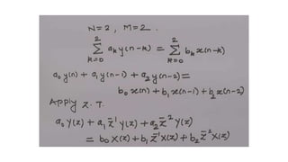
Z-Transform
LTI System
Difference
Equation
Z-Transform
Linearity and Scaling property
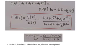
System Transfer Functions
• Assume Z1, Z2 and P1, P2 are the roots of the ploynomial with degree two.
Pole Zero representation of the System
Poles
Representation
of Zero and
Pole entity in
Z-plane
Significance of Poles and
Zeros in Transfer
function
Significance of Poles and Zeros in Transfer function
Contd...
• Z is the complex number
represented as a circle
• Radius can not be a
negative value
Contd...
Angle made with respect to the x-axis I.e.) real part
Contd...
Contd...
Contd...
Contd...
• Z is the complex number
represented as a circle
• Radius can not be a
negative value
Problem 1:
Pole Zero
Representation
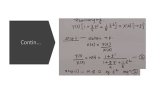
Contin...
Contin...
Contin...
Problem 2:
Pole Zero
Representation
Contin...
Contin...
Contin...
Summary
How poles and Zeros affects H(Z)? Why do we
need to calculate this for a system?
• Zeros makes the H(Z) to go to Zero
• Poles makes the H(Z) to go to infinity
• If you want to Block certain input at the output side, then
make the H(Z) to Zero
• If you want to make certain input to get highest amplitude or
highest system response , then make the H(Z) to Infinity.
• Poles are the representatives for passing certain values
• Zeros are the representatives for rejecting certain values
• Poles and zeros can take real or imaginary values
• Poles and zeros depends on both radius and angle/phase

Z-Transform Poles and Zeros.pptx