1. 3 * 3 * 3 * 3 2.  (-4)(-4)(-4) 3.  291 / 3 4.  760 / 10 Objective:  use exponents Bellwork
2 6 exponent base power { the value of the expression
Examples 12 1 62 (0 .2) 3 -74 (- 8) 5
Write the expression using an exponent. (- 5)(-5)(-5)   -2  a  b  a  a
A microscope can magnify a specimen 10 3  times.  How many times is that? Simplify 7 2 Evaluate -a 4  and (-a) 4 , for a = 2
P E M D A S
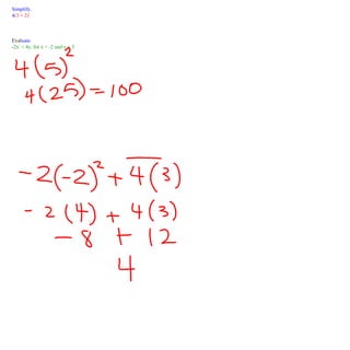
Simplify. 4 (3 + 2) 2 Eval uate. - 2x 3  + 4y, for x = -2 and y = 3
HW  pg 184  #  2 - 38 evens

4.2 exponents

  • 1.
    1. 3 *3 * 3 * 3 2. (-4)(-4)(-4) 3. 291 / 3 4. 760 / 10 Objective: use exponents Bellwork
  • 2.
    2 6 exponentbase power { the value of the expression
  • 3.
    Examples 12 162 (0 .2) 3 -74 (- 8) 5
  • 4.
    Write the expressionusing an exponent. (- 5)(-5)(-5) -2 a b a a
  • 5.
    A microscope canmagnify a specimen 10 3 times. How many times is that? Simplify 7 2 Evaluate -a 4 and (-a) 4 , for a = 2
  • 6.
    P E MD A S
  • 7.
    Simplify. 4 (3+ 2) 2 Eval uate. - 2x 3 + 4y, for x = -2 and y = 3
  • 8.
    HW pg184 # 2 - 38 evens