutaneous or direct puncture: mostly used in AVMs or venous malformations with extracranial locations for delivering liquid embolic or sclerosing agents directly. In our practice, NBCA is used in AVMs and Bleomycin is used as sclerosing drug. Currently, Interventional Neuroradiology is increasingly performed with the administration of anesthesia. In this point of view, several important concerns from anesthesiologists should be included1 ! Maintenance of the patient’s immobility to reduce motion artifact, general anesthesia is preferred to facilitate visualization of small vessels and prevent patient movement. ! Proper monitoring: blood pressure, PaCO2 in case of the possibility of unexpected neurological complications and anaphylactic reactions, particularly from contrast media. ! Anticoagulant therapy and monitoring. ! Rapid recovery from anesthesia and sedation during the procedure to facilitate neurological testing, such as in internal carotid artery sacrification. ! Management of sudden unexpected complication such as hemorrhage or vascular occlusion. ! Guiding the medical care and treatment of critical ill patients during the procedure and transportation. ! Smooth recovery from anesthesia after procedure to prevent risk of complications such as balloon displacement during strong coughing, vascular injury at puncture site during non-purposeful movement. General care ! Intravenous access should be on the left arm with adequate extension tube from the image intensifier or when the patient is draped. ! Increased systemic blood pressure in patient whose femoral pulse can’t be palpated due to hypotension.
  • 160.
    àǪÈÒʵÏ·¹Âؤ 2553 Ñ 133 ! Intraprocedural heparinization and control activated clotting time including postoperative protamine reversal. ! Awareness of allergic reaction particularly with contrast media. Special care ! Pediatric patients: keep warm to the patients, contrast medium and drug dose- limitation, intraarterial & intravenous fluid overload. Post embolization for vein of Galen malformation and high flow AVM usually need to maintain head in semi-upright position to minimize venous congestion. ! Controlled systemic hypotension may be required during embolization of high flow fistulas or intracranial AVMs to reduce the flow across the lesions to achieve good deposition of embolic agents.2 ! The patient must be awake for the balloon occlusion test procedure, as continuous neurological examination to assess the effects of occlusion. However, rapid wake-up of the patient is requested in the case of unplanned or accidental arterial occlusion. ! Concerning of sudden hypotension or vago-vagal reflex during carotid balloon angioplasty ! Adequate heparinization in the case of transarterial device delivery such as coiling aneurysm or balloon application. ! Preoperative antiplatelet administration for all stenting procedure. Neurovascular complication management ! Catheter-induced vasospasm: may need transarterial Nimodipine infusion which results to systemic hypotension. ! Arterial occlusion: may be caused by fly-away of embolic agents to normal arteries, malposition of device such as coils or stent, and thromboembolism. In this event, the arterial pressure should be raised to increase collateral blood flow and maintain normocarbia. Mechanical thrombectomy or infusion of thrombolytic agent may be needed. Antiplatelet agents, such as Abciximab, have also shown promising results. However, occlusion from NBCA or glue is always permanent. If arterial luminal narrowing or occlusion occurred from catheter-induced dissection, systemic heparinization is recommended and the procedure must be terminated.
  • 161.
    134 Outcome Improvement in Neuroanesthesia : Neuro-interventional Perspective ! Venous outlet occlusion: usually results from spillage of glue during embolization of AVMs or fistula into draining veins. If stasis of contrast media in the venous outlet is observed in post-embolization angiogram, embolization of feeding arteries as much as possible is recommended to minimize the venous congestion. During post procedural period, the patient needs to have maintenance of modest hypotension and sedation. ! Hemorrhage: results from arterial rupture by catheter or guide-wire perforation or abrupt rise in mean arterial pressure during test injection in the small artery or fragile aneurysm. Visualization of extravasation of contrast media is the only clue for the diagnosis, however, some patients may have sudden onset of bradycardia. Immediate reversal of heparin is required (1 mg protamine for each 100 units of heparin given). Lowering of the systemic arterial pressure may be needed. PaCO2 should be maintained between 4.5 and 5.0 kPa.2 Endovascular treatment should be performed without hesitation depending on each cause. Aneurysm rupture should be rapidly packed by coils as much as possible. Arterial perforation can be glued vigorously at the tip of microcatheter. Intraoperative CT scan is recommended for assessment and preparing for postoperative management. Emergency craniotomy may be required if endovascular embolization fails. In conclusion, interventional neuroradiological procedures have been expanding in the treatment of CNS, including head and neck, diseases. The type of anesthetic administration, general anesthesia or intravenous sedation, is determined by the goal of each procedure together with the experience of the radiology-anesthesia team.3 The anesthesiologists have a crucial role in facilitating procedures, monitoring of the patients and involvement of complication management. Thus, understanding of specific interventional neuroradiological procedures and their potential complications are important. Good relationship with communication and planning between radiologists and anesthesiologists in the team of interventional neuroradiology are key factors of smooth procedure with good patient’s outcome. References 1. Hashimoto T, Gupta DK, Young WL. Interventional neuroradiology-anesthetic considerations. Anesthesiology Clinics of North America. 2002;20(2):347-59. 2. Varma MK, Price K, Jayakrishnan Y, et al. Anaesthetic considerations for interventional neuroradiology. BJA 2007;99(1):75-85. 3. Derbent A, Oran I, Parildar M, et al. Adverse effects of anesthesia in interventional radiology. Diagn Interv Radiol 2005;11:109-112.
  • 162.
    àǪÈÒʵÏ·¹Âؤ 2553 Ñ º··Õè 135 20 ¤ÇÒÁÊíҤѭ¢Í§ÂÒµŒÒ¹¾ÔÉ㹡ÒôÙáżٌ»†ÇÂÀÒÇоÔÉà©Õº¾Åѹ ¼ÙŒª‹ÇÂÈÒʵÃÒ¨ÒÏ ¹ÒÂᾷÊÑÁÁ¹ â©Á©Ò ÀÒ¤ÇÔªÒàǪÈÒʵϻͧ¡Ñ¹áÅÐÊѧ¤Á ¤³Ðá¾·ÂÈÒʵÏÈÃÃÒª¾ÂÒºÒÅ ÁËÒÇÔ·ÂÒÅÑÂÁËÔ´Å ‡ ÔÔ ã¹¡ÒôÙáżٻÇÂÀÒÇоÔÉà©Õº¾Åѹ¹Ñ¹ËÅÑ¡¡ÒôíÒà¹Ô¹¡Ò÷ÕÊҤѭÍÂÙº¹¾×¹°Ò¹¢Í§¡ÒôÙáÅ Œ † é èí ‹ é »ÃФѺ»ÃФͧµÒÁÍÒ¡ÒäǺ¤Ù仡Ѻ¡ÒÃÃÑ¡ÉÒ´ŒÇÂÇÔ¸·¨Òà¾Òе‹ÍÀÒÇоÔÉᵋÅЪ¹Ô´ ·Ñ§¹Õ¡ÒôÙáÅ ‹ Õ Õè í é é àËŋҹÕÁ§à¹Œ¹ãËŒ¼»ÇÂËÒ¨ҡÀÒÇоÔÉâ´ÂÁÕ¤ÇÒÁàÊÕ§µ‹ÍÀÒÇÐá·Ã¡«ŒÍ¹áÅСÒÃàÊÕªÕǵãËŒ¹ÍÂ é Ø‹ ÙŒ † è Ô Œ ·ÕÊ´ «Ö§à»š¹ä»µÒÁËÅÑ¡¡Òâͧ»ÃÐ⤴ѧà´ÔÁ·Õ໚¹¾×¹°Ò¹¢Í§ÇÔªÒ¾ÔÉÇÔ·ÂÒ¡ÒÃᾷÇÒ “treat the èØ è é è é ‹ patient, not the poison” ¡ÒôÙáżٻÇÂẺ»ÃФѺ»ÃФͧµÒÁÍÒ¡ÒùѹÁÕ¤ÇÒÁÊíҤѭäÁ‹¹Í¡NjҡÒÃ㪌ÂÒµŒÒ¹¾ÔÉ Œ † é Œ (antidote) ´ŒÇÂÊÒà˵ش§¹Õé Ñ 1. ¡ÒÃà¡Ô´ÀÒÇÐá·Ã¡«ŒÍ¹áÅСÒÃàÊÕªÕÇÔµ¨Ò¡ÀÒÇоÔɹÑé¹ÁÕÊÒà˵ØÊ‹Ç¹ãË­‹¨Ò¡ÀÒÇÐ ·ÕÊÒÁÒöÃÑ¡ÉÒ´ŒÇ¡ÒûÃФѺ»ÃФͧµÒÁÍÒ¡Òà 䴌ᡋ è ! ÃкºËÒÂã¨ÅŒÁàËÅǷѧ¨Ò¡Ä·¸Ô¡´Ãкº»ÃÐÊÒ·¢Í§ÊÒþÔÉ ¡ÒÃà¡Ô´¡ÒÃÊÙ´ÊíÒÅÑ¡ áÅÐ é ì ¡ÒÃËÒÂã¨äÁ‹à¾Õ§¾Í¨Ò¡¡ÅŒÒÁà¹×Í͋͹áç é ! ÃкºäËÅàÇÕ¹âÅËԵŌÁàËÅǨҡÀÒÇоËͧÊÒùéíÒã¹ËÅÍ´àÅ×Í´ ¡ÒúպµÑǼԴ»Ã¡µÔ ¢Í§¡ÅŒÒÁà¹×ÍËÑÇ㨠áÅÐ ¡ÒÃൌ¹¼Ô´¨Ñ§ËÇТͧËÑÇ㨠é ! ÀÒÇЪѡáÅÐÀÒÇСŌÒÁà¹×Íà¡Ãç§µÑÇ é ! ÀÒÇÐÍØ³ËÀÙÁ¡ÒÂÊÙ§ (hyperthermia) Ô 2. 㹨íҹǹª¹Ô´¢Í§ÊÒþÔÉ·ÕèÁÕ¨íҹǹÁÒ¡¹Ñé¹ ÂÒµŒÒ¹¾ÔÉ·ÕèÁÕ㪌ÂѧÁÕ¨íҹǹ¹ŒÍÂÁÒ¡ Í‹ҧäÁ‹ÍÒ¨à·Õº¡Ñ¹ä´Œ ´Ñ§¹Ñ鹡ÒÃÃÑ¡ÉÒ¼ÙŒ»†ÇÂÀÒÇоÔÉʋǹãË­‹¹Ñ鹨ÐäÁ‹ÁÕÂÒµŒÒ¹¾ÔÉ áµ‹ÍÒÈÑ ¡ÒôÙáÅ»ÃФѺ»ÃФͧµÒÁÍÒ¡Òà à¾×ÍãËŒ¡ÒÃ㪌ÂÒµŒÒ¹¾ÔÉ à»š¹ä»Í‹ҧàËÁÒÐÊÁ ºØ¤Åҡ÷ҧ¡ÒÃᾷ¤ÇÃÁÕ¤ÇÒÁµÃÐ˹ѡ è ¶Ö§¢ŒÍà·ç¨¨ÃÔ§ºÒ§»ÃСÒÃà¡ÕÂǡѺÂÒµŒÒ¹¾ÔÉ䴌ᡋ è ÂÒµŒÒ¹¾ÔÉÁÕ¡Å䡨íÒà¾ÒÐ㹡ÒõŒÒ¹Ä·¸Ôì¢Í§ÊÒþÔɪ¹Ô´µ‹Ò§æ ´Ñ§¹Ñ鹡ÒþԨÒóÒ㪌ÂÒ µŒÒ¹¾Ôɨ֧µŒÍ§¤íÒ¹Ö§¶Ö§¢ŒÍº‹§ªÕÍ‹ҧàËÁÒÐÊÁ é ÂÒµŒÒ¹¾ÔÉËÅÒª¹Ô´ÁռŢŒÒ§à¤Õ§·ÕÍÒ¨à¡Ô´ÍѹµÃÒ ¨¹¼Ù»ÇºҧÃÒÂà¡Ô´ÀÒÇÐá·Ã¡«ŒÍ¹ è Œ † ËÃ×ÍàÊÕªÕǵ¨Ò¡Ä·¸Ô¢Í§ÂÒµŒÒ¹¾ÔÉ ´Ñ§¹Ñ¹¡ÒþԨÒóÒ㪌ÂÒµŒÒ¹¾ÔɵŒÍ§¾Ô¨ÒóҶ֧»ÃÐ⪹áÅÐ Ô ì é ¤ÇÒÁàÊÕ§ÍѹÍÒ¨à¡Ô´¨Ò¡ÂÒµŒÒ¹¾ÔÉÍ‹ҧàËÁÒÐÊÁ ·Ñ§¹Õ㹡ÒþԨÒóҤÇÃ͌ҧÍÔ§ËÅÑ¡°Ò¹·Ò§¡Òà è é é ᾷÍ‹ҧà¤Ã‹§¤ÃÑ´´ŒÇÂ
  • 163.
    136 ¤ÇÒÁÊíҤѭ¢Í§ÂÒµŒÒ¹¾ÔÉ㹡ÒôÙáżٻÇÂÀÒÇоÔÉà©Õº¾Åѹ Œ † ã¹·Õ¹¼à¢Õ¹¡µÑÇÍ‹ҧÂÒµŒÒ¹¾Ôɺҧª¹Ô´·ÕÁ¤ÇÒÁÊíҤѭ㹻ÃÐà·Èä·ÂáÅлÃÐà´ç¹ÊíҤѭ è Õé ÙŒ è Õ ·ÕÁ¡ÁÕ¤ÇÒÁࢌÒ㨷դÅÒ´à¤Å×͹䴌ºÍ¤Ãѧã¹àǪ»¯Ôºµ´§¹Õé è Ñ è è ‹ é Ñ Ô Ñ ¡ÅØ‹ÁÂÒµŒÒ¹¾ÔÉ·ÕèÁÕ¤ÇÒÁÊíҤѭáÅÐÁÕ㪌㹻ÃÐà·Èä·Â Antivenom ÊíÒËÃѺ¾ÔɧٷÕèÍ͡ķ¸Ô쵋ÍÃкº»ÃÐÊÒ· »ÃСͺ´ŒÇ monovalent antivenomÊíÒËÃѺ§Ù¾Éµ‹ÍÃкº»ÃÐÊҷᵋÅЪ¹Ô´ 䴌ᡋ §ÙàË‹Ò Ô §Ù¨§ÍÒ¨ §ÙÊÒÁàËÅÕÂÁ áÅЧٷºÊÁÔ§¤ÅÒ áÅÐ polyvalent antivenom ÊíÒËÃѺ§Ù¾Éµ‹ÍÃкº»ÃÐÊÒ· è Ñ Ô ÃÇÁ·Ñ§ÊÕª¹Ô´ ¡Åä¡¡ÒÃÍ͡ķ¸Ô¢Í§ antivenom ¤×Í á͹µÔºÍ´ÕࢌÁ¢Œ¹ã¹ÃÙ» .(ab’)2 ·ÕÍ͡ķ¸Ôâ´Â é è ì è ì ¨Ñº¡Ñº¾Ôɢͧ§Ùã¹ÃкºäËÅàÇÕ¹âÅËÔµ«Öè§¼Åâ´ÂÃÇÁ·Õèà¡Ô´¢Öé¹ ä´Œá¡‹ ¡ÒÃÅ´¤ÇÒÁ¨íÒ໚¹¢Í§¡Òà ª‹ÇÂËÒÂã¨Å´Å§ áÅÐ㪌àÇÅÒÊѹŧÍ‹ҧÁÕ¹ÂÊíҤѭ ¢ŒÍº‹§ªÕé 䴌ᡋ ÍÒ¡ÒáŌÒÁà¹×Í͋͹áç ˹ѧµÒµ¡ é Ñ é ËÒÂã¨ÅíÒºÒ¡ áÅСÅ×¹ÅíÒºÒ¡ ¢ŒÍËŒÒÁ㪌 䴌ᡋ ¡ÒÃÁÕ»ÃÐÇѵᾌ antivenom ¢¹Ò´·Õ㪌 䴌ᡋ ¢¹Ò´ Ô è 100 ÁÔÅÅÔŵà ·Ò§ËÅÍ´àÅ×Í´´íÒ »ÃÐà´ç¹ÊíҤѭ·Ò§¤ÅÔ¹¡ 1) antivenom ÊíÒËÃѺ¾ÔɧٷÍ͡ķ¸Ôì Ô Ô Õè µ‹ÍÃкº»ÃÐÊÒ·äÁ‹ÊÒÁÒöᡌÍÒ¡ÒáŌÒÁà¹×Í͋͹áç¨Ò¡¾ÔÉ·ÕÍ͡ķ¸ÔáÅŒÇä´Œ áÅÐÍÒ¨äÁ‹ÊÒÁÒö é è ì »‡Í§¡Ñ¹¡ÒÃËÂØ´ËÒÂã¨ä´Œ 2) 㹡óշ¶¡§ÙàˋҡѴ ¶ŒÒãËŒ¡ÒÃÃÑ¡ÉÒ»ÃФѺ»ÃФͧáÅСÒê‹ÇÂËÒÂ㨠(1) Õè Ù Í‹ҧà¾Õ§¾Í ¼ÙŒ»†ÇÂÍÒ¨´Õ¢Öé¹ä´Œàͧâ´Â¨ÐÊÒÁÒö¶Í´à¤Ã×èͧª‹ÇÂËÒÂã¨ä´ŒÀÒÂã¹àÇÅÒ»ÃÐÁÒ³ 72 ªÑÇâÁ§(1) 3) 㹡óշ¶¡§Ù·ºÊÁÔ§¤ÅÒËÃ×ͧÙÊÒÁàËÅÕÂÁ¡Ñ´ ¶ŒÒäÁ‹ä´ŒãËŒ¡ÒÃÃÑ¡ÉÒ´ŒÇ antivenom è Õè Ù Ñ è Í‹ҧÃÇ´àÃçÇáÅÐà¾Õ§¾Í ÍÒ¨à¡Ô´¡Ò÷íÒÅÒÂÃкº»ÃÐÊÒ·áÅмٌ»†ÇÂÍÒ¨´Õ¢Öé¹ä´Œâ´Â㪌àÇÅÒ¹Ò¹ ËÅÒÂÊÑ»´Òˏ(2) Atropine ໚¹ÂÒ·Õ㪌áÉÒÍÒ¡Òèҡ¡ÒáÃеعÃкº»ÃÐÊÒ· cholinergic ઋ¹ ÊÒ÷ÕÍ͡ķ¸Ôì è Ñ Œ è ÂѺÂѧ cholinesterase ઋ¹ ÂÒ¦‹ÒáÁŧ¡ÅØÁ organophosphorus ËÃ×Í carbamate ËÃ×ÍÊÒ÷աÃеع é ‹ è Œ muscarinic receptor â´ÂµÃ§ ઋ¹ ÂÒ pilocarpine ËÃ×ÍàËç´¾ÔɡŨÁ clitocybe ËÃ×Íinocybe ¡Åä¡ ‹ ¡ÒÃÍ͡ķ¸Ôì 䴌ᡋ ¡ÒÃ໚¹ competitive inhibitor ·Õè muscarinic receptor ¢ŒÍº‹§ªÕé 䴌ᡋ 1) ¡ÒÃÁÕ ÍÒ¡ÒÃã¹Ãкº muscarinic ઋ¹ ªÕ¾¨ÃªŒÒ ËÅÍ´ÅÁË´à¡Ãç§ ÁÕÊÒäѴËÅѧã¹ËÅÍ´ÅÁ »Í´Áǹ·ŒÍ§ è ·ŒÍ§àÊÕ »˜ÊÊÒÇÐÃÒ´ à˧×ÍÍÍ¡ 2) ÀÒÇÐ bradyarrhythmia ¨Ò¡ÊÒþÔÉ·Õ໚¹¾Ôɵ‹ÍËÑÇ㨠ઋ¹ digoxin, è è calcium channel blocker, beta-adrenergic receptor blocker ¢ŒÍ¤ÇÃÃÐÇѧ 䴌ᡋ ¡ÒÃÁÕ ischemic heart disease 㹡óշÕè¼ÙŒ»†ÇÂÁÕâäËÅÍ´àÅ×Í´ coronaryÍÂÙ‹áÅÐÍѵÃÒªÕ¾¨ÃàÃçÇÁÒ¡ ¢¹Ò´·Õè㪌 1) 㹡óշÕèäÁ‹á¹‹ã¨Ç‹Ò¼ÙŒ»†Ç¡íÒÅѧáÊ´§ÍÒ¡Òèҡ¾ÔÉÂÒ¦‹ÒáÁŧ¡ÅØ‹Áorganophosphorus ËÃ×Í carbamate ËÃ×ÍäÁ‹ÍÒ¨¾Ô¨ÒóÒãËŒ atropine ·Ò§ËÅÍ´àÅ×Í´´íÒã¹¢¹Ò´¹ŒÍÂæ ઋ¹ 0.6 ÁÔÅÅÔ¡ÃÑÁ áŌǵԴµÒÁNjҼٌ»†ÇÂáÊ´§ÍÒ¡ÒþÔɨҡ atropine ËÃ×ÍäÁ‹ ¶ŒÒÁÕÍÒ¡ÒþÔɨҡ atropine áÅŒÇ ¼ÙŒ»†ÇÂÃÒ¹Ñé¹äÁ‹¹‹Ò¨Ð໚¹¡Ã³Õ¾Ôɨҡ organophosphorus ËÃ×Í carbamate 2) 㹡óվÔÉ organophosphorus ËÃ×Í carbamate ¤ÇÃãËŒ atropine ·Ò§ËÅÍ´àÅ×Í´´íÒã¹¢¹Ò´¤ÃѧÅÐ 1.8-3 ÁÔÅÅÔ¡ÃÑÁ é áŌǵԴµÒÁ¼Å¡ÒõͺʹͧÀÒÂã¹ 2-5 ¹Ò·Õ ¼Å·ÕµÍ§¡ÒÃ䴌ᡋ ÍÒ¡Òêվ¨ÃªŒÒ ËÅÍ´ÅÁË´à¡Ãç§ è Œ
  • 164.
    àǪÈÒʵÏ·¹Âؤ 2553 Ñ 137 ÁÕÊÒäѴËÅÑè§ã¹ËÅÍ´ÅÁ µŒÍ§ËÁ´ä» ¶ŒÒÂѧäÁ‹ä´Œ¼Å¤ÇÃãËŒ atropine «éíÒâ´Âà¾ÔèÁ¢¹Ò´¢Ö鹤ÃÑé§ÅÐ 1 à·‹ÒµÑÇ(3, 4) 3) ã¹¡Ã³Õ bradyarrhythmia ãËŒ atropine ·Ò§ËÅÍ´àÅ×Í´´íÒã¹¢¹Ò´ 0.6 ÁÔÅÅÔ¡ÃÑÁ â´ÂãËŒ«éíÒä´ŒµÒÁ¤ÇÒÁ¨íÒ໚¹ ¼ÅÍѹäÁ‹¾Ö§»ÃÐʧ¤ä´Œá¡‹ ÀÒÇоÔɨҡatropine «Öè§ÁÕÍÒ¡Òôѧ¹Õé ÍÒ¡ÒÃÊѺʹ Á‹Ò¹µÒ¢ÂÒ ªÕ¾¨ÃàÃçÇ ¼ÔÇ˹ѧáËŒ§ (ÊѧࡵºÃÔàdzÃÑ¡áÃŒáÅТÒ˹պ) »Ò¡áËŒ§ ËÁÒÂà赯 ¤ÇÒÁࢌÒ㨼Դ·Õà¡Ô´¢Ö¹º‹Í¤Ãѧ㹡ÒÃ㪌 atropine 㹡ÒÃÃÑ¡ÉÒÀÒÇоÔɨҡÂÒ¦‹ÒáÁŧ è é é 䴌ᡋ ¡ÒÃãËŒ atropine ã¹¢¹Ò´·Õ¹ÍÂà¡Ô¹ä» à¾ÃÒÐᾷà¡Ã§Ç‹Ò atropine ¨Ð·íÒãËŒ¼»ÇÂÁÕ͵ÃÒªÕ¾¨Ã è Œ ÙŒ † Ñ ÊÙ§à¡Ô¹ä» ¤ÇÒÁ¨ÃÔ§áŌǡÒÃãËŒ atropine ¨¹·Ò§à´Ô¹ËÒÂ㨼ٻÇ»ÅÍ´â»Ã‹§à»š¹»¡µÔ¡ÅѺª‹ÇÂãˌ͵ÃÒ Œ † Ñ ªÕ¾¨Ã¢Í§¼Ù»ÇªŒÒŧ Œ † (3) Ethanol 㪌㹡ÒÃÃÑ¡ÉÒÀÒÇоÔɨҡ methanol áÅÐ ethylene glycol ¡Åä¡¡ÒÃÍ͡ķ¸Ôì 䴌ᡋ ¡ÒÃ໚¹ competitive inhibitor ¢Í§ enzyme alcohol dehydrogenase ·Õà»ÅÕ¹ methanol áÅÐ ethylene è è glycol ໚¹ metabolite ·Õ໚¹¾Ôɤ×Í formic acid áÅÐ glycolic acid µÒÁÅíҴѺ ¢ŒÍº‹§ªÕé 1) ¼Ù»Ç·ÕÁÕ è Œ † è »ÃÐÇѵ䴌úÊÒà methanol ËÃ×Í ethylene glycol 2) ¼Ù»Ç·ÕÁÀÒÇÐ wide-anion gap metabolic Ô Ñ Œ † è Õ acidosis áÅÐÁÕ osmolal gap ¡ÇŒÒ§ (>20 mOsm/L) ·ÕäÁ‹ÊÒÁÒö͸ԺÒÂÊÒà˵Øä´Œ 3) ¼Ù»Ç·ÕÁÃдѺ è Œ † è Õ ÊÒà methanol ËÃ×Í ethylene glycol ã¹àÅ×Í´ÊÙ§ 䴌ᡋ ÃдѺÍ‹ҧ¹ŒÍ 20 mg/dL áÅÐ50 mg/dL µÒÁÅíҴѺ(5) ¢ŒÍËŒÒÁ㪌 ¡Ò÷Õè¼ÙŒ»†ÇÂä´ŒÃѺÂÒ·ÕèÍÒ¨·íÒ»¯Ô¡ÔÃÔÂҡѺ ethanol ઋ¹ disulfiram ËÃ×Í metronidazole ¼ÅÍѹäÁ‹¾§»ÃÐʧ¤ì 1) ÍÒ¡ÒëÖÁ ËÁ´ÊµÔ hypoglycemia 2) ÀÒÇÐ phleblitis ·Ò§ËÅÍ´ Ö àÅ×Í´´íÒ·ÕºÃÔËÒà ethanol 3) ÍÒ¡ÒäÅ×¹äÊŒ ÍÒà¨Õ¹ áÅÐÀÒÇÐ gastritis ¨Ò¡¡ÒúÃÔËÒà ethanol è è ·Ò§»Ò¡ ËÁÒÂà赯 1) ᾷ¤ÇõÃÐ˹ѡNjҡÒÃÃÑ¡ÉÒ´ŒÇ ethanol ໚¹¡ÒÃÅ´ÀÒÇоÔÉáÅÐ໚¹¡Òà «×éÍàÇÅÒãËŒ¼ÙŒ»†ÇÂà¡Ô´¾ÔɹŒÍ·ÕèÊØ´¨¹¡Ç‹Ò¨Ðä´ŒÃѺ¡ÒÃÃÑ¡ÉÒàºç´àÊÃ稴ŒÇÂÇÔ¸Õ hemodialysis à·‹Ò¹Ñé¹ 2) ᾷ¤ÇõÃÐ˹ѡNjҡÒÃÃÑ¡ÉÒ´ŒÇ ethanol ·Õ¶¡µŒÍ§¹Ñ¹µŒÍ§ÁÕ¡ÒõԴµÒÁÃдѺ ethanol à¾×ÍãËŒ è Ù é è ä´ŒÃдѺ㹠serum Í‹ҧ¹ŒÍ 100–150 mg/dL Í‹ҧäáçµÒÁ¡ÒõԴµÒÁµÃǨÃдѺ ethanol (5) ã¹»ÃÐà·Èä·Â·íÒä´ŒÂÒ¡ÁÒ¡ ¨Ö§ÁÕ¡ÒûÃÐÁÒ³¢¹Ò´¡ÒúÃÔËÒà ethanol à¾×èÍËÇѧãˌ䴌ÃдѺ ·ÕµÍ§¡Òà 3) ᾷ¤ÇõÃÐ˹ѡNjÒã¹»˜¨¨Øº¹ÁÕÂÒµŒÒ¹¾ÔÉ methanol áÅÐ ethylene glycol ·Õ»ÅÍ´ÀÑÂ è Œ Ñ è áÅÐÁÕ»ÃÐÊÔ·¸ÔÀÒ¾ÁÒ¡¡Ç‹Ò ethanol 䴌ᡋ fomepizole «Ö§à»š¹ÂÒ·Õ§äÁ‹Á¡Òâֹ·ÐàºÕ¹áÅÐäÁ‹ÁÕ è è Ñ Õ é 㪌㹻ÃÐà·Èä·Â Pralidoxime ໚¹ÂÒ·Õ㪌áÉÒÀÒÇоÔɨҡÂÒ¦‹ÒáÁŧ¡ÅØÁ organophosphorus ¡Åä¡¡ÒÃÍ͡ķ¸Ôì è Ñ ‹ 䴌ᡋ ¡Òÿ„¹¿ÙÄ·¸Ô¢Í§ enzyme cholinesterase â´ÂÁÕà§×͹ä¢Ç‹Ò¡ÒÃÃÑ¡ÉÒ¨Ðä´Œ¼Å¡‹Í¹¡ÒÃà¡Ô´ œ ì è enzyme aging ෋ҹѹ ¢ŒÍº‹§ªÕé 1) ¼Ù»Ç·Õ䴌úÊÒà organophosphorus ·ÕáÊ´§ÍÒ¡Òà ઋ¹ ªÕ¾¨ÃªŒÒ é Œ † è Ñ è ËÅÍ´ÅÁË´à¡Ãç§ ÁÕÊÒäѴËÅÑè§ã¹ËÅÍ´ÅÁ »Í´Áǹ·ŒÍ§ ·ŒÍ§àÊÕ »˜ÊÊÒÇÐÃÒ´ à˧×èÍÍÍ¡ áÅÐ ¡ÅŒÒÁà¹×Í͋͹áç 2) ¼Ù»Ç·ÕáÊ´§ÍÒ¡ÒâͧÃкº»ÃÐÊÒ· cholinergic ´Ñ§¢ŒÍ·Õ1. áÁŒ¨ÐäÁ‹·ÃÒº é Œ † è è
  • 165.
    138 ¤ÇÒÁÊíҤѭ¢Í§ÂÒµŒÒ¹¾ÔÉ㹡ÒôÙáżٻÇÂÀÒÇоÔÉà©Õº¾Åѹ Œ † ṋÇÒ໚¹ÀÒÇоÔɨҡorganophosphorus ¼ÅÍѹäÁ‹¾§»ÃÐʧ¤ 1) ÍÒ¡ÒäÅ×¹äÊŒ »Ç´ÈÕÃÉÐ áÅÐ ‹ Ö è àÇÕ¹ÈÕÃÉÐ 2) ¡ÒúÃÔËÒ÷ҧËÅÍ´àÅ×Í´´íÒ·ÕàÃçÇà¡Ô¹ä» ÍÒ¨·íÒãËŒà¡Ô´ÍÒ¡Òà laryngospasm ¡ è ÅŒÒÁà¹×Íà¡Ãç§µÑÇáÅÐ͋͹áç䴌 ËÁÒÂàËµØ ã¹»˜¨¨Øº¹ÁÕËÅÑ¡°Ò¹·Ò§¡ÒÃᾷËÅÒÂàÃ×ͧ·Ñ§ã¹ÅѡɳРé Ñ è é meta-analysis áÅÐ randomized control trial ·ÕÁ¼Å¢Ñ´áÂŒ§¡Ñ¹·íÒãËŒÁ¤ÇÒÁʧÊÑÂã¹»ÃÐÊÔ·¸ÔÀÒ¾ (6) (7, 8) è Õ Õ áÅФÇÒÁ»ÅÍ´ÀÑ¢ͧ pralidoxime Í‹ҧäáçµÒÁã¹¢³Ð¹ÕéÂѧá¹Ð¹íÒãˌ㪌ÇÔ¸Õ¡ÒÃÃÑ¡ÉÒµÒÁ ¤íÒá¹Ð¹íҢͧͧ¤¡ÒÃ͹ÒÁÑÂâÅ¡ 䴌ᡋ loading dose 30 mg/kg (2 g. ÊíÒËÃѺ¼ÙãË­‹) ·Ò§ËÅÍ´ Œ àÅ×Í´´íÒã¹àÇÅÒ 20 ¹Ò·Õ µÒÁ´ŒÇ¡ÒúÃÔËÒõ‹Íà¹×ͧ·Ò§ËÅÍ´àÅ×Í´´íÒã¹ÍѵÃÒ 8 mg/kg/ªÑÇâÁ§ è è (500 mg/ªÑÇâÁ§ ÊíÒËÃѺ¼ÙãË­‹) â´Â¤ÇÃÁÕ¡ÒõԴµÒÁÃдѺ enzyme cholinesterase ໚¹ÃÐÂÐáÅÐ è Œ ËÂØ´ãËŒ pralidoxime ·ÕàÇÅÒ 12 ªÑÇâÁ§ ËÅѧ¡ÒÃËÂØ´ÃÑ¡ÉÒ´ŒÇ atropine ËÃ×ÍàÁ×ÍÃдѺ enzyme è è è cholinesterase à¾ÔÁ¢Ö¹áÅŒÇ è é (8) Vitamin-K1 ໚¹ÂÒµŒÒ¹¾ÔÉ warfarin ËÃ×ÍÊÒÃ¡ÅØÁ superwarfarin ઋ¹ brodifacoum, bromadiolone ‹ áÅÐ coumatetralyl «Ö§ãªŒà»š¹ÂÒ¦‹Ò˹٠¡Åä¡¡ÒÃÍ͡ķ¸Ôì â´ÂµŒÒ¹Ä·¸Ôì warfarin áÅÐ superwarfarin è Í͡ķ¸Ôâ´ÂÂѺÂѧ¡ÒÃÊѧà¤ÃÒÐˏ vitamin K–dependent coagulation factor (factor II, VII, IX áÅÐ ì é X) ´Ñ§¹Ñ¹¡ÒÃÃÑ¡ÉÒ´ŒÇ vitamin-K1 ¨Ð·íÒãËŒÃдѺ coagulation factor àËŋҹÕáÅСÒÃá¢ç§µÑǢͧàÅ×Í´ é é ¡ÅѺ໚¹»Ã¡µÔ ¢ŒÍº‹§ªÕé ¼Ù»Ç·Õ䴌úÊÒà warfarin ËÃ×Í superwarfarin ·ÕÁ¤Ò prothrombin time áÅÐ Œ † è Ñ è Õ ‹ INR ·ÕÂÒǡNjһáµÔ ¢ŒÍËŒÒÁ㪌 ¼Ù»Ç·Õᾌ vitamin-K1 ¼ÅÍѹäÁ‹¾§»ÃÐʧ¤ ¡ÒúÃÔËÒà vitamin K-1 è Œ † è Ö ·Ò§ËÅÍ´àÅ×Í´´íÒ·ÕàÃçÇà¡Ô¹ä»ÍÒ¨·íÒãËŒà¡Ô´ÀÒÇÐanaphylactoid ´Ñ§¹Ñ¹¡ÒúÃÔËÒ÷ҧËÅÍ´àÅ×Í´´íÒ¤Çà è é ·íÒã¹ÍѵÃÒäÁ‹à¡Ô¹ 1 mg/¹Ò·Õ ËÁÒÂàËµØ á¾·Â¤ÇõѴÊԹ㨺ÃÔËÒà vitamin-K1 à¾×͵ŒÒ¹Ä·¸Ôì warfarin è áÅÐ superwarfarin㹡óշÁËÅÑ¡°Ò¹Ç‹ÒÁÕ¤Ò prothrombin time áÅÐ INR ·ÕÂÒǡNjһáµÔ ËÃ×Í Õè Õ ‹ è 㹡óթ¡à©Ô¹·ÕÁàÅ×Í´ÍÍ¡¼Ô´»Ã¡µÔ෋ҹѹ ¡ÒÃãËŒ¡ÒÃÃÑ¡ÉÒ´ŒÇ vitamin-K1 à¾Õ§à¾ÃÒлÃÐÇÑµÔ Ø è Õè é ¡ÒÃ䴌úÊÒÃ¡ÅØÁ warfarin ËÃ×Í superwarfarin áÅÐäÁ‹ÁËÅÑ¡°Ò¹Í׹ʹѺʹعÍÒ¨·íÒãËŒ¡Ãкǹ¡ÒÃ Ñ ‹ Õ è ´ÙáżٻÇÂÁÕ¤ÇÒÁ«Ñº«ŒÍ¹áÅÐÂÒǹҹËÃ×Íà¡Ô´ÍѹµÃÒÂá¡‹¼»ÇÂä´Œ(9, 10) Œ † ÙŒ † ÂÒµŒÒ¹¾ÔÉ·ÕèÁÕ¤ÇÒÁÊíҤѭᵋÂѧäÁ‹ÁÕ㪌ã¹ËÃ×ÍËÒÂÒ¡»ÃÐà·Èä·Â Cyanide antidote kit »ÃСͺ´ŒÇ sodium nitrite áÅÐ sodium hyposulfite ¡Åä¡¡ÒÃÍ͡ķ¸Ôì 1) ¡Òà ¡‹ÍãËŒà¡Ô´ÀÒÇÐ methemoglobinemia â´Â sodium nitrite â´ÂËÇѧãËŒ cyanide ¨Ñº¡Ñº met hemoglobin á·¹·Õ¨Ð¨Ñº¡Ñº enzyme cytochrome oxidase ·íÒãËŒ enzyme cytochrome oxidase ¿„¹¤×¹Ë¹ŒÒ·Õè è œ µÒÁ»Ã¡µÔ 2) thiosulfate à˧»¯Ô¡ÃÂÒ㹡ÒÃà»ÅÕ¹ cyanide ໚¹ÊÒà thiocyante ·ÕÁ¾É¹ŒÍÂ¡Ç‹Ò ÔÔ è è Õ Ô cyanide áŌǢѺ¶‹Ò¨ҡËҧ¡Ò ¢ŒÍº‹§ªÕé 1) ÊÒÁÒöºÃÔËÒà sodium thiosulfate 䴌㹡óշʧÊÑ Õè NjҼٻÇÂ䴌úÊÒÃcyanide 2) ºÃÔËÒà sodium nitrite 㹡óշ¼»ÇÂà¡Ô´¾ÔÉÃØ¹áç¨Ò¡ cyanide Œ † Ñ Õè ÙŒ † à·‹Ò¹Ñé¹ä´Œá¡‹ ¡Ò÷Õè¼ÙŒ»†ÇÂÁÕÍÒ¡Òà ªÕ¾¨ÃªŒÒ ¤ÇÒÁ´Ñ¹âÅËÔµµèíÒ ËÁ´ÊµÔ ªÑ¡ metabolic acidosis
  • 166.
    àǪÈÒʵÏ·¹Âؤ 2553 Ñ 139 ¢ŒÍËŒÒÁ㪌 ËŒÒÁ㪌 sodium nitriteã¹¼Ù»ÇÂÀÒÇоÔɨҡ cyanide ¨Ò¡¡ÒÃÊíÒÅÑ¡¤ÇÑ¹ä¿ ¼ÅÍѹäÁ‹¾§ Œ † Ö »ÃÐʧ¤ sodium nitrite ÍÒ¨·í Ò ãËŒ à ¡Ô ´ »Ç´àÇÕ Â ¹ÈÕ Ã ÉÐ ¤ÇÒÁ´Ñ ¹ âÅËÔ µ µèí Ò Å§ áÅÐà¡Ô ´ methemoglobinemia ÁÒ¡à¡Ô¹ä»¨¹à»š¹ÍѹµÃÒÂä´Œ(9, 11) Hydroxycobalamine ´ŒÇÂà˵طÕè cyanide antidote kit ´Ñ§¡Å‹ÒÇã¹ËÑÇ¢ŒÍ¡‹Í¹Ë¹ŒÒ¹Õé ÍÒ¨ÁÕ¢ŒÍ¨íÒ¡Ñ´ã¹´ŒÒ¹ »ÃÐÊÔ·¸ÔÀÒ¾·Õ㪌 ¨Ö§ÁÕÂÒµŒÒ¹¾Ôɪ¹Ô´ãËÁ‹ä´Œá¡‹ hydroxycobalamine «Ö§ÁÕ»ÃÐÊÔ·¸ÔÀÒ¾ÊÙ§ äÁ‹ÁÕ è è ¢ŒÍ¨íÒ¡Ñ´¡ÒÃ㪌㹡óշÕè¼ÙŒ»†ÇÂÁÒ¨Ò¡à˵ØÊíÒÅÑ¡¤Çѹä¿ËÃ×ÍÁÕÀÒÇФÇÒÁ´Ñ¹âÅËÔµµèíÒ ¹Í¡¨Ò¡¹Õé hydroxycobalamine ÂѧÁÕ¼ÅÍѹäÁ‹¾§»ÃÐʧ¤·¤Í¹¢ŒÒ§¹ŒÍ ઋ¹ ÍÒ¡ÒäÅ×¹äÊŒ ÍÒà¨Õ¹ àÇÕ¹ÈÕÃÉÐ Ö Õè ‹ è áÅСÒÃà»ÅÕ¹ÊբͧÊÒùéÒã¹Ã‹Ò§¡Ò ¢ŒÍ¨íҡѴ㹡ÒèѴËÒ hydroxycobalamine 䴌ᡋÃÒ¤Ò·Õè è í (9, 11) á¾§áÅÐÍѵÃÒ¡ÒÃ㪌ÂÒ¹ŒÍ .omepizole (4-methylpyrazole) ໚¹ÂÒµŒÒ¹¾ÔÉ methanol áÅÐ ethylene glycol ¡Åä¡¡ÒÃÍ͡ķ¸Ôì fomepizole ໚¹ competitive inhibitor ¢Í§ enzyme alcohol dehydrogenase ·Õà»ÅÕ¹ methanol áÅÐ ethylene è è glycol ໚¹ metabolite ·Õ໚¹¾Ôɤ×Í formic acid áÅÐ glycolic acid µÒÁÅíҴѺ ¢ŒÍº‹§ªÕé ઋ¹à´ÕÂǡѺ è ethanol ¼ÅÍѹäÁ‹¾§»ÃÐʧ¤ ÍÒ¡ÒäÅ×¹äÊŒ ÍÒà¨Õ¹ àÇÕ¹ÈÕÃÉÐ ¤ÇÒÁÊíҤѭ·Ò§¤ÅÔ¹¡ fomepizole Ö è Ô à»š ¹ ÂÒµŒ Ò ¹¾Ô É methanol áÅÐ ethylene glycol ·Õè ÁÕ » ÃÐÊÔ · ¸Ô À Ò¾áÅлÅÍ´ÀÑ Â ÁÒ¡ (12) â´Â੾ÒÐÍ‹ҧÂÔ§àÁ×Íà·Õº¡Ñº ethanol ·ÕÁâÍ¡ÒÊà¡Ô´¼Å·ÕäÁ‹¾§»ÃÐʧ¤ÁÒ¡áÅÐÍҨ໚¹ÍѹµÃÒ è è è Õ è Ö ¢ŒÍ¨íÒ¡Ñ´¢Í§ fomepizole 䴌ᡋ ÃÒ¤Ò·Õá¾§áÅÐÁշ㪌¹Í¨֧ÂѧäÁ‹Á¡Òâֹ·ÐàºÕ¹㹻ÃÐà·Èä·Â è Õè Œ Õ é Glucagon ໚¹ÂÒµŒÒ¹¾ÔÉ·Õ㪌áÉÒÀÒÇФÇÒÁ´Ñ¹âÅËÔµµèÒ¨Ò¡¾ÔÉ calcium channel blocker áÅÐ è Ñ í beta-adrenergic receptor blocker ¡Åä¡¡ÒÃÍ͡ķ¸Ôì ¡Ãеع¡ÒÃÊÌҧ adenyl cyclase «Ö§à¾ÔÁ cyclic Œ è è adenosine monophosphate (cAMP) â´ÂäÁ‹¼Ò¹ calcium áÅÐ adrenergic receptor ·íÒãËŒËÇ㨠‹ Ñ ºÕºµÑÇä´Œ´Õ¢Öé¹áÅÐà¾ÔèÁ¤ÇÒÁ´Ñ¹âÅËÔµ ¼ÅÍѹäÁ‹¾Ö§»ÃÐʧ¤ ·íÒãËŒà¡Ô´ÀÒÇÐ hyperglycemia áÅÐ hypokalemia ¤ÇÒÁÊíҤѭ·Ò§¤ÅÔ¹¡ ÀÒÇФÇÒÁ´Ñ¹âÅËÔµµèÒ¨Ò¡¾ÔÉ calcium channel blocker áÅÐ Ô í beta-adrenergic receptor blocker ÁÕ͹µÃÒ¶֧ªÕǵáÅÐäÁ‹µÍºÊ¹Í§µ‹Í¡ÒÃÃÑ¡ÉÒµÒÁẺ·Õ㪌áÉÒ Ñ Ô è Ñ ¤ÇÒÁ´Ñ¹âÅËÔµµèÒµÒÁ»Ã¡µÔ ¨Ö§¨íÒ໚¹µŒÍ§ãªŒ¡ÒÃÃÑ¡ÉÒËÅÒÂÃٻẺÃÇÁ·Ñ§ glucagon «Ö§¨Ñ´à»š¹¡Òà í é è ÃÑ¡ÉÒÃдѺÁҵðҹ·Õ໚¹·ÕÂÍÁÃѺ ã¹¢³Ð·Õ¡ÒÃÃÑ¡ÉÒÍ×¹æ ઋ¹ hyperinsulinemia/euglycemia (HIE) è è è è ËÃ×Í lipid emulsion therapy Âѧ¨Ñ´ÍÂÙã¹ÃдѺ¡ÒÃÈÖ¡ÉÒÇÔ¨Â(13) ‹ Ñ
  • 167.
    140 ¤ÇÒÁÊíҤѭ¢Í§ÂÒµŒÒ¹¾ÔÉ㹡ÒôÙáżٻÇÂÀÒÇоÔÉà©Õº¾Åѹ Œ † Pyridoxine ໚¹ÂÒµŒÒ¹¾ÔÉ isonizid ËÃ×Í monomethylhydrazines ¨Ò¡¾ÔÉàËç´¡ÅØÁ Gyromitra (àËç´ ‹ ÊÁͧÇÑÇ àËç´ÊÁͧ¤ÇÒÂ) «Ö§¾ÔÉàËŋҹշÒãËŒà¡Ô´ÍÒ¡ÒêѡáÅÐÀÒÇÐ lactic acidosis ·ÕÁ¡äÁ‹µÍºÊ¹Í§ è é í è Ñ µ‹Í¡ÒÃÃÑ¡ÉÒ´ŒÇÂÂҡѹªÑ¡ ¢¹Ò´·Õ㪌áÉÒ䴌ᡋ¢¹Ò´ 5 ¡ÃÑÁ «Ö§Áѡ໚¹¢¹Ò´·ÕäÁ‹ÊÒÁÒöËÒä´Œ è Ñ (14) è è ã¹âç¾ÂÒºÒÅã¹»ÃÐà·Èä·ÂáÁŒ¨Ð໚¹ÃдѺâç¾ÂÒºÒÅÈٹËÃ×Íâç¾ÂÒºÒÅÁËÒÇÔ·ÂÒÅÑ ÊÃØ» ¨Ò¡µÑÇÍ‹ҧáÅÐÃÒÂÅÐàÍÕ´¢ŒÒ§µŒ¹ ¨ÐàËç¹Ç‹Ò¡ÒÃ㪌ÂÒµŒÒ¹¾ÔÉáÅСÒèѴËÒ¡ÒõŒÒ¹¾ÔÉ Í‹ Ò §àËÁÒÐÊÁ໚ ¹ ÊÔè § ·Õè ÁÕ ¤ ÇÒÁ¨í Ò à»š ¹ 㹡Òô٠á żٌ »† Ç ÂÀÒÇÐ¾Ô É à©Õ  º¾ÅÑ ¹ ãËŒ ä ´Œ ÃÑ º ¤ÇÒÁ »ÅÍ´ÀÑÂÊÙ§·ÕÊ´ Í‹ҧäáçµÒÁÇÔªÒ¾ÔÉÇÔ·ÂÒ¤ÅÔ¹¡à»š¹ÊÒ¢Ò·ÕÁ¤ÇÒÁ¡ŒÒÇ˹ŒÒÍ‹ҧÃÇ´àÃçÇ «Ö§ÍÒ¨·íÒ èØ Ô è Õ è ãËŒÁͧ¤¤ÇÒÁÃÙËÃ×ÍËÅÑ¡°Ò¹ãËÁ‹··ÒãËŒà¡Ô´¡ÒÃà»ÅÕ¹á»Å§ã¹á¹Ç·Ò§¡ÒÃÃÑ¡ÉÒ¼Ù»ÇÂÍ‹ҧµ‹Íà¹×ͧ Õ Œ Õè í è Œ † è ᾷáÅкؤÅҡ÷ҧÊÒ¸ÒÃ³ÊØ¢¨Ö§¤ÇûÃÖ¡ÉÒÈٹ¾ÉÇÔ·ÂÒà¾×ÍãËŒ¡Òê‹ÇÂàËÅ×Í㹡ÒôÙáżٻÇÂ Ô è Œ † Í‹ҧàËÁÒÐÊÁ àÍ¡ÊÒÃ͌ҧÍÔ§ 1. Pochanugool C, Limthongkul S, Wilde H. Management of Thai cobra bites with a single bolus of antivenin. Wilderness Environ Med 1997;8(1):20-3. 2. Laothong C, Sitprija V. Decreased parasympathetic activities in Malayan krait (Bungarus candidus) envenoming. Toxicon 2001;39(9):1353-7. 3. Eddleston M, Dawson A, Karalliedde L, Dissanayake W, Hittarage A, Azher S, et al. Early management after self-poisoning with an organophosphorus or carbamate pesticide - a treatment protocol for junior doctors. Crit Care 2004;8(6):R391-7. 4. Eddleston M, Buckley NA, Checketts H, Senarathna L, Mohamed ., Sheriff MH, et al. Speed of initial atropinisation in significant organophosphorus pesticide poisoning—a systematic comparison of recommended regimens. J Toxicol Clin Toxicol 2004;42(6):865-75. 5. Kraut JA, Kurtz I. Toxic alcohol ingestions: clinical features, diagnosis, and management. Clin J Am Soc Nephrol 2008;3(1):208-25. 6. Peter JV, Moran JL, Graham P. Oxime therapy and outcomes in human organophosphate poisoning: an evaluation using meta-analytic techniques. Crit Care Med 2006;34(2):502-10. 7. Eddleston M, Eyer P, Worek ., Juszczak E, Alder N, Mohamed ., et al. Pralidoxime in acute organophosphorus insecticide poisoning—a randomised controlled trial. PLoS Med 2009;6(6):e1000104. 8. Eddleston M, Buckley NA, Eyer P, Dawson AH. Management of acute organophosphorus pesticide poisoning. Lancet 2008;371(9612):597-607. 9. Betten DP, Vohra RB, Cook MD, Matteucci MJ, Clark R.. Antidote use in the critically ill poisoned patient. J Intensive Care Med 2006;21(5):255-77. 10. Nelson AT, Hartzell JD, More K, Durning SJ. Ingestion of superwarfarin leading to coagulopathy: a case report and review of the literature. MedGenMed 2006;8(4):41.
  • 168.
    àǪÈÒʵÏ·¹Âؤ 2553 Ñ 141 11. Hall AH, Saiers J, Baud .. Which cyanide antidote? Crit Rev Toxicol 2009;39(7):541-52. 12. Brent J. .omepizole for ethylene glycol and methanol poisoning. N Engl J Med 2009;360(21):2216-23. 13. Kerns W, 2nd. Management of beta-adrenergic blocker and calcium channel antagonist toxicity. Emerg Med Clin North Am 2007;25(2):309-31; abstract viii. 14. Lheureux P, Penaloza A, Gris M. Pyridoxine in clinical toxicology: a review. Eur J Emerg Med 2005;12(2): 78-85.
  • 170.
    àǪÈÒʵÏ·¹Âؤ 2553 Ñ º··Õè 143 21 ¡ÒÃÍÍ¡¡íÒÅѧËÅѧ¡Ò÷íÒËѵ¶¡ÒÃËÃ×ͼ‹ÒµÑ´ËÑÇ㨠ÃͧÈÒʵÃÒ¨ÒÏ ᾷ˭ԧ¡ÁŷԾ ËÒ­¼´Ø§¡Ô¨ ÀÒ¤ÇÔªÒàǪÈÒʵÏ¿¹¿Ù ¤³Ðá¾·ÂÈÒʵÏÈÃÃÒª¾ÂÒºÒÅ ÁËÒÇÔ·ÂÒÅÑÂÁËÔ´Å „œ ÔÔ àÁ×Í໚¹âäËÑÇ㨠¼Ù»ÇÂʋǹãË­‹¨Ð¡Ñ§ÇÅäÁ‹¡ÅŒÒ·íÒ¡Ô¨¡ÃÃÁµ‹Ò§æ «Ö§ÃÇÁ¶Ö§¡ÒÃÍÍ¡¡íÒÅѧ´ŒÇÂ è Œ † è áÅÐàÁ×ͼٻÇÂࢌÒÃѺ¡ÒÃÃÑ¡ÉÒ´ŒÇ¡Ò÷íÒËѵ¶¡ÒÃËÃ×Í¡Ò÷íÒ¼‹ÒµÑ´·Õà¡ÕÂǡѺËÑÇ㨠¼Ù»Ç¨ÐÂÔ§¢Ò´ è Œ † è è Œ † è ¤ÇÒÁÁѹ㨠äÁ‹á¹‹ã¨Ç‹Ò µ¹¤Ç÷íÒ¡Ô¨¡ÃÃÁã¹ÃдѺã´ÁÒ¡¹ŒÍÂᤋä˹ ·íÒãˌŴ¡Ò÷íÒ¡Ô¨¡ÃÃÁŧ è «Ö§¨Ð¹íÒä»ÊÙÀÒÇж´¶Í (deconditioning ËÃ×Í immobilization syndrome) ·íÒãËŒÊÀҾËҧ¡ÒÂ͋͹ è ‹ áçŧä»ÍÕ¡ ã¹»˜¨¨Øº¹¡ÒôÙáÅÃÑ¡ÉҼٻǵ‹Ò§æ ¹Ñ¹à¹Œ¹¡ÒÃà¤Å×͹äËÇËҧ¡ÒÂËÃ×Í¡Ò÷íÒ¡Ô¨¡ÃÃÁãËŒàÃçÇ Ñ Œ † é è ·Õʴ෋ҷըзíÒä´Œ (early mobilization) «Ö§¡ÒôÙáÅÃÑ¡ÉÒ¼Ù»ÇÂâäËÑÇ㨡ç໚¹ä»ã¹á¹Ç·Ò§à´ÕÂǡѹ èØ è è Œ † ´Ñ§¹Ñ鹡ÒÃãËŒ¤íÒá¹Ð¹íÒà¡ÕèÂǡѺ¡Ô¨¡ÃÃÁ·Õè·íÒä´ŒËÃ×Í¡ÒÃÍÍ¡¡íÒÅѧ·ÕèàËÁÒÐÊÁ¨Ö§à»š¹ÊÔè§·Õè¨íÒ໚¹ ·Ñ§ã¹´ŒÒ¹¡Òû‡Í§¡Ñ¹ÀÒÇж´¶Í ¡Òû‡Í§¡Ñ¹âäËÑÇã¨áºº·ØµÂÀÙÁáÅСÒÿ„¹¿ÙÊÁÃöÀÒ¾«Ö§¨Ð é Ô Ô œ è ª‹ÇÂãËŒ¼»ÇÂÁÕ¤³ÀÒ¾ªÕǵ·Õ´¢¹ ͹֧㹺·¤ÇÒÁ¹ÕÁ§à¹Œ¹·Õ¡ÒôÙáżٻÇÂâäËÑÇ㨢ҴàÅ×Í´ËÃ×Íâä ÙŒ † Ø Ô è Õ Öé è é Ø‹ è Œ † ËÅÍ´àÅ×Í´á´§â¤âùÒÃÕ ( ischemic heart disease, IHD ËÃ×Í coronary artery disease, CAD ) ໚¹ËÅÑ¡ â´Â੾ÒÐËÅѧ¡Ò÷íÒËѵ¶¡ÒÃËÃ×ͼ‹ÒµÑ´ËÑÇ㨠«Ö§ÁÕ໇ÒËÁÒ ¤×Í ãËŒ¼»ÇÂäÁ‹à¨çº»Ç´ ÁÕ¤ÇÒÁ è ÙŒ † Áѹã¨ã¹¡Ò÷íÒ¡Ô¨¡ÃÃÁ·Ò§¡ÒÂÁÒ¡¢Ö¹ ÊÒÁÒö·íÒ¡Ô¨ÇѵûÃШíÒÇѹ´ŒÇµ¹àͧ ·ÃÒºá¹Ç·Ò§¡Òà è é ÍÍ¡¡íÒÅѧËÃ×ÍÃдѺ¡Ô¨¡ÃÃÁ·Õ¤Ç÷íÒÀÒÂËÅѧ¡Ò÷íÒËѵ¶¡ÒÃËÃ×ͼ‹ÒµÑ´ áÅÐÍÍ¡¡íÒÅѧÍ‹ҧÊÁèÒàÊÁÍ è í µ‹Íà¹×ͧ ´Ñ§¹Ñ¹âäËÑÇã¨ã¹·Õ¹¨ÐËÁÒ¶֧ IHD ËÃ×Í CAD áÅСÒÃÍÍ¡¡íÒÅѧ¨ÐËÁÒÂÃÇÁ¶Ö§¡Ò÷íÒ è é è Õé ¡Ô¨¡ÃÃÁ·Ò§¡Ò´ŒÇ ¹ÔÂÒÁ 1. ¡Ô¨¡ÃÃÁ·Ò§¡Ò (Physical activity, PA) ËÁÒ¶֧ ¡ÒÃà¤Å×͹äËÇËҧ¡Ò·ÕÁ¼Å·íÒãËŒ è è Õ à¡Ô´¡ÒÃ㪌ËÃ×Íà¼Ò¼ÅÒ­¾Åѧ§Ò¹à¾ÔÁ¢Ö¹¨Ò¡¢³Ð¾Ñ¡ è é 2. ¡ÒÃÍÍ¡¡íÒÅѧ ËÁÒ¶֧ ¡Ô¨¡ÃÃÁ·Ò§¡ÒÂÍ‹ҧ˹Öè§·ÕèÁÕÃٻẺ¡ÒÃà¤Å×è͹äËÇËҧ¡Ò ·Õª´à¨¹áÅзíÒ«éÒà¾×ÍãËŒà¡Ô´¤ÇÒÁÊÁºÙóá¢ç§áç¢Í§Ã‹Ò§¡Ò è Ñ í è 3. ¡Ò÷íÒËѵ¶¡ÒÃËÃ×ͼ‹ÒµÑ´ËÑÇ㨠㹷չÕé ËÁÒ¶֧ ¡Ò÷íÒËѵ¶¡Òà percutatneous coronary è intervention (PCI) áÅÐ ËÃ×Í ¡Ò÷íÒ¼‹ÒµÑ´·Ò§àºÕ§ËÅÍ´àÅ×Í´ËÑÇã¨â¤âùÒÃÕ (coronary artery bypass è graft, CABG)
  • 171.
    144 ¡ÒÃÍÍ¡¡íÒÅѧËÅѧ¡Ò÷íÒËѵ¶¡ÒÃËÃ×ͼ‹ÒµÑ´ËÑÇ㨠4. Metabolic equivalent time (MET) ËÁÒ¶֧ ÃдѺ¢Í§àÁµÒºÍÅÔ«Á¢Í§Ã‹Ò§¡ÒÂàÁ×ͤԴ Ö è ໚¹¨íҹǹ෋ҢͧàÁµÒºÍÅÔ«Á¢³Ð¾Ñ¡ â´Âã¹¢³Ð¾Ñ¡Ã‹Ò§¡ÒÂÁÕ¡ÒÃ㪌ÍÍ¡«Ôਹà¾×ÍãËŒà¡Ô´¾Åѧ§Ò¹ Ö è 3.5 ÁÔÅÅÔŵÃ/¹éÒ˹ѡµÑÇ 1 ¡ÔâÅ¡ÃÑÁ/¹Ò·Õ ¡Å‹ÒÇ ¤×Í ¢³Ð¾Ñ¡Ã‹Ò§¡Ò¨ÐÁÕÃдѺàÁµÒºÍÅÔ«Á 1 MET Ô í Ö ËÃ×ÍÁÕ¡ÒÃ㪌ÍÍ¡«Ôਹ 3.5 ÁÔÅÅÔŵÃ/¹éÒ˹ѡµÑÇ 1 ¡ÔâÅ¡ÃÑÁ/¹Ò·Õ ´Ñ§¹Ñ¹ ¨Ö§¹ÔÂÁ㪌 ¨íҹǹ MET ã¹ Ô í é ¡Òú‹§ºÍ¡¶Ö§ ÃдѺ¡ÒÃ㪌ÍÍ¡«Ôਹ¢Í§Ã‹Ò§¡Ò ¾Åѧ§Ò¹ËÃ×ÍÃдѺ¤ÇÒÁ˹ѡ¢Í§¡Ô¨¡ÃÃÁ·Õ·Ò ઋ¹ è í ! ¹Ñ§¾ÔÁ¾§Ò¹ËÃ×Í㪌¤ÍÁ¾ÔÇàµÍÏ è 1.5 METs ! Â׹Ōҧ¨Ò¹ àµÃÕÂÁÍÒËÒà 2.0-2.5 METs ! ÍÒº¹éíÒ 2-3 METs ! Ōҧö ¡ÇÒ´ºŒÒ¹ 3 - 3.5 METs ! ¡ÒÃà´Ô¹àÃ×ÍÂæã¹ºŒÒ¹ËÃ×Í·Õ·Ò§Ò¹ è è í 2 METs ! à´Ô¹àÃçÇæº¹¾×¹ÃÒº (4 äÁŏ/ ªÑÇâÁ§) é è 5 METs ! ¡ÒÃŧºÑ¹ä´ 2.5 METs ! ¡ÒâֹºÑ¹ä´ é 4.0 METs 5. ÃдѺ¤ÇÒÁà˹×Í (Rate of perceived exertion, RPE) ໚¹ÇÔ¸¡ÒÃÍ‹ҧ˹֧·Õ㪌ºÍ¡ÃдѺ è Õ è è ¤ÇÒÁ˹ѡ¢Í§¡Ò÷íÒ¡Ô¨¡ÃÃÁ ·Õ¹ÂÁ㪌¡¹ ¤×Í Borg scale ·Õ¡Ò˹´¤ÇÒÁà˹×Í ໚¹ÃдѺµÑÇàÅ¢ è Ô Ñ è í è µÑ§áµ‹ 6-20 (µÒÃÒ§·Õè 1) é µÒÃÒ§·Õè 1 ÃдѺ¤ÇÒÁà˹×èÍ Borg scale ¤Ðá¹¹ ¤ÇÒÁÃÙÊ¡ Œ Ö 6 7 ÃÙʡʺÒ ŒÖ very very light 8 9 äÁ‹à˹×Í è very light 10 11 àÃÔÁÃÙÊ¡à˹×ÍÂ è ŒÖ è fairly light 12 13 ¤‹Í¹¢ŒÒ§à˹×Í è somewhat hard 14 15 à˹×Í è hard 16 17 à˹×ÍÂÁÒ¡ è very hard 18 19 à˹×Í·ÕÊ´ è èØ very very hard 20
  • 172.
    àǪÈÒʵÏ·¹Âؤ 2553 Ñ 145 6. Heart rate reserve (HRR) ËÃ×Í Karvonen method ໚¹ÇÔ¸¡ÒáíÒ˹´¤ÇÒÁ˹ѡ¢Í§¡ÒÃ Õ ÍÍ¡¡íÒÅѧÍ‹ҧ˹֧ â´Â¡íÒ˹´à»š¹ ÃŒÍÂÅТͧʋǹµ‹Ò§¢Í§ÍѵÃÒ¡ÒÃൌ¹¢Í§ËÑÇ㨠ÊÙ§ÊØ´ (maximal è heart rate, HR max ¡ÑºÍѵÃÒ¡ÒÃൌ¹¢Í§ËÑÇ㨠¢³Ð¾Ñ¡ (resting heart rate, HRrest ) THR= %(HRmax- HRrest) + HRrest à˵ؼŷÕ赌ͧÍÍ¡¡íÒÅѧ ¡ÒÃÍÍ¡¡íÒÅѧÁÕËÅÒª¹Ô´ ᵋ¡ÒÃÍÍ¡¡íÒÅѧ·ÕèÁÕ»ÃÐ⪹áÅÐ㪌à¾×èÍÊ‹§àÊÃÔÁÊØ¢ÀÒ¾áÅÐ »‡Í§¡Ñ¹âäËÑÇ㨠¤×Í ¡ÒÃÍÍ¡¡íÒÅѧà¾×Íà¾ÔÁ¤ÇÒÁ·¹·Ò¹ËÃ×ͤÇÒÁÊÁºÙó¢Í§ÃкºËÑÇ㨠ËÅÍ´àÅ×Í´ è è áÅлʹ ËÃ×Í ¡ÒÃÍÍ¡¡íÒÅѧẺáÍâúԤ ¡ÒÃÍÍ¡¡íÒÅѧª¹Ô´¹ÕéÁØ‹§ãËŒà¡Ô´¡ÒûÃѺµÑǢͧËҧ¡Ò ãËŒÊÒÁÒö´Ö§ÍÍ¡«Ôਹä»ãªŒ»ÃÐ⪹ä´Œ´Õ¢Öé¹ â´Â¾ºÇ‹Ò¡ÒÃÍÍ¡¡íÒÅѧẺáÍâúԤ ÁÕ»ÃÐ⪹ ª‹Ç»‡Í§¡Ñ¹âäËÑÇ㨴ѧáÊ´§ã¹ÃÙ»·Õè 1(1) ´Ñ§¹Ñ¹¡ÒÃÍÍ¡¡íÒÅѧª¹Ô´¹Õ¨§à»š¹¡ÒÃÍÍ¡¡íÒÅѧ·Õá¹Ð¹íÒãËŒ é éÖ è ·íÒ໚¹»ÃШíÒ㹪‹Ç§·ÕÍÍ¡¨Ò¡âç¾ÂÒºÒÅËÃ×Íá¢ç§áç¢Ö¹áÅŒÇ è é ¡ÒÃÍÍ¡¡íÒÅѧ¨Ñ´à»š¹à¤Ã×ͧÁ×ÍÊíҤѭ㹡Òÿ„¹¿ÙÊÁÃöÀÒ¾¼Ù»ÇÂâä CAD â´Â¡Òÿ„¹¿Ù è œ Œ † œ ÊÁÃöÀÒ¾·ÕÁ¡ÒÃÍÍ¡¡íÒÅѧ໚¹Í§¤»ÃСͺÁÕ»ÃÐ⪹ã¹¡ÒÃÅ´ÍѵÃÒ¡ÒÃàÊÕªÕǵ¨Ò¡âäËÑÇã¨(2) è Õ Ô Å´ÃдѺâ¤àÅÊàµÍÃÍÅ ÃдѺ¤ÇÒÁ´Ñ¹âÅËÔµ«ÔÊâµÅÔ¤ (systolic blood pressure, SBP)(3) áÅÐÂѧª‹Ç »‡Í§¡Ñ¹¡ÒÃ໚¹«éÒÃÇÁ·Ñ§¨Ðª‹ÇÂÅ´ÍѵÃÒ¡ÒÃà¡Ô´ËÅÍ´àÅ×Í´µÕºµÑ¹ÀÒÂËÅѧ¡Ò÷íÒ PCI í é ÃÙ»·Õè 1 áÊ´§¼Å¡Òû‡Í§¡Ñ¹âäËÑÇ㨢ͧ¡Ô¨¡ÃÃÁ·Ò§¡Ò·Õè·íÒÊÁèíÒàÊÁÍ(1) BP = blood pressure; HR = heart rate
  • 173.
    146 ¡ÒÃÍÍ¡¡íÒÅѧËÅѧ¡Ò÷íÒËѵ¶¡ÒÃËÃ×ͼ‹ÒµÑ´ËÑÇ㨠ÃÐÂТͧ¡Òÿ„œ¹¿ÙÊÁÃöÀÒ¾¼ÙŒ»†ÇÂâäËÑÇ㨠¡Òÿ„¹¿ÙÊÁÃöÀÒ¾¼Ù»ÇÂâäËÑÇ㨫֧ÁÕ¡ÒÃÍÍ¡¡íÒÅѧ໚¹à¤Ã×ͧÁ×Í·ÕÊҤѭ ÊÒÁÒö¨Ñ´áº‹§ œ Œ † è è èí ໚¹ 3 ËÃ×Í 4 ÃÐÂТֹ¡ÑºÅѡɳСÒèѴẋ§ â´ÂÃÐÂзÕè 1 ¨Ð໚¹ÃÐÂмٻÇÂã¹ (inpatient) àÊÁÍ é Œ † áÅÐÃÐÂÐÊØ´·ŒÒ¨Ð໚¹ÃÐÂÐ maintenance ·ÕãËŒ¼»Ç´ÙáÅÃѺ¼Ô´ªÍºµ¹àͧ ÃÐÂе‹Ò§æ 䴌ᡋ è ÙŒ † ÃÐÂзÕè 1 ¼Ù»ÇÂã¹ Œ † ÃÐÂзÕè 2 immediate outpatient ËÃ×ÍÃÐÂоѡ¿„¹œ ÃÐÂзÕè 3 intermediate outpatient ÃÐÂзÕè 4 maintenance ËÃ×Í ¡Òû‡Í§¡Ñ¹¡ÒÃ໚¹«éÒ í â´ÂᵋÅÐÃÐÂШÐ㪌àÇÅÒ·ÕäÁ‹à·‹Ò¡Ñ¹ (ÃÙ»·Õè 2) ÃÐÂзÕè 2 áÅÐÃÐÂзÕè 3໚¹ÃÐÂзÕÍÒ¨ è (4) è ¾Ô¨ÒóÒÃÇÁ໚¹ÃÐÂÐà´ÕÂǡѹ áÅÐÃÐÂзÕè 4 »ÃѺ໚¹ÃÐÂзÕè 3 á·¹ ÃÙ»·Õè 2 ÃÐÂТͧ¡Òÿ„œ¹¿ÙÊÁÃöÀÒ¾¼ÙŒ»†ÇÂâäËÑÇã¨(4) ¡ÒûÃÐàÁÔ¹áÅÐá¹Ç·Ò§¡ÒÃÍÍ¡¡íÒÅѧ ¡ÒûÃÐàÁÔ¹¼Ù»Ç¡‹Í¹ÍÍ¡¡íÒÅѧ໚¹ÊÔ§ÊíҤѭáÅШíÒ໚¹Í‹ҧÂÔ§â´Â੾ÒмٻÇÂËÅѧ¡Ò÷íÒ Œ † è è Œ † Ëѵ¶¡ÒÃËÃ×ͼ‹ÒµÑ´ ·Ñ§¹Õ¡ÒûÃÐàÁÔ¹¨Ð»ÃСͺ´ŒÇ ¡Òëѡ»ÃÐÇÑµÔ ¡ÒõÃǨËҧ¡Ò ÃÇÁ¶Ö§¡Òà é é ÃѺÃÙáÅÐÊÀÒ¾ÍÒÃÁ³ ¤Å׹俿‡ÒËÑÇ㨠¼Å¡ÒõÃǨ·Ò§ËŒÍ§»¯Ôºµ¡Òà â´ÂµŒÍ§¤íÒ¹Ö§¶Ö§âä·Õ¾º Œ è Ñ Ô è ËÇÁ ÃдѺ¡Ô¨¡ÃÃÁ·Õ·Òä´Œ ໇ÒËÁÒÂËÃ×ͤÇÒÁµŒÍ§¡Òâͧ¼Ù»Ç ÃÇÁ¶Ö§ÅѡɳЧҹÍÒªÕ¾·ÕµÍ§·íÒ è í Œ † è Œ ¡ÒûÃÐàÁÔ¹¨Ðª‹ÇÂãËŒ·ÃÒº¶Ö§ÊÀÒÇТͧ¼Ù»Ç ¤ÇÒÁàÊÕ§㹡ÒÃÍÍ¡¡íÒÅѧËÃ×Í·íÒ¡Ô¨¡ÃÃÁ Œ † è ·Ò§¡Ò (µÒÃÒ§·Õè 2)(4) à¹×ͧ¨Ò¡¼Ù»ÇºҧÃÒÂÍÒ¨ÁÕ¢ÍËŒÒÁ (µÒÃÒ§·Õè 3) (4) ËÃ×Í¢ŒÍ¨íÒ¡Ñ´ ·íÒãËŒ è Œ † Œ äÁ‹ÊÒÁÒöÍÍ¡¡íÒÅѧËÃ×Í·íÒ¡Ô¨¡ÃÃÁ䴌͋ҧ»¡µÔËÃ×Í·íÒãËŒ¡ÒÃÍÍ¡¡íÒÅѧàºÕ§ູ仨ҡá¹Ç·Ò§·Õè è ÇÒ§äÇŒ µÑÇÍ‹ҧâäËÃ×ÍÀÒÇзÕè·íÒãËŒà¡Ô´¡ÒÃàºÕè§ູ·Õ辺º‹ÍÂáÊ´§ã¹µÒÃÒ§·Õè 4(4) ¹Í¡¨Ò¡¹Õé ¡ÒûÃÐàÁÔ¹ÂѧÃÇÁ¶Ö§¡ÒõԴµÒÁ´Ù¡Òõͺʹͧ¢³ÐÍÍ¡¡íÒÅѧ´ŒÇ á¹Ç·Ò§¡ÒÃÍÍ¡¡íÒÅѧÃÐÂе‹Ò§æ áÊ´§ã¹µÒÃÒ§·Õè 5(5) â´Â¡ÒÃÍºÍØ¹Ã‹Ò§¡Ò (warm up) ‹ áÅСÒÃàºÒà¤Ã×èͧ (cool down) ໚¹¡ÒÃÍÍ¡¡íÒÅѧ·ÕèÊíҤѭáÅÐäÁ‹¹Ñºà»š¹Ê‹Ç¹¢Í§¡ÒÃÍÍ¡¡íÒÅѧ ã¹·Ø¡ÃÐÂзըСŋÒǶ֧µ‹Íä» è
  • 174.
    àǪÈÒʵÏ·¹Âؤ 2553 Ñ 147 ÃÐÂзÕè 1 ÃÐÂмٌ»†ÇÂã¹ ¨ÐÁاãËŒ¼»ÇÂäÁ‹à¨çº»Ç´ »ÃÒȨҡÀÒÇÐá·Ã¡«ŒÍ¹ ª‹ÇÂàËÅ×Í ‹ ÙŒ † µ¹àͧ䴌 áÅÐÊÒÁÒö»¯Ôºµµ¹ËÃ×ÍÍÍ¡¡íÒÅѧ·ÕºÒ¹ä´Œ â´Â·ÑÇ仨ÐàÃÔÁãËŒÍÍ¡¡íÒÅѧÃÇÁ·Ñ§Â×¹à´Ô¹ Ñ Ô è Œ è è é àÁ×ͼٻÇÂÁÕÍÒ¡Òä§·ÕáÅŒÇ ÊÔ§ÊíҤѭ ¤×Í ¼Ù»ÇÂäÁ‹ÁÍÒ¡ÒÃà¨çºá¹‹¹Ë¹ŒÒÍ¡ ËÃ×ÍÁÕËÇã¨àµŒ¹¼Ô´»¡µÔ è Œ † è è Œ † Õ Ñ ·Õà»ÅÕ¹á»Å§ä»¨Ò¡à´ÔÁ áÅеŒÍ§¤íÒ¹Ö§¶Ö§¤ÇÒÁ¾ÃŒÍÁ´ŒÒ¹¨Ôµã¨¢Í§¼Ù»Ç´ŒÇ ÃÇÁ·Ñ§´Ù¡Òõͺʹͧ è è Œ † é ¢Í§Ã‹Ò§¡Òµ‹Í¡ÒÃÍÍ¡¡íÒÅѧNjÒàËÁÒÐÊÁËÃ×ÍäÁ‹ à¾×ÍËÂØ´ËÃ×Í»ÃѺà»ÅÕ¹â»Ãá¡ÃÁ (µÒÃÒ§·Õè 6)(4) â´Â è è ·ÑÇ仨ÐãËŒ¢³ÐÍÍ¡¡íÒÅѧÁÕ͵ÃÒ¡ÒÃൌ¹¢Í§ËÑÇã¨ËÃ×ͪվ¨Ãà¾ÔÁ¢Ö¹¨Ò¡¢³Ð¾Ñ¡»ÃÐÁÒ³ 5-20 ¤Ãѧ/ è Ñ è é é ¹Ò·Õ áÅÐã¹ÃÐÂйըÐäÁ‹Á¡Òýƒ¡ÍÍ¡¡íÒÅѧª¹Ô´·ÕÁá経ҹ (resistive exercise training) é Õ è Õ ! ËÅѧ·íÒ PCI ʋǹãË­‹¡Ò÷íÒ PCI ¨Ð·íÒ¼‹Ò¹·Ò§ËÅÍ´àÅ×Í´á´§ femoral ·Õè¢Ò˹պ 㹪‹Ç§áá¼Ù»Ç¨еŒÍ§¹Í¹¹Ô§æ ໚¹àÇÅÒ¹Ò¹ ÁÑ¡ÁÕ»­ËһǴàÁ×Í ᵋàÁ×Íà¤Å×͹äËÇä´Œ Œ † è ˜ è è è ÍÒ¡ÒûǴàÁ×ͨдբ¹ËÃ×ÍËÒÂä» ¼Ù»ÇÂ¡ÅØÁ¹ÕÊǹãË­‹¨Ð¹Í¹âç¾ÂÒºÒÅ໚¹ÃÐÂÐ è Öé Œ † ‹ é ‹ àÇÅÒÊÑ¹æ »ÃÐÁÒ³ 1-2 Çѹ ¡Ô¨¡ÃÃÁ·Ò§¡Ò·ըнƒ¡ãËŒ¨Ð໚¹¡Ô¨¡ÃÃÁ¾×¹°Ò¹à¾×ÍãËŒªÇ é è é è ‹ µ¹àͧ䴌 ·íÒ¡Ô¨ÇѵûÃШíÒÇѹ䴌àͧ ¡ÒÃÍÍ¡¡íÒÅѧËÃ×͡Ԩ¡ÃÃÁ·Ò§¡Ò·Õèá¹Ð¹íÒ ¤×Í ¡ÒÃà´Ô¹ ·Ñ§¹ÕµÍ§ÃÐÇѧ¡ÒÃà¡Ô´ËŒÍàÅ×Í´ËÃ×Í¡ŒÍ¹àÅ×Í´ÍÍ¡¨Ò¡ËÅÍ´àÅ×Í´á´§ femoral ´ŒÇ é é Œ áÅФÇõÃǨ»ÃÐàÁÔ¹ªÕ¾¨Ã¢Í§ËÅÍ´àÅ×Í´á´§·ÕÍÂÙã¹Ê‹Ç¹»ÅÒ´ŒÇ ¤×Í ËÅÍ´àÅ×Í´á´§ è ‹ dorsalis pedis áÅÐ posterior tibial ! ËÅѧ¼‹ÒµÑ´ CABG ¼Ù»ÇÂ¡ÅØÁ¹ÕÊǹãË­‹¨Ð¹Í¹âç¾ÂÒºÒÅ»ÃÐÁÒ³ 5-7 Çѹ ¡ÒÃÍÍ¡¡íÒÅѧ Œ † ‹ é‹ ·Õèá¹Ð¹íÒã¹ÇѹááËÅѧ¼‹ÒµÑ´ ¤×Í ¡ÒÃËÒÂã¨ÅÖ¡áÅСÒáÃе،¹äÍ à¾×èÍ»‡Í§¡Ñ¹ÀÒÇÐ á·Ã¡«ŒÍ¹·Ò§»Í´áÅÐ ¡ÒâÂѺ¢ŒÍ෌Ңֹŧ (ankle pumping) à¾×Í»‡Í§¡Ñ¹ÀÒÇÐÅÔÁàÅ×Í´ é è è ÍØ´µÑ¹ã¹ËÅÍ´àÅ×Í´´íÒ (deep vein thrombosis) àÁ×ͼٻÇÂÁÕÍÒ¡Òôբ¹ ¨ÐàÃÔÁãËŒ¹§ áÅÐ è Œ † Öé è Ñè Â×¹à´Ô¹µ‹Íä» â´Â·ÑÇ仨ÐàÃÔÁÂ×¹à´Ô¹ä´Œµ§áµ‹Ç¹·Õè 2 ËÅѧ¼‹ÒµÑ´ ·Ñ§¹Õ¨ÐãËŒ¼»ÇÂÍÍ¡¡íÒÅѧ è è Ñé Ñ é é ÙŒ † ¢ÂѺ¢ŒÍµ‹Í (range of motion exercise) ËÃ×ÍÂ×´àÊŒ¹Â×´ÊÒ (stretching) ¡‹Í¹¡ÒÃÂ×¹à´Ô¹ (µÒÃÒ§·Õè 5) (5) â´Â·ÑÇ仨нƒ¡ãËŒ¼»ÇÂà´Ô¹ÍÍ¡¡íÒÅѧ䴌 10-15 ¹Ò·Õ áŌǨÐËÑ´ãËŒ¢¹Å§ è ÙŒ † Öé ºÑ¹ä´ ËÃ×Í ·íÒ¡Ô¨¡ÃÃÁä´Œã¹ÃдѺ»ÃÐÁÒ³ 3-4 METs ¡‹Í¹ãËŒ¨íÒ˹‹ÒÂÍÍ¡¨Ò¡ âç¾ÂÒºÒÅËÃ×Í¡ÅѺºŒÒ¹ à¾ÃÒСԨÇѵûÃШíÒÇѹʋǹãË­‹¨ÐÁÕÃдѺ¾Åѧ§Ò¹»ÃÐÁÒ³ 3 - 4 METs
  • 175.
    148 ¡ÒÃÍÍ¡¡íÒÅѧËÅѧ¡Ò÷íÒËѵ¶¡ÒÃËÃ×ͼ‹ÒµÑ´ËÑÇ㨠µÒÃÒ§·Õè 2 áÊ´§à¡³±¡ÒèѴÃдѺ¤ÇÒÁàÊÕ§¢Í§ American Association of Cardiovascular è and Pulmonary Rehabilitation (AACVPR)(4) Low Risk Moderate Risk High Risk ! No significant left ! Moderately impaired left ! Decreased left ventricular ventricular dysfunction ventricular function function (E. of < 40%) (E. of > 50%) (E. = 40% - 49%) ! Survivor of cardiac arrest or ! No resting or exercise- ! Signs/symptoms including sudden death induced complex angina at moderate levels ! Complex ventricular arrhythmias of exercise (5 – 6.9 METs) arrhythmias at rest or with ! Uncomplicated Ml; CABGs; or in recovery exercise angioplasty, atherectomy, ! MI or cardiac surgery or stent; complicated by cardiogenic ! Absence of CH., or shock. CH., and/or signs/symptoms of signs/symptoms of postevent ischemia postevent/procedure ! Normal hemodynamics ischemia with exercise or recovery ! Abnormal hemodynamics ! Asymptomatic including with exercise (especially flat absence of angina with or decreasing SBP or exertion or recovery chronotropic incompetence ! .unctional capacity of > 7 with increasing workload) METs ! Signs/symptoms including ! Absence of clinical angina pectoris at low levels depression of exercise (< 5.0 METs) or in recovery ! .unctional capacity of < 5.0 METs ! Clinically significant depression Low-risk classification is Moderate risk is assumed for Highest-risk classification is assumed when each of the patients who do not meet the assumed with the presence of descriptors in the category is classification of either high or any one of the descriptors present low risk included in this category ËÁÒÂà赯 MI = myocardial infarction; CABGs = coronary artery bypass surgery; CH. = congestive heart failure; SBP = systolic blood pressure
  • 176.
    àǪÈÒʵÏ·¹Âؤ 2553 Ñ 149 µÒÃÒ§·Õè 3 ¢ŒÍËŒÒÁ㹡ÒÃÍÍ¡¡íÒÅѧ(4) ! Unstable angina ! SBP ¢³Ð¾Ñ¡ > 180 mm Hg ËÃ×Í DBP ¢³Ð¾Ñ¡ > 110 mm Hg ·Ñ§¹ÕµÍ§¾Ô¨ÒÃ³Ò é é Œ ໚¹ÃÒÂæ´ŒÇ ! Orthostatic blood pressure drop > 20 mm Hg ·ÕÁÍÒ¡Òà è Õ ! Critical aortic stenosis ! Acute systemic illness or fever ! Uncontrolled atrial or ventricular arrhythmias ! Uncontrolled sinus tachycardia (> 120 beats per minute) ! Uncompensated congestive heart failure ! Third-degree A-V block (without pacemaker) ! Active pericarditis or myocarditis ! Recent embolism ! Thrombophlebitis ! Resting ST displacement (> 2mm); > 3 mm if patient is taking digitalis ! Uncontrolled diabetes (resting blood glucose > 400 mg/dL) ! Severe orthopedic problems that would prohibit exercise ! Other metabolic problems such as acute thyroiditis, hypo- or hyperkalemia, hypovolemia, etc. µÒÃÒ§·Õè 4 âäËÃ×ÍÀÒÇзÕè·íÒãËŒà¡Ô´¡ÒÃàºÕè§ູ¢Í§á¹Ç·Ò§ËÃ×Íâ»Ãá¡ÃÁ·ÕèÇÒ§äÇŒ(4) ÀÒÇÐà¨çº»†Ç·Õ辺ËÇÁ ÀÒÇÐá·Ã¡«ŒÍ¹·Ò§ËÑÇã¨áÅÐËÅÍ´àÅ×Í´ ÊÀҾËҧ¡ÒÂ͋͹áÍ ºÍººÒ§ (frailty) ÀÒÇÐàÅ×Í´ÍÍ¡ËÅѧ¼‹ÒµÑ´ âääµàÃ×ÍÃѧ é ÀÒÇÐËÑÇã¨àµŒ¹¼Ô´»¡µÔ âäËÅÍ´àÅ×Í´ÊÁͧ »Í´ÍÑ¡àʺµÔ´àª×Íé âä¡Ãд١áÅТŒÍ ¡ÅŒÒÁà¹×ÍËÑÇ㨵Òª‹Ç§¼‹ÒµÑ´ é ʵԻ­­Ò ¡ÒÃÃѺÃÙº¡¾Ã‹Í§ ˜ Œ ËÑÇã¨ËŒÍ§Å‹Ò§«ŒÒ·íҧҹŴŧ âäËÅÍ´àÅ×Í´ÊÁͧ
  • 177.
    µÒÃÒ§·Õè 5 á¹Ç·Ò§¡ÒÃãËŒÍÍ¡¡íÒÅѧ¡ÒÂà¾×èÍ¡ÒÃÃÑ¡ÉÒá¡‹¼ÙŒ»†ÇÂâäËÑÇã¨(5) 150 ¡ÒÃÍÍ¡¡íÒÅѧËÅѧ¡Ò÷íÒËѵ¶¡ÒÃËÃ×ͼ‹ÒµÑ´ËÑÇã¨
  • 178.
    àǪÈÒʵÏ·¹Âؤ 2553 Ñ 151 µÒÃÒ§·Õè 6 ¡Òõͺʹͧµ‹Í¡ÒÃÍÍ¡¡íÒÅѧ·Õ躋§ªÕéãËŒËÂØ´ÍÍ¡¡íÒÅѧã¹ÃÐÂмٌ»†ÇÂã¹(4) ! HR > 130 bpm or > 30 bpm above pre-exercise level ! Diastolic BP > 110 mm Hg ! Decrease in systolic BP > 10 mm Hg ! Significant ventricular or atrial arrhythmias ! Second- or third-degree heart block ! Signs/symptoms of exercise intolerance including angina pectoris and marked dyspnea ÃÐÂзÕè 2 ª‹Ç§¾Ñ¡¿„œ¹ ໚¹ÃÐÂе‹Íà¹×èͧ¨Ò¡¼ÙŒ»†ÇÂã¹ ¤×Í »ÃÐÁÒ³ 4- 6 ÊÑ»´Òˏáá ËÅѧÍÍ¡¨Ò¡âç¾ÂÒºÒÅ ÃÐÂйÕéÍÒ¨ãËŒ¼ÙŒ»†ÇÂÍÍ¡¡íÒÅѧ·Õ躌ҹËÃ×Íâç¾ÂÒºÒÅ¡çä´Œ â´Â»¡µÔ ¨Ðá¹Ð¹íÒãËŒ½ƒ¡·Õ躌ҹ ᵋã¹ÃÒ·ÕèÁÕ¤ÇÒÁàÊÕè§ÊÙ§¤ÇÃá¹Ð¹íÒãËŒÁÒ½ƒ¡·Õèâç¾ÂÒºÒŠ໇ÒËÁÒ ¢Í§¡Òýƒ¡ ¤×Í ¨ÐÁا์¹ãËŒ¤§ÃдѺ¤ÇÒÁÊÒÁÒö·Õ·Òä´Œ¡Í¹ÍÍ¡¨Ò¡âç¾ÂÒºÒÅ áÅÐàµÃÕÂÁ¼Ù»Ç ‹ è í ‹ Œ † ࢌÒÊÙÃÐÂзÕè 3 ÇÔ¸¡Òà ¤×Í ‹ Õ ! ¤‹ÍÂæ à¾ÔÁÃÐÂÐàÇÅÒ¡ÒÃÍÍ¡¡íÒÅѧãËŒ¹Ò¹¢Ö¹¨Ò¡ 5-10 ¹Ò·Õ ໚¹ 45 ¹Ò·Õ â´Â·íÒ·Ø¡Çѹ è é ËÃ×ÍÊÑ»´ÒˏÅÐ 5 ¤Ãѧ ¡Å‹ÒǤ×Í ã¹ª‹Ç§áá·Õ·Òä´ŒäÁ‹¹Ò¹ ÍÒ¨·íÒÇѹÅÐ 2 Ãͺ ᵋàÁ×Í é è í è à¾ÔÁàÇÅÒä´Œ¹Ò¹¢Ö¹à»š¹ 45 ¹Ò·Õ ÊÒÁÒö½ƒ¡à¾Õ§ÇѹÅÐ 1 Ãͺ è é ! ÍѵÃÒ¡ÒÃൌ¹¢Í§ËÑÇã¨ËÃ×ͪվ¨Ã¢³ÐÍÍ¡¡íÒÅѧà¾ÔÁ¢Ö¹¨Ò¡¢³Ð¾Ñ¡»ÃÐÁÒ³ 20 ¤Ãѧ/¹Ò·Õ è é é ËÃ×Í RPE »ÃÐÁÒ³ 11-13 ! ª¹Ô´¢Í§¡ÒÃÍÍ¡¡íÒÅѧ¡Ò·չÂÁã¹ÃÐÂйÕé ¤×Í ¡ÒÃà´Ô¹ËÃ×Í»˜¹¨Ñ¡ÃÂÒ¹ è Ô › 㹡óշÕèá¹Ð¹íÒãËŒÍÍ¡¡íÒÅѧʋǹᢹ µŒÍ§¤íÒ¹Ö§¶Ö§¡ÒÃËÒ¢ͧá¼Å¼‹ÒµÑ´ºÃÔàdz sternum ¢Í§¼Ù»ÇÂ·Õ·Ò CABG ´ŒÇÂáÅÐ㹡óշ¨Ð½ƒ¡ÍÍ¡¡íÒÅѧª¹Ô´·ÕÁá経ҹµŒÍ§á¹Ð¹íÒãËŒ¼»Ç Œ † è í Õè è Õ ÙŒ † ¡¹éÒ˹ѡËÃ×ÍÍÍ¡áç㹢³ÐËÒÂã¨ÍÍ¡ áÅÐÇÒ§¹éÒ˹ѡŧ㹢³ÐËÒÂã¨à¢ŒÒ í í ÃÐÂзÕè 3 ¼ÙŒ»†Ç¹͡ ໚¹ÃÐÂзÕÁ§ãËŒ¼»Ç¡ÅѺÊÙÃдѺ¡Ô¨¡ÃÃÁ»¡µÔ â´Âá¹Ð¹íÒãËŒ½¡ÍÍ¡ è Ø‹ ÙŒ † ‹ ƒ ¡íÒÅѧ·Õ˹‹Ç¿„¹¿ÙËÇã¨áµ‹¡ÊÒÁÒö·íҷպҹ䴌 ໚¹ÃÐÂзս¡ÍÍ¡¡íÒÅѧª¹Ô´ aerobic à¾×Íãˌ䴌¤ÇÒÁ è œ Ñ ç è Œ è ƒ è ÊÁºÙóá¢ç§áç¢Í§ÃкºËÑÇã¨áÅÐËÅÍ´àÅ×Í´ 㪌àÇÅÒ»ÃÐÁÒ³ 6–8 ÊÑ»´Òˏ áµ‹ã¹¡ÅØÁ¼Ù»Ç·ÕÁÕ ‹ Œ † è ¤ÇÒÁàÊÕ§ÊÙ§ÍҨ㪌àÇÅÒ¹Ò¹¶Ö§ 10-12 ÊÑ»´Òˏ ÇÔ¸¡Òà ¤×Í è Õ ! ÃÐÂÐàÇÅÒ¡ÒÃÍÍ¡¡íÒÅѧ 30 -60 ¹Ò·Õ ·íÒÍ‹ҧ¹ŒÍ ÊÑ»´ÒˏÅÐ 3-5 ¤Ãѧ é ! ½ƒ¡·Õ¤ÇÒÁ˹ѡ»ÃÐÁÒ³ 40/50-85% ¢Í§ HRR ËÃ×Í RPE 12-16 ã¹·Ò§»¯ÔºµËÒ¡á¹Ð è Ñ Ô ¹íÒãËŒ¼»Ç½ƒ¡ÍÍ¡¡íÒÅѧàͧ·ÕºÒ¹ ¨Ðá¹Ð¹íÒãËŒ¼»ÇÂ㪌 RPE »ÃÐÁÒ³ 11-13 à¾×ͤÇÒÁ ÙŒ † è Œ ÙŒ † è »ÅÍ´ÀÑ ! ª¹Ô´¢Í§¡ÒÃÍÍ¡¡íÒÅѧ¡Ò ¤×Í à´Ô¹ »˜¹¨Ñ¡ÃÂÒ¹ NjҹéÒ › í ! ¡ÒûÃѺà»ÅÕ¹â»Ãá¡ÃÁ¨Ð¢Ö¹¡ÑºÃдѺ¤ÇÒÁàÊÕ§¢Í§¼Ù»Ç è é è Œ †
  • 179.
    152 ¡ÒÃÍÍ¡¡íÒÅѧËÅѧ¡Ò÷íÒËѵ¶¡ÒÃËÃ×ͼ‹ÒµÑ´ËÑÇ㨠ÃÐÂзÕè 4 ¤§ÊÀÒ¾ªÑèǪÕÇÔµ ໚¹ÃÐÂзռ»ÇµŒÍ§´ÙáÅ»¯Ôºµµ¹ áÅФ§¡ÒÃÍÍ¡¡íÒÅѧà¾×Í è ÙŒ † Ñ Ô è ÊØ¢ÀÒ¾·Õ´¢Í§Ã‹Ò§¡ÒÂáÅл‡Í§¡Ñ¹¡ÒÃ໚¹«éÒ (secondary prevention) ·Ñ§¹Õ¼»Ç·ըÐÍÍ¡¡íÒÅѧàͧ è Õ í é é ÙŒ † è áÅе‹Íà¹×ͧ¤ÇÃÊÒÁÒö·íÒ¡Ô¨¡ÃÃÁÍ‹ҧ¹ŒÍ 5 METs è ÊíÒËÃѺ¡Òýƒ¡ÍÍ¡¡íÒÅѧã¹ÃÐÂзÕè 3 áÅÐ 4 ¢Í§¼Ù»ÇÂâäËÑÇ㨠CAD ·Õ䴌ú¡Ò÷íÒ PCI Œ † è Ñ ËÃ×Í CABG ÊÒÁÒö㪌á¹Ç·Ò§¡ÒÃÍÍ¡¡íÒÅѧ·ÑÇä»·Õè American College of Sports Medicine (ACSM) è áÅÐ American Heart Association (AHA) á¹Ð¹íÒÊíÒËÃѺºØ¤¤Å·ÑèÇä»ä´Œáµ‹µŒÍ§»ÃѺà»ÅÕè¹ãËŒ àËÁÒÐÊÁ¡ÑºÊÀÒÇТͧ¼Ù»ÇÂáÅÐãËŒ¤ÇÒÁÊíҤѭ¡Ñº warm up áÅÐ cool down ¤íÒá¹Ð¹íҢͧ ACSM Œ † áÅÐ AHA ÊíÒËÃѺºØ¤¤Å·ÕÁÍÒÂØ 18-65 »‚ ¤×Í “ãËŒ·Ò¡Ô¨¡ÃÃÁ·Ò§¡ÒÂẺáÍâúԤã¹ÃдѺ¤ÇÒÁáç è Õ í »Ò¹¡ÅÒ§Í‹ҧ¹ŒÍÂÇѹÅÐ 30 ¹Ò·Õ ÊÑ»´ÒˏÅÐ 5 Çѹ ËÃ×Í ·íÒ¡Ô¨¡ÃÃÁ·Ò§¡ÒÂẺáÍâúԤã¹ÃдѺ ¤ÇÒÁáçÁÒ¡Í‹ҧ¹ŒÍÂÇѹÅÐ 20 ¹Ò·Õ ÊÑ»´ÒˏÅÐ 3 Çѹ ·Ñé§¹Õé ÍÒ¨¼ÊÁ¼ÊÒ¹¡Ô¨¡ÃÃÁ·Ñé§ÊͧẺ ËÇÁ¡Ñ¹ä´Œ µÑÇÍ‹ҧ ઋ¹ à´Ô¹àÃçÇæ 30 ¹Ò·Õ ÊÑ»´ÒˏÅÐ 2 Çѹ ËÇÁ¡Ñº¡ÒÃÇÔ§àËÂÒÐæ 20 ¹Ò·Õ ÊÑ»´ÒˏÅÐ è 2 Çѹ ¹Í¡¨Ò¡¹Õé¤Ç÷íÒ¡Ô¨¡ÃÃÁ·Õ褧ËÃ×ÍàÊÃÔÁÊÌҧ¡íÒÅѧáÅФÇÒÁ·¹·Ò¹¢Í§¡ÅŒÒÁà¹×éÍÍ‹ҧ¹ŒÍ ÊÑ»´ÒˏÅÐ 2 Çѹ áÅÐ ¶ŒÒºØ¤¤Å»ÃÒö¹Ò¨ÐÁÕ¤ÇÒÁÊÁºÙóá¢ç§áç¢Í§Ã‹Ò§¡ÒÂÁÒ¡¢Ö¹ ÁÕ¤ÇÒÁàÊÕ§ é è µ‹Í¡ÒÃà¡Ô´âäàÃ×ÍÃѧ¹ŒÍÂŧ ËÃ×Í »‡Í§¡Ñ¹¹éÒ˹ѡµÑÇà¾ÔÁÁÒ¡¢Ö¹¡ç¤ÇÃÍÍ¡¡íÒÅѧà¾ÔÁÁÒ¡¢Ö¹¨Ò¡à¡³± é í è é è é ¢Ñ¹µèÒ·Õá¹Ð¹íÒäÇŒà¹×ͧ¨Ò¡»ÃÔÁÒ³¢Í§¡Ò÷íÒ¡Ô¨¡ÃÃÁ·Ò§¡ÒÂÁÕ¤ÇÒÁÊÑÁ¾Ñ¹¸¡ºÀÒÇÐÊØ¢ÀÒ¾”(6) áÅÐ é í è è Ñ ä´ŒÁ¡ÒÃá¹Ð¹íÒ¡Ô¨¡ÃÃÁ·Ò§¡ÒÂÅѡɳÐઋ¹à´ÕÂǡѹÊíÒËÃѺ¼ÙʧÍÒÂØ·ÁÍÒÂØÁÒ¡¡Ç‹Ò 65 »‚ ËÃ×Í ºØ¤¤Å Õ ŒÙ Õè Õ ·ÕÁÍÒÂØ 50-64 »‚ᵋÁÀÒÇÐà¨çº»†ÇÂàÃ×ÍÃѧ·Õ¨Ò¡Ñ´¡Ò÷íÒ¡Ô¨¡ÃÃÁ ᵋÁ»ÃÐà´ç¹·ÕµÍ§¾Ô¨ÒóÒ໚¹¾ÔàÈÉ è Õ Õ é èí Õ è Œ ¤× Í ÃÐ´Ñ º ¤ÇÒÁË¹Ñ ¡ ¢Í§¡Ô ¨ ¡ÃÃÁ·Õè ·í Ò ¡Ô ¨ ¡ÃÃÁ·Õè ª‹ Ç Â¤§ËÃ× Í à¾Ôè Á ¤ÇÒÁÂ× ´ ËÂØ‹ ¹ (flexibility) áÅСÒ֍µÑÇ (balance)(7) ÊÃØ» ¡ÒÃÍÍ¡¡íÒÅѧ¨Ñ´à»š¹ÇÔ¸¡ÒÃÃÑ¡ÉÒ·ÕÊҤѭÍ‹ҧ˹֧ÊíÒËÃѺ¼Ù»ÇÂâäËÑÇ㨫֧¡ÒÃãËŒ¤Òá¹Ð¹íÒ Õ èí è Œ † è í ¡ÒÃÍÍ¡¡íÒÅѧ໚¹ÊÔ§·ÕÁ¤ÇÒÁÊíҤѭ·Õ¨Ðª‹ÇÂãËŒ¼»ÇÂÁÕ¤³ÀÒ¾ªÕǵ·Õ´¢¹ â´Â¼Ù»ÇÂâäËÑÇã¨ÊÒÁö è è Õ è ÙŒ † Ø Ô è Õ Öé Œ † ÍÍ¡¡íÒÅѧ䴌µ§áµ‹ªÇ§·Õ¾¡ÃÑ¡ÉÒµÑÇã¹âç¾ÂÒºÒÅáÅÐÊÒÁÒö·Õ¨ÐÍÍ¡¡íÒÅѧµ‹Íà¹×ͧ仵ÅÍ´ªÕǵ Ñé ‹ è Ñ è è Ô à¾×ÍÊØ¢ÀÒÇзÕá¢ç§áçÊÁºÙó¢Í§Ã‹Ò§¡Òµ‹Íä» ª¹Ô´¢Í§¡ÒÃÍÍ¡¡íÒÅѧ·Õá¹Ð¹íÒãËŒ·Òã¹ÃÐÂÐÂÒÇ ¤×Í è è è í ¡ÒÃÍÍ¡¡íÒÅѧẺáÍâúԤ ¤ÃѧÅÐ 20-60 ¹Ò·Õ¢¹¡ÑºÃдѺ¤ÇÒÁ˹ѡ¢Í§¡ÒÃÍÍ¡¡íÒÅѧ áÅÐÍÍ¡¡íÒÅѧ é Öé ·íÒÊÑ»´ÒˏÅÐ 3-5 ¤Ãѧé àÍ¡ÊÒÃ͌ҧÍÔ§ 1. American College of Sports Medicine. ACSM’s guidelines for exercise testing and prescription. 7th ed. Lippincott Williams & Wilkins; 2006. 2. Jolliffe JA, Rees K, Taylor RS, Thompson D, Oldridge N, Ebrahim S. Exercise-based rehabilitation for coronary heart disease. Cochrane Database Syst Rev. 2001(1):CD001800.
  • 180.
    àǪÈÒʵÏ·¹Âؤ 2553 Ñ 153 3. Taylor RS, Brown A, Ebrahim S, Jolliffe J, Noorani H, Rees K, et al. Exercise-based rehabilitation for patients with coronary heart disease: systematic review and meta-analysis of randomized controlled trials. Am J Med 2004;116(10):682-92. 4. American Association of Cardiovascular and Pulmonary Rehabilitation. Guidelines for cardiac rehabilitation and secondary prevention programs. 3rd ed. Champaign,IL: Human Kinetics; 1999. 5. Pollock ML, Gomes PS. Exercise prescription. In: Wenger NK, Smith LK, .roelicher ES, Comoss PM, editors. Cardiac rehabilitation: a guide to practice in the 21st century. New York: Marcel Dekker; 1999. p. 49-65. 6. Haskell WL, Lee IM, Pate RR, Powell KE, Blair SN, .ranklin BA, et al. Physical activity and public health: updated recommendation for adults from the American College of Sports Medicine and the American Heart Association. Circulation 2007;116(9):1081-93. 7. Nelson ME, Rejeski WJ, Blair SN, Duncan PW, Judge JO, King AC, et al. Physical activity and public health in older adults: recommendation from the American College of Sports Medicine and the American Heart Association. Circulation 2007;116(9):1094-105.
  • 182.
    àǪÈÒʵÏ·¹Âؤ 2553 Ñ º··Õè 155 22 ¡ÒÃÍÍ¡¡íÒÅѧ¡ÒÂã¹âä¤ÇÒÁ´Ñ¹âÅËÔµÊÙ§ ÍÒ¨ÒÏÇÔÅÒÇѳ ¶ÔÃÀѷþ§È ÀÒ¤ÇÔªÒàǪÈÒʵÏ¿¹¿Ù ¤³Ðá¾·ÂÈÒʵÏÈÃÃÒª¾ÂÒºÒÅ ÁËÒÇÔ·ÂÒÅÑÂÁËÔ´Å „œ ÔÔ »ÃÐ⪹¢Í§¡ÒÃÍÍ¡¡íÒÅѧ¡ÒÂã¹¼ÙŒ·ÕèÁÕ¤ÇÒÁ´Ñ¹âÅËÔµÊÙ§ ¡ÒÃÍÍ¡¡íÒÅѧ¡Ò¶×Í໚¹Ê‹Ç¹Ë¹Ö§¢Í§â»Ãá¡ÃÁ¡ÒûÃѺà»ÅÕ¹¾ÄµÔ¡ÃÃÁ áÅСÒôíÒà¹Ô¹ªÕǵ è è Ô à¾×èÍ»‡Í§¡Ñ¹ ÃÑ¡ÉÒáÅФǺ¤ØÁ¤ÇÒÁ´Ñ¹âÅËÔµ ·Ñé§ã¹¼ÙŒ·ÕèÁÕ¤ÇÒÁ´Ñ¹âÅËÔµÊÙ§áÅмٌ·ÕèÁÕ¤ÇÒÁ´Ñ¹âÅËÔµ ÍÂÙ‹ã¹à¡³±»¡µÔ¨Ò¡¡ÒÃÃǺÃÇÁËÅÒ¡ÒÃÈÖ¡ÉÒ Hagberg áÅФ³Ð(1)¾ºÇ‹Ò¡ÒÃÍÍ¡¡íÒÅѧ¡Ò Í‹ҧÊÁèÒàÊÁÍÊÒÁÒöŴ¤ÇÒÁ´Ñ¹«ÕÊâµÅÔ¡áÅФÇÒÁ´Ñ¹ä´áÍÊâµÅԡŧ䴌 11 áÅÐ 8 ÁÔÅÅÔàÁµÃ»ÃÍ· í µÒÁÅíҴѺ ËÅѧÍÍ¡¡íÒÅѧ¡Ò»ÃÐÁÒ³ 10 ÊÑ»´Òˏ ¤ÇÒÁ´Ñ¹·Ñ§«ÕÊâµÅÔ¡áÅÐä´áÍÊâµÅÔ¡¨ÐŴŧÍ‹ҧ é ÁÕ¹ÂÊíҤѭ áÅÐàÁ×ÍÍÍ¡¡íÒÅѧ¡ÒÂà¡Ô¹ 20 ÊÑ»´Òˏ ¾ºÇ‹Ò¤ÇÒÁ´Ñ¹«ÕÊâµÅÔ¡ÂѧÊÒÁÒöŴŧ䴌͡ Ñ è Õ ¢³Ð·Õè¤ÇÒÁ´Ñ¹ä´áÍÊâµÅÔ¡äÁ‹ÁÕ¡ÒÃŴŧà¾ÔèÁ¢Öé¹ ¼ÙŒ·ÕèÁÕ¤ÇÒÁ´Ñ¹âÅËÔµÍÂÙ‹ã¹à¡³±»¡µÔ¨ÐÁÕ (1) ¤ÇÒÁ´Ñ¹Å´Å§àÁ×ÍÍÍ¡¡íÒÅѧ¡Ò ᵋ¹Í¡NjÒàÁ×Íà·Õº¡Ñº¼Ù·Á¤ÇÒÁ´Ñ¹âÅËÔµÊÙ§ áÅФÇÒÁ´Ñ¹âÅËÔµ è Œ è Œ Õè Õ ·ÕŴŧ¹Ñ¹ÂѧÍÂÙã¹à¡³±»¡µÔ è é ‹ (2, 3) ¼Å¢Í§¡ÒÃÍÍ¡¡íÒÅѧ¡Òµ‹Í¤ÇÒÁ´Ñ¹âÅËÔµ (Effects of exercise on blood pressure) 1. ¡ÒÃÍÍ¡¡íÒÅѧ¡Òª¹Ô´·ÕÁ¡ÒÃà¤Å×͹äËǢͧ¢ŒÍ (Isotonic exercise) è Õ è ¼Ù·Á¤ÇÒÁ´Ñ¹âÅËÔµ»¡µÔ cardiac output (CO) ¨Ðà¾ÔÁ¢Ö¹¢³ÐÍÍ¡¡íÒÅѧ¡Ò ʋ§¼Å·íÒãËŒ Œ Õè Õ è é ËÑÇã¨àµŒ¹àÃçÇ¢Ö¹ stroke volume (SV) à¾ÔÁ¢Ö¹ áÅÐËÑÇ㨺պµÑÇáç¢Ö¹ à¾×ÍÊ‹§àÅ×Í´ä»àÅÕ§¡ÅŒÒÁà¹×Í·Õè é è é é è é é ÍÍ¡¨Ò¡áçà¾ÔèÁ¢Öé¹ ¢³Ð·ÕèÊ‹§àÅ×Í´ä»àÅÕé§¡ÅŒÒÁà¹×éÍ·ÕèäÁ‹ä´ŒÍÍ¡áçáÅÐÍÇÑÂÇÐÀÒÂã¹Å´¹ŒÍÂŧ ¼ÅÊØ·¸Ô¤Í¤ÇÒÁ´Ñ¹«ÕÊâµÅÔ¡à¾ÔÁ¢Ö¹ ¤ÇÒÁ´Ñ¹ä´áÍÊâµÅÔ¡¤§·ÕËÃ×ÍÁÕ¡ÒÃà»ÅÕ¹á»Å§àÅ硹ŒÍ áÅÐ × è é è è systemic vascular resistance (SVR) Ŵŧ (4) ¼Ù·Á¤ÇÒÁ´Ñ¹âÅËÔµÊÙ§ÃдѺ¹ŒÍ¶֧»Ò¹¡ÅÒ§ ¶Ö§áÁŒ CO à¾ÔÁ¢Ö¹Í‹ҧ»¡µÔ ᵋ ¤ÇÒÁ´Ñ¹ Œ Õè Õ è é ·Ñ§«ÕÊâµÅÔ¡áÅÐä´áÍÊâµÅÔ¡áÅÐ SVR ¨Ðà¾ÔÁ¢Ö¹àÁ×Íà»ÃÕºà·Õº¡Ñº¼Ù·Á¤ÇÒÁ´Ñ¹âÅËÔµ»¡µÔ ¼Ù·ÁÕ é è é è Œ Õè Õ Œ Õè ¤ÇÒÁ´Ñ¹âÅËÔµÊÙ§ÃÐ´ÑºÃØ¹áç CO ¨ÐµèҡNjһ¡µÔ·¤ÇèÐ໚¹ à¾ÃÒÐ SV Ŵŧ ʋǹ¤ÇÒÁ´Ñ¹«ÕÊâµÅÔ¡ í Õè áÅÐä´áÍÊâµÅÔ¡áÅÐ SVR ¨Ðà¾ÔÁ¢Ö¹Í‹ҧÁÒ¡ è é
  • 183.
    156 ¡ÒÃÍÍ¡¡íÒÅѧ¡ÒÂã¹âä¤ÇÒÁ´Ñ¹âÅËÔµÊÙ§ 2. ¡ÒÃÍÍ¡¡íÒÅѧ¡Òª¹Ô´·ÕÁ¡ÒÃà¡Ãç§¡ÅŒÒÁà¹×Í â´ÂäÁ‹Á¡ÒÃà¤Å×͹äËǢͧ¢ŒÍ è Õ é Õ è (Isometric exercise) 㹤¹»¡µÔ àÁ×ÍÍÍ¡¡íÒÅѧ¡Òª¹Ô´¹Õé ¤ÇÒÁ´Ñ¹âÅËÔµ·Ñ§¤ÇÒÁ´Ñ¹«ÕÊâµÅÔ¡áÅÐä´áÍÊâµÅÔ¡¨Ð è é à¾ÔÁ¢Ö¹ «Ö§à»š¹¼ÅʋǹãË­‹¨Ò¡ CO à¾ÔÁ¢Ö¹ â´Â·Õè SVR ÁÕ¡ÒÃà»ÅÕ¹á»Å§à¾Õ§àÅ硹ŒÍ µÃ§¡Ñ¹¢ŒÒÁ è é è è é è ¡Ñº¼ÙŒ·ÕèÁÕ¤ÇÒÁ´Ñ¹âÅËÔµÊÙ§ «Ö觤ÇÒÁ´Ñ¹âÅËÔµ·Õèà¾ÔèÁ¢Öé¹Ê‹Ç¹ãË­‹à»š¹¼ÅÁÒ¨Ò¡ systemic vascular resistance ·Õèà¾ÔèÁ¢Öé¹ à¹×èͧ¨Ò¡ËÑÇã¨ËŒÍ§Å‹Ò§«ŒÒÂÁÕ¢¹Ò´âµ (left ventricle hypertrophy) ËÃ×Í beta-adrenergic system ·íҧҹ䴌äÁ‹àµçÁ·Õè ·íÒãËŒ CO äÁ‹à¾ÔÁ¢Ö¹ËÃ×Íà¾ÔÁ¢Ö¹à¾Õ§àÅ硹ŒÍÂ(4) è é è é ¼ÙŒà»š¹¤ÇÒÁ´Ñ¹âÅËÔµÊÙ§¨ÐÁÕ¤ÇÒÁ´Ñ¹âÅËÔµà¾ÔèÁ¢Öé¹·Ñé§«ÕÊâµÅÔ¡áÅÐä´áÍÊâµÅÔ¡ÁÒ¡¡Ç‹Ò ¼Ù·Á¤ÇÒÁ´Ñ¹âÅËÔµ»¡µÔ àÁ×ÍÍÍ¡¡íÒÅѧ¡Òª¹Ô´·ÕÁ¡ÒÃà¤Å×͹äËǢͧ¢ŒÍ (isotonic exercise) ËÃ×Í Œ Õè Õ è è Õ è ÍÍ¡¡íÒÅѧ¡Òª¹Ô´·ÕèÁÕ¡ÒÃà¡Ãç§¡ÅŒÒÁà¹×éÍ â´ÂäÁ‹ÁÕ¡ÒÃà¤Å×è͹äËǢͧ¢ŒÍ (isometric exercise) ·Ø¡ÃдѺ¤ÇÒÁ˹ѡàºÒ áÅСÒÃÍÍ¡¡íÒÅѧ¡Òª¹Ô´·ÕÁ¡ÒÃà¡Ãç§¡ÅŒÒÁà¹×Í (isometric exercise) ÍÒ¨ è Õ é Ê‹§¼Åµ‹ÍÃдѺ¤ÇÒÁ´Ñ¹ã¹ËÅÍ´àÅ×Í´à¾ÔÁÁÒ¡¡Ç‹Ò¡ÒÃÍÍ¡¡íÒÅѧ¡Òª¹Ô´·ÕÁ¡ÒÃà¤Å×͹äËǢͧ¢ŒÍ è è Õ è (isotonic exercise) ¡ÒÃÊÑè§¡ÒÃÍÍ¡¡íÒÅѧ¡Ò (Exercise prescription) ËÅÑ¡¡ÒÃÍÍ¡¡íÒÅѧ¡ÒÂÊíÒËÃѺ¼ÙŒãË­‹·ÕèÁÕÊØ¢ÀÒ¾á¢ç§áçÊÒÁÒö㪌á¹Ç·Ò§¡ÒÃÃÑ¡ÉҢͧ American College of Sports Medicine (ACSM) Guidelines 䴌ઋ¹à´ÕÂǡѺ¼Ù໚¹¤ÇÒÁ´Ñ¹âÅËÔµÊÙ§ Œ ÃÐÂÐ 1 áÅÐ 2 Í‹ҧäáçµÒÁäÁ‹á¹Ð¹íÒ¡ÒÃÍÍ¡¡íÒÅѧ¡Òª¹Ô´ÁÕá経ҹ㹼Ù໚¹¤ÇÒÁ´Ñ¹âÅËÔµÊÙ§ (5) Œ ÃÐÂÐ 3 (¤ÇÒÁ´Ñ¹âÅËÔµµÑ§áµ‹ 180/110 ÁÔÅÅÔàÁµÃ»ÃÍ·) à¹×ͧ¨Ò¡ÍÒ¨·íÒãËŒ SVR ÊÙ§¢Ö¹áÅзíÒãËŒ é (6) è é ÁÕ¼ÅàÊÕµ‹ÍÍÇÑÂÇÐÍ×¹æ ä´Œ â´Â·ÑÇ仡ÒÃÍÍ¡¡íÒÅѧ¡Ò¨оԨÒóÒͧ¤»ÃСͺµ‹Ò§æ ´Ñ§µ‹Í仹Õé è è 1. »ÃÐàÀ·¢Í§¡ÒÃÍÍ¡¡íÒÅѧ¡Ò á¹Ð¹íÒ¡ÒÃÍÍ¡¡íÒÅѧ¡Òª¹Ô´áÍâúԡËÃ×Í¡ÒÃÍÍ¡¡íÒÅѧ¡ÒÂà¾×Íà¾ÔÁ¤ÇÒÁ·¹·Ò¹ â´Â è è ์¹¡ÒÃÍÍ¡¡íÒÅѧ¡Ò¢ͧ¡ÅŒÒÁà¹×Í àª‹¹ à´Ô¹ ÇÔ§ ൌ¹ áÍâúԡ¡Ô¨¡ÃÃÁ¨Ñ§ËÇРNjҹéÒ ÃíÒÁǨչ é è í ໚¹µŒ¹ ʋǹ¡ÒÃÍÍ¡¡íÒÅѧ¡Òª¹Ô´ÁÕá経ҹäÁ‹¤ÍÂÁÕº·ºÒ·ÁÒ¡¹Ñ¡ã¹¡ÒÃÅ´¤ÇÒÁ´Ñ¹(7) ´Ñ§¹Ñ¹¨Ö§ ‹ é äÁ‹á¹Ð¹íÒãˌ໚¹¡ÒÃÍÍ¡¡íÒÅѧ¡ÒÂËÅÑ¡ÊíÒËÃѺ¼Ù໚¹¤ÇÒÁ´Ñ¹âÅËÔµÊÙ§(8, 9) Í‹ҧäáçµÒÁ¡ÒÃÍÍ¡¡íÒÅѧ Œ ¡Òª¹Ô´ÁÕá経ҹÍÒ¨ÁÕ¼ÅÅ´¤ÇÒÁ´Ñ¹âÅËԵ䴌ºÒ§¶ŒÒÍÍ¡¡íÒÅѧ¡ÒÂËÇÁ¡Ñº¡ÒÃÍÍ¡¡íÒÅѧ¡Òª¹Ô´áÍ Œ âúԡ ¹Í¡¨Ò¡¹Ñ¹Âѧª‹ÇÂà¾ÔÁ¤ÇÒÁá¢ç§áçáÅÐàÊÃÔÁ¤ÇÒÁÊÒÁÒö㹡ÒûÃСͺ¡Ô¨¡ÃÃÁ»ÃШíÒÇѹ é è ¨Ö§á¹Ð¹íÒãˌ໚¹¡ÒÃÍÍ¡¡íÒÅѧ¡ÒÂàÊÃÔÁµ‹Í¨Ò¡¡ÒÃÍÍ¡¡íÒÅѧ¡Òª¹Ô´áÍâúԡ(10) 2. ¤ÇÒÁ˹ѡàºÒ¢Í§¡ÒÃÍÍ¡¡íÒÅѧ¡Ò ÁÕ¢ŒÍÊÃØ»·ÕèªÑ´à¨¹áÅÐàËç¹¾ŒÍ§µŒÍ§¡Ñ¹Ç‹Ò¼ÙŒ»†Ç¤ÇÒÁ´Ñ¹âÅËÔµÊÙ§¤ÇÃàÃÔèÁÍÍ¡¡íÒÅѧ¡Ò Í‹ҧÊÁèÒàÊÁÍ´ŒÇ¤ÇÒÁ˹ѡàºÒÃŒÍÂÅÐ 50 ¶Ö§ 70 ¢Í§¡ÒÃ㪌ÍÍ¡«ÔਹÊÙ§ÊØ´ «Ö§à»š¹¤ÇÒÁ˹ѡàºÒ í è ÃдѺ¹ŒÍ¶֧»Ò¹¡ÅÒ§ à¹×ͧ¨Ò¡¡ÒÃÍÍ¡¡íÒÅѧ¡Ò´ŒÇ¤ÇÒÁ˹ѡàºÒÃдѺÊÙ§ÍÒ¨äÁ‹ä´ŒÁ»ÃÐ⪹ è Õ ÁÒ¡¢Ö¹ ÃÇÁ·Ñ§ÂѧÍÒ¨·íÒãËŒà¡Ô´¤ÇÒÁàÊÕ§µ‹Í¡ÒúҴà¨çº¢Í§¡ÅŒÒÁà¹×ÍáÅÐÊ‹§¼ÅàÊÕµ‹ÍÃкºËÑÇã¨áÅÐ é é è é ËÅÍ´àÅ×Í´´ŒÇÂ
  • 184.
    àǪÈÒʵÏ·¹Âؤ 2553 Ñ 157 ¹Í¡¨Ò¡¤ÇÒÁ˹ѡàºÒ¢Í§¡ÒÃÍÍ¡¡íÒÅѧ¡Ò¨ÐÊÒÁÒö¡íÒ˹´à»š¹ÃŒÍÂÅТͧ¡ÒÃ㪌 ÍÍ¡«ÔਹÊÙ§ÊØ´áÅŒÇ ÂѧÊÒÁÒö¡íÒ˹´¨Ò¡ÃŒÍÂÅТͧÍѵÃÒ¡ÒÃൌ¹¢Í§ËÑÇã¨ÊÙ§ÊØ´ (maximal heart rate) ÃŒÍÂÅТͧÍѵÃÒ heart rate reserve áÅÐÃдѺ¤Ðá¹¹¤ÇÒÁà˹×Í (rate perceived exertion, è RPE) ä´Œ ´Ñ§µÒÃÒ§·Õè 1 µÒÃÒ§·Õè 1 à»ÃÕºà·Õº¤ÇÒÁ˹ѡàºÒ¢Í§¡ÒÃÍÍ¡¡íÒÅѧ¡Ò ¤ÇÒÁ˹ѡàºÒ ÃдѺ¤Ðá¹¹ ÃŒÍÂÅТͧ¡Òà ÌÍÂÅТͧ ÃŒÍÂÅТͧ ¢Í§¡ÒÃÍÍ¡ ¤ÇÒÁà˹×èÍ 㪌ÍÍ¡«Ôਹ ÍѵÃÒ¡ÒÃൌ¹ ÍѵÃÒ heart ¡íÒÅѧ¡Ò ÊÙ§ÊØ´ ¢Í§ËÑÇã¨ÊÙ§ÊØ´ rate reserve àºÒÁÒ¡ < 10 < 30 < 35 < 20 àºÒ 10 - 11 30 - 49 35 - 59 20 - 39 »Ò¹¡ÅÒ§ 12 - 13 50 - 74 60 - 79 40 - 59 ˹ѡ 14 - 16 75 - 84 80 - 89 60 - 84 ˹ѡÁÒ¡ > 16 > 85 > 90 > 85 ÊíÒËÃѺ¡ÒÃÍÍ¡¡íÒÅѧ¡Òª¹Ô´ÁÕá経ҹ¹Ñ¹ á¹Ð¹íÒãˌ㪌á経ҹËÃ×͹éÒ˹ѡàºÒ (light é í weight-training) (11, 12) â´Âãˌ¡¹éÒ˹ѡ»ÃÐÁҳÌÍÂÅÐ 30-50 ¢Í§áçÁÒ¡ÊØ´ (30-50% of maximal í force) áÅÐá¹Ð¹íÒãˌ¡¹éÒ˹ѡàºÒᵋ·Ò«éÒËÅÒÂæ ¤Ãѧ (light loads and many repetitions) (4) í í í é 㹼ٷ§äÁ‹à¤ÂÍÍ¡¡íÒÅѧ¡Òª¹Ô´¹ÕÁÒ¡‹Í¹ á¹Ð¹íÒãˌǴ¤ÇÒÁ´Ñ¹âÅËÔµËÅѧ¡¹éÒ˹ѡ Œ Õè Ñ é Ñ í ¶ŒÒ¤ÇÒÁ´Ñ¹âÅËÔµâ´Â੾ÒФÇÒÁ´Ñ¹ä´áÍÊâµÅÔ¡à¾ÔèÁ¢Öé¹Í‹ҧÁÒ¡ ¤ÇÃËÂØ´¡ÒÃÍÍ¡¡íÒÅѧ¡Ò ª¹Ô´¹ÕËÃ×ÍÅ´¹éÒ˹ѡ·Õ¡¨¹¡Ãзѧ¤ÇÒÁ´Ñ¹âÅËÔµäÁ‹à¾ÔÁÁÒ¡à¡Ô¹ä» é í è è è 㹼ٷ§äÁ‹à¤ÂÍÍ¡¡íÒÅѧ¡Òª¹Ô´¹ÕÁÒ¡‹Í¹ á¹Ð¹íÒãˌǴ¤ÇÒÁ´Ñ¹âÅËÔµËÅѧ¡¹éÒ˹ѡ Œ Õè Ñ é Ñ í ¶ŒÒ¤ÇÒÁ´Ñ¹âÅËÔµâ´Â੾ÒФÇÒÁ´Ñ¹ä´áÍÊâµÅÔ¡à¾ÔèÁ¢Öé¹Í‹ҧÁÒ¡ ¤ÇÃËÂØ´¡ÒÃÍÍ¡¡íÒÅѧ¡Ò ª¹Ô´¹ÕËÃ×ÍÅ´¹éÒ˹ѡ·Õ¡¨¹¡Ãзѧ¤ÇÒÁ´Ñ¹âÅËÔµäÁ‹à¾ÔÁÁÒ¡à¡Ô¹ä» é í è è è 3. ÃÐÂÐàÇÅҢͧ¡ÒÃÍÍ¡¡íÒÅѧ¡Ò á¹Ð¹íÒãËŒÍÍ¡¡íÒÅѧ¡Òª¹Ô´áÍâúԡ¤ÃѧÅÐ 20-60 ¹Ò·Õ (4) ·Ñ§¹Õ¢¹¡Ñº¤ÇÒÁ˹ѡàºÒ¢Í§ é é é Öé ¡ÒÃÍÍ¡¡íÒÅѧ¡Ò â´Â¶ŒÒÍÍ¡¡íÒÅѧ¡Ò´ŒÇ¤ÇÒÁ˹ѡàºÒÃдѺ»Ò¹¡ÅÒ§ ¤ÇÃÍÍ¡¡íÒÅѧ¡Òµѧᵋ é 30 ¹Ò·Õ¢¹ä» ¶ŒÒÍÍ¡¡íÒÅѧ¡Ò´ŒÇÂÃдѺàºÒ¤ÇÃÍÍ¡¡íÒÅѧ¡ÒÂãËŒ¹Ò¹¢Ö¹ áÅжŒÒÍÍ¡¡íÒÅѧ¡ÒÂ˹ѡ Öé (14) é ¤ÇÃÅ´ÃÐÂÐàÇÅÒ㹡ÒÃÍÍ¡¡íÒÅѧ¡ÒÂŧà¾×ÍÅ´¡ÒúҴà¨çº¢Í§¡ÅŒÒÁà¹×Í è é ¡ÒÃÍÍ¡¡íÒÅѧ¡Òª¹Ô´ÁÕá経ҹ á¹Ð¹íÒãËŒ·Ò·‹ÒÅÐ 10-15 ¤Ãѧ â´ÂàÅ×Í¡ÍÍ¡¡íÒÅѧ¡Ò í é 㹡ŌÒÁà¹×ÍÁÑ´ãË­‹ 䴌ᡋ ¡ÅŒÒÁà¹×Íᢹ ¢Ò ¨íҹǹ 8-10 ÁÑ´ é é
  • 185.
    158 ¡ÒÃÍÍ¡¡íÒÅѧ¡ÒÂã¹âä¤ÇÒÁ´Ñ¹âÅËÔµÊÙ§ 4. ¤ÇÒÁ¶Õ¢Í§¡ÒÃÍÍ¡¡íÒÅѧ¡ÒÂ è ¢Ö¹¡Ñº¤ÇÒÁ˹ѡàºÒ㹡ÒÃÍÍ¡¡íÒÅѧ¡Ò â´Â¤ÇÒÁ˹ѡÃдѺ»Ò¹¡ÅÒ§ ¤ÇÃÍÍ¡¡íÒÅѧ¡Ò é ÊÑ»´ÒˏÅÐ 3-5 Çѹ ¶ŒÒÍÍ¡¡íÒÅѧ¡ÒÂÃдѺàºÒÊÒÁÒöÍÍ¡¡íÒÅѧ¡ÒÂä´Œ·¡Çѹ(13) Ø ÁÕ¡ÒÃÇԨ·վºÇ‹Ò¡ÒÃÍÍ¡¡íÒÅѧ¡ÒÂÊÑ»´ÒˏÅÐ 3 Çѹ໚¹Í‹ҧ¹ŒÍ¨Ðä´Œ»ÃÐ⪹ã¹¡ÒÃ Ñ è Å´¤ÇÒÁ´Ñ¹âÅËÔµáÅл‡Í§¡Ñ¹¡ÒÃà¡Ô´âäËÑÇã¨áÅÐËÅÍ´àÅ×Í´ä´Œ Í‹ҧäáçµÒÁ¾ºÇ‹Ò¡ÒÃÍÍ¡¡íÒÅѧ¡Ò ·Ø¡ÇѹÊÒÁÒöŴ¤ÇÒÁ´Ñ¹âÅËԵ䴌ÁÒ¡¡Ç‹Ò¡ÒÃÍÍ¡¡íÒÅѧ¡ÒÂÊÑ»´ÒˏÅÐ 3 Çѹ(3) ¨Ò¡¡ÒÃÈÖ¡ÉÒ¤ÇÒÁÊÑÁ¾Ñ¹¸¢Í§µÑÇá»ÃàÃ×ͧ¤ÇÒÁ˹ѡàºÒ ÃÐÂÐàÇÅÒáÅФÇÒÁ¶Õ㹡Òà è è ÍÍ¡¡íÒÅѧ¡Òµ‹Í¡ÒÃŴŧ¢Í§¤ÇÒÁ´Ñ¹âÅËÔµ ¾ºÇ‹ÒäÁ‹ÁµÇá»Ãã´·ÕÁ¤ÇÒÁÊÑÁ¾Ñ¹¸Í‹ҧÁÕ¹ÂÊíҤѭ Õ Ñ è Õ Ñ ¡Ñº¡ÒÃà»ÅÕ¹á»Å§¢Í§¡ÒÃÅ´¤ÇÒÁ´Ñ¹âÅËÔµ ᵋàÁ×ÍÃÇÁµÑÇá»Ã·Ñ§ 3 µÑÇ ¾ºÇ‹ÒÁÕ¤ÇÒÁÊÑÁ¾Ñ¹¸áÅÐ è (3) è é ÁÕ¹ÂÊíҤѭ¡Ñº¡ÒÃà»ÅÕ¹á»Å§¢Í§ÃдѺ¤ÇÒÁ´Ñ¹âÅËÔµ Ñ è (3) ʋǹ¡ÒÃÍÍ¡¡íÒÅѧ¡Òª¹Ô´á経ҹãËŒÍÍ¡¡íÒÅѧ¡Ò»ÃÐÁÒ³ 2-3 Çѹµ‹ÍÊÑ»´Òˏ(9) àÍ¡ÊÒÃ͌ҧÍÔ§ 1. Hagberg JM, Park JJ, Brown MD. The role of exercise training in the treatment of hypertension. An update. Sports Med 2000;30:193-206. 2. .agard RH. Exercise characteristics and the blood pressure response to dynamic physical training. Med Sci Sports Exerc 2001;33:484-92. 3. Keely GA, Kelly KA, Tran ZV. Aerobic exercise and resting blood pressure: a meta-analytic review of randomized, controlled trials. Prev Cardiol 2001;4:73-80. 4. Swain R, Kaplan B. Treatment hypertension in active patients: which agents work best with exercise? Physician Sportsmed 1997;25:1-13. 5. American College of Sports Medicine. ACSM’s Guidelines for Exercise Testing and Prescription. 7th ed. Baltimore (MD): Lippincott Williams & Wilkins, 2006. 6. Keely GA, Kelly KS. Progressive resistance exercise and resting blood pressure: a meta-analysis of randomized controlled trials. Hypertension 2000;35:838-43. 7. Pollock ML, .ranklin BA, Gary J, et al. Resistance exercise in individuals with and without cardiovascular disease: benefits, rationale, safety, and prescription: an advisory from the Committee on Exercise, Rehabilitation, and Prevention, Council on Clinical Cardiology, American Heart Association. Circulation 2000;101:828-33. 8. American College of Sports Medicine position stand. Physical activity, physical fitness, and hypertension. Med Sci Sports Exerc 1993;25:1-10. 9. .agard RH, Tipton CM. Physical activity, fitness and hypertension. In: Bouchard C, Shephard RJ, Stephens T, eds. Physical Activity, .itness and Health. Champaign (IL): Human Kinetics; 1994;633-55. 10. La.ontaine T. Resistance training for patients with hypertension. Strength Condition 1997;19:5-9. 11. Pollock M, .ranklin B, Balady G, Chaitman B, .leg J, .letcher B, et al. AHA science advisory. Resistance exercise in individuals with and without cardiovascular disease. Circulation 2000;101:828-33. 12. .ranklin B, Whaley M, Holey E. American College of Sports Medicine’s Guidelines for Exercise Testing and Prescription. 6th ed. Baltimore (MD): Lippincott Williams & Wilkins; 2000. 13. American College of Sports Medicine position stand. The recommended quantity and quality of exercise for developing and maintaining cardiorespiratory and muscular fitness, and flexibility in healthy adults. Med Sci Sports Exerc 1998;30:975-91.
  • 186.
    àǪÈÒʵÏ·¹Âؤ 2553 Ñ º··Õè 159 23 ¡ÒÃÍÍ¡¡íÒÅѧ¡ÒÂã¹âäàºÒËÇÒ¹ ÍÒ¨ÒÏÇÔÅÒÇѳ ¶ÔÃÀѷþ§È ÀÒ¤ÇÔªÒàǪÈÒʵÏ¿¹¿Ù ¤³Ðá¾·ÂÈÒʵÏÈÃÃÒª¾ÂÒºÒÅ ÁËÒÇÔ·ÂÒÅÑÂÁËÔ´Å „œ ÔÔ ¡ÒÃÍÍ¡¡íÒÅѧ¡ÒÂã¹¼ÙŒ»†ÇÂâäàºÒËÇÒ¹ ¨Ø´»ÃÐʧ¤¢Í§¡ÒÃÍÍ¡¡íÒÅѧ¡Ò ¤×Í ·íÒãËŒÊÁÃöÀÒ¾¢Í§Ã‹Ò§¡Ò·ÑÇä» (general physical è fitness) ´Õ¢¹ áÅÐÊÒÁÒöÍÍ¡¡íÒÅѧËÃ×ÍÍÍ¡áç·íҧҹ䴌â´ÂäÁ‹ÁÍÒ¡ÒüԴ»¡µÔ ઋ¹ Ëͺà˹×Í Öé Õ è ËÒÂã¨äÁ‹Êдǡ ¹Í¡¨Ò¡¹Õ§ʋ§àÊÃÔÁãËŒ¡ÅŒÒÁà¹×ÍÁÕ¡ÒÅѧáÅÐá¢ç§áç ¡Ò÷íÒ§Ò¹¢Í§ÃкºäËÅàÇÕ¹ é Ñ é í àÅ×Í´áÅÐÃкº¡Ò÷íÒ§Ò¹¢Í§»Í´ÁÕ»ÃÐÊÔ·¸ÔÀÒ¾´Õ ¹Í¡¨Ò¡¹Õé໇ÒËÁÒ¢ͧ¡ÒÃÍÍ¡¡íÒÅѧ¡Ò 㹼ٌ»†ÇÂâäàºÒËÇÒ¹ ¤×Í µŒÍ§¡ÒäǺ¤ØÁÃдѺ¹éíÒµÒÅã¹àÅ×Í´ãËŒ»¡µÔËÃ×Íã¡ÅŒà¤Õ§»¡µÔ ÃÇÁ·Ñé§ ¤Çº¤ØÁ»˜¨¨ÑÂàÊÕ§Í×¹æ µ‹Í¡ÒÃà¡Ô´âäËÑÇã¨áÅÐËÅÍ´àÅ×Í´ ઋ¹ ¤Çº¤ØÁÃдѺä¢Áѹã¹àÅ×Í´ ÃдѺ è è ¤ÇÒÁ´Ñ¹âÅËÔµ ¹éÒ˹ѡµÑÇ à»š¹µŒ¹ ¼Ù»ÇÂàºÒËÇÒ¹¤ÇÃÍÍ¡¡íÒÅѧ¡ÒÂÍ‹ҧÊÁèÒàÊÁÍ àª‹¹à´ÕÂǡѺ í Œ † í ¼ÙŒäÁ‹à»š¹âäàºÒËÇÒ¹ à¹×èͧ¨Ò¡¡ÒÃÁÕâäàºÒËÇÒ¹äÁ‹ä´Œà»š¹¢ŒÍËŒÒÁ㹡ÒÃÍÍ¡¡íÒÅѧ¡Ò ¡àÇŒ¹ ËÒ¡ÁÕâäËÃ×ÍÀÒÇзÕè¢Ñ´¢ÇÒ§áÅÐ໚¹¢ŒÍËŒÒÁ㹡ÒÃÍÍ¡¡íÒÅѧ¡Ò ¨Ö§¨íÒ໚¹µŒÍ§ÁÕ¡ÒèíÒ¡Ñ´ËÃ×Í ÃÐÁÑ´ÃÐÇѧà¾×ÍÁÔãËŒà¡Ô´ÍѹµÃÒµ‹ÍËҧ¡Ò ¹Í¡¨Ò¡¹Õ¼»Ç¤ÇÃÃÙËÅѡ㹡ÒÃÍÍ¡¡íÒÅѧ¡Ò·ÕàËÁÒÐÊÁ è é ÙŒ † Œ è ÃÇÁ·Ñ§ÁҵáÒû‡Í§¡Ñ¹ÀÒÇйéÒµÒÅã¹àÅ×Í´µèÒ´ŒÇ é í í ¢ŒÍËŒÒÁ㹡ÒÃÍÍ¡¡íÒÅѧ¡ÒÂÊíÒËÃѺ¼ÙŒà»š¹àºÒËÇÒ¹ 䴌ᡋ ÃдѺ¹éíÒµÒÅã¹àÅ×Í´à¡Ô¹ 300 Á¡./´Å., ¤ÇÒÁ´Ñ¹âÅËÔµÊÙ§à¡Ô¹ 200/110 ÁÁ.»ÃÍ· ¤ÇÒÁ¼Ô´»¡µÔ¢Í§âäËÑÇ㨷դǺ¤ØÁäÁ‹ä´Œ è â䢌ͷըÐÊ‹§¼ÅàÊÕÂËÃ×Í¡Ãзº¡ÃÐà·×͹¢³ÐÍÍ¡¡íÒÅѧ¡Ò âä¨Í»ÃÐÊÒ·µÒ¼Ô´»¡µÔ¨Ò¡àºÒËÇÒ¹ è ÃÐ´ÑºÃØ¹áç·Õ§äÁ‹ä´ŒÃº¡ÒÃÃÑ¡ÉÒ áÅÐÀÒÇÐà¨çº»†ÇÂà©Õº¾ÅѹËÃ×ÍÁÕ䢌ʧ è Ñ Ñ Ù ÁҵáÒû‡Í§¡Ñ¹ÀÒÇйéíÒµÒÅã¹àÅ×Í´µèíÒ ¶ŒÒäÁ‹ÁÕ¢ŒÍËŒÒÁ㹡ÒÃÍÍ¡¡íÒÅѧ¡Ò ¼ÙŒ»†Ç àºÒËÇÒ¹·ÕÁËÃ×ÍäÁ‹ÁÀÒÇÐá·Ã¡«ŒÍ¹¨Ò¡àºÒËÇÒ¹ÊÒÁÒöÍÍ¡¡íÒÅѧ¡ÒÂä´Œ ᵋà¹×ͧ¨Ò¡ÀÒÇйéÒµÒÅ è Õ Õ è í ã¹àÅ×Í´µèÒÍÒ¨à¡Ô´¢Ö¹ä´Œã¹ÃÐËNjҧËÃ×ÍËÅѧ¡ÒÃÍÍ¡¡íÒÅѧ¡Ò»ÃÐÁÒ³ 4-6 ªÁ. ´Ñ§¹Ñ¹¼Ù»Ç¨֧¤ÇÃÃÙŒ í é é Œ † ÁҵáÒû‡Í§¡Ñ¹ÀÒÇйéÒµÒÅã¹àÅ×Í´µèÒ(1-5) ´Ñ§µ‹Í仹Õé í í 1. ¤ÇõÃǨÃдѺ¹éÒµÒÅã¹àÅ×ʹ໚¹ÃÐÂÐ â´Â੾ÒмٻÇ·Õ§¤Çº¤ØÁÃдѺ¹éÒµÒÅã¹àÅ×Í´ í Œ † è Ñ í äÁ‹´ÍÒ¨µŒÍ§µÃǨ¡‹Í¹áÅÐËÅѧ¡ÒÃÍÍ¡¡íÒÅѧ¡Ò ËÃ×͵ÃǨÃÐËNjҧ¡ÒÃÍÍ¡¡íÒÅѧ¡Ò´ŒÇ¶ŒÒ¼Ù»ÇÂ Õ Œ † ÍÍ¡¡íÒÅѧ¡ÒÂ˹ѡËÃ×͹ҹ ¶ŒÒÃдѺ¹éÒµÒÅã¹àÅ×Í´µèÒ¡Ç‹Ò 60 Á¡./´Å. ¤ÇÃÃѺ»ÃзҹÍÒËÒÃNjҧ í í ËÃ×ͼÅäÁŒ¡‹Í¹áÅÐÃÐËNjҧ¡ÒÃÍÍ¡¡íÒÅѧ¡Ò·ء 30 ¹Ò·Õ áÅлÃÖ¡ÉÒᾷà¾×èÍ»ÃѺª¹Ô´áÅÐ ¢¹Ò´ÂÒãËŒàËÁÒÐÊÁ
  • 187.
    160 ¡ÒÃÍÍ¡¡íÒÅѧ¡ÒÂã¹âäàºÒËÇÒ¹ 2. ¤ÇÃÍÍ¡¡íÒÅѧ¡ÒÂ໚¹àÇÅÒÍ‹ҧÊÁèíÒàÊÁÍà¾ÃÒЪ‹Ç·íÒãËŒÃдѺ¹éíÒµÒÅã¹àÅ×Í´ÁÕ¤ÇÒÁ á»Ã»ÃǹŴŧ Ê‹§¼ÅãËŒ¡ÒûÃѺÂÒáÅÐÍÒËÒÃäÁ‹Â§ÂÒ¡ äÁ‹¤ÇÃÍÍ¡¡íÒÅѧ¡ÒÂ㹪‹Ç§·ÕÍ¹ÊØÅ¹ÍÍ¡ Ø‹ èÔ Ô Ä·¸ÔÊ§ÊØ´ ìÙ 3. àÅÕ§¡ÒéմÍÔ¹ÊØÅ¹ºÃÔàdz¡ÅŒÒÁà¹×Í·ÕÁ¡ÒÃÍÍ¡¡íÒÅѧ¡Ò ઋ¹ ©Õ´ºÃÔàdz˹ŒÒ·ŒÍ§ã¹¡Òà è Ô é è Õ ÍÍ¡¡íÒÅѧ¡Ò·Õ㪌ÊǹᢹËÃ×Í¢Ò è ‹ 4. äÁ‹¤ÇÃÍÍ¡¡íÒÅѧ¡ÒµÒÁÅíҾѧ ¤ÇÃÁÕà¾×͹ÍÍ¡¡íÒÅѧ¡Ò´ŒÇ áÅФÇÃÃÙ¨¡ÍÒ¡ÒùéÒµÒÅ è ŒÑ í ã¹àÅ×Í´µèÒáÅÐÇÔ¸á¡Œä¢ í Õ ËÅÑ¡¡ÒÃÍÍ¡¡íÒÅѧ¡Ò·ÕèàËÁÒÐÊÁã¹¼ÙŒ»†ÇÂàºÒËÇÒ¹ ¡ÒÃÍÍ¡¡íÒÅѧ¡Ò·մ¨ÐµŒÍ§àËÁÒÐÊÁ¡ÑºÊÀÒ¾¼Ù»ÇÂᵋÅФ¹ â´Â¾Ô¨ÒóҶ֧ÊÀҾËҧ¡Ò è Õ Œ † ·ÑÇä» ÊÁÃöÀÒ¾¡Ò÷íÒ§Ò¹áÅл˜­ËҢͧÃкºµ‹Ò§ æ ¢Í§Ã‹Ò§¡Ò ÍÒ·Ôઋ¹ ÃкºËÑÇã¨áÅÐËÅÍ´ è àÅ×Í´ Ãкº»ÃÐÊÒ· ËÃ×ÍÃкº¡ÅŒÒÁà¹×Í ¡Ãд١áÅТŒÍ ໚¹µŒ¹ ·Ñ§¹Õ¡ÒÃÍÍ¡¡íÒÅѧ¡Ò¤ÇÃÁÕ¤ÇÒÁ é é é ˹ѡ (intensity) à¾Õ§¾Í ÁÕ¤ÇÒÁ¶Õè (frequency) ÊÁèÒàÊÁÍ áÅÐÃÐÂÐàÇÅÒ (duration) ·Õ¹Ò¹¾Í à¾×Í í è è ãËŒà¡Ô´»ÃÐ⪹µÍËҧ¡Ò ‹ 1. »ÃÐàÀ·¢Í§¡ÒÃÍÍ¡¡íÒÅѧ¡Ò á¹Ð¹íÒ¡ÒÃÍÍ¡¡íÒÅѧ¡Ò»ÃÐàÀ·áÍâúԡ·ÕÁáç¡ÃÐá·¡µ‹Í¢ŒÍ¹ŒÍ ઋ¹ à´Ô¹ ÃíÒÁǨչ è Õ Ç‹Ò¹éÒËÃ×Íà´Ô¹ã¹¹éÒ à»š¹µŒ¹ à¹×ͧ¨Ò¡¼Ù»ÇÂàºÒËÇÒ¹Áѡ໚¹¼ÙʧÍÒÂØ«§ÍÒ¨ÁÕ»­ËÒàÃ×ͧ»Ç´à¢‹Ò í í è Œ † ŒÙ Öè ˜ è ¢ŒÍà·ŒÒËÃ×ÍÊÐ⾡ËÇÁ´ŒÇ â´Â¨ÐàÅ×Í¡ÍÍ¡¡íÒÅѧ¡Òª¹Ô´ã´¢Ö¹¡ÑºÊÀҾËҧ¡Ò ¤ÇÒÁªíÒ¹Ò­ ¤ÇÒÁ é ¶¹Ñ´ áÅФÇÒÁªÍº¢Í§áµ‹Åкؤ¤Å 2. ¤ÇÒÁ˹ѡ¢Í§¡ÒÃÍÍ¡¡íÒÅѧ¡Ò á¹Ð¹íÒ¤ÇÒÁ˹ѡÃдѺ»Ò¹¡ÅÒ§áÅÐÍÒ¨¤‹ÍÂæ»ÃѺà¾ÔÁ¢Ö¹ ·Ñ§¹Õ¢¹¡ÑºÊÀÒ¾ºØ¤¤ÅáÅÐ è é é é Öé ¢ŒÍ¨íÒ¡Ñ´Í×¹æ ÊÒÁÒö»ÃÐàÁԹ䴌¨Ò¡ËÅÒÂÇÔ¸Õ ä´Œá¡‹ è 1. »ÃÐàÁÔ¹¨Ò¡ÍѵÃÒ¡ÒÃ㪌ÍÍ¡«Ôਹ â´Â¤Ô´à»š¹ÃŒÍÂÅТͧ¡ÒÃ㪌ÍÍ¡«ÔਹÊÙ§ÊØ´ ÇÔ¸¹µÍ§ÍÒÈÑÂà¤Ã×ͧÁ×Í㹡ÒõÃǨ ·íÒãËŒäÁ‹ÊдǡáÅФ‹Í¹¢ŒÒ§ÂاÂÒ¡ ´Ñ§¹Ñ¹ã¹·Ò§ Õ Õé Œ è ‹ é »¯Ôºµ¨§äÁ‹¹ÂÁ㪌 ʋǹãË­‹Á¡¨Ð㪌㹧ҹÇÔ¨Â Ñ ÔÖ Ô Ñ Ñ 2. »ÃÐàÁÔ¹¨Ò¡ÍѵÃÒ¡ÒÃൌ¹¢Í§ËÑÇ㨠໚¹¡ÒáíÒ˹´ÍѵÃÒ¡ÒÃൌ¹¢Í§ËÑÇã¨à»‡ÒËÁÒ (target heart rate, THR) ໚¹à¡³± áÅŒÇãËŒ¼»ÇÂÍÍ¡¡íÒÅѧ¨¹¡ÃзѧÍѵÃÒ¡ÒÃൌ¹¢Í§ËÑÇã¨ÁÕ¤Òã¡ÅŒà¤Õ§ËÃ×Í෋ҡѺÍѵÃҷդҹdz䴌 «Ö§ ÙŒ † è ‹ è í è ÊÒÁÒö¤íҹǹÍѵÃÒ¡ÒÃൌ¹¢Í§ËÑÇã¨à»‡ÒËÁÒÂä´ŒËÅÒÂÇÔ¸Õ ä´Œá¡‹ 2.1 ÇԸբͧ Karvonen ËÃ×Í heart rate reserve (HRR) «Öè§ÍѵÃÒ¡ÒÃൌ¹ËÑÇ㨠໇ÒËÁÒÂÁÕ¤Ò»ÃÐÁҳÌÍÂÅÐ 40-80 ¢Í§ HRR áÅÐÁÕʵôѧ¹Õé THR = HRrest + % (HRmax – ‹ Ù HRrest) â´Â HRmax ¤×ÍÍѵÃÒ¡ÒÃൌ¹ËÑÇã¨ÊÙ§ÊØ´ áÅÐ HRrest ¤×ÍÍѵÃÒ¡ÒÃൌ¹ËÑÇ㨢³Ð¾Ñ¡ ÇÔ¸¹Õé Õ àËÁÒÐÊíÒËÃѺ¼Ù»Ç·ÕÃÒ§¡ÒÂá¢ç§áçÃдѺ˹֧áÅŒÇà¹×ͧ¨Ò¡¤‹Ò·Õ¤Ò¹Ç³ä´ŒÁ¡¨ÐÁդҷդ͹¢ŒÒ§ÊÙ§ Œ † è‹ è è è í Ñ ‹ è ‹
  • 188.
    àǪÈÒʵÏ·¹Âؤ 2553 Ñ 161 àÁ×Íà·Õº¡Ñº¡ÒÃ㪌Ǹ͹ ¹Í¡¨Ò¡¹Õ§àËÁÒÐÊÁ¡Ñº¼Ù»Ç·ÕÁ͵ÃÒ¡ÒÃൌ¹¢Í§ËÑÇã¨ÊÙ§ËÃ×͵èҡNjһ¡µÔ è Ô Õ ×è éÑ Œ † è ÕÑ í à¹×ͧ¨Ò¡ÁÕ¡ÒùíÒ¤‹ÒÍѵÃÒ¡ÒÃൌ¹¢Í§ËÑÇ㨢³Ð¾Ñ¡ÁÒ¤Ô´´ŒÇ è 2.2 ÇÔ¸¤Ò¹Ç³¨Ò¡ÍѵÃÒ¡ÒÃൌ¹ËÑÇã¨ÊÙ§ÊØ´ (HRmax) â´ÂÍѵÃÒ¡ÒÃൌ¹ËÑÇã¨à»‡Ò Õ í ËÁÒ¤‹Ò»ÃÐÁҳÌÍÂÅÐ 50-85 ¢Í§ HRmax «Ö§ÍѵÃÒ¡ÒÃൌ¹¢Í§ËÑÇã¨à»‡ÒËÁÒ·Õä´Œ¨Ò¡ÇÔ¸¹¨ÐµèÒ è è Õ Õé í ¡Ç‹Ò¡Òäíҹdz¨Ò¡ÇÔ¸ááàÅ硹ŒÍÂ Õ 2.3 ¡ÒÃ㪌ÃдѺ¤ÇÒÁà˹×Í (rate of perceived exertion, RPE) ¢Í§ Borg è ໚¹¡ÒûÃÐàÁÔ¹ÃдѺ¤ÇÒÁà˹×ÍÂÍÍ¡ÁÒ໚¹µÑÇàÅ¢ â´Â¼Ù»ÇÂ໚¹¼Ù»ÃÐàÁÔ¹àͧ è Œ † Œ ÁÕ·§ËÁ´ 15 ÃдѺ (6-20) ÃдѺ¤ÇÒÁà˹×Í·Õá¹Ð¹íÒ ¤×Í 12-16 (moderate to hard) ÇÔ¸¹ÊÒÁÒö㪌 Ñé è è Õ Õé ä´Œ·ÑèÇä» â´Â੾ÒСóշÕè㪌ÇÔ¸Õ¤íҹdz¨Ò¡ÍѵÃÒ¡ÒÃൌ¹¢Í§ËÑÇã¨äÁ‹ä´Œ ઋ¹ ¼ÙŒ»†ÇÂÃѺ»Ãзҹ ÂÒÅ´¤ÇÒÁ´Ñ¹¡ÅØÁ beta-blocker «Ö§ÁռŷíÒãˌ͵ÃÒ¡ÒÃൌ¹ËÑÇã¨äÁ‹à¾ÔÁÁÒ¡¹Ñ¡ ËÃ×͡óշ¼»Ç ‹ è Ñ è Õè ÙŒ † äÁ‹ÊÒÁÒö¨ÑºªÕ¾¨Ã´ŒÇµ¹àͧ䴌 ËÃ×ͨѺªÕ¾¨Ã䴌ᵋÍÒ¨äÁ‹¶Ù¡µŒÍ§ ઋ¹ ÁÕÍѵÃÒ¡ÒÃൌ¹ËÑÇ㨠·ÕäÁ‹ÊÁèÒàÊÁÍ à»š¹µŒ¹ è í 3. ÃÐÂÐàÇÅÒ㹡ÒÃÍÍ¡¡íÒÅѧ¡Ò á¹Ð¹íÒãËŒÍÍ¡¡íÒÅѧ¡Ò»ÃÐÁÒ³ 20-30 ¹Ò·Õ໚¹Í‹ҧ¹ŒÍ ·Ñ§¹Õ¢¹¡ÑºÃдѺ¤ÇÒÁ˹ѡ¢Í§ é é Öé ¡ÒÃÍÍ¡¡íÒÅѧ¡Ò â´Â¶ŒÒÍÍ¡¡íÒÅѧ¡ÒÂÃдѺàºÒ¶Ö§»Ò¹¡ÅÒ§ÍҨ㪌àÇÅҹҹ໚¹ 60 ¹Ò·Õä´Œ ᵋ·§ Ñé ¹ÕµÍ§¤íÒ¹Ö§¶Ö§ÀÒÇÐá·Ã¡«ŒÍ¹àÃ×ͧÃдѺ¹éÒµÒÅã¹àÅ×Í´µèÒ´ŒÇÂ é Œ è í í 4. ¤ÇÒÁ¶Õ㹡ÒÃÍÍ¡¡íÒÅѧ¡Ò è á¹Ð¹íÒ¡ÒÃÍÍ¡¡íÒÅѧ¡Ò Í‹ҧ¹ŒÍ 4-6 Çѹ/ÊÑ»´Òˏ ËÃ×ÍÊÒÁÒöÍÍ¡¡íÒÅѧ¡Ò·ءÇѹ䴌 ¶ŒÒÍÍ¡¡íÒÅѧ¡Ò´ŒÇÂÃдѺ¤ÇÒÁ˹ѡàºÒ¶Ö§»Ò¹¡ÅÒ§ 5. ¡ÒÃà¾ÔÁÃдѺ¡ÒÃÍÍ¡¡íÒÅѧ¡ÒÂ è ¢Ö¹¡ÑºÊÀҾËҧ¡Ò¢ͧ¼Ù»Ç ¤ÇÒÁÃØ¹áçáÅÐÀÒÇÐá·Ã¡«ŒÍ¹¢Í§âä ÃÇÁ·Ñ§¡Òõͺ é Œ † é ʹͧ¢Í§¡ÒÃÍÍ¡¡íÒÅѧ¡Ò ໚¹µŒ¹ â´ÂÁÕËÅѡࡳ±ÇÒ¤ÇÃà¾ÔÁÃÐÂÐàÇÅÒ¡‹Í¹¤ÇÒÁ˹ѡáÅФÇÒÁ ‹ è ¶Õ㹡ÒÃÍÍ¡¡íÒÅѧ¡Ò áÅФÇä§ÃдѺ¡ÒÃÍÍ¡¡íÒÅѧ¡Ò¹ѹæ äÇŒ»ÃÐÁÒ³ 1-2 ÊÑ»´Òˏ¡Í¹à¾ÔÁÃдѺ è é ‹ è ·ÕÁÒ¡¢Ö¹ è é Í‹ҧäáçµÒÁ¼ÙŒ»†ÇÂÍÒ¨ÁÕ¢ŒÍ¨íÒ¡Ñ´Í×è¹æ ·Õè·íÒãËŒäÁ‹ÊÒÁÒöÍÍ¡¡íÒÅѧ¡ÒÂ䴌͋ҧÁÕ »ÃÐÊÔ·¸ÔÀÒ¾ËÃ×͵ÒÁẺἹ䴌 䴌ᡋ ¡ÒÃÁͧàËç¹Å´Å§¨Ò¡ÀÒÇÐá·Ã¡«ŒÍ¹·Ò§µÒ¨Ò¡âäàºÒ ËÇÒ¹ ÍÒ¡ÒúÇÁ¨Ò¡á¼ÅµÔ´àª×éÍ·Õèà·ŒÒËÃ×ÍÀÒÇÐá·Ã¡«ŒÍ¹·Ò§äµ ÍÒ¡ÒÃà˹×èͨҡâäËÑÇ㨠ËÃ×ÍÍÒ¡ÒûǴࢋҨҡâ䢌ÍàÊ×ÍÁ ໚¹µŒ¹ ´Ñ§¹Ñ¹¨Ö§á¹Ð¹íÒãËŒ¼»ÇÂÁÕ¡ÒÃà¤Å×͹äËǢͧËҧ¡ÒÂã¹ è é ÙŒ † è ¡Ô¨ÇѵûÃШíÒÇѹ ઋ¹ à´Ô¹àÅ‹¹ÃͺºŒÒ¹ à´Ô¹«×ͧ͢ ·íÒ§Ò¹ºŒÒ¹ ´ÙáŵŒ¹äÁŒºÃÔàdzºŒÒ¹ ໚¹µŒ¹ ÃÇÁ é ·Ñ§»ÃѺà»ÅÕ¹¡ÒôíÒà¹Ô¹ªÕǵËÃ×Í´Ñ´á»Å§§Ò¹»ÃШíÒãˌ໚¹¡ÒÃÍÍ¡áçËÃ×ÍÍÍ¡¡íÒÅѧ¡ÒÂá·¹ ઋ¹ é è Ô ¶ŒÒäÁ‹»Ç´à¢‹Ò¤ÇÃà´Ô¹¢Ö¹ºÑ¹ä´á·¹¡ÒâֹÅÔ¿µ ¶ŒÒÃÐÂзҧ¾ÍàËÁÒФÇÃà´Ô¹ä»·íÒ§Ò¹ËÃ×͵ÅÒ´ é é á·¹¡ÒÃ㪌ö ໚¹µŒ¹
  • 189.
    162 ¡ÒÃÍÍ¡¡íÒÅѧ¡ÒÂã¹âäàºÒËÇÒ¹ àÍ¡ÊÒÃ͌ҧÍÔ§ 1. American diabetes Association. Standards of medical care for patients with diabetes mellitus. Diabetes Care 2000;23:532-42. 2. Gordon N.. The exercise prescription. In: The Health Professional’s guide to diabetes and exercise. Alexandria, VA: American Diabetes Association, 1995:70-82. 3. Berger M. Adjustment of insulin therapy. In: The health professional’s guide to diabetes and exercise. Alexandria, VA: American Diabetes Association, 1995:116-22. 4. Albright AL. Diabetes. In: Durstine JL, ed. ACSM’s Exercise management for persons with chronic diseased and disabilities. Champaign, IL: Human kinetics, 1997:94-100. 5. Kenny W, Humphrey R, Bryant C. ACSM’s guidelines for exercise testing and prescription. 7th ed. Philadelphia: Williams & Wilkin: 2005.
  • 190.
    àǪÈÒʵÏ·¹Âؤ 2553 Ñ º··Õè 163 24 ÍØºÑµÔà˵ؤÍÊкѴ (Whiplash Injury) ¼ÙŒª‹ÇÂÈÒʵÃÒ¨ÒÏ ¹ÒÂᾷÇÔÉ³Ø ¡ÑÁ·Ã·Ô¾Â ÀÒ¤ÇÔªÒàǪÈÒʵÏ¿¹¿Ù ¤³Ðá¾·ÂÈÒʵÏÈÃÃÒª¾ÂÒºÒÅ ÁËÒÇÔ·ÂÒÅÑÂÁËÔ´Å „œ ÔÔ ¹ÔÂÒÁ The Quebec Task .orce (QT.) on Whiplash-associated disorders (WAD) ä´Œ¹ÂÒÁ whiplash Ô injury Ç‹Ò໚¹¡ÒúҴà¨çºµ‹Íâ¤Ã§ÊÌҧ¡Ãд١¤ÍáÅÐà¹×éÍàÂ×èÍ͋͹ ·Õèà¡Ô´¨Ò¡áç¡ÃÐá·¡¨Ò¡ ·Ò§´ŒÒ¹ËÅѧ ËÃ×Í´ŒÒ¹¢ŒÒ§ â´Â¡Åä¡¡ÒÃà¡Ô´ºÒ´à¨çºà»š¹áºº acceleration-deceleration «Ö§¾ºä´ŒºÍÂ è ‹ ã¹Íغµà˵ØÃ¶Â¹µª¹¡Ñ¹ (motor vehicle accidents) ËÃ×ÍÍØºµà˵ØÍ¹æ Ñ Ô Ñ Ô ×è (1) ÃкҴÇÔ·ÂÒ ÍØºÑµÔà˵ؤÍÊкѴ໚¹¡ÒúҴà¨çº·Õ辺䴌º‹ÍÂáÅÐ໚¹ÊÒà˵ØÊíҤѭ¢Í§¡ÒÃÊÙ­àÊÕ¤ÇÒÁ ÊÒÁÒö (disability) ʋǹÁÒ¡ÊÑÁ¾Ñ¹¸¡ÑºÍغѵÔà˵ØÃ¶Â¹µª¹¡Ñ¹(2) ¾ºÀÒÇйÕéä´Œ¶Ö§ÃŒÍÂÅÐ 83 ¢Í§Íغµà˵ØÃ¶Â¹µª¹¡Ñ¹ (2) ÍØºµ¡Òó¢Í§ WAD ÁÕ¤ÇÒÁᵡµ‹Ò§¡Ñ¹ÁÒ¡µÒÁ¡ÒÃÈÖ¡ÉÒ ÍØºµ¡Òó Ñ Ô Ñ Ô Ñ Ô ÍÂÙÃÐËNjҧ 70-200/100,000 ¢Í§»ÃЪҡà 㹻ÃÐà·ÈÊËÃѰÍàÁÃÔ¡Ò ¾ºÍغµ¡Òó»ÃÐÁÒ³ 4 ã¹ ‹ (1) Ñ Ô 1,000 ¢Í§»ÃЪҡà (3) ¾ÂÒ¸ÔÊÃÕÃÇÔ·ÂÒ ÍØºµà˵ؤÍÊкѴÍÒ¨à¡Ô´¨Ò¡Íغµà˵ØÃ¶Â¹µª¹¡Ñ¹ËÃ×ͨҡºÒ´à¨çº¨Ò¡¡ÒáÕÌÒ¡çä´Œ äÁ‹ÇÒ Ñ Ô Ñ Ô ‹ ·ÔÈ·Ò§¢Í§áç¡ÃзíÒ¨Ð໚¹áººã´ áç¡ÃзíÒ¹Ñ鹨зíÒãËŒâ¤Ã§ÊÌҧ¤Íà¤Å×è͹·ÕèËÃ×ÍÊкѴẺ äÃŒ¡ÒäǺ¤ØÁ â´Â¡ÅŒÒÁà¹×ÍÃͺ¤Í·Õ·Ò˹ŒÒ·Õ´à¡ÒÐáÅÐÊÌҧ¤ÇÒÁÁѹ¤§ãˌᡋâ¤Ã§ÊÌҧ¡Ãд١¤Í é è í è Ö è äÁ‹ÊÒÁÒöµÍº ʹͧµ‹Íáç¡ÃзíÒÀÒ¹͡䴌·Ñ¹·‹Ç§·Õ ·íÒãËŒà¡Ô´¡ÒúҴà¨çºµ‹Íâ¤Ã§ÊÌҧ¤Í ·ÕàÃÕÂ¡Ç‹Ò functional spinal units «Ö§áçÀÒ¹͡·ÕÁÒ¡ÃзíÒ¹ÕäÁ‹ãª‹áç¡ÃзíÒâ´ÂµÃ§ (direct blow) è è è é ᵋ໚¹áç·Õà¡Ô´¨Ò¡áçà©×Í¢ͧËҧ¡Ò·յͺʹͧµ‹Íáç¡ÃзíÒÀÒ¹͡¹Ñ¹ ʋǹãË­‹¡Åä¡¡Òà è è è é à¡Ô´ÍغѵÔà˵Øà»š¹áºº flexion-hyperextension «Öè§à¡Ô´¨Ò¡ÍغѵÔà˵ØÃ¶Â¹µª¹·ŒÒ¡ѹ (rear-end collisions) ᵋ¡ÊÒÁÒö¾ºä´Œã¹Íغµà˵طª¹·Ò§´ŒÒ¹Ë¹ŒÒ (head-on collision) áÅЪ¹¨Ò¡´ŒÒ¹¢ŒÒ§ ç Ñ Ô Õè
  • 191.
    164 Whiplash Injury (side collision) ¡çä´Œ (4) ÁÕÃÒ§ҹ ¾ºÇ‹ÒÍØºÑµÔà˵ؤÍÊкѴ ÍÒ¨à¡Ô´¨Ò¡ hyperextension ¢Í§ ¡Ãд١¤Íʋǹŋҧ ËÇÁ¡ÑºÁÕ flexion ¢Í§¡Ãд١¤Íʋǹº¹ ·íÒãËŒ¡Ãд١¤ÍÁÕšɳÐ໚¹ÃÙ»µÑÇ S Ñ ¢³Ðà¡Ô´Íغµà赯 «Ö§áµ¡µ‹Ò§¨Ò¡ªÕÇ¡ÅÈÒʵϢͧ¡ÒÃà¤Å×͹äËǢͧ¡Ãд١¤Í ·Õ»¡µÔ¨ÐàÃÔÁµŒ¹·Õè Ñ Ô è è è è ¡Ãд١¤Íʋǹº¹¡‹Í¹ (5) ¡ÅŒÒÁà¹×éÍÃͺ¤Í·ÕèäÁ‹ÊÒÁÒöµÍºÊ¹Í§µ‹ÍáçÀÒ¹͡ ·íÒãËŒà¡Ô´¡ÒÃà¤Å×è͹äËÇ·Õè ¼Ô´»¡µÔÃͺá¹Ç᡹ËÁع¢Í§¤Í ¨¹à¡Ô´áçà¤ÃÕ´áÅСÒúҴà¨çºµ‹Íâ¤Ã§ÊÌҧ¡Ãд١¤Íä´Œ ¡ÒúҴà¨çº·Õ¾º 䴌ᡋ ËÁ͹Ãͧ¡Ãд١·Ñ§´ŒÒ¹Ë¹ŒÒáÅдŒÒ¹ËÅѧ ¡ÒúҴà¨çºµ‹Í annulus fibrosus, è é anterior longitudinal ligament (ALL), cervical zygapophyseal joints ¡ÅŒÒÁà¹×ÍáÅÐà¹×ÍàÂ×Í͋͹Ãͺ¤Í é é è ໚¹µŒ¹ ¡ÒúҴà¨çº¨ÐËÒÂä´ŒÀÒÂã¹àÇÅÒäÁ‹¹Ò¹µÒÁÃÐÂÐàÇÅÒ¡ÒÃËÒ¢ͧà¹×ÍàÂ×Í͋͹ (soft tissue é è healing) (4) ÊÒà˵آͧÍÒ¡ÒûǴ¤Í·Õ辺ã¹ÍغѵÔà˵ؤÍÊкѴÁÑ¡¨ÐäÁ‹·ÃÒºªÑ´à¨¹ ¨Ò¡Åѡɳзҧ ¤ÅÔ¹¡áÅÐÀÒ¾¶‹Ò·ҧÃѧÊÕǹ¨©Ñ ¨ÐäÁ‹¾ºÅѡɳоÂÒ¸ÔÊÀҾ੾ÒÐ àª×ÍÇ‹ÒÍÒ¨à¡Ô´¨Ò¡¾ÂÒ¸ÔÊÀÒ¾ Ô Ô Ô è ËÃ×Í¡ÒúҴà¨çº¢Í§à¹×ÍàÂ×Í͋͹ ¾ºÇ‹Ò»ÃÐÁÒ³à¡×ͺÌÍÂÅÐ 90 ¢Í§¼Ù»ÇÂÍØºµà˵ؤÍÊкѴ¨ÐÁÕ¡ÅŒÒÁ é è Œ † Ñ Ô à¹×Íà¡Ãç§ (muscle spasm) ËÇÁ´ŒÇ «Ö§Â×¹Âѹ¨Ò¡¡ÒõÃǨ´ŒÇ surface EMG ¾ºÇ‹ÒÁÕ¤ÇÒÁ¼Ô´»¡µÔ é è ¢Í§¡ÅŒÒÁà¹×ͤͨÃÔ§ «Ö§ÀÒÇСŌÒÁà¹×Íà¡Ãç§ ÍҨ໚¹¡Åä¡»‡Í§¡Ñ¹µÑÇàͧ¢Í§Ã‹Ò§¡ÒµÒÁ¸ÃÃÁªÒµÔ é (6) è é à¾×Í»‡Í§¡Ñ¹â¤Ã§ÊÌҧ¡Ãд١¤Íʋǹ·ÕºÒ´à¨çº ᵋ¡ÅŒÒÁà¹×Í·Õà¡Ã秤ŒÒ§ÍÂÙ¹Ò¹ ÍÒ¨ä»à¾ÔÁáçà¤ÃÕ´ è è é è ‹ è µ‹Í¢ŒÍµ‹Í zygapophyseal joint (facet joint) ·íÒãËŒ»Ç´ÁÒ¡¢Ö¹áÅлǴàÃ×ÍÃѧ䴌 ¼Ù»ÇÂ¡ÅØÁÍÒ¡Òà é é Œ † ‹ ÍØºµà˵ؤÍÊкѴ ºÒ§¤¹ÍÒ¨¾º¤ÇÒÁ¼Ô´»¡µÔ¢Í§ zygapophyseal joint ËÃ×ÍÀÒÇСÃд١áÅÐ Ñ Ô (7) ËÁ͹Ãͧ¡Ãд١¤ÍàÊ×ÍÁä´Œ «Ö§ÁÑ¡äÁ‹Á¤ÇÒÁÊÑÁ¾Ñ¹¸¡ºÍÒ¡ÒÃáÅФÇÒÁÃØ¹áç¢Í§ÍÒ¡ÒûǴ¤Í (8) è è Õ Ñ ÁÕÃÒ§ҹ¾º¡ÒúҴà¨çº¢Í§Ã‹Ò§áË»ÃÐÊÒ· brachial plexus ËÇÁ´ŒÇÂä´Œ (9) ¡ÒÃÇÔ¹Ô¨©Ñ ¡ÒÃÇÔ¹¨©Ñ WAD ÍÒÈÑÂÅѡɳзҧ¤ÅÔ¹¡ ËÇÁ¡Ñº¡Åä¡¡ÒÃà¡Ô´¡ÒúҴà¨çºà»š¹ÊíҤѭ ¢³Ð¹Õé Ô Ô ÂѧäÁ‹ÁẺ·´Êͺ·Ò§¨Ôµà©¾ÒÐ ËÃ×Í¡ÒõÃǨ俿‡ÒÇÔ¹¨©ÑÂã´æ à¾×ÍÂ×¹Âѹ¡ÒÃÇÔ¹¨©ÑÂÀÒÇÐ WAD Õ Ô è Ô (10) Åѡɳзҧ¤ÅÔ¹¡¢Í§ WAD ËÃ×ÍÁÕËÅÒÂÍ‹ҧ (8,11) 䴌ᡋ Ô ! »Ç´¤Í (¾ºä´ŒÃÍÂÅÐ 88-100) ¤Íá¢ç§ »Ç´ºÃÔàdzäËÅ‹áÅÐÊкѡ Œ ! »Ç´á¢¹ ªÒ «‹Ò àË¹çº (paresthesia) ͋͹áç »Ç´¡ÃÒÁ¨Ò¡ temporomandibular dysfunction ! »Ç´ÈÕÃÉÐ (¾ºä´ŒÃÍÂÅÐ 54-66) àÇÕ¹ÈÕÃÉÐ µÒ¾Ã‹ÒÁÑÇ (visual disturbance) àÊÕ§ã¹ËÙ Œ ! »˜­ËÒàÃ×ͧ¤ÇÒÁ¨íÒáÅÐÊÁÒ¸Ô è ! »˜­ËÒ´ŒÒ¹¨Ôµã¨ ÁÕ¤ÇÒÁ¼Ô´»¡µÔ·Ò§¨ÔµËÅÒÂÍ‹ҧ·ÕÁ¤ÇÒÁÊÑÁ¾Ñ¹¸¡º whiplash injury è Õ Ñ ä´Œá¡‹ ÀÒÇЫÖÁàÈÃŒÒ ¤ÇÒÁâ¡Ã¸ ¤ÇÒÁ¡ÅÑÇ ¤ÇÒÁà¤ÃÕ´ ÇÔµ¡¡Ñ§ÇÅ áÅÐ hypochondriasis
  • 192.
    àǪÈÒʵÏ·¹Âؤ 2553 Ñ 165 Quebec Task .orce ä´Œ¨´áº‹§ÃдѺ¤ÇÒÁÃØ¹áç¢Í§ WAD Í͡໚¹ 5 ÃдѺ ¨Ò¡ 0-IV Ñ (´Ñ§µÒÃÒ§·Õè 1) µÒÃÒ§·Õè 1 Quebec Task .orce Classification ÊíÒËÃÑºÍØºÑµÔà˵ؤÍÊкѴ (1 ) ÃдѺ¤ÇÒÁÃØ¹áç Åѡɳзҧ¤ÅÔ¹Ô¡ 0 äÁ‹ÁÍÒ¡ÒÃáÅÐÍÒ¡ÒÃáÊ´§ã´æ ·Ò§¤ÅÔ¹¡ Õ Ô I ÁÕÍÒ¡ÒûǴ¤Í ¤Íá¢ç§ ËÃ×Í¡´à¨çºà·‹Ò¹Ñ¹ ᵋäÁ‹ÁÍÒ¡ÒÃáÊ´§ã´æ é Õ II »Ç´¤Í áÅÐÁÕÍÒ¡ÒÃáÊ´§ã¹Ãкº¡Ãд١áÅСŌÒÁà¹×Í ä´Œá¡‹ é ¡ÒÃà¤Å×͹äËǤÍŴŧ áÅÐÁÕ¨´¡´à¨çºµÒÁ¡ÅŒÒÁà¹×Í è Ø é III »Ç´¤Í áÅÐÁÕÍÒ¡ÒÃáÅÐÍÒ¡ÒÃáÊ´§·Ò§Ãкº»ÃÐÊÒ· 䴌ᡋ deep tendon reflex ŴŧËÃ×ÍËÒÂä» ¡ÅŒÒÁà¹×Í͋͹áç ÁÕÍÒ¡ÒÃ é ªÒáÅФÇÒÁÃÙÊ¡¼Ô´»¡µÔ Œ Ö IV ÁÕÍÒ¡ÒûǴ¤Í áÅСÃд١¤ÍËÑ¡ËÃ×Íà¤Å×͹ è ÀÒÇзÕèÊÑÁ¾Ñ¹¸ËÃ×ÍÍÒ¨à¡Ô´Ã‹ÇÁ¡Ñº Whiplash Injury ¾º¤ÇÒÁÊÑ Á ¾Ñ ¹ ¸ à ÐËÇ‹ Ò § WAD áÅÐ fibromyalgia â´Â¾ºÇ‹ Ò ÃŒ Í ÂÅÐ 21.6 ¢Í§ ¼Ù»Ç WAD ¨Ðà¡Ô´ÀÒÇÐ fibromyalgia ÀÒÂã¹Ë¹Ö§»‚ËÅѧºÒ´à¨çº(12) ¼Ù»Ç WAD ¨ÐÁÕ hypersensitivity Œ † è Œ † áÅÐÍÒ¡ÒûǴ¡ÃШÒ·ÑèǵÑÇ (widespread pain) àÁ×èÍà»ÃÕºà·Õº¡Ñº¤¹»¡µÔËÃ×ͼٌ»†Ç»Ǵ¤Í àÃ×ÍÃѧ(13-16) 1 ã¹ 3 ¢Í§¼Ù»Ç whiplash injury àÁ×͵ԴµÒÁ仨¹¤Ãº 1 »‚ ¾ºÇ‹ÒÁÕ¤ÇÒÁàÊÕ§·Õ¨Ðà¡Ô´ é Œ † è è è temporomandibular joint dysfunction Ê٧໚¹ 5 ෋Ңͧ¡ÅØÁ¤Çº¤ØÁ «Ö§Ê‹Ç¹ãË­‹¨Ð¾ºã¹¼Ù»Ç ‹ è Œ † à¾ÈË­Ô§ (17) ÍÒ¨¾º¡ÒúҴà¨çºÃ‹Ò§áË»ÃÐÊÒ· brachial plexus ËÇÁ´ŒÇ (9) «Ö§ÍÒ¨¹íÒÁÒ´ŒÇ long è thoracic nerve injury ËÃ×Í spinal accessory nerve injury ÁÕÃÒ§ҹ¾º¼Ù»Ç whiplash injury (18) Œ † ÁÒ´ŒÇ¡ÒúҴà¨çº¢Í§àÊŒ¹»ÃÐÊÒ· long thoracic nerve ËÇÁ¡Ñº spinal accessory nerve «Ö§¾ºä´Œ è ¹ŒÍÂÁÒ¡ (19) ÀÒ¾¶‹ÒÂÃѧÊÕÇÔ¹Ô¨©Ñ ¼Ù»ÇÂËÅѧ¨Ò¡Íغµà˵ؤÍÊкѴ ÁÑ¡µÃǨäÁ‹¾º¤ÇÒÁ¼Ô´»¡µÔã´æ ¨Ò¡ÀÒ¾¶‹ÒÂÃѧÊÕ㹪‹Ç§ Œ † Ñ Ô à©Õº¾Åѹ ¡àÇŒ¹¼ÙŒ»†Ç·ÕèʧÊÑÂÇ‹ÒÁÕ¡Ãд١¤Íᵡ ËÑ¡ËÃ×Íà¤Å×è͹ ¼ÅÀÒ¾¶‹ÒÂÃѧÊÕÇÔ¹Ô¨©Ñ (20,21) ·Õ¾ºº‹ÍÂáÅÐÊÑÁ¾Ñ¹¸¡º whiplash injury 䴌ᡋ degenerative change of C-spine áÅÐ loss of C- è Ñ lordosis ʋǹÀÒ¾¶‹ÒÂã¹·‹Ò flexion/extension ¢Í§ C-spine ¢³ÐºÒ´à¨çº ÍÒ¨¾º kyphotic angle (22) ä´Œ «Öè§ÍÒ¨à¡Ô´¨Ò¡ hypermobility ¢Í§¡Ãд١¤Íã¹ÃдѺ·ÕèÍÂÙ‹µÔ´¡ÑºÃдѺ·ÕèÁÕ hypomobility à¹×ͧÁÒ¨Ò¡ muscle spasm(10) è
  • 193.
    166 Whiplash Injury ¨Ò¡¡ÒÃÈÖ¡ÉÒ¼ÙŒ»†Ç·ÕèÁÕÀÒ¾¶‹ÒÂÃѧÊÕÇÔ¹Ô¨©Ñ¢ͧ¤Í»¡µÔáÅеÃǨäÁ‹¾º¤ÇÒÁ¼Ô´»¡µÔ·Ò§ Ãкº»ÃÐÊÒ·´ŒÇ MRI C-spine µÑ§áµ‹ááËÅÑ§ÍØºµà˵ØÀÒÂã¹ 2-3 ÊÑ»´Òˏ ¾ºÃÍÂâä·Õà¡ÕÂÇ¢ŒÍ§ é Ñ Ô è è ¡ÑºÍØºµà˵Øä´Œ¹ÍÂÁÒ¡ ¤ÇÒÁ¼Ô´»¡µÔ·¾º 䴌ᡋ prevertebral edema , disc degeneration ·ÕÃдѺ Ñ Ô Œ Õè 20 è C5-6 áÅÐ C6-7 «Ö§¼Å¡ÒõÃǨ MRI ã¹ÃÐÂÐ ááäÁ‹ÊÁ¾Ñ¹¸¡ºÍÒ¡ÒûǴ áÅÐäÁ‹ÊÒÁÒö¾Âҡó (23) è Ñ Ñ âä䴌 ᵋ¼»ÇÂÃÒ·վºÃÍÂâä·Õà¡Ô´¨Ò¡Íغµà˵ØÁá¹Ç⹌Á·Õ¨Ð»Ç´¤ÍáÅлǴÈÕÃÉÐÃØ¹áç¡Ç‹Ò ÙŒ † è è Ñ Ô Õ è ¹Í¡¨Ò¡¹Õ¡ÒõÃǨµÔ´µÒÁ MRI «éÒ·Õè 3 à´×͹ äÁ‹ä´ŒãËŒ¢ÍÁÙÅà¾ÔÁàµÔÁã´æÁÒ¡¹Ñ¡(23) ´Ñ§¹Ñ¹¡ÒõÃǨ é í Œ è é MRI C-spine ÍÒ¨äÁ‹¤ÍÂä´Œ»ÃÐ⪹ÁÒ¡¹Ñ¡ÊíÒËÃѺ¼Ù»Ç·Õä´ŒÃºÍØºµà˵ؤÍÊкѴ ¡àÇŒ¹ã¹ÃÒ·Õè ‹ Œ † è Ñ Ñ Ô ÍÒ¡Ò÷ҧ¤ÅÔ¹¡Ê§ÊÑÂÇ‹ÒÁÕ disc herniation ᵋºÒ§ÃÒ§ҹ¾ºÇ‹Ò MRI C-spine ¢Í§¼Ù»Ç WAD Ô (20,23) Œ † ÃдѺ¤ÇÒÁÃØ¹áç II-III ¾º¤ÇÒÁ¼Ô´»¡µÔ໚¹ medullary or dural impingement ¨Ò¡ C-discs ¶Ö§ÃŒÍ ÅÐ 33(21) ¡ÒÃÃÑ¡ÉÒ WAD ໚¹ÀÒÇзÕáÉÒÂÒ¡ à¹×ͧ¨Ò¡¼Ù»ÇÂÍÒ¨ÁÕà¾Õ§ÍÒ¡ÒûǴ ËÃ×ÍÍÒ¡ÒÃªÒ «‹Ò àË¹çº èÑ è Œ † (paresthesia) â´ÂäÁ‹Á¤ÇÒÁ¼Ô´»¡µÔ͹·Ò§¤ÅÔ¹¡ ËÃ×Í·Ò§ÀÒ¾¶‹Ò·ҧÃѧÊÕ «Ö§áÊ´§ËÅÑ¡°Ò¹¢Í§¡ÒÃ Õ ×è Ô è ºÒ´à¨çºàÅ ¹Í¡¨Ò¡¹Õ»¯ÔÊÁ¾Ñ¹¸¢Í§»˜¨¨Ñ´ŒÒ¹¨Ôµã¨áÅÐÊѧ¤Á »˜¨¨Ñ´ŒÒ¹¡®ËÁÒÂáÅФ´Õ¿Í§ÃŒÍ§ é Ñ ‡ ¤‹Òª´àªÂ áÅл˜¨¨Ñ·ҧ¡ÒÂÀÒ¾ÁÕ¤ÇÒÁÊÅѺ«Ñº«ŒÍ¹ ·íÒãËŒ¼Å¡ÒÃÃÑ¡ÉҢͧ¼Ù»ÇÂᵋÅÐÃÒÂᵡµ‹Ò§ Œ † ¡Ñ¹ÁÒ¡áÅÐä´Œ¼ÅäÁ‹á¹‹¹Í¹ ¡ÒÃÃÑ¡ÉÒ WAD ã¹ÃÐÂÐà©Õº¾Åѹ Áըش»ÃÐʧ¤à¾×èÍÅ´»Ç´ Å´ÍÑ¡àʺ áÅл‡Í§¡Ñ¹¡ÒÃÊÙ­àÊÕ¤ÇÒÁÊÒÁÒö¨Ò¡ÍÒ¡ÒûǴ àÃ×ÍÃѧ ¡ÒÃÃÑ¡ÉÒ»ÃСͺ´ŒÇ é 1. ÂÒᡌ»Ç´ ÂÒ¤ÅÒ¡ŌÒÁà¹×Í áÅÐÂÒµŒÒ¹ÍÑ¡àʺ·ÕäÁ‹ãª‹ÊàµÕÂÃÍ´ ໚¹ÂÒ·Õ㪌ºÍ·ÕÊ´ é è è ‹ èØ ÊíÒËÃѺÃÑ¡ÉÒ ÍÒ¡ÒûǴ¤Í¨Ò¡ WAD ã¹ÃÐÂÐáá µŒÍ§ÃÐÇѧ¼Å¢ŒÒ§à¤Õ§·ÕÍÒ¨à¡Ô´¢Ö¹ è é (24) 2. »ÅÍ¡¤Íª¹Ô´Í‹Í¹ (soft cervical collar) à¾×ͨíÒ¡Ñ´¡ÒÃà¤Å×͹äËǤÍáÅÐÅ´»Ç´ ᵋÁ¡Òà è è Õ ÈÖ¡ÉÒ·ÕáÊ´§Ç‹Ò¡ÒÃãËŒ¼»ÇÂà¤Å×͹äËǤÍËÃ×Í·íÒ¡Ô¨ÇѵûÃШíÒÇѹ»¡µÔµ§áµ‹ÃÐÂÐáÃ¡æ ¨Ðª‹ÇÂãËŒ¼ÙŒ è ÙŒ † è Ñé »†ÇÂËÒÂàÃçÇ¢Ö¹ ÊÒÁÒöŴ»Ç´ à¾ÔÁ¾ÔÊ¡ÒÃà¤Å×͹äËÇ¤Í áÅÐÅ´ÃÐÂÐàÇÅÒ¡ÒÃÅÒËÂØ´§Ò¹ä´Œ ʋǹ é è Ñ è ¡ÒþѡáÅШíÒ¡Ñ´¡ÒÃà¤Å×͹äËÇ¤Í ÍÒ¨·íÒãËŒ¼»ÇÂËÒªŒÒŧ(25-27) ´Ñ§¹Ñ¹ÍÒ¨¾Ô¨ÒóÒ㪌»ÅÍ¡¤Íª‹Ç§ è ÙŒ † é àÇÅÒÊѹæã¹ÃÐÂÐà©Õº¾Åѹ é 3. ¡ÒÃÍÍ¡¡íÒÅѧ¡ÒÂáÅкÃÔËÒÃ¤Í ÊÒÁÒöŴ»Ç´áÅÐà¾ÔÁ¾ÔÊ¡ÒÃà¤Å×͹äËÇ¤Í á¹Ð¹íÒ è Ñ è ãËŒ¼»Ç WAD ´íÒà¹Ô¹¡Ô¨ÇѵûÃШíÒÇѹ»¡µÔµ§áµ‹ÃÐÂÐáá ÍÒ¨·íÒËÇÁ¡Ñº¡ÒÃÍÍ¡¡íÒÅѧ¡ÒÂáÅÐ ÙŒ † Ñé (25-27) ºÃÔËÒä͡çä´Œ (28) 4. Mobilization & manipulation ÊÒÁÒöŴ»Ç´áÅÐáÅÐà¾ÔèÁ¾ÔÊÑ¡ÒÃà¤Å×è͹äËǤÍ(24) mobilization ໚¹¡ÒÃÃÑ¡ÉÒÇԸ͹ØÃ¡É·ä´Œ¼Å ÊÒÁÒöŴ»Ç´áÅÐà¾ÔÁ¾ÔÊ¡ÒÃà¤Å×͹äËǤÍä´Œã¹ Õ Ñ Õè è Ñ è ¼Ù»Ç WAD à©Õº¾Åѹ Œ † (29)
  • 194.
    àǪÈÒʵÏ·¹Âؤ 2553 Ñ 167 5. ÍØ»¡Ã³·Ò§¡ÒÂÀÒ¾ºíҺѴ (Physical modalities) ઋ¹ TENS, ultrasound, ¡ÒúíҺѴ ´ŒÇ¤ÇÒÁÌ͹ËÃ×ͤÇÒÁàÂç¹ ÁÕËÅÑ¡°Ò¹Ê¹ÑºÊ¹Ø¹¹ŒÍÂÁÒ¡·Õ辺NjÒÍØ»¡Ã³¡ÒÃÃÑ¡ÉÒàËŋҹÕ骋ÇÂãËŒ ÀÒÇÐ WAD ª¹Ô´à©Õº¾Åѹ´Õ¢¹(30) Í‹ҧäáçµÒÁ ÍÒ¨¾Ô¨ÒóÒãˌ໚¹¡ÒÃÃÑ¡ÉÒàÊÃÔÁã¹àǪ»¯Ôºµä´Œ Öé Ñ Ô 6. ¡Òý˜§à¢çÁ (acupuncture) ÃÇÁ·Ñ§ dry needling ¶Ù¡¹íÒÁÒ㪌áÉÒÀÒÇлǴÃкº¡Ãд١ é Ñ áÅСŌÒÁà¹×ͺ‹Í ÊÒÁÒöŴ»Ç´ã¹ÀÒÇлǴ¤Í¨Ò¡ÊÒà˵صҧæ ÃÇÁ·Ñ§ WAD(31) áÅÐÊÒÁÒö㪌 é ‹ é ÃÑ¡ÉÒ hyperalgesia ä´Œ (32) ¨Ò¡¡Ò÷º·Ç¹§Ò¹ÇԨ¢ͧ Cochrane ¾ºÇ‹Ò¼Å¡ÒÃÃÑ¡ÉÒ´ŒÇÂÇÔ¸¡ÒÃÃÑ¡ÉÒẺ͹ØÃ¡ÉµÒ§æ Ñ Õ Ñ ‹ 䴌ᡋ acupuncture, cervical collars, traction, exercise, massage, mobilization techniques, electro- physical agents áÅСÒÃ㪌¤ÇÒÁÌ͹ ¤ÇÒÁàÂç¹à¾×Í¡ÒÃÃÑ¡ÉÒ à»š¹µŒ¹ ä´Œ¼ÅäÁ‹ª´à¨¹(33) è Ñ ¡ÒÃÃÑ¡ÉÒÀÒÇÐ WAD ã¹ÃÐÂÐàÃ×éÍÃѧ ¼Ù»Ç WAD àÃ×ÍÃѧ ÁÕšɳзҧ¤ÅÔ¹¡·Õ«º«ŒÍ¹ ¡Åä¡¡ÒûǴàÃ×ÍÃѧÍÒ¨à¡Ô´¨Ò¡ peripheral Œ † é Ñ Ô è Ñ é áÅÐ central sensitization ¼Ù»ÇÂÍÒ¨ÁÕ¡ÒÃÃѺÃÙ¤ÇÒÁÃÙÊ¡¼Ô´»¡µÔ 䴌ᡋ widespread hyperalgesia, (13) Œ † Œ ŒÖ sympathetic nervous system dysfunction «Ö§º‹§ºÍ¡Ç‹Ò¹‹Ò¨ÐÁÕ CNS hyperexcitability(15,34) ¡ÒÃÃÑ¡ÉÒ è »ÃСͺ´ŒÇ Exercise áÅÐ mobilization ª‹ÇÂÅ´»Ç´áÅФÇÒÁ¾Ô¡Ò÷ؾ¾ÅÀҾ㹼ٻÇ WAD àÃ×ÍÃѧ䴌 Œ † é à¾Õ§àÅ硹ŒÍÂ෋ҹѹ é (35,36) Multimodal treatment program 䴌ᡋ exercise, group therapy, physical therapy, occupational therapy ÍÒ¨¾Ô¨ÒóÒ໚¹¡ÒÃÃÑ¡ÉÒ áµ‹ÃÒ§ҹ¶Ö§»ÃÐÊÔ·¸Ô¼Å㹡ÒÃÃÑ¡ÉÒÂѧÁÕ¨Ò¡Ñ´ í Í‹ҧäáçµÒÁ á¹Ð¹íÒãËŒ¡ÒÂÀÒ¾ºíҺѴËÇÁ¡Ñº cognitive behavioral therapy ã¹¼ÙŒ»†Ç WAD àÃ×ÍÃѧ(27) é Radiofrequency neurotomy 㪌áÉһǴ¤ÍàÃ×ÍÃѧ¨Ò¡ whiplash injury ä´Œ¼Å´Õ ᵋ¼Å¡ÒÃ Ñ é ÈÖ¡ÉÒÂѧÁÕ¨Ò¡Ñ´ í (7,27,37,38) ʋǹ¡ÒÃÃÑ¡ÉÒ´ŒÇ¡ÒéմÂÒÊàµÕÂÃÍ´ ÂÒ©Õ´Å´à¡Ãç§âº·ÙŹÁ ·çÍ¡«Ô¹ (Botulinum toxin), Ô Ø‹ carpal tunnel decompression áÅÐ cervical discectomy ¼Å¡ÒÃÃÑ¡ÉÒÂѧäÁ‹ª´à¨¹(38) Ñ ¾Âҡóâä ¼Å¡ÒÃÈÖ¡ÉҼٻǠWAD ¾ºÇ‹ÒÃÐÂÐàÇÅÒ㹡ÒÃÃÑ¡ÉÒáÅмšÒÃÃÑ¡ÉÒÁÕ¤ÇÒÁᵡµ‹Ò§¡Ñ¹ Œ † ÁÒ¡ ¢Ö¹ÍÂÙ¡º¡ÅØÁ»ÃЪҡ÷ÕÈ¡ÉÒ ¼Ù»Ç WAD ʋǹÁÒ¡ÍÒ¡Òèдբ¹Í‹ҧÃÇ´àÃçÇ ¼Ù»ÇÂʋǹÁÒ¡ é ‹ Ñ ‹ è Ö Œ † Öé Œ † ¨ÐËÒÂä´ŒÀÒÂã¹ÃÐÂÐàÇÅÒ 3 à´×͹ ᵋËÅѧ¨Ò¡ 3 à´×͹ ÍÒ¡Òèдբ¹ÍÕ¡àÅ硹ŒÍÂ39 ¾ºÇ‹ÒÃŒÍÂÅÐ 47 Öé ¢Í§¼ÙŒ»†Ç·ÕèºÒ´à¨çºÊÒÁÒö¡ÅѺ任ÃСͺ¡Ô¨ÇѵûÃШíÒÇѹ»¡µÔä´ŒÀÒÂã¹ 4 ÊÑ»´Òˏ ÁÕà¾Õ§ ÃŒÍÂÅÐ 2 ෋ҹѹ·ÕäÁ‹ÊÒÁÒö¡ÅѺ仴íÒà¹Ô¹ªÕǵáÅлÃСͺ¡Ô¨Çѵû¡µÔä´ŒàËÁ×͹à´ÔÁËÅѧ¨Ò¡ 1 »‚(1) é è Ô »˜¨¨Ñ·շÒãËŒâäËÒªŒÒáÅÐÁÕÍÒ¡ÒÃàÃ×ÍÃѧ(40-42) 䴌ᡋ ¤ÇÒÁÃØ¹áç¢Í§¡ÒúҴà¨çº »˜¨¨Ñ·ҧ è í é ´ŒÒ¹¨Ôµã¨ áÅл˜¨¨Ñ·ÕÊÁ¾Ñ¹¸¡ºÍغµàËµØ àª‹¹ ·ÔÈ·Ò§ËÃ×ͤÇÒÁàÃçǢͧ¡ÒÃà¡Ô´Íغµà赯 ¾ºÇ‹ÒÍÒ¡Òà èÑ Ñ Ñ Ô Ñ Ô
  • 195.
    168 Whiplash Injury »Ç´ÃعáçµÑ§áµ‹àÃÔÁµŒ¹ (higher initial pain intensity) ໚¹»˜¨¨Ñ·ժ´à¨¹·Õº§ºÍ¡¶Ö§¡Òÿ„¹µÑÇáÅÐ é è è Ñ è ‹ œ ËÒ¨ҡâ䪌ÒáÅзíÒãËŒ»Ç´àÃ×ÍÃѧ ʋǹÍÒÂØ à¾ÈË­Ô§ angular deformity of cervical spine, rear-end é collision áÅÐ compensation äÁ‹Á¼Åµ‹Í¡Òÿ„¹µÑÇ «Ö§»˜¨¨ÑÂàËŋҹÕÍҨ໚¹µÑǪ‹ÇÂ㹡ÒÃÇÒ§á¼¹¡ÒÃ Õ œ è é ÃÑ¡ÉÒáÅл‡Í§¡Ñ¹ÍÒ¡ÒÃàÃ×ÍÃѧ é (42) àÍ¡ÊÒÃ͌ҧÍÔ§ 1. Spitzer WO, Skovron ML, Salmi LR, Cassidy DJ, Duranceau J, Suissa S, et al. Scientific monograph of the Quebec Task .orce on whiplash-associated disorders: redefining “whiplash” and its management. Spine 1995; 20(8 Suppl):1S-73S. 2. C?t? P, Cassidy JD, Carroll L, .rank JW, Bombardier C. A systematic review of the prognosis of acute whiplash and a new conceptual framework to synthesize the literature. Spine 2001; 26(19): E445–58. 3. Barnsley L, Lord SM, Bogduk N. Whiplash injury. Pain 1994;58:283–307. 4. DePalma MJ, Slipman CW. Treatment of common neck problems. In: Braddom RL, editor. Physical Medicine & Rehabilitation. 3rd ed. China: Saunders Elsevier Inc; 2007. p.797-824. 5. Grauer JN, Panjabi MM, Cholewicki J, Nibu K, Dvorak J. Whiplash produces an S-shaped curvature of the neck with hyperextension at lower levels. Spine 1997;22(21):2489–94. 6. Nederhand MJ, Hermens HJ, Ijzerman MJ, Turk DC, Zilvold G. Cervical muscle dysfunction in the chronic whiplash associated disorder grade II (WAD-II). Spine 2000;25:1938-43. 7. Lord SM, Barnsley L, Wallis BJ, McDonald GJ, Bogduk N. Percutaneous radiofrequency neurotomy for chronic cervical zygapophyseal-joint pain. N Engl J Med 1996;335:1721-6. 8. Binder A. The diagnosis and treatment of nonspecific neck pain and whiplash. Eura Medicophys 2007;43:79- 89. 9. Ide M, Ide J, Yamaga M, Takagi K. Symptoms and signs of irritation of the brachial plexus in whiplash injuries. J Bone Joint Surg Br 2001;83:226-9. 10. Rodriquez AA, Barr KP, Burns SP. Whiplash: pathophysiology, diagnosis, treatment, and prognosis. Muscle Nerve 2004;29:768–81. 11. .errari R, Russell AS, Carroll LJ, Cassidy JD. A re-examination of the whiplash-associated disorders (WAD) as a systemic illness. Ann Rheum Dis 2005;64:1337-42. 12. Buskila D, Neumann L, Vaisberg G, Alkalay D, Wolfe .. Increased rates of fibromyalgia following cervical spine injury. A controlled study of 161 cases of traumatic injury. Arthritis Rheum 1997;40:446-52. 13. Curatolo M, Petersen-.elix S, Arendt-Nielsen L, Giani C, Zbinden AM, Radanov BP. Central hypersensitivity in chronic pain after whiplash injury. Clin J Pain 2001;17:306-15. 14. Koelbaek JM, Graven-Nielsen T, Schou OA, Arendt-Nielsen L. Generalised muscular hyperalgesia in chronic whiplash syndrome. Pain 1999;83:229-34. 15. Sterling M, Jull G, Vicenzino B, Kenardy J. Sensory hypersensitivity occurs soon after whiplash injury and is associated with poor recovery. Pain 2003;104:509-17. 16. Scott D, Jull G, Sterling M. Widespread sensory hypersensitivity is a feature of chronic whiplash-associated disorder but not chronic idiopathic neck pain. Clin J Pain 2005;21:175-81. 17. Sal? H, Isberg A. Delayed temporomandibular joint pain and dysfunction induced by whiplash trauma: a controlled prospective study. J Am Dent Assoc 2007;138(8):1084-91.
  • 196.
    àǪÈÒʵÏ·¹Âؤ 2553 Ñ 169 18. Gupta V, Posner B. Trauma to the long thoracic nerve and associated scapula winging in a low-velocity rear- end automobile collision: case report. J Trauma 2004;57(2):402–3. 19. Omar N, Alvi ., Srinivasan MS. An unusual presentation of whiplash injury: long thoracic and spinal accessory nerve injury. Eur Spine J 2007;16 (Suppl 3):S275–S277. 20. Ronnen HR, de Korte PJ, Brink PR, van der Bijl HJ, Tonino AJ, .ranke CL. Acute whiplash injury: is there a role for MR imaging?—a prospective study of 100 patients. Radiology 1996;201(1):93–6. 21. Pettersson K, Hildingsson C, Toolanen G, .agerlund M, Bj?rnebrink J. Disc pathology after whiplash injury: a prospective magnetic resonance imaging and clinical investigation. Spine 1997;22:283–7. 22. Eck JC, Hodges SD, Humphreys SC. Whiplash: a review of a commonly misunderstood injury. Am J Med 2001;110:651–6. 23. Kongsted A, Sorensen JS, Andersen H, Keseler B, Jensen TS, Bendix T. Are early MRI findings correlated with long-lasting symptoms following whiplash injury? A prospective trial with 1-year follow-up. Eur Spine J 2008;17:996–1005. 24. Juan .J. Use of botulinum toxin-A for musculoskeletal pain in patients with whiplash associated disorders. BMC Musculoskelet Disord. 2004;5:5(1-10). 25. Borchgrevink GE, Kaasa A, McDonagh D, Stiles TC, Haraldseth O, Lereim I. Acute treatment of whiplash neck sprain injuries. Spine 1998;23(1):25–31. 26. Rosenfeld M, Seferiadis A, Carlsson J, Gunnarsson R. Active intervention in patient with whiplash-associated disorder improves long-term prognosis. Spine 2003;28:2491–8. 27. Seferiadis A, Rosenfeld M, Gunnarsson R. A review of treatment interventions in whiplash-associated disorders. Eur Spine J 2004; 13(5):387-97. 28. Scholten-Peeters G, Bekkering G, Verhagen A, Windt D Van der, Lanser K, Hendricks E, et al. Clinical practice guideline for the physiotherapy of outpatients with whiplash associated disorders. Spine 2002;27(4):412-22. 29. Conlin A, Bhogal S, Sequeira K, Teasell R. Treatment of whiplash-associated disorders—part I: Non-invasive interventions. Pain Res Manag 2005;10(1):21-32. 30. .reeman MD, Croft AC, Rossignol AM. Whiplash associated disorders: refining whiplash and it’s management’ by the Quebec Task .orce. Spine 1998,23(9):1043-49. 31. Trinh K, Graham N, Gross A, Goldsmith C, Wang E, Cameron I, et al. Acupuncture for neck disorders. Spine 2007;32(2):236-43. 32. Kong J, .ufa D, Gerber A, Rosman I, Vangel M, Graceley R, et al. Psychophysical outcomes from a randomised pilot study of manual, electro and sham acupuncture treatment on experimentally induced thermal pain. Journal of Pain 2005;6(1):55-64. 33. Verhagen AP, Scholten-Peeters G, van Wijngaarden S, de Bie RA, Bierma-Zeinstra SMA. Conservative treatments for whiplash [Systematic Review]. Cochrane Database Syst Rev2007;4:4. 34. Nijs J, Van Oosterwijck J, De Hertogh W. Rehabilitation of chronic whiplash: treatment of cervical dysfunctions or chronic pain syndrome? Clin Rheumatol 2009;28(3):243-51. 35. Stewart MJ, Maher CG, Refshauge KM, Herbert RD, Bogduk N, Nicholas M. Randomized controlled trial of exercise for chronic whiplash-associated disorders. Pain 2007;128:59-68. 36. Jull G, Sterling M, Kenardy J, Beller E. Does the presence of sensory hypersensitivity influence outcomes of physical rehabilitation for chronic whiplash? - A preliminary RCT. Pain 2007;129(2):28-34. 37. McDonald GJ, Lord SM, Bogduk N. Long-term follow-up of patients treated with cervical radiofrequency neurotomy for chronic neck pain. Neurosurgery 1999,45:61-8.
  • 197.
    170 Whiplash Injury 38. Conlin A, Bhogal S, Sequeira K, Teasell R. Treatment of whiplash-associated disorders—part II: Medical and surgical interventions. Pain Res Manag 2005;10(1):33-40. 39. Kamper SJ, Rebbeck TJ, Maher CG, McAuley JH, Sterling M. Course and prognostic factors of whiplash: a systematic review and meta-analysis. Pain 2008;138(3):617-29. 40. Dufton JA, Kopec JA, Wong H, Cassidy JD, Quon J, McIntosh G, et al. Prognostic factors associated with minimal improvement following acute whiplash-associated disorders. Spine 2006;31(20):E759–65. 41. Atherton K, Wiles NJ, Lecky .E, Hawes SJ, Silman AJ, Macfarlane GJ, et al. Predictors of persistent neck pain after whiplash injury. Emerg Med J 2006;23:195–201 42. Scholten-Peeters GG, Verhagen AP, Bekkering GE, van der Windt DA, Barnsley L, Oostendorp RA, et al. Prognostic factors of whiplash-associated disorders: a systematic review of prospective cohort studies. Pain 2003;104:303–22.
  • 198.
    àǪÈÒʵÏ·¹Âؤ 2553 Ñ º··Õè 171 25 Whiplash Injury: Myogenic Cause and Conservative Treatment ÍÒ¨ÒÏ ᾷ˭ԧ¸ÕÃ´Ò ¾ÅÍÂྪà ÀÒ¤ÇÔªÒàǪÈÒʵÏ¿¹¿Ù ¤³Ðá¾·ÂÈÒʵÏÈÃÃÒª¾ÂÒºÒÅ ÁËÒÇÔ·ÂÒÅÑÂÁËÔ´Å „œ ÔÔ Whiplash injury ·íÒãËŒà¡Ô´¡ÒúҴà¨çº¢Í§â¤Ã§ÊÌҧã¹Ãкº¡Ãд١áÅСŌÒÁà¹×Íä´Œµ§áµ‹ é Ñé ÈÕÃÉÐ ¤Í ¶Ö§ËÅѧʋǹŋҧ «Ö§ÅŒÇ¹à»š¹ÊÒà˵آͧÍÒ¡ÒûǴ䴌 â´Â¡ÅŒÒÁà¹×Í ¾ºà»š¹ÊÒà˵ØÃÇÁ¢Í§ è é ‹ ÍÒ¡ÒûǴ䴌 º‹ Í Â ·Ñé § ¨Ò¡¡ÒúҴà¨ç º â´ÂµÃ§¨Ò¡áç´Ö § Â× ´ ¢³Ð¡Œ Á ËÃ× Í à§Â¤ÍÍ‹ Ò §áç (overstretching) ¨Ò¡¡ÒÃÊкѴ ¡ÅŒÒÁà¹×Íá¢ç§à¡Ãç§ (muscle spasm) áÅÐÀÒÇлǴ¡ÅŒÒÁà¹×Í·Õà¡Ô´ é é è ¨Ò¡ myofascial trigger points µÒÁËÅѧ¡ÒúҴà¨çº¢Í§â¤Ã§ÊÌҧÍ×è¹æ â´ÂÍÒ¡Ò÷ÕèáÊ´§ÍÍ¡ ¢Í§¡ÅŒÒÁà¹×ÍÁÑ¡ÁÕËÅÒ¡ËÅÒ ÍÒ¨¤ÅŒÒ¡ѺÍÒ¡Òâͧ¾ÂÒ¸ÔÊÀҾʋǹÍ×¹ «Ö§·íÒãËŒÁͧ¢ŒÒÁÊÒà赯 é è è ¨Ò¡¡ÅŒÒÁà¹×Íä»ä´Œ ·Ñ§·ÕËҡ䴌ú¡ÒÃÃÑ¡ÉÒ·ÕàËÁÒÐÊÁ ¡çÍÒ¨¨ÐµÍºÊ¹Í§µ‹Í¡ÒÃÃÑ¡ÉÒä´Œ´Õ ´Ñ§¹Ñ¹ é é è Ñ è é ¨Ö§¤ÇÃÁͧËÒ áÅÐãËŒ¤ÇÒÁÊíҤѭ¡Ñº¡ÒÃÃÑ¡ÉÒÀÒÇСŌÒÁà¹×ͺҴà¨çº ¡ÅŒÒÁà¹×Íá¢ç§à¡Ãç§ ËÃ×ÍÀÒÇÐ é é »Ç´¡ÅŒÒÁà¹×ͨҡ myofascial trigger points ËÇÁ´ŒÇ é (1) ¾ÂÒ¸ÔÊÃÕÃÇÔ·ÂҢͧÍÒ¡ÒûǴ¡ÅŒÒÁà¹×éͨҡ whiplash injury ã¹ÃÐÂÐà©Õº¾Åѹ¡ÅŒÒÁà¹×Í·Õ¶¡´Ö§Â×´Í‹ҧáç·íÒãËŒà¡Ô´¡Òéա¢Ò´ àÅ×Í´ÍÍ¡ ºÇÁ (muscle é è Ù strain) áÅÐÁÑ¡à¡Ô´»¯Ô¡ÃÂҵͺʹͧµ‹Í¡ÒúҴà¨çº â´Â¡ÒÃË´µÑÇ á¢ç§à¡Ã秢ͧ¡ÅŒÒÁà¹×Í (muscle ÔÔ é spasm) «Ö§à»š¹¡Åä¡»‡Í§¡Ñ¹µ¹àͧ¢Í§Ã‹Ò§¡Ò (protective reflex) à¾×Í´ÒÁÍÇÑÂÇТŒÒ§à¤Õ§·ÕºÒ´à¨çº è è è äÁ‹ãËŒà¤Å×͹äËÇ ¡Òéա¢Ò´¢Í§à«Åŏ¡ÅŒÒÁà¹×Í·íÒãËŒÁá¤Åà«ÕÂÁÃÑÇÍÍ¡ÁÒ Ã‹ÇÁ¡ÑºÁÕ¡ÒÃËÅѧÊÒà è (2) é Õ è è Ê×Í»ÃÐÊÒ· acetylcholine (Ach) ÁÒ¡¼Ô´»¡µÔ ·íÒãËŒ¡ÅŒÒÁà¹×Íà¡Ãç§ÍÂÙµÅÍ´àÇÅÒ¨¹àÅ×Í´äËÅàÇÕ¹ è é ‹ ä»àÅÕ§䴌äÁ‹´Õ áÅÐà¡Ô´¢Í§àÊÕ (metabolic waste products) ¤Ñ§¤ŒÒ§ «Ö§¢Í§àÊÕÂàËŋҹըÐ仡Ãеع é è è é Œ »ÅÒ»ÃÐÊÒ··íÒãËŒà¡Ô´ÍÒ¡ÒûǴ ໚¹Ç§¨Ã·íÒãËŒ¡ÅŒÒÁà¹×ÍË´à¡Ãç§ÁÒ¡¢Ö¹ÍÕ¡ ¡ÅÒÂ໚¹ myofascial é é trigger points (energy crisis theory) «Ö§à»š¹ÊÒà˵آͧÍÒ¡ÒûǴàÃ×ÍÃѧ â´Â¾ºà»š¹¡ŒÍ¹¡´à¨çº (1) è é ÍÂÙº¹á¶º¡ÅŒÒÁà¹×Í·Õá¢ç§à¡Ãç§ (nodule on taut band) áÅзíÒãËŒ»Ç´ÃŒÒÇ仺ÃÔàdz¢ŒÒ§à¤Õ§䴌 ‹ é è ¡ÅŒÒÁà¹×éͺҴà¨çº áÅÐË´à¡Ã秨ҡ whiplash injury ¾ºä´Œº‹ÍºÃÔàdz°Ò¹¡ÐâËÅ¡ (suboccipital and occipitofrontalis muscles) áÅФÍʋǹº¹ (upper part of cervical spine) à¹×ͧ è ¨Ò¡à»š¹¡ÅŒÒÁà¹×éÍÁÑ´àÅç¡ áÅÐ ¨Ø´ËÁع¢Í§¡ÒáŒÁáÅÐà§Â¨Ò¡¡Åä¡¡ÒúҴà¨çºÍÂÙ‹·Õ袌͵‹Í¤Í ʋǹº¹ (3) â´Â¾º¡Òá´à¨çº·Õ¡ÅŒÒÁà¹×Í semispinalis capitis ËÅѧ¨Ò¡ whiplash injuryä´ŒÁÒ¡¶Ö§ è é
  • 199.
    172 Whiplash Injury : Myogenic Cause and Conservative Treatment ÃŒÍÂÅÐ 85 ¹Í¡¨Ò¡¹Õ§¾º·Õ¡ÅŒÒÁà¹×Í splenius capitis, levator scapulae, scalenus medius, é Ñ è é sternocleidomastoid, trapezius áÅÐ pectoralis minor (1,4) ÍÒ¡ÒÃáÅÐÍÒ¡ÒÃáÊ´§·Õ辺䴌º‹Í »Ç´¤Í ໚¹ÍÒ¡Ò÷վºä´ŒºÍ·ÕÊ´¶Ö§ÃŒÍÂÅÐ 88–100 (5) â´ÂÍÒ¨»Ç´¢Ö¹·Ñ¹·Õ ËÃ×Í è ‹ è Ø é »Ç´ÀÒÂËÅѧ¨Ò¡Íغµà˵ØáÅŒÇËÅÒÂÇѹ à¹×ͧ¨Ò¡¡ÅŒÒÁà¹×Í·ÕºÒ´à¨çº¤‹ÍÂæºÇÁ¢Ö¹ ·íÒãËŒÍÒ¡ÒûǴ Ñ Ô è é è é ¤‹ÍÂæà¾ÔÁ¢Ö¹ (gradual onset of pain) â´Â¨Ð»Ç´àÇÅÒÁÕ¡ÒÃà¡Ãç§¡ÅŒÒÁà¹×Í (isometric contraction) è é é ËÃ×ÍàÇÅÒÂ×´¡ÅŒÒÁà¹×͹ѹ (stretching) µÃǨËҧ¡Ò¾º¨Ø´¡´à¨çº·Õ¡ÅŒÒÁà¹×Í ºÇÁ ËÃ×Íá¢ç§à¡Ãç§ é é (3) è é ·ÕÊҤѭµŒÍ§á¡¨Ò¡¡Ãд١¤ÍËÑ¡ ËÃ×Íà¤Å×͹«Ö§ÁÑ¡ÁÕÍÒ¡ÒûǴÁÒ¡¢Ö¹·Ñ¹·ÕËÅÑ§ÍØºµà赯 áÅС´à¨çº èí è è é Ñ Ô ·Õá¹Ç¡ÅÒ§´ŒÒ¹ËÅѧ¤Í (spinous process) è ¾ÔÊÑ¡ÒÃà¤Å×è͹äËǤͨíÒ¡Ñ´ (limited neck range of motion) ¼Ù»ÇÂÁÑ¡¢ÂѺ ËÃ×Í Œ † Ëѹ¤Íä´ŒäÁ‹ä´ŒàµçÁ·Õè ËÇÁ¡ÑºÁÕÍÒ¡ÒûǴâ´Â੾ÒÐàÁ×ÍãËŒ¼»ÇÂÍÍ¡áç¢ÂѺàͧ (active range of è ÙŒ † motion) ËÒ¡¼ÙµÃǨ¢ÂѺ¤ÍãËŒâ´Â¼Ù»ÇÂäÁ‹ä´ŒÍÍ¡áç¨Ðä´Œ¾ÊÂÁÒ¡¡Ç‹Ò áÅÐäÁ‹¤ÍÂà¨çº (passive Œ Œ † ÔÑ ‹ range of motion) º‹§¶Ö§¾ÂÒ¸ÔÊÀÒ¾·Õ¡ÅŒÒÁà¹×Í áµ‹ËÒ¡¾ÔÊ¡ÒÃà¤Å×͹äËǤͶ١¨íÒ¡Ñ´·Ñ§·Õ¼»Ç¢ÂѺ è é Ñ è é è ÙŒ † àͧ áÅмٵÃǨ¢ÂѺãËŒ µŒÍ§Ê§ÊÑ¡ÒúҴà¨çº¢Í§¡Ãд١ ËÃ×Í¢ŒÍµ‹Í facet ËÇÁ´ŒÇ Œ (3) ᢹªÒ ͋͹áç ÍÒ¡ÒÃªÒ Í‹Í¹áçᢹ·Õà¡Ô´¨Ò¡¡ÅŒÒÁà¹×Í à»š¹ä´Œ¨Ò¡ myofascial è é trigger points ¢Í§¡ÅŒÒÁà¹×ͺÃÔàdz¤Í º‹Ò Êкѡ ·íÒãËŒÁÍÒ¡ÒÃàÁ×ÍÂÅŒÒ ªÒÃŒÒÇŧᢹ䴌 áÅÐÀÒÇÐ é Õ è thoracic outlet syndrome «Ö§à¡Ô´¨Ò¡¡ÅŒÒÁà¹×Í anterior scalene ËÃ×Í middle scalene ºÒ´à¨çº ºÇÁ è é á¢ç§à¡Ãç§ ¨¹¡´Ã‹Ò§áË»ÃÐÊÒ··ÕàÅÕ§ᢹáÅÐÁ×Í (brachial plexus) «Ö§·Í´¼‹Ò¹ÃÐËNjҧ¡ÅŒÒÁà¹×Í è é è é ·Ñé§ÊͧÁÑ´¹Õé (ÃÙ»·Õè 1) â´ÂÁÑ¡ÁÕÍÒ¡ÒêҷÕ跌ͧᢹ´ŒÒ¹ã¹áÅйÔéÇ¡ŒÍ áÅеŒÍ§á¡¨Ò¡ÀÒÇÐ (1) ÃÒ¡»ÃÐÊÒ·¤Í¶Ù¡¡´ºÃÔàdzª‹Í§¡Ãд١ÊѹËÅѧ (intervertebral foramen) «Ö§¨Ð»Ç´àÇÅÒà§Â¤Í áÅÐ è ÀÒÇÐËÁ͹Ãͧ¡Ãд١à¤Å×͹¡´àÊŒ¹»ÃÐÊÒ· è ÃÙ»·Õè 1 áÊ´§Ã‹Ò§áË»ÃÐÊÒ··ÕàÅÕ§ᢹáÅÐÁ×Í (brachial plexus) ÅÍ´¼‹Ò¹¡ÅŒÒÁà¹×Í anterior è é é áÅÐ middle scalene(3)
  • 200.
    àǪÈÒʵÏ·¹Âؤ 2553 Ñ 173 »Ç´ÈÕÃÉÐ ¾ºä´ŒÃÍÂÅÐ 54–66 à¡Ô´ä´Œ¨Ò¡ËÅÒÂÊÒà赯 ·Ñ§¨Ò¡¡ÒúҴà¨çº¢Í§à¹×ÍàÂ×Í Œ é é è ºÃÔàdz¤Í (cervicogenic headache) áÅСÒúҴà¨çºÊÁͧ (traumatic brain injury) ¡ÒÃË´à¡Ãç§ ¢Í§¡ÅŒÒÁà¹×ͤͺÃÔàdz°Ò¹¡ÐâËÅ¡ÍÒ¨ÃФÒÂà¤×ͧàÊŒ¹»ÃÐÊÒ· greater occipital ·íÒãËŒ»Ç´ÈÕÃÉÐ é ºÃÔàdz˹ŒÒ¼Ò¡ ¡Ãк͡µÒ áÅÐàÊŒ¹»ÃÐÊÒ· lessor occipital ·íÒãËŒ»Ç´ºÃÔàdz·ŒÒ·Í ËÅѧËÙ (occipital neuralgia) (2) myofascial trigger points ¢Í§¡ÅŒÒÁà¹×Í semispinalis capitis ·íÒãËŒ»Ç´ÃŒÒÇ é (referred pain)ä»ÈÕÃÉкÃÔàdz´ŒÒ¹¢ŒÒ§ ´ŒÒ¹ËÅѧ (parieto-occipital) áÅСÃк͡µÒ (periorbital) ¡ÅŒÒÁà¹×Í splenius capitis ÁÕÍÒ¡ÒûǴÌÒÇä»·Õ¡ÅÒ§ÈÕÃÉдŒÒ¹º¹ (vertex) ¡ÅŒÒÁà¹×Í splenius é è é cervicis ·íÒãËŒ»Ç´ÃŒÒÇä»·Õ·Ò·Í (occiput) ¡ÒúҴà¨çº¢Í§¢ŒÍµ‹Í facet ·Õè C1 áÅÐ C2 ËÃ×Í è Œ (1) à¹×ÍàÂ×Í¢ŒÒ§à¤Õ§·íÒãËŒ»Ç´ÃŒÒÇä»·ÕÈÃÉÐâ´ÂÁÕµÒá˹‹§ã¡ÅŒà¤Õ§¡ÑºÍÒ¡ÒûǴÌÒǨҡ myofascial é è è Õ í trigger points ¢Í§¡ÅŒÒÁà¹×Í·ÕÍÂÙÃдѺà´ÕÂǡѹ (ÃÙ»·Õè 2) ¹Í¡¨Ò¡¹Õ¤ÇÃá¡ÍÒ¡ÒûǴËÑǨҡÊÁͧ é è ‹ (3) é ºÒ´à¨çº (posttraumatic headache) â´ÂÁÑ¡ÁÕ»ÃÐÇѵËÁ´ÊµÔ (loss of consciousness) ËÃ×ÍÅ×Á Ô à˵ءÒóªÇ§·Õà¡Ô´Íغµà赯 (posttraumatic amnesia) ËÇÁ´ŒÇ ‹ è Ñ Ô ÃÙ»·Õè 2 áÊ´§¡ÒûǴÌÒÇä»·ÕèÈÕÃÉШҡ¾ÂÒ¸ÔÊÀÒ¾ºÃÔàdz¢ŒÍµ‹Í¤ÍÃдѺ C1 áÅÐ C2 (3) ¡ÒÃÇÔ¹Ô¨©Ñ ¨Ò¡»ÃÐÇÑµÔ µÃǨËҧ¡Ò¢ŒÒ§µŒ¹ËҡʧÊÑÂÀÒÇСÃд١¤ÍËÑ¡ à¤Å×͹ ¤ÇÃÊ‹§µÃǨÀÒ¾ÃѧÊÕ è ÇÔ¹¨©ÑÂà¾ÔÁàµÔÁ â´Â੾ÒмٷÁÍÒ¡Òôѧ¹Õé ÁÕ»ÃÐÇѵËÁ´ÊµÔ (loss of consciousness) àÁÒÊØÃÒ ¡´à¨çº Ô è Œ Õè Õ Ô
  • 201.
    174 Whiplash Injury : Myogenic Cause and Conservative Treatment µÃ§¡ÅÒ§´ŒÒ¹ËÅѧ¤Í µÃǨ¾º¤ÇÒÁ¼Ô´»¡µÔ·Ò§Ãкº»ÃÐÊÒ· ¤ÇÃàÍç¡«àÏ¡Ãд١¤Íã¹·‹ÒµÃ§ ¡ŒÁ áÅÐà§Â «Ö§ã¹ÀÒÇСŌÒÁà¹×ͺҴà¨çºÍÒ¨¾º¡Ãд١¤ÍÁÕšɳеç äÁ‹Áá¹Ç⤌§µÒÁ»¡µÔ (loss of è é Ñ Õ cervical lordosis) ¨Ò¡¡ÒÃà¡Ã秢ͧ¡ÅŒÒÁà¹×Í longus colli áÅÐ longus capitis(3) ʋǹ CT scan áÅÐ é MRI ¤ÇþԨÒóÒ੾ÒÐÃÒ·ÕʧÊѾÂÒ¸ÔÊÀÒ¾·Õùáç෋ҹѹ(5) è èØ é ¡ÒÃÃÑ¡ÉÒ à»‡ÒËÁÒ¢ͧ¡ÒÃÃÑ¡ÉÒ·ÕÊҤѭ ¤×Í Å´ÍÒ¡ÒûǴ ¡ÅѺä»ãªŒªÇµ»ÃШíÒÇѹµÒÁ»¡µÔä´ŒàÃçÇ èí ÕÔ ·ÕÊ´ áÅл‡Í§¡Ñ¹¡ÒáÅÒÂ໚¹»˜­ËһǴàÃ×ÍÃѧ «Ö§¾ºä´Œ¶§ÃŒÍÂÅÐ 20 - 40(5) â´Â·Õ¹¨Ð¢Í¡Å‹ÒÇ੾ÒÐ èØ é è Ö è Õé ¡ÒÃÃÑ¡ÉÒâ´ÂÇÔ¸¡Ò÷ÕäÁ‹¼ÒµÑ´ (conservative treatment) «Ö§àËÁÒÐÊíÒËÃѺ¡ÒúҴà¨çº¢Í§à¹×ÍàÂ×Í Õ è ‹ è é è ·ÕèäÁ‹ÁÕ¡Ãд١¤ÍËÑ¡à¤Å×è͹ áÅÐäÁ‹ÁÕÍÒ¡ÒüԴ»¡µÔ·Ò§Ãкº»ÃÐÊÒ· áÁŒÇ‹Ò¢ŒÍÁÙŨҡ§Ò¹ÇԨѷÕè ʹѺʹع¼Å¡ÒÃÃÑ¡ÉÒ·Ò§àǪÈÒʵÏ¿¹¿Ù¨ÐÁÕäÁ‹ÁÒ¡¹Ñ¡ ÍÕ¡·Ñ§Ê‹Ç¹ãË­‹Á¢Í¨íÒ¡Ñ´´ŒÒ¹ÃÐàºÕºÇԸǨ „œ é ÕŒ ÕÔÑ ·íÒãËŒäÁ‹ä´Œ¢ÍÊÃØ»·Õª´à¨¹ Í‹ҧäáçµÒÁá¹Ç·Ò§¡ÒÃÃÑ¡ÉÒ·ÕÁËÅÑ¡°Ò¹Ê¹ÑºÊ¹Ø¹¨Ò¡§Ò¹ÇÔ¨ÂÁÒ¡ Œ è Ñ (6) è Õ Ñ ·ÕÊ´ã¹»˜¨¨Øº¹ ¤×Í à¹Œ¹ãËŒÁ¡ÒâÂѺà¤Å×͹äËÇ ·íÒ¡Ô¨Çѵà ¡ÒçҹµÒÁ»¡µÔ ãËŒ¼»ÇÂÁÕÊǹËÇÁã¹ èØ Ñ Õ è ÙŒ † ‹ ¡ÒôÙáŵ¹àͧ (active interventions) â´ÂËÅÕ¡àÅÕ§¡Òþѡ áÅСÒÃãʋͻ¡Ã³»ÃФͧ¤Í໚¹àÇÅÒ è Ø ¹Ò¹ (5,7,8) ¡ÒÃãËŒ¤ÇÒÁÃÙŒ á¹Ð¹íÒ¡Òû¯ÔºµµÇ·Õ¶¡µŒÍ§ ¤ÇÃ͸ԺÒÂãËŒ¼»ÇÂࢌÒ㨸ÃÃÁªÒµÔ¢Í§âä Ñ Ô Ñ è Ù ÙŒ † ¡ÒþÂҡóâä á¹Ç·Ò§¡ÒÃÃÑ¡ÉÒ ¡Òû¯ÔºµµÇ·ÕàËÁÒÐÊÁ à¾×ÍãËŒ¼»ÇÂËÇÁÁ×͡Ѻ¡ÒÃÃÑ¡ÉÒáÅÐ Ñ Ô Ñ è è ÙŒ † ä´Œ¼Å¡ÒÃÃÑ¡ÉÒ·Õè´Õ·ÕèÊØ´ ¡Ãе،¹ãˌ㪌ªÕÇÔµ»ÃШíÒÇѹ áÅзíÒ§Ò¹µÒÁ»¡µÔ â´Âá¹Ð¹íÒ·‹Ò·Ò§·Õè àËÁÒÐÊÁ (ergonomic advice) (11) ã¹·‹Ò¹Í¹¤ÇèѴãËŒÈÃÉÐáÅФÍÍÂÙã¹á¹ÇµÃ§ ¡ÒèѴⵍзչ§Õ ‹ è Ñè ·íÒ§Ò¹ ¡Òá¶×ͧ͢¤ÇÃãËŒ¡ÅŒÒÁà¹×Í ¢ŒÍµ‹ÍÍÂÙã¹·‹ÒµÃ§ (neutral position) ËÅÕ¡àÅÕ§·‹Ò¡ŒÁ à§Â ËÃ×Í é ‹ è ËѹàÍÕ§¤Í໚¹àÇÅÒ¹Ò¹ (3) ÍØ»¡Ã³»ÃФͧ¤Í (soft collar) áÁŒÁËÅÒ§ҹÇԨ·պ§ªÕÇÒ¡ÒÃãËŒºÃÔËÒâÂѺ¤Íª‹ÇÂÅ´ Õ Ñ è ‹ é‹ ÍÒ¡ÒûǴ áÅÐà¾ÔÁ¾ÔÊ¡ÒÃà¤Å×͹äËÇä´Œ´¡Ç‹Ò¡ÒÃ㪌ͻ¡Ã³»ÃФͧ¤Íà¾Õ§Í‹ҧà´ÕÂÇ(5,7,8,9) ᵋÍÒ¨ è Ñ è Õ Ø ¾Ô¨ÒóÒ㪌ͻ¡Ã³»ÃФͧ¤Í໚¹¡ÒÃÃÑ¡ÉÒàÊÃÔÁËÇÁ¡Ñº¡ÒÃÃÑ¡ÉÒÍ×¹æ (adjunctive treatment) â´Â Ø è ੾ÒÐ㹪‹Ç§áá¢Í§¡ÒúҴà¨çºà¾×Íàµ×͹¼Ù»ÇÂãËŒÃÐÇѧ¡ÒÃà¤Å×͹äËǤÍã¹¢³Ð·íÒ¡Ô¨¡ÃÃÁÍ×¹·ÕÍÒ¨ è Œ † è è è à¡Ô´¡ÒúҴà¨çº«éíÒä´Œ ઋ¹¢³Ð¢ÑºÃ¶ äÁ‹¤ÇÃ㪌à¡Ô¹ 72 ªÑèÇâÁ§ËÅѧ¡ÒúҴà¨çºà¾×èÍ»‡Í§¡Ñ¹ (3) ¢ŒÍµ‹Í¤ÍÂÖ´µÔ´(10) ¡ÒúÃÔËÒÃ¤Í ã¹ÃÐÂÐáá¢Í§¡ÒúҴà¨çºá¹Ð¹íÒãËŒºÃÔËÒâÂѺ¤Í´ŒÇµ¹àͧº‹ÍÂæ â´Â ãËŒ·Ò¤‹ÍÂæ ªŒÒæ ÃÐÇѧÍ‹ÒãËŒ»Ç´ÁÒ¡¢Ö¹ (below pain threshold)(11) (ÃÙ»·Õè 3) ã¹ÃÐÂе‹ÍÁÒãËŒà¾ÔÁ í é è ¡ÒúÃÔËÒÃà¾×Íà¾ÔÁ¤ÇÒÁá¢ç§áç¢Í§¡ÅŒÒÁà¹×ÍÃͺ¤Í(stabilization exercise) è è é
  • 202.
    àǪÈÒʵÏ·¹Âؤ 2553 Ñ 175 ÃÙ»·Õè 3 áÊ´§·‹ÒºÃÔËÒâÂѺ¤Í (active range of motion)(3) ¡ÒèѴ¡Ãд١ (Manipulation) ์¹á¡Œä¢¢ŒÍµ‹Í¤Íʋǹ·Õà¤Å×͹äËÇä´Œ¹Í ¤ÅÒÂà¡Ãç§¡ÅŒÒÁ è è Œ à¹×Íàª×ÍNjҡÒèѴàÃÕ§¡Ãд١ãËŒÍÂÙã¹á¹Ç»¡µÔÊÒÁÒöŴáç¡ÃзíÒµ‹Íʋǹ·ÕÁ¾ÂÒ¸ÔÊÀҾ䴌(3) ÁÕ§Ò¹ é è ‹ è Õ ÇԨ·վºÇ‹Òä´Œ¼ÅÅ´ÍÒ¡ÒûǴ áÅÐà¾ÔÁ¾ÔÊ¢ŒÍä´Œ ᵋ¤³ÀÒ¾¢Í§§Ò¹ÇÔ¨ÂäÁ‹´¹¡(12) Í‹ҧäáçµÒÁ Ñ è è Ñ Ø Ñ Õ Ñ µŒÍ§ÃÐÇѧÀÒÇÐá·Ã¡«ŒÍ¹¨Ò¡¡Ãд١à¤Å×͹¡´·ÑºàÊŒ¹»ÃÐÊÒ·ËÃ×Íä¢ÊѹËÅѧ ¢ŒÍËŒÒÁ·ÕÊҤѭ 䴌ᡋ è èí ¡Ãд١ÊѹËÅѧËÑ¡ ¡Ãд١¾Ãع ¡Ãд١ËÃ×ÍËÁ͹Ãͧ¡Ãд١ÍÑ¡àʺ ¢ŒÍµ‹ÍäÁ‹Á¹¤§ ໚¹µŒ¹ Ñè ¡ÒäÅÒ¨ش»Ç´ (Released myofascial trigger points) ·íÒä´ŒËÅÒÂÇÔ¸·§¡ÒúÃÔËÒÃÂ×´ Õ Ñé ¡ÅŒÒÁà¹×Í ¡ÒÃ㪌à¢çÁ (trigger point injection) ¡ÒÃ㪌à¤Ã×ͧÁ×Í·Ò§¡ÒÂÀÒ¾ºíҺѴ ¡ÒùǴ áÁŒäÁ‹¾º é è ËÅÑ¡°Ò¹Ç‹Òä´Œ¼Åã¹ whiplash injury ᵋà¹×ͧ¨Ò¡¾º myofascial trigger points ໚¹ÊÒà˵ØÃÇÁ (11) è ‹ ¢Í§ÍÒ¡ÒûǴ䴌º‹Í ÍÕ¡·Ñé§¡ÒäÅÒ¨ش»Ç´·íÒä´ŒäÁ‹ÂÒ¡áÅÐÁѡ䴌¼Å´Õ ¨Ö§¤ÇþԨÒóҷíÒ (6) ¤Çº¤Ù¡º¡ÒÃÃÑ¡ÉÒÍ×¹æ(1) ·Ñ§¹Õ¡ÒÃ㪌à¢çÁ¤ÅÒ¨ش»Ç´ºÃÔàdzµŒ¹¤Í ÁÑ¡µŒÍ§ÍÒÈÑÂᾷ·àªÕÂǪҭ ‹ Ñ è é é Õè è à¹×ͧ¨Ò¡ã¡ÅŒËÅÍ´àÅ×Í´ áÅÐä¢ÊѹËÅѧ è ¡ÒûÃѺá¹Ç¤Ô´ áÅоĵԡÃÃÁ (Cognitive and behavioral therapy) ã¹¼Ù·Áá¹Ç⹌Á Œ Õè Õ ¾Ö§¾Ò ÃͤÍ¡ÒÃÃÑ¡ÉÒ¨Ò¡âç¾ÂÒºÒÅ (passive treatment) äÁ‹¡ÅŒÒ·Õ¨Ðà¤Å×͹äËÇ¤Í ËÃ×Í¡ÅÑºä» è è è ·íÒ¡Ô¨ÇѵõÒÁ»¡µÔ (fear and avoidance) ËÇѧ¼ÅãËŒÍÒ¡ÒÃËÒ¢Ҵ¨Ö§¨ÐàÃÔÁ㪌§Ò¹ (expectation to è recovery) ¤Ô´ã¹á§‹Åº (negative thinking) ÇÔµ¡¡Ñ§ÇÅ (anxiety) ÁÕá¹Ç⹌Á¨Ð¡ÅÒÂ໚¹»˜­ËÒàÃ×ÍÃѧ é 䴌ʧ ¡ÒÃÃÑ¡ÉÒµŒÍ§·íҤǺ¤Ù仡Ѻ¡ÒûÃѺá¹Ç¤Ô´ áÅоĵԡÃÃÁ â´Â¤‹ÍÂæãËŒàÃÔÁ·íÒ¡Ô¨Çѵà ÍÍ¡ Ù ‹ è ¡íÒÅѧ¡Ò·ÕÅйŒÍ·ÕäÁ‹¡ÃеعãËŒà¡Ô´ÍÒ¡ÒûǴ ์¹ãËŒ¼»ÇÂÃÙ¨¡Êѧࡵ áÅШѴ¡ÒáѺ¤ÇÒÁ»Ç´´ŒÇÂ è Œ ÙŒ † Œ Ñ µ¹àͧ ¡ÒõԴµÒÁ¼Å์¹·Õ»ÃÔÁÒ³¡Ô¨¡ÃÃÁ·Õ·Òä´ŒÁÒ¡¢Ö¹ ËѹàˤÇÒÁʹ㨠à¾ÔÁ¤ÇÒÁÁѹã¨ãËŒ¼»Ç è è í é è è ÙŒ † â´ÂäÁ‹à¹Œ¹µÔ´µÒÁÃдѺ¤ÇÒÁ»Ç´ (11)
  • 203.
    176 Whiplash Injury : Myogenic Cause and Conservative Treatment ÂÒᡌ»Ç´ Å´ÍÑ¡àʺ ÂÒ¤ÅÒ¡ŌÒÁà¹×Í (13) ·Õ㪌¡¹ÍÂÙ·Çä»ã¹àǪ»¯ÔºµÔ ÃÇÁ¶Ö§¡ÒÃÃÑ¡ÉÒ é è Ñ ‹ Ñè Ñ Í×¹æ 䴌ᡋ ¡Òô֧¤Í ¡ÒÃÃÑ¡ÉÒ´ŒÇÂä¿¿‡Ò (electrotherapy) ÁÕËÅÑ¡°Ò¹¨Ò¡§Ò¹ÇԨ·ÕäÁ‹á¹‹ª´ è (14) (15) Ñ è Ñ Ç‹Òä´Œ¼Åã¹ whiplash injury ᵋ¡ÍÒ¨¾Ô¨ÒóÒàÅ×͡㪌໚¹¡ÒÃÃÑ¡ÉÒàÊÃÔÁãËŒàËÁÒСѺ¼Ù»ÇÂᵋÅÐÃÒÂä´Œ ç Œ † â´Â·ÑèÇ仡ÒÃÃÑ¡ÉÒÀÒÇлǴ¨Ò¡¡ÅŒÒÁà¹×éÍ´ŒÇÂÇÔ¸Õµ‹Ò§æ¢ŒÒ§µŒ¹Áѡ䴌¼Å´Õ ᵋËÒ¡¾ºÇ‹Ò ¡ÅŒÒÁà¹×Í·Õä´Œ¤ÅÒÂä»áÅŒÇäÁ‹¹Ò¹¡ÅѺ»Ç´áÅÐË´à¡Ãç§¢Ö¹ãËÁ‹ ¤ÇÃÁͧËÒ¾ÂÒ¸ÔÊÀÒ¾µŒ¹à˵ØÍ¹æ·Õè é è é ×è ÍÒ¨ÂѧäÁ‹ä´ŒÃº¡ÒÃá¡Œä¢ ËÒ¡ÊÒÁÒöÇÔ¹¨©ÑÂÊÒà˵آͧÍÒ¡ÒûǴ䴌¤Ãº¶ŒÇ¹ ãËŒ¡ÒÃÃÑ¡Éҷյç¨Ø´ Ñ Ô è áÅФíÒ¹Ö§¶Ö§»˜¨¨Ñ¾׹°Ò¹·Ò§¨Ôµã¨ áÅÐÊѧ¤ÁËÇÁ´ŒÇ¡ç¨Ðä´Œ¼Å¡ÒÃÃÑ¡ÉÒ·Õ´Õ é è àÍ¡ÊÒÃ͌ҧÍÔ§ 1. Simons DG, Travell JG, Simons LS, editors. Travell & Simons’ myofascial pain and dysfunction: the trigger point manual. 2nd ed. Philadelphia (PA): Lippincott William & Wilkins; 1999. p. 69–78, 432–83. (vol 1. upper half of body). 2. Rook JL, editor. Whiplash injuries. Philadelphia (PA): Elsevier Science; 2003. p. 41–43. 3. .oreman SM, Croft AC, editors. Whiplash injuries: the cervical acceleration/deceleration syndrome. 3rd ed. Philadelphia(PA): Lippincott William & Wilkins; 2002. 4. Ettlin T, Schuster C, Stoffel R, Br?derlin A, Kischka U. A distinct pattern of myofascial findings in patients after whiplash injury. Arch Phys Med Rehabil. 2008;89(7):1290-3. 5. Binder A. The diagnosis and treatment of nonspecific neck pain and whiplash. Eura Medicophys. 2007;43(1):79- 89. 6. Verhagen AP, Scholten-Peeters GG, van Wijngaarden S, de Bie RA, Bierma-Zeinstra SM. Conservative treatments for whiplash. Cochrane Database Syst Rev. 2007;(2):CD003338. 7. Scholten-Peeters GG, Bekkering GE, Verhagen AP, van Der Windt DA, Lanser K, Hendriks EJ, Oostendorp RA. Clinical practice guideline for the physiotherapy of patients with whiplash-associated disorders. Spine (Phila Pa 1976). 2002;27(4):412-22. 8. Yadla S, Ratliff JK, Harrop JS. Whiplash: diagnosis, treatment, and associated injuries. Curr Rev Musculoskelet Med. 2008;1(1):65-8. 9. Bonk AD, .errari R, Giebel GD, Edelmann M, Huser R. Prospective, randomized, controlled study of activity versus collar, and the natural history for whiplash injury, in Germany. J Musculoskelet Pain 2000;8:123-32. 10. Depalma MJ, Slipman CW. Treatment of common neck problems. In: Braddom RL, editor. Physical medicine and rehabilitation. 3rd ed. China: Elsevier; 2007. p. 797–824. 11. Nijs J, Van Oosterwijck J, De Hertogh W. Rehabilitation of chronic whiplash: treatment of cervical dysfunctions or chronic pain syndrome? Clin Rheumatol. 2009;28(3):243-51. 12. Conlin A, Bhogal S, Sequeira K, Teasell R. Treatment of whiplash-associated disorders – part I: Noninvasive interventions. Pain Res Manage 2005;10(1):21-32. 13. Peloso P, Gross A, Haines T, Trinh K, Goldsmith CH, Burnie S; Cervical Overview Group. Medicinal and injection therapies for mechanical neck disorders. Cochrane Database Syst Rev. 2007;(3):CD000319. 14. Graham N, Gross AR, Goldsmith C; Cervical Overview Group. Mechanical traction for mechanical neck disorders: a systematic review. J Rehabil Med. 2006;38(3):145-52. 15. Kroeling P, Gross A, Goldsmith CH, Burnie SJ, Haines T, Graham N, Brant A. Electrotherapy for neck pain. Cochrane Database Syst Rev. 2009;(4):CD004251.
  • 204.
    àǪÈÒʵÏ·¹Âؤ 2553 Ñ º··Õè 177 26 âä¢Í§·ÇÒÃ˹ѡáÅÐÅíÒäÊŒµÃ§·Õ辺º‹Í (Common Anorectal Disorders) ÍÒ¨ÒÏ ¹ÒÂᾷÇÃÁÔ¹·Ã àËÃÕÂ­ÊØÇÃó ÀÒ¤ÇÔªÒÈÑÅÂÈÒʵÏ ¤³Ðá¾·ÂÈÒʵÏÈÔÃÔÃÒª¾ÂÒºÒÅ ÁËÒÇÔ·ÂÒÅÑÂÁËÔ´Å âä¢Í§·ÇÒÃ˹ѡáÅÐÅíÒäÊŒµÃ§à»š¹âä·Õ¾ºä´ŒºÍÂáÅÐÁÕ·§âä·Õ໚¹ benign áÅÐ malignant è ‹ Ñé è disease â´ÂʋǹÁÒ¡·Õ¾ºà»š¹ benign diseases ÁÒ¡¡Ç‹Ò ¼Ù»ÇÂʋǹãË­‹Á¡ÁÒ¾ºá¾·Âà¹×ͧ¨Ò¡ è Œ † Ñ è ¤ÇÒÁÍÒ áÅСѧÇÅÇ‹ÒÍÒ¨¨Ð໚¹ÁÐàÃç§ º·¤ÇÒÁ¹Õ¨Ð·º·Ç¹ÍÒ¡Òà ÍÒ¡ÒÃáÊ´§ ¡ÒÃÇÔ¹¨©ÑÂáÅСÒà é Ô ÃÑ¡ÉÒâä¢Í§·ÇÒÃ˹ѡáÅÐÅíÒäÊŒµÃ§·Õ¾ºº‹ÍÂ䴌ᡋ ÃÔ´Êմǧ·ÇÒà (hemorrhoid) á¼Å·Õ»Ò¡·ÇÒà è è (anal fissure) ½‚Ãͺ·ÇÒà (perianal abscess) áÅ키³±Êٵà (fistula in ano) Ñ ÃÔ´Êմǧ·ÇÒà (Hemorrhoid) ÃÔ´Êմǧ·ÇÒä×Í ¡ÅØÁ¢Í§ËÅÍ´àÅ×Í´ (cushion of non-pathological vascular tissue) ·ÕÍÂÙ‹ ‹ è ÀÒÂã¹·ÇÒÃ˹ѡáÅÐÁÕÅѡɳÐ໚¹ sinusoids à¹×èͧ¨Ò¡ËÅÍ´àÅ×Í´àËŋҹÕéäÁ‹ÁÕ¼¹Ñ§ªÑ鹡ŌÒÁà¹×éÍ àËÁ×͹ã¹àÊŒ¹àÅ×Í´´íÒ(1) ໚¹·Õàª×͡ѹNjÒÃÔ´Êմǧ·ÇÒÃÁÕÊǹª‹ÇÂ㹡ÒáÅÑ¹ÍØ¨¨ÒÃÐ â´Â·íÒ˹ŒÒ·Õ໚¹ è è ‹ é è àËÁ×͹»ÅÑ¡ (plug) ·ÕªÇÂãˌ÷ÇÒû´Ê¹Ô·¢³Ð¾Ñ¡áÅл¡»‡Í§ËÙô¢³Ð¶‹ÒÂÍØ¨¨ÒÃÐ µíÒṋ§ËÅÑ¡·Õ¨Ð ê è ‹ Ù Ù è ¾ºÃÔ´Êմǧ·ÇÒÃ㹤×Í left lateral right anterolateral áÅÐ right posterolateral ÍÒ¡ÒâͧÃÔ´Êմǧ ·ÇÒÃà¡Ô´¨Ò¡¡ÒâÂÒµÑÇáÅСÒÃà»ÅÕ¹á»Å§·Õ¼´»¡µÔ¢Í§à¹×ÍÃÔ´Êմǧ·ÇÒà è è Ô é ÊÒà˵آͧÃÔ´Êմǧ·ÇÒÃà¡Ô´¨Ò¡¡ÒÃ຋§à»š¹ÃÐÂÐàÇÅÒ¹Ò¹áÅФÇÒÁ´Ñ¹ÀÒÂ㹪‹Í§·ŒÍ§·Õʧ¢Ö¹èÙ é ¨Ò¡ ascites ¤ÇÒÁ͌ǹ áÅСÒõѧ¤ÃÃÀ«§·íÒãËŒà¡Ô´ vascular congestion ¢Ö¹ »ÃСͺ¡Ñº¡Òà é Öè é ·íÒ§Ò¹¢Í§ËÙôªÑ¹ã¹·ÕŴŧµÒÁÍÒÂØ«§·íÒãË‹¡´ mucosal prolapse ¢Ö¹ Ù é è Öè Ô é (2,3) ÃÔ´Êմǧ·ÇÒÃÊÒÁÒöẋ§à»š¹ª¹Ô´ÀÒÂã¹ (internal hemorrhoid) áÅЪ¹Ô´ÀÒ¹͡ (external hemorrhoid) â´ÂÍÒÈÑ dentate line ໚¹àÊŒ¹áº‹§ ¼Ù»Ç·Õ໚¹ÃÔ´Êմǧ·ÇÒÃÀÒÂã¹ ¨ÐÁÒ¾ºá¾·Â Œ † è ´ŒÇÂÍÒ¡Òö‹ÒÂÁÕàÅ×Í´á´§Ê´ äÁ‹»¹¡ÑºÍب¨ÒÃÐ áÅÐÍÒ¨¾ºËÑÇÃÔ´Êմǧ·ÇÒÃâ¼Å‹ÍÍ¡ÁÒ â´Â»¡µÔ ÃÔ´Êմǧ·ÇÒÃÀÒÂ㹨ÐäÁ‹ÁÍÒ¡ÒÃà¨çºÃ‹ÇÁ´ŒÇ ¡àÇŒ¹¶ŒÒÁÕ thrombosis ËÃ×Í necrosis à¡Ô´¢Ö¹ ËÃ×Í Õ é ¼Ù»ÇÂÍÒ¨¨ÐÁÕ¾ÂÒ¸ÔÊÀÒ¾Í׹ËÇÁ´ŒÇ ઋ¹ á¼Å·Õ»Ò¡·ÇÒë֧¾ºä´Œ»ÃÐÁҳÌÍÂÅÐ 20 ·ÕÊҤѭ¤×Í Œ † è è è èí ¶ŒÒ¼Ù»ÇÂÁÕÍÒ¡ÒÃÍ×¹¢Í§âäÁÐàÃç§ÅíÒäÊŒãË­‹ ËÃ×ÍÁÕÍÒÂØÁÒ¡¡Ç‹Ò 50 »‚ ¢Ö¹ä» ÍÒ¨¨ÐµŒÍ§µÃǨÅíÒäÊŒ Œ † è é ãË­‹·Ê§¢Ö¹ä»ãËŒ¤Ãº ઋ¹ ¡ÒÃʋͧ¡ÅŒÍ§ÅíÒäÊŒãË­‹ (colonoscopy) ÊíÒËÃѺÃÔ´ÊմǧÀÒ¹͡¨Ð¹íÒ Õè Ù é
  • 205.
    178 âä¢Í§·ÇÒÃ˹ѡáÅÐÅíÒäÊŒµÃ§·Õ辺º‹Í ¼Ù»ÇÂÁÒ¾ºá¾·Â´ÇÂàÃ×ͧ¤ÅíÒ¾º¡ŒÍ¹·Õ»Ò¡·ÇÒà ᵋäÁ‹ÁÍÒ¡ÒÃà¨çº ¡àÇŒ¹à¡Ô´à»š¹ thrombosed Œ † Œ è è Õ external hemorrhoid ¼Ù»ÇºҧÃÒÂÍÒ¨ÁÒ¾ºá¾·Â´Ç»˜­ËÒ ¤×Í ¤ÅíÒ¾ºµÔ§à¹×Í (skin tags) ·Õ»Ò¡ Œ † Œ è é è ·ÇÇÒë֧à¡Ô´ËŧàËÅ×ͨҡ¡ÒÃËÒ¢ͧ thrombosed external hemorrhoid µÑÇÃÔ´Êմǧ·ÇÒÃàͧ è äÁ‹ãª‹»¨¨ÑÂàÊÕ§㹡ÒÃà¡Ô´âäÁÐàÃç§ÅíÒäÊŒãË­‹áÅзÇÒÃ˹ѡ ˜ è ¡ÒÃÃÑ¡ÉÒÃÔ´Êմǧ·ÇÒâÖ鹡Ѻª¹Ô´Ç‹Ò໚¹ÃÔ´Êմǧ·ÇÒÃÀÒ¹͡ËÃ×ÍÀÒÂã¹ áÅжŒÒ໚¹ ÃÔ´Êմǧ·ÇÒÃÀÒÂ㹡碹¡ÑºÃÐÂÐ «Ö§ÊÒÁÒöá¡ â´Â¾Ô¨ÒóҨҡ¤ÇÒÁÃØ¹áç¢Í§¡ÒÃÂ×¹ÍÍ¡ÁÒ Öé è è ¢Í§ËÑÇÃÔ´Êմǧ ÃÔ´Êմǧ·ÇÒÃÀÒÂã¹ÃÐÂзÕ˹֧¨ÐäÁ‹¾ºÁÕËÇÂ×¹ÍÍ¡ÁÒàÇÅÒ¶‹ÒÂÍØ¨¨ÒÃÐ ÃÐÂзÕÊͧ è è Ñ è è ÁÕËÇÂ×¹ÍÍ¡ÁÒáÅСÅѺࢌÒä»àͧ䴌 ÃÐÂзÕÊÒÁÁÕËÇÂ×¹ÍÍ¡ÁÒáÅмٻǵŒÍ§ãªŒ¹Ç´Ñ¹¡ÅѺࢌÒàͧ Ñ è è Ñ è Œ † Ôé ʋǹÃÐÂзÕʤÍÁÕËÇÃÔ´Êմǧ·ÇÒÃÂ×¹ÍÍ¡ÁÒµÅÍ´àÇÅÒ è Õè × Ñ è ¡ÒÃÃÑ¡ÉÒÃÔ´ÊմǧÀÒÂã¹ÊÒÁÒöãËŒ¡ÒÃÃÑ¡ÉÒẺ»ÃФѺ»ÃФÃͧâ´ÂãËŒ¼ÙŒ»†ÇÂ᪋¡Œ¹ ã¹¹éÒÍØ¹(4) ÃѺ»ÃзҹÂÒᡌ»Ç´áÅÐÂÒ¡ÅØÁ bulk forming agent ÃѺ»ÃзҹÍÒËÒ÷ÕÁ¡Ò¡ãÂÊÙ§(5) í ‹ ‹ è Õ ´×Á¹éÒÁÒ¡æáÅÐËÅÕ¡àÅÕ§¡ÒÃ຋§ÃÐËNjҧ¡Òö‹ÒÂÍØ¨¨ÒÃÐ ÊíÒËÃѺÂÒà˹çºáÅÐÂÒ·Ò੾ÒзÕè ËÃ×Í è í è ÂÒÍ×è¹æ·Õè㪌㹡ÒÃÃÑ¡ÉÒÃÔ´Êմǧ·ÇÒà ÍÒ¨ª‹ÇºÃÃà·ÒÍÒ¡ÒÃä´ŒºŒÒ§ ᵋäÁ‹ÁÕËÅÑ¡°Ò¹Ê¹ÑºÊ¹Ø¹ ·ÕèªÑ´à¨¹ ËÒ¡¡ÒÃÃÑ¡ÉÒẺ»ÃФѺ»ÃФͧäÁ‹ä´Œ¼Å ¡çÊÒÁÒöãËŒ¡ÒÃÃÑ¡ÉÒẺ office base procedures ËÃ×Í ¡Òü‹ÒµÑ´ office base procedures 䴌ᡋ ¡Òéմ sclerosing agent ã¹ÃÔ´Êմǧ ·ÇÒÃÀÒÂã¹ÃÐÂзÕ˹֧ ¡ÒÃÃÑ´ÃÔ´Êմǧ·ÇÒà (rubber band ligation) 㪌䴌ã¹ÃÔ´´Ç§·ÇÒÃÀÒÂã¹ è è ÃÐÂзÕ˹֧ ÃÐÂзÕÊͧ áÅÐÃÐÂзÕÊÒÁ¢¹Ò´àÅç¡ Ê‹Ç¹¡Òü‹ÒµÑ´«Ö§ÁÕ·§ÇԸẺ´Ñ§à´ÔÁ (convetional è è è è è Ñé Õ é hemorrhoidectomy) áÅРẺ㪌à¤Ã×ͧÁ×Í㹡ÒõѴµ‹Í (staple hemorrhoidopexy) ¨Ð㪌ã¹ÃÔ´Êմǧ è ·ÇÒÃÀÒÂã¹ÃÐÂзÕèÊÒÁ¢¹Ò´ãË­‹áÅÐÃÐÂзÕèÊÕè ÊíÒËÃѺÃÔ´Êմǧ·ÇÒÃÀÒÂã¹·ÕèÁÕÍÒ¡ÒûǴáÅÐ ºÇÁÁÒ¡¨Ò¡¡Ò÷Õèà¡Ô´ incarceration ¤ÇÃä´ŒÃѺ¡Òü‹ÒµÑ´ÃÑ¡ÉÒẺà˧´‹Ç¹àª‹¹¡Ñ¹ (urgent hemorrhoidectomy) ÊíÒËÃѺ¡ÒÃÃÑ¡ÉÒÃÔ´Êմǧ·ÇÒÃÀÒ¹͡¨Ð·íÒã¹ÃÒ·Õ໚¹ thrombose external hemorrhoid è â´Â¡Òü‹ÒµÑ´ã¹¡Ã³Õ·¼»ÇÂÁÒ¾ºá¾·Âã¹ª‹Ç§ 72 ªÑÇâÁ§áá«Ö§¼Ù»ÇÂ¡ÅØÁ¹Õ¨ÐÁÕÍÒ¡ÒûǴÁÒ¡ Õè ÙŒ † è è Œ † ‹ é ¶ŒÒ¼ÙŒ»†ÇÂÁÒ¾ºá¾·ÂËÅѧ¨Ò¡¹Ñé¹ÍÒ¡ÒûǴÁÑ¡¨ÐŴŧ´Ñ§¹Ñé¹ÊÒÁÒöãËŒ¡ÒÃÃÑ¡ÉÒẺ»ÃФѺ »ÃФͧ䴌 á¼Å·Õè»Ò¡·ÇÒà (Anal fissure) á¼Å·Õ»Ò¡·ÇÒà ¤×Í á¼ÅËÃ×ÍÃÍ©ա¢Ò´µÒÁá¹Ç´Ô§·Õ·ÇÒÃ˹ѡáÅÐà¡Ô´µèÒ¡Ç‹Ò dentate line è è è í ÊÒÁÒöẋ§ä´Œà»š¹ Ẻà©Õº¾Åѹ (acute anal fissure) áÅРẺàÃ×ÍÃѧ (chronic anal fissure) é ËÒ¡á¼Å·Õ»Ò¡·ÇÒÃ䴌ú¡ÒÃÃÑ¡ÉÒáÅŒÇäÁ‹ËÒÂÀÒÂã¹ 6 ¶Ö§ 8 ÊÑ»´Òˏ¨Ð¨Ñ´à»š¹á¼Å·Õ»Ò¡·ÇÒÃẺ è Ñ è àÃ×ÍÃѧ ¹Í¡¨Ò¡¹ÕÍÒ¨µÃǨ¾ºÅѡɳдѧµ‹Í仹ÕÃÇÁ´ŒÇ¤×Í ÁÕµ§à¹×ÍÀÒ¹͡ (sentinel skin tag) ÁÕ é é é‹ Ôè é hypertrophic anal papilla ËÃ×ÍÁբͺá¼Å˹ҵÑÇ¢Ö¹áÅÐÍÒ¨ÁͧàË繡ŌÒÁà¹×ÍËÙôªÑ¹ã¹·Õ¡¹á¼Å é é Ù é è Œ á¼Å·Õ»Ò¡·ÇÒÃʋǹãË­‹Á¡¾ºã¹á¹Ç midline ¡Å‹ÒǤ×Í ¾ºä´ŒÃÍÂÅÐ 90 ·Õ´Ò¹ËÅѧ áÅÐ ÃŒÍÂÅÐ10 è Ñ Œ è Œ
  • 206.
    àǪÈÒʵÏ·¹Âؤ 2553 Ñ 179 ·Õ贌ҹ˹ŒÒ(6) ËÒ¡¾ºá¼Å·ÕèµíÒá˹‹§·ÕèäÁ‹»¡µÔ (atypical location) ¤ÇõŒÍ§á¡âäÍ×è¹Í͡䴌ᡋ Crohn’s disease, syphilis, Çѳâä (tuberculosis) ÁÐàÃç§àÁç´àÅ×Í´¢ÒÇ (leukemia) ÁÐàÃç§·Õ·ÇÒà è ˹ѡ áÅÐ ¡ÒõԴàª×ÍÀÙÁ¤Á¡Ñ¹º¡¾Ã‹Í§ human immunodeficiency virus (HIV) é Ô ØŒ (7,8) ÊÒà˵ءÒÃà¡Ô´á¼Å·Õ»Ò¡·ÇÒÃÁÕËÅÒ»˜¨¨Ñ ¤×Í ¡Ò÷ÕàÅ×Í´ÁÒàÅÕ§ºÃÔàdz midline ¢Í§·ÇÒà è è é ˹ѡäÁ‹´Õ áÅСÒúպÃÑ´µÑÇ·ÕÁÒ¡à¡Ô¹ä»¢Í§ËÙôªÑ¹ã¹ (spasm of the internal anal sphincter) ÃÇÁ (9) è Ù é ¶Ö§¡Òéա¢Ò´·Õà¡Ô´¨Ò¡Íب¨ÒÃзÕá¢ç§ «Ö§»˜¨¨ÑÂàËŋҹըлÃСͺ¡Ñ¹à»š¹Ç§¨Ã ·Õ·ÒãËŒá¼Å·Õ»Ò¡·ÇÒà è è è é è í è äÁ‹ËÒÂà¹×ͧ¨Ò¡¡ÒâҴàÅ×Í´ è (10) ¡ÒÃÃÑ¡ÉÒá¼Å·Õè»Ò¡·ÇÒÃẺà©Õº¾Åѹ¤×Í ¡ÒÃÃÑ¡ÉÒẺ»ÃФѺ»ÃФͧâ´ÂãËŒ¼ÙŒ»†Ç ᪋¡¹ã¹¹éÒÍØ¹ 10 ¶Ö§ 15 ¹Ò·Õ ÇѹÅÐ 3 ¶Ö§ 4 ¤Ãѧ ÃѺ»ÃзҹÂÒᡌ»Ç´ áÅзíÒãˌͨ¨ÒÃйÔÁ´ŒÇÂÂÒ Œ í ‹ é Ø è ã¹¡ÅØÁ bulk forming agent ËÃ×Í stool softener áÅФÇô×Á¹éÒÁÒ¡æÃ‹ÇÁ´ŒÇ ÊíÒËÃѺá¼Å»Ò¡ ‹ è í (11,12) ·ÇÒÃẺàÃ×ÍÃѧ ¡çÊÒÁÒöãËŒ¡ÒÃÃÑ¡ÉÒẺ»ÃФѺ»ÃФͧ ËÇÁ¡Ñº¡ÒÃ㪌ÂÒ·Ò੾ÒзÕè à¾×ÍÅ´¤ÇÒÁ é è ´Ñ¹¢Í§¡ÅŒÒÁà¹×ÍËÙôªÑ¹ã¹ 䴌ᡋ 0.2% nitroglycerin ointment ËÃ×Í 2% diltiazem ointment è Ù é ᵋÂÒ¡ÅØÁ¹ÕÁ¼Å¢ŒÒ§à¤Õ§ ¤×Í ÍÒ¡ÒûǴÈÕÃÉЫ֧¼Å¢ŒÒ§à¤Õ§¹Õ¨Ð¢Ö¹¡Ñº¢¹Ò´ÂÒ·Õ㪌 (dose-related)(13) ‹ é Õ è é é è ¡ÒÃÃÑ¡ÉÒ´ŒÇÂÂÒã¹¡ÅØ‹Á¹ÕéÁռŷíÒãËŒá¼ÅËÒ»ÃÐÁҳÌÍÂÅÐ 68 ¹Í¡¨Ò¡¹ÕéÂѧÁÕÂÒ·ÕèÊÒÁÒö (14) Å´¤ÇÒÁ´Ñ¹¢Í§¡ÅŒÒÁà¹×ÍËÙôªÑ¹ã¹ÍÕ¡ ¤×Í ¡Òéմ botulinum toxin ·Õ¡ÅŒÒÁà¹×ÍËÙôªÑ¹ã¹ â´Â¡Òà è Ù é è é Ù é Å´¤ÇÒÁ´Ñ¹¢Í§¡ÅŒÒÁà¹×ÍËÙôªÑ¹ã¹ã¹¡Ã³Õ¹à¡Ô´¨Ò¡¡ÒâѴ¢ÇÒ§ acetylcholine ·ÕËÅѧ¨Ò¡ presynaptic è Ù é Õé è è nerve terminals Í‹ҧäáçµÒÁÍѵÃÒ¡ÒÃËÒ¢ͧá¼Å·Õ»Ò¡·ÇÒèҡ¡ÒÃÃÑ¡ÉÒ´ŒÇ botulinum toxin è ÍÂÙ·ÃÍÂÅÐ 60 ¶Ö§ÃŒÍÂÅÐ 70 ËÅѧ¨Ò¡¡ÒéմÂÒ¨íҹǹ 15 ËÃ×Í 20 unit(15) ÊíÒËÃѺ¡Òü‹ÒµÑ´¨Ð ‹ Õè Œ ¾Ô¨ÒóÒã¹ÃÒ·ÕãËŒ¡ÒÃÃÑ¡ÉÒẺ»ÃФѺ»ÃФͧËÃ×Í¡ÒÃÃÑ¡ÉÒ´ŒÇÂÂÒáÅŒÇäÁ‹ä´Œ¼Å â´Â¡Òü‹ÒµÑ´ è ¹Õé·íÒä´Œâ´Â¡ÒõѴ¡ÅŒÒÁà¹×éÍËÙÃÙ´ªÑé¹ã¹Ê‹Ç¹»ÅÒ»ÃÐÁҳÌÍÂÅÐ 30 àÃÕ¡¡Òü‹ÒµÑ´¹ÕéÇ‹Ò internal sphincterotomy ¶Ö§áÁŒÇÒ¡Òü‹ÒµÑ´¨Ð·íÒãËŒá¼ÅËÒÂä´ŒÁÒ¡ ¶Ö§ÃŒÍÂÅÐ 95 áÅмٻÇÂʋǹãË­‹ ¨ÐÁÕ ‹ Œ † ÍÒ¡ÒûǴŴŧ¡çµÒÁ ᵋ¡çÁÕÃÒ§ҹ¶Ö§¼Å¢ŒÒ§à¤Õ§¢Í§¡Òü‹ÒµÑ´ ઋ¹ ¡ÒáÅÑé¹Íب¨ÒÃÐäÁ‹ä´Œ â´Â੾ÒСÒüÒÂÅÁ (minor or flatus incontinence) ä´Œµ§áµ‹ÃÍÂÅÐ 1.2 ¶Ö§ÃŒÍÂÅÐ 35(16) Ñé Œ ½‚Ãͺ·ÇÒà (Perianal abscess) áÅн‚¤Ñ³±Êٵà (.istula in ano) ½‚Ãͺ·ÇÒÃáÅн‚¤Ñ³±ÊÙµÃ໚¹âÃ¤ã¹¡ÅØ‹Áà´ÕÂǡѹâ´Âà¡Ô´¢Öé¹ã¹ÃÐÂÐà©Õº¾ÅѹáÅÐÃÐÂÐ àÃ×éÍÃѧµÒÁÅíҴѺ ÊÒà˵Øà¡Ô´¨Ò¡¡ÒõԴàª×éÍáÅСÒÃÍÑ¡àʺ¢Í§ anal gland ¼ÙŒ»†ÇÂÃŒÍÂÅÐ 30 ¶Ö§ÃŒÍÂÅÐ 50 ·Õàè »š¹½‚Ãͺ·ÇÒà áÅŒÇ䴌ú¡Òü‹ÒµÑ´ÃкÒÂ˹ͧ ËÃ×ͽ‚ᵡàͧ¨Ðà¡Ô´à»š¹½‚¤³±Êٵâֹ Ñ Ñ é ¼Ù»Ç½‚Ãͺ·ÇÒèÐÁÒ¾ºá¾·Â´ÇÂàÃ×ͧà¨çººÃÔàdzÃͺ·ÇÒë֧ÍÒ¨¤ÅíÒ¾º¡ŒÍ¹Ã‹ÇÁ´ŒÇ Œ † Œ è è ¹Í¡¨Ò¡¹Õ§ÁÕÍÒ¡ÒÃÍ×¹¢Í§½‚¤Í »Ç´ ºÇÁ á´§ ËÃ×Í ÃŒÍ¹ ºÃÔàdz»Ò¡·ÇÒÃä´Œ â´ÂÍÒ¨¾ºÁÕ䢌ÃÇÁ é Ñ è × ‹ ´ŒÇ ¡ÒÃÃÑ¡ÉÒ¤×Í¡Òü‹ÒµÑ´ÃкÒÂàÍÒ˹ͧÍÍ¡áÅФÇþԨÒóÒãËŒÂÒ»¯ÔªÕǹÐËÇÁ´ŒÇÂã¹¼ÙŒ»†Ç ·ÕÁ¡ÒõԴàª×ÍÃØ¡ÃÒÁ ¼Ù»Ç·ÕÁÀÁµÒ¹·Ò¹µèÒËÃ×Í䴌úÂÒ¡´ÀÙÁ¤Á¡Ñ¹ ઋ¹ àºÒËÇÒ¹ âäÀÙÁ¤Á¡Ñ¹ è Õ é Œ † è Õ Ù Ô Œ í Ñ Ô ØŒ Ô ØŒ º¡¾Ã‹Í§ HIV ËÃ×ͼٻÇ·Õ䴌ú¡ÒÃà»ÅÕ¹¶‹ÒÂÍÇÑÂÇÐ ¼Ù»Ç·Õà»ÅÕ¹ÍÇÑÂÇÐà·ÕÂÁ ઋ¹ ÅÔ¹ËÑÇã¨à·ÕÂÁ Œ † è Ñ è Œ † è è é ໚¹µŒ¹
  • 207.
    180 âä¢Í§·ÇÒÃ˹ѡáÅÐÅíÒäÊŒµÃ§·Õ辺º‹Í ÊíÒËÃѺ¼Ù»ÇÂ໚¹½‚¤³±ÊٵèÐÁÒ¾ºá¾·Â´Ç»˜­ËÒÁÕ˹ͧäËŨҡÃÙ·ÍÂÙÃͺ·ÇÒÃ໚¹æ Œ † Ñ Œ Õè ‹ ËÒÂæ «Ö§Ãٹ໚¹ÃÙ·à¡Ô´¨Ò¡¡Òü‹ÒµÑ´½‚Ãͺ·ÇÒÃÁÒ¡‹Í¹ËÃ×Í໚¹ÃÙ·½áµ¡ÍÍ¡ÁÒàͧ ÃÙ·ÍÂÙ´Ò¹¹Í¡ è Õé Õè Õè ‚ Õè ‹ Œ ¹ÕàÃÕÂ¡Ç‹Ò external opening «Ö§¨ÐÁÕ·Ò§µÔ´µ‹Í·ÕàÃÕÂ¡Ç‹Ò fistula tract ¼‹Ò¹¡ÅŒÒÁà¹×ÍËÙô·Ñ§ªÑ¹¹Í¡ é è è é Ù é é áÅТѹ㹠ä»à»´·Õ÷ÍÂÙÀÒÂ㹪‹Í§·ÇÒÃ˹ѡàÃÕÂ¡Ç‹Ò internal opening â´Â internal opening ¹Õ¨Ð é è Ù Õè ‹ é ÍÂÙ·Õè dentate line ‹ ¡ÒÃÃÑ¡ÉÒ½‚¤Ñ³±Êٵä×Í¡Òü‹ÒµÑ´ â´ÂÁÕËÅÑ¡¡Òä×Í ¡ÒÃËÒ fistulal tract áÅÐ internal opening ãˌ䴌 ´Ñ§¹Ñ鹪¹Ô´¢Í§¡Òü‹ÒµÑ´¨Ö§¢Ö鹡Ѻª¹Ô´¢Í§½‚¤Ñ³±Êٵà «Öè§¹ÔÂÁẋ§µÒÁ Parks classification ໚¹ intersphincteric, trans-sphincteric, suprasphincteric áÅÐ extrasphincteric µÒÁÅíҴѺ ½‚¤Ñ³±Êٵê¹Ô´ intersphincteric ËÃ×ͪ¹Ô´ trans-sphincteric ·ÕèµèíÒÊÒÁÒöÃÑ¡ÉÒ â´Â¼‹ÒµÑ´áºº simple fistulotomy ʋǹ½‚¤Ñ³±Êٵê¹Ô´ trans-sphincteric ·ÕèÊÙ§ËÃ×ͪ¹Ô´ suprasphincteric ¤ÇÃÃÑ¡ÉÒ´ŒÇ¡Òü‹ÒµÑ´ â´ÂãÊ‹ seton äÇŒ¡Í¹ ËÅѧ¨Ò¡¹Ñ¹ 6 ¶Ö§ 8 ÊÑ»´Òˏ¨§ÁÒ·íÒ ‹ é Ö ¼‹ÒµÑ´ stage fistulotomy à¾×ÍàÍÒ seton ÍÍ¡ÍÕ¡¤Ãѧ ÊíÒËÃѺ¡ÒÃÃÑ¡ÉÒ½‚¤³ÊÙµÃâ´Â㪌 fibrin glue è é (17) Ñ ¹Ñ¹¼Å¡ÒÃÃÑ¡ÉÒÂѧäÁ‹à»š¹·Õ¹Ò¾Í㨠â´ÂÁÕ¼ÅÊíÒàÃç¨ã¹¡ÒÃÃÑ¡ÉҵѧᵋÃÍÂÅÐ 30 ¶Ö§ÃŒÍÂÅÐ 80 áÅÐ é è ‹ é Œ ÁÕ͵ÃÒ¡ÒáÅѺ໚¹«éÒ·ÕÃÍÂÅÐ 59 ʋǹ¡Òü‹ÒµÑ´áººãËÁ‹ ઋ¹ ¡ÒÃ㪌 “collagen plug” 㹡ÒÃ Ñ í èŒ (18) »´ÃÙ½¤³±Êٵà áÅÐ ¡Òü‹ÒµÑ´áºº LI.T (Ligation of Intersphincteric .istula Tract) ÂѧµŒÍ§ÃͼŠ‚ Ñ ¡ÒÃÃÑ¡ÉÒã¹ÃÐÂÐÂÒÇ áÅмŨҡ¡ÒÃÈÖ¡ÉÒ·ÕÁ¡ÅØÁ»ÃЪҡâ¹Ò´ãË­‹ è Õ ‹ ÊÃØ» âä¢Í§·ÇÒÃË¹Ñ ¡ áÅÐÅí Ò äÊŒ µ çÊÒÁÒö¾ºä´Œ º‹ Í Âã¹àǪ»¯Ô ºÑ µÔ ¡ÒÃࢌ Ò ã¨¶Ö § ¡Ò ÇÔÀÒ¤ºÃÔàdz¹ÕµÅÍ´¨¹¾ÂÒ¸Ô¡Òà¹Ô´¢Í§âä ¨Ð·íÒãˌᾷàǪ»¯Ôºµ·Çä»ÊÒÁÒöãËŒ¡ÒÃÇÔ¹¨©Ñ é í Ñ Ô Ñè Ô áÅСÒÃÃÑ¡ÉÒ䴌͋ҧ¶Ù¡µŒÍ§ µÅÍ´¨¹ÊÒÁÒöʋ§µ‹Í¼Ù»ÇÂ䴌͋ҧÃÇ´àÃçÇ Œ † àÍ¡ÊÒÃ͌ҧÍÔ§ 1. Thomson WH. The nature of haemorrhoids. Br J Surg 1975;62:542-52. 2. Milsom JW. Hemorrhoidal disease. In: Beck DE, Wexner SD, editors. .undamentals of Anorectal Surgery. New York:McGraw-Hill Inc., 1992;192-214. 3. Haas PA, .ox TA Jr, Haas GP. The pathogenesis of hemorrhoids. Dis Colon Rectum 1984;27:442-50. 4. Dodi G, Bogoni ., Infantino A, Pianon P, Mortellaro LM, Lise M. Hot or cold in anal pain? A study of the changes in internal anal sphincter pressure profiles. Dis Colon Rectum1986;29:248-51. 5. Moesgaard ., Nielsen ML, Hansen JB, Knudsen JT. High fiber diet reduces bleeding and pain in patients with hemorrhoids: a double-blind trial of Vi-Siblin. Dis Colon Rectum 1982;25:454-6. 6. Hananel N, Gordon PH. Re-examination of clinical manifestations and response to therapy of fissure-in-ano. Dis Colon Rectum 1997;40:229-33. 7. .leshner P. Anal fissure in Crohn’s disease. Semin Colon Rectal Surg 1997;8:36-9. 8. Saler ME, Gottesman L. Anal and rectal ulcer. In: Allen-Mersh TG, Gottesman L, editors. Anorectal Disease in AIDS.London: Edward Arnold, 1991:103-29.
  • 208.
    àǪÈÒʵÏ·¹Âؤ 2553 Ñ 181 9. Smith LE. Anal fissures. Neth J Med 1990;37(Supp1):S33-6. 10. Gibbons CP, Read NW. Anal hypertonia in fissures: cause or effect? Br J Surg 1986;73:443-5. 11. Tejirian T, Abbas MA. Sitz bath: where is the evidence? Scientific basis of a common practice. Dis Colon Rectum 2005;48:2336-40. 12. Jiang JK, Chiu JH, Lin JK. Local thermal stimulation relaxes hypertonic anal sphincter: evidence of somatoanal reflex. Dis Colon Rectum 1999;42:1152-59. 13. Loder PB, Kamm MA, Nicholls RJ, Phillips RK. ‘Reversible chemical sphincterotomy’ by local application of glyceryl trinitrate. Br J Surg 1994;81:1386-9. 14. Lund JN, Scholefield JH. A randomised, prospective,double-blind, placebo-controlled trial of glyceryl trinitrate ointment in treatment of anal fissure. Lancet 1997;349:11-4. 15. Maria G, Cassetta E, Gui D, Brisinda G, Bentivoglio AR,Albanese A. A comparison of botulinum toxin and saline for the treatment of chronic anal fissure. N Engl J Med 1998;338:217-20. 16. Nelson R. A systematic review of medical therapy for anal fissure. Dis Colon Rectum 2004;47:422-31. 17. Garc?a-Aguilar J, Belmonte C, Wong DW, Goldberg SM, Madoff RD. Cutting seton versus two-stage seton fistulotomy in the surgical management of high anal fistula. Br J Surg 1998;85:243-5. 18. Barillari P, Basso L, Larcinese A, Gozzo P, Indinnimeo M.Cyanoacrylate glue in the treatment of ano-rectal fistulas.Int J Colorectal Dis 2006;21:791-4.
  • 210.
    àǪÈÒʵÏ·¹Âؤ 2553 Ñ º··Õè 183 27 Hepatocellular Carcinoma: Management in the New Era ÍÒ¨ÒÏ ¹ÒÂᾷÊÁªÑ ÅÔéÁÈÃÕ¨íÒàÃÔ­ ÍÒ¨ÒÏ ¹ÒÂᾷ ´Í¡àµÍÃÂ§ÂØ·¸ ÈÔÃÔÇѲ¹ÍÑ¡Éà ÍÒ¨ÒÏ ¹ÒÂá¾·ÂÊØ»ÃÕªÒ ÍÑÈǡҭ¨¹ ÍÒ¨ÒÏ ¹ÒÂᾷªØµÔÇԪѠâµÇÔ¡¡Ñ ÀÒ¤ÇÔªÒÈÑÅÂÈÒʵÏ ¤³Ðá¾·ÂÈÒʵÏÈÔÃÔÃÒª¾ÂÒºÒÅ ÁËÒÇÔ·ÂÒÅÑÂÁËÔ´Å Hepatocellular carcinoma (HCC) ໚¹ÁÐàÃç§·Õ¾ºä´ŒºÍÂ໚¹Íѹ´Ñº 5 áÅÐ໚¹ÊÒà˵ءÒÃ è ‹ µÒ ໚¹Íѹ´Ñº 3 ¢Í§ÁÐàÃç§·Ñé§ËÁ´1 ÍѵÃÒ¡ÒÃà¡Ô´âäᵡµ‹Ò§¡Ñ¹ÁÒ¡ã¹áµ‹Åо×é¹·Õè¢Í§âÅ¡ â´Â¢Ö¹¡Ñº¤ÇÒÁªØ¡¢Í§»˜¨¨ÑÂàÊÕ§·ÕÊҤѭ 䴌ᡋ ¡ÒõԴàª×ÍäÇÃÑʵѺÍÑ¡àʺ ºÕ áÅÐ «Õ ºÃÔàdz·Õ¾ºÁÒ¡ é è èí é è 䴌ᡋ »ÃÐà·Èã¹·ÇÕ»áÍ¿Ãԡҵ͹ŋҧ àÍàªÕµÐÇѹÍÍ¡áÅеÐÇѹÍÍ¡à©Õ§㵌 ÃÇÁ·Ñ§»ÃÐà·Èä·Â é ¼Ù»Ç HCC ÁÑ¡äÁ‹ÁÍÒ¡ÒÃã¹ÃÐÂÐáá ¼Ù»Ç¨֧ÁÔ䴌ú¡ÒÃÇÔ¹¨©ÑÂã¹ÃÐÂÐáá ¼Ù»Ç·ÕÁÕ Œ † Õ Œ † Ñ Ô Œ † è ÍÒ¡Òà ʋǹÁÒ¡¨Ö§ÁÕ¡ÒôíÒà¹Ô¹¢Í§âää»ÁÒ¡áÅŒÇ ·íÒãËŒäÁ‹ÊÒÁÒöÃÑ¡ÉÒ´ŒÇ¡Òü‹ÒµÑ´ä´Œ ¹Í¡¨Ò¡¹Õé HCC Âѧ¾ºÁҡ㹼ٻǷÕÁÀÒÇеѺá¢ç§ ÂÔ§·íÒãËŒ·Ò§àÅ×͡㹡ÒÃÃÑ¡ÉÒ¹ŒÍÂŧä»ÍÕ¡ áÅмšÒÃÃÑ¡ÉÒ Œ † è Õ è äÁ‹´Õ »˜¨¨Øº¹ÁÕ¡ÒõÃǨ¤Ñ´¡Ãͧ»ÃÐªÒ¡Ã¡ÅØÁàÊÕ§2 ·íÒãËŒ¾º¼Ù»Ç·Õ໚¹ÁÐàÃç§ã¹ÃÐÂÐàÃÔÁµŒ¹à¾ÔÁ Ñ ‹ è Œ † è è è ÁÒ¡¢Ö¹ ÁÕ¡ÒþѲ¹Ò¡ÒÃÃÑ¡ÉÒãËÁ‹æÁÒ¡¢Ö¹ à¾×Íãˌ䴌¼Å¡ÒÃÃÑ¡ÉÒ·Õ´¢¹ ËÃ×ÍÁÕ¤ÇÒÁàÊÕ§µ‹Í¡Òà é é è è Õ Öé è ÃÑ¡ÉÒ¹ŒÍÂŧ º·¤ÇÒÁ¹Õ¨Ð¡Å‹ÒǶ֧ÇÔDz¹Ò¡Òâͧ¡ÒÃÃÃÑ¡ÉÒãËÁ‹æã¹ª‹Ç§·Õ¼Ò¹ÁÒ é Ñ è ‹ ¡Òü‹ÒµÑ´ ¡Òü‹ÒµÑ´¶×Í໚¹¡ÒÃÃÑ¡ÉÒ·Õè໚¹Áҵðҹ áÅÐ໚¹¡ÒÃÃÑ¡ÉÒ·Õè¤ÇäԴ¶Ö§à»š¹Í‹ҧáá 㹼ٻǷյº»¡µÔ ËÃ×ͼٻÇ·ÕÁµºá¢ç§ ᵋ¡Ò÷íÒ§Ò¹¢Í§µÑºÂѧÍÂÙã¹à¡³±»¡µÔ ¡Òü‹ÒµÑ´¨Ö§¶×Í໚¹ Œ † è Ñ Œ † è Õ Ñ ‹ ¡ÒÃÃÑ¡ÉÒËÅÑ¡·Õ¡ÒÃÃÑ¡ÉÒÍ׹浌ͧ¹íÒÁÒà»ÃÕºà·Õº â´Â HCC ·ÕÁ¢¹Ò´àÅç¡¡Ç‹Ò 5 «Á. ໚¹à¹×ͧ͡ è è è Õ é ·Õ¢¹Ò´àËÁÒÐÊÁÊíÒËÃѺ¡Òü‹ÒµÑ´ ᵋ¼»Ç·ÕÁÁÐàÃç§¡ŒÍ¹¢¹Ò´ãË­‹¡Ç‹Ò 10 «Á. ¡çä´Œ¼Å´Õ¨Ò¡¡Òà è ÙŒ † è Õ ¼‹ÒµÑ´àª‹¹¡Ñ¹ ¶ŒÒ໚¹¡ŒÍ¹à´ÕèÂÇ áÅÐäÁ‹ÁÕ vascular involvement3 ã¹ guideline ¢Í§ American Association for the Study of Liver Disease àÁ×Í»‚ 2005 ¡Å‹ÒÇÇ‹Ò ¼Ù»Ç·ÕÁÁÐàÃç§ËÅÒ¡ŒÍ¹ ÁÕ è Œ † è Õ portal hypertension ËÃ×ÍÁÕ vascular invasion äÁ‹ãª‹¼ÙŒ»†Ç·ÕèàËÁÒÐÊÁ·Õè¨ÐÃÑ¡ÉÒ´ŒÇ¡Òü‹ÒµÑ´4 Í‹ҧäáçµÒÁ ¡ÒÃÈÖ¡ÉÒáÅÐÃÒ§ҹ¨Ò¡ÈÑÅÂᾷ·ªÒ¹Ò­¾ºÇ‹Ò ¼Ù»Ç·ÕÁÁÐàÃç§ËÅÒ¡ŒÍ¹ ËÃ×Í Õè í Œ † è Õ ÁÕ portal hypertension ºÒ§ÃÒÂÊÒÁÒö·íÒ¡Òü‹ÒµÑ´ä´Œ áÅСÒü‹ÒµÑ´à»š¹¡ÒÃÃÑ¡ÉÒ·Õ´·Ê´ã¹¼Ù»Ç è Õ Õè Ø Œ †
  • 211.
    184 Hepatocellular Carcinoma : Management in the New Era àËŋҹÕé áÅзíÒãËŒ¼»ÇÂÁÕÍÒÂØÂÒǹҹ·ÕÊ´5 ¹Í¡¨Ò¡¹Õ§¾ºÇ‹Ò»˜¨¨Ñ·ÕÊҤѭ·ÕÁ¼Åµ‹Í¤ÇÒÁÍÂÙÃÍ´ ÙŒ † èØ é Ñ èí è Õ ‹ ¢Í§¼Ù»Ç ¤×ͤÇÒÁÃØ¹áç¢Í§ÀÒÇеѺá¢ç§¢Í§¼Ù»Ç Œ † Œ † ÊíÒËÃѺ¼Ù»Ç·ÕÁ¤ÇÒÁàÊÕ§㹡ÒÃà¡Ô´ÀÒÇеѺÇÒÂËÅѧ¼‹ÒµÑ´à¹×ͧ¨Ò¡àËÅ×Íà¹×͵ѺËÅѧ¼‹ÒµÑ´ Œ † è Õ è è é ¹ŒÍ (inadequate future liver remnant - .LR) àÃÒÍÒ¨¾Ô¨ÒóҷíÒ portal vein embolization ´ŒÒ¹·Õ¨Ð è µÑ´·Ô§à¾×ÍãËŒµºÊ‹Ç¹·ÕàËÅ×Íâµ¢Ö¹¡‹Í¹¡Òü‹ÒµÑ´ ·íÒãËŒ¡Òü‹ÒµÑ´»ÅÍ´ÀÑ¢ֹ Å´¤ÇÒÁàÊÕ§㹡ÒÃà¡Ô´ é è Ñ è é é è postoperative liver failure ŧ䴌 ¡Ò÷íÒ portal vein embolization ÍÒÈѾ׹°Ò¹»ÃÒ¡¯¡Òó¢Í§ é ¡ÒÃà¡Ô´ atrophy-hypertrophy ¢Í§µÑºàÁ×ÍÁÕ portal vein thrombosis ¾ºÇ‹ÒàÁ×ÍÁÕ portal vein thrombosis è è ·ÕèµÑº´ŒÒ¹Ë¹Öè§ à¹×é͵Ѻ´ŒÒ¹¹Ñ鹨Р½†Íŧ áÅÐà¹×é͵Ѻ½˜›§µÃ§¢ŒÒÁ¨ÐÁÕ¢¹Ò´âµ¢Öé¹ ã¹¼ÙŒ»†Ç·ÕèÁÕ liver cirrhosis ¡ÒâÂÒ¢¹Ò´¢Í§µÑºÍÒ¨ ¹ŒÍ¡NjҵѺ»¡µÔ 㹡óշà¹×͵ѺäÁ‹âµ¢Ö¹¶×Í໚¹¢ŒÍËŒÒÁ㹡Òà Õè é é ¼‹ÒµÑ´ à¾ÃÒШÐàÊÕ§µ‹Í¡ÒÃà¡Ô´ÀÒÇеѺÇÒÂä´ŒÁÒ¡ è 6 Radiofrequency ablation (R.A) R.A ¤×Í¡ÒÃÃÑ¡ÉÒâ´Â¡ÒÃ㪌¤Å×¹ÇÔ·ÂØ¤ÇÒÁ¶Õè 450-500 kHz à˹ÕÂǹíÒãËŒÁ¡ÒÃÊѹµÑǢͧ ion è è Õ è ·íÒãËŒà¡Ô´¤ÇÒÁÌ͹ ¤ÇÒÁÌ͹·Õà¡Ô´¢Ö¹¨Ð¼ÅÑ¡´Ñ¹¹éÒÍÍ¡¨Ò¡à«Åŏ ·íÒãËŒà¡Ô´ coagulation necrosis è é í Ãͺæ»ÅÒÂà¢çÁ ¤ÇÒÁÌ͹·Õà¡Ô´¢Ö¹¨Ð¡ÃШÒÂä»Âѧ tissue ·ÕÍÂÙ¢Ò§æÍ‹ҧÃÇ´àÃçÇ à¡Ô´à»š¹¶‹Ò¹Ãͺ è é è ‹ Œ »ÅÒÂà¢çÁ ·íÒãËŒ·ÒÅÒÂà¹×Íä´Œ»ÃÔÁÒ³äÁ‹ÁÒ¡ ÇÔ¸·¨Ðà¾ÔÁ¢¹Ò´¡Ò÷íÒÅÒÂà¹×ÍàÂ×Í·íÒâ´Â¡ÒäǺ¤ØÁ í é Õ Õè è é è ÍØ³ËÀÙÁ·»ÅÒÂà¢çÁäÁ‹ãˌʧà¡Ô¹ä» ´ŒÇ¡ÒÃËŋʹŒÇ¹éÒàÂç¹ (cool-tip) ËÃ×Í¡ÒÃ㪌à¢çÁ·Õ»ÅÒÂá¡໚¹ Ô Õè Ù í è ËÅÒÂá©¡¤ÅŒÒÂËÁ ¨Ò¡¡ÒþѲ¹Òà¤Ã×ͧÁ×Í·íÒãËŒÊÒÁÒö㪌 R.A ·íÒÅÒ¡ŒÍ¹·ÕÁ¢¹Ò´àÊŒ¹¼‹ÒÈٹ è è Õ ¡ÅÒ§ä´Œ¶§ 5 «Á. Ö R.A àËÁÒзըÐ㪌ã¹ÃÒ·ա͹äÁ‹ãË­‹¹¡ äÁ‹àËÁÒÐã¹ÃÒ·ա͹ÁÕ¢¹Ò´ãË­‹ ¡ŒÍ¹·ÕÍÂÙª´ è è Œ Ñ è Œ è ‹ Ô àÊŒ¹àÅ×Í´ãË­‹ ¡ŒÍ¹·ÕÍÂÙª´¼ÔÇ áÅСŒÍ¹·ÕÍÂÙã¡ÅŒ·Í¹éÒ´Õ¢¹Ò´ãË­‹ R.AÊÒÁÒö·íÒä´Œâ´ÂäÁ‹µÍ§ è ‹ Ô è ‹ ‹ í Œ ¼‹ÒµÑ´â´Âá·§à¢çÁ¼‹Ò¹¼ÔÇ˹ѧ价ա͹â´ÂµÃ§ ËÃ×ÍÍÒ¨·íÒâ´Â¡Òü‹ÒµÑ´ laparoscopic ËÃ×Í open è Œ surgery ¡çä´Œ ÁÕ¡Ò÷íÒÅÒÂà¹×͵ѺʋǹÍ×¹¹ŒÍ ¨Ö§àËÁÒзըÐ㪌㹼ٻÇ·ÕÁ¤ÇÒÁàÊÕ§µ‹Í¡Òü‹ÒµÑ´ÊÙ§ é è è Œ † è Õ è áÅмٻÇ·աÒ÷íÒ§Ò¹¢Í§µÑºäÁ‹¤Í´ըҡÀÒÇеѺá¢ç§ Œ † è ‹ 㹪‹Ç§·Õ輋ҹÁÒ¤ÇÒÁ¹ÔÂÁ㹡ÒÃ㪌 R.A ÃÑ¡ÉÒÁÐàÃ秵Ѻà¾ÔèÁÁÒ¡¢Öé¹ á·¹·Õè¡Ò÷íÒ percutaneous ethanol injection (PEI) à¹×ͧ¨Ò¡ R.A ÊÒÁÒö·íÒÅÒ¡ŒÍ¹ä´Œ homogeneous ¡Ç‹Ò è µ‹Ò§¨Ò¡ PEI ·Õ¢¹¡Ñº¡ÒáÃШÒµÑǢͧáÍÅ¡ÍÎÍŏ ¡ÒÃÈÖ¡ÉÒà»ÃÕºà·Õº¡ÒÃÃÑ¡ÉÒ HCC ´ŒÇ R.A è Öé à·Õº¡Ñº PEI ¾ºÇ‹Ò R.A ÊÒÁÒö·íÒÅÒ¡ŒÍ¹ä´Œ´¡Ç‹ÒáÅмٻÇÂÁÕÍÒÂØÂ¹¹Ò¹¡Ç‹Ò¡ÒÃÃÑ¡ÉÒ´ŒÇ PEI7 Õ Œ † × ¡ÒÃÈÖ¡ÉÒà»ÃÕºà·Õº¡ÒÃÃÑ¡ÉÒ HCC ¢¹Ò´àÅç¡´ŒÇ¡Òü‹ÒµÑ´à·Õº¡Ñº¡Ò÷íÒ R.A ¾ºÇ‹Ò ä´Œ¼Å¡ÒÃÃÑ¡ÉÒã¡ÅŒà¤Õ§¡Ñ¹8
  • 212.
    àǪÈÒʵÏ·¹Âؤ 2553 Ñ 185 Liver transplantation à¹×ͧ¨Ò¡ HCC ¾ºä´ŒºÍÂ㹼ٻǷÕ໚¹µÑºÍÑ¡àʺàÃ×ÍÃѧáÅеѺá¢ç§ ¼Ù»Ç¨íҹǹÁÒ¡·ÕÁÒ è ‹ Œ † è é Œ † è ¾ºá¾·Â ÍÂÙã¹ÃÐÂзÕäÁ‹ÊÒÁÒöÃÑ¡ÉÒ´ŒÇ¡Òü‹ÒµÑ´ä´Œ ÁÕ¼»ÇÂà¾Õ§ 20% - 30% ෋ҹѹ·ÕÊÒÁÒö ‹ è ÙŒ † é è ÃѺ¡ÒÃÃÑ¡ÉÒ´ŒÇ¡Òü‹ÒµÑ´ä´Œ ¡ÒÃÃÑ¡ÉÒ HCC ´ŒÇ¡Òü‹ÒµÑ´ËÃ×Íà»ÅÕ¹µÑº Áբʹշҧ·ÄÉ®ÕËÅÒÂ è Œ Í‹ҧ 䴌ᡋ ¡ÒõѴµÑºà´ÔÁ·Ôé§·Ñé§ËÁ´·íÒãˌ䴌 margin ·Õè¡ÇŒÒ§¡Ç‹Ò ª‹ÇÂÅ´âÍ¡ÒÊ¡ÅѺÁÒãËÁ‹ (recurrence) ¢Í§âä ¡ÒõѺà¹×͵Ѻ·Õ໚¹âäÍÍ¡ ª‹ÇÂÅ´âÍ¡ÒÊ·Õ¨ÐÁÕÁÐàÃ秾Ѳ¹Ò¢Ö¹ãËÁ‹ã¹à¹×͵Ѻ é è è é é ʋǹÍ×¹ áÅСÒõѴµÑº·Õ໚¹µÑºá¢ç§ÍÍ¡·Ñ§ËÁ´áÅŒÇãÊ‹µº·Õ´à¢ŒÒä»à»š¹¡ÒÃÃÑ¡ÉÒ portal hypertension è è é Ñ è Õ ¨Ò¡ cirrhosis ¢Í§¼Ù»Ç´ŒÇ Œ † ã¹Í´Õµ¡ÒáÅѺ໚¹«éҢͧâäÊÙ§ÁÒ¡à¹×ͧ¨Ò¡¡ÒÃàÅ×Í¡¼Ù»Ç·ÕäÁ‹àËÁÒÐÊÁÁÒ·íÒ¡Òü‹ÒµÑ´ í è Œ † è à»ÅÕ¹µÑº ã¹»‚ 1996 ÁÕÃÒ§ҹâ´Â Mazzaferro ¨Ò¡»ÃÐà·ÈÍÔµÒÅÕ ÃÒ§ҹ¼Ù»Ç·Õ䴌ú¡Òü‹ÒµÑ´ è 9 Œ † è Ñ ÃÑ¡ÉÒÁÐàÃ秵Ѻ ´ŒÇ¡Òà ¼‹ÒµÑ´à»ÅÕ¹µÑº 96 ÃÒ â´Â¼Ù»ÇÂÁÕÁÐàÃ秵ѺÃÐÂÐàÃÔÁµŒ¹ ¤×Í ÁÕà¹×ͧ͡ 1 è Œ † è é ¡ŒÍ¹ ¢¹Ò´äÁ‹à¡Ô¹ 5 «Á. ËÃ×ÍÁÕà¹×ͧ͡äÁ‹à¡Ô¹ 3 ¡ŒÍ¹ ᵋÅСŒÍ¹ÁÕ¢¹Ò´äÁ‹à¡Ô¹ 3 «Á. à¹×ͧ͡·Ñ§ é é é ËÁ´µŒÍ§äÁ‹ÁÕ vascular invasion áÅÐÂѧäÁ‹Á¡ÒáÃШÒ¢ͧà¹×ͧ͡Í͡仹͡µÑº ¨Ò¡ÃÒ§ҹ´Ñ§ Õ é ¡Å‹ÒǾºÇ‹Ò¼Ù»ÇÂÁÕ͵ÃÒ¡ÒÃÍÂÙÃÍ´·Õè 4 »‚ ÊÙ§¶Ö§ 75% ã¡ÅŒà¤Õ§¡Ñº¼Ù»Ç·Õ䴌ú¡Òü‹ÒµÑ´à»ÅÕ¹ Œ † Ñ ‹ Œ † è Ñ è µÑº¨Ò¡¢ŒÍº‹§ªÕ͹·ÕäÁ‹Áà¹×ͧ͡ ࡳ±¡ÒÃàÅ×Í¡¼Ù»Ç´ѧ¡Å‹ÒÇ»˜¨¨Øº¹ÃÙ¨¡¡Ñ¹á¾Ã‹ËÅÒª×Í Milan é ×è è Õ é Œ † Ñ ŒÑ è criteria «Ö§ãªŒ¡¹Í‹ҧá¾ÃËÅÒ·ÑÇâÅ¡ÃÇÁ·Ñ§»ÃÐà·ÈÊËÃѰÍàÁÃÔ¡Ò è Ñ è é ¼ÙŒ»†ÇÂÁÐàÃ秵Ѻ·ÕèÍÂÙ‹ã¹ Milan criteria ÁÕÊѴʋǹ¹ŒÍÂàÁ×èÍà·Õº¡Ñº¼ÙŒ»†ÇÂÁÐàÃ秵Ѻ·Ñé§ËÁ´ ¼ÙàªÕÂǪҭËÅÒ·‹Ò¹¤Ô´Ç‹Òࡳ±¹¨Ò¡Ñ´à¡Ô¹ä» ·íÒãËŒ¼»Ç¨íҹǹÁÒ¡·ÕÍÂٹ͡ࡳ± àÊÕÂâÍ¡ÒÊ·Õè Œ è Õé í ÙŒ † è ‹ ¨Ð䴌ú¼Å´Õ¨Ò¡¡Òü‹ÒµÑ´ ¤ÇÒÁ¾ÂÒÂÒÁ¼‹ÒµÑ´ã¹¼Ù»Ç·ÕÁÁÐàÃç§ÍÂٹ͡ Milan criteria ¾ºÇ‹Ò¼Ù»ÇÂ Ñ Œ † è Õ ‹ Œ † ºÒ§ÃÒ¡çÂѧ䴌¼Å´Õ ¨Ò¡¡ÒÃÈÖ¡ÉÒÇÔà¤ÃÒÐˏ¢ŒÍÁÙŢͧ¼ÙŒ»†Ç·ÕèÍÂÙ‹¹Í¡à¡³±·Õèä´ŒÃѺ¡Òü‹ÒµÑ´ à»ÅÕ¹µÑºáÅŒÇä´Œ¼Å´Õ ·íÒãËŒÁ¡ÒþѲ¹Òࡳ±ãËÁ‹æ¢Ö¹ÁÒઋ¹ UCS. criteria10 ໚¹µŒ¹ Yao10 ÃÒ§ҹ è Õ é NjҶŒÒ¼Ù»ÇÂÍÂÙã¹¡ÅØÁ·ÕÁà¹×ͧ͡à¾Õ§¡ŒÍ¹à´ÕÂÇ¢¹Ò´äÁ‹à¡Ô¹ 6.5 «Á. ËÃ×ÍÁÕà¹×ͧ͡äÁ‹à¡Ô¹ 3 ¡ŒÍ¹ Œ † ‹ ‹ è Õ é é ᵋÅСŒÍ¹ÁÕ¢¹Ò´äÁ‹à¡Ô¹ 4.5 «Á. áÅТ¹Ò´àÊŒ¹¼‹ÒÈٹ¡ÅÒ§ÃÇÁ¢Í§à¹×ͧ͡äÁ‹à¡Ô¹ 8 «Á. (within é UCS. criteria) ¼Ù»ÇÂÊÒÁÒöÁÕ͵ÃÒ¡ÒÃÍÂÙÃÍ´·Õè 5 »‚ ÊÙ§¶Ö§ 75.2% Œ † Ñ ‹ DC bead à¹×ͧ¨Ò¡¼Ù»Ç HCC ʋǹÁÒ¡äÁ‹ÊÒÁÒöÃÑ¡ÉÒ´ŒÇ¡Òü‹ÒµÑ´ä´Œà¹×ͧ¨Ò¡ÀÒÇеѺá¢ç§ ·íÒãËŒ è Œ † è àËÅ×Í liver reserve äÁ‹à¾Õ§¾Í ¡ŒÍ¹ HCC ¢¹Ò´ãË­‹¡äÁ‹àËÁÒÐ㹡Ò÷íÒ R.A ¡ÒÃãËŒ systemic ç chemotherapy ¡çä´Œ¡Òõͺʹͧ·ÕäÁ‹´Õ áÅÐÁռŢŒÒ§à¤Õ§ÁÒ¡ ¨Ö§ä´ŒÁ¡ÒþѲ¹Ò¡Ò÷íÒ transarterial è Õ chemoembolization (TACE) ¡Ò÷íÒ TACE ÍÒÈÑÂËÅÑ¡¡Ò÷ÕÇÒà¹×͵Ѻ»¡µÔ¨Ð䴌úàÅ×Í´ÁÒàÅÕ§ è‹ é Ñ é ·Ñ§¨Ò¡ hepatic artery áÅÐ portal vein ã¹¢³Ð·Õè HCC ¨Ðä´ŒàÅ×Í´ÁÒàÅÕ§ʋǹÁÒ¡¨Ò¡ hepatic artery é é ¡ÒÃãËŒ chemotherapeutic agent ·Ò§ hepatic artery áÅŒÇÍØ´ hepatic artery ·Õä»àÅÕ§¡ŒÍ¹à¹×ͧ͡ è é é ¨Ð·íÒãËŒ à¹×ͧ͡¢Ò´ blood supply áÅÐ chemotherapeutic agent ÊÑÁ¼ÑʡѺà¹×ͧ͡´ŒÇ dose ·Õʧ é é èÙ
  • 213.
    186 Hepatocellular Carcinoma : Management in the New Era ¢Ö¹áÅйҹ¢Ö¹·íÒãËŒ¡Òõͺʹͧ´Õ¢¹ ¹Í¡¨Ò¡¹ÕÂÒà¤ÁÕ¨ÐࢌÒÊÙ‹ systemic circulation ¹ŒÍÂ໚¹¡Òà é é Öé é ª‹ÇÂÅ´ systemic side effect ¡Ò÷íÒ conventional TACE ¨Ð㪌 lipiodol ໚¹µÑǨѺ¡Ñº chemotherapeutic agent ËÅѧ©Õ´ áÅŒÇ ¨ÐµŒÍ§ÍØ´àÊŒ¹àÅ×Í´´ŒÇ gelfoam embolization ¾ºÇ‹Ò¼ÙŒ»†ÇÂä´ŒÃѺ¼Å¢ŒÒ§à¤Õ§¨Ò¡¡Ò÷Õè chemotherapeutic agent ࢌÒÊÙ‹ systemic circulation ä´ŒÁ¡ÒþѲ¹Ò drug eluting bead ¢Ö¹ÁÒ «Ö§ Õ é è drug eluting bead ¹Õ¨Ð´Ù´«ÑºÂÒàÍÒäÇŒ áŌǤ‹ÍÂæ»Å‹ÍÂÂÒÍÍ¡ÁÒªŒÒæ bead ·Õ㪌ÊÒÁÒö·íÒ˹ŒÒ·Õè é è ໚¹ embolizing agent ä´ŒàÅ 11 ¡ÒÃÈÖ¡ÉÒ prospective randomized controlled trial12 à»ÃÕºà·Õº¡ÒÃÃÑ¡ÉÒ HCC 212 ÃÒ ´ŒÇ¡Ò÷íÒ TACE â´Â¡ÒÃ㪌 DC bead (102 ÃÒÂ) à·Õº¡Ñº conventional TACE (110 ÃÒÂ) ¾ºÇ‹Ò ¡Òõͺʹͧ (complete response, objective response and disease control) ã¡ÅŒà¤Õ§¡Ñ¹ (27% vs. 22%, 52% vs. 44% áÅÐ 63% vs. 52% µÒÁÅíҴѺ) ËÒ¡ÇÔà¤ÃÒÐˏ᡼ٻǠ¾ºÇ‹Ò¼Ù»Ç·Õ໚¹ Œ † Œ † è Child-Pugh B, ECOG 1, bilobar disease áÅÐ recurrent disease ÁÕ¡Òõͺʹͧµ‹Í bead ´Õ¡Ç‹Ò ¡ÅØÁ conventional TACE Í‹ҧÁÕ¹ÂÊíҤѭ áÅоºÇ‹Ò¼Å¢ŒÒ§à¤Õ§ (systemic side effect) ¨Ò¡ ‹ Ñ chemotherapeutic agent áÅÐ ÀÒÇÐ liver toxicity ã¹¡ÅØÁ bead ¹ŒÍ¡NjÒã¹¡ÅØÁ conventional TACE ‹ ‹ Í‹ҧÁÕ¹ÂÊíҤѭ Ñ High-intensity focused ultrasound (HI.U) HI.U ໚¹¡ÒÃÃÑ¡ÉÒà¹×ͧ͡â´ÂÍÒÈѤÅ×¹àÊÕ§¤ÇÒÁ¶Õʧ ·ÕÁ¾Åѧ§Ò¹ÊÙ§ ¼‹Ò¹¼ÔÇ˹ѧ àÅç§ä» é è èÙ è Õ Âѧà¹×ÍàÂ×ͷյͧ¡Ò÷íÒÅÒ à¹×ÍàÂ×ͺÃÔàdz¹Ñ¹¨Ðà»ÅÕ¹¾Åѧ§Ò¹à»š¹¤ÇÒÁÌ͹ ·íÒãˌͳËÀÙÁ·¨´¹Ñ¹ é è è Œ é è é è Ø Ô Õè Ø é ÊÙ§¢Ö¹Í‹ҧÃÇ´àÃçÇ à¹×ÍàÂ×ͺÃÔàdz¹Ñ¹¡ç¨ÐµÒ¨ҡ¤ÇÒÁÌ͹·Õ·ÒãËŒà¡Ô´ coagulation necrosis áËÅ‹§ é é è é è í ¡íÒà¹Ô´¢Í§ high intensity ultrasound wave ÁÒ¨Ò¡ piezoelectric ceramic transducer ËÅÒÂÍѹ ·Õ»Å‹Í¤Å×¹¤ÇÒÁ¶Õè 0.8 – 1.6 MHz ¤Å×¹àËŋҹըж١ÊзŒÍ¹´ŒÇ acoustic lens ä»ÃÇÁ¡Ñ¹·Õ¨´·Õè è è è é èØ µŒÍ§¡Ò÷íÒÅÒ ºÃÔàdz¨Ø´â¿¡ÑÊ ¨ÐÁÕͳËÀÙÁʧ¢Ö¹à»š¹ 65 – 100 ͧÈÒà«Åà«ÕÂÊ ÀÒÂã¹àÇÅÒ 1 ÇÔ¹Ò·Õ Ø ÔÙ é à¹×ÍàÂ×Í·Õ¶¡·íÒÅÒ¨ÐÁÕûËҧÂÒÇÃդŌÒ«ԡÒÏ â´ÂÁÕ¢¹Ò´ 9.8 mm along the beam axis áÅÐ é è è Ù Ù 1.3 mm in the transverse direction13 ¡Ò÷íÒ§Ò¹¢Í§ HI.U ¨ÐäÁ‹Á¡Ò÷íÒÅÒÂà¹×ÍàÂ×Í·Õ໚¹·Ò§¼‹Ò¹ Õ é è è ¢Í§¤Å×¹àÊÕ§ è ¡Ò÷íÒ HI.U ¼Ù»ÇµŒÍ§áª‹µÇã¹¹éÒ ÁÕ¡Ò÷íÒ ultrasound à¾×ÍËÒµíÒá˹‹§¡ŒÍ¹ áÅŒÇàÅ秤Å×¹ Œ † Ñ í è è ¤ÇÒÁ¶Õä»·íÒÅÒ·ÕÅШش ¨¹¤Ãº·ÑÇ¡ŒÍ¹ â´Â·ÑÇä»ãªŒàÇÅÒà©ÅÕ 3 – 4 ªÑÇâÁ§ ¡Ò÷íÒᵋÅФÃѧµŒÍ§ è è è è è é »ÃСͺ´ŒÇÂᾷ¼Ã¡ÉÒ ÃѧÊÕᾷ··Ò ultrasound ÇÔÊ­­Õᾷ áÅÐÇÔÈǡôÙáÅà¤Ã×ͧ·ÕµÍ§·íÒ ÙŒ Ñ Õè í Ñ è è Œ §Ò¹»ÃÐÊÒ¹¡Ñ¹ 13 ¡ÒÃÈÖ¡ÉÒà»ÃÕºà·Õº¼Å¡ÒÃÃÑ¡ÉҼٻǠunresectable HCC ´ŒÇ HI.U ËÇÁ¡Ñº¡ÒÃÃÑ¡ÉÒ Œ † Ẻ»ÃФѺ»ÃФͧà·Õº¡Ñº¡ÒÃÃÑ¡ÉÒẺ»ÃФѺ»ÃФͧÍ‹ҧà´ÕÂÇ ¾ºÇ‹Ò¼Ù»Ç·ÕáÉÒ´ŒÇ HI.U Œ † èÑ (151 ÃÒÂ) ÁÕ complete response 28.5% ÁÕ partial response 60.3% ÍѵÃÒ¡ÒÃÍÂÙÃÍ´·Õè 1 áÅÐ ‹
  • 214.
    àǪÈÒʵÏ·¹Âؤ 2553 Ñ 187 2 »‚෋ҡѺ 50.0% áÅÐ 30.9% ã¹¢³Ð·Õ¡ÅØÁ·Õú¡ÒÃÃÑ¡ÉÒẺ»ÃФѺ»ÃФͧÁÕ͵ÃÒ 3.4% áÅÐ è ‹ èÑ Ñ 0% µÒÁÅíҴѺ ¹Í¡¨Ò¡¹Õé ¡ÅØÁ·ÕáÉÒ´ŒÇ HI.U Âѧ¾ºÇ‹ÒÁÕ¤³ÀÒ¾ªÕǵ·Õ´¡Ç‹ÒÍ‹ҧªÑ´à¨¹13 ‹ èÑ Ø Ô è Õ ¤ÇÒÁ¾ÂÒÂÒÁÃÑ¡ÉҼٻǠunresectable HCC ´ŒÇ¡ÒÃ㪌 HI.U ËÇÁ¡Ñº¡Ò÷íÒ TACE â´Â Œ † ¤Ò´ËÇѧNjҨÐä´Œ¼Å´Õ¡Ç‹Ò¡Ò÷íÒ TACE Í‹ҧà´ÕÂÇ ÁÕ¡ÒÃÈÖ¡ÉÒẺ nonrandomized à»ÃÕºà·Õº¼ÙŒ »†Ç·ÕáÉÒ´ŒÇ HI.U 2 – 4 ÊÑ»´ÒˏµÒÁËÅѧ TACE (¼Ù»Ç 24 ÃÒÂ) à·Õº¡Ñº¼Ù»Ç·ÕáÉÒ´ŒÇ èÑ Œ † Œ † èÑ TACE Í‹ҧà´ÕÂÇ (¼Ù»Ç 26 ÃÒÂ) ¾ºÇ‹Ò¼Ù»Ç·ÕáÉÒ´ŒÇ HI.U ËÇÁ¡Ñº TACE ÁÕ͵ÃÒ¡ÒÃÍÂÙÃÍ´ Œ † Œ † èÑ Ñ ‹ à©ÅÕ (median survival) 11.3 à´×͹à·Õº¡Ñº 4.0 à´×͹㹼ٻÇ·ÕáÉÒ´ŒÇ TACE Í‹ҧà´ÕÂÇ ¹Í¡ è Œ † èÑ ¨Ò¡¹Õé ÍѵÃÒ¡ÒÃÍÂÙÃÍ´·Õè 6 à´×͹ áÅÐ 1 »‚ 㹼ٻǷÕáÉÒ´ŒÇ HI.U ËÇÁ¡Ñº TACE ໚¹ 80.4% ‹ Œ † èÑ áÅÐ 42.9% µÒÁÅíҴѺ ã¹¢¢³Ð·Õ͵ÃÒ¡ÒÃÍÂÙÃʹ෋ҡѺ 13.2% áÅÐ 0% 㹼ٻǷÕáÉÒ´ŒÇ èÑ ‹ Œ † èÑ TACE Í‹ҧà´ÕÂÇ 14 ÊÃØ» HCC ໚¹ÁÐàÃç§·Õ¾ºä´ŒºÍ ¼Ù»ÇÂʋǹÁÒ¡äÁ‹ÁÍÒ¡ÒÃã¹ÃÐÂÐáá ·íÒãˌǹ¨©Ñ¼ٻÇÂä´Œã¹ è ‹ Œ † Õ Ô Ô Œ † ÃÐÂзÕâä໚¹ÁÒ¡áÅŒÇ ¹Í¡¨Ò¡¹Õé HCC ÂѧÁÑ¡¾ºã¹¼Ù»Ç·ÕÁÀÒÇеѺá¢ç§Ã‹ÇÁ´ŒÇ ·íÒãËŒäÁ‹ÊÒÁÒö è Œ † è Õ ¼‹ÒµÑ´µÑºä´Œ ¡Òü‹ÒµÑ´à»ÅÕ¹µÑºà»š¹¡ÒÃÃÑ¡ÉÒ·ÕãËŒ¼Å´Õ·Ê´ã¹»˜¨¨Øº¹ ᵋÁ¢Í¨íÒ¡Ñ´·Õ¨Ò¹Ç¹¼ÙºÃÔ¨Ò¤ è è Õè Ø Ñ ÕŒ èí Œ ÍÇÑÂÇÐÂѧÁըҹǹ¹ŒÍ ¡ÒõÃǨàªç¤¼Ù»Ç·ÕÁ»¨¨ÑÂàÊÕ§໚¹ÃÐÂШзíÒãËŒÊÒÁÒöÇÔ¹¨©ÑÂâä䴌àÃçÇ¢Ö¹ í Œ † è Õ ˜ è Ô é ·íÒãËŒ¼Å¡ÒÃÃÑ¡ÉÒ´Õ¢¹ ¡ÒÃÃÑ¡ÉÒ HCC ÁÕ¡ÒþѲ¹Ò¡ÒÃÃÑ¡ÉÒãËÁ‹æÍ‹ҧµ‹Íà¹×ͧ ᾷ¼·Ò¡Òà Öé è ÙŒ í ÃÑ¡ÉÒµŒÍ§µÔ´µÒÁÇÔDz¹Ò¡ÒÃÍ‹ҧÊÁèÒàÊÁÍà¾×ÍãËŒ¼Å¡ÒÃÃÑ¡ÉÒ´Õ à»š¹»ÃÐ⪹µÍ¼Ù»ÇÂÊÙ§ÊØ´ Ñ í è ‹ Œ † àÍ¡ÊÒÃ͌ҧÍÔ§ 1. Parkin DM. Global cancer statistics in the year 2000. Lancet Oncol 2001;2:533–43. 2. Lok AS, McMahon BJ. AASLD Practice Guidelines. Chronic hepatitis B: Update 2009. Hepatology 2009;50:1- 36. 3. Poon RT, .an ST, Wong J. Selection criteria for hepatic resection in patients with hepatocellular carcinoma >10 cm in diameter. J Am Coll Surg 2002;194:592–602. 4. Bruix J, Sherman M. Practice guidelines committee, American Association for the Study of Liver Diseases. Management of hepatocellular carcinoma. Hepatology 2005;42(5):1208–36. 5. Ishizawa T, Hasegawa K, Aoki T, et al. Neither multiple tumors nor portal hypertension are surgical contraindications for hepatocellular carcinoma. Gastroenterology 2008;134:1908-16 6. Ogata S, Belghiti J, .arges O, et al. Sequential arterial and portal vein embolizations before right hepatectomy in patients with cirrhosis and hepatocellular carcinoma. Br J Surg 2006;93:1091–98. 7. Lencioni RA, Allgaier HP, Cioni D, et al. Small hepatocellular carcinoma in cirrhosis: randomized comparison of radio-frequency thermal ablation versus percutaneous ethanol injection. Radiology 2003;228:235-40. 8. Chen MS, Li JQ, Zheng Y, et al. A prospective randomized trial comparing percutaneous local ablative therapy and partial hepatectomy for small hepatocellular carcinoma. Ann Surg 2006;243:321-8. 9. Mazzaferro V, Regalia E, Doci R, et al. Liver transplantation for the treatment of small hepatocellular carcinomas in patients with cirrhosis. N Engl J Med 1996;334:693-9.
  • 215.
    188 Hepatocellular Carcinoma : Management in the New Era 10. Yao .Y, .errell L, Bass NM, et al. Liver transplantation for hepatocellular carcinoma: expansion of the tumor size limits does not adversely impact survival. Hepatology 2001;33:1394-403. 11. Lewis AL, Gonzalez MV, Leppard SW, et al. Doxorubicin eluting beads – 1: Effects of drug loading on bead characteristics and drug distribution. J Master Sci 2007;18: 1691-9. 12. Lammar J, Malagari K, Vogl T, et al. Prospective randomized study of Doxorubicin-Eluting-Bead embolization in the treatment of hepatocellular carcinoma: Result of the PRECISION V Study. Cardiovasc Intervent Radiol 2010;33:41-52. 13. Li YY, Sha WH, Zhou YJ, Nie YQ. Short and long term efficacy of high intensity focused ultrasound therapy for advanced hepatocellular carcinoma. J Gastroentero Hepato 2007;22:2148-2154. 14. Wu ., Wang ZB, Chen WZ, et al. Advanced hepatocellular carcinoma: treatment with high-intensity focused ultrasound ablation combined with transcatheter arterial embolization. Radiology 2005;235:659-67.
  • 216.
    àǪÈÒʵÏ·¹Âؤ 2553 Ñ º··Õè 189 28 Exceeding 100 Liver Transplantations in Siriraj Hospital ´Í¡àµÍÏ ¹ÒÂá¾·ÂÂ§ÂØ·¸ ÈÔÃÔÇѲ¹ÍÑ¡Éà ÍÒ¨ÒÏ ¹ÒÂᾷÊÁªÑ ÅÔéÁÈÃÕ¨íÒàÃÔ­ ÍÒ¨ÒÏ ¹ÒÂᾷ»ÃÐÇѲ¹ â¦ÊÔµÐÁ§¤Å ÍÒ¨ÒÏ ¹ÒÂᾷ»ÃÐàǪ ÁËÒÇԷԵǧȏ ÍÒ¨ÒÏ ¹ÒÂá¾·ÂÊØ»ÃÕªÒ ÍÑÈǡҭ¨¹ ÍÒ¨ÒÏ ¹ÒÂᾷªØµÔÇԪѠâµÇÔ¡¡Ñ ÀÒ¤ÇÔªÒÈÑÅÂÈÒʵÏ ¤³Ðá¾·ÂÈÒʵÏÈÔÃÔÃÒª¾ÂÒºÒÅ ÁËÒÇÔ·ÂÒÅÑÂÁËÔ´Å ¡Òü‹ Ò µÑ ´ »ÅÙ ¡ ¶‹ Ò ÂµÑ º ໚ ¹ ¡ÒÃÃÑ ¡ ÉÒÁҵðҹ·Õè ä ´Œ ¼ Å´Õ Êí Ò ËÃÑ º âäµÑ º ÃÐÂÐÊØ ´ ·Œ Ò Â (end stage liver diseases), ÀÒÇеѺÇÒÂà©Õº¾Åѹ (acute fulminant hepatic failure), âäÁÐàÃç§ µÑº»°ÁÀÙÁÔ (hepatocellular carcinoma) áÅÐÀÒÇФÇÒÁ¼Ô´»¡µÔ¢Í§ metabolism ºÒ§ª¹Ô´ (inborn error of metabolism) ¡Òü‹ÒµÑ´»ÅÙ¡¶‹ÒµѺÊíÒàÃç¨à»š¹¤Ãѧáá â´Â Thomas E. Starzl àÁ×Í ¤.È.1967 é è ·Õ»ÃÐà·ÈÊËÃѰÍàÁÃÔ¡Ò áÅÐä´ŒÁ¡ÒþѲ¹Òͧ¤¤ÇÒÁÃÙŒ à·¤¹Ô¤¡Òü‹ÒµÑ´ ÂÒ¡´ÀÙÁ¤Á¡Ñ¹áÅСÒôÙáÅ è Õ Ô ØŒ ÃÑ¡ÉÒ¼ÙŒ»†ÇÂËÅѧ»ÅÙ¡¶‹ÒµѺÍ‹ҧµ‹Íà¹×èͧ ¨¹·íÒãËŒ¡ÒÃÃÑ¡ÉÒ´ŒÇÂÇÔ¸Õ¹Õéä´ŒÃѺ¡Òö‹Ò·ʹáÅÐ ´íÒà¹Ô¹¡ÒÃã¹»ÃÐà·Èµ‹Ò§ æ Í‹ҧµ‹Íà¹×ͧ »˜¨¨Øº¹ÁÕ¡Òü‹ÒµÑ´»ÅÙ¡¶‹ÒµѺÁÒ¡¡Ç‹Ò 100,000 ÃÒÂáÅŒÇ è Ñ ·ÑÇâÅ¡ áÅÐÁÕȹ»ÅÙ¡¶‹ÒÂÍÇÑÂÇеѺÁÒ¡¡Ç‹Ò 1,000 áË‹§·ÑÇâÅ¡ è Ù è ¤³Ðá¾·ÂÈÒʵÏÈÃÃÒª¾ÂÒºÒÅä´ŒàÃÔÁµŒ¹·íÒ¡Òü‹ÒµÑ´»ÅÙ¡¶‹ÒµѺ໚¹¤Ãѧáá àÁ×ÍÇѹ·Õè 4 ÔÔ è é è ÁÔ¶¹Ò¹ ¾.È. 2533 ᵋ¨Ò¹Ç¹¢Í§¡Òü‹ÒµÑ´ã¹ÂؤÊÁѹѹÂѧÁÕ»ÃÔÁÒ³¹ŒÍ µ‹ÍÁÒã¹»‚¾.È. 2545 Ø í é ·ÕÁÈÑÅÂᾷùãËÁ‹¨§ä´ŒàÃÔÁ·íÒ¡Òü‹ÒµÑ´»ÅÙ¡¶‹ÒµѺÍÕ¡¤Ãѧ áÅÐÊÒÁÒö´íÒà¹Ô¹¡Òê‹ÇÂàËÅ×ͼٻÇ ؋ Ö è é Œ † ·Õ¨Ò໚¹µŒÍ§ä´ŒÃº¡ÒÃÃÑ¡ÉÒ â´Â¡ÒûÅÙ¡¶‹ÒµѺÁÒ¡·ÕÊ´ã¹»ÃÐà·Èä·Â¹Ñº¨Ò¡»‚´§¡Å‹ÒÇ (ã¹Ãͺ èí Ñ èØ Ñ 8 »‚·¼Ò¹ÁÒ) «Ö§»˜¨¨Øº¹âç¾ÂÒºÒÅÈÔÃÃҪ䴌¼ÒµÑ´»ÅÙ¡¶‹ÒÂÍÇÑÂÇеѺä»áŌǷѧÊÔ¹ 107 ÃÒ (¹Ñº¨Ò¡ Õè ‹ è Ñ Ô ‹ é é »‚¾.È. 2545) â´Âà©ÅÕ »‚ÅÐ 12 ÃÒ 㹺ҧ»‚¼ÒµÑ´ÁÒ¡¶Ö§ 25 ÃÒµ‹Í»‚ è ‹ ¼Ù»Ç·ÕࢌÒÃѺ¡Òü‹ÒµÑ´»ÅÙ¡¶‹ÒµѺ·Õâç¾ÂÒºÒÅÈÔÃÃÒª ÁÕÍÒÂØÃÐËNjҧ 22-71 »‚ ¤‹Òà©ÅÕ Œ † è è Ô è 52 »‚ ໚¹à¾ÈªÒ 72 ÃÒ à¾ÈË­Ô§ 35 ÃÒ ÊÒà˵آͧâä·ÕµÍ§à¢ŒÒÃѺ¡Òü‹ÒµÑ´»ÅÙ¡¶‹ÒµѺ 䴌ᡋ è Œ ÀÒÇеѺá¢ç§¨Ò¡äÇÃÑʵѺÍÑ¡àʺºÕ (hepatitis B cirrhosis) ÁÒ¡·ÕÊ´¨íҹǹ 43 ÃÒÂ, ÀÒÇеѺá¢ç§ èØ ¨Ò¡äÇÃÑʵѺÍÑ¡àʺ«Õ (hepatitis C cirrhosis) ¨íҹǹ 26 ÃÒÂ, ÀÒÇеѺá¢ç§¨Ò¡áÍÅ¡ÍÎÍÅŏ (alcoholic cirrhosis) ¨íҹǹ 18 ÃÒÂ, ÁÐàÃ秵Ѻ (Hepatocellular carcinoma) ËÇÁ¡ÑºÀÒÇеѺá¢ç§µ‹Ò§ æ ¢ŒÒ§µŒ¹ 34 ÃÒ ¹Í¡¨Ò¡¹Ñ¹à»š¹ÊÒà˵ØÍ¹æ »ÃÐàÀ·ÅÐ 1-2 ÃÒ 䴌ᡋ cryptogenic cirrhosis, NASH cirrhosis, é ×è
  • 217.
    190 Exceeding 100 Liver Transplantations in Sriraj Hospital autoimmune hepatitis, biliary atresia post Kasai operation, Calori’s disease, primary biliary cirrhosis, primary sclerosing cholangitis, hemochromatosis áÅÐ Wilson’s disease ¡Òü‹ÒµÑ´ »ÅÙ¡¶‹ÒµѺ㪌ǸÁҵðҹâ´ÂµÑ´µ‹ÍàÂçºàÊŒ¹àÅ×Í´´íÒ suprahepatic vena cava, infrahepatic vena ÔÕ cava áÅÐ portal vein ·Ñ§ËÁ´ ¡àÇŒ¹¼Ù»Ç 1 ÃÒ·ÕäÁ‹ä´Œµ´Ê‹Ç¹¢Í§ vena cava ᵋàÂ纵‹Í·ÕµÒá˹‹§ é Œ † è Ñ è í ¢Í§ hepatic vein ¢Í§µÑº·Õ»ÅÙ¡¶‹Ò (piggy back technique) ¡ÒÃàÂ纵‹ÍàÊŒ¹àÅ×Í´á´§ÊÒÁÒö è µÑ´àÂ纵‹Íä´Œâ´ÂµÃ§ (end-to-end anastomosis) ·Ñ§ËÁ´ â´ÂäÁ‹¨Ò໚¹µŒÍ§ãªŒà·¤¹Ô¤ jump graft ¨Ò¡ é í àÊŒ¹àÅ×Í´á´§ aorta ¡Òü‹ÒµÑ´·Ø¡ÃÒÂäÁ‹¨Ò໚¹µŒÍ§ãªŒ veno-venous bypass ¡ÒÃàÂ纵‹Í·‹Í¹éÒ´Õ í í à¡×ͺ·Ñ§ËÁ´àÂ纵‹Íâ´ÂµÃ§ (end-to-end anastomosis) â´ÂäÁ‹ãªŒ T-tube ÃÐÂÐàÇÅÒ㹡Òü‹ÒµÑ´ é (operative time) µèÒÊØ´ 2 ªÑÇâÁ§ 42 ¹Ò·ÕáÅÐÊÙ§ÊØ´ 8 ªÑÇâÁ§ 45 ¹Ò·Õ à©ÅÕÂ㪌àÇÅÒ㹡Òü‹ÒµÑ´ í è è è 4 ªÑÇâÁ§ 45 ¹Ò·Õ »ÃÔÁÒ³àÅ×Í´·ÕÊ­àÊÕÂÃÐËNjҧ¡Òü‹ÒµÑ´à·‹Ò¡Ñº 500-25,000 ÁÔÅÅÔŵà à©ÅÕÂ෋ҡѺ è èÙ Ô è 3,958 ÁÔÅÅÔŵà ÀÒÇÐá·Ã¡«ŒÍ¹ËÅѧ¼‹ÒµÑ´»ÅÙ¡¶‹ÒµѺ·Õ¾ºº‹Í 䴌ᡋ ¡ÒÃÁÕàÅ×Í´Í͡㹪‹Í§·ŒÍ§, Ô è ÀÒÇÐäµÇÒÂà©Õº¾Åѹ, ÀÒÇСÒõԴàª×Í㹻ʹ, ÊÀÒÇеѺ·íÒ§Ò¹äÁ‹´ËÅѧ»ÅÙ¡¶‹Ò áÅÐÀÒÇСÒà é Õ ÃÑÇ«ÖÁ¢Í§¹éÒ´Õ à»š¹µŒ¹ ÍѵÃÒ¡ÒÃàÊÕªÕǵÃÐÂÐàÇÅÒ 30 ÇѹËÅѧ¼‹ÒµÑ´à·‹Ò¡ÑºÃŒÍÂÅÐ 12 ÍѵÃÒ¡ÒÃÍÂÙ‹ è í Ô ÃÍ´â´ÂÃÇÁ·Õè 1 »‚, 3 »‚ áÅÐ 5 »‚ ෋ҡѺÌÍÂÅÐ 77, 72 áÅÐ 69 µÒÁÅíҴѺ ÊÒà˵ءÒÃàÊÕªÕǵʋǹ Ô ãË­‹à¡Ô´¨Ò¡¡ÒÃà¡Ô´à»š¹«éҢͧÁÐàÃ秵Ѻ í ÃÐÂÐàÇÅÒ㹡ÒÃÃÍÍÇÑÂÇеѺºÃÔ¨Ò¤µèÒÊØ´ 1 Çѹ ÊÙ§ÊØ´ 1321 Çѹ ¤‹Òà©ÅÕ ෋ҡѺ 193 Çѹ í è ¤‹Ò median ෋ҡѺ 110 Çѹ ¨íҹǹ¼Ù»ÇÂâäµÑº·Õ¨Ò໚¹µŒÍ§ä´ŒÃº¡ÒÃÃÑ¡ÉÒ â´Â¡Òü‹ÒµÑ´»ÅÙ¡¶‹Ò Œ † èí Ñ µÑºÁÕ໚¹¨íҹǹÁÒ¡ »˜¨¨Øº¹ÁÕ¼»ÇÂÃÍࢌҤÔÇ à¾×ÍÃѺ¡Òü‹ÒµÑ´»ÅÙ¡¶‹ÒµѺ ·Õâç¾ÂÒºÒÅÈÔÃÃÒª Ñ ÙŒ † è è Ô ÁÒ¡¶Ö§ 74 ÃÒ ÍÇÑÂÇеѺºÃÔ¨Ò¤·Õè¹íÒÁÒ»ÅÙ¡¶‹Ò¹Ñé¹ ä´ŒÁÒ¨Ò¡¡ÒúÃÔ¨Ò¤¢Í§¼ÙŒºÃÔ¨Ò¤·ÕèÁÕÀÒÇÐ ÊÁͧµÒ â´ÂÊ¶ÔµÔ 5 »‚·¼Ò¹ÁÒ ÁÕ¼ºÃÔ¨Ò¤ÍÇÑÂÇÐã¹»ÃÐà·Èä·Â·Ñ§ÊÔ¹ à©ÅÕÂà¾Õ§ 72 ÃÒµ‹Í»‚ Õè ‹ ÙŒ é é è ෋ҹѹ «Ö§à»š¹ÍѵÃÒ¡ÒúÃÔ¨Ò¤·Õ¹ÍÂÁÒ¡ Ê‹§¼ÅãËŒÁ»ÃÔÁÒ³äÁ‹à¾Õ§¾Íµ‹Í¼Ù»Ç·ÕÃÍÃѺ¡Òü‹ÒµÑ´»ÅÙ¡ é è è Œ Õ Œ † è ¶‹ÒÂÍÇÑÂÇзѧ»ÃÐà·È ¡ÒèѴÊÃÃÍÇÑÂÇеѺ¨Ò¡¼ÙºÃÔ¨Ò¤·ÕÁÀÒÇÐÊÁͧµÒÂã¹»ÃÐà·Èä·Â¹Ñ¹ ãªŒÇ¸Õ é Œ è Õ é Ô ¨Ñ´ÊÃÃàÇÕ¹¡Ñ¹ä»µÒÁâç¾ÂÒºÒÅ áÅÐã¹âç¾ÂÒºÒÅÈÔÃÃÒª¹Ñ¹¨Ð¨Ñ´ÊÃÃãËŒ¡º¼ÙúµÑº â´Âẋ§µÒÁ Ô é Ñ ŒÑ ËÁÙ‹àÅ×Í´ áÅеÒÁ¤ÇÒÁÃØ¹áç¢Í§âäµÑº â´Â¤íҹdz¨Ò¡¡ÒûÃÐàÁÔ¹µÒÁ¤Ðá¹¹ Model for End-stage Liver Disease (MELD) Score â´Â໚¹¤Ðá¹¹·Õ»ÃÐàÁÔ¹µÒÁ¤ÇÒÁÃØ¹áç¢Í§âäµÑºá¢ç§ è áÅÐÁÐàÃ秵Ѻ Í‹ҧäáçµÒÁ à¹×ͧ¨Ò¡¨íҹǹ¼ÙºÃÔ¨Ò¤·ÕÁÀÒÇÐÊÁͧµÒÂÂѧÁչ͡NjҼٻÇ·ÕÃÍÃѺ è Œ è Õ Œ Œ † è ÍÇÑÂÇÐÁÒ¡ ¨Ö§ÁÕ¼»Ç¨íҹǹ˹֧·ÕàÊÕªÕǵ仡‹Í¹·Õ¨Ð䴌ú¡Òü‹ÒµÑ´»ÅÙ¡¶‹ÒÂÍÇÑÂÇÐ «Ö§ÍѵÃÒ¡Òà ٌ † è è Ô è Ñ è àÊÕªÕǵ¡‹Í¹ä´ŒÃº¡ÒûÅÙ¡¶‹ÒµѺÊÙ§à¡Ô¹¡Ç‹ÒÃŒÍÂÅÐ 20 Ô Ñ ¡ÒÃó礏ãËŒÁ¼ºÃÔ¨Ò¤ÍÇÑÂÇÐà¾ÔÁ¢Ö¹ «Ö§ä´Œ´Òà¹Ô¹ÁÒÍ‹ҧµ‹Íà¹×ͧâ´ÂÊÀÒ¡ÒªÒ´ä·Â Õ ÙŒ è é è í è ã¹ÃÐÂÐàÇÅÒ 5 »‚·Õ輋ҹÁÒ ¡çäÁ‹ÊÒÁÒöà¾ÔèÁ¨íҹǹ¢Í§¡ÒÃä´ŒÃѺÍÇÑÂÇÐà¾ÔèÁ¢Öé¹ à¾×èÍãËŒ¡ÒÃÃÑ¡ÉÒ ¼Ù»Ç·ÕÃÍÃѺ¡ÒûÅÙ¡¶‹ÒµѺà¾ÔÁÁÒ¡¢Ö¹ ¨Ö§ÁÕ¡ÒþԨÒóҡÒÃ㪌ÍÇÑÂÇШҡ¼ÙºÃÔ¨Ò¤ãˌ䴌»ÃÐ⪹ Œ † è è é Œ ÁÒ¡·ÕÊ´ ઋ¹ ¡ÒÃẋ§ÍÇÑÂÇеѺ໚¹Êͧʋǹ (split liver transplantation) à¾×Íẋ§¹íÒä»»ÅÙ¡¶‹ÒµѺ èØ è ãˌᡋ¼ãË­‹áÅÐà´ç¡, ¡ÒÃ㪌ÍÇÑÂÇеѺ㹼ٺÃÔ¨Ò¤·ÕÁÀÒÇзҧ¤ÅÔ¹¡·ÕäÁ‹ÊÁºÙóÁÒ¡¹Ñ¡¨Ò¡à¡³± ÙŒ Œ è Õ Ô è »¡µÔ (extended criteria donor) áÅСÒûÅÙ¡¶‹ÒÂÍÇÑÂÇеѺ¨Ò¡¼ÙºÃÔ¨Ò¤·ÕÁªÇµ (living donor liver Œ è Õ ÕÔ
  • 218.
    àǪÈÒʵÏ·¹Âؤ 2553 Ñ 191 transplantation) äÁ‹ÇÒ¨Ð໚¹¨Ò¡¼ÙãË­‹Êà´ç¡ (adult to child) ËÃ×ͼÙãË­‹Ê¼ãË­‹ (adult to adult) «Ö§ ‹ Œ Ù‹ Œ Ù‹ ÙŒ è á¹Ç·Ò§¡ÒôíÒà¹Ô¹¡Òõ‹Ò§ æ ¢ŒÒ§µŒ¹¹Õä´ŒàÃÔÁ¹íÒÁÒ»ÃÐÂØ¡µãªŒã¹âç¾ÂÒºÒÅÈÔÃÃÒªáÅŒÇ ¤³Ð¼Ù´áÅ é è Ô Œ Ù ÃÑ¡ÉҼٻǻÅÙ¡¶‹ÒµѺÁÕ¤ÇÒÁÁاÁѹ·Õ¨Ð¾Ñ²¹Ò¡Ãкǹ¡ÒôÙáÅÃÑ¡ÉÒ·Ø¡ æ ´ŒÒ¹à¾×ÍÃÑ¡ÉÒªÕǵ¼Ù»Ç Œ † ‹ è è è Ô Œ † ãËŒÁ¤³ÀÒ¾áÅлÃÔÁÒ³ÁÒ¡¢Ö¹µÅÍ´ä» Õ Ø é
  • 220.
    àǪÈÒʵÏ·¹Âؤ 2553 Ñ º··Õè 193 29 The .irst Live Donor Liver Transplantation in Thailand ´Í¡àµÍÏ ¹ÒÂá¾·ÂÂ§ÂØ·¸ ÈÔÃÔÇѲ¹ÍÑ¡Éà ÍÒ¨ÒÏ ¹ÒÂᾷÊÁªÑ ÅÔéÁÈÃÕ¨íÒàÃÔ­ ÍÒ¨ÒÏ ¹ÒÂᾷ»ÃÐÇѲ¹ â¦ÊÔµÐÁ§¤Å ÍÒ¨ÒÏ ¹ÒÂᾷ»ÃÐàǪ ÁËÒÇԷԵǧȏ ÍÒ¨ÒÏ ¹ÒÂá¾·ÂÊØ»ÃÕªÒ ÍÑÈǡҭ¨¹ ÍÒ¨ÒÏ ¹ÒÂᾷªØµÔÇԪѠâµÇÔ¡¡Ñ ÀÒ¤ÇÔªÒÈÑÅÂÈÒʵÏ ¤³Ðá¾·ÂÈÒʵÏÈÔÃÔÃÒª¾ÂÒºÒÅ ÁËÒÇÔ·ÂÒÅÑÂÁËÔ´Å ¡Òü‹ÒµÑ´»ÅÙ¡¶‹ÒÂÍÇÑÂÇеѺ ¹Ñºà»š¹¡ÒÃÃÑ¡ÉÒ ·Õ䴌ú¡ÒÃÂÍÁÃѺNjÒ໚¹ÇÔ¸·´·Ê´ÍÕ¡ÇԸ˹֧ è Ñ Õ Õè Õ Õè Ø Õ è 㹡ÒÃÃÑ¡ÉÒâäµÑºá¢ç§ÃÐÂÐÊØ´·ŒÒ (end stage liver disease) ·Ñ§¨Ò¡âääÇÃÑʵѺÍÑ¡àʺ ºÕ, «Õ áÅÐ é ¾ÔÉÊØÃÒàÃ×ÍÃѧ ÍÇÑÂÇеѺ·Õ»ÅÙ¡¶‹Ò¹ѹ â´Â·ÑÇä»ä´ŒÁÒ¨Ò¡¡ÒúÃÔ¨Ò¤¢Í§¼ÙºÃÔ¨Ò¤·ÕÁÀÒÇÐÊÁͧµÒ é è é è Œ è Õ ¨Ò¡Ê¶ÔµÔ 5 »‚·¼Ò¹ÁÒ ¨íҹǹ¼ÙºÃÔ¨Ò¤·ÑÇ»ÃÐà·Èä·Â·Ñ§ÊÔ¹ÁÕà¾Õ§à©ÅÕ 72 ÃÒµ‹Í»‚෋ҹѹ «Ö§äÁ‹ Õè ‹ Œ è é é è é è à¾Õ§¾Íµ‹Í¤ÇÒÁµŒÍ§¡Òüٌ»†Ç·ÕèÃÍÃѺ¡Òü‹ÒµÑ´»ÅÙ¡¶‹ÒÂÍÇÑÂÇзÕèÁÕ໚¹¨íҹǹÁÒ¡ä´Œ ¹Í¡¨Ò¡¹Õé ÍѵÃÒ¡ÒÃàÊÕªÕǵ¢Í§¼Ù»Ç·ÕÃÍÃѺ¡Òü‹ÒµÑ´»ÅÙ¡¶‹ÒµѺÊÙ§¶Ö§ÃŒÍÂÅÐ 20 µ‹Í»‚ ¡ÒÃó礏ãËŒÁ¡ÒÃ Ô Œ † è Õ ºÃÔ¨Ò¤ÍÇÑÂÇÐà¾ÔÁ¢Ö¹ÁÕá¹Ç⹌Á·ÕäÁ‹ÊÒÁÒö¨Ðà¾ÔÁ¨íҹǹ¢Í§¼ÙºÃÔ¨Ò¤ÍÇÑÂÇÐä´Œ ´Ñ§¹Ñ¹¡ÒþԨÒÃ³Ò è é è è Œ é ¡ÒûÅÙ¡¶‹ÒÂÍÇÑÂÇеѺ¨Ò¡¼ÙºÃÔ¨Ò¤·ÕÁªÇµ (living donor liver transplantation) ¨Ö§à»š¹Íա˹·Ò§Ë¹Ö§ Œ è Õ ÕÔ è 㹡Ò÷ըЪ‹ÇÂÃÑ¡ÉҼٻǷÕÃÍÃѺ¡ÒûÅÙ¡¶‹ÒÂÍÇÑÂÇеѺ䴌 è Œ † è ¡ÒûÅÙ¡¶‹ÒÂÍÇÑÂÇеѺ¨Ò¡¼ÙºÃÔ¨Ò¤·ÕÁªÇµ ÊíÒàÃç¨à»š¹¤ÃѧááàÁ×Í»‚ ¤.È. 1989 â´Â໚¹¡Òà Œ è Õ ÕÔ é è ¼‹ÒµÑ´µÑº¨Ò¡¼ÙãË­‹Êà´ç¡ µ‹ÍÁÒÁÕ¤ÇÒÁá¾Ã‹ËÅÒÂÁÒ¡¢Ö¹â´Â੾ÒÐã¹»ÃÐà·Èᶺ·ÇÕ»àÍàªÕ 䴌ᡋ Œ Ù‹ é »ÃÐà·È­Õ»¹áÅлÃÐà·Èà¡ÒËÅÕ à»š¹µŒ¹ ¡Òü‹ÒµÑ´»ÅÙ¡¶‹ÒµѺ¼ÙãË­‹Êà´ç¡¹Ñ¹ ¨Ð㪌µºÊ‹Ç¹ lateral è Ø† Œ Ù‹ é Ñ segment graft (segment II/III) à¹×ͧ¨Ò¡¤ÇÒÁµŒÍ§¡ÒÃà¹×ÍàÂ×͵Ѻ¨Ò¡¡ÅÕº´Ñ§¡Å‹ÒÇà¾Õ§¾Í¡Ñº¼Ù»Ç è é è Œ † à´ç¡¼ÙúºÃÔ¨Ò¤ (recipient) ·ÕÁ¹Ò˹ѡ¹ŒÍ ʋ§¼Å·íÒãËŒ¤ÇÒÁ»ÅÍ´ÀÑÂÊÙ§¨Ò¡¡Òü‹ÒµÑ´à¾Õ§ lateral ŒÑ è Õ íŒ segment graft ã¹¼ÙãË­‹ à¾ÃÒÐà·¤¹Ô¤¡Òü‹ÒµÑ´à¹×͵Ѻʋǹ¹ÕÁ¡¨ÐäÁ‹¡ÍãËŒà¡Ô´¡ÒÃÊÙ­àÊÕÂàÅ×Í´ËÃ×Í Œ é é Ñ ‹ ÀÒÇÐá·Ã¡«ŒÍ¹·ÕÊҤѭ㴠æ Í‹ҧäáçµÒÁ 㹼ٻǼÙãË­‹âäµÑºÃÐÂÐÊØ´·ŒÒ·ÕÁ¤ÇÒÁ¨íÒ໚¹µŒÍ§ èí Œ † Œ è Õ ä´ŒÃº¡ÒûÅÙ¡¶‹ÒÂÍÇÑÂÇеѺ äÁ‹ÊÒÁÒö㪌à¹×͵Ѻà¾Õ§ʋǹ¢Í§ lateral segment graft ´Ñ§¡Å‹ÒÇ Ñ é ¢ŒÒ§µŒ¹ä´Œ ¡ÒþѲ¹Ò¡Òü‹ÒµÑ´»ÅÙ¡¶‹ÒÂÍÇÑÂÇеѺ¨Ò¡¼ÙãË­‹Ê¼ãË­‹ÊÒàÃç¨à»š¹¤Ãѧáá àÁ×Í»‚¤.È. 1993 Œ Ù‹ ÙŒ í é è ·Õ»ÃÐà·È­Õ»¹ â´Â㪌 left lobe graft (segment II, III, IV) ¨Ò¡¼ÙºÃÔ¨Ò¤ÅÙ¡ªÒ·ÕÁûËҧáÅйéÒ˹ѡ è è Ø† Œ è ÕÙ í ÁÒ¡¡Ç‹Ò¼Ùú«Ö§à»š¹ÁÒôҷÕÁ¹Ò˹ѡµÑǹŒÍ¡NjÒÁÒ¡ Ê‹§¼ÅãËŒµº¡ÅÕº«ŒÒÂà¾Õ§¾Íµ‹Í¤ÇÒÁµŒÍ§¡Òà ŒÑ è è Õ íŒ Ñ ¢Í§¼ÙúºÃԨҤ䴌 ŒÑ
  • 221.
    194 The .irst Live Donor Liver Transplantation in Thailand µ‹ÍÁÒÁÕ¡ÒþѲ¹Ò¡ÒûÅÙ¡¶‹ÒÂÍÇÑÂÇеѺ¨Ò¡¼ÙãË­‹Ê¼ãË­‹â´Â㪌µº¡ÅÕº¢ÇÒ¢Ö¹ (adult-to- Œ Ù‹ ÙŒ Ñ é adult live donor liver transplantation using right lobe graft) ÊíÒàÃç¨à»š¹¤Ãѧáá àÁ×Í»‚¤.È. 1996 é è ·Õ»ÃÐà·ÈΆͧ¡§ â´Â .an áÅФ³Ð ¼ÙºÃԨҤ໚¹¾ÕªÒ·ÕÁ¹Ò˹ѡµÑǹŒÍ¡NjҼÙúºÃÔ¨Ò¤«Ö§à»š¹¹ŒÍ§ è Œ è è Õ íŒ ŒÑ è ªÒ ¡Òü‹ÒµÑ´»ÅÙ¡¶‹ÒµѺâ´Â㪌µº¡ÅÕº¢ÇÒ¶×ÍÇ‹Ò໚¹¡Òü‹ÒµÑ´·ÕÁ¤ÇÒÁÂØ§ÂÒ¡áÅФÇÒÁàÊÕ§ÊÙ§ Ñ è Õ ‹ è ¨íÒ໚¹µŒÍ§ãªŒà·¤¹Ô¤·ÕÁ¤ÇÒÁªíÒ¹Ò­ÊÙ§ÁÒ¡¡Ç‹Ò¡ÒÃ㪌µº¡ÅÕº«ŒÒ ÃÇÁ¶Ö§à·¤¹Ô¤¡ÒÃàÅÒÐàÊŒ¹àÅ×Í´ è Õ Ñ middle hepatic vein áÅÐ bile duct ¨Ò¡µÑº·Õ¨Ð¹íÒÁÒ»ÅÙ¡¶‹Ò´ŒÇ è âç¾ÂÒºÒÅÈÔÃÃÒª¹Ñºà»š¹âç¾ÂÒºÒÅ·Õ·Ò¼‹ÒµÑ´»ÅÙ¡¶‹ÒÂÍÇÑÂÇеѺÁÒ¡·ÕÊ´ã¹»ÃÐà·Èä·Â Ô è í èØ ã¹ª‹Ç§ 8 »‚·¼Ò¹ÁÒ â´Â·íÒ¼‹ÒµÑ´ä»·Ñ§ÊÔ¹ 107 ÃÒ ᵋ¨Ò¹Ç¹´Ñ§¡Å‹ÒÇ¡ç§äÁ‹ÁÒ¡¾Í¡Ñº¨íҹǹ¢Í§ Õè ‹ é é í Ñ ¼Ù»Ç·ÕÃÍÃѺ¡Òü‹ÒµÑ´»ÅÙ¡¶‹ÒµѺ·ÕÁ¨Ò¹Ç¹ÁÒ¡ ·ÕÁᾷ¼´áŨ֧䴌ÃàÃÔÁÇҧἹ㹡Òü‹ÒµÑ´»ÅÙ¡ Œ † è è Õí ÙŒ Ù Ô è ¶‹ÒÂÍÇÑÂÇеѺ¨Ò¡¼ÙãË­‹Ê¼ãË­‹â´Â㪌µº¡ÅÕº¢ÇÒãËŒÊÒàÃç¨à»š¹¤Ãѧáá㹻ÃÐà·Èä·Â áÅÐ໚¹¼Å Œ Ù‹ ÙŒ Ñ í é ÊíÒàÃ稴ѧ·Õ¤Ò´ËÇѧäÇŒàÁ×ÍÇѹ·Õè 10 ¸Ñ¹ÇÒ¤Á 2552 è è ¼Ù»Ç·ÕÃÍÃѺ¡ÒûÅÙ¡¶‹ÒµѺ໚¹à¾ÈªÒÂä·Â ÍÒÂØ 55 »‚ 䴌ú¡ÒÃÇÔ¹¨©ÑÂ໚¹âäµÑºá¢ç§ Œ † è Ñ Ô ¨Ò¡ äÇÃÑʵѺÍÑ¡àʺ«Õµ§áµ‹»¾.È. 2548 ¼Å¡ÒõÃǨàÅ×Í´ ËÁÙàÅ×Í´ A Rh positive, total bilirubin Ñé ‚ ‹ 1.7 mg/dl, creatinine 0.9 mg/dl áÅÐ INR 1.32 ¤íҹdz¤‹Ò MELD (model for end-stage liver disease) Score ෋ҡѺ 12 ¡ÒõÃǨÀÒ¾ÃѧÊÕ MRI ¾ºÁÐàÃ秵Ѻ (hepatocellular carcinoma) 2 ¡ŒÍ¹·ÕµÒáË è í ¹‹§ segment VIII ¤‹Ò A.P ෋ҡѺ 6.67 IU/ml, ¼ÙŒ»†ÇÂä´ŒÃѺ¡ÒÃÃÑ¡ÉÒ´ŒÇÂÇÔ¸Õ transarterial chemoembolization àÁ×Íà´×͹ÊÔ§ËÒ¤Á 2552 ¡ÒõԴµÒÁ´ŒÇ CT scan ¾ºÇ‹Ò lipiodol stain 㹡ŒÍ¹ è à¹×ͧ͡´Õ ¼Ù»ÇÂ䴌ú¡ÒþԨÒóÒÃѺ¡ÒÃÃÑ¡ÉÒâ´Â¡Òü‹ÒµÑ´»ÅÙ¡¶‹ÒµѺ â´Âŧ·ÐàºÕ¹ࢌÒÃÍÃѺ é Œ † Ñ ¡ÒûÅÙ¡¶‹ÒÂÍÇÑÂÇеѺµÑ§áµ‹Á¹Ò¤Á 2552 Í‹ҧäáçµÒÁ¨Ò¡ÃÐÂÐàÇÅÒ㹡ÒÃÃÍÃѺÍÇÑÂÇШҡ¼ÙºÃÔ¨Ò¤ é Õ Œ ·ÕÁÀÒÇÐÊÁͧµÒ¹ҹà©ÅÕ 193 Çѹ ¤ÇÒÁàÊÕ§¢Í§ÁÐàÃç§ÅØ¡ÅÒÁ¢Ö¹ã¹ÃÐËNjҧ¡ÒÃÃÍÍÇÑÂÇФ‹Í¹¢ŒÒ§ è Õ è è é ÊÙ§ ¨Ö§ä´ŒãËŒ¤Òá¹Ð¹íÒ¡Òü‹ÒµÑ´»ÅÙ¡¶‹ÒÂÍÇÑÂÇеѺ¨Ò¡¼ÙãË­‹Ê¼ãË­‹¡º¼Ù»ÇÂáÅФÃͺ¤ÃÑÇ áÅоº í Œ Ù‹ ÙŒ Ñ Œ † Ç‹ÒÅÙ¡ªÒ¢ͧ¼Ù»ÇÂÁÕÊ¢ÀҾËҧ¡ÒÂáÅШԵ㨷ÕÊÁºÙó áÅÐÂÔ¹´Õ·¨Ð໚¹¼ÙºÃÔ¨Ò¤µÑºÊ‹Ç¹¡ÅÕº¢ÇÒ Œ † Ø è Õè Œ ãˌᡋº´ÒÔ ¼ÙºÃÔ¨Ò¤ ໚¹ºØµÃªÒ¢ͧ¼Ù»Ç ÍÒÂØ 20 »‚ ÊØ¢ÀÒ¾á¢ç§áç´ÕáÅÐäÁ‹Áâä»ÃШíÒµÑÇã´ æ Œ Œ † Õ äÁ‹à¤Â䴌ú¡Òü‹ÒµÑ´ã´ æ ÁÒ¡‹Í¹ 䴌ú¡ÒõÃǨ¤Œ¹à¾ÔÁàµÔÁÍ‹ҧÅÐàÍÕ´µÒÁ¢Ñ¹µÍ¹ 䴌ᡋ Ñ Ñ è é 1. ¡ÒõÃǨàº×ͧµŒ¹ é ¡Òëѡ»ÃÐÇÑµÔ : »ÃÐÇѵâäàºÒËÇÒ¹ ¤ÇÒÁ´Ñ¹âÅËÔµÊÙ§ âäÁÐàÃç§ á¼Å㹡ÃÐà¾ÒÐÍÒËÒÃ Ô áÅÐâä·Ò§¨ÔµàǪ »ÃÐÇѵ¡ÒÃ㪌ÂÒ ÊØÃÒ ºØËÃÕè ÂÒ¤ØÁ¡íÒà¹Ô´ã¹¼ÙË­Ô§ »ÃÐÇѵ¡Òõѧ¤ÃÃÀ ã¹¼ÙºÃÔ¨Ò¤ Ô Œ Ô é Œ ÃÒ¹ÕäÁ‹Á»ÃÐÇѵâä»ÃШíÒµÑÇã´æ äÁ‹Á»ÃÐÇѵᾌÂÒ á¾ŒÍÒËÒÃã´æ é Õ Ô Õ Ô ¡ÒõÃǨËҧ¡Ò : ¹íÒ˹ѡ ʋǹÊÙ§ ´Ñª¹ÕÁÇšҠ¤ÇÒÁ´Ñ¹âÅËÔµ »Í´ ËÑÇ㨠·ŒÍ§ Œ ¡ÒõÃǨàÅ×Í´ : ËÁÙàÅ×Í´ CBC, BUN, creatinine, liver function test, electrolytes, blood ‹ sugar, lipid profiles, coagulogram ¼Åã¹¼ÙºÃÔ¨Ò¤ÃÒ¹ÕäÁ‹¾º¤ÇÒÁ¼Ô´»¡µÔ Œ é ¡ÒõÃǨ¡ÒõԴàª×Í : HBsAg, HBsAb, HBcAb, Anti-HCV, Anti-HIV, CMV IgG, EBV é IgG ¼Åã¹¼ÙºÃÔ¨Ò¤ÃÒ¹ջ¡µÔ ¡àÇŒ¹ CMV IgG postitve, EBV IgG positive Œ é
  • 222.
    àǪÈÒʵÏ·¹Âؤ 2553 Ñ 195 ¡ÒõÃǨàÍç¡«àϻʹáÅФÅ×¹ËÑÇ㨠¼Åã¹¼ÙºÃÔ¨Ò¤ÃÒ¹ÕäÁ‹¾º¤ÇÒÁ¼Ô´»¡µÔ è Œ é 2. ¡ÒõÃǨ·Ò§¨ÔµàǪâ´Â¨Ôµá¾·Â ¾ºÇ‹Ò¼ÙºÃÔ¨Ò¤äÁ‹ÁÊÀÒÇзҧ¨Ôµ·Õ¼´»¡µÔ áÅÐÊÁѤà Œ Õ è Ô ã¨·Õ¨ÐºÃÔ¨Ò¤ãˌᡋº´Ò è Ô 3. ¡ÒõÃǨ·Ò§ÃѧÊÕÇ·ÂÒà¾×Í»ÃÐàÁÔ¹¡ÒÂÇÔÀÒ¤¢Í§µÑº Ô è Computer tomography of liver ËÇÁ¡Ñº computer tomography angiography and venopraphy with three diameter reconstruction à¾×Í´Ù hepatic artery, portal vein, hepatic vein è anatomy and variation áÅÐ computer tomography volumetry à¾×Í»ÃÐàÁÔ¹»ÃÔÁҵâͧ right lobe, è left lobe áÅÐ caudate lobe ã¹¼ÙºÃÔ¨Ò¤ ¾ºÁÕ accessory left hepatic artery ¨Ò¡ left gastric artery, Œ normal portal vein anatomy, normal hepatic vein anatomy with inferior right hepatic vein 4 mm in size, CT volumetry ¾ºÇ‹Ò»ÃÔÁҵâͧ right lobe ෋ҡѺ 753.1 ml, left lobe ෋ҡѺ 418.3 ml, caudate lobe ෋ҡѺ 20.2 ml ¨Ò¡¡ÒõÃǨ¤Œ¹à¾ÔÁàµÔÁ¢Í§¼ÙºÃÔ¨Ò¤ÃÒ¹Õé äÁ‹¾ºÇ‹ÒÁÕ¢ÍËŒÒÁ (contraindication) 㹡ÒÃ è Œ Œ ºÃÔ¨Ò¤ÍÇÑÂÇеѺ áÅШҡ¡ÒûÃÐàÁÔ¹»ÃÔÁҵâͧµÑº´ŒÇ ¹íÒÁÒ¤íҹdz future liver remnant (.LR) «Ö§à·‹Ò¡Ñº future liver remnant volume x 100/total liver volume ෋ҡѺ (left + caudate) x 100/ è (right + left + caudate) ¤‹Ò .LR ·ÕàËÁÒÐÊÁ ¤ÇèÐäÁ‹¹ÍÂ¡Ç‹Ò 35% à¾×ͤÇÒÁ»ÅÍ´ÀÑÂÊíÒËÃѺ¼ÙºÃÔ è Œ è Œ ¨Ò¤ ¶ŒÒµÑº·ÕàËÅ×ͧ͢¼ÙºÃÔ¨Ò¤àËÅ×͹ŒÍÂà¡Ô¹ä»¡ç¨ÐÁÕ¤ÇÒÁàÊÕ§㹡ÒÃà¡Ô´µÑºÇÒÂÀÒÂËÅѧ¡Òü‹ÒµÑ´ä´Œ è Œ è ¹Í¡¨Ò¡¹Ñé¹ÂѧµŒÍ§»ÃÐàÁԹNjҵѺʋǹ·Õèä´ŒÃѺºÃÔ¨Ò¤ÁÒà¾Õ§¾Íµ‹Í¤ÇÒÁµŒÍ§¡Òâͧ ¼ÙúºÃÔ¨Ò¤ËÃ×Í äÁ‹ â´Â㪌¡ÒäíҹdzËÒ graft-recipient weight ratio (GRWR) «Ö§à·‹Ò¡Ñº graft ŒÑ è volume(L) / recipient body weight (kg) ¤‹Ò GRWR ·ÕàËÁÒÐÊÁäÁ‹¤ÇùŒÍÂ¡Ç‹Ò 0.8% à¾ÃÒТ¹Ò´ è ¢Í§ graft ·ÕàÅç¡à¡Ô¹ä»¨ÐÊ‹§¼Åµ‹Í¡Ò÷íÒ§Ò¹¢Í§ liver graft à¡Ô´ÀÒÇзÕàÃÕÂ¡Ç‹Ò small-for-size syndrome è è ä´Œ ã¹¼ÙºÃÔ¨Ò¤áÅмٻǹÕé ¤íҹdz䴌¤Ò .LR ෋ҡѺ 36.8% GRWR ෋ҡѺ 1.29 «Ö§ Œ Œ † ‹ è àËÁÒÐÊÁµ‹Í¡Òü‹ÒµÑ´»ÅÙ¡¶‹ÒµѺ ¡Òü‹ÒµÑ´¼ÙŒºÃÔ¨Ò¤ÍÇÑÂÇеѺ (Donor operation) ໚¹¡Òü‹ÒµÑ´ right hepatectomy ·Õ¨Ò໚¹µŒÍ§ÃÐÁÑ´ÃÐÇѧ structure ÊíҤѭËÅÒÂÍ‹ҧ ¡ÒÃãËŒÂÒÃЧѺ¤ÇÒÁÃÙÊ¡´ŒÇ¡ÒÃãËŒ epidural èí ŒÖ anesthesia ËÇÁ¡Ñº¡ÒôÁÂÒÊź ¡ÒÃཇÒÃÐÇѧÊÑ­­Ò³ªÕ¾·íÒâ´Â¡ÒÃãÊ‹ÊÒ arterial line áÅÐ central venous pressure (CVP) line áÅÐ㪌෤¹Ô¤ low CVP à¾×ÍÅ´¡ÒÃÊÙ­àÊÕÂàÅ×Í´ÃÐËNjҧ¡ÒõѴàÅÒÐ è à¹×ÍàÂ×͵Ѻ ¡ÒÃ㪌 intraoperative ultrasonography ÁÕ¤ÇÒÁÊíҤѭ㹡ÒûÃÐàÁÔ¹à¹×͵ѺáÅÐá¹Ç·Ò§ é è é à´Ô¹¢Í§àÊŒ¹àÅ×Í´µ‹Ò§ æ 㹵Ѻ ¡Ò÷íÒ intraoperative cholangiography ¼‹Ò¹·Ò§ cystic duct à¾×Í è »ÃÐàÁÔ¹ anatomy ¢Í§·‹Í¹éÒ´Õ«ÒÂáÅТÇÒ㹵Ѻ ໚¹¡ÒÃÇÒ§á¼¹µíÒá˹‹§·Õ¨ÐµÑ´·‹Í¹íÒ´ãËŒ¾Í´Õ äÁ‹ í Œ è Œ Õ à»š¹ÍѹµÃÒµ‹Í·‹Í common hepatic duct áÅÐ left intrahepatic duct ¡ÒÃàÅÒÐẋ§à¹×͵Ѻ㪌à¤Ã×ͧ é è Cavitron Ultrasonic Surgical Aspirator (CUSA) 㹡Òü‹ÒµÑ´¤Ãѧ¹Õä´ŒàÅÒÐàÊŒ¹àÅ×Í´ middle hepatic é é vein 仡Ѻ liver graft ´ŒÇ àÁ×ÍÊÒÁÒöµÑ´µÑº¡ÅÕº¢ÇÒÍÍ¡ÁÒä´ŒáÅŒÇ ¨Ð perfuse µÑº´ŒÇ preservative è solution (University of Wisconsin solution) ·ÕÁ¤ÇÒÁàÂç¹ã¹¹éÒá¢ç§ ªÑ§ÇÑ´¹íÒ˹ѡ¢Í§ graft ä´Œ è Õ í è Œ
  • 223.
    196 The .irst Live Donor Liver Transplantation in Thailand 635 ¡ÃÑÁ ·íÒ¡ÒÃàÂçºàª×ÍÁ middle hepatic vein ࢌҡѺ right hepatic vein (hepatic vein reconstruction) è à¾×ÍàµÃÕÂÁäÇŒàÂ纵‹Í¡Ñº inferior vena cava ¢Í§¼ÙúºÃÔ¨Ò¤ liver graft ¨Ðà¡çºänj㹤ÇÒÁàÂç¹ã¹¹éÒ è ŒÑ í á¢ç§ à¾×ÍÃ͹íÒࢌÒÊټúºÃÔ¨Ò¤µ‹Íä» ã¹¡Òü‹ÒµÑ´¼ÙºÃÔ¨Ò¤¤Ãѧ¹ÕäÁ‹à¡Ô´ÀÒÇÐá·Ã¡«ŒÍ¹ã´ æ ÊÑ­­Ò³ è ‹ ÙŒ Ñ Œ é é ªÕ¾¨Ã¤§·Õè äÁ‹µÍ§ãËŒàÅ×Í´ËÃ×Íʋǹ»ÃСͺ¢Í§àÅ×Í´ ËÅѧ¼‹ÒµÑ´ÊÒÁÒö¶Í´·‹Íª‹ÇÂËÒÂã¨ä´Œ áÅмٌ Œ ºÃÔ¨Ò¤¿„œ¹µÑǨҡ¡Òü‹ÒµÑ´´ÕµÒÁÅíҴѺ ÊÒÁÒÃ¶ÅØ¡¹Ñè§áÅÐÃѺ»ÃзҹÍÒËÒÃä´ŒµÒÁ»¡µÔ ÁÕ¤‹Ò à͹ä«ÁµºÊÙ§¢Ö¹àÅ硹ŒÍ â´Â¢Ö¹ÊÙ§ÊØ´ÀÒÂã¹Çѹ·ÕÊͧËÅѧ¡Òü‹ÒµÑ´ áÅÐŴŧÊÙÀÒÇл¡µÔã¹Çѹ·Õà¨ç´ Ñ é é è ‹ è ËÅѧ¡Òü‹ÒµÑ´ ÃÇÁ¶Ö§ÊÒÁÒö¡ÅѺºŒÒ¹ä´Œ ÃÇÁÃÐÂÐàÇÅÒÍÂÙâç¾ÂÒºÒŷѧËÁ´à¡ŒÒÇѹ ‹ é ¡Òü‹ÒµÑ´¼ÙŒÃѺºÃÔ¨Ò¤ (Recipient operation) ¼‹ÒµÑ´Å§á¼Å˹ŒÒ·ŒÍ§à»š¹ Mercedes incision àÁ×ͼ‹ÒµÑ´à¢ŒÒª‹Í§·ŒÍ§áÅÐäÁ‹¾º¤ÇÒÁ¼Ô´»¡µÔã´Íѹ໚¹¢ŒÍËŒÒÁ¢Í§¡Òü‹ÒµÑ´¨Ö§ä´ŒàÃÔÁ¡Òà è è ¼‹ÒµÑ´ hepatectomy ᵋ¨ÐàÅÒÐËÒ right hepatic vein (RHV), middle hepatic vein (MHV), left hepatic vein (LHV) ·Õ¨Ðà·à¢ŒÒ suprahepatic inferior vena cava (IVC) 㹡ÒùÕä´Œ·Ò¡ÒÃàÅÒзѧ suprahepatic è é í é IVC áÅÐ infrahepatic IVC à¾×ÍàµÃÕÂÁ¤ÅŒÍ§ÊíÒËÃѺ¡Ò÷íÒ total IVC occlusion µ‹Íä» àÁ×;ÌÍÁã¹ è è ¡ÒûÅÙ¡¶‹ÒÂáÅеѴµÑºÍÍ¡áÅŒÇ µÑº¡ÅÕº¢ÇҨж١¹íÒÁÒàÂ纵‹Í hepatic vein ¢Í§ liver graft ࢌҡѺ ÃÙແ´¢Í§ IVC ·ÕàµÃÕÂÁäÇŒ´Ç Prolene 3/0, right portal vein ¢Í§ liver graft ¡Ñº main portal vein è Œ ¢Í§¼Ù»Ç´ŒÇ Prolene 4/0, Ōҧ¹éÒÂÒ preservative solution ´ŒÇ 5% human albumin, ¡ÒõÃǨ Œ † í àªç¤¤ÇÒÁÊÁºÙó¢Í§Ã͵‹Í´ŒÇ intraoperative ultrasound (IOUS) «Ö§¾ºÇ‹ÒàÅ×Í´ÊÒÁÒöäËÅà¢ŒÒ è áÅÐÍÍ¡¨Ò¡µÑºä´Œ´,Õ µ‹Í hepatic artery ÃÐËNjҧ right hepatic artery ¢Í§ liver graft ࢌҡѺ replaced hepatic artery ¢Í§¼Ù»Ç´ŒÇ Prolene 7/0, µ‹Í Bile duct ࢌҡѺ common hepatic duct ¢Í§¼Ù»Ç Œ † Œ † ´ŒÇ PDS 6/0, ÇÒ§ÊÒÂÃкÒ Jackson-Pratt drain áÅÐàÂ纻´ª‹Í§·ŒÍ§ 㹡Òü‹ÒµÑ´¼ÙúºÃÔ¨Ò¤¤Ãѧ ŒÑ é ¹ÕäÁ‹à¡Ô´ÀÒÇÐá·Ã¡«ŒÍ¹ã´ æ ÊÑ­­Ò³ªÕ¾¨Ã¤§·Õè äÁ‹µÍ§ãËŒàÅ×Í´ËÃ×Íʋǹ»ÃСͺ¢Í§àÅ×Í´ ËÅѧ¼‹Ò é Œ µÑ´ÊÒÁÒö¶Í´·‹Íª‹ÇÂËÒÂã¨ä´Œ·¹·Õ áÅСÅѺ仾ѡ¿„¹·ÕËͼٻÇÂä´Œâ´ÂäÁ‹µÍ§à¢ŒÒËͼٻÇÂÇԡĵ Ñ œ è Œ † Œ Œ † ¤‹Ò¡Ò÷íÒ§Ò¹¢Í§µÑº¢Í§¼Ù»Ç´բ¹àÃ×ÍÂæ ÊÒÁÒöÃѺ»ÃзҹÍÒËÒÃä´Œ´Õ ÊÒÁÒÃ¶ÅØ¡à´Ô¹áÅЪ‹Ç Œ † Öé è àËÅ×͵ÑÇàͧ䴌 ÊÒÁÒö¶Í´ÊÒÂÃкÒÂÍ͡䴌 äÁ‹¾ºÀÒÇÐá·Ã¡«ŒÍ¹ áÅÐÊÒÁÒö¡ÅѺºŒÒ¹ä´Œâ´Â »ÅÍ´ÀÑ ÃÇÁÃÐÂÐàÇÅÒÍÂÙâç¾ÂÒºÒŷѧËÁ´ÊÒÁÊÔºÇѹ ‹ é »˜¨¨ØºÑ¹¡Òü‹ÒµÑ´à»ÅÕ蹵Ѻ䴌¡ŒÒÇ˹ŒÒ໚¹Í‹ҧÁÒ¡ áÅÐä´ŒÃѺ¡ÒÃÂÍÁÃѺNjÒ໚¹¡Òà ÃÑ¡ÉÒ·Õ໚¹ÁҵðҹáÅÐÁÕ¤ÇÒÁàÊÕ§äÁ‹Ê§ â´Â੾ÒÐ㹼ٻǵѺÇÒÂáÅÐÁÐàÃ秵Ѻ ᵋ§ÁÕ»­ËÒ è è Ù Œ † Ñ ˜ àÃ×èͧ¡ÒâҴá¤Å¹¼ÙŒºÃÔ¨Ò¤ÍÇÑÂÇÐ ¼ÙŒ»†ÇÂËÅÒÂÃÒµŒÍ§àÊÕªÕÇԵ仡‹Í¹ä´ŒÃѺºÃÔ¨Ò¤ ¡Òü‹ÒµÑ´ à»ÅÕ¹µÑº¨Ò¡¼ÙºÃÔ¨Ò¤Áժǵ (live donor liver transplantation) ¹Ñºà»š¹¤ÇÒÁ¡ŒÒÇ˹ŒÒáÅÐ໚¹¤ÇÒÁ è Œ ÕÔ ËÇѧãËÁ‹á¡‹¼»ÇÂ¡ÅØÁ¹ÕµÍä» ÙŒ † ‹ é ‹
  • 224.
    àǪÈÒʵÏ·¹Âؤ 2553 Ñ º··Õè 197 30 Robotic Surgery for General Surgeons : .utute or .antasy Vitoon Chinswangwatanakul, MD., PhD. Thawatchai Akaraviputh, MD. Attaporn Trakarnsanga, MD. Asada Metasate, MD., PhD. Thanyadej Nimmanwudipong, MD. Naraong Lertakyamanee, MD. Department of Surgery, .aculty of Medicine Siriraj Hospital, Mahidol University Robotic surgery is one of the innovations by the end of the last century. The word ‘robot’, described for the first time by Karel Capek in 1921, was named after the Czeck word ‘robota’ which means ‘forced labor’. The rapid advances of mechanical engineering in combination with computer science has led to the fundamental establishment in robotic surgery. History of robotic surgical machines In 1993, the first robotic-assisted machine was launched named AESOP® Endoscope Positioner which provided the stability of endoscope positioning.1 The next machine called HERMES® O.R. Control Center was a computer-driven system which allowed surgeons to control extra devices by voice. The HERMES voice-activated device control system could control 28 different devices from tables, cameras, to lighting systems and electrosurgical units. It offers direct control and eliminates the various interfaces between surgeon and other personnel in order to adjust the surgical equipments. In 1998, ZEUS® Surgical System is made up of a surgeon console and three table-mounted robotic arms, which provide visualization during performing endoscopic surgical tasks. (.igure 1) The ZEUS system assists surgeons to increase dexterity of the surgical procedures. Surgeon could control the right and left arms of ZEUS, with a real-time articulation of the surgical instruments, meanwhile the third camera arm incorporated with the AESOP® provides magnified, steady visualization of the operative field. In 1999, ZEUS made history in
  • 225.
    198 Robotic Surgery for General Surgeons : .uture or .antasy the world's first robotic-assisted beating-heart bypass surgery, by Douglas Boyd. This milestone indicated a new era of minimally invasive surgery.2 .igure 1. The ZEUS® Surgical System.3 In 2000, da Vinci Surgical System® was launched by Intuitive Surgical, after merging with Computer Motion. It consists of an ergonomically designed surgeon’s console, a patient- side cart with four interactive robotic arms, the high-performance 3-D InSite® Vision System and EndoWrist® Instruments. (.igure 2) The surgeon’s hand movements are scaled, filtered and effectively translated into precise movements of the EndoWrist® Instruments. The da Vinci Surgical System® is now the only commercially available technology that can provide surgeons with the spontaneous control, wider range of motion, fine tissue manipulation capability and 3-D visualization, through tiny typical incisions of minimally invasive surgery.4 In 2001, the SOCRATESTM .igure 2. The da Vinci Surgical System®.5
  • 226.
    àǪÈÒʵÏ·¹Âؤ 2553 Ñ 199 Telecollaboration system synergized a number of systems including Zeus, AESOP, and HERMES. It allows remotely located surgeons to receive a live endoscopic video image of the operative field. The audio and video links the operating room with the remote station. The SOCRATESTM system controls the operative site's AESOP endoscope camera view of the operative site while communicating with HERMES OR control to provide securely remote control of networked surgical devices. The safety features allow surgeon to halt all movements initiated by the collaborating surgeon via voice-activated commands.6 Table 1. Computer Motion systems that all are now owned by Intuitive Surgical.6 Equipment Costs Company Equipment Descriptions da Vinci Surgical $1 million Intuitive Robot-assistant, with arms to System Surgical connect surgical instruments Zeus Robot Surgical $975,000 Computer Robot-assistant, with arms System Motion* to connect surgical instruments Aesop 3000 $80,000 Computer Voice-controlled endoscope- Motion* positioning robot Hermes Control Center n/a Computer Centralized system used to Motion* network an intelligent OR Socrates Robotic n/a Computer Allows shared control of Telecollaboration System Motion* Aesop 3000 from different locations *.ormer Computer Motion systems that are now owned by Intuitive Surgical. Sources: from Journal of Healthcare Management 46:4 July/August 2003. What sort of operations we can do... The U.S. .ood and Drug Administration (US .DA) has cleared the da Vinci® Surgical System for use in urological surgical procedures, general laparoscopic surgical procedures, gynecologic laparoscopic surgical procedures, transoral otolaryngology surgical procedures restricted to benign and malignant tumors classified as T1 and T2, general thoracoscopic surgical procedures, and thoracoscopically assisted cardiotomy procedures.7-8 The system can also be employed with adjunctive mediastinotomy to perform coronary anastomosis during cardiac revascularization. The da Vinci® System has been successfully used in the following procedures, among others:
  • 227.
    200 Robotic Surgery for General Surgeons : .uture or .antasy Table 2 The procedures have been successfully performed by da Vinci® System.7 Surgical Specialties Procedures Urology Radical prostatectomy, pyeloplasty, cystectomy, nephrectomy, ureteral reimplantation Gynecology Hysterectomy, myomectomy and sacrocolpopexy Cardiothoracic Surgery Internal mammary artery mobilization and cardiac tissue ablation Mitral valve repair, endoscopic atrial septal defect closure Mammary to left anterior descending coronary artery anastomosis for cardiac revascularization with adjunctive mediastinotomy Gastrointestinal Surgery Cholecystectomy, Nissen fundoplication, Heller myotomy, gastric bypass, donor nephrectomy, adrenalectomy, splenectomy and bowel resection Otolaryngology Oropharyngeal, laryngeal and hypopharyngeal resections; floor of mouth and oral cavity resections In September 2000, .DA Approved the da Vinci® robotic surgery for the following operative procedures :- ! Cholecystectomy ! Antireflux procedures ! Heller’s cardiomyotomy ! Distal pancreatectomy ! Gastrojejunostomy ! Esophagectomy ! Gastric bypass ! Gastric banding ! Pyloroplasty ! Colectomy ! Adrenalectomy ! Splenectomy
  • 228.
    àǪÈÒʵÏ·¹Âؤ 2553 Ñ 201 Robotic surgery in gastrointestinal surgery : Siriraj experience We started to perform the first case of robotic-assisted laparoscopic esophagomyotomy on November, 30th 2007. Since then, 11 different types of laparoscopic gastrointestinal surgery were carried out with the successful rate over 84%. (Table 2) The principle of case selection has been based on the most benefits surgeons could gain from robotic-assisted devices. The need for tissue dissection in depth, differentiation of delicated tissue (such as sympathetic nerve plexus) or use of intracorporeal suturing and anastomosis were the reason to choose robotic-assisted laparoscopic approach. The most complex surgical procedure we performed was pancreaticoduodenectomy. Even though the successful rate on such a complex surgery was only 50%, all of the last 3 cases was uneventfully successful. The more procedures we have performed, the more experience we have received. To overcome the learning curve, we have to establish a good surgical team work, because the complex procedures certainly extend the operative time which cause the stress and fatigue to a single surgeon. Thus, we switched the surgical operator every 1-2 hours among 3 surgeons. This work as team approach led to nonstop operation with the most effective result. We demonstrated the shorter operative time by this technique. Table 3 The variety of surgical procedures performed in the Division of General Surgery, Department of Surgery, .aculty of medicine Siriraj Hospital. Procedures Attempt .ailure Esophagomyotomy 18 0 Pancreaticoduodenectomy 6 3 Low Anterior Resection 6 1 Nissen .undoplication 5 1 Partial Gastrectomy 2 0 Hepatectomy 2 1 Cholecystectomy 2 0 Hepaticojejunostomy 1 0 Abdominoperineal Resection 1 0 Sigmoidectomy and Rectopexy 1 0 Partial Duodenectomy 1 1 Total 45 7
  • 229.
    202 Robotic Surgery for General Surgeons : .uture or .antasy Conclusion Robotic surgery is now accepted as an alternative for selected surgical procedures. This is just a dawn of the new era for future surgery. We believe this innovation from the end of the last century would certainly establish a milestone of robotic surgery for the benefit of mankind. References 1. Sackier JM, Wang Y. Robotically assisted laparoscopic surgery: from concept to development. Surg Endosc 1994;8:63-6. 2. Ballantyne GH. Robotic surgery, telerobotic surgery, telepresence, and telementoring: Review of early clinical results. Surg Endosc 2002;6:1389-402. 3. http://library.thinkquest.org/03oct/00760/Zeus%20System.htm (Accessed on 17 July 2010) 4. http://www.intuitivesurgical.com/products/davinci_surgicalsystem/index.aspx (Accessed on 17 July 2010) 5. http://www.intuitivesurgical.com/www/site1/products/robotic/4th-Arm_259X319.jpg (Accessed on 17 July 2010) 6. http://www.frost.com/prod/servlet/market-insight-top.pag?docid=4453859 (Accessed on 17 July 2010) 7. Talamini MA, Chapman S, Horgan S, Melvin WS. A prospective analysis of 211 robotic-assisted surgical procedures. Surg Endosc 2003;17:1521–4. 8. Watanabe G. Are You Ready to Take Off as a Robo-surgeon? Surg Today 2010;40:491–3.
  • 230.
    àǪÈÒʵÏ·¹Âؤ 2553 Ñ º··Õè 203 31 Siriraj Trauma Center ÃͧÈÒʵÃÒ¨ÒÏ ¹ÒÂᾷ»ÃÕªÒ ÈÔÃԷͧ¶ÒÇà ÀÒ¤ÇÔªÒÈÑÅÂÈÒʵÏ ¤³Ðá¾·ÂÈÒʵÏÈÃÃÒª¾ÂÒºÒÅ ÁËÒÇÔ·ÂÒÅÑÂÁËÔ´Å ÔÔ ¡ÒôÙáżٌ»†ÇÂÍØºÑµÔà˵Øã¹âç¾ÂÒºÒÅÈÔÃÔÃÒª ¡Å‹ÒÇ䴌NjÒ໚¹ÈÙ¹ÂÍØºÑµÔà˵تÑé¹¹íҢͧ »ÃÐà·Èä·Â â´Â·ÑÇä»§Ò¹·Ò§´ŒÒ¹Íغµà赯 »ÃСͺ´ŒÇ è Ñ Ô 1. §Ò¹·Ò§´ŒÒ¹»‡Í§¡Ñ¹ (Prevention) 2. §Ò¹´ŒÒ¹¡ÒôÙáżٻÇ¡‹Í¹¶Ö§âç¾ÂÒºÒÅËÃ×Í¡Òâ¹ÂŒÒ¼ٻÇ (Prehospital care) Œ † Œ † 3. ¡ÒôÙáżٻÇÂã¹âç¾ÂÒºÒÅ (Acute hospital care) Œ † 4. ¡Òÿ„¹¿ÙÊÁÃöÀÒ¾ (Rehabilitation) œ 5. ¡ÒÃÇԨ (Research activities) Ñ §Ò¹·Ò§´ŒÒ¹»‡Í§¡Ñ¹áÅСÒôÙáżٻÇ¡‹Í¹ÁÒ¶Ö§âç¾ÂÒºÒÅ áÁŒÇÒ¨ÐäÁ‹ãª‹§Ò¹ËÅÑ¡â´ÂµÃ§ Œ † ‹ ¢Í§·Ò§âç¾ÂÒºÒÅÈÔÃÃÒª ᵋ¡ÁÊǹËÇÁ´ŒÇÂ㹡óշãËŒ¤ÇÒÁÃÙ¡º¹Ñ¡àÃÕ¹áÅлÃЪҪ¹ ¨Ò¡¡ÒÃ Ô ç Õ‹ Õè Œ Ñ ¨Ñ´ÍºÃÁÇÔªÒ¡ÒÃËÃ×ÍãËŒ¤ÇÒÁÃÙ·Ò§Ê×͵‹Ò§æ ໚¹¤Ãѧ¤ÃÒÇ áÅÐãËŒ¤ÇÒÁËÇÁÁ×͡Ѻ·Ò§ÈٹàÍÃÒÇѳ Œ è é ËÃ×ÍÈٹ¹àù·Ã àÁ×ÍÁÕà˵ءÒ󏩡à©Ô¹¾ÔàÈÉà¡Ô´¢Ö¹ è Ø é §Ò¹ËÅÑ¡¢Í§Èٹͺµà˵Øâç¾ÂÒºÒÅÈÔÃÃÒª ¤×Í ¡ÒÃãËŒºÃÔ¡ÒôŒÒ¹¡ÒÃÃÑ¡ÉÒáÅкÃÔ¡ÒÃ Ø Ñ Ô Ô ÇÔªÒ¡Òà ÃÇÁ·Ñ§¡ÒÃÇÔ¨Âã¹¼Ù»ÇÂÍØºµà赯 ¡ÒÃãËŒ¡ÒÃÃÑ¡ÉÒ (acute hospital care) áÅСÒÿ„¹¿Ù é Ñ Œ † Ñ Ô œ ÊÁÃöÀÒ¾ (rehabilitation) ¢Í§âç¾ÂÒºÒÅÈÔÃÃÒªÁÕ¤ÇÒÁ¾ÃŒÍÁã¹·Ø¡´ŒÒ¹ áÅÐÁռŧҹ·Ò§´ŒÒ¹ Ô ÇÔ¨ÂáÅÐÇÔªÒ¡Òà ÍÍ¡ÁÒâ´ÂÊÁèÒàÊÁÍ ã¹·Õ¹¨Ð¡Å‹ÒǶ֧¨Ø´à¹Œ¹¢Í§Èٹͺµà赯 «Ö§¨ÐãËŒ¤ÇÒÁÊíҤѭ Ñ í è Õé Ø Ñ Ô è µ‹Í¤ÇÒÁ¾ÃŒÍÁ ¢Í§¡ÒÃãËŒ¡ÒôÙáżٻÇÂã¹ÃÐÂЩءà©Ô¹ (acute hospital care) ¼Ù»Ç¹͡¢Í§µÖ¡ Œ † Œ † ÍØºµà赯 âç¾ÂÒºÒÅÈÔÃÃÒª Áըҹǹ»‚ÅлÃÐÁÒ³ 30,000-35,000 ÃÒ ໚¹¼Ù»ÇÂãËÁ‹»ÃÐÁÒ³ Ñ Ô Ô í Œ † 13,000 ÃÒµ‹Í»‚ áÅÐÃѺänjáÉÒã¹âç¾ÂÒºÒÅ»ÃÐÁÒ³»‚ÅÐ 2,000 ÃÒ ໚¹¼Ù»Ç·ÕÁÒÃѺ¡ÒÃ Ñ Œ † è ÃÑ¡ÉÒâ´ÂµÃ§ËÅÑ§ÍØºµà赯 áÅмٻÇ·բÍÁÒÃѺ¡ÒÃÃÑ¡ÉÒµ‹Í¨Ò¡âç¾ÂÒºÒÅÍ×¹æ Ñ Ô Œ † è è ¡ÒÃãËŒ¡ÒÃÃÑ¡ÉÒ¼Ù»ÇÂÍ‹ҧ¶Ù¡µŒÍ§ ÃÇ´àÃçÇáÅлÅÍ´ÀÑ µŒÍ§ÁÕ¡ÒÃàµÃÕÂÁºØ¤ÅÒ¡Ã, ʶҹ Œ † ·ÕáÅÐà¤Ã×ͧÁ×ÍäÇŒãËŒ¾ÃŒÍÁ â´Â¡ÒÃàµÃÕÂÁºØ¤ÅÒ¡Ã »ÃСͺ´ŒÇÂᾷ ¾ÂÒºÒÅáÅмÙÃÇÁ§Ò¹Í×¹æ è è Œ‹ è ᾷ·ÍÂÙ»ÃШíҾÌÍÁãËŒ¡ÒÃÃÑ¡Éҷѹ·Õ »ÃСͺ´ŒÇ ÈÑÅÂᾷ·Çä», ÈÑÅÂᾷÍÍÏ⸻´¡Ê, Õè ‹ Ñè Ô ÈÑÅÂᾷÃкº»ÃÐÊÒ·áÅÐÇÔÊ­­Õᾷ ᾷ͡¡ÅØÁ˹֧·Õú»ÃÖ¡ÉÒ䴌ᡋ ÈÑÅÂᾷ੾ÒÐ Ñ Õ ‹ è èÑ ·Ò§Í×¹æ áÅÐᾷ੾ÒзҧÊÒ¢ÒÍ×¹æ ÃÇÁ·Ñ§¹ÔµàǪ «Ö§âç¾ÂÒºÒÅÈÔÃÃÒªÁդú·Ø¡ÊÒ¢Ò è è é Ô è Ô ÊíÒËÃѺ¾ÂÒºÒÅ·Õµ¡Íغµà赯 ¡çÁ¾ÂÒºÒū֧»¯ÔºµË¹ŒÒ·ÕµÒ§æ â´Â੾ÒР䴌ᡋ ¾ÂÒºÒÅ·ÕËͧ è Ö Ñ Ô Õ è Ñ Ô è ‹ è Œ
  • 231.
    204 Siriraj Trauma Center ©Ø¡à©Ô¹, ¾ÂÒºÒÅˌͧ¼‹ÒµÑ´, ¾ÂÒºÒÅËÍÍÀÔºÒÅ, ¾ÂÒºÒÅËͼٻÇÂáÅоÂÒºÒÅ´ÙáżٻÇÂä¿ Œ † Œ † äËÁŒ¹ÒÌ͹ÅÇ¡ ºØ¤ÅÒ¡ÃÍ×¹æ ·ÕªÇ»¯Ôºµ§Ò¹ÍÕ¡¨íҹǹÁÒ¡ ઋ¹ àÀÊѪ¡Ã, ¾¹Ñ¡§Ò¹à»Å, àǪ éí è è ‹ Ñ Ô ÃÐàºÕ¹, ÃѧÊÕà·¤¹Ô¤, àÊÁÕ¹, ¤¹§Ò¹áÅÐÊѧ¤Áʧà¤ÃÒÐˏ ໚¹µŒ¹ ¡ÒÃàµÃÕÂÁʶҹ·ÕáÅÐà¤Ã×ͧÁ×Í ÁÕ¡ÒÃàµÃÕÂÁˌͧµÃǨ¼Ù»Ç¹͡, ˌͧ¼‹ÒµÑ´, ËÍÍÀÔºÒÅ, è è Œ † ËͼٻÇÂÊÒÁÑ­áÅоÔàÈÉ áÅÐËͼٻÇÂä¿äËÁŒ¹ÒÌ͹ÅÇ¡ ÃÇÁ·Ñ§Êíҹѡ§Ò¹¸ØÃ¡ÒâͧµÖ¡Íغµà赯 Œ † Œ † éí é Ñ Ô à¹×ͧ¨Ò¡à»š¹âçàÃÕ¹ᾷ¨§µŒÍ§àµÃÕÂÁˌͧ»ÃЪØÁ áÅÐˌͧ»¯Ôºµ¡ÒÃÊíÒËÃѺ¡ÒÃàÃÕ¹¡ÒÃÊ͹ è Ö Ñ Ô ´ŒÇ ÊíÒËÃѺˌͧµÃǨ¼Ù»Ç¹͡ à¹×ͧ¨Ò¡¼Ù»ÇÂࢌÒÁÒÃѺºÃÔ¡ÒèíҹǹÁÒ¡ ¨íÒ໚¹µŒÍ§àµÃÕÂÁ Œ † è Œ † ºÃÔàdzÊíÒËÃѺàǪÃÐàºÕ¹ ˌͧ¶‹ÒÂÀÒ¾ÃѧÊÕ ËŒÍ§ÂÒ ËŒÍ§à¡çºà§Ô¹ »ÃЪÒÊÑÁ¾Ñ¹¸áÅÐãËŒ¢ÍÁÙÅ Œ ºÃÔàdz·ÕࢌÒÁÒÃѺ¡ÒõÃǨÃÑ¡ÉÒ ÁÕºÃÔàdzÊíÒËÃѺÈÑÅÂᾷ·Çä» ÈÑÅÂᾷÍÍÏ⸻´¡ÊáÅÐ¹Ô è Ñè Ô µÔàǪ ¹Í¡¨Ò¡¹Õ䴌ẋ§ºÃÔàdzÊíÒËÃѺ¼Ù»Ç©ءà©Ô¹ áÅмٻÇ·Õ䴌úºÒ´à¨çºÃعáçänj੾ÒÐ à¾×Í é Œ † Œ † è Ñ è ãËŒ¼»ÇÂàËŋҹÕ䴌ú¡ÒÃÃÑ¡ÉÒä´Œ·¹·‹Ç§·Õ áÅÐàµÃÕÂÁºÃÔàdzÊíÒËÃѺ§Ò¹¾ÔàÈÉ àª‹¹ ¡ÒÃãʋང͡ ÙŒ † é Ñ Ñ ËÃ×͵Ѵང͡ áÅСóշÁͺµàËµØ¡ÅØÁª¹ µŒÍ§ÁÕºÃÔàdz·Õ㪌à¡çº¢Í§ÁդҢͧ¼Ù»Ç áÅкÃÔàdz·Õè Õè Õ Ø Ñ Ô ‹ è ‹ Œ † 㪌à¡çºÈ¾ ໚¹µŒ¹ »˜¨¨Øº¹ÁÕ¡ÒÃ㪌ÊÒÃà¤ÁÕ-ªÕÇÀÒ¾-ÃѧÊÕ㹡Òá‹Í¡ÒÃÌҠ¨Ö§µŒÍ§àµÃÕÂÁºÃÔàdz¡íҨѴ Ñ ÊÒþÔÉ (decontamination) äÇŒ´Ç ¡‹Í¹¹íÒ¼Ù»ÇÂࢌÒˌͧµÃǨ Œ Œ † ¹Í¡¨Ò¡àµÃÕÂÁ¡ÒÃãËŒ¡ÒÃÃÑ¡ÉÒ¼Ù»ÇÂáÅŒÇ µŒÍ§ÁÕá¹Ç·Ò§»¯ÔºµÊÒËÃѺ¡ÒôÙáżٻÇ áÅÐ Œ † Ñ Ôí Œ † á¼¹´ÙáÅÃÑ¡ÉÒÍØºµÀÂ¡ÅØÁª¹ ÊíÒËÃѺ¡ÒþѲ¹ÒáÅÐáÊ´§¶Ö§¤ÇÒÁ໚¹Áҵðҹ ÈٹͺµàËµØ Ñ Ô Ñ ‹ Ø Ñ Ô âç¾ÂÒºÒÅÈÔÃÃÒªµŒÍ§ÁÕ¡ÒÃà¡çº¢ŒÍÁÙÅ (trauma registry) áÅСÒ÷íÒÇԨ (research activities) ÃÇÁ Ô Ñ ·Ñ§ÁÕ¡ÒõÃǨÊͺ¼Å¡ÒÃÃÑ¡ÉÒ (trauma audit) Í‹ҧÊÁèÒàÊÁÍ é í ¡ÒÃàÃÕ¹¡ÒÃÊ͹¡çÁÃдѺµ‹Ò§æ µÑ§áµ‹ ¹Ñ¡ÈÖ¡ÉÒᾷ ᾷ»ÃШíÒºŒÒ¹ ᾷ੾Òзҧ Õ é ¹Ñ¡àÃÕ¹áÅлÃЪҪ¹·ÑÇä» ·Ñ§·Õ¨´ã¹âç¾ÂÒºÒÅ ¹Í¡âç¾ÂÒºÒÅ áÅм‹Ò¹Ê×͵‹Ò§æ è é èÑ è ÍÒ¨¡Å‹ÒÇ䴌NjÒʶҺѹ¡ÒôÙáżٌ»†ÇÂÍØºÑµÔà˵طÕèâç¾ÂÒºÒÅÈÔÃÔÃҪ໚¹ Trauma Center ·ÕèÁҵðҹáË‹§Ë¹Ö觢ͧ»ÃÐà·Èä·Â ãËŒ¡ÒôÙáżٌ»†ÇÂÍØºÑµÔà˵Øä´ŒÍ‹ҧ¶Ù¡µŒÍ§ ÃÇ´àÃçÇ áÅÐ ¤Ãͺ¤ÅØÁ·Ø¡¡ÒúҴà¨çº ÁÕ¡ÒÃà¡çº¢ŒÍÁÙÅáÅÐá¹Ç·Ò§»¯Ôºµ·ª´à¨¹ áÅÐÁÕ¡ÒõÃǨÊͺ¡ÒÃÃÑ¡ÉÒ Ñ Ô Õè Ñ à¾×èÍ¡ÒþѲ¹ÒáÅÐÃÑ¡ÉÒÁҵðҹ㹡ÒôÙáżٌ»†Ç àÍ¡ÊÒÃ͌ҧÍÔ§ 1. American College of Surgeons (Committee on Trauma). Resources for Optimal Care of the Injured Patient. Chicago, American College of Surgeons, 2006. 2. ÊÁÒ¤ÁᾷͺµàÔ ËµØáË‹§»ÃÐà·Èä·Â. ÃÒ§ҹ¼Å¡ÒõÃǨàÂÕÂÁÈٹͺµàÔ ËµØ â´ÂÊÁÒ¤ÁᾷͺµàÔ ËµØáË‹§»ÃÐà·Èä·Â Ø Ñ è Ø Ñ Ø Ñ »ÃШíÒ»‚ 2550, 2550. 3. ¤³Ðá¾·ÂÈÒʵÏÈÔÃÔÃÒª¾ÂÒºÒÅ. á¼¹ÃÑºÍØºÑµÔàËµØ¡ÅØ‹Áª¹ ¤³Ðá¾·ÂÈÒʵÏÈÔÃÔÃÒª¾ÂÒºÒÅ »‚ ¾.È. 2550. ¡Ãا෾ÁËÒ¹¤Ã: âç¾ÔÁ¾àÃ×͹ᡌǡÒþÔÁ¾, 2550.
  • 232.
    àǪÈÒʵÏ·¹Âؤ 2553 Ñ º··Õè 205 32 Siriraj Trauma Center ¹Ò§ÇÔÀÒÀó ÈÃÕ¾¨¹¸ÃÃÁ ˹‹ÇµÃǨâÃ¤ÍØºµà赯 âç¾ÂÒºÒÅÈÔÃÃÒª ¤³Ðá¾·ÂÈÒʵÏÈÃÃÒª¾ÂÒºÒÅ ÁËÒÇÔ·ÂÒÅÑÂÁËÔ´Å Ñ Ô Ô ÔÔ ÍØºµà˵Øà»š¹¤ÇÒÁà¨çº»†Ç·ÕÁ¼Å¡Ãзºµ‹Í¡Ò÷íÒ˹ŒÒ·Õã¹ËÅÒÂÃкº¢Í§Ã‹Ò§¡Ò ·Ñ§Âѧ໚¹ Ñ Ô è Õ è é ÊÒà˵آͧ¡ÒÃàÊÕªÕǵã¹ÅíҴѺµŒ¹¢Í§»ÃÐà·Èä·Â áÁŒÇÒ¨ÐÁÕ¡ÒþѲ¹ÒÃкº 㹡Òû‡Í§¡Ñ¹´ÙáÅ Ô ‹ ÃÑ¡ÉÒáÅСÒþÂÒºÒÅáŌǡçµÒÁ ¡Òê‹Ç¼ٻÇÂÍØºµà˵ØãËŒ»ÅÍ´ÀÑ ¨Ö§µŒÍ§·íÒ໚¹·ÕÁ¢Í§¡ÒôÙáÅ Œ † Ñ Ô ÃÑ¡ÉÒã¹·Ø¡ÃÐÂТͧ¡ÒúҴà¨çº µÑ§áµ‹©¡à©Ô¹ ³ ¨Ø´à¡Ô´à˵ØáÅÐã¹ËŒÍ§©Ø¡à©Ô¹ ÃÐÂÐÇԡĵã¹ËŒÍ§ é Ø ¼‹ÒµÑ´ ËͼٻÇÂ˹ѡ áÅÐÃÐÂоѡ¿„¹ã¹ËͼٻÇ ¡ÒÃàÊÕªÕǵ¢Í§¼Ù»ÇÂÍØºµàËµØ¨Ò¡ÍØºµà˵طÕè Œ † œ Œ † Ô Œ † Ñ Ô Ñ Ô à¡Ô´¢Öé¹Ê‹Ç¹ãË­‹ÁÒ¨Ò¡¡ÒúҴà¨çº·ÕèÃØ¹áç¢Í§»˜­ËÒà¡ÕèÂǡѺ¡ÒÃËÒÂã¨áÅСÒÃäËÅàÇÕ¹ àÅ×Í´«Ö§µŒÍ§¡ÒáÒôÙáÅÍ‹ҧà˧´‹Ç¹·ÕÃͤÍ¡ÒôÙáÅäÁ‹ä´Œ ᵋ¼»ÇÂÍØºµà˵غҧÃÒÂàÊÕªÕǵ·Ñ§æ è è ÙŒ † Ñ Ô Ô é ·ÕäÁ‹ÊÁ¤ÇèÐàÊÕªÕǵ à¹×ͧ¨Ò¡¤ÇÒÁŋҪŒÒ㹡Òê‹ÇÂàËÅ×Í ³ ¨Ø´à¡Ô´à赯 ¡ÒÃÊ‹§µ‹Í¡ÒÃÃÑ¡ÉÒ áÅÐ è Ô è ¡ÒõѴÊÔ¹ã¨ã¹¡ÒôÙáÅ â´Â੾ÒСÒÃàÅ×Í¡âç¾ÂÒºÒÅ㹡ÒùíÒÊ‹§ËÃ×ÍÊ‹§µ‹Íà¾×Í¡ÒÃÃÑ¡ÉÒ·ÕàËÁÒÐ è è ÊÁ¡Ñº¤ÇÒÁÃØ¹áç¢Í§¡ÒúҴà¨çº¨ÐÁռŪ‹ÇÂãËŒ¼»ÇÂÍØºµàËµØ¨Ò¡ÍØºµà˵ØÃÍ´¾Œ¹¨Ò¡¡ÒÃàÊÕªÕǵ ÙŒ † Ñ Ô Ñ Ô Ô »ÅÍ´ÀѨҡÀÒÇÐá·Ã¡«ŒÍ¹ËÃ×ͤÇÒÁ¾Ô¡Ò÷ÕèÍÒ¨à¡Ô´¢Öé¹ ´ŒÇÂà˵شѧ¡Å‹ÒǨ֧䴌ÁÕ¡ÒèѴµÑé§Èٹ ÍØºµà赯 (trauma center) 㹡ÒôÙáżٻÇÂÍØºµàËµØ¨Ò¡ÍØºµà赯 «Ö§ÁÕÈ¡ÂÀÒ¾¾ÃŒÍÁ ·Ñ§ã¹´ŒÒ¹ Ñ Ô Œ † Ñ Ô Ñ Ô è Ñ é ºØ¤ÅÒ¡Ã ÍØ»¡Ã³¡Òê‹ÇÂàËÅ×Í áÅÐʶҹ·Õè 㹡Òê‹Ç¼ٻÇÂÍØºµà˵طÁ¤ÇÒÁ«Ñº«ŒÍ¹Ãعáç ãËŒÃÍ´ Œ † Ñ Ô Õè Õ ¾Œ¹¨Ò¡ÀÒÇФء¤ÒÁªÕǵ䴌Í‹ҧ»ÅÍ´ÀÑ ÁÕᾷãËŒ¡ÒÃÃÑ¡ÉÒµÅÍ´ 24 ªÑÇâÁ§ ÁÕ¾ÂÒºÒÅ·ÕÁ¤ÇÒÁÃÙŒ Ô è è Õ áÅзѡÉФÇÒÁªíÒ¹Ò­ ãËŒ¡ÒþÂÒºÒżٌ»†ÇÂÍØºÑµÔàËµØ¨Ò¡ÍØºÑµÔà赯 áÅÐÁÕ¾ÂÒºÒżٌ»ÃÐÊÒ¹§Ò¹ ÍØºµà赯 (trauma nurse coordinator : TNC) ¤Í»ÃÐÊÒ¹ÍíҹǤÇÒÁÊдǡ㹡Òê‹ÇÂàËÅ×Í ÃÐËNjҧ Ñ Ô ¡ÒôÙáÅÃÑ¡ÉÒ áÅШѴà¡çº¢ŒÍÁÙÅ㹡ÒôÙáÅÃÑ¡ÉÒÍ‹ҧ໚¹Ãкº(1,2) âç¾ÂÒºÒÅÈÔÃÔÃÒª ÁÕ¡ÒèѴµÑé§Ë¹‹Ç§ҹ·ÕèãËŒ¡ÒôÙáżٌ»†ÇÂÍØºÑµÔà˵طءÃÐÂÐ â´Â੾ÒÐ µÑ§áµ‹»‚ ¾.È. 2514 áÅÐ䴌ú¡ÒÃᵋ§µÑ§¨Ò¡¤³Ð͹ءÃÃÁ¡ÒõµÔÂÀÙÁ¡ÒôÙáżٻÇÂÍØºµà˵Øãˌ໚¹ é Ñ é Ô Œ † Ñ Ô trauma center µÑ§áµ‹»‚ ¾.È. 2547 «Ö§ “Siriraj Trauma Center” »ÃСͺ´ŒÇÂ˹‹Ç§ҹ·ÕãËŒ¡Òà é (2) è è ´ÙáżٻÇ ´Ñ§¹Õé Œ † - ˹‹ÇµÃǨâÃ¤ÍØºµàËµØ Ñ Ô - ˹‹Ç¼‹ÒµÑ´ÍغµàËµØ Ñ Ô - ICUÍØºµàËµØ Ñ Ô - ËͼٻÇÂÍØºµà赯 Œ † Ñ Ô
  • 233.
    206 Siriraj Trauma Center - ˹‹ÇÂä¿äËÁŒ¹ÒÌ͹ÅÇ¡ éí - ËͼٻÇÂÍ×¹æ ·ÕÃÇÁãËŒ¡ÒôÙáżٻÇÂÍØºµà赯 Œ † è è‹ Œ † Ñ Ô ¨Ò¡Ê¶ÔµË¹‹ÇµÃǨâÃ¤ÍØºµà˵Øã¹»‚ ¾.È.2552 ¨íҹǹ¼Ù»ÇÂãËÁ‹ 23,227 ÃÒ ¼Ù»ÇÂà¡‹Ò Ô Ñ Ô Œ † Œ † 37,662 ÃÒ ໚¹¼Ù»Ç·ÕúŒÒ¨ҡâç¾ÂÒºÒÅÍ×¹ 1,106 ÃÒ ¨Ò¡¨íҹǹ¼Ù»Ç·ѧËÁ´ ¨Ñ´à»š¹ Œ † èÑ è Œ † é ¼Ù»ÇÂ¡ÅØÁ©Ø¡à©Ô¹ÁÒ¡ (emergent : ¼Ù»Ç·յͧ䴌ú¡ÒôÙáÅÃÑ¡Éҷѹ·‹Ç§·Õ) ¨íҹǹ 401 ÃÒ Œ † ‹ Œ † è Œ Ñ àÊÕªÕǵ 26 ÃÒ (á¼¹ÀÙÁÔ 1) ·ÕàËÅ×Í໚¹¼Ù»ÇÂ¡ÅØÁÍ×¹æ â´ÂÁÕ¼»Ç·ÕúänjáÉÒµÑÇã¹âç¾ÂÒºÒÅ Ô è Œ † ‹ è ÙŒ † è Ñ Ñ ¨íҹǹ 1,820 ÃÒ (3) á¼¹ÀÙÁÔ 1 ¼ÙŒ»†ÇÂ¡ÅØ‹Á©Ø¡à©Ô¹ÁÒ¡ (Emergent) »‚ ¾.È.2552(3) ˹‹ÇµÃǨâÃ¤ÍØºµà˵ØãËŒºÃÔ¡ÒüٻÇÂÍØºµà˵صÅÍ´ 24 ªÑÇâÁ§ Ẻ¤ÃºÇ§¨Ã (one stop Ñ Ô Œ † Ñ Ô è service) ·Ñ§·Õ໚¹¼Ù»ÇÂ¡ÅØÁ©Ø¡à©Ô¹ãËÁ‹ áÅмٻÇÂÍØºµà˵Øà¡‹Ò·ÕÁÒµÔ´µÒÁ¼Å¡ÒÃÃÑ¡ÉÒ ÁÕ¡ÒÃãËŒ é è Œ † ‹ Œ † Ñ Ô è ºÃÔ¡ÒüٻǺҴà¨çº¡Ãд١˹ŒÒËÑ¡ ºÒ´à¨çºÁ×Í ÍÍÏ⸻´¡Ê áÅкÃÔ¡Ò÷ҧ´ŒÒ¹¹ÔµàǪ ´Ñ§¹Ñ¹ Œ † Ô Ô é ¾ÂÒºÒÅ˹‹ÇµÃǨâÃ¤ÍØºµà˵بеŒÍ§ãËŒ¡ÒôÙáżٻÇÂÍØºµà˵ط§ã¹ËŒÍ§©Ø¡à©Ô¹ (emergency room) Ñ Ô Œ † Ñ Ô Ñé ·ÕÁÒÃÑ¡ÉÒ´ŒÇÂÀÒÇФء¤ÒÁªÕǵ (life-threatening conditions) ¢Í§¡ÒÃËÒÂã¨áÅСÒÃäËÅàÇÕ¹¢Í§àÅ×Í´ è Ô ¨¹¡Ãзѧ䴌ú¡Òê‹ÇÂàËÅ×Íàº×ͧµŒ¹ áÅÐà¾×Íä»ÃѺ¡ÒÃÃÑ¡ÉÒµ‹Í·ÕËͧ¼‹ÒµÑ´ËÃ×ͼٻÇÂ˹ѡ ÃÇÁ¶Ö§ è Ñ é è è Œ Œ † ·íÒ˹ŒÒ·Õ໚¹¼ÙÍҹǤÇÒÁÊдǡ ¤Çº¤ØÁ¡Ãкǹ¡Ò÷íÒ§Ò¹ ¨Ñ´Ãкº¡ÒôÙáÅÃÑ¡ÉÒ¼Ù»ÇÂÍØºµàËµØ è Œí Œ † Ñ Ô ãˌ໚¹ä»Í‹ҧÃÒºÃ×¹ÁÕ¤ÇÒÁ¤Å‹Í§µÑÇ áÅÐʹѺʹعãËŒ¤ÇÒÁª‹ÇÂàËÅ×ͼٻÇÂÍØºµà赯 ·Ø¡Ê¶Ò¹¡Òó è Œ † Ñ Ô ¢Í§¡ÒúҴà¨çº µÑé§áµ‹¼ÙŒ»†ÇÂÍØºÑµÔà˵Øà¢ŒÒÃѺ¡ÒÃÃÑ¡ÉÒ ¡ÃзÑ觨íÒ˹‹ÒÂÍÍ¡¨Ò¡âç¾ÂÒºÒÅ µÅÍ´¨¹¡ÒõԴµÒÁ¡ÒÃÃÑ¡ÉÒ¾ÂÒºÒÅ â´ÂÅ´ª‹Í§Ç‹Ò§ã¹¡ÒôÙáÅÃÑ¡ÉÒ¼Ù»ÇÂÍØºµà赯 ºÃÔËÒèѴ¡Òà Œ † Ñ Ô ´ŒÒ¹¡ÒÃÃÑ¡ÉÒ´ÙáżٻÇÂÍØºµà˵ØãËŒà¡Ô´¤Ø³ÀÒ¾áÅлÃÐÊÔ·¸ÔÀÒ¾¢Í§¡ÒúÃÔ¡Òà ¡íҡѺ´ÙáÅ¡ÒÃà¡çº Œ † Ñ Ô
  • 234.
    àǪÈÒʵÏ·¹Âؤ 2553 Ñ 207 ÃǺÃÇÁ¢ŒÍÁÙÅáÅÐàǪÃÐàºÕ¹ãˌ໚¹ä»µÒÁÁҵðҹ â´ÂÁÕ໇ÒËÁÒÂãËŒ¼»ÇÂÁÕ¡Òÿ„¹ËÒ¡ÅѺÊÙ‹ ÙŒ † œ ÊÀÒ¾»¡µÔ䴌͋ҧ»ÅÍ´ÀÑ »ÃÒȨҡÀÒÇÐá·Ã¡«ŒÍ¹ µÅÍ´¨¹¡ÒÃŧºÑ¹·Ö¡Ãкº°Ò¹¢ŒÍÁÙÅà¾×Í¡ÒÃ è ¾Ñ²¹ÒáÅзº·Ç¹¤Ø³ÀÒ¾¢Í§¼ÙŒ»†ÇÂÍØºÑµÔà赯 áÅоѲ¹ÒÃкº¡ÒôÙáżٌ»†ÇÂÍØºÑµÔà赯 ·Ñé§¡Òà ¨Ñ´»ÃЪØÁãËŒ¤ÇÒÁÃÙŒ ¡ÒÃÇԨѠáÅСÒÃÊÌҧἹ»¯ÔºÑµÔ§Ò¹ ·Õ赌ͧ㪌㹡ÒôÙáżٌ»†ÇÂÍØºÑµÔà赯 ã¹âç¾ÂÒºÒŵÒÁÁҵðҹ¢Í§ÈٹͺµàËµØ Ø Ñ Ô ¤ÇÒÁÃѺ¼Ô´ªÍº¢Í§¾ÂÒºÒÅ˹‹ÇµÃǨâÃ¤ÍØºÑµÔà˵ب֧»ÃСͺ´ŒÇ ÀÒÃСÒû¯ÔºÑµÔ 4 ´ŒÒ¹(1,2,3,4,5) ¤×Í 1. ¡ÒúÃÔËÒèѴ¡Ò÷ҧ¤ÅÔ¹Ô¡ (Clinical management) 1.1 ºÃÔËÒèѴ¡ÒáÒôÙáÅÃÑ¡ÉÒ¼ÙŒ»†ÇÂÍØºÑµÔà赯 â´ÂµÔ´µ‹Í»ÃÐÊÒ¹§Ò¹ÊÌҧ¤ÇÒÁªÑ´à¨¹ã¹¡ÒôÙáÅÃÑ¡ÉÒ ãˌ໚¹ä»µÒÁÁҵðҹ §Ò¹Íغµà˵ة¡à©Ô¹ â´ÂÁÕ¡ÒèѴ·íÒ Ñ Ô Ø - ¤ÙÁÍáÅÐá¼¹ÀÙÁ㹡ÒèíÒṡ»ÃÐàÀ·¼Ù»ÇÂÍØºµà˵Ø(6) ‹ × Ô Œ † Ñ Ô - Trauma resuscitation team (7) - Trauma nursing document 1.2 ¡ÒþѲ¹Òá¹Ç·Ò§»¯ÔºÑµÔ·Ò§¤ÅÔ¹Ô¡ ˹‹ÇµÃǨâÃ¤ÍØºµà˵ØÁ¡ÒþѲ¹Òá¹Ç·Ò§»¯Ôºµ·Ò§¤ÅÔ¹¡ áÅСÒÃ㪌á¹Ç»¯ÔºµÔ Ñ Ô Õ Ñ Ô Ô Ñ ·Õ¾²¹Ò¢Ö¹ 㹡ÒôÙáżٻÇÂᵋÅÐÃÐÂзվ¡ÃÑ¡ÉÒã¹âç¾ÂÒºÒÅ à¾×ÍãËŒà¡Ô´¡ÒÃÃÑ¡ÉÒ¾ÂÒºÒÅ໚¹ è Ñ é Œ † è Ñ è ä»ã¹á¹Ç·Ò§à´ÕÂǡѹ µÑ§áµ‹ÅҴѺ¤ÇÒÁࢌÒ㨠áÅТѹµÍ¹¡ÒôÙáżٻÇÂÍØºµà赯 ÈÖ¡ÉÒ¹âºÒÂáÅÐ é í é Œ † Ñ Ô Ãкº¢ŒÍÁÙŢͧâç¾ÂÒºÒÅ ÃÇÁ·Ñ§ÈÖ¡ÉÒ»˜­ËÒáÅÐÇÒ§á¹Ç·Ò§¡ÒÃᡌ䢨ҡ¡Ãкǹ¡ÒôÙáÅã¹áµ‹ é ÅТѹµÍ¹ «Ö§Ë¹‹Ç§ҹÁÕá¹Ç»¯Ôºµ´§¹Õé é è Ñ Ô Ñ - á¹Ç·Ò§»¯Ôºµ¡ÒÃãˌǤ«Õ¹»‡Í§¡Ñ¹ºÒ´·ÐÂÑ¡ Ñ Ô Ñ - á¹Ç·Ò§»¯Ôºµ¡ÒÃãˌǤ«Õ¹»‡Í§¡Ñ¹¾ÔÉÊØ¹¢ºŒÒ Ñ Ô Ñ Ñ - á¹Ç·Ò§»¯Ôºµ¡ÒþÂÒºÒÅ㹡ÒÃà¤Å×͹ŒÒ¼ٻÇÂÇԡĵ©Ø¡à©Ô¹ã¹âç¾ÂÒºÒÅ Ñ Ô è Œ † - á¹Ç·Ò§»¯Ôºµ¡ÒþÂÒºÒżٻÇ·ÕÁâÍ¡ÒÊàÊÕ§µ‹Í¡ÒÃÊÑÁ¼ÑÊàª×;ÔÉÊØ¹¢ºŒÒ Ñ Ô Œ † è Õ è é Ñ (ÍÂÙã¹ÃÐËNjҧ¡ÒÃÈÖ¡ÉÒÇÔ¨Â) ‹ Ñ - ¡ÒÃÇÒ§á¼¹¨íÒ˹‹Ò¼ٻÇ·պҴà¨çº·ÕÈÃÉÐäÁ‹Ã¹áç Œ † è è Õ Ø »ÃÐàÀ·äÁ‹µÍ§¾Ñ¡ÃÑ¡ÉÒµÑÇã¹âç¾ÂÒºÒÅ Œ 1.3 ¡ÒáíҡѺµÃǨÊͺ¡ÒôÙáÅÃÑ¡ÉÒ ¨Ñ´ãËŒÁ¡ÒõÃǨÊͺ¡ÒôÙáÅÃÑ¡ÉÒµ‹Ò§æ µÑ§áµ‹»ÃÐÇѵ¡ÒÃÃѺ¡ÒÃÃÑ¡ÉÒ á¼¹¡ÒôÙáÅ Õ é Ô ÃÑ¡ÉÒ »‡Í§¡Ñ¹ÀÒÇÐá·Ã¡«ŒÍ¹ Ê‹§àÊÃÔÁáÅСÒÿ„¹¿ÙÊÀÒ¾ «Ö§Ë¹‹Ç§ҹÁÕ¡ÒèѴ·íÒ multi-disciplinary œ è trauma audit ·Ø¡ÇѹÍѧ¤Òà áÅÐ trauma nurse conference à´×͹ÅÐ 1 ¤Ãѧ é
  • 235.
    208 Siriraj Trauma Center 1.4 ¡ÒÃ໚¹¼ÙŒªÕéá¹ÐáÅÐãËŒ¤íÒ»ÃÖ¡ÉÒ ¾ÂÒºÒÅ໚ ¹ ˹Öè § ã¹·Õ Á ¡ÒÃÃÑ ¡ ÉÒã¹¢³Ðà´Õ Â Ç¡Ñ ¹ ¡ç µŒ Í §à»š ¹ ·Õè » ÃÖ ¡ ÉÒáÅРËÇÁ»ÃÖ¡ÉҡѺ¤Ãͺ¤ÃÑÇáÅЭҵԢͧ¼Ù»ÇÂÍØºµà˵تÇÂãËŒà¡Ô´¤ÇÒÁࢌÒã¨ã¹¾ÂÒ¸ÔÊÀÒ¾¡ÒúҴà¨çº Œ † Ñ Ô ‹ ¡Ãкǹ¡ÒÃÃÑ¡ÉÒ ¡ÒâͤíÒ»ÃÖ¡ÉҨҡ˹‹ÇÂãËŒ¤Ò»ÃÖ¡ÉÒ ÃÇÁ¶Ö§ÀÒÇзؾ¾ÅÀÒ¾·Õà¡Ô´¢Ö¹ áÅШРí è é µŒÍ§à»š¹áËÅ‹§¢ŒÍÁÙÅãËŒ¤Ãͺ¤ÃÑÇ áÅЭҵԼٌ»†ÇÂÍØºÑµÔà˵Øä´ŒÊͺ¶ÒÁ ·Ñé§¹Õéà¾×èÍÅ´¤ÇÒÁÇÔµ¡¡Ñ§ÇÅ áÅСÒáÅѺÁҾѡÃÑ¡ÉÒµÑÇãËÁ‹¢Í§¼Ù»ÇÂÍØºµà˵Øâ´ÂäÁ‹¨Ò໚¹ Œ † Ñ Ô í 2. ¡ÒþѲ¹Ò¤Ø³ÀÒ¾áÅлÃÐÊÔ·¸ÔÀÒ¾¡ÒúÃÔ¡Òà (Quality and performance impartment) ¡ÒþѲ¹Ò¤Ø³ÀÒ¾áÅлÃÐÊÔ·¸ÔÀÒ¾¡ÒÃÃÑ¡ÉÒ¾ÂÒºÒÅ ¨ÐÁÕ໇ÒËÁÒÂÍÂÙ‹·Õè¡ÒôÙáÅ ÃÑ¡ÉÒ·Õè´Õ·ÕèÊØ´ÊíÒËÃѺ¼ÙŒ»†ÇÂÍØºÑµÔà˵طÕè¤Ãͺ¤ÅØÁ㹡Ãкǹ¡Ò÷ÕèËÅÒ¡ËÅÒÂà¾×èͺ‹§ªÕéáÅÐᡌ䢢ŒÍ º¡¾Ã‹Í§ã¹Ãкº¡ÒôÙáżٻÇÂÍØºµà赯 ÁÕ¡ÒõÃǨÊͺÃкº¡ÒôÙáÅ ¡ÒõÃǨÊͺã¹à˵ءÒó Œ † Ñ Ô ·Õ¼´»¡µÔ ཇÒÃÐÇѧµÃǨÊͺµÒÁµÑǺ‹§ªÕÁҵðҹ áÅÐÊÒÁÒöËÇÁº‹§ªÕÇà¤ÃÒÐˏ áÅÐᡌä¢à˵ءÒó è Ô é éÔ ·Õà¡Ô´¢Ö¹ã¹¡Ã³Õ·¡ÒúÃÔ¡ÒÃäÁ‹ä´ŒÁҵðҹËÇÁ¡Ñº·ÕÁ¼ÙáÉÒ µÑ§áµ‹¼ÍҹǡÒÃÍØºµà赯 ¡ÃÃÁ¡Òà è é Õè ŒÑ é ÙŒ í Ñ Ô ÊËÊÒ¢ÒÇÔªÒªÕ¾ áÅÐ˹‹Ç§ҹ·Õà¡ÕÂÇ¢ŒÍ§ è è ¡Ãкǹ¡ÒþѲ¹Ò¤Ø³ÀÒ¾·Õ¾ÂÒºÒÅ˹‹ÇµÃǨâÃ¤ÍØºµà˵ػ¯ÔºµáÅÐÇÔà¤ÃÒÐˏ 䴌ᡋ è Ñ Ô Ñ Ô ¡ÒÃà¡çºÃǺÃÇÁ¢ŒÍÁÙÅáÅÐàǪÃÐàºÕ¹¼Ù»ÇÂÍØºµà赯 (data collection and the trauma Registry) Œ † Ñ Ô °Ò¹¢ŒÍÁÙÅáÅÐ àǪÃÐàºÕ¹¼Ù»ÇÂÍØºµà赯 ·Ñ§¹Õà¾×Í໚¹»ÃÐ⪹ã¹¡ÒÃÈÖ¡ÉÒ¤Œ¹¤ÇŒÒ áÅÐÇÔà¤ÃÒÐˏ Œ † Ñ Ô é é è º‹§ªÕ¡ÅØÁ»ÃЪҡ÷Õ໚¹¼Ù»ÇÂÍØºµà赯 â´Â¾ÂÒºÒÅ˹‹ÇµÃǨâÃ¤ÍØºµà˵بÐ໚¹¼Ù¡Ãеع ãËŒ·Á é ‹ è Œ † Ñ Ô Ñ Ô Œ Œ Õ ¡ÒÃÃÑ¡ÉÒ¾ÂÒºÒÅ䴌㪌¢ŒÍÁÙŨҡ¡Òúѹ·Ö¡â´Â¡ÒÃ໚¹¼ÙŒ´íÒà¹Ô¹¡ÒÃ㹡Ò÷íÒ multi-disciplinary trauma audit ÃÇÁ·Ñ§¡Ò÷íÒÇÔ¨Âà¾×ÍÊ׺ÃÍ·ҧ¤ÅÔ¹¡ (clinical tracer) ¾ÃŒÍÁ·Ñ§ÁÕ¡ÒõԴµÒÁ¡ÒÃÃѺÃͧ é Ñ è Ô é ¤Ø³ÀÒ¾¡Òû¯Ôºµ§Ò¹ 2 àÃ×ͧ 䴌ᡋ Ñ Ô è (2) 1. ¼Ù»ÇÂÍØºµà˵ØáÅЩءà©Ô¹·Õ䴌ú¡ÒèíÒṡ»ÃÐàÀ·äÁ‹¶¡µŒÍ§äÁ‹à¡Ô¹ÃŒÍÂÅÐ 5 Œ † Ñ Ô è Ñ Ù 2. ¼Ù»Ç©ءà©Ô¹ÁÒ¡ (Emergent) 䴌ú¡ÒõÃǨÃÑ¡ÉҨҡᾷÀÒÂã¹ 4 ¹Ò·Õ Œ † Ñ 3. ¡ÒÃÈÖ¡ÉÒáÅÐÇԨѠ(Education and research) 3.1 º·ºÒ·¡ÒÃãËŒ¤ÇÒÁÃٌᡋ¼ÙŒ»¯ÔºÑµÔ§Ò¹ã¹ÈÙ¹ÂÍØºÑµÔà赯 â´Â¡ÒÃãËŒ¤ÇÒÁÃÙâ´ÂµÃ§ ઋ¹ ¡ÒúÃÃÂÒ ¡ÒÃ໚¹¼ÙãËŒ¤Ò»ÃÖ¡ÉÒá¹Ð¹íÒ ¡ÒèѴ Œ Œ í »ÃЪØÁÊÑÁ¹Ò ¡ÒèѴ½ƒ¡ÍºÃÁµ‹Íà¹×ͧ ¡ÒûÃÐàÁÔ¹¼Å¡ÒÃ㪌á¹Ç»¯ÔºµÔ ¡ÒÃÊ͹·Ò§´ŒÒ¹·Ñ¡Éл¯ÔºµÔ è Ñ Ñ áÅСÒõÃǨÊͺ¤ÇÒÁÃÙàªÔ§ÇÔªÒ¡ÒÃá¡‹º¤ÅÒ¡Ãã¹Èٹͺµà˵ش§¹Õé Œ Ø Ø Ñ Ô Ñ 3.1.1 ¾ÂÒºÒÅ ÁÕ¡ÒûÃÐàÁÔ¹ competency ¢Í§¾ÂÒºÒÅã¹Ë¹‹Ç§ҹâ´Â¡Òà ·´ÊͺÇÑ´¤ÇÒÁÃÙáÅзѡÉдŒÒ¹¡Òû¯Ôºµ¡ÒþÂÒºÒÅÁÒáÅŒÇ 2 ¤Ãѧ㹻‚¾.È. 2550 áÅÐ ¾.È. 2552 Œ Ñ Ô é áÅШзíÒ¡ÒûÃÐàÁÔ¹¤Ãѧ·Õè 3 ã¹»‚ ¾.È. 2553 ÍÕ¡·Ñ§Âѧ䴌¨´ãËŒÁ¡ÒÃͺÃÁ “ ¡ÒþÂÒºÒżٻÇ é é Ñ Õ Œ † ÍØºµà˵صÒÁËÅÑ¡¡ÒôÙáżٻÇÂÍØºµà˵ØÊÒ¡Å” á¡‹¾ÂÒºÒÅã¹Ë¹‹Ç§ҹ áÅоÂÒºÒÅ˹‹Ç§ҹÍ×¹ Ñ Ô Œ † Ñ Ô è ·ÕãËŒ¡ÒôÙáżٻÇÂÍØºµà赯 ¢Í§âç¾ÂÒºÒÅÈÔÃÃÒª ¹Í¡¨Ò¡¹Õ§ÁÕ¾ÂÒºÒÅä»à»š¹ÇÔ·ÂÒ¡Ã㹡ÒÃ è Œ † Ñ Ô Ô é Ñ ÍºÃÁáÅÐãËŒ¤ÇÒÁÃÙá¡‹¾ÂÒºÒŢͧÈٹͺµà赯 áÅÐâç¾ÂÒºÒÅÍ×¹æ Œ Ø Ñ Ô è
  • 236.
    àǪÈÒʵÏ·¹Âؤ 2553 Ñ 209 3.1.2 ᾷ ÁÕ¡ÒèѴͺÃÁ - Advance Trauma Life Support (ATLS) - Definitive Surgery Trauma Care (DSTC) - Advanced Wound Care 3.1.3 ºØ¤Åҡ÷ҧ¡ÒÃᾷ Í×¹æä´Œá¡‹ ¹Ñ¡ÈÖ¡ÉÒᾷ ਌Ò˹ŒÒ·Õ˹‹Ç¡ÙÀ áÅÐ è è Œ Ñ ¡Ùª¾ â´ÂÁÕ¾ÂÒºÒŢͧ˹‹ÇµÃǨâÃ¤ÍØºµà˵Øä»à»š¹ÇÔ·ÂÒ¡Ã㹡ÒúÃÃÂÒÂáÅнƒ¡»¯ÔºµÔ Œ Õ Ñ Ô Ñ 3.2 ä´ŒÃѺ¡ÒÃʹѺʹع¨Ò¡Í§¤¡ÃãËŒà¡Ô´§Ò¹ÇÔ¨ÑÂáÅйÇѵ¡ÃÃÁ â´ÂÁÕ§Ò¹ÇÔ¨ÂËÇÁÃÐËNjҧ·ÕÁÊËÊÒ¢Ò ä´Œá¡‹ §Ò¹ÇԨ¡ÒÃÈÖ¡ÉÒà»ÃÕºà·ÕºÍѵÃÒ¡ÒÃ Ñ Ñ µÔ´àª×ͧ͢ºÒ´á¼Åͺѵà˵ط䴌ú¡ÒÃÃÑ¡ÉÒâ´Â¡ÒÃàÂçºá¼ÅáÅÐແ´·íÒ¤ÇÒÁÊÐÍÒ´·Ø¡Çѹ¡Ñº·íÒ é Ô Õè Ñ ¤ÇÒÁÊÐÍÒ´á¼ÅµÒÁ¡íÒ˹´ ¹Í¡¨Ò¡¹Õ§ÁÕ§Ò¹ÇÔ¨ÂáÅйÇѵ¡ÃÃÁ¢Í§½†Ò¡ÒþÂÒºÒÅâ´ÂµÃ§ ઋ¹ é Ñ Ñ §Ò¹ÇԨ¼Ţͧ¡ÒÃ㪌á¹Ç»¯Ôºµ¾ÂÒºÒÅ㹡ÒÃà¤Å×͹ŒÒ¼ٻÇ©ءà©Ô¹ÇÔ¡ÄµÏ §Ò¹ÇÔ¨Âá¹Ç·Ò§ Ñ Ñ Ô è Œ † Ñ »¯Ôºµ¡ÒþÂÒºÒżٻÇ·ÕÁâÍ¡ÒÊàÊÕ§µ‹Í¡ÒÃÊÑÁ¼ÑÊàª×;ÔÉÊØ¹¢ºŒÒ ໚¹µŒ¹ Ñ Ô Œ † è Õ è é Ñ 4. ¡ÒúÃÔËÒèѴ¡ÒáÒÃãËŒ¤íÒá¹Ð¹íÒ ¾ÂÒºÒÅ˹‹ÇµÃǨâÃ¤ÍØºÑµÔà˵ØÁÕº·ºÒ·Ë¹Öè§·ÕèÊíҤѭ㹡ÒÃãËŒ¢ŒÍÁÙÅáÅФÇÒÁÃÙŒ ·Ò§´ŒÒ¹ÊØ¢ÀÒ¾áÅСÒúҴà¨çºá¡‹¼ÙŒ»†ÇÂáÅЭҵÔâ´Â¡ÒèѴ·íÒ¤Ù‹Á×ÍáÅÐἋ¹¾Ñºã¹¡ÒÃãËŒ¤ÇÒÁÃÙŒ 䴌ᡋ - ¤ÙÁÍ¡ÒôÙáżٻǺҴà¨çº·ÕÈÃÉÐ ‹ × Œ † è Õ - ¤ÙÁÍ¡Òû¯ÔºµµÇ¼Ù»Ç¡Ãд١´Ñ§¨ÁÙ¡ËÑ¡ ‹ × Ñ Ô Ñ Œ † é - ¤ÙÁÍ¡Òû¯ÔºµµÇ¼Ù»Ç¡Ãд١ËÑ¡ËÃ×Íᵡ ‹ × Ñ Ô Ñ Œ † - ¤ÙÁÍ¡Òû¯ÔºµµÇ¼Ù»ÇÂ䴌úºÒ´à¨çº·ÕÁÍ ‹ × Ñ Ô Ñ Œ † Ñ è × - ¤ÙÁÍ¡Òû¯ÔºµµÇ¼ÙÊÁ¼ÑÊÊѵǏ·Ê§ÊÑÂ໚¹âä¾ÔÉÊØ¹¢ºŒÒ ‹ × Ñ Ô Ñ Œ Ñ Õè Ñ ¹Í¡¨Ò¡¹ÕéÂѧÁÕá¼¹§Ò¹·Õè¨Ðà¼Âá¾Ã‹¤ÇÒÁÃÙŒáÅÐó礏¡Òû‡Í§¡Ñ¹ÍغѵÔà赯 ¡Òû°Á ¾ÂÒºÒÅàº×ͧµŒ¹¢Í§¼Ù»ÃÐʺà˵Øãˌᡋ¹¡àÃÕ¹ࢵ¾×¹·Õã¡ÅŒà¤Õ§ é Œ Ñ é è ¾ÂÒºÒÅ໚¹Ë¹Öè§ã¹ºØ¤ÅÒ¡ÃËÅÑ¡·ÕèãËŒ¡ÒôÙáżٌ»†Ç µÑé§áµ‹ã¹ÃÐÂÐáá¢Í§¡ÒÃà¡Ô´ ÍØºµà˵ØáÅе‹Íà¹×ͧÂÒǹҹ ·Ñ§¢³ÐÍÂÙã¹âç¾ÂÒºÒÅáÅÐàÁ×Í¡ÅѺºŒÒ¹ ÀÒáԨ¢Í§¾ÂÒºÒÅã¹ÃÐÂÐ Ñ Ô è é ‹ è ÇԡĵµŒÍ§ãËŒ¡ÒôÙáÅÃÑ¡ÉÒÍ‹ҧÃÇ´àÃçÇ ¶Ù¡µŒÍ§à¾×èÍäÁ‹ãËŒà¡Ô´¤ÇÒÁ¾Ô¡Òà àÊÕªÕÇÔµâ´ÂäÁ‹¨íÒ໚¹ »‡Í§¡Ñ¹ÀÒÇÐá·Ã¡«ŒÍ¹ã¹ÃÐÂп„¹¿ÙÊÀÒ¾ µŒÍ§¤Çº¤ØÁÍÒ¡ÒÃäÁ‹ãËŒ¼»ÇÂ·ÃØ´Ë¹Ñ¡Å§ ª‹ÇÂàËÅ×ÍãËŒ œ ÙŒ † ¼ÙŒ»†Ç¿„œ¹µÑÇ¿„œ¹¿Ù¡Ò÷íÒ§Ò¹¢Í§·Ø¡ÍÇÑÂÇÐ ·Ñé§Ã‹Ò§¡Ò ¨Ôµã¨ ÍÒÃÁ³ Êѧ¤Á à¾×èÍãËŒ¼ÙŒ»†ÇÂáÅÐ ¤Ãͺ¤ÃÑÇÊÒÁÒö¡ÅѺä»ãªŒªÇµã¡ÅŒà¤Õ§»¡µÔÁÒ¡·ÕÊ´ ÊÒÁÒö»ÃѺµÑÇáÅдÙáŵ¹àͧ䴌 ÁժǵÍÂÙ‹ ÕÔ èØ ÕÔ Í‹ҧÁÕÈ¡´ÔÈÃÕã¹Êѧ¤Áµ‹Íä» ¡ÒÃãËŒºÃÔ¡ÒþÂÒºÒÅã¹·Ø¡Ãкº¨Ö§ÅŒÇ¹ÁÕ¤ÇÒÁÊíҤѭ µÑ§áµ‹¡Òû‡Í§¡Ñ¹ Ñ ì é ¡ÒÃࢌҪ‹ÇÂàËÅ×Í ³ ¨Ø´à¡Ô´à赯 ¡ÒôÙáŪ‹ÇÂàËÅ×ͧ͢·Ø¡Ë¹‹Ç§ҹã¹âç¾ÂÒºÒÅà¾×èͪ‹ÇÂÅ´ ¼Å¡Ãзº¨Ò¡Íغµà˵ط§µ‹Í¼Ù»ÇÂÍØºµà赯 ¤Ãͺ¤ÃÑÇ ªØÁª¹áÅÐÊѧ¤ÁãËŒÁÒ¡·ÕÊ´ ´Ñ§¹Ñ¹¤Ø³ÀÒ¾ Ñ Ô Ñé Œ † Ñ Ô èØ é ¡ÒþÂÒºÒŨ֧ÁÕ¤ÇÒÁÊíҤѭ¨íÒ໚¹µ‹Í¡ÒôÙáżٻÇÂ¡ÅØÁ¹ÕÍ‹ҧÂÔ§ Œ † ‹ é è
  • 237.
    210 Siriraj Trauma Center º·ºÒ·¢Í§¾ÂÒºÒÅÍØºµà赯 ¹Í¡¨Ò¡¨ÐãËŒ¡ÒôÙáżٺҴà¨çº¨Ò¡Íغµà˵Øâ´ÂµÃ§áÅŒÇ Ñ Ô Œ Ñ Ô ÂѧÁÕº·ºÒ··ÕÊҤѭÍÕ¡ 4 »ÃСÒà 䴌ᡋ º·ºÒ·¡ÒúÃÔËÒèѴ¡Ò÷ҧ¤ÅÔ¹¡ »ÃСͺ´ŒÇ ¡ÒèѴ¡Òà èí Ô ¡ÒôÙáÅÃÑ¡ÉÒ¼ÙºÒ´à¨çºãˌ໚¹ä»µÒÁÁҵðҹ ¡ÒþѲ¹Òá¹Ç»¯Ôºµ·Ò§¤ÅÔ¹¡ ¡ÒáíҡѺµÃǨ Œ Ñ Ô Ô Êͺ¡ÒôÙáÅÃÑ¡ÉÒ áÅСÒÃ໚¹¼ÙŒªÕéá¹ÐáÅÐãËŒ¤íÒ»ÃÖ¡ÉÒ º·ºÒ·¡ÒþѲ¹Ò¤Ø³ÀÒ¾áÅÐ »ÃÐÊÔ·¸ÔÀÒ¾¡ÒúÃÔ¡Òà º·ºÒ·¡ÒÃÈÖ¡ÉÒáÅÐÇԨ áÅк·ºÒ·¡ÒúÃÔËÒèѴ¡ÒáÒÃãËŒ¤Òá¹Ð¹íÒ Ñ í ·Ñ§ËÁ´¹Õ¡à¾×ÍãËŒ¼»ÇÂÍØºµà˵طÁÒÃѺ¡ÒÃÃÑ¡ÉÒ¾ÂÒºÒÅ·Õè “Siriraj Trauma Center” 䴌ú¡ÒÃÃÑ¡ÉÒ é é ç è ÙŒ † Ñ Ô Õè Ñ ¾ÂÒºÒÅ·Õ´·Ê´ â´ÂÃкº¡ÒúÃÔËÒèѴ¡Ò÷ÕÁ»ÃÐÊÔ·¸ÔÀҾ໚¹ä»µÒÁÁҵðҹ㹡ÒôÙáżٻÇ è Õ Õè Ø è Õ Œ † ÍØºµà˵ØÃдѺªÒµÔáÅÐÃдѺÊҡŠ໚¹ä»µÒÁÇÔÊ·ÑȹáÅоѹ¸¡Ô¨¢Í§¤³Ðá¾·ÂÈÒʵÏÈÃÃÒª Ñ Ô Ñ ÔÔ ¾ÂÒºÒÅ àÍ¡ÊÒÃ͌ҧÍÔ§ 1. ¼È.´Ã.¡ÃÍ§ä´ ÍØ³ËÊÙµ.(2552) ¾ÂÒºÒżٻÃÐÊÒ¹§Ò¹Íغµà赯 Ê׺¤Œ¹¨Ò¡àÇçºä«µ http://www.thaitraumanurse.com/ Œ Ñ Ô download/article/2009/Document/Trauma_Nurse_Coordinator.pdf. 2. ¤³Ð͹ءÃÃÁ¡ÒõµÔÂÀÙÁ¡ÒôÙáżٻÇÂÍØºµà˵Ø. (2547). ÃÒ§ҹ¼Å¡ÒôíÒà¹Ô¹§Ò¹ ¾.È. 2545 – 2547 ¤³Ð͹ءÃÃÁ Ô Œ † Ñ Ô ¡Ò÷ջÃÖ¡ÉÒ¡ÒÃŧ·Ø¹´ŒÒ¹ºØ¤ÅÒ¡Ã ¡ÒÃÇÔ¨ÂáÅоѲ¹Òà·¤â¹âÅÂÕ·Ò§¡ÒÃᾷ㹺ÃÔ¡ÒõµÔÂÀÙÁà¤Ã×Í¢‹Ò¤Ǻ¤ØÁ è Ñ Ô ¡ÒúҴà¨çºáË‹§ªÒµÔ (Èٹͺµà˵Ø). ¹¹·ºØÃÕ : Êíҹѡ¾Ñ²¹ÒÃкººÃÔ¡ÒÃÊØ¢ÀÒ¾ ¡ÃÁʹѺʹعºÃÔ¡ÒÃÊØ¢ÀÒ¾ ¡ÃÐ Ø Ñ Ô ·ÃǧÊÒ¸ÒÃ³ÊØ¢. (43) 3. ˹‹ÇµÃǨâÃ¤ÍØºÑµÔà˵Ø.(2552). Ẻ»ÃÐàÁÔ¹µ¹àͧ˹‹ÇµÃǨâÃ¤ÍØºÑµÔà˵Ø. ¡ÃØ§à·¾Ï : §Ò¹¡ÒþÂÒºÒż‹ÒµÑ´ ½†Ò¡ÒþÂÒºÒÅ âç¾ÂÒºÒÅÈÔÃÃÒª. Ô 4. Êíҹѡ¡ÒþÂÒºÒÅ ¡ÃÁ¡ÒÃᾷ ¡ÃзÃǧÊÒ¸ÒÃ³ÊØ¢(2548).ࡳ±»ÃÐàÁÔ¹¤Ø³ÀÒ¾¡ÒþÂÒºÒÅ ÈÙ¹ÂÍØºÑµÔà˵Ø, ¡Ãا෾Ï: ºÃÔÉ· ÊÒÁà¨ÃÔ­ (¡Ãا෾Ï) ¨íÒ¡Ñ´. (1). Ñ 5. Êíҹѡ¡ÒþÂÒºÒÅ ¡ÃÁ¡ÒÃᾷ ¡ÃзÃǧÊÒ¸ÒÃ³ÊØ¢(2548).ÁҵðҹºÃÔ¡ÒþÂÒºÒÅ ÈٹµµÔÂÀÙÁ੾Òзҧ Èٹ Ô ÍØºµà˵Ø, ¡Ãا෾Ï: ºÃÔÉ· ÊÒÁà¨ÃÔ­ (¡Ãا෾Ï) ¨íÒ¡Ñ´. (9,80-82) . Ñ Ô Ñ 6. ˹‹ÇµÃǨâÃ¤ÍØºÑµÔà˵Ø.(2546). ¤Ù‹Á×Í¡ÒèíÒṡ»ÃÐàÀ·áÅШѴÃдѺ¤ÇÒÁÃØ¹áç¢Í§¼ÙŒ»†ÇÂÍØºÑµÔà˵Ø. ¡ÃØ§à·¾Ï : §Ò¹¡ÒþÂÒºÒż‹ÒµÑ´ ½†Ò¡ÒþÂÒºÒÅ âç¾ÂÒºÒÅÈÔÃÃÒª. Ô 7. ¡Ò­¨¹Ò à«ç¹¹Ñ¹·. (2551). “Trauma Resuscitation Team and documentation”. àÍ¡ÊÒûÃСͺ¡ÒÃͺÃÁ ¡ÒþÂÒºÒżٻÇÂÍØºµà˵صÒÁËÅÑ¡¡Òà ¡ÒôÙáżٻÇÂÍØºµà˵ØÊÒ¡Å” (1-5). Œ † Ñ Ô Œ † Ñ Ô
  • 238.
    àǪÈÒʵÏ·¹Âؤ 2553 Ñ º··Õè 211 33 Journey to Excellent Burn Unit ÃͧÈÒʵÃÒ¨ÒÏ ¹ÒÂᾷ¾Ã¾ÃËÁ àÁ×ͧáÁ¹ ÀÒ¤ÇÔªÒÈÑÅÂÈÒʵÏ ¤³Ðá¾·ÂÈÒʵÏÈÔÃÔÃÒª¾ÂÒºÒÅ ÁËÒÇÔ·ÂÒÅÑÂÁËÔ´Å ã¹Çѹ·Õè 9 ¡ØÁÀҾѹ¸ ¾.È.2553 ໚¹âÍ¡ÒÊÍѹ´Õ·ä´ŒÁ¡ÒûÃѺ»ÃاËͼٻÇÂä¿äËÁŒ¹ÒÌ͹ Õè Õ Œ † éí ÅÇ¡ Ã.¾.ÈÔÃÃÒª ÍÕ¡¤Ãѧ¹Ñºà»š¹¡ÒûÃѺ»Ãا¤ÃѧãË­‹ã¹ÃͺàÇÅÒ 31 »‚ÀÒÂËÅѧ¡ÒÃແ´ Siriraj Burn Ô é é Unit ໚¹¤ÃѧááàÁ×Í»‚ ¾.È.2522 ã¹»˜¨¨Øº¹¹ÕÁÕ Burn unit ã¹»ÃÐà·Èä·ÂÃÒÇæ 18 áË‹§ ËͼٻÇ é è Ñ é Œ † Siriraj Burn Unit ãËÁ‹·¡ÒÅѧ¨Ðແ´¢Ö¹¹Ñ¹¾Í¨Ð¡Å‹ÒÇä´ŒÇÒ໚¹ Burn unit ·Õ·¹ÊÁÑÂÁÒ¡·ÕÊ´áË‹§Ë¹Ö§ Õè í é é ‹ è Ñ èØ è ã¹»ÃÐà·Èä·Â áÅÐ ¼Á¤Ô´Ç‹Ò¼Á¡íÒÅѧ¨Ðä´ŒàË繡ÒÃà»ÅÕ¹á»Å§¤ÃѧãË­‹·¡ÒÅѧ¨Ðà¡Ô´¢Ö¹ÍÕ¡ã¹àÇÅÒ è é Õè í é Íѹã¡ÅŒ¹äÁ‹ÇÒ¨Ð໚¹¤ÇÒÁ¡ŒÒÇ˹ŒÒã¹´ŒÒ¹¡ÒúÃÔ¡Òà ÇÔªÒ¡Òà áÅÐ ¡ÒÃÇԨ¤Ǻ¤Ù¡¹ä» «Ö§à»š¹ÊÔ§·Õè Õé ‹ Ñ ‹ Ñ è è ¤ÇÃà¡Ô´¢Ö¹ã¹âçàÃÕ¹ᾷ·ÁªÍàÊÕ§áË‹§¹Õé ·ÕÁᾷáÅоÂÒºÒÅã¹ËͼٻÇ Siriraj Burn Unit é Õè Õ ×è Œ † ã¹»˜¨¨ØºÑ¹ÁÕ¤ÇÒÁࢌÁá¢ç§ÁÒ¡·Ñé§ã¹´ŒÒ¹¡ÒúÃÔ¡ÒôŒÇÂÇÔ·ÂÒ¡Ò÷ҧ¡ÒÃᾷ·Õè·Ñ¹ÊÁÑ áÅÐÂѧ ໚¹àÅÔÈã¹´ŒÒ¹ÇÔªÒ¡ÒÃáÅÐÇԨ´ѧáÊ´§ä´Œ¨Ò¡¼Å§Ò¹´ŒÒ¹ÇÔªÒ¡ÒÃáÅмŧҹÇԨ·Õà¼Âá¾Ã‹ÍÍ¡¨Ò¡ Ñ Ñ è ËͼٻÇÂáË‹§¹Õ¨Ò¹Ç¹ÁÒ¡ÁÒ áÅÐ䴌ú¤íÒªÁàªÂÍ‹ҧàÊÁͨҡ¼Ù»ÇºҴà¨çºä¿äËÁŒ¹ÒÌ͹ÅÇ¡ Œ † éí Ñ Œ † éí ¨íҹǹÁÒ¡·ÕÁÒÃѺºÃÔ¡Òà ³ Siriraj Burn Unit «Ö§ã¹»˜¨¨Øº¹¹Õ͵ÃÒ¡ÒÃÃÍ´ªÕǵâ´Âà©ÅÕÂã¹Ãͺ 5 è è Ñ éÑ Ô è »‚·¼Ò¹ÁҢͧ¼Ù»ÇºҴà¨çºä¿äËÁŒÃ¹áçà¡Ô¹ 80 % ¢Í§¾×¹·Õ¼Ç¢Í§Ã‹Ò§¡Ò·ÕÁÒÃѺ¡ÒÃÃÑ¡Éҹѹ Õè ‹ Œ † Ø é è Ô è é ÊÙ§¶Ö§ 96% ÊÒÁÒöà·Õº෋ҡѺ Burn Unit ·Õ䴌ú¡Òà verified Ç‹Òä´ŒÁҵðҹ㹻ÃÐà·È·Õ¾²¹Ò è Ñ è Ñ áÅŒÇઋ¹ »ÃÐà·ÈÊËÃѰÍàÁÃÔ¡Ò à»š¹µŒ¹ ¡ÒÃà»ÅÕ¹á»Å§¤ÃѧÊíҤѭ¹Õ¨Ðà¡Ô´¢Ö¹äÁ‹ä´ŒàŶŒÒäÁ‹ä´ŒÃº¡ÒÃʹѺʹع¨Ò¡ÍÒ¨ÒÏã¹ÊÒ¢Ò è é é é Ñ ÈÑÅÂÈÒʵÏͺµà˵ØáÅÐÈÑÅÂÈÒʵϵ¡áµ‹§ â´Â੾ÒÐÍÒ¨ÒÏ·¼ÁÍÂÒ¡¨Ð¢Íà͋ª×Í´ŒÇ¤ÇÒÁà¤Òþ Ø Ñ Ô Õè è ¤×Í È.¹¾.¨ÍÁ¨Ñ¡Ã ¨Ñ¹·ÃÊ¡ØÅ (·Õè»ÃÖ¡ÉÒ¤³ÐÏ) ÃÈ.¹¾.»ÃÕªÒ ÈÔÃԷͧ¶ÒÇà (ËÑÇ˹ŒÒÊÒ¢ÒÇÔªÒ ÈÑÅÂÈÒʵÏͺµà˵Ø) ¼È.¹¾.Á¹µÃÕ ¡Ô¨Á³Õ (Ãͧ¤³º´Õ) ÃÈ.¹¾.ÍÀÔáɏ ª‹Ç§ÊØÇ¹Ôª (ËÑÇ˹ŒÒÊÒ¢Ò Ø Ñ Ô Ñ ÇÔªÒÈÑÅÂÈÒʵϵ¡áµ‹§) ÀÒÂ㵌¡ÒÃʹѺʹع໚¹Í‹ҧ´Õ¢Í§·‹Ò¹ËÑÇ˹ŒÒÀÒ¤ÇÔªÒÈÑÅÂÈÒʵÏ È.¹¾.ÈØÀ¡Ã âè¹¹Ô¹·Ã «Ö§ÍÒ¨ÒÏ·à͋¹ÒÁàËŋҹÕáÅзÕäÁ‹ä´Œà͋ª×ÍÍÕ¡ËÅÒ·‹Ò¹ä´ŒÂÍÁÊÅÐàÇÅÒ è Õè é è è ÍѹÁÕ¤‹ÒÁÒÃдÁ¤ÇÒÁ¤Ô´ÇҧἹ㹴ŒÒ¹¡ÒÃÍ͡Ẻ áÅС‹ÍÊÌҧËͼٌ»†ÇÂáË‹§¹ÕéãËŒÍÍ¡ÁÒÍ‹ҧ ŧµÑÇ·ÕÊ´ áÅзÕÊҤѭ·ÕÊ´¤×Í ¡ÒÃʹѺʹع¨Ò¡·‹Ò¹¤³º´Õã¹ÊÁѹѹ·Õ䴌͹ØÁµ§º»ÃÐÁÒ³¡ÒÃ èØ èí èØ é è Ñ Ô ¡‹ÍÊÌҧ¤ÃÑé§¹Õé «Öè§»˜¨¨ØºÑ¹·‹Ò¹´íÒçµíÒá˹‹§ ͸ԡÒú´ÕÁËÒÇÔ·ÂÒÅÑÂÁËÔ´Å ÈÒʵÃÒ¨ÒϤÅÔ¹Ô¡ ¹ÒÂᾷ»ÂÐʡŠʡÅÊѵÂÒ·Ã áÅÐ ·‹Ò¹¤³º´Õ¤³Ðá¾·ÂÈÒʵÏÈÃÃÒª»˜¨¨Øº¹ ÈÒʵÃÒ¨ÒÏ  ÔÔ Ñ ¤ÅÔ¹¡ ¹ÒÂᾷ¸ÃÇѲ¹ ¡ØÅ·¹Ñ¹·¹ «Ö§ä´ŒÊ¹ÑºÊ¹Ø¹áÅдíÒà¹Ô¹¹âºÒ¡ÒûÃѺ»ÃاÍ‹ҧµ‹Íà¹×ͧ Ô Õ è è ÁÒâ´ÂµÅÍ´·íÒãËŒâÍ¡ÒʹÕà¡Ô´¢Ö¹ä´ŒáÅÐÊíÒàÃç¨ã¹·ÕÊ´ é é èØ
  • 239.
    212 Journey to Excellent Burn Unit ÀÒ¾«ŒÒ¡‹Í¹»ÃѺ»Ãا ÀÒ¾¢ÇÒ Burn Unit ÀÒÂËÅѧ»ÃѺ»Ãا ˌͧ»ÃЪØÁ»ÃѺ»ÃاãËÁ‹ ÊíÒËÃѺ¡ÒÃàÃÕ¹¡ÒÃÊ͹ ´Ù§Ò¹ à¼Âá¾Ã‹¤ÇÒÁÃÙáÅлÃЪØÁ·Õ·¹ÊÁÑ Œ è Ñ ¹íÒ¤ÇÒÁÃÙŒáÅÐÇÔ·ÂÒ¡Ò÷Õè·Ñ¹ÊÁÑÂÁÒ»ÃѺ»Ãا¡ÒÃàÃÕ¹¡ÒÃÊ͹ Burn Injury ·Ñé§ã¹Ëͼٌ»†Ç Siriraj Burn Unit áÅÐ ã¹ËŒÍ§¼‹ÒµÑ´µÖ¡ÍغѵÔà赯 Prince Michael of Kent, United Kingdom àÊ´ç¨àÂÕèÂÁªÁ Siriraj Burn Unit
  • 240.
    àǪÈÒʵÏ·¹Âؤ 2553 Ñ 213 ã¹´ŒÒ¹¡ÒÃãËŒºÃÔ¡ÒáÒÃÃÑ¡ÉÒ ãËŒ¤ÇÒÁÃÙá¡‹¼»ÇºҴà¨çºä¿äËÁŒ¹ÒÌ͹ÅÇ¡¢Í§·ÕÁᾷ Œ ÙŒ † éí ¾ÂÒºÒŢͧ Siriraj Burn Unit ¹ÑºÇ‹ÒäÁ‹à¤Â໚¹Ãͧã¤Ãã¹»ÃÐà·È ÃÇÁ·Ñ§ÁÕ¡ÒþѲ¹Òͧ¤¤ÇÒÁÃÙŒ é ã¹´ŒÒ¹¹ÕÍ‹ҧµ‹Íà¹×ͧÁÒâ´ÂµÅÍ´ Œ͹¡ÅѺä»ÊÁÑÂÍ´Õµ Burn unit áË‹§¹Õ䴌ú¡ÒþѲ¹Ò¨¹ÁÕ¡Òà é è é Ñ à»ÅÕè¹á»Å§·ÕèàËç¹à´‹¹ªÑ´à»š¹ÃÙ»¸ÃÃÁã¹ÇÔ¸Õ¡ÒôÙáÅÃÑ¡ÉÒ·Õè·Ñ¹ÊÁѨ¹àÃÔèÁÁÕª×èÍàÊÕ§价ÑèÇ»ÃÐà·È ¼Å§Ò¹ËÅÒÂÍ‹ҧ·Õâ´´à´‹¹¨Ò¡Ë¹‹Ç§ҹ䴌ᡋ ¡ÒäԴ¤Œ¹ÊٵäÃÕÁÃÑ¡ÉÒ¼Ù»ÇÂä¿äËÁŒ¹ÒÌ͹ÅÇ¡ ¤×Í è Œ † éí silver zinc sulfadiazine cream ÊÙµÃÍÒËÒÃâ»ÃµÕ¹ÊÙ§¡ÃеعÀÙÁ¤Á¡Ñ¹ Neomune áÅÐ ÊٵáÒÃãËŒ Œ Ô ØŒ hypertonic saline à¾×èÍ resuscitation ¼ÙŒ»†ÇºҴà¨çºä¿äËÁŒÃعáç ÏÅÏ â´ÂÍÒ¨ÒϨÍÁ¨Ñ¡Ã ¨Ñ¹·ÃÊ¡ØÅ «Ö§Âѧ¤§ÁÕ¡ÒùíÒÁÒ㪌ã¹Âؤ»˜¨¨Øº¹¹ÕÍÂÙ‹ ¼Á¾Í·Õ¨ÐÊÃØ»¤ÇÒÁ¡ŒÒÇ˹ŒÒã¹´ŒÒ¹¡ÒÃᾷ è Ñ é è 㹡ÒôÙáÅÃÑ¡ÉÒ¼Ù»ÇÂä¿äËÁŒ¹ÒÌ͹Åǡ㹻˜¨¨Øº¹·Õè Siriraj Burn Unit àÃÒÊÒÁÒö·íÒä´Œã¹ÃдѺ Œ † éí Ñ à·Õº෋ҡѺ Burn Center Íѹ´ÑºµŒ¹æã¹»ÃÐà·È·Õ¾²¹ÒáÅŒÇ䴌ᡋ è Ñ ¤ÇÒÁ¡ŒÒÇ˹ŒÒ¢Í§ Siriraj Burn Unit ÂØ¤»˜¨¨ØºÑ¹ 1. ¡ÒúÃÔ¡Òà ÃÑ¡ÉÒ¼ÙŒ»†ÇºҴà¨çºä¿äËÁŒ¹éíÒÌ͹ÅÇ¡ Advanced burn life support & resuscitation ์¹¡ÒÃÃÑ¡ÉÒÍ‹ҧà©Õº¾Åѹ ·Ø¡ÇÔ¹Ò·ÕÁ¤ÇÒÁÊíҤѭµ‹ÍªÕǵ¼Ù»ÇÂâ´Â੾ÒкҴà¨çºä¿ Õ Ô Œ † äËÁŒÃعáç ãËŒ¤ÇÒÁÊíҤѭµ‹ÍªÕÇÔµ¼ÙŒ»†ÇµÑé§áµ‹à¢ŒÒâç¾ÂÒºÒÅ â´Â์¹¡ÒôÙáÅ໚¹ team work ÁÕ protocol ¡ÒÃÃÑ¡ÉÒäÁ‹ÇÒ¨Ð໚¹ËÅÑ¡ advanced burn life support 䴌ᡋ burn resuscitation, smoke ‹ inhalation injury, nutrition ÏÅÏ µÃ§µÒÁ guideline ¢Í§ American Burn Association ¡ÒÃãËŒ burn resuscitation ·Õè´ÕµÑé§áµ‹ÃÐÂÐáá¨Ðà¾ÔèÁÍѵÃÒ¡ÒÃÃÍ´ªÕÇÔµ¢Í§¼ÙŒ»†ÇºҴà¨çºä¿äËÁŒÃعáçÍ‹ҧ ÁÕ¹ÂÊíҤѭ Ñ ¡ÒÃÃÑ¡ÉÒ´ŒÇÂËÅÑ¡ Advanced Burn Life Support à¾ÔèÁÍѵÃÒ¡ÒÃÃÍ´ªÕÇÔµ ã¹Ãͺ 5 »‚·¼Ò¹ÁÒ㹼ٻǺҴà¨çºä¿äËÁŒÃ¹áç·ÕÁÒÃѺ¡ÒÃÃÑ¡ÉÒ ³ Siriraj Burn Unit ¶Ö§ 96% Õè ‹ Œ † Ø è à·¤¹Ô¤¡Ò÷íÒá¼Å äÁ‹µÍ§·íÒá¼Åº‹Í Ŵ¤ÇÒÁà¨çº»Ç´ Œ ºÒ´á¼Åä¿äËÁŒÃعá繌ÍÂËÃ×ͺҴá¼Åä¿äËÁŒµ×é¹ÃдѺ 2 (Superficial secondary degree burn) ã¹»˜¨¨Øº¹àÃÒ㪌ÇÊ´Ø»´á¼Å·Õ·¹ÊÁÑÂÁÒ»´á¼Å «Ö§»˜¨¨Øº¹¹‹Ò¨Ð໚¹ËͼٻÇÂä¿äËÁŒ Ñ Ñ  è Ñ è Ñ Œ † ·ÕÁÇÊ´Ø»´á¼Å·Õ·¹ÊÁÑÂÁÒ¡·ÕÊ´áË‹§Ë¹Ö§¢Í§»ÃÐà·Èä·Â â´Âà·¤¹Ô¤ÊÒÁÒöŴ¨íҹǹ¤Ãѧ¢Í§¡Òà è ÕÑ  è Ñ èØ è é
  • 241.
    214 Journey to Excellent Burn Unit ·íÒá¼Å·Ø¡Çѹ äÁ‹µÍ§·íÒ·Ø¡ÇѹàËÁ×͹ᵋ¡Í¹ ÊÒÁÒö·íÒá¼Å·Ø¡ 3-7 Çѹ䴌¢¹¡ÑºÅѡɳФÇÒÁª×¹ Œ ‹ Öé é á©Ð¢Í§ºÒ´á¼Å ·íÒãËŒ¼»ÇÂ䴌ú¤ÇÒÁà¨çº»Ç´¢Í§ºÒ´á¼ÅŴŧ Å´ÀÒÇФÇÒÁà¤ÃÕ´ à¾ÔÁ¤ÇÒÁ ÙŒ † Ñ è Êдǡãˌᡋº¤ÅÒ¡Ãâ´Â੾ÒоÂÒºÒÅ໚¹Í‹ҧÁÒ¡ áÅмٻǨíҹǹÁÒ¡·ÕÍÒ¨µŒÍ§à¤Â¹Í¹ Ã.¾ Ø Œ † è .à¾×Í·íÒá¼Å ã¹»˜¨¨Øº¹ÊÒÁÒö¡ÅѺºŒÒ¹ ¹Ñ´ÁÒ·íÒá¼Å໚¹ÃÐÂШ¹ËÒÂ´Õ Êдǡµ‹Í¼Ù»ÇÂáÅÐ­ÒµÔ è Ñ Œ † Í‹ҧÁÒ¡ ºÒ´à¨çºÃعáç㹻˜¨¨ØºÑ¹äÁ‹µŒÍ§·íÒá¼Åº‹Í ¶ŒÒàÅ×͡㪌ÇÑÊ´Ø»´á¼ÅÃØ‹¹ãËÁ‹·Õè·Ñ¹ÊÁÑÂáÅÐ àËÁÒÐÊÁ Å´¤ÇÒÁà¨çº»Ç´ºÒ´á¼Å áÅÐ à¾ÔèÁ¤ÇÒÁÊдǡʺÒÂ㹡ÒúÃÔ¡Òüٌ»†Ç ෤¹Ô¤¡Òü‹ÒµÑ´ºÒ´á¼Åä¿äËÁŒÃ¹áç Ø Early burn wound excision and skin coverage ¼Ù»ÇÂä¿äËÁŒ´¡ÃÕÅ¡µÑ§áµ‹ Deep secondary to third degree burn ¢Ö¹ä» ¡ÒÃÃÑ¡ÉÒʋǹ Œ † Õ Ö é é ãË­‹ã¹»ÃÐà·Èä·Â¢³Ð¹Õ¤Í ¡Ò÷íÒá¼Åä»àÃ×ÍÂæ «Ö§¼Ù»ÇÂä¿äËÁŒÃ¹áçà¡Ô¹ 50% ÁÑ¡¨ÐàÊÕªÕǵ é × è è Œ † Ø Ô à¡×ͺ·Ñ§ËÁ´à¹×ͧ¨Ò¡ Burn wound sepsis à¹×ͧ¨Ò¡ÁÕà¹×͵Ò»ÃÔÁÒ³ÁÒ¡µÔ´ºÃÔàdzºÒ´á¼Å໚¹ é è è é ÊÒà˵ءÒõԴàª×Í ¡ÒÃÃÑ¡ÉÒá¼¹»˜¨¨Øº¹¤×Í¡Ò÷íÒ Early burn wound excision and skin coverage é Ñ «Ö§·Ò§·ÕÁᾷ䴌¹Òà·¤¹Ô¤¹ÕÁÒ㪌 ¢ŒÍ´Õ¤Í á¼ÅËÒÂàÃçÇ¢Ö¹ ¡ÅѺºŒÒ¹ä´ŒàÃçÇ¢Ö¹ Å´¡ÒÃà¡Ô´á¼Å໚¹ è í é × é é áÅÐ à¾ÔÁÍѵÃÒ¡ÒÃÃÍ´ªÕǵ ¼ÅÅѾ¸¢Í§¡ÒùíÒà·¤¹Ô¤¹ÕÁÒ㪌¡ÍãËŒà¡Ô´»ÃÐ⪹Í‹ҧÂÔ§ ·íÒãËŒ¡Òà è Ô é ‹ è ÃÍ´ªÕǵ¢Í§¼Ù»ÇÂä¿äËÁŒÃ¹áç¹Ñ¹ÁÕ¤ÇÒÁËÇѧÁÒ¡¢Ö¹ äÁ‹Ê¹ËÇѧÍÕ¡µ‹Íä» â´ÂÍѵÃÒ¡ÒÃÃÍ´ªÕǵ Ô Œ † Ø é é Ôé Ô ¼Ù»ÇÂä¿äËÁŒÃ¹áç¢Í§ Siriraj Burn Unit ã¹Ãͺ 5 »‚·¼Ò¹ÁÒÊÙ§¶Ö§ 96 % ÊÙ§ã¹ÃдѺà·Õº෋ҡѺ Œ † Ø Õè ‹ Burn center Íѹ´ÑºµŒ¹æã¹»ÃÐà·È·Õ¾²¹ÒáÅŒÇ è Ñ ¼‹ÒµÑ´ early burn wound excision áÅÐ skin graft Å´ÍѵÃÒ¡ÒÃà¡Ô´á¼ÅË´ÃÑé§ áÅÐ ÃÐÂÐàÇÅÒÍÂÙ‹âç¾ÂÒºÒÅ á¼ÅËÒÂàÃçÇ áÅÐ à¾ÔèÁÍѵÃÒ¡ÒÃÃÍ´ªÕÇԵ㹺Ҵà¨çºä¿äËÁŒÃعáç
  • 242.
    àǪÈÒʵÏ·¹Âؤ 2553 Ñ 215 Hydrosurgery ¡ÒùíÒà·¤¹Ô¤áÅÐà¤Ã×ͧÁ×ͼ‹ÒµÑ´áç´Ñ¹¹éÒÊÙ§ÁÒ㪌໚¹áË‹§áá㹻ÃÐà·Èä·Â ¹Ñ¹¤×Í è í è Hydrosurgery (Smith & Nephew Ltd.) «Ö§à¤Â໚¹à·¤¹Ô¤¡Òü‹ÒµÑ´·Õ¹ÂÁ㪌㹻ÃÐà·È·Õ¾²¹Ò â´Â è è Ô è Ñ àËÁÒСѺºÒ´á¼Åä¿äËÁŒ·ÁÕ eschar ¹ØÁæ áÅÐàÃÔÁËÅØ´ÅÍ¡ÍÍ¡ ¡ÒùíÒà·¤¹Ô¤¹ÕÁÒ㪌ÊÒÁÒöŴ Õè ‹ è é ¡ÒÃÊÙ­àÊÕÂà¹×ÍàÂ×Í·Õ´Õ ·íÒãˌŴ¡ÒÃàÊÕÂàÅ×Í´ Å´¡ÒõѴºÒ´á¼ÅÅÖ¡à¡Ô¹ä» â´Â¼Ù»ÇÂÃÒÂáá¢Í§ é è è Œ † »ÃÐà·Èä·Â¹Ñ¹ä´ŒÃº¡Òü‹ÒµÑ´¢³Ð admit ÍÂÙ‹ º¹ËͼٻÇ Siriraj Burn Unit ã¹à´×͹¸Ñ¹ÇÒ¤Á é Ñ Œ † »‚ 2547 »˜¨¨Øº¹à·¤¹Ô¤¹Õä´Œ¹ÒÁÒ㪌Í‹ҧá¾Ã‹ËÅÒÂã¹»ÃÐà·Èä·Â Ñ é í Hydrosurgery ¼‹ÒµÑ´ä¿äËÁŒÃعáç·ÕèÁÕ¢ŒÍº‹§ªÕé·ÕèàËÁÒÐÊÁ ÊÒÁÒöŴ¡ÒõѴà¹×éÍ´Õà¡Ô¹¨íÒ à»š¹ Å´¡ÒûÅÙ¡¶‹Ò¼ÔÇ˹ѧáÅÐà¾ÔèÁºÒ´á¼ÅãËÁ‹á¡‹¼ÙŒ»†Ç áÅÐ ºÒ´á¼ÅËÒÂàÃçÇ¢Öé¹ Tissue engineering artificial dermal template ¼Ù»ÇÂä¿äËÁŒÃ¹áç·ÕÁ¼Ç˹ѧäÁ‹¾ÍÁÒ·íÒ skin graft »´á¼Å ËÃ×ͺҴá¼Åä¿äËÁŒÃ¹áç Œ † Ø è Õ Ô Ø ·ÕËÒÂáÅŒÇáÅÐÁÕÀÒÇÐË´Ãѧ¨Ò¡ scar contracture µŒÍ§ä´ŒÃº¡Òü‹ÒµÑ´ reconstruction ᵋäÁ‹ÁÕ skin è é Ñ graft ·Õ´¾Í¨ÐÁÒ»´á¼Å ÁÕ¤ÇÒÁ¨íÒ໚¹µŒÍ§ãªŒ tissue engineering template ÁÒÊÌҧªÑ¹ dermis è Õ é ¢Ö¹ÁÒãËÁ‹ Siriraj Burn Unit Âѧ໚¹ unit ·ÕÁ»ÃÐʺ¡Òóã¹¡ÒùíÒ artificial dermis ÁÒ㪌ÁÒ¡·ÕÊ´ é Õ èØ ¶Ù¡µŒÍ§µÒÁ¢ŒÍº‹§ªÕ¢Í§¡ÒÃ㪌áÅмٻÇÂà¡×ͺ·Ñ§ËÁ´ä´Œ¼ÅÅѾ¸¡ÒÃÃÑ¡ÉÒ·Õ´àÂÕÂÁ ·íÒãËŒºÒ´á¼ÅËÒÂ é Œ † é è Õ è ä´Œ Å´¡Ò÷ء¢·ÃÁÒ¹¨Ò¡ºÒ´á¼ÅäÁ‹ËÒ ¤ÇÒÁà¨çº»Ç´¢Í§ºÒ´á¼Å áÅÐÅ´¡ÒÃà¡Ô´á¼ÅË´Ãѧ䴌 é ໚¹Í‹ҧ´Õ Tissue engineering artificial dermis ¹íÒÁÒ¼‹ÒµÑ´»´Å§º¹ºÒ´á¼Åä¿äËÁŒà¡Ô¹ 80% ¢Í§¾×é¹·Õè¼ÔÇ àËÅ×Í skin graft ·Õè´Õ¹ŒÍ ÊÒÁÒöᡌÀÒÇÐË´ÃÑé§´ÕàÂÕèÂÁ ¼ÙŒ»†ÇÂà´ç¡ÃÒ¹Õé¨Ò¡à´Ô¹äÁ‹ä´Œ ¡ÅѺä»à»š¹¹Ñ¡¡ÕÌҿصºÍŢͧâçàÃÕ¹䴌
  • 243.
    216 Journey to Excellent Burn Unit ¼‹ÒµÑ´á¡Œä¢ÀÒÇÐË´ÃÑé§ ¢Í§ºÒ´á¼Åä¿äËÁŒÅÖ¡ÃØ¹áç áÅÐᡌ䢴ŒÇ tissue engineering artificial dermis ¡ÒúÃÔ¡Òôب­ÒµÔÁµÃ Ô ãËŒ¡ÒúÃÔ¡Òôب­ÒµÔÁµÃ ´ŒÇ·ÕÁᾷáÅоÂÒºÒÅ·ÕÁ¤ÇÒÁàªÕÂǪҭ㹴ŒÒ¹¡ÒôÙáÅ Ô è Õ è ÃÑ¡ÉÒ¼Ù»ÇÂä¿äËÁŒ¹ÒÌ͹Åǡ໚¹Í‹ҧ´Õ ãËŒ¼»ÇÂáÅЭҵÔä´ŒáÊ´§¢ŒÍàʹÍá¹Ð ¢ŒÍ¤Ô´àËç¹ä´ŒµÅÍ´ Œ † éí ÙŒ † à¾×è͹íÒä»»ÃѺ»Ãا㹴ŒÒ¹¡ÒúÃÔ¡ÒÃãËŒ´ÕÂÔè§¢Öé¹ä» ÀÒÂËÅѧ¨íÒ˹‹Ò¼ٌ»†ÇÂÍÍ¡¨Ò¡âç¾ÂÒºÒÅÁÕ .amily planning ãˌᡋ¼»ÇÂáÅÐ­ÒµÔ áÅйѴ¼Ù»ÇÂÁÒÃѺ¡ÒÃÃÑ¡ÉÒÍ‹ҧµ‹Íà¹×ͧ ¤ÃºÇ§¨Ã ´ÙáÅ´ŒÒ¹ ÙŒ † Œ † è ¡ÒÃà¡Ô´ºÒ´á¼ÅË´Ãѧ ´ŒÒ¹¨Ôµã¨ áÅÐ àǪÈÒʵÏ¿¹¿Ù ÁÕ¡ÒõԴµ‹Í»ÃÐÊÒ¹§Ò¹¡ÑºË¹‹Ç§ҹµ‹Ò§æ é „œ ·Õà¡ÕÂÇ¢ŒÍ§ ໚¹¡ÒÃÃÑ¡ÉÒ multidisciplinary approach Ẻ¤ÃºÇ§¨Ã è è ºÃÔ¡ÒôŒÇÂ㨠´Ø¨­ÒµÔÁԵà 2. ¡ÒÃÇÔ¨ÑÂáÅÐà¼Âá¾Ã‹¤ÇÒÁÃÙŒ ·ÕÁᾷáÅоÂÒºÒÅã¹ Siriraj Burn Unit µÃÐ˹ѡ¶Ö§¤ÇÒÁÊíҤѭ¢ŒÍ¹ÕàÊÁÍ ¡Ò÷íÒÇԨ é Ñ áÅÐà¼Âá¾Ã‹Í§¤¤ÇÒÁÃ٨зíÒãˌ˹‹Ç§ҹ¾Ñ²¹ÒáÅÐÊÌҧª×ÍàÊÕ§ãËŒ¡ºÊ¶ÒºÑ¹ ã¹Ãͺ 5 »‚·¼Ò¹ÁÒ Œ è Ñ Õè ‹ ÁռŧҹµÕ¾Á¾â´Â·ÕÁᾷáÅоÂÒºÒŨҡ Siriraj Burn Unit ·Ñ§ã¹»ÃÐà·ÈáÅе‹Ò§»ÃÐà·ÈÍ‹ҧ Ô é µèÒà¹×ͧ ÃÇÁ·Ñ§ºØ¤ÅÒ¡Ãã¹Ë¹‹Ç§ҹ䴌໚¹ÇÔ·ÂÒ¡Ãà¼Âá¾Ã‹¤ÇÒÁÃÙ·§ã¹áÅе‹Ò§»ÃÐà·ÈÃÇÁ¡Ç‹Ò í è é Œ Ñé 200 ¤ÃÑ§é ¤Ãѧ˹֧à¤Âä´Œ¹ÒàʹÍ໚¹áººÍ‹ҧã¹â¤Ã§¡Òà R2R ¢Í§¤³Ðá¾·ÂÈÒʵÏÈÃÃÒª é è í ÔÔ ¾ÂÒºÒÅ ·Ò§Ë¹‹Ç§ҹ䴌úÃÒ§ÇÑÅÁÒ¡ÁÒ·ѧ¨Ò¡¡ÒÃà¼Âá¾Ã‹»ÃСǴ¼Å§Ò¹ÇÔ¨ÂÀÒ¹͡¤³Ð Ñ é Ñ áÅÐÀÒÂ㹤³Ðä´ŒÃѺÃÒ§ÇÑŨҡ¹Çѵ¡ÃÃÁãËÁ‹æËÅÒÂÃÒ§ÇÑÅÃÇÁ·Ñé§ä´ŒÃѺÃÒ§ÇÑÅ˹‹Ç§ҹ´Õà´‹¹ µÑÇÍ‹ҧ»ÃÐàÀ· ´ÒǷͧµÔ´µ‹Í¡Ñ¹ 3 »‚«Í¹ (2551-2553) ã¹»˜¨¨Øº¹ÁÕ¹¡ÈÖ¡ÉÒ»ÃÔ­­Òâ·áÅÐàÍ¡ Œ Ñ Ñ ¨Ò¡Ê¶ÒºÑ¹Í×¹ÁÒËÇÁ»¯Ôºµ§Ò¹·Õè Siriraj Burn Unit ໚¹ÃÐÂÐæ ·íÒãËŒÁáÅ¡à»ÅÕ¹¤ÇÒÁÃÙã¹´ŒÒ¹¡Òà è Ñ Ô Õ è Œ ÇÔ¨Âã¹Ç§¡ÇŒÒ§¢Ö¹ ÁÕ¡ÒáÃШÒÂͧ¤¤ÇÒÁÃÙáÅ¡à»ÅÕ¹¾Ñ²¹Òã¹ÃдѺ·Õʧ¢Ö¹ ¡ÒþѲ¹Ò¼Å§Ò¹ÇÔ¨Â Ñ é Œ è èÙ é Ñ
  • 244.
    àǪÈÒʵÏ·¹Âؤ 2553 Ñ 217 ¡ç¨Ð´ÕáÅÐÁÒ¡¢Ö¹µÒÁÅíҴѺ Siriraj Burn unit ÁÕ¹âºÒ¡ÒþѲ¹Òͧ¤¤ÇÒÁÃÙáÅмŧҹ´ŒÒ¹ÇÔ¨Â é Œ Ñ á¡‹º¤Åҡ÷ѧ˹‹ÇÂäÁ‹ÇÒ¨Ð໚¹ÍÒ¨ÒÏᾷ ᾷ»ÃШíÒºŒÒ¹ ¾ÂÒºÒÅ ·ÕÁ¤ÇÒÁʹã¨áÅзíÒ§Ò¹ Ø é ‹ è Õ ÍÂÙ‹ ³ ËͼٻÇÂáË‹§¹Õé »˜¨¨Øº¹ÁÕ¾ÂÒºÒÅàªÕÂǪҭÃдѺ 9 1 ¤¹ ¾ÂÒºÒÅàªÕÂǪҭÃдѺ 8 ¶Ö§ Œ † Ñ è è 6 ¤¹ àÃÒ¶×ÍNjҺؤÅÒ¡Ãã¹Ë¹‹Ç§ҹ·Ø¡¤¹¤×Í burn team à´ÕÂǡѹ áÅШзíÒ§Ò¹ã¹áºº team work à¾×ÍÊÌҧª×ÍàÊÕ§ãËŒ¡ºÊ¶ÒºÑ¹¤×Í ¤³Ðá¾·ÂÈÒʵÏÈÃÃÒª¾ÂÒºÒÅ è è Ñ ÔÔ ºØ¤ÅÒ¡Ãã¹Ë¹‹Ç§ҹ¹íÒàʹͼŧҹÇԨѷÑé§ã¹áÅе‹Ò§»ÃÐà·È ÃÒ§ÇÑÅáË‹§¤ÇÒÁÊíÒàÃç¨ã¹Ãͺ 5 »‚·Õ輋ҹÁÒ໚¹¼Å§Ò¹¢Í§ºØ¤ÅÒ¡Ã Siriraj Burn Team: ä´ŒÃѺÃÒ§ÇÑÅ˹‹Ç§ҹ´Õà´‹¹´ÒǷͧ ¹Çѵ¡ÃÃÁ´Õà´‹¹ áÅÐ ÃÒ§ÇÑŪ¹ÐàÅÔȨҡ¡ÒûÃСǴ¼Å§Ò¹ÇÔ¨ÂÁÒ¡ÁÒÂ Ñ ¢³Ð¹ÕàÃÒÁÕ Siriraj Burn Unit ÂØ¤»ÃѺ»ÃاãËÁ‹ àÁ×ÍÁÕºÒ¹ËÅѧãËÁ‹·¾ÃŒÍÁ·Ñ§ã¹´ŒÒ¹ºØ¤ÅÒ¡Ã é è Œ Õè é ·ÕÁ§Ò¹ à¤Ã×ͧÁ×ÍÍØ»¡Ã³¡ÒÃᾷ··¹ÊÁÑ ¡çà»ÃÕºàÊÁ×͹ÁÕÃÒ¡°Ò¹·Õá¢ç§á¡Ã‹§ ¾ÃŒÍÁ·Õ¨Ð¾Ñ²¹Ò è Õè Ñ è è ËÃ×Í¡ŒÒǵ‹Íä»´ŒÇ¤ÇÒÁÁѹ¤§ ¡íÒÅѧÊíҤѭ¢Í§ºØ¤Åҡ÷ء淋ҹã¹ËͼٻÇ Siriraj burn unit ¤×Í è Œ † áç¼ÅÑ¡´Ñ¹·Õ¨Ð·íÒãËŒ»ÃÐʺ¤ÇÒÁÊíÒàÃ稴ѧ·ÕËÇѧäÇŒ ໚¹ËͼٻÇ·ÕãËŒ¡ÒôÙáÅÃÑ¡ÉҼٻǴŒÇ¨Ե㨠è è è Œ † è Œ † ºÃÔÊ·¸Ôì äÁ‹Á§ËÇѧ¼Å¡íÒäÃËÃ×Í¼ÅµÍºá·¹ã´æ àÃÒ ËÃ×Í “Siriraj Burn Team” 㹤ÇÒÁËÁÒ¢ͧ¼Á Ø Ø‹ ¹Ñ¹¤×ͤÇÒÁËÇÁÁ×ͷѧËÁ´¨Ò¡àÅ×Í´ÊÕà´ÕÂǡѹ¹Ñ¹¤×Í¡íÒÅѧ¼ÅÑ¡´Ñ¹¨Ò¡ÊͧÊÒ¢ÒÇÔªÒ¤×Í ÈÑÅÂÈÒʵÏ é é è ÍØºÑµÔà˵ØáÅÐÈÑÅÂÈÒʵϵ¡áµ‹§ ÍÕ¡¡ÅØ‹Á§Ò¹Ë¹Öè§·Õè¼ÁÍ´·Õè¨Ð¢Íº¤Ø³áÅЪ×蹪Áà¾ÃÒжŒÒ¢Ò´à¢Ò àËŋҹÕä» ¡Ò÷íÒ§Ò¹ã¹Ëͼٻǹդ§äÁ‹ÃÒºÃ׹໚¹á¹‹¹¹¤×Í ·ÕÁ¾ÂÒºÒżÙàªÕÂǪҭ´ŒÒ¹¡ÒôÙáÅ é Œ † é è Ñè Œ è ¼Ù»ÇÂä¿äËÁŒáÅкؤÅÒ¡Ãã¹ËͼٻÇ Siriraj Burn Unit ·Ñ§ËÁ´ ³ ºÑ´¹Õé Siriraj Burn Unit ¨Ð໚¹ Œ † Œ † é
  • 245.
    218 Journey to Excellent Burn Unit ˹‹Ç§ҹ˹֧·Õ¾ÃŒÍÁ¨ÐËÇÁ¡Ñ¹ÊÌҧª×ÍàÊÕ§Íѹà¡ÃÕ§ä¡ÃãËŒ¡ºÀÒ¤ÇÔªÒÈÑÅÂÈÒʵÏÈÃÃÒªÍѹ໚¹·Õè è è è Ñ ÔÔ ÃÑ¡ÂÔ§¢Í§àÃÒ ¾ÃŒÍÁ·Õ¨Ð¡ŒÒÇä»Í‹ҧäÁ‹ËÂØ´ÂѧÊÁ´Ñ§¤íÒ “Journey to Excellent Siriraj Burn Unit.” è è é ÊØ´·ŒÒ¹ռÁ¢ÍãËŒ Siriraj Burn Unit ¨Ð໚¹ËͼٻÇ·ըÐ໚¹·Õ¾§ËÃ×ͤÇÒÁËÇѧ˹֧¢Í§¼Ù»ÇºҴà¨çº é Œ † è è Öè è Œ † ä¿äËÁŒã¹»ÃÐà·Èä·ÂÍѹ໚¹·Õá¢Í§àÃÒµÅÍ´¡ÒŹҹ èÑ
  • 246.
    àǪÈÒʵÏ·¹Âؤ 2553 Ñ º··Õè 219 34 ¡ÒÃÃÑ¡ÉÒ¡Ãд١ËÑ¡à˵Øâäà¹×éͧ͡¡Ãд١ (Treatment of Pathologic .racture) ÍÒ¨ÒÏ ᾷ˭ԧ¨Ñ¹·¹ÃÑÈÁ ¨Ñ¹·¹ÂÔè§Â§ ÍÒ¨ÒÏ ¹ÒÂᾷ¸ÕÃÇØ²Ô ¸ÃÃÁÇÔºÙŏÈÃÕ ÍÒ¨ÒÏ ¹ÒÂᾷÃоԹ·Ã ¾ÔÁÅÈÒ¹µÔì ¼ÙŒª‹ÇÂÈÒʵÃÒ¨ÒÏ ¹ÒÂᾷ¡ŒÍ§à¢µ àËÃÕÂ­ÊØÇÃó ÀÒ¤ÇÔªÒÈÑÅÂÈÒʵÏÍÍÏ⸻´¤ÊáÅСÒÂÀÒ¾ºíҺѴ ¤³Ðá¾·ÂÈÒʵÏÈÃÃÒª¾ÂÒºÒÅ ÁËÒÇÔ·ÂÒÅÑÂÁËÔ´Å Ô ÔÔ ¡Ãд١ËÑ¡à˵Øâä (Pathologic fracture) à¡Ô´¨Ò¡¡ÒÃËÑ¡¢Í§¡Ãд١·ÕÁ¾ÂÒ¸ÔÊÀÒ¾ «Ö§ÊÒà赯 è Õ è ¡ÒÃËÑ¡¢Í§¡Ãд١à¡Ô´¨Ò¡áç¡ÃзíÒà¾Õ§àÅ硹ŒÍ â´Âáç¡ÃзíÒ¹ÕäÁ‹ÊÒÁÒö·íÒãËŒà¡Ô´¡Ãд١Ëѡ䴌 é 㹺ؤ¤Å·ÑÇä» ÊÒà˵ط·ÒãËŒà¡Ô´¡Ãд١ËÑ¡à˵Øâä 䴌ᡋ ÀÒÇСÃд١¾Ãع (osteoporosis) âä¡Ãд١ è Õè í ¾ÃØ¹àÁµÒºÍÅÔ¡ (metabolic bone disorders) âä¡Ãд١µÔ´àª×Í (osteomyelitis) áÅÐ à¹×ͧ͡¡Ãд١ é é ໚¹µŒ¹ à¹×ͧ͡¡Ãд١·Õ໚¹ÊÒà˵آͧ¡ÒÃà¡Ô´¡Ãд١ËÑ¡à˵Øâä㹼ÙãË­‹Á¡à¡Ô´¨Ò¡à¹×ͧ͡¡Ãд١ é è Œ Ñ é ·ØµÂÀÙÁÔ ËÁÒ¶֧ à¹×ͧ͡·Õ¡ÃШÒÂÅØ¡ÅÒÁÁÒ¨Ò¡à¹×ͧ͡ºÃÔàdzÍ×¹ ·Õ¾ºº‹ÍÂ䴌ᡋ ÁÐàÃ移ʹ Ô é è é è è ÁÐàÃç§àµŒÒ¹Á ÁÐàÃç§µ‹ÍÁä·ÃÍ´ ÁÐàÃç§äµ áÅÐ ÁÐàÃç§µ‹ÍÁÅÙ¡ËÁÒ¡ à¹×ͧ͡·Õá¾Ã‹¡ÃШÒÂÅØ¡ÅÒÁÁÒÂѧ¡Ãд١ʋǹÁÒ¡ÃÑ¡ÉÒẺ͹ØÃ¡É¹ÂÁ ઋ¹¡ÒéÒÂáʧ é è Ñ Ô ËÃ×Í ¡ÒÃãËŒÂÒà¤ÁպҺѴ à¹×ͧ¨Ò¡ÊÒÁÒöŴ¡ÒÃà¨çº»Ç´ áÅÐ ªÅÍ¡ÒÃÅØ¡ÅÒÁ¢Í§¡Ò÷íÒÅÒ¡Ãд١ í è ä´Œ´Õ ¡àÇŒ¹ã¹¡Ã³Õ·à¡Ô´¡Ãд١ËÑ¡ ËÃ×Í ÁÕ¡Ò÷íÒÅÒ¡Ãд١໚¹ºÃÔàdz¡ÇŒÒ§¨¹ÍÒ¨à¡Ô´¡ÒÃËÑ¡¢Ö¹â´Â Õè é §‹Ò (impending fracture) ¨Ö§¨íÒ໚¹µŒÍ§ÃÑ¡ÉÒâ´Â¡Òü‹ÒµÑ´ à¹×ͧ¨Ò¡¡Ãд١ËÑ¡à˵ØâäÁÑ¡äÁ‹µ´àͧ è Ô â´Â¡ÒÃÃÑ¡ÉÒẺ͹ØÃ¡É¹ÂÁ Ñ Ô Çѵ¶Ø»ÃÐʧ¤ã¹¡Òü‹ÒµÑ´¼ÙŒ»†Ç·ÕèÁÕÁÐàÃç§¡ÃШÒÂÅØ¡ÅÒÁÁÒ·Õè¡Ãд١¤×Í Å´¤ÇÒÁà¨çº»Ç´ ·íÒãËŒ¼»ÇÂà¤Å×͹äËÇä´ŒÊдǡ ª‹ÇÂàËÅ×͵¹àͧ䴌 ·íÒãËŒ¡ÒþÂÒºÒÅÃÑ¡ÉÒ໚¹ä»ä´Œâ´ÂÊдǡ ÙŒ † è ÍÕ¡·Ñ§ª‹Ç¾Ѳ¹Ò¤Ø³ÀÒ¾ªÕǵ áÅÐ ÊØ¢ÀÒ¾¨Ôµã¨¢Í§¼Ù»ÇÂã¹ÃÐÂÐÊØ´·ŒÒ Çѵ¶Ø»ÃÐʧ¤ËÅÑ¡¢Í§¡Òà é Ô Œ † ¼‹ÒµÑ´ ¤×Í ¡Ò÷íÒãËŒ¼»ÇÂà¤Å×͹äËÇËҧ¡Ò áÅРŧ¹éÒ˹ѡ䴌·¹·Õ (immediate weight bearing) ÙŒ † è í Ñ äÁ‹¤Ç÷íÒ¼‹ÒµÑ´ËÒ¡»ÃÐàÁÔ¹áÅŒÇÇ‹Ò ÀÒÂËÅѧ¡Òü‹ÒµÑ´ ¼Ù»ÇÂäÁ‹ÊÒÁÒöà´Ô¹Å§¹éÒ˹ѡ䴌 Œ † í à·¤¹Ô¤¡Òü‹ÒµÑ´ áÅÐ à¤Ã×ͧÁ×Í·Õ㪌ÊǹãË­‹ãªŒ¢Íà·ÕÂÁ â´Â੾ÒТŒÍÊÐ⾡ ËÃ×Í âÅËдÒÁ è è ‹ Œ Í×¹æ ËÇÁ¡Ñº«ÕàÁ¹µ¡Ãд١ (polymehtyl methacrylate; PMMA) à¾×èÍãˌ䴌¤ÇÒÁá¢ç§áç㹷ѹ·Õ è
  • 247.
    220 Treatment of Pathologic .racture (immediate fixation and stability) à¾ÃÒÐÀÒÂËÅѧá¼ÅËÒ´ÕáÅŒÇ µŒÍ§ÃÑ¡ÉÒ´ŒÇ¡ÒéÒÂÃѧÊÕà¾×Í è ËÂØ´Âѧ¡ÒÃà¨ÃÔ­àµÔºâµ¢Í§à¹×ͧ͡ áÅÐ »‡Í§¡Ñ¹¡ÒáÅѺ໚¹«éҢͧà¹×ͧ͡Ãͺ¢ŒÍà·ÕÂÁ ËÃ×Í ÇÑÊ´Ø é é í é ´ÒÁ¹Ñ¹æ ¡ÒéÒÂÃѧÊÕÁ¼Å·íÒãËŒ¡Ãд١äÁ‹µ´ ¨Ö§¤ÇÃËÅÕ¡àÅÕ§¡ÒÃ㪌¡Ãд١ allograft ÁÒ»ÅÙ¡ ËÃ×Í é Õ Ô è ¡ÒÃ㪌âÅËзÕ赌ͧ¡ÒáÒÃàµÔºâµ¢Í§¡Ãд١à¾×èÍÂÖ´à¡ÒРઋ¹ ¢ŒÍà·ÕÂÁª¹Ô´äÁ‹äÊ‹«ÕàÁ¹µ¡Ãд١ (cementless prosthesis) º·ºÒ·¢Í§ÈÑÅÂᾷÍÍÏ⸻´¡Êã¹¡ÒÃÃÑ¡ÉÒÁÐàÃç§¡ÃШÒÂÅØ¡ÅÒÁÁÒÂѧ¡Ãд١ ¤×Í Ô 1) Â×¹Âѹ¡ÒÃÇÔ¹¨©ÑÂÁÐàÃç§¡Ãд١ Ô 2) ÃÑ¡ÉÒ¡Ãд١ËÑ¡Íѹà¡Ô´¨Ò¡ÁÐàÃç§¡ÃШÒÂÅØ¡ÅÒÁÁÒ 3) ´Ùáżٌ»†Ç·ÕèÁÕá¹Ç⹌Á¨Ðà¡Ô´¡Ãд١ËÑ¡¨Ò¡âäÁÐàÃç§ ¡Òü‹ÒµÑ´ÁÕ¤ÇÒÁÊíҤѭÁÒ¡ à¹×ͧ¨Ò¡ÊÒÁÒöŴ¤ÇÒÁà¨çº»Ç´ à¾ÔÁ¤ÇÒÁÊÒÁÒö㹡ÒÃà¤Å×͹äËÇ áÅÐ à¾ÔÁ¤Ø³ÀÒ¾ªÕǵãËŒ¡º è è è è Ô Ñ ¼Ù»Ç áÁŒÇÒ¨ÐÁÕÃÐÂФҴ¡Òó¡ÒôíÒçªÕǵ·Õʹ¡çµÒÁ ã¹ÁÐàÃ秺ҧª¹Ô´àª‹¹ ÁÐàÃç§äµ ËÃ×Í ÁÐàÃç§ Œ † ‹ Ô è Ñé µ‹ÍÁä·ÃÍ´ ·ÕÁÃÍÂâäà¾Õ§¨Ø´à´ÕÂÇã¹Ã‹Ò§¡Ò (solitary skeletal metastasis) ¡Òü‹ÒµÑ´ wide è Õ excision ÊÒÁÒö·íÒãËŒ¼»ÇÂÁժǵÂ×¹ÂÒǢֹ䴌 (1, 2) ÙŒ † ÕÔ é ¼Ù»Ç·Õ䴌ú¡ÒÃÇÔ¹¨©ÑÂÇ‹Ò à»š¹ÁÐàÃç§ áÅÐ ÁÕÍÒ¡ÒûǴ·Õà¡Ô´¢Ö¹ãËÁ‹ â´Â੾ÒÐÍ‹ҧÂÔ§ Œ † è Ñ Ô è é è ºÃÔàdzËÅѧ áÅÐ ÊÐ⾡ ¤ÇÃ䴌ú¡ÒõÃǨÇÔ¹¨©ÑÂÀÒÇÐÁÐàÃç§¡ÃШÒÂÅØ¡ÅÒÁÁÒÂѧ¡Ãд١·Ø¡¤Ãѧ Ñ Ô é ¨¹¡Ç‹Ò¨Ð¾ÔÊÙ¨¹ä´ŒÇ‹ÒäÁ‹ãª‹ ËÒ¡¡ÒáÃШÒÂÅØ¡ÅÒÁ¹Ñé¹ÁÕËÅÒµíÒá˹‹§«Öè§µÃǨ¾ºä´Œã¹¼Å¡Òà Ê᡹¡Ãд١ ÁÑ¡äÁ‹¤‹ÍÂÁÕ»˜­ËÒ㹡ÒÃÇÔ¹Ô¨©Ñ (ÃÙ»·Õè 1) ᵋËÒ¡¾º¡ÒÃÊÐÊÁ¢Í§ÃѧÊÕ㹡Òà Ê᡹¡Ãд١à¾Õ§¨Ø´à´ÕÂÇ ÍÒ¨¨íÒ໚¹µŒÍ§µÑ´ªÔ¹à¹×Í仵ÃǨà¾×Í·ÃÒº¼Å·Ò§¾ÂÒ¸ÔÇ·ÂÒ áÅÐ ÇÒ§á¼¹ é é è Ô ¡ÒÃÃÑ¡ÉÒ·Õ¶¡µŒÍ§µ‹Íä» è Ù ÃÙ»·Õè 1 Whole body bone scan ¢Í§¼ÙŒ»†Ç CA prostate áÊ´§¡Òà increase uptake ·ÕèËÅÒ µíÒá˹‹§·ÕèºÃÔàdz¡Ãд١ÊѹËÅѧ ¡Ãд١àªÔ§¡ÃÒ¹ ¡Ãд١Êкѡ áÅÐ ¡Ãд١«Õèâ¤Ã§
  • 248.
    àǪÈÒʵÏ·¹Âؤ 2553 Ñ 221 àÁ×ͼٻÇÂÁÒ¾ºá¾·Â´ÇÂÍÒ¡ÒûǴ¨Ò¡¡ÒÃà¡Ô´¡Ãд١ËÑ¡·ÕÁÊÒà˵ØÁÒ¨Ò¡ÁÐàÃç§ÅØ¡ÅÒÁ è Œ † Œ è Õ ÈÑÅÂᾷÍÍÏ⸻´¡Ê¨Ò໚¹µŒÍ§ÇÒ§á¼¹¡ÒÃÃÑ¡ÉÒ໚¹ÃÒ徊ȵÒÁ»˜¨¨Ñ·Õᵡµ‹Ò§¡Ñ¹ ã¹¼Ù»ÇÂᵋ Ô í è Œ † ÅÐÃÒ â´ÂËÅÑ¡¡ÒäÇõŒÍ§¾Ô¨ÒóҶ֧¼Å´Õ áÅÐ ¼ÅàÊÕÂÍѹà¡Ô´¨Ò¡¡Òü‹ÒµÑ´ à¹×ͧ¨Ò¡¼Ù»ÇÂÁÐàÃç§ è Œ † ÁÑ¡ÁÕÍÒÂØÁÒ¡ ÁÕâä»ÃШíÒµÑÇÍ×¹ áÅÐÁÕ¡ÒþÂҡóÍµÃÒ¡ÒÃÁժǵàËÅ×ÍÃÍ´µèÒ è Ñ ÕÔ í ÀÒÇСÃд١àÊÕè§µ‹Í¡ÒÃËÑ¡¨Ò¡ÁÐàÃç§ (Impending fracture) ÃÍÂâä·Õ¡Ãд١ËÒ¡ÁÕ¢¹Ò´ãË­‹ÁÒ¡ÍÒ¨¾Âҡóä´ŒÇÒ ¨Ðà¡Ô´¡Ãд١ËÑ¡µÒÁÁÒ ·íÒãËŒ¼»ÇÂ è ‹ ÙŒ † ÁÕ¤ÇÒÁà¨çº»Ç´·ÃÁÒ¹ áÅÐ ÁÕ¤ÇÒÁÂÒ¡ÅíҺҡ㹡Òü‹ÒµÑ´¨Ñ´ÃÙ»¡Ãд١ãˌࢌҷÕèà¹×èͧ¨Ò¡¡Ãд١ ·ÕË¡à¤Å×͹ ¡Òü‹ÒµÑ´ãÊ‹àËÅç¡´ÒÁà¾×Í»‡Í§¡Ñ¹¡ÒÃËÑ¡µÑ§áµ‹àËç¹ÃÍÂâ䡋͹·Õ¨Ðà¡Ô´¡Ãд١ËÑ¡¨Ö§ÁÕ è Ñ è è é è ¤ÇÒÁÊíҤѭµ‹ÍÈÑÅÂᾷÍÍÏ⸻´¡Ê ᵋà¹×ͧ¨Ò¡¡Òü‹ÒµÑ´¼Ù»ÇÂã¹¡ÅØÁ¹ÕÁ¤ÇÒÁàÊÕ§·Õ¨Ðà¡Ô´¼Å Ô è Œ † ‹ é Õ è è á·Ã¡«ŒÍ¹ÊÙ§ ¨Ö§ÁÕËÅѡࡳ±¡ÒþԨÒóҤѴàÅ×͡੾ÒмٻÇ·ÕàËÁÒÐÊÁ㹡ÒÃÃѺ¡ÒÃÃÑ¡ÉÒâ´Â¡Òà Œ † è ¼‹ÒµÑ´ ´Ñ§¹Õé Harrington’s classification for prophylactic internal fixation (3) 1. Lesion greater than 2.5 cm 2. Lesion greater than 50% of the cross sectional bone destruction 3. Persistent bone pain during or after radiation therapy µÒÃÒ§·Õè 1 Mirel’s scoring system* (4) Variable Score 1 2 3 Site Upper extremity Lower extremity Peritrochanteric Size <1/3 1/3 - 2/3 > 2/3 Pain Mild Moderate .unctional Lesion Blastic Mixed Lytic *Base on radiograph, not computer tomography (CT scan); 78 radiated metastatic long bone lesions General guidelines for scores Score ! 7 no internal fixation Score > 9 internal fixation Score = 8 consider internal fixation, individualized care and possibly CT scan ËÒ¡¾Ô¨ÒóҼŤÐṹ䴌µÒ¡Ç‹Ò 7 ãˌáÉÒâ´Â¡ÒéÒÂÃѧÊÕ ËÒ¡¼Å¤Ðṹ䴌෋ҡѺ 8 èí Ñ ãËŒ¾¨ÒóÒ໚¹ÃÒÂæ ä»Ç‹Ò¨Ð¼‹ÒµÑ´ internal fixation ¡‹Í¹¡ÒéÒÂÃѧÊÕËÃ×ÍäÁ‹ ËÒ¡ä´ŒÁÒ¡¡Ç‹Ò 9 Ô ¤Ðá¹¹¤Çü‹ÒµÑ´ internal fixation ¡‹Í¹áŌǨ֧©ÒÂÃѧÊÕ (ÃÙ»·Õè 2.1, 2.2)
  • 249.
    222 Treatment of Pathologic .racture ÃÙ»·Õè 2.1 ¼ÙŒ»†ÇÂÁÐàÃ移ʹ ÁÕÃÍÂâä·ÕèºÃÔàdz intertrochanteric area ¤íҹdz Mirel’s score ä´Œ¤Ðá¹¹ 11 ¨Ò¡à»š¹pertrochanteric area(3) ¤Ãͺ¤ÅØÁ >2/3 ¢Í§¡Ãд١(3) ÁÕ¤ÇÒÁ à¨çº»Ç´ã¹ÃдѺ moderate(2) áÅР໚¹ osteolytic lesion(3) ÁÕ¢ŒÍº‹§ªÕé㹡Òü‹ÒµÑ´ internal fixation ÃÙ»·Õè 2.2 ËÅѧ䴌ú¡Òü‹ÒµÑ´ãÊ‹àËÅç¡´ÒÁ Proximal femoral locking plate (P.-LCP) áÅÐãÊ‹ Ñ «ÕàÁ¹µ¡Ãд١ ¼ÙŒ»†ÇÂÊÒÁÒöà´Ô¹Å§¹éíÒ˹ѡ䴌 »Ç´Å´Å§ áÁŒÇ‹Òµ‹ÍÁÒ¨ÐÂѧÁÕ progressive osteolytic lesion ·Õè acetabulum áÅÐ ÁÕ superior and inferior pubic rami fractureÀÒÂËÅѧ ·íÒ¡ÒÃÃÑ¡ÉÒâ´Â¡ÒéÒÂÃѧÊÕ ÍÒ¡ÒôբÖé¹
  • 250.
    àǪÈÒʵÏ·¹Âؤ 2553 Ñ 223 ¡ÒûÃÐàÁÔ¹¼ÙŒ»†Ç¡‹Í¹¼‹ÒµÑ´ (Preoperative evaluation) ¡ÒÃàµÃÕÂÁ¼Ù»Ç¡‹Í¹¼‹ÒµÑ´ÁÕ¤ÇÒÁÊíҤѭÂÔ§ã¹¼Ù»ÇÂÁÐàÃç§¡Ãд١·ØµÂÀÙÁÔ à¹×ͧ¨Ò¡¼Ù»Ç Œ † è Œ † Ô è Œ † ã¹¡ÅØÁ¹ÕÁ¡ÁÕ¤ÇÒÁ¼Ô´»¡µÔ¢Í§ÊÁ´ØÅà¡Å×ÍáË ͧ¤»ÃСͺ¢Í§àÅ×Í´ áÅÐ ÁÕÀÒÇзؾâÀª¹Ò¡Òà ‹ é Ñ ÁÕâÍ¡ÒʵԴàª×Íä´Œ§Ò ઋ¹ »Í´ºÇÁ ËÃ×Í ¡ÒõԴàª×Í·Ò§à´Ô¹»˜ÊÊÒÇШҡ¡ÒÃäÁ‹à¤Å×͹äËÇ໚¹àÇÅÒ é ‹ é è ¹Ò¹ ÀÒÇÐàÁç´àÅ×Í´¢ÒǵèÒÀÒÂËÅѧ¡ÒÃãËŒÂÒà¤ÁպҺѴ ËÃ×Í ¼ÔÇ˹ѧÍÑ¡àʺµÔ´àª×Íä´Œ§Ò¨ҡ¡Òà í í é ‹ ©ÒÂÃѧÊÕÃÑ¡ÉÒ ¼ÙŒ»†Ç¤ÇÃä´ŒÃѺ¡ÒõÃǨàÅ×Í´à¾×èÍ»ÃÐàÁÔ¹ÀÒÇЫմáÅÐÀÒÇСÒÃá¢ç§µÑǢͧàÅ×Í´ ¼Ô´»¡µÔ¨Ò¡âäàÃ×éÍÃѧ ¡ÒâҴÇÔµÒÁԹठËÃ×Í ¡ÒÃÁÕÁÐàÃç§ÅØ¡ÅÒÁä»·ÕèµÑº ¤ÇÃàµÃÕÂÁàÅ×Í´áÅРʋǹ»ÃСͺ¢Í§àÅ×Í´äÇŒà¾×Í㪌㹡Òü‹ÒµÑ´Í‹ҧà¾Õ§¾Í µÃǨÃдѺá¤Åà«ÕÂÁã¹àÅ×Í´ ËÒ¡ÁÕÃдѺ è ÊÙ§¤ÇÃá¡Œä¢ à¾ÃÒÐÍÒ¨·íÒãËŒà¡Ô´¡ÒÃàÊÕªÕǵÍ‹ҧà©Õº¾Åѹ¢³Ð¼‹ÒµÑ´ä´Œ ¤ÇÃãËŒ¡ÒÃÃÑ¡ÉÒáÅÐãËŒÂÒ Ô à¾×ͤǺ¤ØÁâä»ÃШíÒµÑǢͧ¼Ù»Ç ઋ¹ âäàºÒËÇÒ¹ ¤ÇÒÁ´Ñ¹âÅËÔµÊÙ§ âÃ¤äµ áÅÐ âäËÑÇ㨡‹Í¹ è Œ † ¼‹ÒµÑ´ ¤ÇõÃǨËÒÃÍÂâäÍ×¹·ÕÁÐàÃç§¡ÃШÒÂÅØ¡ÅÒÁä»à¾×Í»‡Í§¡Ñ¹¡ÒÃà¡Ô´¡Ãд١ËÑ¡ÃÐËNjҧ¡Òà è è è à¤Å×͹ŒÒ¼ٻÇ ËÃ×Í ÃÐËNjҧ¡Òü‹ÒµÑ´ ¡ÒûÃÐàÁÔ¹ÊíÒËÃѺÍÇÑÂÇзըм‹ÒµÑ´ ¤ÇõÃǨÃÍÂâä è Œ † è 㹡Ãд١¹Ñ¹æ ¶Ö§¢Íºà¢µ áÅÐ ¨íҹǹÃÍÂâä·ÕÁ㹡Ãд١à´ÕÂÇà¾×;ԨÒóÒÇÒ§á¼¹¡Òü‹ÒµÑ´ áÅÐ é è Õ è àÅ×Í¡ÇÑÊ´Ø·Õè¨Ð㪌㹡ÒÃÂÖ´µÃÖ§¡Ãд١ãËŒàËÁÒÐÊÁ¤Ãͺ¤ÅØÁÃÍÂâä·Ñé§ËÁ´(ÃÙ»·Õè 3.1, 3.2) ãËŒ preoperative embolization 㹡óÕʧÊÑÂÇ‹Ò໚¹à¹×ͧ͡·ÕÁàÅ×Í´ÁÒàÅÕ§ÁÒ¡ ઋ¹ ÁÐàÃç§µ‹ÍÁä·ÃÍ´ é è Õ é ËÃ×Í ÁÐàÃç§äµ à¾×ÍÅ´¡ÒÃÊÙ­àÊÕÂàÅ×Í´ã¹¢³Ð¼‹ÒµÑ´ (ÃÙ»·Õè 4.1, 4.2) è ÃÙ»·Õè 3.1 ¼Ù»Ç multiple myeoloma ÁÕ Œ † ÃÙ»·Õè 3.2 ËÅѧ·íÒ¼‹ÒµÑ´ intramedullary nail pathologicfracture mºÃÔàdz proximal humerus fixation áÅÐ ©ÒÂÃѧÊÕ ¡Ãд١µÔ´´Õ áÅÐÁÕ osteolytic lesion ŧÁÒ¶Ö§ diaphysis osteolytic lesions ËÒÂä»
  • 251.
    224 Treatment of Pathologic .racture ÃÙ»·Õè 4.1 ÀÒ¾ Pre-operative embolization ÃÙ»·Õè 4.2 ËÅѧ¡Ò·íÒ embolization ·ÕèàÊŒ¹ áÊ´§àÊŒ¹àÅ×Í´ÁÒàÅÕ駨íҹǹÁÒ¡ºÃÔàdz àÅ×Í´ medial circuflex femoral artery neck of femur ã¹¼ÙŒ»†Ç renal cell áÊ´§ãËŒàËç¹Ç‹ÒÁÕàÅ×Í´ÁÒàÅÕé§¹ŒÍÂŧà¾×èÍÅ´ carcinoma metastasis »ÃÔÁÒ³¡ÒÃÊÙ­àÊÕÂàÅ×Í´ÃÐËNjҧ¼‹ÒµÑ´ ÃÙ»·Õè 4.3 ÀÒ¾¶‹Ò·ҧÃѧÊÕÇÔ·ÂҢͧ Long stem hemiarthroplasty ÀÒÂËÅѧ¡Ò÷íÒ Embolization ËÅÑ¡¡ÒÃÃÑ¡ÉÒà¹×éͧ͡¡Ãд١·ØµÔÂÀÙÁÔâ´Â¡Òü‹ÒµÑ´ (Principles of Surgical Treatment for Skeletal Metastases) à·¤â¹âÅÂÕ㹡ÒüèҵѴÁÐàÃç§¡Ãд١·ØµÂÀÙÁä´éú¡ÒþѲ¹ÒÍÂèÒ§µèÍà¹×ͧ àªè¹ ¡ÒþѲ¹Ò- Ô Ô Ñ è ÇÑÊ´ØàÁ··ÑÅÅÔ¡ÍÑÅÅÍ´ ¡ÒþѲ¹ÒÃٻẺ¢Í§á¡¹´ÒÁ¡Ãд١ (third-generation interlocked IM rods) áÅТŒÍà·ÕÂÁª¹Ô´¾ÔàÈÉ (prosthesis design áÅÐ modular segmental replacement endoprosthesis) ¡ÒÃàÊÃÔÁ«ÕàÁ¹µ¡Ãд١à¾×Íãˌ䴌¤ÇÒÁá¢ç§áç·Ñ¹·Õ㹡ÒÃãÊ‹àËÅç¡´ÒÁ¡Ãд١ ·Ñ§¹Õ¼»Ç¨íÒ໚¹µŒÍ§ è é é ÙŒ † 䴌ú adjuvant therapy ઋ¹ à¤ÁպҺѴ áÅÐ ÃѧÊÕáÉÒËÇÁ¡Ñº¡Òü‹ÒµÑ´ ¨Ö§¨íÒ໚¹µŒÍ§ÁÕ·Áᾷ Ñ í Ñ Õ ÊËÊÒ¢Òª‹ÇÂÇÒ§á¼¹¡ÒÃÃÑ¡ÉÒËÇÁ¡Ñ¹à¾×ͤ§ÊÀÒ¾¡Ãд١ãËŒá¢ç§áçÀÒÂËÅѧ¡Òü‹ÒµÑ´ è
  • 252.
    àǪÈÒʵÏ·¹Âؤ 2553 Ñ 225 ËÅÑ¡¡Òü‹ÒµÑ´ã¹¼ÙŒ»†Ç¡Ãд١ËÑ¡¨Ò¡ÁÐàÃç§¡Ãд١·ØµÔÂÀÙÁÔ 1. ÇÒ§á¼¹ËÅÕ¡àÅÕ§á¼Å¼‹ÒµÑ´äÁ‹ãËŒ¼Ò¹ºÃÔàdz·ÕÁ¡ÒéÒÂáʧÁÒ¡‹Í¹ â´ÂãËŒÁºÃÔàdz¡ÒÃ è ‹ è Õ Õ ·íÒ§Ò¹·Õà¾Õ§¾Í ᵋ§ÊÒÁÒö»´á¼Åä´Œ è Ñ 2. Curette ¹íÒªÔ¹à¹×ÍÍÍ¡ãËŒÁÒ¡·ÕÊ´ é é èØ 3. ãʋͻ¡Ã³¢Íà·ÕÂÁ ËÃ×ÍâÅËдÒÁ áÅÐá·¹·ÕªÍ§Ç‹Ò§´ŒÇ«ÕàÁ¹µ¡Ãд١ Ø Œ è ‹ 4. ãËŒ¡ÒéÒÂáʧ áÅÐ/ËÃ×Í ¡ÒÃãËŒÂÒà¤ÁպҺѴ·ÕàËÁÒÐÊÁ í è ¡ÒÃÃÑ¡ÉÒ¨íÒà¾ÒÐ (Treatment for specific anatomic site) Pelvis and acetabulum ÃÍÂâäºÃÔàdz¡Ãд١àªÔ§¡ÃÒ¹·ÕäÁ‹ãª‹ºÃÔàdzຌÒÊÐ⾡ ÊÒÁÒöÃÑ¡ÉÒä´Œâ´Â¡ÒÃËÅÕ¡àÅÕ§ è è ¡ÒÃŧ¹éÒ˹ѡâ´Â㪌à¤Ã×ͧª‹ÇÂà´Ô¹ áÅÐ ¡ÒéÒÂáʧÀÒÇÐ avulsion fracture ¢Í§ superior/inferior í è iliac spines, iliac crest áÅÐ superior/ inferior pubic rami ÁÑ¡¾ºä´ŒºÍ ÊÒÁÒöÃÑ¡ÉÒẺ͹ØÃ¡É ‹ Ñ ¹ÔÂÁä´Œ ËÒ¡ÃÍÂâäÁÕ¢¹Ò´ãË­‹ ¤Ãͺ¤ÅØÁຌÒÊÐ⾡ÁÒ¡¡Ç‹Ò 50% áÅÐ äÁ‹µÍºÊ¹Í§µ‹Í¡ÒéÒ áʧ ¤Çü‹ÒµÑ´·íÒ intra-lesional curettage áÅÐ cemented THA (ÃÙ»·Õè 5) ËÇÁ¡Ñº¡ÒÃãÊ‹ Steinmann pin fixation ÃÙ»·Õè 5 ¼Ù»Ç CAbreast ÁÕ osteolytic lesion ·Õè acetabulum ·íÒ¼‹ÒµÑ´ Total hip arthroplasty Œ † with anti-protusio acetabular cup µ‹ÍÁÒÁÕ fracture neck ¢Í§ femur ÍÕ¡¢ŒÒ§Ë¹Ö§ è
  • 253.
    226 Treatment of Pathologic .racture Proximal femur (Hip) ºÃÔàdz¡Ãд١µŒ¹¢Òʋǹº¹à»š¹ºÃÔàdz·Õ¾º¡Ãд١ËÑ¡à˵ØâäÁÒ¡·ÕÊ´ à¹×ͧ¨Ò¡à»š¹ºÃÔàdz è èØ è ·Õ¾º¡ÒáÃШÒÂÅØ¡ÅÒÁ¢Í§à¹×ͧ͡ÁÒä´ŒºÍ áÅÐ ¡Ãд١ºÃÔàdz¹Õ·Ò˹ŒÒ·Õú¹éÒ˹ѡ¢Í§Ã‹Ò§¡Ò è é ‹ é í èÑ í ʋǹÁÒ¡¨íÒ໚¹µŒÍ§ÃѺ¡ÒÃÃÑ¡ÉÒâ´Â¡Òü‹ÒµÑ´ áÅÐ ©ÒÂáʧ áÁŒã¹¼Ù»Ç·ÕÍ͹áÍÁÒ¡ ¡ç§ãËŒ¼Å¡Òà Œ † è‹ Ñ ÃÑ¡Éҷդ͹¢ŒÒ§´Õ ¡‹Í¹¼‹ÒµÑ´¤ÇéÒÂÀÒ¾·Ò§ÃѧÊÕÇ·ÂÒµÅÍ´·Ñ§ÅíÒ¡Ãд١ áÅÐ µÃǨÊ᡹¡Ãд١ è ‹ Ô é à¾×ÍËÒÃÍÂâä·ÕÁµÒ¡Ç‹ÒÃÍÂâä·Õ¾º ËÒ¡ÁÕÃÍÂâäÍ×¹¨ÐÁռŵ‹Í¡ÒþԨÒóÒàÅ×Í¡ª¹Ô´¢Í§¢ŒÍà·ÕÂÁ è è Õ èí è è ËÃ×Í ÇÑÊ´Ø´ÒÁ â´Â¡Ãд١ËÑ¡ºÃÔàdz intracapsular (femoral neck fracture) Áѡ㪌 Hemiarthroplasty long stem prosthesis ËÃ×Í THA ¢Ö¹¡ÑºÇ‹ÒÁÕ¡Ò÷íÒÅÒ¡Ãд١ acetabulum ÁÒ¡¹ŒÍÂà¾Õ§äà ºÃÔàdz é intertrochanteric áÅÐ subtrochanteric fracture ÁÕ¡ÒÃ㪌·§ plate system, nail system áÅÐ long Ñé stem prosthesis .emoral shaft à¤Ã×ͧÁ×Í·Õ㪌㹡ÒÃÃÑ¡ÉÒ femoral shaft impending/actual fracture ¤×Í intramedullary nail è è ·ÕÁ·§ distal áÅÐ proximal locking â´ÂÇÔ¸¡Òü‹ÒµÑ´áºº»´ “close method” ¡Å‹ÒǤ×Í äÁ‹à»´á¼Å·Õè è Õ Ñé Õ fracture site â´ÂµÃ§áµ‹ÊÍ´ nail ÁÒ·Ò§ proximal femur áÅÐ ream intramedullary canal à¾×͹íÒ è à¹×ͧ͡ÍÍ¡ áÅŒÇ㪌 PMMA 㹡ÒÃàÊÃÔÁ¤ÇÒÁá¢ç§áç é ÊÃØ» ¡ÒÃÃÑ¡ÉҼٻǷÕÁÁÐàÃ秷صÂÀÙÁ¢Í§¡Ãд١µŒÍ§ÍÒÈÑ·ÕÁᾷÊËÊÒ¢Ò«Ö§ÁÕ¤ÇÒÁàªÕÂǪҭ Œ † è Õ Ô Ô è è â´ÂÁÕǵ¶Ø»ÃÐʧ¤à¾×ÍÅ´¤ÇÒÁà¨çº»Ç´áÅзíÒãËŒ¼»ÇÂÊÒÁÒö¡ÅѺä»ãªŒá¢¹¢Ò¹Ñ¹à»š¹»¡µÔä´ŒàÃçÇ·Õè Ñ è ÙŒ † é ÊØ´ ¡Òü‹ÒµÑ´¼Ù»Ç·ÕÁÃÍÂâäºÃÔàdz¡Ãд١·ÕÁÁÐàÃç§·Õà¡×ͺËÑ¡ ËÃ×Í ËÑ¡¼‹Ò¹ÃÍÂâäáÅŒÇ ¤ÇÃàÅ×Í¡ Œ † è Õ è Õ è ÇÔ¸´ÒÁ¡Ãд١´ŒÇÂâÅËÐẺµ‹Ò§æâ´Â¡ÒÃàÊÃÔÁ´ŒÇ«ÕàÁ¹µ¡Ãд١ ÃÇÁ·Ñ§ã¹ºÒ§¡Ã³ÕÍÒ¨µŒÍ§ºÙÃ³Ð Õ é ´ŒÇ¢ŒÍà·ÕÂÁª¹Ô´¾ÔàÈÉ «Ö§¢Ö¹¡ÑºËÅÒ»˜¨¨Ñ 䴌ᡋ ¡ÒþÂҡóâä¢Í§µÑǼٻÇ ÅѡɳÐÃÍÂâä è é Œ † ·Õè໚¹ áÅÐ àÈÃɰҹзÕèàËÁÒÐÊÁ ÀÒÂËÅѧ¼‹ÒµÑ´µŒÍ§¾Ô¨ÒóҩÒÂÃѧÊÕºÃÔàdz·Õ輋ҵѴ·Ø¡¤ÃÑé§à¾×èÍ ¤Çº¤ØÁ¡ÒôíÒà¹Ô¹¢Í§âä »‡Í§¡Ñ¹¡ÒÃËÅØ´ËÅÇÁ¢Í§âÅËзÕè㪌´ÒÁ ÃÇÁ·Ñé§ÍÒ¨¾Ô¨ÒóÒÂÒ¡ÅØ‹Á bisphosphonates ÂÒà¤ÁÕºíҺѴ·ÕèàËÁÒÐÊÁ ÂÒÃЧѺ»Ç´ «Ö觨Ъ‹ÇÂÅ´¤ÇÒÁ·Ø¡¢·ÃÁÒ¹áÅÐà¾ÔèÁ ¤Ø³ÀÒ¾ªÕǵ·Õ´ãËŒ¡º¼Ù»ÇÂ¡ÅØÁ¹Õ«§ÁÕ¾ÂҡóâääÁ‹´Õ áÅÐÁÕÃÐÂÐàÇÅÒ¡ÒÃÁժǵ㹪‹Ç§¨íÒ¡Ñ´ä´Œ Ô è Õ Ñ Œ † ‹ é Öè ÕÔ àÍ¡ÊÒÃ͌ҧÍÔ§ 1. ÍÀÔªÒµÔ ÍÑÈÇÁ§¤Å¡ØÅ. Overview in Management of Long Bone Metastasis. ã¹ ·Ô¾ªÒµÔ ºØ³ÂÃѵ¾Ñ¹¸, ÊØ¾ªÂ Ô Ñ à¨ÃÔ­ÇÒÃÕ¡Å, ·ÇÕ ·Ã§¾Ñ²¹ÒÈÔÅ»Š, ¾Äɾ§È ÈÃÕÊÇÑÊ´Ô,ì ºÃóҸԡÒÃ. Progress in musculoskeletal oncology: Skeletal Ø Metastasis. ¡Ãا෾ÁËÒ¹¤Ã: ºÃÔÉ· á»Å¹¾ÃÔ¹·µ§ ¨íÒ¡Ñ´; 2009: ˹ŒÒ 141- 48. Ñ Ôé 2. Biermann JS, Holt GE, Lewis VO, Schwartz HS, Yaszemski MJ. Metastatic Bone Disease: Diagnosis, Evaluation, and Treatment. J Bone Joint Surg Am. 2009;91:1518-30. 3. Harrington KD. Orthopaedic Management of Extremity and Pelvic Lesions. Clin Orthop 1995;312:136-47.
  • 254.
    àǪÈÒʵÏ·¹Âؤ 2553 Ñ 227 4. Mirels H. Metastatic disease in long bones: A prosposed scoring system for diagnosing impending pathologic fractures. Clin Orthop 1989;249:256-64. 5. Damron TA and Sim .H. Instructional Course Lectures, The Ameriacan Acadamy of Orthopaedic Surgeons – Operative Treatment for Metastatic Disease of the Pelvis and the Proximal End of the .emur. J Bone Joint Surg Am. 2000;82:114-26. 6. Malawer MM and Sugarbaker PH. Treatment of Metastatic Bone Disease in Musculoskeletal Cancer Surgery. Philadelphia: Kluwer Acadamic Publishers; 2001: 215-30. 7. Lewis VO. Surgical Management of Upper Extremity Metastatic Disease in Schwartz HS editor. Orthopaedic Knowledge Update: Musculoskeletal Tumors 2. 2nd ed. Rosemont: American Acadamy of Orthopaedic Surgeons 2007: 375-82. 8. Weber KL, Randall RL, Grossman S, Parvizi J. Management of Lower-Extremity Bone Metastasis. J Bone Joint Surg Am. 2006;88:11-9.
  • 256.
    àǪÈÒʵÏ·¹Âؤ 2553 Ñ º··Õè 229 35 Practical Management of Dysfunctional Uterine Bleeding ÍÒ¨ÒÏ ᾷ˭ԧ¸Ñ¹ÂÒÃѵ¹ ǧȏǹҹØÃѡɏ ¼ÙŒª‹ÇÂÈÒʵÃÒ¨ÒÏ á¾·ÂË­Ô§ÊØªÒ´Ò ÍÔ¹·ÇÔÇѲ¹ ÈÒʵÃÒ¨ÒÏ ᾷ˭ԧÁ³Õ Ãѵ¹äªÂÒ¹¹· ÀÒ¤ÇÔªÒÊÙµÈÒʵÏ-¹ÃÕàǪÇÔ·ÂÒ ¤³Ðá¾·ÂÈÒʵÏÈÃÃÒª¾ÂÒºÒÅ ÁËÒÇÔ·ÂÒÅÑÂÁËÔ´Å Ô ÔÔ Dysfunctional uterine bleeding (DUB) ໚¹ÀÒÇÐàÅ×Í´ÍÍ¡¼Ô´»¡µÔ¨Ò¡â¾Ã§Á´ÅÙ¡·ÕäÁ‹ä´ŒÁÕ è ÊÒà˵Øà¡Ô´¨Ò¡âä·Õ໚¹ organic ઋ¹ à¹×ͧ͡Á´ÅÙ¡ ¡ÒÃÍÑ¡àʺ ¡Òõѧ¤ÃÃÀ ËÃ×Íâä·Ò§ÍÒÂØÃ¡ÃÃÁ è é é ËÅѡ㹡ÒÃÇÔ¹¨©Ñ DUB ¤×Í¡ÒÃá¡âä·Õ໚¹ organic Í͡仡‹Í¹(1) Ô è ¤ÇÒÁªØ¡ DUB ໚¹ÀÒÇзվºº‹ÍÂã¹¹ÃÕàǪ»¯ÔºµÔ ¤×Í ¾ºä´Œ»ÃÐÁҳÌÍÂÅÐ 10 ¢Í§ÊµÃÕ·ÁÒµÃǨ è Ñ Õè ´ŒÇ»˜­ËÒ·Ò§¹ÃÕàǪ ª‹Ç§ÍÒÂØ·Õ辺º‹Í ¤×Í ª‹Ç§ÇÑÂÃØ‹¹ (adolescence) áÅЪ‹Ç§¡‹Í¹ÇÑÂËÁ´Ãд٠(premenopause) ¡Å䡢ͧ¡ÒÃÁÕÃдٻ¡µÔ(2) ÀÒÇл¡µÔ·Õè·íÒãËŒÁÕàÅ×Í´ÍÍ¡¨Ò¡â¾Ã§Á´ÅÙ¡¤×Í¡ÒÃÁÕÃд٠«Öè§à»š¹¼Å¨Ò¡¡ÒÃà»ÅÕè¹á»Å§ ¢Í§àÂ×èͺØÁ´Å١໚¹ÃÍºæ ·ÕèàÃÕÂ¡Ç‹Ò Ãͺ¡Ò÷íÒ§Ò¹¢Í§àÂ×èͺØÁ´ÅÙ¡ (endometrial cycle) «Öè§ÁÕ ¤ÇÒÁÊÑÁ¾Ñ¹¸¡ºÃͺ¡Ò÷íÒ§Ò¹¢Í§Ãѧ䢋 (ovarian cycle) Ãͺ¡Ò÷íÒ§Ò¹¢Í§àÂ×ͺØÁ´Å١ẋ§à»š¹ÃÐÂÐ Ñ è proliferative phase, secretory phase áÅÐ menstrual phase 1. Proliferative phase ໚¹ÃÐÂзյç¡Ñº follicular phase ¢Í§ ovarian cycle ÎÍÏâÁ¹ è estrogen ¨Ò¡Ãѧ䢋¨Ð仡ÃеعàÂ×ͺØÁ´ÅÙ¡ãËŒÁ¡ÒÃà¨ÃÔ­¨Ò¡ªÑ¹ basal layer ä»à»š¹ proliferative Œ è Õ é endometrium ¢Ö¹ÁÒ»¡¤ÅØÁâ¾Ã§Á´ÅÙ¡á·¹·ÕàÂ×ͺطËÅØ´ÅÍ¡ÍÍ¡ä»ã¹ÃÐÂÐ menstrual phase é è è Õè 2. Secretory phase ໚¹ÃÐÂзÕèµÃ§¡Ñº luteal phase ¢Í§ ovarian cycle ÎÍÏâÁ¹ progesterone ¨Ò¡ corpus luteum ¨ÐÍ͡ķ¸ÔµÍ proliferative endometrium ãËŒÁ¡ÒÃà»ÅÕ¹á»Å§ ì ‹ Õ è ä»à»š¹ secretory endometrium «Ö§à»š¹¡ÒÃàµÃÕÂÁ¾ÃŒÍÁÃѺ¡Òý˜§µÑǢͧµÑÇ͋͹ËÒ¡ÁÕ¡Òû¯Ôʹ¸Ô è à¡Ô´¢Ö¹ é
  • 257.
    230 Practical Management of Dysfunctional Uterine Bleeding 3. Menstrual phase ໚¹à˵ءÒó·à¡Ô´ËÅѧ¨Ò¡ÊÔ¹ÊØ´ luteal phase ¡Ò÷Õè corpus luteum Õè é ËÂØ´¡Ò÷íÒ§Ò¹ ·íÒãËŒäÁ‹ÁÎÍÏâÁ¹à¾È¨Ò¡Ãѧ䢋ä»ËÅ‹ÍàÅÕ§àÂ×ͺØÁ´ÅÙ¡ãËŒ¤§ÊÀÒ¾µ‹Íä»ä´Œ àÂ×ÍºØ Õ é è è Á´ÅÙ¡¨ÐËÅØ´ÅÍ¡ÍÍ¡à¡Ô´à»š¹ raw surface ·íÒãËŒÁàÅ×Í´Í͡໚¹ÃÐ´Ù Õ ¹Í¡¨Ò¡¼Å¨Ò¡¡ÒÃà»ÅÕè¹á»Å§¢Í§ÎÍÏâÁ¹áÅŒÇÂѧÁÕ¡Ãкǹ¡ÒÃà»ÅÕè¹á»Å§ã¹ÃдѺ âÁàÅ¡ØÅ (molecular cascade) ã¹àÂ×ͺØÁ´ÅÙ¡(3) ÁÕ¡ÒÃÊÌҧÊÒà cytokine áÅÐÎÍÏâÁ¹·ÕÍ͡ķ¸Ôì è è Ẻ paracrine ÊÒÃàËŋҹշÒãËŒà¡Ô´ÁÕË´ÃÑ´µÑÇã¹ arteriole áÅÐ coiled artery ¢Í§Á´ÅÙ¡ ·íÒãËŒàÂ×꼯 é í è Á´ÅÙ¡¢Ò´àÅ×Í´áÅÐÍÍ¡«ÔਹÁÒàÅÕ§ ÁÕ¡ÒûŴ»Å‹ÍÂàÍ繫ÑÂÁÍÍ¡ÁÒ‹ÍÂÊÅÒÂà¹×ÍàÂ×Í áÅŒÇàÂ×ͺءç é é è è ¨ÐÅÍ¡ËÅØ´ÍÍ¡¾ÃŒÍÁ¡Ñ¹·ÑǷѧâ¾Ã§Á´ÅÙ¡ ¾ÃŒÍÁ¡ÑºÁÕàÅ×Í´ÍÍ¡¨Ò¡ raw surface áŌǨ֧µÒÁÁÒ´ŒÇ è é ¡ÒáÃе،¹¡Ãкǹ¡ÒÃá¢ç§µÑǢͧàÅ×Í´ áÅСÃкǹ¡Òë‹ÍÁá«Áà¹×éÍàÂ×èÍ ·íÒãËŒàÅ×Í´ËÂØ´ áÅÐ ÁÕàÂ×ͺØÁ´ÅÙ¡ãËÁ‹à¨ÃÔ­ÁÒ»¡¤ÅØÁ¼¹Ñ§â¾Ã§Á´ÅÙ¡ ´Ñ§¹Ñ¹ËÒ¡àÂ×ͺØÁ´Å١䴌ú¡ÒáÃеع´ŒÇÂÎÍÏâÁ¹ è é è Ñ Œ Í‹ҧäÁ‹àËÁÒÐÊÁ ¨Ð·íÒãËŒâ¤Ã§ÊÌҧ¢Í§Áѹà»ÃÒкҧ ÁÕ¡ÒÃÊÅÒÂáÅÐÅÍ¡ËÅØ´Í͡໚¹Ë‹ÍÁæ äÁ‹¾ÃŒÍÁ¡Ñ¹·ÑǷѧâ¾Ã§Á´ÅÙ¡ ¨Ö§·íÒãËŒÁàÅ×Í´Ãдٷ¼´»¡µÔ è é Õ Õè Ô ¤ÇÒÁÊÑÁ¾Ñ¹¸ÃÐËNjҧÎÍÏâÁ¹à¾È¡Ñº¡ÒÃÁÕàÅ×Í´ÍÍ¡¨Ò¡â¾Ã§Á´ÅÙ¡(4) ¡ÒÃà»ÅÕ¹á»Å§¢Í§ÎÍÏâÁ¹à¾Èã¹ÃٻẺµ‹Ò§æ Ê‹§¼ÅãËŒÁàÅ×Í´ÍÍ¡¨Ò¡â¾Ã§Á´ÅÙ¡ ´Ñ§¹Õé è Õ Estrogen-progesterone withdrawal bleeding ¤×Í ÀÒÇÐàÅ×Í´ÍÍ¡ÀÒÂËÅѧ¨Ò¡ä´ŒÃº¡ÒÃ Ñ ¡Ãеع´ŒÇ estrogen áÅÐ progesterone µÒÁÅíҴѺ àÁ×ÍËÂØ´ãËŒÎÍÏâÁ¹¡ç¨ÐÁÕàÅ×Í´ÍÍ¡¨Ò¡ secretory Œ è endometrium àÅ×Í´·ÕÍÍ¡¨Ò¡¡ÒáÃеع´ŒÇÂÎÍÏâÁ¹ã¹ÅѡɳйÕé 䴌ᡋ Ãдٻ¡µÔã¹Ãͺà´×͹·ÕÁÕ è Œ è 䢋µ¡ ËÃ×ÍàÅ×Í´·ÕÍÍ¡ÀÒÂËÅѧ¡ÒÃ㪌ÎÍÏâÁ¹áºº sequential ¤×Í ãËŒ estrogen áŌǵÒÁ´ŒÇ progestin è Progesterone withdrawal bleeding ¤×Í ÀÒÇÐàÅ×Í´ÍÍ¡ËÅѧ¨Ò¡ä´ŒÃº progesterone ËÃ×Í Ñ progestin áÅŒÇËÂØ´ãËŒÎÍÏâÁ¹¹ÕµÍ ¨ÐÁÕàÅ×Í´ÍÍ¡¨Ò¡ secretory endometrium ¤ÅŒÒ¡ÒÃÁÕÃдٵÒÁ é ‹ »¡µÔ ¤×Í ÁÕ estrogen-progesterone withdrawal bleeding ·Ñ§¹Õà¹×ͧ¨Ò¡ progestin ¨ÐÍ͡ķ¸ÔµÍàÂ×Í é é è ì ‹ è ºØÁ´ÅÙ¡ä´Œ¡µÍàÁ×ÍàÂ×ͺع¹ä´ŒÃº¡ÒáÃеع´ŒÇ estrogen ÁÒ¡‹Í¹à·‹Ò¹Ñ¹ «Ö§ estrogen 㹡óչÕé ç ‹ è è Ñé Ñ Œ é è ¤×Í estrogen ·ÕÃÒ§¡Ò¼ÅÔµÁÒ¨Ò¡Ãѧ䢋àͧ àÅ×Í´·ÕÍÍ¡¨Ò¡¡ÒáÃеع´ŒÇÂÎÍÏâÁ¹ã¹ÅѡɳйÕé 䴌ᡋ è‹ è Œ àÅ×Í´·ÕÍÍ¡ÀÒÂËÅѧ¡ÒÃÃѺ»Ãзҹ progestin à¾×ÍàÅ×͹Ãд٠ËÃ×Í à¾×Í¡Òêѡ¹íÒãËŒÁÃдÙã¹¼Ù·¢Ò´ è è è è Õ Œ Õè ÃдÙà¹×ͧ¨Ò¡ÀÒÇÐäÁ‹Á䢋µ¡ è Õ Estrogen withdrawal bleeding ¤×Í ÀÒÇÐàÅ×Í´ÍÍ¡ËÅѧ¨Ò¡ËÂØ´ãËŒ¡ÒáÃеع´ŒÇ estrogen Œ à¾Õ§Í‹ҧà´ÕÂÇ ¨ÐÁÕàÅ×Í´ÍÍ¡¨Ò¡ proliferative endometrium «Ö§¨ÐÅÍ¡ËÅØ´äÁ‹¾ÃŒÍÁ¡Ñ¹·Ñ§â¾Ã§ è é Á´ÅÙ¡ áÅÐËÅØ´äÁ‹ËÁ´ àÁ×ÍãËŒÎÍÏâÁ¹áºº¹Õ໚¹ÃÐÂÐàÇÅÒ¹Ò¹¡ç¨Ð·íÒãËŒÁ¤ÇÒÁàÊÕ§µ‹Í¡ÒÃ໚¹à¹×Í è é Õ è é §Í¡¢Í§àÂ×ͺØÁ´ÅÙ¡ (endometrial neoplasia) àÅ×Í´·ÕÍÍ¡¨Ò¡¡ÒáÃеع´ŒÇÂÎÍÏâÁ¹ã¹ÅѡɳйÕé è è Œ 䴌ᡋ ¡ÒÃãËŒÎÍÏâÁ¹ã¹ÊµÃÕÇÂËÁ´ÃдÙâ´ÂãˌẺ estrogen-only regimen «Ö§ã¹»˜¨¨Øº¹¨ÐäÁ‹ãËŒ Ñ è Ñ ÎÍÏâÁ¹áºº¹Õã¹ÊµÃշ§ÁÕÁ´ÅÙ¡ é Õè Ñ Estrogen-progesterone breakthrough bleeding ¤×Í ÀÒÇÐàÅ×Í´Í͡㹢³Ð·Õèä´ŒÃѺ estrogen áÅÐ progesterone ËÇÁ¡Ñ¹Í‹ҧµ‹Íà¹×ͧ໚¹àÇÅÒ¹Ò¹ ¡Åä¡·Õ·ÒãËŒÁàÅ×Í´ÍÍ¡¼Ô´»¡µÔ è è í Õ
  • 258.
    àǪÈÒʵÏ·¹Âؤ 2553 Ñ 231 㹡óչ§äÁ‹à»š¹·Õ·ÃҺṋª´ ᵋ¾ºÇ‹Ò¼Ù·ä´ŒÃºÎÍÏâÁ¹ã¹ÅѡɳйըÐÁÕàÂ×ͺØÁ´ÅÙ¡·ÕºÒ§áÅÐÁÕ Õé Ñ è Ñ Œ Õè Ñ é è è àÊŒ¹àÅ×Í´½ÍÂÍÂÙ໚¹¨íҹǹÁÒ¡ àÊŒ¹àÅ×Í´àËŋҹÕÁ¤ÇÒÁà»ÃÒРᵡ§‹Ò àÅ×Í´·ÕÍÍ¡¨Ò¡¡ÒáÃеع ‹ é Õ è Œ ´ŒÇÂÎÍÏâÁ¹ã¹ÅѡɳйÕé 䴌ᡋ ¡ÒÃãËŒÎÍÏâÁ¹·´á·¹ã¹ÊµÃÕÇÂËÁ´Ãд٠â´ÂãˌẺ continuous Ñ combined estrogen-progestin Progesterone breakthrough bleeding ¤×Í ÀÒÇÐàÅ×Í´Í͡㹢³Ð·Õ䴌ú progesterone è Ñ à»š¹àÇÅÒ¹Ò¹ ÀÒÇйըÐàËÁ×͹¡Ñº estrogen áÅÐ progesterone breakthrough bleeding µ‹Ò§¡Ñ¹ é ·Õè estrogen ã¹ÀÒÇйÕé ໚¹ estrogen ·ÕÃÒ§¡Ò¼ÅÔµàͧâ´ÂäÁ‹ä´ŒÃºÁÒ¨Ò¡ÀÒ¹͡ ઋ¹ àÅ×Í´·ÕÍÍ¡ è‹ Ñ è ã¹¼Ù·©´ÂÒ ËÃ×Í ½˜§ÂÒ¤ØÁ¡íÒà¹Ô´ ª¹Ô´ long acting progestin Œ Õè Õ Estrogen breakthrough bleeding ¤×Í ÀÒÇÐàÅ×Í´Í͡㹢³Ð·Õ䴌ú estrogen à¾Õ§ è Ñ Í‹ҧà´ÕÂÇ໚¹àÇÅÒ¹Ò¹ ¼Ù»Ç¨ÐÁÕ»­ËÒáÅФÇÒÁàÊÕ§ઋ¹à´ÕÂǡѺ estrogen withdrawal bleeding Œ † ˜ è àÅ×Í´·ÕÍÍ¡¨Ò¡¡ÒáÃеع´ŒÇÂÎÍÏâÁ¹ã¹ÅѡɳйÕé 䴌ᡋ ¡ÒÃÁÕàÅ×Í´ÍÍ¡¨Ò¡ÀÒÇÐäÁ‹Á䢋µ¡ ËÃ×Í è Œ Õ ¡ÒÃãËŒÎÍÏâÁ¹ã¹ÊµÃÕÇÂËÁ´ÃдÙâ´ÂãˌẺ estrogen-only regimen â´ÂäÁ‹Á¡ÒÃËÂØ´ÂÒ Ñ Õ ¡ÒèíÒṡª¹Ô´¢Í§ DUB DUB ẋ§ä´Œà»š¹ 2 ¡ÅØÁ ¤×Í ovulatory áÅÐ anovulatory DUB µÒÁµÒÃÒ§·Õè 1 â´Â·ÑÇä» ‹ è àÁ×͡ŋÒǶ֧ DUB ÁÑ¡¨ÐËÁÒ¶֧ anovulatory DUB à¹×ͧ¨Ò¡à»š¹ DUB ·Õ¾ºä´ŒºÍÂ¡Ç‹Ò è è è ‹ µÒÃÒ§·Õè 1 ÅѡɳТͧàÅ×Í´·ÕèÍÍ¡¨Ò¡â¾Ã§Á´ÅÙ¡ã¹ DUB ª¹Ô´µ‹Ò§æ ª¹Ô´¢Í§ DUB ÅѡɳÐàÅ×Í´ÍÍ¡¨Ò¡â¾Ã§Á´ÅÙ¡ Ovulatory Long proliferative or secretory phases Oligomenorrhea Short proliferative or secretory phases Polymenorrhea Corpus luteum insufficiency Premenstrual spotting Menorrhagia Polymenorrhea Corpus luteum prolonged activity Menorrhagia Oligomenorrhea Normal phases Essential menorrhagia Anovulatory Cyclic menorrhagia Oligomenorrhea Polymenorrhea Acyclic Metrorrhagia ·ÕÁÒ : è Á³Õ Ãѵ¹äªÂÒ¹¹·. ÀÒÇÐàÅ×Í´ÍÍ¡¼Ô´»¡µÔ¨Ò¡â¾Ã§Á´ÅÙ¡. ã¹: Á³Õ Ãѵ¹äªÂÒ¹¹·, ºÃóҸԡÒÃ. ÀÒÇмԴ»¡µÔ ·ÕÊÁ¾Ñ¹¸¡º¡ÒÃÁÕÃд٠©ºÑºàÃÕºàÃÕ§¤Ãѧ·Õè 2. ¾ÔÁ¾¤Ãѧ·Õè 1. ¡Ãا෾ÁËÒ¹¤Ã: ¾ÕàÍ ÅÕ¿ÇÔ§ ¨íÒ¡Ñ´ 2550;115-62. èÑ Ñ é é è
  • 259.
    232 Practical Management of Dysfunctional Uterine Bleeding ÊÒà˵آͧ DUB ÊÒà˵آͧ¡ÒÃà¡Ô´ DUB ÍÒ¨¨íÒṡ䴌µÒÁᵋÅÐ¡ÅØÁÍÒÂØ ´Ñ§¹Õé ‹ 1. ¡ÅØÁÇÑÂÃØ¹ ‹ ‹ 2. ¡ÅØÁÇÑÂà¨ÃÔ­¾Ñ¹¸Ø ‹ 3. ¡ÅØÁÇÑÂã¡ÅŒËÁ´Ãд٠‹ ¡ÅØÁÇÑÂÃØ¹ ‹ ‹ ã¹¡ÅØÁ¼Ù»Ç·Õ໚¹ DUB ¾ºÇ‹ÒÃŒÍÂÅÐ 20 à¡Ô´ã¹¡ÅØÁÇÑÂÃØ¹ áÅÐà¡×ͺ·Ñ§ËÁ´à»š¹ª¹Ô´äÁ‹ÁÕ ‹ Œ † è ‹ ‹ é ¡Òõ¡ä¢‹ (anovulatory DUB) ÀÒÂËÅѧàÃÔÁÁÕÃдÙã¹»‚ááÌÍÂÅÐ 80 ¢Í§ÃͺÃдÙäÁ‹Á䢋µ¡ ¶×Í໚¹ è Õ ¡ÒÃà»ÅÕ¹á»Å§µÒÁ¸ÃÃÁªÒµÔ¢Í§ÇÑÂÃØ¹ ᵋ¶Ò໚¹µÅÍ´ä»ËÃ×ÍàÅ×Í´ÃдÙÍÍ¡ÁÒ¡µŒÍ§ãËŒ¡ÒÃÃÑ¡ÉÒ è ‹ Œ ¡ÒþÂҡóâ侺NjÒÃŒÍÂÅÐ 40 ¨ÐËÒÂÀÒÂã¹ 2 »‚ ¼Ù»Ç·ÕÁÍÒ¡ÒÃÀÒÂËÅѧ·Õà¤ÂÁÕÃдٻ¡µÔÁÒ¡‹Í¹ Œ † è Õ è ÁÕ¡ÒþÂҡóâä´Õ¡Ç‹Ò¼Ù»Ç·ÕÁÍÒ¡ÒõѧᵋàÃÔÁÁÕ»ÃШíÒà´×͹ Œ † è Õ é è 5 ¡ÅØÁÇÑÂà¨ÃÔ­¾Ñ¹¸Ø ‹ ¡ÒÃà¡Ô´ DUB ã¹¡ÅØÁÇÑÂà¨ÃÔ­¾Ñ¹¸ØËÁÒ¶֧ ã¹Ë­Ô§ª‹Ç§ÍÒÂØ»ÃÐÁÒ³ 20-40 »‚ ¾ºÃŒÍÂÅÐ 40 ‹  ¢Í§ DUB ·Ñé§ËÁ´ÀÒÇÐàÅ×Í´ÍÍ¡¼Ô´»¡µÔ¨Ò¡â¾Ã§Á´Å١㹪‹Ç§ÍÒÂØ¹ÕéÁÑ¡à¡Ô´¨Ò¡à¹×éͧ͡Á´ÅÙ¡ ¡ÒÃÍÑ¡àʺµÔ´àª×Íã¹ÍاàªÔ§¡ÃÒ¹ ËÃ×ÍÀÒÇÐá·Ã¡«ŒÍ¹¢Í§¡Òõѧ¤ÃÃÀ ¨Ö§ÁÕ¤ÇÒÁ¨íÒ໚¹¨ÐµŒÍ§á¡ÀÒÇÐ é Œ é àËŋҹա͹·Õ¨ÐÇÔ¹¨©ÑÂÇ‹Ò໚¹ DUB ¡ÒÃà¡Ô´ DUB ã¹ÇѹÕà¡Ô´ä´Œ·§ anovulatory áÅÐ ovulatory DUB é ‹ è Ô é Ñé ¡ÅØÁã¡ÅŒÇÂËÁ´Ãд٠‹ Ñ DUB ã¹ÇѹÕËÁÒ¶֧ DUB ·Õà¡Ô´ã¹Ë­Ô§ÍÒÂØÁÒ¡¡Ç‹Ò 40 »‚ ¾ºÃŒÍÂÅÐ 40 ¢Í§ DUB ·Ñ§ËÁ´ é è é àÅ×Í´ÍÍ¡¼Ô´»¡µÔ¨Ò¡â¾Ã§Á´ÅÙ¡ã¹ÇѹդÇù֡¶Ö§âä·Ò§¡ÒÂÀÒ¾äÇŒ¡Í¹ â´Â੾ÒÐÁÐàÃç§àÂ×ͺØÁ´ÅÙ¡ é ‹ è áÅÐÁÐàÃç§»Ò¡Á´ÅÙ¡ «Ö§¾ºÁÒ¡¢Ö¹µÒÁÍÒÂØ áÅÐ໚¹âä·ÕÃÒÂáç ´Ñ§¹Ñ¹¨ÐµŒÍ§·íÒ¡ÒõÃǨà¾ÔÁàµÔÁ è é èŒ é è à¾×ÍÇÔ¹¨©ÑÂᡤÇÒÁ¼Ô´»¡µÔàËŋҹա͹àÊÁÍ DUB ã¹ÇѹÕà¡Ô´¨Ò¡ÀÒÇÐ䢋äÁ‹µ¡à»š¹Ê‹Ç¹ãË­‹ «Ö§à»š¹ è Ô é ‹ é è ¡ÒÃà»ÅÕ¹á»Å§·Õà¡Ô´¢Ö¹¡‹Í¹¨ÐËÁ´Ãд٠è è é ¡ÒÃÇÔ¹Ô¨©Ñ ¡ÒÃÇÔ¹¨©ÑÂÀÒÇÐ DUB ໚¹¡ÒÃÇÔ¹¨©ÑÂâ´Â¡ÒÃá¡ÊÒà˵طҧ organic ·Õ·ÒãËŒÁàÅ×Í´ÍÍ¡ Ô Ô è í Õ ¼Ô´»¡µÔ¨Ò¡â¾Ã§Á´ÅÙ¡ÍÍ¡ä»áÅŒÇ ¡ÒÃÇÔ¹¨©ÑµŒÍ§ãªŒ¢ÍÁÙÅ·Õä´Œ¨Ò¡¡Òëѡ»ÃÐÇÑµÔ ¡ÒõÃǨËҧ¡ÒÂ Ô Œ è áÅСÒÃÊ׺¤Œ¹¾ÔàÈɴѧµ‹Í仹Õé
  • 260.
    àǪÈÒʵÏ·¹Âؤ 2553 Ñ 233 ¡Òëѡ»ÃÐÇÑµÔ ¡Òëѡ»ÃÐÇѵ»ÃСͺ´ŒÇ»ÃÐÇѵÃд٠ÅѡɳÐÃдٷ¼´»¡µÔ »ÃÔÁÒ³àÅ×Í´·ÕÍÍ¡ ÍÒ¡Ò÷Õè Ô Ô Õè Ô è ÊÑÁ¾Ñ¹¸¡ºÀÒÇЫմ¨Ò¡àÊÕÂàÅ×Í´ÁÒ¡ ÍÒ¡ÒÃËÇÁÍ×¹ ઋ¹ »Ç´·ŒÍ§ µ¡¢ÒǼԴ»¡µÔ »ÃÐÇѵ·Ò§ÊÙµ¡ÃÃÁ Ñ è Ô Ô ¡ÒäØÁ¡íÒà¹Ô´ ¡ÒÃ㪌ÎÍÏâÁ¹ áÅÐÂÒÃÑ¡ÉÒâäÍ×¹â´Â੾ÒÐÂÒ·ÕÁ¼Åµ‹Í¡ÒÃá¢ç§µÑǢͧàÅ×Í´ ÍÒ¡Òà è è Õ ¢Í§âäÃкºÍ×¹ æ »ÃÐÇѵ¤Ãͺ¤ÃÑÇ ¡ÒÃᵋ§§Ò¹ ÃÇÁä»¶Ö§ÀÒÇзҧà¤ÃÕ´´ŒÇ è Ô ¡ÒõÃǨËҧ¡Ò ¡ÒõÃǨËҧ¡Ò»ÃСͺ´ŒÇ¡ÒõÃǨ·ÑÇä» áÅСÒõÃǨÀÒÂã¹ ¡ÒõÃǨËҧ¡Ò·ÑÇä» è è ໚¹¡ÒõÃǨËÒÍÒ¡ÒÃáÊ´§¢Í§âäÃкºµ‹ÍÁäÃŒ·ÍÍ×¹áÅÐâä·ÑÇä»·ÕÍÒ¨¨Ð·íÒãËŒÁÀÒÇÐàÅ×Í´ÍÍ¡ ‹ è è è Õ ¼Ô´»¡µÔ¨Ò¡â¾Ã§Á´ÅÙ¡ ¡ÒõÃǨÀÒÂã¹ÁÕ¤ÇÒÁ¨íÒ໚¹à¾×Íá¡ÊÒà˵طҧ¹ÃÕàǪ·Õ·ÒãËŒà¡Ô´àÅ×Í´ÍÍ¡ è è í ¼Ô´»¡µÔ¨Ò¡â¾Ã§Á´ÅÙ¡¡‹Í¹·Õ¨ÐÇÔ¹¨©Ñ DUB ´Ñ§¹Ñ¹ã¹Ë­Ô§·ÕÁà¾ÈÊÑÁ¾Ñ¹¸áŌǤÇÃ䴌ú¡ÒõÃǨÀÒ è Ô é è Õ Ñ ã¹·Ø¡ÃÒ ʋǹà´ç¡ÇÑÂÃØ¹·Õ§äÁ‹Áà¾ÈÊÑÁ¾Ñ¹¸¤ÇÃÅÐàÇŒ¹¡ÒõÃǨÀÒÂã¹ à¹×ͧ¨Ò¡ÊÒà˵ط·ÒãËŒàÅ×Í´ ‹ è Ñ Õ è Õè í ÍÍ¡¼Ô´»¡µÔ¨Ò¡â¾Ã§Á´ÅÙ¡ã¹ÇѹÕÁ¡à»š¹ DUB ¨Ò¡ÀÒÇÐ䢋äÁ‹µ¡ «Ö§¡ÒõÃǨÀÒÂã¹ÁÑ¡äÁ‹¾º¤ÇÒÁ é Ñ è ¼Ô´»¡µÔ ¡ÒõÃǨÊ׺¤Œ¹¾ÔàÈÉ ¡ÒõÃǨÊ׺¤Œ¹¾ÔàÈÉÁÕ¨´»ÃÐʧ¤à¾×ÍÇÔ¹¨©ÑÂá¡ÊÒà˵بҡ organic Í×¹ æ Í͡仡‹Í¹·Õè Ø è Ô è ¨ÐÇÔ¹¨©Ñ DUB ¡ÒõÃǨÊ׺¤Œ¹¾ÔàÈÉ·Õ·Òº‹Í 䴌ᡋ Ô è í ¡ÒâٴÁ´Å١Ẻá¡ʋǹ (.ractional curettage; ./C) Çѵ¶Ø»ÃÐʧ¤ã¹¡ÒâٴÁ´ÅÙ¡ ÁÕ ÍÂÙ‹ 2 ¢ŒÍËÅÑ¡ ¤×Í - à¾×è͵ÃǨ¾ÂÒ¸ÔÊÀÒ¾ã¹â¾Ã§Á´ÅÙ¡â´Â੾ÒÐÁÐàÃç§àÂ×èͺØÁ´ÅÙ¡ µÔè§à¹×éÍã¹â¾Ã§Á´ÅÙ¡ (endometrial polyp) ËÃ×ͪԹʋǹ¨Ò¡¡Òõѧ¤ÃÃÀ é é - à¾×Í·íÒãËŒàÅ×Í´ÃдÙËÂØ´ã¹ÃÒ·ÕàÅ×Í´ÍÍ¡ÁÒ¡ è è ¡ÒõѴµÃǨà¹×éÍàÂ×èͺØÁ´ÅÙ¡ (Endometrial biopsy or sampling) â´Â¡ÒÃ㪌ͻ¡Ã³ãÊ‹ Ø à¢ŒÒã¹â¾Ã§Á´ÅÙ¡áŌǴٴªÔ¹à¹×Íã¹â¾Ã§Á´ÅÙ¡ÍÍ¡ÁÒµÃǨ·Ò§¾ÂÒ¸ÔÇ·ÂÒ à»š¹ÇÔ¸·§Ò ¼Ù»ÇÂäÁ‹à¨çºµÑÇ é é Ô Õ Õè ‹ Œ † ÊÒÁÒö·íÒä´Œ¢Ò§àµÕ§ äÁ‹µÍ§´ÁÂÒÊźËÃ×ͩմÂÒÃЧѺ¤ÇÒÁà¨çº»Ç´ ·íÒãËŒ¼»ÇÂ䴌úÀÒÇÐàÊÕ§ Œ Œ ÙŒ † Ñ è ¨Ò¡¡ÒôÁÂÒÊź¹ŒÍÂŧ ᵋäÁ‹ÊÒÁÒöËÂØ´àÅ×Í´ÃдٷÍÍ¡ÁÒ¡ä´Œ Õè ¡ÒõÃǨÍÑŵÃÒ«Òǹ´ (Ultrasound) ã¹»˜¨¨Øº¹ÁÕ¡ÒþѲ¹Ò¨¹ÁÕ»ÃÐÊÔ·¸ÔÀÒ¾ÊÙ§ ª¹Ô´ Ñ high resolution ÊÒÁÒöÇÔ¹¨©Ñ¾ÂÒ¸ÔÊÀÒ¾¢¹Ò´àÅç¡áÅзÃÒºµíÒá˹‹§ä´ŒáÁ‹¹ÂíÒ ÊÒÁÒöµÃǨ Ô ¾ÂÒ¸ÔÊÀÒ¾ã¹â¾Ã§Á´ÅÙ¡áÅÐã¹ÍØŒ§àªÔ§¡ÃÒ¹ ¡Ò÷íÒÍÑŵÃÒ«Òǹ´·Ò§ª‹Í§¤ÅÍ´ (transvaginal ultrasonography) ÊÒÁÒö㪌㹡ÒôپÂÒ¸ÔÊÀÒ¾ã¹â¾Ã§Á´ÅÙ¡ä´ŒáÁ‹¹ÂíÒ(6) â´Â੾ÒСÒÃ㪌¹Òà¡Å×Í éí ©Õ´à¢ŒÒä»ã¹â¾Ã§Á´Å١ËÇÁ´ŒÇ (saline infusion) ·íÒãËŒàËç¹¾ÂÒ¸ÔÊÀҾઋ¹ polyp áÅÐ submucous myoma ªÑ´ÂÔ§¢Ö¹(7) è é
  • 261.
    234 Practical Management of Dysfunctional Uterine Bleeding ¡ÒÃʋͧ¡ÅŒÍ§µÃǨã¹â¾Ã§Á´ÅÙ¡ (Hysteroscopy) ¶×Í໚¹ gold standard 㹡ÒõÃǨ ËÒÊÒà˵آͧ¡ÒÃÁÕàÅ×Í´ÍÍ¡¼Ô´»¡µÔ¨Ò¡â¾Ã§Á´ÅÙ¡ Í‹ҧäáçµÒÁ¡ÒÃʋͧ¡ÅŒÍ§µÃǨã¹â¾Ã§Á´ÅÙ¡ ÂѧäÁ‹ÊÒÁÒö¡ÃзíÒä´Œ·¡Ê¶ÒºÑ¹ Ø ¡ÒõÃǨ¤Œ¹Í×¹ æ à¾×ÍËÒÊÒà˵بҡâä·Ò§ÍÒÂØ¡ÃÃÁ ઋ¹ ¡ÒÃà¨ÒÐàÅ×Í´µÃǨ¡Ò÷íÒ§Ò¹ è è ¢Í§µ‹ÍÁä·ÃÍ´ ¡Ò÷íÒ§Ò¹¢Í§µÑº »˜¨¨Ñ¡ÒÃá¢ç§µÑǢͧàÅ×Í´ âä·Ò§âÅËÔµÇÔ·ÂÒ ¹Í¡¨Ò¡¹Õ¡ÒÃ é µÃǨ¤ÇÒÁࢌÁ¢Œ¹¢Í§àÅ×Í´à¾×èÍ»ÃÐàÁÔ¹ÀÒÇЫմ ¤Ç÷íÒã¹¼ÙŒ·ÕèÁÕ»ÃÐÇѵÔàÅ×Í´ÍÍ¡¼Ô´»¡µÔ¨Ò¡ â¾Ã§Á´ÅÙ¡·ÕÍÍ¡ÁÒ¡áÅÐËÃ×ÍÍÍ¡¹Ò¹ à¾×;ԨÒóÒãËŒàÅ×Í´·´á·¹ã¹ÃÒ·ի´ÁÒ¡ è è è Õ ¡ÒÃÃÑ¡ÉÒ ÊÔ§·Õ¨ÐµŒÍ§¾Ô¨ÒóһÃСͺ㹡ÒÃÃÑ¡ÉÒ ¤×Í ÍÒÂØ¼»Ç ¤ÇÒÁµŒÍ§¡ÒÃÁÕºµÃ áÅФÇÒÁÃØ¹áç è è ÙŒ † Ø ¢Í§àÅ×Í´ÍÍ¡ ¡ÒÃÃÑ¡ÉÒ·ÑÇä» ä´Œá¡‹ ¡ÒÃᡌä¢ÍÒ¡ÒêçͤáÅÐÍÒ¡Òëմ ãËŒ¾¡¼‹Í¹ ãËŒÂÒÃЧѺ»ÃÐÊÒ· è Ñ áÅÐãËŒ¤ÇÒÁÃÙ¤ÇÒÁࢌÒã¨à¡ÕÂǡѺâäᡋ¼»Ç Œ è ÙŒ † ¡ÒÃÃÑ¡ÉÒ DUB ª¹Ô´ÁÕ¡Òõ¡ä¢‹ (ovulatory DUB) ¡ÒÃÃÑ¡ÉÒ DUB ª¹Ô´ÁÕ¡Òõ¡ä¢‹ (oligomenorrhea, polymenorrhea, premenstrual spotting áÅÐ menorrhagia) ¤ÇÃãËŒÂÒàÁç´¤ØÁ¡íÒà¹Ô´ª¹Ô´ÎÍÏâÁ¹ÃÇÁ ÃѺ»ÃзҹÃÐËNjҧÇѹ·Õè 5-25 ¢Í§Ãͺ Ãд٠·Ñé§¹Õéà¾×èÍËÇѧ¼Å¡ÒÃÂѺÂÑé§¡Òõ¡ä¢‹ 㹡óշÕè¼ÙŒ»†ÇÂÁÕÍÒ¡ÒâŒÒ§à¤Õ§¨Ò¡ estrogen ¡çãËŒ progestogen Í‹ҧà´ÕÂÇ ÃÐËNjҧÇѹ·Õè 5-25 ¢Í§ÃͺÃд٠äÁ‹¤ÇÃãËŒ progestogen à¾Õ§ª‹Ç§ËÅѧ¢Í§ ÃͺÃд٠à¾ÃÒШÐä´Œ¼Å¡ÒÃÃÑ¡ÉÒᵋà¾Õ§ DUB ª¹Ô´ corpus luteum insufficiency ෋ҹѹ á¹Ð¹íÒ é ãËŒ¡ÒÃÃÑ¡ÉÒµÔ´µ‹Í¡Ñ¹Í‹ҧ¹ŒÍ 3 Ãͺ ËÅѧËÂØ´ÂÒ¼Ù»ÇÂʋǹãË­‹ËÒÂ໚¹»¡µÔ ¡àÇŒ¹ÀÒÇÐ essential Œ † menorrhagia «Ö§ÁÑ¡¨ÐäÁ‹ËÒ¢Ҵ ÁÕ¡ÒÃÃÑ¡ÉÒ´ŒÇÂÂÒËÅÒ¢¹Ò¹ ᵋäÁ‹ÁǸ㴷ÕãËŒ¼Å´ÕàÅÔÈ è ÕÔÕ è 1. ¡ÒÃÃÑ¡ÉÒ´ŒÇÂÂÒ(8,9) 1.1 Progestogen Progestogen ໚¹ÎÍÏâÁ¹ËÅѡ㹡ÒÃÃÑ¡ÉÒ DUB ¡ÒÃãËŒ progestogen ª¹Ô´ÃѺ»ÃÐ ·Ò¹ã¹ DUB ÁÕ 4 ÇÔ¸Õ ¤×Í (1)  ãˌǹ·Õè 16-25 ¢Í§ÃͺÃд٠໚¹ luteal replacement ËÃ×Í supplement (secretory Ñ trans-formation) 㹡ÒÃÃÑ¡ÉÒ DUB ·ÕäÁ‹Á¡Òõ¡ä¢‹ ᵋ¨ÐäÁ‹ä´Œ¼Å㹡ÒÃÃÑ¡ÉÒ essential menorrhagia è Õ (2)  ãˌǹ·Õè 5-25 ¢Í§ÃͺÃд٠progestogen ¨ÐÂѺÂѧķ¸Ôì proliferative ¢Í§ estrogen Ñ é 㹪‹Ç§áá¢Í§ÃͺÃд٠¹Í¡¨Ò¡¹Õ§ÂѺÂѧ¡Òõ¡ä¢‹ ¼Å·íÒãËŒàÂ×ͺØÁ´ÅÙ¡ºÒ§¡Ç‹Ò»¡µÔÁÒ¡ ´Ñ§¹Ñ¹ é Ñ é è é withdrawal bleeding ¨Ö§¹ŒÍÂŧ¡Ç‹Ò»¡µÔ ·íÒãˌŴ»ÃÔÁÒ³àÅ×Í´·ÕÍ͡ŧ䴌´Õ è (3) ãËŒÃÐÂÐÂÒǵԴµ‹Í¡Ñ¹äÁ‹ÁªÇ§·ÕËÂØ´ÂÒ ÁÕ¡ÒÃÂѺÂѧËÃ×Í¡´¡ÒÃà»ÅÕ¹á»Å§¢Í§àÂ×Í Õ ‹ è é è è ºØÁ´Å١໚¹ª¹Ô´ secretory áÅÐÂѧ»‡Í§¡Ñ¹äÁ‹ãËŒÁ¡ÒÃÊÌҧ estrogen áÅÐ progesterone receptors Õ ´Ñ§¹Ñ¹ÎÍÏâÁ¹·Ñ§Êͧ¨Ö§äÁ‹ÊÒÁÒöÍ͡ķ¸Ôä´Œ Ê‹§¼ÅãËŒàÂ×ͺØÁ´ÅÙ¡¨ÐºÒ§Å§æ ¨¹ã¹·ÕÊ´à¡Ô´¡Òý†Í é é ì è èØ
  • 262.
    àǪÈÒʵÏ·¹Âؤ 2553 Ñ 235 ºÒ§¢Í§àÂ×ͺØÁ´ÅÙ¡ ·íÒãËŒäÁ‹ÁÃд٠䴌¼Å´Õ㹼ٻǠessential menorrhagia ¢ŒÍàÊÕ¤×ͺҧÃÒÂÁÕàÅ×Í´ è Õ Œ † ÍÍ¡¡ÃлÃÔ´¡ÃлÃÍ (breakthrough bleeding) (4) ÂÒàÁç´¤ØÁ¡íÒà¹Ô´ª¹Ô´ÃÇÁÁÕ estrogen ÃÇÁÍÂÙ´Ç 䴌¼Åઋ¹à´ÕÂǡѺ¡ÒÃãˌẺ·Õè (2) ‹ Œ 1.2 Prostaglandin (PG) synthetase inhibitors 䴌ᡋÂҾǡ non-steroidal anti-inflammatory drugs (NSAIDs) Í͡ķ¸ÔºÂѧ fatty ì Ñ é acid cyclo-oxygenase äÁ‹ãËŒä» catalyze µ‹Í arachidonic acid ä»à»š¹ÊÒþǡ prostaglandin ÂÒ·Õè 㪌ÁÒ¡·ÕÊ´¤×Í mefenamic acid «Ö§ä´Œ¼Å㹡ÒÃÃÑ¡ÉÒ 1 ã¹ 3 ·íÒãËŒàÅ×Í´ÃдÙŴŧ»ÃÐÁҳÌÍÂÅÐ èØ è 30 áÅÐÁÕÃÒÂ§Ò¹Ç‹Ò mefenamic acid ÁÕÄ·¸ÔºÂѧ¡ÒèѺµÑǢͧ PGE2 ¡Ñº receptor 㹡ŌÒÁà¹×Í ì Ñ é é Á´ÅÙ¡´ŒÇ ¢¹Ò´¢Í§ÂÒ·Õ㪌 䴌ᡋ mefenamic acid 500 ÁÔÅÅÔ¡ÃÑÁ ÇѹÅÐ 3 ¤Ãѧ ໚¹àÇÅÒ 3 Çѹ è é ¹Í¡¨Ò¡¹ÕÁÃÒÂ§Ò¹Ç‹Ò naproxen ä´Œ¼Å㹡ÒÃÃÑ¡ÉÒã¡ÅŒà¤Õ§¡Ñ¹ ¢ŒÍ´Õ¢Í§ÂÒ¡ÅØÁ¹Õ¤ÍÊÒÁÒöºÃÃà·Ò é Õ ‹ é × ÍÒ¡ÒûǴÃдÙä´Œ´Ç áÅÐ㪌ÂÒ੾ÒЪ‹Ç§àÇÅÒÁÕÃдÙ෋ҹѹ áÅÐÊÒÁÒö㪌ã¹ÃÒ·Õ§µŒÍ§¡ÒÃÁÕºµÃ Œ é è Ñ Ø à¹×ͧ¨Ò¡ÂÒäÁ‹ÂºÂѧ¡Òõ¡ä¢‹ ÍÒ¡ÒâŒÒ§à¤Õ§¹ŒÍ ÍҨ㪌ÂÒ¡ÅØÁ¹ÕÃÇÁ¡Ñº¡ÒÃ㪌ÎÍÏâÁ¹ ÁÕÃÒ§ҹ è Ñ é ‹ é‹ Ç‹Òä´Œ¼Å¡ÒÃÃÑ¡ÉÒ´Õ¢¹¡Ç‹Ò¡ÒÃ㪌໚¹ÂÒà´ÕÂÇ Öé è 1.3 Danazol Danazol ໚¹ isoxazol derivative ¢Í§ 17 alpha-ethinyl testosterone ÂÒ danazol Í͡ķ¸Ô¡´¡ÒÃËÅѧ gonadotropins ·íÒãˌºÂѧ¡ÒÃà¨ÃÔ­¢Í§ follicles ¡´¡ÒÃÊÌҧ estradiol ¡ÒÃÍ ì è Ñ é ͡ķ¸ÔÁÒ¡ËÃ×͹ŒÍ¢ֹ¡Ñº¢¹Ò´ÂÒ ¹Í¡¨Ò¡¹Õ§Í͡ķ¸ÔºÂѧ¡ÒÃÊÌҧʵÕÃÍ´·Ã§ä¢‹áÅе‹ÍÁ ì é é Ñ ì Ñ é Õè Ñ ËÁÇ¡äµ áÅÐÁÕ¼Åâ´ÂµÃ§µ‹Í estrogen áÅÐ progesterone receptors 㹡ŌÒÁà¹×ÍáÅÐàÂ×ͺØÁ´ÅÙ¡ é è ·íÒãˌºÂѧ¡ÒÃà¨ÃÔ­¢Í§àÂ×ͺØÁ´ÅÙ¡ ¢¹Ò´¢Í§ÂÒ¤×Í ÇѹÅÐ 200 ÁÔÅÅÔ¡ÃÑÁ µÔ´µ‹Í¡Ñ¹·Ø¡Çѹ໚¹àÇÅÒ 3 Ñ é è à´×͹ ¼Ù»ÇÂʋǹÁÒ¡ÁÕàÅ×Í´ÍÍ¡àËÁ×͹ÃͺÃдٻ¡µÔ ᵋ¨Ò¹Ç¹ÇѹŴŧ ËÃ×ͺҧÃÒÂÍÒ¨¢Ò´Ãд٠Œ † í ¢ŒÍàÊÕ¢ͧÂÒ¤×Í ÁÕÍÒ¡ÒâŒÒ§à¤Õ§¨Ò¡ÀÒÇкØÃÉà¾È Ø 1.4 Gonadotropins releasing hormone analogues (GnRH analogues) ÂÒã¹¡ÅØÁ¹ÕÁ¡ÒèѺ¡Ñº GnRH receptors ä´Œ´¡Ç‹Ò GnRH ã¹Ã‹Ò§¡Ò ¡ÒÃãˌ໚¹àÇÅÒ ‹ é Õ Õ ¹Ò¹·íÒãˌŴ¤ÇÒÁäǢͧà«Åŏ·ÊÌҧ gonadotropin ã¹µ‹ÍÁ㵌ÊÁͧ ·íÒãˌç䢋Á¡ÒÃÊÌҧ estrogen Õè Ñ Õ ¹ŒÍÂŧ ¡ÒÃãËŒÂÒ¹Õ·ÒãËŒà¡Ô´¡ÒâҴÃдÙ໚¹Ê‹Ç¹ãË­‹ ËÅѧËÂØ´¡ÒÃÃÑ¡ÉÒÃд٨СÅѺÁÒ¡àËÁ×͹à´ÔÁ é í ÀÒÂã¹ 2 à´×͹ ´Ñ§¹Ñ鹨֧໚¹¡ÒÃÃÑ¡ÉÒà¾Õ§ªÑèǤÃÒÇ«Öè§àËÁÒÐã¹¼ÙŒ»†Ç·ÕèÃÍ¡Òü‹ÒµÑ´à¾×èÍÅ´¡Òà àÊÕÂàÅ×Í´ÍÕ¡ËÃ×ÍÍÒ¨ãˌ㹼ٻÇ·Õã¡ÅŒ¨ÐËÁ´Ãд٠ÍÒ¡ÒâŒÒ§à¤Õ§ 䴌ᡋ ÍÒ¡ÒâͧÇÑÂËÁ´ÃÐ´Ù¤Í ÃŒÍ¹ Œ † è × ÇÙºÇÒº ˧ش˧Դ ª‹Í§¤ÅÍ´áËŒ§ áÅФÇÒÁÃÙÊ¡·Ò§à¾ÈŴŧ ¡ÒÃãËŒÂÒ໚¹àÇÅÒ¹Ò¹¨Ð·íÒãËŒà¡Ô´ Œ Ö ¡Ãд١ºÒ§à¹×ͧ¨Ò¡ÁÕÃдѺ estrogen µèÒ໚¹àÇÅÒ¹Ò¹ è í 1.5 Antifibrinolytic agents(10) ÂÒã¹¡ÅØÁ antifibrinolytic agents 䴌ᡋ epsilon-aminocaproic acid (EACA) áÅÐ ‹ tranexamic acid ÊÒÁÒöŴ»ÃÔÁÒ³àÅ×Í´ÃдÙà©ÅÕÂŧ䴌ÃÍÂÅÐ 50(11,12) â´Â¾ºÇ‹ÒÊÒÁÒöŴ»ÃÔÁÒ³ è Œ àÅ×Í´·ÕÍ͡䴌´¡Ç‹Ò NSAIDs áÅÐ luteal phase progestogens ¹Í¡¨Ò¡¹Õ§¾ºÍÒ¡ÒâŒÒ§à¤Õ§㹠è Õ é Ñ ÍѵÃÒ·ÕèµèíÒ¡Ç‹Ò
  • 263.
    236 Practical Management of Dysfunctional Uterine Bleeding 2. ˋǧ¤ØÁ¡íÒà¹Ô´ª¹Ô´ÁÕÎÍÏâÁ¹ levonorgestrel (levonorgestrel releasing intrauterine system, LNG-IUS)(13,14) LNG-IUS ໚¹Ë‹Ç§¤ØÁ¡íÒà¹Ô´·ÕÊÒÁÒö»Å´»Å‹ÍÂÎÍÏâÁ¹ levonorgestrel ãËŒÍ͡ķ¸ è ੾ÒзÕã¹â¾Ã§Á´ÅÙ¡ Ê‹§¼ÅãËŒÁ¡Òá´¡ÒÃà¨ÃÔ­àµÔºâµ¢Í§àÂ×ͺØÁ´ÅÙ¡ ÊÒÁÒöŴ»ÃÔÁÒ³àÅ×Í´ä´Œ è Õ è ¶Ö§ÃŒÍÂÅÐ 97 â´Â¾ºÇ‹Ò㹪‹Ç§à´×͹ááËÅѧ¨Ò¡ãÊ‹Ëǧ¤ØÁ¡íÒà¹Ô´ ¼Ù»ÇºҧÃÒ¨ÐÁÕàÅ×Í´ÍÍ¡¡ÃлÃÔ ‹ Œ † ´¡ÃлÃÍ ᵋËÅѧ¨Ò¡¹Ñ¹áŌǾºÇ‹ÒÍÒ¡Òôѧ¡Å‹ÒÇÅ´¹ŒÍÂŧ áÅÐÃŒÍÂÅÐ 15 ¨ÐäÁ‹ÁàÅ×Í´ÃдÙàÅ é Õ ¼Åµ‹Í¡ÒÃÅ´»ÃÔÁÒ³àÅ×Í´´Õ¡Ç‹Ò¡ÒÃ㪌â»Ãà¨ÊâµÃਹẺÃѺ»ÃзҹµÔ´µ‹Í¡Ñ¹ 21 Çѹ LNG-IUS Í͡ķ¸Ôä´Œ¹Ò¹¶Ö§ 5 »‚ ÊÒÁÒö㪌ÊÒËÃѺ¤ØÁ¡íÒà¹Ô´ä´Œ ¹Í¡¨Ò¡¹Õ¾º¼Å¢ŒÒ§à¤Õ§ ઋ¹ ÍÒ¡ÒäѴµÖ§ ì í é ൌҹÁä´Œ¹ÍÂ¡Ç‹Ò áµ‹Á¢Í´ŒÍ¤×ÍÃÒ¤Ò¤‹Í¹¢ŒÒ§á¾§ Œ Õ Œ 3. ¡ÒÃÃÑ¡ÉÒ´ŒÇ¡Òü‹ÒµÑ´(9) 3.1 ¡ÒâٴÁ´ÅÙ¡ ¡ÒâٴÁ´ÅÙ¡äÁ‹ÁÕ»ÃÐ⪹ã¹¡ÒÃÃÑ¡ÉÒ¼ÙŒ»†Ç DUB ª¹Ô´ÁÕ¡Òõ¡ä¢‹ à¾ÃÒÐàÂ×è꼯 Á´ÅÙ¡äÁ‹ÁÕ¡ÒÃ˹ҵÑÇ áÅмٌ»†ÇÂʋǹãË­‹¨ÐÁÕàÅ×Í´ÃдÙÍÍ¡äÁ‹ÁÒ¡¨¹à¡Ô´ÀÒÇЪçͤ ᵋÍÒ¨ÁÕ »ÃÐ⪹ÍÂٺҧ㹡ÒÃÇÔ¹¨©ÑÂá¡âä·ÕÁ¾ÂÒ¸ÔÊÀÒ¾ã¹â¾Ã§Á´ÅÙ¡ ઋ¹ submucous myoma ໚¹ ‹ Œ Ô è Õ µŒ¹ Í‹ҧäá紡ÒÃÇÔ¹¨©ÑÂâä¹Õã¹»˜¨¨Øº¹ÁÕǸ¡ÒÃÍ×¹·Õǹ¨©ÑÂä´ŒáÁ‹¹ÂíÒ¡Ç‹Ò ¤×Í ¡ÒõÃǨÍÑŵÃÒ Õ Ô é Ñ ÔÕ è èÔ Ô «Òǹ´ÃÇÁ¡Ñº¡Òéմ¹éÒà¡Å×ÍࢌÒâ¾Ã§Á´ÅÙ¡ ‹ í 3.2 ¡ÒõѴÁ´ÅÙ¡ ¡ÒõѴÁ´ÅÙ¡Áբͺ‹§ªÕ㹼ٻǷÕäÁ‹µÍºÊ¹Í§µ‹Í¡ÒÃÃÑ¡ÉÒ´ŒÇÂÂÒ ·Ñ§¹ÕµÍ§¾Ô¨ÒÃ³Ò Œ é Œ † è é é Œ ¶Ö§ÍÒÂØáÅФÇÒÁµŒÍ§¡ÒÃÁÕºµÃ ¨Ò¡Ê¶Ôµ¢Í§»ÃÐà·Èã¹á¶ºÂØâû¾ºÇ‹Ò essential menorrhagia ໚¹ Ø Ô DUB ·Õ໚¹ÊÒà˵طÁÒ¡·ÕÊ´¢Í§¡Òü‹ÒµÑ´Á´ÅÙ¡ÍÍ¡ã¹ÇÑÂà¨ÃÔ­¾Ñ¹¸Ø Í‹ҧäá紼»ÇÂʋǹãË­‹·ä´Œ è Õè èØ Õ ÙŒ † Õè ÃѺ¡ÒÃÇÔ¹¨©ÑÂÇ‹Ò໚¹ essential menorrhagia ໚¹¡ÒÃÇÔ¹¨©Ñ¨ҡ»ÃÐÇѵ¡ÒÃàÊÕÂàÅ×ʹ෋ҹѹ àÁ×ÍÁÕ Ô Ô Ô é è ¡ÒÃÇѴẺ objective áÅŒÇÁÑ¡¾ºÇ‹Ò¼Ù»ÇÂäÁ‹ä´ŒÁÃдÙÁÒ¡¨ÃÔ§ ¤×Í ¾ºÇ‹ÒÁÕ¡ÒÃàÊÕÂàÅ×Í´ÃдٹÍÂ¡Ç‹Ò Œ † Õ Œ 80 ÁÔÅÅÔŵÃã¹áµ‹ÅÐÃͺÃд٠¨Ö§ÁÕ¼á¹Ð¹íÒÇ‹Ò ¤Ç÷íÒ¡ÒÃÇÑ´»ÃÔÁÒ³àÅ×Í´ÃдÙ㹼ٻǷյͧ¡ÒõѴ Ô ÙŒ Œ † è Œ Á´ÅÙ¡¡‹Í¹·Õ¨ÐãËŒ¡ÒÃÃÑ¡ÉÒ´ŒÇ¡Òü‹ÒµÑ´ ËÇÁ¡Ñº¡ÒþԨÒóÒÃдѺ hemoglobin ¡ç¨ÐÊÒÁÒöŴ è ¨íҹǹ¡ÒõѴÁ´Å١ŧä»ä´ŒÁÒ¡ 3.3 ¡Òü‹ÒµÑ´·íÒÅÒÂàÂ×èͺØÁ´ÅÙ¡ (endometrial ablation)(15,16) ¡Òü‹ÒµÑ´·íÒÅÒÂàÂ×ͺØÁ´Å١໚¹¡Òü‹ÒµÑ´áººÍ¹ØÃ¡É ÁÕǵ¶Ø»ÃÐʧ¤à¾×Í·íÒÅÒÂàÂ×Í è Ñ Ñ è è ºØÁ´ÅÙ¡«Ö§à»š¹µŒ¹¡íÒà¹Ô´¢Í§àÅ×Í´Ãд٠¡Òü‹ÒµÑ´ÁÕÍÂÙËÅÒÂÇÔ¸Õ ä´Œá¡‹ ¡ÒõѴàÂ×ͺØÁ´ÅÙ¡´ŒÇÂÅÇ´ä¿¿‡Ò è ‹ è (electrical loop resection) ËÃ×Í ¡Ò÷íÒÅÒÂàÂ×ͺØÁ´ÅÙ¡´ŒÇ¤ÇÒÁÌ͹¨Ò¡áËÅ‹§¡íÒà¹Ô´¤ÇÒÁÌ͹㹠è ÃٻẺµ‹Ò§æ 䴌ᡋ ä¿¿‡Ò (electrical roller ball) laser, thermal balloon áÅШҡ¤Å×¹àÊÕ§·ÕÁ¤ÇÒÁ è è Õ ¶Õã¹Â‹Ò¹ microwave ¡Òü‹ÒµÑ´áººÍ¹ØÃ¡É¹ä´Œ¼Å´Õã¹ÃÐÂÐááËÅѧ¼‹ÒµÑ´ ᵋàÁ×͵ԴµÒÁ¼Å¡Òà è Ñ Õé è ÃÑ¡ÉÒã¹ÃÐÂÐÂÒǾºÁÕÍѵÃÒ¡ÒáÅѺ໚¹«éíÒà¾ÔèÁ¢Öé¹µÒÁÃÐÂÐàÇÅÒ
  • 264.
    àǪÈÒʵÏ·¹Âؤ 2553 Ñ 237 ¡ÒÃÃÑ¡ÉÒ DUB ª¹Ô´äÁ‹ÁÕ¡Òõ¡ä¢‹ à¹×ͧ¨Ò¡¼Ù»Ç·Õ໚¹ DUB ª¹Ô´¹Õ¨ÐÁÕàÅ×Í´ÍÍ¡¼Ô´»¡µÔ¨Ò¡â¾Ã§Á´ÅÙ¡ä´ŒËÅÒÂẺ ¡ÒÃÃÑ¡ÉÒ è Œ † è é ¨Ö§¾Ô¨ÒóÒãËŒµÒÁÃٻẺ·Õ¼´»¡µÔ â´ÂÁÕËÅÑ¡¡Òä×Í ËÂØ´àÅ×Í´ÃдٷÍÍ¡ÁÒ¡ËÃ×Í¡ÃлÃÔ´¡ÃлÃÍ è Ô Õè ËÅѧ¨Ò¡¹Ñ¹·íÒãËŒÁÃͺÃдٷÊÁèÒàÊÁÍ áÅл‡Í§¡Ñ¹¡ÒáÅѺ໚¹«éÒ é Õ Õè í í 1. ÅѡɳÐàÅ×Í´ÍÍ¡¼Ô´»¡µÔ¨Ò¡â¾Ã§Á´Å١Ẻ oligomenorrhea ãËŒ progestogen ઋ¹ norethisterone (NET) 5 ÁÔÅÅÔ¡ÃÑÁ medroxyprogesterone acetate (MPA) ËÃ×Í dydrogesterone 10 ÁÔÅÅÔ¡ÃÑÁ ÇѹÅФÃѧ ໚¹àÇÅÒ 7-10 Çѹ·Ø¡à´×͹ ËÅѧ¨Ò¡ËÂØ´ÂÒ¨ÐÁÕ é withdrawal bleeding ÀÒÂã¹ 14 Çѹ ËÅѧ¨Ò¡¹Ñ¹ãËŒÂÒ¢¹Ò´à´ÔÁµ‹Í໚¹Ãͺ æ â´ÂãËŒ¡ÒÃÃÑ¡ÉÒ¹Ò¹ 3- é 6 à´×͹໚¹Í‹ҧ¹ŒÍ 2. ÅѡɳÐàÅ×Í´ÍÍ¡¼Ô´»¡µÔ¨Ò¡â¾Ã§Á´Å١Ẻ menorrhagia ËÃ×Í polymenorrhea ãËŒ progestogen Çѹ·Õè 15-25 ¢Í§ÃͺÃд٠¶ŒÒàÅ×Í´ÂѧÍÍ¡ÁÒ¡à»ÅÕ¹໚¹ãˌẺ 3 ã¹ 4 è ÊÑ»´ÒˏËÃ×ÍãËŒµ´µ‹Í¡Ñ¹¡çä´Œ ËÃ×Í㪌ÂÒàÁç´¤ØÁ¡íÒà¹Ô´ª¹Ô´ÎÍÏâÁ¹ÃÇÁ¡çä´Œ Ô ¶ŒÒäÁ‹µÍºÊ¹Í§µ‹Í¡ÒÃÃÑ¡ÉÒ¤Ç÷íÒ¡ÒâٴÁ´ÅÙ¡ËÃ×Í·íÒ¡ÒõÃǨÇÔ¹Ô¨©ÑÂÍ‹ҧÍ×è¹ µ‹Íä» ã¹ÃÒ·ÕèäÁ‹µÍºÊ¹Í§µ‹Í¡ÒÃÃÑ¡ÉÒ´ŒÇÂÂÒ ¤ÇþԨÒóÒãËŒ¡ÒÃÃÑ¡ÉÒ´ŒÇ¡ÒõѴÁ´ÅÙ¡ËÃ×Í endometrial ablation 㹼ٻǷÕäÁ‹µÍ§¡ÒÃÁÕºµÃáÅŒÇ Œ † è Œ Ø 3. ÅѡɳÐàÅ×Í´ÍÍ¡¼Ô´»¡µÔ¨Ò¡â¾Ã§Á´Å١Ẻ metrorrhagia ¡ÒÃÃÑ¡ÉÒ¼Ù»ÇÂã¹¡ÅØÁ¹Õé ẋ§Í͡໚¹ 2 ¢Ñ¹µÍ¹ ¤×Í Œ † ‹ é 3.1 ¡Ò÷íÒãËŒàÅ×Í´ËÂØ´ 3.1.1 ¡Ã³ÕàÅ×Í´ÍÍ¡ÁÒ¡ ã¹ÇÑÂÃØ¹äÁ‹¤ÇâٴÁ´ÅÙ¡ ¾Ô¨ÒóÒãËŒ conjugated equine estrogen (Premarin®) ‹ 1.25-2.50 ÁÔÅÅÔ¡ÃÑÁ ÃѺ»Ãзҹ·Ø¡ 4-6 ªÑèÇâÁ§¨¹¡Ç‹ÒàÅ×Í´ËÂØ´ â´ÂÁÒ¡àÅ×Í´¨ÐËÂØ´ÀÒÂã¹ 12 ªÑÇâÁ§ äÁ‹¤ÇÃãËŒà¡Ô¹ 24 ªÑÇâÁ§ ¶ŒÒàÅ×Í´ÍÍ¡ÁÒ¡ÂѧäÁ‹ËÂØ´¤Çù֡¶Ö§ÊÒà˵طҧ¡ÒÂÀÒ¾Í×¹ æ è è è ઋ¹ »˜¨¨Ñ¡ÒÃá¢ç§µÑǢͧàÅ×Í´¼Ô´»¡µÔ ÃÍÂâäã¹â¾Ã§Á´ÅÙ¡ ໚¹µŒ¹ ã¹¢³Ðà´ÕÂǡѹãËŒàÃÔèÁ progestogen (NET 5 ÁÔÅÅÔ¡ÃÑÁ, MPA 10 ÁÔÅÅÔ¡ÃÑÁ, ËÃ×Í dydrogesterone 10 ÁÔÅÅÔ¡ÃÑÁ) ÇѹÅÐ 3 ¤Ãѧ é ໚¹àÇÅÒ 10-14 Çѹ ËÃ×ÍÍÒ¨ãËŒÂÒàÁç´¤ØÁ¡íÒà¹Ô´ª¹Ô´ÎÍÏâÁ¹ÃÇÁÇѹÅÐ 2 àÁç´à»š¹àÇÅÒ 5-7 Çѹ áÅŒÇÅ´ ¢¹Ò´àËÅ×ÍÇѹÅÐ 1 àÁç´ ä»ÍÕ¡ 3 ÊÑ»´Òˏ ¡Åä¡¡ÒÃËÂØ´àÅ×Í´¢Í§¡ÒÃÃÑ¡ÉÒ´ŒÇÂÎÍÏâÁ¹à¾È ã¹ÃÐÂÐáá໚¹¼Å¨Ò¡ ¡Ò÷Õè estrogen ¡Ãеع¡ÒÃÊÌҧ»˜¨¨Ñ¡ÒÃá¢ç§µÑǢͧàÅ×Í´ áÅÐÁÕ¼Åâ´ÂµÃ§µ‹Í¤ÇÒÁá¢ç§áç¢Í§àÊŒ¹ Œ àÅ×Í´½Í ã¹ÃÐÂе‹ÍÁÒ estrogen Í͡ķ¸Ô¡Ãеع proliferation ¢Í§àÂ×ͺØÁ´ÅÙ¡ ʋǹ progestogen ì Œ è ·íÒãËŒàÂ×ͺØÁ´ÅÙ¡à»ÅÕ¹ÊÀҾ໚¹ secretory endometrium «Ö§àÁ×ÍãËŒä»ÃÐÂÐ˹֧áÅŒÇËÂØ´ÂÒ¡ç¨ÐÁÕ è è è è è withdrawal bleeding àËÁ×͹Ãдٻ¡µÔ (17) ã¹¡ÅØÁÇÑÂà¨ÃÔ­¾Ñ¹¸ØáÅÐÇÑÂËÁ´Ãд٠ãËŒ¢´Á´ÅÙ¡µÑ§áµ‹ááà¾×Í·íÒãËŒàÅ×Í´ËÂØ´ ‹  Ù é è áÅÐà¾×Íà¡çºªÔ¹à¹×ÍÊ‹§µÃǨ·Ò§¾ÂÒ¸ÔÇ·ÂÒ áÅŒÇËÅѧ¨Ò¡¹Ñ¹ãËŒ¡ÒÃÃÑ¡ÉÒµÒÁ¤ÇÒÁ¼Ô´»¡µÔ·à¡Ô´¢Ö¹ è é é Ô é Õè é
  • 265.
    238 Practical Management of Dysfunctional Uterine Bleeding 3.1.2  ¡Ã³ÕàÅ×Í´ÍÍ¡äÁ‹ÁÒ¡ ÊÒÁÒöÃÑ¡ÉÒä´ŒËÅÒÂẺ ¤×Í (1) ¾Ô ¨ ÒóÒãËŒ progestogen ä´Œ á ¡‹ NET 5 ÁÔ Å ÅÔ ¡ ÃÑ Á MPA ËÃ× Í dydrogesterone 10 ÁÔÅÅÔ¡ÃÑÁ ÇѹÅÐ 3 àÇÅÒ à»š¹àÇÅÒ 10-14 Çѹ à¾×Íà»ÅÕ¹àÂ×ͺØÁ´ÅÙ¡¨Ò¡ª¹Ô´ è è è proliferative ໚¹ª¹Ô´ secretory àÅ×Í´ÁÑ¡ËÂØ´ÀÒÂã¹ 24-48 ªÑÇâÁ§ ÀÒÂËÅѧËÂØ´ÂÒ 2-7 Çѹ ¨ÐÁÕàÅ×Í´ è ÃдÙÍÍ¡ÁÒáÅÐÊÒÁÒöËÂØ´ä´Œàͧ ´Ñ§¹Ñ¹µŒÍ§ªÕᨧãËŒ¼»ÇÂࢌÒã¨à¾×Í»‡Í§¡Ñ¹¡ÒÃࢌÒ㨼ԴNjҡÒÃÃÑ¡ÉÒ é é ÙŒ † è äÁ‹ä´Œ¼Å ¡ÒÃÃÑ¡ÉÒẺ¹ÕàÃÕÂ¡Ç‹Ò medical curettage é (2) ¾Ô¨ÒóÒãËŒÂÒàÁç´¤ØÁ¡íÒà¹Ô´ª¹Ô´ÎÍÏâÁ¹ÃÇÁ ÃѺ»ÃзҹÇѹÅÐ 1-2 àÁç´ à»š¹àÇÅÒ 7 Çѹ àÅ×Í´ÁÑ¡ËÂØ´ÀÒÂã¹ 2-3 Çѹ ÀÒÂËÅѧËÂØ´ÂÒ¡çÁÕàÅ×Í´ÍÍ¡ÍÕ¡¤ÃÑé§ àª‹¹à´ÕÂǡѺ progestogen ¢ŒÍ´Õ¢Í§ÂÒ¹Õ¤ÍËÒä´Œ§Ò·ÑÇä» ¢ŒÍàÊÕ¤×ͼٻÇÂÍÒ¨ÁÕÍÒ¡ÒäÅ×¹äÊŒÍÒà¨Õ¹¨Ò¡ estrogen é × ‹ è Œ † è »ÃÔÁÒ³ÊÙ§ ´Ñ§¹Ñ¹¤ÇÃãËŒÂÒᡌ¡ÒäÅ×¹äÊŒÍÒà¨Õ¹ËÇÁ´ŒÇ é è (3) Estrogen ãËŒã¹ÃÒ·ÕÁàÅ×Í´ÍÍ¡æ ËÂØ´æ ·Õà¡Ô´¨Ò¡ threshold bleeding è Õ è â´ÂÁÕÃдѺ estrogen ã¹Ã‹Ò§¡ÒµèÒ ·íÒãËŒàÂ×ͺØÁ´ÅÙ¡ºÒ§¨¹ progestogen äÁ‹ÊÒÁÒöÍ͡ķ¸Ôä´Œ í è ì ¢¹Ò´ÂÒ·ÕèãËŒ¤×Í conjugated equine estrogen 1.25 ÁÔÅÅÔ¡ÃÑÁµ‹ÍÇѹ ໚¹àÇÅÒ 25 Çѹ áÅÐãËŒ progestogen ã¹ 10 ÇѹËÅѧ¢Í§Ãͺà´×͹ ËÅѧ¨Ò¡¹Ñ¹ËÂØ´ÂÒ¨ÐÁÕàÅ×Í´ÃдÙÍÍ¡ÁÒ áÅŒÇàÃÔÁÂÒẺ é è à´ÔÁµ‹Íã¹Ãͺ¶Ñ´ä» 3.2 ¡Òû‡Í§¡Ñ¹¡ÒÃ໚¹«éíÒ à¹×ͧ¨Ò¡ÀÒÇÐäÁ‹Á¡Òõ¡ä¢‹à»š¹ÊÒà˵آͧ¡ÒÃÁÕàÅ×Í´ÍÍ¡¼Ô´»¡µÔ ´Ñ§¹Ñ¹¶ŒÒÀÒÇйÕé è Õ é äÁ‹ÊÒÁÒöËÒÂä´Œàͧã¹àÇÅÒÍѹÊѹ ´Ñ§¹Ñ¹¡ÒäǺ¤ØÁ¡ÒÃà¨ÃÔ­¢Í§àÂ×ͺØÁ´ÅÙ¡áÅÐãËŒÁ¡ÒÃÅÍ¡ËÅØ´ é é è Õ Í‹ҧÊÁèÒàÊÁÍã¹áµ‹ÅÐÃͺà´×͹¨Ö§ÁÕ¤ÇÒÁ¨íÒ໚¹à¾×Í໚¹¡ÒÃÃÍãËŒ¼»Ç¡ÅѺÁÒÁÕ¡Òõ¡ä¢‹à»š¹»¡µÔ í è ÙŒ † â´Â੾ÒÐã¹ÇÑÂÃØ¹ ‹ ¡ÒÃÃÑ¡ÉÒÁÕËÅÒª¹Ô´ ·Ñ§¹Õ¢¹¡ÑºÍÒÂØ ¢ŒÍËŒÒÁ áÅЪ¹Ô´¢Í§àÂ×ͺØÁ´ÅÙ¡·Ò§¾ÂÒ¸ÔÇ·ÂÒ é é Öé è Ô 3.2.1 Proliferative endometrium ÊÒÁÒöãËŒ progestogen à´×͹ÅÐ 10 Çѹ ËÃ×Í 3 (18) ÊÑ»´Òˏ ¢Ö¹¡Ñº¤ÇÒÁµŒÍ§¡ÒÃ㹡ÒäØÁ¡íÒà¹Ô´áÅмšÒõͺʹͧ ÇÔ¸·§Ò¤×Í¡ÒÃãËŒÂÒàÁç´¤ØÁ¡íÒà¹Ô´ é Õ Õè ‹ ª¹Ô´ÎÍÏâÁ¹ÃÇÁ ¤ÇÃãˌ͋ҧ¹ŒÍ 3 à´×͹ 3.2.2 Endometrial hyperplasia ໚¹¾ÂÒ¸ÔÊÀÒ¾¢Í§àÂ×ͺØÁ´ÅÙ¡·Õ¶¡¡Ãеع´ŒÇ è è Ù Œ unopposed estrogen ¨Ò¡ÀÒÇÐäÁ‹Á¡Òõ¡ä¢‹à»š¹àÇÅÒ¹Ò¹ ¼Ù»Ç¨ÐÁÕ¤ÇÒÁàÊÕ§µ‹Í¡ÒÃ໚¹ÁÐàÃç§àÂ×Í Õ Œ † è è ºØÁ´ÅÙ¡ä´ŒÃÍÂÅÐ 1-30 ´Ñ§¹Ñ¹¨Ö§µŒÍ§ãËŒ progestogen à¾×Í»‡Í§¡Ñ¹¡ÒÃà¡Ô´ÁÐàÃç§àÂ×ͺØÁ´ÅÙ¡µÒÁÁÒ Œ é è è (19) â´ÂãËŒÂÒà´×͹ÅÐ 12-14 Çѹ ËÃ×Í 3 ÊÑ»´ÒˏËÂØ´ 1 ÊÑ»´Òˏ ËÃ×ÍãËŒµ´µ‹Í¡Ñ¹à»š¹àÇÅÒ 6 à´×͹ áÅзíÒÔ ¡ÒâٴÁ´ÅÙ¡«éÒà¾×ʹټšÒÃÃÑ¡ÉÒ ã¹¡Ã³Õ·ÁÕ atypia áÅÐ ÂѧäÁ‹¾ÃŒÍÁ¼‹ÒµÑ´ ¤ÇÃãËŒ¡ÒÃÃÑ¡ÉÒ´ŒÇ í è Õè progestogen »ÃÔÁÒ³ÊÙ§ ઋ¹ megestrol acetate ÇѹÅÐ 40-160 ÁÔÅÅÔ¡ÃÑÁ áÅеÃǨªÔ¹à¹×Í«éÒ 3 à´×͹ é é í ËÅѧ¨Ò¡ÃÑ¡ÉÒ ¶ŒÒ¼ÅàÂ×ͺØÁ´Å١໚¹»¡µÔ¡ãˌáÉÒµ‹Í¨¹¤Ãº 6 à´×͹áŌǵѴªÔ¹à¹×͵ÃǨ«éÒÍÕ¡¤Ãѧ è ç Ñ é é í é ʋǹã¹ÃÐÂÐÂÒǶŒÒ¼Ù»ÇÂÁÕÀÒÇÐäÁ‹µ¡ä¢‹áººàÃ×ÍÃѧ¤ÇÃ䴌ú¡ÒÃÃÑ¡ÉÒµ‹Íà¹×ͧ à¾ÃÒÐâäÁÕâÍ¡ÒÊ Œ † é Ñ è ¡ÅѺÁÒ໚¹«éÒÊÙ§í
  • 266.
    àǪÈÒʵÏ·¹Âؤ 2553 Ñ 239 ÊÃØ» ¡ÒÃÇÔ¹¨©Ñ DUB ໚¹¡ÒÃÇÔ¹¨©ÑÂâ´Â¡ÒõѴÊÒà˵طҧ organic ÍÍ¡ä» Ê‹Ç¹ãË­‹à»š¹ DUB Ô Ô ª¹Ô´äÁ‹Á¡Òõ¡ä¢‹ ¡ÒÃÃÑ¡ÉÒ¾Ô¨ÒóҵÒÁÍÒÂØ ¤ÇÒÁµŒÍ§¡ÒÃÁÕºµÃ áÅФÇÒÁÃØ¹áç¢Í§àÅ×Í´ÍÍ¡ Õ Ø ¡ÒÃÃÑ¡ÉÒ·ÑèÇä» ã¹¡ÅØ‹ÁÇÑÂÃØ‹¹ÍÒÂØ¹ŒÍÂäÁ‹¨íÒ໚¹µŒÍ§µÃǨÀÒÂã¹à¾ÃÒÐʋǹãË­‹äÁ‹ÁÕÊÒà˵طҧ organic áµ‹ã¹¡ÅØÁÍÒÂØÁÒ¡ÁÕâÍ¡ÒÊ·Õ¨ÐÁÕÃÍÂâäã¹â¾Ã§Á´Å١䴌ʧ¡Ç‹Ò¡ÅØÁÍÒÂØ¹Í ¨Ö§ÍÒ¨µŒÍ§¢Ù´ ‹ è Ù ‹ Œ Á´ÅÙ¡ ËÃ×͵ѴªÔ¹à¹×Íã¹â¾Ã§Á´ÅÙ¡µÃǨ¡‹Í¹àÃÔÁãËŒ¡ÒÃÃÑ¡ÉÒ àÁ×ÍÃÑ¡ÉÒ¨¹ÊÒÁÒö¤Çº¤ØÁàÅ×Í´·ÕÍÍ¡ é é è è è ¼Ô´»¡µÔã¹àº×ͧµŒ¹ä´ŒáÅŒÇ µŒÍ§ãËŒ¡ÒÃÃÑ¡ÉÒµ‹Íà¾×Í»‡Í§¡Ñ¹¡ÒáÅѺ໚¹«éÒ áÅÐᡌä¢ÊÒà˵ط·ÒãËŒà¡Ô´ é è í Õè í ¡Òõ¡ä¢‹·¼´»¡µÔ ´Ñ§¹Ñ¹¼Ù»ÇÂ¡ÅØÁ¹Õ¤ÇÃ䴌ú¡ÒõÃǨµÔ´µÒÁÍ‹ҧµ‹Íà¹×ͧ ͸ԺÒÂÇÔ¸¡ÒúÃÔËÒà Õè Ô é Œ † ‹ é Ñ è Õ ÂÒÍ‹ҧ¶Ù¡µŒÍ§ ¨´Ãͺ»ÃШíÒà´×͹¢³Ð䴌ú¡ÒÃÃÑ¡ÉÒ à¾×Íᾷ¨Ðä´Œ»ÃÐàÁÔ¹¼Å¡ÒÃÃÑ¡ÉÒ䴌͋ҧ Ñ è ¶Ù¡µŒÍ§ àÍ¡ÊÒÃ͌ҧÍÔ§ 1. Speroff L, MA .. Dysfunctional uterine bleeding. In: Speroff L, MA ., editors. Clinical gynecologic endocrinology and infertility. 7th ed. Philadelphia: Lippincott Williams & Wilkins; 2005. 547-72. 2. Strauss III, C C. The endometrium and myometrium: regulation and dysfunction. In: Yen SC, Jaffe RB, RL B, editors. Reproductive endocrinology. Philadelphia: W.B.Saunders Company; 1999. 218-56. 3. .raser IS. Bleeding arising from the use of exogenous steroids. Baillieres Best Pract Res Clin Obstet Gynaecol. 1999;13:203-22. 4. Shwayder JM. Pathophysiology of abnormal uterine bleeding. Obstet Gynecol Clin North Am. 2000;27:219-34. 5. Kulig JW. Menstrual disorder. In: Strasburger VC, editor. Basic adolescent gynecology: An office guide. Baltimore: Urban & Schwarzenberg; 1990. 41-72. 6. Vercellini P, Cortesi I, Oldani S, Moschetta M, De Giorgi O, Crosignani PG. The role of transvaginal ultrasonography and outpatient diagnostic hysteroscopy in the evaluation of patients with menorrhagia. Hum Reprod. 1997;12:1768-71. 7. Goldstein SR, Zeltser I, Horan CK, Snyder JR, Schwartz LB. Ultrasonography-based triage for perimenopausal patients with abnormal uterine bleeding. Am J Obstet Gynecol. 1997;177:102-8. 8. Bongers MY, Mol BW, Brolmann HA. Current treatment of dysfunctional uterine bleeding. Maturitas. 2004;47:159- 74. 9. Istre O, Qvigstad E. Current treatment options for abnormal uterine bleeding: an evidence-based approach. Best Pract Res Clin Obstet Gynaecol. 2007;21:905-13. 10. Gultekin M, Diribas K, Buru E, Gokceoglu MA. Role of a non-hormonal oral anti-fibrinolytic hemostatic agent (tranexamic acid) for management of patients with dysfunctional uterine bleeding. Clin Exp Obstet Gynecol. 2009;36:163-5. 11. Long CA, Gast MJ. Menorrhagia. Obstet Gynecol Clin North Am. 1990;17:343-59. 12. Bonnar J, Sheppard BL. Treatment of menorrhagia during menstruation: randomised controlled trial of ethamsylate, mefenamic acid, and tranexamic acid. Br Med J. 1996;313:579-82. 13. Dueholm M. Levonorgestrel-IUD should be offered before hysterectomy for abnormal uterine bleeding without uterine structural abnormalities: there are no more excuses! Acta Obstet Gynecol Scand. 2009;88:1302-4.
  • 267.
    240 Practical Management of Dysfunctional Uterine Bleeding 14. Vilos GA, Tureanu V, Garcia M, Abu-Rafea B. The levonorgestrel intrauterine system is an effective treatment in women with abnormal uterine bleeding and anticoagulant therapy. J Minim Invasive Gynecol. 2009;16: 480-4. 15. Hill D, Maher P. Treatment of menorrhagia by endometrial ablation. Med J Aust. 1990;152:564-5. 16. .raser IS, Angsuwathana S, Mahmoud ., Yezerski S. Short and medium term outcomes after rollerball endometrial ablation for menorrhagia. Med J Aust. 1993;158:454-7. 17. .raser IS. The dysfunctional uterus: dysmenorrrhea and dysfunction uterine bleeding. In: Shearman RP, editor. Clinical reproductive endocrinology. New york: Churchill Livingstone; 1985. 579-98. 18. Jutras ML, Cowan BD. Abnormal bleeding in the climacteric. Obstet Gynecol Clin North Am 1990;17:409-25. 19. Lacey JV, Jr., Chia VM. Endometrial hyperplasia and the risk of progression to carcinoma. Maturitas. 2009;63: 39-44.
  • 268.
    àǪÈÒʵÏ·¹Âؤ 2553 Ñ º··Õè 241 36 䫹ÑÊÍÑ¡àʺ áÅÐÃÔ´Êմǧ¨ÁÙ¡ ¼ÙŒª‹ÇÂÈÒʵÃÒ¨ÒÏ ¹ÒÂᾷ»ÒÃÂÐ ÍÒȹÐàʹ ¼ÙŒª‹ÇÂÈÒʵÃÒ¨ÒÏ ¹ÒÂᾷ¾§È¡Ã µÑ¹µÔÅÕ»¡Ã ¼ÙŒª‹ÇÂÈÒʵÃÒ¨ÒÏ ¹ÒÂᾷ͹ѭ­ ྱÐdzԪ ÍÒ¨ÒÏ ¹ÒÂᾷਵ¹ ÅíÒÂͧàʶÕÂà ÀÒ¤ÇÔªÒâʵ ¹ÒÊÔ¡ ÅÒÃÔ§«Ç·ÂÒ ¤³Ðá¾·ÂÈÒʵÏÈÃÃÒª¾ÂÒºÒÅ ÁËÒÇÔ·ÂÒÅÑÂÁËÔ´Å Ô ÔÔ ä«¹ÑÊÍÑ¡àʺ ໚¹âä·Õ¾ºä´ŒºÍÂã¹àǪ»¯Ôºµ·Çä» áÅÐ໚¹Ë¹Ö§ã¹ËŒÒ¢Í§âä·Õᾷ è ‹ Ñ Ô Ñè è è 㪌ÂÒµŒÒ¹¨ØÅªÕ¾ ÍÕ¡·Ñ§¶ŒÒ¼Ù»Ç·Õ໚¹ä«¹ÑÊÍÑ¡àʺäÁ‹ä´ŒÃº¡ÒôÙáÅÃÑ¡ÉÒ·ÕàËÁÒÐÊÁ ¨Ð¹íÒä»ÊÙâä é Œ † è Ñ è ‹ á·Ã¡«ŒÍ¹Í×è¹æ ઋ¹ ËÙªÑ鹡ÅÒ§ÍÑ¡àʺ, ¤ÍÍÑ¡àʺàÃ×éÍÃѧ, ËÅÍ´ÅÁÍÑ¡àʺ áÅÐ ÀÒÇÐá·Ã¡«ŒÍ¹ ·Ò§µÒ ËÃ×ÍÊÁͧ䴌 ÃÔ´Êմǧ¨ÁÙ¡ ໚¹¡ŒÍ¹à¹×ͧ͡ã¹â¾Ã§¨ÁÙ¡ª¹Ô´·Õ¾ºä´ŒºÍ·ÕÊ´ áÅÐ໚¹âä é è ‹ èØ ·Ò§¨ÁÙ¡·ÕÊÌҧ»˜­ËÒãËŒ¡º·Ñ§µÑǼٻÇÂàͧ áÅÐᡋᾷ¼·Ò¡ÒÃÃÑ¡ÉÒ «Ö§ä´Œá¡‹»­ËÒàÃ×ͧ¡Òà è Ñ é Œ † ÙŒ í è ˜ è à¡Ô´à»š¹«éÒ áÅСÒÃà¡Ô´ä«¹ÑÊÍÑ¡àʺËÇÁ´ŒÇ ·íÒãËŒà¡Ô´¤ÇÒÁࢌÒ㨷ѧã¹ËÁÙ»ÃЪ¹·ÑÇä» áÅÐã¹ í é ‹ è ËÁÙᾷàͧNjÒÃÑ¡ÉÒäÁ‹ËÒ ¼Ù»ÇºҧÃÒÂ䴌ú¡Òü‹ÒµÑ´ËÅÒ¤Ãѧ¡ç§à¡Ô´à»š¹«éÒ䴌͡ ã¹»˜¨¨Øº¹ ‹ Œ † Ñ é Ñ í Õ Ñ ä´ŒÁ¤ÇÒÁࢌÒã¨à¡ÕÂǡѺ ÊÒà˵آͧ¡ÒÃà¡Ô´âä䫹ÑÊÍÑ¡àʺ áÅÐÃÔ´Êմǧ¨ÁÙ¡ÁÒ¡¢Ö¹ º·¤ÇÒÁ¹Õé Õ è é ¨Ö§ÁÕ¨´ÁاËÁÒ·ըзº·Ç¹ÇÃó¡ÃÃÁ·Ñ§ã¹´ŒÒ¹¾ÂÒ¸Ô¡Òà¹Ô´ ¡ÒÃÇÔ¹¨©Ñ áÅÐ ¡ÒÃÃÑ¡ÉҢͧ䫹ÑÊ Ø ‹ è é í Ô ÍÑ¡àʺáÅÐÃÔ´Êմǧ¨ÁÙ¡ ÀÒÇÐâäá·Ã¡«ŒÍ¹ âä ËÃ×ÍÀÒÇзվºÃ‹ÇÁ¡Ñºâä䫹ÑÊÍÑ¡àʺ áÅÐÃÔ´Êմǧ è ¨ÁÙ¡ ÊíÒËÃѺᾷàǪ»¯Ôºµ·Çä» áÅÐᾷ੾Òзҧ Ñ Ô Ñè ¤íÒ¨íÒ¡Ñ´¤ÇÒÁ à¹×ͧ´ŒÇÂÅѡɳзҧ¡ÒÂÇÔÀÒ¤ 䫹ÑÊ ËÁÒ¶֧ â¾Ã§ÍÒ¡ÒÈ¢ŒÒ§¨ÁÙ¡ áÅÐ㵌°Ò¹ÊÁͧʋǹ è ˹ŒÒ ´Ñ§¹Ñ¹ ¤íÒ¨íÒ¡Ñ´¤ÇÒÁ¢Í§ä«¹ÑÊÍÑ¡àʺ ¤×Í ¡ÒÃÍÑ¡àʺ¢Í§àÂ×ͺØâ¾Ã§ä«¹ÑÊ (sinus mucosa) é è µÑ§áµ‹Ë¹Ö§â¾Ã§¢Ö¹ä» áÅÐ à¹×ͧ¨Ò¡àÂ×ͺØâ¾Ã§ä«¹ÑÊ ¨Ðµ‹Íà¹×ͧ໚¹¼×¹à´ÕÂǡѹ¡ÑºàÂ×ͺØâ¾Ã§¨ÁÙ¡ é è é è è è è (nasal mucosa) ¡ÒÃÍÑ¡àʺ¢Í§ä«¹Ñʨ֧ÁÑ¡¨Ðà¡Ô´Ã‹ÇÁ¡Ñº¡ÒÃÍÑ¡àʺ¢Í§¨ÁÙ¡ ¨Ö§ÃÇÁàÃÕÂ¡Ç‹Ò rhinosinusitis(1) ÃÔ´Êմǧ¨ÁÙ¡ ¤×Í¡Ò÷ÕàÂ×ͺبÁÙ¡ ËÃ×Í䫹ÑÊÁÕ¡ÒÃÍÑ¡àʺ áÅкÇÁ ¨¹Â×¹ÍÍ¡ÁÒ໚¹¡ŒÍ¹ è è è ·íÒãËŒâ¾Ã§¨ÁÙ¡áÅÐ/ ËÃ×Í䫹ÑÊ᤺
  • 269.
    242 䫹ÑÊÍÑ¡àʺ áÅÐÃÔ´Êմǧ¨ÁÙ¡ ÍØºÑµÔ¡Òó ã¹»ÃÐà·Èä·Â 䫹ÑÊÍÑ¡àʺ໚¹âä·Õ¾ºº‹ÍÂã¹ÊÒÁÍѹ´Ñºáá¢Í§¤ÅÔ¹¡¼Ù»Ç¹͡·Ò§ËÙ ¤Í è Ô Œ † ¨ÁÙ¡ ÊíÒËÃѺµÑÇàÅ¢¢Í§Íغµ¡Òó »ÃÐÁÒ³Ç‹Ò ä«¹ÑÊÍÑ¡àʺã¹ÍàÁÃÔ¡Òà˹×Í ÊÒÁÒö¾ºä´ŒÃÍÂÅÐ Ñ Ô Œ 2-16 ¢Í§»ÃЪҡà «Ö§¤Ô´à»š¹»ÃЪҡûÃÐÁÒ³ 31 Ōҹ¤¹µ‹Í»‚ ·Õ䴌ú¡ÒÃÇÔ¹¨©ÑÂÇ‹Ò໚¹ä«¹ÑÊ è è Ñ Ô ÍÑ¡àʺ áÅÐ àÁ×;ԨÒÃ³Ò¶Ö§ÍØºµ¡Òóà©¾ÒÐ䫹ÑÊÍÑ¡àʺàÃ×ÍÃѧ ¾ºÇ‹ÒÍØºµ¡Òóà¾ÔÁ¢Ö¹à»š¹ÃŒÍÂÅÐ (2) è Ñ Ô é Ñ Ô è é 14-16 «Ö§à»š¹Íغµ¡Ò󏷾ºä´Œã¹âäàÃ×ÍÃѧÍ×¹æàª‹¹ âäÀÙÁᾌ áÅÐË×´ ª‹Ç§ÍÒÂØ·¡æ 10 »‚ ¨Ð¾ºÇ‹Ò è Ñ Ô Õè é è Ô Ø ÁÕâÍ¡ÒÊà¡Ô´ä«¹ÑÊÍÑ¡àʺà¾ÔÁ¢Ö¹ÃŒÍÂÅÐ 2 â´ÂÁժǧÍÒÂØ·¾ºä´ŒºÍ·ÕÊ´¤×Í 20-59 »‚ 䫹ÑÊÍÑ¡àʺ è é ‹ Õè ‹ èØ àÃ×ÍÃѧÁÑ¡à¡Ô´ã¹à¾ÈË­Ô§º‹Í¡NjÒà¾ÈªÒ áÅÐ ÁÑ¡¾ºÃÔ´Êմǧ¨Á١ËÇÁ´ŒÇÂä´ŒÃÍÂÅÐ 19-36(3) é Œ ª¹Ô´¢Í§ä«¹ÑÊÍÑ¡àʺ 䫹ÑÊÍÑ¡àʺÊÒÁÒö¶Ù¡áº‹§ä´ŒµÒÁÊÒà˵آͧàª×Í·Õ·ÒãËŒà¡Ô´âä ઋ¹ äÇÃÑÊ áº¤·ÕàÃÕ ËÃ×Í é è í àª×ÍÃÒ áµ‹â´Â·ÑÇä»áÅŒÇ ÁÑ¡¨ÐËÁÒ¶֧ 䫹ÑÊÍÑ¡àʺ·ÕÁẤ·ÕàÃÕ ËÃ×Í àª×ÍÃÒ à»š¹ÊÒà˵آͧ¡Òà é è è Õ é µÔ´àª×Í ËÃ×Í¡ÒÃÍÑ¡àʺ¢Í§àÂ×ͺØä«¹ÑÊ ¡ÒÃẋ§ª¹Ô´¢Í§ä«¹ÑÊÍÑ¡àʺ·Õ¹ÂÁ¡Ñ¹¤×Í ¡ÒÃẋ§µÒÁÃÐÂÐ é è è Ô àÇÅÒ·ÕàÃÔÁÁÕÍÒ¡Òà ¤×Í à©Õº¾Åѹ (acute: ¹ŒÍÂ¡Ç‹Ò 4 ÊÑ»´Òˏ) ¡Ö§à©Õº¾Åѹ (subacute: 4-12 ÊÑ»´Òˏ) è è è àÃ×ÍÃѧ (chronic : ÁÒ¡¡Ç‹Ò 12 ÊÑ»´Òˏ) Ẻ¡íÒàÃÔº (acute exacerbation of chronic) áÅРẺ໚¹ é º‹Í (recurrent acute : ໚¹º‹ÍÂÁÒ¡¡Ç‹Ò 4 ¤Ãѧã¹Ë¹Ö§»‚) ºÒ§áË‹§ä´ŒãËŒ¤Ò¨íÒ¡Ñ´¤ÇÒÁ¢Í§ä«¹ÑÊÍÑ¡àʺ é è í à©Õº¾Åѹ ¤×Í䫹ÑÊÍÑ¡àʺ·ÕÁÍÒ¡ÒùŒÍÂ¡Ç‹Ò 12 ÊÑ»´Òˏ áÅÐÍÒ¡Òõ‹Ò§æ ËÒÂʹԷ (complete è Õ resolution) ʋǹ䫹ÑÊÍÑ¡àʺàÃ×ÍÃѧ ¤×Í䫹ÑÊÍÑ¡àʺ·Õ໚¹ÁÒ¹Ò¹¡Ç‹Ò 12 ÊÑ»´Òˏ áÅР㹪‹Ç§·Õ໚¹ é è è ¹Ñ¹ ÍÒ¡Òõ‹Ò§æäÁ‹ÁªÇ§·ÕËÒÂàÅ (without resolution of symptoms) é Õ ‹ è ¾ÂÒ¸Ô¡íÒà¹Ô´ â´Â·ÑÇä» ¡ÒõԴàª×ÍäÇÃÑÊã¹·Ò§à´Ô¹ËÒÂã¨Ê‹Ç¹µŒ¹ ËÃ×Í ËÇÑ´ ÁÕâÍ¡ÒÊ ÃŒÍÂÅÐ 0.5-2 ·Õ¨Ð è é è à¡Ô´à»š¹ä«¹ÑÊÍÑ¡àʺ ÊÒäѴËÅѧ (secretion) ¢Í§ä«¹Ñʨж١¢¹¡ÇÑ´ ËÃ×ÍÈÕàÅÕ (cilia) ¾Ñ´ÁÒ·ÕºÃÔàdz (4) è è ÁÕà͵ÑÊÍѹ¡ÅÒ§ (middle meatus) ໚¹Ê‹Ç¹ãË­‹ ´Ñ§¹Ñ¹ ¶ŒÒÁÕ¡Òáմ¢ÇÒ§ºÃÔàdz ÁÕà͵ÑÊÍѹ¡ÅÒ§ é (ÃÙ»·Õè 1) â´ÂàÂ×ͺØâ¾Ã§¨ÁÙ¡·ÕºÇÁ ËÃ×ÍÅѡɳзҧ¡ÒÂÇÔÀÒ¤·Õ᤺¡Ç‹Ò»¡µÔ (ઋ¹ ¼¹Ñ§¡Ñ¹ª‹Í§¨ÁÙ¡¤´) è è è é ¨Ð·íÒãËŒà¡Ô´¡Òäѧ¤ŒÒ§¢Í§ÊÒäѴËÅѧã¹â¾Ã§ä«¹ÑÊ à¡Ô´à»š¹ä«¹ÑÊÍÑ¡àʺ䴌 è è
  • 270.
    àǪÈÒʵÏ·¹Âؤ 2553 Ñ 243 ÃÙ»·Õè 1: áÊ´§¡ÒÂÇÔÀÒ¤ã¹â¾Ã§¨ÁÙ¡ ãËŒàË繺ÃÔàdzÁÕà͵ÑÊÍѹ¡ÅÒ§ (middle meatus) «Öè§ÍÂÙ‹ 㵌à·ÍºÔ๷Íѹ¡ÅÒ§ (middle turbinate) ÊíÒËÃѺ ¾ÂÒ¸Ô¡Òà¹Ô´¢Í§ä«¹ÑÊÍÑ¡àʺàÃ×ÍÃѧ ã¹»˜¨¨Øº¹ÂѧäÁ‹à»š¹·Õ·ÃÒºÊÒà˵Øá¹‹ª´ â´ÂºÒ§ í é Ñ è Ñ Ê‹Ç¹à¡Ô´¨Ò¡¡ÒôíÒà¹Ô¹âä¢Í§ä«¹ÑÊÍÑ¡àʺà©Õº¾Åѹ·ÕäÁ‹ËÒ ᵋ¡ÁÍ¡ºÒ§Ê‹Ç¹ (â´Â੾ÒÐÍ‹ҧ è ç ÕÕ Âԧ䫹ÑÊÍÑ¡àʺàÃ×ÍÃѧ·ÕÁôÊմǧ¨Á١ËÇÁ´ŒÇÂ) ·Õ§äÁ‹·ÃÒºÊÒà˵ءÒÃà¡Ô´ ¡ÒÃÈÖ¡Éҷҧͳ٪ÇÇÔ·ÂÒ è é è ÕÔ èÑ Õ ¾ºÇ‹ÒÁÕ¤ÇÒÁà¡ÕÂÇ¢ŒÍ§¡Ñº ÍÕâÍÊÕ⹿Åŏ áÅÐ ÅÔÁâ¿«Ñ· ã¹à¹×ÍàÂ×Í·íÒãËŒÁ¡ÒúÇÁ¹éÒáÅÐÍÑ¡àʺ è é è Õ í ä«¹Ñ Ê ÍÑ ¡ àʺ¨Ò¡àª×é Í ÃÒ ÊÒÁÒöà¡Ô ´ ä´Œ ã ¹¼ÙŒ »† Ç Â·Õè ÁÕ ¤ ÇÒÁ¼Ô ´ »¡µÔ ¢ ͧÀÙ ÁÔ ¤ØŒ Á ¡Ñ ¹ (immunocompromised host) ¤×Í䫹ÑÊÍÑ¡àʺ¨Ò¡àª×ÍÃÒª¹Ô´Ãعáç (invasive fungal rhinosinusitis) é ËÃ×Í à¡Ô´ã¹¼Ù»Ç·ÕäÁ‹Á¤ÇÒÁ¼Ô´»¡µÔ¢Í§ÀÙÁ¤Á¡Ñ¹ (immunocompetent host) à¡Ô´à»š¹ä«¹ÑÊÍÑ¡àʺ Œ † è Õ Ô ØŒ ·ÕÁ¡Í¹àª×ÍÃÒ (mycetoma) ËÃ×Í ª¹Ô´ÊØ´·ŒÒ¤×Í ä«¹ÑÊÍÑ¡àʺ¨Ò¡àª×ÍÃÒª¹Ô´ÀÙÁᾌ (allergic fungal è Õ Œ é é Ô rhinosinusitis) «Ö§à»š¹Ë¹Ö§ã¹ÊÒà˵ط·ÒãËŒà¡Ô´ÃÔ´Êմǧ¨ÁÙ¡ª¹Ô´à»š¹«éÒ è è Õè í í (5) ¨¹¶Ö§»˜¨¨Øº¹ÊÒà˵ط᷌¨ÃÔ§¢Í§¡ÒÃà¡Ô´ÃÔ´Êմǧ¨ÁÙ¡ÂѧäÁ‹à»š¹·Õ·ÃҺṋª´ Í‹ҧäáçµÒÁÁÕ Ñ Õè è Ñ »˜¨¨ÑÂÊíҤѭ 3 »ÃСÒ÷ÕÍÒ¨ÁÕÊǹ㹡ÒÃà¡Ô´ÃÔ´Êմǧ¨ÁÙ¡ 䴌ᡋ ¡ÒÃÍÑ¡àʺàÃ×ÍÃѧ áÅСÒõԴàª×֧ͫ è ‹ é é è ¡ÅѺ໚¹«éÒº‹ÍÂæ ¢Í§àÂ×ͺبÁÙ¡áÅÐàÂ×ͺØä«¹ÑÊ «Ö§ÁռŷíÒãËŒà¡Ô´¡ÒúÇÁ¢Í§àÂ×꼯 ¤ÇÒÁ¼Ô´»¡µÔ í è è è è ¢Í§¡Òõͺʹͧ¢Í§Ãкº»ÃÐÊÒ··Õ¤Çº¤ØÁ¡Ò÷íÒ§Ò¹¢Í§ËÅÍ´àÅ×Í´ áÅÐÀÒÇФÇÒÁäÇà¡Ô¹¢Í§ è ËÅÍ´àÅ×Í´·ÕèÁÒàÅÕé§àÂ×èͺبÁÙ¡ áÅÐàÂ×èͺØä«¹ÑÊ ·íÒãËŒà¡Ô´¡ÒúÇÁ¢Í§àÂ×è꼯 áÅÐ ¤ÇÒÁ¼Ô´»¡µÔ ¢Í§¡ÃÐáÊÅÁ·Õ¼Ò¹à¢ŒÒ仺ÃÔàdz«Ö§à»š¹µŒ¹µÍ¢Í§ÃÔ´Êմǧ¨ÁÙ¡ 䴌ᡋ ºÃÔàdzâ¾Ã§¨Á١ʋǹ¡ÅÒ§ è ‹ è áÅкÃÔàdzÃÙແ´¢Í§ä«¹ÑÊ ÃÔ´Êմǧ¨ÁÙ¡·Õà¡Ô´¢Ö¹ºÒ§ª¹Ô´ ÁÕ¤ÇÒÁÊÑÁ¾Ñ¹¸ ËÃ×Íà¡Ô´Ã‹ÇÁ¡ÑºâäÍ×¹æ ËÃ×ÍÍҨ໚¹¼Å·Õà¡Ô´ è é è è ¨Ò¡¡ÒÃÍÑ¡àʺ «Ö§ÊÑÁ¾Ñ¹¸¡ºâäàËŋҹѹ ËÃ×Í໚¹¼Å·Õà¡Ô´·ŒÒÂÊØ´¢Í§âä «Ö§à»š¹ÊÔ§·Õº§ºÍ¡Ç‹Ò è Ñ é è è è è ‹ ÃÔ´Êմǧ¨ÁÙ¡ÍÒ¨à¡Ô´¨Ò¡ÊÒà˵ØËÅÒÂæ »ÃСÒà âä·Õ辺NjÒÁÕÃÔ´Êմǧ¨ÁÙ¡à¡Ô´Ã‹ÇÁ´ŒÇ 䴌ᡋ âäË×´ã¹¼ÙãË­‹ª¹Ô´·Õà¡Ô´áÅÐäÁ‹ä´Œà¡Ô´¨Ò¡ÀÙÁᾌ ÀÒÇСÒÃᾌÂÒáÍÊä¾ÃÔ¹ àÂ×ͺبÁÙ¡ÍÑ¡àʺÀÙÁᾌ Œ è Ô è Ô áÅЪ¹Ô´äÁ‹á¾Œ
  • 271.
    244 䫹ÑÊÍÑ¡àʺ áÅÐÃÔ´Êմǧ¨ÁÙ¡ ¡ÒÃÇÔ¹Ô¨©Ñ ¡ÒÃÇÔ¹¨©ÑÂ䫹ÑÊÍÑ¡àʺà©Õº¾Åѹ ÊÒÁÒö·íÒä´Œâ´Â㪌 ÍÒ¡Òà áÅÐÍÒ¡ÒÃáÊ´§¢Í§¼Ù»ÇÂ Ô Œ † ·ÕÁ¡ÒÃÍÑ¡àʺ㹷ҧà´Ô¹ËÒÂã¨Ê‹Ç¹µŒ¹ â´Â੾ÒÐÍÒ¡ÒäѴṋ¹¨ÁÙ¡ áÅÐ ÍÒ¡ÒùéÒÁÙ¡äËÅ (ËÃ×Í è Õ í ÁÙ¡äËÅŧ¤Í) â´ÂÍÒ¡Ò÷դŌÒ¡ѺËÇÑ´àËŋҹÕé µŒÍ§ÁÕÍÒ¡Òùҹ¡Ç‹Ò 10 Çѹ ¢Ö¹ä» ËÃ×Í ÁÕÍÒ¡Òà è é à¾ÔÁÁÒ¡¢Ö¹ËÅѧ¨Ò¡à»š¹ÁÒáÅŒÇ 5 Çѹ (double sickening sign) (ÃÙ»·Õè 2) è é ÃÙ»·Õè 2: áÊ´§ÃÐÂÐàÇÅÒ¡ÒôíÒà¹Ô¹âä¢Í§ËÇÑ´«Öè§ÁÑ¡¨ÐËÒÂàͧÀÒÂã¹ 5 Çѹ à»ÃÕºà·Õº¡Ñº 䫹ÑÊÍÑ¡àʺ·ÕèÁÕÍÒ¡ÒÃà¾ÔèÁÁÒ¡¢Öé¹ËÅѧ¨Ò¡à»š¹ 5 Çѹ (áÊ´§â´ÂàÊŒ¹»ÃÐ) ËÃ×Í ÂѧÁÕ ÍÒ¡ÒÃËÅѧ໚¹ÁÒáÅŒÇ 10 Çѹ (áÊ´§â´ÂàÊŒ¹·Öº) ¼ÙŒ»†ÇÂâä䫹ÑÊÍÑ¡àʺàÃ×éÍÃѧ ÁÑ¡ÁÕÍÒ¡ÒÃäÁ‹à©¾ÒÐà¨ÒШ§àª‹¹ ¤Ñ´¨ÁÙ¡ ¡ÒÃÃѺ¡ÅÔè¹Å´Å§ ËÃ×ÍäÁ‹ä´Œ¡ÅÔè¹ ÁÕ¹éíÒÁÙ¡ÊÕà¢ÕÂÇ àËÅ×ͧ㹨ÁÙ¡ ËÃ×ÍäËÅŧ¤Í »Ç´ÈÕÃÉÐ ÁÕ¡ÅÔè¹»Ò¡ ÅÁËÒÂã¨ÁÕ ¡ÅÔ¹àËÁç¹ ÅԹ໚¹½‡Ò ¤ÍáËŒ§ ÁÕàÊÁËÐã¹¤Í à¨çº¤Í ÃФÒ¤ÍàÃ×ÍÃѧ äÍ »Ç´ËÙËÃ×Í ËÙÍÍ ÍÒ¨á¡䴌 è é é ×é ÂÒ¡¨Ò¡âä¨ÁÙ¡ÍÑ¡àʺÀÙÁᾌ ËÃ×Íâä¨ÁÙ¡ÍÑ¡àʺª¹Ô´äÁ‹á¾Œ ʋǹÃÔ´Êմǧ¨ÁÙ¡ àÁÕÍÁÕ¢¹Ò´âµ¢Ö¹ Ô è é ¨Ð·íÒãËŒ¼»ÇÂÁÕÍÒ¡ÒäѴṋ¹¨ÁÙ¡ «Ö§¨Ð໚¹ÁÒ¡¢Ö¹àÃ×ÍÂæ ÍҨ䴌ú¡ÅÔ¹¹ŒÍÂŧ ËÃ×ÍäÁ‹ä´Œ¡ÅÔ¹ ÙŒ † è é è Ñ è è ÊíÒËÃѺ¡ÒõÃǨËҧ¡Ò¹Ñé¹ ¶ŒÒᾷÊÒÁÒöµÃǨàËç¹Ë¹Í§ã¹ºÃÔàdzÁÕà͵ÑÊÍѹ¡ÅÒ§ ¨Ðª‹ÇÂà¾ÔÁ¢ŒÍÁÙÅ㹡ÒÃÇÔ¹¨©Ñ ËÃ×Í㹡óշ໚¹ä«¹ÑÊÍÑ¡àʺàÃ×ÍÃѧ·ÕäÁ‹µÍºÊ¹Í§µ‹Í¡ÒÃÃÑ¡ÉÒ ¡çÍÒ¨ è Ô Õè é è ¨íÒ໚¹µŒÍ§ãªŒ¡ÒÃʋͧ¡ÅŒÍ§à·àÅÊ⤻à¾×Í´Ù¡ÒÂÇÔÀÒ¤·Õ¼´»¡µÔã¹â¾Ã§¨ÁÙ¡ â´Â੾ÒÐÍ‹ҧÂÔ§ ÁÕà͵ÑÊ è è Ô è Íѹ¡ÅÒ§ ËÃ×Í ºÃÔàdz·ÕàÃÕÂ¡Ç‹Ò ostiomeatal unit (OMU) «Ö§ÍÒ¨àËç¹Ë¹Í§ áÅÐ/ËÃ×Í ÃÔ´Êմǧ¨ÁÙ¡ä´Œ è è ÁÑ¡¨Ð¾ºÃÔ´Êմǧ¨ÁÙ¡ËÅÒÂæ ¡ŒÍ¹ áÅÐÁÑ¡¾º·Ñ§ 2 ¢ŒÒ§¢Í§â¾Ã§¨ÁÙ¡ ÁÕšɳÐ੾ÒÐ ¤×Í ¼ÔǤ‹Í¹ é Ñ
  • 272.
    àǪÈÒʵÏ·¹Âؤ 2553 Ñ 245 ¢ŒÒ§Áѹ àÃÕº ÊÕ¢ÒÇà·Ò ËÃ×Í¢ÒÇàËÅ×ͧ ã¹ÃÒ·ÕôÊմǧ¨ÁÙ¡âµÁÒ¡ ÍҨˌÍÂŧÁÒ·Ò§´ŒÒ¹Ë¹ŒÒ èÔ ¢Í§â¾Ã§¨ÁÙ¡ àËç¹à»š¹¡ŒÍ¹¨Ø¡ÍÂٷèÁÙ¡ä´Œ ËÃ×ͺҧÃÒÂÃÔ´ÊմǧÍÒ¨Â×¹ÁÒ·Ò§´ŒÒ¹ËÅѧ¢Í§â¾Ã§¨ÁÙ¡ ‹ Õè Ù è ¶ŒÒãË­‹ÁÒ¡ÍÒ¨àËç¹à»š¹¡ŒÍ¹ÂŒÍÂŧä»ã¹¤Íä´Œ ʋǹ¡ÒõÃǨ·Ò§ÃѧÊÕ (plain film paranasal sinus)¹Ñ¹ é ÁÕ¤ÇÒÁäÇáÅФÇÒÁ¨íÒà¾ÒÐäÁ‹ÁÒ¡ à¹×ͧ¨Ò¡àÂ×ͺØâ¾Ã§¨ÁÙ¡áÅÐ䫹Ñʵ‹Íà¹×ͧ¡Ñ¹ ´Ñ§¹Ñ¹ã¹¤¹·Õ໚¹ è è è é è ËÇÑ´ ¡çÊÒÁÒöµÃǨ¾º¡Ò÷ֺÃѧÊբͧ䫹ÑÊä´Œ ´Ñ§¹Ñ¹¡ÒÃÇÔ¹¨©ÑÂ䫹ÑÊÍÑ¡àʺâ´Â㪌ÍÒ¡Òà áÅÐ é Ô ÍÒ¡ÒÃáÊ´§ ËÇÁ¡ÑºÃÐÂÐàÇÅÒ·ÕàÃÔÁ໚¹ ¨Ö§ÁÕ¤ÇÒÁÊíҤѭ Í‹ҧäáçµÒÁ ¶ŒÒᾷʧÊÑÂÇ‹Ò ¨Ðà¡Ô´ä«¹ÑÊ è è ÍÑ¡àʺ·ÕÁÀÒÇÐá·Ã¡«ŒÍ¹ (rhinosinusitis with complication) ઋ¹¡ÒÃÍÑ¡àʺÅÒÁä»·ÕµÒ (orbital è Õ è complication) ËÃ×ÍÊÁͧ (intracranial complication) ËÃ×Í໚¹ä«¹ÑÊÍÑ¡àʺàÃ×ÍÃѧ·ÕäÁ‹µÍºÊ¹Í§µ‹Í é è ¡ÒÃÃÑ¡ÉÒ áÁŒÇÒ¨Ðä´ŒÂÒ·ÕàËÁÒÐÊÁ áÅйҹà¾Õ§¾ÍáÅŒÇ ÍÒ¨¨íÒ໚¹µŒÍ§µÃǨàÍ¡«àϤÍÁ¾ÔÇàµÍÏ ‹ è (CT scan) à¾×Íãˌ䴌¢ÍÁÙÅà¾ÔÁ¢Ö¹ è Œ è é ÀÒÇÐá·Ã¡«ŒÍ¹¢Í§ä«¹ÑÊÍÑ¡àʺ ã¹Âؤ¡‹Í¹·Õ¨ÐÁÕÂÒµŒÒ¹¨ØÅªÕ¾ãªŒ ¾ºÀÒÇÐá·Ã¡«ŒÍ¹¨Ò¡ä«¹ÑÊÍÑ¡àʺ䴌ºÍ áÅÐ໚¹ÍѹµÃÒÂ è ‹ ¶Ö§ªÕǵ䴌 ã¹»˜¨¨Øº¹ ¾ºÀÒÇÐá·Ã¡«ŒÍ¹¨Ò¡ä«¹ÑÊÍÑ¡àʺäÁ‹ÁÒ¡¹Ñ¡ à¹×ͧ¨Ò¡ÁÕ¡ÒÃ㪌ÂÒµŒÒ¹¨ØÅªÕ¾ Ô Ñ è Í‹ҧá¾Ã‹ËÅÒ ÃÇÁ·Ñé§á¾·Â·ÑèÇä»ÊÒÁÒöÇÔ¹Ô¨©ÑÂâä䫹ÑÊÍÑ¡àʺ áÅÐãËŒ¡ÒÃÃÑ¡ÉÒä´ŒàÃçÇ¢Öé¹ Í‹ҧäáçµÒÁ¶ŒÒ¼Ù»ÇÂà¡Ô´ÀÒÇÐá·Ã¡«ŒÍ¹·Õùáç áÅÐäÁ‹ä´ŒÃº¡ÒÃÇÔ¹¨©Ñ áÅÐÃÑ¡ÉÒÍ‹ҧ·Ñ¹·‹Ç§ Œ † èØ Ñ Ô ·Õ ÍÒ¨à¡Ô´¤ÇÒÁ¾Ô¡ÒÃËÃ×ÍàÊÕªÕǵ䴌 ÀÒÇÐá·Ã¡«ŒÍ¹¢Í§ä«¹ÑÊÍÑ¡àʺ¹Ñ¹ÍÒ¨à¡Ô´¨Ò¡ Ô é 1. ¡ÒÃÍÑ¡àʺµÔ´àª×Í¡ÃШÒÂÅØ¡ÅÒÁä»ÊÙÍÇÑÂÇТŒÒ§à¤Õ§â´ÂµÃ§ (direct extension) ÍÒ¨¼‹Ò¹ é ‹ ·Ò§ª‹Í§·Ò§¸ÃÃÁªÒµÔ·ÁÍÂÙ‹ ËÃ×ͼ‹Ò¹ä»µÒÁàÂ×ͺطҧà´Ô¹ËÒÂ㨠(mucosal spread) Õè Õ è 2. ¡ÒÃÍÑ¡àʺµÔ´àª×éÍ¡ÃШÒÂ仵ÒÁ¡ÃÐáÊàÅ×Í´ (hematogenous spread) â´ÂÍÒ¨à¡Ô´ retrograde septic thrombophlebitis 3. ¡ÒÃÍÑ¡àʺµÔ´àª×Í¡ÃШÒÂ仵ÒÁ·Ò§à´Ô¹¹éÒàËÅ×ͧ (lymphatic spread) é í ÀÒÇÐá·Ã¡«ŒÍ¹¢Í§ä«¹ÑÊÍÑ¡àʺẋ§à»š¹ ÀÒÇÐá·Ã¡«ŒÍ¹·ÕÁ¼Åµ‹ÍàÂ×ͺطҧà´Ô¹ËÒÂã¨Ê‹Ç¹ è Õ è º¹áÅÐʋǹŋҧ ÀÒÇÐá·Ã¡«ŒÍ¹·ÕÅÒÁä»µÒ (orbital complication) ÀÒÇÐá·Ã¡«ŒÍ¹·ÕÅÒÁä»ÊÁͧ è è (intracranial complication) ÀÒÇÐá·Ã¡«ŒÍ¹·ÕÅÒÁ仡Ãд١ (osseous complication) áÅСÒÃà¡Ô´ è ¶Ø§¹éÒàÁ×Í¡ã¹ä«¹ÑÊ (mucocoele) í 1. ÀÒÇÐá·Ã¡«ŒÍ¹·ÕÁ¼Åµ‹ÍàÂ×ͺطҧà´Ô¹ËÒÂã¨Ê‹Ç¹º¹áÅÐʋǹŋҧ è Õ è ໚¹ÀÒÇÐá·Ã¡«ŒÍ¹·Õ¾ºä´ŒºÍ·ÕÊ´ áÅÐ໚¹ÀÒÇÐá·Ã¡«ŒÍ¹·ÕäÁ‹Ã¹áç ᾷÍÒ¨äÁ‹ è ‹ èØ è Ø ä´Œ¹¡¶Ö§Ç‹ÒÀÒÇÐàËŋҹÕÁÊÒà˵ØÁҨҡ䫹ÑÊÍÑ¡àʺ 䴌ᡋ Ö é Õ 1.1) ÀÒÇмԴ»¡µÔ¢Í§ËÙªÑ鹡ÅÒ§ à¹×ͧ¨Ò¡àÂ×ͺبÁÙ¡, àÂ×ͺØä«¹ÑÊ áÅÐâ¾Ã§ËÅѧ¨ÁÙ¡ è è è µ‹Í¡ÑºàÂ×ͺØÃͺ·‹ÍÂÙÊàµàªÕ¹ «Ö§à»š¹·‹Í·Õàª×ÍÁµ‹ÍÃÐËNjҧËÙª¹¡ÅÒ§ (middle ear) áÅÐâ¾Ã§ËÅѧ¨ÁÙ¡ è è è è Ñé (nasopharynx) áÅÐÁÕ˹ŒÒ·ÕªÇ»ÃѺ¤ÇÒÁ´Ñ¹¢Í§ËÙª¹¡ÅÒ§ãˌ෋ҡѺºÃÃÂÒ¡ÒÈÀÒ¹͡ âä䫹ÑÊ è ‹ Ñé ÍÑ¡àʺÊÒÁÒö·íÒãËŒàÂ×ͺØÃͺ·‹ÍÂÙÊàµàªÕ¹ºÇÁ ·íÒãËŒÁ¡Ò÷íÒ§Ò¹¢Í§·‹ÍÂÙÊàµàªÕ¹·Õ¼´»¡µÔ áÅÐ è Õ è Ô ¹íÒä»ÊÙÀÒÇе‹Ò§æàËŋҹÕä´Œ ઋ¹ ‹ é
  • 273.
    246 䫹ÑÊÍÑ¡àʺ áÅÐÃÔ´Êմǧ¨ÁÙ¡ 1.1.1) ·‹ÍÂÙÊàµàªÕ¹·íÒ§Ò¹¼Ô´»¡µÔ (Eustachian tube dysfunction) 1.1.2) ËÙª¹¡ÅÒ§ÍÑ¡àʺẺÁչҢѧ (Otitis media with effusion) Ñé éí 1.1.3) ËÙª¹¡ÅÒ§ÍÑ¡àʺà©Õº¾Åѹ (Acute otitis media) Ñé 1.2)¡ÒÃÍÑ¡àʺàÃ×ÍÃѧ¢Í§àÂ×ͺØÅÒ¤Í (Chronic pharyngitis) à¡Ô´¨Ò¡¡Ò÷Õâä䫹ÑÊ é è í è ÍÑ¡àʺ ÁÕ¡ÒÃÍÑ¡àʺ¢Í§àÂ×ͺبÁ١ËÇÁ´ŒÇ ·íÒãËŒàÂ×ͺبÁÙ¡ºÇÁ ¼Ù»ÇÂÁÕÍÒ¡ÒäѴ¨ÁÙ¡ ·íÒãËŒµÍ§ è è Œ † Œ ËÒÂ㨷ҧ»Ò¡ ·íÒãËŒàÂ×ͺØÅÒ¤ÍáËŒ§ ¹Í¡¨Ò¡¹Ñ¹ ¹éÒÁÙ¡·Õ໚¹Ë¹Í§ ÍÒ¨äËÅä»·Ò§´ŒÒ¹ËÅѧâ¾Ã§¨ÁÙ¡ è í é í è (post nasal drip) ¼‹Ò¹ nasopharynx áÅÐ oropharynx áÅзíÒãËŒà¡Ô´¡ÒÃÃФÒÂà¤×ͧ áÅСÒÃÍÑ¡àʺ ¢Í§àÂ×ͺØÅÒ¤Í à¡Ô´¡ÒÃÍÑ¡àʺàÃ×ÍÃѧ¢Í§àÂ×ͺØÅÒ¤Íä´Œ è í é è í 1.3)¡Å‹Í§àÊÕ§ÍÑ¡àʺàÃ×ÍÃѧ (Chronic laryngitis) ¡ÒÃÍÑ¡àʺ¢Í§ä«¹ÑʨÐÁռŵ‹Í¡Å‹Í§ é àÊÕ§䴌 à¹×ͧ¨Ò¡àÂ×ͺآͧ䫹ÑÊáÅШÁÙ¡ ÁÕ¤ÇÒÁµ‹Íà¹×ͧ¡ÑºàÂ×ͺآͧ¡Å‹Í§àÊÕ§ ¢Í§àËÅÇËÃ×Í è è è è ˹ͧ¨Ò¡ä«¹ÑÊ ¨Ö§ÍÒ¨äËÅŧÁÒã¹ÅíÒ¤Íʋǹŋҧ à¡Ô´¡ÒÃÍÑ¡àʺ¢Í§àÂ×ͺءŋͧàÊÕ§䴌 ¹Í¡¨Ò¡¹Ñ¹ è é ¼Ù»ÇÂÍÒ¨ÁÕ¡ÒÃÃФÒÂ¤Í ·íÒãËŒµÍ§äÍ ËÃ×Í¢Ò¡àÊÁËÐ ËÃ×Í¡ÃÐáÍÁº‹ÍÂæ ·íÒãËŒà¡Ô´¡ÒÃÍÑ¡àʺ¢Í§ Œ † Œ ÊÒÂàÊÕ§䴌 1.4)äÍàÃ×éÍÃѧ (Chronic cough) ËÅÍ´ÅÁÍÑ¡àʺàÃ×éÍÃѧ (Chronic bronchitis) áÅÐ âäË×´ (Cronchial asthma) ¡ÒÃÍÑ¡àʺ¢Í§ä«¹ÑʨÐÁռŵ‹ÍËÅÍ´ÅÁä´Œ à¹×ͧ¨Ò¡àÂ×ͺآͧ䫹ÑÊè è áÅШÁÙ¡ ÁÕ¤ÇÒÁµ‹Íà¹×ͧ¡ÑºàÂ×ͺآͧ·Ò§à´Ô¹ËÒÂã¨Ê‹Ç¹Å‹Ò§àª‹¹ ËÅÍ´ÅÁ 䫹ÑÊÍÑ¡àʺ ¨Ö§¡Ãеع è è Œ ãËŒà¡Ô´¡ÒÃäÍàÃ×ÍÃѧ Ëͺ â´ÂÁÙ¡áÅÐ˹ͧ¨Ò¡ä«¹ÑÊ·ÕäËÅÅ§ä» ÍÒ¨·íÒãËŒà¡Ô´¡ÒÃÍÑ¡àʺ áÅСÒà é è ÃФÒÂà¤×ͧ¢Í§ËÅÍ´ÅÁâ´ÂµÃ§, à¡Ô´¡ÒáÃеع¢Í§ nasobronchial reflex ·íÒãËŒà¡Ô´¡ÒÃË´µÑÇ Œ ¢Í§¡ÅŒÒÁà¹×ÍËÅÍ´ÅÁ áÅÐ䫹ÑÊÍÑ¡àʺ ¨Ð·íÒãËŒàÂ×ͺبÁÙ¡ºÇÁ ¼Ù»ÇÂÁÕÍÒ¡ÒäѴ¨ÁÙ¡ ·íÒãËŒµÍ§ é è Œ † Œ ͌һҡËÒÂ㨠·íÒãËŒÍÒ¡ÒÈ·ÕËÒÂã¨à¢ŒÒä»ã¹ËÅÍ´ÅÁäÁ‹ä´ŒÃº¡ÒûÃѺãˌ͹áÅЪ׹¢Ö¹ áÅÐäÁ‹ä´Œ è Ñ Ø‹ é é ÃѺ¡ÒáÃͧ½Ø¹ÅÐÍͧ ·íÒãËŒËÅÍ´ÅÁáËŒ§ àÊÁËÐà˹ÕÂÇ¢Œ¹ à¡Ô´¡ÒÃÃФÒÂà¤×ͧ áÅÐäÍä´Œ§Ò † ‹ 2. ÀÒÇÐá·Ã¡«ŒÍ¹¢Í§ä«¹ÑÊÍÑ¡àʺ·ÕÅÒÁä»µÒ (Orbital complication) è ໚¹ÀÒÇÐá·Ã¡«ŒÍ¹·Õ¾ºä´ŒºÍ·ÕÊ´ ã¹¡ÅØÁÀÒÇÐá·Ã¡«ŒÍ¹·Õùáç ¡ÒÃÍÑ¡àʺ¢Í§ è ‹ è Ø ‹ èØ ethmoid sinus ÁÕâÍ¡ÒÊÊÙ§¡Ç‹Ò䫹ÑÊÍ×¹·Õ¨ÐÅÒÁä»·ÕµÒ à¹×ͧ¨Ò¡ÍÂÙã¡ÅŒ¡ºµÒ ¡ÒÃÍÑ¡àʺÍ񬁯¡ÅÒÁ è è è è ‹ Ñ ä»ÊÙµÒâ´ÂµÃ§ â´Â¼‹Ò¹¡Ãд١ lamina papyracea ·ÕÁšɳкҧ â´Â੾ÒÐ䫹ÑÊÍÑ¡àʺ·Õà¡Ô´ ‹ è ÕÑ è ã¹à´ç¡ ÃдѺ¢Í§ÀÒÇÐá·Ã¡«ŒÍ¹·Ò§µÒ ÊÒÁÒöẋ§ä´Œà»š¹ 5 ÃдѺ µÒÁ Chandler’s classification(6) (ÃÙ»·Õè 3) ¤×Í
  • 274.
    àǪÈÒʵÏ·¹Âؤ 2553 Ñ 247 ÃÙ»·Õè 3: áÊ´§ÀÒÇÐá·Ã¡«ŒÍ¹¢Í§ä«¹ÑÊÍÑ¡àʺ·ÕèÅÒÁ仵Ò(6) (A = periorbital cellulitis, B = orbital cellulitis, C = subperiosteal abscess, D = orbital abscess, E = cavernous sinus thrombosis) 2.1) Periorbital cellulitis (preseptal edema) ໚¹ÃдѺ¢Í§ÀÒÇÐá·Ã¡«ŒÍ¹·Ò§µÒ·Õè ¾ºä´ŒºÍ·ÕÊ´àÁ×Íà»ÃÕºà·Õº¡ÑºÃдѺÍ×¹æ ¡ÒÃÍÑ¡àʺ¨ÐÅØ¡ÅÒÁä»ÍÂÙ·ºÃÔàdz´ŒÒ¹Ë¹ŒÒ¢Í§ orbital ‹ èØ è è ‹ Õè septum ¼Ù»Ç¨ÐÁÕÍÒ¡ÒûǴµÒ à»Å×Í¡µÒºÇÁ áÅÐ ÁÕ䢌ʧ àÍ¡«àϤÍÁ¾ÔÇàµÍϨÐàË繡Òà Œ † Ù ºÇÁ¢Í§ soft tissue ´ŒÒ¹Ë¹ŒÒ¢Í§à»Å×Í¡µÒ 2.2) Orbital cellulitis ¡ÒÃÍÑ¡àʺ¨ÐÅÒÁÍÍ¡Áҹ͡ orbital septum ¡ÒõÃǨËҧ ¡Ò¼ٻÇ ¨Ð¾ºÇ‹ÒÅÙ¡µÒ⻹ÍÍ¡ (proptosis) ËÇÁ¡Ñº¡ÅÍ¡µÒä´ŒäÁ‹àµçÁ·Õè (limitation of ocular motion) Œ † àÍ¡«àϤÍÁ¾ÔÇàµÍϨЪ‹ÇÂá¡ÃÐËNjҧ orbital cellulitis ¡Ñº subperiosteal abscess à¹×ͧ¨Ò¡ÍÒ¡Òà è áÅÐÍÒ¡ÒÃáÊ´§¢Í§·Ñ§ÊͧÃдѺÍÒ¨¤ÅŒÒ¡ѹ䴌 àÁ×ÍÁÕ orbital cellulitis ¤ÇõÃǨ¡ÒÃà¤Å×͹äËǢͧ é è è ÅÙ¡µÒ áÅСÒÃÁͧàË繺‹ÍÂæ ¶ŒÒÁÕ¡ÒÃàÊ×ÍÁŧ¢Í§¡ÒÃÁͧàËç¹ ËÃ×ÍÁÕ¡ÒÃà¤Å×͹äËǢͧÅÙ¡µÒŴŧ è è ¤ÇÃÃÕº·íÒàÍ¡«àϤÍÁ¾ÔÇàµÍÏ«Ò à¾×;ԨÒóÒÇ‹Òà¡Ô´ subperiosteal abscess ¢Ö¹ËÃ×ÍäÁ‹ éí è é 2.3) Subperiosteal abscess ¼Ù»Ç¨ÐÁÕÍÒ¡ÒÃáÅÐÍÒ¡ÒÃáÊ´§·Ò§µÒ ·Õùáç¡Ç‹Ò Œ † èØ ÃдѺ·ÕáÅŒÇ ¤×ÍÁÕ¡ÒÃÊÙ­àÊÕ¤ÇÒÁÊÒÁÒö㹡ÒáÅÍ¡ÅÙ¡µÒ (ophthalmoplegia) áÅÐ ¡ÒÃÁͧàËç¹ è Ŵŧ ËÃ×ÍàÊÕÂä» 2.4) Orbital abscess ÀÒÇÐá·Ã¡«ŒÍ¹ÃдѺ¹Õé ÁÑ¡à¡Ô´¢Ö¹à¹×ͧ¨Ò¡¼Ù»ÇÂäÁ‹ä´ŒÃº¡Òà é è Œ † Ñ ÃÑ¡ÉÒÍ‹ҧàËÁÒÐÊÁ áÅзѹ·‹Ç§·Õ ËÃ×Íà¡Ô´ã¹¼Ù»Ç·ÕÁÀÁµÒ¹·Ò¹¹ŒÍ¡Njһ¡µÔ Œ † è Õ Ù Ô Œ 2.5) Cavernous sinus thrombosis ÁÕ¡ÒÃÍÑ¡àʺÅÒÁ¨Ò¡µÒÊÙ‹ cavernous sinus áÅÐ ä»·ÕèµÒÍÕ¡¢ŒÒ§ áÅÐ ÁÕÍÑÁ¾Òµ¢Í§àÊŒ¹»ÃÐÊÒ·ÊÁͧ ¡ÒõÃǨËҧ¡Ò¾ºÇ‹ÒÅÙ¡µÒ·Ñé§Êͧ¢ŒÒ§â»¹ ¡ÅÍ¡µÒäÁ‹ä´Œ ÁÕ papilledema áÅР䢌ʧ àÁ×Íà¡Ô´¡ÒÃÍÑ¡àʺ¶Ö§ÃдѺ¹ÕáÅŒÇ ÁÑ¡¨ÐÁÕ morbidity áÅÐ Ù è é mortality rate ÊÙ§ 3. ÀÒÇÐá·Ã¡«ŒÍ¹¢Í§ä«¹ÑÊÍÑ¡àʺ·ÕèÅÒÁä»â¾Ã§ÈÕÃÉÐ áÅÐÊÁͧ (Endocranial complication) 䴌ᡋ meningitis, epidural abscess, subdural abscess, brain abscess («Öè§ÁÑ¡¾º·Õè frontal lobe), venous sinus thrombosis ã¹ÃÐÂÐáá ¼Ù»ÇÂÍÒ¨áÊ´§ÍÒ¡Ò÷ÕäÁ‹ª´à¨¹ÁÒ¡¹Ñ¡ Œ † è Ñ
  • 275.
    248 䫹ÑÊÍÑ¡àʺ áÅÐÃÔ´Êմǧ¨ÁÙ¡ ઋ¹ ÁÕ䢌 ÃÙÊ¡»Ç´ÈÕÃÉÐ áÅÐãºË¹ŒÒ àÁ×ÍÁÕ¡ÒÃÍÑ¡àʺÁÒ¡¢Ö¹ ¼Ù»Ç¨ÐÁÕ䢌ʧ¢Ö¹ áÅÐÁÕÍÒ¡ÒÃáÊ´§ ŒÖ è é Œ † Ù é ¢Í§ meningeal irritation áÅÐ neurological deficit ÍÒ¨ÁÕÍÒ¡Òà ¤Å×¹äÊŒ ÍÒà¨Õ¹ àËç¹ÀÒ¾«ŒÍ¹ áÅÐ è coma ã¹·ÕÊ´ ÀÒÇÐá·Ã¡«ŒÍ¹·ÕÅÒÁä»ÊÁͧ¹Õé ÁÑ¡¨Ðà¡Ô´¨Ò¡ frontal áÅÐ ethmoid sinusitis â´Â èØ è ÍÒ¨¨ÐÅÒÁ¼‹Ò¹ diploic veins ËÃ×Í ¡ÒáË͹ (erosion) ¢Í§¡Ãд١ ¨Ò¡¹Ñ¹¨Ðà¡Ô´ cerebritis, é necrosis ¢Í§à¹×ÍÊÁͧ áÅÐ໚¹½‚ã¹ÊÁͧ é 4. ÀÒÇÐá·Ã¡«ŒÍ¹¢Í§ä«¹ÑÊÍÑ¡àʺ·ÕÅÒÁ仡Ãд١ (Osseous complication) è ¡ÒÃÍÑ¡àʺ¨Ò¡â¾Ã§ä«¹ÑÊÊÒÁÒÃ¶ÅØ¡ÅÒÁä»·Õè¡Ãд١·íÒãËŒà¡Ô´ osteomyelitisä´Œ â´Â ੾ÒСÒÃÍÑ¡àʺ¢Í§ frontal sinus ·íÒãËŒ¼»ÇÂÁÕ¡ÒúÇÁ¢Í§ºÃÔàdz˹ŒÒ¼Ò¡ (osteomyelitis of frontal ÙŒ † bone ËÃ×Í Pott’s puffy tumor) áÅÐÍÒ¨ÁÕ¡ÒáÃШÒ¢ͧ¡ÒÃÍÑ¡àʺä»ÊÙâ¾Ã§¡ÐâËÅ¡ áÅÐÊÁͧ ‹ ¹Í¡¨Ò¡¹Ñ¹ÍÒ¨à¡Ô´ osteomyelitis ¢Í§ maxilla áÅÐ sphenoidal bone ËÃ×ÍÍÒ¨à¡Ô´ oro-antral fistula é ¨Ò¡ odontogenic maxillary sinusitis ä´Œ 5. ¡ÒÃà¡Ô´¶Ø§¹éÒàÁ×Í¡ã¹ä«¹ÑÊ (Sinus mucocoele) í ¾ºÀÒÇÐá·Ã¡«ŒÍ¹¹Õä´ŒºÍÂã¹ frontal áÅÐ ethmoid sinus «Ö§ÍÒ¨à¡Ô´¨Ò¡¡ÒÃÍØ´µÑ¹¢Í§ é ‹ è µ‹ÍÁÊÌҧàÁ×Í¡ã¹àÂ×ͺØä«¹ÑÊ à¡Ô´¡ÒÃÊÐÊÁ¢Í§ÊÒùéÒ áÅÐàÁ×͡㹵‹ÍÁÊÒÃàÁ×Í¡ áÅТÂÒµÑÇãË­‹ è í ¢Ö¹¨¹àµçÁ䫹ÑÊ áÅТÂÒµÑÇä»àÃ×ÍÂæ àÃÕÂ¡Ç‹Ò primary mucocoele ËÃ×Íà¡Ô´¨Ò¡¡ÒÃÍØ´µÑ¹¢Í§ÃÙແ´ é è ¢Í§â¾Ã§ä«¹ÑÊ ·íÒãËŒÁ¡ÒÃÊÐÊÁ¢Í§ÊÒùéÒ áÅÐàÁ×Í¡ã¹â¾Ã§ä«¹ÑÊ ·íÒãËŒâ¾Ã§ä«¹ÑÊ¢ÂÒµÑÇ¢Ö¹ Õ í é àÃ×ÍÂæàÃÕÂ¡Ç‹Ò secondary mucocoele ¼Ù»ÇÂâä䫹ÑÊÍÑ¡àʺÁÕâÍ¡ÒÊà¡Ô´ mucocoele ä´Œ·§ 2 è Œ † Ñé ª¹Ô´áµ‹¾ºä´Œ¹ÍÂÁÒ¡ Œ ÀÒÇÐá·Ã¡«ŒÍ¹¢Í§ÃÔ´Êմǧ¨ÁÙ¡ 1. ÀÒÇÐá·Ã¡«ŒÍ¹·Õà¡Ô´¨Ò¡ä«¹ÑÊÍÑ¡àʺ·Õà¡Ô´Ã‹ÇÁ¡ÑºÃÔ´Êմǧ¨ÁÙ¡ (´ÙÃÒÂÅÐàÍÕ´ã¹ÀÒÇÐ è è á·Ã¡«ŒÍ¹¢Í§ä«¹ÑÊÍÑ¡àʺ¢ŒÒ§µŒ¹) 2. â¤Ã§ÊÌҧÀÒ¹͡¢Í§¨ÁÙ¡¼Ô´»¡µÔ ઋ¹ Êѹ¨ÁÙ¡¡ÇŒÒ§ (widening of nasal bridge) ËÃ×Í ÃÐÂÐÃÐËNjҧËÑǵҡnjҧ¢Ö¹ (telecanthus) ¾ºä´Œã¹¼Ù»Ç·Õ໚¹ÃÔ´Êմǧ¨ÁÙ¡ÍÂÙ¹Ò¹ é Œ † è ‹ 3. Malignant change ËÃ×Í transformation ÁÕÃÒ§ҹ·Õ¾º atypical changes áÅÐ carcinoma è in situ ã¹ÃÔ´Êմǧ¨ÁÙ¡ ´Ñ§¹Ñ¹¨Ö§µŒÍ§Ê‹§à¹×ÍÃÔ´Êմǧ¨ÁÙ¡µÃǨ·Ò§¾ÂÒ¸ÔÇ·ÂÒ·Ø¡ÃÒ (7, 8) é é Ô âä ËÃ×ÍÀÒÇзÕ辺ËÇÁ¡Ñºâä䫹ÑÊÍÑ¡àʺ áÅÐ/ËÃ×ÍÃÔ´Êմǧ¨ÁÙ¡ 1. âä·ÕèÁÕ¤ÇÒÁ¼Ô´»¡µÔ¢Í§¡ÒÃ⺡¾Ñ´¢Í§ÈÕàÅÕ ઋ¹ âä Kartagener’s syndrome «Ö§ è »ÃСͺ´ŒÇ bronchiectasis, 䫹ÑÊÍÑ¡àʺ, situs inversus áÅÐ primary ciliary dyskinesia «Ö§ÁÕ è ¤ÇÒÁ¼Ô´»¡µÔ¢Í§â¤Ã§ÊÌҧ áÅСÒ÷íÒ§Ò¹¢Í§ÈÕàÅÕ ·íÒãËŒÁ¡Òäѧ¤ŒÒ§¢Í§¹éÒÁÙ¡ áÅСÒÃÍÑ¡àʺµÔ´ Õ è í àª×͵ÒÁÁÒ âä´Ñ§¡Å‹ÒǹվºÇ‹ÒÁÕ䫹ÑÊÍÑ¡àʺàÃ×ÍÃѧ䴌ºÍ â´ÂÁÑ¡¨ÐÁÕ»ÃÐÇѵ¢Í§¡ÒõԴàª×Í໚¹æ é é é ‹ Ô é ËÒÂæ âä cystic fibrosis «Ö§ÁÕ¤ÇÒÁ¼Ô´»¡µÔ¢Í§µ‹ÍÁ exocrine ·íÒãËŒÊÒäѴËÅѧã¹Ãкº·Ò§à´Ô¹ è è
  • 276.
    àǪÈÒʵÏ·¹Âؤ 2553 Ñ 249 ËÒÂã¨à˹ÕÂÇ¢Œ¹ÁÒ¡¼Ô´»¡µÔ áÅÐú¡Ç¹¡Ò÷íÒ§Ò¹¢Í§ÈÕàÅÕ â´Â·Õâ¤Ã§ÊÌҧ·Ò§¨ØÅÀÒ¤ áÅСÒ÷íÒ è §Ò¹¢Í§ÈÕàÅÕÂÂѧ»¡µÔ à¡Ô´ colonization ¢Í§áº¤·ÕàÃÕ ·íÒãËŒà¡Ô´¡ÒõԴàª×Í«éÒàµÔÁ áÅÐàÃ×ÍÃѧ áÅÐ é í é ¾ºÇ‹Òâä cystic fibrosis ÁÕ䫹ÑÊÍÑ¡àʺàÃ×ÍÃѧ áÅÐ ÃÔ´Êմǧ¨ÁÙ¡ä´ŒºÍ â´ÂÃŒÍÂÅÐ 40 ¢Í§ cystic é ‹ fibrosis ÁÕôÊմǧ¨Á١ËÇÁ´ŒÇÂ Ô (9) 2. âä¨ÁÙ¡ÍÑ¡àʺÀÙÁÔᾌ (Allergic rhinitis) ¨Ò¡¡ÒÃÈÖ¡ÉÒ ¾ºÍغµ¡Òó¢Í§âä¨ÁÙ¡ Ñ Ô ÍÑ¡àʺÀÙÁᾌ䴌ºÍÂã¹¼Ù»ÇÂ䫹ÑÊÍÑ¡àʺ àÁ×Íà·Õº¡Ñº»ÃЪҡû¡µÔ Ô ‹ Œ † è (10, 11) »¯Ô¡ÃÂÒ¡ÒÃÍÑ¡àʺ¨Ò¡ ÔÔ ÀÙÁᾌã¹âä¨ÁÙ¡ÍÑ¡àʺÀÙÁᾌ ÍÒ¨·íÒãËŒà¡Ô´ä«¹ÑÊÍÑ¡àʺàÃ×ÍÃѧ䴌§Ò¢ֹ à¹×ͧ¨Ò¡àÂ×ͺØâ¾Ã§¨ÁÙ¡ ÁÕ Ô Ô é ‹ é è è ¡ÒÃÍÑ¡àʺáÅкÇÁ ä»ÍØ´¡Ñ¹ºÃÔàdzÃÙແ´¢Í§ä«¹ÑÊ à¡Ô´ä«¹ÑÊÍÑ¡àʺ䴌 Í‹ҧäáçµÒÁ äÁ‹¾ºÍغµÔ é Ñ ¡Òó¢Í§ä«¹ÑÊÍÑ¡àʺ㹼ٻÇÂâä¨ÁÙ¡ÍÑ¡àʺÀÙÁᾌ ÁÒ¡¢Ö¹ã¹ª‹Ç§Ä´Ù¡ÒÅ·ÕÁÊÒá‹ÍÀÙÁᾌÁÒ¡ Œ † Ô é è Õ Ô (12) ÀÒÇÐÀÙÁᾌ໚¹ÊÒà˵ØË¹Ö§¢Í§ä«¹ÑÊÍÑ¡àʺ áÅÐ໚¹ä´Œ·§ predisposing áÅÐ contributing factor Ô è Ñé ¢Í§¡ÒÃÍÑ¡àʺã¹âä䫹ÑÊÍÑ¡àʺ ¡ÒÃÃÑ¡ÉÒâäÀÙÁᾌÃÇÁ´ŒÇ ¨Ð·íÒãËŒ¼Å¢Í§¡ÒÃÃÑ¡ÉÒ䫹ÑÊÍÑ¡ Ô ‹ àʺ´Õ¢Ñé¹ ÍÒ¨äÁ‹¨íÒ໚¹µŒÍ§·íÒ¡Òü‹ÒµÑ´ËÃ×ͶŒÒ¨íÒ໚¹µŒÍ§¼‹ÒµÑ´ ¨Ð·íÒãËŒ¼Å¡Òü‹ÒµÑ´¹Ñé¹´ÕÂÔè§ ¢Ö¹(13, 14) é ºÒ§¡ÒÃÈÖ¡ÉÒ¾ºÍغµ¡Òó¢Í§âä¨ÁÙ¡ÍÑ¡àʺÀÙÁᾌ ä´ŒºÍÂ䴌㹼ٻÇÂÃÔ´Êմǧ¨ÁÙ¡ µÑ§áµ‹ Ñ Ô Ô ‹ Œ † é ÃŒÍÂÅÐ 10-64 (15, 16) ᵋºÒ§¡ÒÃÈÖ¡ÉÒ¡çäÁ‹¾ºÍغµ¡Òó¢Í§âä¨ÁÙ¡ÍÑ¡àʺÀÙÁᾌ ·Õʧ¼Ô´»¡µÔã¹¼ÙŒ Ñ Ô Ô èÙ »†ÇÂÃÔ´Êմǧ¨ÁÙ¡ (17, 18) ´Ñ§¹Ñé¹âä¨ÁÙ¡ÍÑ¡àʺÀÙÁÔᾌ äÁ‹ãª‹ÊÒà˵آͧ¡ÒÃà¡Ô´ÃÔ´Êմǧ¨ÁÙ¡àÊÁÍä» áµ‹¶ÒÃÔ´Êմǧ¨ÁÙ¡ à¡Ô´ã¹¼Ù»ÇÂâä¨ÁÙ¡ÍÑ¡àʺÀÙÁᾌ »¯Ô¡ÃÂÒ¡ÒÃÍÑ¡àʺ¨Ò¡ÀÙÁᾌ¨Ð·íÒãˌôÊմǧ Œ Œ † Ô ÔÔ Ô Ô ¨ÁÙ¡ÁÕ¢¹Ò´âµ¢Ö¹ ËÃ×ÍÁըҹǹÁÒ¡¢Ö¹ä´Œ ËÃ×Í·íÒãËŒ¡ÅѺ໚¹«éÒ䴌͡ é í é í Õ 3. âäË×´ âä䫹ÑÊÍÑ¡àʺ¾ºÃ‹ÇÁ¡ÑºâäË×´ä´ŒºÍ ¾ºÇ‹ÒÃŒÍÂÅÐ 40 ¶Ö§ 75 ¢Í§¼Ù»Ç ‹ Œ † âäË×´ ÁÕ»­ËÒâä䫹ÑÊÍÑ¡àʺàÃ×ÍÃѧ ã¹¢³Ð·ÕÃÍÂÅÐ 35 ¢Í§¼Ù»ÇÂâä䫹ÑÊÍÑ¡àʺàÃ×ÍÃѧ ÁÕ»­ËÒ ˜ é (19) èŒ Œ † é ˜ âäË״ËÇÁ´ŒÇ ÁÕËÅÑ¡°Ò¹áÊ´§ãËŒàËç¹Ç‹Ò ¼Ù»Ç·Õ໚¹âäË×´ ¨ÐÁÕÍÒ¡ÒÃá‹ŧ àÁ×Í໚¹âä䫹ÑÊ (20) Œ † è è ÍÑ¡àʺËÇÁ´ŒÇ (21) áÅÐàÁ×ÍãËŒ¡ÒÃÃÑ¡ÉÒ䫹ÑÊÍÑ¡àʺáÅŒÇ äÁ‹ÇÒ´ŒÇÂÂÒ ËÃ×Í¡Òü‹ÒµÑ´¨Ð·íÒãËŒÍÒ¡ÒâͧâäË×´ è ‹ ´Õ¢¹ áÅмٻÇÂ㪌ÂÒÃÑ¡ÉÒâäË×´¹ŒÍÂŧ Öé Œ † (22) ¡Åä¡·Õè·íÒãËŒ¡Ò÷íÒ§Ò¹¢Í§·Ò§à´Ô¹ËÒÂã¨Ê‹Ç¹Å‹Ò§¼Ô´»¡µÔã¹¼ÙŒ»†Ç·Õè໚¹âä䫹ÑÊ ÍÑ¡àʺÁմѧµ‹Í仹Õé 3.1) ¼Ù·à»š¹âä䫹ÑÊÍÑ¡àʺ ÁÕ¡Ò÷íÒ§Ò¹¢Í§¨ÁÙ¡ «Ö§·íÒ˹ŒÒ·Õ໚¹µÑÇ¡ÃͧÍÒ¡ÒÈ áÅÐ Œ Õè è è »ÃѺÊÀÒ¾ÍÒ¡ÒÈàÊÕÂä» ¼Ù»ÇµŒÍ§ËÒÂ㨷ҧ»Ò¡ (mouth breathing) ·íÒãËŒ·Ò§à´Ô¹ËÒÂã¨Ê‹Ç¹Å‹Ò§ Œ † ÁÕâÍ¡ÒÊÊÑÁ¼ÑʡѺÊÒá‹ÍÀÙÁᾌ áÅÐÊÔ§ÃФÒÂà¤×ͧÁÒ¡¢Ö¹ ໚¹¼ÅãËŒà¡Ô´¡Ãкǹ¡ÒÃÍÑ¡àʺ áÅÐ Ô è é à¾ÔÁ¤ÇÒÁäǢͧËÅÍ´ÅÁµ‹ÍÊÒáÃеع㹼ٻÇ·ÕÁ¤ÇÒÁàÊÕ§·Õ¨Ðà¡Ô´âäË×´ è Œ Œ † è Õ è è 3.2) Naso-sinobronchial reflex »ÃÐÊÒ·ÃѺ¤ÇÒÁÃÙÊ¡¨Ò¡â¾Ã§¨ÁÙ¡ áÅÐ䫹ÑÊ ÊÒÁÒö ŒÖ Ê‹§ÊÑ­­Ò³»ÃÐÊҷ仵ÒÁ»ÃÐÊÒ·ÊÁͧ¤Ù‹·Õè 5 áÅÐÃѺÊÑ­­Ò³»ÃÐÊÒ·ÁÒ·Ò§Ãкº»ÃÐÊÒ· parasympathetic ʋǹ»ÃÐÊÒ·ÃѺ¤ÇÒÁÃÙÊ¡¨Ò¡·Ò§à´Ô¹ËÒÂã¨Ê‹Ç¹Å‹Ò§ÊÒÁÒöʋ§ÊÑ­­Ò³»ÃÐÊÒ· ŒÖ 仵ÒÁ»ÃÐÊÒ·ÊÁͧ¤Ù·Õè 10 áÅÐÃѺÊÑ­­Ò³»ÃÐÊÒ·ÁÒ·Ò§ parasympathetic à¾×ͤǺ¤ØÁ¡Ò÷íÒ ‹ è
  • 277.
    250 䫹ÑÊÍÑ¡àʺ áÅÐÃÔ´Êմǧ¨ÁÙ¡ §Ò¹¢Í§¡ÅŒÒÁà¹×ÍàÃÕº¢Í§ËÅÍ´ÅÁ àÁ×ÍÁÕ¡ÒáÃеعµÑÇÃѺ (receptors) 㹨ÁÙ¡ áÅÐ䫹ÑÊ â´Â¡Òà é è Œ ÍÑ¡àʺ¢Í§ä«¹ÑÊ ·íÒãËŒÁ¡Òõպ᤺¢Í§ËÅÍ´ÅÁ à¾×Í»‡Í§¡Ñ¹äÁ‹ãËŒÊÒáÃеع ËÃ×ÍÊÔ§á»Å¡»ÅÍÁ Õ è Œ è ŧä»ã¹ËÅÍ´ÅÁ 3.3) ¡Òõ‹Íà¹×ͧ¢Í§¡Ãкǹ¡ÒÃÍÑ¡àʺ¨Ò¡·Ò§à´Ô¹ËÒÂã¨Ê‹Ç¹º¹ä»ÊÙÊǹŋҧ â´Â¼‹Ò¹ è ‹‹ ·Ò§¡ÃÐáÊàÅ×Í´ â´Â¨ÐÁÕ¡ÒÃà¾ÔÁ¢Ö¹¢Í§à«Åŏ·à¡ÕÂÇ¢ŒÍ§¡Ñº¡ÒÃÍÑ¡àʺ 㹡ÃÐáÊàÅ×Í´ËÅѧ¨Ò¡ÁÕ¡Òà è é Õè è ÍÑ¡àʺ¢Í§ä«¹ÑÊ áÅÐÁÕÊÒõÑÇ¡ÅÒ§ (mediators) à¾ÔÁ¢Ö¹ ઋ¹ IL-5 ·íÒãËŒÁà«Åŏ·à¡ÕÂÇ¢ŒÍ§¡Ñº¡ÒÃÍÑ¡ è é Õ Õè è àʺ ࢌÒÁÒ㹺ÃÔàdz·ÕÁ¡ÒÃÍÑ¡àʺ â´Â੾ÒÐÍ‹ҧÂÔ§ã¹ËÅÍ´ÅÁ ·íÒãËŒà¡Ô´¡ÒÃÍÑ¡àʺ¢Í§ËÅÍ´ÅÁ è Õ è µÒÁÁÒ âä䫹ÑÊÍÑ¡àʺáÅÐâäË×´ ¨Ö§¾ºÃ‹ÇÁ¡Ñ¹ä´ŒºÍ áÅÐâä䫹ÑÊÍÑ¡àʺ·íÒãËŒ¼»ÇÂâä ‹ ÙŒ † Ë×´ÁÕÍÒ¡ÒÃá‹ŧ ´Ñ§¹Ñ¹ ¨Ö§¤Çëѡ»ÃÐÇÑµÔ áÅÐÍÒ¡Òâͧâä䫹ÑÊÍÑ¡àʺ㹼ٻÇÂâäË×´àÊÁÍ áÅÐ é Œ † ã¹·íҹͧà´ÕÂǡѹ ¤Çëѡ»ÃÐÇÑµÔ áÅÐÍÒ¡ÒâͧâäË״㹼ٻǷÕÁ䫹ÑÊÍÑ¡àʺ´ŒÇÂàÊÁÍ ¼Ù»ÇÂâä Œ † è Õ Œ † Ë×´·ÕáÉÒ´ŒÇÂÂÒáÅŒÇÍÒ¡ÒÃäÁ‹´¢¹ ËÃ×ÍÂѧÁÕÍÒ¡ÒÃÍÂÙ‹ ¤ÇÃ䴌ú¡ÒûÃÐàÁԹNjÒÁÕâä䫹ÑÊÍÑ¡àʺËÇÁ èÑ Õ Öé Ñ ´ŒÇÂËÃ×ÍäÁ‹ ¶ŒÒ¾º Ç‹ÒÁÕâä䫹ÑÊÍÑ¡àʺËÇÁ´ŒÇ ¡ÒÃÃÑ¡ÉÒâä䫹ÑÊÍÑ¡àʺ¨Ð·íÒãËŒÍÒ¡Òâͧâä Ë×´´Õ¢¹ áÅÐÊÒÁÒöËÅÕ¡àÅÕ§¡ÒÃ㪌ÂҤǺ¤ØÁâäË×´ ËÃ×Í㪌ÂҤǺ¤ØÁã¹»ÃÔÁÒ³·Õ¹ÍÂŧ䴌 Öé è è Œ ÃŒÍÂÅÐ 26 ¢Í§¼Ù»ÇÂâäÃÔ´Êմǧ¨ÁÙ¡ ÁÕâäË״ËÇÁ´ŒÇ 㹢³Ð·Õͺµ¡Òó¢Í§âäË×´ Œ † èØ Ñ Ô ã¹¤¹»¡µÔ¤ÍÃŒÍÂÅÐ 6 × (23) ÃŒÍÂÅÐ 7 ¢Í§¼Ù»ÇÂâäË×´ÁÕôÊմǧ¨Á١ËÇÁ´ŒÇÂ(24) ÃŒÍÂÅÐ 13 ¢Í§¼ÙŒ Œ † Ô »†ÇÂâäË×´·ÕäÁ‹ä´Œà¡Ô´¨Ò¡ÀÙÁᾌ (non-atopic asthma) áÅÐÃŒÍÂÅÐ 5 ¢Í§¼Ù»ÇÂâäË×´·Õà¡Ô´¨Ò¡ÀÙÁÔ è Ô Œ † è ᾌ (atopic asthma) ÁÕ ÃÔ´Êմǧ¨Á١ËÇÁ´ŒÇ ¡Òü‹ÒµÑ´ÃÑ¡ÉÒÃÔ´Êմǧ¨ÁÙ¡ ´ŒÇÂÇÔ¸Õ endoscopic (25) sinus surgery 㹼ٻǷÕÁâäË״ËÇÁ´ŒÇ ¾ºÇ‹Ò lung function ¢Í§¼Ù»Ç´բ¹ áÅÐÊÒÁÒöŴ¡Òà Œ † è Õ Œ † Öé 㪌 systemic steroid ŧ䴌 (26) 4. ÀÒÇСÒÃᾌÂÒáÍÊä¾ÃÔ¹ (Aspirin intolerance) ¡ÅØÁÍÒ¡Ò÷ջÃСͺ´ŒÇÂÃÔ´Êմǧ ‹ è ¨ÁÙ¡ Ë×´ áÅÐÀÒÇÐᾌÂÒáÍÊä¾ÃÔ¹ ໚¹¡ÅØÁÍÒ¡Ò÷Õ衡ѹÁÒ¹Ò¹ àÃÕ¡¡Ñ¹·ÑÇä»Ç‹Ò ASA triad ‹ è ÙŒ Ñ è ·Ñ§ÃÔ´Êմǧ¨ÁÙ¡ áÅÐÀÒÇÐᾌÂÒáÍÊä¾ÃÔ¹ ¾ºä´ŒºÍÂã¹¼Ù»ÇÂâäË×´·ÕäÁ‹ä´Œà¡Ô´¨Ò¡ÀÙÁᾌ áÅÐÁÕÍÒÂØ é ‹ Œ † è Ô ÁÒ¡¡Ç‹Ò 40 ¢Ö¹ä» ¾º ASA triad ä´ŒÃÍÂÅÐ 1 ¢Í§»ÃЪҡ÷ÑÇä» áÅÐÃŒÍÂÅÐ 10 ¢Í§¼Ù»ÇÂâä é Œ è Œ † Ë×´ ÃŒÍÂÅÐ 36-96 ¢Í§¼Ù»Ç·ÕÁÀÒÇÐᾌÂÒáÍÊä¾ÃÔ¹ ÁÕ䫹ÑÊÍÑ¡àʺàÃ×ÍÃѧ áÅÐ ÃÔ´Êմǧ¨ÁÙ¡ (27) Œ † è Õ é ËÇÁ´ŒÇ (28, 29) áÅÐÁÑ¡ÁÕ»ÃÐÇѵÍÒ¡ÒÃËͺË×´ àÁ×Í䴌úÂÒáÍÊä¾ÃÔ¹ ÊÒà˵آͧâä à¡Ô´¨Ò¡¡ÒÃ Ô è Ñ µÍºÊ¹Í§·Õ¼´»¡µÔã¹ arachidonic metabolism pathway «Ö§»ÃСͺ´ŒÇ cyclooxygenase (COX) è Ô è áÅÐ lipoxygenase (LO) pathway ÂÒáÍÊä¾ÃÔ¹Í͡ķ¸ÔºÂѧ COX pathway ·íÒãËŒÁ¡ÒÃŴŧ¢Í§ ì Ñ é Õ ÃдѺ prostaglandin E 2 (PGE2) áÅзíÒãËŒÁ¡Ò÷íÒ§Ò¹¢Í§ LO pathway ÁÒ¡¢Ö¹ ·íÒãËŒÁ¡ÒÃà¾ÔÁ Õ é Õ è ¡ÒÃÊѧà¤ÃÒÐˏ cysteinyl leukotriene ÁÒ¡¢Ö¹ «Ö§ÁÕÄ·¸Ô¡Ãеع¡ÒÃÍÑ¡àʺ¢Í§à¹×ÍàÂ×Í áÅСÒÃË´à¡Ãç§ é è ì Œ é è ¢Í§ËÅÍ´ÅÁ 䫹ÑÊÍÑ¡àʺ¢Í§¼Ù»Ç·ÕÁÀÒÇйÕé ÁÑ¡¨ÐÁÕ¤ÇÒÁÃØ¹áç¡Ç‹Ò㹼ٻǷÑÇä»(30) áÅÐÁÑ¡´×Í Œ † è Õ Œ † è é µ‹Í¡ÒÃÃÑ¡ÉÒ»¡µÔ ÁÑ¡¨íÒ໚¹µŒÍ§ÃÑ¡ÉÒ´ŒÇ¡Òü‹ÒµÑ´ ໚¹ÃÐÂÐ ·Ñ§æ ·Õ䴌úÃÑ¡ÉÒ·Ò§ÂÒÍ‹ҧàµçÁ é è Ñ ·ÕáŌǡçµÒÁ áÅÐÁÕ͵ÃÒ¡ÒáÅѺ໚¹«éҢͧâä䫹ÑÊÍÑ¡àʺ áÅÐÃÔ´Êմǧ¨ÁÙ¡ ¤‹Í¹¢ŒÒ§ÊÙ§(31) è Ñ í 5. ÀÒÇСôäËÅŒ͹ÁÒ·Õè¤ÍáÅСŋͧàÊÕ§ (Laryngopharyngeal reflux) ¾ºÇ‹Ò
  • 278.
    àǪÈÒʵÏ·¹Âؤ 2553 Ñ 251 ÃŒÍÂÅÐ 78 ¢Í§¼Ù»ÇÂ䫹ÑÊÍÑ¡àʺàÃ×ÍÃѧ ÁÕÀÒÇСôäËÅŒ͹ËÇÁ´ŒÇÂ(32) áÅмٻÇÂ䫹ÑÊÍÑ¡àʺàÃ×ÍÃѧ Œ † é Œ † é ·ÕèäÁ‹µÍºÊ¹Í§µ‹Í¡ÒÃÃÑ¡ÉÒ´ŒÇÂÂÒ ÁÕÍØºÑµÔ¡Òó¢Í§ÀÒÇСôäËÅŒ͹ÊÙ§¡Ç‹Ò»¡µÔ ¼ÙŒ»†Ç·ÕèÁÕ (33) ÀÒÇСôäËÅŒ͹·ÕÁÀÒÇÐá·Ã¡«ŒÍ¹ ÁÕâÍ¡ÒÊà¡Ô´ä«¹ÑÊÍÑ¡àʺàÃ×ÍÃѧ ÊÙ§¡Ç‹Ò»ÃЪҡû¡µÔ(34) ¡Åä¡ è Õ é ¡ÒÃà¡Ô ´ ä«¹Ñ Ê ÍÑ ¡ àʺ㹼ٌ »† Ç Â·Õè ÁÕ À ÒÇСôäËÅÂŒ Í ¹ÂÑ § äÁ‹ · ÃÒºªÑ ´ ਹ ᵋ à ª×è Í Ç‹ Ò à¡Ô ´ ¨Ò¡ nasopharyngeal reflux ¤×͡ô㹡ÃÐà¾ÒÐÍÒËÒà ÍÒ¨äËÅŒ͹¢Ö¹ÁÒºÃÔàdz nasopharynx áÅÐ é àÂ×ͺبÁÙ¡ ·íÒãËŒà¡Ô´¡ÒÃÍÑ¡àʺ¢Í§àÂ×ÍºØ¼Ç (mucosal inflammation) áÅÐÁÕ¡Ò÷íÒ§Ò¹¢Í§ mucociliary è è Ô clearance Ŵŧ ¡ÒÃÈÖ¡ÉÒã¹à´ç¡¾ºÇ‹ÒÃŒÍÂÅÐ 89 ¢Í§¼Ù»ÇÂ䫹ÑÊÍÑ¡àʺàÃ×ÍÃѧ·ÕäÁ‹µÍºÊ¹Í§µ‹Í¡Òà Œ † é è ÃÑ¡ÉÒ´ŒÇÂÂÒ àÁ×Í䴌ú¡ÒÃÃÑ¡ÉÒÀÒÇСôäËÅŒ͹·Õà¡Ô´Ã‹ÇÁ´ŒÇÂáÅŒÇ ÍÒ¡Òâͧ䫹ÑÊÍÑ¡àʺàÃ×ÍÃѧ è Ñ è é ´Õ¢¹áÅÐäÁ‹µÍ§ÃÑ¡ÉÒ´ŒÇ¡Òü‹ÒµÑ´ ʋǹ¡ÒÃÈÖ¡ÉÒã¹¼ÙãË­‹¾ºÇ‹ÒÃŒÍÂÅÐ 67 ¢Í§¼Ù»ÇÂÁÕÍÒ¡Òà Öé Œ (35) Œ Œ † 䫹ÑÊÍÑ¡àʺàÃ×ÍÃѧ ´Õ¢¹ËÅѧãËŒ¡ÒÃÃÑ¡ÉÒÀÒÇСôäËÅŒ͹ ´Ñ§¹Ñ¹ÀÒÇСôäËÅŒ͹໚¹ÊÒà赯 é Öé (36) é ÊíҤѭÍ‹ҧ˹֧¢Í§ä«¹ÑÊÍÑ¡àʺàÃ×ÍÃѧ ´Ñ§¹Ñ¹ ¼Ù»ÇÂâä䫹ÑÊÍÑ¡àʺàÃ×ÍÃѧ·ÕáÉÒ´ŒÇÂÂÒäÁ‹ËÒ ËÃ×Í è é é Œ † é èÑ ãËŒ¡ÒÃÃÑ¡ÉÒâ´Â¡Òü‹ÒµÑ´áÅŒÇäÁ‹´¢¹ ÂѧÁÕÍÒ¡ÒÃÍÂÙ‹ ¤ÇÃ䴌ú¡ÒûÃÐàÁԹNjÒÁաôäËÅŒ͹ËÇÁ´ŒÇÂ Õ Öé Ñ ËÃ×ÍäÁ‹ à¾ÃÒжŒÒÁÕ ¡ÒÃãËŒ¡ÒÃÃÑ¡ÉҡôäËÅŒ͹ËÇÁ´ŒÇ ¨Ð·íÒãËŒÍÒ¡ÒÃ䫹ÑÊÍÑ¡àʺàÃ×ÍÃѧ¢Í§¼ÙŒ é »†Ç´բ¹ä´Œ áÅÐ/ ËÃ×ÍÊÒÁÒöËÅÕ¡àÅÕ§¡Òü‹ÒµÑ´ä«¹ÑÊä´Œ Öé è 6. ¤ÇÒÁ¼Ô´»¡µÔ¢Í§¡ÒÃËÒÂã¨áººÍØ´¡Ñ¹¢³ÐËÅѺ (Obstructive sleep-disordered é breathing) ¼Ù»Ç 䫹ÑÊÍÑ¡àʺàÃ×ÍÃѧ·ÕÁËÃ×ÍäÁ‹ÁôÊմǧ¨Á١ËÇÁ´ŒÇ ¨Ð·íÒãËŒà¡Ô´¡ÒÃÍØ´µÑ¹¢Í§ Œ † é è Õ ÕÔ â¾Ã§¨ÁÙ¡ «Ö§ÁռŷíÒãËŒ¤ÇÒÁµŒÒ¹·Ò¹¢Í§ÍÒ¡ÒÈã¹â¾Ã§¨ÁÙ¡ÊÙ§¢Ö¹(37) áÅÐÁռŷíÒãËŒà¡Ô´¤ÇÒÁ´Ñ¹ è é ·Õ໚¹ÅºÁÒ¡¢Ö¹¢³ÐËÒÂã¨à¢ŒÒ ·íÒãËŒ·Ò§à´Ô¹ËÒÂã¨Ê‹Ç¹¤ÍËÍ ºÃÔàdz·ÕÁà¹×ÍàÂ×Í͋͹·Õ¹Á ËÃ×ÍË‹͹ è é è Õ é è è Ø‹ à¡Ô¹ä» (ઋ¹Ê‹Ç¹¢Í§à¾´Ò¹Í‹Í¹, ÅԹ䡋, tonsillar pillars, ⤹ÅÔ¹) ࢌÒÁÒªÔ´¡Ñ¹ à¡Ô´¡ÒÃÍØ´¡Ñ¹·Ò§ é é é à´Ô¹ËÒÂã¨ä´ŒÁÒ¡¢Ö¹ ´Ñ§¹Ñ¹âä䫹ÑÊÍÑ¡àʺ ໚¹ÊÒà˵ØÊҤѭÍ‹ҧ˹֧·Õ·ÒãËŒà¡Ô´¤ÇÒÁ¼Ô´»¡µÔ¢Í§ é é í è è í ¡ÒÃËÒÂã¨áººÍØ´¡Ñ¹¢³ÐËÅѺ áÅмٻÇ·ÕÁ¤ÇÒÁ¼Ô´»¡µÔ¢Í§¡ÒÃËÒÂã¨áººÍØ´¡Ñ¹¢³ÐËÅѺ ÍÒ¨ é Œ † è Õ é ÁÕâä䫹ÑÊÍÑ¡àʺËÇÁ´ŒÇ ´Ñ§¹Ñ¹ ¤Çëѡ»ÃÐÇÑµÔ áÅÐÍÒ¡Òâͧ¤ÇÒÁ¼Ô´»¡µÔ¢Í§¡ÒÃËÒÂã¨áºº é ÍØ´¡Ñ¹¢³ÐËÅѺ ã¹¼Ù»ÇÂâä䫹ÑÊÍÑ¡àʺàÊÁÍ áÅÐઋ¹à´ÕÂǡѹ ¤Çëѡ»ÃÐÇÑµÔ áÅÐÍÒ¡Òâͧâä é Œ † ¨ÁÙ¡ ËÃ×Í䫹ÑÊàÊÁÍ ã¹¼Ù»Ç·ÕÁ¤ÇÒÁ¼Ô´»¡µÔ¢Í§¡ÒÃËÒÂã¨áººÍØ´¡Ñ¹¢³ÐËÅѺ ´Ñ§¹Ñ¹¼Ù»Ç·ÕÁÕ Œ † è Õ é é Œ † è ¤ÇÒÁ¼Ô´»¡µÔ¢Í§¡ÒÃËÒÂã¨áººÍØ´¡Ñ¹¢³ÐËÅѺ·ÕãËŒ¡ÒÃÃÑ¡ÉÒáÅŒÇäÁ‹´¢¹ ÂѧÁÕÍÒ¡ÒÃÍÂÙ‹ ¤ÇÃ䴌ú é è Õ Öé Ñ ¡ÒûÃÐàÁԹNjÒÁÕâä¨ÁÙ¡ËÃ×Í䫹ÑÊËÇÁ´ŒÇÂËÃ×ÍäÁ‹ à¾ÃÒжŒÒÁÕ ¡ÒÃÃÑ¡ÉÒâä¨ÁÙ¡ËÃ×Í䫹ÑÊËÇÁ´ŒÇ ¨Ð·íÒãËŒÍÒ¡Òâͧ¤ÇÒÁ¼Ô´»¡µÔ¢Í§¡ÒÃËÒÂã¨áººÍØ´¡Ñ¹¢³ÐËÅѺ ´Õ¢¹ä´Œ äÁ‹ÁÒ¡¡ç¹Í é Öé Œ 7. 䫹ÑÊÍÑ¡àʺ¨Ò¡àª×éÍÃÒª¹Ô´ÀÙÁÔᾌ (Allergic fungal rhinosinusitis: A.RS) ¼Ù»Ç Œ † ÁÑ¡ÁÕ»ÃÐÇѵâäÀÙÁᾌÃÇÁ´ŒÇÂÃŒÍÂÅÐ 60 áÅÐÃŒÍÂÅÐ 50 ÁÕ»ÃÐÇѵâäË״ËÇÁ´ŒÇ ÍÒ¨ÁÕ»ÃÐÇѵ¡ÒÃ Ô Ô ‹ Ô (38) Ô á¾ŒÃÒ ËÃ×Í¡Ò÷´ÊͺÀÙÁᾌ·Ò§¼ÔÇ˹ѧãËŒ¼ÅºÇ¡ ËÃ×͵ÃǨ¾º serum specific IgE µ‹ÍÃÒ, ÁÕôÊմǧ Ô Ô ¨ÁÙ¡, 䫹ÑÊÍÑ¡àʺ áÅÐÁÕšɳÐ੾ÒТͧÀÒ¾¶‹ÒÂÃѧÊÕ¤ÍÁ¾ÔÇàµÍϢͧ䫹ÑÊ (ÁÑ¡ÁÕ䫹ÑÊÍÑ¡àʺ Ñ ·íÒãˌ䫹Ñʷѧ 2 ¢ŒÒ§·Öº·Ñ§ËÁ´ áÅÐÁÑ¡¨ÐÁÕ¢Ò§ã´¢ŒÒ§Ë¹Ö§·ÖºÁÒ¡¡Ç‹ÒÍÕ¡¢ŒÒ§Ë¹Ö§ ÊÒäѴËÅѧ·ÕÍÂÙ‹ é é Œ è è è è ã¹ä«¹ÑÊÍÒ¨´Ñ¹ãËŒ¼¹Ñ§¢Í§ä«¹ÑÊ⻆§ÍÍ¡ áÅÐÍÒ¨¾º¡ÒáË͹¢Í§¡Ãд١䴌) áÅоº eosinophilic allergic mucin áÅСÒõÃǨ·Ò§¾ÂÒ¸ÔÇ·ÂÒ ¾ºÃÒª¹Ô´äÁ‹Å¡ÅÒÁ Ô Ø
  • 279.
    252 䫹ÑÊÍÑ¡àʺ áÅÐÃÔ´Êմǧ¨ÁÙ¡ 8. ËÙªÑ鹡ÅÒ§ÍÑ¡àʺ âä䫹ÑÊÍÑ¡àʺ ¨Ð·íÒãËŒàÂ×ͺبÁÙ¡ áÅÐ䫹ÑÊÁÕ¡ÒúÇÁ áÅСÒà è ÍÑ¡àʺ ËÃ×ÍÁÕ˹ͧäËÅÁÒºÃÔàdz´ŒÒ¹ËÅѧâ¾Ã§¨ÁÙ¡ ·íÒãËŒàÂ×ͺغÃÔàdz choana áÅз‹ÍÂÙÊàµàªÕ¹ºÇÁ è «Ö§¨Ð·íÒãËŒ·ÍÂÙÊàµàªÕ¹·íÒ§Ò¹¼Ô´»¡µÔ (eustachian tube dysfunction) à¡Ô´ËÙª¹¡ÅÒ§ÍÑ¡àʺà©Õº è ‹ Ñé ¾Åѹ áÅÐÀÒÇйéҢѧã¹ËÙª¹¡ÅÒ§ ¹Í¡¨Ò¡¹Ñ¹ ¶ŒÒ¼Ù»ÇÂÊѧ¹éÒÁÙ¡áçæ â´Â੾ÒжŒÒÁÕ¡Òúպ¨ÁÙ¡ í Ñé é Œ † è í ´ŒÇ ÍÒ¨·íÒãËŒÁÁ¡Ë¹Í§ ËÃ×Íàª×Íâä ࢌÒä»ã¹·‹ÍÂÙÊàµàªÕ¹ áÅÐËÙª¹¡ÅÒ§ä´Œ Õ Ù é Ñé ¡ÒÃÃÑ¡ÉÒ䫹ÑÊÍÑ¡àʺ áÅÐ/ËÃ×ÍÃÔ´Êմǧ¨ÁÙ¡´ŒÇÂÂÒ ¡ÒÃÃÑ¡ÉÒ䫹ÑÊÍÑ¡àʺ´ŒÇÂÂÒ (Medical management of rhinosinusitis) âä䫹ÑÊÍÑ¡àʺ ʋǹãË­‹à¡Ô´¨Ò¡¡ÒõԴàª×ÍẤ·ÕàÃÕ «Ö§à¡Ô´¨Ò¡¡Òäѧ¢Í§Ë¹Í§·ÕÍÂÙã¹â¾Ã§ é è è è ‹ 䫹ÑÊ áÅÐà¡Ô´¡ÒÃÍÑ¡àʺ¢Í§àÂ×ͺØâ¾Ã§ä«¹ÑÊ ÊíÒËÃѺËÅÑ¡¡ÒÃÃÑ¡ÉÒâä䫹ÑÊÍÑ¡àʺ¤×Í è 1. ¡íҨѴàª×éÍ¡‹Íâä·Õè໚¹ÊÒà赯 (Eradicate infection) ¤×Í¡ÒÃàÅ×͡㪌ÂÒµŒÒ¹¨ØÅªÕ¾·Õè àËÁÒÐÊÁÊíÒËÃѺẤ·ÕàÃÕ·Õ໚¹ÊÒà˵آͧ䫹ÑÊÍÑ¡àʺª¹Ô´¹Ñ¹æ ã¹âä䫹ÑÊÍÑ¡àʺª¹Ô´à©Õº¾Åѹ è é àª×ÍẤ·ÕàÃÕ·Õ໚¹ÊÒà˵ØÁ¡à¡Ô´¨Ò¡àª×Í Streptococcus pneumoniae, Haemophilus influenzae áÅÐ é è Ñ é Moraxella catarrhalis ÂÒµéÒ¹¨ØÅªÕ¾·ÕàËÁÒÐÊÁ¨Ö§¤ÇÃãªé amoxicillin ã¹ÅӴѺáá áÅФÇÃãËéÂÒ- (39) è µŒÒ¹¨ØÅªÕ¾à»š¹ÃÐÂÐàÇÅÒ 10-14 Çѹ(40) ÊíÒËÃѺâä䫹ÑÊÍÑ¡àʺª¹Ô´àÃ×ÍÃѧ àª×ÍẤ·ÕàÃÕ·Õ໚¹ÊÒà˵ØÁ¡à¡Ô´¨Ò¡ gram negative é é è Ñ bacteria â´Â੾ÒÐ Pseudomonas aeruginosa, coagulase-negative Staphylococcus áÅÐ anaerobic bacteria(39) ´Ñ§¹Ñ鹨֧ÁÑ¡¨ÐàÅ×͡㪌 amoxicillin/clavulanic acid(41) ËÃ×Í second- or third-line cephalosporin ËÃ×Í newer generation of macrolide ઋ¹ clarithromycin ËÃ×Í quinolone ઋ¹ gatifloxacin or levofloxacin áÅФÇÃãËŒÂÒµŒÒ¹¨ØÅªÕ¾à»š¹ÃÐÂÐàÇÅÒ 3-4 ÊÑ»´Òˏ 2. ¡ÒÃÊ‹§àÊÃÔÁãËŒÁÕ¡ÒÃÃкÒÂ˹ͧ·Õè¤Ñè§ã¹â¾Ã§ä«¹ÑÊ (Improve ventilation and drainage) 䴌ᡋ 2.1) ÂÒ¡ÅØÁÊàµÕÂÃÍ´ â´Â੾ÒÐÂÒÊàµÕÂÃÍ´ª¹Ô´¾‹¹¨ÁÙ¡ (intranasal steroids) ·Õ㪌 ‹ è ËÇÁ¡ÑºÂÒµŒÒ¹¨ØÅªÕ¾ª¹Ô´ÃѺ»Ãзҹ ¨Ð·íÒãËŒÍÒ¡ÒÃ䫹ÑÊÍÑ¡àʺ¢Í§¼Ù»Ç´բ¹ àÁ×Íà»ÃÕºà·Õº¡Ñº Œ † Öé è ¡ÅØÁ·Õ㪌ÂÒµŒÒ¹¨ØÅªÕ¾à¾Õ§Í‹ҧà´ÕÂÇ(42) ÊíÒËÃѺ¡ÒÃ㪌ÂÒÊàµÕÂÃÍ´ª¹Ô´¾‹¹¨ÁÙ¡ 㹼ٻǷÕ໚¹ä«¹ÑÊ ‹ è Œ † è ÍÑ¡àʺàÃ×ÍÃѧâ´Â੾ÒÐÍ‹ҧÂÔ§·ÕÁôÊմǧ¨Á١ËÇÁ´ŒÇ¹ѹ ¾ºÇ‹ÒÂÒÊàµÕÂÃÍ´ª¹Ô´¾‹¹¨ÁÙ¡ ÊÒÁÒö é è è ÕÔ é Å´ÍÒ¡Ò÷ҧ¨ÁÙ¡ áÅÐÅ´¢¹Ò´¢Í§ÃÔ´Êմǧ¨ÁÙ¡ä´Œ(43)¼Å¢ŒÒ§à¤Õ§ÊíÒËÃѺ¡ÒÃ㪌ÂÒÊàµÕÂÃÍ´ª¹Ô´¾‹¹ ¨ÁÙ¡¹Ñ¹ ¾ºä´Œ¹Í ઋ¹¼¹Ñ§¡Ñ¹ª‹Í§¨ÁÙ¡·ÐÅØ (nasal septal perforation) ËÃ×ÍàÅ×Í´¡íÒà´ÒäËÅ (epistaxis) é Œ é â´ÂÁÑ¡¨ÐÊÑÁ¾Ñ¹¸¡º·ÔÈ·Ò§¡ÒÃ㪌ÂÒ¾‹¹¨ÁÙ¡·ÕäÁ‹¶¡µŒÍ§¤×;‹¹ä»·Ò§¼¹Ñ§¡Ñ¹ª‹Í§¨ÁÙ¡ (41) Ñ è Ù é 2.2) ÂÒË´ËÅÍ´àÅ×Í´ (Decongestant) ÁÕ·§ª¹Ô´ÃѺ»Ãзҹ áÅЪ¹Ô´¾‹¹ ËÃ×ÍËÂÍ´¨ÁÙ¡ Ñé ª¹Ô´ÃѺ»Ãзҹ Í͡ķ¸ÔÀÒÂã¹ 30 ¹Ò·Õ áÅÐÁÕÄ·¸Ô¹Ò¹»ÃÐÁÒ³ 4-6 ªÑÇâÁ§ ¼Å¢ŒÒ§à¤Õ§·ÕÍÒ¨¾º ì ì è è ä´Œ¤Í ¡ÃÐÊѺ¡ÃÐÊ‹ÒÂ, ¹Í¹äÁ‹ËÅѺ, ã¨Êѹ, ¤ÇÒÁ´Ñ¹âÅËÔµÊÙ§, »˜ÊÊÒÇÐÅíÒºÒ¡ áÅÐÁ‹Ò¹µÒ¢ÂÒµÑÇ × è ÂÒã¹¡ÅØÁ¹Õ䴌ᡋÂÒ pseudoephedrine hydrochloride äÁ‹¤ÇÃ㪌ÂÒË´ËÅÍ´àÅ×Í´ª¹Ô´¾‹¹ ËÃ×ÍËÂÍ´ ‹ é ¨ÁÙ¡ (䴌ᡋ ephedrine, xylomethazoline, naphazoline áÅÐ oxymethazoline) µÔ´µ‹Í¡Ñ¹¹Ò¹à¡Ô¹ 3-
  • 280.
    àǪÈÒʵÏ·¹Âؤ 2553 Ñ 253 5 Çѹ à¾ÃÒÐÍÒ¨·íÒãËŒà¡Ô´ rebound effect àÂ×ͺبÁÙ¡ºÇÁÁÒ¡¢Ö¹·ÕàÃÕÂ¡Ç‹Ò rhinitis medicamentosa è é è 2.3) ¡ÒÃŌҧ¨ÁÙ¡´ŒÇ¹éÒà¡Å×Í ÁÕÃÒ§ҹNjҷíÒãËŒÍÒ¡ÒÃâä䫹ÑÊÍÑ¡àʺŴŧ à¾ÔÁ¤ÇÒÁ í è ª×¹ãˌᡋàÂ×ͺبÁÙ¡ ¡ÒÃ⺡¾Ñ´¢Í§¢¹¡ÇÑ´ (mucociliary function) ´Õ¢¹ ¡ÒÃ㪌¹Òà¡Å×Í»¡µÔ áÅÐ é è Öé éí ¹éíÒà¡Å×ͪ¹Ô´à¢ŒÁ¢Œ¹ª‹Ç·íÒãËŒÍÒ¡Òâͧ¼ÙŒ»†Ç áÅÐàÂ×èͺبÁÙ¡ áÅÐ䫹Ñʨҡ¡ÒõÃǨ´ŒÇ¡Ōͧ (endoscopic finding) ´Õ¢¹ (41) Öé 2.4) ¡ÒÃãËŒÂÒÅÐÅÒÂÁÙ¡ (Mucolytic drug) ¡ÒÃ㪌ÂÒ¡ÅØÁ¹Õ¨Ð·íÒãËŒ¹ÒÁÙ¡àËÅÇ¢Ö¹ â´Â ‹ é éí é ੾ÒСÒÃ㪌ÃÇÁ¡ÑºÂÒµŒÒ¹¨ØÅªÕ¾ «Ö§·íÒãËŒÃÐÂÐàÇÅÒ㹡ÒÃÃÑ¡ÉÒâä䫹ÑÊÍÑ¡àʺŴŧ´ŒÇ ‹ è (41) 2.5) ¡ÒÃ㪌 immunomodulators 䴌ᡋ ÂÒã¹¡ÅØÁ macrolides ઋ¹ roxithromycin, ‹ clarithromycin áÅÐ azithromycin «Ö§¨Ðª‹ÇÂàÊÃÔÁ㹡ÒÃÃÑ¡ÉÒâä䫹ÑÊÍÑ¡àʺàÃ×ÍÃѧ â´ÂÅ´¹éÒÁÙ¡, è é í à¾ÔÁ¡Ò÷íÒ§Ò¹¢Í§¢¹¡ÇÑ´ ( mucocilliary clearance ) áÅÐ Å´¡ÒÃÊÌҧ biofilms è (44) 3. ¡ÒÃÃÑ¡ÉÒâä¾×é¹°Ò¹ (Underlying condition) ¢Í§¼ÙŒ»†Ç ·ÕèÍҨ໚¹ÊÒà赯 ËÃ×ÍÊ‹§ àÊÃÔÁãËŒà¡Ô´âä䫹ÑÊÍÑ¡àʺ 㹡óշ¼»ÇÂÁÕâäà´ÔÁઋ¹ âä¨ÁÙ¡ÍÑ¡àʺÀÙÁᾌ ÍÒ¨¾Ô¨ÒóÒãËŒ Õè ÙŒ † Ô ÂÒµŒÒ¹ÎÊ·ÒÁչËÇÁ´ŒÇ á¹Ð¹íÒãˌ㪌ÂÒµŒÒ¹ÎÊ·ÒÁÕ¹ÃØ‹¹·Õè 2 ËÃ×Í 3 ËÅÕ¡àÅÕè§¡ÒÃ㪌ÂÒµŒÒ¹ ΁ʷÒÁÕ¹ÃØ¹·Õè 1 à¹×ͧ¨Ò¡ÂÒÃØ¹´Ñ§¡Å‹ÒÇÁÕÄ·¸Ôì anticholinergic «Ö§·íÒãËŒ¹ÒÁÙ¡ ËÃ×ÍÊÔ§¤Ñ´ËÅѧã¹ä«¹ÑÊ ‹ è ‹ è éí è è à˹ÕÂÇ¢Ö¹ ÁռŷíÒãËŒ¡ÒÃÃкÒÂ˹ͧã¹â¾Ã§ä«¹ÑÊ໚¹ä»ä´ŒÂÒ¡¢Ö¹ é é ·Õä´Œ¡Å‹ÒÇäÇŒ¢Ò§µŒ¹à»š¹á¹Ç·Ò§¡ÒÃÃÑ¡ÉÒ䫹ÑÊÍÑ¡àʺâ´Â·ÑÇä» ã¹»˜¨¨Øº¹ä´Œáº‹§á¹Ç·Ò§ è Œ è Ñ ¡ÒÃÃÑ¡ÉÒ䫹ÑÊÍÑ¡àʺ໚¹ 3 ¡ÅØÁ䴌ᡋ ‹ 䫹ÑÊÍÑ¡àʺª¹Ô´à©Õº¾Åѹ (Acute rhinosinusits) ʋǹÁÒ¡ÊÒÁÒöËÒÂä´ŒàͧÀÒÂã¹ 14 Çѹ à¹×ͧ¨Ò¡ÁÑ¡¨Ð໚¹¡ÒõԴàª×ÍäÇÃÑÊ ËÒ¡ÍÒ¡Òà è é äÁ‹´¢¹ÁÑ¡¨ÐÁÕ¡ÒõԴàª×ÍẤ·ÕàÃÕ«éÒàµÔÁ á¹Ð¹íÒãˌ㪌ÂÒµŒÒ¹¨ØÅªÕ¾·ÕàËÁÒÐÊÁ¹Ò¹ 10-14 Çѹ(40) Õ Öé é í è ´Ñ§ä´Œ¡Å‹ÒÇáŌǢŒÒ§µŒ¹ á¹Ð¹íÒãˌ㪌ÂÒÊàµÕÂÃÍ´ª¹Ô´¾‹¹¨ÁÙ¡ ËÇÁ¡ÑºÂÒµŒÒ¹¨ØÅªÕ¾ª¹Ô´ÃѺ»Ãзҹ ¨Ð·íÒãËŒÍÒ¡ÒÃ䫹ÑÊÍÑ¡àʺ¢Í§¼Ù»ÇÂËÒÂàÃçÇ¢Ö¹(41) ¹Í¡¨Ò¡¹ÕÁ¡ÒÃÈÖ¡ÉÒà»ÃÕºà·Õº¡ÒÃÃÑ¡ÉҼٻǠŒ † é é Õ Œ † 䫹ÑÊÍÑ¡àʺª¹Ô´à©Õº¾Åѹ·ÕäÁ‹Á¼Åá·Ã¡«ŒÍ¹ ÃÐËNjҧ¡ÒÃ㪌ÂÒÊàµÕÂÃÍ´ª¹Ô´¾‹¹¨ÁÙ¡ à¾Õ§Í‹ҧ è Õ à´ÕÂÇ à»ÃÕºà·Õº¡Ñº¡ÒÃ㪌 amoxicillin à¾Õ§Í‹ҧà´ÕÂÇ ¾ºÇ‹Ò¡ÒÃ㪌ÂÒÊàµÕÂÃÍ´ª¹Ô´¾‹¹¨ÁÙ¡ à¾Õ§ Í‹ҧà´ÕÂÇä´Œ¼Å´Õ¡Ç‹Ò (45) 䫹ÑÊÍÑ¡àʺª¹Ô´àÃ×éÍÃѧ·ÕèäÁ‹ÁÕÃÔ´Êմǧ¨ÁÙ¡ (Chronic rhinosinusits without nasal polyp) á¹Ð¹íÒãˌ㪌ÂÒµŒÒ¹¨ØÅªÕ¾·ÕàËÁÒÐÊÁ¹Ò¹ 3 à´×͹´Ñ§ä´Œ¡Å‹ÒÇáŌǢŒÒ§µŒ¹ áÅÐá¹Ð¹íÒãËŒ è 㪌ÂÒÊàµÕÂÃÍ´ª¹Ô´¾‹¹¨ÁÙ¡ ËÇÁ¡ÑºÂÒµŒÒ¹¨ØÅªÕ¾ª¹Ô´ÃѺ»Ãзҹ áÅСÒÃŌҧ¨ÁÙ¡´ŒÇ¹éÒà¡Å×Í(41) í 䫹ÑÊÍÑ¡àʺª¹Ô´àÃ×ÍÃѧ·ÕÁôÊմǧ¨ÁÙ¡ (Chronic rhinosinusits with nasal polyp) é è ÕÔ á¹Ð¹íÒãˌ㪌ÂÒÊàµÕÂÃÍ´ª¹Ô´¾‹¹¨ÁÙ¡, ÂÒÊàµÕÂÃÍ´ª¹Ô´ÃѺ»Ãзҹ áÅСÒÃŌҧ¨ÁÙ¡ ´ŒÇ¹éÒà¡Å×Í ã¹¼Ù»Ç·ÕÁôÊմǧ¨ÁÙ¡¢¹Ò´àÅç¡»ÃÐÁÒ³ grade 1-2 ʋǹ¡ÒÃ㪌ÂÒµŒÒ¹¨ØÅªÕ¾äÁ‹Á¢ÍÁÙÅ í Œ † è ÕÔ ÕŒ ·Õª´à¨¹ ʋǹ ÃÔ´Êմǧ¨ÁÙ¡ grade 3 á¹Ð¹íÒãËŒ¾¨ÒóҼ‹ÒµÑ´ ¡ÒÃ㪌ÂÒÊàµÕÂÃÍ´ª¹Ô´ÃѺ»Ãзҹ è Ñ (41) Ô (䴌ᡋ ÂÒ prednisolone ¢¹Ò´ 0.5 mg/kg µ‹ÍÇѹ¹Ò¹ 1-2 ÊÑ»´Òˏ) ËÇÁ¡ÑºÂÒÊàµÕÂÃÍ´ª¹Ô´¾‹¹¨ÁÙ¡ ¨Ðª‹Ç·íÒãËŒÍÒ¡ÒüٻÇ´բ¹àÃçÇ(41) Œ † Öé
  • 281.
    254 䫹ÑÊÍÑ¡àʺ áÅÐÃÔ´Êմǧ¨ÁÙ¡ ¡ÒÃÃÑ¡ÉÒ䫹ÑÊÍÑ¡àʺ áÅÐ/ËÃ×ÍÃÔ´Êմǧ¨ÁÙ¡´ŒÇ¡Òü‹ÒµÑ´ ã¹»˜¨¨Øº¹¡Òü‹ÒµÑ´ä«¹ÑÊä´ŒÁÇDz¹Ò¡ÒèҡÇÔ¸¡Òôѧà´ÔÁ (conventional method) «Ö§à¹Œ¹ Ñ ÕÔÑ Õ é è ¡Òü‹ÒµÑ´àÍÒàÂ×ͺØä«¹ÑÊ·Õ¼´»¡µÔÍÍ¡·Ñ§ËÁ´ ÁÒ໚¹¡Òü‹ÒµÑ´â´Â¡ÒÃʋͧ¡ÅŒÍ§¼‹Ò¹â¾Ã§¨ÁÙ¡ ์¹ è è Ô é ¡ÒÃᡌä¢ãËŒ·Ò§ÃкÒÂ䫹ÑÊäÁ‹ÍØ´µÑ¹ áÅоÂÒÂÒÁà¡çºàÂ×èͺØä«¹ÑÊáÅÐâ¾Ã§¨ÁÙ¡äÇŒãËŒÁÒ¡·ÕèÊØ´ (functional endoscopic sinus surgery: .ESS) ¡Òü‹ÒµÑ´ã¹âä䫹ÑÊÍÑ¡àʺà©Õº¾Åѹ ʋǹãË­‹ËÒÂä´Œ ¨Ò¡¡ÒÃãËŒÂÒµŒÒ¹¨ØÅªÕ¾·ÕàËÁÒÐÊÁ ᵋ㹺ҧ¡Ã³Õ¼»ÇÂÍÒ¨ÁÕ¤ÇÒÁ¨íÒ è ÙŒ † ໚¹·Õ¨ÐµŒÍ§ä´ŒÃº¡Òü‹ÒµÑ´ ËÃ×Íà¨ÒÐŌҧ䫹ÑÊ (antral irrigation) è Ñ ¢ŒÍº‹§ªÕâ´Â·ÑÇä»ã¹¡Òü‹ÒµÑ´ ËÃ×Íà¨ÒÐŌҧ䫹ÑÊ㹼ٻǷÕàè »š¹âä䫹ÑÊÍÑ¡àʺà©Õº¾Åѹ ¤×Í é è Œ † 1. ÁÕÀÒÇÐá·Ã¡«ŒÍ¹ ઋ¹ ÁÕ¡ÒõԴàª×Í¡ÃШÒÂࢌÒÊÙµÒ ËÃ×ÍÊÁͧ é ‹ 2. äÁ‹ÊºÒÂÁÒ¡ áÅÐÁÕÍÒ¡ÒÃÃØ¹áç 3. äÁ‹ÊºÒÂẺà©Õº¾Åѹ áÅÐÃÑ¡ÉÒ´ŒÇÂÂÒ·ÕàËÁÒÐÊÁáÅŒÇ ÍÒ¡ÒÃá‹ŧÀÒÂã¹àÇÅÒ 48 è – 72 ªÑÇâÁ§ è 4. ÁÕÀÁ¤Á¡Ñ¹º¡¾Ã‹Í§ Ù Ô ØŒ ¡Òü‹ÒµÑ´ã¹âä䫹ÑÊÍÑ¡àʺàÃ×ÍÃѧ é ã¹»˜¨¨ØºÑ¹ÂѧäÁ‹ÁÕ¡ÒÃÈÖ¡ÉÒ·ÕèÁդسÀÒ¾ÁÒ¡¾Í·Õè¨ÐáÊ´§ãËŒàËç¹¶Ö§»ÃÐ⪹¢Í§¡Òà ÃÑ¡ÉÒâä䫹ÑÊÍÑ¡àʺàÃ×ÍÃѧ´ŒÇ¡Òü‹ÒµÑ´ ËÇÁ¡Ñº¡ÒÃãËŒÂÒ àÁ×Íà»ÃÕºà·Õº¡Ñº¡ÒÃãËŒÂÒà¾Õ§Í‹ҧ é è à´ÕÂÇ ¨Ö§¶×ÍÇ‹Òâ´Â·ÑÇä»áÅŒÇ ¡Òü‹ÒµÑ´ã¹âä䫹ÑÊÍÑ¡àʺàÃ×ÍÃѧÁբͺ‹§ªÕ੾ÒÐã¹ÃÒ·Õ§ÁÕÍÒ¡ÒÃÁÒ¡ è é Œ é èÑ ¶Ö§áÁŒ¨Ð䴌ú¡ÒÃÃÑ¡ÉÒ´ŒÇÂÂÒ·ÕàËÁÒÐÊÁáÅŒÇ Ñ è (41, 46) ÀÒÇÐá·Ã¡«ŒÍ¹¨Ò¡¡Òü‹ÒµÑ´ ¨Ò¡¡ÒÃÈÖ¡ÉÒẺ meta-analysis ¾ºÇ‹ÒÁÕ͵ÃÒ¡ÒÃà¡Ô´ major complications »ÃÐÁÒ³ Ñ ÃŒÍÂÅÐ 0.5 áÅÐ minor complications »ÃÐÁҳÌÍÂÅÐ 4 ¨Ò¡¡Òü‹ÒµÑ´ endoscopic sinus surgery â´ÂÁÕ»¨¨ÑÂàÊÕ§¤×Í ¡ÒÃÁÕ¾ÂÒ¸ÔÊÀÒ¾·Õùáçã¹ä«¹ÑÊ revision surgery ¡Òü‹ÒµÑ´ä«¹ÑÊ´ŒÒ¹¢ÇÒ ˜ è èØ ¡Òü‹ÒµÑ´â´Â㪌ÂÒÊź ¡ÒÃÁÕàÅ×Í´ÍÍ¡ÁÒ¡ÃÐËNjҧ¼‹ÒµÑ´ áÅÐ ¡ÒâҴ¤ÇÒÁªíÒ¹Ò­¢Í§á¾·Â ¼Ù¼ÒµÑ´ (41) Œ ‹ à·¤â¹âÅÂÕãËÁ‹ã¹¡Òü‹ÒµÑ´ä«¹ÑÊ áÅÐ/ËÃ×ÍÃÔ´Êմǧ¨ÁÙ¡ »˜¨¨Øº¹ä´ŒÁ¡ÒþѲ¹Òà¤Ã×ͧÁ×ÍãËÁ‹æà¾×ͪ‹ÇÂãËŒ¡Òü‹ÒµÑ´ä«¹ÑÊ áÅÐ/ËÃ×ÍÃÔ´Êմǧ¨ÁÙ¡ Ñ Õ è è ·íÒä´ŒÊдǡ áÅлÅÍ´ÀÑÂÁÒ¡¢Ö¹ ઋ¹ ¡ÒÃ㪌 microdebrider, ballon sinuplasty áÅÐ surgical é navigation system «Ö§¾ºÇ‹Òà¤Ã×ͧÁ×ÍàËŋҹժÇÂãËŒÊÒÁÒö¼‹ÒµÑ´ä´ŒÍ‹ҧÁѹ㨠áÅÐÊÒÁÒö¼‹ÒµÑ´ è è é ‹ è ࢌÒä»ã¹ä«¹ÑÊ·ÕÍÂÙš䴌ÁÒ¡¢Ö¹ Í‹ҧäáçµÒÁà¤Ã×ͧÁ×ÍàËŋҹÕÁÃÒ¤Òá¾§ áÅÐÂѧäÁ‹ÁËÅÑ¡°Ò¹ªÑ´à¨¹ è ‹Ö é è é Õ Õ Ç‹Ò¡ÒÃ㪌à¤Ã×ͧÁ×ÍàËŋҹÕé ª‹ÇÂãËŒ¡Òü‹ÒµÑ´ä´Œ¼Å´Õ¢¹ ÃÇÁ·Ñ§ÂѧäÁ‹Á¡ÒÃÈÖ¡ÉÒ¶Ö§¤ÇÒÁ¤ØÁ¤‹Ò (cost- è Öé é Õ Œ effectiveness) ¢Í§¡ÒÃ㪌à¤Ã×ͧÁ×ÍàËŋҹÕé è (47-50)
  • 282.
    àǪÈÒʵÏ·¹Âؤ 2553 Ñ 255 àÍ¡ÊÒÃ͌ҧÍÔ§ 1. Meltzer EO, Hamilos DL, Hadley JA, Lanza DC, Marple B., Nicklas RA, et al. Rhinosinusitis: Establishing definitions for clinical research and patient care. Otolaryngol Head Neck Surg 2004;131(6 SUPPL.):S1-62. 2. Lethbridge-Cejku M, Rose D, Vickerie J. Summary health statistics for U.S. adults: National Health Interview Survey, 2004. National Center for Health Statistics. Vital Health Stat 2006;10(228):19-22. 3. Bhattacharyya N. Clinical and symptom criteria for the accurate diagnosis of chronic rhinosinusitis. Laryngoscope 2006;116:1185-91. 4. Gwaltney JM, Jr. Acute community-acquired sinusitis. Clin Infect Dis 1996;23:1209-23. 5. Bent JP III, Kuhn .A. Allergic fungal rhinosinusitis/polyposis. Allergy Asthma Proc 1996;17:259-68. 6. Chandler JR, Langenbrunner DJ, Stevens ER. The pathogenesis of orbital complications in acute sinusitis. Laryngoscope 1970;80(9):1414-28. 7. Busuttil A. Dysplastic epithelial changes in nasal polyps. Ann Otol Rhinol Laryngol 1978;87(3 Pt 1):416-20. 8. Hasegawa M, Nasu M, Ohki M, Sugiuchi Y, Watanabe I. Malignant transformation of nasal polyp. Case report. Arch Otolaryngol Head Neck Surg 1988;114(3):336-7. 9. Hadfield PJ, Rowe-Jones JM, Mackay IS. The prevalence of nasal polyps in adults with cystic fibrosis. Clin Otolaryngol 2000;25(1):19-22. 10. Emanuel IA, Shah SB. Chronic rhinosinusitis: allergy and sinus computed tomography relationships. Otolaryngol Head Neck Surg 2000;123(6):687-91. 11. Beninger M. Rhinitis, sinusitis and their relationship to allergies. Am J Rhinol 1992;6:37-43. 12. Karlsson G, Holmberg K. Does allergic rhinitis predispose to sinusitis? Acta Otolaryngol Suppl 1994;515:26-8. 13. Zacharek MA, Krouse JH. The role of allergy in chronic rhinosinusitis. Curr Opin Otolaryngol Head Neck Surg 2003;11:196-200. 14. Krause H.. Allergy and chronic rhinosinusitis. Otolaryngol Head Neck Surg 2003;128:14-6. 15. Blumstein GI, Tuft LI. Allergy treatment in recurrent nasal polyposis: its importance and value. Am J Med Sci 1957;234(3):269-80. 16. English G. Nasal polyposis. In: GM E, editor. Otolaryngology. Philadelphia: Harper and Row; 1985. p. 1-30. 17. Drake-Lee AB. Histamine and its release from nasal polyps: preliminary communication. J R Soc Med 1984;77(2):120-4. 18. Liu CM, Shun CT, Hsu MM. Lymphocyte subsets and antigen-specific IgE antibody in nasal polyps. Ann Allergy 1994;72(1):19-24. 19. Spector SL, Bernstein IL, Li JT, Berger WE, Kaliner MA, Schuller DE, et al. Parameters for the diagnosis and management of sinusitis. J Allergy Clin Immunol 1998;102:S107-44. 20. Hoover G, Newman LJ, Platts-Mills TA, Phillips CD, Gross CW, Wheatley LM. Chronic sinusitis: risk factors for extensive disease. J Allergy Clin Immunol 1997;100:185-91. 21. Druce HM, Slavin RG. Sinusitis: a critical need for further study. J Allergy Clin Immunol 1991;88: 675-77. 22. Oliveira CA, Sole D, Naspitz CK, Rachelefsky GS. Improvement of bronchial hyperresponsiveness in asthmatic children treated for concomitant sinusitis. Ann Allergy Asthma Immunol 1997;79:70-4. 23. Klossek JM, Neukirch ., Pribil C, Jankowski R, Serrano E, Chanal I, et al. Prevalence of nasal polyposis in .rance: A cross-sectional, case-control study. Allergy 2005;60(2):233-7. 24. Settipane GA, Chafee .H. Nasal polyps in asthma and rhinitis. A review of 6,037 patients. J Allergy Clin Immunol 1977;59(1):17-21.
  • 283.
    256 䫹ÑÊÍÑ¡àʺ áÅÐÃÔ´Êմǧ¨ÁÙ¡ 25. Settipane G. Epidemiology of nasal polyps. In: Settipane G, Lund VJ, Bernstein JM, Tos M., editors. Nasal polyps: epidemiology, pathogenesis and treatment. Rhode Island: Oceanside Publications; 1997. p. 17-24. 26. Batra PS, Kern RC, Tripathi A, Conley DB, Ditto AM, Haines GK, 3rd, et al. Outcome analysis of endoscopic sinus surgery in patients with nasal polyps and asthma. Laryngoscope. 2003;113(10):1703-6. 27. Szczeklik A, Stevenson DD. Aspirin-induced asthma: advances in pathogenesis, diagnosis, and management. J Allergy Clin Immunol. 2003;111(5):913-21. 28. Spector SL, Wangaard CH, .arr RS. Aspirin and concomitant idiosyncrasies in adult asthmatic patients. J Allergy Clin Immunol. 1979;64(6 Pt 1):500-6. 29. Ogino S, Harada T, Okawachi I, Irifune M, Matsunaga T, Nagano T. Aspirin-induced asthma and nasal polyps. Acta Otolaryngol Suppl. 1986;430:21-7. 30. Batra PS, Kem RC, Tripathi A, Conley DB, Ditto AM, Haines GK 3rd, et al. Outcome analysis of endoscopic sinus surgery in patients with nasal polyps and asthma. Laryngoscope 2003;113(10):1703-6. 31. Szczeklik A, Nizankowska E, Duplaga M. Natural history of aspirin-induced asthma. AIANE Investigators. European Network on Aspirin-Induced Asthma. Eur Respir J 2000;16(3):432-6. 32. DiBaise JK, Olusola B., Huerter JV, Quigley EM. Role of GERD in chronic resistant sinusitis: A prospective, open label, pilot trial. Am J Gastroenterol 2002;97:843-50. 33. Ulualp SO, Toohill RJ, Hoffmann R, Shaker R. Possible relationship of gastroesophagopharyngeal acid reflux with pathogenesis of chronic sinusitis. Am J Rhinol 1999;13:197-202. 34. El-Serag HB, Sonnenberg A. Co-morbid occurrence of laryngeal or pulmonary disease with esophagitis in United States military veterans. Gastroenterology 1997;113:755-60. 35. Bothwell MR, Parsons DS, Talbot A, Barbero GJ, Wilder B. Outcome of reflux therapy on pediatric chronic sinusitis. Otolaryngol Head Neck Surg 1999;121:255-62. 36. DiBaise JK, Huerter JV, Quigley EM. Sinusitis and gastroesophageal reflux disease. Ann Intern Med 1998;129:1078. 37. Oslen K, Kern E, Westbrook P. Sleep and breathing disturbance secondary to nasal obstruction. Otolaryngol Head Neck Surg 1981;89:804-10. 38. Klossek JM, Serrano E, Peloquin L, Percodani J, .ontanel JP, Pessey JJ. .unctional endoscopic sinus surgery and 109 mycetomas of paranasal sinuses. Laryngoscope 1997;107(1):112-7. 39. Brook I. The role of bacteria in chronic rhinosinusitis. Otolaryngol Clin N Am 2005;38(6):1171-92. 40. Thomas M, Yawn B, .okken W. European position paper on the primary care diagnosis and management of rhinosinusitis and nasal polyp 2007. Prim Care Resp J 2008;17(2):79-89. 41. .okkens WJ, Lund VJ, Mullol J, Bachert C, Cohen N, Cobo R, et al. European position paper on nasal polyp 2007. Rhinology 2007;45(suppl 20):1-139. 42. Dolor RJ, Witsell DL, Hellkamp AS. Comparison of cefuroxime with or without intranasal fluticasone for the treatment of rhinosinusitis. JAMA 2001;286(24):3097-105. 43. Helmberg K, Juliesson S, Balder B. .luticasone propionate aqueous nasal spray in the treatment of nasal polyposis. Ann Allergy Asthma Immunol 1997;78(3):270-6. 44. Cervin A, Wallwork B. Anti-inflammatory effects of macrolide antibiotics in the treatment of chronic rhinosinusitis. Otolaryngol Clin N Am 2005;38(6):1339-50. 45. Meltzer EO, Bachert C, Staudinger H. Treating acute rhinosinusitis: comparing efficacy and safety of mometasone furoate nasal spray, amoxicillin, and placebo. J Allergy Clin Immunol 2005;116(6):1289-95. 46. KhalilH, Nunez DA. .unctional endoscopic sinus surgery for chronic rhinosinusitis. Cochrane Database of Systematic Reviews 2006, Issue 3. Art. No.: CD004458. DOI: 0.1002/14651858.CD004458.pub2.
  • 284.
    àǪÈÒʵÏ·¹Âؤ 2553 Ñ 257 47. Krouse JH, Christmas DA, Jr. Powered instrumentation in functional endoscopic sinus surgery. II: A comparative study. Ear Nose Throat J 1996;75(1):42. 48. Hackman TG, .erguson BJ. Powered instrumentation and tissue effects in the nose and paranasal sinuses. Curr Opin Otolaryngol Head Neck Surg 2005;13(1):22-6. 49. Metson R, Cosenza M, Gliklich RE, Montgomery WW. The role of image-guidance systems for head and neck surgery. Arch Otolaryngol Head Neck Surg 1999;125:1100–4. 50. Tabaee A, Hsu AK, Shrime MG, Rickert S, Close LG. Quality of life and complications following image-guided endoscopic sinus surgery. Otolaryngol Head Neck Surg 2006;135:76–80.
  • 286.
    àǪÈÒʵÏ·¹Âؤ 2553 Ñ º··Õè 259 37 ¡ÒÃä´ŒÂÔ¹º¡¾Ã‹Í§ã¹à´ç¡â´ÂÀÒ¾ÃÇÁáÅСÒäѴ¡Ãͧ ¡ÒÃä´ŒÂÔ¹ã¹à´ç¡ááà¡Ô´ ÍÒ¨ÒÏ ᾷ˭ԧËÁ‹ÍÁËÅǧ ¡Ñ­­·Í§ ·Í§ãË­‹ ÀÒ¤ÇÔªÒâʵ ¹ÒÊÔ¡ ÅÒÃÔ§«Ç·ÂÒ ¤³Ðá¾·ÂÈÒʵÏÈÃÃÒª¾ÂÒºÒÅ ÁËÒÇÔ·ÂÒÅÑÂÁËÔ´Å Ô ÔÔ ¡ÒÃ䴌¹ÁÕ¤ÇÒÁÊíҤѭµ‹Í¡ÒþѲ¹Ò·Ò§ÊµÔ»­­Ò¢Í§Á¹ØÉ ੡ઋ¹à´ÕÂǡѺÃкº»ÃÐÊÒ· Ô ˜ ÃѺ¤ÇÒÁ ÃÙÊ¡´ŒÒ¹Í×¹æ à´ç¡·ÕÁâʵ»ÃÐÊÒ··Õ»¡µÔ¨Ð¿˜§àÊÕ§·Ø¡àÊÕ§·ÕÍÂÙÃÍºæ µÑǵѧᵋááà¡Ô´áÅÐ ŒÖ è è Õ è è ‹ é ¨Ð¾ÂÒÂÒÁàÅÕ¹àÊÕ§µ‹Ò§æ ¡‹Íà¡Ô´à»š¹¡ÒÃÊ×ÍÊÒ÷ѧ·Ò§´ŒÒ¹ÀÒÉÒáÅСÒþٴ áÁŒÇÒà´ç¡áµ‹ÅФ¹ è é ‹ ÁÕÅѡɳÐ੾ÒеÑǢͧ¡ÒþѲ¹Ò¡Ò÷ҧÀÒÉÒáÅСÒÃÊ×èÍÊÒ÷Õèᵡµ‹Ò§¡Ñ¹ â´Â·ÑèÇä»áÅŒÇ ¾ÄµÔ¡ÃÃÁ¢Í§à´ç¡·ÕµÍºÊ¹Í§µ‹ÍàÊÕ§µÒÁª‹Ç§ÍÒÂØµÒ§æ¨Ð¤ÅŒÒ¤ÅÖ§¡Ñ¹ ઋ¹ ã¹à´ç¡àÅç¡æ¨ÐÁÕÍÒ¡ÒÃ è ‹ ÊдاËÃ×ͼÇÒàÁ×Í䴌¹àÊÕ§´Ñ§ à´ç¡·ÕÍÒÂØà¡Ô¹ 6 à´×͹¨ÐÊÒÁÒöËѹä»ÁͧËÒµÒÁ·ÔȢͧáËÅ‹§¡íÒà¹Ô´ Œ è Ô è àÊÕ Â § ËÃ× Í àÁ×è Í à´ç ¡ ÍÒÂØ » ÃÐÁÒ³ 1 »‚ ¨ ÐÊÒÁÒö·í Ò µÒÁÊÑè § áÅÐàÃÔè Á àÃÕ Â ¡ª×è Í ËÃ× Í ¾Ù ´ ໚ ¹ ¤í Ò æ ੾ÒФíÒ§‹ÒÂæä´Œ ໚¹µŒ¹ (µÒÃÒ§·Õè 1) à´ç¡·ÕÁ¡ÒÃ䴌¹º¡¾Ã‹Í§µÑ§áµ‹ááà¡Ô´ËÃ×ÍÊÙ­àÊÕÂã¹ÃÐËNjҧ è Õ Ô é ¡ÒþѲ¹Ò·Ò§ÀÒÉÒ¨Ð໚¹ÍØ»ÊÃä·íÒãËŒ¡ÒþѲ¹Ò·Ò§ÀÒÉÒáÅСÒþٴµÔ´¢Ñ´áÅÐŋҪŒÒ à¡Ô´»˜­ËÒ ·Ò§´ŒÒ¹¡ÒÃÈÖ¡ÉÒ, ÊÀÒ¾¨Ôµã¨áÅСÒÃࢌÒÊѧ¤Á ´Ñ§¹Ñ¹ºÔ´ÒÁÒôÒËÃ×ͼٷã¡ÅŒª´à´ç¡¤ÇÃËÁѹÊѧࡵ é Œ Õè Ô è áÅÐʧÊÑÂNjҡÒÃ䴌¹¢Í§à´ç¡º¡¾Ã‹Í§¶ŒÒà´ç¡ÃÒÂã´ÁվĵԡÃÃÁ·ÕµÍºÊ¹Í§µ‹ÍàÊÕ§ªŒÒ¡Ç‹Òࡳ±, Ô è äÁ‹µÍº-ʹͧµ‹ÍàÊÕ§ËÃ×ÍäÁ‹¾´·Ñ§æ·Õà¤Â·íÒä´Œ ¨Ö§¤ÇÃÃÕº»ÃÖ¡ÉÒᾷà¾×͵ÃǨÇÔ¹¨©ÑÂ, ÃÑ¡ÉÒáÅÐ Ù é è è Ô ¿„¹¿ÙÊÁÃöÀÒ¾¡ÒÃ䴌¹䴌Í‹ҧ·Ñ¹·‹Ç§·Õ œ Ô ÀÒÇк¡¾Ã‹Í§·Ò§¡ÒÃ䴌¹¢Í§à´ç¡ÁÕËÅÒÂẺ, ËÅÒÂÃдѺ ÍÒ¨¾ºä´Œã¹ËÙ¢Ò§à´ÕÂÇËÃ×ͷѧ Ô Œ é 2 ¢ŒÒ§ 䴌ᡋ ÃдѺËÙµÖ§¹ŒÍ¨¹¶Ö§ÃдѺËÙ˹ǡ, ໚¹áººªÑèǤÃÒÇ (temporary) ËÃ×ÍẺ¶ÒÇà (permanent), ÁÕÁÒᵋ¡Òà¹Ô´ (congenital) ËÃ×Íà¡Ô´¢Ö¹ÀÒÂËÅѧ (acquired), ໚¹¤ÇÒÁ¼Ô´»¡µÔ¢Í§¡Òà í é ¹íÒàÊÕ§ (conductive) ËÃ×ÍÃкº»ÃÐÊÒ· (sensorineural) ËÃ×ÍẺ¼ÊÁ (Mixed Hearing loss) ÁÕ»¨¨ÑÂËÅÒ»ÃСÒ÷ÕÍҨʋ§¼Å¡Ãзºµ‹Í¡Ò÷íÒ§Ò¹¢Í§ËÙáÅÐÃкº»ÃÐÊÒ· ·íÒãËŒà´ç¡¡ÅØÁ ˜ è ‹ ¹ÕÁâÍ¡ÒÊàÊÕ§µ‹Í¡ÒÃ䴌¹º¡¾Ã‹Í§ ẋ§ä´Œ 2 ÊÒà˵Ø(1) â´Â¡ÇŒÒ§ ¤×Í µÑ§áµ‹¡Òà¹Ô´ áÅÐ ÀÒÂËÅѧ é Õ è Ô é í ¡ÒÃà¡Ô´
  • 287.
    260 ¡ÒÃ䴌¹º¡¾Ã‹Í§ã¹à´ç¡â´ÂÀÒ¾ÃÇÁáÅСÒäѴ¡Ãͧ¡ÒÃ䴌¹ã¹à´ç¡ááà¡Ô´ Ô Ô ÊÒà˵طÍÒ¨·íÒãËŒà¡Ô´¡ÒÃ䴌¹º¡¾Ã‹Í§µÑ§áµ‹¡Òà¹Ô´ä´Œá¡‹ Õè Ô é í ! ¡ÒõԴàª×ͧ͢·ÒáµÑ§áµ‹ÍÂÙ㹤ÃÃÀÁÒÃ´Ò àª‹¹ ËÑ´àÂÍÃÁѹ, «Ô¿ÅÊ à»š¹µŒ¹ é é ‹ Ô ! ÀÒÇÐá·Ã¡«ŒÍ¹ËÅѧà¡Ô´ ઋ¹ µÑÇàËÅ×ͧ¨¹µŒÍ§à»ÅÕ¹¶‹ÒÂàÅ×Í´, à´ç¡ááà¡Ô´¹éÒ˹ѡ¹ŒÍÂ, è í à´ç¡µŒÍ§ÍÂÙã¹ËÍÍÀÔºÒżٻÇÂà´ç¡ááà¡Ô´¹Ò¹¡Ç‹Ò 5 Çѹ, µÔ´àª×Í㹡ÃÐáÊàÅ×Í´áÅÐä´ŒÂÒ ‹ Œ † é »¯ÔªÇ¹Ð·ÕÁ¾Éµ‹ÍË٠໚¹µŒ¹ Õ è Õ Ô ! à´ç¡·ÕÁÊÁͧËÃ×ÍÃкº»ÃÐÊÒ··Õ¼´»¡µÔ «Ö§ÃÇÁ¶Ö§¡ÒõԴàª×ͧ͢ÊÁͧáÅÐàÂ×ÍËØÁÊÁͧ è Õ è Ô è é è Œ ! à´ç¡·ÕÁ¤ÇÒÁ¼Ô´»¡µÔ¢Í§¡ÒÃà¨ÃÔ­¢Í§°Ò¹¡ÐâËÅ¡, ãºË¹ŒÒáÅÐËÙ è Õ ! âä·Ò§¾Ñ¹¸Ø¡ÃÃÁ·Ñ§·Õ໚¹¡ÅØÁÍÒ¡ÒÃáÅÐäÁ‹ãª‹¡ÅØÁÍÒ¡Òà é è ‹ ‹ ! à´ç¡·ÕÁ¤¹ã¹¤Ãͺ¤ÃÑÇÁÕ¡ÒÃ䴌¹º¡¾Ã‹Í§áµ‹¡Òà¹Ô´áºº¶ÒÇà è Õ Ô í ÊÒà˵طÍÒ¨·íÒãËŒà¡Ô´¡ÒÃ䴌¹º¡¾Ã‹Í§ÀÒÂËÅѧ¡ÒÃà¡Ô´ 䴌ᡋ Õè Ô ! âä¢Í§ËÙª¹¹Í¡áÅÐËÙª¹¡ÅÒ§ ઋ¹ ËÙª¹¡ÅÒ§ÍÑ¡àʺ, ᡌÇËÙ·ÐÅØ, ¹éÒã¹ËÙª¹¡ÅÒ§áÅÐ Ñé Ñé Ñé í Ñé ¢ÕËÍ´µÑ¹ ໚¹µŒ¹ é ÙØ ! ¡ÒõԴàª×Í·Õà¡Ô´¢Ö¹ÀÒÂËÅѧ ઋ¹ àÂ×ÍËØÁÊÁͧÍÑ¡àʺ, ¤Ò§·ÙÁ ໚¹µŒ¹ é è é è Œ ! ÍѹµÃÒµ‹ÍËÙª¹ã¹¨Ò¡¡ÒÃ䴌¹àÊÕ§´Ñ§à¡Ô¹¡íÒ˹´ Ñé Ô ! ÍØºµà˵طҧÈÕÃÉÐâ´Â੾Òаҹ¡ÐâËšᵡËÑ¡ Ñ Ô ! ¡ÒÃä´ŒÂÒ·ÕÁ¾Éµ‹ÍË٠ઋ¹ ÂÒ»¯ÔªÇ¹Ð, ÂÒà¤ÁպҺѴ ໚¹µŒ¹ è Õ Ô Õ í ¹Í¡¨Ò¡¡ÒÃÊѧࡵ¾ÄµÔ¡ÃÃÁ¢Í§à´ç¡µ‹Í¡Òõͺʹͧ¢Í§àÊÕ§áÅŒÇ »˜¨¨ØºÑ¹ÁÕ¡ÒõÃǨ ÇÔ¹¨©Ñ¤Ѵ¡ÃͧÀÒÇСÒÃ䴌¹º¡¾Ã‹Í§ã¹à´ç¡µÑ§áµ‹ááà¡Ô´·Ø¡ÃÒ (universal newborn hearing Ô Ô é screening) à¾ÃÒФÇÒÁªØ¡¢Í§à´ç¡·ÕÁ¡Òú¡¾Ã‹Í§·Ò§¡ÒÃ䴌¹ᵋ¡Òà¹Ô´áºº¶ÒÇ÷ѧÊͧ¢ŒÒ§¾ºä´Œ è Õ Ô í é »ÃÐÁÒ³ 1 – 3 ¤¹µ‹Íà´ç¡ááà¡Ô´Áժǵ 1,000 ¤¹(2) ´Ñ§¹Ñ¹¡ÒÃ䴌¹º¡¾Ã‹Í§áµ‹¡Òà¹Ô´¨Ö§¶×Íä´ŒÇÒ ÕÔ é Ô í ‹ ¾ºä´Œº‹Í·ÕèÊØ´ã¹¤ÇÒÁ¼Ô´»¡µÔᵋááà¡Ô´ áÁŒÇ‹Òà´ç¡ááà¡Ô´·Õè໚¹¡ÅØ‹ÁàÊÕè§«Öè§ÁÕÊÒà˵آŒÒ§µŒ¹ ¨Ð¾ºã¹ÍѵÃÒ·ÕèÊÙ§¡Ç‹Òà´ç¡ááà¡Ô´·ÑèÇä» 10 – 20 à·‹Ò(3) ᵋ»ÃÐÁÒ³¤ÃÖè§Ë¹Ö觢ͧà´ç¡·Õè¾ºÇ‹Ò ÁÕ¤ÇÒÁº¡¾Ã‹Í§·Ò§¡ÒÃ䴌¹µÑ§áµ‹¡Òà¹Ô´à»š¹à´ç¡·Õà¡Ô´»¡µÔáÅÐäÁ‹ÁÀÒÇÐàÊÕÂ§ã´æ(4) ¨Ö§à»š¹àËµØ¼Å Ô é í è Õ è ·ÕÁ¡ÒõÃǨ¤Ñ´¡Ãͧ¡ÒÃ䴌¹ᡋà´ç¡ááà¡Ô´·Ø¡ÃÒ â´Â੾ÒÐã¹»ÃÐà·È·Õ¾²¹ÒáÅŒÇ è Õ Ô è Ñ ¡ÒõÃǨ¤Ñ´¡Ãͧ¡ÒÃ䴌¹ã¹à´ç¡ááà¡Ô´·Ø¡ÃÒ 㹻˜¨¨Øº¹ÁÕ໇ÒËÁÒÂà¾×͵ÃǨËÒà´ç¡·ÕÁÕ Ô Ñ è è ¡ÒÃ䴌¹º¡¾Ã‹Í§ÁÒ¡¡Ç‹Ò 30 – 40 à´«ÔàºÅ¢Ö¹ä»(1) ã¹à´ç¡µÑ§áµ‹ááà¡Ô´¨¹¶Ö§ÍÒÂØ 1 à´×͹ â´Â㪌 Ô é é à¤Ã×ͧµÃǨÍѵâ¹Áѵà¾×͵ÃǨ¤ÇÒÁ¼Ô´»¡µÔ¢Í§ËÙª¹ã¹ â´Â㪌 Otoacoustic Emission (OAE) ËÃ×Í è Ô è Ñé µÃǨ¤ÇÒÁ¼Ô´»¡µÔÃдѺ¡ŒÒ¹ÊÁͧâ´Â㪌 Automated Auditory Brainstem Response (AABR) «Ö§à¤Ã×ͧ·Ñ§ 2 Ẻ¹ÕÁ¢Í´ÕáÅТŒÍàÊÕÂᵡµ‹Ò§¡Ñ¹ä» ᵋ¶Òà´ç¡ááà¡Ô´ã¹ËÍÍÀÔºÒÅËÃ×Í·ÕÁ¤ÇÒÁàÊÕ§ è è é é ÕŒ Œ è Õ è ¤ÇÃ㪌 à ¤Ã×è Í §µÃǨ¤ÇÒÁ¼Ô ´ »¡µÔ Ã Ð´Ñ º ¡Œ Ò ¹ÊÁͧ à¾ÃÒÐÊÒÁÒöÇÔ ¹Ô ¨ ©Ñ  âä·Õè ÁÕ ¤ ÇÒÁ¼Ô ´ ¢Í§ àÊŒ¹»ÃÐÊÒ·ä´Œ ઋ¹ auditory neuropathy(1) ÁÑ¡¹ÔÂÁµÃǨ 2 ¢Ñ¹µÍ¹ (2-step protocol) ˋҧ¡Ñ¹ é 4-6 ÊÑ»´Òˏ´ÇÂà¤Ã×ͧÁ×Íà´ÔÁËÃ×Í ABR ¶ŒÒà´ç¡ÃÒÂ㴼šÒõÃǨ¤Ñ´¡ÃͧäÁ‹¼Ò¹¤ÇõÃǨ«éÒà¾×ÍÂ×¹ Œ è ‹ í è ÂѹNjÒÁÕ¡ÒÃ䴌¹º¡¾Ã‹Í§ËÃ×ÍäÁ‹àÁ×ÍÍÒÂØ»ÃÐÁÒ³ 3 ¶Ö§ 6 à´×͹ à¾×ÍÃѺ¡Òÿ„¹¿ÙÊÀÒ¾¡ÒÃ䴌¹Í‹ҧ Ô è è œ Ô
  • 288.
    àǪÈÒʵÏ·¹Âؤ 2553 Ñ 261 àËÁÒÐÊÁÀÒÂã¹ÍÒÂØ»ÃÐÁÒ³ 6 à´×͹ ઋ¹ 㪌à¤Ã×èͧª‹Ç¿˜§ ËÅѧ¨Ò¡¹Ñ鹤ÇõԴµÒÁ¼Åµ‹Íà¹×èͧ ËÅѧ¡ÒÃ㪌à¤Ã×ͧª‹Ç¿˜§ Ç‹Òà´ç¡ÁÕ¾²¹Ò¡Ò÷ҧÀÒÉÒáÅСÒþٴ´Õ¢¹ËÃ×ÍäÁ‹áÅеÒÁ·Ñ¹à´ç¡ÇÑÂà´ÕÂÇ è Ñ Öé ¡Ñ¹·ÕÁ¡ÒÃ䴌¹»¡µÔËÃ×ÍäÁ‹, ¡ÒÃÊÙ­àÊÕ¡ÒÃ䴌¹à¾ÔÁ¢Ö¹ËÃ×ÍäÁ‹ (á¼¹ÀÙÁ·Õè 1) è Õ Ô Ô è é Ô áÁŒÇÒà´ç¡·Õ¼Ò¹¡ÒäѴ¡Ãͧ¡ÒõÃǨ¡ÒÃ䴌¹ãËŒËÒ áµ‹à»š¹à´ç¡ã¹¡ÅØÁàÊÕ§ËÃ×Íà´ç¡·ÕÁ»­ËÒ ‹ è ‹ Ô ‹ è è Õ ˜ ·Ò§Ë٠ઋ¹ ¹éÒã¹ËÙª¹¡ÅÒ§¡ç¤ÇÃÁÒÃѺ¡ÒõÃǨ¤Ñ´¡Ãͧ«éÒ໚¹ÃÐÂÐ æ ¨¹¶Ö§ÍÒÂØ»ÃÐÁÒ³ 2 – 3 »‚ í Ñé í Í‹ҧäáçµÒÁà´ç¡·Ø¡ÃÒ¤ÇÃ䴌ú¡ÒôÙáÅàÍÒã¨ãÊ‹áÅеÃǨÇÔ¹¨©Ñ àÁ×ÍÁվĵԡÃÃÁ¡Òõͺʹͧ Ñ Ô è µ‹ÍàÊÕ§·Õ¼´»¡µÔä» è Ô àÁ×;ºÇ‹Òà´ç¡ÍÒ¨ÁÕ»­ËÒ·Ò§¡ÒÃ䴌¹ ÇÔ¸¡ÒõÃǨ·Ò§¡ÒÃ䴌¹à¾×ÍÂ×¹ÂѹÀÒÇСÒÃ䴌¹ è ˜ Ô Õ Ô è Ô º¡¾Ã‹Í§ ᾷ¤ÇõŒÍ§ËÒÊÒà˵Øâ´Â¡ÒõÃǨËҧ¡ÒÂÇ‹ÒÁÕ¤ÇÒÁ¼Ô´»¡µÔ¢Í§ÃкºÍ×è¹Ã‹ÇÁ´ŒÇ ËÃ×ÍäÁ‹ ÊÒÁÒö¨Ñ´à»š¹¡ÅØÁÍÒ¡ÒÃËÃ×Íâä·Ò§¾Ñ¹¸Ø¡ÃÃÁä´ŒËÃ×ÍäÁ‹ à¾ÃÒÐ໚¹ÊÒà˵آͧà´ç¡·ÕÁ¡Òà ‹ è Õ º¡¾Ã‹Í§·Ò§¡ÒÃ䴌¹ᵋ¡Òà¹Ô´¶Ö§ÃŒÍÂÅÐ 50 ¹Í¡¨Ò¡¹Õâä¹éÒã¹ËÙª¹¡ÅÒ§áÅÐâäËÙª¹¡ÅÒ§ÍÑ¡àʺ Ô í é í Ñé Ñé ໚¹âä·Õ¾ºº‹ÍÂã¹à´ç¡ è µÒÃÒ§·Õè 1 ¾Ñ²¹Ò¡Ò÷ҧÀÒÉÒ·Ñé§·Ñ¡ÉСÒÿ˜§áÅСÒþٴ¢Í§à´ç¡â´Â·ÑèÇä»(5) ÍÒÂØ ¾Ñ²¹Ò¡Òà ááà¡Ô´ – 3 à´×͹ - ÊдاàÁ×Í䴌¹àÊÕ§´Ñ§ Œ è Ô - »¯Ô¡ÃÂҵͺʹͧ ઋ¹ ÂÔÁ, à§Õº, ¾‹ÍáÁ‹(¼ÙàÅÕ§´Ù)¾Ù´¤ØÂ´ŒÇ ÔÔ é Œ é - ´Ù´¹ÁªŒÒŧËÃ×Í´Ù´¹ÁàÃçÇ¢Ö¹àÁ×Í䴌¹àÊÕ§ é è Ô - ´ÙàËÁ×͹¨Ð¨íÒàÊÕ§¾‹ÍáÁ‹ä´Œ áÅÐËÂØ´ÃŒÍ§äËŒ - ·íÒàÊÕ§͌ÍáÍŒã¹ÅíÒ¤ÍàÁ×;ٴ´ŒÇ è - Ìͧäˌᵡµ‹Ò§¡Ñ¹ä»àÁ×ͤÇÒÁµŒÍ§¡Òõ‹Ò§¡Ñ¹ è - ÂÔÁàÁ×ÍÁͧàËç¹¾‹ÍáÁ‹ é è 4 – 6 à´×͹ - ¡ÅÍ¡µÒä»Âѧ·ÔÈ·Ò§¢Í§áËÅ‹§·ÕÁҢͧàÊÕ§ è - ÁÕ»¯Ô¡ÃÂÒµ‹Í¹éÒàÊÕ§ (tone) ·Õà»ÅÕ¹仢ͧ¤¹¾Ù´áÅÐʹã¨àÊÕ§à¾Å§ ÔÔ í è è - ªÍº¢Í§àÅ‹¹·Õ·ÒàÊÕ§䴌è í - ·íÒàÊÕ§ÊÙ§æµèÒæàËÁ×͹àÊÕ§¾Ù´ í - Ê‹§àÊÕ§ÌͧàÁ×͵׹ൌ¹´Õã¨ËÃ×ÍäÁ‹¾Í㨠è è - àÅ‹¹àÊÕ§ã¹ÅíÒ¤ÍàÁ×ÍÍÂÙ¤¹à´ÕÂÇËÃ×ÍàÅ‹¹¡Ñº¾‹ÍáÁ‹ è ‹ 7 à´×͹ – 1 »‚ - ʹء¡Ñº¡ÒÃàÅ‹¹ “¨ÐàÍŽ” - ËѹáÅÐÁͧä»Âѧ·ÔÈ·Ò§¢Í§áËÅ‹§·ÕÁҢͧàÊÕ§ è - ËÂØ´¿˜§àÁ×;‹ÍáÁ‹¾´´ŒÇ è Ù - ¨´¨íÒ¤íÒ§‹Ò æ (·Õ㪌㹪Õǵ»ÃШíÒÇѹ)䴌ઋ¹ “¢ŒÒÇ”,“ËÁèÒ” è Ô í - àÃÔÁÁÕ»¯Ô¡ÃÂҵͺʹͧËÃ×Í·íÒµÒÁ¤íÒ¢Í àª‹¹ ¤ÅÒ¹ËÃ×Íà´Ô¹ÁÒËÒàÁ×Í è ÔÔ è 䴌¹àÊÕ§àÃÕ¡, ¾Âѡ˹ŒÒ ËÃ×;ٴ “àÍÒ” ËÃ×ͶÒÁÇ‹Ò “àÍÒäËÁ” Ô
  • 289.
    262 ¡ÒÃ䴌¹º¡¾Ã‹Í§ã¹à´ç¡â´ÂÀÒ¾ÃÇÁáÅСÒäѴ¡Ãͧ¡ÒÃ䴌¹ã¹à´ç¡ááà¡Ô´ Ô Ô ÍÒÂØ ¾Ñ²¹Ò¡Òà - ¾Ù´à»š¹¤íÒ·ÕäÁ‹Á¤ÇÒÁËÁÒ ઋ¹ “´Ò´Ò”, “ºÙºº” è Õ Ù Ù - ¾ÂÒÂÒÁÊ×ÍÊÒäÇÒÁµŒÍ§¡ÒÃâ´Â¾Ù´ËÃ×Í㪌àÊÕ§µ‹Ò§ æ â´ÂäÁ‹ä´ŒÃͧäËŒ è Œ Í‹ҧà´ÕÂÇ - àÅÕ¹àÊÕ§¤íÒ¾Ù´ä´ŒÁÒ¡¢Ö¹ é - ¾Ù´ä´Œ 1 ËÃ×Í 2 ¤íÒ àª‹¹ “ºÒºÒ” “áÁ‹” (áÁŒÇҨоٴäÁ‹ª´) ‹ Ñ 1 – 2 »‚ - ÊÒÁÒöªÕºÍ¡Ê‹Ç¹µ‹Ò§ æ ¢Í§Ã‹Ò§¡ÒÂä´ŒàÁ×Ͷ١¶ÒÁ ઋ¹ ªÕä»·ÕËÙ é è é è àÁ×ͶÒÁÇ‹Ò “ËÙÍÂÙä˹” è ‹ - ·íÒµÒÁ¤íÒÊѧ§‹ÒÂæáÅÐࢌÒ㨤íÒ¶ÒÁ§‹ÒÂæä´Œ ઋ¹ “àµÐºÍÅÁÒ”, è “ä»à·ÕÂÇäËÁ” è - ªÍº¿˜§¹Ô·Ò¹ËÃ×Íà¾Å§§‹ÒÂæ - ÊÒÁÒö¾Ù´¤íÒãËÁ‹æ à¾ÔÁ¢Ö¹·Ø¡à´×͹ è é - àÁ×Íã¡ÅŒÍÒÂØ 2 »‚ ¨ÐÊÒÁÒö¾Ù´ä´Œ 2 ¤íÒµÔ´¡Ñ¹ ઋ¹ “àÍÒÍÕ¡”, “¡Ô¹¹Á” è 2 – 3 »‚ - ࢌÒ㨤íÒ·ÕÁ¤ÇÒÁËÁÒµç¡Ñ¹¢ŒÒÁ ઋ¹ “àÅç¡ – ãË­‹” “º¹ – ŋҧ” è Õ - ·íÒµÒÁ¤íÒÊѧ«ŒÍ¹ 2 ¤íÒÊѧ䴌 ઋ¹ “ËÂÔº¢Í§àÅ‹¹ä»ãÊ‹¡Å‹Í§” è è - ¾Ù´»ÃÐ⤠2 – 3 ¤íÒä´Œ
  • 290.
    àǪÈÒʵÏ·¹Âؤ 2553 Ñ 263 OAE = Otoacoustic Emission; AABR = Automated Auditory Brainstem Response; ABR= Auditory Brainstem Response á¼¹ÀÙÁÔ·Õè 1 ¢Ñ鹵͹¡ÒäѴ¡Ãͧ¡ÒÃä´ŒÂÔ¹à´ç¡ááà¡Ô´ã¹âç¾ÂÒºÒÅ(6)
  • 291.
    264 ¡ÒÃ䴌¹º¡¾Ã‹Í§ã¹à´ç¡â´ÂÀÒ¾ÃÇÁáÅСÒäѴ¡Ãͧ¡ÒÃ䴌¹ã¹à´ç¡ááà¡Ô´ Ô Ô àÍ¡ÊÒÃ͌ҧÍÔ§ 1. Joint committee on infant hearing: American Academy of Audiology; American Academy of Pediatrics; American Speech-Language-Hearing Association; Directors of Speech and Hearing Programs in State Health and Welfare Agencies. Year 2007 position statement: Principles and Guidelines for Early Hearing Detection and Intervention Programs. Pediatrics. 2008; 120(4): 898-921. 2. Nelson HD, Bougatsos C, Nygren P, Universal newborn hearing screening: Systematic review to update the 2001 US preventive services task force recommendation. Pediatrics. 2008; 122(1):e266-76. 3. White KR, Vohr BR, Behrens TR. Universal newborn hearing screening using transient evoked otoacoustic emissions: results of the Rhode Island hearing assessment project. Semin Hear. 1993; 14:18-29. 4. Mehl AL, Thomson V. The Colorado newborn hearing screening project, 1992-1999: on the threshold of effective population-based universal newborn hearing screening. Pediatrics. 2002; 109(1). Available at: www. Pediatrics.org/cgi/content/full/109/1/e7 5. American Speech-Language-Hearing Association. www.asha.org 6. Atipas S, Chongkolwatana C. Newborn hearing screening: Overview. Siriraj Med J. 2009: 224-27.
  • 292.
    àǪÈÒʵÏ·¹Âؤ 2553 Ñ º··Õè 265 38 ¡ÒÃÊÙ­àÊÕ¡ÒÃä´ŒÂÔ¹¨Ò¡¡ÒùíÒàÊÕ§àÊ×èÍÁã¹¼ÙŒ»†ÇÂà´ç¡ ÍÒ¨ÒÏ ¹ÒÂᾷÍÒªÇÔ¹·Ã µÑ¹ä¾¨ÔµÃ ÀÒ¤ÇÔªÒâʵ ¹ÒÊÔ¡ ÅÒÃÔ§«Ç·ÂÒ ¤³Ðá¾·ÂÈÒʵÏÈÃÃÒª¾ÂÒºÒÅ ÁËÒÇÔ·ÂÒÅÑÂÁËÔ´Å Ô ÔÔ Overview ÀÒÇСÒÃÊÙ­àÊÕ¡ÒÃ䴌¹¨Ò¡¡ÒùíÒàÊÕ§àÊ×ÍÁ ¹Ñºä´ŒÇÒ໚¹ÊÒà˵آͧ¡ÒÃÊÙ­àÊÕ¡ÒÃ䴌¹ Ô è ‹ Ô ã¹à´ç¡·Õ辺䴌º‹Í ¨Ö§à»š¹¤ÇÒÁ¨íÒ໚¹·Õèâʵ ÈÍ ¹ÒÊԡᾷ ¡ØÁÒÃᾷ ÃÇÁ·Ñ駺ؤÅÒ¡Ã ·Ò§¡ÒÃᾷ¨ÐµŒÍ§ÁÕ¤ÇÒÁÃÙŒ ¤ÇÒÁࢌÒ㨠㹡ÒôÙáÅÃÑ¡ÉÒ¼ÙŒ»†Ç º·¤ÇÒÁ¹Õé¨Ð¡Å‹ÒǶ֧ÊÒà赯 ¢Í§ÀÒÇСÒÃÊÙ­àÊÕ¡ÒÃ䴌¹¨Ò¡¡ÒùíÒàÊÕ§àÊ×ÍÁã¹¼Ù»ÇÂà´ç¡ ÃÇÁ¶Ö§¡ÒôÙáÅÃÑ¡ÉÒ â´Â¨Ð์¹ Ô è Œ † àÃ×ͧËÙª¹¡ÅÒ§ÍÑ¡àʺ (otitis media) «Ö§¾ºä´ŒºÍ·ÕÊ´ (1) è Ñé è ‹ èØ Background ä´ŒÁ¡ÒÃÈÖ¡ÉÒà¡ÕÂǡѺÃкҴÇÔ·ÂҢͧâäËÙª¹¡ÅÒ§ÍÑ¡àʺ â´Â¾ºÇ‹ÒÃŒÍÂÅÐ 62 ¢Í§à´ç¡ Õ è Ñé ÍÒÂØ 1 »‚ à¤Â໚¹ËÙª¹¡ÅÒ§ÍÑ¡àʺẺà©Õº¾Åѹ (acute otitis media ËÃ×Í AOM) Í‹ҧ¹ŒÍ 1 ¤Ãѧ Ñé é áÅÐÃŒÍÂÅÐ 17 à¤Â໚¹ÁÒ¡¡Ç‹Ò 3 ¤Ãѧ ¹Í¡¨Ò¡¹Õ§¾ºÇ‹ÒÃŒÍÂÅÐ 83 ¢Í§à´ç¡ÍÒÂØ 3 »‚à¤Â໚¹ AOM é é Ñ Í‹ҧ¹ŒÍ 1 ¤Ãѧ áÅÐÃŒÍÂÅÐ 46 à¤Â໚¹ÁÒ¡¡Ç‹Ò 3 ¤Ãѧ é é ÁÕÃÒ§ҹ¾ºÇ‹ÒÃŒÍÂÅÐ 90 ¢Í§à´ç¡ ÁÕÀÒÇйéÒã¹ËÙª¹¡ÅÒ§ (otitis media with effusion ËÃ×Í í Ñé OME) 㹪‹Ç§¡‹Í¹ÇÑÂàÃÕ¹ â´Â¾ºÁҡ㹪‹Ç§ÍÒÂØ 6 à´×͹ ¶Ö§ 4 »‚(3) 㹪‹Ç§¢Çº»‚áá ÃŒÍÂÅÐ 50 (2) ¢Í§à´ç¡à¤Â໚¹ OME áÅÐÁÒ¡¡Ç‹ÒÃŒÍÂÅÐ 60 ¢Í§à´ç¡·ÕÍÒÂØ 2 »‚ à¤Â໚¹ OME(4) ¹Í¡¨Ò¡¹Õ§¾ºÇ‹Ò è é Ñ ¼ÙŒ»†Ç·Õè໚¹ OME ÁÑ¡ÁÕ¡ÒÃÊÙ­àÊÕ¡ÒÃä´ŒÂԹẺ¡ÒÃÊÙ­àÊÕ¡ÒÃä´ŒÂÔ¹¨Ò¡¡ÒùíÒàÊÕ§àÊ×èÍÁ (conductive hearing loss) â´ÂÍÒ¨Áռŵ‹Í¡Òÿ˜§àÊÕ§ ¡ÒèѺ·ÔÈ·Ò§¢Í§àÊÕ§ áÅÐÂѧÍÒ¨·íÒãËŒ ÁÕ»­ËҾѲ¹Ò¡ÒôŒÒ¹ÀÒÉÒáÅСÒÃàÃÕ¹䴌(5) ˜ ¤íÒ¹ÔÂÒÁ ¡ÒÃÊÙ­àÊÕ¡ÒÃä´ŒÂÔ¹¨Ò¡¡ÒùíÒàÊÕ§àÊ×èÍÁ (conductive hearing loss) ËÁÒ¶֧ ¤ÇÒÁ ¼Ô´»¡µÔ¢Í§¡Åä¡¡ÒùíÒàÊÕ§ «Ö§à¡Ô´¢Ö¹·Õ˪¹¹Í¡áÅÐËÙª¹¡ÅÒ§ 䴌ᡋ ¤ÇÒÁµÕºá¤º¢Í§ª‹Í§ËÙ ¡ÒÃÊѹ è é è Ù Ñé Ñé è ÊÐà·×͹¢Í§á¡ŒÇËÙ ¡Å䡢ͧ¡Ãд١ÃÙ»¤ŒÍ¹ ·Ñ§ â¡Å¹ ã¹ËÙª¹¡ÅÒ§ ¡‹Í¹·Õ¨Ð¹íÒ¾Åѧ§Ò¹àÊÕ§ä»ÊÙËÙ è Ñé è ‹ ªÑ¹ã¹¼‹Ò¹·Ò§ oval window é
  • 293.
    266 ¡ÒÃÊÙ­àÊÕ¡ÒÃä´ŒÂÔ¹¨Ò¡¡ÒùíÒàÊÕ§àÊ×èÍÁã¹¼ÙŒ»†ÇÂà´ç¡ ËÙªÑ鹡ÅÒ§ÍÑ¡àʺ (otitis media) ËÁÒ¶֧ ¡ÒÃÍÑ¡àʺ¢Í§ËÙª¹¡ÅÒ§ ÃÇÁ·Ñ§ mastoid air Ñé é cells áÅÐ temporal bone â´Â»ÃСͺ´ŒÇ ËÙª¹¡ÅÒ§ÍÑ¡àʺẺà©Õº¾Åѹ (acute otitis media Ñé ËÃ×Í AOM) ÀÒÇСÒÃÁÕ¹Òã¹ËÙª¹¡ÅÒ§ (otitis media with effusion ËÃ×Í OME) áÅÐ ËÙª¹¡ÅÒ§ÍÑ¡àʺ éí Ñé Ñé ẺàÃ×ÍÃѧ (chronic otitis media ËÃ×Í COM) é ¾ÂÒ¸ÔÊÃÕÃÇÔ·ÂÒ áÅоÂÒ¸ÔÊÀÒ¾ Middle ear cleft »ÃСͺ´ŒÇÂËÙª¹¡ÅÒ§ (middle ear) mastoid air cells ÃÇÁ·Ñ§ Eustachian Ñé é tube «Ö§à»š¹·Ò§µÔ´µ‹Í¡Ñ¹ÃÐËNjҧËÙª¹¡ÅÒ§áÅÐâ¾Ã§ËÅѧ¨ÁÙ¡ (nasopharynx) â´Â Eustachian tube è Ñé ·íÒ˹ŒÒ·Õè 3 »ÃСÒà 䴌ᡋ 1) ventilation â´Â»ÃѺ¤ÇÒÁ´Ñ¹ÀÒÂã¹ËÙª¹¡ÅÒ§ãˌ෋ҡѺºÃÃÂÒ¡ÒÈ Ñé ÀÒ¹͡ 2) protection â´Â»‡Í§¡Ñ¹äÁ‹ãËŒàª×Íâä¨Ò¡â¾Ã§ËÅѧ¨Á١ࢌÒÊÙ˪¹¡ÅÒ§ áÅÐ 3) drainge é ‹ Ù Ñé â´Â໚¹·Ò§ÃкÒ¢ͧàËÅÇã¹ËÙª¹¡ÅÒ§ÊÙâ¾Ã§ËÅѧ¨ÁÙ¡ ã¹ÀÒÇл¡µÔ Eustachian tube ¨Ð»´ ᵋ Ñé ‹ ¨Ðແ´ã¹¡Ã³Õ·Á¡ÒâÂѺ¢Í§ soft palate ઋ¹¢³Ð¡Å×¹¹éÒÅÒ 㹡óշÕè Eustachian tube ·íÒ§Ò¹ Õè Õ í ¼Ô´»¡µÔ (eustachian tube dysfunction) ઋ¹ ÁÕ¡ÒúÇÁ¨Ò¡¡ÒõԴàª×ÍäÇÃÑÊ ¨Ð·íÒãËŒäÁ‹ÊÒÁÒö»ÃѺ é ¤ÇÒÁ´Ñ¹ã¹ËÙª¹¡ÅÒ§ä´ŒµÒÁ»¡µÔ ÍÒ¡ÒÈ·ÕÍÂÙã¹ËÙª¹¡ÅҧŴŧ ¤ÇÒÁ´Ñ¹ã¹ËÙª¹¡Åҧ໚¹Åº à¡Ô´ÀÒÇÐ Ñé è ‹ Ñé Ñé ¹éҤѧã¹ËÙª¹¡ÅÒ§ (middle ear effusion) â´ÂÍÒ¨äÁ‹Áàª×Íâä ËÃ×ÍÁÕàª×ÍäÇÃÑÊËÃ×ÍẤ·ÕàÃÕ¡çä´Œ í è Ñé Õ é é ¹Í¡¨Ò¡¹Õé àª×Íâä¨Ò¡â¾Ã§ËÅѧ¨ÁÙ¡ÂѧÊÒÁÒö¼‹Ò¹ Eustachian tube ࢌÒÊÙ˪¹¡ÅÒ§ä´Œ´ÇÂ é ‹ Ù Ñé Œ ã¹à´ç¡àÅ硹Ñé¹ÁÕâÍ¡ÒÊà¡Ô´ËÙªÑ鹡ÅÒ§ÍÑ¡àʺ䴌§‹Ò¡NjҼٌãË­‹ à¹×èͧ¨Ò¡ Eustachian tube Êѹ¡Ç‹ÒáÅÐ ÇÒ§µÑÇã¹á¹Ç¹Í¹ÁÒ¡¡Ç‹Òã¹¼ÙãË­‹ áÅСŌÒÁà¹×Í tensor veli palatini «Ö§·íÒ˹ŒÒ·Õແ´ é Œ é è è Eustachian tube ·íÒ§Ò¹ÂѧäÁ‹ÊÁºÙó ËÙª¹¡ÅÒ§ÍÑ¡àʺẺà©Õº¾Åѹ (acute otitis media ËÃ×Í AOM) ໚¹¡ÒÃÍÑ¡àʺà©Õº¾Åѹ Ñé à¹×ͧ¨Ò¡¡ÒõԴàª×ͧ͢ËÙª¹¡ÅÒ§ â´Âàª×Í·Õ໚¹ÊÒà˵ط¾ºº‹Í 䴌ᡋ Streptococcus pneumoniae, è é Ñé é è Õè Hemophilus influenzae áÅÐ Moraxella catarrhalis ʋǹàª×ÍÍ×¹·ÕÁÃÒ§ҹNjҾºä´Œ ઋ¹ Escherichia é è è Õ coli, Klebsiella species, Pseudomonas aeruginosa, Staphylococcus aureus áÅÐ group A streptococci ໚¹µŒ¹ ÀÒÇйéÒã¹ËÙª¹¡ÅÒ§ (otitis media with effusion ËÃ×Í OME) ໚¹ÀÒÇзÕÁ¹Ò¤Ñ§ã¹ËÙª¹¡ÅÒ§ í Ñé è Õ éí è Ñé â´ÂäÁ‹ÁÕÍÒ¡ÒÃáÅÐÍÒ¡ÒÃáÊ´§¢Í§¡ÒõԴàª×éÍẺà©Õº¾Åѹ ÍҨ໚¹µÒÁËÅѧ AOM ËÃ×ͨҡ Eustachian tube dysfunction â´ÂäÁ‹ÁÍÒ¡ÒÃÍ׹㴹íÒÁÒ¡‹Í¹¡çä´Œ (5) Õ è ËÙª¹¡ÅÒ§ÍÑ¡àʺẺàÃ×ÍÃѧ (chronic otitis media ËÃ×Í COM) ໚¹ÊÀÒÇСÒõԴàª×֧ͫ Ñé é é è µ‹Íà¹×ͧÁÒ¨Ò¡ AOM áÅŒÇÁÕ¡Ò÷ÐÅØ¢Í§á¡ŒÇËÙ ÁÕ˹ͧäËÅàÃ×ÍÃѧ໚¹æ ËÒÂæ â´Âàª×Í·Õ¾ºº‹Í 䴌ᡋ è é é è Pseudomonas aeruginosa, Staphylococcus aureus, Diphtheroids, anaerobic bacteria
  • 294.
    àǪÈÒʵÏ·¹Âؤ 2553 Ñ 267 ÍÒ¡Ò÷ҧ¤ÅÔ¹Ô¡ ¡ÒÃÇÔ¹¨©Ñ AOM ¹Ñ¹ ÁÕࡳ±¡ÒÃÇÔ¹¨©ÑÂâ´Â »ÃÐÇѵ໚¹à©Õº¾Åѹ ÁÕ middle ear effusion Ô é Ô Ô áÅÐÁÕÍÒ¡ÒÃáÅÐÍÒ¡ÒÃáÊ´§¢Í§ middle ear inflammation «Ö§ä´Œá¡‹ÍÒ¡ÒÃ䢌áÅлǴËÙ ¶ŒÒËÒ¡ (5, 6) è ¼ÙŒ»†ÇÂÁÕÍÒ¡ÒÃáÅÐÍÒ¡ÒÃáÊ´§¤Ãº 3 ¢ŒÍ ¶×ÍÇ‹Òä´ŒÃѺ¡ÒÃÇÔ¹Ô¨©ÑªѴਹ(6) â´Â¼ÙŒ»†ÇÂÁÑ¡ÁÕÍÒ¡Òà »Ç´Ë٠Ìͧ¡Ç¹ ÁÕ䢌 ã¹à´ç¡àÅç¡ÍҨ㪌ÁÍ´Ö§ãºËÙáÊ´§ÍÒ¡ÒÃà¨çº»Ç´ ã¹à´ç¡âµÊÒÁÒöºÍ¡ä´ŒÇÒ¡ÒÃ × ‹ 䴌¹Ŵŧ Ô ã¹¼Ù»ÇÂà´ç¡·Õ໚¹ OME ¹Ñ¹ ÁÑ¡ÁÕÍÒ¡ÒÃËÙÍÍ ä´ŒÂ¹äÁ‹ª´ ᵋ¶Òà´ç¡äÁ‹ÊÒÁÒöºÍ¡ÍÒ¡Òà Œ † è é ×é Ô Ñ Œ ä´ŒáÅÐ໚¹·Ñé§ 2 ¢ŒÒ§ ÍҨ䴌»ÃÐÇѵԨҡ¼ÙŒ»¡¤ÃͧNjÒàÃÕ¡áÅŒÇäÁ‹Ëѹ ËÃ×Íແ´â·Ã·ÑȹàÊÕ§´Ñ§ ¹Í¡¨Ò¡¹Õà´ç¡ÍÒ¨ÁÕ»­ËÒàÃ×ͧ¾Ñ²¹Ò¡ÒôŒÒ¹ÀÒÉÒáÅСÒÃàÃÕ¹䴌 é ˜ è ʋǹ¼Ù»Ç·Õ໚¹ COM ¹Ñ¹ ÁÑ¡ÁÕ»ÃÐÇѵÁ˹ͧäËŨҡËÙ໚¹æ ËÒÂæ ÁÑ¡ÊÑÁ¾Ñ¹¸¡º¡ÒÃ໚¹ Œ † è é Ô Õ Ñ ËÇÑ´ËÃ×͹éÒࢌÒËÙ ÍÒ¨à¤Â䴌ú¡ÒÃÃÑ¡ÉÒÁÒáÅŒÇᾷºÍ¡Ç‹ÒÁÕᡌÇËÙ·ÐÅØ ¡ÒÃ䴌¹Ŵŧ í Ñ Ô ¡ÒõÃǨËÙã¹¼ÙŒ»†Ç·Õè໚¹ AOM ¹Ñé¹ ¨Ð¾ºá¡ŒÇËÙ⻆§ á´§ ¢Ø‹¹ ÍÒ¨àËç¹Ë¹Í§ËÅѧᡌÇË٠ʋǹ㹼ٻÇ·Õ໚¹ OME ¨ÐµÃǨ¾ºá¡ŒÇËÙ¢¹ ·Öº ¹éÒã¹ËÙª¹¡ÅÒ§ÁÕÊàËÅ×ͧÍíҾѹ (amber color) Œ † è Ø‹ í Ñé Õ ÍÒ¨àË繿ͧÍÒ¡ÒÈ (air bubble) ËÃ×ÍÃдѺ¹éÒ (air fluid level) ä´Œ ¶ŒÒ໚¹ÁÒ¡¨ÐµÃǨ¾º retraction í ¢Í§á¡ŒÇËÙä´Œ àÁ×͵ÃǨ´ŒÇ pneumatic otoscope ¨Ð¾ºÇ‹ÒᡌÇËÙ¢ÂѺŴŧËÃ×ÍäÁ‹¢ÂѺ 㹼ٻǷÕ໚¹ è Œ † è COM ¹Ñ¹ ÁÑ¡ÁÕᡌÇËÙ·ÐÅØ 㹪‹Ç§·ÕÁ¡ÒÃÍÑ¡àʺÁÒ¡¨Ð¾ºË¹Í§äËŨҡËÙª¹¡ÅÒ§¼‹Ò¹ÃÙ·ÐÅØÁÒÂѧ é è Õ Ñé ÃÙËä´Œ ¹Í¡¨Ò¡¹Õ§ÍÒ¨¾º cholesteatoma «Ö§à¡Ô´¨Ò¡¡ÒÃÊÐÊÁ¢Í§ keratin debris ¨Ò¡ squamous Ù é Ñ è epithelium ·ÕÁÒ¨Ò¡¢ÍºÃÙ·ÐÅØ¢Í§á¡ŒÇËÙ è ¡ÒÃÇÔ¹Ô¨©ÑÂá¡âä ÀÒÇСÒÃÊÙ­àÊÕ¡ÒÃ䴌¹¨Ò¡¡ÒùíÒàÊÕ§àÊ×ÍÁÊÒÁÒöà¡Ô´¢Ö¹ä´Œ¨Ò¡ËÅÒÂÊÒà˵Ø(7) ´Ñ§¹Õé Ô è é 1. ¤ÇÒÁ¼Ô´»¡µÔ¢Í§ª‹Í§ËÙ (ear canal abnormalities) 䴌ᡋ ÀÒÇТÕËÍ´µÑ¹ ÊÔ§á»Å¡»ÅÍÁ é ÙØ è 㹪‹Í§ËÙ ÃÇÁ·Ñ§¤ÇÒÁ¼Ô´»¡µÔµ§áµ‹¡Òà¹Ô´¢Í§ª‹Í§ËÙ (ear canal atresia, stenosis) é Ñé í 2. ¤ÇÒÁ¼Ô´»¡µÔ¢Í§á¡ŒÇËÙ (tympanic membrane abnormalities) 䴌ᡋ tympanosclerosis ᡌÇËÙ·ÐÅØ (tympanic membrane perforation) áÅÐ severe Eustachian tube dysfunction ¨¹·íÒãËŒ à¡Ô´ retraction áÅÐ atrophy ¢Í§ tympanic membrane 3. ¤ÇÒÁ¼Ô´»¡µÔ¢Í§ËÙª¹¡ÅÒ§ (middle ear abnormalities) 䴌ᡋ middle ear effusion (¨Ò¡ Ñé AOM áÅÐ OME), cholesteatoma à¹×ͧ͡ áÅÐ vascular anomalies (ઋ¹ aberrant carotid artery) é 4. ¤ÇÒÁ¼Ô´»¡µÔ¢Í§¡Ãд١ÃÙ»¤ŒÍ¹ ·Ñ§ â¡Å¹ ã¹ËÙª¹¡ÅÒ§ (ossicular chain abnormalities) è Ñé 䴌ᡋ tympanosclerosis, ossicular malformation áÅÐ congenital ossicular chain fixation
  • 295.
    268 ¡ÒÃÊÙ­àÊÕ¡ÒÃä´ŒÂÔ¹¨Ò¡¡ÒùíÒàÊÕ§àÊ×èÍÁã¹¼ÙŒ»†ÇÂà´ç¡ ¡ÒôÙáÅÃÑ¡ÉÒ¼ÙŒ»†Ç ÊÔè§·ÕèÊíҤѭ·Õè¨Ð·íÒãËŒÊÒÁÒö´ÙáÅÃÑ¡ÉÒ¼ÙŒ»†ÇÂ䴌͋ҧàËÁÒÐÊÁ¹Ñé¹ á¾·Â¨íÒ໚¹·Õè¨ÐµŒÍ§ ·íÒ¡ÒÃÇÔ¹Ô¨©ÑÂâä䴌Í‹ҧ¶Ù¡µŒÍ§´Ñ§ä´Œ¡Å‹ÒÇä»áÅŒÇ â´Â¡ÒõÃǨËÙ´ŒÇ pneumatic otoscope ¨ÐÊÒÁÒöª‹ÇÂãËŒ¡ÒÃÇÔ¹Ô¨©ÑÂáÁ‹¹ÂíÒÁÒ¡¢Öé¹(5) ¹Í¡¨Ò¡¹ÕéÂѧ¤ÇÃÊ‹§µÃǨ¡ÒÃä´ŒÂÔ¹ (audiogram) à¾×Í»ÃÐàÁÔ¹¡ÒÃ䴌¹ â´Â੾ÒÐÍ‹ҧÂÔ§ 㹼ٻǷÕÁ»­ËҾѲ¹Ò¡ÒôŒÒ¹ÀÒÉÒ áÅÐÍҨʋ§µÃǨ è Ô è Œ † è Õ ˜ tympanogram à¾×ÍÂ×¹Âѹ¡ÒÃÇÔ¹¨©ÑÂ㹡óշ¡ÒÃÇÔ¹¨©ÑÂäÁ‹ª´à¨¹(5) è Ô Õè Ô Ñ ¨Ò¡ clinical practice guideline 㹡ÒÃÇÔ¹¨©ÑÂáÅдÙáÅÃÑ¡ÉÒÀÒÇÐ AOM â´Â American Ô Academy of Pediatrics áÅÐ American Academy of .amily Physicians(6) ä´Œá¹Ð¹íÒãËŒ»ÃÐàÁÔ¹ ÍÒ¡ÒûǴáÅÐãËŒÂÒºÃÃà·ÒÍÒ¡ÒûǴµÒÁ¤ÇÒÁàËÁÒÐÊÁ 㹼ٻǷÕÍÒÂØ 6 à´×͹ ¶Ö§ 2 »‚ ·ÕÍÒ¡Òà Œ † è è äÁ‹ÁÒ¡ (»Ç´ËÙàÅ硹ŒÍ áÅÐÁÕ䢌µÒ¡Ç‹Ò 39 ͧÈÒà«Åà«ÕÂÊ) áÅСÒÃÇÔ¹¨©ÑÂäÁ‹ª´à¨¹ ËÃ×ͼٻÇÂÍÒÂØ èí Ô Ñ Œ † µÑ§áµ‹ 2 »‚ ¢Ö¹ä»·Õ¡ÒÃÇÔ¹¨©ÑÂäÁ‹ª´à¨¹ ËÃ×Í䴌ú¡ÒÃÇÔ¹¨©ÑªѴਹ ᵋÁÍÒ¡ÒÃäÁ‹ÁÒ¡ ÍÒ¨ÃÑ¡ÉÒ é é è Ô Ñ Ñ Ô Õ áºº´ÙÍÒ¡Òà â´Â·Õ§äÁ‹ãËŒÂÒµŒÒ¹¨ØÅªÕ¾ä´Œ ᵋµÍ§á¹‹ã¨Ç‹ÒÊÒÁÒö¹Ñ´µÃǨµÔ´µÒÁÍÒ¡ÒüٻÇÂä´Œ è Ñ Œ Œ † ʋǹ¼Ù»Ç·ÕÁÍÒ¡ÒÃÁÒ¡ (»Ç´ËÙÁÒ¡ ËÃ×ÍÁÕ䢌µ§áµ‹ 39 ͧÈÒà«Åà«ÕÂÊ¢Ö¹ä») ËÃ×Í䴌ú¡ÒÃÇÔ¹¨©Ñ Œ † è Õ Ñé é Ñ Ô ·Õª´à¨¹ ËÃ×ÍÍÒÂØ¹ÍÂ¡Ç‹Ò 6 à´×͹ á¹Ð¹íÒãˌáÉÒâ´ÂãËŒÂÒµŒÒ¹¨ØÅªÕ¾ â´ÂãËŒ amoxicillin ã¹¢¹Ò´ è Ñ Œ Ñ 80-90 Á¡./¡¡./Çѹ ᵋ¶ÒÁÕÍÒ¡ÒÃÁÒ¡ á¹Ð¹íÒãËŒÂÒ»¯ÔªÇ¹Ð·Õ¤Ãͺ¤ÅØÁàª×Í Haemophilus influenzae Œ Õ è é áÅÐ Moraxella catarrhalis 䴌ᡋ amoxicillin-clavulanate â´ÂµÔ´µÒÁ»ÃÐàÁÔ¹·Õè 48-72 ªÑÇâÁ§ ¶ŒÒÍÒ¡Òà è äÁ‹´Õ¢Öé¹ ã¹¡ÅØ‹Á·Õèä´ŒÃѺ¡ÒÃÃÑ¡ÉÒẺ´ÙÍÒ¡Òà á¹Ð¹íÒãËŒàÃÔèÁãËŒÂÒµŒÒ¹¨ØÅªÕ¾ ʋǹ¡ÅØ‹Á·Õèä´ŒÂÒ µŒÒ¹¨ØÅªÕ¾ á¹Ð¹íÒãËŒà»ÅÕ¹ÂÒµŒÒ¹¨ØÅªÕ¾µÒÁ¤ÇÒÁàËÁÒÐÊÁ è ¡ÒÃÃÑ¡ÉҼٻǠOME ¹Ñ¹ ¨Ò¡ clinical practice guideline: otitis media with effusion Œ † é ã¹»‚ ¾.È. 2547 á¹Ð¹íÒãˌཇҵԴµÒÁÍÒ¡ÒÃ໚¹àÇÅÒ 3 à´×͹ ¹Ñº¨Ò¡àÃÔèÁÁÕ effusion ËÃ×ÍàÃÔèÁ ·íÒ¡ÒÃÃÑ¡ÉÒ ã¹¡Ã³Õ·äÁ‹Á¾ÂÒ¸ÔÊÀÒ¾ã´æ ¢Í§á¡ŒÇË٠ઋ¹ retraction ËÃ×Í atelectasis ¢Í§á¡ŒÇËÙ(5) Õè Õ à¹×ͧ¨Ò¡¾ºÇ‹ÒʋǹãË­‹ÀÒÇÐ OME ÊÒÁÒöËÒÂä´Œàͧ 㹪‹Ç§·Õ§ÁÕ¡ÒÃ䴌¹º¡¾Ã‹Í§¨Ò¡ OME ÍÂÙ‹ è è Ñ Ô á¹Ð¹íÒãËŒ¨´ÊÀÒ¾áÇ´ÅŒÍÁãËŒà´ç¡ÊÒÁÒö¿˜§áÅÐàÃÕ¹ÃÙä´ŒµÒÁ¤ÇÒÁàËÁÒÐÊÁ ઋ¹ ¾Ù´ãËŒà´ç¡ä´ŒÂ¹ Ñ Œ Ô ªÑ´à¨¹ Ëѹ˹ŒÒࢌÒËÒà´ç¡¢³Ð·Õ¾´ ãËŒà´ç¡¹Ñ§´ŒÒ¹Ë¹ŒÒ¢Í§ËŒÍ§àÃÕ¹ è Ù è ¡ÒÃãËŒÂÒµŒÒ¹¨ØÅªÕ¾¹Ñ¹ ÊÒÁÒö㪌໚¹·Ò§àÅ×͡䴌㹼ٻǺҧ¡ÅØÁ(8) 䴌ᡋ ¼Ù»Ç·Õ໚¹ é Œ † ‹ Œ † è OME ¹Ò¹ 4 ÊÑ»´Òˏ¢¹ä» ·ÕÁ¤ÇÒÁàÊÕ§Ê٧㹡ÒÃà¡Ô´»˜­ËҾѲ¹Ò¡ÒôŒÒ¹ÀÒÉÒáÅСÒÃàÃÕ¹ÃÙ¨Ò¡ Öé è Õ è Œ ¡ÒÃÁÕ¹Òã¹ËÙª¹¡ÅÒ§ ઋ¹ ¼Ù»Ç·ÕÁ¡ÒÃÊÙ­àÊÕ¡ÒÃ䴌¹ÍÂÙà´ÔÁ ¼Ù»Ç·ÕÁ»­ËҾѲ¹Ò¡ÒôŒÒ¹ÀÒÉÒ éí Ñé Œ † è Õ Ô ‹ Œ † è Õ ˜ ¼Ù»ÇÂÍÍ·Ôʵԡ ¼Ù»ÇÂ¡ÅØÁÍÒ¡ÒôÒǹ ¼Ù»Ç·ÕÁÕ craniofacial disorder ¼Ù»Ç·ÕÁá¹Ç⹌Á·Õ¨Ð䴌ú Œ † Œ † ‹ Œ † è Œ † è Õ è Ñ ¡ÒÃãÊ‹·Í»ÃѺ¤ÇÒÁ´Ñ¹â´Â·Õ§äÁ‹à¤Âä´ŒÂÒµŒÒ¹¨ØÅªÕ¾ÁÒ¡‹Í¹ ¼Ù»Ç·ÕÁÕ recurrent OME áÅÐÁÕ¤ÇÒÁ ‹ è Ñ Œ † è àÊÕ§Ê٧㹡ÒÃà¡Ô´»˜­ËҾѲ¹Ò¡ÒôŒÒ¹ÀÒÉÒáÅСÒÃàÃÕ¹ÃÙŒ â´Âá¹Ð¹íÒãËŒÂÒµŒÒ¹¨ØÅªÕ¾áºº single è course ¹Ò¹ 10-14 Çѹ(5) ¡ÒÃ㪌ÂÒµŒÒ¹¨ØÅªÕ¾áÅÐÊàµÕÂÃÍ´¹¹ ÂѧäÁ‹Á¡ÒÃÈÖ¡ÉÒÇ‹Ò㪌䴌¼Åã¹ÃÐÂÐ Ñé Õ ÂÒÇ ¨Ö§äÁ‹ä´Œá¹Ð¹íÒãˌ㪌㹡ÒÃÃÑ¡ÉÒâ´Â·ÑÇä» ÊíÒËÃѺ antihistamine áÅÐ decongestant äÁ‹ä´Œ è (5) ¼Å㹡ÒÃÃÑ¡ÉÒ OME ´Ñ§¹Ñ¹¨Ö§äÁ‹ä´Œá¹Ð¹íÒãˌ㪌 é
  • 296.
    àǪÈÒʵÏ·¹Âؤ 2553 Ñ 269 ¡ÒÃÃÑ¡ÉÒ´ŒÇ¡Òü‹ÒµÑ´ 䴌ᡋ ¡ÒÃà¨ÒÐᡌÇËÙâ´Â㪌à¢çÁ´Ù´¹éÒã¹ËÙª¹¡ÅÒ§ (tympanocentesis) í Ñé à¾×ÍÊ‹§à¾ÒÐàª×Í ¡Òü‹ÒµÑ´à¨ÒÐᡌÇËÙ (myringotomy) ¡ÒÃãÊ‹·Í»ÃѺ¤ÇÒÁ´Ñ¹ (tympanostomy tube) è é ‹ áÅСÒü‹ÒµÑ´ adenoidectomy Áբͺ‹§ªÕé ´Ñ§¹Õé Œ ¢ŒÍº‹§ªÕ㹡Ò÷íÒ tympanocentesis(9) 䴌ᡋ ÁÕÍÒ¡ÒûǴËÙùáç 䢌ʧ ÍÒ¡ÒÃäÁ‹´¢¹ ËÃ×Í é Ø Ù Õ Öé ໚¹ÁÒ¡¢Ö¹ äÁ‹µÍºÊ¹Í§µ‹ÍÂÒµŒÒ¹¨ØÅªÕ¾ÀÒÂã¹ 24-48 ªÑÇâÁ§ ໚¹ AOM ã¹¢³Ð·Õä´ŒÂÒµŒÒ¹¨ØÅªÕ¾ é è è à¾×ÍÃÑ¡ÉÒâäÍ×¹ÍÂÙ‹ ໚¹ AOM ã¹à´ç¡ááà¡Ô´ ËÃ×Í immunocompromised host è è ¢ŒÍº‹§ªÕ㹡Ò÷íÒ myringotomy(9) 䴌ᡋ ÁÕ suppurative complication ¨Ò¡ AOM »Ç´ËÙÁÒ¡ é ¨Ò¡ AOM ແ´á¡ŒÇËÙãËŒ¡ÇŒÒ§¢Ö¹ËÅѧ·íÒ tympanocentesis áÅÐ acute barotitis é ¢ŒÍº‹§ªÕ㹡ÒÃãÊ‹ tympanostomy tube(9) 䴌ᡋ ÁÕ suppurative complication ໚¹ OME ã¹ËÙ é Êͧ¢ŒÒ§¹Ò¹ 3 à´×͹¢Ö¹ä» ËÃ×Í໚¹ OME ã¹ËÙ˹֧¢ŒÒ§ ¹Ò¹ 6 à´×͹¢Ö¹ä» ᵋ¶ÒÁÕÃдѺ¡ÒÃ䴌¹ÊÙ§ é è é Œ Ô ¡Ç‹Ò 25 dB ËÃ×ÍÁÕ»­ËҾѲ¹Ò¡ÒôŒÒ¹ÀÒÉÒ ÍÒ¨¾Ô¨ÒóÒãÊ‹·Í»ÃѺ¤ÇÒÁ´Ñ¹àÃçÇ¢Ö¹ recurrent AOM ˜ ‹ é ·Õèä´ŒÃѺ antibiotic prophylaxis áÅŒÇäÁ‹ä´Œ¼Å, recurrent OME â´Â໚¹¹Ò¹ÃÇÁ¡Ñ¹Í‹ҧ¹ŒÍ 6-12 à´×͹ ÁÕ Eustachian tube dysfunction ઋ¹ 䴌ú hyperbaric oxygen, ÁÕ atelectasis ËÃ×Í Ñ retraction pocket ¢Í§á¡ŒÇËÙ áÅÐ㪌㹡óռҵѴ tympanoplasty ã¹à´ç¡·Õè Eustachian tube Âѧ·íÒ ‹ §Ò¹äÁ‹ä´ŒµÒÁ»¡µÔ ʋǹ¡Òü‹ÒµÑ´ adenoidectomy ËÇÁ¡Ñº myringotomy áÅÐ tympanostomy tube insertion Áբͺ‹§ªÕé 䴌ᡋ ¼Ù»Ç otitis media ·ÕÁ»­ËҢͧµ‹ÍÁ adenoid ËÇÁ´ŒÇ ઋ¹ ÁÕ obstructive sleep Œ Œ † è Õ ˜ apnea ËÃ×Í chronic rhinosinusitis, áÅÐ㹼ٻǠrecurrent otitis media ·Õ䴌ú¡ÒÃãÊ‹ tympanostomy Œ † è Ñ tube áÅŒÇ tube ËÅØ´ áÅШíÒ໚¹µŒÍ§ãÊ‹ tube «éÒ í ¡ÒþÂҡóâä ¼Ù»Ç·Õ໚¹ AOM ÊÒÁÒöËÒÂä´Œàͧ ÃŒÍÂÅÐ 60 ÀÒÂã¹ 24 ªÑÇâÁ§ áÅÐÃŒÍÂÅÐ 80 ÀÒÂã¹ Œ † è è 2-3 Çѹ â´Â·ÕÃÍÂÅÐ 10 ¢Í§à´ç¡·Õ໚¹ AOM ¨ÐÁÕ middle ear effusion ¹Ò¹ 3 à´×͹¢Ö¹ä» ã¹¢³Ð (10) èŒ è é ·Õ¼»Ç·Õ໚¹ OME ¹Ñ¹ ÃŒÍÂÅÐ75-90 ÊÒÁÒöËÒÂä´ŒàͧÀÒÂã¹ 3 à´×͹ ᵋ¾ºÇ‹ÒÃŒÍÂÅÐ 30-40 è ÙŒ † è é (5) ¢Í§à´ç¡ÁÕ¡ÒáÅѺ໚¹«éÒ áÅÐÃŒÍÂÅÐ 5-10 ¢Í§ OME ໚¹¹Ò¹ÁÒ¡¡Ç‹ÒËÃ×Í෋ҡѺ 1 »‚(2, 11) í ¶Ö§áÁŒÇҼٻǷÕ໚¹ AOM áÅÐ OME ¨ÐÁÕ¡ÒþÂҡóâä·Õ´Õ â´Â·Õ¡ÒÃ䴌¹ÊÒÁÒö¡ÅѺ ‹ Œ † è è è Ô ÊÙÊÀÒÇл¡µÔä´Œ ᵋ¶ÒËÒ¡äÁ‹ä´ŒÃº¡ÒôÙáÅÃÑ¡ÉÒ ËÃ×ÍÃÑ¡ÉÒäÁ‹¶¡µŒÍ§ ÍÒ¨à¡Ô´¡ÒÃÊÙ­àÊÕ¡ÒÃ䴌¹ ‹ Œ Ñ Ù Ô ã¹ÃÐÂÐÂÒÇä´Œ ઋ¹ COM «Öè§¼ÙŒ»†ÇÂ¡ÅØ‹Á¹ÕéÁÕᡌÇËÙ·ÐÅØ ÁÕ˹ͧäËŨҡËÙ໚¹æ ËÒÂæ ÍÒ¨ÁÕ cholesteatoma ËÇÁ´ŒÇ «Ö§ÊÒÁÒö·íÒÅÒ¡Ãд١ÃÙ»¤ŒÍ¹ ·Ñ§ â¡Å¹ä´Œ ÃÇÁ¶Ö§ÍÒ¨¹íÒä»ÊÙÀÒÇÐá·Ã¡ è è ‹ «ŒÍ¹Í×¹æ ·Ñ§ intratemporal áÅÐ intracranial complications è é 㹼ٻǠOME ËÃ×Í Eustachian tube dysfunction ·Õ໚¹Ãعáç ÍÒ¨ÁÕ retraction pocket Œ † è «Ö§¨Ð·íÒãËŒà¡Ô´ cholesteatoma µÒÁÁÒä´Œ ËÃ×ÍÍÒ¨à¡Ô´¡ÒÃῺµÑǢͧᡌÇËٺҧʋǹ (atelectasis) è ËÃ×ͷѧËÁ´ (adhesive otitis media) µÔ´¡Ñº¼¹Ñ§´ŒÒ¹ã¹¢Í§ËÙª¹¡ÅÒ§ à¡Ô´¡ÒÃÊÙ­àÊÕ¡ÒÃ䴌¹áÅÐ é Ñé Ô â¤Ã§ÊÌҧÍ‹ҧ¶ÒÇà ¢Í§ËÙª¹¡ÅÒ§ «Ö§ÂÒ¡µ‹Í¡ÒÃá¡Œä¢ Ñé è
  • 297.
    270 ¡ÒÃÊÙ­àÊÕ¡ÒÃä´ŒÂÔ¹¨Ò¡¡ÒùíÒàÊÕ§àÊ×èÍÁã¹¼ÙŒ»†ÇÂà´ç¡ àÍ¡ÊÒÃ͌ҧÍÔ§ 1. Teele DW, Klein JO, Rosner B. Epidemiology of otitis media during the first seven years of life in children in greater Boston: a prospective, cohort study. J Infect Dis. 1989;160(1):83-94. 2. Tos M. Epidemiology and natural history of secretory otitis. Am J Otol. 1984;5(6):459-62. 3. Paradise JL, Rockette HE, Colborn DK, Bernard BS, Smith CG, Kurs-Lasky M, et al. Otitis media in 2253 Pittsburgh-area infants: prevalence and risk factors during the first two years of life. Pediatrics. 1997;99(3): 318-33. 4. Casselbrant ML, Mandel EM. Epidemiology. In: Rosenfeld RM, Bluestone CD, editors. Evidence-based otitis media. 2nd ed. Hamilton, Ontario: BC Decker Inc; 2003. p. 147-62. 5. Rosenfeld RM, Culpepper L, Doyle KJ, Grundfast KM, Hoberman A, Kenna MA, et al. Clinical practice guideline: Otitis media with effusion. Otolaryngol Head Neck Surg. 2004;130(5 Suppl):S95-118. 6. Diagnosis and management of acute otitis media. Pediatrics. 2004;113(5):1451-65. 7. Germiller JA. Hearing loss in children. In: Wetmore R., editor. Pediatric Otolaryngology. 1st ed. Philadelphia: Mosby; 2007. p. 60-76. 8. Rosenfeld RM, Bluestone CD. Clinical pathway for otitis media with effusion. In: Rosenfeld RM, Bluestone CD, editors. Evidence-based otitis media. 2nd ed. Hamilton(ON): BC Decker;2003. p. 303-24. 9. Bluestone CD. Role in management of otitis media. In: Bluestone CD, editor. Eustachain tube: structure, function , role in otitis media. 1st ed. Ontario: BC Decker; 2005. p. 145-76. 10. Rosenfeld RM, Kay D. Natural history of untreated otitis media. Laryngoscope. 2003;113(10):1645-57. 11. Williamson IG, Dunleavey J, Bain J, Robinson D. The natural history of otitis media with effusion—a three-year study of the incidence and prevalence of abnormal tympanograms in four South West Hampshire infant and first schools. J Laryngol Otol. 1994;108(11):930-4.
  • 298.
    àǪÈÒʵÏ·¹Âؤ 2553 Ñ º··Õè 271 39 ¡ÒÃÊÙ­àÊÕ¡ÒÃä´ŒÂԹ㹼ٌ»†ÇÂà´ç¡¨Ò¡ÊÒà˵طҧ¾Ñ¹¸Ø¡ÃÃÁ (Hereditary Hearing Loss in Children) ÍÒ¨ÒÏ ¹ÒÂᾷ¹Ô¸ÔÇѪÏ ÇѲ¹ÇÔ¨Òó ÀÒ¤ÇÔªÒ¡ØÁÒÃàǪÈÒʵÏ ¤³Ðá¾·ÂÈÒʵÏÈÃÃÒª¾ÂÒºÒÅ ÁËÒÇÔ·ÂÒÅÑÂÁËÔ´Å ÔÔ ¡ÒÃÊÙ­àÊÕ¡ÒÃ䴌¹ (hearing loss) ËÃ×Í ÀÒÇк¡¾Ã‹Í§¢Í§¡ÒÃ䴌¹ (hearing impairment) Ô Ô à»š¹ÀÒÇзÕ辺䴌º‹ÍÂã¹à´ç¡ áÅÐÁÕ¤ÇÒÁÊíҤѭµ‹Í¾Ñ²¹Ò¡Ò÷ҧÀÒÉÒ â´Â੾ÒжŒÒ¡ÒÃÊÙ­àÊÕ ¡ÒÃ䴌¹à¡Ô´¢Ö¹¡‹Í¹¶Ö§ÇÑ·Õà´ç¡¨ÐàÃÔÁÁÕ¾²¹Ò¡Ò÷ҧ¡Òþٴ (prelingual hearing loss) ¡çÍÒ¨·íÒãËŒ Ô é è è Ñ ¾Ù´äÁ‹ä´ŒËÃ×ÍäÁ‹ª´ ´Ñ§¹Ñ¹ ¡ØÁÒÃᾷ âʵ ÈÍ ¹ÒÊԡᾷ áÅÐᾷàǪ»¯Ôºµ·Ç仨֧ÁÕÊǹÊíҤѭ Ñ é Ñ Ô Ñè ‹ 㹡Ò÷ըЪ‹ÇÂÇÔ¹¨©ÑÂà´ç¡·ÕÁ¡Òà 䴌¹¼Ô´»¡µÔáÅÐᡌ䢡‹Í¹·Õà´ç¡¨ÐàÃÔÁÁÕ»­ËÒ·Ò§¡Òþٴ ¤×Í è Ô è Õ Ô è è ˜ ¡‹Í¹ÍÒÂØ 6 à´×͹ ÍØºµ¡Òó¢Í§»ÃÐÊÒ·ËÙ¾¡ÒÃᵋ¡Òà¹Ô´ (sensorineural hearing loss, SNHL)ã¹ Ñ Ô Ô í »ÃÐà·Èä·Â ¾ºä´Œ 1.7 ã¹ 1,000 ¢Í§·Òáááà¡Ô´(1) «Ö§à»š¹µÑÇàÅ¢·Õã¡ÅŒà¤Õ§¡Ñºã¹µ‹Ò§»ÃÐà·È ¤×Í è è 1-2 ã¹ 1,000 㹨íҹǹ¹Õ¾ºÇ‹Ò»ÃÐÁÒ³¤Ã֧˹֧¢Í§¼Ù»ÇÂà´ç¡ÁÕÊÒà˵بҡ¾Ñ¹¸Ø¡ÃÃÁáÅÐÁÑ¡¨ÐÁÕ (2) é è è Œ † ¡ÒÃÊÙ­àÊÕ¡ÒÃ䴌¹ᵋ¡Òà¹Ô´(3) ʋǹÍÕ¡¤Ã֧˹֧¨ÐÁÕÊÒà˵بҡÊÔ§áÇ´ÅŒÍÁઋ¹ ¡ÒÃ䴌úÂÒ¡ÅØÁ Ô í è è è Ñ ‹ aminoglycosides ¡ÒõԴàª×͵ѧᵋ㹤ÃÃÀ ઋ¹ TORCH ÀÒÇФÅÍ´¡‹Í¹¡íÒ˹´ 㹺·¤ÇÒÁ¹Õé é é ¨Ð¡Å‹ÒǶ֧ÃÒÂÅÐàÍÕ´੾ÒÐÊÒà˵آͧ¡ÒÃÊÙ­àÊÕ ¡ÒÃ䴌¹¨Ò¡¾Ñ¹¸Ø¡ÃÃÁÔ ÊÒà˵طҧ¾Ñ¹¸Ø¡ÃÃÁ·Õè·íÒãËŒà¡Ô´¡ÒÃÊÙ­àÊÕ¡ÒÃä´ŒÂÔ¹ »˜¨¨Øº¹âä·Ò§¾Ñ¹¸Ø¡ÃÃÁ·Õ໚¹ÊÒà˵آͧ¡ÒÃÊÙ­àÊÕ¡ÒÃ䴌¹ÁÕ»ÃÐÁÒ³ 400 âä áÅоº Ñ è Ô ÂÕ¹·Õà¡ÕÂÇ¢ŒÍ§áŌǻÃÐÁÒ³ 60 ÂÕ¹ ÊÒà˵طҧ¾Ñ¹¸Ø¡ÃÃÁÊÒÁÒöẋ§ä´Œà»š¹ 2 ¡ÅØÁãË­‹¤Í ÀÒÇÐ è è (4) ‹ × ·Õ໚¹¡ÅØÁÍÒ¡Òà (syndromic hearing loss) áÅÐÀÒÇзÕäÁ‹à»š¹¡ÅØÁÍÒ¡Òà (nonsyndromic hearing è ‹ è ‹ loss) syndromic hearing loss ¤×Í âä·Ò§¾Ñ¹¸Ø¡ÃÃÁ·ÕÁ¤ÇÒÁ¼Ô´»¡µÔÍ‹ҧÍ×¹¹Í¡¨Ò¡¡ÒÃÊÙ­àÊÕ è Õ è ¡ÒÃ䴌¹ «Ö§¾ºä´Œ»ÃÐÁÒ³ ÃŒÍÂÅÐ 30 ¢Í§ÊÒà˵طҧ¾Ñ¹¸Ø¡ÃÃÁ·Ñ§ËÁ´ ʋǹ nonsyndromic hearing Ô è é loss ¤×Í âä·Ò§¾Ñ¹¸Ø¡ÃÃÁ·ÕèÁÕ¤ÇÒÁ¼Ô´»¡µÔ੾ÒСÒÃä´ŒÂÔ¹«Öè§¾ºà»š¹Ê‹Ç¹ãË­‹ (ÃŒÍÂÅÐ 70) ¢Í§ÊÒà˵طҧ¾Ñ¹¸Ø¡ÃÃÁ·Ñé§ËÁ´(5) «Öè§ÊÒÁÒöẋ§Â‹ÍÂŧä»ä´ŒÍÕ¡µÒÁÅѡɳСÒö‹Ò·ʹ·Ò§ ¾Ñ¹¸Ø¡ÃÃÁ䴌ᡋ autosomal dominant, autosomal recessive, X-linked áÅÐ mitochondrial inheritance (ÃÙ»·Õè 1) ËÃ×Íẋ§µÒÁ¤ÇÒÁ¼Ô´»¡µÔ¢Í§ÃкºÍ×¹·Õ¾ºÃ‹ÇÁ㹡óբͧ syndromic hearing loss è è
  • 299.
    272 ¡ÒÃÊÙ­àÊÕ¡ÒÃ䴌¹㹼ٻÇÂà´ç¡¨Ò¡ÊÒà˵طҧ¾Ñ¹¸Ø¡ÃÃÁ Ô Œ † ¡ÒÃÊÙ­àÊÕ¡ÒÃä´ŒÂÔ¹ª¹Ô´à»š¹¡ÅØ‹ÁÍÒ¡Òà (Syndromic hearing loss) ¡ÅØ‹ÁÍÒ¡Ò÷ҧ¾Ñ¹¸Ø¡ÃÃÁ»ÃÐÁÒ³ 400 âä¨ÐÁÕ¡ÒÃÊÙ­àÊÕ¡ÒÃä´ŒÂԹ໚¹ÍÒ¡ÒùíÒËÃ×Í ÍÒ¡Ò÷վºÃ‹ÇÁ¡Ñº¤ÇÒÁ¼Ô´»¡µÔÍ‹ҧÍ×¹ ´Ñ§¹Ñ¹¼Ù»ÇÂÍÒ¨¨ÐÁÒ¾ºá¾·Â´Ç»˜­ËÒ¡ÒÃ䴌¹ ઋ¹ è è é Œ † Œ Ô ¾Ù´ªŒÒËÃ×ÍäÁ‹ËѹµÒÁàÊÕ§ ËÃ×ÍÍÒ¨ÁÒ¾ºá¾·Â´ŒÇ»˜­ËÒàÃ×èͧÍ×è¹ áµ‹á¾·ÂµÃǨ¾ºÇ‹Ò¼ÙŒ»†Ç ÁÕ¤ÇÒÁ¼Ô´»¡µÔ¢Í§¡ÒÃ䴌¹ËÇÁ´ŒÇ ´Ñ§¹Ñ¹¡ÒôÙáżٻÇÂã¹¡ÅØÁ¹Õ¨§¨íÒ໚¹·Õ¨ÐµŒÍ§ÍÒÈÑÂᾷ Ô é Œ † ‹ éÖ è ¼ÙŒàªÕèÂǪҭËÅÒÂÊÒ¢Òà¾×è͵ÃǨËÒáÅдÙáŤÇÒÁ¼Ô´»¡µÔ¢Í§ÃкºÍ×è¹ ã¹º·¤ÇÒÁ¹Õé¨Ðẋ§¡ÅØ‹Á ¢Í§ syndromic hearing loss µÒÁ¤ÇÒÁ¼Ô´»¡µÔ·Õ辺ËÇÁáÅСµÑÇÍ‹ҧ¡ÅØ‹ÁÍÒ¡Ò÷Õ辺º‹ÍÂ ã¹¡ÅØÁ¹Ñ¹æ(6) ‹ é ÃÙ»·Õè 1 áÊ´§¡ÅØ‹ÁÊÒà˵طҧ¾Ñ¹¸Ø¡ÃÃÁ¢Í§¡ÒÃÊÙ­àÊÕ¡ÒÃä´ŒÂÔ¹(5) 1. âä¢Í§â¤ÃâÁâ«Á (Chromosome disorders) ·ÕÁ¡ÒÃÊÙ­àÊÕ¡ÒÃ䴌¹ËÇÁ´ŒÇ è Õ Ô âä¢Í§â¤ÃâÁâ«Á·Õ辺º‹Í·ÕèÊØ´¤×Í ¡ÅØ‹ÁÍÒ¡ÒôÒǹ (Down syndrome) «Ö觨оº conductive hearing loss ä´Œ¶§ÃŒÍÂÅÐ 60-80 ¨Ò¡¤ÇÒÁ¼Ô´»¡µÔ¢Í§ËÙª¹¡ÅÒ§ »˜¨¨Ñ·շÒãËŒÁ¤ÇÒÁ Ö Ñé è í Õ ¼Ô´»¡µÔ¢Í§ËÙª¹¡ÅÒ§ã¹à´ç¡¡ÅØÁÍÒ¡ÒôÒǹ¤Í Eustachian tube ᤺ pharyngeal hypotonia áÅÐ Ñé ‹ × ¡ÒõԴàª×Í·Ò§à´Ô¹ËÒÂ㨺‹ÍÂæ âä¢Í§â¤ÃâÁâ«ÁÍ×¹æ ઋ¹ ¡ÅØÁÍÒ¡Òà Turner ¨Ð¾ºÁÕ conductive é è ‹ ËÃ×Í mixed hearing loss 㹪‹Ç§ÇÑÂà´ç¡ ᵋàÁ×ÍÍÒÂØÁÒ¡¢Ö¹¨Ð໚¹ sensorineural hearing loss ¡ÅØÁ è é ‹ ÍÒ¡Òà velocardiofacial «Ö§à¡Ô´¨Ò¡¢Ò´ËÒÂ仢ͧâ¤ÃâÁâ«Á 22q11.2 ¡ÅØÁÍÒ¡ÒùըÐÁÕྴҹâËÇ‹ è ‹ é ËÑÇ㨾ԡÒÃᵋ¡Òà¹Ô´ áÅÐÅѡɳÐãºË¹ŒÒ·Õ¨Òà¾ÒÐ ¡ÒÃÊÙ­àÊÕ¡ÒÃä´ŒÂ¹ã¹¡ÅØÁÍÒ¡ÒùÕé à¡Ô´ä´Œ·§¨Ò¡ í èí Ô ‹ Ñé conductive áÅÐ sensorineural hearing loss
  • 300.
    àǪÈÒʵÏ·¹Âؤ 2553 Ñ 273 2. ¡ÅØÁÍÒ¡Ò÷ÕÁ¤ÇÒÁ¼Ô´»¡µÔ¢Í§ÈÕÃÉÐáÅÐãºË¹ŒÒ (Craniofacial syndromes) ‹ è Õ ·ÕÁ¡ÒÃÊÙ­àÊÕ¡ÒÃ䴌¹ËÇÁ´ŒÇ è Õ Ô ä´Œá¡‹¡ÅØÁÍÒ¡Ò÷ÕÁ¡Òû´¢Í§Ã͵‹Í¡ÐâËÅ¡ÈÕÃÉÐàÃçǡNjҡíÒ˹´ (craniosynostosis ‹ è Õ syndromes) ·Õ¾ºº‹ÍÂ䴌ᡋ¡ÅØÁÍÒ¡Òà Crouzon áÅÐ¡ÅØÁÍÒ¡Òà Apert «Ö§¡ÅØÁÍÒ¡ÒÃàËŋҹÕÁ¡ÒÃ è ‹ ‹ è ‹ é Õ ¶‹Ò·ʹ·Ò§¾Ñ¹¸Ø¡ÃÃÁẺÂչഋ¹ áÅÐà¡Ô´¨Ò¡¡ÒáÅÒ¾ѹ¸Ø¢Í§ÂÕ¹ fibroblast growth factor receptor 2 (.G.R2) ·Ñ§ 2 ¡ÅØÁÍÒ¡ÒùըÐÁÕ conductive hearing loss ËÇÁ¡Ñº¡Òû´àÃçǡNjҡíÒ˹´ é ‹ é ¢Í§ coronal sutures µÒ⻹ (exorbitism) à¹×ͧ¨Ò¡ª‹Í§¡ÐâËÅ¡ÊíÒËÃѺÅÙ¡µÒµ×¹ ᵋ¡ÅØÁÍÒ¡Òà Apert è é ‹ ¨ÐÁÕ¤ÇÒÁ¼Ô´»¡µÔ¢Í§Á×ÍáÅÐ෌Ҥ×Í ¹ÔÇÁ×Í ¹ÔÇà·ŒÒ äÁ‹á¡¨Ò¡¡Ñ¹ (syndactyly) ¹Í¡¨Ò¡¹Õé ¡ÅØÁÍÒ¡Òà é é ‹ craniosynostosis ·Õ¾º sensorineural hearing loss ä´Œ¤Í Muenke syndrome «Ö§à¡Ô´¨Ò¡¡ÒáÅÒ è × è ¾Ñ¹¸Ø¢Í§ÂÕ¹ .G.R3  3. ¡ÅØ‹ÁÍÒ¡Ò÷ҧ¾Ñ¹¸Ø¡ÃÃÁ·Õèà¡Ô´¨Ò¡¤ÇÒÁ¼Ô´»¡µÔ¢Í§ branchial arch ·Õè 1 áÅÐ 2 âä·Õ¾ºº‹Í·ÕÊ´ã¹¡ÅØÁ¹Õ䴌ᡋ oculo-auriculo-vertebral (OAV) spectrum âä¹ÕÁ¡à»š¹ è èØ ‹ é é Ñ ¤¹à´ÕÂÇ㹤Ãͺ¤ÃÑÇ áÅÐÁÕÊÒà˵ط·ÒãËŒà¡Ô´âäËÅÒ¡ËÅÒ·ѧ·Ò§¾Ñ¹¸Ø¡ÃÃÁáÅÐÊÔ§áÇ´ÅŒÍÁ ઋ¹ Õè í é è ÁÒôÒ໚¹àºÒËÇÒ¹¢³ÐµÑ§¤ÃÃÀ ÅѡɳФÇÒÁ¼Ô´»¡µÔᵋ¡Òà¹Ô´ã¹ OAV spectrum ¨Ðà¡Ô´¨Ò¡¤ÇÒÁ é í ¼Ô´»¡µÔ¢Í§¡ÒÃÊÌҧÍÇÑÂÇзվ²¹ÒÁÒ¨Ò¡ branchial arch ·Õè 1 áÅÐ 2 䴌ᡋ ¤ÇÒÁ¼Ô´»¡µÔ¢Í§ËÙ è Ñ àª‹¹ äÁ‹ÁãºËÙ ËÃ×ÍãºËÙàÅç¡ µÔ§Ë¹ŒÒËÙ ãºË¹ŒÒ 2 «Õ¡äÁ‹à·‹Ò¡Ñ¹ (hemifacial microsomia) ¤ÇÒÁ¼Ô´»¡µÔ Õ è ¢Í§µÒ ઋ¹ epibulbar dermoid áÅФÇÒÁ¼Ô´»¡µÔ¢Í§¡Ãд١ÊѹËÅѧ ¡ÒÃÊÙ­àÊÕ¡ÒÃ䴌¹·Õ¾ºÃ‹ÇÁÔ è ʋǹãË­‹ ¨Ð໚¹ conductive hearing loss ʋǹ¹ŒÍÂÍÒ¨ÁÕ sensorineural hearing loss ¹Í¡¨Ò¡ ¤ÇÒÁ¼Ô´»¡µÔ¢Í§ÈÕÃÉÐáÅÐãºË¹ŒÒáÅŒÇ OAV spectrum ÍÒ¨ÁÕ¤ÇÒÁ¼Ô´»¡µÔ¢Í§ÍÇÑÂÇÐÀÒÂã¹Ã‹ÇÁ´ŒÇ ઋ¹ ¤ÇÒÁ¼Ô´»¡µÔ¢Í§ËÑÇã¨áÅÐäµáµ‹¡Òà¹Ô´ âä·Õ¾ºä´ŒºÍÂÃͧŧÁÒ¤×Í ¡ÅØÁÍÒ¡Òà Treacher-Collins í è ‹ ‹ «Ö觨ÐÁÕ¤ÇÒÁ¼Ô´»¡µÔ¢Í§ÈÕÃÉÐáÅÐãºË¹ŒÒઋ¹¡Ñ¹áµ‹¨Ðᵡµ‹Ò§µÃ§·Õè ¤ÇÒÁ¼Ô´»¡µÔ¢Í§ãºË¹ŒÒ áÅÐËÙ·§ 2 ¢ŒÒ§¨ÐàËÁ×͹¡Ñ¹ ¡ÅØÁÍÒ¡Òùըоº¤ÇÒÁ¼Ô´»¡µÔ¢Í§¡ÒÃ䴌¹»ÃÐÁҳÌÍÂÅÐ 40 ¡ÅØÁ Ñé ‹ é Ô ‹ ÍÒ¡Òà Treacher-Collins à¡Ô´¨Ò¡¡ÒáÅÒ¾ѹ¸Ø¢Í§ÂÕ¹ TCO.1 «Ö§ÁÕ¡Òö‹Ò·ʹẺÂչഋ¹  è 4. ¡ÅØ‹ÁÍÒ¡Ò÷ҧ¾Ñ¹¸Ø¡ÃÃÁ·ÕèÁÕ¤ÇÒÁ¼Ô´»¡µÔ¢Í§¤ÍáÅÐËÙËÇÁ¡Ñ¹ (Cervico- acoustic defects) âä·Õ¾ºº‹ÍÂã¹¡ÅØÁ¹Õ¤Í ¡ÅØÁÍÒ¡Òà Branchio-Oto-Renal (BOR) «Ö§à»š¹âä·Ò§¾Ñ¹¸Ø¡ÃÃÁ è ‹ é × ‹ è ·Õ¶Ò·ʹẺÂչഋ¹ áÅÐà¡Ô´¨Ò¡¡ÒáÅÒ¾ѹ¸Ø¢Í§ÂÕ¹ EYA1 ¤ÇÒÁ¼Ô´»¡µÔ·¾º¤×Í ãºËÙ¼´»¡µÔ è ‹  Õè Ô ÁÕµ§ËÃ×ÍÃÙàÅç¡æË¹ŒÒËÙ branchial cleft cyst ËÃ×Í fistula áÅФÇÒÁ¼Ô´»¡µÔ¢Í§äµ ¤ÇÒÁ¼Ô´»¡µÔ¢Í§ Ôè ¡ÒÃ䴌¹¨ÐÁÕä´Œ·§ conductive hearing loss áÅÐ sensorineural hearing loss Ô Ñé
  • 301.
    274 ¡ÒÃÊÙ­àÊÕ¡ÒÃ䴌¹㹼ٻÇÂà´ç¡¨Ò¡ÊÒà˵طҧ¾Ñ¹¸Ø¡ÃÃÁ Ô Œ † 5. âä¡Ãд١¾Ñ¹¸Ø¡ÃÃÁ (Skeletal dysplasias)·ÕÁ¡ÒÃÊÙ­àÊÕ¡ÒÃ䴌¹ËÇÁ´ŒÇ è Õ Ô âä¡Ãд١¾Ñ¹¸Ø¡ÃÃÁ·ÕÍÒ¨ÁÒ¾ºá¾·Â´ÇÂàÃ×ͧ»˜­ËÒ¡ÒÃ䴌¹ 䴌ᡋ ¡ÅØÁÍÒ¡ÒÃ è Œ è Ô ‹ Stickler «Öè§¡ÒÃÊÙ­àÊÕ¡ÒÃä´ŒÂÔ¹¨Ð໚¹ª¹Ô´ sensorineural hearing loss ¤ÇÒÁ¼Ô´»¡µÔ ¢Í§ÃкºÍ׹䴌ᡋ ÊÒµÒÊѹ ¨Í»ÃÐÊÒ·µÒËÅØ´ÅÍ¡ (retinal detachment) ྴҹâËÇ‹ (cleft è é palate) áÅФÇÒÁ¼Ô´»¡µÔ¢Í§ÀÒ¾ÃѧÊÕ·Õè epiphysis áÅСÃд١ÊѹËÅѧ ¡ÅØÁÍÒ¡Òà Stickler ‹ à¡Ô´¨Ò¡¡ÒáÅÒ¾ѹ¸Ø¢Í§ÂÕ¹·ÕÊÌҧ¤ÍÅÅÒਹª¹Ô´·Õè 2 áÅÐ 11  è 6. ¡ÅØÁÍÒ¡Ò÷ÕÁ¡ÒÃÊÙ­àÊÕ¡ÒÃ䴌¹ËÇÁ¡Ñº¤ÇÒÁ¼Ô´»¡µÔ¢Í§äµ ‹ è Õ Ô ¡ÅØÁÍÒ¡Ò÷ÕÁ»­ËҢͧ¡ÒÃ䴌¹ËÇÁ¡Ñº¤ÇÒÁ¼Ô´»¡µÔäµ ä´Œá¡‹ ¡ÅØÁÍÒ¡Òà Alport «Ö§ ‹ è Õ ˜ Ô ‹ è ÁÕ¤ÇÒÁ¼Ô´»¡µÔ¢Í§äµà»š¹ chronic nephritis ·íÒãËŒÁÕ microscopic hematuria ËÇÁ¡Ñº¡Ò÷íÒ§Ò¹¢Í§ 䵤‹ÍÂæá‹ŧ ʋǹ¡ÒÃÊÙ­àÊÕ¡ÒÃ䴌¹¨ÐàÃÔÁÍÒ¡ÒÃàÁ×ͼٻÇÂࢌÒÊÙÇÂÃØ¹ â´Â¡ÒÃÊÙ­àÊÕ¡ÒÃ䴌¹ Ô è è Œ † ŒÑ ‹ Ô ¨Ð໚¹áºº sensorineural hearing loss ¹Í¡¨Ò¡¹ÕéÍÒ¨¾º¤ÇÒÁ¼Ô´»¡µÔ·Ò§µÒ໚¹µŒÍ¡ÃШ¡ (cataract) ËÃ×Í anterior lenticonus ä´Œ ¡Òö‹Ò·ʹ·Ò§¾Ñ¹¸Ø¡ÃÃÁ¢Í§¡ÅØÁÍÒ¡Òà Alport ÁÕä´ŒËÅÒ ‹ Ẻᵋ·¾ºº‹Í·ÕÊ´¤×ÍẺ X-linked â´Âà¡Ô´¨Ò¡¡ÒáÅÒ¾ѹ¸Ø¢Í§ÂÕ¹¤ÍÅÅÒਹª¹Ô´·Õè 4 «Ö§à»š¹ Õè èØ  è â»ÃµÕ¹·ÕÊҤѭ㹠glomerular basement membrane èí 7. ¡ÅØ‹ Á ÍÒ¡Ò÷Õè ÁÕ ¡ ÒÃÊÙ ­ àÊÕ Â ¡ÒÃä´Œ ÂÔ ¹ Ë Ç Á¡Ñ º ¤ÇÒÁ¼Ô ´ »¡µÔ ¢ ͧàÁç ´ ÊÕ (Pigmentary abnormalities) µÑÇÍ‹ҧ¢Í§âÃ¤ã¹¡ÅØÁ¹Õé 䴌ᡋ ¡ÅØÁÍÒ¡Òà Waardenburg «Ö§à»š¹ syndromic hearing ‹ ‹ è loss ·Õ¶Ò·ʹẺÂչഋ¹·Õ¾ºº‹Í·ÕÊ´ ¼Ù»Ç¨ÐÁÕ¡ÒÃÊÙ­àÊÕ¡ÒÃ䴌¹Ẻ sensorineural hearing è ‹ è èØ Œ † Ô loss ËÇÁ¡Ñº¤ÇÒÁ¼Ô´»¡µÔ¢Í§àÁç´ÊÕ·¼Ç˹ѧ ËÃ×ÍàÊŒ¹¼Á ઋ¹ ÁÕšɳлͼÁ¢ŒÒ§Ë¹ŒÒÊÕ¢ÒÇ (white Õè Ô Ñ forelock) ËÃ×ÍÊբͧÁ‹Ò¹µÒ͋͹¼Ô´»¡µÔ (heterochromia irides) ¹Í¡¨Ò¡¹Õ¼»ÇÂÍÒ¨ÁÕ¤ÇÒÁ¾Ô¡Òà é ÙŒ † ᵋ¡Òà¹Ô´¢Í§á¢¹ ËÃ×Í Hirschsprung disease ËÇÁ´ŒÇÂ¡ÅØÁÍÒ¡Òà Waardenburg à¡Ô´¨Ò¡¡ÒáÅÒÂ í ‹ ¾Ñ¹¸Ø¢Í§ÂÕ¹ PAX3, MIT., SNA12, EDNRB, EDN3 ËÃ×Í SOX10  8. ¡ÅØÁÍÒ¡Ò÷ÕÁ¡ÒÃÊÙ­àÊÕ¡ÒÃ䴌¹ËÇÁ¡Ñº¤ÇÒÁ¼Ô´»¡µÔ¢Í§µÒ ‹ è Õ Ô ã¹¡ÅØÁ¹Õâä·ÕÁ¤ÇÒÁÊíҤѭ·ÕÊ´¤×Í ¡ÅØÁÍÒ¡Òà Usher «Ö§ÁÕ¡Òö‹Ò·ʹ·Ò§¾Ñ¹¸Ø¡ÃÃÁ ‹ é è Õ èØ ‹ è ẺÂÕ¹´ŒÍ ¼Ù»Ç¨ÐÁÕ¡ÒÃÊÙ­àÊÕ¡ÒÃ䴌¹Ẻ sensorineural hearing loss µÑ§áµ‹ááà¡Ô´ áÅÐ Œ † Ô é ËÅѧ¨Ò¡¹Ñ¹¨ÐàÃÔÁÁÕ¤ÇÒÁ¼Ô´»¡µÔ¢Í§¨Í»ÃÐÊÒ·µÒ ·ÕàÃÕÂ¡Ç‹Ò retinitis pigmentosa «Ö§à»š¹¡ÒÃàÊ×ÍÁ é è è è è ¢Í§¨Í»ÃÐÊÒ·µÒáÅйíÒä»ÊÙÍÒ¡ÒÃÁͧäÁ‹àËç¹ã¹àÇÅÒ¡ÅÒ§¤×¹ ÅÒ¹ÊÒÂµÒ (visual field) ᤺ŧ ‹ ¨¹¡ÃзѧµÒºÍ´àÁ×ÍࢌÒÊÙÇÂÃØ¹ ´Ñ§¹Ñ¹¡ÅØÁÍÒ¡Òà Usher ¨Ö§à»š¹ÊÒà˵ØÊҤѭ¢Í§¤ÇÒÁ¾Ô¡ÒëéÒ«ŒÍ¹ è è ‹Ñ ‹ é ‹ í í ·Ñ§¡ÒÃ䴌¹áÅСÒÃÁͧàËç¹ ·ÕÊҤѭ¤×Í retinitis pigmentosa ¨ÐÂѧäÁ‹»ÃÒ¡®ã¹ª‹Ç§ 10 »‚áá ᵋ é Ô èí ¨ÐÊÒÁÒöµÃǨ¾º¤ÇÒÁ¼Ô´»¡µÔªÇ§áá¢Í§¨Í»ÃÐÊÒ·µÒä´Œ â´ÂÇÔ¸Õ electroretinography (ERG) ‹
  • 302.
    àǪÈÒʵÏ·¹Âؤ 2553 Ñ 275 ¹Í¡¨Ò¡¹Õ¼»ÇÂ¡ÅØÁÍÒ¡Òà Usher ª¹Ô´·Õè 1 ÍÒ¨ÁÕ¤ÇÒÁ¼Ô´»¡µÔ¢Í§ vestibule ·íÒãËŒ¾²¹Ò¡Òà é ÙŒ † ‹ Ñ à¡ÕÂǡѺ¡Ò֍µÑÇઋ¹ ¡ÒùѧËÃ×Íà´Ô¹ªŒÒ¡Ç‹Ò»¡µÔ è è 9. ¡ÅØÁÍÒ¡Ò÷ÕÁ¡ÒÃÊÙ­àÊÕ¡ÒÃ䴌¹ËÇÁ¡Ñº¤ÇÒÁ¼Ô´»¡µÔ¢Í§µ‹ÍÁäÃŒ·Í ‹ è Õ Ô ‹ ã¹¡ÅØÁ¹Õâä·ÕÊҤѭ·ÕÊ´¤×Í ¡ÅØÁÍÒ¡Òà Pendred «Ö§à»š¹ syndromic hearing loss ·Õ¾º ‹ é èí èØ ‹ è è º‹Í·ÕÊ´ ÅѡɳзÕÊҤѭ¢Í§âä¹Õ¤Í ¡ÒÃÊÙ­àÊÕ¡ÒÃ䴌¹ᵋ¡Òà¹Ô´áºº sensorineural hearing èØ èí é × Ô í loss ÍÂ‹Ò§ÃØ¹áç ËÇÁ¡Ñº¤ÇÒÁ¼Ô´»¡µÔ¢Í§â¤Ã§ÊÌҧ¢Í§¡Ãд١ temporal áÅÐËÙª¹ã¹ áÅФ;͡ Ñé ª¹Ô´äÁ‹à»š¹¾ÔÉ áµ‹¤Í¾Í¡¨ÐàÃÔÁáÊ´§ÍÒ¡ÒÃËÅѧࢌÒÊÙÇÂÃØ¹ ¤ÇÒÁ¼Ô´»¡µÔ¢Í§µ‹ÍÁä·ÃÍ´ à¡Ô´¨Ò¡ è ‹Ñ ‹ ¤ÇÒÁº¡¾Ã‹Í§¢Í§ organification ¢Í§ iodine «Ö§ÊÒÁÒöµÃǨà¨Íä´Œ´Ç perchlorate discharge test è Œ ʋǹ¤ÇÒÁ¼Ô´»¡µÔ¢Í§â¤Ã§ÊÌҧ¢Í§ËÙª¹ã¹ (bony labyrinth) ¨ÐÁÕšɳТͧ vestibular aqueduct Ñé Ñ ¢ÂÒÂãË­‹¢Öé¹·ÕèàÃÕÂ¡Ç‹Ò Mondini dysplasia «Öè§µÃǨà¨Íä´Œâ´ÂÀÒ¾ÃѧÊÕ¤ÍÁ¾ÔÇàµÍÏ (computed tomography, CT) ¢Í§¡Ãд١ temporal âä¹Õ໚¹âä¾Ñ¹¸Ø¡ÃÃÁ ·Õ¶Ò·ʹẺÂÕ¹´ŒÍ áÅÐà¡Ô´¨Ò¡ é è ‹ ¡ÒáÅÒ¾ѹ¸Ø¢Í§ÂÕ¹ SLC26A4 (PDS)  10. ¡ÅØÁÍÒ¡Ò÷ÕÁ¤ÇÒÁ¼Ô´»¡µÔ¢Í§ËÑÇã¨Ã‹ÇÁ¡Ñº¡ÒÃÊÙ­àÊÕ¡ÒÃ䴌¹ ‹ è Õ Ô âä·ÕÊÒ¤Ñ­ã¹¡ÅØÁ¹Õ¤Í ¡ÅØÁÍÒ¡Òà Jervell áÅÐ Lange-Nielson «Ö§¶‹Ò·ʹ·Ò§¾Ñ¹¸Ø¡ÃÃÁ èí ‹ é × ‹ è ẺÂÕ¹´ŒÍ ¼Ù»Ç¨ÐÁÕ¡ÒÃÊÙ­àÊÕ¡ÒÃ䴌¹Ẻ sensorineural hearing loss ËÇÁ¡Ñº¤ÇÒÁ¼Ô´»¡µÔ Œ † Ô ¢Í§¤Å׹俿‡ÒËÑÇ㨠¤×ÍÁÕÃÐÂÐ QT interval ÂÒǡNjһ¡µÔ (ÁÒ¡¡Ç‹Ò 440 milliseconds) «Ö§ÍҨ໚¹ è è ÊÒà˵طÒãËŒ¼»ÇÂàÊÕªÕǵ¡Ð·Ñ¹Ëѹ䴌 ´Ñ§¹Ñ¹¼Ù»Ç·ÕÁ¡ÒÃÊÙ­àÊÕ¡ÒÃ䴌¹ËÇÁ¡Ñº»ÃÐÇѵ·Á¤¹ã¹ í ÙŒ † Ô é Œ † è Õ Ô Ô Õè Õ ¤Ãͺ¤ÃÑÇàÊÕªÕǵ¡Ð·Ñ¹Ëѹ ໚¹âä¹Í¹ËÅѺµÒÂã¹·Òá (sudden infant death syndrome) ໚¹ Ô ÅÁËÁ´ÊµÔºÍÂæ ËÃ×Í ¡ÅØÁÍÒ¡Òà long QT ¤ÇÃ䴌ú¡ÒõÃǨËÑÇã¨Í‹ҧÅÐàÍÕ´ ¡ÅØÁÍÒ¡ÒùÕà¡Ô´ ‹ ‹ Ñ ‹ é ¨Ò¡¡ÒáÅÒ¾ѹ¸Ø¢Í§ÂÕ¹ KCNQ1 áÅÐ KCNE1  ¡ÒÃÊÙ­àÊÕ¡ÒÃä´ŒÂÔ¹ª¹Ô´äÁ‹à»š¹¡ÅØ‹ÁÍÒ¡Òà (Nonsyndromic hearing loss) ໚¹âä·Ò§¾Ñ¹¸Ø¡ÃÃÁ·ÕèÁÕ¡ÒÃÊÙ­àÊÕ¡ÒÃä´ŒÂÔ¹ áÅÐäÁ‹ÁÕ¤ÇÒÁ¼Ô´»¡µÔÍ‹ҧÍ×è¹Ã‹ÇÁ´ŒÇ â´ÂÁÕ¹·Õà¡ÕÂÇ¢ŒÍ§ 48 ÂÕ¹ âä¡ÅØÁ¹ÕÊÒÁÒöẋ§µÒÁÅѡɳСÒö‹Ò·ʹ·Ò§¾Ñ¹¸Ø¡ÃÃÁä´Œ´§¹Õé Õ è è ‹ é Ñ 1. ¡ÒÃÊÙ­àÊÕ¡ÒÃ䴌¹ẺÂÕ¹´ŒÍ (autosomal recessive nonsyndromic hearing loss) Ô ¾ºä´Œ 2. »ÃÐÁҳÌÍÂÅÐ 70 ¢Í§ nonsyndromic hearing loss ·Ñé§ËÁ´ áÅФÃÖè§Ë¹Ö觢ͧ nonsyndromic hearing loss ·Õè¶‹Ò·ʹẺÂÕ¹´ŒÍ à¡Ô´¨Ò¡¡ÒáÅÒ¾ѹ¸Ø ¢Í§ÂÕ¹ GJB2 (connexin 26)(7) ¡ÒáÅÒ¾ѹ¸Ø·¾ºº‹Í·Õʴ㹪ÒǵÐÇѹµ¡¢Í§ÂÕ¹ GJB2 ¤×Í ¡ÒâҴËÒÂä»  Õè è Ø ¢Í§ guanine ·ÕµÒá˹‹§ 35 (35delG) ʋǹ㹻ÃÐà·ÈᶺàÍàªÕ ¡ÒáÅÒ¾ѹ¸Ø·¾ºº‹Í·ÕÊ´¤×Í è í (8)  Õè èØ ¡ÒâҴËÒÂ仢ͧ cytosine ·ÕµÒá˹‹§ 235 (235delC) ʋǹÂÕ¹Í×¹¾ºà»š¹Ê‹Ç¹¹ŒÍ è í (9) è
  • 303.
    276 ¡ÒÃÊÙ­àÊÕ¡ÒÃ䴌¹㹼ٻÇÂà´ç¡¨Ò¡ÊÒà˵طҧ¾Ñ¹¸Ø¡ÃÃÁ Ô Œ † 3. ¡ÒÃÊÙ­àÊÕ¡ÒÃ䴌¹ẺÂչഋ¹ (autosomal dominant nonsyndromic hearing loss) Ô ¼Ù»Ç·Õ໚¹âä¡ÅØÁ¹ÕÁ¡¨ÐÁÕ¡ÒÃÊÙ­àÊÕ¡ÒÃ䴌¹ ËÅѧ¨Ò¡¼Ù»ÇÂÁÕ¾²¹Ò¡Ò÷ҧÀÒÉÒàÃÕºÌÍÂáÅŒÇ Œ † è ‹ é Ñ Ô Œ † Ñ ¤×ÍàÃÔÁµÑ§áµ‹ÍÒÂØ 10-20 »‚ ¢Ö¹ä» áÅÐÁÑ¡¨ÐÊÙ­àÊÕ¡ÒÃ䴌¹¢ŒÒ§à´ÕÂÇ ËÃ×ÍÊÙ­àÊÕ·ѧ 2 ¢ŒÒ§áµ‹ÃдѺ è é é Ô é äÁ‹Ã¹áç ÂÕ¹·Õ·ÒãËŒà¡Ô´¡ÒÃÊÙ­àÊÕ¡ÒÃ䴌¹ẺÂչഋ¹ÁÕ¤ÇÒÁËÅÒ¡ËÅÒÂÁÒ¡ »ÃСͺ´ŒÇÂÂÕ¹ Ø è í Ô ·Õ·ÒãËŒà¡Ô´âäÍ‹ҧ¹ŒÍ 47 µíÒá˹‹§ ᵋäÁ‹Á¡ÒáÅÒ¾ѹ¸Ø¢Í§ÂÕ¹ã´Âչ˹֧·Õ¾ºº‹ÍÂ໚¹¾ÔàÈÉ è í Õ  è è àËÁ×͹ÂÕ¹ connexin 26 ·Õ·ÒãËŒà¡Ô´¡ÒÃÊÙ­àÊÕ¡ÒÃ䴌¹ẺÂÕ¹´ŒÍ è í Ô 4. ¡ÒÃÊÙ­àÊÕ¡ÒÃ䴌¹Ẻ X-linked ÂÕ¹·ÕÊÒ¤Ñ­ã¹¡ÅØÁ¹Õ¤Í D.N3 ËÃ×Í POU3.4 «Ö§·íÒ Ô èí ‹ é × è ãËŒà¡Ô´¡ÒÃÊÙ­àÊÕ¡ÒÃ䴌¹Ẻ¼ÊÁ â´Âʋǹ¢Í§ conductive hearing loss à¡Ô´¨Ò¡¡ÒÃàª×ÍÁµÔ´¡Ñ¹ Ô è ¢Í§¡Ãд١â¡Å¹ (stapedial fixation) ᵋ¡ÒÃÃÑ¡ÉÒäÁ‹ãªŒ¡Òü‹ÒµÑ´¡Ãд١â¡Å¹ à¾ÃÒШзíÒãËŒà¡Ô´¡Òà ÃÑèǢͧ perilymph ä´Œ ¡ÒÃÇÔ¹Ô¨©ÑÂâ´Â㪌ÀÒ¾·Ò§ÃѧÊÕ¤ÍÁ¾ÔÇàµÍϢͧ¡Ãд١ temporal ¨ÐàËç¹ vestibular aqueduct ¢ÂÒÂãË­‹ áÅÐÁÕ·Ò§àª×ÍÁ¡Ñ¹ÃÐËNjҧ subarachnoid space áÅÐ cochlear è endolymph 5. ¡ÒÃÊÙ­àÊÕ¡ÒÃ䴌¹·Õ¶Ò·ʹẺäÁⵤ͹à´ÃÕ à¡Ô´¨Ò¡¡ÒáÅÒ¾ѹ¸Ø¢Í§Âչ㹠DNA Ô è ‹  ¢Í§äÁⵤ͹à´ÃÕ ·Õ¾ºº‹ÍÂ䴌ᡋ ¡ÒáÅÒ¾ѹ¸Ø·µÒá˹‹§ 1555 à»ÅÕ¹¨Ò¡ adenine ໚¹ guanine è  Õè í è ã¹ÂÕ¹ MTRNR1 «Ö觨зíÒãËŒà¡Ô´¡ÒÃÊÙ­àÊÕ¡ÒÃä´ŒÂÔ¹¨Ò¡¡ÒÃä´ŒÃѺÂÒ¡ÅØ‹Á aminoglycosides ÍÕ¡µíÒá˹‹§¤×Í¡ÒáÅÒ¾ѹ¸Ø·µÒá˹‹§ 7445 à»ÅÕ¹¨Ò¡ adenine ໚¹ guanine ¢Í§ÂÕ¹ MTTS1  Õè í è ÅѡɳСÒö‹Ò·ʹ¾Ñ¹¸Ø¡ÃÃÁ¢Í§âä¡ÅØÁ¹Õé ¨Ð໚¹áºº¶‹Ò·ʹ¨Ò¡áÁ‹ä»ÊÙÅ¡·Ø¡¤¹ Í‹ҧäáçµÒÁ ‹ ‹Ù ÊÁҪԡ㹤Ãͺ¤ÃÑÇ·ÕèÁÕ¡ÒáÅÒ¾ѹ¸ØÍÒ¨äÁ‹ÁÕ¤ÇÒÁ¼Ô´»¡µÔ à¹×èͧ¨Ò¡¡ÒáÅÒ¾ѹ¸Øã¹äÁâµ ¤Í¹à´ÃÕÂÍÒ¨à¡Ô´à»š¹ºÒ§Ê‹Ç¹ äÁ‹ãª‹·§ËÁ´ (heteroplasmy) áÅÐÁÕ»¨¨ÑºҧÍ‹ҧ·Ò§ÊÔ§áÇ´ÅŒÍÁ Ñé ˜ è «Ö§ÍÒ¨Áռŵ‹Í¡ÒÃáÊ´§ÍÍ¡¢Í§ÂÕ¹ è (10) ¡ÒÃÇÔ¹Ô¨©ÑÂÊÒà˵آͧ¡ÒÃÊÙ­àÊÕ¡ÒÃä´ŒÂÔ¹ ¡ÒÃÇÔ¹¨©ÑÂÊÒà˵آͧ¡ÒÃÊÙ­àÊÕ¡ÒÃ䴌¹ ÁÕ¤ÇÒÁÊíҤѭ·Ñ§ã¹¡Òú͡¾ÂҡóâäáÅСÒÃ Ô Ô é ãËŒ¤Ò»ÃÖ¡ÉÒ·Ò§¾Ñ¹¸Ø¡ÃÃÁ·Õ¶¡µŒÍ§ ´Ñ§¹Ñ¹ ᾷ¨ÐµŒÍ§ÊÒÁÒö«Ñ¡»ÃÐÇÑµÔ µÃǨËҧ¡Ò áÅÐàÅ×Í¡ í è Ù é ¡ÒÃÊ׺¤Œ¹·ÕàËÁÒÐÊÁà¾×͹íÒä»ÊÙ·Ò§ÇÔ¹¨©ÑÂä´ŒáÅÐã¹ËÅÒ¡óըÒ໚¹¨ÐµŒÍ§ÍÒÈÑ·ÕÁᾷÊËÊÒ¢Ò è è ‹ Ô í ઋ¹ âʵ ÈÍ ¹ÒÊԡᾷ ¡ØÁÒÃᾷ ᾷ¾¹¸ØÈÒʵÏ ¨Ñ¡ÉØá¾·Âã¹¡ÒÃÇÔ¹¨©ÑÂËÒÊÒàËµØ Ñ Ô ¡Òëѡ»ÃÐÇÑµÔ ¡Òëѡ»ÃÐÇѵԤÇÃàÃÔèÁ´ŒÇ¡ÒöÒÁÍÒÂØ·ÕèàÃÔèÁÁÕ¡ÒÃÊÙ­àÊÕ¡ÒÃä´ŒÂÔ¹ ¡ÒôíÒà¹Ô¹âä ઋ¹ ã¹¼ÙŒ»†Ç·ÕèÁÕ¡ÒÃÊÙ­àÊÕ¡ÒÃä´ŒÂÔ¹ÁÒ¡¢Öé¹àÃ×èÍÂæ µÒÁÍÒÂØ·Õèà¾ÔèÁ¢Ö鹤Çù֡¶Ö§ ¡ÅØ‹ÁÍÒ¡Òà Alport, Pendred áÅÐ Stickler ¡ÒöÒÁÅѡɳТͧ¡ÒÃÊÙ­àÊÕ¡ÒÃ䴌¹áÅФÇÒÁÊÒÁÒö¾Ñ²¹Ò¡Ò÷ҧ Ô ´ŒÒ¹¡Òþٴ«Ö§¶ŒÒ¼Ù»ÇÂÁÕÀÒÇÐ conductive hearing loss ÅѡɳСÒþٴ¢Í§¼Ù»ÇÂÁÑ¡¨Ðã¡ÅŒà¤Õ§»¡µÔ è Œ † Œ † à¾ÃÒмٻÇÂÁÑ¡¨ÐÂѧ䴌¹àÊÕ§¢Í§µÑÇàͧ ᵋ¶Ò¼Ù»ÇÂÁÕÀÒÇÐ sensorineural hearing loss ¡Òþٴ Œ † Ô Œ Œ † ¢Í§¼Ù»ÇÂÁÑ¡¨ÐࢌÒã¨ä´ŒÂÒ¡ ËÃ×ÍäÁ‹ÊÒÁÒö¾Ù´ä´ŒàÅÂà¾ÃÒÐäÁ‹ä´ŒÂ¹àÊÕ§¢Í§µÑÇàͧ ¡Òëѡ»ÃÐÇÑµÔ Œ † Ô
  • 304.
    àǪÈÒʵÏ·¹Âؤ 2553 Ñ 277 Í´Õµ¤ÇÃÃÇÁ¶Ö§ »ÃÐÇѵ¡Òõѧ¤ÃÃÀ ¡ÒäÅÍ´ »ÃÐÇѵ㹪‹Ç§ááà¡Ô´ »ÃÐÇѵ¡Òù͹âç¾ÂÒºÒÅ Ô é Ô Ô ¡ÒÃà¨çº»†Ç áÅÐÂÒ·Õà¤Â䴌úâ´Â੾ÒÐÂÒ·ÕÁ¼Åµ‹Í»ÃÐÊÒ·Ë٠ઋ¹ aminoglycosides ¡Òëѡ»ÃÐÇÑµÔ è Ñ è Õ ¤Ãͺ¤ÃÑǤÇëѡ»ÃÐÇѵÂÍ¹ä» 3 ªÑǤ¹ Ç‹ÒÊÁÒªÔ¡¤¹ã´ã¹¤Ãͺ¤ÃÑÇÁÕ»­ËÒàÃ×ͧ¡ÒÃ䴌¹ áÅÐ »ÃÐ Ô Œ è ˜ è Ô Çѵ¡ÒÃᵋ§§Ò¹ã¹à¤Ã×Í­ÒµÔ «Ö§¨Ðª‹Çº‹§ªÕÇÒ ÊÒà˵آͧ¡ÒÃÊÙ­àÊÕ¡ÒÃ䴌¹NjÒÍҨ໚¹âä¾Ñ¹¸Ø¡ÃÃÁ Ô è é‹ Ô ¢Í§ÂÕ¹´ŒÍ ¡ÒõÃǨËҧ¡Ò ¡ÒõÃǨËҧ¡Ò¨Ð໚¹¡ÒõÃǨËÒ¤ÇÒÁ¼Ô´»¡µÔ·ÍÒ¨¾ºÃ‹ÇÁã¹ syndromic hearing loss Õè ઋ ¹ branchial cleft cyst ËÃ× Í fistula «Öè § ÁÑ ¡ ÍÂÙ‹ º ÃÔ à dz¤ÍµÃ§´Œ Ò ¹Ë¹Œ Ò ¢Í§¡ÅŒ Ò Áà¹×é Í sternocleidomastoid ¤ÇÒÁ¼Ô´»¡µÔ¢Í§ãºËÙ µÔ§ËÃ×ÍÃÙ˹ŒÒËÙ µÒˋҧ ÊբͧÁ‹Ò¹µÒ »Í¼ÁÊÕ¢ÒÇ ÊÒÂ è µÒÊѹÁÒ¡ pigmentary retinopathy 㹨ͻÃÐÊÒ·µÒ ¤Í¾Í¡ (goiter) ¤ÇÒÁ¼Ô´»¡µÔ¢Í§ÈÕÃÉР㺠é ˹ŒÒ áÅСÃд١ ʋǹ¡ÒõÃǨ¾ÔàÈÉ䴌ᡋ¡ÒõÃǨµÒâ´Â¨Ñ¡ÉØá¾·Â ËÃ×Í¡ÒõÃǨ vestibular function ¡ÒÃÊ׺¤Œ¹à¾ÔÁàµÔÁ·Ò§ÃѧÊÕǹ¨©ÑÂáÅÐˌͧ»¯Ôºµ¡Òà è Ô Ô Ñ Ô ¡ÒÃàÅ×Í¡¡ÒÃÊ׺¤Œ¹à¾ÔÁàµÔÁ¤ÇþԨÒóҨҡ¢ŒÍÁÙÅ·Õä´Œ¨Ò¡¡Òëѡ»ÃÐÇѵáÅеÃǨËҧ¡Ò è è Ô àª‹¹ ¡ÒÃÊ‹§ TORCH titer â´Â੾ÒÐ IgM áÅÐ urine CMV 㹡óÕʧÊÑ¡ÒõԴàª×͵ѧᵋ㹤ÃÃÀ é é ¡ÒõÃǨ»˜ÊÊÒÇÐ ¡Ò÷íÒ§Ò¹¢Í§äµ áÅÐÍÑŵÃÒ«ÒÇ´äµ 㹡óÕʧÊÑÂ¡ÅØ‹ÁÍÒ¡Òà Alport ËÃ×Í Branchio-Oto-Renal ¡ÒÃÊ‹§µÃǨ¡Ò÷íÒ§Ò¹¢Í§µ‹ÍÁä·ÃÍ´ perchlorate discharge test 㹡óÕʧÊÑ ¡ÅØÁÍÒ¡Òà Pendred ¡ÒÃÊ‹§µÃǨ EKG, Holter monitoring 㹡óÕʧÊÑ ¡ÅØÁÍÒ¡Òà Jervell and ‹ ‹ Lange-Nielsen ¡ÒÃÊ‹§µÃǨ ERG 㹡óÕʧÊÑÂ¡ÅØÁÍÒ¡Òà Usher ʋǹ¡ÒÃÊ‹§µÃǨ·Ò§ÃѧÊÕǹ¨©Ñ·Õè ‹ Ô Ô ÁÕ¤ÇÒÁÊíҤѭ¤×Í¡ÒÃÊ‹§µÃǨ CT ¢Í§¡Ãд١ temporal à¾×Í´Ù¤ÇÒÁ¼Ô´»¡µÔ¢Í§ labyrinth ·ÕàÃÕÂ¡Ç‹Ò è è Mondini dysplasia «Ö§¾ºã¹¡ÅØÁÍÒ¡Ò÷ÕÁ¡ÒÃÊÙ­àÊÕ¡ÒÃ䴌¹ËÅÒÂâä ઋ¹ ¡ÅØÁÍÒ¡Òà Pendred è ‹ è Õ Ô ‹ ËÃ×Í ¨Ò¡¡ÒáÅÒ¾ѹ¸Ø¢Í§ÂÕ¹ POU3.4  ¡ÒõÃǨ·Ò§¾Ñ¹¸Ø¡ÃÃÁ ¤ÇÃàÅ×Í¡µÃǨâ´ÂÍÒÈѨҡ¢ŒÍÁÙŨҡ¡Òëѡ»ÃÐÇÑµÔ µÃǨËҧ¡Ò áÅСÒÃÊ׺¤Œ¹·Õä´Œ¡Å‹ÒÇ è ¢ŒÒ§µŒ¹à¹×ͧ¨Ò¡»ÃÐà·Èä·ÂÂѧÊÒÁÒöµÃǨã¹ÃдѺÂչ䴌¨Ò¡Ñ´ ¨Ö§¨Ð¡Å‹ÒÇ੾ÒÐÂÕ¹·ÕÊÒÁÒöµÃǨ è í è 䴌㹻ÃÐà·Èä·Â 1. GJB 2 (connexin 26) áÅÐ GJB6 (connexin 30) ໚¹ÂÕ¹ã¹¡ÅØÁ gap junction proteins ‹ «Öè§·íÒ˹ŒÒ·Õè໚¹ª‹Í§·Ò§ÃÐËNjҧà«Åŏ·ÕèÍÂÙ‹µÔ´¡Ñ¹à¾×èÍãËŒÁÕ¡ÒÃÊ‹§¼‹Ò¹áÅÐÃÑ¡ÉÒ¤ÇÒÁÊÁ´ØÅ¢Í§ â»áµÊà«ÕÂÁäÍÍ͹ (K+) ÀÒÂã¹ËÙª¹ã¹ à¹×ͧ¨Ò¡¡ÒáÅÒ¾ѹ¸Ø¢Í§ÂÕ¹·Ñ§Êͧ¹Õ໚¹ÊÒà˵طÊҤѭ Ñé è  é é Õè í ¢Í§ nonsyndromic hearing loss â´Âã¹µ‹Ò§»ÃÐà·È¾ºÇ‹ÒÁÕÊÒà˵بҡ¡ÒáÅÒ¾ѹ¸Ø¢Í§ÂÕ¹ GJB2  »ÃÐÁҳÌÍÂÅÐ 20 ʋǹ㹻ÃÐà·Èä·Â¾ºÃŒÍÂÅÐ 12.8 â´Â¾º¡ÒáÅÒ¾ѹ¸Ø·ÕèµíÒá˹‹§ V37I
  • 305.
    278 ¡ÒÃÊÙ­àÊÕ¡ÒÃ䴌¹㹼ٻÇÂà´ç¡¨Ò¡ÊÒà˵طҧ¾Ñ¹¸Ø¡ÃÃÁ Ô Œ † ÁÒ¡·ÕèÊØ´(11) ´Ñ§¹Ñ鹨֧¤ÇþԨÒóÒÊ‹§µÃǨÂÕ¹·Ñé§Êͧ¹Õéã¹¼ÙŒ»†Ç·ÕèÁÕ¡ÒÃÊÙ­àÊÕ¡ÒÃä´ŒÂԹᵋ¡íÒà¹Ô´ Ẻ nonsyndromic hearing loss 2. SLC26A4 (Pendrin) ໚¹ÂÕ¹·Õ·Ò˹ŒÒ·Õʧ¼‹Ò¹¤ÅÍäô áÅÐäÍâÍ´Õ¹ÀÒÂã¹à«Åŏ¢Í§µ‹ÍÁ è í è‹ ä·ÃÍ´ cochlea áÅÐäµ ¡ÒáÅÒ¾ѹ¸Ø¢Í§ÂÕ¹¹Õ·ÒãËŒà¡Ô´¡ÅØÁÍÒ¡Òà Pendred ¹Í¡¨Ò¡¹Õ¡ÒáÅÒ  é í ‹ é ¾Ñ¹¸Ø¢Í§ÂÕ¹ SLC26A4 Âѧ໚¹ÊÒà˵ط¾ºº‹Í¢ͧ¡ÒÃÊÙ­àÊÕ¡ÒÃ䴌¹㹻ÃÐà·Èä·Â ´Ñ§¹Ñ¹¨Ö§¤Çà  Õè Ô é ¾Ô¨ÒóÒÊ‹§µÃǨÂÕ¹¹Õéã¹¼ÙŒ»†Ç·ÕèÁÕ¤ÇÒÁ¼Ô´»¡µÔ¢Í§µ‹ÍÁä·ÃÍ´ ËÃ×Í ¾º¤ÇÒÁ¼Ô´»¡µÔ¨Ò¡ perchlorate discharge test ËÃ×Í CT ¢Í§¡Ãд١ temporal 3. ¡ÒáÅÒ¾ѹ¸Øã¹ DNA ¢Í§äÁⵤ͹à´ÃÕ ¡ÒáÅÒ¾ѹ¸Ø·Õè໚¹ÊÒà˵ØÊíҤѭ¢Í§ ¡ÒÃÊÙ­àÊÕ¡ÒÃ䴌¹ ¤×Í¡ÒáÅÒ¾ѹ¸Ø·µÒá˹‹§ 1555 à»ÅÕ¹¨Ò¡ adenine ໚¹ guanine «Ö§·íÒãËŒ Ô  Õè í è è à¡Ô´¡ÒÃÊÙ­àÊÕ¡ÒÃ䴌¹ ¨Ò¡¡ÒÃ䴌úÂÒ¡ÅØÁ aminoglycosides áÅСÒáÅÒ¾ѹ¸Ø·µÒá˹‹§ 3243 Ô Ñ ‹  Õè í à»ÅÕ¹¨Ò¡ adenine ໚¹ guanine «Ö§·íÒãËŒà¡Ô´¡ÅØÁÍÒ¡Ò÷ÕÁ¡ÒÃÊÙ­àÊÕ¡ÒÃ䴌¹ËÇÁ¡ÑºàºÒËÇÒ¹ è è ‹ è Õ Ô ´Ñ§¹Ñ¹¶ŒÒ«Ñ¡»ÃÐÇѵ䴌ÇÒ¼Ù»ÇÂà¤Â䴌úÂÒ ¡ÅØÁ aminoglycosides ËÃ×Í à»š¹àºÒËÇÒ¹ ËÃ×ÍÁÕ¡Òà é Ô ‹ Œ † Ñ ‹ ¶‹Ò·ʹ·Ò§¾Ñ¹¸Ø¡ÃÃÁ㹤Ãͺ¤ÃÑÇ໚¹áººÊ‹§¼‹Ò¹¨Ò¡áÁ‹ä»ÂѧÅÙ¡ (maternal inheritance) ¤ÇþԨÒóÒÊ‹§µÃǨÂÕ¹àËŋҹÕé ¡ÒÃãËŒ¤íÒ»ÃÖ¡ÉÒ·Ò§¾Ñ¹¸Ø¡ÃÃÁÊíÒËÃѺ¤Ãͺ¤ÃÑÇ·ÕèÁպصÃÊÙ­àÊÕ¡ÒÃä´ŒÂÔ¹(6) ! ¡Ò÷Õè¨ÐãËŒ¤íÒ»ÃÖ¡ÉÒ·Ò§¾Ñ¹¸Ø¡ÃÃÁä´Œ¶Ù¡µŒÍ§áÁ‹¹ÂíÒ ¨íÒ໚¹·Õè¨ÐµŒÍ§ÁÕ¡ÒÃÇÔ¹Ô¨©Ñ ËÒÊÒà˵آͧ¡ÒÃÊÙ­àÊÕ¡ÒÃä´ŒÂÔ¹ ᵋã¹ËÅÒ¡óշÕèᾷäÁ‹ÊÒÁÒöãËŒ¡ÒÃÇÔ¹Ô¨©Ñ ÊÒà˵Øä´Œ â´Â੾ÒÐ nonsyndromic hearing loss ᾷÊÒÁÒöãËŒ¢ÍÁÙÅà¡ÕÂǡѺâÍ¡ÒÊ Œ è à¡Ô´«éÒã¹ÅÙ¡¤¹¶Ñ´ä» (empirical recurrence risk) ä´Œ´§¹Õé í Ñ ! ¶ŒÒ¤Ãͺ¤ÃÑǹѹäÁ‹ÁÊÁҪԡ㹤Ãͺ¤ÃÑǤ¹Í×¹ÁÕ¡ÒÃÊÙ­àÊÕ¡ÒÃ䴌¹ (sporadic) ´Ñ§¹Ñ¹ é Õ è Ô é ÊÒà˵ØÍÒ¨ÁÒ¨Ò¡ÊÔè§áÇ´ÅŒÍÁ ËÃ×;ѹ¸Ø¡ÃÃÁ¡çä´Œ âÍ¡ÒÊà¡Ô´«éíÒã¹ÅÙ¡¤¹¶Ñ´ä»ÊÙ­àÊÕ ¡ÒÃä´ŒÂÔ¹¨Ð»ÃÐÁҳÌÍÂÅÐ 10 (â´ÂµÑÇàÅ¢¨ÃÔ§¨ÐÍÂÙ‹ÃÐËNjҧÌÍÂÅÐ 0 ¶ŒÒÊÒà˵Øà¡Ô´ ¨Ò¡ÊÔ§áÇ´ÅŒÍÁËÃ×Í¡ÒáÅÒ¾ѹ¸ØãËÁ‹ áÅÐÃŒÍÂÅÐ 25 ¶ŒÒ໚¹¡ÒÃÊÙ­àÊÕ¡ÒÃ䴌¹Ẻ è  Ô ÂÕ¹´ŒÍÂ) ! ¶ŒÒ㹤Ãͺ¤ÃÑǹѹÁÕ¾¹Í§·ŒÍ§à´ÕÂǡѹÁÕ¡ÒÃÊÙ­àÊÕ¡ÒÃ䴌¹ ËÃ×Í ºÔ´ÒÁÒôÒ໚¹­ÒµÔ é Õè Œ Ô ¾Õ¹Í§¡Ñ¹ (consanguinity) ÍÒ¨¨ÐµŒÍ§Ê§ÊÑÂÇ‹Ò໚¹¡Òö‹Ò·ʹ·Ò§¾Ñ¹¸Ø¡ÃÃÁẺÂÕ¹´ŒÍÂ è Œ áÅÐâÍ¡ÒÊà¡Ô´«éÒ෋ҡѺÌÍÂÅÐ 25 í ! ¶ŒÒºÔ´ÒÁÒôҤ¹ã´¤¹Ë¹Öè§áÅкصÃÁÕ¡ÒÃÊÙ­àÊÕ¡ÒÃä´ŒÂÔ¹ ÍÒ¨¨ÐµŒÍ§Ê§ÊÑÂNjҡÒà ¶‹Ò·ʹ·Ò§¾Ñ¹¸Ø¡ÃÃÁ໚¹áººÂչഋ¹ áÅÐâÍ¡ÒÊà¡Ô´«éÒ෋ҡѺÌÍÂÅÐ 50 í ! ¶ŒÒºÔ´ÒÁÒôҤ¹ã´¤¹Ë¹Öè§ÁÕ¡ÒÃÊÙ­àÊÕ¡ÒÃä´ŒÂÔ¹ áÅÐÂѧäÁ‹Áպص÷ÕèÁÕ¡ÒÃÊÙ­àÊÕ ¡ÒÃ䴌¹ âÍ¡ÒÊ·Õ¨ÐÁÕÅ¡¤¹¶Ñ´ä»ÁÕ¡ÒÃÊÙ­àÊÕ¡ÒÃ䴌¹¨Ð෋ҡѺÌÍÂÅÐ 5 Ô è Ù Ô ! ¶ŒÒ·Ñ§ºÔ´ÒáÅÐÁÒôÒÁÕ¡ÒÃÊÙ­àÊÕ¡ÒÃ䴌¹ âÍ¡ÒÊ·Õ¨ÐÁÕºµÃÁÕ¡ÒÃÊÙ­àÊÕ¡ÒÃ䴌¹¨Ð é Ô è Ø Ô à·‹Ò¡ÑºÃŒÍÂÅÐ 10
  • 306.
    àǪÈÒʵÏ·¹Âؤ 2553 Ñ 279 àÍ¡ÊÒÃ͌ҧÍÔ§ 1. Jariengprasert C, Lertsukprasert K, Kasemsuwan L ,et al. Newborn hearing screening using otoacoustic emission (OAEs): a 1-year study at Ramathibodi Hospital. Thai J Otolaryngol Head Neck Surg 2003;4:27–41. 2. Davis A, Parving A. Toward appropriate epidemiology data on childhood hearing disability: comparative European study of birth cohorts 1982–88. J Audiol Med. 1994;3:35–47. 3. Marazita ML, Ploughman LM, Rawlings B, Remington E, Arnos KS, Nance WE. Genetic epidemiological studies of early-onset deafness in the U.S. school-age population. Am J Med Genet. 1993;46:486–91. 4. Toriello HV, Reardon W, Gorlin R., editors. Hereditary hearing loss and its syndrome, 2nd ed. New York: Oxford University Press, 2004. 5. Kochhar A, Hildebrand MS, Smith RJ. Clinical aspects of hereditary hearing loss. Genet Med. 2007;9:393-408. 6. .alk RE, Honrubia D, .ischel-Ghodsian N. Hereditary hearing loss and deafness. In: Rimoin DL, Connor JM, Pyeritz RE, Korf BR, editors. Emery and Rimoin’s principles and practice of medical genetics, 5th ed. Philadelphia: Churchill Livingstone; 2007. p.3265-303. 7. Estivill X, .ortina P, Surrey S, Rabionet R, Melchionda S, D’Agruma L, et al. Connexin-26 mutations in sporadic and inherited sensorineural deafness. Lancet. 1998;351:394–8. 8. Snoeckx RL, Huygen PL, .eldmann D, Marlin S, Denoyelle ., Waligora J, et al. GJB2 mutations and degree of hearing loss: a multicenter study. Am J Hum Genet. 2005;77:945-57. 9. Ohtsuka A, Yuge I, Kimura S, Namba A, Abe S, Van Laer L,et al. GJB2 deafness gene shows a specific spectrum of mutations in Japan, including afrequent founder mutation. Hum Genet. 2003; 112:329–33. 10. .ischel-Ghodsian N. Mitochondrial mutations and hearing loss: paradigm for mitochondrial genetics. Am J Hum Genet. 1998;62:15-9. 11. Wattanasirichaigoon D, Limwongse C, Jariengprasert C, Yenchitsomanus PT, Tocharoenthanaphol C, Thongnoppakhun W, et al. High prevalence of V37I genetic variant in the connexin-26 (GJB2) gene among non-syndromic hearing-impaired and control Thai individuals. Clin Genet. 2004;66:452-60.
  • 308.
    àǪÈÒʵÏ·¹Âؤ 2553 Ñ º··Õè 281 40 ÊÒÂàÊÕ§໚¹ÍÑÁ¾Òµ ÍÒ¨ÒÏ ᾷ˭ԧ©Ñ¹·ÔªÒ ⪵ԡdzԪ ÀÒ¤ÇÔªÒ âʵ ¹ÒÊÔ¡ ÅÒÃÔ§«Ç·ÂÒ ¤³Ðá¾·ÂÈÒʵÏÈÃÃÒª¾ÂÒºÒÅ ÁËÒÇÔ·ÂÒÅÑÂÁËÔ´Å Ô ÔÔ âäÊÒÂàÊÕ§໚¹ÍÑÁ¾Òµà»š¹âä·Õ·ÒãËŒà¡Ô´àÊÕ§á˺ 㹼ٻǺҧÃÒÂÍÒ¨ÁÕ¡ÒÃÊíÒÅѡËÇÁ´ŒÇ è í Œ † â´ÂÁÕÊÒà˵ØÁÒ¨Ò¡ÁÕ¾ÂÒ¸ÔÊÀÒ¾¢Í§àÊŒ¹»ÃÐÊÒ··ÕÁÒàÅÕ§¡ÅŒÒÁà¹×ͧ͢ÊÒÂàÊÕ§ ¤ÇÒÁ¼Ô´»¡µÔ¢Í§ è é é ¢ŒÍ¡Ãд١͋͹¡Å‹Í§àÊÕ§ (cricoarytenoid joint fixation or subluxation) ËÃ×Íà¡Ô´¨Ò¡¡ÒÃÁÕ¾§¼×´Ñ ÂÖ´µÔ´´ŒÒ¹ËÅѧ¡Å‹Í§àÊÕ§ (posterior glottic stenosis) ÊíÒËÃѺ㹷չ¨Ð¡Å‹ÒǶ֧੾ÒÐá¹Ç·Ò§¡ÒÃÃÑ¡ÉÒ è Õé ¼Ù»Ç·ÕÁÊÒÂàÊÕ§໚¹ÍÑÁ¾Òµ·Õà¡Ô´¨Ò¡¾ÂÒ¸ÔÊÀÒ¾¢Í§àÊŒ¹»ÃÐÊҷ෋ҹѹ Œ † è Õ è é àÁ×ÍÁÕ¾ÂÒ¸ÔÊÀÒ¾¢Í§àÊŒ¹»ÃÐÊÒ·ÊÁͧ¤Ù·Õè 10 (vagus nerve) ËÃ×Íᢹ§·ÕÁÒàÅÕ§¡ÅŒÒÁà¹×Í è ‹ è é é ¢Í§¡Å‹Í§àÊÕ§ 䴌ᡋ superior laryngeal nerve áÅÐ recurrent laryngeal nerve ¨Ð·íÒãËŒ¡Òà à¤Å×͹äËǢͧ¡ÅŒÒÁà¹×ÍàÊÕ§¼Ô´ä» à¡Ô´ÊÒÂàÊÕ§໚¹ÍÑÁ¾Òµ¢Ö¹ â´ÂÁÕÊÒà˵Øä´Œá¡‹ à¹×ͧ͡¢Í§ÍÇÑÂÇÐ è é é é ·ÕèÍÂÙ‹ã¡ÅŒàÊŒ¹»ÃÐÊÒ· ÃŒÍÂÅÐ 23 ໚¹à¹×éͧ͡ºÃÔàdz°Ò¹¡ÐâËÅ¡ÈÕÃÉÐ à¹×éͧ͡µ‹ÍÁä·ÃÍ´ à¹×ͧ͡ËÅÍ´ÍÒËÒà à¹×ͧ͡»Í´ Áѡ໚¹à¹×ͧ͡ª¹Ô´ÃŒÒ ÌÍÂÅÐ 20 äÁ‹·ÃÒºÊÒàËµØ ÃŒÍÂÅÐ 12 é é é ÊÒà˵بҡ¡Òü‹ÒµÑ´µ‹ÍÁä·ÃÍ´ ÃŒÍÂÅÐ 9 ÁÒ¨Ò¡¡Òü‹ÒµÑ´ÍÇÑÂÇзÕÍÂÙã¡ÅŒ¡ºàÊŒ¹»ÃÐÊÒ· ઋ¹ è ‹ Ñ °Ò¹¡ÐâËÅ¡ÈÕÃÉÐ ¡Ãд١ÊѹËÅѧ¤Í ¡Òü‹ÒµÑ´ã¹ª‹Í§Í¡ (1) ¡ÒûÃÐàÁÔ¹¼ÙŒ»†Ç·ÕèÁÕÀÒÇÐÊÒÂàÊÕ§໚¹ÍÑÁ¾Òµ ÁÕǵ¶Ø»ÃÐʧ¤à¾×ÍËÒÊÒà赯 áÅФÇÒÁÃØ¹áç¢Í§âä ÊíÒËÃѺ໚¹á¹Ç·Ò§ã¹¡ÒôÙáÅÃÑ¡ÉÒ Ñ è ¼Ù»Ç·ÕÁÊÒÂàÊÕ§໚¹ÍÑÁ¾Òµ¢ŒÒ§à´ÕÂǨÐÁÕÍÒ¡ÒÃàÊÕ§á˺ËÃ×ÍÊíÒÅѡËÇÁ´ŒÇ ᵋ¼»Ç·ÕÁÊÒÂàÊÕ§ Œ † è Õ ÙŒ † è Õ à»š¹ÍÑÁ¾ÒµÊͧ¢ŒÒ§ÁÑ¡¨ÐÁÕÍÒ¡Òâͧ·Ò§à´Ô¹ËÒÂã¨ÍØ´¡Ñé¹ ¡ÒûÃÐàÁÔ¹¼ÙŒ»†Ç¨֧µŒÍ§ÍÒÈÑ¡Òà «Ñ¡»ÃÐÇѵ·ÅÐàÍÕ´à¾×ÍËÒÊÒàËµØ àª‹¹ »ÃÐÇѵ¡Òü‹ÒµÑ´ºÃÔàdzÅíÒ¤Í ¡ÒÃãÊ‹·Íª‹ÇÂËÒÂã¨ ÍØºµàËµØ Ô Õè è Ô ‹ Ñ Ô ·ÕÅÒ¤Í à»š¹µŒ¹ ÊíÒËÃѺ¡ÒõÃǨËҧ¡Ò ¨ÐµÃǨ·Ò§ËÙ ¤Í ¨ÁÙ¡ µÃǨ¡ÒâÂѺ¢Í§ÊÒÂàÊÕ§ ÅѡɳРèí ¢Í§ÊÒÂàÊÕ§ ÃÐÂÐˋҧ¡Ñ¹¢Í§ÊÒÂàÊÕ§Êͧ¢ŒÒ§ «Öè§¶ŒÒˋҧ¡Ñ¹ÁÒ¡¼ÙŒ»†Ç¨ÐÁÕÍÒ¡ÒÃÊíÒÅѡËÇÁä´Œ ¹Í¡¨Ò¡¹Õ§µŒÍ§µÃǨËҧ¡Ò·ҧÃкº»ÃÐÊÒ· â´Â੾ÒÐàÊŒ¹»ÃÐÊÒ·ÊÁͧ¤Ù·Õè 11 áÅÐ 12 à¹×ͧ é Ñ ‹ è ¨Ò¡à»š¹àÊŒ¹»ÃÐÊÒ··ÕÍÂÙã¡ÅŒà¤Õ§NjÒÁÕ¤ÇÒÁ¼Ô´»¡µÔËÃ×ÍäÁ‹´ÇÂ è ‹ Œ
  • 309.
    282 ÊÒÂàÊÕ§໚¹ÍÑÁ¾Òµ ¡ÒõÃǨ¾ÔàÈÉà¾ÔèÁàµÔÁ (2) ! Strobovideolaryngoscopy ·íÒãËŒÊÒÁÒöàË繡ÒÃà¤Å×è͹äËǢͧ mucosal wave ä´Œ 㹡óշÁ¾ÂÒ¸ÔÊÀÒ¾·ÕàÊŒ¹»ÃÐÊÒ·¨Ð¾ºÇ‹ÒäÁ‹ÁÕ mucosal wave ¹Í¡¨Ò¡¹Õ¨Ð·íÒãËŒàËç¹ Õè Õ è é ª‹Í§ÃÐËNjҧÊÒÂàÊÕ§ áÅÐÃдѺ¢Í§¡Ãд١͋͹ arytenoid Êͧ¢ŒÒ§ä´Œª´à¨¹¢Ö¹ ÊÒÁÒö Ñ é ª‹ÇÂᡨҡ cricoarytenoid dislocation ä´Œ ¢ŒÍ¨íÒ¡Ñ´¢Í§ strobovideolaryngoscopy 㹼ٻǷÕÁÕ glottic gap ¡ÇŒÒ§ ÍÍ¡àÊÕ§䴌㹪‹Ç§Êѹ æ ¨ÐäÁ‹ÊÒÁÒö¨Ñº mucosal wave Œ † è é ä´Œ ! Imaging ¡ÒÃÊ‹§µÃǨ computer tomography (CT) ËÃ×Í magnetic resonance imaging (MRI) ¢Í§ °Ò¹¡ÐâËÅ¡ÈÕÃÉÐ ¶Ö§ ª‹Í§Í¡Ê‹Ç¹º¹ (skull base – upper chest) µÒÁ·Ò§ à´Ô¹¢Í§ÊŒ¹»ÃÐÊÒ·¤Ù·Õè 10 áÅÐ Recurrent laryngeal nerve à¾×ÍËÒÊÒà˵طÍÒ¨ÁÕ¾ÂÒ¸Ô ‹ è Õè ÊÀÒ¾¢Í§àÊŒ¹»ÃÐÊÒ· ! Laryngeal electromyography (EMG) ¡ÒõÃǨ¹ÕÊÒÁÒö㪌ᡤÇÒÁ¼Ô´»¡µÔÇÒÁÕÊÒàËµØ é ‹ ¨Ò¡ àÊŒ¹»ÃÐÊÒ·ËÃ×Í¢ŒÍ cricoarytenoid ¹Í¡¨Ò¡¹ÕéÂѧÊÒÁÒöºÍ¡¶Ö§µíÒá˹‹§¢Í§ àÊŒ¹»ÃÐÊÒ··ÕÁ¤ÇÒÁ¼Ô´»¡µÔáÅÐá¹Ç⹌Á¡ÒáÅѺÁÒ·íÒ§Ò¹¢Í§àÊŒ¹»ÃÐÊҷ䴌͡´ŒÇ è Õ Õ ! Acoustic áÅÐ Aerodynamic testing 㪌µÃǨÇÑ´¤Ø³ÀÒ¾àÊÕ§ 㪌à»ÃÕºà·Õº¤Ø³ÀÒ¾àÊÕ§ ¡‹Í¹áÅÐËÅѧ¼‹ÒµÑ´ ¡ÒÃÃÑ¡ÉÒ¼ÙŒ»†Ç·ÕèÁÕÊÒÂàÊÕ§໚¹ÍÑÁ¾ÒµË¹Öè§¢ŒÒ§ 1. ¡Òýƒ¡¾Ù´ (Voice therapy) ໚¹¡ÒÃÃÑ¡ÉÒà¾×ÍãËŒ¡Òû´¢Í§ÊÒÂàÊÕ§Êͧ¢ŒÒ§»´à¢ŒÒËҡѹ䴌ÁÒ¡¢Ö¹ â´Â¼Ù»Ç¨Ðà¡Ãç§ è é Œ † ¡ÅŒÒÁà¹×͵‹Ò§æ 㹡ÒÃÍÍ¡àÊÕ§¹ŒÍÂŧ 㹼ٻǷÕè glottic gap äÁ‹¡ÇŒÒ§ÁÒ¡ ¡Òýƒ¡ã¹ÃÐÂÐàÃÔÁµŒ¹ é Œ † è ÍÒ¨·íÒãËŒËÅÕ¡àÅÕ§¡Òü‹ÒµÑ´ä´Œ ËÃ×Í㪌ÃÇÁ¡Ñº¡Òü‹ÒµÑ´·íÒãËŒ¤³ÀÒ¾àÊÕ§´Õ§¢Ö¹ è (3) ‹ Ø Ôè é 2. ¡ÒÃÃÑ¡ÉÒ´ŒÇ¡Òü‹ÒµÑ´ ໚¹¡ÒÃÃÑ¡ÉÒà¾×èÍãËŒÊÒÂàÊÕ§¢ŒÒ§·Õè໚¹ÍÑÁ¾Òµà¢ŒÒÁÒªÔ´¡ÑºÊÒÂàÊÕ§ÍÕ¡¢ŒÒ§àÇÅÒ ÍÍ¡àÊÕ§ÁÒ¡·ÕÊ´ ¨Ð·íÒãËŒ¤³ÀÒ¾àÊÕ§áÅÐÍÒ¡ÒÃÊíÒÅÑ¡´Õ¢¹ ¡ÒÃÃÑ¡ÉÒ´ŒÇ¡Òü‹ÒµÑ´ÁÕËÅÒÂÇÔ¸¨Ð èØ Ø Öé Õ ¾Ô¨ÒóҨҡÃÐÂÐàÇÅҢͧ¡ÒÃà¡Ô´ÊÒÂàÊÕ§໚¹ÍÑÁ¾Òµ à¹×ͧ¨Ò¡¡Ò÷íÒ¼‹ÒµÑ´ÁÕ·§áººªÑǤÃÒÇáÅÐ è Ñé è ¶ÒÇà ¶ŒÒ໚¹ÁÒ¹Ò¹¡Ç‹Ò 1 »‚ áÊ´§Ç‹ÒÊÒÂàÊÕ§¨ÐäÁ‹¡ÅѺÁÒ·íÒ§Ò¹µÒÁ»¡µÔáÅŒÇ ¨Ð¾Ô¨ÒóҷíÒ¡Òà ¼‹ÒµÑ´·Õ໚¹¡ÒÃᡌä¢â´Â¶ÒÇà è ! Injection augmentation ໚¹¡ÒéմÊÒÃà¾×Í˹عÊÒÂàÊÕ§ºÃÔàdz´ŒÒ¹¢ŒÒ§¢Í§ÊÒÂàÊÕ§ è (lateral to vocal ligament) ¢ŒÒ§·Õ໚¹ÍÑÁ¾Òµà¢ŒÒÁҵç¡ÅÒ§ãËŒÁÒ¡·ÕÊ´à¾×ͨл´ glottic è èØ è gap ÊÒ÷Õè¨Ð㪌µŒÍ§à»š¹ÊÒ÷Õè©Õ´§‹Ò à¡Ô´»¯Ô¡ÔÃÔÂҡѺËҧ¡Ò¹ŒÍ ÊÒÃᵋÅЪ¹Ô´·Õè㪌 ÊÒÁÒöÍÂÙã¹Ã‹Ò§¡Ò¶ÒÇà ઋ¹ teflon ËÃ×Í ÍÂÙã¹Ã‹Ò§¡ÒªÑǤÃÒÇ¢Ö¹¡Ñºª¹Ô´¢Í§ÊÒ÷Õè ‹ ‹ è é ©Õ´ ઋ¹ hyaluronic acid áÅÐ hydroxylapatite ÍÂÙä´Œ 2 »‚ collagen ÍÂÙä´Œ»ÃÐÁÒ³ ‹ ‹
  • 310.
    àǪÈÒʵÏ·¹Âؤ 2553 Ñ 283 6 à´×͹ fascia ÍÂÙä´Œ 3 à´×͹ fat ÍÂÙä´Œ 3 à´×͹ ໚¹µŒ¹ (4) ÇÔ¸¡ÒéմÊÒ÷ÕÊÒÂàÊÕ§Êѹ ‹ ‹ Õ è é ·íÒä´Œ·§´ÁÂÒÊź¼‹Ò¹·Ò§ direct laryngoscope áÅÐ ÇԸ㪌ÂÒªÒ੾ÒзÕâ´Â㪌à¢çÁ Ñé Õ è ¼‹Ò¹¼ÔÇ˹ѧ¤Í´ŒÒ¹Ë¹ŒÒ ࢌÒä»·Ò§ thyrohyoid ËÃ×Í cricothyroid membrane ! Medialization laryngoplasty ໚¹¡Òü‹ÒµÑ´Ë¹Ø¹ÊÒÂàÊÕ§¢ŒÒ§·Õ໚¹ÍÑÁ¾Òµ â´Â¼‹Òແ´ è ª‹Í§·Õè¡Ãд١͋͹ thyroid à¾×èÍãÊ‹ÇÑÊ´Ø àª‹¹ «ÔÅÔ⤹ ËÃ×Í polytetrafluoroethylene (Gore-Tex) ࢌÒ仢ŒÒ§ÊÒÂàÊÕ§ (5) ¡Òü‹ÒµÑ´ª¹Ô´¹Õ¨Ð㪌㹡óշµÍ§¡ÒÃᡌä¢àÁ×Í¤Ô´Ç‹Ò é Õè Œ è ÊÒÂàÊÕ§¨ÐäÁ‹¡ÅѺÁÒ¢ÂѺÍÕ¡ ! Arytenoid repositioning 㪌㹡óշÊÒÂàÊÕ§áÅÐ vocal process Êͧ¢ŒÒ§Ë‹Ò§¨Ò¡¡Ñ¹ Õè ÁÒ¡ ÊÒÁÒö·íÒä´Œ·§ÇÔ¸Õ adduction arytenopexy (5) ËÃ×Í arytenoid adduction (6) «Ö§ Ñé è ¢Ö¹¡Ñº¤ÇÒÁ¶¹Ñ´¢Í§¼Ù¼ÒµÑ´ é Œ ‹ ! Reinnervation ໚¹¡Òõ‹ÍàÊŒ¹»ÃÐÊÒ·ÍҨ໚¹¡Òõ‹ÍÃÐËNjҧàÊŒ¹»ÃÐÊÒ· ËÃ×Í໚¹¡Òà ¹íÒ¡ÅŒÒÁà¹×Íã¡ÅŒà¤Õ§·ÕàÅÕ§´ŒÇÂàÊŒ¹»ÃÐÊÒ·Í×¹ ઋ¹ omohyoid àÅÕ§´ŒÇ ansa cervicalis é è é è é ÁÒµÔ´·Õè posterior cricoarytenoid ¡ÒÃÃÑ¡ÉÒ¼ÙŒ»†Ç·ÕèÁÕÊÒÂàÊÕ§໚¹ÍÑÁ¾ÒµÊͧ¢ŒÒ§ ¼ÙŒ»†Ç·ÕèÁÒ¾ºá¾·Â´ŒÇÂÊÒÂàÊÕ§໚¹ÍÑÁ¾ÒµÊͧ¢ŒÒ§ÁÑ¡ÁÕ»˜­ËÒàÃ×èͧ·Ò§à´Ô¹ËÒÂã¨ ÍØ´¡Ñ¹ ´Ñ§¹Ñ¹¡ÒÃÃÑ¡ÉҼٻǷÕÁ¤ÇÒÁ¼Ô´»¡µÔã¹Åѡɳйը§ÁÕǵ¶Ø»ÃÐʧ¤à¾×Íແ´·Ò§à´Ô¹ËÒÂã¨ãËŒ é é Œ † è Õ éÖ Ñ è ¡ÇŒÒ§¢Ö¹â´ÂãËŒÁ¼Åµ‹Í¡ÒÃà¡Ô´àÊÕ§á˺áÅÐÊíÒÅÑ¡¹ŒÍ·ÕÊ´ â´Â¡Ò÷íÒ laser posterior cordotomy é Õ èØ ËÃ×Í arytenoidectomy à¾×Íແ´·Ò§à´Ô¹ËÒÂ㨴ŒÒ¹ËÅѧ ¹Í¡¨Ò¡¹Õé reinnervation ÁÕÃÒ§ҹNjÒÊÒÁÒö è ÃÑ¡ÉÒÊÒÂàÊÕ§໚¹ÍÑÁ¾ÒµÊͧ¢ŒÒ§ä´Œàª‹¹¡Ñ¹ ¼ÙŒ»†Ç·ÕèÁÒ¾ºá¾·Â´ŒÇÂÍÒ¡ÒÃàÊÕ§á˺¨Ò¡¡ÒÃ໚¹ÊÒÂàÊÕ§໚¹ÍÑÁ¾Òµ ÍÒ¡Òà àÊÕ§á˺áÅÐÊíÒÅÑ¡¹Ñ¹·íÒãˌú¡Ç¹¡ÒôíÒà¹Ô¹ªÕǵ»ÃШíÒÇѹ ¡ÒÃÇÔ¹¨©ÑµŒÍ§ÍÒÈÑ¡Òëѡ»ÃÐÇѵáÅÐ é Ô Ô Ô µÃǨËҧ¡ÒÂÍ‹ҧÅÐàÍÕ´à¾×ÍËÒÊÒà˵ØÊÒÂàÊÕ§໚¹ÍÑÁ¾Òµ ʋǹ¡ÒÃÃÑ¡Éҹѹ»˜¨¨Øº¹ÁÕ¡ÒÃÃÑ¡ÉÒ è é Ñ ËÅÒÂÇÔ¸¢¹¡ÑºÃÐÂÐàÇÅÒ¡ÒôíÒà¹Ô¹âä ÍÒ¡Òâͧ¼Ù»Ç áÅлÃÐʺ¡Òó¢Í§á¾·Â¼Ã¡ÉÒàÅ×Í¡ Õ Öé Œ † ÙŒ Ñ ¾Ô¨ÒóÒ
  • 311.
    284 ÊÒÂàÊÕ§໚¹ÍÑÁ¾Òµ àÍ¡ÊÒÃ͌ҧÍÔ§ 1. Gardner GM, Benninger MS. Vocal fold paralysis. In: Rubin JS, Sataloff RT, Korovin GS, editors. Diagnosis and treatment of voice disorders. 3rd ed. San Diago: Plural publishing Inc; 2006. p.471 – 491. 2. Simpson CB, Cheung EJ. Evaluation of vocal fold paralysis. In: Sulica L, Blitzer A, editors. Vocal fold paralysis. Heidelberg: Springer-Verlag Berlin Heidelberg; 2006. p.55 – 62. 3. Alatri LD, Galla S, Rigante M, Antonelli O, Buldrini S, Marchese MR. Role of early voice therapy in patients affected by unilateral vocal fold paralysis. J Laryngol Otol. 2008;122:936 –41. 4. O’Leary MA, Grillone GA. Injection laryngoplasty. Otolaryngol Clin North Am. 2006;39:43 - 54. 5. Zeitel SM. Adduction arytenopexy with medialization laryngoplasty and cricothyroid subluxation: A new approach to paralytic dysphonia. Operative techniques in Otolaryngology. Head and Neck surgery. 2000;10:9 – 16. 6. Miller .R, Bryant GL, Netterville JL. Arytenoid adduction in vocal fold paralysis. Operative techniques in otoalryngology. Head and Neck Surgery.1999;10:36 – 41.
  • 312.
    àǪÈÒʵÏ·¹Âؤ 2553 Ñ º··Õè 285 41 Hoarseness and Management : ¡Ò÷íÒ§Ò¹¢Í§ÊÒÂàÊÕ§㹡ÒÃÍÍ¡àÊÕ§ ÃͧÈÒʵÃÒ¨ÒÏ ᾷ˭ԧ¨ÕÃÐÊØ¢ ¨§¡ÅÇѲ¹Ò ÀÒ¤ÇÔªÒâʵ ¹ÒÊÔ¡ ÅÒÃÔ§«Ç·ÂÒ ¤³Ðá¾·ÂÈÒʵÏÈÃÃÒª¾ÂÒºÒÅ ÁËÒÇÔ·ÂÒÅÑÂÁËÔ´Å Ô ÔÔ àÊÕ§¾Ù´»¡µÔ»ÃСͺ´ŒÇÂÊÒÁʋǹ䴌ᡋ phonation ¤×ÍàÊÕ§᷌·à»Å‹§ÍÍ¡ÁÒ¨Ò¡ÊÒÂàÊÕ§ Õè articulation ¤×Í¡ÒÃ㪌ÍÇÑÂÇТͧª‹Í§»Ò¡ ÅÔ¹ ¿˜¹ ÃÔÁ½‚»Ò¡ ྴҹ㹡ÒÃÍ͡໚¹àÊÕ§¾ÂÑ­ª¹Ð é ÊÃе‹Ò§æ áÅÐ໚¹¤íÒ áÅÐ resonance ¤×ͤÇÒÁ¡ŒÍ§¢Í§àÊÕ§«Ö§¨Ð»ÃѺ¤Ø³ÀÒ¾¢Í§àÊÕ§ ¨Ò¡â¾Ã§ è ·Ò§à´Ô¹ËÒÂã¨Ê‹Ç¹º¹â´Â੾ÒÐ â¾Ã§¢Í§¤ÍËÍ ÃÇÁ¶Ö§â¾Ã§¨ÁÙ¡áÅÐ䫹ÑÊ ã¹¡Ã³Õ¢Í§ÀÒÇÐàÊÕ§ á˺¨Ðà¡Ô´¨Ò¡¤ÇÒÁ¼Ô´»¡µÔã¹àÃ×ͧ¢Í§ phonation è ¡Å‹Í§àÊÕ§ÁÕ˹ŒÒ·Õ·ÊҤѭ 䴌ᡋ protection ¤×Í»¡»‡Í§·Ò§à´Ô¹ËÒÂã¨äÁ‹ãËŒÍÒËÒõ¡Å§ä» è Õè í ¢³Ð¡Å× ¹ â´ÂÊÒÂàÊÕ Â §¨Ð» ´ ṋ ¹ ¡Å‹ Í §àÊÕ Â §¨Ð» ´ ṋ ¹ áÅСµÑ Ç ¢Öé ¹ áÅжŒ Ò ÁÕ Í ÒËÒÃËÃ× Í ÊÔè§á»Å¡»ÅÍÁµ¡Å§ä»ã¹·Ò§à´Ô¹ËÒÂ㨠¡Òû´á¹‹¹¹Õé¨Ð໚¹ÊÔè§ÊíҤѭ㹡ÒÃÍÑ´ÅÁ㹻ʹà¾×èÍ㪌 㹡ÒÃäÍ «Ö§à»š¹ protective mechanism ·ÕÊҤѭ¢Í§¡Òû¡»‡Í§·Ò§à´Ô¹ËÒÂ㨠Respiration ¤×Í໚¹ è èí ·Ò§¼‹Ò¹¢Í§ÍÒ¡ÒÈ·ÕèËÒÂ㨠â´ÂÁÕ¡ÒÃÈÖ¡ÉÒàª×èÍÇ‹Ò baroreceptor ·Õè¡Å‹Í§àÊÕ§ÍÒ¨ÁÕʋǹ㹡Òà ¤Çº¤ØÁ¨Ñ§ËÇÐËÒÂ㨴ŒÇ áÅÐ phonation ¤×Í¡ÒÃÍÍ¡àÊÕ§ ¡Ò÷íÒ§Ò¹¢Í§ÊÒÂàÊÕ§¢³ÐÍÍ¡àÊÕ§ËÃ×Í phonation ¨Ð¤‹Í¹¢ŒÒ§«Ñº«ŒÍ¹ â´ÂÊÒÂàÊÕ§ ¨Ð»´áÅÐÅÁËÒÂã¨ÍÍ¡·Õ輋ҹÍÍ¡ÁҨзíÒãËŒÊÒÂàÊÕ§ÊÑè¹¾ÅÔéǵѴÍÒ¡ÒÈÍ͡໚¹¨Ñ§ËÇÐÍ‹ҧ ÊÁèÒàÊÁÍ «Ö§¨ÐãËŒàÊÕ§ phonation·ÕÁ¤³ÀÒ¾·Õ´Õ ¡ÅŒÒÁà¹×ͷդǺ¤ØÁÊÒÂàÊÕ§¤×Í intrinsic laryngeal í è è Õ Ø è é è muscles »ÃСͺ´ŒÇ thyroarytenoids, lateral cricoarytenoids, posterior arytenoids, interarytenoids áÅÐ cricothyrroids «Ö觨зíÒãËŒà¡Ô´¡ÒÃà¤Å×è͹äËǢͧÊÒÂàÊÕ§ÊÒÁÁÔµÔ¤×͹͡¨Ò¡à»´»´áÅŒÇ ÂѧÁÕ¡ÒáÒúԴ¢Ö¹Å§ (upward and downward) à»ÅÕ¹¤ÇÒÁÂÒÇáÅФÇÒÁµÖ§ «Ö§à»ÅÕ¹ÃٻËҧ¢Í§ é è è è ¢ÍºÊÒÂàÊÕ§´ŒÇ ¡ÒÃà»Å‹§àÊÕ§¨Ò¡ÊÒÂàÊÕ§»ÃСͺ´ŒÇ»˜¨¨Ñ ´Ñ§¹Õé 1. ÁÕÅÁËÒÂã¨ÍÍ¡¨Ò¡»Í´à¾Õ§¾ÍáÅÐÊÁèÒàÊÁͷըзíÒãËŒÊÒÂàÊÕ§Êѹ «Ö§»¡µÔ㪌áçÅÁ í è è è äÁ‹ÁÒ¡¹Ñ¡àÁ×Íà·Õº¡ÑºÅÁËÒÂã¨ÍÍ¡·Ñ§ËÁ´ ᵋ¶ÒÁÕ»­ËҡѺ»Í´ÁÒ¡æ ËÃ×͡ŌÒÁà¹×Í·Õà¡ÕÂÇ¢ŒÍ§ è é Œ ˜ é è è ઋ¹ COPD, myasthenis gravis «Ö§ÅÁËÒÂã¨ÍÍ¡¹ŒÍÂËÃ×ÍäÁ‹ÊÁèÒàÊÁͨ¹ÊÒÂàÊÕ§ÊѹäÁ‹ä´Œ¨§ËÇÐ è í è Ñ ¨ÐÁÕÍÒ¡ÒÃàÊÕ§àºÒáÅÐá˺䴌 ·Ñ§¹Õ¡Ò÷íÒ§Ò¹¢Í§ intrinsic laryngeal muscles ¨ÐÁÕÊǹ㹡Òà é é ‹ ¤Çº¤ØÁáçÅÁâ´Âແ´»´ posterior glottis ´ŒÇÂ
  • 313.
    286 Hoarseness and Management 2. ¡Òû´¢Í§ÊÒÂàÊÕ§ (vocal fold augmentation) «Öè§µŒÍ§»´¾Í´Õ·ÕèÅÁ¨Ð¼‹Ò¹ä´Œ ã¹µíÒá˹‹§ midline â´Â໚¹¡Ò÷íÒ§Ò¹¢Í§ intrinsic laryngeal muscles ໚¹ËÅÑ¡ â´Â੾ÒÐ lateral cricoarytenoid muscles ¶ŒÒÊÒÂàÊÕ§»´äÁ‹Ê¹Ô· (ઋ¹ unilateral vocal fold paralysis) ¨ÐÁÕÅÁÃÑÇ è ¢³ÐÍÍ¡àÊÕ§ ¨Ñ§ËÇоÅÔéǢͧÊÒÂàÊÕ§¨Ð¼Ô´»¡µÔ àÊÕ§·ÕèÍÍ¡ÁÒ¨Ðá˺â´ÂÁÕ frequency áÅÐ amplitude äÁ‹ÊÁèÒàÊÁÍ ¶ŒÒ»´á¹‹¹à¡Ô¹ä» (ઋ¹ adductor spasmodic dysphonia) ÅÁ·Õ¼Ò¹ÍÍ¡ÁÒ í è ‹ ¡ç¨ÐäÁ‹ä´Œ¨§ËÇÐÍաઋ¹¡Ñ¹ â´ÂàÊÕ§¨Ðá˺ऌ¹ Ñ 3. Vibratory property ¢Í§ÊÒÂàÊÕ§ ÊÒÂàÊÕ§¨ÐÁÕšɳÐ੾ÒФ×Í»ÃСͺ´ŒÇ ᡹ËÃ×Í Ñ “body” ·ÕÍÂÙ¹§áÅÐÁÕ elastic property ÊÙ§ body »ÃСͺ´ŒÇ vocalis muscle áÅÐ vocal ligament è ‹ Ôè áÅÐʋǹ “cover” «Ö§à»š¹ mucosa ·ÕàÅ×͹ä»ÁÒä´Œà¾ÃÒÐÁÕ ªÑ¹ loose connective tissue ËÃ×Í superficial è è è é layer of lamina propria ÍÂÙÃÐËNjҧ¡ÅÒ§ 㹡ÒÃÍÍ¡àÊÕ§ÊÒÂàÊÕ§¨Ð»´â´Â㪌 intrinsic laryngeal ‹ muscles áçÅÁËÒÂã¨ÍÍ¡¨Ò¡ subglottis ¨Ð´Ñ¹ãˌແ´ ËÅѧ¨Ò¡¹Ñ¹áçÅÁ¨ÐŴŧ ¢ÍºÊÒÂàÊÕ§ é ¨Ð»´ ¶ŒÒÁͧã¹á¹Ç coronal plane ¢ÍºÅ‹Ò§ (inferior edge) ¢Í§¢ÍºÊÒÂàÊÕ§¨Ðá¡ÍÍ¡¡‹Í¹ áÅŒÇäÅ‹Áҷբͺº¹ (superior edge) ·íÒãËŒ¢ÍºÊÒÂàÊÕ§à¤Å×͹·Õ໚¹¤Å×¹¢Í§ “cover” º¹ “body” è è è è Í‹ҧÊÁèÒàÊÁÍà¡Ô´ÅѡɳзÕàÃÕÂ¡Ç‹Ò mucosal wave ¢Ö¹ Ëҧ¡ÒÂ㪌 intrinsic laryngeal muscle í è é 㹡ÒûÃѺÃٻËҧ¢Í§¢ÍºÊÒÂàÊÕ§ãˌ˹ÒËÃ×ͺҧ䴌´Ç ÊÔ§·Õ·ÒãËŒ¡ÒÃà¤Å×͹äËǢͧ body áÅÐ Œ è è í è cover ¼Ô´»¡µÔ ઋ¹ cyst, scar, cancer ¨Ð·íÒãËŒ¡ÒÃà¤Å×͹äËǢͺÊÒÂàÊÕ§áÅÐ mucosal wave è ¼Ô´»¡µÔ ·íÒãËŒàÊÕ§á˺ 4. ÃٻËҧ¢Í§¢ÍºÊÒÂàÊÕ§ »¡µÔÊÒÂàÊÕ§¨Ð»´ áÅÐÁÕ¡ÒÃà¤Å×͹äËÇແ´»´ áÅСÒÃà¡Ô´ è mucosal wave ·ÕÁšɳРsymmetry ¢ŒÒ§«ŒÒÂáÅТÇÒ ÃٻËҧ¢Í§¢ÍºÊÒÂàÊÕ§ ·Õ¼´»¡µÔઋ¹ è ÕÑ è Ô atrophy, ÁÕ mass, ÁÕnodules ¨Ð·íÒãËŒàÊÕ§á˺ 5. ¡ÒäǺ¤ØÁ length, tension «Ö§ intrinsic laryngeal muscles ¨ÐÊÒÁÒö¤Çº¤ØÁà¾×ÍãËŒ è è ä´ŒàÊÕ§ÊÙ§µèÒ áÅФسÀÒ¾àÊÕ§·ÕµÍ§¡ÒÃä´Œ í è Œ ¨ÐàËç¹Ç‹Ò intrinsic laryngeal muscles ¹Í¡¨Ò¡¨Ð»´ÊÒÂàÊÕ§ãËŒ¾ÍàËÁÒÐã¹¢³ÐÍÍ¡àÊÕ§ áÅŒÇ ÂѧÁÕÊǹ㹡ÒûÃѺÃٻËҧ¢Í§¢ÍºÊÒÂàÊÕ§ »ÃѺ¤ÇÒÁÂÒÇáÅФÇÒÁµÖ§ ´Ñ§¹Ñ¹»˜¨¨ÑÂËÅÑ¡ ‹ é ·Õ辺º‹Í·Õè·íÒãËŒàÊÕ§á˺ ¤×ÍÊÒÂàÊÕ§»´äÁ‹ä´Œ «Öè§Ê‹Ç¹ãË­‹à¡Ô´¨Ò¡ vocal fold paralysis ʋǹ¤ÇÒÁ¼Ô´»¡µÔ¨Ò¡ muscle ËÃ×Í cricioarytenoid joint ¨Ð¾ºä´Œ¹ŒÍÂ¡Ç‹Ò áÅФÇÒÁ¼Ô´»¡µÔ ¢Í§µÑÇÊÒÂàÊÕ§ (vocal fold mucosal disorder) ઋ¹ vocal nodule, tumor «Ö§á¹Ç·Ò§¡ÒÃÃÑ¡ÉÒ ËÃ×Í è »‡Í§¡Ñ¹¢Ö¹¡ÑºâäᵋÅЪ¹Ô´ é
  • 314.
    àǪÈÒʵÏ·¹Âؤ 2553 Ñ 287 àÍ¡ÊÒÃ͌ҧÍÔ§ 1. Woodson GE. Laryngeal and pharyngeal function. In: Cummings CW et al, editor. Otolaryngology Head and Neck Surgery. 4th ed. Pennsylvania: Elviser Mosby Philadelphia; 2005. p. 1963-74. 2. Hirano M. Phonosurgical anatomy of the larynx. In: .ord CN, Bless DM, editors. Phonosurgery. New York: Raven press; 1971. p. 25-42. 3. Hirano M. Clinical examination of voice. New York: Springer-Verleg; 1991. p. 1-10, 43-65. 4. Sant’Ambrogio .B, Mathew OP, Clark WD, Sant’Ambrogio G. Laryngeal influences on breathing pattern and posterior cricoarytenoid muscle activity. J Appl Physiol. 1985;58(4):1298-304.
  • 316.
    àǪÈÒʵÏ·¹Âؤ 2553 Ñ º··Õè 289 42 ¡Òû‡Í§¡Ñ¹âäËÅÍ´àÅ×Í´ÊÁͧ·Ñé§¡‹Í¹áÅÐËÅѧ¡Òü‹ÒµÑ´ (Perioperative Stroke Prevention) ¹ÒÂᾷ ʧ¤ÃÒÁ ⪵ԡ͹تԵ ¹ÒÂᾷ §ªÑ ¹ÔÅй¹· ÃͧÈÒʵÃÒ¨ÒÏ ᾷ˭ԧ ¹ÒÃҾà »ÃÐÂÙÃÇÔÇѲ¹ ÈÒʵÃÒ¨ÒÏ ¹ÒÂᾷ ¹Ô¾¹¸ ¾Ç§ÇÃÔ¹·Ã ¤³Ðá¾·ÂÈÒʵÏÈÔÃÔÃÒª¾ÂÒºÒÅ ÁËÒÇÔ·ÂÒÅÑÂÁËÔ´Å ã¹¼ÙŒ»†Ç·ÕèÁÕ»˜¨¨ÑÂàÊÕè§µ‹ÍâäËÅÍ´àÅ×Í´ÊÁͧ·Õèä´ŒÃѺ¡Òü‹ÒµÑ´ËÃ×Í·íÒËѵ¶¡Ò÷ҧ¡Òà ᾷ¹Ñé¹ »˜­ËÒ¡ÒÃà¡Ô´âäËÅÍ´àÅ×Í´ÊÁͧµÕºËÃ×ÍÍØ´µÑ¹ÃÐËNjҧËÃ×ÍËÅѧ¡Ò÷íÒËѵ¶¡Òà áÅÐ »˜­ËÒ¡ÒÃà¡Ô´ÀÒÇÐÊÁͧ¢Ò´àÅ×Í´¨Ò¡¡ÒÃàÊÕÂàÅ×Í´ÁÒ¡ËÅѧ¡Òü‹ÒµÑ´à»š¹ÊÔ§·Õ¾ºä´ŒºÍ áÅзíÒãËŒ è è ‹ à¡Ô´¤ÇÒÁ¾Ô¡ÒÃáÅСÒÃÊÙ­àÊÕªÕǵÁÒ¡¢Ö¹(1-3) ¡ÒûÃÐàÁÔ¹¤ÇÒÁàÊÕ§áÅСÒôÙáÅÃÑ¡ÉÒ¼Ù»ÇÂÍ‹ҧ Ô é è Œ † àËÁÒÐÊÁáÅж١µŒÍ§ã¹ª‹Ç§àÇÅÒ¡‹Í¹áÅÐËÅѧËѵ¶¡ÒèЪ‹ÇÂÅ´¤ÇÒÁàÊÕè§µ‹Í¡ÒÃà¡Ô´¤ÇÒÁ ¾Ô¡ÒÃáÅСÒÃÊÙ­àÊÕªÕÇÔµ´Ñ§¡Å‹ÒÇä´Œ ÍѵÃÒ¤ÇÒÁàÊÕ觢ͧ¡ÒÃà¡Ô´ËÅÍ´àÅ×Í´ÊÁͧµÕºËÃ×ÍÍØ´µÑ¹ ÃÐËNjҧáÅÐËÅѧ¡Ò÷íÒËѵ¶¡Ò÷ҧ¡ÒÃᾷÁÕ¤ÇÒÁᵡµ‹Ò§¡Ñ¹µÒÁ»ÃÐàÀ·¢Í§Ëѵ¶¡Òôѧ¹Õé (µÒÃÒ§·Õè 1) (4,5)
  • 317.
    290 ¡Òû‡Í§¡Ñ¹âäËÅÍ´àÅ×Í´ÊÁͧ·Ñ§¡‹Í¹áÅÐËÅѧ¡Òü‹ÒµÑ´ é µÒÃÒ§·Õè 1 ËÑ µ ¶¡Ò÷ҧ¡ÒÃᾷ á ÅÐÍØ ºÑ µÔ ¡ Òó ¡ ÒÃà¡Ô ´ âäËÅÍ´àÅ× Í ´ÊÁͧµÕ º ËÃ× Í ÍØ´µÑ¹ Ëѵ¶¡Ò÷ҧ¡ÒÃᾷ ¤ÇÒÁàÊÕè§ Ëѵ¶¡Ò÷ҧ¡ÒÃᾷ ¤ÇÒÁàÊÕè§ (%) (%) ¡Òü‹ÒµÑ´·ÑÇä» è 0.08-0.7 CABG* 㹼ٻǷÕÁËÅÍ´àÅ×Í´á´§ Œ † è Õ 5.0 ¤ÒâõԴµÕº >50 % 2 ¢ŒÒ§ ¡Òü‹ÒµÑ´ËÅÍ´àÅ×Í´á´§ 0.8-3.0 ¡Òü‹ÒµÑ´à»ÅÕ¹ÅÔ¹ËÑÇ㨠è é 4.8-8.8 ʋǹ»ÅÒ ¡ÒÃãÊ‹ËÅÍ´ÅÇ´¤éíÒÂѹ - ¡Òü‹ÒµÑ´ÅÍ´¤ÃÒºä¢Áѹã¹ËÅÍ´ 5.5-6.1 ËÅÍ´àÅ×Í´á´§¤ÒâõԴáÅÐ àÅ×Í´á´§¤ÒâõԴ㹼ٻÇ·Õ໚¹âä Œ † è ãªŒÍØ»¡Ã³»‡Í§¡Ñ¹ ËÅÍ´àÅ×Í´ÊÁͧµÕºËÃ×͵ѹ ¡Òü‹ÒµÑ´à»ÅÕ¹·Ò§à´Ô¹ 1.4-3.8 è CABG*ã¹¼Ù»ÇÂËÅÍ´àÅ×Í´á´§¤ÒâõԴ Œ † 7.0 ËÅÍ´àÅ×Í´ËÑÇ㨠(CABG*) ÍØ´µÑ¹ ¡Òü‹ÒµÑ´ÅÍ¡¤ÃÒºä¢Áѹ㹠2.5 CABG* ¾ÃŒÍÁ¡Òü‹ÒµÑ´à»ÅÕ¹ÅÔ¹ËÑÇ㨠è é 7.4 ËÅÍ´àÅ×Í´á´§¤ÒâõԴ㹠¼Ù»Ç·ÕäÁ‹à¤ÂÁÕÍÒ¡ÒÃÁÒ¡‹Í¹ Œ † è ¡Òü‹ÒµÑ´·ÑÇä»ã¹¼Ù»ÇÂà¤Â 2.9 è Œ † ¡Òü‹ÒµÑ´ËÅÍ´àÅ×Í´á´§ãË­‹àÍÍÍÏµÒ 8.4 ÁÕâäËÅÍ´àÅ×Í´ÊÁͧµÕºËÃ×Í ÍØ´µÑ¹ËÃ×Í TIA** ÁÒ¡‹Í¹ - CABG* 㹼ٻǷÕÁËÅÍ´ 3.0 Œ † è Õ ¡Òü‹ÒµÑ´à»ÅÕ¹ÅÔ¹ËÑÇ㨾ÌÍÁ¡Ñ¹ 2-3 ÅÔ¹ 9.7 è é é àÅ×Í´á´§¤ÒâõԴµÕº >50 % ¢ŒÒ§à´ÕÂÇ - ¡Òü‹ÒµÑ´·ÕÈÃÉÐáÅÐ¤Í 4.8 è Õ ¡ÒÃãÊ‹ËÅÍ´ÅÇ´¤éíÒÂѹËÅÍ´àÅ×Í´ <10.0 ÀÒÂã¹ÊÁͧ ËÁÒÂà赯 *CABG: coronary artery bypass graft, **TIA: Transient ischemic attack ·ÕÁÒ : è ´Ñ´á»Å§¨Ò¡ N Engl J Med 2007;356:706-13 áÅÐ Mayo Clin Proc 2004;79:223-9
  • 318.
    àǪÈÒʵÏ·¹Âؤ 2553 Ñ 291 ÊÒà赯 ¡ÒÃÈÖ¡ÉÒẺŒ͹ËÅѧ㹼ٻÇ 388 ÃÒ·ÕÁâäËÅÍ´àÅ×Í´ÊÁͧ¢Ò´àÅ×Í´ÀÒÂËÅѧ¡Òü‹Ò Œ † è Õ µÑ´à»ÅÕ¹·Ò§à´Ô¹ËÅÍ´àÅ×Í´ËÑÇ㨠(coronary artery bypass graft:- CABG) ¾ºÇ‹ÒÊÒà˵ØÊǹãË­‹ è ‹ à¡Ô´¨Ò¡ÅÔÁàÅ×Í´¨Ò¡ËÑÇã¨ËÅØ´ä»ÍØ´ËÅÍ´àÅ×Í´ÊÁͧ ᵋÁÊǹ¹ŒÍÂà¡Ô´¨Ò¡¡ÒÃäËÅàÇÕ¹¢Í§Ãкº è Õ‹ àÅ×ʹŴŧ Íѹà¹×ͧÁÒ¨Ò¡¡ÒÃÁÕËÅÍ´àÅ×Í´ÊÁͧËÃ×ÍËÅÍ´àÅ×Í´á´§ãË­‹·¤ÍµÕºËÃ×ÍÍØ´µÑ¹ ´Ñ§ÃÒ è Õè ÅÐàÍÕ´ã¹ÃÙ»·Õè 1 (6) ÃÙ»·Õè 1 ÊÒà˵ءÒÃà¡Ô´âäËÅÍ´àÅ×Í´ÊÁͧÀÒÂËÅѧ¡Òü‹ÒµÑ´ CABG (¨íҹǹ 388 ÃÒÂ) ·ÕÁÒ : Likosky DS, Marrin C AS, Caplan LR, Baribeau YR, Morton JR, Weintraub RM, et al. Stroke. 2003;34: è 2830-4. ¡ÒûÃÐàÁÔ¹»ÃÐ⪹¢Í§¡ÒÃÃÑ¡ÉÒ ¡ÒûÃÐàÁÔ¹ÃдѺ¤ÇÒÁ¹‹Òàª×Ͷ×ͧ͢¢ŒÍÁÙÅà¡ÕÂǡѺ»ÃÐ⪹ËÃ×ͼÅàÊÕ¢ͧ¡ÒÃÃÑ¡ÉÒ¨Ðẋ§ è è ໚¹ÃдѺâ´Â·Ñé§¹Õé ¡ÒÃẋ§ÃдѺ¢Í§¤ÇÒÁàª×èͶ×Í͌ҧÍÔ§¶Ö§¢ŒÍÁÙÅ¡ÒÃÇԨѷÕèËÅÒ¡ËÅÒÂâ´ÂÁÕÃÒ ÅÐàÍÕ´µÒÁäÇŒã¹ÀÒ¤¼¹Ç¡(7) ¡ÒûÃÐàÁÔ¹¤ÇÒÁàÊÕè§ ¡ÒôÙáżٻÇ¡‹Í¹áÅÐËÅѧ¡Òü‹ÒµÑ´ËÃ×Í·íÒËѵ¶¡Ò÷ҧ¡ÒÃᾷÁ¤ÇÒÁÊíҤѭÂÔ§µ‹Í¡Òà Œ † Õ è ·Õ¨Ð»‡Í§¡Ñ¹¡ÒÃà¡Ô´ËÅÍ´àÅ×Í´ÊÁͧµÕºËÃ×ÍÍØ´µÑ¹ áÅСÒû‡Í§¡Ñ¹ÀÒÇÐàÅ×Í´ÍÍ¡ÁÒ¡ÃÐËNjҧáÅÐ è ËÅѧ¡Òü‹ÒµÑ´ËÃ×Í·íÒËѵ¶¡Òà ·Ñ§¹ÕËÅÑ¡ÊíҤѭ¢Í§¡ÒûÃÐàÁÔ¹¤ÇÒÁàÊÕ§䴌ᡋ ¡ÒÃẋ§¡ÅØÁ¼Ù»Ç é é è ‹ Œ † µÒÁ¤ÇÒÁàÊÕ§㹡ÒÃà¡Ô´ËÅÍ´àÅ×Í´ÊÁͧµÕºËÃ×ÍÍØ´µÑ¹áÅСÒÃẋ§¡ÅØÁËѵ¶¡Ò÷ҧ¡ÒÃᾷµÒÁ è ‹ ¤ÇÒÁàÊÕ§¢Í§¡ÒÃà¡Ô´àÅ×Í´ÍÍ¡ è
  • 319.
    292 ¡Òû‡Í§¡Ñ¹âäËÅÍ´àÅ×Í´ÊÁͧ·Ñ§¡‹Í¹áÅÐËÅѧ¡Òü‹ÒµÑ´ é 1. ¡ÒûÃÐàÁÔ¹¤ÇÒÁàÊÕ觢ͧ¼ÙŒ»†Ç âÍ¡ÒÊà¡Ô´âäËÅÍ´àÅ×Í´ÊÁͧµÕºËÃ×ÍÍØ´µÑ¹¨ÐÁÕ ¤ÇÒÁᵡµ‹Ò§¡Ñ¹µÒÁ¡ÅØÁ¤ÇÒÁàÊÕ§¢Í§¼Ù»Ç´ѧáÊ´§ã¹µÒÃÒ§·Õè 2(9) ‹ è Œ † µÒÃÒ§·Õè 2 »ÃÐàÀ·¡ÅØ‹ÁàÊÕ觢ͧ¼ÙŒ»†Ç ¤ÇÒÁàÊÕè§ ÅÔé¹ËÑÇã¨à·ÕÂÁ ÀÒÇÐËÑÇã¨àµŒ¹ÃÐÃÔ¡ ÀÒÇÐËÅÍ´àÅ×Í´´íÒÍØ´µÑ¹ (ÃŒÍÂÅÐ) (Atrial fibrillation: (Venous thrombo AF) embolism: VTE) ÊÙ§ (>10) - ÅÔ¹ËÑÇã¨äÁµÃÑÅà·ÕÂÁ - »ÃÐàÁÔ¹¤Ðá¹¹¨Ò¡ - é à¤ÂÁÕÀÒÇÐËÅÍ´àÅ×Í´´íÒÍØ´µÑ¹ ·Ø¡ª¹Ô´ CHADS2* : 5-6 ÀÒÂã¹ 3 à´×͹ - ÅÔ¹ËÑÇã¨àÍÍÍϵ¡à·ÕÂÁ - à¤Â໚¹âäËÅÍ´àÅ×Í´ - é Ô ÀÒÇÐàÅ×Í´á¢ç§µÑǧ‹Òª¹Ô´ ÃØ¹à¡‹Òª¹Ô´ cage and ‹ ÊÁͧµÕºËÃ×ÍÍØ´µÑ¹ ÃØ¹áç (ઋ¹ ÀÒÇТҴâ»ÃµÕ¹ ball or tilting disc ÁÒ¡‹Í¹ÀÒÂã¹ 3 à´×͹ C, â»ÃµÕ¹ S, antithrombin III, - à¤Â໚¹âäËÅÍ´àÅ×Í´ - âäËÑÇã¨ÃÙËÁÒµÔ¡  ¡ÅØÁâä antiphospholipid ‹ ÊÁͧµÕºËÃ×ÍÍØ´µÑ¹ á͹µÔºÍ´Õ ËÃ×ÍÁÕÀÒÇÐ ÁÒ¡‹Í¹ÀÒÂã¹ 6 à´×͹ ËÅÒÂÍ‹ҧËÇÁ¡Ñ¹) »Ò¹¡ÅÒ§ ÅÔ¹ËÑÇã¨àÍÍÍϵ´à·ÕÂÁ »ÃÐàÁÔ¹¤Ðá¹¹¨Ò¡ é Ô - ÁÕÀÒÇÐËÅÍ´àÅ×Í´´íÒÍØ´µÑ¹ (5-10) ª¹Ô´ 2 ÅÔ¹ (bileaflet) é CHADS2* : 3-4 ÀÒÂã¹ 3-12 à´×͹ ËÇÁ¡ÑºÀÒÇе‹Í仹Õé - ÀÒÇÐàÅ×Í´á¢ç§µÑǧ‹Òª¹Ô´ - ËÑÇã¨àµŒ¹ÃÐÃÔ¡ (AF) ËÃ×Í äÁ‹Ã¹áç 䴌ᡋ factor V Leiden Ø - à¤Â໚¹âäËÅÍ´àÅ×Í´ mutation, factor II mutation ÊÁͧÁÒ¡‹Í¹ ËÃ×Í TIA ª¹Ô´ heterozygote - ËÃ×Í àºÒËÇÒ¹ ËÃ×Í - ÁÕÀÒÇÐËÅÍ´àÅ×Í´´íÒÍ´µÑ¹«éÒ í ÀÒÇÐËÑÇã¨ÅŒÁàËÅÇËÃ×Í - ÁÐàÃç§·Õ§äÁ‹Ê§º ËÃ×Í àÃÔÁä´Œ èÑ è ÍÒÂØÁÒ¡¡Ç‹Ò 75 »‚ ¡ÒÃÃÑ¡ÉÒÁÒÀÒÂã¹ 6 à´×͹ ËÃ×Í ÁÐàÃç§·ÕèÃÑ¡ÉÒ´ŒÇ¡Òà »ÃФѺ»ÃФͧ µèÒ (<5) í ÅÔ¹ËÑÇã¨àÍÍÍϵ´à·ÕÂÁ é Ô »ÃÐàÁÔ¹¤Ðá¹¹¨Ò¡ - ÁÕÀÒÇÐËÅÍ´àÅ×Í´´íÒÍØ´µÑ¹ ª¹Ô´ 2 ÅÔ¹ (bileaflet) áÅÐ é CHADS2* : 0-2 â´Â ¤Ãѧà´ÕÂǹҹ¡Ç‹Ò 12 à´×͹ é äÁ‹Á»¨¨Ñ¢ͧâäËÅÍ´ Õ ˜ äÁ‹à¤Â໚¹âäËÅÍ´ áÅÐäÁ‹Á»¨¨ÑÂàÊÕ§Í×¹ Õ ˜ è è àÅ×Í´ÊÁͧ àÅ×Í´ÊÁͧµÕºËÃ×Í ÍØ´µÑ¹ÁÒ¡‹Í¹ ËÁÒÂà赯 *CHADS2 : ¤×Í¡ÒèѴÃдѺ¤ÇÒÁàÊÕè§µÒÁ¤Ðá¹¹·Õèä´Œ 䴌ᡋ Congestive heart failure (1), Hypertension (1), Age >75 »‚ (1), Diabetis mellitus (1), Prior stroke or TIA (2)(8) ·ÕÁÒ : è ´Ñ´á»Å§¨Ò¡ Chest 2008; 133:299s-339s.
  • 320.
    àǪÈÒʵÏ·¹Âؤ 2553 Ñ 293 ÇÔ¸¡ÒÃÃÑ¡ÉÒ·ÕÂÍÁÃѺ¡Ñ¹·ÑÇä»ä´Œá¡‹ ¡ÒÃ㪌ÂҡѹàÅ×Í´á¢ç§ (anticoagulant) ã¹¢¹Ò´ÃÑ¡ÉÒ Õ è è (therapeutic dose) à¾×Í໚¹¡ÒÃÃÑ¡ÉÒª‹Ç§Ã͵‹Íà¹×ͧ (bridging therapy) ã¹¡ÅØÁ¼Ù»Ç·ÕÁ¤ÇÒÁàÊÕ§ÊÙ§ è è ‹ Œ † è Õ è (ÃдѺ¤ÇÒÁ¹‹Òàª×Ͷ×Íà¡Ã´ 1«Õ), ¡ÒÃ㪌ÂҡѹàÅ×Í´á¢ç§ã¹¢¹Ò´µèÒ (low dose) ËÃ×Í ¡ÒÃàÅ×͡㪌ÂÒ è í ¡Ñ¹àÅ×Í´á¢ç§ã¹¢¹Ò´ÃÑ¡ÉÒËÃ×Íã¹¢¹Ò´µèÒã¹¡ÅØÁ¼Ù»Ç·ÕÁ¤ÇÒÁàÊÕ§»Ò¹¡ÅÒ§ (ÃдѺ¤ÇÒÁàª×Ͷ×Í í ‹ Œ † è Õ è è à¡Ã´ 2«Õ) áÅÐ ¡ÒÃäÁ‹ãªŒÂÒàÅÂã¹¡ÅØÁ¤ÇÒÁàÊÕ§µèÒ (ÃдѺ¤ÇÒÁ¹‹Òàª×Ͷ×Íà¡Ã´ 2«Õ) (µÒÃÒ§·Õè 3) ‹ è í è «Ö§¨Ð¢Ö¹ÍÂÙ¡ºËѵ¶¡Ò÷ҧ¡ÒÃᾷáÅÐÅѡɳТͧ¼Ù»ÇÂᵋÅÐÃÒ ÊíÒËÃѺ¼Ù»Ç·ա¹ÂҡѹàÅ×Í´ è é ‹ Ñ Œ † Œ † è Ô á¢ç§ÍÂÙáÅŒÇ àÃÒÍÒ¨¨ÐËÂØ´ÂҡѹàÅ×Í´á¢ç§¹Ñ¹¡‹Í¹¡Òü‹ÒµÑ´ËÃ×Í¡Ò÷íÒËѵ¶¡ÒûÃÐÁÒ³ 5-6 Çѹ â´Â·Õè ‹ é 1-2 Çѹ¡‹Í¹¼‹ÒµÑ´ËÃ×Í·íÒËѵ¶¡ÒÃÃдѺ¡ÒÃá¢ç§µÑǢͧàÅ×Í´ (INR) ¤ÇùŒÍÂ¡Ç‹Ò 1.5 ËÒ¡ÁÕ¤Ò෋ҡѺ ‹ 1.5 ËÃ×ÍÁÒ¡¡Ç‹Ò ¤ÇÃãËŒ¡¹ÇÔµÒÁÔ¹ K 1-2 Á¡. áÅСÅѺÁÒàÃÔÁãËŒ¡¹ÂҡѹàÅ×Í´á¢ç§»ÃÐÁÒ³ 2-3 Çѹ Ô è Ô ËÅѧ¼‹ÒµÑ´ËÃ×ÍËѵ¶¡Òà 㹡ÒÃËÂØ´ÂҡѹàÅ×Í´á¢ç§·ÕáÉÒª‹Ç§Ã͵‹Íà¹×ͧ¡‹Í¹·íÒËѵ¶¡Òùѹ ÊíÒËÃѺ low molecular èÑ è é wieght heparin (LMWH) àÃÔÁËÂØ´·Õè 24 ªÑÇâÁ§¡‹Í¹·íÒËѵ¶¡Òà áÅÐÊíÒËÃѺ unfractionated heparin è è (UFH) àÃÔÁËÂØ´ÂÒ·Õè 4 ªÑÇâÁ§¡‹Í¹Ëѵ¶¡ÒÃʋǹ¡ÒÃËÂØ´ÂÒµŒÒ¹à¡Åç´àÅ×Í´ÁÕËÅÑ¡¡Òôѧ¹Õé ¤×Í ¡ÒÃãËŒ è è ¡ÅØÁ irreversible antiplatelets «Ö§ä´Œá¡‹ ASA, clopidogel, ASA+dipyridamole ¤ÇÃËÂØ´ÂÒ¡‹Í¹Ëѵ¶¡Òà ‹ è 7-10 Çѹ ¶ŒÒã¹¡ÅØÁ reversible antiplatelets 䴌ᡋ cilostazol ¤ÇÃËÂØ´ÂÒ¡‹Í¹Ëѵ¶¡ÒûÃÐÁÒ³ 50 ‹ ªÑÇâÁ§ «Ö§ÃÐÂÐàÇÅÒ·ÕËÂØ´Âҹѹ¤íҹǹ¨Ò¡ª‹Ç§àÇÅÒ 5 ෋Ңͧ¤‹Ò¤ÃÖ§ªÕǵ¢Í§Âҹѹæ(10,11) è è è é è Ô é µÒÃÒ§·Õè 3 ¢¹Ò´ÂÒ low molecular wieght heparin (LMWH) ¢¹Ò´ÃÑ¡ÉÒ Dalteparin 200 ÂÙ¹µ/¡¡ ÇѹÅФÃѧ ËÃ×Í 100 ÂÙ¹µ/¡¡ ÇѹÅÐ Ô é Ô 2 ¤Ãѧ Enoxaparin 1.5 Á¡/¡¡ ÇѹÅФÃѧËÃ×Í 1 Á¡/¡¡ ÇѹÅÐ é é 2 ¤Ãѧ Tinzaparin 175 ÂÙ¹µ/¡¡ ÇѹÅФÃѧ é Ô é ¢¹Ò´µèÒ í Enoxaparin 30 Á¡ ÇѹÅÐ 2 ¤Ãѧé Dalteparin 5,000 ÂÙ¹µ ÇѹÅФÃѧ Ô é ¡ÅØÁ¼Ù»Ç·ÕÁ¤ÇÒÁàÊÕ§ÊÙ§ 䴌ᡋ ¼Ù»Ç·Õà¤Â໚¹âäËÑÇ㨢ҴàÅ×Í´ÁÒ¡‹Í¹ÀÒÂã¹ 3 à´×͹ ‹ Œ † è Õ è Œ † è ËÃ×ÍãÊ‹ bare metal coronary stent ÀÒÂã¹ 6 à´×͹ ËÃ×Í ãÊ‹ drug eluting coronary stent ÀÒÂã¹ 1 »‚ ¤ÇáԹÂÒµŒÒ¹à¡Åç´àÅ×Í´µÅÍ´ª‹Ç§¡‹Í¹áÅÐËÅѧËѵ¶¡Òà à¾×ÍÅ´¤ÇÒÁàÊÕ§¢Í§¡ÒÃà¡Ô´ËÅÍ´àÅ×Í´ è è ËÑÇ㨵պµÑ¹«éÒ áµ‹ËÒ¡ÍÂٹ͡à˹×Í¡ÅØÁàÊÕ§´Ñ§¡Å‹ÒÇ¢ŒÒ§µŒ¹ ÍÒ¨ËÂØ´à©¾ÒÐ clopidogrel ෋ҹѹ¡‹Í¹ í ‹ ‹ è é ¡Ò÷íÒËѵ¶¡Òà (9) 2. ¡ÒûÃÐàÁÔ¹¤ÇÒÁàÊÕ觢ͧËѵ¶¡Ò÷ҧ¡ÒÃᾷ Ëѵ¶¡Ò÷ÕÁ¤ÇÒÁàÊÕ§ÊÙ§ÁÕâÍ¡ÒÊ è Õ è à¡Ô´ÀÒÇÐàÅ×Í´ÍÍ¡ÁÒ¡ËÅѧ¡Òü‹ÒµÑ´ÊÙ§¡Ç‹ÒËѵ¶¡Ò÷ÕÁ¤ÇÒÁàÊÕ§µèÒ ÊíÒËÃѺÍѵÃÒ¤ÇÒÁàÊÕ§¢Í§¡Òà è Õ è í è ¼‹ÒµÑ´ÊÒÁÒö¨íÒṡ䴌໚¹¡ÅØÁ¤ÇÒÁàÊÕ§ÊÙ§áÅÐ¡ÅØÁ¤ÇÒÁàÊÕ§µèÒ áÊ´§´Ñ§µÒÃÒ§·Õè 4 ´Ñ§¹Ñ¹¡Òà ‹ è ‹ è í (9,12) é àÅ×Í¡¢¹Ò´ÂÒáÅЪ‹Ç§àÇÅÒ·ÕàËÁÒÐÊÁ¢Í§¡ÒÃ㪌ÂҡѹàÅ×Í´á¢ç§ ¨Ö§ÁÕ¤ÇÒÁÊíҤѭÂÔ§ Ëѵ¶¡Ò÷ÕÁ¤ÇÒÁ è è è Õ àÊÕ§ÊÙ§ÍÒ¨àÃÔÁãËŒÂҡѹàÅ×Í´á¢ç§ã¹¢¹Ò´ÃÑ¡ÉÒËÅѧ¼‹ÒµÑ´ 48-72 ªÑÇâÁ§ â´ÂàÅ×Í´µŒÍ§ËÂØ´ÍÍ¡¨Ò¡ è è è
  • 321.
    294 ¡Òû‡Í§¡Ñ¹âäËÅÍ´àÅ×Í´ÊÁͧ·Ñ§¡‹Í¹áÅÐËÅѧ¡Òü‹ÒµÑ´ é á¼Å¼‹ÒµÑ´ËÃ×ÍäÁ‹Á»­ËÒàÅ×Í´ÍÍ¡áÅŒÇ ËÒ¡¨íÒ໚¹µŒÍ§àÃÔÁÂÒ¡‹Í¹ 48-72 ªÑÇâÁ§ ÍҨ㪌 LMWH Õ ˜ è è ¢¹Ò´µèÒä´Œ ÊíÒËÃѺ¡ÅØÁËѵ¶¡ÒäÇÒÁàÊÕ§µèÒ ¶ŒÒäÁ‹Á»­ËÒàÃ×ͧàÅ×Í´ÍÍ¡¨Ò¡á¼ÅáÅŒÇÍ‹ҧ¹ŒÍ í (9) ‹ è í Õ ˜ è 12 ªÑÇâÁ§ á¹Ð¹íÒãËŒàÃÔÁ LMWH ¢¹Ò´µèÒ ËÅѧËѵ¶¡Òà 24 ªÑÇâÁ§ËÃ×ÍàÅ×Í¡äÁ‹ãËŒ LMWH àÅ¡çä´Œ(9) è è í è µÒÃÒ§·Õè 4 »ÃÐàÀ·¤ÇÒÁàÊÕ觢ͧËѵ¶¡Ò÷ҧ¡ÒÃᾷ Ëѵ¶¡ÒäÇÒÁàÊÕè§ÊÙ§ Ëѵ¶¡ÒäÇÒÁàÊÕè§µèíÒ - ¡Òü‹ÒµÑ´ËÅÍ´àÅ×Í´ËÑÇã¨â¤âùÒÃÕ - ¡ÒõѴµÔ§à¹×Íã¹ÅíÒäÊŒãË­‹ è é - ¡Òü‹ÒµÑ´à»ÅÕ¹ÅÔ¹ËÑÇ㨠è é - ¡ÒõѴµÑÇÍ‹ҧªÔ¹à¹×Íã¹äµËÃ×Í é é - ¡Òü‹ÒµÑ´ÊÁͧáÅÐä¢ÊѹËÅѧ µ‹ÍÁÅÙ¡ËÁÒ¡ - ¡Òü‹ÒµÑ´ËÅÍ´àÅ×Í´á´§ãË­‹àÍÍÍÏµÒ - ¡Òü‹ÒµÑ´½˜§à¤Ã×ͧ¡ÃеعËÃ×Í è Œ - ¡Òü‹ÒµÑ´ËÅÍ´àÅ×ʹᴧʋǹ»ÅÒÂáÅСÒü‹ÒµÑ´ ¤Çº¤ØÁ¨Ñ§ËÇСÒÃൌ¹¢Í§ËÑÇ㨠ãË­‹¢Í§ËÅÍ´àÅ×Í´Í×¹æ è - ¡Òü‹ÒµÑ´ãË­‹·Ò§ÈÑÅ¡ÃÃÁ¡Ãд١ ઋ¹ ¼‹ÒµÑ´à»ÅÕ¹¢ŒÍࢋÒËÃ×Í¢ŒÍÊÐ⾡ è - ¡Òü‹ÒµÑ´µ¡áµ‹§â¤Ã§ÊÌҧ·Ò§ÈÑÅ¡ÃÃÁµ¡áµ‹§ - ¡Òü‹ÒµÑ´µ‹ÍÁÅÙ¡ËÁÒ¡áÅСÃÐà¾Òл˜ÊÊÒÇÐ Ëѵ¶¡Ò÷ҧ·Ñ¹µ¡ÃÃÁ ¡Òü‹ÒµÑ´µŒÍ¡ÃШ¡ áÅСÒü‹ÒµÑ´¼ÔÇ˹ѧ »˜¨¨Øº¹ÂѧäÁ‹¾ºÇ‹ÒÁÕ¤ÇÒÁᵡµ‹Ò§¡Ñ¹ã¹¡ÒÃà¡Ô´ÀÒÇÐàÅ×Í´ÍÍ¡ËÅѧ¡Òö͹¿˜¹ ÃÐËNjҧ¼Ù·Õè Ñ Œ ¡Ô¹ÂҡѹàÅ×Í´á¢ç§ËÃ×ÍËÂØ´ÂҡѹàÅ×Í´á¢ç§¡‹Í¹¡Òö͹¿˜¹(13) ᵋ¾ºÇ‹Ò¡ÒÃ㪌 tranexamic acid ¡ÅÑǻҡ¡‹Í¹ËÃ×ÍËÅѧ¶Í¹¿˜¹ÇѹÅÐ 4 ¤Ãѧ ໚¹àÇÅÒ 6-7 Çѹ ¨ÐÅ´âÍ¡ÒÊà¡Ô´ÀÒÇÐàÅ×Í´Í͡䴌´Õ é é áÁŒ¼ÙŒ»†Ç¨СԹÂҡѹàÅ×Í´á¢ç§ÍÂÙ‹¡çµÒÁ(9,14) ¼ÙŒ»†Ç·Õè¡Ô¹ÂÒµŒÒ¹à¡Åç´àÅ×Í´ ÊÒÁÒöãËŒÂÒáÍÊä¾ÃÔ¹ µ‹Íà¹×ͧ䴌·§¡‹Í¹áÅÐËÅѧËѵ¶¡ÒÃ(9) ÊíÒËÃѺÂÒ clopidogrel ãËŒ¾¨ÒóҵÒÁÀÒÇÐàÊÕ§¢Í§¼Ù»Ç è Ñé Ô è Œ † ໚¹ËÅÑ¡ ´Ñ§¹Ñ¹ÊÒÁÒöãËŒÂҡѹàÅ×Í´á¢ç§ (ÃдѺ¤ÇÒÁ¹‹Òàª×Ͷ×Íà¡Ã´ 1«Õ) áÅÐ áÍÊä¾ÃÔ¹ (ÃдѺ¤ÇÒÁ é è ¹‹Òàª×Ͷ×Íà¡Ã´ 1«Õ) ä´Œ·§¡‹Í¹áÅÐËÅѧ¡Òö͹¿˜¹ è Ñé 㹡Òü‹ÒµÑ´ªÔ¹à¹×ͧ͢¼ÔÇ˹ѧÊÒÁÒö㪌ÂҡѹàÅ×Í´á¢ç§áÅÐÂÒáÍÊä¾ÃÔ¹ ä´ŒµÅÍ´ª‹Ç§¡‹Í¹ é é áÅÐËÅѧ ¡Òü‹ÒµÑ´ à¾ÃÒÐÂѧäÁ‹à¤Â¾º¡ÒÃà¡Ô´àÅ×Í´ÍÍ¡ÃØ¹áç (ÃдѺ¤ÇÒÁ¹‹Òàª×Ͷ×Íà¡Ã´ 1«Õ)(9,15) è ·Ñ§¹Õ¡Òü‹ÒµÑ´à»ÅÕ¹µŒÍ¡ÃШ¡àͧ¡çÁá¹Ç·Ò§»¯Ôºµã¹·Ò§à´ÕÂǡѹ¡ÑºËѵ¶¡Ò÷ҧ·Ñ¹µ¡ÃÃÁáÅÐ é é è Õ Ñ Ô ¡ÒõѴµÑÇÍ‹ҧªÔ¹à¹×Í·Ò§¼ÔÇ˹ѧ é é (16-19) ¡Òü‹ÒµÑ´à˧´‹Ç¹ 㹡óշÁ¤ÇÒÁ¨íÒ໚¹µŒÍ§·íÒ¡Òü‹ÒµÑ´à˧´‹Ç¹ ¡ÒÃãËŒ fresh frozen plasma ËÃ×Í activated Õè Õ factor VII ËÇÁ¡Ñº ÇÔµÒÁÔ¹ K 2.5-5.0 Á¡. â´Â¡ÒáԹËÃ×Í¡Òéմ·Ò§ËÅÍ´àÅ×Í´ ¨Ðª‹ÇÂÅ´¡ÒÃàÊÕ àÅ×Í´â´Â੾ÒСÒü‹ÒµÑ´·ÕµÍ§ÃÕº·íÒÀÒÂã¹ 12 ªÑÇâÁ§ (ÃдѺ¤ÇÒÁ¹‹Òàª×Ͷ×Íà¡Ã´ 2«Õ) ·Ñ§¹ÕËÒ¡ è Œ è è é é
  • 322.
    àǪÈÒʵÏ·¹Âؤ 2553 Ñ 295 ÊÒÁÒöÃÍ¡Òü‹ÒµÑ´ä´Œ¶§ 18-24 ªÑÇâÁ§ ¡ÒÃãˌ੾ÒÐ ÇÔµÒÁÔ¹ K 2.5-5.0 Á¡. â´Â¡ÒáԹËÃ×Í¡Òéմ Ö è ·Ò§ËÅÍ´àÅ×Í´¡çÍÒ¨à¾Õ§¾ÍÊíÒËÃѺ¡Òü‹ÒµÑ´à˧´‹Ç¹ (ÃдѺ¤ÇÒÁ¹‹Òàª×Ͷ×Íà¡Ã´ 1«Õ)(9) è àÍ¡ÊÒÃ͌ҧÍÔ§ 1. Dacey LJ, Likosky DS, Leavitt BJ, Lahey SJ, Quinn RD, Henadwz F Jr, et al. Perioperative stroke and long- term survival after coronary bypass graft surgery. Ann Thorac Surg. 2005;79:532-6. 2. Bateman BT, Schumacher HC, Wang S, Shaefi S, Berman MF. Perioperastive acute ischemic stroke in noncardiac and nonvascular surgery : incidence, risk factors and outcomes. Anesthesiology. 2009;110:231-8. 3. Eikelboom JW, Mehta SR, Anand SS, Xie C,Keith AA, Yusuf F, et al. Adverse impact of bleeding on prognosis in patients with acute coronary syndrome. Circulation. 2006;114:774-82. 4. Magdy S. Perioperative stroke. N Engl J Med. 2007;356:706-13. 5. Blacker DJ, Flemming KD, Link MJ, Brown RD. The periooperative cerebrovascular consultation: common cerebrovascular questions before general or cardiac surgery. Mayo Clin Proc. 2004;79:223-9. 6. Likosky DS, Marrin C AS, Caplan LR, Baribeau YR, Morton JR, Weintraub RM, et al. Stroke. 2003;34: 2830- 4. 7. Broderick J, Connolly S, Feldmann E, Hanley D, Kase C, Krieger D, et al. Guidleines for the management of spontaneous intracerebral hemorrhage in adult: 2007 update. Circulation. 2007;116:e391-e413. 8. Gage BF, Waterman AD, Shannon W, Boechler M, Rich MW, Radford MJ. Validation of clinical classification schemes for predicting stroke. JAMA. 2001;285:2864-70. 9. Douketis JD, Berger PB, Dunn AS, Jaffer AK, Spyropoulos AC, Becker RC, et al. The perioperative managment of antithrombotic therapy: American Collage of Chest Physicians evidence-base clinical practice guidelines (8th edition). Chest. 2008;133:299s-339s. 10. Patrono C, Coller B, Fitzgerald GA, Hirsh J, Roth G. Platelet-active drugs: the relationships among dose, effectiveness, and side effects: The Seventh ACCP conference on antithrombotic and thrombolytic therapy. Chest. 2004;126:234s-264s. 11. Quinn MJ, Fitzgerald DJ. Ticlopidine and clopidogrel. Circulation. 1999;100:1667-72. 12. Douketis JD, Johnson JA, Turpie AG. Low-molecular-weight heparin as bridging anticoagulation during interruption of wafarin. Arch Intern Med. 2004;164:1319-26. 13. Saour JN, Ali HA, Mammo LA, Sieck JO. Dental procedures in patient receiving oral anticoagulation therapy. J Heart Valve Dis. 1994;3:315-7. 14. Sacco R, Sacco M, Carpenedo M, Moia M. Oral surgery in patients on oral anticoagulant therapy : a randomized coparison of different INR target. J Throm Haemost. 2006;4:688-9. 15. Kargi E, Babuccu O, Hosnuter M, Babucco B, Altinyazar C. Complication of minor cutaneous surgery in patients under anticoagulant treatment. Aesthetic Plast Surg. 2002;26:483-5. 16. Hirschman DR, Morby LJ. A study of the safety of continued anticoagulation for cartaract surgery patients. Nurs Forum. 2006;41:30-37. 17. Katz J, Feldman MA, Bass EB, Lubomski LH, Teilsch JM, Petty BG, et al. Risk and benefits of anticoagulant and antiplatelet medication use before cartaract surgery. Ophthalmology. 2003;110:1784-8. 18. Lumme P, Laatikainen LT. Risk factors for intraoperative and early postoperative complication in extracapsular cartaract surgery. Eur J Ophthalmo. 1994;4:151-8. 19. Kumar N, Jivan S, Thomas P, Mclure H. Sub-Tenon’s anesthesia with aspirin, warfarin and clopidogrel. J Cartaract Refract Surg. 2006;32:1022-5.
  • 323.
    296 ¡Òû‡Í§¡Ñ¹âäËÅÍ´àÅ×Í´ÊÁͧ·Ñ§¡‹Í¹áÅÐËÅѧ¡Òü‹ÒµÑ´ é ÀÒ¤¼¹Ç¡ µÒÃÒ§áÊ´§ÃдѺ¤ÇÒÁ¹‹Òàª×èͶ×ͧ͢¢ŒÍÁÙÅ Benefit (B) / I : B >>> R IIa : B >> R IIb : B ? R III : R > B Risk (R) Level A Multiple RCT* Some conflict Greater conflict Multiple RCT* (3-5 trials) Level B Single RCT* or Some conflict Greater comflict Single RCT* or (2-3 trials) none RCT* none RCT* Level C Expert opinion Expert opinion Expert opinion Expert opinion (1-2 trials) Summary Indicated Reasonable May be or unclear Not indicated ËÁÒÂà赯 *RCT: randomized controlled trial
  • 324.
    àǪÈÒʵÏ·¹Âؤ 2553 Ñ º··Õè 297 43 Scrub Typhus in Thailand Yupin Suputtamongkol Department of Medicine, Faculty of Medicine Siriraj Hospital, Mahidol University, Human rickettsioses, known to occur in Thailand, include mainly scrub typhus and murine typhus. Scrub typhus is caused by Orientia tsutsugamushi, an obligate intracellular Gram-negative bacterium that has a different cell wall structure and genetic makeup from those of rickettsiae.(1) It is transmitted to humans by the bite of the larval stage of trombiculid mites (chiggers). Endemic areas of scrub typhus include rural areas of South-East Asia throughout the Asia Pacific rim and Northern Australia. More than a billion people are at risk of infection and about one million cases occur annually.(2) In Thailand the report incidence of scrub typhus has increased during the previous decade.(2, 3) Clinical manifestations of this infection varies widely from a mild and self-limited febrile illness to a more severe course which may be fatal.2 Scrub typhus is recently recognized as a common cause of acute undifferentiated fever both in indigenous population and ill travelers returning from the tropics. (2, 3) Despite the availability of low cost and effective antibiotic treatment, scrub typhus continues to cause significant morbidity and mortality in otherwise healthy adults and children. The greatest challenge to clinician is early diagnosis of this infection, when antibiotic therapy is most effective. The purpose of this presentation is to summarize the epidemiologic data using new molecular tools, clinical manifestations and management of scrub typhus. Epidemiology of scrub typhus in Thailand Scrub typhus was first reported in human from central region of Thailand in 1952(4) and O. tsutsugamushi was first isolated from rodent trapped from the same area in 1955.(5)Leptotrombidium deliensis is the primary vector of O. tsutsugamushi. However several other species have been implicated as vectors such as L. Chiangraiensis, L. imphalum and Blankaartia acuscutellaris.(6) Nationwide seroepidemiological studies indicate that O. tsutsugamushi infection is widespread in Thailand. The seropositivity rates of O. tsutsugamushi among soldiers and patients
  • 325.
    298 Scrub Typhus in Thailand with acute febrile illness varied from 5.4% to 21%. These surveys have found high point prevalence, varied from 13-31% of inhabitants in suburban Bangkok, to 59 -77% of inhabitants of 3 villages in the northern and northern region respectively.(7) According to the unpublished records of the Public Health Ministry of Thailand, fewer than 100 cases of scrub typhus were reported annually before 1983, 750–900 cases/year were reported between 1988 and 1991, and 3,000- 5,000 cases/year has been reported since 2001. We conducted an epidemiological and clinical study of 1,663 patients with acute undifferentiated fever, between October 2000 and March 2003 in 6 hospitals in rural Thailand; four hospitals in the northeastern region, one hospital in the central region and one hospital in the southern region. There were 268 (16.1%) patients with laboratory confirmed scrub typhus.(8) The diagnosis of scrub typhus was made by PCR (101 out of 141 patients tested) or by indirect immunofluorescent antibody (IFA) for combined Karp, Kato, and Gilliam strain of O. tsutsugamushi (74 patients by a fourfold rising in titer to 1:400, 76 patients by a single titer to 1:400, 17 patients by a fourfold rising in titer or stable titers of at least 1:200). Blood culture for aerobic bacteria and serological tests for leptospirosis, dengue infection were negative in all of these patients. Scrub typhus, murine typhus, and SFG rickettsioses were diagnosed in 7.8%, 2.4%, and 5% respectively in the subgroup analysis of these patients who presented with severe manifestations in our recent publication.(9) Clinical features The clinical presentations of scrub typhus are nonspecific. In our clinical study the median duration of fever was 7 days in patients with scrub typhus. Headache, generalized myalgia, and calf pain were very common. The classic manifestation of scrub typhus, includes generalized lymphadenopathy, maculopapular rash and splenomegaly were not common in this case series. Eschar was detected in 56 (20.9%) patients. Complications such as hepatic dysfunction (defined as jaundice or total bilirubin 2.5 mg/dl, or high AST and/ or ALT level to more than 120 IU, or high alkaline phosphatase level to more than 350 IU, or mixed abnormalities), renal dysfunction (defined as oliguria or abnormal urea and/ or creatinine level), hypotension (defined as systolic BP <90 mmHg on admission), congestive heart failure, or pulmonary involvement (defined as abnormal chest radiography) were common in scrub typhus. Only 32% of patients with scrub typhus did not have any complication on admission. Hepatic dysfunction was the most common complication. Pulmonary involvement was found in approximately half of study group. The chest radiographic abnormalities were similar to those previously reported, except that hilar lymphadenopathy was not as common as previously
  • 326.
    àǪÈÒʵÏ·¹Âؤ 2553 Ñ 299 reported. Cardiac involvement defined by cardiomegaly or cardiac to thoracic ratio > 0.5 on PA chest radiography or > 0.6 on AP chest radiography (36/119, 30.3%) or congestive heart failure (23/119, 19.3%) were common abnormal radiographic findings in this study group. However this finding was not associated with hypotension on admission. Approximately 12% of the patients presented with multi-organ dysfunction mimic community-acquired septicemia in this case series. Overall seven patients with scrub typhus died in this case series. The causes of dead in all except one patient were multi-organ failure including respiratory failure. ARDS was not a prominent cause of death in this study. The cause of death (bleeding hepatoma) was unrelated to scrub typhus in one patient. Scrub typhus was not included in the differential diagnosis therefore no effective treatment was given in four out of six patients who died. In addition scrub typhus was diagnosed in 18 out of 51 (35.3%) of patients who presented with septic shock in one of the study hospital between November 2001 and January 2002. The mortality was 16.7% in this subgroup of scrub typhus with septic shock.(10) Conclusion Scrub typhus is presented with nonspecific symptoms and signs. Eschar is the only clinical sign that differentiated scrub typhus from other infectious disease. Severe scrub typhus can manifest as multi-organ dysfunction mimic septicemia from other causes and leptospirosis. Unaware of the diagnosis of severe scrub typhus in these patients could lead to delay diagnosis and high mortality. Awareness that scrub typhus is a prominent cause of acute undifferentiated fever in adults in Thailand improves the probability of an accurate clinical diagnosis. Early recognition and appropriate treatment reduce morbidity and mortality. Results from recent clinical studies from Thailand indicate that rational antimicrobial therapy would be doxycycline in mild cases and a combination of either cefotaxime or ceftriaxone and doxycycline in severe cases. Azithromycin could be considered as an alternative treatment when ever doxycycline allergy is suspected. This would be either curative, or have no ill-effect, in the majority of instances. Failure to improve or defervesce within the next 48 hours would indicate the need to a thorough reevaluation of clinical findings and initial laboratory investigation results and a need to change antibiotic.
  • 327.
    300 Scrub Typhus in Thailand References 1. Tamura A, Ohashi N, Urakami H, Miyamura S. Classification of Rickettsia tsutsugamushi in a new genus, Orientia gen. nov., as Orientia tsutsugamushi comb nov. Int J Syst Bacteriol 1995;45:589-91. 2. Watt G, Parola P. Scrub typhus and tropical rickettsioses. Curr Opin Infect Dis 2003;16:429-36. 3. Suttinont C, Losuwanaluk K, Niwatayakul K, Hoontrakul S, Intaranongpai W, Silpasakorn S, et al. Causes of acute, undifferentiated, febrile illness in rural Thailand: results of a prospective observational study. Ann Trop Med Parasitol 2006;100: 363-70. 4. Trishnanda M, Vasuvat C, Harinasuta C. Investigation of scrub typhus in Thailand. J Trop Med Hyg 1964;67:215-9. 5. Traub R, Johnson P, Mirsse M, Elbel R. Isolation of Rickettsia tsutsugamushi from rodents from Thailand. Am J Trop Med Hyg 1954;3:356-9. 6. Lerdthusnee K, Khuntirat B, leepitakrat W, Tanskul P, Monkanna T, Khlaimanee N, et al. 2003. Vector competence of Leptotrombidium Chiangraiensis chiggers and transmission efficacy and isolation of Orientia tsutsugamushi. Ann N Y Acad Sci 2003;990:25-35. 7. Strickman D, Tanskul P, Eamsila C, Kelly DJ. Prevalence of antibodies to rickettsiae in the human population of suburban Bangkok. Am J Trop Med Hyg 1994;5:149- 53. 8. Suputtamongkol Y, Suttinont C, Niwatayakul K, Hoontrakul S, Limpaiboon R, Chierakul W, et al. Epidemiology and clinical aspects of rickettsioses in Thailand. Ann N Y Acad Sci 2009;1166:172- 9. 9. Suputtamongkol Y, Niwattayakul K, Suttinont C, Losuwanaluk K, Limpaiboon R, Chierakul W, et al. An open, randomized, controlled trial of penicillin, doxycycline, and cefotaxime for patients with severe leptospirosis. Clin Infect Dis 2004;39:1417-24. 10. Thap LC, Suparanond W, Treeprasertsook S, et al. Septic shock secondary to scrub typhus: characteristics and complications. Southeast Asian Trop Med Public Health 2002;33:780- 6.
  • 328.
    àǪÈÒʵÏ·¹Âؤ 2553 Ñ º··Õè 301 44 Molecular Epidemiology of Scrub Typhus in Thailand Patimaporn Wongprompitak Department of Immunology, .aculty of Medicine Siriraj Hospital, Mahidol University, Scrub typhus is widely distributed in Asia Pacific region. This disease is caused by Orientia tsutsugamushi infection. O. tsutsugamushi is an obligatory intracellular Gram-negative bacteria. The pathogenesis of scrub typhus in humans is various, depending on the geographic area because of an infection with the different strain of O. tsutsugamushi. The geographic distribution study of the existing strains of O. tsutsugamushi will be beneficial for the epidemiology and control of this disease. Several strains of O. tsutsugamushi have been reported in different countries. The Gilliam, Karp, Kato, TA678, TA686, TA716, and TA763 strains have been identified in South-East Asia and Australia by indirect immunofluorescence (I.) using polyclonal and monoclonal antibodies. The Karp and Gilliam strains were the most prevalent in China, Korea and Thailand. (1) Molecular identification of scrub typhus in Thailand Genetic analysis of the antigenic protein encoding gene of O. tsutsugamushi, the 56- kDa protein, 22?kDa protein and the 47?kDa protein, were used for genotypic identification.(1) The molecular methods including PCR, restriction fragment-length polymorphism (R.LP), and nucleotide sequencing of specific PCR products were used for direct comparison of products from the same genes of O. tsutsugamushi. The previous study, a nested PCR based on the 56?kDa protein encoding gene and DNA sequencing of a 487 base pair PCR product were performed to identify O. tsutsugamushi isolated from scrub typhus patients.(2) DNA from 62 seropositive patients with scrub typhus were extracted. Karp was reported to be the most prevalent in Thailand with 97% (60/62) of positive samples, followed by Kato (3%; 2/62). Recently, the entire OR. of the 56-kDa protein encoding gene of each isolates were characterized by nucleotide sequencing, followed by phylogenetic analysis. (3) The majority isolates in Thailand was Karp strain (65.2%), then Gilliam (26.1%), TA763 (4.3%) and others (4.3%).
  • 329.
    302 Molecular Epidemiology of Scrub Typhus in Thailand Identification of O. tsutsugamushi in scrub typhus patients O. tsutsugamushi infection can be identified by serological tests but patient sera often cross-react with the antigens from different strains. Recently, nested polymerase chain reaction (PCR) was used for the identification of scrub typhus strains using gene encoding the specific 56-kDa protein of O. tsutsugamushi. In this study, genotypic identification of O. tsutsugamushi in Thailand was investigated by genetic analysis using nucleotide sequencing and phylogenetic analysis. The samples from patient with febrile illness were collected and selected for O. tsutsugamushi infection using PCR amplification of specific 16S rRNA gene. The 56-kDa protein encoding gene of these samples was amplified and analyzed for nucleotide sequences. The nucleotide sequences of hypervariable region (VDI-IV) in this gene were compared with the reference strains in Genbank database and phylogenetic tree was constructed (figure 1). There were 4 major groups which related to O. tsutsugamushi strains (Karp, Gilliam, TA763 and Kato). The most prevalent strain of O. tsutsugamushi in Thailand was Karp (43.8%; 28/64), followed by Gilliam (34.4%; 22/64), TA763 (12.5%; 8/64) and Kato (4.7%; 3/64). Application in the future The result of this study might be useful for developing the method for strain identification. The nucleotide sequences alignment of hypervarible region in 56 KDa encoding gene will be performed and strain specific primers will be selected for strain identification using nested PCR amplification. The information of molecular epidemiology of scrub typhus could be also useful for prevention and controlling of the disease in Thailand. References 1. Kelly DJ, .uerst PA, Ching WM, Richards AL. Scrub typhus: the geographic distribution of phenotypic and genotypic variants of Orientia tsutsugamushi. Clin Infect Dis 2009;48:S203-30. 2. Blacksell SD, Luksameetanasan R, Kalambaheti T, Aukkanit N, Paris DH, McGready R, et al. Genetic typing of the 56-kDa type-specific antigen gene of contemporary Orientia tsutsugamushi isolates causing human scrub typhus at two sites in north-eastern and western Thailand. .EMS Immunol Med Microbiol 2008;52:335-42. 3. Manosroi J, Chutipongvivate S, Auwanit W, Manosroi A. Determination and geographic distribution of Orientia tsutsugamushi serotypes in Thailand by nested polymerase chain reaction. Diagn Microbiol Infect Dis 2006;55:185- 90.
  • 330.
    àǪÈÒʵÏ·¹Âؤ 2553 Ñ 303 .igure 1 Dendrogram representing the genetic relationships of samples from scrub typhus patients (represented in G alphabet followed by number (Gxx)) and reference O. tsutsugamushi strains based on the nucleotide sequence of the 56-kDa protein encoding gene demonstrating the relationships between O. tsutsugamushi strains.
  • 332.
    àǪÈÒʵÏ·¹Âؤ 2553 Ñ º··Õè 305 45 Recent Advances in the Diagnosis of Scrub Typhus Wei-Mei Ching Viral and Rickettsial Diseases Naval Medical Research Center Diagnosis of scrub typhus is generally based on the clinical presentation and the history of a patient. However, differentiating scrub typhus from other acute tropical febrile illnesses such as leptospirosis, murine typhus, malaria, dengue fever, and viral hemorrhagic fevers can be difficult because of the similarities in these signs and symptoms. Besides the isolation of the causative agent Orientia from patient blood as the confirmatory test, many modern technologies have been applied in the development of diagnostic assays. Recent advances in the diagnosis of scrub typhus are briefly described below, with emphasis on the activities carried out in my laboratory. Immuno-detection The early serological assays include Weil-Felix test (1916), indirect immunofluorescent antibody test (IFA, 1963), indirect immunoperoxidase (IIP, 1982), passive hemagglutination assay (1993), dipstick dot –blot assay (1995) and ELISA (1997). Almost all of the assays use whole cell grown in egg yolk sac or tissue culture as the antigen. Due to the intracellular nature of Orientia and the hazardous procedures which require biosafety level 3 (BSL3) facilities and practices for large scale production, not many diagnostic laboratories have the ability to culture and purify O. tsutsugamushi. It was not until 1993, Kim et. el.1 developed the first recombinant antigen of the outer membrane protein, the 56 kDa antigen, which comprises 10-15% of the total bacterial protein. This protein is an ideal antigen to be used in sero-diagnosis because sera from 95–99% of patients with scrub typhus recognize this variable 56 kDa antigen of O. tsutsugamushi. The availability of recombinant Orientia protein antigens that can be produced and purified in large amounts and have similar antigenic properties as Orientia-derived antigens has opened up a new avenue to develop low cost rapid assays. However, O. tsutsugamushi exhibits considerable antigenic strain variation and the antigenic differences depend largely on the outer membrane protein, that varies in size from 53 to 63 kDa. In order to develop a more broadly
  • 333.
    306 Recent Advances in the Diagnosis of Scrub Typhus reactive diagnostic reagent, we produced t truncated recombinant protein of the 56 kDa antigen (r56) from three prototype strains (Karp, Gilliam, and Kato). The combination of these three r56 (Tri-r56) in ELISA performed as well as the combination of whole cell antigens from the same strains in IFA. Table 1 shows Tri- r56 in ELISA has the same sensitivity as IFA for IgM detection. The results for IgG are also in very good agreement (data not shown). Table 1 Combination of r56 from three strains in ELISA can detect IgM as early as IFA The collaborative efforts of AccessBio and the DoD Laboratory at the Naval Medical Research Center culminated in the development of a CareStartTM Scrub Typhus Combo Test Device.This device was evaluated at the DoD Laboratorywith sera collected in Taiwan (Table 2) and sera collected in the tropical environment of the Lao People’s Democratic Republic (Laos) and Thailand (Table 3). Both evaluations have suggested that this test kit is sensitive (>90%) and specific (>90%) for early diagnosis (IgM detection) as compared to IFA. On the basis of data from stored patient samples, the AccessBio scrub typhus IgM rapid assay appears to provide accurate results for the diagnosis of acute scrub typhus in a tropical setting where scrub typhus is endemic.2 The ease of use and low cost of test kit have enhanced its commercial applicability in the mostly underdeveloped endemic countries Table 2 The performance of CareStartTM Scrub Typhus Combo Test Device (using the mixture of recombinant antigen r56 from three proto type strains) as compared to current gold standard IFA using whole cell lyaste (mixture of three proto type strains).
  • 334.
    àǪÈÒʵÏ·¹Âؤ 2553 Ñ 307 Table 2A DoD laboratory evaluation of CareStartTM Scrub Typhus Combo for IgM detection. Comparison between the results of IgM of CareStartTM Scrub Typhus Combo and IFA IgM Specificity Specificity % Sensitivity Sensitivity % Agreement % Site 1: Access Bio 93/94 98.9% 18/19 94.7% 98.2% Site 2: NMRC 91/112 81.3% 93/98 94.9% 87.6% Total 184/206 89.3% 111/117 94.9% 91.3% Table 2B DoD laboratory evaluation of CareStartTM Scrub Typhus Combo for IgG detection Comparison between the results of total antibody of CareStartTM Scrub Typhus Combo and IFA total antibody Specificity Specificity % Sensitivity Sensitivity % Agreement % Site 1: Access Bio 92/94 97.9% 19/19 100% 98.2% Site 2: NMRC 38/40 95% 117/120 97.5% 96.9% Total 130/134 97% 136/139 97.7% 97.8% Table 3 Overall diagnostic accuracy and sensitivity of the AccessBio scrub typhus Combo for detection of IgM and total antibodies compared to the results of the gold standard assay, IFA Antibody Sensitivity Specificity PPV NPV IgM 96.8 (92.0–99.1) 93.3 (86.7–97.3) 94.5 (89.1–97.8) 96.1 (90.3–98.9) Total antibody 97.6 (93.1–99.5) 71.4 (61.8–79.8) 80.3 (73.0–86.3) 96.2 (89.2–99.2) To encompass a broader spectrum of antigenic variations, we have produced the r56 from strain TA763, chigger isolate Lc-1, and four chimeric r56s based on the sequences of Karp and TA763 in the variable regions. Three of these chimeric r56s (C1, C2, and C3) were as reactive as either Karpr56 or TA763r56 against 14 strain specific sera from infected mice3, suggesting that the chimeric r56 exibited broader reactivity as compared to their parent r56, either from Karp or TA763. Nucleic acid detection The value of serological assays for diagnosis of acute infection inclinical settings has its limitations. This is because the earliest detection of antibodies is at least 4-5 days after the onset of illness. In addition, there are high background titers in endemic populations. Therefore
  • 335.
    308 Recent Advances in the Diagnosis of Scrub Typhus antigen detection is important for early diagnosis. However, the amount of Orientia in scrub typhus patients during bacteremia is very low (5-10 organisms/ul). The immuno-capture assay is not sensitive enough without an additional step for sample concentration. With the advent of polymerase chain reaction (PCR), Furuya et al. first demonstrated that amplification of the 56- kDa protein gene was a reliable method for early diagnosis (1991). Later on, PCR, nested PCR, and quantitative PCR against different target genes such as 16S RNA, 60 kDa GroEL heat shock protein and 47 kDa HtrA1 gene were developed. The use of nucleic acid amplification has provided sufficient sensitivity. However, this approach requires sample processing (DNA extraction), sophisticated instrumentation, expensive temperature sensitive reagents, and extensive training of the end user. Its application is suitable for hospital centers with high complexity laboratories, but not for rudimentary point-of-care centers such as doctors offices in endemic rural areas. Another potential disadvantage is that false positives due to DNA contamination are often observed. Recently, Paris et al. described a new nucleic acid based assay using LAMP (loop- mediated isothermal amplification) for the detection of Orientia (2008)(4). LAMP assay is quick, easy to perform without the need of a thermal cycler for amplification. The Bst DNA polymerase used in LAMP provides an additional advantage due to its insensitivity to blood borne components including myoglobin, heme-blood protein complexes and immunoglobin, which inhibit the Taq polymerase used in PCR. Thus much simpler sample preparation and reaction conditions are required for LAMP compared to conventional PCR or real-time, quantitative PCR. Primers against the Orientia specific region of groEL gene were designed using the Primer Explorer software of Eiken (http://primerexplorer.jp/e/). The LAMP assay was carried out in a single tube 65C for 90 min for DNAs extracted from cultured Orientia, or Orientia infected buffy coat and whole blood of confirmed scrub typhus patient. The detection limits were about 5 to 10 fold less than that of qPCR. The results were in 100% agreement with those of the gold standard IFA. Therefore LAMP assay has a very high potential to be used in rural areas. We have sequenced the 47 kDa antigen gene from 25 disparate strains previously selected to cover the wide range of strain variation. The 25 strains included six proto type strains, all but one of human origin and were isolated from different locations throughout the Asia-Pacific-Australia endemic region. LAMP primers against the conserved region of 47kDa gene were designed. The assay has been performed isothermally at 60?C for 60 or 90 minutes. The detection limit is consistently around 200 copies/ 25uL reaction with occasional detection of as few as 10 copies/25uL reaction. The sensitivity of this LAMP assay was similar to that of real-time PCR experiments using the same primers and to that of the LAMP assay using GroEL
  • 336.
    àǪÈÒʵÏ·¹Âؤ 2553 Ñ 309 gene as the target. So far this LAMP assay has been shown to detect at least 6 immunologically and biologically disparate strains (Karp, Kato, Gilliam, TA763, TH11811, and TH1812) which cover the major clades of prevalent strains of Orientia with similar sensitivity.(5) Host response gene profile: the next generation diagnosis tool It has been hypothesized that (1) a unique set of early response genes for a specific rickettsial pathogen can be defined in vitro by using the high-throughput cDNA microarray technology. (2) The expression profile of these unique sets of genes can be detected in patient blood cells. (3) The characterization of these unique genes can be used to differentiate rickettsial infections as well as infections caused by other agents. The proof of this hypothesis will undoubtedly lead to the development of diagnostic kits using cDNA microarrays containing genes that change significantly in their expression level in response to infection. Furthermore, the cDNA microarray technology could be used as a true multiplex diagnostic platform to differentiate various infections. The application of this approach for early diagnosis is remarkable. It can detect the infection of a particular pathogen long before the onset of symptoms, and much earlier than the current method of nucleic acid based real-time PCR and antigen based serology tests. Unlike the host responses monitored by microarray technology, antigen detection assays require adequate amounts of bacterial DNA or antigen; achieved only through infection for a few days or more, for optimal detection. Moreover, antibody detection assays usually requires 5-10 days for the host to develop a significant enough immune response to detect specific IgM and IgG antibodies. Gene profile signatures related to the time course of impending illness can be especially helpful for physicians to treat patients properly.
  • 337.
    310 Recent Advances in the Diagnosis of Scrub Typhus As Orientia is an obligate intracellular pathogen, organisms disseminate from the skin to target organs strongly suggest that they may enter the peripheral circulation. Walsh et al. presented the evidence that Orientia was present in circulating white blood cells (mostly mononuclear cells) of humans with acute scrub typhus (2001)(5). For determination of host response genes that play a role in infection, we performed the in vitro study described below. Freshly isolated peripheral blood mononuclear cells (PBMC) from healthy donors were infected with Orientia and samples were collected at 1 h, 4 h, 8 h or 18 h post infection. The gene expression profiles were monitored by cDNA microarray. Among the 7489 genes 658 genes were up or down regulated upon infection. Semi-quantitative PCR using specific primers that flank the mRNA splicing sites of these 658 genes were carried out to verify microarray results using glyceraldehyde 3-phosphate dehydrogenase (GAPDH) as the reference gene. Among these 658 genes, 22 genes were confirmed to beup or down regulated (Table 4). Quantitative PCR using 18S rRNA as the reference further confirmed two genes (NM_001547 and NM_006187) exhibited significant increase of expression Analysis of these 22 genes and the specific increase of both NM_001547 and NM_006187 suggest the list of 22 genes appears to be unique for O. tsutsugamushi infection and has the potential for use in differentiating infections caused by viruses, bacteria, parasites and other pathogens.(6) Table 4. List of genes confirmed by semi-quantitative PCR Accessionnumber Name of Genes Biological processes NM_000530 myelin protein zero (Charcot-Marie-Tooth neuropathy 1B) (MPZ), Signal transduction NM_000595 lymphotoxin alpha (TNF superfamily, member 1) (LTA), Signal transduction NM_000801 FK506 binding protein 1A, 12kDa (FKBP1A), transcript variant 12B Signal transduction NM_001547 interferon-induced protein with tetratricopeptide repeats 2 (IFIT2), Cell growth and/or maintenance NM_001838 chemokine (C-C motif) receptor 7 (CCR7), Signal transduction NM_002498 NIMA (never in mitosis gene a)-related kinase 3 (NEK3), transcript variant 1, Signal transduction NM_002922 regulator of G-protein signalling 1 (RGS1), Signal transduction NM_002946 replication protein A2, 32kDa (RPA2), Nucleotide and nucleic acid metabolism NM_002983 chemokine (C-C motif) ligand 3 (CCL3), Immune response NM_003205 transcription factor 12 (HTF4, helix-loop-helix transcription Nucleotide and nucleic acid factors 4) (TCF12), transcript variant 3 metabolism NM_003404 tyrosine 3-monooxygenase/tryptophan 5-monooxygenase Signal transduction activation protein, beta polypeptide (YWHAB), transcript variant 1 NM_003906 MCM3 minichromosome maintenance deficient 3 (S. cerevisiae) Signal transduction associated protein (MCM3AP),
  • 338.
    àǪÈÒʵÏ·¹Âؤ 2553 Ñ 311 Accessionnumber Name of Genes Biological processes NM_004551 NADH dehydrogenase (ubiquinone) Fe-S protein 3, 30kDa Metabolism, Energy pathways (NADH-coenzyme Q reductase) (NDUFS3), NM_005082 tripartite motif-containing 25 (TRIM25), Nucleotide and nucleic acid metabolism NM_005623 chemokine (C-C motif) ligand 8 (CCL8), Signal transduction NM_006187 2'-5'-oligoadenylate synthetase 3, 100kDa (OAS3), Immune response NM_007215 polymerase (DNA directed), gamma 2, accessory subunit Nucleotide and nucleic acid (POLG2), metabolism NM_015369 TP53TG3 protein (TP53TG3), transcript variant 1 Regulation of cell cycle NM_021991 junction plakoglobin (JUP), transcript variant 2 Cell adhesion NM_033340 caspase 7, apoptosis-related cysteine peptidase (CASP7), Apoptosis transcript variant beta NM_080657 radical S-adenosyl methionine domain containing 2 (RSAD2), Immune response NM_152998 enhancer of zeste homolog 2 (Drosophila) (EZH2), transcript Nucleotide and nucleic acid variant 2 metabolism Bolded genes are down-regulated In summary, recent advances in the diagnosis of scrub typhus are exciting. Significant progress has has already been made in rapid serological test and nucleic acid based molecular detection. The establishment of host responsive gene profile specific to Orientia infection may provide the opportunity for early diagnosis at the onset of illness. References 1. Kim IS, Seong SY, Woo SG, Choi MS, and Chang WH. High-level expression of a 56-kilodalton protein gene (bor56) of Rickettsia tsutsugamushi Boryong and its application to enzyme-linked immunosorbent assays. J. Clin Microbiol 1993;1:598-605. 2. Blacksell SD, Jenjaroen K, Phetsouvanh R, Wuthiekanun V, Day NP, Newton PN, Ching WM. Accuracy of AccessBio Immunoglobulin M and Total Antibody Rapid Immunochromatographic Assays for the Diagnosis of Acute Scrub Typhus Infection. Clin Vaccine Immunol 2010;17:263-6. 3. Chao CC, Zhang Z, Huber E, and Ching WM. Cross reactivity of various 56 kDa recombinant protein antigens with sera from Orientia tsutsugamushi infected mice. 5th International Conference on Rickettsiae and Rickettsial Diseases, May 18-20, 2008, Marseille, France. 4. Paris DH, Blacksell SD, Newton PN, and Day NPJ. Simple, rapid and sensitive detection of Orientia tsutsugamushi by loop-isothermal DNA amplification. Trans R Soc Trop Med Hyg 2008;102:1239-46.
  • 339.
    312 Recent Advances in the Diagnosis of Scrub Typhus 5. Chao CC, Huber E, Chen HW, and Ching WM. Detection of Orientia tsutsugamushi DNA using loop-mediated isothermal amplification: a rapid and sensitive alternative to real-time PCR, 24th Meeting of the American Society for Rickettsiology, July 31 – Aug 3, 2010, Skamania Lodge, Stevenson, Washington, USA. 6. Chao CC, Li X, Hammamieh R, O’Leary B, Jett M and Ching WM. Identification of human peripheral leukocyte early response genes following infection with Orientia tsutsugamushi by DNA microarray and real- time PCR. Accepted by Chao CC The Open Infectious Diseases Journal, 2010.
  • 340.
    àǪÈÒʵÏ·¹Âؤ 2553 Ñ º··Õè 313 46 Iron Chelation : New Hope ´Í¡àµÍϪ®Ò ¾ÔÈÒž§È ʶҺѹÇÔ¨ÂáÅоѲ¹Ò ͧ¤¡ÒÃàÀÊѪ¡ÃÃÁ Ñ Í§¤¡ÒÃàÀÊѪ¡ÃÃÁ䴌ǨÂÂҢѺàËÅ硪¹Ô´ÃѺ»Ãзҹ·ÕÁªÍÊÒÁÑ­Ç‹Ò deferiprone ËÃ×Í L1 ÔÑ è Õ ×è áÅÐÁժ͡ÒäŒÒÇ‹Ò GPO-L-ONE Í‹ҧ¤ÃºÇ§¨ÃµÑ§áµ‹¡ÒÃÊѧà¤ÃÒÐˏǵ¶Ø´º¨¹¶Ö§à»š¹ÂÒàÁç´à¤Å×ͺ ×è é Ñ Ô ÃÇÁ¶Ö§ÁÕ¡ÒÃÇԨ´ŒÒ¹»ÃÐÊÔ·¸ÔÀÒ¾áÅФÇÒÁ»ÅÍ´ÀÑ¢ͧÂÒ à¾×Íãˌ䴌ÂÒ·ÕÁ¤³ÀÒ¾áÅÐÃÒ¤Ò¶Ù¡ Ñ è è Õ Ø ãËŒ¼»Ç¸ÒÅÑÊ«ÕàÁÕ«֧à´ÔÁäÁ‹ÊÒÁÒöࢌҶ֧ÂÒ ä´ŒãªŒÂÒÍ‹ҧ·ÑǶ֧ ÂÒ GPO-L-ONE ÁÕ¤³ÀÒ¾ ÙŒ † è è Ø »ÃÐÊÔ·¸ÔÀÒ¾ áÅФÇÒÁ»ÅÍ´ÀÑÂà·‹Òà·ÕÂÁ¡ÑºÂÒµŒ¹áºº ᵋÃÒ¤ÒÂÒ¶Ù¡¡Ç‹ÒÂÒµŒ¹áººÁÒ¡ ¢Ñ¹µÍ¹¡ÒÃÇÔ¨ÂáÅмÅÔµÂÒ GPO-L-ONE é Ñ ¡ÒÃÇԨѡÒÃÊѧà¤ÃÒÐˏÇѵ¶Ø´Ôº ¾Ñ²¹ÒÇÔ¸¡ÒÃÊѧà¤ÃÒÐˏ¢¹ãËŒàËÁÒÐÊÁµ‹Í¡ÒüÅÔµã¹ Õ Öé ÃÐ´ÑºÍØµÊÒË¡ÃÃÁ â´Â䴌ǵ¶Ø´º L1 ·ÕÁ¤ÇÒÁºÃÔÊ·¸Ôì Ñ Ô è Õ Ø ¡ÒþѲ¹ÒÊÙµÃÂÒàÁç´ ¹íÒÇѵ¶Ø´º L1 ·Õʧà¤ÃÒÐˏ䴌ÁÒ㪌àµÃÕÂÁ໚¹ÂÒàÁç´à¤Å×ͺ Ô èÑ ¡Ò÷´Êͺ¤ÇÒÁ¤§µÑÇ ¹íÒÇѵ¶Ø´ºáÅÐÂÒàÁç´·ÕàµÃÕÂÁ䴌价´Êͺ¤ÇÒÁ¤§µÑǷѧÊÀÒ¾ Ô è é »¡µÔ áÅзÕÊÀÒ¾à˧ à¾×Í¡íÒ˹´ÍÒÂØ¢Í§Çѵ¶Ø´ºáÅÐÂÒÊíÒàÃç¨ÃÙ» è è Ô
  • 341.
    314 Iron Chelation : New Hope ¡ÒüÅÔµÇѵ¶Ø´ÔºáÅÐÂÒàÁç´à¤Å×ͺã¹ÃÐ´ÑºÍØµÊÒË¡ÃÃÁ àÁ×Í¡ÒÃÇԨ¡ÒÃÊѧà¤ÃÒÐˏ è Ñ Çѵ¶Ø´Ôºä´Œ¼Å´ÕáÅŒÇ Í§¤¡ÒÃàÀÊѪ¡ÃÃÁä´ŒÊÌҧâç§Ò¹¼ÅÔµÇѵ¶Ø´Ôº L1 ã¹ÃдѺ ÍØµÊÒË¡ÃÃÁ¢Ö¹ ·Õâç§Ò¹à¤ÁÕ«§µÑ§ÍÂÙ·ºÃÔàdzÃѧÊÔµ ¤ÅͧÊÔº ¨Ñ§ËÇÑ´»·ØÁ¸Ò¹Õ âç§Ò¹ é è Öè é ‹ Õè ´Ñ§¡Å‹ÒÇ䴌ú¡ÒÃÃѺÃͧµÒÁËÅѡࡳ±ã¹¡ÒüÅÔµ·Õ´Õ (Good Manufacturing Practice, Ñ è GMP) áÅÐ㪌ǵ¶Ø´º L1 ·Õͧ¤¡ÒÃàÀÊѪ¡ÃÃÁÊѧà¤ÃÒÐˏ¢¹ 㹡ÒüÅÔµÂÒàÁç´à¤Å×ͺ Ñ Ô è Öé ·Õ轆Ò¼ÅÔµÂÒ ¡ÒÃÈÖ¡ÉÒªÕÇÊÁÁÙÅ (bioequivalence, BE) áÅСÒÃÈÖ¡ÉÒ¤‹ÒàÀÊѪ¨Å¹ÈÒʵÏ (pharmacokinetics, PK) â´Â ¼È. ´Ã.¹¾ÇÃó ÁÍÃÒàÅÊ ¤³ÐÇÔ·ÂÒÈÒʵÏ ÁËÒÇÔ·ÂÒÅÑÂÁËÔ´Å ¾ºÇ‹ÒÂÒ GPO-L-ONE ÁÕªÇÊÁÁÙšѺÂÒµŒ¹áºº(1) áÅÐä´Œ¢ÍÁÙÅ´ŒÒ¹ Õ Œ àÀÊѪ¨Å¹ÈÒʵϢͧ¡ÒÃ㪌ÂÒ㹼ٻǪÒÇä·Â Œ † (2) ÃдѺÂÒ㹫ÕÃÁ¢Í§ÂÒµŒ¹áºº (reference) áÅÐÂÒ GPO-L-ONE (test) Ñè ¡ÒâÖé¹·ÐàºÕ¹ÂÒ Í§¤¡ÒÃàÀÊѪ¡ÃÃÁ䴌¹¢ŒÍÁÙÅ¡ÒþѲ¹ÒÂÒ GPO-L-ONE µ‹ÍÊíҹѡ ×è §Ò¹¤³Ð¡ÃÃÁ¡ÒÃÍÒËÒÃáÅÐÂÒ áÅÐ䴌ú·ÐàºÕ¹ÂÒÊÒÁÑ­ãËÁ‹ àÁ×ÍÇѹ·Õè 20 àÁÉÒ¹ Ñ è 2551 â¤Ã§¡ÒÃÇԨѷҧ¤ÅÔ¹Ô¡ ͧ¤¡ÒÃàÀÊѪ¡ÃÃÁ䴌ʹѺʹعÁÙŹԸâäâÅËÔµ¨Ò§¸ÒÅÑÊ«ÕàÁÕÂ Ô áË‹§»ÃÐà·Èä·Â áÅÐÊÁÒ¤ÁâÅËÔµÇÔ·ÂÒáË‹§»ÃÐà·Èä·Â ´íÒà¹Ô¹¡ÒÃÇÔ¨ÂÂÒÀÒÂ㵌ªÍ Ñ ×è â¤Ã§¡Òà “¡ÒÃÈÖ¡ÉÒÇÔ¨ÂËÇÁÃÐËNjҧʶҺѹÃÐÂÐàÇÅÒµÔ´µÒÁ¼Ù»Ç 1 »‚ Ẻແ´à¼Âª×Í Ñ Œ † è ÂÒ ¡ÅØÁ¡ÒÃÃÑ¡ÉÒà´ÕÂÇ ã¹¡ÒûÃÐàÁÔ¹»ÃÐÊÔ·¸Ô¼Å áÅФÇÒÁ»ÅÍ´ÀÑ¢ͧÂÒÃѺ»Ãзҹ ‹ GPO-L-ONE ·ÕÁ¼Åµ‹Í¡ÒÃÅ´ÃдѺ¸ÒµØàËÅç¡ã¹àÅ×Í´ ËÑÇ㨠µÑº 㹼ٻǸÒÅÑÊ«ÕàÁÕ·Õä´Œ è Õ Œ † è ÃѺ¡ÒÃÇÔ¹Ô¨©ÑÂÇ‹ÒÁÕ¸ÒµØàËÅç¡ÊÐÊÁà¡Ô¹à¹×èͧÁÒ¨Ò¡¡ÒÃä´ŒÃѺàÅ×Í´” â´Â¡ÒÃÈÖ¡ÉÒÇÔ¨ÑÂ
  • 342.
    àǪÈÒʵÏ·¹Âؤ 2553 Ñ 315 ´Ñ§¡Å‹ÒÇà¾×Í»ÃÐàÁÔ¹»ÃÐÊÔ·¸ÔÀÒ¾áÅмŢŒÒ§à¤Õ§¢Í§ÂҴѧ¡Å‹ÒÇ ã¹ 5 ʶҺѹ 䴌ᡋ è âç¾ÂÒºÒÅÈÔÃÔÃÒª âç¾ÂÒºÒÅÃÒÁÒ¸Ôº´Õ âç¾ÂÒºÒŨØÌÒŧ¡Ã³ âç¾ÂÒºÒÅ ¾ÃÐÁ§¡Ø®à¡ÅŒÒ áÅÐâç¾ÂÒºÒŹ¤Ã»°Á ·íÒ¡ÒÃÈÖ¡ÉÒµÔ´µÒÁ¼Å¡ÒÃ㪌ÂÒã¹¼Ù»ÇÂà´ç¡ Œ † áÅмÙãË­‹Í‹ҧÅÐ 75 ¤¹ Í‹ҧã¡ÅŒª´à»š¹àÇÅÒ 1 »‚ â´ÂÁÕ ¼È. ¹¾.¹¾´Å ÈÔø¹ÒÃѵ¹¡ØÅ Œ Ô Ô à»š¹ËÑÇ˹ŒÒâ¤Ã§¡ÒÃÇÔ¨Â㹼ٻǼÙãË­‹ áÅÐÃÈ. ´Ã. ¹¾.ÇԻà ÇÔ»ÃСÉÔµ ໚¹ËÑÇ˹ŒÒ Ñ Œ † Œ â¤Ã§¡ÒÃÇÔ¨Âã¹¼Ù»ÇÂà´ç¡ «Ö§àÁ×Í¡ÒÃÇÔ¨ÂÊÔ¹ÊØ´áŌǤÇÒÁÃÙµÒ§æ ·Õä´Œ¨Ò¡¡ÒÃÇԨ¨ÐÁÕ¡ÒÃ Ñ Œ † è è Ñ é Œ ‹ è Ñ à¼Âá¾Ã‹à¾×ÍãËŒ¡ÒÃ㪌ÂÒ GPO-L-ONE ·Ñ§ã¹»ÃÐà·ÈáÅе‹Ò§»ÃÐà·È໚¹ä»Í‹ҧ»ÅÍ´ÀÑ è é áÅÐÁÕ»ÃÐÊÔ·¸ÔÀÒ¾ÂÔ§¢Ö¹µ‹Íä» è é àÍ¡ÊÒÃ͌ҧÍÔ§ 1. Morales NP, Limenta LMG, Yamanont P, Jirasomprasert T, Wilairat P, Chantharaksri, et al. Bioequivalence study of a film-coated tablet of deferiprone in healthy Thai volunteers. Int J Clin Pharmacol Ther Toxicol. 2009; 47(5): 358-64. 2. Limenta LMG, Jirasomprasert T, Tankaitlert J, Wilairat P, Chantharaksri, et al. UGT146 genotype-related pharmacokinetics of deferiprone (L1) in healthy volunteers. Br J Clin Pharmacol. 2008;65(6):908-16.
  • 344.
    àǪÈÒʵÏ·¹Âؤ 2553 Ñ º··Õè 317 47 Deferasirox ÂҢѺàËÅ硪¹Ô´ÃѺ»Ãзҹ ¼ÙŒª‹ÇÂÈÒʵÃÒ¨ÒÏ ¹ÒÂᾷ¹¾´Å ÈÔÃÔ¸¹ÒÃѵ¹¡ØÅ ÀÒ¤ÇÔªÒÍÒÂØÃÈÒʵÏ ¤³Ðá¾·ÂÈÒʵÏÈÔÃÔÃÒª¾ÂÒºÒÅ ÁËÒÇÔ·ÂÒÅÑÂÁËÔ´Å Overview and Background ¼Ù»Ç·ÕÁÀÒÇÐâÅËÔµ¨Ò§àÃ×ÍÃѧáÅШíÒ໚¹µŒÍ§ä´ŒÃº¡ÒÃÃÑ¡ÉÒà¾×Íᡌä¢ÀÒÇÐâÅËÔµ¨Ò§ ÍÒ·Ôઋ¹ Œ † è Õ é Ñ è âäâÅËÔµ¨Ò§¸ÒÅÑÊ«ÕàÁÕ ¡ÅØÁÍÒ¡Òà myelodysplastic syndromes (MDS) ໚¹µŒ¹ â´Â¡ÒÃãËŒàÅ×Í´ ‹ Í‹ҧÊÁèÒàÊÁÍ໚¹ÃÐÂÐàÇÅÒ¹Ò¹æ ËÃ×Í ä´ŒÃºàÅ×Í´á´§µÑ§áµ‹ 20 ˹‹ÇÂ¢Ö¹ä» ¨Ð¹íÒä»ÊÙ¡ÒÃÊÐÊÁ í Ñ é é ‹ ¸ÒµØàËÅ硨¹à¡Ô´ÀÒÇÐàËÅç¡à¡Ô¹ Íѹ·íÒãËŒà¡Ô´ÍѹµÃÒµ‹ÍÍÇÑÂÇе‹Ò§æ¢Í§ Ëҧ¡Ò áÅÐÁռŵ‹ÍÍѵÃÒ ¡ÒÃÃÍ´ªÕÇÔµ¢Í§¼ÙŒ»†Ç ´Ñ§¹Ñ鹡ÒÃãËŒÂҢѺàËÅ硨֧ÁÕ¢ŒÍº‹§ªÕé㹡ÒÃ㪌㹼ٌ»†ÇÂàËŋҹÕé à¾×èÍ»‡Í§¡Ñ¹ äÁ‹ãËŒà¡Ô´ÍѹµÃÒµ‹ÍÍÇÑÂÇШ¹à¡Ô´¾ÂÒ¸ÔÊÀÒ¾·Õᡌä¢äÁ‹ä´Œ (irreversible pathology) ઋ¹ ÀÒÇеѺ è á¢ç§ (liver cirrhosis) ÀÒÇСŌÒÁà¹×ÍËÑÇã¨àÊ×ÍÁ (cardiomyopathy) áÅÐàºÒËÇÒ¹ ¡ÒÃÃÑ¡ÉÒ´ŒÇ é è ÂҢѺàËÅç¡ (iron chelation therapy) ໚¹ÇÔ¸à´ÕÂÇ㹡ÒÃÃÑ¡ÉÒÀÒÇÐàËÅç¡à¡Ô¹·Õà¡Ô´¢Ö¹¨Ò¡¡ÒÃ䴌úàÅ×Í´ Õ è é Ñ áÅЪ‹ÇÂÅ´ÍѵÃÒ¡ÒÃàÊÕªÕǵ㹼ٻÇÂ䴌͋ҧÁÕ¹ÂÊíҤѭ Ô Œ † Ñ ÂҢѺàËÅç¡·Õèä´ŒÃѺ¡ÒÃÂÍÁÃѺNjÒÁÕ»ÃÐÊÔ·¸ÔÀҾ㹡ÒâѺàËÅç¡ÍÍ¡¨Ò¡Ã‹Ò§¡Ò áÅÐ㪌 ã¹·Ò§¤ÅÔ¹¡Í‹ҧá¾Ã‹ËÅÒ¨¹à»š¹Áҵðҹ¤×Í deferoxamine (D.O; Desferal®) ᵋ¡ÒúÃÔËÒÃ Ô ÂҢѺàËÅç¡ D.O ¹Ñ¹ÁÕ¤ÇÒÁÂØ§ÂÒ¡áÅС‹ÍãËŒà¡Ô´¤ÇÒÁà¨çº»Ç´ä´ŒÁÒ¡ à¹×ͧ¨Ò¡µŒÍ§ãªŒÇ¸©´à¢ŒÒ㵌 é ‹ è ÔÕ Õ ¼ÔÇ˹ѧÍ‹ҧµ‹Íà¹×ͧ 8-12 ªÑÇâÁ§ ·íÒãËŒ¼»ÇºҧÃÒÂäÁ‹ä´ŒÃºÂÒÍ‹ҧµ‹Íà¹×ͧ è è ÙŒ † Ñ è Deferasirox (Exjade ) ໚¹ÂҢѺàËÅ硪¹Ô´ÃѺ»Ãзҹ·ÕÁ㪌·Ò§¤ÅÔ¹¡ã¹»‚ ¾.È. 2548 ÁÕ ® è Õ Ô ÇÔ¸ºÃÔËÒÃÂÒ·ÕÊдǡ¤×ÍÃѺ»Ãзҹà¾Õ§ÇѹÅÐ 1 ¤Ãѧ·Ø¡Çѹ 䴌ú¡Òâֹ·ÐàºÕ¹¨Ò¡Í§¤¡ÒÃÍÒËÒÃ Õ è é Ñ é áÅÐÂÒ·Ñé§ã¹»ÃÐà·ÈÊËÃѰÍàÁÃÔ¡ÒáÅÐÊËÀÒ¾ÂØâû áÅл˜¨¨ØºÑ¹ä´ŒÃѺ͹حҵ㹻ÃÐà·È·ÑèÇâÅ¡ ÁÒ¡¡Ç‹Ò 90 »ÃÐà·È(1) ÃÇÁ·Ñ§»ÃÐà·Èä·Ââ´Âͧ¤¡ÒÃÍÒËÒÃáÅÐÂÒã¹»‚ ¾.È. 2549 â´ÂÁբͺ‹§ãªŒ é Œ ÊíÒËÃѺ¡ÒÃÃÑ¡ÉÒÀÒÇиҵØàËÅç¡à¡Ô¹àÃ×ÍÃѧ à¹×ͧ¨Ò¡¡Òö‹ÒÂàÅ×Í´ (transfusional haemosiderosis) é è 㹼ٻǷÕ໚¹¼ÙãË­‹áÅÐà´ç¡ (ÍÒÂØÁÒ¡¡Ç‹ÒËÃ×Í෋ҡѺ 2 »‚) Œ † è Œ ¤Ø³ÊÁºÑµÔ·Ò§àÀÊѪÇÔ·ÂÒ Deferasirox ໚¹Í¹Ø¾¹¸¢Í§ bis-hydroxyphenyl-triazole benzoic acid ÁÕ¤³ÊÁºÑµà»š¹ Ñ Ø Ô tridentate chelator ·Õ¨ºàËÅç¡â´ÂÍÒÈÑ 2 âÁàÅ¡ØÅ¢Í§ Deferasirox ¨Ñº¡ÑºàËÅç¡ (.e ) 1 ÍеÍÁ(2) èÑ 3+
  • 345.
    318 Deferasirox ÂҢѺàËÅ硪¹Ô´ÃѺ»Ãзҹ àÁ×ÍÃѺ»Ãзҹä»áŌǨж١´Ù´«ÖÁÍ‹ҧÃÇ´àÃçÇâ´ÂÁÕ tmax 1-2 ªÑÇâÁ§áÅÐ mean elimination half-life è è 7-16 ªÑÇâÁ§ ¤ÇÒÁࢌÁ¢Œ¹¢Í§ÂÒã¹¾ÅÒÊÁÒ໚¹ÊѴʋǹ¡Ñº»ÃÔÁÒ³ÂÒ·Õú»Ãзҹ(4, 5) áÅÐÃдѺÂÒ è (3) èÑ ã¹¾ÅÒÊÁÒ¨ÐÍÂÙã¹ therapeutic level ÁÒ¡¡Ç‹Ò 24 ªÑÇâÁ§ Cmax, area-under-curve áÅÐ half life ‹ è ¨Ð¤ÅŒÒ¤ÅÖ§¡Ñ¹·Ñ§ã¹à´ç¡(ÍÒÂØ < 12»‚) áÅмÙãË­‹ (ÍÒÂØ > 12»‚) àÁ×ÍÃѺ»ÃзҹËÇÁ¡ÑºÍÒËÒèÐÁÕ¼Å é Œ è µ‹Í bioavailability ¢Í§ÂÒ deferasirox ¨Ö§á¹Ð¹íÒãˌú»ÃзҹÂÒ¡‹Í¹ÍÒËÒà 30 ¹Ò·Õ(6) ¾ºÇ‹ÒÂÒ Ñ Ê‹Ç¹ãË­‹ ÃŒÍÂÅÐ84 ¶Ù¡¢Ñº¶‹ÒÂÍÍ¡·Ò§Íب¨ÒÃÐáÅÐʋǹ¹ŒÍ ÌÍÂÅÐ8 ¶Ù¡¢ÑºÍÍ¡·Ò§»˜ÊÊÒÇÐ(7) Clinical efficacy Cappellini áÅФ³Ðä´ŒÃÒ§ҹ¡ÒÃÈÖ¡ÉÒÃÐÂзÕè 3 ¢Í§¡ÒÃ㪌ÂÒ Deferasirox 㹼ٻǸÒÅÑÊ Œ † «ÕàÁÕ·Õ䴌úàÅ×ʹ໚¹»ÃШíÒáÅÐÁÕÍÒÂØÁÒ¡¡Ç‹Ò 2 »‚ â´Â¡ÒÃÊØÁãˌ䴌úÂÒ Deferasirox 296 ÃÒ è Ñ (8) ‹ Ñ áÅÐÃѺÂÒ D.O 290 ÃÒ ¢¹Ò´¢Í§ÂÒ¢Ö¹ÍÂÙ¡º liver iron concentration (LIC) ¾ºÇ‹Ò¼Ù»Ç·ÕÁÃдѺ é ‹ Ñ Œ † è Õ LIC > 7 mg.e/dry weight ¨ÐÊÒÁÒöŴÃдѺ LIC, serum ferritin áÅÐ net body iron balance ŧ䴌Í‹ҧÁÕ¹ÂÊíҤѭ·Ò§Ê¶Ôµ·§Êͧ¡ÅØÁ Ñ Ô Ñé ‹ Piga áÅФ³ÐÃÒ§ҹ¡ÒÃÈÖ¡ÉÒÃÐÂзÕè 2 ã¹¼ÙŒ»†Ç¼ٌãË­‹ 71 ÃÒ·ÕèÁÕÀÒÇÐàËÅç¡à¡Ô¹ ÃŒÍÂÅÐ 97 ¢Í§¼Ù»ÇÂ໚¹ thalassemia major hemosiderosis â´ÂãËŒÂÒã¹¢¹Ò´ 10 áÅÐ 20 mg/kg/ Œ † d (n=24 ÃÒ ·Ñ§ 2 ¡ÅØÁ) à·Õº¡Ñº¡ÅØÁ·Õ䴌ú D.O 40 mg/kg/d ¹Ò¹ 5 Çѹ/ÊÑ»´Òˏ (n=23) ໚¹àÇÅÒ é ‹ ‹ è Ñ 48 ÊÑ»´Òˏ ¾ºÇ‹Ò¼Ù»Ç·Õ䴌úÂÒ deferasirox 20 mg/kg/d ÁÕ¡ÒÃŴŧ¨Í§ LIC ã¡ÅŒà¤Õ§¡Ñº¼Ù»Ç Œ † è Ñ Œ † ·Õ䴌úÂÒ D.O è Ñ ÃÒ§ҹ¡ÒÃÈÖ¡ÉÒÃÐÂзÕè 2 à¾×Í»ÃÐàÁÔ¹¤ÇÒÁ»ÅÍ´ÀÑÂáÅÐ tolerability ¢Í§ÂÒ deferasirox è 㹼ٻǠsickle cell disease (n= 132 ÃÒÂ) à»ÃÕºà·Õº¡ÑºÂÒ D.O (n= 63)(9) ÍѵÃÒ¡ÒÃËÂØ´ÂÒã¡ÅŒ Œ † à¤Õ§¡Ñ¹·Ñ§Êͧ¡ÅØÁ¤×Í deferasirox = 11.4% áÅÐ D.O = 11.1% ¡ÒÃŴŧ¢Í§ LIC àÁ×Í䴌úÂÒ໚¹ é ‹ è Ñ àÇÅÒ 1 »‚ ¡çã¡ÅŒà¤Õ§¡Ñ¹·Ñ§Êͧ¡ÅØÁ é ‹ Porter áÅФ³Ðä´ŒÃÒ§ҹ¡ÒÃÈÖ¡ÉÒÃÐÂзÕè 2 ¶Ö§»ÃÐÊÔ·¸ÔÀÒ¾¢Í§ÂÒ deferasirox 㹼ٻǠŒ † ·ÕÁÍÒÂØ 3-81 »‚ ·Õ໚¹âä myelodysplastic syndromes (n = 47 ÃÒÂ), Diamond-Blackfan anaemia è Õ è (DBA; n = 30 ÃÒÂ), other rare anaemias (n = 22 ÃÒÂ) beta-thalassaemia (n = 85 ÃÒÂ)(10) ¾ºÇ‹Ò ¢¹Ò´ÂÒ 20-30 mg/kg/day ÊÒÁÒöŴÃдѺ LIC 㹼ٻǷÕÁ¤Ò LIC àÃÔÁµŒ¹ ³ 7 mg.e/dry weight Œ † è Õ ‹ è 䴌͋ҧÁÕ¹ÂÊíҤѭ·Ò§Ê¶ÔµÔ (P < 0.001) ¡ÒÃà»ÅÕ¹á»Å§¢Í§¤‹Ò LIC ÁÕ¤ÇÒÁÊÑÁ¾Ñ¹¸¡º»ÃÔÁÒ³ÂÒ Ñ è Ñ ·Õ䴌ú (P <0.001) áÅлÃÔÁÒ³àËÅç¡·Õ䴌ú¨Ò¡¡ÒÃãËŒàÅ×Í´ (P<0.001) ¹Í¡¨Ò¡¹Õ¡ÒÃà»ÅÕ¹á»Å§ è Ñ è Ñ é è ¢Í§¤‹Ò serum ferritin ¡çÁ¤ÇÒÁÊÑÁ¾Ñ¹¸¡º¤‹Ò LIC «Ö§Ê¹ÑºÊ¹Ø¹¡ÒÃ㪌ÃдѺ serum ferritin ໚¹µÑÇ Õ Ñ è µÔ´µÒÁ¼Å¡ÒÃÃÑ¡ÉÒ´ŒÇÂÂÒ deferasirox ÃÒ§ҹ¡ÒÃÈÖ¡ÉÒ ESCALATOR study ¨Ò¡»ÃÐà·ÈµÐÇѹÍÍ¡¡Åҧ㹼ٻǠ!-thalassaemia Œ † major 237 ÃÒ·ÕÁÍÒÂØ 2 »‚¢¹ä» â´ÂàÃÔÁÂÒ deferasirox ·Õ¢¹Ò´ 20 mg/kg/d áÅлÃѺŴ¢¹Ò´ è Õ Öé (11) è è ÂÒ 5-10 mg µÒÁserum ferritin áÅÐ safety marker àÁ×Í䴌úÂÒ 1 »‚¾ºÇ‹Ò ÃŒÍÂÅÐ 57 »ÃÐʺ¤ÇÒÁ è Ñ
  • 346.
    àǪÈÒʵÏ·¹Âؤ 2553 Ñ 319 ÊíÒàÃç¨ã¹¡ÒÃÅ´¤‹Ò LIC (P = 0.016) áÅÐÁÕ a mean reduction ¢Í§ LIC = 3.4 mg .e/g dry weight ¼Ù»ÇÂʋǹãË­‹ ÃŒÍÂÅÐ 78.1 µŒÍ§»ÃѺ¢¹Ò´¢Í§ÂÒ¢Ö¹ä»ÁÒ¡¡Ç‹Ò 20 mg/kg/d ໚¹ 30 mg/kg/d Œ † é Taher áÅФ³Ðä´Œ¡ÒÃÈÖ¡ÉÒŒ͹ËÅѧ㹼ٌ»†Ç·Ñé§à´ç¡áÅмٌãË­‹·Õèä´ŒÃѺàÅ×ʹ໚¹»ÃШíÒ 264 ÃÒ 䴌ᡋ !-thalassaemia, sickle cell disease áÅÐ myelodysplastic syndromes ·Õ䴌úÂÒ è Ñ ÁÒ¡¡Ç‹Ò 30 mg/kg/day áÅÐÁÕ median exposure to deferasirox 36 à´×͹ ¾ºÇ‹ÒÊÒÁÒöŴÃдѺ (12) serum ferritin 䴌͋ҧÁÕ¹ÂÊíҤѭ·Ò§Ê¶ÔµáÅмŢŒÒ§à¤Õ§äÁ‹ä´Œáµ¡µ‹Ò§ä»¨Ò¡ÃÒ§ҹÍ×¹æ ¡ÒÃà¾ÔÁ Ñ Ô è è ¢¹Ò´¢Í§ÂÒäÁ‹ä´Œ·íÒãËŒ¡Ò÷íÒ§Ò¹¢Í§äµáÅеѺàÅÇŧ ¨Ö§¹ÑºÇ‹ÒÁÕ¤ÇÒÁ»ÅÍ´ÀÑÂÊíÒËÃѺ¼ÙŒ»†Ç «Ö§¢¹Ò´ÂҴѧ¡Å‹ÒÇÁÕ¤ÇÒÁÊíҤѭµ‹Í¡ÒùíÒÁÒ㪌㹼ٻÇ·ÕÁÀÒÇÐàËÅç¡à¡Ô¹Í‹ҧÁÒ¡ è Œ † è Õ ¢ŒÍÁÙÅ·Ò§¤ÅÔ¹Ô¡Å‹ÒÊØ´«Öè§à»š¹ÃÒ§ҹ¼ÙŒ»†Ç·ÕèÁÒ¡·ÕèÊØ´ ¤×Í EPIC study ÈÖ¡ÉҼŢͧÂÒ deferasirox໚¹àÇÅÒ 1 »‚㹼ٻǷÕ䴌úàÅ×ʹ໚¹»ÃШíÒáÅÐÁÕÀÒÇÐàËÅç¡à¡Ô¹ ¨íҹǹ 1,744 ÃÒ â´Â Œ † è Ñ ·Õè໚¹¼ÙŒ»†ÇÂthalassemia (n=1115 ÃÒÂ), myelodysplastic syndromes (n=341 ÃÒÂ), aplastic anemia (n=116 ÃÒÂ), sickle cell disease (n=80 ÃÒÂ), rare anemias (n=43 ÃÒÂ) and other transfused anemias (n=49 ÃÒÂ) ¢¹Ò´ÂÒàÃÔÁµŒ¹ 20 mg/kg/day ¾ºÇ‹ÒÁÕÃдѺ serum ferritin Ŵŧ¨Ò¡ÃдѺ è àÃÔÁµŒ¹ 264 ng /mL (p<0.0001) è (13) »ÃÐÊÔ·¸ÔÀÒ¾¢Í§ÂÒ deferasirox ¹Í¡¨Ò¡¡ÒÃÅ´ÃдѺ serum ferritin áÅÐ LIC áÅŒÇ ÂѧÊÒÁÒöŴÃдѺ¢Í§ labile plasmairon (LPI) 㹼ٻǠ! -thalassemia major 䴌͡´ŒÇ LPI Œ † Õ ¹Õ໚¹Ê‹Ç¹Ë¹Ö§¢Í§ non-transferrin-bound iron ·Õ¨ÐࢌÒä»ã¹à«ÅŏáÅÐÁÕÊǹËÇÁã¹ redox cycling é è è ‹ reactions ·íÒãËŒà¡Ô´ reactive Oxygen species ·Õ໚¹ÍѹµÃÒµ‹Íà«Åŏ䴌(14, 15) ÂÒ deferasirox ã¹¢¹Ò´·ÕÁÒ¡¡Ç‹Ò 20 mg/ è è kg/day ÊÒÁÒöŴÃдѺ LPI 䴌͋ҧµ‹Íà¹×èͧ ´Ñ§¹Ñ鹨֧ÊÒÁÒöŴÀÒÇÐàËÅç¡à¡Ô¹Ê‹Ç¹·Õè໚¹ ÍѹµÃÒµ‹Íà¹×ÍàÂ×ÍáÅÐÍÇÑÂÇе‹Ò§æä´Œ(16, 17) é è Adverse events ÃÒ§ҹÍÒ¡ÒÃäÁ‹¾Ö§»ÃÐʧ¤Ê‹Ç¹ãË­‹·Õ辺ÃÐËNjҧ¡ÒÃÃÑ¡ÉÒ´ŒÇÂÂÒ deferasirox Í‹ҧ µ‹Íà¹×èͧ¶Ö§ 1 »‚ ã¹¼ÙŒ»†Ç¼ٌãË­‹áÅÐà´ç¡(8) ¤×Í ÍÒ¡ÒâͧÃкº·Ò§à´Ô¹ÍÒËÒà 䴌ᡋ »Ç´·ŒÍ§ ÃŒÍÂÅÐ 13 ¤Å×¹äÊŒÍÒà¨Õ¹ÌÍÂÅÐ 11 ·ŒÍ§àÊÕÂÃŒÍÂÅÐ 8 ¼×¹·Õ¼Ç˹ѧ »ÃÐÁҳÌÍÂÅÐ 10 ÍÒ¡Òà è è è Ô ´Ñ§¡Å‹ÒÇ¢Ö¹¡Ñº¢¹Ò´ÂÒ·Õ䴌ú ʋǹãË­‹ÍÒ¡ÒÃÃØ¹áçàÅ硹ŒÍ¶֧»Ò¹¡ÅÒ§ ÍÒ¡ÒûǴ·ŒÍ§à»š¹ä´Œ¹Ò¹ é è Ñ ¶Ö§ 8 Çѹâ´Â·ÑÇä»ÍÒ¡ÒâŒÒ§µŒ¹ËÒÂä´Œàͧ¶Ö§áÁŒ¨ÐÂѧ㪌ÂÒµ‹Íà¹×ͧ è è ¼Ù»ÇÂÃŒÍÂÅÐ 36 ¾ºÇ‹ÒÁÕÃдѺ creatinine 㹫ÕÃÁà¾ÔÁ¢Ö¹Í‹ҧäÁ‹µÍà¹×ͧ㹪‹Ç§ÃдѺ»¡µÔ Œ † Ñè è é ‹ è áÅÐÁÑ¡äÁ‹à¡Ô¹ 2 ෋Ңͧ¤‹ÒµÑǺ¹¢Í§ª‹Ç§ÃдѺ»¡µÔ (upper limit of normal) «Ö§¢Ö¹¡Ñº¢¹Ò´ÂÒ·Õä´Œ è é è ÃѺ â´ÂÍÒ¡ÒáÅѺÊÙ»¡µÔä´ŒàͧáÅÐ㹺ҧ¤ÃѧÍÒ¨µŒÍ§Å´¢¹Ò´ÂÒŧ ‹ é ¼Ù»ÇÂÃŒÍÂÅÐ 2 ¾ºÇ‹Ò ÁÕ¡ÒÃà¾ÔÁ¢Ö¹¢Í§à͹ä«Á transaminases ·Õµº ÍÒ¡ÒùÕäÁ‹¢¹¡Ñº¢¹Ò´ Œ † è é è Ñ é Öé ÂÒ·Õè㪌 áÅмٌ»†ÇÂʋǹãË­‹ÁÕÃдѺà͹ä«ÁÊÙ§¢Ö鹡‹Í¹àÃÔèÁ㪌ÂÒ deferasirox ¹Í¡¨Ò¡¹Õ龺¼ÙŒ»†Ç ÌÍÂÅÐ 0.3 ·ÕÁ¡ÒÃà¾ÔÁ¢Ö¹¢Í§à͹ä«Á transaminase ÁÒ¡¡Ç‹Ò 10 à·‹Ò ¢Í§¤‹ÒµÑǺ¹¢Í§ª‹Ç§ÃдѺ è Õ è é
  • 347.
    320 Deferasirox ÂҢѺàËÅ硪¹Ô´ÃѺ»Ãзҹ »¡µÔ «Ö§º‹§¶Ö§ÀÒÇеѺÍÑ¡àʺ ઋ¹à´ÕÂǡѺ¡ÒÃÃÑ¡ÉÒ´ŒÇÂÂҨѺ¸ÒµØàËÅç¡Í×¹æ è è ¾ºäÁ‹º‹ÍÂNjҼٌ»†Ç·Õèä´ŒÃѺÂÒ deferasiox à¡Ô´¡ÒÃÊÙ­àÊÕ¡ÒÃä´ŒÂÔ¹ ÀÒÇÐàŹʏµÒ¢Ø‹¹ (µŒÍ¡ÃШ¡àÃÔÁáá) ¾ºä´ŒÃÍÂÅÐ 0.3 àÁ×Íà·Õº¡Ñº¼Ù»Ç·Õ䴌ú D.O ¾ºÃŒÍÂÅÐ1.4(18) ໚¹·Õ¹ÒÊѧࡵ è Œ è Œ † è Ñ è ‹ Ç‹ÒäÁ‹ÁÃÒ§ҹ¼Ù»Ç·Õú»Ãзҹ deferasirox áÅŒÇà¡Ô´ÀÒÇÐ agranulocytosis ¢Ö¹àÅÂ Õ Œ † èÑ é Cost effectiveness of deferasirox ÁÕÃÒ§ҹ¡ÒÃÈÖ¡ÉÒ 2 ©ºÑºà»ÃÕºà·Õº cost-effectiveness ¢Í§ÂÒ D.O áÅÐ deferasirox ÃÒ§ҹ·Õ㪌 US model ¡ÒÃÃÑ¡ÉÒ´ŒÇ deferasirox ÁÕ¼ÅãËŒ¼»ÇÂÁÕà¾ÔÁ¢Ö¹ quality adjusted life years è ÙŒ † è é (QALYs) per patient 4.5 »‚ â´ÂÁÕ lifetime cost 126,018 US dollars per patient ෋ҡѺ cost- effectiveness ratio 28,255 US dollar per QALY 19 ÊíÒËÃѺÃÒ§ҹ·Õ㪌 UK model ¡ÒÃ㪌ÂÒ è deferasirox ¨ÐÁÕ¤Ò㪌¨ÒÂÃÇÁ (net costs) ·ÕµÒ¡Ç‹Ò áÅÐ QALYs ·Õʧ¡Ç‹Ò¡ÒÃ㪌 D.O àÁ×Íà·Õº ‹ ‹ è èí èÙ è 㹼ٻǷÕÁ¹Ò˹ѡ 62 ¡¡. ¨ÐÁÕ incremental cost per QALY ෋ҡѺ 7,775.77 »Í¹´ Œ † è Õ éí (20) ÊÃØ» ¡ÒÃãËŒàÅ×ʹ໚¹»ÃШíÒà¾×èÍÃÑ¡ÉÒÀÒÇЫմ·Õèà¡Ô´¢Öé¹ã¹â䵋ҧæ ÍÒ·Ôઋ¹ !-thalassemia disease, myelodysplastic syndromes, sickle cell disease ¨Ð¹íÒä»ÊÙ‹ÀÒÇÐàËÅç¡à¡Ô¹áÅÐ ¼Åá·Ã¡«ŒÍ¹·ÕèÃŒÒÂáçµÒÁÁÒ ÂÒ deferasirox ໚¹ÂҢѺàËÅ硪¹Ô´ÃѺ»Ãзҹ·Õèä´ŒÃѺ¡ÒÃÈÖ¡ÉÒ ã¹¼Ù»Ç»ÃÐàÀ·µ‹Ò§æ Í‹ҧ¡ÇŒÒ§¢ÇÒ§ áÊ´§ãËŒàËç¹»ÃÐÊÔ·¸ÔÀÒ¾áÅФÇÒÁ»ÅÍ´ÀÑ ¼Å¡ÒÃÈÖ¡ÉÒ Œ † 㹼ٻǨíҹǹÁÒ¡¨Ò¡ EPIC study áÅСÒÃÈÖ¡ÉÒÃÐÂÐÂÒÇʹѺʹع¡ÒûÃѺ¢¹Ò´ÂÒµÒÁÃдѺ Œ † serum ferritin à¾×èÍ»ÃѺᵋ§ãËŒàËÁÒÐÊÁÊíÒËÃѺ¼ÙŒ»†ÇÂᵋÅФ¹ àÃÔèÁÁÕÃÒ§ҹ¢ŒÍÁÙÅà¡ÕèÂǡѺ »ÃÐÊÔ·¸ÔÀÒ¾¢Í§ÂÒ·ÕÁµÍ¸ÒµØàËÅç¡·ÕËÇ㨠«Ö§¹íÒä»ÊÙ¤ÇÒÁ¤Ò´ËÇѧ¶Ö§º·ºÒ·¢Í§Âҷѧ㹷ҧ»‡Í§¡Ñ¹ è Õ ‹ è Ñ è ‹ é áÅÐÃÑ¡ÉÒ¡ÒÃÊÐÊÁ¢Í§¸ÒµØàËÅç¡·ÕËÇ㨠´Ñ§¹Ñ¹ÂÒDeferasirox¨Ö§à»š¹µÑÇá·¹¢Í§¤ÇÒÁ¡ŒÒÇ˹ŒÒ㹡Òà è Ñ é ÃÑ¡ÉҼٻǷÕÁÀÒÇÐàËÅç¡à¡Ô¹áÅÐÁÕÈ¡ÂÀҾ㹡ÒûÃÐÂØ¡µãªŒã¹·Ò§¤ÅÔ¹¡´ŒÒ¹Í×¹æ µ‹Íä»ã¹Í¹Ò¤µ Œ † è Õ Ñ Ô è àÍ¡ÊÒÃ͌ҧÍÔ§ 1. Duffy-Warren . CA, Rigourd S, .rederick A. Exjade® (deferasirox) Basic Prescribing Information. 2008. 2. Nick H, Acklin P, Lattmann R, et al. Development of tridentate iron chelators: from desferrithiocin to ICL670. Curr Med Chem. 2003;10:1065-76. 3. Piga A, Galanello R, .orni GL, et al. Randomized phase II trial of deferasirox (Exjade, ICL670), a once-daily, orally-administered iron chelator, in comparison to deferoxamine in thalassemia patients with transfusional iron overload. Haematologica. 2006;91:873-80. 4. Galanello R, Piga A, Alberti D, Rouan MC, Bigler H, Sechaud R. Safety, tolerability, and pharmacokinetics of ICL670, a new orally active iron-chelating agent in patients with transfusion-dependent iron overload due to beta-thalassemia. J Clin Pharmacol. 2003;43:565-72.
  • 348.
    àǪÈÒʵÏ·¹Âؤ 2553 Ñ 321 5. Nisbet-Brown E, Olivieri N., Giardina PJ, et al. Effectiveness and safety of ICL670 in iron-loaded patients with thalassaemia: a randomised, double-blind, placebo-controlled, dose-escalation trial. Lancet. 2003;361:1597-602. 6. Galanello R, Piga A, Cappellini MD, et al. Effect of food, type of food, and time of food intake on deferasirox bioavailability: recommendations for an optimal deferasirox administration regimen. J Clin Pharmacol. 2008;48: 428-35. 7. Waldmeier ., Bruin GJ, Glaenzel U, et al. Pharmacokinetics, metabolism, and disposition of deferasirox in beta- thalassemic patients with transfusion-dependent iron overload who are at pharmacokinetic steady state. Drug Metab Dispos. 2010;38:808-16. 8. Cappellini MD, Cohen A, Piga A, et al. A phase 3 study of deferasirox (ICL670), a once-daily oral iron chelator, in patients with beta-thalassemia. Blood. 2006;107:3455-62. 9. Vichinsky E, Onyekwere O, Porter J, et al. A randomised comparison of deferasirox versus deferoxamine for the treatment of transfusional iron overload in sickle cell disease. Br J Haematol. 2007;136:501-8. 10. Porter J, Galanello R, Saglio G, et al. Relative response of patients with myelodysplastic syndromes and other transfusion-dependent anaemias to deferasirox (ICL670): a 1-yr prospective study. Eur J Haematol. 2008;80: 168-76. 11. Taher A, El-Beshlawy A, Elalfy MS, et al. Efficacy and safety of deferasirox, an oral iron chelator, in heavily iron- overloaded patients with beta-thalassaemia: the ESCALATOR study. Eur J Haematol. 2009;82:458-65. 12. Taher A, Cappellini MD, Vichinsky E, et al. Efficacy and safety of deferasirox doses of >30 mg/kg per d in patients with transfusion-dependent anaemia and iron overload. Br J Haematol. 2009;147:752-9. 13. Cappellini MD, Porter J, El-Beshlawy A, et al. Tailoring iron chelation by iron intake and serum ferritin: the prospective EPIC study of deferasirox in 1744 patients with transfusion-dependent anemias. Haematologica. 2010;95:557-66. 14. Esposito BP, Breuer W, Sirankapracha P, Pootrakul P, Hershko C, Cabantchik ZI. Labile plasma iron in iron overload: redox activity and susceptibility to chelation. Blood. 2003;102:2670–7. 15. Porter JB. Pathophysiology of iron overload. Hematol Oncol Clin North Am. 2005;19 (suppl 1):7-12. 16. Daar S, Pathare A, Nick H, et al. Reduction in labile plasma iron during treatment with deferasirox, a once-daily oral iron chelator, in heavily iron-overloaded patients with beta-thalassaemia. Eur J Haematol. 2009;82:454-7. 17. Porter JB, Cappellini MD, El-Beshlawy A, et al. Effect of deferasirox on labile plasma iron levels in heavily iron- overloaded patients with transfusion-dependent anemias enrolled in the large-scale, prospective 1-year EPIC trial (abstract). Blood112. 2008;112:5411. 18. Masera N, Rescaldani C, Azzolini M, et al. Development of lens opacities with peculiar characteristics in patients affected by thalassemia major on chelating treatment with deferasirox (ICL670) at the Pediatric Clinic in Monza, Italy. Haematologica. 2008;93:e9-10. 19. Delea TE, Sofrygin O, Thomas SK, Baladi J., Phatak PD, Coates TD. Cost effectiveness of once-daily oral chelation therapy with deferasirox versus infusional deferoxamine in transfusion-dependent thalassaemia patients: US healthcare system perspective. Pharmacoeconomics. 2007;25:329-42. 20. Karnon J, Tolley K, Oyee J, Jewitt K, Ossa D, Akehurst R. Cost-utility analysis of deferasirox compared to standard therapy with desferrioxamine for patients requiring iron chelation therapy in the United Kingdom. Curr Med Res Opin. 2008;24:1609-21.
  • 350.
    àǪÈÒʵÏ·¹Âؤ 2553 Ñ º··Õè 323 48 ÂÒ¨Ò¡ÊÁعä¾Ã¡ÑºàǪÈÒʵÏàªÔ§»ÃШѡɏ Herbal Medicinal Products and Evidence-based Medicine ÍÒ¨ÒÏ àÀÊѪ¡ÃË­Ô§³Ñª¡Ã ÅéíÒàÅÔȡԨ ÃͧÈÒʵÃÒ¨ÒÏ ¹ÒÂᾷ»ÃÐÇԷ ÍѤÃàÊÃÕ¹¹· ÍÒ¨ÒÏ »ÃÐʾ¾Ã ¾Ñ¹¸à¾ç§ ÃͧÈÒʵÃÒ¨ÒÏ ¹ÒÂᾷ·ÇÕ àÅÒ˾ѹ¸ ʶҹ¡ÒÃᾷἹä·Â»ÃÐÂØ¡µ ¤³Ðá¾·ÂÈÒʵÏÈÔÃÔÃÒª¾ÂÒºÒÅ ÁËÒÇÔ·ÂÒÅÑÂÁËԴŠ㹪‹Ç§ 20 »‚·¼Ò¹ÁÒ á¹Ç¤Ô´àÃ×ͧàǪÈÒʵÏàªÔ§»ÃШѡɏ䴌·ÒãËŒº¤Åҡ÷ҧ¡ÒÃᾷ Õè ‹ è í Ø ÁÕ¤ÇÒÁµ×¹µÑÇ㹡ÒÃËÒ¢ŒÍÁÙÅËÅÑ¡°Ò¹àªÔ§»ÃШѡɏ·´·Ê´ÁÒ»ÃÐÂØ¡µãªŒã¹àǪ»¯ÔºµÔ à¾×ÍãËŒ¡ÒôÙáÅ è Õè Õ Õè Ø Ñ è ÃÑ¡ÉÒ¼Ù»ÇÂÁÕ»ÃÐÊÔ·¸Ô¼ÅáÅлÅÍ´ÀÑÂÁÒ¡·ÕÊ´ ¡ÒôÙáÅÃÑ¡ÉÒ´ŒÇÂÈÒʵÏ¡ÒÃᾷἹä·Â«Ö§à»š¹ Œ † èØ è ͧ¤¤ÇÒÁÃÙŒ·ÕèÊ׺·Í´¡Ñ¹ÁÒÂÒǹҹ¡çä´ŒÃѺÍÔ·¸Ô¾Å¨Ò¡á¹Ç¤Ô´¹Õéઋ¹¡Ñ¹ ¨Ö§à¡Ô´¤ÇÒÁµ×è¹µÑÇàÃ×èͧ ¡ÒÃ㪌ÂÒ¨Ò¡ÊÁعä¾Ãº¹ËÅÑ¡°Ò¹ÇÔªÒ¡Òà ¢³Ðà´ÕÂǡѹ¡ÃÐáÊ¡ÒÃ㪌¼ÅÔµÀѳ±¨Ò¡ÊÁعä¾Ã·ÑÇâÅ¡ è ¡çà¾ÔÁÁÒ¡¢Ö¹Í‹ҧµ‹Íà¹×ͧ ÁÕÁŤ‹Ò»‚ÅÐËÅÒ¾ѹŌҹ´ÍÅÅÒÏÊËÃѰ(1) äÁ‹ÇÒ¨Ð㪌໚¹ÂÒÃÑ¡ÉÒâä è é è Ù ‹ ÍÒËÒÃàÊÃÔÁÊØ¢ÀÒ¾ à¤Ã×ͧÊíÒÍÒ§ ËÃ×ÍÍÒËÒà è ÊÒà˵ط·Òãˌʧ¤ÁËѹÁÒºÃÔâÀ¤¼ÅÔµÀѳ±¨Ò¡ÊÁعä¾Ã¡Ñ¹ÁÒ¡¢Ö¹ ʋǹ˹֧à¾ÃÒÐࢌÒã¨Ç‹Ò Õè í Ñ é è ¼ÅÔµÀѳ±·ÕèÁÒ¨Ò¡¸ÃÃÁªÒµÔäÁ‹ÁÕÍѹµÃÒ áÅÐÍաʋǹ˹Öè§à¾ÃÒÐÍÔ·¸Ô¾Å¢Í§Ê×èÍ»ÃÐàÀ·µ‹Ò§æ ·Õè¹íÒàʹ͢ŒÍÁÙÅà¡ÕèÂǡѺ»ÃÐÊÔ·¸Ô¼Å¢Í§¼ÅÔµÀѳ±¨Ò¡ÊÁعä¾Ã ·Ñé§·Ò§â·Ã·Ñȹ ˹ѧÊ×;ÔÁ¾ ÍÔ¹àµÍÏà¹ç· ËÃ×ÍẺ»Ò¡µ‹Í»Ò¡ ᵋÊÍàËŋҹպҧ¤Ãѧ¡çäÁ‹ÊÒÁÒöãËŒ¢ÍÁÙŷդú¶ŒÇ¹ä´Œ à¹×ͧ¨Ò¡ ×è é é Œ è è ÊÁعä¾ÃʋǹÁÒ¡ÂѧäÁ‹ÁËÅÑ¡°Ò¹·Ò§ÇÔªÒ¡Ò÷ÕÁÒʹѺʹع»ÃÐÊÔ·¸ÔÀÒ¾áÅФÇÒÁ»ÅÍ´ÀÑ ¶Ö§áÁŒ Õ è ÊÁعä¾ÃºÒ§ª¹Ô´¨ÐÁÕ¡ÒÃÈÖ¡ÉÒÇԨ¡çµÒÁ ᵋËÅÑ¡°Ò¹·ÕÁ¤ÇÒÁ¹‹Òàª×Ͷ×Íã¹ÃдѺÊÙ§Áըҹǹ¹ŒÍÂ Ñ è Õ è í ÊÁعä¾Ãä·Â·Õ¾ºº‹ÍµÒÁàÇçºä«µµÒ§æ 䴌ᡋ ¢ÁÔ¹ªÑ¹ ¿‡Ò·ÐÅÒÂâ¨Ã ÁÐÃØÁ ¡ÃЪÒ´íÒ è ‹ é NjҹªÑ¡Á´ÅÙ¡ ¾ÃÔ¡ä·Â´íÒ ºÍÃÐà¾ç´ ྪÃÊѧ¦Òµ Ë­ŒÒ˹ǴáÁÇ ªØÁàËç´à·È ÃÒ§¨×´ ´Í¡¤íҽ͠µíÒÃѺÂÒµ‹Ò§æ ઋ¹ ÂÒËÍÁ ÂÒºÃÃà·ÒÃÔ´Êմǧ·ÇÒà ÂÒᡌäÍ à»š¹µŒ¹ ʋǹÁÒ¡¨íÒ˹‹ÒÂã¹ÃٻẺ ÂÒàÁç´ ÂÒ᤻«ÙÅ ÂÒÅÙ¡¡Å͹ ËÃ×ÍÂÒª§ ¹Í¡¨Ò¡¹ÕéÂѧÁÕ·Õè໚¹ÂÒ㪌ÀÒ¹͡ ÍÒËÒÃàÊÃÔÁ áÅÐ à¤Ã×ͧÊíÒÍÒ§ è
  • 351.
    324 ÂÒ¨Ò¡ÊÁعä¾Ã¡ÑºàǪÈÒʵÏàªÔ§»ÃШѡɏ ÂÒ¨Ò¡ÊÁعä¾Ã¡ÑºàǪÈÒʵÏàªÔ§»ÃШѡɏ àǪÈÒʵÏàªÔ§»ÃШѡɏ ËÃ×Í Evidence-based medicine (EBM) ËÁÒ¶֧ ¡ÒôÙáÅÃÑ¡ÉÒ ¼Ù»ÇÂâ´Â¡ÒùíÒËÅÑ¡°Ò¹·Õä´Œ¨Ò¡¡ÒÃÈÖ¡ÉÒã¹»ÃЪҡÃÁÒ»ÃСͺ¡ÒõѴÊԹ㨠·Ñ§¹ÕËÅÑ¡°Ò¹·Õ¹Ò Œ † è é é è í ÁÒ㪌µÍ§à»š¹ËÅÑ¡°Ò¹·Õ´·Ê´·ÕÁÍÂÙã¹¢³Ð¹Ñ¹ áÅеŒÍ§ãªŒÍ‹ҧ¶Ù¡µŒÍ§µÒÁËÅÑ¡ÇÔªÒ¡Òà µÒÁ·íҹͧ Œ è Õ Õè Ø è Õ ‹ é ¤Ãͧ¸ÃÃÁ àËÁÒÐÊÁ áÅеç仵çÁÒ ¹Í¡¨Ò¡ËÅÑ¡°Ò¹·Õä´Œ¨Ò¡¡ÒÃÈÖ¡ÉÒÇԨ ËÅÑ¡°Ò¹àªÔ§»ÃШѡɏ è Ñ ÍÒ¨ÁÒ¨Ò¡»ÃÐʺ¡Òó¢Í§¼ÙàªÕÂǪҭ ¤ÇÒÁÃÙáÅлÃÐʺ¡Òó¢Í§¼Ù»ÇÂËÃ×ͼٷ´áżٻÇ áÅÐ Œ è Œ Œ † Œ Õè Ù Œ † ¢ŒÍÁÙÅÍ×¹æ ઋ¹ ÀÙÁ»­­Ò·ŒÍ§¶Ô¹ ¹âºÒ¢ͧªÒµÔ ໚¹µŒ¹ àÁ×ÍËÅÑ¡°Ò¹ÁÕËÅÒ»ÃÐàÀ· ¨Ö§¤Çà è Ô ˜ è (2) è ¾Ô¨ÒóҶ֧ÃдѺ¤ÇÒÁ¹‹Òàª×Ͷ×ͧ͢ËÅÑ¡°Ò¹áÅÐÃдѺ¢Í§¤íÒá¹Ð¹íÒµÒÁ¢ŒÍº‹§ãªŒ¡Í¹·Õ¨ÐµÑ´ÊÔ¹ã¨ è ‹ è ¹íÒÁÒ㪌㹡ÒôÙáÅÃÑ¡ÉҼٻǠŒ † àÁ×Í»‚¾.È. 2552 Oxford centre for evidence-based medicine ä´Œ»ÃѺ»Ãاá¹Ç·Ò§¡ÒèѴ è ÃдѺ¢Í§ËÅÑ¡°Ò¹ã¹´ŒÒ¹¤ÇÒÁ¹‹Òàª×Ͷ×ÍáÅÐࡳ±¡ÒûÃÐàÁÔ¹ÃдѺ¢Í§¤íÒá¹Ð¹íÒãËÁ‹ ´Ñ§µÒÃÒ§·Õè è 1 áÅÐ 2 ¡ÒèѴÃдѺ¢Í§ËÅÑ¡°Ò¹¢Öé¹ÍÂÙ‹¡ÑºÃٻẺ¡ÒÃÈÖ¡ÉÒ໚¹ÊíҤѭ â´ÂÃдѺ 1 ËÁÒ¶֧ ËÅÑ¡°Ò¹·ÕÁͤµÔ¹Í·ÕÊ´ è Õ Œ èØ µÒÃÒ§·Õè 1 ÃдѺ¢Í§ËÅÑ¡°Ò¹ (Levels of evidence)(3) ÃдѺ ࡳ±¡ÒûÃÐàÁÔ¹ 1 Systematic review ¢Í§¡ÒÃÈÖ¡ÉÒÃٻẺ RCT* ·ÕᵋÅСÒÃÈÖ¡ÉÒãËŒ¼Åä»ã¹ è á¹Çà´ÕÂǡѹ /§Ò¹ÇÔ¨ÂÃٻẺ RCT* ·ÕÁªÇ§¤ÇÒÁàª×ÍÁѹ (Confidence Interval) ᤺ Ñ è Õ ‹ è è 2 Systematic review ¢Í§¡ÒÃÈÖ¡ÉÒẺ cohort ·ÕᵋÅСÒÃÈÖ¡ÉÒãËŒ¼Åä»ã¹ è á¹Çà´ÕÂǡѹ / §Ò¹ÇÔ¨ÂÃٻẺ RCT* ·Õ´Í¤سÀÒ¾ áÅСÒÃÈÖ¡ÉÒẺ cohort Ñ è Œ 3 Systematic review ¢Í§¡ÒÃÈÖ¡ÉÒẺ case-control / §Ò¹ÇԨ·ÕÁ¡ÒÃÈÖ¡ÉÒẺ Ñ è Õ case-control 4 §Ò¹ÇÔ¨ÂÃٻẺ Case-series / ¡ÒÃÈÖ¡ÉÒẺ cohort áÅÐ case-control ·Õ´Í¤سÀÒ¾ Ñ è Œ 5 ¤ÇÒÁàË繨ҡ¼ÙàªÕÂǪҭ / ¡ÒÃÇÔ¨Âã¹ËÅÍ´·´ÅͧËÃ×ÍÊѵǏ·´Åͧ Œ è Ñ ËÁÒÂà赯 : ´Ñ´á»Å§ÁÒ¨Ò¡àÍ¡ÊÒÃ͌ҧÍÔ§ËÁÒÂàÅ¢ 3 ੾ÒÐʋǹ·Õè໚¹ËÅÑ¡°Ò¹à¡ÕèÂǡѺ »ÃÐÊÔ·¸Ô¼Å㹡ÒÃÃÑ¡ÉÒ ¡Òû‡Í§¡Ñ¹âä ¡ÒÃÈÖ¡ÉÒà¡ÕèÂǡѺÊÒà˵آͧâä áÅÐ ÍѹµÃÒ¨ҡ¡ÒÃ㪌 *RCT = Randomized controlled clinical trial
  • 352.
    àǪÈÒʵÏ·¹Âؤ 2553 Ñ 325 µÒÃÒ§·Õè 2 ÃдѺ¢Í§¤íÒá¹Ð¹íÒ (Grades of recommendation)(3) ÃдѺ ࡳ±¡ÒûÃÐàÁÔ¹ A ËÅÑ¡°Ò¹ÃдѺ 1 ·ÕÊÍ´¤ÅŒÍ§¡Ñ¹ è B ËÅÑ¡°Ò¹ÃдѺ 2 ËÃ×Í 3 ·ÕÊÍ´¤ÅŒÍ§¡Ñ¹ ËÃ×Í ÃÒ§ҹà¾ÔÁàµÔÁ¨Ò¡ËÅÑ¡°Ò¹ÃдѺ 1 è è C ËÅÑ¡°Ò¹ÃдѺ 4 ËÃ×Í ÃÒ§ҹà¾ÔÁàµÔÁ¨Ò¡ËÅÑ¡°Ò¹ÃдѺ 2 ËÃ×Í 3 è D ËÅÑ¡°Ò¹ÃдѺ 5 ËÃ×Í ËÅÑ¡°Ò¹ÃдѺÍ×¹·ÕÁ¤ÇÒÁ¤ÅØÁà¤Ã×ÍËÃ×͢ѴáÂŒ§¡Ñ¹ è è Õ ¶ŒÒ¡ÒõѴÊÔ¹ã¨ãËŒ¡ÒÃÃÑ¡ÉÒ¼ÙŒ»†Ç µÑé§ÍÂÙ‹º¹ËÅÑ¡¡ÒâͧàǪÈÒʵÏàªÔ§»ÃШѡɏ«Öè§àª×èͶ×Í ã¹ËÅÑ¡°Ò¹·Õè໚¹ RCT ¤íÒ¶ÒÁ¤×ÍÂÒÊÁعä¾Ã¨ÐÊÒÁÒö¹íÒÁÒ㪌㹡ÒÃÃÑ¡ÉÒä´ŒËÃ×ÍäÁ‹ à¾ÃÒÐ ËÅÑ¡°Ò¹·Õà¡ÕÂÇ¢ŒÍ§¡ÑºÂÒ¨Ò¡ÊÁعä¾ÃáÅÐÊÁعä¾Ãä·ÂʋǹÁҡ໚¹ÃдѺ 5 ¤×Í à»š¹¢ŒÍÁÙŨҡ¡Òà è è ·´Åͧã¹ËÅÍ´·´Åͧ ÊѵǏ·´Åͧ ºÑ¹·Ö¡¨Ò¡µíÒÃÒËÃ×ͤÑÁÀÕϵ‹Ò§æ·Õè໚¹ÀÙÁÔ»˜­­Ò ໚¹µŒ¹ ʋǹ¢ŒÍÁÙÅ¡ÒÃÇԨѷҧ¤ÅÔ¹Ô¡·Õ蹋Òàª×èͶ×Í¡çÁÑ¡¨Ð໚¹ÊÁعä¾Ãà´ÕèÂÇ·ÕèÁÕ¡ÒÃ㪌¡Ñ¹ÁÒ¡ËÃ×ÍÁÕ¡ÒÃ㪌 ã¹·ÇÕ » ÍàÁÃÔ ¡ ÒËÃ× Í ÂØ â û ઋ ¹ ¿‡ Ò ·ÐÅÒÂâ¨ÃáÅТÁÔé ¹ ªÑ ¹ «Öè § ໚ ¹ ÊÁØ ¹ ä¾Ã¨í Ò ¹Ç¹¹Œ Í ÂÁÒ¡ àÁ×èÍà·Õº¡Ñº¨íҹǹÊÁعä¾Ã·ÕèÁÕ¡ÒÃ㪌ÍÂÙ‹¨ÃÔ§ã¹àǪ»¯ÔºÑµÔ«Öè§ÁÕÁÒ¡¡Ç‹Ò 500 ª¹Ô´ µÒÁ¢ŒÍÁÙŨҡ ʶҹ¡ÒÃᾷἹä·Â»ÃÐÂØ¡µ ¤³Ðá¾·ÂÈÒʵÏÈÃÃÒª¾ÂÒºÒÅ ÁËÒÇÔ·ÂÒÅÑÂÁËÔ´Å ÔÔ Í‹ҧäáç´ã¹ÃÐÂÐËÅѧ ºØ¤Åҡ÷շҧҹ´ŒÒ¹ÊÁعä¾Ãä´Œ¾ÂÒÂÒÁ·íÒ¡ÒÃÇԨ¶֧»ÃÐÊÔ·¸Ô¼Å Õ è í Ñ áÅФÇÒÁ»ÅÍ´ÀÑ à¾×ÍãËŒ¡ÒÃ㪌ÂÒ¨Ò¡ÊÁعä¾Ã໚¹ä»Í‹ҧÊÁà˵ØÊÁ¼Å ઋ¹ ¡ÒÃËÒÊÒÃÊíҤѭ è ¡Ò÷´Êͺķ¸Ô·Ò§àÀÊѪÇÔ·ÂҤǺ¤Ù仡Ѻ¡Ò÷´Åͧ·Ò§¤ÅÔ¹¡ ໚¹µŒ¹ ì ‹ Ô µÑÇÍ‹ҧ¡ÒÃÇÔà¤ÃÒÐˏËÅÑ¡°Ò¹àªÔ§»ÃШѡɏ¢Í§ÂÒ¨Ò¡ÊÁعä¾Ã 1. ¢ÁÔ鹪ѹ ÁÕªÍÇÔ·ÂÒÈÒʵÏÇÒ Curcuma longa L. ǧȏ Zingiberaceae ¤ÑÁÀÕÃÊÃþ¤Ø³ÂÒ(4) «Ö§ãªŒ ×è ‹  è ͌ҧÍÔ§ã¹·Ò§¡ÒÃᾷἹä·ÂÃкØÇÒ¢ÁÔ¹ªÑ¹ÁÕÊÃþ¤Ø³ “ᡌ䢌͹ºÑ§à¡Ô´áµ‹´Õ ªíÒÃÐâäÍѹºÑ§à¡Ô´ ‹ é Ñ µÒÁ¼ÔÇ˹ѧ ÃЧѺàµâª¸ÒµØãËŒ´º ᡌàÊÁËзíÒãËŒ¿¡ºÇÁ áÅᡌºÒ´á¼Å” áÅеÑÇÍ‹ҧµíÒÃѺÂÒ·ÕÁÕ Ñ è ¢ÁÔ¹ªÑ¹à»š¹Ê‹Ç¹»ÃСͺ áÅÐÃкØÊÃþ¤Ø³äÇŒ ઋ¹ “¨Ñ¹·¹à·È ¢Ñ³±Ê¡Ã ËÑÇáËŒÇËÁÙ â¡°¡Ãд١ Njҹ é ¹éÒ ¢ÁÔ¹ªÑ¹ ਵÁÙÅà¾ÅÔ§ µíÒáÂà¤Ã×Í ¢Ô§Ê´ ÍѹNjÒÂÒËÁÙ¹¡ÃзíÒãËŒ¿¡ºÇÁÂØºÅ§” ËÃ×Í “¤Ø³¢ÁÔ¹ªÑ¹ í é ‹ Õé é ¢ÁԹ͌Í ÁÕÃÊà¼ç´ÃŒÍ¹ ᡌ¾ÉâÅËÔµ áÅÅÁ ᡌºÇÁ ᡌàÊÁËРᡌ䢌·§»Ç§ ᡌµÇ¾ÂÒ¸Ô¡ÃзíÒãËŒ¤¹ é Ô Ñé Ñ Ñ ·ÑÇÊÃþҧ¤ ᡌ½” è ‚ »˜¨¨Øº¹¢ÁÔ¹ªÑ¹¨Ñ´à»š¹ÂÒ¨Ò¡ÊÁعä¾Ã㹺ѭªÕÂÒ¨Ò¡ÊÁعä¾ÃáË‹§ªÒµÔ ¾.È. 2549 Áբͺ‹§ãªŒ Ñ é Œ 㹡ÒúÃÃà·ÒÍÒ¡ÒÃṋ¹¨Ø¡àÊÕ´ ¹Í¡¨Ò¡¹Õ§¾ºÇ‹ÒÁÕ¡ÒÃ͌ҧÊÃþ¤Ø³µŒÒ¹¡ÒÃÍÑ¡àʺ µŒÒ¹ÁÐàÃç§ (5) é Ñ áÅеŒÒ¹Í¹ØÁÙÅ ÍÔÊÃдŒÇ ÃдѺ¢Í§ËÅÑ¡°Ò¹àªÔ§»ÃШѡɏáÅÐÃдѺ¢Í§¤íÒá¹Ð¹íÒÊíÒËÃѺ¢ÁÔ鹪ѹ áÊ´§änj㹵ÒÃÒ§·Õè 3
  • 353.
    326 ÂÒ¨Ò¡ÊÁعä¾Ã¡ÑºàǪÈÒʵÏàªÔ§»ÃШѡɏ µÒÃÒ§·Õè 3 ËÅÑ¡°Ò¹àªÔ§»ÃШѡɏ¢Í§¢ÁÔ鹪ѹ ¢ŒÍº‹§ãªŒ ÃдѺ¢Í§ ÃдѺ¢Í§ ËÅÑ¡°Ò¹ ¤íÒá¹Ð¹íÒ ÃÑ¡ÉÒÍÒ¡ÒÃṋ¹¨Ø¡àÊÕ´(5) 2 B Å´¡ÒÃÍÑ¡àʺ(5-8) - ¡Ãд١¢ŒÍÍÑ¡àʺàÃ×ÍÃѧ ¡ÒÃÍÑ¡àʺ¢Í§á¼ÅËÅѧ¼‹ÒµÑ´ é àÂ×ͺصÒÍÑ¡àʺàÃ×ÍÃѧ è é 2, 4, 5 B »‡Í§¡Ñ¹áÅÐÃÑ¡ÉÒá¼Åã¹·Ò§à´Ô¹ÍÒËÒÃ(5, 6, 8) 2, 5 D* µŒÒ¹àª×ÍẤ·ÕàÃÕÂ(5) é 5 D* µŒÒ¹ÍÑÅä«àÁÍÏ(8) 5 D ¢Ñº¹éÒ´Õ Å´¡ÒúպµÑǢͧÅíÒäÊŒ(5) í 5 D µŒÒ¹ÁÐàÃç§(6, 8) µŒÒ¹Í¹ØÁÅÍÔÊÃÐ(6, 9) Ù 5 D µŒÒ¹¡ÒÃà¡ÒÐ¡ÅØÁ¢Í§à¡Åç´àÅ×Í´(6) ‹ 5 D ËÁÒÂà赯 * ËÅÑ¡°Ò¹ÁÕ¤ÇÒÁ¢Ñ´áÂŒ§¡Ñ¹ áÁŒ¨ÐÁÕ§Ò¹ÇÔ¨ÂÁÒ¡ÁÒ·ÕʹѺʹع»ÃÐ⪹¢Í§¢ÁÔ¹ªÑ¹ã¹´ŒÒ¹µ‹Ò§æ ᵋ¡¾ºÇ‹ÒÁբ͢ѴáÂŒ§ Ñ è é ç Œ ¡Ñ¹ÍÂÙºÒ§ ઋ¹ Ä·¸Ô㹡ÒÃÂѺÂѧàª×Í Helicobacter pyroli «Ö§à»š¹µŒ¹à˵آͧ¡ÒÃà¡Ô´á¼Å㹡ÃÐà¾ÒÐ ‹ Œ ì é é è ÍÒËÒÃ(5) Ä·¸Ô㹡ÒÃÃÑ¡ÉÒá¼Å㹡ÃÐà¾ÒÐÍÒËÒ÷ÕÁ§Ò¹ÇԨ·ҧ¤ÅÔ¹¡ËÅÒªԹ ઋ¹ ÍÑ­ªÅÕáÅФ³Ð ì è Õ Ñ Ô é (2529) Prucksunand áÅФ³Ð (1986 áÅÐ 2001) ¾ºÇ‹Ò¢ÁÔ鹪ѹÁÕ»ÃÐÊÔ·¸Ô¼Å㹡ÒÃÃÑ¡ÉÒá¼Å 㹡ÃÐà¾ÒÐÍÒËÒÃ(8) ᵋ Van Dau áÅФ³Ð (1998) ÃÒ§ҹNjҢÁÔ¹ªÑ¹äÁ‹Á»ÃÐÊÔ·¸Ô¼ÅàÁ×Íà·Õº¡Ñº é Õ è ÂÒËÅÍ¡ ´Ñ§¹Ñ¹¨Ò¡ËÅÑ¡°Ò¹àªÔ§»ÃШѡɏ·ÁÍÂÙ·ÒãËŒàª×ÍÁѹ䴌ÇÒ¢ÁÔ¹ªÑ¹ÊÒÁÒö㪌áÉÒÍÒ¡ÒÃṋ¹ (6) é Õè Õ ‹ í è è ‹ é Ñ ¨Ø¡àÊÕ´䴌 ʋǹķ¸ÔµÒ¹¡ÒÃÍÑ¡àʺ áÁŒ¨ÐÁÕËÅÑ¡°Ò¹ÁÒʹѺʹع ᵋÃдѺ¢Í§¤íÒá¹Ð¹íÒÍÂÙã¹ÃдѺ ì Œ ‹ B à¹×ͧ¨Ò¡¾ºÇ‹Ò§Ò¹ÇÔ¨ÂÁÕ¢¹Ò´¢Í§µÑÇÍ‹ҧ¹ŒÍ ¨Ö§ÂѧµŒÍ§¡ÒÃÈÖ¡ÉÒà¾ÔÁàµÔÁµ‹Íä» è Ñ è 2. ¿‡Ò·ÐÅÒÂâ¨Ã ÁÕª×èÍÇÔ·ÂÒÈÒÊµÃÇ‹Ò Andrographis paniculata (Burm.f.) Wall. Ex. Nees ÍÂÙ‹ã¹Ç§È Acanthaceae ÊÁعä¾Ãª¹Ô´¹ÕÁ¡ÒÃ㪌Áҹҹ㹻ÃÐÇѵÈÒʵÏ¡ÒÃᾷἹ¨Õ¹ ¡ÒÃᾷÍÒÂØÃàÇ· é Õ Ô ÍÔ¹à´Õ ÃÇÁ·Ñ§¡ÒÃᾷἹä·Â â´Â㪌ÃÊ¢Á¢Í§ÂÒ㹡ÒÃÃÑ¡ÉÒ¤ÇÒÁ¼Ô´»¡µÔ¢Í§ÃкºÂ‹ÍÂÍÒËÒà é áÅÐŴ䢌 »˜¨¨ØºÑ¹¿‡Ò·ÐÅÒÂâ¨Ã໚¹ÊÁعä¾Ã·ÕèÁÕ¡ÒÃ㪌Í‹ҧÁÒ¡ã¹»ÃÐà·ÈᶺÊ᡹´Ôà¹àÇÕ 㹡ÒÃÃÑ¡ÉÒ¡ÒõԴàª×Í·Ò§à´Ô¹ËÒÂã¨Ê‹Ç¹º¹áÅÐ䢌ËÇÑ´(10) ã¹»ÃÐà·Èä·Â¿‡Ò·ÐÅÒÂâ¨Ã໚¹ÊÁعä¾Ã é 㹺ѭªÕÂÒ¨Ò¡ÊÁعä¾ÃáË‹§ªÒµÔ ¾.È. 2549 Áբͺ‹§ãªŒã¹¡ÒúÃÃà·ÒÍÒ¡Ò÷ŒÍ§àÊÕÂäÁ‹µ´àª×Í ºÃÃà·Ò Œ Ô é ÍÒ¡ÒÃà¨çº¤Í ºÃÃà·ÒÍÒ¡ÒâͧâäËÇÑ´ ઋ¹ à¨çº¤Í ͋͹à¾ÅÕ »Ç´àÁ×Í¡ŌÒÁà¹×Í ¹éÒÁÙ¡äËÅ è é í ໚¹µŒ¹(5) ã¹»‚ ¾.È. 2552 ª‹Ç§·ÕÁ¡ÒÃá¾Ã‹ÃкҴ¢Í§âä䢌ËÇÑ´ãË­‹ 2009 ÁÕ¤Òá¹Ð¹íÒãˌú»Ãзҹ è Õ í Ñ
  • 354.
    àǪÈÒʵÏ·¹Âؤ 2553 Ñ 327 ÊÁعä¾ÃµÑǹÕ(11) ÃдѺ¢Í§ËÅÑ¡°Ò¹àªÔ§»ÃШѡɏáÅÐÃдѺ¢Í§¤íÒá¹Ð¹íÒÊíÒËÃѺ¿‡Ò·ÐÅÒÂâ¨ÃáÊ´§äÇŒ é ã¹µÒÃÒ§·Õè 4 µÒÃÒ§·Õè 4 ËÅÑ¡°Ò¹àªÔ§»ÃШѡɏ¢Í§¿‡Ò·ÐÅÒÂâ¨Ã ¢ŒÍº‹§ãªŒ ÃдѺ¢Í§ ÃдѺ¢Í§ ËÅÑ¡°Ò¹ ¤íÒá¹Ð¹íÒ ºÃÃà·ÒÍÒ¡ÒâͧâäËÇÑ´ ઋ¹ à¨çº¤Í ͋͹à¾ÅÕ »Ç´àÁ×Í¡ŌÒÁà¹×Í ¹éÒÁÙ¡äËÅ(8, 12) è é í 1, 2 A ºÃÃà·ÒÍÒ¡Ò÷ŒÍ§àÊÕÂäÁ‹µ´àª×Í(5, 8) Ô é 2, 5 B ºÃÃà·ÒÍÒ¡ÒÃà¨çº¤Í (5) 2 B »‡Í§¡Ñ¹ËÇÑ´(8) 2 B ºÃÃà·ÒÍÒ¡Ò÷ŒÍ§àÊÕµԴàª×Í(5, 8) é 2, 5 D* Ä·¸ÔºÂѧàª×ÍẤ·ÕàÃÕ ì Ñ é é (5, 8) 2, 5 D* Ä·¸Ô͹æ·ÕÁ¡ÒÃÈÖ¡ÉÒ ä´Œá¡‹ Ä·¸ÔµÒ¹àª×ÍäÇÃÑÊ(8) ì ×è è Õ ì Œ é Å´¡ÒÃÍÑ¡àʺ Ŵ䢌 ¡ÃеعÃкºÀÙÁ¤Á¡Ñ¹(5, 8) (5, 8) (5, 8) Œ Ô ØŒ 5 D ËÁÒÂà赯 * ËÅÑ¡°Ò¹ÁÕ¤ÇÒÁ¢Ñ´áÂŒ§¡Ñ¹ ¨Ò¡ËÅÑ¡°Ò¹·Õʺ¤Œ¹ä´Œ ÃдѺ¢Í§¤íÒá¹Ð¹íÒãˌ㪌¿Ò·ÐÅÒÂâ¨ÃºÃÃà·ÒÍÒ¡ÒâͧâäËÇÑ´ è × ‡ à¨çº¤Í áÅзŒÍ§àÊÕÂäÁ‹µ´àª×ÍÁÕ¤ÒÊÙ§¤×Í A ʋǹ¡ÒÃÃÑ¡ÉÒÍÒ¡Ò÷ŒÍ§àÊÕµԴàª×Í ¶Ö§áÁŒ¨ÐÁÕ§Ò¹ÇÔ¨Â Ô é ‹ é Ñ ·Ò§¤ÅÔ¹Ô¡ÃÒ§ҹ»ÃÐÊÔ·¸Ô¼Å´ŒÒ¹¹Õé ᵋ§Ò¹ÇÔ¨ÑÂËÅÒªÔé¹ÃкØÇ‹Ò¿‡Ò·ÐÅÒÂâ¨ÃäÁ‹ÁÕ¼Å㹡ÒõŒÒ¹ àª×ÍẤ·ÕàÃÕ ÃдѺ¢Í§¤íÒá¹Ð¹íÒÊíÒËÃѺ¢ŒÍº‹§ãªŒ¹¨§à·‹Ò¡Ñº D ¹Í¡¨Ò¡¹ÕÁÃÒ§ҹNjҿ‡Ò·ÐÅÒÂâ¨Ã é Õé Ö é Õ ÍÒ¨·íÒãËŒà¡Ô´ anaphylactic shock ä´Œ¶ŒÒÃѺ»Ãзҹ㹢¹Ò´ÊÙ§(5, 12) ÍÒ¨·íÒãˌᢹ¢ÒªÒËÃ×Í Í‹Í¹áçàÁ×èÍ㪌µÔ´µ‹Í¡Ñ¹¹Ò¹(5) ¨Ö§¤ÇÃÃÐÁÑ´ÃÐÇѧ㹡ÒÃ㪌 áÅÐäÁ‹¤ÇÃ㪌ã¹ÊµÃÕÁÕ¤ÃÃÀà¹×èͧ¨Ò¡ ÁÕÃÒÂ§Ò¹Ç‹Ò ·íÒãËŒà¡Ô´¡ÒÃá·Œ§(5) 3. ÁÐÃØÁ ÁÕªÍÇÔ·ÂÒÈÒʵÏÇÒ Moringa oleifera Lamarack ÍÂÙã¹Ç§È Moringaceae µÒÁÀÙÁ»­­Ò ×è ‹ ‹ Ô ˜ ´Ñ§à´ÔÁ¢Í§ä·Â ¹Í¡¨Ò¡ãªŒÁÐÃØÁ໚¹ÍÒËÒÃáÅŒÇ ÂѧÊÒÁÒö㪌à¡×ͺ·Ø¡Ê‹Ç¹¢Í§µŒ¹ÁÐÃØÁ໚¹ÂÒä´Œ é à»Å×Í¡µŒ¹ÁÕÃÊÌ͹ ÃѺ»Ãзҹ໚¹ÂҢѺÅÁã¹ÊíÒäÊŒ ·íÒãËŒ¼ÒÂËÃ×ÍàÃÍ ¤ØÁ¸ÒµØÍ‹Í¹æ(13) ¤ÑÁÀÕÏ ÊÃþ¤Ø³ÂÒ(4) ÃкØÇ‹ÒãºÁÐÃØÁÁÕÊÃþ¤Ø³ãªŒà»š¹¹éíÒ¡ÃÐÊÒÂÂÒ áÅеÑÇÍ‹ҧµíÒÃѺÂÒ·ÕèÁÕÁÐÃØÁ໚¹ ʋǹ»ÃСͺÃкØÊÃþ¤Ø³´Ñ§¹Õé “¤Ø³ãºá¤·Ñé§ ò ãºÊÁÕ ãºªØÁàËç´ ãºÁÐÃØÁ 㺾ÃÔ¡ä·Â ãºÁÐÃÐ ãºÁÐä¿ ãºäÁŒ·§ ø ÊÔ§¹Õé ᡌ¹Í¹ÁÔËÅѺãËŒÃÐÊèÒÃÐÊÒ ãËŒàÍÒãºäÁŒ¹Õé á¡§¡Ô¹¡Ñº¢ŒÒÇ à¨ÃÔ­âÅËÔµ Ñé è í ¹Í¹ËÅѺáÅ ãºäÁŒÍ¹¡Å‹ÒÇÁÒᵋ¡Í¹¹Ñ¹ ãºÍ‹Í¹¡Ô¹à¡Ô´â·É” Ñ ‹ é
  • 355.
    328 ÂÒ¨Ò¡ÊÁعä¾Ã¡ÑºàǪÈÒʵÏàªÔ§»ÃШѡɏ »˜¨¨Øº¹ÁÐÃØÁ໚¹ÊÁعä¾Ã·ÕÁ¡ÒÃ͌ҧÊÃþ¤Ø³ÁÒ¡ÁÒ ઋ¹ ÃÑ¡ÉÒâä¢Ò´ÊÒÃÍÒËÒà âä Ñ è Õ µÒà¡×ͺ·Ø¡ª¹Ô´ âäàºÒËÇÒ¹ âä¤ÇÒÁ´Ñ¹âÅËÔµÊÙ§ âä¡Ãд١ âäÁÐàÃç§ âäàʹʏ àÊÃÔÁÊÌҧÀÙÁÔ ¤ØÁ¡Ñ¹ âäÅíÒäʌ͡àʺ âäÀÙÁᾌáÅÐÃÑ¡ÉÒá¼ÅàÃ×ÍÃѧ(14) ÃÇÁä»¶Ö§¡ÒÃ͌ҧNjÒÊÒÁÒö¹íÒÁÒ㪌¡º Œ Ñ Ô é Ñ âäËÇÑ´ 2009 ËÅÑ¡°Ò¹·ÕÃкØà¡ÕÂǡѺ»ÃÐ⪹¢Í§ÁÐÃØÁÁÕÁÒ¡ÁÒ·ѧËÅÑ¡°Ò¹àªÔ§ÇÔ·ÂÒÈÒʵÏáÅзÕ໚¹ è è é è ºÑ¹·Ö¡µ‹Ò§æ Jed W .ahey (2005) ä´ŒÃǺÃÇÁ¢ŒÍÁÙÅËÅÑ¡°Ò¹µ‹Ò§æà¡ÕÂǡѺÁÐÃØÁäÇŒ ´Ñ§¹Õé ´ŒÒ¹ÊÒà è ÍÒËÒà ãºÁÐÃØÁÁÕÇÔµÒÁÔ¹àÍ á¤Åà«ÕÂÁ ¸ÒµØàËÅç¡ ÇÔµÒÁÔ¹«Õ áÅÐâ¾á·Êà«ÕÂÁÊÙ§ ¡ÒÃÈÖ¡ÉÒ´ŒÒ¹ ¾Ä¡Éà¤ÁÕ (Phytochemical) ¾ºÇ‹Ò¾×ªã¹µÃСÙÅ Moringa ÁÕÊÒþǡ¹éÒµÒÅàªÔ§à´ÕÂÇáÅÐÊÒûÃСͺ í è glucosinolates áÅÐ isothiocyanates ã¹»ÃÔÁÒ³ÁÒ¡ áÅÐÊÒÃà¤ÁÕËÅÒµÑÇ·Õ¾ºÁÕÃÒ§ҹNjÒÁÕÄ·¸Ôì è Å´¤ÇÒÁ´Ñ¹âÅËÔµ µŒÒ¹ÁÐàÃç§ µŒÒ¹àª×ÍẤ·ÕàÃÕ ÃдѺ¢Í§ËÅÑ¡°Ò¹àªÔ§»ÃШѡɏáÅÐÃдѺ¢Í§¤íÒá¹Ð é ¹íÒÊíÒËÃѺÁÐÃØÁáÊ´§änj㹵ÒÃÒ§·Õè 5 µÒÃÒ§·Õè 5 ËÅÑ¡°Ò¹àªÔ§»ÃШѡɏ¢Í§ÁÐÃØÁ ¢ŒÍº‹§ãªŒ ÃдѺ¢Í§ ÃдѺ¢Í§ ËÅÑ¡°Ò¹ ¤íÒá¹Ð¹íÒ Ä·¸ÔÅ´ÃдѺ¹éÒµÒÅã¹àÅ×Í´(15, 16) ì í 4, 5 D âäÀÙÁÔᾌáÅÐÃÑ¡ÉÒá¼ÅàÃ×éÍÃѧ(14) 5 D Ä·¸ÔµÒ¹àª×ÍẤ·ÕàÃÕ àª×ÍÃÒ àª×ÍäÇÃÑÊ ¾ÂÒ¸Ô ì Œ é é é ÂѺÂѧà«ÅŏÁÐàÃç§ é (17) 5 D »‡Í§¡Ñ¹¡ÒÃŴŧ¢Í§ÃдѺ¡ÅÙµÒä¸â͹(18) 5 D Å´ÃдѺä¢ÁѹáÅÐà¾ÔÁÃдѺ HDLã¹àÅ×Í´(19) è 5 D ÂѺÂѧ¡ÒÃà¡Ô´ÍÍ¡«ÔപѹáÅÐÊÒÁÒö¨ÑºÍ¹ØÁÅÍÔÊÃÐä´Œ(20) é Ù 5 D ¨ÐàËç¹ä´ŒÇÒáÁŒ¨ÐÁÕ¡ÒÃÈÖ¡ÉÒÇÔ¨ÂÄ·¸Ô¢Í§ÁÐÃØÁã¹´ŒÒ¹µ‹Ò§æÁÒ¡ÁÒ ᵋÊǹÁҡ໚¹¡Òà ‹ Ñ ì ‹ ·´ÅͧẺ in vitro áÅÐ in vivo ʋǹ¡ÒÃÈÖ¡ÉÒ·Ò§¤ÅÔ¹Ô¡·Õè·íÒ¡çäÁ‹ãª‹ÃٻẺ Randomized, double-blind, placebo-controlled trials ¨Ö§·íÒãËŒÃдѺ¢Í§¤íÒá¹Ð¹íÒÍÂÙã¹ÃдѺµèÒ ÁÕà¾Õ§¡ÒÃÈÖ¡ÉÒ ‹ í ¹íÒËͧâ´Â Anthanont P áÅФ³Ð (2553) ·Õ·Ò¡ÒÃÈÖ¡ÉҼŢͧãºÁÐÃØÁµ‹ÍÃдѺ¹éÒµÒÅã¹àÅ×Í´áÅÐ è í í ¡ÒÃËÅÑè§ÍÔ¹«ÙÅÔ¹ã¹ÍÒÊÒÊÁѤÃÊØ¢ÀÒ¾´Õ 10 ÃÒ «Öè§¾ºÇ‹Ò¡ÒÃÃѺ»ÃзҹãºÁÐÃØÁã¹¢¹Ò´ÊÙ§Áռе‹Í¡ÒÃà¾ÔèÁ¡ÒÃËÅÑè§ÍÔ¹«ÙÅԹ䴌 Í‹ҧäáç´Õ ¤ÇÃÁÕ¡ÒÃÈÖ¡ÉÒà¾ÔèÁàµÔÁ¶Ö§»ÃÐÊÔ·¸Ô¼Å¢Í§ãºÁÐÃØÁ µ‹Í¡ÒùíÒÁÒ㪌㹼ٻÇÂàºÒËÇÒ¹ª¹Ô´·Õè 2 µ‹Íä» Œ †
  • 356.
    àǪÈÒʵÏ·¹Âؤ 2553 Ñ 329 4. ÂÒËÍÁ¹Çâ¡° ໚¹ÂÒµíÒÃѺ˹֧·ÕÁ¡ÒÃ㪌¡¹ÁÒ¡ÁÒ໚¹ÃÐÂÐàÇÅÒ¹Ò¹ »˜¨¨Øº¹¨Ñ´à»š¹ÂÒÊÒÁÑ­»ÃШíÒºŒÒ¹ è è Õ Ñ Ñ á¼¹âºÃÒ³ ã¹»ÃСÒÈ¡ÃзÃǧÊÒ¸ÒÃ³ÊØ¢ àÃ×ͧ ÂÒÊÒÁÑ­»ÃШíÒºŒÒ¹ ¾.È. 2542 áÅÐ໚¹ÂÒã¹ è ºÑ­ªÕÂÒ¨Ò¡ÊÁعä¾ÃáË‹§ªÒµÔ ¾.È. 2549 Áբͺ‹§ãªŒà¾×ÍᡌÅÁÇÔ§àÇÕ¹ ¤Å×¹àËÕ¹ ÍÒà¨Õ¹ ã¹¼ÙʧÍÒÂØ Œ è è ŒÙ á¡ŒÅÁ»ÅÒÂ䢌 ÍÒ¡Òõ‹Ò§æ·Õ¾ºËÅѧ¨Ò¡¿„¹ä¢Œ ઋ¹ ÍÒ¡ÒäÅ×¹àËÕ¹ ÇÔ§àÇÕ¹ àº×ÍÍÒËÒà ·ŒÍ§Í×´ è œ è è ͋͹à¾ÅÕ ÂÒµíÒÃѺ¹Õ»ÃСͺ´ŒÇÂà¤Ã×ͧÂÒ 56 ª¹Ô´ ¤×Í â¡°ÊÍ â¡°à¢ÁÒ â¡°ËÑǺÑÇ â¡°àªÕ§ â¡° é è ¨ØÌÒÅÑÁ¾Ò â¡°¡Ãд١ â¡°¡ŒÒ¹¾ÃŒÒÇ â¡°¾Ø§»ÅÒ â¡°ª®ÒÁѧÊÕ à·Õ¹´íÒ à·Õ¹ᴧ à·Õ¹¢ÒÇ à·Õ¹ ¢éÒÇà»Å×Í¡ à·Õ¹µÒµÑ¡áµ¹ à·Õ¹àÂÒÇ¾Ò³Õ à·Õ¹ÊѵµºØÉÂì à·Õ¹à¡Åç´ËÍ à·Õ¹µÒ¡º à»Å×Í¡ÊÁØ- ê ÅáÇŒ§ Ë­ŒÒµÕ¹¹¡ ὡËÍÁ à»Å×Í¡ªÐÅÙ´ à»ÃÒÐËÍÁ ÃÒ¡ä¤ÃŒà¤Ã×Í à¹×ÍäÁŒ¡ÄÉ³Ò ¢Í¹´Í¡ ¢Ô§áËŒ§ é ´Õ»ÅÕ à¨µÁÙÅà¾ÅÔ§á´§ ÊФŒÒ¹ ªŒÒ¾ÅÙ áËŒÇËÁÙ ÅÙ¡¡ÃÐÇÒ¹ ¡Ò¹¾ÅÙ ´Í¡¨Ñ¹·¹ ÅÙ¡¨Ñ¹·¹ ͺàªÂ­Ç¹ ÅÙ¡¼Ñ¡ªÕÅÒ á¡‹¹Ê¹ ÊÑ¡¢Õ ÅÙ¡ÃÒª´Ñ´ ÅÙ¡ÊÒþѴ¾ÔÉ ¨Ñ¹·¹à·È ¨Ñ¹·¹á´§ ÅÙ¡¡ÃдÍÁ ºÍÃÐà¾ç´ à¡Êà ºÑÇËÅǧ ´Í¡ºØ¹¹Ò¤ ´Í¡¾Ô¡Å ´Í¡ÊÒÃÀÕ ´Í¡ÁÐÅÔ ¡ÃÐÅíҾѡ à¹×ÍÅÙ¡ÁТÒÁ»‡ÍÁ à¹×ÍÅÙ¡ÊÁ;ÔàÀ¡ Ø é é ªÐàÍÁà·È áÅоÔÁàʹ ÃٻẺ¢Í§ÂÒ·ÕÁ㪌 ¤×Í ÂÒ¼§áÅÐÂÒàÁç´ ª¹Ô´¼§¡‹Í¹ÃѺ»ÃзҹµŒÍ§¹íÒä» è Õ ÅÐÅÒ¡Ѻ¹éÒ¡ÃÐÊÒÂÂÒ àª‹¹ ¹éÒµŒÁÅÙ¡¼Ñ¡ªÕ ¹éÒµŒÁ¡ŒÒ¹ÊÐà´Ò ÅÙ¡¡ÃдÍÁáÅкÍÃÐà¾ç´ ËÃ×͹éÒÊØ¡(5) í í í í ¡ÒÃÈÖ¡ÉÒÄ·¸Ôì¢Í§ÂÒËÍÁ¹Çâ¡°·Õ辺໚¹¡ÒÃÈÖ¡ÉÒã¹ÊѵǏ·´Åͧ·Ñé§ËÁ´ ´Ñ§µÒÃÒ§·Õè 6 áÅÐäÁ‹¾º¤ÇÒÁ໚¹¾ÔÉàÁ×ÍÈÖ¡ÉÒ¤ÇÒÁ໚¹¾ÔÉà©Õº¾Åѹã¹ÊѵǏ·´Åͧ(8) è µÒÃÒ§·Õè 6 ËÅÑ¡°Ò¹àªÔ§»ÃШѡɏ¢Í§ËÍÁ¹Çâ¡°(8) ¢ŒÍº‹§ãªŒ ÃдѺ¢Í§ ÃдѺ¢Í§ ËÅÑ¡°Ò¹ ¤íÒá¹Ð¹íÒ Ä·¸Ôà¾ÔÁ¤ÇÒÁ´Ñ¹âÅËÔµ áÅÐÁÕ¼ÅÅ´ÍѵÃÒ¡ÒÃൌ¹¢Í§ËÑÇ㨠ì è 5 D à¾ÔÁÍѵÃÒ¡ÒÃäËÅàÇÕ¹àÅ×Í´·ÕÊÁͧ è è 5 D ÂѺÂѧ¡ÒÃËÅѧ¡Ã´¢Í§¡ÃÐà¾ÒÐÍÒËÒà é è 5 D ÂѺÂѧ¡ÒÃË´µÑǢͧÅíÒäÊŒàÅç¡ é 5 D Ä·¸Ô¡´»ÃÐÊҷʋǹ¡ÅÒ§ ì 5 D º·ÊÃØ» ¨Ò¡¡ÒÃÇÔà¤ÃÒÐˏËÅÑ¡°Ò¹àªÔ§»ÃШѡɏ¢Í§µÑÇÍ‹ҧÂÒ¨Ò¡ÊÁعä¾Ã 4 ª¹Ô´·Õ㪌ºÍµÒÁËÅÑ¡ è ‹ °Ò¹·Õ¤¹ä´Œ¨¹¶Ö§à´×͹ÁÔ¶¹Ò¹ ¾.È. 2553 ¾ºÇ‹Òẋ§ä´Œà»š¹ 3 ¡Ã³Õ ¤×Í è Œ Ø ¡Ã³Õ·Õè 1 ÂÒ¨Ò¡ÊÁعä¾Ã·ÕÁ¡ÒÃÇÔ¨ÂÁÒ¡áÅÐÁÕ§Ò¹ÇԨ·ҧ¤ÅÔ¹¡Ê¹ÑºÊ¹Ø¹¾ÍÊÁ¤Çà ¤×Í è Õ Ñ Ñ Ô ¢ÁÔ鹪ѹáÅп‡Ò·ÐÅÒÂâ¨Ã ¡Ã³Õ·Õè 2 ÂÒ¨Ò¡ÊÁعä¾Ã·ÕÁ¡ÒÃÇÔ¨ÂÁÒ¡ ᵋ໚¹ã¹ÃдѺËÅÍ´·´ÅͧáÅÐÊѵǏ·´Åͧ ¤×Í è Õ Ñ ÁÐÃØÁ
  • 357.
    330 ÂÒ¨Ò¡ÊÁعä¾Ã¡ÑºàǪÈÒʵÏàªÔ§»ÃШѡɏ ¡Ã³Õ·Õè 3 ÂÒ¨Ò¡ÊÁعä¾Ã·ÕÁ¡ÒÃÈÖ¡ÉÒ¹ŒÍ ¤×Í ÂÒËÍÁ¹Çâ¡° è Õ ã¹ÊÀÒ¾¡Ò󏻨¨Øº¹ ÂѧÁÕà¤Ã×ͧÂÒáÅеíÒÃѺÂÒá¼¹ä·ÂÍÕ¡ÁÒ¡·ÕäÁ‹Á¡ÒÃÈÖ¡ÉÒã´æàÅ ˜ Ñ è è Õ ÊÒà˵طÕè¡ÒÃÇԨѷҧ¤ÅÔ¹Ô¡¢Í§ÂÒ¨Ò¡ÊÁعä¾ÃÁÕäÁ‹ÁÒ¡ ÍÒ¨ÁÒ¨Ò¡¢ŒÍ¨íÒ¡Ñ´ËÅÒ»ÃСÒà ઋ¹ ¡ÒäǺ¤ØÁ¤Ø³ÀÒ¾¢Í§ÂÒ¨Ò¡ÊÁعä¾Ã·Õ㪌㹡Ò÷´Åͧ ¢ŒÍÁÙŨҡ¡ÒÃÈÖ¡ÉÒã¹ËÅÍ´·´ÅͧËÃ×Í è ÊѵǏ·´ÅͧäÁ‹à¾Õ§¾Í ·íÒãËŒÁ¢Í«Ñ¡¶ÒÁà¡ÕÂǡѺ¨ÃÔ¸ÃÃÁ¡ÒÃÇÔ¨Â㹤¹ ໚¹µŒ¹ Í‹ҧäáç´Õ “¶Ö§áÁŒ Õ Œ è Ñ ¨Ð¢Ò´ËÅÑ¡°Ò¹·Õè໚¹ RCT ·Õè¨Ð·íÒãËŒÃдѺ¢Í§ËÅÑ¡°Ò¹ÁÕ¤ÇÒÁ¹‹Òàª×èͶ×Í໚¹ÃдѺ 1 ËÃ×ÍäÁ‹ ÁÕ¡ÒÃÇÔ¨ÑÂã´æàÅ ¡çÁÔä´ŒËÁÒ¤ÇÒÁÇ‹ÒÂÒ¨Ò¡ÊÁعä¾ÃäÁ‹ÁÕ»ÃÐÊÔ·¸ÔÀÒ¾ à¹×èͧ¨Ò¡¡ÒÃ㪌ÂÒ ¨Ò¡ÊÁØ ¹ ä¾Ã໚ ¹ ͧ¤ ¤ ÇÒÁÃÙŒ ·Õè à ¡Ô ´ ¨Ò¡¡ÒÃÊÑè § ÊÁÁÒÍ‹ Ò §ÂÒǹҹ¢Í§á¾·Â á ¼¹ä·Â (á¼¹âºÃÒ³) áÅÐËÁ;׹ºŒÒ¹ÁÒ¡ÁÒ ´Ñ§¹Ñ¹¡ÒõѴÊÔ¹ã¨àÅ×͡㪌ÂÒÊÁعä¾Ã¨Ö§¤ÇÃ㪌¢ÍÁÙÅ é é Œ ËÅÒÂæ ´ŒÒ¹»ÃСͺ¡Ñ¹ ·Ñé§ËÅÑ¡°Ò¹àªÔ§»ÃШѡɏáÅÐͧ¤¤ÇÒÁÃÙŒ´Ñé§à´ÔÁ” äÁ‹¤ÇÃãËŒà¡Ô´¡Ã³Õ àËÁ×͹㺢ÕàËÅç¡·ÕÁ¡ÒÃÇÔ¨ÂʹѺʹعNjÒÁռŪ‹Ç¤ÅÒ¡ѧÇÅáÅЪ‹ÇÂãËŒ¹Í¹ËÅѺ ¨Ö§ÁÕ¡ÒùíÒÁÒ¼ÅÔµ é è Õ Ñ à»š¹ÂÒàÁç´áÅÐ᤻«ÙÅà¾×Íãˌú»Ãзҹ䴌§ÒÂàËÁ×͹ÂÒá¼¹»˜¨¨Øº¹ «Ö§µ‹ÍÁÒ¾ºÇ‹Ò·íÒãËŒà¡Ô´ÀÒÇÐ è Ñ ‹ Ñ è µÑºÍÑ¡àʺà©Õº¾Åѹ ¨¹Êíҹѡ§Ò¹¤³Ð¡ÃÃÁ¡ÒÃÍÒËÒÃáÅÐÂÒÊѧÃЧѺ¡ÒüÅÔµáÅÐàÃÕ¡à¡çº¤×¹ÂÒ¨Ò¡ è ÊÁعä¾Ã¢ÕàËÅç¡à´ÕÂÇ·ÕÁ¢Íº‹§ãªŒÊÒËÃѺª‹ÇÂãËŒ¹Í¹ËÅѺ ¡Ã³Õ¹áÊ´§ãËŒàËç¹Ç‹Ò¡ÒÃ㪌ÂÒ¨Ò¡ÊÁعä¾Ã é è è ÕŒ í (21) Õé ¤ÇäíÒ¹Ö§¶Ö§Í§¤¤ÇÒÁÃÙ´§à´ÔÁ´ŒÇ à¾ÃÒÐâ´Â·ÑÇä»ÈÒʵÏ¡ÒÃᾷἹä·Â¨ÐäÁ‹á¹Ð¹íÒÃѺ»Ãзҹ Œ Ñé è ÊÁعä¾ÃµÑÇà´ÕÂÇã¹¢¹Ò´ÊÙ§æ Áѡ㪌»ÃСͺ¡Ñ¹ËÅÒª¹Ô´à»š¹ÂÒµíÒÃѺà¾×ÍàÊÃÔÁÄ·¸ÔËÃ×ÍÅ´¾Ôɺҧè ì Í‹ҧ¢Í§ÊÁعä¾Ãã¹µíÒÃѺ µÒÁÀÙÁ»­­Ò¢Í§ä·ÂÇԸú»Ãзҹ㺢ÕàËÅç¡ãËŒ»ÅÍ´ÀѤ×͵ŒÁËÃ×ʹͧ Ô ˜ ÕÑ é àËŌҡ‹Í¹ ¨Ö§àÍÒ¹éÒÁÒÃѺ»Ãзҹ ËÃ×ͶŒÒ¨ÐÃѺ»Ãзҹ·Ñ§ãº¡çµÍ§¹íÒä»»ÃØ§à»š¹á¡§¢ÕàËÅç¡ í é Œ é â´ÂÊÃØ»¡ÒÃãËŒ¤ÇÒÁÊíҤѭ¡ÑºËÅÑ¡°Ò¹àªÔ§»ÃШѡɏà¾Õ§Í‹ҧà´ÕÂÇÁÒ¡à¡Ô¹ä» ÍÒ¨äÁ‹ÊÒÁÒö ·íÒãËŒ¡ÒÃ㪌ÂÒ¨Ò¡ÊÁعä¾Ãà¡Ô´¤ÇÒÁ»ÅÍ´ÀÑÂáÅÐÁÕ»ÃÐÊÔ·¸Ô¼Å µŒÍ§ÍÒÈÑÂͧ¤¤ÇÒÁÃٷ໚¹ÀÙÁ»­­Ò Œ Õè Ô ˜ ´Ñ§à´ÔÁËÇÁ´ŒÇ ¢³Ðà´ÕÂǡѹ¶ŒÒäÁ‹ÁËÅÑ¡°Ò¹àªÔ§»ÃÐ¨Ñ¡Éã´æÁÒʹѺʹع ᾷ¼Ê§ãªŒÂÒ¨Ò¡ÊÁعä¾Ã é Õ ÙŒ Ñè ¡ç¤ÇÃ㪌µÒÁËÅÑ¡¡Òâͧ¡ÒÃᾷἹä·ÂáÅÐÁÕ¡ÒÃཇÒÃÐÇѧµÔ´µÒÁáÅÐà¡çº¢ŒÍÁÙÅãˌ໚¹Ãкº áÅеŒÍ§ÃÐÇѧ¡ÒÃ㪌ÂÒ¨Ò¡ÊÁعä¾ÃÍ‹ҧäÁ‹ÊÁà˵ØÊÁ¼Åà¹×ͧ¨Ò¡¡ÒÃÍǴ͌ҧÊÃþ¤Ø³·Õà¡Ô¹¨ÃÔ§ è è àÍ¡ÊÒÃ͌ҧÍÔ§ 1. WHO. .act sheet N?134 2008 [cited 2010 May 17]; Available from: http://www.who.int/mediacentre/factsheets/ fs134/en/index.html. 2. Rattanachaiyanont M. Clinical evidence in menopause medicine: Part 2 evaluating the evidence. Siriraj Med J 2006;58(5). 3. Phillips B, Ball C, Sackett D, et al. Oxford Centre for Evidence-based Medicine Levels of Evidence. 2009 [updated 2009 March; cited 2010 June 08]; Available from: http://www.cebm.net/index.aspx?o=1025. 4. ÁÙŹԸ¿¹¿ÙʧàÊÃÔÁ¡ÒÃᾷä·Âà´ÔÁ, âçàÃÕ¹ÍÒÂØÃàÇ·¸íÒç ʶҹ¡ÒÃᾷἹä·Â»ÃÐÂØ¡µ ¤³Ðá¾·ÂÈÒʵÏÈÃÔ Ô „œ ‹ Ô ÃÒª¾ÂÒºÒÅ ÁËÒÇÔ·ÂÒÅÑÂÁËÔ´Å. µíÒÃÒ¡ÒÃᾷἹä·Âà´ÔÁ (á¾·ÂÈÒʵÏʧà¤ÃÒÐˏ ©ºÑºÍ¹ØÃ¡É) àÅ‹Á·Õè 1 ©ºÑºªíÒÃÐ Ñ ¾.È.2550 à¹×èͧã¹ÁËÒÁ§¤ÅÇâáÒÊà©ÅÔÁ¾ÃЪ¹ÁÒÂØ 80 ¾ÃÃÉÒ ¾ÃкҷÊÁà´ç¨¾ÃÐ਌ÒÍÂÙ‹ËÑÇÀÙÁÔ¾ÅÍ´ØÅÂà´ª. ¡Ãا෾Ï: ÈØÀǹԪ¡ÒþÔÁ¾; ¾.È.2550.
  • 358.
    àǪÈÒʵÏ·¹Âؤ 2553 Ñ 331 5. ¤³Ð¡ÃÃÁ¡ÒÃáË‹§ªÒµÔ´Ò¹ÂÒ. ºÑ­ªÕÂÒ¨Ò¡ÊÁعä¾Ã ¾.È.2549 µÒÁ»ÃСÒȤ³Ð¡ÃÃÁ¡ÒÃáË‹§ªÒµÔ´Ò¹ÂÒ (©ºÑº·Õè 5) Œ Œ ¾.È. 2549 àÃ×ͧºÑ­ªÕÂÒËÅÑ¡áË‹§ªÒµÔ ¾.È. 2547 (©ºÑº·Õè 4). ¡Ãا෾Ï: âç¾ÔÁ¾ªÁ¹ØÁÊˡó¡ÒÃà¡ÉµÃáË‹§»ÃÐà·Èä·Â è Ø ¨íÒ¡Ñ´; 2549. 6. Rotblatt M, Ziment I, editors. Evidence-based herbal medicine. Philadelphia: Hanley&Belfus, INC; 2002. 7. Neha S, Ranvir GD, Jangade CR. Analgesic and antipyretic activities of Curcuma longa rhizome extracts in Wistar Rats. Veterinary World 2009;2(8):304-6. 8. ÇÔÊ´Ò ÊØÇ·ÂÒÇѲ¹, ¾ÃŒÍÁ¨Ôµ ÈÃÅÑÁ¾, ¹¾ÁÒÈ ÊØ¹·Ãà¨ÃÔ­¹¹·, áÅФ³Ð. ÂÒ¨Ò¡ÊÁعä¾Ã㹺ѭªÕÂÒËÅÑ¡áË‹§ªÒµÔ: Ø Ô ¢ŒÍÁÙź¹ËÅÑ¡°Ò¹·Ò§ÇÔªÒ¡ÒÃ. ¡Ãا෾Ï: áʧà·Õ¹¡ÒþÔÁ¾; ¾.È. 2552. 9. Chen IN, Chang CC, Ng CC. antioxidant and antimicrobial activity of zingiberaceae plants in Taiwan. Plant .oods Hum Nutr 2008;63:15–20. 10. Ulbricht CE, editor. Natural standard herb & supplement guide: an evidence-based reference Missouri: Mosby Inc.; 2010. 11. ´Ç§¡ÁŠʨÔÃÇѲ¹Ò¡ØÅ. ÊÁعä¾Ã¿‡Ò·ÐÅÒÂâ¨ÃʺËÇÑ´2009. ¡Ãا෾¸ØÃ¡Ô¨. ¾.È.2552 Çѹ·Õè 19 ¡Ã¡®Ò¤Á 2552 04:00. 12. Coon JT, Ernst E. Andrographis paniculata in the treatment of upper respiratory tract infections: a systematic review of safety and efficacy. Planta Med. [Systematic review] 2004;70:293-8. 13. àʧÕÂÁ ¾§ÉÃÍ´. äÁŒà·ÈàÁ×ͧä·Â. ¡Ãا෾Ï: âç¾ÔÁ¾¡Ãا¸¹; ¾.È.2522. è 14. ÁÐÃØÁ ¾×ª¾×¹ºŒÒ¹ÁËÑȨÃÏ. ÇÒÃÊÒÃà¡ÉµÃ¡ÃÃÁ¸ÃÃÁªÒµÔ. ¾.È.2551:11-9. é 15. Dolly J, Kumar Rai P, Kumar A, Mehta S, Watal G. Effect of Moringa oleifera Lam. leaves aqueous extract therapy on hyperglycemic rats . J Ethnopharmacol. 2009;123(3):392-6. 16. Anthanont P, Lumlerdkij N, Akarasereenont P, Vannasaeng S, Sriwijitkamol A. Moringa oleifera leaf increases insulin secretion after single dose administration in healthy subjects: a pilot study. 2010. 17. .ahey JW. Moringa oleifera: A review of the medical evidence for its nutritional, therapeutic, and prophylactic properties. Part 1. Trees for Life. 2005;1. 18. .akurazi S, Hairuszah I, Nanthini U. Moringa oleifera Lam prevents acetaminophen induced liver injury through restoration of glutathione level. .ood Chem Toxicol. 2008;46:2611–5. 19. Komal Mehta L, Balaraman R, Amin AH, Bafna PA, Gulati OD. Effect of fruits of Moringa oleifera on the lipid profile of normal and hypercholesterolaemic rabbit. J Ethnopharmacol. 2003;86:191-5. 20. Siddhuraju P, Becker K. Antioxidant properties of various solvent extracts of total phenolic constituents from three different agroclimatic origins of drumstick tree (Moringa oleifera Lam.) leaves . J Agric .ood Chem. 2003;51:2144-55. 21. ˹ѧÊ×;ÔÁ¾ä·ÂÃѰ. ÊѧÃЧѺÂÒÊÁعä¾Ã㺢ÕàËÅç¡à´ÕÂÇ ¾.È.2551 [cited 2551 04-07]. è é è
  • 360.
    àǪÈÒʵÏ·¹Âؤ 2553 Ñ º··Õè 333 49 ËÅÑ¡¡ÒÃÊíҤѭ¢Í§¡ÒÃᾷἹä·Â ÍÒ¨ÒϷѾ¾à·¾ ·Ô¾Âà¨ÃÔ­¸ÑÁ ÍÒ¨ÒÏÃѵ´ÒÇÃó ·Ô¾Âà¨ÃÔ­¸ÑÁ ÃͧÈÒʵÃÒ¨ÒÏ ¹ÒÂᾷ·ÇÕ àÅÒ˾ѹ¸ ʶҹ¡ÒÃᾷἹä·Â»ÃÐÂØ¡µ ¤³Ðá¾·ÂÈÒʵÏÈÔÃÔÃÒª¾ÂÒºÒÅ ÁËÒÇÔ·ÂÒÅÑÂÁËÔ´Å »˜¨¨Øº¹»ÃÐà·Èä·ÂÁÕ¤ÇÒÁµ×¹µÑÇã¹àÃ×ͧ¡ÒÃ͹ØÃ¡ÉÀÁ»­­Ò«Ö§à»š¹Áô¡¢Í§ªÒµÔ àÁ×ÍÇѹ·Õè Ñ è è Ñ Ù Ô ˜ è è 12 ÁÔ¶¹Ò¹ ¾.È.2550 ¤³ÐÃѰÁ¹µÃÕä´Œ»ÃСÒÈãªŒá¼¹ÂØ·¸ÈÒʵÏªÒµÔ ¡ÒþѲ¹ÒÀÙÁ»­­Òä·Â Ø Ô ˜ ÊØ¢ÀÒ¾ÇÔ¶ä· ¾.È.2550-2554 «Ö§¤Ãͺ¤ÅØÁ¡ÒÃᾷἹä·Â´ŒÇ â´ÂÁÕ໇ÒËÁÒªѴਹ ઋ¹ ãËŒÁÕ Õ è ÃкººÃÔ ¡ ÒáÒÃᾷ á ¼¹ä·Â·Õè ÁÕ Á ҵðҹ/¤Ø ³ ÀÒ¾ ·Ñ ´ à·Õ  Á¡Ñ º ÃкººÃÔ ¡ ÒáÒÃᾷ á¼¹»˜¨¨Øº¹ÀÒÂã¹ 5 »‚ ÁÕ¡ÒÃà¾ÔÁÁÙŤ‹Ò/»ÃÔÁÒ³¡ÒÃ㪌ÂÒä·ÂáÅÐÂÒÊÁعä¾ÃÍ‹ҧ¹ŒÍÂÃŒÍÂÅÐ 25 Ñ è ÀÒÂã¹ 5 »‚ ໚¹µŒ¹ (1) ʶҹ¡ÒÃᾷἹä·Â»ÃÐÂØ¡µ«Öè§à»š¹Ë¹‹Ç§ҹ·Õè·íÒ˹ŒÒ·Õè¡íҡѺ´Ùáŧҹ¡ÒÃᾷ á¼¹ä·Â¢Í§¤³Ðá¾·ÂÈÒʵÏÈÃÃÒª¾ÂÒºÒÅ ·Ñ§¡ÒèѴ¡ÒÃÈÖ¡ÉÒ ¡ÒúÃÔ¡Òà áÅСÒÃÇԨ¾Ѳ¹Ò ÔÔ é Ñ ÁÕ¤ÇÒÁàËç¹Ç‹Ò¡ÒþѲ¹ÒãËŒ¶Ö§à»‡ÒËÁÒ´ѧ¡Å‹ÒÇ໚¹àÃ×èͧ·Õè·íÒä´ŒäÁ‹ÂÒ¡ ËÒ¡à˧¾Ñ²¹Ò¤Ø³ÀÒ¾ ¡ÒèѴ¡ÒÃÈÖ¡ÉÒ·Õè¼ÅÔµºØ¤ÅҡëÖè§·íÒàǪ»¯ÔºÑµÔ¡ÒÃᾷἹä·Â ¡ÒÃãËŒºÃÔ¡Ò÷ҧ¡ÒÃᾷ á¼¹ä·Â «Öè§ÃÇÁ¶Ö§¡ÒüÅÔµÂÒ¨Ò¡ÊÁعä¾Ã·Õè㪌㹡ÒÃÃÑ¡ÉÒâäãËŒÁդسÀÒ¾ »ÅÍ´ÀÑ áÅÐÁÕ »ÃÐÊÔ·¸Ô¼Å ¹Í¡¨Ò¡¹Õʧ·ÕÊҤѭäÁ‹Â§Ë‹͹¡Ç‹Ò¡Ñ¹¡ç¤Í¡ÒÃÊ×ÍÊÒÃãËŒº¤Åҡ÷ÕÍÂÙã¹ÃкºÊØ¢ÀÒ¾ é Ôè è í Ôè × è Ø è ‹ ¢Í§»ÃÐà·Èâ´Â੾ÒÐᾷἹ»˜¨¨Øº¹áÅоÂÒºÒŠ䴌ࢌÒã¨á¹Ç¤Ô´ / ËÅÑ¡¡Òà áÅÐàË繤س¤‹Ò¢Í§ Ñ ¡ÒÃᾷἹä·Â ÃÇÁ·Ñ§á¹Ç·Ò§ã¹¡ÒúÙóҡÒáÒÃᾷἹä·Âã¹ÃкºÊØ¢ÀÒ¾¢Í§»ÃÐà·È é ã¹âÍ¡ÒÊ·Õ¤³Ðá¾·ÂÈÒʵÏÈÃÃÒª¾ÂÒºÒÅ ¨Ñ´§Ò¹©Åͧ 120 »‚¢Í§¡ÒÃʶһ¹ÒâçàÃÕ¹ è ÔÔ á¾·Â ã¹»‚ ¾.È. 2553 ¹Õé ʶҹ¡ÒÃᾷἹä·Â»ÃÐÂØ¡µ¢Í¹íÒàʹÍá¹Ç¤Ô´¾×é¹°Ò¹áÅÐ ËÅÑ¡¡ÒôÙáÅÃÑ¡ÉÒÊØ¢ÀÒ¾´ŒÇÂÈÒʵÏ¡ÒÃᾷἹä·Â à¾ÃÒÐàËç¹Ç‹Ò໚¹á¹Ç¤Ô´áÅÐËÅÑ¡¡Òà ·ÕÁ¤³¤‹ÒÍ‹ҧÂÔ§ â´Â੾ÒÐá¹Ç¤Ô´àÃ×ͧ¡ÒôÙáÅÊØ¢ÀҾ͋ҧ໚¹Í§¤ÃÇÁ «Ö§¤Ãͺ¤ÅØÁà˵ػ¨¨Ñ è Õ Ø è è è ˜ ·Õà¡ÕÂÇ¢ŒÍ§¡ÑºÊØ¢ÀҾ͋ҧ¡ÇŒÒ§¢ÇÒ§áÅÐÊÁºÙóáºº è è à¾×ÍãˌࢌÒã¨á¹Ç¤Ô´´Ñ§¡Å‹ÒÇ¢ŒÒ§µŒ¹ ¨íÒ໚¹µŒÍ§·ÃÒº¤ÇÒÁÊÑÁ¾Ñ¹¸ÃÐËNjҧ¾Ø·¸ÈÒʹҡѺ è ¤ÇÒÁ໚¹ÁÒËÃ×ÍÃÒ¡à˧ŒÒ¢Í§¡ÒÃᾷἹä·Â ࢌÒã¨á¹Ç¤Ô´àÃ×Í§ÊØ¢ÀÒ¾¡Ñº¤ÇÒÁÊÁ´ØÅ¢Í§ “¸ÒµØ” è «Öè§ËÁÒ¶֧ͧ¤»ÃСͺËÅÑ¡¢Í§Ã‹Ò§¡ÒÂÁ¹ØÉáÅÐÊÃþÊÔè§·Ñé§ËÅÒÂã¹âÅ¡áÅШѡÃÇÒŠࢌÒ㨠ÊÁد°Ò¹ËÃ×Íà˵ػ˜¨¨Ñ¢ͧ¡ÒÃà¡Ô´âä«Öè§ÁÕËÅÒ¡ËÅÒÂáÅÐà¡ÕèÂÇ¢ŒÍ§ÊÑÁ¾Ñ¹¸¡Ñ¹Í‹ҧ¡ÇŒÒ§¢ÇÒ§
  • 361.
    334 ËÅÑ¡¡ÒÃÊíҤѭ¢Í§¡ÒÃᾷἹä·Â µÅÍ´¨¹à¢ŒÒã¨ËÅÑ¡¡ÒôÙáÅÃÑ¡ÉÒ·Õ¤Ãͺ¤ÅØÁ·Ñ§¡ÒÃᡌ䢤ÇÒÁ¼Ô´»¡µÔ·à¡Ô´¢Ö¹ ¡ÒûÃѺÊÁ´ØÅ¸ÒµØ è é Õè é ¡ÒÃÅ´ËÃ×Í¡íҨѴà˵ػ¨¨Ñ·Õ໚¹ÊÁد°Ò¹¢Í§âä µÅÍ´¨¹¡ÒôÙáÅáÅÐÊ‹§àÊÃÔÁÊØ¢ÀÒ¾¢Í§Ã‹Ò§¡Ò ˜ è áÅШԵ㨠ÃÒ¡à˧ŒÒ¢Í§¡ÒÃᾷἹä·Â ¹ÑºµÑ§áµ‹Í´Õµ ÍÒ¨¡Å‹ÒÇä´ŒÇÒ¤¹·Ø¡ªÒµÔ·¡ÀÒÉÒŌǹÁÕͧ¤¤ÇÒÁÃÙ·Ò§¡ÒÃᾷ¢Í§µ¹àͧ é ‹ Ø Œ ઋ¹ ¡ÒÃᾷἹ¨Õ¹¢Í§¨Õ¹ ¡ÒÃᾷÍÒÂØÃàÇ·¢Í§ÍÔ¹à´Õ ÊíÒËÃѺ»ÃÐà·Èä·Â¡çÁÕ¡ÒÃᾷ á¼¹ä·Â ¡ÒÃᾷἹä·ÂÁÕÃÒ¡à˧ŒÒÁÒ¨Ò¡¡ÒÃᾷ㹾ط¸ÍÒÃÒÁ ¤ÑÁÀÕÏ¡ÒÃᾷἹä·Â ÁÑ¡¢Ö¹µŒ¹´ŒÇº·ÊÇ´ÀÒÉÒºÒÅÕ µÑÇÍ‹ҧઋ¹ ʋǹµŒ¹¢Í§¤ÑÁÀÕÃÊÁد°Ò¹ÇÔ¹¨©Ñ ÁÕº·ÊÇ´à¾×ÍÊÑ¡¡ÒÃÐ é  Ô è ¤Ø³¾ÃÐÃѵ¹µÃÑ ¢ŒÍ¤ÇÒÁµÍ¹Ë¹Ö§¡Å‹ÒÇÇ‹Ò è (2) ÍËí ÍÀÔǹڷ ¾Ø·¸àʯþ°™ ¨ ÍËí ÍÀÔǹڷ ¸ÁÚÁí ¨ ÍÀÔǹڷ ¤³í ÍØµµÁí »Ç¡Ú¢ÒÁÔ ¤¹Ú¶í Ô Ú Ô Ô Ú àǪڪ»¡Ã³í ¹ÒÁ âÅ¡ËÔµí Ï ¤íÒá»Å .. ÍѹNjҢŒÒ ¹ÁÑÊ¡ÒÃáÅŒÇ «Ö§ÊÁà´ç¨¾Ãоط¸à¨ŒÒ¼Ù»ÃÐàÊÃÔ° ͹֧âÊ´ ÍѹNjҢŒÒ ¹ÁÑÊ¡Ò è Œ è ÃáÅŒÇ «Öè§¾ÃлÃÔÂѵԸÃÃÁážÃй¾âšصøÃÃÁ ͹Öè§âÊ´ áŌǢŒÒ¹Ñé¹ ¹ÁÑÊ¡ÒÃáÅŒÇ «Öè§ËÁÙ‹¾ÃÐÍÃÔ ʧ¦ ÍÑ¹ÍØ´Á áŌǨѡ¡Å‹Òǫ֧¤ÑÁÀÕÏ ª×ÍNjҤÑÁÀÕÃᾷ Íѹ໚¹»ÃÐ⪹á¡‹âÅ¡ Ï è è  áÅÐʋǹµŒ¹¢Í§¤ÑÁÀÕÃâä¹Ô·Ò¹ ÁÕº·ÊÇ´¡Å‹ÒǶ֧ªÕÇ¡â¡ÁÒÃÀѨ¨ «Ö§µÒÁ¾Ø·¸»ÃÐÇѵ໚¹  è Ô á¾·Â»ÃШíÒ¾ÃÐͧ¤¢Í§¾Ãоط¸à¨ŒÒ ¢ŒÍ¤ÇÒÁµÍ¹Ë¹Ö§Ç‹Ò è (2) ÍËí ªÕÇ¡â¡ÁÒÃÀ¨Ú⨠ÍÀÔǹڷµÇÒ ¾Ø·¸¤Ø³í àʯþ°™ à·ÇÔ¹·í ¡ÔµµÂÔÊÊÒÁÔ ¤¹Ú¶í âä¹Ô·Ò¹í Ô Ú Ú Ú Ú Ú »ÁØ¢í ÍÔÊÊ·¸â¹ »µÔ¯°µí âšҹí ÍÔµÔ ÍÔÁ¹Ò »¡Òàù Ï ÕÔ ÚÔ þ Ô ¤íÒá»Å .. ÍѹNjҢŒÒ ¼ÙŒÁÕ¹ÒÁâ¡ÁÒÃÀѨᾷ ¶ÇÒ¹ÁÑÊ¡ÒÃáÅŒÇ «Öè§¤Ø³á¡ŒÇ 3 »ÃСÒà ÁÕ¾Ãоط¸Ãѵ¹Ð ໚¹µŒ¹ »ÃÐàÊÃÔ°â´ÂÇÔÃÂÐÂÔ§¹Ñ¡ ‹ÍÁ໚¹·Õ¹ÁÑÊ¡Òâͧ෾´ҷѧËÅÒ ¨Ñ¡µ¡áµ‹§ Ô è è é äÇŒ «Ö觤ÑÁÀÕÏᾷ¹ÒÁª×èÍÇ‹Ò âä¹Ô·Ò¹ ੾ÒоѡµÃ áË‹§·‹Ò¹¼ÙŒÁÕ¹ÒÁÇ‹ÒÄåÉÕÊÔ·¸Ô´ÒºÊ à¾×èͨÐãËŒ ໚¹·Õ¾§ ᡋʵǏâÅ¡·Ñ§ËÅÒ ´ŒÇ»ÃСÒôѧ¹ÕÏ è Öè Ñ é é ¹Í¡¨Ò¡¹Õé ·ÄÉ®ÕàÃ×ͧ¸ÒµØ 4 «Ö§à»š¹ËÅÑ¡¡ÒÃÊíҤѭ㹷ҧ¡ÒÃᾷἹä·Â¡çÁ¡Å‹ÒÇänj㹠è è Õ ¾ÃÐäµÃ»®¡ ´Ñ§¹Ñ鹡Ò䌹ËÒÃÒ¡°Ò¹¢Í§¡ÒÃᾷἹä·Â ¨Ö§µŒÍ§ÈÖ¡ÉÒ¡ÒÃàÂÕÂÇÂÒã¹ÍÔ¹à´Õ âºÃÒ³ â´Â੾ÒÐÃкº¡ÒÃᾷ㹾ط¸ÍÒÃÒÁ 㹪‹Ç§ 1,700 – 1,800 »‚¡Í¹¤ÃÔʵ¡ÒÅ ¡ÒÃᾷã¹ÍÔ¹à´ÕÂ໚¹¡ÒÃàÂÕÂÇÂÒ´ŒÇÂäÊÂÈÒʵÏ ‹ ÈÒÊ¹Ò º¹ÃÒ¡°Ò¹¤ÇÒÁàª×Í·ÕÇÒâäà¡Ô´¨Ò¡ÀÙµ¼Õ»ÈÒ¨ ·Ò§á¡Œ¨§µŒÍ§ãªŒ¾¸¡ÃÃÁ·Ò§äÊÂÈÒʵÏ Êѧ¤Á è è‹ ‚ Ö ÔÕ ã¹ª‹Ç§¹Ñ¹¹Ñº¶×ÍÈÒʹÒ΁¹´Ù ¡ÒÃẋ§ª¹ªÑ¹·Õà¤Ã‹§¤ÃÑ´·íÒãËŒËÁÍ໚¹¡ÅØÁ¤¹·Õ¶¡¡Å‹ÒÇÌҶ١¡Õ´¡Ñ¹ é é è ‹ è Ù à¾ÃÒÐàª×èÍÇ‹ÒËÁÍ໚¹¼ÙŒ·ÕèỴໄœÍ¹¨Ò¡¡ÒâŒÍ§à¡ÕèÂǡѺ¼ÙŒ¤¹·ÕèäÁ‹ºÃÔÊØ·¸Ôì ᵋ¹Ñ¡¾Ãµ¼ÙŒ¨ÒÃÔ¡áÅÐ ÀÔ¡¢Ò¨Òù͡ÈÒʹÒ΁¹´Ù â´Â੾Òйѡ¾Ãµã¹¾Ø·¸ÈÒʹÒäÁ‹»¯Ôàʸ¡ÒäºËÒÊÁÒ¤Á¡ÑºËÁÍ·Õ໚¹ è ¡ÅØÁ¤¹Ã‹Í¹àËÍÍ¡ÃÑ¡ÉÒ¼Ù¤¹ ¨Ö§à¡Ô´¡ÒÃáÅ¡à»ÅÕ¹¤ÇÒÁÃÙ¡¹ ¨¹¹íÒä»ÊÙ¡ÒûÃÐÁÇÅáÅСÒèѴÃкº ‹ Œ è Œ Ñ ‹ ¢ŒÍÁÙÅ·Ò§´ŒÒ¹¡ÒÃᾷ·Á»ÃÐÊÔ·¸Ô¼Å à¹×ͧ¨Ò¡¤ÇÒÁÃÙÊÍ´ÃѺ¡Ñº¤íÒÊ͹ËÅѡ㹾ط¸ÈÒʹÒàÃ×ͧ·Ò§ Õè Õ è Œ è
  • 362.
    àǪÈÒʵÏ·¹Âؤ 2553 Ñ 335 ÊÒ¡ÅÒ§ â´Â¡íÒ˹´¨Ò¡¤ÇÒÁÊÁ´ØÅ·Ñ§ÀÒÂã¹Ã‹Ò§¡ÒÂàͧáÅÐÃÐËNjҧËҧ¡Ò¡ѺÊÔ§áÇ´ÅŒÍÁ ·íÒãËŒ é è ¡ÒÃàÂÕ Â ÇÂÒ¡ÅÒÂ໚ ¹ Ê‹ Ç ¹Ë¹Öè § ¢Í§¾Ø · ¸ÈÒÊ¹Ò ºÒ§Ê‹ Ç ¹¶Ù ¡ ÃǺÃÇÁÍÂÙ‹ ã ¹ÇÔ ¹Ñ  ÇÑ ´ ÂØ ¤ áá à¡Ô´ÇѲ¹¸ÃÃÁ¡ÒÃᾷẺ¾Ø·¸ÍÒÃÒÁ ¤ÇÒÁÊÑÁ¾Ñ¹¸ã¹ÅѡɳзÕà¡×ٚ͡ѹÃÐËNjҧ¾Ø·¸ÈÒÊ¹Ò è é ¡Ñº¡ÒÃᾷªÇÂÊ‹§àÊÃÔÁ¡ÒâÂÒµÑǢͧ¾Ø·¸ÈÒʹÒã¹ÍÔ¹à´Õ ¹íÒä»ÊÙ¡ÒÃÊ͹¡ÒÃᾷÍ‹ҧá¾Ã‹ ‹ ‹ ËÅÒÂã¹¡ÅØÁÇÑ´µ‹Ò§æ ã¹ÍÔ¹à´Õ ¨Ö§ÍÒ¨¡Å‹ÒÇä´ŒÇҾط¸ÈÒʹÒÁÕº·ºÒ·ÊíҤѭ㹡ÒÃʶһ¹ÒʶҺѹ ‹ ‹ ¡ÒÃᾷáÅШѴÃкº¤ÇÒÁÃÙ·Ò§¡ÒÃᾷ¢Í§ÍÔ¹à´Õ «Ö§à»š¹µŒ¹áººã¹¡ÒâÂÒ¢ͺࢵ¡ÒôÙáÅ Œ è ÃÑ¡ÉÒ·Ò§¡ÒÃᾷ¢Í§ËÁ;ÃÐä»ÊÙ»ÃЪҪ¹ àÁ×ÍÈÒʹҾط¸à¼ÂἋࢌÒä»ã¹»ÃÐà·È·Ò§àÍàªÕÂ㵌 ‹ è áÅÐàÍàªÕµÐÇѹÍÍ¡à©Õ§㵌 ¤¹ã¹»ÃÐà·È¹Ñ¹¡çú¡ÒÃᾷẺ¾Ø·¸ÍÒÃÒÁä»´ŒÇÂ(3) µÑÇÍ‹ҧËÅÑ¡ é Ñ °Ò¹·Õ¾ºã¹ ÍâäÂÈÒÅ «Ö§¾º¡ÃШÒ·ÑǺÃÔàdzÃÒªÍҳҨѡâÍÁà´ÔÁ (ʋǹ˹֧¾ºã¹¾×¹·ÕÀÒ¤ è è è è é è µÐÇѹÍÍ¡à©Õ§à˹×ͧ͢»ÃÐà·Èä·Â) áÅСÒ÷Õ辺NjҾÃÐʧ¦ã¹»ÃÐà·È·Õè¹Ñº¶×ÍÈÒʹҾط¸ ã¹á¶ºâÅ¡¹ÕãËŒ¡ÒÃÃÑ¡ÉÒ¼Ù»ÇÂâ䵋ҧæ ÍÕ¡·Ñ§ÇÑ´ËÅÒÂáË‹§ÁÑ¡ÁÕʶҹ¾ÂÒºÒÅÍÂÙ㹺ÃÔàdzÇÑ´´ŒÇÂ(4) é Œ † é ‹ á¹Ç¤Ô´ËÅѡ㹡ÒÃᾷἹä·Â ¡ÒÃÊ׺·Í´¤ÇÒÁÃÙ·Ò§¡ÒÃᾷἹä·ÂÃٻẺ·ÕÊҤѭ ¤×Í¡Òúѹ·Ö¡Í§¤¤ÇÒÁÃÙ໚¹¤ÑÁÀÕÏ Œ èí Œ ËÃ×͵íÒÃÒáÅФѴÅÍ¡µ‹Íæ¡Ñ¹ÁÒ ÃÇÁ·Ñ§¡ÒèÒÃÖ¡ã¹á¼‹¹ÈÔÅÒ»ÃдѺäÇŒµÒÁ¼¹Ñ§âºÊ¶áÅÐÈÒÅÒÃÒ é ÇÑ´¾ÃÐવؾ¹ÇÔÁÅÁѧ¤ÅÒÃÒÁÃÒªÇÃÁËÒÇÔËÒà áÅÐÇÑ´ÃÒªâÍÃÊÒÃÒÁÃÒªÇÃÇÔËÒà ÊíÒËÃѺ¤ÑÁÀÕÃËÃ×Í  µíÒÃÒ·Õ໚¹ËÅÑ¡ÊíҤѭ㹡ÒÃÈÖ¡ÉÒÇÔªÒᾷἹä·Â¹Ñ¹ÁÕËÅÒÂàÅ‹Á ÁÕªÍàÃÕ¡µ‹Ò§æ ¡Ñ¹ ઋ¹ ¤ÑÁÀÕÏ è é ×è âä¹Ô·Ò¹ ¤ÑÁÀÕϸҵØÇÔÀѧ¤ ¤ÑÁÀÕϸҵØÇÔÇó ¤ÑÁÀÕÏÊÁد°Ò¹ÇÔ¹Ô¨©Ñ ¤ÑÁÀÕÏ»ÃжÁ¨Ô¹´Ò ¤ÑÁÀÕÏ ÁËÒ⪵Ãѵ ໚¹µŒ¹ ¤ÑÁÀÕÏᵋÅÐàÅ‹ÁÁÑ¡¡Å‹ÒǶ֧ͧ¤¤ÇÒÁÃÙŒ¡ÅØ‹Áã´¡ÅØ‹Á˹Öè§ àª‹¹ ¤ÑÁÀÕÏâä¹Ô·Ò¹ ¨Ð¡Å‹ÒǶ֧Ëҧ¡ÒÂÁ¹ØÉÇÒ»ÃСͺ¢Ö¹´ŒÇÂ¸ÒµØ áÅФÇÒÁ¼Ô´»¡µÔ·à¡Ô´¢Ö¹àÁ×͸ҵش§¡Å‹ÒÇ¡íÒàÃÔº ‹ é Õè é è Ñ Ë‹͹ ËÃ×;ԡÒà ¤ÑÁÀÕÃÁËÒ⪵Ãѵ¨Ð¡Å‹ÒǶ֧âäâÅËÔµÃд٢ͧʵÃÕ à»š¹µŒ¹  (2) àÁ×Í»ÃÐÁÇÅͧ¤¤ÇÒÁÃÙ·»ÃÒ¡¯ã¹¤ÑÁÀÕÃµÒ§æ ¾ºÇ‹Ò¤Ãͺ¤ÅØÁàÃ×ͧÊíÒ¤Ñ­æ µÑ§áµ‹¡ÒáíÒà¹Ô´ è Œ Õè  ‹ è é ¢Í§âÅ¡áÅЪÕÇÔµÁ¹ØÉ ͧ¤»ÃСͺ¢Í§Ã‹Ò§¡ÒÂÁ¹ØÉ ¤ÇÒÁà¨çº»†Ç·Õèà¡Ô´¢Öé¹àÁ×èÍͧ¤»ÃСͺ àËŋҹÑé¹·íÒ˹ŒÒ·Õè¼Ô´ä» ¤ÇÒÁᵡµ‹Ò§ÃÐËNjҧªÒÂáÅÐË­Ô§ ¡ÒäÅÍ´ ¡ÒôÙáÅÁÒôÒáÅзÒá ËÅѧ¤ÅÍ´ ¡ÒôÙáÅà´ç¡àÅç¡ âä¡ÅØ‹Áµ‹Ò§æ áÅÐÇÔ¸Õ¡ÒÃÃÑ¡ÉÒ·Ñé§ÂÒ¨Ò¡ÊÁعä¾ÃáÅСÒÃÃÑ¡ÉÒ´ŒÇ Ëѵ¶¡Òà ઋ¹ ¡ÒùǴ ÃÇÁ¶Ö§¾Ô¸¡ÃÃÁµ‹Ò§æ Õ ¨Ò¡¡ÒÃÈÖ¡ÉÒáÅÐÇÔà¤ÃÒÐˏͧ¤¤ÇÒÁÃÙ·Ò§¡ÒÃᾷἹä·Â㹤ÑÁÀÕÃµÒ§æ »ÃÐÁÇÅä´ŒÇÒ Œ  ‹ ‹ ÁÕá¹Ç¤Ô´ËÅÑ¡·ÕÊҤѭÍ‹ҧ¹ŒÍ 5 àÃ×ͧ¤×Í èí è ¸ÒµØ : ¤ÇÒÁÊÑÁ¾Ñ¹¸¢Í§Á¹ØÉ¡ºÊÔ§áÇ´ÅŒÍÁ âÅ¡ áÅШѡÃÇÒÅ Ñ è ¤ÇÒÁ໚¹Á¹ØÉ·ÊÁºÙó Õè ÊÁد°Ò¹¡ÒÃà¡Ô´âä ¡ÒÃÃÑ¡ÉÒáÅÐÂÒÃÑ¡ÉÒâä ¤Ø³ÊÁºÑµ·´¢Í§á¾·Â¼Ã¡ÉÒ Ô Õè Õ ÙŒ Ñ
  • 363.
    336 ËÅÑ¡¡ÒÃÊíҤѭ¢Í§¡ÒÃᾷἹä·Â á¹Ç¤Ô´àÃ×èͧ¸ÒµØ : ¤ÇÒÁÊÑÁ¾Ñ¹¸¢Í§Á¹ØÉ¡ÑºÊÔè§áÇ´ÅŒÍÁ âÅ¡ áÅÐ ¨Ñ¡ÃÇÒÅ ¡ÒÃᾷἹä·ÂÁÕÁÁÁͧµ‹ÍÊÃþÊÔ§Ç‹ÒÁÕ¤ÇÒÁàª×ÍÁâ§ÊÑÁ¾Ñ¹¸¡¹ Í‹ҧ໚¹à˵Øà»š¹¼Å Ø è è Ñ áÅÐ໚¹Í§¤ÃÇÁ á¹Ç¤Ô´àÃ×ͧ¸ÒµØà»š¹¾×¹°Ò¹ÊíҤѭ㹡ÒÃÈÖ¡ÉÒ¡ÒÃᾷἹä·Â Á¹ØÉ¨ÐÁÕ¤ÇÒÁ è é ÊØ¢ÊºÒÂä´Œ¶ÒÁÕ¤ÇÒÁÃÙ¤ÇÒÁࢌÒã¨àÃ×ͧ¸ÒµØáÅÐÁÕ¤ÇÒÁÊÑÁ¾Ñ¹¸·¶¡µŒÍ§¡ÑºÊÔ§µ‹Ò§æ·ÕÍÂÙÃͺµÑÇ Œ Œ è Õè Ù è è ‹ ¡ÒÃᾷἹä·Âàª×ÍÇ‹ÒËҧ¡ÒÂÁ¹ØÉ»ÃСͺ¢Ö¹¨Ò¡¸ÒµØ·Ñé§ 4 ËÃ×Í ÁËÒÀÙµÃÙ» 4 ¤×Í è é ¸ÒµØ´Ô¹ ¸ÒµØ¹éíÒ ¸ÒµØÅÁ áÅÐ ¸ÒµØä¿ ¤ÑÁÀÕÃÇÊ·¸ÔÁÃä¡Å‹ÒÇÇ‹Ò (5) ÔØ “ÍѹÊÃÕáÒÂáË‹§àÃÒ·‹Ò¹·Ñ§ËÅÒ ¨Ð»ÃÒ¡¯Ç‹Ò¹ŒÍÂÇ‹ÒãË­‹ NjҵèÒNjҡÃдŒÒ§ Ç‹ÒÁѹNjҷ¹¹Ñ¹ é í è é ÍÒÈÑÂá¡‹»°ÇÕ¸ÒµØ ·Õ¨Ð໚¹¹éÒ໚¹àÂ×Í»Åѧà¤Ã‹§¤ÃÑ´ªØÁÁѹ¹Ñ¹ÍÒÈÑÂá¡‹ÍÒâ»¸ÒµØ ÍÒ⻸ҵع¹µÑ§ÍÂÙã¹ è í è è ‹ é Ñé é ‹ »°ÇÕ¸ÒµØ ä´Œ»°ÇÕ¸ÒµØà»š¹·Õµ§ ä´Œàµâª¸ÒµØà»š¹¼ÙÍÀÔºÒÅÃÑ¡ÉÒ ä´ŒÇÒâ¸ҵØà»š¹¼ÙÍ»¶ÑÁÀ ¨Ö§µÑ§ÍÂÙä´Œ è Ñé Œ ŒØ é ‹ ໚¹Íѹ´Õ ÁÔä´ŒÃÇÁÔä´ŒäËÅÍÍ¡ ¡ÃзíÒÊÃÕáÒ»ÃÐà·È¹Ñ¹ ãËŒÍÁÍÂÙàµçÁ໚¹Íѹ´ÕÁä´Œº¡ÁÔä´Œ¾Ã‹Í§” Ñè é Ôè ‹ Ô ¸ÒµØ´Ô¹ ËÃ×Í »°ÇÕ¸ÒµØ ä´Œá¡‹ ÍÇÑÂÇТͧËҧ¡Ò »ÃСͺ´ŒÇ ¼Á ¢¹ àÅçº ¿˜¹ ¼ÔÇ˹ѧ ÊÁͧ ¡ÅŒÒÁà¹×Í àÍç¹ ¡Ãд١ 䢡Ãд١ ËÑÇ㨠ÁŒÒÁ µÑº ¾Ñ§¼×´ äµ »Í´ ÅíÒäÊŒ ÍÒËÒ÷Õà¾Ô§ é è è ‹ÍÂãËÁ‹æ ÍÒËÒ÷մ´«ÖÁáÅŒÇ ÃÇÁ·Ñ§¢Í§àÊÕ è Ù é ¸ÒµØ¹éíÒ ËÃ×Í ÍÒâ»¸ÒµØ ä´Œá¡‹ ¢Í§àËÅǵ‹Ò§æ áÅÐÊÒá֧¢Í§á¢ç§ã¹Ã‹Ò§¡Ò »ÃСͺ è ´ŒÇÂàÅ×Í´ ´Õ àÊÁËР˹ͧ à˧×Í Áѹ ä¢Áѹ ¹éÒµÒ ¹éÒÅÒ ¹éÒ㹨ÁÙ¡ »˜ÊÊÒÇÐáÅйéÒ䢢ŒÍ è í í í í ¸ÒµØÅÁ ËÃ×Í ÇÒâÂ¸ÒµØ ä´Œá¡‹ ¾Åѧ§Ò¹·Õ¤Çº¤ØÁ¡ÒÃà¤Å×͹äËǢͧËҧ¡Ò »ÃСͺ´ŒÇ è è ÅÁ¾Ñ´àº×ͧº¹ ÅÁ¾Ñ´àº×ͧŋҧ ÅÁã¹·ŒÍ§ ÅÁã¹ÅíÒäÊŒ ÅÁ¾Ñ´·ÑÇËҧ¡Ò áÅÐÅÁËÒÂ㨠é é è ¸ÒµØä¿ ËÃ×Í àµâª¸ÒµØ 䴌ᡋ ¾Åѧ¤ÇÒÁÌ͹áË‹§ªÕǵ·Õ·ÒãËŒÃÒ§¡ÒÂÍºÍØ¹ ¤ÇÒÁÌ͹ Ô è í ‹ ‹ áÅСÒÃà¼ÒäËÁŒ »ÃСͺ´ŒÇÂä¿ÍعËҧ¡Ò 俷շÒãËŒà¡Ô´¤ÇÒÁÇÔµ¡ ä¿·Õ·Òãˌᡋ áÅÐ ‹ è í è í ä¿Â‹ÍÂÍÒËÒà Á¹ØÉᵋÅФ¹¨ÐÁÕʋǹ»ÃСͺ¢Í§¸ÒµØ·Ñé§ 4 àËÁ×͹¡Ñ¹ ᵋÁÕÊѴʋǹ¢Í§¸ÒµØäÁ‹à·‹Ò¡Ñ¹ ÁÕ¸ÒµØã´¸ÒµØË¹Ö§à»š¹ãË­‹ àÃÕ¡NjҸҵØà¨ŒÒàÃ×͹ ᵋ¸ÒµØà¨ŒÒàÃ×͹«Ö§ÁÕÁҵѧᵋà¡Ô´ÁÕ¡ÒÃà»ÅÕ¹á»Å§ è è é è ä´ŒµÒÁÍÔ·¸Ô¾Å¢Í§»˜¨¨Ñµ‹Ò§æ ઋ¹ ÍÒÂØ Ä´Ù¡ÒÅ ¡ÒÅàÇÅÒ ¶Ô¹·ÕÍÂÙ‹ áÅоĵԡÃÃÁ¢Í§¤¹æ ¹Ñ¹ è è é â´Â»¡µÔÃÒ§¡Ò¨оÂÒÂÒÁ»ÃѺãËŒ¸ÒµØµÒ§æÍÂÙã¹ÀÒÇÐÊÁ´ØÅ ¶ŒÒ»ÃѺãËŒà¡Ô´ÀÒÇÐÊÁ´ØÅäÁ‹ä´ŒàÁ×Íã´ ‹ ‹ ‹ è ¡ç¨Ðà¡Ô´âäËÃ×ͤÇÒÁà¨çº»†Ç¢ֹ é ÊÔ§·ÕÍÂÙÃͺµÑÇÁ¹ØÉ¡»ÃСͺ¢Ö¹¨Ò¡¸ÒµØ·§ 4 ઋ¹¡Ñ¹ àÁ×ÍÁͧÊÔ§·ÕÍÂÙáÇ´ÅŒÍÁÃͺµÑÇ¡ç¨Ð è è ‹ ç é Ñé è è è ‹ àË繸ҵصҧæ ઋ¹ 俨ҡ¡Í§¿„¹ ÅÁ·Õ¾´¼‹Ò¹ ¹éÒ·ÕÍÂÙ㹤Åͧ ºÖ§ áÅдԹ·ÕÍÂÙ㹼׹Ἃ¹´Ô¹ ÀÙà¢Ò ‹ è Ñ í è ‹ è ‹ ÅѡɳÐÀÙÁ»ÃÐà·È«Ö§à»š¹¶Ô¹·ÕÍÂ٢ͧÁ¹ØÉ¡Á¤ÇÒÁµ‹Ò§¡Ñ¹ à¹×ͧ¨Ò¡àª×ÍNjһÃСͺ¢Ö¹¨Ò¡ÊѴʋǹ Ô è è è ‹ ç Õ è è é ¢Í§¸ÒµØáµ¡µ‹Ò§¡Ñ¹ ໚¹·Õµ§áË‹§ÊÁد°Ò¹¢Í§â䵋ҧ¡Ñ¹ ઋ¹ ÀÙÁ»ÃÐà·È·Õ໚¹ÀÙà¢ÒÊÙ§ ¨Ñ´à»š¹ è Ñé Ô è »ÃÐà·ÈÌ͹ ໚¹·Õµ§áË‹§ÊÁد°Ò¹¸ÒµØä¿ ÀÙÁ»ÃÐà·È·ÕáËŒ§áÅŒ§à»š¹¡ÃÇ´·ÃÒ ¨Ñ´à»š¹»ÃÐà·ÈÍºÍØ¹ è Ñé Ô è ‹ ໚¹·ÕèµÑé§áË‹§ÊÁد°Ò¹¸ÒµØ¹éíÒ ÀÙÁÔ»ÃÐà·È·Õè໚¹ÅØ‹Á¹éíÒ ¨Ñ´à»š¹»ÃÐà·ÈàÂç¹ à»š¹·ÕèµÑé§áË‹§ÊÁد°Ò¹ ¸ÒµØÅÁ ÀÙÁ»ÃÐà·È·Õµ´·ÐàÅ ¨Ñ´à»š¹»ÃÐà·È˹ÒÇ à»š¹·Õµ§áË‹§ÊÁد°Ò¹¸ÒµØ´¹(6) Ô è Ô è Ñé Ô
  • 364.
    àǪÈÒʵÏ·¹Âؤ 2553 Ñ 337 ¹Í¡¨Ò¡¹ÕÄ´Ù¡ÒÅ·Õᵡµ‹Ò§¡Ñ¹ ¡çÁÊÁد°Ò¹¢Í§¸ÒµØáµ¡µ‹Ò§¡Ñ¹ ઋ¹ Ä´ÙÃ͹ ໚¹ÊÁد°Ò¹ é è Õ Œ ¸ÒµØä¿ Ä´Ù½¹ ໚¹ÊÁد°Ò¹¸ÒµØÅÁ ʋǹĴÙ˹ÒÇ à»š¹ÊÁد°Ò¹¸ÒµØ¹Ò éí (2) áÅÐàÁ×ÍÁͧä¡ÅÍÍ¡ä»ã¹ÃкºÊØÃÂШѡÃÇÒÅ ´Ç§´Òǵ‹Ò§æ ¡çÁͧ¤»ÃСͺ¢Í§¸ÒµØàª‹¹¡Ñ¹ è Ô Õ áµ‹àª×͡ѹNjÒÁÕÊǹ»ÃСͺ¢Í§¸ÒµØµÒ§æ äÁ‹à·‹Ò¡Ñ¹ ´Ñ§¤íÒ͸ԺÒÂàÃ×ͧ¸ÒµØ»ÃШíҴǧ´ÒÇ·ÕÁÍÂÙ㹤ÑÁÀÕÏ è ‹ ‹ è è Õ ‹ ©Ñ¹·ÈÒʵÏ áÅФíÒ͸ԺÒÂàÃ×ͧ¸ÒµØ»ÃШíÒËÁÙ´ÒÇ·ÕÁÍÂÙ㹤ÑÁÀÕÃÊÁد°Ò¹ÇÔ¹¨©ÑÂÇ‹Ò è ‹ è Õ ‹  Ô (2) ¸ÒµØ»ÃШíҴǧ´ÒÇ ´Ç§¨Ñ¹·ÃáÅдÒǾÄËÑʺ´Õ໚¹¸ÒµØ´¹ ´ÒǾظáÅÐÈØ¡Ãà»š¹¸ÒµØ¹Ò Ô éí ´ÒÇÍѧ¤ÒÃ໚¹¸ÒµØÅÁ ´Ç§ÍҷԵáÅдÒÇàÊÒÏ໚¹¸ÒµØä¿ ´ÒÇàËŋҹն¡¡íÒ˹´ãˌ໚¹ é Ù ª×ͧ͢Çѹ㹠1 ÊÑ»´Òˏ «Ö§ÁÕ 7 Çѹ è è ¸ÒµØ»ÃШíÒËÁÙ‹´ÒÇ ËÁÙ´ÒÇÃÒÈÕàÁÉ Êԧˏ ¸¹Ù ໚¹¸ÒµØä¿ ËÁÙ´ÒÇÃÒÈÕ¾ÄÉÀ ¡Ñ¹Â Áѧ¡Ã ‹ ‹ ໚¹¸ÒµØ´¹ ËÁÙ´ÒÇÃÒÈÕàÁ¶Ø¹ µØÅ ¡ØÁÀ ໚¹¸ÒµØÅÁ ËÁÙ´ÒÇÃÒÈաá® ¾Ô¨¡ ÁÕ¹ ໚¹¸ÒµØ Ô ‹ ‹ Ô ¹éÒ ËÁÙ´ÒÇàËŋҹն¡¡íÒ˹´ãˌ໚¹ª×ͧ͢à´×͹ËÃ×ÍÃÒÈÕã¹ 1 »‚ «Ö§ÁÕ 12 à´×͹ËÃ×Í í ‹ é Ù è è 12 ÃÒÈÕ â´Â¶×ͤµÔ·ÇÒàÁ×ÍâÅ¡ËÁعÃͺ´Ç§ÍҷԵࢌÒã¡ÅŒËÁÙ´ÒÇã´¡çãËŒàÃÕ¡àª×ÍËÁÙ´ÒÇ Õè ‹ è ‹ è ‹ ¹Ñ¹à»š¹ª×ͧ͢à´×͹ é è ¤ÇÒÁࢌÒã¨àÃ×ͧ¸ÒµØ¹¨Ð໚¹¾×¹°Ò¹·Õ¨Ð¹íÒä»ÊÙ¤ÇÒÁÃÙàÃ×ͧ ÊÁد°Ò¹ ËÃ×ÍàËµØµÒ§æ ·Õ·ÒãËŒ è Õé é è ‹ Œ è ‹ è í à¡Ô´âä «Ö§¨Ð¡Å‹ÒǶ֧ã¹á¹Ç¤Ô´àÃ×ͧÊÁد°Ò¹¡ÒÃà¡Ô´âä è è á¹Ç¤Ô´àÃ×èͧ¤ÇÒÁ໚¹Á¹ØÉ·ÕèÊÁºÙó ¾Ø·¸ÈÒʹÒÊ͹NjÒÊÔ§Áժǵ·ÕàÃÕ¡NjÒÁ¹ØÉ»ÃСͺ´ŒÇ 2 ʋǹ¤×Í ÃÙ»¸ÃÃÁ áÅÐ ¹ÒÁ¸ÃÃÁ è ÕÔ è ÃÙ»¸ÃÃÁ¤×͸ÃÃÁªÒµÔ·ÁûËҧ ã¹·Õ¹ËÁÒ¶֧ ¡Ò ¤×Í ÃÙ» ËÃ×ÍÍÇÑÂÇе‹Ò§æ·Õ໚¹Ê‹Ç¹»ÃСͺ¢Í§ Õè Õ Ù è Õé è Ëҧ¡Ò·ÕÁͧàËç¹ä´Œ ¹ÒÁ¸ÃÃÁ¤×͸ÃÃÁªÒµÔ·äÁ‹ÁûËҧᵋÃä´ŒÇÒÁÕÍÂÙ‹ ã¹·Õ¹ËÁÒ¶֧ ¨Ôµ ໚¹Ê‹Ç¹ è Õè Õ Ù ÙŒ ‹ è Õé ·Õ·Ò˹ŒÒ·ÕúÃÙŒ ·íÒ§Ò¹¤Çº¤Ù¡º¡ÒÂÍ‹ҧ໚¹Ë¹Ö§à´ÕÂÇ àª×ÍNjҨԵ໚¹¹Ò ¡ÒÂ໚¹º‹ÒÇ ¤×ͨԵ·íÒ˹ŒÒ·Õè è í èÑ ‹ Ñ è è ¤Çº¤ØÁ¡Ò ¨ÔµÁÕšɳÐÍÒ¡Òà 4 Í‹ҧ ¤×Í àÇ·¹Ò ÊÑ­­Ò Êѧ¢Òà áÅÐÇÔ­­Ò³ àÁ×ÍÃÇÁ¡ÑºÃÙ» Ñ è àÃÕ¡NjҢѹ¸·§ 5 ¡ÒÃᾷἹä·Â¡ç¡Å‹ÒǶ֧¢Ñ¹¸ 5 ´ŒÇ ´Ñ§µÑÇÍ‹ҧµÍ¹Ë¹Ö§¢Í§¤ÑÁÀÕûÃжÁ¨Ô¹´Ò Ñé è  ·ÕºÃÃÂÒ¾Ѳ¹Ò¡ÒâͧµÑÇ͋͹㹤ÃÃÀÁÒôÒÇ‹Ò è “àÁ×ͤÃÃÀä´Œ 5 à´×͹¨Ö§ÁÕ¨µáÅອ¨¢Ñ¹¸¾ÃŒÍÁ ÃÙ»¡Ú¢¹Ú⸠àÁ×͵ѧ໚¹ÃÙ»¤¹à¢ŒÒáÅŒÇ ÇÔ­­Ò³ è Ô è é þ ¡Ú¢¹Ú⸠¡çãËŒÁÇ­­Ò³ÃÙ¨¡Ç‹ÒÌ͹NjÒàÂç¹ ¶ŒÒáÅÁÒôҺÃÔâÀ¤ÍÒËÒÃÊÔ§Íѹà¼ç´ÃŒÍ¹à¢ŒÒä»àÁ×Íã´ ¡çãËŒ ÕÔ ŒÑ è è Ì͹·ØÃ¹·ØÃÒ´ԹàÊ×Í¡ä»ÁÒ àÇ·¹Ò¡Ú¢¹Ú⸠àÇ·¹Ò¢Ñ¹¸¡º§à¡Ô´¢Ö¹µÒÁ¡Ñ¹ ¤×Í·ÕÍÂÙã¹·ŒÍ§¢Í§ÁÒÃ´Ò é ç Ñ é è ‹ ¹Ñé¹ÅíÒºÒ¡·¹·Ø¡¢àÇ·¹Ò´Ø¨ÊѵǏ㹹á ¤×͹Ñè§Âͧ¡Í´à¢‹ÒàÍÒ¡íÒÁ×Íãʋ㵌¤Ò§ ¼Ô¹Ë¹ŒÒࢌÒÊÙ‹¡Ãд١ ÊѹËÅѧ¢Í§ÁÒÃ´Ò ¼Ô¹ËÅѧÍÍ¡¢ŒÒ§¹ÒÀÕ ¡çÁÍ»ÁҴѧÅÙ¡ÇÒ¹ÃÍѹ¹Ñ§ÍÂÙã¹â¾Ã§äÁŒ¹¹ ¹Ñ§·Ñº¡ÃÐà¾ÒÐ ÕØ è ‹ Ñé è ÍÒËÒÃà¡‹Ò ÍѹÍÒËÒÃãËÁ‹µÑé§ÍÂÙ‹º¹ÈÕÃÉÐ áŹéíÒÍÒËÒùÑ鹡çà¡ÃÍЫҺŧ价ҧ¡ÃÐËÁ‹ÍÁ à¾ÃÒÐÇ‹Ò ·ÒáÍÂÙ㹤ÃÃÀ¹¹¡ÃÐËÁ‹ÍÁແ´ ¤ÃѹÁÒôҺÃÔâÀ¤ÊÔ§Íѹ㴷դÇÃࢌÒä»ä´ŒáÅŒÇ ¡ç«Á«Òº ÍÍ¡¨Ò¡ ‹ Ñé é è è Ö ¡ÃÐà¾ÒТŒÒÇ¡çàÅ×è͹ŧä»ã¹¡ÃÐËÁ‹ÍÁ ¡çä´ŒÃѺ»ÃзҹÍÒËÒâͧÁÒÃ´Ò ¡çªØ‹Áª×蹪١íÒÅѧ໚¹»¡µÔ ¶ŒÒÁÒôÒÁÔä´ŒºÃÔâÀ¤ÍÒËÒÃáÅÃÊÍÒËÒÃÁÔä´Œ«ÒºÅ§ä» ·Òá¹Ñ鹡çÁÔä´ŒÃѺÃÊÍÒËÒà ¨Ö§·ØÃ¹·ØÃÒ ¡ÃÐǹ¡ÃÐÇÒÂÃÐÊèíÒÃÐÊÒ´Ôé¹Ã¹µ‹Ò§æ”(2)
  • 365.
    338 ËÅÑ¡¡ÒÃÊíҤѭ¢Í§¡ÒÃᾷἹä·Â Á¹ØÉ¨ÐÁժǵ·ÕÊÁºÙó µŒÍ§ÁÕ¢¹¸·§ 5 ¤Ãº¶ŒÇ¹ºÃԺó Ëҡʋǹã´Ê‹Ç¹Ë¹Ö§¼Ô´»¡µÔä» ÕÔ è Ñ Ñé Ù è ¡ç·Òãˌ໚¹¤¹¾Ô¡ÒÃËÃ×ÍäÁ‹ÊÁºÙó ઋ¹ ¤¹·ÕÊ­àÊÕ¤ÇÒÁ¨íÒ àÃÕÂ¡Ç‹Ò ¤¹ÊÑ­­ÒÇÔ»ÅÒÊ à»š¹µŒ¹ í èÙ á¹Ç¤Ô´àÃ×èͧÊÁد°Ò¹¡ÒÃà¡Ô´âä ¨Ò¡á¹Ç¤Ô´àÃ×ͧ¸ÒµØ ¤ÇÒÁÊÑÁ¾Ñ¹¸¢Í§Á¹ØÉ¡ºÊÔ§áÇ´ÅŒÍÁ âÅ¡ áÅШѡÃÇÒÅ ¡ÒÃᾷ è Ñ è á¼¹ä·Âàª×ÍÇ‹Òà˵ØáË‹§âäà¡Ô´¢Ö¹¨Ò¡¤ÇÒÁÊÑÁ¾Ñ¹¸´§¡Å‹ÒÇÁÕ¤ÇÒÁá»Ã»Ãǹ·íÒãËŒ¸ÒµØã¹Ã‹Ò§¡Ò è é Ñ àÊÕÂÊÁ´ØÅ ¨Ö§à¡Ô´âä¢Ö¹ ¤ÑÁÀÕÃËÅÒÂàÅ‹Á¡Å‹ÒǶ֧à˵ØáË‹§âä ઋ¹ ¤ÑÁÀÕÃÊÁد°Ò¹ÇÔ¹¨©Ñ ¤ÑÁÀÕÃ¸ÒµØ é   Ô  ÇÔÀ§¤ ¤ÑÁÀÕøҵØÇÇó áÅФÑÁÀÕÃàǪÈÖ¡ÉÒ Ñ  Ô  (2, 6) ¤ÑÁÀÕøҵØÇÇó¡Å‹ÒÇÇ‹Òà˵ØáË‹§âäÁÕ 8 »ÃСÒà  Ô ¤×Í à˵Øà¡Ô´¨Ò¡ ¸ÒµØ¹éíÒ ¸ÒµØÅÁ ¸ÒµØä¿ ã¹Ã‹Ò§¡Ò¸ҵØã´¸ÒµØË¹Öè§ËÃ×ÍËÅÒ¸ҵØá»Ã»Ãǹ ¶ŒÒá»Ã»Ãǹ¾ÃŒÍÁ¡Ñ¹·Ñ§ 3 ¸ÒµØàÃÕ¡NjÒÊѹ¹ÔºÒµ à˵Øà¡Ô´¨Ò¡à»ÅÕè¹Ĵ١ÒŠઋ¹ ¡ÒÃ໚¹ËÇÑ´ é 㹪‹Ç§»ÅÒÂÄ´Ù½¹µŒ¹Ä´Ù˹ÒÇ à˵Øà¡Ô´¨Ò¡¡Ò÷íÒ§Ò¹ËÑ¡âËÁ ઋ¹ ¡¢Í§Ë¹Ñ¡à¡Ô¹¡íÒÅѧ·íÒãËŒà¡Ô´ ÍÒ¡ÒÃà¨çº»Ç´Ã‹Ò§¡Ò ËÃ×ÍÍÒ¨ÁÕà˵Øà¡Ô´¨Ò¡ÇÔºÒ¡¢Í§¡ÃÃÁ «Öè§¡ç¤×Í¡ÒáÃзíÒ·Õ輋ҹÁÒ àª‹¹ ÇÒ§¢Í§äÁ‹à»š¹ÃÐàºÕº·íÒãËŒÊдشˡŌÁà¡Ô´¡ÒúҴà¨çº ໚¹µŒ¹(2) á¹Ç¤Ô´àÃ×èͧ¡ÒÃÃÑ¡ÉÒâäáÅÐÂÒÊÁعä¾Ã àÁ×èÍᾷÇÔ¹Ô¨©ÑÂâäµÒÁÊÁد°Ò¹¢Í§âäáÅŒÇ ã¹¤ÑÁÀÕϨк͡µíÒÃѺÂÒÊÁعä¾ÃÃٻẺ µ‹Ò§æà¾×Í㪌㹡ÒÃÃÑ¡ÉÒ µÑÇÍ‹ҧÂÒµíÒÃѺ˹֧㹤ÑÁÀÕûÃжÁ¨Ô¹´Ò(2) è è  “ÂÒᡌÃҡᡌÊÐÍÖ¡ ·‹Ò¹ãËŒàÍÒ ¢ŒÒǵ͡ 1 ¢Ñ³±Ê¡Ã 1 à»ÃÕ§¾ÃÐ⤠1 à¡Å×Íà·È 1 ÂÒ¹ÕàÍÒ é àÊÁÍÀÒ¤ º´ÅÐÅÒ¹éÒ¼ÅÂ͵ŒÁ ¡Ô¹ËÒ” í ËÃ×ͤíÒá¹Ð¹íÒãËŒ¼»Ç»¯Ôºµµ¹ãËŒ¶¡µŒÍ§ µÑÇÍ‹ҧ㹤ÑÁÀÕõ¡¡ÐÈÔÅÒ(2) ÙŒ † Ñ Ô Ù  Ñ “.. 䢌¨Ò¾Ç¡¹ÕÂÍÁËŒÒÁÁÔãËŒÇÒ§ÂÒÌ͹à¼ç´ ÂÒà»ÃÕÂÇ Í‹ÒãËŒ»ÃФº¹Ç´ Í‹ÒãËŒ»Å‹Í»ÅÔ§ í é ‹ é Í‹ÒãËŒ¡Í¡àÍÒâÅËÔµÍÍ¡ Í‹ÒãËŒ¶¡¹éÒÁѹ àËŌҡçÍ‹ÒãËŒ¶¡ ¹éÒÌ͹¡çÍ‹ÒãËŒÍҺ͋ÒãËŒ¡¹ ÊŒÁÁÕ¤Çѹ Ù í Ù í Ô ÁÕ¼Ç ¡Ð·Ô ¹éÒÁѹ ËŒÒÁÁÔãËŒ¡¹ ¶ŒÒã¤ÃäÁ‹ÃÙŒ ·íÒ¼Ô´´Ñ§¡Å‹ÒÇÁÒ¹Õé ¡ç¶§ÁóÀÒ¾¤ÇÒÁµÒ´ѧ¹ÕáÅ” Ô í Ô Ö é ÃÇÁ·Ñ§ÍÒ¨ºÍ¡ÇÔ¸¡ÒÃãËŒ·Ò¾Ô¸¡ÃÃÁµÒÁ¤ÇÒÁàª×ÍâºÃÒ³ µÑÇÍ‹ҧ㹤ÑÁÀÕûÃжÁ¨Ô¹´Ò (2) é Õ í Õ è  “¶ŒÒ¨Ðᡌ ãËŒ·ÒµÒÁºØÃÒ³àÊÕ¡‹Í¹ ·‹Ò¹ãËŒ·ÒºÑµÃ ô ÁØÁ àÍÒệ§¤ÅÖ§·ŒÍ§ ´ŒÇÂÁ¹µ¹Õé ÷ ·Õ í í âÍÁÚ ªÔ ªÙ ÀÙ À ÊÇÒË áŌǨ֧àÍÒệ§·Õ¤ÅÖ§¹Ñ¹ÁÒ»˜¹Ãٻ˭ԧ¤¹ ñ ÃÙ»ÀÙà¢ÒÍѹ ñ Ãٻ䡋µÇ ñ ÃÙ»ÁŒÒ è é œ Ñ µÑÇ ñ àÍÒÅÙ¡äÁŒ ÷ ÊÔ§ ´Í¡äÁŒ ÷ ÊÔ§ áÅŒÇàÍÒ¢ŒÒÇÊÒÃâ»Ã¡ÅÒ§ÅÙ¡äÁŒ ºÙªÒ áÅŒÇàÍÒä»Ê‹§·Õ·ÈÍÒ¤à¹Â è è è Ô ·íÒ ó Çѹ ËÒ” ÊíÒËÃѺ¡ÒÃàµÃÕÂÁÂÒãËŒ¡Ñº¼ÙŒ»†Ç¹Ñé¹ á¾·Âá¼¹ä·Âã¹ÊÁÑÂâºÃÒ³¨ÐàµÃÕÂÁÂÒãËŒ¼ÙŒ»†Ç ´ŒÇµ¹àͧ â´Â㪌¤ÇÒÁÃٷ໚¹ËÅÑ¡¡ÒÃÊíҤѭ ¤×Í ËÅÑ¡àÀÊѪ 4 䴌ᡋ (7) Œ Õè 1. àÀÊѪÇѵ¶Ø ËÁÒ¶֧¤ÇÒÁÃÙà¡ÕÂǡѺÊÔ§·Õ¹ÒÁÒ㪌»ÃاÂÒËÃ×Í»ÃСͺ໚¹ÂÒ Ç‹ÒÁÕûÅѡɳРŒ è è è í Ù ÃÊ ¡ÅÔ¹ ÊÕ áÅЪ×ÍÍÐäà ẋ§à»š¹ 3 »ÃÐàÀ· ¤×Í ¾×ªÇѵ¶Ø ËÁÒ¶֧ÊÁعä¾Ã¹Ò¹Òª¹Ô´ ÊѵǏÇѵ¶Ø è è ËÁÒ¶֧ ʋǹµ‹Ò§æ¢Í§ÊѵǏ·¹ÒÁÒ㪌»Ãا໚¹ÂÒ áÅÐ ¸ÒµØÇѵ¶Ø ËÁÒ¶֧ ¸ÒµØ·ÁÍÂÙ㹸ÃÃÁªÒµÔ Õè í Õè Õ ‹ ËÃ×ÍÊÒ÷ÕÁ¹ØÉʧà¤ÃÒÐˏ¢¹ÁÒáÅйíÒÁÒ㪌»ÃاÂÒä´Œ è Ñ Öé
  • 366.
    àǪÈÒʵÏ·¹Âؤ 2553 Ñ 339 2. ÊÃþ¤Ø³àÀÊѪ ËÁÒ¶֧¤ÇÒÁÃÙŒà¡ÕèÂǡѺÊÁعä¾ÃÇ‹ÒÊÁعä¾ÃᵋÅеÑÇÁÕÃÊ໚¹Í‹ҧäà à¾ÃÒÐÃʢͧÂÒ¨ÐáÊ´§¶Ö§ÊÃþ¤Ø³ã¹¡ÒÃÃÑ¡ÉÒâä ¹ÔÂÁẋ§à»š¹ 9 ÃÊ ÃʽҴ ÁÕÊÃþ¤Ø³ÊÁÒ¹ ÃÊËÇÒ¹ ÁÕÊÃþ¤Ø³«ÖÁ«Òºä»µÒÁà¹×Í ÃÊàÁÒàº×èÍ ÁÕÊÃþ¤Ø³á¡Œ¾É ÃÊ¢Á ÁÕÊÃþ¤Ø³á¡Œä¢Œ ª‹Ç é Ô à¨ÃÔ­ÍÒËÒà ÃÊà¼ç´ÃŒÍ¹ ÁÕÊÃþ¤Ø³¢ÑºÅÁ ÃÊÁѹ ÁÕÊÃþ¤Ø³á¡ŒàÊŒ¹àÍç¹ ÃÊËÍÁàÂç¹ ÁÕÊÃþ¤Ø³ ·íÒãËŒª¹ã¨ ÃÊà¤çÁ ÁÕÊÃþ¤Ø³«Òºä»µÒÁ¼ÔÇ˹ѧ ÃÊà»ÃÕéÂÇ ÁÕÊÃþ¤Ø³¡Ñ´àÊÁËÐ ¿Í¡âÅËÔµ ×è ¹Í¡¨Ò¡¹ÕéàÁ×è͹íÒÊÁعä¾ÃËÅÒª¹Ô´ÁÒ»ÃØ§à»š¹ÂÒµíÒÃѺµÒÁµíÒÃÒ¡ÒÃᾷἹä·Â ¨Ð¨Ñ´áº‹§ÂÒµíÒÃѺµÒÁÃʫ֧àÃÕ¡NjÒÃÊ»Ãиҹ ÁÕÍÂÙ´Ç ¡Ñ¹ 3 ÃÊ ¤×Í ÂÒÃÊàÂç¹ ä´Œá¡‹µÒÃѺÂÒ·ÕÁÕ è ‹ Œ í è à¡Êô͡äÁŒ á ÅÐãºäÁŒ ·Õè ä Á‹ ÁÕ Ã ÊÃŒ Í ¹ ËÃ× Í µí Ò ÃÑ º ÂÒ·Õè ÁÕ Ê ÁØ ¹ ä¾Ã·Õè ÊØ Á ËÃ× Í à¼Ò໚ ¹ ¶‹ Ò ¹áÅŒ Ç à»š ¹ ʋǹ»ÃСͺ ઋ¹ ÂÒÁËÒ¹ÔÅá·‹§·Í§ ÂÒÃʹÕÁÊÃþ¤Ø³á¡Œä¢Œ ᡌ·Ò§àµâª¸ÒµØ ÂÒÃÊÌ͹ 䴌ᡋ é Õ µíÒÃѺÂÒ¡ÅØÁ·ÕÁÊÁعä¾ÃÃÊà¼ç´ÃŒÍ¹à»š¹Ê‹Ç¹»ÃСͺ ઋ¹ ¢Ô§ ¢‹Ò ¾ÃÔ¡ä·Â ÂÒÃʹÕÁÊÃþ¤Ø³¢ÑºÅÁ ‹ è Õ é Õ á¡Œ·Ò§ÇÒâÂ¸ÒµØ ÂÒÃÊÊØ¢ØÁ 䴌ᡋ µíÒÃѺÂÒ·ÕÁÃÊäÁ‹Ã͹ËÃ×ÍäÁ‹àÂç¹ ÁÕÊÁعä¾Ã»ÃÐàÀ·â¡° à·Õ¹ è Õ Œ ¡ÄÉ³Ò ¢Í¹´Í¡ ͺàªÂ ໚¹µŒ¹ ໚¹Ê‹Ç¹»ÃСͺ ઋ¹ ÂÒËÍÁµ‹Ò§æ ÁÕÊÃþ¤Ø³á¡ŒÅÁÇÔ§àÇÕ¹ ᡌ·Ò§ÍÒâ»¸ÒµØ 3. ¤³ÒàÀÊѪ ËÁÒ¶֧¤ÇÒÁÃÙ㹡ÒèѴËÁÇ´ËÁÙÊÁعä¾Ãª¹Ô´µ‹Ò§æÁÒÃÇÁ¡Ñ¹à»š¹ª×Íà´ÕÂÇ Œ ‹ è à¾×ÍãËŒ§Òµ‹Í¡Òè´¨íÒáÅСÒÃ»ÃØ§ÂÒ ÊÁعä¾ÃàËŋҹըÐÁÕÊÃþ¤Ø³ä»ã¹·Ò§à´ÕÂǡѹ è ‹ é 4. àÀÊÑ ª ¡ÃÃÁ ËÁÒ妅 § ¤ÇÒÁÃÙŒ ã ¹¡ÃÃÁÇÔ ¸Õ » ÃØ § ÂÒ¨Ò¡ÊÁØ ¹ ä¾Ã ¶Œ Ò ÂÒ»ÃСͺ´Œ Ç Â ÊÁعä¾Ãà¾Õ§ª¹Ô´à´ÕÂÇàÃÕ¡NjÒÂÒà´ÕèÂÇ ¶ŒÒÁÕʋǹ»ÃСͺµÑé§áµ‹ 2 ª¹Ô´¢Öé¹ä»àÃÕÂ¡Ç‹Ò ÂÒµíÒÃѺ ÊÁعä¾Ã·Õ໚¹Ê‹Ç¹»ÃСͺã¹ÂÒµíÒÃѺ˹֧æ ẋ§ä´Œà»š¹ 4 ¡ÅØÁ ¤×Í ÂÒËÅÑ¡ ÁÕÊÃþ¤Ø³ºíҺѴâä è è ‹ â´ÂµÃ§ ÂÒÃͧ ÁÕÊÃþ¤Ø³ª‹ÇºíҺѴÍÒ¡Òâͧâä·Õà¡Ô´á·Ã¡ËÃ×Íà¡Ô´µÒÁÁÒ ÂÒ¤ØÁ/ÂÒ»ÃСͺ è ª‹Ç¤ØÁÄ·¸ÔÂÒÍ×¹ ËÃ×ͪ‹Ç»‡Í§¡Ñ¹âäáÅЪ‹ÇºíÒÃØ§ ÂÒªÙ¡ÅÔè¹ ªÙÃÊáÅÐᵋ§ÊբͧÂÒ ª‹Ç·íÒãËŒÂÒ ì è ÁÕ¡ÅÔ¹ ÃÊ ËÃ×ÍÊÕ¹ÒÃѺ»Ãзҹ è ‹ 㹡ÒÃ»ÃØ§ÂÒ á¾·Âá¼¹ä·ÂµŒÍ§ÁÕ¤ÇÒÁÃÙ͹´ŒÇ ઋ¹µŒÍ§ÃÙÇÒÊÁعä¾Ã·Õ໚¹Ê‹Ç¹»ÃСͺ Œ ×è Œ‹ è ¨Ð㪌ʴËÃ×Í㪌áËŒ§ ¨Ð㪌Êǹ㴢ͧµŒ¹ÊÁعä¾Ã µŒÍ§Å´Ä·¸Ô¡Í¹ËÃ×ÍäÁ‹ ¨ÐªÑ§ µÇ§ ÇÑ´ Í‹ҧäÃãˌ䴌 ‹ ì ‹ è ¢¹Ò´áÅйéíÒ˹ѡµÒÁ·Õ赌ͧ¡Òà ¨Ð㪌¹éíÒ¡ÃÐÊÒÂÂÒ «Öè§ËÁÒ¶֧¢Í§àËÅÇ·Õè㪌㹡ÒÃÅÐÅÒÂËÃ×Í Ê¡Ñ´ÊÒÃÊíҤѭ¨Ò¡µÑÇÂÒÊÁعä¾ÃÍ‹ҧäà ໚¹µŒ¹ ¡ÒÃ»ÃØ§ÂÒµíÒÃѺµÒÁÃٻẺ·Õè¡Å‹ÒÇänj㹵íÒÃÒ¡ÒÃᾷἹä·Â´Ñé§à´ÔÁ·ÕèÂѧ㪌¡Ñ¹ÍÂÙ‹ÁÒ¡ ã¹»˜¨¨Øº¹ 䴌ᡋ ÂÒµŒÁ ÂҴͧ áÅÐÂÒÅÙ¡¡Å͹ »˜¨¨Øº¹¡ÒüÅÔµÂÒ¨Ò¡ÊÁعä¾Ãä´Œ¾²¹ÒÃٻẺ¢Í§ Ñ Ñ Ñ ÂÒãËŒ·¹ÊÁÑÂà¾×Íãˌú»Ãзҹ䴌Êдǡ¢Ö¹ 䴌ᡋ ÂÒ᤻«ÙÅ Âҵ͡àÁç´ ÂÒà¤Å×ͺàÁç´ ÃÇÁ·Ñ§ÁÕ¡ÒÃ Ñ è Ñ é é ¤Çº¤ØÁ¡ÒüÅÔµãˌ໚¹ä»µÒÁËÅѡࡳ±áÅÐÇÔ¸¡Ò÷մ㹡ÒüÅÔµ (Good Manufacturing Practice Õ è Õ ËÃ×Í GMP) ÂÒ¨Ò¡ÊÁعä¾Ã á¹Ç¤Ô´àÃ×èͧ¤Ø³ÊÁºÑµÔ·Õè´Õ¢Í§á¾·Â¼ÙŒÃÑ¡ÉÒ ¨Ò¡ºÑ¹·Ö¡ã¹¤ÑÁÀÕÃµÒ§æ ¨ÐàËç¹Ç‹Ò ¡ÒÃᾷἹä·ÂãËŒ¤ÇÒÁÊíҤѭµ‹Í¡ÒûÅÙ¡½˜§¨ÃÔ¸ÃÃÁ  ‹ ઋ¹ ¤ÇÒÁ¡µÑ­­ý¡µàÇ·ÔµÒ ÃÙ¤³¢Í§¼Ù͹·ÕÁµÍµ¹ ¡Òú٪Ҽٷ¤ÇÃºÙªÒ à¤Òþàª×Í¿˜§¤íÒÊ͹¢Í§ Œ Ø Œ ×è è Õ ‹ Œ Õè è
  • 367.
    340 ËÅÑ¡¡ÒÃÊíҤѭ¢Í§¡ÒÃᾷἹä·Â ¼ÙŒÁÕ¾ÃФس ¢ŒÍ¤ÇûÃоĵԻ¯ÔºÑµÔáÅФÇÃÅÐàÇŒ¹ ÃÇÁ·Ñé§¡Å‹ÒǶ֧â·ÉËÃ×ÍÊһ᪋§änj㹺ҧµÍ¹ ¢Í§¤ÑÁÀÕÏ à¾×èÍãˌᾷà¡Ô´¤ÇÒÁËÇÒ´¡ÅÑÇáÅеÃÐ˹ѡ¶Ö§¤Ø³áÅÐâ·É¢Í§ÇԪҪվᾷ ¨Ðä´Œ »ÃСͺÇÔªÒªÕ¾â´ÂäÁ‹»ÃÐÁÒ· ʋǹá¹Ç·Ò§ã¹¡ÒûÅÙ¡½˜§¨ÃÔ¸ÃÃÁ¹Ñé¹ ÁÑ¡à¢Õ¹¤íÒºÙªÒÊÔè§·Õè¤Çà à¤ÒþºÙªÒ ઋ¹ ¤Ø³¾ÃÐÃѵ¹µÃÑ ¤Ø³ºÔ´ÒÁÒÃ´Ò ¤ÃÙÍÒ¨ÒÏ ã¹Ê‹Ç¹µŒ¹¢Í§¤ÑÁÀÕÏ áÅÐÊÍ´á·Ã¡ ¢ŒÍ¤Çû¯Ôºµã¹Ê‹Ç¹à¹×ÍËҢͧ¤ÑÁÀÕÏ(8) Ñ Ô é ÊÃØ» á¹Ç¤Ô´áÅÐËÅÑ¡¡Òâͧ¡ÒÃᾷἹä·Âã¹àÃ×Í§ÊØ¢ÀҾ໚¹ÊÔ§·Õ¹Òʹã¨ÁÒ¡ â´Â੾ÒÐ è è è ‹ á¹Ç¤Ô´àÃ×èͧ¤ÇÒÁÊÑÁ¾Ñ¹¸ÃÐËÇ‹Ò§ÊØ¢ÀÒ¾¡Ñº¤ÇÒÁÊÁ´ØÅ¢Í§¸ÒµØ·Õè໚¹Í§¤»ÃСͺ¢Í§Ã‹Ò§¡Ò ¤ÇÒÁÊÁ´ØÅ¢Í§Ã‹Ò§¡Ò¡Ѻ¨Ôµã¨ áÅФÇÒÁÊÁ´ØÅ¡ÑºÊÔè§áÇ´ÅŒÍÁ ÃÇÁ·Ñé§á¹Ç¤Ô´àÃ×èͧÊÁد°Ò¹ ¡ÒÃà¡Ô´âä«Öè§Áͧà˵ػ˜¨¨Ñ·Õè·íÒãËŒÊØ¢ÀÒ¾¼Ô´»¡µÔÍ‹ҧ¡ÇŒÒ§¢ÇÒ§áÅÐ໚¹Í§¤ÃÇÁ Ëҡᾷ á¼¹»˜¨¨Øº¹áÅкؤÅÒ¡Ãã¹ÃкºÊØ¢ÀҾࢌÒã¨á¹Ç¤Ô´áÅÐËÅÑ¡¡ÒÃàËŋҹÕáÅÐʹ㨷íÒ¡ÒÃÈÖ¡ÉÒÇÔ¨Â Ñ é Ñ à¾ÔÁàµÔÁ ¹Í¡¨Ò¡¨Ð໚¹¡ÒþѲ¹Òͧ¤¤ÇÒÁÃ٢ͧ¡ÒÃᾷἹä·Â«Ö§à»š¹ÀÙÁ»­­ÒÍѹ·Ã§¤Ø³¤‹Ò è Œ è Ô ˜ ¢Í§ªÒµÔ ãËŒÁËÅÑ¡°Ò¹àªÔ§ÇÔªÒ¡ÒÃ໚¹·Õ¹Òàª×Ͷ×ÍÂÔ§¢Ö¹ Âѧ¨ÐÊÒÁÒö¹íÒÁÒ»ÃÐÂØ¡µãªŒã¹¡ÒôÙáÅ Õ è ‹ è è é ÃÑ¡ÉÒÊØ¢ÀÒ¾¢Í§»ÃЪҪ¹ä´ŒÍ¡´ŒÇÂÕ àÍ¡ÊÒÃ͌ҧÍÔ§ 1. ¤³Ð¡ÃÃÁ¡ÒèѴ·íÒÂØ·¸ÈÒʵÏ¡ÒþѲ¹ÒÀÙÁ»­­Òä· ÊØ¢ÀÒ¾ÇÔ¶ä· ¡ÃÁ¾Ñ²¹Ò¡ÒÃᾷἹä·ÂáÅСÒÃᾷ·Ò§ Ô ˜ Õ àÅ×Í¡ ¡ÃзÃǧÊÒ¸ÒÃ³ÊØ¢. á¼¹ÂØ·¸ÈÒʵÏªÒµÔ ¡ÒþѲ¹ÒÀÙÁ»­­Òä· ÊØ¢ÀÒ¾ÇÔ¶ä· ¾.È.2550-2554. ¡ÃØ§à·¾Ï : Ô ˜ Õ âç¾ÔÁ¾Í§¤¡ÒÃʧà¤ÃÒÐˏ·ËÒü‹Ò¹ÈÖ¡; ¾.È. 2550. 2. ÁÙŹԸ¿¹¿ÙʧàÊÃÔÁ¡ÒÃᾷä·Âà´ÔÁÏ, âçàÃÕ¹ÍÒÂØÃàÇ·¸íÒç ʶҹ¡ÒÃᾷἹä·Â»ÃÐÂØ¡µ ¤³Ðá¾·ÂÈÒʵÏ Ô „œ ‹ ÈÔÃÃÒª¾ÂÒºÒÅ ÁËÒÇÔ·ÂÒÅÑÂÁËÔ´Å. µíÒÃÒ¡ÒÃᾷἹä·Âà´ÔÁ (á¾·ÂÈÒʵÏʧà¤ÃÒÐˏ ©ºÑºÍ¹ØÃ¡É) àÅ‹Á·Õè 1 ©ºÑºªíÒÃÐ Ô Ñ ¾.È. 2550 à¹×èͧã¹ÁËÒÁ§¤ÅÇâáÒÊà©ÅÔÁ¾ÃЪ¹ÁÒÂØ 80 ¾ÃÃÉÒ ¾ÃкҷÊÁà´ç¨¾ÃÐ਌ÒÍÂÙ‹ËÑÇÀÙÁÔ¾ÅÍ´ØÅÂà´ª. ¡Ãا෾Ï: ÈØÀǹԪ¡ÒþÔÁ¾; ¾.È. 2550. 3. Kenneth G Zysk (¸ÕÃà´ª ÍØ·ÂÇÔ·ÂÒÃѵ¹ á»Å) : Asceticism and Healing in Ancient India : Medicine in the Ñ Buddhist Monastery ÅÑ·¸Ô¹¡¾ÃµáÅСÒÃàÂÕÂÇÂÒã¹ÍÔ¹à´ÕÂâºÃÒ³ : Ãкº¡ÒÃᾷ㹾ط¸ÍÒÃÒÁ. ¡Ãا෾Ï: Êíҹѡ Ñ §Ò¹¡Ô¨¡ÒÃâç¾ÔÁ¾Í§¤¡ÒÃʧà¤ÃÒÐˏ·ËÒü‹Ò¹ÈÖ¡ ã¹¾ÃкÃÁÃÒªÙ»¶ÑÁÀ; ¾.È. 2551. 4. »Ãзպ ªØÁ¾Å. »ÃÐÇѵÈÒʵÏ¡ÒÃᾷἹä·Â. ¡Ãا෾Ï: Êíҹѡ¾ÔÁ¾ÁµÔª¹; ¾.È. 2545. Ô 5. ÁËÒǧȏ ªÒ­ºÒÅÕ. ¾ÃÐÇÔÊ·¸ÔÁÃä àÅ‹Áà´ÕÂǨº. ¡Ãا෾Ï: âç¾ÔÁ¾¸ÃÃÁºÃóҤÒà (ÍíÒ¹ÇÂÊÒʏ¹); ¾.È. 2550. Ø 6. ¾ÃÐÂÒ¾ÔȳػÃÐÊÒ·àǪ. àǪÈÖ¡ÉÒ á¾·ÂÈÒʵÏʧࢻ àÅ‹Á ñ. ¡Ãا෾Ï: âç¾ÔÁ¾ä·Â; Ã.È.127. Ñ 7. ÁÙŹԸ¿¹¿ÙʧàÊÃÔÁ¡ÒÃᾷä·Âà´ÔÁÏ, âçàÃÕ¹ÍÒÂØÃàÇ· (ªÕÇ¡â¡ÁÒÃÀѨ¨). µíÒÃÒàÀÊѪ¡ÃÃÁá¼¹ä·Â. ¡Ãا෾Ï: Ô „œ ‹ ¾Ô¦à³È ¾ÃÔ¹·µ§ à«ç¹àµÍÏ; ¾.È. 2548. é Ôé 8. ·Ñ¾¾à·¾ ·Ô¾Âà¨ÃÔ­¸ÑÁ, ·ÇÕ àÅÒ˾ѹ¸, àÍ×;§È ¨µØÃ¸íÒç, ¸Ò¹Õ à·¾ÇÑŏ. ¨ÃÔ¸ÃÃÁ㹡ÒÃᾷἹä·Â. àǪºÑ¹·Ö¡ é ÈÔÃÃÒª. 2553;3(1):15-22. Ô
  • 368.
    àǪÈÒʵÏ·¹Âؤ 2553 Ñ º··Õè 341 50 ¡ÒÃÊ‹§àÊÃÔÁÊØ¢ÀÒ¾´ŒÇ¸ÃÃÁÒ¹ÒÁÑ ÍÒ¨ÒÏÊÔÃÔ¡Ò¹µ ÀÙâ»Ã‹§ ÍÒ¨ÒÏ»ÃÐÁÇÅ ¤íÒá¡ŒÇ ÃͧÈÒʵÃÒ¨ÒÏ ¹ÒÂᾷ·ÇÕ àÅÒ˾ѹ¸ ʶҹ¡ÒÃᾷἹä·Â»ÃÐÂØ¡µ ¤³Ðá¾·ÂÈÒʵÏÈÔÃÔÃÒª¾ÂÒºÒÅ ÁËÒÇÔ·ÂÒÅÑÂÁËÔ´Å »ÃÐà·Èä·Â»ÃСÒÈ㪌¾ÃÐÃÒªºÑ­­ÑµÊ¢ÀÒ¾áË‹§ªÒµÔ àÁ×Í»‚ ¾.È. 2550 «Ö§ÁÒµÃÒ 46 ÃÐºØ ÔØ è è ãËŒ¤³Ð¡ÃÃÁ¡ÒÃÊØ¢ÀÒ¾áË‹§ªÒµÔ ¨Ñ´·íÒ¸ÃÃÁ¹Ù­Ç‹Ò´ŒÇÂÃкºÊØ¢ÀÒ¾áË‹§ªÒµÔà¾×Í㪌໚¹¡ÃͺáÅÐ è á¹Ç·Ò§ã¹¡ÒáíÒ˹´¹âºÒÂ ÂØ·¸ÈÒʵÏ áÅСÒôíÒà¹Ô¹§Ò¹´ŒÒ¹ÊØ¢ÀÒ¾¢Í§»ÃÐà·È(1) ¸ÃÃÁ¹Ù­ NjҴŒÇÂÊØ¢ÀÒ¾áË‹§ªÒµÔ «Ö§»ÃСÒÈ㪌µÍÁÒã¹»‚ ¾.È. 2552 ä´ŒãËŒ¤ÇÒÁËÁÒ¢ͧ¤íÒÇ‹Ò “ÊØ¢ÀÒ¾” áÅÐ è ‹ “¡ÒÃÊÌҧàÊÃÔÁÊØ¢ÀÒ¾” äÇŒ´§¹Õé (2) Ñ ÊØ¢ÀÒ¾ ËÁÒ¤ÇÒÁÇ‹Ò ÀÒÇТͧÁ¹ØÉ·ÊÁºÙ󏷧·Ò§¡Ò ·Ò§¨Ôµ ·Ò§»˜­­Ò áÅзҧ Õè Ñé Êѧ¤Á àª×ÍÁ⧡ѹ໚¹Í§¤ÃÇÁÍ‹ҧÊÁ´ØÅ è ¡ÒÃÊÌҧàÊÃÔÁÊØ¢ÀÒ¾ ËÁÒ¤ÇÒÁÇ‹Ò ¡ÒáÃзíÒ·ÕÁ§Ê‹§àÊÃÔÁáÅÐʹѺʹعãËŒº¤¤ÅÁÕÊ¢ è Ø‹ Ø Ø ÀÒÇзҧ¡Ò ¨Ôµ »˜­­Ò áÅÐÊѧ¤Á â´ÂʹѺʹع¾ÄµÔ¡ÃÃÁºØ¤¤ÅáÅСÒèѴ¡ÒÃÊÔ§áÇ´ÅŒÍÁáÅÐ è ÊÀÒ¾áÇ´ÅŒÍÁ à¾×ÍÊ‹§àÊÃÔÁÊØ¢ÀÒ¾áÅФسÀÒ¾ªÕǵ·Õ´¢Í§ºØ¤¤Å ¤Ãͺ¤ÃÑÇ ªØÁª¹ áÅÐÊѧ¤Á è Ô è Õ ¹Í¡¨Ò¡¹Ñ¹¸ÃÃÁ¹Ù­Ç‹Ò´ŒÇÂÊØ¢ÀÒ¾áË‹§ªÒµÔ ¾.È. 2552 Âѧ䴌¡Ò˹´á¹Ç·Ò§ÊíҤѭ¢Í§¡Òà é í ·íÒãËŒÁÊ¢ÀÒ¾¤×Í “¡ÒÃÊÃŒÒ§ÊØ¢ÀÒ¾ ¹íÒ¡Òë‹ÍÁÊØ¢ÀÒ¾” ·Ñ§¹Õà¾×ÍÁاÊÙ¡ÒÃÅ´¡ÒÃà¨çº»†Ç ¡ÒþԡÒÃ ÕØ é é è ‹ ‹ áÅСÒõÒ·ÕäÁ‹ÊÁ¤Çà áÅСÒÃÅ´¤‹Ò㪌¨Ò´ŒÒ¹ÊØ¢ÀÒ¾(2) è ‹ ã¹âÍ¡ÒÊ·Õ¤³Ðá¾·ÂÈÒʵÏÈÃÃÒª¾ÂÒºÒÅ ¨Ñ´§Ò¹©Åͧ 120 »‚¢Í§¡ÒÃʶһ¹ÒâçàÃÕ¹ è ÔÔ á¾·Â ã¹»‚¾.È. 2553 ʶҹ¡ÒÃᾷἹä·Â»ÃÐÂØ¡µ«§·íÒ˹ŒÒ·Õ¡Ò¡Ñº´ÙáÅâçàÃÕ¹ÍÒÂØÃàÇ·¸íÒç Öè è í ·Õè¨Ñ´¡ÒÃÊ͹ÊÒ¢ÒÇÔªÒ¡ÒÃᾷἹä·Â»ÃÐÂØ¡µ ä´Œ·º·Ç¹á¹Ç¤Ô´¡ÒÃÊÌҧàÊÃÔÁÊØ¢ÀÒ¾ ·ÕèàÃÕÂ¡Ç‹Ò ¸ÃÃÁÒ¹ÒÁÑ ¢Í§ÈÒʵÃÒ¨ÒϹÒÂᾷÍÇ ࡵØÊԧˏ »ÃÁÒ¨ÒÏ·‹Ò¹Ë¹Ö觢ͧ ¤³Ðá¾·ÂÈÒʵÏÈÃÃÒª¾ÂÒºÒÅáÅÐ໚¹¼ÙÇÒ§»ÃѪ­ÒãËÁ‹ã¹¡ÒþѲ¹Ò¡ÒÃᾷἹä·Â «Ö§¹íÒ ÔÔ Œ è àʹÍäÇŒàÁ×Í»‚¾.È. 2530 ¾ºÇ‹Òá¹Ç¤Ô´´Ñ§¡Å‹ÒÇÂѧ·Ñ¹ÊÁÑÂáÁŒàÇÅҨм‹Ò¹ÁÒ¡Ç‹Ò 20 »‚¡µÒÁ áÅÐÂѧ è ç ÊÍ´¤ÅŒÍ§¡Ñºá¹Ç·Ò§·Õ¡Ò˹´änj㹸ÃÃÁ¹Ù­Ç‹Ò´ŒÇÂÊØ¢ÀÒ¾áË‹§ªÒµÔ ¾.È. 2552 ÊÒÁÒö㪌໚¹¡Ãͺ è í ¡ÒôíÒà¹Ô¹¡ÒÃÊ‹§àÊÃÔÁÊØ¢ÀÒ¾·ÕÃÇÁÊÁÑÂáÅмÊÁ¼ÊÒ¹ÀÙÁ»­­Ò¢Í§ä·ÂäÇŒ´Ç ¨Ö§ä´ŒàÃÕºàÃÕ§à¾×Í è‹ Ô ˜ Œ è à¼Âá¾Ã‹ãËŒ¼Ê¹ã¨ä´ŒÈ¡ÉÒã¹âÍ¡ÒʹÕé ÙŒ Ö
  • 369.
    342 ¡ÒÃÊ‹§àÊÃÔÁÊØ¢ÀÒ¾´ŒÇ¸ÃÃÁÒ¹ÒÁÑ ¸ÃÃÁÒ¹ÒÁѤ×ÍÍÐäà ¨Ò¡¡ÒÃÈÖ¡ÉÒº·¤ÇÒÁàÃ×ͧ “á¡‹Í‹ҧʧ‹Ò” ·ÕÈÒʵÃÒ¨ÒϹÒÂᾷÍÇ ࡵØÊ§Ë ä´Œà¢Õ¹ è è Ô äÇŒàÁ×Í»‚ ¾.È. 2522 ÍÒ¨ÒϡŋÒÇÇ‹ÒÊѧ¤ÁâÅ¡¡íÒÅѧÁÕʴʋǹ¢Í§¼ÙʧÍÒÂØÁÒ¡¢Ö¹ áÅÐãËŒ¢Í¤Ô´Ç‹Ò “·Ø¡¤¹ è Ñ ŒÙ é Œ µŒÍ§á¡‹ äÁ‹Áã¤Ã˹վ¹ ¨Ð´Ô¹Ã¹à´×ʹÌ͹Í‹ҧäáçµÍ§á¡‹ ·Ò§·Õ´¤Í ¾ÂÒÂÒÁËÒ»ÃÐ⪹ãËŒÁÒ¡ Õ Œ é Œ è Õ × ·ÕÊ´¨Ò¡¡ÒÃá¡‹ ËÃ×Í·íÒãËŒ¡ÒÃá¡‹Áâ·Éµ‹ÍµÑÇàͧ¹ŒÍ·ÕÊ´” ÃÇÁ·Ñ§ä´Œà¼Âá¾Ã‹á¹Ç¤Ô´Ç‹Ò¶ŒÒÁÕ¡Òû¯ÔºµÔ èØ Õ èØ é Ñ ·Õ¶¡µŒÍ§ ¤¹á¡‹¡ÍÒ¨¨ÐÁÕÍÒÂØÂ¹ÁÒ¡¢Ö¹ ÁÕÊÁÃöÀÒ¾àÊ×ÍÁªŒÒŧ ÁÕàÇÅÒ·íÒ»ÃÐ⪹ãˌʧ¤ÁÂÒǹҹ è Ù ç × é è Ñ ¢Öé¹ ÈÒʵÃÒ¨ÒϹÒÂᾷÍÇ ࡵØÊԧˏ ໚¹¼ÙŒ·ÕèÁÕ¤ÇÒÁÃÙŒ·Ò§¡ÒÃᾷ ÇÔ·ÂÒÈÒʵÏ¡ÒáÕÌÒ áÅСÒû¯Ôºµ¡ÃÃÁ°Ò¹ (¡ÑÁÁѯ°Ò¹) 㹾ط¸ÈÒÊ¹Ò ä´ŒÍ¸ÔºÒÂãˌࢌÒã¨Ã‹Ò§¡ÒÂáÅÐÊÃÕÃÇÔ·ÂҢͧ Ñ Ô Á¹ØÉ »ÃÒ¡¯¡Òó¤ÇÒÁªÃÒ áÅÐâä·Õ¾ºä´Œã¹¼ÙʧÍÒÂØ áÅйíÒàʹÍá¹Ç·Ò§¡ÒôÙáÅÊØ¢ÀÒ¾àÁ×Í è ŒÙ è ÁÕÍÒÂØÁÒ¡¢Ö¹ à¾×Íãˌ§¤§ÁÕÊ¢ÀÒ¾´Õ àÃÕ¡Njһ˜¨¨ÑªÐÅͪÃÒ 5 »ÃСÒà 䴌ᡋ ¡Ò÷íÒã¨ãˌʺÒ é è Ñ Ø â´ÂÍÒÈѸÃÃÁÐ ¡ÒÃãËŒÂÒª‹ÇÂâ´Â੾ÒÐ ÇÔµÒÁÔ¹ ÎÍÏâÁ¹ ¡ÒáíÒ˹´âÀª¹Ò¡Òà ¡Òç´àÇŒ¹ËÃ×Í Å´¡ÒÃàʾµ‹Ò§æ ઋ¹ ÊØÃÒ ¹ÒÃÕ ºØËÃÕè áÅСÒúíÒÃØ§ÃÑ¡ÉÒ¡ÒÂ(3) µ‹ÍÁÒã¹»‚ ¾.È. 2530 ˹‹Ç§ҹáÅлÃЪҪ¹ªÒÇä·Â·Ñ§»Ç§Ã‹ÇÁà©ÅÔÁ©Åͧ¾ÃÐÃÒª¾Ô¸Õ é ÁËÒÁ§¤ÅÊÁÑ·Õè¾ÃкҷÊÁà´ç¨¾ÃÐ਌ÒÍÂÙ‹ËÑÇÀÙÁÔ¾ÅÍ´ØÅÂà´ª·Ã§à¨ÃÔ­¾ÃЪ¹Á¾ÃÃÉÒ 5 Ãͺ ´ŒÇ¡ÒÃËÇÁ㨡ѹ´íÒà¹Ô¹¡Ô¨¡ÃÃÁµ‹Ò§æ Íѹ໚¹¤Ø³»ÃÐ⪹áÅÐÍØ·ÔȶÇÒÂ໚¹¾ÃÐÃÒª¡ØÈÅ ÈÒʵÃÒ¨ÒϹÒÂᾷÍÇ ࡵØÊ§Ë ¨Ö§ä´Œ¨´·íÒâ¤Ã§¡Òà “¸ÃÃÁÒ¹ÒÁÑ” Íѹ໚¹á¹Ç·Ò§ÊÌҧ Ô Ñ àÊÃÔÁÊØ¢ÀÒ¾ãËŒ¾Õ蹌ͧªÒÇä·Âä´Œ¹íÒä»»¯ÔºÑµÔà¾×èͤÇÒÁÁÕÍÒÂØÂ×¹ áÅкح¡ØÈÅ·Ñé§ÊÔé¹ÍØ·ÔȶÇÒ ໚¹¾ÃÐÃÒªÊÑ¡¡ÒÃÐà¾×ÍãËŒ¡Èżźح´ÅºÑ¹´ÒÅãËŒ¾ÃкҷÊÁà´ç¨¾ÃÐ਌ÒÍÂÙËǷçÁÕ¾ÃЪ¹ÁÒÂØ è Ø ‹ Ñ Â×¹ÂÒÇ ·Ã§à»š¹Ã‹Á⾸ÔÃÁä·Ã¢Í§»Ç§ª¹ªÒÇä·ÂªÑÇ¡ÒŹҹ ì‹ è (4) ·‹Ò¹ÁÕ¤ÇÒÁàËç¹Ç‹Ò¡ÒÃÁÕÍÒÂØÂ¹ËÃ×ÍÊØ¢ÀÒ¾´Õ໚¹ÊÔ§·Õ·¡¤¹»ÃÒö¹Ò áÅÐä´Œ¾²¹Òá¹Ç¤Ô´ × è è Ø Ñ “á¡‹Í‹ҧʧ‹Ò” ¢ŒÒ§µŒ¹ ãËŒÁ¤ÇÒÁªÑ´à¨¹¢Ö¹àÃÕ¡NjÒËÅÑ¡ ¸ÃÃÁÒ¹ÒÁÑ â´Â»ÃÐÁÇÅãËŒàËç¹Ç‹Òà˵ػ¨¨ÑÂ Õ é ˜ ÊíҤѭ·ÕÁ¼Åµ‹ÍÊØ¢ÀÒ¾ËÃ×ÍÍÒÂØ ¤×Í ¡Ò ¨Ôµ áÅСÃÃÁ («Ö§ã¹·Õ¹ËÁÒ¶֧¡ÒáÃзíÒËÃ×;ĵԡÃÃÁ) è Õ è è Õé ¼ÙáÊǧËÒá¹Ç·Ò§¡Òû¯Ôºµà¾×ÍãËŒÁÊ¢ÀÒ¾´Õ äÁ‹à¨çº»†Ç áÅÐÁÕÍÒÂØÂ¹ÂÒÇ ¨ÐµŒÍ§ÈÖ¡ÉÒãˌࢌÒã¨Ç‹Ò Œ Ñ Ô è ÕØ × à˵ػ¨¨Ñ·Õà¡ÕÂÇ¢ŒÍ§¡ÑºÊØ¢ÀÒ¾·Ñ§´ŒÒ¹Ã‹Ò§¡Ò ¨Ôµã¨ ÃÇÁ·Ñ§¤ÇÒÁÊÑÁ¾Ñ¹¸¢Í§Á¹ØÉµÍÊÔ§·ÕÁ¹ØÉ ˜ è è é é ‹ è è à¡ÕÂÇ¢ŒÍ§ äÁ‹ÇÒ¨Ð໚¹µÑÇÁ¹ØÉàͧ (¾ÄµÔ¡ÃÃÁ) à¾×͹Á¹ØÉËÃ×ÍÊѧ¤Á áÅиÃÃÁªÒµÔáÇ´ÅŒÍÁ è ‹ è ´Ñ§¹Ñé¹Á¹ØÉ¨ÐÁÕÍÒÂØÂ×¹ËÃ×ÍÊØ¢ÀÒ¾´Õ ¨ÐµŒÍ§ãËŒ¤ÇÒÁãʋ㨡Ѻ »˜¨¨Ñ·Ñé§ 3 ´ŒÒ¹´Ñ§¡Å‹ÒÇ ·‹Ò¹¨Ö§¹íÒàʹÍá¹Ç»¯Ôºµ·¼ÊÁ¼ÊÒ¹ÃÐËNjҧàÃ×ͧ¢Í§ “¸ÃÃÁД «Ö§à»š¹ÀÙÁ»­­Ò¢Í§ªÒµÔ·ÊÒÁÒö Ñ Ô Õè è è Ô ˜ Õè ¹íÒÁÒ㪌㹡ÒôÙáÅàÃ×ͧ¨Ôµã¨áÅоĵԡÃÃÁ ¡Ñº “͹ÒÁÑ” Íѹ໚¹á¹Ç»¯Ôºµ¢Í§¤ÇÒÁäÁ‹ÁâäËÃ×Í è Ñ Ô Õ ÊØ¢ÀÒ¾ «Öè§ãªŒã¹¡ÒôÙáÅàÃ×èͧ¢Í§¡ÒÂáÅоĵԡÃÃÁ ÃÇÁàÃÕ¡á¹Ç¤Ô´áÅÐá¹Ç»¯ÔºÑµÔ·Ñé§ËÁ´Ç‹Ò ¸ÃÃÁÒ¹ÒÁÑ áÅÐä´ŒáÊ´§¤ÇÒÁËÁÒÂ໚¹ÊÑ­Åѡɳ´§ÃÙ»·Õè 1 (4) Ñ
  • 370.
    àǪÈÒʵÏ·¹Âؤ 2553 Ñ 343 ÃÙ»·Õè 1 ¸ÃÃÁÒ¹ÒÁÑ ¡ÒÃÊ‹§àÊÃÔÁÊØ¢ÀÒ¾´ŒÇ¸ÃÃÁÒ¹ÒÁÑ ¸ÃÃÁÒ¹ÒÁÑ ໚¹Ãкº»¯ÔºÑµÔ·ÕèÊÁºÙóáººã¹¡ÒÃÊÌҧàÊÃÔÁÊØ¢ÀÒ¾â´ÂÇÔ¸Õ¸ÃÃÁªÒµÔ ãËŒ¤ÇÒÁÊíҤѭ¡Ñº»˜¨¨Ñ·ÕÁ¼Å¡Ãзºµ‹ÍÊØ¢ÀÒ¾áÅФÇÒÁÁÕÍÒÂØÂ¹·Ø¡»˜¨¨ÑÂÍ‹ҧ໚¹Í§¤ÃÇÁ ẋ§á¹Ç è Õ × »¯ÔºµÍ͡໚¹ 3 ´ŒÒ¹¤×Í ¡ÒÂÒ¹ÒÁÑ ¨ÔµµÒ¹ÒÁÑ áÅЪÕÇÔµÒ¹ÒÁÑ ÊíÒËÃѺà¹×ÍËҷըйíÒàÊ¹Í Ñ Ô é è µ‹Í仹Õ໚¹ÊÒÃÐÊѧࢻ·ÕÊÃØ»ÁÒ¨Ò¡àÃ×ͧ “á¡‹Í‹ҧʧ‹Ò” áÅÐ “¸ÃÃÁÒ¹ÒÁÑ” é è è (3, 4) ¡ÒÂÒ¹ÒÁÑ ¤×Í ¡ÒôÙáÅãËŒà¡Ô´Í¹ÒÁÑ¢ͧ¡Ò ໚¹¡ÒÃÊ‹§àÊÃÔÁÊØ¢ÀÒ¾¡Ò´ŒÇÂÇÔ¸¡ÒúÃÔËÒõ‹Ò§æ ¡ÒÂ Õ ·ÕÍÂÙà©Â¨ÐÅŒÒáÅÐàÊ×ÍÁâ·ÃÁ ´Ñ§¹Ñ¹¡ÒúÃÔËÒáÒ¨֧ÁÕ¨´»ÃÐʧ¤à¾×Í·íÒãËŒÃÒ§¡ÒÂÁÕ¡ÒõͺⵌµÍ è ‹ è é Ø è ‹ ‹ ¡ÒáÃе،¹·Õè¾ÍàËÁÒÐ àËÁÒÐÊÁá¡‹ÇÑÂáÅÐÊÀҾËҧ¡Ò¢ͧºØ¤¤Å ÁØ‹§ãËŒà¡Ô´¼Å´Õ·ÕèÊØ´áÅÐ àÊÕ§ÍѹµÃÒ¹ŒÍ·ÕÊ´ 㹡Òû¯Ôºµ¹¹¨íÒµŒÍ§ÁÕ¡Ò÷´ÊͺÊÀҾËҧ¡ÒÂà¾×ÍãËŒÊÒÁÒö¡íÒ˹´ÇÔ¸Õ è èØ Ñ Ô Ñé è ÍÍ¡¡íÒÅѧ¡Ò·ÕàËÁÒÐÊÁáÅÐàÁ×Í»¯Ôºµä»ÃÐÂÐ˹֧áŌǡçµÍ§·´Êͺ«éÒà¾×Í´Ù ¤ÇÒÁ¡ŒÒÇ˹ŒÒ â´Â è è Ñ Ô è Œ í è ÍÒ¨Êѧࡵ䴌ÇÒÇÔ¸·ãªŒ¹¹àËÁÒÐÊíÒËÃѺºØ¤¤ÅËÃ×ÍäÁ‹ ¶ŒÒäÁ‹àËÁÒСç¨Ðä´Œà»ÅÕ¹á»Å§ãªŒÇ¸·ãËŒ¼Å´Õ¡Ç‹Ò ‹ Õ Õè Ñé è Ô Õ Õè µ‹Íä» ÈÒʵÃÒ¨ÒϹÒÂᾷÍÇ ࡵØÊ§Ë ä´Œá¹Ð¹íÒ¡ÒºÃÔËÒÃäÇŒËÅÒÂÃٻẺ ·Ñ§ª¹Ô´·Õ»¯ÔºµÔ Ô é è Ñ ä´Œ§ÒÂâ´ÂäÁ‹¨Ò໚¹µŒÍ§ãªŒÍ»¡Ã³ã´æ ઋ¹ ¡ÒÃà´Ô¹ ¡ÒÃà¤Å×͹äËÇʋǹµ‹Ò§æ ¢Í§Ã‹Ò§¡ÒÂàÁ×ÍÍÂÙ¡º ‹ í Ø è è ‹ Ñ ·Õ«§ãªŒ¾¹·Õ¹Í 䴌ᡋ ¡ÒºÃÔËÒôŒÇ¡ÒËÍà¢‹Ò ¡Òá¢Ò ¡ÒÃä¡Ç¢Ò ¡Òá¢ÒªÕ¿Ò ¡ÒþѺµÑÇ è Öè ×é è Œ é ‡ ¡ÒúԴµÑÇ ¡ÒÃà͹µÑÇ ¡ÒâÂÒÂÍ¡ ¡ÒáÃо×Íᢹ ¡ÒÃàËÂÕ´ᢹªÕ¿Ò ¡Òäǧᢹ ¡Òáᢹ é ‡ ¡ÒþѺᢹ ¡ÒÃÍÍ¡¡íÒÅѧÁ×Í ¡ÒÃÍÍ¡¡íÒÅѧ¢ŒÍÁ×Í ËÃ×ÍÃٻẺ·ÕèãªŒÍØ»¡Ã³«Öè§ÁÕÍÂً㹺ŒÒ¹àÃ×͹ äÁ‹µÍ§«×ÍËÒËÃ×Í·íÒãËÁ‹ ¤×Í à¡ŒÒÍÕÁ¾¹Ñ¡ 1 µÑÇ ¹Í¡¨Ò¡¹Õ§àʹÍÃٻẺ¡ÒÃÍÍ¡¡íÒÅѧ¡Ò·ը´·íÒ Œ é é Õ é Ñ èÑ à¤Ã×ͧÁ×Íà¾ÔÁàµÔÁẺ§‹ÒÂæ ¤×Íà¢Õ¹µÒÃÒ§äÇŒ·¾¹ àÃÕÂ¡Ç‹Ò ¡ŒÒÇµÒ ¡ŒÒÇൌ¹ ËÃ×Í¡ÒáŒÒÇ¢Ö¹Â×¹ è è Õè ×é é º¹ÁŒÒ¹Ñè§ àÃÕÂ¡Ç‹Ò ¡ŒÒÇÁŒÒ ໚¹µŒ¹ ¹Í¡¨Ò¡¡ÒúÃÔËÒôѧ¡Å‹ÒÇ »˜¨¨ØºÑ¹âçàÃÕ¹ÍÒÂØÃàÇ·¸íÒç Âѧ䴌¹Ò·‹Ò ÄåÉÕ´Ñ´µ¹ ÁÒ»ÃÐÂØ¡µãªŒÊÒËÃѺ¡ÒúÃÔËÒáÒÂà¾ÔÁàµÔÁ´ŒÇµÒÁÃÙ»·Õè 2 í í è
  • 371.
    344 ¡ÒÃÊ‹§àÊÃÔÁÊØ¢ÀÒ¾´ŒÇ¸ÃÃÁÒ¹ÒÁÑ ÃÙ»·Õè 2 ¡ÒºÃÔËÒÃÃٻẺµ‹Ò§æ ¨ÔµµÒ¹ÒÁÑ ¤×Í ¡ÒôÙáÅãËŒà¡Ô´Í¹ÒÁÑ¢ͧ¨Ôµ Á¹ØÉ·¡¤¹ÁÕ¨µà»š¹¹ÒÂÁÕ¡ÒÂ໚¹º‹ÒÇ à¾ÃÒШԵ໚¹µÑÇ Ø Ô ¡íÒ˹´ ¡íҡѺ ËÃ×ͤǺ¤ØÁ¾ÄµÔ¡ÃÃÁ¢Í§¡Ò ·Ñ§¡ÒþٴáÅСÒáÃзíÒ ´Ñ§¹Ñ¹ÊÔ§ÊíҤѭ·ÕäÁ‹Â§Ë‹͹ é é è è Ôè ËÃ×ÍÊíҤѭÂÔ§¡Ç‹Ò¡ÒþѲ¹Ò¡Ò ¡ç¤Í¡ÒÃÊ‹§àÊÃÔÁÊØ¢ÀÒ¾¨Ôµ ËÃ×Í¡ÒþѲ¹Ò͹ÒÁÑ¢ͧ¨ÔµãËŒÁ¨µ·Õè è × ÕÔ ÊÁºÙó ¾ÃоÃËÁ¤Ø³ÒÀó (».Í.»Âصâµ) ¡Å‹ÒÇÇ‹Ò ¨Ôµ·ÕÊÁºÙó»ÃСͺ´ŒÇÂÀÒÇÐ 3 »ÃСÒà ¤×Í Ú è (5) (1) ¤Ø³ÀÒ¾ 䴌ᡋ ¤Ø³¸ÃÃÁ ¤ÇÒÁàÁµµÒ¡ÃØ³Ò ¤ÇÒÁàÍ×Íà¿„Íà¼×ÍἋ ¤ÇÒÁ«×ÍÊѵ ໚¹µŒ¹ é œ è è (2) ÊÁÃöÀÒ¾ 䴌ᡋ ¤ÇÒÁࢌÁá¢ç§Áѹ¤§ ¤ÇÒÁà¾ÕÂþÂÒÂÒÁ ¤ÇÒÁÁاÁѹ ʵÔáÅÐÊÁÒ¸Ô è ‹ è ໚¹µŒ¹ (3) ÊØ¢ÀÒ¾ 䴌ᡋ ¤ÇÒÁÊØ¢ ¤ÇÒÁ»µÍÁ㨠¤ÇÒÁËÒàÃÔ§àºÔ¡ºÒ¹ã¨ ¤ÇÒÁ¼‹Í§ãÊ à»š¹µŒ¹ Ô Ôè ´Ñ§¹Ñ¹¨Ôµ¨ÐÊÁºÙóä´ŒµÍ§ä´ŒÃº¡ÒþѲ¹Ò·Ñ§ 3 ´ŒÒ¹ ¡ÒþѲ¹Ò¨ÔµãËŒÁ¤³ÀÒ¾ ËÁÒ¶֧ é Œ Ñ é Õ Ø ¡ÒÃàÃÕ¹ÃÙãˌࢌÒã¨áÅл¯Ôºµä´Œ¶¡µŒÍ§µÒÁËÅÑ¡¤Ø³¸ÃÃÁ ¡ÒþѲ¹ÒãËŒ¨µÁÕÊÁÃöÀÒ¾ ¨Ð·íÒãËŒ¨µ Œ Ñ Ô Ù Ô Ô ÁÕ¾×é¹°Ò¹·ÕèࢌÁá¢ç§ÁÑ蹤§ ¨ÐÍÂÙ‹¹Ôè§áÅеÑé§ÁÑè¹ä´Œ àÃÕ¡NjÒÁÕÊÁÒ¸Ô àÁ×èÍÁÕÊÁÒ¸Ô ¨Ôµ¡ç¨ÐÊÒÁÒö ¾Ô¨ÒÃ³Ò ÃѺÃÙŒ àÃÕ¹ÃÙŒ ÊÔ§µ‹Ò§æ ä´ŒµÒÁ¤ÇÒÁ໚¹¨ÃÔ§ ࢌÒ㨪ÕǵáÅÐÊÃþÊÔ§·Ñ§ËÅÒµÒÁ¨ÃÔ§«Ö§¡ç¤Í è Ô è é è × »˜­­Ò áÅÐÂѧÃÙ෋ҷѹNjҤÇû¯ÔºµµÍÊÔ§µ‹Ò§æ Í‹ҧäè֧¨Ð¶Ù¡µŒÍ§àËÁÒÐÊÁ ¼Ù·¾²¹Ò¨Ôµ¨¹ÁÕ Œ Ñ Ô ‹ è Œ Õè Ñ ¤Ø³ÊÁºÑµàª‹¹¹Õé ‹ÍÁ໚¹»ÃÐ⪹Í‹ҧÂÔ§µ‹Íµ¹àͧáÅÐÊѧ¤Á ·Ñ§¡Òû¯ÔºµË¹ŒÒ·Õ¡Òçҹ㹤ÇÒÁ Ô è é Ñ Ô è ÃѺ¼Ô´ªÍº ¡ÒôíÒà¹Ô¹ªÕǵ áÅСÒê‹ÇÂᡌ»­ËÒáÅÐÊÌҧÊÃäÊ§¤Á Ô ˜ Ñ
  • 372.
    àǪÈÒʵÏ·¹Âؤ 2553 Ñ 345 ÃÙ»·Õè 3 ¾Ñ²¹Ò¨ÔµãËŒÁդسÀÒ¾ ÃÙ»·Õè 4 ¾Ñ²¹Ò¨ÔµãËŒÁÕÊÁÃöÀÒ¾ ¾ÃоÃËÁ¤Ø³ÒÀó (».Í.»Âصâµ) ͸ԺÒÂÇ‹Ò ¨Ôµ·Õ䴌ú¡ÒþѲ¹Ò¨Ð໚¹¨Ôµ·ÕÁ¤³¸ÃÃÁ Ú è Ñ è Õ Ø «Ö§¨Ð¡íҡѺ¾ÄµÔ¡ÃÃÁãˌ໚¹ä»ã¹·Ò§·Õ´Õ ¶Ù¡µŒÍ§ àËÁÒÐÊÁ ᵋ¾ÄµÔ¡ÃÃÁ·Õ´ÍÒ¨äÁ‹Á¹¤§ ËÒ¡¢Ò´ è è è Õ Ñè ¹éíÒËÅ‹ÍàÅÕ駤س¸ÃÃÁ㹨Ե㨠«Öè§¡ç¤×ͤÇÒÁÊØ¢ ´Ñ§¹Ñ鹨֧µŒÍ§¾Ñ²¹Ò¨ÔµãËŒÁÕÊØ¢ÀÒ¾´ŒÇ ËÁÒ¶֧ ¡ÒÃàÃÕ¹ÃÙŒáÅÐࢌÒã¨àÃ×èͧ¤ÇÒÁÊØ¢«Öè§ËÁÒ¶֧¤ÇÒÁµŒÍ§¡Ò÷Õèä´ŒÃѺ¡Òõͺʹͧ áÅФÇÒÁÊØ¢ ÁÕËÅÒ¢ѹ (5)䴌ᡋ é ¤ÇÒÁÊØ¢¢Ñé¹·Õè 1 ໚¹¤ÇÒÁÊØ¢·Õèà¡Ô´¨Ò¡¡ÒÃàʾÇѵ¶Ø ໚¹¤ÇÒÁÊØ¢·ÕµÍ§ËÒ µŒÍ§àÍÒ µŒÍ§ è Œ 䴌ǵ¶ØÁÒàʾ¨Ö§¨ÐÁÕ¤ÇÒÁÊØ¢ µŒÍ§¢Ç¹¢ÇÒÂËÒÁÒãˌ䴌¨§¨ÐÁÕ¤ÇÒÁÊØ¢ µŒÍ§ä´ŒµÍ§àʾ¨Ö§¨ÐÍÂÙä´Œ ¤×Í Ñ Ö Œ ‹ äÁ‹ÁÕäÁ‹ä´Œ Á¹ØÉ·ÕèÁÕ¤ÇÒÁÊØ¢áºº¹ÕéáÊ´§Ç‹Ò¢Ò´á¤Å¹¤ÇÒÁÊØ¢ à»ÃÕºàÊÁ×͹ÊÙ­àÊÕÂÍÔÊÃÀÒ¾ ËÒ¡Êѧ¤ÁÁÕᵋ¼¤¹·ÕËÒ¤ÇÒÁÊØ¢áºº¹Õé ¡ç¨ÐµŒÍ§á‹§ªÔ§àºÕ´àºÕ¹¡Ñ¹ ÁÕ½ÒÂ˹֧䴌 ½†ÒÂ˹֧ʹËÃ×Í ÙŒ è † è è àÊÕ ¨Ö§à»š¹¤ÇÒÁÊØ¢·Õèà¡Ô´º¹¤ÇÒÁ·Ø¡¢¢Í§¼ÙŒÍ×è¹ ´Ñ§¹Ñé¹Á¹ØÉ¨Ö§µŒÍ§½ƒ¡µ¹àͧÍ‹ÒãËŒ¤ÇÒÁÊØ¢ µŒÍ§¢Ö¹¡ÑºÇѵ¶ØÁÒ¡ ½ƒ¡ãËŒ ÁÕ¡ç´Õ äÁ‹ÁÕ¡çä´Œ ¨¹¶Ö§¢Ñ¹ ÁÕ¡çä´Œ äÁ‹ÁÕ¡ç´Õ é é ¤ÇÒÁÊØ¢¢Ñ¹·Õè 2 ໚¹¤ÇÒÁÊØ¢·Õà¡Ô´¨Ò¡¡ÒÃãËŒ´Ç¤ÇÒÁàÁµµÒ¡ÃØ³Ò àª‹¹ ¾‹ÍáÁ‹Á¤ÇÒÁ é è Œ Õ ÊØ¢àÁ×Íãˌᡋš àËç¹ÅÙ¡ÁÕ¤ÇÒÁÊØ¢µÑÇàͧ¡çÁ¤ÇÒÁÊØ¢ ËÒ¡ÊÒÁÒö¾Ñ²¹Òµ‹Íä»ãËŒ¤ÇÒÁàÁµµÒ¡ÃØ³Ò è Ù Õ á¼‹¢ÂÒÂÍ͡件֧¼Ù͹ ¡ÒÃãËŒ¼Í¹ ãËŒÊǹÃÇÁ ãˌʧ¤Á ¡ç¨Ð·íÒãËŒµÇàͧÁÕ¤ÇÒÁÊØ¢ ¤ÇÒÁÊØ¢ã¹¢Ñ¹¹Õé Œ ×è ÙŒ ×è ‹ Ñ Ñ é ໚¹¤ÇÒÁÊØ¢Ã‹ÇÁ¡Ñ¹ ¤ÇÒÁÊØ¢¢Ñ¹·Õè 3 ໚¹¤ÇÒÁÊØ¢·Õà¡Ô´¨Ò¡¡ÒôíÒà¹Ô¹ªÕǵ¶Ù¡µŒÍ§ÊÍ´¤ÅŒÍ§¡Ñº¤ÇÒÁ໚¹ é è Ô ¨ÃÔ§¢Í§¸ÃÃÁªÒµÔ â´Â¸ÃÃÁªÒµÔ¢Í§ÇÔ¶ªÇµÁ¹ØÉ Á¹ØÉ´Òà¹Ô¹ªÕǵÍÂÙ·ÒÁ¡ÅÒ§¸ÃÃÁªÒµÔáÇ´ÅŒÍÁ Õ ÕÔ í Ô ‹ ‹
  • 373.
    346 ¡ÒÃÊ‹§àÊÃÔÁÊØ¢ÀÒ¾´ŒÇ¸ÃÃÁÒ¹ÒÁÑ áÅÐÊѧ¤Áà¾×͹Á¹ØÉ ´Ñ§¹Ñ¹â´Â¸ÃÃÁªÒµÔ¢Í§¡ÒôíÒà¹Ô¹ªÕǵÁ¹ØÉ¨§ÁÕ¤ÇÒÁÊØ¢¨Ò¡¡ÒÃä´ŒÍÒÈÑÂÍÂÙ‹ è é Ô Ö ã¹ËÁÙà¾×͹Á¹ØÉ·Á¤ÇÒÁÊÑÁ¾Ñ¹¸Í¹´ÕµÍ¡Ñ¹ ª‹ÇÂàËÅ×ÍàÍ×ÍÍҷáѹ ä´ŒÍÒÈÑÂÍÂÙ㹸ÃÃÁªÒµÔáÇ´ÅŒÍÁ ‹ è Õè Õ Ñ ‹ é ‹ ·ÕùÃÁ à¡×Í¡Ùŵ‹ÍªÕǵ ä´Œ¼Å§Ò¹Íѹà¡Ô´¨Ò¡¡ÒûÃСͺÍÒªÕ¾¡ÒçҹµÃ§µÒÁ¸ÃÃÁªÒµÔ¢Í§§Ò¹ è ×è é Ô ¤ÇÒÁÊØ¢·Õèà¡Ô´¨Ò¡¡ÒÃàʾºÃÔâÀ¤äÁ‹¨ÕÃѧÂÑè§Â×¹ Á¹ØÉ¤ÇþѲ¹ÒãËŒÊÒÁÒöËÒ¤ÇÒÁÊØ¢¨Ò¡¡Òà ´íÒà¹Ô¹ªÕǵ·Õ¶¡µŒÍ§µÒÁ¤ÇÒÁ໚¹¨ÃÔ§¢Í§¸ÃÃÁªÒµÔ Ô è Ù ¤ÇÒÁÊØ¢¢Ñé¹·Õè 4 ໚¹¤ÇÒÁÊØ¢·Õèà¡Ô´¨Ò¡¡ÒÃ»ÃØ§áµ‹§¤ÇÒÁ¤Ô´ Á¹ØÉÁšɳоÔàÈÉ ¤×Í ÕÑ »Ãاᵋ§¤ÇÒÁ¤Ô´ä´Œ »Ãاᵋ§ãËŒ·Ø¡¢¡çä´Œ ¤×Íà¡çºàÍÒÍÒÃÁ³·ÕèäÁ‹´Õ ·Õè¢Ñ´ËÙ ¢Ñ´µÒ ¢Ñ´ã¨ àÍÒÁÒ ¤Ãع¤Ô´ãËŒäÁ‹ÊºÒÂ㨠¢Ø¹ÁÑÇ àÈÃŒÒËÁͧ ËÃ×Í»ÃØ§áµ‹§ãËŒÊØ¢¡çä´Œ ¤×Íà¡çºàÍÒᵋÍÒÃÁ³·´ÁÒ»ÃØ§áµ‹§ ‹ ‹ Õè Õ ã¨ãˌʺÒ Á¹ØÉÊÒÁÒö½ƒ¡¡ÒÃ»ÃØ§áµ‹§Êآ䴌 ઋ¹ ¢³ÐËÒÂ㨾ٴã¹ã¨¾ÃŒÍÁ¡Ñº·íÒã¨ãËŒÊÍ´¤ÅŒÍ§ ¡Ñº¤íÒ¾Ù´Ç‹Ò ¨Ôµã¨àºÔ¡ºÒ¹ËÒÂã¨à¢ŒÒ ¨Ôµã¨âÅ‹§àºÒËÒÂã¨ÍÍ¡ ËÃ×ÍËÒÂã¨à¢ŒÒÊÙ´àÍÒ¤ÇÒÁÊ´ª×¹ ËÒÂ㨠è ÍÍ¡¿Í¡ã¨ãˌʴãÊ ¤ÇÒÁÊØ¢¢Ñ¹·Õè 5 ໚¹¤ÇÒÁÊØ¢·Õà¡Ô´ä´Œâ´ÂäÁ‹µÍ§»Ãاᵋ§ à¡Ô´¨Ò¡¡ÒþѲ¹ÒãËŒÁ»­­Ò é è Œ Õ ˜ ãËŒÃ෋ҷѹ¤ÇÒÁ¨ÃÔ§¢Í§âÅ¡áÅЪÕǵ ·íÒãËŒÇÒ§ã¨Å§µÑÇʹԷ ʺÒ¡Ѻ·Ø¡ÊÔ§·Ø¡Í‹ҧ àÁ×ÍÃÙࢌÒ㨤ÇÒÁ ÙŒ Ô è è Œ ¨Ãԧਹ¨º´Õ ¤ÇÒÁÃ٨лÃѺ¤ÇÒÁÃÙÊ¡ãˌŧµÑÇ à»š¹ÊÀÒ¾¨Ôµ·ÕàÃÕº ʧº ´Ñ§¹Ñ¹Á¹ØÉ¤Çõѧ໇ÒËÁÒ Œ ŒÖ è é é ¡ÒþѲ¹Ò¨ÔµãËŒ¶Ö§ÃдѺÁÕ»˜­­Òãˌ䴌 à¾ÃÒл˜­­Ò¨Ð¹íÒÁÒ«Ö觤ÇÒÁÊØ¢¢Ñé¹·Õè 5 Íѹ໚¹¤ÇÒÁÊØ¢ ·ÕÊÁºÙó ʺÒ·ÕÊ´ Á¹ØÉ·¾²¹Ò¤ÇÒÁÊØ¢¶Ö§¢Ñ¹·Õè 5 ¹Õé ¨Ð໚¹¼Ù¾ÃŒÍÁàÊǤÇÒÁÊØ¢·Ø¡Í‹ҧ㹠4 è èØ Õè Ñ é Œ ¢Ñ¹áá ᵋ¨Ð໚¹ÊØ¢·ÕäÁ‹Á¤ÇÒÁ·Ø¡¢à¨×Í»¹ äÁ‹Á¤ÇÒÁ¢Ø¹ÁÑÇ àª‹¹ ¤ÇÒÁ¡Ñ§ÇÅ ¤ÇÒÁàÊÕ´Ò ὧÍÂÙ‹ é è Õ Õ ‹ ªÕÇÔµÒ¹ÒÁÑ ¡ÒôÙáÅàÃ×ͧ¡ÒÃ㪌ªÇµËÃ×Í¡ÒôíÒà¹Ô¹ªÕǵµÒÁËÅѡ͹ÒÁÑ 䴌ᡋ ¡ÒÃÃÑ¡ÉÒ¤ÇÒÁÊÐÍÒ´ è ÕÔ Ô ¡ÒúÃÔâÀ¤ÍÒËÒäú¶ŒÇ¹ ¶Ù¡µŒÍ§ ¡ÒÃÅÐàÇŒ¹ÊÔ§·ÕäÁ‹¤ÇÃàʾ áÅСÒÃ㪌ªÇµã¡ÅŒª´¡Ñº¸ÃÃÁªÒµÔ è è ÕÔ Ô ¡ÒÃÃÑ¡ÉÒ¤ÇÒÁÊÐÍҴ໚¹àÃ×ͧ·Õá¹ÍÂÙ໚¹Ê‹Ç¹ÁÒ¡ ઋ¹ ¤ÇÒÁÊÐÍҴʋǹµÑÇ à¤Ã×ͧ è è ÙŒ Ñ ‹ è ¹Ø§Ë‹Á ·ÕÍÂÙÍÒÈÑ ¡ÒÃ䴌úÍÒ¡ÒȺÃÔÊ·¸Ôì ‹ è ‹ Ñ Ø ¡ÒúÃÔâÀ¤ÍÒËÒë֧໚¹Ë¹Ö§ã¹»˜¨¨ÑÂÊբͧÁ¹ØÉ¹¹ ã¹áµ‹ÅÐÇѹÁ¹ØÉ¨ÐµŒÍ§ä´ŒÃºÍÒËÒà è è è Ñé Ñ ã¹»ÃÔÁÒ³·Õà¾Õ§¾Íà¾×ÍãËŒ´ÒçªÕǵÍÂÙä´Œ´ÇÂ´Õ ¡ÒÃÃѺ»Ãзҹ·Õ¶¡µŒÍ§¨ÐµŒÍ§ãˌ䴌úÊÒÃÍÒËÒà è è í Ô ‹ Œ è Ù Ñ ¤Ãº¶ŒÇ¹µÒÁËÅÑ¡âÀª¹Ò¡Òà µŒÍ§ÁÕ¤ÇÒÁËÅÒ¡ËÅÒÂà¾×èͤÇÒÁÊÁ´ØÅ¢Í§ÊÒÃÍÒËÒÃáÅÐáË¸ÒµØ ·ÕÃÒ§¡ÒµŒÍ§¡Òà ÍÒËÒÃÁÕ¤ÇÒÁÊÐÍÒ´ ÁÕ¤³ÀÒ¾ áÅлÅÍ´ÊÔ§·Õ໚¹¾ÔÉ áÅÐËҡ໚¹ÍÒËÒèҡ è‹ Ø è è ¸ÃÃÁªÒµÔ ·ÕÁ¡ÒÃ»ÃØ§áµ‹§¹ŒÍ·ÕÊ´¡ç¨ÐãËŒ»ÃÐ⪹Ê§ÊØ´ ËÒ¡ãËŒ¤ÇÒÁʹ㨤ÇÒÁÃÙàÃ×ͧÍÒËÒë֧ è Õ èØ Ù Œ è è ໚¹ÀÙÁÔ»˜­­Ò·ÕèªÒÇä·ÂÊÑè§ÊÁ¶‹Ò·ʹÊ׺µ‹Í¡Ñ¹ÁÒ ¨ÐàËç¹ä´ŒÇ‹ÒÍÒËÒÃä·ÂÍØ´Áä»´ŒÇ¼ѡ ¼ÅäÁŒ áÅоתÊÁعä¾Ã «Ö§¨Ðª‹ÇÂ㹡ÒôÙáÅÊØ¢ÀҾ䴌 ¹Í¡¨Ò¡ÍÒËÒÃáÅŒÇÂѧÁÕà¤Ã×ͧ´×ÁáÅйéÒÊÁعä¾Ã´ŒÇ è è è í ¡ÒÃÍÂÙ‹ã¡ÅŒªÔ´¸ÃÃÁªÒµÔ ËÃ×ÍÍÂÙ‹¡Ñº¸ÃÃÁªÒµÔ ¨Ð·íÒãËŒÃÒ§¡ÒÂÁÕÊ¢ÀÒ¾´Õ à¹×ͧ¨Ò¡¡Òà ‹ Ø è ä´ŒÊÁ¼ÑʡѺ¸ÃÃÁªÒµÔ ¹Í¡¨Ò¡¨Ðä´ŒàËç¹·ÑȹÕÂÀÒ¾ÍѹÊǧÒÁ ä´Œ¿§àÊÕ§¨Ò¡¸ÃÃÁªÒµÔáÅŒÇ ¨Ð·íÒ Ñ ˜ ãˌ䴌ÍÒ¡ÒȺÃÔÊ·¸Ôì äÁ‹ÁÁžÔÉ ÍÒ¡ÒÈ·ÕºÃÔÊ·¸Ô¨ÐࢌÒ仿͡»Í´·íÒãËŒÃʡʴª×¹á¨‹ÁãÊ ÃÇÁ·Ñ§¡ÒÃ Ø Õ è Ø ì ÙŒ Ö è é ä´Œ¾¡¼‹Í¹ ÁÕÍÃÂÒº¶µÒÁʺÒ ¨Ðª‹ÇÂÅ´¤ÇÒÁà¤ÃÕ´ Ñ ÔÔ
  • 374.
    àǪÈÒʵÏ·¹Âؤ 2553 Ñ 347 ¨Ò¡»ÃÐʺ¡Òó¢Í§ÈÒʵÃÒ¨ÒϹÒÂᾷÍÇ ࡵØÊ§Ë Ãкº»¯Ôºµ¹¨ÐãËŒ»ÃÐ⪹ Ô Ñ Ô Õé Í‹ҧ¨ÃÔ§¨Ñ§ àË繼ŴÕä´Œª´à¨¹ÁÒ¡ã¹¼Ù»¯Ôºµ·ÁÍÒÂØà¡Ô¹ 35 »‚¢¹ä» ¼Ù·ÁÍÒÂØ¹Í¡çÍÒ¨»¯Ôºµä´Œ Ñ Œ Ñ Ô Õè Õ Öé Œ Õè Õ Œ Ñ Ô ä´Œ¼ÅàËÁ×͹¡Ñ¹áµ‹ÍҨഋ¹ªÑ´¹ŒÍ¡NjÒà¾ÃÒÐÊÀҾËҧ¡Ò´ÕÍÂÙ‹ ᵋ¡ÒÃàÃÔÁµŒ¹µÑ§áµ‹ÍÒÂØÂ§¹ŒÍ‹ÍÁ è é Ñ ¨ÐãËŒ¼ÅÁÒ¡¡Ç‹ÒàÃÔÁàÁ×ÍÍÒÂØÁÒ¡áÅŒÇ è è (4) ÃÙ»·Õè 5 ÍÒËÒÃä·ÂÍØ´Á´ŒÇ¾ת¼Ñ¡ÊÁعä¾Ã ÃÙ»·Õè 6 ÍÂÙ‹ã¡ÅŒªÔ´¸ÃÃÁªÒµÔ ÊÃØ» ËÅÑ¡ “¸ÃÃÁÒ¹ÒÁÑ” ¢Í§ÈÒʵÃÒ¨ÒϹÒÂᾷÍÇ ࡵØÊ§Ë ໚¹Ãкº»¯Ôºµ·ÊÁºÙó Ô Ñ Ô Õè Ẻ㹡ÒÃÊÌҧàÊÃÔÁÊØ¢ÀÒ¾â´ÂÇÔ¸Õ¸ÃÃÁªÒµÔ 㹡ÒôÙáÅ»˜¨¨Ñ·ÕèÁռšÃзºµ‹ÍÊØ¢ÀҾ͋ҧ໚¹ ͧ¤ÃÇÁ ·Ñ§·Ò§´ŒÒ¹¡Ò ¨Ôµ áÅоĵԡÃÃÁ ËÅÑ¡¡Òôѧ¡Å‹ÒÇÂѧ¤§·Ñ¹ÊÁÑ ÊÍ´¤ÅŒÍ§¡ÑºËÅÑ¡¡ÒÃ é ·Õ¡Ò˹´änj㹸ÃÃÁ¹Ù­ÊØ¢ÀÒ¾áË‹§ªÒµÔ ¾.È. 2552 áÅзÕÊҤѭ¤×Íä´Œ¼ÊÁ¼ÊÒ¹ÀÙÁ»­­Ò¢Í§ªÒµÔ è í èí Ô ˜ äÇŒ´ŒÇ ¨Ö§àËÁÒÐÊÁ·Õè¨Ðà¼Âá¾Ã‹ãˌ㪌໚¹á¹Ç·Ò§ã¹¡ÒÃÊ‹§àÊÃÔÁÊØ¢ÀÒ¾µ‹Íä» ËÒ¡Êѧ¤Áä·Â ÁÕ»ÃЪҡ÷ÕÁÊ¢ÀÒ¾¡ÒÂáÅШԵ´Õ ÁվĵԡÃÃÁ·Õ¶¡µŒÍ§ ‹ÍÁÊÒÁÒöª‹ÇÂàËÅ×͵¹àͧáÅÐÊѧ¤Áä·Â è ÕØ è Ù áÅÐÊѧ¤Áâš䴌໚¹àÇÅÒÂÒǹҹ ÊÁ´Ñ§à¨µ¹ÒÃÁ³¢Í§ÈÒʵÃÒ¨ÒϹÒÂᾷÍÇ ࡵØÊ§Ë Ô
  • 375.
    348 ¡ÒÃÊ‹§àÊÃÔÁÊØ¢ÀÒ¾´ŒÇ¸ÃÃÁÒ¹ÒÁÑ àÍ¡ÊÒÃ͌ҧÍÔ§ 1. Êíҹѡ§Ò¹¤³Ð¡ÃÃÁ¡ÒÃÊØ¢ÀÒ¾áË‹§ªÒµÔ. ¾ÃÐÃÒªºÑ­­ÑµÔÊØ¢ÀÒ¾áË‹§ªÒµÔ ¾.È.2550. ¡ÃØ§à·¾Ï : ËŒÒ§ËØŒ¹Ê‹Ç¹ ¨íÒ¡Ñ´ Ê˾Ѳ¹ä¾ÈÒÅ; ¾.È.2550. 2. Êíҹѡ§Ò¹¤³Ð¡ÃÃÁ¡ÒÃÊØ¢ÀÒ¾áË‹§ªÒµÔ. ¸ÃÃÁ¹Ù­Ç‹Ò´ŒÇÂÃкºÊØ¢ÀÒ¾áË‹§ªÒµÔ ¾.È.2552. ¡ÃØ§à·¾Ï : âç¾ÔÁ¾ à¨.àÍÊ.¡ÒþÔÁ¾; ¾.È.2552. 3. ÍÇ ࡵØÊ§Ë. á¡‹Í‹ҧʧ‹Ò. ã¹ ¹ÃÒ áÇÇÈà áÅФ³Ð. ÍÇ ¹ÔÁµÍ¹ØÊó. ¡Ãا෾Ï: ºÃÔÉ· ºØ­ÈÔáÒà ¾ÔÁ¾ ¨íÒ¡Ñ´; Ô Ô Ñ Ô ¾.È.2546, ˹ŒÒ 84-92. 4. Èٹ¸ÃÃÁÒ¹ÒÁÑ ÍÒÂØÃàÇ·ÇÔ·ÂÒÅÑÂÏ ÁÙŹԸ¿¹¿ÙʧàÊÃÔÁ¡ÒÃᾷä·Âà´ÔÁÏ. ¸ÃÃÁÒ¹ÒÁÑÂ. ¡Ãا෾Ï: ÍÒÂØÃàÇ· Ô „œ ‹ ÇÔ·ÂÒÅÑÂÏ; ¾.È.2536. 5. ¾ÃоÃËÁ¤Ø³ÒÀó (».Í.»Âصâµ). ¤ÙÁͪÕǵ. ¡ÃØ§à·¾Ï : ºÃÔÉ· ¾ÔÁ¾ÊÇ ¨íÒ¡Ñ´; ¾.È.2548. ‹ × Ô Ñ
  • 376.
    àǪÈÒʵÏ·¹Âؤ 2553 Ñ º··Õè 349 51 ¹Çѵ¡ÃÃÁ¡ÒþÂÒºÒÅ: ÇѲ¹¸ÃÃÁÊÌҧàÊÃÔÁÊØ¢ÀÒ¾·ÕèÂÑè§Â×¹ ¼ÙŒª‹ÇÂÈÒʵÃÒ¨ÒÏ ´Í¡àµÍÏÇѹà¾ç­ ÀÔ­â­ÀÒÊ¡ØÅ ÀÒ¤ÇÔªÒ¡ÒþÂÒºÒÅÍÒÂØÃÈÒʵÏ ¤³Ð¾ÂÒºÒÅÈÒʵÏ ÁËÒÇÔ·ÂÒÅÑÂÁËÔ´Å ¨Ò¡á¼¹¾Ñ²¹ÒÊØ¢ÀÒ¾áË‹§ªÒµÔ©ºÑº·Õè 10 (2550-2554) ÇÔÊ·ÑȹÃкºÊØ¢ÀÒ¾ä·ÂÁاÊÙ¡ÒÃ Ñ ‹ ‹ ¾Ñ²¹Ò·Ø¡ÀҤʋǹÍ‹ҧºÙóҡÒà ãËŒ»ÃЪҪ¹ÁÕÊ¢ÀÒ¾´Õ ÃкººÃÔ¡ÒÃ´Õ Êѧ¤Á´Õ ªÕǵÁÕ¤ÇÒÁÊØ¢Í‹ҧ Ø Ô ¾Íà¾Õ§ â´ÂÁÕ໇ÒËÁÒÂÊíҤѭ ¤×Í¡ÒþѲ¹ÒÊØ¢ÀÒ¾ä»ÊÙ‹ÃкºÊØ¢ÀÒ¾¾Íà¾Õ§(1) ¾ÂÒºÒÅ໚¹ ºØ¤Åҡ÷ÕÁº·ºÒ·ÊíҤѭ㹡ÒèѴ¡ÒáÒôÙáżٻÇ ·Ñ§ã¹ÃÐÂÐà©Õº¾Åѹ ÃÐÂп„¹¿Ù áÅСÒôÙáÅ è Õ Œ † é œ µ‹Íà¹×èͧ·Õ躌ҹ ÃÇÁ·Ñé§¡ÒÃÊ‹§àÊÃÔÁÊØ¢ÀÒ¾¢Í§»ÃЪҪ¹·Ñé§ã¹ÃдѺºØ¤¤Å ¤Ãͺ¤ÃÑÇ áÅЪØÁª¹ à¾×ÍãËŒÁÊÁ´ØÅáÅФسÀÒ¾ªÕǵ·Õ´Õ ¡ÒÃ㪌¹Çѵ¡ÃÃÁà¾×;Ѳ¹Ò¡Òû¯Ôºµ¾ÂÒºÒÅáÅÐÃкººÃÔ¡Òà è Õ Ô è è Ñ Ô ÊØ¢ÀÒ¾¨Ö§à»š¹ÊÔ§¨íÒ໚¹ áÅеŒÍ§¡ÃзíÒÍ‹ҧµ‹Íà¹×ͧ à¾×͹íÒä»ÊÙDz¹¸ÃÃÁ¡ÒÃÊÌҧàÊÃÔÁÊØ¢ÀÒ¾ è è è ‹Ñ ·Õ§Â×¹ è Ñè ¹Çѵ¡ÃÃÁ¡ÒþÂÒºÒšѺÇѲ¹¸ÃÃÁ¡ÒÃÊÌҧàÊÃÔÁÊØ¢ÀÒ¾·ÕèÂÑè§Â×¹ ¹Çѵ¡ÃÃÁ  㹤ÇÒÁËÁÒµÒÁ¾¨¹Ò¹Ø¡ÃÁ©ºÑºÃÒªºÑ³±ÔµÂʶҹ»‚ ¾.È. 2542 ˹ŒÒ 565- 566 ËÁÒ¶֧ ÊÔ§·Õ·Ò¢Ö¹ãËÁ‹ËÃ×Íá»Å¡¨Ò¡à´ÔÁ «Ö§ÍÒ¨¨Ð໚¹¤ÇÒÁ¤Ô´ ÇÔ¸¡Òà ËÃ×ÍÍØ»¡Ã³ ໚¹µŒ¹ è è í é è Õ â´Â¡Ãкǹ¡Òâͧ¹Çѵ¡ÃÃÁÁÑ¡àÃÔèÁ¨Ò¡¡Òù֡¤Ô´ ËÒá¹Ç·Ò§»ÃѺ»Ãاà»ÅÕè¹á»Å§ ÊÌҧÊÃä ¨Ò¡§Ò¹à´ÔÁ áÅйíÒä»ãªŒ¨¹à»š¹·Õá¾Ã‹ËÅÒ áÅÐà¡Ô´¡ÒþѲ¹ÒÍ‹ҧµ‹Íà¹×ͧµ‹Íä» è è »˜¨¨Øº¹ ¾ÂÒºÒÅä´ŒÁ¡ÒÃ㪌¹Çѵ¡ÃÃÁà¾×;Ѳ¹Ò¡Òû¯Ôºµ¾ÂÒºÒÅáÅÐÃкººÃÔ¡ÒÃÊØ¢ÀÒ¾ Ñ Õ è Ñ Ô »ÃСͺ´ŒÇ¡ÒäԴ¤Œ¹¹Çѵ¡ÃÃÁ·Ò§ÊØ¢ÀÒ¾ãËÁ‹æ ¡ÒÃ㪌¹Çѵ¡ÃÃÁ·ÕèÁÕ¼ÙŒ¤Ô´ËÃ×ͼÅÔµ¢Öé¹ áÅÐ ¡ÒûÃÐàÁÔ¹¼ÅàÁ×͹íÒ¹Çѵ¡ÃÃÁä»ãªŒã¹Ê¶Ò¹ºÃÔ¡ÒÃ·Ò§ÊØ¢ÀÒ¾(2) Í‹ҧäáçµÒÁ ·‹ÒÁ¡ÅÒ§¡ÃÐáÊ è âÅ¡ÒÀÔÇѲ¹ ¡ÒÃà»ÅÕè¹á»Å§¢Í§â¤Ã§ÊÌҧÊѧ¤Á àÈÃɰ¡Ô¨ áÅСÒÃàÁ×ͧ ¡ÒÃà¤Å×è͹ŒÒÂáÅÐ â¤Ã§ÊÌҧ»ÃЪҡà ẺἹ¡ÒôíÒà¹Ô¹ªÕǵáÅСÒúÃÔâÀ¤ ÃкҴÇÔ·ÂÒáÅÐâÃ¤ÍØºµãËÁ‹ ¤ÇÒÁ Ô Ñ Ô ÃØ¹áç ÇÔºµÀ ෤â¹âÅÂÕ¢ÍÁÙÅ¢‹ÒÇÊÒáÒÃᾷ ¡ÒÃà»ÅÕ¹á»Å§´ŒÒ¹¸ÃÃÁªÒµÔáÅÐÊÔ§áÇ´ÅŒÍÁ Ñ Ô Ñ Œ è è ã¹Êѧ¤Áä·Â ·íÒãËŒ¾ÂÒºÒÅáÅкؤÅҡ÷ÕÁÊØ¢ÀÒ¾àÃÔÁµÃÐ˹ѡ áÅйŒÍÁ¹íÒ»ÃѪ­ÒàÈÃɰ¡Ô¨¾Íà¾Õ§ è Íѹ໚¹á¹Ç·Ò§·Õ¾ÃкҷÊÁà´ç¨¾ÃÐ਌ÒÍÂÙËÇÀÙÁ¾ÅÍ´ØÅÂà´ª ·Ã§ÁÕ¾ÃÐÃÒª´íÒÃÑʪÕá¹Ðá¡‹¾Ê¡¹Ô¡Ã è ‹ Ñ Ô é ªÒÇä·ÂÁÒÍ‹ҧÂÒǹҹ ÁÒ㪌໚¹á¹Ç·Ò§¢Ñºà¤Å×͹ÃкºÊØ¢ÀÒ¾¾Íà¾Õ§ä»ÊÙ¡Òû¯ÔºµÍ‹ҧ¨ÃÔ§¨Ñ§ è ‹ Ñ Ô ·Ñ§ã¹¡ÒôíÒà¹Ô¹ªÕǵ ¡ÒúÃÔËÒà áÅСÒþѲ¹Ò·Ò§´ŒÒ¹ÊØ¢ÀҾ㹷ءÁÔµÔ ·Ø¡ÃдѺ áÅзءÀҤʋǹ é Ô Íѹ¨Ð¹íÒä»ÊÙ¡ÒþѲ¹Ò»ÃÐà·Èã¹ÃÐÂÐÂÒÇ ¤Ø³ÅѡɳТͧÃкºÊØ¢ÀÒ¾¾Íà¾Õ§ ÁÕ´§¹Õé(1) ‹ Ñ
  • 377.
    350 ¹Çѵ¡ÃÃÁ¡ÒþÂÒºÒÅ : ÇѲ¹¸ÃÃÁÊÌҧàÊÃÔÁÊØ¢ÀÒ¾·Õ§Â×¹ è Ñè ! ÁÕÃÒ¡°Ò¹·ÕࢌÁá¢ç§¨Ò¡¡ÒÃÁÕ¤ÇÒÁ¾Íà¾Õ§·Ò§ÊØ¢ÀÒ¾ã¹ÃдѺ¤Ãͺ¤ÃÑÇáÅЪØÁª¹ è ! ÁÕ¤ÇÒÁÃͺ¤ÍºáÅÐÃÙŒ¨Ñ¡»ÃÐÁҳ͋ҧÁÕà˵ؼÅã¹´ŒÒ¹¡ÒÃà§Ô¹¡ÒäÅѧ à¾×èÍÊØ¢ÀҾ㹠·Ø¡ÃдѺ ! ÁÕ¡ÒÃ㪌෤â¹âÅÂÕ·àËÁÒÐÊÁáÅÐ㪌Í‹ҧÃÙ෋ҷѹ â´Â์¹ÀÙÁ»­­Òä·ÂáÅСÒþ֧µ¹àͧ Õè Œ Ô ˜ è ! ÁպóҡÒôŒÒ¹¡ÒÃÊ‹§àÊÃÔÁÊØ¢ÀÒ¾ »‡Í§¡Ñ¹âä ÃÑ¡ÉÒ¾ÂÒºÒÅ ¿„¹¿ÙÊÀÒ¾áÅФØÁ¤Ãͧ Ù œ Œ ¼ÙºÃÔâÀ¤ Œ ! ÁÕÃкºÀÙÁ¤Á¡Ñ¹·ÕãËŒËÅÑ¡»ÃСѹáÅФØÁ¤ÃÍ§ÊØ¢ÀÒ¾ Ô ØŒ è Œ ! ÁÕ¤³¸ÃÃÁ ¨ÃÔ¸ÃÃÁ áÅÐÃÙ¨¡¾Í Ø ŒÑ ¨Ò¡¤Ø³ÅѡɳТͧÃкºÊØ¢ÀÒ¾¾Íà¾Õ§´Ñ§¡Å‹ÒÇ ÃкººÃÔ¡ÒÃÊØ¢ÀҾ䴌ÁÕ¡ÒþѲ¹Ò ¹Çѵ¡ÃÃÁÊÙ¡ÒÃÊÌҧÇѲ¹¸ÃÃÁÊØ¢ÀÒ¾¾Íà¾Õ§·Õ§Â׹͋ҧ໚¹ÃкºÁÒ¡¢Ö¹ ઋ¹ ÁÕ¡ÒúÙóҡÒà ‹ è Ñè é ´ŒÒ¹¡ÒÃÊ‹§àÊÃÔÁÊØ¢ÀÒ¾ »‡Í§¡Ñ¹âä áÅп„¹¿ÙÊÀÒ¾ã¹âç¾ÂÒºÒÅÁÒ¡¢Ö¹ ÀÒÂ㵌á¹Ç¤Ô´âç¾ÂÒºÒÅ œ é Ê‹§àÊÃÔÁÊØ¢ÀÒ¾ (health promoting hospital) äÁ‹ãª‹Á§à¾Õ§¡ÒÃÃÑ¡ÉÒÍ‹ҧà´ÕÂÇ áÅСÒèѴÃкº¡Òà ؋ ºÃÔËÒ÷ÃѾÂÒ¡ÃÊØ¢ÀÒ¾ (utilization management) à¾×Í¡ÒèѴ¡ÒôŒÒ¹¡ÒÃà§Ô¹¡ÒäÅѧ·ÕàËÁÒÐÊÁ è è ໚¹µŒ¹ ¾ÂÒºÒÅàÃÔÁÁÕ¡ÒúÙóҡÒáÒôÙáżٻÇ·Õàª×ÍÁµ‹ÍÃÐËNjҧâç¾ÂÒºÒÅ ¡ÑºÃдѺ¤Ãͺ¤ÃÑÇ è Œ † è è áÅЪØÁª¹ â´Â¨Ñ´Ãкº discharge planning áÅÐ continuing care ·ÕÁ»ÃÐÊÔ·¸ÔÀÒ¾ÁÒ¡¢Ö¹ ÁÕ¡ÒÃè Õ é ¤Ô´¤Œ¹áÅÐ㪌෤â¹âÅÂÕ㹡ÒôÙáżٌ»†Ç·ÕèàËÁÒÐÊÁ ઋ¹ ¡ÒûÃдÔɰŠÍØ»¡Ã³µ‹Ò§æ ·ÕèÊÌҧ ¤ÇÒÁ»ÅÍ´ÀÑÂáÅФÇÒÁÊØ¢ÊºÒÂá¡‹¼»Ç ÁÕ¡ÒÃ㪌෤â¹âÅÂÕ¡ÒÃÊ×ÍÊÒÃà¾×Íà¾ÔÁª‹Í§·Ò§¡ÒÃࢌҶ֧ ÙŒ † è è è áÅеԴµÒÁ¼Ù»ÇÂÍ‹ҧ໚¹ÃкºÁÒ¡¢Ö¹ ¹Í¡¨Ò¡¹Õ¾ÂÒºÒÅÂѧÁÕÊǹËÇÁ㹡ÒÃÊÌҧàÊÃÔÁÀÒÇÐ¼Ù¹Ò Œ † é é ‹ Œ í ´ŒÒ¹ÊØ¢ÀÒ¾¢Í§»ÃЪҪ¹·Ø¡ÃдѺ ÁÕ¡ÒùíÒÃкº¨ÔµÍÒÊÒáÅÐÁÔµÃÀÒ¾ºíҺѴÁÒ㪌㹡ÒâÂÒ§ҹ ÍÒÊÒÊÁѤÃà¾×ÍÊØ¢ÀÒ¾áÅЪØÁª¹ÁÒ¡¢Ö¹ ÁÕ¡ÒÃÊ‹§àÊÃÔÁÀÙÁ»­­Ò·ŒÍ§¶Ô¹à¾×ÍÊØ¢ÀÒ¾ªØÁª¹ ઋ¹ ¡ÒÃ㪌 è é Ô ˜ è è ÊÁعä¾Ãä·Â㹡ÒúѴÍÒ¡ÒÃáÅл˜­ËÒÊØ¢ÀÒ¾ áÅСÒèѴàÁ¹ÙÍÒËÒÃÊØ¢ÀÒ¾»ÃШíÒ·ŒÍ§¶Ô¹ à¾×Í໚¹ è è ¢ŒÍÁÙÅá¡‹»ÃЪҪ¹áÅйíÒ仨Ѵ¡ÒÃÊØ¢ÀÒ¾µ¹àͧ䴌 ໚¹µŒ¹ ·Ñ§¹Õ¡Åä¡ÊíҤѭ㹡ÒÃÊÌҧ¹Çѵ¡ÃÃÁ é é ·Ò§¡ÒþÂÒºÒÅ·ÕÊÁ´ØÅáÅÐàËÁÒÐÊÁ µŒÍ§ÍÒÈѤÇÒÁËÇÁÁ×ͨҡ¾ÂÒºÒÅ·Ø¡ÃдѺ ·Ñ§½†ÒºÃÔ¡Òà è é áÅн†Ò¡ÒÃÈÖ¡ÉÒ ÃÇÁ·Ñ§·ÕÁÊØ¢ÀÒ¾áÅлÃЪҪ¹ à¾×ÍãËŒà¡Ô´ÃкºÊØ¢ÀÒ¾¾Íà¾Õ§·Õ§Â×¹ é è è Ñè ÊÃØ» ¡ÒþѲ¹ÒÊØ¢ÀÒÇзÕ໚¹Í§¤ÃÇÁ·Ñ§´ŒÒ¹Ã‹Ò§¡Ò ¨Ôµã¨ Êѧ¤ÁáÅШԵÇÔ­­Ò³ ໚¹ÊÔ§¨íÒ໚¹ è é è 㹡ÒþѲ¹Ò¤¹áÅлÃÐà·È ¡ÒÃÊÌҧ¹Çѵ¡ÃÃÁ·Ò§¡ÒþÂÒºÒÅ·ÕèµÑé§ÍÂÙ‹º¹ÃÒ¡°Ò¹¢Í§»ÃѪ­Ò àÈÃɰ¡Ô¨¾Íà¾Õ§Í‹ҧ᷌¨ÃÔ§ ¨Ð¹íÒä»ÊÙDz¹¸ÃÃÁ¡ÒÃÊÌҧàÊÃÔÁÊØ¢ÀÒ¾·Õ§Â×¹ â´ÂÁÕ¡ÒþѲ¹ÒÍ‹ҧ ‹Ñ è Ñè µ‹Íà¹×ͧËÇÁ¡Ñ¹ÊÙÃкºÊØ¢ÀÒ¾¾Íà¾Õ§ è ‹ àÍ¡ÊÒÃ͌ҧÍÔ§ 1. Êíҹѡ¹âºÒÂáÅÐÂØ·ÈÒʵÏ ¡ÃзÃǧÊÒ¸ÒÃ³ÊØ¢. á¼¹¾Ñ²¹ÒÊØ¢ÀÒ¾áË‹§ªÒµÔ ©ºÑº·Õè 10, 2550. 2. Èٹ¡ÒÃàÃÕ¹ÃÙ¹Çѵ¡ÃÃÁ·Ò§¡ÒþÂÒºÒÅ ÇÔ·ÂÒÅѾÂÒºÒÅÊÀÒ¡ÒªÒ´ä·Â. ¹Çѵ¡ÃÃÁ·Ò§¡ÒþÂÒºÒÅ, 2552. Œ
  • 378.
    àǪÈÒʵÏ·¹Âؤ 2553 Ñ º··Õè 351 52 Breast Cancer Prevention and Screening ÍÒ¨ÒÏ ¹ÒÂᾷ ´Í¡àµÍÏÊ׺ǧȏ ¨Ø±ÒÀÔÊÔ·¸Ôì ÀÒ¤ÇÔªÒÈÑÅÂÈÒʵÏ ¤³Ðá¾·ÂÈÒʵÏÈÔÃÔÃÒª¾ÂÒºÒÅ ÁËÒÇÔ·ÂÒÅÑÂÁËÔ´Å âäÁÐàÃç§à»š¹âä·ÕèÃŒÒÂáç áÅÐ໚¹ÊÒà˵Øã¹¡ÒÃàÊÕªÕÇÔµã¹Íѹ´ÑºµŒ¹æ ã¹»ÃÐà·Èä·Â ¡ÒÃÃÑ¡ÉÒâäÁÐàÃç§ã¹»˜¨¨ØºÑ¹¹ÕéÁÕÇÔÇѲ¹Ò¡Ò÷Õ行ÒÇ˹ŒÒä»ÁÒ¡ Í‹ҧäáçµÒÁ ໚¹·Õè·ÃÒº¡Ñ¹´ÕÇ‹Ò ¼Å¡ÒÃÃÑ¡ÉÒâäÁÐàÃ秨Ðä´Œ¼Å´ÕÁÒ¡ÂÔ§¢Ö¹ ¶ŒÒâä¹Ñ¹ÁÕ¡ÒõÃǨ¾ºµÑ§áµ‹ã¹ÃÐÂÐàÃÔÁµŒ¹ ÍѵÃÒ¡Òà è é é é è ÃÍ´ªÕǵ¢Í§¼Ù»ÇÂÁÐàÃç§ÊÑÁ¾Ñ¹¸â´ÂµÃ§¡Ñº¡Ò䌹¾ºÁÐàÃç§ã¹ÃÐÂÐàÃÔÁµŒ¹ ´Ñ§¹Ñ¹¨Ö§ÁÕ¡ÒþÂÒÂÒÁ Ô Œ † è é ¤Œ¹ËÒÁÐàÃç§ã¹ÃÐÂÐàÃÔÁµŒ¹ â´Â੾ÒÐÍ‹ҧÂÔ§ã¹¡ÅØÁÁÐàÃç§·Õ¾ºä´ŒºÍ ઋ¹ ÁÐàÃç§àµŒÒ¹Á ÁÐàÃç§µ‹ÍÁ è è ‹ è ‹ ÅÙ¡ËÁÒ¡ ËÃ×Í ÁÐàÃç§»Ò¡Á´ÅÙ¡ ໚¹µŒ¹ Cancer prevention ¡ÒÃãËŒ¡Òû‡Í§¡Ñ¹ÊíÒËÃѺâäÁÐàÃç§ (cancer prevention) ¨ÐÂÔ§ª‹Ç·íÒãˌ͵ÃÒ¡ÒÃà¡Ô´âäµèÒ è Ñ í ŧ áÅЪ‹ÇÂÅ´ÀÒÇСÒõÒ¨ҡâäÁÐàÃç§ä´Œ´Â§¢Ö¹ µÑÇÍ‹ҧ·ÕàËç¹ä´Œª´à¨¹ áÅÐÁշ㪌áÅŒÇã¹·Ò§¤ÅÔ Õ Ôè é è Ñ Õè ¹Ô¡ ¤×Í ¡ÒÃ㪌Ǥ«Õ¹»‡Í§¡Ñ¹ human papilloma virus 㹡Òû‡Í§¡Ñ¹¡ÒÃà¡Ô´ÁÐàÃç§»Ò¡Á´ÅÙ¡ ໚¹µŒ¹ Ñ Í‹ҧäáçµÒÁ ¡Åä¡¡ÒÃà¡Ô´âäÁÐàÃç§Âѧ໚¹¡Åä¡·Õ«º«ŒÍ¹ áÅÐÂѧµŒÍ§·íÒ¡ÒÃÈÖ¡ÉÒÍÂÙ‹ ¨Ö§·íÒãËŒ¡Òà è Ñ ËÒÇÔ¸»Í§¡Ñ¹âäÁÐàÃç§à»š¹àÃ×ͧ·Õ·Ò·Ò áÅÐÂØ§ÂÒ¡«Ñº«ŒÍ¹à»š¹Í‹ҧÂÔ§ Õ ‡ è è Œ ‹ è ¡Òû‡Í§¡Ñ¹ÁÐàÃç§ ËÃ×Í cancer prevention ÊÒÁÒöẋ§ä´Œà»š¹ 3 ÃдѺ ¤×Í primary, secondary áÅÐ tertiary prevention ´Ñ§ÃÒÂÅÐàÍÕ´㹵ÒÃÒ§·Õè 1 µÒÃÒ§·Õè 1 ÃдѺ㹡Òû‡Í§¡Ñ¹âäÁÐàÃç§ Level Definition Example Primary Decrease risk of normal asymptomatic - Screening individuals - Smoking cessation - Chemoprevention of breast cancer in asymptomatic women Secondary Decrease progression of preneoplastic Reverse preneoplasia (CIN, processes leukoplakia with chemoprevention Tertiary Decrease morbidity of established disease Chemoprevention of second malignancies
  • 379.
    352 Breast Cancer Prevention and Screening ·Õ¨ÃÔ§áÅŒÇ primary prevention ·Õ§Ò·ÕÊ´áÅдշʴ㹡Òû‡Í§¡Ñ¹âäÁÐàÃç§ ¤×Í ¡ÒÃËÅÕ¡àÅÕ§ è è‹ èØ Õè Ø è »˜¨¨ÑÂàÊÕ§㹡ÒÃà¡Ô´âäÁÐàÃç§ µÑÇÍ‹ҧઋ¹ ¡ÒÃËÂØ´ÊÙººØËÃըЪ‹ÇÂ㹡ÒÃËÅÕ¡àÅÕ§ÁÐàÃ移ʹ ¡ÒÃËÅÕ¡ è è è àÅÕ§¡ÒÃ㪌ÂÒÎÍÏâÁ¹ºíҺѴ¡ç¨Ðª‹ÇÂËÅÕ¡àÅÕ§ÁÐàÃç§àµŒÒ¹Á ໚¹µŒ¹ Í‹ҧäáçµÒÁ ´Ñ§·Õ¡Å‹ÒÇ¢ŒÒ§µŒ¹ è è è áÅŒÇÇ‹Ò à¹×ͧ¨Ò¡âäÁÐàÃç§à»š¹âä·ÕÁ¡Åä¡¡ÒÃà¡Ô´âä·Õ«º«ŒÍ¹ áÅÐÁÐàÃç§áµ‹ÅЪ¹Ô´¡çÁÊÒà˵ØËÃ×Í è è Õ è Ñ Õ »˜¨¨ÑÂàÊÕ§·Õᵡµ‹Ò§¡Ñ¹ ¨Ö§à»š¹¡ÒÃÂÒ¡·Õ¨Ð·ÃҺ䴌ÇÒ»˜¨¨ÑÂã´·Õ໚¹»˜¨¨ÑÂàÊÕ§·Õá·Œ¨ÃÔ§ÊíÒËÃѺâä è è è ‹ è è è ÁÐàÃç§áµ‹ÅЪ¹Ô´ ¡ÒõÃǨ¤Ñ´¡ÃͧáÅСÒõÃǨÇÔ¹Ô¨©ÑÂàÃÔèÁµŒ¹ (Screening and early detection) ÊíÒËÃѺ¡ÒõÃǨ screening ¨ÐËÁÒ¤ÇÒÁ¶Ö§ ¡ÒõÃǨ੾ÒÐã¹¼ÙŒ·ÕèäÁ‹ÁÕÍÒ¡ÒÃà·‹Ò¹Ñé¹ ¹Ñ¹¤×Í à»š¹¡ÒõÃǨã¹ÃдѺ primary prevention Çѵ¶Ø»ÃÐʧ¤¢Í§¡ÒõÃǨ screening ¡çà¾×ͤŒ¹ËÒ è è ¼Ù»ÇÂãËŒ¾ºÃÍÂâäµÑ§áµ‹Â§äÁ‹à»š¹ÁÐàÃç§ àª‹¹ ¡ÒõÃǨ¤Œ¹ËÒ atypical ductal cell ã¹ÁÐàÃç§àµŒÒ¹Á Œ † é Ñ ËÃ×Í ¡ÒõÃǨËÒÃÍÂâä CIN ã¹ÁÐàÃç§»Ò¡Á´ÅÙ¡ ໚¹µŒ¹ ÊíÒËÃѺËÅÑ¡¡ÒÃ㹡ÒÃàÅ×Í¡·Õ¨Ð¡ÒõÃǨ¤Œ¹ËÒ screening âäÁÐàÃç§ ¤×Í ¡ÒõÃǨ screening è ¹Ñ¹¨ÐµŒÍ§ÁÕ»ÃÐ⪹à¡Ô´¢Ö¹ËÅѧ¡Ò÷íÒ à¾ÃÒСÒõÃǨ screening ໚¹¡ÒÃŧ·Ø¹·Õ¤Í¹¢ŒÒ§ÊÙ§ áÅÐ é é è ‹ µŒÍ§¤íÒ¹Ö§¶Ö§¤ÇÒÁ¤ØÁ¤‹Ò㹡Ò÷íÒ ´Ñ§¹Ñ¹âäÁÐàÃ秷ըеŒÍ§·íÒ¡ÒõÃǨ screening ¨Ö§ÁբͷըеŒÍ§ Œ é è Œ è ¾Ô¨ÒÃ³Ò ´Ñ§¹Õé 1. ÁÐàÃ秷ըоԨÒóҷíÒ screening ¨ÐµŒÍ§à»š¹ÁÐàÃç§·Õ¾ºä´ŒºÍ è è ‹ 2. ¡ÒõÃǨ¤Œ¹ËҨеŒÍ§ÁÕà¤Ã×ͧÁ×Í·ÕàËÁÒÐÊÁ 㪌䴌¨ÃÔ§ áÅÐÁÕ¤ÇÒÁäÇ áÅÐ ¤ÇÒÁ¨íÒà¾ÒÐ è è ¡Ç‹Ò¡ÒõÃǨËҧ¡Ò·շÒ໚¹»¡µÔã¹·Ò§¤ÅÕ¹¡ ¹Ñ¹¤×Í ÊÒÁÒö·íÒ䴌㹻ÃЪҡèíҹǹÁÒ¡ ¡µÑÇ è í Ô è Í‹ҧઋ¹ ¡ÒõÃǨÂÕ¹¼Ô´»¡µÔà¾×ͤŒ¹ËÒÁÐàÃç§µ‹ÍÁÅÙ¡ËÁÒ¡ÍÒ¨·íÒä´Œ ᵋà¤Ã×ͧÁ×ÍÁÕÃÒ¤Òá¾§ áÅÐ è è à·¤â¹âÅÂÕäÁ‹ÊÒÁÒö·íÒ䴌㹷ҧ»¯ÔºµÔ ¡ÒÃà¡çºàÅ×Í´à¾×͵ÃǨÃдѺ PSA áÁŒ¨ÐÁÕ¤ÇÒÁ¨íÒà¾ÒйŒÍÂ Ñ è ¡Ç‹Ò áµ‹à»š¹¡ÒõÃǨ·ÕàËÁÒÐÊÁ¡Ç‹Ò ໚¹µŒ¹ è 3. ¡Òà screening ¨ÐµŒÍ§à¡Ô´»ÃÐ⪹ã¹¡ÒùíÒä»ÊÙ¡ÒÃÃÑ¡ÉÒ·ÕàËÁÒÐÊÁµ‹Íä» ã¹¡ÒÃÅ´ ‹ è ÍѵÃÒ¤ÇÒÁ¾Ô¡Òà ËÃ×Í Å´ÍѵÃÒ¡ÒÃàÊÕªÕǵ¨Ò¡âä ¡Å‹Òǧ‹ÒÂæ ¤×Í àÁ×Í screening ¾ºâäáÅŒÇ¨Ð Ô è µŒÍ§ÁÕ¡ÒÃÃÑ¡ÉÒ·ÕàËÁÒÐÊÁ·ÕÊÒÁÒöª‹Ç¼ٻÇÂä´Œ è è Œ † 4. ¡Òà screening ¹Ñ¹¨ÐµŒÍ§¹íÒÁÒÊÙÀÒÇÐÊØ¢ÀÒ¾·Õ´â´ÂÃÇÁ¢Í§»ÃЪҡà (total health é ‹ è Õ benefit) Screening and chemoprevention in breast cancer ÊíÒËÃѺã¹ÁÐàÃç§àµŒÒ¹Á ¡ÒÃãËŒ¡ÒõÃǨ¤Œ¹â´Â¡Ò÷íÒ screening ÊÒÁÒö·íÒãËŒºÃÃÅØ ¨Ø´ÁاËÁÒ´ѧ¡Å‹ÒǷѧ 4 ¢ŒÍ ã¹¢ŒÒ§µŒ¹ä´Œ à¾ÃÒÐ ÁÐàÃç§àµŒÒ¹Á໚¹ÁÐàÃç§·Õ¾ºº‹Í ¡ÒÃ㪌à¤Ã×ͧÁ×Í ‹ é è è 㹡ÒõÃǨ¤Ñ´¡Ãͧ¡ç໚¹¡ÒõÃǨËҧ¡Ò áÅСÒÃ㪌෤¹Ô¤·Ò§ÃѧÊÕÇ·ÂÒ·ÕÊÒÁÒ¶·íÒä´Œ áÅÐâ´Â Ô è
  • 380.
    àǪÈÒʵÏ·¹Âؤ 2553 Ñ 353 ੾ÒÐÍ‹ҧÂÔ§àÁ×͵ÃǨ¾ºÁÐàÃç§àµŒÒ¹ÁµÑ§áµ‹ã¹ÃÐÂÐàÃÔÁµŒ¹áÅŒÇ ¡ÒÃÃÑ¡ÉÒÊÒÁÒöª‹ÇÂà¾ÔÁÍѵÃÒ è è é è è ¡ÒÃÃÍ´ªÕǵ¢Í§¼Ù»ÇÂä´Œ áÅзíÒãˌʢÀÒ¾â´ÂÃÇÁ´Õ¢¹ Ô Œ † Ø Öé ¡Ò÷íÒ primary prevention ÊíÒËÃѺÁÐàÃç§àµŒÒ¹Á ¡ç¤Í ¡Ò÷íÒ screening mammogram × ¹Ñ¹àͧ Í‹ҧäáçµÒÁ ¡ÒõÃǨ screening ÊíÒËÃѺ¤Œ¹ËÒÁÐàÃç§àµŒÒ¹Á ÊÒÁÒö·íÒä´Œ´Ç¡ÒõÃǨ è Œ breast self áÅÐ physician breast examination ä´ŒÍÕ¡´ŒÇ â´Â·ÕèÃÒÂÅÐàÍÕ´ÊíÒËÃѺ¡ÒõÃǨ screening breast cancer ã¹¡ÅØÁ·Õ໚¹»ÃЪҡû¡µÔ ¤×Í ¼ÙË­Ô§·ÕäÁ‹Á¤ÇÒÁàÊÕÂ§ã´æ ¡Ñº ¡ÅØÁ·ÕÁÕ ‹ è Œ è Õ è ‹ è ¤ÇÒÁàÊÕ§ÊÙ§ÍÒ¨ÁÕÃÒÂÅÐàÍÕ´µ‹Ò§¡Ñ¹àÅ硹ŒÍ ᵋ¨ÐäÁ‹¡Å‹ÒÇã¹ÃÒÂÅÐàÍÕ´㹺·¤ÇÒÁ¹Õé è ã¹á§‹¢Í§ chemoprevention ÊíÒËÃѺÁÐàÃç§àµŒÒ¹Á¹Ñ¹ ÁÕËÅÑ¡°Ò¹·Ò§¡ÒÃᾷËÅÒÂÍ‹ҧ é ·Õ¹ÂÑ¹Ç‹Ò ¡ÒÃ㪌 chemoprevention ÁÕ»ÃÐ⪹ª´à¨¹ã¹¡Òû‡Í§¡Ñ¹¡ÒÃà¡Ô´ÁÐàÃç§àµŒÒ¹Á â´Â੾ÒÐ è × Ñ Í‹ҧÂÔ§¡Òû‡Í§¡Ñ¹ã¹ÃдѺ secondary áÅÐ tertiary prevention ´Ñ§áÊ´§ã¹µÒÃÒ§·Õè 2 è µÒÃÒ§·Õè 2 ¡Òû‡Í§¡Ñ¹âäÁÐàÃç§àµŒÒ¹Á ã¹ÃдѺ primary, secondary áÅÐ tertiary Level Modalities Primary - ¡ÒõÃǨ screening mammogram (áÅÐ/ËÃ×Í ultrasound) - ¡ÒÃËÅÕ¡àÅÕ§¡ÒÃ㪌ÂÒ hormonal replacement therapy è - Dietary control - ¡Ò÷íÒ prophylactic mastectomy 㹡óշ¼»ÇÂÁÕ¤ÇÒÁàÊÕ§㹡ÒÃà¡Ô´ Õè ÙŒ † è ÁÐàÃç§àµŒÒ¹ÁÊÙ§ - ¡ÒÃ㪌ÂÒµŒÒ¹ÎÍÏâÁ¹ tamoxifen ËÃ×Í raloxifen 㹼ٻǷÕÁ¤ÇÒÁàÊÕ§ÊÙ§ Œ † è Õ è 㹡ÒÃà¡Ô´ÁÐàÃç§àµŒÒ¹Á Secondary - ¡ÒõÃǨ screening mammogram (áÅÐ/ËÃ×Í ultrasound) µ‹Íà¹×ͧà¾×Í è è µÔ´µÒÁËÅѧµÃǨ¾ºÀÒÇÐ preneoplastic lesion ઋ¹ atypical ductal hyperplasia - ¡Òü‹ÒµÑ´ prophylactic mastectomy 㹼ٻǷÕàè »š¹ lobular carcinoma in situ Œ † Tertiary - ¡ÒÃ㪌ÂÒµŒÒ¹ÎÍÏâÁ¹à¾×èÍ»‡Í§¡Ñ¹¡ÒÃà¡Ô´ÁÐàÃç§àµŒÒ¹ÁÍÕ¡¢ŒÒ§ã¹¼ÙŒ»†Ç ·Õ໚¹ ductal carcinoma in situ è - ¡ÒõÃǨ screening mammogram (áÅÐ/ËÃ×Í ultrasound) ËÅѧ¡ÒÃÃÑ¡ÉÒ ÁÐàÃç§àµŒÒ¹Á´ŒÇÂÇÔ¸Õ breast conserving therapy ÊíÒËÃѺÃÒÂÅÐàÍÕ´㹡ÒõÃǨ screening ÁÐàÃç§àµŒÒ¹Á ´ŒÇ¡ÒõÃǨËҧ¡Ò áÅÐ ¡Ò÷íÒ mammogram áÅÐ/ËÃ×Í ultrasound á¹Ð¹íÒãËŒ·ÒµÒÁ¤íÒá¹Ð¹íҢͧÈٹ¶¹ÂÃѡɏ âç¾ÂÒºÒÅÈÔÃÔ í Ñ ÃÒª â´Âẋ§µÒÁª‹Ç§ÍÒÂØ ´Ñ§¹Õé - ÍÒÂØ 20 »‚¢¹ä» ¤ÇÃàÃÔÁµÃǨൌҹÁ´ŒÇµ¹àͧ·Ø¡à´×͹㹪‹Ç§ÍÒÂØ¹Õé äÁ‹¨Ò໚¹µŒÍ§·íÒ Öé è í áÁÁâÁá¡ÃÁ
  • 381.
    354 Breast Cancer Prevention and Screening - ÍÒÂØ 35 »‚ ¤ÇõÃǨáÁÁâÁá¡ÃÁ໚¹¾×¹°Ò¹ áÅФÇõÃǨ·Ø¡ æ 2 »‚ é - ÍÒÂØ 40 »‚ ¤ÇõÃǨáÁÁâÁá¡ÃÁ·Ø¡»‚ - ÍÒÂØ 50 »‚¢¹ä» ¤ÇõÃǨáÁÁâÁá¡ÃÁ·Ø¡ 1-2 »‚ Öé ÊÃØ» Cancer prevention ÊíÒÊËÃѺÁÐàÃç§àµŒÒ¹Á ÊÒÁÒöẋ§ä´Œà»š¹ÃдѺ primary, secondary áÅÐ tertiary prevention ¡Ò÷íÒ screening mammogram (áÅÐ/ËÃ×Í ultrasound) ÊíÒËÃѺÁÐàÃç§àµŒÒ¹Á ÍҨ໚¹ä´Œ·§ã¹ÃдѺ primary, secondary ËÃ×Í áÁŒáµ‹ tertiary ¡çä´Œ¢¹ÍÂÙ¡ºÇѵ¶Ø»ÃÐʧ¤ã¹¡Ò÷íÒ Ñé Öé ‹ Ñ ¡Ò÷íÒ screening mammogram áÅÐ/ËÃ×Í ultrasound ¢Í§àµŒÒ¹Á á¹Ð¹íÒãËŒ·ÒµÒÁ¤íÒá¹Ð¹íҢͧ í Èٹ¶¹ÂÃѡɏ âç¾ÂÒºÒÅÈÔÃÃÒª Ñ Ô àÍ¡ÊÒÃ͌ҧÍÔ§ 1. Zell JA, Mayskens .L. Cancer Prevention, Screening and Early Detection. In:Abeloff’s Clinical Oncology. Abeloff MD, et al. editors, 4th ed 2008: Philadelphia: Churchill Living stone p. 361. 2. Blaha P, Dubsky P, .itzal . et al. Breast cancer chemoprevention- a vision not yet realized. Eur J Cancer Care 2009; 18: 438-46. 3. ÁÙŹԸȹ¶¹ÂÃѡɏ. ¤ÙÁÍáÅФíÒá¹Ð¹íÒ㹡ÒõÃǨൌҹÁ. ¡Ãا෾ÁËÒ¹¤Ã:Èٹ¶¹ÂÃѡɏ. ¾È. 2552 Ô Ù Ñ ‹ × Ñ
  • 382.
    àǪÈÒʵÏ·¹Âؤ 2553 Ñ º··Õè 355 53 Screening in Common Gynecologic Cancer: Ovarian Cancer Screening ÍÒ¨ÒÏ ᾷ˭ԧ»˜·ÁÒ àªÒǏ⾸Ôì·Í§ ÀÒ¤ÇÔªÒÊÙµÈÒʵÏ-¹ÃÕàǪÇÔ·ÂÒ ¤³Ðá¾·ÂÈÒʵÏÈÃÃÒª¾ÂÒºÒÅ ÁËÒÇÔ·ÂÒÅÑÂÁËÔ´Å Ô ÔÔ ÁÐàÃç§Ãѧ䢋ÁÕ¤ÇÒÁÃØ¹áçáÅÐ໚¹ÊÒà˵آͧ¡ÒÃàÊÕªÕÇÔµÊÙ§·ÕèÊØ´ã¹ÁÐàÃ秢ͧÍÇÑÂÇÐÃкº Ê׺¾Ñ¹¸ØÊµÃÕ·Ñé§ËÁ´áÅÐ໚¹ÊÒà˵ءÒÃàÊÕªÕÇÔµ¨Ò¡âäÁÐàÃç§ã¹ÅíҴѺ·Õè 5 ¢Í§ÁÐàÃç§·Õ辺ã¹ÊµÃÕ ·Ñ§ËÁ´â´ÂÁÐàÃç§Ãѧ䢋ª¹Ô´à¹×ÍàÂ×ÍºØ¼Ç (epithelial ovarian cancer) ໚¹ª¹Ô´·Õ¾ºä´ŒºÍ·ÕÊ´¶Ö§ é é è Ô è ‹ èØ ÃŒÍÂÅÐ 80 àÁ×Íà»ÃÕºà·Õº¡ÑºÁÐàÃç§Ãѧ䢋ª¹Ô´Í×¹æ â´ÂÍÒ¡Òâͧ¼Ù»ÇÂâä¹ÕÁÒ¡¡Ç‹ÒÃŒÍÂÅÐ 80 è è Œ † é ÁÑ¡ÍÂÙ‹ã¹ÃÐÂзÕè 3 - 4 ¢Í§âäàÁ×èÍàÃÔèÁÁÒµÃǨÃÑ¡ÉÒ ·Ñé§¹Õéà¹×èͧ¨Ò¡Ãѧ䢋໚¹ÍÇÑÂÇзÕèÍÂÙ‹ÅÖ¡ã¹ (1) ÍØ§àªÔ§¡ÃÒ¹ ã¹ÃÐÂÐáá æ ¢Í§âä¹Ñ¹ÁÑ¡äÁ‹ÁÍÒ¡ÒÃáÊ´§ã´æ ·Õ¨Òà¾ÒÐà¨ÒШ§¨¹¡Ç‹Ò¡ŒÍ¹·Õç䢋 Œ é Õ èí èÑ ¨ÐÁÕ¢¹Ò´ãË­‹ÁÒ¡ËÃ×ÍÁÕ¹Òà¡Ô´¢Ö¹ã¹ª‹Í§·ŒÍ§ (ascites) ·íÒãˌ͵ÃÒ¡ÒÃÍÂÙÃÍ´·Õè 5 »‚ (5-year survival éí é Ñ ‹ rate) ¢Í§¼Ù»ÇÂâäÁÐàÃç§Ãѧ䢋ÃÐÂзÕè 3 - 4 ¹Ñ¹¹ŒÍ¡NjÒÃŒÍÂÅÐ 30 ᵋÊÒËÃѺ¼Ù»Ç·յÃǨ¾ºâä Œ † é í Œ † è µÑ§áµ‹ã¹ÃÐÂзÕè 1 ¹Ñ¹ÁÕ͵ÃÒ¡ÒÃÍÂÙÃÍ´·Õè 5 »‚ʧÁÒ¡¡Ç‹ÒÃŒÍÂÅÐ 90 «Ö§¶×ÍÇ‹Ò໚¹¤ÇÒÁᵡµ‹Ò§·ÕÁÕ é é Ñ ‹ Ù (2) è è ¤ÇÒÁÊíҤѭÍ‹ҧÂÔ§ è µÒÁʶԵ¢Í§»ÃÐà·È·Õ¾²¹ÒáÅŒÇ àª‹¹ »ÃÐà·Èã¹·ÇÕ»ÂØâûËÃ×ÍÍàÁÃÔ¡Ò ¾ºÇ‹ÒÁÕͺµ¡Òó Ô è Ñ Ø Ñ Ô ¡ÒÃà¡Ô´âäÁÐàÃç§Ãѧ䢋»ÃÐÁÒ³ 15.5 ÃÒµ‹Í»ÃЪҡÃʵÃÕ 100,000 ÃÒµ‹Í»‚ËÃ×ÍÍÒ¨¡Å‹ÒÇä´ŒÇÒ ‹ ÁÕ¤ÇÒÁªØ¡¢Í§âäµÅÍ´ª‹Ç§ªÕǵ¢Í§ÊµÃÕ(lifetime prevalence)»ÃÐÁҳÌÍÂÅÐ 1 - 2 â´ÂÁÑ¡à¡Ô´ã¹ Ô ¡ÅØÁʵÃÕ·ËÁ´ÃдÙä»áÅŒÇ (1 µ‹Í 2,500 ÃÒÂ)(3) ÊíÒËÃѺ㹻ÃÐà·Èä·ÂÁÕ¡ÒÃÊíÒÃǨâ´ÂʶҺѹÁÐàÃç§ ‹ Õè áË‹§ªÒµÔã¹»‚¾.È. 2543 ¾ºÇ‹ÒÁÕͺµ¡Òó¢Í§ÁÐàÃç§Ãѧ䢋 5 ÃÒµ‹Í»ÃЪҡÃʵÃÕ 100,000 ÃÒÂ Ø Ñ Ô ÊÒà˵آͧÁÐàÃç§Ãѧ䢋 ã¹»˜¨¨Øº¹ÂѧäÁ‹·ÃÒºÊÒà˵آͧ¡ÒÃà¡Ô´ÁÐàÃç§Ãѧ䢋 ᵋ¾ºÇ‹Ò¡ÒÃà¡Ô´ÁÐàÃç§Ãѧ䢋â´Â੾ÒÐ Ñ Í‹ҧÂÔ§ª¹Ô´à¹×ÍàÂ×ÍºØ¼Ç «Ö§à»š¹ÁÐàÃç§Ãѧ䢋·¾ºº‹Í·ÕÊ´ÁÕ¤ÇÒÁÊÑÁ¾Ñ¹¸¡º»˜¨¨ÑºҧÍ‹ҧ´Ñ§¹Õé è é è Ô è Õè èØ Ñ »˜¨¨Ñ·ÕʧàÊÃÔÁËÃ×ÍÊÑÁ¾Ñ¹¸¡º¡ÒÃà¡Ô´ÁÐàÃç§Ãѧ䢋 è‹ Ñ 1. ¡ÒÃ໚¹âÊ´ËÃ×ÍäÁ‹ÁºµÃÕ Ø 2. ÀÒÇÐÁÕºµÃÂÒ¡ Ø 3. ¤ÇÒÁ¼Ô´»¡µÔ¢Í§ÊÒþѹ¸Ø¡ÃÃÁËÃ×ÍÂչʏºÒ§ª¹Ô´
  • 383.
    356 Screening in Common Gynecologic Cancer : Ovarian Cancer Screening ã¹¼Ù»ÇÂÁÐàÃç§Ãѧ䢋·§ËÁ´¾ºÇ‹ÒÃŒÍÂÅÐ 5-10 ÁÕ¤ÇÒÁÊÑÁ¾Ñ¹¸¡º¡Òö‹Ò·ʹ·Ò§¾Ñ¹¸Ø¡ÃÃÁ Œ † Ñé Ñ (inherited predisposition) (1, 4, 5) â´ÂÁÕ¡Òö‹Ò·ʹ·Ò§¾Ñ¹¸Ø¡ÃÃÁẺ autosomal dominant ºØ¤¤Å ã´¡çµÒÁ·ÕÁ¡Òö‹Ò·ʹ·Ò§¾Ñ¹¸Ø¡ÃÃÁ¢Í§ÊÒþѹ¸Ø¡ÃÃÁ·Õ¼´»¡µÔºÒ§ª¹Ô´àËŋҹÕé âÍ¡ÒÊ·Õ¨Ðà¡Ô´âä è Õ è Ô è ÁÐàÃç§Ãѧ䢋䴌ʧ¡Ç‹Ò»ÃЪҡÃâ´Â·ÑÇä» Ù è ÍѵÃÒ¤ÇÒÁàÊÕ觪ÑèǪÕÇÔµµ‹Í¡ÒÃà¡Ô´ÁÐàÃç§Ãѧ䢋(6) »ÃЪҡ÷ÑÇä» è ÃŒÍÂÅÐ 1.6 ÁÕ­ÒµÔã¹ÅíҴѺ¢Ñ¹·Õè 1 ˹֧¤¹à»š¹âäàÁ×ÍÍÒÂØ < 55 »‚ é è è ÃŒÍÂÅÐ 5.2 ÁÕ­ÒµÔã¹ÅíҴѺ¢Ñ¹·Õè 1 ˹֧¤¹à»š¹âäàÁ×ÍÍÒÂØ > 55 »‚ é è è ÃŒÍÂÅÐ 3.4 ÁÕ­ÒµÔã¹ÅíҴѺ¢Ñ¹·Õè 1 Êͧ¤¹à»š¹âä é ÃŒÍÂÅÐ 7 ໚¹¾ÒËТͧÂÕ¹ BRCA1 ·Õ¼´»¡µÔ è Ô ÃŒÍÂÅÐ 28 - 44 ໚¹¾ÒËТͧÂÕ¹ BRCA2 ·Õ¼´»¡µÔ è Ô ÃŒÍÂÅÐ 27 ໚¹¾ÒËТͧÂÕ¹ HNPCC ·Õ¼´»¡µÔ è Ô ÃŒÍÂÅÐ 12 ¡Ò÷ÕÁ»ÃÐÇѵ¢Í§¤¹ã¹¤Ãͺ¤ÃÑÇ໚¹ÁÐàÃç§àµŒÒ¹ÁáÅÐ/ËÃ×ÍÁÐàÃç§Ãѧ䢋 â´Â੾ÒÐàÃÔÁ໚¹ è Õ Ô è àÁ×ÍÍÒÂØ¤Í¹¢ŒÒ§¹ŒÍÂáÅÐ໚¹ËÅÒ¤¹ ໚¹µÑǪպ§ä´ŒÇÒÍÒ¨ÁÕ¤ÇÒÁ¼Ô´»¡µÔ¢Í§ÊÒþѹ¸Ø¡ÃÃÁºÒ§ª¹Ô´ è ‹ é ‹ ‹ ઋ¹ BRCA1 ËÃ×Í BRCA2 «Ö§ÍҨ䴌ú¡Òö‹Ò·ʹÁÒ¡¨Ò¡ºÔ´ÒËÃ×ÍÁÒÃ´Ò â»ÃµÕ¹·Õà¡Ô´¨Ò¡¡Òà è Ñ è ¼ÅÔµâ´ÂÊÒþѹ¸Ø¡ÃÃÁ·ÕÁ¤ÇÒÁ¼Ô´»¡µÔ¹¨ÐÊ‹§¼ÅàÊÕµ‹Í¢ºÇ¹¡Òë‹ÍÁá«Áà¹×ÍàÂ×Í ÊíÒËÃѺ㹤Ãͺ è Õ Õé é è ¤ÃÑÇ·ÕÁ»ÃÐÇѵ¢Í§ÁÐàÃç§àÂ×ͺØâ¾Ã§Á´ÅÙ¡, ÁÐàÃç§ÅíÒäÊŒãË­‹, ÁÐàÃç§Ãѧ䢋 ËÃ×ÍÁÐàÃç§Í×¹ æ ÍÒ¨ÁÕ¡Òà è Õ Ô è è ¶‹Ò·ʹ·Ò§¾Ñ¹¸Ø¡ÃÃÁ¢Í§ Lynch II ËÃ×Í hereditary non-polyposis colorectal cancer (HNPCC) syndrome «Ö§ÊÁÒªÔ¡¢Í§¤Ãͺ¤ÃÑÇàËŋҹդÇèÐ䴌ú¡ÒõÃǨà¾ÔÁàµÔÁáÅзíÒ¾§ÈÒÇÅÕµÍä» (family è é Ñ è ‹ tree) »˜¨¨Ñ·ÕèÅ´ËÃ×Í»‡Í§¡Ñ¹¡ÒÃà¡Ô´ÁÐàÃç§Ãѧ䢋 (1) 1. ¡ÒÃÁÕºµÃ ¾ºÇ‹Ò¡ÒÃÁÕºµÃ 1 ¤¹ª‹ÇÂÅ´¤ÇÒÁàÊÕ§µ‹Í¡ÒÃà¡Ô´ÁÐàÃç§Ãѧ䢋ÃÍÂÅÐ 30-40 Ø Ø è Œ 2. ¡ÒÃ㪌ÂÒàÁç´¤ØÁ¡íÒà¹Ô´ ¾ºÇ‹Ò¡ÒÃ㪌ÂÒàÁç´¤ØÁ¡íÒà¹Ô´µÔ´µ‹Í¡Ñ¹µÑ§áµ‹ 5 »‚¢¹ä»ª‹ÇÂÅ´ é Öé ¤ÇÒÁàÊÕ§ µ‹Í¡ÒÃà¡Ô´ÁÐàÃç§Ãѧ䢋ÃÍÂÅÐ 50 è Œ 3. ¡ÒÃ¾Ô ¨ ÒóҼ‹ Ò µÑ ´ ÃÑ § 䢋 à ¾×è Í »‡ Í §¡Ñ ¹ ¡ÒÃà¡Ô ´ âäã¹ÊµÃÕ ·Õè ÁÕ ¤ ÇÒÁ¼Ô ´ »¡µÔ ¢ ͧÊÒà ¾Ñ¹¸Ø¡ÃÃÁ (prophylactic oophorectomy) ÁÕ¡ÒÃá¹Ð¹íÒ¡Òü‹ÒµÑ´à¾×èÍÅ´ÍѵÃÒàÊÕè§µ‹Í¡ÒÃà¡Ô´âäÁÐàÃç§Ãѧ䢋ã¹ÊµÃÕ·ÕèÁÕ¤ÇÒÁ¼Ô´»¡µÔ ¢Í§ÊÒþѹ¸Ø¡ÃÃÁºÒ§ª¹Ô´ ઋ¹ÊµÃÕ·Õè໚¹ËÒËТͧ BRCA1 áÅÐ BRCA2 ·Õè¼Ô´»¡µÔ á¹Ð¹íÒÇ‹Ò àÁ×ÍÁÕÍÒÂØ 35 »‚áÅÐÁÕ¤Ãͺ¤ÃÑÇ·ÕÊÁºÙóáÅŒÇ ¤ÇÃ䴌ú¡Òü‹ÒµÑ´»‚¡Á´ÅÙ¡·Ñ§ 2 ¢ŒÒ§ (bilateral salpingo- è è Ñ é oophorectomy) ÊíÒËÃѺʵÃÕ·Õè໚¹ËÒËТͧ HNPCC ·Õè¼Ô´»¡µÔ ¤ÇÃä´ŒÃѺ¡Òü‹ÒµÑ´Á´ÅÙ¡áÅÐ »‚¡Á´ÅÙ¡·Ñ§ 2 ¢ŒÒ§ (hysterectomy with bilateral salpingo-oophorectomy) áÅÐÃÐËNjҧ·Õ§äÁ‹ä´ŒÃº é è Ñ Ñ
  • 384.
    àǪÈÒʵÏ·¹Âؤ 2553 Ñ 357 ¡Òü‹ÒµÑ´¤Ç÷ըеÃǨ¤Ñ´¡ÃͧʵÃÕàËŋҹմÇ¡ÒõÃǨàÅ×Í´ËÒ CA125 ËÇÁ¡Ñº¡ÒõÃǨÍÑŵÃÒ è é Œ «Òǹ·Ò§ª‹Í§¤Åʹ໚¹ÃÐÂÐæ (7) ÂѧäÁ‹ÁÕ¢ŒÍ¾ÔÊÙ¨¹Ç‹Ò¡ÒõÃǨ¤Ñ´¡ÃͧâäÁÐàÃç§Ãѧ䢋¹Õé ¨Ðà¾ÔèÁÍѵÃÒ¡ÒÃÍÂÙ‹ÃÍ´â´ÂÃÇÁä´Œ à¾ÃÒÐáÁŒÇÒÃѧ䢋·§ 2 ¢ŒÒ§¨Ð䴌ú¡Òü‹ÒµÑ´ÍÍ¡ä»áÅŒÇ ¡ç§ÁÕ¤ÇÒÁàÊÕ§µ‹Í¡ÒÃà¡Ô´ÁÐàÃç§·ÕàÂ×ͺتͧ ‹ Ñé Ñ Ñ è è è ‹ ·ŒÍ§ä´Œ ¡ÒõÃǨ¤Ñ´¡ÃͧÁÐàÃç§Ãѧ䢋 ÇÔ¸Õ¡Ò÷Õè¨Ð¹íÒÁÒ㪌㹡ÒõÃǨ¤Ñ´¡ÃͧâäÁÐàÃç§Ãѧ䢋¹Õé¤ÇõŒÍ§ÁÕ¤ÇÒÁäÇÊÙ§ (high sensitivity) ÁÒ¡¡Ç‹ÒÃŒÍÂÅÐ 75 ÊíÒËÃѺâäã¹ÃÐÂзÕè 1 áÅÐÁÕ¤ÇÒÁ¨íÒà¾ÒÐÊÙ§ (high specificity) ÁÒ¡¡Ç‹ÒÃŒÍÂÅÐ 99.6 à¾×ͷըзíÒãˌ䴌 positive predictive value Í‹ҧ¹ŒÍÂÃŒÍÂÅÐ 10 ¤×Í ã¹ÊµÃÕ è è ·Ñ§ËÁ´ 10 ÃÒ·ÕÁ¼Å¡ÒõÃǨ¤Ñ´¡Ãͧ໚¹ºÇ¡ µŒÍ§ÁռźǡÅǧäÁ‹à¡Ô¹ 9 ÃÒÂ(7) à¹×ͧ¨Ò¡àÁ×Í é è Õ è è ÁռŵÃǨ¤Ñ´¡Ãͧ໚¹ºÇ¡áŌǨеŒÍ§ä´ŒÃѺ¡ÒõÃǨà¾ÔèÁàµÔÁ䴌ᡋ ¡Òü‹ÒµÑ´ laparoscopy ËÃ×Í laparotomy µ‹Íä»(8) áÁŒÇÒâäÁÐàÃç§Ãѧ䢋¹¨ÐÁÕͺµ¡Òó¹ÍÂàÁ×Íà»ÃÕºà·Õº¡ÑºÁÐàÃç§Ê‹Ç¹Í×¹æ ᵋà¹×ͧ¨Ò¡à»š¹ ‹ Õé Ø Ñ Ô Œ è è è âä·ÕÁ͹µÃÒÂÁÒ¡¨Ö§ÁÕ¡Ò÷íÒÇÔ¨Âà¡ÕÂǡѺ¡ÒõÃǨ¤Ñ´¡Ãͧâä¡Ñ¹Í‹ҧ¡ÇŒÒ§¢ÇÒ§ ·ÕÁ¡ÒáŋÒǶ֧ è ÕÑ Ñ è è Õ ¡Ñ¹ÁÒ¡·Õʴ䴌ᡋ¡ÒÃÇԨ¢ͧ The UK Collaborative Trial of Ovarian Cancer Screening (UKCTOCS) (9) èØ Ñ «Ö§ÃÒ§ҹ¼Å prevalence screen àÁ×Íà´×͹àÁÉÒ¹ ¾.È. 2552 㹡ÒõÃǨ¤Ñ´¡ÃͧâäÁÐàÃç§ è è Ãѧ䢋ã¹ÊµÃÕÇÂËÁ´ÃдÙÍÒÂØ 50 - 74 »‚ ÃÇÁ·Ñ§ÊÔ¹ 202,638 ÃÒ «Ö§à»š¹¡ÒÃÇԨ·ÕÁ¢¹Ò´ãË­‹·Ê´ Ñ é é è Ñ è Õ Õè Ø ã¹»˜¨¨Øº¹ â´Âà¡çº¢ŒÍÁÙÅÃÐËNjҧ»‚¾.È. 2544 ¶Ö§¾.È. 2548 ´ŒÇÂÇÔ¸¡ÒõÃÇ¨áººÊØÁÍ‹ҧÁÕÃкº Ñ Õ ‹ (Randomized controlled trial) (¤Ø³ÀÒ¾ËÅÑ¡°Ò¹ÃдѺ 1) â´Â¨Ò¡¼Å¡ÒÃÈÖ¡ÉÒàº×ͧµŒ¹¾ºÇ‹Ò¡ÒÃ é µÃǨ¤Ñ´¡ÃͧâäÁÐàÃç§Ãѧ䢋´Ç¡ÒõÃǨÇÑ´ÃдѺà«ÃÑÁ CA125 »‚ÅÐ 1 ¤Ãѧ áÅеÃǨÍÑŵÃÒ«Òǹ Œ è é Ãѧ䢋àÁ×ÍÁռšÒõÃǨàÅ×Í´·Õ¼´»¡µÔÁ¤ÇÒÁäÇÃŒÍÂÅÐ 89.4 ¤ÇÒÁ¨íÒà¾ÒÐÃŒÍÂÅÐ 99.8 ¤‹Ò positive è è Ô Õ predictive value ÃŒÍÂÅÐ 43.3 㹡ÒõÃǨâäÁÐàÃç§Ãѧ䢋áÅÐÁÐàÃç§·‹Í¹íÒ䢋ÀÒÂã¹ÃÐÂÐàÇÅÒ 1 »‚ ·ÕµÃǨ¤Ñ´¡Ãͧâä «Ö§¼Å´Ñ§¡Å‹ÒǹշÒãËŒÊÒÁÒöŴÍѵÃÒ¡Òü‹ÒµÑ´ã¹¡ÅØÁ·ÕÁ¼Å¡ÒõÃǨ¤Ñ´¡Ãͧ è è é í ‹ è Õ à»š¹ºÇ¡ ŧàËÅ×Í 2.3 ÊíÒËÃѺ¼Å¢Í§¡ÒõÃǨ¤Ñ´¡Ãͧâ䵋ÍÍѵÃÒ¡ÒõÒ¨ҡâä¹Ñ¹¨ÐÊÃØ»¼Åä´Œ é ã¹»‚¾.È. 2557 à¹×ͧ¨Ò¡ÁÒ¡¡Ç‹ÒÃŒÍÂÅÐ 90 ¢Í§¼Ù»ÇÂÁÐàÃç§Ãѧ䢋äÁ‹Á¤ÇÒÁà¡ÕÂÇ¢ŒÍ§¡Ñº¡Òö‹Ò·ʹ·Ò§ è Œ † Õ è ¾Ñ¹¸Ø¡ÃÃÁ ¨Ö§Ê¹ÑºÊ¹Ø¹ãËŒµÃǨ¤Ñ´¡Ãͧâäã¹ÊµÃÕ·ÕèÍÂÙ‹ã¹ÇÑÂËÁ´ÃдÙáÅŒÇËÃ×ÍÁÕÍÒÂØ 50 »‚¢Öé¹ä» ᵋ㹤Ãͺ¤ÃÑÇ·ÕèÁÕ»ÃÐÇѵԡÒö‹Ò·ʹ·Ò§¾Ñ¹¸Ø¡ÃÃÁËÃ×ÍʧÊÑÂÇ‹ÒÁÕÊÒþѹ¸Ø¡ÃÃÁ·Õè¼Ô´»¡µÔ ઋ¹ BRCA1, BRCA2 ËÃ×Í HNPCC ¤ÇÃàÃÔÁ¡ÒõÃǨ¤Ñ´¡ÃͧâäãËŒàÃçÇ¢Ö¹ â´ÂÁÕ¡ÒÃÈÖ¡ÉÒÇԨ è é Ñ áººµÃǨµÔ´µÒÁ仢ŒÒ§Ë¹ŒÒ (Prospective cohort study) (¤Ø³ÀÒ¾ËÅÑ¡°Ò¹ÃдѺ 2) ã¹¡ÅØÁʵÃÕ·Õè ‹ ÁÕ¤ÇÒÁàÊÕ§ÊÙ§â´ÂàÃÔÁµÃǨµÑ§áµ‹ÍÒÂØ 35 »‚¢¹ä»â´Â¡ÒÃÇÑ´ÃдѺ CA125 ã¹àÅ×ʹËÇÁ¡Ñº¡ÒõÃǨ è è é Öé ÍÑŵÃÒ«ÒǹÃ§ä¢‹·¡ 6 à´×͹ ´Ñ§á¼¹ÀÙÁÔ Ñ Ø (3)
  • 385.
    358 Screening in Common Gynecologic Cancer : Ovarian Cancer Screening á¼¹ÀÙÁÔ áÊ´§á¹Ç·Ò§»¯ÔºÑµÔ㹡ÒôÙáÅʵÃÕ·ÕèÁÕ¤ÇÒÁàÊÕè§໚¹ÁÐàÃç§Ãѧ䢋 (3) ¡ÒõÃǨ¤Ñ´¡ÃͧâäÁÐàÃç§Ãѧ䢋ã¹ÊµÃÕ¡ÅØ‹Á·ÕèÁÕ¤ÇÒÁàÊÕè§ÊÙ§µÒÁá¼¹ÀÙÁԴѧ¡Å‹ÒǹÕé¾ºÇ‹Ò ÁÕ¤ÇÒÁ¨íÒà¾ÒÐÃŒÍÂÅÐ 98.7 áÅÐ ¤‹Ò positive predictive value ÃŒÍÂÅÐ 10 ÊíÒËÃѺ¤‹Ò¤ÇÒÁäǹѹ é äÁ‹ÊÒÁÒö¤íҹdz䴌à¹×ͧ¨Ò¡µÃǨ¾ºÇ‹ÒÁÕ¼»ÇÂÁÐàÃç§Ãѧ䢋ã¹ÊµÃÕ¡ÅØÁ¹Õà¾Õ§ 1 ÃÒ «Ö§¼ÙǨ¤Դ è ÙŒ † ‹ é è ŒÔÑ Ç‹Òà¡Ô´¨Ò¡¨íҹǹ»ÃЪҡ÷չÒÁÒÈÖ¡ÉÒÁÕ¹ÍÂà¡Ô¹ä» è í Œ ¡Ò÷Õè ¨ зí Ò ¡ÒõÃǨ¤Ñ ´ ¡ÃͧÁÐàÃç § ÃÑ § 䢋 à ª‹ ¹ ¹Õé ä ´Œ ¨ еŒ Í §àÃÔè Á ¨Ò¡¡ÒõÃǨËÒʵÃÕ ·Õè ÁÕ ¤ÇÒÁÊÕ§ÊÙ§, ÁÕËͧ»¯Ôºµ¡ÒÃÊíÒËÃѺ¡ÒõÃǨÇÑ´ÃдѺ CA125 áÅÐÁÕº¤Åҡ÷ÕÁ¤³ÀÒ¾ÊíÒËÃѺãËŒ è Œ Ñ Ô Ø è Õ Ø ºÃÔ¡ÒõÃǨÍÑŵÃÒ«ÒǹÍÇÑÂÇÐã¹ÍØŒ§àªÔ§¡ÃҹʵÃÕâ´Â੾ÒÐ «Öè§¡ÒõÃǨ¤Ñ´¡Ãͧઋ¹¹Õé¨Ð·íÒãËŒ µÃǨ¾º¼ÙŒ»†ÇÂÁÐàÃç§Ãѧ䢋ã¹ÃÐÂÐááÁÒ¡¢Öé¹ ·íÒãˌ໚¹»ÃÐ⪹µ‹Í¡ÒÃÃÑ¡ÉÒáÅÐà¾ÔèÁÍѵÃÒ¡Òà ÍÂÙÃÍ´·Õè 5 »‚ ᵋ§äÁ‹Á¢ÍÁÙÅ·Õṋª´¶Ö§»ÃÐ⪹µÍÍѵÃÒ¡ÒÃÃÍ´ªÕǵâ´ÂÃÇÁáÅÐÂѧäÁ‹Á§Ò¹ÇԨ ‹ Ñ Õ Œ è Ñ ‹ Ô Õ Ñ ã´¤íҹdz¶Ö§¤ÇÒÁ¤ØŒÁ¤‹Ò¢Í§¡ÒõÃǨ¤Ñ´¡Ãͧâäઋ¹¹ÕéÃÇÁ·Ñé§¼ÅàÊÕÂËÃ×ͼŢŒÒ§à¤Õ§¡Ã³Õ·ÕèÁռŠ¡ÒõÃǨ໚¹¼ÅºÇ¡Åǧ ÊÃØ» ¨¹¶Ö§»˜¨¨Øº¹¹Õé ¡ÒõÃǨ¤Ñ´¡ÃͧâäÁÐàÃç§Ãѧ䢋§໚¹ËÑÇ¢ŒÍ·Õ§äÁ‹Á¢ÍÊÃØ»·Õª´à¨¹ÊíÒËÃѺ Ñ Ñ è Ñ ÕŒ è Ñ ¡ÅØ‹Á»ÃЪҡ÷ÑèÇæä» à¹×èͧ¨Ò¡à»š¹âä·Õ辺䴌¹ŒÍÂáÁŒÇ‹Ò¨ÐÁÕÍѹµÃÒÂÃŒÒÂáç ¡ÒõÃǨ¤Ñ´¡Ãͧ ¨Ö§¹‹Ò¨ÐÁÕ»ÃÐ⪹ÊÒËÃѺ»ÃÐªÒ¡Ã¡ÅØÁàÊÕ§«Ö§ä´Œá¡‹º¤¤Å·ÕÁ»ÃÐÇѵ·Ò§¾Ñ¹¸Ø¡ÃÃÁËÃ×ÍÁռšÒÃ í ‹ è è Ø è Õ Ô µÃǨNjÒÁÕ¤ÇÒÁ¼Ô´»¡µÔ¢Í§ÊÒþѹ¸Ø¡ÃÃÁºÒ§ª¹Ô´àª‹¹ BRCA1, BRCA2 ËÃ×Í HNPCC ÊíÒËÃѺ»ÃÐà´ç¹ ·Õ§໚¹¢ŒÍ¶¡à¶Õ§¡Ñ¹ÍÂÙ䴌ᡋ è Ñ ‹ 1. àÁ×ÍÁռšÒõÃǨ¤Ñ´¡Ãͧ·Õ¼´»¡µÔ ¢Ñ¹µÍ¹µ‹Í令×Í¡ÒõÃǨ»ÃÐàÁÔ¹áÅСÒü‹ÒµÑ´ è è Ô é ÍÒ¨·íÒãËŒà¡Ô´¾ÂÒ¸ÔÊÀÒ¾ËÃ×ÍÀÒÇÐá·Ã¡«ŒÍ¹ä´Œâ´Â੾ÒÐÍ‹ҧÂÔ§¡Ã³Õ໚¹·Õ໚¹¼ÅºÇ¡Åǧ ´Ñ§¹Ñ¹ è è é ¨ÐµŒÍ§¤íÒ¹Ö§¶Ö§¢ŒÍ´Õ¢ŒÍàÊÕÂÃÐËNjҧ¤ÇÒÁàÊÕè§µ‹Í¡ÒÃà¡Ô´ÀÒÇÐá·Ã¡«ŒÍ¹ã¹ÊµÃÕ·ÕèÁռźǡÅǧáÅÐ »ÃÐ⪹¡Ã³Õ·ÊµÃÕ¹¹Áռźǡ¨ÃÔ§ãËŒ´Õ Õè Ñé
  • 386.
    àǪÈÒʵÏ·¹Âؤ 2553 Ñ 359 2. ¡ÒÃËÒÇÔ¸¡ÒõÃǨ¤Ñ´¡Ãͧ·ÕàËÁÒÐÊÁ·Ñ§ã¹´ŒÒ¹¤ÇÒÁäÇ, ¤ÇÒÁ¨íÒà¾ÒÐáÅФ‹Ò positive Õ è é predictive value «Ö§à¤Ã×ͧÁ×Í·Õ㪌㹻˜¨¨Øº¹¹Ñ¹ÂѧÁÕ¤ÇÒÁàËÁÒÐÊÁäÁ‹ÁÒ¡¾Í ¤ÇÒÁ·ŒÒ·Ò¤×͵ŒÍ§ËÒ è è è Ñ é à¤Ã×ͧÁ×ͪ¹Ô´ãËÁ‹·ÊÒÁÒöµÃǨ¾ºâä䴌µ§áµ‹ã¹ÃÐÂС‹Í¹à»š¹ÁÐàÃç§ËÃ×Í¡‹Í¹·Õ¨ÐÁÕÍÒ¡Òà è Õè Ñé è 3. ¡ÒáíÒ˹´¡ÅØÁ»ÃЪҡÃ㹡ÒõÃǨ¤Ñ´¡Ãͧâä·ÕàËÁÒÐÊÁ à¹×ͧ¨Ò¡¼Ù»ÇÂÁÐàÃç§Ãѧ䢋 ‹ è è Œ † ÁÒ¡¡Ç‹ÒÃŒÍÂÅÐ 90 äÁ‹Á¤ÇÒÁà¡ÕÂÇ¢ŒÍ§¡Ñº¾Ñ¹¸Ø¡ÃÃÁáÅÐÁÑ¡à¡Ô´àÁ×ÍÍÒÂØÁÒ¡¡Ç‹Ò 50 »‚ ¡ÒõÃǨ¤Ñ´ Õ è è ¡Ãͧâä੾ÒÐã¹¡ÅØÁ·ÕÁ»ÃÐÇѵ·Ò§¾Ñ¹¸Ø¡ÃÃÁ¨Ö§¤Ãͺ¤ÅØÁ»ÃЪҡ÷ÕÁ¤ÇÒÁàÊÕ§µ‹Í¡ÒÃà¡Ô´âä ‹ è Õ Ô è Õ è à¾Õ§ÌÍÂÅÐ 10 ෋ҹѹ ¨Ö§¤ÇäíÒ¹Ö§¶Ö§»ÃÐªÒ¡Ã¡ÅØÁãË­‹â´Â·ÑÇä»´ŒÇÂ é ‹ è àÍ¡ÊÒÃ͌ҧÍÔ§ 1. Berek JS, Natarajan S. Section VIII - Gynecologic oncology > 35 - ovarian and fallopian tube cancer In: Berek JS, editor. Berek & Novak’s Gynecology, 14th Edition. Lippincott Williams & Wilkins; 2007 p. 1457-549. 2. Nossov V, Amneus M, Su ., Lang J, Janco JM, Reddy ST, et al. The early detection of ovarian cancer: from traditional methods to proteomics. Can we really do better than serum CA-125?. Am J Obstet Gynecol. 2008;199(3):215-23. 3. Bosse K, Rhiem K, Wappenschmidt B, Hellmich M, Madeja M, Ortmann M, et al. Screening for ovarian cancer by transvaginal ultrasound and serum CA125 measurement in women with a familial predisposition: a prospective cohort study. Gynecol. Oncol 2006;103(3):1077-82. 4. Cannistra SA. Cancer of the ovary. N Engl J Med 2004;351(24):2519-29. 5. Kavanagh JJ, Pecorelli S, Benedet J, See H, Ngan HY. Cancer of the ovary In: Benedet J, Pecorelli S, Ngan HY, Hacker N., editors. Staging classifications and clinical practice guidelines for gynaecological cancers .Elsevier; 2006. p. 95-121. 6. Carlson KJ, Skates SJ, Singer DE. Screening for ovarian cancer. Ann Intern Med 1994 ;121(2):124-32. 7. Bast RC, Jr., Brewer M, Zou C, Hernandez MA, Daley M, Ozols R, et al. Prevention and early detection of ovarian cancer: mission impossible? Recent Results Cancer Res. 2007;174:91-100. 8. Jacobs IJ, Menon U. Progress and challenges in screening for early detection of ovarian cancer. Mol Cell Proteomics. 2004;3(4):355-66. 9. Menon U, Gentry-Maharaj A, Hallett R, Ryan A, Burnell M, Sharma A, et al. Sensitivity and specificity of multimodal and ultrasound screening for ovarian cancer, and stage distribution of detected cancers: results of the prevalence screen of the UK Collaborative Trial of Ovarian Cancer Screening (UKCTOCS). Lancet Oncol. 2009;10(4):327-40.
  • 388.
    àǪÈÒʵÏ·¹Âؤ 2553 Ñ º··Õè 361 54 ¡Òû‡Í§¡Ñ¹ÀÒÇÐÊÁͧàÊ×èÍÁÃдѺ»°ÁÀÙÁÔ ¼ÙŒª‹ÇÂÈÒʵÃÒ¨ÒÏ ¹ÒÂᾷÇÕÃÈÑ¡´Ôì àÁ×ͧä¾ÈÒÅ ÀÒ¤ÇÔªÒàǪÈÒʵϻͧ¡Ñ¹áÅÐÊѧ¤Á ¤³Ðá¾·ÂÈÒʵÏÈÃÃÒª¾ÂÒºÒÅ ÁËÒÇÔ·ÂÒÅÑÂÁËÔ´Å ‡ ÔÔ ÀÒÇÐÊÁͧàÊ×èÍÁ໚¹âäàÃ×éÍÃѧ·Õè໚¹»˜­ËÒ¤ÇÒÁà¨çº»†ÇÂâ´ÂÃÇÁµ‹Í¼ÙŒ»†Ç ·íÒãËŒÊÙ­àÊÕ ¤ÇÒÁÊÒÁÒö㹡ÒôÙáŵ¹àͧ ÊÙ­àÊÕÂʶҹÀÒ¾·Ò§Êѧ¤Á áÅÐÂѧ¡‹ÍãËŒà¡Ô´ÀÒÃе‹Í¤Ãͺ¤ÃÑÇ ÍÕ¡´ŒÇÂ(1) à¹×ͧ¨Ò¡¼Ù»Ç´Ùáŵ¹àͧäÁ‹ä´Œ ÁÕÍÒ¡Ò÷ҧ¾ÄµÔ¡ÃÃÁ·Õ¼´»¡µÔ ÍÒ¨¡‹ÍãËŒà¡Ô´ÍѹµÃÒÂËÃ×Í è Œ † è Ô Ãº¡Ç¹¼ÙŒÍ×è¹ä´Œ ¹Í¡¨Ò¡¹Ñ鹤Ãͺ¤ÃÑÇáÅлÃÐà·ÈªÒµÔµŒÍ§ãªŒ¤‹Ò㪌¨‹ÒÂ㹡ÒôÙáÅÃÑ¡ÉÒ¼ÙŒ»†Ç ໚¹»ÃÔÁÒ³ÁËÒÈÒÅ ä´ŒÁÕ¡ÒäҴ¡ÒóÇ‹Ò¨íҹǹ¼ÙŒ»†ÇÂâäÍÑÅä«àÁÍϨÐà¾ÔèÁ¢Ö鹨ҡ 26 Ōҹ¤¹ ·ÑÇâš㹻˜¨¨Øº¹ ໚¹ 106 Ōҹ¤¹ ã¹»‚¾.È. 2593(2) ¼ÙʧÍÒÂØä·ÂÁժǧÍÒÂØ¢Â·Õ»ÅÍ´¨Ò¡»˜­ËÒ¤ÇÒÁ è Ñ ŒÙ ‹ Ñ è ¼Ô´»¡µÔ¢Í§¤ÇÒÁÊÒÁÒöÊÁͧ (cognitive impairment free life expectancy: CI.LE µÒÃÒ§·Õè 1) ·Õèᵡµ‹Ò§¡Ñ¹â´Â¼ÙŒÊÙ§ÍÒÂØË­Ô§¨ÐÁÕ CI.LE ·ÕèÊÑ鹡NjҼٌÊÙ§ÍÒÂØªÒ â´Â»˜¨¨Ñ·ÕèÊíҤѭ·Õè໚¹¼ÅãËŒ ¼ÙʧÍÒÂØÍÒÂØË­Ô§ÁÕ CI.LE ·Õʹ¡Ç‹Ò ¤×Í ÃдѺ¡ÒÃÈÖ¡ÉÒáÅÐàÈÃɰҹзռ˭ԧ´ŒÍ¡NjҼ٪ÒÂ(3) ŒÙ è Ñé è ÙŒ Œ ã¹»˜¨¨Øº¹¹Õ¶§áÁŒ¨ÐÁÕ¡Ò䌹¤ÇŒÒËÒÇԸ㹡ÒÃÃÑ¡ÉÒÀÒÇÐÊÁͧàÊ×ÍÁª¹Ô´µ‹Ò§æ Í‹ҧÁÒ¡ÁÒÂ Ñ é Ö Õ è ᵋ¡ÒÃÃÑ¡ÉÒʋǹãË­‹à·‹Ò·ÕèÁÕã¹»˜¨¨ØºÑ¹Âѧ໚¹¡ÒÃÃÑ¡ÉÒẺ»ÃФѺ»ÃФͧ áÅÐä´Œ¼Å¨íÒ¡Ñ´ ¡ÒêÐÅÍ¡ÒÃà»ÅÕè¹á»Å§¢Í§âäËÃ×Í¡Òû‡Í§¡Ñ¹âä¨Ö§à»š¹ÊÔè§·ÕèÊíҤѭ㹡ÒèѴ¡ÒáѺ»˜­ËÒ ÀÒÇÐÊÁͧàÊ×ÍÁã¹ÃдѺ»ÃЪҡà (whole population approach) è µÒÃÒ§·Õè 1 áÊ´§ª‹ Ç §ÍÒÂØ ¢Ñ  ·Õè » ÅÍ´¨Ò¡»˜ ­ ËÒ¤ÇÒÁ¼Ô ´ »¡µÔ ¢ ͧ¤ÇÒÁÊÒÁÒöÊÁͧ (Cognitive impairment free life expectancy: CI.LE)(3) à¾È ÍÒÂØ (»‚) Life expectancy Cognitive impairment free life expectancy (»‚) (CI.LE) ¼ÙªÒ Œ 50-54 26.9 25.0 55-59 23.2 21.3 60-64 19.7 17.7 65-69 16.3 14.1 70-74 13.2 10.8 75-79 10.4 7.8 80+ 9.6 7.5
  • 389.
    362 ¡Òû‡Í§¡Ñ¹ÀÒÇÐÊÁͧàÊ×èÍÁÃдѺ»°ÁÀÙÁÔ à¾È ÍÒÂØ (»‚) Life expectancy Cognitive impairment free life expectancy (»‚) (CI.LE) ¼ÙË­Ô§ Œ 50-54 29.4 21.9 55-59 25.3 17.7 60-64 21.4 13.6 65-69 17.7 14.1 70-74 14.2 10.5 75-79 11.0 7.4 80+ 9.6 7.0 ·ÕÁÒ : Brookmeyer R, Johnson E, Ziegler-Graham K, Arrighi HM. .orecasting the global burden è of Alzheimer’s disease. Alzheimers Dement2007 Jul;3(3):186-91. ¡ÒôíÒà¹Ô¹âä¢Í§ÀÒÇÐÊÁͧàÊ×èÍÁ ᾷÁ¡¨Ð¤Ø¹à¤Â¡Ñº¡ÒôÙáżٻÇÂàÁ×ͼٻÇÂà¡Ô´ÍÒ¡Òâͧâä ᾷãËŒ¡ÒõÃǨ ÇÔ¹¨©ÑÂ Ñ Œ Œ † è Œ † Ô áÅÐÃÑ¡ÉÒ ¼Ù»ÇÂâäÍÑÅä«àÁÍÏÁÍÒÂØ¢Âà©ÅÕ 8-10 »‚µ§áµ‹àÃÔÁÁÕÍÒ¡Òâͧâä ᵋ㹻ÃÐà·Èä·Â Œ † Õ Ñ è Ñé è ¼Ù»ÇÂáÅÐ­ÒµÔ (ÃÇÁ¶Ö§ºØ¤¤Åҡ÷ҧ¡ÒÃᾷ) ÁÑ¡ÁÕ¤ÇÒÁµÐ˹ѡ¶Ö§âä¹Õ¹Í ¨Ö§·íÒãËŒ¼»Ç Œ † é Œ ÙŒ † äÁ‹ä´ŒÃº¡ÒõÃǨÇÔ¹¨©ÑµѧᵋÃÐÂÐàÃÔÁáá Ñ Ô é è (4) ¡Òû‡Í §¡Ñ¹ âä¤Çôí Òà¹Ô ¹ ¡ÒõÅʹ㹪‹Ç§ latent phase áÅÐ preclinical phase ´Ñ§ÃÙ»·Õè 1 ÃÙ»·Õè 1 áÊ´§¡ÒôíÒà¹Ô¹âä¢Í§ÀÒÇÐÊÁͧàÊ×èÍÁ º·ºÒ·áÅлÃÐÊÔ·¸ÔÀÒ¾¢Í§¡Òû‡Í§¡Ñ¹ÀÒÇÐÊÁͧàÊ×èÍÁ ÁҵáÒÃ㹡Òû‡Í§¡Ñ¹ÀÒÇÐÊÁͧàÊ×ÍÁÍÒ¨¾Ô¨ÒóÒ䴌໚¹ 3 ÃдѺ ´Ñ§¹Õé(5) è 1. ¡Òû‡Í§¡Ñ¹âäÃдѺ»°ÁÀÙÁÔ (Primary prevention) ËÁÒ¶֧ ¡Òû‡Í§¡Ñ¹â䡋͹·Õè ¨ÐàÃÔÁÁÕ¡ÒÃà»ÅÕ¹á»Å§ã¹ÃдѺªÕÇÀÒ¾ ËÃ×Í¡Òû‡Í§¡Ñ¹»˜¨¨ÑÂàÊÕ§¢Í§âä ÊíÒËÃѺ»˜¨¨ÑÂàÊÕ§¢Í§ è è è è ÀÒÇÐÊÁͧàÊ×ÍÁ ä´ŒáÊ´§änj㹵ÒÃÒ§·Õè 2 è
  • 390.
    àǪÈÒʵÏ·¹Âؤ 2553 Ñ 363 2. ¡Òû‡Í§¡Ñ¹âäÃдѺ·ØµÂÀÙÁÔ (Secondary prevention) ËÁÒ¶֧¡ÒõÃǨ¤Ñ´¡Ãͧâä Ô µÑ§áµ‹¼»ÇÂÂѧäÁ‹áÊ´§ÍÒ¡ÒÃÃØ¹áç à¾×Í·Õ¨Ð䴌ᡌ䢵ѧᵋÃÐÂÐáá áÁŒã¹»˜¨¨Øº¹ÁÕ¤ÇÒÁ¾ÂÒÂÒÁ é ÙŒ † è è é Ñ ·Õè¨ÐµÃǨ¤Ñ´¡ÃͧËÒ¼ÙŒ»†Ç·ÕèÁÕ¤ÇÒÁ¼Ô´»¡µÔàÅ硹ŒÍ¢ͧ¤ÇÒÁÊÒÁÒö¢Í§ÊÁͧ (mild cognitive impairment : MCI) à¾×ͷըЪÐÅÍ¡ÒÃà¡Ô´âäÍÑÅä«àÁÍÏÍÍ¡ä» à¹×ͧ¨Ò¡¼Ù»Ç MCI ÁÕâÍ¡ÒÊà¡Ô´ è è è Œ † ÀÒÇÐÊÁͧàÊ×ÍÁâ´Â੾ÒÐâäÍÑÅä«àÁÍÏʧ¡Ç‹Ò»ÃЪҡ÷ÑÇä» ¤×Í âÍ¡ÒÊà»ÅÕ¹໚¹âäÍÑÅä«àÁÍÏ è Ù è è ÃŒÍÂÅÐ 4.2 µ‹Í»‚ à·Õº¡ÑºÃŒÍÂÅÐ 1 - 2 µ‹Í»‚ã¹»ÃЪҡ÷ÑÇä» áµ‹¼Å¨Ò¡¡ÒÃãËŒÂÒà¾×ͪÐÅÍ¡Òà (6) è è à¡Ô´âäÍÑÅä«àÁÍÏ ¾ºÇ‹Ò¨Ðä´Œ¼Å੾ÒÐã¹»‚áá෋ҹѹ ¹Í¡¨Ò¡¹Ñ¹ã¹»˜¨¨Øº¹ÂѧÁÕ¤ÇÒÁ¾ÂÒÂÒÁ·Õè é é Ñ ¨Ð㪌µÑÇ·íÒ¹Òµ‹Ò§æ äÁ‹Ç‹Ò¨Ð໚¹¡ÒõÃǨ¤Å×è¹áÁ‹àËÅç¡ä¿¿‡ÒËÃ×Í¡ÒõÃǨ¹éíÒä¢ÊѹËÅѧ´Ñ§¡Å‹ÒÇ ¢ŒÒ§µŒ¹ à¾×Í·íÒ¹ÒÂâÍ¡ÒÊà¡Ô´ÀÒÇÐÊÁͧàÊ×ÍÁã¹Í¹Ò¤µ »˜¨¨Øº¹Âѧ໚¹àÃ×ͧ·Õ¤Í¹¢ŒÒ§ÂÒ¡·Õ¨ÐºÍ¡ è è Ñ è è ‹ è ä´ŒÇÒ¼Ù»ÇÂÃÒÂã´ÁÕâÍ¡ÒÊà¡Ô´ÀÒÇÐÊÁͧàÊ×ÍÁã¹Í¹Ò¤µ ¡àÇŒ¹ã¹¼Ù·Á¤ÇÒÁàÊÕ§·Ò§¾Ñ¹¸Ø¡ÃÃÁËÃ×Í ‹ Œ † è Œ Õè Õ è ÍÂÙã¹ÊÀÒ¾áÇ´ÅŒÍÁ·ÕÍҨ໚¹ÊÒà˵آͧÀÒÇÐÊÁͧàÊ×ÍÁä´Œ ‹ è è 3. ¡Òû‡Í§¡Ñ¹âäÃдѺµµÔÂÀÙÁÔ (Tertiary prevention) ËÁÒ¶֧ ¡ÒêÐÅÍ¡ÒôíÒà¹Ô¹âä àÁ×ͼٻÇÂÁÕÍÒ¡ÒÃáÊ´§¢Í§âäªÑ´à¨¹áÅŒÇ »˜¨¨Øº¹ÁÕÂÒËÅÒª¹Ô´·ÕÊÒÁÒöªÐÅÍ¡ÒôíÒà¹Ô¹âä䴌 è Œ † Ñ è ઋ¹ cholinesterase inhibitor, memantine áÅÐÇÔµÒÁÔ¹ÍÕ à»š¹µŒ¹ ¡Òû‡Í§¡Ñ¹¡ÒÃà¡Ô´âäËÅÍ´àÅ×Í´ ÊÁͧ«éÒ«ŒÍ¹ ËÃ×Í»˜¨¨Ñµ‹Ò§æ ·ÕÍÒ¨«éÒàµÔÁãËŒ¡Ò÷íÒ§Ò¹¢Í§ÊÁͧ¢Í§¼Ù»ÇÂàÅÇŧ¡ç໚¹¡ÅÇÔ¸¢Í§¡Òà í è í Œ † Õ »‡Í§¡Ñ¹âäÃдѺ¹Õé ¹Í¡¨Ò¡¹Ñ¹ÂѧÃÇÁ¶Ö§¡ÒÃᡌ䢻˜­ËÒ·Ò§¨ÔµàǪáÅоĵԡÃÃÁ·Õà¡Ô´ã¹¼Ù»Ç·Õè é è Œ † ÁÕÊÁͧàÊ×èÍÁ ÃÇÁ¶Ö§¡Ò÷íÒ¡ÒÂÀÒ¾ºíҺѴ «Ö觨Ъ‹Ç¼ٌ»†ÇÂáÅмٌ´Ùáżٌ»†ÇÂãËŒ´Õ¢Öé¹ä´ŒÃдѺ˹Öè§ ¡ÒÃà¾ÔÁ¤Ø³ÀÒ¾¢Í§Ãкº¡ÒôÙáżٻÇÂäÁ‹ÇÒã¹ÃдѺ¤Ãͺ¤ÃÑÇËÃ×Í»ÃÐà·ÈªÒµÔ ઋ¹ ¡ÒõѧÊÁÒ¤Á è Œ † ‹ é ¼Ù´áżٻÇÂÀÒÇÐÊÁͧàÊ×ÍÁ ¡Òýƒ¡·Ñ¡ÉСÒôÙáżٻÇ àËŋҹÕ໚¹µŒ¹ ¡ç໚¹¡Òê‹ÇªÐÅÍ»˜­ËÒ Œ Ù Œ † è Œ † é ¢Í§¼Ù»Ç·Õà¡Ô´¨Ò¡ÊÁͧàÊ×ÍÁÇԸ˹֧ Œ † è è Õ è
  • 391.
    364 ¡Òû‡Í§¡Ñ¹ÀÒÇÐÊÁͧàÊ×èÍÁÃдѺ»°ÁÀÙÁÔ µÒÃÒ§·Õè 2 »˜¨¨ÑÂàÊÕ觢ͧ¡ÒÃà¡Ô´ÀÒÇÐÊÁͧàÊ×èÍÁ(5) »˜¨¨ÑÂàÊÕè§·Õ軇ͧ¡Ñ¹ËÃ×Íà»ÅÕè¹á»Å§ä´Œ »˜¨¨ÑÂàÊÕè§·Õèà»ÅÕè¹á»Å§äÁ‹ä´Œ ! ÀÒÇÐ͌ǹ ! ÍÒÂØ ! ¡ÒÃÊÙººØËÃÕè ! ÁÕ­ÒµÔÊÒµç·ÕÁÀÒÇÐÊÁͧàÊ×ÍÁ è Õ è ! ¡Òô×ÁÍÑÅ¡ÍÎÍŏ è ! Mutation ¢Í§ÂÕ¹ APP, Presenilin 1 áÅÐ ! ÀÒÇТҴÇÔµÒÁÔ¹ Presenilin 2 ! ¡ÒâҴ¡ÒÃÍÍ¡¡íÒÅѧ¡Ò ! APOE Genotype epsilon (?) 4/4 ! âä¤ÇÒÁ´Ñ¹àÅ×Í´ÊÙ§ ! Down syndrome ! âäàºÒËÇÒ¹áÅÐÀÒÇд×͵‹ÍÍÔ¹«ÙŹ é Ô ! âä¾ÒÏ¡¹Êѹ áÅÐâä·Õà¡Ô´¨Ò¡¤ÇÒÁàÊ×ÍÁ Ô è è ! ÀÒÇÐä¢Áѹã¹àÅ×Í´¼Ô´»¡µÔ ¢Í§Ãкº»ÃÐÊÒ· (neurodegenerative ! âäËÑÇ㨷շÒãËŒà¡Ô´âäËÅÍ´àÅ×Í´ÊÁͧª¹Ô´ è í disease) Í×¹æ è ÅÔÁàÅ×Í´·ÕÁÒ¨Ò¡ËÑÇã¨ÍØ´µÑ¹(cardio-embolic è è ! à¹×ͧ͡¢Í§ÊÁͧ é stroke) ! ÀÒÇÐÊÒÃâÎâÁ«ÔÊàµÍÕ¹ÊÙ§ã¹àÅ×Í´ (hyperhomocysteinemia) ! ¡ÒÃÃÑ¡ÉÒâ´ÂãËŒÎÍÏâÁ¹·´á·¹ (hormone replacement therapy) ! ÍØºµà˵طÈÃÉÐ Ñ Ô Õè Õ ! ÃдѺ¡ÒÃÈÖ¡ÉÒµèíÒ ! ÀÒÇТҴ͍͡«Ôà‹¹ã¹âÅËÔµ¢³Ð¤ÅÍ´ (birth asphyxia) ! ÀÒÇеԴàª×ÍÀÒÂã¹Á´ÅÙ¡ (intrauterine é infection) ! ÊÑÁ¼ÑÊÊÒþÔÉ ! ÀÒÇЫÖÁÊѺʹà©Õº¾Åѹ (delirium) ! ÀÒÇЫÖÁàÈÃŒÒ ¡Òû‡Í§¡Ñ¹ÀÒÇÐÊÁͧàÊ×èÍÁµÅÍ´·Ø¡ª‹Ç§ÍÒÂØ (Life time course of prevention) ¡Òû‡Í§¡Ñ¹ÀÒÇÐÊÁͧàÊ×èÍÁã¹Í´ÕµÁѡ์¹ä»ã¹´ŒÒ¹¡Òû‡Í§¡Ñ¹âäàÁ×èÍ»ÃЪҡÃÁÕÍÒÂØ ÇÑ¡ÅÒ§¤¹ËÃ×ÍÇÑÂÊÙ§ÍÒÂØà»š¹µŒ¹ä» Í‹ҧäáçµÒÁ¡Ò÷íÒ§Ò¹¢Í§ÊÁͧµŒÍ§ÁÕ¡ÒþѲ¹ÒÁҵѧᵋªÇ§ é ‹ ·ÕÍÂÙ㹤ÃÃÀÁÒÃ´Ò ¡Ò÷ÕÊÁͧÁÕÃдѺ¢Í§ÈÑ¡ÂÀÒ¾¡Ò÷íÒ§Ò¹ (cognitive reserve) ·ÕʧµÑ§áµ‹áá è ‹ è èÙ é àÃÔèÁ àÁ×èÍà¡Ô´¾ÂÒ¸ÔÊÀÒ¾¢Ö鹡ç¨Ð¶Ö§¢Õ´ (threshold) ·Õè·íÒãËŒà¡Ô´ÍÒ¡ÒèҡÀÒÇÐÊÁͧàÊ×èÍÁªŒÒŧ(7) ÁØÁÁͧ¢Í§¡Òû‡Í§¡Ñ¹âäµÅÍ´·Ø¡ª‹Ç§ÍÒÂØ ÊÒÁÒöẋ§á¹Ç·Ò§¡Òû‡Í§¡Ñ¹Í͡䴌໚¹ 4 ÃдѺ
  • 392.
    àǪÈÒʵÏ·¹Âؤ 2553 Ñ 365 1. Genetic factors 䴌ᡋ ¤ÇÒÁ¼Ô´»¡µÔ mutation ¢Í§ÂÕ¹ amyloid precursor protein, Presenilin 1 áÅÐ Presenilin 2 ໚¹µŒ¹ â´Â์¹ã¹¡Òû‡Í§¡Ñ¹ã¹´ŒÒ¹¡ÒõÃǨ·Ò§¾Ñ¹¸Ø¡ÃÃÁà¾×ÍËÒ è ¤ÇÒÁ¼Ô´»¡µÔ㹭ҵԢͧ¼Ù»Ç ʋǹ Apo-lipoprotein E (APOE) Genotype epsilon (") 4/4 ÁÕ¼ÅãËŒ Œ † ÁÕ¡ÒÃÊÌҧÊÒà amyloid áÅзíÒãËŒ¼·ÁÕ genotype ´Ñ§¡Å‹ÒÇ à¡Ô´âäÍÑÅä«àÁÍÏàÃçÇ¢Ö¹ áÅмٻÇ MCI ÙŒ Õè é Œ † ·ÕÁÕ APOE " 4/4 ¨ÐÁÕâÍ¡ÒÊ´íÒà¹Ô¹âä໚¹âäÍÑÅä«àÁÍÏʧ¢Ö¹ è Ù é 2. Early life risk factors 䴌ᡋ ¡ÒôÙáŪ‹Ç§µÑ§¤ÃÃÀáÅФÅÍ´ à¾×ÍÅ´»˜­ËÒÀÒÇТҴ é è ÊÒÃÍÒËÒà ¡ÒõԴàª×Í㹤ÃÃÀ ¡ÒâҴÍÍ¡«Ôਹ㹪‹Ç§¤ÅÍ´ ¹Í¡¨Ò¡¹Ñ¹Ê¶Ò¹ÀÒ¾¢Í§¤Ãͺ¤ÃÑÇ é é ã¹´ŒÒ¹àÈÃɰҹР¢¹Ò´¢Í§¤Ãͺ¤ÃÑÇ ÍÒªÕ¾¢Í§ºÔ´ÒÁÒÃ´Ò ¡ÒÃÈÖ¡ÉÒ µÅÍ´¨¹¡ÒÃà¨ÃÔ­àµÔºâµ¢Í§ ᢹ¢ÒáÅÐÈÕÃÉÐã¹ÇÑÂà´ç¡ ÂѧÁռŵ‹ÍÃдѺ¢Í§ÈÑ¡ÂÀÒ¾¡Ò÷íÒ§Ò¹¢Í§ÊÁͧÍÕ¡´ŒÇÂ(8) 3. Midlife risk factors(9) »˜¨¨ÑÂàÊÕ§ã¹ÇѼÙãË­‹·ÊҤѭẋ§Í͡໚¹ 2 »˜¨¨ÑÂËÅÑ¡ ¤×Í è Œ Õè í ¡. »˜¨¨ÑÂàÊÕ§´ŒÒ¹¾ÄµÔ¡ÃÃÁ ઋ¹ ¡ÒÃÃѺ»ÃзҹÍÒËÒúҧª¹Ô´ áÅÐäÁ‹Ãº»Ãзҹ è Ñ ÍÒËÒúҧª¹Ô´ ¹éÒ˹ѡµÑÇà¡Ô¹ ÊÙººØËÃÕè ´×ÁÍÑÅ¡ÍÎÍŏ»ÃÔÁÒ³ÁÒ¡ ¢Ò´¡ÒÃÍÍ¡¡íÒÅѧ¡Ò ¡ÒÃËÇÁ í è ¡Ô¨¡ÃÃÁ·Õ¾²¹Ò¤ÇÒÁÊÒÁÒö¢Í§ÊÁͧ ¡ÒÃà¡Ô´Íغµà赯 µÅÍ´¨¹¡ÒÃ䴌úÊÒþÔɵ‹Ò§æ ໚¹µŒ¹(10) è Ñ Ñ Ô Ñ ¢. »˜¨¨ÑÂàÊÕè§·ÕèÁռŵ‹ÍËÅÍ´àÅ×Í´ ઋ¹ ¤ÇÒÁ´Ñ¹âÅËÔµÊÙ§ âäàºÒËÇÒ¹ ä¢Áѹ㹠àÅ×Í´ÊÙ§ âäËÑÇã¨àµŒ¹¼Ô´¨Ñ§ËÇÐ ËÃ×ÍâäÅÔ¹ËÑÇ㨾ԡÒà ໚¹µŒ¹ é 4. Late life risk factors 䴌ᡋ ¡ÒÃ㪌ÂÒºÒ§ª¹Ô´·ÕÁ¼Åµ‹Í¡Ò÷íÒ§Ò¹¢Í§ÊÁͧ ¤ÇÒÁ è Õ ¼Ô´»¡µÔ·Ò§àÁµÒºÍÅÔ¡áÅÐà¡Å×ÍáË ÍÒÃÁ³«ÁàÈÃŒÒ ÀÒÇЫÖÁÊѺʹà©Õº¾Åѹ áÅÐâäËÅÍ´àÅ×Í´ Ö ÊÁͧ ໚¹µŒ¹ ¡ÒäǺ¤ØÁá¡Œä¢ midlife risk factors ã¹ÇÑÂÊÙ§ÍÒÂØÁ¡ä´Œ¼ÅäÁ‹ÁÒ¡ à¹×ͧ¨Ò¡ÁÕ»¨¨ÑÂ Ñ è ˜ ´ŒÒ¹ÍÒÂØ«§à»š¹»˜¨¨ÑÂàÊÕ§¢Í§ÀÒÇÐÊÁͧàÊ×ÍÁ·ÕÊҤѭ·ÕàÅÕ§äÁ‹ä´Œ µÅÍ´¨¹¼ÙʧÍÒÂØÁ¡ÁÕ»¨¨ÑÂàÊÕ§ Öè è è èí è è ŒÙ Ñ ˜ è ËÅÒÂÍ‹ҧËÇÁ¡Ñ¹ áÅСÒÃᡌ䢻˜¨¨ÑÂàÊÕ§¢Í§ midlife risk factors ÁÑ¡µŒÍ§ÍÒÈÑÂÃÐÂÐàÇÅÒ㹡Òà è àËç¹»ÃÐÊÔ·¸Ô¼Å ¼ÅÊÑÁÄ·¸Ôì¢Í§¡Òû‡Í§¡Ñ¹ÀÒÇÐÊÁͧàÊ×èÍÁ »˜¨¨ÑÂàÊÕ§ᵋÅÐÍ‹ҧÁÕ¤ÇÒÁÊÑÁ¾Ñ¹¸µÍ¡ÒÃà¡Ô´ÀÒÇÐÊÁͧàÊ×ÍÁäÁ‹à·‹Òà·ÕÂÁ¡Ñ¹ ¤ÇÒÁªØ¡¢Í§ è ‹ è »˜¨¨ÑÂàÊÕ§ᵋÅÐÍ‹ҧ㹻ÃЪҡÃÁÕ¤ÇÒÁᵡµ‹Ò§¡Ñ¹ÁÒ¡ áÅÐËÅÑ¡°Ò¹·Ò§ÇÔªÒ¡Ò÷ÕáÊ´§ãËŒàËç¹¶Ö§ è è ¤ÇÒÁÊÑÁ¾Ñ¹¸¢Í§¡Ò÷ջ¨¨ÑÂàÊÕ§àËŋҹѹÍÒ¨·íÒãËŒà¡Ô´ÀÒÇÐÊÁͧàÊ×ÍÁ¡çÁ¤ÇÒÁ¹‹Òàª×Ͷ×ÍäÁ‹à·‹Ò¡Ñ¹ è ˜ è é è Õ è ´Ñ§áÊ´§ãËŒàËç¹ã¹µÒÃÒ§·Õè 3 µÒÃÒ§·Õè 3 áÊ´§¤ÇÒÁÊÑÁ¾Ñ¹¸áÅмÅÊÑÁÄ·¸Ôì¢Í§¡Òû‡Í§¡Ñ¹ÀÒÇÐÊÁͧàÊ×èÍÁ ¤ÇÒÁàÊÕè§ ÍÒÂØ ¾Ñ¹¸Ø¡ÃÃÁ »˜¨¨ÑÂàÊÕè§´ŒÒ¹ËÅÍ´àÅ×Í´ áÅСÒôíÒà¹Ô¹ªÕÇÔµ Odds ratio 25 3-4 »ÃÐÁÒ³ 2 ¤ÇÒÁªØ¡ ¾ºº‹ÍÂÁÒ¡ ¾º¹ŒÍÂÁÒ¡ ¾ºº‹Í ËÅÑ¡°Ò¹·Ò§ÇÔªÒ¡Òà ªÑ´à¨¹ ªÑ´à¨¹ »Ò¹¡ÅÒ§ËÃ×ÍÂѧäÁ‹à¾Õ§¾Í
  • 393.
    366 ¡Òû‡Í§¡Ñ¹ÀÒÇÐÊÁͧàÊ×èÍÁÃдѺ»°ÁÀÙÁÔ àÍ¡ÊÒÃ͌ҧÍÔ§ 1. Muangpaisan W, Praditsuwan R, Assanasen J, Srinonprasert V, Assantachai P, Intalapaporn S, et al. Caregiver burden and needs of dementia caregivers in Thailand: a cross-sectional study. J Med Assoc Thai 2010;93(5):601- 7. 2. Brookmeyer R, Johnson E, Ziegler-Graham K, Arrighi HM. .orecasting the global burden of Alzheimer’s disease. Alzheimers Dement 2007;3(3):186-91. 3. Muangpaisan W, Assantachai P, Intalapaporn S, Richardson K, Brayne C. Health expectancies in the older Thai population. Arch Gerontol Geriatr 2010;(Article in Press). 4. Jitapunkul S, Chansirikanjana S, Thamarpirat J. Undiagnosed dementia and value of serial cognitive impairment screening in developing countries: a population-based study. Geriatr Gerontol Int 2009;9(1):47-53. 5. ÇÕÃÈÑ¡´Ôì àÁ×ͧä¾ÈÒÅ. ÀÒÇÐÊÁͧàÊ×ÍÁã¹¼ÙʧÍÒÂØáÅСÒû‡Í§¡Ñ¹. ã¹: »ÃÐàÊÃÔ° ÍÑÊÊѹµªÑÂ, ºÃóҸԡÒÃ. »˜­ËÒÊØ¢ÀÒ¾ è ŒÙ ·Õ¾ºº‹ÍÂã¹¼ÙʧÍÒÂØ. ¡Ãا෾ÁËÒ¹¤Ã: ºÃÔÉ·ÂÙà¹Õ¹ ¤ÃÕàͪѹ ¨íÒ¡Ñ´; 2552. ˹ŒÒ 125-57. è ŒÙ Ñ è è 6. Mitchell AJ, Shiri-.eshki M. Temporal trends in the long term risk of progression of mild cognitive impairment: a pooled analysis. J Neurol Neurosurg Psychiatry 2008;79(12):1386-91. 7. Gatz M, Prescott CA, Pedersen NL. Lifestyle risk and delaying factors. Alzheimer Dis Assoc Disord 2006;20(3 Suppl 2):S84-8. 8. Borenstein AR, Copenhaver CI, Mortimer JA. Early-life risk factors for Alzheimer disease. Alzheimer Dis Assoc Disord 2006;20(1):63-72. 9. Bendlin BB, Carlsson CM, Gleason CE, Johnson SC, Sodhi A, Gallagher CL, et al. Midlife predictors of Alzheimer’s disease. Maturitas 2010;65(2):131-7. 10. .licker L. Life style interventions to reduce the risk of dementia. Maturitas 2009;63(4):319-22.
  • 394.
    àǪÈÒʵÏ·¹Âؤ 2553 Ñ º··Õè 367 55 Harmonized Care for Older Patients : .ocus on Hospitalized Patients ¼ÙŒª‹ÇÂÈÒʵÃÒ¨ÒÏ ¹ÒÂá¾·ÂÃØ‹§¹ÔÃѹ´Ã »ÃдÔÉ°ÊØÇÃó ÀÒ¤ÇÔªÒÍÒÂØÃÈÒʵÏ ¤³Ðá¾·ÂÈÒʵÏÈÔÃÔÃÒª¾ÂÒºÒÅ ÁËÒÇÔ·ÂÒÅÑÂÁËԴŠ໚¹·Õ·ÃÒº¡Ñ¹´ÕÇÒ ¼ÙʧÍÒÂØÁâÍ¡ÒÊà¨çº»†Ç´ŒÇÂâäà©Õº¾Åѹ䴌ºÍ áÅÐàÁ×Íà»ÃÕºà·Õº è ‹ ŒÙ Õ ‹ è ¡Ñº¼Ù»ÇÂÇÑÂ˹ØÁÊÒÇ ¼ÙʧÍÒÂØÁâÍ¡Òʷըж١ÃѺänjáÉÒã¹âç¾ÂÒºÒź‹ÍÂ¡Ç‹Ò ´ŒÇÂÍÒ¡Ò÷Õùáç Œ † ‹ ŒÙ Õ è Ñ èØ ¡Ç‹ Ò áÅÐÁÑ ¡ µŒ Í §ÍÂÙ‹ â ç¾ÂÒºÒŹҹ¡Ç‹ Ò à»‡ Ò ËÁÒÂÊí Ò ¤Ñ ­ 㹡Òô٠á ÅÃÑ ¡ ÉÒ¼ÙŒ »† Ç ÂÊÙ § ÍÒÂØ (1) ã¹âç¾ÂÒºÒÅ ¹Í¡à˹×ͨҡÃÑ¡ÉÒãËŒ¤ÇÒÁà¨çº»†Çª¹Ô´à©Õº¾ÅѹËÒÂËÃ×Í·ØàÅÒáÅŒÇ ¤×Í ·íÒãËŒ¤ÇÒÁ ÊÒÁÒö㹡ÒôÙáŵ¹àͧ¢Í§¼ÙŒÊÙ§ÍÒÂØ´Õ¢Öé¹ ËÃ×ÍÍ‹ҧ¹ŒÍÂäÁ‹Å´Å§¨Ò¡à´ÔÁ Í‹ҧäáçµÒÁ ¼ÙŒ»†Ç ÊÙ§ÍÒÂØ·¶¡ÃѺänjáÉÒã¹âç¾ÂÒºÒÅ ÁÑ¡ÁռšÒÃÃÑ¡ÉÒ (outcome) ·ÕäÁ‹´Õ ÁÕ¤ÇÒÁàÊÕ§·Õ¨Ðà¡Ô´ÀÒÇÐ Õè Ù Ñ è è è á·Ã¡«ŒÍ¹·Õà¡Ô´¨Ò¡á¾·ÂáÅоÂÒºÒÅ (iatrogenic illness) ÊÙ§¡Ç‹Ò¼Ù»ÇÂÇÑÂ˹ØÁÊÒÇ 3-5 à·‹Ò(2,3) ¤ÇÒÁ è Œ † ‹ ÊÒÁÒö㹡ÒôÙáŵ¹àͧŴŧ (functional decline) ÃÒÇÃŒÍÂÅÐ 35 ÁÕâÍ¡ÒÊà¡Ô´ÀÒÇÐÊѺʹ (4) à©Õº¾Åѹ (delirium) áÅж١ÃѺänjáÉÒã¹âç¾ÂÒºÒÅ«éÒ (readmission)º‹Í¡NjҼٻÇÂÇÑÂ˹ØÁÊÒÇ(1) Ñ í Œ † ‹ ¼Å¢Í§¡ÒÃÃÑ¡ÉÒ¼ÙŒ»†ÇÂÊÙ§ÍÒÂØã¹âç¾ÂÒºÒÅ¢Ö鹡Ѻ»˜¨¨ÑÂËÅÑ¡ 3 »ÃСÒÃ䴌ᡋ ¤ÇÒÁ ÃØ¹áç¢Í§âäËÃ×ͤÇÒÁà¨çº»†Çª¹Ô´à©Õº¾Åѹ·Õ·ÒãËŒµÍ§ÃѺ¼Ù»ÇÂäÇŒã¹âç¾ÂÒºÒÅ (impact of the è í Œ Œ † acute illness) ÀÒÇÐàÊÕ§ÊÙ§¢Í§¼Ù»Ç·Õ໚¹ÍÂÙà´ÔÁ (the patient’s baseline vulnerability) ËÃ×Í ¤ÇÒÁ è Œ † è ‹ ͋͹áÍ ª‹Çµ¹àͧ䴌¹Í¢ͧ¼ÙʧÍÒÂØ (frailty) áÅÐÍѹµÃÒ·Õà¡Ô´¢Ö¹¡Ñº¼Ù»Ç¢³Ð·ÕÍÂÙâç¾ÂÒºÒÅ Œ ŒÙ è é Œ † è ‹ (hazards of the hospitalization) (1) ÊíÒËÃѺ¤ÇÒÁÃØ¹áç¢Í§âä·Õ·ÒãËŒµÍ§ÃѺ¼Ù»ÇÂäÇŒã¹âç¾ÂÒºÒÅ (acute illness severity) è í Œ Œ † ໚¹»˜¨¨Ñ·ÕäÁ‹ÊÒÁÒöà»ÅÕ¹á»Å§ä´ŒÁÒ¡ ´Ñ§¹Ñ¹ 㹺·¤ÇÒÁ¹Õ¨Ð์¹à©¾ÒÐ ¡ÒûÃÐàÁÔ¹¼Ù»ÇÂÊÙ§ÍÒÂØ è è é é Œ † ·ÕÁÀÒÇÐàÊÕ§ÊÙ§ (vulnerability) ÍѹµÃÒ·Õà¡Ô´¢Ö¹¡Ñº¼Ù»ÇÂÊÙ§ÍÒÂØ¢³Ð·ÕÍÂÙâç¾ÂÒºÒÅ áÅÐá¹Ç·Ò§ è Õ è è é Œ † è ‹ »¯Ôºµ¢Í§á¾·Âà¾×Í»‡Í§¡Ñ¹ÍѹµÃÒ´ѧ¡Å‹ÒÇ ÃÇÁ·Ñ§¡ÒÃÇÒ§á¼¹¡ÒèíÒ˹‹Ò¼ٻÇÂÊÙ§ÍÒÂØÍ‹ҧÁÕ Ñ Ô è é Œ † ¤Ø³ÀÒ¾ ¡ÒûÃÐàÁÔ¹¼ÙŒ»†ÇÂÊÙ§ÍÒÂØ·ÕèÁÕÀÒÇÐàÊÕè§ÊÙ§ ᾷ¤ÇûÃÐàÁÔ¹¼ÙʧÍÒÂØµ§áµ‹àÁ×ÍááÃѺ¼Ù»ÇÂänjáÉÒã¹âç¾ÂÒºÒÅ â´Â»ÃÐàÁԹẺ ŒÙ Ñé è Œ † Ñ Í§¤ÃÇÁ ·Ñé§»˜­ËÒ·Ò§¡Ò ¨Ôµã¨ Êѧ¤Á áÅФÇÒÁÊÒÁÒö㹡ÒôÙáŵ¹àͧ ËÃ×Í·ÕèàÃÕÂ¡Ç‹Ò comprehensive geriatric assessment áÅÐÃкػ˜­ËÒ·Õ辺·Ø¡´ŒÒ¹ãËŒ¤Ãº¶ŒÇ¹ã¹ÃÒ¡Òû™­ËÒ (problem list) à¾×ÍÃкØÀÒÇÐàÊÕ§ÊÙ§¢Í§¼Ù»Ç·Õ໚¹ÍÂÙà´ÔÁ «Ö§»˜¨¨Ñ·Õ㪌·Ò¹ÒÂNjҼٻÇÂÃÒÂã´ÁÕá¹Ç è è Œ † è ‹ è è í Œ †
  • 395.
    368 Harmonized Care for Older Patients : .ocus on Hospitalized Patients ⹌Á·Õ¨Ðà¡Ô´ÀÒÇÐá·Ã¡«ŒÍ¹ áÅÐÁռšÒÃÃÑ¡ÉÒ·ÕäÁ‹´Õ ´Ñ§¹Õé è è 1. ÍÒÂØ¢Í§¼ÙŒ»†Ç áÁŒÍÒÂØ¨ÐäÁ‹ãª‹»¨¨ÑÂà´ÕÂÇ·Õ·ÒãËŒ¼Å¡ÒÃÃÑ¡ÉÒäÁ‹´Õ Í‹ҧäáçµÒÁ ÍÒÂØ ˜ è í ·Õʧ¢Ö¹ÁÕ¤ÇÒÁÊÑÁ¾Ñ¹¸¡ºÀÒÇÐá·Ã¡«ŒÍ¹¢Í§¡ÒÃÍÂÙâç¾ÂÒºÒÅ ¶×ÍNjҼٷÁÍÒÂØ 70 »‚¢¹ä»ÁÕÀÒÇÐ èÙ é Ñ ‹ Œ Õè Õ Öé àÊÕ§ÊÙ§ è (1) 2. ÀÒÇÐÊÁͧàÊ×ÍÁ (dementia) áÁŒÀÒÇйըоºº‹ÍÂã¹¼ÙʧÍÒÂØ áÅÐ໚¹»˜¨¨ÑÂàÊÕ§·ÕÊҤѭ è é ŒÙ è èí ¢Í§ÀÒÇÐÊѺʹà©Õº¾Åѹ (delirium) ᵋÁ¡äÁ‹ä´ŒÃº¡ÒÃÃкØänj㹠problem list ¢Í§¼Ù»Ç ÀÒÇÐÊÁͧ Ñ Ñ Œ † (5) àÊ×ÍÁ à¾ÔÁ¤ÇÒÁàÊÕ§µ‹ÍÀÒÇÐÊѺʹà©Õº¾Åѹ (delirium) ã¹¼Ù»ÇÂÊÙ§ÍÒÂØ·ÍÂÙã¹âç¾ÂÒºÒŶ֧ 2.8 è è è Œ † Õè ‹ à·‹Ò ´Ñ§¹Ñé¹ á¾·Â¤ÇäѴ¡ÃͧÀÒÇÐÊÁͧàÊ×èÍÁã¹¼ÙŒ»†ÇÂÊÙ§ÍÒÂØ·ÕèÃѺäÇŒã¹âç¾ÂÒºÒÅ·Ø¡ÃÒ (6) â´Â੾ÒмٷÁÍÒÂØ 70 »‚¢¹ä» ¡ÒäѴ¡Ãͧ·íÒä´Œâ´ÂÊͺ¶ÒÁ­ÒµÔ·ã¡ÅŒª´Ç‹Ò¼Ù»ÇÂÁÕÍÒ¡ÒÃËŧÅ×Á Œ Õè Õ Öé Õè Ô Œ † ÍÐäúŒÒ§ËÃ×ÍäÁ‹ ËÒ¡ÁÕãˌ¡µÑÇÍ‹ҧà¾×Í»ÃÐàÁԹNjҹ‹Ò¨Ð໚¹ÊÁͧàÊ×ÍÁËÃ×ÍäÁ‹ áÅÐÊͺ¶ÒÁNjҤÇÒÁ è è ÊÒÁÒö㹡ÒôÙáŵ¹àͧ·Õèà¡ÕèÂÇ¢ŒÍ§¡ÑºË¹ŒÒ·ÕèÊÁͧŴŧËÃ×ÍäÁ‹ ËÇÁ¡Ñº·´Êͺ mental status ¢Í§¼Ù»ÇÂÍ‹ҧ§‹ÒÂæ ઋ¹ ¤ÇÒÁãʋ㨠(attention), ¤ÇÒÁ¨íÒÃÐÂÐÊѹ (short-term memory), ¡ÒÃ㪌ÀÒÉÒ Œ † é (language), ¡Òäíҹdz (calculation), ¤ÇÒÁÊÒÁÒöàÃ×ͧÃٻËҧáÅзÔÈ·Ò§ (visuospatial skill) ઋ¹ è ãËŒ¼»ÇÂÇÒ´ÃÙ»µ‹Ò§æ ãËŒ´Ù ËÃ×Í㪌Ẻ·´Êͺ Thai Mental State Examination (TMSE) (7) ÙŒ † 3. ¤ÇÒÁÊÒÁÒö㹡ÒôÙáŵ¹àͧ (functional ability) ¤ÇÒÁÊÒÁÒö㹡ÒôÙáŵ¹àͧ ÊÒÁÒö㪌·íÒ¹ÒÂÍѵÃÒµÒ¢ͧ¼ÙŒ»†ÇÂÊÙ§ÍÒÂØ·ÕèÍÂÙ‹ã¹âç¾ÂÒºÒÅä´Œ´Õ¡Ç‹ÒâäËÇÁ¢Í§¼ÙŒÊÙ§ÍÒÂØ (comorbidity) ¤ÇÒÁÃØ¹áç¢Í§âä·Õ໚¹ (disease severity) áÅÐÃÐÂТͧâä·Õǹ¨©Ñ (staging or è èÔ Ô diagnosis) ÃÇÁ¡Ñ¹ ´Ñ§¹Ñ¹á¾·Â¤ÇäѴ¡ÃͧNjҤÇÒÁÊÒÁÒö㹡ÒôÙáŵ¹àͧ¢Í§¼ÙʧÍÒÂØà»š¹ (8) é ŒÙ Í‹ҧäà â´Â੾ÒмٷÁÍÒÂØ 70 »‚¢¹ä» â´ÂÊͺ¶ÒÁ¶Ö§¡Ô¨¡ÃÃÁ·Õ·Òã¹áµ‹ÅÐÇѹ ÃÇÁ·Ñ§¤ÇÒÁÊÒÁÒö Œ Õè Õ Öé è í é 㹡ÒôÙáŵ¹àͧ¢Ñ¹¾×¹°Ò¹ËÃ×Í basic activities of daily living (basic ADLs) áÅФÇÒÁÊÒÁÒö é é 㹡ÒôÙáŵ¹àͧ·ÕµÍ§ÍÒÈÑÂÍØ»¡Ã³ªÇ ËÃ×Í instrumental activities of daily living (instrumental è Œ ‹ ADLs) ¶ŒÒ໚¹ä´Œ¤ÇÃãËŒ¼Ê§ÍÒÂØà´Ô¹ãËŒ´Ù (the ‘‘get-up and go’’ test)(9) ´ŒÇ ËÒ¡¼ÙʧÍÒÂØäÁ‹ÊÒÁÒö ÙŒ Ù ŒÙ ·íÒ basic activities of daily living (basic ADLs) ´ŒÇµ¹àͧ 3 ã¹ 6 Í‹ҧ¢Ö¹ä» 䴌ᡋ ¡ÒáԹ (10) é ÍÒËÒà ÍÒº¹éÒ áµ‹§µÑÇ ÅØ¡ÍÍ¡¨Ò¡àµÕ§ ࢌÒˌͧ¹éÒ áÅСÒáÅÑ¹ÍØ¨¨ÒÃÐËÃ×Í»˜ÊÊÒÇÐ ¶×ÍÇ‹ÒÁÕÀÒÇÐ í í é àÊÕ§ÊÙ§ è Inouye áÅФ³Ð¾ºÇ‹Ò ÁÕ¤Ò¶ÒÁ§‹ÒÂæ ·ÕªÇ·íÒ¹Ò¼ٻÇÂÊÙ§ÍÒÂØ·ÁâÍ¡ÒÊÊÙ§·Õ¨ÐÁÕ¤ÇÒÁ í è ‹ Œ † Õè Õ è ÊÒÁÒö㹡ÒôÙáŵ¹àͧŴŧ (functional decline) ÃÐËNjҧ·ÕÍÂÙâç¾ÂÒºÒÅ ¤×Í è ‹ (11) ¡. ¼Ù»ÇÂÁÕá¼Å¡´·Ñº (pressure ulcer) ËÃ×ÍäÁ‹ Œ † ¢. ¼Ù»ÇÂÁÕÀÒÇÐÊÁͧàÊ×ÍÁÍÂÙà´ÔÁ (baseline cognitive deficits) ËÃ×ÍäÁ‹ Œ † è ‹ ¤. ¼Ù»ÇÂÁÕ¤ÇÒÁÊÒÁÒö㹡ÒôÙáŵ¹àͧ¹ŒÍÂÍÂÙà´ÔÁ (baseline functional impairment) Œ † ‹ ËÃ×ÍäÁ‹ §. ¼ÙŒ»†ÇÂÁÕ¡Ô¨¡ÃÃÁ·Ò§Êѧ¤Á¡‹Í¹à¢ŒÒâç¾ÂÒºÒÅ (baseline social activity) ¹ŒÍ ËÃ×ÍäÁ‹
  • 396.
    àǪÈÒʵÏ·¹Âؤ 2553 Ñ 369 ËÒ¡µÍºÇ‹Ò “äÁ‹ãª‹” µ‹Í·Ø¡¤íÒ¶ÒÁ ¼Ù»ÇÂÃÒ¹ѹÁÕâÍ¡ÒʹŒÍ (ÃŒÍÂÅÐ 8) ·Õ¨ÐÁÕ¤ÇÒÁÊÒÁÒö Œ † é è 㹡ÒôÙáŵ¹àͧŴŧÃÐËNjҧ·ÕÍÂÙâç¾ÂÒºÒÅ ã¹·Ò§µÃ§¢ŒÒÁ ËÒ¡µÍºÇ‹Ò “㪋” 1-2 ¤íÒ¶ÒÁ ÁÕâÍ¡ÒÊ è ‹ ÃŒÍÂÅÐ 28 ·Õ¨ÐÁÕ¤ÇÒÁÊÒÁÒö㹡ÒôÙáŵ¹àͧŴŧ áÅÐËÒ¡µÍºÇ‹Ò “㪋” 3-4 ¤íÒ¶ÒÁ ÁÕâÍ¡ÒÊÊÙ§ è ¶Ö§ÃŒÍÂÅÐ 63 ·Õ¨ÐÁÕ¤ÇÒÁÊÒÁÒö㹡ÒôÙáŵ¹àͧŴŧ(11) è ´Ñ§¹Ñ¹ 㹡Òúѹ·Ö¡»ÃÐÇѵ¡ÒÃà¨çº»†Ç¢ͧ¼ÙʧÍÒÂØ ¨Ö§µŒÍ§ÁÕ¢ÍÁÙÅ·Õº¹·Ö¡äÇŒãˌࢌÒ㨶֧ é Ô Œ Ù Œ è Ñ ¤ÇÒÁÊÒÁÒö㹡ÒôÙáŵ¹àͧ áÅÐÊÁÃöÀÒ¾ÊÁͧ¢Í§¼Ù»Ç â´Â¡µÑÇÍ‹ҧ·Õ໚¹ÃÙ»¸ÃÃÁ¢Í§ Œ † è ¡Ô¨¡ÃÃÁ·Õ¼»Ç·íÒã¹áµ‹ÅÐÇѹäÇŒàÊÁÍ è ÙŒ † ÍѹµÃÒ·Õèà¡Ô´¢Ö鹡Ѻ¼ÙŒ»†ÇÂÊÙ§ÍÒÂØ¢³Ð·ÕèÍÂÙ‹âç¾ÂÒºÒÅ áÅÐá¹Ç·Ò§ »¯ÔºÑµÔ·ÕèàËÁÒÐÊÁà¾×èÍ»‡Í§¡Ñ¹ÍѹµÃÒ´ѧ¡Å‹ÒÇ µÑÇÍ‹ҧ¢Í§ÍѹµÃÒ·ÕÍÒ¨à¡Ô´¢Ö¹¡Ñº¼Ù»ÇÂÊÙ§ÍÒÂØ â´Â੾ÒÐàÁ×ÍÍÂÙâç¾ÂÒºÒŹҹæ 䴌ᡋ è é Œ † è ‹ ¤ÇÒÁÊÒÁÒö㹡ÒôÙáŵ¹àͧŴŧ (functional decline) ÀÒÇÐÊѺʹà©Õº¾Åѹ (delirium) ÀÒÇÐ äÁ‹à¤Å×͹·Õè (immobility) áÅÐÀÒÇÐá·Ã¡«ŒÍ¹µ‹Ò§æ ઋ¹ ÀÒÇСŌÒÁà¹×ͽ†Íà¹×ͧ¨Ò¡¢Ò´¡ÒÃ㪌§Ò¹ è é è (deconditioning) á¼Å¡´·Ñº (pressure ulcer) ¹Í¡¨Ò¡¹Ñ¹ÂѧÁÕ ÀÒÇзؾâÀª¹Ò¡Òà (malnutrition) é ÀÒÇЫÖÁàÈÃŒÒ (depression) áÅÐÀÒÇÐá·Ã¡«ŒÍ¹·Õà¡Ô´¨Ò¡á¾·ÂáÅоÂÒºÒÅ (iatrogenic illness) è â´Â੾ÒÐ ¡ÒÃÊѧ¡ÒÃÊ׺¤Œ¹áÅСÒÃÃÑ¡ÉÒ·ÕäÁ‹àËÁÒÐÊÁµ‹Í¼ÙʧÍÒÂØ(1) «Ö§¤ÇÒÁÃØ¹áç¢Í§¤ÇÒÁà¨çº è è ŒÙ è »†Ç·շÒãËŒµÍ§ÃѺ¼Ù»ÇÂäÇŒã¹âç¾ÂÒºÒÅ áÅÐÀÒÇÐàÊÕ§ÊÙ§¢Í§¼Ù»Ç·Õ໚¹ÍÂÙà´ÔÁ ÁÕº·ºÒ·ÊíҤѭ è í Œ Œ † è Œ † è ‹ µ‹Í¡ÒÃà¡Ô´ÍѹµÃÒÂàËŋҹմÇÂ(1) é Œ ÊíÒËÃѺ»ÃÐà´ç¹àÃ×ͧÀÒÇÐÊѺʹà©Õº¾Åѹ (delirium) áÅÐÀÒÇÐäÁ‹à¤Å×͹·Õè (immobility) ¨Ðä´Œ è è ÁÕ¼¡Å‹ÒǶ֧㹺·¤ÇÒÁÍ×¹ ¨Ö§¨ÐäÁ‹¡Å‹ÒǶ֧㹺·¤ÇÒÁ¹Õé ÙŒ è ÀÒÇзؾâÀª¹Ò¡Òà (Malnutrition) ÀÒÇзؾâÀª¹Ò¡Òà (malnutrition) ໚¹ÀÒÇзվºº‹ÍÂã¹¼Ù»ÇÂÊÙ§ÍÒÂØ·ÍÂÙã¹âç¾ÂÒºÒÅ(12) è Œ † Õè ‹ áÅÐÁÕ¤ÇÒÁÊÑÁ¾Ñ¹¸¡ºÍѵÃÒµÒ¢ͧ¼Ù»ÇÂÊÙ§ÍÒÂØ ᵋäÁ‹¤Í¶١ÃкØäÇŒã¹ÃÒ¡Òû˜­ËҢͧ¼Ù»ÇÂ Ñ Œ † (13) ‹ Œ † ઋ¹¡Ñ¹ ¨Ò¡»ÃÐʺ¡Òó¢Í§¼Ùà¢Õ¹¾ºÇ‹Ò ÁÕᾷ¨Ò¹Ç¹ÁÒ¡ÅÐàŵ‹Í»˜­ËҷؾâÀª¹Ò¡Òâͧ Œ í ¼Ù»ÇÂÊÙ§ÍÒÂØ áÁŒ·ÃҺNjҼٻÇÂÃÒ¹ѹÁÕÀÒÇÐâÅËÔµ¨Ò§ (anemia) ¡ÅŒÒÁà¹×ͽ†ÍÅÕº·Ñ§µÑÇ (generalized Œ † Œ † é é é muscle wasting) áÅÐÁÕ serum albumin áÅÐ serum cholesterol µèÒ á¾·Â¤Çù֡¶Ö§ÀÒÇйÕËÒ¡ í é «Ñ¡»ÃÐÇѵÔä´ŒÇ‹Ò ¼ÙŒÊÙ§ÍÒÂØ (â´Â੾Òмٌ»†Ç·ÕèÁÕ¤ÇÒÁ¾Ô¡Ò÷ҧ¡ÒÂËÃ×Í·Ò§ÊÁͧ «Öè§äÁ‹ÊÒÁÒö ¡Ô¹ÍÒËÒôŒÇµ¹àͧ) ¹éÒ˹ѡµÑÇÅ´(12) ËÃ×ͼÍÁŧÍ‹ҧªÑ´à¨¹ ¡Ô¹ÍÒËÒÃä´Œ¹ÍÂŧ áÅеÃǨ¾º í Œ ÍÒ¡ÒÃáÊ´§¢Í§ÀÒÇзؾâÀª¹Ò¡ÒÃઋ¹ ¡ÅŒÒÁà¹×éͽ†ÍÅÕº (â´Â੾ÒСŌÒÁà¹×éÍ temporalis áÅÐ deltoid) ËÃ×ÍÅÔ¹àÅÕ¹ é è ᾷ¤ÇûÃÐàÁÔ¹ÊÀÒÇзҧâÀª¹Ò¡Òà (nutritional status) ¢Í§¼Ù»ÇÂÊÙ§ÍÒÂØµ§áµ‹ááÃѺ Œ † Ñé áÅлÃÐàÁԹ໚¹ÃÐÂÐæ µÅÍ´ª‹Ç§àÇÅÒ·Õ¼»ÇÂÍÂÙã¹âç¾ÂÒºÒÅ â´ÂÊѧࡵ¨Ò¡»ÃÔÁÒ³ÍÒËÒ÷ռ»Ç è ÙŒ † ‹ è ÙŒ † ¡Ô¹áµ‹ÅÐÁ×Í ¹éÒ˹ѡµÑǢͧ¼Ù»Ç ÃÇÁ·Ñ§¼Å¡ÒõÃǨ·Ò§ËŒÍ§»¯Ôºµ¡ÒÃઋ¹ serum albumin ¤ÇÃÊ‹§ é í Œ † é Ñ Ô
  • 397.
    370 Harmonized Care for Older Patients : .ocus on Hospitalized Patients àÊÃÔÁãËŒ¼»ÇÂä´Œ¡¹ÍÒËÒ÷Õà¤ÂªÍº â´ÂãËŒÁ­ÒµÔªÇ»‡Í¹ËÃ×ÍÍÂÙ໚¹à¾×͹¢³Ð¡Ô¹ÍÒËÒà ãËŒ¼»Ç ٌ † Ô è Õ ‹ ‹ è ÙŒ † 䴌š¹Ñ§ Â×¹ à´Ô¹º‹ÍÂæ ÃÑ¡ÉÒÍÒ¡Ò÷ŒÍ§¼Ù¡¢Í§¼Ù»Ç (¤ÇÃãËŒ¼»Ç¶‹ÒÂÍØ¨¨ÒÃÐäÁ‹¹ÍÂ¡Ç‹Ò 3 Çѹ Ø è Œ † ÙŒ † Œ µ‹Í¤Ãѧ) ·º·Ç¹ÃÒ¡ÒÃÂÒÇ‹ÒÁÕÂÒ·Õ·ÒãËŒ¼»ÇÂàº×ÍÍÒËÒÃËÃ×ÍÃФÒ¡ÃÐà¾ÒÐÍÒËÒÃઋ¹ digoxin, é è í ÙŒ † è theophylline ËÃ×Í NSAIDs ËÃ×ÍäÁ‹ ËÒ¡¼ÙŒ»†Ç¡ԹÍÒËÒÃä´Œ¹ŒÍ ¤ÇÃãËŒÍÒËÒÃàÊÃÔÁ (diet supplementation) â´ÂàÃçÇ ÃÇÁ·Ñ§¾Ô¨ÒóҡÒÃãËŒÍÒËÒ÷ҧÊÒÂÂÒ§ (tube feeding) ¶ŒÒ¨íÒ໚¹ â´Â é ੾ÒÐàÁ×ͼٻÇÂÃÒ¹ѹÁÕÀÒÇзؾâÀª¹Ò¡ÒÃÍ‹ҧÁÒ¡ Í‹ҧäáçµÒÁ äÁ‹¤ÇÃ㪌ÂÒ»ÃÐàÀ·¡Ãеع è Œ † é Œ ¤ÇÒÁÍÂÒ¡ÍÒËÒà (appetite stimulants) à¹×ͧ¨Ò¡äÁ‹Á»ÃÐ⪹ã¹ÃÐÂÐÂÒÇ áÅÐÁռŢŒÒ§à¤Õ§ÁÒ¡ è Õ ÀÒÇЫÖÁàÈÃŒÒ (Depression) ¨Ò¡¡ÒÃÈÖ ¡ ÉÒ ¾ºÍÒ¡ÒâͧÀÒÇÐ«Ö Á àÈÃŒ Ò ä´Œ ¶Ö § ÃŒ Í ÂÅÐ 20-25 ¢Í§¼ÙŒ »† Ç ÂÊÙ § ÍÒÂØ ã¹âç¾ÂÒºÒÅ(14) «Ö§ÁÑ¡äÁ‹ä´ŒÃº¡ÒÃÇÔ¹¨©Ñ ¤ÇÒÁÊíҤѭ¢Í§ÀÒÇÐ¹Õ¤Í ÀÒÇйÕáÉÒä´Œ áÅÐËÒ¡ÇÔ¹¨©Ñ è Ñ Ô é × éÑ Ô áÅÐÃÑ¡ÉÒÍ‹ҧ¶Ù¡µŒÍ§ÃÇ´àÃçÇ ·íÒãËŒ¼Å¡ÒÃÃÑ¡ÉÒâ´ÂÃÇÁ¢Í§¼Ù»ÇÂÊÙ§ÍÒÂØ´¢¹ Œ † Õ Öé ᾷ¤Çù֡¶Ö§ÀÒÇйÕé ËÒ¡¼Ù»ÇÂÊÙ§ÍÒÂØ«§»†ÇÂÍÂÙã¹âç¾ÂÒºÒÅ໚¹àÇÅÒ¹Ò¹ (â´Â੾ÒÐ Œ † Öè ‹ ¼Ù»Ç·Õ໚¹âäÊÁͧàÊ×ÍÁ âäËÅÍ´àÅ×Í´ÊÁͧ ËÃ×Íâä¾ÒÏ¡¹Êѹ) äÁ‹ÂÁ äÁ‹¤Í¾ٴ äÁ‹¤ÍÂËÇÁ Œ † è è Ô Ôé ‹ ‹ Á×͡Ѻ¡ÒÃÃÑ¡ÉÒ äÁ‹¤ÍÂÁÕ¡ÒÅѧ㨠¡Ô¹ÍÒËÒùŒÍÂŧ ¹éÒ˹ѡµÑÇÅ´ áÅÐÁÕ¤ÇÒÁÊÒÁÒö㹡ÒôÙáŵ¹ ‹ í í àͧŴŧ ËÒ¡ÇÔ¹¨©ÑÂä´Œ ᾷ¤ÇâͤÇÒÁËÇÁÁ×ͨҡ¤Ãͺ¤ÃÑǢͧ¼Ù»ÇÂ㹡Òê‹Ç»ÃФѺ (12) Ô Œ † »ÃФͧ¨Ôµã¨ »ÃѺÊÔ§áÇ´ÅŒÍÁ ઋ¹à¾ÔÁáʧÊNjҧã¹ËŒÍ§ »ÃÖ¡Éҹѡ¡ÒÂÀÒ¾ºíҺѴËÃ×͹ѡÍÒªÕǺíҺѴ è è áÅÐËÒ¡¨íÒ໚¹ÍÒ¨µŒÍ§ÃÑ¡ÉÒâ´Â㪌ÂÒµŒÒ¹«ÖÁàÈÃŒÒ (antidepressants) ÀÒÇÐá·Ã¡«ŒÍ¹·Õèà¡Ô´¨Ò¡á¾·ÂáÅоÂÒºÒÅ (Iatrogenic illness) ÀÒÇÐá·Ã¡«ŒÍ¹·Õà¡Ô´¨Ò¡á¾·ÂáÅоÂÒºÒÅ·ÕÊҤѭ áÅÐà¡ÕÂÇ¢ŒÍ§¡Ñº¼Å¡ÒÃÃÑ¡ÉҢͧ¼Ù»Ç è èí è Œ † ÊÙ§ÍÒÂØâ´ÂµÃ§ 䴌ᡋ ¼Åá·Ã¡«ŒÍ¹¨Ò¡¡ÒÃÊ׺¤Œ¹à¾ÔÁàµÔÁµ‹Ò§æ áÅСÒÃÃÑ¡ÉÒ´ŒÇÂÂÒËÃ×ÍÇԸ͹æ(15) è Õ ×è ÊíÒËÃѺ¡ÒÃÊ׺¤Œ¹à¾ÔèÁàµÔÁª¹Ô´µ‹Ò§æ ã¹¼ÙŒ»†ÇÂÊÙ§ÍÒÂØ¹Ñé¹ ÍÒ¨·íÒãËŒà¡Ô´¤ÇÒÁÊÔé¹à»Å×ͧáÅÐÀÒÇÐ á·Ã¡«ŒÍ¹¢Ö¹ä´Œâ´ÂäÁ‹¨Ò໚¹ «Ö§á¾·ÂÊÒÁÒöËÅÕ¡àÅÕ§»˜­ËҴѧ¡Å‹ÒÇä´Œ â´ÂÂÖ´ËÅÑ¡ “äÁ‹·ÒãËŒ é í è è í ¼Ù»ÇÂà¡Ô´ÍѹµÃÒ (do no harm)” â´Â¶ÒÁµ¹àͧ¡‹Í¹Êѧ¡ÒÃÊ׺¤Œ¹à¾ÔÁàµÔÁ·Ø¡¤ÃѧNjÒ(15) Œ † è è é ¡. ¡ÒÃÊ׺¤Œ¹¹Õ¨Ò໚¹ËÃ×ÍäÁ‹ à¾×ͪ‹ÇÂ㹡ÒÃÇÔ¹¨©ÑÂâä? éí è Ô ¢. ¡ÒÃÊ׺¤Œ¹¹Õ໚¹ÇÔ¸¡Ò÷Õè invasive ¹ŒÍ·ÕÊ´·ÕÁÍÂÙËÃ×ÍäÁ‹? é Õ èØ è Õ ‹ ¤. ¼Å¢Í§¡ÒÃÊ׺¤Œ¹¹Õé ¨Ðà»ÅÕ¹á¹Ç·Ò§¡ÒÃÃÑ¡ÉÒÊíÒËÃѺ¼Ù»ÇÂËÃ×ÍäÁ‹? è Œ † §. ᾷÃǸá»Å¼Å¢Í§¡ÒÃÊ׺¤Œ¹¹ÕÍ‹ҧ´ÕËÃ×ÍäÁ‹? ÙŒ Ô Õ é ʋǹÇÔ¸¡ÒÃÃÑ¡ÉÒ´ŒÇÂÇÔ¸¡Ò÷Õè invasive ¡ç·ÒãËŒà¡Ô´ÀÒÇÐá·Ã¡«ŒÍ¹¢Ö¹ä´ŒºÍÂã¹¼Ù»ÇÂÊÙ§ÍÒ Õ Õ í é ‹ Œ † ÂØàª‹¹¡Ñ¹ ´Ñ§¹Ñ¹á¾·Â¤ÇöÒÁµ¹àͧ¡‹Í¹Êѧ¡ÒÃÃÑ¡ÉҴѧ¡Å‹ÒÇÇ‹Ò(15) é è ¡. ¡ÒÃÃÑ¡ÉÒÇÔ¸¹¨Ò໚¹ÊíÒËÃѺ¼Ù»Ç¨ÃÔ§ËÃ×ÍäÁ‹? Õ Õé í Œ † ¢. ¡ÒÃÃÑ¡ÉÒÇÔ¸¹à»š¹ÇÔ¸·»ÅÍ´ÀÑ·ÕÊ´ÊíÒËÃѺ¼Ù»ÇÂËÃ×ÍäÁ‹? Õ Õé Õ Õè èØ Œ † ¤. ¡ÒÃÃÑ¡ÉÒÇÔ¸¹ä´Œ¼Å´ÕËÃ×ÍäÁ‹ áÅÐä´Œ»ÃÐ⪹¤Á¡Ñº¼Åá·Ã¡«ŒÍ¹·ÕÍÒ¨à¡Ô´¢Ö¹ËÃ×ÍäÁ‹? Õ Õé ØŒ è é
  • 398.
    àǪÈÒʵÏ·¹Âؤ 2553 Ñ 371 §. ¼Ù»ÇÂáÅФÃͺ¤ÃÑÇÂÍÁÃѺ¡ÒÃÃÑ¡ÉÒÇÔ¸¹ä´ŒËÃ×ÍäÁ‹? Œ † Õ Õé ÊíÒËÃѺ¡ÒÃÃÑ¡ÉÒ´ŒÇÂÂÒã¹¼ÙŒ»†ÇÂÊÙ§ÍÒÂØ ໚¹»ÃÐà´ç¹·Õèᾷ¤ÇÃãËŒ¤ÇÒÁʹã¨à»š¹¾ÔàÈÉ à¹×èͧ¨Ò¡¼ÙŒÊÙ§ÍÒÂØà»š¹¼ÙŒ»†Ç·ÕèÁÕá¹Ç⹌Á·Õè¨Ðà¡Ô´¼Å¢ŒÒ§à¤Õ§¨Ò¡ÂÒ (adverse drug reactions) ä´Œ §‹ Ò Â¡Ç‹ Ò ¼ÙŒ »† Ç ÂÇÑ Â Í×è ¹ ¨Ò¡¡ÒÃà»ÅÕè  ¹á»Å§·Ò§ÊÃÕ Ã ÇÔ · ÂÒ·Ñé § pharmacokinetics áÅÐ pharmacodynamics µÒÁÇÑ ¨íҹǹÂÒ·Õ¼»ÇÂ䴌ú áÅШíҹǹâäËÇÁ¢Í§¼Ù»ÇÂ(1) è ÙŒ † Ñ Œ † ÊÒà˵ØË¹Ö§·Õ·ÒãËŒà¡Ô´»˜­ËҼŢŒÒ§à¤Õ§¨Ò¡ÂÒ¤×Í ¡ÒÃ㪌ÂÒËÇÁËÅÒ¢¹Ò¹ÁÒ¡à¡Ô¹¤Çà è è í ËÃ×Í·ÕàÃÕÂ¡Ç‹Ò polypharmacy «Ö§ÁÕ¼ãËŒ¤Ò¨íÒ¡Ñ´¤ÇÒÁÇ‹Ò à»š¹¡ÒÃ㪌ÂÒËÅÒ¢¹Ò¹ã¹àÇÅÒà´ÕÂǡѹ è è ÙŒ í «Ö§à¡Ô¹¤ÇÒÁ¨íÒ໚¹ áÅÐà¡Ô¹¡Ç‹Ò¢ŒÍº‹§ªÕ·Ò§¤ÅÔ¹¡ â´Â·ÑÇä»¶×ÍNjҨíҹǹÂҵѧᵋ 5 ª¹Ô´¢Ö¹ä»µ‹Í è é Ô è é é ¼Ù»Ç 1 ¤¹ Œ † (1) Beers áÅФ³Ð䴌ËÇÁ¡Ñ¹Ãкت×èÍÂÒ«Öè§¶×ÍÇ‹Ò໚¹ÂÒ·ÕèÁÕ¤ÇÒÁàÊÕè§ÊÙ§ÊíÒËÃѺ¼ÙŒ»†ÇÂÊÙ§ÍÒÂØ (Beers list of potentially inappropriate medications for older adults) µÑ§áµ‹ ¤.È.1997 à¹×ͧ¨Ò¡ é è ໚¹ÂÒ·ÕÁ¼Å¢ŒÒ§à¤Õ§ÁÒ¡ ä´Œ»ÃÐ⪹¹ÍÂàÁ×Íà·Õº¡Ñº¤ÇÒÁàÊÕ§·Õ¼»ÇÂ䴌ú¨Ò¡ÂÒ áÅÐÁÕÂÒÍ×¹ è Õ Œ è è è ÙŒ † Ñ è ໚¹·Ò§àÅ×᷹͡ «Ö§ .ick áÅФ³Ðä´Œ»ÃѺ»ÃاÃÒ¡ÒÃÂҴѧ¡Å‹ÒÇãËŒ·¹ÊÁÑ¢ֹ㹠¤.È.2003 è Ñ é (16) ´Ñ§áÊ´§ã¹µÒÃÒ§ ´Ñ§¹Ñ¹ ᾷ·´áżٻÇÂÊÙ§ÍÒÂØ¾§ÃÐÁÑ´ÃÐÇѧ㹡ÒÃÊѧÂÒÊíÒËÃѺ¼Ù»ÇÂ໚¹¾ÔàÈÉ ¾Ö§ËÅÕ¡àÅÕ§ é Õè Ù Œ † Ö è Œ † è ÂÒ·ÕÁ¤ÇÒÁàÊÕ§ÊÙ§µÒÁÃÒ¡ÒâŒÒ§µŒ¹ à¹×ͧ¨Ò¡ÁÕµÇàÅ×Í¡Í×¹·Õ»ÅÍ´ÀÑÂ¡Ç‹Ò áÅзÕÊҤѭ·ÕÊ´ è Õ è è Ñ è è (16) è í è Ø ãˌ´ËÅÑ¡ “start low, go slow” ËÃ×Í¡ÒÃàÃÔÁÊѧÂÒã¹¢¹Ò´µèÒ áŌǤ‹ÍÂæ »ÃѺ¢¹Ò´ÂÒà¾ÔÁ¢Ö¹ªŒÒæ Ö è è í è é 㹡óշÕ赌ͧÊÑè§ÂÒÊíÒËÃѺâäàÃ×éÍÃѧ áÅо֧ËÅÕ¡àÅÕè§¡ÒÃÊÑè§ÂÒÁÒ¡à¡Ô¹¤ÇÒÁ¨íÒ໚¹ÊíÒËÃѺ¼ÙŒ»†Ç (polypharmacy) â´Â¶×Í໚¹Ë¹ŒÒ·Õ㹡Ò÷º·Ç¹ÃÒ¡ÒÃÂҢͧ¼Ù»Ç (review of treatment) µÑ§áµ‹ è Œ † é ááÃѺ¼ÙŒ»†Ç áÅзíÒ໚¹»ÃШíÒÍ‹ҧ¹ŒÍÂÊÑ»´ÒˏÅФÃÑ駨¹¨íÒ˹‹Ò¼ٌ»†Ç ÊíÒËÃѺ¡Ò÷º·Ç¹ (1) ÃÒ¡ÒÃÂÒ¹Ñé¹ ÁÔ㪋à¾×èÍÅÍ¡ÃÒ¡ÒÃÂÒà´ÔÁãËŒ¤Ãº¶ŒÇ¹ ËҡᵋãËŒ¶ÒÁµ¹àͧ·Ø¡¤ÃÑé§·Õè·º·Ç¹Ç‹Ò ÂÒ¹ÕéÂѧÁÕ¤ÇÒÁ¨íÒ໚¹ÊíÒËÃѺ¼ÙŒ»†ÇÂã¹¢³Ð¹ÕéËÃ×ÍäÁ‹ ËÒ¡µÍºÇ‹ÒäÁ‹¨íÒ໚¹ËÃ×ÍäÁ‹á¹‹ã¨ ãËŒËÂØ´ÂÒ ¹Ñ¹àÊÕÂ é µÒÃÒ§ áÊ´§µÑÇÍ‹ҧÂÒ·ÕèäÁ‹àËÁÒÐÊÁ·Õè¨Ð㪌㹼ٌ»†ÇÂÊÙ§ÍÒÂØ ¨íÒṡµÒÁ¤ÇÒÁàÊÕè§ ÂÒ·ÕèÁÕ¤ÇÒÁàÊÕè§ÊÙ§µ‹Í¼ÙŒÊÙ§ÍÒÂØ ÂÒ·ÕèÁÕ¤ÇÒÁàÊÕè§µ‹Í¼ÙŒÊÙ§ÍÒÂØ ᵋ¹ŒÍÂ¡Ç‹Ò Antidepressants: Antihypertensives: - Amitriptyline, Doxepin - Doxazosin - Daily fluoxetine - Reserpine at doses >0.25 mg - Clonidine Long-acting benzodiazepines: Cardiac drug: Digoxin - .lurazepam, Chlordiazepoxide, Diazepam (should not exceed >0.125 mg/d except and Chlorazepate treating atrial arrhythmias)
  • 399.
    372 Harmonized Care for Older Patients : .ocus on Hospitalized Patients ÂÒ·ÕèÁÕ¤ÇÒÁàÊÕè§ÊÙ§µ‹Í¼ÙŒÊÙ§ÍÒÂØ ÂÒ·ÕèÁÕ¤ÇÒÁàÊÕè§µ‹Í¼ÙŒÊÙ§ÍÒÂØ ᵋ¹ŒÍÂ¡Ç‹Ò Doses of short-acting benzodiazepines: Antiplatelet aggregation: Short-acting daily doses greater than dipyridamole - Lorazepam 3 mg, Alprazolam 2 mg, Antimigraine: Ergot mesyloids Temazepam 15 mg, Triazolam 0.25 mg H2 receptor blockers: Cimetidine Barbiturates (except phenobarbital) Antianemics: .errous sulfate >325 mg/d Antipsychotics: Thioridazine Opioids: Pentazocine, Meperidine Antihypertensives: Methyldopa, Short acting nifedipine Antiarrhythmics: Disopyramide Hypoglycemics: Chlorpropamide Antiplatelet aggregating agents: Ticlopidine Muscle relaxants and antispasmodics: Methocarbamol, Carisoprodol, Chlorzoxazone, Cyclobenzaprine, Orphenadrine and Oxybutynin Gastrointestinal antispasmodic drugs: Dicyclomine,Hyoscyamine, Propantheline, Belladonna alkaloids, and Clidinium- chlordiazepoxide (Librax) Anticholinergics and antihistamines: Chlorpheniramine, Diphenhydramine, Hydroxyzine, Cyproheptadine, Promethazine and Diphenhydramine NSAIDs: Indomethacin Long-term use of full-dosage, longer half -life, non–COX-selective NSAIDs: Naproxen and Piroxicam Laxatives: Mineral oil Long-term use of stimulant laxatives: Bisacodyl, Cascara sagrada except in the presence of opiate analgesic use ËÁÒÂà赯 ´Ñ´á»Å§¨Ò¡ .ick DM, Cooper JW, Wade WE, et al(16)
  • 400.
    àǪÈÒʵÏ·¹Âؤ 2553 Ñ 373 ¡ÒÃÇÒ§á¼¹¡ÒèíÒ˹‹Ò¼ٌ»†ÇÂÊÙ§ÍÒÂØÍ‹ҧÁդسÀÒ¾ ᾷ¤ÇÃÇÒ§á¼¹¡ÒèíÒ˹‹Ò¼ٻÇ (discharge planning) µÑ§áµ‹Ç¹áá·Õú¼Ù»ÇÂÊÙ§ÍÒÂØ Œ † é Ñ èÑ Œ † äÇŒã¹âç¾ÂÒºÒÅ â´ÂÍÒÈÑÂËÅÑ¡¢Í§ comprehensive geriatric assessment «Ö§·íÒã¹ÅѡɳР(1,12) è ÊËÊÒ¢ÒÇÔªÒªÕ¾ à¾×Í¡ÒÃÇÒ§á¼¹¡ÒôÙáÅÃÑ¡ÉÒ¼Ù»ÇÂÍ‹ҧ໚¹Í§¤ÃÇÁ Çѵ¶Ø»ÃÐʧ¤¢Í§¡ÒÃÇÒ§á¼¹ è Œ † ¡ÒèíÒ˹‹Ò¼ٻǤ×Í Ãкؼ»ÇÂÊÙ§ÍÒÂØ·ÁÀÒÇÐàÊÕ§ÊÙ§«Ö§ÍÒ¨µŒÍ§¾Ö§¾Ò¼Ù͹ËÅѧ¨íÒ˹‹ÒÂÍÍ¡¨Ò¡ Œ † ÙŒ † Õè Õ è è è Œ ×è âç¾ÂÒºÒÅ »ÃÐÁÒ³ÃÐÂÐàÇÅÒ·Õ¤Ò´ÇèҼٻǨÓà»ç¹µéͧÍÂÙã¹âç¾ÂÒºÒÅ áÅÐÃкØÇÒ¤Ãͺ¤ÃÑÇ- è é è è è µŒÍ§àµÃÕÂÁ¡ÒÃÍ‹ҧäÃà¾×Í¡ÒôÙáżÙʧÍÒÂØÃÒ¹յÍä»·ÕºÒ¹ è Œ Ù é ‹ è Œ (12) àÁ×ÍÃѺ¼Ù»ÇÂänjáÉÒã¹âç¾ÂÒºÒÅ ËÅѧ¨Ò¡¡ÒûÃÐàÁÔ¹¤ÇÒÁà¨çº»†ÇÂáÅл˜­ËÒµ‹Ò§æ áÅŒÇ è Œ † Ñ á¾·Â¤ÇÃᨌ§¡ÒÃÇÔ¹Ô¨©ÑÂáÅÐá¹Ç·Ò§¡ÒôÙáÅÃÑ¡ÉÒ¼ÙŒ»†ÇÂãËŒ¼ÙŒ»†ÇÂáÅФÃͺ¤ÃÑÇ·ÃÒºµÒÁ¤ÇÒÁ àËÁÒÐÊÁ áÅÐËÇÁ¡Ñ¹µÑé§à»‡ÒËÁÒ¢ͧ¡ÒÃÍÂÙ‹ÃÑ¡ÉÒµÑÇã¹âç¾ÂÒºÒŤÃÑé§¹Õéà¾×èÍãˌࢌÒ㨵ç¡Ñ¹ «Ö§á¾·Â¤Ç÷íÒ¡ÒÃÊ׺¤Œ¹à¾ÔÁàµÔÁáÅÐÃÑ¡ÉÒà¾×ÍÁا仵ÒÁ໇ÒËÁÒ·յ¡Å§¡Ñ¹äÇŒ ÃÇÁ·Ñ§¤íÒ¹Ö§¶Ö§¡Òà è è è ‹ è é »¯ÔºÑµÔà¾×èÍ·íÒãËŒ¼ÙŒ»†ÇÂÁÕ¤ÇÒÁÊÒÁÒö㹡ÒôÙáŵ¹àͧ´Õ¢Öé¹ (ËÃ×ÍÍ‹ҧ¹ŒÍÂäÁ‹àÅÇŧ) ä»´ŒÇ ã¹ÃÐËNjҧ·Õ¼»ÇÂÍÂÙã¹âç¾ÂÒºÒŠᾷ㹰ҹмٹҢͧ·ÕÁ ¤ÇèѴãËŒÁ¡ÒûÃЪØÁ·ÕÁÊËÊÒ¢Ò è ÙŒ † ‹ Œ í Õ ÇԪҪվ͋ҧÊÁèíÒàÊÁÍ à¾×è͵ԴµÒÁ¼Å¡ÒÃÃÑ¡ÉÒ¾ÂÒºÒÅÇ‹Ò໚¹ä»µÒÁ໇ÒËÁÒ·Õè¡íÒ˹´ËÃ×ÍäÁ‹ áÅÐà¾×ÍÇÒ§á¼¹¡ÒèíÒ˹‹Ò¼ٻÇÂä»´ŒÇÂ è Œ † ᾷ¤ÇèíÒ˹‹Ò¼ٻÇÂÊÙ§ÍÒÂØÍÍ¡¨Ò¡âç¾ÂÒºÒÅãËŒàÃçÇ·ÕÊ´ à¾×ÍÅ´ÀÒÇÐá·Ã¡«ŒÍ¹¨Ò¡ Œ † èØ è ¡ÒÃÍÂÙâç¾ÂÒºÒÅ áÅмٻǨÐä´Œ¡ÅѺä»ÍÂÙ¡º¤Ãͺ¤ÃÑÇáÅÐÊÔ§áÇ´ÅŒÍÁ·Õ¤¹à¤Â Í‹ҧäáçµÒÁ ‹ Œ † ‹ Ñ è è ØŒ ᾷ¤ÇÃÃÐÇѧ¡ÒèíÒ˹‹Ò¼ٻÇÂÍÍ¡¨Ò¡âç¾ÂÒºÒÅàÃçÇà¡Ô¹ä» ઋ¹ ¤Ãͺ¤ÃÑÇÂѧäÁ‹¾ÃŒÍÁ·Õ¨Ð´ÙáÅ Œ † è ¼Ù»Ç·պҹ ËÃ×ÍÍÒ¡Òâͧ¼Ù»ÇÂÂѧäÁ‹¤§·Õè (clinical instability) ã¹Çѹ¡‹Í¹¨íÒ˹‹Ò 䴌ᡋ à¾Ô§ÁÕÍÒ¡Òà Œ † è Œ Œ † è ¡Åѹ»˜ÊÊÒÇÐäÁ‹ÍÂÙ‹ 䢌 ÊѺʹ à¨çºË¹ŒÒÍ¡ à˹×Í ËÑÇã¨àµŒ¹àÃçÇ ¤ÇÒÁ´Ñ¹âÅËÔµµèÒŧ ËÃ×Í diastolic é è í blood pressure ÁÒ¡¡Ç‹Ò 105 ÁÁ.»ÃÍ· (17) ÊÃØ» ÁÕ¼»ÇÂÊÙ§ÍÒÂØ¨Ò¹Ç¹ÁÒ¡·Õ¶¡ÃѺänjáÉÒã¹âç¾ÂÒºÒÅ´ŒÇÂÍÒ¡ÒÃà¨çº»†Çª¹Ô´à©Õº¾Åѹ ÙŒ † í è Ù Ñ ·ÕÁ¼Å¡ÒÃÃÑ¡ÉÒ·ÕäÁ‹´Õ áÅФÇÒÁÊÒÁÒö㹡ÒôÙáŵ¹àͧŴŧ «Ö§à¡Ô´¨Ò¡¤ÇÒÁÃØ¹áç¢Í§âäËÃ×Í è Õ è è ¤ÇÒÁà¨çº»†Çª¹Ô´à©Õº¾Åѹ·Õ·ÒãËŒµÍ§ÃѺ¼Ù»ÇÂäÇŒã¹âç¾ÂÒºÒÅ ÀÒÇÐàÊÕ§ÊÙ§¢Í§¼Ù»Ç·Õ໚¹ÍÂÙ‹ è í Œ Œ † è Œ † è à´ÔÁ áÅÐÍѹµÃÒ·Õà¡Ô´¢Ö¹¡Ñº¼Ù»Ç¢³Ð·ÕÍÂÙâç¾ÂÒºÒÅ ÃÇÁ·Ñ§ÀÒÇÐá·Ã¡«ŒÍ¹·Õà¡Ô´¨Ò¡á¾·ÂáÅÐ è é Œ † è ‹ é è ¾ÂÒºÒŠ໇ÒËÁÒÂÊíҤѭ㹡ÒôÙáÅÃÑ¡ÉÒ¼Ù»ÇÂÊÙ§ÍÒÂØã¹âç¾ÂÒºÒÅ ¹Í¡à˹×ͨҡÃÑ¡ÉÒãËŒâäËÃ×Í Œ † ¤ÇÒÁà¨çº»†Çª¹Ô´à©Õº¾ÅѹËÒÂËÃ×Í·ØàÅÒáÅŒÇ ¤×Í·íÒãËŒ¤ÇÒÁÊÒÁÒö㹡ÒôÙáŵ¹àͧ¢Í§¼ÙʧÍÒÂØ ŒÙ ´Õ¢¹ ËÃ×ÍÍ‹ҧ¹ŒÍÂäÁ‹Å´Å§¨Ò¡à´ÔÁ ´Ñ§¹Ñ¹ ᾷ·Á˹ŒÒ·Õ´áÅÃÑ¡ÉÒ¼Ù»ÇÂÊÙ§ÍÒÂØ¨§µŒÍ§·ÃÒºÇÔ¸Õ Öé é Õè Õ è Ù Œ † Ö »ÃÐàÁÔ¹¼Ù»ÇÂÊÙ§ÍÒÂØ·ÁÀÒÇÐàÊÕ§ÊÙ§ â´Â੾ÒФÇÒÁÊÒÁÒö㹡ÒôÙáŵ¹àͧ áÅÐÊÁÃöÀÒ¾ Œ † Õè Õ è ÊÁͧ¢Í§¼Ù»Ç¡‹Í¹à¢ŒÒâç¾ÂÒºÒÅ áÅÐᾷµÍ§µÃÐ˹ѡ¶Ö§ÍѹµÃÒµ‹Ò§æ ·ÕÍÒ¨à¡Ô´¢Ö¹¡Ñº¼Ù»Ç Œ † Œ è é Œ †
  • 401.
    374 Harmonized Care for Older Patients : .ocus on Hospitalized Patients ÊÙ§ÍÒÂØ¢³Ð·ÕÍÂÙâç¾ÂÒºÒŠઋ¹ ¤ÇÒÁÊÒÁÒö㹡ÒôÙáŵ¹àͧŴŧ ÀÒÇÐÊѺʹà©Õº¾Åѹ ÀÒÇÐ è ‹ äÁ‹à¤Å×͹·Õè (immobility) ÀÒÇзؾâÀª¹Ò¡Òà ÀÒÇЫÖÁàÈÃŒÒ áÅÐÀÒÇÐá·Ã¡«ŒÍ¹·Õà¡Ô´¨Ò¡á¾·ÂáÅÐ è è ¾ÂÒºÒÅ (iatrogenic illness) â´Â੾ÒÐ ¡ÒÃÊѧ¡ÒÃÊ׺¤Œ¹áÅСÒÃÃÑ¡ÉÒ·ÕäÁ‹àËÁÒÐÊÁµ‹Í¼ÙʧÍÒÂØ è è ŒÙ áÅÐá¹Ç·Ò§»¯Ôºµ¢Í§á¾·Âà¾×ÍÅ´ËÃ×Í»‡Í§¡Ñ¹ÍѹµÃÒ´ѧ¡Å‹ÒÇ àÁ×ͤÇÒÁà¨çº»†ÇÂËÒÂËÃ×Í·ØàÅÒáÅŒÇ Ñ Ô è è ᾷ¤ÇÃ໚¹¼Ù¹Ò·ÕÁÊËÊÒ¢ÒÇԪҪվ㹡ÒÃÇÒ§á¼¹¡ÒèíÒ˹‹Ò¼ٻÇ à¾×ÍãËŒ¤Ãͺ¤ÃÑÇÊÒÁÒö´ÙáÅ Œ í Œ † è ¼Ù»ÇÂÊÙ§ÍÒÂØµÍä»ä´ŒÍ‹ҧÁÕ¤³ÀÒ¾ Œ † ‹ Ø àÍ¡ÊÒÃ͌ҧÍÔ§ 1. Podrazik PM, Whelan CT. Acute hospital care for the elderly patient: Its impact on clinical and hospital systems of care. Med Clin North Am 2008;92:387–406. 2. Brennan TA, Leape LL, Laird NM, et al. Incidence of adverse events and negligence in hospitalized patients. N Engl J Med 1991;324:370–6. 3. Gillick MR, Serrell NA, Gillick LS. Adverse consequences of hospitalization in the elderly. Soc Sci Med 1982;16:1033–8. 4. Covinsky KE, Palmer RM, .ortinsky RH, et al. Loss of independence in activities of daily living in older adults hospitalized with medical illnesses: increased vulnerability with age. J Am Geriatr Soc 2003;51:451–8. 5. Sternberg SA, Wolfson C, Baumgarten M. Undetected dementia in community-dwelling older people: the Canadian Study of Health and Aging. J Am Geriatr Soc 2000;48:1430–4. 6. Inouye SK, Viscoli CM, Horwitz RI, et al. A predictive model for delirium in hospitalized elderly medical patients based on admission characteristics. Ann Intern Med 1993;119:474–81. 7. ¡ÅØÁ¿„¹¿ÙÊÁÃöÀÒ¾ÊÁͧ. Ẻ·´ÊͺÊÁÃöÀÒ¾ÊÁͧ¢Í§ä·Â. ÊÒÃÈÔÃÃÒª 2536;45:359-74. ‹ œ Ô 8. Inouye SK, Peduzzi PN, Robinson JT, et al. Importance of functional measures in predicting mortality among older hospitalized patients. JAMA 1998;279:1187–93. 9. Mathias S, Navak US, Isaacs B. Balance in elderly patients: the ‘‘get-up and go’’ test. Arch Phys Med Rehabil 1986;67:387–9. 10. Katz S, ford AB, Moskowitz RW, et al. Studies of illness in the aged: the index of ADL. JAMA 1963;185:914-9. 11. Inouye SK, Wagner DR, Acampora D, et al. A predictive index for functional decline in hospitalized elderly patients. J Gen Intern Med 1993;8:645–52. 12. Palmer RM. Acute hospital care. In Cassel CK, editor. Geriatric Medicine: An evidence-based approach. New York. Springer-Verlag;2003, p. 133-45. 13. Constans T, Bacq Y, Brechet J., et al. Protein-energy malnutrition in elderly medical patients. J Am Geriatr Soc 1992;40:263-8. 14. Covinsky KE, .ortinsky RH, Palmer RM, et al. The relationship of depressive symptoms to health outcomes in acutely ill hospitalized elders. Ann Intern Med 1997;126:417-25. 15. Barry PP. latrogenic disorders in the elderly: Preventive techniques. Geriatrics 1986;41:42-7. 16. .ick DM, Cooper JW, Wade WE, et al. Updating the Beers criteria for potentially inappropriate medication use in older adults. Arch Intern Med 2003;163:2716–24. 17. Brook RH, Kahn KL, Kosecoff J. Assessing clinical instability at discharge. The clinician’s responsibility. JAMA 1992;268:1321-2.
  • 402.
    àǪÈÒʵÏ·¹Âؤ 2553 Ñ º··Õè 375 56 Harmonized Care for Older Patients : .ocus on Cognition ÍÒ¨ÒÏ ᾷ˭ԧÇÃÒÅѡɳ ÈÃÕ¹¹·»ÃÐàÊÃÔ° ÀÒ¤ÇÔªÒÍÒÂØÃÈÒʵÏ ¤³Ðá¾·ÂÈÒʵÏÈÔÃÔÃÒª¾ÂÒºÒÅ ÁËÒÇÔ·ÂÒÅÑÂÁËÔ´Å ÀÒÇÐÊѺʹà©Õº¾Åѹ (Delirium) ໚¹ÀÒÇзÕÁ¡ÒÃà»ÅÕ¹á»Å§¢Í§¤ÇÒÁ¨íÒ ¤ÇÒÁãʋ㨠è Õ è áÅÐ ¾ÄµÔ¡ÃÃÁ «Ö§à¡Ô´¢Ö¹ÀÒÂã¹ÃÐÂÐàÇÅÒÍѹÊѹ (acute cognitive changes) ¹Ñºà»š¹»˜­ËÒ·Õ¾ºä´Œ è é é è º‹ÍÂã¹¼ÙʧÍÒÂØ·¶¡ÃѺänjáÉÒã¹âç¾ÂÒºÒÅ «Ö§ºØ¤Åҡ÷ҧ¡ÒÃᾷ·ÁÊǹ㹡ÒôÙáżÙʧÍÒÂØ ŒÙ Õè Ù Ñ è Õè Õ ‹ ŒÙ ÁÑ¡ÁÕ»ÃÐʺ¡Òóã¹¡ÒôÙáżٻÇÂ¡ÅØÁ¹ÕäÁ‹ÁÒ¡¡ç¹Í ᵋ»­ËÒ·ÕÊҤѭ¤×Í ÀÒÇйÕÁ¡¶Ù¡Áͧ¢ŒÒÁ Œ † ‹ é Œ ˜ èí é Ñ â´ÂÁÕ¡ÒÃÈÖ¡ÉÒ·Õè¾ºÇ‹Ò ÀÒÇÐÊѺʹà©Õº¾Åѹ¶Ù¡ÅÐàÅÂâ´ÂºØ¤Åҡ÷ҧ¡ÒÃᾷ䴌ÊÙ§¶Ö§ 32-88 % (1-2) áÅÐËÒ¡ÀÒÇйÕäÁ‹ä´ŒÃº¡ÒõÃÐ˹ѡâ´Âᾷ ¼ÙʧÍÒÂØÁâÍ¡ÒÊ·Õ¨ÐÁÕ͵ÃÒ¡ÒõÒ é Ñ ŒÙ Õ è Ñ ÊÙ§¢Ö¹¶Ö§ÊÍ§à·‹Ò (3) «Ö§Ê‹Ç¹Ë¹Ö§¡çÍҨ͸ԺÒÂä´Œ¨Ò¡¡Ò÷ÕÀÒÇÐÊѺʹà©Õº¾Åѹ㹼ÙʧÍÒÂØ ʋǹãË­‹ é è è è ŒÙ à¡Ô´¨Ò¡ÀÒÇФÇÒÁà¨çº»†Ç·ҧ¡Ò ËÃ×Í à¡Ô´¨Ò¡¼Å¢ŒÒ§à¤Õ§¢Í§ÂÒ àÁ×ÍᾷäÁ‹·ÃÒº¶Ö§»˜­ËÒ áÅÐ è äÁ‹ä´Œá¡Œä¢·ÕÊÒà赯 ¼Ù»Ç¨֧à¡Ô´ÁռŢŒÒ§à¤Õ§µ‹Ò§æ µÒÁÁÒä´Œ ´Ñ§¹Ñ¹¨Ö§ÁÕ¤ÇÒÁÊíҤѭ·ÕᾷáÅÐ è Œ † é è ºØ¤¤Åҡ÷ҧ¡ÒÃᾷ ¨Ð䴌ࢌÒ㨶֧ÀÒÇйÕé à¾×ͨÐä´ŒªÇÂãËŒ¼Ê§ÍÒÂØ 䴌ú¡ÒÃÇÔ¹¨©ÑÂáÅÐÃÑ¡ÉÒ è ‹ ÙŒ Ù Ñ Ô ·ÕàËÁÒÐÊÁµ‹Íä» è ¤ÇÒÁÊíҤѭ¢Í§»˜­ËÒ ¤ÇÒÁªØ¡ (prevalence) ¢Í§¡ÒÃà¡Ô´ÀÒÇÐÊѺʹà©Õº¾Åѹ㹼ÙʧÍÒÂØ ÁÕ¤ÇÒÁᵡµ‹Ò§¡Ñ¹µÒÁ ŒÙ ÅѡɳТͧ¼ÙŒ»†Ç ¢ŒÍÁÙÅ¡ÒÃÈÖ¡ÉÒã¹µ‹Ò§»ÃÐà·È¨Ò¡µÒÃÒ§·Õè 1 áÊ´§ãËŒàËç¹Ç‹Ò ÀÒÇÐÊѺʹ à©Õº¾Åѹ㹼ٌÊÙ§ÍÒÂØ ¾ºä´Œº‹Í áÅÐÁÕá¹Ç⹌Á¨Ð¾ºÁÒ¡¢Öé¹µÒÁ¤ÇÒÁÃØ¹áç¢Í§¤ÇÒÁà¨çº»†Ç ¡ÒÃÈÖ¡ÉÒ«Ö§·íÒã¹¼Ù»ÇÂ㹢ͧÀÒ¤ÇÔªÒÍÒÂØÃÈÒʵÏ·âç¾ÂÒºÒÅÈÔÃÃÒª ¾ºÇ‹ÒÁÕ¤ÇÒÁªØ¡¢Í§ÀÒÇÐ è Œ † Õè Ô ÊѺʹà©Õº¾ÅѹÊÙ§¶Ö§ 40.7% «Ö§äÁ‹¹ÍÂ仡Njҵ‹Ò§»ÃÐà·È áÊ´§ãËŒàËç¹Ç‹Ò »˜­ËÒ¹Õ¾ºä´ŒºÍÂ è Œ é ‹ ã¹»ÃÐà·Èä·Âઋ¹à´ÕÂǡѹ
  • 403.
    376 Harmonized Care for Older Patients : .ocus on Cognition µÒÃÒ§·Õè 1 µÒÃÒ§áÊ´§¤ÇÒÁªØ¡¢Í§¡ÒÃà¡Ô´ÀÒÇÐÊѺʹà©Õº¾Åѹ¢Í§¼ÙŒÊÙ§ÍÒÂØ·Õè¹Í¹ã¹ âç¾ÂÒºÒÅ ÅѡɳТͧ¼ÙŒ»†Ç ¤ÇÒÁªØ¡ ¼Ù»ÇÂÈÑÅ¡ÃÃÁ·ÑÇä»(4-5) Œ † è 17-24% ¼Ù»Ç·ҧÍÍÏ⸻´¡Ê·¼ÒµÑ´áººäÁ‹©¡à©Ô¹(6) Œ † Ô Õè ‹ Ø 4-28% ¼ÙŒ»†ÇÂÍÒÂØÃ¡ÃÃÁ (7) 11-42% ¼Ù»Ç¼‹ÒµÑ´ËÑÇã¨(8) Œ † 3-47% ¼Ù»Ç¡Ãд١µŒ¹¢ÒËÑ¡(6) Œ † 4-53% ¼Ù»ÇÂÃÐÂзŒÒ (end of life)(9) Œ † 25-85% ¼Ù»ÇÂã¹ËͼٻÇÂÇÔ¡ÄµÔ (intensive care unit)(10) Œ † Œ † 70-87% ¼ÙʧÍÒÂØ·ÁÀÒÇÐÊѺʹà©Õº¾Åѹ ÁÕá¹Ç⹌Á¨ÐÁÕ¼ÅÅѾ¸·Ò§¤ÅÔ¹¡·ÕäÁ‹´Õ (adverse clinical ŒÙ Õè Õ Ô è outcomes) Íѹ䴌ᡋ ·íÒãËŒÃÐÂÐàÇÅÒ·ÕÍÂÙâç¾ÂÒºÒŹҹ¢Ö¹, ¤‹Ò㪌¨ÒÂ㹡ÒÃÃÑ¡ÉÒ¾ÂÒºÒÅÊÙ§¢Ö¹, è ‹ é ‹ é áÅÐ ·íÒãËŒà¾ÔÁÍѵÃÒ¡ÒÃà¡Ô´·Ø¾¾ÅÀÒ¾áÅÐÍѵÃÒ¡ÒõÒÂã¹¼ÙʧÍÒÂØ è ŒÙ (1, 7) ¾ÂÒ¸ÔÊÃÕÃÇÔ·ÂÒ (11-12) ¾ÂÒ¸ÔÊÃÕÃÇÔ·ÂҢͧ¡ÒÃà¡Ô´ÀÒÇÐÊѺʹà©Õº¾Åѹ ÂѧäÁ‹à»š¹·ÕࢌÒã¨´Õ «Ö§àª×ÍÇ‹Ò ÍÒ¨à¡Ô´¨Ò¡ è è è ËÅÒ¡Å䡾ÂÒ¸Ô¡Òà¹Ô´ ËÅÑ¡°Ò¹à·‹Ò·ÕÁÍÂÙã¹»˜¨¨Øº¹ ªÕ¹ÒÇ‹Ò ¼Å¢ŒÒ§à¤Õ§¢Í§ÂÒ »¯Ô¡ÃÂÒ¡ÒÃÍÑ¡àʺ í è Õ ‹ Ñ é í ÔÔ Ã‹ÇÁ¡Ñº»¯Ô¡ÃÂÒ¡Òõͺʹͧµ‹ÍÀÒÇСÃеعà©Õº¾Åѹ (acute stress responses) ໚¹à˵ط·ÒãËŒ ÔÔ Œ Õè í à¡Ô´¡ÒÃà»ÅÕ¹á»Å§¢Í§ÊÒÃÊ×Í»ÃÐÊÒ· (neurotransmitter) áÅзíÒãËŒà¡Ô´ÀÒÇÐÊѺʹà©Õº¾Åѹ¢Ö¹ è è é «Ö§àª×ÍÇ‹ÒÊÒÃÊ×Í»ÃÐÊÒ·µÑÇ·ÕÁº·ºÒ·ÊíҤѭ·ÕÊ´ ¹‹Ò¨Ð໚¹ÊÒÃÊ×Í»ÃÐÊÒ· cholinergic «Ö§¾ºÇ‹ÒÁÕ è è è è Õ èØ è è »ÃÔÁҳŴŧã¹ÀÒÇÐÊѺʹà©Õº¾Åѹ ¹Í¡¨Ò¡¹Ñé¹ ÊÒÃÊ×èÍ»ÃÐÊÒ·µÑÇÍ×è¹·ÕèÍÒ¨ÁÕº·ºÒ·ä´Œá¡‹ ÊÒà dopamine â´ÂÁÕ¡ÒÃÈÖ¡ÉÒ¾ºÇ‹Ò ÁÕ¡ÒÃà¾ÔÁ¢Ö¹¢Í§ÃдѺ dopamine ã¹ÊÁͧáÅÐà¡Ô´ÁÕ¤ÇÒÁäÁ‹ è é ÊÁ´ØÅ¢Í§Ãкº»ÃÐÊÒ· dopamine áÅÐ cholinergic ÍÒ¡Ò÷ҧ¤ÅÔ¹Ô¡áÅСÒÃÇÔ¹Ô¨©Ñ ÍÒ¡ÒÃËÅÑ¡¢Í§ÀÒÇÐÊѺʹà©Õº¾Åѹ ¤×Í¡Ò÷ռ»ÇÂÁÕÊÁÃöÀÒ¾¢Í§ÊÁͧËÅÒÂ æ ´ŒÒ¹Å´ è ÙŒ † ŧ ËÇÁ¡ÑºÁÕ¡ÒÃà»ÅÕ¹á»Å§ÃдѺ¤ÇÒÁÃÙÊ¡µÑÇ «Ö§à¡Ô´¢Ö¹©Ñº¾Åѹ â´ÂÍÒ¡ÒÃà´‹¹·ÕÁ¡·íÒãËŒ­ÒµÔ ËÃ×Í è ŒÖ è é è Ñ ºØ¤Åҡ÷ҧ¡ÒÃᾷʧࡵ䴌 ¤×Í ÃдѺ¤ÇÒÁÃÙÊ¡µÑÇ·Õà»ÅÕ¹á»Å§ä» «Ö§ã¹ÀÒÇÐÊѺʹà©Õº¾Åѹ Ñ ŒÖ è è è ¹Ñ¹ ¾ºä´Œ·§áºº·ÕÁ¤ÇÒÁÇØ¹ÇÒ ÊѺʹ ËÃ×Í áºº·Õ«Á ÁÕ¤ÇÒÁÃÙÊ¡µÑÇŴŧ ʋǹ¤ÇÒÁ¨íÒ ¤ÇÒÁ é Ñé è Õ ‹ è Ö ŒÖ ãʋ㨷Õà»ÅÕ¹á»Å§¹Ñ¹ ºÒ§¤ÃѧÍÒ¡ÒÃÍÒ¨äÁ‹ª´à¨¹ ᾷÍÒ¨äÁ‹µÃÐ˹ѡËÒ¡äÁ‹ä´Œ·Ò¡Ò÷´Êͺ è è é é Ñ í ¹Í¡¨Ò¡¹Õé ¼Ù·Á»­ËÒÀÒÇÐÊѺʹà©Õº¾Åѹ ÍÒ¨ÁÕÍÒ¡ÒÃÍ×¹ æ ËÇÁÍÕ¡ Íѹ䴌ᡋ ÁÕÀÒ¾ËÅ͹, ÍÒÃÁ³ Œ Õè Õ ˜ è áÅоĵԡÃÃÁà»ÅÕè¹á»Å§ä» áÅÐÁÕǧ¨Ã¡Òù͹·Õèà»ÅÕè¹á»Å§ä» ¡ÅÒ§¤×¹äÁ‹¹Í¹áµ‹¹Í¹ÁÒ¡ µÍ¹¡ÅÒ§Çѹ ´Ñ§¹Ñ¹àÁ×Íã´·Õᾷ䴌ú¡ÒÃÃÒÂ§Ò¹Ç‹Ò ¼ÙʧÍÒÂØ¹Í¹äÁ‹ËÅѺ ¤ÇõÃÐË¹Ñ¡Ç‹Ò ¼ÙʧÍÒÂØ é è è Ñ ŒÙ ŒÙ ÍÒ¨ÁÕÀÒÇÐÊѺʹà©Õº¾Åѹ ¤ÇûÃÐàÁÔ¹¼Ù»Ç¡‹Í¹µÑ´ÊÔ¹ã¨Êѧ¡ÒÃÃÑ¡ÉÒ´ŒÇÂÂҹ͹ËÅѺ Œ † è
  • 404.
    àǪÈÒʵÏ·¹Âؤ 2553 Ñ 377 ¡ÒÃÇÔ¹¨©ÑÂÀÒÇÐÊѺʹà©Õº¾Åѹ ÍÒÈÑÂÍÒ¡Ò÷ҧ¤ÅÔ¹¡à»š¹ÊíҤѭ â´Âࡳ±¡ÒÃÇÔ¹¨©ÑÂ Ô Ô Ô Áҵðҹ·Õ㪌§¶×͡ѹµÒÁࡳ±·¡Ò˹´â´ÂÊÁÒ¤Á¨Ôµá¾·ÂÍàÁÃÔ¡¹ «Ö§»˜¨¨Øº¹ 㪌 DSM IV TR è Ñ Õè í Ñ è Ñ (Diagnostic and Statistical Manual of Mental Disorders, 4 edition, text revision) (11) ´Ñ§ã¹µÒÃÒ§ th ·Õè 2 «Ö§¨ÐàËç¹ä´ŒÇÒ ¡ÒÃÇÔ¹¨©ÑµÒÁࡳ±¹Õé ÁÕ¤ÇÒÁ«Ñº«ŒÍ¹¾ÍÊÁ¤Çà µŒÍ§ÍÒÈѤÇÒÁªíÒ¹Ò­¢Í§ è ‹ Ô ¼Ù»ÃÐàÁÔ¹ ·íÒãËŒäÁ‹Êдǡ㹡ÒùíÒÁÒ㪌㹷ҧ»¯ÔºµÔ Œ Ñ ´Ñ§¹Ñ¹ ¨Ö§ÁÕ¼¤´à¡³±áºº¡ÃЪѺ ·ÕÊÒÁÒö¹íÒ㪌»¯Ôºµä´Œ§Ò¢ֹ â´Âࡳ±·Á¼¹ÒÁÒ㪌 é ÙŒ Ô è Ñ Ô ‹ é Õè Õ ÙŒ í ¡Ñ¹Í‹ҧá¾Ã‹ËÅÒ áÅÐÁÕ¡ÒÃÈÖ¡ÉÒ¤ÇÒÁáÁ‹¹ÂíÒäÇŒÁÒ¡·ÕÊ´ 䴌ᡋ ࡳ±·¤´¤Œ¹â´Â Inouye áÅÐ èØ Õè Ô ¤³Ð àÃÕÂ¡Ç‹Ò Confusion Assessment Method (CAM) (µÒÃÒ§·Õè 3) â´Âä´ŒÁ¡ÒÃÈÖ¡ÉÒẺ໚¹ (13) Õ systematic review ¾ºÇ‹Ò(14) µÒÃÒ§·Õè 2 ࡳ±¡ÒÃÇÔ¹Ô¨©ÑÂÀÒÇÐÊѺʹà©Õº¾Åѹ µÒÁ DSM IV TR 1. ÁÕ¡ÒÃà»ÅÕ¹á»Å§¢Í§ÃдѺ¤ÇÒÁÃÙÊ¡µÑÇ áÅÐ ¤ÇÒÁÊÒÁÒö㹡Òè´¨‹Í ¤§äÇŒ ËÃ×Í »ÃѺà»ÅÕ¹ è ŒÖ è ¤ÇÒÁãʋ㨠2. ÁÕ ¡ ÒÃà»ÅÕè  ¹á»Å§ÊÁÃöÀÒ¾ÊÁͧ (ઋ ¹ ¤ÇÒÁ¨í Ò ¼Ô ´ »¡µÔ ¤ÇÒÁÃÑ º ÃÙŒ Ê ÀÒ¾áÇ´ÅŒ Í Á à»ÅÕè¹á»Å§ä» ËÃ×Í ÁÕ¡ÒÃà»ÅÕè¹á»Å§¤ÇÒÁÊÒÁÒö㹡ÒÃ㪌ÀÒÉÒ) ËÃ×Í à¡Ô´ÁÕ¤ÇÒÁÃѺÃÙŒ ¼Ô´»¡µÔ ÍѹäÁ‹ä´Œà¡Ô´¨Ò¡ÀÒÇФÇÒÁ¨íÒàÊ×ÍÁ è 3. ¡ÒÃà»ÅÕ¹á»Å§à¡Ô´¢Ö¹ÀÒÂã¹ÃÐÂÐàÇÅÒÍѹÊѹ (Áѡ໚¹ªÑÇâÁ§ ËÃ×Í Çѹ) áÅÐÁÕá¹Ç⹌Á·Õ¨ÐÁÕ¡Òà è é é è è à»ÅÕ¹á»Å§ã¹ÃÐËNjҧÇѹ è 4. ¼Å¡Òëѡ»ÃÐÇÑµÔ µÃǨËҧ¡Ò ËÃ×ͼšÒÃÊ׺¤Œ¹·Ò§ËŒÍ§»¯Ôºµ¡Òà º‹§ªÕÇÒ ÀÒÇйÕÁÊÒà˵ØÁÒ¡ Ñ Ô é‹ é Õ ¡Ç‹Ò˹֧Í‹ҧ ઋ¹ ÁÕ¤ÇÒÁà¨çº»†Ç·ҧ¡Ò ¨Ò¡ÂÒ ËÃ×ÍÊÒþÔÉ è ¡ÒÃÇÔ¹Ô¨©ÑÂÀÒÇÐ delirium µŒÍ§ÁÕ¡ÒÃà»ÅÕè¹á»Å§¤Ãºà¡³±·Ñé§ 4 ¢ŒÍ ËÁÒÂà赯 *á»ÅÁÒ¨Ò¡ .ong TG, Tulebaev SR, Inouye SK. Delirium in elderly adults: diagnosis, prevention and treatment. Nat Rev Neurol. 2009;5(4):210-20. µÒÃÒ§·Õè 3 Confusion Assessment Method 1. ÍÒ¡ÒÃà¡Ô´¢Ö¹Í‹ҧÃÇ´àÃçÇ ©Ñº¾Åѹ áÅÐ ÍÒ¡ÒÃà»ÅÕ¹á»Å§ äÁ‹¤§·Õè ã¹Ãͺ 24 ªÑÇâÁ§ (acute é è è onset and fluctuation course) 2. ÁÕ¤ÇÒÁäÁ‹ãʋ㨠(inattention) äÁ‹ÁÊÁÒ¸Ô äÁ‹Ê¹ã¨ÊÔ§áÇ´ÅŒÍÁ Õ è 3. ÁÕ¤ÇÒÁ¤Ô´ÊѺʹ ǡǹ äÁ‹»ÐµÔ´»Ðµ‹Í (disorganized thinking) 4. ÃдѺ¤ÇÒÁÃÙÊ¡µÑÇà»ÅÕ¹á»Å§ (altered level of consciousness) ŒÖ è ¡ÒÃÇÔ¹Ô¨©ÑÂÀÒÇÐ delirium µŒÍ§ÁÕÍÒ¡ÒõÒÁ¢ŒÍ 1 áÅÐ 2 ËÇÁ¡Ñº ¢ŒÍ 3 ËÃ×Í 4 ËÁÒÂà赯 á»ÅÁÒ¨Ò¡ Inouye SK, van Dyck CH, Alessi CA, Balkin S, Siegal AP, Horwitz RI. Clarifying confusion: the confusion assessment method. A new method for detection of delirium.Ann Intern Med. 1990;113(12):941-8.
  • 405.
    378 Harmonized Care for Older Patients : .ocus on Cognition ࡳ±´§¡Å‹ÒÇ ÁÕ¤ÇÒÁäÇ (sensitivity) áÅФÇÒÁ¨íÒà¾ÒÐ (specificity) ¤‹Í¹¢ŒÒ§´Õ ¤×Í 94% Ñ áÅÐ 89% µÒÁÅíҴѺ ¡Òû‡Í§¡Ñ¹ ÁÕ¢ÍÁÙź‹§ªÕÇÒ »ÃÐÁÒ³ 30-40 % ¢Í§ÀÒÇÐÊѺʹà©Õº¾Åѹ ÊÒÁÒö»‡Í§¡Ñ¹ä´Œ(11) â´Â¡Òà Œ é‹ ¤Çº¤ØÁ»˜¨¨ÑÂàÊÕ§·Õ·ÒãËŒà¡Ô´ÀÒÇÐÊѺʹà©Õº¾Åѹ (11, 15) áÅÐã¹»˜¨¨Ñµ‹Ò§æ àËŋҹÕé ÂÒ à»š¹ÊÒà赯 è è í ÊíҤѭÍѹ˹Öè§·Õ軇ͧ¡Ñ¹ä´Œ â´ÂÂÒ·ÕèÍҨ໚¹à˵آͧÀÒÇÐÊѺʹà©Õº¾ÅѹÁÕÍÂÙ‹¤‹Í¹¢ŒÒ§ÁÒ¡(5, 16-17) ´Ñ§ä´ŒáÊ´§änj㹵ÒÃÒ§·Õè 4 ÁÕ¡ÒÃÇÔ¨Âà¡ÕÂǡѺ¡Òû‡Í§¡Ñ¹ÀÒÇÐÊѺʹà©Õº¾Åѹ·Õ·ÒÍ‹ҧ໚¹Ãкº áÅШѴ໚¹¡ÒÃÈÖ¡ÉÒ Ñ è è í ·ÕÊҤѭ (landmark study) ¤×Í ¡ÒÃÈÖ¡ÉҢͧ Inouye «Ö§·íÒ¡ÒûÃѺà»ÅÕ¹»˜¨¨ÑÂáÇ´ÅŒÍÁ·ÕÁ¤ÇÒÁ èí (18) è è è Õ ÊÑÁ¾Ñ¹¸¡ºÀÒÇÐÊѺʹà©Õº¾ÅѹÍѹ䴌ᡋ ¡Ò÷º·Ç¹ÂÒ·Õ㪌 ¡ÒáÃеع¤ÇÒÁ¨íҼٻǠ¡ÒèѴµÒÃÒ§ Ñ è Œ Œ † ¡ÒôÙáÅà¾×èÍãËŒ¼ÙŒÊÙ§ÍÒÂØÁÕǧ¨Ã¡Òù͹໚¹»¡µÔ ¡ÒáÃе،¹ãËŒ¼ÙŒ»†ÇÂÁÕ¡ÒÃà¤Å×è͹äËÇᵋà¹Ôè¹æ (early ambulation) ¡ÒÃàÍÒÊÒÂÊǹ»˜ÊÊÒÇÐáÅйéÒà¡Å×ÍÍÍ¡àÁ×ÍËÁ´¢ŒÍº‹§ªÕé ¡ÒÃãËŒ¼»ÇÂ㪌à¤Ã×ͧª‹Ç¿˜§áÅÐ í è ÙŒ † è áÇ‹¹µÒµÒÁ·Õ¼»ÇÂà¤Â㪌 áÅÐ ¡ÒÃãËŒÊÒùéÒà¾Õ§¾ÍµÒÁ¤ÇÒÁàËÁÒÐÊÁ ÁҵáÒôѧ¡Å‹ÒÇ¢ŒÒ§µŒ¹ è ÙŒ † í ÊÒÁÒöŴâÍ¡ÒÊ㹡ÒÃà¡Ô´ÀÒÇÐÊѺʹà©Õº¾Åѹ㹼ÙʧÍÒÂØ·¹Í¹âç¾ÂÒºÒÅä´ŒÁÒ¡¶Ö§ 40% ŒÙ Õè ¹Í¡¨Ò¡¹Õé ÂѧÁÕ¡ÒÃÈÖ¡ÉÒ·Õ·Òã¹¼ÙʧÍÒÂØ·à¢ŒÒÃѺ¡Òü‹ÒµÑ´ÃÑ¡ÉÒ¡Ãд١µŒ¹¢ÒËÑ¡(19) ¾ºÇ‹Ò è í ŒÙ Õè ¡ÒûÃÖ¡ÉÒᾷ·Ò§ÍÒÂØÃÈÒʵϼٌÊÙ§ÍÒÂØ à¾×èÍãËŒ¡ÒôÙáÅÍ‹ҧ໚¹Í§¤ÃÇÁ ᡌä¢ÀÒÇзҧ ÍÒÂØÃ¡ÃÃÁãËŒàËÁÒÐÊÁ¡‹Í¹¡Òü‹ÒµÑ´ ¨Ðª‹ÇÂÅ´¡ÒÃà¡Ô´ÀÒÇÐÊѺʹà©Õº¾ÅѹËÅѧ¼‹ÒµÑ´ä´Œ¶§ 36 % Ö â´ÂÃÐÂÐàÇÅÒ㹡Òù͹âç¾ÂÒºÒÅäÁ‹à»ÅÕ¹á»Å§ è ÁÕ¡ÒÃÈÖ¡ÉÒµ‹ÍÁÒ¾ºÇ‹Ò ËÒ¡ÁÕ¡ÒôÙáżÙʧÍÒÂØËÅѧ¼‹ÒµÑ´¡Ãд١µŒ¹¢ÒËÑ¡ã¹ËͼٻÇ·ÕÁÕ (20) ŒÙ Œ † è ¡ÒèѴàµÃÕÂÁäÇŒÊÒËÃѺ´ÙáżÙʧÍÒÂØâ´Â੾ÒÐáÅÐÁا์¹¡Òû‡Í§¡Ñ¹áÅÐÃÑ¡ÉÒÀÒÇÐÊѺʹà©Õº¾Åѹ í ŒÙ ‹ ¾ºÇ‹Ò ÊÒÁÒÃÅ´¡ÒÃà¡Ô´ÀÒÇÐÊѺʹà©Õº¾Åѹ¡ÒÃà¡Ô´¼Å¢ŒÒ§à¤Õ§µ‹Ò§æ ÃÇÁ¶Ö§ ¡ÒÃÅ´Çѹ¹Í¹ ã¹âç¾ÂÒºÒÅ´ŒÇÂ
  • 406.
    àǪÈÒʵÏ·¹Âؤ 2553 Ñ 379 µÒÃÒ§·Õè 4 ÂÒ·ÕèÍҨ໚¹ÊÒà˵آͧÀÒÇÐÊѺʹà©Õº¾Åѹ㹼ٌÊÙ§ÍÒÂØ ¡ÅØ‹ÁÂÒ µÑÇÍ‹ҧÂÒ ¤ÇÒÁàÊÕè§ Anticholinergics Atropine, Scopolamine ÊÙ§ Benzodiazepines Nitrazepam, .lurazepam ÊÙ§ Diazepam, Temazepam »Ò¹¡ÅÒ§ Opioid analgesics Pethidine, Tramadol ÊÙ§ Antipsychotics Thioridazine, Chlopromazine »Ò¹¡ÅÒ§ Risperidone µèíÒ Antiparkinsonian drugs Trihexyphenidyl, Benzatropoine ÊÙ§ Bromocriptine, Levodopa, Selegiline »Ò¹¡ÅÒ§ Antidepressants Amitriptline, Imipramine ÊÙ§ Nortriptyline, Desipramine »Ò¹¡ÅÒ§ SSRIs µèíÒ Anticonvulsants Phenytoin µèíÒ H2 Antagonists Cimetidine, Ranitidine, .amotidine µèíÒ H1 Antagonists Diphenhydramine, Cyproheptadine, »Ò¹¡ÅÒ§¶Ö§µèíÒ Chlorpheniramine, Hydroxyzine ¡ÅØ‹ÁÂÒ µÑÇÍ‹ҧÂÒ ¤ÇÒÁàÊÕè§ Cardiovascular drugs Quinidine, Digoxin, Methydopa,Beta-blocker »Ò¹¡ÅÒ§ Diuretics, ACEIs µèíÒ Corticosteroids Prednisolone »Ò¹¡ÅÒ§ NSAIDs Indomethacin »Ò¹¡ÅÒ§ Ibuprofen µèíÒ Antibiotics Cephalosporins, Penicillin, Quinolones µèíÒ ËÁÒÂà赯 ´Ñ´á»Å§ÁÒ¨Ò¡ Brouquet A, Cudennec T, Benoist S, Moulias S, Beauchet A, Penna C, et al. Impaired mobility, ASA status and administration of tramadol are risk factors for postoperative delirium in patients aged 75 years or more after major abdominal surgery. Ann Surg. 2010;251(4):759-65. Moore AR, O’Keeffe ST. Drug-induced cognitive impairment in the elderly. Drugs Aging. 1999;15(1):15-28. Chutka DS, Takahashi PY, Hoel RW. Inappropriate medications for elderly patients. Mayo Clin Proc. 2004;79(1):122-39.
  • 407.
    380 Harmonized Care for Older Patients : .ocus on Cognition ã¹´ŒÒ¹¢Í§ÂÒ ÁÕ¡ÒÃÈÖ¡ÉÒâ´Â¡ÒÃ㪌ÂÒà¾×Í»‡Í§¡Ñ¹¡ÒÃà¡Ô´ÀÒÇÐÊѺʹà©Õº¾ÅѹËÅѧ¼‹ÒµÑ´ è â´ÂÂÒ·ÕèÁÕ¡ÒÃÈÖ¡ÉÒ¾ºÇ‹ÒÊÒÁÒöŴ¡ÒÃà¡Ô´ÀÒÇÐÊѺʹà©Õº¾Åѹ ËÃ×Í ¤ÇÒÁÃØ¹áç¢Í§ÀÒÇÐ ÊÑ º ʹà©Õ  º¾ÅÑ ¹ ä´Œ á ¡‹ ¡ÒÃãËŒ Â Ò haloperidol (21) ã¹¼ÙŒ »† Ç Â¡Ãд٠¡ µŒ ¹ ¢ÒËÑ ¡ , ¡ÒÃãËŒ dexmedetomidine(22), risperidone(23) 㹼ٻǼ‹ÒµÑ´ËÑÇ㨠«Ö§ã¹·Ò§»¯Ôºµ¡ÒÃãËŒÂÒàËŋҹÕé µŒÍ§·íÒ Œ † è Ñ Ô ´ŒÇ¤ÇÒÁÃÐÁÑ´ÃÐÇѧ㹢¹Ò´·ÕàËÁÒÐÊÁ ¤Çº¤Ù仡Ѻ¡ÒôÙáÅ»˜¨¨ÑÂÍ×¹æ ·Õ໚¹¤ÇÒÁàÊÕ§¢Í§¡ÒÃà¡Ô´ è ‹ è è è ÀÒÇÐÊѺʹà©Õº¾Åѹ㹼ÙʧÍÒÂØ ŒÙ ¡ÒôÙáÅÃÑ¡ÉÒ ÀÒÇÐÊѺʹà©Õº¾Åѹ㹼ÙʧÍÒÂØ ÁÕÊÒà˵ØÊǹãË­‹¨Ò¡âä·Ò§ÍÒÂØÃ¡ÃÃÁ «Ö§Áѡ໚¹ÀÒÇÐ ŒÙ ‹ è ·ÕáÉÒä´Œ ´Ñ§¹Ñ¹ àÁ×;º¼ÙʧÍÒÂØ·ÁÀÒÇÐÊѺʹà©Õº¾ÅѹËÅÑ¡¡ÒôÙáÅàº×ͧµŒ¹»ÃСͺ´ŒÇÂËÅÑ¡ãË­‹ èÑ é è ŒÙ Õè Õ é ÊÒÁ»ÃСÒà ¤×Í (24) 1. ËÒÊÒà˵ØáÅÐãËŒ¡ÒÃᡌä¢ÊÒà˵ط¤¹¾º Õè Œ 2. ãËŒ¡ÒÃÃÑ¡ÉÒ»ÃФѺ»ÃФͧ 3. ãËŒ¡ÒôÙáÅÍÒ¡ÒâͧÀÒÇÐÊѺʹà©Õº¾Åѹ ¡ÒÃËÒÊÒà˵آͧÀÒÇÐÊѺʹà©Õº¾Åѹ ÊÒà˵طÕ辺º‹Í·Õè໚¹»˜¨¨Ñ¡Ãе،¹ãËŒà¡Ô´ÀÒÇÐÊѺʹà©Õº¾Åѹ㹼ٌÊÙ§ÍÒÂØ ä´ŒáÊ´§äÇŒ ´Ñ§ã¹µÒÃÒ§·Õè 5 â´ÂʋǹãË­‹ÀÒÇйÕã¹¼ÙʧÍÒÂØÁ¡à¡Ô´¨Ò¡»˜¨¨ÑÂËÅÒÂÍ‹ҧËÇÁ¡Ñ¹(24-26) à¾ÃÒмÙʧÍÒÂØ é ŒÙ Ñ ŒÙ ÁÑ¡ÁÕâäËÇÁÁÒ¡ áÅСԹÂÒËÅÒª¹Ô´ ·íÒãËŒÁ¤ÇÒÁàÊÕ§·Õ¨Ðà¡Ô´»˜­ËÒËÅÒÂÍ‹ҧ¢Ö¹¾ÃŒÍÁ æ ¡Ñ¹ä´Œ Õ è è é ´Ñ§¹Ñé¹ ã¹¡ÒôÙáżٌÊÙ§ÍÒÂØ·ÕèÁÕÀÒÇÐÊѺʹà©Õº¾Åѹᾷ¼ÙŒ´ÙáŤÇõÃǨ´ÙÊÒà˵طÕè໚¹ä»ä´Œ Í‹ҧ¤Ãͺ¤ÅØÁµÒÁ¤ÇÒÁàËÁÒÐÊÁ áÅÐãËŒ¡ÒÃᡌ䢻˜¨¨Ñ·Õᡌä¢ä´Œä»¾ÃŒÍÁæ ¡Ñ¹ è ÂÒ à»š¹ÊÒà˵ØÊҤѭ㹡Ò÷íÒãËŒà¡Ô´ÀÒÇÐÊѺʹà©Õº¾Åѹ ã¹¼ÙʧÍÒÂØ à¾ÃÒоºä´ŒºÍÂ í Œ Ù ‹ ã¹¼ÙʧÍÒÂØáÅÐ໚¹á¡Œä¢ä´ŒäÁ‹ÂÒ¡ ÂÒ·ÕÍҨ໚¹ÊÒà˵Øä´ŒáÊ´§äÇŒ´§µÑÇÍ‹ҧ㹵ÒÃÒ§·Õè 5 Í‹ҧäà ŒÙ è Ñ ¡çµÒÁ ¹Í¡¨Ò¡ã¹µÒÃÒ§¹ÕéáÅŒÇ ÂѧÁÕÂÒÍÕ¡ÁÒ¡ÁÒ ·ÕèÍҨ໚¹ÊÒà˵آͧÀÒÇÐÊѺʹà©Õº¾Åѹ ËÒ¡¾º¼ÙʧÍÒÂØ ÁÕÍÒ¡ÒÃÊѺʹ ËÅѧ䴌ÂÒª¹Ô´ãËÁ‹ ãËŒ¾§ÃÐÇÑ§Ç‹Ò ÂÒÍҨ໚¹à˵آͧÀÒÇдѧ¡Å‹ÒÇä´Œ ŒÙ Ö ¡ÒÃãËŒ¡ÒÃÃÑ¡ÉÒ»ÃФѺ»ÃФͧ ໚¹¡ÒôÙáÅà¾×èÍ»‡Í§¡Ñ¹¡ÒÃà¡Ô´âäá·Ã¡«ŒÍ¹µ‹Ò§æ ·ÕèÍÒ¨à¡Ô´ã¹¢³Ð¹Í¹âç¾ÂÒºÒÅ ã¹¼ÙŒÊÙ§ÍÒÂØ Íѹ䴌ᡋ ¡Ãе،¹ãËŒ¼ÙŒ»†ÇÂä´ŒÁÕ¡ÒÃà¤Å×è͹äËÇáÅЪ‹ÇµÑÇàͧ෋ҷÕè¼ÙŒ»†ÇÂÂѧ¾Í·íÒä´Œ »‡Í§¡Ñ¹¡ÒÃà¡Ô´á¼Å¡´·Ñº ¡ÒÃãËŒ¼»ÇÂ䴌úÍÒËÒÃáÅÐÊÒùéÒÍ‹ҧà¾Õ§¾Í ÙŒ † Ñ í
  • 408.
    àǪÈÒʵÏ·¹Âؤ 2553 Ñ 381 µÒÃÒ§·Õè 5 »˜¨¨Ñ¡Ãе،¹ãËŒà¡Ô´ÀÒÇÐÊѺʹà©Õº¾Åѹ ÂÒ - ¡ÒÃ䴌úÂÒ·ÕÁ¼Åµ‹ÍÃкº»ÃÐÊҷʋǹ¡ÅÒ§ ઋ¹ Ñ è Õ sedatives, hypnotics, narcotics, anticholinergic drugs - ¡ÒâҴÂÒ Íѹ䴌ᡋ alcohol or drug withdrawal - ¡ÒÃä´ŒÂÒËÅÒª¹Ô´Ã‹ÇÁ¡Ñ¹ ¤ÇÒÁà¨çº»†Ç·ҧ¡Ò 䴌ᡋ ¡ÒõԴàª×Í ¡ÒÃÁÕ¡ÒÃà¨çº»†ÇÂà©Õº¾Åѹ·Õùáç ÀÒÇÐ é èØ ¢Ò´ÍÍ¡«Ôਹ ÀÒÇФÇÒÁ´Ñ¹âÅËÔµµèÒ ¡ÒÃÁÕ䢌 ÀÒÇÐâÅËÔµ¨Ò§ í ÀÒÇТҴ¹éÒ ÀÒÇТҴÊÒÃÍÒËÒà ÀÒÇзÕÁ¡ÒÃà»ÅÕ¹á»Å§ í è Õ è ¢Í§à¡Å×ÍáË ÃдѺ¹éÒµÒÅ ËÃ×ͤÇÒÁ໚¹¡Ã´´‹Ò§ã¹àÅ×Í´ í ¡Òü‹ÒµÑ´ ¡Òü‹ÒµÑ´·Ò§ÍÍÏ⸻´¡Ê ¡Òü‹ÒµÑ´ËÑÇ㨠áÅСÒü‹ÒµÑ´ãË­‹ Ô âä·Ò§Ãкº»ÃÐÊҷʋǹ¡ÅÒ§ ÀÒÇÐËÅÍ´àÅ×Í´ÊÁͧµÕº àÅ×Í´ÍÍ¡ã¹ÊÁͧ àÂ×ÍËØÁä¢ÊѹËÅѧ è Œ ÍÑ¡àʺ ËÃ×Í àÂ×ÍËØÁÊÁͧÍÑ¡àʺ è Œ »˜¨¨ÑÂáÇ´ÅŒÍÁ ¡Òù͹ÍÂÙã¹ ICU, ¡Òö١¼Ù¡ÁÑ´ ¡ÒÃãÊ‹ÊÒÂÊǹ»˜ÊÊÒÇÐ ‹ ¡ÒÃ䴌ú¡Ò÷íÒËѵ¶¡ÒÃËÅÒª¹Ô´ ¤ÇÒÁà¨çº»Ç´ ÃÇÁ¶Ö§ Ñ ¤ÇÒÁà¤ÃÕ´·Ò§¨Ôµã¨ ¡ÒâҴ¹Í¹ ¡ÒâҴ¹Í¹µÔ´µ‹Í¡Ñ¹à»š¹àÇÅÒ¹Ò¹ ËÁÒÂà赯 á»ÅáÅдѴá»Å§ÁÒ¨Ò¡ Inouye SK. Delirium in Older Persons. N Engl J Med. 2006;354(11):1157-65. ¡ÒÃãËŒ¡ÒÃÃÑ¡ÉÒÍÒ¡ÒâͧÀÒÇÐÊѺʹà©Õº¾Åѹ ẋ§Í͡໚¹ 1. ¡ÒÃÃÑ¡ÉÒâ´ÂäÁ‹ãªŒÂÒ (Non-pharmacological management) «Ö§à»š¹ÊÔ§·Õ¤Ç÷íÒ㹼ٻǠè è è Œ † ·ÕÁÕ ÀÒÇÐÊѺʹà©Õº¾Åѹ·Ø¡ÃÒ è (11, 24, 26) ¤íÒá¹Ð¹íҴѧ㹵ÒÃÒ§·Õè 6 ໚¹¡ÒÃÃǺÃÇÁÁÒ¨Ò¡¡ÒÃÈÖ¡ÉÒ µ‹Ò§æ ´Ñ§¹Ñ¹ ã¹·Ò§»¯ÔºµÔ ¤ÇÃàÅ×͡㪌Ǹ·ÊÒÁÒö¹íÒÁÒ»ÃѺ㪌¡º¼Ù»ÇÂ㹤ÇÒÁ´ÙáÅä´Œ é Ñ Ô Õ Õè Ñ Œ † 2. ¡ÒÃÃÑ¡ÉÒâ´Â¡ÒÃ㪌ÂÒ (Pharmacological management) ÂÒ·Õ㪌ã¹ÀÒÇÐÊѺʹà©Õº¾Åѹ è ໚¹à¾Õ§ÂÒ·Õ㪌¤Çº¤ØÁÍÒ¡Òà ¤ÇÃàÅ×͡㪌Í‹ҧàËÁÒÐÊÁ â´Â antipsychotic drugs Âѧ¤§à»š¹ÂÒËÅÑ¡ è ·ÕàÅ×͡㪌㹡ÒäǺ¤ØÁÍÒ¡ÒÃã¹¼Ù»ÇÂÀÒÇÐÊѺʹà©Õº¾Åѹ¨Ò¡¢ŒÍÁÙÅ·ÕÁ¡ÒÃÈÖ¡ÉÒÃǺÃÇÁÁÒ(11, 25, è Œ † è Õ 27-30) ã¹á§‹»ÃÐÊÔ·¸ÔÀÒ¾¢Í§ÂÒ ÂѧäÁ‹ÁÂÒµÑÇã´·ÕÁ»ÃÐ⪹à˹×͡NjҵÑÇÍ׹͋ҧÁÕ¹ÂÊíҤѭ·Ò§Ê¶ÔµÔ Õ è Õ è Ñ ´Ñ§¹Ñ¹ ÂÒã¹¡ÅØÁ typical antipsychotic ¤×Í haloperidol ¨Ö§Âѧ໚¹µÑÇ·Õá¹Ð¹íÒãˌ㪌໚¹µÑÇáá(11, 24-25, é ‹ è 27) ʋǹÂÒÍ×¹·ÕÁãËŒàÅ×͡㪌䴌 áÊ´§äÇŒ´§µÒÃÒ§·Õè 7 è è Õ Ñ ÊíÒËÃѺ benzodiazepine ¹Ñ¹ ໚¹ÂÒ·Õ¤ÇÃËÅÕ¡àÅÕ§㹼ÙʧÍÒÂØ·ÁÀÒÇÐÊѺʹà©Õº¾Åѹ ¡ é è è ŒÙ Õè Õ àÇŒ¹áµ‹à»š¹ÀÒÇÐÊѺʹà©Õº¾Åѹ¨Ò¡¡ÒâҴÂÒ benzodiazepine ËÃ×Í ¢Ò´ alcohol
  • 409.
    382 Harmonized Care for Older Patients : .ocus on Cognition µÒÃÒ§·Õè 6 ¡ÒÃÃÑ¡ÉÒâ´ÂäÁ‹ãªŒÂÒã¹¼ÙŒ»†ÇÂÀÒÇÐÊѺʹà©Õº¾Åѹ Providing support and orientation ! ¡ÒÃÊ×ÍÊÒ÷ժ´à¨¹áÅСÃЪѺ ÁÕ¡ÒÃÂéÒàµ×͹Çѹ àÇÅÒ Ê¶Ò¹·Õè áÅÐá¹Ð¹íҺؤ¤Å·Õà¡ÕÂÇ¢ŒÍ§ã¹¡Òà è è Ñ í è è ÃÑ¡ÉÒ ! ÁÕ¡ÒÃ㪌ͻ¡Ã³ªÇº͡àÇÅÒáÅÐʶҹ·Õè ઋ¹ »¯Ô·¹ ¹Ò́¡Ò ËÃ×ÍÁÕµÒÃÒ§ºÍ¡¡Ô¨¡ÃÃÁ·Õ¨Ð·íÒ Ø ‹ Ô è ! ÁÕʧ¢Í§·Õ¤¹à¤Â¢Í§¼Ù»ÇÂàͧÁÒäÇŒã¹ËŒÍ§ Ôè è ØŒ Œ † ! ·ÕÁ¼Ù´áÅ â´Â੾ÒÐ ¾ÂÒºÒÅ äÁ‹¤ÇÃà»ÅÕ¹º‹ÍÂà¡Ô¹ä» Œ Ù è ! ÁÕ¡ÒÃãªŒÇ·ÂØ â·Ã·Ñȹ à¾×ÍãËŒ¼»Ç¼‹Í¹¤ÅÒ áÅÐ䴌úÃÙâÅ¡ÀÒ¹͡ Ô è ÙŒ † Ñ Œ ! ãËŒ­ÒµÔ ¼Ù´áÅ ÁÒ¤ÍÂËÇÁ´ÙáÅ à¾×Íà¾ÔÁ¤ÇÒÁÃÙÊ¡»ÅÍ´ÀÑ áÅÐÍØ¹ã¨ Œ Ù è è ŒÖ ‹ ! ËÅÕ¡àÅÕ§¡Òü١ÁÑ´ ËÒ¡¨íÒ໚¹µŒÍ§¼Ù¡ ÍÒ¨ÁÕ¡ÒäÅÒ¡Òü١ ËÒ¡ÁÕ¤¹´ÙáÅã¡ÅŒª´ áÅмٻÇ è Ô Œ † äÁ‹ä´Œ·ÒÊÔ§·Õ໚¹ÍѹµÃÒ í è è Providing an unambiguous environment ! ¨Ñ´Ê¶Ò¹·Õ´áÅãËŒ´ÊºÒÂµÒ ÁժͧNjҧÃÐËNjҧàµÕ§Í‹ҧàËÁÒÐÊÁ è Ù Ù ‹ ! ¾Ô¨ÒóҡÒÃÍÂÙËͧà´ÕÂÇ à¾×ÍãËŒ¼»ÇÂä´Œ¾¡¼‹Í¹ ËÅÕ¡àÅÕ§¡ÒáÃеعÁÒ¡à¡Ô¹ä» ‹ Œ è è ÙŒ † Ñ è Œ ! äÁ‹à»ÅÕ¹µíÒá˹‹§àµÕ§¼Ù»Çº‹ÍÂà¡Ô¹ä» è Œ † ! ËÅÕ¡àÅÕ§¡ÒþٴÈѾ·¡ÒÃᾷµÍ˹ŒÒ¼Ù»Ç à¾ÃÒÐÍÒ¨·íÒãËŒ¼»ÇÂËÇÒ´ÃÐáǧ䴌 è ‹ Œ † ÙŒ † ! ¨Ñ´ãËŒÁáʧÊNjҧÍ‹ҧà¾Õ§¾Í Õ ! ËÅÕ¡àÅÕ§¡ÒÃ㪌àÊÕ§´Ñ§à¡Ô¹ä» â´Â੾ÒÐàÇÅÒ¡ÅÒ§¤×¹ è ! ¨Ñ´ãˌͳËÀÙÁËͧàËÁÒÐÊÁ äÁ‹Ã͹ ËÃ×ÍàÂç¹à¡Ô¹ä» Ø Ô Œ Œ Maintain competence ! ¨Ñ´ËÒáÇ‹¹µÒ à¤Ã×ͧª‹Ç¿˜§ ¾Ñ¹»ÅÍÁ ·Õ¼»ÇÂà¤Â㪌ÍÂÙ‹ ÁÒãËŒ¼»ÇÂ㪌 è è ÙŒ † ÙŒ † ! ËÒ¡¨íÒ໚¹ ËÒ¤¹·ÕࢌÒã¨ÀÒÉÒ¼Ù»ÇÂÁÒª‹ÇÂÊ×ÍÊÒÃ è Œ † è ! ¾ÂÒÂÒÁãËŒ¼»Çª‹ÇÂàËÅ×͵¹àͧ෋ҷշÒä´Œ ¡ÃеعãËŒÁ¡ÒÃà¤Å×͹äËÇ ÙŒ † è í Œ Õ è ! ãËŒ¼»ÇÂÁÕÊǹËÇÁ㹡ÒÃÃÑ¡ÉÒ àª‹¹ ¶ÒÁà¡ÕÂǡѺÍÒ¡ÒûǴ ÙŒ † ‹ è ! ¾ÂÒÂÒÁàÅÕè§¡ÒáÃзíÒ·Õèú¡Ç¹¡Òù͹µÍ¹¡ÅÒ§¤×¹ ઋ¹ ¡ÒèѴàÇÅÒ¡ÒÃãËŒÂÒ·ÕèàËÁÒÐÊÁ ¡ÒÃÇÑ´ÊÑ­­Ò³ªÕ¾à·‹Ò·Õ¨Ò໚¹ èí ËÁÒÂà赯 ´Ñ´á»Å§¨Ò¡ .ong TG, Tulebaev SR, Inouye SK. Delirium in elderly adults: diagnosis, prevention and treatment. Nat Rev Neurol. 2009;5(4):210-20. Inouye SK. Delirium in Older Persons. N Engl J Med.2006;354(11):1157-65. Meagher DJ. Regular review: Delirium: optimising management. BMJ. 2001;322(7279):144-9.
  • 410.
    àǪÈÒʵÏ·¹Âؤ 2553 Ñ 383 µÒÃÒ§·Õè 7 ¢¹Ò´¢Í§ÂÒ antipsychotic ã¹¼ÙŒ»†ÇÂÊÙ§ÍÒÂØ·ÕèÁÕÀÒÇÐÊѺʹà©Õº¾Åѹ ÂÒ ¢¹Ò´ÂÒ·ÕèÁÕ¡ÒÃ㪌 Haloperidol PO 0.5-1 mg repeated at 2-4 hr if needed Usual maximum of 5 mg/d IM/IV 0.25-0.5 mg repeat at 30-60 min if needed Usual maximum of 2.5 mg/d Risperidone PO 0.5 mg BID, repeated at 4 hr if needed Usual maximum of 2 mg/d Olanzapine PO 2.5 mg-5mg OD. Usual maximum of 10 mg/d Quetiapine PO 12.5 mg-25mg OD, may be increased q 1-2 days In elderly, dosages are rarely > 50 mg/d Ziprasidone IM 10 mg every 2 hrs. Usual maximum of 40 mg/d Aripiprazole PO 5-15 mg/d. Usual maximum of 30 mg/d ËÁÒÂà赯 ´Ñ´á»Å§¨Ò¡ Attard A, Ranjith G, Taylor D. Delirium and its treatment. CNS Drugs. 2008;22(8):631-44. ¤íÒá¹Ð¹íÒ·ÑÇä»ÊíÒËÃѺ¡ÒÃ㪌ÂÒ㹡ÒäǺ¤ØÁÀÒÇÐÊѺʹà©Õº¾Åѹ 䴌ᡋ(27) è ! 㪌ÂÒ·ÕÅеÑÇ (one drug at a time) ! ¾ÂÒÂÒÁ㪌 sedatives áÅÐ antipsychotics ãËŒ¹Í·ÕÊ´à·‹Ò·Õ¨Ò໚¹ Œ Ø èí ! »ÃѺÂÒµÒÁÍÒÂØ ¢¹Ò´ áÅФÇÒÁÃØ¹áç¢Í§ÍÒ¡Òà â´Â¼ÙʧÍÒÂØ á¹Ð¹íÒãˌ㪌ÂÒ¤Ã֧˹֧ ŒÙ è è ¢Í§¢¹Ò´·Õ㪌㹤¹Ë¹ØÁÊÒÇ è ‹ ! ¤‹ÍÂ æ »ÃѺÂÒà¾ÔÁµÒÁ¡Òõͺʹͧ è ! ¤ÇÃÁÕ¡ÒõԴµÒÁ¾Ô¨Òóҷء 24 ªÑÇâÁ§ NjҵŒÍ§»ÃѺ¢¹Ò´ÂÒËÃ×ÍäÁ‹ è ! ËÅѧ¨Ò¡ÍÒ¡Òôբ¹áÅŒÇ â´Â·ÑÇä» ÊÒÁÒöËÂØ´ÂÒä´ŒÀÒÂã¹ 7-10 Çѹ Öé è ÊÃØ» ÀÒÇÐÊѺʹà©Õº¾Åѹ ໚¹»˜­ËÒ·Õà¡Ô´¢Ö¹º‹Í¡Ѻ¼ÙʧÍÒÂØ·¹Í¹ã¹âç¾ÂÒºÒÅ áÅС‹ÍãËŒà¡Ô´ è é ŒÙ Õè ¼Åá·Ã¡«ŒÍ¹·ÕùáçµÒÁÁÒä´Œ ·ÕÊҤѭ¤×Í à»š¹ÀÒÇзջͧ¡Ñ¹ä´Œ ËҡᾷáÅкؤÅҡ÷մáÅ èØ èí è ‡ è Ù ¼Ù»ÇÂãËŒ¤ÇÒÁãʋ㨠áÅШЪ‹Ç·íÒãËŒ¼ÅÅѾ¸ã¹¡ÒôÙáżٻÇÂÊÙ§ÍÒÂØ ໚¹ä»ã¹·Ò§·Õ´Õ ´Ñ§¹Ñ¹ à¾×ÍãËŒ Œ † Œ † è é è ¡ÒôÙáżÙʧÍÒÂØ·Ãº¡ÒÃÃÑ¡ÉÒã¹âç¾ÂÒºÒÅÁÕ¤³ÀÒ¾·Õ´¢¹ ºØ¤Åҡ÷ҧ¡ÒÃᾷ¤ÇÃãËŒ¤ÇÒÁ ŒÙ Õè Ñ Ø è Õ Öé ãʋ㨠»‡Í§¡Ñ¹áÅдÙáÅÀÒÇйÕé
  • 411.
    384 Harmonized Care for Older Patients : .ocus on Cognition àÍ¡ÊÒÃ͌ҧÍÔ§ 1. Michaud L, Bula C, Berney A, Camus V, Voellinger R, Stiefel ., et al. Delirium: guidelines for general hospitals. J Psychosom Res. 2007;62(3):371-83. 2. .laherty JH. Insomnia among hospitalized older persons. Clin Geriatr Med. 2008;24(1):51-67, vi. 3. Kakuma R, du .ort GG, Arsenault L, Perrault A, Platt RW, Monette J, et al. Delirium in older emergency department patients discharged home: effect on survival. J Am Geriatr Soc. 2003;51(4):443-50. 4. Sieber .E. Postoperative delirium in the elderly surgical patient. Anesthesiol Clin. 2009;27(3):451-64. 5. Brouquet A, Cudennec T, Benoist S, Moulias S, Beauchet A, Penna C, et al. Impaired mobility, ASA status and administration of tramadol are risk factors for postoperative delirium in patients aged 75 years or more after major abdominal surgery. Ann Surg. 2010;251(4):759-65. 6. Bruce AJ, Ritchie CW, Blizard R, Lai R, Raven P. The incidence of delirium associated with orthopedic surgery: a meta-analytic review. Int Psychogeriatr. 2007;19(02):197-214. 7. Siddiqi N, House AO, Holmes JD. Occurrence and outcome of delirium in medical in-patients: a systematic literature review. Age & Ageing. 2006;35(4):350-64. 8. van der Mast RC, Roest .H. Delirium after cardiac surgery: a critical review. J Psychosom Res. 1996;41(1):13- 30. 9. Breitbart W, Strout D. Delirium in the terminally ill. Clin Geriatr Med. 2000;16(2):357-72. 10. Lee HB, DeLoatch CJ, Cho S, Rosenberg P, Mears SC, Sieber .E. Detection and management of pre- existing cognitive impairment and associated behavioral symptoms in the Intensive Care Unit. Crit Care Clin. 2008;24(4):723-36, viii. 11. .ong TG, Tulebaev SR, Inouye SK. Delirium in elderly adults: diagnosis, prevention and treatment. Nat Rev Neurol. 2009;5(4):210-20. 12. Inouye SK. Delirium in older persons. N Engl J Med. 2006;354(11):1157-65. 13. Inouye SK, van Dyck CH, Alessi CA, Balkin S, Siegal AP, Horwitz RI. Clarifying confusion: the confusion assessment method. A new method for detection of delirium.Ann Intern Med. 1990;113(12):941-8. 14. Wei LA, .earing MA, Sternberg EJ, Inouye SK. The Confusion Assessment Method: a systematic review of current usage. J Am Geriatr Soc. 2008;56(5):823-30. 15. Maldonado JR. Delirium in the acute care setting: characteristics, diagnosis and treatment. Crit Care Clin. 2008;24(4):657-722, vii. 16. Moore AR, O’Keeffe ST. Drug-induced cognitive impairment in the elderly. Drugs Aging. 1999 Jul;15(1):15-28. 17. Chutka DS, Takahashi PY, Hoel RW. Inappropriate medications for elderly patients. Mayo Clin Proc. 2004 Jan;79(1):122-39. 18. Inouye SK, Bogardus ST, Jr., Charpentier PA, Leo-Summers L, Acampora D, Holford TR, et al. A multicomponent intervention to prevent delirium in hospitalized older patients. N Engl J Med. 1999;340(9):669-76. 19. Marcantonio ER, .lacker JM, Wright RJ, Resnick NM. Reducing delirium after hip fracture: a randomized trial. J Am Geriatr Soc. 2001;49(5):516-22. 20. Lundstrom M, Olofsson B, Stenvall M, Karlsson S, Nyberg L, Englund U, et al. Postoperative delirium in old patients with femoral neck fracture: a randomized intervention study. Aging Clin Exp Res. 2007;19(3):178-86. 21. Kalisvaart KJ, de Jonghe J., Bogaards MJ, Vreeswijk R, Egberts TC, Burger BJ, et al. Haloperidol prophylaxis for elderly hip-surgery patients at risk for delirium: a randomized placebo-controlled study. J Am Geriatr Soc. 2005;53(10):1658-66.
  • 412.
    àǪÈÒʵÏ·¹Âؤ 2553 Ñ 385 22. Maldonado JR, Wysong A, van der Starre PJ, Block T, Miller C, Reitz BA. Dexmedetomidine and the reduction of postoperative delirium after cardiac surgery. Psychosomatics. 2009;50(3):206-17. 23. Prakanrattana U, Prapaitrakool S. Efficacy of risperidone for prevention of postoperative delirium in cardiac surgery. Anaesth Intensive Care. 2007;35(5):714-9. 24. Inouye SK. Delirium in Older Persons. N Engl J Med. 2006;354(11):1157-65. 25. Markowitz JD, Narasimhan M. Delirium and antipsychotics: a systematic review of epidemiology and somatic treatment options. Psychiatry (Edgmont). 2008;5(10):29-36. 26. Meagher DJ. Regular review: Delirium: optimising management. BMJ. 2001;322(7279):144-9. 27. Attard A, Ranjith G, Taylor D. Delirium and its treatment. CNS Drugs. 2008;22(8):631-44. 28. Bourne RS, Tahir TA, Borthwick M, Sampson EL. Drug treatment of delirium: Past, present and future. J Psychosom Res. 2008;65(3):273-82. 29. Lonergan E, Britton AM, Luxenberg J, Wyller T. Antipsychotics for delirium. Cochrane Database Syst Rev. 2007(2):CD005594. 30. Seitz DP, Gill SS, van Zyl LT. Antipsychotics in the treatment of delirium: a systematic review. J Clin Psychiatry. 2007;68(1):11-21.
  • 414.
    àǪÈÒʵÏ·¹Âؤ 2553 Ñ º··Õè 387 57 Harmonized Care for Older Patients: .ocus on Mobility ÃͧÈÒʵÃÒ¨ÒÏ ᾷ˭ԧÇÔäÅ ¤Ø»µ¹ÔÃѵÔÈÑ¡ØÅ ÀÒ¤ÇÔªÒàǪÈÒʵÏ¿¹¿Ù ¤³Ðá¾·ÂÈÒʵÏÈÃÃÒª¾ÂÒºÒÅ ÁËÒÇÔ·ÂÒÅÑÂÁËÔ´Å „œ ÔÔ ¤ÇÒÁÊíҤѭ¢Í§»˜­ËÒ ¼ÙʧÍÒÂØà»š¹»ÃÐªÒ¡Ã¡ÅØÁ·ÕÁá¹Ç⹌ÁࢌÒÃѺ¡ÒÃÃÑ¡ÉÒµÑÇã¹âç¾ÂÒºÒÅä´ŒºÍ¡NjҼٻÇ Œ Ù ‹ è Õ ‹ Œ † ÇÑÂÍ×¹æ à¹×ͧ´ŒÇÂÀÒÇÐâäàÃ×ÍÃѧµ‹Ò§æ «Ö§à¡Ô´¢Ö¹ã¹ÇѹÕé ÃÇÁ·Ñ§âÍ¡Òʢͧ¡Ò÷յͧ¹Í¹âç¾ÂÒºÒÅ è è é è é é è Œ «éíÒÁÕÊÙ§¢Öé¹ äÁ‹Ç‹Ò¨Ò¡âäà´ÔÁËÃ×ÍâäãËÁ‹¡çµÒÁ áÅÐᵋÅФÃÑé§·Õ赌ͧࢌÒÃѺ¡ÒÃÃÑ¡ÉÒ໚¹¼ÙŒ»†ÇÂã¹ ÁÑ¡¨ÐÁռšÃзºµ‹ÍÊÁÃöÀÒ¾¤ÇÒÁÊÒÁÒöà´ÔÁ Áռŵ‹Í¡íÒÅѧÊíÒÃͧ¢Í§Ãкºµ‹Ò§æ ã¹Ã‹Ò§¡Ò ÍÕ¡·Ñé§ÁռšÃзºµ‹ÍÊÀÒ¾¨Ôµã¨Í‹ҧËÅÕ¡àÅÕè§ÁÔä´Œ ¼ÙŒ»†ÇºҧÃÒÂäÁ‹ÊÒÁÒöª‹ÇÂàËÅ×͵¹àͧ 㹡Ò÷íÒ¡Ô¨ÇѵûÃШíÒÇѹ䴌 à¡Ô´ÀÒÇо֧¾Ò ÍÒ¨à¡Ô´ÀÒÇЫÖÁàÈÃŒÒä´Œ ºÒ§ÃÒ·ŒÍá·Œ äÁ‹ÍÂÒ¡Áժǵ è ÕÔ ÍÂÙµÍä» ´Ñ§¹Ñ¹¡ÒôÙáżÙʧÍÒÂØ·à¢ŒÒ¹Í¹ÃÑ¡ÉÒµÑÇã¹âç¾ÂÒºÒŤÇÃãËŒ¤ÇÒÁãʋ㨷ѧÀÒÇÐÊØ¢ÀÒ¾ ‹ ‹ é ŒÙ Õè é ¡ÒÂáÅÐÊØ¢ÀҾ㨤Ǻ¤Ù¡¹ä» ‹ Ñ »˜­ËÒËÅÑ¡·Õ¾ºÃ‹ÇÁ㹡ÒôÙáżÙʧÍÒÂØ·à¢ŒÒÃѺ¡ÒÃÃÑ¡ÉÒµÑÇ໚¹¼Ù»ÇÂã¹âç¾ÂÒºÒÅ ¤×Í è Œ Ù Õè Œ † ÀÒÇСÒÃäÁ‹à¤Å×͹äËÇ ËÃ×Í Immobilization syndrome «Ö§à»š¹¼Å¡Ãзºµ‹ÍËҧ¡ÒÂã¹Ãкºµ‹Ò§æ è è Íѹà¡Ô´¨Ò¡¡Òù͹¹Ò¹ 䴌ᡋ ¡ÒÃà¡Ô´á¼Å¡´·Ñº ÀÒÇТŒÍÂÖ´µÔ´ ¡ÅŒÒÁà¹×ÍÅÕº ͋͹áç äÁ‹ÊÒÁÒö é 㪌§Ò¹ä´Œ ÀÒÇÐÅÔèÁàÅ×Í´ÍØ´¡Ñé¹ËÅÍ´àÅ×Í´´íÒ ÀÒÇФÇÒÁ´Ñ¹âÅËԵŴŧ¢³Ðà»ÅÕè¹·‹Ò ÃÇÁ·Ñé§ ¡ÒõԴàª×ͧ͢Ãкºµ‹Ò§æ â´Â੾ÒСÒõԴàª×ͻʹ áÅзҧà´Ô¹»˜ÊÊÒÇР໚¹µŒ¹ ÀÒÇÐá·Ã¡«ŒÍ¹ é é µ‹Ò§æ àËŋҹÕéÊ‹§¼Å¡Ãзºµ‹ÍÊÀҾËҧ¡ÒÂÍ‹ҧÁÒ¡ ·íÒãËŒÊÁÃöÀÒ¾·Ò§¡Ò¶´¶ÍÂàÃçÇÂÔè§¢Öé¹ ÍÕ¡·Ñ§ã¹ºÒ§ÃÒÂÍÒ¨·íÒãËŒà¡Ô´ÍѹµÃÒ¶֧ᡋªÇµä´Œ é ÕÔ ¾ÂÒ¸ÔÊÃÕÃÇÔ·ÂÒ ¡ÒÃà»ÅÕ¹á»Å§·Õà¡Ô´¢Ö¹¡ÑºÃкºµ‹Ò§ æ ã¹Ã‹Ò§¡Ò¹ѹ ¾Í¨ÐÊÃØ»Êѹ æ ä´Œ´§¹Õé è è é é é Ñ 1. ¡ÒÃà»ÅÕ¹á»Å§¢Í§Ãкº¡ÅŒÒÁà¹×ÍáÅСÃд١ è é ¼Å¢Í§¡Òù͹¹Ò¹¨Ð¾º¡ÒÃÊÙ­àÊÕ¡íÒÅѧ¡ÅŒÒÁà¹×Íã¹ÍѵÃÒÃŒÍÂÅÐ 10-15 µ‹ÍÊÑ»´Òˏ ËÃ×Í é »ÃÐÁҳÌÍÂÅÐ 1-3 µ‹ÍÇѹ 㹤¹·Õ¹Í¹¹Ò¹ 3-5 ÊÑ»´Òˏ¨Ð¾ºÇ‹Ò¡íÒÅѧ¡ÅŒÒÁà¹×ÍŴŧ¤Ã֧˹֧(1) è é è è â´Â¨ÐÁռŵ‹Í¡ÅŒÒÁà¹×Í»ÃÐàÀ· I ÁÒ¡¡Ç‹Ò»ÃÐàÀ· II áÅÐ¡ÅØÁ¡ÅŒÒÁà¹×Í·Õ·Ò§Ò¹µŒÒ¹áç⹌Á¶‹Ç§ é ‹ é è í
  • 415.
    388 Harmonized Care for Older Patients : .ocus on Mobility âÅ¡ (antigravity muscles) Í‹ҧäáçµÒÁÍѵÃÒ¡ÒÃÅÕº¢Í§¡ÅŒÒÁà¹×ÍäÁ‹à·‹Ò¡Ñ¹ â´Â¾ºÇ‹Ò¡ÅŒÒÁà¹×Í é é Quadriceps ¡ÅŒÒÁà¹×éÍÃͺÊÐ⾡áÅСŌÒÁà¹×éÍËÅѧ¨ÐÅÕºàÃçÇ¡Ç‹Ò¡ÅØ‹ÁÍ×è¹æ ¡Ò÷ÕèÁÕ¡ÅŒÒÁà¹×éÍÅÕº ·ÑÇæ 仹ѹ ¨ÐÊ‹§¼Åµ‹Í¤ÇÒÁÊÒÁÒö㹡ÒÃÂ×¹ à´Ô¹ ¡ÒÃà¤Å×͹·Õè áÅÐ໚¹¼Åźµ‹Í¡ÒûÃÐÊÒ¹ è é è ¡Ò÷íÒ§Ò¹¢Í§¡ÅŒÒÁà¹×Í¡ÅØÁµ‹Ò§æ (coordination) ¹Í¡¨Ò¡¹Õ§¾º¡ÒÃŴŧ¢Í§ myofilaments áÅÐ é ‹ é Ñ sarcomeres áÅÐÀÒÇСŌÒÁà¹×ÍŌҧ‹Ò¨ҡ¡ÒÃŴŧ¢Í§ oxidative enzyme áÅÐ mitochondria é ã¹Ê‹Ç¹¢Í§àÍ繡ŌÒÁà¹×Í ¾º¡ÒÃË´Ãѧ¢Í§àÍç¹·Õà¡ÒТŒÒÁÊͧ¢ŒÍ (two-joint muscles) 䴌ᡋ é é è ¡ÅŒÒÁà¹×Í hamstring ¡ÅŒÒÁà¹×Í hip flexor áÅСŌÒÁà¹×Í gastrocnemius áÅÐÂѧ¾º¡ÒÃà»ÅÕ¹á»Å§ é é é è ¢Í§à¹×ÍàÂ×Íà¡ÕÂǾѹ·Õ˹ҵÑÇ¢Ö¹ ·íÒãËŒ¤ÇÒÁÂ×´ËÂØ¹¢Í§¢ŒÍµ‹Íµ‹Ò§ æ Ŵŧ é è è è é ‹ ʋǹ¡Ãд١¹Ñé¹¾º¡Ò÷íÒÅÒ¡Ãд١·Õèà¾ÔèÁÁÒ¡¢Ö鹡NjҡÒÃÊÌҧà¹×éÍ¡Ãд١ à¹×èͧ¨Ò¡¢Ò´ áç¡Ãеع¨Ò¡¡ÒÃË´µÑǢͧ¡ÅŒÒÁà¹×Í·ÕÁµÍàÂ×ÍËØÁ¡Ãд١ (periostium) ·íÒãËŒà¡Ô´ÀÒÇСÃд١¾Ãع Œ é è Õ ‹ è Œ ä´ŒËÒ¡ÁÕ¡Òù͹¹Ò¹ 2. ¡ÒÃà»ÅÕ¹á»Å§¢Í§ÃкºËÑÇã¨áÅÐËÅÍ´àÅ×Í´ è ¡ÒÃà»ÅÕ¹á»Å§¢Í§Ãкº¹Õ¤Í ¡ÒÃൌ¹¢Í§ËÑÇã¨ã¹¢³Ð¾Ñ¡ÁÕ¤Òà¾ÔÁ¢Ö¹ 1/2 beat µ‹ÍÇѹ è é × ‹ è é ʋǹ»ÃÔÁÒ³àÅ×Í´·ÕËÇ㨺պµÑÇã¹áµ‹ÅФÃѧ (stroke volume) »ÃÔÁÒ³àÅ×Í´·ÕËÇ㨺պµ‹Í˹֧¹Ò·Õ è Ñ é è Ñ è (cardiac output) áÅФÇÒÁÊÒÁÒö㹡ÒÃ㪌ÍÍ¡«ÔਹÊÙ§ÊØ´ (VO2max) ¨ÐŴŧ ã¹´ŒÒ¹¤ÇÒÁ´Ñ¹âÅËÔµ ¾ºÇ‹Ò¡Òù͹¹Ò¹¨Ð·íÒãËŒà¡Ô´ÀÒÇФÇÒÁ´Ñ¹âÅËԵŴŧ㹢³Ð à»ÅÕ¹·‹Ò à¹×ͧ¨Ò¡¡Åä¡¡ÒûÃѺµÑǢͧËÅÍ´àÅ×Í´àÊÕÂä» ¹Í¡¨Ò¡¹Õ§ÍÒ¨¾º¡ÒÃà¡Ô´ÅÔÁàÅ×Í´ÍØ´µÑ¹ è è éÑ è ËÅÍ´àÅ×Í´ä´Œ§Ò¢ֹ «Ö§ÍҨ໚¹ÍѹµÃÒ¶֧ᡋªÇµä´Œ ‹ é è ÕÔ Ê‹Ç¹ÃкºËÒÂ㨠¾ºÇ‹Òà¡Ô´¡Òõպ¢Í§ËÅÍ´ÅÁ (atelectasis) ä´Œ§‹Ò ÃÇÁ¶Ö§àÊÁËÐ ÍØ´µÑ¹ã¹ËÅÍ´ÅÁ (secretion obstruction) 3. ¡ÒÃà»ÅÕ¹á»Å§¢Í§Ãкº·Ò§à´Ô¹»˜ÊÊÒÇÐ è »˜­ËÒÃкº·Ò§à´Ô¹»˜ÊÊÒÇзվº¨Ò¡¡Òù͹¹Ò¹ ¤×Í »˜­ËÒ¡Òö‹Ò»˜ÊÊÒÇÐÂÒ¡ ·íÒãËŒ è àËÅ×Í»ÃÔÁÒ³»˜ÊÊÒÇФŒÒ§ã¹¡ÃÐà¾Òл˜ÊÊÒÇÐÁÒ¡ áÅÐÊ‹§¼ÅãËŒà¡Ô´¡ÒõԴàª×Í·Ò§à´Ô¹»˜ÊÊÒÇÐà¾ÔÁ¢Ö¹ é è é 4. ¡ÒÃà»ÅÕ¹á»Å§¢Í§ÃкºÍ×¹æ ã¹Ã‹Ò§¡Ò 䴌ᡋ è è ¡Ò÷íÒ§Ò¹¢Í§ÅíÒäÊŒÃÇÁ·Ñé§¡ÒÃà¨ÃÔ­ÍÒËÒÃŴŧ, ÍÒÃÁ³à»ÅÕè¹á»Å§§‹ÒÂ, ºÒ§ÃÒ ÁռšÃзºµ‹Í¡Òù͹ËÅѺ, ¤ÇÒÁ·¹¹éÒµÒÅŴŧ (decreased glucose tolerance), ¤ÇÒÁÊÁ´ØÅ í ¢Í§ä¹âµÃਹ໚¹Åº (negative nitrogen balance), ºÒ§¤ÃÑé§ÍÒ¨¾º¡ÒᴷѺ¢Í§àÊŒ¹»ÃÐÊÒ· (entrapment neuropathy) ËÒ¡¹Í¹äÁ‹¶¡·‹Ò Ù
  • 416.
    àǪÈÒʵÏ·¹Âؤ 2553 Ñ 389 ໇ÒËÁÒ¢ͧ¡Òÿ„œ¹¿Ù¼ÙŒÊÙ§ÍÒÂØ·Õèࢌҹ͹ÃÑ¡ÉÒµÑÇã¹âç¾ÂÒºÒŠ໇ÒËÁÒÂÊíҤѭ¢Í§¡Òÿ„¹¿Ù¼»ÇÂ¡ÅØÁÊÙ§ÍÒÂØ¹Õé ¤×Í »‡Í§¡Ñ¹ÀÒÇÐá·Ã¡«ŒÍ¹·ÕÍÒ¨à¡Ô´¢Ö¹ œ ÙŒ † ‹ è é ¡ÑºÃкºµ‹Ò§æ ¨Ò¡¡Òù͹¹Ò¹ 㹼ٷ§¾Íª‹ÇÂàËÅ×͵¹àͧ䴌ºÒ§ ¤ÇÃãËŒÁ¡ÒÃÍÍ¡¡íÒÅѧà¾×ͤ§¡íÒÅѧ Œ Õè Ñ Œ Õ è ¡ÅŒÒÁà¹×Í áÅнƒ¡¡ÒÃÂ×¹à´Ô¹ â´ÂÍÒ¨µŒÍ§ãªŒà¤Ã×ͧª‹ÇÂà´Ô¹Ã‹ÇÁ´ŒÇÂ㹺ҧÃÒ áÅп„¹¿ÙÊÀÒ¾¨Ôµã¨ é è œ áÅÐÊѧ¤ÁµÒÁ¤ÇÒÁàËÁÒÐÊÁ â´Â์¹àÃ×ͧ¤Ø³ÀÒ¾ªÕǵ¢Í§¼Ù»ÇÂ໚¹ÊíҤѭ è Ô Œ † ¡Òÿ„œ¹¿Ùã¹ÃÐÂÐáá ¡Òû‡Í§¡Ñ¹ÀÒÇÐá·Ã¡«ŒÍ¹·ÕÍÒ¨à¡Ô´¢Ö¹¡ÑºÃкºµ‹Ò§ æ ¨Ò¡¡Òù͹¹Ò¹¹Ñ¹ ÊÒÁÒö·íÒä´Œ è é é â´Â¾ÂÒÂÒÁ¡ÃеعãËŒ¼»ÇÂÁÕ¡ÒÃà¤Å×͹äËÇàÃçÇ·ÕÊ´à·‹Ò·Õ·Òä´Œ (early mobilization) à¾×ÍãËŒÁ¡ÒÃÅØ¡¹Ñ§ Œ ÙŒ † è èØ è í è Õ è Â×¹ ËÃ×Íà´Ô¹ãËŒàÃçÇ·ÕÊ´ ËÒ¡¼Ù»ÇÂÂѧäÁ‹ÊÒÁÒöà¤Å×͹äËÇä´Œ ¨Ò¡ÊÀÒÇзҧËҧ¡ÒÂã´ æ ¡çµÒÁ èØ Œ † è ¡Òÿ„¹¿ÙÍÒ¨µŒÍ§ÍÒÈѹѡ¡ÒÂÀÒ¾ºíҺѴ㹡ÒâÂѺ¢ŒÍµ‹Í ËÃ×ÍᾷÍÒ¨ª‹ÇÂÊ͹¡ÒÃËÒÂ㨠¡ÒÃäÍ œ à¾×ÍÃкÒÂàÊÁËÐ ËÃ×Í¡ÒÃÍÍ¡¡íÒÅѧ¡Ò¢ŒÒ§àµÕ§§‹ÒÂæ à·‹Ò·Õ·Òä´Œ ᵋã¹ÃÐËNjҧ·Õ§äÁ‹ÊÒÁÒöÂ×¹ è è í è Ñ ËÃ×Íà´Ô¹ä´Œ¹¹ ¡ÒôÙáÅà¾×Í»‡Í§¡Ñ¹ÀÒÇÐá·Ã¡«ŒÍ¹àËŋҹÕÍÒ¨¡ÃзíÒä´Œâ´Â Ñé è é 1. ¡Òû‡Í§¡Ñ¹ÀÒÇТŒÍÂÖ´µÔ´ ! ¡ÒèѴ·‹Ò¹Í¹·Õ¶¡µŒÍ§ (Positioning)(2) è Ù ËÒ¡¨Ñ´·‹Ò¹Í¹äÁ‹¶Ù¡µŒÍ§ ¨Ð໚¹ÊÒà˵آͧ¡ÒÃà¡Ô´¢ŒÍµ‹ÍÂÖ´µÔ´ä´Œâ´Â੾ÒТŒÍ ÊÐ⾡áÅТŒÍà¢‹Ò «Ö§ÁÑ¡µÔ´ã¹·‹Ò§Í áÅлÅÒÂ෌ҨЪÕŧŋҧ «Ö§à»š¹ÍØ»ÊÃ䵋͡Òýƒ¡Â×¹ËÃ×Íà´Ô¹ è é è ã¹àÇÅÒµ‹ÍÁÒ ºÒ§ÃÒÂÁÕ¡ÒõԴ¢Í§¢ŒÍäËÅ‹ ¡ÒèѴ·‹Ò·ÕàËÁÒÐÊÁÁÕÃÒÂÅÐàÍÕ´´Ñ§µ‹Í仹Õé è - ·‹Ò¹Í¹Ë§Ò 㹡óշÁÍÁ¾Òµ¢Í§¡ÅŒÒÁà¹×Í àª‹¹ âäËÅÍ´àÅ×Í´ÊÁͧ·ÕÁ¡ÅŒÒÁà¹×Í͋͹áç Õè Õ Ñ é è Õ é ¤ÃÖ§«Õ¡ ໚¹¼Ù·Áá¹Ç⹌Á㹡ÒÃà¡Ô´¢ŒÍÂÖ´µÔ´§‹Ò ´Ñ§¹Ñ¹·‹Ò¹Í¹Ë§Ò·ն¡µŒÍ§ ¤×ͨѴãËŒËÇäËÅ‹¡Ò§ÍÍ¡ è Œ Õè Õ é è Ù Ñ (abduction) ¢ŒÍÁ×Í¡Ãд¡¢Ö¹àÅ硹ŒÍ 㪌¶§·ÃÒ´ѹºÃÔàdz greater trochanter à¾×Í»‡Í§¡Ñ¹äÁ‹ãËŒÊÐ⾡ é Ø è áºÐÍÍ¡ ¨Ñ´ãËŒ¢ÍࢋÒÍÂÙã¹·‹ÒàËÂÕ´µÃ§ äÁ‹¤ÇÃ㪌¹Í¹Ë¹Ø¹ãµŒà¢‹Ò à¾×Í»‡Í§¡Ñ¹¡ÒÃà¡Ô´¢ŒÍࢋÒáÅТŒÍ Œ ‹ è ÊÐ⾡µÔ´§Í ¤ÇÃËÒäÁŒ©Ò¡ËÃ×ÍÍØ»¡Ã³»ÃФͧ¢ŒÍà·ŒÒãËŒ¢Íà·ŒÒÍÂÙã¹·‹ÒÁØÁ©Ò¡ à¾×Í»‡Í§¡Ñ¹»ÅÒ Œ ‹ è ෌ҵ¡ áÅСÒÃà¡Ô´àÍç¹ÃŒÍÂËÇÒÂË´Êѹŧ (ÃÙ»·Õè 1) é
  • 417.
    390 Harmonized Care for Older Patients : .ocus on Mobility ÃÙ»·Õè 1 ·‹Ò¹Í¹Ë§Ò·ն¡µŒÍ§ ¡Ò§ËÑÇäËÅ‹ ¡Ãд¡¢ŒÍÁ×ÍàÅ硹ŒÍ ¢ŒÍࢋÒàËÂÕ´µÃ§äÁ‹Ë¹Ø¹ËÁ͹ è Ù ãµŒà¢‹Ò ¨Ñ´¢ŒÍà·ŒÒãËŒÍÂÙ‹ã¹·‹ÒÁØÁ©Ò¡ - ·‹Ò¹Í¹µÐᤧ äÁ‹¤Çù͹µÐᤧ·Ñº¢ŒÒ§ã´¢ŒÒ§Ë¹Ö§à¾Õ§´ŒÒ¹à´ÕÂÇ à¹×ͧ¨Ò¡¨Ð·íÒãËŒà¡Ô´ÍÒ¡Òà è è »Ç´ºÃÔàdzËÑÇäËÅ‹ áÅТŒÍäËÅ‹µ´ä´Œ ÍÒ¨µÐᤧ·Ñº«ŒÒÂÊÅѺ¢ÇÒËÃ×͹͹˧Ò¡çä´Œ ã¹·‹Ò¹Í¹µÐᤧ Ô ¤ÇèѴãËŒÁËÁ͹ãºãË­‹ÃͧᢹáÅТÒäÇŒ à¾×ÍÁÔãËŒ¢ÍäËÅ‹áÅÐÊÐâ¾¡ËØºà¢ŒÒã¹ÁÒ¡à¡Ô¹ä» áÅШѴãËŒ Õ è Œ ÁÕ¡ÒçÍࢋÒáÅÐÊÐ⾡àÅ硹ŒÍ (ÃÙ» 2) ÃÙ»·Õè 2 ·‹Ò¹Í¹µÐᤧ ÁÕËÁ͹ãºãË­‹ÃͧᢹáÅТҴŒÒ¹º¹ ãËŒ§ÍࢋÒáÅÐÊÐ⾡àÅ硹ŒÍ ! ¡ÒúÃÔËÒÃà¾×ͤ§¾ÔÊ¢ŒÍµ‹Íµ‹Ò§æ (Range of motion exercise: ROM exercise) è Ñ ã¹¼ÙŒ·ÕèÁÕÍÑÁ¾Òµ ¡ÒÃ͋͹áç¢Í§¡ÅŒÒÁà¹×éÍ ¨Ðà¾ÔèÁâÍ¡ÒÊà¡Ô´ÀÒÇТŒÍÂÖ´µÔ´ã¹ ´ŒÒ¹¹Ñ¹æ ä´ŒºÍ ¡Òû‡Í§¡Ñ¹·íÒä´Œâ´Â¡ÒâÂѺ¢ŒÍµ‹Í·Ø¡¢ŒÍãˌʴ¾ÔÊ·բͨТÂѺ䴌㹷ء·ÔÈ·Ò§ é ‹ Ø Ñ è Œ ¤ÇÒÁ¶Õè¤×ÍãËŒ·íÒ 1-3 ¤ÃÑé§µ‹ÍÃͺ ÇѹÅÐ 1-2 Ãͺ໚¹Í‹ҧ¹ŒÍ 㹡óշÕè¼ÙŒ»†ÇÂÁÕÀÒÇÐà¡Ã秢ͧ ¡ÅŒÒÁà¹×éÍËÇÁ´ŒÇ (spasticity) µŒÍ§ºÃÔËÒôŒÇ¤ÇÒÁ¶Õè·ÕèÁÒ¡¡Ç‹Ò¹Õé â´ÂÁÕ¡ÒÃÇÑ´¾ÔÊÑ¢ŒÍµ‹Ò§æ äÇŒ ໚¹à¡³± ËÒ¡¾ÔÊ¢ŒÍàÃÔÁŴŧ¨Ò¡à´ÔÁ áÊ´§Ç‹ÒµŒÍ§à¾ÔÁ¤ÇÒÁ¶Õ¢Í§¡ÒúÃÔËÒâŒÍãËŒà¾ÔÁ¢Ö¹ Ñ è è è è é
  • 418.
    àǪÈÒʵÏ·¹Âؤ 2553 Ñ 391 2. ¡Òû‡Í§¡Ñ¹á¼Å¡´·Ñº ¼ÙŒÊÙ§ÍÒÂØ·ÕèÁÕâäµ‹Ò§æ ·Õ赌ͧࢌÒÃѺ¡ÒÃÃÑ¡ÉÒã¹âç¾ÂÒºÒŹÑé¹ à»š¹¡ÅØ‹ÁàÊÕè§·Õè¨Ðà¡Ô´ á¼Å¡´·ÑºÁÒ¡¡Ç‹Ò¼ÙŒ»†ÇÂ¡ÅØ‹ÁÍ×è¹ áÅÐàÁ×èÍÁÕá¼Å¡´·Ñºà¡Ô´¢Öé¹áÅŒÇ ÁÑ¡¨ÐÃØ¹áç à¹×èͧ¨Ò¡¤ÇÒÁ µŒÒ¹·Ò¹¢Í§¼ÔÇ˹ѧáÅлÃÔÁÒ³ªÑ¹ä¢ÁѹáÅФÍÅÅÒਹŴŧ ¼Ù»Ç·ÑÇ价չ͹âç¾ÂÒºÒŹҹ é Œ † è è 3 ÊÑ»´Òˏ ¾ºÇ‹ÒÁÕá¼Å¡´·ÑºÃŒÍÂÅÐ 7.7 áÅÐà¾ÔÁ¢Ö¹à»š¹ÃŒÍÂÅÐ 24 ã¹¡ÅØÁ¼ÙʧÍÒÂØ(3) 㹡Òû‡Í§¡Ñ¹ è é ‹ ŒÙ á¼Å¡´·Ñº·íÒä´Œâ´Â¡ÒÃàÅ×Í¡ª¹Ô´¢Í§·Õ¹Í¹ãËŒàËÁÒÐÊÁ â´Â੾ÒмٻÇ·ÕÁ¡ÒÃÊÙ­àÊÕ¤ÇÒÁÃÙÊ¡ è Œ † è Õ ŒÖ ¡ÒÃ㪌·¹Í¹¾ÔàÈÉ àª‹¹ ·Õ¹Í¹¹éÒ ·Õ¹Í¹ÅÁ ໚¹µŒ¹ ¼Ù»àµÕ§¤Çô֧ãËŒµ§àÊÁÍ ¡ÒþÂÒºÒżٻÇ Õè è í è Œ Ù Ö Œ † µŒÍ§äÁ‹ÅÒ¡¶Ù¢³Ðà»ÅÕè¹·‹Ò·Ò§ ÃÇÁ·Ñé§¡ÒèѴ·‹Ò¹Í¹·Õè¶Ù¡µŒÍ§´Ñ§¡Å‹ÒÇ¢ŒÒ§µŒ¹ äÁ‹Ç‹Ò¨Ð໚¹¡Òà ¹Í¹Ë§Ò ËÃ×͹͹µÐᤧ Ōǹª‹ÇÂÅ´¡ÒÃà¡Ô´Íغµ¡Òó¢Í§á¼Å¡´·Ñº ¹Í¡¨Ò¡¹Õ¡ÒþÅÔ¡µÐᤧ Ñ Ô é µÑǺ‹ÍÂæ ¡ç¨Ðª‹ÇÂÅ´áç¡´·Ñº¢Í§»ØÁ¡Ãд١䴌 µíÒá˹‹§á¼Å¡´·Ñº·Õ¾ºº‹Í 䴌ᡋ occiput, sacrum, † è greater trochanter ºÃÔàdzµÒµØÁáÅÐÊŒ¹à·ŒÒ ໚¹µŒ¹ ¤ÇõÃǨÊÀÒ¾¼ÔÇ˹ѧºÃÔàdz·Õ»¡¤ÅØÁ»ØÁ¡Ãд١ ‹ è † ºÃÔàdzµ‹Ò§æ àËŋҹÕé Ç‹ÒÁÕÃÍÂá´§·Õ¤§ÍÂÙ¹Ò¹à¡Ô¹ 30 ¹Ò·ÕËÃ×ÍäÁ‹ µŒÍ§ÃÐÇѧáÅÐàÅÕ§¡Òá´ºÃÔàdz è ‹ è ¹Ñ¹¨¹¡Ç‹Ò¼ÔÇ˹ѧ¨Ð¡ÅѺ¤×¹ÊÙÀÒÇл¡µÔ ÊÔ§ÊíҤѭÍÕ¡»ÃСÒÃ˹֧¤×ͤŒ¹ËÒ»˜¨¨ÑÂàÊÕ§¢Í§¡ÒÃà¡Ô´á¼Å é ‹ è è è ¡´·ÑºáÅÐãËŒ¡ÒÃá¡Œä¢ à¾×èÍ໚¹¡Òû‡Í§¡Ñ¹¡ÒÃà¡Ô´á¼Å ઋ¹ ¤ÇÒÁª×é¹á©Ð¢Í§¼ÔÇ˹ѧ ÀÒÇÐ (4) ·ØâÀª¹Ò¡Ò÷ÕèÁÑ¡¾ºÃ‹ÇÁä´Œº‹ÍÂã¹¼ÙŒÊÙ§ÍÒÂØ ÃÇÁ·Ñé§ÀÒÇЫմ Íѹ໚¹ÊÒà˵ØÊíҤѭ¢Í§¡ÒÃà¡Ô´ á¼Å¡´·Ñº 3. ¡Òû‡Í§¡Ñ¹¡ÅŒÒÁà¹×ÍÅÕº é ã¹¼ÙŒ»†Ç·ÕèÁÕ¡Òù͹¹Ò¹¨Ð¾ºÀÒÇСŌÒÁà¹×éÍÅպ䴌 ·Ñé§¡ÅŒÒÁà¹×éͧ͢ᢹáÅТÒËÒ¡ äÁ‹ãªŒ§Ò¹¹Ò¹¡çÍÒ¨à¡Ô´¡ÒÃÅպ䴌 ¨Ö§¤ÇÃÍÍ¡¡íÒÅѧ¡ÒÂà¾×èͤ§¤ÇÒÁá¢ç§áçáÅФÇÒÁ·¹·Ò¹¢Í§ ¡ÅŒÒÁà¹×ÍàËŋҹѹäÇŒ ËÒ¡ÁÕ»­ËÒÍÑÁ¾Òµ¢Í§¡ÅŒÒÁà¹×ÍËÇÁ´ŒÇ ãËŒºÃÔËÒÃà¾×ͤ§¾ÔÊ¢ŒÍäÇŒ (passive é é ˜ é è Ñ ROM exercise) ã¹ÃÒ·վÍÁÕá續ҧ¤ÇÃãËŒºÃÔËÒÃà¾×Íà¾ÔÁ¤ÇÒÁá¢ç§áç෋ҷշÒä´Œ ઋ¹ active è è è è í exercise ËÃ×Í strengthening exercise ·Ñ§¹Õ¢¹¡ÑºÃдѺ¡íÒÅѧ¢Í§¡íÒÅѧ¡ÅŒÒÁà¹×Í໚¹ÊíҤѭ ¡Ò÷Õè é é Öé é ¡ÅŒÒÁà¹×ͨÐÁÕáçà¾ÔÁ¢Ö¹ä´Œ¹¹ ¨íÒ໚¹·Õ¡ÅŒÒÁà¹×͵ŒÍ§ÍÍ¡áç·íÒ§Ò¹àͧ ¡Òê‹Ç·íÒâ´Â¼Ù͹¹Ñ¹ ¼Ù»Ç é è é Ñé è é Œ ×è é Œ † ¨Ðä´Œ»ÃÐ⪹à©¾ÒТŒÍäÁ‹µ´ ᵋ¡ÅŒÒÁà¹×ͨÐäÁ‹á¢ç§áç Ô é 4. ¡Òû‡Í§¡Ñ¹ÀÒÇÐÅÔÁàÅ×Í´ÍØ´¡Ñ¹ËÅÍ´àÅ×Í´´íÒ è é »˜¨¨ÑÂ˹֧¢Í§¡ÒÃà¡Ô´ÅÔÁàÅ×Í´ÍØ´¡Ñ¹ËÅÍ´àÅ×Í´´íÒ ¤×Í ¡Òäѧ¢Í§ÃкºäËÅàÇÕ¹ »ÃСͺ è è é è ¡ÑºÀÒÇТҴ¹éÒ ·íÒãËŒàÅ×Í´¢Œ¹¢Ö¹¡Ç‹Ò»¡µÔ ã¹¼Ù·¹Í¹¹Ò¹áÅÐäÁ‹Á¡ÒÃ㪌§Ò¹¢Í§¡ÅŒÒÁà¹×ÍᢹáÅÐ¢Ò í é Œ Õè Õ é äÁ‹Á¡ÒÃË´µÑǢͧ¡ÅŒÒÁà¹×֧ͫ໚¹¡Åä¡ÊíҤѭ㹡ÒôѹàÅ×Í´ãËŒ¡ÅѺÊÙËÇ㨠¨Ö§à»š¹à˵ØãËŒà¡Ô´ÀÒÇÐÅÔÁ Õ é è ‹ Ñ è àÅ×Í´ÍØ´¡Ñ¹ËÅÍ´àÅ×Í´´íÒä´Œ§Ò¢ֹ áÁŒÀÒÇйըоº¹ŒÍÂã¹»ÃÐà·Èä·Â (¤ÇÒÁªØ¡ÃŒÍÂÅÐ 6.7)(5) ᵋ é ‹ é é ËÒ¡à¡Ô´áÅŒÇ ÁÕ͹µÃÒ¶֧ªÕǵ ´Ñ§¹Ñ¹¤ÇáÃеعãËŒ¼»ÇÂÁÕ¡ÒÃà¤Å×͹äËÇâ´ÂàÃçÇ·ÕÊ´à·‹Ò·Õ·Òä´Œ Ñ Ô é Œ ÙŒ † è è Ø è í ã¹ÃÐËNjҧ·Õ§äÁ‹ÊÒÁÒÃ¶ÅØ¡Â×¹ËÃ×Íà´Ô¹ä´Œ ¤ÇÃãËŒ¼»ÇÂÁÕ¡ÒáÃд¡à·ŒÒ¢Ö¹Å§º‹ÍÂæ (ankle pumping è Ñ ÙŒ † é exercise) (ÃÙ»·Õè 3) â´ÂÍÒ¨ãËŒ·Òàͧ¶ŒÒ·íÒä´Œ ËÒ¡¡ÅŒÒÁà¹×Í͋͹áçÁÒ¡ÍÒ¨ãËŒ­ÒµÔËÃ×ͺؤÅÒ¡Ã í é ¡ÒÃᾷªÇ¢ÂѺ¢ŒÍà·ŒÒãËŒ¼»ÇÂá·¹ ¹Í¡¨Ò¡¨Ðª‹Ç»‡Í§¡Ñ¹ÀÒÇÐÅÔÁàÅ×Í´ÍØ´¡Ñ¹ËÅÍ´àÅ×Í´´íÒáÅŒÇ ‹ ÙŒ † è é Âѧª‹Ç»‡Í§¡Ñ¹¡ÒÃË´Ãѧ¢Í§àÍç¹ÃŒÍÂËÇÒÂä´Œ´ÇÂ é Œ
  • 419.
    392 Harmonized Care for Older Patients : .ocus on Mobility ÃÙ»·Õè 3 ¡ÒúÃÔËÒáÃд¡¢ŒÍ෌ҢÖé¹Å§ (Ankle pumping exercise) à¾×èÍ»‡Í§¡Ñ¹ÀÒÇÐÅÔèÁàÅ×Í´ ÍØ´¡Ñ¹ã¹ËÅÍ´àÅ×Í´´íÒ é 5. ¡Òû‡Í§¡Ñ¹¡ÒÃà¡Ô´¤ÇÒÁ´Ñ¹âÅËԵŴŧ㹢³Ðà»ÅÕ¹·‹Ò·Ò§ è ã¹ÀÒÇл¡µÔàÁ×ÍÁÕ¡ÒÃà»ÅÕ¹·‹Ò·Ò§¨Ò¡¹Í¹à»š¹¹Ñ§ ¤ÇÒÁ´Ñ¹âÅËԵŴŧ Ëҧ¡Ò¨еͺ è è è ʹͧ´ŒÇ¡ÒõպËÅÍ´àÅ×Í´ ªÕ¾¨Ã¨Ðà¾ÔèÁ¢Öé¹ ¨Ö§·íÒãËŒ¤ÇÒÁ´Ñ¹âÅËÔµäÁ‹Å´Å§ ᵋ㹼ٌ·Õè¹Í¹¹Ò¹ â´Â੾ÒÐã¹¼ÙʧÍÒÂØ·¹Í¹¹Ò¹ 3 ÊÑ»´Òˏ¢¹ä» ¾ºÇ‹Ò¡Å䡹ըÐàÊÕÂ˹ŒÒ·Õä»(1) ¨Ö§·íÒãËŒ¤ÇÒÁ´Ñ¹ ŒÙ Õè Öé é è Ŵŧ㹢³Ðà»ÅÕ¹·‹Ò áÅÐ໚¹à˵ØãËŒàÅ×Í´ä»àÅÕ§ÊÁͧŴŧ㹢³Ðà»ÅÕ¹·‹Ò ¼Ù»Ç¨֧ÁÕÍÒ¡ÒÃ˹ŒÒ è é è Œ † Á×´ àÇÕ¹ÈÕÃÉÐä´Œ ºÒ§ÃÒÂ໚¹ÊÒà˵ØãËŒÅÁä´Œ§Ò¢ֹ ÇÔ¸¡Òû‡Í§¡Ñ¹ÀÒÇйդÍãËŒ¼»ÇÂÍÂÙã¹·‹Ò¹Ñ§ Œ ‹ é (6) Õ é × ÙŒ † ‹ è ºŒÒ§ ઋ¹ ÃÐËNjҧÁ×ÍÍÒËÒäÇÃä¢àµÕ§ÊÙ§ãËŒ¼»ÇÂÍÂÙã¹·‹Ò¹Ñ§Í‹ҧ¹ŒÍ 15 – 30 ¹Ò·Õ ÇѹÅÐ 2-3 Ãͺ é ÙŒ † ‹ è µÒÁÁ×ÍÍÒËÒà ¡ç¨Ðª‹Ç»‡Í§¡Ñ¹ÀÒÇйÕä´Œ ã¹ÃÒ·Õà¡Ô´ÀÒÇйÕáÅŒÇ ÍҨ㪌᷋¹Â×¹ (tilt board standing) é é è é ª‹ÇÂ㹡ÒûÃѺ·‹Ò·Ò§ â´Âãˌ¹ã¹Í§ÈÒ·Õ·¹ä´Œâ´ÂäÁ‹ÁÍÒ¡ÒÃ˹ŒÒÁ×´ ÇÔ§àÇÕ¹ ¹Ò¹ 20-30 ¹Ò·Õ × è Õ µ‹ÍÇѹ Í‹ҧäáçµÒÁ¡ÒÃÂ×¹º¹á·‹¹Â×¹¹Ñé¹µŒÍ§ãªŒàÇÅÒ ´Ñ§¹Ñ鹡Òû‡Í§¡Ñ¹ÀÒÇдѧ¡Å‹ÒÇ¢ŒÒ§µŒ¹¨Ö§ÁÕ ¤ÇÒÁÊíҤѭ 6. ¡Òû‡Í§¡Ñ¹¡ÒõԴàª×éͻʹ¨Ò¡¡ÒÃÊíÒÅÑ¡ ¡Òù͹¹Ò¹Áռŵ‹ÍÃкº¡ÒÃËÒÂã¨â´Â·íÒãËŒ¤ÇÒÁÊÒÁÒö¢Í§»Í´ (vital capacity áÅÐ functional reserve capacity) ŴŧÌÍÂÅÐ 25-50(1) áÅлÃÐÊÔ·¸ÔÀҾ㹡ÒÃäÍã¹·‹Ò¹Í¹·íÒä´Œ äÁ‹´¹¡ ÍÕ¡·Ñ§ã¹¼ÙʧÍÒÂØºÒ§ÃÒ·ÕÁ»­ËÒ¡ÒáÅ×¹ ËÃ×ͤÇÒÁÃÙµÇäÁ‹´Õ ¨ÐÂÔ§·íÒãËŒà¡Ô´¡ÒÃÊíÒÅѡ䴌§ÒÂ Õ Ñ é ŒÙ è Õ ˜ Œ Ñ è ‹ ¢Ö¹ à¾ÔÁ¤ÇÒÁàÊÕ§¢Í§¡ÒõԴàª×ͻʹ 㹼ٻǷÕÁšɳдѧ¡Å‹ÒÇ¢ŒÒ§µŒ¹¹Õé ÍÒ¨¨íÒ໚¹µŒÍ§ãËŒÍÒËÒà é è è é Œ † è ÕÑ ·Ò§ÊÒÂÂÒ§ áÅШѴãËŒÍÂÙã¹·‹ÒÈÕÃÉÐÊÙ§ã¹¢³ÐãËŒÍÒËÒà ÁÕ¡ÒÃÈÖ¡ÉÒàÃ×ͧ¡ÒèѴãËŒ¼»Ç¹͹㹷‹Ò ‹ è ÙŒ † ÈÕÃÉÐÊÙ§ (semi-recumbent position) ÊÒÁÒö»‡Í§¡Ñ¹¡ÒõԴàª×ͻʹ¨Ò¡¡ÒÃÊíÒÅѡ䴌(7) ¹Í¡¨Ò¡¹Õ¤Çà é é ËÅÕ¡àÅÕ§ÂÒ·ÕÁÄ·¸Ô·ÒãËŒ§Ç§ à¾ÃÒШÐÂÔ§à¾ÔÁâÍ¡ÒÊà¡Ô´ÊíÒÅÑ¡ÁÒ¡¢Ö¹ è è Õ ì í ‹ è è é ¡ÒÃÊ͹¡ÒÃËÒÂã¨áÅСÒÃäÍ·Õ¶¡µŒÍ§¹Ñ¹ ¨ÐÊÒÁÒöª‹ÇÂÃкÒÂàÊÁËÐä´Œ´Õ áÅл‡Í§¡Ñ¹ è Ù é ¡ÒõԴàª×ͻʹ䴌 â´Â㪌෤¹Ô¤ deep breathing exercise ª‹ÇÂãËŒ»Í´¢ÂÒµÑÇ áÅСÒÃäÍ·Õ¶¡µŒÍ§ é è Ù ¨ÐÊÒÁÒö¢ÑºàÊÁËÐä´Œ´Õ â´ÂãËŒ¼»ÇÂËÒÂã¨à¢ŒÒãˌš·ÕÊ´ à¾×Íà¡çºÅÁäÇŒ áÅŒÇäÍÍ͡໚¹ªØ´æ (serial ÙŒ † Ö èØ è cough) µ‹Íà¹×ͧ¡Ñ¹¨¹ÊØ´ è
  • 420.
    àǪÈÒʵÏ·¹Âؤ 2553 Ñ 393 7. ¡Òû‡Í§¡Ñ¹¡ÒõԴàª×Í·Ò§à´Ô¹»˜ÊÊÒÇÐ é 㹼ٻǷÕäÁ‹ÊÒÁÒö¶‹Ò»˜ÊÊÒÇÐä´Œ ËÃ×ÍÁÕÀÒÇл˜ÊÊÒÇÐàÅç´ÃÒ´ äÁ‹ÊÒÁÒö¤Çº¤ØÁä´Œ Œ † è ÍÒ¨¨íÒ໚¹µŒÍ§¤ÒÊÒÂÊǹ»˜ÊÊÒÇÐ à¾×ͪ‹ÇÂÃкÒ¹éÒ»˜ÊÊÒÇÐ ª‹Ç»‡Í§¡Ñ¹¡Òê׹á©Ð¢Í§¼ÔÇ˹ѧ è í é ºÃÔàdzàªÔ§¡ÃÒ¹ ÃÇÁ·Ñ§¤ÇÒÁÊдǡ㹡ÒþÂÒºÒżٻÇ Í‹ҧäáçµÒÁ¡ÒäÒÊÒÂÊǹ»˜ÊÊÒÇÐ໚¹ é Œ † ÊÒà˵ØË¹Ö§¢Í§¡ÒÃà¡Ô´¡ÒõԴàª×Í·Ò§à´Ô¹»˜ÊÊÒÇÐ ´Ñ§¹Ñ¹¤ÇÃà»ÅÕ¹ÊÒÂÊǹ·Ø¡ 3 – 4 ÊÑ»´Òˏ´Ç è é é è Œ ÇÔ¸»ÅÍ´àª×Í ÃÇÁ¶Ö§ãËŒ¹ÒÍ‹ҧà¾Õ§¾Í ¹Í¡¨Ò¡¹Õ¤ÇÃãËŒ¹§¶‹Ò»˜ÊÊÒÇдաNjҷ‹Ò¹Í¹ áÅÐÃÐÇѧàÃ×ͧ Õ é éí é Ñè è ¡ÒÃäËÅŒ͹¡ÅѺ¢Í§¹éíÒ»˜ÊÊÒÇСÅѺÊÙ‹¡ÃÐà¾Òл˜ÊÊÒÇÐã¹¢³Ðà»ÅÕè¹·‹Ò·Ò§ ËÒ¡ÊÒÁÒöÊǹ »˜ÊÊÒÇзԧ໚¹ÃÐÂÐæ 䴌͋ҧÊÁèÒàÊÁÍ ¡ç¨Ð໚¹¡Òê‹Ç»‡Í§¡Ñ¹¡ÒõԴàª×Íä´Œ´àª‹¹¡Ñ¹ é í é Õ 8. ¡Òýƒ¡·Ñ¡ÉÐ㹡ÒÃà¤Å×͹ŒÒµ¹àͧáÅСÒÃà¤Å×͹·Õè è è ã¹ÃÒ·Õ§¾ÍÅØ¡¹Ñ§ä´Œâ´ÂäÁ‹àÇÕ¹ÈÕÃÉÐ ãËŒ¾ÂÒÂÒÁÅØ¡ äÁ‹ãËŒ¹Í¹µÔ´àµÕ§ ¼Ù»ÇÂ¡ÅØÁ¹Õé è Ñ è Œ † ‹ Âѧ¤§ÊÒÁÒö½ƒ¡¡íÒÅѧ¡ÅŒÒÁà¹×éÍä´ŒºŒÒ§ ÃÇÁ¶Ö§·Ñ¡Éе‹Ò§æ 㹡ÒÃà¤Å×è͹·ÕèáÅÐà¤Å×è͹ŒÒµ¹àͧ ´Ñ§µ‹Í仹Õé ! ½ƒ¡·Ñ¡ÉСÒÃà¤Å×͹ŒÒµ¹àͧ (Transfer) è ·Ñ¡ÉСÒÃà¤Å×è͹ŒÒµ¹àͧ àÃÔèÁµÑé§áµ‹¡ÒþÅÔ¡µÐᤧµÑÇ ÅØ¡¨Ò¡·‹Ò¹Í¹ÁÒ໚¹ ·‹Ò¹Ñ§áÅÐÂ×¹ ÍÒ¨µŒÍ§¡ÒäÇÒÁª‹ÇÂàËÅ×ͺŒÒ§µÒÁᵋ¤ÇÒÁÊÒÁÒö¢Í§¼Ù»ÇÂᵋÅФ¹ ½ƒ¡¡Ò֍µÑÇ è Œ † ¹Ñ§â´ÂÍÒÈÑ»ÃÐÊÒ·ÃѺ¤ÇÒÁÃÙÊ¡ÀÒÂã¹¢ŒÍ¢Í§á¢¹áÅÐ¢Ò ¢Ñ¹µ‹Í令×ÍÅØ¡¨Ò¡·‹Ò¹Ñ§ä»ÂѧࡌÒÍÕé ËÃ×Í è ŒÖ é è öà¢ç¹ â´Âöà¢ç¹¨Í´ã¹á¹Çà©Õ§ 45 ͧÈÒ áÅÐËѹ˹ŒÒö价ҧ»ÅÒÂàµÕ§ ãˌ㪌ÁͨѺ·Õà·ŒÒᢹ × è ¢Í§à¡ŒÒÍÕËÃ×Íöà¢ç¹ à¡Ãç§¡ÅŒÒÁà¹×Í˹ŒÒ¢Ò (quadriceps muscle) à¾×ÍÅØ¡Â×¹ àÁ×ÍÂ׹䴌Á¹¤§áÅŒÇ é é è è Ñè ¨Ö§àÍ×ÍÁ仨Ѻ·Õ·à·ŒÒᢹ¢Í§à¡ŒÒÍÕËÃ×Íöà¢ç¹ÍÕ¡´ŒÒ¹Ë¹Ö§ ¾ÃŒÍÁËÁØ¹à·ŒÒ áŌǨ֧¹Ñ§Å§à¡ŒÒÍÕËÃ×Íöà¢ç¹ é è Õè é è è é ʋǹ㹡ÒÃà¤Å×͹ŒÒµ¹àͧ¡ÅѺ¨Ò¡Ã¶à¢ç¹ä»ÂѧàµÕ§ ¡ç·Òã¹·íҹͧà´ÕÂǡѹ Ëҡᵋãˌ˹˹ŒÒö è í Ñ à¢ç¹ä»·Ò§ËÑÇàµÕ§¼Ù»Ç ºÒ§ÃÒÂÁÕ»­ËÒàÃ×ͧ¡Ò֍µÑÇËÇÁ¡Ñº¡ÅŒÒÁà¹×ÍÂѧ¤§Í‹Í¹áçÁÒ¡ ÍÒ¨µŒÍ§ Œ † ˜ è é ¡ÒäÇÒÁª‹ÇÂàËÅ×ͨҡ¼Ù´áÅ ¹Ñ¡¡ÒÂÀÒ¾ºíҺѴ¨ÐÊ͹෤¹Ô¤¡ÒÃà¤Å×͹ŒÒµ¹àͧãËŒ à¾×ͤÇÒÁ Œ Ù è è Êдǡ㹡ÒôÙáŪ‹ÇÂàËÅ×ͼٻÇ Œ † ! ½ƒ¡·Ñ¡ÉФÇÒÁÊÒÁÒö㹡ÒÃà¤Å×͹·Õè (Ambulation) è ÇÔ¸Õ¡ÒÃà¤Å×è͹·Õè¢Í§¤¹·ÑèÇä»·ÕèÂÍÁÃѺ¤×Í¡ÒÃà´Ô¹ ᵋ¡Òýƒ¡·Ñ¡ÉÐ㹡ÒÃà´Ô¹¹Ñé¹ µŒÍ§ÍÒÈѤÇÒÁÊÒÁÒö¾×é¹°Ò¹ËÅÒ»ÃСÒà Íѹ䴌ᡋ ¤ÇÒÁÊÒÁÒö㹡Ò֍µÑÇÂ×¹·Õè´Õ¾Í ¡ÅŒÒÁà¹×Í¢ÒÁÕ¡ÒÅѧÁÒ¡¾Í·Õ¨Ð¤Çº¤ØÁࢋÒãËŒàËÂÕ´µÃ§ä´Œ ÃÇÁ¶Ö§¡íÒÅѧ¡ÅŒÒÁà¹×ÍàËÂÕ´µÐ⾡µŒÍ§ é í è é ÁÒ¡¡Ç‹ÒÃдѺ 3 äÁ‹ÁÀÒÇТŒÍÂÖ´µÔ´ áÅÐÁÕ»ÃÐÊÒ·ÃѺ¤ÇÒÁÃÙÊ¡¢Í§¢ŒÍµ‹Í¢Òʋǹŋҧ´Õ Õ ŒÖ ¡Òýƒ¡¤ÇÒÁÊÒÁÒö㹡ÒÃà¤Å×͹·Õ¹¹ µŒÍ§àµÃÕÂÁàÃ×ͧ¡íÒÅѧ¡ÅŒÒÁà¹×Í¢Ò â´Â੾ÒÐ è è Ñé è é ¡ÅŒÒÁà¹×éÍÃͺÊÐ⾡ ¡ÒÃÍÍ¡¡íÒÅѧ¡ÒÂÍÒ¨àÃÔèÁ·ÕèàµÕ§㹷‹Ò¹Í¹Ë§Ò áÅС¡Œ¹ÅÍ (ÃÙ» 4) à¡Ã秤ŒÒ§äÇŒ ¹Ñº 1-5 ·íÒ«éÒ 10-20 ¤Ãѧµ‹ÍÃͺ ÇѹÅÐ 2-3 Ãͺ෋ҷշÒä´Œ áÅСŌÒÁà¹×ÍÍÕ¡¡ÅØÁ·ÕÁ¤ÇÒÁ í é è í é ‹ è Õ ÊíҤѭ·Õ誋ÇÂ㹡ÒÃÂ×¹áÅÐà´Ô¹ ¤×Í ¡ÅŒÒÁà¹×é͵Œ¹¢Ò â´ÂãËŒÍÍ¡áçàËÂÕ´ʻÃÔ§ãˌࢋÒàËÂÕ´µÃ§ (ÃÙ» 5) ãËŒ¡ÅŒÒÁà¹×ÍÍÍ¡á経ҹ¡ÑºáçʻÃÔ§·ÕÁ¤ÇÒÁ˹״µ‹Ò§¡Ñ¹ ËÃ×Í㹡óշҷպҹ äÁ‹ÁÍ»¡Ã³ é è Õ í è Œ ÕØ ÍҨ㪌ËÁ͹¢ÇÒ§Ãͧ㵌ࢋÒã¹·‹Ò§Í áÅÐãËŒ¼»ÇÂàËÂÕ´ࢋҢֹ ¤ŒÒ§äÇŒ áÅзíÒ«éÒ 10-20 ¤Ãѧµ‹ÍÃͺ ÙŒ † é í é ÇѹÅÐ 2-3 Ãͺ ¡çÊÒÁÒöà¾ÔÁ¡íÒÅѧ¡ÅŒÒÁà¹×Í䴌ઋ¹¡Ñ¹ è é
  • 421.
    394 Harmonized Care for Older Patients : .ocus on Mobility ËÅѧ¨Ò¡¹Ñ¹¨Ö§àÃÔÁ½ƒ¡¡Ò֍µÑÇÂ×¹ã¹ÃÒǤً â´ÂÁÕ¡Òö‹Ò¹éÒ˹ѡä»ÁÒÃÐËNjҧ¢Ò é è í ·Ñ§Êͧ¢ŒÒ§Í‹ҧÁѹ¤§ ¢Ñ¹µ‹Í仨֧½ƒ¡¡ÒÃà´Ô¹ã¹ÃÒǤً ½ƒ¡¡ÒÃËÁعµÑÇ¡ÅѺ áÅнƒ¡¡ÒÃà´Ô¹ÀÒ¹͡ é è é ÃÒǤÙâ´Â¡ÒÃ㪌à¤Ã×ͧª‹ÇÂà´Ô¹·ÕàËÁÒÐÊÁà·‹Ò·Õ¨Ò໚¹ ª¹Ô´·Õ¹ÂÁ㪌㹼ÙʧÍÒÂØ ¤×Í ¤Í¡ª‹ÇÂà´Ô¹ ‹ è è èí è Ô Œ Ù áÁŒ¨Ðà¡Ð¡ÐáÅзíÒãËŒà´Ô¹ªŒÒ¡Ç‹Ò¡ÒÃ㪌äÁŒà·ŒÒ ᵋãËŒ¤ÇÒÁÁѹ¤§¢Í§¡ÒÃà´Ô¹ÁÒ¡¡Ç‹ÒäÁŒà·ŒÒ â´Â੾ÒÐ è ¡Òýƒ¡à´Ô¹ã¹ª‹Ç§áá áÅÐàÁ×ͼٻÇÂÊÒÁÒöà´Ô¹ä´Œ´¢¹ ÍÒ¨à»ÅÕ¹໚¹äÁŒà·ŒÒã¹ÀÒÂËÅѧ䴌 è Œ † Õ Öé è ÃÙ»·Õè 4 ¡ÒúÃÔËÒÃà¾×èÍà¾ÔèÁ¡íÒÅѧ¡ÅŒÒÁà¹×éÍÃͺÊÐ⾡ ÃÙ»·Õè 5 ¡ÒúÃÔËÒÃà¾×èÍà¾ÔèÁ¡íÒÅѧ¡ÅŒÒÁà¹×é͵Œ¹¢Ò ! ½ƒ¡¡Òê‹ÇÂàËÅ×͵¹àͧ㹡ԨÇѵûÃШíÒÇѹ (Self care training) ¡Ò÷íÒ¡Ô¨ÇѵûÃШíÒÇѹ¹Ñ¹ µŒÍ§ÍÒÈÑ¡Ò÷íÒ§Ò¹¢Í§¡ÅŒÒÁà¹×ÍÁ×ÍáÅÐᢹ 㹡Òà é é ½ƒ¡¡ÅŒÒÁà¹×ÍÁ×ÍáÅÐᢹ ÍÒÈÑ¡Ò÷íÒ¡Ô¨¡ÃÃÁºíҺѴ (occupational therapy) ઋ¹ ¡ÒÃãÊäÁŒ·Á¤ÇÒÁ½„´ é Õè Õ ¡ÒúÃÔËÒôŒÇ peg board (ÃÙ»·Õè 6) ËÃ×Í shoulder bar (ÃÙ»·Õè 7) «Ö§¡Ô¨¡ÃÃÁàËŋҹըÐÊÒÁÒöà¾ÔÁ è é è ¾ÔÊ¢ͧ¢ŒÍäËŋ䴌´Õ áÅÐËÒ¡à¾ÔÁ¶Ø§·ÃÒÂËÃ×͹éÒ˹ѡ¶‹Ç§ ¨Ðª‹ÇÂà¾ÔÁ¡íÒÅѧ¡ÅŒÒÁà¹×Í ÃÇÁ·Ñ§¤ÇÒÁ Ñ è í è é é ·¹·Ò¹¢Í§¡ÅŒÒÁà¹×Íᢹ䴌´Ç ¡Òýƒ¡ãËŒÁ¡ÒÅѧ¡ÅŒÒÁà¹×Íᢹ·Õ´áÅТŒÍäÁ‹µ´¹Ñ¹ à¾×Í¡ÒÃàµÃÕÂÁ é Œ Õ í é è Õ Ô é è ¾ÃŒÍÁÊíÒËÃѺ¡Òýƒ¡·Ñ¡ÉСÒÃ㪌ÁÍáÅÐᢹ㹡Ò÷íÒ¡Ô¨ÇѵûÃШíÒÇѹ äÁ‹ÇÒ¨Ð໚¹¡ÒõѡÍÒËÒÃãÊ‹ × ‹
  • 422.
    àǪÈÒʵÏ·¹Âؤ 2553 Ñ 395 »Ò¡ ¡ÒÃÍÒº¹éÒ ÅŒÒ§Ë¹ŒÒ á»Ã§¿˜¹ áÅÐᵋ§µÑÇ ÃÇÁ¶Ö§·íÒ¤ÇÒÁÊÐÍÒ´µ¹àͧÀÒÂËÅѧ¡ÒâѺ¶‹ÒÂ í ¹Ñ¹àͧ è ÃÙ»·Õè 6 ¡ÒúÃÔËÒôŒÇ peg board ÃÙ»·Õè 7 ¡ÒúÃÔËÒôŒÇ shoulder bar ! ¡ÒôÙáÅÊÀÒ¾¨Ôµã¨ ¤ÇÃÁÕ¡ÒûÃÐàÁÔ¹ÊÀÒ¾¨Ôµã¨àº×ͧµŒ¹ ઋ¹ ¡ÒÃÊͺ¶ÒÁà¡ÕÂǡѺÊÀÒ¾¨Ôµã¨ ¤ÇÒÁÃÙŒ é è ÊÖ¡ ÍÒÃÁ³ ¡ÒÃÃѺ»ÃзҹÍÒËÒà ¡Òù͹ËÅѺ ÃÇÁ·Ñ§¤ÇÒÁࢌÒã¨áÅзÑȹ¤µÔµÍ¤ÇÒÁà¨çº»†Ç ໚¹ é ‹ µŒ¹ ºÒ§ÃÒÂÍÒ¨µŒÍ§»ÃÐàÁÔ¹à¾×ͤѴ¡ÃͧÀÒÇЫÖÁàÈÃŒÒâ´Â㪌Ẻ·´Êͺ à¹×ͧ¨Ò¡ÀÒÇЫÖÁàÈÃŒÒ໚¹ è è ÀÒÇзվºä´ŒºÍÂã¹¼ÙʧÍÒÂØ(8) áÅÐ໚¹à˵عÒä»ÊÙ¡Òæ‹ÒµÑǵÒÂã¹ÇÑÂÊÙ§ÍÒÂØ ÍÕ¡·Ñ§à»š¹ÍØ»ÊÃä·Õè è ‹ ŒÙ í ‹ é ÊíҤѭ¢Í§¡Òÿ„¹¿ÙÊÀÒ¾ ¨Ö§¤ÇÃ䴌ú¡ÒûÃÐàÁÔ¹¤Ñ´¡ÃͧµÑ§áµ‹ÃÐÂÐàÃÔÁáá à¾×Í¡ÒÃᡌä¢Í‹ҧ¶Ù¡ œ Ñ é è è µŒÍ§ â´Â¹Ñ¡¨ÔµÇÔ·ÂÒãËŒ¤Ò»ÃÖ¡ÉÒ ¨Ðª‹Ç»ÃÐàÁÔ¹ÊÀÒÇзҧ´ŒÒ¹¨Ôµã¨ áÅЪÕá¹Ð¡ÒûÃѺÊÀÒ¾¨Ôµ í é 㨷ըÐÂÍÁÃѺáÅдíÒçªÕǵÍÂÙ¡º¤ÇÒÁà¨çº»†Ç·ҧ¡ÒÂÍ‹ҧäÁ‹·¡¢ÁÒ¡¨¹à¡Ô¹ä» è Ô ‹ Ñ Ø
  • 423.
    396 Harmonized Care for Older Patients : .ocus on Mobility ÊÃØ» ¡ÒôÙáżٌÊÙ§ÍÒÂØ·ÕèࢌÒÃѺ¡ÒÃÃÑ¡ÉÒµÑÇ໚¹¼ÙŒ»†ÇÂã¹âç¾ÂÒºÒŹÑé¹ µŒÍ§¡ÒáÒôÙáÅ ·Ñ§·Ò§´ŒÒ¹Ã‹Ò§¡Ò áÅÐÊÀÒ¾¨Ôµã¨ â´ÂÍÒÈѤÇÒÁËÇÁÁ×ÍáÅФÇÒÁࢌÒ㨢ͧ­ÒµÔáÅФÃͺ¤ÃÑÇ é 㹡ÒÃÁÕʋǹËÇÁ·ÕèÊíҤѭ ¡ÒôÙáŷҧËҧ¡Ò¹Ñé¹ ã¹¼ÙŒ·ÕèÂѧäÁ‹¾ÃŒÍÁÃѺâ»Ãá¡ÃÁ¿„œ¹¿Ù ¤ÇÃãËŒ ¡Òû‡Í§¡Ñ¹ÀÒÇÐá·Ã¡«ŒÍ¹Íѹà¡Ô´¨Ò¡¡Òù͹¹Ò¹ ʋǹ¼Ù·ÊÀҾËҧ¡Ò¾ÌÍÁ½ƒ¡ ãËŒ¾ÂÒÂÒÁÅØ¡ Œ Õè ¹Ñ§ Â×¹ ËÃ×Íà´Ô¹à·‹Ò·Õ·Òä´Œ â´ÂÁÕ¤¹´ÙáÅãËŒ¡Òê‹ÇÂàËÅ×ͺŒÒ§ËÃ×ÍÍҨ㪌ͻ¡Ã³ªÇÂËÇÁ´ŒÇ ·Ñ§¹Õé è è í Ø ‹ é ¡ÒôÙáÅÁا์¹¤Ø³ÀÒ¾ªÕǵ·Õ´¢Í§¼ÙʧÍÒÂØà»š¹ÊíҤѭ ‹ Ô è Õ ŒÙ àÍ¡ÊÒÃ͌ҧÍÔ§ 1. Halar EM, Bell KR. Immobility and inactivity: Physiological and functional changes, prevention, and treatment. In: DeLisa JA, Gans BM, Walsh NE, eds. Physical Medicine & Rehabilitation; Principles and Practice, 4th ed. Philadelphia: Lippincott Williams & Wilkins, 2005:1447-67. 2. Sharpless JW. Maintenance of joint mobility. In: Sharpless JW, ed. Mossman’s A problem-oriented approach to stroke rehabilitation, 2nd ed. Springfield: Charles C Thomas, 1982:83-143. 3. Allman RM. Epidemiology of pressure sores in different populations. Decubitus 1989;2:30-3. 4. O’Connor KC. Pressure ulcers. In: DeLisa JA, Gans BM, Walsh NE, eds. Physical Medicine & Rehabilitation; Principles and Practice, 4th ed. Philadelphia: Lippincott Williams&Wilkins, 2005:1605-18. 5. Tongpiputh S, Kunavusant N, Senjunfichui C. Lower extremity deep vein thrombosis among the Thai patients with stroke. Neurol J Southeast Asia 1994;4:13-8. 6. Chang NT, Yang NP, Chou P. Incidence, risk factors and consequences of falling injuries among the community-dwelling elderly in Shihpai, Taiwan. Aging Clin Exp Res 2010;22:70-7. 7. d’Escrivan T, Guery B. Prevention and treatment of aspiration pneumonia in intensive care units. Treat Respir Med 2005;4:317-24. 8. Covinsky KE, .ortinsky RH, Palmer RM, Kresevic DM, Landefeld CS. Relation between symptoms of depression and health status outcomes in acutely ill hospitalized older persons. Ann Intern Med 1997;126:417- 25.
  • 424.
    àǪÈÒʵÏ·¹Âؤ 2553 Ñ º··Õè 397 58 Health Impacts of Environmental Threats in Thailand: Epidemiological Aspects ¹ÒÂᾷÊÁà¡ÕÂÃµÔ ÈÔÃÔÃѵ¹¾Ä¡É Êíҹѡâä¨Ò¡¡ÒûÃСͺÍÒªÕ¾áÅÐÊÔè§áÇ´ÅŒÍÁ ¡ÃÁ¤Çº¤ØÁâä ¡ÃзÃǧÊÒ¸ÒÃ³ÊØ¢ ¨Ò¡¡Ò÷Õè»ÃÐà·Èä·Âä´ŒÁÕ¡ÒþѲ¹Ò»ÃÐà·È໚¹»ÃÐà·ÈÍØµÊÒË¡ÃÃÁ ä´Œ¡‹ÍãËŒà¡Ô´¡Òà à»ÅÕè¹á»Å§·Ñé§·Ò§´ŒÒ¹¡ÒÃàÁ×ͧ àÈÃɰ¡Ô¨ Êѧ¤Á¢Í§»ÃÐà·È â´Â੾ÒЪÕÇÔµ¤ÇÒÁ໚¹ÍÂÙ‹ ¢Í§»ÃЪҪ¹ ¡ÒÃà»ÅÕ¹á»Å§´Ñ§¡Å‹ÒÇä´Œ¡ÍãËŒà¡Ô´¼Å¡Ãзº·Ñ§·Ò§´ŒÒ¹ºÇ¡áÅдŒÒ¹Åº â´Â੾ÒÐ è ‹ é ¼Å¡Ãзº·Ò§ÊØ¢ÀÒ¾áÅФسÀÒ¾ªÕǵ¢Í§»ÃЪҪ¹ ¼Å¡Ãзº·Ò§ÊØ¢ÀÒ¾·ÕÊҤѭ¤×Í ä´Œ¡ÍãËŒà¡Ô´ Ô èí ‹ âä·Õà¡Ô´¨Ò¡¡ÒþѲ¹ÒÀÒ¤ÍØµÊÒË¡ÃÃÁ ઋ¹ âä¨Ò¡¡ÒûÃСͺÍÒªÕ¾áÅÐâä¨Ò¡ÊÔ§áÇ´ÅŒÍÁ è è «Ö§ÁռšÃзºµ‹Í»ÃЪҪ¹áÅÐÊѧ¤Á໚¹Ç§¡ÇŒÒ§ ¡‹ÍãËŒà¡Ô´¤ÇÒÁµ×¹µÑÇã¹»˜­ËҴѧ¡Å‹ÒÇã¹ÀÒ¾ÃÇÁ è è ¢Í§»ÃÐà·È ʶҹ¡Ò󏻭ËҼšÃзºµ‹ÍÊØ¢ÀÒ¾áÅФسÀÒ¾ªÕǵ·Õà¡Ô´¨Ò¡»˜­ËÒÊÔ§áÇ´ÅŒÍÁ ˜ Ô è è 㹪‹Ç§ÃÐÂÐàÇÅÒ·Õ¼Ò¹ÁÒ¨¹¶Ö§»˜¨¨Øº¹·ÕÊҤѭ ¾Í¨ÐÊÃØ»ä´Œ´§µ‹Í仹Õé è ‹ Ñ èí Ñ 1. »˜­ËҼšÃзºµ‹ÍÊØ¢ÀÒ¾·Õà¡Ô´¨Ò¡¡Ô¨¡ÒÃÀÒ¤ÍØµÊÒË¡ÃÃÁ 㹪‹Ç§ÃÐÂÐàÇÅÒ·Õ¼Ò¹ÁÒ è è ‹ ¨¹¶Ö§»˜¨¨Øº¹ »˜­ËҼšÃзºµ‹ÍÊØ¢ÀÒ¾ËÃ×ͤسÀÒ¾ªÕǵ¢Í§»ÃЪҪ¹·Õà¡Ô´¨Ò¡ÀÒ¤ÍØµÊÒË¡ÃÃÁ Ñ Ô è µ‹Ò§æ ¹ÑºÇѹ¨Ð·ÇÕ¤ÇÒÁÊíҤѭÁÒ¡¢Ö¹àÃ×ÍÂæ â´ÂÍÒ¨¨Ð¾ºä´Œ¨Ò¡¡ÒÃà¼Âá¾Ã‹¢ÒǢͧÊ×ÍÁÇŪ¹áÅÐ é è ‹ è ¡ÒÃÌͧàÃÕ¹¢Í§ªÒǺŒÒ¹ËÃ×ͪØÁª¹µ‹Ò§æ ÃÇÁ·Ñ§¡ÒÃÈÖ¡ÉÒÇԨ¢ͧ¼ÙàªÕÂǪҭµ‹Ò§æ â´Â»˜­ËÒ·Õè é Ñ Œ è ÊíҤѭ·Õ辺¤×Í ¡ÒÃÃÑèÇäËŢͧÁžÔÉËÃ×ÍÊÒÃà¤ÁÕ¨Ò¡âç§Ò¹ËÃ×͡Ԩ¡ÒÃÍØµÊÒË¡ÃÃÁµ‹Ò§æ ä»Âѧ ªØÁª¹µ‹Ò§æ ·Ñ§â´Âਵ¹ÒËÃ×Íà¡Ô´¨Ò¡Íغµà赯 ÊÒÃà¤ÁÕ·Á¡ÒÃÃÑÇäËŹѹÁÕËÅÒ¡ËÅÒª¹Ô´ 䴌ᡋ é Ñ Ô Õè Õ è é ᡍʾÔÉ àª‹¹ áÍÁâÁà¹Õ ໚¹µŒ¹ ÊÒÃÅÐÅÒÂÍÔ¹·ÃÕ·ÃÐà˧‹Ò (VOC) ½Ø¹ÅÐÍͧµ‹Ò§æ 仨¹¶Ö§  Õè † ÊÒÃâÅËе‹Ò§æ ઋ¹ µÐ¡ÑÇᤴàÁÕÂÁ ÊÒÃ˹٠໚¹µŒ¹ ¡ÒÃÃÑÇäËŢͧÊÒþÔɴѧ¡Å‹ÒÇä´Œ¡ÍãËŒà¡Ô´ è è ‹ ¼Å¡Ãзºµ‹ÍÊØ¢ÀÒ¾¢Í§»ÃЪҪ¹ ઋ¹ ¡ÒÃà¡Ô´¾ÔɨҡÊÒÃà¤ÁÕ´§¡Å‹ÒÇ ¡ÒÃà¡Ô´âäÃкºËÒÂã¨ Ñ âäÀÙÁÔᾌµ‹Ò§æ áÅС‹ÍãËŒà¡Ô´âäÁÐàÃç§ ¼Å¡Ãзº·Õèà¡Ô´¢Öé¹à»š¹áººà©Õº¾ÅѹáÅÐẺàÃ×éÍÃѧ ¢Ö¹ÍÂÙ¡ºª¹Ô´¤ÇÒÁ໚¹¾ÔÉáÅлÃÔÁÒ³¢Í§ÊÒþÔÉ·ÕÃÇäËÅ ¡Ã³ÕµÇÍ‹ҧ·ÕÊҤѭ¢Í§»˜­ËҴѧ¡Å‹ÒÇ é ‹ Ñ è Ñè Ñ èí ·Õè໚¹·Õèʹ㨢ͧ»ÃЪҪ¹ã¹ÃдѺ»ÃÐà·È ઋ¹ ¡Ã³Õ»˜­ËҼšÃзºµ‹ÍÊØ¢ÀÒ¾¢Í§»ÃЪҪ¹ ¨Ò¡¹Ô¤ÁÍØµÊÒË¡ÃÃÁÁÒºµÒ¾Ø´ ¡Ã³Õ¡Òû¹à»„͹¢Í§ÊÒÃâÅËÐ˹ѡ㹹éÒ·Õà¡Ô´¨Ò¡¡Ô¨¡ÒÃàËÁ×ͧáË œ í è ઋ¹ ÊÒÃ˹ٷÕè Í.Ë͹¾ÔºÅ ¨.¹¤ÃÈÃÕ¸ÃÃÁÃÒª ÊÒõСÑÇ·Õ¤ÅÔµÕé ¨.¡Ò­¨¹ºØÃÕ áÅÐÊÒÃᤴàÁÕÂÁ·Õè Ù è è Í.áÁ‹ÊÍ´ ¨.µÒ¡ ໚¹µŒ¹
  • 425.
    398 Health Impacts of Environmental Threats in Thailand : Epidemiological Aspects 2. »˜­ËҼšÃзºµ‹ÍÊØ¢ÀÒ¾·Õà¡Ô´¨Ò¡ÊÒÃà¤ÁÕ·Ò§¡ÒÃà¡ÉµÃ »ÃÐà·Èä·Â໚¹»ÃÐà·È è à¡ÉµÃ¡ÃÃÁ »ÃЪҡÃʋǹãË­‹¢Í§»ÃÐà·È´íÒà¹Ô¹ªÕǵ´ŒÇÂÍÒªÕ¾à¡ÉµÃ¡ÃÃÁ ઋ¹ ¡Ò÷íÒ¹Ò ·íÒÊǹ Ô ·íÒäË Í‹ҧäáçµÒÁ»˜¨¨Øº¹ä´ŒÁ¡ÒþѲ¹Òà·¤â¹âÅÂÕ·Ò§¡ÒÃà¡ÉµÃ໚¹Í‹ҧÁÒ¡ ·íÒãËŒà¡ÉµÃ¡Ã Ñ Õ ä´Œ»ÃѺà»ÅÕè¹ÇÔ¸Õ¡Ò÷íҧҹẺ¸ÃÃÁªÒµÔ´Ñé§à´ÔÁ ÁÒ໚¹¡ÒþÖè§¾Òà·¤â¹âÅÂÕµ‹Ò§æ ઋ¹ ¡ÒÃ㪌 ÊÒÃà¤ÁÕ·Ò§¡ÒÃà¡ÉµÃµ‹Ò§ ¨Ò¡¢ŒÍÁÙŢͧ¡ÃÁÇÔªÒ¡ÒÃà¡ÉµÃ ¾ºÇ‹Ò ã¹áµ‹Åл‚ÁÕ¡ÒùíÒà¢ŒÒ Çѵ¶ØÍ¹µÃÒ·ҧ¡ÒÃà¡ÉµÃ ࢌÒÁÒã¹»ÃÐà·ÈäÁ‹µÒ¡Ç‹Ò»‚ÅÐ 6 ËÁ×¹µÑ¹ «Ö§»ÃСͺ´ŒÇ ÊÒáíҨѴ Ñ èí è è áÁŧ ÊÒáíҨѴÇѪ¾×ª áÅÐÊÒáíҨѴÈѵÃÙ¾ªÍ×¹æ ໚¹µŒ¹ ¡ÒÃ㪌ÊÒÃà¤ÁÕµÒ§æ ´Ñ§¡Å‹ÒÇä´Œ¡ÍãËŒà¡Ô´ × è ‹ ‹ ¼Å¡Ãзºµ‹ÍÊØ¢ÀÒ¾ ·Ñ§ã¹¡ÅØÁà¡ÉµÃ¡Ãàͧ ¤Ãͺ¤ÃÑǢͧà¡ÉµÃ¡ÃáÅЪØÁª¹ã¡ÅŒà¤Õ§ ÃÇÁ·Ñ§ é ‹ é ¼ÙºÃÔâÀ¤¡ç¤Í »ÃЪҡä¹ä·Â·Ñ§»ÃÐà·È â´Â¡‹ÍãËŒà¡Ô´âä¾ÔɨҡÊÒáíҨѴÈѵÃÙ¾ª «Ö§ÊíҹѡÃкҴ Œ × é × è ÇÔ·ÂÒ ¡ÃзÃǧÊÒ¸ÒÃ³ÊØ¢ ä´Œ¾º¡ÒÃÃÒ§ҹâä´Ñ§¡Å‹ÒÇ»‚ÅÐäÁ‹µÒ¡Ç‹Ò¾Ñ¹ÃÒ â´Â¢ŒÍÁÙŴѧ¡Å‹ÒÇ èí ¶×Í໚¹¢ŒÍÁÙŷյҡNjҤÇÒÁ໚¹¨Ãԧ໚¹Í‹ҧÁÒ¡ è èí 3. »˜­ËÒÁžÔÉ·Ò§ÍÒ¡ÒÈ «Ö§à¡Ô´¨Ò¡¡ÒÃà¼Ò»†ÒáÅмÅÔµ¼Å·Ò§¡ÒÃà¡ÉµÃ ¡ÒèÃÒ¨ÃáÅÐ è ¡ÒÃ㪌ªÕÇÔµ¢Í§»ÃЪҪ¹ 㹪‹Ç§ÃÐÂÐàÇÅÒ·Õ輋ҹÁÒ»ÃÐà·Èä·Âä´Œ»ÃÐʺ»˜­ËÒàÃ×èͧÁžÔÉ ·Ò§ÍÒ¡ÒÈËÅÒ¤Ãѧ ઋ¹ ¡Ã³Õ»­ËÒËÁÍ¡¤Çѹã¹ÀÒ¤à˹×Í áÅл˜­ËÒËÁÍ¡¤Çѹã¹ÀҤ㵌µÍ¹Å‹Ò§ é ˜ â´Â·Ñé§ 2 ¡Ã³Õ´Ñ§¡Å‹ÒÇÊÒà˵ØËÅÑ¡ÁÒ¨Ò¡¡ÒÃà¼ÒäËÁŒ»†ÒäÁŒáÅмÅÔµ¼Å·Ò§¡ÒÃà¡ÉµÃ â´ÂÍÒ¨ ໚¹¡ÒÃà¼Ò¢Í§»ÃЪҪ¹ã¹¾×¹·Õàͧ¢Í§à¢µÀÒ¤à˹×Í ËÃ×Í¡ÒÃà¼Ò¨Ò¡»ÃÐà·Èà¾×͹ºŒÒ¹ã¹¡Ã³Õ é è è »˜­ËҢͧÀҤ㵌 ¨Ò¡»˜­ËÒÁžÔÉËÁÍ¡¤Çѹ¨Ò¡¡ÒÃà¼Ò´Ñ§¡Å‹ÒÇ ä´Œ¡ÍãËŒà¡Ô´¼Å¡Ãзºµ‹ÍÊØ¢ÀÒ¾ ‹ ¢Í§»ÃЪҪ¹ à¡Ô´¡ÒÃà¨çº»†ÇÂà¾ÔÁ¢Ö¹à»š¹¨íҹǹÁÒ¡¡Ç‹ÒËÁ×¹ÃÒ ã¹áµ‹ÅЪ‹Ç§·Õà¡Ô´à˵ءÒó â´Â è é è è ¼Å¡Ãзº·ÕèÊíҤѭ¤×Í ¡ÒÃà¨çº»†ÇÂ໚¹âäÃкºËÒÂ㨠âäËÑÇã¨áÅÐËÅÍ´àÅ×Í´ áÅÐâä¼ÔÇ˹ѧ ໚¹µŒ¹ ¹Í¡¨Ò¡»˜­ËÒÁžÔÉ·Ò§ÍÒ¡ÒÈ ¨Ò¡»˜­ËÒËÁÍ¡¤Çѹã¹à¢µÀÒ¤à˹×ÍáÅÐÀҤ㵌´§¡Å‹ÒÇ Ñ áÅŒÇ »˜­ËÒÁžÔÉ·Ò§ÍÒ¡ÒÈ·ÕÁÍÂÙ໚¹»ÃШíÒ ¤×Í »˜­ËÒÁžÔÉ·Ò§ÍÒ¡ÒÈã¹à¢µàÁ×ͧ·Õà¡Ô´¨Ò¡¡Òà è Õ ‹ è ¨ÃҨà ઋ¹ ã¹¡ÃØ§à·¾ÁËÒ¹¤Ã áÅÐࢵ»ÃÔÁ³±Å ËÃ×ÍࢵàÁ×ͧãË­‹æ ໚¹µŒ¹ ¡çÁ¤ÇÒÁÊíҤѭáÅÐ Õ ¤ÇèÐä´ŒÃѺ¡ÒÃá¡Œä¢ »˜­ËҴѧ¡Å‹ÒÇà¡Ô´¨Ò¡¡ÒèÃҨ÷Õè¡‹ÍãËŒà¡Ô´á¡Ê¾ÔÉáÅн؆¹ÅÐÍͧµ‹Ò§ æ ÃÇÁ·Ñ§ÍÒ¨¨Ðà¡Ô´¨Ò¡¡Òá‹ÍÊÌҧ ËÃ×ͨҡâç§Ò¹ÍصÊÒË¡ÃÃÁ áÁŒã¹Ê¶Ò¹¡Òó¢Í§»˜­ËҤسÀÒ¾ é ÍÒ¡ÒÈã¹¡ÃØ§à·¾ÁËÒ¹¤Ã¨Ð´Õ¢¹¡Ç‹Òà´ÔÁ Íѹà¹×ͧÁÒ¨Ò¡ÁÕ¡ÒþѲ¹ÒÃкº¡Òâ¹Ê‹§áººÃкºÃÒ§ Öé è ËÃ×Íö俿‡Ò ÃÇÁ·Ñé§ÁҵáÒÃó礏Í×è¹æ ᵋ¡çÂѧÁÕ¤ÇÒÁ¨íÒ໚¹·Õè¨ÐµŒÍ§ÁÕÁҵáÒÃ㹡ÒÃá¡Œä¢ ãËŒÁ»ÃÐÊÔ·¸ÔÀÒ¾ÁÒ¡¢Ö¹µ‹Íä» Õ é 4. »˜­ËÒ¡ÒÃà»ÅÕ¹á»Å§¢Í§ÀÙÁÍÒ¡ÒÈ (climate change) »˜­ËҴѧ¡Å‹ÒǹѺ໚¹»˜­ËÒ è Ô ÃдѺâÅ¡·ÕÁ¡ÒáŋÒǶ֧áÅÐãËŒ¤ÇÒÁʹã¨ã¹·Ø¡Ç§¡ÒÃã¹»ÃÐà·Èµ‹Ò§æ ÃÇÁ·Ñ§»ÃÐà·Èä·Â´ŒÇ è Õ é »˜­ËÒ¡ÒÃà»ÅÕè¹á»Å§¢Í§ÀÙÁÔÍÒ¡ÒÈ ÁÕÊÒà˵ØËÅÑ¡ÁÒ¨Ò¡¡ÒÃà¼ÒäËÁŒ¾Ç¡ÊÒÿÍʫԊઋ¹ àª×éÍà¾ÅÔ§µ‹Ò§æ ¨Ò¡¡ÒèÃÒ¨ÃËÃ×ÍÀÒ¤ÍØµÊÒË¡ÃÃÁ¨¹¡‹ÍãËŒà¡Ô´á¡Ê CO2 ÁÒ¡à¡Ô¹»¡µÔ áÅÐ Áռš‹ÍãËŒà¡Ô´ÀÒÇÐᡍÊàÃ×͹¡ÃШ¡ ·íÒãËŒ¾×é¹¼ÔÇâÅ¡ÁÕÍØ³ËÀÙÁÔÊÙ§¢Öé¹ áÅÐÁռšÃзºµÒÁÁÒ¶Ö§ ÊÀÒ¾ÀÙÁÔÍÒ¡ÒȢͧâÅ¡à¡Ô´¡ÒÃà»ÅÕè¹á»Å§ä» ¡ÒÃà»ÅÕè¹á»Å§´Ñ§¡Å‹ÒÇ¡‹ÍãËŒà¡Ô´»ÃÒ¡¯¡Òó µ‹Ò§æ ÁÒ¡ÁÒ ઋ¹ ÀÒÇÐÍØ³ËÀÙÁ·à»ÅÕ¹á»Å§ÊØ´¢ÑÇ àª‹¹ à¡Ô´ÀÒÇÐáËŒ§áÅŒ§¼Ô´»¡µÔ㹺ҧࢵ Ô Õè è é
  • 426.
    àǪÈÒʵÏ·¹Âؤ 2553 Ñ 399 ºÒ§ºÃÔàdzÁÕͳËÀÙÁʧ¢Ö¹ÁÒ¡¨¹·íÒãËŒà¡Ô´¡ÒÃÅÐÅÒ¢ͧÀÙà¢Ò¹éÒá¢ç§·Õ¢ÇâÅ¡ à¡Ô´ÀÒÇÐÃдѺ¹éÒ·ÐàÅ Ø ÔÙ é í è Ñé í ÊÙ§¢Öé¹ à»š¹µŒ¹ »ÃÒ¡¯¡Òóµ‹Ò§æ ´Ñ§¡Å‹ÒÇ¡‹ÍãËŒà¡Ô´¼Å¡Ãзºµ‹ÍÊØ¢ÀÒ¾áÅФسÀÒ¾ªÕÇÔµ¢Í§ »ÃЪҪ¹ ઋ¹ à¡Ô´¡ÒÃÃкҴ¢Í§âäµÔ´µ‹Í·Õ¹Òâ´ÂáÁŧ à¡Ô´¡ÒÃà¨çº»†ÇÂ໚¹âä¨Ò¡¤Å×¹¤ÇÒÁÌ͹ è í è ËÃ×ÍÍØ³ËÀÙÁ·Ê§ à¡Ô´¤ÇÒÁà´×ʹÌ͹¨Ò¡ÀѾԺµµÒ§æ ઋ¹ ÀÒÇÐáÅŒ§ ËÃ×͹éÒ·‹ÇÁ ໚¹µŒ¹ ¢³Ð¹Õé Ô Õè Ù Ñ Ô ‹ í ʶҹ¡Ò󏻭ËÒ¡ÒÃà»ÅÕ¹á»Å§¢Í§ÀÙÁÍÒ¡ÒÈ ¶×ÍÇ‹ÒÍÂÙ㹢ѹÇԡĵáÅŒÇ ´Ñ§¹Ñ¹¹Í¡¨Ò¡¡ÒÃËÒ ˜ è Ô ‹ é é ÁҵáÒÃ㹡ÒÃÅ´¼Å¡Òá‹ÍãËŒà¡Ô´¡ÒÃà»ÅÕ¹á»Å§´Ñ§¡Å‹ÒÇ Âѧ¨ÐµŒÍ§¾Ô¨ÒóÒËÒÁҵáÒÃ㹡ÒÃ è »ÃѺµÑÇà¾×ͨÐÊÒÁÒöÍÂÙÃÍ´µ‹Í»ÃÒ¡¯¡Ò󏷵ÒÁÁÒ´ŒÇÂ è ‹ Õè 5. »˜­ËÒ͹ÒÁÑÂÊÔè§áÇ´ÅŒÍÁ´Ñé§à´ÔÁ ¹Í¡¨Ò¡»˜­ËÒÊÔè§áÇ´ÅŒÍÁ·ÕèÁռšÃзºµ‹ÍÊØ¢ÀÒ¾ ãËÁ‹æ ·Õà¡Ô´¢Ö¹ã¹»ÃÐà·ÈáÅŒÇ »˜­ËÒ͹ÒÁÑÂÊÔ§áÇ´ÅŒÍÁ´Ñ§à´ÔÁ¢Í§»ÃÐà·È¡ç§ÁÕÍÂÙ‹ ᵋ¨ÐÁÕ¤ÇÒÁ è é è é Ñ «Ñº«ŒÍ¹ÁÒ¡¢Ö¹ áÅÐÁÕµ¹à˵آͧÊÒà˵ءÒÃà¡Ô´à»ÅÕ¹á»Å§ä» »˜­ËҴѧ¡Å‹ÒÇ ä´Œá¡‹ »˜­ËÒ¢ÂÐÁÙÅ é Œ è ½Í »˜­ËÒ¹éÒÊÐÍÒ´·Õ㪌ÊÒËÃѺ¡ÒÃÍØ»âÀ¤áÅкÃÔâÀ¤ »˜­ËÒ¡ÒÃÊØ¢ÒÀÔºÒŵ‹Ò§æ ໚¹µŒ¹ »˜­ËÒ í è í ¢ÂÐÁÙŽÍÂã¹»˜¨¨Øº¹ä´ŒÁ¤ÇÒÁÂØ§ÂÒ¡«Ñº«ŒÍ¹¢Ö¹ã¹ºÒ§¾×¹·Õè à¾ÃÒÐä´ŒÁ¡Òû¹à»„͹໚¹¢ÂÐÁÕ¾É Ñ Õ ‹ é é Õ œ Ô (toxic waste) Íѹà¹×ͧÁÒ¨Ò¡¡ÒáíҨѴ¢ÂоÔɴѧ¡Å‹ÒÇäÁ‹¶¡ÇÔ¸Õ ËÃ×Í¡ÒÃÅÑ¡Åͺ·Ô§ ¨¹·íÒãËŒà¡Ô´¡Ã³Õ è Ù é ÌͧàÃÕ¹¢Í§ªÒǺŒÒ¹ ઋ¹ ·Õè ¨.ÊÃкØÃÕ à»š¹µŒ¹ ÃÇÁ·Ñ§ÂѧÁաóջ­ËÒ¡ÒùíÒࢌҢÂоÔɨҡµ‹Ò§ é ˜ »ÃÐà·È Íѹà¹×ͧÁÒ¨Ò¡¡ÒÃÃÙà·‹ÒäÁ‹¶§¡Òó¢Í§Ë¹‹Ç§ҹ·ÕÁÊǹà¡ÕÂÇ¢ŒÍ§´ŒÇÂ è Œ Ö è Õ‹ è 6. ¡ÒüÅÔµáÅÐ㪌¾Åѧ§Ò¹ ¾Åѧ§Ò¹¨Ò¡áËÅ‹§µ‹Ò§ æ ÁÕ¤ÇÒÁÊíҤѭµ‹ÍÁ¹ØÉ «Ö§Á¹ØÉ䴌¹Ò è í ÁÒ㪌㹡Ԩ¡Òõ‹Ò§æ ÁÒ¡ÁÒ ·Ñ§¡Ãкǹ¡ÒüÅÔµ¨Ò¡ÀÒ¤ÍØµÊÒË¡ÃÃÁ ¡ÒÃ㪌ªÇµ»ÃШíÒÇѹáÅСÒà é ÕÔ ¨ÃҨà ÏÅÏ »˜¨¨ØºÑ¹Á¹ØÉ㪌áËÅ‹§¾Åѧ§Ò¹ËÅÑ¡ ¤×Í ¨Ò¡«Ò¡¿ÍÊ«ÔÅ ËÃ×͹éíÒÁѹ»âµÃàÅÕÂÁ ÃÇÁ·Ñ§¨Ò¡áËÅ‹§Í×¹ æ ઋ¹ ¨Ò¡¾Åѧ¹éÒ ¾ÅѧÅÁ ¾ÅѧáʧÍҷԵ ËÃ×ͨҡ¾Åѧ§Ò¹¹ÔÇà¤ÅÕÂÏ ¾Åѧ§Ò¹ é è í ¨Ò¡áËÅ‹§µ‹Ò§æ áÁŒ¨ÐÁÕ»ÃÐ⪹µ‹ÍÁ¹ØÉ ᵋºÒ§áËÅ‹§¢Í§¡ÒüÅÔµ¾Åѧ§Ò¹ËÃ×Í¡Ãкǹ¡Òà ¹íÒä»ãªŒ¡¡ÍãËŒà¡Ô´¼Å¡Ãзºµ‹ÍÁ¹ØÉ â´Â੾Òе‹ÍÊØ¢ÀÒ¾ ઋ¹ âç¼ÅÔµ¾Åѧ§Ò¹ä¿¿‡Ò¨Ò¡¶‹Ò¹ËÔ¹ ç ‹ ¡‹ÍãËŒà¡Ô´âäÃкºËÒÂ㨠âäÁÐàÃç§ à»š¹µŒ¹ ËÃ×Íâç¼ÅԵ俿‡Ò¾Åѧ§Ò¹¹ÔÇà¤ÅÕÂÏ «Öè§¡‹ÍãËŒ à¡Ô´¼Å¡Ãзº¨Ò¡¡ÒÃÃÑÇäËŢͧÃѧÊÕ à»š¹µŒ¹ »˜¨¨Øº¹»ÃÐà·Èä·ÂÁÕ¤ÇÒÁµŒÍ§¡ÒþÅѧ§Ò¹ÁÒ¡¢Ö¹ è Ñ é àÃ×èÍÂæ ¨Ö§ÁÕ¤ÇÒÁµŒÍ§¡ÒÃ㹡ÒÃËÒáËÅ‹§¼ÅÔµµ‹Ò§æ «Öè§ÊÁ¤ÇÃÁÕ¡ÒÃËÒÁҵáÒÃ㹡Òû‡Í§¡Ñ¹ ¼Å¡Ãзº·Õ¨Ðà¡Ô´¢Ö¹ ÃÇÁ·Ñ§¡ÒÃᡌ䢻˜­ËÒ·Õà¡Ô´¢Ö¹ã¹»˜¨¨Øº¹·Õà¡Ô´¨Ò¡¡ÒüÅÔµáÅÐ㪌¾Åѧ§Ò¹ è é é è é Ñ è ã¹»˜¨¨Øº¹Ñ 7. »˜­ËÒ¨Ò¡¡ÒâÂÒÂࢵàÁ×ͧ »˜¨¨Øº¹¨íҹǹ¤¹Í¾Â¾à¢ŒÒÁÒ·íÒ§Ò¹ã¹àÁ×ͧãË­‹ÁÒ¡¢Ö¹ Ñ é ¨¹·íÒãËŒà¡Ô´¡ÒâÂÒµÑǢͧࢵàÁ×ͧ ã¹Í¹Ò¤µ»ÃЪҡÃʋǹãË­‹¢Í§»ÃÐà·È¨ÐÍÂÙ‹ã¹à¢µàÁ×ͧ «Ö§»˜­ËÒÊØ¢ÀÒÇТͧ¤¹ã¹à¢µàÁ×ͧ¨ÐÁÕ¤ÇÒÁÂØ§ÂÒ¡«Ñº«ŒÍ¹ÁÒ¡¡Ç‹Òࢵª¹º· ·Ñ§»˜­ËÒªÕǵ¤ÇÒÁ è ‹ é Ô à»š¹ÍÂÙ‹ »˜­ËÒÊØ¢ÒÀÔºÒŵ‹Ò§æ »˜­ËÒ¤ÇÒÁáÍÍÑ´ »˜­ËÒ¤ÇÒÁÃØ¹áç »˜­ËÒ¡ÒÃá‹§ªÔ§·ÃѾÂÒ¡Ã áÅСÒÃࢌҶ֧ºÃÔ¡ÒÃÊÒ¸Òóе‹Ò§æ ¢³Ð¹Õé»ÃÐà·Èä·Â䴌༪ԭ»˜­ËҴѧ¡Å‹ÒÇáÅŒÇ áµ‹»˜¨¨ØºÑ¹ ÂѧÁÕ¡ÒÃÈÖ¡ÉÒáÅоѲ¹ÒÁҵáÒÃËÃ×Íá¹Ç·Ò§ã¹¡ÒÃÃͧÃѺ»˜­ËҴѧ¡Å‹ÒǹŒÍÂÁÒ¡ ËÃ×ÍÂѧäÁ‹ÁÕ »ÃÐÊÔ·¸ÔÀÒ¾
  • 427.
    400 Health Impacts of Environmental Threats in Thailand : Epidemiological Aspects 8. »˜ ­ ËÒà·¤â¹âÅÂÕ á ÅÐÊØ ¢ ÀÒ¾ ã¹¢³Ð·Õè ÇÔ · ÂÒÈÒʵÏ á ÅÐà·¤â¹âÅÂÕ ÁÕ ¡ ÒÃ¾Ñ ² ¹Ò ä»Í‹ҧÁÒ¡áÅÐÃÇ´àÃçÇä´Œ¡‹ÍãËŒà¡Ô´¼Å»ÃÐ⪹µ‹ÍÁ¹ØÉªҵÔÁÒ¡ÁÒ ᵋ෤â¹âÅÂÕàËŋҹÑé¹ ¡çÍÒ¨¨Ð¡‹ÍãËŒà¡Ô´¼Å굋ÍÁ¹ØÉáÅÐÊÔè§áÇ´ÅŒÍÁ䴌ઋ¹¡Ñ¹ »˜¨¨ØºÑ¹ÁÕà·¤â¹âÅÂÕãËÁ‹æ ·Õèà¡Ô´¢Öé¹ ·ÕÍÒ¨¨Ð¡‹ÍãËŒà¡Ô´¼Å¡Ãзºµ‹ÍÊØ¢ÀÒÇзդÇèÐÁÕ¡ÒÃÈÖ¡ÉÒáÅеԴµÒÁཇÒÃÐÇѧ·ÕÊҤѭ ¤×Í ¹Òâ¹ è è è í à·¤â¹âÅÂÕ ÊÒõѴµ‹Í·Ò§¾Ñ¹¸Ø¡ÃÃÁ ÃÇÁ·Ñ§ÊÔ§·ÕÁ¡ÒÃ㪌㹪Õǵ»ÃШíÒÇѹ·Õ¤ÇõԴµÒÁ ¤×Í ¡ÒÃ㪌 é è è Õ Ô è â·ÃÈѾ·ÁͶ×Í à»š¹µŒ¹ × 9. »˜­ËÒÊÔ§áÇ´ÅŒÍÁÍ×¹æ ઋ¹ »˜­ËÒÍØºµÀµ‹Ò§æ ·Ñ§ÀÑ·Õà¡Ô´µÒÁ¸ÃÃÁªÒµÔáÅзÕà¡Ô´¨Ò¡ è è Ñ Ô Ñ é è è ¡ÒáÃзíҢͧÁ¹ØÉ »˜­ËÒʧ¤ÃÒÁáÅФÇÒÁÃØ¹áçµ‹Ò§æ »˜­ËÒ¨Ò¡¡Òá‹Í¡ÒÃÌҠ»˜­ËÒâä µÔ´µ‹ÍÃØ¹áç·Ñ§·ÕͺµãËÁ‹áÅÐÍØºµ«Ò ໚¹µŒ¹ é èØ Ñ Ô Ñ Ô éí ÊÃØ» ¨Ò¡·Õ¡Å‹ÒÇÁÒ¢ŒÒ§µŒ¹¤§¨Ð·íÒãËŒàËç¹ÀÒ¾¢Í§Ê¶Ò¹¡Ò󏻭ËÒ·Ò§´ŒÒ¹ÊÔ§áÇ´ÅŒÍÁ ·ÕÁ¼Å è ˜ è è Õ ¡Ãзºµ‹ÍÊØ¢ÀÒ¾¢Í§»ÃÐà·Èä´ŒÇÒ á¹Ç⹌Á¢Í§Ê¶Ò¹¡ÒóÁ¤ÇÒÁÃØ¹áçÁÒ¡¢Ö¹ áÅÐÁÕ¤ÇÒÁ«Ñº ‹ Õ é «ŒÍ¹¢Í§¡ÒÃà¡Ô´ËÃ×Í¡‹Í»˜­ËÒÁÒ¡¢Ö¹ ÊÁ¤ÇÃ໚¹Í‹ҧÂÔ§·Õ˹‹Ç§ҹ·Õà¡ÕÂÇ¢ŒÍ§·Ñ§ÀÒ¤ÃѰáÅÐàÍ¡ª¹ é è è è è é ÃÇÁ·Ñ§ÀÒ¤»ÃЪҪ¹ ¤ÇõÃÐ˹ѡã¹Ê¶Ò¹¡Ò󏻭ËÒ·Õà¡Ô´¢Ö¹áÅÐËÇÁÁ×Í㹡ÒÃËÒÁҵáÒõ‹Ò§æ é ˜ è é à¾×Í¡Òû‡Í§¡Ñ¹áÅФǺ¤ØÁ»˜­ËҼšÃзº·Õà¡Ô´¨Ò¡ÁžÔÉÊÔ§áÇ´ÅŒÍÁ´Ñ§¡Å‹ÒÇÍ‹ҧà˧´‹Ç¹ è è è àÍ¡ÊÒÃ͌ҧÍÔ§ 1. .rumkin H. Environmental Health: .rom Global to Local., USA; Jossey-Bass Published, 2005. 2. ÊÁà¡ÕÂÃµÔ ÈÔÃõ¹¾Ä¡É áÅФ³Ð. ÃÒ§ҹ¡ÒÃÈÖ¡ÉÒ àÃ×ͧ ʶҹ¡ÒóÍÒªÕÇ͹ÒÁÑÂáÅÐÊÔ§áÇ´ÅŒÍÁã¹»ÃÐà·Èä·Â ÔÑ è è Êíҹѡâä¨Ò¡¡ÒûÃСͺÍÒªÕ¾áÅÐÊÔ§áÇ´ÅŒÍÁ ¾.È. 2548, 2548. è 3. ÊíҹѡÃкҴÇÔ·ÂÒ. ÊÃØ»ÃÒ§ҹ¡ÒÃཇÒÃÐÇѧâä 2551. ¡Ãا෾ÁËÒ¹¤Ã: âç¾ÔÁ¾Í§¤¡ÒÃÃѺʋ§ÊÔ¹¤ŒÒáÅоÑÊ´ØÀ³±, Ñ 2551. 4. Êíҹѡâä¨Ò¡¡ÒûÃСͺÍÒªÕ¾áÅÐÊÔ§áÇ´ÅŒÍÁ. ʶҹ¡Ò󏻭ËÒᤴàÁÕÂÁ ÍíÒàÀÍáÁ‹ÊÍ´ ¨Ñ§ËÇÑ´µÒ¡. ¨ØÅÊÒáÃÁ è ˜ è ¤Çº¤ØÁâä, 2547;15:7-9. 5. Êíҹѡâä¨Ò¡¡ÒûÃСͺÍÒªÕ¾áÅÐÊÔ§áÇ´ÅŒÍÁ. ¡ÒÃÈÖ¡ÉÒʶҹ¡ÒóâÅËÐ˹ѡ㹹éÒºÃÔâÀ¤ã¹¾×¹·ÕàÊÕ§µ‹ÍÊÒÃ˹٢ͧ è í é è è »ÃÐà·Èä·Â. ¹¹·ºØÃ:Õ àÍ¡ÊÒÃÍÑ´ÊíÒà¹Ò, 2547.
  • 428.
    àǪÈÒʵÏ·¹Âؤ 2553 Ñ º··Õè 401 59 ¡ÒÃÈÖ¡ÉҼšÃзºµ‹ÍÊØ¢ÀÒ¾»ÃЪҪ¹·ÕèÍÒÈÑÂÍÂÙ‹ Ãͺ¹Ô¤ÁÍØµÊÒË¡ÃÃÁÁÒºµÒ¾Ø´ ÃͧÈÒʵèÒÏ ´Ã. ¹ÔµÂÒ ÇѨ¹ÐÀÙÁÔ ÃͧÈÒʵÃÒ¨ÒÏ ´Ã. ¹Ñ¹·ÇÃó ÇÔ¨ÔµÃÇÒ·¡Òà ¤³ÐÊÒ¸ÒÃ³ÊØ¢ÈÒʵÏ ÁËÒÇÔ·ÂÒÅѸÃÃÁÈÒʵÏ »ÃÒ³Õ ªÒ­³Ã§¤ ¤³Ðá¾·ÂÈÒʵÏ ÁËÒÇÔ·ÂÒÅѸÃÃÁÈÒʵÏ »ÃÐà·Èä·Âä´ŒÁÕ¡ÒþѲ¹Òã¹ÀÒ¤ÍØµÊÒË¡ÃÃÁµ‹Íà¹×èͧ¡Ñ¹ÁÒ໚¹àÇÅÒËÅÒ·ÈÇÃÃÉ ã¹µŒ¹»‚ ¾.È. 2520 ÁÕ¡ÒüÅÑ¡´Ñ¹â¤Ã§¡ÒÃÍÕÊà·Ôù«ÕºÍÏ´ â´ÂÁÕ¡ÒÃÇÒ§á¼¹¾Ñ²¹ÒÍ‹ҧµ‹Íà¹×ͧ  è ÂÒǹҹÃÇÁ 50 »‚ ¡íÒ˹´ãËŒ¾¹·ÕºÃÔàdzáËÅÁ©ºÑ§ ¨Ñ§ËÇÑ´ªÅºØÃÕ à»š¹·ÕÃͧÃÑºÍØµÊÒË¡ÃÃÁàºÒ ઋ¹ ×é è è ¡ÒûÃСͺªÔé¹Ê‹Ç¹ÍØ»¡Ã³ä¿¿‡ÒÍÔàÅç¡·Ã͹ԡʏáÅоÅÒʵԡ áÅо×é¹·ÕèÁÒºµÒ¾Ø´¡íÒ˹´ãˌ໚¹ ࢵ¾Ñ ² ¹ÒÍØ µ ÊÒË¡ÃÃÁË¹Ñ ¡ ·Õè à ¡Õè  ǢŒ Í §¡Ñ º » â µÃàÅÕ Â Á áÅл â µÃà¤ÁÕ ¨í Ò ¹Ç¹ÁÒ¡ ÃÇÁ·Ñé § ÍØµÊÒË¡ÃÃÁÍ×¹ ઋ¹ àËÅç¡ áÅлØÂà¤ÁÕ à»š¹µŒ¹(1) «Ö§ÃѰºÒÅÁÕ¤ÇÒÁÁاËÇѧNjÒâ¤Ã§¡ÒùըзíÒ¤ÇÒÁ è ‰ è ‹ é à¨ÃÔ­·Ò§àÈÃɰ¡Ô¨áÅоѲ¹ÒãËŒ»ÃÐà·Èä·Â໚¹»ÃÐà·ÈÍØµÊÒË¡ÃÃÁãËÁ‹ ÍØµÊÒË¡ÃÃÁ»âµÃàÅÕÂÁáÅÐÍØµÊÒË¡ÃÃÁ»âµÃà¤ÁÕ໚¹áËÅ‹§¡íÒà¹Ô´¢Í§ÊÒÃÍÔ¹·ÃÕÂÃÐà˧‹Ò  (Volatile organic compounds [VOCs]) ¡ÒÃÈÖ¡ÉÒ·Ò§¾ÔÉÇÔ·ÂÒ¾ºÇ‹Ò VOCs ºÒ§ª¹Ô´à»š¹ÊÒà ¡‹ÍÁÐàÃç§ àª‹¹ benzene áÅÐ vinyl chloride(2,3) áÅСÒÃÊÑÁ¼ÑÊ VOCs ºÒ§ª¹Ô´ã¹»ÃÔÁÒ³ÁÒ¡ ઋ¹ 1,3 butadiene, 1,2-dichloroethene, toluene, benzene, styrene áÅÐ xylene(2,4,5,6,7,8) ÍÒ¨·íÒãËŒ à¡Ô´ÍÒ¡Ò÷ҧÃкº»ÃÐÊÒ··Ñ§áººà©Õº¾Åѹ áÅÐàÃ×ÍÃѧ ઋ¹ ÍÒ¡ÒäÅ×¹äÊŒ ÍÒà¨Õ¹ ÁÖ¹ÈÕÃÉÐ é é è §‹Ç§«ÖÁ «ÖÁàÈÃŒÒ à˹×ÍÂÅŒÒ ¡ÒÃÊÙ­àÊÕ¡Ò֍µÑÇ ÊÙ­àÊÕ¤ÇÒÁ·Ã§¨íÒ ¢Ò´ÊÁÒ¸Ô ¡ÅŒÒÁà¹×Í͋͹áç è é ¹Í¡¨Ò¡¹Õé ¡ÒÃÈÖ¡ÉÒã¹ÊѵǏ·´Åͧ¾ºÇ‹Ò¡ÒÃÊÑÁ¼ÑÊ 1,2-dicholroethene Áռŵ‹Í¡ÒÃà¨ÃÔ­àµÔºâµ¢Í§ µÑÇ͋͹(5) áÅСÒÃÈÖ¡ÉÒ·Ò§ÃкҴÇÔ·ÂÒËÅÒÂÃÒ§ҹ¾ºÇ‹Ò ÁÒôҷÕèÍÒÈÑÂÍÂÙ‹ã¡ÅŒÍصÊÒË¡ÃÃÁ »âµÃà¤ÁÕËÃ×Íâç¡ÅÑè¹¹éíÒÁѹÁÕâÍ¡ÒÊ·ÕèãËŒ¡íÒà¹Ô´·Òᡋ͹¡íÒ˹´ áÅзÒáÁÕ¹éíÒ˹ѡµèíÒ¡Ç‹Ò Áҵðҹ (9, 10, 11, 12) ã¹ÃÐÂÐ 2-3 »‚ ·Õ輋ҹÁÒ »ÃЪҪ¹â´ÂÃͺ¹Ô¤ÁÍØµÊÒË¡ÃÃÁÁÒºµÒ¾Ø´ÁÕ¡Òõ×è¹µÑǶ֧ ¼Å¡Ãзºµ‹ÍÊØ¢ÀÒ¾·ÕÍҨ䴌ú¨Ò¡ÁžÔÉÍØµÊÒË¡ÃÃÁ ᵋ¡ÒÃÈÖ¡ÉÒ·Ò§ÃкҴÇÔ·ÂÒà¡ÕÂǡѺàÃ×ͧ¹Õé è Ñ è è
  • 429.
    402 ¡ÒÃÈÖ¡ÉҼšÃзºµ‹ÍÊØ¢ÀÒ¾»ÃЪҪ¹·ÕèÍÒÈÑÂÍÂÙ‹Ãͺ¹Ô¤ÁÍØµÊÒË¡ÃÃÁÁÒºµÒ¾Ø´ ÁÕÍÂÙ‹Í‹ҧ¨íÒ¡Ñ´ ·íÒãËŒ¢Ò´¤ÇÒÁࢌÒ㨻˜­ËÒ·Õèà¡Ô´¢Öé¹ã¹¾×é¹·Õè¹Ô¤ÁÍØµÊÒË¡ÃÃÁÁÒºµÒ¾Ø´ ´Ñ§¹Ñé¹ ¡ÒÃÈÖ¡ÉҼšÃзºµ‹ÍÊØ¢ÀÒ¾¨Ò¡ÁžÔÉã¹ÍÒ¡ÒÈ·ÕèÁÒ¨Ò¡ÍØµÊÒË¡ÃÃÁ¤ÃÑé§¹Õé ¨Ð·íÒãËŒÁÕ¢ŒÍÁÙÅ ·Ò§ÇÔªÒ¡ÒôŒÒ¹ÃкҴÇÔ·ÂÒÊÔè§áÇ´ÅŒÍÁáÅÐà¾ÔèÁ¤ÇÒÁࢌÒã¨Ê¶Ò¹¡Ò󏻘¨¨ØºÑ¹¢Í§¾×é¹·Õè áÅÐ ¤ÇÒÁàÊÕ觢ͧ»ÃЪҡÃã¹¾×é¹·ÕèÁÒºµÒ¾Ø´ Íѹ¨Ð໚¹»ÃÐ⪹µ‹Í¡ÒèѴ¡ÒäǺ¤ØÁáÅл‡Í§¡Ñ¹ ¼Å¡Ãзºµ‹ÍÊØ¢ÀÒ¾¢Í§»ÃЪҪ¹µ‹Íä» Çѵ¶Ø»ÃÐʧ¤ Çѵ¶Ø»ÃÐʧ¤ËÅÑ¡¤×Í ÈÖ¡ÉÒ¤ÇÒÁÊÑÁ¾Ñ¹¸ÃÐËNjҧ¡ÒÃÍÒÈÑÂÍÂÙ‹Ãͺ¹Ô¤ÁÍØµÊÒË¡ÃÃÁ ÁÒºµÒ¾Ø´ ¡Ñº¡ÒÃãËŒ¡Òà¹Ô´·Òᡋ͹¡íÒ˹´ ËÃ×Í·ÒáÁÕ¹Ò˹ѡááà¡Ô´µèҡNjһ¡µÔ áÅе‹Í¡ÒÃà¡Ô´ í éí í ÍÒ¡Ò÷ҧÃкº»ÃÐÊÒ· ÇÔ¸Õ¡ÒÃÈÖ¡ÉÒ »ÃЪҡ÷ÕèÈÖ¡ÉÒ¤×ͼٌ·ÕèÍÒÈѺÃÔàdzâ´ÂÃͺ¹Ô¤ÁÍØµÊÒË¡ÃÃÁÁÒºµÒ¾Ø´ ÀÒÂã¹ÃÑÈÁÕ »ÃÐÁÒ³ 10 ¡ÔâÅàÁµÃ¨Ò¡¹Ô¤ÁÏ áÅСÒÃÈÖ¡ÉÒ¤Ãѧ¹Õ»ÃСͺ´ŒÇ 3 ¡ÒÃÈÖ¡ÉÒ‹Í 䴌ᡋ é é 1. ¡ÒÃÈÖ¡ÉÒẺ population-based case-control study à¾×ÍÈÖ¡ÉÒ¤ÇÒÁàÊÕ§µ‹Í¡ÒäÅÍ´ è è ¡‹Í¹¡íÒ˹´ ËÃ×Í ¡ÒäÅÍ´·Òá¹éÒ˹ѡááà¡Ô´µèҡNjһ¡µÔ â´Âà»ÃÕºà·Õº˭ԧ·ÕãËŒ¡Òà¹Ô´ºØµÃ í í è í »¡µÔ ¨íҹǹ 487 ¤¹ ¡ÑºË­Ô§·Õè¤ÅÍ´¡‹Í¹¡íÒ˹´ ËÃ×Í ÁÕ¹éíÒ˹ѡáá·Òáà¡Ô´µèíҡNjһ¡µÔ ¨íҹǹ 229 ¤¹ â´Â¢³ÐµÑ§¤ÃÃÀä´ŒÍÒÈÑÂÍÂÙã¹¾×¹·ÕºÃÔàdz¹Ô¤ÁÍØµÊÒË¡ÃÃÁÁÒºµÒ¾Ø´ é ‹ é è 2. ¡ÒÃÈÖ¡ÉÒẺ population-based survey à¾×ÍÈÖ¡ÉÒ¤ÇÒÁÊÑÁ¾Ñ¹¸¢Í§¡ÒÃà¡Ô´ÍÒ¡ÒÃ è ·Ò§Ãкº»ÃÐÊÒ· (subjective symptoms) ¡Ñº¡ÒÃÍÒÈÑÂÍÂÙ‹ºÃÔàdz¹Ô¤ÁÍØµÊÒË¡ÃÃÁÁÒºµÒ¾Ø´ «Ö§·íÒ¡ÒÃà¡çºÃǺÃÇÁ¢ŒÍÁÙÅâ´Â¡ÒÃÊÑÁÀÒɳ ¡ÅØÁµÑÇÍ‹ҧ·ÕÁÍÒÂØµ§áµ‹ 13 »‚ ¢Ö¹ä»·ÕÍÒÈÑÂã¹¾×¹·Õè è ‹ è Õ Ñé é è é ÈÖ¡ÉÒ «Ö§ÁըҹǹµÑÇÍ‹ҧ·Ñ§ËÁ´ 17,515 ¤¹ è í é 3. ¡ÒÃÈÖ¡ÉÒẺ population-based survey à¾×ÍÈÖ¡ÉÒ¤ÇÒÁÊÑÁ¾Ñ¹¸¢Í§¡ÒÃà¡Ô´ÍÒ¡ÒÃ è ·Ò§·Ò§¨Ôµ»ÃÐÊÒ·¡Ñº¡ÒÃÍÒÈÑÂÍÂÙºÃÔàdz¹Ô¤ÁÍØµÊÒË¡ÃÃÁÁÒºµÒ¾Ø´ â´Â㪌Ẻ·´ÊͺÁҵðҹ ‹ à¾×Í·´Êͺ·Ò§»ÃÐÊÒ·¨ÔµÇÔ·ÂÒ (neuropsychological testing) ËÅÒªش ã¹¡ÅØÁµÑÇÍ‹ҧ¼Ù·ÁÍÒÂØ è ‹ Œ Õè Õ µÑ§áµ‹ 6 »‚ ¢Ö¹ä» ·Õ·Ò¡ÒÃÊØÁẺÍÔÊÃШҡ»ÃЪҡÃã¹¾×¹·ÕÈ¡ÉÒ à¾×Í·´ÊͺÍÒ¡Ò÷ҧ¨Ôµ»ÃÐÊÒ· é é è í ‹ é è Ö è â´ÂÁըҹǹµÑÇÍ‹ҧ·Ñ§ËÁ´ 6,514 ¤¹ í é à¹×ͧ¨Ò¡¢³Ð·íÒ¡ÒÃÈÖ¡ÉÒ äÁ‹Á¢ÍÁÙÅ¡ÒõÃǨÇÑ´ VOCs ã¹¾×¹·Õ·È¡ÉÒÊíÒËÃѺ¡ÒûÃÐàÁÔ¹ è Õ Œ é è Õè Ö ¡ÒÃÊÑÁ¼ÑÊÊÒà VOCs ¢Í§¡ÅØÁµÑÇÍ‹ҧâ´ÂµÃ§ ´Ñ§¹Ñ¹ ¡ÒÃÈÖ¡ÉÒ¤Ãѧ¹Õ¨§ãªŒÃÐÂÐÃÐËNjҧ·ÕÍÂÙÍÒÈÑ ‹ é é éÖ è ‹ ¡ÑºÈٹ¡ÅÒ§¹Ô¤ÁÏ à»š¹µÑÇ᷹㹡ÒûÃÐàÁÔ¹¡ÒÃÊÑÁ¼ÑÊÁžÔÉÍÒ¡ÒȢͧ¡ÅØÁµÑÇÍ‹ҧ·ÕÍÂÙÍÒÈÑ ‹ è ‹ ÃÍºæ ¹Ô¤ÁÍØµÊÒË¡ÃÃÁÁÒºµÒ¾Ø´ â´ÂÁÕÊÁÁص°Ò¹Ç‹Ò¼Ù·ÍÂÙã¡ÅŒ¹¤ÁÍØµÊÒË¡ÃÃÁÁÒºµÒ¾Ø´ ÁÕ¤ÇÒÁ Ô Œ Õè ‹ Ô àÊÕ§µ‹Í¡ÒÃ䴌ú¼Å¡Ãзº·Ò§ÊØ¢ÀÒ¾ÁÒ¡¡Ç‹Ò¼Ù·ÍÒÈÑÂÍÂÙä¡Å¹Ô¤ÁÏ ¡ÒÃÇÑ´ÃÐÂзҧ㪌â»Ãá¡ÃÁ è Ñ Œ Õè ‹ ÊÒÃʹà·ÈàªÔ§ÀÙÁÈÒʵÏ (Geographic Information System) ¡ÒÃÇÑ´ÃÐÂзҧ¨Ð¶Ù¡Ãкؾ¡´´ŒÇÂà¤Ã×ͧ Ô Ô Ñ è ºÍ¡¾Ô¡´´ŒÇ´ÒÇà·ÕÂÁ (Geopositioning System) Ñ
  • 430.
    àǪÈÒʵÏ·¹Âؤ 2553 Ñ 403 ¼Å¡ÒÃÈÖ¡ÉÒ 1. ¡ÒÃãËŒ¡Òà¹Ô´·Òᡋ͹¡íÒ˹´ áÅÐ ·Òá¹éÒ˹ѡ¹ŒÍ¡Njһ¡µÔ í í ¼Å¡ÒÃÇÔà¤ÃÒÐˏ¤ÇÒÁàÊÕ§µ‹Í¡ÒäÅÍ´¡‹Í¹¡íÒ˹´ áÅФÅÍ´·Òá¹éÒ˹ѡ¹ŒÍ¡Njһ¡µÔ è í â´Â㪌ÇÔ¸ÕÇÔà¤ÃÒÐˏẺ multiple logistic regression ¾ºÇ‹ÒË­Ô§·ÕèÍÂÙ‹ÀÒÂã¹ÃÑÈÁÕ 4 ¡ÔâÅàÁµÃ ¨Ò¡¹Ô¤ÁÏ ÁÕ¤ÇÒÁàÊÕ§ÁÒ¡¡Ç‹Ò¼Ù·ÍÒÈÑÂÍÂÙã¹ÃÑÈÁÕà¡Ô¹ 7 ¡ÔâÅàÁµÃ â´ÂÁÕ¤ÇÒÁàÊÕ§µ‹Í¡ÒäÅÍ´ è Œ Õè ‹ è ¡‹Í¹¡íÒ˹´ (OR =1.84; 95% CI = 1.05-3.22) ¡ÒÃãËŒ¡Òà¹Ô´·Òá¹éÒ˹ѡááà¡Ô´µèҡNjһ¡µÔ í í í (OR= 1.02; 95% CI = 0.44- 2.38) áÅзÒáÁÕ¹Ò˹ѡµèÒ¡Ç‹ÒÍÒÂØ¤ÃÃÀ (OR=1.20; 95% CI = 0.43- éí í 3.38) 2. ÍÒ¡Ò÷ҧÃкº»ÃÐÊÒ· 1) ¼Å¡ÒÃÇÔà¤ÃÒÐˏ¢ÍÁÙÅ·Õä´Œ¨Ò¡¡ÒÃÊÑÁÀÒɳâ´Â㪌 ÇÔ¸Çà¤ÃÒÐˏẺ multiple logistic Œ è ÕÔ regression ¾ºÇ‹Ò ¼Ù·ÍÒÈÑÂÍÂÙËÒ§¨Ò¡¹Ô¤ÁÏ ã¹ÃÑÈÁÕäÁ‹à¡Ô¹ 3 ¡ÔâÅàÁµÃ ÁÕ¤ÇÒÁàÊÕ§µ‹Í¡ÒÃÁÕÍÒ¡Òà Œ Õè ‹ ‹ è ·Ò§Ãкº»ÃÐÊÒ·ºÒ§ÍÒ¡ÒÃÁÒ¡¡Ç‹Ò¼Ù·ÍÂÙËÒ§¨Ò¡¹Ô¤ÁÏ ã¹ÃÑÈÁÕÁÒ¡¡Ç‹Ò 7 ¡ÔâÅàÁµÃ 䴌ᡋ ÍÒ¡Òà Œ Õè ‹ ‹ ¤Å×¹äÊŒËÃ×ÍÍÒà¨Õ¹ (OR=1.32; 95%=1.10-1.58) §‹Ç§«ÖÁ (OR=1.46; 95% CI= 1.13-1.89) Í‹Í¹ÅŒÒ è (OR= 1.19; 95% CI = 1.00-1.41) ÇÔµ¡¡Ñ§ÇÅ (OR= 1.35; 1.12-1.61) ËŧÅ×Á§‹Ò (1.60; 1.37-1.87) ¢Ò´ÊÁÒ¸Ô (OR= 1.68; 95% CI= 1.33-2.13) ¡ÒÃä´Œ¡ÅÔ¹ÁžÔÉÍÒ¡ÒÈ (OR=4.91; 95% CI =4.16- è 5.81) 2) ¼Å¡ÒÃÇÔà¤ÃÒÐˏ¢ÍÁÙÅ¡Ò÷´Êͺ·Ò§»ÃÐÊÒ·¨ÔµÇÔ·ÂÒ (neuropsychological testing) Œ â´Â㪌ǸÇà¤ÃÒÐˏẺ multiple linear regression â´Â·ÑÇ仾ºÇ‹Ò ¡ÅØÁ·ÕÍÂÙã¡ÅŒ¹¤ÁÍØµÊÒË¡ÃÃÁÏ ÔÕÔ è ‹ è ‹ Ô â´Â੾ÒÐÍ‹ҧÂÔ§ã¹ÃÑÈÁÕäÁ‹à¡Ô¹ 3 ¡ÔâÅàÁµÃ ÁÕ¤ÇÒÁ¨íÒÃÐÂÐÊѹ ¡ÒÃàËç¹áÅФÇÒÁÊÑÁ¾Ñ¹¸¢Í§¡Òà è é ÁͧàËç¹áÅСÒÃà¤Å×͹äËÇÁ×Í ´ŒÍ¡NjҼٷÍÂÙã¹ÃÑÈÁÕà¡Ô¹ 7 ¡ÔâÅàÁµÃ áÅСÒ÷´Êͺ SCL-90-R è Œ Õè ‹ ¾º¼ÙŒ·ÕèÍÂÙ‹ã¹ÃÐÂÐã¡ÅŒÊØ´ (<3 ¡ÔâÅàÁµÃ) ÁÕ¤ÇÒÁàÊÕè§µ‹ÍÍÒ¡ÒÃà¨çº»†Ç·ҧ¡ÒÂà¹×èͧ¨Ò¡ÊÒà赯 ·Ò§¨Ôµã¨ à¾ÔÁ¢Ö¹ÃŒÍÂÅÐ 41 è é ÊÃØ» ¡ÒÃÈÖ¡ÉÒ¹Õº§ªÕÇÒ¼Ù·ÍÒÈÑÂÍÂÙã¡ÅŒ¹¤ÁÏ ÁÕ¤ÇÒÁàÊÕ§µ‹ÍÀÒÇÐÊØ¢ÀÒ¾à¡ÕÂǡѺ ¡ÒäÅÍ´ é ‹ é ‹ Œ Õè ‹ Ô è è ¡‹Í¹¡íÒ˹´ áÅФÅÍ´·Òá¹éÒ˹ѡ¹ŒÍ¡Njһ¡µÔ áÅÐÍÒ¡Ò÷ҧÃкº»ÃÐÊÒ·ºÒ§ÍÒ¡Òà ÁÒ¡¡Ç‹Ò í ¼Ù·ÍÒÈÑÂÍÂÙä¡Å¹Ô¤ÁÏ à¹×ͧ¨Ò¡á¼¹¡ÒþѲ¹ÒÍØµÊÒË¡ÃÃÁ㹺ÃÔàdz¾×¹·ÕÁÒºµÒ¾Ø´ ¨Ñ§ËÇÑ´ÃÐÂͧ Œ Õè ‹ è é è ໚¹á¼¹ÃÐÂÐÂÒÇ »ÃСͺ¡Ñº¢³Ð¹ÕéÁÕ¡ÒâѺà¤Å×è͹ãËŒ¾×é¹·Õèà·ÈºÒÅÁÒºµÒ¾Ø´à»š¹à¢µ¾Ñ²¹Ò ÍØµÊÒË¡ÃÃÁ»ÃÐàÀ·»âµÃà¤ÁÕ â´Âä´ŒÁ¡Òõѧ¤³Ð·íÒ§Ò¹»ÃÐàÁÔ¹ÊÔ§áÇ´ÅŒÍÁÃÐ´ÑºÂØ·¸ÈÒʵÏ ÈÖ¡ÉÒ Õ é è ¤ÇÒÁ໚¹ä»ä´Œã¹¡ÒâÂÒ¹ԤÁÍØµÊÒË¡ÃÃÁáÅмѧàÁ×ͧࢵÁÒºµÒ¾Ø´ «Ö§¼Å¡ÒÃÈÖ¡ÉÒ¤Ãѧ¹Õé ¨Ð໚¹ è é ¢ŒÍÁÙÅ·ÕèÁÕ»ÃÐ⪹µ‹Í¼ÙŒ¡íÒ˹´¹âºÒ¡Òû‡Í§¡Ñ¹¼Å¡Ãзºµ‹ÍÊØ¢ÀÒ¾ áÅйâºÒ¡ÒþѲ¹Ò ÍØµÊÒË¡ÃÃÁ»âµà¤ÁÕã¹¾×¹·Õà·ÈºÒÅÁÒºµÒ¾Ø´µ‹Íä» é è
  • 431.
    404 ¡ÒÃÈÖ¡ÉҼšÃзºµ‹ÍÊØ¢ÀÒ¾»ÃЪҪ¹·ÕèÍÒÈÑÂÍÂÙ‹Ãͺ¹Ô¤ÁÍØµÊÒË¡ÃÃÁÁÒºµÒ¾Ø´ àÍ¡ÊÒÃ͌ҧÍÔ§ 1. ¹Ô¤ÁÍØµÊÒË¡ÃÃÁÁÒºµÒ¾Ø´ (2552). ·íÒà¹Õºâç§Ò¹ÍصÊÒË¡ÃÃÁ. àÍ¡ÊÒÃäÁ‹µ¾Á¾à¼Âá¾Ã‹.Õ Ô 2. Agency for Toxic Substances and Disease Registry. (2007a). Toxicological Profile for Benzene. U.S. Department of Health and Human services, Public Health Services, Atlanta. GA. 3. Agency for Toxic Substances and Disease Registry (ATSDR). (2004). Toxicological Profile for vinyl cholride. U.S. Department of Health and Human services, Public Health Services, Atlanta. GA. 4. Agency for Toxic Substances and Disease Registry (ATSDR). (1993). Toxicological Profile for 1,3 butadiene. U.S. Department of Health and Human services, Public Health Services, Atlanta. GA. 5. Agency for Toxic Substances and Disease Registry (ATSDR). (1996). Toxicological Profile for 1,2-dichloroethene. U.S. Department of Health and Human services, Public Health Services, Atlanta. GA. 6. Agency for Toxic Substances and Disease Registry. (2000). Toxicological Profile for toluene. U.S. Department of Health and Human services, Public Health Services, Atlanta. GA. 7. Agency for Toxic Substances and Disease Registry. (2007b). Toxicological Profile for styrenes. U.S. Department of Health and Human services, Public Health Services, Atlanta. GA. 8. Agency for Toxic Substances and Disease Registry. (2007c). Toxicological Profile for xylene. U.S. Department of Health and Human services, Public Health Services, Atlanta. GA. 9. Lin et. al, Increased risk of preterm delivery in areas with air pollution from a petroleum refinery plant in Taiwan. J Toxicol Environ Health A. 2001;64(8):637-44. 10. Lin et. al, Association between maternal exposure to elevated ambient sulfur dioxide during pregnancy and term low birth weight. Environ Res. 2004;96(1):41-50. 11. Tsai et. al, Increased incidence of preterm delivery in mothers residing in an industrialized area in Taiwan. J Toxicol Environ Health A. 2003;66(11):987-94. 12. Yang et. al, Increased risk of preterm delivery in areas with cancer mortality problems from petrochemical complexes. Environ Res. 2002;89(3):195-200.
  • 432.
    àǪÈÒʵÏ·¹Âؤ 2553 Ñ º··Õè 405 60 Climate Change and Allergic Disease ÍÒ¨ÒÏ ¹ÒÂᾷÇÃÇÔª­ àËÅ×ͧàǪ¡Òà ÀÒ¤ÇÔªÒÇÔ·ÂÒÀÙÁ¤Á¡Ñ¹ ¤³Ðá¾·ÂÈÒʵÏÈÃÃÒª¾ÂÒºÒÅ ÁËÒÇÔ·ÂÒÅÑÂÁËÔ´Å Ô ØŒ ÔÔ ¼ÙŒª‹ÇÂÈÒʵÃÒ¨ÒÏ ¹ÒÂᾷ »ÒÃÂÐ ÍÒȹÐàʹ ÀÒ¤ÇÔªÒâʵ ¹ÒÊÔ¡ ÅÒÃÔ§« ¤³Ðá¾·ÂÈÒʵÏÈÃÃÒª¾ÂÒºÒÅ ÁËÒÇÔ·ÂÒÅÑÂÁËÔ´Å ÔÔ ÃͧÈÒʵÃÒ¨ÒÏ ¹ÒÂᾷ µ‹Í¾§É ·Í§§ÒÁ ÀÒ¤ÇÔªÒÍÒÂØÃÈÒʵÏ ¤³Ðá¾·ÂÈÒʵÏÈÔÃÔÃÒª¾ÂÒºÒÅ ÁËÒÇÔ·ÂÒÅÑÂÁËÔ´Å ã¹»˜¨¨Øº¹ä´ŒÁ¡Òõѧ¢ŒÍÊѧࡵNjÒÁÕ¡ÒÃà¡Ô´ÍغµÀº‹Í¢ֹáÅÐÃØ¹áç¢Ö¹·ÑÇâÅ¡ÍÒ·Ôઋ¹¡ÒÃ Ñ Õ é Ñ Ô Ñ é é è à¡Ô´¤Å×¹ÂѡɏʹÒÁÔã¹àÍàªÕ àÁ×Íà´×͹¸Ñ¹ÇÒ¤Á ¤.È. 2004 ¾ÒÂØàÎÍÃÔह·ÕÁÅÃѰ New Orleans »ÃÐ è Ö è è à·ÈÊËÃѰÍàÁÃÔ¡Ò àÁ×Íà´×͹ÊÔ§ËÒ¤Á ¤.È. 2005 ¾ÒÂØãµŒ½¹¹ÒÏ¡Êã¹»ÃÐà·ÈàÁÕ¹ÁÒÏ àÁ×Íà´×͹ è Ø† Ô è ¾ÄÉÀÒ¤Á ¤.È. 2008 áÅÐÅ‹ÒÊØ´á¼‹¹´Ô¹äËǤÃѧãË­‹ã¹»ÃÐà·ÈàÎµÔ àÁ×Íà´×͹Á¡ÃÒ¤Á ¤.È. 2010 é è ÍØºµÀµ‹Ò§æ ·Õà¡Ô´¢Ö¹ÍÒ¨ÁÕÊÒà˵ØÁÒ¨Ò¡ÀÒÇÐ global warming «Ö§¹Í¡¨Ò¡¨ÐÁռŵ‹Í¡ÒÃà¡Ô´ÀÑÂ Ñ Ô Ñ è é è ¸ÃÃÁªÒµÔáÅŒÇ ÀÒÇÐ global warming ÂѧÁÕ¼Åâ´ÂµÃ§µ‹ÍÊØ¢ÀÒ¾¢Í§Á¹ØÉ´§¹Õ(1) Ñ é ! ÍѵÃÒ¡ÒÃà¨çº»†ÇÂáÅСÒÃàÊÕªÕǵ¨Ò¡¤Å×¹¤ÇÒÁÌ͹ (heat wave) à¾ÔÁÊÙ§¢Ö¹ Ô è è é ! ¤ÇÒÁªØ¡¢Í§âäÀÙÁᾌáÅÐâä·Ò§à´Ô¹ËÒÂã¨à¾ÔÁ¢Ö¹ Ô è é ! ÁÕ»ÃÔÁÒ³áÅСÒáÃШÒµÑǢͧÊÒá‹ÍÀÙÁᾌÁÒ¡¢Ö¹ Ô é ¡ÒÃà»ÅÕè  ¹á»Å§¢Í§ºÃÃÂÒ¡ÒÈà¡Ô ´ ¨Ò¡¡ÒÃà¾Ôè Á ¢Öé ¹ ¢Í§¡ Ò «àÃ× Í ¹¡ÃШ¡·Õè Êí Ò ¤Ñ ­ ¤× Í ¡Ò«¤ÒϺ͹ä´Í͡䫴 (CO2) ÁռŷíÒãˌͳËÀÙÁâ´ÂÃÇÁà¾ÔÁÊÙ§¢Ö¹Í‹ҧµ‹Íà¹×ͧ (global warming) Ø Ô è é è áÅÐÁÕÊÀÒ¾ÀÙÁÍÒ¡ÒÈ·Õá»Ã»ÃǹÁÒ¡¢Ö¹ ¡Ò« CO2 à¡Ô´¢Ö¹ÁÒ¨Ò¡¡ÒûÃСͺ¡Ô¨ÇѵûÃШíÒÇѹµ‹Ò§æ Ô è é é ¢Í§Á¹ØÉáÅСÃкǹ¡ÒüÅÔµã¹ÀÒ¤ÍØµÊÒË¡ÃÃÁ ÁÕ¡ÒäҴ¡ÒóÇ‹Ò¶Ö§áÁŒ¨ÐÁÕÁҵáÒà Ŵ¡ÒÃà¡Ô´¡Ò« CO2 Í‹ҧ¨ÃÔ§¨Ñ§ ÍØ³ËÀÙÁâ´ÂÃÇÁ¢Í§âÅ¡¨Ðà¾ÔÁ»ÃÐÁÒ³ 1.8 oC 㹤.È. 2099 Ô è ᵋËÒ¡»Å‹ÍÂãËŒÁ¡ÒÃà¾ÔÁ¢Ö¹¢Í§¡Ò« CO2 Í‹ҧµ‹Íà¹×ͧઋ¹ã¹»˜¨¨Øº¹ ÍØ³ËÀÙÁâ´ÂÃÇÁ¢Í§âÅ¡ Õ è é è Ñ Ô ¨Ðà¾ÔèÁ¶Ö§»ÃÐÁÒ³ 4 C 㹤.È. 2099 ¹Í¡¨Ò¡¡Ò« CO2 áÅŒÇ ¡Ò«Í×è¹æ ·Õè¡‹ÍãËŒà¡Ô´ÁÅÀÒÇÐ o (2) 㹺ÃÃÂÒ¡ÒÈ»ÃСͺ´ŒÇ¡Ò«ä¹âµÃਹä´Í͡䫴 (NO2) ¡Ò« methane âÍ⫹ (O3) particulate matter (PM) ¤ÅÍâÿÅÙÍÍâäÒϺ͹ (C.C) áÅÐ diesel exhaust particle (DEP) ÁÅÀÒÇе‹Ò§æ àËŋҹÕéÁÕʋǹÊÑÁ¾Ñ¹¸¡Ñº¡ÒÃà¡Ô´âäÀÙÁÔᾌáÅÐâäË×´«Öè§¾ºÇ‹ÒÁÕÍØºÑµÔ¡Òóà¾ÔèÁ¢Öé¹·ÑèÇâÅ¡ ÊíÒËÃѺ ã¹»ÃÐà·Èä·Â ÍØºÑµÔ¡Òó¢Í§âä¨ÁÙ¡ÍÑ¡àʺÀÙÁÔᾌáÅÐâäË×´ÀÙÁÔᾌÊÙ§¢Öé¹à»š¹ÅíҴѺ «Öè§ÊÒàËµØ Ê‹Ç¹Ë¹Ö§¹‹Ò¨ÐÁÕ¤ÇÒÁàª×ÍÁ⧡ѺÊÒá‹ÍÀÙÁᾌã¹ÍÒ¡ÒÈáÅÐÁÅÀÒÇзÕà¾ÔÁÊÙ§¢Ö¹ è è Ô è è é
  • 433.
    406 Climate Change and Allergic Disease ¼Å¢Í§ÁÅÀÒÇÐã¹ÍÒ¡Òȵ‹ÍÊÒá‹ÍÀÙÁÔᾌ ¹Í¡¨Ò¡ÁÅÀÒÇÐã¹ÍÒ¡ÒȨÐÁÕ¼Åâ´ÂµÃ§µ‹ÍÃкº·Ò§à´Ô¹ËÒÂ㨢ͧ¼Ù»ÇÂâäÀÙÁᾌáÅŒÇ Œ † Ô ÂѧÍҨʋ§¼Å·Ò§ÍŒÍÁ·íÒãËŒÁ»ÃÔÁÒ³ÊÒá‹ÍÀÙÁᾌã¹ÍÒ¡ÒÈà¾ÔÁ¢Ö¹ â´Â·ÕÁÅÀÒÇÐã¹ÍÒ¡ÒÈ·íÒãËŒ Õ Ô è é (3) è ¾×ªºÒ§ª¹Ô´¼ÅÔµÅÐÍͧà¡ÊÃà¾ÔèÁ¢Öé¹ ÅÐÍͧà¡ÊÃÁÕÊÒá‹ÍÀÙÁÔᾌ·ÕèÁÕ¤ÇÒÁÊÒÁÒö㹡Òá‹ÍÀÙÁÔᾌ (allergenicity) à¾ÔÁ¢Ö¹ áÅÐÁÕÊǹª‹Ç»Ŵ»Å‹ÍªԹʋǹ¢¹Ò´àÅ硢ͧÅÐÍͧà¡Ê÷ÕÁÊÒá‹ÍÀÙÁᾌ è é ‹ é è Õ Ô ÍÂÙ´ÇÂãËŒÍÍ¡ÁÒã¹ÍÒ¡ÒÈà¾ÔÁ¢Ö¹ ‹ Œ è é ¨Ò¡¡ÒÃÈÖ¡ÉÒ¤ÇÒÁÊÑÁ¾Ñ¹¸ÃÐËNjҧÁÅÀÒÇÐáÅÐÅÐÍͧà¡ÊâͧµŒ¹Ê¹ (Cupressus arizonica) ã¹»ÃÐà·ÈÊ໹(4) ¾ºÇ‹ÒÊÒá‹ÍÀÙÁᾌ·Ê¡Ñ´¨Ò¡ÅÐÍͧà¡ÊõŒ¹Ê¹·Õ»ÅÙ¡ã¹¾×¹·Õ·Á¡ÒÃ Ô Õè è é è Õè Õ ¨ÃÒ¨Ã˹Òṋ¹ã¹Â‹Ò¹ÍصÊÒË¡ÃÃÁ ·íÒãËŒ¤Òà©ÅÕ (mean) ¢Í§»¯Ô¡ÃÂÒÃ͹ٹ (wheal) 㹡Ò÷´Êͺ ‹ è ÔÔ ·Ò§¼ÔÇ˹ѧ (skin prick test) ¡Ñº¼Ù»ÇÂâäÀÙÁᾌʧ¡Ç‹Ò¤‹Òà©ÅÕ¢ͧ»¯Ô¡ÃÂÒµ‹ÍÊÒ÷ÕʡѴ¨Ò¡ÅÐÍͧ Œ † Ô Ù è ÔÔ è à¡ÊâͧµŒ¹Ê¹·Õ»ÅÙ¡ã¹Êǹ·ÕäÁ‹ÁÁÅÀÒÇÐÍ‹ҧÁÕ¹ÂÊíҤѭ·Ò§Ê¶ÔµÔ ¡ÒÃÇÔà¤ÃÒÐˏâ»ÃµÕ¹¢Í§ÅÐÍͧ è è Õ Ñ à¡Êèҡ·Ñ§ÊͧáËÅ‹§¾º¤ÇÒÁᵡµ‹Ò§ã¹ÊÒá‹ÍÀÙÁᾌ Cup a 3 «Ö§¾ºà©¾ÒÐã¹ÅÐÍͧà¡Êèҡ¾×¹·Õè é Ô è é ÁÅÀÒÇÐ෋ҹѹ ¡ÒõÃǨ´ŒÇÂÇÔ¸Õ radioallergosorbent (RAST) inhibition ª‹ÇÂÂ×¹Âѹ¤ÇÒÁᵡµ‹Ò§ é ã¹ allergenicity ¢Í§ÊÒá‹ÍÀÙÁᾌ¢Í§µŒ¹Ê¹¨Ò¡·Ñ§ÊͧáËÅ‹§¹Õé Ô é ¡ÒÃÈÖ¡ÉÒã¹ÅѡɳФŌÒ¤ÅÖ§¡Ñ¹¨Ò¡»ÃÐà·ÈÊ໹à»ÃÕºà·ÕºÃÐËNjҧ allergenicity ¢Í§ÅÐÍͧà¡ÊÃË­ŒÒ (Lolium perenne) ã¹à¢µàÁ×ͧ¡Ñºã¹à¢µª¹º·(5) ¾ºÇ‹Ò¤‹Ò geometric mean ¢Í§»¯Ô¡ÃÂÒ wheal µ‹ÍÊÒÃʡѴ¨Ò¡ÅÐÍͧà¡ÊÃË­ŒÒã¹à¢µàÁ×ͧÊÙ§¡Ç‹Ò¤‹Ò¢Í§»¯Ô¡ÃÂÒµ‹ÍÊÒÃʡѴ¨Ò¡ ÔÔ ÔÔ ÅÐÍͧà¡ÊÃË­ŒÒã¹à¢µª¹º· ÊÍ´¤ÅŒÍ§¡Ñº»ÃÔÁÒ³â»ÃµÕ¹â´ÂÃÇÁ biological unit (BU) áÅлÃÔÁÒ³ ÊÒá‹ÍÀÙÁᾌ Lol p 5 µ‹Í¡ÃÑÁ¢Í§ÅÐÍͧà¡ÊÃË­ŒÒã¹à¢µàÁ×ͧ·Õʧ¡Ç‹Ò¢Í§à¢µª¹º· Ô èÙ ¤ÇÒÁÊÒÁÒö¢Í§ÅÐÍͧà¡ÊÃ㹡Òá‹ÍÀÙÁᾌ·à¾ÔÁ¢Ö¹ ÍÒ¨à¹×ͧÁÒ¨Ò¡»ÃÔÁÒ³â»ÃµÕ¹ÃÇÁ Ô Õè è é è ËÃ×Í»ÃÔÁÒ³ÊÒá‹ÍÀÙÁᾌ·Ê§¢Ö¹ ËÃ×ÍÁÕͧ¤»ÃСͺ¢Í§ÊÒá‹ÍÀÙÁᾌºÒ§ª¹Ô´à¾ÔÁ¢Ö¹àª‹¹ã¹¡Ã³Õ¢Í§ Ô Õè Ù é Ô è é Cup a 3 ¨Ò¡ÍÔ·¸Ô¾Å¢Í§ÁÅÀÒÇзÕÁ¼Åµ‹Í¡ÒÃà¨ÃÔ­àµÔºâµ¢Í§¾×ª ã¹¢³Ðà´ÕÂǡѹÁÅÀÒÇкҧª¹Ô´ è Õ (4) Âѧ·íÒãËŒà¡Ô´»¯Ô¡ÃÂÒ·Ò§à¤ÁÕ¡ºâ»ÃµÕ¹ã¹ÊÒá‹ÍÀÙÁᾌ ·íÒãËŒÁ¤ÇÒÁÊÒÁÒö㹡ÒáÃеعÃкºÀÙÁÔ ÔÔ Ñ Ô Õ Œ ¤ØÁ¡Ñ¹ä´ŒÁÒ¡¢Ö¹´ŒÇ µÑÇÍ‹ҧ¢Í§»¯Ô¡ÃÂÒà¤ÁÕ´§¡Å‹ÒÇ¹Õ¤Í ¡ÒÃà¡Ô´ nitration ¢Í§¡Ã´ÍÐÁÔâ¹·ÕÁÕ Œ é ÔÔ Ñ é × è benzene ring ઋ¹ tyrosine ·íÒ»¯Ô¡ÃÂҡѺÁÅÀÒÇÐã¹ÍÒ¡Òȫ֧ÁÕÃдѺä¹âµÃਹä´Í͡䫴 (NO2) ÔÔ è áÅÐâÍ⫹ (O3) ã¹»ÃÔÁÒ³ÊÙ§à¡Ô´à»š¹ nitrotyrosine ¨Ò¡¡ÒÃÈÖ¡ÉÒÁÅÀÒÇÐã¹ÍÒ¡ÒȺÃÔàdz‹ҹ (6) ¡ÒèÃҨ÷դº¤Ñ§¢Í§àÁ×ͧÁÔǹԡ »ÃÐà·ÈàÂÍÃÁ¹Õ ¾ºÇ‹ÒÃдѺ¡ÒÃà¡Ô´ nitration ¢Í§â»ÃµÕ¹àÁ×ÍÊÑÁ¼ÑÊ è Ñ è è ¡ÑºÍÒ¡ÒȨҡºÃÔàdz´Ñ§¡Å‹ÒÇ¢Ö¹¡ÑºÊѴʋǹ¤ÇÒÁࢌÁ¢Œ¹¢Í§ NO2 áÅÐ O3 ¤ÇÒÁª×¹ÊÑÁ¾Ñ·¸ ÃÐÂÐàÇÅÒ é é ·ÕÊÁ¼ÑÊ (exposure time) ÍØ³ËÀÙÁÔ áÅлÃÔÁÒ³áʧᴴ â´Â¾º¡ÒÃà¡Ô´ nitration ÊÙ§ÊØ´àÁ×Íâ»ÃµÕ¹ èÑ (7) è ·íÒ»¯Ô¡ÃÂҡѺµÑÇÍ‹ҧÍÒ¡ÒÈã¹Ä´ÙÃ͹ª‹Ç§·Õ»ÃÒȨҡ½¹»ÅÒÂà´×͹¾ÄÉÀÒ¤Á¶Ö§µŒ¹à´×͹ÁÔ¶¹Ò¹ ÔÔ Œ è Ø ¤.È. 2000 «Ö§ÁÕÁÅÀÒÇÐã¹ÃдѺÊÙ§·ÕÊ´ ¡ÒÃÈÖ¡ÉÒµ‹ÍÁÒà¡ÕÂǡѺ nitration ¢Í§ÊÒá‹ÍÀÙÁᾌ Bet v è èØ è Ô 1a ¨Ò¡ÅÐÍͧà¡ÊâͧµŒ¹ birch (Betula spp.) ¾ºÇ‹Ò¼Ù»ÇÂâäÀÙÁᾌµÍÅÐÍͧà¡ÊâͧµŒ¹ birch (8) Œ † Ô ‹ ÁÕÃдѺá͹µÔºÍ´Õª¹Ô´ IgE µ‹Í nitrated-Bet v 1a ÊÙ§¡Ç‹Ò Bet v 1a ¸ÃÃÁ´Ò ¹Í¡¨Ò¡¹Ñ¹ nitrated-Bet é v 1a ÂѧÁÕ epitope ·Õᵡµ‹Ò§¨Ò¡ Bet v 1a ¸ÃÃÁ´Ò «Ö§ÊÒÁÒö·íÒ»¯Ô¡ÃÂҡѺ«ÕÃÁ¢Í§¼Ù»ÇÂä´Œ è è ÔÔ Ñè Œ †
  • 434.
    àǪÈÒʵÏ·¹Âؤ 2553 Ñ 407 àÁ×͹íÒ nitrated-Bet v 1a ÁÒ·´Êͺ¡Ñºà«Åŏ basophilic leukemia Âѧ¾ºÇ‹Ò ÊÒÁÒö¡ÃеعãËŒÁ¡ÒÃ è Œ Õ ËÅѧÊÒèҡà«Åŏ¹ä´ŒÊ§¡Ç‹Ò Bet v 1a ¸ÃÃÁ´ÒÍÕ¡´ŒÇ è Õé Ù µÒÁ¸ÃÃÁªÒµÔàÁ×ÍÅÐÍͧà¡ÊÃË­ŒÒ (Phleum pratense) ¶Ù¡¹éÒ½¹¨Ð»Å‹Í pollen cytoplasmic è í granule (PCG) «Ö§ÁÕ¢¹Ò´àÅç¡à¾Õ§ 3 äÁâ¤ÃàÁµÃáÅÐÁÕÊÒá‹ÍÀÙÁᾌµ´ÍÂÙ´ÇÂÍÍ¡ä»ã¹ÍÒ¡ÒÈ(9) è Ô Ô ‹ Œ PCG ¨Ð¶Ù¡¾Ñ´¾Ò仵ÒÁ¡ÃÐáÊÅÁáÅÐà¤Å×͹仵ÒÁá¹Ç˹ŒÒ¢Í§¾ÒÂØ½¹¿‡Ò¤Ð¹Í§ áÅÐÊÒÁÒö è ¶Ù¡ÊÙ´ËÒÂã¨à¢ŒÒä»¶Ö§·Ò§à´Ô¹ËÒÂã¨Ê‹Ç¹Å‹Ò§ä´Œ ÁÅÀÒÇÐã¹ÍÒ¡ÒÈÍ‹ҧઋ¹ NO2 áÅÐ O3 Áռе‹Í¡ÒûŴ»Å‹Í PCG â´Â¡Ò÷íÒÅÒ¼¹Ñ§ÅÐÍͧà¡ÊÃãˌແ´ÍÍ¡áÅлŴ»Å‹Í PCG ÍÍ¡ÁÒ ¤ÇÒÁࢌÁ¢Œ¹¢Í§ NO2 áÅÐ O3 ·Õʧ¢Ö¹¨ÐÂÔ§·íÒãËŒÁ»ÃÔÁÒ³ PCG ÁÒ¡¢Ö¹´ŒÇÂ(10) èÙ é è Õ é ¼Å¢Í§µÐ¡Í¹à¼ÒäËÁŒ¨Ò¡àª×éÍà¾ÅÔ§´Õà«Åµ‹ÍÊÒá‹ÍÀÙÁÔᾌã¹ÍÒ¡ÒÈ ¡ÒÃà¼ÒäËÁŒ¢Í§àª×Íà¾ÅÔ§´Õà«Å·ÕÊÁºÙó ¨Ð·íÒãËŒÁà¾Õ§¹éÒáÅСÒ«¤ÒϺ͹ä´Í͡䫴 é è Õ í (CO2) à¡Ô´¢Ö¹ ᵋà¤Ã×ͧ¹µÊǹãË­‹Á¡ÒÃà¼ÒäËÁŒ·äÁ‹ÊÁºÙó ¨Ö§à¡Ô´ÁÕ¡Ò«ª¹Ô´µ‹Ò§æ ÅÐÍͧ¢Í§ é è ‹ Õ Õè  àËÅÇ áÅеС͹ (particulate matter) à¡Ô´¢Ö¹ à¤Ã×ͧ¹µ´à«Å·íÒãËŒà¡Ô´µÐ¡Í¹ÁÒ¡¡Ç‹Òà¤Ã×ͧ¹µ é è Õ è ູ«Ô¹¸ÃÃÁ´Ò¡Ç‹Ò 10 à·‹Ò áÅÐÁÒ¡¡Ç‹Òà¤Ã×ͧ¹µàº¹«Ô¹·ÕÁÕ catalytic converter ¡Ç‹Ò 100 à·‹Ò è è diesel exhaust particle (DEP) ʋǹãË­‹ÁÒ¡¡Ç‹ÒÃŒÍÂÅÐ 83 ÁÕ¢¹Ò´µÑ§áµ‹ 0.1 äÁâ¤ÃàÁµÃËÃ×ÍàÅç¡ é ¡Ç‹Ò¹Ñé¹ (11, 12) «Ö觨ѴÍÂÙ‹ã¹¡ÅØ‹ÁµÐ¡Í¹·ÕèÁÕ¢¹Ò´ÅÐàÍÕ´ (fine particulate matter; PM 2.5 ¢¹Ò´ 0.1-2.5 äÁâ¤ÃàÁµÃ) ¨¹¶Ö§·ÕÁ¢¹Ò´ÅÐàÍÕ´¾ÔàÈÉ (ultrafine PM < 0.1; ¢¹Ò´àÅç¡¡Ç‹Ò 0.1 äÁâ¤ÃàÁµÃ) è Õ Í¹ØÀÒ¤·ÕÁ¢¹Ò´àÅç¡¡Ç‹Ò 5 äÁâ¤ÃàÁµÃÊÒÁÒöŧä»ÊÐÊÁÍÂÙã¹ alveoli ä´Œ »ÃÐÁҳÌÍÂÅÐ 83 è Õ ‹ ¢Í§Í¹ØÀÒ¤·ÕèÁÕ¢¹Ò´»ÃÐÁÒ³ 2.5 äÁâ¤ÃàÁµÃ¨ÐÊÐÊÁÍÂً㹻ʹ DEP ¢¹Ò´àÅç¡àËŋҹÕé¨Ö§à»š¹ ʋǹÊíҤѭ·Õà¡ÕÂÇ¢ŒÍ§¡Ñº¡ÒÃà¡Ô´âä(12) â¤Ã§ÊÌҧ¢Í§ DEP »ÃСͺ仴ŒÇÂ᡹¤ÒϺ͹ (carbon core) è è «Ö§¨Ð´Ù´«ÑºÊÒÃÍÍ᡹ԡâÁàÅ¡ØÅãË­‹ (high-molecular-weight organic compounds) ËÅÒ¡ËÅÒª¹Ô´ è ໚¹¨íҹǹÁÒ¡ ¨Ò¡¡Ò÷´Åͧ¾ºÇ‹Ò DEP ÊÒÁÒö´Ù´«ÑºÊÒá‹ÍÀÙÁᾌ¨Ò¡ÅÐÍͧà¡ÊâͧµŒ¹ birch Ô (Bet v 1) Ãѧᤨҡ¢¹áÁÇ (.el d 1) áÅÐÊØ¹¢ (Can f 1) áÅÐÊÒá‹ÍÀÙÁᾌ¨Ò¡äýع (Der p 1) Ñ Ô † â´Â੾ÒÐÊÒá‹ÍÀÙÁᾌ¨Ò¡áÁÇ .el d 1 ÊÒÁÒö¨Ñº¡Ñº DEP ä´ŒÁÒ¡¡Ç‹ÒÊÒá‹ÍÀÙÁᾌ͹æ(13) DEP Ô Ô ×è ¨Ö§¹‹Ò·Õ¨ÐÁÕÊǹ㹡ÒùíÒ¾ÒàÍÒÊÒá‹ÍÀÙÁᾌàËŋҹÕŧä»Âѧ·Ò§à´Ô¹ËÒÂã¨Ê‹Ç¹Å‹Ò§ µÐ¡Í¹·ÕÁ¢¹Ò´ è ‹ Ô é (13) è Õ àÅ硵ѧᵋ 2.5 äÁâ¤ÃàÁµÃÅ§ä» (PM " 2.5) ÁÕÊÒà polycyclic aromatic hydrocarbons (PAH) é ໚¹Í§¤»ÃСͺ·ÕÊҤѭ áÅÐÊÒÁÒöª‹ÇÂÊÒá‹ÍÀÙÁᾌʧà¤ÃÒÐˏ recombinant Bet v 1 ãËŒ¡Ãеع èí Ô Ñ Œ basophil ·íÒãËŒà¡Ô´¡ÒÃáÊ´§ÍÍ¡¢Í§ CD63 à¾ÔÁÊÙ§¡Ç‹Ò¡ÒÃ㪌ᵋÊÒá‹ÍÀÙÁᾌ recombinant Bet v1 è Ô à¾Õ§Í‹ҧà´ÕÂÇ (14) ¼Å¢Í§¡ÒÃà»ÅÕè¹á»Å§ÊÀÒ¾ÍÒ¡Òȵ‹ÍÅÐÍͧà¡Êà ÊÀÒ¾¡ÒôíÒçªÕÇÔµ¢Í§Á¹ØÉ㹻˜¨¨ØºÑ¹¾Öè§¾Ò¡ÒÃ㪌¾Åѧ§Ò¹¨Ò¡¡ÒÃà¼Ò¼ÅÒ­àª×éÍà¾ÅÔ§ ¿ÍÊ«ÔÅ (fossil fuels) ໚¹Í‹ҧÁÒ¡ ·íÒãËŒà¡Ô´¡ÒûŴ»Å‹ÍÂáÅÐÊÐÊÁ¡Ò«¤ÒϺ͹ä´Í͡䫴 (CO2)
  • 435.
    408 Climate Change and Allergic Disease 㹪ѹºÃÃÂÒ¡ÒÈà¾ÔÁÊÙ§¢Ö¹ áÅÐÂѧÁÕ¡Ò«ÁÕà·¹ (CH4) ä¹µÃÑÊÍ͡䫴 (N2O) áÅÐ hydrocarbons é è é  ÊÙ§¢Ö¹´ŒÇ «Ö§¡Ò«àËŋҹÕÁÊǹ·íÒãËŒà¡Ô´»ÃÒ¡¯¡ÒóàÃ×͹¡ÃШ¡ (long-lived greenhouse gases)(15) é è é Õ‹ â´Â੾ÒÐ CO2 «Ö§´Ù´«Ñº¤ÇÒÁÌ͹änj㹪ѹºÃÃÂÒ¡ÒȢͧâÅ¡ ·íÒãˌͳËÀÙÁ¢Í§¾×¹¼ÔÇâÅ¡ÊÙ§¢Ö¹ è é Ø Ô é é áÅÐà¡Ô´¡ÒÃà»ÅÕ¹á»Å§ÊÀÒ¾ÍÒ¡ÒȢͧâÅ¡·Õùáç¹íÒä»ÊÙÀ¸ÃÃÁªÒµÔ·ÃÒÂáçà¾ÔÁ¢Ö¹ ¤ÇÒÁࢌÁ è èØ ‹ Ñ Õè Œ è é ¢Œ¹¢Í§ CO2 㹺ÃÃÂÒ¡ÒÈ¡‹Í¹ÂØ¤ÍØµÊÒË¡ÃÃÁ (¤.È. 1750) ÍÂÙ·ÃдѺ 280 ± 10 ppm ÁÒ໚¹àÇÅÒ ‹ Õè ËÅÒ¾ѹ»‚ 㹪‹Ç§àÇÅÒ»‚ 1960-2007 ÃдѺ¤ÇÒÁࢌÁ¢Œ¹¢Í§ CO2 㹺ÃÃÂÒ¡ÒÈä´Œà¾ÔÁ¢Ö¹Í‹ҧ (3) è é ¹ŒÍÂÃŒÍÂÅÐ 22 ¨¹ÍÂÙ·ÃдѺ 385 ppm áÅÐÍѵÃÒ¡ÒâÂÒµÑǢͧ¡ÒûŴ»Å‹Í CO2 ä´Œà¾ÔÁ¢Ö¹¨Ò¡ ‹ Õè è é ÃŒÍÂÅÐ 1.3 µ‹Í»‚ã¹Âؤ 1990 ໚¹ÃŒÍÂÅÐ 3.3 µ‹Í»‚ 㹪‹Ç§ÁÕ¹Ò¤Á ¤.È. 2000-2006 ÍØ³ËÀÙÁ¢Í§¾×¹¼ÔÇ Ô é âš䴌à¾ÔÁ¢Ö¹Í‹ҧ¹ŒÍ 0.6 ͧÈÒà«Åà«ÕÂʵѧᵋ»ÅÒÂȵÇÃÃÉ·Õè 19 ÁÕ¡ÒäҴ¡Ò󏶧ÃдѺ¤ÇÒÁ è é é Ö à¢ŒÁ¢Œ¹¢Í§ CO2 ÀÒÂã¹»‚ ¤.È. 2100 ¨Ðà¾ÔÁ¢Ö¹à»š¹ 541 ¶Ö§ 970 ppm (µÒÁẺ¨íÒÅͧÍѵÃÒ¡ÒÃ㪌 è é ¾Åѧ§Ò¹) «Ö§¨Ð·íÒãˌͳËÀÙÁ¢Í§¾×¹¼ÔÇâÅ¡à¾ÔÁ¢Ö¹ÍÕ¡ 1.4-5.8 ͧÈÒà«Åà«ÕÂÊ(3) ÍØ³ËÀÙÁ·Ê§¢Ö¹¹Õé è Ø Ô é è é Ô Õè Ù é ÍҨʋ§¼Å¡Ãзºµ‹ÍÊØ¢ÀÒ¾¢Í§Á¹ØÉ ઋ¹ ¡ÒÃá¾Ã‹¡ÃШÒ¢ͧâä«Ö§à´ÔÁà¤Â¾ºà©¾ÒÐã¹à¢µÃŒÍ¹ è ¢Ö¹ä»Âѧ»ÃÐà·È㹫աâÅ¡·Ò§à˹×Í é ¾×ªà»š¹ÊÔ§Áժǵ·ÕÁ¤ÇÒÁÊÒÁÒö㹡Òõͺʹͧµ‹Í¡ÒÃà»ÅÕ¹á»Å§¹Õ䴌͋ҧÃÇ´àÃçÇ(16, 17) è ÕÔ è Õ è é áÅмŢͧ¡ÒÃà»ÅÕ¹á»Å§ÊÀÒ¾ÍÒ¡ÒÈ·Õ͹¢Ö¹ä´Œ·ÒãËŒà¡Ô´¡ÒÃà»ÅÕ¹á»Å§µ‹Íǧ¨ÃªÕǵ¢Í§¾×ª ઋ¹ è è Ø‹ é í è Ô àÇÅÒ·ÕàÃÔÁ¼ÅÔ´Í¡ (flowering time) ¢Í§¾×ªËÅÒª¹Ô´ã¹»ÃÐà·ÈÍѧ¡ÄÉà¡Ô´àÃçÇ¢Ö¹ 4.5 Çѹà·Õº¡Ñº è è é ã¹·ÈÇÃÃÉ·Õ¼Ò¹ÁÒ ¡ÒÃà¾ÔÁ¢Ö¹¢Í§ CO2 áÅÐÍØ³ËÀÙÁÊÒÁÒö¡Ãеع¡ÒÃà¨ÃÔ­àµÔºâµ¢Í§¾×¹Ê‹Ç¹ è ‹ (18) è é Ô Œ é ãË­‹ÃÇÁ¶Ö§¾×ª·Õ໚¹áËÅ‹§¢Í§ÅÐÍͧà¡Ê÷Õà¡ÕÂǡѺâäÀÙÁᾌ ¨¹¹íÒä»ÊÙ¡ÒÃà¾ÔÁ»ÃÔÁÒ³ÅÐÍͧà¡Êà è è è Ô ‹ è ã¹ÍÒ¡ÒÈ ¡ÒÃà¾ÔÁ¤ÇÒÁÊÒÁÒö㹡Ò÷íÒãˌᾌ (allergenicity) Ä´Ù¡ÒŢͧÅÐÍͧà¡Êà (pollen è season) ·ÕàÃçÇ¢Ö¹ áÅÐËÃ×ÍÂÒǹҹ¢Ö¹¡Ç‹Òà´ÔÁ áÅСÒáÃШÒª¹Ô´¢Í§¾×ªã¹à¢µµ‹Ò§æ ã¹áµ‹ÅÐ è é é »ÃÐà·Èà»ÅÕ¹á»Å§ä» è (3, 15) ¡ÒÃà»ÃÕºà·Õº¡ÒÃà¨ÃÔ­àµÔºâµ¢Í§ÇѪ¾×ª ragweed (Ambrosia artemisiifolia) ·Õà¨ÃÔ­àµÔºâµ è ã¹à¢µàÁ×ͧ¢Í§ÃѰ Maryland »ÃÐà·ÈÊËÃѰÍàÁÃԡҡѺ·Õà¨ÃÔ­àµÔºâµã¹à¢µª¹º· ¾ºÇ‹ÒÇѪ¾×ª è (19) ã¹àÁ×ͧÁÕ¡Òç͡¢Í§àÁÅç´ 3-4 Çѹ¡‹Í¹ÇѪ¾×ªã¹ª¹º· ÁÕÁÇŪÕÇÀÒ¾¢Í§ÅíÒµŒ¹Ê‹Ç¹à˹×Í´Ô¹àÁ×èÍ ÍÍ¡´Í¡ (above ground biomass) ÊÙ§¡Ç‹ÒÃŒÍÂÅÐ 189 à·Õº¡ÑºÇѪ¾×ªã¹ª¹º· ª‹Í´Í¡ (Catkin) ÁÕ¢¹Ò´ÂÒǡNjÒáÅмÅÔµ»ÃÔÁÒ³ÅÐÍͧà¡ÊÃÁÒ¡¡Ç‹ÒÇѪ¾×ªã¹ª¹º· ᵋ»ÃÔÁÒ³¢Í§ÊÒá‹ÍÀÙÁᾌ Ô (Amb a 1) ¨Ò¡ÇѪ¾×ªã¹ª¹º·µ‹Í¹éÒ˹ѡ໚¹äÁâ¤Ã¡ÃÑÁ¢Í§â»ÃµÕ¹ (16.4 ± 0.7 ˹‹Çµ‹ÍäÁâ¤Ã¡ÃÑÁ í ¢Í§â»ÃµÕ¹) ÊÙ§¡Ç‹Ò¢Í§ÇѪ¾×ªã¹àÁ×ͧ (¤‹Òà©ÅÕ 9-11.1 ˹‹Çµ‹ÍäÁâ¤Ã¡ÃÑÁ¢Í§â»ÃµÕ¹) ¤ÇÒÁᵡµ‹Ò§ è ã¹ÁÇŪÕÇÀÒ¾ áÅФÇÒÁÂÒǢͧª‹Í´Í¡¹Ñ¹ÊÑÁ¾Ñ¹¸¡ºÍسËÀÙÁáÅФÇÒÁࢌÁ¢Œ¹¢Í§ CO2 ã¹ÍÒ¡ÒÈ é Ñ Ô ã¹à¢µàÁ×ͧ ·ÕèÁÕÍØ³ËÀÙÁÔà©ÅÕèÂ㹪‹Ç§·ÕèÇѪ¾×ªà¨ÃÔ­àµÔºâµÊÙ§¡Ç‹Òࢵª¹º· 1.9 ͧÈÒà«Åà«ÕÂÊ áÅÐÁÕ¤‹Òà©ÅÕè¢ͧ CO2 µÅÍ´ 24 ªÑèÇâÁ§¢Í§áµ‹ÅÐÇѹÊÙ§¡Ç‹ÒÃŒÍÂÅÐ 30-31 à·Õº¡Ñºã¹ª¹º· ¤ÇÒÁᵡµ‹Ò§ÃÐËNjҧÊÀÒ¾ÍÒ¡ÒÈã¹àÁ×ͧ¡Ñºª¹º·¹Õä´ŒáÊ´§ãËŒàË繼šÃзº¢Í§ÍسËÀÙÁáÅÐÃдѺ é Ô CO2 µ‹Í¾×ª·Õè¼ÅÔµÊÒá‹ÍÀÙÁÔᾌ ¹Í¡¨Ò¡¹Õé¡ÒÃà»ÃÕºà·Õº¡ÒÃà¨ÃÔ­àµÔºâµ¢Í§ÇѪ¾×ª ragweed (A. artemisiifolia) ã¹ËŒÍ§·´Åͧ·ÕªÇ§àÇÅÒáÅÐÃдѺ CO2 ·Õᵡµ‹Ò§¡Ñ¹(20) ¾ºÇ‹ÒÃдѺ¢Í§ CO2 ÊÙ§ è ‹ è
  • 436.
    àǪÈÒʵÏ·¹Âؤ 2553 Ñ 409 µÒÁ·Õ¤Ò´¡Òóã¹Í¹Ò¤µ (700 ppm) ¨ÐÊ‹§¼ÅãˌǪ¾×ª·Õ¶¡»Å‹ÍÂãËŒ§Í¡ªŒÒ (late dormancy release) è Ñ è Ù áÁŒÇ‹Ò¨ÐÁÕª‹Ç§àÇÅÒ㹡ÒÃà¨ÃÔ­àµÔºâµÊÑé¹áµ‹ÁÕ¤ÇÒÁÊÙ§ áÅйéíÒ˹ѡÁÒ¡¡Ç‹ÒÇѪ¾×ª·Õèà¨ÃÔ­àµÔºâµ ¾ÃŒÍÁ¡Ñ¹ã¹ÃдѺ CO2 ã¹»˜¨¨Øº¹ (380 ppm) áÅÐÁÕ¡ÒüÅÔµÅÐÍͧà¡ÊÃà¾ÔÁ¢Ö¹ÃŒÍÂÅÐ 55 à·Õº¡Ñº Ñ è é ÇѪ¾×ª·ÕàµÔºâµ¾ÃŒÍÁ¡Ñ¹ã¹ÃдѺ CO2 ã¹»˜¨¨Øº¹ ¨Ö§·íÒãËŒ¤Ò´¡Òóä´ŒÇÒ¡ÒÃà»ÅÕ¹á»Å§ÊÀÒ¾ÍÒ¡ÒÈ è Ñ ‹ è ·ÕèÁÕÍØ³ËÀÙÁÔáÅÐÃдѺ¤ÇÒÁࢌÁ¢Œ¹¢Í§ CO2 à¾ÔèÁ¢Öé¹ã¹Í¹Ò¤µ ¨Ð·íÒãËŒÁÕÃдѺ¢Í§ÅÐÍͧà¡Êà ¢Í§ÇѪ¾×ª·Õ·ÒãËŒà¡Ô´ÀÙÁᾌʧ¢Ö¹ ÃдѺ¢Í§ÅÐÍͧà¡ÊÃã¹ÍÒ¡ÒÈ·Õʧ¢Ö¹ ¨Ð·íÒãËŒ¼»ÇÂâäÀÙÁᾌ è í Ô Ù é èÙ é ÙŒ † Ô ÁÕÍÒ¡ÒÃà¾ÔÁ¢Ö¹ áÅШíÒ໚¹µŒÍ§¾ºá¾·ÂÁÒ¡¢Ö¹ è é é (21) ¹Í¡¨Ò¡¡ÒÃà»ÅÕ¹á»Å§ÊÀÒ¾ÍÒ¡ÒÈ·Õ͹¢Ö¹áÅÐÁÕ CO2 ÊÙ§¢Ö¹¨ÐÁռŵ‹ÍÇѪ¾×ª ragweed è è Ø‹ é é «Ö§ÁÑ¡¼ÅÔµà¡ÊÃ㹪‹Ç§Ä´ÙãºäÁŒÃǧáÅŒÇ ÍØ³ËÀÙÁ·Ê§¢Ö¹µÍ¹»ÅÒÂÄ´Ù˹ÒÇÂѧÁռŵ‹Í¡ÒüÅÔ´Í¡áÅÐ è ‹ Ô Õè Ù é ¼ÅÔµà¡ÊâͧäÁŒÂ¹µŒ¹·Õà¡ÕÂÇ¢ŒÍ§¡ÑºâäÀÙÁᾌã¹Ä´ÙãºäÁŒ¼ÅÔ´Ç ·íÒãˌĴ١ÒÅ·ÕÁÅÐÍͧà¡Êà (pollen × è è Ô Œ è Õ season) àÃÔÁµŒ¹àÃçÇ¢Ö¹¡Ç‹Ò»¡µÔ ઋ¹ µŒ¹ birch ã¹»ÃÐà·Èà´¹ÁÒÏ¡ µŒ¹Ê¹ (Pinus spp.) ã¹»ÃÐà·È è é (22) ÍÔµÒÅÕ áÅеŒ¹Ê¹ (Cryptomeria japonica) ã¹»ÃÐà·È­Õ»¹(24) ÍØ³ËÀÙÁ·Ê§¢Ö¹Âѧʋ§¼Å¡Ãзº (23) è Ø† Ô Õè Ù é µ‹Íࢵ¡ÒáÃШÒ¢ͧ¾×ª´ŒÇ 㹻‚ 2006 »ÃÐà·ÈÊËÃѰÍàÁÃÔ¡ÒµŒÍ§ÁÕ¡ÒûÃѺἹ·ÕèáÊ´§à¢µ ·ÕͳËÀÙÁµÒÊØ´¶Ö§¨Ø´àÂ×Í¡á¢ç§ãËŒ¶ÍÂ˹¢Ö¹ä»·Ò§à˹×Í à¹×ͧ¨Ò¡ÍسËÀÙÁ·Ê§¢Ö¹¡Ç‹Ò»‚ 1990(15) èØ Ô èí é è Ô Õè Ù é ª¹Ô´¢Í§¾×ª·Õ¡ÍâäÀÙÁᾌã¹à¢µ·Ò§ãµŒ¨§ÍÒ¨ÁÕ¡ÒÃá¾Ã‹¡ÃШÒ¢ֹ价ҧࢵà˹×Íà¾ÔÁ¢Ö¹ è ‹ Ô Ö é è é ¼Å¢Í§¡ÒÃà»ÅÕè¹á»Å§ÊÀÒ¾ÍÒ¡Òȵ‹Í·Ò§à´Ô¹ËÒÂã¨Ê‹Ç¹º¹ à¹×ͧ¨Ò¡¡ÒþѲ¹ÒÍØµÊÒË¡ÃÃÁ¢Í§»ÃÐà·È ÃÇÁ·Ñ§¡ÒÃ㪌ÂÒ¹¾Ò˹зÕà¾ÔÁÁÒ¡¢Ö¹ ·íÒãËŒ è é è è é à¡Ô´ÁžÔÉ·Ò§ÍÒ¡ÒÈà¾ÔèÁÁÒ¡¢Öé¹ «Öè§ÁžÔÉ·Ò§ÍÒ¡ÒÈàËŋҹÕéÊÒÁÒö·íÒãËŒà¡Ô´¼Å੾ÒзÕè ¤×Í ¡ÒÃÃФÒÂà¤×ͧ¢Í§àÂ×ͺبÁÙ¡ ·íÒãËŒà¡Ô´¡ÒÃÍÑ¡àʺ¢Í§àÂ×ͺبÁÙ¡ ÁÕ¡ÒÃÊÌҧ proinflammatory è è cytokines, chemokines, adhesion molecules áÅÐÁÕ¡ÒÃà¾ÔèÁ¢Ö鹢ͧ inflammatory cells ã¹àÂ×ͺبÁÙ¡(25) à¡Ô´ÍÒ¡Òäѹ ¨ÒÁ áʺ ¤Ñ´¨ÁÙ¡ ¹éÒÁÙ¡äËÅä´Œ ¹Í¡¨Ò¡¹Ñ¹ÁžÔÉ·Ò§ÍÒ¡ÒÈ è í é ÍÒ¨·íÒãËŒà¡Ô´ nasal mucosal damage áÅÐ impaired mucociliary clearance ·íÒãËŒÊÒÃÃФÒÂà¤×ͧ ã¹ÍÒ¡ÒÈࢌÒ仡ÃеعàÂ×ͺبÁÙ¡ä´ŒÁÒ¡¢Ö¹ «Ö§¶ŒÒàÂ×ͺبÁÙ¡ºÇÁÍÂÙ໚¹ÃÐÂÐàÇÅÒ¹Ò¹ ÍÒ¨ÍØ´¡Ñ¹ Œ è é è è ‹ é ÃÙແ´¢Í§ä«¹ÑÊ ·íÒãËŒà¡Ô´ä«¹ÑÊÍÑ¡àʺµÒÁÁÒä´Œ ¹Í¡¨Ò¡¹Õé ÊÒÃà¤ÁÕàËŋҹѹºÒ§Ê‹Ç¹¶Ù¡´Ù´«ÖÁ (26) é ¼‹Ò¹àÂ×èͺبÁ١ࢌÒä»ã¹Ã‹Ò§¡Ò´ŒÇ «Öè§Ã‹Ò§¡Ò¨ÐÁÕ¡Åä¡ã¹¡ÒáíҨѴ¤×Í oxidation reduction conjugation áÅÐ degradation ÊÒÃà¤ÁÕàËŋҹըÐä»Å´¡Ò÷íÒ§Ò¹¢Í§ T-suppressor cells ·íÒãËŒ é ¡Ò÷íÒ§Ò¹¢Í§ T-helper cells ÁÒ¡¢Ö¹ (T-helper type-2-like phenotype) «Ö§¨Ð仡Ãеع B cell ãËŒÁÕ é è Œ ¡ÒÃÊÌҧ immunoglobulin ÁÒ¡¢Ö¹ ·íÒãËŒ»¯Ô¡ÃÂÒ¡ÒÃÍÑ¡àʺ¨Ò¡ÀÙÁᾌà¾ÔÁ¢Ö¹ ÂÔ§·íÒãËŒàÂ×ͺبÁÙ¡ é ÔÔ Ô è é è è äǵ‹Í¡Òö١¡Ãеعâ´ÂÊÔ§µ‹Ò§æÁÒ¡¢Ö¹ ·íÒãËŒÊÒá‹ÍÀÙÁᾌ áÁŒà¾Õ§àÅ硹ŒÍ ¡ç¡Ãеع·íÒãËŒà¡Ô´ÍÒ¡Òà Œ è é Ô Œ ä´Œ ´Ñ§¹Ñ¹¡ÒÃà»ÅÕ¹á»Å§¢Í§ÍÒ¡ÒÈáÅÐÁžÔÉ·Ò§ÍÒ¡ÒÈ ÊÒÁÒöÃèÇÁ¡Ñ¹à¾ÔÁÍØºµ¡Òóì¢Í§- (26) é è è Ñ Ô âä¨ÁÙ¡ÍÑ¡àʺÀÙÁᾌ áÅзíÒãËŒ¼»ÇÂâä¨ÁÙ¡ÍÑ¡àʺÀÙÁᾌÁÍÒ¡ÒÃÁÒ¡¢Ö¹ä´Œ (ÃÙ»·Õè 1) Ô (27) ÙŒ † Ô Õ é
  • 437.
    410 Climate Change and Allergic Disease ÃÙ»·Õè 1 á¼¹ÀÙÁÔáÊ´§¤ÇÒÁÊÑÁ¾Ñ¹¸ÃÐËNjҧ¡ÒÃà»ÅÕè¹á»Å§¢Í§ÍÒ¡ÒÈ áÅСÒÃà¾ÔèÁ¢Ö鹢ͧ ÍØºÑµÔ¡Òó áÅФÇÒÁÃØ¹áç¢Í§âä¨ÁÙ¡ÍÑ¡àʺÀÙÁÔᾌ â´Â¡ÒÃà»ÅÕè¹á»Å§¨íҹǹ ¢Í§¾×ª áÅÐÅÐÍͧà¡ÊÃ
  • 438.
    àǪÈÒʵÏ·¹Âؤ 2553 Ñ 411 »˜¨¨ØºÑ¹¼ÙŒ»†ÇÂÁÕá¹Ç⹌Á·Õè¨ÐÁÕ¡ÒÃÍÑ¡àʺàÃ×éͧÃѧ¢Í§àÂ×èͺبÁÙ¡à¾ÔèÁÁÒ¡¢Öé¹ ÍÒ¨à¡Ô´¨Ò¡ ÊÔ§áÇ´ÅŒÍÁ ÁžÔÉ·Ò§ÍÒ¡ÒÈ (â´Â੾ÒмٷÍÒÈÑÂÍÂÙã¹àÁ×ͧËÅǧ ËÃ×Í à¢µÍØµÊÒË¡ÃÃÁ) ÁÕ¡ÒÃ è Œ Õè ‹ 㪌à¤Ã×èͧ»ÃѺÍÒ¡ÒÈÁÒ¡¢Öé¹ (àÂ×èͺبÁÙ¡ÊÑÁ¼ÑʡѺÍÒ¡ÒÈàÂç¹ÍÂÙ‹µÅÍ´àÇÅÒ)(28) àÁ×èÍàÂ×èͺبÁÙ¡ÊÑÁ¼ÑÊ ¡ÑºÍÒ¡ÒÈ·ÕèàÂç¹ ¨ÐÁÕ¡ÒÃÊÙ­àÊÕ¹éíÒáÅФÇÒÁÌ͹¨Ò¡àÂ×èͺبÁÙ¡ ¡ÒÃÊÙ­àÊÕ¹éíÒ·íÒãËŒà¡Ô´ÀÒÇÐ hyperosmolarity ¢Í§ nasal epithelial lining fluid «Ö§¨Ð¡ÃеعãËŒà¡Ô´ mast cell activation áÅÐà¡Ô´ è Œ ¡ÒáÃеعàÊŒ¹»ÃÐÊÒ·ÃѺÊÑÁ¼ÑÊã¹àÂ×ͺبÁÙ¡ ¡ÒÃÊÙ­àÊÕ¤ÇÒÁÌ͹¨Ð·íÒãˌͳËÀÙÁ¢Í§àÂ×ͺبÁÙ¡ Œ è Ø Ô è Ŵŧ «Ö§¨Ðª‹Ç¡ÃеعàÊŒ¹»ÃÐÊÒ·ÃѺÊÑÁ¼ÑÊ㹨Á١ઋ¹¡Ñ¹ ¡ÒÃÊÙ­àÊÕ¹éÒ·íÒãËŒàÂ×ͺبÁÙ¡äÁ‹ÊÒÁÒö è Œ í è »ÃѺµÑÇä´Œ·Ñ¹ ÍÒ¨·íÒãËŒà¡Ô´ nasal epithelial damage ʋǹ¼Å¢Í§ mast cell activation áÅÐ ¡ÒÃËÅѧ mediators ÍÍ¡ÁҨзíÒãËŒ¼»ÇÂÁÕÍÒ¡Òäѹ¨ÁÙ¡ ¨ÒÁ ¤Ñ´¨ÁÙ¡áÅйéÒÁÙ¡äËÅä´Œ(29) è ÙŒ † í ¼Å¢Í§¡ÒÃà»ÅÕè¹á»Å§ÊÀÒ¾ÍÒ¡Òȵ‹Í·Ò§à´Ô¹ËÒÂã¨Ê‹Ç¹Å‹Ò§ ã¹¾×¹·Õ·Á¡ÒèÃҨäѺ¤Ñ§àª‹¹ã¹àÁ×ͧËÅǧãË­‹·§ËÅÒ¹ѹ¾ºÇ‹Ò¨ÐÁÕ¡Ò«·Õ¡ÍãËŒà¡Ô´ÁÅ é è Õè Õ è Ñé é  è ‹ ÀÒÇе‹Ò§æ ÁÒ¡ÁÒ«֧ÁÕÃÒ§ҹNjÒÁռŷíÒãËŒ¡ÒÃà¨ÃÔ­àµÔºâµ¢Í§»Í´ã¹à´ç¡ªŒÒŧ ¹Í¡¨Ò¡¹Õ¡Òà è (30) é ÊÑÁ¼ÑʡѺÍÒ¡ÒÈ·Õ»¹à»„͹´ŒÇÂÁÅÀÒÇШҡ¡ÒèÃҨâͧÂҹ¹µ´à«Å«Ö§ÁÕ»ÃÔÁÒ³¤ÒϺ͹áÅÐ è œ Õ è ͹ØÀÒ¤àÅç¡ (ultrafine particle) ¨íҹǹÁÒ¡¹Ñ¹¨Ð·íÒãËŒÊÁÃöÀÒ¾»Í´¢Í§¼Ù»ÇÂâäË×´àÅÇŧ(31) é Œ † ¡ÒÃÈÖ¡ÉÒÇÔ¨Âã¹ÂØâûáÅлÃÐà·ÈÊËÃѰÍàÁÃÔ¡Ò¾ºÇ‹Òà´ç¡·ÕࢌÒÃѺ¡ÒÃÃÑ¡ÉÒã¹âç¾ÂÒºÒÅ´ŒÇÂâäË×´ Ñ è ÁÕºŒÒ¹ÍÂÙ‹ã¡ÅŒ¡ÑººÃÔàdz·ÕèÁÕ¡ÒèÃÒ¨Ã˹Òṋ¹àÁ×èÍà·Õº¡Ñºà´ç¡·ÕèࢌÒÃѺ¡ÒÃÃÑ¡ÉÒã¹âç¾ÂÒºÒÅ ´ŒÇÂâäÍ×¹(32-34) è ¡Ò«âÍ⫹«Ö§ÁÕ¤³ÊÁºÑµã¹¡ÒÃ໚¹µÑÇ oxidant ·Õ´¹¹ ÁÕÊǹÊÑÁ¾Ñ¹¸¡º¡ÒÃà¡Ô´â䵋ҧæ è Ø Ô è Õ Ñé ‹ Ñ ¨Ò¡¡ÒÃÈÖ¡ÉÒÇÔ¨ÂẺ cohort ã¹à´ç¡ 3,535 ¤¹ «Ö§à´ÔÁäÁ‹Á»ÃÐÇѵ໚¹âäË×´ àÁ×͵ԴµÒÁä» 5 »‚ Ñ è Õ Ô è ¾ºÇ‹ÒÁÕà´ç¡ 265 ¤¹à¡Ô´à»š¹âäË×´¢Ö¹ â´Â¾ºÇ‹Òà´ç¡àËŋҹÕÍÂÙã¹¾×¹·Õ·ÁÃдѺâÍ⫹·Õʧ(35) ¡ÒÃÈÖ¡ÉÒ é é ‹ é è Õè Õ èÙ ÇÔ ¨Ñ  㹼ٌ ã Ë­‹ ¡ç ¾ ºÇ‹ Ò ¡ÒÃÊÑ Á ¼Ñ Ê ¡Ñ º ¡ Ò «âÍ⫹ã¹ÃÐ´Ñ º ÊÙ § ÁÕ Ê‹ Ç ¹à¡Õè  ǢŒ Í §¡Ñ º ¡ÒÃà¡Ô ´ âäË× ´ ઋ¹à´ÕÂǡѹ(36) ÊíÒËÃѺ¼Ù»Ç·Õ໚¹âäË×´àÃ×ÍÃѧÍÂÙ‹ ËÒ¡ÊÑÁ¼ÑʡѺ¡Ò«âÍ⫹¡ç¨Ð·íÒãËŒÍÒ¡Òâͧâä Œ † è é àÅÇŧ´ŒÇ ¼Ù»Ç·ÕÊÁ¼ÑʡѺ¡Ò«âÍ⫹ÃдѺ 0.16-0.25 ppm ¨ÐÁÕ¤ÇÒÁäǵÑǢͧËÅÍ´ÅÁµ‹ÍÊÒà Œ † èÑ ¡‹ÍÀÙÁᾌà¾ÔÁ¢Ö¹(37) ¹Í¡¨Ò¡¹Õ¡Ò«âÍ⫹ÂѧÁÕ¼Åâ´ÂµÃ§µ‹ÍÍѵÃÒ¡ÒõÒÂâ´ÂÃÇÁÍÕ¡´ŒÇÂ Ô è é é  Particulate matter ¤×Í͹ØÀÒ¤¢¹Ò´àÅç¡ »ÃСͺ´ŒÇÂʋǹ·Õ໚¹¢Í§á¢ç§áÅТͧàËÅÇá¢Ç¹ è ÅÍÂÍÂÙã¹ÍÒ¡ÒÈ à¡Ô´¢Ö¹¨Ò¡¡ÒÃà¼ÒäËÁŒ¢Í§àª×Íà¾ÅÔ§ã¹ÂÒ¹¾Ò˹ÐáÅÐâç§Ò¹ÍصÊÒË¡ÃÃÁ ͹ØÀÒ¤ ‹ é é ¢¹Ò´àÅç¡·ÕÁ«Å࿵໚¹Ê‹Ç¹»ÃСͺ·íÒãËŒà¡Ô´½¹¡Ã´ä´Œ ͹ØÀÒ¤·ÕÁ¢¹Ò´àÅç¡¡Ç‹Ò 2.5 äÁâ¤ÃàÁµÃ è Õ Ñ è Õ ¨ÐÊÒÁÒö¼‹Ò¹à¢ŒÒä»ã¹ËÅÍ´ÅÁ¢¹Ò´àÅç¡Ê‹Ç¹»ÅÒÂä´Œ ·íÒãËŒà¡Ô´âäã¹Ãкº·Ò§à´Ô¹ËÒÂã¨áÅзíÒ ãËŒÊÁÃöÀÒ¾»Í´Å´Å§(38) ¹Í¡¨Ò¡¹Õ§໚¹ÊÒà˵ØãËŒà¡Ô´âäÁÐàÃ移ʹ´ŒÇÂ(39) é Ñ ¡Ò«ä¹âµÃਹÍ͡䫴 (NOx) à¡Ô´¨Ò¡ä¹âµÃਹ·íÒ»¯Ô¡ÔÃÔÂҡѺÍÍ¡«Ôਹ·ÕèÍØ³ËÀÙÁÔÊÙ§ ʋǹãË­‹à¡Ô´¨Ò¡¡ÒÃà¼ÒäËÁŒ¢Í§àª×Íà¾ÅÔ§áÅÐÂҹ¹µ áÁŒÇÒ¡Ò« NOx ¨ÐÊÅÒÂä»ä´ŒàͧÀÒÂã¹àÇÅÒ é ‹ ໚¹ªÑÇâÁ§¶Ö§à»š¹Çѹ ᵋ¡ÒÃÊÑÁ¼ÑÊ¡Ò«ª¹Ô´¹Õà¾Õ§ÃÐÂÐàÇÅÒÊѹ ¡çÊÒÁÒö·íÒãËŒÊÁÃöÀÒ¾»Í´Å´Å§ è é é à¡Ô´¡ÒÃÍÑ¡àʺ¢Í§ËÅÍ´ÅÁ áÅÐÁÕ¤ÇÒÁäǵÑǢͧËÅÍ´ÅÁµ‹ÍÊÒá‹ÍÀÙÁᾌÁÒ¡¢Ö¹(40) Ô é
  • 439.
    412 Climate Change and Allergic Disease ¡Ò««ÑÅà¿ÍÏÍ͡䫴 (SO2) 㹺ÃÃÂÒ¡ÒÈʋǹãË­‹à¡Ô´¨Ò¡¡ÒÃà¼Ò¶‹Ò¹ËԹ໚¹àª×éÍà¾ÅÔ§ ¡ÒÃËÒÂã¨àÍÒ¡Ò« SO2 ࢌÒ仨зíÒãËŒà¡Ô´¡ÒÃË´µÑǢͧËÅÍ´ÅÁÍ‹ҧÃÇ´àÃçÇ »ÃÔÁÒ³¡Ò« SO2 0.5 ppm ¨Ð·íÒãËŒà¡Ô´¡ÒõպµÑǢͧËÅÍ´ÅÁã¹¼Ù»ÇÂâäË×´ä´Œ(41) ¢ŒÍÁÙŨҡ¡ÒûÃÐÁÒ³¡Ò󏺧ªÕÇÒ Œ † ‹ é‹ ËÒ¡ÁÕ͵ÃÒ¡ÒÃ㪌¶Ò¹ËԹ໚¹àª×Íà¾Åԧઋ¹ã¹»˜¨¨Øº¹ »ÃÔÁÒ³¢Í§¡Ò« SO2 ¨Ðà¾ÔÁ¢Ö¹ÍÕ¡ÃŒÍÂÅÐ 74 Ñ ‹ é Ñ è é ¢Í§ÃдѺ·ÕǴ䴌㹻˜¨¨Øº¹ã¹»‚ ¤.È. 2030 èÑ Ñ (42) ÁҵáÒê‹ÇÂÅ´âšÌ͹ ! 㪌ËÅÍ´ä¿¿ÅÙÍÍàÃÊૹµËÃ×ÍËÅÍ´µÐà¡Õº᷹ËÅÍ´ä¿áºº¸ÃÃÁ´Ò¨Ðª‹ÇÂÅ´¡Ò« CO2 ä´Œ 150 »Í¹´/»‚ ! 㪌ö¹µãËŒ¹ÍÂŧ ¨Ðª‹ÇÂÅ´¡Ò« CO2 ä´Œ 1 »Í¹´/¡ÒâѺö 1 äÁŏ Œ ! ª‹Ç¡ѹ»ÃÐËÂÑ´¹éÒÁѹ·Õ㪌ÊÒËÃѺÂÒ¹¾Ò˹Р¨Ðª‹ÇÂÅ´¡Ò« CO2 20 »Í¹´/¡ÒÃ㪌¹Ò í è í éí Áѹ 1 á¡ÅÅ͹ ! ¾ÂÒÂÒÁ¤Ñ´á¡¢ÂÐ áÅÐࢌҡÃкǹ¡ÒùíÒ¡ÅѺÁÒ㪌ãËÁ‹ (recycle) ! 㪌¹ÒÌ͹෋ҷըÒ໚¹ à¾×ÍÅ´¡ÒÃ㪌àª×Íà¾Åԧ㹡ÒÃËØ§µŒÁ éí èí è é ! ËÅÕ¡àÅÕ§¡ÒÃ㪌ʹ¤ŒÒ·ÕÁ¡ÒúÃèØËºË‹ÍÁÒ¡à¡Ô¹¤ÇÒÁ¨íÒ໚¹ à¾×ÍÅ´»ÃÔÁÒ³¢ÂÐ ¨ÐÊÒ è Ô è Õ Õ è ÁÒöŴ¡Ò« CO2 ä´Œ 1,200 »Í¹´/¡ÒÃÅ´»ÃÔÁÒ³¢ÂÐÃŒÍÂÅÐ 10 ! »ÃÑºÍØ³ËÀÙÁ¢Í§à¤Ã×ͧ»ÃѺÍÒ¡ÒÈãËŒàËÁÒÐÊÁ Ô è ! »´áÅжʹ»ÅÑ¡à¤Ã×ͧ㪌俿‡Ò·Ø¡¤ÃѧàÁ×ÍàÅԡ㪌 ê è é è ! ª‹Ç¡ѹ»ÅÙ¡µŒ¹äÁŒ ¾ºÇ‹ÒµÅÍ´ªÕǵ¢Í§µŒ¹äÁŒ 1 µŒ¹ ÊÒÁÒö´Ù´«Ñº¡Ò« CO2 ä´Œ»ÃÐÁÒ³ Ô 1 µÑ¹ º·ÊÃØ» ¡ÒÃà»ÅÕè¹á»Å§¢Í§ÍÒ¡ÒÈ áÅÐÁÅÀÒÇзÕèà¡Ô´¨Ò¡¡Ô¨¡ÃÃÁ¡ÒôíÒà¹Ô¹ªÕÇÔµ»ÃШíÒÇѹ ¢Í§Á¹ØÉ㹻˜¨¨ØºÑ¹ÁÕʋǹʋ§àÊÃÔÁãËŒà¡Ô´âäÀÙÁÔᾌÁÒ¡¢Öé¹ áÅзíÒãËŒÍÒ¡Òâͧ¼ÙŒ»†ÇÂÃØ¹áç¢Öé¹ ÁÅÀÒÇйÕ§Áռŵ‹Í¡ÒÃà¨ÃÔ­àµÔºâµ¢Í§¾×ª·Õ໚¹µŒ¹µÍ¢Í§ÊÒá‹ÍÀÙÁᾌã¹ÍÒ¡ÒÈ·íÒãËŒÁ¡ÒüÅÔµ é Ñ è Ô Õ ÊÒá‹ÍÀÙÁÔᾌà¾ÔèÁ¢Öé¹ áÅÐà¾ÔèÁ¤ÇÒÁÊÒÁÒö㹡Òá‹Íà¡Ô´ÀÙÁÔᾌ ¨Ö§ÁÕ¤ÇÒÁÊíҤѭáÅШíÒ໚¹·ÕèàÃÒ ¨ÐµŒÍ§¾ÂÒÂÒÁ»‡Í§¡Ñ¹ ËÃ×Í·íÒãËŒà¡Ô´¡ÒÃà»ÅÕ¹á»Å§¢Í§ÍÒ¡ÒÈã¹âÅ¡àÃÒ ¹ŒÍ·ÕÊ´à·‹Ò·Õ¨Ð໚¹ä»ä´Œ è èØ è ઋ¹ ¡ÒÃó礏ŴÀÒÇÐâšÌ͹áÅÐÁžÔÉã¹ÍÒ¡ÒÈ
  • 440.
    àǪÈÒʵÏ·¹Âؤ 2553 Ñ 413 àÍ¡ÊÒÃ͌ҧÍÔ§ 1. Ayres JG, .orsberg B, Annesi-Maesano I, et al. Climate change and respiratory disease: European Respiratory Society position statement. Eur Respir J 2009;34(2):295-302. 2. IPCC 2007: summary for policy makers. In: Solomon S, Qin D, Manning M, Chen Z, Marquis M, Averyt KB, et al, ed. Climate change 2007: the physical science basis Contribution of the Working Group I to the .ourth Assessment Report of the Intergovernmental Panel on Climate Change. Cambridge, United Kingdom, and New York: Cambridge University Press. 3. Beggs PJ. Impacts of climate change on aeroallergens: past and future. Clin Exp Allergy 2004;34(10):1507-13. 4. Cortegano I, Civantos E, Aceituno E, et al. Cloning and expression of a major allergen from Cupressus arizonica pollen, Cup a 3, a PR-5 protein expressed under polluted environment. Allergy 2004;59(5):485-90. 5. Armentia A, Lombardero M, Callejo A, et al. Is Lolium pollen from an urban environment more allergenic than rural pollen? Allergol Immunopathol (Madr) 2002;30(4):218-24. 6. .ranze T, Weller MG, Niessner R, Poschl U. Enzyme immunoassays for the investigation of protein nitration by air pollutants. Analyst 2003;128(7):824-31. 7. .ranze T, Weller MG, Niessner R, Poschl U. Protein nitration by polluted air. Environ Sci Technol 2005;39(6): 1673-8. 8. Gruijthuijsen YK, Grieshuber I, Stocklinger A, et al. Nitration enhances the allergenic potential of proteins. Int Arch Allergy Immunol 2006;141(3):265-75. 9. Behrendt H, Becker WM. Localization, release and bioavailability of pollen allergens: the influence of environmental factors. Curr Opin Immunol 2001;13(6):709-15. 10. Motta AC, Marliere M, Peltre G, Sterenberg PA, Lacroix G. Traffic-related air pollutants induce the release of allergen-containing cytoplasmic granules from grass pollen. Int Arch Allergy Immunol 2006;139(4):294-8. 11. Bartra J, Mullol J, del Cuvillo A, et al. Air pollution and allergens. J Investig Allergol Clin Immunol 2007;17 Suppl 2:3-8. 12. Sydbom A, Blomberg A, Parnia S, Stenfors N, Sandstrom T, Dahlen SE. Health effects of diesel exhaust emissions. Eur Respir J 2001;17(4):733-46. 13. Ormstad H, Johansen BV, Gaarder PI. Airborne house dust particles and diesel exhaust particles as allergen carriers. Clin Exp Allergy 1998;28(6):702-8. 14. Schober W, Belloni B, Lubitz S, et al. Organic extracts of urban aerosol (< or =PM2.5) enhance rBet v 1- induced upregulation of CD63 in basophils from birch pollen-allergic individuals. Toxicol Sci 2006;90(2):377-84. 15. Shea KM, Truckner RT, Weber RW, Peden DB. Climate change and allergic disease. J Allergy Clin Immunol 2008;122(3):443-53; quiz 54-5. 16. Ziska LH, Epstein PR, Schlesinger WH. Rising CO(2), climate change, and public health: exploring the links to plant biology. Environ Health Perspect 2009;117(2):155-8. 17. Peteet D. Sensitivity and rapidity of vegetational response to abrupt climate change. Proc Natl Acad Sci U S A 2000;97(4):1359-61. 18. .itter AH, .itter RS. Rapid changes in flowering time in British plants. Science 2002;296(5573):1689-91. 19. Ziska LH, Gebhard DE, .renz DA, .aulkner S, Singer BD, Straka JG. Cities as harbingers of climate change: common ragweed, urbanization, and public health. J Allergy Clin Immunol 2003;111(2):290-5. 20. Rogers CA, Wayne PM, Macklin EA, et al. Interaction of the onset of spring and elevated atmospheric CO2 on ragweed (Ambrosia artemisiifolia L.) pollen production. Environ Health Perspect 2006;114(6):865-9. 21. Breton MC, Garneau M, .ortier I, Guay ., Louis J. Relationship between climate, pollen concentrations of Ambrosia and medical consultations for allergic rhinitis in Montreal, 1994-2002. Sci Total Environ 2006;370(1): 39-50.
  • 441.
    414 Climate Change and Allergic Disease 22. Rasmussen A. The effects of climate change on the birch pollen season in Denmark. Aerobiologia 2002;18: 253-65. 23. .renguelli G, Tedeschini E, Veronesi ., Bricchi E. Airborne pine (Pinus spp.) pollen in the atmosphere of Perugia (Central Italy): Behavior of pollination in the two last decades. Aerobiologia 2002;18:223-8. 24. Teranishi H, Kenda Y, Katoh T, Kasuya M, Oura E, Taira H. Possible role of climate change in the pollen scatter of Japanese cedar Cryptomeria japonica in Japan. Climate Res 2000;14:65-70. 25. Saxon A, Diaz-Sanchez D. Air pollution and allergy: you are what you breathe. Nature immunology 2005;6(3): 223-6. 26. Trevino RJ. Air pollution and its effect on the upper respiratory tract and on allergic rhinosinusitis. Otolaryngol Head Neck Surg 1996;114(2):239-41. 27. Bjorksten ., Suoniemi I. Time and intensity of first pollen contacts and risk of subsequent pollen allergies. Acta Medica Scandinavica 1981;209(4):299-303. 28. Braat JP, Mulder PG, Duivenvoorden HJ, Gerth Van Wijk R, Rijntjes E, .okkens WJ. Pollutional and meteorological factors are closely related to complaints of non-allergic, non-infectious perennial rhinitis patients: a time series model. Clin Exp Allergy 2002;32(5):690-7. 29. Assanasen P, Naclerio RM. Cold, dry air and hyperosmolar challenge in rhinitis. In: Pawankar R, Holgate ST, Rosenwasser LJ, ed. Allergy frontiers: Clinical manifestations. Tokyo: Springer; 2009:157-71. 30. Gauderman WJ, Vora H, McConnell R, et al. Effect of exposure to traffic on lung development from 10 to 18 years of age: a cohort study. Lancet 2007;369(9561):571-7. 31. McCreanor J, Cullinan P, Nieuwenhuijsen MJ, et al. Respiratory effects of exposure to diesel traffic in persons with asthma. N Engl J Med 2007;357(23):2348-58. 32. Edwards J, Walters S, Griffiths RK. Hospital admissions for asthma in preschool children: relationship to major roads in Birmingham, United Kingdom. Arch Environ Health 1994;49(4):223-7. 33. Lin S, Munsie JP, Hwang SA, .itzgerald E, Cayo MR. Childhood asthma hospitalization and residential exposure to state route traffic. Environ Res 2002;88(2):73-81. 34. Nicolai T, Carr D, Weiland SK, et al. Urban traffic and pollutant exposure related to respiratory outcomes and atopy in a large sample of children. Eur Respir J 2003;21(6):956-63. 35. McConnell R, Berhane K, Gilliland ., et al. Asthma in exercising children exposed to ozone: a cohort study. Lancet 2002;359(9304):386-91. 36. McDonnell W., Abbey DE, Nishino N, Lebowitz MD. Long-term ambient ozone concentration and the incidence of asthma in nonsmoking adults: the AHSMOG Study. Environ Res 1999;80(2 Pt 1):110-21. 37. Holz O, Mucke M, Paasch K, et al. Repeated ozone exposures enhance bronchial allergen responses in subjects with rhinitis or asthma. Clin Exp Allergy 2002;32(5):681-9. 38. Brunekreef B, .orsberg B. Epidemiological evidence of effects of coarse airborne particles on health. Eur Respir J 2005;26(2):309-18. 39. Pope CA, 3rd, Burnett RT, Thun MJ, et al. Lung cancer, cardiopulmonary mortality, and long-term exposure to fine particulate air pollution. JAMA 2002;287(9):1132-41. 40. Barck C, Lundahl J, Hallden G, Bylin G. Brief exposures to NO2 augment the allergic inflammation in asthmatics. Environ Res 2005;97(1):58-66. 41. Peden DB. Mechanisms of pollution-induced airway disease: in vivo studies. Allergy 1997;52(38 Suppl):37-44; discussion 57-8. 42. Energy Information Administration. International Energy Outlook 2008. Available at http://www.eia.doe.gov/ oiaf/ieo/coal.html. Accessed March 30, 2008.
  • 442.
    àǪÈÒʵÏ·¹Âؤ 2553 Ñ º··Õè 415 61 ¡ÅàÁç´¡Ò÷íҧҹ໚¹·ÕÁ´ÙáżٻÇ¡ÐâËÅ¡ÈÕÃÉÐáÅÐãºË¹ŒÒ¼Ô´»¡µÔ Œ † Tip and Tricks of Multidisciplinary Approach in Craniofacial Care ÈÒʵÃÒ¨ÒÏ ¹ÒÂᾷÈÃÕ»ÃÐÊÔ·¸Ôì ºØ­ÇÔÊØ·¸Ôì ÀÒ¤ÇÔªÒÈÑÅÂÈÒʵÏ ¤³Ðá¾·ÂÈÒʵÏÈÔÃÔÃÒª¾ÂÒºÒÅ ÁËÒÇÔ·ÂÒÅÑÂÁËÔ´Å ¼ÙŒª‹ÇÂÈÒʵÃÒ¨ÒÏ ´Ã.ÈÃÕÇÔÁÅ Áâ¹àªÕèÂǾԹԨ ÀÒ¤ÇÔªÒàǪÈÒʵÏ¿¹¿Ù ¤³Ðá¾·ÂÈÒʵÏÈÃÃÒª¾ÂÒºÒÅ ÁËÒÇÔ·ÂÒÅÑÂÁËÔ´Å „œ ÔÔ ·Ñ¹µá¾·ÂË­Ô§ÇÃó´Õ ¾ÅÒ¹ØÀÒ¾ §Ò¹·Ñ¹µ¡ÃÃÁ ¤³Ðá¾·ÂÈÒʵÏÈÔÃÔÃÒª¾ÂÒºÒÅ ÁËÒÇÔ·ÂÒÅÑÂÁËÔ´Å Craniofacial anomalies ËÁÒ¶֧¤ÇÒÁ¼Ô´»¡µÔ·à¡Ô´¢Ö¹¡Ñº¡ÐâËÅ¡ÈÕÃÉÐáÅÐãºË¹ŒÒ ÍÒ¨à¡Ô´ Õè é ¢Ö¹â´Â໚¹Ê‹Ç¹Ë¹Ö§¢Í§¡ÅØÁÍÒ¡Òà (syndrome) µ‹Ò§æËÃ×ÍÍÒ¨à¡Ô´¢Ö¹àͧâ´ÂäÁ‹·ÃÒºÊÒà˵ØáÅÐäÁ‹ é è ‹ é ¾ºÃ‹ÇÁ¡Ñº¡ÅØÁÍÒ¡ÒÃã´æ ‹ ¡ÒôÙáżٻÇ»ҡáËÇ‹§à¾´Ò¹âËÇ‹«§ÁÕâÍ¡Òʾºä´ŒÁÒ¡·ÕÊ´¢Í§¤ÇÒÁ¼Ô´»¡µÔ¡ÐâËÅ¡ÈÕÃÉÐ Œ † Öè èØ áÅÐãºË¹ŒÒáÅФÇÒÁ¼Ô´»¡µÔ͹æáµ‹¡Òà¹Ô´ ÁÕǵ¶Ø»ÃÐʧ¤à¾×Í·íÒãËŒ¼»ÇÂ䴌ú¡ÒÃᡌä¢ãËŒËÒÂËÃ×Í ×è í Ñ è ÙŒ † Ñ ã¡ÅŒà¤Õ§¤ÇÒÁ»¡µÔáÅÐÊÒÁÒö´íÒçªÕǵÍÂÙã¹Êѧ¤Á䴌͋ҧ»¡µÔÊ¢·Ñ§·Ò§ÃٻËҧ ˹ŒÒ·Õ¡Ò÷íÒ§Ò¹ Ô ‹ Ø é è áÅШԵ㨠໚¹¡ÒôÙáÅâ´Â·ÕÁÇÔ·ÂÒ¡Ò÷ջÃСͺ´ŒÇ¼ÙàªÕÂǪҭ¨Ò¡ÊÒ¢Òµ‹Ò§æ ઋ¹ÈÑÅÂᾷ è Œ è µ¡áµ‹§ ÃѧÊÕᾷ·Ò§¡ÒÃÇÔ¹Ô¨©Ñ ¼ÙŒãËŒ¤íÒ»ÃÖ¡ÉÒ´ŒÒ¹¾Ñ¹¸ØÈÒʵÏ ¹Ñ¡á¡Œä¢¡ÒþٴáÅÐÀÒÉÒ ·Ñ¹µá¾·Â¨´¿˜¹ ·Ñ¹µá¾·ÂÊÒËÃѺà´ç¡ ·Ñ¹µá¾·Â»ÃдÔɰРâʵ ÈÍ ¹ÒÊԡᾷ ¹Ñ¡âʵÊÑÁ¼ÑÊ Ñ í ÇÔ·ÂÒ »ÃÐÊÒ·ÈÑÅÂᾷ ¨Ñ¡ÉØá¾·Â ÈÑÅÂᾷªÍ§»Ò¡áÅСÃд١¢Ò¡ÃÃä¡Ã áÅÐÇÔÊ­­Õᾷ ‹ Ñ à»š¹µŒ¹ (1) Çѵ¶Ø»ÃÐʧ¤¢Í§¡ÒÃÍÀÔ»ÃÒ 1. ¹íÒàʹÍÅѡɳÐÍÒ¡ÒÃʋǹãË­‹·Õ辺¢Í§¼ÙŒ»†Ç¡ÐâËÅ¡ÈÕÃÉÐáÅÐãºË¹ŒÒ¼Ô´»¡µÔà¾×èÍ ãˌᾷ·Çä»ÊÒÁÒöÇÔ¹¨©ÑÂä´Œ áÅÐÊÒÁÒöʋ§µ‹Í¼Ù»ÇÂä´Œ Ñè Ô Œ † 2. ¹íÒàʹͻ˜­ËҢͧ¡ÒÃÃÑ¡ÉÒáÅСÒ÷íҧҹ໚¹·ÕÁâ´Â੾ÒÐ ã¹Ê‹Ç¹¢Í§·Ñ¹µá¾·Â ¨Ñ´¿˜¹ ¹Ñ¡ÍÃöºíҺѴáÅÐÈÑÅÂᾷµ¡áµ‹§ 3. ¹íÒàʹͻÃѪ­Ò㹡Ò÷íÒ§Ò¹ »ÃÐ⪹¢Í§¡Ò÷íҧҹ໚¹·ÕÁáÅÐá¹Ç·Ò§á¡Œä¢ 4. ¹íÒàʹÍÃٻẺµ‹Ò§æ¢Í§·ÕÁ´Ùáżٌ»†ÇÂ¡ÅØ‹Á¹Õé áÅÐá¹Ç·Ò§¾Ñ²¹Ò͹Ҥµ¢Í§·ÕÁ âç¾ÂÒºÒÅÈÔÃÔÃÒª
  • 443.
    416 ¡ÅàÁç´¡Ò÷íҧҹ໚¹·ÕÁ´ÙáżٻÇ¡ÐâËÅ¡ÈÕÃÉÐáÅÐãºË¹ŒÒ¼Ô´»¡µÔ Œ † µÒÃÒ§·Õè 1 ʶԵԼٌ»†Ç Craniomaxillofacial anomalies (CM.) ·ÕèÁÒµÃǨ·Ò§·Ñ¹µ¡ÃÃÁ¨Ñ´¿˜¹ »‚ ¾.È 2550 – 2552 §Ò¹·Ñ¹µ¡ÃÃÁ âç¾ÂÒºÒÅÈÔÃÔÃÒª Type of patient Cases Group 1 : cleft lip and cleft palate/ facial cleft New born 93 Childhood and adult 14 Pierre Robin sequence 3 Group 2 : craniosynostosis syndrome Apert’s syndrome 4 Crouzon’s syndrome 3 Treacher Collin syndrome 1 Brachycephaly 1 Group 3 : facial deformity & AVM TMJ problem 8 Hemifacial hypertrophy 8 Aterio-venous malformation (AVM) 7 Retrusion 1 Prognathism 7 Hemifacial microsomia 6 Group 4 : trauma .racture with mal-union 4 Group 5 : others Arinia 1 .rontonasal dysplasia 1 Robinov syndrome 1 OSAS 1 Group 6 : Non – CM. Orthodontic and orthognathic surgery 10 Total 174
  • 444.
    àǪÈÒʵÏ·¹Âؤ 2553 Ñ 417 ÃÙ»·Õè 1 ÅѡɳТͧ¤¹ä¢Œ·ÕèÁÕ¤ÇÒÁ¼Ô´»¡µÔ¢Í§¡ÐâËÅ¡ÈÕÃÉÐáÅÐãºË¹ŒÒª¹Ô´µ‹Ò§æ ¼Ù»ÇÂ¡ÅØÁ craniofacial anomalies ·ÕÍÒ¨¾ºä´Œã¹·Ò§·Ñ¹µ¡ÃÃÁ¨Ñ´¿˜¹Áѡ໚¹¡ÅØÁÍÒ¡Òà Œ † ‹ è ‹ ·Õ¾º¼Ô´»¡µÔ㹡ÒÃà¨ÃÔ­¢Í§¢Ò¡ÃÃä¡Ãº¹áÅТҡÃÃä¡Ãŋҧ è ¼ÙŒ»†ÇÂ¡ÅØ‹ÁÍÒ¡Ò÷Õè·íÒãËŒ¢Ò¡ÃÃä¡Ãº¹à¨ÃÔ­¹ŒÍ¼Դ»¡µÔ䴌ᡋ¼ÙŒ»†ÇÂã¹¡ÅØ‹ÁÍÒ¡Òà Apert, Crouzon áÅÐ Pfeiffer ¼Ù»ÇÂàËŋҹըÐÁÕ¡ÒÃàª×ÍÁ¡Ñ¹¢Í§ÃÍ»ÃÐÊÒ¹á¹Ç¡Ãд١ºÃÔàdz¡ÐâËÅ¡ÈÕÃÉÐ Œ † é è áÅТҡÃÃä¡Ãº¹àÃçǡNjÒàÇÅÒÍѹ¤Çà (craniosynostosis) ¨Ö§à»š¹ÊÒà˵ØãËŒ¢Ò¡ÃÃä¡Ãº¹¶Ù¡ÂѺÂѧ é ¡ÒÃà¨ÃÔ­ã¹·Ø¡æ·ÔÈ·Ò§ àÁ×ÍÊÑÁ¾Ñ¹¸¡º¢Ò¡ÃÃä¡Ãŋҧ·Õ໚¹»¡µÔ¨§áÊ´§ÍÍ¡ÅѡɳТͧ Skeletal è Ñ è Ö class III ËÇÁ¡Ñº¤ÇÒÁ¼Ô´»¡µÔã¹á¹Ç´Ô§ ¿˜¹àÃÕ§µÑÇ«ŒÍ¹à¡Ãعáç è ¼Ù»ÇÂ¡ÅØÁÍÒ¡Ò÷շÒãËŒ¢Ò¡ÃÃä¡Ãŋҧà¨ÃÔ­¹ŒÍ¼Դ»¡µÔ䴌ᡋ¼»Ç Pierre Robin sequence, Œ † ‹ è í ÙŒ † Treacher Collins Syndrome áÅÐáÊ´§ÍÍ¡ÅѡɳРSkeleton class II â´Â¢Ò¡ÃÃä¡Ãº¹ÍÒ¨¨ÐÁÕ ¡ÒÃà¨ÃÔ­¹ŒÍ¡Njһ¡µÔઋ¹¡Ñ¹ ᵋäÁ‹Ã¹áç෋Òã¹¢Ò¡ÃÃä¡Ãŋҧ Ø ¤ÇÒÁ¼Ô´»¡µÔÍ¡»ÃÐàÀ·ºÃÔàdz¡ÐâËÅ¡ÈÕÃÉÐáÅÐãºË¹ŒÒ¤×Í ¡ÅØÁ craniofacial microsomia Õ ‹ à´ÔÁà¤Âª×Í Hemifacial microsomia ᵋà¾ÃÒÐÁÑ¡¾º¤ÇÒÁ¼Ô´»¡µÔã¹Ê‹Ç¹¢Í§¡ÐâËÅ¡ÈÕÃÉÐËÇÁ´ŒÇ è àÊÁÍ ¨Ö§à»ÅÕ蹪×èÍãËÁ‹ ¼ÙŒ»†ÇÂÃÒ¹Õé¨ÐÁÕãºË¹ŒÒàºÕéÂÇäÁ‹ÊÁÁҵà (facial asymmetry) â´Â¤ÇÒÁ ¼Ô´»¡µÔ¨ÐäÁ‹´¢¹àÁ×ͼٻÇÂÁÕÍÒÂØÁÒ¡¢Ö¹ áÅÐ໚¹µÑ§áµ‹¡Òà¹Ô´ ¾ÂÒ¸Ô¡Òà¹Ô´ÍÂÙ·Õè branchial arch Õ Öé è Œ † é é í í ‹ (unilateral) ·Õè 1 áÅÐ 2ã¹¢³Ð·Õã¹âä Romberg disease ¼Ù»Ç¨ÐáÊ´§ÅѡɳТͧ facial asymmetry è Œ † ઋ¹¡Ñ¹ ᵋäÁ‹ä´Œà»š¹µÑ§áµ‹¡Òà¹Ô´ áÅШÐàÃÔÁà¡Ô´¤ÇÒÁ¼Ô´»¡µÔã¹ÇÑÂ˹ØÁÊÒÇ ¤ÇÒÁ¼Ô´»¡µÔ¨Ðà¡Ô´¢Ö¹ é í è ‹ é ੾ÒÐʋǹ¢Í§ soft tissue ·Õ»¡¤ÅØÁ¡Ãд١ 䴌ᡋª¹ä¢ÁѹáÅСŌÒÁà¹×Í áµ‹äÁ‹¾º¤ÇÒÁ¼Ô´»¡µÔ è Ñé é ·Õ¡Ãд١ãºË¹ŒÒáÅТҡÃÃä¡Ã¨Ö§ÂѧäÁ‹·ÃÒºÊÒà˵ءÒÃà¡Ô´ è ¡ÒÃÃÑ¡ÉÒà¾×èÍᡌ䢤ÇÒÁ¼Ô´»¡µÔ¢Í§¢Ò¡ÃÃä¡ÃáÅÐÅѡɳÐÃٻ˹ŒÒã¹¼ÙŒ»†ÇÂ¡ÅØ‹Áµ‹Ò§æ ·Õ¡Å‹ÒÇÁÒ¢ŒÒ§µŒ¹ÂÖ´ËÅÑ¡ÊíҤѭ¤×ÍÁاᡌ䢡Ãд١ʋǹ·Õ¼´»¡µÔ ´ŒÇÂÇÔ¸Õ conventional osteotomy ËÃ×Í è ‹ è Ô ÇÔ¸Õ distraction osteogenesis
  • 445.
    418 ¡ÅàÁç´¡Ò÷íҧҹ໚¹·ÕÁ´ÙáżٻÇ¡ÐâËÅ¡ÈÕÃÉÐáÅÐãºË¹ŒÒ¼Ô´»¡µÔ Œ † ·Ñ¹µá¾·Â¨Ñ´¿˜¹à»š¹Ë¹Öè§ã¹¡ÅØ‹ÁºØ¤Åҡ÷ÕèËÇÁ¡Ñ¹ã¹¡ÒÃÃÑ¡ÉÒ ÁÕ˹ŒÒ·Õè㹡ÒÃÇÔ¹Ô¨©ÑÂÇ‹Ò ÍÇÑÂÇÐã´·Õè໚¹ÍÇÑÂÇзÕèÁÕ¤ÇÒÁ¼Ô´»¡µÔáÅÐ໚¹µŒ¹à˵ØáË‹§»˜­ËÒáÅеŒÍ§ä´ŒÃѺ¡ÒÃá¡Œä¢ ÃÇÁ·Ñé§ ÇÒ§á¼¹¡ÒÃÃÑ¡ÉÒà¾×ÍãËŒ¼»ÇÂÊÒÁÒöº´à¤ÕÂÇä´ŒµÒÁ»¡µÔáÅÐÍҨᡌä¢ÃٻËҧãºË¹ŒÒãËŒ´¢¹à·‹Ò·Õè è ÙŒ † é Õ Öé ໚¹ä»ä´Œ (2) á¹Ç·Ò§¡ÒÃÃÑ¡ÉÒ·Ò§·Ñ¹µ¡ÃÃÁ¨Ñ´¿˜¹Ã‹ÇÁ¡Ñº¡Òü‹ÒµÑ´ µÒÃÒ§·Õè 2 Time Estimates for Surgical – Orthodontic Treatment(3) Stage of Treatment Time Required Comments 1. Presurgical orthodontics 2 to 12 months Interval varies with difficulty of alignment 2. Surgery/hospitalization 1 to 5 days Hospital stay typically requires 1 or 2 day. One-jaw surgery now can be done without overnight hospitalization. 3. Patient under surgeon’s care 3 to 8 weeks Less time is required with rigid fixation before beginning postsurgical (3 to 5 weeks) than with maxillomandibular orthodontics fixation (5 to 8 weeks) 4. Postsurgical orthodontics 3 to 6 months Interval longer than 6 months indicates a problem or inadequate preparation
  • 446.
    àǪÈÒʵÏ·¹Âؤ 2553 Ñ 419 µÑÇÍ‹ҧ¤¹ä¢Œ·Õèä´ŒÃѺ¡ÒÃÃÑ¡ÉÒ Bilateral cleft lip & palate ¡‹Í¹ ËÅѧ ¡‹Í¹ ËÅѧ ÃÙ»·Õè 2 ¤¹ä¢Œ Bilat. Cleft lip & palate ¡‹Í¹ ËÅѧ ÃÙ»·Õè 3 ¤¹ä¢Œ Obturator with Nasoalveolar Molding
  • 447.
    420 ¡ÅàÁç´¡Ò÷íҧҹ໚¹·ÕÁ´ÙáżٻÇ¡ÐâËÅ¡ÈÕÃÉÐáÅÐãºË¹ŒÒ¼Ô´»¡µÔ Œ † ¡‹Í¹ ËÅѧ ÃÙ»·Õè 4 ¤¹ä¢Œ Mandibular prognathism .acial asymmetry Orthodontics & orthognatic surgery (two jaw surgery) ¡‹Í¹ ËÅѧ ¡‹Í¹ ËÅѧ ÃÙ»·Õè 5 ¤¹ä¢Œ .acial asymmetry
  • 448.
    àǪÈÒʵÏ·¹Âؤ 2553 Ñ 421 ¤ÇÒÁÊíҤѭ¢Í§»˜­ËÒ㹡ÒÃÃÑ¡ÉÒ ¡Ò÷íҧҹ໚¹·ÕÁ »ÃѪ­Òã¹ ¡Ò÷íÒ§Ò¹ áÅÐá¹Ç·Ò§á¡Œä¢ ·Ò§·Ñ¹µ¡ÃÃÁ ´ŒÒ¹¼Ù»Ç Œ † 1. ¼Ù»ÇÂÁÑ¡»ÃÐʺ»˜­ËÒ°Ò¹ÐÂÒ¡¨¹(4) Œ † ¤ÇèѴÁÙÅ¹Ô¸Ô ¡Í§·Ø¹ ËÃ×ÍÊÀÒ¡ÒªÒ´ ª‹Ç¤‹ÒÃÑ¡ÉÒ¾ÂÒºÒÅ »˜¨¨Øº¹ÁÕâ¤Ã§¡ÒÃÂÔÁ Ñ é ÊÇÂàÊÕ§ãÊ´ÙáÅà´ç¡¼Ù»Ç»ҡáËÇ‹§à¾´Ò¹âËÇ‹ «Ö§¨ÐÊÔ¹ÊØ´â¤Ã§¡ÒÃÀÒÂã¹»ÅÒ»‚ ¾.È. 2553 ¹Õé Œ † è é 2. ¼Ù»ÇÂʋǹãË­‹à»š¹¼Ù·Á¡ÒÃÈÖ¡ÉÒ¹ŒÍ Œ † Œ Õè Õ ¡ÒÃࢌҶ֧¢ŒÍÁÙÅ ¡ÒÃãËŒ¤Ò͸ԺÒÂàÃ×ͧ¡Òû¯ÔºµµÇµ‹Ò§æ ઋ¹ ¡‹Í¹ËÃ×ÍËÅѧãÊ‹à¤Ã×ͧ í è Ñ Ô Ñ è Á×Í·Ò§·Ñ¹µ¡ÃÃÁ¨Ñ´¿˜¹ ¤ÇÃ͸ԺÒÂÍ‹ҧªÑ´à¨¹ ÊѹáÅÐ䴌㨤ÇÒÁ ËÅѧ¨Ò¡¹Ñ¹¨íÒ໚¹µŒÍ§Áռ͸ԺÒ é é ÙŒ áÅеÃǨÊͺà¾×Í์¹¤ÇÒÁࢌÒ㨷ն¡µŒÍ§ÍÕ¡¤Ãѧ ʋǹ¡ÒÃÃÑ¡Éҹѹ¨íÒ໚¹µŒÍ§»¯ÔºµµÍ¼Ù»Ç´ŒÇ è è Ù é é Ñ Ô ‹ Œ † ¤ÇÒÁàÁµµÒ·ÕʧÁÒ¡¾Í è Ù ´ŒÒ¹¼Ù»¯Ôºµ§Ò¹ Œ Ñ Ô 3. »˜­ËҢͧ¼Ù»ÇÂÁÑ¡ÁÕ¤ÇÒÁÂÒ¡áÅЫѺ«ŒÍ¹ (5) Œ † ¤ÇÃÁÕ ¡ ÒûÃÐªØ Á µÃǨÇÔ ¹Ô ¨ ©Ñ  ãËŒ ¤ ÇÒÁàËç ¹ 㹡ÒÃÃÑ ¡ ÉÒâ´ÂÊËÇÔ · ÂÒ¡Òà (multidisciplinary) ¤Çº¤Ù¡¹Í‹ҧÊÁèÒàÊÁÍ ÁÕ¡ÒÃà¾ÔÁ¾Ù¹¤ÇÒÁÃÙã¹¡ÅØÁâ´Â¨Ñ´¡ÒúÃÃÂÒ study ‹ Ñ í è Œ ‹ group »ÃЪØÁÇÔªÒ¡Òà ËÃ×Í´Ù§Ò¹µÒÁʶҹ·ÕµÒ§æ è ‹ ¼Ù»¯Ôºµ§Ò¹¾Ö§µÃÐ˹ѡáÅÐÀÒ¤ÀÙÁã¨ã¹§Ò¹·Õ·Ò·Ò áÅÐÁÕâÍ¡ÒÊ㹡ÒþѲ¹ÒÍ‹ҧ Œ Ñ Ô Ô è Œ ÁÒ¡ ¤ÇÃÁÕ¤ÇÒÁÍ´·¹áÅÐäÁ‹·Í¶ÍÂ㹡Òû¯ÔºµË¹ŒÒ·Õè Œ Ñ Ô 4. ¡ÒÃãËŒà¡ÕÂõԫ§¡Ñ¹áÅСѹ㹷ÕÁ¼Ù»¯Ôºµ§Ò¹ Öè Œ Ñ Ô ¼Ù»¯Ôºµ§Ò¹¤Çþ֧»¯ÔºµµÍ¡Ñ¹Í‹ҧ¡ÑÅÂÒ³ÁÔµÃ·Õ´Õ ¤ÇÃãËŒà¡ÕÂõԵ͡ѹáÅÐ¤Ô´Ç‹Ò Œ Ñ Ô Ñ Ô ‹ è ‹ ·Ø¡¤¹ÅŒÇ¹ÁÕ¤ÇÒÁÊíҤѭ㹷ءÊÒ¢Ò ¡ÒÃÃÑ¡ÉÒ¨ÐÊíÒàÃç¨ÁÔä´Œ¶Ò¢Ò´ÊÒ¢Òã´ÊÒ¢Ò˹֧ ¹Í¡¨Ò¡¹Õ§໚¹ Œ è éÑ ¡ÒÃÅ´ÍѵµÃÒ (ego) ã¹µÑÇàͧãˌè¡¡Ò÷íҧҹ໚¹·ÕÁ ÙŒ Ñ 5. ¡íÒÅѧ¤¹¼Ù»¯Ôºµ§Ò¹ Œ Ñ Ô ÍÒ¨·íÒã¹ÃÙ»¼Ù»¯Ôºµ§Ò¹ÍÒÊÒÊÁѤúҧàÇÅÒ ¨Ñ´à»š¹Èٹ¡ÅÒ§¡ÒÃàÃÕ¹¡ÒÃÊ͹´ŒÒ¹ Œ Ñ Ô ¹Õâ´Â੾ÒÐ áÅÐÁÕ¼»ÃÐÊÒ¹§Ò¹·Õ´áÅÐࢌÁá¢ç§ (co-ordinator) é ÙŒ è Õ 6. ´ŒÒ¹¤‹ÒµÍºá·¹¼Ù»¯Ôºµ§Ò¹ Œ Ñ Ô ÍÒ¨ÁÕ¹âºÒÂà¾ÔÁ¤‹ÒµÍºá·¹ãËŒ¼»¯Ôºµ§Ò¹ã¹ÊÒ¢Ò·Õ¢Ò´á¤Å¹ ÊÔ§ÊíҤѭ¼Ù»¯ÔºµÔ è ÙŒ Ñ Ô è è Œ Ñ §Ò¹¤ÇÃÁÕ¤ÇÒÁÊØ¢áÅФÇÒÁÀÒ¤ÀÙÁã¨ã¹¤ÇÒÁàÊÕÂÊÅзíÒ§Ò¹à¾×ͼٴÍÂâÍ¡ÒÊ ª‹ÇÂÅ´ª‹Í§Ç‹Ò§·Ò§ Ô è Œ Œ àÈÃɰʶҹРÃÐËNjҧ¤¹ÃÇÂáÅФ¹´ŒÍÂâÍ¡ÒÊ
  • 449.
    422 ¡ÅàÁç´¡Ò÷íҧҹ໚¹·ÕÁ´ÙáżٻÇ¡ÐâËÅ¡ÈÕÃÉÐáÅÐãºË¹ŒÒ¼Ô´»¡µÔ Œ † »ÃÐ⪹¢Í§¡Ò÷íҧҹ໚¹·ÕÁ ¼Ù»Ç¡ÐâËÅ¡ÈÕÃÉÐáÅÐãºË¹ŒÒ¼Ô´»¡µÔ (craniofacial anomalies)(6) Œ † 1. ÁÕâÍ¡ÒÊä´Œ¾º¼ÙÁ¤ÇÒÁÃÙŒ ¤ÇÒÁàªÕÂǪҭã¹ÊÒ¢Òµ‹Ò§æËÅÒ¡ËÅÒÂÊÒ¢Ò à¾ÕÍແ´ÁØÁÁͧ Œ Õ è è 㹡ÒÃÃÑ¡ÉÒãËÁ‹æà¾ÔÁ¢Ö¹ è é 2. ÊÒÁÒö¹íÒ¢ŒÍÁÙżٻÇÂÁҨѴ·íÒ໚¹¼Å§Ò¹ã¹´ŒÒ¹µ‹Ò§æàª‹¹ Ἃ¹¾Ñº ¤ÙÁÍÃÒ§ҹ¼Ù»Ç Œ † ‹ × Œ † µíÒÃÒ µÅÍ´¨¹ÊÌҧ§Ò¹ÇÔ¨ÂãËÁ‹æä´Œ Ñ 3. ÊÌҧâÍ¡ÒÊ㹡ÒþѲ¹Ò¤ÇÒÁÃÙ੾ÒеÑǼٻ¯Ôºµ§Ò¹µÅÍ´¨¹Ë¹‹Ç§ҹâ´ÂÃÇÁ ¾Ö§ÃÐÅÖ¡ Œ Œ Ñ Ô àÊÁÍNjһ˜­ËÒáÅÐÍØ»ÊÃä·Õà¡Ô´¢Ö¹à»š¹¤ÇÒÁ·ŒÒ·ÒÂÊÒÁÒö¹íÒÁÒᡌä¢áÅоѲ¹Òã¹ÅíҴѺµ‹Íä» è é ͹Ҥµ¢Í§·ÕÁ ÁÕ¡ÒûÃÐàÁÔ¹¡Ò÷íÒ§Ò¹·Õ¼Ò¹ÁҢͧ¤ÅÔ¹¡á¡Œä¢¤ÇÒÁ¼Ô´»¡µÔ¢Í§ãºË¹ŒÒáÅСÐâËÅ¡ÈÕÃÉÐ è ‹ Ô µÑ§áµ‹ ¾.È. 2535 ¨¹¶Ö§»˜¨¨Øº¹ ¾.È. 2553 ໚¹àÇÅÒ 19 »‚áÅŒÇ µÅÍ´¨¹ÍÀÔ»ÃÒ¶֧͹Ҥµ¢Í§·ÕÁ é Ñ µ‹Íä»ã¹àÃ×ͧ¡ÒÃ໚¹¤ÅÔ¹¡ËÃ×ÍÈٹ¡ÒÃÃÑ¡ÉÒà¾×;Ѳ¹Ò§Ò¹´ŒÒ¹¹ÕãËŒ¡ÒÇ˹ŒÒµ‹Íä»(7) è Ô è é Œ àÍ¡ÊÒÃ͌ҧÍÔ§ 1. ºÇÃÈÔŻРàªÒǏª¹. ¡ÒôÙáÅẺÊËÇÔ·ÂÒ¡Òâͧ¼Ù»Ç»ҡáËÇ‹§ ྴҹâËÇ‹ áÅФÇÒÁ¾Ô¡ÒÃᵋ¡Òà¹Ô´¢Í§ãºË¹ŒÒáÅÐ ×è Œ † í ¡ÐâËÅ¡ÈÕÃÉÐ / ºÇÃÈÔŻРªÇ¹ª×¹, ອ¨ÁÒÈ ¾Ã¸Ò¹Õ, ¨ÒÃØ³Õ Ãѵ¹ÂÒµÔ¡Å. ¢Í¹á¡‹¹: ÈÔÃÀ³±ÍÍ¿à«ç·; 2547. è Ø Ô Ñ 2. ÊÁõÃÕ ÇÔ¶¾Ã “àÍ¡ÊÒûÃСͺ¤íÒÊ͹ËÑÇ¢ŒÍ Craniofacial syndrome” ¤³Ð·Ñ¹µá¾·Â¨ÌÒÏ 2008 Õ Ø 3. Proffit WR, et.al. Comtemporary treatment of dentofacial deformity. Mosby ;2003. 4. ¤ÙÁÍ¡ÒôíÒà¹Ô¹§Ò¹â¤Ã§¡Òà “ÂÔÁÊÇ àÊÕ§ãÊ” ÊíҹѡºÃÔËÒÃÊÒ¸ÒÃ³ÊØ¢ÀÙÁÀÒ¤ ¡ÃзÃǧÊÒ¸ÒÃ³ÊØ¢ ¾ÔÁ¾¤Ãѧ·Õè 2 ‹ × é Ô é ¡Ñ¹ÂÒ¹ 2550 âç¾ÔÁ¾àÇÔä¾ÃÔ¹· 93 ¡Ãا෾ÁËÒ¹¤Ã 10200  é 5. Kummer AW Cleft palate and craniofacial anomalies: the effect on speech and resonance San Diego 2001:Singular 6. ÃѧÊÔ ¶ÒÇÃѧ¡ÙÃ. Interdisciplinary study àgroup in Taipei, the efficiency active leaning in dentistry ÇÒÃÊÒà We care We share 2010:2:1 7. ÈÃÕ»ÃÐÊÔ·¸Ôì ºØ­ÇÔÊ·¸Ô.ì »ÃÐʺ¡Òó 10 »‚ 㹤ÅÔ¹¡ÈÑÅ¡ÃÃÁãºË¹ŒÒáÅСÐâËÅ¡ÈÕÃÉÐÈÔÃÃÒª ¡ÒûÃЪØÁÇÔªÒ¡ÒÃ Ø Ô Ô ¤ÃºÃͺ 10 »‚ ¢Í§¤ÅÔ¹¡¤ÇÒÁ¾Ô¡ÒáÐâËÅ¡ÈÕÃÉÐáÅÐãºË¹ŒÒÈÔÃÃÒª 2545:1 Ô Ô
  • 450.
    àǪÈÒʵÏ·¹Âؤ 2553 Ñ 423 ¡ÅàÁç´¡Ò÷íÒ§Ò¹¢Í§¹Ñ¡ÍÃöºíҺѴ㹰ҹÐ໚¹ÊÁÒªÔ¡¡ÅØ‹Á˹Öè§ ¢Í§·ÕÁ´Ùáżٌ»†Ç¡ÐâËÅ¡ÈÕÃÉÐáÅÐãºË¹ŒÒ·Õè¼Ô´»¡µÔ »ÃѪ­Ò¡Ò÷íÒ§Ò¹ à¾×ÍãËŒÊÍ´¤ÅŒÍ§¡Ñº»ÃѪ­Ò¡Ò÷íÒ§Ò¹¢Í§ Siriraj Craniomaxillofacial Team 㹡ÒôÙáÅÃÑ¡ÉÒ è ¼Ù»Ç·ÕÁ¤ÇÒÁ¼Ô´»¡µÔ¢Í§¡ÐâËÅ¡ÈÕÃÉÐáÅÐãºË¹ŒÒ·ÕÁ§ÁѹãËŒ¼»ÇÂÊÒÁÒöÃѺ»ÃзҹÍÒËÒÃä´Œ Œ † è Õ è Ø‹ è ÙŒ † ÁÕ˹ŒÒµÒÃÙ»ÅѡɳÐâ¤Ã§ÊÌҧãºË¹ŒÒ·Õè´Õ áÅÐÁÕ¡Òþٴ·Õ軡µÔ ´Ñ§¹Ñé¹»ÃѪ­Ò¡Ò÷íÒ§Ò¹¢Í§ÊÒ¢Ò ÍÃöºíҺѴ ¤×Í ª‹ÇÂàËÅ×Í Ê‹§àÊÃÔÁ ½ƒ¡ËÑ´ á¡Œä¢ ¿„¹¿ÙãËŒ¼»Ç·ءÃÒÂÁÕ “ ¾Ù´ªÑ´ àÊÕ§ãÊ ä´Œã¨¤ÇÒÁ” œ ÙŒ † ãËŒàËÁ×͹¤¹»¡µÔËÃ×Íã¡ÅŒà¤Õ§»¡µÔÁÒ¡·ÕÊ´à·‹Ò·Õ·Òä´Œ «Ö§ËÁÒ¤ÇÒÁÇ‹Ò ¼Ù»Ç¤ÇÃ䴌ú¡ÒúÃÔ¡ÒÃ èØ è í è Œ † Ñ ·Õ´·Ê´ ¹Ñ¡ÍÃöºíҺѴ¼ÙãËŒºÃÔ¡Ò÷ءÃÒ¤ÇÃ㪌·ÃѾÂҡ÷ءÍ‹ҧ·ÕÁÃÇÁ¶Ö§¡ÒÃÊ‹§»ÃÖ¡ÉÒà¾×Íà¾ÔÁ è Õ Õè Ø Œ è Õ è è ¤Ø³ÀÒ¾¢Í§§Ò¹ºÃÔ¡Òà ¹Ñ¡ÍÃöºíҺѴ¤ÇõÃÐ˹ѡ¶Ö§¢Õ´¨íÒ¡Ñ´¢Í§ÇÔªÒªÕ¾ áÅÐÊ׺ËÒ¤íÒá¹Ð¹íÒáÅÐ Ê‹ § »ÃÖ ¡ ÉÒàÁ×è Í ¡Òô٠á żٌ »† Ç Âà¡Ô ¹ ¢Õ ´ ¤ÇÒÁÊÒÁÒö¢Í§µ¹àͧ·Õè ä ´Œ ¨ Ò¡¡Òýƒ ¡ ½¹àÃÕ Â ¹ÃÙŒ á ÅÐ »ÃÐʺ¡Òó µÑÇá»ÃàÊÃÔÁ㹡ÒûÃÐàÁÔ¹áÅÐÃÑ¡ÉÒµÒÁࡳ±ÁҵðҹÊҡŤ×Í ¼Ù·Á»­ËÒ¡ÒþٴáÅÐŒ Õè Õ ˜ ÀÒÉÒ¤ÇÃä´ŒÃѺ¡ÒûÃÐàÁÔ¹â´ÂÊÁÒªÔ¡¢Í§·ÕÁÊËÊÒ¢ÒÇÔªÒªÕ¾ áÅФÇÃä´ŒÃѺ¡Òýƒ¡á¡Œä¢¿„œ¹¿Ù ¡ÒþٴáÅСÒÃÊ×ÍÊÒÃàÁ×;ٴÀÒÉÒ¾Ù´áÅСÒÃÊ×ÍÊÒ÷ÕàºÕ§ູ¨Ò¡»¡µÔ è è è è è ¡Ò÷íҧҹ໚¹·ÕÁÊËÊÒ¢ÒÇÔªÒªÕ¾(1-4) ÇÔ¸¡ÒÃࢌҶ֧»˜­ËÒ ÇÔ¸¡ÒèѴ¡ÒôÙáÅ»˜­ËÒÃÇÁ ËÇÁ¡Ñ¹à»š¹¡Ò÷íҧҹẺÊËÊÒ¢ÒÇÔªÒªÕ¾ Õ Õ ¡ÒûÃÐàÁÔ¹áÅÐÃÑ¡ÉÒ¼Ù»ÇÂÁÕ¤ÇÒÁÊíҤѭà¾ÃÒмÙàªÕÂǪҭã¹áµ‹ÅÐÇÔªÒªÕ¾ÊÒÁÒöãËŒ¡ÒûÃÐàÁÔ¹ Œ † Œ è ÇÔ¹¨©Ñ ãËŒ¢ÍÁÙÅ·Õᵡµ‹Ò§ËÅÒ¡ËÅÒ ÊÒÁÒöàµÃÕÂÁá¼¹¡ÒôÙáÅÃÑ¡ÉÒâ´Â੾ÒÐá¡‹¼»ÇÂÃÒ·Õè Ô Œ è ÙŒ † ÁÕ»­ËҫѺ«ŒÍ¹ ¼ÙàªÕÂǪҭã¹áµ‹ÅÐÇÔªÒªÕ¾ÊÒÁÒö´ÙáÅ»˜­ËÒ·Õʺà¹×ͧÁÒ¨Ò¡¤ÇÒÁº¡¾Ã‹Í§¹Ñ¹ä´Œ ˜ Œ è è× è é ·íÒãËŒ¤ÇÒÁº¡¾Ã‹Í§·Ø¡Í‹ҧ䴌ÃѺ¡ÒôÙáÅá¡Œä¢ ¡ÒûÃÐàÁÔ¹áÅСÒôÙáÅÃÑ¡ÉҢͧ·ÕÁÊËÊÒ¢Ò ÇԪҪվ㹡ÒôÙáżٌ»†ÇÂ¡ÅØ‹Á¹Õé䴌ᡋ ¡Òü‹ÒµÑ´á¡Œä¢ ¡ÒûÃÐàÁÔ¹·Õè¤Ãͺ¤ÅØÁ¶Ö§¡ÒûÃÐàÁÔ¹ â¤Ã§ÊÌҧáÅоѲ¹Ò¡ÒâͧÍÇÑÂÇзÕà¡ÕÂÇ¢ŒÍ§ ¡ÒõÃǨ¡ÒÃ䴌¹ ¡ÒûÃÐàÁÔ¹¡ÒþٴáÅÐÀÒÉÒ è è Ô à¨ÃÔ­àµÔºâµáÅоѲ¹Ò¡Òâͧ¿˜¹ ¡ÒÃʺ¢Í§¿˜¹áÅÐãºË¹ŒÒ ¡ÒûÃѺµÑÇ·Ò§ÍÒÃÁ³áÅÐÊѧ¤Á ÊÁÒªÔ¡¢Í§·ÕÁÊËÊÒ¢ÒÇÔªÒªÕ¾(1-4) ÊÁÒªÔ¡ËÅÑ¡¢Í§·ÕÁÊËÊÒ¢ÒÇÔªÒªÕ¾¢Í§ Siriraj craniomaxillofacial team »ÃСͺ´ŒÇ ¼ÙàªÕÂǪҭ¨Ò¡ÊÒ¢Òµ‹Ò§æ´Ñ§¹Õé 䴌ᡋ ᾷÈÅÂÈÒʵϵ¡áµ‹§ ᾷ¼àªÕÂǪҭἹ¡âʵ ¹ÒÊÔ¡ Œ è Ñ ÙŒ è ÅÒÃÔ§¤ ¾ÂÒºÒÅ ¡ØÁÒÃᾷ ᾷ¼àªÕÂǪҭ·Ò§¾Ñ¹¸ØÈÒʵÏ ¹Ñ¡ÍÃöºíҺѴ (ËÃ×͹ѡᡌ䢡Òà ٌ è ¾Ù´ ËÃ×͹ѡàǪÈÒʵÏ¡ÒÃÊ×ͤÇÒÁËÁÒÂ) ¹Ñ¡âʵÊÑÁ¼ÑÊÇÔ·ÂÒ ·Ñ¹µá¾·Âà©¾Òзҧà´ç¡ ·Ñ¹µá¾·Â è ¨Ñ´¿˜¹ ¹Ñ¡¨ÔµÇÔ·ÂÒ/¨Ôµá¾·Â) áÅйѡÊѧ¤Áʧà¤ÃÒÐˏ
  • 451.
    424 ¡ÅàÁç´¡Ò÷íҧҹ໚¹·ÕÁ´ÙáżٻÇ¡ÐâËÅ¡ÈÕÃÉÐáÅÐãºË¹ŒÒ¼Ô´»¡µÔ Œ † ¢ŒÍ´Õ¢Í§¡Ò÷íҧҹ໚¹·ÕÁÊËÊÒ¢ÒÇÔªÒªÕ¾(1-4) ¢ŒÍ´Õ¢Í§¡ÒôÙáÅẺÊËÊÒ¢ÒÇÔªÒªÕ¾·Õ·Ò§Ò¹à»š¹·ÕÁ¤×Í à»š¹¡ÒôÙáżٻÇÂâ´Â¼ÙàªÕÂǪҭ è í Œ † Œ è ÇÔªÒªÕ¾µ‹Ò§æâ´ÂÁÕ¼»ÇÂ໚¹Èٹ¡ÅÒ§ ·íÒãˌ䴌¡ÒôÙáÅ·ÕÁ¤³ÀÒ¾áÅÐÁÕ»ÃÐÊÔ·¸ÔÀÒ¾·Ñ§´ŒÒ¹¡Òà ٌ † è Õ Ø é ࢌҶ֧»˜­ËÒ¡ÒûÃÐàÁÔ¹áÅСÒôÙáÅÃÐËNjҧÊÒ¢ÒÇÔªÒªÕ¾ ¢ŒÍ´Õ¢Í§¡ÒÃÁÕ¨´»ÃÐʧ¤¢Í§¡Ò÷íҧҹËÇÁ¡Ñ¹ ¤×Í ãËŒºÃÔ¡ÒôÙáÅ·ÕÁ¼»ÇÂ໚¹Èٹ¡ÅÒ§ Ø è Õ ÙŒ † Å´¤ÇÒÁÊѺʹ«éíÒ«ŒÍ¹¢Í§º·ºÒ·¡Ò÷íÒ§Ò¹¢Í§áµ‹ÅÐÇÔªÒªÕ¾ ÊÌҧ¡Ò÷íҧҹ໚¹·ÕÁ Å´¤ÇÒÁ àËÅ×ÍÁÅéÒáÅÐà¾ÔÁ¤ÇÒÁàÊÁÍÀÒ¤¢Í§ÊÒ¢ÒÇÔªÒªÕ¾ ·íÒãËŒà¡Ô´¡ÒôÙáÅÍ‹ҧµ‹Íà¹×ͧ ໇ÒËÁÒ¢ͧ¡Òà è í è è ÃÑ¡ÉÒËÇÁ¡Ñ¹ ẋ§»˜¹à·¤¹Ô¤ÇÔ¸¡ÒÃ㪌ÃÇÁ¡Ñ¹à¾×Í¡ÒÃÃÑ¡ÉÒ·Ò§¡ÒÃᾷáÅСÒÃÈÖ¡ÉÒ Õ ‹ è ÅѡɳСÒ÷íÒ§Ò¹¢Í§·ÕÁÊËÊÒ¢ÒÇÔªÒªÕ¾(1-6) ¡Åä¡¡Ò÷íҧҹËÇÁ¡Ñ¹¢Í§ Siriraj craniomaxillofacial team ໚¹ÅѡɳСÒûÃЪØÁËÇÁ Ẻ craniomaxillofacial forum áÅÐ craniomaxillofacial conference â´ÂÁÕÊÒ¢ÒÈÑÅÂÈÒʵϵ¡áµ‹§ ໚¹á¡¹ËÅÑ¡ ÁÕ¼»ÃÐÊÒ¹§Ò¹ÃÐËNjҧÊҢҷѧËÁ´ ÁÕ¡ÒÃÍÍ¡µÃǨ·ÕËͧµÃǨâä¼Ù»Ç¹͡ËÇÁ¡Ñ¹ ÙŒ é è Œ Œ † ¡Ò÷íÒ§Ò¹Ê×ÍÊÒÃàª×ÍÁµ‹Í¡Ñ¹â´Â㪌àǪÃÐàºÕ¹ ¡Òúѹ·Ö¡áÅШѴ·íÒÃÒ§ҹ ¡ÒõԴµ‹ÍÊ×ÍÊÒÃÃÐËNjҧ è è è ºØ¤ÅÒ¡ÃáÅÐËÃ×͡Ѻ·ÕÁ§Ò¹ ¡ÒÃâ·ÃÈѾ·»ÃÖ¡ÉÒãËŒ¤Òá¹Ð¹íÒËÃ×Í¡ÒÃÊѧࡵ¡Òóâ´ÂµÃ§ í ÃٻẺ¡Ò÷íÒ§Ò¹(2,3,6) ¢Ñ¹µÍ¹ ÃٻẺ¢Í§¡Ò÷íҧҹ໚¹·ÕÁ 䴌ᡋ ·ÕÁ§Ò¹Ê‹§¡ÒûÃÖ¡ÉÒÃÐËNjҧ¡Ñ¹ ãËŒËÃ×Í/¢Í¤íÒ é á¹Ð¹íÒã¹¼Ù»ÇÂÃÒ·ÕÁ¤ÇÒÁÅíҺҡ㹡ÒÃÇÔ¹¨©ÑÂá¡âä ·ÕÁ§Ò¹à»š¹áËÅ‹§¤ÇÒÁÃÙáÅÐáËÅ‹§¡Òà Œ † è Õ Ô Œ ÈÖ¡ÉÒ ÊÁÒªÔ¡·ÕÁ§Ò¹ÊÒÁÒöãËŒ¡ÒûÃÐàÁÔ¹ºÒ§Í‹ҧ·ÕäÁ‹ÊÒÁÒö·íÒä´Œ´ÇÂÇÔªÒªÕ¾à´ÕÂÇà´ÕÂÇæ ઋ¹ è Œ è imaging studies, ¡ÒûÃÐàÁÔ¹¡ÒÃÃÑ¡ÉÒ´ŒÇÂÇÔ¸¡Òü‹ÒµÑ´ ¡ÒûÃÐàÁÔ¹àÊÕ§¾Ù´´ŒÇÂÇÔ¸¾àÈÉ Õ Õ Ô ¤ÇÒÁÃѺ¼Ô´ªÍº¢Í§·ÕÁ§Ò¹(1-4) ¶Ö§áÁŒÇÒÊÁÒªÔ¡·ÕÁÊËÊÒ¢ÒÇÔªÒªÕ¾ÁÕ˹ŒÒ·Õú¼Ô´ªÍºã¹ÃÒÂÅÐàÍÕ´·Õᵡµ‹Ò§¡Ñ¹ ᵋâ´Â ‹ èÑ è ·ÑÇä»áŌǷÕÁ§Ò¹¨Ð¤ÇÒÁÃѺ¼Ô´ªÍºÃ‹ÇÁ¡Ñ¹ ¤×Í è - ·Ø¡½†Ò¤ÇõÃÐ˹ѡ¶Ö§¤ÇÒÁµŒÍ§¡Òâͧ¼Ù»ÇÂᵋÅÐÃÒÂáÅÐãËŒ¤ÇÒÁª‹ÇÂàËÅ×Í Œ † - ¼ÙŒãËŒºÃÔ¡ÒõŒÍ§ÁÕ¡ÒûÃÐàÁÔ¹¼ÙŒ»†ÇÂ໚¹ÃÐÂÐæÍ‹ҧÊÁèíÒàÊÁ͵ÒÁࡳ±Áҵðҹ ÇÔªÒªÕ¾¢Í§µ¹àͧ - ·ÕÁÊËÊÒ¢ÒÇÔªÒªÕ¾¤ÇèѴµÒÃÒ§àÇÅÒ»ÃЪØÁáÅÐÍÀÔ»ÃÒÂËÇÁ¡Ñ¹ÃÐËNjҧ·ÕÁ - ·ÕÁÊËÊÒ¢ÒÇÔªÒªÕ¾¤ÇþѲ¹ÒÇÒ§á¼¹¡ÒÃÃÑ¡ÉÒµÒÁ¤ÇÒÁµŒÍ§¡Òâͧ¼Ù»Ç Œ † - ¼ÙãËŒºÃÔ¡ÒÃᵋÅÐÊÒ¢Ò¤Ç贺ѹ·Ö¡¡ÒôÙáÅÃÑ¡Éҷء͋ҧ Œ - ·ÕÁÊËÊÒ¢ÒÇÔªÒªÕ¾¤ÇÃÊ×ÍÊÒâŒÍÁÙÅ·Õ¾ºáÅÐãËŒ¢ÍàʹÍá¹Ð è è Œ
  • 452.
    àǪÈÒʵÏ·¹Âؤ 2553 Ñ 425 ÍØ»ÊÃä¡Ò÷íÒ§Ò¹¢Í§·ÕÁÊËÊÒ¢ÒÇÔªÒªÕ¾ »˜¨¨Ñ·ÕèÍÒ¨¡‹ÍãËŒà¡Ô´ÍØ»ÊÃä¢Í§¡Ò÷íҧҹ໚¹·ÕÁ䴌ᡋ ¡Òýƒ¡½¹à©¾Òзҧ·ÕèÁÕ¨íÒ¡Ñ´ »ÃÐʺ¡Òó¢Í§áµ‹ÅÐÊÒ¢ÒÇÔªÒªÕ¾·Õᵡµ‹Ò§¡Ñ¹ ¤ÇÒÁᵡµ‹Ò§¢Í§ÇѲ¹¸ÃÃÁ Êѧ¤Á ÊÔ§áÇ´ÅŒÍÁ è è ¤ÇÒÁàµçÁã¨ËÃ×ͤÇÒÁµŒÍ§¡Òâͧ¼Ù»Ç¼ÙúºÃÔ¡Òà Œ † ŒÑ ¢Õ´¨íÒ¡Ñ´¢Í§§Ò¹ºÃÔ¡ÒÃẺ·ÕÁÊËÊÒ¢ÒÇԪҪվ䴌ᡋ »˜¨¨Ñ´ŒÒ¹¤ÇÒÁäÁ‹¤Å‹Í§·Ò§àÈÃɰ¡Ô¨ ¡ÒâҴá¤Å¹áËÅ‹§·Ø¹·ÃѾ »˜¨¨Ñ´ŒÒ¹¤ÇÒÁµŒÍ§¡ÒäÇÒÁ¨íÒ໚¹·Ò§¡ÒÃᾷ ¡Ñº¤ÇÒÁµŒÍ§¡Òà ¤ÇÒÁ¨íÒ໚¹·Ò§¡ÒÃÈÖ¡ÉÒ »˜¨¨Ñ´ŒÒ¹ÀÙÁÈÒʵϾ¹·ÕÍÂÙÍÒÈÑ »˜¨¨Ñ´ŒÒ¹¼ÙÁÊǹ䴌ÊǹàÊÕ ºØ¤¤Å Ô ×é è ‹ Œ Õ‹ ‹ ·ÕÊÒÁ ¨íҹǹ¼ÙãËŒºÃÔ¡Ò÷բҴá¤Å¹ §º»ÃÐÁÒ³·ÕäÁ‹à¾Õ§¾Í »˜¨¨Ñ´ŒÒ¹¾‹ÍáÁ‹¼»¡¤Ãͧ·Ñ§·Ò§ è Œ è è ÙŒ é ´ŒÒ¹Êѧ¤Á àÈÃɰ¡Ô¨ ¤ÇÒÁà¤ÃÕ´áÅÐÍÒÃÁ³ »˜¨¨Ñ´ŒÒ¹¾‹ÍáÁ‹¼»¡¤Ãͧ·ÕÍÒ¨¶Ù¡¤Ãͺ§íÒ´ŒÇ¤ÇÒÁ ÙŒ è µŒÍ§¡ÒÃÃѺ¡ÒûÃÐàÁÔ¹ ´ÙáÅÃÑ¡ÉÒáÅÐᡌ䢷ÕÁ¢´¨íÒ¡Ñ´ ·íÒãËŒäÁ‹ÁÊ·¸ÔàÅ×Í¡µÒÁ¤ÇÒÁµŒÍ§¡Òâͧ è Õ Õ ÕÔ ¼ÙúºÃÔ¡Òà »˜¨¨Ñ´ŒÒ¹à´ç¡ËÃ×ͼٻÇ·ҧ´ŒÒ¹â¤Ã§ÊÌҧËҧ¡ÒÂ ÇØ²ÀÒÇзҧʵԻ­­Ò áÅÐÍÒÃÁ³ ŒÑ Œ † Ô ˜ »˜­ËҢͧ¼ÙŒ»†Ç¡ÐâËÅ¡ÈÕÃÉÐáÅÐãºË¹ŒÒ·Õè¼Ô´»¡µÔ(1,6-7) »˜­ËÒ·Õ໚¹¼ÅÊ׺à¹×ͧÊÔ§·Õà¡Ô´µÒÁËÅѧ¨Ò¡¤ÇÒÁ¼Ô´»¡µÔ¢Í§¡ÐâËÅ¡ ÈÕÃÉÐáÅÐãºË¹ŒÒÁÕ è è è è ËÅÒÂÍ‹ҧ 䴌ᡋ ¤ÇÒÁº¡¾Ã‹Í§¢Í§¡Òô×Á-¡Ô¹ »˜­ËÒËÙ¹Ò˹ǡ »˜­ËÒ¡ÒÃÊÙ­àÊÕ¡ÒÃ䴌¹Ẻ è éí Ô ¡ÒùíÒàÊÕ§àÊÕ ¤ÇÒÁ¼Ô´»¡µÔ¢Í§àÊÕ§¾Ù´áÅФÇÒÁÊѹ¾ŒÍ§ (¤ÇÒÁ¡ŒÍ§¡Ñ§ÇÒ¹) ¢Í§àÊÕ§¾Ù´ »˜­ËÒ è ¾Ù´äÁ‹ª´ ÍØºµ¡Òóà¡Ô´»˜­ËÒ·Ò§ÀÒÉÒ¨Ò¡¡ÒÃàÃÕ¹ÃÙËÃ×Í¡ÒÃ͋ҹ·Õ¼´»¡µÔà¾ÔÁ¢Ö¹ »˜­ËÒ¡ÒÃ Ñ Ñ Ô Œ è Ô è é ʺàÃÕ§µÑǢͧ¿˜¹áÅТҡÃÃä¡Ã »˜­ËÒ·Ò§¨Ôµã¨ÍÒÃÁ³Ê§¤Á ¡ÒûÃѺµÑǢͧ¤Ãͺ¤ÃÑǵ‹Í¤ÇÒÁ Ñ ¼Ô´»¡µÔáÅзÕà¡ÕÂÇ¢ŒÍ§¡ÑºÃÙ»ÅѡɳáÅФÇÒÁŋҪŒÒ㹡ÒÃàÃÕ¹ÃÙ¡ÒÃࢌÒÊѧ¤Á ¡Ò÷íÒ§Ò¹¢Í§ÅíÒ¤Í è è Œ ¼Ô´»¡µÔËÃ×ÍŴŧÀÒÂËÅѧ¡Òü‹ÒµÑ´»´ÃÙÃÇ㹪‹Í§»Ò¡ µÅÍ´¨¹»˜­ËÒ·Õà¡Ô´Ã‹ÇÁ¡Ñº¡ÅØÁÍÒ¡ÒüԴ Ñè è ‹ »¡µÔ (syndrome) µ‹Ò§æ º·ºÒ·¢Í§¹Ñ¡ÍÃöºíҺѴ(1-6) º·ºÒ·¢Í§¹Ñ¡ÍÃöºíҺѴ㹡ÒôÙáÅÃÑ¡ÉҼٻǷÕÁ¤ÇÒÁ¼Ô´»¡µÔ¢Í§¡ÐâËÅ¡ ÈÕÃÉÐáÅÐ㺠Œ † è Õ Ë¹ŒÒ 䴌ᡋ ¡ÒûÃÐàÁÔ¹ ¡ÒÃÇÒ§á¼¹¡ÒÃÃÑ¡ÉÒ ¡Òýƒ¡á¡Œä¢¡Òþٴ ¡ÒÃãËŒ¤ÇÒÁÃÙáÅФíÒ»ÃÖ¡ÉÒ Œ á¹Ð¹íÒ ¡ÒèѴàµÃÕÂÁẺ½ƒ¡ËÑ´¡ÒúŒÒ¹ ¡ÒõԴµÒÁ»ÃÐàÁÔ¹¼ÅÍ‹ҧÊÁèÒàÊÁÍ ¡Ò贺ѹ·Ö¡§Ò¹ í ºÃÔ¡Ò÷ÕèãËŒ ¡ÒÃÊ‹§»ÃÖ¡ÉÒ·ÕÁ§Ò¹·Õèà¡ÕèÂÇ¢ŒÍ§ ¡Òýƒ¡ÍºÃÁ¾‹ÍáÁ‹¼ÙŒ»¡¤Ãͧ ¾ÕèàÅÕé§ËÃ×ͺؤÅÒ¡Ã ·Õà¡ÕÂÇ¢ŒÍ§ è è ¡ÒûÃÐàÁÔ¹â´Â¹Ñ¡ÍÃöºíҺѴ(1-7) ¹Ñ¡ÍÃöºíҺѴ¨Ð·íÒ¡ÒûÃÐàÁÔ¹¡ÒþٴáÅÐÀÒÉÒµÒÁ¢Ñ¹µÍ¹µÒÁÇØ²ÀÒÇÐ ¡ÒþѲ¹Ò é Ô ¡ÒÃà¨ÃÔ­àµÔºâµ áÅÐÍÒÂØ¢Í§¼Ù»Ç «Ö§ä´Œá¡‹ Œ † è
  • 453.
    426 ¡ÅàÁç´¡Ò÷íҧҹ໚¹·ÕÁ´ÙáżٻÇ¡ÐâËÅ¡ÈÕÃÉÐáÅÐãºË¹ŒÒ¼Ô´»¡µÔ Œ † - ¡ÒõÃǨ¤Ñ´¡Ãͧ¾Ñ²¹Ò¡ÒäÇÒÁÊÒÁÒö㹡ÒÃÃѺÃÙáÅСÒÃáÊ´§ÍÍ¡¢Í§ÀÒÉÒ Œ - ¤ÇÒÁÊÒÁÒö㹡ÒÃà»Å‹§àÊÕ§¾Ù´ (¤ÇÒÁªÑ´à¨¹¢Í§àÊÕ§¾Ù´) ·ÕÃÇÁ¶Ö§ÅѡɳТѹµÍ¹¢Í§ è é ¡ÒþѲ¹Ò¡Òþٴ - ÅѡɳÐÃٻẺ¢Í§¡ÒÃÍÍ¡àÊÕ§ ઋ¹ ¡ÒþٴÃдѺàÊÕ§ ¾ÂÒ§¤ ¤íÒà´ÕÂÇ ÇÅÕ ËÃ×Í¡ÒÃ è ¾Ù´¤ØÂʹ·¹Ò - ·Ñ¡ÉФÇÒÁÊÒÁÒö㹡ÒÃ㪌¡ÅŒÒÁà¹×Í·Õà¡ÕÂÇ¢ŒÍ§¡Ñº¡ÒÃÍÍ¡àÊÕ§ é è è - ¤ÇÒÁªÑ´à¨¹·Õ¤Ê¹·¹Ò¿˜§à¢ŒÒã¨ä´Œ (intelligibility) è Ù‹ - ¡Òõͺʹͧ·Õ¡Ãеع䴌 è Œ - ¡ÒÃà»Å‹§àÊÕ§ (phonation) - ¤ÇÒÁÊѹ¾ŒÍ§¢Í§àÊÕ§¾Ù´ (resonation) «Ö§»ÃÐàÁÔ¹´ŒÇ¡ÒÃÇÔ¸âʵÊÑ·ÈÒʵÏáÅÐÇÔ¸¡ÒÃ㪌 è è Õ Õ à¤Ã×èͧÁ×Í (perceptual and instrumentation measures) ¡ÒÃ㪌à¤Ã×èͧÁ×Í àª‹¹ nasendoscopy, videofluoroscopy, nasometer, pressure flow, ¡ÒûÃÐàÁÔ¹ÅÁÃÑÇ·Ò§¨ÁÙ¡ (nasal air emission), è ¡ÒõÃǨÍÇÑÂÇÐ㹪‹Í§»Ò¡ áÅСÒÃãËŒ¢ÍÁÙÅ·ÕµÃǨ¾ºá¡‹¼»ÇÂáÅÐËÃ×ͤÃͺ¤ÃÑÇ Œ è ÙŒ † àÇÅÒ·ÕèàËÁÒÐÊÁ¢Í§¡ÒôÙáÅÃÑ¡ÉÒ½ƒ¡á¡Œä¢»˜­ËҢͧÊÒ¢ÒÍÃöºíҺѴ(1-6) ¡ÒôÙáÅÃÑ¡ÉÒ·Ò§´ŒÒ¹ÍÃöºíҺѴ¤ÇÃãËŒàÃçÇ·ÕÊ´à·‹Ò·Õ·Òä´Œ (early intervention) ¢ŒÍÁÙÅ·ÕÁÕ èØ è í è ã¹»˜¨¨Øº¹¾ºÇ‹Ò»ÃÐÁҳÌÍÂÅÐ 50-75 ¢Í§¼Ù·Á»Ò¡áËÇ‹§áÅÐËÃ×ÍྴҹâËÇ‹µÍ§ÃѺ¡Òýƒ¡á¡Œä¢¡ÒÃ Ñ Œ Õè Õ Œ ¾Ù´ã¹ÇÑÂà´ç¡ áÅÐÁÕ»ÃÐÁҳÌÍÂÅÐ 20-38 ¢Í§¼Ù·Á»Ò¡áËÇ‹§áÅÐËÃ×ÍྴҹâËÇ‹µÍ§ÃѺ¡ÒÃá¡Œä¢ Œ Õè Õ Œ ¡Ò÷íÒ§Ò¹·Õ¼´»¡µÔ¢Í§ª‹Í§¤Í (velopharyngeal dysfunction ËÃ×Í VPD) ¹Í¡¨Ò¡¹Õ§¾ºÇ‹Òà´ç¡·Õè è Ô é Ñ ÁÕ»Ò¡áËÇ‹§áÅÐËÃ×ÍྴҹâËNjᵋÁÃкº»ÃÐÊÒ·»¡µÔÊÒÁÒö¾Ñ²¹Ò¡ÒþٴáÅÐÀÒÉÒ·Õ»¡µÔä´Œ ã¹ Õ è ¡ÒôÙáÅᡌ䢻˜­ËÒ¹Ñé¹äÁ‹á¹Ð¹íÒãˌ㪌àÇÅÒËÃ×ÍáËÅ‹§·ÃѾÂҡáѺ·Ñ¡ÉзÕ赌ͧ¡ÒÃÅ´·Ñ¡ÉйÑ鹿 ¤ÇÃÊ͹ãËŒ¾ÍáÁ‹¼»¡¤Ãͧ໚¹¤ÃÙÊ͹ÀÒÉÒ·Õ´¨Ðä´Œ»ÃÐ⪹ÁÒ¡¡Ç‹Ò ‹ ÙŒ è Õ ¡ÒôÙáÅÃÑ¡ÉÒ·Õèᵡµ‹Ò§¡Ñ¹(1-6) »˜­ËÒ¾Ù´äÁ‹ªÑ´·Õ辺㹼ٌ»†ÇÂᵋÅÐÃÒÂÍÒ¨äÁ‹àËÁ×͹¡Ñ¹ ·íÒãˌ෤¹Ô¤¡Òýƒ¡ÃÑ¡ÉÒá¡Œä¢ »˜­ËÒ‹ÍÁᵡµ‹Ò§¡Ñ¹ä» ¡ÒôÙáÅÃÑ¡ÉÒ¼Ù»ÇÂ¡ÅØÁ¹ÕµÍ§¤Ãͺ¤ÅØÁ¶Ö§ÊÀÒ¾ËÃ×Í»˜­ËÒ·Ò§´ŒÒ¹¨Ôµ Œ † ‹ é Œ ã¨áÅÐÍÒÃÁ³´Ç ´Ñ§¹Ñ¹¡Òýƒ¡á¡Œä¢»˜­ËÒ´ŒÇÂÇÔ¸ã´æ·ÕÍÒ¨·íÒãËŒà´ç¡´ÙäÁ‹´µÍÊѧ¤ÁËÃ×Í¡ÅØÁà´ç¡ÇÑ Œ é Õ è Õ ‹ ‹ à´ÕÂǡѹáÅŒÇ àÇÅÒÃÑ¡ÉÒ½ƒ¡á¡Œä¢µŒÍ§ãËŒ¡ÒôÙáÅá¡໚¹à©¾ÒеÑǺؤ¤ÅãËŒÁ¤ÇÒÁ໚¹ÊѴʋǹ Õ ¡Ã³ÕÅѡɳÐã´·Õ赌ͧãËŒ¡ÒôÙáÅÃÑ¡ÉÒ·Ò§ÍÃöºíҺѴ(1-6) ¨Ò¡ËÅÑ¡°Ò¹·Ò§¤ÅÔ¹¡ ¤ÇÒÁÃÙ·Ò§ÇÔ·ÂÒÈÒʵÏ¡ÒÃᾷ áÅлÃÐʺ¡Òó¾ºÇ‹Ò Ô Œ - »˜­ËÒ¾Ù´äÁ‹ª´·Õà¡Ô´µÒÁ¾Ñ²¹Ò¢Í§à´ç¡ (developmental defect) ¤ÇÃ䴌ú¡Òýƒ¡á¡Œä¢ Ñ è Ñ ¡Òþٴâ´Â㪌ËÅѡࡳ±à´ÕÂǡѺà´ç¡»¡µÔ·äÁ‹Á»­ËÒ»Ò¡áËÇ‹§áÅÐËÃ×ÍྴҹâËÇ‹·¾´äÁ‹ª´ Õè Õ ˜ Õè Ù Ñ
  • 454.
    àǪÈÒʵÏ·¹Âؤ 2553 Ñ 427 - ÅѡɳоٴäÁ‹ª´·Õ໚¹ä»µÒÁࡳ±ÍÒÂØäÁ‹¨Ò໚¹µŒÍ§½ƒ¡á¡Œä¢¡Òþٴ Ñ è í - ¤ÇÒÁº¡¾Ã‹Í§¢Í§¡Òþٴ·ÕèäÁ‹ªÑ´¨Ò¡ãªŒ¡ÒþٴÍ×è¹á·¹¡ÒÃÍÍ¡àÊÕ§¾Ù´·Õè¶Ù¡µŒÍ§ (maladaptive / compensatory) µŒÍ§ä´ŒÃº¡Òýƒ¡á¡Œä¢¡Òþٴ Ñ - ÅѡɳоٴäÁ‹ª´ºÒ§Í‹ҧà¡Ô´¨Ò¡¡ÒôѴá»Å§¡ÒÃ㪌ÍÇÑÂÇÐãËÁ‹¹Ò¨Ð»Å‹ÍÂä» äÁ‹µÍ§½ƒ¡ Ñ ‹ Œ á¡Œä¢ - ÅѡɳоٴäÁ‹ª´·ÕäÁ‹á¹‹¹Í¹µŒÍ§ä´ŒÃº¡ÒÃÇÔ¹¨©ÑÂãËÁ‹áÅСÒýƒ¡á¡Œä¢ Ñ è Ñ Ô ÅѡɳСÒýƒ¡µŒÍ§à©¾ÒÐà¨ÒШ§(1,2,5-6) ÅѡɳÐÇÔ¸·´ã¹¡Òýƒ¡á¡Œä¢¡Òþٴ¤×ÍÇÔ¸·Á¤ÇÒÁ੾ÒÐà¨ÒШ§Í‹ҧªÑ´à¨¹ ËÒ¡ÁÕ»­ËÒ Õ Õè Õ Õ Õè Õ ˜ ¾Ù´äÁ‹ª´¡ç¤Çýƒ¡á¡Œä¢¤ÇÒÁªÑ´à¨¹¢Í§àÊÕ§¾Ù´â´ÂµÃ§àÅ ઋ¹¡ÒÃ㪌Ǹ¡ÒÃàÃÕ¹Ã٢ͧ¡ÅŒÒÁà¹×Í Ñ ÔÕ Œ é (motor learning approach) Ê͹¡ÒÃÍÍ¡àÊÕ§µÒÁÅѡɳаҹ¡Ã³¢Í§áµ‹ÅÐàÊÕ§ àÅ×Í¡àÊÕ§ ·Õ赌ͧ㪌ÍÇÑÂÇТͧª‹Í§»Ò¡¨Ò¡¢ŒÒ§¹Í¡·ÕèàËç¹ä´ŒªÑ´à¨¹ áÅÐà»ÅÕè¹໚¹àÊÕ§·Õè㪌ÍÇÑÂÇзÕèÍÂÙ‹¢ŒÒ§ 㹪‹Í§»Ò¡àÁ×Íà´ç¡·íÒä´Œ´¢¹ è Õ Öé ¤íÒá¹Ð¹íÒáÅСÒÃãËŒ¤ÇÒÁÃÙŒ(2-5) ¤íÒá¹Ð¹íÒáÅФÇÒÁÃÙ·¤ÇÃãˌᡋ¼»ÇÂËÃ×;‹ÍáÁ‹¼»¡¤Ãͧà´ç¡ä´Œá¡‹ ¡Òú͡¤ÇÒÁÊíҤѭ¢Í§ Œ Õè ÙŒ † ÙŒ ¡ÒÃÃÑ¡ÉÒá¡Œä¢ ¤ÇÃÃкØÇÒÊԧ㴷յͧà»ÅÕ¹á»Å§ ¤ÇÒÁÃÙ·¾§Áա͹¡Òýƒ¡àÊÕ§¾ÂÑ­ª¹Ðµ‹Ò§æ ‹ è è Œ è Œ Õè Öè ‹ (ઋ¹ ʋǹµ‹Ò§æ¢Í§ÍÇÑÂÇзÕ㪌) ¤ÇÒÁᵡµ‹Ò§¢Í§àÊÕ§໇ÒËÁÒ·յͧ¡Òýƒ¡á¡Œä¢áÅÐÅѡɳÐàÊÕ§ è è Œ ·Õ¾´äÁ‹ª´ ÇÔ¸¡ÒÃàÅÕ¹Ẻ¡ÒÃÍÍ¡àÊÕ§·Õ¶¡µŒÍ§ è Ù Ñ Õ è Ù ·Ø¡¤¹·Õà¡ÕÂÇ¢éͧµéͧµÃÐ˹ѡÇèҼٻǡÓÅѧàÃÕ¹ÃÙšɳСÒÃãªé§Ò¹¢Í§¡ÅéÒÁà¹×ÍÃٻẺ- è è é è éÑ é ãËÁ‹ ¤ÇÒÁ¶Õ¢Í§¡Òýƒ¡àÃÔÁµŒ¹¨Ò¡ 100 ¤Ãѧ໚¹¡ÒÃàÃÔÁµŒ¹·Õ´Õ è è é è è ÅíҴѺ¢Í§àÊÕ§·Õè㪌½ƒ¡(1-6) ÅíҴѺ¢Ñ¹¢Í§¡Òýƒ¡ÍÍ¡àÊÕ§àÃÔÁ¨Ò¡§‹ÒÂä»ÂÒ¡ ¨Ò¡·ÕʧࡵàËç¹ÍÇÑÂÇзÕ㪌㹡ÒÃÍÍ¡àÊÕ§ é è èÑ è ä´Œ§Ò¡‹Í¹ ¢Ñ¹µÍ¹ÅíҴѺ¢Í§¡ÒÃàÅ×Í¡½ƒ¡ÍÍ¡àÊÕ§ 䴌ᡋ ‹ é - ¡ÒÃÍ͡˹‹ÇÂàÊÕ§à´ÕÂÇæ - ¡ÒÃÍÍ¡àÊÕ§àÅÕ¹ẺàÊÕ§¾ÂÒ§¤ - ¡ÒÃÍÍ¡àÊÕ§àÅÕ¹ẺàÊÕ§¤íÒ - ¡ÒÃÍÍ¡àÊÕ§àÅÕ¹ẺàÊÕ§ÇÅÕ - ¡Òú͡ª×ÍÃÙ» è - ¡Òõͺ¤íÒ¶ÒÁ - ¡Òþٴ»ÃÐâ¤Êѹæé
  • 455.
    428 ¡ÅàÁç´¡Ò÷íҧҹ໚¹·ÕÁ´ÙáżٻÇ¡ÐâËÅ¡ÈÕÃÉÐáÅÐãºË¹ŒÒ¼Ô´»¡µÔ Œ † - ¡Òþٴ»ÃÐ⤷իº«ŒÍ¹ áÅÐ è Ñ - ¡ÒÃʹ·¹Ò¾Ù´¤ØÂ ¼Ù»Ç¤Çýƒ¡¨¹ÁÕ·¡ÉФÇÒÁÊÒÁÒö·Õ¨Ð¾Ù´ä´Œª´à¨¹¶Ù¡µŒÍ§ÃŒÍÂÅÐ 100 à¾ÃÒÐËÒ¡äÁ‹ÁÕ Œ † Ñ è Ñ ¤ÇÒÁÊÒÁÒöã¹ÃдѺ¹Õ¨Ð·íÒãËŒäÁ‹ÊÒÁÒö¾Ù´ä´Œª´µÅÍ´àÇÅÒ (äÁ‹ÁÕ carryover) ¡Å‹ÒǤ×ͼٻǾٴ é Ñ Œ † ä´Œ¶¡µŒÍ§à¾Õ§ºÒ§ºÃÔº· äÁ‹à¡Ô´à»š¹¹ÔÊ¡Òþٴ·Õª´à¨¹µÅÍ´àÇÅÒ à·‹Ò¡ÑºÇ‹Ò¡Òýƒ¡á¡Œä¢äÁ‹»ÃÐʺ Ù Ñ è Ñ ¼ÅÊíÒàÃ稵ÒÁ·Õµ§äÇŒ è Ñé ª‹Ç§ÍÒÂØ·ÕèàËÁÒÐÊÁ(1-6) ª‹Ç§ÍÒÂØã´·Õ¤ÇÃàÃÔÁµŒ¹¡ÒôÙáÅÃÑ¡ÉÒáÅСÒýƒ¡á¡Œä¢¡Òþٴ ¨ÃÔ§æáŌǡÒôÙáÅÃÑ¡ÉÒ·íÒä´Œ è è µÑ§áµ‹à´ç¡ÇÑ·Òᨹ¶Ö§ÇѼÙãË­‹ ¨¹¡Ç‹Ò¨Ðä´ŒµÒÁ໇ÒËÁÒ·յ§äÇŒ ¤ÇÒÁÊíÒàÃ稷մ·Ê´ä´Œ¨Ò¡¡ÒôÙáÅ é Œ è Ñé è Õ Õè Ø ¼Ù»ÇÂẺ·ÕÁÊËÊÒ¢ÒÇÔªÒªÕ¾·Õ»ÃСͺ´ŒÇ¼ÙàªÕÂǪҭ੾ÒдŒÒ¹µ‹Ò§æ ¡Òýƒ¡á¡Œä¢¡ÒþٴàÃÔÁä´Œ Œ † è Œ è è µÑ§áµ‹à´ç¡ÍÒÂØ 2 »‚â´ÂàÅ×Í¡¡Ô¨¡ÃÃÁ¡Òýƒ¡·ÕʹءʹҹáÅÐÁÕẺ½ƒ¡ËÑ´¡ÒúŒÒ¹Ã‹ÇÁ´ŒÇ é è µÒÃÒ§àÇÅÒ¡Òýƒ¡ µÒÃÒ§àÇÅÒ¡Òýƒ¡á¡Œä¢¡ÒþٴµŒÍ§¨Ñ´µÒÁ¤ÇÒÁàËÁÒÐÊÁ¡Ñº¤ÇÒÁ໚¹ä»ä´Œ¢Í§·Ñé§ ¹Ñ¡ÍÃöºíҺѴ ¤Ãͺ¤ÃÑÇáÅмٻÇ ¤íÒá¹Ð¹íÒ·ÑÇä»ä´Œá¡‹ ÃÐÂÐàÇÅÒ»ÃÐÁÒ³ 30 - 60 ¹Ò·Õ «Ö§¨Ð Œ † è è µÒÁÍÒÂØÇ²ÀÒÇТͧà´ç¡ ½ƒ¡º‹ÍÂÁÒ¡à·‹Ò·Õ·Òä´Œ ¡Òýƒ¡º‹Í¤Ãѧª‹Ç§àÇÅÒÊѹæ ઋ¹¤ÃѧÅФÃÖ§ªÑÇâÁ§ Ø Ô è í é é é è è ½ƒ¡·Ø¡Çѹ´Õ¡Ç‹Ò¡Òýƒ¡à´×͹ÅФÃѧæÅÐ 3 ªÑÇâÁ§ Í‹ҧäáçµÒÁ¤ÇÒÁ¶Õ¢Í§¡Òýƒ¡·íÒ¡ÒúŒÒ¹ÁÑ¡¼Ñ¹á»Ã é è è ¡Ñº¢Ö¹ÍÂÙ¡ºµÒÃÒ§àÇÅÒ¡Ô¨¡ÃÃÁ¢Í§¤Ãͺ¤ÃÑÇ ËÒ¡¤Ãͺ¤ÃÑÇãËŒ¤ÇÒÁÊíҤѭ·íÒÊÁèÒàÊÁÍ‹ÍÁä´Œ¼Å é ‹ Ñ í ´Õ¡Ç‹Ò ¡Òýƒ¡á¡Œä¢»˜­ËÒ·Õ躌ҹÊíÒËÃѺà´ç¡àÅç¡(1,2,6) ¡ÒÃÃÑ¡ÉҨоԨÒóҡÒÃàÅ×͡Ẻ½ƒ¡ËѴᡌ䢻˜­ËÒ¾Ù´äÁ‹ªÑ´áºº·Õ躌ҹàͧ (home program) ¨Ðä´Œ¼Å´Õ ¶ŒÒ¾‹ÍáÁ‹¼»¡¤Ãͧà´ç¡µŒÍ§¡Òà ÁÕ¤ÇÒÁÂÔ¹´ÕáÅÐÊÒÁÒöàÃÕ¹ÃÙ·¡ÉÐãËÁ‹ ¶ŒÒ¾‹Í ÙŒ Œ Ñ áÁ‹¼ÙŒ»¡¤Ãͧà´ç¡à¢ŒÒã¨à˵ؼÅÇѵ¶Ø»ÃÐʧ¤¢Í§¡Òýƒ¡á¡Œä¢áºº early intervention Ẻ home program ÁÕ¡ÒÃÊ͹ãËŒ¤ÇÒÁÃÙá¡‹¾ÍáÁ‹¼»¡¤Ãͧ Œ ‹ ÙŒ ¡Òýƒ¡ËѴᡌ䢻˜­ËÒ¾Ù´äÁ‹ª´áºº·ÕºÒ¹ äÁ‹ä´Œ¼Å´ÕáÅÐäÁ‹á¹Ð¹íÒ ËÒ¡¾‹ÍáÁ‹¼»¡¤Ãͧà´ç¡ Ñ è Œ ÙŒ ÁÕ¤ÇÒÁà¤ÃÕ´ÊÙ§ ËÃ×Í ¾‹ÍáÁ‹¼»¡¤Ãͧ·ÕÁ¤ÇÒÁÊÒÁÒö㹡ÒûÃѺµÑǡѺ»˜­ËҢͧà´ç¡äÁ‹´äÁ‹à¡‹§ ÙŒ è Õ Õ ËÃ×Í ¾‹ÍáÁ‹¼»¡¤Ãͧà´ç¡ÁÕ¤ÇÒÁÅíҺҡ㹡ÒÃÊÒÁÒöàÃÕ¹ÃÙ·¡ÉÐãËÁ‹ ËÃ×Í ¶ŒÒ¾‹ÍáÁ‹¼»¡¤Ãͧà´ç¡ ÙŒ Œ Ñ ÙŒ ÁÕ¤ÇÒÁÅíҺҡ㹡Ò÷íÒ¤ÇÒÁࢌÒã¨ËÃ×ÍäÁ‹à¢ŒÒã¨à˵ؼÅÇѵ¶Ø»ÃÐʧ¤¢Í§¡Òýƒ¡á¡Œä¢áµ‹à¹Ô¹æáººè home program ËÃ×Í ¶ŒÒ¡Òýƒ¡·ÕºÒ¹¨Ð·íÒãËŒ¾ÍáÁ‹¼»¡¤ÃͧࢌÒ㨼Դ¤Ô´Ç‹Òà´ç¡¨Ð¾Ù´äÁ‹ä´Œ äÁ‹¨ÐàÅ×Í¡ è Œ ‹ ÙŒ 㪌¡Òýƒ¡·ÕºÒ¹ã¹¡Ã³ÕàËŋҹÕé è Œ
  • 456.
    àǪÈÒʵÏ·¹Âؤ 2553 Ñ 429 ¡ÒûÃÖ¡ÉÒ·ÕÁÊËÊÒ¢ÒÇÔªÒªÕ¾â´Â¹Ñ¡ÍÃöºíҺѴ(1,2,4,5) ¹Ñ¡ÍÃöºíҺѴ¨ÐÊ‹§»ÃÖ¡ÉÒ·ÕÁÊËÊÒ¢ÒÇÔªÒªÕ¾àÁ×ͼٻÇÂÁÕ¤ÇÒÁ¼Ô´»¡µÔ¢Í§¡ÐâËÅ¡ ÈÕÃÉÐ è Œ † áÅÐãºË¹ŒÒ ËÃ×Í àÁ×ÍʧÊÑÂNjҼٻÇÂÁÕ»­ËÒ¤ÇÒÁ¡ŒÍ§¡Ñ§ÇÒ¹¢Í§àÊÕ§¾Ù´ ËÃ×Í àÁ×ͽƒ¡á¡Œä¢»˜­ËÒ VPD è Œ † ˜ è áÅŒÇäÁ‹¾ºÇ‹ÒÁÕ¼ÅÊíÒàÃç¨ÀÒÂËÅѧ¡Òýƒ¡ 6-8 ÊÑ»´Òˏ ÅѡɳÐྴҹâËÇ‹áÅФÇÒÁ¼Ô´»¡µÔ¢Í§â¤Ã§ÊÌҧ·Õ·ÒãËŒà¡Ô´ VPD ÁÑ¡·íÒãËŒà¡Ô´»˜­ËÒ·Õ«º è í è Ñ «ŒÍ¹ ¡ÒûÃÐàÁÔ¹ÅѡɳÐáÅл˜­ËÒ໚¹ÊÔ§ÊíҤѭ ·ÕªÇÂãËŒà¡Ô´¡ÒÃÇÔ¹¨©Ñ·ն¡µŒÍ§áÅÐÇÒ§á¼¹¡Òà è è ‹ Ô è Ù ÃÑ¡ÉÒ·ÕÁ»ÃÐÊÔ·¸ÔÀÒ¾ ¡Ò÷íҧҹẺÊËÊÒ¢ÒÇԪҪվ໚¹¡ÒôÙáÅÃÑ¡ÉÒẺÁҵðҹÊíÒËÃѺ¼Ù»Ç è Õ Œ † ·ÕÁ¤ÇÒÁ¼Ô´»¡µÔ¢Í§¡ÐâËÅ¡ ÈÕÃÉÐáÅÐãºË¹ŒÒ è Õ àÍ¡ÊÒÃ͌ҧÍÔ§ 1. Peterson-.alzone SJ, Hardin-Jones MA, Karnell MP. Cleft Palate Speech. 3rd ed. St. Louis (MO): Mosby, Inc; 2001. 2. Peterson-.alzone SJ, Trost-Cardamone JE, Karnell MP & Hardin-Jones M. The Clinicain’s Guide to Treating Cleft Palate Speech. St Louis, MO: Mosby Elsevier; 2006. 3. Shprintzen R, Bardach J. (Ed.) Cleft Palate Speech Management. St. Louis: Mosby; 1995. 4. Bardach J, Morris H. (Ed.) Multidisciplinary Management of Cleft Lip and Palate. Philadelphia: WB Saunders; 1990. 5. Golding – Kushner KJ. Therapy techniques for Cleft Palate Speech and Related Disorders. San Diego, CA: Singular; 2001. 6. Kummer A. Cleft Palate and Craniofacial Anomalies: the Effects on Speech and Resonance. San Diego, CA: Singular; 2001. 7. Zemlin WR. Speech and hearing science: anatomy and physiology. 4th ed. Englewood Cliffs (NJ): Prentice- Hall; 1997.
  • 457.
    430 ¡ÅàÁç´¡Ò÷íҧҹ໚¹·ÕÁ´ÙáżٻÇ¡ÐâËÅ¡ÈÕÃÉÐáÅÐãºË¹ŒÒ¼Ô´»¡µÔ Œ † ʶԵԼٌ»†Ç Craniomaxillofacial anomalies ·ÕèÁÒÃѺºÃÔ¡Òâͧ ÊÒ¢ÒÍÃöºíҺѴ ÀÒ¤ÇÔªÒàǪÈÒʵÏ¿„œ¹¿Ù ¤³Ðá¾·ÂÈÒʵÏÈÔÃÔÃÒª¾ÂÒºÒÅ »‚ ¾.È. 2550 – 2552
  • 458.
  • 460.
    àǪÈÒʵÏ·¹Âؤ 2553 Ñ º··Õè 433 62 Movement Disorder Surgery ÍÒ¨ÒÏ ¹ÒÂᾷÈÃѳ ¹Ñ¹·ÍÒÃÕ ÍÒ¨ÒÏ ¹ÒÂᾷºÃþµ ÊÔ·¸Ô¹ÒÁÊØÇÃó ÍÒ¨ÒÏ ¹ÒÂᾷͤ¤¾§É ¹ÔµÊ§Ë Ñ Ô Ô ÀÒ¤ÇÔªÒÈÑÅÂÈÒʵÏ ¤³Ðá¾·ÂÈÒʵÏÈÔÃÔÃÒª¾ÂÒºÒÅ ÁËÒÇÔ·ÂÒÅÑÂÁËÔ´Å ÃͧÈÒʵÃÒ¨ÒÏ ᾷ˭ԧ¡¹¡ÇÃó ºØ­­¾ÔÊ®°Š Ô ÍÒ¨ÒÏ ¹ÒÂᾷÍÀÔªÒµÔ ¾ÔÈÒž§È ÀÒ¤ÇÔªÒÍÒÂØÃÈÒʵÏ ¤³Ðá¾·ÂÈÒʵÏÈÃÃÒª¾ÂÒºÒÅ ÁËÒÇÔ·ÂÒÅÑÂÁËÔ´Å ÔÔ ¡ÒÃÃÑ¡ÉÒâä¡ÒÃà¤Å×͹äËǼԴ»Ã¡µÔª¹Ô´µ‹Ò§æ ¹Ñ¹ ¹Í¡¨Ò¡¡ÒÃÃÑ¡ÉÒâ´ÂÂÒààÅŒÇ ÂѧÁÕ¡Òà è é ÃÑ¡ÉÒ´ŒÇ¡Òü‹ÒµÑ´ ¶ŒÒ¼Ù»Çµͺʹͧµ‹ÍÂÒäÁ‹´Õ «Ö§µÑ§àോà´×͹¡Ã¡®Ò¤Á 2547 ¶Ö§ à´×͹¾ÄÉÀÒ¤Á Œ † è é 2553 ¤³Ð¼Ùà¢Õ¹䴌·Ò¡Òü‹ÒµÑ´ä»ÁÒ¡¡Ç‹Ò 187 ÃÒ (äÁ‹¹ºÃÇÁ¼Ù»Ç hemifacial spasm) «Ö§¾º Œ í Ñ Œ † è Ç‹ÒÁÕÀÒ¾ÃÇÁ¢Í§¡Òü‹ÒµÑ´áÅмÅÅѾ¸´§¹Õé Ñ âä¾ÒϡԹÊѹ (Parkinson’s disease) ¼Ù»ÇÂâä¾ÒÏ¡¹Êѹ·ÕµÍºÊ¹Í§´ÕµÍÂÒ â´ÂÁÕ motor symptoms »ÃÐàÁÔ¹â´Â UPDRS-III Œ † Ô è ‹ ´Õ¢¹ÁÒ¡¡Ç‹Ò 30% ËÅѧ¡Ô¹ÂÒ levodopa àോÁ»­ËҢͧ¡ÒÃãËŒÂÒÍѹà¹×ͧ¨Ò¡ÁÕ motor fluctuation, Öé Õ ˜ è dyskinesia ËÃ×Í intractable tremor ໚¹¢ŒÍº‹§ªÕ¢Í§¡Ò÷íÒ¼‹ÒµÑ´ ͹֧¼Ù»ÇµŒÍ§äÁ‹ÁÕ dementia ààÅÐ é è Œ † unsolved depression ààÅÐäÁ‹¤ÇèÐÁÕ on-time speech problem, on-time swallowing problem ËÃ×Í on-time gait problem ¡Òü‹ÒµÑ´ unilateral thalamotomy µíÒá˹‹§ target ¢Í§ thalamotomy ·ÕÂÍÁÃѺ¡Ñ¹·ÑÇä»ä´Œá¡‹ ventrointermediate nucleus è è (Vim) «Ö§ÁÕ¨´à´‹¹ã¹¡ÒÃÅ´ÍÒ¡ÒÃÊѹ¢Í§á¢¹´ŒÒ¹µÃ§¢ŒÒÁ䴌͋ҧªÑ´à¨¹ã¹¡ÒõԴµÒÁÃÐÂÐÂÒÇ1 ᵋ è Ø è thalamotomy ÁբͨíÒ¡Ñ´·ÕÍÒ¡ÒÃËÅÑ¡Í×¹æ¢Í§ Parkinson’s disease Íѹ䴌ᡋ rigidity, bradykinesia Œ è è áÅÐ postural instability «Ö§ÊÌҧ»˜­ËÒµ‹Í¼Ù»ÇÂÁÒ¡¡Ç‹Ò tremor äÁ‹´¢¹ ÃÇÁ·Ñ§äÁ‹ÊÒÁÒö·Õ¨Ð·íÒ è Œ † Õ Öé é è bilateral procedures ä´Œâ´Â»ÅÍ´ÀÑÂáÅж×Í໚¹¢ŒÍËŒÒÁ ´Ñ§¹Ñ¹ unilateral thalamotomy ¨Ö§Áշ㪌 é Õè ¨íҡѴ੾ÒмٻÇ tremor-dominant Parkinson’s disease ·ÕÍÒ¡ÒÃÍ×¹æ µÍºÊ¹Í§´ÕµÍÂÒ áÅÐÁÕá¹Ç Œ † è è ‹ ⹌ÁNjҨÐÂѧ¤§µÍºÊ¹Í§´ÕµÍä»ã¹Í¹Ò¤µ ¼Å¡Òü‹ÒµÑ´ unilateral Vim-thalamotomy 3 ÃÒ¾ºÇ‹Ò ‹
  • 461.
    434 Movement Disorder Surgery ãËŒ¼ÅÅ´ÍÒ¡ÒÃÊѹ䴌ÁÒ¡¡Ç‹Ò 80% 㹡ÒõԴµÒÁÁÒ¡¡Ç‹Ò 4 »‚ ààÅÐäÁ‹¾º¼Å¢ŒÒ§à¤Õ§¡Òü‹ÒµÑ´ è Unilateral Pallidotomy µíÒá˹‹§ target ¢Í§ pallidotomy ·ÕÂÍÁÃѺ¡Ñ¹·ÑÇä» ä´Œá¡‹ posteroventral globus pallidus è è par interna (GPi) «Ö§ÁÕ¨´à´‹¹ã¹¡ÒÃÅ´ÍÒ¡Òà dyskinesia ¢Í§Ã‹Ò§¡Ò´ŒÒ¹µÃ§¢ŒÒÁ䴌͋ҧÁÒ¡ è Ø 㹡ÒõԴµÒÁÃÐÂÐÂÒÇ2 ÃÇÁ·Ñ§ÊÒÁÒöŴÍÒ¡ÒÃËÅÑ¡µ‹Ò§æ (¹Í¡à˹×ͨҡ tremor) ¢Í§ Parkinson’s é disease ä´Œ´Ç ¡Ò÷íÒ bilateral procedures ¶×ÍÇ‹ÒÁÕ¤ÇÒÁàÊÕ§ᵋäÁ‹ãª‹¢ÍËŒÒÁ ¼Å¡Òü‹ÒµÑ´ unilateral Œ è Œ pallidotomy 17 ÃÒ ¾ºÇ‹ÒÁÕ»ÃÐÊÔ·¸ÔÀҾŴÍÒ¡Òà dyskinesia ŧ䴌ÁÒ¡¡Ç‹Ò 85% 㹡ÒõԴµÒÁ 5 »‚ ààÅÐÊÒÁÒöŴÍÒ¡Òà off-time Parkinsonism ŧ䴌Í‹ҧªÑ´à¨¹ã¹ª‹Ç§»‚ààáæ àോ»ÃÐÊÔ·¸ÔÀÒ¾ ¹ÕéÅ´¹ŒÍÂŧàËÅ×Íà¾Õ§ 30% ¨Ò¡¡ÒûÃÐàÁÔ¹â´Â UPDRS-III 㹡ÒõԴµÒÁÃÐÂÐÂÒÇ ÃÇÁ·Ñé§ »ÃÐÊÔ·¸ÔÀҾ㹡ÒÃÅ´ tremor äÁ‹ÊÁèÒàÊÁÍàËÁ×͹ thalamotomy à¹×ͧ¨Ò¡¼Å㹡ÒÃÅ´ tremor í è ÁÕ¤ÇÒÁᵡµ‹Ò§¡Ñ¹Í‹ҧÁÒ¡ã¹¼Ù»ÇÂᵋÅÐÃÒÂáÅÐäÁ‹ÊÒÁÒö¤Ò´à´Òä´Œ¡Í¹¼‹ÒµÑ´ ¾ºÁÕÀÒÇÐàà·Ã¡ Œ † ‹ «ŒÍ¹¨Ò¡¡Òü‹ÒµÑ´ dysarthria 1 ÃÒÂààÅÐ asymptomatic intracerebral hemorrhage 1 ÃÒ ¡Òü‹ÒµÑ´ bilateral subthalamic deep brain stimulation ໚¹¡Òü‹ÒµÑ´·ÕèÁÕÃÒ§ҹ¼Å¡ÒõԴµÒÁÃÐÂÐÂÒÇ·Õè´Õ·ÕèÊØ´3 ÊÒÁÒöŴÍÒ¡ÒÃËÅÑ¡µ‹Ò§æ ¢Í§ Parkinson’s disease 䴌͋ҧÁÒ¡ ÃÇÁ·Ñ§ÊÒÁÒö·íÒ bilateral procedures ä´Œâ´Â»ÅÍ´ÀÑÂ é ´ŒÇ¢ŒÍ´Õµ‹Ò§æ´Ñ§¡Å‹ÒǨ֧·íÒãˌ໚¹¡Òü‹ÒµÑ´ä´Œ·Õèä´ŒÃѺ¡ÒÃÂÍÁÃѺàà¾Ã‹ËÅÒÂÁÒ¡·ÕèÊØ´ã¹»˜¨¨ØºÑ¹ ¼Å¡Òü‹ÒµÑ´¼Ù»Ç 64 ÃÒÂã¹Ã.¾.ÈÔÃÃÒª ¾ºÇ‹Òª‹ÇÂÅ´ÍÒ¡Òà off-time Parkinsonism »ÃÐàÁÔ¹â´Â Œ † Ô UPDRS-III ŧ䴌 60% 㹡ÒõԴµÒÁÁÒ¡¡Ç‹Ò 2 »‚ ÃÇÁ·Ñ§ÊÒÁÒöŴ»ÃÔÁÒ³ÂÒ levodopa ŧ䴌 33% é ààÅÐÁÕ¼»Ç 13% ·ÕÊÒÁÒöËÂØ´ÂÒä´Œ·¡µÑÇ ¾ºÁÕÀÒÇÐàà·Ã¡«ŒÍ¹ asymtomatic intracerebral ÙŒ † è Ø 4 hemorrhage 1 ÃÒÂ, stimulation-induced dysarthria 2 ÃÒÂ, transient hypomania 3 ÃÒ ààÅÐ infection 1 ÃÒ ÍÒ¡Ò÷յͺʹͧ´ÕÁÒ¡µ‹Í¡Òü‹ÒµÑ´ 䴌ᡋ tremor, off-time rigidity ààÅÐ dyskinesia ÍÒ¡ÒÃ è ·ÕµÍºÊ¹Í§»Ò¹¡ÅÒ§µ‹Í¡Òü‹ÒµÑ´ 䴌ᡋ off-time bradykinesia áÅÐ off-time postural instability è ʋǹÍÒ¡Òà on-time freezing ààÅÐ on-time postural instability ¹Ñ¹ µÍºÊ¹Í§äÁ‹´µÍ¡Òü‹ÒµÑ´ é Õ ‹ ¡Òü‹ÒµÑ´ bilateral pallidal deep brain stimulation ໚¹¡Òü‹ÒµÑ´·Õä´Œ¼Åã¹ÃÐÂÐááã¡ÅŒà¤Õ§¡Ñº bilateral subthalamic deep brain stimulation è ᵋ ÁÕ ¢Œ Í ¨í Ò ¡Ñ ´ ·Õè ä Á‹ Ê ÒÁÒöŴÂÒŧ䴌 5 ÃÇÁ·Ñé§ã¹ÃÐÂÐÂÒÇÁÕ»ÃÐÊÔ·¸ÔÀҾ㹡ÒÃÅ´ off-time Parkinsonism ä´Œ¹ÍÂ¡Ç‹Ò bilateral subthalamic deep brain stimulation6 ¨Ö§·íÒãËŒäÁ‹à»š¹·Õ¹ÂÁá¾Ã‹ Œ è Ô ËÅÒ ¼Å¡Òü‹ÒµÑ´¼Ù»Ç 1 ÃÒ ¾ºÇ‹Òª‹ÇÂÅ´ÍÒ¡Òà off-time Parkinsonism ä´Œª´à¨¹àª‹¹à´ÕÂǡѺ Œ † Ñ bilateral subthalamic deep brain stimulation ᵋÁ¢Í´Õ·äÁ‹ÁÕ stimulation-induced dyskinesia áÅÐ Õ Œ Õè stimulation-induced psychiatric adverse effect ¨Ö§·íÒãËŒÊÒÁÒö·íÒ postoperative programming ä´Œ§ÒÂ¡Ç‹Ò bilateral subthalamic deep brain stimulation ÁÒ¡ «Ö§ÍÒ¨¨ÐàËÁÒÐÊÁ¡Ñº¼Ù»Ç·ÕÁ¢Í ‹ è Œ † è Õ Œ ¨íÒ¡Ñ´ ·ÕäÁ‹ÊÒÁÒöà´Ô¹·Ò§ÁÒ·íÒ postoperative programming º‹Í¤Ãѧ䴌 è é
  • 462.
    àǪÈÒʵÏ·¹Âؤ 2553 Ñ 435 ¡Òü‹ÒµÑ´ bilateral pedunculopontine deep brain stimulation ໚¹¡Òü‹ÒµÑ´·ÕÍÒ¨¨Ðª‹ÇÂÅ´ÍÒ¡Òà on-time freezing ààÅÐ on-time postural instability «Ö§ è è äÁ‹µÍºÊ¹Í§µ‹Í bilateral subthalamic deep brain stimulation »˜¨¨Øº¹Âѧ¨Ñ´ÍÂÙ㹢ѹ·´Åͧ ÁÕÃÒ§ҹ 7 Ñ ‹ é ¡Òü‹ÒµÑ´¨Ò¡·ÑèÇâÅ¡¨íҹǹ¹ŒÍ ÃÇÁ·Ñé§ÁÕÃÒ§ҹ·Õèä´Œ¼ÅáÅÐäÁ‹ä´Œ¼Å ¼Å¡Ò÷íÒ¼‹ÒµÑ´ bilateral pedunculopontine deep brain stimulation ã¹ Ã.¾.ÈÔÃÃÒª¡Ñº¼Ù»Ç¾ÒÏ¡¹Êѹ 1 ÃÒ ·ÕÁ»­ËÒ Ô Œ † Ô è Õ ˜ postural instability «Ö§äÁ‹µÍºÊ¹Í§µ‹ÍÂÒ ¾ºÇ‹Ò¡Òü‹ÒµÑ´ª‹ÇÂÅ´»˜­ËÒ¡ÒÃà´Ô¹¨Ò¡ on-time freezing è ààÅÐ on-time postural instability ä´Œ ᵋäÁ‹à¡Ô¹ 50% áÅÐä´Œ¼Å´ÕÍÂÙà¾Õ§»ÃÐÁÒ³ 6 à´×͹෋ҹѹ ‹ é âä´ÕÊâ·à¹Õ (Dystonia) Primary general dystonia ààÅÐ primary segmental dystonia ¼Ù»Ç primary general dystonia ààÅÐ primary segmental dystonia ¹Ñ¹»˜¨¨Øº¹ÂѧäÁ‹ÁÕ Œ † é Ñ effective medical treatment (¡àÇŒ¹ rare cases ¢Í§ dopamine responsive dystonia) ààÅÐ໚¹ ¢ŒÍº‹§ªÕ¢Í§¡Òü‹ÒµÑ´8 «Ö§¡Òü‹ÒµÑ´¹Ñ¹äÁ‹¤ÇèÐÃͨ¹¡ÃзѧÁÕ bony deformity à¡Ô´¢Ö¹ ã¹»˜¨¨Øº¹Âѧ é è é è é Ñ äÁ‹Á¢ÍÊÃØ»¢Í§ optimal target ¢Í§¡Òü‹ÒµÑ´ dystonia ·Õª´à¨¹ ÁÕÃÒ§ҹ¼Å¡Òü‹ÒµÑ´·Õ´·§¨Ò¡ Õ Œ è Ñ è Õ Ñé thalamic, pallidal áÅÐ subthalamic procedures ᵋ·Õèä´ŒÃѺ¡ÒÃÂÍÁÃѺá¾Ã‹ËÅÒÂÁÒ¡·ÕèÊØ´ ã¹»˜¨¨Øº¹ ¤×Í ¡Òü‹ÒµÑ´ bilateral pallidal deep brain stimulation «Ö§ÁÕÃÒ§ҹNjÒä´Œ¼Å´Õ â´Â੾ÒÐ Ñ è ´ÕÁÒ¡·ÕÊ´µ‹Í primary general dystonia ª¹Ô´ DYT-1 áÅСÒõͺʹͧ¹Ñ¹ÁÕšɳÐ໚¹ delay and èØ 9 é Ñ gradual response â´ÂÍÒ¡ÒèФ‹ÍÂæ´Õ¢¹ã¹ª‹Ç§àÇÅÒËÅÒÂà´×͹ ¼Å¡Òü‹ÒµÑ´ bilateral pallidal deep Öé brain stimulation 㹼ٻǠ8 ÃÒ ¾ºÇ‹ÒÍÒ¡Òà dystonia »ÃÐàÁÔ¹â´Â B.MDRS ´Õ¢¹ÁÒ¡¶Ö§ 71% Œ † Öé ¶Ö§áÁŒÇҼٻǷѧËÁ´¨ÐäÁ‹ãª‹ primary general dystonia ª¹Ô´ DYT-1 ¡çµÒÁ ¡Òõͺʹͧ·Ñ§ËÁ´ ‹ Œ † é é ᵡµ‹Ò§¨Ò¡ÃÒ§ҹ㹵‹Ò§»ÃÐà·È â´Â¼Ù»Ç´բ¹Í‹ҧÃÇ´àÃçÇ ã¹àÇÅÒà¾Õ§äÁ‹¡ªÇâÁ§ËÃ×ÍäÁ‹¡Ç¹ Œ † Öé Õè Ñè Õè Ñ áÅоºÇ‹Ò dystonia ª¹Ô´ mobile dystonia, spasmodic dysphonia ààÅÐ laryngopharyngeal dystonia ¹Ñ¹µÍºÊ¹Í§´ÕÍ‹ҧÁÒ¡µ‹Í¡Òü‹ÒµÑ´ ¾ºÀÒÇÐàà·Ã¡«ŒÍ¹ infection ¨Ò¡¡Òü‹ÒµÑ´ 1 ÃÒ é Secondary dystonia ÀÒÇÐ secondary dystonia ¹Ñ¹»˜¨¨Øº¹ÂѧÁÕÃÒ§ҹ¡Òõͺʹͧµ‹Í¡Òü‹ÒµÑ´·ÕäÁ‹à๋¹Í¹ é Ñ è áÅÐäÁ‹Á¢ÍÊÃØ» ¼Å¡Òü‹ÒµÑ´´ŒÇÂÇÔ¸Õ bilateral pallidal stimulation 㹼ٻǠ14 ÃÒ ¾ºÇ‹Ò¼Ù»ÇÂ Õ Œ Œ † Œ † µÍºÊ¹Í§µ‹Í¡Òü‹ÒµÑ´àൡµ‹Ò§¡Ñ¹Í‹ҧÁÒ¡ µÑ§àോÍÒ¡Òôբ¹ªÑ´à¨¹ ¨¹¶Ö§äÁ‹´¢¹ ¹Í¡¨Ò¡¹Ñ¹ÁÕ é Öé Õ Öé é ¼ÙŒ»†ÇºҧÃÒ·Õè¡ÒõͺʹͧŴ¹ŒÍÂŧ àÁ×èÍ·íÒ¡ÒõԴµÒÁã¹ÃÐÂÐÂÒÇ ¢ŒÍÊѧࡵ·Õèä´Œ¤×Í ¡ÅØ‹Á·Õè µÍºÊ¹Í§´ÕµÍ¡Òü‹ÒµÑ´ ¤×Í secondary dystonia ¨Ò¡ tardive disorder ¡ÅØÁ·ÕµÍºÊ¹Í§»Ò¹¡ÅÒ§ ‹ ‹ è ¤×Í secondary dystonia ¨Ò¡ pantothenate kinase-associate neurodegeneration (PKAN, Hallovorden- Spatz disease), stroke, traumatic brain injury ààÅÐ hemidystonia ʋǹ¡ÅØÁ·ÕµÍºÊ¹Í§äÁ‹´Õ ¤×Í ‹ è secondary dystonia ¨Ò¡ cerebral palsy, CNS infection ààÅÐ Huntington’s disease ¾ºÀÒÇÐ àà·Ã¡«ŒÍ¹¨Ò¡¡Òü‹ÒµÑ´ Parkinsonism 1 ÃÒ ààÅÐ infection 2 ÃÒ à¹×ͧ¨Ò¡»˜¨¨Øº¹ÂѧäÁ‹ÁÕ challenge è Ñ
  • 463.
    436 Movement Disorder Surgery test ÊíÒËÃѺ¾Âҡó¡Òõͺʹͧ¢Í§¼Ù»ÇÂâä´ÕÊâ·à¹Õ µ‹Í¡Òü‹ÒµÑ´ deep brain stimulation Œ † ´Ñ§¹Ñ¹¨Ö§äÁ‹ÊÒÁÒöÃÙ䴌ṋ¹Í¹Ç‹Ò ¼Ù»ÇÂÃÒÂ㴨дբ¹ÁÒ¡¹ŒÍ ෋Òã´ËÅѧ¼‹ÒµÑ´ ËÃ×ÍÍÒ¨¨ÐäÁ‹´¢¹ é Œ Œ † Öé Õ Öé àÅ ¨Ò¡»ÃÐʺ¡Òó¢Í§¼Ùà¢Õ¹áÅÐÃÒ§ҹ¢Í§¡ÒÃÈÖ¡ÉÒÍ×¹æ ¾ºÇ‹Ò¡ÅØÁ¼Ù»Ç·ÕÁá¹Ç⹌Á¨Ð Œ è 10-21 ‹ Œ † è Õ µÍºÊ¹Í§´ÕÁÒ¡ 䴌ᡋ primary dystonia, segmental dystonia, mobile dystonia ààÅÐ tardive dystonia ¡ÅØ‹Á¼ÙŒ»†Ç·ÕèÁÕá¹Ç⹌ÁµÍºÊ¹Í§»Ò¹¡ÅÒ§¶Ö§µÍºÊ¹Í§¹ŒÍÂ䴌ᡋ hemidystonia, secondary dystonia ¨Ò¡ PKAN, post-stroke dystonia ààÅÐ post-traumatic dystinia áÅÐ¡ÅØÁ¼Ù»Ç·ÕÁá¹Ç⹌Á ‹ Œ † è Õ äÁ‹µÍºÊ¹Í§ 䴌ᡋ secondary dystonia ¨Ò¡ cerebral palsy, CNS infection ààÅÐ Huntington’s disease Cervical dystonia ¼ÙŒ»†Ç cervical dystonia ·ÕèäÁ‹µÍºÊ¹Í§µ‹Í medical treatment ໚¹¢ŒÍº‹§ªÕé¢Í§¡Ò÷íÒ ¼‹ÒµÑ´ «Ö§äÁ‹¤ÇèÐÃÍ¡Òü‹ÒµÑ´¨¹¡ÃзѧÁÕ cervical spine degeneration à¡Ô´¢Ö¹ »˜¨¨Øº¹¡Òü‹ÒµÑ´ è è é Ñ ÁÕ 2 ÇÔ¸ËÅÑ¡¤×Í selective peripheral denervation àËÁÒÐÊÁ¡Ñº¼Ù»Çª¹Ô´ simple cervical dystonia Õ Œ † Íѹ䴌àà¡‹ torticollis, laterocollis ËÃ×Í retrocollis ¼Å¡Òü‹ÒµÑ´¼Ù»Ç 6 ÃÒ¾ºÇ‹Ò¼Ù»ÇÂÁÕÍÒ¡ÒÃ´Õ 22 Œ † Œ † ¢Ö¹ »ÃÐàÁÔ¹â´Â Tsui’s score 70% ààÅÐäÁ‹¾º¼Å¢ŒÒ§à¤Õ§ bilateral pallidal deep brain stimulation é ໚¹¡ÒÃÃÑ¡ÉÒ·Õ§ÁÕÃÒ§ҹäÁ‹ÁÒ¡¹Ñ¡ààÅÐÂѧäÁ‹ÁÃÒ§ҹ long-term outcomes ¼Å¡Òü‹ÒµÑ´¼Ù»Ç è Ñ Õ Œ † 5 ÃÒ ¾ºÇ‹Ò¶Ö§ààÁŒ¼ÙŒ»†Ç¨ÐÁÕÍÒ¡ÒôբÖé¹ àോäÁ‹ä´Œ¼Å´Õ仡NjҡÒü‹ÒµÑ´ selective peripheral denervation Í‹ҧÁÕ¹ÂÊíҤѭ ´Ñ§¹Ñ¹»˜¨¨Øº¹¼Ùà¢Õ¹¨Ö§¨íÒ¡Ñ´¡ÒÃ㪌੾ÒÐ¡Ã³Õ complex cervical Ñ é Ñ Œ dystonia ·ÕäÁ‹àËÁÒСѺ selective peripheral denervation ෋ҹѹ «Ö§ä´Œàà¡‹ cervical dystonia ª¹Ô´ è é è antecollis, cervical dystonia ·ÕÁûà຺äÁ‹à๋¹Í¹ ËÃ×ÍÁÕ significant extra-cervical symptom è Õ٠ËÇÁ´ŒÇÂ͹֧¼Å¡ÒÃÃÑ¡ÉÒã¹âç¾ÂÒºÒÅÈÔÃÃÒª¾ºÇ‹Ò¼Ù»ÇºҧÃÒµŒÍ§ãªŒ¡Òü‹ÒµÑ´·Ñ§ÊͧÇÔ¸ÃÇÁ¡Ñ¹ è Ô Œ † é Õ‹ ¨Ö§¨Ðä´Œ¼ÅÅѾ¸·´·Ê´Õè Õ Õè Ø âäÊÑ蹨ҡÊÒà˵ØÍ×è¹æ (Nonparkinsonian tremor) ¹Í¡à˹×ͨҡâä¾ÒÏ¡¹ÊѹáÅŒÇ ÍÒ¡ÒÃÊѹ¨Ò¡ÊÒà˵ØÍ¹æ ઋ¹ essential tremor, traumatic Ô è ×è brain injury, multiple sclerosis ËÃ×Í midbrain stroke ·ÕÁÍÒ¡ÒÃÃØ¹ààç ààÅÐäÁ‹µÍºÊ¹Í§µ‹Í¡Òà è Õ ÃÑ¡ÉÒ´ŒÇÂÂÒ à»š¹¢ŒÍº‹§ªÕ¢Í§¡Òü‹ÒµÑ´´ŒÇÂÇÔ¸Õ unilateral thalamotomy ËÃ×Í bilateral thalamic deep é brain stimulation ¡ÒäѴàÅ×Í¡¼Ù»ÇÂà¾×Í·íÒ¼‹ÒµÑ´ÁÕ¤ÇÒÁÊíҤѭ໚¹Í‹ҧÁÒ¡ à¹×ͧ¨Ò¡¼Ù»Ç tremor Œ † è è Œ † ¨Ò¡ traumatic brain injury, multiple sclerosis ËÃ×Í midbrain stroke ¹Ñ¹ÁÕ brain lesions ÍÂÙà´ÔÁ ¨Ö§ÁÕ é ‹ brain reserve ·ÕµÒ ¡ÒúҴà¨çºà¾ÔÁàµÔÁà¾Õ§àÅ硹ŒÍ¨ҡ¡Òü‹ÒµÑ´ ÍҨ໚¹ÍѹµÃÒµ‹Í¼Ù»ÇÂààÅÐ è èí è Œ † ¨Ñ´Ç‹ÒÁÕ¤ÇÒÁàÊÕ§µ‹Í¡Òü‹ÒµÑ´ÊÙ§ ¼Ù»Ç·ÕÁ»­ËÒ dementia, speech problem, swallowing problem è Œ † è Õ ˜ ËÃ×Í ataxia äÁ‹àËÁÒСѺ¡Ò÷íÒ¼‹ÒµÑ´ ¼Ù»Ç multiple sclerosis ·ÕÁ¡ÒôíÒà¹Ô¹âä·ÕÃÇ´àÃçÇ ËÃ×ÍÁÕ Œ † è Õ è àà¹Ç⹌Á·Õ¨Ð໚¹ nonfunctional limb ËÅѧ¼‹ÒµÑ´Íѹà¹×ͧ¨Ò¡ weakness, ataxia ËÃ×Í profound sensory è è loss äÁ‹àËÁÒСѺ¡Ò÷íÒ¼‹ÒµÑ´ ¹Í¡¨Ò¡¹Ñ¹¨ÐµŒÍ§á¡ÍÒ¡ÒÃÊѹª¹Ô´ cerebellar tremor ÍÍ¡¨Ò¡ 23 é è
  • 464.
    àǪÈÒʵÏ·¹Âؤ 2553 Ñ 437 cerebellar ataxia ·Ñ§¹Õà¹×ͧ¨Ò¡ tremor ¨ÐÊÒÁÒö´Õ¢¹ä´Œ¨Ò¡¡Òü‹ÒµÑ´áµ‹ cerebellar ataxia ¨ÐäÁ‹ é é è Öé ´Õ¢Öé¹ËÃ×ÍÍÒ¨¨Ð·ÃشŧËÅѧ¼‹ÒµÑ´ µíÒàà˹‹§ target ·Õèä´ŒÃѺ¡ÒÃÂÍÁÃѺá¾Ã‹ËÅÒ¢ͧ¡Òü‹ÒµÑ´ nonparkinsonian tremor 䴌ᡋ Vim àËÁ×͹¡Ñºã¹ Parkinsonian tremor àോÁÃÒ§ҹáÂŒ§¶Ö§¡ÒÃ Õ targeting ·Õè ventral oroposterior nucleus (VOp) ËÃ×Í·Õè subthalamic region ºÃÔàdz zona inserta 23 (Zi) ÃÇÁ·Ñ§ subthalamic white matter Ç‹Òä´Œ¼Å´Õ¡Ç‹Ò Vim23,24,25 ¼Ùà¢Õ¹àÅ×Í¡·Õ¨Ð target ·Õè VOp ã¹ é Œ è ¡Ã³Õ·à»š¹ cerebellar tremor áÅШРtarget ·Õè Zi ËÇÁ´ŒÇ¶ŒÒÁÕÍÒ¡ÒÃÊѹ·ÕÊǹµŒ¹ (proximal tremor) Õè è è‹ ËÃ×Íʋǹ¡ÅÒ§ (truncal tremor) ¼Å¡Òü‹ÒµÑ´¼Ù»Ç 7 ÃÒ´ŒÇÂÇÔ¸Õ VOp-Zi thalamotomy áÅÐ VOp-Zi Œ † deep brain stimulation ´Ñ§¡Å‹ÒǾºÇ‹Ò postural tremor (¨Ò¡ essential tremor) µÍºÊ¹Í§´Õ¡Ç‹Ò cerebellar tremor (¨Ò¡ traumatic brain injury, multiple sclerosis ËÃ×Í midbrain stroke) áÅÐÍÒ¡Òà Êѹ·ÕÊǹ»ÅÒ (distal limb tremor) µÍºÊ¹Í§´Õ¡Ç‹ÒÍÒ¡ÒÃÊѹ·ÕÊǹµŒ¹ (proximal limb tremor) ààÅÐ è è‹ è è‹ Ê‹Ç¹¡ÅÒ§ (truncal tremor) µÒÁÅíҴѺ âä¡ÅŒÒÁà¹×éÍË´à¡Ãç§ (Spasticity) Spasticity ·Õà¡Ô´¢Ö¹¨Ò¡ upper motor neuron lesion ¹Ñ¹ã¹ºÒ§¤ÃѧÁÕ»ÃÐ⪹ã¹¡Òê‹Ç è é é é maintain good posture àോ spasticity ·ÕùààçÁÒ¡à¡Ô¹ä»¨Ð໚¹ÍØ»ÊÃäµ‹Í voluntary movement èØ ¢Ñ´¢ÇÒ§¡ÒôÙáÅáÅСÒ÷íÒ¡ÒÂÀÒ¾ºíҺѴ ºÒ§¤Ãѧ·íÒãËŒà¡Ô´¡ÒÃË´Ãѧ¢Í§¡ÅŒÒÁà¹×Í ÁÕàÊŒ¹àÍç¹ËÃ×Í¢ŒÍ é é é µÔ´ ËÃ×ÍÁÕ spasticity-related pain ÊÔ§àËŋҹÕ໚¹â·ÉààÅÐÊÁ¤ÇÃ䴌ú¡ÒÃÃÑ¡ÉÒ «Ö§ã¹¡Ã³Õ·Ã¡ÉÒäÁ‹ è é Ñ è Õè Ñ ä´Œ¼Å´ŒÇÂÇÔ¸¡ÒÃäÁ‹¼ÒµÑ´ààÅŒÇ ÊÁ¤ÇþԨÒóҶ֧¡ÒÃÃÑ¡ÉÒâ´Â¡Òü‹ÒµÑ´ «Ö§»ÃÐʺ¡Òó¨Ò¡¡ÒÃ Õ ‹ è ¼‹ÒµÑ´ä´Œ¼ÅÅѾ¸´§¹Õé Ñ Selective Peripheral Neurotomy àÅ×Í¡ãªŒã¹¡Ã³Õ focal spasticity ËÃ×Í multifocal spasticity ¼Ù»Ç·ÕàËÁÒÐÊÁ㹡Òü‹ÒµÑ´ Œ † è ¤×ͼٌ»†Ç·ÕèÁÕ੾ÒÐÀÒÇСŌÒÁà¹×éÍË´à¡Ãç§ â´ÂäÁ‹ÁÕ¤ÇÒÁ¼Ô´»¡µÔ·Ò§ÍÍÏ⸻´Ô¤Ê â´Â੾ÒÐ ÀÒÇСŌÒÁà¹×ÍàÊŒ¹àÍç¹Ë´ÃѧËÃ×ÍÀÒÇТŒÍµÔ´ «Ö§ÊÒÁÒö·íÒ¡ÒÃá¡ spasticity áÅÐ contracture ¡‹Í¹ é é è ¼‹ÒµÑ´ä´Œâ´Â¡Ò÷íÒ preoperative nerve block ¼Å¡Òü‹ÒµÑ´¨íҹǹ 140 neurotomy 㹼ٻǠ38 Œ † ÃÒ ¾ºÇ‹ÒÃдѺ spasticity »ÃÐàÁÔ¹â´Â modified Asworth score Ŵŧâ´Âà©ÅÕ 75 % ààÅÐ passive è range of movement à¾ÔÁ¢Ö¹â´Âà©ÅÕ 30 ͧÈÒ ã¹ª‹Ç§µÔ´µÒÁ 1 »‚ ¼Ù»Ç 9 ÃÒ«֧䴌ú¡Òü‹ÒµÑ´ è é è Œ † è Ñ selective tibial neurotomy ÁÕ gait function ´Õ¢¹ ¼Ù»Ç 6 ÃÒ«֧¡‹Í¹¼‹ÒµÑ´äÁ‹ÊÒÁÒö¹Ñ§ä´Œà¹×ͧ Öé Œ † è è è ¨Ò¡ÁÕÍÒ¡ÒÃà¡Ã秢ͧ¢ÒÁÒ¡ÊÒÁÒö¹Ñ§ä´ŒËÅѧ¼‹ÒµÑ´ obturator neurotomy áÅÐ sciatic neurotomy è Microsurgical DREZotomy (dorsal root entry zone lesion) àÅ×Í¡ãªŒã¹¡Ã³Õ general spasticity ËÃ×Í regional spasticity ·ÕÁÕ permanent disabling è neurological deficit ààÅÐäÁ‹ÁÕ potential ambulation ¼Å¡Òü‹ÒµÑ´¼Ù»Ç¨íҹǹ 3 ÃÒ ¾ºÇ‹ÒãËŒ¼ÅÅ´ Œ † ÃдѺ spasticity »ÃÐàÁÔ¹â´Â modified Asworth score ŧ 100 %
  • 465.
    438 Movement Disorder Surgery Selective dorsal rhizotomy ¹ÔÂÁ㪌㹡ÒÃÃÑ¡ÉÒ¼Ù»ÇÂà´ç¡·ÕÁÀÒÇÐÊÁͧ¾Ô¡Òà (cerebral palsy) «Ö§ÁÕ»­ËÒ¡ÅŒÒÁà¹×Í Œ † è Õ è ˜ é Ë´à¡Ãç§·Õ¢ÒÊͧ¢ŒÒ§ (spastic diplegia) ¡Òü‹ÒµÑ´¹Õ໚¹»ÃÐ⪹ÁÒ¡ã¹ÃÒ·աÒÅѧ¢Í§¢Ò (motor è é è í strength) ÍÂÙã¹à¡³±´Õ ÃдѺʵԻ­­Ò¢Í§¼Ù»ÇÂÍÂÙã¹à¡³±´Õ áÅмٻÇÂÁÕ੾ÒÐ spasticity â´Â ‹ ˜ Œ † ‹ Œ † ·ÕäÁ‹ÁÕ joint contracture ËÃ×Í tendon shortening ¹Í¡¨Ò¡¹Õé ÍÒ¨¾Ô¨ÒóҼ‹ÒµÑ´ã¹ÃÒ·ÕÁ¡ÅŒÒÁà¹×Í è è Õ é Ë´à¡Ãç§·ÕèᢹáÅТҷÑé§Êͧ¢ŒÒ§ (spastic quadriplegia) «Öè§ãËŒ¼Å¡ÒÃÃÑ¡ÉÒ·Õ褋͹¢ŒÒ§´Õ ¼ÙŒ»†Ç ·ÕàËÁÒÐÊÁ㹡Òü‹ÒµÑ´ ¤×Í ¼Ù»Ç cerebral palsy ·ÕÁÊÒà˵بҡ perinatal asphyxia ËÃ×Í low birth è Œ † è Õ weight áÅÐÁÕÈ¡ÂÀÒ¾·Õ¨Ð ambulate ä´Œ ¼Å¡Òü‹ÒµÑ´¼Ù»Ç¨íҹǹ 4 ÃÒ ¾ºÇ‹Ò gait function ´Õ¢¹ Ñ è Œ † Öé áÅмٻǺҧÃÒÂÊÒÁÒöÁÕ voluntary movement ·Õ´¢¹¢Í§¢Ò·Ñ§Êͧ¢ŒÒ§ Œ † è Õ Öé é Longitudinal myelotomy àÅ×Í¡ãªŒã¹¡Ã³Õ complete spinal cord lesion áÅÐÁÕ severe spasticity ¢Í§¢ÒËÃ×ÍÁÕ severe spasticity-related pain »˜¨¨Øº¹Áշ㪌¹ÍÂŧÁÒ¡à¹×ͧ¨Ò¡à»š¹ destructive surgery ·Õ¤Í¹¢ŒÒ§ extensive Ñ Õè Œ è è ‹ áÅÐÁÕ neurological deficit ÁÒ¡ ËÒ¡àÅ×Í¡¼ÙŒ»†Ç·ÕèäÁ‹àËÁÒÐÊÁ ÍÕ¡·Ñé§¡Òü‹ÒµÑ´¹Õé¶Ù¡á·¹·Õ贌Ǡintrathecal baclofen therapy «Öè§¹ÔÂÁ·íÒã¹»˜¨¨ØºÑ¹¡Ñº¼ÙŒ»†Ç·ÕèÁÕ severe spasticity ·Õèà¡Ô´¨Ò¡ ÃÍÂâäºÃÔàdzä¢ÊѹËÅѧ ¼Å¡Òü‹ÒµÑ´¼Ù»Ç 4 ÃÒ·ÕÁ੾ÒÐ severe spasticity ¢Í§¢Ò䴌ú¡Òà Œ † è Õ Ñ ¼‹ÒµÑ´ Bischof II myelotomy (modified Bischof myelotomy ËÃ×Í T-myelotomy) ÁÕÍÒ¡ÒÃà¡Ãç§Å´Å§ â´ÂÁÕ spasm frequency scale Ŵŧ¨Ò¡ÃдѺ 4 (ÁÕÍÒ¡ÒÃà¡Ãç§ÁÒ¡¡Ç‹Ò 10 ¤Ãѧµ‹ÍÇѹ) ໚¹ÃдѺ 0 é (äÁ‹ÁÍÒ¡ÒÃà¡Ãç§àÅÂ) ã¹¢³Ð·Õ¼»ÇÂÍÕ¡ 1 ÃÒ·ÕÁÕ severe spasticity ¢Í§¢ÒËÇÁ¡Ñº severe pain Õ è ÙŒ † è ¨Ò¡ spasticity 䴌ú¡Òü‹ÒµÑ´ Pourpre myelotomy ÁÕ spasm frequency scale Ŵŧ¨Ò¡ÃдѺ 4 Ñ à»š¹ÃдѺ 0 áÅÐäÁ‹ÁÍÒ¡ÒûǴ¨Ò¡ spasticity ÍÕ¡àÅÂ Õ Intrathecal baclofen pump ÁÕ¨´à´‹¹·Õ໚¹ non-destructive reversible procedure àËÁÒÐÊÁ·ÕàÅ×Í¡ãªŒã¹¡Ã³Õ regional ËÃ×Í Ø è è generalized spasticity ·Õ¼»ÇÂÊÒÁÒöÃѺÀÒÃФ‹Ò㪌¨Ò¤‹ÒÍØ»¡Ã³ààÅÐÂÒä´Œ à¹×ͧ¨Ò¡ intrathecal è ÙŒ † ‹ è baclofen ÂѧÁÕÃÒ¤Òá¾§ äÁ‹ÁÕã¹»ÃÐà·Èä·ÂáÅеŒÍ§¢Í͹حҵ¹íÒà¢ŒÒ ¼Å¡Òü‹ÒµÑ´¼ÙŒ»†Ç¨íҹǹ 5 ÃÒ ¾ºÇ‹ÒãËŒ¼ÅÅ´ spasticity ¨Ò¡ÊÒà˵صҧæ â´Â੾ÒзÕà¡Ô´¨Ò¡ÃÍÂâäºÃÔàdzä¢ÊѹËÅѧ䴌 ‹ è ªÑ´à¨¹ âäÍ×è¹æ ¹Í¡à˹×ͨҡâ䵋ҧæ´Ñ§¡Å‹ÒÇ¢ŒÒ§µŒ¹ààÅŒÇ ÂѧÁÕâä¡ÒÃà¤Å×͹äËǼԴ»Ã¡µÔ͹ ·ÕÊÒÁÒö è ×è è ÃÑ¡ÉÒä´Œâ´Â¡Òü‹ÒµÑ´ àോ»¨¨Øº¹ÂѧäÁ‹Á¢ÍÊÃØ»·Õª´à¨¹ à¹×ͧ¨Ò¡à»š¹âä·Õ¾º¹ŒÍÂÁÒ¡ ËÃ×ÍÂѧÁÕÇ¸Õ ˜ Ñ Õ Œ è Ñ è è Ô áÅмšÒÃÃÑ¡ÉÒ·ÕäÁ‹à๋¹Í¹ è
  • 466.
    àǪÈÒʵÏ·¹Âؤ 2553 Ñ 439 Hemiballism ÀÒÇÐ hemiballism ໚¹ÀÒÇÐ hyperkinetic movement ÃٻẺ·ÕÁ¤ÇÒÁÃØ¹áçÁÒ¡·ÕÊ´ è Õ è Ø áÅÐÊÒÁÒö·íÒãËŒ¤¹ä¢ŒÁÕ exhaustion 䴌͋ҧÁÒ¡ ᵋÊǹãË­‹ hemiballism ÁÑ¡¨ÐËÒÂä»àͧ ã¹ ‹ ¡Ã³Õ·Õè hemiballism äÁ‹ËÒÂä»àͧËÅѧ¡ÒõԴµÒÁ໚¹àÇÅÒ¹Ò¹¾ÍÊÁ¤Çà ÊÁ¤ÇþԨÒóҶ֧¡Òü‹Ò µÑ´ «Öè§ÁÕÃÒ§ҹ¡ÒüšÒü‹ÒµÑ´·Õè´Õ·Ñ駨ҡ thalamotomy ààÅÐ pallidotomy ¼Å¡Òü‹ÒµÑ´¼ÙŒ»†Ç persistent hemiballism 1 ÃÒ´ŒÇÂÇÔ¸Õ pallidotomy ¾ºÇ‹Ò hemiballism ËÒÂä»ã¹¡ÒõԴµÒÁ 5 »‚ Tourette syndrome »˜¨¨Øº¹ÁÕÃÒ§ҹ¼Å·Õ´¨Ò¡¡Òü‹ÒµÑ´ deep brain stimulation àോµÒàà˹‹§ target ¢Í§¡ÒÃ Ñ è Õ í ¼‹ÒµÑ´ÂѧÁÕ¤ÇÒÁËÅÒÂËÅÒ¡ ÁÕÃÒ§ҹ¼Å¡Òü‹ÒµÑ´·Õè´Õ·Ñ駨ҡ anteromedial globus pallidus, posterolateral globus pallidus, anterior limb of internal capsule, neuclear accumben ààÅÐ medial thalamus «Ö§ÁÕÃÒ§ҹ¨íҹǹ¼Ù»ÇÂÁÒ¡·ÕÊ´ â´Â¨Ð target ·Õè centromedian parafasicular complex è Œ † èØ (CM-Pfc) ËÇÁ¡Ñº Ventral oraoanterior nucleus (VOa) ¢Í§ thalamus26 ¼Å¡Òü‹ÒµÑ´¼Ù»Ç 2 ÃÒ Œ † ´ŒÇÂÇÔ¸Õ bilateral CM-Pfc-VOa deep brain stimulation ààÅÐÍÕ¡ 1 ÃÒ´ŒÇÂÇÔ¸Õ bilateral pallidal deep brain stimulation ¾ºÇ‹Òª‹ÇÂãËŒ motor tics ààÅÐ vocal tics ´Õ¢¹Öé àÍ¡ÊÒÃ͌ҧÍÔ§ 1. Kelly PJ, Gillingham .J. The long-term results of stereotaxic surgery and L-dopa therapy in patients with Parkinson’s disease. A 10-year follow-up study. J Neurosurg 1980;53(3):332-7. 2. .ine J,Duff J, Chen R, Chir B, Hutchison W, Lozano AM, Lang AE. Long-term follow-up of unilateral pallidotomy in advance Parkinson’s disease. N Engl J Med 2000;342(23):1708-14. 3. Krack P, Batir A, Van Blercom N, Charbardes S, .raix V, Ardouin C, Koudsie A, Limousine PD, Benazzouz A, LeBus J., Benabid AL, Pollak P. .ive-year follow-up of bilateral stimulation of the subthalamic nucleus in advance Parkinson’s disease. N Engl J Med 2003;349(20):1925-34. 4. Nunta-aree S, Sithinamsuwan B, Boonyapisit K, Pisarnpong A. 2 year outcomes of subthalamic deep brain stimulation for idiopathic Parkinson’s disease. J Med Assoc Thai 2010;93(5):529-40. 5. Deep brain stimulation for Parkinson’s disease study group. Deep brain stimulation of the subthalamic nucleus or the par interna of the globus pallidus in Parkinson’s disease. N Engl J Med 2001;345(13):956-63. 6. Volkmann J, Albert N, Vogas J, Sturm V, Schnitzler A, .reund HJ. Long-term results of bilateral pallidal stimulation in Parkinson’s disease. Ann Neurol 2004;55(6):871-5. 7. Stefani A, Lozano AM, Peppe A, Stanzione P, Galati S, Tropepi D, Pierantozzi M, Brusa L, Scarnati E, Mazzone P. Bilateral deep brain stimulation of the pedunculopontine and subthalamic nuclei in severe Parkinson’s disease. Brain 2007;130:1596-1607. 8. .rench Stimulation du Pallidum Interne dans la Dystonie (SPIDY) Study Group. Bilateral deep brain stimulation of the globus pallidus in primary general dystonia. N Engl J Med 2005;352:459-67. 9. Coubes P, Rouberrtie A, Vayssiere N, Hemm S, Echenne B. Treatment of DYT1-generalised dystonia by stimulation of the internalglobus pallidus. Lancet 2000;355(9222):2220-1. 10. Alkhani A, Bohlega S: Unilateral pallidotomy for hemidystonia. Mov Disord 2006;21(6):852-5.
  • 467.
    440 Movement Disorder Surgery 11. Biolsi B, Cif L, El .ertit H: Long-term follow-up of Huntington disease treated by bilateral deep brain stimulation of the internal globus pallidus. J Neurosurg 2008;109:130–2. 12. Chuang C, .ahn S, .rucht SJ: The natural history and treatment of acquired hemidystonia: report of 33 cases and review of the literature. J Neurol Neurosurg Psychiatry 2002;72:59–67. 13. Coubes P, Echenne B, Cif L, et al: Electrical stimulation of the internal globus pallidus in generalized dystonia. Mov Disord 2002;17 (Suppl 5):S6. 14. Gruber D, Trottenberg T, Kivi A, et al: Long-term effects of pallidal deep brain stimulation in tardive dystonia. Neurology 2009;73:53-8. 15. Holloway K, Baron M, Brown R, et al: Deep brain stimulation for dystonia: a meta-analysis. Neuromodulation 2006;9:253–61. 16. Justeson CR, Penn RD, Kroin JS, et al: Stereotactic pallidotomy in a child with Hallervorden-Spatz disease. Case report. J Neurosurg 1999;90:551-4. 17. Loher TJ, Hasdemir MG, Burgunder JM, et al: Long-term follow-up study of chronic globus pallidus internus stimulation for posttraumatic hemidystonia. J Neurosurg 2000;92:457–60. 18. Starr PA, Turner RS, Rau G, et al: Microelectrode – guided implantation of deep brain stimulators into the globus pallidus internus for dystonia: techniques, electrode locations, and outcomes. Neurosurg .ocus 2004; 17(1):E4:20-31. 19. Umemura A, Jaggi JL, Dolinskas CA, et al: Pallidal deep brain stimulation for longstanding severe generalized dystonia in Hallervorden-Spatz syndrome. Case report. J Neurosurg 2004;100:706–9. 20. Volkmann J, Benecke R: Deep brain stimulation for dystonia: patient selection and evaluation. Mov Disord 2002;17(Suppl. 3):S112-5. 21. Yianni J, Bain P, Giladi N, et al: Globus pallidus internus deep brain stimulation for dystonic conditions: a prospective audit. Mov Disord 2003;18:436–2. 22. Bertrand CM. Selective peripheral denervation for spasmodic torticollis:surgical technique, results, and observations in 260 cases. Surg Neurol 1993;40(2):96-103. 23. Alusi S H; Aziz T Z; Glickman S; Jahanshahi M; Stein J .; Bain P G. Stereotactic lesional surgery for the treatment of tremor in multiple sclerosis: a prospective case-controlled study. Brain 2001;124:1576-89. 24. Nandi D; Chir M; Liu X; Bain P; Parkin S; Joint C; Winter J; Stein J; Scott R; Gregory R; Aziz T. Electrophysiological confirmation of the zona incerta as a target for surgical treatment of disabling involuntary arm movements in multiple sclerosis: use of local field potentials. Journal of clinical neuroscience 2002;9(1):64-8. 25. Plaha P, Patel NK, Gill SS. Stimulation of the subthalamic region for essential tremor. J Neurosurg 2004;101:305- 11. 26. Servello D, Porta M, Sassi M, Brambilla A, Robertson MM. Deep brain stimulation in 18 patients with severe Gilles de la Tourette syndrome refractory to treatment: the surgery and stimulation. J Neurol Neurosurg Psychiatry 2008;79:136-42.
  • 468.
    àǪÈÒʵÏ·¹Âؤ 2553 Ñ º··Õè 441 63 Neurosurgical Perspective of Mild Traumatic Brain Injury ÍÒ¨ÒÏ ¹ÒÂᾷºÃþµ ÊÔ·¸Ô¹ÒÁÊØÇÃó ÃͧÈÒʵÃÒ¨ÒÏ ¹ÒÂᾷ»ÃШѡɏ ÈÃÕþվѲ¹ ÀÒ¤ÇÔªÒÈÑÅÂÈÒʵÏ ¤³Ðá¾·ÂÈÒʵÏÈÔÃÔÃÒª¾ÂÒºÒÅ ÁËÒÇÔ·ÂÒÅÑÂÁËÔ´Å Overview Background Definition Pathophysiology Classification Diagnosis Postconcussive symptom Postconcussion syndrome Guideline for management Sport related concussion Background ¡ÒúҴà¨çº¢Í§ÊÁͧ (Traumatic brain injury ËÃ×Í TBI) ໚¹ÀÒÇзվºº‹Í áÅÐÁÕ¤ÇÒÁ è ÊíҤѭã¹àǪ»¯ÔºµÔ »ÃÐÁÒ³¡ÒóÇÒ 80 % ¢Í§ TBI ·Ñ§ËÁ´à»š¹ mild TBI (MTBI) ã¹¢³Ð·Õè 20 % Ñ ‹ é ·ÕàËÅ×Í໚¹ moderate áÅÐ severe TBI ÃÇÁ¡Ñ¹ ¾ºÇ‹Ò MTBI à¡Ô´ã¹à¾ÈªÒÂÁÒ¡¡Ç‹Òà¾ÈË­Ô§ (1, 2) è â´ÂÁÕÊÒà˵طÕèÊíҤѭ 䴌ᡋ ÍØºÑµÔà˵بÃҨ÷ҧº¡ ¡ÒÃˡŌÁËÃ×͵¡¨Ò¡·ÕèÊÙ§ ÍØºÑµÔà˵بҡ¡Òà ·íÒ§Ò¹ ÍØºÑµÔà˵بҡ¡ÕÌÒáÅСÒö١·íÒÃŒÒÂËҧ¡Ò (3) ÊíÒËÃѺ㹻ÃÐà·Èä·Â¾ºÇ‹Ò TBI ໚¹¡Òà ºÒ´à¨çº·Õ¾º»ÃÐÁÒ³ 30 % ¢Í§¡ÒúҴà¨çºÃعáç«Ö§ TBI ¶×Í໚¹¡ÒúҴà¨çºÍѹ´ÑºµŒ¹¢Í§Íغµà赯 è è Ñ Ô ¨ÃҨ÷ҧº¡·Ñé§ËÁ´ ¨ÐàËç¹ä´ŒÇ‹Ò¼ÙŒ»†Ç·ÕèÁÕ MTBI ໚¹¼ÙŒ»†Ç·Õè¡ÅØ‹ÁãË­‹·ÕèÊØ´¢Í§ TBI ´Ñ§¹Ñé¹ (4) ¡ÒôÙáÅÃÑ¡ÉÒàº×ͧµŒ¹ã¹¼Ù»ÇÂ¡ÅØÁ¹Õ¨§ÁÕ¤ÇÒÁÊíҤѭ â´Â੾ÒÐÍ‹ҧÂÔ§¡ÒõÃǨËÒÀÒÇкҴà¨çº é Œ † ‹ éÖ è ÀÒÂ㹡ÐâËÅ¡ÈÕÃÉÐ (intracranial injury) ·ÕÍÒ¨à¡Ô´Ã‹ÇÁ¡Ñº MTBI áÅСÒôÙáÅÃÑ¡ÉÒÍÒ¡ÒÃáÅÐ è ¡ÅØÁÍÒ¡ÒüԴ»¡µÔ·à¡Ô´ËÅѧÊÁͧ¡Ãзº¡ÃÐà·×͹ (postconcussion symptom áÅÐ syndrome) ‹ Õè
  • 469.
    442 Neurosurgical Perspective of Mild Traumatic Brain Injury Definition ÁÕ¡ÒÃãËŒ¤Ò¹ÔÂÒÁ¢Í§¤íÒÇ‹Ò mild head injury, mild TBI áÅÐ cerebral concussion ¡Ñ¹Í‹ҧ í ¡ÇŒÒ§¢ÇÒ§ â´Âã¹àǪ»¯ÔºµÁ¡ÒÃ㪌¤ÒàËŋҹÕá·¹¡Ñ¹¤‹Í¹¢ŒÒ§º‹Í¤Ãѧ ᵋ㹤ÇÒÁ໚¹¨ÃÔ§áÅŒÇ ¹ÔÂÒÁ Ñ Ô Õ í é é ¢Í§¤íÒàËŋҹÕÁ¤ÇÒÁᵡµ‹Ò§¡Ñ¹ «Ö§¾ÍÊÃØ»ä´Œ´§µ‹Í仹Õé é Õ è Ñ Mild head injury ¤×Í¡ÒúҴà¨çº·ÕÈÃÉЫ֧¼Ù»ÇÂÁÕ Glasgow coma score ÍÂÙ㹪‹Ç§¤Ðá¹¹ è Õ è Œ † ‹ µÑ§áµ‹ 13-15 â´Â์¹¡ÒúҴà¨çº¢Í§ÍÇÑÂÇТͧÈÕÃÉÐ໚¹ËÅÑ¡ ઋ¹ ˹ѧÈÕÃÉÐ ãºË¹ŒÒ ¡ÐâËÅ¡ÈÕÃÉÐ é ໚¹µŒ¹ â´Â·Õ¼»ÇÂÍÒ¨¨ÐÁÕËÃ×ÍäÁ‹ÁÕ TBI ËÇÁ´ŒÇ¡çä´Œ (5) è ÙŒ † Mild traumatic brain injury ¤×ÍÀÒÇÐ˹ŒÒ·Õ¡Ò÷íÒ§Ò¹¢Í§ÊÁͧ¶Ù¡Ãº¡Ç¹ ÍѹÁÕÊÒà赯 è ÁÒ¨Ò¡ÍØºÑµÔà赯 ·íÒãËŒà¡Ô´ loss of consciousness ໚¹àÇÅÒ 20 ¹Ò·ÕËÃ×͹ŒÍÂ¡Ç‹Ò áÅÐ/ËÃ×ÍÁÕ retrograde amnesia â´Â·Õ¨ÐµŒÍ§ÁÕ Glasgow coma score ÍÂÙ㹪‹Ç§¤Ðá¹¹µÑ§áµ‹ 13-15 ËÇÁ¡ÑºäÁ‹ÁÕ è ‹ é focal neurological deficit áÅмÅàÍç¡«àϤÍÁ¾ÔÇàµÍÏ (CT scan) ¢Í§ÊÁͧÍÂÙã¹à¡³±»¡µÔ (5-7) ‹ Cerebral concussion ¤×Í¡ÒÃà»ÅÕ¹á»Å§¢Í§¡Ò÷íÒ§Ò¹¢Í§ÊÁͧẺà©Õº¾Åѹ ÍѹÁÕ è ÊÒà˵ØÁÒ¨Ò¡ÍØºµà赯 â´ÂÍÒ¨à¡Ô´ËÃ×ÍäÁ‹à¡Ô´ loss of consciousness ¡çä´Œ ʋǹãË­‹¡ÒÃà»ÅÕ¹á»Å§ Ñ Ô è ´Ñ§¡Å‹ÒǨФ§ÍÂÙäÁ‹à¡Ô¹ 24 ªÑÇâÁ§ ËÅѧ¨Ò¡¹Ñ¹¼Ù»ÇÂÍÒ¨¨ÐÁÕÍÒ¡ÒÃËÇÁºÒ§Í‹ҧ ઋ¹ »Ç´ÈÕÃÉÐËÃ×Í ‹ è é Œ † àÇÕ¹ÈÕÃÉР໚¹µŒ¹ «Ö§ÍÒ¡ÒÃàËŋҹըÐËÒÂÀÒÂã¹ 2 - 3 ÊÑ»´Òˏ (5) è é Í‹ҧäáçµÒÁ໚¹·ÕÂÍÁÃѺ¡Ñ¹â´Â·ÑÇä»Ç‹ÒÊÒÁÒö㪌¤ÒÇ‹Ò MTBI áÅÐ cerebral concussion è è í á·¹«Ö§¡Ñ¹áÅСѹ䴌 è Pathophysiology ÀÂѹµÃÒµ‹ÍÈÕÃÉзíÒãËŒà¡Ô´áç¡ÃÐá·¡·Ñ¹·ÕµÍà¹×ÍÊÁͧ㹪‹Ç§ÃÐÂÐàÇÅÒ·ÕʹÁÒ¡ ÁÕ¡Òà ‹ é è Ñé ¶‹ÒÂà·áç¡ÃÐá·¡ä»Âѧà¹×ÍÊÁͧ â´Â·ÔÈ·Ò§¢Í§áç·Õà¡Ô´¢Ö¹à»š¹ä´Œ·§áçá¹ÇµÃ§ (linear force) é è é Ñé áÅÐáçËÁع (rotational force) linear force »ÃСͺ´ŒÇÂáç·Õà¡Ô´ã¹ª‹Ç§·ÕÁ¤ÇÒÁà˧ (acceleration è è Õ force) áÅÐáç·Õà¡Ô´ã¹ª‹Ç§·ÕÁ¤ÇÒÁ˹‹Ç§ (deceleration force)(5, 8) ¡ÒúҴà¨çºÀÒÂ㹡ÐâËÅ¡ÈÕÃÉÐ è è Õ ·Ñ§ primary brain injury ઋ¹ diffuse axonal injury ËÃ×Í brain contusion áÅÐsecondary brain injury é ઋ¹ epidural hematoma, subdural hematoma ËÃ×Í traumatic intracerebral hematoma ÊÒÁÒö à¡Ô´µÒÁËÅѧ MTBI 䴌ᵋ໚¹ÊѴʋǹ·Õ¹ÍÂÁÒ¡àÁ×Íà·Õº¡ÑºâÍ¡ÒÊà¡Ô´¡ÒúҴà¨çºÀÒÂ㹡ÐâËÅ¡ è Œ è ÈÕÃÉзÕà¡Ô´µÒÁËÅѧ moderate áÅÐ severe TBI (5, 7) ¾ºÇ‹Ò¼Ù»Ç MTBI ¹ŒÍÂ¡Ç‹Ò 1 % ·ÕÁ¡ÒÃ è Œ † è Õ ºÒ´à¨çºÀÒÂ㹡ÐâËÅ¡ÈÕÃÉÐ ·ÕµÍ§¡ÒáÒü‹ÒµÑ´ÃÑ¡ÉÒ è Œ (9) Diagnosis 㹡ÒÃÇÔ¹¨©Ñ MTBI ¹ÔÂÁ㪌ࡳ±¡ÒÃÇÔ¹¨©Ñ¢ͧ The American Congress of Rehabilitation Ô Ô Medicine Special Interest Group on Mild Traumatic Brain Injury «Ö§ä´ŒÃº¡ÒþѲ¹Òâ´Â The Mild è Ñ
  • 470.
    àǪÈÒʵÏ·¹Âؤ 2553 Ñ 443 Traumatic Brain Injury Committee of the Head Injury Interdisciplinary Special Interest Group (6, 10) â´ÂÁÕࡳ±´§µ‹Í仹Õé Ñ MTBI ໚¹¡ÒÃú¡Ç¹¡Ò÷íÒ§Ò¹¢Í§ÊÁͧÍѹÁÕÊÒàËµØ¨Ò¡ÍØºµà赯 â´ÂÁÕࡳ±Í‹ҧ¹ŒÍÂ Ñ Ô Ë¹Ö§¢ŒÍ¨Ò¡¢ŒÍµ‹Í仹Õé è Loss of consciousness ¨íÒà˵ءÒóªÇ§¡‹Í¹à¡Ô´Íغµà˵ØËÃ×ÍËÅѧà¡Ô´Íغµà˵تǧááäÁ‹ä´Œ ‹ Ñ Ô Ñ Ô ‹ ¡ÒÃà»ÅÕ¹á»Å§¢Í§ mental status ઋ¹ ÁÖ¹§§ ÊѺʹ ໚¹µŒ¹ è Focal neurological deficit «Ö§ÍҨ໚¹ªÑǤÃÒÇËÃ×͵‹Íà¹×ͧ è è è â´Â·Õ¤ÇÒÁÃØ¹áç¢Í§ TBI ¨ÐµŒÍ§äÁ‹Ã¹áç¡Ç‹Òࡳ±µÍ仹ը§¨ÐãËŒ¡ÒÃÇÔ¹¨©Ñ MTBI è Ø ‹ éÖ Ô Loss of consciousness äÁ‹à¡Ô¹ 30 ¹Ò·Õ â´ÂËÅѧ 30 ¹Ò·Õ¼»ÇµŒÍ§ÁÕ Glasgow coma score 13 - 15 áÅÐ ÙŒ † Post-traumatic amnesia äÁ‹¹Ò¹¡Ç‹Ò 24 ªÑÇâÁ§ è Classification ä´ŒÁ¡ÒÃẋ§ÃдѺ¤ÇÒÁÃØ¹áç¢Í§ MTBI äÇŒËÅÒÂÃٻẺ â´ÂÃٻẺ«Ö§à»š¹·ÕÂÍÁÃѺ¡Ñ¹ Õ è è Í‹ҧá¾Ã‹ËÅÒÂáÅÐÁÕ»ÃÐ⪹ã¹á§‹¡ÒôÙáÅÃÑ¡ÉÒ ¤×Í¡ÒÃẋ§â´Â The European Federation of Neurological Societies (EFNS) (11) ´Ñ§áÊ´§ã¹µÒÃÒ§·Õè 1 µÒÃÒ§·Õè 1 ¡ÒÃẋ§ÃдѺ¤ÇÒÁÃØ¹áç¢Í§ MTBI â´Â EFNS Category ¹ÔÂÒÁ 0 Glasgow coma score = 15, äÁ‹ÁÕ loss of consciousness, äÁ‹ÁÕ post-traumatic amnesia (¶×ÍÇ‹Òã¹ category ¹ÕäÁ‹ÁÕ TBI à¡Ô´¢Ö¹) é é 1 Glasgow coma score = 15, loss of consciousness ¹ŒÍÂ¡Ç‹Ò 30 ¹Ò·Õ, post-traumatic amnesia ¹ŒÍÂ¡Ç‹Ò 1 ªÑÇâÁ§, äÁ‹Á»¨¨ÑÂàÊÕ§㹡ÒÃà¡Ô´¡ÒúҴà¨çº è Õ ˜ è ÀÒÂ㹡ÐâËÅ¡ÈÕÃÉеÒÁËÅѧ MTBI 2 Glasgow coma score = 15, ÁÕ»¨¨ÑÂàÊÕ§㹡ÒÃà¡Ô´¡ÒúҴà¨çºÀÒÂ㹡ÐâËÅ¡ ˜ è ÈÕÃÉеÒÁËÅѧ MTBI 3 Glasgow coma score = 13 - 14, loss of consciousness ¹ŒÍÂ¡Ç‹Ò 30 ¹Ò·Õ, post-traumatic amnesia ¹ŒÍÂ¡Ç‹Ò 1 ªÑÇâÁ§, ÍÒ¨ÁÕËÃ×Í äÁ‹Á»¨¨ÑÂàÊÕ§㹡ÒÃà¡Ô´ è Õ ˜ è ¡ÒúҴà¨çºÀÒÂ㹡ÐâËÅ¡ÈÕÃÉеÒÁËÅѧ MTBI
  • 471.
    »˜¨¨ÑÂàÊÕ§㹡ÒÃà¡Ô´¡ÒúҴà¨çºÀÒÂ㹡ÐâËÅ¡ÈÕÃÉеÒÁËÅѧ MTBI ´Ñ§áÊ´§ã¹µÒÃÒ§·Õè2 è µÒÃÒ§·Õè 2 »˜¨¨ÑÂàÊÕè§㹡ÒÃà¡Ô´¡ÒúҴà¨çºÀÒÂ㹡ÐâËÅ¡ÈÕÃÉеÒÁËÅѧ MTBI ÁÕ»ÃÐÇѵͺµà˵ØäÁ‹ª´à¨¹ËÃ×ÍäÁ‹·ÃҺNjÒà¡Ô´Íغµà˵ت¹Ô´ã´ ÔØ Ñ Ô Ñ Ñ Ô ÁÕ post-traumatic amnesia µ‹Íà¹×ͧâ´ÂµÅÍ´ è ÁÕ retrograde amnesia ໚¹àÇÅÒ¹Ò¹¡Ç‹Ò 30 ¹Ò·Õ ÁÕÍÒ¡ÒÃáÊ´§¢Í§¡ÐâËÅ¡ÈÕÃÉÐᵡ ËÃ×Ͱҹ¡ÐâËÅ¡ÈÕÃÉÐᵡ »Ç´ÈÕÃÉÐÍÂ‹Ò§ÃØ¹áç ÍÒà¨Õ¹ ÁÕ focal neurological deficit ªÑ¡ ÍÒÂØ¹ÍÂ¡Ç‹Ò 2 »‚ Œ ÍÒÂØÁÒ¡¡Ç‹Ò 60 »‚ ÁÕ¤ÇÒÁ¼Ô´»¡µÔ¢Í§Ãкº¡ÒÃá¢ç§µÑǢͧàÅ×Í´ ÍØºµà˵طà¡Ô´¨Ò¡¤ÇÒÁàÃçÇÊÙ§ Ñ Ô Õè 䴌úáÍÅ¡ÍÎÍŏËÃ×ÍÊÒÃàʾµÔ´ Ñ Postconcussive symptom Postconcussive symptom ¤×ÍÍÒ¡Ò÷Õà¡Ô´µÒÁËÅѧ MTBI ËÃ×Í cerebral concussion ¾ºä´Œ è ÁÒ¡¶Ö§ 43.5 % ¢Í§¼Ù»Ç·ÕÁÕ MTBI Bonen áÅФ³Ðä´Œ·Ò¡ÒÃà»ÃÕºà·ÕºÃÐËNjҧ¼Ù»Ç·ÕÁÕ cerebral Œ † è (12) í Œ † è concussion Êͧ¡ÅØÁ ¡ÅØÁáá໚¹¡ÅØÁ·ÕÁÕ cerebral concussion ËÇÁ¡Ñº postconcussive symptom ‹ ‹ ‹ è áÅÐ¡ÅØÁËÅѧ໚¹¡ÅØÁ·ÕÁÕ cerebral concussion â´Â·ÕäÁ‹ÁÕ postconcussive symptom ¾ºÇ‹Ò¡Ò÷´ ‹ ‹ è è Êͺ attention ·ÕàÇÅÒ 6 à´×͹ËÅѧà¡Ô´¡ÒúҴà¨çº¢Í§¡ÅØÁ·ÕÁÕ postconcussive symptom ä´Œ¼ÅäÁ‹´Õ è ‹ è à·‹Ò¡ÅØÁ·ÕäÁ‹ÁÕ postconcussive symptom ¨ÐàËç¹ä´ŒÇÒ postconcussive symptom ÍÒ¨¨ÐÁռŠ‹ è (13) ‹ ¡Ãзºµ‹Í cognitive function ä´Œã¹ÃÐÂÐÂÒÇ ÍÒ¡Ò÷ÕÊҤѭáÅоºº‹ÍÂÁÕ´§µ‹Í仹Õé èí Ñ »Ç´ÈÕÃÉÐ (Post-traumatic headache) ໚¹ÍÒ¡Ò÷վºä´ŒºÍ·ÕÊ´µÒÁËÅѧ MTBI ¡ÒÃÃÑ¡ÉÒ è ‹ èØ ËÅÑ¡¤×Í¡ÒÃãËŒÂÒᡌ»Ç´¡ÅØÁ paracetamol ËÃ×Ínon-steroidal anti-inflammatory drugs (NSAIDs) ‹ ¤ÇÃËÅÕ¡àÅÕ§ÂÒ·ÕÁÊǹ»ÃСͺ¢Í§ opioids ¹Í¡¨Ò¡¹Õ¤ÇÃãËŒ¤Òá¹Ð¹íÒáÅÐÂ×¹Âѹᡋ¼»ÇÂÇ‹Òâ´Â è è Õ‹ é í ÙŒ † ·ÑÇä»ÍÒ¡ÒûǴÈÕÃÉÐËÅѧÊÁͧ¡Ãзº¡ÃÐà·×͹ÁÑ¡¨ÐËÒÂã¹àÇÅÒäÁ‹¡Ê»´Òˏ è Õè Ñ (5, 14, 15) àÇÕ¹ÈÕÃÉÐ (Dizziness) áÅФÅ×¹äÊŒ (nausea) ໚¹ÍÒ¡Ò÷ÕÁ¡¾ºã¹ª‹Ç§ááËÅѧà¡Ô´ MTBI è è Ñ «Ö§äÁ‹·ÃÒºÊÒà˵ءÒÃà¡Ô´·Õṋª´ ÍÒ¨ÁÕÊÒà˵Øä´Œ·§¨Ò¡ peripheral áÅÐ central vestibular dysfunction è è Ñ Ñé â´Â·ÑÇ仡ÒÃãËŒÂÒÃÑ¡ÉÒäÁ‹¤ÍÂÁÕ»ÃÐ⪹ª´à¨¹¹Ñ¡áµ‹ÍÒ¨¾Ô¨ÒóÒãËŒÂÒÃЧѺÍÒ¡ÒäÅ×¹äÊŒÍÒà¨Õ¹ è ‹ Ñ è ઋ¹ metoclopramide à¾×ͺÃÃà·ÒÍÒ¡ÒäÅ×¹äÊŒ ¹Í¡¨Ò¡¹Õ¤ÇÃá¹Ð¹íÒãËŒ¼»ÇÂËÅÕ¡àÅÕ§¡Ô¨¡ÃÃÁ·Õè è è é ÙŒ † è ·íÒãËŒÁÍÒ¡ÒÃÁÒ¡¢Ö¹áÅФÇù͹¾Ñ¡¨¹¡Ç‹ÒÍÒ¡Òèдբ¹(5, 14, 15) Õ é Öé
  • 472.
    àǪÈÒʵÏ·¹Âؤ 2553 Ñ 445 ¤ÇÒÁ¼Ô´»¡µÔ¢Í§¡ÒÃÁͧàËç¹ (Visual disturbance) ໚¹ÍÒ¡Ò÷վºä´ŒºÍ ¼Ù»ÇÂÁÑ¡ è ‹ Œ † ¨ÐäÁ‹ÊÒÁÒö⿡ÑÊÇѵ¶Øã¹ÃÐÂÐã¡ÅŒä´Œ«§ÍÒ¡ÒùըÐËÒÂä´ŒàͧàÁ×ÍàÇÅÒ¼‹Ò¹ä» Öè é è (5, 14, 15) ÍÒÃÁ³©Ø¹à©ÕÂÇ (Irritability) áÅФÇÒÁ¼Ô´»¡µÔ¢Í§¡Òù͹ËÅѺ (post-traumatic sleep disturbance) ໚¹ÍÒ¡Ò÷վºä´ŒºÍÂ㹪‹Ç§ááËÅѧ¡ÒúҴà¨çº ¼Ù»ÇÂÁÑ¡äÁ‹ÊÒÁÒö·¹µ‹Í è ‹ Œ † áʧÊNjҧ, àÊÕ§ú¡Ç¹, ¡ÒÃʹ·¹ÒËÃ×Í¡ÒÃࢌÒÊѧ¤Áä´Œ ¡ÒÃÃÑ¡ÉÒâ´ÂËÅÕ¡àÅÕ§ÊÔ§¡Ãеع, ãËŒ¾¡¼‹Í¹ è è Œ Ñ áÅÐËÅÕ¡àÅÕ§¡ÒáÅѺ价íÒ§Ò¹ËÃ×ÍàÃÕ¹àÃçÇà¡Ô¹ä» ÊíÒËÃѺ¡ÒÃÃÑ¡ÉÒÍÒ¡Òù͹äÁ‹ËÅѺÍÒ¨¾Ô¨ÒÃ³Ò è ãËŒÂҹ͹ËÅѺ㹪‹Ç§ÃÐÂÐàÇÅÒÊѹ æ äÁ‹¤ÇÃãËŒã¹ÃÐÂÐÂÒÇ à¹×ͧ¨Ò¡ÂÒÍÒ¨äÁ‹ä´Œ¼Å(5, 14, 15) é è Postconcussive syndrome ÊÔè§ÊíҤѭ·Õè¤ÇèзÃÒº¤×Í MTBI, postconcussive symptom áÅÐ postconcussive syndrome ÁÕ¤ÇÒÁËÁÒÂäÁ‹àËÁ×͹¡Ñ¹(15, 16) MTBI ໚¹¡ÒúҴà¨çº¢Í§ÊÁͧà¾Õ§àÅ硹ŒÍÂ㹵͹à¡Ô´ ÍØºÑµÔà赯 «Öè§äÁ‹ä´Œº‹§ºÍ¡¶Ö§¤ÇÒÁ¼Ô´»¡µÔËÃ×Í outcome ·Õè¨Ðà¡Ô´ËÅѧ¨Ò¡¹Ñé¹ postconcussive symptom ໚¹ÍÒ¡Ò÷Õà¡Ô´µÒÁËÅѧ TBI «Ö§ÃÇÁ·Ñ§ MTBI ËÃ×Í cerebral concussion ´ŒÇ ʋǹ è è é postconcussive syndrome ËÃ×Í postconcussional disorder ໚¹¡ÅØÁÍÒ¡Ò÷Õà¡Ô´µÒÁËÅѧ TBI «Ö§ ‹ è è ÁÕ¤ÇÒÁ«Ñº«ŒÍ¹¡Ç‹Ò postconcussive symptom »ÃСͺ´ŒÇÂÍÒ¡Òõ‹Ò§ æ «Ö§ÁÕ¤ÇÒÁàª×ÍÁ⧡ѹ è è â´Â·ÕÍÒ¡ÒÃÍ‹ҧ˹֧ÍÒ¨¨ÐÁÕ¼ÅãËŒà¡Ô´ÍÒ¡ÒÃÍÕ¡Í‹ҧ˹֧ ËÃ×Í¡ÒÃÃÑ¡ÉÒãËŒÍÒ¡ÒÃÍ‹ҧ˹֧´Õ¢¹ÍÒ¨ è è è è Öé ÁÕ¼ÅãËŒÍÒ¡ÒÃÍÕ¡Í‹ҧ˹֧´Õ¢¹ â´Â·ÑÇ仨ÐãËŒ¡ÒÃÇÔ¹¨©Ñ postconcussive syndrome ÊíÒËÃѺ è Öé (14, 15) è Ô ¼Ù»Ç·Õ§¤§ÁÕ postconcussive symptom ¹Ò¹¡Ç‹Ò 3 - 6 à´×͹(5) Œ † è Ñ ÃÒÂÅÐàÍÕ´¢Í§ postconcussive syndrome(14, 15, 17) ´Ñ§áÊ´§ã¹µÒÃÒ§·Õè 3 µÒÃÒ§·Õè 3 ¤ÇÒÁ¼Ô´»¡µÔ·Õ辺㹠postconcussive syndrome Neuropsychiatric symptoms Somatic symptoms Cognitive disorders Behavioral disorders Headache Difficulty concentrating Emotional disorders Dizziness Dementia (depression, emotional lability, Nausea (loss of intellectual ability and irritability, lack of motivation) Fatigue impaired short-term memory) Personality changes Visual disturbance Impaired judgment Loss of libido Hyposmia or anosmia Sleep disturbances Hearing difficulty Intolerance to light Balance difficulty Intolerance to loud noise Seizure
  • 473.
    446 Neurosurgical Perspective of Mild Traumatic Brain Injury Guideline for management ä´ŒÁ¡ÒþѲ¹Ò guideline 㹡ÒôÙáÅÃÑ¡ÉҼٻǠMTBI ¨íҹǹÁÒ¡ÁÒ«֧à¡×ͺ·Ø¡ guideline Õ Œ † è ŌǹáÅŒÇᵋÁÕÇѵ¶Ø»ÃÐʧ¤à¾×è͵ÃǨËÒ¡ÒúҴà¨çºÀÒÂ㹡ÐâËÅ¡ÈÕÃÉÐãˌ䴌µÑé§áµ‹ã¹ÃÐÂеŒ¹ ËÅѧà¡Ô´¡ÒúҴà¨çº 㹺·¤ÇÒÁ¹Õ¨Ð¢Í¡Å‹ÒǶ֧ guideline ·ÕÊҤѭ 2 Í‹ҧ 䴌ᡋ EFNS guideline é èí ÊíÒËÃѺ MTBI (ÃÙ»·Õè 1) áÅÐ clinical practice guideline 㹡ÒôÙáÅÃÑ¡ÉҼٻǷÕÁÕ mild head injury (11) Œ † è â´ÂÃÒªÇÔ·ÂÒÅÑ ÈÑÅÂᾷáË‹§»ÃÐà·Èä·Â ÇÔ·ÂÒÅÑ»ÃÐÊÒ·ÈÑÅÂᾷ ¡ÃÁ¡ÒÃᾷáÅÐʶҺѹ »ÃÐÊÒ·ÇÔ·ÂÒ (4) (ÃÙ»·Õè 2) ·íÒ¡Òü‹ÒµÑ´ÃÑ¡ÉÒáÅÐ ÃѺäÇŒÃÑ¡ÉÒã¹ neurotrauma center ÃÙ»·Õè 1 Guideline 㹡ÒôÙáÅÃÑ¡ÉÒ¼ÙŒ»†Ç·ÕèÁÕ MTBI â´Â The European Federation of Neurological Societies (EFNS), ÊíÒËÃѺ¹ÔÂÒÁ¢Í§ category 0 ¶Ö§ 3 ä´ŒáÊ´§änj㹠µÒÃÒ§·Õè 1 áÅÐ 2
  • 474.
    àǪÈÒʵÏ·¹Âؤ 2553 Ñ 447 µÒÃÒ§·Õè 4 ¤ÇÒÁ¼Ô´»¡µÔ¢Í§ CT brain µÒÁ guideline 㹡ÒôÙáÅÃÑ¡ÉÒ¼ÙŒ»†Ç·Õè MTBI ¢Í§ The European Federation of Neurological Societies (EFNS) ¡ÐâËÅ¡ÈÕÃÉÐÃŒÒÇ (Linear skull fracture) ¡ÐâËÅ¡ÈÕÃÉÐáµ¡ÂØº (Depressed skull fracture) °Ò¹¡ÐâËÅ¡ÈÕÃÉÐᵡ (Basal skull fracture) àÅ×Í´ÍÍ¡¹Í¡àÂ×ÍËØÁÊÁͧªÑ¹´ÙÃÒ (Extradural ËÃ×Í epidural hematoma) è Œ é àÅ×Í´Í͡㵌àÂ×ÍËØÁÊÁͧªÑ¹´ÙÃÒ (Subdural hematoma) è Œ é à¹×ÍÊÁͧªéÒ (Cerebral contusion) é í àÅ×Í´ÍÍ¡ÀÒÂã¹à¹×ÍÊÁͧ (Intracerebral hemorrhage) é àÅ×Í´Í͡㵌àÂ×ÍËØÁÊÁͧªÑ¹ÍÐáä¹Í´ (Subarachnoid hemorrhage) è Œ é ÍÒ¡ÒÈÀÒÂ㹡ÐâËÅ¡ÈÕÃÉÐ (Pneumocephalus) ÃÙ»·Õè 2 Clinical practice guideline 㹡ÒôÙáÅÃÑ¡ÉÒ¼ÙŒ»†Ç·ÕèÁÕ mild head injury â´ÂÃÒª ÇÔ·ÂÒÅÑÂÈÑÅÂᾷáË‹§»ÃÐà·Èä·Â ÇÔ·ÂÒÅÑ»ÃÐÊÒ·ÈÑÅÂᾷ ¡ÃÁ¡ÒÃᾷ áÅÐʶҺѹ»ÃÐÊÒ·ÇÔ·ÂÒ, GCS = Glasgow coma score,
  • 475.
    448 Neurosurgical Perspective of Mild Traumatic Brain Injury ÊíÒËÃѺ¹ÔÂÒÁ¢Í§»˜¨¨ÑÂàÊÕè§·Õè¨Ð¾º¤ÇÒÁ¼Ô´»¡µÔã¹ÊÁͧµèíÒ »Ò¹¡ÅÒ§ áÅÐÊÙ§ ´Ñ§áÊ´§ ã¹µÒÃÒ§·Õè 5 µÒÃÒ§·Õè 5 »˜¨¨ÑÂàÊÕè§·Õè¨Ð¾º¤ÇÒÁ¼Ô´»¡µÔã¹ÊÁͧµÒÁ clinical practice guideline 㹡Òà ´ÙáÅÃÑ¡ÉҼٻǷÕÁÕ mild head injury â´ÂÃÒªÇÔ·ÂÒÅÑÂÈÑÅÂᾷáË‹§»ÃÐà·Èä·Â Œ † è ÇÔ·ÂÒÅÑ»ÃÐÊÒ·ÈÑÅÂᾷ ¡ÃÁ¡ÒÃᾷáÅÐʶҺѹ»ÃÐÊÒ·ÇÔ·ÂÒ »˜¨¨ÑÂàÊÕè§µèíÒ »˜¨¨ÑÂàÊÕè§»Ò¹¡ÅÒ§ »˜¨¨ÑÂàÊÕè§ÊÙ§ äÁ‹ÁÕÍÒ¡Òà ÍÒà¨Õ¹¹ŒÍÂ¡Ç‹Ò 2 ¤Ãѧé ÁÕÍÒ¡ÒÃáÊ´§«Ö§º‹§ªÕÇÒÁÕ¡ÐâËÅ¡ è é‹ GCS ෋ҡѺ 15 ÁÕ»ÃÐÇѵÊźËÅѧà¡Ô´àËµØ Ô ÈÕÃÉÐᵡ 䴌ᡋ ¤ÅíÒ¾ºÃÍÂᵡ äÁ‹ÁÍÒ¡ÒûǴÈÕÃÉÐ Õ ÁÕÍÒ¡ÒûǴÈÕÃÉÐ ¢Í§¡ÐâËÅ¡ÈÕÃÉÐ, ¾º cerebrospinal ¡ÒúҴà¨çº¢Í§Ë¹Ñ§ÈÕÃÉÐ ¨íÒà˵ءÒóËÅѧà¡Ô´à˵ØäÁ‹ä´Œ fluid ÃÑÇ«ÖÁ·Ò§á¼Å, ÃͪéÒÃͺ è í ઋ¹ ˹ѧÈÕÃÉЪéÒËÃ×Í í (post-traumatic amnesia) ´Ç§µÒËÃ×ÍËÅѧãºËÙ, àÅ×Í´Í͡㵌 á¼Å©Õ¡¢Ò´ ÊźªÑǤÃÙ‹ (ÇÔ¹Ò·Õ) è àÂ×ÍᡌÇËÙËÃ×ÍàÅ×Í´ÍÍ¡·Ò§ è ÁÕ¡Òô×ÁáÍÅ¡ÍÎÍŏËÃ×Í è ¨ÁÙ¡ËÃ×ÍËÙ ÍÒà¨Õ¹ÁÒ¡¡Ç‹Ò 㪌ÊÒÃàʾµÔ´Ã‹ÇÁ´ŒÇ ËÃ×Í෋ҡѺ 2 ¤Ãѧé GCS ááÃѺ 13 – 14 GCS ŴŧÍ‹ҧ¹ŒÍ 2 ¤Ðá¹¹ ÍÒÂØÁÒ¡¡Ç‹ÒËÃ×Í෋ҡѺ 60 »‚ â´Â·ÕäÁ‹ÁÊÒà˵ØÍ¹Í¸ÔºÒ è Õ ×è Focal neurological sign Penetrating skull injury ¤ÅíÒ¾º depressed skull fracture ¡ÐâËÅ¡ÈÕÃÉÐᵡÁÕá¼Åແ´ÍÍ¡ÊÙ‹ ÀÒ¹͡ (compound skull fracture) ÍÒ¡ÒêѡËÅѧà¡Ô´ÍغµàËµØ Ñ Ô GCS 13 – 14 â´ÂäÁ‹ÁáÍÅ¡ÍÎÍŏ Õ ËÃ×ÍÊÒÃàʾµÔ´ÁÒà¡ÕÂÇ¢ŒÍ§ è GCS = Glasgow coma score Sport related concussion Cerebral concussion ·Õà¡ÕÂÇ¢ŒÍ§¡Ñº¡ÒÃàÅ‹¹¡ÕÌÒ (sport related concussion) ¾ºä´ŒºÍÂã¹ è è ‹ ¡ÅØÁà´ç¡áÅÐÇÑÂÃØ¹ â´Â੾ÒЪ‹Ç§ÁѸÂÁ«Ö§Ê‹Ç¹ãË­‹à¡Ô´¨Ò¡¡ÒÃàÅ‹¹¿ØµºÍÅ(18) ª¹Ô´¢Í§¡ÕÌÒ·ÕÁͺµÔ ‹ ‹ è è ÕØ Ñ ¡Òó¢Í§ MTBI ÊÙ§ 䴌ᡋ ÍàÁÃÔ¡¹¿ØµºÍÅ ¿ØµºÍÅ ª¡ÁÇ ÎÍ¡¡Õ¹Òá¢ç§ ÂÔÁ¹Òʵԡ ÁÇ»ÅéÒ Ñ é éí í ᢋ§Ã¶ÁÍàµÍÏ䫤áÅÐö¹µ ¢ÕÁÒ »˜¹¨Ñ¡ÃÂÒ¹ Ê¡Õ ´íÒ¹éÒ(19) è Œ › í
  • 476.
    àǪÈÒʵÏ·¹Âؤ 2553 Ñ 449 㹡ÒÃÇÔ¹Ô¨©Ñ sport related concussion ºÒ§¤ÃÑé§ÍÒ¨ÁÕ¤ÇÒÁÂÒ¡ÅíҺҡ㹡ÒÃÇÔ¹Ô¨©Ñ à¹×èͧ¨Ò¡¹Ñ¡¡ÕÌÒÁÑ¡»¯ÔàʸÍÒ¡ÒüԴ»¡µÔáÅÐà¡çºÍÒ¡ÒüԴ»¡µÔà¾×èÍ·Õè¨Ð䴌ᢋ§¢Ñ¹µ‹ÍËÃ×ÍäÁ‹ãËŒ ¶Ù¡ÃЧѺ¡ÒÃᢋ§¢Ñ¹ ´Ñ§¹Ñ¹á¾·Â¼´áŨíÒ໚¹µŒÍ§ÁÕ¤ÇÒÁʧÊÑÂÀÒÇйÕäÇŒ·¡àÁ×Í(20) é ÙŒ Ù é Ø è ÍÒ¡ÒÃã¹ sport related concussion ·ÕÁ¤ÇÒÁÃØ¹áç«Ö§¤ÇÃãËŒÍÍ¡¨Ò¡¡ÒÃᢋ§¢Ñ¹ à¾×ÍÊ‹§µÑÇ è Õ è è ÊíÒËÃѺµÃǨáÅÐÃÑ¡ÉÒµ‹Í ´Ñ§áÊ´§ã¹µÒÃÒ§·Õè 6 (20) µÒÃÒ§·Õè 6 ÍÒ¡ÒÃã¹ sport related concussion «Ö觤ÇÃãËŒÍÍ¡¨Ò¡¡ÒÃᢋ§¢Ñ¹ ÍÒ¡Òà ¡ÒõÃǨËҧ¡Ò ÊѺʹ Level of consciousness àÇÕ¹ÈÕÃÉÐ Gait áÅÐ balance ÊÙ­àÊÕ¤ÇÒÁ¨íÒ Memory test µÒÁÑÇ Visual acuity àËç¹ÀÒ¾«ŒÍ¹ Extraocular movement áÅÐ nystagmus ¡ÒÃ͹حҵãËŒ¡ÅѺä»àÅ‹¹¡ÕÌÒ䴌͡¤Ãѧ (return to play) ¢Ö¹¡Ñº¤ÇÒÁÃØ¹áç¢Í§ cerebral Õ é é concussion ·Õèà¡Ô´¢Öé¹ â´ÂÂÖ´ËÅÑ¡äÇŒàÊÁÍÇ‹Ò ÂѧäÁ‹¤ÇÃãËŒ¼ÙŒ»†Ç·ÕèÁÕ postconcussive symptom ¡ÅѺä»àÅ‹¹ËÃ×Íᢋ§¢Ñ¹¡ÕÌÒ(17) ·Ñ§¹Õé guideline ·Õ¹ÂÁ㪌ÊÒËÃѺ¡ÒÃ͹حҵãËŒ¡ÅѺ໚¹àÅ‹¹¡ÕÌÒ䴌͡ é è Ô í Õ ¤Ãѧ㹠sport related concussion ¤×Í guideline ¢Í§ American Academy of Neurology (AAN) é (17, 21) (µÒÃÒ§·Õè 7) µÒÃÒ§·Õè 7 Guideline ÊíÒËÃѺ¡ÒÃ͹حҵãËŒ¡ÅѺ໚¹àÅ‹¹¡ÕÌÒä´ŒÍÕ¡¤ÃÑé§ã¹ sport related concussion â´Â American Academy of Neurology (AAN) ÃÐÂÐàÇÅÒ·ÕÊÒÁÒö͹حҵãËŒ¡ÅѺ è ä»àÅ‹¹¡ÕÌÒä´ŒÍÕ¡¤ÃÑé§ (ÁÕ¢ŒÍáÁŒÇ‹Ò Grade ¢Í§ cerebral concussion â´Â AAN µŒÍ§äÁ‹ÁÍÒ¡ÒÃáÅŒÇáÅСÒûÃÐàÁÔ¹ Õ ·Ñé§ã¹¢³Ð¾Ñ¡áÅÐÍÍ¡¡íÒÅѧ¡ÒÂÍÂÙ‹ ã¹à¡³±»¡µÔ) Grade 1 Concussion 15 ¹Ò·ÕËÃ×͹ŒÍÂ¡Ç‹Ò ÁÖ¹§§ªÑǤÃÒÇ, äÁ‹ÁÊź, è Õ ¤Ãѧà´ÕÂÇ é postconcussive symptom Concussion 1 ÊÑ»´Òˏ ËÒÂä»ÀÒÂã¹àÇÅÒäÁ‹à¡Ô¹ 15 ¹Ò·Õ ËÅÒ¤Ãѧ é
  • 477.
    450 Neurosurgical Perspective of Mild Traumatic Brain Injury ÃÐÂÐàÇÅÒ·ÕÊÒÁÒö͹حҵãËŒ¡ÅѺ è ä»àÅ‹¹¡ÕÌÒä´ŒÍÕ¡¤ÃÑé§ (ÁÕ¢ŒÍáÁŒÇ‹Ò Grade ¢Í§ cerebral concussion â´Â AAN µŒÍ§äÁ‹ÁÍÒ¡ÒÃáÅŒÇáÅСÒûÃÐàÁÔ¹ Õ ·Ñé§ã¹¢³Ð¾Ñ¡áÅÐÍÍ¡¡íÒÅѧ¡ÒÂÍÂÙ‹ ã¹à¡³±»¡µÔ) Grade 2 Concussion 1 ÊÑ»´Òˏ ÁÖ¹§§ªÑǤÃÒÇ, äÁ‹ÁÊź, è Õ ¤Ãѧà´ÕÂÇ é postconcussive symptom Concussion 2 ÊÑ»´Òˏ à¡Ô´à»š¹àÇÅÒ¹Ò¹¡Ç‹Ò 15 ¹Ò·Õ ËÅÒ¤Ãѧ é Concussion ¤Ãѧà´ÕÂÇ é 1 ÊÑ»´Òˏ Êź㹪‹Ç§àÇÅÒ໚¹ ÇÔ¹Ò·Õ Grade 3 Concussion ¤Ãѧà´ÕÂÇ é ÁÕÊź Êź㹪‹Ç§àÇÅÒ໚¹ 2 ÊÑ»´Òˏ ¹Ò·Õ 1 à´×͹ËÃ×͹ҹ¡Ç‹Ò Concussion ËÅÒ¤Ãѧ é ¢Ö¹ÍÂÙ¡º´ØÅ¾Թ¨¢Í§á¾·Â¼´áÅ é ‹ Ñ Ô ÙŒ Ù Summary MTBI ໚¹ÀÒÇзվºº‹ÍÂ㹼ٻǷÕä´ŒÃºÍØºµà赯 ¡ÒõÃǨËÒ¡ÒúҴà¨çºÀÒÂ㹡ÐâËÅ¡ è Œ † è Ñ Ñ Ô ÈÕÃÉÐã¹ÃÐÂÐááÁÕ¤ÇÒÁÊíҤѭ ᾷ¼´áŤÇÃÁÕ¤ÇÒÁÃÙà¡ÕÂǡѺ¾ÂÒ¸ÔÊÃÕÃÇÔ·ÂÒ ¡ÒÃÇÔ¹¨©ÑÂáÅÐ ÙŒ Ù Œ è Ô á¹Ç·Ò§¡ÒôÙáÅÃÑ¡ÉҼٻǠMTBI ¹Í¡¨Ò¡¹Õ§¤Ç÷ÃÒºà¡ÕÂǡѺ¡ÒÃẋ§¡ÅØÁ¼Ù»ÇµÒÁ»˜¨¨ÑÂàÊÕ§ Œ † é Ñ è ‹ Œ † è à¾×Í·Õ¨Ðä´ŒãËŒ¡ÒôÙáÅÃÑ¡ÉÒ·ÕàËÁÒÐÊÁµ‹Íä» è è è àÍ¡ÊÒÃ͌ҧÍÔ§ 1. Jennett B. Epidemiology of head injury. J Neurol Neurosurg Psychiatry 1996;60(4):362–9. 2. Kraus JF, McArthur DL, Silverman TA, Jayaraman M. Epidemiology of brain injury. In Naravan RK, Wilberger JE, Povlishock JT, (Eds.), Neurotrauma. New York: McGraw-Hill: 1996. 3. Kraus JF, Nourjah P. The epidemiology of mild uncomplicated brain injury. J Trauma 1988;28(12):1637–43. 4. á¹Ç·Ò§¡ÒÃÃÑ¡ÉÒ¡ÒúҴà¨çº·ÕÈÃÉÐ (Clinical practice guideline for head injury). ÃÒªÇÔ·ÂÒÅÑÂÈÑÅÂᾷáË‹§»ÃÐà·È è Õ ä·Â, ÇÔ·ÂÒÅÑ»ÃÐÊÒ·ÈÑÅÂᾷáË‹§»ÃÐà·Èä·Â, ¡ÃÁ¡ÒÃᾷ ¡ÃзÃǧÊÒ¸ÒÃ³ÊØ¢, ʶҺѹ»ÃÐÊÒ·ÇÔ·ÂÒ ¡ÃÁ ¡ÒÃᾷ ¡ÃзÃǧÊÒ¸ÒÃ³ÊØ¢, ¾.È. 2552. 5. Anderson T, Heitger M, Macleod AD. Concussion and mild head injury. Pract Neurol 2006;6(6):342-57.
  • 478.
    àǪÈÒʵÏ·¹Âؤ 2553 Ñ 451 6. Definition of mild traumatic brain injury developed by the Mild Traumatic Brain Injury Committee of the Head Injury Interdisciplinary Special Interest Group of the American Congress of Rehabilitation Medicine. J Head Trauma Rehabil 1993:8(3):86-7. 7. Alexander MP. Mild traumatic brain injury: Pathophysiology, natural history, and clinical management. Neurology 1995;45(7):1253-60. 8. Madikians A, Giza CC. A clinician’s guide to the pathophysiology of traumatic brain injury. Indian J Neurotrauma 2006;3(1):9-17. 9. Haydel MJ, Preston CA, Mills TJ, Luber S, Blaudeau E, DeBlieux PM. Indications for computed tomography in patients with minor head injury. N Engl J Med 2000;343(2):100–5. 10. Ruff RM, Iverson GL, Barth JT, Bush SS, Broshek DK, the NAN Policy and Planning Committee. Recommendations for diagnosing a mild traumatic brain injury: a national academy of neuropsychology education paper. Arch Clin Neuropsychol 2009;24 (1):3-10. 11. Vos PE, Battistin L, Birbamer G, Gerstenbrand F, Potapov A, Prevec T, Stepan ChA, Traubner P, Twijinstra A, Vecsei L, von Wild K; European Federation of Neurological Societies. EFNS guideline on mild traumatic brain injury: report of an EFNS task force. Eur J Neurol 2002 9(3):207-19. 12. Chambers J, Cohen SS, Hemminger L, Prall JA, Nichols JS. Mild traumatic brain injuries in low-risk trauma patients. J Trauma 1996;41(6):976-80. 13. Bohnen N, Jolles J, Twijnstra A. Neuropsychological deficits in patients with persistent symptoms six months after mild head injury. Neurosurgery 1992;30(5):695-6. 14. Arciniegas DB, Anderson CA, Topkoff J, McAllister TW. Mild traumatic brain injury: a neuropsychiatric approach to diagnosis, evaluation, and treatment. Neuropsychitr Dis Treat 2005;1(4):311-27. 15. Smith DH. Postconcussional symptoms not a syndrome. Psychosomatics 2006;47(3):271. 16. Riggio S, Wong M. Neurobehavioral sequelae of traumatic brain injury. Mount Sinai J Med 2009;76:163-72. 17. Greenberg MS. Handbook of Neurosurgery 6th ed. Ontario: Thieme;2006. 18. Thurman DJ, Branche CM, Sniezek JE. The epidemiology of sports related traumatic brain injuries in the United States: recent developments. J Head Trauma Rehabil 1998;13(2):1–8. 19. Sturmi JE, Smith C, Lombardo JA. Mild brain trauma in sports diagnosis and treatment guidelines. Sports Med 1998;25(6):351-8. 20. Majerske CW, Mihalik JP, Ren D, Collins MW, Reddy CC, Lovell MR, Wagner AK. Concussion in sports: postconcussive activity, levels, symptoms, and neurocognitive performance. J Athl Train 2008;43(3):265-74. 21. Heck J, Rosa R. Evaluating mild head injuries incorporating the standardized assessment of concussion. Sport Med Updates 2001;15(2):46-52.
  • 480.
    àǪÈÒʵÏ·¹Âؤ 2553 Ñ º··Õè 453 64 Neuropsychiatric Disorders after Mild Traumatic Brain Injury ÍÒ¨ÒÏ ᾷ˭ԧ¾Ã¨ÔÃÒ »ÃÔÇѪÃÒ¡ØÅ ÀÒ¤ÇÔªÒ¨ÔµàǪÈÒʵÏ ¤³Ðá¾·ÂÈÒʵÏÈÃÃÒª¾ÂÒºÒÅ ÁËÒÇÔ·ÂÒÅÑÂÁËÔ´Å ÔÔ ¡ÒúҴà¨çº·ÕÈÃÉÐáÅÐÊÁͧ ໚¹»˜­ËÒÊÒ¸ÒÃ³ÊØ¢·ÕÊҤѭ¢Í§»ÃÐà·Èä·Â â´ÂÃŒÍÂÅÐ 77 è Õ èí ¢Í§¼Ù»ÃÐÊºÍØºµà˵بҡ¡ÒèÃҨèÐÁÕÍÒ¡ÒúҴà¨çº·ÕÈÃÉÐËÇÁ´ŒÇ «Ö§áÁŒÇÒʋǹãË­‹à»š¹¡Òà Œ Ñ Ô è Õ è ‹ ºÒ´à¨çº·ÕÈÃÉÐáÅÐÊÁͧàÅ硹ŒÍ¶֧»Ò¹¡ÅÒ§ ᵋ¡Ê§¼ÅãËŒà¡Ô´¤‹Ò㪌¨Ò·ѧ·Ò§µÃ§áÅзҧ͌ÍÁÊÙ§ è Õ ç‹ ‹ é ¶Ö§»‚ÅÐ 40 ŌҹºÒ· (1) »˜­ËÒ¡ÒûÃÐÊºÍØºµà˵غҴà¨çº·Ò§ÊÁͧàÅ硹ŒÍ (mild traumatic brain Ñ Ô injury) ¾ºä´ŒºÍÂã¹à´ç¡ ÇÑÂÃØ¹ ¼ÙãË­‹µÍ¹µŒ¹ áÅмÙʧÍÒÂØ(2-3) áÅоºã¹à¾ÈªÒÂÁÒ¡¡Ç‹Òà¾ÈË­Ô§ ‹ ‹ Œ ŒÙ ¡ÒúҴà¨çº´Ñ§¡Å‹ÒÇÊ‹§¼ÅãËŒ¤ÇÒÁÊÒÁÒö¢Í§¼Ù»ÇÂŴŧ áÅÐÁÕ¤ÇÒÁàÊÕ§·Õ¨Ðà¡Ô´âä·Ò§¨ÔµàǪ Œ † è è ÁÒ¡¡Ç‹Ò¼ÙŒ·ÕèäÁ‹»ÃÐÊºÍØºÑµÔà˵ض֧ 2.8 à·‹Ò ·íÒãËŒà¡Ô´¼ÅàªÔ§Åºµ‹Í¡Ò÷íÒ§Ò¹ Êѧ¤Á ÊÑÁ¾Ñ¹¸ (4) ÀÒ¾ÃÐËNjҧºØ¤¤Å ÃÇÁä»¶Ö§¤Ø³ÀÒ¾ªÕǵ¢Í§·Ñ§¼Ù»Ç áÅЭҵԼ´áÅÍÕ¡´ŒÇÂ(5-6) Ô é Œ † ÙŒ Ù ¹ÔÂÒÁ Mild traumatic brain injury (MTBI) µÒÁ¹ÔÂÒÁ¢Í§ American Congress of Rehabilitation Medicine (ACRM) Brain Injury Special Interest Group (7) ËÁÒ¶֧ ¡ÒúҴà¨çº·ÕÈÃÉзÕà¡Ô´¤ÇÒÁ è Õ è ¼Ô´»¡µÔ·Ò§ÊÃÕÃÇÔ·ÂҢͧ˹ŒÒ·ÕèÊÁͧ (physiological disruption) «Öè§áÊ´§à»š¹ÍÒ¡ÒÃÍ‹ҧ¹ŒÍ 1 ã¹ 4 ¢ŒÍ´Ñ§µ‹Í仹Õé 1. ÃÐÂÐàÇÅÒ·Õ¼»ÇÂËÁ´ÊµÔ (duration of loss of consciousness; LOC) ¹ŒÍÂ¡Ç‹Ò 30 ¹Ò·Õ è ÙŒ † áÅÐ Glasgow Coma Score (GCS) ËÅѧ¼Ù»Ç¿„¹¨Ò¡¡ÒÃËÁ´ÊµÔ ÁÕ¤Ò 13 -15 ¤Ðá¹¹ Œ † œ ‹ 2. ÁÕ¡ÒÃÊÙ­àÊÕ¤ÇÒÁ¨íÒà¡ÕÂǡѺà˵ءÒó¡Í¹Íغµà˵ØËÃ×ÍËÅÑ§ÍØºµà赯 â´Â post-traumatic è ‹ Ñ Ô Ñ Ô amnesia (PTA) ¹ŒÍÂ¡Ç‹Ò 24 ªÑÇâÁ§ è 3. ÁÕ¡ÒÃà»ÅÕ¹á»Å§¢Í§ÊÀÒ¾¨Ôµ (mental state)ã¹¢³Ð·Õà¡Ô´ÍغµàËµØ àª‹¹ ÃÙÊ¡ÁÖ¹§§ ÊѺʹ è è Ñ Ô ŒÖ disorientate 4. Focal neurological deficit (s) «Ö§ÍÒ¨ÁժǤÃÒÇËÃ×ÍäÁ‹¡ä´Œ è Ñè ç ¾ÂÒ¸ÔÊÃÕÃÇÔ·ÂÒ
  • 481.
    454 Neuropsychiatric Disorders after Mild Traumatic Brain Injury ¾ÂÒ¸ÔÊÃÕÃÇÔ·ÂҢͧâä·Ò§»ÃÐÊÒ·¨ÔµàǪÈÒʵÏ (neuropsychiatric disorders) ËÅѧà¡Ô´ MTBI ໚¹¼ÅÃÇÁ¢Í§¡Åä¡ËÅÒª¹Ô´ ·Ñ駨ҡáç¡ÃзíÒ¨Ò¡ÀÒ¹͡ (external forces) ¡ÒÃÊ‹§ ÊÑ­­Ò³ã¹ÃдѺà«Åŏ (cytotoxic cascade) ¤ÇÒÁ¼Ô´»¡µÔ¢Í§ÊÒÃÊ×Í»ÃÐÊÒ· ÃÇÁ¶Ö§ÀÒÇÐá·Ã¡«ŒÍ¹ è ¨Ò¡áç´Ñ¹ã¹¡ÃÐâËÅ¡ÈÕÃÉÐ áÅÐÃкºÍ×¹æ ¢Í§Ã‹Ò§¡Ò ઋ¹ ¤ÇÒÁäÁ‹ÊÁ´ØÅ¢Í§ÍÔàÅç¤â·ÃäÅ· ÀÒÇÐ è «Õ´ áÅСÒõԴàª×Í à»š¹µŒ¹ é (8) ª¹Ô´¢Í§áç¡ÃзíÒ¨Ò¡ÀÒ¹͡·Õ·ÒãËŒà¡Ô´ MTBI 䴌ᡋ è í 1. áç¡ÃÐá·¡ (Contact or impact forces) ¾ºä´ŒºÍ ÍÒ¨·íÒãËŒà¡Ô´ÊÁͧªéÒ (contusion) ‹ í áÅÐàÅ×Í´ÍÍ¡ã¹ÊÁͧ䴌 µíÒá˹‹§¢Í§ÊÁͧ·Õ䴌ú¼Å¡Ãзºä´Œ§Ò ¤×Í frontal lobe ´ŒÒ¹Ë¹ŒÒáÅÐ è Ñ ‹ ´ŒÒ¹Å‹Ò§ áÅÐ temporal lobe 2. áçà©×Í (Inertia forces) ÁÑ¡¾ºã¹¡Ã³Õͺµà˵طÁ¡ÒÃËÁع ¡ÃЪҡ ËÃ×Íà»ÅÕ¹¤ÇÒÁ è Ø Ñ Ô Õè Õ è à˧ (acceleration-deceleration mechanism) ઋ¹ ö¾ÅÔ¡¤ÇèÒ ¡ÒÃàÅ‹¹ºÑ¹¨Õ¨Á»Š ÏÅÏ áçà©×ͨзíÒ í é Ñê è ãËŒà¡Ô´¡Òô֧Â×´¢Í§àÊŒ¹»ÃÐÊÒ· áÅйíÒä»ÊÙ‹ diffuse axonal injury «Ö§â´Â·ÑÇä»ÁÑ¡äÁ‹¾º¤ÇÒÁ¼Ô´ è è »¡µÔã¹ CT áÅÐ MRI brain ´Ñ§¹Ñ¹ÍÒ¡Ò÷ҧ¨ÔµàǪ·Õà¡Ô´¢Ö¹ËÅѧ MTBI ¨Ö§äÁ‹¨Ò໚¹µŒÍ§ÊÑÁ¾Ñ¹¸¡º é è é í Ñ µíÒá˹‹§¢Í§ÊÁͧªéÒ·ÕµÃǨ¾º´ŒÇ MRI brain àÊÁÍä» µíÒá˹‹§¢Í§ÊÁͧ·Õ¾º¡ÒúҴà¨çº¨Ò¡ í è (9) è áçà©×ÍÂä´ŒºÍ 䴌ᡋ white matter ¢Í§ frontal lobe ´ŒÒ¹Ë¹ŒÒáÅдŒÒ¹Å‹Ò§, temporal lobe, upper è ‹ brainstem, parasagittal white matter of the cerebrum áÅÐ corpus callosum ÃÇÁ·Ñ§ Gray-white é matter junctions ¢Í§ cerebral cortex ¹Í¡¨Ò¡¹Õ¼»ÇºҧÃÒÂÍÒ¨ÁÕÊÁͧªéÒËÇÁ´ŒÇÂä´Œ é ÙŒ † í ·Ñé§¹ÕéÍØºÑµÔà˵غҧª¹Ô´ÊÒÁÒöà¡Ô´áç¡ÃзíÒä´Œ·Ñé§Êͧª¹Ô´ ઋ¹ ÍØºÑµÔà˵بҡ¡ÒÃÃÐàºÔ´ ໚¹µŒ¹ ÍÒ¡ÒüԴ»¡µÔ·Ò§¨ÔµàǪ (Neuropsychiatric disturbances) ã¹¼ÙŒ»†Ç MTBI MTBI ·íÒãËŒà¡Ô´¼Å¡Ãзºµ‹Í¼Ù»ÇÂã¹´ŒÒ¹ÍÒ¡Òõ‹Ò§æ 4 ´ŒÒ¹ ´Ñ§µ‹Í仹Õé Œ † 1) ÍÒ¡Ò÷ҧËҧ¡Ò ઋ¹ »Ç´ÈÕÃÉÐ »Ç´¤Í ÁÖ¹§§ àÇÕ¹ÈÕÃÉкŒÒ¹ËÁع (vertigo) ͋͹à¾ÅÕ §‹Ç§¹Í¹ ËÙÍÍ ªÑ¡ ×é 2) ÍÒ¡Ò÷ҧ cognition ઋ¹ ¤ÇÒÁ¨íÒäÁ‹´Õ ÊÁÒ¸ÔŴŧ ÇÔà¤ÃÒÐˏ»ÃÐÁÇżŢŒÍÁÙŪŒÒŧ ¡ÒõѴÊÔ¹ã¨á»Å¡ä»¨Ò¡à´ÔÁ ¡ÒÃ㪌à˵ؼÅŴŧ ¤ÇÒÁÊÒÁÒö㹡ÒÃÊ×èÍÊÒÃŴŧ áÅÐÁÕ¤ÇÒÁ ¼Ô´»¡µÔ¢Í§ executive function ઋ¹ ¡ÒÃÇÒ§á¼¹ ¡ÒèѴÅíҴѺ¤ÇÒÁÊíҤѭ¢Í§§Ò¹ ໚¹µŒ¹ 3) ÍÒ¡Ò÷ҧÍÒÃÁ³ ઋ¹ «ÖÁàÈÃŒÒ ÇÔµ¡¡Ñ§ÇÅ ¤ÇÒÁʹ㨵‹ÍÊÔ§ÃͺµÑÇŴŧ à©ÂàÁ (apathy) è ¤Çº¤ØÁÍÒÃÁ³ä´ŒäÁ‹´Õ ˧ش˧Դ ÍÒÃÁ³á»Ã»Ãǹ§‹Ò 4) ÍÒ¡Ò÷ҧ¾ÄµÔ¡ÃÃÁ ઋ¹ ¡ŒÒÇÃŒÒÇ ¢Ò´¡ÒÃÂѺÂѧ (disinhibition) ¹Í¹äÁ‹ËÅѺËÃ×͹͹ é ÁÒ¡¢Ö¹ ¡ÃÐǹ¡ÃÐÇÒ ¾ÄµÔ¡ÃÃÁ·Ò§à¾Èà»ÅÕ¹á»Å§ é è ¼Ù»ÇÂÃŒÍÂÅÐ 50 áÅÐ 80 ¨ÐËÒ¨ҡÍÒ¡ÒâŒÒ§µŒ¹ä´Œã¹àÇÅÒ 1 à´×͹ áÅÐ 6 à´×͹ µÒÁÅíҴѺ(8) Œ † Í‹ҧäáçµÒÁÁÕ¼»ÇÂÍÕ¡»ÃÐÁҳÌÍÂÅÐ 12-30(4, 10) ·ÕèÂѧ¤§ÁÕÍÒ¡ÒÃàÃ×éÍÃѧ áÅÐ໚¹âä·Ò§¨ÔµàǪ ÙŒ †
  • 482.
    àǪÈÒʵÏ·¹Âؤ 2553 Ñ 455 ÀÒÂã¹ 1 »‚ËÅѧà¡Ô´Íغµà赯 (µÒÃÒ§·Õè 1) «Ö§¡ÒÃཇÒÃÐÇѧáÅÐÃÑ¡ÉÒâä·Ò§¨ÔµàǪµÑ§áµ‹ÃÐÂÐáá¹Ñ¹ Ñ Ô è é é ÁÕ¤ÇÒÁÊíҤѭÍ‹ҧÁÒ¡µ‹Í¼ÅÅѾ¸¢Í§¡Òÿ„¹¿Ù¼»ÇÂãËŒ¡ÅѺ¤×¹ÊÙ‹ function à´ÔÁ œ ÙŒ † (10) µÒÃÒ§·Õè 1 ¤ÇÒÁªØ¡¢Í§âä¨ÔµàǪÀÒÂã¹ 1 »‚ËÅѧà¡Ô´ Mild Traumatic Brain Injury(4, 10) âä ¤ÇÒÁªØ¡¢Í§âä¨ÔµàǪÀÒÂã¹ 1 »‚ËÅѧà¡Ô´ MTBI (ÃŒÍÂÅÐ) ÃÇÁ âä¨ÔµàǪ੾ÒзÕà¡Ô´¢Ö¹ãËÁ‹ËÅÑ§ÍØºµà赯 è é Ñ Ô âä¨ÔµàǪ·Ñ§ËÁ´ é 25.5 - 33.9 23.7 Major depressive disorder 17.4 6.8 Generalized anxiety disorder 13.4 10.0 Posttraumatic stress disorder 13.0 7.8 Social phobia 12.8 7.2 Substance use disorder 5.7 – 9.3 2.2 Panic disorder 9.0 4.9 Agoraphobia 7.5 3.7 Obsessive-compulsive disorder 4.0 1.8 Psychotic disorder 3 äÁ‹ÁÕ¢ŒÍÁÙÅ Somatoform disorder 1.5 äÁ‹ÁÕ¢ŒÍÁÙÅ ¡ÒûÃÐàÁÔ¹¼ÙŒ»†Ç MTBI ¹Í¡¨Ò¡¡ÒûÃÐàÁԹઋ¹à´ÕÂǡѺ·Õ㪌㹼ٻÇ·ÑÇæ ä»áÅŒÇ ¡ÒûÃÐàÁÔ¹¼Ù»Ç MTBI ÁÕ¢Í è Œ † è Œ † Œ ¾Ô¨ÒóҴѧ¹Õé(8) 1. ËÒËÅÑ¡°Ò¹¢Í§¡ÒÃà¡Ô´ MTBI 䴌ᡋ ¡ÒÃÁÕáç¡ÃзíÒ¨Ò¡ÀÒ¹͡ áÅÐÁռŵ‹ÍËҧ¡Ò ¼Ù»Ç¨¹ÁÕ¤ÇÒÁ¼Ô´»¡µÔ·Ò§»ÃÐÊÒ·ÊÃÕÃÇÔ·ÂÒÍ‹ҧà©Õº¾Åѹ ઋ¹ ËÁ´ÊµÔ ¤ÇÒÁ¨íÒàÊ×ÍÁ ÁÖ¹§§ Œ † è ºÒ§ÃÒÂÍÒ¨º‹¹Ç‹ÒÃÙÊ¡àËÁ×͹àËç¹´ÒÇ à»š¹µŒ¹ ŒÖ 2. ¡ÒûÃÐàÁÔ¹·Ò§¨ÔµàǪ (Neuropsychiatric evaluation) ¤ÇäíÒ¹Ö§¶Ö§»˜¨¨Ñ 3 ¡ÅØÁ ´Ñ§¹Õé ‹ ¡. »˜¨¨ÑÂà´ÔÁ¡‹Í¹à¡Ô´Íغµà赯 (Pre-injury factors) 䴌ᡋ ÍÒÂØ à¾È ¾Ñ¹¸Ø¡ÃÃÁ ÃÐ´ÑºÊµÔ Ñ Ô »˜­­Òà´ÔÁ âä»ÃШíÒµÑÇ ÀÒÇзҧ¨ÔµàǪ ¡ÒÃ㪌ÂÒáÅÐÊÒÃàʾµÔ´ »˜¨¨Ñ·ҧÊѧ¤Á àÈÃɰҹРÊÔ§áÇ´ÅŒÍÁ ¾ÄµÔ¡ÃÃÁªÍºàÊÕ§ (risk-taking behaviors) è è ¢. ÅѡɳСÒúҴà¨çº (Injury characteristics) 䴌ᡋ ª¹Ô´ µíÒá˹‹§ áÅФÇÒÁÃØ¹áç ¢Í§¡Ò÷íÒÅÒÂÃкº»ÃÐÊÒ· ໚¹µŒ¹ ÅѡɳТͧ¡ÒúҴà¨çº¹ÕéÊÒÁÒö·íÒ¹Ò »˜­ËÒ·Ò§ neuropsychiatric function ·Ñ§ 4 ´ŒÒ¹¢ŒÒ§µŒ¹ä´Œ é ¤. »˜¨¨ÑÂËÅѧà¡Ô´ÍغѵÔà赯 (Post-injury factors) 䴌ᡋ ¡ÒôÙáÅ»ÃФѺ»ÃФͧ¨Ò¡ ¤Ãͺ¤ÃÑÇ ¡ÒÃ䴌ú¡ÒÃÃÑ¡ÉÒáÅп„¹¿ÙÍ‹ҧ·Ñ¹·‹Ç§·ÕáÅÐàËÁÒÐÊÁ ʶҹÀÒ¾·Ò§ Ñ œ Êѧ¤Á àÈÃɰҹРáÅл˜­ËÒ·Ò§¡¯ËÁÒ ໚¹µŒ¹
  • 483.
    456 Neuropsychiatric Disorders after Mild Traumatic Brain Injury »˜¨¨Ñ¢ŒÒ§µŒ¹·Ñé§ 3 ¡ÅØ‹Á ÊÒÁÒöÁռŵ‹Í¡Ñ¹áÅСѹ áÅÐÁÕÍÔ·¸Ô¾Åµ‹Í neuropsychiatric symptoms ·Ñ§ã¹á§‹¢Í§ÅѡɳÐÍÒ¡Òà ¡Òä§ÍÂÙ‹ áÅСÒÃËÒ¨ҡÍÒ¡ÒÃ é ¡ÒÃÃÑ¡ÉÒ ¡ÒÃÃÑ¡ÉҼٻǠMTBI ·ÕÁÀÒÇзҧ¨ÔµàǪ ¤ÇÃ㪌¡ÒÃÃÑ¡ÉÒẺͧ¤ÃÇÁ ¤ÇÃÃÑ¡ÉÒÍÒ¡Òà Œ † è Õ µ‹Ò§æ ãËŒ¤Ãͺ¤ÅØÁ´ŒÇ¡ÒÃ㪌ÂÒãËŒ¹Í·ÕÊ´à·‹Ò·Õ¨Ð໚¹ä»ä´Œ ¼Ù»Ç·ÕÁÕ MTBI ÁÑ¡¨Ðäǵ‹Í¡ÒÃà¡Ô´ Œ èØ è Œ † è ¼Å¢ŒÒ§à¤Õ§¨Ò¡ÂÒä´Œ§Ò ´Ñ§¹Ñ¹ãËŒàÃÔÁÂÒ·Õ¢¹Ò´µèÒ áÅлÃѺ¢Ö¹ªŒÒæ â´Â¾ÂÒÂÒÁËÅÕ¡àÅÕ§ÂÒ·ÕÅ´ ‹ é è è í é è è seizure threshold áÅÐÂÒ·Õè·íÒãËŒ¡Òÿ„œ¹¿Ù cognition ªŒÒŧ ઋ¹ phenytoin, phenobarbital, benzodiazepine, clonidine, haloperidol (¢¹Ò´ > 10 mg/d) ໚¹µŒ¹(11) ¼Ù»ÇÂÁÑ¡ÁÕ¡Òõͺʹͧµ‹Í Œ † ÂÒªŒÒ áÅÐàÁ×Í»ÃѺÂÒ¶Ö§¢¹Ò´ÊÙ§ÊØ´áÅŒÇ ÍÒ¨µŒÍ§ãªŒàÇÅÒ´ÙÍÒ¡ÒùҹËÅÒÂà´×͹ ¹Í¡¨Ò¡¹Õé ¤ÇÃãËŒ è ¡ÒÃÃÑ¡ÉÒÍÒ¡ÒÃÍ×¹æ ·ÕÍҨú¡Ç¹¼Ù»Ç ઋ¹ ÍÒ¡ÒûǴ ÍÒ¡Òäѹ ໚¹µŒ¹ è è Œ † ã¹·Õ¹¨Ð¢Í¡Å‹ÒǶ֧¡ÒÃ㪌ÂÒ໚¹ËÅÑ¡ Í‹ҧäáçµÒÁ¡ÒÃãËŒ¤ÇÒÁÃÙ¡º¼Ù»ÇÂáÅÐ­ÒµÔ ÃÇÁ·Ñ§ è Õé Œ Ñ Œ † é ãËŒ¡ÒÅѧã¨áÅЪ‹ÇÂàËÅ×Íà¡ÕÂǡѺ¡ÒûÃѺµÑǵ‹Í¡ÒÃà¨çº»†ÇÂ໚¹ÊÔ§ÊíҤѭ ÁÕ¡ÒÃÈÖ¡ÉÒ¾ºÇ‹Ò·Ñ§»ÃЪҪ¹ í è è é ·ÑÇä»áÅкؤÅҡ÷ҧ¡ÒÃᾷ ÁÑ¡äÁ‹à¢ŒÒ㨼Ţͧ MTBI ·ÕÁµÍ neuropsychiatric function ¢Í§ è è Õ ‹ ¼Ù»Ç ·íÒãËŒà¡Ô´¤ÇÒÁÃÙÊ¡àªÔ§Åºµ‹Í¼Ù»Ç áÅкҧÃÒ¶١¡Å‹ÒÇËÒÇ‹Òá¡ÅŒ§»†Ç ¨¹ä´ŒÃº¡ÒôÙáÅÍ‹ҧ Œ † ŒÖ Œ † Ñ äÁ‹àËÁÒÐÊÁ (12-13) ¡ÒûÃѺ¾ÄµÔ¡ÃÃÁ ¡Òü‹Í¹¤ÅÒ¤ÇÒÁà¤ÃÕ´ áÅд֧¤Ãͺ¤ÃÑÇࢌÒÁÒÁÕÊǹËÇÁ ‹ ໚¹ÊÔ§ÊíҤѭµ‹Í¡ÒÃÃÑ¡ÉÒ ÃÇÁ·Ñ§à»š¹¡ÒÃແ´âÍ¡ÒÊãËŒ­ÒµÔä´ŒÃкÒ ÃѺ·ÃÒº¢ŒÍÁÙÅáÅÐÁÕ¤ÇÒÁ¤Ò´ è é ËÇѧ·ÕÊÍ´¤ÅŒÍ§¡Ñº¤ÇÒÁ໚¹¨ÃÔ§ ÃÇÁ·Ñ§àÃÕ¹ÃÙǸ¡ÒèѴ¡ÒþĵԡÃÃÁ¢Í§¼Ù»ÇÂáÅÐÍÒÃÁ³¢Í§µÑÇ è é ŒÔÕ Œ † ­ÒµÔàͧàÁ×Í༪ԭ¡ÑºÍÒ¡ÒÃà¨çº»†Ç¢ͧ¼Ù»Ç´ŒÇ «Ö§¨Ð·íÒãËŒ¼Å¡ÒÃÃÑ¡ÉÒâ´ÂÃÇÁ´Õ¢¹ÁÒ¡ è Œ † è Öé ã¹»˜¨¨Øº¹ ÂÒ·ÕÁËÅÑ¡°Ò¹àªÔ§»ÃШѡɏÊÒËÃѺÃÑ¡ÉÒÍÒ¡Ò÷ҧ¨ÔµàǪ¢Í§¼Ù»Ç MTBI Âѧ¤‹Í¹ Ñ è Õ í Œ † ¢ŒÒ§ÁÕ¨Ò¡Ñ´ (µÒÃÒ§·Õè 2) ᾷ¨§¤ÇÃ㪌ÂÒâ´Â¤íÒ¹Ö§¶Ö§¤ÇÒÁàËÁÒÐÊÁµ‹Í¼Ù»ÇÂᵋÅÐÃÒ ãËŒ¢ÍÁÙÅ í Ö Œ † Œ áÅТͤÇÒÁÂÔ¹ÂÍÁ¨Ò¡¼Ù»ÇÂáÅÐ/ËÃ×Í­ÒµÔ à½‡ÒÃÐÇѧµÔ´µÒÁ¼ÅÍѹäÁ‹¾§»ÃÐʧ¤¨Ò¡ÂÒ »ÃÐàÁÔ¹ Œ † Ö »ÃÐÊÔ·¸ÔÀÒ¾¡ÒÃÃÑ¡ÉÒ áÅзº·Ç¹¤ÇÒÁ¨íÒ໚¹¢Í§¡ÒÃ㪌ÂÒÍÂÙàÊÁÍ ‹ ¹Í¡¨Ò¡¹Õé¼ÙŒà¢Õ¹ÁÕ¤ÇÒÁàËç¹Ç‹Ò 㹺ÃÔº·¢Í§Êѧ¤Áä·Â »˜¨¨Ñ·ÕèÊíҤѭÍÕ¡¢ŒÍ·Õè¤ÇùíÒÁÒ ¾Ô¨ÒÃ³Ò ¤×Í àÈÃɰ°Ò¹Ð¢Í§¼Ù»Ç ¡µÑÇÍ‹ҧઋ¹ ÂÒ fluoxetine áÁŒ¨ÐÁÕËÅÑ¡°Ò¹Ê¹ÑºÊ¹Ø¹ã¹¡Òà Œ † ÃÑ¡ÉÒÍÒ¡ÒëÖÁàÈÃŒÒã¹ MTBI ¹ŒÍÂ¡Ç‹Ò sertraline ᵋ¼Å¢ŒÒ§à¤Õ§¹ŒÍÂà·‹Òæ¡Ñ¹ áÅÐÃÒ¤Ò¶Ù¡¡Ç‹Òà¡Ô¹ 10 à·‹Ò á¾·Â¤ÇõŒÍ§àʹͷҧàÅ×Í¡Í×¹æ áÅÐãËŒ¢ÍÁÙÅ»ÃСͺ¡ÒõѴÊÔ¹ã¨á¡‹¼»ÇÂËÃ×Í­ÒµÔ´ÇÂ è Œ ÙŒ † Œ áÁŒ·Ò§àÅ×Í¡Í×¹æ ¹Ñ¹ÍÒ¨ÁÕËÅÑ¡°Ò¹·Ò§ÇÔ·ÂÒÈÒʵÏÁÒʹѺʹع¹ŒÍ¡NjҡçµÒÁ á¹Ç¤ÇÒÁ¤Ô´¹ÕÊÍ´ è é é ¤ÅŒÍ§¡Ñº¹ÔÂÒÁ¡ÒÃ㪌ÂÒÍ‹ҧÊÁà˵ØÊÁ¼Å (rational drug use) ¢Í§Í§¤¡ÒÃ͹ÒÁÑÂâÅ¡·ÕÇÒ “Rational è‹ use of drugs requires that patients receive medications appropriate to their clinical needs, in doses that meet their own individual requirements for an adequate period of time, and the lowest cost to them and their community.” (14)
  • 484.
    àǪÈÒʵÏ·¹Âؤ 2553 Ñ 457 µÒÃÒ§·Õè 2 ¡ÒÃ㪌ÂÒÃÑ¡ÉÒ neuropsychiatric symptoms ã¹¼ÙŒ»†Ç MTBI (11, 15-17) Neuropsychiatric Symptoms ÂÒ ¢¹Ò´àÃÔÁµŒ¹ (mg/day) ¢¹Ò´ÂÒ໇ÒËÁÒ (mg/day) è Depression Sertraline 25 25 - 200 Citalopram 10 20 - 50 Fluoxetine 10 20 - 40 Amitriptyline a 10 - 25 75 - 250 Cognitive disturbance Methylphenidate 5 - 10 10 - 30 (0.25 - 0.3 mg/kg) Donepezil 5 5 - 10 Rivastigmine 3 3 - 12 Bromocriptine 2.5 < 100 Aggressiveness b Propanolol 20 - 30 60 - 400 Pindolol 40 40 - 100 Buspirone 10 45 - 60 Sodium valproate 200 - 500 750 - 1,000 Carbamazepine 200 - 400 400 - 1200 Psychosis Olanzapine c 5 5 - 20 Haloperidol c 2-5 < 10 Mania Sodium valproate 200 - 500 750 - 1,000 Insomnia Trazodone 25 - 50 50 - 150 a 㪌Í‹ҧÃÐÁÑ´ÃÐÇѧ à¹×ͧ¨Ò¡ÂÒÅ´ seizure threshold è b ÍÒ¨ÃÑ¡ÉÒâ´Â㪌ÂÒÃÑ¡ÉÒÍÒ¡Òà depression ã¹µÒÃҧ䴌ઋ¹¡Ñ¹ c 㪌¢¹Ò´µèÒáÅÐÃÐÂÐÊѹ෋ҷըÒ໚¹ à¹×ͧ¨Ò¡ÂҢѴ¢ÇÒ§¡Òÿ„¹¿Ù´Ò¹ cognition í é èí è œ Œ ÊÃØ» Neuropsychiatric disorders ÊÒÁÒö¾ºä´ŒºÍ¶֧˹֧ã¹ÊÒÁ¢Í§¼Ù»Ç·ÕÁÕ mild traumatic ‹ è Œ † è brain injury Ê‹§¼Å¡Ãзºµ‹ÍÊØ¢ÀÒ¾áÅФسÀÒ¾ªÕǵ¢Í§¼Ù»ÇÂáÅФÃͺ¤ÃÑÇä´ŒÁÒ¡ áÅÐ໚¹»˜­ËÒ Ô Œ † ·Ò§ÊÒ¸ÒÃ³ÊØ¢·ÕÊҤѭ ºØ¤Åҡ÷ҧ¡ÒÃᾷ¨§¤ÇÃཇÒÃÐÇѧ áÅлÃÐàÁÔ¹ÍÒ¡Òà à¾×ÍãËŒ¡ÒÃÃÑ¡ÉÒ èí Ö è á¡‹¼»ÇÂÍ‹ҧàËÁÒÐÊÁ ÙŒ † àÍ¡ÊÒÃ͌ҧÍÔ§ 1. Suriyawongpaisal P, Kanchanasut S. Road traffic injuries in Thailand: Trends, selected underlying determinants and status of intervention. Injury Control and Safety Promotion. 2003;10(1-2):95-104. 2. Massagli TL, Fann JR, Burington BE, Jaffe KM, Katon WJ, Thompson RS. Psychiatric illness after mild traumatic brain injury in children. Arch Phys Med Rehabil. 2004;85(9):1428-34. 3. Schwarzbold M, Diaz A, Martins ET, Rufino A, Amante LN, Thais ME, et al. Psychiatric disorders and traumatic brain injury. Neuropsychiatr Dis Treat. 2008;4(4):797-816.
  • 485.
    458 Neuropsychiatric Disorders after Mild Traumatic Brain Injury 4. Fann JR, Burington B, Leonetti A, Jaffe K, Katon WJ, Thompson RS. Psychiatric illness following traumatic brain injury in an adult health maintenance organization population. Arch Gen Psychiatry. 2004;61(1):53-61. 5. Rogers JM, Read CA. Psychiatric comorbidity following traumatic brain injury. Brain Inj. 2007;21(13-14):1321- 33. 6. Petchprapai N, Winkelman C. Mild traumatic brain Injury: determinants and subsequent quality of life. a review of the literature. Journal of Neuroscience Nursing. 2007;39(5):13. 7. Mild Traumatic Brain Injury Committee ACoRM, Head Injury Interdisciplinary Special Interest Group. Definition of mild traumatic brain injury. Journal of Head Trauma Rehabilitation. 1993;8(3):86-7. 8. Silver JM, McAllister TW, Arciniegas DB. Depression and cognitive complaints following mild traumatic brain injury. Am J Psychiatry. 2009;166(6):653-61. 9. Koponen S, Taiminen T, Kurki T, Portin R, Isoniemi H, Himanen L, et al. MRI findings and Axis I and II psychiatric disorders after traumatic brain injury: a 30-year retrospective follow-up study. Psychiatry Res. 2006;146(3):263-70. 10. Bryant RA, O’Donnell ML, Creamer M, McFarlane AC, Clark CR, Silove D. The Psychiatric Sequelae of Traumatic Injury. Am J Psychiatry. 2010;167(3):312-20. 11. Lombardi F. Pharmacological treatment of neurobehavioural sequelae of traumatic brain injury. European Journal of Anaesthesiology. 2008;25(Suppl 42):131-6. 12. Guilmette TJ, Paglia MF. The public’s misconceptions about traumatic brain injury: a follow up survey. Archives of Clinical Neuropsychology. 2004;19(2):183-9. 13. Swift TL, Wilson SL. Misconceptions about brain injury among the general public and non-expert health professionals: an exploratory study. Brain Injury. 2001;15:149-65. 14. WHO. The Rational Use of Drugs: Report of the Conference of Experts. Geneva: WHO,1985. 15. Fann JR, Hart T, Schomer KG. Treatment for Depression after Traumatic Brain Injury: A Systematic Review. Journal of Neurotrauma. 2009;26(12):2383-402. 16. Warden DL, Gordon B, McAllister TW, Silver JM, Barth JT, Bruns J, et al. Guidelines for the Pharmacologic Treatment of Neurobehavioral Sequelae of Traumatic Brain Injury. Journal of Neurotrauma. 2006;23(10):1468- 501. 17. Silver JM, Yudofsky SC, Hales RE. Neuropsychiatric aspects of traumatic brain injury. In: Yudofsky SC, Hales RE, editors. The American Psychiatric Publishing textbook of neuropsychiatry and behavioral neurosciences: American Psychiatric Publishing; 2008. p. 595-648.
  • 486.
    àǪÈÒʵÏ·¹Âؤ 2553 Ñ º··Õè 459 65 ÀÒ¾ÃѧÊÕÇÔ¹Ô¨©ÑÂÃкº»ÃÐÊÒ·ã¹¼ÙŒ»†ÇÂÍØºÑµÔà赯 ÍÒ¨ÒÏ ᾷ˭ԧÊÔÃÔÍà µÃÔµÃСÒà ÀÒ¤ÇÔªÒÃѧÊÕÇ·ÂÒ ¤³Ðá¾·ÂÈÒʵÏÈÃÃÒª¾ÂÒºÒÅ ÁËÒÇÔ·ÂÒÅÑÂÁËÔ´Å Ô ÔÔ ¡ÒúҴà¨çº·Ò§ÊÁͧ㹼ٻÇÂÍØºµà˵ؾºä´ŒÍÂٺͤÃѧã¹àǪ»¯ÔºµÔ à¹×ͧ¨Ò¡Íغµà˵طà¡Ô´ Œ † Ñ Ô ‹ ‹ é Ñ è Ñ Ô Õè ¢Ö¹Ê‹Ç¹ãË­‹à¡Ô´¨Ò¡¡ÒÃ㪌ö㪌¶¹¹ «Ö§ã¹»˜¨¨Øº¹¾ºÇ‹ÒÁÕ¡ÒúҴà¨çºÍÂÙã¹¢Ñ¹ÃØ¹áçÍÂٺͤÃѧ é è Ñ ‹ é ‹ ‹ é à¹×ͧ¨Ò¡¡ÒÃ㪌¤ÇÒÁàÃçÇÊÙ§áÅФÇÒÁ»ÃÐÁҷ㹡ÒÃ㪌Âҹ¹µ¾ºÁÒ¡¢Ö¹ ´Ñ§¹Ñ¹¡ÒÃá»Ã¼ÅÀÒ¾ÃѧÊÕ è é é ÇÔ¹¨©Ñ·ҧÃкº»ÃÐÊÒ·ã¹¼Ù»ÇÂÇÔ¡Äµã¹¡ÅØÁ¹Õ¨§ÁÕ¤ÇÒÁ¨íÒ໚¹Í‹ҧÂÔ§ à¾×ÍÊ׺¤Œ¹ÀÒÇÐÇԡĵԷÍÒ¨ Ô Œ † ‹ éÖ è è Õè ໚¹ÍѹµÃÒ¶֧ªÕǵ áÅеŒÍ§ä´ŒÃº¡Òê‹ÇÂàËÅ×ÍÃÑ¡ÉÒâ´Â´‹Ç¹ Ô Ñ ÀÒ¾ÃѧÊÕÇÔ¹Ô¨©Ñ·ÕèàËÁÒÐÊÁã¹¼ÙŒ»†ÇÂÍØºÑµÔàËµØ ä´Œá¡‹ ÀÒ¾ plain film áÅÐ ÀÒ¾àÍç¡«àÏ ¤ÍÁ¾ÔÇàµÍÏ (CT scan)3 à¹×ͧ¨Ò¡¼Ù»ÇÂʋǹãË­‹Á¡ÁÕÊ­­Ò³ªÕ¾·ÕäÁ‹¤§·Õè áÅеŒÍ§¡ÒÃà¤Ã×ͧÁ×Í è Œ † Ñ Ñ è è ·Õ·Ò¡ÒõÃǨ䴌Í‹ҧÃÇ´àÃçÇ áÅÐãËŒ¢ÍÁÙÅ·ÕàËÁÒÐÊÁ¡Ñº¡ÒôÙáÅÃÑ¡ÉÒ¼Ù»ÇÂã¹ÀÒÇÐà˧´‹Ç¹ è í Œ è Œ † ¡ÒÃà»ÃÕºà·Õº¢ŒÍä´Œà»ÃÕºàÊÕÂà»ÃÕº¢Í§à¤Ã×èͧÁ×Í·Õè㪌㹡ÒõÃǨ ÇÔ¹Ô¨©Ñ·ҧÃкº»ÃÐÊÒ·1, 2, 3 Plain film ¢ŒÍä´Œà»ÃÕº - ÊдǡÃÇ´àÃçÇ áÅÐÁÕ㪌â´Â·ÑÇä» è ¢ŒÍàÊÕÂà»ÃÕº - ÁբͨíҡѴ㹡ÒûÃÐàÁÔ¹¡ÒÃᵡ¢Í§¡Ãд١ªÔ¹àÅç¡æ ºÃÔàdz°Ò¹ÊÁͧ Œ é áÅСÃд١ãºË¹ŒÒ ¢ŒÍº‹§ªÕé – ´Ù¡ÒÃᵡ¢Í§¡ÃÐâËÅ¡ÈÃÕÉÐËÃ×Í¡Ãд١ÊѹËÅѧʋǹµ‹Ò§æã¹àº×ͧµŒ¹ é ¢ŒÍ¤ÇÃÃÐÇѧ - à¹×ͧ¨Ò¡¡ÒõÃǨÁÕ¡ÒÃÊÑÁ¼ÑÊÃѧÊÕ´§¹Ñ¹¡ÒõÃǨµŒÍ§ÃÐÁÑ´ÃÐÇѧ㹼ٻÇ è Ñ é Œ † ·Õµ§¤ÃÃÀ ¶ŒÒ¨íÒ໚¹µŒÍ§·íÒ ¤ÇáѹÃѧÊÕâ´ÂàÊ×͵СÑÇ è Ñé é è CT scan ¢ŒÍä´Œà»ÃÕº – ÃÇ´àÃçÇáÅÐàËÁÒÐÊÁ㹡ÒôÙàÅ×Í´Í͡㹺ÃÔàdzµ‹Ò§æ¢Í§Ã‹Ò§¡Ò áÅÐ ¡Òô١ÒÃᵡËÑ¡¢Í§¡Ãд١ªÔ¹àÅç¡æ ઋ¹ ¡Ãд١·ÕºÃÔàdz°Ò¹ÊÁͧáÅСÃд١ãºË¹ŒÒ é è ¢ŒÍàÊÕÂà»ÃÕº - ¼Ù»ÇÂ䴌úÃѧÊÕ ËÃ×ÍÍҨ䴌ú¡ÒéմÊÒ÷ֺÃѧÊÕ«§ÍÒ¨ÁÕÍÒ¡ÒÃᾌ䴌 Œ † Ñ Ñ Öè (¶ŒÒ¼Ù»ÇÂÁÕ»ÃÐÇѵᾌÍÒËÒ÷ÐàÅà¹×ͧ¨Ò¡ÁÕÊÒÃäÍâʹչ໚¹Í§¤»ÃСͺ) Œ † Ô è
  • 487.
    460 ÀÒ¾ÃѧÊÕÇÔ¹Ô¨©ÑÂÃкº»ÃÐÊÒ·ã¹¼ÙŒ»†ÇÂÍØºÑµÔà赯 ¢ŒÍº‹§ªÕé - ´Ù¡ÃÐâËÅ¡ÈÃÕÉСÃд١°Ò¹ÊÁͧáÅÐãºË¹ŒÒᵡ ÃÇÁ·Ñ§ÀÒÇÐàÅ×Í´ÍÍ¡ã¹à¹×Í é é ÊÁͧºÃÔàdzµ‹Ò§áÅлÃÐàÁÔ¹ÀÒÇÐÊÁͧºÇÁáÅСÒÃàÅ×͹µÑǢͧà¹×ÍÊÁͧ è é ¢ŒÍ¤ÇÃÃÐÇѧ - à¹×ͧ¨Ò¡¡ÒõÃǨÁÕ¡ÒÃÊÑÁ¼ÑÊÃѧÊÕ ´Ñ§¹Ñ¹¡ÒõÃǨµŒÍ§ÃÐÁÑ´ÃÐÇѧ㹼ٻÇ è é Œ † ·Õµ§¤ÃÃÀ ¶ŒÒ¨íÒ໚¹µŒÍ§·íÒ¤ÇáѹÃѧÊÕâ´ÂàÊ×͵СÑÇ ¹Í¡¨Ò¡¹Õ¶ÒµŒÍ§©Õ´ÊÒ÷ֺÃѧÊյͧÃÐÇѧ㹼ٻÇ è Ñé é è é Œ Œ Œ † ·ÕàÊÕ§äµÇÒ è è MRI ¢ŒÍä´Œà»ÃÕº - ÊÒÁÒöµÃǨ´ÙàÅ×Í´·ÕÍÍ¡·Õ໚¹¨Ø´àÅç¡·ÕÍÒ¨ÁͧäÁ‹àËç¹â´Â CT scan ઋ¹ è è è ã¹ÀÒÇÐ Diffuse axonal injury (DAI) áÅÐÊÒÁÒöºÍ¡¡ÒúҴà¨çº¢Í§à¹×ÍÊÁͧáÅÐä¢ÊѹËÅѧ䴌´Õ é ¡Ç‹Ò CT scan ¢ŒÍàÊÕÂà»ÃÕº - ÁբͨíҡѴ㹡ÒûÃÐàÁÔ¹¡ÒÃᵡ¢Í§¡Ãд١ªÔ¹àÅç¡æ ºÃÔàdz°Ò¹ÊÁͧ Œ é áÅСÃд١ãºË¹ŒÒ ¢ŒÍº‹§ªÕé - 㪌àÇÅÒ㹡ÒõÃǨ¹Ò¹ áÅÐäÁ‹àËÁÒÐÊÁ㹼ٻǷÕÊ­­Ò³ªÕ¾äÁ‹¤§·Õè ¹Í¡¨Ò¡ Œ † èÑ ¹Õ§㪌·Ò¡ÒõÃǨäÁ‹ä´Œã¹¼Ù»Ç·ÕʧÊÑÂÇ‹ÒÁÕʧá»Å¡»ÅÍÁ·Õ໚¹âÅËÐÍÂÙÀÒÂã¹Ã‹Ò§¡Ò à¾ÃÒШÐà¡Ô´ éÑ í Œ † è Ôè è ‹ ÍѹµÃÒÂä´Œ ¢ŒÍ¤ÇÃÃÐÇѧ - µŒÍ§ÃÐÁÑ´ÃÐÇѧ㹼ٻÇÂà¤Â¼‹ÒµÑ´à»ÅÕ¹ÅÔ¹ËÑÇã¨ËÃ×ÍãÊ‹à¤Ã×ͧ¡ÃеعËÑÇ㨠Œ † è é è Œ ËÃ×ͼ‹ÒµÑ´ãÊ‹ clip ·ÕËÅÍ´àÅ×Í´ÊÁͧ, ¼Ù»Ç·աÅÑÇ·Õ᤺, ¼Ù»Ç·աÒ÷íÒ§Ò¹¢Í§äµäÁ‹´,Õ ¼Ù»Ç·ÕʧÊÑÂ è Œ † è è Œ † è Œ † è NjҨÐÁÕâÅËÐá»Å¡»ÅÍÁ·ÕºÃÔàdzµÒáÅеÒÁʋǹµ‹Ò§æ¢Í§Ã‹Ò§¡ÒÂ è ¢ŒÍ¤ÇÃÃÐÇѧ㹡ÒÃá»Ã¼Å CT scan àÅ×Í´·ÕÍÍ¡ãËÁ‹ÊǹãË­‹äÁ‹¨Ò໚¹µŒÍ§ÁÕ hyperdensity àÊÁÍä»à¹×ͧ¨Ò¡ÊÒÁÒöàËç¹à»š¹ è ‹ í è isodensity ËÃ×Í hypodensity 䴌㹡óշ¼»ÇÂÁÕÀÒÇÐâÅËÔµ¨Ò§Í‹ҧÁÒ¡â´Â¤‹Ò hematocrit µèÒ¡Ç‹Ò Õè ÙŒ † í 10 g/dl ໚¹µŒ¹ ËÃ×Íã¹¼ÙŒ»†Ç·ÕèÁÕÀÒÇСÒÃá¢ç§µÑǢͧàÅ×Í´¼Ô´»¡µÔ¨Ò¡ÀÒÇÐ disseminated intravascular coagulopathy (DIC) 1. ÁբͨíҡѴ㹡ÒÃá»Ã¼ÅàÅ×Í´·ÕÍÍ¡ºÃÔàdz¹Í¡à¹×ÍÊÁͧ㹺ÃÔàdz intratemporal region, Œ è é subfrontal region ËÃ×Í posterior fossa áÅÐ diffuse axonal injury 2. 㹡ÒõÃǨÇÔ¹¨©Ñ¼ٻÇÂÍØºµà赯 ¤ÇôÙÀҾ㹠window ·ÕàËÁÒÐÊÁઋ¹¡ÒôÙà¹×ÍÊÁͧ Ô Œ † Ñ Ô è é ¡ç¤ÇÃ㪌 brain window ¡ÒõÃǨ´ÙÇÒÁÕ¡Ãд١ËÑ¡ËÃ×ÍäÁ‹¡¤ÇôٴÇ bone window áÅжŒÒÊÒÁÒö´Ù ‹ ç Œ ÀÒ¾ã¹ËÅÒÂÃйҺ ઋ¹ coronal áÅÐ sagittal ËÇÁ¡Ñº axial ¡ç¨Ðª‹ÇÂà¾ÔÁ¤ÇÒÁ¶Ù¡µŒÍ§ã¹¡ÒõÃǨ è ÇÔ¹Ô¨©ÑÂä´ŒáÁ‹¹ÂíÒÂÔè§¢Öé¹ â´Â੾ÒСÒô١Ãд١·ÕèËÑ¡ºÃÔàdz°Ò¹ÊÁͧ ¡Ãд١ãºË¹ŒÒáÅСÃд١ temporal bone ໚¹µŒ¹
  • 488.
    àǪÈÒʵÏ·¹Âؤ 2553 Ñ 461 ª¹Ô´¢Í§¡ÒúҴà¨çº·Ò§ÊÁͧáÅСÃÐâËÅ¡ÈÕÃÉÐÊÒÁÒöá¡䴌໚¹4 1. ¡ÒúҴà¨çºàº×ͧµŒ¹ é à¡Ô´à¹×ͧ¨Ò¡áç¡ÃÐá·¡â´ÂµÃ§Ê‹§¼ÅãËŒà¡Ô´¡ÒúҴà¨çº â´Â¡ÒúҴà¨çºÊÒÁÒöà¡Ô´ä´Œ è µÑé§áµ‹ªÑé¹¼ÔÇ˹ѧ¶Ö§à¹×éÍÊÁͧ ¢Öé¹ÍÂÙ‹¡Ñº¤ÇÒÁÃØ¹áç¢Í§¡ÒúҴà¨çºàª‹¹ ˹ѧÈÕÃÉЪéíÒºÇÁËÃ×Í ©Õ¡¢Ò´¡ÃÐâËÅ¡ÈÕÃÉÐᵡ, à¹×ÍÊÁͧªéÒ, ¡ÒúҴà¨çº¢Í§ axon (diffuse axonal injury : DAI), é í ¡ÒúÇÁ¢Í§à¹×ÍÊÁͧ, àÅ×Í´ÍÍ¡ã¹à¹×ÍÊÁͧáÅй͡à¹×ÍÊÁͧ (epidural, subdural, subarachnoid é é é hemorrhage)໚¹µŒ¹ «Ö§¨Ð¡Å‹ÒÇã¹ÃÒÂÅÐàÍÕ´ã¹ËÑÇ¢ŒÍÊíҤѭ´Ñ§¹Õé è 1.1 ÀÒÇСÃÐâËÅ¡ÈÕÃÉÐᵡ (Skull fracture)4, 5, 6 ÀÒÇйÕ龺ËÇÁ¡Ñº¡ÒúҴà¨çº ·Õùáç¢Í§ÊÁͧ䴌»ÃÐÁÒ³ 2/3 â´Â¡ÒÃᵡ¢Í§¡ÃÐâËÅ¡ÈÕÃÉÐẋ§ä´ŒËÅÒÂÅѡɳдѧ¹Õé èØ 1.1.1 Linear skull fracture ¨Ð¾ºà»š¹ÃÍÂᵡ¢Í§¡ÃÐâËÅ¡ÈÕÃÉзբͺ¤ÁªÑ´áÅÐ è ÁÑ¡¾º¡ÒúҴà¨çºËÃ×Í¡Òéա¢Ò´¢Í§ªÑ¹Ë¹Ñ§ÈÕÃÉÐËÇÁ´ŒÇ ¡ÒÃᵡª¹Ô´¹Õé é à¡Ô´¨Ò¡ low-energy blunt trauma áÅÐÍÒ¨·íÒãËŒà¡Ô´¼Åá·Ã¡«ŒÍ¹·Ò§´ŒÒ¹ ËÅÍ´àÅ×Í´ä´Œ ¶ŒÒÁÕ¡ÒÃᵡ¼‹Ò¹ vascular channel, venous sinus ËÃ×Í suture ઋ¹¡ÒÃà¡Ô´ epidural hematoma áÅÐ venous sinus thrombosis ໚¹µŒ¹â´Â ¡ÒÃᵡ¢Í§¡ÃÐâËÅ¡ÈÕÃÉЪ¹Ô´¹ÕéÊÒÁÒöµÃǨ¾ºä´ŒµÑé§áµ‹¡Òö‹ÒÂÀÒ¾ plain film skull (ÃÙ»·Õè 1) Þ Þ ÃÙ»·Õè 1 áÊ´§¡ÒÃᵡ¢Í§¡ÃÐâËÅ¡ÈÕÃÉЪ¹Ô´ linear fracture ã¹ÀÒ¾ plain film (ÅÙ¡ÈÃã¹ ÀÒ¾«ŒÒÂ) áÅÐÁÕ¡ÒÃᵡ¢Í§¡ÃÐâËÅ¡ÈÕÃÉÐã¹ÀÒ¾ CT scan ·ÕèºÃÔàdz left parietal region (ÅÙ¡ÈÃã¹ÀÒ¾¢ÇÒ) 1.1.2 Depressed skull fracture ¡ÒÃᵡ¢Í§¡ÃÐâËÅ¡ÈÕÃÉЪ¹Ô´¹Õéà¡Ô´¨Ò¡ high-energy ·Õ¡Ãзºº¹ small surface ¢Í§¡ÃÐâËÅ¡ÈÕÃÉÐ «Ö§Ê‹Ç¹ãË­‹¾º è è ºÃÔàdz frontoparietal region à¹×ͧ¨Ò¡¡Ãд١ºÒ§ áÅСÒÃᵡ¢Í§¡Ãд١ è ª¹Ô´¹ÕÍÒ¨¾ºä´Œ·§ open wound áÅÐ closed wound «Ö§¡ÒÃÇÔ¹¨©ÑÂʋǹãË­‹ é Ñé è Ô ãªŒ CT scan à¹×ͧ¨Ò¡ªÔ¹¡Ãд١·ÕºµÑǨҡ¡ÒÃᵡËÑ¡ÁÑ¡ÁÕ¢¹Ò´àÅç¡áÅÐ è é è Ø
  • 489.
    462 ÀÒ¾ÃѧÊÕÇÔ¹Ô¨©ÑÂÃкº»ÃÐÊÒ·ã¹¼ÙŒ»†ÇÂÍØºÑµÔà赯 ¡Ò÷íÒ CT scan ¨ÐÊÒÁÒöºÍ¡ºÃÔàdz·ÕÁ¡Òá´àºÕ´¢Í§à¹×ÍÊÁͧáÅÐ è Õ é ÊÒÁÒöãËŒ¢ÍÁÙÅà¡ÕÂǡѺ¡ÒÃàÅ×Í´ÍÍ¡ã¹à¹×ÍÊÁͧ¡‹Í¹¡ÒÃÃÑ¡ÉÒ䴌͡´ŒÇ Œ è é Õ 1.1.3 Diastatic fracture ໚¹¡ÒÃᵡ¢Í§¡ÃÐâËÅ¡ÈÕÃÉзÕèᵡ¼‹Ò¹ suture ¡ÒÃᵡª¹Ô´·íÒãËŒ suture á¡ÍÍ¡áÅÐÍÒ¨·íÒãËŒÁÕ¡Òéա¢Ò´¢Í§ dural venous sinus ·íÒãËŒà¡Ô´ venous epidural hematoma ¡ÒÃᵡª¹Ô´¹ÕÁ¡¾º é Ñ ã¹¼Ù»Ç·ÒáËÃ×Íà´ç¡àÅç¡ Œ † 1.1.4 Skull base fracture ໚ ¹ ¡ÒÃᵡ¢Í§¡Ãд٠¡ °Ò¹¡ÃÐâËÅ¡ÈÕ Ã ÉÐ CT scan Ẻ thin slices à¹×ͧ¨Ò¡¡Òô١ºÃÔàdz¹ÕÁ¢¹Ò´àÅç¡ ¡ÒÃᵡ è é Õ ª¹Ô ´ ¹Õé ÁÑ ¡ ¾ºã¹¡Ã³Õ ·Õè ÁÕ ¡ ÒúҴà¨ç º ¨Ò¡ÍØ ºÑ µÔ à 赯 ·Õè ÃØ ¹ áçáÅÐÁÑ ¡ ÁÕ ¼ Å µÒÁÁҢͧ¡ÒúҴà¨çºàª‹¹ ¡Ò÷íÒ§Ò¹¢Í§Ãкº»ÃÐÊÒ·¼Ô´»¡µÔઋ¹ ¡ÒÃÁͧàËç¹, ¡ÒÃ䴌¹ ËÃ×ÍÍÒ¨¾º¡Ñº¡ÒúҴà¨çº¢Í§ËÅÍ´àÅ×ʹ䴌ઋ¹ Ô arterial dissection, aneurysm ËÃ×Í arteriovenous fistula ໚¹µŒ¹ à¹×ͧ¨Ò¡ è ºÃÔàdz¡Ãд١°Ò¹ÊÁͧÁÕ foramen áÅÐ fissure µ‹Ò§æ ·Õ໚¹·Ò§à´Ô¹¢Í§àÊŒ¹ è »ÃÐÊÒ·áÅÐËÅÍ´àÅ×Í´·Õèä»àÅÕé§ÊÁͧ·ÕèÊíҤѭ·Ñé§ËÅÍ´àÅ×Í´á´§áÅÐ ËÅÍ´àÅ×Í´´íÒ (ÃÙ»·Õè 2) Þ ÃÙ»·Õè 2 ÀÒ¾ CT scan bone window ¢Í§¡Ãд١ºÃÔàdz°Ò¹ÊÁͧ áÊ´§ horizontal linear fracture ¢Í§ left temporal bone ºÃÔàdz mastoid part (ÅÙ¡ÈÃ) â´ÂÁÕ¡ÒÃᵡ ¢Í§¡Ãд١¼‹Ò¹ä»Âѧ middle ear cavity «Öè§·íÒãËŒÁÕàÅ×Í´Í͡㹺ÃÔàdz middle ear cavity áÅÐÍÒ¨ÁÕ¡ÒÃà¤Å×͹µÑǢͧ¡Ãд١ËÙÃÇÁ´ŒÇ«֧ÁÑ¡ÁռšѺ¡ÒÃ䴌¹¢Í§¼Ù»ÇÂ è ‹ è Ô Œ † ËÇÁ´ŒÇÂ
  • 490.
    àǪÈÒʵÏ·¹Âؤ 2553 Ñ 463 1.2 à¹×éÍÊÁͧºÇÁªéíÒ«Öè§ÍÒ¨¾ºÇ‹ÒÁÕàÅ×Í´ÍÍ¡ÀÒÂã¹à¹×éÍÊÁͧ·ÕèºÇÁªéíÒ¹Õ鴌ǠËÃ×ÍäÁ‹¡çä´Œ (cerebral contusion ËÃ×Í hemorrhagic brain contusion)4, 5, 6 «Ö§¾ºã¹ºÃÔàÇ³ã´ è ¡çä´ŒáÅоºä´ŒËÅÒ¨شã¹à¹×ÍÊÁͧ·Ñ§ã¹´ŒÒ¹·ÕÁáçÁÒ¡ÃÐá·¡ (coup) ËÃ×Íã¹´ŒÒ¹µÃ§¢ŒÒÁ¡Ñºáç·Õè é é è Õ ÁÒ¡ÃÐá·¡ (contrecoup) ᵋºÃÔàdz·Õ¤Í¹¢ŒÒ§¨íÒà¾ÒСѺÀÒÇйվººÃÔàdz·ÕÍÂÙã¡ÅŒ¡º°Ò¹¡ÃÐâËÅ è ‹ é è ‹ Ñ ¡ÈÕÃÉÐà¹×ͧ¨Ò¡à»š¹ºÃÔàdz·Õà¹×ÍÊÁͧÊÒÁÒö¡ÃÐá·¡áÅÐà¡Ô´¡ÒêéÒä´Œ§Ò ઋ¹ ºÃÔàdz anterior, è è é í ‹ inferior áÅÐ lateral surfaces ¢Í§ temporal áÅÐ frontal lobes «Ö§¨Ð¡ÃÐá·¡¡ÑºÊ‹Ç¹¡Ãд١ʋǹ è sphenoid wing áÅÐ floor of anterior cranial fossa ໚¹µŒ¹ (ÃÙ»·Õè 3) ÃÙ»·Õè 3 ÀÒ¾ CT scan áÊ´§ hyperdensity lesion at both inferior frontal region áÊ´§ hemorrhagic brain contusion áÅÐÁÕ¡ÒúÇÁ¢Í§à¹×éÍÊÁͧÃÍºæ ºÃÔàdzà¹×éÍÊÁͧ ·ÕèÁÕàÅ×Í´ÍÍ¡«Öè§áÊ´§ÀҾ໚¹ºÃÔàdz·ÕèÁÕ hypodensity area ÃÍºæ ºÃÔàdz·ÕèÁÕ àÅ×Í´ÍÍ¡ã¹à¹×éÍÊÁͧ áÅÐÁÕ acute subdural hematoma ·ÕºÃÔàdz left temporo- è occipital region 1.3 Penetrating wound 4,6 ઋ¹ ¨Ò¡ÅÙ¡¡ÃÐÊØ¹»„¹, ¢Í§ÁÕ¤Áµ‹Ò§æ ËÃ×ͼŨҡ¡Òà ºÒ´à¨çºàª‹¹ àÈÉ¡Ãд١ ¡ÒúҴà¨çºª¹Ô´¹Õ·ÒãËŒà¡Ô´¡Òéա¢Ò´¢Í§à¹×ÍàÂ×ͺÃÔàdz·Õà¡Ô´¡ÒúҴà¨çº é í é è è µÑé§áµ‹ ¼ÔÇ˹ѧ, ˹ѧÈÕÃÉÐ, dura mater, pia mater, à¹×éÍÊÁͧ áÅÐËÅÍ´àÅ×Í´·ÕèÍÂÙ‹ã¹á¹Ç¡Òà ºÒ´à¨çº«Ö§ÊÒÁÒö·íÒãËŒà¡Ô´ä´Œµ§áµ‹¡Òéա¢Ò´¢Í§ËÅÍ´àÅ×Í´, pseudoaneurysm, arteriovenous è Ñé fistula áÅÐ vascular dissection ໚¹µŒ¹ 1.4 Diffuse axonal injury (DAI)4,5,6 ¼ÙŒ»†Ç·ÕèÁÕÀÒÇйÕéÁÑ¡ÁÕÍÒ¡Ò÷ҧÃкº»ÃÐÊÒ· ÁÒ¡¡Ç‹ÒÀÒ¾·Ò§ÃѧÊÕ·µÃǨ¾ºâ´Â੾ÒжŒÒ·íÒ¡ÒõÃǨ´ŒÇ CT scan ᵋÁ¡ä´Œ¢ÍÁÙÅÁÒ¡¢Ö¹áÅÐ Õè Ñ Œ é ÍҨࢌÒä´Œ¡ÑºÍÒ¡Òâͧ¼ÙŒ»†Ç¶ŒÒ·íÒ¡ÒõÃǨ´ŒÇÂà¤Ã×èͧ Magnetic resonance imaging (MRI)7 à¹×ͧ¨Ò¡¡ÒúҴà¨çºáºº¹ÕÁ¡¾ºã¹¼Ù»Ç·ÕÁ¡ÒúҴà¨çº·Õà¡Ô´¨Ò¡áç rotational acceleration ËÃ×Í è é Ñ Œ † è Õ è
  • 491.
    464 ÀÒ¾ÃѧÊÕÇÔ¹Ô¨©ÑÂÃкº»ÃÐÊÒ·ã¹¼ÙŒ»†ÇÂÍØºÑµÔà赯 decerelation movement ·íÒãËŒà¡Ô´¡Òéա¢Ò´¢Í§ axon «Ö§ºÃÔàdz¢Í§à¹×ÍÊÁͧ·Õ¾º¡ÒúҴà¨çº è é è Ẻ¹Õä´ŒºÍ¤×Í gray-white junction, inferior part or lateral part of body of corpus callosum, é ‹ splenium of corpus callosum, brain stem, superior cerebellar peduncle áÅÐ internal capsule â´Â¶ŒÒ·íÒ¡ÒõÃǨ´ŒÇ CT scan ÍÒ¨äÁ‹¾º¤ÇÒÁ¼Ô´»¡µÔ¢Í§à¹×ÍÊÁͧËÃ×;ºÁÕ¨´àÅ×Í´ÍÍ¡¢Í§ é Ø à¹×éÍÊÁͧ㹺ÃÔàdz´Ñ§¡Å‹ÒÇ¢ŒÒ§µŒ¹(ÃÙ»·Õè 4) ᵋ¶ŒÒ·íÒ¡ÒõÃǨ´ŒÇÂà¤Ã×èͧ MRI ÊÒÁÒöµÃǨ¾º ¤ÇÒÁ¼Ô´»¡µÔä´ŒÁÒ¡¡Ç‹Ò¤×ÍÍÒ¨¾ºä´Œµ§áµ‹Á¡ÒúÇÁ¢Í§à¹×ÍÊÁͧ੾ÒШش·ÕÁ¡Òéմ¢Ò´â´Â¾ºÁÕ Ñé Õ é è Õ ÊÑ­­Ò³ÀÒ¾ÊÙ§ã¹ÀÒ¾ T2WI ËÃ×Í .LAIR ËÃ×;ºÁÕ¨´àÅ×Í´ÍÍ¡¡çä´Œâ´Â¨ÐáÊ´§ÊÑ­­Ò³à»š¹ signal Ø void ã¹ÀÒ¾ gradient image ËÃ×Í susceptibility weight image ÃÙ»·Õè 4 áÊ´§¨Ø´àÅ×Í´ÍÍ¡ã¹à¹×éÍÊÁͧ«Öè§áÊ´§à»š¹ hyperdensity spots 㹺ÃÔàdz·ÕèÁÑ¡ ¨Ðà¡Ô´ diffuse axonal injury «Öè§à¡Ô´¨Ò¡¡Òéա¢Ò´¢Í§ white matter 㹺ҧ¤ÃÑé§ÍÒ¨ ¾ºà¾Õ§ºÃÔàdz·ÕèÁÕ hypodensityâ´ÂäÁ‹¾º¨Ø´àÅ×Í´ÍÍ¡¡çä´Œ 1.5 Epidural hematoma 1-6 ໚¹ÀÒÇÐàÅ×Í´ÍÍ¡¹Í¡à¹×ÍÊÁͧ·Õ¾ºäÁ‹ºÍ ʋǹãË­‹ é è ‹ ÁÑ¡¾º ËÇÁ¡ÑºÀÒÇСÃÐâËÅ¡ÈÕÃÉÐᵡ»ÃÐÁÒ³ 80-90% áÅÐÁÑ¡¾ººÃÔàdz·ÕÁáçÁÒ¡ÃÐá·¡ è Õ (coup site) ÀÒÇйÕà¡Ô´¨Ò¡¡Òéա¢Ò´¢Í§ËÅÍ´àÅ×Í´ºÃÔàdz¼ÔǢͧ dura mater ઋ¹ËÅÍ´àÅ×Í´ middle é meningeal artery (MMA) »ÃÐÁÒ³ 85-90% ËÃ×Í dural venous sinus »ÃÐÁÒ³ 10-15% àÅ×Í´·ÕÍÍ¡ è ã¹ÀÒÇйըÐÁÕšɳÐ໚¹ÃÙ» biconvex ËÃ×Í lens shaped ·ÕÍÂÙÃÐËNjҧ bony calvarium áÅÐ dura é Ñ è ‹ mater ÁÑ¡¾ºÃ‹ÇÁ¡Ñº mass effect ·ÕÁµÍà¹×ÍÊÁͧ¢ŒÒ§à¤Õ§áÅзíÒãËŒ à¡Ô´ brain herniation ä´ŒºÍ è Õ ‹ é ‹ ઋ¹ subfalcine ËÃ×Í descending transtentorial herniation ÁÑ¡¾ºà»š¹ºÃÔàdz supratentorium ÁÒ¡¡Ç‹Ò infratentorium àÅ×Í´·ÕÍÍ¡ºÃÔàdz¹Õ¨ÐäÁ‹ÊÒÁÒö¢ŒÒÁ suture ä´Œ ÀÒÇйÕÍÒ¨¾ºËÅѧ¨Ò¡ÁÕ è é é ¡ÒúҴà¨çºä´Œ»ÃÐÁÒ³ 24-48 ªÑÇâÁ§ áÅоºÁÕ¡ÒâÂÒ¢¹Ò´¢Í§¡ŒÍ¹àÅ×Í´·ÕÍ͡䴌 àÃÕ¡NjÒÁÕ lucid è è interval 㹡Ò÷ҧÇÔ¹¨©Ñ·ҧÃѧÊÕá¹Ð¹íÒãˌǴ¤ÇÒÁ˹ҢͧàÅ×Í´·ÕÍÍ¡à¹×ͧ¨Ò¡»ÃÔÁÒ³¢Í§àÅ×Í´·Õè Ô Ñ è è
  • 492.
    àǪÈÒʵÏ·¹Âؤ 2553 Ñ 465 ÍÍ¡Áռŵ‹Í¡ÒÃÃÑ¡ÉҢͧ¼Ù»ÇÂઋ¹ ¶ŒÒàÅ×Í´·ÕÍÍ¡ÁÕ¤ÇÒÁ˹ҹŒÍÂ¡Ç‹Ò 15 ÁÔÅÅÔàÁµÃËÃ×Í·íÒãËŒà¡Ô´ Œ † è subfalcine herniation ¹ŒÍÂ¡Ç‹Ò 5 ÁÔÅÅÔàÁµÃáÅÐÁÕ Glasgow Coma Score (GCS) ÁÒ¡¡Ç‹Ò 8 ÃÇÁ·Ñ§ é äÁ‹ÁÕÍÒ¡Ò÷ҧÃкº»ÃÐÊÒ·ÍÒ¨ÊÒÁÒöÃÑ¡ÉÒẺäÁ‹µŒÍ§¼‹ÒµÑ´â´Â㪌¡ÒõԴµÒÁ»ÃÔÁÒ³àÅ×Í´·Õè ÍÍ¡â´Â CT scan 㹪‹Ç§àÇÅÒ 6-8 ªÁ.ÀÒÂËÅѧ䴌úºÒ´à¨çº ໚¹µŒ¹8 ,9 Ñ ÃÙ»·Õè 5 ÀÒ¾ CT scan non-contrast study áÊ´§ len-shaped ËÃ×Í biconvex hyperdensity fluid collection ºÃÔàdz epidural area ·ÕèºÃÔàdz left temporal region áÅÐ ÀÒ¾ bone window áÊ´§¡ÒÃᵡ¢Í§¡Ãд١·ÕèÍÂÙ‹à˹×ͺÃÔàdz´Ñ§¡Å‹ÒÇËÇÁ´ŒÇ 1.6 Subdural hematoma 4,5,6 ໚¹ÀÒÇÐàÅ×Í´·ÕÍ͡㹺ÃÔàdzÃÐËNjҧ dura mater áÅÐ è pia mater àÅ×Í´·ÕÍÍ¡¨ÐÁÕšɳРcrescent shaped extra-axial fluid collection ·ÕÍÂÙà˹×Í cerebral è Ñ è ‹ hemisphere â´ÂàÅ×Í´·ÕÍÍ¡ºÃÔàdz¹Õ¨ÐäÁ‹ÊÒÁÒö¢ŒÒÁ falx ä´Œ ᵋÊÒÁÒö¾ºä´Œ·Õè interhemispheric è é fissure áÅÐ tentorium cerebelli àÅ×Í´·ÕÍÍ¡ºÃÔàdz¹Õ·ÒãËŒà¡Ô´¼ÅµÒÁÁÒ¤×Í brain herniation áÅÐ è é í à¹×ÍÊÁͧºÇÁä´ŒºÍ áÅÐà¡Ô´ä´Œ§ÒÂâ´Â੾ÒÐã¹¼Ù»ÇÂÍÒÂØÁÒ¡·ÕÁà¹×ÍÊÁͧàËÕÂÇËÃ×Íã¹¼Ù»ÇÂà´ç¡ é ‹ ‹ Œ † è Õ é è Œ † ·Õà¹×ÍÊÁͧÂѧäÁ‹âµàµçÁ·Õè à¹×ͧ¨Ò¡ÀÒÇйÕàÅ×Í´·ÕÍÍ¡¨Ðà¡Ô´¨Ò¡¡Òéա¢Ò´¢Í§ bridging vein ËÃ×Í è é è é è cortical vessels àÅ×Í´·ÕÍÍ¡·ÕºÃÔàdz¹ÕÊÒÁÒöẋ§à»š¹ÃÐÂе‹Ò§æ µÒÁ density ¢Í§àÅ×Í´·ÕÇ´ä´Œ è è é èÑ ¨Ò¡¡Ò÷íÒ CT scan ´Ñ§¹Õé 1.6.1 Acute subdural hematoma àÅ×Í´·ÕÍÍ¡¨ÐÁÕšɳРhyperdensity àÁ×Í è Ñ è à·Õº¡Ñº gray mater ËÃ×ÍÍÒ¨ÁÕšɳРmixed hyper/hypo density ¶ŒÒ໚¹ Ñ active bleeding ᵋÍÒ¨ÁÕÅѡɳРisodensity ä´Œ¶ŒÒ¼ÙŒ»†ÇÂÁÕÀÒÇÐâÅËÔµ ¨Ò§Í‹ҧÁÒ¡ (hemoglobin <8-10 g/dl)
  • 493.
    466 ÀÒ¾ÃѧÊÕÇÔ¹Ô¨©ÑÂÃкº»ÃÐÊÒ·ã¹¼ÙŒ»†ÇÂÍØºÑµÔà赯 ÃÙ»·Õè 6 ÀÒ¾ CT scan non-contrast study áÊ´§ acute subdural hematoma «Ö§¾ºà»š¹ mixed è hyperdensity áÅÐ hypodensity extra-axial fluid collection ·ÕèºÃÔàdz right frontotemporal region «Öè§áÊ´§Ç‹Ò¹‹Ò¨ÐÁÕÀÒÇÐ active bleeding ÍÂÙ‹ 1.6.2 Subacute subdural hematoma àÅ×Í´·ÕÍÍ¡¨ÐÁÕšɳРisodensity ¡Ñº gray è Ñ mater ¨Ö§ÍÒ¨·íÒãËŒËҢͺࢵ¢Í§àÅ×Í´·ÕÍ͡䴌äÁ‹ª´à¨¹ ´Ñ§¹Ñ¹¡ÒéմÊÒ÷ֺ è Ñ é ÃѧÊÕÍÒ¨ª‹ÇÂ㹡ÒÃÇÔ¹¨©ÑÂä´Œ´Â§¢Ö¹à¾ÃÒÐÊÒ÷ֺÃѧÊÕ¨Ðä»ÍÂÙã¹ËÅÍ´àÅ×Í´ Ô Õ Ôè é ‹ ·Õ¼Ç¢Í§à¹×ÍÊÁͧ·íÒãËŒàÅ×Í´·ÕÍÍ¡ºÃÔàdz subdural area µÃǨ¾ºä´Œª´à¨¹ è Ô é è Ñ ÂÔ§¢Ö¹ (ÃÙ»·Õè 7) è é ÃÙ»·Õè 7 ÀÒ¾ CT scan non-contrast áÅÐ contrast study áÊ´§ isodensity extra-axial fluid collection at both cerebral convexity «Öè§ÁռŷíÒãËŒà¹×éÍÊÁͧºÇÁ ÀÒÂËÅѧ¡Òéմ ÊÒ÷ֺÃѧÊÕã¹ÀÒ¾¢ÇÒ ¾ºÇ‹Òª‹ÇÂ㹡Òú͡¢Íºà¢µ¢Í§àÅ×ʹ㹺ÃÔàdz subdural space ãˌᡪѴਹ¡Ñºà¹×éÍÊÁͧ·ÕèÍÂÙ‹ã¡ÅŒà¤Õ§
  • 494.
    àǪÈÒʵÏ·¹Âؤ 2553 Ñ 467 1.6.3 Chronic subdural hematoma àÅ×Í´·ÕÍ͡䴌ÊÅÒÂä»à¡×ͺËÁ´·íÒãËŒ density è ã¡ÅŒà¤Õ§ density ¢Í§¹éÒËÅ‹ÍÊÁͧáÅÐä¢ÊѹËÅѧ ºÒ§¤Ãѧ·íÒãËŒá¡䴌ÂÒ¡¨Ò¡ í é subdural hygroma ÍÒ¨µŒÍ§ãªŒ»ÃÐÇѵªÇÂ㹡ÒÃÇÔ¹¨©Ñ (ÃÙ»·Õè 8) Ô ‹ Ô ÃÙ»·Õè 8 ÀÒ¾ CT non-contrast study áÊ´§ chronic subdural hematoma «Öè § ÀÒ¾ áÊ´§hypodensity extra-axial fluid collection ·Õè density ã¡ÅŒà¤Õ§ CS. density ·ÕèºÃÔàdz bilateral frontal region 1.7 Traumatic subarachnoid hemorrhage 4,5,6 ÍØºµà˵Øà»š¹ÊÒà˵ØËÅÑ¡·ÕÊҤѭ㹡ÒÃ Ñ Ô èí à¡Ô´ subarachnoid hemorrhage áÅлÃÔÁÒ³¢Í§ subarachnoid hemorrhage ¡çÁ¼Åµ‹ÍÍÒ¡Òâͧ Õ ¼Ù»ÇÂઋ¹ ÀÒÇСÒâҴàÅ×Í´¢Í§à¹×ÍÊÁͧµÒÁÁÒÀÒÂËÅѧ¡ÒÃà¡Ô´Íغµà˵Øà¹×ͧ¨Ò¡ÁÕÀÒÇÐËÅÍ´ Œ † é Ñ Ô è àÅ×Í´Ë´µÑÇ (vasospasm) «Ö§ÊÒÁÒöà¡Ô´ä´Œµ§áµ‹ 2-3 Çѹáá¶Ö§ 2 ÊÑ»´ÒˏÀÒÂËÅѧ¡ÒúҴà¨çº è Ñé â´ÂÀÒÇйըеÃǨ¾ºÁÕàÅ×Í´ÍÍ¡·ÕºÃÔàdz subarachnoid space ÃÐËNjҧ cerebral sulci ËÃ×Í cisterns é è ·ÕÍÂÙºÃÔàdzã¡ÅŒà¤Õ§¡ÑººÃÔàdz·ÕÁà¹×ÍÊÁͧªéÒËÃ×Íã¡ÅŒºÃÔàdz·ÕÁÕ subdural hemorrhage ËÃ×ͺÃÔàdz è ‹ è Õ é í è ·ÕÁ¡ÃÐâËÅ¡ÈÕÃÉÐᵡ໚¹µŒ¹ (ÃÙ»·Õè 9) è Õ ÃÙ»·Õè 9 ÀÒ¾ CT scan non-contrast áÊ´§àÅ×Í´ÍÍ¡ºÃÔàdz subarachnoid spaces «Ö§ÀÒ¾ è áÊ´§ abnormal hyperdensity fluid collection ·ÕºÃÔàdz subarachnoid space ºÃÔàdz è both frontoparietal regions
  • 495.
    468 ÀÒ¾ÃѧÊÕÇÔ¹Ô¨©ÑÂÃкº»ÃÐÊÒ·ã¹¼ÙŒ»†ÇÂÍØºÑµÔà赯 1.8 Dural venous sinus injury 4,5,6 ໚¹ÀÒÇзÕà¡Ô´ä´ŒÀÒÂËÅѧ¡ÒúҴà¨çº·Õ¾º¡Òà è è ᵡ¢Í§¡ÃÐâËÅ¡ÈÕÃÉзÕà¡Ô´ã¡ÅŒ dural venous sinus ઋ¹ ¡Ãд١°Ò¹¡ÃÐâËÅ¡ÈÕÃÉкÃÔàdz petrous è bone, sphenoid bone, occipital bone ËÃ×Í¡Ãд١¡ÃÐâËÅ¡ÈÕÃÉкÃÔàdz vertex area «Ö§¡ÒÃÇÔ¹¨©Ñ è Ô ÀÒÇйÕã¹ÃÐÂÐááÍÒ¨·íÒä´ŒÂÒ¡ à¹×ͧ¨Ò¡¡Ò÷íÒ CT scan ¢Í§¼Ù»ÇÂÍØºµà˵ØÁ¡·íÒẺäÁ‹©´ÊÒà é è Œ † Ñ Ô Ñ Õ ·ÖºÃѧÊÕà¹×ͧ¨Ò¡à»š¹ÀÒÇЩءà©Ô¹·ÕäÁ‹¤ÇÃÃͼŠserum creatinine à¹×ͧ¨Ò¡ÍÒ¨ÁÕÀÒÇзÕàÊÕ§µ‹ÍªÕǵ è è è è è Ô ·ÕµÍ§ä´ŒÃº¡ÒõÃǨÃÑ¡ÉÒ¡‹Í¹ ´Ñ§¹Ñ¹¶ŒÒÀÒÇзÕàÊÕ§µ‹ÍªÕǵ䴌ú¡ÒÃÃÑ¡ÉÒáÅŒÇ áÅжŒÒµÃǨ¾ºÁÕ è Œ Ñ é è è Ô Ñ ¡ÒÃᵡ¢Í§¡Ãд١¡ÃÐâËÅ¡ÈÕÃÉкÃÔàdzã¡ÅŒà¤Õ§ dural venous sinus ËÃ×ÍÁÕÍÒ¡Ò÷ÕʧÊÑÂÀÒÇÐ è dural venous sinus thrombosis ઋ¹ÁÕ¤ÇÒÁ´Ñ¹ÀÒÂã¹ÊÁͧáÅСÃÐâËÅ¡ÈÕÃÉÐà¾ÔÁ¢Ö¹ ¡ç¤Ç÷íÒ¡Òà è é µÃǨ CT scanâ´Â¡ÒéմÊÒ÷ֺÃѧÊÕà¾×͵ÃǨËÒÀÒÇдѧ¡Å‹ÒÇ è 2 ÀÒÇÐá·Ã¡«ŒÍ¹¨Ò¡¡ÒúҴà¨çº 䴌ᡋ 4,,5,6 2.1 Brain herniation 䴌ᡋ ¡ÒÃàÅ×͹µÑǢͧà¹×ÍÊÁͧ¨Ò¡ÀÒÇÐÊÁͧºÇÁ·íÒãËŒÁ¡Òà è é Õ ¡´àºÕ  ´¡Œ Ò ¹ÊÁͧáÅÐËÅÍ´àÅ× Í ´¢Œ Ò §à¤Õ  §·í Ò ãËŒ à ¡Ô ´ ÀÒÇÐÊÁͧ¢Ò´àÅ× Í ´ã¹ºÃÔ à dz·Õè ¶Ù¡¡´¨¹·íÒãËŒÁÀÒÇСÒ÷íÒ§Ò¹·Õ¼´»¡µÔઋ¹ ¡´à¹×ÍÊÁͧºÃÔàdz medulla oblongata ·íÒãËŒÁÀÒÇÐ Õ è Ô é Õ ¡ÒÃËÂØ´ËÒÂã¨à»š¹µŒ¹ â´Â·Ò§ÃѧÊÕÇ·ÂÒ䴌ẋ§ª¹Ô´¢Í§¡ÒÃàÅ×͹µÑǢͧà¹×ÍÊÁͧ´Ñ§¹Õé Subfalcine Ô è é herniation, Uncal herniation, Tonsillar herniation, Descending transtentorial herniation áÅÐ Ascending transtentorial herniation ໚¹µŒ¹ 2.2 Obstructive hydrocephalus à¡Ô´¨Ò¡¡ÒúÇÁ¢Í§à¹×ÍÊÁͧ仡´àºÕ´·Ò§à´Ô¹ é cerebrospinal fluid 2.3 Communicating hydrocephalus ¨Ò¡¤ÇÒÁ¼Ô´»¡µÔ㹡Òôٴ¡ÅѺ cerebrospinal fluid 2.4 ÀÒÇСÒõԴàª×Íã¹à¹×ÍÊÁͧ (encephalitis) ËÃ×Í㹺ÃÔàdz subarachnoid space é é (meningitis) 2.5 ÀÒÇÐÁÕÅÁ㹡ÃÐâËÅ¡ÈÕÃÉÐ (pneumocephalus) àÍ¡ÊÒÃ͌ҧÍÔ§ 1. ¡ÄÉ¯Õ »ÃÐÀÒÊÇѵ,ÇÅÑÂÅѡɳ ªÑÂÊٵà áÅÐÍÀÔ­­Ò à¨ÃÔ­ÈÑ¡´Ô.ì Diagnostic radiology.·Õ«¨Õ ¾ÃÔ¹µÔ§ 2546. Õ é é 2. Chi – Shing Zee, John L.Go. Imaging of head trauma - neuroimaging clinics of North America. Philadelphia: W. B. Saunders 2002; 349. 3. Derek A. Bruce.Imaging after head trauma: why, when and which. Child’s Nerv Syst 2000; 16:755–9. 4. Anne G. Osborn, Salzman, A. James Barkovich. Diagnostic imaging : brain. Amirsys2009. 5. Anne Osborn. Diagnostic neuroradiology. Mosby 1994; 936. 6. Robert I. Grossman ,David M. Yousem. Neuroradiology : The Requisites. Mosby 2010;619. 7. Scheid R, Preul C, Gruber O, Wiggins C, von Cramon DY.Diffuse Axonal Injury Associated with Chronic Traumatic Brain Injury: Evidence from T2*-weighted Gradient-echo Imaging at 3 T. AJNR Am J Neuroradiol 2003;24(6):1049–56. 8. Sullivan TP, Jarvik JG, Cohen WA. .ollow-up of Conservatively Managed Epidural Hematomas: Implications for Timing of Repeat CT. AJNR Am J Neuroradiol 1999; 20(1):107–13.
  • 496.
    àǪÈÒʵÏ·¹Âؤ 2553 Ñ º··Õè 469 66 ÀÒ¾ÇÔ¹Ô¨©ÑÂã¹¼ÙŒ»†Ç·Õèä´ŒÃѺºÒ´à¨çººÃÔàdzËÅÍ´àÅ×Í´á´§ ¨Ò¡ÍغѵÔà赯 (Imaging of Traumatic Arterial Injury) ÍÒ¨ÒÏ ᾷ˭ԧ¨ÔµÃÅÑ´´Ò ÇÐÈÔ¹Ãѵ¹ ÀÒ¤ÇÔªÒÃѧÊÕÇ·ÂÒ ¤³Ðá¾·ÂÈÒʵÏÈÃÃÒª¾ÂÒºÒÅ ÁËÒÇÔ·ÂÒÅÑÂÁËÔ´Å Ô ÔÔ ¡ÒúҴà¨çº¢Í§ËÅÍ´àÅ×Í´á´§¨Ò¡Íغµà˵Øà¡Ô´ä´Œ¡º·Ø¡Ê‹Ç¹¢Í§Ã‹Ò§¡Ò 㹼ٻÇ·Õ䴌ú Ñ Ô Ñ Œ † è Ñ ºÒ´à¨çººÃÔàdzËÅÍ´àÅ×Í´á´§¹Ñ¹¨íÒ໚¹µŒÍ§ãËŒ¡ÒÃÇÔ¹¨©ÑÂáÅÐÃÑ¡ÉÒâ´Âà˧´‹Ç¹ à¹×ͧ¨Ò¡¶ŒÒ»Å‹Í é Ô è ·Ô§äÇŒ¨Ð·íÒãËŒàÊÕÂàÅ×Í´ÁÒ¡¨¹¶Ö§ªÕǵ䴌 ËÃ×ÍàÊÕÂÍÇÑÂÇзÕËÅÍ´àÅ×Í´¹Ñ¹æä»àÅÕ§ ã¹·Õ¹¨Ð¢Í¡Å‹ÒǶ֧ é Ô è é é è Õé ¡ÒúҴà¨çº¢Í§ËÅÍ´àÅ×Í´á´§ºÃÔàdzᢹ¢Ò (extremities) «Ö§¾ºä´ŒºÍ áÅÐÁÕǸ¡ÒõÃǨ·Ò§ÀÒ¾ è ‹ ÔÕ ÇÔ¹¨©ÑºҧÍ‹ҧ·Õ੾ÒÐ áÅÐ ¡ÒúҴà¨çº¢Í§ËÅÍ´àÅ×Í´á´§ãË­‹ªÍ§Í¡ (thoracic aorta) à¹×ͧ¨Ò¡ Ô è ‹ è ໚¹ÀÒÇÐà˧´‹Ç¹ ᾷ·Ëͧ©Ø¡à©Ô¹µŒÍ§µÃÐ˹ѡ¶Ö§ÀÒÇйÕé ¨íÒ໚¹µŒÍ§ÊÒÁÒöãËŒ¡ÒÃÇÔ¹¨©ÑÂáÅÐ Õè Œ Ô ÃÑ¡ÉÒ䴌͋ҧÃÇ´àÃçÇ à¾×ÍÃÑ¡ÉÒªÕǵ¼Ù»Ç è Ô Œ † ¡ÒúҴà¨çº¢Í§ËÅÍ´àÅ×Í´ºÃÔàdzᢹáÅÐ¢Ò ¾ºä´Œ¨Ò¡·Ñ§¨Ò¡ blunt áÅÐ penetrating injury â´Â clinical outcome ¢Í§¼Ù»ÇÂàËŋҹբ¹ é Œ † é Öé ¡Ñº¡ÒÃ䴌ú¡ÒÃÇÔ¹¨©ÑÂáÅСÒÃÃÑ¡ÉÒ·ÕÃÇ´àÃçÇ «Ö§·íÒãˌŴ¡ÒÃàÊÕÂàÅ×Í´ áÅÐÃÑ¡ÉÒÍÇÑÂÇÐänj䴌(1,2) Ñ Ô è è ¼Ù»Ç·Õ䴌úºÒ´à¨çºàÁ×ÍÊ‹§ÁҶ֧ˌͧ©Ø¡à©Ô¹ ¨Ð䴌ú¡ÒõÃǨËҧ¡Ò »ÃÐàÁÔ¹ºÒ´á¼Å ËÇÁ¡Ñº Œ † è Ñ è Ñ »ÃÐÇѵ·ä´Œ ʋǹãË­‹Á¡¨Ðà¾Õ§¾Í·Õ¨ÐºÍ¡Ç‹ÒÁÕ¡ÒúҴà¨çº¢Í§ËÅÍ´àÅ×Í´á´§ºÃÔàdz¹Ñ¹æËÃ×ÍäÁ‹ Ô Õè Ñ è é ᵋ㹼ٻǺҧÃÒ ¡ÒõÃǨËҧ¡Ò¾ºà¾Õ§ soft sign (µÒÃÒ§·Õè 1) «Ö§º‹§Ç‹ÒÍÒ¨¨ÐÁÕ¡ÒúҴà¨çº Œ † è ¢Í§ËÅÍ´àÅ×Í´á´§ ã¹¼Ù»ÇÂ¡ÅØÁ¹ÕµÍ§ä´ŒÃº¡ÒõÃǨÊ׺¤Œ¹à¾ÔÁàµÔÁ à¾×Íãˌ䴌ú¡ÒÃÇÔ¹¨©Ñ·Õṋ¹Í¹ Œ † ‹ é Œ Ñ è è Ñ Ô è Ç‹ÒÁÕ¡ÒúҴà¨çº¢Í§ËÅÍ´àÅ×Í´á´§ËÃ×ÍäÁ‹ ÁÕµíÒá˹‹§¢Í§¡ÒúҴà¨çºÍÂÙ‹·Õèã´ áÅÐÁÕÅѡɳÐã´ ÃÇÁ¶Ö§ã¹¡ÅØ‹Á¼ÙŒ»†Ç·ÕèµÃǨËҧ¡ÒÂáŌǾºÇ‹ÒÁÕ¡ÒúҴà¨çº¢Í§ËÅÍ´àÅ×ʹᴧṋ¹Í¹ ¡ÒõÃǨ ·Ò§ÀÒ¾ÇÔ¹Ô¨©ÑÂà¾ÔèÁàµÔÁ¡çÁÕ»ÃÐ⪹à¾×èÍ´Ù¡ÒúҴà¨çº¢Í§ËÅÍ´àÅ×Í´, ¢Íºà¢µ¢Í§ÃÍÂâä, ¡ÒúҴà¨çº¢Í§ÍÇÑÂÇТŒÒ§à¤Õ§ à¾×ÍÇÒ§á¼¹¡ÒÃÃÑ¡ÉÒãËŒàËÁÒÐÊÁáÅÐÅ´àÇÅÒ㹡Òü‹ÒµÑ´ è
  • 497.
    470 ÀÒ¾ÇÔ¹Ô¨©ÑÂã¹¼ÙŒ»†Ç·Õèä´ŒÃѺºÒ´à¨çººÃÔàdzËÅÍ´àÅ×Í´á´§¨Ò¡ÍغѵÔà赯 µÒÃÒ§·Õè 1 ÍÒ¡ÒÃáÊ´§ã¹¼ÙŒ»†Ç·ÕèÁÕ¡ÒúҴà¨çº¢Í§ËÅÍ´àÅ×Í´á´§ºÃÔàdzʋǹ»ÅÒÂᢹ áÅÐ¢Ò Hard signs Soft signs Loss of pulses Cool limb Expanding hematoma Nonexpanding hematoma Thrill or bruit Change in color Pulsatile bleeding Nonpulsatile bleeding µÑ§áµ‹ »‚ ¾.È. 2513 ¨¹¶Ö§»˜¨¨Øº¹ ¡ÒõÃǨ´ŒÇ conventional angiography Âѧ¶×Í໚¹ gold é Ñ standard 㹡ÒÃÇÔ¹¨©ÑÂÀÒÇСÒúҴà¨çº¢Í§ËÅÍ´àÅ×Í´á´§ «Ö§¶×ÍÇ‹Ò໚¹ÇÔ¸·Á¤ÇÒÁ»ÅÍ´ÀÑÂÁÒ¡ Ô è Õ Õè Õ ¡Ç‹ÒàÁ×Íà·Õº¡Ñº¡ÒÃÇÔ¹¨©Ñ´ŒÇ¡Òü‹ÒµÑ´ áÅÐÂѧÊÒÁÒöãËŒ¡ÒÃÃÑ¡ÉÒËÇÁ´ŒÇÂ䴌㹺ҧÀÒÇРઋ¹ è Ô arteriovenous fistula, arterial dissection, pseudoaneurysm ໚¹µŒ¹(2,3) ᵋ conventional angiography ໚¹ÇÔ¸¡ÒõÃǨÇÔ¹¨©Ñ·դ͹¢ŒÒ§¨ÐÁÕ¤ÇÒÁàÊÕ§àÁ×Íà·Õº¡Ñº Õ Ô è ‹ è è ¡ÒõÃǨÇÔ¹¨©Ñ´ŒÇÂÇÔ¸Í¹æ ¾ºÁÕ͵ÃÒ¡ÒõÒÂä´Œ»ÃÐÁҳÌÍÂÅÐ 1–2 áÅСÒõÃǨµŒÍ§ÁÕ·Á Ô Õ ×è Ñ (2,4,5) Õ §Ò¹·Õ¾ÃŒÍÁ·Ñ§á¾·Â¼µÃǨ,਌Ò˹ŒÒ·Õà·¤¹Ô¤,¾ÂÒºÒÅ,à¤Ã×ͧÁ×Í·Õ㪌µÃǨ áÅеŒÍ§ãªŒàÇÅÒ㹡Òà è é ÙŒ è è è àµÃÕÂÁÍØ»¡Ã³ «Ö§·íÒãËŒµÍ§ãªŒàÇÅҷѧËÁ´ã¹¡ÒõÃǨÍ‹ҧ¹ŒÍ 45 ¹Ò·Õ ¶Ö§ 1 ªÑÇâÁ§ ¢Ö¹ä» è Œ é è é ÊíÒËÃѺ¡ÒõÃǨÇÔ¹¨©Ñ´ŒÇÂÇԸ͹æ ÁÕ¢Í´Õ ¢ŒÍàÊÕ µ‹Ò§¡Ñ¹ä» ´Ñ§¹Õé Ô Õ ×è Œ - Color Doppler ultrasonography (CDUS) ÊÒÁÒö㪌䴌·¹·Õã¹ËŒÍ§©Ø¡à©Ô¹ ᵋÁ¤ÇÒÁäÇ Ñ Õ ¤‹Í¹¢ŒÒ§µèÒ àÁ×Íà·Õº¡Ñº angiography áÅеŒÍ§ãªŒ¼Á¤ÇÒÁªíҹҭ㹡ÒõÃǨ ÁբͨíҡѴ㹡Òà í è ÙŒ Õ (6) Œ µÃǨºÃÔàdz¼ÔÇ˹ѧ·ÕÁºÒ´á¼Å áÅÐʋǹ·Õãʋང͡ è Õ è - Magnetic resonance angiography (MRA) ໚¹Íա˹֧ÇÔ¸·ãªŒã¹¡ÒÃÇÔ¹¨©ÑÂâä¢Í§ è Õ Õè Ô ËÅÍ´àÅ×Í´ ᵋäÁ‹¤ÍÂá¾Ã‹ËÅÒÂÁÒ¡¹Ñ¡ã¹¼Ù»ÇÂÍØºµà赯 à¹×ͧ¨Ò¡äÁ‹àËÁÒÐÊíÒËÃѺ¼Ù»ÇÂ˹ѡ·ÕµÍ§ ‹ Œ † Ñ Ô è Œ † è Œ 䴌ú¡ÒÃཇÒÃÐÇѧÍ‹ҧã¡ÅŒª´ áÅÐÂѧÁÕà¤Ã×ͧ¨íҹǹ¹ŒÍÂã¹»ÃÐà·Èä·Â Ñ Ô (7) è - Computed tomographic angiography (CTA) ã¹»˜¨¨Øº¹ÇÔDz¹Ò¡Òâͧà¤Ã×ͧàÍ¡«àÏ Ñ Ñ è ¤ÍÁ¾ÔÇàµÍÏ (computed tomography: CT) ä´Œ¾²¹Òä»Áҡ໚¹áººª¹Ô´ËÅÒÂËÑÇÇÑ´ (multi-detector, Ñ MDCT) ·íÒãËŒÊÒÁÒöµÃǨ´ÙÃкºËÑÇã¨áÅÐËÅÍ´àÅ×Í´ä´Œ´¢¹ÁÒ¡ 㹡ÒÃÈÖ¡ÉÒ·Õ¼Ò¹ÁÒáÊ´§ãËŒàËç¹ Õ Öé è ‹ Ç‹Ò CTA ÊÒÁÒöãËŒ¡ÒÃÇÔ¹¨©ÑÂâä·Ò§ËÅÍ´àÅ×Í´ä´Œ´Õ à·Õº෋ҡѺ conventional angiography(8-12) Ô ¢ŒÍ´ÕÍ¹æ ¢Í§¡ÒõÃǨ´ŒÇÂà¤Ã×ͧ CT ¤×Í ÊÒÁÒö·íÒ¡ÒõÃǨ䴌ËÅÒÂæÍÇÑÂÇÐ㹡ÒõÃǨà¾Õ§ ×è è ¤Ãѧà´ÕÂÇ «Ö§ã¹¤¹ä¢Œ·»ÃÐÊºÍØºµà˵ع¹ ÁÑ¡¾º¡ÒúҴà¨çºã¹ËÅÒÂæÍÇÑÂÇÐËÇÁ¡Ñ¹ â´Â¡ÒõÃǨ é è Õè Ñ Ô Ñé 㪌àÇÅÒäÁ‹¹Ò¹ ÃÐËNjҧµÃǨÊÒÁÒöཇÒÃÐÇѧ ÊÑ­­Ò³ªÕ¾¢Í§¤¹ä¢Œä´ŒµÅÍ´ ¨íҹǹà¤Ã×èͧ CT ¤‹Í¹¢ŒÒ§¨Ðá¾Ã‹ËÅÒ¡ÃШÒÂÍÂÙ·Ç»ÃÐà·È àÁ×Íà·Õº¡Ñº¨íҹǹà¤Ã×ͧµÃǨ angiography áÅÐà¤Ã×ͧ ‹ Ñè è è è µÃǨ¤Å×¹áÁ‹àËÅç¡ä¿¿‡Ò ¼Å¡ÒõÃǨÊÒÁÒö¹íÒä»ÇÒ§á¼¹¡ÒÃÃÑ¡ÉÒáÅм‹ÒµÑ´ä´Œ·¹·Õ ¢Ñ¹µÍ¹ è Ñ é 㹡ÒõÃǨáÅСÒûÃÐÁÇÅÀÒ¾ËÅѧ¡ÒõÃǨ (post processing) ÊÒÁÒö½ƒ¡à¨ŒÒ˹ŒÒ·Õèà·¤¹Ô¤
  • 498.
    àǪÈÒʵÏ·¹Âؤ 2553 Ñ 471 ·íÒä´Œ¤Í¹¢ŒÒ§§‹Ò¡NjÒàÁ×Íà·Õº¡Ñº¡ÒõÃǨ´ŒÇ conventional angiography áÅÐÇÔ¸¡ÒõÃǨ·ÕÁ¤ÇÒÁ ‹ è Õ è Õ »ÅÍ´ÀÑÂÁÒ¡¡Ç‹Ò ÇÔ¸Õ¡ÒõÃǨ - ¢Íºà¢µËÃ×ͺÃÔàdz·Õ¨Ð·íÒ¡ÒõÃǨ 㹺ҧʶҺѹÍÒ¨¨Ð·íÒ¡ÒõÃǨ੾ÒкÃÔàdz·Õè è ʧÊÑÂÇ‹ÒÁÕÃÍÂâä ઋ¹µÃǨ੾ÒкÃÔàdz»ÅÒÂᢹ㹡óշÕè¤ÅíÒªÕ¾¨Ãʋǹ»ÅÒÂäÁ‹ä´Œ ᵋ¨Ò¡ »ÃÐʺ¡Òó á¹Ð¹íÒÇ‹Ò㹼ٻǷÕä´ŒÃºÍØºµàËµØ Ê‹Ç¹ãË­‹Á¡ÁÕ¡ÒúҴà¨çºËÅÒÂʋǹÃÇÁ¶Ö§Ê‹Ç¹µŒ¹ Œ † è Ñ Ñ Ô Ñ ¢Í§ËÅÍ´àÅ×Í´ áÅСÒúҴà¨çº¢Í§ËÅÍ´àÅ×Í´ºÃÔàdzᢹ¢Ò¹Ñ¹ÁÑ¡µŒÍ§¡Òô٢ͺࢵ¢Í§ÃÍÂâä é ¨¹¶Ö§ËÅÍ´àÅ×ʹʋǹ»ÅÒÂᢹ¢Ò (distal run-off) ¨Ö§á¹Ð¹íÒãËŒµÃǨµÑ§áµ‹ºÃÔàdz aortic arch ª‹Í§Í¡ é ʋǹº¹ 仨¹¶Ö§Ê‹Ç¹»ÅÒ¢ͧᢹ¢ŒÒ§¹Ñ¹æ 㹡óշ䴌úºÒ´à¨çººÃÔàdz·Ãǧ͡ ઋ¹ ÍØºµà˵بҡ é Õè Ñ Ñ Ô Ã¶Â¹µ, ö¨Ñ¡ÃÂҹ¹µ,·íÒÃŒÒÂËҧ¡Ò ËÃ×Í ¨Ò¡ÍÒÇØ¸»„¹ áÅÐã¹ÃÒ·Õè¤ÅíÒªÕ¾¨Ãʋǹ»ÅÒÂ¢Ò äÁ‹ä´Œ ¤ÇõÃǨËÅÍ´àÅ×Í´á´§µÑ§áµ‹ã¹ºÃÔàdzª‹Í§·ŒÍ§ä»¨¹¶Ö§»ÅÒ¢Òઋ¹¡Ñ¹ ã¹¡Ã³Õ·ä´ŒÃºÍØºµà赯 é Õè Ñ Ñ Ô ºÃÔàdzª‹Í§·ŒÍ§áÅÐàªÔ§¡ÃҹËÇÁ´ŒÇ ઋ¹ ÍØºµà˵بҡö¹µ, ö¨Ñ¡ÃÂҹ¹µ,·íÒÃŒÒÂËҧ¡Ò ËÃ×Í Ñ Ô ¨Ò¡ÍÒÇØ¸»„¹ ãËŒµÃǨºÃÔàdzᢹËÃ×͢ҷѧÊͧ¢ŒÒ§Ã‹ÇÁ¡Ñ¹ à¹×ͧ¨Ò¡ÊÒÁÒö¹íÒä»à»ÃÕºà·Õº¡Ñ¹ é è ᵋ¶ŒÒÁÕ»ÃÐÇѵԡÒúҴà¨çºà©¾ÒÐʋǹ·Õèṋ¹Í¹¡ÒõÃǨà¾Õ§ºÃÔàdz·ÕèʧÊÑÂÇ‹ÒÁÕÃÍÂâä仨¹¶Ö§ distal run-off ¡çà¾Õ§¾Í㹡ÒÃÇÔ¹¨©ÑÂ Ô - à¤Ã×ͧ CT ·Õ㪌µÃǨµŒÍ§à»š¹à¤Ã×ͧẺª¹Ô´ËÅÒÂËÑÇÇÑ´ áÅФÇÃ໚¹ª¹Ô´ 16 ËÑÇÇÑ´ (16- è è è slice MDCT) ¢Ö¹ä» ÊíÒËÃѺà¤Ã×ͧ 4-slice ËÃ×Í 8-slice CT ÊÒÁÒö㪌µÃǨ䴌 ᵋºÃÔàdzʋǹ»ÅÒ é è ¢Í§á¢¹ áÅлÅÒÂ¢Ò ÍÒ¨¨Ðá»Å¼Å¡ÒõÃǨ䴌äÁ‹´¹¡ Õ Ñ - ¡ÒõÃǨµŒÍ§ãªŒ¡ÒõѴµÃǨẺ slice ºÒ§ â´Â slice thickness äÁ‹¤ÇÃà¡Ô¹ 2 ÁÁ. - Contrast medium (ÊÒ÷ֺÃѧÊÕ) ¤ÇÃ㪌 nonionic contrast ª¹Ô´·ÕÁ¤ÇÒÁࢌÁ¢Í§ iodine è Õ 300 mgI/mL ¢Ö¹ä» â´Â㪌»ÃÐÁÒ³ 100 – 120 ÁÅ. áÅР㪌à¤Ã×ͧ injector ©Õ´´ŒÇÂÍѵÃÒàÃçÇ 4-5 ÁÁ./ é è sec (໚¹¤‹Ò»ÃÐÁÒ³·Õ㪌㹼ٻǼÙãË­‹·Çä») è Œ † Œ Ñè - Venous access ¡ÒõÃǨËÅÍ´àÅ×Í´â´Â·ÑÇ仹ѹ¹ÔÂÁ©Õ´ÊÒ÷ֺÃѧÊÕ¼Ò¹ËÅÍ´àÅ×Í´´íÒ è é ‹ ·Õ¢Í¾Ñºá¢¹¢ÇÒ áµ‹ã¹ÃÒ·յͧ¡ÒõÃǨËÅÍ´àÅ×Í´ºÃÔàdzᢹ¹Ñ¹ á¹Ð¹íÒãËŒ©´ÊÒ÷ֺÃѧÊÕ¼Ò¹·Ò§ èŒ è Œ é Õ ‹ ËÅÍ´àÅ×Í´´íÒ·Õ¢Ò ËÃ×Í á¢¹½˜§µÃ§¢ŒÒÁ à¹×ͧ¨Ò¡¶ŒÒ©Õ´ÊÒ÷ֺÃѧÊÕ¼Ò¹ËÅÍ´àÅ×Í´´íÒ·Õᢹ´ŒÒ¹à´ÕÂÇ è › è ‹ è ¡Ñºá¢¹·ÕµÍ§¡ÒõÃǨ ¨ÐÁÕ streak artifact ¨Ò¡ÊÒ÷ֺÃѧÊÕã¹ËÅÍ´àÅ×Í´´íÒÁÒº´ºÑ§ËÅÍ´àÅ×Í´á´§ è Œ ¢ŒÒ§à¤Õ§ ¢ŒÍ´ŒÍ¢ͧ¡ÒéմÊÒ÷ֺÃѧÊÕ¼‹Ò¹·Ò§¢Ò¹Ñé¹ ¤×Í à»´àÊŒ¹ÂÒ¡¡Ç‹Ò, à¨çº¡Ç‹Ò à¹×èͧ¨Ò¡ à¹×ÍàÂ×ͺҧ¡Ç‹Ò 㪌àÇÅÒ delayed time ¹Ò¹¡Ç‹Ò, ¤ÇÒÁࢌÁ¢Í§ÊÒ÷ֺÃѧÊÕã¹ËÅÍ´àÅ×Í´·ÕµÃǨŴŧ é è è ºŒÒ§àÅ硹ŒÍ ¨Ò¡ÃÐÂзҧ¨Ò¡ËÅÍ´àÅ×Í´´íÒ¢Òä»ÊÙËÇã¨ÂÒǡNjҨҡᢹ ÊíÒËÃѺ¢ŒÍ´ŒÍ¢ͧ¡Òà ‹ Ñ ©Õ´ÊÒ÷ֺÃѧÊÕ¼Ò¹ËÅÍ´àÅ×Í´´íÒ·Õᢹ«ŒÒ ¤×Í ¨ÐÁÕ streak artifact ¢Í§ÊÒ÷ֺÃѧÊÕã¹ËÅÍ´àÅ×Í´ left ‹ è brachiocephalic vein º´ºÑ§ origin áÅРʋǹµŒ¹¢Í§ËÅÍ´àÅ×Í´á´§ right brachiocepahlic, left common carotid, left subclavian artery
  • 499.
    472 ÀÒ¾ÇÔ¹Ô¨©ÑÂã¹¼ÙŒ»†Ç·Õèä´ŒÃѺºÒ´à¨çººÃÔàdzËÅÍ´àÅ×Í´á´§¨Ò¡ÍغѵÔà赯 - àÇÅÒ·ÕàÃÔÁ scan µÃǨáÅÐ (àÇÅҷѧËÁ´·Õ㪌㹡ÒõÃǨ) total scan time ໚¹ÊÔ§ÊíҤѭ è è é è è Áҡ㹡ÒõÃǨ CT angiography ¢³Ð·íÒ¡ÒõÃǨµŒÍ§ãËŒºÃÔàdz·ÕµÃǨÍÂÙã¹ arterial phase ÁÕ¤ÇÒÁ è ‹ ࢌÁ¢Í§ËÅÍ´àÅ×Í´á´§·ÕÁÒ¡·ÕÊ´ è èØ ÀÒ¤ÇÔªÒÃѧÊÕÇ·ÂÒ âç¾ÂÒºÒÅÈÔÃÃҪ㪌 “ bolus tracking techniques “ ¤×Í ¡ÒÃÇÒ§¨Ø´ Ô Ô ·Õʹ㨠(.OV) ·ÕµÒá˹‹§ËÅÍ´àÅ×ʹʋǹµŒ¹¡Ç‹ÒºÃÔàdz·Õ¨ÐµÃǨ áÅзíÒ¡ÒõÃǨ«éÒæ·ÕºÃÔàdz¹Õé è è í è í è ¨¹¾ºÇ‹ÒÁÕÊÒ÷ֺÃѧÊÕࢌÒÁÒã¹ËÅÍ´àÅ×Í´ºÃÔàdz¹Õé ¨Ö§àÃÔèÁµÑ´µÃǨ (àÃÔèÁscan) «Öè§ãªŒà¾×èÍËÒàÇÅÒ ·ÕàËÁÒÐÊÁ㹡ÒÃàÃÔÁ scan ¢Í§áµ‹Åкؤ¤Å â´Â¨ÐÇÒ§µíÒá˹‹§·Õ¨Ð·´ÊͺäÇŒ·Õè aortic arch 㹡Òà è è è µÃǨ upper extremities áÅÐÇÒ§µíÒá˹‹§äÇŒ·Õè mid ¶Ö§ distal abdominal aorta 㹡ÒõÃǨ lower extremities â´Â¨ÐàÃÔÁ scan àÁ×͵íÒá˹‹§´Ñ§¡Å‹ÒÇÁÕ¤Ò¤ÇÒÁࢌÁ 150 – 200 housefield unit (HU) è è ‹ ᵋ㹺ҧʶҺѹÍÒ¨¡íÒ˹´àÇÅÒ㹡ÒÃàÃÔÁ scan â´Â͌ҧÍÔ§µÒÁµíÒá˹‹§·Õ¨ÐµÃǨ â´Â㪌 delay è è time 25-30 ÇÔ¹Ò·Õ ã¹¡ÒõÃǨ upper extremities áÅÐ㪌 delay time 40-45 ÇÔ¹Ò·Õ ã¹¡ÒõÃǨ lower extremities ÊíÒËÃѺ¡ÒõÃǨºÃÔàdz¤ÍáÅÐËÑÇäËÅ‹ ¨Ð㪌 delay time ¹ŒÍÂ¡Ç‹Ò ãªŒ·Õè 20 ÇÔ¹Ò·Õ(13) à¹×ͧ¨Ò¡¡ÒõÃǨËÅÍ´àÅ×Í´á´§¢Í§ extremities µÑ§áµ‹ÊǹµŒ¹¢Í§ËÅÍ´àÅ×ʹ仨¹¶Ö§ è é ‹ ʋǹ»ÅÒ¹ѹ໚¹ÃÐÂзҧ·ÕÂÒÇáÅТ¹Ò´ËÅÍ´àÅ×Í´àÅç¡Å§ àÇÅҷѧËÁ´·Õ㪌㹡ÒõÃǨ ໚¹Íա˹֧ é è é è è ¤‹Ò·ÕµÍ§ãËŒ¤ÇÒÁÊíҤѭ à¹×ͧ¨Ò¡¶ŒÒàÇÅҷѧËÁ´·Õ㪌㹡ÒõÃǨ¹Ò¹à¡Ô¹ä»¡ç¨Ð·íÒãËŒºÃÔàdz»ÅÒÂ è Œ è é è ·Õè scan ໚¹ venous phase ·íÒãËŒÁËÅÍ´àÅ×Í´´íÒÁÒ»¹ã¹ÀÒ¾ ËÃ×ͶŒÒàÇÅҷѧËÁ´·Õ㪌㹡ÒõÃǨ Õ é è àÃçÇà¡Ô¹ä»·íÒãËŒàÅ×Í´ÂѧäÁ‹ä»¶Ö§Ê‹Ç¹»ÅÒ¢ͧ extremities ·íÒãËŒá»Å¼ÅºÃÔàdzʋǹ»ÅÒÂᢹáÅÐ »ÅÒ¢ÒäÁ‹ä´Œ ÊíÒËÃѺ¡ÒõÃǨ lower extremities ¨Ð㪌àÇÅҷѧËÁ´·Õ㪌㹡ÒõÃǨ»ÃÐÁÒ³ 20-25 ÇÔ¹Ò·Õ é è ᵋ㹼ٻÇÂÊÙ§ÍÒÂØ (>60 »‚) ¨ÐµŒÍ§ãªŒàÇÅҷѧËÁ´·Õ㪌㹡ÒõÃǨà¾ÔÁ¢Ö¹ ÍÂÙ·»ÃÐÁÒ³ 40-50 ÇÔ¹Ò·Õ Œ † é è è é ‹ Õè áÅÐã¹ÃÒ·ÕʧÊÑÂÇ‹ÒÁÕ¡ÒúҴà¨çº·ÕËÅÍ´àÅ×Í´´íÒËÇÁ´ŒÇ ¨ÐµŒÍ§ÁÕ delayed phase »ÃÐÁÒ³ 25-35 è è ÇÔ¹Ò·Õ ËÅѧ¨Ò¡àÃÔÁµÑ´µÃǨ arterial phase ËÃ×ÍÁÑ¡¨ÐµÑ´µÃǨµ‹ÍËÅѧ¨Ò¡·ÕµÃǨ arterial phase àÊÃç¨(13) è è Post processing áÅÐ Data analysis ¢ŒÍÁÙÅ·Õä´Œ¨Ò¡¡ÒõÃǨ´ŒÇ CT ¨Ð໚¹à»š¹ÀÒ¾µÑ´¢ÇÒ§ (axial view) «Ö§á»Å¼Åä´Œ¤Í¹¢ŒÒ§ è è ‹ ÂÒ¡ã¹¼Ù·äÁ‹ªÒ¹Ò­ à¹×ͧ¨Ò¡ËÅÍ´àÅ×Í´á´§ÁÕšɳÐÂÒǵÒÁ¤ÇÒÁÂÒǢͧËҧ¡Ò ¨Ò¡¹Ñ¹ÀÒ¾ Œ Õè í è Ñ é CT ¹Õé¨Ð¶Ù¡¹íÒä»·íÒ post processing â´Â¡ÒÃÊÌҧÀÒ¾ãËÁ‹ã¹áººµ‹Ò§æ ઋ¹ 2D multiplanar reformation (MPR), 3D volume-rendering (VR) áÅÐ Maximum intensity projection (MIP) «Ö§à»š¹ è ÀÒ¾·Õ¹ÂÁ㪌 ·íÒãËŒá»Å¼Åä´Œ§Ò¢ֹ áÅÐà¾ÔÁ¤ÇÒÁáÁ‹¹ÂíÒ㹡ÒÃá»Å¼Å è Ô ‹ é è (5, 14) áÅйíÒä»ãªŒã¹¡Òà ÇÒ§á¼¹¡ÒÃÃÑ¡ÉÒä´ŒÊдǡ¢Ö¹ é 㹡ÒÃá»Å¼ÅàÃҨйíÒ¢ŒÍÁÙŷѧËÁ´ ¤×Í axial data áÅÐÀÒ¾·Õä´Œ¨Ò¡¡Ò÷íÒ reconstruction é è ª¹Ô´µ‹Ò§æ äÁ‹ÇÒ¨Ð໚¹ 2D MPR, 3D VR áÅÐ MIP ÁÒ㪌ÃÇÁ¡Ñ¹ ‹ ‹ (5, 11) »ÃÐ⪹¢Í§ÀÒ¾ 3D VR ¹Ñ¹ ¹Í¡¨Ò¡¨ÐãËŒ¢ÍÁÙŢͧµÑÇËÅÍ´àÅ×Í´àËÁ×͹ÀÒ¾·Õä´Œ¨Ò¡ÀÒ¾ é Œ è catheter angiogram áÅŒÇ Âѧ䴌¢ÍÁÙŢͧà¹×ÍàÂ×Í·ÕÍÂÙÃÍºæ ¤×Í muscle, subcutaneous tissue áÅÐ Œ é è è ‹
  • 500.
    àǪÈÒʵÏ·¹Âؤ 2553 Ñ 473 bone ´ŒÇ áÅÐÀÒ¾ VR ¹Õ¨Ð·íÒãËŒàÃÒÇÔ¹¨©ÑÂÃÍÂâä·Õ໚¹ segment ËÃ×Í focal occlusion ä´Œ´¡Ç‹Ò é Ô è Õ ¡Òô٨ҡÀÒ¾µÑ´¢ÇÒ§à¾Õ§Í‹ҧà´ÕÂÇ ¡ÒÃ㪌ÀÒ¾ VR ËÇÁ´ŒÇ ¨Ð·íÒãËŒàÃÒàËç¹á¹ÇàÊŒ¹àÅ×Í´µÅÍ´ ·Ñ§àÊŒ¹ áÅÐàËç¹µíÒá˹‹§·Õ໚¹ÃÍÂâä䴌ª´à¨¹ (ÃÙ»·Õè 1) é è Ñ ÀÒ¾ MIP ËÇÁ¡Ñº¡ÒÃź¡Ãд١ (bone removal) 㹺ÃÔàdz·Õ䴌úºÒ´à¨çº ¨Ð㪌㹡ÒÃÇÔ¹¨©Ñ è Ñ Ô ¡ÒúҴà¨çº ºÃÔàdz¤Í, ËÑÇäËÅ‹ áÅÐ ºÃÔàdzàªÔ§¡ÃÒ¹ ä´Œ´Õ ÃÇÁ¶Ö§ºÃÔàdz¢Í§ extravasation ¢Í§ contrast media ¹Ñ¹ ¨ÐàËç¹ä´Œ´ã¹ÀÒ¾ MIP (ÃÙ»·Õè 2) ᵋäÁ‹¤ÇÃ㪌ÀÒ¾ MIP Í‹ҧà´ÕÂÇ㹡ÒÃá»Å¼Å é Õ CTA à¹×ͧ¨Ò¡ÍÒ¨·íÒãËŒäÁ‹ÊÒÁÒö¡ÒÃÇÔ¹¨©ÑÂÃÍÂâ䢹ҴàÅç¡æä´Œ à¹×ͧ¨Ò¡ÀÒ¾ MIP ໚¹¡ÒÃÃÇÁ è Ô è contrast ã¹á¹ÇÃйҺà´ÕÂǡѹ ´Ñ§¹Ñ¹¨ÐµŒÍ§á»Å¼Å¨Ò¡ÀÒ¾ËÅÒÂæÃйҺËÇÁ¡ÑºÀÒ¾ axial view é àÊÁÍ ÀÒ¾ 2D MPR ໚¹¡ÒôÙÃÍÂâäã¹ÃйҺµ‹Ò§æ ¤×Í axial, saggital áÅÐ coronal image «Ö§¨Ð·íÒãËŒàËç¹ÃÍÂâäªÑ´à¨¹¢Ö¹ â´ÂÃÍÂâä·ÕºÃÔàdz´ŒÒ¹Ë¹ŒÒáÅÐËÅѧ¢Í§ËÅÍ´àÅ×Í´¨ÐáÊ´§ä´Œ´Õ è é è ã¹ÀÒ¾ axial ËÃ×Í saggital image ÃÍÂâä·ÕºÃÔàdz´ŒÒ¹º¹áÅÐŋҧ¢Í§ËÅÍ´àÅ×Í´¨ÐáÊ´§ä´Œ´ã¹ è Õ ÀÒ¾ coronal image ໚¹µŒ¹ ÀÒ¾ oblique view àËÁÒÐÊíÒËÃѺ¡ÒôÙÃÍÂâä¢Í§ËÅÍ´àÅ×Í´ºÃÔàdz·ÕÁ¡ÒÃ⤌§ËÃ×ÍËÑ¡ÁØÁ è Õ àª‹¹ aortic arch, ËÅÍ´àÅ×Í´ºÃÔàÇ³ÍØ§àªÔ§¡ÃÒ¹, ËÅÍ´àÅ×Í´ºÃÔàdzÃͺËÑÇäËŋ໚¹µŒ¹ Œ CT angiographic sign of arterial injury »ÃСͺ´ŒÇ direct áÅÐ indirect signs Direct sign Direct sign ¤×Í ¡ÒþºÃÍÂâä·ÕµÇËÅÍ´àÅ×Í´ º‹§Ç‹ÒÁÕ¡ÒúҴà¨çº¢Í§ËÅÍ´àÅ×Í´ ÁÑ¡µŒÍ§ è Ñ ·íÒ¡ÒÃÃÑ¡ÉÒâ´Â¡Òü‹ÒµÑ´ ËÃ×Í endovascular »ÃСͺ´ŒÇ ¡ÒÃÍØ´µÑ¹¢Í§ËÅÍ´àÅ×Í´ (occlusion), ¡ÒþºÅÔÁàÅ×Í´ã¹ËÅÍ´àÅ×Í´ (thrombus formation), intimal dissection, pseudoaneurysm, active è extravasation, arteriovenous fistula ËÃ×Í ¡ÒþºÅѡɳТͧ arterial spasm ¤×Í ¡ÒÃË´à¡Ã秢ͧ ËÅÍ´àÅ×Í´á´§ªÑǤÃÒÇ «Ö§ÊÒÁÒö¡ÅѺÁÒ໚¹»¡µÔä´Œ è è 1. Active arterial extravasation of contrast material ¤×Í ¡ÒõÃǨ¾ººÃÔàdz·ÕÁÕ contrast è media ÃÑÇÍÍ¡ÁÒ ÍÂٹ͡ËÅÍ´àÅ×Í´ contrast media àËŋҹըСÃШÒÂÍÂÙÃͺæÅѡɳÐ໚¹»„¹ è ‹ é ‹ œ äÁ‹Á¢Íºà¢µ «Ö§à»š¹ direct sign ¢Í§ arterial injury à¡Ô´¨Ò¡¡Òéա¢Ò´¢Í§¼¹Ñ§ËÅÍ´àÅ×Í´·Ø¡ªÑ¹ Õ è é â´ÂµíÒá˹‹§·ÕÁÕ contrast media ÃÑÇÍÍ¡ÁÒ ¤×Í µíÒá˹‹§·Õà¡Ô´¡ÒúҴà¨çº¢Í§µÑÇËÅÍ´àÅ×Í´á´§ è è è ¡ÒÃ㪌ÀÒ¾ MIP ¨ÐáÊ´§ºÃÔàdz·ÕÁÕ contrast extravasation ä´Œª´à¨¹ (ÃÙ»·Õè 2) ᵋµÒá˹‹§¢Í§ÃÙÃÇ è Ñ í Ñè µŒÍ§´Ù¨Ò¡ axial image ËÇÁ¡Ñº 2D-MPR ã¹á¹Ç coronal áÅÐ saggital image 2. Pseudoaneurysmal formation ¤×Í ¡Òþº out-pouching ¢Í§ contrast media Â×¹ÍÍ¡ è Áҹ͡µÑÇËÅÍ´àÅ×Í´á´§ µ‹Ò§¨Ò¡ extravasation µÃ§·Õè pseudoaneurysm ¹Ñ¹¨Ð¾º contrast media é
  • 501.
    474 ÀÒ¾ÇÔ¹Ô¨©ÑÂã¹¼ÙŒ»†Ç·Õèä´ŒÃѺºÒ´à¨çººÃÔàdzËÅÍ´àÅ×Í´á´§¨Ò¡ÍغѵÔàËµØ à»š¹¡Ðà»ÃÒÐ ÅŒÍÁÃͺ´ŒÇ adventitia ËÃ×Í à¹×ÍàÂ×Í¢ŒÒ§à¤Õ§ áÅШÐÁÕÊǹ·ÕµÍ¡ÑºµÑÇËÅÍ´àÅ×Í´ ÀÒ¾ é è ‹ è ‹ MIP áÅÐ 3D VR ¨ÐáÊ´§µíÒá˹‹§áÅТͺࢵ¢Í§ pseudoaneurysm ä´Œª´à¨¹ Ñ 3. ¡ÒÃÍØ´µÑ¹ (occlusion) ¤×Í ¡ÒÃäÁ‹¾º contrast media ã¹ËÅÍ´àÅ×Í´á´§ â´ÂÍÒ¨¾ºà»š¹ ÃÍÂâ䢹ҴàÅç¡ (focal ËÃ×Í short segment) ËÃ×Í ÃÍÂâ䢹ҴãË­‹ (long segment) â´Â¶ŒÒà¡Ô´ÁÕ occlusion ÍÂÙ¹Ò¹ ¨Ð¾º collateral vessels ËÇÁ´ŒÇ ¡ÒôٵÒá˹‹§·ÕÁ¡ÒÃÍØ´µÑ¹¢Í§ËÅÍ´àÅ×Í´ ‹ í è Õ ¨Ò¡ÀÒ¾ axial Í‹ҧà´ÕÂÇ ÍÒ¨·íÒãËŒäÁ‹àË繤ÇÒÁ¼Ô´»¡µÔ·à»š¹ focal ËÃ×Í short segment occlusion Õè ä´Œ á¹Ð¹íÒãˌ㪌ÀÒ¾ coronal MIP ËÃ×Í coronal 3D VR ËÇÁ´ŒÇ (ÃÙ»·Õè 1) ¢ŒÍÁÙÅ·Õä´Œ¨Ò¡ÀÒ¾ CTA è ¹Ñ¹ ¹Í¡¨Ò¡¡Òú͡µíÒá˹‹§¢Í§¡ÒÃÍØ´µÑ¹áÅŒÇ ÂѧÊÒÁÒöºÍ¡ distal run off ¢Í§ËÅÍ´àÅ×ʹʋǹ é »ÅÒ¹Ñé¹æä´Œ ÁÕ»ÃÐ⪹ã¹¡ÒÃ㪌ÇÒ§á¼¹¡ÒÃÃÑ¡ÉÒ ÃÇÁ¶Ö§¡ÒûÃÐàÁÔ¹µíÒá˹‹§¢Í§ distal anastomosis ã¹ÃÒ·յͧ·íÒ¡Òü‹ÒµÑ´ bypass graft ¤Ã‹ÍÁ¼‹Ò¹µíÒá˹‹§¢Í§ËÅÍ´àÅ×Í´á´§·ÕÁÕ è Œ è ¡ÒÃÍØ´µÑ¹ 4. Dissection ¾ºà»š¹ eccentric stenosis ¢Í§µÑÇËÅÍ´àÅ×Í´á´§ à¡Ô´¨Ò¡¡Òéա¢Ò´ ¢Í§¼¹Ñ§ËÅÍ´àÅ×Í´ªÑ¹ intima â´Â¾ºà»š¹ÅѡɳШѹ·ÃàÊÕÂÇã¹ÀÒ¾µÑ´¢ÇÒ§ (ÃÙ»·Õè 3) ÍÒ¨¾º intimal é é flap (intraluminal linear filling defect) ËÃ×Í segmental thrombus ã¹ÃÒ·ÕÁ¡ÒúҴà¨çº¢Í§ªÑ¹ intima è Õ é à¾Õ§àÅ硹ŒÍ ÍÒ¨¾ºà¾Õ§ÅѡɳТͧ irregular lumen ¢Í§ËÅÍ´àÅ×Í´ºÃÔàdz¹Ñ¹æ «Ö§µŒÍ§ãªŒ¤ÇÒÁ é è ÅÐàÍÕ´㹡ÒÃÇÔ¹¨©Ñ µŒÍ§ãªŒ axial image ËÇÁ¡Ñº saggital MPR áÅÐ coronal MPR ËÇÁ´ŒÇÂ Ô 5. Arteriovenous fistula formation à¡Ô´¨Ò¡¡Òéա¢Ò´¢Í§ËÅÍ´àÅ×Í´á´§áÅÐËÅÍ´àÅ×Í´ ´íÒ·ÕÍÂÙª´¡Ñ¹·íÒãËŒà¡Ô´ÃÙÃÇàª×ÍÁµ‹Í¡Ñ¹ ¡ÒÃÇÔ¹¨©ÑÂÀÒÇÐ AV fistula ¹Ñ¹ ¨ÐµŒÍ§áÊ´§µíÒá˹‹§·Õè artery è ‹ Ô Ñè è Ô é µ‹Í¡Ñº vein áÅТ¹Ò´¢Í§ fistular site à¾×Í㪌ÇÒ§á¼¹¡ÒÃÃÑ¡ÉÒ â´Â¡Òû´ÃÙÃǹѹ Åѡɳзվº è Ñè é è ¨Ò¡ CTA ¤×Í ¡Òþº contrast ã¹ËÅÍ´àÅ×Í´´íҵѧᵋ㹠arterial phase â´ÂËÅÍ´àÅ×Í´´íÒºÃÔàdz é ¹Ñ¹æ ÁÑ¡ÁÕ¢¹Ò´ãË­‹¢¹´ŒÇ ËÇÁ¡Ñº¡ÒþºµíÒá˹‹§¢Í§ÃÙÃÇÃÐËNjҧËÅÍ´àÅ×Í´á´§áÅдíÒ (ÃÙ»·Õè 4) é Öé Ñè ¢ŒÍÊѧࡵ㹡ÒÃËÒµíÒá˹‹§¢Í§ÃÙÃǹѹ ¤×Í ¡ÒÃËÒµíÒá˹‹§·ÕàÃÔÁ¾º early fill vein ¡µÑÇÍ‹ҧã¹ÃÙ» Ñè é è è ·Õè 4 ¨ÐàÃÔÁ¾º contrast ã¹ËÅÍ´àÅ×Í´´íÒ·ÕµÒá˹‹§¢Í§ popliteal vein (äÅ‹¢¹ä»µÒÁ superficial è è í Öé femoral vein, iliac vein ¨¹¶Ö§ inferior vena cava) ¨Ò¡¹Ñ¹ãªŒÀÒ¾ axial äÅ‹´ºÃÔàdzÃͺࢋÒà¾×ÍËÒ é Ù è µíÒá˹‹§·ÕËÅÍ´àÅ×Í´á´§©Õ¡¢Ò´ ËÇÁ¡Ñº¡ÒÃ㪌ÀÒ¾ saggital MPR áÅÐ coronal MPR ¨Ð¾ºµíÒá˹‹§ è ÃÙÃÇä´Œ§Ò¢ֹ áÅÐ㪌àÇÅÒ¹ŒÍÂŧ ᵋã¹ÃÒ·ÕÁÃÃÇËÅÒµíÒá˹‹§¡ç¨Ð´ÙÂÒ¡¢Ö¹ áÅÐ㹼ٻǷÕÁàÈÉ Ñè ‹ é è Õ Ù Ñè é Œ † è Õ ¡ÃÐÊØ¹ËÃ×ÍâÅËÐàËÅ×ÍÍÂÙ‹ ¨ÐÁÕ streak artifact ú¡Ç¹¡ÒÃËÒµíÒá˹‹§ÃÙÃÇ «Ö§ÍÒ¨µŒÍ§ãªŒ¡ÒõÃǨÍ×¹æ Ñè è è ઋ¹ conventional angiography ËÇÁ»ÃÐàÁԹ໚¹ÃÒÂæä» 6. Arterial spasm ໚¹¡ÒÃË´à¡Ã秢ͧËÅÍ´àÅ×Í´á´§ «Ö§à¡Ô´¨Ò¡¡ÒúҴà¨çº¢Í§à¹×ÍàÂ×Í è é è ÃÍºæ «Ö§·íÒãËŒ¤ÅíÒªÕ¾¨ÃºÃÔàdzʋǹ»ÅÒÂäÁ‹ä´ŒËÃ×Íä´ŒàºÒ ·íÒãˌʧÊÑÂÇ‹ÒÁÕ¡ÒúҴà¨çº¢Í§ËÅÍ´àÅ×Í´ è à¡Ô´¢Ö¹ ã¹¼Ù»ÇÂ¡ÅØÁ¹Õ¡ÒõÃǨâ´Â CTA ¨ÐÁÕ»ÃÐ⪹ã¹á§‹·ºÍ¡ÃÍÂâäNjÒ໚¹ÃÍÂâä·ÕäÁ‹Ã¹áç é Œ † ‹ é Õè è Ø äÁ‹µÍ§ÃѺ¡Òü‹ÒµÑ´ áÅСÒõÃǨäÁ‹ invasive ¡ÒÃË´à¡Ã秢ͧËÅÍ´àÅ×Í´¨Ð໚¹áººªÑǤÃÒÇ áÅÐ Œ è ÊÒÁÒö¡ÅѺÁÒ໚¹»¡µÔä´Œ Åѡɳзվº¨Ò¡ CTA ໚¹ concentric smooth narrowing ¢Í§ËÅÍ´ è àÅ×Í´á´§ºÃÔàdz¹Ñ鹿 ã¹ÀÒ¾ axial ¨Ð¾ºÇ‹Ò ¢¹Ò´àÊŒ¹¼‹ÒÈٹ¡ÅÒ§¢Í§ËÅÍ´àÅ×Í´á´§ÁÕ¢¹Ò´
  • 502.
    àǪÈÒʵÏ·¹Âؤ 2553 Ñ 475 àÅç¡Å§ â´Âà·Õº¡ÑºËÅÍ´àÅ×Í´ÃдѺà´ÕÂǡѹ㹽˜§µÃ§¢ŒÒÁ (㹡óշ½§µÃ§¢ŒÒÁäÁ‹ÁÃÍÂâä) ÃÍ › Õè ˜› Õ âä¢Í§ arterial spasm ¹Ñ¹Áѡ໚¹ÃÍÂâäẺ long segment µÒÁá¹ÇÂÒǢͧËÅÍ´àÅ×Í´ ´Ñ§¹Ñ¹ é é ¨ÐáÊ´§ÃÍÂâä䴌´ã¹ÀÒ¾ coronal MIP (ÃÙ»·Õè 5) ¢ŒÍÁÙÅ·Õä´Œ¨Ò¡ CT ¹Í¡¨Ò¡ÃÍÂâä¢Í§ËÅÍ´àÅ×Í´ Õ è áÅŒÇ ÂѧãËŒÃÒÂÅÐàÍÕ´à¡ÕÂǡѺà¹×ÍàÂ×ÍÃͺæ áÅÐ ¡Ãд١ºÃÔàdz¹Ñ¹ è é è é Indirect sign Indirect sign ¤×Í ÃÍÂâä·ÕÍÂÙÃͺ¹Í¡¢Í§µÑÇËÅÍ´àÅ×Í´ (perivascular soft tissue) «Ö§¶ŒÒ è ‹ è ¾ººè§ÇèÒÍÒ¨¨ÐÁÕ¡ÒúҴà¨çº¢Í§ËÅÍ´àÅ×Í´ã¡Åéà¤Õ§ »ÃСͺ´éÇ perivascular hematoma, á¹Ç- ·ÔÈ·Ò§¢Í§¡ÃÐÊØ¹¼‹Ò¹ËÃ×͵Դ¡Ñº neurovascular bundle, ÃÍ©ա¢Ò´¢Í§à¹×ÍàÂ×Í¢ŒÒ§à¤Õ§ «Ö§ÍÂÙËÒ§ é è è ‹ ‹ ¨Ò¡ËÅÍ´àÅ×Í´¹ŒÍÂ¡Ç‹Ò 5 ÁÁ. (15) ¢ŒÍ¨íÒ¡Ñ´¢Í§ CT angiography ã¹¼Ù»ÇÂÍØºµà˵ط¾ºä´ŒºÍ à¡Ô´¨Ò¡ metallic streak artifact Œ † Ñ Ô Õè ‹ 㹼ٻǷն¡ÂÔ§ ËÃ×Í ¶Ù¡á·§´ŒÇÂÍÒÇØ¸·Õ໚¹àËÅç¡ ã¹¼Ù»ÇÂ¡ÅØÁ¹Õ·ÒãËŒ¡ÒÃá»Å¼ÅÂÒ¡ µŒÍ§ãªŒÀÒ¾ Œ † è Ù è Œ † ‹ é í ã¹ÃйҺµ‹Ò§æ ÃÇÁ¶Ö§¡Òô٠indirect sign ઋ¹ äÁ‹¾º extravasation ¢Í§ contrast media 㹺ÃÔàdz ·ÕÁ¡ÒúҴà¨çº ËÃ×Í¡Òþº contrast media ã¹Ê‹Ç¹»ÅÒ¢ͧËÅÍ´àÅ×Í´á´§ 㹡ÒÃÊѹ¹ÔÉ°Ò¹Ç‹Ò è Õ äÁ‹Á¡ÒúҴà¨çº¢Í§ËÅÍ´àÅ×Í´á´§ ᵋã¹ÃÒ·ÕÁÕ artifact ¤‹Í¹¢ŒÒ§ÁÒ¡¨¹äÁ‹ÊÒÁÒöá»Å¼Å¨Ò¡ CTA Õ è ä´Œ ¤ÇèеŒÍ§µÃǨ conventional angiography à¾ÔÁàµÔÁ è ¡ÒõÃǨ·Õ¡Å‹ÒǶ֧·Ñ§ËÁ´ã¹µÍ¹µŒ¹ ໚¹¡ÒõÃǨ¡ÒúҴà¨çº¢Í§ËÅÍ´àÅ×Í´á´§ ÀÒ¾ËÃ×Í è é ¢ŒÍÁÙÅ·Õä´ŒäÁ‹àËÁÒÐ㹡ÒÃá»Å¼ÅÃÍÂâä¢Í§ËÅÍ´àÅ×Í´´íÒ ã¹¡ÒõÃǨÍÒ¨¾º pseudothrombus è â´Â¾ºÅѡɳÐ໚¹ filling defect ã¹ËÅÍ´àÅ×Í´´íÒ à¡Ô´¨Ò¡¡ÒüÊÁ¡Ñ¹ÃÐËNjҧ unfilled blood ¡Ñº contrast media 㹡ÒõÃǨ CTA ·íÒãˌࢌÒ㨼ԴNjÒ໚¹ thrombus ã¹ËÅÍ´àÅ×Í´´íÒ àÃÒ¨Ö§äÁ‹¤Çà á»Å¼ÅËÅÍ´àÅ×Í´´íÒ㹡ÒõÃǨ CTA «Ö§¡ÒèеÃǨ´ÙËÅÍ´àÅ×Í´´íҹѹ ¨ÐµŒÍ§ãªŒ delayed phase è é àÊÁÍ ¡ÒúҴà¨çº¢Í§ËÅÍ´àÅ×Í´á´§ãË­‹ª‹Í§Í¡ (Traumatic disruption of the thoracic aorta) ¤×Í ¡Òéա¢Ò´¢Í§ËÅÍ´àÅ×Í´á´§ thoracic aorta «Ö§à¡Ô´ËÅѧ¨Ò¡ä´ŒÃºáç¡ÃÐá·¡ÍÂ‹Ò§ÃØ¹áç è Ñ ºÃÔàdzª‹Í§Í¡ (blunt chest trauma) ໚¹¡ÒúҴà¨çº·Õùáç ¼Ù»ÇÂʋǹãË­‹¡Ç‹ÒÃŒÍÂÅÐ 80 àÊÕªÕǵ èØ Œ † Ô ã¹·Õà¡Ô´à赯 ¹ŒÍ¡NjÒÃŒÍÂÅÐ 20 ¶Ö§Á×Íᾷ áÅÐ䴌ú¡ÒÃÇÔ¹¨©ÑÂáÅÐÃÑ¡ÉÒ ÊíÒËÃѺ penetrating è Ñ Ô injury µ‹Í aorta ¹Ñ¹ ¼Ù»ÇÂÁÑ¡àÊÕªÕǵ¡‹Í¹ÁÒ¾ºá¾·Â é Œ † Ô ¼Ù»Ç traumatic disruption of aorta ·Õ¶§Á×Íᾷ¹¹à¡×ͺ·Ñ§ËÁ´à»š¹ partial disruption Œ † è Ö Ñé é ¤×Í ÁÕ¡Òéա¢Ò´¢Í§ªÑ¹ intima áÅÐ media ºÒ§Ê‹Ç¹ ËÃ×Í ·Ñ§ËÁ´ áÅÐàËÅ×Íà¾Õ§ªÑ¹ adventitia é é é (ã¹ÃÒ·Õ໚¹ complete disruption ÁÑ¡àÊÕªÕǵ·Ñ¹·Õã¹·Õà¡Ô´à˵Ø) ¤ÇÒÁÊíҤѭ¤×Í á¾·Â¤ÇõŒÍ§ÃÕº è Ô è ãËŒ¡ÒÃÇÔ¹¨©ÑÂáÅÐÃÑ¡ÉÒ à¾ÃÒСÒéա¢Ò´¢Í§¼¹Ñ§ËÅÍ´àÅ×Í´ÁÑ¡¨Ð໚¹ÁÒ¡¢Ö¹ ¡ÅÒÂ໚¹ complete Ô é tear áÅÐ rupture ·íÒãËŒ¼»ÇÂàÊÕªÕǵ䴌 ÙŒ † Ô
  • 503.
    476 ÀÒ¾ÇÔ¹Ô¨©ÑÂã¹¼ÙŒ»†Ç·Õèä´ŒÃѺºÒ´à¨çººÃÔàdzËÅÍ´àÅ×Í´á´§¨Ò¡ÍغѵÔà赯 µíÒá˹‹§·Õ¾ºà¡Ô´¡Òéա¢Ò´ÁÒ¡·ÕÊ´ (95%) ¤×Í proximal descending aorta µíÒá˹‹§·Õà¡ÒÐ è èØ è ¢Í§ ligamentum arteriosum µíÒá˹‹§Í×¹ ¤×Í ascending aorta, origin of brachiocephalic artery è áÅÐ supradiaphragmatic aorta Chest radiography áÁŒ¨ÐÁÕ¤ÇÒÁäÇáÅФÇÒÁ¨íÒà¾ÒеèÒ áµ‹¡Á¤ÇÒÁÊíҤѭ à¹×ͧ¨Ò¡µÃǨ í ç Õ è ä´ŒàÃçÇ à»š¹ imaging áá㹡ÒõÃǨ¼Ù»Ç blunt chest injury ʋǹãË­‹¨Ð¶‹ÒÂã¹·‹Ò¹Í¹à¾ÃÒмٌ Œ † »†ÇÂÍÒ¡ÒÃ˹ѡ ÊÔ§·Õ¾ºä´Œ (ÃÙ»·Õè 6) ¤×Í widening of mediastinum ÁÒ¡¡Ç‹Ò 8 «Á., ¡Òþº è è mediastinal hematoma Åѡɳн‡Ò¢ÒǺÃÔàdz aorticpulmonary window áÅÐäÁ‹¾º¢Íºà¢µ¢Í§ aortic knob, ¡ÒþºËÅÍ´ÅÁ ËÃ×Í NG tube ã¹ËÅÍ´ÍÒËÒà ¶Ù¡àºÕ´价ҧ¢ÇÒ, ¡Òö١¡´àºÕ´ŧ ´ŒÒ¹Å‹Ò§¢Í§ left main bronchus, ¡Òþº apical cap ½‡Ò¢ÒǷմҹ㹢ͧ»Í´¡ÅÕº«ŒÒº¹, ¡Òþº è Œ sternum ËÃ×Í «Õâ¤Ã§·Õè 1 áÅÐ 2 ËÑ¡ ¶ŒÒ¾ºÅѡɳÐàËŋҹÕ㹼ٻǠblunt chest injury ¨ÐµŒÍ§¹Ö¡¶Ö§ è é Œ † traumatic disruption of aorta ´ŒÇÂàÊÁÍ ã¹Ê¶Ò¹·Õ··Òä´ŒáÅмٻÇÂÁÕ vital signs ·Õè stable ¾Í è Õè í Œ † á¹Ð¹íÒãËŒµÃǨà¾ÔÁàµÔÁâ´Â CT è ¢ŒÍÊѧࡵ¡Òþº widening of mediastinum ¨Ò¡ chest radiography ¹Ñ¹ÍÒ¨¾ºà»š¹ false é positive 䴌㹼ٻÇÂÊÙ§ÍÒÂØ áÅÐ໚¹·‹Ò¹Í¹ Œ † CT ã¹»˜¨¨Øº¹à»š¹ MDCT 㪌àÇÅÒµÃǨ¹ŒÍ àËÁÒÐÊíÒËÃѺ¡ÒõÃǨËÅÍ´àÅ×Í´ ¹íÒÁÒÊÌҧ Ñ ÀÒ¾ã¹ÃйҺµ‹Ò§æãªŒªÇÂ㹡ÒÃÇÔ¹¨©ÑÂä´Œ´Õ ÊÔ§·Õ¾ºã¹¼Ù»Ç traumatic disruption of aorta ¤×Í ‹ Ô è è Œ † abnormal aortic contour ¢Í§ËÅÍ´àÅ×Í´á´§, pseudoaneurysm, pseudocoarctation, focal bulge ¢Í§ËÅÍ´àÅ×Í´, intimal flap ã¹ËÅÍ´àÅ×Í´ áÅоº indirect findings ¤×Í periaortic hematoma, mediastinal hematoma ᵋ¡Òþº mediastinal hematoma ¹Ñ¹äÁ‹¨Òà¾ÒСѺ disruption of aorta é í ÍÒ¨¾ºã¹¡ÒúҴà¨çº¢Í§ÍÇÑÂÇÐ áÅÐËÅÍ´àÅ×Í´Í×¹æã¹ mediastinum ¡çä´Œ è àÍ¡ÊÒÃ͌ҧÍÔ§ 1. Anderson RJ, Hobson RW, 2nd, Padberg .T, Jr., Swan KG, Lee BC, Jamil Z, et al. Penetrating extremity trauma: identification of patients at high-risk requiring arteriography. J Vasc Surg. 1990 ;11(4):544-8. 2. McCorkell SJ, Harley JD, Morishima MS, Cummings DK. Indications for angiography in extremity trauma. Am J Roentgenol. 1985;145(6):1245-7. 3. Soto JA, Munera ., Morales C, Lopera JE, Holguin D, Guarin O, et al. .ocal arterial injuries of the proximal extremities: helical CT arteriography as the initial method of diagnosis. Radiology. 2001;218(1):188-94. 4. Gillespie DL, Woodson J, Kaufman J, Parker J, Greenfield A, Menzoian JO. Role of arteriography for blunt or penetrating injuries in proximity to major vascular structures: an evolution in management. Ann Vasc Surg. 1993;7(2):145-9. 5. Miller-Thomas MM, West OC, Cohen AM. Diagnosing traumatic arterial injury in the extremities with CT angiography: pearls and pitfalls. Radiographics. 2005;25 Suppl 1:S133-42. 6. Bergstein JM, Blair J., Edwards J, Towne JB, Wittmann DH, Aprahamian C, et al. Pitfalls in the use of color- flow duplex ultrasound for screening of suspected arterial injuries in penetrated extremities. J Trauma. 1992;33(3):395-402.
  • 504.
    àǪÈÒʵÏ·¹Âؤ 2553 Ñ 477 7. Yaquinto JJ, Harms SE, Siemers PT, .lamig DP, Griffey RH, .oreman ML. Arterial injury from penetrating trauma: evaluation with single-acquisition fat-suppressed MR imaging. Am J Roentgenol. 1992;158(3):631-3. 8. Catalano C, .raioli ., Laghi A, Napoli A, Bezzi M, Pediconi ., et al. Infrarenal aortic and lower-extremity arterial disease: diagnostic performance of multi-detector row CT angiography. Radiology. 2004;231(2):555-63. 9. Katz DS, Hon M. CT angiography of the lower extremities and aortoiliac system with a multi-detector row helical CT scanner: promise of new opportunities fulfilled. Radiology. 2001;221(1):7-10. 10. Martin ML, Tay KH, .lak B, .ry PD, Doyle DL, Taylor DC, et al. Multidetector CT angiography of the aortoiliac system and lower extremities: a prospective comparison with digital subtraction angiography. Am J Roentgenol. 2003;180(4):1085-91. 11. Ota H, Takase K, Igarashi K, Chiba Y, Haga K, Saito H, et al. MDCT compared with digital subtraction angiography for assessment of lower extremity arterial occlusive disease: importance of reviewing cross- sectional images. Am J Roentgenol. 2004;182(1):201-9. 12. Rubin GD, Schmidt AJ, Logan LJ, Sofilos MC. Multi-detector row CT angiography of lower extremity arterial inflow and runoff: initial experience. Radiology. 2001;221(1):146-58. 13. .ishman EK, Horton KM, Johnson PT. Multidetector CT and three-dimensional CT angiography for suspected vascular trauma of the extremities. Radiographics. 2008 ;28(3):653-65; discussion 65-6. 14. Rieger M, Mallouhi A, Tauscher T, Lutz M, Jaschke WR. Traumatic arterial injuries of the extremities: initial evaluation with MDCT angiography. Am J Roentgenol. 2006;186(3):656-64. 15. Pieroni S, .oster BR, Anderson SW, Kertesz JL, Rhea JT, Soto JA. Use of 64-row multidetector CT angiography in blunt and penetrating trauma of the upper and lower extremities. Radiographics. 2009;29(3):863-76.
  • 506.
    àǪÈÒʵÏ·¹Âؤ 2553 Ñ º··Õè 479 67 Imaging of Trauma : Abdominal Trauma ÍÒ¨ÒÏ ᾷ˭ԧÇÃóÇÃÒ§¤ ÊØ·¸Ô¤ÕÃÕ ÀÒ¤ÇÔªÒÃѧÊÕÇ·ÂÒ ¤³Ðá¾·ÂÈÒʵÏÈÃÃÒª¾ÂÒºÒÅ ÁËÒÇÔ·ÂÒÅÑÂÁËÔ´Å Ô ÔÔ ¡ÒÃÇÔ¹Ô¨©ÑÂÀÒÇСÒúҴà¨çºµ‹ÍÍÇÑÂÇÐ㹪‹Í§·ŒÍ§Âѧ¤§à»š¹»˜­ËÒã¹àǪ»¯ÔºÑµÔ©Ø¡à©Ô¹ÍÂÙ‹ ¤‹Í¹¢ŒÒ§ÁÒ¡ â´Â੾ÒСÒúҴà¨çº¨Ò¡áç¡ÃÐá·¡ÀÒ¹͡ (blunt abdominal trauma) «Ö§¾ºÇ‹Ò è ¡ÒõÃǨËҧ¡ÒÂᵋà¾Õ§Í‹ҧà´ÕÂÇäÁ‹ÊÒÁÒöãËŒ¡ÒÃÇÔ¹¨©Ñ¶֧¡ÒúҴà¨çº¢Í§ÍÇÑÂÇÐ㹪‹Í§·ŒÍ§ä´Œ Ô Í‹ҧṋ¹Í¹áÅÐáÁ‹¹ÂíÒ ¡ÒÃÊ‹§µÃǨà¾ÔÁàµÔÁ·Ò§ÃѧÊÕǹ¨©Ñ ¨Ö§à¢ŒÒÁÒÁÕº·ºÒ·à»š¹Í‹ҧÁÒ¡ ´Ñ§¹Ñ¹ è Ô Ô é ¨Ö§ÁÕ¤ÇÒÁ¨íÒ໚¹·Õᾷ·Çä»áÅÐÈÑÅÂᾷ ¤Ç÷íÒ¤ÇÒÁ¤Ø¹à¤Â¡ÑºÀÒ¾¡ÒõÃǨ·Ò§ÃѧÊÕàº×ͧµŒ¹ è Ñè Œ é Í‹ҧ¤Ã‹ÒÇæä´Œ ໚¹·Õ·ÃÒº¡Ñ¹´Õ¶§¡Åä¡¡ÒúҴà¨çºµ‹Íª‹Í§·ŒÍ§ «Ö§áº‹§ä´Œà»š¹Êͧ»ÃÐàÀ·¤×Í è Ö è 1. ¡ÒúҴà¨çºµ‹Íª‹Í§·ŒÍ§¨Ò¡áç¡ÃÐá·¡ÀÒ¹͡ (Blunt abdominal trauma) ÍÒ¨à¡Ô´¨Ò¡ ÍØºµà˵ءÒèÃÒ¨Ã ÍØºµà˵بҡ¡ÒáÕÌÒ ¡Ò÷íÒÃŒÒÂËҧ¡Ò ËÃ×Í¡Òõ¡¨Ò¡·Õʧ ໚¹µŒ¹ â´ÂÁÕ¡Åä¡ Ñ Ô Ñ Ô èÙ ¡ÒúҴà¨çºà¡Ô´¨Ò¡ (1) 1.1 Compressive mechanism ໚¹áç¡´«Ö§ÍÒ¨·íÒÍѹµÃÒµ‹Í solid organs ËÃ×ÍËÅÍ´ è àÅ×Í´ ·íÒãËŒà¡Ô´ laceration, hematomas áÅÐ thrombosis ËÃ×ÍÍÒ¨·íÒÍѹµÃÒµ‹Í hollow viscera organs ·íÒãËŒà¡Ô´ perforation ËÃ×Í rupture ¢Ö¹ä´Œ é 1.2 Deceleration mechanism ໚¹¡Åä¡·Õ·ÒãËŒà¡Ô´ shearing forces ËÇÁ¡Ñº stretching è í forces ÍÒ¨·íÒãËŒà¡Ô´ÍѹµÃÒµ‹ÍÍÇÑÂÇÐÀÒÂ㹪‹Í§·ŒÍ§ â´Â੾ÒÐËÅÍ´àÅ×Í´·Õ«§¢Ö§¨Ò¡¨Ø´àÃÔÁµŒ¹·Õè è Öè è µÔ´á¹‹¹¡Ñº¼¹Ñ§ª‹Í§·ŒÍ§ä»ÂѧÍÇÑÂÇÐÀÒÂ㹪‹Í§·ŒÍ§·Õ¾Í¨ÐÁÕ¡ÒÃà¤Å×͹·Õä´ŒºÒ§ ¹íÒä»ÊÙ¡Òéա¢Ò´¢Í§ è è è Œ ‹ ËÅÍ´àÅ×Í´ 2. ¡ÒúҴà¨çºµ‹Íª‹Í§·ŒÍ§¨Ò¡¡ÒÃá·§·ÐÅØ·Ò§Ë¹ŒÒ·ŒÍ§ (Penetrating abdominal trauma) äÁ‹Ç‹Ò¨Ò¡ÁÕ´á·§ ¡ÃÐÊØ¹»„¹ËÃ×ͧ͢ÁÕ¤Áª¹Ô´Í×è¹ â´Â¶ŒÒ·ÃÒºÇÔ¶Õ¡ÃÐÊØ¹ËÃ×Íá¹Ç¢Í§ÁÕ´¨Ð·íÒãËŒ ÊÒÁÒö¤Ò´à´ÒÍÇÑÂÇзÕÍÒ¨à¡Ô´ÍѹµÃÒÂä´Œ è ã¹·Ò§»¯ÔºµàÁ×ͼٻÇ·Õ䴌ú¡ÒúҴà¨çºµ‹Íª‹Í§·ŒÍ§ÁÒ¶Ö§Âѧˌͧ©Ø¡à©Ô¹ ÊÔ§áá·Õ¤ÇÃ Ñ Ô è Œ † è Ñ è è ¡ÃзíÒ¤×Í primary survey à¾×Í»ÃÐàÁÔ¹ÊÀÒÇзÑÇä»áÅÐÊÑ­­Ò³ªÕ¾¢Í§¼Ù»Ç â´Â¾ºÇ‹Ò¶ŒÒ¼Ù»Ç è è Œ † Œ † ÁÕÊ­­Ò³ªÕ¾äÁ‹¤§·Õè (hemodynamic instablility) ¤ÇÃãËŒ¡ÒÃÃÑ¡ÉÒà¾×ͪ‹ÇªÕǵ¡‹Í¹ äÁ‹¤ÇÃÊ‹§µÃǨ Ñ è Ô à¾ÔèÁàµÔÁ·Ò§ÃѧÊÕÇÔ¹Ô¨©ÑÂã´æã¹¢³Ð¹Ñé¹ à¾ÃÒШÐ໚¹¡ÒÃà¾ÔèÁ morbidity áÅÐ mortality ᵋËÒ¡ »ÃÐàÁÔ¹ primary survey ´ÙáŌǾºÇ‹Ò¼Ù»ÇÂÁÕÊ­­Ò³ªÕ¾¤§·Õ´áÅÐÁÕá¹Ç⹌Á·Õ¨Ðà¡Ô´¡ÒúҴà¨çºµ‹Í Œ † Ñ è Õ è ÍÇÑÂÇÐ㹪‹Í§·ŒÍ§ä´Œ¡¤Ç÷ըÐÊ‹§µÃǨà¾ÔÁàµÔÁ·Ò§ÃѧÊÕǹ¨©Ñµ‹Íä» ç è è Ô Ô
  • 507.
    480 Imaging of Trauma : Abdominal Trauma º·ºÒ·¢Í§ÃѧÊÕÇÔ¹Ô¨©Ñµ‹ÍÀÒÇСÒúҴà¨çºµ‹Íª‹Í§·ŒÍ§ ໚¹·ÕÂÍÁÃѺNjҡÒõÃǨËҧ¡ÒÂäÁ‹à¾Õ§¾Í·Õ¨Ðº‹§ºÍ¡¶Ö§ÀÒÇСÒúҴà¨çºµ‹ÍÍÇÑÂÇÐ è è 㹪‹Í§·ŒÍ§ä´Œ ¡ÒõÃǨ·Ò§ÃѧÊÕǹ¨©Ñ¨֧ÁÕº·ºÒ·ÊíҤѭ໚¹Í‹ҧÁÒ¡ ¡Òö‹Ò¿ÅÁàÍ¡«àϪͧ·ŒÍ§ Ô Ô ‹ (plain abdomen) ÊÒÁÒöãËŒ¢ÍÁÙÅä´Œ´ã¹¡Ã³Õ ઋ¹ ¼Ù»Ç penetrating abdominal trauma ¨Ò¡ÍÒÇØ¸ Œ Õ Œ † »„¹¡çÊÒÁÒöàËç¹à§Ò¢Í§¡ÃÐÊØ¹ä´Œª´à¨¹ ËÃ×Í㹼ٻǠblunt abdominal trauma ¡ÒõÃǨ plain Ñ Œ † abdomen ÊÒÁÒö㪌»ÃÐàÁÔ¹ÀÒÇСÃд١Ëѡ㹺ÃÔàdz«Õâ¤Ã§Ê‹Ç¹Å‹Ò§ ¡Ãд١ÊѹËÅѧʋǹ͡ª‹Ç§Å‹Ò§ è áÅÐàÍÇÃÇÁ¶Ö§¡ÃÐ´Ù¡ÍØ§àªÔ§¡ÃÒ¹ «Ö§ÀÒÇСÃд١Ëѡ㹺ÃÔàdzàËŋҹÕÁ¡à¡ÕÂÇ¢ŒÍ§ËÃ×;ºÃ‹ÇÁ¡Ñº¡Òà Œ è é Ñ è ºÒ´à¨çº¢Í§ÍÇÑÂÇÐ㹪‹Í§·ŒÍ§ä´Œ Í‹ҧäáçµÒÁ¡ÒõÃǨ plain abdomen ¡çäÁ‹à¾Õ§¾Í·Õ¨ÐºÍ¡¶Ö§ÃÒ è ÅÐàÍÕ´¢Í§¡ÒúҴà¨çºµ‹ÍÍÇÑÂÇе‹Ò§æä´Œâ´ÂµÃ§ ´Ñ§¹Ñ¹ã¹»˜¨¨Øº¹¡ÒõÃǨ·Ò§ÃѧÊÕǹ¨©Ñ·ÕÁº·ºÒ· é Ñ Ô Ô è Õ ÊíҤѭ㹠abdominal trauma ¤×Í¡ÒõÃǨÇÔ¹¨©Ñ´ŒÇÂà¤Ã×ͧÍÑŵÌҫÒǹ (ultrasonography) áÅÐà¤Ã×ͧ Ô è è àÍ¡«àϤÍÁ¾ÔÇàµÍÏ (computed tomography) ¡ÒõÃǨÇÔ¹Ô¨©Ñ´ŒÇÂà¤Ã×èͧÍÑŵÌҫÒǹ (Ultrasonography) ໚¹¡ÒõÃǨ·Õ·Òä´Œ§Ò ÃÒ¤Ò¶Ù¡ áÅÐÁÕ㪌¡¹Í‹ҧá¾Ã‹ËÅÒ ¹Í¡¨Ò¡¹Õ§໚¹¡ÒõÃǨ·Õè è í ‹ Ñ é Ñ ÊÒÁÒö·íÒä´Œ¢ŒÒ§àµÕ§ â´ÂäÁ‹µŒÍ§à¤Å×è͹ŒÒ¼ٌ»†Ç «Öè§àËÁÒÐÊÁ¡Ñº¼ÙŒ»†Ç·Õèä´ŒÃѺ¡ÒúҴà¨çº µ‹ÍÍÇÑÂÇÐËÅÒÂÃкºáÅÐÊÒÁÒö·íÒ仾ÌÍÁ¡Ñº¡Òê‹ÇªÕǵàº×ͧµŒ¹ä´ŒÍ¡´ŒÇ Í‹ҧäáçµÒÁ¡ÒÃ Ô é Õ µÃǨ´ŒÇÂà¤Ã×ͧÍÑŵÌҫÒǹÂ§ÁբʹŒÍÂÍÂÙËÅÒ»ÃСÒà »ÃСÒÃÊíҤѭ¤×ͤسÊÁºÑµ¢Í§¼ÙµÃǨ ËÒ¡ è Ñ Œ ‹ Ô Œ ໚¹¼Ù´Í»ÃÐʺ¡Òó ËÃ×ÍäÁ‹àªÕÂǪҭà¾Õ§¾Í ÍÒ¨·íÒãˌ䴌¼Å¼Ô´¾ÅÒ´ä´Œ ´Ñ§¹Ñ¹¡ÒõÃǨ´ŒÇ Œ Œ è é à¤Ã×ͧÍÑŵÌҫÒǹ¨§ÁÕäÇŒà¾×Í ¤Ñ´¡Ãͧ ¡ÒúҴà¨çº¢Í§ÍÇÑÂÇÐ㹪‹Í§·ŒÍ§ ÁÒ¡¡Ç‹Ò·Õ¨ÐËÇѧ¼Åãˌ䴌 è Ö è è ÃÒÂÅÐàÍÕ´¡ÒúҴà¨çº ¢Í§áµ‹ÅÐÍÇÑÂÇÐÍ‹ҧáÁ‹¹ÂíÒ «Öè§à·¤¹Ô¤¡ÒõÃǨ·Õè㪌»¯ÔºÑµÔÁÒ¡·ÕèÊØ´ã¹ »˜¨¨Øº¹¤×Í focused assessment for the sonographic examination of the trauma patient (.AST)(2) Ñ à»š¹à·¤¹Ô¤¡ÒõÃǨÇÔ¹¨©Ñ·շÒä´ŒÃÇ´àÃçÇà¾×͹íÒÁÒ㪌»ÃÐàÁÔ¹ÀÒÇСÒúҴà¨çºµ‹Íª‹Í§·ŒÍ§ áÅÐ Ô è í è ÊÒÁÒö¡ÃзíÒä´Œ§ÒÂâ´Âᾷ·Çä»ËÃ×ÍÈÑÅÂᾷ â´Âã¹ËÅÒÂʶҺѹ㪌¡ÒõÃǨ .AST ໚¹Ë¹Ö§ ‹ Ñè è ã¹ secondary survey ÍÕ¡´ŒÇ ¡ÒõÃǨ .AST ໚¹¡ÒõÃǨ·ÕÁ¨´ÁاËÁÒÂËÅÑ¡ à¾×ÍËÒÊÒùéÒËÃ×Í è ÕØ ‹ è í àÅ×ʹ㹪‹Í§àÂ×ÍËØÁËÑÇã¨áÅÐ㹪‹Í§·ŒÍ§ «Ö§à»š¹¡ÒûÃÐàÁÔ¹·Ò§ÍŒÍÁ Njҹ‹Ò¨ÐÁÕ¡ÒúҴà¨çº¢Í§ÍÇÑÂÇÐ è Œ è ÀÒÂ㹪‹Í§·ŒÍ§ à·¤¹Ô¤¹Õé»ÃСͺ´ŒÇ¡ÒõÃǨµÒÁµíÒá˹‹§Áҵðҹ 4 µíÒá˹‹§ 䴌ᡋ(2,3,4) (µíÒá˹‹§ 1-4 ã¹ÃÙ»·Õè 1(3)) 1. ºÃÔàdz subxiphoid region â´ÂÇÒ§ probe µÒÁá¹Ç¹Í¹ (transverse view) 㵌µÍ¢Íº ‹ ŋҧ¢Í§¡Ãд١ xiphoid process à¾×͵ÃǨ´ÙÀÒÇйéÒËÃ×ÍàÅ×Í´ÍÍ¡ 㹪‹Í§àÂ×ÍËØÁËÑÇ㨠ÃÇÁ¶Ö§¡Òà è í è Œ ºÒ´à¨çºµ‹ÍµÑº¡ÅÕº«ŒÒ´ŒÇ 2. ºÃÔàdzª‹Í§·ŒÍ§Ê‹Ç¹º¹´ŒÒ¹¢ÇÒ â´ÂÇÒ§ probe µÒÁá¹ÇµÑ§·ÕºÃÔàdzàÊŒ¹ anterior ËÃ×Í mid é è axillary ´ŒÒ¹¢ÇÒÃÐËNjҧ¡Ãд١«Õâ¤Ã§·Õè 11 áÅÐ 12 à¾×͵ÃǨËÒàÅ×Í´ËÃ×ÍÊÒùéÒ·ÕºÃÔàdz Morison’s è è í è pouch «Ö§à»š¹ª‹Í§ÃÐËNjҧµÑº¡ÅÕº¢ÇÒáÅÐäµ¢ŒÒ§¢ÇÒ ÃÇÁ¶Ö§àÅ×Í´ËÃ×ÍÊÒùéÒºÃÔàdzª‹Í§ãµŒ¡ÐºÑ§ÅÁ è í
  • 508.
    àǪÈÒʵÏ·¹Âؤ 2553 Ñ 481 ¢ŒÒ§¢ÇÒ (right subphrenic space) ÍÕ¡´ŒÇ ¹Í¡¨Ò¡¹Õ§ÊÒÁÒöàË繡ÒúҴà¨çºµ‹ÍµÑº¡ÅÕº¢ÇÒáÅÐ é Ñ äµ¢ŒÒ§¢ÇҺҧʋǹ䴌 3. ºÃÔàdzª‹Í§·ŒÍ§Ê‹Ç¹º¹´ŒÒ¹«ŒÒ â´ÂÇÒ§ probe µÒÁá¹ÇµÑ§·ÕºÃÔàdzàÊŒ¹ posterior ËÃ×Í é è mid axillary ´ŒÒ¹«ŒÒÂÃÐËNjҧ¡Ãд١«Õèâ¤Ã§·Õè 10 áÅÐ 11 à¾×è͵ÃǨËÒàÅ×Í´ËÃ×ÍÊÒùéíÒ·ÕèºÃÔàdz splenorenal pouch «Ö觤×ͪ‹Í§ÃÐËNjҧÁŒÒÁáÅÐäµ¢ŒÒ§«ŒÒ¹Ñè¹àͧ ÃÇÁ¶Ö§àÅ×Í´ËÃ×ÍÊÒùéíÒºÃÔàdz ª‹Í§ãµŒ¡ÐºÑ§ÅÁ¢ŒÒ§«ŒÒ (left subphrenic space) ÍÕ¡´ŒÇ ¹Í¡¨Ò¡¹Õ§ÊÒÁÒöàË繡ÒúҴà¨çºµ‹Í é Ñ ÁŒÒÁáÅÐäµ¢ŒÒ§«ŒÒºҧʋǹ䴌 4. ºÃÔàdzª‹Í§·ŒÍ§Ê‹Ç¹Å‹Ò§ â´ÂÇÒ§ probe µÒÁá¹Ç¹Í¹áÅÐá¹ÇµÑ§·ÕºÃÔàdzà˹×͵‹Í¡Ãд١ é è pubic symphysis »ÃÐÁÒ³ 4 ૹµÔàÁµÃ à¾×͵ÃǨËÒàÅ×Í´ËÃ×ÍÊÒùéÒ㹪‹Í§ÍاàªÔ§¡ÃÒ¹ «Ö§ÍÂÙ‹ è í Œ è ÃÐËNjҧ¡ÃÐà¾Òл˜ÊÊÒÇзҧ´ŒÒ¹Ë¹ŒÒáÅÐÅíÒäÊŒµÃ§ (rectum) ·Ò§´ŒÒ¹ËÅѧ㹼ٌ»†ÇÂà¾ÈªÒ ·ÕàÃÕÂ¡Ç‹Ò Pouch of Douglas ʋǹ㹼ٻÇÂà¾ÈË­Ô§¡ç¤Í rectouterine ËÃ×Í retrovesical recess «Ö§ è Œ † × è ໚¹ª‹Í§ÃÐËNjҧÁ´ÅÙ¡·Ò§´ŒÒ¹Ë¹ŒÒáÅÐÅíÒäÊŒµÃ§·Ò§´ŒÒ¹ËÅѧ ÃÙ»·Õè 1 áÊ´§µíÒá˹‹§¡ÒõÃǨ .AST ¹Í¡¨Ò¡µíÒá˹‹§Áҵðҹ´Ñ§¡Å‹ÒÇ¢ŒÒ§µŒ¹áÅŒÇ ÂѧÍÒ¨à¾ÔÁ¡ÒõÃǨ໚¹·Ò§àÅ×͡䴌͡Êͧ è Õ µíÒá˹‹§¤×͵íÒá˹‹§ª‹Í§Í¡Ê‹Ç¹Å‹Ò§·Ñ§¢ÇÒáÅЫŒÒ (µíÒá˹‹§ * ã¹ÃÙ»·Õè 1) â´ÂÇÒ§ probe µÒÁá¹Ç é µÑ§ã¹µíÒá˹‹§·Õʧ¡Ç‹ÒµíÒá˹‹§Áҵðҹ·Õè 2 áÅÐ 3 µÒÁÅíҴѺâ´Â·Ñ§ÊͧµíÒá˹‹§¹ÕÁ»ÃÐ⪹à¾×Í é èÙ é é Õ è 㪌µÃǨËÒÊÒùéÒËÃ×ÍàÅ×ʹ㹪‹Í§Í¡ í
  • 509.
    482 Imaging of Trauma : Abdominal Trauma Í‹ҧäáçµÒÁ¤ÇÒÁáÁ‹¹ÂíÒ㹡ÒõÃǨ¾ºàÅ×Í´ËÃ×ÍÊÒùéíÒã¹µíÒá˹‹§´Ñ§¡Å‹ÒÇ¢ŒÒ§µŒ¹¹Ñé¹ ¢Öé¹ÍÂÙ‹¡ÑºËÅÒ»˜¨¨Ñ«Öè§»˜¨¨ÑÂËÅÑ¡¤×Í»ÃÔÁÒ³ â´Â¨Ò¡¡ÒÃÈÖ¡ÉҢͧ Branney áÅФ³Ð(3) ¾ºÇ‹Ò »ÃÔÁÒ³àÅ×Í´ËÃ×ÍÊÒùéҷչͷÕÊ´·Õ¨ÐÊÒÁÒöµÃǨ¾ºä´Œ¨Ò¡¡ÒõÃǨ´ŒÇÂà·¤¹Ô¤ .AST ෋ҡѺ í è Œ èØ è 200 ÁÔÅÅÔŵà â´Â¤ÇÒÁäǢͧ¡ÒõÃǨ´ŒÇÂà·¤¹Ô¤¹Õ¨Ðà¾ÔÁá»Ã¼Ñ¹µÒÁ»ÃÔÁÒ³àÅ×Í´ËÃ×ÍÊÒùéÒ·Õà¾ÔÁ Ô é è í è è ¢Ö¹ÍÕ¡´ŒÇ Í‹ҧäáçµÒÁ¨Ò¡¢ŒÍÁÙÅ·Õ¼Ò¹ÁÒ¾ºÇ‹Ò¡ÒõÃǨ .AST ÁÕ¤ÇÒÁäÇÊ٧㹡ÒõÃǨËÒàÅ×Í´ é è ‹ ËÃ×ÍÊÒùéÒ㹪‹Í§·ŒÍ§ (sensitivity 0.64-0.98)(3) áÅÐÁÕ¤ÇÒÁ¨íÒà¾ÒÐÊ٧ઋ¹¡Ñ¹ (0.86-1.0)(3) ´Ñ§¹Ñ¹¨Ö§ í é ¤ÇõÃǨ .AST ã¹·Ø¡ÃÒ¢ͧ abdominal trauma Í‹ҧäáçµÒÁ㹺ҧ¡Ã³Õ¢Í§ solid organ injury ¡ÅѺ¾ºÇ‹Ò¡ÒõÃǨ .AST ÍÒ¨¨Ð໚¹¼Å źâ´Â੾ÒÐã¹ÃÒ·Õ໚¹ intraparenchymal injury(3) áÅÐ㹡óշ¡ÒúҴà¨çºà¡Ô´¢Ö¹·Õ㹺ÃÔàdz è Õè é è retroperitoneum ´Ñ§¹Ñ¹¡ÒõÃǨ .AST ¨Ö§äÁ‹ÊÒÁÒö¹íÒÁÒ㪌»ÃÐàÁÔ¹¡ÒúҴà¨çºµ‹Íª‹Í§·ŒÍ§ä´Œà¾Õ§ é Í‹ҧà´ÕÂÇ ¨Ö§¤ÇþԨÒóҡÒõÃǨà¾ÔÁàµÔÁà¾×ͤŒ¹ËÒ¡ÒúҴà¨çºµ‹ÍÍÇÑÂÇÐ㹪‹Í§·ŒÍ§ã¹ÃÒ·ÕʧÊÑ è è è µ‹Íä» â´ÂÍҨ໚¹¡ÒõÃǨÍÑŵÌҫÒǹà·¤¹Ô¤ÁҵðҹËÃ×Í¡ÒõÃǨ´ŒÇÂà¤Ã×èͧàÍ¡«àÏ ¤ÍÁ¾ÔÇàµÍÏ ໚¹µŒ¹ ¡ÒõÃǨÇÔ¹Ô¨©Ñ´ŒÇÂà¤Ã×èͧàÍ¡«àϤÍÁ¾ÔÇàµÍÏ (Computed tomography – CT Scan) ã¹»˜¨¨Øº¹à»š¹·ÕÂÍÁÃѺ¡Ñ¹Ç‹Ò¡ÒõÃǨÇÔ¹¨©Ñ´ŒÇÂà¤Ã×ͧàÍ¡«àϤÍÁ¾ÔÇàµÍÏ ໚¹¡ÒõÃǨ Ñ è Ô è ·ÕàËÁÒÐÊÁáÅÐáÁ‹¹ÂíÒÁÒ¡·ÕÊ´ ·Ñ§ã¹¡ÅØÁ¼Ù»Ç blunt áÅÐ penetrating abdominal trauma ·ÕÁÕ è èØ é ‹ Œ † è ÊÑ­­Ò³ªÕ¾¤§·Õè â´Â¤Ç÷íÒã¹·Ø¡ÃÒ·ÕÁá¹Ç⹌Á¨ÐÁÕ¡ÒúҴà¨çºµ‹ÍÍÇÑÂÇÐ㹪‹Í§·ŒÍ§ ´Ñ§àª‹¹¼Ù»Ç è Õ Œ † ·ÕÁ¡Ãд١àªÔ§¡ÃÒ¹ËÃ×Í¡Ãд١ÊѹËÅѧʋǹ͡áÅÐàÍÇËÑ¡ ¡ÅØÁ¼Ù»Ç·Õ䴌úºÒ´à¨çºã¹ª‹Í§Í¡ ÃÇÁ¶Ö§ è Õ ‹ Œ † è Ñ ¡Ãд١«Õâ¤Ã§Ê‹Ç¹Å‹Ò§ËÑ¡ áÅмٻÇ·ÕÁ»ÊÊÒÇÐ໚¹àÅ×Í´ ໚¹µŒ¹(2) è Œ † è Õ ˜ ¡ÒõÃǨ´ŒÇÂà¤Ã×ͧàÍ¡«àϤÍÁ¾ÔÇàµÍϤÇ÷íÒã¹¡ÅØÁ¼Ù»Ç·ÕÁÊ­­Ò³ªÕ¾¤§·Õè à¾ÃÒеŒÍ§ è ‹ Œ † è ÕÑ ÁÕ¡ÒÃà¤Å×͹ŒÒÂä»ÂѧˌͧµÃǨáÅÐ㪌àÇÅÒ¾ÍÊÁ¤ÇÃ㹡ÒõÃǨ Í‹ҧäáçµÒÁã¹»˜¨¨Øº¹à·¤â¹âÅÂÕ è Ñ ¢Í§à¤Ã×ͧ䴌¾²¹Òä»ÁÒ¡ ÁÕ¡ÒÃà¾ÔÁ¨íҹǹËÑǵÃǨÁÒ¡¢Ö¹ àÃÕÂ¡Ç‹Ò à¤Ã×ͧàÍ¡«àϤÍÁ¾ÔÇàµÍϪ¹Ô´ è Ñ è é è ËÅÒÂËÑǵÃǨ (multidetector computed tomography) «Ö§·íÒãËŒ¡ÒõÃǨ㪌àÇÅÒ¹ŒÍÂà¾Õ§äÁ‹¡¹Ò·Õ è Õè ¡çÊÒÁÒöµÃǨ䴌·ÇËҧ¡Ò ÃÇÁ·Ñ§ÊÒÁÒöµÃǨ䴌ÀÒ¾·ÕÅÐàÍÕ´áÅÐÃÇ´àÃçÇÁÒ¡¢Ö¹ ¨Ö§ÊÒÁÒö Ñè é è é 㪌µÃǨ¡ÒúҴà¨çº¢Í§ËÅÍ´àÅ×ʹ䴌໚¹Í‹ҧ´Õ ÃÇÁ·Ñ§ÊÒÁÒöµÃǨ´ÙÍÇÑÂÇзջÃÐàÁԹ䴌¤Í¹¢ŒÒ§ é è ‹ Âҡઋ¹ ¡ÒúҴà¨çºµ‹ÍÅíÒäÊŒ ໚¹µŒ¹ à·¤¹Ô¤¡ÒõÃǨ´ŒÇÂà¤Ã×ͧàÍ¡«àϤÍÁ¾ÔÇàµÍÏâ´Â¡ÒÃ㪌ÊÒ÷ֺÃѧÊÕ©´·Ò§ËÅÍ´ è Õ àÅ×Í´ (intravascular contrast medium) ÁÕ¤ÇÒÁ¨íÒ໚¹Í‹ҧÁÒ¡áÅÐá¹Ð¹íÒãˌ㪌㹷ءÃÒ·ÕäÁ‹ÁÕ è ¢ŒÍËŒÒÁ ઋ¹ ¼ÙŒ»†ÇÂâÃ¤äµ ËÃ×ÍÁÕ»ÃÐÇѵԡÒÃᾌÊÒ÷ֺÃѧÊÕ Ê‹Ç¹¡ÒÃãËŒÊÒ÷ֺÃѧÊÕ·Ò§»Ò¡ (oral contrast medium) Âѧ໚¹·Õ¶¡à¶Õ§¡Ñ¹ÍÂÙ¶§»ÃÐ⪹·ä´Œã¹¡ÒûÃÐàÁÔ¹¡ÒúҴà¨çº¢Í§ÅíÒäÊŒáÅÐ è ‹ Ö Õè â·É«Ö§ÍÒ¨à¡Ô´¨Ò¡¡ÒÃÊíÒÅѡ㹼ٻÇ·ÕÁ¡ÒúҴà¨çºã¹ËÅÒÂÍÇÑÂÇÐÃÇÁ·Ñ§ÊÁͧ´ŒÇ ´Ñ§¹Ñ¹á¾·Âà¨ŒÒ è Œ † è Õ é é ¢Í§ä¢ŒáÅÐÃѧÊÕᾷ¨§¤ÇÃËÇÁ¡Ñ¹¾Ô¨ÒóÒ໚¹¡Ã³Õä» Ö
  • 510.
    àǪÈÒʵÏ·¹Âؤ 2553 Ñ 483 ¡ÒúҴà¨çºµ‹ÍÍÇÑÂÇÐ㹪‹Í§·ŒÍ§à¡Ô´ä´Œ·§ solid áÅÐ hollow viscus organ «Ö§¨ÐÁÕšɳРÑé è Ñ ·Ò§ÃѧÊÕ ÃÇÁ¶Ö§à·¤¹Ô¤¡ÒõÃǨáÅСÒûÃÐàÁÔ¹¤ÇÒÁÃØ¹áç¢Í§áµ‹ÅÐÍÇÑÂÇÐ ·Õᵡµ‹Ò§¡Ñ¹ ´Ñ§àª‹¹ è ¡ÒúҴà¨çºµ‹ÍµÑº »˜¨¨Øº¹¡ÒõÃǨ´ŒÇÂà¤Ã×ͧàÍ¡«àϤÍÁ¾ÔÇàµÍÏࢌÒÁÒÁÕº·ºÒ·Í‹ҧÁҡ㹡ÒûÃÐàÁÔ¹ Ñ è ¤ÇÒÁÃØ¹áç¢Í§¡ÒúҴà¨çºµ‹ÍµÑºáÅÐÃÇÁ¶Ö§¡ÒÃÇÒ§á¼¹¡ÒÃÃÑ¡ÉÒâ´Â¾ºÇ‹Ò¡ÒÃÃÑ¡ÉÒẺ »ÃФѺ»ÃФͧâ´ÂäÁ‹¼‹ÒµÑ´à¢ŒÒÁÒÁÕº·ºÒ·ÁÒ¡¢Öé¹â´Â੾ÒÐã¹¡ÅØ‹Á¼ÙŒ»†Ç·ÕèÁÕÊÑ­­Ò³ªÕ¾¤§·Õè(5) ¡ÒõÃǨ´ŒÇÂà¤Ã×ͧàÍ¡«àϤÍÁ¾ÔÇàµÍϨЪ‹Ç»ÃÐàÁÔ¹¤ÇÒÁÃØ¹áç ÃкصÒá˹‹§¢Í§¡ÒúҴà¨çº è í ·ÕèµÑº »ÃÔÁÒ³àÅ×Í´Í͡㹪‹Í§·ŒÍ§ ÃÇÁ¶Ö§¡ÒúҴà¨çº ·Õ辺ËÇÁ¡ÑºÍÇÑÂÇÐÍ×è¹·Ñé§ã¹ª‹Í§·ŒÍ§áÅÐ retroperitoneum ¹Í¡¨Ò¡¹Õé Âѧ¹íÒÁÒ㪌㹡ÒõÃǨµÔ´µÒÁ¼Å 㹼ٻǷÕáÉÒẺ»ÃФѺ»ÃФͧ Œ † èÑ â´ÂäÁ‹¼ÒµÑ´ÍÕ¡´ŒÇ ‹ ÅѡɳСÒúҴà¨çº·ÕµÃǨ¾ºä´Œá¡‹ laceration, hematoma ·Ñ§áºº subcapsular áÅÐ è é intraparenchyma, active hemorrhage ÃÇÁ¶Ö§¡ÒúҴà¨çºµ‹ÍËÅÍ´àÅ×Í´ÀÒÂ㹵ѺÍÕ¡´ŒÇ ¹Í¡¨Ò¡ ¹ÕÍÒ¨¾ºÅѡɳРcontusion áÅÐ periportal low attenuation ËÇÁ´ŒÇ â´Âã¹»˜¨¨Øº¹¹ÔÂÁ¨íÒṡÃдѺ é Ñ ¤ÇÒÁÃØ¹áç¢Í§¡ÒúҴà¨çºµ‹ÍµÑºâ´Â㪌Ãкº¢Í§ American Association for the Surgery of Trauma (AAST) ´Ñ§µÒÃÒ§·Õè 1(5) µÒÃÒ§·Õè 1 áÊ´§ AAST liver injury grading system Grade Description I Hematoma: subcapsular, <10% surface area Laceration: capsular tear, <1 cm in parenchymal depth II Hematoma: subcapsular, 10%–50% surface area; intraparenchymal, <10 cm in diameter Laceration: 1–3 cm in parenchymal depth, <10 cm in length III Hematoma: subcapsular, >50% surface area or expanding or ruptured subcapsular hematoma with active bleeding; intraparenchymal, >10 cm or expanding or ruptured Laceration: > 3 cm in parenchymal depth IV Hematoma: ruptured intraparenchymal hematoma with active bleeding Laceration: parenchymal disruption involving 25%–75% of a hepatic lobe or one to three Couinaud segments within a single lobe V Laceration: parenchymal disruption involving >75% of a hepatic lobe or more than three Couinaud segments within a single lobe Vascular: juxtahepatic venous injuries (ie, retrohepatic vena cava or central major hepatic veins) VI Vascular: hepatic avulsion
  • 511.
    484 Imaging of Trauma : Abdominal Trauma ¡ÒúҴà¨çºµ‹ÍÁŒÒÁ ÁŒÒÁ໚¹ÍÇÑÂÇзÕ䴌úºÒ´à¨çºÁÒ¡·Õʴ㹪‹Í§·ŒÍ§ â´Â੾ÒÐ blunt abdominal trauma(6) è Ñ èØ ¡ÒÃÇÒ§á¼¹¡ÒÃÃÑ¡ÉÒã¹»˜¨¨Øº¹àÃÔÁÃÑ¡ÉÒẺ»ÃФѺ»ÃФͧâ´ÂäÁ‹¼ÒµÑ´ÁÒ¡¢Ö¹ ·Ñ§¹ÕÊǹãË­‹à»š¹ Ñ è ‹ é é é‹ ¼ÙŒ»†Ç·ÕèÁÕÊÑ­­Ò³ªÕ¾¤§·Õè ÅѡɳСÒúҴà¨çº·ÕèµÃǨ¾ºä´Œá¡‹ laceration, hematoma ·Ñé§áºº subcapsular áÅÐ intraparenchyma, active hemorrhage ÃÇÁ¶Ö§¡ÒúҴà¨çºµ‹ÍËÅÍ´àÅ×ʹ䴌ᡋ pseudoaneurysm áÅÐ posttraumatic arteriovenous fistula ÍÕ¡´ŒÇÂ(1) â´Âã¹»˜¨¨Øº¹¹ÔÂÁ¨íÒṡ Ñ ÃдѺ¤ÇÒÁÃØ¹áçâ´Â㪌Ãкº¢Í§ American Association for the Surgery of Trauma (AAST) ´Ñ§µÒÃÒ§·Õè 2(6) µÒÃÒ§·Õè 2 áÊ´§ AAST splenic Injury grading system Grade Description I Hematoma: subcapsular, nonexpanding, <10% surface area Laceration: capsular tear, nonbleeding, parenchymal depth <1 cm II Hematoma: subcapsular, nonexpanding, 10%–50% surface area; intraparenchymal, nonexpanding, <5 cm in diameter Laceration: capsular tear, active bleeding; 1–3 cm parenchymal depth that does not involve a trabecular vessel III Hematoma: subcapsular, >50% surface area or expanding or ruptured subcapsular hematoma with active bleeding; intraparenchymal, >5 cm or expanding Laceration: > 3 cm in parenchymal depth or involving trabecular vessels IV Hematoma: ruptured intraparenchymal hematoma with active bleeding Laceration: laceration involving segmental or hilar vessel producing major devascularization (>25% of spleen) V Laceration: completely shattered spleen Vascular: hilar vascular injury that devascularizes spleen ¡ÒúҴà¨çºµ‹Íäµ Ê‹Ç¹ãË­‹¢Í§¼Ù»Ç·Õ䴌ú¡ÒúҴà¨çºµ‹ÍäµÁÑ¡à¡Ô´¨Ò¡ blunt abdominal trauma â´Â¼Ù»Ç Œ † è Ñ Œ † ʋǹãË­‹Á¡ÁÕÍÒ¡Òû˜ÊÊÒÇÐ໚¹àÅ×ʹËÇÁ´ŒÇÂâ´ÂÍҨ໚¹ä´Œ·§ gross hematuria ËÃ×ÍÍÒ¨µÃǨ¾º Ñ Ñé à¾Õ§ microscopic hematuria Í‹ҧäáçµÒÁ¼Ù»ÇºҧÃÒ·ÕÁ¡ÒúҴà¨çºµ‹Í䵡çÍÒ¨¨ÐäÁ‹ÁÍÒ¡Òà Œ † è Õ Õ ¢Í§»˜ÊÊÒÇÐ໚¹àÅ×ʹËÇÁ´ŒÇÂàÅ¡çä´Œ ´Ñ§¹Ñ¹»ÃÐÇѵáÅСÒõÃǨËҧ¡ÒÂÍÒ¨äÁ‹ªÇÂãˌ䴌¡ÒÃÇÔ¹¨©Ñ é Ô ‹ Ô ·Õ¤Ãº¶ŒÇ¹ ¡ÒõÃǨ·Ò§ÃѧÊÕǹ¨©Ñ¨֧¤Ç÷íÒà¾ÔÁàµÔÁã¹ÃÒµ‹Í仹Õé è Ô Ô è (7)
  • 512.
    àǪÈÒʵÏ·¹Âؤ 2553 Ñ 485 1. ¼Ù»Ç·ÕÁ»ÊÊÒÇÐ໚¹àÅ×Í´ Œ † è Õ ˜ 2. ¼ÙŒ»†Ç·ÕèµÃǨ¾ºÇ‹ÒÁÕàÁç´àÅ×Í´á´§»¹ÍÂÙ‹ã¹»˜ÊÊÒÇÐËÇÁ¡Ñº¤ÇÒÁ´Ñ¹âÅËÔµµèíÒ (systolic blood pressure<90 mmHg) ËÃ×ÍʧÊÑÂNjҨÐÁÕ¡ÒúҴà¨çºµ‹ÍÍÇÑÂÇÐ㹪‹Í§·ŒÍ§Í×¹æÃ‹ÇÁ´ŒÇ è 3. ¼ÙŒ»†Ç·ءÃÒ·Õèä´ŒÃѺ¡ÒúҴà¨çºµ‹Íª‹Í§·ŒÍ§¨Ò¡áç¡ÃÐá·¡ÀÒ¹͡â´ÂÁÕ¡Åä¡·ÕèÁÕ á¹Ç⹌Á¨Ðà¡Ô´ÍѹµÃÒµ‹ÍäµÃ‹ÇÁ´ŒÇ ´Ñ§àª‹¹¡Òõ¡¨Ò¡·Õʧ ÁÕÃÍ¿¡ªéÒàÅ×Í´¤Ñ§·Õ¼Ç˹ѧºÃÔàdzºÑ¹ èÙ í è è Ô é àÍÇ ¡Ãд١«Õâ¤Ã§Ê‹Ç¹Å‹Ò§ËÃ×Í¡Ãд١ÊѹËÅѧʋǹ͡áÅÐàÍÇËÑ¡ ¶Ö§áÁŒÇÒ¨ÐäÁ‹ÁÍÒ¡Òû˜ÊÊÒÇÐ໚¹ è ‹ Õ àÅ×ʹËÇÁ´ŒÇ¡çµÒÁ 4. ¼Ù»Ç·ÕÁÕ penetrating abdominal injury ·ÕµÒá˹‹§ºÑ¹àÍÇ ª‹Í§Í¡Ê‹Ç¹Å‹Ò§áÅЪ‹Í§·ŒÍ§ Œ † è è í é ʋǹº¹â´Â໚¹¼Ù»ÇÂ¡ÅØÁ·Õ§ÁÕÊ­­Ò³ªÕ¾¤§·Õè à¾ÃÒжŒÒ¼Ù»ÇÂÁÕ¤ÇÒÁ´Ñ¹µèÒÍ‹ҧÁÒ¡ ÊÑ­­Ò³ªÕ¾ Œ † ‹ è Ñ Ñ Œ † í äÁ‹¤§·Õ¤Ç÷íÒ¡Òü‹ÒµÑ´ÃÑ¡Éҷѹ·Õâ´ÂäÁ‹µÍ§ÃÍ¡ÒõÃǨÇÔ¹¨©ÑÂà¾ÔÁàµÔÁ è Œ Ô è ¡ÒõÃǨ intravenous pyelography (IVP) ໚¹¡ÒõÃǨÇÔ¹¨©ÑÂàº×ͧµŒ¹·ÕÊÒÁÒö¹íÒÁÒ㪌 Ô é è »ÃÐàÁÔ¹¡Ò÷íÒ§Ò¹¢Í§äµä´ŒÍ‹ҧ¤Ã‹ÒÇæ áÅÐÊÒÁÒö·íÒ䴌㹼ٻÇ·ÕäÁ‹ÊÒÁÒöà¤Å×͹ŒÒÂä»Âѧˌͧ Œ † è è àÍ¡«àϤÍÁ¾ÔÇàµÍÏ䴌 ÃÇÁ·Ñ§ÊÒÁÒö·íÒã¹ËŒÍ§¼‹ÒµÑ´ËÃ×Í¢ŒÒ§àµÕ§¼Ù»ÇÂä´ŒàÅ ᵋÍ‹ҧäáçµÒÁ é Œ † IVP äÁ‹ÊÒÁÒöãËŒ¢ŒÍÁÙÅã¹ÃÒÂÅÐàÍÕ´¢Í§¡ÒúҴà¨çºµ‹Íäµ ¡ÒûÃÐàÁÔ¹¤ÇÒÁÃØ¹áçËÃ×Í¡Òà ºÒ´à¨çºµ‹ÍÍÇÑÂÇÐÍ×¹æ·ÕÁ¡¾ºÃ‹ÇÁ´ŒÇÂã¹¡ÅØÁ¼Ù»Ç blunt abdominal trauma è è Ñ ‹ Œ † ¡ÒõÃǨÇÔ¹¨©Ñ·ÕàËÁÒÐÊÁ·ÕÊ´ã¹»˜¨¨Øº¹¤×Í ¡ÒõÃǨ´ŒÇÂà¤Ã×ͧàÍ¡«àϤÍÁ¾ÔÇàµÍÏâ´Â Ô è èØ Ñ è ´ÙšɳРlaceration, hematoma ¡ÒúҴà¨çºµ‹Í¡ÃÇÂäµáÅз‹ÍäµÊ‹Ç¹µŒ¹ ÃÇÁ¶Ö§¡Òéա¢Ò´¢Í§ Ñ ËÅÍ´àÅ×Í´äµä´ŒÍ¡´ŒÇ ¤Ç÷íÒ¡ÒõÃǨ·Ñ§¡‹Í¹áÅÐËÅѧ¡ÒéմÊÒ÷ֺÃѧÊÕ â´ÂÀÒÂËÅѧ¡ÒéմÊÒÃ Õ é ·ÖºÃѧÊÕ¹ÂÁµÃǨ໚¹ multiphases »ÃСͺ´ŒÇ corticomedullary áÅÐ nephrographic phases «Ö§ Ô è ÊÒÁÒö´Ùä´Œ·§ËÅÍ´àÅ×Í´áÅÐà¹×Íäµ ¹Í¡¨Ò¡¹Õ¤ÇõÃǨ delayed phase »ÃÐÁÒ³ 5-10 ¹Ò·Õ´Ç Ñé é é Œ à¾×èÍ´Ù¡ÒÃÃÑèǢͧÊÒ÷ֺÃѧÊÕ·Õè¢ÑºÍÍ¡ÁÒ·Ò§»˜ÊÊÒÇÐÍÍ¡¹Í¡Ãкº·Ò§à´Ô¹»˜ÊÊÒÇÐã¹ÃÒ·ÕèÁÕ¡Òà ©Õ¡¢Ò´¢Í§¡ÃÇÂäµËÃ×Í·‹ÍäµÃ‹ÇÁ´ŒÇ ¡ÒûÃÐàÁÔ¹¤ÇÒÁÃØ¹áç¢Í§¡ÒúҴà¨çºµ‹ÍäµÊÒÁÒö¨íÒṡ µÒÁÃкº¢Í§ AAST ´Ñ§µÒÃÒ§áÊ´§·Õè 3(7) ¹Í¡¨Ò¡¹Õ¡ÒõÃǨ´ŒÇÂà¤Ã×ͧàÍ¡«àϤÍÁ¾ÔÇàµÍϧ é è Ñ ÊÒÁÒö¹í Ò ÁÒ㪌 µ ÃǨµÔ ´ µÒÁ¼ÅáÅлÃÐàÁÔ ¹ ÀÒÇÐá·Ã¡«Œ Í ¹¨Ò¡¡ÒúҴà¨ç º µ‹ Í äµ´Ñ § ઋ ¹ perinephric abscess, urinoma, arteriovenous fistula áÅÐ pseudoaneurysm ໚¹µŒ¹
  • 513.
    486 Imaging of Trauma : Abdominal Trauma µÒÃÒ§·Õè 3 áÊ´§ AAST renal injury grading system Grade Description I Normal contusion: microscopic or gross hematuria with normal urologic findings Hematoma: nonexpanding subcapsular hematomas with no laceration II Hematoma: nonexpanding perinephric (perirenal) hematomas confined to the retroperitoneum Laceration: superficial cortical lacerations less than 1 cm in depth without collecting system injury III Laceration: renal lacerations greater than 1 cm in depth without collecting system injury IV Laceration: renal lacerations extending through the renal cortex, medulla and collecting system Vascular injury: injuries involving the main renal artery or vein with contained hematoma, segmental infarctions without associated lacerations V Laceration: shattered kidney, ureteropelvic junction avulsions Vascular injury: complete laceration (avulsion) or thrombosis of the main renal artery or vein that devascularizes the kidney ¡ÒúҴà¨çºµ‹Í¡ÃÐà¾Òл˜ÊÊÒÇРʋǹãË­‹à¡Ô´¨Ò¡ blunt abdominal trauma â´Â¼Ù»ÇÂÁÑ¡ÁÕÀÒÇСÃд١àªÔ§¡ÃÒ¹ËѡËÇÁ´ŒÇÂ(8,9) Œ † ´Ñ§¹Ñ¹¼Ù»ÇÂ¡ÅØÁ¹Õ¤ÇÃ䴌ú¡ÒõÃǨà¾×Í»ÃÐàÁÔ¹¡ÒúҴà¨çº¢Í§¡ÃÐà¾Òл˜ÊÊÒÇÐ â´Â੾ÒÐã¹ÃÒÂ é Œ † ‹ é Ñ è ·ÕÁ»ÊÊÒÇÐ໚¹àÅ×ʹËÇÁ´ŒÇ ¹Í¡¨Ò¡¹Õ¼»Ç·ÕÁ»ÊÊÒÇÐ໚¹àÅ×ʹᵋ¡Ãд١àªÔ§¡ÃÒ¹äÁ‹Ë¡ ËÃ×ÍÁÕ è Õ ˜ é ÙŒ † è Õ ˜ Ñ à¾Õ§ microscopic hematuria ᵋÁÍÒ¡Òà suprapubic pain ËÃ×Í»˜ÊÊÒÇÐÅíÒºÒ¡¡çÍÒ¨¨Ð¾Ô¨ÒÃ³Ò Õ µÃǨÇÔ¹¨©ÑÂà¾ÔÁàµÔÁ´ŒÇ¡çä´Œ â´ÂÁÕ¡ÒûÃÐàÁÔ¹ÃдѺ¤ÇÒÁÃØ¹áçµÒÁ AAST ẋ§à»š¹ 5 ÃдѺ´Ñ§ Ô è µÒÃÒ§·Õè 4(9) µÒÃÒ§·Õè 4 áÊ´§ AAST urinary bladder injury grading system Grade Description I Bladder contusion, intramural hematoma and partial thickness laceration II Extraperitoneal wall lacerations < 2 cm III Extraperitoneal wall lacerations > 2 cm and intraperitoneal lacerations < 2 cm IV Intraperitoneal lacerations > 2 cm V Intraperitoneal or extraperitoneal lacerations that extend into the bladder neck or trigone
  • 514.
    àǪÈÒʵÏ·¹Âؤ 2553 Ñ 487 Í‹ҧäáçµÒÁã¹·Ò§»¯Ôºµ¹ÂÁ¨íÒṡ໚¹ 4 ª¹Ô´µÒÁ consensus panel of the Societe Ñ Ô Ô Internationale D’Urologie ¤×ͪ¹Ô´·Õè 1 bladder contusion ª¹Ô´·Õè 2 intraperitoneal rupture ª¹Ô´·Õè (9) 3 extraperitoneal rupture áÅЪ¹Ô´·Õè 4 combined injury «Ö§¡ÒõÃǨ·Ò§ÃѧÊÕǹ¨©ÑÂÊÒÁÒö¨íÒṡ è Ô Ô µÒÁÃкº¹Õ䴌໚¹Í‹ҧ´Õ ¡ÒõÃǨÇÔ¹¨©Ñ·ÕàËÁÒÐÊÁ¤×Í retrograde (conventional) cystography é Ô è áÅÐã¹»˜¨¨Øº¹àÃÔÁÁÕ¡ÒõÃǨ CT cystography á¾Ã‹ËÅÒÂÁÒ¡¢Ö¹(10) â´Â¾ºÇ‹Òä´Œ¼Å´ÕàËÁ×͹¡Ñ¹ Ñ è é ã¹á§‹¢Í§¡ÒõÃǨ¾ºáÅШíÒṡª¹Ô´¢Í§ urinary bladder injury â´Â¨Ð¾ºÅѡɳСÒÃÃÑÇ«ÖÁ¢Í§ è ÊÒ÷ֺÃѧÊÕÍÍ¡¹Í¡¡ÃÐà¾Òл˜ÊÊÒÇÐä»ã¹µíÒá˹‹§µ‹Ò§æ ´Ñ§àª‹¹ÊÒ÷ֺÃѧÊÕÅŒÍÁÃͺÅíÒäÊŒ ÍÂÙ‹ã¹ paracolic gutter ËÃ×Í¡ÃШÒ·ÑÇä»ã¹ peritoneal cavity ¡ç¨ÐáÊ´§¶Ö§ intraperitoneal bladder rupture è ËÃ×;ºÊÒ÷ֺÃѧÊÕá·Ã¡ä»ã¹ pelvic cavity, abdominal wall, penis áÅÐ scrotum ¡ç¨ÐáÊ´§¶Ö§ extraperitoneal bladder rupture Í‹ҧäáçµÒÁÁÕ¢Íá¹Ð¹íÒ㹡óշ¼»ÇÂÁÕàÅ×Í´ÍÍ¡·Ò§·‹Í»˜ÊÊÒÇÐ Œ Õè ÙŒ † ¤ÇÃÃÐÇѧÀÒÇÐ urethral injury ËÇÁ´ŒÇ¨֧¤ÇûÃÐàÁÔ¹´ŒÇ¡ÒõÃǨ retrograde urethrography ¡‹Í¹¡ÒÃãÊ‹ÊÒÂÊǹ»˜ÊÊÒÇзء¤Ãѧ(9) é ¡ÒúҴà¨çºµ‹ÍÍÇÑÂÇÐÍ×è¹ã¹ª‹Í§·ŒÍ§áÅÐ retroperitoneum ¹Í¡¨Ò¡ÍÇÑÂÇÐÊíҤѭ´Ñ§¡Å‹ÒÇ¢ŒÒ§µŒ¹áÅŒÇ ÂѧÁÕ¡ÒúҴà¨çºµ‹ÍÍÇÑÂÇÐÍ×¹æ·Õ¾ºä´Œ¹ÍÂ¡Ç‹Ò è è Œ ᵋÍÒ¨ÁÕ¡ÒÃÇÔ¹¨©Ñ·դ͹¢ŒÒ§ÂÒ¡¡Ç‹Ò ´Ñ§àª‹¹ ¡ÒúҴà¨çºµ‹ÍµÑºÍ‹Í¹ ÅíÒäÊŒáÅÐ mesentery ÃÇÁ¶Ö§ Ô è ‹ ÀÒÇÐàÅ×Í´ÍÍ¡ËÃ×Í¡ÒúҴà¨çº¢Í§ÍÇÑÂÇÐã¹ retroperitoneal space ໚¹µŒ¹ ¡ÒõÃǨ´ŒÇ à¤Ã×ͧÍÑŵÌҫÒǹ¨ÐÁÕ¤ÇÒÁäÇáÅФÇÒÁáÁ‹¹ÂíÒ¤‹Í¹¢ŒÒ§µèÒ ÍÇÑÂÇÐàËŋҹը§¤ÇûÃÐàÁÔ¹´ŒÇ¡ÒõÃǨ è í éÖ àÍ¡«àϤÍÁ¾ÔÇàµÍÏ໚¹ËÅÑ¡ 㹡ÒûÃÐàÁÔ¹¡ÒúҴà¨çºµ‹ÍÅíÒäÊŒÃÇÁ¶Ö§ÀÒÇÐÅíÒäÊŒ·ÐÅØ ä´ŒÁ¡ÒÃ Õ ¡Å‹ÒǶ֧¡ÒÃ㪌ÊÒ÷ֺÃѧÊÕ·Ò§»Ò¡ (oral contrast medium) 㹡ÒõÃǨàÍ¡«àϤÍÁ¾ÔÇàµÍÏ â´Â ¾ºÇ‹Ò¶ŒÒÁÕ¡Ò÷ÐÅØ¢Í§ÅíÒäÊŒ¨Ð·íÒãËŒàËç¹ÊÒ÷ֺÃѧÊÕÃÑèÇÍÍ¡ÁÒ㹪‹Í§·ŒÍ§(11) ËÇÁ¡Ñº¡ÒÃàËç¹ extraluminal air, bowel discontinuity, intramural air, intramural hematoma, bowel wall thickening & enhancement, mesenteric infiltration ᵋ㹺ҧʶҺѹäÁ‹Ê¹ÑºÊ¹Ø¹ãˌ㪌 oral contrast medium à¾ÃÒСѧÇÅàÃ×ͧ¡ÒÃÊíÒÅÑ¡â´Â੾ÒÐ㹼ٻǷÕÍÒ¡Òä‹Í¹¢ŒÒ§Ãعáç ËÃ×ÍÁÕ¡ÒúҴà¨çºµ‹ÍÊÁͧËÇÁ è Œ † è ´ŒÇ ÍÒ¨·íÒãËŒÁ¡ÒÃÃÙʵԷŴ¹ŒÍÂŧàÊÕ§µ‹Í¡Òà aspiration ÁÒ¡¢Ö¹ ¨Ö§¤ÇþԨÒóÒ໚¹ÃÒÂæ ä» Õ Œ Õè è é ᵋÊíÒËÃѺ㹼ٌ»†Ç·ÕèÁÕ¡ÒúҴà¨çºµ‹ÍµÑºÍ‹Í¹ ¾ºÇ‹Ò¡ÒáԹÊÒ÷ֺÃѧÊÕËÃ×ÍÊÒùéíÒ¡‹Í¹¡ÒõÃǨ ¨Ðª‹ÇÂᡵѺ͋͹áÅÐÅíÒäÊŒàÅç¡Ê‹Ç¹´ÙâÍ´Õ¹Á ä´Œ´ÁÒ¡ ·íÒãËŒ¡ÒûÃÐàÁÔ¹ pancreatic injury ä´ŒáÁ‹¹ Ñ Õ ÂíÒÁÒ¡¢Ö¹ â´Âã¹ÃÒ·ÕÁÕ pancreatic injury ¨Ð¾ºÅѡɳдѧઋ¹ pancreatic fractures, laceration, é è contusion, hematoma ໚¹µŒ¹(1)
  • 515.
    488 Imaging of Trauma : Abdominal Trauma àÍ¡ÊÒÃ͌ҧÍÔ§ 1. Rhea JT. CT of Abdominal Trauma in Mann .A. Emergency radiology categorical course in diagnostic radiology RSNA 2004 Syllabus, 2004:91-112 2. .eliciano DV, Mattox KL, Moore EE. Trauma, 6th ed. New York: McGraw-Hill companies, 2008:261-328 3. Korner M, Krotz MM, Degenhart C, et al. Current role of emergency US in patients with major trauma. Radiographic 2008;28:225-44 4. Shanmuganathan K, Killeen KL. Imaging of abdominal trauma in Mirvis SE, Shanmuganathan K. Imaging of trauma and critical care, 2nd ed. Philadelphia: WB Saunders, 2003:369-517 5. Yoon W, Jeong YY, Kim JK, et al. CT in blunt liver trauma. Radiographic 2005;25:87-104 6. Yaghmai V. Splenic trauma and surgery in Gore RM, Levine MS. Textbook of gastrointestinal radiology, 3rd ed. Philadelphia: WB Saunders, 2008:2051-64 7. Alonso RC, Nacenta SB, Martinez PD, et al. Kidney in danger: CT findings of blunt and penetrating renal trauma. Radiographics 2009; 2033-53 8. Dunnick NR, Sandler CM, Newhouse JH, et al. Urinary tract trauma in Textbook of uroradiology, 3rd ed. Philadelphia: Lippincott Williams & Wilkins, 2001:451-83 9. Ramchandani P, Buckler PM. Imaging of genitourinary trauma. AJR 2009;192:1514-23 10. Vaccaro JP, Brody JM. CT cystography in the evaluation of major bladder trauma. Radiographic 2000;20:1373- 81 11. Brody JM, Leighton DB, Murphy BL, et al. CT of blunt trauma bowel and mesenteric injury: typical findings and pitfalls in diagnosis. Radiographics 2000;20:1525-36
  • 516.
    àǪÈÒʵÏ·¹Âؤ 2553 Ñ º··Õè 489 68 Traumatic Cerebrovascular Injury : Neurosurgical Perspective ÍÒ¨ÒÏ ¹ÒÂᾷàÍ¡ÇØ²Ô ¨Ñ¹á¡ŒÇ1,2 ÍÒ¨ÒÏ ¹ÒÂᾷ·ÇÕÈÑ¡´Ôì àÍ×éͺح­ÒÇѲ¹1,2 ÃͧÈÒʵÃÒ¨ÒÏ ᾷ˭ԧÍÑ­ªÅÕ ªÙâ蹏2 1 ÀÒ¤ÇÔªÒÈÑÅÂÈÒʵÏ ¤³Ðá¾·ÂÈÒʵÏÈÔÃÔÃÒª¾ÂÒºÒÅ ÁËÒÇÔ·ÂÒÅÑÂÁËÔ´Å 2 ÀÒ¤ÇÔªÒÃѧÊÕÇ·ÂÒ ¤³Ðá¾·ÂÈÒʵÏÈÃÃÒª¾ÂÒºÒÅ ÁËÒÇÔ·ÂÒÅÑÂÁËÔ´Å Ô ÔÔ ÀÒÇÐ traumatic cerebrovascular injury ໚¹ÀÒÇзվºäÁ‹ºÍÂᵋÁ¤ÇÒÁÊíҤѭ «Ö§ÍÒ¨ è ‹ Õ è ·íÒãËŒ¼ÙŒ»†Ç¶֧ᡋªÕÇÔµ ¶ŒÒãËŒ¡ÒÃÃÑ¡ÉÒäÁ‹àËÁÒÐÊÁÍ‹ҧ·Ñ¹·‹Ç§·Õ ¢³Ð¹ÕéÂѧäÁ‹ÁÕ¡ÒÃÃÒ§ҹ㹠»ÃÐà·Èä·Â áµ‹ÍØºÑµÔ¡Òó¨Ò¡ÃÒ§ҹ¢Í§µ‹Ò§»ÃÐà·ÈÍÂÙ‹ÃÐËNjҧ 0.18-1.55 % ¢Í§¼ÙŒ»†Ç ·ÕÃºÍØºµà赯 ¡ÒÃÃÑ¡ÉÒ¼Ù»ÇÂã¹¡ÅØÁ¹Õ§ÁÕ¤ÇÒÁ«Ñº«ŒÍ¹ÁÒ¡¢Ö¹à¹×ͧ¨Ò¡¼Ù»ÇÂÁÑ¡ÁÕ¡ÒúҴà¨çºÃкº èÑ Ñ Ô Œ † ‹ é Ôè é è Œ † Í׹ËÇÁ´ŒÇ è 㹺·¤ÇÒÁ¹Õ¨Ð¤Ãͺ¤ÅØÁà¹×ÍËҴѧ¹Õé é é 1. Classification of traumatic cerebrovascular injury 1.1 Anatomical consideration 1.2 Pathological consideration 2. ¡ÒôÙáżٻÇ·ÕÁÀÒÇÐ traumatic cerebrovascular injury (Evaluation and treatment Œ † è Õ option for traumatic cerebrovascular injury) Classification of traumatic cerebrovascular injury ã¹»˜¨¨Øº¹ÂѧäÁ‹Á¡ÒèíÒṡ traumatic cerebrovascular injury ·Õ໚¹·ÕÂÍÁÃѺ«Ö§ÍÒ¨à¹×ͧ Ñ Õ è è è è ÁÒ¨Ò¡¡ÒúҴà¨çºÁÕËÅÒ¡Åä¡áÅоÂÒ¸ÔÊÀÒ¾ÁÕä´ŒËÅÒ¡ËÅÒ 㹷Õè¹Õé¨Ð¢Í¨íÒṡ traumatic cerebrovascular injury µÒÁËÑÇ¢ŒÍµ‹Ò§æ´Ñ§¹Õé By mechanisms of injury Penetrating cerebrovascular injury Nonpenetrating cerebrovascular injury Iatrogenic injury Cranial injury with secondary cerebrovascular injury
  • 517.
    490 Traumatic Cerebrovascular Injury : Neurosurgical Perspective By location of injury Cervical portion injury Skull base portion injury Intracranial portion injury By vascular type injury Arterial system injury Venous system and dural sinus injury By arterial distribution Carotid artery injury Common carotid artery injury Internal carotid artery injury External carotid artery injury Vertebral artery injury By pathological finding Arterial side Occlusion Dissection .alse aneurysm Arteriovenous fistula Venous side Dural tears Compression of the pial vein and venous thrombosis ã¹·Õè¹Õé¨Ð¢ÍÊÃØ»à»š¹ 2 ¨íҾǡà¾×èͧ‹Òµ‹Í¤ÇÒÁࢌÒ㨤×Í â´ÂµíÒá˹‹§¡ÒúҴà¨çº·Ò§ ¡ÒÂÇÔÀÒ¤ (by anatomical consideration ) áÅÐ â´Â¾ÂÒ¸ÔÊÀÒ¾·Õà¡Ô´¢Ö¹ (by pathological finding) è é ¡ÒÃẋ§â´ÂµíÒá˹‹§¡ÒúҴà¨çº·Ò§¡ÒÂÇÔÀÒ¤ ICA Relevant Regional Anatomy Remark Cervical carotid artery Cervical spine Carotid dissection, Carotid occlusion : Cerebral emboli Petrous carotid artery Temporal bone, Ear ossicles, Carotid occlusion : Cerebral Lower Cranial Nerve emboli Cavernous carotid artery Cavernous sinus, Sphenoid sinus, .alse carotid aneurysm : massive Cranial Nerve III, IV, V1, V2 epistaxis, Subarachnoid hemorrhage (intradural extension)
  • 518.
    àǪÈÒʵÏ·¹Âؤ 2553 Ñ 491 ICA Relevant Regional Anatomy Remark Supraclinoid carotid artery Anterior cranial base, Dura, Optic .racture of anterior cranial base with nerve optic nerve compression and ICA occlusion Cortical branches of carotid artery Brain parenchyma, .alx cerebri, .alse aneurysm of ACA : .alx cerebri distribution Tentorium, Cranial Nerve .alse aneurysm of PCA : Tentorium cerebri .alse aneurysm of MCA : Skull fracture ECA Relevant Regional Anatomy Remark Internal Maxillary Artery (IMA) Pterygoid plate, Maxillary sinus .alse aneurysm of IMA : Maxillofacial fracture Other branches .acial artery - IMA Regional anastomosis Posterior Circulation Vertebral artery Relevant Regional Anatomy Remark V1 segment Subclavian artery V2 segment (foraminal segment) .oramen transversaium .racture of Cervical spine : Vertebral artery dissection or occlusion V3 segment Atlantooccipital joint V4 segment (intradural portion) PICA origin, Brainstem Brainstem ischemia ¡ÒÃẋ§â´Â¾ÂÒ¸ÔÊÀÒ¾·Õà¡Ô´¢Ö¹ è é Arterial occlusion ¼Ù»ÇÂʋǹãË­‹Á¡ÁÒ´ŒÇÂÍÒ¡Òà cerebral emboli ÁÒ¡¡Ç‹Ò insufficient hemodynamic flow Œ † Ñ ¡Òëѡ»ÃÐÇѵ¨ÐÁÕÊǹª‹ÇÂᡷѧÊͧÀÒÇÐÍÍ¡¨Ò¡¡Ñ¹ ¡ÒõÃǨCT/CT perfusion/ MRI «Ö§áÊ´§ Ô ‹ é è µíÒá˹‹§¢Ò´àÅ×Í´·Õè watershed area ª‹Ç¡ÒÃÇÔ¹¨©ÑÂÀÒÇÐ insufficient hemodynamic flow ¡ÒÃÃÑ¡ÉÒ Ô ¢Ö¹ÍÂÙ¡ºÇ‹Ò¼Ù»ÇÂÁÒ´ŒÇÂÍÒ¡Òâͧ cerebral emboli ËÃ×Í insufficient hemodynamic flow é ‹ Ñ Œ † Intracranial false aneurysm â´Â·ÑÇä»ÁÑ¡à¡Ô´¨Ò¡¡Òéա¢Ò´¢Í§ cortical artery ·ÕÊÁ¾Ñ¹¸¡º rigid structure ઋ¹ ¡ÐâËÅ è èÑ Ñ ¡ÈÕÃÉÐËÃ×Í Tentorium cerebelli ËÃ×Í .alx cerebri ÁÑ¡à¡Ô´ã¹¼Ù»ÇÂà´ç¡ÁÒ¡¡Ç‹Ò¼ÙãË­‹ ¨Ø´»ÃÐʧ¤ Œ † Œ ¢Í§¡ÒÃÃÑ¡ÉÒ¤×Í¡Òû‡Í§¡Ñ¹äÁ‹ãËŒÁàÅ×ʹࢌÒä»ã¹ false aneurysm à¾×Í»‡Í§¡Ñ¹¡ÒÃᵡäÁ‹ÇÒ¨Ð໚¹ Õ è ‹ ¡ÒÃÃÑ¡ÉÒ´ŒÇ¡Òü‹ÒµÑ´ËÃ×Í¡ÒÃÃÑ¡ÉÒ·Ò§ËÅÍ´àÅ×Í´¡çµÒÁ
  • 519.
    492 Traumatic Cerebrovascular Injury : Neurosurgical Perspective Arteriovenous fistula Traumatic carotid-cavernous fistula (traumatic CC.) â´Â·ÑÇä»ÁÑ¡à¡Ô´¨Ò¡¡Òéա¢Ò´ è ¢Í§ meningeal artery ã¹ cavernous sinus ÀÒÂËÅѧ¨Ò¡Íغµà˵ث§â´ÂÁÒ¡ÁÑ¡à¡Ô´ËÅÑ§ÍØºµàËµØ Ñ Ô Öè Ñ Ô ¨Ñ¡ÃÂҹ¹µ·äÁ‹ä´ŒÊÇÁËÁÇ¡¡Ñ¹¹çÍ¡ ¼Ù»ÇÂÁÑ¡ÁÒ´ŒÇÂÍÒ¡ÒÃ䴌¹àÊÕ§ã¹ËÙ (auditory bruit), ÍÒ¡Òà Õè Œ † Ô ·Ò§µÒઋ¹ µÒ⻹ (exopthalmos/proptosis) ¤ÇÒÁ´Ñ¹ã¹ÅÙ¡µÒÊÙ§â´ÂÍҨ໚¹¢ŒÒ§à´ÕÂǡѹËÃ×Í ¢ŒÒ§µÃ§¢ŒÒÁ¡Ñº¢ŒÒ§·ÕÁÕ CC. ¡çä´Œ ¨Ö§ÁÕ¤ÇÒÁ¨íÒ໚¹Í‹ҧÂÔ§·ÕµÍ§»ÃÐàÁÔ¹ÍÒ¡Ò÷ҧµÒâ´Â¨Ñ¡ÉØá¾·Â è è è Œ ·Ñ§¡‹Í¹áÅÐËÅѧ¡ÒÃÃÑ¡ÉÒ ÀÒÇÐá·Ã¡«ŒÍ¹·ÕÁ¤ÇÒÁÃŒÒÂáç໚¹Í‹ҧÂÔ§¤×Í false aneurysm ¢Í§ é è Õ è cavernous portion of internal carotid artery «Ö§¼Ù»Ç¨ÐÁÒ´ŒÇÂÍÒ¡ÒÃàÅ×Í´¡íÒà´ÒäËÅ໚¹æ ËÒÂæ è Œ † 㹡óչ¶Í໚¹ÀÒÇÐà˧´‹Ç¹ ¡ÒõÃǨ CTA ¨ÐàËç¹ abnormal enhancing mass ã¹ sphenoid sinus Õé × ¨íÒ໚¹Í‹ҧÂÔ§·Õ¼»Ç¨еŒÍ§¶Ù¡Ê‹§µÑÇä»ÃѺ¡ÒÃÃÑ¡ÉÒ¶Ù¡µŒÍ§ è è ÙŒ † Vertebro-vertebral fistula (VV.) ໚¹ÀÒÇзվºä´Œ¹ÍÂàÁ×Íà»ÃÕºà·Õº¡Ñº CC. â´Â·ÑÇ è Œ è è ä»ÁÑ¡à¡Ô´¨Ò¡¡Òéա¢Ò´¢Í§ vertebral artery ã¹µíÒá˹‹§·Õã¡ÅŒ¡º vertebral venous plexus è Ñ â´Â·ÑÇä»ã¹»˜¨¨Øº¹¡ÒÃÃÑ¡ÉÒ·Ò§ËÅÍ´àÅ×͡໚¹¡ÒÃÃÑ¡ÉÒËÅѡᵋ¨ÐÁÕ¼»ÇºҧÃÒ·Õ§µŒÍ§ è Ñ ÙŒ † èÑ ÃÑ¡Éҷѧ¡Òü‹ÒµÑ´áÅСÒÃÑ¡ÉÒ·Ò§ËÅÍ´àÅ×ʹËÇÁ¡Ñ¹ é Arterial dissection ÁÑ¡¾ºã¹ anterior circulation ÁÒ¡¡Ç‹Ò posterior circulation â´Â·ÑÇä»ÍҨẋ§à»š¹ è - Subintimal dissection ÁÑ¡¨Ð¾º intraluminal stenosis, arterial occlusion ¼Ù»ÇÂÍÒ¨ Œ † ÁÒ´ŒÇ local mass effect, stroke «Ö§ÍÒ¨à¡Ô´¨Ò¡ thrombosis, emboli ËÃ×Í occlusion of penetrating è artery - Subadventitial dissection ÁÑ¡¨Ð¾º pseudoaneurysm formation ¼Ù»ÇÂÍÒ¨ÁÒ´ŒÇ Œ † hemorrhagic stroke ઋ¹ subarachnoid hemorrhage, intracerebral hemorrhage External carotid artery injury â´Â·ÑÇä»ÁÑ¡à¡Ô´Ã‹ÇÁ¡Ñº maxillofacial injury «Ö§ÍÒ¨à¡Ô´¨Ò¡ blunt ËÃ×Ípenetrating injury ¡çä´Œ è è ¼Ù»ÇÂÁÑ¡ÁÒ´ŒÇ massive epistaxis ¼Ù»ÇÂà¾Õ§ʋǹ¹ŒÍÂ෋ҹѹ·ÕÁÒ´ŒÇ neurological deficit «Ö§ÁÑ¡ Œ † Œ † é è è à¡Ô´¨Ò¡ cerebral emboli Cerebral angiogram ÍÒ¨¾ºÅѡɳТͧ false aneurysm, missing artery ËÃ×Í active bleeding «Ö§¾ºä´Œ¹ÍÂ è Œ Cerebral venous injury Dural sinus tear ÁÑ¡à¡Ô´ã¹ºÃÔàdz·Õã¡ÅŒ¡ºµíÒá˹‹§·ÕÁ¡ÐâËÅ¡ÈÕÃÉÐᵡ (impact site) â´Â è Ñ è Õ àÈÉ¡Ãд١¨Ð·íÒãËŒÁ¡Òéա¢Ò´¢Í§ dural sinus 㹺ÃÔàdz¹Ñ¹ ¡ÒõÃǨâ´Â CT ÁÑ¡¨Ð¾º epidural Õ é hematoma ã¹µíÒá˹‹§·ÕÊÁ¾Ñ¹¸¡º dural sinus injury èÑ Ñ Venous sinus or cortical vein thrombosis ÁÑ¡à¡Ô´ã¹ºÃÔàdz·Õã¡ÅŒ¡ºµíÒá˹‹§·ÕÁ¡ÐâËÅ¡ è Ñ è Õ ÈÕÃÉÐᵡ (impact site) â´ÂàÈÉ¡Ãд١仡´·íÒãËŒÁÍ´¡Ñ¹¢Í§ venous sinus/cortical vein 㹺ÃÔàdz ÕØ é ¹Ñ¹áÅÐÍÒ¨ÁÕ¼ÅãËŒÁ¡ÒúÇÁ¢Í§ÊÁͧ·ÕµÍ§ãªŒ venous drainage é Õ è Œ
  • 520.
    àǪÈÒʵÏ·¹Âؤ 2553 Ñ 493 ¡ÒûÃÐàÁÔ¹¼ÙŒ»†Ç·ÕèʧÊÑÂÀÒÇÐ traumatic cerebrovascular injury 1. Basic and advanced trauma life support Âѧ໚¹¡ÒÃÃÑ¡ÉÒàº×ͧµŒ¹·ÕÁ¤ÇÒÁ¨íÒ໚¹ é è Õ 2. »ÃÐàÁÔ¹ neurological deficit 3. ¡ÒÃÊ׺¤Œ¹à¾ÔÁàµÔÁ è 3.1 CT áÅÐ CTA ໚¹¡ÒÃÊ׺¤Œ¹·ÕÊÒÁÒöµÃǨËÒ¾ÂÒ¸ÔÊÀÒ¾¢Í§ÊÁͧáÅÐ ¡ÒúҴà¨çº¢Í§ËÅÍ´ è àÅ×Í´ä´Œ¾ÃŒÍÁ¡Ñ¹ã¹ÃÐÂÐàÇÅÒÍѹÊÑé¹ ¹Í¡¨Ò¡¹ÕéµíÒá˹‹§¢Í§àÅ×Í´·ÕèÍÍ¡ËÃ×Í¡ÐâËÅ¡ÈÕÃÉзÕèᵡ ÊÒÁÒöª‹ÇÂÇÒ§á¼¹¡ÒÃÃÑ¡ÉÒËÃ×Í»‡Í§¡Ñ¹ÀÒÇÐá·Ã¡«ŒÍ¹¨Ò¡¡Ò÷íÒ¼‹ÒµÑ´ CT áÅÐ/ËÃ×Í CTA Âѧ ÁÕÊǹª‹ÇÂÊíÒËÃѺ¡ÒõԴµÒÁ¡ÒÃà»ÅÕ¹á»Å§ÀÒÂËÅѧ¡ÒÃÃÑ¡ÉÒ ‹ è 3.2 Cerebral angiogram ໚¹¡ÒÃÊ׺¤Œ¹·ÕÊÒÁÒöµÃǨËÒ ¡ÒúҴà¨çº¢Í§ËÅÍ´àÅ×Í´ä´Œ¾ÃŒÍÁ¡Ñ¹¡Ñº¡ÒÃ㪌 è ÃѧÊÕÃÇÁÃÑ¡ÉÒä´Œã¹àÇÅÒà´ÕÂǡѹ ¹Í¡¨Ò¡¹Õ§ÊÒÁÒö»ÃÐàÁÔ¹ cerebral hemodynamic (cerebral blood ‹ éÑ flow, collateral circulation and occlusion test) 3.3 MRI áÅÐ MRA ໚¹¡ÒÃÊ׺¤Œ¹·ÕèÊÒÁÒöµÃǨËÒ¾ÂÒ¸ÔÊÀÒ¾¢Í§ÊÁͧáÅСÒúҴà¨çº¢Í§ËÅÍ´ àÅ×Í´ä´Œ¾ÃŒÍÁ¡Ñ¹áµ‹¨Ò໚¹µŒÍ§ãªŒàÇÅÒ㹡ÒõÃǨ·Õ¹Ò¹áÅÐÍÒ¨äÁ‹àËÁÒÐÊÁ㹼ٻǷÕä´ŒÃºÍØºµÔà赯 í è Œ † è Ñ ·ÕÍÒ¡ÒÃäÁ‹¤§·Õè è 3.4 Transcranial Doppler ultrasound (TCD) ໚¹¡ÒÃÊ׺¤Œ¹·ÕÊÒÁÒöµÃǨËÒÍØºµ¡Òó¢Í§ÅÔÁàÅ×Í´ËÅØ´ÅÍÂã¹ÊÁͧ (cerebral è Ñ Ô è emboli) ¹Í¡¨Ò¡¹Õ§ÊÒÁÒö»ÃÐàÁÔ¹ cerebral hemodynamic (cerebral blood flow, collateral é Ñ circulation) 3.5 Brain SPECT without and with stress test ໚¹¡ÒÃÊ׺¤Œ¹·ÕÊÒÁÒö»ÃÐàÁÔ¹ cerebral hemodynamic (cerebral blood flow, è collateral circulation) ·Ñ§¹ÕÍҨ㪌ÃÇÁ¡Ñº¡ÒõÃǨÇԸ͹ઋ¹ balloon occlusion test é é ‹ Õ ×è ¡ÒôÙáÅÃÑ¡ÉÒ¼ÙŒ»†ÇÂÁÕÀÒÇÐ traumatic cerebrovascular injury Multidisciplinary team approach ÁÕ¤ÇÒÁÊíҤѭÍ‹ҧÂÔ§ »ÃСͺ´ŒÇ neurovascular team è (neurointerventionist neurosurgeon) trauma surgeon ¨Ñ¡ÉØá¾·Â ᾷËÙ ¤Í ¨ÁÙ¡ ¡ÒÃÃÑ¡ÉÒÁÕ ËÅÒÂÇÔ¸¢¹ÍÂÙ¡º¾ÂÒ¸ÔÊÀÒ¾áÅТŒÍÁÙŨҡ¡ÒÃÊ׺¤Œ¹µ‹Ò§æ´Ñ§·Õä´Œ¡Å‹ÒÇÁÒáŌǢŒÒ§µŒ¹ â´Â·ÑÇä»ÁÑ¡ Õ Öé ‹ Ñ è è µŒÍ§ãªŒ¡ÒÃÃÑ¡ÉÒËÅÒÂÇÔ¸ÃÇÁ¡Ñ¹ Õ‹ Goal of treatment for arterial injury 1. »‡Í§¡Ñ¹ÀÒÇÐàÅ×Í´ÍÍ¡ (acute hemorrhage or hemorrhagic infarction) 2. »‡Í§¡Ñ¹ÀÒÇÐÊÁͧ¢Ò´àÅ×Í´ (acute or late cerebral infarction)
  • 521.
    494 Traumatic Cerebrovascular Injury : Neurosurgical Perspective 2.1 »‡Í§¡Ñ¹ÀÒÇÐÅÔÁàÅ×Í´ (emboli) è 2.2 »‡Í§¡Ñ¹ÀÒÇÐàÅ×Í´ä»àÅÕ§ÊÁͧäÁ‹à¾Õ§¾Í (inadequate cerebral blood flow) é ·Ò§àÅ×͡㹡ÒÃÃÑ¡ÉÒ 1. Conservative treatment and/or medical treatment 2. Endovascular treatment 3. Surgical treatment ¡ÒÃàÅ×Í¡ÇÔ¸¡ÒÃÃÑ¡ÉÒNjҨÐ㪌Ǹ㴹ѹ¢Ö¹ÍÂÙ¡ºËÅÒ»˜¨¨Ñ ઋ¹ Õ Ô Õ é é ‹ Ñ 1. µíÒá˹‹§¢Í§ÃÍÂâä (Location of pathology) 2. ÅѡɳТͧ¾ÂÒ¸ÔÊÀÒ¾ áÅСÒôíÒà¹Ô¹âä (Pathology and natural history) 3. Hemodynamic cerebral circulation áÅÐ cerebral reserve 4. ¤ÇÒÁàÊÕ§áÅмÅá·Ã¡«ŒÍ¹·ÕÍÒ¨à¡Ô´¢Ö¹¨Ò¡¡ÒÃÃÑ¡ÉÒᵋÅÐÇÔ¸Õ (Risk and benefit of è è é treatment option) 5. »ÃÐʺ¡Òó¢Í§á¾·Â¼·Ò¡ÒÃÃÑ¡ÉÒ ÙŒ í ¡ÒÃÃÑ¡ÉÒ´ŒÇÂÇÔ¸¡ÒÃ㪌ÊÒÂÊǹ·Ò§ËÅÍ´àÅ×Í´ (Endovascular Treatment) Õ 1. .low preservation procedure ઋ¹ ¡ÒÃãÊ‹ stent ËÃ×Í balloon à¾×ÍÍØ´µíÒá˹‹§¢Í§ÃÍÂÃÑÇ è è ¢Í§àÊŒ¹àÅ×Í´á´§ 2. .low disruption procedure ઋ¹ ¡ÒÃãÊ‹ coil, detachable balloon ËÃ×Í¡ÒÃÍØ´´ŒÇ¡ÒÇ (glue embolization) ¡ÒÃÃÑ¡ÉÒ´ŒÇÂÇÔ¸¼ÒµÑ´ (Surgical treatment) Õ ‹ â´Â¨Ðẋ§ÇÔ¸¡ÒÃÃÑ¡ÉÒ໚¹ 2 ÇÔ¸¤Í Õ Õ × 1. .low preservation procedure 2. .low disruption procedure without or with flow augmentation procedure
  • 522.
    àǪÈÒʵÏ·¹Âؤ 2553 Ñ 495 Procedure Surgical technique .low preservation procedure Normal anatomical preservation - Direct repair - End-to-end anastomosis Bypass procedure (flow augmentation procedure) .low disruption procedure Proximal occlusion Trapping Direct surgical repair ໚¹¡ÒÃÃÑ¡ÉÒ·Õ໚¹ ideal ᵋ·Òä´ŒÂÒ¡à¹×ͧ¨Ò¡ã¹ÃÐÂÐááËÅѧà¡Ô´ è í è ÍØºµà˵ØÁ¡ÁÕÀÒÇÐÊÁͧºÇÁ ÃÇÁ·Ñ§¡ÒÃÃÑ¡ÉÒÇÔ¸¹Á¡ãªŒä´Œà©¾ÒÐàÊŒ¹àÅ×Í´¢¹Ò´ãË­‹à·‹Ò¹Ñ¹ Ñ Ô Ñ é Õ Õé Ñ é End-to-end anastomosis without or with artery graft â´Â·ÑÇä»Áѡ㪌㹼ٻÇ·ÕÁÕ false è Œ † è aneurysm of cortical artery áÅÐÁÕ¢¹Ò´àÅç¡ à¹×ͧ¨Ò¡ÊÒÁÒöµÑ´µ‹Íä´Œâ´ÂµÃ§ è Bypass procedure 㪌ÊÒËÃѺ¼Ù»Ç·ÕäÁ‹ÁÕ collateral flow ·Õà¾Õ§¾Í (inadequate collateral í Œ † è è flow) «Ö§¡Ò÷íÒ flow disruption procedure䴌ᡋ proximal occlusion ËÃ×Í trapping ÍҨ㪌໚¹¡Òà è ÃÑ¡ÉÒà´ÕÂÇ ËÃ×ÍËÇÁ¡Ñº flow augmentation procedure ã¹¡Ã³Õ inadequate cerebral blood flow è Option of Bypass Procedure Bypass Blood flow (ml/min) Donor-Recipient Low flow bypass 15-25 Superficial temporal artery-Middle cerebral artery bypass (STA-MCA bypass) Medium flow bypass 40-70 Radial artery-Middle cerebral artery bypass High flow bypass 70-140 EC-IC bypass with Saphenous vein graft Goal of treatment for venous injury 1. »‡Í§¡Ñ¹ÀÒÇФÇÒÁ´Ñ¹ã¹¡ÐâËÅ¡ÈÕÃÉÐÊÙ§ (increase intracranial pressure) 2. »‡Í§¡Ñ¹ÀÒÇÐàÅ×Í´ÍÍ¡ (hemorrhagic infarction) ·Ò§àÅ×͡㹡ÒÃÃÑ¡ÉÒ 1. Conservative treatment and/or medical treatment 2. Surgical treatment ઋ¹ 2.1 ¡Òü‹ÒµÑ´à¾×ÍàÍÒ¡Ãд١ʋǹ·Õ¡´ÍÍ¡ (Craniotomy with remove bony fragment) è è ËÃ×Í¡Òü‹ÒµÑ´à¾×Íä»àÂ纫‹ÍÁ venous system â´ÂµÃ§ ¢ŒÍ¤ÇÃÃÐÇѧÊíÒËÃѺ¡ÒÃàÂ纫‹ÍÁ venous è
  • 523.
    496 Traumatic Cerebrovascular Injury : Neurosurgical Perspective system ¤×ÍÍÒ¨·íÒä´ŒÂÒ¡à¹×ͧ¨Ò¡¼¹Ñ§¤‹Í¹¢ŒÒ§ºÒ§áÅÐâÍ¡ÒʷըРpatent ËÅѧ¼‹ÒµÑ´Áչ͡NjҡÒà è è Œ «‹ÍÁ arterial site à¹×ͧ¨Ò¡ flow ·ÕµÒ¡Ç‹Ò è è èí 2.2 ¡Òü‹ÒµÑ´à¾×ÍàÍÒ¡ÐâËÅ¡ÈÕÃÉÐÍÍ¡à¾×ÍÅ´¤ÇÒÁ´Ñ¹ã¹ÊÁͧ (Craniectomy) ÊíÒËÃѺ è è ¼Ù»Ç·ÕÁÀÒÇФÇÒÁ´Ñ¹ã¹¡ÐâËÅ¡ÈÕÃÉÐÊÙ§Í‹ҧµ‹Íà¹×ͧ·ÕäÁ‹ÊÒÁÒö¤Çº¤ØÁä´Œ Œ † è Õ è è ÀÒÇÐá·Ã¡«ŒÍ¹·ÕèÍÒ¨à¡Ô´¢Öé¹ 1. Post-traumatic vasospasm ÁÑ¡¾ºã¹¼Ù»Ç·ÕÁÕ Glasgow coma score ·ÕµÒáÅÐÍÒÂØ¹Í Œ † è è èí Œ Calcium channel blocker ÍÒ¨ÁÕÊǹª‹ÇÂÅ´¤ÇÒÁÃØ¹áç ‹ 2. Ischemic stroke ÍÒ¨à¡Ô´ä´Œ·§ã¹ÃÐÂÐáá«Ö§ÁÑ¡à¡Ô´¨Ò¡ emboli ËÃ×Íã¹ÃÐÂÐËÅѧ«Ö§ÁÑ¡ Ñé è è à¡Ô´¨Ò¡ inadequate cerebral blood flow 3. Hemorrhagic stroke ÍÒ¨à¡Ô´¨Ò¡ ruptured false aneurysm of cortical artery (MCA, ACA, PCA, etc.) 4. Massive epistaxis ÍÒ¨à¡Ô´¨Ò¡ ruptured false aneurysm of internal carotid artery ËÃ×Í external carotid artery 5. Venous infarction 6. Increase intracranial pressure â´Â·ÑÇ仡ÒÃÃÑ¡ÉÒÁÑ¡àÃÔÁ´ŒÇ¡ÒÃÃÑ¡ÉÒ´ŒÇ medical è è treatment 㹡óշ¤ÇÒÁ´Ñ¹ã¹¡ÐâËÅ¡ÈÕÃÉÐÊÙ§Í‹ҧµ‹Íà¹×ͧ ÍÒ¨¾Ô¨ÒóҡÒÃÃÑ¡ÉÒâ´Â¡Òü‹ÒµÑ´ Õè è àÍÒ¡ÐâËÅ¡ÈÕÃÉÐÍÍ¡ (Craniectomy)
  • 524.
    àǪÈÒʵÏ·¹Âؤ 2553 Ñ º··Õè 497 69 Interventional Radiology Management in Traumatic Patient (Body and Peripheral Artery) ÍÒ¨ÒÏ ¹ÒÂᾷÊÁÃÒª ¸ÃÃÁ¸ÃÇѲ¹ ÀÒ¤ÇÔªÒÃѧÊÕÇ·ÂÒ ¤³Ðá¾·ÂÈÒʵÏÈÃÃÃÒª¾ÂÒºÒÅ ÁËÒÇÔ·ÂÒÅÑÂÁËÔ´Å Ô ÔÔ ¡ÒÃÃÑ¡ÉÒ¼Ù»ÇÂÍØºµà˵ة¡à©Ô¹ã¹»˜¨¨Øº¹à»š¹¡ÒÃÃÑ¡ÉÒâ´Â·ÕÁᾷÊËÊÒ¢ÒÇÔªÒ â´Âᾷ Œ † Ñ Ô Ø Ñ ÃѧÊÕÃÇÁÃÑ¡ÉÒÃкºËÅÍ´àÅ×Í´¡ç໚¹Ë¹Ö§ã¹·ÕÁᾷ·Áº·ºÒ·ÊíҤѭ à¾ÃÒоÂÒ¸ÔÊÀÒ¾·Õà¡Ô´¢Ö¹Ê‹Ç¹ ‹ è Õè Õ è é ÁÒ¡à¡Ô´·ÕËÅÍ´àÅ×Í´ äÁ‹ÇÒ¨Ð໚¹ËÅÍ´àÅ×Í´©Õ¡¢Ò´ (extravasation) ËÅÍ´àÅ×ʹ⻆§¾Í§ (false è ‹ aneurysm) ËÃ×Í ËÅÍ´àÅ×Í´á´§µ‹Í¡ÑºËÅÍ´àÅ×Í´´íÒ¼Ô´»¡µÔ (AV fistula) ໚¹µŒ¹ ¡ÒÃÃÑ¡ÉÒ¾ÂÒ¸Ô ÊÀÒ¾¢Í§ËÅÍ´àÅ×Í´àËŋҹչ͡¨Ò¡¡ÒÃÃÑ¡ÉÒâ´Â¡Òü‹ÒµÑ´áÅŒÇ ¡ÒÃÃÑ¡ÉÒ´ŒÇ¡ÒÃÍØ´ËÅÍ´àÅ×Í´â´Â é ¼‹Ò¹·Ò§ÊÒÂÊǹ¹Ñ¹¡ç໚¹¡ÒÃÃÑ¡ÉÒ·ÕÊÒÁÒö·íÒä´Œ§ÒÂáÅÐÀÒÇÐá·Ã¡«ŒÍ¹¹ŒÍÂŧàÁ×Íà»ÃÕºà·Õº é è ‹ è ¡Ñºã¹Í´Õµ à¹×ͧ¨Ò¡à·¤â¹âÅÂÕ¡ÒüÅÔµ¢Í§ÇÑÊ´ØÍ»¡Ã³µÒ§æ ÁÕ¤ÇÒÁ¡ŒÒÇ˹ŒÒ·Ñ§ÊÒÂÊǹËÅÍ´àÅ×Í´ è Ø ‹ é ¢¹Ò´àÅç¡·Õ·ÒãËŒÊÒÁÒöࢌҶ֧ËÅÍ´àÅ×Í´·ÕÁ¾ÂÒ¸ÔÊÀҾ䴌§Ò¢ֹ ËÃ×ÍÇÑÊ´ØÊÒËÃÑºÍØ´ËÅÍ´àÅ×Í´·Õè è í è Õ ‹ é í ÁÕ¡ÒþѲ¹ÒÁÒ¡¢Ö¹àª‹¹ ¢´ÅÇ´ÍØ´ËÅÍ´àÅ×Í´¢¹Ò´àÅç¡ (microcoil) ËÃ×Í µÑǶ‹Ò§¢ÂÒÂËÅÍ´àÅ×Í´ é (covered stent) ໚¹µŒ¹ ´Ñ§¹Ñ¹¡Ò÷ÃÒº¶Ö§¢ŒÍº‹§ªÕé ÇÔ¸¡ÒÃÃÑ¡ÉÒ áÅмŢͧ¡ÒÃÃÑ¡ÉÒ´ŒÇÂÇԸʹËÅÍ´ é Õ ÕØ àÅ×Í´¹Ñ¹¨Ö§à»š¹ÊÔ§·ÕÁ»ÃÐ⪹ÊÒËÃѺᾷ··Ò¡ÒÃÃÑ¡ÉÒ¼Ù»ÇÂÍØºµà˵ة¡à©Ô¹ é è è Õ í Õè í Œ † Ñ Ô Ø ¡ÒÃÃÑ¡ÉÒ¼‹Ò¹·Ò§ÊÒÂÊǹà¾×èÍÍØ´ËÅÍ´àÅ×Í´ã¹áµ‹ÅÐÍÇÑÂÇйÑé¹ÁÕ¤ÇÒÁᵡµ‹Ò§¡Ñ¹µÒÁ ÅѡɳÐ੾ÒТͧËÅÍ´àÅ×Í´ã¹áµ‹ÅÐÍÇÑÂÇÐ «Ö§·Ò§¼Ùà¢Õ¹¨Ð¡Å‹ÒÇá¡໚¹ÍÇÑÂÇдѧ¹Õé è Œ 1. ÀÂѹµÃÒµ‹ÍµÑº 2. ÀÂѹµÃÒµ‹Íäµ 3. ÀÂѹµÃÒµ‹ÍÁŒÒÁ 4. ÀÂѹµÃÒµ‹Í¡Ãд١àªÔ§¡ÃÒ¹ 5. ÀÂѹµÃÒµ‹ÍËÅÍ´àÅ×ʹᢹáÅÐ¢Ò ÀÂѹµÃÒµ‹ÍµÑº (Traumatic liver injury) µÑºà»š¹ÍÇÑÂÇзվº¡ÒúҴà¨çº¨Ò¡Íغµà˵غÍ·Õʴ㹪‹Í§·ŒÍ§ áÅÐ໚¹ÊÒà˵آͧÀÒÇÐ è Ñ Ô ‹ èØ àÅ×Í´ÍÍ¡¨¹·íÒãËŒàÊÕªÕǵ䴌 10-15% ã¹»˜¨¨Øº¹¡ÒõÃǨáÅÐÃÑ¡ÉÒ·Ò§ÃѧÊÕÃÇÁÃÑ¡ÉÒÁÕº·ºÒ·Í‹ҧ Ô Ñ ‹ ÁÒ¡â´Â੾ÒÐã¹ÃÒ·ÕÊ­­Ò³ªÕ¾¤§·Õè èÑ
  • 525.
    498 Interventional Radiology Management in Traumatic Patient ¢ŒÍº‹§ªÕé㹡ÒõÃǨËÅÍ´àÅ×Í´áÅÐÃÑ¡ÉÒ´ŒÇÂÇÔ¸ÕÍØ´ËÅÍ´àÅ×Í´¹Ñé¹ »˜¨¨ØºÑ¹à·¤â¹âÅÂբͧ àÍ¡«àϤÍÁ¾ÔÇàµÍÏ¡ÒÇ˹ŒÒä»ÁÒ¡·íÒãËŒàÃÒÊÒÁÒöµÃǨ¾º¤ÇÒÁ¼Ô´»¡µÔ¢Í§µÑºáÅÐËÅÍ´àÅ×Í´ Œ ä´Œ¡Í¹ ËÒ¡¾ºÇ‹ÒÁÕ¤ÇÒÁ¼Ô´»¡µÔ¨Ãԧઋ¹ ËÅÍ´àÅ×Í´©Õ¡¢Ò´ (extravasation) ËÅÍ´àÅ×ʹ⻆§¾Í§ ‹ (false aneurysm) ËÃ×Í ËÅÍ´àÅ×Í´á´§µ‹Í¡ÑºËÅÍ´àÅ×Í´´íÒ¼Ô´»¡µÔ (AV fistula) áŌǹѹ ¼Ù»Ç¡ç¤ÇÃ é Œ † ä´ŒÃѺ¡ÒõÃǨËÅÍ´àÅ×Í´áÅÐÃÑ¡ÉÒ´ŒÇÂÇÔ¸ÕÍØ´ËÅÍ´àÅ×Í´¼‹Ò¹·Ò§ÊÒÂÊǹµ‹Íä» ¹Í¡¨Ò¡¹ÕéÁÕ ºÒ§ÃÒ§ҹá¹Ð¹íÒãËŒµÃǨËÅÍ´àÅ×Í´´ŒÇÂÊÒÂÊǹ㹼ٻÇ·ÕÁ¡ÒúҴà¨çº¢Í§µÑºÃعáçã¹ÃдѺ 4 Œ † è Õ áÅÐ 5 µÒÁ liver injury scale (revision 1994) à¹×ͧ¨Ò¡¼Ù»ÇÂ¡ÅØÁ¹ÕÁâÍ¡Òʾº¤ÇÒÁ¼Ô´»¡µÔ¢Í§ è Œ † ‹ é Õ ËÅÍ´àÅ×Í´¤‹Í¹¢ŒÒ§ÁÒ¡ ¼Ù»ÇÂÍÕ¡¡ÅØÁ·Õ¤ÇÃ䴌ú¡ÒõÃǨ¤×ͼٻÇ·ÕÁÀÒÇÐàÅ×Í´ÍÍ¡ã¹ÀÒÂËÅѧ (late Œ † ‹ è Ñ Œ † è Õ onset bleeding) «Ö§¨ÐÁÕÍÒ¡ÒÃáÊ´§ä´Œá¡‹ ÃдѺ¤ÇÒÁࢌÁ¢Œ¹àÅ×ʹŴŧâ´ÂäÁ‹·ÃÒºÊÒà赯 ËÃ×ÍàÅ×Í´ è Í͡㹷ҧà´Ô¹ÍÒËÒèҡÀÒÇÐàÊŒ¹àÅ×Í´á´§µ‹Í¡Ñº·Ò§à´Ô¹¹éÒ´Õ à»š¹µŒ¹ í ã¹·Ò§¡ÅѺ¡Ñ¹¼Ù»Ç·ÕÁÀÒÇÐàÅ×Í´ÍÍ¡ÁÒ¡¨¹¤ÇÒÁ´Ñ¹âÅËÔµµèÒ (shock) ¤ÇÃ䴌ú¡Òü‹ÒµÑ´ Œ † è Õ í Ñ ©Ø¡à©Ô¹ (explore laparotomy) à¾×ÍËŒÒÁàÅ×Í´áÅлÃÐàÁÔ¹´ÙÍÇÑÂÇÐʋǹÍ׹㹪‹Í§·ŒÍ§ ËÃ×ͼٻÇ·ÕʧÊÑ è è Œ † è ÀÒÇÐÅíÒäÊŒ·ÐÅØ¡¤ÇÃ䴌ú¡Òü‹ÒµÑ´·Ñ¹·Õઋ¹¡Ñ¹ ç Ñ à·¤¹Ô¤·ÕÊҤѭ㹡ÒõÃǨ¤×ÍàÃÒµŒÍ§·ÃÒº¡ÒÂÇÔÀÒ¤¢Í§ËÅÍ´àÅ×Í´·Õä»àÅÕ§µÑºÍ‹ҧÅÐàÍÕ´ èí è é «Ö§¨Ð¾º¤ÇÒÁËÅÒ¡ËÅÒÂã¹áµ‹Åкؤ¤Å à¾ÃÒжŒÒËÒ¡àÃÒäÁ‹ÊÒÁÒöµÃǨËÅÍ´àÅ×Í´·Õä»àÅÕ§µÑº è è é ãËŒ¤Ãº·Ø¡àÊŒ¹ ¨Ð·íÒãËŒà¡Ô´¼ÅźÅǧ䴌 (false negative) ʋǹÇÑʴط㪌ʹËÅÍ´àÅ×Í´¹Ñ¹¢Ö¹¡Ñº¾ÂÒ¸Ô Õè Ø é é ÊÀÒ¾·Õ¾ºàª‹¹ àÅ×Í´ÍÍ¡¨Ò¡àÊŒ¹àÅ×ʹ⻆§¾Í§ àÅ×Í´ÍÍ¡¨Ò¡àÊŒ¹àÅ×Í´¢¹Ò´ãË­‹ËÃ×ÍÍÍ¡¨Ò¡ËÅÍ´ è àÅ×Í´á´§µ‹Í¡ÑºËÅÍ´àÅ×Í´´íÒ¼Ô´»¡µÔ¡¤ÇÃ㪌ÇÊ´ØÍ´»ÃÐàÀ·¢´ÅÇ´ (coil) ໚¹µŒ¹ ç Ñ Ø
  • 526.
    àǪÈÒʵÏ·¹Âؤ 2553 Ñ 499 ¼Å¡ÒÃÃÑ¡ÉҢͧ¡ÒÃÍØ´ËÅÍ´àÅ×Í´¼‹Ò¹·Ò§ÊÒÂÊǹ¹Ñ¹ÍÂÙ·»ÃÐÁÒ³ 83-88% ʋǹÀÒÇÐ é ‹ Õè á·Ã¡«ŒÍ¹·ÕÊÒÁÒö¾ºä´Œàª‹¹ ÀÒÇТҴàÅ×Í´¢Í§µÑº ½‚˹ͧ㹵Ѻ ¡ÒÃÍÑ¡àʺ¢Í§¶Ø§¹éÒ´Õ è í ·Õ¡Å‹ÒÇÁÒ¢ŒÒ§µŒ¹à»š¹ÀÒÇФÇÒÁ¼Ô´»¡µÔ¢Í§ËÅÍ´àÅ×Í´á´§ ᵋ㹵Ѻ¹Ñ¹¡ÒúҴà¨çº¢Í§ è é ËÅÍ´àÅ×Í´´íҹѹ¡çÊÒÁÒö¾ºä´ŒáÅÐÁÕ¤ÇÒÁÊíҤѭઋ¹¡Ñ¹à¹×ͧ໚¹ÊÒà˵آͧàÅ×Í´Í͡㹪‹Í§·ŒÍ§ é è »ÃÔÁÒ³ÁÒ¡ä´Œ ઋ¹ÁÕ¡Òéա¢Ò´¢Í§ËÅÍ´àÅ×Í´´íҵѺ·Õã¡ÅŒ¡ºËÅÍ´àÅ×Í´´íÒ¢¹Ò´ãË­‹ (inferior vena è Ñ cava) ໚¹µŒ¹ ¡ÒÃÃÑ¡ÉÒâ´Â·ÑÇ令ÇÃ䴌ú¡Òü‹ÒµÑ´©Ø¡à©Ô¹ ᵋÁºÒ§ÃÒ§ҹ·ÕÊÒÁÒÃ¶ÍØ´ËÅÍ´àÅ×Í´ è Ñ Õ è ´íÒ·Õ䴌úºÒ´à¨çºâ´Â㪌µÇ¶‹Ò§¢ÂÒÂËÅÍ´àÅ×Í´»´¡Ñ¹µíÒá˹‹§·ÕàÅ×Í´Í͡䴌 è Ñ Ñ é è ÀÂѹµÃÒµ‹Íäµ (Traumatic renal injury) äµà»š¹ÍÇÑÂÇзÕÍÂÙÊǹËÅѧ㹪‹Í§·ŒÍ§ (retroperitoneum) áÅÐÁÕ¡Ãд١«Õâ¤Ã§Ê‹Ç¹Å‹Ò§ª‹ÇÂ è ‹‹ è »‡Í§¡Ñ¹¡ÒáÃзº¡ÃÐà·×͹ ·íÒãËŒ¡ÒúҴà¨çº¢Í§äµ¹Ñ¹ ʋǹÁÒ¡äÁ‹Ã¹áçÊÒÁÒöÃÑ¡ÉÒẺ»ÃФѺ é Ø »ÃФͧ䴌 »˜¨¨Øº¹àÍ¡«àϤÍÁ¾ÔÇàµÍÏÁº·ºÒ·Í‹ҧÁҡ㹡ÒèíÒṡ¤ÇÒÁÃØ¹áç¢Í§¡ÒúҴà¨çº Ñ Õ ·Õäµä´Œà»š¹Í‹ҧ´Õ·ÒãËŒ¾º¾ÂÒ¸ÔÊÀÒ¾µ‹Ò§æáÅÐÊÒÁÒöÇÒ§á¼¹ÃÑ¡ÉÒ·ÕàËÁÒÐÊÁä´ŒÁÒ¡¢Ö¹ è í è é ¡ÒúҴà¨çº¢Í§äµ·ÕµÍ§ä´ŒÃº¡ÒÃÃÑ¡ÉÒâ´Â¡Òü‹ÒµÑ´ ¾ºä´Œ»ÃÐÁÒ³ 5-10% ¢Í§¼Ù»ÇÂ è Œ Ñ (1) Œ † ·Ñ§ËÁ´ â´Â੾ÒÐÍ‹ҧÂԧ㹼ٻǷÕä´ŒÃºÍØºµà˵طÁ¡ÒáÃзº¡ÃÐà·×͹ÍÂ‹Ò§ÃØ¹áçÃдѺ 5 µÒÁ é è Œ † è Ñ Ñ Ô Õè Õ AAST classification system ¤×ÍÁÕ¡Òéա¢Ò´¢Í§ËÅÍ´àÅ×Í´·Õ¢Çäµ è Ñé ¡ÒÃÃÑ¡ÉÒ·Ò§ÃѧÊÕÃÇÁÃÑ¡ÉÒËÅÍ´àÅ×Í´ÁÕº·ºÒ·ã¹¼Ù»Ç·աÒúҴà¨çº¢Í§ËÅÍ´àÅ×Í´·Õ¾º ‹ Œ † è è ä´ŒºÍÂ䴌ᡋ ËÅÍ´àÅ×ʹ⻆§¾Í§ áÅÐ ËÅÍ´àÅ×Í´á´§µ‹Í¡ÑºËÅÍ´àÅ×Í´´íÒ «Ö§â´Â·ÑÇ仨оºã¹ ‹ è è ¼Ù»Ç·ÕÁ¡ÒúҴà¨çº¢Í§äµÃдѺ 3 ¢Ö¹ä» áÅмٻÇÂÍÕ¡¡ÅØÁ˹֧¤×ͼٻÇ·Õ䴌úºÒ´à¨çº¨Ò¡¢Í§ Œ † è Õ é (2) Œ † ‹ è Œ † è Ñ ÁÕ¤Á (penetrating injury) «Ö§â´Â·ÑÇ仨Ðà¡Ô´¨Ò¡¡ÒõÃǨ·Ò§¡ÒÃᾷ (iatrogenic) ઋ¹ ¡Ò÷íÒ è è renal biopsy ËÃ×Í percutaneous nephrostomy ໚¹µŒ¹ ´Ñ§¹Ñ¹¼Ù»Ç·ÕÁ»ÃÐÇѵ´§¡Å‹ÒÇËÇÁ¡ÑºÍÒ¡ÒÃ é Œ † è Õ Ô Ñ áÊ´§·Õ¾ºä´ŒºÍ¤×Í»˜ÊÊÒÇÐ໚¹àÅ×Í´ËÃ×ͻǴËÅѧËÇÁ¡ÑºÃдѺ¤ÇÒÁࢌÁ¢Œ¹¢Í§àÅ×ʹŴŧ ¤ÇÃä´Œ è ‹ ÃѺ¡ÒõÃǨËÅÍ´àÅ×Í´´ŒÇÂÊÒÂÊǹáÅÐËÒ¡¾º¤ÇÒÁ¼Ô´»¡µÔ´§¡Å‹ÒÇ¢ŒÒ§µŒ¹¡çÊÒÁÒöÃÑ¡ÉÒ´ŒÇÂÇÔ¸Õ Ñ ¡ÒÃÍØ´ËÅÍ´àÅ×Í´ à¹×ͧ¨Ò¡äµà»š¹ÍÇÑÂÇзÕÁËÅÍ´àÅ×Í´ËÅÑ¡ä»àÅÕ§à¾Õ§àÊŒ¹à´ÕÂǤ×Í renal artery ´Ñ§¹Ñ¹¡ÒÃÍØ´ è è Õ é é ËÅÍ´àÅ×Í´¢Í§äµ¨Ö§µŒÍ§¡ÃзíÒÍ‹ҧÃÐÁÑ´ÃÐÇѧà¾ÃÒÐÁÕâÍ¡ÒÊà¡Ô´¡ÒõÒ¢ͧà¹×Íäµä´ŒÁÒ¡ ¡ÒÃÍØ´ é ËÅÍ´àÅ×Í´¤ÇÃãÊ‹ÊÒÂÊǹࢌÒä»ã¡ÅŒ¡ºµíÒá˹‹§¢Í§¾ÂÒ¸ÔÊÀÒ¾ãËŒÁÒ¡·ÕÊ´áŌǨ֧·íÒ¡ÒÃÍØ´ËÅÍ´ Ñ èØ àÅ×Í´ ÇÑʴط㪌ÊǹÁҡ㪌໚¹¢´ÅÇ´¢¹Ò´àÅç¡ (micro coil) à¹×ͧ¨Ò¡¾ÂÒ¸ÔÊÀҾʋǹÁÒ¡à¡Ô´¢Ö¹·Õè Õè ‹ è é ËÅÍ´àÅ×Í´äµÊ‹Ç¹»ÅÒ ÇÑÊ´ØÍ´ËÅÍ´àÅ×Í´»ÃÐàÀ·Í¹ØÀҤ䴌ᡋ gelatin sponge ËÃ×Í polyvinyl Ø alcohol ¹Ñé¹ãªŒ¹ŒÍÂà¹×èͧ¨Ò¡ÍÒ¨·íÒãËŒà¡Ô´¡ÒÃÍØ´ËÅÍ´àÅ×Í´Í×è¹·ÕèäÁ‹µŒÍ§¡ÒÃä´ŒÁÒ¡ (non target embolization) ·íÒãËŒà¡Ô´¡ÒâҴàÅ×Í´¢Í§à¹×Íäµà¾ÔÁ¢Ö¹ä´Œ ¡ÒÃÃÑ¡ÉÒ´ŒÇÂÇÔ¸¡ÒÃÍØ´ËÅÍ´àÅ×Í´´Ñ§¡Å‹ÒÇ é è é Õ ¹Ñ¹ ÊÒÁÒöŴâÍ¡ÒÊ¡ÒÃÊÙ­àÊÕÂäµà¾ÔÁÁÒ¡¢Ö¹ é è é
  • 527.
    500 Interventional Radiology Management in Traumatic Patient ¼Å¡ÒÃÃÑ¡ÉÒ´ŒÇÂÇԸʹËÅÍ´àÅ×ʹ㹼ٻǷÕÁ¡ÒúҴà¨çº¢Í§äµ¹Ñ¹ä´Œ¼Å´ÕÁÒ¡ã¹»˜¨¨Øº¹ ÕØ Œ † è Õ é Ñ ÃÒ§ҹ¤ÇÒÁÊíÒàÃ稻ÃÐÁÒ³ 84-100% ÀÒÇÐá·Ã¡«ŒÍ¹·ÕÍÒ¨à¡Ô´¢Ö¹¾ºä´Œ¹Í 䴌ᡋ ÍÒ¡ÒûǴ (3) è é Œ post embolization syndrome ËÃ×ÍÀÒÇСÒâҴàÅ×Í´¢Í§äµ«Ö§â´Â·ÑÇ仼ٻǨÐäÁ‹ÁÍÒ¡Òà è è Œ † Õ ÀÂѹµÃÒµ‹ÍÁŒÒÁ (Traumatic splenic injury) ÁŒÒÁ໚¹ÍÇÑÂÇзվº¡ÒúҴà¨çºä´ŒºÍ¨ҡ¡ÒÃà¡Ô´Íغµà赯 áÅÐà¹×ͧ¨Ò¡à»š¹ÍÇÑÂÇзÕÁàÅ×Í´ è ‹ Ñ Ô è è Õ ä»àÅÕ§»ÃÔÁÒ³ÁÒ¡ ¡ÒúҴà¨çº·Õà¡Ô´¡ÑºÁŒÒÁ¨Ö§ÁÕ͹µÃÒ¤‹Í¹¢ŒÒ§ÁÒ¡ »˜¨¨Øº¹¡ÒÃÃÑ¡ÉÒà»ÅÕ¹¨Ò¡ é è Ñ Ñ è ¡Òü‹ÒµÑ´ÁÒ໚¹¡ÒÃÃÑ¡ÉÒẺ»ÃФѺ»ÃФͧËÃ×Í¡ÒÃÃÑ¡ÉÒâ´Â¡ÒÃÍØ´ËÅÍ´àÅ×Í´ÁÒ¡¢Ö¹ à¹×ͧ¨Ò¡ é è ¡Òü‹ÒµÑ´ÁŒÒÁÍÍ¡¹Ñ¹·íÒãËŒà¡Ô´ÀÒÇÐá·Ã¡«ŒÍ¹ã¹ÀÒÂËÅѧ¤×ÍÁÕâÍ¡ÒʵԴàª×Í encapsulated Ấ·ÕàÃÕ é é à¾ÔÁ¢Ö¹ è é ¡ÒõÃǨàÍ¡«àϤÍÁ¾ÔÇàµÍÏ㹼ٻÇ·ÕÁÊ­­Ò³ªÕ¾¤§·ÕÊÒÁÒöª‹Çº͡¤ÇÒÁÃØ¹áç, Œ † è Õ Ñ è ª¹Ô´áÅеíÒá˹‹§¢Í§¡ÒÃà¡Ô´¾ÂÒ¸ÔÊÀÒ¾ ÃÇÁ·Ñ§ª‹ÇÂÇÒ§á¼¹¡ÒÃÃÑ¡ÉÒ ËÒ¡¾º¾ÂÒ¸ÔÊÀҾઋ¹¨Ø´ é àÅ×Í´ÍÍ¡ ËÃ×ÍËÅÍ´àÅ×ʹ⻆§¾Í§ ¡ç¤ÇÃ䴌ú¡ÒÃÃÑ¡ÉÒâ´Â¡ÒÃÍØ´ËÅÍ´àÅ×Í´ ã¹·Ò§¡ÅѺ¡Ñ¹ã¹¼Ù»ÇÂ Ñ Œ † ·ÕʧÊÑ¡ÒúҴà¨çº¢Í§ÁŒÒÁáÅÐÁÕÊ­­Ò³ªÕ¾äÁ‹¤§·Õè ઋ¹ÁÕÀÒÇФÇÒÁ´Ñ¹âÅËÔµµèÒ ¤ÇÃ䴌ú¡ÒÃÃÑ¡ÉÒ è Ñ í Ñ ´ŒÇ¡Òü‹ÒµÑ´·Ñ¹·Õ ã¹»˜¨¨Øº¹ proximal splenic coil embolization ¶×Í໚¹Áҵðҹ㹡ÒÃÃÑ¡ÉҼٻǷÕÁ¡ÒÃ Ñ Œ † è Õ ºÒ´à¨çº¢Í§ÁŒÒÁÍÂ‹Ò§ÃØ¹áç·Ñ§ã¹º·ºÒ·¢Í§ preoperative surgical splenectomy áÅСÒÃÃÑ¡ÉÒ é ẺäÁ‹µÍ§¼‹ÒµÑ´ ËÅÑ¡¡Òâͧ¡ÒÃÍØ´ËÅÍ´àÅ×ʹẺ¹Õ¹¹ à¹×ͧÁÒ¨Ò¡ ÁŒÒÁ໚¹ÍÇÑÂÇзÕÁÕ collateral Œ é Ñé è è
  • 528.
    àǪÈÒʵÏ·¹Âؤ 2553 Ñ 501 supply ¤‹Í¹¢ŒÒ§ÁÒ¡ 䴌ᡋ pancreatic artery, short gastric artery áÅÐ gastroepiploic artery ´Ñ§¹Ñ¹ é àÁ×èÍÁÕ¡ÒÃÍØ´ËÅÍ´àÅ×Í´·ÕèʋǹµŒ¹¢Í§ splenic artery ¨Ðª‹ÇÂÅ´»ÃÔÁÒ³àÅ×Í´·Õèä»àÅÕé§ÁŒÒÁ໚¹ Í‹ҧÁÒ¡ ·íÒãËŒ¨´àÅ×Í´ÍÍ¡µ‹Ò§æÊÒÁÒöËÂØ´ä´Œ ᵋäÁ‹·ÒãËŒà¡Ô´¡ÒõÒ¢ͧà¹×ÍÁŒÒÁà¹×ͧ¨Ò¡ÂѧÁÕ Ø í é è collateral supply ¹Í¡¨Ò¡¹ÕËÒ¡¾º¾ÂÒ¸ÔÊÀÒ¾·ÕµÒá˹‹§ã´µíÒá˹‹§Ë¹Ö§·Õ໚¹ÊÒà˵آͧÀÒÇÐàÅ×Í´ÍÍ¡ ઋ¹ é è í è è ÁÕàÊŒ¹àÅ×ʹ⻆§¾Í§¢¹Ò´àÅç¡ã¹ÃдѺ interpolar artery ¡ÒÃÍØ´ËÅÍ´àÅ×ʹ੾ÒÐàÊŒ¹àÅ×Í´·ÕÁ¾ÂÒ¸Ô è Õ ÊÀÒ¾´ŒÇ¢´ÅÇ´¢¹Ò´àÅç¡¡çÊÒÁÒö·íÒ䴌ઋ¹¡Ñ¹ ᵋ¡ÒÃÍØ´ËÅÍ´àÅ×Í´â´Â㪌ÇÊ´ØÍ´ËÅÍ´àÅ×Í´ª¹Ô´ Ñ Ø ·Õ໚¹Í¹ØÀҤઋ¹ gelatin sponge ¹Ñ¹äÁ‹à»š¹·Õ¹ÂÁà¹×ͧ¨Ò¡·íÒãËŒà¡Ô´¡ÒõÒ¢ͧÁŒÒÁà¾ÔÁ¢Ö¹ Í‹ҧ è é è Ô è è é äáçµÒÁËÒ¡ÁÕ¤ÇÒÁà˧´‹Ç¹ã¹¡ÒÃÍØ´ËÅÍ´àÅ×ʹઋ¹¼ÙŒ»†ÇÂÁÕÊÑ­­Ò³ªÕ¾á‹ŧ¢³Ð·íÒ¡ÒÃÃÑ¡ÉÒ ¡ÒÃÍØ´ËÅÍ´àÅ×Í´â´Â㪌 gelatin sponge ÊÒÁÒö·íÒ䴌ઋ¹¡Ñ¹ ÁÕ¡ÒÃÃÒ§ҹ¼Å¡ÒÃÃÑ¡ÉÒ´ŒÇÂÇÔ¸¡ÒÃÍØ´ËÅÍ´àÅ×Í´ splenic artery 㹡ÒúҴà¨çº¢Í§ÁŒÒÁ Õ »ÃÐÁÒ³ 87-100% ¢Í§¼Ù»Ç·ÕÁÍÒ¡Òôբ¹áÅÐÊÒÁÒöà¡çºÃÑ¡ÉÒÁŒÒÁänj䴌 (salvageable spleen) (4) Œ † è Õ Öé ʋǹ¡ÒÃÃÑ¡ÉÒ´ŒÇÂÇԸʹËÅÍ´àÅ×ʹẺ proximal splenic coil embolization ¡çãËŒ¼Å¡ÒÃÃÑ¡ÉÒ·Õ´Õ ÕØ è ઋ¹¡Ñ¹ã¹¡ÅØÁ·ÕÁ¡ÒúҴà¨çº¢Í§ÁŒÒÁÃØ¹áçÃдѺ 4 áÅÐ 5 â´Â·Õè salvageable rate »ÃÐÁÒ³ 80% ‹ è Õ (5) ÀÒÇÐá·Ã¡«ŒÍ¹·ÕÍÒ¨à¡Ô´¢Ö¹¨Ò¡¡ÒÃÍØ´ËÅÍ´àÅ×Í´ÁŒÒÁ䴌ᡋ ÍÒ¡ÒûǴ, post embolization è é syndrome, splenic infarction ËÃ×Í splenic abscess ໚¹µŒ¹
  • 529.
    502 Interventional Radiology Management in Traumatic Patient ÀÂѹµÃÒµ‹Í¡Ãд١àªÔ§¡ÃÒ¹ (Pelvic fracture) ¡Ãд١àªÔ§¡Ãҹᵡ¨Ò¡ÍغѵÔà˵عÑé¹ ¾ºã¹¼ÙŒ»†Ç·Õèä´ŒÃѺ¡ÒáÃÐá·¡ÍÂ‹Ò§ÃØ¹áçáÅÐÁÕ ÍѹµÃÒ¶֧ªÕǵ¨Ò¡¡ÒÃàÊÕÂàÅ×Í´»ÃÔÁÒ³ÁÒ¡ ¡ÒÃÃÑ¡ÉÒàº×ͧµŒ¹¤×Í¡Òà resuscitation â´Â¡ÒÃãËŒÊÒÃ Ô é ¹éíÒáÅÐʋǹ»ÃСͺ¢Í§àÅ×Í´à¾×èÍãËŒÊÑ­­Ò³ªÕ¾¤§·Õè ËÇÁ¡Ñº¡ÒÃÂÖ´µÃÖ§¡Ãд١àªÔ§¡ÃÒ¹ (pelvic fixation) à¾×ÍÅ´¡ÒÃÊÙ­àÊÕÂàÅ×Í´ Í‹ҧäáçµÒÁÁÕ¼»Ç»ÃÐÁÒ³ 5-20% ·Õ䴌ú¡ÒÃÃÑ¡ÉҴѧ¡Å‹ÒÇáÅŒÇ è ÙŒ † è Ñ ÂѧÁÕàÅ×Í´ÍÍ¡ÁÒ¡ÍÂÙ‹ «Ö§¡ÒÃÃÑ¡ÉÒã¹¼Ù»ÇÂ¡ÅØÁ¹ÕÂÒ¡á¡‹¡Òü‹ÒµÑ´à¾×ÍËŒÒÁàÅ×Í´à¹×ͧ¨Ò¡äÁ‹ÊÒÁÒö è Œ † ‹ é è è ËҨش·ÕàÅ×Í´Í͡䴌ª´à¨¹ã¹¢³Ð¼‹ÒµÑ´ ¹Í¡¨Ò¡¹Õ¡Ò÷íÒ hypogastric artery ligation ¡çä´Œ¼ÅäÁ‹´Õ è Ñ é à¹×ͧ¨Ò¡áÁŒ¨Ð¼Ù¡àÊŒ¹àÅ×Í´´Ñ§¡Å‹ÒÇáÅŒÇ àÊŒ¹àÅ×Í´ collateral µ‹Ò§æÂѧÊÒÁÒöÁÒ·íÒãËŒà¡Ô´àÅ×Í´ÍÍ¡ è ä´Œ à¾ÃÒЩйѹ¡ÒÃÃÑÉÒâ´Â¡ÒÃÍØ´ËÅÍ´àÅ×Í´¼‹Ò¹·Ò§ÊÒÂÊǹ¨Ö§ÁÕº·ºÒ·ã¹ÀÒÇÐàÅ×Í´ÍÍ¡¨Ò¡ é ¡ÃÐ´Ù¡ÍØ§àªÔ§¡ÃҹᵡËÑ¡ã¹ÃÒ·ռ»ÇÂÁÕÊ­Ò³ªÕ¾äÁ‹¤§·Õè Œ è ÙŒ † Ñ ¡ÒÃᵡ¢Í§¡Ãд١àªÔ§¡Ãҹẋ§ä´Œà»š¹ËÅÒª¹Ô´ä´Œá¡‹ lateral compression, anteroposterior compression, vertical shear áÅÐ combined mechanism àÃÕ§µÒÁÅíҴѺ¤ÇÒÁÃØ¹áç ã¹¡ÅØÁ¼Ù»Ç ‹ Œ † ·ÕÁ¡ÒÃᵡËÑ¡ª¹Ô´ lateral compression ¹Ñ¹ÁÑ¡¨ÐäÁ‹Ã¹áçà¹×ͧ¨Ò¡ ligament µ‹Ò§äÁ‹¶¡·íÒÅÒ è Õ é Ø è Ù ·íÒãËŒàÅ×Í´ÍÍ¡»ÃÔÁÒ³äÁ‹ÁÒ¡ ¼Ù»ÇÂ¡ÅØÁ¹Õ·¨Ò໚¹µŒÍ§ä´ŒÃº¡ÒÃÍØ´ËÅÍ´àÅ×Í´ÁÕà¾Õ§ 1% ã¹·Ò§µÃ§ Œ † ‹ é Õè í Ñ ¢ŒÒÁ¼Ù»Ç·ÕÁ¡Ãд١àªÔ§¡ÃҹᵡËÑ¡ª¹Ô´·ÕàËÅ×ÍÁÕ¤ÇÒÁ¨íÒ໚¹µŒÍ§ä´ŒÃº¡ÒÃÍØ´ËÅÍ´àÅ×Í´¶Ö§ 18-28% Œ † è Õ è Ñ ¢ŒÍº‹§ªÕ㹡ÒÃÃÑ¡ÉÒ´ŒÇÂÇÔ¸·Ò§ÃѧÊÕÃÇÁÃÑ¡Éҹѹ¤Ç÷íÒ㹼ٻǷÕÁÊ­­Ò³ªÕ¾äÁ‹¤§·ÕËÅѧ¨Ò¡ é Õ ‹ é Œ † è ÕÑ è ä´Œ·Ò pelvic fixation áÅÐ resuscitation Í‹ҧàËÁÒÐÊÁáÅŒÇ ËÃ×ͼٻÇ·յÃǨ¾º¨Ø´àÅ×Í´ÍÍ¡, àÊŒ¹ í Œ † è àÅ×ʹ⻆§¾Í§, ¢¹Ò´¡ŒÍ¹àÅ×Í´ãË­‹¢¹¨Ò¡àÍ¡«àϤÍÁ¾ÔÇàµÍÏ Öé ¡‹Í¹¡ÒõÃǨËÅÍ´àÅ×Í´ã¹¼ÙŒ»†Ç·ÕèÁÕ¡Ãд١àªÔ§¡Ãҹᵡ¹Ñé¹ á¾·Â¼ÙŒ·íÒ¡ÒõÃǨ¤Çà »ÃÐàÁԹNjҾÂÒ¸ÔÊÀÒ¾¹‹Ò¨Ðà¡Ô´·ÕËÅÍ´àÅ×Í´¢ŒÒ§¢ÇÒËÃ×ͪŒÒ à¹×ͧ¨Ò¡¡Òà puncture´ŒÒ¹µÃ§¢ŒÒÁ¡Ñº è è ·ÕÁ¾ÂÒ¸ÔÊÀÒ¾¨ÐÊдǡᡋ¡ÒõÃǨáÅСÒÃÍØ´ËÅÍ´àÅ×Í´ÁÒ¡¡Ç‹Ò è Õ ËÅѧ¨Ò¡¡ÒõÃǨËÅÍ´àÅ×Í´ËÒ¡¾ºµíÒá˹‹§àÅ×Í´ÍÍ¡·ÕèªÑ´à¨¹àÃÒ¡çÊÒÁÒöÃÑ¡ÉÒâ´Â superselective embolization ੾ÒеíÒá˹‹§·ÕèàÅ×Í´ÍÍ¡ â´ÂÇÑÊ´Ø·ÕèãªŒÍØ´ËÅÍ´àÅ×Í´ÍÒ¨¨Ð໚¹ ¢´ÅÇ´, ¡ÒÇÍØ´ËÅÍ´àÅ×Í´ ËÃ×Í gelatin sponge ¢Ö¹ÍÂÙ¡ºµíÒá˹‹§áÅоÂÒ¸ÔÊÀÒ¾·Õ¾º ã¹·Ò§µÃ§ é ‹ Ñ è ¢ŒÒÁËÒ¡äÁ‹¾º¨Ø´àÅ×Í´ÍÍ¡ªÑ´à¨¹áµ‹¼ÙŒ»†ÇÂÁÕÍÒ¡ÒÃáÊ´§¢Í§àÅ×Í´ÍÍ¡ËÃ×ÍÁÕÊÑ­­Ò³ªÕ¾äÁ‹¤§·Õè ¡ÒÃÍØ´ËÅÍ´àÅ×Í´ internal iliac ·Ñ§Êͧ¢ŒÒ§â´Â gelatin sponge ¡çÊÒÁÒö·íÒ䴌ઋ¹¡Ñ¹ â´Â gelatin é sponge ¨ÐÊÒÁÒöª‹ÇÂÅ´»ÃÔÁÒ³¢Í§àÅ×Í´·Õä»àÅÕÂ§ÍØ§àªÔ§¡ÃÒ¹·íÒãˌŴ¡ÒÃàÊÕÂàÅ×Í´ä´Œ ¹Í¡¨Ò¡¹Õé è é Œ gelatin sponge ໚¹ÇÑÊ´ØÍ´ËÅÍ´àÅ×Í´·ÕÁ¤ÇÒÁ»ÅÍ´ÀÑÂà¹×ͧ¨Ò¡à»š¹¡ÒÃÍØ´ËÅÍ´àÅ×Í´à¾Õ§ªÑǤÃÒÇ Ø è Õ è è ËÅÍ´àÅ×Í´ÊÒÁÒö recanalize ä´ŒËÅѧ¨Ò¡ÍØ´ËÅÍ´àÅ×Í´»ÃÐÁÒ³ 1-2 ÊÑ»´Òˏ ·íÒãˌŴ¡ÒÃà¡Ô´ÀÒÇÐ á·Ã¡«ŒÍ¹¨Ò¡¡ÒâҴàÅ×Í´¢Í§ÍÇÑÂÇÐã¹ÍاàªÔ§¡Ãҹ䴌 Œ ¼Å¡ÒÃÃÑ¡ÉÒÀÒÇÐàÅ×Í´ÍÍ¡¨Ò¡¡Ãд١àªÔ§¡ÃҹᵡËÑ¡â´ÂÇԸʹËÅÍ´àÅ×Í´¾ºÇ‹Òä´Œ¼Å»ÃÐ ÕØ ÁÒ³ 80-100% â´ÂÊÒÁÒö¾ºÀÒÇÐá·Ã¡«ŒÍ¹ä´Œ»ÃÐÁÒ³ 5% ઋ¹ ¡ÒõÒ¢ͧà¹×ÍàÂ×ÍÍÇÑÂÇÐã¹ (6) é è ÍØ§àªÔ§¡ÃÒ¹ ઋ¹ ¼ÔÇ˹ѧ ¡ÃÐà¾Òл˜ÊÊÒÇÐ ÅíÒäÊŒãË­‹Êǹŋҧ ໚¹µŒ¹ Œ ‹
  • 530.
    àǪÈÒʵÏ·¹Âؤ 2553 Ñ 503 ÀÂѹµÃÒµ‹ÍËÅÍ´àÅ×ʹᢹáÅÐ¢Ò (Traumatic injury of extremities) ¡ÒúҴà¨çº¢Í§ËÅÍ´àÅ×Í´·Õᢹ¢Ò¹Ñ¹ ¶×ÍÇ‹ÒÁÕ¤ÇÒÁÊíҤѭÁÒ¡â´Â੾ÒÐ㹼ٻǷÕÁÀÒÇÐ è é Œ † è Õ ¢Ò´àÅ×Í´·Õᢹ¢Ò«Ö§ÍÒ¨¨Ðà¡Ô´¨Ò¡ËÅÍ´àÅ×Í´©Õ¡¢Ò´ ËÅÍ´àÅ×Í´ÍØ´µÑ¹ ËÃ×Í¡ŒÍ¹àÅ×Í´¢¹Ò´ãË­‹ è è ¡´·ÑºËÅÍ´àÅ×Í´·Õᢹ¢Ò «Ö§¡ÒÃÇÔ¹¨©Ñ¤ÇÒÁ¼Ô´»¡µÔ¢Í§ËÅÍ´àÅ×Í´ÁÕ¤ÇÒÁÊíҤѭÁÒ¡ à¾ÃÒÐËÒ¡ è è Ô ·íÒ¡Òü‹ÒµÑ´ä´ŒÍ‹ҧ·Ñ¹·‹Ç§·Õ¡¨ÐÊÒÁÒöª‹Ç¿„¹à¹×ÍàÂ×ͺÃÔàdz·Õ¢Ò´àÅ×Í´ä´Œ ´Ñ§¹Ñ¹¡ÒõÃǨËÅÍ´ ç œ é è è é àÅ×Í´´ŒÇÂÊÒÂÊǹËÅÍ´àÅ×Í´¨Ö§ÁÕ¤ÇÒÁÊíҤѭ·Ñ§ã¹¡Òú͡ª¹Ô´¢Í§¾ÂÒ¸ÔÊÀÒ¾áÅеíÒá˹‹§·Õ¶¡µŒÍ§ é è Ù ¹Í¡¨Ò¡¹Õ¡ÒÃÍØ´ËÅÍ´àÅ×Í´·Õ໚¹ÊÒà˵آͧàÅ×Í´ÍÍ¡äÁ‹ÇÒ¨Ð໚¹ËÅÍ´àÅ×ʹ⻆§¾Í§ ËÅÍ´àÅ×Í´á´§ é è ‹ µ‹Í¡ÑºËÅÍ´àÅ×Í´´íÒ ËÃ×Í¡Òéա¢Ò´¢Í§ËÅÍ´àÅ×Í´¡çÊÒÁÒö·íÒä´Œ·¹·ÕËÒ¡¾º¤ÇÒÁ¼Ô´»¡µÔ¨Ò¡¡ÒÃ Ñ µÃǨËÅÍ´àÅ×Í´´ŒÇÂÊÒÂÊǹ ÍÒ¡ÒÃáÊ´§·ÕÊҤѭ·ÕªÇº‹§¶Ö§¾ÂÒ¸ÔÊÀÒ¾¢Í§ËÅÍ´àÅ×Í´(hard sign) 䴌ᡋ pulse deficit, èí è ‹ active bleeding, thrill or bruit, expanding hematoma «Ö§ËÒ¡µÃǨ¾ºÇ‹ÒÁÕ pules deficit ¹Ñ¹º‹§ªÕÇÒ è é é‹ ÁÕ¾ÂÒ¸ÔÊÀÒ¾¢Í§ËÅÍ´àÅ×Í´»ÃÐÁÒ³ 56-87% ¶ŒÒ¾º bruit ËÃ×Í thrill º‹§ªÕÇÒÁÕ¾ÂÒ¸ÔÊÀÒ¾¢Í§ËÅÍ´ é‹ àÅ×Í´»ÃÐÁÒ³ 100% áÅжŒÒ¾ºÅѡɳРexpanding hematoma ¨Ð¾º¾ÂÒ¸ÔÊÀÒ¾¢Í§ËÅÍ´àÅ×Í´ »ÃÐÁÒ³ 38% ´Ñ§¹Ñ¹¡ÒõÃǨËҧ¡Ò¹ѹÊíҤѭà¾ÃÒзíÒãˌᾷ¼·Ò¡ÒÃÃÑ¡ÉÒ¤íÒ¹Ö§¶Ö§¾ÂÒ¸ÔÊÀÒ¾ é é ÙŒ í ¢Í§ËÅÍ´àÅ×Í´áÅÐÊ‹§µÃǨÇÔ¹¨©ÑÂà¾ÔÁàµÔÁµ‹Íä» Ô è »˜¨¨Øº¹àÍ¡«àϤÍÁ¾ÔÇàµÍÏ¡ÁÊǹª‹ÇÂÍ‹ҧÁҡ㹡óշʧÊѾÂÒ¸ÔÊÀÒ¾¢Í§ËÅÍ´àÅ×Í´ Ñ ç Õ‹ Õè ¢¹Ò´¡ÅÒ§¶Ö§¢¹Ò´ãË­‹ ᵋã¹ËÅÍ´àÅ×Í´·ÕÁ¢¹Ò´àÅç¡¡Ç‹Ò 2 ÁÁ. ¹Ñ¹ÂѧãËŒÃÒÂÅÐàÍÕ´䴌äÁ‹´à·‹Ò¡Ñº è Õ é Õ ¡ÒõÃǨ¼‹Ò¹·Ò§ÊÒÂÊǹËÅÍ´àÅ×Í´ ¤ÇÒÁàËÁÒÐÊÁ¢Í§¡ÒÃÃÑ¡ÉÒÃÐËNjҧ¡Òü‹ÒµÑ´ËÃ×Í¡ÒÃÍØ´ËÅÍ´àÅ×Í´¤ÇþԨÒóÒ㹼ٻǠŒ † ᵋÃÒ ¡ÒÃÃÑ¡ÉÒâ´ÂÇԸʹËÅÍ´àÅ×Í´¹Ñ¹¨ÐàËÁÒÐÊÁ¡Ñº¾ÂÒ¸ÔÊÀÒ¾¢Í§ËÅÍ´àÅ×Í´·ÕÍÂÙšઋ¹ distal ÕØ é è ‹Ö profunda femoris ໚¹µŒ¹ ËÃ×Í㹼ٻǷÕäÁ‹·ÃÒºµíÒá˹‹§¢Í§¾ÂÒ¸ÔÊÀҾṋª´ËÃ×ÍÁÕ¾ÂÒ¸ÔÊÀÒ¾ Œ † è Ñ ËÅÒµíÒá˹‹§ à¹×ͧ¨Ò¡á¢¹áÅТҹѹÁÕàÊŒ¹àÅ×Í´ collateral vessel ¨íҹǹÁÒ¡ ´Ñ§¹Ñ¹ÇÔ¸¡ÒÃÍØ´ËÅÍ´àÅ×Í´ è é é Õ ¹Ñ¹¢Ö¹¡ÑºµíÒá˹‹§áÅÐÅѡɳТͧ¾ÂÒ¸ÔÊÀҾઋ¹ ËÅÍ´àÅ×ʹ⻆§¾Í§·ÕºÃÔàdzàÊŒ¹àÅ×ʹʋǹ»ÅÒ é é è ઋ¹ distal branch of profunda femoris ¡ÒÃÃÑ¡ÉÒÊÒÁÒö·íÒä´Œ´Ç¡ÒÃÍØ´ËÅÍ´àÅ×ʹʋǹµŒ¹·Õ¶´ Œ è Ñ ¨Ò¡µíÒá˹‹§¢Í§¾ÂÒ¸ÔÊÀÒ¾à¾Õ§Í‹ҧà´ÕÂÇ áµ‹ã¹·Ò§¡ÅѺ¡Ñ¹ËÒ¡¾ºËÅÍ´àÅ×ʹ⻆§¾Í§·ÕËÅÍ´ è àÅ×ʹʋǹµŒ¹àª‹¹ proximal of profunda femoris ¡ÒÃÍØ´ËÅÍ´àÅ×Í´¨ÐµŒÍ§ÍØ´·Ñ§Ê‹Ç¹µŒ¹áÅÐʋǹ»ÅÒ é à¾×Í»‡Í§¡Ñ¹ collateral vessel ÁÒàÅÕ§µíÒá˹‹§·ÕÁ¾ÂÒ¸ÔÊÀÒ¾ ÇÑʴط㪌ʹʋǹÁÒ¡¨Ð㪌ª¹Ô´¢´ÅÇ´ è é è Õ Õè Ø à¹×ͧ¨Ò¡ÊÒÁÒöÇÒ§µíÒá˹‹§ä´ŒáÁ‹¹ÂíÒᵋ¡ÒÇÊíÒËÃÑºÍØ´ËÅÍ´àÅ×Í´¡çÊÒÁÒö㪌䴌ઋ¹¡Ñ¹¢Ö¹¡ÑºµíÒ è é á˹‹§¢Í§¾ÂÒ¸ÔÊÀҾ㹼ٻÇÂᵋÅÐÃÒ Œ †
  • 531.
    504 Interventional Radiology Management in Traumatic Patient ¼Å¡ÒÃÃÑ¡ÉÒ´ŒÇÂÇÔ¸¡ÒÃÍØ´ËÅÍ´àÅ×Í´¹Ñ¹ÍÂÙ·»ÃÐÁÒ³ 85-100%(7) áÅÐÀÒÇÐá·Ã¡«ŒÍ¹·Õà¡Ô´ Õ é ‹ Õè è ¢Ö¹¾ºä´Œ¹Í ઋ¹ non target embolization ËÃ×Í puncture site complication ໚¹µŒ¹ é Œ àÍ¡ÊÒÃ͌ҧÍÔ§ 1. Miller KS, McAninch JW. Radiographic assessment of renal trauma: our 15-year experience. J Urol 1995; 154:352–5. 2. Hagiwara A, Sakaki S, Goto H, et al. The Role of Interventional Radiology in the Management of Blunt Renal Injury: A Practical Protocol J Trauma. 2001;51:526–31. 3. .lacker R, Paolini RM, Lima S. Management of traumatic hematuria by selective renal artery embolization. J Urol 1984;132:662-7. 4. Drooz AT, Curtis AL, Allen TE, et al. Quality improvement guidelines for percutaneous transcatheter embolization. J Vasc Interv Radiol 2004;14:S237-42. 5. Haan JM, Biffl W, Knudson M. Splenic embolization revisited: a multicenter review. J Trauma 2004;56:542-7. 6. .angio P, Asehnoune K, Edouard A, et al. Early embolization and vasopressor administration for management of life-threatening hemorrhage from pelvic fracture. J Trauma 2005;58:978-84. 7. Teitelbaum GP, Reed RA, Larsen D, et al. Microcatheter embolization of non-neurologic traumatic vascular lesions. J Vasc Interv Radiol 1993;4:149-54. 8. Michael J. Pentecost. Interventional therapies of hepatic malignancy. In: Stanley Baum, Michael J. Pentecost, eds. Abrams’ Angiography Interventional radiology. Philadelphia: Lippincott Williams & Wilkins, 2006:516-35.
  • 532.
    àǪÈÒʵÏ·¹Âؤ 2553 Ñ º··Õè 505 70 ¹Í¹¡Ã¹áÅÐÀÒÇÐËÒÂ㨼Դ»¡µÔ¢³ÐËÅѺª¹Ô´ÍØ´¡Ñé¹ (Snoring and Obstructive Sleep Disordered Breathing; OSDB) ¼ÙŒª‹ÇÂÈÒʵÃÒ¨ÒÏ ¹ÒÂᾷÇÔª­ ºÃóËÔÃÑ­ ÀÒ¤ÇÔªÒâʵ ¹ÒÊÔ¡ ÅÒÃÔ§«Ç·ÂÒ ¤³Ðá¾·ÂÈÒʵÏÈÃÃÒª¾ÂÒºÒÅ ÁËÒÇÔ·ÂÒÅÑÂÁËÔ´Å Ô ÔÔ ¹Í¹¡Ã¹à»š¹ÍÒ¡ÒÃÍ‹ҧ˹֧«Ö§¾ºä´ŒºÍÂÁÒ¡áÅÐà¡Ô´¢Ö¹ä´Œã¹·Ø¡à¾È ·Ø¡ÇÑ àÊÕ§¡Ã¹à¡Ô´ è è ‹ é ¨Ò¡¡Ò÷ÕÅÁËÒÂ㨡íÒÅѧà¤Å×͹¼‹Ò¹·Ò§à´Ô¹ËÒÂã¨Ê‹Ç¹µŒ¹·Õµºá¤ºÅ§ ã¹ÅѡɳзÕ໚¹ turbulent flow è è è Õ è áÅзíÒãËŒà¡Ô´¡ÒÃÊѹÊÐà·×͹¢Í§à¹×ÍàÂ×ÍÃͺ¢ŒÒ§ â´ÂµíÒá˹‹§·Õ᤺¢Í§·Ò§à´Ô¹ËÒÂ㨠ÍÒ¨àÃÔÁµÑ§áµ‹ è é è è è é ¨ÁÙ¡ (nasal cavity) â¾Ã§ËÅѧ¨ÁÙ¡ (nasopharynx) ྴҹ͋͹ (soft palate) ¤ÍËÍ (oropharynx) µ‹ÍÁ·ÍūԹ (tonsils) ⤹ÅÔ¹ (base of tongue) ¨¹¶Ö§ºÒ§Ê‹Ç¹¢Í§¡Å‹Í§àÊÕ§ (larynx) ·Ñ§¹ÕàÊÕ§¡Ã¹ é é é ¹Í¡¨Ò¡¨Ð¡‹ÍãËŒà¡Ô´¤ÇÒÁÃíÒ¤Ò­Í‹ҧÁÒ¡ ¡Ñº¤Ù¹Í¹ ËÃ×ͼٷ¾¡ÍÒÈÑÂËÇÁ´ŒÇ ÂѧÍҨ໚¹ÍÒ¡ÒÃáÊ´§ ‹ Œ Õè Ñ (sign) ·ÕÊҤѭÍ‹ҧ˹֧¢Í§¡ÅØÁâäÀÒÇÐËÒÂ㨼Դ»¡µÔ¢³ÐËÅѺª¹Ô´ÍØ´¡Ñ¹ (obstructive sleep- èí è ‹ é disordered breathing; OSDB) â´Ââä¡ÅØ‹Á¹ÕéËÒ¡àÃÕ§µÒÁÅíҴѺ¤ÇÒÁÃØ¹áç¨Ò¡¹ŒÍÂä»ÁÒ¡ ¨Ð»ÃСͺ´ŒÇ ÀÒÇй͹¡Ã¹¸ÃÃÁ´Ò (primary snoring), ¡ÅØÁÍÒ¡Òèҡ·Ò§à´Ô¹ËÒÂã¨Ê‹Ç¹µŒ¹µÕº ‹ ᤺ (upper airway resistance syndrome; UARS) ¡ÅØÁÍÒ¡ÒÃËÂØ´ËÒÂ㨢³ÐËÅѺª¹Ô´ÍØ´¡Ñ¹ ‹ é (obstructive sleep apnea (OSA) ËÃ×Í obstructive sleep apnea hypopnea syndrome; OSAHS) áÅкҧ¤Ãѧ ÍÒ¨¨Ñ´ obesity hypoventilation (Pickwickian) syndrome ÃÇÁÍÂÙ´ÇÂ(1) é ‹ Œ
  • 533.
    506 ¹Í¹¡Ã¹áÅÐÀÒÇÐËÒÂ㨼Դ»¡µÔ¢³ÐËÅѺª¹Ô´ÍØ´¡Ñ¹ é Obesity hypoventilation Upper airway resistance syndrome (UARS) Intermittent snoring (physiologic) ÃÙ»·Õè 1 á¼¹ÀÙÁÔÅíҴѺ¤ÇÒÁÃØ¹áç¢Í§âä ¨Ò¡¹ŒÍÂ Ý ÁÒ¡ ã¹»˜¨¨Øº¹ÁÕÃÒ§ҹ¡ÒÃÇԨ¨íҹǹÁÒ¡¾ºÇ‹ÒÀÒÇÐËÂØ´ËÒÂ㨢³ÐËÅѺª¹Ô´ÍØ´¡Ñ¹«Ö§ÁÕÍÒ¡ÒÃ Ñ Ñ é è ¹Í¹¡Ã¹à»š¹ÍÒ¡ÒÃÊíҤѭ¹Õé ÁռšÃзº·ÕÊҤѭµ‹ÍÊØ¢ÀÒ¾ËÅÒÂÍ‹ҧ ઋ¹ ¼Ù·à»š¹âäÍÒ¨ÁÕÍÒ¡Òà èí Œ Õè ͋͹à¾ÅÕÂËÃ×ͧ‹Ç§ÁÒ¡¼Ô´»¡µÔã¹àÇÅÒ¡ÅÒ§Çѹ (excessive daytime sleepiness; EDS) ¨¹·íÒ§Ò¹ ä´ŒäÁ‹àµçÁ·Õè áÅÐÁÕ¤ÇÒÁàÊÕ§µ‹ÍÍØºµà˵صҧ æ ·Ñ§·Ò§´ŒÒ¹¨ÃÒ¨ÃáÅÐÍØºµà˵بҡ¡Ò÷íҧҹ䴌ʧ è Ñ Ô ‹ é Ñ Ô Ù ¶Ö§ 2-3 à·‹ÒàÁ×Íà·Õº¡Ñº¤¹»¡µÔ ¹Í¡¨Ò¡¹Õ§¾ºÇ‹ÒÁÕ¤ÇÒÁÊÑÁ¾Ñ¹¸Í‹ҧÁÕ¹ÂÊíҤѭ ËÃ×ÍÍҨ໚¹ è (2) é Ñ Ñ »˜¨¨ÑÂàÊÕ觢ͧâä¤ÇÒÁ´Ñ¹âÅËÔµÊÙ§(3) âäËÑÇã¨áÅÐËÅÍ´àÅ×Í´ ઋ¹ cardiac arrhythmia áÅÐ myocardial infarction(4) âä·Ò§ÊÁͧ ઋ¹ stroke(5) µÅÍ´¨¹ÀÒÇЫÖÁàÈÃŒÒàÃ×ÍÃѧ6 ÊÁÃöÀÒ¾·Ò§ é à¾ÈàÊ×ÍÁ(7) áÅÐÍҨ໚¹ÊÒà˵آͧ¡ÒÃË‹ÒÌҧ㹤ÙÊÁÃÊä´Œ ·ÕÊҤѭ¶ŒÒÁÕÀÒÇÐËÂØ´ËÒÂ㨢³ÐËÅѺ è ‹ èí ã¹à´ç¡ ÍÒ¨·íÒãËŒ¾Ñ²¹Ò¡Ò÷Ñé§´ŒÒ¹Ã‹Ò§¡Ò ¨Ôµã¨áÅÐʵԻ˜­­Ò ÁÕ¤ÇÒÁ¼Ô´»Ã¡µÔ ઋ¹ ÍÒ¨à¡Ô´ ¾ÄµÔ¡ÃÃÁ¡ŒÒÇÃŒÒǫء«¹ÁÒ¡ »˜ÊÊÒÇÐô·Õ¹Í¹º‹Í áÅÐÁռšÒÃàÃÕ¹á‹ŧ(8) Í‹ҧäáçµÒÁ¶ŒÒ¼Ù»ÇÂ è Œ † 䴌ú¡ÒÃÇÔ¹¨©Ñ áÅСÒÃÃÑ¡ÉÒ¤ÇÒÁ¼Ô´»¡µÔàËŋҹÕÍ‹ҧ¶Ù¡µŒÍ§áÅÐàËÁÒÐÊÁ ÍÒ¨ª‹ÇÂÅ´ÀÒÇÐá·Ã¡ Ñ Ô é «ŒÍ¹´Ñ§¡Å‹ÒÇáÅÐãËŒ¼»ÇÂÁÕ¤³ÀÒ¾ªÕǵ·Õ´¢¹ä´Œ ÙŒ † Ø Ô è Õ Öé ÊíÒËÃѺ¢ŒÍÁÙŷҧʶԵԢͧÍÒ¡Òù͹¡Ã¹áÅÐ¡ÅØ‹ÁÍÒ¡ÒÃËÂØ´ËÒÂ㨢³ÐËÅѺª¹Ô´ÍØ´¡Ñé¹ (obstructive sleep apnea syndrome; OSAS) 㹤¹ä·Â ¹Ñ¹ÂѧäÁ‹·ÃÒºµÑÇàÅ¢·Õṋª´ ᵋ¨Ò¡¡Òà é è Ñ ÈÖ¡ÉÒã¹µ‹Ò§»ÃÐà·È¾ºÇ‹Ò ÁÕ¼·¹Í¹¡Ã¹à»š¹»ÃШíÒ ã¹¤¹ª‹Ç§ÍÒÂØ 30-35 »‚»ÃÐÁҳÌÍÂÅÐ 20 ã¹ ÙŒ Õè ¼ÙªÒ áÅÐÃŒÍÂÅÐ 5 ã¹¼ÙË­Ô§ ËÃ×Í㹤¹ÍÒÂØÁÒ¡¡Ç‹Ò 60 »‚ ¨Ð¹Í¹¡Ã¹à»š¹»ÃШíÒÃÒÇ ÃŒÍÂÅÐ 60 Œ Œ ã¹¼ÙªÒ áÅÐÃŒÍÂÅÐ 40 ã¹¼ÙË­Ô§(9) ʋǹ¤ÇÒÁªØ¡ (prevalence) ¢Í§¡ÅØÁÍÒ¡ÒÃËÂØ´ËÒÂ㨢³ÐËÅѺ Œ Œ ‹ ª¹Ô´ÍØ´¡Ñ¹ ã¹¼ÙãË­‹Ç·íÒ§Ò¹ (30-60 »‚) ¾º»ÃÐÁҳÌÍÂÅÐ 4 ã¹¼ÙªÒ áÅÐÃŒÍÂÅÐ 2 ã¹¼ÙË­Ô§(10) é Œ Ñ Œ Œ
  • 534.
    àǪÈÒʵÏ·¹Âؤ 2553 Ñ 507 ·Ñ§¹Õàª×ÍNjҨоºä´ŒÁÒ¡¡Ç‹Ò¹Õã¹¼ÙʧÍÒÂØ ÊíÒËÃѺà´ç¡ª‹Ç§¡‹Í¹ÇÑÂàÃÕ¹áÅлÃжÁµŒ¹ (ÍÒÂØ 3-6 »‚) é é è é ŒÙ ¾ºÇ‹ÒÁÕÍÒ¡Òù͹¡Ã¹à»š¹»ÃШíÒÃÒÇÃŒÍÂÅÐ 7–10 áÅÐÁÕ¡ÅØ‹ÁÍÒ¡ÒÃËÂØ´ËÒÂ㨢³ÐËÅѺ ª¹Ô´ÍØ´¡Ñé¹ÃŒÍÂÅÐ 1-2 ·Ñé§à¾ÈªÒÂáÅÐË­Ô§(11, 12) «Öè§ã¡ÅŒà¤Õ§¡Ñº¡ÒÃÈÖ¡ÉÒã¹à´ç¡ä·Â·Õ辺ÃÒÇ ÃŒÍÂÅÐ 0.69 (13) ¾ÂÒ¸ÔÊÃÕÃÇÔ·ÂÒáÅмÅÊ׺à¹×ͧ¢Í§ÀÒÇÐËÒÂ㨼Դ»Ã¡µÔ¢³ÐËÅÑºáººÍØ´¡Ñ¹ è é ·Ò§à´Ô¹ËÒÂã¨Ê‹Ç¹µŒ¹¢Í§¤¹àÃҹѹ à»ÃÕºàÊÁ×͹·‹ÍÅÁ·ÕÊÒÁÒÃ¶ÂØºµÑÇŧ䴌ËÒ¡ÁÕ¤ÇÒÁ´Ñ¹ é è ã¹·‹Í¹Ñ¹µèҡNjҤÇÒÁ´Ñ¹¢Í§ºÃÃÂÒ¡ÒÈ áµ‹à¾×ÍãËŒÊÒÁÒöËÒÂã¨ä´ŒÍ‹ҧ»¡µÔ ¼¹Ñ§¢Í§·Ò§à´Ô¹ é í è ËÒÂ㨨֧ÁÕ¡Åä¡à¾×ÍãËŒ·Ò§à´Ô¹ËÒÂã¨à»´¡ÇŒÒ§µÅÍ´àÇÅÒ â´ÂÍÒÈÑ¡Ò÷íÒ§Ò¹¢Í§¡ÅŒÒÁà¹×͵‹Ò§æ è é â´Â੾ÒÐÍ‹ҧÂÔ§ ʋǹ·Õ·Ò˹ŒÒ·Õ¢ÂÒ·ҧà´Ô¹ËÒÂã¨Ê‹Ç¹µŒ¹ (pharyngeal dilator muscles) «Ö§ è è í è è ¨ÐÁÕ¤ÇÒÁµÖ§µÑǺҧʋǹµÅÍ´àÇÅÒ (tonic contraction) áÅÐË´µÑÇÁÒ¡¢Ö¹¢³ÐËÒÂã¨à¢ŒÒ (phasic é contraction) â´Â໚¹¼Å¨Ò¡¡ÒáÃеع¢Í§ÈٹËÒÂã¨ã¹ÊÁͧ (respiratory center) ËÇÁ¡Ñº»¯Ô¡ÃÂÒ Œ ÔÔ µ‹ÍµŒÒ¹¤ÇÒÁ´Ñ¹Åºã¹ª‹Í§·Ò§à´Ô¹ËÒÂ㨠(negative pressure reflex) Í‹ҧäáçµÒÁã¹¢³Ð·ÕÃÒ§ (16) è‹ ¡ÒÂËÅѺ ¡Åä¡¡Ò÷íÒ§Ò¹´Ñ§¡Å‹ÒǨÐŴŧ «Ö§ã¹¤¹»¡µÔ¨ÐÂѧÁÕ·Ò§à´Ô¹ËÒÂ㨷աnjҧà¾Õ§¾Íã¹ è è ·Ø¡ÃÐÂе‹Ò§æ ¢Í§¡Òù͹ ¨Ö§äÁ‹ÁÍÒ¡ÒÃã´æ à¡Ô´¢Ö¹ Õ é ÊíÒËÃѺ㹼ٷÁÍÒ¡ÒáÒù͹¡Ã¹áÅÐÀÒÇÐËÒÂ㨼Դ»Ã¡µÔ¢³ÐËÅÑºáººÍØ´¡Ñ¹¹Ñ¹ »˜¨¨Øº¹ Œ Õè Õ é é Ñ àª×ÍNjҹ‹Ò¨ÐÁÕ»¨¨Ñ·ҧ¡ÒÂÇÔÀÒ¤ (anatomical factors) ·Õ·ÒãËŒ·Ò§à´Ô¹ËÒÂã¨á¤º¡Ç‹Ò¤¹»¡µÔ ઋ¹ è ˜ è í (17) ¤ÇÒÁäÁ‹ÊÁ´ØÅÃÐËNjҧâ¤Ã§ÊÌҧ¢Í§ãºË¹ŒÒáÅÐÅíҤ͡Ѻ»ÃÔÁҵâͧà¹×ÍàÂ×Í·ÕÍÂÙÀÒÂ㹫֧ÍÒ¨ÁÕÍÂÙ‹ é è è ‹ è à´ÔÁ ËÃ×Í à¡Ô´¨Ò¡¡Ò÷ÕÁ¾ÂÒ¸ÔÊÀÒ¾µ‹Ò§æ ¢Ö¹ÁÒÀÒÂËÅѧËÇÁ¡Ñº »˜¨¨Ñ·ҧÊÃÕÃÇÔ·ÂÒ (physiological è Õ é factors) ÍÕ¡ËÅÒÂÍ‹ҧ â´Â੾ÒÐÍ‹ҧÂÔ§ã¹Ê‹Ç¹¢Í§ ¤ÇÒÁ¼Ô´»¡µÔ㹡Åä¡¡Òû‡Í§¡Ñ¹µ¹àͧ¢Í§ (16) è Ãкº·Ò§à´Ô¹ËÒÂ㨴ѧ¡Å‹ÒÇ¢ŒÒ§µŒ¹ ¼Å¢Í§¡Ò÷շҧà´Ô¹ËÒÂã¨á¤ºÅ§¡Ç‹Ò»¡µÔã¹¢³Ð¹Í¹ËÅѺ è ·íÒãËŒÃÒ§¡Ò¨íÒ໚¹µŒÍ§à¾ÔÁáç㹡ÒÃËÒÂã¨à¢ŒÒÊٻʹÁÒ¡¢Ö¹ (increase inspiratory effort) à¾×ÍãËŒ ‹ è ‹ é è ä´ŒÍÒ¡ÒÈÍ‹ҧ¾Íà¾Õ§ ¨Ö§à»š¹¼ÅãËŒ·Ò§à´Ô¹ËÒÂã¨ÁÕ¤ÇÒÁ´Ñ¹à»š¹Åº (negative airway pressure) ÁÒ¡¡Ç‹Òà´ÔÁ ¨¹ºÒ§¤ÃѧÍÒ¨·íÒãËŒ·Ò§à´Ô¹ËÒÂã¨Ê‹Ç¹µŒ¹ÂغµÑÇŧ¨¹à¡Ô´¡ÒÃÍØ´¡Ñ¹ (collapse of upper é é airway) áÅÐÁÕ¡ÒÃÅ´µèÒŧ¢Í§ÍÍ¡«Ôਹã¹àÅ×Í´ (oxygen desaturation) ËÃ×ÍËÇÁ¡Ñº ÁÕ¡ÒÃà¾ÔÁ¢Ö¹ í è é ¢Í§¤ÇÒÁ´Ñ¹¡Ò« CO2 ã¹àÅ×Í´à¹×ͧ¨Ò¡ÀÒÇÐ hypoventilation «Ö§¼Å´Ñ§¡Å‹ÒǨСÅÒÂ໚¹Ç§¨Ã¡ÅѺ è è (negative feedback) 仡Ãеع chemoreceptor ·Ñ§Ê‹Ç¹¢Í§ peripheral áÅÐ central ·íÒãËŒÊÁͧµ×¹ Œ é è µÑǡNjÒà´ÔÁ (arousal) áÅÐÁÕ tone ¢Í§ respiratory muscle à¾ÔÁ¢Ö¹ à¾×Íແ´·Ò§à´Ô¹ËÒÂã¨ãËŒ¡ÇŒÒ§ è é è áÅÐÁÕ ventilation 䴌͡¤Ãѧ Í‹ҧäáçµÒÁàÁ×ÍËҧ¡ÒÂࢌÒÊÙÃÐÂСÒÃËÅѺÍÕ¡¤Ãѧ ¡ç¨Ðà¡Ô´à˵ءÒó Õ é è ‹ é ¤ÅŒÒÂà´ÔÁ໚¹Ç§¨Ã«éÒ䴌͡ â´ÂÁÕÃÒ§ҹNjҼٻÇ·ÕÁÕ OSAHS ËÅÒÂÃÒÂÁÕ arousal threshold ÊÙ§ í Õ Œ † è ¡Ç‹Ò¤¹»¡µÔ ·íÒãËŒÁÀÒÇÐ hypoxemia ä´ŒÁÒ¡¢Ö¹ (18) Õ é ¼ÅÊ׺à¹×ͧ¢Í§¡Ò÷ÕËÂØ´ËÒÂ㨠ËÃ×ÍËÒÂã¨á¼‹Ç໚¹ÃÐÂÐæ ¨Ò¡·Ò§à´Ô¹ËÒÂ㨵պ᤺ËÃ×Í è è ÁÕ¡ÒÃÍØ´¡Ñ鹴ѧ¡Å‹ÒÇ ÊÒÁÒö·íÒãËŒÁռŵ‹ÍËҧ¡ÒÂËÅÒÂÃкºµÒÁÁÒ â´Â੾ÒÐÍ‹ҧÂÔè§·Ò§´ŒÒ¹ neuropsychological áÅÐ cardiovascular system µÑÇÍ‹ҧ ઋ¹ 㹡óշ¼»ÇÂËÒÂ㨼Դ»¡µÔ Õè ÙŒ †
  • 535.
    508 ¹Í¹¡Ã¹áÅÐÀÒÇÐËÒÂ㨼Դ»¡µÔ¢³ÐËÅѺª¹Ô´ÍØ´¡Ñ¹ é ¢³ÐËÅѺáÅÐÁÕ¡Òâͧ¡ÃеعÊÁͧ (arousals) º‹ÍÂæ ¨Ð·íÒãËŒ¼»ÇÂÁչ͹ËÅѺäÁ‹µÍà¹×ͧáÅÐËÅѺ Œ ÙŒ † ‹ è äÁ‹Å¡à¾Õ§¾Í Ëҧ¡Ò¨֧ÍÂÙã¹ÀÒÇÐÍ´¹Í¹àÃ×ÍÃѧ (chronic sleep deprivation) «Ö§¼Å´Ñ§¡Å‹Òǹ͡ Ö ‹ é (19) è ¨Ò¡¨Ð·íÒãËŒ ¼Ù»ÇÂÃÙʡ͋͹à¾ÅÕÂà¹×ͧ¨Ò¡¹Í¹ËÅѺäÁ‹ä´ŒàµçÁ·ÕáÅÐÁÕÍÒ¡Òç‹Ç§ã¹àÇÅÒ¡ÅÒ§ÇѹÁÒ¡ Œ † ŒÖ è è ¡Ç‹Ò»¡µÔ Âѧʋ§¼ÅãËŒ»ÃÐÊÔ·¸ÔÀҾ㹡Ò÷íÒ§Ò¹ ¤ÇÒÁ¨íÒ ËÃ×Í¡ÒÃàÃÕ¹ÃÙá‹ŧ ÍÒ¨à¡Ô´ÍÒÃÁ³«ÁàÈÃŒÒ Œ Ö Ë§Ø´Ë§Ô´§‹Ò ¢Ò´ÊÁÒ¸Ô ËÃ×ÍáÁŒ¡ÃзѧÊÁÃöÀÒ¾·Ò§à¾ÈŴŧ «Ö§·íÒãËŒ¼»ÇÂÁÕ»­ËÒ·Ò§ºØ¤ÅÔ¡ (20) è (7) è ÙŒ † ˜ ÀÒ¾ áÅзҧÊѧ¤ÁµÒÁÁÒä´Œ ÊíÒËÃѺ¼Åµ‹Í cardiovascular system ¹Ñ¹ÁÕ¡Åä¡·Õ«º«ŒÍ¹ ᵋàª×ÍÇ‹ÒʋǹãË­‹ ໚¹¼Å¨Ò¡ é è Ñ è ¡Ò÷Õè Ãкº»ÃÐÊÒ·Íѵâ¹ÁÑµÔ sympathetic ¶Ù¡¡Ãеع໚¹àÇÅÒ¹Ò¹¨Ö§·íÒ§Ò¹ÁÒ¡¡Ç‹Ò»¡µÔ(21) ઋ¹ Ô Œ ËÒ¡ÁÕ¡ÒÃŴŧ¢Í§ÃдѺ O2 ã¹àÅ×Í´º‹ÍÂÁÒ¡ ÍÒ¨¡ÃеعãËŒÁ¡ÒÃËÅѧ catecholamine à¾ÔÁ¢Ö¹ ·íÒãËŒ Œ Õ è è é àÊŒ¹àÅ×Í´·ÑÇËҧ¡Ò ÃÇÁ¶Ö§àÊŒ¹àÅ×ʹ㹻ʹ˴µÑÇàÃ×ÍÃѧ «Ö§àª×ÍÇ‹Ò໚¹ÊÒà˵ØãËŒ à¡Ô´âä¤ÇÒÁ´Ñ¹âÅËÔµ è é è è ÊÙ§ áÅÐÁÕ pulmonary hypertension «Ö§¶ŒÒ໚¹ÍÂ‹Ò§ÃØ¹áçÍÒ¨·íÒãËŒÁÕ right ventricular hypertrophy è áÅÐ right heart failure 㹺ҧ¡Ã³ÕËÒ¡ÁÕÃдѺÍÍ¡«Ôਹã¹àÅ×Í´µèÒÁÒ¡ ÍÒ¨·íÒãËŒËÇã¨àµŒ¹¼Ô´ (22) í Ñ ¨Ñ§ËÇÐ (cardiac arrhythmia), ËÃ×Í¡ÃеعãËŒà¡Ô´âä¡ÅŒÒÁà¹×ÍËÑÇ㨢ҴàÅ×Í´ (ischemic heart disease) Œ é µÅÍ´¨¹ âäËÅÍ´àÅ×Í´ÊÁͧ (cerebrovascular disease) µÒÁÁÒ(22, 23) ¹Í¡¨Ò¡¹Õ§ÁÕ¡ÒÃÈÖ¡ÉÒ·Õè é Ñ ¾º¡ÒÃà¾ÔÁ¢Ö¹¢Í§ systemic inflammation áÅСÒ÷íÒ§Ò¹¢Í§à¡Ãç´àÅ×Í´ è é (21, 24) ã¹¼Ù»ÇÂàËŋҹÕé «Ö§ Œ † è àª×ÍÇ‹Ò໚¹¡Åä¡Íաʋǹ·Õ·ÒãËŒà¡Ô´ÀÒÇÐá·Ã¡«ŒÍ¹Ã‹ÇÁ´ŒÇÂä´Œ ÊíÒËÃѺà´ç¡ ¶ŒÒÁÕ¡ÒâҴÍÍ¡«Ôਹ è è í º‹Í æ ËÃ×͹͹ËÅѺäÁ‹Ê¹Ô·ËÃ×ÍËÅѺäÁ‹Å¡à¾Õ§¾Í ¨ÐÊ‹§¼ÅÊíҤѭµ‹Í¾Ñ²¹Ò¡Ò÷ѧ·Ò§Ã‹Ò¡ÒÂáÅÐ Ö é ʵԻ­­Ò ઋ¹ à´ç¡ÍÒ¨à¨ÃÔ­àµÔºâµªŒÒ¡Ç‹Ò»¡µÔ (failure to thrive) à¹×ͧ¨Ò¡ÎÍÏâÁ¹¡ÒÃà¨ÃÔ­àµÔºâµ ˜ è (growth Hormorne) ¨ÐËÅѧÁÒ¡ã¹àÇÅÒËÅѺâ´Â੾ÒÐÍ‹ҧÂÔ§ÃÐÂСÒÃËÅѺÅÖ¡ (slow wave sleep)(25) è è ¹Í¡¨Ò¡¹Õà´ç¡ºÒ§ÃÒÂÍÒ¨ÁվĵԡÃÃÁ·Õ¡ÒÇÃŒÒÇ «Ø¡«¹¼Ô´»¡µÔ ËÃ×ÍÁÕ»­ËÒ·Ò§ÍÒÃÁ³áÅмšÒà é è Œ ˜ àÃÕ¹á‹ŧ䴌 (26) ÅѡɳÐÍÒ¡Ò÷ҧ¤ÅÔ¹Ô¡ ÅѡɳÐÍÒ¡Ò÷ҧ¤ÅÔ¹¡¢Í§ÀÒÇÐËÒÂ㨼Դ»¡µÔ¢³ÐËÅѺ (OSDB) ¢Ö¹ÍÂÙ¡º¤ÇÒÁÃØ¹áç Ô é ‹ Ñ ¢Í§âä ઋ¹ ¶ŒÒ¼Ù»ÇÂ໚¹ÀÒÇй͹¡Ã¹áºº¸ÃÃÁ´Ò (primary ËÃ×Í simple snoring) ÍÒ¨ÁÕà¾Õ§ Œ † ÍÒ¡Òù͹¡Ã¹´Ñ§à»š¹»ÃШíÒ (habitual snoring) â´Â·ÕäÁ‹ÁÍÒ¡ÒÃÍ‹ҧÍ×¹ ᵋ¶Ò໚¹¡ÅØÁÍÒ¡Òèҡ è Õ è Œ ‹ ·Ò§à´Ô¹ËÒÂã¨Ê‹Ç¹µŒ¹µÕºá¤º upper airway resistance syndrome (UARS) ËÃ×Í ÀÒÇÐËÂØ´ËÒÂ㨠¢³ÐËÅѺª¹Ô´ÍØ´¡Ñ¹ (obstructive sleep apnea hypopnea syndrome; OSAHS) «Ö§ÁÕšɳФŌÒ é è Ñ ¡Ñ¹ ¼Ù»ÇÂÍÒ¨ÁÕÍÒ¡ÒÃáÅÐÍÒ¡ÒÃáÊ´§ 䴌ᡋ Œ † 1. ÍÒ¡Ò÷Õà¡Ô´¢Ö¹ª‹Ç§¡ÅÒ§¤×¹ (Nocturnal symptoms) ËÃ×ÍÍÒ¡Òâ³Ð¹Í¹ËÅѺ ·Õ¾º è é è º‹Í ઋ¹ ÍÒ¡Òù͹¡Ã¹ËÃ×ÍËÒÂã¨àÊÕ§´Ñ§à»š¹»ÃШíÒ ¹Í¹ËÅѺäÁ‹Ê¹Ô· ¹Í¹¡ÃÐÊѺ¡ÃÐʋҾÅÔ¡ µÑǺ‹Í ºÒ§¤ÃѧÍÒ¨ÁÕÍÒ¡ÒÃàËÁ×͹ÊíÒÅÑ¡ (choking) ËÃ×Í ËÒÂã¨äÁ‹ÍÍ¡ Êдاµ×¹ áÅÐà˧×ÍÍÍ¡ÁÒ¡ é Œ è è
  • 536.
    àǪÈÒʵÏ·¹Âؤ 2553 Ñ 509 ¼Ô´»¡µÔ ¹Í¡¨Ò¡¹ÕÍÒ¨ÁռʧࡵàËç¹Ç‹Ò¼Ù»ÇÂËÂØ´ËÒÂ㨠(witnessed apnea) ËÃ×ÍËÒÂã¨äÁ‹ÊÁèÒ é ÙŒ Ñ Œ † í àÊÁÍ ã¹à´ç¡ÍÒ¨Áշҹ͹·Õ¼´»¡µÔ ઋ¹ªÍº¹Í¹¤ÇèÒ ËÃ×Í ¹Í¹µÐᤧ áÅкҧÃÒÂÍÒ¨ÁÕÍÒ¡Òà ‹ è Ô í »˜ÊÊÒÇÐô·Õ¹Í¹ (enuresis) ä´Œ è 2. ÍÒ¡Ò÷Õà¡Ô´¢Ö¹ª‹Ç§¡ÅÒ§Çѹ (Daytime symptoms) ËÃ×ÍÍÒ¡ÒÃËÅѧ¨Ò¡·Õµ¹¹Í¹áÅŒÇ è é è ×è ઋ¹ »Ç´ÈÕÃÉÐ ËÃ×Í ¤ÍáËŒ§º‹ÍÂã¹µÍ¹àªŒÒ ¼Ù»ÇÂËÅÒÂÃÒÂÁÕÍÒ¡Òç‹Ç§¹Í¹ã¹ÃÐËNjҧÇѹÁÒ¡¡Ç‹Ò Œ † »¡µÔ ¨¹·íÒãËŒÁÕ »ÃÐÊÔ·¸ÔÀҾ㹡Ò÷íÒ§Ò¹ËÃ×Í¡ÒÃàÃÕ¹ÃÙŒá‹ŧ áÅÐÁÕÍÒÃÁ³«ÖÁàÈÃŒÒ ËÃ×Í ÊÁÃöÀÒ¾·Ò§à¾ÈŴŧ䴌 ÊíÒËÃѺ¼Ù»ÇÂà´ç¡ ÍÒ¨ÁÕÍÒ¡ÒÃáÊ´§áµ¡µ‹Ò§¨Ò¡¼ÙãË­‹ä´Œ ઋ¹ ÍÒ¡Òà Œ † Œ §‹Ç§¼Ô´»¡µÔÍÒ¨äÁ‹ª´à¨¹ ᵋáÊ´§ÍÍ¡ ¤ÅŒÒÂÀÒÇЫء«¹ÁÒ¡¡Ç‹Ò»Ã¡µÔ (hyperactivity) áÅÐÁÕÊÁÒ¸Ô Ñ Êѹ (inattentiveness, attention deficit disorder) ËÃ×Í Ë§Ø´Ë§Ô´§‹Ò (hyperirritability) áÅÐÁվĵԡÃÃÁ é ¡ŒÒÇÃŒÒÇ (behavioral problems) ¨¹·íÒãËŒÁ»­ËÒ·Ò§´ŒÒ¹¡ÒÃàÃÕ¹ËÃ×Í¡ÒÃࢌÒÊѧ¤Áä´Œ Õ ˜ ¡ÒÃÇÔ¹Ô¨©Ñ ¡ÒÃÇÔ¹¨©Ñ·Õ໚¹Áҵðҹ ¢Í§âä¡ÅØÁÀÒÇÐËÒÂ㨼Դ»¡µÔ¢³ÐËÅѺ (OSDB) ¨íÒ໚¹µŒÍ§ Ô è ‹ ÍÒÈÑ¢ŒÍÁÙŨҡ »ÃÐÇÑµÔ ¡ÒõÃǨËҧ¡Ò áÅÐ ¡ÒõÃǨ¾ÔàÈÉà¾ÔÁàµÔÁ 䴌ᡋ è 1. ¡ÒöÒÁ»ÃÐÇÑµÔ (History taking) ¶ŒÒ໚¹ä»ä´Œ¤ÇöÒÁ¨Ò¡·Ñ§ ¼Ù»ÇÂáÅФٹ͹ËÃ×ͼٷÕè é Œ † ‹ Œ ÍÒÈÑÂËÇÁÍÂÙ´Ç à¹×ͧ¨Ò¡¼Ù»ÇÂʋǹÁÒ¡¨ÐäÁ‹·ÃÒºÍÒ¡Ò÷Õà¡Ô´¢Ö¹¢³Ð·Õµ¹àͧËÅѺ â´Â㹡Òà ‹ Œ è Œ † è é è «Ñ¡»ÃÐÇѵ¹Í¡à˹×ͨҡ ÍÒ¡Òõ‹Ò§æ ·Õ໚¹ä»ä´Œ¢Í§âä·Ò§à´Ô¹ËÒÂã¨ÍØ´¡Ñ¹¢³ÐËÅѺáÅŒÇ ¤ÇöÒÁ Ô è é ¶Ö§ÃٻẺ¡Òù͹ËÅѺ¢Í§¼Ù»Ç´ŒÇ (sleep history pattern) ઋ¹ àÇÅÒࢌҹ͹ ËÃ×ÍàÇÅÒµ×¹¹Í¹ Œ † è ·‹Ò¹Í¹·Õ㪌»ÃШíÒ àª‹¹ ¹Í¹Ë§Ò ËÃ×͹͹µÐᤧ ¤ÇÒÁ¶Õ¢Í§¡ÒÃÃÙÊ¡µÑÇËÃ×͵׹¢Ö¹ÁÒÃÐËNjҧ·Õ¹Í¹ è è ŒÖ è é è (wake after sleep onset; WASO) ÃÇÁ¶Ö§àÇÅÒ·Õ㪌¹Í¹¡ÅÒ§Çѹ (daytime nap) ´ŒÇ ¹Í¡¨Ò¡¹Õé è ¤ÇöÒÁà¡ÕÂǡѺ»˜¨¨ÑÂàÊÕ§¢Í§âä ઋ¹ ¡ÒÃà¾ÔÁ¢Ö¹¢Í§¹éÒ˹ѡ ÍÒ¡ÒÃà¡ÕÂǡѺâä·Ò§à´Ô¹ËÒÂ㨠è è è é í è »ÃÐÇѵԤÃͺ¤ÃÑÇ »ÃÐÇѵԡÒÃ㪌ÂÒ àª‹¹ Âҹ͹ËÅѺ ÂÒ¤ÅÒ¡ŌÒÁà¹×éÍ »ÃÐÇѵԡÒô×èÁ alcohol ÃÇÁ¶Ö§»ÃÐÇѵâä»ÃШíÒµÑÇ ·ÕÊҤѭ ઋ¹ ¤ÇÒÁ´Ñ¹âÅËÔµÊÙ§ âä¡ÅŒÒÁà¹×ÍËÑÇ㨢ҴàÅ×Í´ ËÃ×ÍÍØºµàËµØ Ô èí é Ñ Ô ·Õà¤Âà¡Ô´¢Ö¹¡Ñº¼Ù»Ç ໚¹µŒ¹ è é Œ † 2. ¡ÒõÃǨËҧ¡Ò (Physical examination) ÁÕ¨´»ÃÐʧ¤à¾×Í ËÒµíÒá˹‹§·ÕÍҨ໚¹ÊÒàËµØ Ø è è ¢Í§¡ÒÃÍØ´¡Ñ¹·Ò§à´Ô¹ËÒÂã¨, »ÃÐàÁÔ¹ÀÒÇÐá·Ã¡«ŒÍ¹, áÅÐà¾×Í໚¹¡ÒûÃÐàÁÔ¹¡‹Í¹àÅ×Í¡ÇԸáÉÒ é è ÕÑ ·ÕàËÁÒÐÊÁ¡Ñº¼Ù»ÇÂ è Œ † 2.1 ¡ÒõÃǨàº×éͧµŒ¹ ·ÕÊҤѭ䴌ᡋ vital signs â´Â੾ÒÐÍ‹ҧÂÔ§ ªÕ¾¨ÃáÅФÇÒÁ èí è ´Ñ¹âÅËÔµ áÅÐ ÅѡɳзÑÇä» (General appearance) ¢Í§¼Ù»Ç ઋ¹ ÃٻËҧ (body habitus) ¡ÒÃ è Œ † ªÑ§¹éÒ˹ѡáÅÐÇѴʋǹÊÙ§ à¾×ͤíҹdzËÒ¤‹Ò body mass index (BMI) áÅСÒÃÇÑ´¤ÇÒÁÂÒÇàÊŒ¹Ãͺǧ è í è ¢Í§ÅíÒ¤Í (neck circumference) ໚¹µŒ¹ 2.2 ¡ÒõÃǨËҧ¡Ò·ҧâʵ ÈÍ ¹ÒÊÔ¡ (Oto-Rhino-Laryngologic, Head and Neck examination) «Ö§à»š¹ºÃÔàdzÊíҤѭ¢Í§·Ò§à´Ô¹ËÒÂʋǹµŒ¹·Õ໚¹ÊÒà˵آͧâä䴌 â´ÂàÃÔÁ¡ÒõÃǨ è è è µÑ§áµ‹ÀÒ¹͡ ઋ¹ ÅѡɳÐâ¤Ã§ÊÌҧ¢Í§ÈÕÃÉÐáÅÐãºË¹ŒÒ (craniofacial structure) ÃٻËҧ¢Í§¤Í é
  • 537.
    510 ¹Í¹¡Ã¹áÅÐÀÒÇÐËÒÂ㨼Դ»¡µÔ¢³ÐËÅѺª¹Ô´ÍØ´¡Ñ¹ é ÃÇÁ¶Ö§¡ÒõÃǨÀÒÂã¹â¾Ã§¨ÁÙ¡áÅЪ‹Í§»Ò¡ (nasal and oral cavity) Í‹ҧÅÐàÍÕ´ µÑ§áµ‹ ÅÑ¡É³Ð é ¢Í§¡ÒÃʺ¿˜¹ (occlusion) ºÃÔàdzª‹Í§¤Í (oropharynx) â¾Ã§ËÅѧ¨ÁÙ¡ (nasopharynx) ⤹ÅÔ¹ËÃ×Í é ºÃÔàdz hypopharynx µÅÍ´¨¹ºÃÔàdz¡Å‹Í§àÊÕ§ (larynx) ໚¹µŒ¹ ÅÑ ¡ ɳзÕè Í Ò¨¾ºä´Œ º‹ Í Â¨Ò¡¡ÒõÃǨË Ò §¡ÒÂã¹¼ÙŒ »† Ç Â¡ÅØ‹ Á ¹Õé ä´Œ á ¡‹ ¤Ò§ËØ º (retrognathia), inferior turbinate swelling «Ö§ÍÒ¨à¡Ô´¨Ò¡¡ÒõԴàª×ÍËÃ×ÍÀÙÁᾌ, ¼¹Ñ§¡Ñ¹ª‹Í§¨ÁÙ¡¤´ è é Ô é ÃÔ´Êմǧ¨ÁÙ¡ 䫹ÑÊÍÑ¡àʺ µ‹ÍÁÍдԹÍ´âµ (adenoid hypertrophy) â´Â੾ÒÐÍ‹ҧÂÔ§ã¹à´ç¡ áÅÐ è ã¹ÃдѺ oropharynx ÍÒ¨µÃǨ¾ºµ‹ÍÁ·Í¹«ÔÅⵠྴҹ͋͹ (soft palate) ËÃ×Í ÅԹ䡋 (uvula) ÂÒÇ é ¼¹Ñ§¤Í´ŒÒ¹¢ŒÒ§ (tonsillar pillars and lateral pharyngeal wall) Ë¹Ò áÅÐ⤹ÅÔ¹·ÕãË­‹ â´Â੾ÒÐ é è Í‹ҧÂԧ㹤¹ÍŒÇ¹ ¹Í¡¨Ò¡¹Õé ºÒ§¤ÃѧÍÒ¨µÃǨ¾º ¡ÅØÁâä·Ò§¾Ñ¹¸Ø¡ÃÃÁ µÅÍ´¨¹à¹×ͧ͡ËÃ×ÍÁÐàÃç§ è é ‹ é ª¹Ô´µ‹Ò§æ 㹺ÃÔàdz¹Õä´Œ é ã¹à´ç¡·Õ໚¹âäʋǹÁÒ¡¨ÐµÃǨ¾º µ‹ÍÁ·Í¹«ÔÅáÅе‹ÍÁÍдչÍ´âµ «Ö§¨íÒ໚¹ è è µŒÍ§µÃǨËÙÃÇÁ´ŒÇ à¹×ͧ¨Ò¡ÍÒ¨¾ºÀÒÇÐËÙª¹¡ÅÒ§ÍÑ¡àʺ¨Ò¡¡ÒÃÁչҢѧ (otitis media with effusion; ‹ è Ñé éí OME) «Ö§µŒÍ§·íÒ¡ÒÃÃÑ¡ÉÒËÇÁ¡Ñ¹ ÊíÒËÃѺ㹼ÙãË­‹ÊǹÁÒ¡ ¨ÐµÃǨ¾ºÅѡɳзҧà´Ô¹ËÒÂã¨Ê‹Ç¹ è Œ ‹ º¹·Õ᤺áÅмԴ»¡µÔä´ŒËÅÒµíÒá˹‹§ (ÃÙ»·Õè 5) è 2.3 ¡ÒõÃǨËҧ¡ÒµÒÁÃкºÍ×è¹ æ (Systemic examination) ·ÕÊҤѭ䴌ᡋ Ãкº èí ËÑÇã¨áÅÐËÅÍ´àÅ×Í´, ·Ò§à´Ô¹ËÒÂã¨Ê‹Ç¹Å‹Ò§ áÅÐ Ãкº»ÃÐÊÒ· ໚¹µŒ¹ ·Ñ§¹Õà¾×ÍËÒâäËÇÁ·Õ໚¹ é é è è ÊÒà赯 ËÃ×Í໚¹ÀÒÇÐá·Ã¡«ŒÍ¹·ÕÊҤѭ èí 3. ¡ÒõÃǨ¾ÔàÈÉà¾ÔèÁàµÔÁ (Special investigation) à¹×èͧ¨Ò¡»ÃÐÇѵÔáÅСÒõÃǨËҧ¡Ò 㹼ٌ»†Ç·ÕèÁÕ»˜­ËÒ´ŒÒ¹¡Òù͹ËÅѺ Áѡ䴌¢ŒÍÁÙÅ ·Õ¨Ò¡Ñ´ à¾ÃÒмٻÇÂàͧ ÁÑ¡äÁ‹·ÃÒºÍÒ¡Ò÷Õà¡Ô´¢Ö¹ ËÃ×ÍÍÒ¨ãËŒ¢ÍÁÙÅ·ÕäÁ‹µÃ§¡ÑºÊÔ§·Õà¡Ô´¢Ö¹¨ÃÔ§ã¹¢³Ð èí Œ † è é Œ è è è é ËÅѺ ´Ñ§¹Ñ¹à¾×ÍãËŒ¡ÒÃÇÔ¹¨©ÑÂá¡âä¢Í§¼Ù»ÇÂ¡ÅØÁ¹Õ䴌͋ҧÅÐàÍÕ´áÅлÃÐàÁÔ¹¤ÇÒÁÃØ¹áç䴌Í‹ҧ é è Ô Œ † ‹ é ¶Ù¡µŒÍ§ ¨Ö§¹ÔÂÁ㪌¡ÒõÃǨ¾ÔàÈÉâ´Â੾ÒÐÍ‹ҧÂÔ§ ¡Ò÷´Êͺ¡Òù͹ËÅѺ (sleep test) «Ö§·íÒãËŒ è è ÊÒÁÒöàÅ×Í¡ÇÔ¸¡ÒÃÃÑ¡ÉÒãËŒ¡º¼Ù»ÇÂ䴌͋ҧàËÁÒÐÊÁ ¹Í¡¨Ò¡¹Õ§ÁÕ¡ÒõÃǨ¾ÔàÈÉÍ×¹æ ·ÕÁ¤ÇÒÁ Õ Ñ Œ † é Ñ è è Õ ÊíҤѭ áÅзíÒãËŒÇÒ§á¼¹¡ÒÃÃÑ¡ÉÒä´Œ´Â§¢Ö¹ ઋ¹ ¡ÒõÃǨà¾×ÍËÒµíÒá˹‹§¤ÇÒÁ¼Ô´»¡µÔ¢Í§à´Ô¹ËÒÂ Õ Ôè é è 㨠áÅСÒõÃǨà¾×ÍËÒâäËÇÁ ËÃ×Í ÀÒÇÐá·Ã¡«ŒÍ¹¨Ò¡âäËÂØ´ËÒÂ㨢³ÐËÅѺª¹Ô´ÍØ´¡Ñ¹ ·Ñ§¹Õé è é é ¤ÇþԨÒóҡÒÃÊ‹§µÃǨãËŒàËÁÒÐÊÁÊíÒËÃѺ¼Ù»ÇÂ໚¹ ÃÒÂæ ä» Œ † 3.1 ¡Ò÷´Êͺ¡Òù͹ËÅѺ (Sleep test) ໚¹¡ÒõÃǨÃкºµ‹Ò§æ¢Í§Ã‹Ò§¡Ò¢³Ð·Õ¹Í¹ËÅѺ â´Â੾ÒÐÍ‹ҧÂÔ§ÃкºËÒÂ㨠è è áÅÐÃкº»ÃÐÊÒ· ÍÒ¨àÃÕ¡ª×ÍÍ×¹Ç‹Ò sleep study ËÃ×Í polysomnography ¡çä´Œ »˜¨¨Øº¹¹ÔÂÁẋ§ è è Ñ ª¹Ô´¢Í§¡Ò÷´Êͺ¡Òù͹ËÅѺ Í͡໚¹ÃдѺµ‹Ò§æ «Ö§¤ÇÃàÅ×͡ʋ§µÃǨµÒÁ¤ÇÒÁàËÁÒÐÊÁ (27) è 䴌ᡋ
  • 538.
    àǪÈÒʵÏ·¹Âؤ 2553 Ñ 511 3.1.1 ¡ÒõÃǨ level I polysomnography ( PSG) ËÃ×Í comprehensive, attended in lab PSG ¶×ÍÇ‹Ò໚¹ÇÔ¸µÃǨã¹ÃдѺ gold standard ËÃ×ÍÇÔ¸´·Ê´ã¹»˜¨¨Øº¹·Õ㪌à¾×Í¡ÒÃÇÔ¹¨©ÑÂ Õ Õ Õ Õè Ø Ñ è è Ô áÅлÃÐàÁÔ¹¤ÇÒÁÃØ¹áç¢Í§ OSDB «Ö§¡ÒõÃǨÇÔ¸¹·Òä´Œâ´ÂãËŒ¼»Ç¹͹ã¹ËŒÍ§ÊíÒËÃѺ¡ÒõÃǨ è Õ Õé í ÙŒ † ੾ÒЫ֧ÍÒ¨àÃÕÂ¡Ç‹Ò Sleep laboratory ËÃ×Í ã¹Ê¶Ò¹·Õ¨´änj͋ҧàËÁÒÐÊÁ â´ÂÁÕ਌Ò˹ŒÒ·Õè (sleep è èÑ technician) ª‹ÇµԴ electrodes áÅÐཇҵÅÍ´¤×¹ ¡ÒõÃǨÃдѺ¹Õé 㪌à¾×ÍÇÑ´µÑÇá»Ãµ‹Ò§æ «Ö§àº×ͧ è è é µŒ¹ (äÁ‹µÒ¡Ç‹Ò 7 Í‹ҧ )䴌ᡋ èí ! ¤Å׹俿‡ÒÊÁͧ è (Electroencephalogram : EEG) ! ¤Å׹俿‡Ò ¡ÅŒÒÁà¹×Í è é (Electromyogram : EMG) ! ¤Å׹俿‡ÒÅÙ¡µÒ è (Eletrooculogram : EOG) ! ¤Å׹俿‡ÒËÑÇ㨠è (Eletrocardiogram : EKG) ! ÅÁËÒÂ㨷ҧ¨ÁÙ¡ áÅÐ/ ËÃ×Í »Ò¡ (Nasal and/ or oral airflow) ! ¡ÒÃà¤Å×͹äËǢͧ·Ãǧ͡ è (Thoracic movement) ! ¡ÒÃà¤Å×͹äËǢͧ·ŒÍ§ è (Abdominal movement) ! ¤ÇÒÁࢌÁ¢Œ¹¢Í§ O2 ã¹àÅ×Í´ (Blood oxygen saturation : Sat O2) ! ¡Òúѹ·Ö¡ÇÔ´ÀÒ¾ËÃ×ÍàÊÕ§¡Ã¹ Õ (Video and snoring sound recording) »ÃÐ⪹à¾ÔèÁàµÔÁ¢Í§¡ÒõÃǨẺ¹Õé ¤×ÍÊÒÁÒö㪌»ÃÐàÁÔ¹âäà¡ÕèÂǡѺ¡Òù͹ ËÅѺÍ‹ҧÍ×è¹ä´Œ´ŒÇ ઋ¹ âäÅÁªÑ¡ ¡ÅŒÒÁà¹×éÍ¡Ãеء µÅÍ´¨¹¡ÒÃà¤Å×è͹äËÇËÃ×Í ¾ÄµÔ¡ÃÃÁ ¼Ô´»¡µÔ¢³ÐËÅѺ ¹Í¡¨Ò¡¹Õ§ÍÒ¨µÃǨ¾ºÀÒÇÐËÑÇã¨àµŒ¹¼Ô´¨Ñ§ËÇÐ (cardiac arrhythmia) ä´Œ áÅÐ é Ñ â´Â੾ÒÐÍ‹ҧÂÔ§ ÊÒÁÒö㪌à¾×͵ѧÃдѺ¤‹Ò¤ÇÒÁ´Ñ¹ÅÁ (PAP titration) ËÃ×Í ¡ÒûÃѺÃÐÂТͧ è è é à¤Ã×ͧÁ×Í㹪‹Í§»Ò¡ (oral appliances titration) ÃÇÁ¶Ö§ÊÒÁÒöãËŒ¡Òê‹ÇÂàËÅ×ͼٻÇÂẺ©Ø¡à©Ô¹ä´Œ è Œ † ´ŒÇ¶ŒÒ¨íÒ໚¹ à¹×èͧ¨Ò¡ÁÕ à¨ŒÒ˹ŒÒ·Õè¤ÍÂཇÒÍÂÙ‹ã¹ËŒÍ§¤Çº¤ØÁ «Öè§ÍÂÙ‹ã¡ÅŒà¤Õ§ µÅÍ´·Ñ駤׹ Í‹ҧäáçµÒÁà¹×èͧ¨Ò¡»˜¨¨ØºÑ¹ÁÕâç¾ÂÒºÒÅã¹»ÃÐà·È ·ÕèÊÒÁÒöãËŒ¡ÒúÃÔ¡ÒÃã¹Ê‹Ç¹¹Õ鹌ÍÂÁÒ¡ ¼Ù»Ç¨֧ÁÑ¡µŒÍ§ÃͤÔǵÃǨ໚¹àÇÅÒ¹Ò¹ Œ † 3.1.2 ¡ÒõÃǨ level II polysomnography (PSG) ËÃ×Í comprehensive, unattended portable PSG. ¡ÒõÃǨẺ¹Õ¤ÅŒÒ¡ѺÇÔ¸ááÁÒ¡ ᵋµÒ§¡Ñ¹µÃ§·ÕäÁ‹Á਌Ò˹ŒÒ·ÕཇҵÅÍ´àÇÅÒ â´Â é Õ ‹ è Õ è Áѡ໚¹¡ÒõÃǨ¹Í¡Ê¶Ò¹·Õઋ¹ µÒÁËͼٻÇ ËÃ×Í µÒÁºŒÒ¹ «Ö§¹ÔÂÁ㪌㹡óշ¼»ÇÂäÁ‹Êдǡ è Œ † è Õè ÙŒ † 㹡ÒÃà¤Å×͹ŒÒ Í‹ҧäáçµÒÁ à¹×ͧ¨Ò¡äÁ‹Á਌Ò˹ŒÒ·ÕཇҵÅÍ´àÇÅÒ ¢ŒÍÁÙŨ֧ÍÒ¨¤ÅÒ´à¤Å×͹ËÃ×Í è è Õ è è äÁ‹ÊÒÁÒöãËŒ¡ÒÃÃÑ¡ÉÒ䴌͋ҧ·Ñ¹·‹Ç§·Õä´Œ ´Ñ§¹Ñ鹡ÒõÃǨẺ¹Õé ¨Ö§ÁÕËÅÑ¡°Ò¹Ê¹ÑºÊ¹Ø¹¡ÒÃ㪌 »ÃÐ⪹¹ÍÂ¡Ç‹Ò ¡ÒõÃǨẺ·ÕÁ਌Ò˹ŒÒ·Õà½‡Ò ËÃ×Í level I PSG (27) Œ è Õ è 3.1.3 ¡ÒõÃǨ level III sleep study ËÃ×Í limited channels PSG ¡Ò÷´Êͺ¡Òù͹ËÅѺª¹Ô´¹Õé 㪌Ǵ¤‹ÒµÑÇá»Ã·ÕÊҤѭ 4-6 Í‹ҧ â´Â੾ÒÐÍ‹ҧÂÔ§ Ñ èí è Ãкº¡ÒÃËÒÂ㨢³ÐËÅѺ ઋ¹ ÇÑ´ÅÁËÒÂ㨠¡ÒÃà¤Å×͹äËǢͧ˹ŒÒÍ¡ËÃ×Í·ŒÍ§ ÃдѺÍÍ¡«Ôਹ è
  • 539.
    512 ¹Í¹¡Ã¹áÅÐÀÒÇÐËÒÂ㨼Դ»¡µÔ¢³ÐËÅѺª¹Ô´ÍØ´¡Ñ¹ é ã¹àÅ×Í´ áÅФÅ×è¹ä¿¿‡ÒËÑÇ㨠ËÃ×ÍàÊÕ§¡Ã¹ Í‹ҧäáçµÒÁ¢ŒÍÁÙÅ·Õèä´ŒÁÕ¢ŒÍ¨íÒ¡Ñ´ËÅÒÂÍ‹ҧáÅÐäÁ‹ ÅÐàÍÕ´෋ҡѺ¡ÒõÃǨ´ŒÇÂÊͧÇÔ¸áá ઋ¹ äÁ‹ÊÒÁÒöºÍ¡ÃÐÂСÒù͹ËÅѺ·Õ¶¡µŒÍ§ áÅÐäÁ‹Áà¨ŒÒ Õ è Ù Õ Ë¹ŒÒ·Õà½‡Ò ¤‹Òµ‹Ò§æ ·ÕµÃǨ䴌¨§ÁÑ¡¤ÅÒ´à¤Å×͹¨Ò¡¤ÇÒÁ໚¹¨ÃÔ§º‹Í Í‹ҧäáçµÒÁ¢ŒÍ´Õ¢Í§ÇÔ¸¹Õé è è Ö è Õ ¤×Í ÊÒÁÒöµÃǨ䴌¹Í¡Ê¶Ò¹·Õè áÅФ‹Ò㪌¨Ò¶١¡Ç‹Ò »˜¨¨Øº¹¨Ö§á¹Ð¹íÒãˌ㪌੾ÒÐ㹡óշ¨Ò໚¹ ‹ Ñ Õè í ෋ҹѹ ઋ¹ ¼Ù»Ç·ÕÁÍÒ¡ÒêѴਹࢌÒä´Œ¡º ÀÒÇÐ OSA ÃÐ´ÑºÃØ¹áç áÅÐ ¨íÒ໚¹µŒÍ§ÃÕºãËŒ¡ÒÃÃÑ¡ÉÒ é Œ † è Õ Ñ áµ‹Á»­ËÒàÃ×ͧ¤‹Ò㪌¨Ò ËÃ×Í ¡Ã³Õ¼»ÇÂâä»ÃШíÒµÑǺҧÍ‹ҧáÅÐäÁ‹ÊÒÁÒöà¤Å×͹ŒÒ¼ٻÇÂä´Œ Õ ˜ è ‹ ÙŒ † è Œ † ໚¹µŒ¹ Í‹ҧäáçµÒÁ¶ŒÒ¼Å¡Ò÷´ÊͺÍÍ¡ÁÒäÁ‹µÃ§¡ÑºÍÒ¡ÒüٻÇ·ÕʧÊÑ ¤ÇÃÊ‹§»ÃÖ¡ÉÒ¼ÙàªÕÂÇŒ † è Œ è ªÒ­à©¾Òзҧµ‹Íä» 3.1.4 ¡ÒõÃǨ level IV sleep study ËÃ×Í single or dual channel test ¡ÒõÃǨª¹Ô´¹Õ¤ÅŒÒ¡ѺẺ level III ᵋǴ¤‹Ò·ÕÊҤѭäÁ‹à¡Ô¹ 2 Í‹ҧ ઋ¹ ¡ÒÃÇÑ´ é Ñ èí ÃдѺÍÍ¡«Ôਹ ËÃ×Í ¡ÒÃÇÑ´ÅÁËÒÂã¨à¢ŒÒÍÍ¡ ¢³ÐËÅѺ ´Ñ§¹Ñ¹¨Ö§ãªŒà¾×Í»ÃÐàÁÔ¹àº×ͧµŒ¹ ËÃ×͵ԴµÒÁ é è é ËÅѧ¡ÒÃÃÑ¡ÉÒºÒ§ÍÂèÒ§ ੾ÒÐ㹡óշäÁèÊÒÁÒöµÃǨ¡Òù͹ËÅѺẺÍ×¹æ ·Õ¡ÅèÒÇÁÒáÅéÇà·èÒ- èÕ è è ¹Ñ¹ áÅÐ äÁ‹ÊÒÁÒö㪌à¾×ÍÂ×¹Âѹ¡ÒÃÇÔ¹¨©Ñ ËÃ×ÍÇÒ§á¼¹¡ÒÃÃÑ¡ÉÒ䴌͋ҧ¶Ù¡µŒÍ§(27) é è Ô ÊíÒËÃѺ¡ÒõÃǨÍ×¹ æ Í‹ҧã´Í‹ҧ˹֧ ¹Í¡à˹×ͨҡ¹Õé ઋ¹ ¡ÒÃÍÑ´à·»àÊÕ§ËÃ×Í è è ÀÒ¾ (audio ËÃ×Í video tape) ¢³Ð¹Í¹ËÅѺ ËÃ×Í¡Òúѹ·Ö¡àÊÕ§¡Ã¹ (snoring measures) ᵋ à¾Õ§Í‹ҧà´ÕÂÇ ÍÒ¨ª‹ÇÂãËŒµÃÐ˹ѡNjҼٻÇÂÍÒ¨ÁÕÀÒÇÐËÒÂ㨼Դ»¡µÔ¢³ÐËÅѺ ᵋäÁ‹ÊÒÁÒö㪌 Œ † à¾×Í¡ÒÃÇÔ¹¨©ÑÂâä䴌 è Ô ¤‹Ò·Õèä´Œ¨Ò¡¡ÒõÃǨ polysomnography ·ÕÊҤѭ áÅÐ ¤Ç÷ÃÒº¤ÇÒÁËÁÒÂàº×ͧ èí é µŒ¹ 䴌ᡋ 1. ¡ÒÃËÂØ´ËÒÂ㨠(Apnea) ¤×Í ÀÒÇзÕäÁ‹ÁÅÁËÒÂã¨à¢ŒÒÍÍ¡ºÃÔàdz¨ÁÙ¡áÅлҡ è Õ à»š¹ÃÐÂÐàÇÅÒÍ‹ҧ¹ŒÍ 2 respiratory cycles ã¹à´ç¡ ËÃ×Í äÁ‹¹ÍÂ¡Ç‹Ò 10 ÇÔ¹Ò·Õ ã¹¼ÙãË­‹ â´Â·ÑÇä» Œ Œ è ẋ§¡ÒÃËÂØ´ËÒÂã¨Í͡໚¹ 3 ª¹Ô´ µÒÁ¡ÒÃà¤Å×͹äËǢͧ·Ãǧ͡áÅзŒÍ§ «Ö§ºÍ¡¶Ö§¤ÇÒÁ¾ÂÒÂÒÁ è è 㹡ÒÃËÒÂ㨠(Respiratory effort) ໚¹´Ñ§¹Õé 1.1 Obstructive apnea ¤×Í ¡ÒÃËÂØ´ËÒÂã¨ã¹¢³Ð·ÕÁ¤ÇÒÁ¾ÂÒÂÒÁ㹡ÒÃËÒ è Õ ã¨ (respiratory effort) 1.2 Central apnea ¤×Í ¡ÒÃËÂØ´ËÒÂã¨â´ÂäÁ‹Á¤ÇÒÁ¾ÂÒÂÒÁ㹡ÒÃËÒÂã¨ Õ (without respiratory effort) 1.3 Mixed apnea ¤×Í ¡ÒÃËÂØ´ËÒÂ㨷ÕÁ·§ÊͧẺáá ËÇÁ¡Ñ¹ ·Õ¾ºº‹Í ¤×ͪ‹Ç§ è Õ Ñé è áá໚¹ central apnea áÅЪ‹Ç§ËÅѧ໚¹ obstructive apnea 2. ¡ÒÃËÒÂã¨á¼‹ÇàºÒ (Hypopnea) ¤×Í ¡Ò÷ÕÅÁËÒÂã¨à¢ŒÒÍ͡ᵋÅФÃѧ¹ŒÍÂŧ¡Ç‹Ò è é »¡µÔ ᵋäÁ‹¶§¢Ñ¹ËÂØ´ËÒÂ㨠(ã¹¼ÙãË­‹ËÁÒ¶֧¡ÒÃÁÕÅÁËÒÂã¨Å´Å§äÁ‹µÒ¡Ç‹Ò 30%) ËÇÁ¡Ñº ¡ÒÃÅ´ Ö é Œ èí ŧ¢Í§¤ÇÒÁࢌÁ¢Œ¹ÍÍ¡«Ôਹã¹àÅ×Í´ (oxygen desaturation) Í‹ҧ¹ŒÍ 4% ·Ñ§¹Õ㹺ҧʶҺѹ (ËÃ×Í é é ¼Ù»ÇÂà´ç¡) ÍÒ¨àÅ×͡㪌¹ÂÒÁÍ׹䴌 ¤ÇÒÁËÁÒ¢ͧ hypopnea ã¹»˜¨¨Øº¹¨Ö§¤§ÁÕ¤ÇÒÁËÅÒ¡ËÅÒÂ(28) Œ † Ô è Ñ Í‹ҧäáçµÒÁ Âѧàª×ÍÇ‹Ò hypopnea ¹‹Ò¨ÐÁռŵ‹ÍÊØ¢ÀҾ䴌¤ÅŒÒ¡Ѻ apnea(29) è
  • 540.
    àǪÈÒʵÏ·¹Âؤ 2553 Ñ 513 3. Apnea-hypopnea index (AHI) ¤×Í ¤‹Òà©ÅÕ¢ͧ ¨íҹǹ apnea áÅÐ hypopnea è ·Õà¡Ô´¢Ö¹ÃÇÁ¡Ñ¹µ‹ÍªÑÇâÁ§¢Í§¡ÒÃËÅѺ (total sleep time; TST) »˜¨¨Øº¹Áѡ㪌ÊÅѺ¡Ñº¤íÒÇ‹Ò respiratory- è é è Ñ disturbance index (RDI) «Ö§ÁÕ¤ÇÒÁËÁÒÂã¡ÅŒà¤Õ§¡Ñ¹áµ‹¤Ãͺ¤ÅØÁ respiratory effort-related arousals è (RERA) «Ö§à»š¹¡ÒÃËÒÂ㨽„´·ÕÁšɳФŌÒ hypopnea ᵋäÁ‹à¢ŒÒ¡Ñº¹ÔÂÒÁ¢Í§ hyponea ËÃ×Í è è ÕÑ apnea ·ÕÁÍÂÙã¹»˜¨¨Øº¹´ŒÇ è Õ ‹ Ñ ¹Í¡¨Ò¡¤ÇÒÁËÁÒµ‹Ò§æ ´Ñ§¡Å‹ÒÇáÅŒÇ ÂѧÁÕ¢ÍÁÙÅÍ×¹ ¨Ò¡¡Ò÷´Êͺ¡Òù͹ËÅѺ Œ è ·ÕÁ¤ÇÒÁÊíҤѭáÅФÇþԨÒóÒËÇÁ´ŒÇ ઋ¹ ¤‹ÒµèÒÊØ´ ËÃ×Í ¤‹Òà©ÅÕ¢ͧÃдѺÍÍ¡«Ôਹã¹àÅ×Í´, è Õ í è ÃÐÂе‹Ò§æ ¢Í§¡Òù͹ËÅѺ (sleep stages) ¡ÒÃà¤Å×͹äËǢͧ¡ÅŒÒÁà¹×Í (movement) ËÃ×Í è é Í×¹ æ «Ö§¨Ðª‹ÇÂãËŒÊÒÁÒöá»Å¼Å¡ÒõÃǨ áÅÐÇÒ§á¼¹¡ÒÃÃÑ¡ÉÒ ä´ŒÍ‹ҧ¶Ù¡µŒÍ§áÅÐàËÁÒÐÊÁ è è ÁÒ¡¢Ö¹ é »˜¨¨Øº¹¹ÔÂÁẋ§¤ÇÒÁÃØ¹áç¢Í§ obstructive sleep disordered breathing (OSDB) Ñ µÒÁ¤‹Ò AHI ËÃ×Í RDI ໚¹ËÅÑ¡ Í‹ҧäáçµÒÁ ¶ŒÒÍÒÈѤ‹ÒÃдѺÍÍ¡«Ôਹã¹àÅ×ʹËÇÁ´ŒÇ ÍҨẋ§ ÃдѺ¤ÇÒÁÃØ¹áç ä´Œ´§¹Õé Ñ Severity of disease (s) RDI Lowest O2 saturation (AHI) (LSAT) Primary snoring <5 " 90 Upper airway resistance syndrome <5 "90 (UARS) Mild OSA 5-15 " 85 Moderate OSA 15 -29 70-84 Severe OSA >30 < 70 ¨Ð¾ºÇ‹Ò㹡ÒÃÇÔ¹¨©ÑÂá¡âäÃÐËNjҧ primary snoring ¡Ñº UARS ¹Ñ¹ ¨Ð㪌šɳзҧ Ô é Ñ ¤ÅÔ¹¡à»š¹ÊíҤѭ Í‹ҧäáçµÒÁ ¡ÒÃÂ×¹Âѹ¡ÒÃÇÔ¹¨©ÑÂÁҵðҹ ¢Í§ UARS ÍÒ¨µŒÍ§ãªŒ¡ÒõÃǨ Ô Ô ¾ÔàÈÉ àª‹¹ esophageal manometry ËÃ×Í ¶ŒÒäÁ‹ÊÒÁÒöµÃǨ䴌ÍÒ¨´Ù¨Ò¡ nasal pressure transducer á·¹ «Ö§¼Ù»ÇÂ¡ÅØÁ¹Õé ¨ÐÁÕ intrathoracic pressure ·Õ໚¹Åº¡Ç‹Ò»¡µÔ ÊíÒËÃѺ¡ÒÃÇÔ¹¨©ÑÂÇ‹Ò໚¹ OSAS è Œ † ‹ è Ô ã¹¼Ù»ÇÂà´ç¡ »˜¨¨Øº¹¨Ð㪌ÍÒ¡Òà ËÇÁ¡Ñº ¤‹Ò RDI > 1 ᵋ§äÁ‹Á¢Íµ¡Å§·Õª´à¨¹ã¹¡ÒÃẋ§ÃдѺ Œ † Ñ Ñ Õ Œ è Ñ ¤ÇÒÁÃØ¹áç (30) 3.2 ¡ÒõÃǨ·Ò§à´Ô¹ËÒÂã¨Ê‹Ç¹º¹ (Upper airway assessment) ¨Ø´»ÃÐʧ¤¢Í§¡ÒõÃǨà¾ÔÁàµÔÁ·Õ¾àÈÉ ã¹Ê‹Ç¹¹Õé à¾×ÍËÒµíÒá˹‹§·ÕÍÒ¨·íÒãËŒ·Ò§à´Ô¹ è è Ô è è ËÒÂã¨Ê‹Ç¹º¹ÍØ´¡Ñ¹ «Ö§à»š¹ÊÒà˵آͧâä ·íÒãËŒÊÒÁÒöÇÒ§á¼¹¡ÒÃÃÑ¡ÉÒä´Œ´Â§¢Ö¹ â´Â੾ÒÐÍ‹ҧ é è Õ Ôè é ÂÔ§¨ÐÁÕ»ÃÐ⪹ÁÒ¡ÊíÒËÃѺ¡Òü‹ÒµÑ´ ·Ñ§¹Õ¤ÇÃàÅ×Í¡µÃǨµÒÁ¤ÇÒÁàËÁÒÐÊÁÊíÒËÃѺ¼Ù»ÇÂᵋÅÐÃÒ è é é Œ † µÑÇÍ‹ҧ¢Í§¡ÒõÃÇ¨ã¹¡ÅØÁ¹Õé 䴌ᡋ ‹
  • 541.
    514 ¹Í¹¡Ã¹áÅÐÀÒÇÐËÒÂ㨼Դ»¡µÔ¢³ÐËÅѺª¹Ô´ÍØ´¡Ñ¹ é 3.2.1 ¡ÒÃʋͧ¡ÅŒÍ§ÀÒÂã¹·Ò§à´Ô¹ËÒÂã¨Ê‹Ç¹µŒ¹ (Upper airway endoscopy) ÊÒÁÒö 㪌䴌·§ flexible ËÃ×Í rigid endoscope â´Â·íÒã¹¢³Ð·Õ¼»ÇÂÍÂÙã¹·‹Ò¹Ñ§ËÃ×Í·‹Ò¹Í¹¡çä´Œ ¹Í¡¨Ò¡ Ñé è ÙŒ † ‹ è ¹Õ§ÍÒ¨µÃǨ㹼ٻǺҧÃÒ¢³Ð·ÕËÅѺ (sleep endoscopy) «Ö§¨Ðä´Œ¢ÍÁÙÅ·Õ໚¹¶Ù¡µŒÍ§ÁÒ¡¢Ö¹(31) é Ñ Œ † è è Œ è é 3.2.2 ¡Òö‹ÒÂÀÒ¾ÃѧÊÕ (X-ray) ºÃÔàdz¡ÐâËÅ¡ÈÕÃÉРઋ¹ film lateral skull, lateral cephalometry, ËÃ×Í panoramic view à¾×Í´Ùâ¤Ã§ÊÌҧ¡Ãд١ãºË¹ŒÒ ¢Ò¡ÃÃä¡Ã áÅÐà¹×ÍàÂ×ͧ͢·Ò§ è é è à´Ô¹ËÒÂã¨Ê‹Ç¹º¹ ઋ¹ »ÃÐàÁÔ¹¢¹Ò´¢Í§µ‹ÍÁ adenoid ËÃ×Í¡ÒÃÇÒ§á¼¹¼‹ÒµÑ´ºÃÔàdz¢Ò¡ÃÃä¡Ã (jaw surgery) ໚¹µŒ¹ 3.2.3 ¡ÒõÃǨ¾ÔàÈÉÍ×¹ æ ઋ¹ CT scan, MRI, fluoroscopy of airway ËÃ×Í acoustic è analysis »˜¨¨Øº¹Âѧ㪌ã¹à¾×ͧҹÇÔ¨Â໚¹ËÅÑ¡ ᵋäÁ‹¹ÂÁ㪌㹷ҧ»¯ÔºµÔ(32) Ñ è Ñ Ô Ñ 3.3 ¡ÒõÃǨËÒâäµÒÁÃкº (Systemic assessment) à¾×ÍËÒâäËÇÁáÅлÃÐàÁÔ¹ÀÒÇÐá·Ã¡«ŒÍ¹¨Ò¡ OSA ËÃ×Íà¾×ÍàµÃÕÂÁ¡Òü‹ÒµÑ´ ·Ñ§¹Õé è è é ¤ÇþԨÒóÒÊ‹§µÃǨ 㹡óշʧÊÑÂ໚¹ÃÒÂæ ä» àª‹¹ ¡ÒõÃǨ CBC (complete blood count) Õè à¾×Í´ÙÀÒÇÐ polycythemia ¡Òö‹ÒÂÀÒ¾ x-ray ·Ãǧ͡à¾×Í»ÃÐàÁÔ¹ÀÒÇÐ right heart failure ËÃ×Í è è cor pulmonale ¡ÒõÃǨ arterial blood gas áÅСÒõÃǨà¡ÕÂǡѺµ‹ÍÁä¸ÃÍ´ ઋ¹ thyroid è function test ໚¹µŒ¹ ¡ÒÃÃÑ¡ÉÒ á¹Ç·Ò§¡ÒÃÃÑ¡ÉҼٻǷÕÁÀÒÇÐËÒÂ㨼Դ»¡µÔ¢³ÐËÅѺª¹Ô´ÍØ´¡Ñ¹¹Ñ¹ ¢Ö¹ÍÂÙ¡ºËÅÒ»˜¨¨Ñ Œ † è Õ é é é ‹ Ñ àª‹¹ ÊÒà˵ØáÅФÇÒÁÃØ¹áç¢Í§âä ¤ÇÒÁµŒÍ§¡ÒÃáÅФÇÒÁËÇÁÁ×ͧ͢¼Ù»Ç µÅÍ´¨¹ ¢ŒÍ´Õ¢ÍàÊÕ Œ † Œ ËÃ×Í¢ŒÍ¨íÒ¡Ñ´¢Í§¡ÒÃÃÑ¡ÉÒᵋÅÐẺ ´Ñ§¹Ñ¹¡‹Í¹¡ÒõѴÊÔ¹ã¨àÅ×Í¡ÇÔ¸¡ÒÃÃÑ¡ÉÒ á¾·ÂáÅмٻǤÇà é Õ Œ † ÁÕ¡ÒþԨÒóÒËÇÁ¡Ñ¹ â´Â¼Ù»Ç¤ÇÃ䴌ú¤íÒá¹Ð¹íÒà¾×ÍãËŒµÃÐ˹ѡ¶Ö§ÍѹµÃÒµ‹Ò§æ ·ÕÍÒ¨à¡Ô´¢Ö¹ Œ † Ñ è è é ¨Ò¡âä¹ÕéËÒ¡»Å‹Í·Ôé§äÇŒ Í‹ҧäáçµÒÁËÒ¡ÊÒÁÒöàÅ×Í¡¡ÒÃÃÑ¡ÉÒ䴌͋ҧ¶Ù¡µŒÍ§áÅÐàËÁÒÐÊÁ ¨Ðª‹ÇÂãˌ͵ÃÒ¡ÒÃàÊÕªÕǵ¡‹Í¹àÇÅÒÍѹ¤ÇÃŴŧ áÅзíÒãËŒ¤³ÀÒ¾ªÕǵ¢Í§·Ñ§¼Ù»Ç´բ¹ Ñ Ô Ø Ô é Œ † Öé â´Â·ÑÇä» àÃÒ¹ÔÂÁẋ§¡ÒÃÃÑ¡ÉÒÍ͡໚¹ËÅÒÂ¡ÅØÁ ´Ñ§¹Õé è ‹ 1. ¡ÒÃÃÑ¡ÉÒẺ͹ØÃѡɏ (Conservative treatment) ¡ÒÃÃÑ¡ÉÒ¡ÅØÁ¹Õ¤ÇÃ໚¹¾×¹°Ò¹·ÕÊҤѭÊíÒËÃѺ¼Ù»Ç·ءÃÒ äÁ‹ÇÒ¨ÐÁÕ¤ÇÒÁÃØ¹áçÃдѺ ‹ é é èí Œ † ‹ ã´ ¨Ø´»ÃÐʧ¤ ËÅÑ¡¢Í§¡ÒÃÃÑ¡ÉÒ´ŒÇÂÇÔ¸¹Õé ¨Ð์¹à¡ÕÂǡѺ¡Òû¯Ôºµàº×ͧµŒ¹¢Í§¼Ù»ÇÂàͧ µÑÇÍ‹ҧ Õ è Ñ Ô é Œ † ·ÕÊҤѭ ઋ¹ èí 1.1 ¡ÒÃÅ´¹éÒ˹ѡ (Weight reduction) àËÁÒÐÊíÒËÃѺ¼Ù·Íǹ (obesity) ËÃ×Í ¼Ù·ÁÕ í Œ Õè Œ Œ Õè ¹éÒ˹ѡà¡Ô¹ (overweight) «Ö§¨Ðª‹ÇÂÅ´¤ÇÒÁÃØ¹áç¢Í§âäŧ䴌 à¹×ͧ¨Ò¡¡ÒÃÅ´¹éÒ˹ѡ¨Ðª‹ÇÂÅ´ í è (33) è í »ÃÔÁÒµÃà¹×ÍàÂ×Íä¢Áѹ (fatty tissue) 㹺ÃÔàdz·Ò§à´Ô¹ËÒÂã¨Ê‹Ç¹º¹ áÅÐ ª‹ÇÂãËŒÃкº¡ÒÃËÒÂ㨠é è â´ÂÃÇÁ´Õ¢Öé¹ ·Ñé§¹ÕéÇÔ¸Õ¡Ò÷Õèä´ŒÊíҤѭ·ÕèÊØ´ÊíÒËÃѺ¼Å´Õã¹ÃÐÂÐÂÒÇ µŒÍ§ÍÒÈѤÇÒÁµÑé§ã¨¨Ãԧ㹡Òà à»ÅÕè¹ÃٻẺ¡ÒÃ㪌ªÕÇÔµ (life style change) ·Ñé§¡ÒäǺ¤ØÁÍÒËÒà ÃÇÁ¶Ö§ ¡ÒÃÍÍ¡¡íÒÅѧ¡Ò ·ÕàËÁÒÐÊÁ ໚¹µŒ¹ è
  • 542.
    àǪÈÒʵÏ·¹Âؤ 2553 Ñ 515 1.2 ¡ÒÃÁÕʢ͹ÒÁÑ¡Òù͹·Õ´Õ (Good sleep hygiene) ઋ¹ ¡ÒÃ㪌àÇÅҹ͹ËÅѺ¾Ñ¡ Ø è ¼‹Í¹ãËŒ¾Íà¾Õ§áÅе‹Íà¹×ͧ ¡ÒõѧàÇÅÒࢌҹ͹áÅе׹¹Í¹·ÕÊÁèÒàÊÁÍáÅÐàËÁÒÐÊÁ ÃÇÁ¶Ö§¡ÒûÃѺ è é è è í à»ÅÕ¹·‹Ò¹Í¹ ઋ¹ ¶ŒÒäÁ‹Á¢ÍËŒÒÁ ËÃ×Í äÁ‹½¹¨¹à¡Ô¹ä» ÍÒ¨¹Í¹µÐᤧ ËÃ×Í ¹Í¹ÈÕÃÉÐÊÙ§(34) è Õ Œ „ «Ö§ÍÒ¨ª‹ÇÂãËŒÍÒ¡ÒâͧâäŴŧ䴌 ໚¹µŒ¹ è 1.3 ¡ÒÃËÅÕ¡àÅÕ§¡ÒÃÃѺ»ÃзҹÂÒºÒ§ª¹Ô´ ઋ¹ Âҹ͹ËÅѺ ÂÒ¤ÅÒ¡ŌÒÁà¹×Í ËÃ×Í è é ÂÒ·ÕÁÄ·¸Ô¡´»ÃÐÊҷʋǹ¡ÅÒ§ ÃÇÁ¶Ö§ à¤Ã×ͧ´×Á·Õ¼ÊÁ alcohol ª‹Ç§¡‹Í¹¹Í¹ à¹×ͧ¨Ò¡ÊÔ§àËŋҹÕé è Õ ì è è è è è ¨Ð·íÒãËŒ¡ÅŒÒÁà¹×Í·Ò§à´Ô¹ËÒÂã¨Ë‹͹µÑÇÁÒ¡¢Ö¹ áÅÐËҧ¡ÒÂÅ´¡Òõͺʹͧµ‹Í¡ÒâҴÍÍ¡«Ôਹ é é ·íÒãËŒÃÐÂÐàÇÅҢͧ apnea ÂÒÇ¢Ö¹ Ê‹§¼ÅãËŒÁÍÒ¡ÒâͧâÃ¤ÃØ¹áçÁÒ¡¡Ç‹Òà´ÔÁ(35) é Õ 1.4 ¡ÒÃÃÑ¡ÉÒâäËÇÁ·ÕÍҨ໚¹ÊÒà赯 ËÃ×Í»˜¨¨ÑÂàÊÕ§ ·Õ¾ºä´ŒºÍ ઋ¹ âäàÂ×ͺبÁÙ¡ è è è ‹ è ÍÑ¡àʺ¨Ò¡ÀÙÁᾌ 䫹ÑÊ ÍÑ¡àʺ µ‹ÍÁ·ÍÅ«ÔÅÍÑ¡àʺàÃ×ÍÃѧ ÀÒÇÐ hypothyroidism ÀÒÇЫÖÁàÈÃŒÒ Ô é µÅÍ´¨¹âäÃкº»ÃÐÊÒ·áÅСŌÒÁà¹×Í «Ö§¨Ðª‹ÇÂãËŒ¼»Ç¹͹¡Ã¹Å´Å§ áÅФسÀÒ¾ªÕǵ´Õ¢¹(36) é è ÙŒ † Ô Öé ໚¹µŒ¹ ÊíÒËÃѺ¡ÒÃÃÑ¡ÉÒ´ŒÇÂÂÒ·Õ¨Òà¾ÒÐÊíÒËÃѺÀÒÇÐËÂØ´ËÒÂ㨢³ÐËÅѺª¹Ô´ÍØ´¡Ñ¹ (OSAHS) èí é ÁÕ¡ÒÃÈÖ¡ÉÒÇԨ¨íҹǹÁÒ¡¢Ö¹ à¡ÕÂǡѺÂÒºÒ§ª¹Ô´ ઋ¹ ÂÒ·ÕÁÄ·¸Ô¡´¡Òù͹ËÅѺÃÐÂÐ REM «Ö§ Ñ é è è Õ ì è ª‹ÇÂÅ´àÇÅÒ㹡ÒÃà¡Ô´ apnea áÅзíÒãËŒÁ¡ÒÃà¾ÔÁ¢Ö¹¢Í§ oxygen saturation ä´Œ «Ö§àª×ÍÇ‹Ò ÍÒ¨ÁÕ Õ è é è è »ÃÐ⪹ã¹¼ÙŒ»†ÇºҧÃÒ ᵋ»˜¨¨ØºÑ¹ÂѧäÁ‹ÁÕËÅÑ¡°Ò¹Ç‹ÒÁÕÂÒã´ÁÕ»ÃÐÊÔ·¸Ô¼Åà¾Õ§¾Í·Õè¨Ð໚¹¡Òà ÃÑ¡ÉÒËÅÑ¡â´ÂµÃ§(37) 2. ¡ÒÃÃÑ¡ÉÒâ´Âà¤Ã×èͧÁ×;ÔàÈÉ (Special device) 2.1 à¤Ã×èͧÊÌҧ¤ÇÒÁ´Ñ¹ÅÁºÇ¡à¾×èÍແ´¢ÂÒ·ҧà´Ô¹ËÒÂ㨠(Positive airway pressure therapy; PAP) »˜¨¨Øº¹¡ÒÃÃÑ¡ÉÒ´ŒÇÂà¤Ã×ͧÁ×͹Õé ¶×ÍÇ‹Ò໚¹ÇÔ¸·ÁËÅÑ¡°Ò¹¨Ò¡§Ò¹ÇÔ¨Â Ñ è Õ Õè Õ Ñ ¨íҹǹÁÒ¡ÃͧÃÑºÇ‹Ò ÁÕ»ÃÐÊÔ·¸ÔÀÒ¾ (efficacy) áÅФÇÒÁ»ÅÍ´ÀÑÂÊÙ§·ÕèÊØ´Í‹ҧ˹Öè§ã¹¡ÒÃÃÑ¡ÉÒ OSAHS(38) ·Ñ§¹Õ¼Å´Õã¹ÃÐÂÐÂÒǹѹ¢Ö¹ÍÂÙ¡º¡Ò÷ռ»ÇµŒÍ§ÊÒÁÒö㪌à¤Ã×ͧ䴌µÅÍ´ÃÐÂÐàÇÅҹ͹ é é é é ‹ Ñ è ÙŒ † è áÅÐ㪌·¡¤×¹ ËÅÑ¡¡Òä×Í ¡ÒÃ㪌¤ÇÒÁ´Ñ¹ÅÁ·Õ໚¹ºÇ¡à¾×ͪ‹Ç¶‹Ò§¢ÂÒ (pneumatic splint) ·Ò§à´Ô¹ Ø è è ËÒÂã¨Ê‹Ç¹µŒ¹ äÁ‹ãËŒà¡Ô´¡ÒÃÍØ´¡Ñ¹ (collapse) ÅѡɳСÒ÷íÒ§Ò¹¢Í§à¤Ã×ͧª¹Ô´¹Õ¤Í à¤Ã×ͧ¨Ðà»†Ò é è é × è ÅÁ¼‹Ò¹ ·‹ÍÅÁ áÅÐࢌÒ˹ŒÒ¡Ò¡ (mask) «Ö§¤Ãͺ¨ÁÙ¡ ËÃ×ͻҡ¢Í§¼Ù»Ç «Ö§¨Ð㪌੾ÒÐàÇÅÒ·Õ¨Ð è Œ † è è ¹Í¹ËÅѺ à¤Ã×ͧÁ×ͪ¹Ô´¹ÕÁËÅÒÂẺ ÍҨ໚¹·Ñ§ Ẻ¤ÇÒÁ´Ñ¹¤§·Õè (continuous positive airway è é Õ é pressure; CPAP) Ẻ¤ÇÒÁ´Ñ¹ÅÁ 2 ÃдѺ (bilevel positive airway pressure; BiPAP) ËÃ×ÍẺµÑ§ é ¤ÇÒÁ´Ñ¹Íѵâ¹ÁÑµÔ (Auto-PAP) ໚¹µŒ¹ Í‹ҧäáçµÒÁ ¡ÒÃÃÑ¡ÉÒÇÔ¸¹ÍÒ¨ÁբͨíÒ¡Ñ´ ËÃ×ͼŢŒÒ§ Õ Õé Œ à¤Õ§䴌 ઋ¹ à¡Ô´á¼Å¡´·Ñº ºÃÔàdz·Õ˹ŒÒ¡Ò¡¤Ãͺ ËÃ×Í¡ÒÃÍÑ¡àʺ¢Í§àÂ×ͺØã¹¨ÁÙ¡ «Ö§¤ÇÃ䴌ú¡Òà è è è Ñ ÃÑ¡ÉÒËÇÁ´ŒÇ ¹Í¡¨Ò¡¹Õ¼»ÇÂËÅÒÂÃÒÂÍÒ¨ÃÙÊ¡ÍÖ´ÍÑ´áÅÐäÁ‹µÍ§¡ÒÃ㪌à¤Ã×ͧ à¹×ͧ¨Ò¡äÁ‹ÊÐ (39) é ÙŒ † ŒÖ Œ è è ´Ç¡ 㹡ÒôÙáÅÃÑ¡ÉÒ ËÃ×Í ¡Òþ¡¾Òã¹ÃÐËNjҧà´Ô¹·Ò§ áÅÐÃÒ¤Ò¤‹Í¹¢ŒÒ§á¾§ ໚¹µŒ¹ 2.2 à¤Ã×èͧÁ×Í㹪‹Í§»Ò¡ÃÑ¡Éҹ͹¡Ã¹ (Oral appliances; OAs) ¡ÒÃÃÑ¡ÉÒÇÔ¸Õ¹Õé໚¹¡ÒÃãÊ‹à¤Ã×èͧÁ×͹Õéã¹»Ò¡¢³Ð¹Í¹ËÅѺ «Öè§ÁÕ»ÃÐ⪹ã¹ÃÒ·Õè¡ÒÃ ÍØ´¡Ñ¹¢Í§·Ò§à´Ô¹ËÒÂã¨ÁÕ¤ÇÒÁÃØ¹áçäÁ‹ÁÒ¡ ઋ¹ã¹¡ÅØÁ·Õ໚¹ primary snoring UARS ËÃ×Í mild é ‹ è
  • 543.
    516 ¹Í¹¡Ã¹áÅÐÀÒÇÐËÒÂ㨼Դ»¡µÔ¢³ÐËÅѺª¹Ô´ÍØ´¡Ñ¹ é to moderate OSA(40) ÁÑ¡àÅ×͡㪌ã¹ÃÒ·ÕäÁ‹ÊÒÁÒö·¹¼Å¢ŒÒ§à¤Õ§¢Í§ CPAP ËÃ×ÍäÁ‹µÍ§¡ÒÃÃÑ¡ÉÒ è Œ ´ŒÇÂÇÔ¸¼ÒµÑ´ ËÅÑ¡¡Òä×Í à¤Ã×ͧÁ×Í·ÕãÊ‹¨Ð·íÒãËŒ¢Ò¡ÃÃä¡Ãŋҧ ËÃ×Í⤹ÅÔ¹à¤Å×͹µÑÇä»´ŒÒ¹Ë¹ŒÒ à¾×Í Õ ‹ è è é è è ãËŒªÍ§·Ò§à´Ô¹ËÒÂ㨺ÃÔàdzÅíҤ͡njҧ¢Ö¹ à¤Ã×ͧÁ×ͪ¹Ô´¹Õâ´Â·ÑÇä»áº‹§ÍÍ¡ ໚¹ª¹Ô´ à¤Ã×ͧ´Ö§ÅÔ¹ ‹ é è é è è é ÁÒ´ŒÒ¹Ë¹ŒÒ (tongue retaining device; TRD) áÅÐ à¤Ã×èͧÁ×ÍàÅ×è͹¢Ò¡ÃÃä¡ÃŋҧÁÒ´ŒÒ¹Ë¹ŒÒ (mandibular advancement splint; MAS) ໚¹µŒ¹ Í‹ҧäáçµÒÁ ¡‹Í¹¡ÒÃÃÑ¡ÉÒ¤ÇõÃÇ¨ÊØ¢ÀÒ¾ ¿˜¹áÅЪ‹Í§»Ò¡´ŒÇ ¹Í¡¨Ò¡¹Õ¡ÒÃÃÑ¡ÉÒÇÔ¸´§¡Å‹ÒÇ ÍÒ¨ÁռŢŒÒ§à¤Õ§µ‹Í¢ŒÍ¢Ò¡ÃÃä¡ÃáÅСÒÃʺ é Õ Ñ µÑǢͧ¿˜¹ (occlusion) ã¹ÃÐÂÐÂÒÇ ¨Ö§µŒÍ§µÔ´µÒÁ¡ÒÃÃÑ¡ÉÒÍ‹ҧÊÁèÒàÊÁÍ(40) í 3. ¡ÒÃÃÑ¡ÉÒâ´ÂÇÔ¸Õ¼‹ÒµÑ´ (Surgical treatment) ¡ÒÃÃÑ¡ÉÒÇÔ¸¹Õé ÁÕ¨´»ÃÐʧ¤à¾×Í á¡Œä¢Åѡɳзҧ¡ÒÂÇÔÀÒ¤ â´Âà¾ÔÁ¢¹Ò´¢Í§ª‹Í§·Ò§ Õ Ø è è à´Ô¹ËÒÂã¨Ê‹Ç¹º¹ ËÃ×Íà¾ÔÁ¤ÇÒÁµÖ§µÑǢͧà¹×ÍàÂ×Í ã¹µíÒá˹‹§·ÕÍҨ໚¹ÊÒà˵آͧâä ¢ŒÍº‹§ªÕÊÒËÃѺ è é è è éí ¡ÒÃÃÑ¡ÉÒ´ŒÇ¡Òü‹ÒµÑ´ã¹»˜¨¨Øº¹ 䴌ᡋ ¡Ã³Õ·µÃǨ¾ºµíÒá˹‹§¢Í§¡ÒÃÍØ´¡Ñ¹·Ò§à´Ô¹ËÒÂã¨ä´Œª´ Ñ Õè é Ñ à¨¹ ËÃ×Í ãªŒ¡Ã³Õ·ÅÁàËÅǨҡ¡ÒÃÃÑ¡ÉÒâ´ÂÇԸ͹ ¹Í¡¨Ò¡¹Õé ÂѧÍҨ㪌໚¹·Ò§àÅ×Í¡àÊÃÔÁËÇÁ¡Ñº Õè Œ Õ ×è ÇԸ͹ ઋ¹ ÍÒ¨ª‹ÇÂãˌ㪌 CPAP(41) ËÃ×Í oral appliances ä´Œ¼Å´Õ§¢Ö¹(42) áÅÐ Í‹ҧ¹ŒÍ·ÕÊ´ ÍÒ¨ Õ ×è Ôè é èØ ª‹ÇÂÅ´àÊÕ§¡Ã¹ËÃ×ͤÇÒÁÃØ¹áç¨Ò¡¡ÒÃËÂØ´ËÒÂã¨ä´Œ »˜¨¨Øº¹ÁÕ¡Òü‹ÒµÑ´ÃÑ¡ÉÒËÅÒÂÍ‹ҧ «Ö§ÍҨ㪌Ǹã´ÇԸ˹֧ ËÃ×Í ãªŒËÅÒÂÍ‹ҧËÇÁ¡Ñ¹ â´Â Ñ è ÔÕ Õ è µŒÍ§àÅ×Í¡ãËŒàËÁÒÐÊÁ¡Ñº¼Ù»ÇÂᵋÅÐÃÒ »ÃÐàÀ·¢Í§¡Òü‹ÒµÑ´·Õ㪌ºÍÂ䴌ᡋ Œ † è ‹ 3.1 ¡Òü‹ÒµÑ´ºÃÔàdz¨ÁÙ¡ (Nasal surgery) 㪌à¾×Íᡌ䢤ÇÒÁ¼Ô´»Ã¡µÔ ã¹ÃÒ·ÕÁ¡Òà è è Õ ÍØ´¡Ñ¹¢Í§â¾Ã§¨ÁÙ¡ (nasal cavity) ¨¹¶Ö§ nasopharynx µÑÇÍ‹ҧઋ¹ ¡Òü‹ÒµÑ´Å´¢¹Ò´¢Í§ turbinate é ´ŒÇÂÇÔ¸µÒ§æ (Inferior turbinate reduction) ¡Òü‹ÒµÑ´µ¡áµ‹§¼¹Ñ§¡Ñ¹ª‹Í§¨ÁÙ¡ (septoplasty) ¡ÒÃàÊÃÔÁ Õ ‹ é ¤ÇÒÁá¢ç§áç¢Í§»‚¡¨ÁÙ¡ (nasal valve reconstruction) ¡Òü‹ÒµÑ´àÍÒÃÔ´Êմǧ¨ÁÙ¡ÍÍ¡ (polypectomy) áÅСÒÃá¡Œä¢ nasopharyngeal stenosis ໚¹µŒ¹ â´ÂÁÕ¡ÒÃÈÖ¡ÉÒ¾ºÇ‹Ò¡ÒÃᡌä¢ÀÒÇÐ nasal obstruction ´ŒÇ¡Òü‹ÒµÑ´¹Õ¨Ð·íÒãËŒ¡Ã¹¹ŒÍÂŧ ·íÒ§Ò¹ã¹àÇÅÒ¡ÅÒ§Çѹ´Õ¢¹ áÅÐã¹ÃÒ·ÕáÉÒ´ŒÇ é Öé èÑ radiofrequency (R.) ËÅѧ·íÒ ¼Ù»ÇÂÊÒÁÒö㪌 CPAP ä´Œ´¢¹ áÅФÇÒÁ´Ñ¹ CPAP ·Õ㪌¡¹ÍÂŧ Œ † Õ Öé è ç Œ ´ŒÇ (41) 3.2 ¡Òü‹ÒµÑ´µ‹ÍÁ·Í¹«ÔÅ (Tonsillectomy) Áբͺ‹§ªÕã¹ÃÒ·ÕÁµÍÁ·Í¹«ÔÅ⵪Ѵਹ Œ é è Õ ‹ ¹ÔÂÁ·íÒËÇÁ¡Ñº¡Òü‹ÒµÑ´ºÃÔàdzྴҹ͋͹ (palatal surgery) ËÃ×Íã¹à´ç¡·Õ໚¹ OSAS ÁÑ¡·íÒËÇÁ è ¡Ñº adenoidectomy «Ö§¡Òü‹ÒµÑ´Ê‹Ç¹ãË­‹ä´Œ¼Å´ÕÁÒ¡(43) ËÅѧ¼‹ÒµÑ´¼Ù»ÇÂʋǹÁÒ¡ÁÕÍÒ¡ÒáùáÅÐ è Œ † ÍÒ¡Òç‹Ç§¡ÅÒ§ÇѹŴŧªÑ´à¨¹ áÅÐ â´Â੾ÒÐÍ‹ҧÂÔ§ã¹¼Ù»ÇÂà´ç¡ÁÕÃÒ§ҹNjҷíÒãËŒÀÒÇÐËÂØ´ËÒÂã¨ è Œ † ¢³ÐËÅѺŴŧÁÒ¡,¤Ø³ÀÒ¾ªÕǵ´Õ¢¹(44) áÅмšÒÃàÃÕ¹´Õ¢¹´ŒÇÂ Ô Öé Öé 3.3 ¡Òü‹ÒµÑ´ºÃÔàdzྴҹ͋͹ (Palatal surgery) ã¹¡ÅØÁ¹Õé ·Õ¹ÂÁ·íÒ ä´Œá¡‹ ‹ è Ô 3.3.1 Uvulopalatopharyngoplasty (UPPP)໚¹¡Òü‹ÒµÑ´àÍÒ redundant soft tissue ºÒ§Ê‹Ç¹ ºÃÔàdz soft palate, uvula áÅÐ pharyngeal wall ÍÍ¡ áÅŒÇàÂ纫‹ÍÁà¾×ÍãËŒªÍ§¤ÍºÃÔàdz è ‹ oropharynx ¡ÇŒÒ§áÅе֧ÁÒ¡¢Ö¹ ÁÑ¡·íÒËÇÁ¡Ñº tonsillectomy ËÃ×Í¡Òü‹ÒµÑ´ºÃÔàdz¨ÁÙ¡ áÅÐ⤹ é ÅÔ¹ ã¹»˜¨¨Øº¹ÁÕà·¤¹Ô¤¡Òü‹ÒµÑ´ËÅÒÂÇÔ¸Õ(45-47) â´Â¹ÔÂÁà¡çº uvula äÇŒÁÒ¡¢Ö¹à¾×ÍÅ´ÀÒÇÐá·Ã¡«ŒÍ¹ é Ñ é è
  • 544.
    àǪÈÒʵÏ·¹Âؤ 2553 Ñ 517 ¢ŒÍº‹§ªÕ¢Í§¡Òü‹ÒµÑ´ª¹Ô´¹Õ䴌ᡋ ¼Ù»Ç OSDB ·ÕµÃǨ¾ºÇ‹ÒµíÒá˹‹§ÍØ´¡Ñ¹¢Í§·Ò§à´Ô¹ËÒÂ㨹‹Ò¨Ð é é Œ † è é ÍÂÙã¹ÃдѺ soft palate ËÃ×ÍäÁ‹ÊÒÁÒö㪌à¤Ã×ͧÁ×ͪ¹Ô´Í×¹æ ä´Œ ¡Òü‹ÒµÑ´¹ÕÁ¡ä´Œ¼Å´Õã¹ÃÒ·ÕÁÕ ‹ è è é Ñ è ¹éÒ˹ѡµÑÇäÁ‹ÁÒ¡¹Ñ¡ áÅÐ tonsils âµ Í‹ҧäáçµÒÁ¡Ã³Õ·¼»ÇÂÁÕÍÒ¡ÒÃÃØ¹áç ËÅѧ¼‹ÒµÑ´ËÅÒ í (48) Õè ÙŒ † ÃÒ ÍÒ¨ÂѧÁÕ¡ÒÃËÂØ´ËÒÂ㨺‹Í «Ö§µŒÍ§ãªŒ¡ÒÃÃÑ¡ÉÒÍ‹ҧÍ×¹à¾ÔÁàµÔÁ ¨Ö§¤ÇõÃǨ polysomnography è è è à¾×͵ԴµÒÁ¼ÅËÅѧ¡ÒÃÃÑ¡ÉÒÀÒÂã¹ 6 à´×͹ è 3.3.2 Uvulopalatoplasty (UPP) ໚¹¡Òü‹ÒµÑ´àÍÒ redundant tissue ºÒ§Ê‹Ç¹ºÃÔàdz uvula áÅÐ palate ÍÍ¡ ÊÒÁÒö ·íÒä´ŒËÅÒÂÇÔ¸Õ àª‹¹ 㪌 laser(49), ¤Å×¹¤ÇÒÁ¶ÕÇ·ÂØ (Radiofrequency; è èÔ R.) ËÃ×Í ãªŒ¨ä¿¿‡Ò ËÇÁ¡Ñº¡ÒÃàÂçº (modified CAPSO) ໚¹µŒ¹ ÇÔ¸¹ÊÒÁÒö·íÒ ÀÒÂ㵌ÂÒªÒ Õé (50) Õ Õé ੾ÒзÕè â´ÂäÁ‹µÍ§´ÁÂÒÊź áÅÐ㪌àÇÅÒ·íÒà¾Õ§ 15 – 20 ¹Ò·Õ ¢ŒÍº‹§ªÕ»¨¨Øº¹ ¤×Í㪌áÉÒÍÒ¡Òà Œ é ˜ Ñ Ñ ¡Ã¹ª¹Ô´¸ÃÃÁ´Ò (primary snoring) ËÃ×Í OSA ã¹ÃдѺ·ÕäÁ‹Ã¹áç áÅÐÁÕÊÒà˵ØÁÒ¨Ò¡¡ÒÃÍØ´¡Ñ¹ÃÐ è Ø é ´Ñº soft palate 3.3.3 ¡ÒÃÃÑ¡ÉÒ´ŒÇ¤Å×¹¤ÇÒÁ¶ÕÇ·ÂØ (Radiofrequency volumetric tissue reduction; è èÔ R.VTR) ໚¹¡ÒÃ㪌à¢çÁª¹Ô´¾ÔàÈÉ (needle electrode) «Ö§ÊÒÁÒö»Å‹Í¤Å×¹¤ÇÒÁ¶ÕÇ·ÂØ ¨Õà¹×ÍàÂ×Í è è èÔ é é è ྴҹ͋͹ (soft palate) ËÃ×Í ·Ò§à´Ô¹ËÒÂã¨Ê‹Ç¹µŒ¹ºÃÔàdzÍ×¹ ઋ¹ 㹨ÁÙ¡ (turbinate), ⤹ÅÔ¹ è é (base of tongue), áÅе‹ÍÁ·Í¹«ÔÅ ËÅÑ¡¡ÒâͧÇÔ¸¹Õé ¤×Í ¡ÒÃà»ÅÕ¹¤Å×¹àÊÕ§໚¹¾Åѧ§Ò¹¤ÇÒÁ Õ è è Ì͹ à¾×èÍ·íÒãËŒà¡Ô´ coagulation necrosis ÀÒÂã¹à¹×éÍàÂ×èÍ㵌àÂ×èͺؼÔÇ (submucosa) áŌǵ‹ÍÁÒ ¡ÅÒÂ໚¹¾Ñ§¼×´ (scar tissue) ·´á·¹ «Ö§¨Ð·íÒãËŒà¹×ÍàÂ×ͺÃÔàdz·ÕáÉÒ ÁÕ¡ÒÃË´áÅе֧µÑÇ (tissue è é è èÑ contraction) ËÃ×Í Å´»ÃÔÁҵà (volume reduction) â´Â¼Å´Ñ§¡Å‹ÒÇÍÒ¨·íÒãËŒ·Ò§à´Ô¹ËÒÂ㨡njҧ¢Ö¹ é ¢ŒÍ´Õ¢Í§¡ÒÃÃÑ¡ÉÒ´ŒÇÂÇÔ¸¹¤Í »ÃÔÁÒ³¤ÇÒÁÌ͹·Õà¹×ÍàÂ×Í䴌ú ¨ÐµèҡNjҡÒÃ㪌àÅà«ÍÏËÃ×ͨÕä¿¿‡Ò Õ Õé × è é è Ñ í é ¸ÃÃÁ´ÒÁÒ¡ ¨Ö§·íÒãËŒà¡Ô´ÍѹµÃÒµ‹Íà¹×ÍàÂ×ÍÃͺ¢ŒÒ§â´Â੾ÒÐÍ‹ҧÂÔ§àÂ×ͺؼǹŒÍÂ¡Ç‹Ò (mucosal é è è è Ô preservation) ·íÒãËŒÍÒ¡ÒÃà¨çº»Ç´¨Ò¡¡ÒÃÃÑ¡ÉÒ¹ŒÍ¡NjÒÇԸ͹ â´ÂÊÒÁÒö·íÒÀÒÂ㵌ÂÒªÒ੾ÒзÕè Õ ×è (51) 㪌àÇÅÒ㹡Ò÷íÒà¾Õ§ 10-15 ¹Ò·Õ áÅÐÁÕ¤ÇÒÁàÊÕ§¨Ò¡¡ÒÃÃÑ¡ÉÒµèÒÁÒ¡(52, 53) ¨Ö§ÊÒÁÒö·íÒ«éÒä´ŒËÒ¡ è í í ¨íÒ໚¹ ÁÕÃÒ§ҹ¶Ö§¼Å¡ÒÃ㪌 R. ÃÑ¡ÉҼٻǷÕÁÍÒ¡ÒäѴ¨ÁÙ¡àÃ×ÍÃѧ ¾ºÇ‹ÒÊÒÁÒöŴÍÒ¡Òõ‹Ò§æ Œ † è Õ é ä´Œ´Õ áÅмŹѹÍÒ¨¤§ÍÂÙä´Œ¹Ò¹¶Ö§ 2 »‚ ʋǹ¼Å¢Í§ R. µ‹Í palate ¡çÁÃÒ§ҹNjÒÊÒÁÒöŴÍÒ¡ÒÃ é ‹ (54) Õ ¡Ã¹ áÅФÇÒÁ§‹Ç§¼Ô´»¡µÔã¹àÇÅÒ¡ÅÒ§Çѹ䴌 (23, 24) ¹Í¡¨Ò¡¹Õé ËÒ¡·íÒ R. ËÅÒÂÃдѺ¾ÃŒÍÁ¡Ñ¹ (multi- level R.VTR) ÍÒ¨·íÒãËŒ ¼Ù»Ç OSA ÁÕ¤³ÀÒ¾ªÕǵ·Õ´¢¹ä´Œ ã¡ÅŒà¤Õ§¡Ñº¡ÒÃ㪌 CPAP55 Œ † Ø Ô è Õ Öé 3.3.4 ¡Òý˜§äËÁ¾ÔÅÅ‹ÒÏ (Palatal pillar implants) ໚¹¡ÒùíÒÇÑʴؾàÈɤŌÒ¾ÅÒʵԡ Ô «Ö§¼‹Ò¹¡ÒÃÃѺÃͧ¤ÇÒÁ»ÅÍ´ÀÑ ÅѡɳÐ໚¹á·‹§¢¹Ò´àÅç¡ ½˜§ºÃÔàdzྴҹ͋͹ à¾×ÍãËŒà¡Ô´¡Òõ֧µÑÇ è è áÅÐÅ´¡ÒÃÊѹÊÐà·×͹¢³Ð·ÕËÒÂã¨à¢ŒÒ ·íÒãˌŴàÊÕ§¡Ã¹Å§ä´Œ ¢ŒÍ´Õ ¤×Í ÊÒÁÒö·íÒÀÒÂ㵌㪌ÂÒªÒ è è ੾ÒзÕè ÍÒ¡ÒÃà¨çº»Ç´¨Ò¡¡ÒÃÃÑ¡ÉÒ¹ŒÍ áÅÐàª×ÍNjҹ‹Ò¨Ðä´Œ¼ÅàÃçÇáÅÐÍÂÙä´Œ¹Ò¹¡Ç‹Ò¡ÒÃ㪌¤Å×¹ è ‹ è ¤ÇÒÁ¶ÕÇ·ÂØ¨à¾´Ò¹Íè͹ ÍÂèÒ§äáçµÒÁà¹×ͧ¨Ò¡äËÁ¾ÔÅÅèÒÃì à»ç¹ foreign bodies ¨Ö§ÁÕá¹Çâ¹éÁÇèÒ ÇÑÊ´Ø- è Ô éÕ è ·Õ½§äÇŒ¨Ðà¤Å×͹¨Ò¡µíÒá˹‹§à´ÔÁáÅÐËÅØ´ä´Œ ÊíÒËÃѺ¼Å㹡ÒÃÃÑ¡ÉÒ OSAS ÂѧäÁ‹á¹‹ª´ »˜¨¨Øº¹ÁÕ¢Í è ˜ è Ñ Ñ Œ º‹§ªÕËÅÑ¡ ¤×Í ¡Òáùª¹Ô´¸ÃÃÁ´Ò (primary snoring) «Ö§ÁÕµÒá˹‹§¢Í§àÊÕ§¡Ã¹ÁÒ¨Ò¡ºÃÔàdz soft é è í palate
  • 545.
    518 ¹Í¹¡Ã¹áÅÐÀÒÇÐËÒÂ㨼Դ»¡µÔ¢³ÐËÅѺª¹Ô´ÍØ´¡Ñ¹ é 3.4 ¡Òü‹ÒµÑ´ºÃÔàdz⤹ÅÔé¹ (Base of tongue surgery) »˜¨¨Øº¹ÁÕ¡Òü‹ÒµÑ´ºÃÔàdz¹ÕËÅÒÂÇԸઋ¹ ¡ÒÃ㪌¤ÇÒÁ¶ÕÇ·ÂØ (R.) ¨Õ⤹ÅÔ¹à¾×Íãˌ˴ Ñ é Õ èÔ é é è µÑÇáÅÐÁÕ¢¹Ò´àÅç¡Å§, ¡Òü‹ÒµÑ´à¾×èÍ¢ÂѺ·Õèà¡ÒТͧ¡ÅŒÒÁà¹×éÍÅÔé¹ÁÒ´ŒÒ¹Ë¹ŒÒâ´Â¡ÒÃà¨ÒСÃд١ mandible (inferior mandibulotomy and genioglossal advancement) «Ö§¨Ð·íÒãËŒ·Ò§à´Ô¹ËÒÂã¨Ê‹Ç¹ è ¹Õé¡ÇŒÒ§¢Öé¹ ¹Í¡¨Ò¡¹ÕéÂѧÁÕÃÒ§ҹÇÔ¸ÕÍ×è¹æ ઋ¹ ¡ÒÃ㪌àª×Í¡ä»ÃŒÍÂ⤹ÅÔé¹áÅŒÇÁÒ¼Ù¡¡Ñº screw ·Õ´µÔ´¡Ñº mandible ·Ò§´ŒÒ¹Ë¹ŒÒ à¾×Í»‡Í§¡Ñ¹äÁ‹ãˌʵ¡ä»´ŒÒ¹ËÅѧ (tongue suspension) ÃÇÁ è Ö è Ôé ¶Ö§¡ÒõѴºÒ§Ê‹Ç¹¢Í§¡Åҧ⤹ÅÔé¹ÍÍ¡ (midline partial glossectomy) 㹺ҧÃÒÂâ´ÂÍҨ㪌 à¤Ã×ͧÁ×;ÔàÈÉ àª‹¹ coblator ËÃ×Í laser µÑ´Í͡໚¹µŒ¹ ¢ŒÍº‹§ªÕÊÒËÃѺ¡ÒÃÃÑ¡ÉÒÇÔ¸¹Õé ¤×Í ¼Ù»Ç·ÕÁÕ è éí Õ Œ † è severe OSA áÅÐÁÕ¡ÒÃÍØ´¡Ñ¹¢Í§·Ò§à´Ô¹ËÒÂã¨ã¹ÃдѺ⤹ÅÔ¹ ઋ¹ ã¹ÃÒ·Õ⤹ÅÔ¹ÁÕ¢¹Ò´ãË­‹ é é è é ËÃ×Í lingual tonsil ⵠ໚¹µŒ¹ Í‹ҧäáçµÒÁ¡Òü‹ÒµÑ´àËŋҹÕÁ¤ÇÒÁàÊÕ§¨Ò¡¼Åá·Ã¡«ŒÍ¹¤‹Í¹¢ŒÒ§ é Õ è ÊÙ§ áÅмšÒü‹ÒµÑ´ÂѧäÁ‹á¹‹¹Í¹56 »˜¨¨Øº¹¨Ö§¹ÔÂÁ㪌໚¹à¾Õ§¡ÒÃÃÑ¡ÉÒàÊÃÔÁ (adjunctive treatment) Ñ Ã‹ÇÁ¡Ñº¡Òü‹ÒµÑ´Í×¹ ઋ¹ UPPP à¾×ÍãËŒ¼Å¡Òü‹ÒµÑ´´Õ¢¹(57) ´Ñ§¹Ñ¹¨Ö§µŒÍ§¾Ô¨ÒóÒàÅ×͡㪌ã¹à©¾ÒÐ è è Öé é è ¼Ù»ÇºҧÃÒÂÍ‹ҧÃÐÁÑ´ÃÐÇѧ Œ † 3.5 ¡Òü‹ÒµÑ´ºÃÔàdz ª‹Í§¤ÍʋǹŋҧáÅÐ ¡Å‹Í§àÊÕ§ (Hypopharyngeal and laryngeal surgery) ¡Òü‹ÒµÑ´ã¹¡ÅØÁ¹Õé ÁÕ¨´»ÃÐʧ¤¢ÂÒ·ҧà´Ô¹ËÒÂ㨠ʋǹ·ÕÍÂÙã¡ÅŒ¡Å‹Í§àÊÕ§ «Ö§ ‹ Ø è ‹ è »˜¨¨Øº¹¹ÔÂÁ㪌 ໚¹à¾Õ§¡ÒÃÃÑ¡ÉÒàÊÃÔÁઋ¹à´ÕÂǡѺ¡Òü‹ÒµÑ´ºÃÔàdz⤹ÅÔ¹ µÑÇÍ‹ҧ¢Í§¡Òü‹ÒµÑ´ Ñ é ã¹¡ÅØÁ¹Õéઋ¹ hyoid myotomy and suspension áÅÐ supraglottoplasty «Ö§à»š¹¡Òõ¡áµ‹§à¹×Í ‹ (58) (59) è é àÂ×ͺÃÔàdzà˹×͡ŋͧàÊÕ§ à¾×Í»‡Í§¡Ñ¹¡ÒÃÍØ´¡Ñ¹¢³ÐËÅѺ è è é 3.6 ¡Òü‹ Ò µÑ ´ àÅ×è Í ¹¢Ò¡ÃÃä¡Ãº¹áÅÐÅ‹ Ò §ÁÒ´Œ Ò ¹Ë¹Œ Ò (Maxillomandibular advancement , MMA) ໚¹¡Òü‹ÒµÑ´àÅ×͹ ¡Ãд١·Ñ§ maxilla áÅÐ mandible ÁÒ´ŒÒ¹Ë¹ŒÒÁÒ à¾×Í·íÒãËŒ·Ò§ è é è à´Ô¹ËÒÂ㨡njҧ¢Ö¹ áÁŒÇҼšÒÃÃÑ¡ÉÒã¹ÃÐÂÐÂÒÇ´Õ áµ‹à»š¹¡Òü‹ÒµÑ´ãË­‹·µÍ§ãªŒàÇÅÒÃÑ¡ÉÒ¹Ò¹ é ‹ (60) Õè Œ ÃÇÁ¶Ö§ÍÒ¨µŒÍ§ÁÕ¡ÒèѴ¿˜¹Ã‹ÇÁ´ŒÇ·íÒãËŒ¤Ò㪌¨ÒÂÊÙ§ ËÅѧ¡ÒÃÃÑ¡ÉҼٻǨÐÁÕâ¤Ã§Ë¹ŒÒ·Õà»ÅÕ¹ä»(61) ‹ ‹ Œ † è è áÅÐÍÒ¨ÁÕ»­ËÒ´ŒÒ¹¡ÒÃà¤ÕÂÇÍÒËÒÃ䴌㹪‹Ç§áá ¢ŒÍº‹§ªÕÊÒËÃѺ¡ÒÃÃÑ¡ÉÒ´ŒÇÂÇÔ¸¹Õé ¤×Í ãªŒã¹ÃÒ·Õè ˜ é éí Õ ÁÕÀÒÇÐËÂØ´ËÒÂ㨢³ÐËÅÑºÃØ¹áçÁÒ¡ áÅÐ ÅŒÁàËÅǨҡ¡ÒÃÃÑ¡ÉÒ´ŒÇÂÇԸ͹ Õ ×è 3.7 ¡ÒÃà¨ÒÐËÅÍ´ÅÁ¤Í (Tracheostomy) ໚¹¡Òü‹ÒµÑ´à¾×ÍãËŒ ¼Ù»ÇÂÊÒÁÒöËÒÂã¨ è Œ † ¼‹Ò¹·‹ÍºÃÔàdzËÅÍ´ÅÁ¤Íâ´ÂäÁ‹¼Ò¹·Ò§à´Ô¹ËÒÂã¨Ê‹Ç¹º¹ ¶×ÍÇ‹Ò໚¹¡ÒÃÃÑ¡ÉÒ·Õ»ÃÐÊÔ·¸Ô¼ÅÊÙ§ÊØ´ ‹ è à¡×ͺ 100% ¶ŒÒ¼Ù»ÇÂäÁ‹Á¤ÇÒÁ¼Ô´»¡µÔ¨Ò¡¡Òù͹ËÅѺËÃ×Í¡ÒÃËÒÂã¨Í‹ҧÍ׹ËÇÁ´ŒÇ Í‹ҧäà Œ † Õ è ¡çµÒÁ à¹×ͧ¨Ò¡¼Ù»ÇµŒÍ§ÁÕÃà¨ÒÐ¤Í ·íÒãˌǸ¡ÒùÕäÁ‹à»š¹·Õ¹ÂÁáÅÐ àÅ×Í¡Áѡ㪌໚¹·Ò§àÅ×Í¡ÊØ´·ŒÒÂ è Œ † Ù ÔÕ é è Ô ¡Ã³Õ·Õè¼ÙŒ»†ÇÂÁÕÍÒ¡ÒÃÃØ¹áçÁÒ¡ ËÃ×ÍÁÕÀÒÇÐá·Ã¡«ŒÍ¹¨Ò¡âä áÅÐÅŒÁàËÅǨҡ¡ÒÃÃÑ¡ÉÒ´ŒÇ ÇԸ͹æÕ ×è à¹×ͧ¨Ò¡ ÀÒÇÐËÂØ´ËÒÂ㨢³ÐËÅѺ¹Õ໚¹âäàÃ×ÍÃѧ ÁÑ¡ÁÕºÃÔàdz·ÕÍ´¡Ñ¹¢Í§·Ò§à´Ô¹ËÒÂ㨠è é é èØ é ËÅÒµíÒá˹‹§ ¼Ù»ÇÂËÅÒÂÃÒ ¨Ö§ÍÒ¨µŒÍ§ÃѺ¡Òü‹ÒµÑ´ÁÒ¡¡Ç‹Ò 1 ª¹Ô´ ËÃ×Í º‹ÍÂ¡Ç‹Ò 1 ¤Ãѧ(57) «Ö§ Œ † é è
  • 546.
    àǪÈÒʵÏ·¹Âؤ 2553 Ñ 519 ¡Òü‹ÒµÑ´áµ‹ÅÐÇÔ¸¹¹ÁÕ¤ÇÒÁàÊÕ§µ‹ÍÀÒÇÐá·Ã¡«ŒÍ¹áÅÐä´Œ¼Å¡ÒÃÃÑ¡ÉÒäÁ‹à·‹Ò¡Ñ¹ ´Ñ§¹Ñ¹¡‹Í¹¼‹Ò Õ Ñé è é µÑ´¨Ö§¨íÒ໚¹µŒÍ§ÁÕÇҧἹ͋ҧÅÐàÍÕ´ µÑ§áµ‹¡ÒÃàµÃÕÂÁ¾ÃŒÍÁ¼Ù»Ç¡‹Í¹¼‹ÒµÑ´, ¢³ÐÍÂÙã¹ËŒÍ§¼‹Ò é Œ † ‹ µÑ´ áÅСÒôÙáÅËÅѧ¼‹ÒµÑ´ à¾×Í»‡Í§¡Ñ¹ ËÃ×Íᡌ䢻˜­ËÒá·Ã¡«ŒÍ¹·ÕÍÒ¨à¡Ô´¢Ö¹ ઋ¹ ËÅѧ¼‹ÒµÑ´ã¹ è è é ª‹Ç§áá ¼Ù»ÇºҧÃÒÂÍÒ¨ÁÕÀÒÇзҧà´Ô¹ËÒÂã¨ÍØ´¡Ñ¹ÁÒ¡¢Ö¹ à¹×ͧ¨Ò¡¡ÒúÇÁ¢Í§à¹×ÍàÂ×ÍÃÍºæ Œ † é é è é è ºÃÔàdz¼‹ÒµÑ´ ËÃ×ÍÍÒ¨ÁÕàÅ×Í´ÍÍ¡ÁÒ¡¼Ô´»¡µÔä´Œ ¹Í¡¨Ò¡¹Õ¼»ÇÂÍÒ¨ÁÕ¡ÒÃà»ÅÕ¹á»Å§Í‹ҧÃÇ´àÃçÇ é ÙŒ † è ã¹ÊÃÕÃÇÔ·ÂҢͧÃкºËÑÇã¨áÅÐËÅÍ´àÅ×Í´ ·íÒãËŒÁ¤ÇÒÁàÊÕ§µ‹Í pulmonary edema, ËÑÇã¨àµŒ¹¼Ô´ Õ è ¨Ñ§ËÇÐ (arrhythmia), ËÃ×Í âäËÑÇ㨢ҴàÅ×Í´ (ischemic heart attack) ä´Œ ໚¹µŒ¹(62) Í‹ҧäáçµÒÁ ¶ŒÒàµÃÕÂÁ¡ÒÃ䴌͋ҧàËÁÒÐÊÁ âÍ¡ÒÊËÃ×ͤÇÒÁàÊÕ§µ‹Í¼Ù»Ç ·Ñ§¨Ò¡¡Òü‹ÒµÑ´ËÃ×ͼŢͧ¡ÒôÁ è Œ † é ÂÒÊź¨ÐÁÕ¹ÍÂŧÁÒ¡ áÅÐ ËÒ¡¼Ù»ÇµԴµÒÁࢌÒÃѺ¡ÒÃÃÑ¡ÉÒÍ‹ҧµ‹Íà¹×ͧ ¨Ðª‹ÇÂãËŒ¡ÒÃÃÑ¡ÉÒ Œ (63) Œ † è ä´Œ¼Å´Õ·Ê´ã¹ÃÐÂÐÂÒÇ Õè Ø ÊÃØ» ¹Í¹¡Ã¹ ໚¹ÍÒ¡ÒÃÍ‹ҧ˹֧¢Í§ÀÒÇÐËÒÂ㨼Դ»¡µÔ¢³ÐËÅѺª¹Ô´ÍØ´¡Ñ¹«Ö§à»š¹¤ÇÒÁ¼Ô´ è é è »¡µÔ·¾ºä´ŒºÍ áÁŒÇÒ¢ŒÍÁÙÅà¡ÕÂǡѺâä¹Õ㹤¹ä·Âã¹»˜¨¨Øº¹ÂѧÁÕäÁ‹ÁÒ¡ ᵋàª×ÍNjҨÐ໚¹»˜­ËÒ·Õè Õè ‹ ‹ è é Ñ è ÊíҤѭ·Ò§´ŒÒ¹ÊÒ¸ÒÃ³ÊØ¢Í‹ҧ˹֧¢Í§»ÃÐà·È à¹×ͧ¨Ò¡¤ÇÒÁ¼Ô´»¡µÔàËŋҹչ͡¨Ò¡¨ÐÁռŵ‹Í è è é ÊØ¢ÀÒ¾¢Í§µÑǼٻÇÂàͧáÅŒÇ ÂѧÊÒÁÒöʋ§¼Å¡ÃзºÍÕ¡ËÅÒÂÍ‹ҧµ‹ÍÊѧ¤ÁÃͺ¢ŒÒ§ÍÕ¡´ŒÇ ´Ñ§¹Ñ¹ Œ † é ¡ÒÃÈÖ¡ÉÒà¾×ÍãˌࢌÒã¨à¡ÕÂǡѺ¾×¹°Ò¹¢Í§âä áÅÐÊÒÁÒöãËŒ¤Òá¹Ð¹íҼٻǶ֧¢Ñ¹µÍ¹ã¹¡ÒõÃǨ è è é í Œ † é ÇÔ¹¨©Ñ ËÃ×Í ¡ÒôÙáÅÃÑ¡ÉҼٻǷն¡µŒÍ§ µÅÍ´¨¹ÊÒÁÒöʋ§»ÃÖ¡ÉÒ¼ÙàªÕÂǪҭ䴌Í‹ҧàËÁÒÐÊÁ Ô Œ † è Ù Œ è ¹Í¡¨Ò¡¨Ðª‹ÇºÃÃà·Ò»˜­ËÒµ‹Ò§æ ¨Ò¡ÀÒÇÐá·Ã¡«ŒÍ¹¢Í§âäãˌŴŧáÅŒÇ ÂѧÍÒ¨ª‹ÇÂãËŒ¤³ÀÒ¾ Ø ªÕǵ¢Í§¼Ù»ÇÂáÅм٤¹ã¹Êѧ¤Á´Õ¢¹ÍÕ¡´ŒÇ »˜¨¨Øº¹ÁÕ§Ò¹ÇԨ·ÕãËŒ¤ÇÒÁÃÙà¡ÕÂǡѺâäàËŋҹÕÃÇÁ¶Ö§ Ô Œ † Œ Öé Ñ Ñ è Œ è é ·Ò§àÅ×͡㹡ÒÃÃÑ¡ÉÒ·Õà¾ÔÁ¢Ö¹Í‹ҧÃÇ´àÃçÇ ´Ñ§¹Ñ¹á¾·Â¨§¤ÇÃËÁѹµÔ´µÒÁ¤ÇÒÁÃÙãËŒ·¹ÊÁÑÂÍÂÙàÊÁÍ è è é é Ö è Œ Ñ ‹ à¾×ÍãËŒÊÒÁÒö¹íÒä»»ÃÐÂØ¡µãªŒä´ŒÍ‹ҧàËÁÒÐÊÁ áÅÐà¡Ô´»ÃÐ⪹Ê§ÊØ´µ‹Í¼Ù»Çµ‹Íä» è Ù Œ † àÍ¡ÊÒÃ͌ҧÍÔ§ 1. Anstead M, Phillips B. The spectrum of sleep-disordered breathing. Respir Care Clin N Am. 1999 ;5(3):363-77 2. J. T-S, A J-G, Cordero-Guevara J. ea. The association between sleep apnea and the risk of traffic accidents. N Engl J Med 1999;340:847-51. 3. Kapa S, Sert Kuniyoshi .H, Somers VK. Sleep apnea and hypertension: interactions and implications for management. Hypertension. 2008;51(3):605-8. 4. McNicholas WT, Bonsigore MR. Sleep apnoea as an independent risk factor for cardiovascular disease: current evidence, basic mechanisms and research priorities. Eur Respir J. 2007;29(1):156-78. 5. Munoz R, Duran-Cantolla J, Martinez-Vila E, Gallego J, Rubio R, Aizpuru ., et al. Severe sleep apnea and risk of ischemic stroke in the elderly. Stroke. 2006;37(9):2317-21. 6. Sharafkhaneh A, Giray N, Richardson P, Young T, Hirshkowitz M. Association of psychiatric disorders and sleep apnea in a large cohort. Sleep. 2005;28(11):1405-11.
  • 547.
    520 ¹Í¹¡Ã¹áÅÐÀÒÇÐËÒÂ㨼Դ»¡µÔ¢³ÐËÅѺª¹Ô´ÍØ´¡Ñ¹ é 7. Teloken PE, Smith EB, Lodowsky C, .reedom T, Mulhall JP. Defining association between sleep apnea syndrome and erectile dysfunction. Urology. 2006;67(5):1033-7. 8. Capdevila OS, Kheirandish-Gozal L, Dayyat E, Gozal D. Pediatric obstructive sleep apnea: complications, management, and long-term outcomes. Proceedings of the American Thoracic Society. 2008;5(2):274-82. 9. Lugaresi E C., Coccagna G, Baruzzi A. . Snoring and the obstructive apnea syndrome. Electroencephalogr Clin Neurophysiol (Suppl) 1982;35:421-30. 10. Young T, Palta M, Dempsey J, Skatrud J, Weber S, Badr S. The occurrence of sleep-disordered breathing among middle-aged adults. N Engl J Med. 1993;328(17):1230-5. 11. Schechter MS. Technical report: diagnosis and management of childhood obstructive sleep apnea syndrome. Pediatrics. 2002;109(4):e69. 12. Lumeng JC, Chervin RD. Epidemiology of pediatric obstructive sleep apnea. Proc Am Thorac Soc. 2008;5(2):242- 52. 13. Wanaporn Anuntaseree M, Korpong Rookkapan M, Surachai Kuasirikul M, Paramee Thongsuksai M. Snoring and obstructive sleep apnea in Thai school-age children: Prevalence and predisposing factors Pediatric Pulmonology 32 ( 3):222 - 7 14. Silber MH, Ancoli-Israel S, Bonnet MH, Chokroverty S, Grigg-Damberger MM, Hirshkowitz M, et al. The visual scoring of sleep in adults. J Clin Sleep Med. 2007;3(2):121-31. 15. Carskadon MA DW. Normal human sleep: an overview. Kryer MH, Roth T, Dement WC, eds Principles and practice of sleep medicine, 4th ed Philadelphia: WB Saunders,2005:16-28. 16. .ogel RB MA, White DP. Sleep. 2: pathophysiology of obstructive sleep apnoea/hypopnoea syndrome. Thorax 2004;59(2):159-63. 17. Schwab RJ, Gupta KB, Gefter WB, Metzger LJ, Hoffman EA, Pack AI. Upper airway and soft tissue anatomy in normal subjects and patients with sleep-disordered breathing. Significance of the lateral pharyngeal walls. Am J Respir Crit Care Med. 1995;152(5 Pt 1):1673-89. 18. Akay M, Leiter JC, Daubenspeck JA. Reduced respiratory-related evoked activity in subjects with obstructive sleep apnea syndrome. J Appl Physiol. 2003;94(2):429-38. 19. Durmer JS, Dinges D.. Neurocognitive consequences of sleep deprivation. Semin Neurol. 2005;25(1):117-29. 20. Engleman H, Joffe D. Neuropsychological function in obstructive sleep apnoea. Sleep Med Rev. 1999;3(1):59- 78. 21. Hamilton GS, Solin P, Naughton MT. Obstructive sleep apnoea and cardiovascular disease. Internal medicine journal. 2004;34(7):420-6. 22. Golbin JM, Somers VK, Caples SM. Obstructive sleep apnea, cardiovascular disease, and pulmonary hypertension. Proceedings of the American Thoracic Society. 2008;5(2):200-6. 23. Piccirillo J. TS. Sleep-disordered breathing. In: Cummings Otolaryngology Head & Neck Surgery, 3rd ed St Louis: Mosby-Year Book. 1998:1546-71. 24. Peng B, Li SW, Kang H, Huang XZ. Cognitive and emotional impairment in obstructive sleep apnea syndrome. Chinese medical sciences journal = Chung-kuo i hsueh k’o hsueh tsa chih / Chinese Academy of Medical Sciences. 2004;19(4):262-5. 25. Greene MG, Carroll JL. Consequences of sleep-disordered breathing in childhood. Curr Opin Pulm Med. 1997;3(6):456-63. 26. Owens JA. Neurocognitive and behavioral impact of sleep disordered breathing in children. Pediatric pulmonology. 2009;44(5):417-22. 27. Kushida CA, Littner MR, Morgenthaler T, Alessi CA, Bailey D, Coleman J, Jr., et al. Practice parameters for the indications for polysomnography and related procedures: an update for 2005. Sleep. 2005;28(4):499-521.
  • 548.
    àǪÈÒʵÏ·¹Âؤ 2553 Ñ 521 28. Ruehland WR, Rochford PD, O’Donoghue .J, Pierce RJ, Singh P, Thornton AT. The new AASM criteria for scoring hypopneas: impact on the apnea hypopnea index. Sleep. 2009;32(2):150-7. 29. Sleep-related breathing disorders in adults: recommendations for syndrome definition and measurement techniques in clinical research. The Report of an American Academy of Sleep Medicine Task .orce. Sleep. 1999;22(5):667- 89. 30. Redline S, Budhiraja R, Kapur V, Marcus CL, Mateika JH, Mehra R, et al. The scoring of respiratory events in sleep: reliability and validity. J Clin Sleep Med. 2007 15;3(2):169-200. 31. Thakkar K, Yao M. Diagnostic studies in obstructive sleep apnea. Otolaryngol Clin North Am. 2007;40(4):785- 805. 32. Stuck BA, Maurer JT. Airway evaluation in obstructive sleep apnea. Sleep Med Rev. 2008;12(6):411-36. 33. Newman AB, .oster G, Givelber R, Nieto .J, Redline S, Young T. Progression and regression of sleep- disordered breathing with changes in weight: the Sleep Heart Health Study. Arch Intern Med. 2005;165(20):2408- 13. 34. Penzel T, Moller M, Becker H., Knaack L, Peter JH. Effect of sleep position and sleep stage on the collapsibility of the upper airways in patients with sleep apnea. Sleep. 2001;24(1):90-5. 35. Peppard PE, Austin D, Brown RL. Association of alcohol consumption and sleep disordered breathing in men and women. J Clin Sleep Med. 2007;3(3):265-70. 36. Stewart MG. Identification and management of undiagnosed and undertreated allergic rhinitis in adults and children. Clin Exp Allergy. 2008;38(5):751-60. 37. Morgenthaler TI KS, Lee-Chiong T, Alessi C, Boehlecke B, Brown T, Coleman J, .riedman L, Kapur V, Owens J, Pancer J, Swick T; Standards of Practice Committee; American Academy of Sleep Medicine. Practice parameters for the medical therapy of obstructive sleep apnea. Sleep. 2006;29(8):1031-5. 38. Kushida CA, Littner MR, Hirshkowitz M, Morgenthaler TI, Alessi CA, Bailey D, et al. Practice parameters for the use of continuous and bilevel positive airway pressure devices to treat adult patients with sleep-related breathing disorders. Sleep. 2006;29(3):375-80. 39. Pepin JL, Leger P, Veale D, Langevin B, Robert D, Levy P. Side effects of nasal continuous positive airway pressure in sleep apnea syndrome. Study of 193 patients in two .rench sleep centers. Chest. 1995;107(2):375- 81. 40. Kushida CA, Morgenthaler TI, Littner MR, Alessi CA, Bailey D, Coleman J, Jr., et al. Practice parameters for the treatment of snoring and Obstructive Sleep Apnea with oral appliances: an update for 2005. Sleep. 2006;29(2):240-3. 41. Powell NB, Zonato AI, Weaver EM, Li K, Troell R, Riley RW, et al. Radiofrequency treatment of turbinate hypertrophy in subjects using continuous positive airway pressure: a randomized, double-blind, placebo-controlled clinical pilot trial. The Laryngoscope. 2001;111(10):1783-90. 42. Zeng B NA, Qian J, Petocz P, Darendeliler MA, Cistulli PA. Influence of nasal resistance on oral appliance treatment outcome in obstructive sleep apnea. Sleep. 2008;31(4):543-7. 43. Clinical practice guideline: diagnosis and management of childhood obstructive sleep apnea syndrome. Pediatrics. 2002;109(4):704-12. 44. Mitchell RB, Kelly J, Call E, Yao N. Long-term changes in quality of life after surgery for pediatric obstructive sleep apnea. Archives of otolaryngology—head & neck surgery. 2004;130(4):409-12. 45. Woodson BT, Robinson S, Lim HJ. Transpalatal advancement pharyngoplasty outcomes compared with uvulopalatopharygoplasty. Otolaryngol Head Neck Surg. 2005;133(2):211-7. 46. Powell N, Riley R, Guilleminault C, Troell R. A reversible uvulopalatal flap for snoring and sleep apnea syndrome. Sleep. 1996;19(7):593-9.
  • 549.
    522 ¹Í¹¡Ã¹áÅÐÀÒÇÐËÒÂ㨼Դ»¡µÔ¢³ÐËÅѺª¹Ô´ÍØ´¡Ñ¹ é 47. Pang KP, Tan R, Puraviappan P, Terris DJ. Anterior palatoplasty for the treatment of OSA: three-year results. Otolaryngol Head Neck Surg. 2009;141(2):253-6. 48. .riedman M, Ibrahim H, Joseph NJ. Staging of obstructive sleep apnea/hypopnea syndrome: a guide to appropriate treatment. The Laryngoscope. 2004;114(3):454-9. 49. .erguson KA, Heighway K, Ruby RR. A randomized trial of laser-assisted uvulopalatoplasty in the treatment of mild obstructive sleep apnea. Am J Respir Crit Care Med. 2003;167(1):15-9. 50. Pang KP, Terris DJ. Modified cautery-assisted palatal stiffening operation: new method for treating snoring and mild obstructive sleep apnea. Otolaryngol Head Neck Surg. 2007;136(5):823-6. 51. Rombaux P, Hamoir M, Bertrand B, Aubert G, Liistro G, Rodenstein D. Postoperative pain and side effects after uvulopalatopharyngoplasty, laser-assisted uvulopalatoplasty, and radiofrequency tissue volume reduction in primary snoring. The Laryngoscope. 2003;113(12):2169-73. 52. Back LJ, Hytonen ML, Roine RP, Malmivaara AO. Radiofrequency ablation treatment of soft palate for patients with snoring: a systematic review of effectiveness and adverse effects. The Laryngoscope. 2009;119(6):1241-50. 53. Kezirian EJ, Powell NB, Riley RW, Hester JE. Incidence of complications in radiofrequency treatment of the upper airway. The Laryngoscope. 2005;115(7):1298-304. 54. Porter MW, Hales NW, Nease CJ, Krempl GA. Long-term results of inferior turbinate hypertrophy with radiofrequency treatment: a new standard of care? The Laryngoscope. 2006;116(4):554-7. 55. Woodson BT, Steward DL, Weaver EM, Javaheri S. A randomized trial of temperature-controlled radiofrequency, continuous positive airway pressure, and placebo for obstructive sleep apnea syndrome. Otolaryngol Head Neck Surg. 2003;128(6):848-61. 56. Kezirian EJ, Goldberg AN. Hypopharyngeal surgery in obstructive sleep apnea: an evidence-based medicine review. Archives of otolaryngology—head & neck surgery. 2006;132(2):206-13. 57. Lin HC, .riedman M, Chang HW, Gurpinar B. The efficacy of multilevel surgery of the upper airway in adults with obstructive sleep apnea/hypopnea syndrome. The Laryngoscope. 2008;118(5):902-8. 58. Bowden MT, Kezirian EJ, Utley D, Goode RL. Outcomes of hyoid suspension for the treatment of obstructive sleep apnea. Archives of otolaryngology—head & neck surgery. 2005;131(5):440-5. 59. Zafereo ME, Taylor RJ, Pereira KD. Supraglottoplasty for laryngomalacia with obstructive sleep apnea. The Laryngoscope. 2008;118(10):1873-7. 60. Li KK, Powell NB, Riley RW, Troell RJ, Guilleminault C. Long-Term Results of Maxillomandibular Advancement Surgery. Sleep Breath. 2000;4(3):137-40. 61. Li KK, Riley RW, Powell NB, Guilleminault C. Patient’s perception of the facial appearance after maxillomandibular advancement for obstructive sleep apnea syndrome. J Oral Maxillofac Surg. 2001;59(4):377-80; discussion 80-1. 62. Kezirian EJ, Weaver EM, Yueh B, Deyo RA, Khuri S., Daley J, et al. Incidence of serious complications after uvulopalatopharyngoplasty. The Laryngoscope. 2004;114(3):450-3. 63. Chung SA, Yuan H, Chung .. A systemic review of obstructive sleep apnea and its implications for anesthesiologists. Anesthesia and analgesia. 2008;107(5):1543-63.
  • 550.
    àǪÈÒʵÏ·¹Âؤ 2553 Ñ º··Õè 523 71 Narcolepsy ÍÒ¨ÒÏ ¹ÒÂᾷÇѲ¹ªÑ ⪵ԹÑÂÇѵáØÅ Èٹ¹Ô·ÃÃѡɏÈÔÃÔÃÒª âç¾ÂÒºÒÅÈÔÃÔÃÒª ÁËÒÔ·ÂÒÅÑÂÁËÔ´Å âä¹Õ龺䴌º‹ÍÂ໚¹Íѹ´ÑºÊͧÃͧ¨Ò¡ obstructive sleep apnea ·Õè¼ÙŒ»†ÇÂÁÒËÒᾷ à¹×ͧ¨Ò¡ excessive daytime sleepiness(1) âä¹ÕÁ¼Åµ‹Í¡ÒäǺ¤ØÁ¡Åä¡¡Òù͹ËÅѺáÅе׹ ·ÒãËŒ è é Õ è Áռŵ‹Í¢Íºà¢µ¢Í§ÀÒÇСÒù͹ËÅѺã¹áµ‹ÅЪ‹Ç§¼Ô´»¡µÔ “state boundary disorder” ¡Å‹ÒǤ×Í·íÒ ãËŒ¡Òù͹ËÅѺẺ REM (rapid eye movement) á·Ã¡à¢ŒÒÁÒã¹¢³Ðµ×¹(2) è ÃкҴÇÔ·ÂÒ ¤ÇÒÁªØ¡¢Í§âä¹Õã¹»ÃÐà·ÈÊËÃѰÍàÁÃÔ¡ÒÁÕ»ÃÐÁÒ³ 0.02-0.18%(3-5) («Ö§¤ÇÒÁ¶Õ¹¨Ðã¡ÅŒà¤Õ§ é è è Õé ¡Ñºâä multiple sclerosis) ÊíÒËÃѺã¹àÍàªÕÂÁÕÃÒ§ҹ¨Ò¡ÃÐà·È­Õ»¹¾ºÇ‹ÒÁÕ¤ÇÒÁªØ¡»ÃÐÁÒ³ 0.16- è Ø† 0.18% 㹡ÒÃÇÔ¹¨©ÑÂẺ narcolepsy with cataplexy ÁÕͺµ¡Òó»ÃÐÁÒ³ 0.74 µ‹Í»ÃЪҡà (6-7) Ô Ø Ñ Ô 100,000 ¤¹µ‹Í»‚ ªÒÂáÅÐË­Ô§¾ºä´Œà·‹Ò¡Ñ¹ â´ÂʋǹãË­‹âäÁÑ¡àÃÔÁã¹ÇÑÂÃØ¹ËÃ×ͼÙãË­‹µÍ¹µŒ¹ (8) (9-11) è ‹ Œ ᵋ¡ÍÒ¨¾ºä´Œã¹à´ç¡ÍÒÂØ¹ÍÂ¡Ç‹Ò 5 »‚ËÃ×ÍÁÒ¡¡Ç‹Ò 40 »‚ ÍÒ¡ÒâͧâäÁÑ¡á‹ŧÃÇ´àÃçÇ㹪‹Ç§ 2-3 ç Œ áá¢Í§¡ÒôíÒà¹Ô¹âäáÅФ§ÍÂÙઋ¹¹Ñ¹ä»µÅÍ´(12) ‹ é ¾ÂÒ¸Ô¡íÒà¹Ô´¢Í§âä ÊÒà˵آͧâäÍÒ¨ÁÕä´ŒËÅÒÂÍ‹ҧÃÒ§ҹ¡ÒÃÈÖ¡ÉҴѧµ‹Í仹Õé 1. ÊÒà˵طҧ¾Ñ¹¸Ø¡ÃÃÁ ʋǹãË­‹áÅŒÇÁÑ¡à¡Ô´à»š¹áºº sporadic ᵋÍ‹ҧäáçµÒÁ¡ÒÃÈÖ¡ÉÒ Ê‹Ç¹ãË­‹Á¡¨Ð·íÒã¹ narcolepsy with cataplexy ÁÕ¡ÒþºÇ‹ÒâÍ¡ÒÊà¡Ô´ÀÒÇйըоºä´Œ¶§ÃŒÍÂÅÐ 1-2 ã¹ Ñ é Ö ¼Ù·ÁÕ first-degree relative ໚¹âä¹Õé «Ö§ÊÙ§¡Ç‹Ò»ÃЪҡÃâ´Â·ÑǶ֧ 10-40 à·‹Ò «Ö§ÊÍ´¤ÅŒÍ§¡Ñº Œ Õè è è (5,13) è ¡Ò÷վºÇ‹Ò¤Ùá½´ÁÕâÍ¡ÒÊ໚¹âäàËÁ×͹¡Ñ¹ÃÒÇÃŒÍÂÅÐ 25-31(5)㹡ÒÃÈÖ¡ÉÒã¹¼ÙŒ»†Ç Caucasian è ‹ ¾ºÇ‹ÒÃŒÍÂÅÐ 85-98 ÁÕ human leukocyte antigen (HLA) DR2 ãËŒ¼ÅºÇ¡ ᵋ㹼ٻÇ African-American Œ † ¾ºÇ‹Ò HLA DR2 ¾ºäÁ‹ÁÒ¡¹Ñ¡ ᵋ¡ÅѺ¾º DQB1*0602 ÁÒ¡¡Ç‹Ò¤ÇÒÁ¶Õè¢Í§ DQB1*0602 ã¹ Caucasian, African-Americans áÅЪÒÇ­Õ»¹ÃÒÇÃŒÍÂÅÐ 25, 38 áÅÐ 12 µÒÁÅíҴѺ ¹Í¡¨Ò¡¹Õé è Ø† ÃŒÍÂÅÐ 76 ¢Í§¼Ù»Ç·ÕÁÕ DQB1*0602 ¨ÐÁÕ¡ÒÃáÊ´§ÍÍ¡¢Í§ narcolepsy with cataplexy ᵋàËÅ×Í Œ † è
  • 551.
    524 Narcolepsy à¾Õ§ÌÍÂÅÐ 41 ·Õ¨ÐáÊ´§Í͡Ẻà´ÕÂǡѹã¹ÃÒ·Õè DQB1*0602 ãËŒ¼Åź Í‹ҧäáçµÒÁ DQB1*0602 è ÍÒ¨¾ºä´ŒÊ§¶Ö§ÃŒÍÂÅÐ 24 ã¹»ÃЪҡû¡µÔ(5,14) Ù 2. Hypocretin system Êѹ¹ÔɰҹNjÒÇ‹Òâä¹ÕÍÒ¨à¡Ô´¨Ò¡Å´Å§¢Í§ÊÒÃÊ×Í»ÃÐÊÒ·ã¹ÊÁͧ é è ઋ¹ orexin-A áÅÐ orexin-B (hypocretin-1 áÅÐ hypocretin-2) «Ö§¶Ù¡¤Çº¤ØÁâ´Â prepro-orexin gene(15-16) è ·ÕÍÂÙã¹Ê‹Ç¹ lateral hypothalamus ÊÒÃÊ×Í»ÃÐÊÒ··Ñ§ÊͧµÑǹըÐ仨Ѻ·Õè orexin1 (hypocretin1) áÅÐ è ‹ è é é orexin2 (hypocretin2) receptors ÊÒà orexin ·Ñ§Êͧª¹Ô´¹Õ¨ÐËÅѧÍÍ¡ÁÒ㹪‹Ç§µ×¹áÅÐ仡Ãеعʋǹ é é è è Œ ¢Í§ÊÁͧ·Õ㪌㹡Òä§ÊÀÒ¾¢Í§¡Òõ׹ ઋ¹ locus ceruleus, raphe nuclei áÅÐ tuberomammillary è è nucleus áÅÐÂѺÂѧ REM sleep ·íÒãËŒÊÀÒÇÐËÅѺµ×¹¤§µÑÇ äÁ‹·ÒãËŒÊǹ REM sleep ࢌÒÁÒÍÂÙ‹ (17-21) é è í ‹ ã¹¢³Ðµ×¹áÅÐ non-REM sleep ä´Œâ´Â§‹Ò è (22-23) 㹤¹ÁÕ¡ÒÃÈÖ¡ÉÒ¾ºÇ‹ÒÃдѺ¢Í§ÊÒà hypocretin ÁÕÃдѺµèÒã¹¹éÒä¢ÊѹËÅѧ¢Í§¼Ù»Ç·Õ໚¹ í í Œ † è narcolepsy â´Â੾ÒÐÍ‹ҧÂÔ§ã¹ÃÒ¼ٻÇ·ÕÁÍÒ¡Òà cataplexy ·ÕÁÕ DQB1*0602 ãËŒ¼ÅºÇ¡(24-28) «Ö§ è Œ † è Õ è è ÊÍ´¤ÅŒÍ§¡Ñº¡ÒÃÈÖ¡ÉÒªÔ¹à¹×ÍÊÁͧ¢Í§¼Ù»Ç narcoleptic with cataplexy ÁÕà«Åŏ·ÊÌҧ hypocretin é é Œ † Õè ŴŧÃÒÇÃŒÍÂÅÐ 90 (29-31) 3. ÀÒÇÐ autoimmune ÁÕËÅÑ¡°Ò¹Ç‹ÒÁÕ¡Òþº¨íҹǹ¢Í§ astrocytes à¾ÔÁ¢Ö¹ã¹ºÃÔàdzà«Åŏ è é ·ÕÊÌҧ orexin «Ö§ÍÒ¨¨ÐÁÕÊÒà˵ØÁÒ¨Ò¡¡ÒÃàÊ×ÍÁÊÅÒ¢ͧÃкº»ÃÐÊÒ·ËÃ×Í¡ÒÃÍÑ¡àʺ(30,32) Í‹ҧ è è è äáçµÒÁ¡ÒÃÈÖ¡ÉÒ¶Ö§ Surrogate markers µ‹Ò§æ·ÕÍÒ¨à¡ÕÂÇ¢ŒÍ§¡Ñº¡ÒÃÍÑ¡àʺઋ¹ ÃдѺ¢Í§ oligoclonal è è band ã¹¹éÒä¢ÊѹËÅѧ ÃдѺ microglia áÅÐ tumor necrosis factor ã¹ hypothalamus, serum í autoantbodies áÅÐ neuroimaging ÂѧäÁ‹¾ºËÅÑ¡°Ò¹·Õ¹Âѹ䴌Í‹ҧṋª´ è × Ñ ¡ÒÃáÊ´§ÍÍ¡·Ò§¤ÅÔ¹Ô¡ ÍÒ¡Ò÷Õà¡Ô´¢Ö¹à»š¹¼ÅÁÒ¨Ò¡¤ÇÒÁ¼Ô´»¡µÔ¢Í§¡ÒäǺ¤ØÁ¡ÒÃËÅѺµ×¹·Õ¼´»¡µÔ ÁÕÊǹ¢Í§ è é è è Ô ‹ REM sleep á·Ã¡à¢ŒÒÁÒ㹪‹Ç§¢Í§ non-REM sleep ËÃ×ͪ‹Ç§¡Òõ׹ «Ö§¨Ð·íÒãËŒà¡Ô´ÅѡɳÐ੾ÒÐ 4 è è Í‹ҧ (tetrad) «Ö§ä´Œá¡‹excessive daytime sleepiness (EDS), cataplexy, hypnagogic hallucinations è áÅÐ sleep paralysis à¾Õ§ÌÍÂÅÐ 30 ¢Í§¼Ù»ÇÂ෋ҹѹ·ÕÁÀÒÇйդú·Ñ§ 4 Í‹ҧ ¼Ù»ÇÂà´ç¡ÁÑ¡ÁÕÍÒ Œ † é è Õ é é Œ † ¡ÒÃäÁ‹¤Ãº 4 Í‹ҧ ʋǹãË­‹áŌǤÇù֡¶Ö§àÊÁÍ㹼ٻǷÕÁÒ´ŒÇ EDS Œ † è 1. Excessive daytime sleepiness ¤Çþºã¹¼Ù»Ç·ءÃÒ ÃÐÂÐàÇÅÒ¡Òù͹ËÅѺ㹠24 Œ † ªÑÇâÁ§¢Í§¼Ù»ÇÂàËŋҹըÐäÁ‹áµ¡µ‹Ò§¨Ò¡»¡µÔ ᵋ¨ÐÁÕâÍ¡ÒÊËÅѺ䴌§ÒµÅÍ´·Ñ§Çѹã¹Ê¶Ò¹¡Òó è Œ † é ‹ é µ‹Ò§æ·ÕäÁ‹¤ÇÃÁÕ§Ò¡Njһ¡µÔઋ¹ÃÐËNjҧ¡Òþٴ ¡Ô¹ ¢ÑºÃ¶ áÅÐÍÒ¨ËÅѺ䴌â´ÂäÁ‹ÁÍÒ¡ÒÃàµ×͹·íÒ è ‹ Õ ãËŒà¡Ô´ÀÒÇзÕàÃÕÂ¡Ç‹Ò sleep attacks à¹×ͧ¨Ò¡¡Òù͹ËÅѺ㹼ٻÇÂàËŋҹÕà¡Ô´à¹×ͧ¨Ò¡ REM è (33-34) è Œ † é è á·Ã¡à¢ŒÒÁÒ㹪‹Ç§¡Òõ׹¨Ö§ÁÑ¡ÁÕšɳзÕàÃÕÂ¡Ç‹Ò REM type nap «Ö§áµ¡µ‹Ò§¨Ò¡ EDS ·Õà¡Ô´¨Ò¡ è Ñ è è è obstructive sleep apnea ¡Å‹ÒǤ×ÍÁÑ¡Êѹæ áÅÐÁÕ½¹Ã‹ÇÁ´ŒÇ àÇÅÒµ×¹¨Ò nap Áѡʴª×¹ µ×¹µÍ¹àªŒÒ é ˜ è è è Áѡʴª×è¹ à¹×èͧ¨Ò¡¡Òù͹ËÅѺÁÑ¡à¡Ô´àÇÅÒã´¡çä´Œ¨Ö§ÍÒ¨·íÒãËŒ¼ØŒ»†ÇÂàËç¹ÀÒ¾«ŒÍ¹ µÒÅÒ ÁÕ automatic behavior ઋ¹¢ÑºÃ¶àÅ·ҧá¡ à¢Õ¹˹ѧÊ×Íä´Œâ´ÂäÁ‹ÃµÇ ÙŒ Ñ
  • 552.
    àǪÈÒʵÏ·¹Âؤ 2553 Ñ 525 2. Cataplexy ¾ºä´ŒÃÒÇÃŒÍÂÅÐ 60-70 ÁÑ¡à¡Ô´¢Ö¹ã¹ª‹Ç§ 3-5 »‚ááËÅѧ onset ¢Í§ narcolepsy12 é ໚¹ÍÒ¡ÒÃ͋͹áç¢Í§¡ÅŒÒÁà¹×ͧ͢Ëҧ¡Ò·ѧÊͧ¢ŒÒ§à»š¹ÃÐÂÐàÇÅÒÊѹæ à¡Ô´à¹×ͧ¨Ò¡ REM á·Ã¡ é é é è ࢌÒÁÒ㹪‹Ç§¡Òõ׹ ¤ÇÒÁÃØ¹áç·Õ¾ºÍÒ¨µÑ§áµ‹à»š¹áººÃعáç¤×Í͋͹áç·Ñ§µÑÇ·íÒãËŒÅÁä´Œ ËÃ×Í໚¹ è è é é Œ ºÒ§Ê‹Ç¹¢Í§Ã‹Ò§¡ÒÂáÅÐàÅ硹ŒÍ¡ç䴌ઋ¹ÈÕÃÉе¡ ࢋÒ͋͹ËÃ×Íà¤ÕÂÇäÁ‹¶¹Ñ´à¹×ͧ¨Ò¡ÁÕ¡ÒÃ͋͹áç é è ¢Í§¡ÅŒÒÁà¹×Í masseter ᵋÍÒ¡ÒÃ͋͹áç¨ÐäÁ‹à¡Ô´¡Ñº¡ÅŒÒÁà¹×Í·Õ㪌㹡ÒÃËÒÂã¨áÅÐà¤Å×͹äËÇÅÙ¡ é é è è µÒ ÍÒ¡ÒÃàËŋҹÕÁ¡¶Ù¡¡Ãеعâ´ÂÍÒÃÁ³·Ã¹áçઋ¹ËÑÇàÃÒÐ µ×¹àµŒ¹ËÃ×Íâ¡Ã¸ ÍÒ¡ÒÃÁÑ¡äÁ‹¹Ò¹ é Ñ Œ Õè Ø è à¡Ô¹ 2 ¹Ò·ÕáÅФÇÒÁÃÙÊ¡µÑÇ¢³ÐÁÕÍÒ¡ÒÃÂѧ໚¹»¡µÔ ¨Ö§·íÒãËŒ¼»ÇÂÃÙÊ¡¡ÅÑǵ‹Í¡ÒèÐà¡Ô´ÍÒ¡Òà ŒÖ (35-36) ØŒ † Œ Ö áÅТ³ÐÁÕÍÒ¡ÒÃÁÒ¡ 3. Sleep paralysis ໚¹ÍÒ¡ÒäŌÒ¤ÅÖ§¡Ñº·Õ¤¹ä·ÂàÃÕÂ¡Ç‹Ò “¼ÕÍÒ” ¼Ù»Ç¨ÐÁÕÍÒ¡ÒÃäÁ‹ è í Œ † ÊÒÁÒöà¤Å×͹äËÇËҧ¡ÒÂ䴌㹪‹Ç§ 1-2 ¹Ò·Õáᢳе׹¹Í¹ ÁÑ¡ÁÕÍÒ¡ÒÃàËç¹ÀÒ¾ËÅ͹ ¤ÅŒÒÂËÒÂ㨠è è äÁ‹Í͡ËÇÁ´ŒÇ ¼Ù»ÇÂÁÑ¡¡ÅÑÇÀÒÇйÕÁÒ¡à¹×ͧ¨Ò¡¡ÅÑǨÐ໚¹ÍÑÁ¾ÒµËÃ×ÍàÊÕªÕǵ ¡ÒÃÁÕ sensory Œ † é è Ô stimuli ºÒ§Í‹ҧઋ¹¡ÒÃÊÑÁ¼ÑÊËÃ×;ٴ¤ØÂ áÅСÒù͹㹷‹Ò·Õ¼´»¡µÔ¨Ðª‹ÇÂÅ´ÍÒ¡ÒùÕŧ䴌 ÍÒ¡Òà è Ô é ¹ÕÊÁ¾Ñ¹¸¡º¡Ò÷Õè REM á·Ã¡à¢ŒÒÁÒ㹪‹Ç§¡Òõ׹ éÑ Ñ è 4. Hypnagogic hallucination ໚¹ÍÒ¡ÒÃàËç¹ÀÒ¾ËÅ͹ àÊÕ§ËÃ×ͤÇÒÁÃÙÊ¡á»Å¡æ·Õà¡Ô´¢Ö¹ ŒÖ è é 㹪‹Ç§¢³Ðµ×¹¹Í¹ Áѡ໚¹áººà»š¹àÃ×ͧÃÒÇ ÁժǵªÕÇÒ è è ÕÔ Ê‹Ç¹ÍÒ¡ÒÃÍ×¹æ·ÕÍÒ¨¾ºÃ‹ÇÁ䴌㹼ٻÇ narcolepsy ઋ¹ hypnapompic hallucination è è Œ † (Ẻà´ÕÂǡѺ hypnagogic hallucination ᵋ໚¹¢³ÐËÅѺ) ¹Í¹äÁ‹ËÅѺ µ×¹º‹Í¡ÅÒ§´Ö¡ ÁÕ¡ÒÃà¤Å×͹ è è äËǢͧᢹ¢Ò¼Ô´»¡µÔ¢³ÐËÅѺ (periodic limb movement) ¹éÒ˹ѡ¢Ö¹ ¡ÒÃà¤Å×͹äËǼԴ»¡µÔ¢³Ð í é è (REM behavior disorder) ã¹¼Ù»ÇÂà´ç¡¨ÐÁÕÍÒ¡ÒÃáÊ´§·Õᵡµ‹Ò§ÍÍ¡ä»àª‹¹ EDS ¨Ð¾º¹ŒÍÂà¹×ͧ¨Ò¡¼Ù»ÇÂÍÒ·Õè Œ † è è Œ † ¨ÐµÍº ºÒ§¤ÃѧÁÒ´ŒÇ«ء«¹ËÃ×ÍÍÂÙäÁ‹Ê¢ ÊÁÒ¸Ôʹ ¡ÒÃàÃÕ¹á‹ŧËÃ×Í¡ŒÒÇÃŒÒÇ é ‹ Ø Ñé ¡ÒÃÇÔ¹Ô¨©ÑÂ(37) â´ÂʋǹãË­‹¡ÒÃÇÔ¹¨©ÑÂÁѡ䴌¨Ò¡»ÃÐÇÑµÔ ¡ÒõÃǨËҧ¡ÒÂÁÑ¡»¡µÔ ¡ÒÃÂ×¹Âѹ¡ÒÃÇÔ¹¨©ÑÂâä Ô Ô ÁÑ¡µŒÍ§ãªŒ¡ÒõÃǨ¡Òù͹ËÅѺºÒ§Í‹ҧઋ¹ ¡ÒõÃǨ¡Òù͹ËÅѺã¹ËŒÍ§»¯ÔºÑµÔ¡ÒÃẺ»¡µÔ (polysomnography) áÅÐ ¡ÒõÃǨ multiple sleep latency test ËÇÁ´ŒÇ ¡ÒÃÇÔ¹¨©Ñ¤ÇÃá¡âä Ô ÍÍ¡¨Ò¡ÀÒÇÐÍ×¹·ÕÍÒ¨·íÒãËŒà¡Ô´ÍÒ¡Ò÷դŌÒ¤ÅÖ§ narcolepsy (symptomatic narcolepsy) ઋ¹¡Òà è è è ÁÕ¾ÂÒ¸ÔÊÀÒ¾·Õè hypothalamus ¡ÒõԴàª×Í ÍØºµà˵طÈÃÉÐ Niemann-Pick disease type C ËÃ×Í é Ñ Ô Õè Õ sleep-disordered breathing ໚¹µŒ¹ ¡ÒõÃǨ¾ºã¹ polysomnography ÁÑ¡µÃǨ¾ºÇ‹ÒÁÕ´ª¹Õ¡Òõ׹ (arousal index) ÊÙ§¼Ô´»¡µÔ Ñ è ÁÕ»ÃÐÊÔ·¸ÔÀҾ㹡Òù͹ (sleep efficiency) Ŵŧ ÁÕ REM onset Êѹŧ (¾º REM 㹪‹Ç§ 20 ¹Ò·Õ é áá ËÅѧ¡Òù͹ËÅѺ) ÍÒ¨¾ºÁÕ periodic limb movement áÅÐ REM behavior disorder ä´ŒºÍ ‹ ¡ÒõÃǨ¹ÕÁ»ÃÐ⪹Í‹ҧÁÒ¡¤×ͪ‹ÇÂá¡âä·ÕÊҤѭ¤×Í sleep-disordered breathing «Ö§¾ºä´ŒºÍ é Õ èí è ‹ ÁÒ¡¡Ç‹ÒÍ͡䴌
  • 553.
    526 Narcolepsy ¡ÒõÃǨ multiple sleep latency test ໚¹¡ÒõÃǨ·Õ㪌㹡ÒÃÂ×¹Âѹ¡ÒÃÇÔ¹¨©ÑÂâ´Â»¡µÔ è Ô ÁÑ¡µÃǨµÍ¹¡ÅÒ§ÇѹµÒÁËÅѧ polysomnography ·ÕÂÒǹҹ¾ÍÍ‹ҧ¹ŒÍ 6 ªÑÇâÁ§ ¡ÒõÃǨ¹Õ¨Ð è è é ãËŒ¼»Ç¹͹ 4-5 ¤Ãѧ ¤ÃѧÅÐ 15-20 ¹Ò·Õ ·Ø¡ 2 ªÑÇâÁ§ áŌǴ٤ÇÒÁ¶Õ·¼»ÇÂÁÕ sleep onset REM ÙŒ † é é è è Õè ÙŒ † period (SOREM) â´Â¶×ÍÇ‹ÒãËŒ¼ÅºÇ¡àÁ×͵ÃǨ¾ºµÑ§áµ‹Êͧ¤Ãѧ¢Ö¹ä» Í‹ҧäáçµÒÁ¡ÒõÃǨ¹ÕÁ¼Å è é é é é Õ ÅºÅǧ䴌ÃÍÂÅÐ 20-30 ¹Í¡¨Ò¡¹ÕÍÒÂØ·ÁÒ¡¢Ö¹¨Ð·íÒÁÕâÍ¡Òʶ١µÃǨ¾º¹ŒÍÂŧ áÅСÒÃ㪌ÂÒºÒ§ Œ é Õè é Í‹ҧÍÒ¨·íÒãËŒà¡Ô´¼ÅºÇ¡ä´ŒÅǧઋ¹ antidepressants ËÃ×Í stimulants ¡ÒõÃǨ HLA áÅÐÃдѺ hypocretin ã¹¹éÒä¢ÊѹËÅѧ (ÃдѺ cutoff ·Õè 110 pg/ml) ÍÒ¨ª‹Ç í 㹡ÒÃÇÔ¹¨©ÑÂá¡âä ᵋäÁ‹·Ò¡Ñ¹â´Â·ÑÇä» Áѡ㪌㹡ÒÃÇÔ¨ÂËÃ×Íã¹ÃÒ·ÕÁ»­ËÒã¹´ŒÒ¹¡ÒÃÇÔ¹¨©ÑÂ Ô í è Ñ è Õ ˜ Ô âä෋ҹѹ »˜¨¨Øº¹¡ÒõÃǨàËŋҹÕ§äÁ‹Áã¹»ÃÐà·Èä·Â é Ñ é Ñ Õ ¡ÒÃÃÑ¡ÉÒ áº‹§Í͡໚¹ 2 ËÅÑ¡ãË­‹¤Í × ¡ÒÃÃÑ¡ÉÒ´ŒÒ¹¾ÄµÔ¡ÃÃÁ ¡ÒÃÃÑ¡ÉÒ¹Õ¤ÇÃá¹Ð¹íÒãËŒ¼»Ç·ءÃÒ·ѧ¹Õà¾×ÍÅ´¤ÇÒÁàÊÕ§㹡ÒÃà¡Ô´ sleep attack áÅÐ à¾ÔÁ é ÙŒ † é é è è è ¤Ø³ÀÒ¾ªÕǵ â´ÂÁÕËÅÑ¡¤×Í Ô (38,39) ! ÃÑ¡ÉÒÊØ¢¹ÔÊ¡Òù͹ (Sleep hygiene) ãËŒ¹Í¹Í‹ҧ¹ŒÍ 7.5-8ªÑÇâÁ§µ‹Í¤×¹ ࢌÒáÅÐ Ñ è µ×¹¹Í¹ãËŒµÃ§àÇÅÒ è ! ¡ÒÃãËŒÁªÇ§àÇÅҹ͹ÃÐËNjҧÇѹ »ÃÐÁÒ³ 15-20 ¹Ò·Õ ÇѹÅлÃÐÁÒ³ 1 ¤Ãѧ ·Ñ§¹Õà¾×Í Õ ‹ é é é è ª‹ÇÂÅ´ EDS ! Å´¡ÒÃ㪌ÂÒËÃ×ÍÍÒËÒ÷ÕèÍÒ¨à¾ÔèÁ EDS ºÒ§Í‹ҧઋ¹áÍÅ¡ÍÎÍŏ ÍÒËÒ÷ÕèÁÕ»ÃÔÁÒ³ ¹éÒµÒÅÊÙ§ ÍÒËÒÃÁ×Í˹ѡ í é ! ãËŒ¤ÇÒÁÁÑè¹ã¨¼ÙŒ»†Ç ¤Ãͺ¤ÃÑÇáÅÐÊѧ¤ÁÇ‹Òâä¹ÕéÊÒÁÁÒöÃÑ¡ÉÒãËŒ´Õ¢Öé¹ä´Œ áÅФÇà ¡ÃеعãËŒÁ¡¨¡ÃÃÁËÇÁ¡Ñº¼Ù͹àÊÁÍæàª‹¹ ¡ÒÃࢌÒÊѧ¤Á àÅ‹¹¡ÕÌÒ໚¹µŒ¹ Œ Õ Ô Œ ×è ¡ÒÃÃÑ¡ÉÒ´ŒÇÂÂÒ ¡. ¡ÒÃÃÑ¡ÉÒÀÒÇÐ EDS(40-42) ! CNS stimulants ઋ ¹ methylphenidate, dextroamphetamine sulphate, methamphetamine áÅÐ amphetamine ã¹»ÃÐà·Èä·Â㪌 methylphenidate ໚¹Ê‹Ç¹ ãË­‹¢¹Ò´·ÕãËŒ¤Í 10-30 mg ÇѹÅÐ 2-3 ¤Ãѧ ÊÒÁÒöãËŒä´ŒÊ§ÊØ´¶Ö§ 100 mg ¡Åä¡¡Òà è × é Ù Í͡ķ¸Ô¤´Ç‹Ò¹‹Ò¨Ð¼‹Ò¹·Ò§¡ÒÃà¾ÔÁ¡Ò÷íÒ§Ò¹¢Í§ dopaminergic system ºÃÔàdz ì Ô è ¡ŒÒ¹ÊÁͧâ´Â¼‹Ò¹·Ò§ nigrostriatal áÅÐ ·Ò§ mesocorticolimbic pathway ¡Òõͺ ʹͧ¾ºÇ‹ÒÊÒÁÒöŴÀÒÇÐ EDS ä´ŒÃÒÇÃŒÍÂÅÐ 65-85 áÅТֹÍÂÙ¡º¢¹Ò´ÂÒ ÂÒ¹ÕÁÕ é ‹ Ñ é ¼Å¢ŒÒ§à¤Õ§·ÕÊҤѭ¤×ͻǴÈÕÃÉÐ ¤Å×¹äÊŒÍÒà¨Õ¹ ÍÒ¨·íÒãËŒ¡Òù͹ËÅѺª‹Ç§¡ÅÒ§¤×¹ èí è á‹ŧ ˧ش˧ԴáÅе׹ൌ¹§‹Ò è
  • 554.
    àǪÈÒʵÏ·¹Âؤ 2553 Ñ 527 ! Modafinil ÂÒµÑǹÕé㪌¡Ñ¹á¾Ã‹ËÅÒ ¡Åä¡¡ÒÃÍ͡ķ¸Ôì¤Ô´Ç‹Ò¹‹Ò¨Ðà¡Ô´¨Ò¡¡ÒÃà¾ÔèÁ dopamine áÅÐ norepinephine ¢ŒÍ´Õ¤ÍäÁ‹Ãº¡Ç¹¡Òù͹µÍ¹¡ÅÒ§¤×¹áÅÐÂѺÂѧ × é REM sleep ·Õ¨ÐࢌÒÊ٪ǧµ×¹ä´Œ´Õ »˜¨¨Øº¹ÂѧäÁ‹ÁÂÒ¹Õã¹»ÃÐà·Èä·Â è ‹ ‹ è Ñ Õ é ¢. ¡ÒÃÃÑ¡ÉÒ cataplexy (43-44) ! Tricyclic antidepressants áÅÐ selective serotonin reuptake inhibitor (SSRI) ! Sodium oxybate ໚¹ÂÒ·Õ໚¹ÃѺÃͧâ´Âͧ¤¡Òà .DA ã¹ÊËÃѰÍàÁÃÔ¡ÒÃ㹡ÒÃÃÑ¡ÉÒ è cataplexy ÂѧäÁ‹Á¨Ò˹‹ÒÂã¹»ÃÐà·Èä·Â Õí àÍ¡ÊÒÃ͌ҧÍÔ§ 1. Zeman, A, Britton, T, Douglas, N, et al. Narcolepsy and excessive daytime sleepiness. BMJ 2004; 329:724. 2. Broughton R, Mullington J. Chronobiological aspects of narcolepsy. Sleep 1994;17(8suppl.):s35-44. 3. Hublin C, Partinen M, Kaprio J, et al. Epidemiology of narcolepsy. Sleep 1994;17(Suppl.):S7-12. 4. Silber MH, Krahn LE, Olson EJ, et al. The epidemiology of narcolepsy in Olmstead County, Minnesota: a population based study. Sleep 2002;25:197-202. 5. Mignot E. Genetic and familial aspects of narcolepsy. Neurology 1998;50(Suppl.):S54-S59. 6. Honda Y. Census of narcolepsy, cataplexy and sleep life among teenagers in .ujisawa city. Sleep Res 1979;8:191. 7. Tashiro T, Kanbayashi T, Hishikawa Y. An epidemiological study of narcolepsy in Japanese. Ann Neurol 1994;35:709-716. 8. Longstreth, WT Jr, Koepsell, TD, Ton, TG, et al. The epidemiology of narcolepsy. Sleep 2007; 30:13. 9. Ohayon, MM, Priest, RG, Zulley, J, et al. Prevalence of narcolepsy symptomatology and diagnosis in the European general population. Neurology 2002;58:1826. 10. Coleman, RM, et al. Sleep-wake disorders based on a polysomnographic diagnosis. A national cooperative study. JAMA 1982;247:997. 11. Silber, MH, Krahn, LE, Olson, EJ, Pankratz, VS. The epidemiology of narcolepsy in Olmsted County, Minnesota: a population-based study. Sleep 2002;25:197. 12. Okun, ML, Lin, L, Pelin, Z, et al. Clinical aspects of narcolepsy-cataplexy across ethnic groups. Sleep 2002; 25:27. 13. Billiard M, Pasquie-Magnetto V, Heckman M, et al. .amily studies in narcolepsy. Sleep 1994;17(Suppl.):S54-59. 14. Mignot E. Genetics of narcolepsy and other sleep disorders. Am J Hum Genet. Jun 1997;60(6):1289-302. 15. Sakurai, T, Amemiya, A, Ishii, M, et al. Orexins and orexin receptors: a family of hypothalamic neuropeptides and G protein-coupled receptors that regulate feeding behavior. Cell 1998;92:573. 16. de Lecea, L, Kilduff, TS, Peyron, C, et al. The hypocretins: hypothalamus-specific peptides with neuroexcitatory activity. Proc Natl Acad Sci USA 1998;95:322. 17. Hagan, JJ, Leslie, RA, Patel, S, et al. Orexin A activates locus coeruleus cell firing and increases arousal in the rat. Proc Natl Acad Sci USA 1999;96:10911. 18. Bayer, L, Eggermann, E, Serafin, M, et al. Orexins (hypocretins) directly excite tuberomammillary neurons. Eur J Neurosci 2001;14:1571. 19. Yamanaka, A, Tsujino, N, .unahashi, H, et al. Orexins activate histaminergic neurons via the orexin 2 receptor. Biochem Biophys Res Commun 2002;290:1237.
  • 555.
    528 Narcolepsy 20. Eriksson, KS, Sergeeva, O, Brown, RE, Haas, HL. Orexin/hypocretin excites the histaminergic neurons of the tuberomammillary nucleus. J Neurosci 2001;21:9273. 21. Brown, RE, Sergeeva, O, Eriksson, KS, Haas, HL. Orexin A excites serotonergic neurons in the dorsal raphe nucleus of the rat. Neuropharmacology 2001;40:457. 22. Saper, CB, Chou, TC, Scammell, TE. The sleep switch: hypothalamic control of sleep and wakefulness. Trends Neurosci 2001;24:726. 23. Scammell, TE. The neurobiology, diagnosis, and treatment of narcolepsy. Ann Neurol 2003;53:154. 24. Dauvilliers, Y, Baumann, CR, Carlander, B, et al. CS. hypocretin-1 levels in narcolepsy, Kleine-Levin syndrome, and other hypersomnias and neurological conditions. J Neurol Neurosurg Psychiatry 2003;74:1667. 25. Mignot, E, Lammers, GJ, Ripley, B, et al. The role of cerebrospinal fluid hypocretin measurement in the diagnosis of narcolepsy and other hypersomnias. Arch Neurol 2002;59:1553. 26. Nishino, S, et al. Hypocretin (orexin) deficiency in human narcolepsy. Lancet 2000;355:39. 27. Kanbayashi, T, Inoue, Y, Chiba, S, et al. CS. hypocretin-1 (orexin-A) concentrations in narcolepsy with and without cataplexy and idiopathic hypersomnia. J Sleep Res 2002;11:91. 28. Dalal, MA, Schuld, A, Haack, M, et al. Normal plasma levels of orexin A (hypocretin-1) in narcoleptic patients. Neurology 2001;56:1749. 29. Peyron, C, .araco, J, Rogers, W, et al. A mutation in a case of early onset narcolepsy and a generalized absence of hypocretin peptides in human narcoleptic brains. Nat Med 2000;6:991. 30. Thannickal, T, et al. Reduced number of hypocretin neurons in human narcolepsy. Neuron 2000;27:469. 31. Crocker, A, Espana, RA, Papadopoulou, M, et al. Concomitant loss of dynorphin, NARP, and orexin in narcolepsy. Neurology 2005;65:1184. 32. Erlich, SS, Itabashi, HH. Narcolepsy: A neuropathologic study. Sleep 1986;9:126. 33. Broughton, R, Dunham, W, Newman, J, et al. Ambulatory 24 hour sleep-wake monitoring in narcolepsy- cataplexy compared to matched controls. Electroencephalogr Clin Neurophysiol 1988;70:473. 34. Dantz, B, Edgar, DM, Dement, WC. Circadian rhythms in narcolepsy: studies on a 90 minute day. Electroencephalogr Clin Neurophysiol 1994;90:24. 35. Guilleminault, C, Gelb, M. Clinical aspects and features of cataplexy. Adv Neurol 1995;67:65. 36. Anic-Labat, S, Guilleminault, C, Kraemer, HC, et al. Validation of a cataplexy questionnaire in 983 sleep- disorders patients. Sleep 1999;22:77. 37. American Academy of Sleep Medicine. International classification of sleep disorders, second edition: Diagnostic and coding manual. Westchester, IL American Academy of Sleep Medicine, 2005. 38. Rogers, AE, Aldrich, MS, Lin, X. A comparison of three different sleep schedules for reducing daytime sleepiness in narcolepsy. Sleep 2001;24:385. 39. Mullington, J, Broughton, R. Scheduled naps in the management of daytime sleepiness in narcolepsy-cataplexy. Sleep 1993;16:444. 40. Mitler, MM, et al. Narcolepsy and its treatment with stimulants. ASDA standards of practice. Sleep 1994;17:352. 41. Boivin, DB, Montplaisir, J, Petit, D, et al. Effects of modafinil on symptomatology of human narcolepsy. Clin Neuropharmacol 1993;16:46. 42. Mitler, MM, Hajdukovic, R, Erman, MK. Treatment of narcolepsy with methamphetamine. Sleep 1993; 16:306. 43. Vignatelli, L, D’Alessandro, R, Candelise, L. Antidepressant drugs for narcolepsy. Cochrane Database Syst Rev 2005;CD003724. 44. Tunnicliff, G. Sites of action of gamma-hydroxybutyrate (GHB)—a neuroactive drug with abuse potential. J Toxicol Clin Toxicol 1997;35:581.
  • 556.
    àǪÈÒʵÏ·¹Âؤ 2553 Ñ º··Õè 529 72 Surgical Treatment for Sleep Disordered Breathing ¼ÙŒª‹ÇÂÈÒʵÃÒ¨ÒÏ ¹ÒÂᾷÇÔª­ ºÃóËÔÃÑ­ ÀÒ¤ÇÔªÒâʵ ¹ÒÊÔ¡ ÅÒÃÔ§«Ç·ÂÒ ¤³Ðá¾·ÂÈÒʵÏÈÃÃÒª¾ÂÒºÒÅ ÁËÒÇÔ·ÂÒÅÑÂÁËÔ´Å Ô ÔÔ »˜¨¨Øº¹·Ò§àÅ×͡㹡ÒÃÃÑ¡Éҹ͹¡Ã¹áÅÐÀÒÇÐËÂØ´ËÒÂ㨢³ÐËÅѺª¹Ô´ÍØ´¡Ñ¹ (obstructive Ñ é sleep apnea : OSA) ÁÕÍÂ٤͹¢ŒÒ§ÁÒ¡ ¡ÒõѴÊÔ¹ã¨àÅ×Í¡ÇԸáÉҹѹ¢Ö¹ÍÂÙ¡ºËÅÒ»˜¨¨Ñ ઋ¹ ¤ÇÒÁ ‹ ‹ ÕÑ é é ‹ Ñ ÃØ¹áçáÅÐÊÒà˵ط໚¹ä»ä´Œ¢Í§âä ¤ÇÒÁµŒÍ§¡Òâͧ¼Ù»Ç µÅÍ´¨¹¢ŒÍ´Õ ¢ŒÍàÊÕ ËÃ×Í¢ŒÍ¨íÒ¡Ñ´¢Í§ Õè Œ † ¡ÒÃÃÑ¡ÉÒᵋÅÐẺ 㹡óշ¼»ÇÂ໚¹à¾Õ§ÀÒÇй͹¡Ã¹¸ÃÃÁ´Ò (primary snoring) ¡ÒÃÃÑ¡ÉÒ Õè ÙŒ † ·Õ¹ÂÁÁѡ໚¹áººÍ¹ØÃ¡É (conservative treatment) ઋ¹ ¡ÒÃÅ´¹éÒ˹ѡ ¡ÒûÃÑºÊØ¢Í¹ÒÁÑ¡Òà è Ô Ñ í ¹Í¹ (sleep hygiene) ¡ÒÃËÅÕ¡àÅÕ§ÂÒºÒ§ª¹Ô´ ઋ¹ Âҹ͹ËÅѺ ËÃ×Íà¤Ã×ͧ´×Á·Õ¼ÊÁáÍÅ¡ÍÎÍŏ è è è è áÅÐÃÑ¡ÉÒâäËÇÁ·Õ¾ºä´ŒºÍ ઋ¹ àÂ×ͺبÁÙ¡ÍÑ¡àʺ¨Ò¡ÀÙÁᾌ ໚¹µŒ¹ ËÃ×Í㹡óշ¼»ÇÂÁÕÀÒÇÐ è ‹ è Ô Õè ÙŒ † ËÂØ´ËÒÂ㨢³ÐËÅѺª¹Ô´ÍØ´¡Ñé¹ (OSA) ¡ÒÃ㪌à¤Ã×èͧÊÌҧ¤ÇÒÁ´Ñ¹ÅÁºÇ¡à¾×èÍແ´¢ÂÒ·ҧà´Ô¹ ËÒÂ㨠(continuous positive airway pressure therapy : CPAP) ¨Ñ´Ç‹Ò໚¹ÇԸáÉÒÁҵðҹ·ÕÁÕ ÕÑ è »ÃÐÊÔ·¸ÔÀÒ¾áÅÐÁÕ¤ÇÒÁ»ÅÍ´ÀÑÂÊÙ§ µÃҺ෋ҷռ»ÇÂÊÒÁÒö㪌à¤Ã×ͧ䴌µÅÍ´·Ø¡¤×¹ Í‹ҧäáçµÒÁ è ÙŒ † è ¡ÒÃÃÑ¡ÉÒẺµ‹Ò§ æ ¢ŒÒ§µŒ¹ÍÒ¨ÁբͨíÒ¡Ñ´ÍÂÙäÁ‹¹Í ઋ¹ ¼Ù»Ç·չ͹¡Ã¹´Ñ§ÁÒ¡áÁŒÇÒ¨Ð໚¹à¾Õ§ Œ ‹ Œ Œ † è ‹ ÀÒÇСù¸ÃÃÁ´Ò ÍÒ¨ÃÑ¡ÉÒäÁ‹ä´Œ¼Å´ŒÇÂÇÔ¸ÕẺ͹ØÃѡɏ ËÃ×͡óշÕè¼ÙŒ»†ÇÂÁÕ¢ŒÍº‹§ªÕé㹡ÒÃ㪌 à¤Ã×èͧ CPAP ¡çÂѧÁÕ¼ÙŒ»†Ç¨íҹǹäÁ‹¹ŒÍ ·Õ軯Ôàʸ¡ÒÃ㪌à¤Ã×èͧ ËÃ×ÍäÁ‹ÊÒÁÒö㪌à¤Ã×èͧ䴌Í‹ҧ àËÁÒÐÊÁ (poor compliance) «Ö§ÃÒ§ҹ㹵‹Ò§»ÃÐà·È¾ºÇ‹Ò ¼Ù»Ç·Õ㪌à¤Ã×ͧ CPAP Í‹ҧÊÁèÒàÊÁÍ è Œ † è è í äÁ‹¹ÍÂ¡Ç‹Ò ¤×¹ÅÐ 4 ªÑÇâÁ§ã¹áµ‹ÅÐÊÑ»´Òˏ Áչ͡NjÒÃŒÍÂÅÐ 50 ´Ñ§¹Ñ¹¼Ù»ÇÂàËŋҹÕé ÍÒ¨ÁÕ¤ÇÒÁ Œ è Œ (1) é Œ † àËÁÒÐÊÁ¡Ñº¡ÒÃÃÑ¡ÉÒ·Ò§àÅ×Í¡ ઋ¹ ¡Òü‹ÒµÑ´ ÁÒ¡¡Ç‹ÒÇÔ¸¡ÒÃÃÑ¡ÉÒ¢ŒÒ§µŒ¹ «Ö§áÁŒÇҼšÒÃÃÑ¡ÉÒ Õ è ‹ ÍÒ¨äÁ‹¶§¢Ñ¹ËÒ¢Ҵ ᵋ¼»Ç¨íҹǹäÁ‹¹Íµͺʹͧµ‹Í¡ÒÃÃÑ¡ÉÒ ÁÕ¤ÇÒÁÃØ¹áç¢Í§âäŴŧ Ö é ÙŒ † Œ ¤Ø³ÀÒ¾ªÕǵ´Õ¢¹ áÅÐÁÕ¤ÇÒÁ¾Ö§¾Í㨨ҡ¡ÒÃÃÑ¡ÉÒ·Õµ¹àͧàÅ×Í¡ (2, 3) Ô Öé è á¹Ç·Ò§¡ÒÃÃÑ¡ÉÒâ´ÂÇÔ¸Õ¼‹ÒµÑ´ (Surgical treatment) ¡ÒÃÃÑ¡ÉÒâ´Â¡Òü‹ÒµÑ´ãªŒËÅÑ¡¡Òà ¡ÒÃᡌä¢Åѡɳзҧ¡ÒÂÇÔÀÒ¤à¾×Íà¾ÔÁ¢¹Ò´¢Í§·Ò§à´Ô¹ è è ËÒÂã¨Ê‹Ç¹º¹ 㹺ÃÔàdzµíÒá˹‹§·ÕÍÒ¨à¡Ô´¡ÒÃÍØ´¡Ñ¹ â´ÂÁբͺ‹§ªÕã¹»˜¨¨Øº¹ 䴌ᡋ ¼Ù»Ç·յÃǨ è é Œ é Ñ Œ † è ¾ºµíÒá˹‹§¢Í§¡ÒÃÍØ´¡Ñé¹·Ò§à´Ô¹ËÒÂã¨ä´ŒªÑ´à¨¹ ËÃ×Í ¡Ã³Õ·Õè¡ÒÃÃÑ¡ÉÒÍ×è¹äÁ‹»ÃÐʺ¼ÅÊíÒàÃç¨ ËÃ×ÍäÁ‹ÊÒÁÒöÃÑ¡ÉÒä´Œâ´ÂÇÔ¸ÕÍ×è¹ ¹Í¡¨Ò¡¹Õé¡Òü‹ÒµÑ´ÍÒ¨ª‹ÇÂàÊÃÔÁãËŒ¡ÒÃÃÑ¡ÉÒ´ŒÇÂÇÔ¸ÕÍ×è¹ àª‹¹
  • 557.
    530 Surgical Treatment for Sleep Disordered Breathing ¡ÒÃ㪌 CPAP (4) ËÃ×Í oral appliances ä´Œ¼Å´Õ§¢Ö¹(5) ËÃ×Í㪌¡Òü‹ÒµÑ´ª‹ÇÂÅ´ÍÒ¡ÒÃËÃ×ͤÇÒÁÃØ¹áç Ôè é ¢Í§âä㹼ٻǺҧÃÒÂŧ䴌 ã¹»˜¨¨Øº¹ÇÔ¸¡Òü‹ÒµÑ´ÃÑ¡ÉÒÁÕ¤ÇÒÁËÅÒ¡ËÅÒ ¨íÒ໚¹µŒÍ§àÅ×Í¡ãËŒ Œ † Ñ Õ àËÁÒÐÊÁ¡Ñº¼Ù»ÇÂᵋÅÐÃÒ 䴌ᡋ Œ † 1. ¡Òü‹ÒµÑ´á¡Œä¢¤ÇÒÁ¼Ô´»Ã¡µÔºÃÔàdz¨ÁÙ¡ (Nasal surgery) Áբͺ‹§ªÕã¹ÃÒ·ÕÁ¡Òà Œ é è Õ ÍØ´¡Ñ鹢ͧâ¾Ã§¨ÁÙ¡ áÅÐ/ËÃ×Í ª‹Í§ËÅѧâ¾Ã§¨ÁÙ¡ (nasopharynx) ÁÕ»ÃÐ⪹ã¹ÃÒ·Õè¨íÒ໚¹ µŒÍ§ãªŒ CPAP µ‹Íà¹×ͧËÅѧ¨Ò¡¡Òü‹ÒµÑ´´ŒÇ µÑÇÍ‹ҧઋ¹ ¡ÒÃÅ´¢¹Ò´¢Í§ turbinate ´ŒÇ¡ÒèդÅ×¹ è é è ¤ÇÒÁ¶ÕÇ·ÂØ (R. ablation of inferior turbinate) ¡Òü‹ÒµÑ´á¡Œä¢¼¹Ñ§¡Ñ¹ª‹Í§¨ÁÙ¡¤´ (septoplasty) èÔ é ¡Òü‹ÒµÑ´ÃÔ´Êմǧ¨ÁÙ¡ (polypectomy) ÃÇÁ¶Ö§¡ÒÃᡌä¢ÀÒÇеպ᤺¢Í§ª‹Í§ËÅѧâ¾Ã§¨ÁÙ¡ (nasopharyngeal stenosis) ໚¹µŒ¹ â´ÂÁÕ¡ÒÃÈÖ¡ÉÒ¾ºÇ‹Ò¡ÒÃᡌä¢ÀÒÇÐÍØ´¡Ñ¹¢Í§â¾Ã§¨ÁÙ¡ ¨Ð·íÒ é ãËŒ¡Ã¹¹ŒÍÂŧ ·íÒ§Ò¹ã¹àÇÅÒ¡ÅÒ§Çѹ´Õ¢¹ áÅФÇÒÁ´Ñ¹¢Í§ CPAP ·ÕµÍ§ãªŒÅ´Å§(6) ¹Í¡¨Ò¡¹Õé Öé è Œ ÁÕÃÒÂ§Ò¹Ç‹Ò R. ablation of inferior turbinate Âѧª‹ÇÂà¾ÔÁ CPAP compliance 䴌͡´ŒÇÂ(4) è Õ 2. ¡ÒõѴµ‹ÍÁ·Í¹«ÔÅ (Tonsillectomy) áÅÐ/ËÃ×͵‹ÍÁÍдԹÍ´ (Adenoidectomy) ·íÒã¹ÃÒ·ÕÁµÍÁ·Í¹«ÔÅâµ áÅÐÍÒ¨·íÒËÇÁ¡Ñº adenoidectomy ã¹à´ç¡·Õ໚¹ OSAS «Ö§¼Å¡Òà è Õ ‹ è è ¼‹ÒµÑ´Áѡ䴌¼Å´Õ â´ÂÁÕÃÒ§ҹNjÒËÅѧ¡Òü‹ÒµÑ´ ÍÒ¡Òâͧâä´Õ¢¹ÁÒ¡ ÃÇÁ¶Ö§Ê‹§¼ÅãËŒ¡ÒÃàÃÕ¹ Öé ´Õ¢¹ä´Œ´Ç Öé Œ (7) 3. ¡Òü‹ÒµÑ´ºÃÔàdzྴҹ͋͹ (Soft palate surgery) «Ö§ÁÕËÅÒÂÇÔ¸Õ àª‹¹ è 3.1 ¡Òü‹ÒµÑ´µ¡áµ‹§ÅԹ䡋áÅÐྴҹ͋͹ (Uvulopalatopharyngoplasty; UPPP) ËÃ×Í é Uvulopalatoplasty (UPP) ËÅÑ¡¡Òä×Í¡Òü‹ÒµÑ´àÍÒ redundant soft tissue ºÃÔàdz pharyngeal wall áÅÐ palatine tonsils ÍÍ¡ ËÇÁ¡Ñº¡ÒõѴºÒ§Ê‹Ç¹¢Í§ uvula à¾×Í·íÒãËŒºÃÔàdz oropharynx ¡ÇŒÒ§¢Ö¹ è é ¹ÔÂÁ㪌áÉÒã¹ÃÒ·Õàª×ÍNjҵíÒá˹‹§ÍØ´¡Ñ¹¢Í§·Ò§à´Ô¹ËÒÂã¨ÍÂÙÃдѺྴҹ͋͹ (soft palate) áÅÐ Ñ è è é ‹ äÁ‹ÊÒÁÒö㪌à¤Ã×ͧÁ×ͪ¹Ô´Í×¹æ ä´Œ ¡Òü‹ÒµÑ´¹ÕÍҨ䴌¼Å´Õ â´Â੾ÒÐÍ‹ҧÂÔ§ã¹ÃÒ·ÕÁÕ tonsil ¤‹Í¹ è è é è è ¢ŒÒ§ãË­‹ áÅÐÁÕ¹Ò˹ѡµÑÇäÁ‹ÁÒ¡¹Ñ¡ Í‹ҧäáçµÒÁ ¡Ã³Õ·¼»ÇÂÁÕ¡ÒÃËÂØ´ËÒÂã¨Ãعáç (severe éí (8) Õè ÙŒ † apnea) ËÅѧ¼‹ÒµÑ´ËÅÒÂÃÒÂÍÒ¨ÂѧÁÕ¡ÒÃËÂØ´ËÒÂ㨺‹Í ¨íÒ໚¹µŒÍ§ãªŒ¡ÒÃÃÑ¡ÉÒÍ×¹à¾ÔÁàµÔÁ ´Ñ§¹Ñ¹ è è é ¨Ö§¤ÇõÃǨ Polysomnography à¾×͵ԴµÒÁ¼ÅËÅѧ¡ÒÃÃÑ¡ÉÒÀÒÂã¹ 6 à´×͹ »˜¨¨Øº¹ÁÕ¡ÒûÃÐÂØ¡µ è (9) Ñ à·¤¹Ô¤¡Òü‹ÒµÑ´à¾×Íãˌ䴌¼Å´Õ§¢Ö¹áÅÐÀÒÇÐá·Ã¡«ŒÍ¹Å´Å§ ÃÇÁ¶Ö§¡ÒÃäÁ‹µ´Ê‹Ç¹¢Í§ÅԹ䡋ÍÍ¡ä» è Ôè é Ñ é (modified PPP) 3.2 ¡ÒÃ㪌¤Å×¹¤ÇÒÁ¶ÕÇ·ÂØ (Radiofrequency ablation; R. ablation) ËÅÑ¡¡Òä×Í ¡ÒÃ㪌 è èÔ ¤Å×¹¤ÇÒÁ¶ÕÇ·ÂØ ¨ÕºÃÔàdzà¹×ÍàÂ×Í àª‹¹ ¨ÁÙ¡ (turbinate) ྴҹ͋͹ (soft palate) ËÃ×Í⤹ÅÔ¹ (base è èÔ é é è é of tongue) à¾×Í·íÒãËŒà¡Ô´¾Åѧ§Ò¹¤ÇÒÁÌ͹ áÅÐ coagulation necrosis «Ö§µ‹ÍÁÒ¨Ðà¡Ô´ scar tissue è è ·íÒãËŒÁ¡ÒÃË´µÑǢͧà¹×ÍàÂ×Í (volume contraction) ໚¹¼ÅãËŒ·Ò§à´Ô¹ËÒÂ㨡njҧ¢Ö¹ ¡ÒÃÃÑ¡ÉÒÇÔ¸¹Õé Õ é è é Õ ·íÒä´Œâ´Â㪌à¢çÁª¹Ô´¾ÔàÈÉ (needle electrode) ᷧࢌÒä»ã¹à¹×ÍàÂ×Í㵌àÂ×ÍºØ¼Ç (submucosa) 㹺ÃÔàdz é è è Ô ·ÕµÍ§¡Òà »˜¨¨Øº¹¹ÔÂÁ㪌㹡ÒÃÃÑ¡ÉҼٻǷÕÁÀÒÇй͹¡Ã¹ª¹Ô´¸ÃÃÁ´Ò (primary snoring) ËÃ×Í è Œ Ñ Œ † è Õ à»š¹ OSA ã¹ÃдѺ·ÕäÁ‹Ã¹áç ÍҨ㪌Ǹ¹ÃÇÁ¡Ñº¨Õä¿¿‡Ò ËÃ×Í ¡ÒÃàÂçº «Ö§ÊÒÁÒö·íÒÀÒÂ㵌ÂÒªÒ è Ø Ô Õ Õé ‹ é è ੾ÒзÕè áÅÐ㪌àÇÅÒ·íÒà¾Õ§ 15 – 20 ¹Ò·Õ ¼Ù»ÇÂʋǹÁÒ¡äÁ‹µÍ§¹Í¹âç¾ÂÒºÒÅ ¢ŒÍ´Õ¢Í§¡ÒÃÃÑ¡ÉÒ Œ † Œ
  • 558.
    àǪÈÒʵÏ·¹Âؤ 2553 Ñ 531 ´ŒÇÂÇÔ¸Õ¹Õé¤×Í »ÃÔÁÒ³¤ÇÒÁÌ͹·Õèà¹×éÍàÂ×èÍä´ŒÃѺ ¨ÐµèíҡNjҡÒÃ㪌àÅà«ÍÏËÃ×ͨÕéä¿¿‡Ò¸ÃÃÁ´Ò ¨Ö§Å´ ÍѹµÃÒµ‹Íà¹×ÍàÂ×ÍÃͺæ áÅзíÒãËŒÍÒ¡ÒûǴËÅѧ¡ÒÃÃÑ¡ÉÒ¹ŒÍ¡NjÒÇԸ͹ ÁÕÃÒ§ҹNjҼŢͧ R. é è Õ ×è palate ÊÒÁÒö·íÒãˌŴÍÒ¡ÒáùáÅФÇÒÁ§‹Ç§¼Ô´»¡µÔã¹àÇÅÒ¡ÅÒ§Çѹ á Å Ð ÁÕ ¡ Ò Ã ÈÖ ¡ É Ò à»ÃÕºà·ÕºÍÒ¡ÒûǴËÅѧ¨Ò¡¡Ò÷íÒ R., LAUP, áÅÐ UPPP «Ö§¾ºÇ‹ÒÍÒ¡ÒûǴ ËÅѧ·íÒ R. è ¹ŒÍÂ¡Ç‹Ò LAUP áÅÐ UPPP Í‹ҧÁÕ¹ÂÊíҤѭ Ñ (10) 3.3 Palatal pillar implants ໚¹¡ÒùíÒÇÑʴؤŌÒÂäËÁ¾ÅÒʵԡ 份˜§ºÃÔàdzྴҹ͋͹ à¾×ÍãËŒà¡Ô´¡ÒÃá¢ç§µÑÇÁÒ¡¢Ö¹ áÅÐÅ´¡ÒÃÊѹÊÐà·×͹ºÃÔàdz´Ñ§¡Å‹ÒÇ «Ö§ª‹ÇÂÅ´àÊÕ§¡Ã¹Å§ä´Œ(11) ¢ŒÍ´Õ è é è è ¤×ÍÊÒÁÒö·íÒä´Œâ´Â㪌ÂÒªÒ੾ÒзÕè ä´Œ¼ÅÃÇ´àÃçǡNjҡÒÃÃÑ¡ÉÒ´ŒÇ¤Å×¹¤ÇÒÁ¶ÕÇ·ÂØ áÅÐàª×ÍÇ‹Ò è èÔ è ¼Å¨ÐÍÂÙä´Œ¹Ò¹â´Â·íÒà¾Õ§¤Ãѧà´ÕÂÇ Í‹ҧäáçµÒÁ à¹×ͧ¨Ò¡ÇÑÊ´Ø·½§à»š¹ foreign bodies ÁÕá¹Ç⹌Á ‹ é è Õè ˜ ·ÕÇÊ´Ø·½§äÇŒ¨Ðà¤Å×͹¨Ò¡µíÒá˹‹§à´ÔÁáÅÐËÅØ´ä´Œ ÍÕ¡·Ñ§¼Å㹡ÒÃÃÑ¡ÉÒ OSAS ÂѧäÁ‹á¹‹ª´ ´Ñ§¹Ñ¹ è Ñ Õè ˜ è é Ñ é ¢ŒÍº‹§ªÕ㹡ÒÃÃÑ¡ÉÒ´ŒÇÂÇÔ¸¹ã¹»˜¨¨Øº¹¤×Í ¡Òáùª¹Ô´¸ÃÃÁ´Ò (primary snoring) «Ö§ÁÕÊÒà˵ØÁÒ¨Ò¡ é Õ Õé Ñ è ¤ÇÒÁ¼Ô´»¡µÔã¹µíÒá˹‹§ºÃÔàdz soft palate 4. ¡Òü‹ÒµÑ´ºÃÔàdz⤹ÅÔ¹ (Base of tongue/ hypopharyngeal surgery) Áբͺ‹§ªÕã¹ÃÒÂ é Œ é ·ÕÁ⤹ÅÔ¹ãË­‹ ËÃ×ÍÁÕ¡ÒÃÍØ´¡Ñ¹¢Í§·Ò§à´Ô¹ËÒÂã¨ã¹ÃдѺ⤹ÅÔ¹ »˜¨¨Øº¹ÁÕ¡Òü‹ÒµÑ´ËÅÒÂÇÔ¸Õ àª‹¹ è Õ é é é Ñ ¡ÒÃ㪌¤Å×¹¤ÇÒÁ¶ÕÇ·ÂØ¨Õé à¾×Íãˌ⤹ÅԹ˴µÑÇáÅÐÁÕ¢¹Ò´àÅç¡Å§ ¡Òü‹ÒµÑ´¹íÒ insertion ¢Í§¡ÅŒÒÁà¹×Í è èÔ è é é genioglossus ÁÒäÇŒ´Ò¹Ë¹ŒÒ (mandibular osteotomy with genioglossus advancement) à¾×ÍãËŒ Œ è retrolingual airway ¡ÇŒÒ§¢Ö¹ ËÃ×Í¡ÒÃ㪌àª×Í¡ä»ÃŒÍÂ⤹ÅÔ¹áÅŒÇÁÒ¼Ù¡¡Ñº screw ·Õ´µÔ´¡Ñº¡Ãд١ é é è Ö ¡ÃÒÁ (mandible) ·Ò§´ŒÒ¹Ë¹ŒÒ à¾×͡ѹäÁ‹ãˌʵ¡ä»´ŒÒ¹ËÅѧ (tongue suspension) ¹Í¡¨Ò¡¹Õé ¼Ù»Ç è Ôé Œ † ºÒ§ÃÒÂÍҨ䴌ú»ÃÐ⪹¨Ò¡¡ÒõѴºÒ§Ê‹Ç¹¢Í§â¤¹ÅÔ¹ÍÍ¡ à¾×ÍÅ´¢¹Ò´¢Í§â¤¹ÅÔ¹ (midline laser Ñ é è é glossectomy) ÊíÒËÃѺÃÒ·ÕÁ¢¹Ò´ lingual tonsil âµÁÒ¡¡çÍÒ¨µÑ´Í͡䴌´Ç laser Í‹ҧäáçµÒÁ è Õ Œ ÇÔ ¸Õ ¡ Òü‹ Ò µÑ ´ ઋ ¹ ¹Õé ã ¹»˜ ¨ ¨Ø ºÑ ¹ ÂÑ § ãËŒ ¼ ÅäÁ‹ á ¹‹ ¹ ͹ áÅÐÁÕ ¤ ÇÒÁàÊÕè  §¨Ò¡¼Åá·Ã¡«Œ Í ¹ ¤‹Í¹¢ŒÒ§ÊÙ§ ´Ñ§¹Ñ¹¨Ö§ãªŒà»š¹¡ÒÃÃÑ¡ÉÒËÇÁ¡Ñº¡Òü‹ÒµÑ´ª¹Ô´Í×¹à¾×ÍàÊÃÔÁãËŒ¼Å¡Òü‹ÒµÑ´´Õ¢¹ (12) é è è è Öé 5. ¡Òü‹ÒµÑ´àÅ×͹¢Ò¡ÃÃä¡ÃÁÒ´ŒÒ¹Ë¹ŒÒ (Maxillomandibular advancement MMA) ໚¹ è ¡Òü‹ÒµÑ´à¾×èÍàÅ×è͹·Ñé§ maxilla áÅÐ mandible ÁÒ´ŒÒ¹Ë¹ŒÒ ·íÒãËŒ·Ò§à´Ô¹ËÒÂã¨Ê‹Ç¹ËÅѧµ‹ÍÅÔé¹ (retrolingual airway) ¡ÇŒÒ§¢Ö¹ áÁŒÇÒ໚¹¡Òü‹ÒµÑ´ãË­‹·µÍ§ãªŒàÇÅÒ¹Ò¹ ᵋ¼Å¡ÒÃÃÑ¡ÉÒã¹ÃÐÂÐÂÒÇ é ‹ Õè Œ ¾ºÇ‹Òä´Œ¼Å´Õ Áբͺ‹§ªÕã¹ÃÒ·Õ໚¹Ãعáç áÅÐÅŒÁàËÅǨҡ¡Òü‹ÒµÑ´´ŒÇÂÇԸ͹ «Ö§ÍÒ¨·íÒãËŒËÅÕ¡ (13) Œ é è Õ ×è è àÅÕ§¡ÒÃà¨ÒФÍä´Œ è 6. Tracheostomy ໚¹¡ÒÃÊÌҧ·Ò§à´Ô¹ËÒÂã¨ãËŒ¼Ò¹·Ò§ËÅÍ´ÅÁ¤Í â´ÂäÁ‹µÍ§ËÒÂ㨠‹ Œ ¼‹Ò¹Ãкº·Ò§à´Ô¹ËÒÂã¨Ê‹Ç¹º¹·ÕÁ¡ÒÃÍØ´¡Ñ¹ ¶×Í໚¹¡ÒÃÃÑ¡ÉÒ·Õä´Œ¼Åà¡×ͺ 100 % ¶ŒÒ¼Ù»ÇÂäÁ‹ÁÕ è Õ é è Œ † ¤ÇÒÁ¼Ô´»¡µÔ¨Ò¡¡Òù͹ËÅѺ ËÃ×Í¡ÒÃËÒÂã¨Í‹ҧÍ׹ËÇÁ´ŒÇ Í‹ҧäáçµÒÁà¹×ͧ¨Ò¡¼Ù»ÇµŒÍ§ÁÕ è è Œ † ÃÙà¨ÒÐ¤Í ¨Ö§Áѡ㪌໚¹·Ò§àÅ×Í¡¡Ã³Õ·¼»ÇÂÁÕÍÒ¡ÒÃÃØ¹áçÁÒ¡ ÁÕÀÒÇÐá·Ã¡«ŒÍ¹ áÅÐÅŒÁàËÅǨҡ Õè ÙŒ † ¡ÒÃÃÑ¡ÉÒ´ŒÇÂÇԸ͹ æ ·Ñ§ËÁ´ Õ ×è é 7. ¡Òü‹ÒµÑ´Í×¹ æ ઋ¹ ¡Òü‹ÒµÑ´¡ÃÐà¾ÒÐà¾×ÍÅ´¹éÒ˹ѡ (bariatric surgery) «Ö§ÁÕËÅÒÂÇÔ¸Õ è è í è ÁÕÃÒ§ҹNjÒÊÒÁÒöª‹ÇÂÅ´¤ÇÒÁÃØ¹áç¢Í§ÀÒÇÐËÂØ´ËÒÂ㨢³ÐËÅѺ䴌´Õ
  • 559.
    532 Surgical Treatment for Sleep Disordered Breathing â´ÂÊÃØ» ¡Òü‹ÒµÑ´ÃÑ¡ÉÒÀÒÇй͹¡Ã¹ áÅÐÀÒÇÐËÂØ´ËÒÂ㨢³ÐËÅѺª¹Ô´ÍØ´¡Ñ¹ ÁÕÍÂÙËÅÒÂ é ‹ ÇÔ¸Õ ÁÕ¤ÇÒÁàÊÕè§µ‹ÍÀÒÇÐá·Ã¡«ŒÍ¹ µÅÍ´¨¹¼Å¢Í§¡ÒÃÃÑ¡ÉÒᵡµ‹Ò§¡Ñ¹ ´Ñ§¹Ñé¹ ¡Òü‹ÒµÑ´¨Ðä´Œ ¼ÅÊíÒàÃ稴շʴ ¨Ö§µŒÍ§¤íÒ¹Ö§¶Ö§ÅѡɳТͧâä·Õᵡµ‹Ò§¡Ñ¹ã¹¼Ù»ÇÂᵋÅÐÃÒ â´Âᾷ¤ÇÃãËŒ¢ÍÁÙÅ Õè Ø è Œ † Œ á¡‹¼»Ç à¾×ÍãËŒà¡Ô´¤ÇÒÁࢌÒ㨷ն¡µŒÍ§¡‹Í¹¡ÒõѴÊԹ㨼‹ÒµÑ´ à¾×Í»‡Í§¡Ñ¹áÅÐᡌä¢ÀÒÇÐá·Ã¡«ŒÍ¹ ÙŒ † è è Ù è ·ÕÍÒ¨à¡Ô´¢Ö¹ä´ŒÍ‹ҧ·Ñ¹·‹Ç§·Õ ÃÇÁ¶Ö§µÔ´µÒÁ¡ÒÃÃÑ¡ÉÒËÅѧ¼‹ÒµÑ´ä´ŒÍ‹ҧµ‹Íà¹×ͧ è é è àÍ¡ÊÒÃ͌ҧÍÔ§ 1. Kribbs NB, Pack AI, Kline LR, Smith PL, Schwartz AR, Schubert NM, et al. Objective measurement of patterns of nasal CPAP use by patients with obstructive sleep apnea. Am Rev Respir Dis 1993;147(4): 887-95. 2. Steward DL, Weaver EM, Woodson BT. Multilevel temperature-controlled radiofrequency for obstructive sleep apnea: extended follow-up. Otolaryngol Head Neck Surg 2005;132(4):630-5. 3. .erguson KA, Cartwright R, Rogers R, Schmidt-Nowara W. Oral appliances for snoring and obstructive sleep apnea: a review. Sleep 2006;29(2):244-62. 4. Powell NB, Zonato AI, Weaver EM, Li K, Troell R, Riley RW, et al. Radiofrequency treatment of turbinate hypertrophy in subjects using continuous positive airway pressure: a randomized, double-blind, placebo-controlled clinical pilot trial. Laryngoscope 2001;111(10):1783-90. 5. Zeng B, Ng AT, Qian J, Petocz P, Darendeliler MA, Cistulli PA. Influence of nasal resistance on oral appliance treatment outcome in obstructive sleep apnea. Sleep 2008;31(4):543-7. 6. Zonato AI, Bittencourt LR, Martinho .L, Gregorio LC, Tufik S. Upper airway surgery: the effect on nasal continuous positive airway pressure titration on obstructive sleep apnea patients. Eur Arch Otorhinolaryngol 2006;263(5):481-6. 7. Gozal D. Sleep-disordered breathing and school performance in children. Pediatrics 1998;102(3 Pt 1): 616-20. 8. .riedman M, Ibrahim H, Bass L. Clinical staging for sleep-disordered breathing. Otolaryngol Head Neck Surg 2002;127(1):13-21. 9. Sher AE, Schechtman KB, Piccirillo J.. The efficacy of surgical modifications of the upper airway in adults with obstructive sleep apnea syndrome. Sleep 1996;19(2):156-77. 10. Rombaux P, Hamoir M, Bertrand B, Aubert G, Liistro G, Rodenstein D. Postoperative pain and side effects after uvulopalatopharyngoplasty, laser-assisted uvulopalatoplasty, and radiofrequency tissue volume reduction in primary snoring. Laryngoscope 2003;113(12):2169-73. 11. .riedman M, Schalch P, Lin HC, Kakodkar KA, Joseph NJ, Mazloom N. Palatal implants for the treatment of snoring and obstructive sleep apnea/hypopnea syndrome. Otolaryngol Head Neck Surg 2008;138(2): 209-16. 12. Kezirian EJ, Goldberg AN. Hypopharyngeal surgery in obstructive sleep apnea: an evidence-based medicine review. Arch Otolaryngol Head Neck Surg 2006;132(2):206-13. 13. Li KK, Powell NB, Riley RW, Troell RJ, Guilleminault C. Long-Term Results of Maxillomandibular Advancement Surgery. Sleep Breath 2000;4(3):137-40.
  • 560.
    àǪÈÒʵÏ·¹Âؤ 2553 Ñ 533 14. Denbar MA. A case study involving the combination treatment of an oral appliance and auto-titrating CPAP unit. Sleep Breath 2002;6(3):125-8. 15. Chan AS, Lee RW, Cistulli PA. Dental appliance treatment for obstructive sleep apnea. Chest 2007;132(2):693- 9. 16. Hoffstein V. Review of oral appliances for treatment of sleep-disordered breathing. Sleep Breath 2007;11(1): 1-22.
  • 562.
    àǪÈÒʵÏ·¹Âؤ 2553 Ñ º··Õè 535 73 Management for Dysphagia Patients ÃͧÈÒʵÃÒ¨ÒÏ ¹ÒÂᾷ⪤ªÑ àÁ¸ÕäµÃÃѵ¹ ¹Ò§ÊÒÇ๵ÃÒ ºÑÇ¡¹¡ ¼ÙŒª‹ÇÂÈÒʵÃÒ¨ÒÏ ¹ÒÂᾷÀÒÇÔ¹ à¡É¡ØÅ ÍÒ¨ÒÏ ¹ÒÂᾷÇÃØµÁ ¾§ÈÒ¾Ôª­ ÍÒ¨ÒÏ á¾·ÂË­Ô§ÊØ¹Ñ¹· ͧÍÒ¨ ÀÒ¤ÇÔªÒâʵ ¹ÒÊÔ¡ ÅÒÃÔ§«Ç·ÂÒ ¤³Ðá¾·ÂÈÒʵÏÈÃÃÒª¾ÂÒºÒÅ ÁËÒÇÔ·ÂÒÅÑÂÁËÔ´Å Ô ÔÔ ¡ÒáÅ×¹ (Swallowing or deglutition) ໚¹»˜¨¨Ñ¾׹°Ò¹ÊíҤѭÍ‹ҧ˹֧µ‹Í¡ÒôíÒçªÕǵ¢Í§Á¹ØÉ à¹×ͧ¨Ò¡Á¹ØÉ¨Ò໚¹µŒÍ§¡Ô¹ é è Ô è í ÍÒËÒ÷ÕèÁÕ»ÃÐ⪹áÅÐä´Œ»ÃÔÁÒ³à¾Õ§¾Í à¾×èÍãËŒà¡Ô´à»š¹¾Åѧ§Ò¹·Õèà¾Õ§¾Íµ‹Í¡ÒÃà¨ÃÔ­àµÔºâµ áÅСԨ¡ÃÃÁµ‹Ò§æ 㹡ÒôíÒçªÕ¾ ¡ÒáÅ׹໚¹¢ºÇ¹¡ÒÃàº×ͧµŒ¹·ÕÁ˹ŒÒ·ÕʧÍÒËÒèҡ·Ò§à´Ô¹ é è Õ è ‹ ÍÒËÒÃʋǹµŒ¹ 䴌ᡋ ª‹Í§»Ò¡ (oral cavity) ¤ÍËÍ (pharynx) áÅÐËÅÍ´ÍÒËÒà (esophagus) ä»Âѧ ·Ò§à´Ô¹ÍÒËÒÃʋǹŋҧ·ÕàÃÔÁµŒ¹¨Ò¡¡ÃÐà¾ÒÐÍÒËÒÃ໚¹µŒ¹ä» ¡ÒáÅ×¹·Õ»¡µÔ¨Ò໚¹µŒÍ§»ÃСͺ´ŒÇ è è è í â¤Ã§ÊÌҧÍÇÑÂÇдѧ¡Å‹ÒÇ·Õ軡µÔ áÅÐÁÕ¡Ò÷íÒ§Ò¹¢Í§Ãкº¡ÅŒÒÁà¹×éÍ áÅÐÃкº»ÃÐÊÒ··Õè·íÒ§Ò¹ »ÃÐÊÒ¹µ‹Íà¹×ͧ¡Ñ¹à»š¹Í‹ҧ´Õ è 㹡ÒáÅ×¹¹Ñ¹ àÁ×ÍÍÒËÒÃࢌÒÊ٪ͧ»Ò¡áÅŒÇ ¨Ð¼‹Ò¹Å§ÊÙ¤ÍËÍÂáÅÐËÅÍ´ÍÒËÒà áÅм‹Ò¹ é è ‹ ‹ ‹ µ‹Íŧä»ã¹¡ÃÐà¾ÒÐÍÒËÒÃáÅÐÅíÒäÊŒ«§¨Ñ´à»š¹·Ò§à´Ô¹ÍÒËÒÃʋǹŋҧµ‹Íä» ÊÒÁÒöẋ§¢Ñ¹µÍ¹¢Í§ Öè é ¡ÒáÅ×¹ ãˌࢌÒã¨â´Â§‹ÒÂ໚¹ ó ¢Ñ¹µÍ¹ é 1. ¢Ñ¹µÍ¹ã¹ª‹Í§»Ò¡ (Oral phase) é à¡Ô´¢Ö¹àÁ×ÍãÊ‹ÍÒËÒÃࢌÒä»ã¹ª‹Í§»Ò¡ Ëҧ¡Ò¨зíÒ¡ÒÃàµÃÕÂÁʋǹ¢Í§ÍÒËÒÃãËŒÁšɳРé è ÕÑ àËÁÒÐÊÁ·Ñ§ã¹´ŒÒ¹ÃٻËҧ ¢¹Ò´ áÅФÇÒÁ˹״·ÕàËÁÒÐÊÁà¾×ÍãËŒ¡Å׹䴌Í‹ҧ¤Å‹Í§µÑÇ ´Ñ§¹Ñ¹¢Ñ¹µÍ¹ é è è é é ¹Õ¨ÐµŒÍ§ÍÒÈÑÂÍÇÑÂÇÐËÅÒÂÍ‹ҧ·ÕµÍ§·íҧҹËÇÁ¡Ñ¹ä´ŒÍ‹ҧàËÁÒÐÊÁ 䴌ᡋ ÃÔÁ½‚»Ò¡ (lips) ¡Ãоا é è Œ Œ ᡌÁ (buccal mucosa) ¡Ãд١¢Ò¡ÃÃä¡Ã (upper and lower jaws) ¿˜¹ (teeth) µ‹ÍÁ¹éÒÅÒ (salivary í glands) ÅÔ¹ (tongue) áÅÐྴҹ»Ò¡ (palate) é ¢Ñ¹µÍ¹ã¹ª‹Í§»Ò¡¹Õé µŒÍ§ÍÒÈÑ¡Ò÷íҧҹËÇÁ¡Ñ¹¢Í§¡ÅŒÒÁà¹×ÍËÅÒÂÁÑ´«Ö§¶Ù¡¤Çº¤ØÁâ´Â é é è àÊŒ¹»ÃÐÊÒ·ÊÁͧ¤Ù·Õè 5,7,9,10,11, áÅÐ 12 àÁ×ÍÍÒËÒÃÁÕ¢¹Ò´ ÃٻËҧáÅФÇÒÁ˹״·ÕàËÁÒÐÊÁµ‹Í ‹ è è ¡ÒáÅ×¹áÅŒÇ à¾´Ò¹»Ò¡¨Ð¡µÑÇ¢Öé¹ä»»´â¾Ã§ËÅѧ¨ÁÙ¡ (nasopharynx) »‡Í§¡Ñ¹äÁ‹ãËŒÍÒËÒà ÃÑèǼ‹Ò¹¢Öé¹â¾Ã§¨ÁÙ¡ä´Œ ¢³Ðà´ÕÂǡѹ¡ÅŒÒÁà¹×éÍ⤹ÅÔ鹨ÐË´µÑǵèíÒŧà¾×èÍແ´¤ÍËÍ (pharynx) ãËŒ¡ÇŒÒ§¢Ö¹ ¨Ò¡¹Ñ¹ÅԹʋǹ˹ŒÒ¨Ð·íÒ˹ŒÒ·Õ¡ÇÒ´ÍÒËÒÃãˌŧä»ã¹¤ÍË͵‹Íä» é é é è
  • 563.
    536 Management for Dysphagia Patients 2. ¢Ñ¹µÍ¹ã¹¤ÍËÍ (Pharyngeal phase) é ¢Ñ¹µÍ¹¢Í§¡ÒáÅ×¹ã¹Ê‹Ç¹¹Õ¶¡¤Çº¤ØÁâ´ÂÊÁͧã¹Ê‹Ç¹¡ŒÒ¹ÊÁͧ ã¹ÀÒÇ¡Òó¡Å×¹·Õè é é Ù »¡µÔàÁ×ÍÍÒËÒü‹Ò¹¨Ò¡ª‹Í§»Ò¡à¢ŒÒÊÙ¤ÍËÍ Ãкº»ÃÐÊÒ·áÅСŌÒÁà¹×Íã¹Ê‹Ç¹¢Í§¤ÍËͨзíÒ è ‹ é ˹ŒÒ·Õ໚¹Ãкº·ÕµÍà¹×ͧ¡Ñ¹Í‹ҧÁÕ¨§ËÇÐ «Ö§ä´Œá¡‹¡Òû‡Í§¡Ñ¹äÁ‹ãËŒÍÒËÒÃäËÅŒ͹¢Ö¹ä»ã¹â¾Ã§¨ÁÙ¡ è è ‹ è Ñ è é (nasal regurgitation) ¡ÅŒÒÁà¹×ͼ¹Ñ§¤ÍËÍ·íÒ˹ŒÒ·ÕººµÑÇÅѡɳФŌÒÂÅÙ¡ÊÙº (sequential peristalsis) é è Õ à¾×ÍÊ‹§¼‹Ò¹ÍÒËÒèҡ¤ÍËÍÂŧÊÙËÅÍ´ÍÒËÒà 㹢³Ð¹Ñ¹¡Å‹Í§àÊÕ§¨Ð¶Ù¡Â¡µÑÇáÅÐà¤Å×͹ÁÒ¢ŒÒ§Ë¹ŒÒ è ‹ é è à¾×Í໚¹¡ÒÃແ´ËÙô´ŒÒ¹º¹¢Í§ËÅÍ´ÍÒËÒà (upper esophageal sphincter) ãËŒ¡ÇŒÒ§¢Ö¹ ÍÒËÒèРè Ù é ä´Œ¼Ò¹Å§ËÅÍ´ÍÒËÒôŒÇ¤ÇÒÁÊдǡ ã¹¢³Ð¡Å×¹ÍÒËÒà ÊÁͧ¨ÐÃЧѺ¡Ò÷íÒ§Ò¹¢Í§Ãкº·Ò§ ‹ à´Ô¹ËÒÂ㨪ÑÇ¢³Ð˹֧ Ê‹§¼ÅãËŒÁ¡Òû´µÑǢͧÊÒÂàÊÕ§ (vocal cords) »‡Í§¡Ñ¹äÁ‹ãËŒª¹Ê‹Ç¹¢Í§ÍÒËÒà è è Õ Ôé ¼‹Ò¹¡Å‹Í§àÊÕ§ŧÊÙËÅÍ´ÅÁä´Œ àÁ×ÍÍÒËÒÃŧÊÙËÅÍ´ÍÒËÒÃàÃÕºÌÍÂáÅŒÇ ¡Å‹Í§àÊÕ§¨Ð¡ÅѺÊÙµÒá˹‹§ ‹ è ‹ ‹ í à´ÔÁ¾ÃŒÍÁ¡Ñº¡ÒÃàÃÔÁµŒ¹·íÒ§Ò¹ãËÁ‹¢Í§Ãкº¡ÒÃËÒÂ㨠ÊÒÂàÊÕ§¨Ðແ´¡ÇŒÒ§ÍÍ¡à¾×ÍãËŒÍÒ¡ÒÈࢌÒÊÙ‹ è è ËÅÍ´ÅÁµ‹Íä» 3. ¢Ñ¹µÍ¹ã¹ËÅÍ´ÍÒËÒà (Esophageal phase) é àÁ×ÍËÙô´ŒÒ¹º¹¢Í§ËÅÍ´ÍÒËÒà (upper esophageal sphincter) ແ´ ÍÒËÒü‹Ò¹Å§ËÅÍ´ è Ù ÍÒËÒà ¡ÅŒÒÁà¹×ÍËÅÍ´ÍÒËÒèкպµÑÇÊ‹§¼‹Ò¹ÍÒËÒÃŧä»ã¹¡ÃÐà¾ÒÐÍÒËÒà 㹢³Ð¹Ñ¹¡ÅŒÒÁà¹×Í é é é ËÙô¨ÐË´µÑÇà¾×Í»‡Í§¡Ñ¹¡ÒÃŒ͹¡ÅѺ¢Í§ÍÒËÒâֹÁÒÂѧ¤ÍËÍÂÍÕ¡ Ù è é ÀÒÇСÅ×¹ÅíÒºÒ¡ (Dysphagia) ÀÒÇСÅ×¹ÅíҺҡ໚¹»˜­ËÒÊíҤѭµ‹Í¤Ø³ÀÒ¾ªÕÇÔµ¢Í§¼ÙŒ»†Ç ÀÒÇСÅ×¹ÅíÒºÒ¡ÊÒÁÒö ¨íÒṡ䴌ã¹ËÅÒÂÃٻẺ 䴌ᡋ 1. ¨íÒṡµÒÁ¢Ñ¹µÍ¹¢Í§¡ÒáÅ×¹ (phase of swallowing) «Ö§áº‹§Â‹ÍÂ໚¹ 2 »ÃÐàÀ· é è 䴌ᡋ 1.1. ¡Å×¹ÅíÒºÒ¡¨Ò¡¢Ñ¹µÍ¹ã¹ª‹Í§»Ò¡áÅФÍËÍ (oropharyngeal dysphagia) é 1.2. ¡Å×¹ÅíÒºÒ¡¨Ò¡¢Ñ¹µÍ¹ã¹ËÅÍ´ÍÒËÒà (esophageal dysphagia) é 2. ¨íÒṡµÒÁÅѡɳзյÃǨ¾º (characteristics) ẋ§Â‹ÍÂ໚¹ 3 »ÃÐàÀ· 䴌ᡋ è 2.1. ͋͹áçäÁ‹Á»ÃÐÊÔ·¸ÔÀÒ¾ (weak or ineffective swallow) Õ 2.2. ¼Ô´·ÔÈ·Ò§ (misdirected swallow) 䴌ᡋÍÒËÒÃäËÅŒ͹¢Ö¹â¾Ã§¨ÁÙ¡ (nasal é regurgitation) ËÃ×Íà¡Ô´¡ÒÃÊíÒÅѡŧ·Ò§à´Ô¹ËÒÂ㨠(aspiration) ໚¹µŒ¹ 2.3. 㪌àÇÅÒÁÒ¡¡Ç‹Ò»¡µÔ (delayed swallow) 3. ¨íÒṡµÒÁÊÒà赯 (causes) «Ö§áº‹§à»š¹ÊÒà˵ØËÅÑ¡æä´Œ 3 »ÃÐàÀ· 䴌ᡋ è 3.1. ÊÒà˵طҧâ¤Ã§ÊÌҧ (structural causes) 䴌ᡋ ¤ÇÒÁ¼Ô´»¡µÔ·Ò§¡ÒÂÇÔÀÒ¤ à¹×ͧ͡¢Í§·Ò§à´Ô¹ÍÒËÒÃʋǹµŒ¹ ¡ÒÃÍÑ¡àʺ ÊÔ§á»Å¡»ÅÍÁ ËÅѧ¡Òü‹ÒµÑ´ é è ËÃ×Í©ÒÂáʧ ໚¹µŒ¹ 3.2. ÊÒà˵طҧÃкº»ÃÐÊÒ·áÅСŌÒÁà¹×Í (neuromuscular or functional causes) é 䴌ᡋâäËÃ×ÍÀÒÇмԴ»¡µÔ¢Í§ÊÁͧ àÊŒ¹»ÃÐÊÒ·ÊÁͧ àÊŒ¹»ÃÐÊҷʋǹ»ÅÒÂ
  • 564.
    àǪÈÒʵÏ·¹Âؤ 2553 Ñ 537 ʋǹàª×ÍÁ¢Í§»ÅÒ»ÃÐÊÒ·áÅСŌÒÁà¹×Í (neuromuscular junction) áÅÐ/ËÃ×Í è é ¡ÅŒÒÁà¹×Í à»š¹µŒ¹ é 3.3. ÊÒà˵طҧ¨Ôµã¨áÅÐÊѧ¤Á (psychosocial causes) ઋ¹ ÀÒÇÐà¤ÃÕ´ âä·Ò§ ¨ÔµàǪ µŒÍ§¡ÒÃÅ´¹éÒ˹ѡ ÏÅÏ à»š¹µŒ¹ í ¡ÒÃÊíÒÅÑ¡ (Aspiration/coughing/choking) ¡ÒÃÊíÒÅÑ¡ ¤×Í ÀÒÇ¡Òó·à¡Ô´¢Ö¹àÁ×ͼٻÇÂÁÕÀÒÇСÅ×¹ÅíÒºÒ¡ ¡Å‹ÒǤ×ÍÁÕʧá»Å¡»ÅÍÁ¼‹Ò¹ Õè é è Œ † Ôè ¡Å‹Í§àÊÕ§ࢌÒä»ÊÙËÅÍ´ÅÁ «Ö§ÊÔ§á»Å¡»ÅÍÁàËŋҹѹÍÒ¨¨Ð໚¹ÍÒËÒà ¹éÒ ËÃ×ÍáÁŒáµ‹¹ÒÅÒµ¹àͧ ‹ è è é í éí àÁ×ÍÁÕʧá»Å¡»ÅÍÁàËŋҹռҹŧä»ã¹ËÅÍ´ÅÁ ÍÒ¨·íÒãËŒà¡Ô´¡ÒÃÍÑ¡àʺµÔ´àª×ͧ͢·Ò§à´Ô¹ã¨Ê‹Ç¹ è Ôè é ‹ é ŋҧ «Ö§ä´Œá¡‹ »Í´ÍÑ¡àʺµÔ´àª×Í (pneumonia) ½‚㹻ʹ (lung abscess) ËÃ×Í㹼ٻǺҧÃÒÂÍÒ¨ è é Œ † à¡Ô´ÍѹµÃÒ¨¹¶Ö§¢Ñ¹Ãкº·Ò§à´Ô¹ËÒÂã¨ÅŒÁàËÅÇ (respiratory failure) ¨¹¶Ö§¢Ñ¹àÊÕªÕǵ䴌 ¡ÒÃÊíÒÅÑ¡ é é Ô à»š¹»˜­ËÒ·Õ¾ºº‹ÍÂã¹¼Ù»ÇÂÍÑÁ¾Òµ áÅмٻÇÂ¡ÅØÁÁÐàÃç§ÈÕÃÉÐáÅÐ¤Í ¨Ò¡¡ÒÃÈÖ¡ÉÒ¾ºÇ‹Ò¼Ù»ÇÂ è Œ † Œ † ‹ Œ † ÍÑÁ¾ÒµäÁ‹Ç‹Ò¨Ðà¡Ô´¨Ò¡àÅ×Í´ÍÍ¡ã¹ÊÁͧ ËÃ×ÍÊÁͧ¢Ò´àÅ×Í´¡çµÒÁÁÕâÍ¡ÒÊàÊÕè§µ‹Í¡ÒÃ໚¹»Í´ ÍÑ¡àʺµÔ´àª×ÍÁÒ¡¡Ç‹Ò¤¹»¡µÔ¶§ 6-7 à·‹Ò áÅÐâÍ¡ÒÊàÊÕ§µ‹Í¡ÒÃàÊÕªÕǵÊÙ§¶Ö§ 3 à·‹Ò Ê‹Ç¹ã¹¼Ù»Ç é Ö è Ô Œ † ÁÐàÃ秪‹Í§»Ò¡ ¡Å‹Í§àÊÕ§áÅФÍËÍ ¨Ð¾ºÇ‹ÒÁÕ»­ËÒÊíÒÅѡ䴌·§¡‹Í¹áÅÐËÅѧ¡ÒÃÃÑ¡ÉÒ áÅСÒà ˜ Ñé ÃÑ¡ÉÒäÁ‹ÇÒ¨Ð໚¹¡Òü‹ÒµÑ´áÅÐ/ËÃ×Í¡ÒéÒÂáʧ¡çÅǹ໚¹ÊÒà˵ØÊҤѭ¢Í§¡ÒáÅ×¹ÅíÒºÒ¡áÅСÒà ‹ Œ í ÊíÒÅÑ¡·Ñ§ÊÔ¹ é é ¡ÒáÅ×¹ÅíÒºÒ¡ã¹¼ÙŒ»†ÇÂÍÑÁ¾Òµ ã¹¼Ù»ÇÂÍÑÁ¾Òµ¹Ñ¹ ¡Ò÷ÕÊÁͧäÁ‹ÊÒÁÒö·íҧҹ䴌»¡µÔ ¨ÐÊ‹§¼Å¡Ãзº¡ÃÐà·×͹â´ÂµÃ§ Œ † é è µ‹ÍàÊŒ¹»ÃÐÊÒ·ÊÁͧ«Ö§ÁÕ˹ŒÒ·Õ¤Çº¤ØÁ¡ÅŒÒÁà¹×͵‹Ò§æ ·Õà¡ÕÂÇ¢ŒÍ§¡Ñº¡ÒáÅ×¹ ·íÒãËŒ¢¹µÍ¹¢Í§¡Òà è è é è è Ñé ¡Å× ¹ äÁ‹ à »š ¹ ÃкºÃÐàºÕ  ºÍ‹ Ò §·Õè ¤ ÇèÐ໚ ¹ ¼ÙŒ »† Ç ÂÍÑ Á ¾Òµ¨ÐÁÕ Í Ò¡ÒÃ¼Ô ´ »¡µÔ ¢ ͧÃкº ¡ÒáÅ׹䴌µ§áµ‹¢¹ª‹Í§»Ò¡ ¤ÍËÍÂáÅÐËÅÍ´ÍÒËÒà â´ÂÍÒ¡ÒèÐÁÒ¡ËÃ×͹ŒÍ¢ֹÍÂÙ¡ºµíÒá˹‹§ Ñé Ñé é ‹ Ñ áÅТ¹Ò´à¹×éÍÊÁͧ·Õè¶Ù¡¡Ãзº¡ÃÐà·×͹ ÍÒ¡ÒüԴ»¡µÔ·Õèà¡Ô´¢Öé¹ÊÒÁÒö͸ԺÒµÒÁ¢Ñ鹵͹ ¢Í§¡ÒáÅ×¹ ´Ñ§¹Õé ª‹Í§»Ò¡ ¼Ù»ÇÂÍÑÁ¾Òµ¨ÐÁÕ¡ÒÃ͋͹áç¢Í§¡ÅŒÒÁà¹×Í㹪‹Í§»Ò¡ ÍÒËÒÃáÅйéÒÍÒ¨ÁÕ¡ÒÃÃÑÇäËÅÍÍ¡ Œ † é í è ¹Í¡ÃÔÁ½‚»Ò¡ à¹×ͧ¨Ò¡¡ÅŒÒÁà¹×ÍÃÔÁ½‚»Ò¡ÁÕ¡ÒÃ͋͹áçäÁ‹ÊÒÁÒö»´ä´ŒÊ¹Ô· ¼Ù»ÇÂäÁ‹ÊÒÁÒöà¤ÕÂÇ è é Œ † é ÍÒËÒÃãËŒÅÐàÍÕ´䴌¨Ò¡á纴à¤ÕéÂǢͧ¢Ò¡ÃÃä¡Ã·Õè͋͹áÍŧ ¡ÅŒÒÁà¹×éÍÅÔé¹Í‹Í¹áçäÁ‹ÊÒÁÒö ¤ÅØ¡à¤ÅŒÒÍÒËÒà ËÃ×ͨѴÃٻËҧáÅТ¹Ò´ÍÒËÒÃãËŒ¾ÍàËÁÒе‹Í¡ÒáÅ×¹ ¢³Ð·Õ¡ÅŒÒÁà¹×Íྴҹ»Ò¡ è é ·Ò§´ŒÒ¹ËÅѧ¢Í§ª‹Í§»Ò¡äÁ‹ÊÒÁÒö¤Çº¤ØÁÍÒËÒÃãËŒÍÂÙ㹪‹Í§»Ò¡ä´Œ ÍÒËÒúҧʋǹÍÒ¨ÃÑÇäËÅŧ ‹ è ä»ã¹¤ÍËÍ¡‹Í¹àÇÅÒÍѹÊÁ¤Çà ʋ§¼ÅãËŒ¼»ÇÂà¡Ô´¡ÒÃÊíÒÅÑ¡ËÃ×ÍäÍ¡‹Í¹¨Ð¡Å×¹ÍÒËÒôŒÇ«éÒ ÙŒ † í ¹Í¡¨Ò¡¹Ñ¹¡ÒÃÊ‹§¼‹Ò¹¢Í§ÍÒËÒèҡª‹Í§»Ò¡Å§ÊÙ¤ÍË͵ŒÍ§ÍÒÈѤÇÒÁá¢ç§áçáÅФÇÒÁ é ‹ ÊÑÁ¾Ñ¹¸·´¢Í§¡ÅŒÒÁà¹×ÍÅÔ¹ ྴҹ»Ò¡ áÅÐ⤹ÅÔ¹ àÇÅÒ·Õ㪌㹡ÒÃÊ‹§¼‹Ò¹¢Í§ÍÒËÒèҡª‹Í§»Ò¡ Õè Õ é é é è
  • 565.
    538 Management for Dysphagia Patients ŧÊÙ¤ÍËÍÂã¹¼Ù»ÇÂÍÑÁ¾Òµ¨Ð¹Ò¹¡Ç‹Ò»¡µÔ ¹Í¡¨Ò¡¹Ñ¹¡Ò÷աŌÒÁà¹×Íྴҹ»Ò¡Í‹Í¹áçʋ§¼ÅãËŒ ‹ Œ † é è é ྴҹ»Ò¡äÁ‹ÊÒÁÒö»´â¾Ã§ËÅѧ¨ÁÙ¡ã¹¢³Ð¡Å׹䴌Í‹ҧÁÕ»ÃÐÊÔ·¸ÔÀÒ¾ ·íÒãËŒÁºÒ§Ê‹Ç¹¢Í§ÍÒËÒÃ Õ ÃÑǼ‹Ò¹¢Ö¹Âѧ¨ÁÙ¡¢Í§¼Ù»ÇÂä´Œ è é Œ † ¤ÍËÍ ´Ñ§·Õ¡Å‹ÒÇáÅŒÇÇ‹ÒËҧ¡ÒÂÁ¹ØÉ»ÃСͺ´ŒÇ¡Åä¡·ÕÊÅѺ«Ñº«ŒÍ¹ ã¹¢³Ð·Õ¡Å×¹ÍÒËÒà Ãкº è è è ¡ÒÃËÒÂ㨨ÐËÂØ´·íÒ§Ò¹ ¡ÒÃÊíÒÅѡ㹼ٌ»†ÇÂÍÑÁ¾ÒµÊ‹Ç¹ãË­‹¨Ðà¡Ô´¢Öé¹ã¹¢Ñ鹵͹¡ÒáÅ׹ʋǹ¹Õé ¡Ò÷աŌÒÁà¹×ͼ¹Ñ§¤ÍËÍÂäÁ‹ÊÒÁÒöºÕºµÑÇä´Œ»¡µÔ ·íÒãËŒ¡ÒÃÊ‹§¼‹Ò¹ÍÒËÒèҡ¤ÍËÍÂÊ‹§¼‹Ò¹ä»Âѧ è é ËÅÍ´ÍÒËÒÃä´ŒªÒŧ ÍÕ¡·Ñ§¡Å‹Í§àÊÕ§äÁ‹ÊÒÁÒö¡µÑÇä´Œã¹ÃдѺ·ÕàËÁÒÐÊÁ áÅÐÊÒÂàÊÕ§äÁ‹»´µÑÇ Œ é è  àͧ䴌ʹԷ ·íÒãËŒÁºÒ§Ê‹Ç¹¢Í§ÍÒËÒÃäËż‹Ò¹¡Å‹Í§àÊÕ§ŧä»ã¹ËÅÍ´ÅÁ à¡Ô´¡ÒÃäÍáÅÐÊíÒÅÑ¡¢Ö¹ Õ é ¹Í¡¨Ò¡¹Ñé¹áÅŒÇã¹¼ÙŒ»†ÇÂÍÑÁ¾Òµ ÁÑ¡äÁ‹ÊÒÁÒö¡Å×¹ÍÒËÒäíÒ˹Öè§æ ä´ŒËÁ´ã¹¤ÃÑé§à´ÕÂÇ ·íÒãËŒÁÕ àÈÉÍÒËÒäŒÒ§ÍÂÙ·ºÃÔàdz¤ÍËÍ àÁ×ͼٻÇÂàÃÔÁ¡ÒÃËÒÂ㨠ÊÒÂàÊÕ§ÁÕ¡ÒÃແ´¡ÇŒÒ§ ·íÒãËŒàÈÉÍÒËÒà ‹ Õè è Œ † è ·ÕàËÅ×ͤŒÒ§àËŋҹѹËÅØ´Å§ä»ã¹ËÅÍ´ÅÁà¡Ô´¡ÒÃÊíÒÅÑ¡áÅСÒÃäÍ䴌ઋ¹¡Ñ¹ è é ËÅÍ´ÍÒËÒà ¡ÒÃ໚¹ÍÑÁ¾Òµ¨ÐÊ‹§¼ÅãËŒËÙÃÙ´´ŒÒ¹º¹¢Í§ËÅÍ´ÍÒËÒÃäÁ‹ÊÒÁÒöແ´¡ÇŒÒ§ä´ŒµÒÁ»¡µÔ ·íÒãËŒÍÒËÒÃÊ‹§¼‹Ò¹¨Ò¡¤ÍËÍÂŧÊÙ‹ËÅÍ´ÍÒËÒÃä´ŒÅíÒºÒ¡¢Öé¹ ¹Í¡¨Ò¡¹Ñé¹Âѧʋ§¼Å¶Ö§¡ÒúպµÑÇ ¢Í§¡ÅŒÒÁà¹×ÍËÅÍ´ÍÒËÒà ·íÒãËŒÍÒËÒÃÊ‹§¼‹Ò¹ä»¶Ö§¡ÃÐà¾ÒÐÍÒËÒÃä´ŒªÒŧ´ŒÇÂ é Œ ¡ÒáÅ×¹ÅíÒºÒ¡ã¹¼ÙŒ»†ÇÂÁÐàÃç§ÈÕÃÉÐáÅÐ¤Í Ê‹Ç¹»˜­ËÒ¡Å×¹ÅíÒºÒ¡ã¹¼Ù»ÇÂÁÐàÃç§ÈÕÃÉÐáÅФ͹ѹ ¡çઋ¹à´ÕÂǡѺ¼Ù»ÇÂÍÑÁ¾ÒµËÃ×ͼٻÇ Œ † é Œ † Œ † ·ÕÁ¤ÇÒÁ¼Ô´»¡µÔ¢Í§Ãкº»ÃÐÊÒ·áÅСŌÒÁà¹×Í ·Õ¤ÇÒÁ¼Ô´»¡µÔÊÒÁÒöà¡Ô´¢Ö¹ä´Œã¹·Ø¡¢Ñ¹µÍ¹¢Í§ è Õ é è é é ¡ÒáÅ×¹ ᵋâ´ÂÁÒ¡áÅŒÇÁѡ໚¹¤ÇÒÁ¼Ô´»¡µÔ㹢ѹµÍ¹¢Í§ª‹Í§»Ò¡áÅФÍËÍ (oropharyngeal é dysphagia) ÁÒ¡¡Ç‹Ò㹢ѹµÍ¹¢Í§ËÅÍ´ÍÒËÒà (esophageal dysphagia) â´Â¡‹Í¹¡ÒÃÃÑ¡ÉÒ ÍÒ¡ÒÃ é ¹íҢͧ¼Ù»ÇÂ¡ÅØÁ¹ÕÁ¡ÁÒ¾ºá¾·Â´ÇÂÍÒ¡ÒáÅ×¹ÅíÒºÒ¡ áÅÐ/ËÃ×Í¡Å×¹à¨çºÍÂÙáÅŒÇ ¼Ù»ÇºҧÃÒ Œ † ‹ é Ñ Œ ‹ Œ † ¹éÒ˹ѡµÑÇŴŧÍ‹ҧÁÒ¡ áÅÐàÁ×Í·íÒ¡ÒÃÃÑ¡ÉÒ â´Â੾ÒСÒü‹ÒµÑ´ áÁŒ¨ÐµÑ´à¹×ÍÃŒÒÂÍÍ¡ä» ¼Ù»Ç í è é Œ † ¨íҹǹ˹֧¡çÍÒ¨ÂѧµŒÍ§à¼ªÔ­¡ÑºÀÒÇСÅ×¹ÅíÒºÒ¡µ‹Íä» ·Ñ§¹Õ¢¹ÍÂÙ¡ººÃÔàdzáÅлÃÔÁÒ³à¹×ÍàÂ×Í·Õè è é é Öé ‹ Ñ é è ¶Ù¡µÑ´ÍÍ¡ä» Ãкº¡ÅŒÒÁà¹×ÍáÅÐàÊŒ¹»ÃÐÊÒ··Õ¤§àËÅ×ÍÍÂÙÊÒÁÒö·íҧҹ䴌Á»ÃÐÊÔ·¸ÔÀÒ¾à¾Õ§ä˹ é è ‹ Õ µÅÍ´¨¹¡Òë‹ÍÁá«Á·´á·¹à¹×ÍàÂ×Í·Õ¶¡µÑ´ÍÍ¡ (reconstruction) ¹Ñ¹à¾Õ§¾ÍËÃ×ÍäÁ‹ ໚¹µŒ¹ ʋǹ é è è Ù é ¡ÒéÒÂáʧ¡çÁ¼Åµ‹Í¡ÒáÅ×¹ ໚¹µŒ¹Ç‹Ò·íÒãËŒ»ÃÔÁÒ³¹éÒÅÒ¹ŒÍÂŧ ÁÕá¼Åà¡Ô´¢Ö¹ã¹ª‹Í§»Ò¡ ËÃ×Í Õ í é ÁÕ¾§¼×´ (fibrosis) à¡Ô´¢Ö¹·Õ¡ÅŒÒÁà¹×Í·Õà¡ÕÂÇ¢ŒÍ§ Ê‹§¼Åµ‹Í¡ÒáÒúպµÑǢͧ·‹Í·Ò§à´Ô¹ÍÒËÒÃ Ñ é è é è è ¡ÒÃÃÑ¡ÉÒ ¡ÒÃÃÑ¡ÉÒ¢Ö¹ÍÂÙ¡ºÃÐÂÐàÇÅÒáÅÐÊÒà˵آͧ¡Òû†Ç ¼Ù»ÇÂËÅѧ¡Òü‹ÒµÑ´ãË­‹¢Í§ÁÐàÃç§ÈÕÃÉÐ é ‹ Ñ Œ † áÅÐ¤Í ËÃ×Í ¼Ù»ÇÂÍÑÁ¾Òµà©Õº¾Åѹ â´Â੾ÒжŒÒÃÍÂâäÍÂÙ·¡Ò¹ÊÁͧáÅŒÇ ¼Ù»Ç¨ÐäÁ‹ÊÒÁÒö Œ † ‹ Õè Œ Œ †
  • 566.
    àǪÈÒʵÏ·¹Âؤ 2553 Ñ 539 ¡Å×¹ÍÒËÒÃä´Œ ¶ŒÒ¡Å×¹ÍÒËÒáç¨Ðà¡Ô´¡ÒÃÊíÒÅÑ¡áÅСÒÃäÍÍÂ‹Ò§ÃØ¹áç ã¹¼Ù»ÇÂàËŋҹÕáÁŒáµ‹¹ÒÅÒ Œ † é éí ¢Í§µ¹àͧ¡ç§¡Å×¹äÁ‹ä´Œ ¹éÒÅÒµԴ·Õ¤Ò§ÍÂÙ㹤ÍÍÒ¨äËż‹Ò¹¡Å‹Í§àÊÕ§ŧÊÙËÅÍ´ÅÁ¡‹Í»˜­ËÒãËŒà¡Ô´ Ñ í è Œ ‹ ‹ ¡ÒÃÍÑ¡àʺµÔ´àª×Í䴌ઋ¹¡Ñ¹ ¼Ù»ÇÂ¡ÅØÁ¹ÕµÍ§§´ãËŒÍÒËÒ÷ҧ»Ò¡¡‹Í¹ ¡ÒÃãËŒÍÒËÒÃÊÒÁÒöãËŒ·Ò§ é Œ † ‹ é Œ ÊÒÂÂÒ§¼‹Ò¹¨Á١ŧÊÙ¡ÃÐà¾ÒÐÍÒËÒà (nasogastric tube) ËÃ×Í¡ÒÃà¨ÒÐãÊ‹·Í¨Ò¡¡ÃÐà¾ÒÐÍÒËÒü‹Ò¹ ‹ ‹ ¼¹Ñ§Ë¹ŒÒ·ŒÍ§ (gastrostomy) ·íÒãËŒ¼»ÇÂ䴌úÍÒËÒÃáÅоÅѧ§Ò¹·Õà¾Õ§¾Í¨¹¡Ç‹ÒÊÀҾËҧ¡Ò ٌ † Ñ è ¼Ù»Ç¨дբ¹ ¹Í¡¨Ò¡¹Ñ¹¡ÒôÙáÅ·ÑÇ仡ç໚¹ÊÔ§·ÕÊҤѭ 䴌ᡋ¡ÒÃËÁѹ´Ù´¹éÒÅÒÂáÅÐàÊÁËÐ ¡ÒèѴ Œ † Öé é è è èí è í ·‹Ò¹Í¹ãËŒËÇÊÙ§ (˹عËÁ͹ËÃ×Íä¢ËÑÇàµÕ§ãˌʧ¢Ö¹) ¡Ò÷íÒ¡ÒÂÀÒ¾ºíҺѴà¾×ͽƒ¡ãËŒ¼»ÇÂä´ŒäÍÍ‹ҧ Ñ Ù é è ÙŒ † ÁÕ»ÃÐÊÔ·¸ÔÀÒ¾ ໚¹µŒ¹ ÊíÒËÃѺ¼Ù»Ç·ÕÍÂÙã¹ÃÐÂп„¹µÑÇ ¡Òýƒ¡¡Å×¹ (swallowing therapy) ¶×Í໚¹ËÑÇã¨ÊíҤѭ¢Í§ Œ † è ‹ œ ¡ÒÃÃÑ¡ÉÒ ¡ÒáÅ×¹·ÕÁ»ÃÐÊÔ·¸ÔÀÒ¾¤×Í¡ÒáÅ×¹·Õä´ŒÍÒËÒÃã¹»ÃÔÁÒ³·ÕàËÁÒÐÊÁ ÅѡɳТͧÍÒËÒà è Õ è è ·ÕËÅÒ¡ËÅÒ áÅÐäÁ‹Á¡ÒÃÊíÒÅÑ¡ËÃ×Í¡ÒÃäÍ àÁ×ͼٻÇÂàÃÔÁ¿„¹¨Ò¡ÍÒ¡Òû†Ç «Ö§ËÁÒ¶֧Ãкº¡Òà è Õ è Œ † è œ è äËÅàÇÕ¹¢Í§àÅ×Í´ã¹ÊÁͧ´Õ¢¹ ËÃ×ÍÃкº¡ÅŒÒÁà¹×ÍáÅлÃÐÊÒ·ÁÕ¡Òÿ„¹µÑÇ´Õ¢¹ã¹ÃдѺ˹֧ ¼Ù»Ç Öé é œ Öé è Œ † ¤ÇÃ䴌ú¡ÒõÃǨÊÁÃöÀÒ¾¡ÒáÅ×¹ ã¹»˜¨¨Øº¹¡ÒõÃǨËÅÑ¡æ ÁÕ 2 »ÃÐàÀ· ¤×Í ¡ÒõÃǨ¡ÒÃ Ñ Ñ ¡Å×¹¼‹Ò¹ÀÒ¾·Ò§ÃѧÊÕ (videofluoroscopy) áÅСÒõÃǨ¡ÒáÅ×¹´ŒÇ¡Ōͧʋͧ¼‹Ò¹·Ò§¨ÁÙ¡áÅÐ ¤ÍËÍ (fibreoptic endoscopic evaluation of swallowing) «Ö§ã¹¡ÒõÃǨ·Ñ§Êͧ»ÃÐàÀ·µŒÍ§ÍÒÈÑ è é ¼ÙªÒ¹Ò­·Ò§ÃѧÊÕÇ·ÂÒáÅзҧËÙ ¤Í ¨ÁÙ¡ 䴌ᡋᾷ ¾ÂÒºÒÅ ¹Ñ¡ÍÃöºíҺѴ áÅйѡ¡ÒÂÀÒ¾ºíҺѴ Œ í Ô à»š¹µŒ¹ 㹡ÒõÃǨÊÁÃöÀÒ¾¡ÒáÅ×¹ ᾷáÅзÕÁ§Ò¹¨Ðä´Œ¢ÍÁÙÅ·Õ໚¹»ÃÐ⪹«§ÊÒÁÒö Œ è Öè ¹íÒÁÒ㪌µÍ¡ÒúíҺѴÃÑ¡ÉÒ¼Ù»ÇÂä´Œ â´ÂËÅÑ¡¡ÒáÒôÙáÅÃÑ¡ÉҼٻǠ»ÃСͺ´ŒÇ ‹ Œ † Œ † 1. ÍÒËÒà 1.1 ¤ÇÒÁ˹״¢Í§ÍÒËÒà (consistency) ·ÑèÇ仼ٌ»†ÇÂã¹ÃÐÂп„œ¹µÑÇ ÍÒËÒ÷ÕèàËÁÒÐ µ‹Í¡ÒáÅ×¹¤ÇÃÁÕ¤ÇÒÁ˹״ÃдѺ˹Öè§ äÁ‹¤ÇÃ໚¹¢Í§àËÅÇ·Õà´ÕÂÇ µÑÇÍ‹ҧઋ¹ ⨍¡»˜¹ âÂà¡Ôµ «Ø»¢Œ¹ ¢¹Á¾Ç¡Çع µÐ⡌ ໚¹µŒ¹ Í‹ҧäáçµÒÁã¹¢³Ð·íÒ¡ÒõÃǨ › ê Œ ÊÁÃöÀÒ¾¡ÒáÅ×¹ ᾷáÅзÕÁ§Ò¹ÊÒÁÒö»ÃÐàÁÔ¹¤ÇÒÁ˹״¢Í§ÍÒËÒ÷Õè àËÁÒÐÊÁµ‹Í¼Ù»ÇÂä´Œã¹ã¹ÃдѺ˹֧ ÊÒÁÒöá¹Ð¹íÒÍÒËÒ÷ռ»ÇÂÊÒÁÒö¡Å׹䴌 Œ † è è ÙŒ † ¤Å‹Í§µÑÇ áÅÐäÁ‹à¡Ô´¡ÒÃÊíÒÅÑ¡ 1.2 ¢¹Ò´¢Í§ÍÒËÒ÷ÕàËÁÒÐÊÁ (bolus size) 㹡Òýƒ¡¡Å×¹ ¼Ù»Ç¨Ð䴌ú¡ÒÃá¹Ð¹íÒ è Œ † Ñ ¶Ö§¢¹Ò´ÍÒËÒÃᵋÅФíÒ·ÕèàËÁÒÐÊÁ 2. ·‹ÒÊíÒËÃѺ¡Å×¹ÍÒËÒà (position) ·‹Òàº×ͧµŒ¹·ÕàËÁÒÐÊíÒËÃѺ¼Ù»ÇÂÍÑÁ¾Òµ¤×Í ãˌ˹ÈÕÃÉÐ é è Œ † Ñ ä»·Ò§¢ŒÒ§·ÕÍ͹áçáÅС‹Í¹¡ÒáÅ×¹ãËŒ¾ÂÒÂÒÁ¡´áÅÐà¡Ã秤ҧ¢Í§µ¹àͧࢌÒÊÙ˹ŒÒÍ¡ è‹ ‹ 3. ¡ÒôÙáÅÊØ¢ÀÒ¾·ÑÇä» ä´Œá¡‹¡Òýƒ¡äÍãËŒÁ»ÃÐÊÔ·¸ÔÀÒ¾ ¡ÒôÙáÅ͹ÒÁѪ‹Í§»Ò¡ µÅÍ´¨¹ è Õ ¡ÒÃ㪌ÂÒÃÑ¡ÉÒÍÒ¡ÒõÒÁ¤ÇÒÁàËÁÒÐÊÁ 4. ¡ÒôÙáÅÊÀÒ¾¨Ôµã¨ ¡ÒÃãËŒ¡íÒÅѧ㨼ٌ»†ÇÂ໚¹ÊÔè§ÊíҤѭ áÅоÂÒÂÒÁªÕéãËŒàËç¹Ç‹Ò¼ÙŒ»†Ç ÊÒÁÒö¡Å׹䴌¶ÒÁÕ¤ÇÒÁµÑ§ã¨½ƒ¡áÅÐäÁ‹ÂÍ·ŒÍ Œ é ‹
  • 567.
    540 Management for Dysphagia Patients 5. Í×¹æ ઋ¹ ¡ÒÃ㪌ÂÒ ¡ÒáÃеعÃкº¡ÅŒÒÁà¹×ÍáÅÐàÊŒ¹»ÃÐÊÒ·´ŒÇÂä¿¿‡Ò (pharyngeal è Œ é stimulation) ¡ÒÂÀÒ¾ºíҺѴ੾ÒÐʋǹ à¾×Íà¾ÔÁ¤ÇÒÁá¢ç§áç¢Í§¡ÅŒÒÁà¹×Í·Õà¡ÕÂÇ¢ŒÍ§¡ÒáÅ×¹ «Ö§ è è é è è è µŒÍ§ÍÂÙ㹤ÇÒÁ´ÙáÅÍ‹ҧã¡ÅŒª´¢Í§á¾·ÂáÅзÕÁ§Ò¹·Õà¡ÕÂÇ¢ŒÍ§ ‹ Ô è è ¡Òÿ„œ¹¿Ù¡ÒáÅ×¹ ¡Òÿ„¹¿Ù¡ÒáÅ×¹ (Dysphagia rehabilitation) ໚¹ËÑÇã¨ÊíҤѭÍÕ¡Êԧ˹֧µ‹Í¡ÒÃÃÑ¡ÉҼٻǠœ è è Œ † ·ÕÁ¤ÇÒÁ¼Ô´»¡µÔ¢Í§¡ÒáÅ×¹ àÁ×ͤ¹ä¢Œä´ŒÃº¡ÒûÃÐàÁÔ¹ à¾×ÍËÒ¤ÇÒÁ¼Ô´»¡µÔ·à¡Ô´¢Ö¹áÅŒÇ ¡ÒÃÇÒ§ è Õ è Ñ è Õè é á¼¹¡ÒÃÃÑ¡ÉÒ à»š¹àÃ×èͧ¨íÒ໚¹áÅÐÊíҤѭ ã¹Ê‹Ç¹¢Í§¡Òÿ„œ¹¿Ù¡ÒáÅ×¹ ´Ñ§µÒÃÒ§·Õè 1 ¡ÒÃÃÑ¡ÉÒ ÊÒÁÒö·Õ¨Ð¾Ô¨ÒóÒẋ§ÍÍ¡ 仵ÒÁ¡ÅØÁÍÒ¡Òâͧâä·Õ·ÒãËŒà¡Ô´¤ÇÒÁ¼Ô´»¡µÔ¢Í§¡ÒáÅ×¹ ᵋ è ‹ è í ã¹·Ò§»¯ÔºµáŌǡÒûÃѺà»ÅÕ¹¾×¹°Ò¹¡Ò÷íÒ§Ò¹¢Í§Ã‹Ò§¡Ò·ÕÁ¼Åµ‹Í¡ÒáÅ×¹ ÃÇÁ¶Ö§ÅѡɳТͧ Ñ Ô è é è Õ ÍÒËÒ÷Õú»Ãзҹ¡çʧ¼Å䴌ઋ¹¡Ñ¹ èÑ ‹ µÒÃÒ§·Õè 1 ¡ÅØ‹ÁÍÒ¡Ò÷ÕèÁÕ¤ÇÒÁ¼Ô´»¡µÔ¨Ò¡¡ÒáÅ×¹áÅмšÃзº·Õèà¡Ô´¢Öé¹ ¡ÅØ‹Á¤¹ä¢Œ ¼Å¡Ãзº·Õèà¡Ô´¢Öé¹ ¼ÙʧÍÒÂØ ŒÙ ¡Å×¹ÅíÒºÒ¡ ÁÕ¡ÅŒÒÁà¹×Í·Õà¡ÕÂÇ¢ŒÍ§¡Ñº¡ÒáÅ×¹ é è è ͋͹áç ¿˜¹Ã‹Ç§ áÅСÒüÅÔµ¹éÒÅÒÂŴŧ í ÍÑÁ¾Òµ (stroke) ÁռŨҡ¡Ò÷íÒ˹ŒÒ·Õ¢Í§Ãкº»ÃÐÊÒ· è ¡ÅŒÒÁà¹×͵‹Ò§æ áÅÐÊÁͧ¼Ô´»¡µÔ é Multiple sclerosis ËÃ×Í Parkinson’s disease ¼Å¡Ãзº¨Ò¡Ãкº»ÃÐÊÒ·áÅСŌÒÁà¹×éÍ ÁÐàÃ秪‹Í§»Ò¡ ¡Å‹Í§àÊÕ§áÅФÍËÍ Ãкº»ÃÐÊÒ·áÅСŌÒÁà¹×Ͷ١·íÒÅÒ¨ҡÃÍ é âäáÅШҡ¡ÒÃÃÑ¡ÉÒ ä´ŒÃººÒ´à¨çº·Ò§ÈÕÃÉÐáÅÐ¤Í Ñ Ãкº»ÃÐÊÒ·áÅСŌÒÁà¹×éͶ١·íÒÅÒ Chronic heartburn, internal burns ¨Ò¡ â¤Ã§ÊÌҧ¢Í§¡ÅŒÒÁà¹×͵‹Ò§æ ã¹ËÅÍ´ÍÒËÒà é ÃѺÊÒþÔÉËÃ×Í radiotherapy ¶Ù¡·íÒÅÒ ¤¹ä¢Œ·Á¡ÒõԴàª×Í (laryngitis, tonsillitis, Õè Õ é »˜­ËÒ¨Ò¡â¤Ã§ÊÌҧ ËÅÍ´ÍÒËÒÃ᤺ herpes) ËÃ×͡ŌÒÁà¹×ÍËÅÍ´ÍÒËÒÃË´à¡Ãç§ é ¡Òÿ„¹¿Ùẋ§Í͡䴌 2 ·Ò§ ¤×Í œ 1. ¡Òÿ„¹¿Ù·Ò§ÍŒÍÁ (Indirect therapy) œ 2. ¡Òÿ„¹¿Ù·Ò§µÃ§ (Direct therapy) œ ¡Òÿ„¹¿Ù·Ò§ÍŒÍÁ (Indirect therapy) œ ໚¹¡Òýƒ¡â´ÂäÁ‹ãªŒÍÒËÒÃËÃ×ͧ͢àËÅÇ áµ‹à»š¹¡ÒÃàµÃÕÂÁ¤ÇÒÁ¾ÃŒÍÁ¢Í§Ã‹Ò§¡Ò·ÕÁÊǹè Õ‹ ÊÑÁ¾Ñ¹¸¡º¡ÒáÅ×¹ â´Â¡Òýƒ¡»ÃѺà»ÅÕ¹¡Ò÷íÒ§Ò¹¢Í§Ã‹Ò§¡ÒÂ Ñ è 1. ¶ŒÒ¡ÅŒÒÁà¹×Í·ÕÁÊǹª‹ÇÂ㹡ÒáÅ×¹à¡Ô´ÀÒÇÐ͋͹áç ઋ¹ ¢Ò¡ÃÃä¡Ã ÅÔ¹ ÁÕÀÒÇÐ͋͹áç é è Õ‹ é µŒÍ§ÁÕ¡Òýƒ¡ºÃÔËÒáŌÒÁà¹×Í੾ÒÐʋǹ é
  • 568.
    àǪÈÒʵÏ·¹Âؤ 2553 Ñ 541 2. ½ƒ¡¡ÒÃËÒÂã¨ãˌšÁÒ¡¢Ö¹à¾×ͪ‹ÇÂãËŒ¡ÅŒÒÁà¹×ÍÅÔ¹áÅСŋͧàÊÕ§ÁÕ¡ÒÅѧà¾ÔÁ¢Ö¹ Âѧª‹ÇÂÅ´ Ö é è é é í è é ÍÒ¡ÒÃà¡Ã秢ͧËҧ¡Ò 3. ËŒÒÁÃѺ»ÃзҹÍÒËÒâ³Ð·ÕÍÂÙã¹·‹Ò¤ÃÖ§¹Ñ§¤ÃÖ§¹Í¹ ÍÒ¨·íÒãËŒà¡Ô´ ¡ÒÃäËŢͧ¹éÒËÃ×Í è ‹ è è è í ÍÒËÒÃŧÊÙ·Ò§à´Ô¹ËÒÂã¨ä´Œ ¨¹ÍÒ¨à¡Ô´ÀÒÇлʹª×¹ËÃ×ͻʹµÔ´àª×Í àÇÅÒ·Ò¹¹éÒËÃ×ÍÍÒËÒà äËÅ‹ ‹ é é í µŒÍ§µÑ§µÃ§ é 4. ¶ŒÒ¡Å×¹ÍÒËÒÃáŌǵԴ ËŒÒÁ¹Í¹Å§¡Ñº¾×¹ ãˌ¹¢Ö¹áÅŒÇÂ״Ëҧ¡ÒÂʋǹº¹áÅÐà´Ô¹Ãͺæ é × é 㹪‹Ç§àÇÅÒÊѹæ ÍÒ¨¨Ðª‹ÇÂãËŒÍÒËÒÃäËÅŧ·ŒÍ§ä´Œ é 5. ¶ŒÒ¿˜¹»ÅÍÁËÅÇÁ¨ÐµŒÍ§á¡Œä¢ãˌṋ¹¢Ö¹ é 6. ËŒÒÁÃѺ»ÃзҹÍÒËÒá‹Í¹¹Í¹ 3 ªÑÇâÁ§ ¶ŒÒÍÒËÒõԴã¹ËÅÍ´ÍÒËÒ÷ѧ¤×¹ÍÒ¨·íÒãËŒ è é à¡Ô´ÍÒ¡ÒÃäÁ‹ÊºÒµÑÇáÅÐÍÒ¨à¡Ô´ÍÒ¡ÒÃà¨çºã¹¤Í ¡Òÿ„¹¿Ù·Ò§µÃ§ (Direct therapy) œ ½ƒ¡â´Â㪌ÍÒËÒÃËÃ×ͧ͢àËÅÇ㹡ÒáÃеع¡Òýƒ¡¡Å×¹ Œ ¡ÒûÃѺà»ÅÕ¹¡ÒáÅ×¹ è 1. µÑ´ÍÒËÒÃáÅŒÇà¤ÕÂÇÍÒËÒÃãˌ໚¹ªÔ¹àÅç¡æ é é 2. ¶ŒÒËÒ¡Ç‹ÒÁÕ¡ÒÃÊÙ­àÊÕ¡ÒÃÃѺ¡ÅÔè¹áÅÐÃʪҵÔÍÒËÒà ¨¹·íÒãËŒ¹éíÒÅÒ¼ÅÔµÍÍ¡ÁÒ äÁ‹à¾Õ§¾Í ÍҨʋ§¼ÅãËŒà¡Ô´ÍÒ¡ÒÃäÁ‹ÍÂÒ¡¡Ô¹ÍÒËÒà «Ö§ÍҨᡌ䢴ŒÇ¡ÒûÃѺà»ÅÕ¹´ŒÇ¡Òõ¡áµ‹§ è è ÍÒËÒÃãËŒËÅÒ¡ÊÕʹ Ñ 3. 㪌à¤Ã×ͧ´×ÁËÅÒ¡ÊÕʹà¾×ͪ‹Ç¡ÃеعãËŒ¡Å×¹ÍÒËÒü‹Ò¹Å§ä»ä´Œ è è Ñ è Œ 4. µŒÍ§ÁÕàÇÅÒ·Õà¾Õ§¾Í㹡ÒÃÃѺ»ÃзҹÍÒËÒà äÁ‹¤ÇÃà˧ÃÕºà¡Ô¹ä» è 5. ËÅÕ¡àÅÕ§¡ÒÃ㪌¿¹¡Ñ´ªŒÍ¹¢³Ð·Õ»Í¹ÍÒËÒà à¾×Í»‡Í§¡Ñ¹»¯Ô¡ÃÂÒ¡ÒáÅ×¹Íѵâ¹ÁÑµÔ è ˜ è ‡ è ÔÔ 6. ÃѺ»ÃзҹÍÒËÒÃã¹Ê¶Ò¹·Õ·Ê§ºáÅÐà§Õº äÁ‹Ááç¡´´Ñ¹¨Ò¡¡ÒÃÂ×¹Áͧ¨Ò¡¤¹Ãͺ¢ŒÒ§ è Õè Õ 7. ¤¹ä¢ŒµÍ§ÍÂÙã¹·‹ÒµÑ§µÃ§ËÅѧ¨Ò¡·Õ¡Å×¹ÍÒËÒÃ令ÃѧáááÅŒÇ »ÃÐÁÒ³ 20 ¹Ò·Õ à¾×ÍãËŒ Œ ‹ é è é è ṋã¨Ç‹Ò㹪‹Í§»Ò¡äÁ‹ÁÍÒËÒÃÍÂÙã¹»Ò¡áÅÐã¹µÔ´ã¹ËÅÍ´ÍÒËÒà à¾×Í»‡Í§¡Ñ¹¡ÒáÅ×¹«éÒÍ‹ҧàÃçÇ Õ ‹ è í ¶ŒÒËҡNjҹíÒÍÒËÒÃãËŒ¤¹ä¢ŒÃͺµ‹Íä» ¡ÒûÃѺà»ÅÕ¹ÍÒËÒÃ è ¶ŒÒÁÕ»˜­ËÒã¹Ê‹Ç¹¢Í§ËÅÍ´ÍÒËÒÃʋǹŋҧ ¡Å×¹áÅŒÇäÁ‹äËż‹Ò¹Å§ä´Œ§‹Ò ¤ÇèÐÁÕ¡Òà »ÃѺà»ÅÕ¹ÍÒËÒÃãËŒ¹ÁáÅÐàËÅÇ¢Ö¹ ᵋ¡µÍ§ÃÐÇѧ㹡ÒÃà¡Ô´ è Ôè é ç Œ 1. ¡ÒÃäËÅŧ¢Í§ÍÒËÒ÷ÕàÃçÇà¡Ô¹ä» ÂÒ¡µ‹Í¡ÒäǺ¤ØÁ ·íÒãËŒäËÅŧÊÙ·Ò§à´Ô¹ËÒÂã¨áÅÐ è ‹ »Í´ä´Œ¡Ò÷ÕÍÒËÒÃÁÕ¤ÇÒÁ˹Ò˹״·íÒãËŒà¡Ô´¡ÒÃÃѺÃÙä´Œ§Ò¢³Ð¡Å×¹ è Œ ‹ 2. ÍÒËÒ÷ÕÁÃÊà»ÃÕÂÇ·íÒãËŒ¡ÒáÅ×¹ÁÕ»¯Ô¡ÃÂÒ·Õ໚¹Íѵâ¹ÁÑµÔ ÍÂÒ¡µ‹Í¡ÒäǺ¤ØÁ è Õ é ÔÔ è 3. ÍÒËÒ÷Õ赡ᵋ§ãËŒ´Ù¹‹ÒÃѺ»Ãзҹ¨Ð໚¹µÑÇ¡Ãе،¹¤ÇÒÁÍÂÒ¡ÃѺ»ÃзҹÍÒËÒà ¨¹·íÒãˌúÌ͹·ÕÍÂÒ¡¨ÐÃѺ»ÃзҹÍÒËÒÃàÃçÇà¡Ô¹ä» Õ è
  • 569.
    542 Management for Dysphagia Patients 4. ÍÒËÒ÷Õèá¢ç§¤ÇûÃѺà»ÅÕè¹ãËŒ¢Œ¹ËÃ×͹ÔèÁ¢Öé¹áµ‹¡çµŒÍ§Å´¡ÒÃà¤ÕéÂÇãËŒ¹ŒÍÂŧáÅеŒÍ§ 㪌áçäÁ‹Áҡ㹡ÒôѹËÃ×Í¡Å×¹ãˌŧä»ÂѧËÅÍ´ÍÒËÒà ¡ÒÃàµÃÕÂÁÍÒËÒÃáÅЪ¹Ô´¢Í§ÍÒËÒà 㹡Òýƒ¡¡Å×¹ÁÕ¤ÇÒÁÊÑÁ¾Ñ¹¸¡¹Í‹ҧÁÒ¡àËÁ×͹ Ñ ¡Ñº¡ÒáÒÃàµÃÕÂÁ¤ÇÒÁá¢ç§áç¢Í§¡ÅŒÒÁà¹×Í·Õà¡ÕÂÇ¢ŒÍ§¡Ñº¡ÒáÅ×¹ áÅÐÂѧÃÇÁ¶Ö§¡Ò÷íÒ§Ò¹·ÕàËÁÒÐ é è è è ÊÁáÅж١µŒÍ§¢Í§¡Å‹Í§àÊÕ§¢³Ð·ÕÁ¡ÒáÅ×¹ è Õ àÍ¡ÊÒÃ͌ҧÍÔ§ 1. Shipley KG, McAfee JG. Assessment in speech-language pathology. 3rded. Delmar learning: USA, 2004, 390-406 2. Crary MA, Groher ME. Introduction to adult swallowing disorders. Elsevier Science,USA, 2003. 3. Palmer JB, Drennan JC, Baba M. Evaluation and treatment of swallowing impairments. AA.P 2000; Apirl;15. 4. Burkhead LM, Sapienza CM, Rosenbek JC. Strength-training exercise in dysphagia rehabilitation: Principle, procedures, and directions for future research. Dysphagia 2007;22 :251-265 5. Logemann JA. The role of exercise programs for dysphagia patients. Dysphagia 2005;20:139-140. 6. Johnson A., Jacobson BH. Medical speech-language pathology a practitioner’s guide. Thieme: New York, 1998. 7. McKinstry A, Tranter M, Sweeney J. Outcomes of dysphagia intervention in a pulmonary rehabilitation program. Dysphagia 2010;25:104-11. 8. Speyer R, Baijens L, Heijnen M, Zwijnenberg I. Effects of therapy in oropharyngeal dysphagia by speech- language therapist: a systematic review. Dysphagia 2010;25:40-6.
  • 570.
    àǪÈÒʵÏ·¹Âؤ 2553 Ñ º··Õè 543 74 ÀÒÇÐàÅ×Í´Í͡㹷ҧà´Ô¹ÍÒËÒÃʋǹº¹ (Upper Gastro-intestinal Bleeding) ÍÒ¨ÒÏ ¹ÒÂᾷÇÃÒÂØ »ÃѪ­¡ØÅ ÀÒ¤ÇÔ¢ÒÍÒÂØÃÈÒʵÏ ¤³Ðá¾·ÂÈÒʵÏÈÔÃÔÃÒª¾ÂÒºÒÅ ÁËÒÇÔ·ÂÒÅÑÂÁËÔ´Å º·¹íÒáÅÐÃкҴÇÔ·ÂÒ ÀÒÇÐàÅ×Í´Í͡㹷ҧà´Ô¹ÍÒËÒÃʋǹº¹ (Upper gastro-intestinal Bleeding;UGIB) ËÁÒ¶֧ ¡Ò÷ÕÁàÅ×Í´ÍÍ¡ã¹ËÅÍ´ÍÒËÒà ¡ÃÐà¾ÒÐÍÒËÒà ËÃ×ÍÅíÒäÊŒàÅç¡Ê‹Ç¹µŒ¹·ÕÍÂÙà˹×͵‹Í ligament of è Õ è ‹ Treitz (ᵋ㹻˜¨¨Øº¹¹Ñº¶Ö§á¤‹ºÃÔàdz ampulla of vater ʋǹµíÒá˹‹§µ‹Í¨Ò¡ºÃÔàdz¹Õ仨¹¶Ö§ terminal Ñ é ileum ¶×Í໚¹ mid GI bleeding) ʋǹàÅ×Í´·ÕÍÍ¡µèÒ¡Ç‹Òligament of Treitz (ã¹»˜¨¨Øº¹µèÒ¡Ç‹Ò terminal è í Ñ í ileum) 仨¹¶Ö§ÅíÒäÊŒãË­‹Êǹ»ÅÒ (anus) ¶×Í໚¹ lower GI bleeding (â´Â¹ÔÂÒÁËÁÒ¶֧ÀÒÇзÕè ‹ àÅ×Í´Í͡੾ÒÐã¹ÅíÒäÊŒãË­‹¹¹àͧ) ¹Í¡¨Ò¡¹Õ§ÊÒÁÒöẋ§Â‹ÍµÒÁÅѡɳÐáÅлÃÔÁÒ³àÅ×Í´·Õè Ñè é Ñ ÍÍ¡ 䴌ᡋ overt GI bleeding ËÁÒ¶֧ÀÒÇÐàÅ×Í´ÍÍ¡·ÕÊÒÁÒöÁͧàËç¹ä´Œ´ÇµÒà»Å‹ÒäÁ‹ÇÒ¨Ð໚¹ è Œ ‹ ÍÒà¨Õ¹໚¹àÅ×Í´ (red blood, coffee ground) ËÃ×Ͷ‹ÒÂ໚¹àÅ×Í´ (hematochezia, melena), occult GI bleeding ËÁÒ¶֧ÀÒÇÐàÅ×Í´ÍÍ¡·ÕäÁ‹ÊÒÁÒöÁͧàËç¹ä´Œ´ÇµÒà»Å‹Ò ᵋ·ÃҺ䴌¨Ò¡¡ÒõÃǨ è Œ ·Ò§à¤ÁÕ¤Ífecal occult test ËÃ×Í໚¹¼ÅµÒÁÁÒ¨Ò¡¡ÒÃàÊÕÂàÅ×Í´µ‹Íà¹×ͧ໚¹ÃÐÂÐàÇÅÒ˹֧¹Ñ¹¤×Í × è è è ÀÒÇÐâÅËÔµ¨Ò§áºº iron deficiency anemia ʋǹ obscure GI bleeding ËÁÒ¶֧ÀÒÇÐàÅ×Í´ÍÍ¡·Õ§ è Ñ äÁ‹ÊÒÁÒöËÒÊÒà˵ØÍ¸ÔºÒÂä´Œ·§æ ·Õ䴌ú¡ÒõÃǨʋͧ¡ÅŒÍ§áŌǷѧ gastroscopy áÅÐ colonoscopy Ñé è Ñ é áÅÐÀÒÇдѧ¡Å‹ÒÇÂѧ¤§´íÒà¹Ô¹ÍÂÙ‹ (overt ËÃ×Í occult bleeding) ÀÒÇÐàÅ×Í´Í͡㹷ҧà´Ô¹ÍÒËÒÃʋǹº¹à»š¹ÀÒÇЩءà©Ô¹·Ò§ÍÒÂØÃÈÒʵÏ·Õ辺䴌º‹Í »ÃÐÁÒ³ 5 ෋ҢͧÀÒÇÐàÅ×Í´Í͡㹷ҧà´Ô¹ÍÒËÒÃʋǹŋҧ â´ÂÁÒ¡¡Ç‹Ò 300,000 ÃÒ·ÕࢌÒÃѺ è ¡ÒÃÃÑ¡ÉÒã¹âç¾ÂÒºÒŵ‹Í»‚ áÅÐÂѧ¤§à»š¹»˜­ËÒµ‹Íà¹×ͧ¨¹¶Ö§»˜¨¨Øº¹ áÁŒ¨ÐÁÕ¡ÒþѲ¹Ò·Ñ§ã¹á§‹ è Ñ é ¡ÒÃÇÔ¹¨©ÑÂáÅСÒÃÃÑ¡ÉÒ ã¹»ÃÐà·ÈÊËÃѰÍàÁÃÔ¡Ò ÁÕ¼»ÇÂࢌÒÃѺ¡ÒÃÃÑ¡ÉÒã¹âç¾ÂÒºÒÅ´ŒÇÂÀÒÇÐ Ô ÙŒ † àÅ×Í´Í͡㹷ҧà´Ô¹ÍÒËÒÃà©ÅÕ 102 ÃÒµ‹Í»ÃЪҡà 100,000 ÃÒ ʋǹ¢ŒÍÁÙŢͧÈٹÊͧ¡ÅŒÍ§ è ‹ ·Ò§à´Ô¹ÍÒËÒÃâç¾ÂÒºÒÅÈÔÃÔÃÒªµÑé§áµ‹»‚¾.È. 2549 – 2551 ¾ºÇ‹ÒÁÕ¼ÙŒ»†Ç·Õèä´ŒÃѺ¡ÒÃʋͧ¡ÅŒÍ§ à¾×èÍÇÔ¹Ô¨©ÑÂáÅÐÃÑ¡ÉÒÀÒÇдѧ¡Å‹ÒǹÕé·Ñé§ÊÔé¹ 1,163 ÃÒ (áÅТŒÍÁÙÅ 3 »‚Œ͹ËÅѧ¨Ò¡»˜¨¨ØºÑ¹¾º ÁÒ¡¡Ç‹Ò 160 – 200 ÃÒµ‹Í»‚)
  • 571.
    544 ÀÒÇÐàÅ×Í´Í͡㹷ҧà´Ô¹ÍÒËÒÃʋǹº¹ ÀÒÇÐàÅ×Í´Í͡㹷ҧà´Ô¹ÍÒËÒÃʋǹº¹¾ºº‹ÍÂã¹¼Ù»ÇÂà¾ÈªÒÂáÅÐÊÙ§ÍÒÂØ (68% ÍÒÂØÁÒ¡ Œ † ¡Ç‹Ò 60 »‚, 28% ÍÒÂØÁÒ¡¡Ç‹Ò 80 »‚) «Ö§¤ÅŒÒ¤ÅÖ§¡Ñº¢ŒÍÁÙŢͧÈÔÃÃÒª (71% ໚¹à¾ÈªÒÂ, 29% è Ô à»š¹à¾ÈË­Ô§ áÅÐʋǹãË­‹Áâä»ÃШíÒµÑÇËÇÁ´ŒÇÂ䴌ᡋ âäËÑÇã¨, ¤ÇÒÁ´Ñ¹âÅËÔµÊÙ§áÅÐàºÒËÇÒ¹) Õ ÍѵÃÒµÒ»ÃÐÁÒ³ 6-11% «Öè§à»š¹·Õ蹋Òá»Å¡ã¨à¾ÃÒÐäÁ‹ä´Œà»ÅÕè¹á»Å§ä»¨Ò¡¢ŒÍÁÙÅÊÔº»‚·Õ輋ҹ ÁÒ(ʋǹãË­‹à¡Ô´¡Ñº¼Ù»ÇÂÊÙ§ÍÒÂØáÅÐÁÕâä»ÃШíÒµÑÇ·ÕÊҤѭ) ´Ñ§¹Ñ¹¡ÒôÙáÅÃÑ¡ÉÒ¼Ù»ÇÂÀÒÇдѧ¡Å‹ÒÇ Œ † èí é Œ † µŒÍ§ÍÒÈѤÇÒÁËÇÁÁ×ÍáÅСÒ÷íҧҹ໚¹·ÕÁ¢Í§á¾·ÂËÃ×ÍÍÒÂØÃᾷ·ÑèÇä», ÍÒÂØÃᾷ ·Ò§à´Ô¹ÍÒËÒÃ, ÈÑÅÂᾷ áÅÐã¹»˜¨¨Øº¹¤§µŒÍ§¹ÑºÃÇÁÃѧÊÕᾷ´Ç à¾×ÍãËŒà¡Ô´»ÃÐÊÔ·¸ÔÀÒ¾ÊÙ§ÊØ´ Ñ Œ è »ÃÐÁÒ³ 80-85% ¢Í§¼Ù»Ç·ÕÁàÅ×Í´Í͡㹷ҧà´Ô¹ÍÒËÒÃʋǹº¹ àÅ×Í´ÊÒÁÒöËÂØ´ä´Œàͧ ·ÕàËÅ×Í Œ † è Õ è ÍÕ¡ 20% Âѧ¤§ÁÕàÅ×Í´ÍÍ¡µ‹Íà¹×ͧËÃ×ÍàÅ×Í´ÍÍ¡«éÒ䴌͡ ¡ÅØÁ¹Õ¶Í໚¹¡ÅØÁàÊÕ§ÊÙ§ (high-risk) è í Õ ‹ é × ‹ è à¹×ͧ¨Ò¡ÁÕ͵ÃÒ»†ÇÂáÅÐÍѵÃÒµÒÂà¾ÔÁ¢Ö¹ ¨ÐàËç¹ä´ŒÇÒ¶ŒÒÊÒÁÒö¨íÒṡ¼Ù»ÇÂÍÍ¡µÒÁ¤ÇÒÁàÊÕ§ è Ñ è é ‹ Œ † è ¢ŒÒ§µŒ¹â´ÂÍÒÈÑÂÍÒ¡Òà ÍÒ¡ÒÃáÊ´§áÅТŒÍÁÙŨҡ¡ÒÃʋͧ¡ÅŒÍ§ ¨Ðª‹Ç¡íÒ˹´á¹Ç·Ò§ã¹¡ÒôÙáÅ ÃÑ¡ÉÒãËŒà¡Ô´»ÃÐ⪹Ê§ÊØ´µ‹Í¼Ù»ÇÂä´Œ ÍÒ¡Ò÷չҼٻÇÂÁÒ¾ºá¾·ÂÊǹãË­‹à»š¹ÍÒ¡Ò÷պ§Ç‹ÒÁÕ Ù Œ † è í Œ † ‹ è ‹ àÅ×Í´Í͡㹷ҧà´Ô¹ÍÒËÒà 䴌ᡋ ÍÒà¨Õ¹໚¹àÅ×Í´ (hemetemesis) ¶‹Ò´íÒ (melena) ËÃ×Í㹡óշÕè àÅ×Í´ÍÍ¡»ÃÔÁÒ³ÁÒ¡áÅÐÅíÒäÊŒººµÑÇàÃçÇ ÍÒ¨¾ºÅѡɳж‹ÒÂÍØ¨¨ÒÃÐ໚¹àÅ×Í´Ê´ (hematochezia) Õ ËÃ×Í ´íÒá´§ (maroon stool) ä´Œ «Ö§¡Ã³ÕËÅѧ¹ÕµÍ§á¡¨Ò¡ÀÒÇÐàÅ×Í´Í͡㹷ҧà´Ô¹ÍÒËÒÃʋǹŋҧ è é Œ ãËŒ´Õ ÃÇÁä»¶Ö§ÍÒ¡Ò÷Õ໚¹¼Å¨Ò¡¡ÒÃàÊÕÂàÅ×Í´ËÃ×Í»ÃÔÁÒ³ÊÒùéÒã¹Ã‹Ò§¡ÒÂ䴌ᡋ ˹ŒÒÁ×´ ã¨Êѹ è í è ໚¹ÅÁËÁ´ÊµÔ ໚¹µŒ¹ ¢ŒÍÁÙŢͧâç¾ÂÒºÒÅÈÔÃÃҪ㹪‹Ç§»‚ ¾.È. 2549-2551 ¾ºÇ‹Ò¤Ã֧˹֧¢Í§ Ô è è ¼Ù»Ç nonvariceal GI bleeding ÁÒ´ŒÇ melena ·ÕàËÅ×ÍÁÒ´ŒÇÂÍÒ¡Òà hematemesis coffee ground Œ † è áÅÐ hematochezia µÒÁÅíҴѺ ã¹á§‹¢Í§¡ÒôÙáÅÃÑ¡ÉÒâ´Â·ÑÇä»Áѡẋ§ UGIB Í͡໚¹ 2 ¡ÅØÁµÒÁ è ‹ ÊÒà˵ØËÅÑ¡æ ¡Å‹ÒǤ×Í nonvariceal bleeding áÅÐ variceal bleeding ᵋ㹺·¹Õ¨Ð¡Å‹ÒǶ֧¡ÒûÃÐàÁÔ¹ é ¼Ù»ÇÂàº×ͧµŒ¹ã¹ºÒ§ËÑÇ¢ŒÍ ËÅÑ¡¡ÒÃá¡ÃÐËNjҧ nonvariceal áÅÐ variceal ÃÇÁä»¶Ö§ÊÒà˵ØáÅСÒà Œ † é ´ÙáÅÃÑ¡ÉÒ੾ÒмٻÇÂã¹¡ÅØÁ nonvariceal GI bleeding «Ö§¤Åͺ¤ÅØÁ¶Ö§à¡³±¡ÒèíÒṡ¼Ù»ÇµÒÁ Œ † ‹ è Œ † ¤ÇÒÁàÊÕè§(risks stratification) ¡ÒÃÃÑ¡ÉÒâ´Â์¹àÃ×èͧ¡ÒÃ㪌ÂÒ (Pharmacotherapy) áÅСŋÒÇ ¾ÍÊѧࢻà¡ÕÂǡѺ¡ÒÃÃÑ¡ÉÒ¼‹Ò¹·Ò§¡ÒÃʋͧ¡ÅŒÍ§ (endoscopic therapy) ¡ÒÃÃÑ¡ÉÒ¼‹Ò¹·Ò§ÃѧÊÕÇ·ÂÒ è Ô (radiologic intervention) áÅСÒü‹ÒµÑ´ (surgical therapy) ¡ÒûÃÐàÁÔ¹¼ÙŒ»†ÇÂã¹àº×éͧµŒ¹ (Initial assessment) ໚¹ÊÔ§ÊíҤѭ·Õʴ㹡ÒôÙáżٻÇ·ÕÁÀÒÇÐàÅ×Í´Í͡㹷ҧà´Ô¹ÍÒËÒÃ䴌ᡋ ¡ÒûÃÐàÁÔ¹ è è Ø Œ † è Õ ¤ÇÒÁÃÙÊ¡µÑÇ »ÃÐÊÔ·¸ÔÀÒ¾¢Í§Ãкº·Ò§à´Ô¹ËÒÂ㨠áÅÐÊÑ­­Ò³ªÕ¾ (´Ñ§µÒÃÒ§·Õè 1) à¾ÃÒÐÁÕº·ºÒ· ŒÖ ÊíҤѭáÅÐáÁ‹¹ÂíÒ㹡Òú‹§ºÍ¡¶Ö§¤ÇÒÁÃØ¹áç¢Í§ÀÒÇдѧ¡Å‹ÒÇ «Ö§¨ÐÁռŵ‹Íá¹Ç·Ò§ãËŒ¡ÒôÙáÅ è ÃÑ¡ÉÒ¼Ù»ÇÂã¹àº×ͧµŒ¹ Œ † é
  • 572.
    àǪÈÒʵÏ·¹Âؤ 2553 Ñ 545 µÒÃÒ§·Õè 1 ¡ÒûÃÐàÁÔ¹¤ÇÒÁÃØ¹áç¢Í§ÀÒÇÐàÅ×Í´Í͡㹷ҧà´Ô¹ÍÒËÒà ÍѵÃÒ¡ÒÃൌ¹ªÕ¾¨Ã (PR) ¤ÇÒÁ´Ñ¹âÅËÔµ (BP) ÅѡɳÐÐÀÒ¹͡Í×è¹æ »ÃÐÁÒ³à»ÍÏૹµ¢Í§ (volume depletion) ¡ÒÃàÊÕÂàÅ×Í´ (% of blood loss) Normal Normal Dry lip, thirsty 0-10 > 100/min Orthostatic hypotension .ainting, syncope 10-30 >100/min Hypotension Cold extremities sweating, oliguria mental change > 30 ʋǹ¡ÒûÃÐàÁÔ¹¤ÇÒÁÃØ¹áçàº×ͧµŒ¹â´Â㪌¤ÇÒÁࢌÁ¢Œ¹¢Í§àÅ×Í´ (Hb ËÃ×Í Hct) ໚¹µÑÇ é ¡íÒ˹´·ÕèᾷËÅÒ·‹Ò¹¹ÔÂÁ㪌 ໚¹ÊÔè§·ÕèÂѧäÁ‹äÇ¾Í à¹×èͧ¨Ò¡µŒÍ§ãªŒÃÐÂÐàÇÅÒ˹Öè§»ÃÐÁÒ³ 24-72 ªÑÇâÁ§áá㹡ÒûÃѺÊÁ´ØÅ¢Í§ÊÒùéÒã¹ËÅÍ´àÅ×Í´ËÅѧ¡ÒÃà¡Ô´ÀÒÇдѧ¡Å‹ÒÇ ´Ñ§¹Ñ¹µŒÍ§ÃÐÁÑ´ è í é ÃÐÇѧ㹡ÒÃ㪌¤Ò¹Õá»Å¼Å㹪‹Ç§áá ‹ é ¡ÒÃãÊ‹ÊÒ nasogastric tube (NG tube) ã¹ÀÒÇйշҹŒÍÂŧÁÒ¡ã¹»˜¨¨Øº¹ áÅСÒ÷íÒ Iced é í Ñ saline nasogastric lavage ã¹»˜¨¨Øº¹äÁ‹Á¤ÇÒÁ¨íÒ໚¹ à¹×ͧ¨Ò¡ÁÕ¡ÒÃÈÖ¡ÉÒªÑ´à¨¹Ç‹Ò äÁ‹ä´ŒªÇÂã¹ Ñ Õ è ‹ ¡ÒÃËÂØ´àÅ×ʹᵋÍ‹ҧ㴠áÅÐÍÒ¨¡‹ÍãËŒà¡Ô´ÀÒÇÐhypothermia «Ö§ÁÕ¼ÅãËŒ¤ÇÒÁ´Ñ¹âÅËÔµ¢Í§¼Ù»Ç (6) è Œ † µèÒŧ ´Ñ§¹Ñ¹·Õ§Áշ㪌ÍÂÙã¹»˜¨¨Øº¹ä´Œá¡‹ í é è Ñ Õè ‹ Ñ 1. à¾×ÍÂ×¹ÂѹÀÒÇÐàÅ×Í´Í͡㹷ҧà´Ô¹ÍÒËÒÃʋǹº¹ã¹¡Ã³Õ·»ÃÐÇѵäÁ‹ª´à¨¹ ᵋµÍ§ÃÐÇѧ è Õè Ô Ñ Œ à¾ÃÒÐãËŒ¼ÅźÅǧ (15-20%) 䴌㹡óÕàÅ×Í´ÍÍ¡¨Ò¡ÅíÒäÊŒàÅç¡Ê‹Ç¹µŒ¹ ÇÔ¸·ºÍ¡ä´Œ´·Ê´Ç‹ÒäÁ‹ÁÊÒàËµØ Õ Õè Õ Õè Ø Õ ¢Í§àÅ×Í´Í͡㹷ҧà´Ô¹ÍÒËÒÃʋǹµŒ¹¤×Íä´Œ¹Ò´Õ¨Ò¡¡ÒÃãÊ‹ÊÒ´ѧ¡Å‹ÒÇ éí 2. à¾×èÍ»ÃÐàÁÔ¹¤ÇÒÁÃØ¹áç¢Í§ÀÒÇÐàÅ×Í´Í͡㹷ҧà´Ô¹ÍÒËÒà ¨Ò¡¡ÒÃÈÖ¡ÉÒ¾ºÇ‹Ò ÅѡɳТͧÊÒäѴËÅѧ㹡ÃÐà¾ÒзÕä´Œ¨Ò¡¡ÒÃãÊ‹ÊÒÂÊÒÁÒöºÍ¡¶Ö§¤ÇÒÁÃØ¹áç¢Í§ÀÒÇÐàÅ×Í´ÍÍ¡ è è áÅÐÍѵÃÒµÒÂä´Œ ¡Å‹ÒǤ×Í ¾º¤ÇÒÁÃØ¹áç¢Í§àÅ×Í´·ÕÍÍ¡ 10, 13, 23 % áÅÐÍѵÃÒµÒ 6, 10, 18 % è ¶ŒÒäÁ‹¾ºàÅ×Í´ ä´Œ coffee ground ËÃ×Íä´Œ red blood ¨Ò¡¡Òà lavage µÒÁÅíҴѺ 3. à¾×ÍàµÃÕÂÁ¡ÃÐà¾ÒÐÍÒËÒÃãËŒÊÐÍÒ´ ÊíÒËÃѺ¡ÒõÃǨʋͧ¡ÅŒÍ§·Ò§à´Ô¹ÍÒËÒÃà¾×ÍÇÔ¹¨©Ñ è è Ô áÅÐãËŒ¡ÒÃÃÑ¡ÉÒ «Ö§à»š¹¢ŒÍº‹§ªÕºÍ·ÕÊ´ã¹»˜¨¨Øº¹ è é ‹ èØ Ñ Resuccitation àÁ×Íä´ŒÁ¡ÒûÃÐàÁÔ¹¼Ù»ÇÂâ´Â㪌¢ÍÁÙŴѧ¡Å‹ÒÇ¢ŒÒ§µŒ¹áÅŒÇ ¤ÇÃÃÕº´íÒà¹Ô¹¡Òà resuscitation è Õ Œ † Œ ·Ñ¹·Õ ·Ñ§¹Õ¢¹¡Ñº¤ÇÒÁÃØ¹áç¢Í§¡ÒÃàÊÕÂàÅ×Í´â´Âã¹àº×ͧµŒ¹ÊÒÁÒö㪌·§ crystalloids áÅÐ colloids é é Öé é Ñé 㹡Òà resuscitation 仡‹Í¹ä´Œ ᵋËÅÑ¡¡ÒÃÊíҤѭ¤×Í ¤ÇÃÁÕÊÒÃͧàÅ×Í´ áÅÐͧ¤»ÃСͺ¢Í§àÅ×Í´ í Í×¹æ ઋ¹ à¡Ãç´àÅ×Í´ ËÃ×Í ..P ãËŒà¾Õ§¾Íµ‹Í¤ÇÒÁµŒÍ§¡Òà áÅÐãËŒ blood components µ‹Ò§æ è µÒÁ¤ÇÒÁ¨íÒ໚¹à·‹Ò¹Ñ¹ ¡Å‹ÒǤ×Í ãËŒÃдѺ¢Í§ hemoglobin ÁÒ¡¡Ç‹ÒËÃ×Í෋ҡѺ 8 gm/dl ¶ŒÒäÁ‹Áâä é Õ »ÃШí Ò µÑ Ç à¡Õè Â Ç¡Ñ º ËÑ Ç ã¨ (¶Œ Ò ÁÕ ¤ ÇÃÁÒ¡¡Ç‹ Ò ËÃ× Í à·‹ Ò ¡Ñ º 10 gm/dl), platelet ¤ÇÃÁÒ¡¡Ç‹ Ò 50,000 cell/mm3 áÅÐ äÁ‹ÁÕ coagulopathy
  • 573.
    546 ÀÒÇÐàÅ×Í´Í͡㹷ҧà´Ô¹ÍÒËÒÃʋǹº¹ ¡ÒÃá¡ÃÐËNjҧ nonvariceal áÅÐ variceal GI bleeding ËÅѧ¨Ò¡ãËŒÊÒùéҡѺ¼Ù»ÇÂã¹àº×ͧµŒ¹ÃÇÁ·Ñ§àÅ×Í´ (resuccitation) ¨¹¼Ù»ÇÂÁÕÃдѺÊÑ­­Ò³ í Œ † é é Œ † ªÕ¾¤§·ÕáÅФÇÒÁࢌÁ¢Œ¹àÅ×Í´ã¹ÃдѺ·ÕàËÁÒÐÊÁáÅŒÇ µ‹Í令§µŒÍ§á¡ÀÒÇÐàÅ×Í´ÍÍ¡·Ò§à´Ô¹ÍÒËÒà è è ʋǹº¹ÃÐËNjҧ nonvariceal ¡Ñº variceal à¾ÃÒСÒÃãËŒ¡ÒÃÃÑ¡ÉÒã¹ÅíҴѺµ‹Í仡‹Í¹ä´ŒÃº¡ÒÃʋͧ¡ÅŒÍ§ Ñ ÊíÒËÃѺ 2 ÀÒÇдѧ¡Å‹Òǹѹᵡµ‹Ò§¡Ñ¹ «Ö§ÁÕËÅÑ¡¡ÒôѧµÒÃÒ§·Õè 2 é è µÒÃÒ§·Õè 2 ¡ÒÃá¡ÀÒÇÐàÅ×Í´ÍÍ¡·Ò§à´Ô¹ÍÒËÒÃʋǹº¹ÃÐËNjҧ nonvariceal ¡Ñº variceal GI bleeding Variceal bleeding Nonvariceal bleeding Painless bleeding Pain or Painless bleeding Hematemesis (mostly red blood) Hematemesis, coffee ground or melena Usually hemodynamic change or Hct < 30% With or without hemodynamic change Evidence of portal hypertension No evidenc of portal hypertension ¡ÒèíÒṡ¼ÙŒ»†ÇµÒÁ¤ÇÒÁàÊÕè§ (Risks stratification) ¡Ò÷ÕèÁÕàÅ×Í´ÍÍ¡«éíÒ (recurrent bleeding) ¨Ð໚¹µÑǾÂҡóâä¢Í§ÀÒÇÐàÅ×Í´ÍÍ¡ ·Ò§à´Ô¹ÍÒËÒÃʋǹº¹ ¡Ò÷ÕèÊÒÁÒöºÍ¡¶Ö§ÀÒÇдѧ¡Å‹ÒÇä´ŒµÑé§áµ‹àÃÔèÁµŒ¹·Õ辺¼ÙŒ»†Ç¨ÐÊÒÁÒö ª‹ÇÂÅ´ÍѵÃÒµÒÂãËŒ¡º¼Ù»ÇÂä´Œ ´Ñ§¹Ñ¹¡ÒûÃÐàÁÔ¹¼Ù»ÇÂã¹àº×ͧµŒ¹¨Ò¡¢ŒÍÁÙž׹°Ò¹, ÍÒ¡ÒÃáÅÐ Ñ Œ † é Œ † é é ÍÒ¡ÒÃáÊ´§ (clinical predictors) áÅÐà¾ÔèÁàµÔÁ¨Ò¡¡ÒÃʋͧ¡ÅŒÍ§ (endoscopic predictors) ´Ñ§µÒÃÒ§·Õè 3 áÅÐ4 ¨ÐÊÒÁÒö¨íÒṡ¼Ù»ÇÂÍ͡໚¹¡ÅØÁàÊÕ§µèÒáÅÐÊÙ§ (low & high risk group) Œ † ‹ è í à¾×Í㪌¡Ò˹´¤ÇÒÁÃÕº´‹Ç¹ã¹¡ÒõÃǨÇÔ¹¨©ÑÂáÅÐãËŒ¡ÒÃÃÑ¡ÉÒ੾ÒÐ «Ö§ÁÕ¤ÇÒÁ¨íÒ໚¹Í‹ҧÂԧ㹡Òà è í Ô è è ´ÙáÅÃÑ¡ÉÒ¼Ù»ÇÂÀÒÇÐàÅ×Í´ÍÍ¡·Ò§à´Ô¹ÍÒËÒÃʋǹº¹ã¹»˜¨¨Øº¹ à¾ÃÒШзíÒãˌᾷÊÒÁÒöãËŒ¡Òà Œ † Ñ ÃÑ¡ÉÒ·ÕàËÁÒÐÊÁáÅÐà¡Ô´»ÃÐ⪹Ê§ÊØ´¡Ñº¼Ù»ÇÂᵋÅÐÃÒÂä´Œ è Ù Œ † µÒÃÒ§·Õè 3 clinical predictors ÊíÒËÃѺ¡Ò÷ÕèÁÕàÅ×Í´ÍÍ¡«éíÒáÅÐÍѵÃÒµÒÂà¾ÔèÁ¢Öé¹ Adverse clinical prognostic factors for UGI bleeding (clinical predictors) Age > 60 years Hemodynamic instability at presentation Presence of comorbid medical conditions Severe hemorrhage Onset of bleeding in hospital Red NG lavage History of hematochezia or melena Multiple blood transfusion (>5 units) Need for emergency surgical intervention Continued or recurrent bleeding Variceal bleeding, malignancy, aortoenteric fistula APACHE II > 10
  • 574.
    àǪÈÒʵÏ·¹Âؤ 2553 Ñ 547 µÒÃÒ§·Õè 4 endoscopic predictors ÊíÒËÃѺ¡Ò÷ÕèÁÕàÅ×Í´ÍÍ¡«éíÒáÅÐÍѵÃÒµÒÂà¾ÔèÁ¢Öé¹ Adverse endoscopic prognostic factors for UGI bleeding (endoscopic predictors) Active bleeding (arterial bleeding rather than oozing, Ulcer size (generally > 2 cm.) nonbleeding visible vessel (NBVV), adherent clot) Ulcer location (posterior lesser gastric curvature Lesion type (varices, cancer) or posterior duodenal bulb) â´Â¼Ù»Ç·ÕÁÕ risk factors µ‹Ò§æ ´Ñ§¡Å‹ÒÇ¢ŒÒ§µŒ¹¤ÇÃ䴌ú¡ÒôÙáÅã¹ËÍÍÀÔºÒżٻÇÂ˹ѡ Œ † è Ñ Œ † (intensive care unit) ¶ŒÒ໚¹ä»ä´Œ·§¹Õà¾×ÍãËŒÊÒÁÒöµÔ´µÒÁÍÒ¡Òà áÅÐ resuscitation ¼Ù»ÇÂä´Œ Ñé é è Œ † Í‹ҧàËÁÒÐÊÁµ‹Íä» ã¹»˜¨¨Øº¹ÁÕ¡ÒùíÒàÍÒ»˜¨¨Ñ´ѧ¡Å‹ÒÇ¢ŒÒ§µŒ¹ÁÒÃÇÁ¡Ñ¹áÅСíÒ˹´ãˌ໚¹¤Ðá¹¹à¾×ÍãËŒ§ÒÂã¹ Ñ è ‹ ¡ÒÃá¡¡ÅØÁàÊÕ§ (risk group) model ·Õ໚¹µŒ¹áººáÅйÔÂÁÁÒ¡·Õʴ㹡ÒÃ㪌»ÃÐàÁÔ¹âÍ¡ÒÊà¡Ô´ ‹ è è èØ re-bleeding áÅСÒÃàÊÕªÕǵ¢Í§¼Ù»ÇÂã¹·Ò§¤ÅÔ¹¡ ¤×Í Rockall Risk Scores Scheme (2) «Ö§ÁÕÃÒÂ Ô Œ † Ô è ÅÐàÍÕ´´Ñ§µÒÃÒ§·Õè 5 µÒÃÒ§·Õè 5 Rockall Risk Scores Scheme Value Score 0 1 2 3 Age(years) < 60 60-79 >80 - Evidence of shock No Tachyacardia Hypotension - (SBP!100,HR!100) (SBP<100) Comorbidity No major - Cardiac failure Renal failure, liver comorbidity IHD, any major failure, disseminated comorbidity malignancy Diagnosis Mallory-Weiss tear, All other Malignancy of - no lesion identified diagnoses Upper GI tract and no bleeding stigmata Stigmata of recent hemorrhage None or dark Blood in upper - spot only GI tract ,adherent clot, visible or spurting vessel ËÁÒÂà赯 SBP:systolic blood pressure (mmHg), HR:heart rate (beat/min)
  • 575.
    548 ÀÒÇÐàÅ×Í´Í͡㹷ҧà´Ô¹ÍÒËÒÃʋǹº¹ â´Â¡ÅØÁ high risk ¶×ÍàÍÒ¤Ðá¹¹ ! 4 , moderate risk 2-3 áÅÐ low risk 0-1 ¾ºÇ‹Ò¡ÅØÁ ‹ ‹ high risk, moderate áÅÐ low risk ÁÕ͵ÃÒ¡ÒÃàÊÕªÕǵ´Ñ§µÒÃÒ§·Õè 6 â´Â㹡óշÕè score <2 ¹Ñ¹ Ñ Ô é mortality rate µèÒÁÒ¡ ¨Ö§ÊÒÁÒöãËŒ¡ÒôÙáżٻÇÂẺ¼Ù»Ç¹͡䴌 ʋǹ¡Ã³Õ·Õè score ÁÒ¡¡Ç‹Ò 5 í Œ † Œ † ¹Ñ¹ ¼Ù»Ç¤ÇÃ䴌ú¡ÒôÙáÅã¹âç¾ÂÒºÒÅÍ‹ҧã¡ÅŒª´ «Ö§ÃÇÁ¶Ö§¡ÒôÙáÅã¹ËͼٻÇÂ˹ѡ (ICU) é Œ † Ñ Ô è Œ † ´ŒÇÂËÒ¡ÁÕ score ÁÒ¡¡Ç‹Ò 7 µÒÃÒ§·Õè 6 ¤ÇÒÁÊÑÁ¾Ñ¹¸ÃÐËNjҧ Rockall score áÅÐÍѵÃÒµÒ Mortality without Mortality with Score re-bleeding re-bleeding "2 <1% - 3 2% 10% 4 4% 16% 5 8% 23% 6 10% 33% 7 15% 43% >8 28% 53% ¨ÐàËç¹ä´ŒÇ‹Ò Rockall scores ໚¹ scores ·Õ褋͹¢ŒÒ§ÊÁºÙóà¾ÃÒÐ㪌¢ŒÍÁÙÅ·Ò§¤ÅÔ¹Ô¡ ËÇÁ¡Ñº¼Å¨Ò¡¡ÒÃʋͧ¡ÅŒÍ§ ·íÒãËŒ»ÃÐàÁÔ¹àÃ×ͧ¢Í§ rebleeding áÅÐÍѵÃÒµÒÂä´Œ¤Í¹¢ŒÒ§´Õ ᵋ¡ÒÃ è ‹ ·ÕµÍ§ãªŒ¢ÍÁÙÅ·Ò§¤ÅÔ¹¡Ã‹ÇÁ¡Ñº¢ŒÍÁÙŨҡ¡ÒÃʋͧ¡ÅŒÍ§¡çÁ¢ÍàÊÕ¡ŋÒǤ×Í äÁ‹¤ÍÂàËÁÒÐÊÁÊíÒËÃѺ¡ÒÃ è Œ Œ Ô ÕŒ ‹ »ÃÐàÁÔ¹ã¹àº×ͧµŒ¹¡‹Í¹·Õ¼»Ç¨Ð䴌ú¡ÒÃʋͧ¡ÅŒÍ§ (before endoscopy) ª‹Ç§ËÅѧÁÕ¡ÒÃÈÖ¡ÉÒÁÒ¡ é è ÙŒ † Ñ ¢Ö¹áÅоºÇ‹Ò Glasgow Blatchford Admission Risk Markers ÊÒÁÒö㪌䴌´ã¹¡ÒáíÒ˹´á¹Ç·Ò§ é Õ ã¹¡ÒôÙáżٻÇ «Ö§¢ŒÍ´Õ¢Í§ risk markers ¹Õ¤ÍäÁ‹µÍ§¡ÒâŒÍÁÙŨҡ¡Ò÷íÒ endoscopy ¨Ö§àËÁÒÐ Œ † è é × Œ ·Õ¨Ð¹íÒä»ãªŒã¹Ê¶Ò¹¾ÂÒºÒÅ·Õ໚¹ primary care ´Ñ§ÃÒÂÅÐàÍÕ´㹵ÒÃÒ§·Õè 7 è è (3) µÒÃÒ§·Õè 7 Glasgow Blatchford Admission Risk Markers BUN Hemoglobin Systolic BP Other markers (mMol/l) (g/L) (mmHg) score value score men women score value score value score 6.5-8 2 120-130 100-120 1 100-109 1 Pulse>100/min 1 8-10 3 100-120 - 3 90-99 2 Melena 1 10-25 4 - - - < 90 3 Syncope 2 >25 6 <100 <100 6 - - Liver failure 2 cardiac failure 2
  • 576.
    àǪÈÒʵÏ·¹Âؤ 2553 Ñ 549 Glasgow Blatchford score ·ÕÁÒ¡¡Ç‹Ò 0 ¶×Í໚¹ high risk µ‹Í rebleeding «Ö§¼Ù»Ç¤ÇÃä´Œ è è Œ † ÃѺ¡ÒôÙáÅã¹âç¾ÂÒºÒÅ ÁÕ¡ÒÃÈÖ¡ÉÒà»ÃÕºà·ÕºÃÐËNjҧ Rockall scores áÅÐ Blatchford scores ¾ºÇ‹Ò Blatchford scores ÁÕ¤ÇÒÁäÇ áÅФÇÒÁ¨íÒà¾ÒÐÁÒ¡¡Ç‹Ò㹡Òú‹§ªÕ¼»ÇÂ¡ÅØÁ¹Õé é ÙŒ † ‹ â´ÂÊÒÁÒöŴ¡ÒÃÃѺ¼Ù»ÇÂࢌÒÃѺ¡ÒÃÃÑ¡ÉÒ·ÕäÁ‹¨Ò໚¹Å§ä´Œ¶§ 28% Œ † è í Ö (4) 㹤ÇÒÁàË繢ͧ¼Ùà¢Õ¹¤Ô´Ç‹Ò Blatchford score ¹‹Ò¨ÐàËÁÒÐÊÁÊíÒËÃѺ¤Ñ´¡Ãͧ¼Ù»Ç·ըÒ໚¹ Œ Œ † èí µŒÍ§ÃѺänjáÉÒã¹âç¾ÂÒºÒÅà¾×ÍÃѺ¡ÒÃÃÑ¡ÉÒ´ŒÇ¡ÒÃʋͧ¡ÅŒÍ§ ´Ñ§¹Ñ¹¤ÇÃ㪌µ§áµ‹ááàÃÔÁ·Õ¾º¼Ù»ÇÂ Ñ è é Ñé è è Œ † ʋǹ Rockall scores àËÁÒÐÊíÒËÃѺ¡ÒûÃÐàÁÔ¹àÃ×ͧ¢Í§¡Ò÷ըÐÁÕàÅ×Í´ÍÍ¡«éÒáÅÐÍѵÃÒµÒÂÁÒ¡¡Ç‹Ò è è í à¾ÃÒÐ㪌¢ÍÁÙŨҡ¡ÒÃʋͧ¡ÅŒÍ§Ã‹ÇÁ´ŒÇ «Ö§¤ÇÃ㪌ã¹àÇÅÒµ‹ÍÁÒ Œ è ÊÒà˵آͧ nonvariceal GI bleeding ¢ŒÍÁÙŢͧâç¾ÂÒºÒÅÈÔÃÃҪ㹪‹Ç§2-3 »‚·¼Ò¹ÁÒ ¾ºÇ‹ÒÃŒÍÂÅÐ 77 ¢Í§¼Ù»Ç·ÕÁÒ´ŒÇ upper Ô Õè ‹ Œ † è GI bleeding ໚¹ nonvariceal bleeding áÅÐÃŒÍÂÅÐ 22 ໚¹ variceal bleeding µÒÃÒ§·Õè 8 áÊ´§¶Ö§ ÊÒà˵صҧæ·Õ໚¹ä»ä´Œ¢Í§ÀÒÇÐnonvariceal bleeding à»ÃÕºà·Õº¢ŒÍÁÙŢͧâç¾ÂÒºÒÅÈÔÃÃÒª¡Ñº ‹ è Ô ¢Í§µ‹Ò§»ÃÐà·È (5) µÒÃÒ§·Õè 8 Etiology of non variceal GI bleeding Causes Silverstein et al, 1981 Kachintorn U et al, Siriraj Hospital 1998-2000 Peptic ulcer 50 % 40-50 % Erosions 35 % 20-35 % Varices 10 % 8-15% Mallory- Weiss tear 8% 8-15% Esophagitis 5% 6% Neoplasm 3-5 % 3% Angiodysplasia /GAVE 1-2 % - Dieulafoy lesion 1-2 % - Miscellaneous 6% 7% ¨ÐàËç¹ä´ŒÇ‹Òâäá¼Å໚»µÔ¡Âѧ¤§à»š¹ÊÒà˵طÕ辺º‹ÍÂÁÒ¡·ÕèÊØ´¢Í§ÀÒÇÐ nonvariceal GI bleeding áÁŒÇÒàÇÅҨм‹Ò¹ä»¹Ò¹ à¹×ͧ¨Ò¡ÊÒà˵ØÊҤѭ¤×Íàª×ÍẤ·ÕàÃÕ H. Pylori ·ÕÍÒÈÑÂÍÂÙã¹ ‹ è í é è ‹ ¡ÃÐà¾ÒÐ «Ö§à¾Ô§¤Œ¹¾º¤ÇÒÁÊíҤѭ㹪‹Ç§ËÅѧ áÅÐÍÕ¡»˜­ËÒ¨Ò¡¡ÒÃãËŒÂÒ¡ÅØÁPPIã¹¼Ù»ÇÂ¡ÅØÁàÊÕ§ è è ‹ Œ † ‹ è ·Õ㪌ÂҾǡ NSAIDs áÅÐáÍÊä¾ÃÔ¹ ÂѧÁըҹǹ¹ŒÍÂÍÂÙ‹ (10%) ´Ñ§¹Ñ¹¤ÇÃãËŒ¤ÇÒÁÊíҤѭ¡Ñº»˜­ËÒ è í é àËŋҹÕà¾×ÍÅ´¨íҹǹ¼Ù»ÇÂã¹ÀÒÇÐàËŋҹÕãËŒ¹ÍÂŧ é è Œ † é Œ
  • 577.
    550 ÀÒÇÐàÅ×Í´Í͡㹷ҧà´Ô¹ÍÒËÒÃʋǹº¹ Endoscopic therapy ËÅѧ¨Ò¡¡ÒôÙáÅÃÑ¡ÉÒ¼Ù»ÇÂã¹àº×ͧµŒ¹¨¹ÊÀÒÇÐËҧ¡ÒÂâ´Â·ÑÇ令§·ÕáÅŒÇ ¡ÒûÃÐàÁÔ¹¼ÙŒ Œ † é è è »†Ç upper GI bleeding à¾×Í·íÒ endoscopy ¡çÁ¤ÇÒÁÊíҤѭÂÔ§ ¨Ò¡¡ÒÃÈÖ¡ÉÒ·Õ¼Ò¹ÁÒ¾ºÇ‹Ò (7) è Õ è è ‹ ¼Ù»ÇÂã¹¡ÅØÁ high risk ´ŒÇÂÇÔ¸»ÃÐàÁÔ¹¢ŒÒ§µŒ¹ ¤ÇÃ䴌ú¡ÒÃʋͧ¡ÅŒÍ§ÀÒÂã¹ 24 ªÑÇâÁ§áá¢Í§¡Òà Œ † ‹ Õ Ñ è ÁÒÃѺ¡ÒõÃǨÃÑ¡ÉÒ (early endoscopy) (àÃçǡNjҹÕ§äÁ‹Á¢ÍÁÙÅNjҴաNjÒ) ʋǹ¼Ù»ÇÂ¡ÅØÁ low risk é Ñ Õ Œ Œ † ‹ ÊÒÁÒö·íÒ¡ÒÃʋͧ¡ÅŒÍ§à»š¹áºº¼Ù»Ç¹͡䴌 ¡ÒÃʋͧ¡ÅŒÍ§¹Ñ¹ÊÒÁÒö»ÃÐàÁÔ¹ÍѵÃÒ¡ÒÃà¡Ô´àÅ×Í´ Œ † é ÍÍ¡«éíÒáÅÐÍѵÃÒµÒÂä´Œ¨Ò¡¡ÒÃÊѧࡵ endoscopic stigmata ¢Í§á¼Å·ÕèàËç¹ ´Ñ§ÃÒÂÅÐàÍÕ´ ã¹ÀÒ¾»ÃСͺ·Õè 1 áÅеÒÃÒ§·Õè 8 «Ö§ãËŒ»ÃÐ⪹·§ã¹¡ÅØÁ high risk áÅÐ low risk ¡Å‹ÒǤ×Í ¶ŒÒ¾º è Ñé ‹ ÅѡɳÐá¼ÅẺ adherent clot, nonbleeding visible vessel (NBVV) ËÃ×Í active bleeding ·Õ¶Í è × à»š¹high risk ulcer ¤ÇÃ䴌ú¡Ò÷íÒ endoscopic therapy «Ö§¨Ðª‹ÇÂÅ´ ÍѵÃÒ¡ÒÃà¡Ô´àÅ×Í´ÍÍ¡«éÒ, Ñ è í ÃÐÂÐàÇÅÒ¡ÒÃÃÑ¡ÉÒã¹âç¾ÂÒºÒÅ ¨íҹǹ¢Í§àÅ×Í´·ÕµÍ§ãËŒáÅÐÅ´¤ÇÒÁ¨íÒ໚¹ÊíÒËÃѺ¡Òü‹ÒµÑ´ä´Œ è Œ áÁŒ¨ÐäÁ‹ÊÒÁÒöŴ mortality ¡çµÒÁ ÊíÒËÃѺ¡Ò÷íÒ endoscopic therapy ¾ºÇ‹Ò combination of endoscopic interventions ãËŒ¼Å´Õ¡Ç‹Ò¡Ò÷íÒsingle interventions(7) â´Â¾ºÇ‹Ò¡ÒÃ㪌 thermal method, hemoclip, thermal or hemoclip ËÇÁ¡Ñº¡Òéմadrenaline ´Õ¡Ç‹Ò¡Òéմadrenalineà¾Õ§Í‹ҧà´ÕÂÇ áµ‹¶Ò¾ºÅѡɳÐá¼ÅẺ clean base ËÃ×Í flat spot ¶×Í໚¹ low risk ulcer ¡çäÁ‹Á¤ÇÒÁ¨íÒ໚¹ Œ Õ µŒÍ§·íÒ endoscopic therapy ᵋÍ‹ҧ㴠ãËŒ¡ÒÃÃÑ¡ÉÒ仵ÒÁᵋª¹Ô´, µíÒá˹‹§áÅÐÊÒà˵آͧ á¼Å¹Ñé¹ µÒÃÒ§·Õè 9 endoscopic stigmata of recent hemorrhage in peptic ulcer Ulcer characteristic Re-bleeding rate Mortality Clean base 5% 1-2% .lat spot 10% 3% Adherent clot 22% 7% Non bleeding visible vessel (NBVV) 43% 11% Active bleeding 55% 11%
  • 578.
    àǪÈÒʵÏ·¹Âؤ 2553 Ñ 551 ÀÒ¾»ÃСͺ·Õè 1 bleeding stigmata of recent peptic ulcer ¡Ò÷íÒ routine second look endoscopy ¾ºÇ‹ÒäÁ‹Á»ÃÐ⪹ÁÒ¡¹Ñ¡(11) ¡àÇŒ¹Ç‹Òʋͧ¡ÅŒÍ§ Õ ¤ÃѧááàËç¹äÁ‹ª´à¨¹à¹×ͧ¨Ò¡ÁÕàÅ×Í´¤ŒÒ§ÍÂ٨ҹǹÁÒ¡ ËÃ×;º high risk stigmata ·Õ¼»ÇÂ䴌ú é Ñ è ‹í è ÙŒ † Ñ ÂÒ·Õè ÁÕ ¼ ŵ‹ Í ¡ÒÃá¢ç § µÑ Ç ¢Í§àÅ× Í ´ÍÂÙ‹ ËÃ× Í ¼ÙŒ »† Ç ÂÁÕ Í Ò¡ÒÃË¹Ñ ¡ ÁÒ¡äÁ‹ Ê ÒÁÒö·¹µ‹ Í ¡ÒÃà¡Ô ´ re-bleeding ä´Œ ¡Ò÷íÒ second look endoscopy â´Â·Õ§äÁ‹ÁÕ recurrent of bleeding ÍÒ¨ÁÕ»ÃÐ⪹ è Ñ ã¹¡Ã³Õ¶Òà¡Ô´ re-bleeding «Ö§¾ºä´Œ 15-20% áÅÐÁÑ¡à¡Ô´ÀÒÂã¹ 72 ªÑÇâÁ§ááËÅѧ¨Ò¡ÊÒÁÒö Œ è è ËÂØ´àÅ×Í´´ŒÇ endoscopic therapy 䴌㹤Ãѧáá á¹Ð¹íÒãËŒ·Òendoscopy «éÒ áÅоÂÒÂÒÁËÂØ´ é í í àÅ×Í´´ŒÇ endoscopic interventions ÍÕ¡ à¹×ͧ¨Ò¡ÁÕ¡ÒÃÈÖ¡ÉÒ¾ºÇ‹Òª‹ÇÂÅ´âÍ¡ÒÊ surgery áÅÐ è äÁ‹à¾ÔÁ mortality ¢Í§¼Ù»Ç Í‹ҧäáçµÒÁ¡Ò÷íÒ surgery ·ÕªÒà¡Ô¹ä»ã¹ÃÒ·ÕÁ¤ÇÒÁ¨íÒ໚¹¹Ñ¹ ¡çà¾ÔÁ è Œ † è Œ è Õ é è ¤ÇÒÁàÊÕ§µ‹Í¼Ù»Ç´ŒÇ ´Ñ§¹Ñ¹¡Ò÷íҧҹËÇÁ¡Ñ¹ÃÐËNjҧᾷÍÒÂØÃ¡ÃÃÁáÅÐÈÑÅ¡ÃÃÁ¨Ö§ÁÕ¤ÇÒÁ è Œ † é ÊíҤѭÁÒ¡·Õ¨Ðª‹ÇÂãËŒ¼»ÇÂ䴌ú¡ÒÃÃÑ¡ÉÒ·Õ¶¡µŒÍ§ àËÁÒÐÊÁáÅÐÃÇ´àÃçÇ è ÙŒ † Ñ è Ù Surgery ¡ÒÃÃÑ¡ÉҼٻǠupper GI bleeding ã¹·Ò§ÈÑÅ¡ÃÃÁã¹»˜¨¨Øº¹ÁÕº·ºÒ·Å´Å§¨Ò¡à´ÔÁÁÒ¡ Œ † Ñ à¹×ͧ¨Ò¡¡ÒþѲ¹Ò´ŒÒ¹à·¤â¹âÅÂÕ áÅÐà·¤¹Ô¤ãËÁ‹æ·Ò§´ŒÒ¹ endoscopy Í‹ҧäáçµÒÁã¹¼Ù»ÇÂ è Œ † ºÒ§ÃÒ¡çÍÒ¨ÁբͨíҡѴ㹡Ò÷íÒ endoscopic interventions ઋ¹ cancer bleeding, active bleeding Œ from posterior wall of duodenum («Ö§àÅ×Í´ÁÑ¡ÍÍ¡¨Ò¡ branch ¢Í§ gastroduodenal artery ·ÕÁ¡ è è Ñ à»š¹á¢¹§¢¹Ò´ãË­‹) ËÃ×Í bleeding «Ö§ÍÒ¨à¡Ô´¨Ò¡ aortoenteric fistula ໚¹µŒ¹ ¤ÇûÃÖ¡ÉÒᾷ è ·Ò§ÈÑÅ¡ÃÃÁËÇÁ´ÙáÅ´ŒÇÂàÊÁÍ
  • 579.
    552 ÀÒÇÐàÅ×Í´Í͡㹷ҧà´Ô¹ÍÒËÒÃʋǹº¹ ¢ŒÍº‹§ªÕ㹡ÒûÃÖ¡ÉÒÈÑÅ¡ÃÃÁ䴌ᡋ é 1. äÁ‹ÊÒÁÒöÃÑ¡ÉÒâ´Â endoscopic interventions ä´Œ 2. Re-bleeding ËÅѧ¨Ò¡¡Ò÷íÒ second endoscopic interventions 3. Massive GI bleeding â´Â¼Ù»ÇµŒÍ§ä´ŒÃº blood transfusion ÁÒ¡¡Ç‹Ò 6 units Œ † Ñ 4. àÅ×Í´ÍÍ¡µÅÍ´àÇÅÒáÅÐäÁ‹ÊÒÁÒö»ÃÐàÁÔ¹´ŒÇ endoscopy ä´Œ Radiologic intervention ¡ÒÃÃÑ¡ÉÒ´ŒÇ¡Ò÷íÒ angiogram áÅÐ embolization ¹Ñ¹ ÁÑ¡¨Ð·íÒ੾ÒÐ㹡óշÕè failed é endoscopic treatment ᵋÁ¡ä´Œ»ÃÐ⪹ã¹¡Ã³Õ·àÅ×Í´ÍÍ¡´ŒÇ»ÃÔÁÒ³·ÕÁÒ¡¡Ç‹Ò 0.5-1.0 «Õ«Õ Ñ Õè è µ‹Í¹Ò·Õ¨§¨ÐàË繨شàÅ×Í´ÍÍ¡ (extravasation point) ä´Œª´à¨¹ áÅÐÊÒÁÒö·íÒ¡ÒÃÍØ´ËÅÍ´àÅ×Í´ä´Œ Ö Ñ âÍ¡ÒÊÊíÒàÃ稻ÃÐÁÒ³ 50-75% ᵋ¡ÁâÍ¡ÒÊà¡Ô´ complications µ‹Ò§æä´Œ ઋ¹ contrast induced ç Õ renal failure, aortic dissection, thrombosis ໚¹µŒ¹ (1) ᵋ¶ÍÇ‹Ò໚¹Íա˹֧·Ò§àÅ×Í¡·Õ¹ÒÊ¹ã¨ × è è ‹ ã¹»˜¨¨Øº¹ã¹¡Ã³Õ·äÁ‹ÊÒÁÒö·íÒendoscopic interventionsËÃ×ͼ‹ÒµÑ´ä´Œ Ñ Õè ¡ÒÃÃÑ¡ÉÒ´ŒÇÂÂÒ (Medical treatment ) à¹×ͧ¨Ò¡ platelet aggregation áÅÐ clot formation ໚¹¡Åä¡ÊíҤѭÊíÒËÃѺ¡ÒÃá¢ç§µÑǢͧ è àÅ×Í´ áÅоºÇ‹Ò¨ÐŴŧã¹ÀÒÇзÕ໚¹¡Ã´ã¹¡ÃÐà¾ÒÐÍÒËÒà ´Ñ§¹Ñ¹¡ÒÃÃÑ¡ÉÒËÅѡ㹼ٻÇÂ¡ÅØÁ¹Õ¤Í è é Œ † ‹ é × ¡ÒÃÅ´¤ÇÒÁ໚¹¡Ã´ã¹¡ÃÐà¾ÒÐÍÒËÒÃŧ ( pH>6 ) «Ö§¨Ò¡¢ŒÍÁÙÅáÅСÒÃÈÖ¡ÉÒµ‹Ò§æã¹»˜¨¨Øº¹ÊÃØ» è Ñ ä´ŒÇÒ proton pump inhibitor(PPI) ໚¹ÂÒ·ÕàËÁÒÐÊÁ·ÕÊ´ÊíÒËÃѺ㪌㹡ÒÃÃÑ¡ÉÒÀÒÇÐ upper GI ‹ è èØ bleeding ª¹Ô´ non variceal bleeding â´Â¾ºÇ‹Ò ¡ÒÃãËŒ PPI µÑ§áµ‹áá ¡‹Í¹¡Ò÷íÒ endoscopy é ·ÕàÃÕÂ¡Ç‹Ò pre-emtive treatment ¹Ñ¹ ÊÒÁÒöŴ high risk bleeding stigmata ·ÕµÍ§·íÒ therapeutic è é è Œ intervention ä´Œ áÅÐÅ´ÃÐÂÐàÇÅÒ¡ÒÃÍÂÙâç¾ÂÒºÒŠᵋäÁ‹Á¼Åµ‹ÍÍѵÃÒ¡ÒÃà¡Ô´àÅ×Í´ÍÍ¡«éÒáÅÐ ‹ Õ í ÍѵÃÒµÒÂËÃ×ÍÅ´¡Òü‹ÒµÑ´ â´ÂÊÒÁÒöãˌ䴌·§ª¹Ô´ high dose oral, IV (40 Á¡ ·Ø¡ 12 ªÑÇâÁ§) Ñé è ËÃ×Í continuous regimen (80 Á¡ ©Õ´áŌǵÒÁ´ŒÇÂË´ࢌÒËÅÍ´àÅ×Í´´íÒ 8 Á¡./ªÁ.) ᵋ㹻˜¨¨Øº¹ Ñ ÂѧäÁ‹ÁÕËÅÑ¡°Ò¹Â×¹ÂѹªÑ´à¨¹Ç‹Òª¹Ô´ã´´Õ·ÕèÊØ´ÊíÒËÃѺÃÐÂйÕé ᵋà¹×èͧ¨Ò¡»˜­ËÒã¹àÃ×èͧcost effectiveness ·ÕµÍ§¤íÒ¹Ö§¶Ö§àÊÁÍ ã¹¤ÇÒÁàËç¹Ê‹Ç¹µÑǢͧ¼Ùà¢Õ¹¤Ô´Ç‹Òâ´Â·ÑÇæä»¤ÇÃãˌẺ oral è Œ Œ è ËÃ×Í IV 40 Á¡.·Ø¡ 12 ªÁ. ¡àÇŒ¹¡Ã³ÕµÍ仹Õé 䴌ᡋ ¼Ù»Ç·ÕÁàÅ×Í´ÍÍ¡»ÃÔÁÒ³ÁÒ¡áÅÐ/ËÃ×ÍÁÕâä ‹ Œ † è Õ »ÃШíÒµÑÇ·ÕÍÒ¨à¡Ô´¼ÅàÊÕ¨ҡʶҹСÒ󏴧¡Å‹ÒÇ, äÁ‹ÊÒÁÒö·íÒ early endoscopy ä´Œ ËÃ×Íʶҹ è Ñ ·Õ·äÁ‹ÊÒÁÒö·íÒ endoscopic interventions 䴌͋ҧÁÕ»ÃÐÊÔ·¸ÔÀÒ¾ è Õè ᵋ¶ÒËÅѧ¨Ò¡·íÒ endoscopy ¾ºÇ‹ÒÁÕ high risk of bleeding stigmata ઋ¹ spurting /oozing Œ ËÃ×Í non bleeding visible vessel áÅÐ䴌ú¡Ò÷íÒ therapeutic interventions ઋ¹ hemoclip Ñ application, gold probe coaptation , adrenaline injection áÅŒÇ ¨ÐÊÒÁÒöŴâÍ¡ÒÊà¡Ô´ rebleeding ¨Ò¡à´ÔÁ 50-90% àËÅ×Í 15-30% ä´Œ ¹Í¡¨Ò¡¹ÕéÂѧÁÕ¡ÒÃÈÖ¡ÉÒÂ×¹Âѹ¶Ö§»ÃÐ⪹Ã‹ÇÁ¢Í§¡ÒÃãËŒ
  • 580.
    àǪÈÒʵÏ·¹Âؤ 2553 Ñ 553 continuous high dose IV PPI regimen ´Ñ§¡Å‹ÒÇ¢ŒÒ§µŒ¹¹Ò¹ 3-5 ÇѹµÒÁËÅѧ¡Ò÷íÒ endoscopic therapy «Ö§¾ºÇ‹ÒÊÒÁÒöŴ re-bleeding áÅÐ surgery ä´Œ(7) áÅмٻǤÇÃ䴌ú¡ÒÃÊѧࡵÍÒ¡ÒÃã¹âç è Œ † Ñ ¾ÂÒºÒŵ‹ÍÍ‹ҧ¹ŒÍ 72 ªÑÇâÁ§ ËÅѧ¨Ò¡¹Ñ¹ãËŒ¡ÒÃÃÑ¡ÉÒ仵ÒÁᵋª¹Ô´, µíÒá˹‹§áÅÐÊÒà˵آͧ è é á¼Å¹Ñ¹ ʋǹ㹡óշÕè endoscopic finding ໚¹ low re-bleeding risk ÊÒÁÒöãËŒ¼»ÇÂàÃÔÁÃѺ é ÙŒ † è »ÃзҹÍÒËÒà áÅÐ ÍÍ¡¨Ò¡âç¾ÂÒºÒÅä´ŒàÃçÇ¢Ö¹ÀÒÂã¹ 24 ªÑÇâÁ§ é è ʋǹ¡ÒÃ㪌 Histamine 2 –receptor antagonist (H2 RA) ¹Ñ¹ÁÕ meta-analysis ¨¹¶Ö§»‚ é ¤.È. 2002 áÊ´§Ç‹Ò H2RA ÁÕ»ÃÐ⪹ã¹¡ÒÃÅ´ÍѵÃÒàÅ×Í´ÍÍ¡«éÒáÅСÒü‹ÒµÑ´ÊíÒËÃѺ gastric ulcer í ᵋäÁ‹Á¼Åµ‹Í duodenal ulcer áÅж֧áÁŒ¨ÐãËŒ continuous high dose H2RA ¡çäÁ‹Á¼Åµ‹ÍÍѵÃÒàÅ×Í´ Õ Õ ÍÍ¡«éÒ ÍѵÃÒµÒÂáÅСÒü‹ÒµÑ´àª‹¹¡Ñ¹ Í‹ҧäáçµÒÁàÁ×ÍÁÕ¡Ò÷íÒ meta-analysis 㹤ÃѧËÅѧæ áÅÐ í è é à»ÃÕºà·Õº¡Ñº endoscopic interventions áÅÐ PPI ¡ÅѺ¾ºÇ‹Ò H2RA ÁÕ»ÃÐ⪹¹Í¡NjÒÍ‹ҧ Œ ªÑ´à¨¹ ÊÃØ»ã¹»˜¨¨Øº¹äÁ‹á¹Ð¹íÒãˌ㪌 H2RA ໚¹ÂÒËÅѡ㹡ÒÃÃÑ¡ÉÒÀÒÇÐ acute non variceal (7) Ñ upper GI bleeding ÍÕ¡µ‹Íä» ¡ÒÃ㪌 Somatostatin ËÃ×Í Octreotide 㹡ÒÃÃÑ¡ÉÒÀÒÇйÕé ¾ºÇ‹ÒÊÒÁÒöŴ recurrent of bleeding ä´Œ´¡Ç‹Ò placebo ᵋàÁ×Íà»ÃÕºà·Õº¡Ñº H2RA, PPI áÅÐ endoscopic treatment Õ è áÅŒÇäÁ‹¾ºÇ‹Òᵡµ‹Ò§¡Ñ¹Í‹ҧÁÕ¹ÂÊíҤѭ·Ò§Ê¶ÔµÔ ´Ñ§¹Ñ¹ ¨Ö§äÁ‹á¹Ð¹íÒãˌ㪌ÂÒ¡ÅØÁ¹Õઋ¹¡Ñ¹(7) Ñ é ‹ é Helicobactor pylori ¡Ñº¡ÒÃà¡Ô´àÅ×Í´Í͡㹷ҧà´Ô¹ÍÒËÒà à¹×ͧ¨Ò¡»ÃÐÁÒ³ 70% ¢Í§ acute upper GI bleeding ¹Ñ¹à¡Ô´¨Ò¡ peptic ulcer bleeding è é áÅÐ gastric erosions áÅШҡ¡ÒÃÈÖ¡ÉÒ·Õ¼Ò¹ÁÒ¾ºÇ‹Ò H.pylori ¹Ñ¹ÊÑÁ¾Ñ¹¸Í‹ҧªÑ´à¨¹¡Ñº¡ÒÃ è ‹ é à¡Ô´ gastric ulcer áÅÐ duodenal ulcer ÁÒ¡¶Ö§ 80-100% Í‹ҧäáçµÒÁÁÕ¢ÍÁÙÅNjҡÒõÃǨËÒ H.Pylori Œ ´ŒÇÂÇÔ¸Õ rapid urease test ã¹¢³Ð·ÕÁÕ active bleeding ¹Ñ¹ÍÒ¨ãËŒ¼Å false negative ¨Ò¡¡Ò÷ÕÁàÅ×Í´»¹ è é è Õ ¨Ö§á¹Ð¹íÒãËŒ·Ò¡ÒõÃǨÍ‹ҧ¹ŒÍ 2 ÇÔ¸Õ à¾×Í¡ÒÃÂ×¹Âѹ¼Å¹‹Ò¨ÐÁÕ»ÃÐ⪹¡Ç‹Ò «Ö§äÁ‹¨Ò໚¹µŒÍ§·íÒ í è è í ·Ñ¹·Õã¹¢³Ð·Õ§ÁÑ»­ËÒ active bleeding ÍÂÙ‹ ´Ñ§¹Ñ¹ã¹¼Ù»Ç·ÕÁÒ´ŒÇ»˜­ËÒ ulcer bleeding ·Ø¡ÃÒ è Ñ ˜ é Œ † è ã¹·ÕÊ´¤ÇÃ䴌ú¡ÒõÃǨËÒ H. Pylori àÊÁÍ áÅÐËÒ¡¾ºÇ‹ÒÁÕ¡ÒõԴàª×Í ¤Ç÷íÒ¡ÒÃÃÑ¡ÉÒ à¾ÃÒÐä´Œ èØ Ñ é ÃѺ¡ÒÃÂÍÁÃѺNjҪ‹ÇÂÅ´âÍ¡ÒÊà¡Ô´ recurrent peptic ulcer 䴌͋ҧªÑ´à¨¹ References : 1. Grace H. Elta. Yamada Text book of Gastroenterology, 4th ed. 2003:698-723. 2. Christopher S. Huang,David R. Lichtenstein.Nonvariceal upper gastrointestinal bleeding.Gastroenterology clinics of north America. 2003;32(4):1053-78. 3. Chen IC, Hung MS et al. Risk scoring systems to predict need for clinical intervention for patients with nonvariceal upper gastrointestinal tract bleeding. Am J Emerg Med. 2007;25(7):774-9. 4. Robert A Enns,Yves M Gagnon et al. Validation of the Rockall scoring system for outcomes from non-variceal upper gastrointestinal bleeding in a Canadian setting. World J Gastroenterology. 2006;12(28):7779-85.
  • 581.
    554 ÀÒÇÐàÅ×Í´Í͡㹷ҧà´Ô¹ÍÒËÒÃʋǹº¹ 5. Hamid Hussain,Seth Lapin et al.Clinical scooring systems for determining the Prognosis of Gastrointestinal bleeding. Gastroenterology clinics of north America. 2000;29(2):445-64. 6. Thomas J. Savides, Dennis M.Jensen.Therapeutic Gastroenterology clinics of north America Endoscopy for Nonvariceal Gastrointestinal Bleeding. 2000;29(2):465-88. 7. Alan Barkun,Marc Bardou et al.Concensus Recommendation for Managing Patients with Nonvariceal Upper Gastrointestinal Bleeding.Ann Intern Med. 2003;139:843-57. 8. Mitshell S. Cappell, David .rieddel.Medical Clinic of North America. 2008;92:491-509.
  • 582.
    àǪÈÒʵÏ·¹Âؤ 2553 Ñ º··Õè 555 75 Management of Esophageal Varices and Esophageal Variceal Hemorrhage ¼ÙŒª‹ÇÂÈÒʵÃÒ¨ÒÏ ᾷ˭ԧÈÔÇоà äªÂ¹ØÇÑµÔ ÍÒ¨ÒÏ ᾷ˭ԧ¹¹·ÅÕ à¼‹ÒÊÇÑÊ´Ôì ÍÒ¨ÒÏ ¹ÒÂá¾·ÂÊØ¾¨¹ ¹ÔèÁ͹§¤ ÀÒ¤ÇÔªÒÍÒÂØÃÈÒʵÏ ¤³Ðá¾·ÂÈÒʵÏÈÔÃÔÃÒª¾ÂÒºÒÅ ÁËÒÇÔ·ÂÒÅÑÂÁËÔ´Å ÀÒÇÐ portal hypertension (PH) ¤×Í ÀÒÇзÕèÁÕ¤‹Ò¤ÇÒÁᵡµ‹Ò§ÃÐËNjҧ¤ÇÒÁ´Ñ¹ã¹ ËÅÍ´àÅ×Í´´íÒ portal áÅÐËÅÍ´àÅ×Í´´íÒãË­‹ (inferior vena cava) à¡Ô¹ 5 mmHg â´Â»¡µÔ ¤ÇÒÁᵡµ‹Ò§ÃÐËNjҧ¤ÇÒÁ´Ñ¹ã¹ËÅÍ´àÅ×Í´´íÒ¾ÍÏ·Å (portal pressure gradient) ¨ÐÍÂÙÃÐËNjҧ Ñ ‹ 1-5 mm Hg ¹Í¡¨Ò¡¹Õã¹ÀÒÇÐ PH ÂѧÁÕ¡ÒÃà»ÅÕ¹àÊŒ¹·Ò§äËÅàÇÕ¹¢Í§àÅ×Í´â´Â¡ÒÃÊÌҧ portal é è systemic collaterals ¢Ö¹ÁÒ໚¹·Ò§ÅÑ´¢Í§àÅ×Í´«Ö§¨Ð·íÒãËŒÁ¡ÒÃäËÅàÇÕ¹¢Í§àÅ×Í´¨Ò¡ portal system é è Õ à¢ŒÒä»ÊÙÃкº¡ÒÃäËÅàÇÕ¹ systemic â´ÂµÃ§â´ÂàÅ×Í´¨ÐäÁ‹¼Ò¹µÑº àÊŒ¹àÅ×Í´ collaterals ·Õà¡Ô´¢Ö¹ ‹ ‹ è é 䴌ᡋàÊŒ¹àÅ×Í´¢Í´ã¹ËÅÍ´ÍÒËÒÃ-¡ÃÐà¾ÒÐÍÒËÒà (gastroesophageal varices) àÁ×ÍÁÕ portal pressure è ÊÙ§¢Ö¹àÃ×ÍÂæ ¡ç¨ÐÁÕ¡ÒÃ⻆§µÑǢͧàÊŒ¹àÅ×Í´¢Í´àËŋҹÕáÅÐà¡Ô´àÅ×Í´Í͡㹷ÕÊ´ (variceal bleeding) é è é èØ Esophageal varices and esophageal variceal hemorrhage ¤ÇÒÁªØ¡¢Í§àÊŒ¹àÅ×Í´¢Í´ã¹ËÅÍ´ÍÒËÒâͧ¼ÙŒ»†Ç·ÕèÁÕÀÒÇеѺá¢ç§·Õèä´ŒµÃǨʋͧ¡ÅŒÍ§ ·Ò§à´Ô¹ÍÒËÒÃʋǹµŒ¹ (esophagogastroduodenoscopy, EGD) »ÃÐÁҳÌÍÂÅÐ 30-40 áÅоº àÊŒ¹àÅ×Í´¢Í´ã¹ËÅÍ´ÍÒËÒö֧ 60% ã¹¼ÙŒ»†ÇµѺá¢ç§ÃÐÂÐÊØ´·ŒÒ (decompensated cirrhosis) ¨Ò¡¡ÒÃÈÖ¡ÉÒ¡ÒÃà¡Ô´¢Í§àÊŒ¹àÅ×Í´ã¹ËÅÍ´ÍÒËÒà (esophageal varices, EV) â´Â Groszmann áÅÐ ¤³Ð¾ºÇ‹Ò¤‹Ò hepatic venous pressure gradient (HVPG) ·ÕÁÒ¡¡Ç‹Ò 10 mmHg ໚¹»˜¨¨Ñº‹§ºÍ¡ è (predictor) ·ÕÊҤѭ㹡ÒÃà¡Ô´ EV èí ÍØºµ¡Òó¢Í§¡ÒÃà¡Ô´àÊŒ¹àÅ×Í´¢Í´ã¹ËÅÍ´ÍÒËÒÃ㹼ٻǵѺá¢ç§¾º»ÃÐÁҳÌÍÂÅÐ 5-8 Ñ Ô Œ † µ‹Í»‚áÅÐàÊŒ¹àÅ×Í´¢Í´¢¹Ò´àÅç¡ (small EV) ¨Ðâµ¢Ö¹¢ÂÒµÑÇ໚¹¢¹Ò´ãË­‹ (large EV) ã¹ÍѵÃÒ é ÃŒÍÂÅÐ 5-30 µ‹Í»‚ âÍ¡ÒÊ·Õà¡Ô´àÊŒ¹àÅ×Í´ÍÍ¡¨Ò¡àÊŒ¹àÅ×Í´¢Í´áµ¡»ÃÐÁҳÌÍÂÅÐ 15 µ‹Í»‚ àÁ×Íà¡Ô´ è è ÀÒÇÐàÅ×Í´ÍÍ¡¨Ò¡àÊŒ¹àÅ×Í´¢Í´ã¹ËÅÍ´ÍÒËÒüٻǨÐÁÕ͵ÃÒàÊÕªÕǵ¶Ö§ÃŒÍÂÅÐ 15-20 Œ † Ñ Ô
  • 583.
    556 Management of Esophageal Varices and Esophageal Variceal Hemorrhage ¡ÒÃÇÔ¹¨©ÑÂÀÒÇÐ EV ¤Ç÷íÒâ´Â¡ÒÃʋͧ¡ÅŒÍ§µÃǨ·Ò§à´Ô¹ÍÒËÒÃʋǹµŒ¹ ¡ÒÃÇÔ¹¨©ÑÂâ´Â Ô Ô ÇԸ͹ÂѧäÁ‹¶Í໚¹Áҵðҹ ºÒ§¡Ã³ÕÁ¼ãªŒ¨Ò¹Ç¹à¡Åç´àÅ×Í´ª‹Çº‹§¶Ö§ÀÒÇзըÐÁÕ EV ઋ¹¨íҹǹ Õ ×è × Õ ÙŒ í è platelet count <100,000/mm áÅСÒõÃǨÍÑŵÃÒ«Òǹà¾×Í»ÃÐàÁÔ¹ portal vein diameter ¶ŒÒÁÕ 3 è ¢¹Ò´ >13 mm ¹Í¡¨Ò¡¹Ñ¹ÂѧÁÕ¡ÒÃÈÖ¡ÉÒ¾ºÇ‹Ò¼Ù»Ç ·ÕÁÕ platelet count ¹ŒÍÂ¡Ç‹Ò 88,000 /mm3 é Œ † è ËÃ×͵ÃǨ¾ºÁÕÁÒÁ⵨оº large varices ¶Ö§ÃŒÍÂÅÐ 28 àÁ×Íà·Õº¡ÑºÃŒÍÂÅÐ 7 ã¹¡ÅØÁ·ÕäÁ‹Á»¨¨Ñ Œ è ‹ è Õ ˜ ´Ñ§¡Å‹ÒÇ ¡ÒõÃǨ¾º EV â´Â¡Ò÷íÒ CT scan ËÃ×Í¡Ò÷íÒ fibroscan à¾×Í´ÙÀÒÇмѧ¼×´ã¹µÑºàÃÒÂѧ è äÁ‹¶Í໚¹¡ÒÃÇÔ¹¨©ÑÂÁҵðҹ áÅÐäÁ‹Á¢Íº‹§ªÕ·µÍ§ãËŒ¡ÒÃÃÑ¡ÉÒ ¢³Ð¹Õ§äÁ‹ÁµÇªÕÇ´ã´æ ·ÕÁ¤ÇÒÁ × Ô Õ Œ é Õè Œ é Ñ Õ Ñ éÑ è Õ äÇà¾Õ§¾Í¨ÐãËŒ¡ÒÃÇÔ¹¨©ÑÂä´ŒÇҼٻǷÕ໚¹µÑºá¢ç§¨ÐÁÕ EV ËÃ×ÍäÁ‹ ´Ñ§¹Ñ¹¼Ù»Ç·Õ䴌ú¡ÒÃÇÔ¹¨©ÑÂ Ô ‹ Œ † è é Œ † è Ñ Ô Ç‹Ò໚¹µÑºá¢ç§¤ÇÃ䴌ú¡Ò÷íÒ endoscopy à¾×Í໚¹¡ÒÃʹѺʹع¡ÒÃÇÔ¹¨©ÑµѺá¢ç§áÅеÃǨËÒ EV Ñ è Ô ¡Ã³Õ·¼»Ç·դÃѧáá·ÕµÃǨäÁ‹¾º EV á¹Ð¹íÒãËŒÁ¡ÒõÃǨ«éÒ໚¹ÃÐÂÐæ à¾×Í»ÃÐàÁÔ¹áÅеԴµÒÁ Õè ÙŒ † è é è Õ í è â´Â·ÑÇ令Ç÷íÒ·Ø¡ 2-3 »‚ ÊíÒËÃѺ¼Ù»Ç·յÃǨ¾º small EV 㹡ÒÃʋͧ¡ÅŒÍ§¤ÃѧááËÃ×ͼٻÇ·Õè è Œ † è é Œ † ÁÕ decompensated cirrhosis ¤ÇõԴµÒÁ·Ø¡»‚ ¡ÒÃẋ§ÃÐÂТͧàÊŒ¹àÅ×Í´¢Í´ã¹ËÅÍ´ÍÒËÒà ¡ÒÃẋ§ÃÐÂТͧàÊŒ¹àÅ×Í´¢Í´ã¹ËÅÍ´ÍÒËÒà (ÃÙ»·Õè 1) ¹Ñ¹ÁÕËÅÒ¡ËÅÒÂᵋ»­ËÒ¤×ÍÇ‹ÒÁÕ é ˜ ¤ÇÒÁá»Ã»Ãǹ㹡ÒÃ͋ҹÁҡઋ¹¡Ñ¹ ÁÕ¡ÒÃá¹Ð¹íÒNjҡÒÃẋ§ÃÐÂТͧàÊŒ¹àÅ×Í´¢Í´ã¹ËÅÍ´ÍÒËÒà µÒÁÇÔ¸¢Í§ Japanese Research Society for portal hypertension classification ¹Ñ¹ãªŒ§ÒÂáÅй‹Ò Õ é ‹ ¨Ð¹íÒÁÒ»ÃÐÂØ¡µãªŒã¹´Õã¹àǪ»¯ÔºµÔ ¡ÒÃẋ§ÃÐÂТͧàÊŒ¹àÅ×Í´¢Í´ã¹ËÅÍ´ÍÒËÒ÷Õ㪌㹻˜¨¨Øº¹ Ñ è Ñ ä´Œá¡‹ ! ¤ÇÒÁÂÒÇ (extent) ¢Í§àÊŒ¹àÅ×Í´¢Í´ÇѴ໚¹ «Á. ¹Ñº¨Ò¡ gastroesophageal junction ! ¢¹Ò´ (size) ¢Í§àÊŒ¹àÅ×Í´¢Í´ (.0 – äÁ‹Á; .1- àÅç¡ µÃ§ äÁ‹¤´à¤ÕÂÇ; .2 - ¤´à¤ÕÂÇ Õ é é ᵋàÅç¡¡Ç‹ÒÃŒÍÂÅÐ 50 ¢Í§ÃÑÈÁÕ; .3 – ¤´à¤ÕÂÇáÅÐãË­‹¡Ç‹ÒÃŒÍÂÅÐ 50 ¢Í§ÃÑÈÁÕ é ! ÊÕ (color) ¢Í§àÊŒ¹àÅ×Í´¢Í´ (ÊÕ¤ÅéÒ ËÃ×ÍÊÕ¢ÒÇ) í ! Red signs (red wale marking, cherry-red spot, hematocystic spot) ¾ºÇ‹Ò predictor ÊíÒËÃѺ¡ÒÃà¡Ô´àÅ×Í´ÍÍ¡¨Ò¡àÊŒ¹àÅ×Í´¢Í´ã¹ËÅÍ´ÍÒËÒâֹÍÂÙ¡º 3 »˜¨¨ÑÂ é ‹ Ñ ä´Œá¡‹ ¢¹Ò´, red wale markings áÅФÇÒÁÃØ¹áç¢Í§âäµÑº (Child-Pugh score) ¢Í§¼Ù»Ç Œ †
  • 584.
    àǪÈÒʵÏ·¹Âؤ 2553 Ñ 557 ÃÙ»·Õè 1 áÊ´§ÀÒ¾¡ÒÃẋ§ÃÐÂТͧËÅÍ´àÅ×Í´¢Í´ã¹ËÅÍ´ÍÒËÒà ¡Òû‡Í§¡Ñ¹¡ÒÃà¡Ô´àÊŒ¹àÅ×Í´¢Í´ã¹ËÅÍ´ÍÒËÒà (Pre-primary prophylaxis) ¡ÒÃÈÖ¡ÉҢͧ Groszmann áÅФ³Ð㹼ٻǵѺá¢ç§à¾×Í´Ù͵ÃÒ¡ÒÃà¡Ô´ EV áÅлÃÐàÁÔ¹¼Å Œ † è Ñ ¢Í§¡ÒÃãËŒÂÒ timolol «Ö§à»š¹ non-selective beta-blocker (BB) 㹡Òû‡Í§¡Ñ¹¡ÒÃà¡Ô´ EV ¹Ñ¹¾ºÇ‹Ò è é ¼Ù»ÇµѺá¢ç§¨íҹdz 213 ¤¹·Õ§äÁ‹ÁÕ EV à¡Ô´¢Ö¹ ẋ§¼Ù»ÇÂ໚¹ 2 ¡ÅØÁâ´ÂãËŒÂÒ timolol áÅÐ placebo Œ † èÑ é Œ † ‹ µÔ´µÒÁµÃǨʋͧ¡ÅŒÍ§ EGD ¼ÙŒ»†ÇÂà¾×è͵ÃǨ EV ໚¹ÃÐÂÐàÇÅÒà©ÅÕè»ÃÐÁÒ³ 4 »‚¾ºÇ‹ÒÍѵÃÒ ¡ÒÃà¡Ô´ EV, ËÃ×Í¡ÒÃà¡Ô´àÅ×Í´ÍÍ¡¨Ò¡ EV äÁ‹áµ¡µ‹Ò§¡Ñ¹ã¹¼Ù»Ç·ѧ 2 ¡ÅØÁ ¨Ö§à»š¹¢ŒÍÊÃØ»Ç‹Ò Œ † é ‹ ¡ÒÃãËŒÂÒ BB 㹼ٻǵѺá¢ç§¹Ñ¹äÁ‹ÊÒÁÒö»‡Í§¡Ñ¹ËÃ×ͪÐÅÍ¡ÒÃà¡Ô´ EV ä´Œ ¨Ö§äÁ‹á¹Ð¹íÒ¡ÒÃàÃÔÁ Œ † é è ãËŒÂÒ BB 㹼ٻǷÕ䴌ú¡ÒÃÇÔ¹¨©ÑÂÀÒÇеѺá¢ç§ (â´Â·Õ§äÁ‹ä´ŒÊͧ¡ÅŒÍ§·Ò§à´Ô¹ÍÒËÒûÃÐàÁÔ¹ EV) Œ † è Ñ Ô èÑ ‹ à¾×Í»‡Í§¡Ñ¹¡ÒÃà¡Ô´ EV á¹Ð¹íÒãËŒµÃǨʋͧ¡ÅŒÍ§«éÒÍÕ¡·Ø¡ 2-3 »‚ è í ¡Òû‡Í§¡Ñ¹¡ÒÃᵡ¢Í§àÊŒ¹àÅ×Í´¢Í´ã¹ËÅÍ´ÍÒËÒà (Primary prophylaxis for esophageal variceal bleeding) ¡ÒÃÅ´¤ÇÒÁ´Ñ¹ã¹ÀÒÇÐ PH ¹Ñ鹨ÐÊÒÁÒöʋ§¼Å»‡Í§¡Ñ¹¡ÒÃà¡Ô´ variceal bleeding ä´Œ â´ÂÇÔ¸¡ÒÃÅ´¤ÇÒÁ´Ñ¹¹Ñ¹ÍҨ໚¹¡ÒÃãËŒÂÒÃÑ¡ÉÒ (medical treatment) ËÃ×Í local treatment ઋ¹ Õ é ¡ÒÃʋͧ¡ÅŒÍ§·Ò§à´Ô¹ÍÒËÒÃáÅÐ㪌ÂÒ§ÃÑ´àÊŒ¹àÅ×Í´¢Í´ (esophageal band ligation, EBL) ¡ÒÃÊÌҧ ·Ò§à´Ô¹¢Í§àÅ×Í´ãËÁ‹¢Í§â´Â¡ÒÃãÊ‹ stent ã¹àÊŒ¹àÅ×Í´´íÒ㹵Ѻ (portal-systemic shunt) ËÅÑ¡¡Òà ãËŒÂÒÅ´¤ÇÒÁ´Ñ¹ã¹ PH ¹Ñé¹ ÁÕ·Ñé§¡ÒÃãËŒÂÒ vasoconstrictors áÅÐ vasodilators â´Â¼ÅÃÇÁ¨Ð ä»Å´¤ÇÒÁµŒÒ¹·Ò¹ã¹ËÅÍ´àÅ×ʹ㹵Ѻ ÂҴѧ¡Å‹ÒǤ×Í propranolol, nadolol, carvedilol, isosorbide-
  • 585.
    558 Management of Esophageal Varices and Esophageal Variceal Hemorrhage 5- mononitrate (ISMN) ÊíÒËÃѺ non-selective ß- blocker (propranolol, nadolol, carvedilol) ¹Ñ¹ÊÒÁÒö é Å´¤ÇÒÁ´Ñ¹ã¹ËÅÍ´àÅ×Í´¾ÍϵÅä´Œâ´Â¡ÒÃÍ͡ķ¸Ôì cardiac output ¼‹Ò¹ ß1-blockade áÅÐÍ͡ķ¸Ôì Ñ ª‹ÇÂãËŒàÅ×Í´äËż‹Ò¹ splanchnic circulation ¹ŒÍÂŧ·íÒãËŒ»ÃÔÁÒ³àÅ×Í´·Õ¼Ò¹à¢ŒÒÊÙ‹ portal system è ‹ ¹ŒÍÂŧ â´ÂÍ͡ķ¸¼Ò¹ ß2-blockade ·íÒãËŒà¡Ô´¡ÒÃË´µÑǢͧËÅÍ´àÅ×Í´ã¹ splanchnic circulation ‹ µÒÃÒ§·Õè 1 ÂÒ·Õè㪌㹡Òû‡Í§¡Ñ¹ÀÒÇÐàÊŒ¹àÅ×ʹᵡáÅÐÅ´¤ÇÒÁ´Ñ¹ã¹¾ÍÏ·ÑÅ Propranolol 20 mg bid Primary, secondary prophylaxis Nadolol 40 mg bid Primary, secondary prophylaxis Carvedilol 6.25 mg bid Primary, secondary prophylaxis Isosorbide 5-mononitrate 10-20 mg bid Primary, secondary prophylaxis Only with beta-blocker ¨Ò¡¡ÒÃÈÖ¡ÉÒÇÔ¨Âã¹Í´Õµ¾ºÇ‹Ò¡ÒÃãËŒÂÒ¡ÅØÁ non-selective ß-blocker ¹Ñ¹¨Ðª‹Ç»‡Í§¡Ñ¹¡ÒÃ Ñ ‹ é à¡Ô´ EV hemorrhage ä´Œ ᵋ¾ºÇ‹Ò¼Å´Ñ§¡Å‹ÒǨÐä´Œ»ÃÐ⪹Í‹ҧÁÕ¹ÂÊíÒ¤Ñ­ã¹¡ÅØÁ medium-large Ñ ‹ EV «Öè§¾ºÇ‹ÒÍѵÃÒ¡ÒÃà¡Ô´ÀÒÇÐàÅ×Í´ÍÍ¡¨Ò¡ EV ¹Ñé¹ã¹¼ÙŒ»†ÇÂ¡ÅØ‹Á·Õèä´ŒÃѺÂÒËÅÍ¡à·Õº¡Ñº non-selective ß-blocker ໚¹ÃŒÍÂÅÐ 30 áÅÐ 14 µÒÁÅíҴѺ ¨Ö§à»š¹¢ŒÍá¹Ð¹íÒNjҤÇÃàÃÔèÁÂÒ non-selective ß-blocker àÁ×è͵ÃǨ¾º EV ¢¹Ò´ .2 ËÃ×Í medium-large ໚¹µŒ¹ä»àÁ×èÍãËŒÂÒ non-selective ß-blocker á¹Ð¹íÒãËŒ»ÃѺ¢¹Ò´ÂÒà¾×Íãˌ͵ÃÒ¡ÒÃൌ¹¢Í§ËÑÇ㨪ŒÒŧÍ‹ҧ¹ŒÍ ÌÍÂÅÐ 25 è Ñ ¨Ò¡¤‹ÒàÃÔÁµŒ¹ËÃ×Í»ÃÐÁÒ³ 55-60 ¤Ãѧµ‹Í¹Ò·Õ¢³Ð¾Ñ¡ è é ¡ÒÃÈÖ¡ÉÒ meta-analysis ¢Í§ Khuroo áÅФ³Ðã¹»‚ ¤.È. 2005 áÅÐ Tripathi áÅФ³Ð ã¹»‚ 2007 à¾×Íà»ÃÕºà·Õº»ÃÐÊÔ·¸ÔÀÒ¾¢Í§ ÂÒ non-selective ß-blocker áÅÐ EBL 㹡Òû‡Í§¡Ñ¹ è ¡ÒÃà¡Ô´ EV hemorrhage ¹Ñ¹¾ºÇ‹Òä´Œ¼Å¤ÅŒÒ¤ÅÖ§¡Ñ¹ ¡Å‹ÒǤ×Í EBL ÊÒÁÒöŴ¤ÇÒÁàÊÕ§¢Í§¡Òà é è à¡Ô´àÅ×Í´ÍÍ¡¨Ò¡àÊŒ¹àÅ×Í´¢Í´¢Í§ËÅÍ´ÍÒËÒäÃѧáá䴌ÃÍÂÅÐ 37-43 àÁ×Íà·Õº¡Ñº¼Ù»Ç·Õ䴌úÂÒ é Œ è Œ † è Ñ áµ‹ÍѵÃÒµÒ¨ҡÀÒÇÐàÅ×Í´ÍÍ¡áÅÐÍѵÃÒµÒÂâ´ÂÃÇÁäÁ‹áµ¡µ‹Ò§Í‹ҧÁÕ¹ÑÂÊíҤѭ ´Ñ§¹Ñé¹ã¹¡Ã³Õ ·Õè¼ÙŒ»†ÇÂäÁ‹ÊÒÁÒö·¹µ‹ÍÂÒ non-selective ß-blocker ä´ŒËÃ×ÍÇ‹ÒÁռŢŒÒ§à¤Õ§¨Ò¡ÂÒ ËÃ×ͼٌ»†Ç àÅ×Í¡·Õ¨Ð·íÒ¡ÒÃʋͧ¡ÅŒÍ§áÅÐ EBL àÃÒ¡çÊÒÁÒöàÅ×Í¡¡Ò÷íÒ EBL à¾×Í»‡Í§¡Ñ¹¡ÒÃà¡Ô´àÅ×Í´ÍÍ¡¨Ò¡ è è àÊŒ¹àÅ×Í´¢Í´ä´Œ ¡ÒÃʋͧ¡ÅŒÍ§à¾×Í»‡Í§¡Ñ¹¹Ñ¹á¹Ð¹íÒãËŒ·Ò·Ø¡ 3-4 ÊÑ»´Òˏ¨¹¡Ç‹Ò¢¹Ò´àÊŒ¹àÅ×Í´¢Í´ è é í ¨ÐàÅç¡à¡Ô¹¡Ç‹Ò·Õ¨Ð·íÒ¡ÒÃÃÑ¡ÉÒä´ŒËÃ×ÍàÊŒ¹àÅ×Í´¢Í´ËÁ´ä» è ¨Ò¡¢ŒÍÁÙŵ‹Ò§æ ¨Ö§à»š¹¢ŒÍá¹Ð¹íÒÇ‹ÒäÁ‹¤ÇÃàÃÔèÁãËŒÂÒà¾×èÍ»‡Í§¡Ñ¹ÀÒÇÐ EV hemorrhage ã¹¼ÙŒ»†Ç·ÕèÁÕàÊŒ¹àÅ×Í´¢Í´¢¹Ò´àÅç¡ËÃ×ͼٌ»†Ç·ÕèÂѧäÁ‹ÁÕàÊŒ¹àÅ×Í´¢Í´ã¹ËÅÍ´ÍÒËÒ÷ÕèàË繨ҡ¡Òà ʋͧ¡ÅŒÍ§ ¡àÇŒ¹áµ‹ã¹¼Ù»Ç·ÕÁàÊŒ¹àÅ×Í´¢Í´¢¹Ò´àÅç¡áµ‹ÁÕ red colour signs ËÃ×Í㹼ٻǷÕÁÀÒÇÐ Œ † è Õ Œ † è Õ µÑºá¢ç§ÃÐÂÐÊØ´·ŒÒ Child-Pugh C ËÇÁ¡Ñº¡ÒõÃǨ¾º small EV ã¹¼Ù»ÇÂàËŋҹѹÍÒ¨¾Ô¨ÒóÒàÃÔÁ Œ † é è ãËŒÂÒ¡ÅØÁ non-selective ß-blocker ä´Œà¾×Í»‡Í§¡Ñ¹¡ÒÃà¡Ô´ÀÒÇÐàÅ×Í´ÍÍ¡¨Ò¡àÊŒ¹àÅ×Í´¢Í´áµ¡ ã¹¡Ã³Õ ‹ è ·Õèä´ŒàÃÔèÁãËŒÂÒá¡‹¼ÙŒ»†ÇÂáÅŒÇäÁ‹¨íÒ໚¹µŒÍ§·íÒ¡ÒõÃǨ EGD «éíÒà¾×èÍ´Ù¢¹Ò´¡ÒâÂÒµÑǢͧ
  • 586.
    àǪÈÒʵÏ·¹Âؤ 2553 Ñ 559 àÊŒ¹àÅ×Í´¢Í´ÍÕ¡ ¶ŒÒã¹¡ÅØÁ¼Ù»ÇµѺá¢ç§·ÕÁÕ small EV áÅÐÂѧäÁ‹ä´ŒàÃÔÁãËŒÂÒÃÑ¡ÉÒ»‡Í§¡Ñ¹á¹Ð¹íÒãËŒ ‹ Œ † è è µÃǨʋͧ¡ÅŒÍ§ EGD «éÒÍÕ¡·Ø¡ 1-2 »‚ í ÀÒÇÐàÅ×Í´Í͡㹷ҧà´Ô¹ÍÒËÒÃà©Õº¾Åѹ¨Ò¡àÊŒ¹àÅ×Í´¢Í´ã¹ËÅÍ´ ÍÒËÒÃᵡ (Acute Esophageal Varcieal Hemorrhage) ¡ÒÃÃÑ¡ÉÒÀÒÇÐàÅ×Í´ÍÍ¡¨Ò¡àÊŒ¹àÅ×Í´¢Í´ã¹ËÅÍ´ÍÒËÒÃã¹»˜¨¨Øº¹»ÃСͺ仴ŒÇÂ Ñ 1. ¡ÒÃÃÑ¡ÉÒ´ŒÇÂÂÒ 2. ¡ÒÃÃÑ¡ÉÒâ´Â¡ÒÃʋͧ¡ÅŒÍ§ 3. Balloon tamponade (Sengstaken-Blakemore tube) 4. Transjugular intrahepatic portosystemic shunt (TIPS) 5. ¡Òü‹ÒµÑ´ ¡ÒÃà»ÃÕºà·ÕºÅѡɳТŒÍ´Õ¢ÍàÊÕ¢ͧ¡ÒÃÃÑ¡ÉÒâ´ÂÇÔ¸µÒ§æáÊ´§ã¹µÒÃÒ§·Õè 2 â´Âá¹Ç·Ò§ Œ Õ ‹ ¡ÒÃÃÑ¡ÉÒ áº‹§à»š¹ ¡ÒÃÃÑ¡ÉÒ¡‹Í¹Ê‹Í§¡ÅŒÍ§ »ÃСͺ仴ŒÇ¡ÒÃÃÑ¡ÉÒ´ŒÇÂÂÒ ËÃ×Í balloon tamponade ¡ÒÃÃÑ¡ÉÒâ´Â¡ÒÃʋͧ¡ÅŒÍ§ ẋ§à»š¹ esophageal variceal sclerotherapy (EVS) ໚¹¡Òà ÃÑ¡ÉÒâ´Â¡Òéմ sclerosing agent à¾×Í໚¹¡Òà obliterate àÊŒ¹àÅ×Í´ ᵋ»¨¨Øº¹ÁÕ¡Ò÷íÒ¹ŒÍÂŧ áÅÐ è ˜ Ñ esophageal variceal band ligation (EVL) ໚¹¡ÒÃÃÑ¡ÉÒâ´Â¡ÒÃ㪌 rubber band 仼١àÊŒ¹àÅ×Í´¢Í´ ã¹»˜¨¨Øº¹¹ÔÂÁ·íҡѹÁÒ¡à¹×ͧ¨Ò¡·íÒ§‹ÒÂáÅÐÁռŢŒÒ§à¤Õ§¹ŒÍÂáÅÐä´Œ¼Å´Õ Ñ è ¡ÒÃÃÑ¡ÉÒËÅѧʋͧ¡ÅŒÍ§ »ÃСͺ´ŒÇ¡ÒÃ㪌ÂÒ ¡Òû‡Í§¡Ñ¹àÅ×Í´ÍÍ¡«éíÒ (secondary prophylaxis) áÅСÒÃãËŒÂÒ»¯ÔªÇ¹Ð»‡Í§¡Ñ¹ Õ µÒÃÒ§·Õè 2 à»ÃÕºà·Õº¼Å¢Í§¡ÒÃÃÑ¡ÉÒÀÒÇÐàÅ×Í´ÍÍ¡¨Ò¡àÊŒ¹àÅ×Í´¢Í´ã¹ËÅÍ´ÍÒËÒà ´ŒÇÂÇÔ¸Õµ‹Ò§æ ¡ÒÃʋͧ¡ÅŒÍ§ Somatostatin S-B tube ËÂØ´àÅ×Í´ (ÃŒÍÂÅÐ) 70-90 60-75 80-100 àÅ×Í´ÍÍ¡«éÒ (ÃŒÍÂÅÐ) í 20 40 50 ÀÒÇÐá·Ã¡«ŒÍ¹ (ÃŒÍÂÅÐ) 2-22 ¹ŒÍÂÁÒ¡ 15-68 ¤ÇÒÁàÃçÇ㹡ÒÃËÂØ´àÅ×Í´ ·Ñ¹·Õ 1-2 ªÁ. ·Ñ¹·Õ ÃÒ¤Ò +++ ++++ + 1. ¡ÒÃÃÑ¡ÉÒ´ŒÇ¡ÒÃ㪌ÂÒ ÂÒËÅÑ¡ã¹¡ÅØÁ¹Õ»ÃСͺ仴ŒÇ somatostatin áÅÐ analogue (ઋ¹ octreotide, vapreotide), ‹ é vasopressin áÅÐ analogue, ß-blocker áÅÐ nitrate
  • 587.
    560 Management of Esophageal Varices and Esophageal Variceal Hemorrhage Somatostatin áÅÐ analogue (octreotide áÅÐ vapreotide) á¹Ð¹íÒãËŒ somatostatin ã¹¢¹Ò´ 250 äÁâ¤Ã¡ÃÑÁ©Õ´ µÒÁ´ŒÇÂË´·Ò§ËÅÍ´àÅ×Í´´íÒ 250 äÁâ¤Ã¡ÃÑÁ/ªÁ. ËÃ×Í㪌 octreotide 50 äÁâ¤Ã¡ÃÑÁ©Õ´ µÒÁ´ŒÇÂË´·Ò§ËÅÍ´àÅ×Í´´íÒ 50 äÁâ¤Ã¡ÃÑÁ/ªÁ. ¾ºÇ‹Ò somatostatin ÊÒÁÒöŴ hepatic venous pressure gradient, variceal pressure áÅÐ azygos blood flow ä´Œ ᵋ¨ÐÁÕ¼Å㹡ÒÃÅ´à¾Õ§ªÑèǤÃÒÇ ´Ñ§¹Ñ鹨֧¨íÒ໚¹µŒÍ§ãËŒã¹ÃٻẺË´·Ò§ ËÅÍ´àÅ×Í´´íÒµ‹Í ÊÒÁÒö¤Çº¤ØÁàÅ×Í´ÍÍ¡¨Ò¡àÊŒ¹àÅ×Í´¢Í´ã¹ËÅÍ´ÍÒËÒÃä´ŒàÁ×Íà·Õº¡ÑºÂÒËÅÍ¡ è «Ö§ä´Œ¼Å¾Íæ ¡Ñº terlipressin è Octreotide áÅÐ vapreotide ¨ÐÁÕ¤Ò¤ÃÖ§ªÕǵ¹Ò¹¡Ç‹Ò somatostatin ÊÒÁÒöŴ hepatic ‹ è Ô venous pressure gradient áÅÐ azygos blood flow ᵋäÁ‹Å´¤ÇÒÁ´Ñ¹ã¹àÊŒ¹àÅ×Í´¢Í´¼Å·Õä´Œ¾Íæ è ¡Ñº¡ÒÃÃÑ¡ÉÒ´ŒÇ terlipressin Vasopressin áÅÐ analogue (terlipressin) Vasopressin ໚¹ splanchnic vasoconstrictor ·Õáç ¨Ö§·íÒãËŒäÁ‹à»š¹·Õ¹ÂÁ㪌 à¹×ͧ¨Ò¡ è è Ô è ¼Å¢ŒÒ§à¤Õ§ terlipressin «Ö§à»š¹ vasopressin analogue (¢¹Ò´·Õ㪌 2 Á¡. ·Ø¡ 4 ªÁ. ÊíÒËÃѺ¤¹ä·Â è è á¹Ð¹íÒãˌ㪌 1 Á¡. ·Ø¡ 8 ªÁ.¨ÐàËÁÒÐÊÁ¡Ç‹ÒáÅÐà¡Ô´¼Å¢ŒÒ§à¤Õ§ÍÒ·Ô ischemia ¹ŒÍ¡NjÒ) ¹Ñ¹ é ÊÒÁÒöŴ hepatic venous pressure gradient áÅФÇÒÁ´Ñ¹ã¹àÊŒ¹àÅ×Í´¢Í´ ÃÇÁ·Ñ§ azygos blood é flow ä´Œ´ŒÇ ¾ºÇ‹Ò terlipressin ´Õ¡Ç‹ÒÂÒËÅ͡㹡ÒÃËÂØ´àÅ×Í´ÍÍ¡ áÅÐÂѧ·íÒãˌŴ renal vasoconstrictor system activity ª‹ÇÂãËŒ¡Ò÷íÒ§Ò¹¢Í§äµ´Õ¢¹ã¹¼Ù»Ç·Õ໚¹ hepatorenal syndrome Öé Œ † è Í‹ҧäáç´Õ¤ÇèÐÃÐÇѧNjÒÂÒ¹ÕéÊÒÁÒö·íÒãËŒà¡Ô´ ischemic complication ä´Œâ´Â੾ÒÐã¹¼ÙŒ»†Ç ·ÕÁ»­ËÒªçͤ¨Ò¡ hypovolemia áÅÐäÁ‹á¹Ð¹íÒãˌ㪌ÂÒ¹Õ㹼ٻǷÕÁâäËÑÇ㨠è Õ ˜ é Œ † è Õ 2. ¡ÒÃÃÑ¡ÉÒ´ŒÇ balloon tamponade ¡ÒÃÃÑ¡ÉÒ´ŒÇ balloon tamponade â´Â㪌 Sengstaken-Blakemore (S-B) tube (ÃÙ»·Õè 2) ÂÑ § ÁÕ ¤ ÇÒÁ¨Óà»ç ¹ ã¹»ÃÐà·Èä·Âà¹× è Í §¨Ò¡¡ÒÃÃÑ ¡ ÉÒ´é Ç Â¡ÒÃÊè Í §¡Åé Í §ÂÑ § äÁè Ê ÒÁÒö·Óä´é ã¹·Ø¡âç¾ÂÒºÒÅ ´Ñ§¹Ñé¹á¾·Â¨ºãËÁ‹ËÃ×ÍÍÒÂØÃᾷ·ÑèÇ令ÇèÐÁÕ¤ÇÒÁÃÙŒ¤ÇÒÁࢌÒã¨ã¹¡ÒÃ㪌 S-B tube ໚¹Í‹ҧ´Õ â´Â·ÑèÇä»ã¹âç¾ÂÒºÒÅ·ÕèÁÕÊÒÁÒöãËŒ¡ÒÃÃÑ¡ÉÒâ´Â¡ÒÃʋͧ¡ÅŒÍ§ä´Œ¡ç äÁ‹á¹Ð¹íÒãˌ㪌 S-B tube ¡àÇŒ¹àÊÕÂᵋNjҨÐ໚¹ bridging therapy ÊíÒËÃѺ¼ÙŒ»†Ç·ÕèʧÊÑÂÇ‹Ò ¨ÐàÅ×Í´ÍÍ¡¨Ò¡àÊŒ¹àÅ×Í´¢Í´ã¹ËÅÍ´ÍÒËÒà ᵋãËŒÂÒã¹¡ÅØÁ somatostatin ËÃ×Í terlipressin ä»áÅŒÇ ‹ 1-2 ªÑÇâÁ§áÅŒÇÂѧÁÕàÅ×Í´ÍÍ¡ÍÂÙÁÒ¡ áÅмٻÇÂÂѧÍÂÙã¹ÀÒÇзÕäÁ‹àËÁÒе‹Í¡ÒÃʋͧ¡ÅŒÍ§ è ‹ Œ † ‹ è ËÅÑ¡¡ÒÃ㪌 S-B tube á¹Ð¹íÒÇ‹Ò gastric balloon ¤ÇÃ㪌ÅÁ»ÃÐÁÒ³ 200-250 ÁÅ.áŌǶ‹Ç§ÊÒ S-B tube ´ŒÇ¹éÒ˹ѡ 0.5 ¡¡. (ÁÑ¡¨Ð㪌¢Ç´¹éÒà¡Å×Í 500 ÁÅ.) áÅŒÇÊѧࡵ´ÙÇÒàÅ×Í´ËÂØ´ÍÍ¡ËÃ×ÍäÁ‹ í í ‹ ¶ŒÒÂѧäÁ‹ËÂØ´¡çá¹Ð¹íÒNjҤÇèÐãÊ‹ÅÁã¹ esophageal balloon ´ŒÇÂáç´Ñ¹ 20-40 ÁÁ.»ÃÍ· (µ‹Í three way ࢌҡѺÊÒ·Õ㪌Ǵ¤ÇÒÁ´Ñ¹) à¹×ͧ¨Ò¡ËÅÍ´ÍÒËÒÃ㹤¹ä·ÂÁÕ¢¹Ò´Êѹ¡Ç‹Ò¤¹µÐÇѹµ¡ ´Ñ§¹Ñ¹ è Ñ è é é ËÅѧ¨Ò¡ãÊ‹¤ÇÒÁ´Ñ¹ã¹ esophageal balloon áÅŒÇÍÒ¨·íÒãËŒ¼»ÇÂËÂØ´ËÒÂã¨ä´Œ â´Â·ÑÇ仨Ðá¹Ð¹íÒ ÙŒ † è
  • 588.
    àǪÈÒʵÏ·¹Âؤ 2553 Ñ 561 ãËŒãÊ‹·ÍËÒÂã¨ãËŒ¡º¼Ù»Ç´ŒÇ áÅеŒÍ§ãÊ‹ NG tube ࢌҨÁÙ¡ÍÕ¡¢ŒÒ§¢Í§¼Ù»Ç «Ö§¨Ð·íÒãËŒ¼»Ç ‹ Ñ Œ † Œ † è ÙŒ † ÁÕ¤ÇÒÁÍÖ´ÍÑ´Í‹ҧÁÒ¡ ËÅѧãÊ‹ S-B tube àÊÃ稤ÇÃàªç¤µíÒá˹‹§ÊÒ·ء¤Ãѧâ´Â¡ÒÃàÍ¡«àÏà¾×Í é è ´ÙµíÒá˹‹§ â´Â·ÑèÇä» S-B tube ¨Ð·íÒãËŒàÅ×Í´ËÂØ´Í͡䴌·Ñ¹·Õ áÅÐÁÑ¡¨Ð¤ÒÊÒÂäÇŒ 24-48 ªÁ. â´Â·ÑèÇä»ËÅѧ 24 ªÁ.¶ŒÒäÁ‹ÁÕ»˜­ËÒàÅ×Í´ÍÍ¡¡ç¨Ð´Ù´ÅÁã¹ esophageal balloon ÍÍ¡áŌǴÙÇ‹ÒÁÕ àÅ×Í´ÍÍ¡ËÃ×ÍäÁ‹ ¶ŒÒäÁ‹Á¡´´ÅÁã¹ gastric balloon ÍÍ¡¶ŒÒäÁ‹ÁàÅ×Í´ÍÍ¡¡çʧ¼Ù»ÇÂä»ÃѺ¡ÒÃÃÑ¡ÉÒ Õ ç Ù Õ ‹ Œ † â´Â¡ÒÃʋͧ¡ÅŒÍ§µ‹Íä» ÃÙ»·Õè 2 Sengstaken-Blakemore tube ÃÙ»·Õè 3 Endoscopic variceal band ligation 3. ¡ÒÃÃÑ¡ÉÒ´ŒÇ¡ÒÃʋͧ¡ÅŒÍ§ ¡ÒõÃǨáÅÐÃÑ¡ÉÒ´ŒÇ¡ÒÃʋͧ¡ÅŒÍ§ ¹ÑºÇ‹Ò໚¹»ÃÐ⪹Í‹ҧÁҡ㹼ٻǷÕàÅ×Í´ÍÍ¡¨Ò¡ Œ † è àÊŒ¹àÅ×Í´¢Í´ã¹ËÅÍ´ÍÒËÒë֧ÊÒÁÒö·íÒä´Œ·§ endoscopic variceal band ligation (EVL) áÅÐ è Ñé endoscopic variceal sclerotherapy (EVS) «Ö§¨Ð㪌 sclerosing agent ÍÒ·Ô polidocanol, ethanolamine, è ethanol, tetradecyl sulfate áÅÐ sodium morrhuate ã¹»˜¨¨Øº¹¡Ò÷íÒ EVL ¶×Í໚¹µÑÇàÅ×Í¡áá¢Í§¡ÒÃÃÑ¡ÉÒ´ŒÇ¡ÒÃʋͧ¡ÅŒÍ§ (ÃÙ»·Õè 3) EVL ¹Ñ¹ Ñ é ´Õ¡Ç‹Ò EVS ÊíÒËÃѺ¡ÒÃËÂØ´àÅ×Í´áÅСÒû‡Í§¡Ñ¹àÅ×Í´ÍÍ¡«éÒ áÅÐÁÕÀÒÇÐá·Ã¡«ŒÍ¹·ÕµÒ¡Ç‹Ò EVS í è èí ¹Í¡¨Ò¡¹Õé EVL Âѧª‹ÇÂãˌ͵ÃÒ¡ÒÃÃÍ´ªÕ¾¢Í§¼Ù»Ç´բ¹ áÅШíҹǹ¤Ãѧ㹡ÒÃʋͧ¡ÅŒÍ§à¾×Í¡íҨѴ Ñ Œ † Öé é è àÊŒ¹àÅ×Í´¢Í´ãËŒËÁ´¹ŒÍÂ¡Ç‹Ò ÁÕ¡ÒÃÈÖ¡ÉÒ¡ÒÃ㪌 EVL ËÇÁ¡Ñº EVS à»ÃÕºà·Õº¡Ñº¡ÒÃ㪌 EVL Í‹ҧà´ÕÂǾºÇ‹Ò¼Å¢Í§¡ÒÃÈÖ¡ÉÒÂѧäÁ‹µÃ§¡Ñ¹ ¨Ö§äÁ‹ä´Œ¢ÍÊÃØ»·Õṋª´ Í‹ҧäáç´Õ EVS ¹Ñ¹ÁÕ͵ÃÒ Œ è Ñ é Ñ ¤ÇÒÁÊíÒàÃç¨Ê٧㹡óշàÅ×Í´ÍÍ¡àÃçÇÁÒ¡áÅÐàÅ×Í´ÍÍ¡ÁÒ¡¨¹º´ºÑ§äÁ‹ÊÒÁÒöÁͧàËç¹àÊŒ¹àÅ×Í´¢Í´ Õè ã¹ËÅÍ´ÍÒËÒÃä´Œ ËÃ×Í㹡óշàÊŒ¹àÅ×Í´¢Í´ÁÕ¢¹Ò´àÅç¡à¡Ô¹¡Ç‹Ò·Õ¨ÐÃÑ´ä´Œ ¹Ñ¡ÇԨºҧ¡ÅØÁä´Œá¹Ð¹íÒ Õè è Ñ ‹ ãˌ㪌 argon plasma coagulation à¾×ÍÅ´âÍ¡ÒÊàÊŒ¹àÅ×Í´¢Í´«éÒËÅѧ¨Ò¡·Õ¡Ò¨Ñ´ varices ä»áÅŒÇ è í è í Í‹ҧäá紤§µŒÍ§ÁÕ¡ÒÃÈÖ¡ÉÒà¾ÔÁàµÔÁà¾×ÍÂ×¹Âѹ·ÄɮչÕé Õ è è
  • 589.
    562 Management of Esophageal Varices and Esophageal Variceal Hemorrhage 4. Transjugular intrahepatic portosystemic shunt (TIPS) ໚¹¡ÒÃÅ´ portal pressure «Ö§à»š¹ÊÒà˵ØÊҤѭ㹡Ò÷íÒãËŒàÅ×Í´Í͡㹼ٻÇÂ¡ÅØÁ¹Õé «Ö§à»š¹ è í Œ † ‹ è ¡Ò÷íÒ shunt â´Â¼‹Ò¹·Ò§ jugular vein ·íÒãËŒ hepatic áÅÐ portal vein ÁÕ·Ò§µÔ´µ‹Íâ´Â㪌 expandable metallic stent ¾ºÇ‹ÒÁÕ͵ÃÒ¤ÇÒÁÊíÒàÃç¨ã¹¡Ò÷íÒËѵ¶¡Òùն§ÃŒÍÂÅÐ 93-96 áÅÐÁÕÀÒÇÐá·Ã¡«ŒÍ¹ Ñ é Ö »ÃÐÁҳÌÍÂÅÐ 10-15 ¾ºÇ‹ÒÃŒÍÂÅÐ 25 ¢Í§¼Ù»ÇÂËÅѧ·íÒËѵ¶¡ÒùըÐÁÕ hepatic encephalopathy Œ † é ¡ÒÃà¡Ô´¡ÒÃÍØ´µÑ¹ËÃ×͵պ¢Í§ TIPS ¾ºä´Œã¹ 1 »‚ËÅѧ·íÒ «Ö§»˜­ËÒ¹ÕÊÒÁÒöᡌä¢ä´Œâ´Â¡ÒÃãÊ‹ stent è é ãËÁ‹à¢ŒÒä»ã¹ stent à´ÔÁ ËÃ×Í¡Òö‹Ò§ stent à´ÔÁ¡çä´Œ 5. ¡Òü‹ÒµÑ´ ã¹»˜¨¨Øº¹¡Òü‹ÒµÑ´à¾×Í·íÒ shunt ã¹¼Ù»ÇÂ¡ÅØÁ¹ÕŴŧÍ‹ҧÁÒ¡à¹×ͧ¨Ò¡ »ÃÐÊÔ·¸ÔÀÒ¾¢Í§ Ñ è Œ † ‹ é è ¡ÒÃÊ‹ Í §¡ÅŒ Í §áÅСÒÃ㪌  ҹÑé ¹ ´Õ ¢Öé ¹ ¡ÒÃÃÑ ¡ ÉÒÍÒ¨·í Ò ä´Œ ⠴¡Ò÷í Ò portocaval shunt, devascularization, áÅСÒõѴÁŒÒÁ â´ÂÊÃØ»àÁ×ÍÁÕ¼»Ç·ÕʧÊÑÂÇ‹ÒàÅ×Í´ÍÍ¡¨Ò¡àÊŒ¹àÅ×Í´¢Í´ã¹ËÅÍ´ÍÒËÒà á¹Ð¹íÒÇ‹ÒËÅѧ¨Ò¡ÃѺ è ÙŒ † è ¼ÙŒ»†ÇÂäÇŒã¹âç¾ÂÒºÒÅ ãËŒ resuscitation ¾Ô¨ÒóÒãËŒÂÒ¡ÅØ‹Á vasoactive drug (äÁ‹á¹Ð¹íÒãˌ㪌 vasopressin) 仡‹Í¹·Õ¨Ð䴌ú¡ÒÃʋͧ¡ÅŒÍ§ á¹Ð¹íÒãËŒãÊ‹ S-B tube ໚¹ bridging therapy ËÃ×Íã¹ è Ñ ÃÒ·ÕÁàÅ×Í´ÍÍ¡ÁÒ¡ËÃ×ÍÊÀÒ¾¼Ù»ÇÂäÁ‹àËÁÒСѺ¡ÒÃʋͧ¡ÅŒÍ§ ¶ŒÒäÁ‹ÊÒÁÒö·íÒ¡ÒÃʋͧ¡ÅŒÍ§ä´ŒãËŒ è Õ Œ † ¾Ô¨ÒóҷíÒ TIPS ໚¹ second-line treatment ã¹ÃÒ·ÕäÁ‹µÍºÊ¹Í§µ‹Í¡ÒÃÃÑ¡ÉҷѧËÁ´ãËŒ¾¨ÒÃ³Ò è é Ô ¡Ò÷íÒ¼‹ÒµÑ´à»š¹ rescue therapy ¡ÒÃÃÑ¡ÉÒËÅѧ¡ÒÃʋͧ¡ÅŒÍ§ ¡ÒÃãËŒÂÒ vasoactive drug â´Â·ÑÇ令ÇÃãËŒÂÒ vasoactive drug µ‹Íä»ÍÕ¡ 2-5 ÇѹËÅѧ¡ÒÃÃÑ¡ÉÒ´ŒÇ¡ÒÃʋͧ¡ÅŒÍ§ «Ö§¨Ð è è ÊÒÁÒöŴ¡ÒÃàÅ×Í´ÍÍ¡«éÒä´Œ áÁŒÇÒ¨ÐäÁ‹Á¼ÅÅ´ÍѵÃÒ¡ÒÃàÊÕªÕǵ í ‹ Õ Ô ¡ÒÃãËŒÂÒ»¯ÔªÇ¹Ð»‡Í§¡Ñ¹ Õ à¹×ͧ¨Ò¡Íغµ¡Òó¢Í§ bacteremia ã¹¼Ù»ÇÂ¡ÅØÁ¹ÕËÅѧàÅ×Í´ÍÍ¡¤‹Í¹¢ŒÒ§ÊÙ§ ¨Ö§á¹Ð¹íÒãËŒ è Ñ Ô Œ † ‹ é ãËŒÂÒ»¯ÔªÇ¹Ðâ´ÂÁÕ¨´»ÃÐʧ¤à¾×ÍŴẤ·ÕàÃÕÂã¹ÅíÒäÊŒ á¹Ð¹íÒãËŒÂÒ norfloxacin 400 Á¡. ÇѹÅÐ Õ Ø è 2 ¤Ãѧã¹ÃÙ»ÃѺ»Ãзҹ໚¹àÇÅÒ 7 Çѹ «Ö§¨Ðª‹ÇÂÅ´¡ÒõԴàª×Í spontaneous bacterial peritonitis é è é áÅÐÅ´ÍѵÃÒ¡ÒõԴàª×Í·ÑÇä»ã¹¼Ù»Ç áÅÐÍѵÃÒ¡ÒÃàÊÕªÕǵ䴌 ã¹ÃÒ·ռ»ÇÂÂѧÃѺ»ÃзҹäÁ‹ä´Œ é è Œ † Ô è ÙŒ † á¹Ð¹íÒãˌ㪌ÂÒ»¯ÔªÇ¹Ð·Õà·Õº෋ҡѹã¹ÃÙ»©Õ´ «Ö§ÍÒ¨¾Ô¨ÒóÒãËŒÂÒ ceftriaxone 1 ¡ÃÑÁµ‹ÍÇѹ໚¹ Õ è è àÇÅÒ 7 Çѹ «Ö§¾Ô¨ÒóÒãËŒÂÒ©Õ´¹Õâ´Â੾ÒÐ㹼ٻǵѺá¢ç§ Child C è é Œ †
  • 590.
    àǪÈÒʵÏ·¹Âؤ 2553 Ñ 563 ¡Òû‡Í§¡Ñ¹àÅ×Í´ÍÍ¡«éíÒ (secondary prophylaxis) ¼Ù»Ç·ÕÃÍ´ªÕǵ¨Ò¡ÀÒÇÐàÅ×Í´ÍÍ¡¨Ò¡àÊŒ¹àÅ×Í´¢Í´ã¹ËÅÍ´ÍÒËÒûÃÐÁÒ³ 1 ã¹ 3 ¨ÐÁÕ Œ † è Ô àÅ×Í´ÍÍ¡«éÒä´ŒÀÒÂã¹ 6 ÊÑ»´ÒˏáÅÐÃŒÍÂÅÐ 40-60 ¢Í§¼Ù»ÇÂ¡ÅØÁ¹Õ¨ÐàÊÕªÕǵ䴌 ´Ñ§¹Ñ¹¡Òû‡Í§¡Ñ¹ í Œ † ‹ é Ô é àÅ×Í´ÍÍ¡«éÒ¨Ö§ÁÕ¤ÇÒÁÊíҤѭ ·Ò§àÅ×Í¡¢Í§¡Òû‡Í§¡Ñ¹ 䴌ᡋ ¡ÒÃʋͧ¡ÅŒÍ§ ¡ÒÃãËŒÂÒ non-selective í ß-blocker + nitrate, TIPS ËÃ×Í¡Òü‹ÒµÑ´ ¶Ö§áÁŒ¨ÐÁÕ·Ò§àÅ×Í¡Áҡᵋ͵ÃÒ¡ÒÃàÊÕªÕǵ¡çÁ䴌Ŵ¹ŒÍÂ Ñ Ô Ô Å§Í‹ҧªÑ´à¨¹ áÊ´§ãËŒàËç¹Ç‹Ò¼Ù»ÇÂ¡ÅØÁ¹ÕÁ¡àÊÕªÕǵà¹×ͧ¨Ò¡¤ÇÒÁÃØ¹áç¢Í§µÑÇâäàͧÁÔ㪋¨Ò¡ Œ † ‹ é Ñ Ô è àÅ×Í´ÍÍ¡â´ÂµÃ§ ¡ÒÃ㪌ÂÒ non-selective ß-blocker ઋ¹ propranolol ¤ÇÃà¾ÔÁ¢¹Ò´ÂÒ¨¹ÊÒÁÒöŴªÕ¾¨Ãŧ è ÃŒÍÂÅÐ 25 ËÃ×ÍÁÕ͵ÃҢͧªÕ¾¨Ã 50-55 ¤Ãѧ/¹Ò·Õ ʋǹ nadolol 䴌ú¤ÇÒÁ¹ÔÂÁÁÒ¡¢Ö¹à¹×ͧ¨Ò¡ãËŒ Ñ é Ñ é è ¡Ô¹ÇѹÅФÃѧ䴌·ÒãËŒÊдǡ¡Ñº¼Ù»Ç (ᵋÂÒ¹ÕäÁ‹Áã¹»ÃÐà·Èä·Â) ã¹ÃÒ·ÕÁ¼Å¢ŒÒ§à¤Õ§¢Í§ÂÒËÃ×Í é í Œ † é Õ è Õ ÁÕ¢ÍËŒÒÁ㹡ÒÃ㪌ઋ¹à»š¹âä¶Ø§ÅÁ⻆§¾Í§ ÊÒÁÒöãËŒÂÒ isosorbide mononitrate ËÇÁä´Œ ¾ºÇ‹Ò Œ ¨Ðª‹ÇÂÅ´ portal pressure ä´Œ´Õ¢Öé¹àÁ×èÍà·Õº¡Ñº¡ÒÃ㪌 propranolol Í‹ҧà´ÕÂÇ Ê‹Ç¹¡ÒáíҨѴ àÊŒ¹àÅ×Í´¢Í´ã¹ËÅÍ´ÍÒËÒÃâ´Â¡ÒÃʋͧ¡ÅŒÍ§áÅзíÒ EVS ËÃ×Í EVL ¤Ç÷íÒ·Ø¡ 3-4 ÊÑ»´Òˏ¨¹¡Ãзѧ è äÁ‹ÁÕàÊŒ¹àÅ×Í´¢Í´ËÅѧ¨Ò¡¹Ñ鹤Ç÷íÒ¡ÒÃʋͧ¡ÅŒÍ§«éíÒ·Ø¡ 6 à´×͹ ¡ÒÃÈÖ¡ÉÒà¾×èÍà»ÃÕºà·Õº »ÃÐÊÔ·¸ÔÀÒ¾¢Í§ÇÔ¸¡Òû‡Í§¡Ñ¹µ‹Ò§æ ÊÃØ»Ç‹Ò ¡ÒÃ㪌 non-selective ß-blocker ËÇÁ¡Ñº EVL ¹Ñ¹ÁÕ Õ é »ÃÐÊÔ·¸ÔÀÒ¾·Õ´·Ê´ ÊíÒËÃѺ¼Ù»Ç·Õ§ÁÕàÅ×Í´ÍÍ¡«éҷѧæ·Õ䴌ú·Ñ§ÂÒáÅСÒÃʋͧ¡ÅŒÍ§áÅŒÇ á¹Ð¹íÒ è Õ Õè Ø Œ † è Ñ í é è Ñ é ãËŒ·Ò TIPS ʋǹ¡Ò÷íÒ¡Òü‹ÒµÑ´ shunt ¹Ñ¹ ¾ºÇ‹Òª‹ÇÂÅ´âÍ¡ÒÊà¡Ô´àÅ×Í´ÍÍ¡«éÒᵋäÁ‹ä´ŒÅ´ÍѵÃÒ í é í ¡ÒÃàÊÕªÕǵ¨Ö§¤Ç÷íÒ㹼ٻǷÕäÁ‹µÍºÊ¹Í§µ‹Í¡ÒÃÃÑ¡ÉÒ´ŒÇÂÇԸ͹áÅŒÇ෋ҹѹ ¹Í¡¨Ò¡¹Ñ¹ã¹¼Ù»ÇÂ Ô Œ † è Õ ×è é é Œ † ·ÕÁÀÒÇÐàÅ×Í´ÍÍ¡«éÒ¤ÇþԨÒóҡÒÃà»ÅÕ¹µÑº (liver transplantation) ËÇÁ´ŒÇ è Õ í è
  • 592.
    àǪÈÒʵÏ·¹Âؤ 2553 Ñ º··Õè 565 76 Embolization for Upper Gastrointestinal Hemorrhage ¼ÙŒª‹ÇÂÈÒʵÃÒ¨ÒÏ ᾷ˭ԧÇÅÑÂÅѡɳ ªÑÂÊٵà ÀÒ¤ÇÔªÒÃѧÊÕÇ·ÂÒ ¤³Ðá¾·ÂÈÒʵÏÈÃÃÒª¾ÂÒºÒÅ ÁËÒÇÔ·ÂÒÅÑÂÁËÔ´Å Ô ÔÔ ¼Ù»ÇÂÀÒÇÐàÅ×Í´Í͡㹷ҧà´Ô¹ÍÒËÒÃà©Õº¾Åѹ (acute gastrointestinal hemorrhage, GIH) Œ † ·Õ¨Ð䴌ú¡ÒûÃÖ¡ÉÒà¾×Í¡ÒõÃǨ visceral angiography ÍҨẋ§ä´Œà»š¹ 3 ¡ÅØÁ䴌ᡋ è Ñ è ‹ ¡ÅØÁ·Õè 1 – ¼Ù»Ç·ÕÁÀÒÇÐàÅ×Í´ÍÍ¡àÃ×ÍÃѧ໚¹æ ËÒÂæ (chronic intermittent bleeding) ¨¹·íÒãËŒ ‹ Œ † è Õ é Ëҧ¡Ò«մ ¡Ò÷íÒ angiography à¾×Í¡ÒÃËÒ¾ÂÒ¸ÔÊÀÒ¾¢Í§ËÅÍ´àÅ×Í´ ᵋ¨ÐäÁ‹¾ºÅѡɳРcontrast è extravasation ¡ÒÃʋͧ¡ÅŒÍ§ã¹·Ò§à´Ô¹ÍÒËÒÃã¹¼Ù»ÇÂ¡ÅØÁ¹Õ¨Ðä´Œ»ÃÐ⪹ÁÒ¡¡Ç‹Ò Œ † ‹ é ¡ÅØÁ·Õè 2 – ¼Ù»Ç·ÕÁÀÒÇÐàÅ×Í´ÍÍ¡ÍÂ‹Ò§ÃØ¹áçÍÒ¨¶Ö§ªÕǵ (severe life - threatening bleeding) ‹ Œ † è Õ Ô áµ‹àÅ×Í´ËÂØ´áÅŒÇ áÅÐÁÕâÍ¡ÒÊà¡Ô´ÀÒÇÐàÅ×Í´ÍÍ¡«éÒ (rebleeding) ä´Œ·¡¢³Ð ¼Ù»ÇÂ¡ÅØÁ¹Õ¤ÇÃ䴌ú í Ø Œ † ‹ é Ñ ¡ÒõÃǨ·Ò§àǪÈÒʵϹÇà¤ÅÕÂÏ (nuclear scan) ¡‹Í¹ ¶ŒÒ¾º¼ÅºÇ¡ ¨Ö§¤Ç÷íÒ angiography µ‹Í Ô ËÃ×ͶŒÒ¨Ð·íÒ angiography ·Ñ¹·Õ ÍÒ¨µŒÍ§©Õ´ÊÕ«Òà¾×͵ÃǨËҨشàÅ×Í´ÍÍ¡·Ø¡æ 2-3 ¹Ò·Õ 㹺ҧ¡Ã³Õ éí è ¡Ò÷íÒ provocative bleeding â´Â¡ÒéմÂÒࢌÒËÅÍ´àÅ×Í´á´§´ŒÇ ઋ¹ vasodilators, heparin ËÃ×Í thrombolytics ÍÒ¨ª‹Ç·íÒãËŒàËç¹µíÒá˹‹§¢Í§¨Ø´àÅ×Í´Í͡䴌´¢¹ Õ Öé ¡ÅØ‹Á·Õè 3 – ¼Ù»Ç·ÕÁÀÒÇÐàÅ×Í´ÍÍ¡ÍÂ‹Ò§ÃØ¹áç (active bleeding) µÅÍ´àÇÅÒ «Ö§ÍÒ¨¹íÒä» Œ † è Õ è ÊÙÀÒÇЪçͤµÒÁÁÒä´Œ ¼Ù»ÇÂ¡ÅØÁ¹ÕàËÁÒÐÊÁÍ‹ҧÂÔ§·Õ¨Ð·íÒ angiography ËÇÁ¡Ñº¡ÒÃÍØ´¡Ñ¹ËÅÍ´àÅ×Í´ ‹ Œ † ‹ é è è é (transarterial embolization, TAE) »ÃСÒ÷ÕÊҤѭ ¤×Í ¤ÇÃá¡ÍÒ¡ÒÃáÅСÒõÃǨ¾º·Ò§¤ÅÔ¹¡ãˌ䴌ÇÒ ¼Ù»ÇÂÁÕÀÒÇÐàÅ×Í´ èí Ô ‹ Œ † Í͡㹷ҧà´Ô¹ÍÒËÒÃʋǹº¹ËÃ×Íʋǹŋҧ (upper or lower GIH) ÊÒà˵آͧàÅ×Í´ÍÍ¡¨Ò¡ ·Ò§à´Ô¹ÍÒËÒÃʋǹµŒ¹ ´Ñ§áÊ´§ã¹µÒÃÒ§ ᵋÀÒÇзÕÊÒÁÒö·íÒ endovascular treatment 䴌ᡋ è duodenal ulcer, gastric ulcer, post surgical bleeding, tumor, inflammatory condition, gastritis, post endoscopic shincterotomy áÅÐ trauma µÒÁÅíҴѺ ¡Ò÷íÒ catheter-directed angiography ÊÒÁÒöàË繨شàÅ×Í´ÍÍ¡´ŒÇÂÍѵÃÒ 0.5 ÁÔÅÅÔÅԵõ‹Í¹Ò·Õ(1) â´ÂÁÕ¤ÇÒÁäÇÃŒÍÂÅÐ 40-86 áÅÐ ¤ÇÒÁ¨íÒà¾ÒÐÊÙ§¶Ö§ÃŒÍÂÅÐ 100(2) ¹Í¡¨Ò¡¡ÒéմÊÕࢌÒËÅÍ´àÅ×Í´áÅŒÇ ÂѧÊÒÁÒöª‹ÇÂËÇÁÃÑ¡ÉÒä´Œ â´Â¡ÒÃÍØ´¡Ñ¹ËÅÍ´àÅ×Í´ «Ö§à»š¹ÇÔ¸·ãªŒÃ¡ÉÒÀÒÇÐàÅ×Í´ÍÍ¡·ÕÁ¤ÇÒÁÊíÒàÃ稷ҧ෤¹Ô¤ (technical é è Õ Õè Ñ è Õ success ¤×Í angiographic cessation of bleeding) ÊÙ§ÃŒÍÂÅÐ 91-100 áÅФÇÒÁÊíÒàÃ稷ҧ¤ÅÔ¹¡ (clinical Ô success ¤×Í àÅ×Í´ËÂØ´ÀÒÂã¹ 30 Çѹ) ໚¹ÃŒÍÂÅÐ 81-91 (3)
  • 593.
    566 Embolization for Upper Gastrointestinal Hemorrhage µÒÃÒ§áÊ´§ÊÒà˵آͧÀÒÇÐàÅ×Í´ÍÍ¡à©Õº¾Åѹ㹷ҧà´Ô¹ÍÒËÒÃʋǹµŒ¹ Peptic ulcer Gastritis Portal hypertension (varices) Mallory-Weiss tear Marginal ulcer Iatrogenic (post biopsy, percutaneous gastrostomy) Arteriovenous malformation/angiodysplasia Dieulafoy lesion Tumor Pseudoaneurysm Hemobilia Hemosuccous entericus Pseudo-bleeding (swallowed blood from nasopharygeal source) Aortoenteric fistula Transarterial embolization ¡ÒÃÍØ´¡Ñ¹ËÅÍ´àÅ×Í´ÍÒ¨¶×Í໚¹¡ÒÃÃÑ¡ÉÒÍ‹ҧáá (primary treatment) ¢Í§ÀÒÇÐ upper é áÅÐ lower GIH ¡Ò÷íÒ embolization ÁÕ¢ŒÍä´Œà»ÃÕº¡Ç‹Ò¡ÒÃãËŒÂÒ vasoconstrictors ¼‹Ò¹·Ò§ ËÅÍ´àÅ×Í´á´§ 䴌ᡋ 㪌àÇÅÒÃÑ¡ÉÒàÃçÇ¡Ç‹Ò áÅмÅá·Ã¡«ŒÍ¹·Ò§Ãкº (systemic complication) µèÒ¡Ç‹Ò áµ‹Ç¸·Ò¡ÒÃÍØ´¡Ñ¹ËÅÍ´àÅ×Í´¹Ñ¹µŒÍ§ãªŒà·¤¹Ô¤·ÕÅÐàÍÕ´͋͹¡Ç‹Ò¡ÒÃãËŒÂÒ ¡Åä¡ÊíҤѭ¢Í§ í ÔÕ í é é è ¡ÒÃÍØ´¡Ñ¹ËÅÍ´àÅ×Í´·Õ·ÒãËŒàÅ×Í´ËÂØ´¤×Í ¡ÒÃÅ´¡ÒÃäËż‹Ò¹¢Í§àÅ×Í´ã¹ËÅÍ´àÅ×Í´á´§ (arterial é è í perfusion) ä»Âѧ¨Ø´àÅ×Í´ÍÍ¡ ¡ÒÃË´µÑǢͧËÅÍ´àÅ×ʹ੾ÒзÕè (local vasospasm) áÅФÇÒÁÊÒÁÒö 㹡ÒÃá¢ç§µÑǢͧàÅ×Í´¢Í§¼Ù»Ç Œ † ÊÒÃÍØ´¡Ñ¹ËÅÍ´àÅ×Í´ÁÕËÅÒ»ÃÐàÀ· ÍҨ໚¹ÊÒ÷ÕÍ´¡Ñ¹ªÑǤÃÒÇ àª‹¹ Gelfoam «Ö§à»š¹ é èØ é è è ÊÒ÷չÂÁ㪌·Ê´ã¹¡ÒÃÃÑ¡ÉÒÀÒÇÐàÅ×Í´Í͡㹷ҧà´Ô¹ÍÒËÒà ËÃ×ÍÊÒ÷ÕÍ´¡Ñ¹¶ÒÇÃ䴌ᡋ polyvinyl è Ô Õè Ø èØ é alcohol (Ivalon) particles áÅÐ tissue adhesives ઋ¹ isobutyl 2-cyanoacrylate (glue) áÅÐ enbucrylate «Öè§à»š¹¢Í§àËÅÇáÅШÐá¢ç§µÑÇÍ‹ҧÃÇ´àÃçÇàÁ×èÍÊÑÁ¼ÑʡѺ»ÃШØã¹àÅ×Í´ ¡Òéմ¡ÒǹÕé µŒÍ§©Õ´¼‹Ò¹ coaxial catheter system «Ö§µŒÍ§ÃÐÇѧ¼Åá·Ã¡«ŒÍ¹¤×Í ÀÒÇÐÅíÒäÊŒ¢Ò´àÅ×Í´ËÃ×ÍÅíÒäÊŒ è µÕºá¤º ʋǹ double-lumen balloon-tipped catheter ÍҨ㪌à¾×ÍÍØ´¡Ñ¹ËÅÍ´àÅ×Í´ªÑǤÃÒÇ ËÃ×Í㪌 è é è à¾×Í»‡Í§¡Ñ¹äÁ‹ãËŒÊÒÃÍØ´¡Ñ¹ËÅÍ´àÅ×Í´ËÅØ´ä»ÂѧºÃÔàdz·ÕäÁ‹µÍ§¡Òà ¢ŒÍàÊÕ¢ͧ balloon-tipped catheter è é è Œ ¤×Í¡ÒÃÍØ´¡Ñ¹ËÅÍ´àÅ×ʹ໚¹·Õµ¹·Ò§·íÒãËŒàÅ×Í´ä»àÅÕ§ºÃÔàdz»ÅÒ·ҧ䴌͡ é è Œ é Õ
  • 594.
    àǪÈÒʵÏ·¹Âؤ 2553 Ñ 567 Wool- ËÃ×Í nylon-turfed stainless steel coils ÊÒÁÒö㪌ʹ¡Ñ¹ËÅÍ´àÅ×Í´·ÕÁ¢¹Ò´ãË­‹ Ø é è Õ ä´ŒÊíÒàÃç¨ã¹¡Ã³Õ·Õè GelfoamäÁ‹ÊÒÁÒÃ¶ÍØ´¡Ñé¹ËÅÍ´àÅ×Í´ä´Œ¼Å ¡ÒÃ㪌 microcoils 㹡ÒÃÍØ´¡Ñé¹ ËÅÍ´àÅ×Í´â´Â㪌ÃÇÁ¡Ñº microcatheter ¹ÔÂÁ㪌ã¹ÀÒÇÐàÅ×Í´ÍÍ¡¨Ò¡·Ò§à´Ô¹ÍÒËÒÃʋǹŋҧ¡Ñ¹ÁÒ¡ ‹ ã¹»˜¨¨Øº¹ ᵋâ´Â·ÑÇ仡ÒÃ㪌ÊÒÃÍØ´¡Ñ¹ËÅÍ´àÅ×Í´ËÅÒÂÍ‹ҧÍҨ䴌¼Å´Õ¡Ç‹ÒÊÒÃÍØ´¡Ñ¹ËÅÍ´àÅ×Í´ Ñ è é é à¾Õ§Í‹ҧà´ÕÂÇâ´Â੾ÒÐã¹ÀÒÇÐàÅ×Í´ÍÍ¡¨Ò¡·Ò§à´Ô¹ÍÒËÒÃʋǹº¹ (1) ¡ÒÃàÅ×Í¡ÊÒÃÍØ´¡Ñé¹ËÅÍ´àÅ×Í´ (embolic agent) µŒÍ§¤íÒ¹Ö§¶Ö§»˜¨¨ÑÂËÅÒÂÍ‹ҧ 䴌ᡋ µíÒá˹‹§¢Í§¨Ø´àÅ×Í´ÍÍ¡ ¡ÒÃãÊ‹ËÅÍ´Êǹ¢¹Ò´àÅç¡ (microcatheter) ࢌÒä»ã¡ÅŒÃÍÂâä䴌ÁÒ¡à¾Õ§㴠áÅФÇÒÁ¶¹Ñ´¢Í§ÃѧÊÕᾷ¼ÙŒ·íÒ¡ÒÃÃÑ¡ÉÒ ¡ÒÃÍØ´¡Ñé¹ËÅÍ´àÅ×Í´¤Ç÷íÒ¨¹¡Ç‹Ò contrast extravasation ¨ÐËÒÂ仨ҡÀÒ¾ angiogram áÅФÇéմÊÒ÷ֺÃѧÊÕ´Í¡¤ÃѧÀÒÂËÅѧ¡ÒÃÍØ´¡Ñ¹ËÅÍ´ ÙÕ é é àÅ×Í´»ÃÐÁÒ³ 10-15 ¹Ò·Õ à¾×Íãˌṋã¨Ç‹Ò¡ÒÃÍØ´¡Ñ¹ËÅÍ´àÅ×Í´¹Ñ¹ÊÁºÙóáÅÐäÁ‹ÁÕ collateral ÁÒª‹Ç è é é àÅÕ§ºÃÔàdz¨Ø´àÅ×Í´Í͡䴌͡ é Õ ¼Å¡ÒÃÃÑ¡ÉÒ ¡ÒÃÍØ´¡Ñ¹ËÅÍ´àÅ×Í´á´§ã¹ÀÒÇÐàÅ×Í´Í͡㹷ҧà´Ô¹ÍÒËÒÃʋǹµŒ¹¨Ò¡âäá¼Å㹡ÃÐà¾ÒÐ é ÍÒËÒà (peptic ulcer) ¨Ð·íÒ¡çµÍàÁ×Í¡ÒÃʋͧ¡ÅŒÍ§àÍç¹â´Ê⤻äÁ‹»ÃÐʺ¤ÇÒÁÊíÒàÃç¨ àÁ×Íà»ÃÕºà·Õº ‹ è è ¼Å¡ÒÃÃÑ¡ÉÒÇԸʹ¡Ñ¹ËÅÍ´àÅ×Í´á´§¡Ñº¡Òü‹ÒµÑ´¨Ð¾ºÇ‹Ò 㹼ٻǷÕÁÍÒÂØà©ÅÕ 75 »‚ áÅмٻÇÂ ÕØ é Œ † è Õ è Œ † ·ÕèÁÕ¤ÇÒÁàÊÕè§µ‹ÍâäËÑÇã¨ÃÇÁ·Ñé§ä´ŒÃѺÂÒ»‡Í§¡Ñ¹¡ÒÃá¢ç§µÑǢͧàÅ×Í´ÍÂÙ‹¡‹Í¹ÁÕÀÒÇÐàÅ×Í´ÍÍ¡«éíÒ ËÅѧ·íÒ¡ÒÃÍØ´¡Ñ¹ËÅÍ´àÅ×Í´»ÃÐÁҳÌÍÂÅÐ 29 µŒÍ§·íÒ¡Òü‹ÒµÑ´ã¹ÀÒÂËÅѧÌÍÂÅÐ 16 áÅоºÍѵÃÒ é ¡ÒõÒ¶֧ÌÍÂÅÐ 25 ¼Åá·Ã¡«ŒÍ¹¨Ò¡¡ÒÃÍØ´¡Ñé¹ËÅÍ´àÅ×Í´ ¡ÒÃÍØ´¡Ñ¹ËÅÍ´àÅ×Í´áÁŒ¨Ðä´Œ¼Å´Õ ÍÒ¨ÁÕ¼Åá·Ã¡«ŒÍ¹¨Ò¡ÊÒÃÍØ´¡Ñ¹ËÅÍ´àÅ×Í´ËÅØ´à¢ŒÒä» é é ã¹ÍÇÑÂÇзÕäÁ‹µÍ§¡Òà ÍÒ¨·íÒãËŒÍÇÑÂÇÐ¹Ñ¹æ ¢Ò´àÅ×Í´ËÃ×ÍÁÕà¹×͵ÒÂà¡Ô´¢Ö¹ ᵋÊÒÁÒö»‡Í§¡Ñ¹ä´Œ è Œ é é é â´Â㪌ËÅÍ´ÊǹẺºÍÅÅÙ¹ ÍØ´änj㹺ÃÔàdzËÅÍ´àÅ×ʹʋǹµŒ¹ ¢³Ð·Õè©Õ´ÊÒÃÍØ´¡Ñé¹ËÅÍ´àÅ×Í´ ࢌÒ仺ÃÔàdzʋǹ»ÅÒ¢ͧËÅÍ´Êǹ ¼Åá·Ã¡«ŒÍ¹Í×¹æ ·ÕÍÒ¨¾ºä´Œá¡‹ ËÅѧ¨Ò¡¡ÒÃ㪌 Gelfoam è è ÍØ´¡Ñ¹ËÅÍ´àÅ×Í´ ¼Ù»ÇÂÁÑ¡¨ÐÁÕ䢌¢¹»ÃÐÁÒ³ 39 ͧÈÒà«Åà«ÕÂÊ»ÃÐÁÒ³ 24-36 ªÑÇâÁ§ ᵋ¨ÐËÒÂ é Œ † Öé è ä´Œàͧ ¡ÒõÃǨàÅ×Í´ÁÑ¡äÁ‹¾ºàª×Í¡‹ÍâäáÅлÃÔÁÒ³àÁç´àÅ×Í´¢ÒÇã¹àÅ×Í´ÁÑ¡¨Ð»¡µÔ é ÊÃØ» ¡ÒÃÍØ ´ ¡Ñé ¹ ËÅÍ´àÅ× Í ´ã¹ÀÒÇÐàÅ× Í ´Í͡㹷ҧà´Ô ¹ ÍÒËÒà 㹻˜ ¨ ¨Ø ºÑ ¹ ໚ ¹ ·Õè  ÍÁÃÑ º â´Â¡ÇŒÒ§¢ÇÒ§ â´Â੾ÒÐÂÔ§ÁÕ¡ÒþѲ¹ÒÍØ»¡Ã³µÒ§æ ઋ¹ microcatheter áÅÐ embolic agents è ‹ ¨Ö§·íÒãËŒ¼Å㹡ÒÃÃÑ¡ÉÒ´Õ§¢Ö¹ ¡ÒÃãËŒÂÒ vasoconstrictors ©Õ´ªŒÒæ ࢌÒä»ã¹ËÅÍ´àÅ×Í´á´§ ÂѧÁÕ·Õè Ôè é ãªŒã¹¡Ã³Õ diffuse bleeding áÅÐäÁ‹ÊÒÁÒö·íÒ superselective catheterization ä´Œ ¢ŒÍ¨íÒ¡Ñ´·ÕÊҤѭèí
  • 595.
    568 Embolization for Upper Gastrointestinal Hemorrhage ¢Í§¡ÒÃÃÑ¡ÉÒ´ŒÇÂÇÔ¸¡ÒÃÍØ´¡Ñ¹ËÅÍ´àÅ×Í´àÁ×Íà·Õº¡Ñº¡ÒÃʋͧ¡ÅŒÍ§àÍç¹â´Ê⤻ËÃ×Í¡Òü‹ÒµÑ´¤×Í Õ é è äÁ‹ÊÒÁÒö·íÒä´Œá¾Ã‹ËÅÒÂã¹âç¾ÂÒºÒÅ·ÑÇæ ä» Â¡àÇŒ¹Ê¶ÒºÑ¹·Ò§¡ÒÃᾷãË­‹æ ËÃ×ÍâçàÃÕ¹ è ᾷ෋ҹÑé¹ ¡ÒÃÃÑ¡ÉÒÀÒÇÐàÅ×Í´Í͡㹷ҧà´Ô¹ÍÒËÒäÇ÷íÒ¡ÒÃÍØ´¡Ñé¹ËÅÍ´àÅ×ʹËÇÁ¡Ñº ¡ÒÃʋͧ¡ÅŒÍ§àÍç¹â´Ê⤻ 㹡óբͧ¼Ù»Ç·ÕÁÕ massive arterial bleeding ¤Ç÷íÒ angiography Œ † è áÅÐ embolization ¡‹Í¹ ʋǹ¼Ù»Ç intermittent bleeding ¤ÇÃ䴌ú¡ÒÃʋͧ¡ÅŒÍ§àÍç¹â´Ê⤻¡‹Í¹ Œ † Ñ ´Ñ§¹Ñé¹ ¤ÇÒÁÊíÒàÃç¨ã¹¡ÒÃÃÑ¡ÉÒ¼ÙŒ»†Ç¨֧¢Öé¹ÍÂÙ‹¡Ñº¤ÇÒÁËÇÁÁ×͡ѹÍ‹ҧ´ÕÃÐËNjҧÍÒÂØÃᾷáÅÐ ÈÑÅÂᾷÃкº·Ò§à´Ô¹ÍÒËÒà ËÇÁ¡ÑºÃѧÊÕᾷ´Ò¹ÃѧÊÕÃÇÁÃÑ¡ÉÒ Œ ‹ àÍ¡ÊÒÃ͌ҧÍÔ§ 1. Baum ST. Arteriographic diagnosis and treatment of gastrointestinal bleeding. In: Baum ST, Pentecost MJ, eds. Abram’s angiography interventional radiology. 2nd ed. Philadelphia, Pa: Lippincott, Williams & Wilkins, 2006;488-513. 2. Lee EW, Laberge JM. Differential diagnosis of gastrointestinal bleeding. Tech Vasc Interv Radiol 2005;7:112- 22. 3. Kuo W, Lee DE, Saad WE, Patel N, Sahler lG, Waldman DL. Superselective microcoil embolization for the treatment of lower gastrointestinal hemorrhage. J Vasc Interv Radiol 2003;14:1503-9.
  • 596.
    àǪÈÒʵÏ·¹Âؤ 2553 Ñ º··Õè 569 77 General Aspects of Tumor Microenvironment Assistant Professor Peti Thuwajit, M.D. Ph.D. Department of Immunology, .aculty of Medicine Siriraj Hospital, Mahidol University Cancer is still a major problem in medicine. It is the leading cause of death in Thai people within many years. Cancer cells could be developed from each cell type in the whole body, especially epithelial cells. Normally epithelial cells could function as protector and transporter, which supported by a various type of the cells beneath and nearby including connective tissue cells, vascular cells and muscle cells. When tissues are going to pathological stage, the immunological cells will infiltrate and play role in both promoting and repairing of the abnormal conditions. This could be showing as inflammation and repairing processes, including fibrosis and angiogenesis, even though the pathological stage is still exist. Carcinogenesis is one of the inflammatory conditions which involved a numbers of cells. After epithelial cells turning to malignant, the cancer cells will be going to infiltrate the underlying tissue layers and the cells lying beneath become closer. They still have interaction with neighboring cells and environment and also need supporting from their surrounding environment too.(1,2) On the other hand, microenvironment in tumor area could suppress or destroy the cancer cells too.(1,2) The major cells that play roles in tumor progression are including the resident cells and the infiltrated migratory cell, for example, the circulating immunological cells. The most common resident cell found in tumor microenvironment is fibroblast.(3) It could not only produce collagens and extracellular matix for structural support but it could also produce a lot of peptides or small signaling molecules that could affect tumor cell growth, survival and metastasis.(3,4) So the control of fibroblast should be a target for cancer management.(5) Immunological cells are the most abundant infiltrating cell in tumor microenvironment. Some of immunological cells are residence, for example, macrophages and dendritic cells. The immunological cells which are the major infiltrating cell in tumor microenvironment are including polymorphonuclear cells and lymphocytes. One of the examples of the importance of immunological cells in tumor biology is from the recent studies that showed the effect of NKG2D ligand expression in tumor biology.(6)
  • 597.
    570 General Aspects of Tumor Microenvironment NKG2D is the lectin family receptor presented on membrane of many types of immune cells including natural killer (NK) cells, cytotoxic T lymphocyte, !" T lymphocyte, macrophages and some groups of helper T cell. The finding showed that regulation of NKG2D by NKG2D ligends could affect the activity of NK cell and tumor survival. (6) In Thai people there are a polymorphism of many types of NKG2D ligands have been reported.(7,8) There are not only cells play role in tumor microenvironment, the extracellular matrix molecules are also having the effect on tumor progression. Collagen could retard the migration of cancer cells by its structure but it may promote epithelial-mesenchymal transition (EMT) and stimulate cell migration by itself.(9) Small molecules which have cell signaling effects to tumor cells are using this space for their actions. These small molecules could be proteins, peptides, steroids, etc. They could regulate tumor cell growth, metastasis and also angiogenesis. Some proteins could help tumor cells evade from immune system. One of the examples for this group of protein is mucin. Mucin is a family of protein with heavy glycosylation. MUC1 is a mucin found in many types of cancers, including cholangiocarcinoma. It has been hypothesized that MUC1 production could protect tumor cells from the recognition by immune cell due to its glycosylation as a barrier for detection.(10) In cholangiocarcinoma, MUC1 has been reported its association with poor prognosis.(10,11) Unlike MUC1, MUC5AC and MUC6 are mucins found increased expression in cholangiocarcinoma too but they did not show the association with poor prognosis.(11-13) MUC6 seems to associate with good prognosis of cholangiocarcinoma in one study.(13) Trefoil factor family is a group of protein that could regulate the migration and invasion in cancer metastasis process. T..1 and T..2 are found in cholangiocarcinoma but not show association with survival of the patients.(12,13) However, due to their function, T..s are considered as a target for study their roles in cancer metastasis. Another interesting protein is periostin, a protein that could be produced from cancer cells and fibroblast in extracellular matrix and has many effects to cancer including activation of cell growth, induce invasion and promote angiogenesis. It has been reported the over-expression in cholangiocarcinoma with in vitro tumor promoting effect.(14) Tumor metastasis and angiogenesis are the hot topic for studying. Both processes are needed tumor microenvironment for promoting their progression. So, tumor microenvironment should involve in all steps of tumor progression and cells or molecules inside should be considered as targets for studying and controlling of tumor progression. In this session will discuss about tumor microenvironment in the current study and its propose as the target for cancer therapy.
  • 598.
    àǪÈÒʵÏ·¹Âؤ 2553 Ñ 571 References 1. Mbeunkui ., Johann DJ Jr. Cancer and the tumor microenvironment: a review of an essential relationship. Cancer Chemother Pharmacol. 2009;63(4):571-82. 2. Witz IP. The tumor microenvironment: the making of a paradigm. Cancer Microenviron. 2009;2 Suppl 1: 9-17. 3. Pietras K, Ostman A. Hallmarks of cancer: interactions with the tumor stroma. Exp Cell Res. 2010;316(8):1324- 31. 4. Chuaysri C, Thuwajit P, Paupairoj A, Chau-In S, Suthiphongchai T, Thuwajit C. Alpha-smooth muscle actin- positive fibroblasts promote biliary cell proliferation and correlate with poor survival in cholangiocarcinoma. Oncol Rep. 2009;21(4):957-69. 5. Plz?k J, Lacina L, Chovanec M, Dvor?nkov? B, Szabo P, Cada Z, Smetana K Jr. Epithelial-stromal interaction in squamous cell epithelium-derived tumors: an important new player in the control of tumor biological properties. Anticancer Res. 2010;30(2):455-62. 6. Champsaur M, Lanier LL. Effect of NKG2D ligand expression on host immune responses. Immunol Rev. 2010;235(1):267-85. 7. Romphruk AV, Romphruk A, Naruse TK, Raroengjai S, Puapairoj C, Inoko H, Leelayuwat C. Polymorphisms of NKG2D ligands: diverse RAET1/ULBP genes in northeastern Thais. Immunogenetics. 2009;61(9): 611-7. 8. Jumnainsong A, Romphruk AV, Jearanaikoon P, Klumkrathok K, Romphruk A, Luanrattanakorn S, Leelayuwat C. Association of polymorphic extracellular domains of MICA with cervical cancer in northeastern Thai population. Tissue Antigens. 2007;69(4):326-33. 9. Medici D, Nawshad A. Type I collagen promotes epithelial-mesenchymal transition through ILK-dependent activation of N.-kappaB and LE.-1. Matrix Biol. 2010;29(3):161-5. 10. Park SY, Roh SJ, Kim YN, Kim SZ, Park HS, Jang KY, Chung MJ, Kang MJ, Lee DG, Moon WS. Expression of MUC1, MUC2, MUC5AC and MUC6 in cholangiocarcinoma: prognostic impact. Oncol Rep. 2009;22(3): 649-57. 11. Boonla C, Sripa B, Thuwajit P, Cha-On U, Puapairoj A, Miwa M, Wongkham S. MUC1 and MUC5AC mucin expression in liver fluke-associated intrahepatic cholangiocarcinoma. World J Gastroenterol. 2005 28;11(32):4939- 46. 12. Thuwajit P, Chawengrattanachot W, Thuwajit C, Sripa B, May .E, Westley BR, Tepsiri NN, Paupairoj A, Chau-In S. Increased T..1 trefoil protein expression in Opisthorchis viverrini-associated cholangiocarcinoma is important for invasive promotion. Hepatol Res. 2007;37(4):295-304. 13. Thuwajit P, Chawengrattanachot W, Thuwajit C, Sripa B, Paupairoj A, Chau-In S. Enhanced expression of mucin 6 glycoprotein in cholangiocarcinoma tissue from patients in Thailand as a prognostic marker for survival. J Gastroenterol Hepatol. 2008;23(5):771-8. 14. Utispan K, Thuwajit P, Abiko Y, Charngkaew K, Paupairoj A, Chau-in S, Thuwajit C. Gene expression profiling of cholangiocarcinoma-derived fibroblast reveals alterations related to tumor progression and indicates periostin as a poor prognostic marker. Mol Cancer. 2010;9:13.
  • 600.
    àǪÈÒʵÏ·¹Âؤ 2553 Ñ º··Õè 573 78 Cancer-associated .ibroblasts in Tumor Progression Assistant Professor Chanitra Thuwajit, Ph.D., M.D. Department of Immunology .aculty of Medicine Siriraj Hospital, Mahidol University Tumor progression requires a crosstalk between cancer cells and tumor microenvironment via several interactions of both cell-to-cell and substance-to-cell manners. Among these interactions, cancer-associated fibroblasts (CA.s) are the most attention both as recipients to the signals from cancer cells, immune cells and extracellular matrix (ECM); and as producers of pro- tumorigenic signals which can facilitate the progression and aggressiveness of the cancers. The purpose of this talk is to introduce the importance of CA.s in cancer which have been made during the last several years. These include the explanation of what CA.s originate from, the specific characters and genetic status of CA.s, and roles of CA.s in particular in cancer progression. The translational studies of using CA.s as therapeutic targets is of great interest to mention herein. .inally, our data of CA.s in cholangiocarcinoma (CCA) which is nowadays the major health problem in the North and Northeastern parts of the country will be mentioned. The origin of CA.s CA.s are simply defined as fibroblasts found in cancers. They have specific characters in particular the expression of activated fibroblast markers importantly !-smooth muscle actin (!-SMA), fibroblast-activated protein (.AP). Several researches indicate distinct CA.s subsets probably originated from different sources. There are three main explanations regarding the origin of CA.s. Local fibroblasts or fibroblast precursors, stimulated by members of growth factors and cytokines, have generally been considered as the major source of CA.s. The experiment in mouse models demonstrated bone marrow-derived precursor cells in the contribution of CA.s population.(1) Moreover, it has been suggested that CA.s are derived from malignant epithelial cells or endothelial cells undergoing mesenchymal transitions. (2, 3)
  • 601.
    574 Cancer-associated .ibroblasts in Tumor Progression The genetic alterations of CA.s What is egg or chicken between the abnormalities of CA.s and the mutations occurred in tumor cells is still not clear. The controversial results showed that characters of CA.s have been maintained both in the absence and the presence of malignant cells. In case of CA.s stability in the absence of malignant cells, the genetic and epigenetic alterations within CA.s are involved. Using microdissected fibroblasts from breast cancer and head and neck squamous cell carcinoma, p53 mutations and loss-of-heterozygosity are common events.(4, 5) Moreover, epigenetic alterations in CA.s have been detected from fibroblasts isolated from breast and prostate cancers.(6, 7) Roles of CA.s in cancer progression There is a complex interplay of reciprocal stromal-epithelial interactions resulting in changes in the ECM and the tumor stroma. Carcinogenesis arises from the loss or breakdown of this interaction rather than from epithelial or stromal mutation alone.(8) Several studies in mouse models of genetically altered fibroblasts demonstrated a direct involvement of resident fibroblasts in the initiation of cancer. However, many more research works so far have been performed and indicated roles of CA.s in cancer progression. It is more than believable that CA.s are sources of secreted growth factors, ECM-degrading proteases, invasive factors, and angiogenic factors. .or example, CA.s are known to produce insulin-like growth factors in head and neck cancer.(9) The ECM components such as various types of collagen have been demonstrated the cross-link to the malignant cells which then cause integrin ligation leading to PI3K and AKT survival signaling pathways. Matrix metalloproteases (MMPs), cathepsins, and plasminogen activators are produced from CA.s and needed for cancer invasion and metastasis.(10) To induce neovascular formation and the recruitment of endothelial progenitor cells, CA.s are sources of vascular endothelial growth factors, fibroblast growth factor-2, and stomal-derived factor-1. Clinical implications of CA.s The more evidence of CA.s in the progression of several cancers leading to the provincing value of using CA.s in the clinical application. A key study regarding gene expression profile in breast cancer revealed the significance of genes expressed in stromal cells as prognostic predictors.(11) In addition, in colorectal cancer CA.s abundance has been shown to associate with bad prognosis.(12, 13)
  • 602.
    àǪÈÒʵÏ·¹Âؤ 2553 Ñ 575 CA.s can be the therapeutic targets through either the interfering with the recruitment or expansion of CA.s in cancer tissues or the interfering with secreted CA.s-derived pro- tumorigenic signals. Members of the platelet-derived growth factor (PDG.) family of growth factors are well established regulator of tumor fibroblasts and pericytes.(14) Targeting of stromal PDG. receptors, in experimental tumors, increase tumor drug uptake. In addition, inhibition of stromal PDG. receptors induce anti-tumoral effects in cervix and colorectal cancers. Several tyrosine kinase inhibitors with anti-PDG.R activity, such as imatinib, sorafenib, and sunitinib, are presently approved and under clinical development. Recently, CA.s have been proven to secrete CXCL14 chemokine(15), suggesting this protein and its yet-to-be identified receptor as the targets for inhibition. Newly published studies have been performed to find out the specific signal pathway in CA.s to be inhibited including a recent finding of hedgehog-signaling as a novel pathway for anti-stromal therapy.(16) .inally, immunotherapy-approached have been employed to target CA.s in particular .AP antibody are the most attractive candidate drug with the committed effects in animal models.(17) Though clinical studies are more needed, it is promising for targeting CA.s as the treatment in cancer patients. Cholangiocarcinoma-associated fibroblasts and role in cancer progression Our group has recently reported the in vitro tumorigenic effects of CA.s derived from CCA patients through both contact and non-contact fashions.(18) In addition, the result supported the previous findings in other cancers that the abundance of !-SMA positive fibroblasts correlated to the short survival time of CCA patients. In order to identify the tumorigenic genes in CCA fibroblasts, the gene expression profile of CA.s isolated from CCA patients undergone hepatectomy was performed in comparison to that of normal fibroblasts.(19) Oligonucleotide microarrays were used and certain genes involved in induction of cancer progression have been proposed. Of most interest, periostin (PN) has been confirmed the expression in only CA.s whereas no expressions in cancer cells or other stromal cells. In addition, patients who have high level of PN had shorter survival time than the ones with low PN level. The in vitro studies on roles of PN indicated the effects of PN to induce cancer cell proliferation and invasion. Taken together, it is promising that in CCA, fibroblasts take part in cancer progression and fibroblast-derived substances at least PN could be used as the poor prognostic markers. The mechanism of action of PN on CCA cells and its effect in induction of MMPs are under investigating in our lab. In addition, the other CA.s-derived substances in particular growth
  • 603.
    576 Cancer-associated .ibroblasts in Tumor Progression factors, cytokines, chemokines represented from the oligonucleotide microarray and from the study using protein chip assay (unpublished data) are of value to explore their roles in CCA. The ultimate goal is to challenge targeting CA.s to attenuate tumorigenic induction and progression in CCA patients. References 1. Direkze NC, Hodivala-Dilke K, Jeffery R, Hunt T, Poulsom R, Oukrif D, et al. Bone marrow contribution to tumor-associated myofibroblasts and fibroblasts. Cancer Res. 2004;64(23):8492-5. 2. Radisky DC, Kenny PA, Bissell MJ. .ibrosis and cancer: do myofibroblasts come also from epithelial cells via EMT? J Cell Biochem. 2007;101(4):830-9. 3. Zeisberg EM, Potenta S, Xie L, Zeisberg M, Kalluri R. Discovery of endothelial to mesenchymal transition as a source for carcinoma-associated fibroblasts. Cancer Res. 2007;67(21):10123-8. 4. Patocs A, Zhang L, Xu Y, Weber ., Caldes T, Mutter GL, et al. Breast-cancer stromal cells with TP53 mutations and nodal metastases. N Engl J Med. 2007;357(25):2543-51. 5. Weber ., Xu Y, Zhang L, Patocs A, Shen L, Platzer P, et al. Microenvironmental genomic alterations and clinicopathological behavior in head and neck squamous cell carcinoma. JAMA. 2007;297(2):187-95. 6. Hu M, Yao J, Cai L, Bachman KE, van den Brule ., Velculescu V, et al. Distinct epigenetic changes in the stromal cells of breast cancers. Nat Genet. 2005;37(8):899-905. 7. Hanson JA, Gillespie JW, Grover A, Tangrea MA, Chuaqui R., Emmert-Buck MR, et al. Gene promoter methylation in prostate tumor-associated stromal cells. J Natl Cancer Inst. 2006;98(4):255-61. 8. Weaver VM, Gilbert P. Watch thy neighbor: cancer is a communal affair. J Cell Sci. 2004;117(Pt 8):1287-90. 9. Strnad H, Lacina L, Kolar M, Cada Z, Vlcek C, Dvorankova B, et al. Head and neck squamous cancer stromal fibroblasts produce growth factors influencing phenotype of normal human keratinocytes. Histochem Cell Biol. 2010;133(2):201-11. 10. Joyce JA, Pollard JW. Microenvironmental regulation of metastasis. Nat Rev Cancer. 2009;9(4):239-52. 11. .inak G, Bertos N, Pepin ., Sadekova S, Souleimanova M, Zhao H, et al. Stromal gene expression predicts clinical outcome in breast cancer. Nat Med. 2008;14(5):518-27. 12. Tsujino T, Seshimo I, Yamamoto H, Ngan CY, Ezumi K, Takemasa I, et al. Stromal myofibroblasts predict disease recurrence for colorectal cancer. Clin Cancer Res. 2007;13(7):2082-90. 13. Henry LR, Lee HO, Lee JS, Klein-Szanto A, Watts P, Ross EA, et al. Clinical implications of fibroblast activation protein in patients with colon cancer. Clin Cancer Res. 2007;13(6):1736-41. 14. Ostman A, Heldin CH. PDG. receptors as targets in tumor treatment. Adv Cancer Res. 2007;97:247-74. 15. Augsten M, Hagglof C, Olsson E, Stolz C, Tsagozis P, Levchenko T, et al. CXCL14 is an autocrine growth factor for fibroblasts and acts as a multi-modal stimulator of prostate tumor growth. Proc Natl Acad Sci U S A. 2009;106(9):3414-9. 16. Rudin CM, Hann CL, Laterra J, Yauch RL, Callahan CA, .u L, et al. Treatment of medulloblastoma with hedgehog pathway inhibitor GDC-0449. N Engl J Med. 2009;361(12):1173-8. 17. Loeffler M, Kruger JA, Niethammer AG, Reisfeld RA. Targeting tumor-associated fibroblasts improves cancer chemotherapy by increasing intratumoral drug uptake. J Clin Invest. 2006;116(7):1955-62.
  • 604.
    àǪÈÒʵÏ·¹Âؤ 2553 Ñ 577 18. Chuaysri C, Thuwajit P, Paupairoj A, Chau-In S, Suthiphongchai T, Thuwajit C. Alpha-smooth muscle actin- positive fibroblasts promote biliary cell proliferation and correlate with poor survival in cholangiocarcinoma. Oncol Rep. 2009;21(4):957-69. 19. Utispan K, Thuwajit P, Abiko Y, Charngkaew K, Paupairoj A, Chau-in S, et al. Gene expression profiling of cholangiocarcinoma-derived fibroblast reveals alterations related to tumor progression and indicates periostin as a poor prognostic marker. Mol Cancer. 2010;9:13.
  • 606.
    àǪÈÒʵÏ·¹Âؤ 2553 Ñ º··Õè 579 79 Digital Image Processing and Data Management for Clinical Registry and Clinical Research ÍÒ¨ÒÏ ´Í¡àµÍÏ»ÃоѲ¹ ÊØÃÔ¼Š˹‹ÇªÕÇÊÒÃʹà·ÈáÅШѴ¡ÒâŒÍÁÙÅÇԨ ʶҹʋ§àÊÃÔÁ¡ÒÃÇÔ¨Â Ñ Ñ ¤³Ðá¾·ÂÈÒʵÏÈÔÃÔÃÒª¾ÂÒºÒÅ ÁËÒÇÔ·ÂÒÅÑÂÁËÔ´Å ÍØ»ÊÃä»ÃСÒÃ˹֧ÊíÒËÃѺ¡Ò÷íÒẺÊͺ¶ÒÁ ¡ÒèѴ·íÒ clinical registry ËÃ×ͧҹ clinical è research ¤×Í¡ÒÃà¡çº¢ŒÍÁÙÅ (data entry) ãËŒÍÂÙã¹ÃÙ»´Ô¨µÍÅ à¾×ͤÇÒÁÊдǡ㹡ÒÃÇÔà¤ÃÒÐˏáÅзíÒ ‹ Ô è ÃÒ§ҹ¶Ö§áÁŒÇÒã¹»˜¨¨Øº¹ à¤Ã×ͧ¤ÍÁ¾ÔÇàµÍÏÁ㪌¡¹Í‹ҧá¾Ã‹ËÅÒ ᵋ¡ÒùíÒ data entry ÁÒ㪌 ‹ Ñ è Õ Ñ §Ò¹ ÂѧÁբͨíÒ¡Ñ´¾ÍÊÁ¤Çà µÒÃÒ§·Õè 1 à»ÃÕºà·Õº¢ŒÍ´ÕáÅТŒÍàÊÕÂÃÐËNjҧ¡ÒÃà¡çº¢ŒÍÁÙÅࢌÒà¤Ã×ͧ Œ è ¤ÍÁ¾ÔÇàµÍÏâ´ÂµÃ§¼‹Ò¹·Ò§àÇçºä«µ·ÕèÊÌҧ¢Öé¹â´Â੾ÒÐÊíÒËÃѺâ¤Ã§¡ÒáѺ¡ÒáÃÍ¡¢ŒÍÁÙÅ ã¹áºº¿ÍÏÁ¡ÃдÒÉ·Õ㪌¡¹ÍÂÙ·Çä» è Ñ ‹ Ñè µÒÃÒ§·Õè 1 µÒÃÒ§à»ÃÕºà·Õº¢ŒÍÁÙÅ .orm ¢ŒÍ´Õ ¢ŒÍàÊÕ Web-based form 1. ¢ŒÍÁÙÅÍÂÙã¹ÃٻẺ´Ô¨µÍžÌÍÁ㪌§Ò¹ ‹ Ô 1. 㪌àÇÅÒ㹡ÒþѲ¹Ò¹Ò¹   2. µÃǨÊͺ¢ŒÍÁÙÅ䴌㹢³Ð¡ÃÍ¡¢ŒÍÁÙÅ 2. ¤‹Ò㪌¨ÒÂ㹡ÒþѲ¹ÒÊÙ§ ‹   3. Å´ºÃÔÁÒ³¢Í§àÍ¡ÊÒ÷Õ㪌§Ò¹ è 3. ÁբͨíÒ¡Ñ´àÃ×ͧ¢Í§¡Òà Œ è 4. ¢ŒÍÁÙÅÍѾഷẺ·Ñ¹·Õ ᡌ䢻ÃѺà»ÅÕ¹ è   5. ·íҧҹ䴌·¡Ê¶Ò¹·Õ¶ÒÁÕ¡ÒÃàª×ÍÁµ‹Í Ø è Œ è 4. ¡Ò÷íÒ§Ò¹¹Í¡Ê¶Ò¹·Õ·Ò è í internet ä´ŒÅÒºÒ¡ í   5. àÊÕÂàÇÅÒ¡ÒÃͺÃÁ¡ÒÃ㪌§Ò¹ Paper-based form 1. ¡ÒõÃǨÊͺ¡ÑºàÍ¡ÊÒõŒ¹©ºÑº·íÒä´Œ§Ò ‹ 1. 㪌àÍ¡ÊÒÃã¹ÃÙ»¡ÃдÒÉ 2. ÁÕ¤ÇÒÁÂ×´ËÂØ¹ã¹¡ÒûÃѺà»ÅÕ¹ᡌ䢿ÍÏÁ ‹ è ¨íҹǹÁÒ¡ 3. 㪌§º»ÃÐÁҳ㹡Ò÷íÒ§Ò¹¹ŒÍ 2. àÊÕÂàÇÅÒ·íÒ¢ŒÍÁÙÅãËŒÍÂÙ‹ 4. ¼Ù¡ÃÍ¡¢ŒÍÁÙÅÁÕ¤ÇÒÁ¤Ø¹à¤Â㹡Ò÷íÒ§Ò¹ Œ Œ ã¹ÃٻẺ´Ô¨µÍÅ Ô 5. ÁÕ¤ÇÒÁ¤Å‹Í§µÑÇ㹡Òþ¡¾Òà¾×Í¡ÃÍ¡¢ŒÍÁÙÅ è 3. ¡ÒÃá»Å§¢ŒÍÁÙÅ໚¹´Ô¨µÍÅÔ ã¹Ê¶Ò¹·ÕµÒ§ æ ઋ¹ ˌͧ©Ø¡à©Ô¹ ¢ŒÒ§àµÕ§ è ‹ 㪌àÇÅÒ¹Ò¹ ÁÕ¤Ò㪌¨Ò ‹ ‹ ¤¹ä¢ŒËÃ×͹͡ʶҹ·Õè áÅÐÁÕâÍ¡ÒʼԴ¾ÅÒ´ÊÙ§
  • 607.
    580 Digital ImageProcessing and Data Management for Clinical Registry and Clinical Research ¨Ò¡µÒÃÒ§¾ºÇ‹Ò¡ÒáÃÍ¡¢ŒÍÁÙÅŧ¡ÃдÒɹÑé¹ÂѧÁÕ¤ÇÒÁ¨íÒ໚¹ÍÂÙ‹ à¾ÃÒÐãËŒ¤ÇÒÁÃÙŒÊÖ¡ ·Õè໚¹¸ÃÃÁªÒµÔ¡Ç‹Ò ¼ÙŒãªŒ¤ØŒ¹à¤ÂáÅÐÂÍÁÃѺÃкºä´Œ´Õ¡Ç‹Ò Å´ÀÒÃÐ㹡Òýƒ¡ÍºÃÁ¡ÒÃ㪌§Ò¹ àËÁÒÐÊÁÊí Ò ËÃÑ º ¡Ò÷í Ò áººÊͺ¶ÒÁ·Õè ÁÕ ¼ÙŒ ¡ ÃÍ¡¢Œ Í ÁÙ Å ¨í Ò ¹Ç¹ÁÒ¡ à¾ÃÒÐÊÒÁÒö¡ÃШÒ ẺÊͺ¶ÒÁãËŒ¼ÙŒãªŒ¡ÃÍ¡¢ŒÍÁÙÅä´Œ¾ÃŒÍÁ¡Ñ¹áÅÐÂѧàËÁÒÐÊÁÊíÒËÃѺẺ¿ÍÏÁ·Õè¨íÒ໚¹µŒÍ§ÁÕ ¤ÇÒÁ¤Å‹Í§µÑÇ㹡Òþ¡¾ÒáÅÐÊдǡ㹡ÒáÃÍ¡¢ŒÍÁÙÅã¹Ê¶Ò¹·ÕµÒ§æ ઋ¹ ˌͧ©Ø¡à©Ô¹ ¢ŒÒ§àµÕ§ è ‹ ¤¹ä¢Œ ËÃ×͹͡ʶҹ·Õè ໚¹µŒ¹ ᵋ»˜­ËÒËÅÑ¡¢Í§¡ÒÃà¡çº¢ŒÍÁÙÅŧẺ¿ÍÏÁ·Õè໚¹¡ÃдÒÉ ¤×Í¡ÒÃà»ÅÕ¹¢ŒÍÁÙÅ㹡ÃдÒÉãËŒÍÂÙã¹ÃÙ»´Ô¨µÍÅ à¾×ͤÇÒÁÊдǡ㹡ÒÃ㪌§Ò¹ è ‹ Ô è â´Â·ÑèÇä» ¡Ò÷íÒ data entry ¨Ò¡áºº¿ÍÏÁ¡ÃдÒɨÐ㪌਌Ò˹ŒÒ·Õè㹡ÒÃ͋ҹ¢ŒÍÁÙÅ ¨Ò¡¡ÃдÒÉáÅоÔÁ¾Å§ã¹à¤Ã×ͧ¤ÍÁ¾ÔÇàµÍÏ «Ö§¨Ð㪌àÇÅÒ¹Ò¹áÅÐÁÕâÍ¡ÒʼԴ¾ÅÒ´ÊÙ§ â´Â੾ÒÐ è è Ẻ¿ÍÏÁ·ÕèÁÕ¢ŒÍÁÙŨíҹǹÁÒ¡ ºÒ§¤ÃÑé§ÍÒ¨ÁÕ¡ÒÃà¾ÔèÁ¤ÇÒÁÊдǡáÅÐÅ´¤ÇÒÁ¼Ô´¾ÅҴ㹡Òà ¡ÃÍ¡¢ŒÍÁÙÅ ´ŒÇ¡ÒÃà¾ÔÁ¢Ñ¹µÍ¹á»Å§ÃËÑÊà¾×ÍÅ´»ÃÔÁÒ³¢ŒÍÁÙŷյͧ¾ÔÁ¾à¢ŒÒà¤Ã×ͧ¤ÍÁ¾ÔÇàµÍÏ è é è è Œ è ઋ¹ ¡ÒÃࢌÒÃËÑʨѧËÇÑ´ãˌ໚¹µÑÇàÅ¢ àÁ×è͵ŒÍ§¡ÒáÃÍ¡¢ŒÍÁÙŨѧËÇÑ´¡Ãا෾ÁËÒ¹¤Ã ¼ÙŒà¢ŒÒÃËÑÊ ¨Ðá»Å§à»š¹àÅ¢ 1 ¶ŒÒ໚¹¨Ñ§ËÇÑ´¡ÃкÕè ¼ÙࢌÒÃËÑʨÐá»Å§à»š¹àÅ¢ 2 àÁ×Í਌Ò˹ŒÒ·Õ¡ÃÍ¡¢ŒÍÁÙŨѧËÇÑ´ Œ è è ¡çà¾Õ§ᵋ¾Á¾µÇàÅ¢ÃËÑʢͧ¨Ñ§ËÇÑ´¹Ñ¹ äÁ‹¨Ò໚¹µŒÍ§¾ÔÁ¾ªÍ¨Ñ§ËÇÑ´·Ñ§ËÁ´¡ÒÃࢌÒÃËÑÊâ´Â·ÑÇä» Ô Ñ é í ×è é è ¨ÐࢌÒÃËÑÊ໚¹µÑÇàÅ¢·Ñ§ËÁ´ à¾×Íãˌ਌Ò˹ŒÒ·ÕÊÒÁÒö¡ÃÍ¡¢ŒÍÁÙÅâ´Â¡ÒÃ㪌ệ¹µÑÇàÅ¢ (numeric é è è pad) ·ÕÍÂÙ·Ò§´ŒÒ¹¢ÇҢͧệ¹¾ÔÁ¾ (keyboard) 㹡ÒáÃÍ¡ ·íÒãËŒ¡ÒáÃÍ¡¢ŒÍÁÙÅÁÕ¤ÇÒÁÃÇ´àÃçÇ è ‹ ÁÒ¡¢Öé¹ Í‹ҧäáçµÒÁ ¡ÒÃà¾ÔèÁ¢Ñ鹵͹¡ÒÃࢌÒÃËÑÊËÁÒ¶֧à¾ÔèÁ਌Ò˹ŒÒ·ÕèËÃ×Íà¾ÔèÁÀÒÃЧҹãËŒ ÁÒ¡¢Ö¹áÅÐâÍ¡ÒʼԴ¾ÅÒ´ÂѧÊÙ§ÍÂÙÁÒ¡ é ‹ ÊíÒËÃѺ§Ò¹·ÕµÍ§¡ÒäÇÒÁ¶Ù¡µŒÍ§ÊÙ§ ઋ¹ clinical trial ÁÑ¡¨ÐÁÕ¡ÒùíÒÃкº¡ÒáÃÍ¡¢ŒÍÁÙÅ è Œ «éíÒ (double data entry) ÁÒ㪌à¾×èÍà¾ÔèÁ¤ÇÒÁ¶Ù¡µŒÍ§áÁ‹¹ÂíÒ â´ÂÁÕ਌Ò˹ŒÒ·Õè 2 ¤¹ ¡ÃÍ¡¢ŒÍÁÙÅ ªØ´à´ÕÂǡѹ áÅŒÇ㪌â»Ãá¡ÃÁ¤ÍÁ¾ÔÇàµÍÏà»ÃÕºà·Õº¢ŒÍÁÙŷѧÊͧ ËÒ¡ÁÕ¨´·Õᵡµ‹Ò§¡Ñ¹ ¨ÐµŒÍ§¡ÅѺ é Ø è 仵ÃǨÊͺáÅÐá¡Œä¢ ¨¹¡Ç‹Ò¢ŒÍÁÙŷѧÊͧªØ´àËÁ×͹¡Ñ¹ ¨ÐàËç¹Ç‹ÒÀÒÃÐ ÃÐÂÐàÇÅÒ áÅФ‹Ò㪌¨ÒÂ é ‹ ¨Ðà¾ÔÁ¢Ö¹à»š¹·ÇÕ¤³ è é ٠˹‹ÇªÕÇÊÒÃʹà·ÈáÅСÒèѴ¡ÒâŒÍÁÙÅÇԨ ¨Ö§¾Ñ²¹ÒÃкº¡ÒÃÊ᡹ÀÒ¾ à¾×ÍÍíҹǤÇÒÁ Ñ è Êдǡ㹡ÒùíÒࢌҢŒÍÁÙÅ â´Â㪌෤â¹âÅÂÕ㹡ÒèѴ¡ÒÃÀÒ¾ ¡ÒÃ͋ҹºÒÏ⤌´ áÅÐà¤Ã×Í¢‹Ò ã»ÃÐÊÒ· (neural network) ÊíÒËÃѺ¡ÒÃ͋ҹÅÒÂÁ×Í ã¹¡ÒÃá»Å§¢ŒÍÁÙŨҡÀÒ¾Ê᡹¢Í§áºº¿ÍÏÁ ¡ÃдÒÉãˌ໚¹¢ŒÍÁÙÅ´Ô¨µÍÅâ´ÂÍѵâ¹ÁÑµÔ â´ÂÁÕ¢¹µÍ¹¡Ò÷íÒ§Ò¹ËÅÑ¡ ´Ñ§á¼¹ÀÙÁ·Õè 1 Ô Ñé Ô
  • 608.
    àǪÈÒʵÏ·¹Âؤ 2553 Ê‹§áºº¿ÍÏÁ (Template) Ñ Ê‹§áºº¿ÍÏÁ scan Ê‹§¢ŒÍÁÙÅ¡ÅѺ 581 á¼¹ÀÙÁÔ·Õè 1 áÊ´§¢Ñ鹵͹¡Ò÷íÒ§Ò¹¢Í§ÃкºÊ᡹ÀÒ¾
  • 609.
    582 Digital ImageProcessing and Data Management for Clinical Registry and Clinical Research ã¹á§‹¢Í§¼Ù㪌¨ÐàËç¹Ç‹Ò ¢Ñ¹µÍ¹ã¹¡ÒáÃÍ¡¢ŒÍÁÙÅŧà¤Ã×ͧ¤ÍÁ¾ÔÇàµÍϨÐËÒÂä» ¼Ù㪌¨ÐÃÙÊ¡ Œ é è Œ ŒÖ àÊÁ×Í¹Ç‹Ò ¢ŒÍÁÙÅ·Õ¡Ã͡ŧ¡ÃдÒɨж١á»Å§ãˌ໚¹¢ŒÍÁÙÅã¹ÃÙ»´Ô¨µÍÅ ¾ÃŒÍÁÊíÒËÃѺ¡ÒùíÒä»ãªŒ§Ò¹ è Ô ä´Œ·Ñ¹·Õ ¹Í¡¨Ò¡¹ÕéÃкº¡ÒÃÊ᡹ÀÒ¾·íҧҹ䴌ÃÇ´àÃçǡNjҡÒÃ㪌਌Ò˹ŒÒ·Õè¡ÃÍ¡¢ŒÍÁÙÅÁÒ¡ ẺÊͺ¶ÒÁ¨íҹǹ¡Ç‹Ò 2,000 ªØ´ÊÒÁÒöá»Å§áÅйíÒ¢ŒÍÁÙÅä»ÇÔà¤ÃÒÐˏ¼Åä´ŒÀÒÂã¹ 2 Çѹ ´ŒÇ¤ÇÒÁáÁ‹¹ÂíÒ¡Ç‹ÒÃŒÍÂÅÐ 99.5 ´ŒÇÂÃкºÊ᡹·Õ¾²¹Ò¢Ö¹¹Õé ¼Ù㪌¨§ÊÒÁÒö·ØÁà·ä»·Õ»ÃÐà´ç¹ è Ñ é Œ Ö ‹ è ÊíҤѭ¢Í§â¤Ã§¡Òà 䴌ᡋ¡ÒÃÍ͡ẺáÅеѴÊԹ㨠à¾×èÍà¡çº¢ŒÍÁÙÅãËŒ¤Ãº¶ŒÇ¹áÅÐà¡Ô´»ÃÐ⪹ ÇÒ§á¼¹¡ÒÃÇÔà¤ÃÒÐˏáÅСÒ÷íÒÃÒ§ҹ·ÕÁ»ÃÐÊÔ·¸ÔÀÒ¾ â´ÂäÁ‹µÍ§¡Ñ§ÇšѺ§Ò¹¡ÃÍ¡¢ŒÍÁÙÅ·Õ§ÂÒ¡ è Õ Œ è Ø‹ áÅÐÁÕâÍ¡ÒʼԴ¾ÅÒ´ÊÙ§ ÃкºÊ᡹ÀÒ¾¢Í§Ë¹‹ÇªÕÇÊÒÃʹà·È ã¹Ê‹Ç¹µ‹Í¨Ò¡¹Õé ¼Ùà¢Õ¹¨Ð͸ԺÒÂÃÒÂÅÐàÍÕ´¢Í§ÃкºÊ᡹ ÊíÒËÃѺ·‹Ò¹¼Ùʹ㨡Ò÷íÒ§Ò¹ Œ Œ ¢Í§Ãкº «Ö§¨Ðä´Œ·ÃÒº¶Ö§à·¤â¹âÅÂշ㪌áÅТŒÍ¨íÒ¡Ñ´·ÕÁÍÂÙã¹¢³Ð¹Õé è Õè è Õ ‹ ¡ÒÃÊ᡹ÀÒ¾ ÀÒ¾·ÕÊ᡹ࢌÒÁÒÊÙÃкº¨Ð¶Ù¡á»Å§ãˌ໚¹ÀÒ¾¢ÒÇ´íÒ ¤ÇÒÁÅÐàÍÕ´ 200 dpi «Ö§à¾Õ§¾Í è ‹ è ·Õ¨Ð¹íÒä»ãªŒã¹¡ÒûÃÐÁÇżÅÀÒ¾áÅÐ͋ҹÅÒÂÁ×Íâ´ÂÃкºà¤Ã×Í¢‹ÒÂã»ÃÐÊÒ· (neural network) è áÅÐÁÕ¢¹Ò´äÁ‹ãË­‹à¡Ô¹ä» à¾×ͤÇÒÁàÃçÇ㹡ÒÃÃѺʋ§¢ŒÍÁÙÅáÅлÃÐËÂÑ´¾×¹·Õà¡çº¢ŒÍÁÙÅã¹à¤Ã×ͧáÁ‹¢Ò è é è è ‹ (server) ¡ÒÃ͋ҹºÒÏ⤌´ ÀÒ¾·Õ¶¡Ê᡹ࢌÒÁҨж١¹íÒä»»ÃÐÁÇżŴŒÇÂâ»Ãá¡ÃÁ͋ҹºÒÏ⤌´ ·ÕÍÂÙÊǹº¹¢Í§áºº è Ù è ‹‹ ¿ÍÏÁ ´Ñ§µÑÇÍ‹ҧÃÙ»·Õè 1
  • 610.
    àǪÈÒʵÏ·¹Âؤ 2553 Ñ 583 ÃÙ»·Õè 1 áÊ´§ÀҾẺ¿ÍÏÁ¡ÃдÒÉáÅкÒÏ⤌´ à¾×èÍãËŒÃкº·ÃҺNjÒẺ¿ÍÏÁ·ÕèÊ᡹ࢌÒÁÒ¹Ñé¹à»š¹¢Í§â¤Ã§¡ÒÃã´ áÅÐÁÕ¨íҹǹ¡Õè˹ŒÒ à¾×Í㪌㹡ÒõÃǨÊͺNjÒÀÒ¾·ÕÊ᡹ࢌÒÁÒÁըҹǹ˹ŒÒ¤Ãº¶ŒÇ¹ËÃ×ÍäÁ‹ è è í ¡ÒûÃѺᵋ§ÀÒ¾ àÁ×͵ÃǨÊͺÃËÑʺÒÏ⤌´áÅФÇÒÁ¤Ãº¶ŒÇ¹àÃÕºÌÍÂáÅŒÇ ÀÒ¾¨Ð¶Ù¡Ê‹§µ‹ÍÁÒÂѧâ»Ãá¡ÃÁ è ·ÕÊͧ à¾×Í»ÃÐàÁÔ¹ÀҾNjÒÁÕ¨´ÊÑ­­Ò³¡Ç¹ (noise) ÁÒ¡¨¹ÍÒ¨¨Ðú¡Ç¹¡ÒÃá»Å§¢ŒÍÁÙÅËÃ×ÍäÁ‹ è è Ø ¶ŒÒËÒ¡ÁÕÁÒ¡à¡Ô¹ä» ¨Ð㪌෤¹Ô¤ã¹¡ÒèѴ¡ÒÃÀÒ¾à¾×ÍÅ´¨Ø´Ãº¡Ç¹Å§ (despeckle) áÅлÃÐàÁÔ¹Ç‹Ò è ÀÒ¾àÍÕ Â §ËÃ× Í äÁ‹ «Öè § ໚ ¹ »˜ ­ ËÒ·Õè ¾ ºº‹ Í Â à¹×è Í §¨Ò¡¡Ò÷í Ò §Ò¹¢Í§ÅÙ ¡ ¡ÅÔé § ´Ö § ¡ÃдÒɢͧ à¤Ã×ͧÊ᡹à¹ÍÏ·Ò§Ò¹äÁ‹ÊÍ´¤ÅŒÍ§¡Ñ¹ »˜­ËÒÁÑ¡¨Ðà¡Ô´¢Ö¹àÁ×ÍÁÕ¡ÒÃÍÒÂØãªŒ§Ò¹¢Í§ÅÙ¡¡ÅÔ§à¾ÔÁÁÒ¡¢Ö¹ è í é è é è é ËÃ×Í໚¹»˜­ËÒ·Õ¡ÃдÒÉàͧ ·ÕÍÒ¨¨ÐÁÕÃÍÂÂѺ ËÒ¡ÀÒ¾·ÕÊ᡹ࢌÒÁÒàÍÕ§à¡Ô¹ä»¨Ð·íÒãËŒµÒá˹‹§ è è è í ·Õè ¡í Ò Ë¹´äÇŒ Êí Ò ËÃÑ º ¡ÒÃá»Å§¢Œ Í ÁÙ Å ¤ÅÒ´à¤Å×è Í ¹¨Ö § µŒ Í §ãªŒ à ·¤¹Ô ¤ ¡Òäí Ò ¹Ç³Ç‹ Ò ÀÒ¾àÍÕ Â §ä» ¡ÕͧÈÒáÅÐËÁعÀÒ¾à¾×Íãˌ䴌ÀÒ¾·ÕÍÂÙã¹á¹ÇµÑ§ è è è ‹ é
  • 611.
    584 Digital ImageProcessing and Data Management for Clinical Registry and Clinical Research ¡Òô֧¢ŒÍÁÙŨҡµíÒá˹‹§·Õè¡íÒ˹´äÇŒÊíÒËÃѺá»Å§¢ŒÍÁÙÅ ¢ŒÍÁÙŨҡÀÒ¾·Õ¶¡»ÃѺãËŒàËÁÒÐÊÁáŌǨж١´Ö§ÍÍ¡ÁÒ¨Ò¡µíÒá˹‹§µ‹Ò§ æ ·Õ¡Ò˹´äÇŒáÅŒÇ è Ù è í â´ÂàÁ×ÍÃкº·íҧҹ䴌¶¡µŒÍ§ ÀÒ¾·ÕÍÂÙ㹡Ãͺ·Ø¡¡Ãͺ¨Ð¶Ù¡´Ö§ÍÍ¡ÁÒ´ŒÇ¤ÇÒÁáÁ‹¹ÂíÒ ÁÕ¤ÇÒÁ è Ù è ‹ ¼Ô´¾ÅÒ´äÁ‹à¡Ô¹ 2 ¨Ø´¾Ô¡à«Å (pixels) ´Ñ§µÑÇÍ‹ҧÃÙ»·Õè 2 ¡) Checkbox ¢) ÅÒÂÁ×͵ÑÇàÅ¢ ÃÙ»·Õè 2 áÊ´§¤ÇÒÁáÁ‹¹ÂíÒ㹡ÒûÃѺµíÒá˹‹§¢Í§¡Ãͺ㹡ÒõѴ¢Íº â´Â·ÑÇä» â»Ãá¡ÃÁã¹ÅѡɳйÕÁ¡¨Ð´Ö§¢ŒÍÁÙÅ´ŒÇ¡ÒÃ͌ҧÍÔ§µíÒá˹‹§¡Ãͺ¨Ò¡àÊŒ¹¢ÍºËÅÑ¡ è é Ñ à·‹Ò¹Ñ¹ (ÃÙ»·Õè 1) ᵋ·Ò§Ë¹‹ÇÂÏ ¾ºÇ‹Ò¡ÒÃ͌ҧÍԧ෋ҹѹÂѧäÁ‹Á¤ÇÒÁáÁ‹¹ÂíÒ¾Í Ë¹‹ÇÂÏ ¨Ö§µŒÍ§¾Ñ²¹Ò é é Õ à·¤¹Ô¤ã¹¡ÒûÃѺµíÒá˹‹§ÊíÒËÃѺ¡Ãͺ·Ø¡¡ÃͺãËŒáÁ‹¹ÂíÒ¢Öé¹ ·íÒãËŒ¡ÒÃá»Å§ÅÒÂÁ×Íã¹¢Ñ鹵͹ µ‹Íä»·íҧҹ䴌¶¡µŒÍ§ÁÒ¡¢Ö¹Í‹ҧªÑ´à¨¹ Ù é ¡ÒÃ͋ҹÅÒÂÁ×Íà¾×èÍá»Å§¢ŒÍÁÙÅÀҾ໚¹´Ô¨ÔµÍÅ ¢ŒÍÁÙÅÀÒ¾¨Ò¡áµ‹ÅСÃͺ¨Ð¶Ù¡¹íÒÁÒ»ÃÐÁÇżŴŒÇÂÃкºà¤Ã×Í¢‹ÒÂã»ÃÐÊÒ· (neural network) à¾×è͵ѴÊԹNjÒÅÒÂÁ×Íã¹ÀÒ¾¹Ñé¹à»š¹ÍÐäà ª¹Ô´¢ŒÍÁÙÅËÅÑ¡·Õè˹‹ÇÂÏ㪌§Ò¹ÍÂÙ‹ã¹¢³Ð¹Õé¤×Í ¢ŒÍÁÙÅ»ÃÐàÀ· checkbox áÅеÑÇàÅ¢ ¡ÒûÃÐÁÇżŠcheckbox ¹Ñ鹨Ч‹Ò¡NjҡÒÃ͋ҹÅÒÂÁ×Í µÑÇàÅ¢ÁÒ¡ ¨Ö§äÁ‹à»š¹»˜­ËÒà·‹Ò㴹ѡ ᵋ¡ÒÃ͋ҹÅÒÂÁ×͵ÑÇàÅ¢ÁÕ¤ÇÒÁ«Ñº«ŒÍ¹ÁÒ¡ áÅÐâ»Ãá¡ÃÁ
  • 612.
    àǪÈÒʵÏ·¹Âؤ 2553 Ñ 585 ͋ҹÅÒÂÁ×Í·Õè«×éÍÅÔ¢ÊÔ·¸Ôì¨Ò¡µ‹Ò§»ÃÐà·È¡çäÁ‹ÊÒÁÒöãËŒ¼Å´Õà·‹Ò·ÕèºÃÔÉÑ·¡Å‹ÒÇ͌ҧ à¾ÃÒСÒÃà¢Õ¹ µÑÇàÅ¢¢Í§¤¹ä·Â¨ÐÁÕ¤ÇÒÁᵡµ‹Ò§¨Ò¡µ‹Ò§»ÃÐà·È ઋ¹¤¹ä·Âà¢Õ¹àÅ¢ 1 áÅÐ 2 ËÅÒÂẺ ÁÑ¡¨Ðà¢Õ¹àÅ¢ 7 Ẻ·ÕÁ¢´¤Ñ¹µÃ§¡ÅÒ§ àÅ¢ 9 ·Õà¢Õ¹Ëҧ⤌§ ËÃ×͵ç (ÃÙ»·Õè 3) è Õ Õ è è ÃÙ»·Õè 3 áÊ´§µÑÇàÅ¢·ÕèÁÕ¡ÒÃà¢Õ¹µ‹Ò§¡Ñ¹ ·Ò§Ë¹‹ Ç ÂÏ ¨Ö § ½ƒ ¡ Ãкºà¤Ã× Í ¢‹ Ò Âã»ÃÐÊÒ·àͧ´Œ Ç Â¢Œ Í ÁÙ Å ÀÒ¾ÅÒÂÁ× Í ¨ÃÔ § ÁÒ¡¡Ç‹ Ò 700,000 ÀÒ¾ ·íÒãËŒ¤ÇÒÁáÁ‹¹ÂíÒ㹡ÒÃ͋ҹÅÒÂÁ×͵ÑÇàŢ㹻˜¨¨Øº¹ÊÙ§¡Ç‹ÒÃŒÍÂÅÐ 99 Ñ ¡ÒõÃǨ·Ò¹¢ŒÍÁÙÅ ¤ÇÒÁáÁ‹¹ÂíÒÁÒ¡¡Ç‹ÒÃŒÍÂÅÐ 99 Âѧ¤§äÁ‹à¾Õ§¾ÍÊíÒËÃѺ§Ò¹·ÕÁ¤ÇÒÁÊíҤѭÁÒ¡·ÕµÍ§¡Òà è Õ è Œ ¤ÇÒÁ¶Ù¡µŒÍ§ÊÙ§ÊØ´ ¢ŒÍÁÙÅ¡ÒÃá»Å§ÀÒ¾·Ñ§ËÁ´¨Ö§¶Ù¡¹íÒÁÒµÃǨÊͺÍÕ¡¤Ãѧ´ŒÇÂ਌Ò˹ŒÒ·Õ¢Í§Ë¹‹ÇÂÏ é é è ·íÒãˌ䴌¤³ÀÒ¾ã¹ÅѡɳТͧ¡Ò÷íÒ double data entry â´Ââ»Ãá¡ÃÁ¤ÍÁ¾ÔÇàµÍÏ·Ò˹ŒÒ·Õ㹡ÒÃ Ø í è ¡ÃÍ¡¢ŒÍÁÙŤÃÑé§áá áÅÐÁÕ¡ÒõÃǨÊͺ«éíÒ´ŒÇÂ਌Ò˹ŒÒ·Õè¢Í§Ë¹‹ÇÂÏ â´Â¡ÒÃ㪌à¤Ã×èͧÁ×͵‹Ò§ æ ·Õ˹‹ÇÂÏ ¾Ñ²¹Ò¢Ö¹ ·íÒãËŒ¤ÇÒÁ¶Ù¡µŒÍ§ã¹»˜¨¨Øº¹ÁÕÁÒ¡¡Ç‹ÒÃŒÍÂÅÐ 99.5 è é Ñ ¡ÒèѴà¡çºáÅСÒô֧¢ŒÍÁÙÅä»ãªŒ ¢ŒÍÁÙÅ·ÕµÃǨÊͺ¤ÇÒÁ¶Ù¡µŒÍ§áŌǨж١¨Ñ´à¡çºã¹°Ò¹¢ŒÍÁÙÅ (relational database) ÊÒÁÒö è ´Ö§¢ŒÍÁÙÅÍÍ¡ÁҷѧËÁ´ËÃ×ͺҧʋǹ µÒÁà§×͹䢷ռ㪌¡Ò˹´ä´ŒÍ‹ҧÊдǡÃÇ´àÃçÇ áÅÐÊÒÁÒöʋ§ é è è ÙŒ í ¢ŒÍÁÙÅãËŒ¼ãªŒä´Œã¹ÃٻẺ·ÕµÍ§¡Òà ઋ¹ã¹ÃٻẺä¿ÅµÇÍÑ¡Éà (text file) ä¿ÅÊÒËÃѺ Microsoft Excel ÙŒ è Œ Ñ í ä¿ÅÊíÒËÃѺ¡ÒÃÇÔà¤ÃÒÐˏ´ŒÇÂâ»Ãá¡ÃÁ·Ò§Ê¶ÔµÔ ઋ¹ SPSS áÅÐÊÌҧÃÒ§ҹµÒÁ·Õè¼ÙŒãªŒÍ͡Ẻ ¢ŒÍÁÙŷѧËÁ´¨ÐÁÕ¡Ò÷íÒÊíÒÃͧà¾×ͤÇÒÁ»ÅÍ´ÀÑ¢ͧ¢ŒÍÁÙÅ áÅСíÒ˹´ÊÔ·¸Ô¢Í§¼Ù㪌㹡ÒÃࢌҶ֧ é è Œ ¢ŒÍÁÙÅ
  • 613.
    586 Digital ImageProcessing and Data Management for Clinical Registry and Clinical Research ¢ŒÍ¨íÒ¡Ñ´¢Í§Ãкºã¹»˜¨¨ØºÑ¹ ã¹»˜¨¨Øº¹ Ãкº·íҧҹ䴌´ÁÒ¡¡Ñº¢ŒÍÁÙÅ checkbox áÅеÑÇàÅ¢ ᵋ¤ÇÒÁÊÒÁÒö㹡ÒÃ͋ҹ Ñ Õ µÑÇÍÑ¡ÉÃÀÒÉÒÍѧ¡ÄÉÂѧ·íÒä´ŒäÁ‹´¹¡ ¨íÒ໚¹µŒÍ§ÊÐÊÁ¢ŒÍÁÙÅà¾ÔÁàµÔÁà¾×Í㪌㹡Òýƒ¡à¤Ã×Í¢‹ÒÂãÂ Õ Ñ è è »ÃÐÊÒ· ʋǹµÑÇÍÑ¡ÉÃÀÒÉÒä·ÂÂѧäÁ‹ÊÒÁÒö㪌§Ò¹ä´Œ â´Â·ÑÇ仢ŒÍ¨íÒ¡Ñ´àËŋҹÕäÁ‹à»š¹»˜­ËÒà·‹Ò è é 㴹ѡ à¾ÃÒТŒÍÁÙÅʋǹãË­‹¨ÐÍÂÙã¹ÃÙ» checkbox áÅеÑÇàÅ¢ÍÂÙáÅŒÇ Ê‹Ç¹¢ŒÍÁÙŵÑÇÍÑ¡ÉÃÁÑ¡¨ÐÊÒÁÒö ‹ ‹ á»Å§ãˌ໚¹µÑÇàŢ䴌 ¨Ö§ÁÕ¢ÍÁÙÅ·Õ໚¹µÑÇÍÑ¡ÉèÃÔ§ÍÂÙäÁ‹ÁÒ¡¹Ñ¡ã¹â¤Ã§¡Ò÷ÑÇä» Œ è ‹ è ʶҹ·ÕèµÔ´µ‹ÍÊíÒËÃѺ¼ÙŒ·Õèʹã¨ÃкºÊ᡹ÀÒ¾ ˹‹ÇªÕÇÊÒÃʹà·ÈáÅШѴ¡ÒâŒÍÁÙÅÇԨ ʶҹʋ§àÊÃÔÁ¡ÒÃÇÔ¨Â Ñ Ñ µÖ¡Í´ØÅÂà´ªÇÔ¡ÃÁ ªÑ¹ 12 ¤³Ðá¾·ÂÈÒʵÏÈÃÃÒª¾ÂÒºÒÅ ÁËÒÇÔ·ÂÒÅÑÂÁËÔ´Å é ÔÔ â·Ã. 02-419- 6666-70 ËÃ×Í VPN 08-8227-5937
  • 614.
    àǪÈÒʵÏ·¹Âؤ 2553 Ñ º··Õè 587 80 Research and Road to Innovation and Business ÃͧÈÒʵÃÒ¨ÒÏ ÇÃóРÁËÒ¡ÔµµÔ¤Ø³ ÀÒ¤ÇÔªÒ»ÃÊÔµÇÔ·ÂÒ ¤³Ðá¾·ÂÈÒʵÏÈÃÃÒª¾ÂÒºÒÅ ÁËÒÇÔ·ÂÒÅÑÂÁËÔ´Å ÔÔ ¾ÔÁ¾»ÃÐä¾ ¸ÕÃЪվ ÈٹºÃÔËÒ÷ÃѾʹ·Ò§»˜­­Ò ÁËÒÇÔ·ÂÒÅÑÂÁËÔ´Å Ô ¸ÒÃÔ¹ àÍÕèÂÁྪÃÒ¾§È ºÃÔɷËÇÁ·Ø¹ÊµÒ§¤ ¨íÒ¡Ñ´ Ñ ¼ÙŒª‹ÇÂÈÒʵÃÒ¨ÒÏ ´Í¡àµÍϸ¹¾Å ÇÕÃÒÊÒ ÇÔ·ÂÒÅѨѴ¡Òà ÁËÒÇÔ·ÂÒÅÑÂÁËÔ´Å ¤ÇÒÁËÁÒ¢ͧ¡ÒÃÇÔ¨ÂÁÕ¤Ò¨íÒ¡Ñ´¤ÇÒÁä´ŒËÅÒ¤ÇÒÁËÁÒ ¡Å‹ÒÇâ´ÂÃÇÁ ¡ÒÃÇÔ¨ÂËÁÒ¶֧ Ñ í Ñ ¡Òõѧ¤íÒ¶ÒÁËÃ×Í¡Ãкǹ¡ÒäԴ áÅйíÒÁÒ´íÒà¹Ô¹¡ÒÃÍ‹ҧ໚¹Ãкºà¾×ÍËÒ¤íҵͺ (ͧ¤¤ÇÒÁÃÙŒ é è ãËÁ‹) ãËŒ¡º»˜­ËÒ·Õà¡Ô´¢Ö¹·Ø¡ª¹Ô´·Ñ§·Ò§ÇÔ·ÂÒÈÒʵÏáÅÐÊѧ¤ÁÈÒʵÏ ¹Ñ¡ÇԨ¤×ͼٷ´Òà¹Ô¹¡ÒÃ Ñ è é é Ñ Œ Õè í ¤Œ¹¤ÇŒÒËÒ¤ÇÒÁÃÙŒáÅФíҵͺ㹻ÃÐà´ç¹·ÕèʧÊÑ â´ÂÁÕÃÐàºÕºÇÔ¸ÕÍѹ໚¹·ÕèÂÍÁÃѺã¹áµ‹ÅÐÈÒʵÏ ·Õèà¡ÕèÂÇ¢ŒÍ§ «Ö觤Ãͺ¤ÅØÁ·Ñé§á¹Ç¤Ô´ Áâ¹·Ñȹ áÅÐÇÔ¸Õ¡Ò÷Õè㪌㹡ÒÃÃǺÃÇÁ áÅÐÇÔà¤ÃÒÐˏ¢ŒÍÁÙÅ ÁËÒÇÔ·ÂÒÅÑÂÁËÔ´Å໚¹Ê¶ÒºÑ¹¡ÒÃÈÖ¡ÉҪѹ¹íҢͧ»ÃÐà·È ໚¹·Õ衵‹ÍÊÒ¸Òóª¹ã¹´ŒÒ¹¡ÒÃ໚¹ é è ÙŒ Ñ ÁËÒÇÔ·ÂÒÅÑÂáË‹§¡ÒÃÇԨѠ«Öè§ÁÕ§Ò¹·ÕèÁÕÅѡɳÐÊÌҧÊÃä ´íÒà¹Ô¹¡ÒÃÍ‹ҧ໚¹Ãкºà¾×èÍà¾ÔèÁ¾Ù¹ ¤Åѧ¤ÇÒÁÃÙŒ ·Ñ駤ÇÒÁÃÙŒ·Õèà¡ÕèÂǡѺÁ¹ØÉ ÇѲ¹¸ÃÃÁ áÅÐÊѧ¤Á áÅÐÁÕ¡ÒÃ㪌¤ÇÒÁÃÙŒàËŋҹÕé à¾×èÍ¡Òà »ÃдÔɰФ´¤Œ¹ÊÔ§ãËÁ‹æ ·ÕÁ»ÃÐ⪹ â´Â䴌ʹѺʹعãËŒ¹¡ÇÔ¨ÂÊÌҧ¼Å§Ò¹¤Ø³ÀÒ¾ ÊÒÁÒö¹íÒ§Ò¹ Ô è è Õ Ñ Ñ ÇÔ¨Â仵‹ÍÂÍ´µÒÁ¤ÇÒÁµŒÍ§¡ÒâͧªØÁª¹ Êѧ¤ÁáÅлÃÐà·È «Ö§¡ÒÃÇԨ»ÃÐÂØ¡µ (applied research) Ñ è Ñ ¹Ñºà»š¹¡ÒÃÇÔ¨ÑÂÍÕ¡´ŒÒ¹Ë¹Öè§ ·ÕèÁØ‹§¹íҼšÒÃÇÔ¨ÑÂä»ãªŒ»ÃÐ⪹ ÍÒ·Ôઋ¹ ¡ÒùíҼŧҹä»ãªŒ ã¹àªÔ§¾Ò³ÔªÂáÅÐÀÒ¤ÍØµÊÒË¡ÃÃÁ  㹡ÒùÕÁ¡ÁÕàÃ×ͧà¡ÕÂǡѺ§Ò¹·ÃѾʹ·Ò§»˜­­ÒÁÒà¡ÕÂÇ¢ŒÍ§ é Ñ è è Ô è µÑ Ç Í‹ Ò §¼Å§Ò¹ÇÔ ¨Ñ  àªÔ § »ÃÐÂØ ¡ µ ã ¹ÀÒ¤ÇÔ ª Ò»ÃÊÔ µ ÇÔ · ÂÒ ¤³Ðá¾·ÂÈÒʵÏ ÈÔ ÃÔ Ã Òª¾ÂÒºÒÅ ÁËÒÇÔ·ÂÒÅÑÂÁËÔ´Å ·ÕÊÒÁÒö¹íÒ§Ò¹¹Çѵ¡ÃÃÁ·Õä´ŒÁÒ¡‹Í»ÃÐ⪹àªÔ§¾Ò³ÔªÂ 䴌ᡋ ÍØ»¡Ã³¡¡½Ø¹ è è Ñ † à¤Ã×ͧᡵÑÇäýع à¤Ã×ͧãËŒàÅ×Í´ÂØ§Íѵâ¹ÁÑµÔ à»š¹µŒ¹ è † è
  • 615.
    588 Research and Road to Innovation and Business ÃÙ»·Õè 1. ÍØ»¡Ã³¡¡½Ø¹ Ñ † ÃÙ»·Õè 2. à¤Ã×ͧᡵÑÇäýع è † ÃÙ»·Õè 3. à¤Ã×ͧãËŒàÅ×Í´ÂØ§Íѵâ¹ÁÑµÔ è (Siriraj dust trap) (Mite Isolator) ÁËÒÇÔ·ÂÒÅÑÂÁËÔ´Åä´Œ´íÒà¹Ô¹¡ÒÃÊ‹§àÊÃÔÁãËŒà¡Ô´¼Å§Ò¹ÇÔ¨ÑÂãˌ䴌ͧ¤¤ÇÒÁÃÙŒãËÁ‹ÍÂÙ‹Í‹ҧ µ‹Íà¹×ͧ áÅÐÁռŧҹÇÔ¨Âã¹ÅѡɳÐͧ¤¤ÇÒÁÃٷ䴌ú¡ÒÃà¼Âá¾Ã‹ã¹ÇÒÃÊÒùҹҪҵÔ໚¹¨íҹǹ è Ñ Œ Õè Ñ ÁÒ¡Í‹ҧÊÁèÒàÊÁÍ ã¹»˜¨¨Øº¹¼Å§Ò¹ÇԨ¢ͧÁËÒÇÔ·ÂÒÅÑÂÁËÔ´Å໚¹·ÕÂÍÁÃѺáÅлÃШѡɏµÍÊѧ¤Á í Ñ Ñ è ‹ ·Ñ§ã¹»ÃÐà·Èä·Âàͧ áÅÐã¹ÃдѺ¹Ò¹ÒªÒµÔ 㹨íҹǹ¼Å§Ò¹ÇԨ·Õ໚¹Í§¤¤ÇÒÁÃÙ¹Á¨Ò¹Ç¹Ë¹Ö§ é Ñ è Œ Õé Õ í è ·ÕèÊÒÁÒö¹íÒä»»ÃÐÂØ¡µáÅС‹ÍãËŒà¡Ô´à·¤â¹âÅÂÕãËÁ‹æ µÅÍ´¨¹à¡Ô´¤ÇÒÁ¾ÃŒÍÁ·Õè¨Ð¶‹Ò·ʹ à·¤â¹âÅÂÕãˌᡋÀÒ¤àÍ¡ª¹à¾×èÍ¡‹ÍãËŒà¡Ô´»ÃÐ⪹µ‹ÍÊѧ¤Áâ´ÂÃÇÁáÅлÃÐ⪹ã¹àªÔ§¾Ò³ÔªÂ ÁËÒÇÔ·ÂÒÅÑÂÁËԴŨ֧䴌¨´µÑ§ÈٹºÃÔËÒ÷ÃѾʹ·Ò§»˜­­Ò ÁËÒÇÔ·ÂÒÅÑÂÁËÔ´Å «Ö§à»š¹Ë¹‹Ç§ҹ Ñ é Ô è ·Õú¼Ô´ªÍºã¹¡ÒùíҼŧҹÇÔ¨Âà¾×Í»ÃÐÂØ¡µãªŒã¹àªÔ§¾Ò³ÔªÂÍ‹ҧÁÕ»ÃÐÊÔ·¸ÔÀÒ¾ èÑ Ñ è ¡ÒôíÒà¹Ô¹§Ò¹¢Í§ÈٹºÃÔËÒ÷ÃѾÊÔ¹·Ò§»˜­­Ò ẋ§ä´Œà»š¹ 4 ʋǹ 䴌ᡋ ¡ÒÃÊÌҧ·ÃѾʹ·Ò§»˜­­Ò (creation) ¡ÒäØÁ¤Ãͧ·ÃѾʹ Ô Œ Ô ·Ò§»˜­­Ò (protection) ¡ÒùíÒ·ÃѾʹ·Ò§»˜­­Òä»ãªŒ»ÃÐ⪹ (exploitation) áÅСÒû¡»‡Í§ Ô ÊÔ·¸Ôã¹·ÃѾʹ·Ò§»˜­­Ò (enforcement) «Ö§áµ‹ÅÐʋǹ¨ÐÁÕº·ºÒ·áÅÐ˹ŒÒ·ÕáÅСÒôíÒà¹Ô¹§Ò¹ Ô è è ´Ñ§¹Õé ¡ÒÃÊÌҧ·ÃѾʹ·Ò§»˜­­Ò Ô à¾×ÍʹѺʹعáÅÐÊ‹§àÊÃÔÁãËŒà¡Ô´¡ÒÃÊÌҧ·ÃѾʹ·Ò§»˜­­Ò ¨Ö§ÁÕ¡ÒôíÒà¹Ô¹¡ÒÃ㹡ÒÃÊÌҧ è Ô ¤ÇÒÁࢌÒã¨ã¹àÃ×ͧ·ÃѾʹ·Ò§»˜­­Òãˌᡋ¼»¯Ôºµ§Ò¹ã¹ÁËÒÇÔ·ÂÒÅÑÂÁËÔ´Å ÃÇÁ¶Ö§ãËŒàÅç§àËç¹¶Ö§ è Ô ÙŒ Ñ Ô »ÃÐ⪹¨Ò¡¡ÒÃ㪌·ÃѾÊÔ¹·Ò§»˜­­Òà¾×è;Ѳ¹ÒÊѧ¤Á »ÃÐà·ÈªÒµÔ â´Â¡ÒûÃЪÒÊÑÁ¾Ñ¹¸ ¨Ñ´ÍºÃÁÊÑÁÁ¹Ò ãËŒ¤ÇÒÁÃÙàÃ×ͧ·ÃѾʹ·Ò§»˜­­Ò ã¹´ŒÒ¹µ‹Ò§æ ÃÇÁ¶Ö§¡ÒÃÊ׺¤Œ¹¢ŒÍÁÙÅ·ÃѾʹ Œ è Ô Ô ·Ò§»˜­­Ò ઋ¹ ÊÔ·¸ÔºÑµÃá¡‹¼ÙŒ»¯ÔºÑµÔ§Ò¹áÅйѡÈÖ¡ÉÒ áÅÐãËŒºÃÔ¡ÒÃᡋ˹‹Ç§ҹÀÒ¹͡ ¾ÃŒÍÁ·Ñ§¨Ñ´ãËŒÁ¼»ÃÐÊÒ¹§Ò¹´ŒÒ¹·ÃѾʹ·Ò§»˜­­Òà¾×Í»ÃÐÊÒ¹§Ò¹áÅÐàª×ÍÁâ§໚¹à¤Ã×Í¢‹Ò é Õ ÙŒ Ô è è 㹡Ò÷íҧҹËÇÁ¡Ñ¹ áÅÐʹѺʹع áÅмÅÑ¡´Ñ¹ãËŒà¡Ô´¡ÒÃËÇÁÁ×͡ѺÀÒ¤ÍØµÊÒË¡ÃÃÁ㹡ÒÃÊÌҧ ¼Å§Ò¹·ÃѾʹ·Ò§»˜­­Ò à¾×ÍãËŒà¡Ô´¡ÒùíÒä»ãªŒ»ÃÐ⪹ä´Œ¨ÃÔ§á¡‹ÀÒ¤ÍØµÊÒË¡ÃÃÁ áÅзíÒ¡ÒÃ Ô è
  • 616.
    àǪÈÒʵÏ·¹Âؤ 2553 Ñ 589 àÊÒÐËҼŧҹÇԨ ͧ¤¤ÇÒÁÃÙŒ áÅÐà·¤â¹âÅÂÕ·ÁÍÂÙã¹ÁËÒÇÔ·ÂÒÅÑÂÁËÔ´Å áÅйíҼŧҹàËŋҹѹ Ñ Õè Õ ‹ é ÁÒ¾Ô¨ÒóҴíÒà¹Ô¹¡Òõ‹Í仵ÒÁ¤ÇÒÁàËÁÒÐÊÁ ¡ÒäØÁ¤ÃͧáÅл¡»‡Í§·ÃѾʹ·Ò§»˜­­Ò Œ Ô à¾×Í໚¹¡ÒáÃеعãËŒÁ¡ÒÃÊÌҧ·ÃѾʹ·Ò§»˜­­ÒáÅСÒùíÒä»ãªŒ»ÃÐ⪹ ¨Ö§µŒÍ§ÁÕ¡ÒÃ è Œ Õ Ô ¤ØŒÁ¤Ãͧ¼Å§Ò¹·ÃѾÊÔ¹·Ò§»˜­­ÒÍ‹ҧàËÁÒÐÊÁà¾×èÍ»‡Í§¡Ñ¹äÁ‹ãËŒÁÕ¡ÒÃÅÐàÁÔ´ÊÔ·¸Ô㹼ŧҹ ·ÃѾʹ·Ò§»˜­­Ò¢Í§ÁËÒÇÔ·ÂÒÅÑÂÁËÔ´Å â´Â¨Ñ´ãËŒÁ¤³Ð͹ءÃÃÁ¡ÒúÃÔËÒèѴ¡Ò÷ÃѾʹ·Ò§ Ô Õ Ô »˜­­Ò à¾×ÍãËŒ¤Ò»ÃÖ¡ÉÒáÅоԨÒóҤس¤‹ÒáÅФÇÒÁàËÁÒÐÊÁ㹡ÒäØÁ¤Ãͧ·ÃѾʹ·Ò§»˜­­Ò è í Œ Ô áÅСÒùíҼŧҹä»ãªŒ»ÃÐ⪹ «Ö§¤³Ð¡ÃÃÁ¡ÒûÃСͺ´ŒÇ¼ٷç¤Ø³Çز¨Ò¡ÊÒ¢ÒÇÔªÒµ‹Ò§æ è Œ Ô áÅШѴãËŒÁ¡ÒûÃЪØÁà´×͹ÅФÃѧ â´Â㹡ÒûÃЪØÁᵋÅФÃѧÍÒ¨àªÔ­¼ÙàªÕÂǪҭ੾ÒзҧࢌÒËÇÁ Õ é é Œ è ´ŒÇÂ໚¹¡Ã³Õä» ¹Í¡¨Ò¡¹Õé ÂѧãËŒºÃÔ¡ÒÃãËŒ¤Ò»ÃÖ¡ÉÒã¹àÃ×ͧ·Õà¡ÕÂǡѺ·ÃѾʹ·Ò§»˜­­Ò áÅкÃÔ¡ÒôŒÒ¹ í è è è Ô ¡ÒäØÁ¤ÃͧÊÔ·¸Ôã¹·ÃѾʹ·Ò§»˜­­Òᡋ˹‹Ç§ҹÀÒ¹͡à¾×Í໚¹¡ÒÃãËŒºÃÔ¡ÒÃᡋʧ¤Á Œ Ô è Ñ ¡ÒùíÒ·ÃѾʹ·Ò§»˜­­Òä»ãªŒ»ÃÐ⪹ Ô ÁÕ¡ÒôíÒà¹Ô¹¡Òôѧ¹Õé 1. ¨Ñ´àµÃÕÂÁ¢ŒÍÁÙÅà¾×Í¡ÒùíҼŧҹä»ãªŒ»ÃÐ⪹ ઋ¹ ¨Ñ´·íÒ·íÒà¹Õº¼Å§Ò¹ (IP portfolio) è ÈÖ¡ÉÒ¤ÇÒÁ໚¹ä»ä´Œã¹´ŒÒ¹µ‹Ò§æ (feasibility study) á¼¹¸ØÃ¡Ô¨ (business plan) »ÃÐàÁÔ¹ÁÙŤ‹Ò (IP valuation) °Ò¹¢ŒÍÁÙżÅÔµÀѳ±áÅмŧҹ¢Í§ÁËÒÇÔ·ÂÒÅÑÂÁËÔ´Å 2. ¨Ñ´àµÃÕÂÁ¤ÇÒÁ¾ÃŒÍÁãËŒ¼Å§Ò¹·ÃѾÊÔ¹·Ò§»˜­­ÒáÅÐà·¤â¹âÅÂÕ à¾×èÍ¡ÒùíÒä»ãªŒ »ÃÐ⪹áÅоѲ¹ÒãËŒà¡Ô´¸ØÃ¡Ô¨·Õ㪌෤â¹âÅÂբͧÁËÒÇÔ·ÂÒÅÑÂÁËÔ´Å ã¹ÃٻẺ·ÕàËÁÒÐÊÁ ઋ¹ è è ´íÒà¹Ô¹¡ÒÃà¾×èÍãËŒà¡Ô´¡Òú‹Áà¾ÒиØÃ¡Ô¨ º‹Áà¾ÒÐà·¤â¹âÅÂÕ ¡ÒÃà¾ÔèÁÁÙŤ‹Ò¢Í§¼Å§Ò¹ ઋ¹ ¡ÒÃÊÌҧ¼ÅÔµÀѳ±µ¹áºº (prototype) ¡ÒþÔʨ¹à·¤â¹âÅÂÕ (proof of concept) ¡Ò÷´ÅͧµÅÒ´ Œ Ù (market trial) ¡ÒèѴËÒáËÅ‹§·Ø¹ (matching fund) ËÃ×Í»ÃÐÊÒ¹§Ò¹¡ÑºàÍ¡ª¹ãËŒÁ¡ÒÃËÇÁÁ×Í㹡ÒÃ Õ ¼ÅÔµã¹ÃдѺ¡Ö§ÍصÊÒË¡ÃÃÁËÃ×Í¡ÒþѲ¹Òµ‹ÍÂÍ´¼Å§Ò¹à¾×Í㪌ã¹àªÔ§¾Ò³ÔªÂ (industry liaison) è è 3. ´íÒà¹Ô¹¡ÒÃà¾×͹íÒ·ÃѾʹ·Ò§»˜­­Òä»ãªŒ»ÃÐ⪹ã¹ÃٻẺµ‹Ò§ æ ´Ñ§¹Õé è Ô ! ¡ÒÃ͹حҵãˌ㪌ʷ¸Ôã¹·ÃѾʹ·Ò§»˜­­Ò (Technology licensing) ´íÒà¹Ô¹¡ÒÃ Ô Ô àÊÒÐËÒ¡ÅØÁ໇ÒËÁÒ¼Ù㪌»ÃÐ⪹¨Ò¡·ÃѾʹ·Ò§»˜­­Ò áÅеԴµ‹Í»ÃÐÊÒ¹§Ò¹ ‹ Œ Ô ÃÇÁ¶Ö§·íÒ¡ÒÃà¨Ã¨Òµ‹ÍÃͧàÃ×ͧÊÔ·¸Ô»ÃÐ⪹ ¨Ñ´·íÒáÅеÃǨÊÑ­­Òµ‹Ò§æ è ! ¡Òö‹Ò·ʹ෤â¹âÅÂÕ Ê¹ÑºÊ¹Ø¹ãËŒÁ¡Òö‹Ò·ʹ෤â¹âÅÂÕãˌᡋÀÒ¤ÍØµÊÒË¡ÃÃÁ Õ ÃÇÁ¶Ö § Ê¹Ñ º Ê¹Ø ¹ ãËŒ à ¡Ô ´ ¡ÒÃÊÃŒ Ò §¤ÇÒÁË Ç ÁÁ× Í ÃÐËÇ‹ Ò §ÁËÒÇÔ · ÂÒÅÑ Â ÁËÔ ´ ÅáÅÐ ÀÒ¤àÍ¡ª¹ 㹡ÒÃÇԨ áÅоѲ¹Òã¹ÅѡɳРindustry-university linkage Ñ ! ¡ÒèѴµÑ§ºÃÔÉ··Õ»ÃСͺ¸ØÃ¡Ô¨â´Â㪌¼Å§Ò¹·ÃѾʹ·Ò§»˜­­Ò¢Í§ÁËÒÇÔ·ÂÒÅÑ é Ñ è Ô ÁËÔ´Å㹡ÒôíÒà¹Ô¹§Ò¹ (start up and spin off company)
  • 617.
    590 Research and Road to Innovation and Business ! ¨Ñ´ãËŒÁ¡ÒüÅÔµáÅШѴ¨íÒ˹‹Ò¼ÅÔµÀѳ±¢Í§ÁËÒÇÔ·ÂÒÅÑÂÁËÔ´ÅãËŒàËÁÒÐÊÁ ઋ¹ Õ ¨Ñ´µÑ§µÑÇá·¹¨íÒ˹‹Ò ¨Ñ´ËÒ¼Ù¼ÅÔµ é Œ 4. ÊÌҧà¤Ã×Í¢‹ÒÂáÅФÇÒÁËÇÁÁ×͡Ѻ˹‹Ç§ҹÀÒ¹͡áÅлÃЪÒÊÑÁ¾Ñ¹¸¼Å§Ò¹ãËŒ ໚¹·Õè¡á¡‹Ê§¤Á è ÙŒ Ñ Ñ ã¹¡Ã³Õ·¼Å§Ò¹ÇÔ¨Âã´·ÕÊÒÁÒöµ‹ÍÂÍ´ä´Œ ÁËÒÇÔ·ÂÒÅÑÂÁËÔ´Åä´ŒÁ˹‹Ç§ҹ·ÕÃͧÃѺઋ¹ Õè Ñ è Õ è ºÃÔɷËÇÁ·Ø¹ ʵҧ¤ ¨íÒ¡Ñ´ (STANG Holdings Company) «Ö§ä´Œ¨´µÑ§¢Ö¹ã¹»‚ ¾.È. 2547 ໚¹¡ÒÃ Ñ è Ñ é é ËÇÁ·Ø¹ÃÐËNjҧÁËÒÇÔ·ÂÒÅÑÂÁËÔ´Å ¸¹Ò¤ÒþѲ¹ÒÇÔÊÒˡԨ¢¹Ò´¡ÅÒ§áÅТ¹Ò´Â‹ÍÁáË‹§»ÃÐà·Èä·Â (¸¾Ç.) áÅÐ Êíҹѡ§Ò¹¹Çѵ¡ÃÃÁáË‹§ªÒµÔ (ͧ¤¡ÒÃÁËÒª¹) (ʹª.) ºÃÔɷËÇÁ·Ø¹ ʵҧ¤ ¨íÒ¡Ñ´ Ñ ÁÕਵ¹ÒÃÁ³ã¹¡Òõ‹ÍÂÍ´§Ò¹ÇÔªÒ¡ÒÃáÅЧҹÇԨ ·Ò§´ŒÒ¹ÇÔ·ÂÒÈÒʵÏ à·¤â¹âÅÂÕ áÅйÇѵ¡ÃÃÁ Ñ (science, technology, and innovation) ã¹àªÔ§¾Ò³ÔªÂ â´ÂʹѺʹعâ¤Ã§¡ÒÃã¹ÃٻẺ¡ÒÃËÇÁ ŧ·Ø¹ (venture capital) áÅÐËÇÁÊÌҧÁÙŤ‹Òà¾ÔÁ (value enhancement) ãˌᡋâ¤Ã§¡ÒÃËÇÁŧ·Ø¹ è â´Â: ! ËÇÁãËŒ·¹ã¹¡ÒôíÒà¹Ô¹¡Ô¨¡ÒÃ Ø ! àÊÒÐËҾѹ¸ÁԵ÷ҧ¸ØÃ¡Ô¨·ÕàËÁÒÐÊÁ ࢌÒËÇÁŧ·Ø¹ã¹â¤Ã§¡Òà è ! ãËŒ¤ÇÒÁª‹ÇÂàËÅ×Í㹡ÒèѴËÒ¼ÙºÃÔËÒ÷ÕàËÁÒÐÊÁ Œ è ! ËÇÁʹѺʹعáÅÐãËŒ¤ÇÒÁ¤Ô´àËç¹ã¹¡ÒþѲ¹Ò¼ÅÔµÀѳ±áÅкÃÔ¡Òà à¾×͵ͺʹͧ è ÅÙ¡¤ŒÒ áÅмÙ㪌 Œ ! Ê‹§àÊÃÔÁãËŒâ¤Ã§¡ÒÃËÇÁŧ·Ø¹ä´Œà¢ŒÒ¶Ö§à¤Ã×Í¢‹Ò·ҧ¸ØÃ¡Ô¨¢Í§ºÃÔÉÑ· Íѹ¨Ð¹íÒä»ÊÙ‹ ¡ÒÃ䴌š¤ŒÒ áÅоѹ¸ÁԵ÷ҧ¸ØÃ¡Ô¨Í×¹æ ã¹Í¹Ò¤µ Ù è ! àÊÃÔÁÊÌҧ¤ÇÒÁà©Õº¤Á·Ò§¸ØÃ¡Ô¨ (business acumen) ãËŒ¡º¼ÙºÃÔËÒÃ Ñ Œ ! ãËŒ¤ÇÒÁª‹ÇÂàËÅ×Í㹡ÒÃÈÖ¡ÉÒ¤ÇÒÁ໚¹ä»ä´Œ·Ò§¸ØÃ¡Ô¨ áÅСÒèѴ·íÒá¼¹¸ØÃ¡Ô¨ µÑÇÍ‹ҧâ¤Ã§¡Ò÷Õèä´ŒÃѺ¡ÒÃʹѺʹع ºÃÔÉÑ· â¡¡ÃÕ¹ ¨íÒ¡Ñ´ ¼ÅÔµáÅШíÒ˹‹ÒÂÊÔ¹¤ŒÒ¹ÔàÇÈÊØ¢ÀÒ¾ (EcoHealth) ·ÕãËŒ¤ÇÒÁÊíҤѭ¡Ñº¡ÒùíÒà·¤â¹âÅÂշ໚¹ è Õè ÁԵáѺÊÔ§áÇ´ÅŒÍÁÁÒ㪌㹡ÒþѲ¹ÒÊØ¢ÀÒ¾¢Í§Á¹ØÉ ºÃÔÉ·ä´Œ¾²¹Ò¼ÅÔµÀѳ± “ºŒÒ¹Âا” à¾×Í è Ñ Ñ è 㪌㹡ÒäǺ¤ØÁáÅСíÒ¨Ñ´ÂØ§ÅÒ à¾×ÍÅ´¤ÇÒÁàÊÕ§¡ÒõԴàª×ÍäÇÃÑÊ䢌àÅ×Í´ÍÍ¡ è è é ºÃÔÉÑ· ÍԹ⹿ه´ (ä·ÂᏴ) ¨íÒ¡Ñ´ ¼ÅÔµáÅШíÒ˹‹Ò¼ÅÔµÀѳ±ÍÒËÒ÷Õè¾Ñ²¹Ò¨Ò¡§Ò¹ÇÔ¨ÑÂ/¹Çѵ¡ÃÃÁ·Õèà¡ÕèÂǡѺ¢ŒÒÇ ä´Œá¡‹ ¢ŒÒǡŌͧ§Í¡ºÃèض§ µÃÒ “Nutra GABA Rice” áÅÐ ¹éÒÁѹÃíÒ¢ŒÒǪ¹Ô´á¤»«ÙÅ µÃÒ “Nutra Oris 10” Ø í
  • 618.
    àǪÈÒʵÏ·¹Âؤ 2553 Ñ 591 Xcellerex Inc. ¾Ñ²¹Ò ¼ÅÔµ áÅШíÒ˹‹Ò Ãкº·Õ㪌෤â¹âÅÂÕ੾ÒÐ (proprietary technology) ¢Í§ºÃÔÉ· è Ñ ÊíÒËÃѺ¡ÒüÅÔµÂÒáÅмÅÔµÀѳ±ªÇâÁàÅ¡ØÅ ໚¹Ãкº·ÕÊÒÁÒöª‹ÇÂãËŒ¡ÒüÅÔµÁÕ¤ÇÒÁ¤Å‹Í§µÑÇÁÒ¡ Õ è ¢Ö¹ àÃçÇ¢Ö¹ â´ÂÁÕµ¹·Ø¹·ÕµÒŧàÁ×Íà·Õº¡ÑºÇÔ¸¡Ò÷Õ㪌㹻˜¨¨Øº¹ é é Œ è èí è è Õ è Ñ ÁËÒÇÔ·ÂÒÅÑÂÁËÔ´ÅÁռŧҹÇԨ·Õ䴌ú¡ÒõվÁ¾ã¹ÇÒÃÊÒÃÇÔªÒ¡ÒÃÃдѺ¹Ò¹ÒªÒµÔã¹°Ò¹ Ñ è Ñ Ô ¢ŒÍÁÙÅÊÒ¡Åà¾ÔÁ¢Ö¹Í‹ҧµ‹Íà¹×ͧ ¨Ò¡¨íҹǹ 360 ¼Å§Ò¹ÇԨ 㹻‚ ¾.È.2540 ໚¹ 1,457 ¼Å§Ò¹ÇԨ è é è Ñ Ñ ã¹»‚¾.È. 2551 (ÃÙ»·Õè 4) ã¹·íҹͧà´ÕÂǡѹ ¨íҹǹ¼Å§Ò¹ÇԨ»ÃÐàÀ·º·¤ÇÒÁ¢Í§ÁËÒÇÔ·ÂÒÅÑÂÁËÔ´Å Ñ ·Õ䴌ú¡ÒÃ͌ҧÍÔ§·Ò§ÇÔªÒ¡ÒÃã¹°Ò¹¢ŒÍÁÙÅ ISI ä´Œà¾ÔÁ¢Ö¹¨Ò¡ 295 º·¤ÇÒÁ ã¹»‚¾.È. 2542 ໚¹ 635 è Ñ è é º·¤ÇÒÁ ã¹»‚¾.È. 2550 ¡àÇŒ¹»‚¾.È. 2551 ·ÕŴŧàËÅ×Í 397 º·¤ÇÒÁ ᵋ¨Ò¹Ç¹¤Ãѧ·Õ䴌ú¡Òà è í é è Ñ ÍŒÒ§ÍÔ§à¾ÔÁ¢Ö¹Í‹ҧÃÇ´àÃçǨҡ 120 ¤Ãѧ ã¹»‚¾.È. 2542 ໚¹ 11,789 ¤Ãѧ ã¹»‚¾.È. 2551 (µÒÃÒ§·Õè 1) è é é é àÁ×;ԨÒóҨíҹǹ¡ÒõվÁ¾à©¾ÒдŒÒ¹ÇÔ·ÂÒÈÒʵÏáÅÐà·¤â¹âÅÂբͧÁËÒÇÔ·ÂÒÅÑÂã¹»ÃÐà·Èä·Â è Ô ÁËÒÇÔ·ÂÒÅÑÂÁËÔ´ÅÁըҹǹ¡ÒõվÁ¾Ê§Êش໚¹Íѹ´ÑºË¹Ö§¢Í§»ÃÐà·È ÃͧŧÁÒ¤×Í ¨ØÌÒŧ¡Ã³ í Ô Ù è ÁËÒÇÔ·ÂÒÅÑ ÁËÒÇÔ·ÂÒÅÑÂàªÕ§ãËÁ‹ ÁËÒÇÔ·ÂÒÅÑÂʧ¢ÅÒ¹¤ÃÔ¹·Ã áÅÐÁËÒÇÔ·ÂÒÅÑÂà¡ÉµÃÈÒʵÏ µÒÁÅíҴѺ (µÒÃÒ§·Õè 2) ÃÙ»·Õè 4 ¼Å§Ò¹ÇÔ ¨Ñ  ¢Í§ÁËÒÇÔ · ÂÒÅÑ Â ÁËÔ ´ Å·Õè µÕ ¾Ô Á ¾ ã ¹ÇÒÃÊÒÃÇÔ ª Ò¡ÒÃÃÐ´Ñ º ¹Ò¹ÒªÒµÔ ã¹°Ò¹¢ŒÍÁÙÅÊÒ¡ÅÃÐËNjҧ»‚¾.È. 2540 - 2551 (¢ŒÍÁÙÅ ³ Çѹ·Õè 30 ÁÔ¶¹Ò¹ 2552) Ø ·ÕÁÒ : ÃÒ§ҹ»ÃШíÒ»‚ 2552 ÁËÒÇÔ·ÂÒÅÑÂÁËÔ´Å è
  • 619.
    592 Research and Road to Innovation and Business µÒÃÒ§·Õè 1 ¼Å§Ò¹ÇԨѻÃÐàÀ·º·¤ÇÒÁ·Õèä´ŒÃѺ¡ÒÃ͌ҧÍÔ§·Ò§ÇÔªÒ¡ÒÃã¹°Ò¹¢ŒÍÁÙÅ ISI »‚ ¨íҹǹ ¨íҹǹ¤ÃÑé§·Õèä´ŒÃѺ¡ÒÃ͌ҧÍÔ§ ã¹»‚ ¾.È. ÃÇÁ ¾.È. º·¤ÇÒÁ ·Õèä´ŒÃѺ 2542 2543 2544 2545 2546 2547 2548 2549 2550 2551 ¡Òà ͌ҧÍÔ§ 2552 49 0 0 0 0 0 0 0 0 0 0 66 2551 397 0 0 0 0 0 0 0 0 0 260 928 2550 635 0 0 0 0 0 0 0 0 226 1,700 3,029 2549 596 0 0 0 0 0 0 0 228 1,171 1,915 4,313 2548 551 0 0 0 0 0 0 297 1,335 1,802 1,993 6,464 2547 506 0 0 0 0 0 174 1,123 1,522 1,702 1,871 7,264 2546 486 0 0 0 0 101 732 1,207 1,147 1,194 1,228 6,179 2545 369 0 0 0 82 477 810 865 833 890 884 5,265 2544 351 0 0 67 409 630 627 723 674 645 690 4,804 2543 322 0 69 439 690 728 671 807 677 629 639 5,682 2542 295 120 524 781 769 796 729 696 670 665 609 6,658 ÃÇÁ 4,557 120 593 1,287 1,950 2,732 3,743 5,718 7,086 8,924 11,789 50,652 ·ÕÁÒ : ¢ŒÍÁÙŨҡ°Ò¹¢ŒÍÁÙÅ ISI ³ Çѹ·Õè 30 ÁÔ¶¹Ò¹ 2552 è Ø µÒÃÒ§·Õè 2 ¨íҹǹ¡ÒõվÔÁ¾´ŒÒ¹ÇÔ·ÂÒÈÒʵÏáÅÐà·¤â¹âÅÂբͧÁËÒÇÔ·ÂÒÅÑ 5 Íѹ´Ñºáá ¢Í§»ÃÐà·Èä·Â ÁËÒÇÔ·ÂÒÅÑ 2545 2546 2547 2548 2549 ÁËÒÇÔ·ÂÒÅÑÂÁËÔ´Å 433 597 509 712 711 ¨ØÌÒŧ¡Ã³ÁËÒÇÔ·ÂÒÅÑ 341 464 428 597 706 ÁËÒÇÔ·ÂÒÅÑÂàªÕ§ãËÁ‹ 175 212 213 294 341 ÁËÒÇÔ·ÂÒÅÑÂʧ¢ÅÒ¹¤ÃÔ¹·Ã 143 130 117 197 249 ÁËÒÇÔ·ÂÒÅÑÂà¡ÉµÃÈÒʵÏ 86 124 97 194 184 ·ÕÁÒ : ÊÇ·ª. (2550) è ÊíÒËÃѺ¼Å§Ò¹ÇԨѻÃÐàÀ·ÊÔ·¸ÔºÑµÃ ÁËÒÇÔ·ÂÒÅÑÂÁËÔ´ÅÁռŧҹÇԨѷÕèÂ×蹢ͨ´ÊÔ·¸ÔºÑµÃ ÃÐËNjҧ»‚ ¾.È. 2522-2548 ¨íҹǹ 28 ÃÒ¡Òà «Ö§à»š¹Íѹ´Ñº·ÕÊÒÁ¢Í§ÁËÒÇÔ·ÂÒÅÑÂã¹»ÃÐà·È áÅÐ è è ¼Å§Ò¹ÇԨ·Õ䴌úÊÔ·¸ÔºµÃÁըҹǹ 4 ÃÒ¡Òà ໚¹Íѹ´Ñº·ÕÊͧ¢Í§»ÃÐà·È ã¹¢³Ð·Õ»‚ ¾.È. 2549 Ñ è Ñ Ñ í è è ¼Å§Ò¹ÇԨ·Õ¹¢Í¨´ÊÔ·¸ÔºµÃÁըҹǹ 13 ÃÒ¡Òà ໚¹Íѹ´Ñº·ÕÊͧ¢Í§»ÃÐà·È áÅмŧҹÇÔ¨Â Ñ è ×è Ñ í è Ñ ·Õ䴌úÊÔ·¸ÔºµÃÁըҹǹ 2 ÃÒ¡Òà ໚¹Íѹ´Ñº·ÕÊÒÁ¢Í§»ÃÐà·È (µÒÃÒ§·Õè 3) è Ñ Ñ í è
  • 620.
    àǪÈÒʵÏ·¹Âؤ 2553 Ñ 593 µÒÃÒ§·Õè 3 ¨íҹǹ¡ÒÃÂ×¹¢ÍÊÔ·¸ÔºµÃáÅÐÊÔ·¸ÔºµÃ·Õ䴌ú¢Í§ÁËÒÇÔ·ÂÒÅÑ 5 Íѹ´Ñºáá¢Í§ä·Â è Ñ Ñ è Ñ »‚ 2522 – 2548 »‚ 2549 ÁËÒÇÔ·ÂÒÅÑ ¨íҹǹ ¨íҹǹ ¨íҹǹ ¨íҹǹ ¡ÒÃÂ×¹¨´ è ÊÔ·¸ÔºÑµÃ ¡ÒÃÂ×¹¨´ è ÊÔ·¸ÔºÑµÃ ÊÔ·¸ÔºÑµÃ ·Õ䴌ú è Ñ ÊÔ·¸ÔºÑµÃ ·Õ䴌ú è Ñ ¨ØÌÒŧ¡Ã³ÁËÒÇÔ·ÂÒÅÑ 71 6 25 2 ÁËÒÇÔ·ÂÒÅÑÂÁËÔ´Å 28 4 13 2 ÁËÒÇÔ·ÂÒÅÑÂà¡ÉµÃÈÒʵÏ 66 3 7 3 ÁËÒÇÔ·ÂÒÅÑÂʧ¢ÅÒ¹¤ÃÔ¹·Ã 14 2 6 1 ÁËÒÇÔ·ÂÒÅÑÂàªÕ§ãËÁ‹ 16 1 10 0 ·ÕÁÒ : ¡ÃÁ·ÃѾʹ·Ò§»˜­­Ò è Ô ÁËÒÇÔ·ÂÒÅÑÂÁËÔ´ÅÁÕ¡Åä¡¡Òö‹Ò·ʹ෤â¹âÅÂÕ (¡ÒèѴ¡Ò÷ÃѾÊÔ¹·Ò§»˜­­Ò ¡ÒÃŧ·Ø¹ã¹¸ØÃ¡Ô¨à·¤â¹âÅÂÕ ¡Òú‹Áà¾ÒиØÃ¡Ô¨ áÅСÒþѲ¹Ò¤ÇÒÁ໚¹¼Ù»ÃСͺ¡ÒÃ) ¡ÒþѲ¹Ò Œ ¼Å§Ò¹ÇÔ¨Âã¹àªÔ§¾Ò³ÔªÂ áÅСÒÃãËŒºÃÔ¡ÒÃÇÔªÒ¡Òà ઋ¹ ¡ÒèѴµÑ§ÈٹºÃÔËÒ÷ÃѾʹ·Ò§»˜­­Ò Ñ é Ô à¾×èͺÃÔËÒèѴ¡Òçҹ´ŒÒ¹·ÃѾÊÔ¹·Ò§»˜­­Ò ¡ÒèѴµÑé§Èٹ¾Ñ²¹Ò»˜­­Ò¤Áà¾×èÍ´Ùáŧҹ ´ŒÒ¹¡ÒúÃÔ¡ÒÃÇÔªÒ¡ÒâͧÁËÒÇÔ·ÂÒÅÑ áÅСÒèѴµÑ駺ÃÔÉѷËÇÁ·Ø¹ ʵҧ¤ ¨íÒ¡Ñ´1 â´ÂÁÕ¡Òà ´íÒà¹Ô¹§Ò¹áºººÃÔÉÑ·àÍ¡ª¹ à¾×èÍ·íÒ˹ŒÒ·Õèŧ·Ø¹ã¹ºÃÔÉÑ·à·¤â¹âÅÂÕà¡Ô´ãËÁ‹¢Í§ÁËÒÇÔ·ÂÒÅÑ ¹Í¡¨Ò¡¹Õé ÁËÒÇÔ·ÂÒÅÑÂÁËÔ´Åä´Œ¡Ò˹´¹âºÒ·ÃѾʹ·Ò§»˜­­Ò â´ÂÁËÒÇÔ·ÂÒÅÑÂ໚¹à¨ŒÒ¢Í§ í Ô ·ÃѾʹ·Ò§»˜­­Ò·Ñ§ËÁ´·Õº¤ÅÒ¡ÃáÅÐ˹‹Ç§ҹÀÒÂ㹢ͧÁËÒÇÔ·ÂÒÅѾѲ¹Ò¢Ö¹¨Ò¡¡Ô¨¡ÃÃÁ Ô é è Ø é ¡ÒÃÇԨ¢ͧÁËÒÇÔ·ÂÒÅÑ áÅÐä´Œ¡Ò˹´Ê‹Ç¹áº‹§ÃÒÂä´Œ¨Ò¡·ÃѾʹ·Ò§»˜­­Ò ´Ñ§µÒÃÒ§·Õè 4 Ñ í Ô 1 ºÃÔɷËÇÁ·Ø¹ ʵҧ¤ ¨íÒ¡Ñ´ ¨Ñ´µÑ§¢Ö¹àÁ×Í»‚¾.È. 2547 â´ÂÁÕ·¹¨´·ÐàºÕ¹ 200 ŌҹºÒ· ÁËÒÇÔ·ÂÒÅÑÂÁËÔ´Å໚¹¼Ù¶Í Ñ é é è Ø Œ × ËØ¹ãË­‹ ÃŒÍÂÅÐ 60 ¸¹Ò¤ÒþѲ¹ÒÇÔÊÒˡԨ¢¹Ò´¡ÅÒ§áÅТ¹Ò´Â‹ÍÁáË‹§»ÃÐà·Èä·Â ÃŒÍÂÅÐ 20 áÅÐÊíҹѡ§Ò¹¹Çѵ¡ÃÃÁ Œ áË‹§ªÒµÔ ÃŒÍÂÅÐ 20 Çѵ¶Ø»ÃÐʧ¤ËÅÑ¡¢Í§ºÃÔÉ·¤×Í¡ÒúÃÔËÒèѴ¡Ò÷ÃѾʹ·Ò§»˜­­ÒáÅйÇѵ¡ÃÃÁ¢Í§ÁËÒÇÔ·ÂÒÅÑÂÁËÔ´Å Ñ Ô à¾×ÍãËŒà¡Ô´¡ÒþѲ¹ÒáÅСÃдѺ¼Å§Ò¹ÇÔ¨Âä»ÊÙàªÔ§¾Ò³ÔªÂ ºÃÔÉ·ÂѧãËŒºÃÔ¡Òáͧ·Ø¹Ã‹ÇÁ·Ø¹ (venture capital) ¡ÒþѲ¹Ò è Ñ ‹ Ñ á¼¹¸ØÃ¡Ô¨ áÅСÒýƒ¡ÍºÃÁà¾×;Ѳ¹Ò¸ØÃ¡Ô¨à·¤â¹âÅÂÕ ·Ñ§¹ÕÁËÒÇÔ·ÂÒÅÑÂÁËÔ´ÅÁÕ¹âºÒÂãËŒºÃÔɷËÇÁ·Ø¹ ʵҧ¤ ¨íÒ¡Ñ´ è é é Ñ ¶×ÍËØ¹ã¹ºÃÔÉ·à¡Ô´ãËÁ‹ÁÒ¡¡Ç‹ÒÃŒÍÂÅÐ 50 Œ Ñ
  • 621.
    594 Research and Road to Innovation and Business µÒÃÒ§·Õè 4 â¤Ã§ÊÌҧʋǹẋ§ÃÒÂä´Œ¨Ò¡·ÃѾÊÔ¹·Ò§»˜­­Ò¢Í§ÁËÒÇÔ·ÂÒÅÑÂÁËÔ´Å ÊÔ·¸ÔºÑµÃ ÅÔ¢ÊÔ·¸Ôì ¼Ù¤´¤Œ¹/਌Ңͧ Œ Ô 50% 70% ¼ÙŒ¨Ñ´¡ÒáÒüÅÔµ - 20% ÁËÒÇÔ·ÂÒÅÑ 30% 4% ¤³Ð 10% 3% ÀÒ¤ÇÔªÒ 10% 3% ·ÕÁÒ : Virasa (2009)2 è Í‹ҧäáçµÒÁ §Ò¹ÇԨ¢ͧ Virasa (2009) ÃкØÇÒ ÁËÒÇÔ·ÂÒÅÑÂÁËÔ´ÅÂѧ¤§ÁÕ»­ËÒã¹´ŒÒ¹ Ñ ‹ ˜ ¡Òö‹Ò·ʹ෤â¹âÅÂÕáÅСÒùíҼŧҹÇÔ¨Âä»ãªŒ»ÃÐ⪹ã¹àªÔ§¾Ò³ÔªÂàª‹¹¡Ñ¹ à¹×ͧ¨Ò¡ÇѲ¹¸ÃÃÁ Ñ è áÅФÇÒÁʹã¨ËÅÑ¡¢Í§ÁËÒÇÔ·ÂÒÅÑÂ์¹´ŒÒ¹ÇÔªÒ¡ÒÃÁÒ¡¡Ç‹ÒàªÔ§¾Ò³ÔªÂ ·Ñȹ¤µÔ¢Í§¼ÙŒºÃÔËÒà ÁËÒÇÔ·ÂÒÅÑ·ÕäÁ‹ãª‹¼»ÃСͺ¡ÒÃáÅÐäÁ‹Á»ÃÐʺ¡Òóã¹ÀÒ¤¸ØÃ¡Ô¨¨Ö§ÍÒ¨äÁ‹¡ÅŒÒŧ·Ø¹ã¹¡Ô¨¡ÃÃÁ è ÙŒ Õ ·ÕÁ¤ÇÒÁàÊÕ§ÊÙ§ ¹Ñ¡ÇÔ¨Âã¹ÁËÒÇÔ·ÂÒÅÑÂàͧÂѧ¢Ò´¤ÇÒÁµÃÐ˹ѡáÅФÇÒÁࢌÒã¨Ãкº¡Òö‹Ò·ʹ è Õ è Ñ à·¤â¹âÅÂբͧÁËÒÇÔ·ÂÒÅÑ à¹×ͧ¨Ò¡¢Ò´¡ÒÃÊ×ÍÊÒà »ÃЪÒÊÑÁ¾Ñ¹¸ áÅСÒÃãËŒ¢ÍÁÙÅ¢‹ÒÇÊÒÃà¾×Í è è Œ è ÊÃŒ Ò §¤ÇÒÁµÃÐË¹Ñ ¡ à¡Õè Â Ç¡Ñ º Ãкº¹Õé ¹Í¡¨Ò¡¹Õé ˹‹ Ç Â§Ò¹ÀÒÂ㹢ͧÁËÒÇÔ · ÂÒÅÑ Â ÂÑ § ¢Ò´ ¡ÒÃÁͧÀÒ¾ÃÇÁ·Õè¨Ð·íÒãËŒà¡Ô´¾ÂÒÂÒÁËÇÁ¡Ñ¹ã¹¡ÒüÅÑ¡´Ñ¹¡Òö‹Ò·ʹ෤â¹âÅÂÕáÅСÒùíÒ ¼Å§Ò¹ÇÔ¨ÑÂä»ãªŒã¹àªÔ§¾Ò³ÔªÂ áÅÐâ¤Ã§ÊÌҧͧ¤¡Ã·ÕèʹѺʹع¼ÙŒ»ÃСͺ¡Ò÷ҧ෤â¹âÅÂÕÂѧ ·íÒãËŒ¡Ò÷íҧҹ㹷ҧ»¯Ôºµà»š¹áººá¡ʋǹ ã¹¢³Ð·Õ˹‹Ç§ҹ·Õ·Ò˹ŒÒ·Õ¶Ò·ʹ෤â¹âÅÂÕ Ñ Ô è è í è ‹ ¢Í§ÁËÒÇÔ·ÂÒÅÑÂÁËÔ´ÅÂѧ´íÒà¹Ô¹§Ò¹â´ÂºØ¤ÅҡâͧÁËÒÇÔ·ÂÒÅÑÂ໚¹Ê‹Ç¹ãË­‹ «Öè§ÂѧäÁ‹ÁÕ¤ÇÒÁ àªÕÂǪҭ㹴ŒÒ¹¸ØÃ¡Ô¨áÅСÒõÅÒ´ áÅйѡÇԨ¨íҹǹÁÒ¡ÂѧµŒÍ§¡Ò÷íÒ§Ò¹ÍÂÙᵋ੾ÒÐã¹ËŒÍ§ è Ñ ‹ »¯Ôºµ¡ÒÃ Ñ Ô àÍ¡ÊÒÃ͌ҧÍÔ§ 1. ˹ѧÊ×ͤÇÒÁÃÙŒàº×éͧµŒ¹´ŒÒ¹·ÃѾÊÔ¹·Ò§»˜­­Ò (Introduction to Intellectual Property) ¡ÃÁ·ÃѾÊÔ¹·Ò§»˜­­Ò ¡ÃзÃǧ¾Ò³ÔªÂ 2. www.ipthaialand.org 3. www.mucip.mahidol.ac.th 4. www.stangholding.mahidol.ac.th 5. Virasa T. (2009). University technology transfer and commercialization: The case of Mahidol University, Thailand. The Role and Impact of Universities in a National Innovation System, NUS Entrepreneurship Centre, National University of Singapore.
  • 622.
    àǪÈÒʵÏ·¹Âؤ 2553 Ñ º··Õè 595 81 Transplantation : Medico-legal Investigation ÃͧÈÒʵÃÒ¨ÒÏ ¹ÒÂᾷ»ÃÕªÒ ÈÔÃԷͧ¶ÒÇà ¤³Ðá¾·ÂÈÒʵÏÈÔÃÔÃÒª¾ÂÒºÒÅ ÁËÒÇÔ·ÂÒÅÑÂÁËÔ´Å ¡ÒûÅÙ¡¶‹ÒÂÍÇÑÂÇÐ໚¹¤ÇÒÁ¡ŒÒÇ˹ŒÒÊÙ§ÊØ´á¢¹§Ë¹Ö§·Ò§¡ÒÃᾷ ·ÕÊÒÁÒöª‹ÇªÕǵ è è Ô ¼Ù»ÇÂËÃ×Í·íÒãËŒ¤³ÀÒ¾ªÕǵ¢Í§¼Ù䴌ú¡ÒûÅÙ¡¶‹ÒÂÍÇÑÂÇдբ¹ÁÒ¡ »˜­ËÒÊíҤѭÍѹ˹֧㹻˜¨¨Øº¹ Œ † Ø Ô Œ Ñ Öé è Ñ ¤×ͼٺÃÔ¨Ò¤ÍÇÑÂÇÐÁչ͠â´Â·ÑÇ仡ÒúÃÔ¨Ò¤ÍÇÑÂÇÐÁÕ 2 ÅѡɳÐ䴌ᡋ ¼ÙºÃÔ¨Ò¤ÁÕÊ¢ÀҾËҧ¡Ò Œ Œ è Œ Ø »¡µÔ ÊÒÁÒöºÃÔ¨Ò¤ºÒ§Ê‹Ç¹¢Í§ÍÇÑÂÇÐä´ŒáÅÐáÊ´§à¨µ¹Ò¢Í§µ¹àͧ䴌 (living donor) áÅмٺÃÔ¨Ò¤ Œ ·ÕÁÊÁͧµÒ äÁ‹ÊÒÁÒöáÊ´§à¨µ¹Ò¢Í§µ¹àͧ䴌 (cadaveric donor) ¼Ùà¢Õ¹»¯Ôºµ§Ò¹·Õµ¡Íغµà赯 è Õ Œ Ñ Ô è Ö Ñ Ô ÁÕÊǹà¡ÕÂÇ¢ŒÍ§¡Ñº¼ÙºÃÔ¨Ò¤ã¹¡ÅØÁ·Õè 2 ໚¹Ê‹Ç¹ãË­‹ ¨Ö§¨Ð¡Å‹ÒǶ֧¼ÙºÃÔ¨Ò¤ã¹¡ÅØÁ¹Õé ‹ è Œ ‹ Œ ‹ 㹪‹Ç§ 3 »‚·¼Ò¹ÁÒ ËÍÍÀÔºÒÅµÖ¡ÍØºµà˵شáżٺÃÔ¨Ò¤ÍÇÑÂÇÐ cadaveric donor ¨íҹǹ·Ñ§ Õè ‹ Ñ Ô Ù Œ é ÊÔ¹ 12 ÃÒ (ẋ§à»š¹ ¾.È. 2550 ¨íҹǹ 3 ÃÒÂ, ¾.È. 2551 ¨íҹǹ 5 ÃÒ áÅо.È. 2552 ¨íҹǹ 4 é ÃÒÂ) ʋǹãË­‹¢Í§¼ÙŒºÃÔ¨Ò¤ÍÇÑÂÇÐ໚¹ªÒ (¨íҹǹ 10 ÃÒ ·ÕèàËÅ×Í໚¹¼ÙŒË­Ô§ 1 ÃÒÂáÅÐà´ç¡ 1 ÃÒÂ) àÁ×ÍÁÕ¼»Ç·Õ䴌úºÒ´à¨çº·Ò§ÊÁÍ§ÃØ¹áç áÅÐʧÊÑÂÇ‹ÒÊÁͧµÒ ¾ÂÒºÒÅ·ÕËÍÍÀÔºÒŨРè ÙŒ † è Ñ è »ÃÖ¡ÉҡѺᾷ਌Ңͧ䢌ËÃ×ÍᾷÊÒ¢Ò»ÃÐÊÒ·ÈÑÅÂÈÒʵÏ à¾×;ԨÒóÒNjҨÐ໚¹¼ÙºÃÔ¨Ò¤ÍÇÑÂÇÐ è Œ ä´ŒËÃ×ÍäÁ‹ Ëҡ໚¹ä»ä´Œ¡¨ÐàÃÔÁ¾Ô¨ÒóҵÒÁࡳ±¡ÒÃÇÔ¹¨©ÑÂÊÁͧµÒÂã¹¼Ù»ÇÂÃÒ¹ѹ ¡Å‹ÒǤ×Í ç è Ô Œ † é ¼Ù»Ç¨еŒÍ§äÁ‹ÃÊ¡µÑÇâ´ÂäÁ‹ä´Œà»š¹¼Å¨Ò¡ÂÒ ÍØ³ËÀÙÁã¹Ã‹Ò§¡ÒµèÒ ¤ÇÒÁ¼Ô´»¡µÔ¢Í§Ãкºµ‹ÍÁäÃŒ Œ † ÙŒ Ö Ô í ·‹ÍáÅÐàÁµÐºÍÅÔ¡ ËÃ×ÍÊÀÒÇЪçÍ¡ áÅмٻÇÂäÁ‹ÊÒÁÒöËÒÂã¨ä´Œàͧâ´ÂäÁ‹ä´ŒÃºÂÒ¤ÅÒ¡ŌÒÁà¹×Í Œ † Ñ é ¼Ù»ÇÂÁÕÊÁͧ·ÕàÊÕÂËÒÂäÁ‹ÊÒÁÒö¡ÅѺÁÒ໚¹»¡µÔä´Œ àÁ×ͼٻÇÂÍÂÙã¹ÊÀÒ¾´Ñ§¡Å‹ÒǨ֧䴌ú¡ÒõÃǨ Œ † è è Œ † ‹ Ñ Êͺà¾×ÍÂ×¹ÂѹÊÁͧµÒµÒÁࡳ±´§µ‹Í仹Õé è Ñ (1) 1. äÁ‹Á¡ÒÃà¤Å×͹äËÇã´æ ä´Œàͧ äÁ‹ÁÍÒ¡Òêѡ äÁ‹ÁÕ decorticate ËÃ×Í decerebrate rigidity Õ è Õ 2. äÁ‹ÁÃà¿Å¡«¢Í§á¡¹ÊÁͧ ·Ñ§ 6 »ÃСÒä×Í ÕÕ é 1) Dilated and fixed pupils 2) Absence of corneal reflex 3) No motor response within the cranial nerve distribution 4) Absence of oculocephalic reflex (Doll’s head phenomena) 5) Absence of vestibular response to caloric stimulation 6) Absence of gag and cough reflex
  • 623.
    596 Transplantation : Medico-legal Investigation 3. äÁ‹ÊÒÁÒöËÒÂã¨ä´Œàͧ ·´Êͺ䴌â´Â¡ÒÃËÂØ´à¤Ã×ͧª‹ÇÂËÒÂ㨠(ãËŒÍÍ¡«Ôਹ·Ò§ÊÒÂÂÒ§ è ࢌÒã¹ËÅÍ´ÅÁ) ໚¹àÇÅÒÍ‹ҧ¹ŒÍ 10 ¹Ò·Õ áÅФÍ´ÙÇÒÁÕ¡ÒÃËÒÂã¨ËÃ×ÍäÁ‹ ¢³Ð·Õ·´Êͺ¨Ð ‹ è µŒÍ§ÁÕ¤Ò¤ÇÒÁ´Ñ¹¢Í§¤ÒϺ͹ä´Í͡䫴ã¹¡ÃÐáÊàÅ×Í´ (pCO2) äÁ‹µÒ¡Ç‹Ò 60 ÁÁ.»ÃÍ·. ‹ èí 4. ÊÀÒÇСÒõÃǨ¾ºã¹¢ŒÍ 1, 2 áÅÐ 3 ¹Õé ¨ÐµŒÍ§äÁ‹Á¡ÒÃà»ÅÕ¹á»Å§à»š¹àÇÅÒÍ‹ҧ¹ŒÍÂ Õ è 12 ªÑÇâÁ§ ¨Ö§¨Ð¶×Íä´ŒÇÒÊÁͧµÒÂ è ‹ ¼Ùǹ¨©ÑÂÊÁͧµÒ¨СÃзíÒâ´Âͧ¤¤³Ðᾷ 3 ¤¹ â´Âᾷ਌Ңͧ¼Ù»ÇÂáÅÐÍÕ¡ 1 ã¹ ŒÔ Ô Œ † 2 ¤¹ ¨Ð໚¹á¾·ÂÊÒ¢Ò»ÃÐÊÒ·ÈÑÅÂÈÒʵÏ ͧ¤¤³Ðᾷ¹µÍ§äÁ‹»ÃСͺ´ŒÇÂᾷ¼¡ÃзíÒ¡Òà Õé Œ ÙŒ ¼‹ÒµÑ´»ÅÙ¡¶‹ÒÂÍÇÑÂÇÐÃÒ¹ѹ áÅÐÁÕ¼ÍҹǡÒÃŧ¹ÒÁÃѺÃͧ¡ÒÃÇÔ¹¨©ÑÂÊÁͧµÒÂáÅÐ໚¹¼Ùŧ¹ÒÁ é ÙŒ í Ô Œ ÃѺÃͧ¡ÒõÒ ¼Ù»ÃÐÊÒ¹§Ò¹¢Í§Èٹ»ÅÙ¡¶‹ÒÂÍÇÑÂÇÐ ¨Ð䴌ú¡ÒÃᨌ§µÑ§áµ‹µ¹à¾×Í»ÃÐÊÒ¹§Ò¹¡Ñº Œ Ñ é Œ è ·ÕÁ§Ò¹áÅÐà¨Ã¨Ò¡Ñº­ÒµÔ¼»Ç ÃÇÁ·Ñ§¡ÒõÃǨ·Ò§ËŒÍ§»¯Ôºµ¡Òà ٌ † é Ñ Ô »˜­ËÒã¹»˜¨¨Øº¹¤×Í ¡ÒâͤÇÒÁÂÔ¹ÂÍÁ¨Ò¡­ÒµÔ¼»ÇÂ㹡ÒúÃÔ¨Ò¤ÍÇÑÂÇÐÁÕ¢¹µÍ¹Å‹ÒªŒÒ Ñ ÙŒ † Ñé áÅСÒúҴà¨çºÃ‹ÇÁËÃ×ÍÀÒÇСÒõԴàª×Í·Õà¡Ô´Ã‹ÇÁ´ŒÇ ·íÒãËŒàÁ×Ͷ֧àÇÅҵѴÊÔ¹ÊÁͧµÒ ÍÇÑÂÇÐäÁ‹ é è è ÍÂÙã¹ÊÀÒ¾àËÁÒÐÊÁ·Õ¨Ð㪌㹡ÒûÅÙ¡¶‹ÒÂä´Œ ·íÒãËŒ¡ÒúÃÔ¨Ò¤ÍÇÑÂÇÐÁըҹǹ¹ŒÍ ‹ è í àÍ¡ÊÒÃ͌ҧÍÔ§ 1. »ÃСÒÈá¾·ÂÊÀÒ àÃ×ͧ “ࡳ±¡ÒÃÇÔ¹¨©ÑÂÊÁͧµÒ” è Ô
  • 624.
    àǪÈÒʵÏ·¹Âؤ 2553 Ñ º··Õè 597 82 ¤ÇÒÁ¼Ô´»¡µÔ¢Í§ÊÒÂàÊÕ§ (Vocal folds mucosal disorders) ÍÒ¨ÒÏ ¹ÒÂᾷ侺Ùŏ ÊØÃՏ¾§É ÀÒ¤ÇÔªÒ âʵ ¹ÒÊÔ¡ ÅÒÃÔ§«Ç·ÂÒ ¤³Ðá¾·ÂÈÒʵÏÈÃÃÒª¾ÂÒºÒÅ ÁËÒÇÔ·ÂÒÅÑÂÁËÔ´Å Ô ÔÔ Vocal nodule à¡Ô´ºÃÔàdzÃ͵‹ÍÃÐËNjҧ´ŒÒ¹Ë¹ŒÒ 1/3 µ‹Í¡Ñº´ŒÒ¹ËÅѧ 2/3 ¢Í§ÊÒÂàÊÕ§ ÁÑ¡à¡Ô´·Ñ§Êͧ¢ŒÒ§ é à¡Ô´¨Ò¡¡ÒúÇÁ¹éÒºÃÔàdz submucosa ÁÑ¡à¡Ô´ã¹¤¹·Õ㪌àÊÕ§ÁÒ¡ 㪌àÊÕ§¼Ô´ÇԸ໚¹àÇÅÒ¹Ò¹ 㹪‹Ç§ í è Õ áᶌҾѡ¡ÒÃ㪌àÊÕ§ àÊÕ§¨Ð¤‹ÍÂæ´Õ¢¹ä´Œ ᵋ¶ÒÂѧ¤§ãªŒàÊÕ§¼Ô´ÇÔ¸µÍ仨ÐÁÕ¾§¼×´à¢ŒÒÁÒá·¹·Õè ·íÒãËŒ Öé Œ Õ ‹ Ñ àÊÕ§´Õ¢¹ªŒÒŧ ¨ÐÁÕÍÒ¡ÒÃàÊÕ§á˺ÁÒ¡ËÃ×͹ŒÍÂä´Œã¹ÃÐËNjҧÇѹᵋ㹪‹Ç§ÊÒÂæÁÑ¡¨Ð໚¹ÁÒ¡¡Ç‹Ò Öé ª‹Ç§àªŒÒ à¹×ͧ¨Ò¡¼Ù»ÇÂä´Œ¾¡àÊÕ§㹵͹¡ÅÒ§¤×¹áÅÐàÃÔÁ㪌àÊÕ§ËÅѧ¨Ò¡µ×¹¹Í¹ ¡ÒÃÃÑ¡ÉÒâ´Â è Œ † Ñ è è ¡Òþѡ¡ÒÃ㪌àÊÕ§áÅСÒýƒ¡¾Ù´ã¹¡Ã³Õ·¼»ÇÂÁÕ¡Òþٴ·Õ¼´ÇÔ¸Õ ¹Í¡¨Ò¡¹Ñ¹¤ÇõŒÍ§ãËŒÊÒÂàÊÕ§ Õè ÙŒ † è Ô é ÁÕ¤ÇÒÁªØÁª×¹â´Â¡Òô×Á¹éÒÁÒ¡æ áÅФÇÃËÅÕ¡àÅÕ§ÍÒËÒ÷շÒãËŒ¤ÍáËŒ§àª‹¹ ÍÒËÒ÷ʹ ¡Òá¿ ‹ é è í è è í ໚¹µŒ¹ ¡ÒÃ㪌ÂÒÍÒ¨¨Ð㪌à¾×ÍÅ´¡ÒúÇÁ໚¹¾Ç¡ steroid ·Ò¹ã¹ª‹Ç§ÊÑ¹æ ¡Òü‹ÒµÑ´¨Ð·íÒã¹¡Ã³Õ è é ·Õè vocal nodule ·ÕÁ¾§¼×´à¢ŒÒÁÒá·¹·ÕáÅŒÇ áÅÐ䴌ú¡ÒÃÃÑ¡ÉÒâ´Â¡ÒÃ㪌ÂÒáÅСÒû¯ÔºµµÇÍ‹ҧ è Õ Ñ è Ñ Ñ Ô Ñ ¹ŒÍ 3 à´×͹áÅŒÇÍÒ¡ÒÃäÁ‹´¢¹à·‹Ò¹Ñ¹Õ Öé é
  • 625.
    598 ¤ÇÒÁ¼Ô´»¡µÔ¢Í§ÊÒÂàÊÕ§ Vocal fold hemorrhage áÅÐ Vocal fold (hemorrhagic) polyp à¡Ô´¨Ò¡¡ÒõÐ⡹áçæáŌǷíÒãËŒàÊŒ¹àÅ×Í´·ÕÊÒÂàÊÕ§ᵡà¡Ô´ÁÕàÅ×Í´ÍÍ¡ÍÂÙ㹪ѹ¼ÔǢͧ è ‹ é ÊÒÂàÊÕ§ ËÃ×Íà¡Ô´ã¹¼Ù»Ç·աÒÅѧ䴌úÂÒÅÐÅÒÂÅÔÁàÅ×Í´«Ö§â´Â·ÑÇä»ÁÑ¡¨ÐËÒÂä»ä´ŒÀÒÂã¹ 2 ÊÑ»´Òˏ Œ † è í Ñ è è è ᵋÍ‹ҧäáçµÒÁÍÒ¨¨Ðà¡Ô´¡Òç͡¢Öé¹ÁҢͧʌ¹àÅ×Í´·ÕèÍÂÙ‹¢ŒÒ§ãµŒ·íÒãËŒà¡Ô´à»š¹µÔè§à¹×é͹ٹ¢Öé¹ÁÒä´Œ àÃÕ¡ hemorrhagic polyp â´ÂÁÑ¡¨Ðà¡Ô´·ÕÊÒÂàÊÕ§¢ŒÒ§à´ÕÂÇ෋ҹѹ ¡ÒÃÃÑ¡ÉÒãËŒËÂØ´ÂÒÅÐÅÒÂÅÔÁàÅ×Í´ è é è ã¹ÃÒ·աÒÅѧ䴌úÂÒÍÂÙ‹ áÅÐà¹×ͧ¨Ò¡¡Ã´·ÕäËÅŒ͹¢Ö¹ÁÒ¨Ò¡¡ÃÐà¾ÒТֹÁҷաŋͧàÊÕ§¨Ð·íÒãËŒ è í Ñ è è é é è àÊŒ¹àÅ×Í´¢ÂÒµÑÇÁÒ¡¢Ö鹴ѧ¹Ñ鹨֧¤ÇäǺ¤ØÁ¡Ã´äËÅŒ͹´ŒÇ áÅФÇÃá¹Ð¹íÒ¼ÙŒ»†ÇÂãˌ㪌àÊÕ§ Í‹ҧ¶Ù¡ÇÔ¸Õâ´ÂËÅÕ¡àÅÕ§¡ÒõÐ⡹àÊÕ§´Ñ§ÁÒ¡æ áÅÐá¹Ð¹íÒÇÔ¸Õ´ÙáÅàÊŒ¹àÊÕ§â´ÂãËŒ´×èÁ¹éíÒÁÒ¡æ äÁ‹¾Ù´à¤Œ¹àÊÕ§ ËÅÕ¡àÅÕè§ÍÒËÒ÷Õè·íÒãËŒÊÒÂàÊÕ§áËŒ§àª‹¹¡Òá¿áÅТͧ·Í´ ã¹ÃÒ·Õè polyp ÁÕ¢¹Ò´àÅç¡ÍÒ¨¨ÐËÒÂä»àͧ䴌ã¹àÇÅÒ໚¹à´×͹æ ᵋâ´Â·ÑÇä»ÁÑ¡¨ÐµŒÍ§¼‹ÒµÑ´ÍÍ¡ â´Â·Õ¾ÂÒÂÒÁ è è à¡çº mucosa ·Õ´äÇŒãËŒÁÒ¡·ÕÊ´ à¾×ͷըзíÒãËŒ¡ÒÃà¤Å×͹äËǢͧ¼ÔǢͧÊÒÂàÊÕ§¨Ð¡ÅѺÁÒã¡ÅŒà¤Õ§ è Õ èØ è è è »¡µÔÁÒ¡·ÕÊ´ èØ Intracordal cyst (¶Ø§¹éíÒ·ÕèÊÒÂàÊÕ§)
  • 626.
    àǪÈÒʵÏ·¹Âؤ 2553 Ñ 599 à¡Ô´¡ÒÃÍØ´µÑ¹¢Í§µ‹ÍÁ·ÕèÍÂÙ‹ºÃÔàdzªÑé¹¼ÔǢͧÊÒÂàÊÕ§ â´ÂÊÒà˵ØÍÒ¨à¡Ô´¨Ò¡¡ÒõÐ⡹ 㪌àÊÕ§ÁÒ¡áŌǷíÒãËŒà¡Ô´¾Ñ§¼×´·ÕÃແ´¢Í§µ‹ÍÁ·ÕÊÌҧàÁ×Í¡ (mucous) ºÃÔàdzÊÒÂàÊÕ§·íÒãËŒà¡Ô´¡Òà èÙ è ÍØ´µÑ¹¢Í§µ‹ÍÁáÅŒÇà¡Ô´à»š¹¶Ø§¹éÒµÒÁÁÒ ã¹ºÒ§ÃÒ¶ا¹éÒÍҨᵡàͧ䴌 ᵋºÒ§ÃÒ¡礧ÍÂÙÍ‹ҧ¹Ñ¹ í í ‹ é ·íÒãËŒà¡Ô´ÍÒ¡ÒÃàÊÕ§á˺µÅÍ´àÇÅÒ ¡ÒÃÃÑ¡ÉÒâ´Â¡Òü‹ÒµÑ´àÍҶا¹éÒÍÍ¡(excision) ËÃ×Íແ´·Ò§ í ãËŒ¹Ò㹶ا¹éÒÊÒÁÒöÃкÒÂÍÍ¡ÁÒä´Œ (marsupialization) éí í Bilateral diffuse polyposis (Reinke’s edema or smoker’s polyposis) ÁÕ¡ÒúÇÁ㹪ѹ㵌àÂ×ÍºØ¼Ç (Reinke’s space) ·ÑÇæä»·ÕÊÒÂàÊÕ§·Ñ§ 2 ¢ŒÒ§ ÁÑ¡¨Ðà¡Ô´¨Ò¡ é è Ô è è é ¡ÒÃÃФÒÂà¤×ͧ¨Ò¡¤ÇѹºØËÃÕÃÇÁ¡ÑºÁÕ¡ÒÃ㪌àÊÕ§ÁÒ¡ ¼Ù»Ç¨оٴÁÕàÊÕ§µèҡNjһ¡µÔ (lower pitch) è‹ Œ † í áÅÐäÁ‹ÊÒÁÒö¢Öé¹àÊÕ§ÊÙ§ä´ŒàËÁ×͹à´ÔÁ µÃǨ´Ù¨Ð¾ºÊÒÂàÊÕ§ºÇÁ¹éíÒµÅÍ´á¹Ç¢Í§ÊÒÂàÊÕ§ ÍÒ¨µŒÍ§à¨ÒдÙÃдѺÎÍÏâÁ¹ä·ÃÍ´´ŒÇÂ㹡óշÕèʧÊÑÂÃдѺÎÍÏâÁ¹µèíÒà¹×èͧ¨Ò¡·íÒãËŒÊÒÂàÊÕ§ ºÇÁ䴌ઋ¹¡Ñ¹ ¡ÒÃÃÑ¡ÉÒâ´Â¡ÒÃãËŒ¼»ÇÂËÂØ´ÊÙºººØËÃÕáÅоѡ¡ÒÃ㪌àÊÕ§ ã¹ÃÒ·ÕÍÒ¡ÒÃäÁ‹´¢¹ ÙŒ † è è Õ Öé ÍÒ¨·íÒ¡Òü‹ÒµÑ´â´Â¡ÒÃÅÍ¡àÍÒʋǹ¼ÔÇ·ÕºÇÁÍÍ¡ºÒ§Ê‹Ç¹à¾×Í·íÒãËŒàÊÕ§´Õ¢¹ è è Öé Contact ulcer ËÃ×Í Granuloma
  • 627.
    600 ¤ÇÒÁ¼Ô´»¡µÔ¢Í§ÊÒÂàÊÕ§ ÁÑ¡¨Ðà¡Ô´¨Ò¡¡¡Ò÷աô¨Ò¡¡ÃÐà¾ÒÐÍÒËÒÃäËÅŒ͹¢Ö¹ÁÒ·Õ¤ÍáÅСŋͧàÊÕ§·Ò§´ŒÒ¹ËÅѧ è é è ·íÒãËŒà¡Ô´à»š¹á¼Å¢Ö¹ÁÒºÃÔàdz¡Å‹Í§àÊÕ§¤‹Í¹ÁÒ·Ò§´ŒÒ¹ËÅѧ ( vocal process of arythenoid ) é â´Â·ÕËÅѧ¨Ò¡¡ÒÃËÒ¢ͧá¼ÅáÅŒÇÍÒ¨à¡Ô´à»š¹ granuloma ¢Ö¹ÁÒ ã¹ºÒ§ÃÒÂÍÒ¨ÁÕ»ÃÐÇѵà¤ÂãÊ‹·Í è é Ô ‹ ª‹ÇÂËÒÂã¨ÁÒ¡‹Í¹·íÒãËŒà¡Ô´ÁÕá¼Å¨Ò¡¡ÒᴷѺ (pressure necrosis)ºÃÔàdz vocsal process ä´Œ·Ò í ãËŒà¡Ô´ granuloma µÒÁÁÒ ÃÑ¡ÉÒâ´Â¡ÒÃãËŒÂÒÃÑ¡ÉҡôäËÅŒ͹áÅлÃѺ¾ÄµÔ¡ÃÃÁ¡Ò÷ҹÍÒËÒà áÅСÒù͹ ¡ÒÃ㪌 steroid ÊÒÁÒö·íÒãËŒ granuloma ÂØºÅ§ä´Œã¹ºÒ§ÃÒ ¡Òü‹ÒµÑ´àÍÒ granuloma Í͡令ÇäԴ¶Ö§à»š¹à»š¹Íѹ´Ñº·ŒÒÂæáÅФÇ÷íÒ㹡óշ¢ÇàÅç¡æ à¹×ͧ¨Ò¡ËÅѧ¡Òü‹ÒµÑ´¨Ðà¡Ô´ Õè Ñé è á¼Å¢Ö¹ÁÒÍÕ¡·íÒãËŒà¡Ô´ granuloma ¢Ö¹ÁÒãËÁ‹ä´ŒÍ¡ é é Õ àÍ¡ÊÒÃ͌ҧÍÔ§ 1. Bastian RW: Benign Vocal .old Mucosal Disorders, Cummings Otolaryngology Head & Neck Surgery 4th edition: 2150-2184. 2. Kleinsasser O: Pathogenesis of vocal cord polyps, Ann Otol Rhinol Laryngol 1982; 91:378.
  • 628.
    àǪÈÒʵÏ·¹Âؤ 2553 Ñ º··Õè 601 83 Hearing Loss in Children: 120 year Evolution in Management ¼ÙŒª‹ÇÂÈÒʵÃÒ¨ÒÏ á¾·ÂË­Ô§ÊØÇѨ¹Ò ͸ÔÀÒÊ ÀÒ¤ÇÔªÒâʵ ¹ÒÊÔ¡ ÅÒÃÔ§«Ç·ÂÒ ¤³Ðá¾·ÂÈÒʵÏÈÃÃÒª¾ÂÒºÒÅ ÁËÒÇÔ·ÂÒÅÑÂÁËÔ´Å Ô ÔÔ ¡ÒõÃǨ¡ÒÃä´ŒÂÔ¹ã¹à´ç¡ ¡ÒõÃǨ¡ÒÃ䴌¹¨Ð·íÒãËŒ·ÃÒºÃдѺ¢Í§¡ÒÃ䴌¹º¡¾Ã‹Í§µÅÍ´¨¹ª¹Ô´¢Í§¤ÇÒÁ¼Ô´»¡µÔ Ô Ô àª‹¹ ¡ÒùíÒàÊÕ§º¡¾Ã‹Í§ (conductive hearing loss) ËÃ×Í»ÃÐÊÒ·ÃѺàÊÕ§º¡¾Ã‹Í§ (sensori-neural hearing loss) à¾×ͨÐ䴌áÉÒËÃ×Í¿„¹¿ÙÊÁÃöÀҾ䴌Í‹ҧàËÁÒÐÊÁ ¡ÒõÃǨ¡ÒÃ䴌¹ã¹à´ç¡ è Ñ œ Ô ¨ÐÁÕǸµÃǨᵡµ‹Ò§¨Ò¡¡ÒõÃǨ㹼ÙãË­‹à¹×ͧ¨Ò¡ÇÔ¸µÃǨ·Õ㪌µÒÁ»¡µÔã¹¼ÙãË­‹ ઋ¹ Pure tone ÔÕ Œ è Õ è Œ audiometry ÍҨ䴌¼ÅäÁ‹á¹‹¹Í¹¶ŒÒà´ç¡äÁ‹à¢ŒÒã¨ÇÔ¸¡ÒõÃǨËÃ×ÍäÁ‹ÃÇÁÁ×Í áÅÐäÁ‹ÊÒÁÒö㪌µÃǨ Õ ‹ à´ç¡àÅç¡ä´Œ â´Â·ÑÇä»áŌǡÒõÃǨ¡ÒÃ䴌¹ã¹à´ç¡áº‹§Í͡䴌໚¹ 2 »ÃÐàÀ· ¤×Í è Ô 1. ¡ÒõÃǨẺÊѧࡵ¾ÄµÔ¡ÃÃÁ¡Òõͺʹͧµ‹ÍàÊÕ§ (Behavioral hearing test) 2. ¡ÒõÃǨâ´ÂÇÑ´¼Å¡Òõͺʹͧ·Ò§ÊÃÕÃÇÔ·ÂÒä¿¿‡Ò (Electrophysiologic test) ¡ÒõÃǨẺÊѧࡵ¾ÄµÔ¡ÃÃÁ¡Òõͺʹͧµ‹ÍàÊÕ§(1,2) ÁÕËÅÒÂÇÔ¸«§àËÁÒÐÊÁµÒÁᵋÅЪ‹Ç§ÍÒÂØ à¹×ͧ¨Ò¡à´ç¡áµ‹ÅÐÇѨÐÁվĵԡÃÃÁáÅФÇÒÁäÇ Õ Öè è 㹡ÒáÒõͺʹͧµ‹ÍàÊÕ§ᵡµ‹Ò§¡Ñ¹ 䴌ᡋ - Behavioral observation audiometry àËÁÒСѺà´ç¡ááà¡Ô´¶Ö§ 2 ¢Çº ໚¹¡ÒÃÊѧࡵ ¾ÄµÔ¡ÃÃÁ¡Òõͺʹͧµ‹ÍàÊÕ§ ઋ¹ ¡ÒáÃоÃÔºµÒ Êдا ËÃ×ÍËѹµÒÁàÊÕ§ Œ - Visual reinforcement audiometry àËÁÒСѺà´ç¡µÑ§áµ‹ÍÒÂØ 6 à´×͹¢Ö¹ä»¶Ö§ 3 ¢Çº é é ÇÔ¸¡ÒõÃǨ¨Ð¡Ãеع¤ÇÒÁʹ㨢ͧà´ç¡ä´ŒÁÒ¡¡Ç‹Ò Behavioral observation audiometry ¨Ö§àË繡ÒÃ Õ Œ µÍºÊ¹Í§µ‹ÍàÊÕ§䴌ª´à¨¹¢Ö¹ â´Âà´ç¡¨ÐÃѺÃÙÇÒ¶ŒÒÁÕàÊÕ§´Ñ§áŌǨÐÁÕÀÒ¾ËÃ×ͧ͢àÅ‹¹·Õà¤Å×͹äËÇ Ñ é Œ‹ è è ä´ŒµÒÁÁÒãËŒàËç¹ - Speech reception threshold àËÁÒСѺà´ç¡µÑ§áµ‹ÍÒÂØ 2 ¶Ö§ 4 ¢Çº µÃǨâ´ÂãËŒà´ç¡¾Ù´ é µÒÁËÃ×Í·íÒµÒÁ¤íÒÊѧ§‹ÒÂæ â´Â㪌ÃдѺàÊÕ§µ‹Ò§æ è - Conditioned play audiometry àËÁÒСѺà´ç¡µÑ§áµ‹ÍÒÂØ 3 ¢Çº¢Ö¹ä» â´ÂªÇ¹à´ç¡àÅ‹¹ ઋ¹ é é àÁ×Í䴌¹àÊÕ§¡çãËŒËÂÍ´Å١ᡌÇŧ¡Å‹Í§ ໚¹µŒ¹ è Ô
  • 629.
    602 Hearing Loss in Children: 120 year Evolution in Management - Pure tone audiometry ໚¹ÇÔ¸µÃǨ¡ÒÃ䴌¹Áҵðҹ·Õ㪌µÃǨ㹼ÙãË­‹ ÊÒÁÒöµÃǨ Õ Ô è Œ à´ç¡µÑ§áµ‹ÍÒÂØ 3 ¢Çº¢Ö¹ä»·ÕÃÇÁÁ×ÍáÅÐࢌÒã¨ÇÔ¸¡ÒõÃǨ â´ÂãËŒ¿§àÊÕ§¤ÇÒÁ¶ÕµÒ§æ áÅзíÒÊÑ­­Ò³ é é è‹ Õ ˜ è ‹ Ç‹ÒàÃÔÁ䴌¹àÊÕ§·Õ¤ÇÒÁ´Ñ§ÃдѺ㴠è Ô è ¡ÒõÃǨâ´ÂÇÑ´¼Å¡Òõͺʹͧ·Ò§ÊÃÕÃÇÔ·ÂÒä¿¿‡Ò(2-4) ໚¹¡ÒûÃÐàÁÔ¹ÃдѺ¡ÒÃä´ŒÂÔ¹·Ò§ÍŒÍÁ 㪌µÃǨ䴌µÑé§áµ‹ááà¡Ô´ ÁÕ»ÃÐ⪹ã¹¡Ã³Õ·Õè ÂѧäÁ‹ÊÒÁÒöµÃǨ¡ÒÃä´ŒÂÔ¹â´ÂÊѧࡵ¾ÄµÔ¡ÃÃÁ¡Òõͺʹͧµ‹ÍàÊÕ§䴌ªÑ´à¨¹ ËÃ×Íã¹à´ç¡·ÕèÁÕ ¾Ñ²¹Ò¡ÒêŒÒËÃ×Í¡ÒÃ䴌¹º¡¾Ã‹Í§Ãعáç«Ö§äÁ‹µÍºÊ¹Í§µ‹ÍàÊÕ§ ÇÔ¸µÃǨâ´Â·ÑÇ令ŌÒ¤ÅÖ§¡Ñ¹ Ô è Õ è â´ÂãËŒà´ç¡ÍÂÙ¹§æ ËÃ×ÍËÅѺáŌǡÃеع´ŒÇÂàÊÕ§ ¨Ðä´Œ¼Å¡Òõͺʹͧ·Ò§ÊÃÕÃÇÔ·ÂÒä¿¿‡ÒÍÍ¡ÁÒ ‹ Ôè Œ à¾×Íà·Õºà¤Õ§໚¹ÃдѺ¡ÒÃ䴌¹ ÁÕǸ¡ÒõÃǨËÅÒÂÇÔ¸Õ ä´Œá¡‹ è Ô ÔÕ - Otoacoustic emissions ໚¹¡ÒÃÇÑ´¡Òõͺʹͧ¢Í§à«Åŏ¢¹ªÑ¹¹Í¡ (outer hair cell) é ·Õ˪¹ã¹ è Ù Ñé - Auditory brainstem response ໚¹¡ÒõÃǨàÊŒ¹·Ò§¡ÒÃÃѺàÊÕ§¶Ö§ÃдѺ¡ŒÒ¹ÊÁͧ - Auditory steady-state response ¨ÐáÊ´§¡Òõͺʹͧ·Ò§ÊÃÕÃÇÔ·ÂÒä¿¿‡Ò·Õ¤ÇÒÁ¶ÕµÒ§æ è è ‹ ã¹ÃٻẺ¤ÅŒÒ Audiogram ¡ÒõÃǨ¡ÒÃ䴌¹ã¹à´ç¡â´Â੾ÒÐÍ‹ҧÂÔ§ã¹ÃÒ·ÕʧÊÑÂÇ‹ÒÁÕ¡ÒÃ䴌¹º¡¾Ã‹Í§¨íÒ໚¹µŒÍ§ Ô è è Ô ÍÒÈÑ¡ÒõÃǨËÅÒÂÇÔ¸»ÃСͺ¡Ñ¹·Ñ§¡ÒõÃǨẺÊѧࡵ¾ÄµÔ¡ÃÃÁ¡Òõͺʹͧµ‹ÍàÊÕ§ËÇÁ¡Ñº Õ é ¡ÒõÃǨâ´ÂÇÑ´¼Å¡Òõͺʹͧ·Ò§ÊÃÕÃÇÔ·ÂÒä¿¿‡Ò ¹Í¡¨Ò¡¹Õ§µŒÍ§µÃǨ«éÒ໚¹ÃÐÂÐà¾×ÍÂ×¹Âѹ é Ñ í è ¼ÅµÃǨ·Õṋ¹Í¹ è ¡Òÿ„œ¹¿ÙÊÁÃöÀÒ¾¡ÒÃä´ŒÂÔ¹(5) ¤×Í¡Òê‹ÇÂãËŒà´ç¡·ÕÁ¡ÒÃ䴌¹º¡¾Ã‹Í§ÊÒÁÒöÊ×ÍÊÒÃáÅÐÍÂÙÃÇÁ¡Ñº¼Ù͹ã¹Êѧ¤Áä´Œ´¢¹ è Õ Ô è ‹‹ Œ ×è Õ Öé â´Â¡ÅØÁºØ¤Åҡ÷ըÐËÇÁÁ×͡ѹà¾×ͪ‹ÇÂàËÅ×ͼٻÇ»ÃСͺ´ŒÇ ‹ è è Œ † - ᾷ ¹Í¡¨Ò¡âʵÈ͹ÒÊԡᾷáÅŒÇ ÂѧÍÒ¨µŒÍ§ÁÕᾷã¹ÊÒ¢ÒÍ×¹æ ËÇÁ´ÙáÅ»˜­ËÒ è ·Õà¡ÕÂÇ¢ŒÍ§¡Ñº¼Ù»ÇÂã¹ÃÐÂÐÂÒÇ àª‹¹ ¡ØÁÒÃᾷ ¨Ñ¡ÉØá¾·Â ÍÒÂØÃᾷ ËÃ×ͨԵᾷ ໚¹µŒ¹ è è Œ † - ¹Ñ¡âʵÊÑÁ¼ÑÊÇÔ·ÂÒ - ¹Ñ¡ÍÃöºíҺѴ - ¤ÃÙ¡ÒÃÈÖ¡ÉÒ¾ÔàÈÉ - ¹Ñ¡¨ÔµÇÔ·ÂÒ - ¹Ñ¡Êѧ¤ÁÇÔ·ÂÒ áÅÐÊѧ¤Áʧà¤ÃÒÐˏ ¢Ñ¹µÍ¹µ‹Ò§æ ¢Í§¡Òÿ„¹¿ÙÊÁÃöÀÒ¾¡ÒÃ䴌¹ ¤×Í é œ Ô - »ÃÐàÁÔ¹ÃдѺ¡ÒÃ䴌¹ Ô - ͸ԺÒÂãËŒ¼»¡¤ÃͧËÃ×ͤÃͺ¤ÃÑÇࢌÒ㨻˜­ËҢͧ¼Ù»ÇÂáÅÐÇÔ¸¡Òê‹ÇÂàËÅ×Í ÙŒ Œ † Õ
  • 630.
    àǪÈÒʵÏ·¹Âؤ 2553 Ñ 603 - á¹Ð¹íÒ¡ÒÃ㪌ͻ¡Ã³à¾×ͪ‹ÇÂãˌ䴌¹´Õ¢¹µÒÁ¤ÇÒÁàËÁÒÐÊÁ¢Í§¼Ù»ÇÂᵋÅÐÃÒ ઋ¹ Ø è Ô Öé Œ † à¤Ã×ͧª‹Ç¿˜§ ËÃ×Í¡Òü‹ÒµÑ´½˜§»ÃÐÊÒ·ËÙà·ÕÂÁ è - ¡Òýƒ¡¿˜§ ½ƒ¡¾Ù´ áÅÐᡌ䢡Òþٴ - ¼ÙŒ»†ÇºҧÃÒÂÍҨ䴌ÃѺ¤íÒá¹Ð¹íÒ㹡ÒÃÊ×èÍÊÒôŒÇÂÇÔ¸ÕÍ×è¹Ã‹ÇÁ¡Ñº¡Òÿ˜§áÅоٴ ઋ¹ ¡ÒÃ͋ҹÃÔÁ½‚»Ò¡ (lip reading) ËÃ×Í¡ÒÃ㪌ÀÒÉÒ·‹Ò·Ò§ (sign language) ઋ¹ÀÒÉÒÁ×Í à»š¹µŒ¹ - ¡ÒÃá¹Ðá¹Ç·Ò§¡ÒÃÈÖ¡ÉÒáÅÐÍÒªÕ¾ - »ÃÐàÁÔ¹ÃдѺ¡ÒÃ䴌¹ ¾Ñ²¹Ò¡Ò÷ҧ¡Òÿ˜§áÅСÒþٴ໚¹ÃÐÂÐ Ô à¤Ã×èͧª‹Ç¿˜§ (Hearing aids) ໚¹ÍØ»¡Ã³·ªÇ¢ÂÒÂàÊÕ§à¾×ͪ‹ÇÂãËŒ¿§ä´Œª´à¨¹ÁÒ¡¢Ö¹ â´Â·ÑÇ仨Ð㪌䴌¼Åã¹¼Ù·ÁÃдѺ Õè ‹ è ˜ Ñ é è Œ Õè Õ ¡ÒÃ䴌¹º¡¾Ã‹Í§ã¹ÃдѺ¹ŒÍÂ¶Ö§ÃØ¹áç ᵋ¶Ò¡ÒÃ䴌¹º¡¾Ã‹Í§ÃعáçÁÒ¡ËÃ×ÍËÙ˹ǡ¡ç¨ÐäÁ‹à¾Õ§ Ô Œ Ô ¾Í·Õ¨Ðª‹ÇÂàËÅ×ͼٻÇÂä´Œ «Ö§µŒÍ§¾Ô¨ÒóҡÒÿ„¹¿ÙÊÁÃöÀÒ¾¡ÒÃ䴌¹´ŒÇÂÇԸ͹ ઋ¹ ¡Òü‹ÒµÑ´ è Œ † è œ Ô Õ ×è ½˜§»ÃÐÊÒ·ËÙà·ÕÂÁ à¤Ã×èͧª‹Ç¿˜§·Õè´Õ¨ÐÊÒÁÒöµÑ駤‹Ò¤ÇÒÁ´Ñ§ãËŒÁÕ¢Õ´¨íÒ¡Ñ´ÍÂً㹪‹Ç§·Õ还§áÅŒÇʺÒÂËÙ¡íÒÅѧ´Õ äÁ‹¤ÍÂà¡Ô¹ä»áÅÐäÁ‹´§à¡Ô¹ä» µÅÍ´¨¹ÊÒÁÒö»ÃѺàÊÕ§·ØÁàÊÕ§áËÅÁä´Œ¾ÍàËÁÒСѺÃдѺ¡Òà ‹ Ñ Œ ä´ŒÂÔ¹¢Í§¼ÙŒãªŒ »ÃÐ⪹·Õè¼ÙŒ·ÕèÁÕ¡ÒÃä´ŒÂÔ¹º¡¾Ã‹Í§áµ‹ÅÐÃÒ¨Ðä´ŒÃѺ¨Ò¡à¤Ã×èͧª‹Ç¿˜§ÁÕäÁ‹à·‹Ò¡Ñ¹ ·Ñé§¹Õé¢Öé¹ÍÂÙ‹¡ÑºÊÒà˵آͧ¡ÒÃä´ŒÂÔ¹º¡¾Ã‹Í§, ÃдѺ¡ÒÃä´ŒÂÔ¹·ÕèàËÅ×ÍÍÂÙ‹, ÍÒÂØ, àªÒǹ»˜­­Ò µÅÍ´¨¹¤ÇÒÁ¾ÃŒÍÁ·Ò§´ŒÒ¹Ã‹Ò§¡Ò »ÃÐÊÒ·ËÙà·ÕÂÁ (Cochlear implant) à¤Ã×ͧª‹Ç¿˜§äÁ‹ÊÒÁÒöª‹ÇÂãËŒ¼·Á¡ÒÃ䴌¹º¡¾Ã‹Í§ä´ŒÂ¹´Õ¢¹·Ø¡ÃÒÂàÊÁÍä»â´Â੾ÒÐ è ÙŒ Õè Õ Ô Ô Öé ã¹¼ÙŒ·ÕèÁÕ¡ÒÃä´ŒÂÔ¹º¡¾Ã‹Í§ÍÂ‹Ò§ÃØ¹áçËÃ×ÍËÙ˹ǡ ´Ñ§¹Ñé¹ã¹¡Ã³ÕàËŋҹÕéàÁ×èÍ㪌à¤Ã×èͧª‹Ç¿˜§áÅŒÇ äÁ‹ä´Œ¼Å ¼ÙŒ»†Ç¨֧¨íÒ໚¹µŒÍ§ÍÒÈѹÇѵ¡ÃÃÁãËÁ‹ÁÒª‹ÇÂãËŒÃѺ¿˜§àÊÕ§䴌 ¤×Í¡Òü‹ÒµÑ´ãÊ‹»ÃÐÊÒ· ËÙà·ÕÂÁ »ÃÐÊÒ·ËÙà·ÕÂÁ¤×Íà¤Ã×ͧÁ×Í·Õà»ÅÕ¹ÊÑ­­Ò³àÊÕ§ãˌ໚¹ÊÑ­­Ò³ä¿¿‡Ò à¾×Í¡Ãеع»ÃÐÊÒ· è è è è Œ ÃѺàÊÕ§µ‹Íä»ÂѧÊÁͧ «Ö§¨Ð»ÃСͺ´ŒÇ 2 ʋǹËÅÑ¡ ¤×Í è - ʋǹ·ÕÍÂٹ͡¡ÐâËÅ¡ÈÕÃÉÐ ¤×Í à¤Ã×ͧá»Å§ÊÑ­­Ò³ (sound processor) ÁÕšɳÐàËÁ×͹ è ‹ è Ñ à¤Ã×ͧª‹Ç¿˜§áºº·Ñ´ËÅѧËÙËÃ×ÍẺ¡Å‹Í§ ໚¹µÑÇÃѺàÊÕ§áÅŒÇá»Å§àÊÕ§໚¹ÊÑ­­Ò³Ãкº´Ô¨µÍÅ è Ô - ʋǹ»ÃÐÊÒ·ËÙà·ÕÂÁ (implant) ·Õ¼ÒµÑ´½˜§äÇŒ·¡ÐâËÅ¡ÈÕÃÉÐ㵌˹ѧÈÕÃÉÐ ¨Ðá»Å§ÊÑ­­Ò³ è ‹ Õè Ãкº´Ô¨ÔµÍÅãˌ໚¹ÊÑ­­Ò³ä¿¿‡ÒáÅŒÇÊ‹§ä»ÂѧÊÒ electrode «Öè§ÊÍ´ÍÂÙ‹ã¹ËÙªÑé¹ã¹ à¾×èÍ¡Ãе،¹ àÊŒ¹»ÃÐÊÒ·ÃѺàÊÕ§áÅÐÊ‹§µ‹Íä»ÂѧÊÁͧ ¡Òü‹ÒµÑ´½˜§»ÃÐÊÒ·ËÙà·ÕÂÁÁÕ¤Ò㪌¨ÒÂÊÙ§ÁÒ¡äÁ‹µÒ¡Ç‹Òá»´áʹºÒ· àÊÕ§·Õ䴌¹¨Ðµ‹Ò§ ‹ ‹ èí è Ô ä»¨Ò¡àÊÕ§µÒÁ¸ÃÃÁªÒµÔ ¨Ö§µŒÍ§ÍÒÈÑ¡Òýƒ¡¿˜§áÅнƒ¡¾Ù´Í‹ҧÊÁèíÒàÊÁÍ «Öè§µŒÍ§ãªŒàÇÅÒ¿„œ¹¿Ù
  • 631.
    604 Hearing Loss in Children: 120 year Evolution in Management ÊÁÃöÀÒ¾¡ÒÃ䴌¹ËÅÒÂà´×͹ËÃ×Í໚¹»‚ã¹à´ç¡·ÕäÁ‹à¤Â䴌¹àÊÕ§ËÃ×;ٴ䴌ÁÒ¡‹Í¹ ᵋ¶Ò໚¹ Ô è Ô Œ ¼Ù·Ê­àÊÕ¡ÒÃ䴌¹ÀÒÂËÅѧ¨Ò¡·Õà¤Â¾Ù´ä´ŒÁÒáÅŒÇ ¡Òÿ„¹¿ÙÊÁÃöÀÒ¾¡ÒÃ䴌¹¨Ð§‹Ò¡NjÒáÅÐ Œ Õè Ù Ô è œ Ô ãªŒÃÐÂÐàÇÅÒ¹ŒÍÂ¡Ç‹Ò »ÃÐÊÒ·ËÙà·ÕÂÁª¹Ô´½˜§·Õ行ҹÊÁͧ (Auditory brainstem implant) 㹡óշàÊŒ¹»ÃÐÊÒ·ÊÁͧ¤Ù·Õè 8 ÁÕ¤ÇÒÁ¼Ô´»¡µÔ·§ 2 ¢ŒÒ§ ËÃ×ÍäÁ‹ÁàÊŒ¹»ÃÐÊÒ·ÊÁͧ¤Ù·Õè 8 Õè ‹ Ñé Õ ‹ µÑé§áµ‹¡íÒà¹Ô´ ¡ÒÃ㪌à¤Ã×èͧª‹Ç¿˜§ËÃ×ͼ‹ÒµÑ´ãÊ‹»ÃÐÊÒ·ËÙà·ÕÂÁ·ÕèËÙªÑé¹ã¹¨ÐäÁ‹ä´Œ¼Åà¹×èͧ¨Ò¡äÁ‹ÁÕ àÊŒ¹»ÃÐÊÒ·ÃѺàÊÕ§ ¡Òÿ„¹¿ÙÊÁÃöÀÒ¾·Ò§¡ÒÃ䴌¹¨Ö§µŒÍ§¡Ãеع·Õè auditory nucleus ºÃÔàdz œ Ô Œ ¡ŒÒ¹ÊÁͧâ´ÂµÃ§ ÅѡɳСÒ÷íÒ§Ò¹¢Í§ÍØ»¡Ã³¨Ð¤ÅŒÒ¤ÅÖ§¡Ñº»ÃÐÊÒ·ËÙà·ÕÂÁª¹Ô´·ÕãÊ‹ã¹ËÙª¹ã¹è Ñé ᵡµ‹Ò§¡Ñ¹à¾Õ§µíÒá˹‹§¢Í§ electrode ·ÕèÇÒ§äÇŒ·Õè auditory nucleus ºÃÔàdz¡ŒÒ¹ÊÁ᷹ͧ·Õè ¨ÐÊÍ´äÇŒã¹ËÙª¹ã¹ ËÅѧ¼‹ÒµÑ´¡çµÍ§ãªŒàÇÅÒ㹡Òýƒ¡¿˜§áÅп„¹¿ÙÊÁÃöÀÒ¾¡ÒÃ䴌¹ઋ¹à´ÕÂǡѹ Ñé Œ œ Ô àÍ¡ÊÒÃ͌ҧÍÔ§ 1. Northern JL, Downs MP. Behavioral hearing testing. In: Northern JL, Downs MP, editors. Hearing in Children. 5th ed. Baltimore: Lippincott Williams & Wilkins, 2002. p. 159-206. 2. Diefendorf AO. Detection and assessment of hearing loss in infants and children. In: Katz J, Medwetsky L, Burkard R, editors. Handbook of Clinical Audiology. 5 th ed. United States of America: Lippincott Willliams & Wilkins, 2002. p. 469-480. 3. Norton S, Gorga MP, Widen JE, .olsom RC, et al. Identification of Neonatal Hearing Impairment: Evaluation of Transient Evoked Otoacoustic Emission, Distortion Product Otoacoustic Emission, and Auditory Brainstem Response Test Performance. Ear and Hearing 2000; 21:5:508-528 4. Northern JL, Downs MP. Physiologic hearing tests. In: Northern JL, Downs MP, editors. Hearing in Children. 5th ed. Baltimore: Lippincott Williams & Wilkins; 2002. p 209-257. 5. Hull RH. What is aural rehabilitation? In: Hull RH, editor. Aural rehabilitation, serving children and adultsHearing loss. 4th ed. Canada: Singular; 2001. p. 3-17.
  • 632.
    àǪÈÒʵÏ·¹Âؤ 2553 Ñ 605 ´Ñª¹Õ ¡ ¼¾¿ ¡Ãд١ËÑ¡à˵Øâäà¹×ͧ͡¡Ãд١ é ¼Ù»Ç¡ÐâËÅ¡ÈÕÃÉÐáÅÐãºË¹ŒÒ Œ † ¡ÒÃÃÑ¡ÉÒ, 219 ¡ÒôÙáÅ໚¹·ÕÁ, 415 ¡ÒÃà¡Ô´»¯Ô¡ÃÂÒÃÐËNjҧÂÒ, 69 ÔÔ á¾ŒÍÒËÒà ¡ÒÃ䴌¹º¡¾Ã‹Í§ã¹à´ç¡, 259 Ô ¡ÒÃÇÔ¹¨©ÑÂ, 21 Ô ¡ÒäѴ¡Ãͧ¡ÒÃ䴌¹, 259Ô ¿‡Ò·ÐÅÒÂâ¨Ã, 326 ÊÒà˵بҡ¡ÒùíÒàÊÕ§àÊ×ÍÁ, 265è ÊÒà˵طҧ¾Ñ¹¸Ø¡ÃÃÁ, 271 À ¡Òû‡Í§¡Ñ¹âä ÀÒ¾ÃѧÊÕǹ¨©ÑÂã¹¼Ù»ÇÂÍØºµàËµØ Ô Ô Œ † Ñ Ô ÀÒÇÐÊÁͧàÊ×ÍÁ, 361 è ¡ÃÐà¾Òл˜ÊÊÒÇÐ, 486 ÁÐàÃç§àµŒÒ¹Á, 351 ¡ÒúҴà¨çºµ‹ÍµÑº, 483 ÁÐàÃç§Ãѧ䢋, 355 ¡ÒúҴà¨çºµ‹Íäµ, 484 ¡ÒÃᾷἹä·Â, 333 ª‹Í§·ŒÍ§, 479 á¹Ç¤Ô´àÃ×ͧ¡ÒÃÃÑ¡ÉÒâäáÅÐÂÒÊÁعä¾Ã, 338 è ÁŒÒÁ, 484 á¹Ç¤Ô´àÃ×ͧ¤ÇÒÁ໚¹Á¹ØÉ·ÊÁºÙó, 337 è Õè Ãкº»ÃÐÊÒ·, 459 á¹Ç¤Ô´àÃ×ͧ¤Ø³ÊÁºÑµ·´¢Í§á¾·Â¼ÙŒ è Ô Õè Õ ËÅÍ´àÅ×Í´á´§ãË­‹ªÍ§Í¡, 475 ‹ ÃÑ¡ÉÒ, 339 ËÅÍ´àÅ×Í´ºÃÔàdzᢹáÅТÒ, 469 á¹Ç¤Ô´àÃ×ͧ¸ÒµØ, 336 è ÍÇÑÂÇÐËÅѧª‹Í§·ŒÍ§, 487 á¹Ç¤Ô´àÃ×ͧÊÁد°Ò¹¡ÒÃà¡Ô´âä, 338 è ÀÒÇÐàÅ×Í´Í͡㹷ҧà´Ô¹ÍÒËÒÃʋǹº¹, 543 ¡ÒÃÊ‹§àÊÃÔÁÊØ¢ÀÒ¾ ÀÒÇÐËÒÂ㨼Դ»¡µÔ¢³ÐËÅѺª¹Ô´ÍØ´¡Ñ¹, 505 é ¸ÃÃÁÒ¹ÒÁÑÂ, 341 Á ÇѲ¹¸ÃÃÁÊÌҧàÊÃÔÁÊØ¢ÀÒ¾·Õ§Â×¹, 349 è Ñè ¡ÒÃÍÍ¡¡íÒÅѧ¡Ò ÁÐÃØÁ, 327 ã¹âä¤ÇÒÁ´Ñ¹âÅËÔµÊÙ§, 155 ÂÒµŒÒ¹¾ÔÉ ã¹âäàºÒËÇÒ¹, 159 ÀÒÇоÔÉà©Õº¾Åѹ, 135 ËÅѧ¡Ò÷íÒËѵ¶¡ÒÃËÃ×ͼ‹ÒµÑ´ËÑÇã¨, 143 ÂÒËÍÁ¹Çâ¡°, 329 ¢ ·-¸ ¹ à ¢ÁÔ¹ªÑ¹, 325 é ÃѧÊÕáÉÒ Ñ ¤ÇÒÁ¼Ô´»¡µÔ¢Í§ÊÒÂàÊÕ§, 597 ¡ÒÃÃÑ¡ÉÒÁÐàÃç§ÈÕÃÉÐáÅÐÅíÒ¤Í, 113 ·Òá¡Ç¹¼Ô´»Ã¡µÔ, 13 ÀÒ¾¹íÒÇÔ¶,Õ 117 ¸ÃÃÁÒ¹ÒÁÑÂ, 341 âä¢Í§·ÇÒÃ˹ѡáÅÐÅíÒäÊŒµÃ§, 177 ¹Í¹¡Ã¹, 505 âäàª×ÍÃÒ·Õ¼Ç˹ѧªÑ¹ÅÖ¡, 59 é è Ô é
  • 633.
    606 ´Ñª¹Õ âä䫹ÑÊÍÑ¡àʺ áÅÐÃÔ´Êմǧ¨ÁÙ¡, 241 A âäÁÐàÃ秨͵Òã¹à´ç¡ ADE ¡ÒÃÃÑ¡ÉÒ, 47 see adverse drug event, 95, 98 ¡ÒÃÃÑ¡ÉÒ´ŒÇÂÂÒà¤ÁպҺѴ, 51 í ADR âäÁÐàÃç§ÈÕÃÉÐáÅÐÅíÒ¤Í see adverse drug reaction, 98 ÃѧÊÕáÉÒ, 113 Ñ adverse drug event, 95, 98 âäËÅÍ´àÅ×Í´ÊÁͧ adverse drug reaction ¡Òû‡Í§¡Ñ¹¡‹Í¹áÅÐËÅѧ¡Òü‹ÒµÑ´, 289 adverse event, 98 harm, 98 ÇÊ anal fissure, 178 àǪÈÒʵÏàªÔ§»ÃШѡɏ anorectal disorders, 177 ÂÒ¨Ò¡ÊÁعä¾Ã, 323 anal fissure, 178 ÊÀÒ¾áÇ´ÅŒÍÁáÅÐÊØ¢ÀÒ¾ fistula in ano, 179 ¹Ô¤ÁÍØµÊÒË¡ÃÃÁÁÒºµÒ¾Ø´, 401 hemorrhoid, 177 âäÀÙÁᾌ, 405 Ô perianal abscess, 179 ÊÁعä¾Ã antidote ¢ÁÔ¹ªÑ¹, 325 é 4-methylpyrazole, 139 ¿‡Ò·ÐÅÒÂâ¨Ã, 326 acute intoxication, 135 ÁÐÃØÁ, 327 antivenom, 136 ÂÒËÍÁ¹Çâ¡°, 329 atropine, 136 àǪÈÒʵÏàªÔ§»ÃШѡɏ, 323 current status in Thailand, 75 ÊÌҧàÊÃÔÁÊØ¢ÀÒ¾, 349 cyanide antidote kit, 138 ÊÒµҼԴ»¡µÔ ethanol, 137 ¡ÒÃÃÑ¡ÉÒ´ŒÇ LASIK, 43 fomepizole, 139 ÊÒÂàÊÕ§ glucagon, 139 ¡Ò÷íÒ§Ò¹, 285 hydroxycobalamine, 139 ໚¹ÍÑÁ¾Òµ, 281 pralidoxime, 137 ËÍ pyridoxine, 140 vitamin-k1, 138 à˵ءÒóäÁ‹¾§»ÃÐʧ¤¨Ò¡¡ÒÃ㪌ÂÒ Ö antivenom, 136 ã¹âç¾ÂÒºÒÅ atropine ¡Ò䌹ËÒ, 95 as antidote, 136 ¡ÒÃÇÑ´ÍѵÃÒ, 95 ÍØºµà˵ؤÍÊкѴ, 163 Ñ Ô
  • 634.
    àǪÈÒʵÏ·¹Âؤ 2553 Ñ 607 BC elimination interactions, 71 breast cancer metabolism interactions, 71 prevention and screening, 351 pharmacodynamic interactions, 71 burn unit, 211 DUB CAM see dysfunctional uterine bleeding, 229 see confusion assessment method, 377 dysfunctional uterine bleeding, 229 cancer-associated fibroblasts, 573 dysphagia, 535 childhood seizure and epilepsy, 1 dysphagia rehabilitation, 540 cholangiocarcinoma-associated fibroblasts, 575 E CI.LE see cognitive impairment free life environmental threats expectancy, 361 health impacts of, 397, 401, 405 climate change epithelial cell culture in ophthalmology allergic disease, 405 corneal, 37 cognitive impairment free life expectancy, 361 mucosal, 37 comprehensive geriatric assessment, 367 esophageal varices, 555 confusion assessment method, 377 ethanol corneal limbal epithelial stem cell, 35 as antidote, 137 craniofacial care evidence-based medicine multidisciplinary approach, 415 herbal medicinal products, 323 cultivated epithelial cell in ophthalmology, 35 exercise cyanide antidote kit, 138 after cardiac surgery or intervention, 143 for diabetes mellitus, 159 D for hypertension, 155 data management prescription, 156 for clinical registry and clinical research, 579 eye cancer in pediatrics deglutition, 535 chemotherapy, 51 deferasirox, 317 treatment, 47 digital image processing . for clinical registry and clinical research, 579 drug administration pitfalls, 81, 87 fistula in ano, 179 drug interactions, 69 fomepizole absorption interactions, 70 as antidote, 139 distribution interactions, 70 food allergy diagnosis, 21
  • 635.
    608 ´Ñª¹Õ fungal skin infection, 53, 59 imaging of trauma deep infection, 59 abdomen, 479 fussy baby, 13 CT angiographic sign, 473 kidney, 484 GH limb vessels, 469 global warming, 405 liver, 483 glucagon neurological system, 459 as antidote, 139 retroperitoneal organs, 487 harmonized care for older patients spleen, 484 acute cognitive changes, 375 thoracic aorta, 475 cognition, 375 urinary bladder, 486 delirium, 375 interventional radiology depression, 370 for traumatic injury of extremities, 503 hospitalized patients, 367 for traumatic liver injury, 497 iatrogenic illness, 370 for traumatic patient, 497 malnutrition, 369 for traumatic pelvic fracture, 502 mobility, 387 for traumatic renal injury, 499 hearing loss in children, 259, 601 for traumatic splenic injury, 500 hereditary, 271 iron chelation, 313 obstructive, 265 deferasirox, 317 screening, 259 hemorrhoid, 177 KL hepatocellular carcinoma ketamine management, 183 for postoperative pain management in herbal medicinal products pediatric patient, 126 evidence-based medicine, 323 ketorolac hoarseness for postoperative pain management in management, 285 pediatric patient, 126 hydroxycobalamine LASIK, 43 as antidote, 139 M I 4-methylpyrazole IGRT as antidote, 139 see image-guided radiotherapy, 117 medication error, 98
  • 636.
    àǪÈÒʵÏ·¹Âؤ 2553 Ñ 609 mild traumatic brain injury PET/CT neuropsychiatric disorders after, 453 for cancer in head and neck region, 103 neurosurgical perspective, 441 postconcussive syndrome, 445 postconcussive syndrome, 445 postoperative pain sport related concussion, 448 ketamine, 126 movement disorder surgery, 433 postoperative pain dystonia, 435 ketorolac, 126 hemiballism, 439 postoperative pain Parkinson’s disease, 433 management in pediatric patient, 125 spasticity, 437 postoperative pain Tourette syndrome, 439 paracetamol, 127 MTBI postoperative pain see mild traumatic brain injury, 411, tramadol, 127 445, 448 pralidoxime as antidote, 137 NO pyridoxine narcolepsy, 523 as antidote, 140 neuroanesthesia neuro-interventional perspective, 131 R obstructive sleep apnea, 529 radiotherapy, 117 OSA image-guided radiotherapy, 117 see obstructive sleep apnea, 529 research and business, 587 ovarian cancer rhinosinusitis, 241 screening, 355 robotic surgery, 197 P S paracetamol scrub typhus for postoperative pain management in diagnosis, 305 pediatric patient, 127 in Thailand, 297 pathologic fracture molecular epidemiology in Thailand, 301 impending fracture, 221 Siriraj trauma center, 203, 205 pathologic fracture sleep disordered breathing treatment of , 219 obstructive type, 505 perianal abscess, 179 surgical treatment, 529 snoring, 505
  • 637.
    610 ´Ñª¹Õ sport related concussion, 448 traumatic cerebrovascular injury stem cell neurosurgical perspective, 489 corneal limbal epithelial, 35 trigger tool, 95 stroke global trigger tool, 99 perioperative prevention of, 289 tumor microenvironment, 569 surgical treatment for sleep disordered breathing, 529 UVW swallowing therapy, 539 upper gastro-intestinal bleeding, 543 swallowing, 535 embolization for, 565 vitamin-k1 T as antidote, 138 tramadol vocal cord for postoperative pain management in function, 285 pediatric patient, 127 paralysis, 281 transplantation volatile organic compounds, 401 live donor liver transplantation, the first whiplash injury, 163 case in Thailand, 193 conservative treatment, 171 liver transplantation in Siriraj hospital, 189 myogenic cause, 171 medico-legal investigation, 595
  • 638.
    àǪÈÒʵϷѹÂؤ 2553 ISBN 978-974-11-1329-3 ÃÒ¤Ò 400 ºÒ·