3.2 + 3.3 kids notes Substitution.notebook                                  September 11, 2012

       Objective ­ solve systems using substitution and elimination

       Agenda
       1. WU
       2. Check HW                           Warm Up
       3. Notes
       4. HW
                                             Simplify

                                             ­(4x ­ 5) + 2(x + 6) 




       SUBSTITUTION              This method works well when a variable is already by itself.  


      1.  x  = 2y + 5
          4x + 3y = 9




          Steps:
          1. Solve
          2. Substitute
          3. Solve
          4. Substitute

                                                                                                  1
3.2 + 3.3 kids notes Substitution.notebook   September 11, 2012



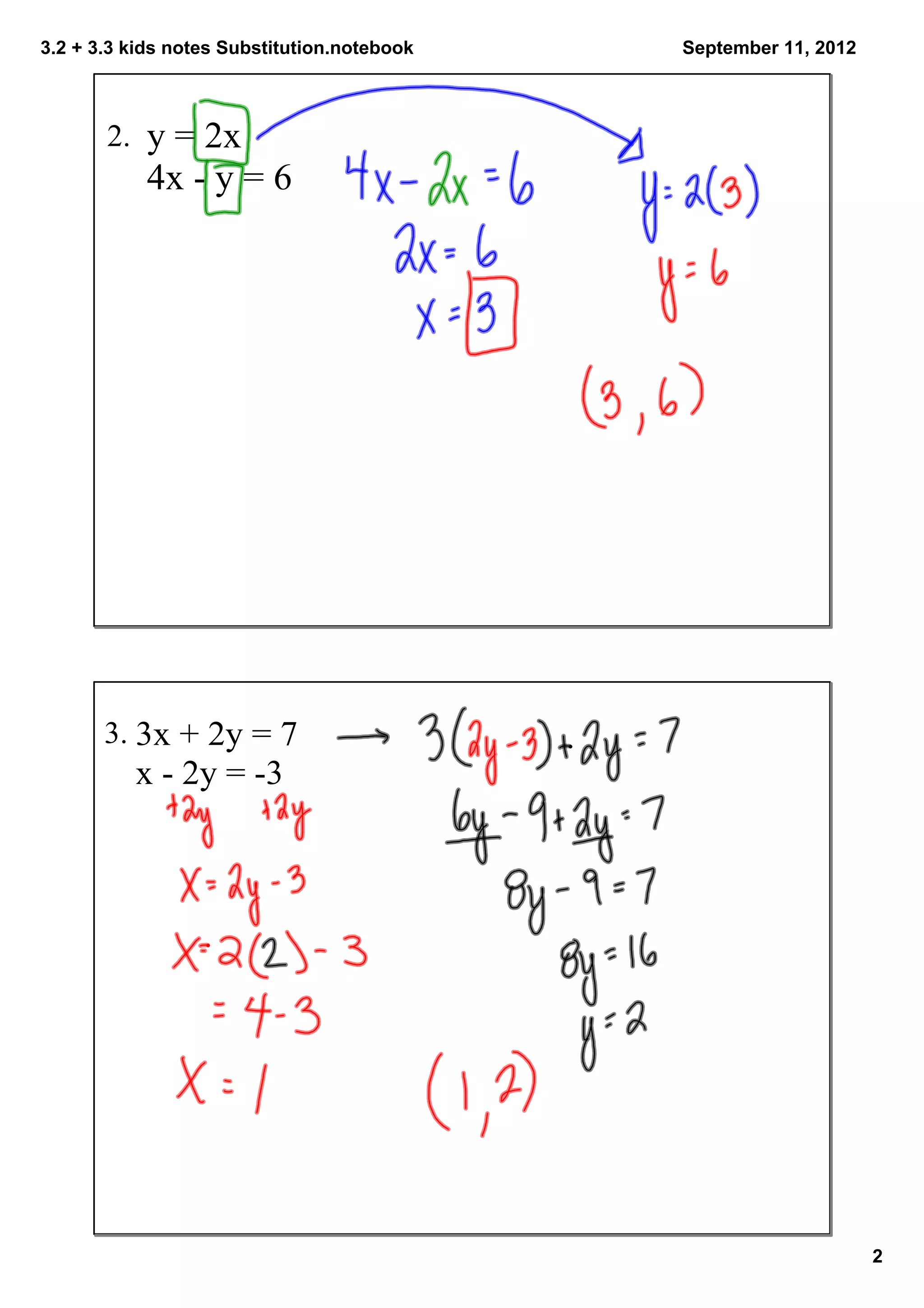
       2.  y = 2x
           4x ­ y = 6




       3. 3x + 2y = 7
          x ­ 2y = ­3




                                                                  2
3.2 + 3.3 kids notes Substitution.notebook                                                           September 11, 2012

      4. 
       Equations:  3x ­ y = 5
                    4x + 2y = 10
       Sage 1: Solve one equation for a variable:



                                                                                                                     S2_____
       Sage 2: Substitute answer into the second equation and solve.




                                                                                                                S1_____
       Sage 1: Substitute answer and solve for the second variable.



                                                                                                                S2_____
       Sage 2: State the solution.


                                                                                                                S1_____




       5. 
      Equations:  2x + y = 3
                    3x + y = 0
      Sage 1: Solve one equation for a variable:



                                                                                                                  S2_____
      Sage 2: Substitute answer into the second equation and solve.




                                                                                                              S1_____
      Sage 1: Substitute answer and solve for the second variable.



                                                                                                              S2_____
      Sage 2: State the solution.


                                                                                                              S1_____



                                                                                                                               3
3.2 + 3.3 kids notes Substitution.notebook                        September 11, 2012



        Section 3.2 p 135 
        # 11 ­ 16 all
        discuss




       Linear Combination                    Goal ­ eliminate one variable
                                                 Look for opposites. 
     6.  3x ­ 2y = 4
         4x + 2y = 10




                                                                                       4
3.2 + 3.3 kids notes Substitution.notebook   September 11, 2012


          7.     4x + 3y = 5
                 2x ­ 5y = ­17




                4x + 3y = 5
                2x ­ 5y = ­17



           Steps:
           1. Multiply
           2. Add
           2. Substitute




        8.  ­3x + 5y = ­6
                6x ­ 10 y = 12




                                                                  5
3.2 + 3.3 kids notes Substitution.notebook   September 11, 2012


           9.    2x ­ 3y = 6
                 4x ­ 5y = 8




                                                                  6

3.2 + 3.3 substitution and elimination

  • 1.
    3.2 + 3.3 kids notes Substitution.notebook September 11, 2012 Objective ­ solve systems using substitution and elimination Agenda 1. WU 2. Check HW Warm Up 3. Notes 4. HW Simplify ­(4x ­ 5) + 2(x + 6)  SUBSTITUTION This method works well when a variable is already by itself.   1.  x  = 2y + 5 4x + 3y = 9 Steps: 1. Solve 2. Substitute 3. Solve 4. Substitute 1
  • 2.
    3.2 + 3.3 kids notes Substitution.notebook September 11, 2012 2.  y = 2x 4x ­ y = 6 3. 3x + 2y = 7 x ­ 2y = ­3 2
  • 3.
    3.2 + 3.3 kids notes Substitution.notebook September 11, 2012 4.  Equations:  3x ­ y = 5       4x + 2y = 10 Sage 1: Solve one equation for a variable:                                                                          S2_____ Sage 2: Substitute answer into the second equation and solve. S1_____ Sage 1: Substitute answer and solve for the second variable. S2_____ Sage 2: State the solution. S1_____ 5.  Equations:  2x + y = 3        3x + y = 0 Sage 1: Solve one equation for a variable:                                                                          S2_____ Sage 2: Substitute answer into the second equation and solve. S1_____ Sage 1: Substitute answer and solve for the second variable. S2_____ Sage 2: State the solution. S1_____ 3
  • 4.
    3.2 + 3.3 kids notes Substitution.notebook September 11, 2012 Section 3.2 p 135  # 11 ­ 16 all discuss Linear Combination Goal ­ eliminate one variable Look for opposites.  6.  3x ­ 2y = 4 4x + 2y = 10 4
  • 5.
    3.2 + 3.3 kids notes Substitution.notebook September 11, 2012 7.  4x + 3y = 5 2x ­ 5y = ­17 4x + 3y = 5 2x ­ 5y = ­17 Steps: 1. Multiply 2. Add 2. Substitute 8.  ­3x + 5y = ­6 6x ­ 10 y = 12 5
  • 6.
    3.2 + 3.3 kids notes Substitution.notebook September 11, 2012 9.  2x ­ 3y = 6 4x ­ 5y = 8 6