GENERAL MATHEMATICS
Rational
Functions
Test I: Choose the letter of the correct answer and write it on a separate
sheet of paper.
1. Martin can finish a job in 6 hours working alone. Victoria has
more experience and can finish the same job in 4 hours working
alone. How long will it take both people to finish that job working
together?
A. 2.4 hours
B. 2.9 hours
C. 3.5 hours
D. 3.7 hours
2. Sarah can finish a job in 7 hours working alone. If Sarah and
Matteo work together, they can finish the work in 3 hours. How
long will it take if Matteo will choose to work alone?
A. 4.25 hours
B. 4.85 hours
C. 5.25 hours
REAL LIFE FUNCTIONS
L E S S O N 5
•How do we find the Least Common
Denominator (LCD)?
•To add or subtract fractions with
different denominators, you must
find the least common denominator.
LCD refers to the lowest multiple
shared by each original
denominator in the equation, or the
smallest whole number that can be
divided by each denominator.
How to solve problems involving Rational
Functions?
Example 1:
Martin can finish a job in 6 hours working
alone. Victor has more experience and can
finish the same job in 4 hours working
alone. How long will it take both people to
finish that job working together?
Given:
6 hours – Martin can do the work alone
4 hours – Victor can do the work alone
Find: x – hours Martin and Victor can do
the work
Solution:
•Therefore, it will
take 2.4 hours for
Martin and Victor
to do the work
together.
Example 2:
Sarah can finish a job in 7 hours working
alone. If Sarah and Matteo work together,
they can finish the work in 3 hours. How
long will it take if Matteo will do the work
alone?
Given:
7 hours – Sarah can do the work alone
3 hours – Sarah and Matteo can do the
work together
Solution:
NOW IT’S YOUR TURN!
Directions: Solve each problem. Show your
solutions and write answers on a separate
sheet of paper.
1. One person can complete a task in 8 hours.
Another person can complete a task in 3
hours. How many hours does it take for
them to complete the task if they work
together?
•3. Joy can pile 100 boxes of goods
in 5 hours. Stephen and Joy can
pile 100 boxes in 2 hours. If
Stephen chooses to work alone,
how long will it take?
•4. Computer A can finish a
calculation in 20 minutes. If
Computer A and Computer B can
finish the calculation in 8 minutes,
how long does it take for the
Computer B to finish the
calculation alone?
Remember…
RATIONAL
FUNCTIONS,
EQUATIONS AND
INEQUALITIES
•Lesson 6
The table below shows the definitions of rational functions, rational equations and rational
inequalities with examples.
DEFINITION OF TERMS
NOW IT’S YOUR TURN!
Directions: Identify whether the following is a rational
function, rational equation or rational inequality.
•• Rational Function is a function of the form of
( )= ( ) ( ) where p(x) and q(x) are
𝑓 𝑥 𝑝 𝑥 𝑞 𝑥
polynomials, and q(x) is not the zero function.
•• Rational Equation is an equation involving
rational expressions.
•• Rational Inequality is an inequality involving
rational expressions.
Remember…
SOLVING
RATIONAL
EQUATIONS AND
INEQUALITIES
•LESSON 7
•Factoring
•Example 1: Factor 2 +6
𝑥
•→ common factor is 2.
•2 (x + 3)
•Therefore, the factors
are 2 and x + 3
REVIEW
•Example 2: Factor
3 2+12
𝑥 𝑥
•→ common factor is 3x.
•3x (x + 4)
•Therefore, the factors
are 3x and x + 4
•Example 3: Factor 2+8 +15
𝑥 𝑥
•Since there is no common
factor, use factoring trinomials
•So, we can factor the whole
expression into
•x2 + 8x + 15 = (x + 3)(x + 5)
•Example 4: Factor 2 16
𝑥 −
•Since there is no common
factor, use the factoring of sum
and difference of two squares
•So, we can factor the whole
expression into
•x2 - 16 = (x + 4)(x - 4)
•What is the
difference
between Rational
Equation and
Inequalities?
•A rational equation is an
equation that contains one
or more rational expressions
while a rational inequality is
an inequality that contains
one or more rational
expressions with inequality
symbols , , <, >, and ≠.
≤ ≥
•Solving Rational Equations
Example 1:
Solve for 3 1=4 +2
𝑥 𝑖𝑛 𝑥− 𝑥
Solution:
3 1=4 +2
𝑥− 𝑥
→ use cross multiplication
3( +2)=4( 1)
𝑥 𝑥−
→ use distributive property
3 +6=4 4
𝑥 𝑥−
→ use addition property of equality 3 4 = 4 6
𝑥− 𝑥 − −
→ perform the operations.
−𝑥= 10
−
→ divide both sides by -1
Hence, =
𝒙 𝟏𝟎
•Example 2:
Solve for 45=3 1+12
𝑥 𝑖𝑛 𝑥−
Solution:
45=3 1+12
𝑥−
→ LCD is 10(x-1)
45 10( 1)=3 1 10( 1)+12 10( 1)
∙ 𝑥− 𝑥− ∙ 𝑥− ∙ 𝑥−
→ perform the operations
4 2( 1)=3(10)+5( 1)
∙ 𝑥− 𝑥−
→ distributive property
8 8=30+5 5
𝑥− 𝑥−
→ combine like terms and solve for x
8 5 =30 5+8
𝑥− 𝑥 −
→ simplify
3 =33
𝑥
→ divide both sides by 3
𝑥=11
Hence, =
𝒙 𝟏𝟏
Solving Rational Inequality
To solve rational inequalities,
you need to find the critical
values of the rational
expression which divide the
number line into distinct
open intervals.
The critical values are simply the zeros of both the
numerator and the denominator. You must remember that
the zeros of the denominator make the rational expression
undefined, so they must be immediately disregarded or
excluded as a possible solution. However, zeros of the
numerator also need to be checked for its possible
inclusion to the overall solution.
Example:
Solve the rational inequality below.
NOW IT’S YOUR TURN!
Solve the following rational equations and
inequality. Show your solutions and write your
answers on a separate sheet of paper.
REMEMBER • A rational equation is an equation
that contains one or more rational
expressions.
• A rational inequality is an inequality
that contains one or more rational
expressions with symbols , , <, >,
≥ ≤
and ≠.
• The critical values of inequalities are
simply the zeros of both the
numerator and the denominator.
REPRESENTATIONS OF
RATIONAL FUNCTIONS
•Lesson 8
How do we represent rational functions through an
equation? In mathematics, a rational function is any
function which can be defined by a rational fraction, for
example, an algebraic fraction such that both the
numerator and the denominator are polynomials. The
denominator should not be equal to zero also. Note that
f(x) is just the same as y.
NOW IT’S YOUR
TURN!
REMEMBER
•o Rational functions
can be represented
through equations,
table of values and
graphs.
DOMAIN AND RANGE OF RATIONAL
FUNCTIONS
•Lesson 9
REVIEW
These are the terms or group of terms you need to
know before going to the discussion on the domain
and range of rational functions.
1. Set of Real Numbers (ℝ) – The real numbers include
natural numbers or counting numbers, whole
numbers, integers, rational numbers (fractions and
repeating or terminating decimals), and irrational
numbers. The set of real numbers consists of all the
numbers that have a location on the number line.
2. Domain – the set of all x – values in a relation.
3. Range – the set of all y – values in a relation.
•4. Degree of Polynomial – the
degree of a polynomial with one
variable is based on the highest
exponent.
•For example, in the expression x3
+ 2x + 1, the degree is 3 since the
highest exponent is 3.
•The domain of the
rational function is
𝑓
the set of real numbers
except those values of
x that will make the
denominator zero.
How to find the Domain of a Rational Function? The
domain of a function consists of the set of all real
number (ℝ) except the value(s) that make the
denominator zero.
How to find the Range of a Rational Function? The range of a
rational function f is the set of real numbers except those values
that fall to the following conditions.
•NOW IT’S YOUR TURN!
REMEMBER
•The domain of the rational function is the
𝑓
set of real numbers except those values of x
that will make the denominator zero. • The
range of a rational function f is the set of real
numbers except those values that fall to the
following conditions.
•Case 1: Same degree in the numerator and
denominator
•Case 2: Numerator has a lower degree than
the denominator
Assessment (Post-test)
Test I. Choose the letter of the correct answer and
write them on a separate sheet of paper.
1. Melvin can finish a job in 9 hours working alone.
Vanessa has more experience and can finish the same
job in 6 hours working alone. How long will it take both
people to finish that job working together?
A. 2.3 hours
B. 2.9 hours
C. 3.6 hours
D. 3.9 hours
2. Liza can finish a job in 5 hours working alone. If Liza
and Enrique work together, they can finish the work in
3 hours. How long will it take if Enrique will choose to
work alone?
A. 10 hours
B. 7.5 hours
C. 7 hours
D. 6.5 hours
2_Q1-General-Mathematics.pptx qfor grade
2_Q1-General-Mathematics.pptx qfor grade
2_Q1-General-Mathematics.pptx qfor grade
2_Q1-General-Mathematics.pptx qfor grade
2_Q1-General-Mathematics.pptx qfor grade

2_Q1-General-Mathematics.pptx qfor grade

  • 1.
  • 2.
    Test I: Choosethe letter of the correct answer and write it on a separate sheet of paper. 1. Martin can finish a job in 6 hours working alone. Victoria has more experience and can finish the same job in 4 hours working alone. How long will it take both people to finish that job working together? A. 2.4 hours B. 2.9 hours C. 3.5 hours D. 3.7 hours 2. Sarah can finish a job in 7 hours working alone. If Sarah and Matteo work together, they can finish the work in 3 hours. How long will it take if Matteo will choose to work alone? A. 4.25 hours B. 4.85 hours C. 5.25 hours
  • 8.
  • 9.
    •How do wefind the Least Common Denominator (LCD)? •To add or subtract fractions with different denominators, you must find the least common denominator. LCD refers to the lowest multiple shared by each original denominator in the equation, or the smallest whole number that can be divided by each denominator.
  • 11.
    How to solveproblems involving Rational Functions? Example 1: Martin can finish a job in 6 hours working alone. Victor has more experience and can finish the same job in 4 hours working alone. How long will it take both people to finish that job working together?
  • 12.
    Given: 6 hours –Martin can do the work alone 4 hours – Victor can do the work alone Find: x – hours Martin and Victor can do the work Solution:
  • 13.
    •Therefore, it will take2.4 hours for Martin and Victor to do the work together.
  • 14.
    Example 2: Sarah canfinish a job in 7 hours working alone. If Sarah and Matteo work together, they can finish the work in 3 hours. How long will it take if Matteo will do the work alone? Given: 7 hours – Sarah can do the work alone 3 hours – Sarah and Matteo can do the work together
  • 15.
  • 17.
    NOW IT’S YOURTURN! Directions: Solve each problem. Show your solutions and write answers on a separate sheet of paper. 1. One person can complete a task in 8 hours. Another person can complete a task in 3 hours. How many hours does it take for them to complete the task if they work together?
  • 18.
    •3. Joy canpile 100 boxes of goods in 5 hours. Stephen and Joy can pile 100 boxes in 2 hours. If Stephen chooses to work alone, how long will it take? •4. Computer A can finish a calculation in 20 minutes. If Computer A and Computer B can finish the calculation in 8 minutes, how long does it take for the Computer B to finish the calculation alone?
  • 19.
  • 20.
  • 21.
    The table belowshows the definitions of rational functions, rational equations and rational inequalities with examples. DEFINITION OF TERMS
  • 22.
    NOW IT’S YOURTURN! Directions: Identify whether the following is a rational function, rational equation or rational inequality.
  • 23.
    •• Rational Functionis a function of the form of ( )= ( ) ( ) where p(x) and q(x) are 𝑓 𝑥 𝑝 𝑥 𝑞 𝑥 polynomials, and q(x) is not the zero function. •• Rational Equation is an equation involving rational expressions. •• Rational Inequality is an inequality involving rational expressions. Remember…
  • 24.
  • 25.
    •Factoring •Example 1: Factor2 +6 𝑥 •→ common factor is 2. •2 (x + 3) •Therefore, the factors are 2 and x + 3 REVIEW
  • 26.
    •Example 2: Factor 32+12 𝑥 𝑥 •→ common factor is 3x. •3x (x + 4) •Therefore, the factors are 3x and x + 4
  • 27.
    •Example 3: Factor2+8 +15 𝑥 𝑥 •Since there is no common factor, use factoring trinomials •So, we can factor the whole expression into •x2 + 8x + 15 = (x + 3)(x + 5)
  • 28.
    •Example 4: Factor2 16 𝑥 − •Since there is no common factor, use the factoring of sum and difference of two squares •So, we can factor the whole expression into •x2 - 16 = (x + 4)(x - 4)
  • 29.
    •What is the difference betweenRational Equation and Inequalities?
  • 30.
    •A rational equationis an equation that contains one or more rational expressions while a rational inequality is an inequality that contains one or more rational expressions with inequality symbols , , <, >, and ≠. ≤ ≥
  • 31.
    •Solving Rational Equations Example1: Solve for 3 1=4 +2 𝑥 𝑖𝑛 𝑥− 𝑥 Solution: 3 1=4 +2 𝑥− 𝑥 → use cross multiplication 3( +2)=4( 1) 𝑥 𝑥− → use distributive property 3 +6=4 4 𝑥 𝑥− → use addition property of equality 3 4 = 4 6 𝑥− 𝑥 − − → perform the operations. −𝑥= 10 − → divide both sides by -1 Hence, = 𝒙 𝟏𝟎
  • 32.
    •Example 2: Solve for45=3 1+12 𝑥 𝑖𝑛 𝑥− Solution: 45=3 1+12 𝑥− → LCD is 10(x-1) 45 10( 1)=3 1 10( 1)+12 10( 1) ∙ 𝑥− 𝑥− ∙ 𝑥− ∙ 𝑥− → perform the operations 4 2( 1)=3(10)+5( 1) ∙ 𝑥− 𝑥− → distributive property 8 8=30+5 5 𝑥− 𝑥− → combine like terms and solve for x 8 5 =30 5+8 𝑥− 𝑥 − → simplify 3 =33 𝑥 → divide both sides by 3 𝑥=11 Hence, = 𝒙 𝟏𝟏
  • 33.
    Solving Rational Inequality Tosolve rational inequalities, you need to find the critical values of the rational expression which divide the number line into distinct open intervals.
  • 34.
    The critical valuesare simply the zeros of both the numerator and the denominator. You must remember that the zeros of the denominator make the rational expression undefined, so they must be immediately disregarded or excluded as a possible solution. However, zeros of the numerator also need to be checked for its possible inclusion to the overall solution. Example: Solve the rational inequality below.
  • 37.
    NOW IT’S YOURTURN! Solve the following rational equations and inequality. Show your solutions and write your answers on a separate sheet of paper.
  • 38.
    REMEMBER • Arational equation is an equation that contains one or more rational expressions. • A rational inequality is an inequality that contains one or more rational expressions with symbols , , <, >, ≥ ≤ and ≠. • The critical values of inequalities are simply the zeros of both the numerator and the denominator.
  • 39.
  • 40.
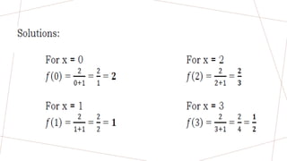
    How do werepresent rational functions through an equation? In mathematics, a rational function is any function which can be defined by a rational fraction, for example, an algebraic fraction such that both the numerator and the denominator are polynomials. The denominator should not be equal to zero also. Note that f(x) is just the same as y.
  • 46.
  • 47.
    REMEMBER •o Rational functions canbe represented through equations, table of values and graphs.
  • 48.
    DOMAIN AND RANGEOF RATIONAL FUNCTIONS •Lesson 9
  • 49.
    REVIEW These are theterms or group of terms you need to know before going to the discussion on the domain and range of rational functions. 1. Set of Real Numbers (ℝ) – The real numbers include natural numbers or counting numbers, whole numbers, integers, rational numbers (fractions and repeating or terminating decimals), and irrational numbers. The set of real numbers consists of all the numbers that have a location on the number line. 2. Domain – the set of all x – values in a relation. 3. Range – the set of all y – values in a relation.
  • 50.
    •4. Degree ofPolynomial – the degree of a polynomial with one variable is based on the highest exponent. •For example, in the expression x3 + 2x + 1, the degree is 3 since the highest exponent is 3.
  • 52.
    •The domain ofthe rational function is 𝑓 the set of real numbers except those values of x that will make the denominator zero.
  • 53.
    How to findthe Domain of a Rational Function? The domain of a function consists of the set of all real number (ℝ) except the value(s) that make the denominator zero.
  • 54.
    How to findthe Range of a Rational Function? The range of a rational function f is the set of real numbers except those values that fall to the following conditions.
  • 56.
  • 58.
    REMEMBER •The domain ofthe rational function is the 𝑓 set of real numbers except those values of x that will make the denominator zero. • The range of a rational function f is the set of real numbers except those values that fall to the following conditions. •Case 1: Same degree in the numerator and denominator •Case 2: Numerator has a lower degree than the denominator
  • 60.
  • 61.
    Test I. Choosethe letter of the correct answer and write them on a separate sheet of paper. 1. Melvin can finish a job in 9 hours working alone. Vanessa has more experience and can finish the same job in 6 hours working alone. How long will it take both people to finish that job working together? A. 2.3 hours B. 2.9 hours C. 3.6 hours D. 3.9 hours 2. Liza can finish a job in 5 hours working alone. If Liza and Enrique work together, they can finish the work in 3 hours. How long will it take if Enrique will choose to work alone? A. 10 hours B. 7.5 hours C. 7 hours D. 6.5 hours