4. PROSES POISSON

1

Prostok-4-firda
4.1 Proses Menghitung
Definisi :

Proses stokastik { N ( t ) , t ≥ 0} dikatakan proses
menghitung (counting process) jika N ( t ) atau N t
menyatakan banyaknya kejadian yang terjadi
selama waktu t (S.Osaki,1992).
Contoh:
1. N ( t ) adalah banyaknya bayi yang lahir selama
waktu t. Maka { N (t ), t ≥ 0} proses menghitung.
2. N ( t ) adalah banyaknya orang yang datang ke
Toserba Grya dalam waktu [0, t ].
Maka { N (t ), t ≥ 0} proses menghitung.
2

Prostok-4-firda
Proses menghitung { N ( t ) , t ≥ 0} memenuhi sifat:
(i) N ( t ) ≥ 0

(ii) N ( t ) adalah bilangan bulat
(iii) Jika

s < t , maka N ( s ) ≤ N ( t )

(iv) Untuk s < t , N ( t ) − N ( s ) menyatakan
banyaknya kejadian yang terjadi pada interval
waktu ( s, t ].

3

Prostok-4-firda
 Proses menghitung disebut proses dengan
kenaikan bebas (independent increments)
jika banyaknya kejadian yang terjadi pada
interval waktu terpisah adalah saling bebas.
artinya, banyaknya kejadian yang terjadi pd
waktu t, (yaitu N(t)), bebas dari banyaknya
kejadian yang terjadi pd waktu antara t dan t+s,
(yaitu N(t+s)-N(t)).

4

Prostok-4-firda
 Proses menghitung disebut proses dengan
kenaikan stasioner (stationary increments)
jika distribusi dari banyaknya kejadian yang
terjadi pada interval waktu tertentu hanya
tergantung pada panjang dari interval tersebut,
tidak bergantung pada letak interval tersebut.
Artinya, banyaknya kejadian pada interval waktu
(yaitu N ( t 2 + s ) − N ( t1 + s ) )
mempunyai distribusi yang sama dengan
banyaknya kejadian pada interval waktu ( t1 ,t 2 ]
(yaitu N ( t 2 ) − N ( t1 ) ) , untuk semua t1 < t 2 , s > 0.

( t1 + s , t 2 + s ]

5

Prostok-4-firda
Definisi:
Fungsi f (h) dikatakan o(h) jika

f ( h)
lim
= 0.
h →0 h

Contoh:
Untuk interval waktu yang kecil (h >0),

e− λ h

( − λ h) n
(λ h ) 2 ( λ h ) 3
= 1− λh +
−
+ ...
= ∑
n!
2!
3!
n=0
∞

e − λ h = 1 − λ h + o( h)
1 − e − λh = λ h + o ( h )
6

Prostok-4-firda

(tidak ada kejadian pada interval waktu
yg kecil h>0)
(peluang ada kejadian pada interval waktu
yg kecil h>0)
4.2 Definisi Proses Poisson
Definisi 1: (S. Osaki,1992)

Suatu proses menghitung { N (t ), t ≥ 0} dikatakan
proses Poisson dengan laju (parameter) λ > 0
jika memenuhi:
(i) N (0) = 0
(ii) Proses mempunyai kenaikan bebas stasioner
(stationary independent increments)
(iii) P( N (h) = 1) = λ h + o(h)
(iv) P ( N (h) ≥ 2) = o(h)
7

Prostok-4-firda

7
Dari definisi ini, untuk t ≥ 0 berlaku,

Pk (t ) = P ( N (t ) = k | N (0) = 0) , k = 0,1, 2,...
(menyatakan peluang bahwa ada k kejadian yang terjadi
pada interval (0,t].
∞

∑ P (t ) = 1
k =0

hukum peluang total

k

Karena proses Poisson stasioner,maka

P ( N ( s + t ) − N ( s ) = k ) = P ( N (t ) = k | N (0) = 0) = Pk (t )
untuk sebarang s ≥ 0, t ≥ 0.
8

Prostok-4-firda

8
Definisi 2:

(S. Osaki,1992)

Suatu proses menghitung { N (t ), t ≥ 0} dikatakan
proses Poisson dengan laju (parameter) λ > 0
jika memenuhi:
(i) N (0) = 0
(ii) Proses mempunyai kenaikan bebas
(independent increments)
(iii) Peluang ada k kejadian dalam interval waktu t:
(λ t ) k − λ t
Pk (t ) = P ( N (t + s ) − N ( s ) = k ) =
e , k = 0,1,...
k!

∀s, t ≥ 0. ⇒ N ( s + t ) − N ( s ) : POI (λ t ).

9

Prostok-4-firda

9
Maka

E[ N ( t ) ] = λ t , Var[ N ( t ) ] = λ t ,

λ=

E[ N ( t ) ]
t

= rate (laju dari proses)

= rata-rata banyaknya kejadian yang terjadi
per waktu t.

10

Prostok-4-firda
Definisi 1 dan Definisi 2 ekivalen
Bukti:
(a) Definisi 1  Definisi 2
Sifat (i), (ii) jelas
Selanjutnya, tulis
Pk (t ) = P ( N (t ) = k )
11

Prostok-4-firda
Untuk k = 0,

P0 ( t + h ) = P( N (t + h) = 0)

= P( N (t ) = 0, N (t + h) − N (t ) = 0 )
= P( N (t ) = 0 ) P( N (t + h) − N (t ) = 0 )
= P0 (t ) P0 (h)
= P0 (t )(1 − λh + o(h))

= P0 (t ) − λ hP0 (t ) + o(h)
12

Prostok-4-firda

Sifat (iii),(iv)

kenaikan
bebas

kenaikan
stasioner
Dari bentuk

P0 ( t + h ) == P0 (t ) − λ hP0 (t ) + o(h)
diperoleh :

P0 (t + h) − P0 (t )
P0 ' ( t ) = lim
h→0
h
o( h)
= lim− λ P0 (t ) +
h →0
h
P '(t ) = −λP (t ) ⇒ P0 (t ) = Ce
0
0
Dengan syarat awal P0 (0) = 1
13

Prostok-4-firda

− λt

.

⇒ P0 (t ) = e

− λt

.
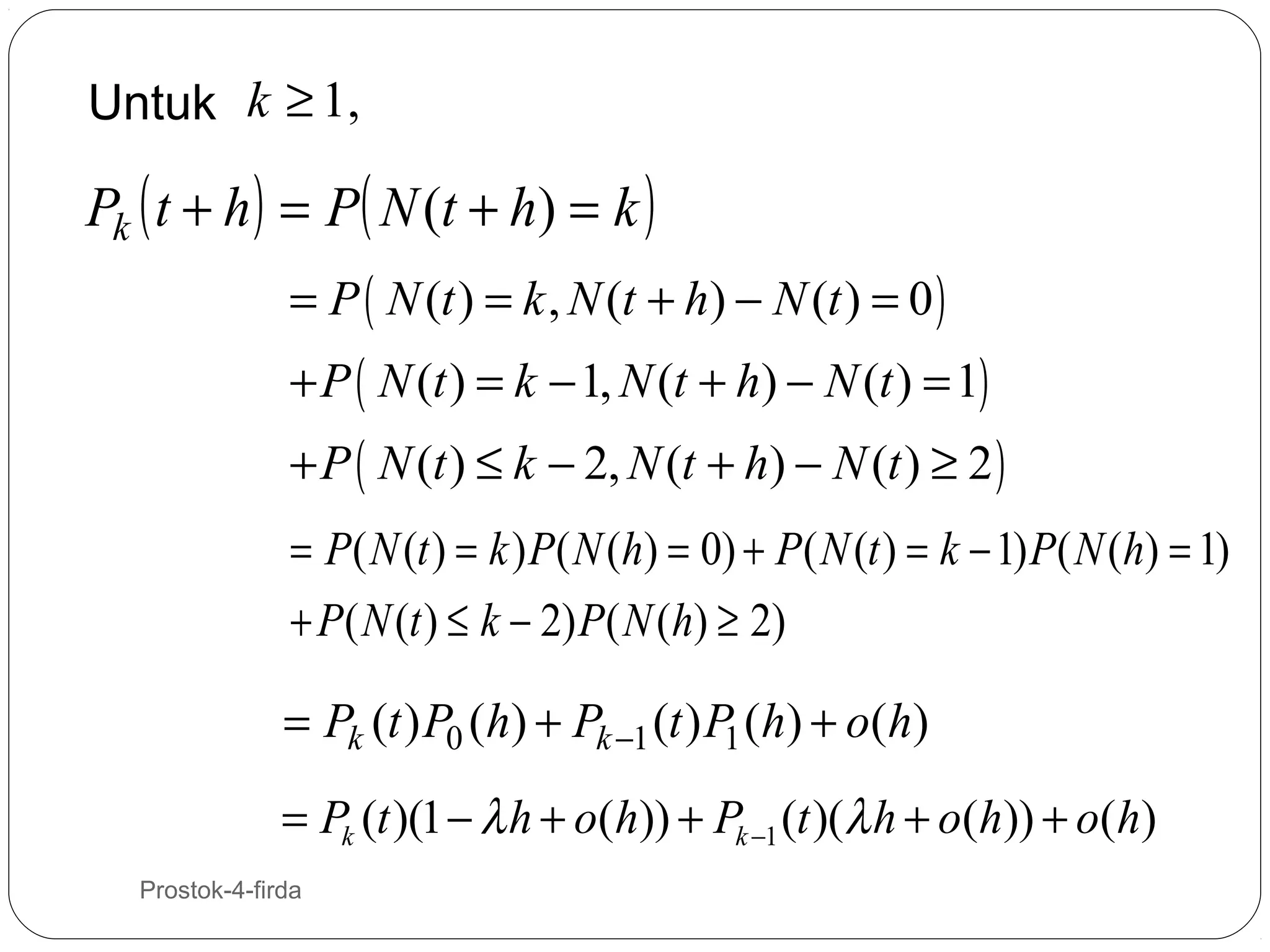
Untuk k ≥ 1,

Pk ( t + h ) = P( N (t + h) = k )
= P ( N (t ) = k , N (t + h) − N (t ) = 0 )

+ P ( N (t ) = k − 1, N (t + h) − N (t ) = 1)

+ P ( N (t ) ≤ k − 2, N (t + h) − N (t ) ≥ 2 )
= P( N (t ) = k ) P( N (h) = 0) + P ( N (t ) = k − 1) P( N (h) = 1)
+ P( N (t ) ≤ k − 2) P( N (h) ≥ 2)

= Pk (t ) P0 (h) + Pk −1 (t ) P1 (h) + o(h)
= Pk (t )(1 − λ h + o(h)) + Pk −1 (t )(λ h + o(h)) + o(h)
14

Prostok-4-firda
atau

Pk ( t + h ) = (1 − λ h) Pk (t ) + λ hPk −1 (t ) + o(h)
Dari sini diperoleh :

Pk (t + h) − Pk (t )
P 'k ( t ) = lim
h→0
h

= −λ Pk (t ) + λ Pk −1 (t )
Atau ditulis,

P ' k (t ) + λPk (t ) = λPk −1 (t )
15

Prostok-4-firda

PDB linear
Pk (t ) = e − λt
Untuk k =1,

{

eλ t λ Pk −1 (t )dt
∫

⇒ P (t ) = e − λt
1

{

}

eλt λ P0 (t )dt
∫

}

Dengan syarat awal P1(0)=0, diperoleh:

P1 (t ) = λte

− λt

Pk (t ) =

(λ t ) k − λt
e
k!

Dengan induksi matematik diperoleh:
Hal ini menunjukkan

(λ t ) k − λ t
P ( N (t + s ) − N ( s ) = k ) =
e
(Sifat (iii) Definisi 2).
k!
16

Prostok-4-firda
(b) Definisi 2  Definisi 1
Sifat (i) jelas
Dari sifat (iii) definisi 2, N (t + s ) − N ( s )
mempunyai distribusi yang sama dengan N (t ),
Artinya, punya kenaikan stasioner (sifat (ii) definisi 1).
Selanjutnya, dari sifat (iii) definisi 2,

P ( N (h) = 1) = λ he − λ h


(λ h ) 2 (λ h ) 3 (λ h ) 4
= λ h 1 − λ h +
−
+
− ...
2!
3!
4!


17

Prostok-4-firda


( λ h ) 3 (λ h ) 4 (λ h ) 5
2
P ( N (h) = 1) = λ h + −(λ h) +
−
+
− ...
2!
3!
4!



= λ h + o( h)

(memenuhi sifat (iii) definisi 1).
Selanjutnya,

P ( N (h) ≥ 2) = e

−λh

∞

∑

( λh)

k =2

k!

= ( λ h ) e−λh
2

= ( λh) e
2

= o( h)
18

k

= e−λh

 ( λ h ) 2 ( λ h ) 3 (λ h ) 4

+
+
+ ...

3!
4!
 2!


 1 λ h (λ h ) 2

+
+ ...
 +
4!
 2! 3!


−λh

∞

∑
k =2

( λ h)

k −2

k!

(memenuhi sifat (iv) definisi 1.
Contoh:
1. Pelanggan tiba di toko mengikuti proses Poisson
dengan laju 2 orang per jam selama jam kerja dari
pukul 10.00 (t=0) sampai pukul 18.00.
a. Tentukan peluang bahwa k pelanggan (k = 0,1,2)
datang pada pukul 13.00 – 15.00.
b. Tentukan mean dan variansi dari kedatangan
pelanggan selama jam kerja.
19

Prostok-4-firda
N (t ) ~ POI (λt ) ; λ = 2

Jawab:

a. waktu: 13.00 – 15.00  t =2.

(λ t ) k − λt
Pk (t ) = P ( N (t ) = k ) =
e
k!
(2.2)0 −2.2
k = 0 → P0 (2) = P ( N (2) = 0) =
e = e −4 = 0, 018
0!
(2.2)1 −2.2
k = 1 → P (2) = P( N (2) = 1) =
e = 4e −4 = 0, 073
1
1!
(2.2) 2 −2.2
k = 2 → P2 (2) = P ( N (2) = 2) =
e = 8e −4 = 0,147
2!
20

Prostok-4-firda
b. Selama jam kerja ( 10.00 – 18.00 )  t = 8

E[ N (t )] = λ t ;

Var ( N (t )) = λ t

E[ N (8)] = 2.8 = 16
Var ( N (8)) = 2.8 = 16
2. Panggilan telepon mengikuti proses Poisson dengan
laju 10/jam.
a. Tentukan peluang bahwa ada 8 panggilan telepon
terjadi pada satu jam pertama.
b. Tentukan peluang terdapat 3 panggilan telepon
pada setengah jam pertama dan 6 panggilan telepon
pada setengah jam kedua.
21

Prostok-4-firda
Jawab:

λ = 10

108 −10
e = 0,113
a. P (1) = P ( N (1) = 8) =
8
8!
b. P ( N ( 0,5) = 3, N (1) − N ( 0,5) = 6 )

kenaikan bebas

= P( N ( 0,5) = 3) P( N (1) − N ( 0,5) = 6 )

= P( N ( 0,5) = 3) P ( N ( 0,5) = 6 )

kenaikan stasioner

(10.(0,5) ) 3 e −10( 0,5) . (10.(0,5)) 6 e −10( 0,5) = 0,02
=
3!

22

Prostok-4-firda

6!
Waktu antar kedatangan
Berdasarkan proses menghitung { N (t ), t ≥ 0} ,
N(t) menyatakan banyaknya kejadian sampai waktu t.
Perhatikan bahwa kejadian-kejadian tersebut dapat
terjadi kapan saja dalam interval (0,t].
Misalkan kejadian pertama terjadi pada saat t1 ,
disini N (t1 ) = 1dan N (t ) = 0 untuk t < t1 .
Kejadian kedua terjadi pada saat t2 , maka N (t2 ) = 2
dan N (t ) = 1untuk t1 ≤ t < t2 .

23

Disini, tk _ +1 − tk adalah panjang waktu terjadinya
kejadian ke k+1 setelah kejadian ke k.
Panjang selang ini disebut dengan waktu antar
kedatangan/waktu antar kejadian.
Ilustrasi
Waktu antar
kedatangan
X1

X i = ti − ti −1

X2

t1

t2

t3

ti −1

ti

N (t1 ) = 1 → N (t1 ) = 1, N (t ) = 0 untuk t < t1
N (t2 ) = 2
24

Prostok-4-firda

→ N (t2 ) = 2, N (t ) = 1 untuk t1 ≤ t < t2
Definisi:
Berdasarkan proses menghitung { N (t ), t ≥ 0} ,
Misalkan X 1 adalah waktu dari kejadian pertama.
Untuk n ≥ 1, misalkan X n adalah waktu antara
kejadian ke (n-1) dan kejadian ke n.
Maka { X n , n ≥ 1} disebut barisan waktu antar
kedatangan/waktu antar kejadian.

25

Prostok-4-firda
4.3 Distribusi Waktu Antar Kedatangan
Teorema
Waktu antar kedatanganX n , n = 1,2,... dari suatu
proses Poisson adalah saling bebas dan berdistribusi
eksponensial dengan parameter λ .
Bukti:
Akan ditunjukkan X 1 , X 2 , X 3 ,..., X n ~ EXP (λ )

Catat bahwa, { X 1 > t} terjadi jika tidak ada kejadian
dari proses Poisson yang terjadi pada interval [0,t].
Ini identik dengan { N (t ) = 0} .
0
26

Prostok-4-firda

t

X1
maka

P ( X 1 ≤ t ) = 1 − P ( X 1 > t ) = 1 − P ( N (t ) = 0) = 1 − e − λt
Jadi X 1 ~ EXP (λ )
Untuk

X2 ,

kita dapatkan distribusi bersyarat dengan
kejadian pertama terjadi pada waktu s.

P( X 2 ≤ t | X 1 = s) = 1 − P( X 2 > t | X 1 = s)
= 1 − P( N (t + s ) − N ( s ) = 0 | X 1 = s )
kenaikan bebas

kenaikan stasioner

= 1 − P( N (t + s ) − N ( s ) = 0)
= 1 − P ( N (t ) = 0)

= 1 − e − λt
27

Prostok-4-firda

⇒ X 2 ~ EXP(λ )
Dengan induksi matematika, kita dapatkan,
tiap waktu antar kedatangan X n adalah saling bebas dan
berdistribusi eksponensial dengan parameter λ . (terbukti)

1
1
X k , k = 1, 2,..., n ~ EXP (λ ) → E[ X k ] = , Var[ X k ] = 2 .
λ
λ

Contoh
Jika kedatangan pasien ke sebuah rumah sakit mengikuti
proses Poisson dengan laju 5/jam, tentukan distribusi peluang
dari waktu antar kedatangan pasien ke 10 dan ke 11.
Jawab:
Berdasarkan teorema, waktu antar kedatangan pasien
berdistribusi eksponensial dengan parameter 5/jam.
28

Prostok-4-firda
Soal
1. Toko buka dari pukul 9.00 sampai 18.00.
Pelanggan datang mengikuti proses Poisson
dengan laju 10 orang per jam selama jam kerja.
a. Tentukan mean dan variansi kedatangan
pelanggan selama jam kerja.
b. Tentukan peluang tidak ada pelanggan yang
datang dalam waktu setengah jam.

29

2. Toko buka dari pukul 9.00 sampai 18.00. Pelanggan
datang mengikuti proses Poisson dengan mean dari
waktu antar kedatangan adalah 6 menit.
a. Tentukan peluang ada k pelanggan (k=0,1,2) datang
dalam waktu setengah jam
b. Tentukan mean dan variansi kedatangan pelanggan
selama jam kerja.
Prostok-4-firda
3. Banyaknya panggilan telepon di suatu kantor
mengikuti proses Poisson dengan laju 2 kali per menit.
Tentukan peluang bahwa selang waktu antara 2
panggilan berturutan tidak lebih dari 4 menit.
4. Jika { N (t ), t ≥ 0} adalah suatu proses Poisson,
Tunjukkan bahwa
k

 n  s   s 
P ( N ( s ) = k | N (t ) = n) =    1 − 
k  t
    t 
k = 0,1,2,..., n untuk s < t .
30

Prostok-4-firda

n−k
Waktu menunggu dan distribusinya
Waktu menunggu sampai kejadian ke n adalah :

t1 + (t2 − t1 ) + (t3 − t2 ) + ... + (tn − tn −1 )
Jika S n adalah waktu tunggu sampai kejadian ke n,
maka

S n = X 1 + X 2 + ... + X n , n = 1,2,...
X1

Xn

X2
S1

S3

S2

S n −1

Sn

Sn
Realisasi dari waktu antar kedatangan dan waktu tunggu
31

Prostok-4-firda
Untuk proses Poisson,

N (t ) : POI (λ t ) dan X k : EXP (λ ) , (k = 1, 2,...)
Perhatikan waktu tunggu,
n

S n = ∑ X k , S0 = 0.
k =1

Karena X n , n = 1, 2,... adalah bebas danX n : EXP(λ ),
maka Sn : GAM (λ , n),

λ ( λ x ) e−λ x
P( Sn ≤ T ) = ∫
dx
(n − 1)!
0
t

32

Prostok-4-firda

n −1
Hubungan antara S n dan N (t ) ;

S n ≤ t ⇔ N (t ) ≥ n

Hubungan antara S n ≤ t dan N (t ) ≥ n

33

Prostok-4-firda
Teorema
Untuk proses Poisson dengan laju λ > 0 ,

P ( S n ≤ t ) = P ( N (t ) ≥ n)
yakni

∞
λ (λ x) n −1 e − λ x
(λ t ) i − λ t
∫ (n − 1)! dx = ∑ i ! e
i=n
0
t

Ekivalen dengan P ( S n > t ) = P ( N (t ) < n)
∞

yakni

34

n −1
λ (λ x) n −1 e − λ x
(λ t ) i − λ t
∫ (n − 1)! dx = ∑ i ! e
i =0
t

Prostok-4-firda
4.4 Distribusi bersyarat waktu antar
kedatangan
Distribusi bersyarat dari waktu antar kedatangan
pertama X 1 , diberikan ada kejadian pada waktu [0,t],
Untuk s ≤ t ,
P ( X 1 ≤ s, N (t ) = 1)
P ( X 1 ≤ s | N (t ) = 1) =
P ( N (t ) = 1)
P ( N ( s ) = 1) P ( N (t ) − N ( s ) = 0)
=
P ( N (t ) = 1)

35

Prostok-4-firda

P ( N ( s ) = 1) P ( N (t − s ) = 0)
=
P ( N (t ) = 1)
λse − λs .e − λ ( t − s ) s
=
=
− λt
λte
t
Superposisi proses Poisson
Misalkan proses { N1 (t ), t ≥ 0} dan { N 2 (t ), t ≥ 0}
adalah proses Poisson dengan laju λ dan µ
Maka

{ N 1 (t ) + N 2 (t ), t ≥ 0}

juga merupakan

proses Poison dengan laju λ + µ .
Bukti: Cobakan…

36

Prostok-4-firda
4.5 Proses Poisson Nonhomogen
Definisi:
Proses menghitung { N (t ), t ≥ 0} dikatakan
proses Poisson Nonhomogen atau nonstasioner
dengan fungsi intensitas λ (t ) jika memenuhi:
(i) N(0) = 0
(ii) Proses mempunyai kenaikan bebas
(iii) P ( N (t + h) − N (t ) = 1) = λ (t )h + o(h)
(iv) P ( N (t + h) − N (t ) ≥ 2) = o(h)
37

Prostok-4-firda
Proses Poisson homogen mempunyai parameter λ ,
λ
Proses Poisson nonhomogen mempunyai parameter (t ).
λ (t ) disebut fungsi intensitas.
Yakni,
t

m(t ) = ∫ λ ( x)dx.
0

Maka kita punyai,

Pk (t ) = P ( N (t ) = k | N (0) = 0)

=
38

[ m(t )]

Prostok-4-firda

k − m (t )

e

k!

→ E[ N (t )] = m(t )
Soal
1. Banyaknya pelanggan yang datang ke suatu
toko mengikuti proses Poisson dengan laju
3 orang perjam.
a. Tentukan nilai harapan jumlah pelanggan yang
datang antara pukul 8.00 dan 10.00 di suatu pagi.
b. Tentukan peluang bahwa untuk menunggu
datangnya 7 pelanggan dibutuhkan waktu
lebih dari 2 jam.
2. Banyaknya kecelakaan pada jalan tol mengikuti
proses Poisson dengan laju 13 kali perbulan.
a. Tentukan peluang bahwa selang waktu antara
2 kecelakaan berturut-turut tidak lebih dari
2 hari.
39

Prostok-4-firda
b. Tentukan nilai harapan jumlah kecelakaan yang
terjadi antara bulan Maret 2011 dan bulan Juli 2011.
(catat bahwa 1 bulan = 30 hari).
3. Supermarket buka dari pukul 10.00 sampai pukul 20.00
Pelanggan datang mengikuti proses Poisson non
homogen dengan fungsi intensitas:
 20t ; 0 ≤ t < 2
 10t + 20 ; 2 ≤ t < 6

λ (t ) = 
80 ; 6 ≤ t < 8

400 − 40t ; 8 ≤ t ≤ 10


a. Hitung rataan dan variansi dari kedatangan
pelanggan pada waktu kerja dari 10.00 – 20.00.
b. Hitung rataan dan variansi dari kedatangan pelanggan
pada pukul 16.00 – 18.00.
40

Prostok-4-firda

proses poisson

  • 1.
  • 2.
    4.1 Proses Menghitung Definisi: Proses stokastik { N ( t ) , t ≥ 0} dikatakan proses menghitung (counting process) jika N ( t ) atau N t menyatakan banyaknya kejadian yang terjadi selama waktu t (S.Osaki,1992). Contoh: 1. N ( t ) adalah banyaknya bayi yang lahir selama waktu t. Maka { N (t ), t ≥ 0} proses menghitung. 2. N ( t ) adalah banyaknya orang yang datang ke Toserba Grya dalam waktu [0, t ]. Maka { N (t ), t ≥ 0} proses menghitung. 2 Prostok-4-firda
  • 3.
    Proses menghitung {N ( t ) , t ≥ 0} memenuhi sifat: (i) N ( t ) ≥ 0 (ii) N ( t ) adalah bilangan bulat (iii) Jika s < t , maka N ( s ) ≤ N ( t ) (iv) Untuk s < t , N ( t ) − N ( s ) menyatakan banyaknya kejadian yang terjadi pada interval waktu ( s, t ]. 3 Prostok-4-firda
  • 4.
     Proses menghitungdisebut proses dengan kenaikan bebas (independent increments) jika banyaknya kejadian yang terjadi pada interval waktu terpisah adalah saling bebas. artinya, banyaknya kejadian yang terjadi pd waktu t, (yaitu N(t)), bebas dari banyaknya kejadian yang terjadi pd waktu antara t dan t+s, (yaitu N(t+s)-N(t)). 4 Prostok-4-firda
  • 5.
     Proses menghitungdisebut proses dengan kenaikan stasioner (stationary increments) jika distribusi dari banyaknya kejadian yang terjadi pada interval waktu tertentu hanya tergantung pada panjang dari interval tersebut, tidak bergantung pada letak interval tersebut. Artinya, banyaknya kejadian pada interval waktu (yaitu N ( t 2 + s ) − N ( t1 + s ) ) mempunyai distribusi yang sama dengan banyaknya kejadian pada interval waktu ( t1 ,t 2 ] (yaitu N ( t 2 ) − N ( t1 ) ) , untuk semua t1 < t 2 , s > 0. ( t1 + s , t 2 + s ] 5 Prostok-4-firda
  • 6.
    Definisi: Fungsi f (h)dikatakan o(h) jika f ( h) lim = 0. h →0 h Contoh: Untuk interval waktu yang kecil (h >0), e− λ h ( − λ h) n (λ h ) 2 ( λ h ) 3 = 1− λh + − + ... = ∑ n! 2! 3! n=0 ∞ e − λ h = 1 − λ h + o( h) 1 − e − λh = λ h + o ( h ) 6 Prostok-4-firda (tidak ada kejadian pada interval waktu yg kecil h>0) (peluang ada kejadian pada interval waktu yg kecil h>0)
  • 7.
    4.2 Definisi ProsesPoisson Definisi 1: (S. Osaki,1992) Suatu proses menghitung { N (t ), t ≥ 0} dikatakan proses Poisson dengan laju (parameter) λ > 0 jika memenuhi: (i) N (0) = 0 (ii) Proses mempunyai kenaikan bebas stasioner (stationary independent increments) (iii) P( N (h) = 1) = λ h + o(h) (iv) P ( N (h) ≥ 2) = o(h) 7 Prostok-4-firda 7
  • 8.
    Dari definisi ini,untuk t ≥ 0 berlaku, Pk (t ) = P ( N (t ) = k | N (0) = 0) , k = 0,1, 2,... (menyatakan peluang bahwa ada k kejadian yang terjadi pada interval (0,t]. ∞ ∑ P (t ) = 1 k =0 hukum peluang total k Karena proses Poisson stasioner,maka P ( N ( s + t ) − N ( s ) = k ) = P ( N (t ) = k | N (0) = 0) = Pk (t ) untuk sebarang s ≥ 0, t ≥ 0. 8 Prostok-4-firda 8
  • 9.
    Definisi 2: (S. Osaki,1992) Suatuproses menghitung { N (t ), t ≥ 0} dikatakan proses Poisson dengan laju (parameter) λ > 0 jika memenuhi: (i) N (0) = 0 (ii) Proses mempunyai kenaikan bebas (independent increments) (iii) Peluang ada k kejadian dalam interval waktu t: (λ t ) k − λ t Pk (t ) = P ( N (t + s ) − N ( s ) = k ) = e , k = 0,1,... k! ∀s, t ≥ 0. ⇒ N ( s + t ) − N ( s ) : POI (λ t ). 9 Prostok-4-firda 9
  • 10.
    Maka E[ N (t ) ] = λ t , Var[ N ( t ) ] = λ t , λ= E[ N ( t ) ] t = rate (laju dari proses) = rata-rata banyaknya kejadian yang terjadi per waktu t. 10 Prostok-4-firda
  • 11.
    Definisi 1 danDefinisi 2 ekivalen Bukti: (a) Definisi 1  Definisi 2 Sifat (i), (ii) jelas Selanjutnya, tulis Pk (t ) = P ( N (t ) = k ) 11 Prostok-4-firda
  • 12.
    Untuk k =0, P0 ( t + h ) = P( N (t + h) = 0) = P( N (t ) = 0, N (t + h) − N (t ) = 0 ) = P( N (t ) = 0 ) P( N (t + h) − N (t ) = 0 ) = P0 (t ) P0 (h) = P0 (t )(1 − λh + o(h)) = P0 (t ) − λ hP0 (t ) + o(h) 12 Prostok-4-firda Sifat (iii),(iv) kenaikan bebas kenaikan stasioner
  • 13.
    Dari bentuk P0 (t + h ) == P0 (t ) − λ hP0 (t ) + o(h) diperoleh : P0 (t + h) − P0 (t ) P0 ' ( t ) = lim h→0 h o( h) = lim− λ P0 (t ) + h →0 h P '(t ) = −λP (t ) ⇒ P0 (t ) = Ce 0 0 Dengan syarat awal P0 (0) = 1 13 Prostok-4-firda − λt . ⇒ P0 (t ) = e − λt .
  • 14.
    Untuk k ≥1, Pk ( t + h ) = P( N (t + h) = k ) = P ( N (t ) = k , N (t + h) − N (t ) = 0 ) + P ( N (t ) = k − 1, N (t + h) − N (t ) = 1) + P ( N (t ) ≤ k − 2, N (t + h) − N (t ) ≥ 2 ) = P( N (t ) = k ) P( N (h) = 0) + P ( N (t ) = k − 1) P( N (h) = 1) + P( N (t ) ≤ k − 2) P( N (h) ≥ 2) = Pk (t ) P0 (h) + Pk −1 (t ) P1 (h) + o(h) = Pk (t )(1 − λ h + o(h)) + Pk −1 (t )(λ h + o(h)) + o(h) 14 Prostok-4-firda
  • 15.
    atau Pk ( t+ h ) = (1 − λ h) Pk (t ) + λ hPk −1 (t ) + o(h) Dari sini diperoleh : Pk (t + h) − Pk (t ) P 'k ( t ) = lim h→0 h = −λ Pk (t ) + λ Pk −1 (t ) Atau ditulis, P ' k (t ) + λPk (t ) = λPk −1 (t ) 15 Prostok-4-firda PDB linear
  • 16.
    Pk (t )= e − λt Untuk k =1, { eλ t λ Pk −1 (t )dt ∫ ⇒ P (t ) = e − λt 1 { } eλt λ P0 (t )dt ∫ } Dengan syarat awal P1(0)=0, diperoleh: P1 (t ) = λte − λt Pk (t ) = (λ t ) k − λt e k! Dengan induksi matematik diperoleh: Hal ini menunjukkan (λ t ) k − λ t P ( N (t + s ) − N ( s ) = k ) = e (Sifat (iii) Definisi 2). k! 16 Prostok-4-firda
  • 17.
    (b) Definisi 2 Definisi 1 Sifat (i) jelas Dari sifat (iii) definisi 2, N (t + s ) − N ( s ) mempunyai distribusi yang sama dengan N (t ), Artinya, punya kenaikan stasioner (sifat (ii) definisi 1). Selanjutnya, dari sifat (iii) definisi 2, P ( N (h) = 1) = λ he − λ h   (λ h ) 2 (λ h ) 3 (λ h ) 4 = λ h 1 − λ h + − + − ... 2! 3! 4!   17 Prostok-4-firda
  • 18.
      ( λ h) 3 (λ h ) 4 (λ h ) 5 2 P ( N (h) = 1) = λ h + −(λ h) + − + − ... 2! 3! 4!   = λ h + o( h) (memenuhi sifat (iii) definisi 1). Selanjutnya, P ( N (h) ≥ 2) = e −λh ∞ ∑ ( λh) k =2 k! = ( λ h ) e−λh 2 = ( λh) e 2 = o( h) 18 k = e−λh  ( λ h ) 2 ( λ h ) 3 (λ h ) 4  + + + ...  3! 4!  2!   1 λ h (λ h ) 2  + + ...  + 4!  2! 3!  −λh ∞ ∑ k =2 ( λ h) k −2 k! (memenuhi sifat (iv) definisi 1.
  • 19.
    Contoh: 1. Pelanggan tibadi toko mengikuti proses Poisson dengan laju 2 orang per jam selama jam kerja dari pukul 10.00 (t=0) sampai pukul 18.00. a. Tentukan peluang bahwa k pelanggan (k = 0,1,2) datang pada pukul 13.00 – 15.00. b. Tentukan mean dan variansi dari kedatangan pelanggan selama jam kerja. 19 Prostok-4-firda
  • 20.
    N (t )~ POI (λt ) ; λ = 2 Jawab: a. waktu: 13.00 – 15.00  t =2. (λ t ) k − λt Pk (t ) = P ( N (t ) = k ) = e k! (2.2)0 −2.2 k = 0 → P0 (2) = P ( N (2) = 0) = e = e −4 = 0, 018 0! (2.2)1 −2.2 k = 1 → P (2) = P( N (2) = 1) = e = 4e −4 = 0, 073 1 1! (2.2) 2 −2.2 k = 2 → P2 (2) = P ( N (2) = 2) = e = 8e −4 = 0,147 2! 20 Prostok-4-firda
  • 21.
    b. Selama jamkerja ( 10.00 – 18.00 )  t = 8 E[ N (t )] = λ t ; Var ( N (t )) = λ t E[ N (8)] = 2.8 = 16 Var ( N (8)) = 2.8 = 16 2. Panggilan telepon mengikuti proses Poisson dengan laju 10/jam. a. Tentukan peluang bahwa ada 8 panggilan telepon terjadi pada satu jam pertama. b. Tentukan peluang terdapat 3 panggilan telepon pada setengah jam pertama dan 6 panggilan telepon pada setengah jam kedua. 21 Prostok-4-firda
  • 22.
    Jawab: λ = 10 108−10 e = 0,113 a. P (1) = P ( N (1) = 8) = 8 8! b. P ( N ( 0,5) = 3, N (1) − N ( 0,5) = 6 ) kenaikan bebas = P( N ( 0,5) = 3) P( N (1) − N ( 0,5) = 6 ) = P( N ( 0,5) = 3) P ( N ( 0,5) = 6 ) kenaikan stasioner (10.(0,5) ) 3 e −10( 0,5) . (10.(0,5)) 6 e −10( 0,5) = 0,02 = 3! 22 Prostok-4-firda 6!
  • 23.
    Waktu antar kedatangan Berdasarkanproses menghitung { N (t ), t ≥ 0} , N(t) menyatakan banyaknya kejadian sampai waktu t. Perhatikan bahwa kejadian-kejadian tersebut dapat terjadi kapan saja dalam interval (0,t]. Misalkan kejadian pertama terjadi pada saat t1 , disini N (t1 ) = 1dan N (t ) = 0 untuk t < t1 . Kejadian kedua terjadi pada saat t2 , maka N (t2 ) = 2 dan N (t ) = 1untuk t1 ≤ t < t2 . 23 Disini, tk _ +1 − tk adalah panjang waktu terjadinya kejadian ke k+1 setelah kejadian ke k. Panjang selang ini disebut dengan waktu antar kedatangan/waktu antar kejadian.
  • 24.
    Ilustrasi Waktu antar kedatangan X1 X i= ti − ti −1 X2 t1 t2 t3 ti −1 ti N (t1 ) = 1 → N (t1 ) = 1, N (t ) = 0 untuk t < t1 N (t2 ) = 2 24 Prostok-4-firda → N (t2 ) = 2, N (t ) = 1 untuk t1 ≤ t < t2
  • 25.
    Definisi: Berdasarkan proses menghitung{ N (t ), t ≥ 0} , Misalkan X 1 adalah waktu dari kejadian pertama. Untuk n ≥ 1, misalkan X n adalah waktu antara kejadian ke (n-1) dan kejadian ke n. Maka { X n , n ≥ 1} disebut barisan waktu antar kedatangan/waktu antar kejadian. 25 Prostok-4-firda
  • 26.
    4.3 Distribusi WaktuAntar Kedatangan Teorema Waktu antar kedatanganX n , n = 1,2,... dari suatu proses Poisson adalah saling bebas dan berdistribusi eksponensial dengan parameter λ . Bukti: Akan ditunjukkan X 1 , X 2 , X 3 ,..., X n ~ EXP (λ ) Catat bahwa, { X 1 > t} terjadi jika tidak ada kejadian dari proses Poisson yang terjadi pada interval [0,t]. Ini identik dengan { N (t ) = 0} . 0 26 Prostok-4-firda t X1
  • 27.
    maka P ( X1 ≤ t ) = 1 − P ( X 1 > t ) = 1 − P ( N (t ) = 0) = 1 − e − λt Jadi X 1 ~ EXP (λ ) Untuk X2 , kita dapatkan distribusi bersyarat dengan kejadian pertama terjadi pada waktu s. P( X 2 ≤ t | X 1 = s) = 1 − P( X 2 > t | X 1 = s) = 1 − P( N (t + s ) − N ( s ) = 0 | X 1 = s ) kenaikan bebas kenaikan stasioner = 1 − P( N (t + s ) − N ( s ) = 0) = 1 − P ( N (t ) = 0) = 1 − e − λt 27 Prostok-4-firda ⇒ X 2 ~ EXP(λ )
  • 28.
    Dengan induksi matematika,kita dapatkan, tiap waktu antar kedatangan X n adalah saling bebas dan berdistribusi eksponensial dengan parameter λ . (terbukti) 1 1 X k , k = 1, 2,..., n ~ EXP (λ ) → E[ X k ] = , Var[ X k ] = 2 . λ λ Contoh Jika kedatangan pasien ke sebuah rumah sakit mengikuti proses Poisson dengan laju 5/jam, tentukan distribusi peluang dari waktu antar kedatangan pasien ke 10 dan ke 11. Jawab: Berdasarkan teorema, waktu antar kedatangan pasien berdistribusi eksponensial dengan parameter 5/jam. 28 Prostok-4-firda
  • 29.
    Soal 1. Toko bukadari pukul 9.00 sampai 18.00. Pelanggan datang mengikuti proses Poisson dengan laju 10 orang per jam selama jam kerja. a. Tentukan mean dan variansi kedatangan pelanggan selama jam kerja. b. Tentukan peluang tidak ada pelanggan yang datang dalam waktu setengah jam. 29 2. Toko buka dari pukul 9.00 sampai 18.00. Pelanggan datang mengikuti proses Poisson dengan mean dari waktu antar kedatangan adalah 6 menit. a. Tentukan peluang ada k pelanggan (k=0,1,2) datang dalam waktu setengah jam b. Tentukan mean dan variansi kedatangan pelanggan selama jam kerja. Prostok-4-firda
  • 30.
    3. Banyaknya panggilantelepon di suatu kantor mengikuti proses Poisson dengan laju 2 kali per menit. Tentukan peluang bahwa selang waktu antara 2 panggilan berturutan tidak lebih dari 4 menit. 4. Jika { N (t ), t ≥ 0} adalah suatu proses Poisson, Tunjukkan bahwa k  n  s   s  P ( N ( s ) = k | N (t ) = n) =    1 −  k  t     t  k = 0,1,2,..., n untuk s < t . 30 Prostok-4-firda n−k
  • 31.
    Waktu menunggu dandistribusinya Waktu menunggu sampai kejadian ke n adalah : t1 + (t2 − t1 ) + (t3 − t2 ) + ... + (tn − tn −1 ) Jika S n adalah waktu tunggu sampai kejadian ke n, maka S n = X 1 + X 2 + ... + X n , n = 1,2,... X1 Xn X2 S1 S3 S2 S n −1 Sn Sn Realisasi dari waktu antar kedatangan dan waktu tunggu 31 Prostok-4-firda
  • 32.
    Untuk proses Poisson, N(t ) : POI (λ t ) dan X k : EXP (λ ) , (k = 1, 2,...) Perhatikan waktu tunggu, n S n = ∑ X k , S0 = 0. k =1 Karena X n , n = 1, 2,... adalah bebas danX n : EXP(λ ), maka Sn : GAM (λ , n), λ ( λ x ) e−λ x P( Sn ≤ T ) = ∫ dx (n − 1)! 0 t 32 Prostok-4-firda n −1
  • 33.
    Hubungan antara Sn dan N (t ) ; S n ≤ t ⇔ N (t ) ≥ n Hubungan antara S n ≤ t dan N (t ) ≥ n 33 Prostok-4-firda
  • 34.
    Teorema Untuk proses Poissondengan laju λ > 0 , P ( S n ≤ t ) = P ( N (t ) ≥ n) yakni ∞ λ (λ x) n −1 e − λ x (λ t ) i − λ t ∫ (n − 1)! dx = ∑ i ! e i=n 0 t Ekivalen dengan P ( S n > t ) = P ( N (t ) < n) ∞ yakni 34 n −1 λ (λ x) n −1 e − λ x (λ t ) i − λ t ∫ (n − 1)! dx = ∑ i ! e i =0 t Prostok-4-firda
  • 35.
    4.4 Distribusi bersyaratwaktu antar kedatangan Distribusi bersyarat dari waktu antar kedatangan pertama X 1 , diberikan ada kejadian pada waktu [0,t], Untuk s ≤ t , P ( X 1 ≤ s, N (t ) = 1) P ( X 1 ≤ s | N (t ) = 1) = P ( N (t ) = 1) P ( N ( s ) = 1) P ( N (t ) − N ( s ) = 0) = P ( N (t ) = 1) 35 Prostok-4-firda P ( N ( s ) = 1) P ( N (t − s ) = 0) = P ( N (t ) = 1) λse − λs .e − λ ( t − s ) s = = − λt λte t
  • 36.
    Superposisi proses Poisson Misalkanproses { N1 (t ), t ≥ 0} dan { N 2 (t ), t ≥ 0} adalah proses Poisson dengan laju λ dan µ Maka { N 1 (t ) + N 2 (t ), t ≥ 0} juga merupakan proses Poison dengan laju λ + µ . Bukti: Cobakan… 36 Prostok-4-firda
  • 37.
    4.5 Proses PoissonNonhomogen Definisi: Proses menghitung { N (t ), t ≥ 0} dikatakan proses Poisson Nonhomogen atau nonstasioner dengan fungsi intensitas λ (t ) jika memenuhi: (i) N(0) = 0 (ii) Proses mempunyai kenaikan bebas (iii) P ( N (t + h) − N (t ) = 1) = λ (t )h + o(h) (iv) P ( N (t + h) − N (t ) ≥ 2) = o(h) 37 Prostok-4-firda
  • 38.
    Proses Poisson homogenmempunyai parameter λ , λ Proses Poisson nonhomogen mempunyai parameter (t ). λ (t ) disebut fungsi intensitas. Yakni, t m(t ) = ∫ λ ( x)dx. 0 Maka kita punyai, Pk (t ) = P ( N (t ) = k | N (0) = 0) = 38 [ m(t )] Prostok-4-firda k − m (t ) e k! → E[ N (t )] = m(t )
  • 39.
    Soal 1. Banyaknya pelangganyang datang ke suatu toko mengikuti proses Poisson dengan laju 3 orang perjam. a. Tentukan nilai harapan jumlah pelanggan yang datang antara pukul 8.00 dan 10.00 di suatu pagi. b. Tentukan peluang bahwa untuk menunggu datangnya 7 pelanggan dibutuhkan waktu lebih dari 2 jam. 2. Banyaknya kecelakaan pada jalan tol mengikuti proses Poisson dengan laju 13 kali perbulan. a. Tentukan peluang bahwa selang waktu antara 2 kecelakaan berturut-turut tidak lebih dari 2 hari. 39 Prostok-4-firda
  • 40.
    b. Tentukan nilaiharapan jumlah kecelakaan yang terjadi antara bulan Maret 2011 dan bulan Juli 2011. (catat bahwa 1 bulan = 30 hari). 3. Supermarket buka dari pukul 10.00 sampai pukul 20.00 Pelanggan datang mengikuti proses Poisson non homogen dengan fungsi intensitas:  20t ; 0 ≤ t < 2  10t + 20 ; 2 ≤ t < 6  λ (t ) =  80 ; 6 ≤ t < 8  400 − 40t ; 8 ≤ t ≤ 10  a. Hitung rataan dan variansi dari kedatangan pelanggan pada waktu kerja dari 10.00 – 20.00. b. Hitung rataan dan variansi dari kedatangan pelanggan pada pukul 16.00 – 18.00. 40 Prostok-4-firda

Editor's Notes

  • #41 3. Mean 410 variansi 410