Rational Functions, Equations, and
Inequalities
Senior High School | General
Mathematics
Learning Objectives
• - Differentiate rational functions, equations, and
inequalities
• - Solve rational equations and inequalities
• - Graph rational functions and identify domain,
intercepts, and asymptotes
• - Represent real-life situations using rational
functions
Introduction
• Ask: What happens to your speed if travel
time increases for the same distance?
• Answer: Speed decreases → This shows
inverse variation, a type of rational function.
Distinguishing Rational
Function, Rational Equation,
and Rational Inequality
Rational functions
A rational expression is a ratio of two
polynomials.
Key Characteristics
Rational Function: involves an input-output
relationship (e.g., domain, range, graph).
Rational Equation: asks, “What value(s) of x make
this equation true?”
Rational Inequality: asks, “What values of x make
this expression greater/less than another?”
Classify each expression as a rational function, rational
equation, or rational inequality:
RATIONAL FUNCTION
RATIONAL EQUATION
RATIONAL INEQUALITY
RATIONAL FUNCTION
RATIONAL INEQUALITY
Solving Rational Equations
Example 1: solve
Solutions
Solving Rational Equations
Example 2: solve
Solutions
Solving Rational Equations
Example 3: solve
Solutions
Solving Rational Equations
Example 4: solve
Solutions
Solving Rational Equations
Example 5: solve
Solutions
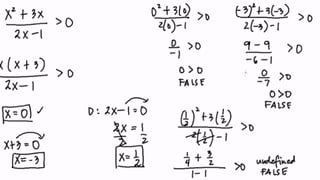
Solving Rational Inequality
Solving Rational Inequality
Solving Rational Inequality
Solving Rational Inequality
s
RATIONAL FUNCTIONS
RATIONAL-EQUATIONINEQUALITIES-FUNCTION.pptx
RATIONAL-EQUATIONINEQUALITIES-FUNCTION.pptx
RATIONAL-EQUATIONINEQUALITIES-FUNCTION.pptx
RATIONAL-EQUATIONINEQUALITIES-FUNCTION.pptx
RATIONAL-EQUATIONINEQUALITIES-FUNCTION.pptx
RATIONAL-EQUATIONINEQUALITIES-FUNCTION.pptx
RATIONAL-EQUATIONINEQUALITIES-FUNCTION.pptx
RATIONAL-EQUATIONINEQUALITIES-FUNCTION.pptx
RATIONAL-EQUATIONINEQUALITIES-FUNCTION.pptx
RATIONAL-EQUATIONINEQUALITIES-FUNCTION.pptx
RATIONAL-EQUATIONINEQUALITIES-FUNCTION.pptx
RATIONAL-EQUATIONINEQUALITIES-FUNCTION.pptx
RATIONAL-EQUATIONINEQUALITIES-FUNCTION.pptx
RATIONAL-EQUATIONINEQUALITIES-FUNCTION.pptx
RATIONAL-EQUATIONINEQUALITIES-FUNCTION.pptx
RATIONAL-EQUATIONINEQUALITIES-FUNCTION.pptx
RATIONAL-EQUATIONINEQUALITIES-FUNCTION.pptx
RATIONAL-EQUATIONINEQUALITIES-FUNCTION.pptx
RATIONAL-EQUATIONINEQUALITIES-FUNCTION.pptx
RATIONAL-EQUATIONINEQUALITIES-FUNCTION.pptx
RATIONAL-EQUATIONINEQUALITIES-FUNCTION.pptx
RATIONAL-EQUATIONINEQUALITIES-FUNCTION.pptx
RATIONAL-EQUATIONINEQUALITIES-FUNCTION.pptx
RATIONAL-EQUATIONINEQUALITIES-FUNCTION.pptx
RATIONAL-EQUATIONINEQUALITIES-FUNCTION.pptx
RATIONAL-EQUATIONINEQUALITIES-FUNCTION.pptx
RATIONAL-EQUATIONINEQUALITIES-FUNCTION.pptx
RATIONAL-EQUATIONINEQUALITIES-FUNCTION.pptx
RATIONAL-EQUATIONINEQUALITIES-FUNCTION.pptx

RATIONAL-EQUATIONINEQUALITIES-FUNCTION.pptx