บทที่ 10




ค่าเสื่อมราคา (Depreciation)

                               1
ค่า เสื่อ มราคา
• การลงทุนในทรัพย์สนถาวรของกิจการ เช่น
                     ิ
  อาคาร เครื่องจักร ระบบคอมพิวเตอร์ รถขนส่ง
  จะปรากฎให้เห็นในงบการเงินในรูปของค่า
  เสื่อมราคา
• ค่าเสือมราคามีความสำาคัญสำาหรับเศรษฐศาสตร์
         ่
  วิศวกรรม เนื่องจากเราสามารถนำาค่าเสื่อมราคา
  ไปหักออกจากรายได้ ก่อนที่จะนำาไปคิดภาษีเงิน
  ได้นติบคคลได้
        ิ ุ
• ภาษีเงินได้นิติบคคล = (รายได้ – รายจ่าย – ค่า
                  ุ
  เสื่อมราคา)*อัตราภาษี                        2
ค่า เสื่อ มราคา (Depreciation)
• คือ มูลค่าที่ลดลงไปของทรัพย์สิน ทรัพย์สินที่
  จัดหามาใช้งาน เมื่อใช้งานไปได้ระยะหนึ่ง ก็จะ
  มีการเสื่อมสภาพไปตามอายุการใช้งาน หรือ
  ตามปริมาณการผลิต
• ในทางบัญชี เพื่อคำานวณภาษีรายได้ส่งให้กับ
  รัฐบาลสามารถนำาค่าเสือมราคาเป็นค่าใช้จ่ายได้
                          ่
  ทำาให้ภาษีที่จะเสียตำ่าลง


                                             3
การเสื่อ มราคา
• เสื่อมจากลักษณะการใช้งาน เช่นล้าสมัย
• เสื่อมจากทางกายภาพ คือการเสื่อมจากการใช้
  งาน ใช้มากเสื่อมมาก
• เสื่อมจากอุบัติเหตุ (เช่น เหตุเพลิงไหม้ไ นำ้าท่วม
      เป็นต้น     การเสื่อมสภาพจากสาเหตุนี้จะ
  หมดสภาพการใช้งานทันที )
• จุดประสงค์ของการคำานวณค่าเสื่อมราคา
  – เพือให้สามารถนำาไปใช้หักคืนทุนได้ หลังจากการ
       ่
    ลงทุนไปแล้ว
                                                      4
  – เพื่อให้มการลงบัญชีเป็นค่าใช้จ่าย
             ี
วิธีการคิดค่าเสื่อมราคา (ไม่รวมกับ
                  ดอกเบี้ย) จากนำาต้นทุน
• การคิดค่าเสื่อมราคาคำานวณได้
  ทรัพย์สินเมื่อเริ่มดำาเนินการ(Initial Cost) ลบ
  ด้วย มูลค่าซาก(Salvage Value)
• ต้นทุน จะต้องรวมถึง ค่าขนส่ง ค่าติดตั้ง และค่า
  ใช้จ่ายก่อนดำาเนินงาน
• มูลค่าซาก หมายถึง ราคาขายโดยประมาณของ
  ทรัพย์สินเมื่อหมดอายุการใช้งาน ซึ่งจะต้องหัก
  ค่าใช้จ่ายเกี่ยวกับการขายออกด้วย
• มูลค่าซากที่เป็นลบแสดงว่าเมื่อทรัพย์สนนั้นหมด
                                         ิ
  อายุลงแล้วต้องมีคาใช้จ่ายในการกำาจัดทิ้งด้วย
                       ่
• ดังนั้น การคิดค่าเสือมราคาจะต้องเกี่ยวข้องกับ 5
                         ่
  เงินทุนครั้งแรก อายุการใช้งาน และมูลค่า
วิธีคิดค่าเสือมราคา
                        ่
• การจัดสรรค่าเสื่อมราคาไว้เท่าๆ กันตลอดอายุ
  การใช้งาน มักใช้กับทรัพย์สินที่มีการเสือม
                                         ่
  สภาพอย่างสมำ่าเสมอ เช่น เครื่องจักรที่มีอายุ
  นานๆ ซึ่งนิยมใช้กันมากเพราะคำานวณได้ง่าย
• การจัดสรรค่าเสื่อมราคา ไว้มากในระยะ แรกๆ
  ของการใช้งาน นิยมใช้กับทรัพย์สินที่มีการ
  เสื่อมสภาพเร็ว ล้าสมัยเร็ว เช่น อุปกรณ์ทาง
  อิเล็กทรอนิกส์ รถยนต์ เป็นต้น
• การจัดสรรค่าเสื่อมราคาไว้น้อยในช่วง แรกๆ
  ของการใช้งาน นิยมกับทรัพย์สินที่มีการเสื่อม 6
กฎหมาย
• จะหักค่าเสือมราคาในบัญชีด้วยวิธีไหนก็ได้ แต่
             ่
  จะต้องใช้วิธีนั้นๆ ไปตลอดอายุของทรัพย์สน
                                         ิ
• หักค่าเสือมราคาโดยรวมแล้ว จะเกินราคา
           ่
  ทรัพย์สินไม่ได้




                                                 7
การคิดค่าเสื่อมราคาแบบเส้นตรง
       (SL: Straight Line
         Depreciation)
• ใช้มูลค่าของทรัพย์สิน ลบด้วย มูลค่าซาก แล้ว
  หารด้วยจำานวนอายุการใช้งาน จะได้คาเสือม่ ่
  ราคาในแต่ละปี ดังนี้
• ค่า เสือ มราคาต่อ ปี
         ่                  = (P – L) / n
• P : ราคาต้นทุนของทรัพย์สิน
• L : ราคาหรือมูลค่าซากเมื่อหมดอายุการใช้งาน
  ของทรัพย์สิน
• n : อายุการใช้งานของทรัพย์สน     ิ
• มูลค่าราคาตามบัญชีเมื่อสิ้นปีExcel function P – 8
                               ที่ t BVt =
                                 SLN(B,S,n)
อัตราค่าเสื่อมราคาต่อปี
• อัตราค่าเสือมราคาต่อปี = [1-(L/P)] *100
             ่
                        N
มูลค่าเป็นราคาเมื่อสิ้นปีที่ x
           Value        = P – [(P-L)/N]*x

10.1 ซื้อเครื่อง 200,000บาท ใช้งาน 10 ปี ซาก
20,000บาท ใช้วิธีเส้นตรง   จะหาค่าเสือมราคา
                                     ่
ได้เท่าใด
                                               9
P = 200,000 L = 20,000            N = 10
ปี
• ค่าเสือมราคาต่อปี = (P-L)/N = (200,000-
        ่
  20,000)/10
                 = 18,000บาทต่อปี
อัตราคาเสือมราคาต่อปี = [1-(L/P)]/N *100%
          ่
            = [1-(20,000/200,000)]/10
  *100% = 9%ต่อปี
 มูลค่าของราคาตามบัญชี เมื่อสิ้นปีที่ 5
Value 5= P – [(P-L)/N * x]
    = 200,000-[ [(200,000-20,000)/10] 10
ตัว อย่า ง ลงทุนซื้อเครื่องจักรราคา 50,000
บาท มูลค่าซาก 10,000 บาท หลังจากใช้งานได้
5 ปี จงคำานวณ
• ค่าเสือมราคาต่อปีแบบเส้นตรง
        ่                      = (P-L)/N =
  (50,000-10,000)/5=8,000
• ราคาตามบัญชี       BVt = P – (t * ค่าเสือม
                                          ่
  ต่อปี)
                BV1 = 50,000 – (1*8,000) =
              BV2 = 50,000 – (2*8,000) =
              BV3 = 50,000 – (3*8,000) =
              BV4 = 50,000 – (4*8,000) 11
                                       =
Excel Function




=SLN(C2,C3,C4)
                    =$C2-H5*$C5
                                  12
การคิดค่าเสื่อมราคาแบบลดส่วน
     (DB: Declining Balance
           Depreciation)
• Fixed percentage or Uniform
  percentage Method
• การคิดค่าเสื่อมราคาแบบนี้ เป็นระบบที่จัดสรร
  ให้ค่าเสือมในปีแรกๆ สูงกว่า และจะลดลง
            ่
  เรื่อยๆ ในปีต่อไป
• เหมาะสมกับทรัพย์สนที่เป็นเครื่องจักรสำารอง
                      ิ
  ธุรกิจที่ได้กำาไรมากในช่วงแรก เป็นต้น
• การคำานวณหาค่าเสื่อมราคาแต่ละปีจะใช้อัตรา
  คงที่คูณกับมูลค่าตามบัญชี ณ ปลายปีที่ผ่าน
  มา(คือต้นปีปจจุบน)
                 ั  ั
                                              13
• การคิดแบบนี้ จะไม่เป็นศูนย์ในปีที่หมดอายุการ
DB: Declining Balance
          Depreciation
• ให้ fixed percentage เท่ากับ    f
• f = 1 – (L/P)^(1/N)

• ค่าคาดคะเนทรัพย์สิน เมื่อหมดอายุการใช้งาน L
• L = P(1-f)N
เช่น ซื้อของใช้ราคา 1,000บาท ประมาณราคาจะลด
ลง 20% ต่อปี
ใช้งาน 1 ปี ราคา x = P(1-f)N
L = P –(0.2P) = 1,000-200 = 800บาท
f = 1 – (L/P)^(1/N) = 1-(800/1000)^0.5        14
DDB : Double Declining
            Balance
• สำำหรับ DB แล้ว อัตรำค่ำเสือมรำคำที่สูงที่สด
                             ่               ุ
  เท่ำกับสองเท่ำของอัตรำค่ำเสือมรำคำโดยวิธี
                               ่
  เส้นตรง
                      dmax = 2/n
   เรำเรียกว่ำ DDB : Double Declining
  Balance
• DB 150 % คือ d = 1.5/n

                                                 15
Excel Function
• DB(B,S,n,t)
•   DB(cost,salvage,life,period,month)
     – Cost   is the initial cost of the asset.
     – Salvage   is the value at the end of the depreciation (sometimes 
       called the salvage value of the asset).
     – Life   is the number of periods over which the asset is being 
       depreciated (sometimes called the useful life of the asset).
     – Period   is the period for which you want to calculate the 
       depreciation. Period must use the same units as life.
     – Month   is the number of months in the first year. If month is 
       omitted, it is assumed to be 12.

• rate = 1 - ((salvage / cost) ^ (1 / life)),
  rounded to three decimal places คือค่ำ
  fixed percentage : d                        16
17
กรำฟแสดงค่ำเสือมรำคำและมูลค่ำตำม
              ่
                บัญชี
Declining Balance Depreciation
                        DB


  ฿60,000

  ฿50,000

  ฿40,000

  ฿30,000

  ฿20,000

  ฿10,000

      ฿0
            0   1   2        3   4   5   6




                                             18
Excel Function
• DDB(B,S,n,t,d)
  – d มีค่ำระหว่ำง 1 กับ 2 ถ้ำปล่อยว่ำงไว้
    Excel จะกำำหนดให้มีคำ 2
                          ่
•   DDB(cost,salvage,life,period,factor)
     – Cost   is the initial cost of the asset.
     – Salvage   is the value at the end of the depreciation (sometimes 
       called the salvage value of the asset). This value can be 0.
     – Life   is the number of periods over which the asset is being 
       depreciated (sometimes called the useful life of the asset).
     – Period   is the period for which you want to calculate the 
       depreciation. Period must use the same units as life.
     – Factor   is the rate at which the balance declines. If factor is 
       omitted, it is assumed to be 2 (the double-declining balance 
       method).
     Important  All five arguments must be positive numbers.

                                                                      19
ตัวอย่ำงที่ 12.2 จงคำำนวณหำค่ำเสื่อมรำคำ วิธี
DB 150% และ DDB
• ซื้อเครื่องจักรรำคำ 80,000 บำท อำยุกำรใช้งำน 5
  ปี มูลค่ำซำก 10,000 บำท
• DB 150% d = 1.5/n=1.5/5 = 0.3
• DDB             d = 2/n = 2/5 = 0.4




                                                   20
DB d=0.3      DDB d=0.4
Year ,t     Dt =    BVt     Dt     BVt
          (d)BVt-1
  0               80000            80000
  1       24000   56000    32000   48000
  2       16800   39200    19200   28800
  3       11760   27440    11520   17280
  4        8232   19208     6912   10368
  5        5762   13446     368    10000
                      ทำำไม ?            21
฿35,000.00

฿30,000.00

฿25,000.00

฿20,000.00                               DB 150%
                                         DDB
฿15,000.00

฿10,000.00

 ฿5,000.00

     ฿0.00
             0   1   2   3   4   5   6




                                         22
Sum of year digits
          depreciation
• เป็นระบบที่คดค่าเสื่อมราคาไว้มากในช่วง
               ิ
  แรก
• มูลค่าซากเป็น 0 ได้
• ค่าเสื่อมราคาปีที่ t = (ต้นทุน – มูลค่า
  ซาก)(n-t+1)

 n(n+1)/2
                                            23
SYD
• Returns the sum-of-years' digits depreciation of an asset
  for a specified period.
• SYD(cost,salvage,life,per)
• Cost is the initial cost of the asset.
• Salvage is the value at the end of the depreciation
  (sometimes called the salvage value of the asset).
• Life is the number of periods over which the asset is
  depreciated (sometimes called the useful life of the
  asset).
• Per is the period and must use the same units as life.




                                                          24
25
฿60,000


฿50,000


฿40,000

                                      Depreciation
฿30,000
                                      Book Value

฿20,000


฿10,000


    ฿0
          0   1   2   3   4   5   6




                                             26
แบบฝึกหัด
• 10.16.11 ระบบระบายอากาศของโรงงานแห่ง
  หนึ่งมูลค่า 12 ล้านบาท อายุการใช้งาน 8 ปี
  มูลค่าซาก 2 ล้านบาท จงหา
  – ค่าเสือมราคาแบบ Straight Line Depreciation
          ่
  – Book Value
  – Rate of Depreciation




                                                 27
10.16.23
• ระบบรักษาความปลอดภัยและเก็บสำารองข้อมูล
  มูลค่า 175 ล้านบาท อายุการใช้งาน 12 ปี
  ประมาณการมูลค่าซากไว้ 32 ล้านบาท คิดค่า
  เสื่อมราคาโดยวิธี Declining Balance
  Depreciation ที่อัตรา 1.5 เท่าของ
  Straight Line Rate จงหา
  – ค่าเสือมราคาและมูลค่าตามบัญชีของปีที่ 1 และ 12
          ่
  – เปรียบเทียบมูลค่าซากและมูลค่าตามบัญชี
  – ใช้ Excel หาค่าเสื่อมราคาและมูลค่าตามบัญชีของ
    ทุกปี                                         28

บท10 depreciation

  • 1.
  • 2.
    ค่า เสื่อ มราคา •การลงทุนในทรัพย์สนถาวรของกิจการ เช่น ิ อาคาร เครื่องจักร ระบบคอมพิวเตอร์ รถขนส่ง จะปรากฎให้เห็นในงบการเงินในรูปของค่า เสื่อมราคา • ค่าเสือมราคามีความสำาคัญสำาหรับเศรษฐศาสตร์ ่ วิศวกรรม เนื่องจากเราสามารถนำาค่าเสื่อมราคา ไปหักออกจากรายได้ ก่อนที่จะนำาไปคิดภาษีเงิน ได้นติบคคลได้ ิ ุ • ภาษีเงินได้นิติบคคล = (รายได้ – รายจ่าย – ค่า ุ เสื่อมราคา)*อัตราภาษี 2
  • 3.
    ค่า เสื่อ มราคา(Depreciation) • คือ มูลค่าที่ลดลงไปของทรัพย์สิน ทรัพย์สินที่ จัดหามาใช้งาน เมื่อใช้งานไปได้ระยะหนึ่ง ก็จะ มีการเสื่อมสภาพไปตามอายุการใช้งาน หรือ ตามปริมาณการผลิต • ในทางบัญชี เพื่อคำานวณภาษีรายได้ส่งให้กับ รัฐบาลสามารถนำาค่าเสือมราคาเป็นค่าใช้จ่ายได้ ่ ทำาให้ภาษีที่จะเสียตำ่าลง 3
  • 4.
    การเสื่อ มราคา • เสื่อมจากลักษณะการใช้งานเช่นล้าสมัย • เสื่อมจากทางกายภาพ คือการเสื่อมจากการใช้ งาน ใช้มากเสื่อมมาก • เสื่อมจากอุบัติเหตุ (เช่น เหตุเพลิงไหม้ไ นำ้าท่วม เป็นต้น การเสื่อมสภาพจากสาเหตุนี้จะ หมดสภาพการใช้งานทันที ) • จุดประสงค์ของการคำานวณค่าเสื่อมราคา – เพือให้สามารถนำาไปใช้หักคืนทุนได้ หลังจากการ ่ ลงทุนไปแล้ว 4 – เพื่อให้มการลงบัญชีเป็นค่าใช้จ่าย ี
  • 5.
    วิธีการคิดค่าเสื่อมราคา (ไม่รวมกับ ดอกเบี้ย) จากนำาต้นทุน • การคิดค่าเสื่อมราคาคำานวณได้ ทรัพย์สินเมื่อเริ่มดำาเนินการ(Initial Cost) ลบ ด้วย มูลค่าซาก(Salvage Value) • ต้นทุน จะต้องรวมถึง ค่าขนส่ง ค่าติดตั้ง และค่า ใช้จ่ายก่อนดำาเนินงาน • มูลค่าซาก หมายถึง ราคาขายโดยประมาณของ ทรัพย์สินเมื่อหมดอายุการใช้งาน ซึ่งจะต้องหัก ค่าใช้จ่ายเกี่ยวกับการขายออกด้วย • มูลค่าซากที่เป็นลบแสดงว่าเมื่อทรัพย์สนนั้นหมด ิ อายุลงแล้วต้องมีคาใช้จ่ายในการกำาจัดทิ้งด้วย ่ • ดังนั้น การคิดค่าเสือมราคาจะต้องเกี่ยวข้องกับ 5 ่ เงินทุนครั้งแรก อายุการใช้งาน และมูลค่า
  • 6.
    วิธีคิดค่าเสือมราคา ่ • การจัดสรรค่าเสื่อมราคาไว้เท่าๆ กันตลอดอายุ การใช้งาน มักใช้กับทรัพย์สินที่มีการเสือม ่ สภาพอย่างสมำ่าเสมอ เช่น เครื่องจักรที่มีอายุ นานๆ ซึ่งนิยมใช้กันมากเพราะคำานวณได้ง่าย • การจัดสรรค่าเสื่อมราคา ไว้มากในระยะ แรกๆ ของการใช้งาน นิยมใช้กับทรัพย์สินที่มีการ เสื่อมสภาพเร็ว ล้าสมัยเร็ว เช่น อุปกรณ์ทาง อิเล็กทรอนิกส์ รถยนต์ เป็นต้น • การจัดสรรค่าเสื่อมราคาไว้น้อยในช่วง แรกๆ ของการใช้งาน นิยมกับทรัพย์สินที่มีการเสื่อม 6
  • 7.
    กฎหมาย • จะหักค่าเสือมราคาในบัญชีด้วยวิธีไหนก็ได้ แต่ ่ จะต้องใช้วิธีนั้นๆ ไปตลอดอายุของทรัพย์สน ิ • หักค่าเสือมราคาโดยรวมแล้ว จะเกินราคา ่ ทรัพย์สินไม่ได้ 7
  • 8.
    การคิดค่าเสื่อมราคาแบบเส้นตรง (SL: Straight Line Depreciation) • ใช้มูลค่าของทรัพย์สิน ลบด้วย มูลค่าซาก แล้ว หารด้วยจำานวนอายุการใช้งาน จะได้คาเสือม่ ่ ราคาในแต่ละปี ดังนี้ • ค่า เสือ มราคาต่อ ปี ่ = (P – L) / n • P : ราคาต้นทุนของทรัพย์สิน • L : ราคาหรือมูลค่าซากเมื่อหมดอายุการใช้งาน ของทรัพย์สิน • n : อายุการใช้งานของทรัพย์สน ิ • มูลค่าราคาตามบัญชีเมื่อสิ้นปีExcel function P – 8 ที่ t BVt = SLN(B,S,n)
  • 9.
    อัตราค่าเสื่อมราคาต่อปี • อัตราค่าเสือมราคาต่อปี =[1-(L/P)] *100 ่ N มูลค่าเป็นราคาเมื่อสิ้นปีที่ x Value = P – [(P-L)/N]*x 10.1 ซื้อเครื่อง 200,000บาท ใช้งาน 10 ปี ซาก 20,000บาท ใช้วิธีเส้นตรง จะหาค่าเสือมราคา ่ ได้เท่าใด 9
  • 10.
    P = 200,000L = 20,000 N = 10 ปี • ค่าเสือมราคาต่อปี = (P-L)/N = (200,000- ่ 20,000)/10 = 18,000บาทต่อปี อัตราคาเสือมราคาต่อปี = [1-(L/P)]/N *100% ่ = [1-(20,000/200,000)]/10 *100% = 9%ต่อปี มูลค่าของราคาตามบัญชี เมื่อสิ้นปีที่ 5 Value 5= P – [(P-L)/N * x] = 200,000-[ [(200,000-20,000)/10] 10
  • 11.
    ตัว อย่า งลงทุนซื้อเครื่องจักรราคา 50,000 บาท มูลค่าซาก 10,000 บาท หลังจากใช้งานได้ 5 ปี จงคำานวณ • ค่าเสือมราคาต่อปีแบบเส้นตรง ่ = (P-L)/N = (50,000-10,000)/5=8,000 • ราคาตามบัญชี BVt = P – (t * ค่าเสือม ่ ต่อปี) BV1 = 50,000 – (1*8,000) = BV2 = 50,000 – (2*8,000) = BV3 = 50,000 – (3*8,000) = BV4 = 50,000 – (4*8,000) 11 =
  • 12.
  • 13.
    การคิดค่าเสื่อมราคาแบบลดส่วน (DB: Declining Balance Depreciation) • Fixed percentage or Uniform percentage Method • การคิดค่าเสื่อมราคาแบบนี้ เป็นระบบที่จัดสรร ให้ค่าเสือมในปีแรกๆ สูงกว่า และจะลดลง ่ เรื่อยๆ ในปีต่อไป • เหมาะสมกับทรัพย์สนที่เป็นเครื่องจักรสำารอง ิ ธุรกิจที่ได้กำาไรมากในช่วงแรก เป็นต้น • การคำานวณหาค่าเสื่อมราคาแต่ละปีจะใช้อัตรา คงที่คูณกับมูลค่าตามบัญชี ณ ปลายปีที่ผ่าน มา(คือต้นปีปจจุบน) ั ั 13 • การคิดแบบนี้ จะไม่เป็นศูนย์ในปีที่หมดอายุการ
  • 14.
    DB: Declining Balance Depreciation • ให้ fixed percentage เท่ากับ f • f = 1 – (L/P)^(1/N) • ค่าคาดคะเนทรัพย์สิน เมื่อหมดอายุการใช้งาน L • L = P(1-f)N เช่น ซื้อของใช้ราคา 1,000บาท ประมาณราคาจะลด ลง 20% ต่อปี ใช้งาน 1 ปี ราคา x = P(1-f)N L = P –(0.2P) = 1,000-200 = 800บาท f = 1 – (L/P)^(1/N) = 1-(800/1000)^0.5 14
  • 15.
    DDB : DoubleDeclining Balance • สำำหรับ DB แล้ว อัตรำค่ำเสือมรำคำที่สูงที่สด ่ ุ เท่ำกับสองเท่ำของอัตรำค่ำเสือมรำคำโดยวิธี ่ เส้นตรง dmax = 2/n เรำเรียกว่ำ DDB : Double Declining Balance • DB 150 % คือ d = 1.5/n 15
  • 16.
    Excel Function • DB(B,S,n,t) • DB(cost,salvage,life,period,month) – Cost   is the initial cost of the asset. – Salvage   is the value at the end of the depreciation (sometimes  called the salvage value of the asset). – Life   is the number of periods over which the asset is being  depreciated (sometimes called the useful life of the asset). – Period   is the period for which you want to calculate the  depreciation. Period must use the same units as life. – Month   is the number of months in the first year. If month is  omitted, it is assumed to be 12. • rate = 1 - ((salvage / cost) ^ (1 / life)), rounded to three decimal places คือค่ำ fixed percentage : d 16
  • 17.
  • 18.
    กรำฟแสดงค่ำเสือมรำคำและมูลค่ำตำม ่ บัญชี Declining Balance Depreciation DB ฿60,000 ฿50,000 ฿40,000 ฿30,000 ฿20,000 ฿10,000 ฿0 0 1 2 3 4 5 6 18
  • 19.
    Excel Function • DDB(B,S,n,t,d) – d มีค่ำระหว่ำง 1 กับ 2 ถ้ำปล่อยว่ำงไว้ Excel จะกำำหนดให้มีคำ 2 ่ • DDB(cost,salvage,life,period,factor) – Cost   is the initial cost of the asset. – Salvage   is the value at the end of the depreciation (sometimes  called the salvage value of the asset). This value can be 0. – Life   is the number of periods over which the asset is being  depreciated (sometimes called the useful life of the asset). – Period   is the period for which you want to calculate the  depreciation. Period must use the same units as life. – Factor   is the rate at which the balance declines. If factor is  omitted, it is assumed to be 2 (the double-declining balance  method). Important  All five arguments must be positive numbers. 19
  • 20.
    ตัวอย่ำงที่ 12.2 จงคำำนวณหำค่ำเสื่อมรำคำวิธี DB 150% และ DDB • ซื้อเครื่องจักรรำคำ 80,000 บำท อำยุกำรใช้งำน 5 ปี มูลค่ำซำก 10,000 บำท • DB 150% d = 1.5/n=1.5/5 = 0.3 • DDB d = 2/n = 2/5 = 0.4 20
  • 21.
    DB d=0.3 DDB d=0.4 Year ,t Dt = BVt Dt BVt (d)BVt-1 0 80000 80000 1 24000 56000 32000 48000 2 16800 39200 19200 28800 3 11760 27440 11520 17280 4 8232 19208 6912 10368 5 5762 13446 368 10000 ทำำไม ? 21
  • 22.
    ฿35,000.00 ฿30,000.00 ฿25,000.00 ฿20,000.00 DB 150% DDB ฿15,000.00 ฿10,000.00 ฿5,000.00 ฿0.00 0 1 2 3 4 5 6 22
  • 23.
    Sum of yeardigits depreciation • เป็นระบบที่คดค่าเสื่อมราคาไว้มากในช่วง ิ แรก • มูลค่าซากเป็น 0 ได้ • ค่าเสื่อมราคาปีที่ t = (ต้นทุน – มูลค่า ซาก)(n-t+1) n(n+1)/2 23
  • 24.
    SYD • Returns thesum-of-years' digits depreciation of an asset for a specified period. • SYD(cost,salvage,life,per) • Cost is the initial cost of the asset. • Salvage is the value at the end of the depreciation (sometimes called the salvage value of the asset). • Life is the number of periods over which the asset is depreciated (sometimes called the useful life of the asset). • Per is the period and must use the same units as life. 24
  • 25.
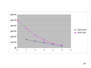
  • 26.
    ฿60,000 ฿50,000 ฿40,000 Depreciation ฿30,000 Book Value ฿20,000 ฿10,000 ฿0 0 1 2 3 4 5 6 26
  • 27.
    แบบฝึกหัด • 10.16.11 ระบบระบายอากาศของโรงงานแห่ง หนึ่งมูลค่า 12 ล้านบาท อายุการใช้งาน 8 ปี มูลค่าซาก 2 ล้านบาท จงหา – ค่าเสือมราคาแบบ Straight Line Depreciation ่ – Book Value – Rate of Depreciation 27
  • 28.
    10.16.23 • ระบบรักษาความปลอดภัยและเก็บสำารองข้อมูล มูลค่า 175 ล้านบาท อายุการใช้งาน 12 ปี ประมาณการมูลค่าซากไว้ 32 ล้านบาท คิดค่า เสื่อมราคาโดยวิธี Declining Balance Depreciation ที่อัตรา 1.5 เท่าของ Straight Line Rate จงหา – ค่าเสือมราคาและมูลค่าตามบัญชีของปีที่ 1 และ 12 ่ – เปรียบเทียบมูลค่าซากและมูลค่าตามบัญชี – ใช้ Excel หาค่าเสื่อมราคาและมูลค่าตามบัญชีของ ทุกปี 28