Unit 1
INTRODUCTION: ANALYSIS OF
ALGORITHMS
Dr.S.Gunasundari
Associate Professor
CSE Dept
Syllabus
 Notion of an Algorithm
 Fundamentals of the Analysis of Algorithm Efficiency
 Asymptotic Notations and its properties
 Performance measurements of Algorithm, Time and space trade-offs
 Analysis of recursive algorithms through recurrence relations
 Substitution method
 Recursion tree method
 Masters’ theorem
3/7/2022
Design and Analysis of Algorithm - UNIT 1
2
 Introduction to Algorithm with 2 examples GCD and Prime
3/7/2022
Design and Analysis of Algorithm - UNIT 1
3
ALGORITHM
 An algorithm is an exact specification of how to solve a computational problem
 An algorithm must specify every step completely, so a computer can implement
it without any further “understanding”
 An algorithm must work for all possible inputs of the problem.
 Algorithms must be:
• Correct: For each input produce an appropriate output
• Efficient: run as quickly as possible, and use as little memory as possible – more
about this later
 There can be many different algorithms for each computational problem.
3/7/2022
Design and Analysis of Algorithm - UNIT 1
4
1-5
Notion of an algorithm
An algorithm is a sequence of unambiguous
instructions for solving a problem, i.e., for obtaining
a required output for any legitimate input in a finite
amount of time.
“computer”
problem
algorithm
input output
3/7/2022
Design and Analysis of Algorithm - UNIT 1
1-6
Properties of an algorithm
1. Finiteness
terminates after a finite number of steps
2. Definiteness
rigorously and unambiguously specified
3. Input
valid inputs are clearly specified
4. Output
can be proved to produce the correct output given a valid input
5. Effectiveness
steps are sufficiently simple and basic
3/7/2022
Design and Analysis of Algorithm - UNIT 1
1-7
Some Well-known Computational Problems
 Sorting
 Searching
 Shortest paths in a graph
 Minimum spanning tree
 Traveling salesman problem
 Knapsack problem
 Chess
 Towers of Hanoi
3/7/2022
Design and Analysis of Algorithm - UNIT 1
1-8
Basic Issues Related to Algorithms
 How to design algorithms
 How to express algorithms
 Proving correctness
 Efficiency
 Optimality
3/7/2022
Design and Analysis of Algorithm - UNIT 1
1-9
Algorithm design strategies
 Brute force
 Greedy approach
 Divide and conquer
 Dynamic programming
 Backtracking and Branch and bound
 Decrease and conquer
 Transform and conquer
3/7/2022
Design and Analysis of Algorithm - UNIT 1
1-10
Analysis of Algorithms
 How good is the algorithm?
 Correctness
 Time efficiency
 Space efficiency
3/7/2022
Design and Analysis of Algorithm - UNIT 1
Examples
GCD
PRIME
3/7/2022
Design and Analysis of Algorithm - UNIT 1
11
GCD
Euclid’s Algorithm
Consecutive integer checking algorithm
Middle-school procedure
3/7/2022
Design and Analysis of Algorithm - UNIT 1
12
1-13
Euclid’s Algorithm
Problem: Find gcd(m,n), the greatest common divisor of two
nonnegative, not both zero integers m and n
Examples: gcd(60,24) = 12, gcd(60,0) = 60, gcd(0,0) = ?
Euclid’s algorithm is based on repeated application of equality
gcd(m,n) = gcd(n, m mod n)
until the second number becomes 0, which makes the problem
trivial.
Example: gcd(60,24) = gcd(24,12) = gcd(12,0) = 12
3/7/2022
Design and Analysis of Algorithm - UNIT 1
1-14
Two descriptions of Euclid’s algorithm
Step 1 If n = 0, return m and stop; otherwise go to Step 2
Step 2 Divide m by n and assign the value fo the remainder to r
Step 3 Assign the value of n to m and the value of r to n. Go to
Step 1.
while n ≠ 0 do
r ← m mod n
m← n
n ← r
return m
3/7/2022
Design and Analysis of Algorithm - UNIT 1
1-15
Other methods for computing gcd(m,n)
Consecutive integer checking algorithm
Step 1 Assign the value of min{m,n} to t
Step 2 Divide m by t. If the remainder is 0, go to Step 3;
otherwise, go to Step 4
Step 3 Divide n by t. If the remainder is 0, return t and stop;
otherwise, go to Step 4
Step 4 Decrease t by 1 and go to Step 2
3/7/2022
Design and Analysis of Algorithm - UNIT 1
3/7/2022
Design and Analysis of Algorithm - UNIT 1
16
Step 1 Assign the value of min{m,n} to t
Step 2 Divide m by t. If the remainder is 0, go to
Step 3;
otherwise, go to Step 4
Step 3 Divide n by t. If the remainder is 0, return
t and stop;
otherwise, go to Step 4
Step 4 Decrease t by 1 and go to Step 2
1-17
Other methods for gcd(m,n) [cont.]
Middle-school procedure
Step 1 Find the prime factorization of m
Step 2 Find the prime factorization of n
Step 3 Find all the common prime factors
Step 4 Compute the product of all the common prime factors
and return it as gcd(m,n)
60 = 2 . 2 . 3 . 5
24 = 2 . 2 . 2 . 3
gcd(60, 24) = 2 . 2 . 3 = 12.
3/7/2022
Design and Analysis of Algorithm - UNIT 1
 Prime No
 Sieve of Eratosthenes
 Standard method based on divisors
3/7/2022
Design and Analysis of Algorithm - UNIT 1
18
Sieve of Eratosthenes - To find out all
primes under n
1. Generate a list of all integers from 2 to n. (Note: 1 is not prime)
2. Start with a smallest prime number, ie p = 2.
3. Mark all the multiples of p which are less than n as composite.
mark the value of the numbers (multiples of p) in the generated list
as 0.
Do not mark p itself as composite.
4. Assign the value of p to the next prime. The next prime is the next non-
zero number in the list which is greater than p.
5. Repeat the process until p≤ sqrt (n).
3/7/2022
Design and Analysis of Algorithm - UNIT 1
19
 Let’s start with 2. 2 is a prime number but all of the multiples of 2 will be
composite numbers since they will be divisible by 2. We cross out all of the
multiples of 2 on the table.
 The next prime number is 3, so we can cross out all the multiples of 3 since
they will be composite numbers.
 After 3, is the next prime number 5, so we cross out all of the multiples of 5.
 Then we have the prime number 7 and we cross out all of the multiples of
7.
3/7/2022
Design and Analysis of Algorithm - UNIT 1
20
 Example: 2 3 4 5 6 7 8 9 10 11 12 13 14 15 16 17 18 19 20
 2 3 5 7 9 11 13 15 17 19
 2 3 5 7 11 13 17 19
 2 3 5 7 11 13 17 19
3/7/2022
Design and Analysis of Algorithm - UNIT 1
21
Sieve of Eratosthenes
n = 25
22
p 2 3 4 5 6 7 8 9 10 11 12 13 14 15 16 17 18 19 20 21 22 23 24 25
2 2 3 5 7 9 11 13 15 17 19 21 23 25
3 2 3 5 7 11 13 17 19 23 25
5 2 3 5 7 11 13 17 19 23
3/7/2022
Design and Analysis of Algorithm - UNIT 1
22
3/7/2022
Design and Analysis of Algorithm - UNIT 1
23
1-24
Sieve of Eratosthenes
Input: Integer n ≥ 2
Output: List of primes less than or equal to n
for p ← 2 to n do A[p] ← p
for p ← 2 to n do
if A[p]  0 //p hasn’t been previously eliminated from the list
j ← p* p
while j ≤ n do
A[j] ← 0 //mark element as eliminated
j ← j + p
3/7/2022
Design and Analysis of Algorithm - UNIT 1
Algorithm
Design &
Analysis
Steps
Prove that gcd(m, n) = gcd(n, m mod n)
Design Technique,
Data Structures
Time Efficiency & Space
Efficiency, simplicity, generality
25
3/7/2022
Design and Analysis of Algorithm - UNIT 1
25
1-26
Fundamental data structures
 list
array
linked list
string
 stack
 queue
 priority queue
 Graph
 tree
 set and dictionary 3/7/2022
Design and Analysis of Algorithm - UNIT 1
Fundamentals of the Analysis of Algorithm
Efficiency
3/7/2022
Design and Analysis of Algorithm - UNIT 1
27
1-28
Example of computational problem: sorting
 Statement of problem:
 Input: A sequence of n numbers <a1, a2, …, an>
 Output: A reordering of the input sequence <a´
1, a´
2, …, a´
n> so that a´
i ≤ a´
j whenever
i < j
 Instance: The sequence <5, 3, 2, 8, 3>
 Algorithms:
 Selection sort
 Insertion sort
 Merge sort
 (many others)
• There may exist several algorithms for solving the same problem.
3/7/2022
Design and Analysis of Algorithm - UNIT 1
Efficiency
 Analysis of algorithms means to investigate an algorithm’s efficiency with respect to
resources: running time and memory space.
 Time efficiency
 a measure of amount of time for an algorithm to execute.
 how fast an algorithm runs
 Space efficiency
 a measure of the amount of memory needed for an algorithm to execute.
 Typically, algorithms run longer as the size of its input increases
3/7/2022
Design and Analysis of Algorithm - UNIT 1
29
Which algorithm is better?
The algorithms are correct, but
which is the best?
 Measure the running time
(number of operations
needed).
 Measure the amount of
memory used.
 Note that the running time of
the algorithms increase as the
size of the input increases.
3/7/2022
30
Design and Analysis of Algorithm - UNIT 1
HOW DO WE COMPARE ALGORITHMS?
We need to define a number of objective measures.
(1) Compare execution times?
Not good: times are specific to a particular computer !!
(2) Count the number of statements executed?
Not good: number of statements vary with the programming language
as well as the style of the individual programmer.
Engineered for Tomorrow
3/7/2022
Design and Analysis of Algorithm - UNIT 1
31
 Method – I OLD
 One possible approach is to count the number of times each of the algorithm’s operations is
executed.
 Difficult and usually unnecessary
 Method- II
 Count the number of times an algorithm’s basic operation is executed.
 Basic operation: the operation that contributes the most to the total running time.
 For example, the basic operation is usually the most time-consuming operation in the
algorithm’s innermost loop.
3/7/2022
Design and Analysis of Algorithm - UNIT 1
32
Example - Old method
• Associate a "cost" with each statement.
• Find the "total cost“ by finding the total number of times each statement is executed.
Algorithm 1 Cost Algorithm 2 Cost
arr[0] = 0; c1 for(i=0; i<N; i++) c2
arr[1] = 0; c1 arr[i] = 0; c1
arr[2] = 0; c1
... ...
arr[N-1] = 0; c1
----------- -------------
c1+c1+...+c1 = c1 x N (N+1) x c2 + N x c1 = (c2 + c1) x N + c2
Engineered for Tomorrow
3/7/2022
Design and Analysis of Algorithm - UNIT 1
33
34
Another Example - Old method
• Algorithm 3 Cost
sum = 0; c1
for(i=0; i<N; i++) c2
for(j=0; j<N; j++) c2
sum += arr[i][j]; c3
------------
c1 + c2 x (N+1) + c2 x N x (N+1) + c3 x N2
2N2 + 2N + 2
Engineered for Tomorrow
3/7/2022
Design and Analysis of Algorithm - UNIT 1
34
Method – II – based on basic operation
 Almost all algorithms run longer on larger inputs.
 Therefore, it is logical to investigate an algorithm’s efficiency as a function of some parameter n
indicating the algorithm’s input size.
 Input size depends on the problem.
 Example1: what is the input size of the problem of sorting n numbers?
 Example2: what is the input size of adding two n by n matrices?
3/7/2022
Design and Analysis of Algorithm - UNIT 1
35
Method II contd..
Time efficiency is analyzed by determining the number of repetitions of the basic operation
as a function of input size
 Basic operation: the operation that contributes most towards the running time of the
algorithm
T(n) ≈ copC(n)
running time execution time
for basic operation
Number of times
basic operation is
executed
input size
3/7/2022
Design and Analysis of Algorithm - UNIT 1
36
Example – Method - II
• Associate a "cost" with each statement.
• Find the "total cost“ by finding the total number of times each statement is executed.
Algorithm 1 Cost
for(i=0; i<N; i++)
arr[i] = 0; c2
N x c2
Engineered for Tomorrow
3/7/2022
VIT INTERVIEW
37
38
Another Example – Method-II
• Algorithm 2 Cost
sum = 0;
for(i=0; i<N; i++)
for(j=0; j<N; j++)
sum += arr[i][j]; c3
------------
c3 x N2
Engineered for Tomorrow
3/7/2022
VIT INTERVIEW
38
Input size and basic operation examples
Problem Input size measure Basic operation
Searching for key in
a list of n items
Number of list’s items,
i.e. n
Key comparison
Multiplication of two
matrices
Matrix dimensions or
total number of
elements
Multiplication of
two numbers
Checking primality
of a given integer n
n’size = number of
digits (in binary
representation)
Division
Typical graph
problem
#vertices and/or edges
Visiting a vertex or
traversing an edge
Spell checking
No of chars/ No of
words
comparison
Polynomial Equation
addition
Degree Addition
3/7/2022
Types of formulas for basic operation’s count
 Exact formula
e.g., C(n) = n(n-1)/2
 Formula indicating order of growth with specific multiplicative constant
e.g., C(n) ≈ 0.5 n2
 Formula indicating order of growth with unknown multiplicative constant
e.g., C(n) ≈ cn2
3/7/2022
Design and Analysis of Algorithm - UNIT 1
40
Best-case, average-case, worst-case
For some algorithms efficiency depends on form of input:
 Worst case: Cworst(n) – maximum over inputs of size n
 for the worst case input of size n
 The algorithm runs the longest among all possible inputs of size n
 Best case: Cbest(n) – minimum over inputs of size n
 best case input of size n
 The algorithm runs the fastest among all possible inputs of size n
 Average case: Cavg(n) – “average” over inputs of size n
 NOT the average of worst and best case
 typical/random input of size n.
3/7/2022
Design and Analysis of Algorithm - UNIT 1
41
Example: Sequential search
 Input Size : n
 Basic Operation: Comparison with key value (not equal to)
 Best case
 Worst case
 Average case
3/7/2022
• Best Case: Case 1: The key matches with the first element
• Determine the kind of inputs for which C(n) count will be smallest among all possible inputs of size n
• our array was [1, 2, 3, 4, 5] and we are finding if "1" is present in the array
• T(n) = 1
• Worst Case: Case 2: Key does not exist
• Determine the kind of inputs for which C(n) count will be largest among all possible inputs of size n
• For any instance of size n, the running time of algorithm will not exceed Cworst(n)
• if the given array is [1, 2, 3, 4, 5] and we try to find if element "6" is present in the array
• Cworst(n) = n
T(n) ≈ cop C(n)
Ignore Cop
So
T(n) = n
3/7/2022
 Avg Case: Case 3: The key is present at any location
in the array
 running time for all possible inputs,
3/7/2022
Avg case – mtd - II
3/7/2022
Complexity Analysis : Summary
Design and Analysis of Algorithm - UNIT 1
46
3/7/2022
Case
Number of key
comparisons
Asymptotic
complexity
Remark
Case 1 T(n) = 1 T(n) = O(1) Best case
Case 2 T(n) = n T(n) = O(n) Worst case
Case 3 T(n) = O(n) Average case
2
1
)
(


n
n
T
3/7/2022
Design and Analysis of Algorithm - UNIT 1
47
Asymptotic Notations and its properties
3/7/2022
Design and Analysis of Algorithm - UNIT 1
48 Asymptotic Notations
• To compare two algorithms with running times f(n) and g(n), we need a rough measure that
characterizes how fast each function grows.
• Asymptotic notations are the mathematical notations used to describe the running time
of an algorithm
• The asymptotic notation of an algorithm is classified into 3 types:
• Big Oh notation(O): (Asymptotic Upper bound)
• Big Omega notation(Ω): (Asymptotic Lower bound)
• Big Theta notation(θ): (Asymptotic Tight bound)
ASYMPTOTIC NOTATION
• Big-Oh
• O notation: asymptotic “less than”:
• f(n)=O(g(n)) implies: f(n) “≤” g(n)
• Big-Omega
• Ω notation: asymptotic “greater than”:
 f(n)= Ω (g(n)) implies: f(n) “≥” g(n)
• Theta
• θ notation: asymptotic “equality”:
 f(n)= θ (g(n)) implies: f(n) “=” g(n)
Engineered for Tomorrow
Basic asymptotic efficiency classes g(n)
1 constant
log n logarithmic
n linear
n log n n-log-n
n2 quadratic
n3 cubic
2n exponential
n! factorial
Big-Oh
A function t(n) is said to be in O(g(n)), denoted t(n)  O(g(n)),
if t(n) is bounded above by some constant multiple of g(n) for
all large n, i.e., if there exist some positive constant c and
some nonnegative integer n0 such that
t(n) ≤ cg(n) for all n  n0
Examples:
 10n is O(n2)
 5n+20 is O(n)
Big-oh
3/7/2022
3/7/2022
3/7/2022
3/7/2022
-notation Big-omega
 Formal definition
A function t(n) is said to be in (g(n)), denoted t(n)  (g(n)), if
t(n) is bounded below by some constant multiple of g(n) for all
large n, i.e., if there exist some positive constant c and some
nonnegative integer n0 such that
t(n)  cg(n) for all n  n0
 Exercises: prove the following using the above definition
10n2  (n2)
0.3n2 - 2n  (n2)
0.1n3  (n2)
Big-omega
3/7/2022
Design and Analysis of Algorithm - UNIT 1
59
-notation Big-theta
 Formal definition
A function t(n) is said to be in (g(n)), denoted t(n)
 (g(n)), if t(n) is bounded both above and below
by some positive constant multiples of g(n) for all
large n, i.e., if there exist some positive constant c1
and c2 and some nonnegative integer n0 such that
c2 g(n)  t(n)  c1 g(n) for all n  n0
 Exercises: prove the following using the above definition
10n2  (n2)
0.3n2 - 2n  (n2)
(1/2)n(n+1)  (n2)
Big-theta
3/7/2022
Design and Analysis of Algorithm - UNIT 1
62
3/7/2022
Design and Analysis of Algorithm - UNIT 1
63
Order of growth
 Most important: Order of growth within a constant multiple as n→∞
 Example:
How much faster will algorithm run on computer that is
twice as fast?
How much longer does it take to solve problem of
double input size?
Values of some important functions as n  
Asymptotic order of growth
A way of comparing functions that ignores constant factors and small input sizes
 O(g(n)): class of functions f(n) that grow no faster than g(n)
 Θ(g(n)): class of functions f(n) that grow at same rate as g(n)
 Ω(g(n)): class of functions f(n) that grow at least as fast as g(n)
Establishing order of growth using limits
lim T(n)/g(n) =
0 order of growth of T(n) < order of growth of g(n)
c > 0 order of growth of T(n) = order of growth of g(n)
∞ order of growth of T(n) > order of growth of g(n)
n→∞
L’Hôpital’s rule and Stirling’s formula
L’Hôpital’s rule:
Stirling’s formula: n!  (2n)1/2 (n/e)n
f(n)
g(n)
lim
n
=
f ´(n)
g ´(n)
lim
n
3/7/2022
Design and Analysis of Algorithm - UNIT 1
69
3/7/2022
Design and Analysis of Algorithm - UNIT 1
70
3/7/2022
Design and Analysis of Algorithm - UNIT 1
71
Some properties of asymptotic order of growth
 f(n)  O(f(n))
 f(n)  O(g(n)) iff g(n) (f(n))
 If f (n)  O(g (n)) and g(n)  O(h(n)) , then f(n)  O(h(n))
Note similarity with a ≤ b
 If f1(n)  O(g1(n)) and f2(n)  O(g2(n)) , then
f1(n) + f2(n)  O(max{g1(n), g2(n)})
Time efficiency of nonrecursive algorithms
General Plan for Analysis
 Decide on parameter n indicating input size
 Identify algorithm’s basic operation
 Determine worst, average, and best cases for input of size n
 Set up a sum for the number of times the basic operation is executed
 Simplify the sum using standard formulas and rules (see Appendix A of book)
Useful summation formulas and rules
liu1 = 1+1+…+1 = u - l + 1
In particular, liu1 = n - 1 + 1 = n  (n)
1in i = 1+2+…+n = n(n+1)/2  n2/2  (n2)
1in i2 = 12+22+…+n2 = n(n+1)(2n+1)/6  n3/3  (n3)
0in ai = 1 + a +…+ an = (an+1 - 1)/(a - 1) for any a  1
In particular, 0in 2i = 20 + 21 +…+ 2n = 2n+1 - 1  (2n )
(ai ± bi ) = ai ± bi cai = cai liuai = limai + m+1iuai
Example 1: Maximum element
C(n) є Θ(n)
Example 2: Matrix multiplication
C(n) є Θ(n3)
Space Efficiency
3/7/2022
Design and Analysis of Algorithm - UNIT 1
77
Space Efficiency
 Space Complexity of an algorithm denotes the total space used or needed by the
algorithm for its working, for various input sizes
#include<stdio.h>
int main()
{
int a = 5, b = 5, c;
c = a + b;
printf("%d", c);
}
3 integer variables are used. The size of the integer data type is 2 or 4 bytes which depends
on the compiler. Now, lets assume the size as 4 bytes. So, the total space occupied by the
above-given program is 4 * 3 = 12 bytes
Hence, space complexity for the above-given program is O(1), or constant.
3/7/2022
Design and Analysis of Algorithm - UNIT 1
78
Example
#include <stdio.h>
int main()
{
int n, i, sum = 0;
scanf("%d", &n);
int arr[n];
for(i = 0; i < n; i++)
{
scanf("%d", &arr[i]);
sum = sum + arr[i];
}
printf("%d", sum);
}
3/7/2022
Design and Analysis of Algorithm - UNIT 1
79
In the above-given code, the array consists of n integer
elements.
So, the space occupied by the array is 4 * n.
Also we have integer variables such as n, i and sum.
Assuming 4 bytes for each variable, the total space occupied
by the program is 4n + 12 bytes.
Since the highest order of n in the equation 4n + 12 is n,
so the space complexity is O(n) or linear.
Time Space Trade Off
3/7/2022
Design and Analysis of Algorithm - UNIT 1
80
Time Space Trade off
 In computer science, a space-time or time-memory tradeoff is a way of solving a
problem in
 Less time by using more memory
 very little space by spending a long time
 Types of Trade Off
Compressed / Uncompressed Data
Smaller Code / Loop Unrolling
Lookup Table / Recalculation
3/7/2022
Design and Analysis of Algorithm - UNIT 1
81
Compressed / Uncompressed Data
 A space -time trade off can be applied to the problem of data storage.
 If data is stored uncompressed, it takes more space but less time.
 If the data is stored compressed, it takes less space but more time to run the
decompression algorithm.
Smaller Code(with loop) / Larger Code (without loop)
 Smaller code occupies less space in memory but it requires high computation time which is
required for jumping back to the beginning of the loop at the end of each iteration.
 Larger code or loop unrolling can be traded for higher program speed.
 It occupies more space in memory but requires less computation time. (as we need not
perform jumps back and forth since there is no loop.)
Lookup Table / Recalculation
 In lookup table, an implementation can include the entire table which reduces computing
time but increases the amount of memory needed.
 It can recalculate i.e. compute table entries as needed, increasing computing time but
reducing memory requirements
3/7/2022
Design and Analysis of Algorithm - UNIT 1
82
Unit 1
INTRODUCTION: ANALYSIS OF
ALGORITHMS
(PART 2)
Dr.S.Gunasundari
Associate Professor
CSE Dept
syllabus
 Analysis of recursive algorithms through recurrence relations
MATHEMATICALANALYSIS OF RECURSIVE
ALGORITHMS
 Decide on a parameter indicating an input’s size.
 Identify the algorithm’s basic operation.
 Check whether the number of times the basic op. is executed may
vary on different inputs of the same size. (If it may, the worst, average,
and best cases must be investigated separately.)
 Set up a recurrence relation with an appropriate initial condition
expressing the number of times the basic op. is executed.
 Solve the recurrence (or, at the very least, establish its solution’s order
of growth) by backward substitutions or another method.
Example 1: Recursive evaluation of n!
Definition: n ! = 1  2  … (n-1)  n for n ≥ 1 and 0! = 1
Recursive definition of n!: F(n) = F(n-1)  n for n ≥ 1 and
F(0) = 1
Recursion
• To see how the recursion works, let’s break down the
factorial function to solve factorial(3)
Engineered for Tomorrow
Solving the recurrence for M(n)
M(n) = M(n-1) + 1, M(0) = 0
Analysis of Factorial
 Recurrence Relation
M(n) = M(n-1) + 1
M(0) = 0
 Solve by the method of backward substitutions
M(n) = M(n-1) + 1
= [M(n-2) + 1] + 1 = M(n-2) + 2 substituted M(n-2) for M(n-1)
= [M(n-3) + 1] + 2 = M(n-3) + 3 substituted M(n-3) for M(n-2)
.. a pattern evolves
=M(n-i) + i
= M(0) + n (i=n)
= n
Therefore M(n) ε Θ(n)
3/7/2022
Example 2: Counting #bits
No of digits required = 6
Analysis of Counting # of bits
 Recursive relation including initial conditions
A(n) = A(floor(n/2)) + 1
IC A(1) = 0
 substitute n = 2k (also k = lg(n))
A(2k) = A(2k-1) + 1 and IC A(20) = 0
A(2k) = [A(2k-2) + 1] + 1 = A(2k-2) + 2
= [A(2k-3) + 1] + 2 = A(2k-3) + 3
...
= A(2k-i) + i
...
= A(2k-k) + k
=A(20) +k
= k
Substitute back k = lg(n)
A(n) = lg(n)
A(n) ε Θ(lg n) 3/7/2022
Given: Three Pegs A, B and C
Peg A initially has n disks, different size, stacked up,
larger disks are below smaller disks
Problem: to move the n disks to Peg C, subject to
1. Can move only one disk at a time
2. Smaller disk should be above larger disk
3. Can use other peg as intermediate
Example 3: Tower of Hanoi
A B C A B C
Tower of Hanoi
 How to Solve: Strategy…
 Generalize first: Consider n disks for all n  1
 Our example is only the case when n=4
 Look at small instances…
 How about n=1
 Of course, just “Move disk 1 from A to C”
 How about n=2?
1. “Move disk 1 from A to B”
2. “Move disk 2 from A to C”
3. “Move disk 1 from B to C”
Tower of Hanoi (Solution!)
 General Method:
 First, move first (n-1) disks from A to B
 Now, can move largest disk from A to C
 Then, move first (n-1) disks from B to C
 Try this method for n=3
1. “Move disk 1 from A to C”
2. “Move disk 2 from A to B”
3. “Move disk 1 from C to B”
4. “Move disk 3 from A to C”
5. “Move disk 1 from B to A”
6. “Move disk 2 from B to C”
7. “Move disk 1 from A to C”
Algorithm for Towel of Hanoi (recursive)
 Recursive Algorithm
 when (n=1), we have simple case
 Else (decompose problem and make recursive-calls)
Hanoi(n, A, B, C);
(* Move n disks from A to C via B *)
begin
if (n=1) then “Move top disk from A to C”
else (* when n>1 *)
Hanoi (n-1, A, C, B);
“Move top disk from A to C”
Hanoi (n-1, B, C, A);
endif
end;
Analysis of TOH
Recursive relation for moving n discs
M(n) = M(n-1) + 1 + M(n-1) = 2M(n-1) + 1
IC: M(1) = 1
Solve using backward substitution
M(n) = 2M(n-1) + 1
= 2[2M(n-2) + 1] +1 = 22M(n-2) + 2+1
=22[2M(n-3) +1] + 2+1 = 23M(n-3) + 22 + 2 + 1
..
M(n) = 2iM(n-i) + 2i-1
3/7/2022
Fibonacci numbers
The Fibonacci numbers:
0, 1, 1, 2, 3, 5, 8, 13, 21, …
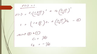
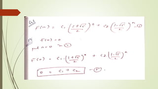
The Fibonacci recurrence:
F(n) = F(n-1) + F(n-2)
F(0) = 0
F(1) = 1
General 2nd order linear homogeneous recurrence with
constant coefficients:
aX(n) + bX(n-1) + cX(n-2) = 0
Algorithm Fibonacci (Recursive)
Input: A positive integer n
Output: The sequence of Fibonacci numbers
procedure Fibonacci(int n)
if (n == 0 or n == 1)
return n;
else
return Fibonacci(n-1) + Fibonacci(n-2)
Unit i
Unit i
Unit i
Unit i

Unit i

  • 1.
    Unit 1 INTRODUCTION: ANALYSISOF ALGORITHMS Dr.S.Gunasundari Associate Professor CSE Dept
  • 2.
    Syllabus  Notion ofan Algorithm  Fundamentals of the Analysis of Algorithm Efficiency  Asymptotic Notations and its properties  Performance measurements of Algorithm, Time and space trade-offs  Analysis of recursive algorithms through recurrence relations  Substitution method  Recursion tree method  Masters’ theorem 3/7/2022 Design and Analysis of Algorithm - UNIT 1 2
  • 3.
     Introduction toAlgorithm with 2 examples GCD and Prime 3/7/2022 Design and Analysis of Algorithm - UNIT 1 3
  • 4.
    ALGORITHM  An algorithmis an exact specification of how to solve a computational problem  An algorithm must specify every step completely, so a computer can implement it without any further “understanding”  An algorithm must work for all possible inputs of the problem.  Algorithms must be: • Correct: For each input produce an appropriate output • Efficient: run as quickly as possible, and use as little memory as possible – more about this later  There can be many different algorithms for each computational problem. 3/7/2022 Design and Analysis of Algorithm - UNIT 1 4
  • 5.
    1-5 Notion of analgorithm An algorithm is a sequence of unambiguous instructions for solving a problem, i.e., for obtaining a required output for any legitimate input in a finite amount of time. “computer” problem algorithm input output 3/7/2022 Design and Analysis of Algorithm - UNIT 1
  • 6.
    1-6 Properties of analgorithm 1. Finiteness terminates after a finite number of steps 2. Definiteness rigorously and unambiguously specified 3. Input valid inputs are clearly specified 4. Output can be proved to produce the correct output given a valid input 5. Effectiveness steps are sufficiently simple and basic 3/7/2022 Design and Analysis of Algorithm - UNIT 1
  • 7.
    1-7 Some Well-known ComputationalProblems  Sorting  Searching  Shortest paths in a graph  Minimum spanning tree  Traveling salesman problem  Knapsack problem  Chess  Towers of Hanoi 3/7/2022 Design and Analysis of Algorithm - UNIT 1
  • 8.
    1-8 Basic Issues Relatedto Algorithms  How to design algorithms  How to express algorithms  Proving correctness  Efficiency  Optimality 3/7/2022 Design and Analysis of Algorithm - UNIT 1
  • 9.
    1-9 Algorithm design strategies Brute force  Greedy approach  Divide and conquer  Dynamic programming  Backtracking and Branch and bound  Decrease and conquer  Transform and conquer 3/7/2022 Design and Analysis of Algorithm - UNIT 1
  • 10.
    1-10 Analysis of Algorithms How good is the algorithm?  Correctness  Time efficiency  Space efficiency 3/7/2022 Design and Analysis of Algorithm - UNIT 1
  • 11.
  • 12.
    GCD Euclid’s Algorithm Consecutive integerchecking algorithm Middle-school procedure 3/7/2022 Design and Analysis of Algorithm - UNIT 1 12
  • 13.
    1-13 Euclid’s Algorithm Problem: Findgcd(m,n), the greatest common divisor of two nonnegative, not both zero integers m and n Examples: gcd(60,24) = 12, gcd(60,0) = 60, gcd(0,0) = ? Euclid’s algorithm is based on repeated application of equality gcd(m,n) = gcd(n, m mod n) until the second number becomes 0, which makes the problem trivial. Example: gcd(60,24) = gcd(24,12) = gcd(12,0) = 12 3/7/2022 Design and Analysis of Algorithm - UNIT 1
  • 14.
    1-14 Two descriptions ofEuclid’s algorithm Step 1 If n = 0, return m and stop; otherwise go to Step 2 Step 2 Divide m by n and assign the value fo the remainder to r Step 3 Assign the value of n to m and the value of r to n. Go to Step 1. while n ≠ 0 do r ← m mod n m← n n ← r return m 3/7/2022 Design and Analysis of Algorithm - UNIT 1
  • 15.
    1-15 Other methods forcomputing gcd(m,n) Consecutive integer checking algorithm Step 1 Assign the value of min{m,n} to t Step 2 Divide m by t. If the remainder is 0, go to Step 3; otherwise, go to Step 4 Step 3 Divide n by t. If the remainder is 0, return t and stop; otherwise, go to Step 4 Step 4 Decrease t by 1 and go to Step 2 3/7/2022 Design and Analysis of Algorithm - UNIT 1
  • 16.
    3/7/2022 Design and Analysisof Algorithm - UNIT 1 16 Step 1 Assign the value of min{m,n} to t Step 2 Divide m by t. If the remainder is 0, go to Step 3; otherwise, go to Step 4 Step 3 Divide n by t. If the remainder is 0, return t and stop; otherwise, go to Step 4 Step 4 Decrease t by 1 and go to Step 2
  • 17.
    1-17 Other methods forgcd(m,n) [cont.] Middle-school procedure Step 1 Find the prime factorization of m Step 2 Find the prime factorization of n Step 3 Find all the common prime factors Step 4 Compute the product of all the common prime factors and return it as gcd(m,n) 60 = 2 . 2 . 3 . 5 24 = 2 . 2 . 2 . 3 gcd(60, 24) = 2 . 2 . 3 = 12. 3/7/2022 Design and Analysis of Algorithm - UNIT 1
  • 18.
     Prime No Sieve of Eratosthenes  Standard method based on divisors 3/7/2022 Design and Analysis of Algorithm - UNIT 1 18
  • 19.
    Sieve of Eratosthenes- To find out all primes under n 1. Generate a list of all integers from 2 to n. (Note: 1 is not prime) 2. Start with a smallest prime number, ie p = 2. 3. Mark all the multiples of p which are less than n as composite. mark the value of the numbers (multiples of p) in the generated list as 0. Do not mark p itself as composite. 4. Assign the value of p to the next prime. The next prime is the next non- zero number in the list which is greater than p. 5. Repeat the process until p≤ sqrt (n). 3/7/2022 Design and Analysis of Algorithm - UNIT 1 19
  • 20.
     Let’s startwith 2. 2 is a prime number but all of the multiples of 2 will be composite numbers since they will be divisible by 2. We cross out all of the multiples of 2 on the table.  The next prime number is 3, so we can cross out all the multiples of 3 since they will be composite numbers.  After 3, is the next prime number 5, so we cross out all of the multiples of 5.  Then we have the prime number 7 and we cross out all of the multiples of 7. 3/7/2022 Design and Analysis of Algorithm - UNIT 1 20
  • 21.
     Example: 23 4 5 6 7 8 9 10 11 12 13 14 15 16 17 18 19 20  2 3 5 7 9 11 13 15 17 19  2 3 5 7 11 13 17 19  2 3 5 7 11 13 17 19 3/7/2022 Design and Analysis of Algorithm - UNIT 1 21
  • 22.
    Sieve of Eratosthenes n= 25 22 p 2 3 4 5 6 7 8 9 10 11 12 13 14 15 16 17 18 19 20 21 22 23 24 25 2 2 3 5 7 9 11 13 15 17 19 21 23 25 3 2 3 5 7 11 13 17 19 23 25 5 2 3 5 7 11 13 17 19 23 3/7/2022 Design and Analysis of Algorithm - UNIT 1 22
  • 23.
    3/7/2022 Design and Analysisof Algorithm - UNIT 1 23
  • 24.
    1-24 Sieve of Eratosthenes Input:Integer n ≥ 2 Output: List of primes less than or equal to n for p ← 2 to n do A[p] ← p for p ← 2 to n do if A[p]  0 //p hasn’t been previously eliminated from the list j ← p* p while j ≤ n do A[j] ← 0 //mark element as eliminated j ← j + p 3/7/2022 Design and Analysis of Algorithm - UNIT 1
  • 25.
    Algorithm Design & Analysis Steps Prove thatgcd(m, n) = gcd(n, m mod n) Design Technique, Data Structures Time Efficiency & Space Efficiency, simplicity, generality 25 3/7/2022 Design and Analysis of Algorithm - UNIT 1 25
  • 26.
    1-26 Fundamental data structures list array linked list string  stack  queue  priority queue  Graph  tree  set and dictionary 3/7/2022 Design and Analysis of Algorithm - UNIT 1
  • 27.
    Fundamentals of theAnalysis of Algorithm Efficiency 3/7/2022 Design and Analysis of Algorithm - UNIT 1 27
  • 28.
    1-28 Example of computationalproblem: sorting  Statement of problem:  Input: A sequence of n numbers <a1, a2, …, an>  Output: A reordering of the input sequence <a´ 1, a´ 2, …, a´ n> so that a´ i ≤ a´ j whenever i < j  Instance: The sequence <5, 3, 2, 8, 3>  Algorithms:  Selection sort  Insertion sort  Merge sort  (many others) • There may exist several algorithms for solving the same problem. 3/7/2022 Design and Analysis of Algorithm - UNIT 1
  • 29.
    Efficiency  Analysis ofalgorithms means to investigate an algorithm’s efficiency with respect to resources: running time and memory space.  Time efficiency  a measure of amount of time for an algorithm to execute.  how fast an algorithm runs  Space efficiency  a measure of the amount of memory needed for an algorithm to execute.  Typically, algorithms run longer as the size of its input increases 3/7/2022 Design and Analysis of Algorithm - UNIT 1 29
  • 30.
    Which algorithm isbetter? The algorithms are correct, but which is the best?  Measure the running time (number of operations needed).  Measure the amount of memory used.  Note that the running time of the algorithms increase as the size of the input increases. 3/7/2022 30 Design and Analysis of Algorithm - UNIT 1
  • 31.
    HOW DO WECOMPARE ALGORITHMS? We need to define a number of objective measures. (1) Compare execution times? Not good: times are specific to a particular computer !! (2) Count the number of statements executed? Not good: number of statements vary with the programming language as well as the style of the individual programmer. Engineered for Tomorrow 3/7/2022 Design and Analysis of Algorithm - UNIT 1 31
  • 32.
     Method –I OLD  One possible approach is to count the number of times each of the algorithm’s operations is executed.  Difficult and usually unnecessary  Method- II  Count the number of times an algorithm’s basic operation is executed.  Basic operation: the operation that contributes the most to the total running time.  For example, the basic operation is usually the most time-consuming operation in the algorithm’s innermost loop. 3/7/2022 Design and Analysis of Algorithm - UNIT 1 32
  • 33.
    Example - Oldmethod • Associate a "cost" with each statement. • Find the "total cost“ by finding the total number of times each statement is executed. Algorithm 1 Cost Algorithm 2 Cost arr[0] = 0; c1 for(i=0; i<N; i++) c2 arr[1] = 0; c1 arr[i] = 0; c1 arr[2] = 0; c1 ... ... arr[N-1] = 0; c1 ----------- ------------- c1+c1+...+c1 = c1 x N (N+1) x c2 + N x c1 = (c2 + c1) x N + c2 Engineered for Tomorrow 3/7/2022 Design and Analysis of Algorithm - UNIT 1 33
  • 34.
    34 Another Example -Old method • Algorithm 3 Cost sum = 0; c1 for(i=0; i<N; i++) c2 for(j=0; j<N; j++) c2 sum += arr[i][j]; c3 ------------ c1 + c2 x (N+1) + c2 x N x (N+1) + c3 x N2 2N2 + 2N + 2 Engineered for Tomorrow 3/7/2022 Design and Analysis of Algorithm - UNIT 1 34
  • 35.
    Method – II– based on basic operation  Almost all algorithms run longer on larger inputs.  Therefore, it is logical to investigate an algorithm’s efficiency as a function of some parameter n indicating the algorithm’s input size.  Input size depends on the problem.  Example1: what is the input size of the problem of sorting n numbers?  Example2: what is the input size of adding two n by n matrices? 3/7/2022 Design and Analysis of Algorithm - UNIT 1 35
  • 36.
    Method II contd.. Timeefficiency is analyzed by determining the number of repetitions of the basic operation as a function of input size  Basic operation: the operation that contributes most towards the running time of the algorithm T(n) ≈ copC(n) running time execution time for basic operation Number of times basic operation is executed input size 3/7/2022 Design and Analysis of Algorithm - UNIT 1 36
  • 37.
    Example – Method- II • Associate a "cost" with each statement. • Find the "total cost“ by finding the total number of times each statement is executed. Algorithm 1 Cost for(i=0; i<N; i++) arr[i] = 0; c2 N x c2 Engineered for Tomorrow 3/7/2022 VIT INTERVIEW 37
  • 38.
    38 Another Example –Method-II • Algorithm 2 Cost sum = 0; for(i=0; i<N; i++) for(j=0; j<N; j++) sum += arr[i][j]; c3 ------------ c3 x N2 Engineered for Tomorrow 3/7/2022 VIT INTERVIEW 38
  • 39.
    Input size andbasic operation examples Problem Input size measure Basic operation Searching for key in a list of n items Number of list’s items, i.e. n Key comparison Multiplication of two matrices Matrix dimensions or total number of elements Multiplication of two numbers Checking primality of a given integer n n’size = number of digits (in binary representation) Division Typical graph problem #vertices and/or edges Visiting a vertex or traversing an edge Spell checking No of chars/ No of words comparison Polynomial Equation addition Degree Addition 3/7/2022
  • 40.
    Types of formulasfor basic operation’s count  Exact formula e.g., C(n) = n(n-1)/2  Formula indicating order of growth with specific multiplicative constant e.g., C(n) ≈ 0.5 n2  Formula indicating order of growth with unknown multiplicative constant e.g., C(n) ≈ cn2 3/7/2022 Design and Analysis of Algorithm - UNIT 1 40
  • 41.
    Best-case, average-case, worst-case Forsome algorithms efficiency depends on form of input:  Worst case: Cworst(n) – maximum over inputs of size n  for the worst case input of size n  The algorithm runs the longest among all possible inputs of size n  Best case: Cbest(n) – minimum over inputs of size n  best case input of size n  The algorithm runs the fastest among all possible inputs of size n  Average case: Cavg(n) – “average” over inputs of size n  NOT the average of worst and best case  typical/random input of size n. 3/7/2022 Design and Analysis of Algorithm - UNIT 1 41
  • 42.
    Example: Sequential search Input Size : n  Basic Operation: Comparison with key value (not equal to)  Best case  Worst case  Average case 3/7/2022
  • 43.
    • Best Case:Case 1: The key matches with the first element • Determine the kind of inputs for which C(n) count will be smallest among all possible inputs of size n • our array was [1, 2, 3, 4, 5] and we are finding if "1" is present in the array • T(n) = 1 • Worst Case: Case 2: Key does not exist • Determine the kind of inputs for which C(n) count will be largest among all possible inputs of size n • For any instance of size n, the running time of algorithm will not exceed Cworst(n) • if the given array is [1, 2, 3, 4, 5] and we try to find if element "6" is present in the array • Cworst(n) = n T(n) ≈ cop C(n) Ignore Cop So T(n) = n 3/7/2022
  • 44.
     Avg Case:Case 3: The key is present at any location in the array  running time for all possible inputs, 3/7/2022
  • 45.
    Avg case –mtd - II 3/7/2022
  • 46.
    Complexity Analysis :Summary Design and Analysis of Algorithm - UNIT 1 46 3/7/2022 Case Number of key comparisons Asymptotic complexity Remark Case 1 T(n) = 1 T(n) = O(1) Best case Case 2 T(n) = n T(n) = O(n) Worst case Case 3 T(n) = O(n) Average case 2 1 ) (   n n T
  • 47.
    3/7/2022 Design and Analysisof Algorithm - UNIT 1 47 Asymptotic Notations and its properties
  • 48.
    3/7/2022 Design and Analysisof Algorithm - UNIT 1 48 Asymptotic Notations • To compare two algorithms with running times f(n) and g(n), we need a rough measure that characterizes how fast each function grows. • Asymptotic notations are the mathematical notations used to describe the running time of an algorithm • The asymptotic notation of an algorithm is classified into 3 types: • Big Oh notation(O): (Asymptotic Upper bound) • Big Omega notation(Ω): (Asymptotic Lower bound) • Big Theta notation(θ): (Asymptotic Tight bound)
  • 49.
    ASYMPTOTIC NOTATION • Big-Oh •O notation: asymptotic “less than”: • f(n)=O(g(n)) implies: f(n) “≤” g(n) • Big-Omega • Ω notation: asymptotic “greater than”:  f(n)= Ω (g(n)) implies: f(n) “≥” g(n) • Theta • θ notation: asymptotic “equality”:  f(n)= θ (g(n)) implies: f(n) “=” g(n) Engineered for Tomorrow
  • 50.
    Basic asymptotic efficiencyclasses g(n) 1 constant log n logarithmic n linear n log n n-log-n n2 quadratic n3 cubic 2n exponential n! factorial
  • 51.
    Big-Oh A function t(n)is said to be in O(g(n)), denoted t(n)  O(g(n)), if t(n) is bounded above by some constant multiple of g(n) for all large n, i.e., if there exist some positive constant c and some nonnegative integer n0 such that t(n) ≤ cg(n) for all n  n0 Examples:  10n is O(n2)  5n+20 is O(n)
  • 52.
  • 53.
  • 54.
  • 55.
  • 56.
  • 57.
    -notation Big-omega  Formaldefinition A function t(n) is said to be in (g(n)), denoted t(n)  (g(n)), if t(n) is bounded below by some constant multiple of g(n) for all large n, i.e., if there exist some positive constant c and some nonnegative integer n0 such that t(n)  cg(n) for all n  n0  Exercises: prove the following using the above definition 10n2  (n2) 0.3n2 - 2n  (n2) 0.1n3  (n2)
  • 58.
  • 59.
    3/7/2022 Design and Analysisof Algorithm - UNIT 1 59
  • 60.
    -notation Big-theta  Formaldefinition A function t(n) is said to be in (g(n)), denoted t(n)  (g(n)), if t(n) is bounded both above and below by some positive constant multiples of g(n) for all large n, i.e., if there exist some positive constant c1 and c2 and some nonnegative integer n0 such that c2 g(n)  t(n)  c1 g(n) for all n  n0  Exercises: prove the following using the above definition 10n2  (n2) 0.3n2 - 2n  (n2) (1/2)n(n+1)  (n2)
  • 61.
  • 62.
    3/7/2022 Design and Analysisof Algorithm - UNIT 1 62
  • 63.
    3/7/2022 Design and Analysisof Algorithm - UNIT 1 63
  • 64.
    Order of growth Most important: Order of growth within a constant multiple as n→∞  Example: How much faster will algorithm run on computer that is twice as fast? How much longer does it take to solve problem of double input size?
  • 65.
    Values of someimportant functions as n  
  • 66.
    Asymptotic order ofgrowth A way of comparing functions that ignores constant factors and small input sizes  O(g(n)): class of functions f(n) that grow no faster than g(n)  Θ(g(n)): class of functions f(n) that grow at same rate as g(n)  Ω(g(n)): class of functions f(n) that grow at least as fast as g(n)
  • 67.
    Establishing order ofgrowth using limits lim T(n)/g(n) = 0 order of growth of T(n) < order of growth of g(n) c > 0 order of growth of T(n) = order of growth of g(n) ∞ order of growth of T(n) > order of growth of g(n) n→∞
  • 68.
    L’Hôpital’s rule andStirling’s formula L’Hôpital’s rule: Stirling’s formula: n!  (2n)1/2 (n/e)n f(n) g(n) lim n = f ´(n) g ´(n) lim n
  • 69.
    3/7/2022 Design and Analysisof Algorithm - UNIT 1 69
  • 70.
    3/7/2022 Design and Analysisof Algorithm - UNIT 1 70
  • 71.
    3/7/2022 Design and Analysisof Algorithm - UNIT 1 71
  • 72.
    Some properties ofasymptotic order of growth  f(n)  O(f(n))  f(n)  O(g(n)) iff g(n) (f(n))  If f (n)  O(g (n)) and g(n)  O(h(n)) , then f(n)  O(h(n)) Note similarity with a ≤ b  If f1(n)  O(g1(n)) and f2(n)  O(g2(n)) , then f1(n) + f2(n)  O(max{g1(n), g2(n)})
  • 73.
    Time efficiency ofnonrecursive algorithms General Plan for Analysis  Decide on parameter n indicating input size  Identify algorithm’s basic operation  Determine worst, average, and best cases for input of size n  Set up a sum for the number of times the basic operation is executed  Simplify the sum using standard formulas and rules (see Appendix A of book)
  • 74.
    Useful summation formulasand rules liu1 = 1+1+…+1 = u - l + 1 In particular, liu1 = n - 1 + 1 = n  (n) 1in i = 1+2+…+n = n(n+1)/2  n2/2  (n2) 1in i2 = 12+22+…+n2 = n(n+1)(2n+1)/6  n3/3  (n3) 0in ai = 1 + a +…+ an = (an+1 - 1)/(a - 1) for any a  1 In particular, 0in 2i = 20 + 21 +…+ 2n = 2n+1 - 1  (2n ) (ai ± bi ) = ai ± bi cai = cai liuai = limai + m+1iuai
  • 75.
    Example 1: Maximumelement C(n) є Θ(n)
  • 76.
    Example 2: Matrixmultiplication C(n) є Θ(n3)
  • 77.
    Space Efficiency 3/7/2022 Design andAnalysis of Algorithm - UNIT 1 77
  • 78.
    Space Efficiency  SpaceComplexity of an algorithm denotes the total space used or needed by the algorithm for its working, for various input sizes #include<stdio.h> int main() { int a = 5, b = 5, c; c = a + b; printf("%d", c); } 3 integer variables are used. The size of the integer data type is 2 or 4 bytes which depends on the compiler. Now, lets assume the size as 4 bytes. So, the total space occupied by the above-given program is 4 * 3 = 12 bytes Hence, space complexity for the above-given program is O(1), or constant. 3/7/2022 Design and Analysis of Algorithm - UNIT 1 78
  • 79.
    Example #include <stdio.h> int main() { intn, i, sum = 0; scanf("%d", &n); int arr[n]; for(i = 0; i < n; i++) { scanf("%d", &arr[i]); sum = sum + arr[i]; } printf("%d", sum); } 3/7/2022 Design and Analysis of Algorithm - UNIT 1 79 In the above-given code, the array consists of n integer elements. So, the space occupied by the array is 4 * n. Also we have integer variables such as n, i and sum. Assuming 4 bytes for each variable, the total space occupied by the program is 4n + 12 bytes. Since the highest order of n in the equation 4n + 12 is n, so the space complexity is O(n) or linear.
  • 80.
    Time Space TradeOff 3/7/2022 Design and Analysis of Algorithm - UNIT 1 80
  • 81.
    Time Space Tradeoff  In computer science, a space-time or time-memory tradeoff is a way of solving a problem in  Less time by using more memory  very little space by spending a long time  Types of Trade Off Compressed / Uncompressed Data Smaller Code / Loop Unrolling Lookup Table / Recalculation 3/7/2022 Design and Analysis of Algorithm - UNIT 1 81
  • 82.
    Compressed / UncompressedData  A space -time trade off can be applied to the problem of data storage.  If data is stored uncompressed, it takes more space but less time.  If the data is stored compressed, it takes less space but more time to run the decompression algorithm. Smaller Code(with loop) / Larger Code (without loop)  Smaller code occupies less space in memory but it requires high computation time which is required for jumping back to the beginning of the loop at the end of each iteration.  Larger code or loop unrolling can be traded for higher program speed.  It occupies more space in memory but requires less computation time. (as we need not perform jumps back and forth since there is no loop.) Lookup Table / Recalculation  In lookup table, an implementation can include the entire table which reduces computing time but increases the amount of memory needed.  It can recalculate i.e. compute table entries as needed, increasing computing time but reducing memory requirements 3/7/2022 Design and Analysis of Algorithm - UNIT 1 82
  • 83.
    Unit 1 INTRODUCTION: ANALYSISOF ALGORITHMS (PART 2) Dr.S.Gunasundari Associate Professor CSE Dept
  • 84.
    syllabus  Analysis ofrecursive algorithms through recurrence relations
  • 85.
    MATHEMATICALANALYSIS OF RECURSIVE ALGORITHMS Decide on a parameter indicating an input’s size.  Identify the algorithm’s basic operation.  Check whether the number of times the basic op. is executed may vary on different inputs of the same size. (If it may, the worst, average, and best cases must be investigated separately.)  Set up a recurrence relation with an appropriate initial condition expressing the number of times the basic op. is executed.  Solve the recurrence (or, at the very least, establish its solution’s order of growth) by backward substitutions or another method.
  • 86.
    Example 1: Recursiveevaluation of n! Definition: n ! = 1  2  … (n-1)  n for n ≥ 1 and 0! = 1 Recursive definition of n!: F(n) = F(n-1)  n for n ≥ 1 and F(0) = 1
  • 87.
    Recursion • To seehow the recursion works, let’s break down the factorial function to solve factorial(3) Engineered for Tomorrow
  • 88.
    Solving the recurrencefor M(n) M(n) = M(n-1) + 1, M(0) = 0
  • 89.
    Analysis of Factorial Recurrence Relation M(n) = M(n-1) + 1 M(0) = 0  Solve by the method of backward substitutions M(n) = M(n-1) + 1 = [M(n-2) + 1] + 1 = M(n-2) + 2 substituted M(n-2) for M(n-1) = [M(n-3) + 1] + 2 = M(n-3) + 3 substituted M(n-3) for M(n-2) .. a pattern evolves =M(n-i) + i = M(0) + n (i=n) = n Therefore M(n) ε Θ(n) 3/7/2022
  • 90.
    Example 2: Counting#bits No of digits required = 6
  • 91.
    Analysis of Counting# of bits  Recursive relation including initial conditions A(n) = A(floor(n/2)) + 1 IC A(1) = 0  substitute n = 2k (also k = lg(n)) A(2k) = A(2k-1) + 1 and IC A(20) = 0 A(2k) = [A(2k-2) + 1] + 1 = A(2k-2) + 2 = [A(2k-3) + 1] + 2 = A(2k-3) + 3 ... = A(2k-i) + i ... = A(2k-k) + k =A(20) +k = k Substitute back k = lg(n) A(n) = lg(n) A(n) ε Θ(lg n) 3/7/2022
  • 92.
    Given: Three PegsA, B and C Peg A initially has n disks, different size, stacked up, larger disks are below smaller disks Problem: to move the n disks to Peg C, subject to 1. Can move only one disk at a time 2. Smaller disk should be above larger disk 3. Can use other peg as intermediate Example 3: Tower of Hanoi A B C A B C
  • 94.
    Tower of Hanoi How to Solve: Strategy…  Generalize first: Consider n disks for all n  1  Our example is only the case when n=4  Look at small instances…  How about n=1  Of course, just “Move disk 1 from A to C”  How about n=2? 1. “Move disk 1 from A to B” 2. “Move disk 2 from A to C” 3. “Move disk 1 from B to C”
  • 95.
    Tower of Hanoi(Solution!)  General Method:  First, move first (n-1) disks from A to B  Now, can move largest disk from A to C  Then, move first (n-1) disks from B to C  Try this method for n=3 1. “Move disk 1 from A to C” 2. “Move disk 2 from A to B” 3. “Move disk 1 from C to B” 4. “Move disk 3 from A to C” 5. “Move disk 1 from B to A” 6. “Move disk 2 from B to C” 7. “Move disk 1 from A to C”
  • 96.
    Algorithm for Towelof Hanoi (recursive)  Recursive Algorithm  when (n=1), we have simple case  Else (decompose problem and make recursive-calls) Hanoi(n, A, B, C); (* Move n disks from A to C via B *) begin if (n=1) then “Move top disk from A to C” else (* when n>1 *) Hanoi (n-1, A, C, B); “Move top disk from A to C” Hanoi (n-1, B, C, A); endif end;
  • 97.
    Analysis of TOH Recursiverelation for moving n discs M(n) = M(n-1) + 1 + M(n-1) = 2M(n-1) + 1 IC: M(1) = 1 Solve using backward substitution M(n) = 2M(n-1) + 1 = 2[2M(n-2) + 1] +1 = 22M(n-2) + 2+1 =22[2M(n-3) +1] + 2+1 = 23M(n-3) + 22 + 2 + 1 .. M(n) = 2iM(n-i) + 2i-1 3/7/2022
  • 98.
    Fibonacci numbers The Fibonaccinumbers: 0, 1, 1, 2, 3, 5, 8, 13, 21, … The Fibonacci recurrence: F(n) = F(n-1) + F(n-2) F(0) = 0 F(1) = 1 General 2nd order linear homogeneous recurrence with constant coefficients: aX(n) + bX(n-1) + cX(n-2) = 0
  • 99.
    Algorithm Fibonacci (Recursive) Input:A positive integer n Output: The sequence of Fibonacci numbers procedure Fibonacci(int n) if (n == 0 or n == 1) return n; else return Fibonacci(n-1) + Fibonacci(n-2)