Embed presentation
Download to read offline





































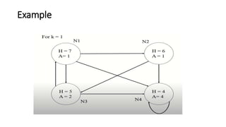
The document discusses various techniques for web mining including web content mining and web structure mining. Web content mining involves extracting useful information from web documents and can include techniques like classification, clustering, and association rule mining. Web structure mining analyzes the hyperlink structure of the web and can be used to determine authoritative pages using algorithms like PageRank and HITS. The document provides examples of how these algorithms like PageRank and HITS work.



































