Embed presentation






































































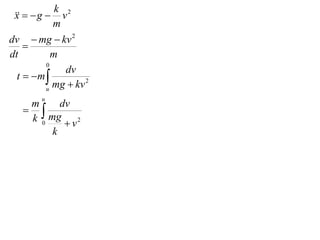
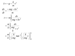
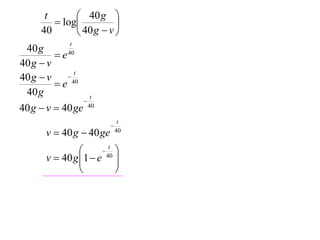
The document discusses resisted motion and Newton's third law. It presents three cases of resisted motion: (1) horizontal motion, (2) upward motion, and (3) downward motion. For each case, it derives equations showing that resistance is always in the opposite direction of motion. It also provides an example of finding the greatest height and time to reach it for a particle projected vertically upwards in a resisting medium.





































































