НҮБ-ЫН
ХӨГЖЛИЙН
ХӨТӨЛБӨР
БАЙГАЛЬ ОРЧИН
АЯЛАЛ
ЖУУЛЧЛАЛЫН
ЯАМ
ДАЯН
ДЭЛХИЙН
БАЙГАЛЬ
ОРЧНЫ САН
АРХАНГАЙ АЙМГИЙН ӨЛЗИЙТ СУМЫН
НУТАГ ДЭВСГЭРИЙН ХӨГЖЛИЙН
ТӨЛӨВЛӨГӨӨ
Захиалагч: “МОНГОЛЫН УНАГАН БАЙГАЛИЙН ХҮЛЦЭЛ БА
ТОГТВОРЖИЛТЫГ ХАНГАХ НЬ” ТӨСӨЛ
Гүйцэтгэгч:
БОДЛОГО СУДЛАЛЫН ТӨВ
Интер оффис, Ерөнхий сайд Амарын гудамж 4,
Сүхбаатар дүүрэг, 8-р хороо, Ерөнхий сайд
Амарын гудамж 4, Улаанбаатар 14200
Утас: 77119027
Факс: 70119419, e-mail: cpr@cpr.mn
Web: www.cpr.mn
ГАЗРЫН МЭРГЭЖЛИЙН БАЙГУУЛЛАГА “ЛАПЛАНД ЭКО” ХХК
2020 он
Улаанбаатар хот
6
НЭГ.ОРШИЛ
1.1 Ажлын зорилго: Сумын байгалийн нөөц, газар ашиглалтын онцлог, нийгэм,
эдийн засаг, соёл, амьдралын хэв маяг, онцлогийг судлан тодорхойлж,
хэрэгцээт болон тохиромжтой байдлын үнэлгээнд үндэслэн иргэд, олон
нийтийн оролцоотойгоор тогтвортой хөгжлийн үзэл баримтлал, бусад бодлогын
баримт бичигт тулгуурлан сумын нутаг дэвсгэрийн хөгжлийн төлөвлөгөө
боловсруулахад энэхүү ажлын зорилго оршино.
Хамрах хүрээ: Сумын нутаг дэвсгэрийн хөгжлийн төлөвлөгөө нь тухайн сумын
газар нутгийг бүрэн хамарна.
Хугацаа: Сумын нийгэм, эдийн засгийн нөхцөл, хөгжлийн бодлого болон дээд
шатны газар зохион байгуулалтын төлөвлөгөөний хэрэгжилттэй уялдуулж
сумын нутаг дэвсгэрийн төлөвлөгөөг 5-7 жилд шинэчлэн боловсруулна.
1.2 Ажлын их бүрдэл
“Газрын нэгдсэн мэдээллийн сан байгуулах, газар ашиглалтын төлөвлөгөөг
аймгийн болон сумын түвшинд боловсронгуй болгох”зөвлөх үйлчилгээ үзүүлэх
ажлыг 2 аймгийн 4 сумын газар нутгийг бүрэн хамруулж дараах иж
бүрдэлтэйгээр хийж гүйцэтгэлээ. Үүнд: 1. Хамрагдах 4 сумын дараах тоон
болон статистик мэдээг бүрдүүлэн ажиллана. Үүнд:
 Байр зүйн мэдээ
 Агаар сансрын зургийн мэдээ
 Засаг захиргааны хилийн мэдээ
 Уур амьсгалын мэдээ
 Газрын гадаргын мэдээ
 Байгалийн нөөц, дагалдах баялгийн мэдээ
 Ургамалжилтын мэдээ
 Хөрсний мэдээ
 Ойн мэдээ
 Инженер геологи, гидрологийн мэдээ
 Газар ашиглалтын мэдээ
 Нийгэм эдийн засгийн мэдээ
2. Мэдээлэл дүн шинжилгээ хийж мэдээллийн сан үүсгэн, зохих
боловсруулалтыг хийлээ.
 Бэлтгэсэн тоон болон шинж чанарын мэдээлэлд тулгуурлан тухайн
сумын нутаг дэвсгэрийн газар, байгалийн нөөц, газрын төлөв байдал,
чанарт анализ дүн шинжилгээний тоон боловсруулалтыг хийж зурган
мэдээг төрлөөр /ГНС, ашиглалтын байдал, хүрээлэн буй орчин г.м/
ангилж гаргах ба зохих дүгнэлт зөвлөмжийг гаргана.
 ГЗБГЗЗГ-ын холбогдох хэлтсүүдтэй хамтран ажиллаж тоон мэдээлэлдээ
тулгуурлан ашиглалт бүрээр тохиромжтой байдлын үнэлгээний арга зүйн
дагуу тохиромжтой байдлын үнэлгээ хийж нийгэм эдийн засаг,
статистикийн мэдээг боловсруулж хэрэгцээт байдлыг урьдчилсан
байдлаар тодорхойлж мэдээллийн сан үүсгэнэ.
 Хээрийн хэмжилт судалгааг холбогдох мэргэжилтэн, орон нутагтай
хамтран гүйцэтгэж газар ашиглалтын тохиромжтой байдал, одоогийн
7
ашиглалтыг газар дээр тодруулж зохих хэмжилт, өөрчлөлтүүдийг хийж
иргэд, хуулийн этгээдээс санал болон хэлэлцүүлэг хийнэ. Бэлтгэл
болон хээрийн судалгааны ажлын үр дүнг боловсруулж мэдээллийн санг
шинэчлэн сайжруулж улмаар газар ашиглалтын тохиромжтой болон
хэрэгцээт байдлыг нарийвчлан тодорхойлж нутаг дэвсгэрийн хөгжлийн
төлөвлөгөөг боловсруулж гаргана.
 Мөн зүй ёсны эрхийн зориулалтаар газар ашиглах боломжтой нөөцийн
байршил, хэмжээг тогтоож, Зураг-т буулган төлөвлөлтөд тусгана.
Хүснэгтийн иж бүрдэл
1. Сумын агаарын температур, хур тунадасны үзүүлэлт
2. Хүснэгт 3.2.1 Хөрсний хэв шинж ба механик бүрэлдэхүүн
3. Хүснэгт 3.2.2 Хөрсний агрохимийн шинж чанар
4. Хүснэгт 3.2.3 Хөрсний элэгдэл эвдрэл
5. Хүснэгт 3.2.4 Тариалангийн талбайн өндөржилт ба налуу
6. Хүснэгт 3.2.5 Тариалангийн талбайн чулуужилт ба намагжилт
7. Хүснэгт 3.2.6 Тариалангийн талбайн хог ургамал, хортон шавж
8. Хүснэгт 3.5.1.1 Усны чанарын үнэлгээ
9. Хүснэгт 3.6.2.1 Сумын гадаргын өндөржилтийн талбайн эзлэх хувь
10. Хүснэгт 3.6.2.2 Сумын гадаргын налуужилтын талбай
11. Хүснэгт 3.6.2.3 Сумын гадаргын зүг зовхис эзлэх талбай
12. Хүснэгт 3.7.1 Байгалийн бүс бүслүүр
13. Хүснэгт 4.1.1 Хүн амын нас, хүйс бүтцийн үзүүлэлт, 2015-2019 он
14. Хүснэгт 4.1.2 Хүн ам зүйн бусад үзүүлэлт
15. Хүснэгт 4.1.3 Хүн амын байршил, тоогоор
16. Хүснэгт 4.1.4 Хүн амын нягтрал
17. Хүснэгт 4.1.5 Өрхийн тоо ба байршил
18. Хүснэгт 4.2.1 Хөгжлийн бэрхшээлтэй хүн амын тоо ба эзлэх хувь
19. Хүснэгт 4.2.2 Ядуурлын түвшин
20. Хүснэгт 4.2.3 Ажил эрхлэлт ба ажилгүйдэл /МАА-н бус салбарын/
21. Хүснэгт 4.3.1 Малчин өрхийн тоо
22. Хүснэгт 4.3.2 Малын тоо,өсөлт, багаар
23. Хүснэгт 4.3.3 Малын зарлага, толгойгоор
24. Хүснэгт 4.3.4 Тэжээл бэлтгэл, суманд бэлтгэсэн дүнгээр
25. Хүснэгт 4.4.1 Тариалсан талбай
26. Хүснэгт 4.4.2 Хураан авсан ургац тн
27. Хүснэгт 4.4.3 Хураан авсан ургацын төрөл-тн
28. Хүснэгт 5.1.1 Газрын нэгдмэл сангийн мэдээ 2019 он
29. Хүснэгт 5.2.1.1.1 Өвөлжөө хаваржаа, зуслан намаржааны тоон мэдээлэл
30. Хүснэгт 5.2.1.2.1 Улирлын бэлчээрийн талбайн хэмжээ
31. Хүснэгт 5.2.1.3.1 Бэлчээр ашиглалтын хэсгийн мэдээлэл
32. Хүснэгт 5.2.1.4.1 Байгуулсан малчдын бүлгүүдийн мэдээлэл
33. Хүснэгт 5.2.1.5.1 Сумын бэлчээрийн даац, багаар
34. Хүснэгт 5.2.2.1 Тариалангийн газар ашиглалт
35. Хүснэгт 5.3.2.1 Уул уурхайн газар ашиглалт
36. Хүснэгт 5.3.3.1 Аялал жуулчлалын мэдээлэл
37. Хүснэгт 5.4.1.1 Сумын ойн сангийн мэдээлэл
38. Хүснэгт 5.4.2.1 Ойн сангийн газрын төрлийн өөрчлөлт
8
39. Хүснэгт 5.7.1.1 Зам, шугам сүлжээний газрын эзэлж буй талбайн хэмжээ
40. Хүснэгт 5.7.2.1 Сумын цахилгаан шугам
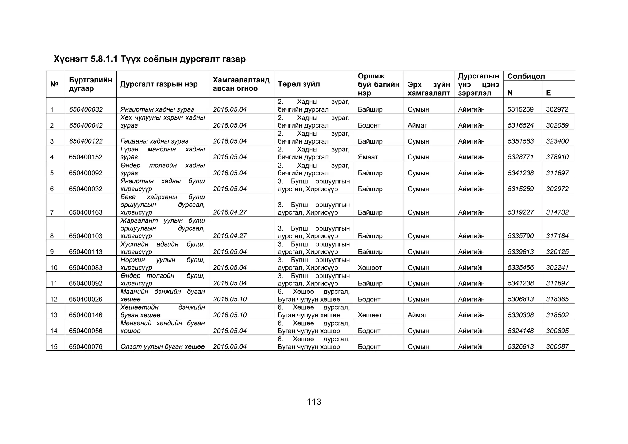
41. Хүснэгт 5.8.1.1 Түүх соёлын дурсгалт газар
42. Хүснэгт 5.8.2.1 Амьтдын тархалт
43. Хүснэгт 5.8.2.2 Амьтдын тархалт
44. Хүснэгт 6.2.1.1 Бэлчээрт тохиромжтой газрын талбайн хэмжээ, га /өвөл-хавар/
45. Хүснэгт 6.2.2.1 Бэлчээрт тохиромжтой газрын талбайн хэмжээ, га /зун-намар/
46. Хүснэгт 6.3.1 Тариаланд тохиромжтой газрын талбайн хэмжээ, га
47. Хүснэгт 7.1.1 Олон нийтийн оролцуулсан байдал
48. Хүснэгт 7.2.1 Тэжээл хангамжийн шийдэх боломж
49. Хүснэгт 8.1.1.1 Бэлчээр ашиглалтад тулгарч буй гол бэрхшээлийн талаарх
малчдын бодол
50. Хүснэгт 8.1.1.2 Багуудын бэлчээр ашиглалтад тулгарч буй бэрхшээлүүд
51. Хүснэгт 8.1.1.3 Малын эрсдэлийн үнэлгээ
52. Хүснэгт 8.1.1.2.1 Нэг малаас авах ашиг шим, суурь болон 2027 оноор
53. Хүснэгт 8.1.1.2.2 Малын тоог бэлчээрийн даацад нийцүүлэн цөөлөх тооцоо,
сумын дүнгээр
54. Хүснэгт 8.1.1.2.3 Сумын бэлчээрийн даац, ачаалал, хонин толгойгоор
55. Хүснэгт 8.1.1.2.4 Малчин өрхийн малын тоо буурсан ч орлого нэмэгдэх тооцоо
56. Хүснэгт 8.1.1.2.5 Малчин өрхийн малын тоог өсгөх тооцоо
57. Хүснэгт 8.1.1.2.6 Өлзийт сумын МАА-н эрсдэлийн сангийн тооцоо, сая төгрөг
58. Хүснэгт 8.1.2.1 Саалийн фермийн үнээний тэжээлийн зардал жилээр
59. Хүснэгт 8.1.2.2 Саалийн фермийн бусад үхрийн тэжээлийн зардал жилээр
60. Хүснэгт 8.1.2.3 Саалийн фермийн эдийн засгийн үр ашгийн тооцоо, 10 жилээр,
сая төгрөг
61. Хүснэгт 8.1.3.1 Бод:богийн ба хонь:ямааны харьцаа, толгой, 2019 он
62. Хүснэгт 8.1.3.2 Малын тоог цөөлөх, барих, өсгөх сүргийн эргэлтийн үед МАА-н
түүхий эд, бүтээгдэхүүний үйлдвэрлэл, малын тооны өөрчлөлт
63. Хү снэгт 8.1.3.3 Нас гү йцсэн эр малын сү рэгт эзлэх хувь
64. Хүснэгт 8.1.3.4 Малын тоо цөөлөх, барих, өсгөх үед нэг малаас авах ашиг шим
65. Хүснэгт 8.1.4.1 Малын эрүүл мэндийн ажлын төлөвлөлт
66. Хүснэгт 8.1.5.1 Өлзийт сумын малын нэмэгдэл тэжээлийн хангамж, 2019-2027
67. Хүснэгт 8.1.5.2 Хадлангийн газрын төлөвлөгөө, байршил
68. Хүснэгт 8.1.6.1 Атаржсан газрыг ашиглах төлөвлөгөө
69. Хүснэгт 8.1.6.2 Сумын төмс, хүнсний ногоо, жимс, жимсгэнэ, ногоон тэжээлийн
хэрэгцээ
70. Хүснэгт 8.1.6.3 Төмс тариалалтыг нэмэгдүүлэх төлөвлөгөө, сумын дүнгээр
71. Хүснэгт 8.1.6.4 Хүнсний ногоо тариалалтыг нэмэгдүүлэх төлөвлөгөө
72. Хүснэгт 8.1.6.5 Жимс, жимсгэнийн тариалалтыг нэмэгдүүлэх төлөвлөгөө
73. Хүснэгт 8.1.6.6 Ногоон тэжээл тариалалтыг нэмэгдүүлэх төлөвлөгөө
74. Хүснэгт 8.1.6.7 Төмс, хүнсний ногооны зоорь барих төлөвлөгөө
75. Хүснэгт 8.1.7.1 Энгийн аргаар бэлчээр хортон мэрэгчтэй тэмцэхэд
шаардлагатай зардлын тооцоо
76. Хүснэгт 8.2.2.1 Шаардагдах хөрөнгө оруулалтын тооцоо
77. Хүснэгт 8.3.1.1 Авто замын газрын төлөвлөгөө
78. Хүснэгт 8.3.1.2 Хатуу хучилттай автозамын санхүүгийн тооцоо
79. Хүснэгт 8.3.2.1. Авто замын газрын төлөвлөгөө
80. Хүснэгт 8.3.3.1 Гар утасны антен байгуулах газруудын байршил
81. Хүснэгт 8.4.1 Төлөвлөлтөд тусгагдсан уст цэгийн тоо
82. Хүснэгт 8.4.2 Худаг гаргах санхүүжилт
9
83. Хүснэгт 8.4.3 Хөв байгуулах санхүүжилт
84. Хүснэгт 8.4.4 Булаг, шандын эх хамгаалах санхүүжилт
85. Хүснэгт 8.5.1 Төлөвлөж буй тусгай хамгаалалтад авах газрын нэрс
86. Хүснэгт 8.6.1.1 Гэр бааз байгуулахад шаардлагатай анхны хөрөнгө оруулалтын
зардал
87. Хүснэгт 8.7.2.1 Өлзийт сумын ойн нөөц
88. Хүснэгт 8.7.4.1 Арчилгааны огтлолт
89. Хүснэгт 8.7.4.2 Цэвэрлэгээний ажлын төлөвлөлт
90. Хүснэгт 8.8.1 Хамгаалалтын бүс
91. Хүснэгт 8.8.1.1 Усны хамгаалалтын бүсүүд, талбайгаар
92. Хүснэгт 8.8.2.1 Шугам сүлжээний газрын хамгаалалтын бүс
93. Хүснэгт 8.8.2.2 Авто замын зурвас газрын хэмжээ
94. Хүснэгт 8.8.2.3 Замын хамгаалалтын зурвас
Зургийн иж бүрдэл
1. Зураг 2.2.1 Газарзүйн байрлал 1:70000
2. Зураг 3.1.1 Жилийн нийлбэр хур тунадасны тархалт 1:70000
3. Зураг 3.2.1 Хөрсний нэвчилт 1:70000
4. Зураг 3.2.2 Хөрсний хэв шинж 1:70000
5. Зураг 3.3.1 Ургамалын хэв шинж 1:70000
6. Зураг 3.4.1 Ойн сангийн талбай газрын төрлөөр ангилагдсан байдал 1:70000
7. Зураг 3.4.2 Ойн сангийн газрын тохиромжтой байдлын нэгдсэн үнэлгээ 1:70000
8. Зураг 3.5.1.1 Гадаргын ус 1:70000
9. Зураг 3.5.1.2 Боломжит ууршилтын тархалт 1:70000
10. Зураг 3.5.2.1 Гидрогеологийн зураг 1:70000
11. Зураг 3.6.1.1 Геологи 1:70000
12. Зураг 3.6.2.1 Геоморфологи 1:70000
13. Зураг 3.6.2.2 Гадаргын өндөршилт 1:70000
14. Зураг 3.6.2.3 Газрын гадаргын налуу 1:70000
15. Зураг 3.6.2.4 Зүг зовхис
Зураг 3.6.3.1 Цэвдгийн тархалт
1:70000
16. Зураг 3.6.4.1 Газар хөдлөлийн мужлал 1:70000
17. Зураг 3.7.1 Байгалийн бүс бүслүүр 1:70000
18. Зураг 5.1.1 Газар ашиглалтын зураг 1:70000
19. Зураг 5.2.1.1.1 Малчдын хатуу цэгийн байршил 1:70000
20. Зураг 5.2.1.2.1 Улирлын байршил 1:70000
21. Зураг 5.2.1.3.1 Бэлчээр ашиглалтын зураг 1:70000
22. Зураг 5.2.1.4.1 Сумын засаг даргын захирамж 1:70000
23. Зураг 5.2.1.4.2 Малчдын бүлэг, нөхөрлөлийн байршлын зураг 1:70000
24. Зураг 5.2.1.5.1 Бэлчээрийн даацын зураг 1:70000
25. Зураг 5.2.1.6.1 Бэлчээрийн ачааллын жилийн дундаж ачааллын зураг 1:70000
26. Зураг 5.2.1.7.1 Бэлчээрийн чадавхын зураг 1:70000
27. Зураг 5.2.1.8.1 Бэлчээрийн доройтлын зураг 1:70000
28. Зураг 5.2.2.1 Сумын тариалангийн газар ашиглалтын зураг 1:70000
29. Зураг 5.2.4.1. Сумын атаршсан газрын зураг 1:70000
30. Зураг 5.2.5.1.1 Сумын нөхөн сэргээх газрын зураг 1:70000
10
31. Зураг 5.3.1.1 Сумын суурин газрын ашиглалтын зураг 1:70000
32. Зураг 5.3.2.1 Уул уурхайн газар ашиглалтын зураг 1:70000
33. Зураг 5.3.3.1 Аялал жуулчлалын газрын зураг 1:70000
34. Зураг 5.4.1.1 Ойн тархалтын зураг 1:70000
35. Зураг 5.5.1.1 Усан сангийн газар ашиглалтын зураг 1:70000
36. Зураг 5.8.1.1 Түүх дурсгалт газрын зураг 1:70000
37. Зураг 5.8.2.1 Амьтны тархалт байршлын зураг 1:70000
38. Зураг 5.8.3.1 Амьтны тархалт байршлын зураг 1:70000
39. Зураг 5.9.1 Амьтны тархалт байршлын зураг 1:70000
40. Зураг 6.2.1.1 Өвөл-хаврын улиралд адуунд тохиромжтой бэлчээр 1:70000
41. Зураг 6.2.1.2.1 Өвөл-хаврын улиралд тэмээнд тохиромжтой
бэлчээр
1:70000
42. Зураг 6.2.1.3.1 Өвөл-хаврын улиралд үхэрт тохиромжтой бэлчээр 1:70000
43. Зураг 6.2.1.4.1 Өвөл-хаврын улиралд хонинд тохиромжтой
бэлчээр
1:70000
44. Зураг 6.2.1.5.1 Өвөл-хаврын улиралд ямаанд тохиромжтой
бэлчээр
1:70000
45. Зураг 6.2.2.1.2 Зун-намрын улиралд адуунд тохиромжтой бэлчээр 1:70000
46. Зураг 6.2.2.2.1 Зун-намрын улиралд тэмээнд тохиромжтой
бэлчээр
1:70000
47. Зураг 6.2.2.3.1 Зун-намрын улиралд үхэрт тохиромжтой бэлчээр 1:70000
48. Зураг 6.2.2.4.1 Зун-намрын улиралд хонинд тохиромжтой бэлчээр 1:70000
49. Зураг 6.2.2.5.1 Зун-намрын улиралд ямаанд тохиромжтой бэлчээр 1:70000
50. Зураг 6.3.1 Тариалангийн газрын тохиромжтой байдлын үнэлгээ 1:70000
51. Зураг 6.4.1 Шинээр байгуулах хот суурин газрын тохиромжтой байдлын
үнэлгээ
1:70000
52. Зураг 6.5.1 Аялал-Рекреацийн газрын тохиромжтой байдлын
үнэлгээ
1:70000
53. Зураг 6.6.1 Ойн сангийн газрын тохиромжтой байдлын үнэлгээ 1:70000
54. Зураг 6.7. Цахилгаан дамжуулах агаарын шугамын зориулалтаар
ашиглах газрын нэгдсэн үнэлгээ
1:70000
55. Зураг 6.8.1 Хадгалан хамгаалах газрын тохиромжтой байдлын
үнэлгээ
1:70000
56. Зураг 7.2.1 Сумын засаг даргын тамгын газрын төрийн албан хаагчдаас
санал авч буй нь
1:70000
57. Зураг 7.2.2 Өлзийт сумын бүлгийн хэлэлцүүлэг болон ярилцлагын үе 1:70000
58. Зураг 7.2.3 Сумын иргэдтэй хэлэлцүүлэг хийж байгаа нь 1:70000
59. Зураг 8.1.1.1 Малын тоог бэлчээрийн даацад нийцүүлэх ба хэтрүүлэн
өсгөхийн үр дагаврыг харьцуулсан нь
1:70000
60. Зураг 8.1.1.2 Бэлчээрийн ачаалал буурах нь 1:70000
61. Зураг 8.1.1.3 Бэлчээрийг гэрээгээр ашиглуулах ажлын үе шат 1:70000
62. Зураг 8.1.1.2.1 МАА-н тогтвортой хөгжлийн загварыг одоогийн загвартай
харьцуулсан нь
1:70000
63. Зураг 8.1.2.1 Эрчимжсэн мал аж ахуйн бүс нутаг 1:70000
64. Зураг 8.1.3.1 Үржлийн ажлын шаталсан хэлбэрийн эхний
шаталбар
65. Зураг 8.1.5.1 Бэлчээрийн МАА-н нэмэгдэл тэжээл бэлтгэх хадлангийн
газрын төлөвлөлт, 2027 он
1:70000
11
66. Зураг 8.1.6.1. Тариалангийн газрын төлөвлөлт 1:70000
67. Зураг 8.1.7.1.1 Бэлчээрийн ургамалд хөнөөл учруулж буй үлийн цагаан
оготнотой тэмцэх аргуудыг нутаг бэлчээрийн онцлогт тохируулан
хэрэглэх бүдүүвч
1:70000
68. Зураг 8.1.7.1.2 Бэлчээрийн доройтлыг сэргээх төлөвлөлт 1:70000
69. Зураг 8.2.1.1 Сумын тэг гортиг төлөвлөлт 1:70000
70. Зураг 8.2.2 Сумын төвийн төлөвлөлтийн эрсдэлийн зураг 3D 1:70000
71. Зураг 8.3.2.1 Авто замын газрын төлөвлөлт 1:70000
72. Зураг 8.3.3.1 Шугам, сүлжээний газрын төлөвлөлт 1:70000
73. Зураг 8.4.1. Усан сан бүхий газрын төлөвлөлт 1:70000
74. Зураг 8.5.1 Тусгай хамгаалалттай газрын төлөвлөлт 1:70000
75. Зураг 8.6.1 Аймгийн Эдийн засгийн бүсчлэл 1:70000
76. Зураг 8.6.1.1 Аялал, рекреацийн газрын төлөвлөлт 1:70000
77. Зураг 8.7.1.1 Ойн ашиглалт хамгаалалтын бүсийн төлөвлөлт 1:70000
78. Зураг 8.7.4.1 Ойн сан бүхий газрын төлөвлөлт 1:70000
79. Зураг 8.8.2.1 Хамгаалалтын бүсийн төлөвлөлтийн зураг 1:70000
80. Зураг 8.9.1 Зүй ёсны эрхийн төлөвлөлт 1:70000
Тахирмагийн иж бүрдэл
1. Тахирмаг 4.1.1 Хүн амын нас, хүйсийн суварга
2. Тахирмаг 4.3.1 2019 оны Малчин өрхийн малын тооны бүлэглэл
3. Тахирмаг 6.2.1.1 Таван хошуу малд тохиромжтой бэлчээрийн эзлэх хувь /өвөл-
хавар/
4. Тахирмаг 6.2.2.1 Таван хошуу малд тохиромжтой бэлчээрийн эзлэх хувь /зун-
намар/
5. Тахирмаг 8.1.1.2.1 Нэг хонин толгой малаас зах зээлд борлуулах бүтээгдэхүүний
харьцуулалт, мянган төгрөг
6. Тахирмаг 8.1.1.2.2 Өлзийт сумын хүн амын мах, сүүний хэрэгцээ, үйлдвэрлэл
2019 ба 2027 оноор, тонн
7. Тахирмаг 8.1.3.1 Сумын нийт малд төрөл бүрийн малын эзлэх хувь, багаар, 2019
он
8. Тахирмаг 8.7.1.1 Ойн сангийн бүсийн ангилал
12
1.3 СУМЫН НУТАГ ДЭВСГЭРИЙН ХӨГЖЛИЙН ТӨЛӨВЛӨГӨӨ”-НИЙ
ХУРААНГУЙ ТАНИЛЦУУЛГА
НЭГ.ОРШИЛ
1.1 Ажлын зорилго: Сумын байгалийн нөөц, газар
1.2 хаагчид, иргэд үйлдвэр үйлчилгээ эрхлэгчид зэрэг нийт 103 хүнийг
хамруулсан болно. Тус сумаас суурь судалгаанд хамруулахаар төлөвлөсөн
олон нийтийн төлөөллөөс 11 хүн буюу 10.1 хувиар илүү хамруулсан болно.
Орон нутгийн удирдах ажилтан болон иргэдийн санал, хэлэлцүүлгийн үр дүнг
нэгтгэн орон нутгийн хөгжлийн төлөвлөгөөнд тодорхой саналуудыг тусгасан
болно.
Сумын нутаг дэвсгэрийн хөгжлийн төлөвлөгөөг боловсруулахын өмнө SWOT
шинжилгээ хийж, давуу талыг бэхжүүлж, боломжийг бүрэн ашиглаж, харин
сул тал, эрсдэлийг даван туулах арга хэмжээг сайтар суулгах замаар:
1. Сумын эдийн эдийн засаг, иргэдийн амьжиргааны үндэс болсон мал аж
ахуйн салбарт тооноос чанарт шилжиж, уур амьсгалын өөрчлөлтийг
даван туулах чадвартай тогтвортой хөгжлийг хангах
2. Газар тариалангийн бүтээгдэхүүний өсөн нэмэгдэж байгаа хэрэгцээг
өөрийн үйлдвэрлэлээр хангах түвшнийг тасралтгүй нэмэгдүүлэх
3. Байгальд ээлтэй аялал жуулчлал, жижиг дүнд үйлдвэрлэл, байгалийн
нөөц, баялгийг зохистой ашиглаж, хамгаалах, харилцаа холбоо, дэд
бүтэц, боловсрол, нийгэм, соёл, спортын тулгамдсан эн тэргүүний
асуудлыг эрэмбэлж, дэс дараатай шийдвэрлэх замаар ажлын байр,
иргэдийн орлогыг нэмэгдүүлж, сумандаа ая тухтай, тогтвор суурьшилтай
амьдрах нөхцөлийг бүрдүүлэх дүгнэлт гаргав.
НАЙМДУГААР БҮЛЭГ. ТӨЛӨВЛӨЛТИЙН ҮЕ
8.1 ХӨДӨӨ АЖ АХУЙН ГАЗРЫН ГАЗАР ЗОХИОН БАЙГУУЛАЛТЫН
ТӨЛӨВЛӨЛТ
Хөдөө аж ахуйн газрыг бэлчээр, хадлан, тариалангийн талбай гэсэн үндсэн
ангиллаар төлөвлөв.
8.1.1 БЭЛЧЭЭРИЙН ГАЗРЫН ТӨЛӨВЛӨЛТ
Бэлчээрийн газрыг төлөвлөхдөө МАА-н хөгжил, бэлчээр ашиглалтын талаар
үндэсний болон бүс, орон нутгийн хэмжээнд баримталж байгаа бодлогын
тэргүүлэх чиглэл, тохиромжтой байдлын үнэлгээ, нутгийн иргэд, байгууллагын
саналыг харгалзан салбарт тулгамдсан гол бэрхшээлийг даван туулахад
чиглүүлэв.
Өлзийт сум нь бэлчээрийн уламжлалт мал аж ахуй зонхилон хөгжүүлж ирсэн
бөгөөд байгаль цаг агаарын нөхцөл, байршлаас хамаараад цаашид ч энэ
байдал хадгалагдах төлөвтэй байна.
8.1.1.1 Бэлчээрийн газар ашиглалтын хүрээн дахь тулгамдсан асуудлууд
Архангай аймгийн Өлзийт сум 1990 онд 75212 толгой буюу 218216 хонин
толгойтой тэнцэх тооны малтай, нэг хонин толгойд 1.7 га бэлчээр ногдож байв.
Бэлчээрийн даац хэтрээгүй тул талхлагддаггүй байжээ.
13
Гэвч сүүлийн жилүүдэд малын тоо ихээр өсөж, 2019 онд нийт мал 353240 бодит
толгой буюу 552890 хонин толгойтой тэнцэж байна. Нэг хонин толгойд ногдох
бэлчээр 0.29 га болтлоо буурч бэлчээрийн хүрэлцээ 5.9 дахин багасжээ.
Бэлчээрийн даац хэтэрснээс мал хэвийнхээс 91.2 хувь дутуу идээшилж
давжааран, ашиг шим нь багасахын зэрэгцээ өвчин, ган зудад эмзэгшин, улмаар
зах зээлийн үнэлгээ нь буурч байна. Түүнчлэн ган, зуднаар орох нөөц
бэлчээргүй болж, эрсдэлд нэн өртөмхий болов. 2000-2003 оны зуд, гамшигт
үзэгдлээр нийт малынхаа 30 шахам хувийг хорогдуулсан жишээг энд дурдаж
болох юм.
2019 онд сумын малчин өрхийн 97% болох 569 өрхийг хамруулан явуулсан
санал асуулгын судалгаагаар бэлчээрийн даац хэтэрсэн нь хамгийн гол
бэрхшээл, үүний дараа усгүй бэлчээр, оготно царцаа их байна гэж эрэмбэлсэн.
Зураг 8.1.1.1 Малын тоог бэлчээрийн даацад нийцүүлэх ба хэтрүүлэн
өсгөхийн үр дагаврыг харьцуулсан нь /Эх сурвалж: БСТ-н боловсруулалт/
Хүснэгт 8.1.3.2 Малын тоог цөөлөх, барих, өсгөх сүргийн эргэлтийн үед
МАА-н түүхий эд, бүтээгдэхүүний үйлдвэрлэл, малын тооны өөрчлөлт
№ МАА-н бүтээгдэхүүний үйлдвэрлэл 2027 он
Малын тоог
цөөлөх
Малын
тоог барих
Малын
тоог өсгөх
1 Мах үйлдвэрлэл, тонн 3548.4 2675.5 1995.7
2 Сүү, мянган литр 1715.1 1719.2 1922.9
3 Арьс шир, ширхэг 126,689 108,162 88,459
4 Ноос, тонн 192.6 227.2 296.9
5 Ноолуур,тонн 26.7 31.5 41.2
6 Борлуулах мах, тонн 3106.7 2323.8 1554.0
7 Борлуулах сүү, мянган литр 1161.2 1165.3 1369.0
8 Малын тоо, хонин толгой 427,816 552,890 739,892
9 1 өрхийн малын тоо, хонин толгой 510 659 929
10 Малчин өрхийн жилийн дундаж мөнгөн
орлого, сая төгрөг
27.8 20.2 16.6
10 1 хонин толгойд ногдох мөнгөн орлого,
мянган төгрөг
49.5 30.7 17.9
14
Малын тоог цөөлөх сүргийн эргэлтийн үед мах, сүү, арьс шир үйлдвэрлэл,
борлуулах махны хэмжээ, малчин өрхийн орлого, 1 хонин толгойд ногдох
мөнгөн орлого нэмэгдэх, малын тоо цөөрч бэлчээрт ээлтэй нөлөөлөх зэргээр
нөгөө 2 сүргийн эргэлтээс илүү үр дүнтэй болохыг харуулж байна.
Малын тоо цөөрснөөс бэлчээрийн даац, ачаалал багасаж нэг малаас авах ашиг
шим дээшилнэ.
Хүснэгт 8.1.1.2.2 Малын тоог бэлчээрийн даацад нийцүүлэн цөөлөх
тооцоо, сумын дүнгээр
Он Бэлчээрийн
хэмжээ, га
Бэлчээри
йн
дундаж
ургац,
цн/га
Бэлчээри
йн
тэжээлий
н нөөц, цн
Бэлчээрий
н даац,
хонин
толгой
Бэлчээрийн
ачаалал, хонин
толгой
Бэлчээр
ийн
даац
ашиглал
тын хувь
Суурь 2019 156490 1.9 297331 49555.2 565689 1141.5
2020-2022
бэлтгэл үе
156490 1.9 297331 49555.2
565689 1141.5
2023 156490 1.9 297331 49555.2 538368 1086.4
2024 156490 1.9 297331 49555.2 512013 1033.2
2025 156490 1.9 297331 49555.2 486959 982.7
2026 156490 1.9 297331 49555.2 463142 934.6
2027 156490 1.9 297331 49555.2 440435 888.8
Эх сурвалж: БСТ-н тооцоо
Малын тоог бууруулахдаа 2020-2022 онд хөтөлбөрийг малчдад ойлгуулах зэрэг
бэлтгэл ажлыг ханган 2023 оноос эхлэн хэрэгжүүлэхээр төлөвлөж байна.
Тооцоогоор хөтөлбөр хэрэгжиж дуусах 2027 онд 2019 оныхоос малын тоо
125074 хонин толгойгоор цөөрч 427816 хонин толгой болно.
Бэлчээрийн ачаалал буурснаар зэрлэг амьтны идэш тэжээлийн олдоц энэ
хэмжээгээр сайжирна гэсэн үг юм. Малын тоог бэлчээрийн даацад нийцүүлэн
цөөлөх зорилтыг хэрэгжүүлэхийн тулд бэлчээр ашиглалтын гэрээ байгуулж,
түүнд бэлчээрийн даацад тохирсон малын тоог хонин толгойгоор заан түүнээс
хэтэрсэн малыг жилд 6%-с ихгүйгээр аажмаар цөөлөх замаар хэрэгжүүлэх юм.
Сүргийн эргэлтийг үндэслэн хийсэн орлогын тооцоог Хүснэгт 8.1.1.2.4-д
харуулав.
Хүснэгт 8.1.1.2.4 Малчин өрхийн малын тоо буурсан ч орлого нэмэгдэх тооцоо
Үзүүлэлт Суурь 2023 2024 2025 2026 2027
Сумын мал, мянган толгой 353042 335390 318620 302689 287555 273177
Сумын мал, мянган хонин
толгой 552890
525246 498983 474034 450332 427816
Малчин өрхийн малын тоо,
хонин толгой 659 626 595 565 537 510
Малчин өрхийн нийт орлого,
мянган төгрөг 17193 26837 27179 27511 27832 27831
Өрхийн дотооддоо хэрэглэсэн
бүтээгдэхүүн, мянган төгрөг 2587 2587 2587 2587 2587 2587
Малчин өрхийн мөнгөн орлого,
мянган төгрөг 14605 24250 24592 24923 25244 25243
Мал цөөлснөөр хадгаламж,
хөрөнгө оруулалтын эх үүсвэр 0 3534 3454 3376 3299 3224
15
бүрдүүлэх боломж, мянган
төгрөг
1 хонин толгойд ногдох мөнгөн
орлого, мянган төгрөг 20.7 38.7 41.3 44.1 47.0 49.5
Эх сурвалж: БСТ-н тооцоо
Малчин өрхийн мөнгөн орлогыг бууруулахгүйгээр, харин ч өсгөх зарчмаар
малын тоог аажмаар жилд 6 % цөөлөх замаар явахад 2027 онд Өлзийт сум
156490 га бэлчээрт 427816 хонин толгой малтай байх тооцоо гарч байна.
Малаа өнөөгийн байдлаар жилд 6-10 хувь өсгөж байгаа малчин өрхийн мөнгөн
орлого малын тоогоо цөөлж байгаа малчин өрхийн мөнгөн орлогоос бага өсөж
байна.
Мал аж ахуйн гол нэрийн бүтээгдэхүүний үйлдвэрлэл. Монгол улсын МАА-н
үйлдвэрлэл зонхилсон аль ч сумын адил Өлзийт сум нь өөрийн цөөн хүн амын
МАА-н гаралтай хүнс, түүхий эдийн хэрэгцээг бүрэн хангаад дийлэнхийг
аймгийн төв, Улаанбаатар хот зэрэг бусад зах зээлд нийлүүлж байна.
Хөтөлбөрийг хэрэгжүүлсний эцэст Өлзийт сум 3548.4 тн мах, 126.7 мянган
ширхэг арьс шир, 1715.1 мянган литр сүү, 26.6 тн ноолуур, 192.6 тн ноос
үйлдвэрлэх юм.
Өлзийт сумын хэмжээнд өнөөгийн байдал болон 2027 оны байдлаар сумын хүн
амын мах, сүүний хэрэгцээг үйлдвэрлэлийн хэмжээтэй харьцуулсан үзүүлэлтийг
Тахирмаг 8.1.1.2.2-д харуулав. Мах, сүүний хэрэгцээг одоогийн 1 жишсэн хүний
жилийн дундаж хэрэглээгээр тооцов. Үүнд мах жилд 130 кг, сүү 163 кг.
Тахирмаг 8.1.1.2.2 Өлзийт сумын хүн амын мах, сүүний хэрэгцээ,
үйлдвэрлэл 2019 ба 2027 оноор, тонн
Эх сурвалж: БСТ-н тооцоо
МАА-н тогтвортой хөгжлийн хөтөлбөрийг хэрэгжүүлснээр сумын хүн амын мах,
сүүний хэрэгцээг бүрэн хангаад 3106.7 тн мах, 1161.2 мянган литр сүү сумаас
гадагш зах зээлд нийлүүлэх тооцоо гарч байна. Малчин өрхийн бэлтгэж байгаа
сүү нь ихэвчлэн өрхийн дотоод хэрэглээнд зориулагддаг тул сумын төвийн хүн
ам, сургууль цэцэрлэгийн хэрэгцээг жилийн турш хангах зорилгоор сүүний
үүлдрийн 20 үнээтэй 1 ферм байгуулахаар төлөвлөж байна /Бүлэг 8.2-с харах/.
8.1.3 Мал сүргийн үржлийн талаар авах арга хэмжээ
408.1
1878.9
441.7
3548.4
511.7
1699.0
553.9
1715.1
0.0
500.0
1000.0
1500.0
2000.0
2500.0
3000.0
3500.0
4000.0
хэрэгцээ Үйлдвэрлэл хэрэгцээ Үйлдвэрлэл
2019 он 2027 он
Мах тн Сүү мян. л
16
Нутаг дэвсгэрийн хөгжлийн төлөвлөгөөний хүрээнд мал сүргийн чанар, биологи-
аж ахуйн ашигтай шинжийг сайжруулах зорилт тавьж үржлийн ажлыг зохион
байгуулах үйл ажиллагааг дор дурдсан чиглэлээр төлөвлөлөө.
Мал сүргийн үржил-ашиг шимт чанарыг сайжруулах стратеги
Үхэр сүргийг сайжруулах.
Нэгдүгээрт: Эх орны махны үүлдэр болох Сэлэнгэ болон Дорнод Монголын
талын улаан үүлдрийг ашиглан нутгийн үхрийн биерхэг байдлыг сайжруулах,
амьдын жин өсвөр үедээ 15-18 хувь хүртэл нэмэгдэх тэжээллэг-маллагааны
нөхцөлийг бүрдүүлэхэд бүх талаар анхаарна. Махны чиглэлээр “бэлчээр-
нэмэгдэл тэжээл-бордоо” системд зохицуулан сайжруулах боломжийг судалж
хэрэгжүүлнэ.
Хоёрдугаарт: мах-сүүний, эсвэл сүү-махны чиглэлээр жижиг фермийн аргаар
эрхлэхэд хосолмол ашиг шимт Алатау, Симментал үүлдэр тохиромжтой, 1980-
аад оны дундаас хосолмол ашиг шимт үхрээр сумынхаа үхрийг сайжруулах
эрчимтэй эрлийзжүүлгийн бүсэд хамрагдаж тухайн үед хэрэгжүүлсэн үйл
ажиллагааны туршлага, сургамжид тулгуурлана.
Гуравдугаарт: цэвэр үүлдрийн юм уу гурав ба түүнээс дээш үеийн эрлийз үхрээр
эрлийзжүүлж сайжруулах хувилбарын тухайд гадаадаас оруулж ирсэн Лимузин,
Херефорд, Казахын цагаан толгойт, Ангус үүлдрийг нутгийн үхрийг
сайжруулахад ашиглах боломжийг хязгаарлагдмал хүрээнд сонирхсон малчдын
хөрөнгө, оролцоо, сумын мэргэжлийн нэгжийн дэмжлэгтэйгээр туршина.
Б. Хонины сүргийг сайжруулах. Баяд, түүнчлэн Дархад, Цагаан-Уул үүлдэр,
Хотонт үүлдрийн хэсгийг ашиглах замаар хониныхоо махан ашиг шимийг
дагуулж малынхаа биерхэг байдлыг сайжруулах, улмаар нэгжээс ахиу ноос авах
чиглэлийг баримтална. Ихтамир суман дахь Өндөр уулын бүсийн эрдэм
шинжилгээний станцад явуулсан судалгаагаар Баяд үүлдрийн эрлийз бусад
үүлдрийн эрлийзээс амьдын жин, ноосны гарцаар илүү болохыг тогтоосон нь
энэ үүлдрийг ашиглахад үр дүнд хүрэх боломжтойг харуулж байна.
В. Ямааны ноолууран ашиг шимийг нэмэгдүүлэх. Ямаан сүргийн ашиг шимийн
чадавхыг сайжруулахдаа чанаржуулах талыг барих нь тус сумын МАА-н
хөгжлийн тэргүүлэх чиглэл байх болно. Ямааны ноолуурын нарийн ба уртын
үзүүлэлтийг сайжруулахад үржлийн ажлыг чиглүүлэх, Эрчмийн хар үүлдрийн
биологи-аж ахуйн үнэт чанарыг ашиглахад түлхүү анхаарна.
Б. Эрчимжсэн мал аж ахуйн хөгжлийн төлөвлөлт
Засгийн газрын 2018 оны 400 дугаар тогтоолоор батлагдсан “Эрчимжсэн мал аж
ахуйн хөгжлийг дэмжих үндэсний хөтөлбөр”-р сүүний чиглэлийн үхрийн
эрчимжсэн аж ахуйг нийслэл орчмын, аймгийн төвийн, тариалангийн бүсийн
гэсэн гурван чиглэлээр хөгжүүлэхээр заасан бөгөөд Өлзийт сум нь
тариалангийн бүсийн чиглэлд хамаарч байгаа бөгөөд 2027 онд 3775 хүн амтай
болохоор байгаа учир сумын төвийн хүн амыг сүүгээр хангах шаардлага гарч
байна.
Архангай аймгийн МАА-н салбарыг хөгжүүлэх дунд хугацааны бодлогыг баримт
бичигт хосолмол ашиг шимт үхрийн жижиг ферм байгуулах зорилт тусгагдсаныг
хэрэгжүүлэх, сумын төвийн иргэд, сургууль, цэцэрлэг, эмнэлгийн сүүний
хэрэгцээг жилийн 4 улиралд хангах зорилгоор Алатау үүлдрийн 20 үнээтэй
17
жилийн нийт саам нь 20000 литрээс багагүй 1 сүүний ферм байгуулахаар
төлөвлөгөөнд оруулж байна.
8.1.4 Малын эрүүл мэндийн ажлын төлөвлөлт
Мал, амьтны эрүүл мэндийн тухай хуулийн зохих заалтууд, “Малын эрүүл мэнд”
үндэсний хөтөлбөр/2018-2021/-ийн хүрээний зорилтуудыг хэрэгжүүлэх цлгц арга
хэмжээ төлөвлөж өгөв.
8.1.5 ХАДЛАН, ТЭЖЭЭЛИЙН ТӨЛӨВЛӨЛТ
Хадлан, тэжээлийн хэрэгцээ, түүнийг хангах боломж.
Нэг хонин толгойд ноогдох хадлангийн өвсний хэмжээ 2019 оны байдлаар
сумын дунджаар 6.5 кг байна. Цаашдаа төлөвлөн буй 7 жилийн хугацаанд
малын тоо болон бэлчээрийн ачаалал хамтдаа бууран бэлчээрийн бүтээмжийг
сайжруулж хадлангийн талбайг нэмсний үр дүнд энэ үзүүлэлт 2027 онд 33 кг
буюу 5.06 дахин нэмэгдэх юм.
Хүснэгт 8.1.5.1 Өлзийт сумын малын нэмэгдэл тэжээлийн хангамж, 2019-2027
Он
Малын
тоо,
хонин
толгой
Тэжээл хангамж
Бэлтгэвэл зохих тэжээл, цн, өвс Хадлангийн талбай
Малчдын
бэлтгэх
Сумын
нөөц
Шаардагдах
га
Га- гийн
ургац цтхэрэгцээ хувь Нийт
2019 544377 179645 20 35000 450 35450 6445 5.5
2023 544377 179645 40 64672 7186 71858 13065 5.5
2024 517159 170662 50 76798 8533 85331 15515 5.5
2025 491301 162129 60 87550 9728 97278 17687 5.5
2026 443399 146322 80 105352 11706 117057 21283 5.5
2027 421229 139006 100 125105 13901 139006 25274 5.5
Эх сурвалж: БСТ-н тооцоо
Хадлан, тэжээл бэлтгэлийг цаашид нэмэгдүүлэхдээ атаршсан талбайд
тэжээлийн ургамал тариалах, хадлангийн талбайг хашиж хамгаалах, усалж
бордох замаар ургацыг нэмэгдүүлэх арга хэмжээ авах, хадах боломжтой
бэлчээр газрыг хадах, үлдэгдлийг худалдан авах зэргээр тэжээл хангамжийг
шийдвэрлэх боломжтой юм.
8.1.6 ТАРИАЛАНГИЙН ГАЗРЫН ТӨЛӨВЛӨЛТ
Өлзийт сум нь одоогоор 2036 га талбайд тариалалт эрхэлж, 2770 га газар
атаршсан талбайг огт ашиглаагүй байна. Цаашид атаршсан газрыг иргэдэд
эзэмшүүлж, ногоон тэжээл, төмс хүнсний ногоо, жимс жимсгэнэ, зэрэг төрөл
төрлийн тариалалтыг эрчимжүүлэх шаардлагатай байна. Иймээс ирэх 7 жилийн
хугацаанд атаршсан газраа эргэж бүрэн ашиглахаар төлөвлөж байна.
Төлөвлөлтийг 2021-2023, 2024-2025, 2026-2027 он гэсэн 3 үе шаттайгаар хийв.
Хүснэгт 8.1.6.7 Төмс, хүнсний ногооны зоорь барих төлөвлөгөө
Он 2019 Хэрэгжүүлэх үе шат
I II III
Хураах төмсний хэмжээ, тн 7 14.3 29.2 44.6
Хураах хүнсний ногооны хэмжээ, тн 5 31.0 63.2 96.7
Төмс, хүнсний ногооны зоорь барих, багтаамж тн 0 10 30 50
18
Шаардагдах хөрөнгө оруулалт, 12000 мян.төг/10 тн 0 12000 36000 60000
Эх сурвалж: БСТ-н тооцоо
8.2 ХОТ, ТОСГОН, БУСАД СУУРИН ГАЗРЫН ГАЗАР ЗОХИОН БАЙГУУЛАЛТЫН
ТӨЛӨВЛӨЛТ
8.2.2 Хот, тосгон, бусад суурин газрын ашиглалт, бүсчлэл
Сумын хот суурин газрын тэг гортиг нийт 293 га байгаагаас 107.7 га талбай 2019
оны газрын нэгдмэл сангийн тайланд орсон байна.
Өлзийт сум нь 2019 оны байдлаар гэр хорооллын газарт 34.4 га 491 гаруй айлд
хашааны газарт олгоод байна. Мөн гэр бүлийн хэрэгцээнд зориулж төмс
хүнсний ногооны зориулалтаар 1.31 га талбайг олгосон байна.
8.2.2 Хог хаягдлын төлөвлөлт
Тулгамдаж буй бэрхшээл: Өлзийт сумын айл өрхүүд нь гудамж талбайд ил
задгай хог хаягдлаа хаядаг бөгөөд хугацаанд нь зайлуулдаггүй, хог агуулж
байгаа сав нь эрүүл ахуйн шаардлага хангадаггүй, хогийн цэг хашаажуулсан
боловч хашаанаас гадна хогоо асгадаг, гэх зэрэг бэрхшээлүүд тулгамдаж
байна. Энэ нь байгаль орчинд сөргөөр нөлөөлж хөрсний бохирдол үүсгэж,
улмаар өвчний эх үүсвэр болж байна. Мөн хогны нэг машин байгаа нь эвдэрсэн
ба тэр болгон айлуудын хогыг ачин тээвэрлэж чаддаггүй байна.
Малын сэг зэм: Малчид үхсэн малын сэг зэм устгахдаа хойрго ханддаг бөгөөд
зарим айлууд нь газар ухаж булшилж хаядаг байна.
Цаашид авах арга хэмжээ, төлөвлөлт
Хог хаягдлыг цаашид ангилан ялгах, хог шатаах зуухтай болох, ангилсан хогоо
дахин боловсруулах үйлдвэр байгуулах, аж ахуй нэгж байгууллага, олон
нийтийн газарт аюултай хог хаягдал ангилах савуудыг байршуулах зэрэг хэд
хэдэн ажлуудыг хэрэгжүүлэхээр төлөвлөж байна. Мөн 3-5 тооны даацтай,
зориулалтын бүхээгтэй хогны машин 1 шинээр авахаар төлөвлөж байна.
Хүснэгт 8.2.2.1 Хог хаягдлын хүрээнд шаардагдах хөрөнгө оруулалтын тооцоо
№ Нэр төрөл Үйлдвэрлэгч улсМарк, модельНэгжийн үнэ, төгрөгДавуу, сул тал
1. Хогны машин (бүхээгтэй,
шахагчтай)
БНХАУ Faw, бусад 37,000,000 Үнэ хямд, эвдрэл их,
сэлбэгийн олдоц бага
2. Хогны машин (бүхээгтэй,
шахагчтай)
БНСУ Hyundai,
Mayti
45,000,000 Эвдрэл их, сэлбэгийн
олдоц их
3. Хогны машин (бүхээгтэй,
шахагчтай)
Япон Nissan,
Mitsubishi
58,000,000 Үнэ өндөр, эвдрэл бага,
сэлбэгийн олдоц их
4. Хог ангилан ялгах сав
(150кг, листэн төмөр)
Монгол улс 300,000 Орон нутагт үйлдвэрлэх
боломжтой
5. Хог шатааж эрчим
үйлдвэрлэх үйлдвэр
БНХАУ 60,000,000 Утаан дахь хорт бодисын
агууламж бага.
Эх сурвалж: Бодлого судлалын тавийн боловсруулалт
8.3 ЗАМ, ШУГАМ СҮЛЖЭЭНИЙ ГАЗРЫН ГАЗАР ЗОХИОН БАЙГУУЛАЛТЫН
ТӨЛӨВЛӨЛТ
19
8.3.3 Авто замын газрын төлөвлөлт
Нутгийн иргэдийн санал, мөн иргэдийн хэрэгцээт байдлын үнэлгээ болон авто
замын газрын тохиромжтой байдлын үнэлгээ зэргийг үндэслэн тус суманд хэд
хэдэн газар зам засах сайжруулах, шинээр хатуу хучилттай авто зам тавих зэрэг
ажлуудыг ирэх 7 жилийн төлөвлөгөөнд тусгав. Үүнд:
А.Мянганы замын хэвтээ тэнхлэгийн Орхон гол-Их тамирын чиглэлийн гүүр,
хатуу хучилттай авто замыг барьж байгуулах ажлыг эрчимжүүлэх
Б.Мянганы замын босоо тэнхлэгийн Өлзийт-Хайрхан-Хөвсгөл чиглэлийн хатуу
хучилттай авто замыг барьж байгуулах ажлыг эрчимжүүлэх
8.4 УСАН САН БҮХИЙ ГАЗРЫН ГАЗАР ЗОХИОН БАЙГУУЛАЛТЫН
ТӨЛӨВЛӨЛТ
Сумын хэмжээнд нийт 14 худаг шинээр гаргах, 14 булаг, шандын эхийг хашиж
хамгаалах, 8 газарт хөв байгуулахаар төлөвлөв.
8.5 Тусгай хэрэгцээний газрын газар зохион байгуулалтын төлөвлөлт
Өлзийт сумын Ямаат багийн нутагт орших 1526.6 га газар /Нурамт уул/, Бодонт,
Байшир багийн нутагт орших 1783.1 га /Их бумба овоо зэрэг газрууд/-г орон
нутгийн тусгай хамгаалалтад авахаар төлөвлөв.
8.6 АЯЛАЛ, РЕКРЕАЦИЙН НӨӨЦ БҮХИЙ ГАЗРЫН ГАЗАР ЗОХИОН
БАЙГУУЛАЛТЫН ТӨЛӨВЛӨЛТ
Сум орон нутгийн удирдлагууд болон малчид иргэдийн саналаар аялал
жуулчлалаар доорх газруудыг төлөвлөв.
 Хөшөө цайдам-Өгийн нуур-Алтанзуу хийд-Гол мод гэсэн чиглэлийн
маршрутыг Олон Улсын аялал жуулчлалын маршрутад оруулах
 Орхон гол дагуу Эко загасчлал, тур байгуулах
8.7 ОЙН САН БҮХИЙ ГАЗРЫН ГАЗАР ЗОХИОН БАЙГУУЛАЛТЫН
ТӨЛӨВЛӨЛТ
Өлзийт сумын хэмжээнд нийт 4874.6 га талбайг ойн сан эзэлж байна. Ойн
ашиглалт хамгаалалтын бүсэд ногоон бүс, хориотой зурвасын ой гэж
төлөвлөсөн.
8.8. ХАМГААЛАЛТЫН БҮСИЙН ГАЗАР ЗОХИОН БАЙГУУЛАЛТЫН
ТӨЛӨВЛӨЛТ
8.8.2 Хамгаалалтын бүсийн төрөл, дэглэм, хэмжээ
Сумын нутагт гадаргын ус болон зам, шугам сүлжээний газрын хамгаалалтын
бүсүүдийг дараах зорилгоор тогтоосон. Үүнд:
 Усны эх, ундарга, нөөцийг хомстох, бохирдохоос хамгаалах, хүн амыг үер усны
гамшгаас сэргийлэх;
 Эрчим хүчний шугам сүлжээний аюулгүй ажиллагааг хангах, хүн, амьтан
осолдохоос урьдчилан сэргийлэх;
Тус сумын нутагт хамгаалалтын бүсүүдийг хууль, дүрэм, журам, стандартыг
баримталж тогтоосон бөгөөд гол, нуурын онцгой хамгаалалтын бүс, булаг,
худгийн эрүүл ахуйн бүс, булгийн онцгой бүс, эрчим хүчний шугамын
20
хамгаалалтын бүс, шугам сүлжээний газрын хамгаалалтын бүсүүдийг
нарийвчлан тогтоож өгөв.
8.9. ГАЗАР, БАЙГАЛИЙН НӨӨЦ ЭДЭЛБЭРИЙН ЗҮЙ ЁСНЫ ЭРХИЙН
ТӨЛӨВЛӨЛТ
Газар, байгалийн нөөц эдэлбэрийн зүй ёсны эрхийг Газрын Харилцаа,
Геодези, Зураг Зүйн Газрын даргын 2016 оны 01 дүгээр сарын 21 өдрийн А/22
дугаар тушаалаар батлагдсан “Газар, байгалийн нөөц эдэлбэрийн зүй ёсны
эрхийг зориулалтаар нь бүртгэн, баталгаажуулах түр заавар”-ын дагуу бүртгэн
газар, ус, ой, бэлчээр, хадлан зэрэг байгалийн нөөцийг арвижуулан өсгөж,
ашиглан хамгаалах зорилгыг хангах үүднээс дараах байдлаар төлөвлөж байна.
Бэлчээрийн нөөцийг зохистой ашиглах, хамгаалах талаар. Малчдын ашиглаж
ирсэн дөрвөн улирлын бэлчээр, ус, хужир мараа, нөөц нутгийн одоогийн эрхийг
бүртгэж, бэлчээр ашиглалтын гэрээгээр албажуулахаар төлөвлөв. Өлзийт сум
нь 2019 оны байдлаар 582 малчин өрх байгаа бөгөөд өвөлжөө, хаваржаа нь 517
өвөлжөө хаваржаатай гэсэн тооцоо байна. Газрын нэгдмэл сангийн мэдээгээр
сумын дүнгээр 34.4 га талбайг өвөлжөөний зориулалтаар эзэмшүүлсэн байна.
Үүнийг нэг өрхөд 0.07 га гэж тооцвол нийт малчин өрхийн 491 буюу 95%
гэрчилгээгээ авсан бөгөөд үлдсэн 26 буюу 5% нь өвөлжөө, хаваржааныхаа
доорх газрын гэрчилгээгээ хараахан баталгаажуулж амжаагүй байна.
Өвөлжөө, хаваржааны гэрчилгээ нь зөвхөн бууцны доорх газрыг хамардаг
учраас түүнийг тойрсон бэлчээрийг ашиглах эрх нь ялгаагүй албан бус зүй ёсны
эрхэд хамаарч байгаа юм. Өөрөөр хэлбэл сумын бэлчээр бүхэлдээ зүй ёсны
эрхийн хүрээнд зохицуулагдаж байна. Өлзийт сумын хувьд БАХ-ууд 2015 онд
байгуулагдсан боловч түүнээс хойш малын тоо тогтмол өсөж ирсэн байна. 2019
онд хийсэн судалгаагаар сумын хэмжээнд 9 бэлчээр ашиглалтын хэсэг /БАХ/
байгуулагдаж, үүнд нийт бэлчээрийн 100% хамрагдсан байна. БАХ-н түвшинд
бэлчээр ашиглалтын гэрээ байгуулах нь сайшаалтай зүйл боловч дундаж БАХ-н
гишүүн өрхийн тоо олон, хамрагдах бэлчээр нутаг том учир бэлчээрийн
зохистой ашиглалтыг тогтоож, бэлчээрийн даац хэтрэлт, талхагдлаас сэргийлэх
механизм болж хараахан чадахгүй байна. Суманд 2019 онд явуулсан
судалгаагаар 582 малчин өрхөөс Та БАХ-н гишүүн өрх мөн үү? гэж асуухад
100% нь гишүүн биш, гэж хариулсан нь БАХ бэлчээрийн зохистой ашиглалтыг
төлөвшүүлэх механизм болж чадахгүй байгааг харуулж байна. Үүний гол
шалтгаан нь хэтэрхий том, өрхийн тоо олон учраас гишүүд хоорондоо
зөвшилцөж, нэгдсэн шийдвэр гаргах боломжгүйд байна. Энэ нь ялангуяа малын
тоог бэлчээрийн даацад нийцүүлэн цөөлөх гэх мэтийн эмзэг асуудал тодорхой
харагдаж, энэ талаар тавьсан зорилт биелэгдэхгүй байна.
Сумын хэмжээнд Байшир, Бодонт, Ямаат, Хөшөөт багийн малчдыг хамруулсан
29 малчдын бүлэг шинээр байгуулагдаж албан ёсоор бүлгээ баталгаажуулав. 29
бүлэгт 110 малчин өрх хамрагдсан нь сумын нийт малчин өрхийн 19% -ийг
эзэлж байна. Цаашид бүлэг зохион байгуулалтад ороогүй 472 өрх буюу 81% -
ийг 3 үе шаттайгаар хамруулахаар төлөвлөв.
Ан амьтан хамгаалах, ашиглах талаар. Өлзийт сумын нутагт ховор болон
ховордож байгаа ан амьтад байгаа тул тэдгээрийг хамгаалж, өсгөх, нутагшуулах
нь энэхүү төлөвлөлтийн үндсэн зорилго юм. Ан амьтдын байршил давхацсан
бүс нутагт байгуулагдах малчдын бүлэг, ойн нөхөрлөлүүдэд бэлчээр ашиглах
гэрээ, ойн нөөцийг эзэмших гэрээн дээр нэмж гэрээт бэлчээр, ойн нутаг
21
дэвсгэрт байгаа зэрлэг амьтныг хамгаалах гэрээг давхар байгуулахыг зөвлөж
байна.
Ан амьтан, ховор ургамал хамгаалах төлөвлөлт. Сумын малчин өрх бүрээр орж
судалгаа авахад тарвага өсгөж үржүүлэх, хамгаалах, өмнө тарвагатай байсан
газарт шинээр тарвага нутагшуулах саналууд гарсан байна. Тухайлбал 582
малчин өрхөөс асуулга авахад 305 өрх буюу 52% нь тарвага хамгаалах, өсгөх
тухай санал гаргасан байна. Иргэдийн саналыг үндэслэн тухайн газруудыг
цаашдаа хамгаалахаар төлөвлөлтөд суулгаж өгөв. Үүнд:
 Тарвага өсгөж үржүүлэх, нутагшуулах
 Загас үржүүлэх, хамгаалах
Зүй ёсны эрхийг бүртгэн албажуулж, төлөвлөх, төлөвлөгөөг хэрэгжүүлэхэд орон
нутгийн захиргааны оролцоо, дэмжлэг нэн ялангуяа Газрын даамал, Байгаль
орчны байцаагч, ХАА-н тасгийн мэргэжилтнүүд, байгаль хамгаалагч, багийн
Засаг дарга нарын идэвх, санаачилга, гүйцэтгэх үүрэг онц чухал юм.
Сумын нутаг дэвсгэрийн хөгжлийн төлөвлөгөөг хэрэгжүүлэх үйл ажиллагааны
төлөвлөгөөг тусад нь боловсруулж хавсаргав /Хавсралт 9/.
ENGLISH SUMMARY LANDSCAPE BASED DEVELOPMENT PLAN ULZIIT
SOUM, ARKHANGAI AIMAG
BACKGROUND
Objective: To study and identify soum natural resource, land use practices, social
and economic development, culture, lifestyle and its specifics, and to develop a
landscape based soum development plan with participation of soum communities
based on the needs and suitability assessment within the Sustainable Development
Vision and other policy documents.
Scope: Soum territory
Timeframe: Landscape based soum development plan shall be updated in 5-7 years
in conformity with soum social and economic condition, development policy, and
implementation of the aimag land management plan.
CLARIFICATIONS, MEETINGS, INTERVIEWS, QUESTIONNAIRE SURVEY,
GROUP DISCUSSIONS
Field survey has been carried out in the course of developing the landscape based
soum development plan as specified in the methodology with the aim of
incorporating local people’s feedback and ensuring their participation.
Ulziit soum herders’ questionnaire survey was conducted in November 2019, and
other group discussions and interviews were held on January 16-23, 2020.
22
The questionnaire survey, group discussions and interviews covered 758 people.
Representatives of 582 herder households in the questionnaire survey.
Representatives of soum government, residents, and entities were 103, that are
more by 11 persons or 10.1% than the planned number included in the baseline
study. Feedback of local government officials and residents and findings of the
discussions were integrated to reflect certain comments on the landscape based
soum development plan.
SWOT analysis was conducted prior to development of the landscape based soum
development plan and conclusions were made as regards the followings through
embedding the measures to promote strengths, utilize opportunities fully, and
manage weaknesses or risks:
4. Secure sustainable development and capacity to cope with climate change by
shifting the focus from quantity to quality in the livestock sector that is a basis
of soum socio-economic development and soum community’s livelihood;
5. Increase crop farming consistently to meet the growing demand of agricultural
products by its own production;
6. Create jobs and increase people’s income through support of environmentally
friendly tourism and SMEs, proper use and conservation of natural resources,
and develop communication, infrastructure, education, and social, cultural and
sports priorities in order to provide comfortable and stable living environment
in the soum.
Chapter VIII. PLANNING PHASE
8.1 AGRICULTURAL LAND MANAGEMENT PLANNING
Agricultural land use planning includes the basic categories as pastureland, hayfield
and arable land.
8.1.1 PASTURELAND PLANNING
Pastureland planning was focused on managing key pressing issues of the sector in
consideration of the priorities of national, regional and local policies, suitability
assessment, and feedback of local communities and organizations.
Traditional livestock herding has been the predominant economic sector in the soum
that is expected to be maintained further due to its location, natural environment and
climate.
8.1.1.1 Pressing issues in pastureland use
Ulziit soum had 353240 heads of livestock or 552890 sheep units in 2019. Compared
to 1990, pastureland per sheep unit decreased to 0.29 ha, while pastureland
availability dropped 5.9 times. Malnutrition has reached 91.2% due to overgrazing,
coupled with decreased productivity and increased vulnerability to drought and dzud,
resulting in a fall of livestock market value. In addition, it has no reserve pastures and
is getting prone to risk. Livestock number dropped by 30% in the 2000-2003 dzud.
23
Figure 8.1.1 What herders gain and lose by continually increasing animal
numbers /Source: CPR estimates/
Overgrazing is a key challenge, followed lack of water and damages by voles and
grasshoppers according to the result of the questionnaire survey which was
conducted among 569 herder households (97%) in 2019.
Table 8.1.3.2 Production of animal raw material and products and changes in
herd size during herd turnover model to reduce, maintain and increase the herd
size
№ Production of animal products 2027
Reducing of
herd size
Maintaining of
herd size
Increasing
of herd size
1 Meat, ton 3548.4 2675.5 1995.7
2 Milk, thousand liter 1715.1 1719.2 1922.9
3 Hides, pcs 126,689 108,162 88,459
4 Wool, ton 192.6 227.2 296.9
5 Cashmere, ton 26.7 31.5 41.2
6 Meat to be sold, ton 3106.7 2323.8 1554.0
7 Milk to be sold, thousand liter 1161.2 1165.3 1369.0
8 Livestock number, SU 427,816 552,890 739,892
9 Average income of herder
household, million ₮
510 659 929
10 Cash revenue per SU, thousand ₮ 27.8 20.2 16.6
Source: CPR estimates
Compared to the other two models, a herd size reduction model has more benefits,
such as higher growth in meat, milk and hides production, meat sales, herder
household’s income and cash income per sheep unit and reduced herd size, all of
which result in the positive impacts on pastureland, as shown in the table.
Herd size reduction will lessen the pastureland burden and pasture carrying capacity
and improve animal productivity.
24
Table 8.1.1.7 Estimate on reducing animal numbers reconciling with the
pasture carrying capacity, in soum total
Year
Pasturelandha
Average
pastureyield,
Center/ha
Totalpasture
forage,
centner
Pasturecarrying
capacity,sheep
unit
Stocking
density,sheep
unit
Utilizationof
pasturecarrying
capacity,%
2019-base year 156490 1.9 297331 49555.2 565689 1141.5
2020-2022
preparation
phase
156490 1.9 297331 49555.2
565689 1141.5
2023 156490 1.9 297331 49555.2 538368 1086.4
2024 156490 1.9 297331 49555.2 512013 1033.2
2025 156490 1.9 297331 49555.2 486959 982.7
2026 156490 1.9 297331 49555.2 463142 934.6
2027 156490 1.9 297331 49555.2 440435 888.8
Source: CPR estimates
Herd size reduction program is planned to be implemented from 2023 upon ensuring
the preparation works, such as introducing the program to herders in 2020-2022. The
livestock number is expected to reduce by 125074 sheep units, reaching 427816
sheep units, in the final year of the program in 2027, compared to those of 2019.
Reduced stocking density results in increased availability of forage for wildlife.
Pasture use agreement will be established in which the optimum stocking density
shall be indicated in sheep units and the excess shall be reduced by 5% at maximum
per year.
Table 8.1.1.9 shows the income estimates based on the herd turnover models.
Indicators
Base
Year
Year
1
Year
2
Year
3
Year
4
Year
5
Animal numbers, physical units 353042
33539
0
31862
0
30268
9
28755
5
27317
7
Animal numbers, sheep units
552890
52524
6
49898
3
47403
4
45033
2
42781
6
Sheep units per herder household 659 626 595 565 537 510
Household total income, ‘000 MNT 17193 26837 27179 27511 27832 27831
Home consumption, ‘000 MNT 2587 2587 2587 2587 2587 2587
Cash income, ‘000 MNT 14605 24250 24592 24923 25244 25243
Cash value of decreased herd size
‘000 MNT 0 3534 3454 3376 3299 3224
Income per sheep unit, ‘000 MNT 20.7 38.7 41.3 44.1 47.0 49.5
Source: CPR estimates
25
Ulziit soum is expected to have 427816 sheep units in 2027 within 156490 ha
pastureland in accordance with the estimate to reduce livestock number by 6%
annually, not reducing, but increasing cash incomes of herder households.
Cash income of herder households that currently increase livestock number by 6-
10% per annum is lower than those that are reducing the livestock number.
Production of key animal products Like any other soums across Mongolia, Ulziit
soum fully supplies its animal products and raw material demand and delivers a
majority of them to the other market such as aimag center and Ulaanbaatar. The
soum will produce 3548.4 tons of meat, 126,700 skins and hides, 1715.1 thousand
liters of milk, 26.6 tons of cashmere and 192.6 tons of wool by the end of the
program.
A comparison of the current meat and milk needs and production of the soum with
those of 2027 is shown below in the Figure 8.1.1.2.
Figure 8.1.1.2 Meat and milk demand and supply, 2019 and 2027
Soum population is estimated to reach 3398 in 2027. According to the estimate,
soum population’s meat and milk demand will be fully supplied with its production and
provide 3687 tons of meat and 641.0 thousand liters of milk to other markets as a
result of implementing the sustainable livestock development program.
As herder households’ prepared milk is used for their needs, a farm with 20 dairy
cattle is planned to be established for the purpose of supplying year-round demand
of soum center population, school and kindergarten /see Chapter 8.2/.
8.1.3 Livestock breeding measures
Animal selection has been planned in the directions provided below as part of the
landscape based soum development plan to meet the objective to improve herd
quality and livestock biological-economic productivity.
Plan for herd breeding and upgrading of productive performance
Upgrading of local cattle
First: Explore and implement opportunities to improve cattle for beef
adapted to the “pasture-supplementary fodder-fattening” system. Through crossing
26
with the national beef breeds - Selenge and Dornod Mongolian Red, make local
cattle larger in the body size of local cattle and create feeding and maintenance
system enabling 18-23 percent increase of bodyweight of growing cattle.
Second: To raise dual purpose cattle for small scale beef-dairy or for
beef-dairy farms in Ulziit soum, it is appropriate to use dual purpose breeds like
Alatau or Simmental based on the past experiences of raising these breeds for butter
production in 1980s. .
Third: Alternatively, to crossbreed using high crossbreds of above F3
generations of exotic imported breeds Limousine, Hereford, Galloway and Kazakh
White Head at limited scale may be tested.
2. Upgrading of sheep. It has been found that herders are interested to
improve local sheep for wool by importing carpet wool breeds – Gobi-Altai, Sartuul
and Baidrag, whereas a simultaneous upgrading of mutton and wool productivity can
be achieved by introducing mutton-wool breeds like Bayad, Darkhad and Tsagaan-
Uul.
3. Goat improvement for cashmere production. In order to upgrade
cashmere quality, more efforts should be made to benefit from the excellent
biological and productive performance of goats of Erchim Black breed.
B. Intensive animal development planning
The National Program on Support of Intensive Livestock Farming Development,
adopted under the Government Resolution #400 in 2018, states to develop intensive
dairy cattle farms in peri-urban areas, aimag centers and crop agriculture regions.
Ulziit soum has been included in the crop agriculture region since 2018. Referring to
recent estimates that the soum population will grow to 3775 persons in 2027, it
needs to heighten the supply of milk to soum center inhabitants. In order to fulfill the
goals of the mid-term livestock development policy of Arkhangai aimag and improve
the milk consumption of soum center citizens, school, kindergarten and hospital, a
dairy farm with 20 cows of Alatau breed to produce 20000 liters of milk annually to
supply milk year-round will be established.
8.1.4 Animal health measures
Detailed animal health improvement measures were planned in accordance with the
newly approved animal health law and the national animal health program for 2018-
2021.
8.1.5 Hay and fodder planning
Demand and potential supply of hay and fodder
As of 2019, feed supply per per sheep unit was 6.5 kg on a soum’s average. It will
increase 5..06 times reaching 33 kg in 2027 with increases in yield and hay field
areas as well as green fodder production in 7 years.
8.1.5 Crop land planning
Currently, Ulziit soum cultivates 2036 ha arable land and 2770 ha abandoned crop
land is not used at all. It is planned to raise cultivation of fodder, vegetable and fruit
on these fallow areas in upcoming 7 years.
27
Demand of crop products has been assessed in order to supply soum population’s
demand of potatoes and vegetable, fruit and animal fodder by its own production or
capacity.
Cultivation of potatoes and vegetable, fruit trees and animal fodder is planned to
raise in 3 phases as part of its arable land planning.
Table 8.1.6.7 Potato and vegetable storage building
Year 2019 Phases
I II III
Potato harvest, t 7 14.3 29.2 44.6
Vegetable harvest, t 5 31.0 63.2 96.7
Vegetable storage building, capacity, t 0 10 30 50
Required funding, 12000 thousand MNT /10 t 0 12000 36000 60000
8.2 LAND MANAGEMENT PLAN IN TOWN, VILLAGE AND OTHER SETTLEMENT
The soum has 293 ha of urban land out of which 107.7 ha is reflected in the state
land fund report.
As of 2019, the soum has allocated 34.4 ha for homestead purposes for 491 khashaa
plots. In addition, 1.31 ha was allocated for household horticulture gardening
purposes.
8.2.2 Waste in town and settlement
As households of Ulziit soum dump waste in open areas and streets, it has pressing
issues, including those related to waste removal, lack of hygienic requirements of
waste bins, waste dump outside the waste point fences, unsorted waste, lack of
waste points to receive segregated waste, and unsorting of hazardous waste.
Further measures and planning. It is planned to take several actions such as sorting
waste, building incinerator and sorted waste processing shop, and placing containers
for hazardous waste sorted at entities and in public areas. Moreover, it is planned to
buy a new 3-5 ton capacity waste van.
Table 8.2.1 Funding estimate required for waste treatment measures
№ Item Manufacturer Model Unit cost,
MNT
Strength and
weakness
6. Waste truck (van
with press)
China Faw,
other
37,000,000 Cheap, frequent
failures, poor
availability of
spare parts
7. Waste truck (van
with press)
Korea Hyundai,
Mayti
45,000,000 Frequent failures,
good availability
of spare parts
8. Waste truck (van
with press)
Japan Nissan,
Mitsubishi
58,000,000 Expensive, low
failures, good
availability of
28
parts
9. Container for sorted
waste (150kg, plate)
Mongolia 300,000 Possible to
produce in soum
10. Incinerator which is
able to make energy
China 60,000,000 Low content of
toxic pollutants in
smoke
Source: CPR estimates
8.3 ROAD AND COMMUNICATION NETWORK LAND MANAGEMENT PLANNING
8.3.3 Land planning for roads
New roads. To speed up building of Orkhon river-Ikh tamir bridge and paved road
and 44 km paved road between Tsenkher bridge and the soum center.
To launch building paved road connecting the vertical road network Ulziit-Khairkhan-
Khuvsgul
8.5 LAND MANAGEMENT PLANNING IN PROTECTED AREAS
Local protected areas: It was planned to take 1526.6 ha in the Yamaat bagh and
1783.1 ha around the Ikh Bumbat place under the local protected areas.
8.6 LAND MANAGEMENT PLANNING IN TOURISM AND RECREATIONAL
AREAS
It was planned to:
 Include Ugii Nuur-Altan Zuu-Gol Mod route in the international tourism network
 Develop eco fishing and tour sites along the Orkhon river
8.7 FOREST LAND MANAGEMENT PLANNING
The soum has 4876.6 ha of forest land. It was planned green zone as well as
protected zones in the forest areas.
8.8. LAND MANAGEMENT PLANNING IN PROTECTION ZONES
8.8.2 Type, practice and size of protection zones
Water, road and lines protection zones were established in the soum for the following
purposes:
 Prevent water resource shortage, contamination and protect people from
flood;
 Ensure power lines safety to prevent accidents among people and animals;
8.9 PLANNING OF LEGITIMATE RIGHTS FOR LAND AND NATURAL
RESOURCES
It was planned to formalize the existing informal user rights of herders by the
registration and introduction of pastureland use agreements. According to the unified
land use funds information 34.4 ha of land was possessed by herders for winter-
spring camping purposes which means that around 517 camp sites or 95% herders
have possessed their camps.
29
Possession of winter and spring camps does not apply to surrounding pastures which
are under informal user rights. According to a 2019 survey there are 9 pasture user
groups /PUG/ established covering the soum pastureland for 100%.
Wildlife protection and use. As there are rare or endangered wildlife in Ulziit soum,
key goal of the planning is to protect, raise and re-introduce them. Thus, it is
proposed to establish wildlife protection agreements with herder groups and forest
partnerships in areas with wildlife habitats. As the local herders recommended, the
wildlife for further protection are:
 Re-introduce and raise marmots
 Protect and farm fish
ХОЁР. СУМЫН ТАНИЛЦУУЛГА, БҮС НУТГИЙН ЧИГ ХАНДЛАГА, ХӨГЖЛИЙН
ЦОГЦ БОДЛОГО
2.1 СУМЫН ТАНИЛЦУУЛГА
Сайн ноён хан аймгийн харьяад Халх хошууны
тоонд орж 1762 онд байгуулагдсан Өөлдийн
өмнөд хошуу 1912-1923 онд Бишрэлт бэйсийн
хошуу гэж нэрлэгдэж байснаа 1924 он Цэцэрлэг
мандал аймгийн Баянбайшир хошуу нэртэй
болсон бөгөөд 1931 оноос одоогийн Архангай
аймгийн Өлзийт сум болсон. Олонх баруун
Монголын дөрвөн Ойрадын Өөлд ястан юм.
Өлзийт сум Алтан зуу бурхан шүтээнтэй. Түүндээ
зориулж шинийн 15, намрын дунд сарын 15 морь
уралдуулж, бөх барилдуулж, хурал ном хурж
наадам хийдэг. Алтан зуу бурхан нь 1640 оны үед
Ойрадын зая бандида Намхайжанцан Төвдөөс алтаар зуу бурхан хийлгэж
аравнайлуулан залж ирсэн түүхтэй. зуу бурхан гэдэг нь бурхан багшийн өөрийн
нь амьд сэрүүнд бүтээсэн бурхан багшийн дүр юм. 1640-1930 аад он хүртэл
шүтэж байсан. хувьсгалын үед зуу бурхан алга болсон.
Нутаг дэвсгэр нь 1,7 мянган км2 . Нийт 1094 өрхийн 3403 хүн амтай.
Архангай аймгийн Өлзийт сум нь аймгийнхаа зүүн хойд хэсэгт оршиж Баруун
өмнө, баруун талаараа Батцэнгэл, баруун хойд талаараа Хайрхан, хойд
талаараа Булган аймгийн Сайхан, зүүн хойд болон зүүн талаараа Булган
аймгийн Могод сум, зүүн өмнө, урд талаараа Өгий нуур сумдын нутаг
дэвсгэртэй тус тус хиллэнэ.
Тус сумын төв Улаанбаатар хотоос 375 км, аймгийн төв Цэцэрлэг хотоос 134
км-т оршино.
Өлзийт сум засаг захиргаа, нутаг дэвсгэрийн нэгжээр Ямаат, Бодонт, Байшир,
Хөшөөт гэсэн 4 багт хуваагддаг.
Эдийн засгийн үндсэн салбар нь ХАА бөгөөд үүний дотор МАА-н үйлдвэрлэл
зонхилно.
30
Нийт малын тоо 2019 оны эцсийн байдлаар 353 мянга, үүнээс тэмээ 22, адуу
21.3 мянга, үхэр 16.5 мянга, хонь 206.6 мянга, ямаа 108.6 мянга тус тус байна1.
Далайн түвшнээс дээш 1020-1400 м өргөгдсөн, тал хээрийн бүсэд оршдог.
Сумын нутаг дэвсгэр нь уул, гүвээ толгод бүхий тал хээр мал аж ахуй болон
газар тариалан эрхлэхэд тохиромжтой.
Сумын газар нутаг дээгүүр мянганы замын хэвтээ тэнхлэгийн 10 км хатуу
хучилттай авто зам дайран өнгөрдөг. Багууд хоорондоо шороон замаар
холбогддог.
Өлзийт сумын төв мянганы замын хэвтээ тэнхлэгийн замаас 30 км зайд оршдог
бөгөөд дэд бүтэц сайн хөгжсөн тул үйлдвэрлэл үйлчилгээ хөгжих боломжтой.
Сумын төв нь цэвэр усны эх үүсвэрийн гүний 3 худгаас ундны усны хэрэглээгээ
хангаж байна. Төвлөрсөн ус хангамжийн системд холбогдсон айл өрх, аж ахуйн
нэгж байхгүй.
Сумын цаг уурын онцлогийг авч үзвэл эх газрын эрс тэс уур амьсгал ноёлно.
Энд хоногийн болон улирлын агаарын температурын хэлбэлзэл ихтэй, өвөлдөө
хүйтэн, зундаа огцом халдаг онцлогтой. Олон жилийн дунджаар жилийн
агаарын дундаж температур -2.1о ба дулааны улиралд буюу IY-X саруудад
сарын дундаж температур +9,1о хүрдэг. Жилийн дундаж хур тунадасны
нийлбэр 280-300 мм ба түүний ихэнх нь IY-X саруудад хур борооны хэлбэрээр
унаж дунджаар 279.8 мм хүрдэг байна /Өлзийтийн цаг уурын станцын
мэдээгээр/. Эндээс харахад тус сумын хувьд ХАА-н таримлын болцонд агаарын
температур, чийгийн хангамж муугүй болох нь харагдаж байна. Судалгаа
явуулсан 8-р сард агаарын температур, хур тунадас олон жилийн дунджийн
орчим байлаа.
Тус сумын тариалангийн газар нь Орхон гол, Хавчуугийн гол бараадан байрлах
тул усан хангамжийн асуудлаа дээрх голуудаас шийдэх боломжтой.
2.2 Газарзүйн байрлал
Архангай аймгийн Өлзийт сум нь Хангайн нурууны ойт хээрийн бүс болон
хээрийн бүсэд хамрагддаг бөгөөд нийслэл Улаанбаатар хотоос 375 км, аймгийн
төвөөс 140 км-ын зайтай оршдог. Сумын нутаг д.т.д 1300 м өндөрт Хойд
өргөргийн 48 градус, уртрагийн 102 градуст, хамгийн нам дор цэг нь Гацаа д.т.д
1271 м, хамгийн өндөр цэг нь Байшир багийн нутагт байх Рашаант уул д.т.д
2106 м өндөрт оршдог. Тус сумын хиллэх сумууд нь
 А-Б Сайхан сум
 Б-В Могод сум
 В-Г Өгийнуур сум
 Г-Д Батцэнгэл сум
 Д-А Хайрхан сум зэрэг сумуудтай хиллэж байна.
1
Архангай аймгийн статистикийн мэдээ, 2019 он
31
Зураг 2.2.1 Газарзүйн байрлал
Эх сурвалж: ГХГЗЗГ-ын мэдээ, БСТ-ын боловсруулалт
ГУРАВ. ӨЛЗИЙТ СУМЫН БАЙГАЛИЙН ТӨРХ БАЙДАЛ, НӨӨЦ
3.1 Уур амьсгал
Уур амьсгалын хувьд далайн түвшнээс 1800 метрээс дээш өндөр өргөгдсөн бол
чийглэг-хүйтэн, 1300-1800 метр бол чийглэг-сэрүүн, 700-1300 м бол хуурайдуу –
сэрүүвтэр уур амьсгалтай гэсэн мужлал (Б.Жамбаажамц, 1989 он)-аар авч
үзвэл Өлзийт сумын нутаг чийглэг-хүйтэн, хуурайдуу–сэрүүвтэр бүсэд
хуваагдаж байна.
Гадаргын рельеф, газар зүйн өвөрмөц онцлогоос шалтгаалан уур амьсгалын
өндөр уул, тал хээрийн нөхцөл ялгаа, хур чийг, дулаан, нарны цацраг
хуваарилагдах зүй тогтлыг үүсгэдэг.
Сумын нийт нутаг дэвсгэр дэх уур амьсгал эх газрын эрс тэс хахир, хахирдуу
уур амьсгалтай, жилийн 4 улиралтай.
Уур амьсгалын улирлын шинж. Өвөл. Жил бүрийн 10 дугаар сарын сүүлч,
11 дүгээр сарын эхнээс өвөл эхэлж, 3 дугаар сарын сүүлээр дуусаж нийтдээ
140-150 хоног үргэлжилнэ. Өвлийн саруудад цаг агаар гол төлөв цэлмэг тогтуун
байдаг. Хамгийн хүйтэн 1 дүгээр сарын дундаж агаарын температур 20-25оС
хүйтэн байна. Энэ улиралд 5-6 мм хур тунадас унах ба харьцангуй чийгшил 50-
58% байдаг байна.
Зарим жил Орхон голын сав нутгаар +45 оС дулаарч, -50 оС хүртэл хүйтрэх
тохиолдол байжээ/Архангай аймгийн цаг уурын нэгдсэн үзүүлэлт.1973 он/
32
Хавар. Хаврын улирал 3 дугаар сарын сүүлчээс эхэлж, 5 дугаар сарын эцэс
хүртэл 55-65 хоног үргэлжилдэг. Хоногийн дундаж температур түргэн нэмэгдэж
4 дүгээр сарын дундаас 0 0С-г давж дулаардаг. Агаарын даралт 826.6-846.0
гПа болж өвлийнхөөс буурна. Салхины хурд хамгийн ихсэж 5-10м/с болох
бөгөөд заримдаа 24м/с хүрдэг. Энэ улиралд хуурай өдрийн тоо ихсэж дунджаар
16.6-18.6, чийглэг өдрийн тоо эрс багасаж 1.1-2.0 тус тус байна.
Зун. Зуны улирал 5 дугаар сарын 20-ны орчмоор эхэлж, 8 дугаар сүүлч, 9
дүгээр сарын 15-ны орчмоор төгсдөг. Зуны улирал нийтдээ 95-106 хоног
үргэлжилнэ. Энэ улиралд хамгийн дулаан болж, хур тунадасны дийлэнх хэсэг
ордог. Салхины хурд бусад улирлаас бага 1.6-3.6м/с байх бөгөөд уул хөндийн
өдөр шөнөөр чиглэлээ сольдог салхи томоохон голын хөндий нутгуудаар
ажиглагддаг.
Агаарын дундаж температур жилийн хамгийн дулаан 7 дугаар сард 14-200С
байна. Үүлшлийн хэмжээ бусад улирлаас их байдаг. Нийт үүлшил дунджаар 6
балл, доод мандлын үүлшил 3.0-4.5 балл хүрдэг. Бүрхэг өдрийн тоо нийт
үүлшлээр 6-15 хүрнэ. Зуны улиралд жилийн хур тунадас 60-70% нь 83-92 мм
хур тунадас унадаг.
Намар. Намрын улирал 8 дугаар сарын сүүлч 9 дүгээр сарын эхнээс, 10 дугаар
сарын эцэс, 11 дүгээр сарын эхэн үе хүртэл нийтдээ 60 гаруй хоног үргэлжилнэ.
Намрын эхэн үед хоногийн дундаж агаарын температур 9 дүгээр сарын 21-27-
нд +5 градусын зайцыг, 10 дугаар сарын 20-ны орчмоор 00С-ын зайцыг тус тус
дайрч хүйтэрдэг. Салхины хурд 2.0-3.5 м/с болж зуны улирлаас ихэсдэг. Хур
тунадасны хэмжээ намрын эхний сард 24-30 мм, сүүлийн сард 8-10 мм болж
эрс буурдаг. Харьцангуй чийгшил алгуур багасаж 60-54%, усны уурын даралт
3.4 гПа болно. Анхны цас дунджаар 9 дүгээр сарын 15-22-ны үед орж 9 дүгээр
сарын 25-31-ны үед цасан бүрхүүл үүсэн тогтож эхэлнэ.
Хур тунадас. Уулархаг нутгаар нутгаар жилдээ дунджаар 400 мм-ээс их,
уулсын хоорондох голын сав нутгаар 300-400 мм, зүүн, зүүн өмнө талын нутагт
300 мм-ээс бага хур тунадас ордог байна. Жилийн дулааны улиралд хур
тунадасны 93.2-95.5% нь, харин хүйтний улиралд маш бага хэсэг нь ордог нь
монгол орны хур тунадасны горимын нэг онцлог юм.
Цас бороотой өдрийн тоо. Жилд дунджаар 50-65 өдөр бороо, 26-40 өдөр
цас орох боловч өндөр ууландаа цас бороотой өдрийн тоо олон байна.
Хавар 3-5 дугаар, намар 8-10 дугаар сард нойтон цас, бороо холилдон ордог
бөгөөд дулаан үеийн бусад сард бороо хүйтний саруудад дан цас байдалтай
орно.
Цасан бүрхүүл. Ихэвчлэн анхны цас 9 дүгээр сарын 15-17-нд орж, сүүлчийн
цас 5 дугаар сарын 22-27-ны үеэр ордог. Зарим жилд энэ хугацаанаас эрт
болон орой орох тохиолдол байдаг. Цасан бүрхүүл дунджаар 10 дугаар сарын 1
ба 2 дугаар 10 хоногт үүсэн тогтож, хавар дунджаар 5 дугаар сарын эхний 10
хоногт арилдаг. Цасан бүрхүүл хамгийн эрт 9 дүгээр сарын 4-14-нд тогтож
хамгийн эрт 3 дугаар сарын 20-25 үеэр арилна. Тогтвортой цасан бүрхүүл 90-
110 хоног тогтож дундаж зузаан нь 8-12 см, хамгийн зузаан нь 19 см байх
33
боловч заримдаа 25-30 см ч хүрдэг. Цасан бүрхүүлийн зузаан жил бүр
харилцан адилгүй байдаг бөгөөд зарим жилд 40-50 см хүрэх тохиолдол ч бий.
Үүлшил.Жилийн дундаж нийт үүлшил 4.6-4.7 балл, доод мандлын үүлшил 1.5-
2.1 балл байдаг. Жилийн дулааны улиралд үүлшил нэмэгдэж зуны сард нийт
үүлшил 5.9-6.1 балл, доод мандлын үүлшил 3.0-3.5 балл байна. Цэлмэг өдрийн
тоо нийт үүлшлээр 80-84, доод мандлын үүлшлээр 229-247, бүрхэг өдрийн тоо
нийт үүлшлээр 60, доод мандлын үүлшлээр 9-19 тус тус байна.
Хүчтэй салхи.Хүчтэй салхитай өдрийн тоо 6-7 өдөр, хамгийн олон нь 20-24
хүрдэг. Хүчтэй салхины хоногийн явцыг авч үзвэл 3-6 цагийн хооронд хамгийн
цөөн 4-7%, 12-15 цагийн үед хамгийн олон 23-25% нь тохиолдоно. Хүчтэй
салхины жилийн явц салхины хурдны явцтай адилхан, өвлийн улиралд цөөн,
хаврын саруудад хамгийн олон 15-20 өдөр тохиолддог.
Шороон ба цасан шуурга.Салхины хурд хөрсний байдалтай уялдан шороон
шуурганы хүч, шороон шуургатай өдрийн тоо нутаг бүхэнд харилцан адилгүй
өөр өөр байдаг. Шороон шуурганы 60-75.5% нь 3-5 дугаар сард ажиглагдана.
Уулархаг нутагт шороон шуурганы үргэлжлэх хугацаа хамгийн бага 7-8 цаг
байна. Шороон шуурганы 75-85% нь 9-20 цагийн хооронд тэр дундаа 14-19
цагийн хооронд хамгийн олон ажиглагддаг байна. Цасан шуургатай өдрийн тоо
жилд 4-6 байдаг бөгөөд зарим жил 11-15 өдөр байна. Цасан шуурга нь ихэвчлэн
9-5 дугаар саруудад ажиглагдана. Зарим жил хавар орой, намар эрт гэнэт цас
орж шуурга шуурах тохиолдол бий.
Мөндөр, аянга цахилгаан. Жилийн 5-10 дугаар сард мөндөр, аянга цахилгаан
ажиглагддаг бөгөөд мөндөртэй өдрийн тоо жилд дунджаар 3-7, зарим жилд 10
өдөр хүрдэг байна. Аянга цахилгаантай өдрийн тоо жилд дунджаар 30-32,
зарим жилд 60 өдөр хүрэх тохиолдол бий. Аянга цахилгаан 4-9 дүгээр сард
голдуу ажиглагдах боловч 7-8 дугаар сард 10 гаруй өдөр тохиолддог.
Манан. Манантай өдрийн тоо жилд дунджаар 2-8, хамгийн олон нь 20 гаруй
өдөр ажиглагддаг. Манан гол төлөв 7-8 дугаар сард ажиглагдах боловч өвлийн
улиралд хааяа тохиолддог.
Хүснэгт 3.1 Сумын агаарын температур, хур тунадасны үзүүлэлт
Он
Агаарын
температурын
жилийн дундаж
хэмжээ
Жилийн хур
тунадасны
хэмжээ,
Хур
тунадастай
байсан өдөр
Олон жилийн дундаж
үзүүлэлт
Тунадас,
мм
Температур С0
Нийлбэр, мм Тоо 1-р сар 7-р сар
2014 3.3 С0
206.8 59
297.9 -32.2 +23.6
2015 1.0 С0
257.8 62
2016 -0. 7 С0
322.4 80
2017 1.6 С0
199.6 62
Олон жилийн дунджаар үзвэл, хур тунадас 297.9 мм, тунадастай өдөр 65.7,
тухайн жилийн хамгийн хүйтэн -32.2 С0, хамгийн дулаан +23.6 С0 байв.
34
Зураг 3.1.1 Жилийн нийлбэр хур тунадасны тархалт
35
3.2 Хөрс, хөрсөн бүрхэвч
Хөрс нь өндөр уулын ба уулын ойн 4 төрлийн, ойт хээрийн 3 төрлийн, бүс
дундын 1 төрлийн хөрснөөс тус тус бүрддэг. Дээрх төрлийн хөрснөөс тус
сумын нутаг дэвсгэрт хамаарах байршлаар тодорхойлбол дараах байдалтай
байна. Үүнд:
Уул нурууд, нам уул, ухаа толгодын болон тал, хөндий, жижиг цав
толгодын хар хүрэн хөрс. Энэ төрлийн хөрсний хэсэг нь тус сумын нутаг
дэвсгэрийн багахан хэсэгт тархана.
Тал, хөндий, жижиг цав толгодын хүрэн хөрс. Энэ төрлийн хөрс нь Өлзийт
сумын өмнөд, Орхон голын хөндийг даган далайн түвшнээс дээш 1000-1500
метрийн өндөрт Өгий нуурыг тойрон тархсан байна.
Бүс дундын нугын, нугат намгийн, намгийн хөрс. Энэ төрлийн хөрс нь
Орхон голын хөндийн ай сав газар, Орхон голын дагуу хамгийн их тархсан хөрс
юм. Гол мөрний хөндий, хээрийн бүсэд хар шороон ба уул-хээрийн хүрэн хөрс
зонхилдог.
Зураг 3.2.1 Хөрсний нэвчилт
36
Өлзийт сумын тариалангийн газарт 2011 онд хийсэн судалгаагаар хөрсний
физик, химийн шинж чанар нь делюви хурдас дээр тогтсон дунд зэргийн
зузаан хөнгөн шавранцар хүрэн хөрс зонхилж бага хэмжээгээр аллювын нуга,
нугын хүрэн хөрс тархсаныг тогтоосон байна2.
Хүрэн хөрсний физик, хими шинж чанарыг судалжээ. Уг хөрсний ялзмагт үеийн
зузаан дунджаар 20-40 см, ялзмаг агууламж 1.2-1.6%, ерөнхий азот 0.08 -0.1%
байсан ба үе давхарга доошлох тутам энэ хэмжээ буурна. Хөдөлгөөнт фосфор,
калийн агууламжаар дунд зэрэг. Энэ хэмжээ нь ХАА-н таримлын бүрэн дүүрэн
ургац авахад шаардлагыг хангаж чадахгүй. Хөрсний орчин ерөнхий сул
хүчиллэгээс саармаг рН=6.8-7.0 байна. Карбонатын хуримтлал их төлөв 35-
дээш см-т ажиглагдана. Зүсэлт хийхэд хүрэн өнгөтэй, нягтарсан тоосорхог
бөөмөрхөг бүтэцтэй, ургамлын үндэс бага, зарим газраа жижиг бага зэрэг
хайрга чулуутай, шилжилт тод, ихэвчлэн хөнгөн шавранцар хааяа элсэнцэр
механикийн бүрэлдэхүүнтэй байна.
Дээрхээс үзэхэд тус сумын тариалангийн ихэнх газрын хөрс үржил шим, шинж
чанарын хувьд ерөнхийдөө гайгүй боловч ХАА-н таримал тариалахад хөрс
сайжруулалт хийх, тухайн таримлын онцлогт тохируулан эрдэс болон шим
бордоог зайлшгүй хэрэглэх шаардлагатай. Хөрсний механик бүрэлдэхүүний
хувьд ихэвчлэн хөнгөн, элсэнцэр бүтэцтэй байгаа нь хөрс салхийг тэсвэрлэх
чадвараар дунд зэрэг байна гэсэн үг.
Тус сумын тариалангийн талбайн төлөв байдлыг хөрсний төрөл, механик
бүрэлдэхүүн, талбайн өндөржилт ба налуу, чулуужилт, салхины ба шугаман
элэгдэл эвдрэл, хог ургамал, хортон шавжийн тархалт, давсжилт, намагжилт,
агрохимийн шинж чанар, саад тотгор, зам харгуй, шугам сүлжээ дайрсан эсэх
зэрэг унаган болон ашиглалтын явцад гарсан өөрчлөлтүүдээр тодорхойллоо.
Хөрсний хэв шинж ба механик бүрэлдэхүүн.Тариалангийн талбайн төлөв
байдлын үндсэн үзүүлэлтийн тоонд хөрс болон түүний механик бүрэлдэхүүн
чухал байр суурийг эзэлнэ. Энд нийт тариалангийн талбайд дунд зэргийн
зузаан хөнгөн шавранцар хүрэн хөрс зонхилж бага хэмжээгээр аллювын нугын
хөрс тархана /хүснэгт 3.2.1/. Хөрсний задлан шинжилгээ хийхэд ихэнх хөрсний
/Н. А. Качинскийн аргаар / механик бүрэлдэхүүнд эзлэх 0.01мм-ээс бага
хэмжээтэй физик шаврын агууламж 18.3% байгаа нь элсэнцэр, 24.3-28.4%
байгаа нь хөнгөн шавранцар механик бүрэлдэхүүнтэй болохыг дахин нотолж
байна /хүснэгт 3.2.1/. Эндээс харахад тус сумын талбайн хөрс үржил шим,
механик бүрэлдэхүүн, хөрс салхины хүчийг тэсвэрлэх чадвараар дунд зэрэг
байна. Гэвч газар тариалангийн үйлдвэрлэл эрхлэхдээ юуны өмнө салхины
эвдрэлээс хамгаалах техник, технологи нэвтрүүлэх, ХАА-н таримлыг
тариалахад нэмэлт бордоог тарилтын өмнө буюу тарилтын үед гурвал тунгаар
хийж өгөх нь зүйтэй. Эс хэрэглэвээс хөрс шим тэжээлийн бодисоор ядуурч
элсжих процесс түргэсдэг. Дээрх хөрсний чийгийн хангамж, ус барих чадвар
дунд зэрэг.
2
Архангай аймгийн Өлзийт сумын тариалангийн болон атаршсан газрын төлөв
байдал, чанарын хянан баталгаа ажлын тайлан, Глобус ХХК, Д.Цэцгээ, 2011 он
37
Хүснэгт 3.2.1 Хөрсний хэв шинж ба механик бүрэлдэхүүн
Хөрсний
хэв
шинж
Эзлэх талбай Хөрсний
механик
бүрэлдэхүүн
Эзлэх талбай
Га Хувь Га Хувь
Он 2005 2011 2005 2011 Он 2005 2011 2005 2011
Хүрэн
хөрс
3208.8 4401.7 91.8 91.6 Элсэнцэр 419.4 275.3 12.0 5.7
Нугын
хөрс
287.4 404.3 8.2 8.4
Хөнгөн
шавранцар
3076.8 4530.7 88.0 94.3
Аллюви
нуга
- 0.5 - 0.01
Дунд
шавранцар
- 0.5 - 0.01
Дүн 3496.2 4806.5 100 100 Дүн 3496.2 4806.5 100 100
38
Зураг 3.2.2 Хөрсний хэв шинж
39
Хөрсний агрохимийн шинж чанар. Хөрсний агрохимийн шинж чанар бол
тухайн талбайг агро үйлдвэрлэл талаас тодорхойлогч гол хүчин зүйл мөн.
Хөрсний голлох тогтвортой үзүүлэлтүүдээр уг хөрсний шинж чанарыг
тодорхойлохын зэрэгцээ агро шинж чанарыг тодотгох үүднээс хөдөлгөөнт азот,
фосфор, калийг тодорхойлох нь чухал. Хүснэгтээс харахад тус сумын
тариалангийн талбайд тархсан хөрс, хөрсний ялзмагт үе, ялзмагийн
агууламжийн хувьд дунд зэрэг байна. Эдгээр үзүүлэлтийг шим тэжээлийн
бодисын хангалтын зэрэглэлээр /УГТЭШ Хүрээлэн, ХАУТ Лабораторийн бага,
дунд, хангалтай, сайн хангалттай гэсэн 4 баллын зэрэглэл, мг/100 г шороонд, 0-
20 см гүн/ авч үзвэл дээрх хөрс нь хөдөлгөөнт азотоор бага, фосфор, калиар
багаас дунд зэрэг хангалттай байна. Иймд энд дурдсан байгаа бүх төрлийн
хөрсийг ХАА-н таримал, ялангуяа төмс, хүнсний ногоо тарихад шим болон
эрдэс бордоогоор заавал бордох шаардлагатай. Хөрсний ялзмагт үеийн
зузааныг өмнөх судалгаатай харьцуулж үзэхэд 0.5-1.0 см-ээр нимгэрч, ялзмаг
агууламж болон бусад шим тэжээлийн бодис бага зэрэг буурах хандлагатай
байна. Энд нэг зүйлийг анхааруулж хэлэхэд зарим нэг /NPK гэх мэт/ элементийг
энэ удаад тодорхойлсон арга зүй, 2005 онд хийсэн задлан шинжилгээний арга
зүйгээс арай өөр арга зүйгээр хийсэн учир яг тэдэн хувийн бууралт өсөлт гэж
нарийн тоо хэлэхэд хүндрэлтэй учир ерөнхий шим тэжээлийн бодисын аль
зэрэглэлд хамаарч байна гэдгээр дүгнэлтийг гаргав.Тухайлбал, азот гэхэд нийт
азот биш нитрат азотыг энэ удаад тодорхойлсон болно.
Хүснэгт 3.2.2 Хөрсний агрохимийн шинж чанар
Хөрсний
хэв шинж
Он
Ялзмагт
үеийн
зузаан,см
Ялзмаг,
%
Нитрат
азот,
мг/кг
рН
Р 205
мг/г
К 20
мг/г
Шингээх
багтаамж
, мг/экв
Хүрэн
2005 24-25 2.64 0.132 6.66 102 177
2011 22-24 1.96 5.60 6.50 1.6 15.0 16
Өөрчлөлт -1.0
40
Зураг 3.2.3 Хөрсний механик бүрэлдэхүүн
41
Хөрсний элэгдэл эвдрэл. Тус сумын тариалангийн талбайд тархсан хөрсний
зарим нэг нь /Өвөр Жаргалант/ ашиглалтын явцад салхины сул эвдрэлд орсон
байна. Эвдрэлд орсон талбайд 1-3 см нимгэн элсэн бүрхүүл тогтсон байв.
Өмнөх судалгааны үетэй харьцуулахад ялзмагт үе давхарга 0.5-1.0 см
нимгэрснээс гадна ялзмагийн агууламж 5-10%-р буурсан байна. Ер нь элсэнцэр
хөрс элэгдэж эвдрэхдээ амархан байдаг. Энэ нь хөрсний уг шинж чанар,
механик бүрэлдэхүүн, газар зүйн байрлал зэрэг байгалийн унаган төрх
байдалтай холбоотой боловч талбайн ашиглалт, хамгаалалт, агротехник, хөрс
эвдрэл зэрэг хүний үйл ажиллагаатай салшгүй холбоотой байдаг. Усны элэгдэл,
эвдрэлд байгалийн унаган төрх байдал газрын гадаргын хэвгий байдал,
налуулаг чухал үүрэгтэй байдаг. Тус сумын талбайнууд одоогоор усны эвдрэлд
ороогүй бөгөөд цаашид ч орох магадлал багатай.
Хүснэгт 3.2.3 Хөрсний элэгдэл эвдрэл
Салхины
элэгдэл
эвдрэл
Эзлэх талбай Усны
элэгдэл
эвдрэл
Эзлэх талбай
Га Хувь Га Хувь
Он 2005 2011 2005 2011 он 2005 2011 2005 2011
Сул 805 979 23.0 20.4 Ороогүй - - - -
Дунд - - - - Шугаман - - - -
Ороогүй 2691.2 3827.5 77.0 79.6 Нэлэнхүй - - - -
Дүн 3496.2 4806.5 100 100 Дүн - - - -
Тариалангийн талбайн өндөржилт ба налуу. Тус сумын тариалангийн
талбайнууд нь Бүрдийн хөндий, Өвөр Жаргалантад үндсэндээ байрладаг.
Талбайн өндөржилтийн хувьд байрлалаасаа хамааран бага зэрэг ялгаатай.
Тухайлбал Бүрдийн хөндийд байрлах талбайнууд далайн түвшнээс дээш 1450
м-ийн өндөрт оршдог бол Өвөр Жаргалантын талбайнууд 1340-1360 м-ийн
өндөрт оршино. Газрын гадаргын хамгийн тохиромжтой өндөр бол газар
тариалангийн үйлдвэрлэлд далайн түвшнээс дээш 900-1200 м-ийн өндөр байх
ба түүнээс дээш ХАА-н таримлын болц оройтох, агаарын температурын
дулааны хангамж хүрэлцэхгүй байх зэрэг сөрөг үр дагавартай байдаг. Гэвч тус
сумын хувьд агаарын температур хүрэлцээтэй учир хяруу цохих аюул бага.
Налуугийн хувьд боломжийн Бүрдийн хөндийн ганц нэг талбайгаас бусад нь
бүгд 0-10 градусын налууд байрлаж байгаа нь ХАА-н машин техник явахад
ямар ч саадгүй байна. Ийнхүү тус сумын талбайнууд бага зэрэг өндөрлөг газар
байрлах ба харин налуугийн хувьд ямар ч саадгүй тэгш гадаргад байрладаг.
Хэт налуу тухайлбал 3-50, 5-70 налуу нь төдий тохиромжтой биш байдаг.
Тариалангийн талбайн өндрөөс агаарын дулааны температур, ХАА-н
таримлын болц ихээхэн хамаардаг бол налуу нь хөрсний элэгдэл эвдрэл, хөрс
боловсруулалт, ХАА-н техникийн үйл ажиллагаанд хүндрэл учруулах сөрөг
талтай байдаг.
Хүснэгт 3.2.4 Тариалангийн талбайн өндөржилт ба налуу
Талбайн
өндөржилт,
Д.т.д, м
Эзлэх талбай Талбайн
налуу,
градусаар
Эзлэх талбай
га хувь га хувь
он 2005 2011 2005 2011 он 2005 2011 2005 2011
1300-1400 1137.8 2008 32.6 41.8 0-1 2746 3948 78.6 82.1
1400-1500 2358.4 2798.5 67.4 58.2 1-3 750 858 21.4 17.9
42
Дүн 3496.2 4806.5 100 100 Дүн 3496 4806 100 100
Тариалангийн талбайн чулуужилт ба намагжилт, давсжилт. Газар
тариалангийн үйлдвэрлэлийн үйл ажиллагаанд чулуужилт чухал нөлөө үзүүлнэ.
Гэхдээ чулуужилтын үзүүлэлт 3 см-ээс дээш диаметртэй чулууг хамруулдаг ба
манай орны ихэнх тариалангийн талбайд ажиглагддаг хайрга болон жижиг
үйрмэг чулуу агро технологид нөлөөлдөггүй учраас чулуужилтад хамруулж
үздэггүй бөгөөд зөвхөн түүнээс том хэмжээний чулууг хамруулж их, дунд, бага
гэсэн 3 ангиллаар авч үзлээ. Чулуужилтын хувьд тус сумын талбайнууд бага
зэрэг чулуутай. Тус суманд одоогоор усны эвдрэлд орж намагжсан, хужир
мараатай талбай байхгүй. Хээрийн бүдгэрсэн зам харгуй хажуу талаар нь
дайрсан талбай тохиолдох боловч тэдгээрийн хамрах хүрээ харьцангуй бага
учир тодорхой хэмжээ тавьсангүй дэлгэрэнгүй хүснэгтэд зөвхөн зам харгуй
гарсан гэж тэмдэглэв. Ахуйн болон химийн бохирдолтын шинж тэмдэг
одоогоор илрээгүй. Доорх хүснэгтээс харахад нийт талбайд элдэв сөрөг
нөлөөлөл байхгүй байна.
Хүснэгт 3.2.5 Тариалангийн талбайн чулуужилт ба намагжилт
Талбайн
чулуужилт
Эзлэх талбай Талбайн
намагжилт,
давсжилт
Эзлэх талбай
Га Хувь Га Хувь
Он 2005 2011 2005 2011 Он 2005 2011 2005 2011
Чулуугүй 2624 4062 75.1 84.6 Нөлөөлөлгүй
Бага - - - Намагтай - - - -
Дунд 651 404 18.6 8.4
Хужир,
мараатай
- - - -
Их 221 340 6.3 7.0 бохирдолтой - - - -
Дүн 3496 4806 100 100 Дүн - - - -
Тариалангийн талбайн хог ургамал, хортон шавж. Талбайн хог ургамал нь
талбайг бохирдуулж талбайн соёлжилтыг бууруулахаас гадна ХАА-н таримлын
ургацыг бууруулдаг сөрөг үзүүлэлт юм. Тус сум нь нийт талбайнуудаа
ашиглаагүй атаршуулсан учир хог ургамал нэлээд ихтэй байв. Хог ургамлаас
лууль, шарилж, чөдөр тарна, урвуу гагадай, үхэр гоньд, хээрийн сэдэргэнэ,
жамба цэцэг, хиаг, зэрлэг олс, хээрийн шаралзгана зэрэг хог ургамлууд
түгээмэл тохиолдоно. Хог ургамлын ангиллаар 1м2 талбайд 0-1 ширхэг хог
ургамал буюу нийт талбайн 10%-д тархсан байвал маш бага, 1м2 талбайд 1-3
ширхэг хог ургамал буюу нийт талбайн 11-25%-д тархсан байвал бага, 3-6 ш
буюу 26-35%-д тархсан бол дунд, 6-10 ш буюу 36-50%д тархсан бол их түүнээс
дээш бол маш их гэж ангилдаг. Тэгвэл юм тарьсан талбайнууд маш бага,
атаршуулсан талбайнууд дунд гэсэн ангилалд хамрагдаж байна. Хортон шавж
төмс, хүнсний ногооны талбайд мэр сэр байв. Харин хортон мэрэгч байхгүй
/Хүснэгт 3.2.6/.
Хүснэгт 3.2.6 Тариалангийн талбайн хог ургамал, хортон шавж
Талбайн хог
ургамал, %
Эзлэх талбай Талбайн
хортон шавж,
ш/м2
Эзлэх талбай
Га Хувь Га Хувь
Он 2005 2011 2005 2011 Он 2005 2011 2005 2011
10 3496 11.5 100 0.2 0.5-1 - 11.5 - 0.2
11-25 - - - - 1-4 - - - -
43
26-35 - 4795 - 99.8 4-ээс их - - - -
35-50 - - - - - -
Дүн 3496 4806 100 100 Дүн 11.5 - 0.2
Тариалангийн талбайн газар ашиглалтын одоогийн байдал хэтийн
төлөв. Тус сум 2010 оны газрын тоо бүртгэлээр 20.4 га тариалангийн, 3430.6
га атаршсан газартай гэжээ. Судалгаа явуулсан 2011 оны хувьд 11.5 га
талбайд төмс, хүнсний ногоо, малын тэжээл тариалсан байв. Атаршсан талбай
балансаар 3430.6 га боловч газар дээрээ 4795 га талбай байна. Эдгээр
талбайнууд Бүрдийн хөндий, Өвөр Жаргалантын хөндийд байрлах ба
социалист нийгмийн үед үр тариа, малын тэжээл тарьж байгаад 1990 оны үеэс
зах зээлийн хямралд өртөн атаршуулжээ. Одоогоор дээрх талбайнуудад нөхөн
сэргээлтийн ажил хийгдээгүй боловч түрүүчээсээ шарилж, хиагийн үе өнгөрч
үетэн буурцагтны үе буюу эдгэрэх шатандаа явж байна. Жаргалантын өвөрт
салхины сул элэгдэл эвдрэлд орсон талбайг эс тооцвол эвдрэл харьцангуй
гайгүй, хөрс зузаавтар, чулуу байхгүй. Атаршуулсан талбайнуудынхаа захад
ганц нэг иргэд төмс, хүнсний ногоо тарьдаг. Усалгааны асуудлыг голоос суваг
шуудуу татан шийдвэрлэдэг. Дээрхээс харахад тус сумын тариалангийн
газрын бүтцийг төмс, хүнсний ногоо дангаараа бүрдүүлэх бөгөөд үр тариа,
тэжээлийн ургамал албан ёсоор тариалдаггүй. Сүүлийн үед урган гарч буй цаг
үеийн шаардлагаа дагаад чацаргана, малын тэжээл тариалахаар сонирхож
байна. Сумын төвд чацаргана тарьсан талбайтай. 2009 онд хийгдсэн
тариалангийн газрын кадастрын зураглал хийгдсэн. 2019 онд сумын ЗДТГ-ын
ХААТ-ийн гаргасан мэдээллээр 1.5 га-аас төмс 7.0 тн, 1.9 га талбайгаас
хүнсний ногоо 3.5 тн, 70 га талбайгаас 110 тн ногоон тэжээл, хүлэмжийн 282 м2
талбайгаас өргөст хэмх, улаан лооль 1.5 тн-ыг тус тус хураав. Сумын газар
тариалангийн талбайнууд байгалийн нөхцөл байдал, хөрсний үржил шимийн
хувьд үр тариа, малын тэжээл тариалах боломжтой. Гагцхүү зөв агро
технологи, арчилгаа, тордлогоо хийх шим болон эрдэс бордоог өргөн хэрэглэх,
элэгдлээс хамгаалах техник технологи хэрэглэх шаардлагатай.
Цаашид авах арга хэмжээ, өгөх зөвлөмж. Атаршуулсан талбайг даруй
ашиглах, үр тариа тарих боломжийг хайх, төмс, хүнсний ногоо, таримал
тэжээл, хүлэмжийн ногоо тарих талбайг өргөжүүлэх, нэгжийн ургацыг
нэмэгдүүлэх дэвшилтэт арга технологийг нэвтрүүлэх
Хөрсний элэгдэл эвдрэлтэй тэмцэх иж бүрэн агро технологи мөрдөх
Хөрсний үржил шимийг нэмэгдүүлэх шим болон эрдэс бордоог өргөн хэрэглэх
Тариалангийн талбайд оновчтой, эрчимжсэн агротехникийн бодлого явуулах
Тариалангийн талбайд тархсан хог ургамал, хортон шавжийг устгах
3.3 Ургамалжилт
Монгол улсад 2000-2005 онуудад хийсэн ургамалжилтын судалгаа, Монгол
орны ургамалжилтын 1:1000000 масштабын зураг, бэлчээрийн зураглал,
тэжээлийн нөөцийг тооцсон олон эрдэм шинжилгээний хүрээлэнгүүдийн
эрдэмтэд судалж, нэн их материалыг бүрдүүлсэн нь аймаг, сумын ургамлын
үнэлгээг хийх мэдээллийн тулгуур эх үүсвэр болж байна.
ШУА-ийн Геоэкологийн хүрээлэн, Ботаникийн хүрээлэнгийн судлаачид 2004 онд
өндөр уул, ойт хээр, хээрийн бүс, бүслүүрийн бэлчээрийн ургамалжилт түүний
онцлог, зүйлийн бүрэлдэхүүн, малд идэгдэх ургац, тэжээлийн нөөц, ургамлын
44
аймгийн овог, төрөл, зүйлээр нь тооцож, судалгааны дүнг нэгтгэн дүгнэсэн
байна3. Энэ ажлын үр дүнд ургамлын аймгийн овог, төрөл, зүйлийг илрүүлэх
судалгааг явуулахдаа Архангай аймгийн бүх сумдын нутгийг хамарсан маршрут
судалгааг явуулан, ургамлын бичиглэл хийж, аймаг, сумын нэгдсэн ургамлын
төрөл, зүйлийн жагсаалтыг гаргажээ.
Бэлчээрийн ургамалжилт.1981 онд сансраас авсан бэлчээрийн 1:100000
масштабын ургамалжилтын зураг болон энэ судалгааны дүнгээс үзэхэд өндөр
уулын бэлчээрийн ургамалжилт 142.3 мянган га буюу 4.0 хувь, ойт хээрийн
ургамалжилт 2181.7 мянган га буюу 57.0 хувь, тал хээрийн ургамалжилт 950.7
мянган га буюу 25.0 хувь, голын хөндий ба нам хотосын ургамалжилт 528.2
мянган га буюу 14.0 хувийг тус тус эзэлж байгааг тогтоожээ.
Бүс, бүслүүрийн бэлчээрийн ургамлын онцлог болон ургамлын зүйлийн
бүрэлдэхүүн, малд идэгдэх дундаж ургацын байдлыг тодорхойлжээ.
Ургамалжилт, ургамлын аймгийн онцлог. Архангай аймгийн
ургамалжилтыг ботаник-газарзүйн бүсчлэл ба ургамлын аймгийн бүтэц,
бүрэлдэхүүнийг тооцохын зэрэгцээ нэн ховор, ховор ургамлын тархалт
байршилтыг тогтоосон байна.
Бүх сумдын нутаг дэвсгэрээр явж, маршрут судалгаа хийснээс гадна Монгол-
Оросын хамтарсан биологийн экспедицийн материалыг үндэслэн сумдын
ургамлын жагсаалтыг гаргасны үндсэн дээр Архангай аймгийн нутагт нийт
ургамлын 81 овог, 231 төрөл, 946 зүйл ургамал байгааг бүртгэж тооцжээ.
Тус аймагт бүртгэгдсэн овгоос үетэн, нийлмэл цэцэгтэн, уруул цэцэгтэн, улалж,
тэргүүлэгч цэцэгтэн орж байна.
Томоохон төрлүүдээс: улалж, шарилж, гичгэнэ, бургас, хунчир, үетэн, банздоо
зэрэг орно.
Аймгийн бүх сумдын ургамлыг овог, төрөл, зүйлээр ялгаварлан гаргаснаас
Өлзийт сумын нутагт 43 овогт хамраах 118 төрлийн 219 зүйл ургамал ургаж
байна.
Архангай аймагт ургаж байгаа байгалийн ургамлыг тэжээллэг ба эмчилгээний
чанар ач холбогдлоор нь ангилж үзэхэд эмийн ба ашигт ургамал 283, тэжээл
601, нэн ховор 19, ховор 35 зүйл ургамлууд тус тус ургаж байгааг тогтоосон
байна.
Эдгээр ургамлын тархалт, биологийн онцлогийг харгалзан үзэж нөөцийг
арвижуулах, нөхөн сэргээх шаардлагатай байна4.
Аймгийн нутаг дэвсгэрт уулын хээрийн ургамалжилт бүхий 3 төрлийн ургамлын
бүрхэвч тархсан байна гэж үзэж болно. Үүнд:
Алаг өвс-жижиг үетэнт, үетэн-улалж-ботууль ургамал бүрхэвч. Энэ
төрлийн ургамлын бүрхэвч нь аймгийн нийт нутаг дэвсгэрт жигд байдлаар
хамгийн их тархсан бөгөөд нийт нутгийн 40.9 хувийг эзэлдэг. Уулын хээрийн
ургамалжилт бүхий дээрх 3 төрлийн ургамлын бүрхэвч нь аймгийн гол
бэлчээрийн газрыг бүрдүүлэх бөгөөд ерөнхий дүнгээрээ нийт нутаг дэвсгэрийн
56.7 хувийг эзэлдэг.
3 Я.Баасандорж (Ph.D), Д.Зооёо (Ph.D), С.Бадрах. “Архангай аймгийн бэлчээрийн
ургамалжилт түүний зарим онцлог” эрдэм шинжилгээний өгүүлэл.
4
Баасандорж Я. Бадрах С. Зооёо Д., 2004. “Архангай аймгийн байгалийн ургамлын
тооллого, бүртгэл” ажлын тайлан. УБ. Х. 9-21
45
Хуурай хээрийн харгана, жижиг үетэн хялганат, чулуулаг алаг өвс
ботуульт ургамал бүрхэвч нь аймгийн нийт нутаг дэвсгэрийн 10.2 хувийг
эзлэх бөгөөд зөвхөн Өлзийт, Өгийнуур, Хотонт, Хашаат сумдын бэлчээр
нутгийн гол цөмийг бүрдүүлдэг байна.
Нуурын хөвөө, голын татмын ургамалжилттай бургас, улиас, хааяа шинэс,
гацуур бүхий улалжит, үетэн-алаг өвст, дэрст ургамал бүрхэвч нь хойд
Тамир, Орхон голыг дагасан хөндийгөөр тархсан бөгөөд нийт нутаг дэвсгэрийн
4.5 хувийг эзэлнэ.
Архангай аймгийн нутгийн 15% орчмыг шинэс хар модон болон холимог ой
эзэлнэ.
Аймгийн нийт нутаг дэвсгэрийн 19.6 хувийг шилмүүст ой эзэлдэг. Ой бүхий
газар 50 гаруй зүйлийн мод бут, 1700 нэрийн ургамал ургадгаас түүний 20
орчим хувь нь эмийн зориулалтаар ашигладаг ховор ургамал юм
Гол мөрний хөндий, хээрийн бүсэд хар шороон ба уул-хээрийн хүрэн хөрс
зонхилдог. Үет болон агь, үет ургамал хосолсон өтгөн шигүү ургамал ургана.
Тайгын бүслүүрт мөнх цэвдэг нэлээд тархсан байна.
Сумын нутаг нь ургамал газар зүйн мужлалаар Евразийн хээрийн муж, Хангай
Хэнтийн уулархаг их мужийн Хангайн муж, Хангайн гол нурууны ойт хээрийн
тойрогт хамрагддаг.
Өлзийт сумын нутаг нь ургамал газар зүйн мужлалаар Евроазийн хээрийн муж,
Хангай-Хэнтийн уулархаг мужийн Хангай сум, Хангайн гол нурууны тойрогт
хамрагддаг байна5.
Судалгаа явуулсан тариалангийн талбайн орчимд хээрт 50-55%-ийн ерөнхий
бүрхэцтэй хялгана-үетэн-алаг өвст, нугад нь улалж-алаг өвст төрөл зонхилон
тархана. Өөрөөр хэлбэл ургамал нөмрөгт хялгана, хиаг, саман ерхөг, бүхий
үетэн ургахаас гадна алаг өвснөөс имт гичгэнэ, арзгар согсоолж, далан түрүү,
агь, улалж зэрэг ургана6.
5
А.А. Юнатов БНМАУ-ын ургамал нөмрөгийн үндсэн шинжүүд, 1976 он
6
Архангай аймгийн Өлзийт сумын тариалангийн болон атаршсан газрын төлөв
байдал, чанарын хянан баталгааны ажлын тайлан, Глобус ХХК, Д.Цэцгээ, 2011 он
46
Зураг 3.3.1 Ургамалын хэв шинж
47
Өлзийт сумын үржил шимт хар хүрэн шороон хөрсөнд ерхөг, согоовор, агь,
хиаг, хялгана, ботууль зэрэг соргог нарийн өвс, үет болон буурцагт ургамал
ургана. Хөндий, хоолой, талархаг нутгаар шивээт хялгана, харгана, дэрс мэт
бутлаг ургамал тааралдана. Уулархаг газраа хар мод, хус, голын хөндий
тохойгоор улиас, бургас ургана. Мөн торлог, буриагуул зэрэг модлог бутлаг
ургамлаар элбэг болно.
Алтан гагнуур, хунчир, бамбай, нохойн хошуу, царван, таван салаа, игүүшин,
тарваган шийр, чихэр өвс, дэгд зэрэг эмийн, таана, хөмүүл, мангир, шувуун хөл,
гоньд, мөөг, мэхээр, цээнэ, халгай мэт хүнсний болон аминдэмтэй ургамал,
тошлой, улаалзгана, гүзээлзгэнэ зэрэг олон төрлийн жимс ургадаг7.
3.4 Ойн нөөц, төлөв байдал
Сумын ойгоор бүрхэгдсэн талбайн 3852 га буюу 98.2 хувийг байгалийн ой, 72 га
буюу 1.8 хувийг сөөг эзэлж байна. Харин ойгоор бүрхэгдээгүй талбайн 242 га
буюу 25.4 хувийг тармаг мод, 230 га буюу 24.2 хувийг шатсан ой, 129 га буюу
13.6 хувийг мод бэлтгэсэн0 талбай, 253 га буюу 26.6 хувийг ойжиж байгаа
талбай, 98 га буюу 10.3 хувийг хөнөөлт шавж, өвчинд нэрвэгдсэн талбай тус тус
эзэлж байна.
Зураг 3.4.1 Ойн сангийн талбай газрын төрлөөр ангилагдсан байдал
7
Ц.Дамдинжав, Д.Даваасүх, Архангай аймгийн Өлзийт сумын түүхийн
товчоон,Улаанбаатар, 2014 он
Ойн сангийн талбай
4876 га
Ойн талбай
4876 га
Ойгоор бүрхэгдсэн
3924 га
Байгалийн ой
3852 га
Сөөг, торлог
72 га
Ойгоор бүрхэгдээгүй 952
га
ХШӨН
талбай 98 га
Тармаг мод
242 га
Шатсан
талбай
230 га
МБ талбай
129 га
Ойжих
253 га
48
Зураг 3.4.1 Ойн төрөл
Ойн талбайг /4876 га/ сумын нийт нутаг дэвсгэрийн талбайд /172034 га/
харьцуулахад ойрхог чанар 2.8 хувь байна. Энэ нь ойн нөөцөөр нэн хомс
49
болохыг харуулж байна. Тухайн нутаг дэвсгэрийн 30-50 хувь ой модоор
хучигдсан байвал экологийн тааламжтай орчин үүсдэг гэсэн дэлхий нийтийн
жишиг байдаг байна.
3.5 Гадаргын болон гүний усны нөөц
3.5.1 Гадаргын усны нөөц
Орхон голын сав газарт 8 аймгийн 53 сумын нутаг дэвсгэр ямар нэг хэмжээгээр
багтдаг.
Орхон голын сав газрын 38.2 хувийг Архангай аймгийн нутаг эзэлж байна.
Сумын нийт талбай 1717.54 км2 талбай нь бүгдээрээ Орхон голын сав газарт
хамаарна.
Өлзийт сумын нутаг, бэлчээрийн усан хангамжийг гол горхи, нуур цөөрөм,
булаг шанд зэрэг урсгал болон ундармал, тогтмол усны нөөц бүрдүүлдэг.
Орхон гол сумын нутаг дундуур 70 орчим км урсахдаа нутаг, бэлчээрийн 30
гаруй хувийг усаар хангаж, Тамир, Бодонт, Хархираагийн голууд урсгал усны
нөөцийг ихэсгэнэ.
Сумын гадаргын усны 2017 оны тооллогын дүнгээс үзвэл гол горхи 10, булаг,
рашаан 17, нуур, цөөрөм 6 байснаас булаг, рашааны 2 нь ширгэжээ.
50
Зураг 3.5.1.1 Гадаргын ус
51
Их, бага хужирт, Улаан чулуут, Дунд даваа, Хөх хошуу, Ар булаг, Их булаг зэрэг
20 шахам булаг, шанд байдгаас заримыг нь жилийн турш ашигладаг.
Цайдмын их, Бага нуур, Олгой нуур, Их дэрст, Зодох, Дээд, доод цагаан нуур,
Олон нуур зэрэг том, жижиг нуурууд бий. Цайдмын цагаан нуураас давс, сайн
чанарын хужир олборлоно. Хужрын найрлагад цэвэр сод 72%, хоолны давс
26%, бусад микро-элемент 2% байгаа нь тогтоогджээ.
Долоон хайлаас, Рашаант, Дунд даваа, Богино ам, Наранбулаг, Гарангийн
рашаан, Цайдам, Цагаан нуурын хүхэрлэг шаврыг нутгийн болон хөрш
зэргэлдээ сумын иргэд эрт үеэс эмчилгээний чанартай ашиглаж ирсэн байна8.
2001 оны гадаргын усны чанарын үнэлгээ, хяналт, шинжилгээний дүнгээр
бохирдлын индексийг тооцож, усны чанарын зэргийг тогтоон үнэлгээ өгчээ.
Бохирдлын индексийг бохирдуулагч бодсын тархац, бусад хор хөнөөл зэрэг
хүчин зүйлүүдийг үндэслэн усанд ууссан хүчилтөрөгч, хялбар исэлдэх органик
бодис, эрдэс азот болон фосфор, хром, зэс зэрэг хүнд металлуудаас 6-аас
доошгүй үзүүлэлтүүдийг сонгон авч, жилийн дундаж агууламжийг нь “-4586-98”
гэсэн “Усны чанарын стандарт”-тай харьцуулан гаргадаг.
Архангай аймгийн Өлзийт сумын нутаг дэвсгэрт хамаарах том голын усны
чанарын үнэлгээг дараах хүснэгтээс харж болно.
Хүснэгт 3.5.1.1 Усны чанарын үнэлгээ
¹ Гол мөрөн-харуул Бохирдлын индекс Усны чанарын
Зэрэг Ангилал
5 Орхон-Хар хорин 0.14 I Маш цэвэр
Дээрх хүснэгтээс үзэхэд эдгээр томоохон голууд бохирдлын индексээрээ цэвэр,
маш цэвэр гэсэн ангилалд багтаж байна.
8
Ц.Дамдинжав, Д.Даваасүх, Архангай аймгийн Өлзийт сумын түүхийн товчоон,Улаанбаатар,
2014 он
52
Зураг 3.5.1.2 Боломжит ууршилтын тархалт
3.5.2 Гүний усны нөөц
Орхон голын сав газрын хэмжээнд газрын доорх усны хамгийн их урсалтын
модуль гурван Тамирын голын эх, Өгий нуурын орчимд 190км/жил/км2 хүрдэг
байна.
Сумын төвийн Орхон голын газрын доорх усаар тэжээгддэг 2 худгийн усны
ашиглалтын ундарга нь дунджаар 4.0 л/сек байв.
Сав газрын дунд хэсгийн газрын доорх усны чанар, найрлага: Сумын
худгийн усанд хийсэн химийн шинжилгээний дүнгээс үзэхэд ундны усны
стандартын шаардлага бүрэн хангасан цэнгэг устай.
53
Зураг 3.5.2.1 Гидрогеологийн зураг
54
3.6 Инженер геологийн нөхцөл
3.6.1 Геологи, мужлал, ашигт малтмал
Өлзийт сумын нутаг дэвсгэр нь монгол орны физик газар зүйн мужлалаар
Хангай-Хэнтийн уулархаг их мужийн Хангайн мужийн Хангайн гол нурууны
тойрогт хамрагдана.
Өлзийт сумын нутагт Баян байшир, Норжинчинбо, Баянхайрхан, Дулаан
хайрхан, Төмөрт, Салхит, Алаг морьт, Асгат зэрэг өндөр уулс, Таван толгой,
Саалийн мухар, Хүрэн хоолой, Хүрэн шанд, Цагаан хоолой, Харгана, Зодох,
Дүүхээ, Цайдмын өргөн хөндий бий.
Ямаат, Арц, Улаан бумба, Өгөөмөр, Хөшиг, Зараа, Их бага барчгар, Улаан
чулуут, Өлзийт, Зэгстэйн цагаан нуруу, уулархаг ухаа, толгод, дэл сэрвэн гүвээ,
55
тэдгээрийн хоорондох хөндий хоолойнууд үргэлжлэх нь тал хээрийн бүсийг
илэрхийлнэ.9
Сумын эдэлбэр нутаг далайн төвшнөөс дээш 1300-1450 м өндөрт орших ба
хойноосоо урагшаа сунасан зууван хэлбэрийн дүрстэй.
Газрын гадаргын ерөнхий төрхийг ойт хээрийн шинж төрхийг агуулсан уулархаг
гадарга зонхилж дундаж өндөр нам бэсрэг уулс, тэдгээрийн хоорондох өргөн
нарийн ам хөндийнүүд бүрдүүлнэ.
Сумын тариалангийн гол газар нь сумын төвийн ойролцоо Бүрдийн хөндий,
Жаргалантын өвөр орчмоор байрлах ба тэдгээр нь тэгшивтэр гадаргатай.10
Өлзийт сумын нутагт төмрийн хүдэр, шатдаг занар, шохойн чулуу, боржин
чулуу, наанги шавар, зос будаг зэрэг барилын материал, түүхий эд зэрэг ашигт
малтмалын илрэлүүд нээгдсэн байна.
Сүүлийн үед геологийн эрэл хайгуулын явцад Өлзийт, Чулуут сумын нутагт
хийгдсэн 1:50000-ын масштабын геологийн эрэл-зураглалын ажлын явцад
Жаргалантын Их-Элэгдэйн шороон ордод Р2 зэрэглэлээр алтны нөөцийг нь 60
кг гэж тогтоожээ.
Өлзийт зэрэг сумын нутагт скарны, тунамал, маагмын гарал үүсэлтэй төмрийн
илэрцүүд, алт зэрэг металл ашигт малтмалын илрэлүүд, өнгөт эрдэнийн чулуу,
шүү зэрэг металл бус ашигт малтмалын орд, илрэлүүд байгаа бөгөөд цаашид
судалгаа явуулж нөөцийг тогтоох ирээдүйтэй бүс нутагт багтаж байна.
9
Ц.Дамдинжав, Д.Даваасүх, Архангай аймгийн Өлзийт сумын түүхийн
товчоон,Улаанбаатар, 2014 он
10
Архангай аймгийн Өлзийт сумын тариалангийн болон атаршсан газрын төлөв
байдал, чанарын хянан баталгааны ажлын тайлан, Глобус ХХК, Д.Цэцгээ, 2011 он
56
57
Зураг 3.6.1.1 Геологи
3.6.2 Инженер геоморфологийн нөхцөл
Сумын нутаг дэвсгэр геоморфологийн дараах гол хэв шинжтэй. Үүнд:
Техтоник-элэгдлийн хэв шинжит хотгор гүдгэр /N-Q /
Ихээхэн хэрчигдсэн, хавтгай, бөмбөгөрдүү оройтой эгц хажуутай дундаж өндөр
уул /геоморфологийн зурагт-1312 гэсэн тэмдгээр заасан газрууд /.
Дунд зэрэг хэрчигдсэн, эгцдүү хажуутай дундаж уул / геоморфологийн зурагт-
1313 гэсэн тэмдгээр заасан газрууд /
Их хэрчигдсэн эгц хажуутай нам уул / геоморфологийн зурагт-1411 гэсэн
тэмдгээр заасан газрууд /
Дунд зэрэг хэрчигдсэн эгцдүү хажуутай нам уул/ геоморфологийн зурагт-1413
гэсэн тэмдгээр заасан газрууд /
Тэгширмэл газар, уулс хоорондын ба уулс дотоодын хотгор, голын хөндий
дэх хуримтлалын хэв шинжит хотгор гүдгэр /N-Q1Q/
Голын татам бүхий аллювийн тал/Байнгын урсгалтай голын хөндий, дээрх
зургийн 4111-ээр тэмдэглэсэн газрууд /
58
Голын татам ба ангилагдаагүй татмын нам дэнж бүхий аллювийн тал /дээрх
зургийн 4112-аар тэмдэглэсэн газрууд /
Нам дэнж бүхий аллювийн тал /дээрх зургийн 4115-аар тэмдэглэсэн газрууд /
Орчин үеийн татам, сайрын хөндий ба ёроол /Түр зуурын урсгалтай голын
хөндий, 4116 тэмдэгтээр заасан газрууд/
Зураг 3.6.2.1 Геоморфологи
59
Газрын гадарга нь геоморфологийн шинжээр дараах гадаргуудаас бүрдэнэ.
Үүнд:
 Тод илэрсэн эргийн далан, эвдрэлийн хөмөг хошуу бүхий нуурын хаялга
ба нам дэнж бүхий нуурын хурдас тал /Зураг дээр 4211 тэмдэгтээр
заасан /
 Пролювийн тал / Зураг дээр 4311 тэмдэгтээр заасан/
 Нуур-аллювийн тал / Зураг дээр 4314 тэмдэгтээр заасан/
 Деллюви- пролювийн тал / Зураг дээр 4317 тэмдэгтээр заасан /
Тэгшрэлийн гадарга /K-P,N/
Налуу хажуутай, сул хэрчигдсэн /5112 тэмдэгтээр заасан газрууд/
Налуу, сул хэрчигдэлтэй /Зураг дээр 5114 тэмдэгтээр заасан /
Сулавтар хэрчигдэлтэй, бага зэрэг өргөгдсөн / Зураг дээр 515 тэмдэгтээр
заасан /
3.6.2.1 Сумын газрын гадарга:
Сумын эдэлбэр нутаг д.т.д 1300 м өндөрт Хойд өргөргийн 48 градус,
уртрагийн 102 градуст, хамгийн нам дор цэг нь Гацаа д.т.д 1271 м, хамгийн
өндөр цэг нь Байшир багийн нутагт байх Рашаант уул д.т.д 2106 м өндөрт
оршдог. Сумынхаа баруун хэсэг болон зүүн хэсгээрээ өндөр уул нуруудтай ба
гол хэсгээрээ Орхон голын сав хөндий тал гадаргуутай.
Хүснэгт 3.6.2.1 Сумын гадаргын өндөржилтийн талбайн эзлэх хувь
Д/д Өндөржилт Талбай /га/ Эзлэх хувь
1 1271-1381 м 57865.45 33.70
2 1381-1481 м 46736.63 27.22
3 1481-1600 м 39908.32 23.24
4 1600-1766 м 19601.02 11.42
5 1766-2106 м 7578.39 4.41
60
Зураг 3.6.2.2 Гадаргын өндөршилт
61
Өлзийт сумын нийт гадаргын 33.7% нь 1381 метрээс доош, 27.2% нь 1381-1481
метр, 23.2% нь 1481-1600 метр, 11.4% нь 1600-1766 метр, 4.4% нь 1766-2106
метр өндөрлөгт байрладаг.
Гадаргын налуу:
Гадаргын хэвгийн хувьд 0-2 градусын хэвгий бүхий газар 35611 га буюу 21 хувь,
3-5 градусын хэвгий бүхий газар 45632.42 га буюу 26 хувь, 6-7 градусын хэвгий
бүхий газар 38273.1 га буюу 22 хувь, 8-10 градусын хэвгий бүхий газар 20805.51
га буюу 12 хувь, 11-13 градусын хэвгий бүхий газар 12475.7 га буюу 7 хувь, 14-
17 градусын хэвгий бүхий газар 7962.6 га буюу 5 хувь, 18-21 градусын хэвгий
бүхий газар 6220.7 га буюу 4 хувь, 22-25 градусын хэвгий бүхий газар 3405.2 га
буюу 2 хувь, 26-43 градусын хэвгий бүхий газар 1300.7 га буюу 1 хувийг тус тус
эзэлж байна.
Хүснэгт 3.6.2.2 Сумын гадаргын налуужилтын талбай
№ Гадаргын налуужилт Талбай /га/ Эзлэх хувь
1 0-2 35611.33 20.7
2 3-5 45632.42 26.5
3 6-7 38273.11 22.2
4 8-10 20805.51 12.1
5 11-13 12475.74 7.2
6 14-17 7962.59 4.6
7 18-21 6220.75 3.6
8 22-25 3405.24 1.9
62
Зураг 3.6.2.3 Газрын гадаргын налуу
63
Гадаргын зүг зовхис: Гадаргын зүг зовхисын хувьд сумын нутаг дэвсгэрийн
9.42 хувийг тал газар, 18.9 хувийг хойд зүг буюу 337.5-22.5 градусын зүг зовхис,
8.3 хувийг зүүн хойд зүг буюу 22.5-67.5 градусын зүг зовхис, 6.6 хувийг зүүн зүг
буюу 67.5-112.5 градусын зүг зовхис, 12 хувийг зүүн урд зүг буюу 112.5-157.5
градусын зүг зовхис, 14.9 хувийг урд зүг буюу 157.5-202.5 градусын зүг зовхис,
11.4 хувийг баруун урд зүг буюу 202.5-247.5 градусын зүг зовхис, 8.7 хувийг
баруун зүг буюу 247.5-292.5 градусын зүг зовхис, 9.3 хувийг баруун хойд зүг
буюу 292.5-337.5 градусын зүг зовхистой гадарга тус тус эзэлж байна.
Хүснэгт 3.6.2.3 Сумын гадаргын зүг зовхис эзлэх талбай
№ Зүг зовхис Талбай /га/ Эзлэх хувь
1 Тэгш тал 16168.09 9.42
2 Хойд (0-22.5) 18851.41 10.98
3 Зүүн хойд (22.5-67.5) 14327.19 8.35
4 Зүүн (67.5-112.5) 11326.88 6.60
5 Зүүн урд (112.5-157.5) 20722.96 12.07
6 Урд (157.5-202.5) 25660.29 14.95
7 Баруун урд (202.5-247.5) 19652.74 11.45
8 Баруун (247.5-292.5) 15011.28 8.74
9 Баруун хойд (292.5-337.5) 16116.54 9.39
10 Хойд (337.5-360) 13825.75 8.05
64
Зураг 3.6.2.4 Зүг зовхис
65
3.6.3 Цэвдэг, түүний тархалт
ЗХУ-БНМАУ-ын /хуучнаар/ хамтарсан геокриологийн экспедицийн (1968-1970)
судалгааны ажлын үр дүнд 1:1500000 масштабтай “БНМАУ-ын Геокриологийн
зураг” 1971 онд зохиогдсон бөгөөд монгол орны нийт газар нутгийн 63%-д
тасалданги болон алаг цоог хэлбэрийн цэвдэгтэй гэж тогтоосон аж 11
Байгаль орчин, ногоон хөгжил, аялал жуулчлалын яамны ногоон хөгжлийн
бодлого, стратеги төлөвлөлтийн газрын захиалгаар НҮБ-ын Хөгжлийн
Хөтөлбөрийн “Экосистемд түшиглэсэн дасан зохицох арга хэмжээг уур
амьсгалын өөрчлөлтөд өндөр эрсдэлтэй голуудын сав газарт хэрэгжүүлэх нь”
төслийн санхүүжилтээр цэвдгийн тархалтын TTOP (mean annual temperature at
the top of permafrost) загварчлалын аргазүйг ашиглан 1:1000 000 масштабтай
“Монгол орны цэвдгийн тархалтын зураг” 2016 онд зохиосон
байна(Я.Жамбалжав ба бусад, 2016). Уг зурагт цэвдгийн тархалтыг
үргэлжилсэн, тасалданги, алаг цоог, тохиолдлын тархалттай цэвдэгт бүслүүр
болон улирлын хөлдөлтийн бүсэд ангилсан бөгөөд нийт газар нутгийн 29.3%-д
тархсан гэж дүгнэжээ.
Монгол орны цэвдэг нь Хангайн уулархаг бүс нутгийн өндөр уулс, хөндий хотост
төвлөрөн тархдаг бөгөөд хөрсний гулсалт, чулуун хүрээ, дов сондуул, бөөрөг,
халиа тошин зэрэг хүйтний гаралтай үзэгдлүүд элбэг тархсан байдаг байна.
Энэ бүс нутагт Монгол орны цэвдэг тархах боломжит талбайн 38.1% ноогдох
бөгөөд үргэлжилсэн тархалттай цэвдэг 40222 км2, тасалданги тархалттай
цэвдэг 48655 км2, алаг цоог тархалттай цэвдэг 49809 км2, тохиолдлын
тархалттай цэвдэг 37525 км2 талбайг тус тус эзэлдэг байна..
Монгол орны цэвдгийн тархалтын зурагт үзүүлснээр Хангайн уулархаг бүс
нутагт цэвдгийн тархалтын доод хил Хан Хөхийн нуруунд 1400-1900 м, Хангайн
баруун хэсэгт 1900-2000 м, Хангайн өвөр хэсэгт 2000-2200 м, Хангайн зүүн
хэсэг болон Орхон-Сэлэнгийн бэсрэг уулсад 1400-1800 метрийн өндөрт тус тус
байна.
11
Гравис ба бусад, 1974, Монгол орны уулархаг бүс нутгуудын цэвдгийн ялгаа,
өөрчлөлт
Я.Жамбалжав, Я.Гансүх, А.Саруулзаяа ШУА, Газарзүй-геоэкологийн хүрээлэн, Цэвдэг
судлалын салбар
66
Зураг 3.6.3.1 Цэвдгийн тархалт
67
3.6.4 Газар чичирхийлэл
2019 оны 2-р сарын 16-ны өдрийн Улаанбаатарын цагаар 13 цаг 23 минутад
Архангай аймгийн Өлзийт сумын нутагт 4.6 магнитудын хүчтэй газар хөдлөлт
болсон. Ямаат баг нь аймгийн тѳвѳѳс 120 км-ын зайтай бѳгѳѳд аймгийн төвийн
зүүн дэнж буюу Цогт-Уул, Бор толгой орчимд чичирхийлэл мэдэгдсэн байна.
Газар хөдлөлтийн төв нь сумын төвөөс зүүн урагш 28 км-ийн зайд, өргөргийн
47.88, уртрагийн 102.79-т байсан бөгөөд хүн, малгүй эзгүй хээр газар юм.
Зураг 3.6.4.1 Газар хөдлөлийн мужлал
68
3.7 Байгалийн бүс бүслүүр
Өлзийт сум нь байгалийн бүс бүслүүрийн хувьд ойт хээр болон хээрийн бүсэд
хамаарагдаж байна.
Ойт хээрийн бүс нь бага зэргийн ой болон хээр хосолсон бүс юм. Энэ бүсэд
сумын Байшир багийн нийт нутаг, Бодонт багийн хойд хэсэг, Ямаат багийн
хойд, Хөшөөт багийн хойд хэсгийг хамааран сумын газар нутгийн 53% -ийг
эзэлж байна.
Хээрийн бүс нь ой модгүй уул болон тал хээр хосолсон бүс юм. Энэ бүсэд
Ямаат багийн урд хэсэг, Бодонт багийн урд хэсэг, Хөшөөт багийн урд хэсгийг
хамааран сумын газар нутгийн 47% -ийг эзэлж байна.
Хүснэгт 3.7.1 Байгалийн бүс бүслүүр
№ Байгалийн бүс, бүслүүр Талбай /га/ Эзлэх хувь
1 Ойт хээрийн бүс 90358.0 53.0
2 Хээрийн бүс 81333.0 47.0
69
Зураг 3.7.1 Байгалийн бүс бүслүүр
ДӨРӨВ. НИЙГЭМ ЭДИЙН ЗАСГИЙН СУУРЬ НӨХЦӨЛ
4.1 ХҮН АМ ЗҮЙ
Сумын хүн амын нас, хүйсийн бүтцийг 2014 оныг суурь болгон авч сонгосон
үзүүлэлтээр 2015-2019 оноор тооцоход сумын хүн ам нийт дүнгээр 40 орчим
хүнээр нэмэгдэж, өсөлтийн коэффициент 2015 болон 2019 онд 1.0, 1.5 хувиар
буурснаар бусад жил нэмэгдэх хандлагатай байгааг нотолж байна. Харин
аймгийн нийт хүн амд тус сумын эзлэх хувийн жин тогтвортой, 100 эрэгтэйд
ногдох эмэгтэй хүний тоо буурах, өөрөөр хэлбэл эр хүйсийн харьцаа нэмэгдэж
иржээ.
70
Хүснэгт 4.1.1 Хүн амын нас, хүйс бүтцийн үзүүлэлт, 2015-2019 он
Үзүүлэлт Oн
2014 2015 2016 2017 2018 2019
Нийт хүн ам 3,301 3,347 3,383 3,454 3,403
Жилийн өсөлтийн
коэффициент
-1.0 1.4 1.1 2.1 -1.5
Аймгийн хүн амд
эзлэх хувь 3.59 3.59 3.56 3.57 3,45
Хүйсийн харьцаа 108.3 108.1 108.2 107.8 105.9
Насны бүтэц, хувиар
0-14 31.1 30.5 30.9 31.2 31.7
15-64 65.1 66.2 65.4 64.9 64.7
65+ 3.8 3.3 3.8 3.8 3.6
Голч нас
Насжилтын индекс 12.3 11.0 12.2 12.2 11.5
Хүн ам зүйн ачаалал, хувиар
Хүүхэд 47.7 46.0 47.2 48.1 49.0
Хөгшин хүн ам 5.9 5.1 5.7 5.9 5.6
Нийт 53.6 51.1 52.9 54.0 54.6
Тэмдэглэгээ: Насжилтын индексийг 65+ насны хүн амын тоог 0-14 насны хүн
амын тоонд харьцуулах, хүүхдийн ачааллыг 0-14 насны хүүхдийг 15-64 насны
хүн амын тоонд, хөгшин хүн амын ачааллыг 65+ насны хүн амыг 15-64 насны
хүн амын тоонд харьцуулах байдлаар тооцсон болно.
Сумын хүн амын өсөлт тогтвортой байгаа таатай нөхцөл нь насны бүтэц, хүн ам
зүйн ачаалал харьцангуй хэвийн байгаа үзүүлэлт гарлаа. 15-64 насныхан
сумын нийт хүн амын 2/3 хувийг эзэлж байгаа нь ажиллах хүч хангалттай
нөөцтэй, энэхүү хөгжлийн төлөвлөгөөг хэрэгжүүлэх зохистой зэхэлтэй гэж үзэх
үндэслэлтэй.
Хүн ам зүйн нас, хүйсийн суваргаас харахад 0-14 насны эрэгтэй хүүхэд
эмэгтэйгээсээ илүү, хүртэлх хүн амд эрэгтэйчүүд давамгайлж байдал бол 55-
дээш насанд эмэгтэй хүйс давамгайлж байна.
15-19 насны ангилал дээр хоёр хүйсийн хүн ам тэнцүү гарснаас бусад
тохиолдолд 55-59 нас хүртэл эрэгтэйчүүд давуу, харин сүүлийн 3 ангилалд
эмэгтэйчүүд давуу болж байна.
71
Тахирмаг 4.1.1 Хүн амын нас, хүйсийн суварга
Эх сурвалж. ҮСХ
Төрөлжилт багатай буюу нэг төрлийн ажил нийтлэгээр эрхэлдэг газар,
тухайлбал өрхийн тариалан, нүүдлийн мал аж ахуй гэх мэт биеийн хүчний
хэрэгцээ ихтэй нөхцөлд дунд насны эрэгтэйчүүд зонхилдог12 тэрхүү зүй
тогтолтой дүйлгэж болохоор дүрслэлийг суваргаас харж болно.
Хүснэгт 4.1.2 Хүн ам зүйн бусад үзүүлэлт
Гэрлэлт
Хүүхэд
үрчлэлт
Шилжиж ирсэн Шилжсэн13
Гэрлэсэн Гэрлэлт
цуцалсан
Aймаг,
нийслэлд
Сум
хооронд
Аймаг,
нийслэлээс
Сум
хооронд
2014 16 0 4 14 7
2015 16 1 2 15 8
2016 20 2 8 21 9
2017 38 0 5 14 6
2018 32 1 3 18 16
Эх сурвалж: Аймаг, сумын статистик мэдээ
2014 оноос хойших 5 жилд нийт 122 гэр бүл шинээр нэмэгдсэн нь гэр бүл
салалтаас 30 гаруй дахин илүү, тэр чингээгээр тус суманд гэр бүлийн
тогтвортой байдал өндөр байгааг харуулав. Хүн амын шилжилт хөдөлгөөний
тухайд жилд дунджаар 25 орчим хүн шилжиж ирдэг мэдээг сумаас өгсөн болно.
12
Christina Le Beau, Discrimination against girls may be worse in places with one
type of farming history, 2018. https://qz.com/work/1243704/discrimination-against-
girls-may-be-worse-in-places-with-one-type-of-farming-history/
13
2018 оноос эхлэн бүртгэхгүй болсон тул сумаас гарахгүй болно
-203
-201
-156
-148
-147
-133
-142
-137
-133
-120
-76
-64
-39
-23
-28
199
181
138
147
113
113
153
110
126
90
98
64
48
27
46
( 0-4 )
( 5-9 )
( 10-14 )
( 15-19 )
( 20-24 )
( 25-29 )
( 30-34 )
( 35-39 )
( 40-44 )
( 45-49 )
( 50-54 )
( 55-59 )
( 60-64 )
( 65-69 )
( 70-74 ) Эмэгтэй
Эрэгтэй
72
Сумын эдийн засаг үндсэндээ мал аж ахуйгаас хамааралтай, харьцангуй давуу
учраас энэ салбарт ажил эрхлэгчид төвлөрдөг манай орны нийтлэг дүр зургийг
Өлзийт сумын хүн амын байршлаас нэгэн адил харж болно.
Хүснэгт 4.1.3 Хүн амын байршил, тоогоор
Он
Нийт хүн ам Байршил
Бүгд
Эрэгтэ
й
Эмэгтэ
й
Сумын төв Хөдөө
Бүгд
Эрэгтэй
Эмэгтэ
й
Бүгд
Эрэгтэй
Эмэгтэ
й
2014 3333 1718 1615 851 420 431 2482 1298 1184
2015 3301 1716 1585 816 412 404 2485 1304 1181
2016 3347 1739 1608 828 417 411 2519 1322 1197
2017 3383 1758 1625 835 422 413 2548 1336 1212
2018 3454 1792 1662 833 422 411 2621 1370 1251
2019 3403 1750 1653 805 404 401 2598 1346 1252
Хүн амын байршил, хувиар
2014
100
%
51.5 48.5 25.5 12.6 12.9 74.5 38.9 35.5
2015 100 52.0 48.0 24.7 12.5 12.2 75.3 39.5 35.8
2016 100 52.0 48.0 24.7 12.5 12.3 75.3 39.5 35.8
2017 100 52.0 48.0 24.7 12.5 12.2 75.3 39.5 35.8
2018 100 51.9 48.1 24.1 12.2 11.9 75.9 39.7 36.2
2019 100 51.4 48.6 23.7 11.9 11.8 76.3 39.6 36.8
Дунда
ж
51.8% 48.2%
24.6
%
12.4
%
12.2
%
75.4
%
39.4
%
36.0
%
Эх сурвалж: Аймаг, сумын статистик мэдээ
2014 онд гэхэд сумын 4 хүний нэг нь сумын төвд оршин суудаг байсан тэр
харьцаа өөрчлөгдөөгүй, өөрөөр хэлбэл мал аж ахуйг орхиж сумын төвд гэр
бүлээр шилжин суурьших явдал нэмэгдэх хандлага энэ суманд одоо хэр
ажиглагдахгүй, харин ч 2019 оны байдлаар хөдөө амьдардаг иргэдийн тоо 1.8
хувиар өссөн байна.
Өлзийт сумын хүн амын нягтрал Хангайн бүсийн болон Архангай аймгийн
дунджаас өндөр төдийгүй өсөж байгаа нь хүн амын өсөлт харьцуулж буй бүс,
аймгийн дунджаас илүү байгаатай холбоотой юм.
Хүснэгт 4.1.4 Хүн амын нягтрал14
2014 2015 2016 2017 2018
Хангайн бүс 1.48 1.49 1.52 1.5 1.6
Архангай аймаг 1.68 1.66 1.69 1.7 1.7
Өлзийт сум 1.94 1.92 1.95 2 2
14
https://www.1212.mn/tables.aspx?TBL_ID=DT_NSO_0300_034V2
73
Эх сурвалж: ҮСХ
Хүн амын нягтралыг дагаж өрх айлын тоо мэдэгдэм бус ч гэсэн тооны хувьд
өсөх, улмаар хөдөө тал руугаа хандсан байршил дээр шийдэх асуудал гарч
болзошгүй юм. Аль ч талаас нь авч үзсэн, энэ бол сумын эдийн засаг болон
бусад хөгжлийн үзүүлэлтэд эерэг нөлөө үзүүлэх боломжтой.
Хүснэгт 4.1.5 Өрхийн тоо ба байршил
Он Нийт өрх Нэг өрхийн ам бүл
Бүгд Сумын
төвд
Хөдөөд Дундаж Сумын
төвийн
Хөдөөгийн
2014 1088 288 800 3.1 3.0 3.1
2015 1075 275 800 3.1 3.0 3.1
2016 1071 277 794 3.1 3.0 3.2
2017 1087 283 804 3.1 3.0 3.2
2018 1103 284 819 3.1 2.9 3.2
2019 1094 279 825 3.1 2.9 3.1
Эх сурвалж: ҮСХ, аймаг, сумын статистик мэдээ
Сумын нийт өрхийн 17.5 хувь нь сумын төвд, 82.5 хувь хөдөө амьдардаг,
өрхийн дундаж ам бүлийн тоонд өөрчлөгдөөгүй 3.1 хүн байна. Хөдөөгийн
өрхийн ам бүлийн тоо сумын төвийн дундаж өрхийн ам бүлийн тооноос 0.2
хүнээр илүү байна.
4.2 ХӨДӨЛМӨР ЭРХЛЭЛТ, АМЬЖИРГААНЫ ТҮВШИН
Ажил эрхлэлтийн түвшнийг тодорхойлохын тулд нийт хүн амыг эдийн засгийн
идэвхтэй ба идэвхгүй хүн амын бүтцийг зайлшгүй тогтоосон байх
шаардлагатай.
Хүснэгт 4.2.1 Хөгжлийн бэрхшээлтэй хүн амын тоо ба эзлэх хувь
Үзүүлэлт
Оноор
2015 2016 2017 2018 2019
Хөгжлийн бэрхшээлтэй иргэд 110 121 123 137 118
Үүнээс
Тахир дутуу 88 92 90 97 85
Ердийн өвчний 22 29 33 40 33
Хүн амд эзлэх хувь 3.3% 3.6% 3.6% 4.0% 3.5%
Эдийн засгийн идэвхгүй хүн амын нэг бүрэлдэхүүн хэсэг бол хөгжлийн
бэрхшээлтэй буюу хөдөлмөрлөх боломжгүй иргэд сүүлийн 5 жилийн дунджаар
сумын нийт хүн амын 3.5 орчим хувь байна.
2015 оны байдлаар сумын нийт өрхийн 9.0 хувь нь ядуу гэсэн ангилалд багтаж
байсан бол энэ үзүүлэлт 2019 онд 4.7 хувь нэмэгдэж, хүн амын доторх
ядуурлын түвшин өсөх хандлагатай байдал харагдаж байна.
74
Хүснэгт 4.2.2 Ядуурлын түвшин
Үзүүлэлт
Оноор
2015 2016 2017 2018 2019
Нийт өрх 1075 1071 1087 1103 1094
Ядуу өрх 50 51 65 82 87
Нэн ядуу өрх 47 45 46 48 63
Ядуурлын хувь 9.0% 9.0% 10.2% 11.8% 13.7%
Эх сурвалж: Сумын өрхийн судалгаа, 2015-2019
Хүснэгт 4.2.3 Ажил эрхлэлт ба ажилгүйдэл /МАА-н бус салбарын/
Үзүүлэлт
Оноор
2015 2016 2017 2018 2019
1
Ажил эрхлэлтийн
түвшин
193 194 196 197 202
1.1 Төсөвт байгууллагад 151 150 149 149 152
1.2 ААН-д 32 33 34 35 36
1.3 Хувиараа 10 11 13 13 14
2 Ажилгүйдлийн түвшин 74 75 77 79 72
2.1 Бүртгэлтэй 54 53 52 51 50
2.2 Бүртгэлгүй 20 22 25 28 22
Эх сурвалж: Сумын өрхийн судалгаа, 2015-2019
2019 оны ажил эрхлэлтийн түвшнийг 2015 онтой харьцуулахад 9.3 хувиар
буурч, ажилгүйдэл тэр хэмжээгээр өссөн байна. 2019 оны ажил эрхэлж буй
иргэдийн 86.5 хувь нь хувиараа, 8.9 хувь нь төсөвт байгууллагад, 4.7 хувь нь
аж ахуйн нэгжид ажилладаг байна.
4.3 МАЛ АЖ АХУЙН САЛБАР
МАА нь Өлзийт сумын эдийн засгийн суурь, хүн амын амьжиргааны гол эх
үүсвэр юм.
Хүснэгт 4.3.1 Малчин өрхийн тоо
Он Нийт өрх Малчин өрх Эзлэх хувь
2015 1075 561 52.2
2016 1071 578 54.0
2017 1087 580 53.4
2018 1103 583 52.9
2019 1094 609 55.7
Эх сурвалж: ҮСХ, аймаг, сумын статистик мэдээ
Хүснэгт 4.3.2 Малын тоо,өсөлт, багаар
Он Бүгд
Үүнээс багаар
Ямаат Бодонт Байшир Хөшөөт
Малын тоо
2015 242909 77143 71389 60209 34168
75
2016 282624 89533 84460 68441 40190
2017 304291 96236 91868 74129 42058
2018 302965 95637 90133 75677 41518
2019 353240 113407 102235 88458 49139
Малын тооны өсөлт
2015 -14% -14% -15% -12% -15%
2016 16% 16% 18% 14% 18%
2017 8% 7% 9% 8% 5%
2018 0% -1% -2% 2% -1%
2019 17% 19% 13% 17% 18%
2019/2015 45.42% 47.01% 43.21% 46.92% 43.82%
Эх сурвалж: Сумын статистик мэдээ
2016 ба 2017 оны хооронд үл ялиг буурсныг эс тооцвол, 2015 оноос хойш
сумын мал жил дараалан өссөн дүнтэй, аль нэг багийг мал өсөлтөөр онцгойлох
зүйлгүй жигд байна.
Дүнгээр нь хэлбэл, 2019 онд сумын мал сүрэг өмнөх оныхоос 17 хувь, харин
2015 онтой харьцуулахад 45.42 хувь тус тус өссөн байна.
Хүснэгт 4.3.3 Малын зарлага, толгойгоор
Он Зарлага Бүгд
Үүнээс
Адуу Үхэр Тэмээ Хонь Ямаа
2015
Хүнсэнд 10941 517 658 2 5309 4455
Зах зээлд борлуулсан 29819 1612 1830 61 18437 7879
Оны эхний малд
эзлэх хувь
17.4% 12.9% 16.5% 20.1% 18.4% 16.6%
2016
Хүнсэнд 7819 431 567 2 4146 2673
Зах зээлд борлуулсан 34012 1861 1978 63 19352 10758
Оны эхний малд
эзлэх хувь
17.2% 12.6% 15.5% 20.9% 17.5% 18.2%
2017
Хүнсэнд 10129 563 656 5 4891 4014
Зах зээлд борлуулсан 65694 3838 4141 40 39519 18156
Оны эхний малд
эзлэх хувь
26.8% 22.7% 26.6% 13.0% 27.7% 26.1%
2018
Хүнсэнд 10333 559 690 2 5232 3850
Зах зээлд борлуулсан 45756 2611 3118 38 28250 11739
Оны эхний малд
эзлэх хувь
18.4% 15.7% 20.2% 12.9% 19.2% 17.5%
2019
Хүнсэнд 1711 118 104 3 754 732
Зах зээлд борлуулсан 61927 3514 2951 64 40523 14875
Оны эхний малд
эзлэх хувь
21.0% 19.4% 21.0% 28.4% 22.9% 17.5%
Эх сурвалж: Сумын статистик мэдээ
Тус сум оны эхний малын 22.8-28.9 хувийг зарлагадаж байгаа бөгөөд үүний 65.2
хувь буюу 38.3 мянган толгой малыг зах зээлд борлуулдаг аж. Сүүлийн
жилүүдэд зах зээлд борлуулах малын тоо нэмэгдэж байгаа нь бэлчээрийн
76
даацыг бууруулах мал аж ахуйн салбарын эрсдэл, өрхийн эдийн засаг зэрэгт
эерэг нөлөө үзүүлж байгаа билээ.
Тахирмаг 4.3.1 2019 оны Малчин өрхийн малын тооны бүлэглэл
Нийт малчин өрхийн 35.2 хувийг 100 хүртэлх толгой малтай өрх эзэлж эдгээр
өрхөд хүн амын 27.7 хувь, 27.6 хувь нь 101-200 хүртэлх толгой малтай өрх,
хүн амын 28.4 хувь, өрхийн дундаж ам бүл 3.5 хүн , 27.9 хувь нь 201-500
хүртэлх толгой малтай өрх, хүн амын 32.2 хувь, өрхийн дундаж ам бүл 4.0 хүн,
7.6 хувь нь 501-999 хүртэлх малтай өрх, хүн амын 9.7 хувь, өрхийн дундаж ам
бүл- 4.5 хүн, 1.7 хувь нь 1000-1499 хүртэлх малтай өрх, хүн амын 2.0 хувь,
өрхийн дундаж ам бүл-4.9 хүн, 0.1 хувь нь 1500-аас дээш толгой малтай өрх,
хүн амын 0.1 хувь, өрхийн дундаж ам бүлийн тоо 4.7 хүн байна. Өрхийн ам
бүлийн тоо өрхийн малын тоо хоёр эерэг хамааралтай байна. Өөрөөр хэлбэл
нэг өрхөд оногдох малын тоо өсөхийн хирээр өрхийн ам бүлийн тоо өсдөг
байна.
Судалгаанд хамрагдсан малчдын 98.8 хувь нь мал аж ахуйн салбар сумын
эдийн засгийн үндсэн салбар байх бөгөөд малчдын 83.6 хувь нь цаашдаа ч мал
аж ахуйн салбараа үргэлжлүүлэн эрхлэх болно гэжээ
Тэжээл бэлтгэл: 2019 оны эцсийн мэдээгээр нэг хонин толгойд 3.5 кг тэжээл
нэгжтэй тэнцэх хэмжээний тэжээл бэлтгэдэг бөгөөд ихэнх хэрэгцээт тэжээлийг
гаднаас худалдан авдаг. Сүүлийн 3 жил дараалан байгаль цаг уурын
хүндрэлтэй байгаа учраас ихэнх малчид отор хийн Булган аймгийн залгаа
сумуудад болон тус сумын бусад багуудад өвөлждөг.
Хүснэгт 4.3.4 Тэжээл бэлтгэл, суманд бэлтгэсэн дүнгээр
төрөл
Хэмжих Оноор
нэгж 2015 2016 2017 2018 2019
Өрхийн
Ногоон тэжээл тн 20 200 270 210
Өвс тн 3800 3500 3400 3500
Гар тэжээл 85 40 80 90
Аж ахуй
нэгжийн
Ногоон тэжээл тн 50 150 25 16 20
Өвс тн 630 55 45 45
Гар тэжээл
0.6%
3.5% 4.5%
6.3%
18.5%
37.4%
21.0%
6.6%
1.0% 0.7%
0.0%
5.0%
10.0%
15.0%
20.0%
25.0%
30.0%
35.0%
40.0%
10 хүртлэх
малтай
11--30 31--50 51-100 101-200 201-500 501-999 1000-14991500-2000 2000+
77
Нийт
Ногоон тэжээл тн 50 170 225 286 230
Өвс тн 630 3800 3555 3445 3545
Гар тэжээл 0 85 40 80 90
Тэжээл
нэгжээр
Ногоон тэжээл 50 170 225 286 230
Өвс 283.5 1710
1599.
7
1550.2 1595.2
Гар тэжээл 0 85 40 80 90
Эх сурвалж: Сумын статистик мэдээ
4.4 ГАЗАР ТАРИАЛАН
Сумын хөдөө аж ахуйн газрын 0.16 хувь буюу 282.6 га тариалангийн газар, 0.11
хувь буюу 195.3 га атаршсан талбайн бүхий нийтдээ 477.9 га буюу 0.27 хувьтай
тэнцэх хэмжээний газар тариалангийн талбай байна.
Хүснэгт 4.4.1 Тариалсан талбай15, га
2015 2016 2017 2018 2019
Тариалсан талбай 177.6 407.6 1507.6 1344.2 2000
Тариалангийн талбайд эзлэх хувь 3.7% 8.5% 31.4% 28.0% 41.7%
Эх сурвалж: Сумын статистик мэдээ
Сумын нийт тариалангийн талбайн 8.8 орчим хувийг ашиглаж байгаа ба орон
нутгийн иргэдийн газар тариалан эрхлэх сонирхол бага багаар өсөн нэмэгдэж
2015 онд 8.6 га талбайд төмс, байцаа лууван, манжин тариалдаг байсан бол
2019 онд ургамлын төрөл зүйл нэмэгдэж 7 төрлийн хүнсний ногоо тариалсан
байна. Суманд нийтдээ 12 өрх, 9 аж ахуйн нэгж газар тариалан-мал аж ахуйн
салбарыг хослуулан эрхэлж байна.
Хүснэгт 4.4.2 Хураан авсан ургац тн
Үзүүлэлт
Хэмжих
нэгж
Оноор
2015 2016 2017 2018 2019
Суурин хүн ам тоо 3301.0 3347.0 3383.0 3454.0 3403.0
Жишмэл хүн тоо 2970.9 3012.3 3044.7 3108.6 3062.7
Хэрэгцээ
төмс тн 130.1 131.9 133.3 136.1 134.1
хүнсний
ногоо
тн 281.9 285.8 288.9 295.0 290.6
Үйлдвэрлэ
л
төмс тн 8 40 25 4 7
хүнсний
ногоо
тн
2 21 8 9
4
Хангалтын
хувь
төмс хувь 6.1% 30.3% 18.7% 2.9% 5.2%
хүнсний
ногоо
хувь 0.78% 7.28% 2.73% 3.02% 1.20%
Эх сурвалж: Сумын статистик мэдээ
Жилдээ хураан авч буй ургацын хэмжээ нь сумын нийт хэрэгцээний 15 орчим
хувийг хангадаг байна. Төмс хүнсний ногооны үйлдвэрлэл өрхийн түвшинд
эрхэлж байна. Харин малын тэжээл, мод үржүүлэг нь аж ахуйн түвшинд байгаа
бөгөөд 2018 онд дээрх аж ахуйн нэгжүүдэд ОНХС-с зээл олгож дэмжсэн байна.
15 arkhangai.nso.mn
78
Хүснэгт 4.4.3 Хураан авсан ургацын төрөл-тн
2014 2015 2016 2017 2018 2019
Төмс 95. 8. 40. 25. 4. 7
Хүнсний ногоо-Бүгд 17.3 2.2 20.8 7.9 8.9 3.5
Байцаа 7. 0. 1.5 0.8
Лууван, кг 6. 0.5 4. 3. 1. 0.4
шар манжин 4. 0.6 4.8 1.6 1. 0.7
улаан манжин 1.3
Сонгино 0.3 4. 1.8 1.3 0.1
Өргөст хэмх 3.2 1. 0.7
улаан лооль 0.5 0. 1. 0.5
Тарвас 0.3 2.4
Амтат гуа 0.3
чинжүү 2.4 1.2 0.3
Бусад 1.1
Ногоон тэжээл 300. 50. 150. 300. 372.5 210
Эх сурвалж: Сумын статистик мэдээ
Газар тариалангийн үйлдвэрлэл эрхлэхэд тулгарч буй гол бэрхшээлүүдэд:
 Техникийн хүрэлцээ
 Тариалан эрхлэгчдийн ур чадвар
 Санхүүгийн хүндрэл зэрэг болно.
4.5 АЖ ҮЙЛДВЭР
Ихэвчлэн өрхийн түвшинд үйлдвэрлэдэг төдийгүй Facebook ашиглан онлайнаар
захиалга авч нийлүүлдэг өрхийн тоо нэлээд өсөж байна.
Суманд нийт бүртгэлтэй 26 аж ахуйн нэгж байгаагийн 25 нь худалдааных бол 1
нь нэхий боловсруулах үйлдвэрлэлийн чиглэлээр үйл ажиллагаа явуулж байна.
Бизнесийг өргөтгөх, шинээр эрхлэхэд тулгарч буй бэрхшээлүүдийг эрэмбэлж
үзэхэд:
 Дэд бүтцийн хөгжил/ нэн ялангуяа цэвэрлэх байгууламжгүй/
 Санхүүгийн эх үүсвэр
 Мэргэжилтэй ажиллах хүчний нийлүүлэлт
 Ажлын байрны хүрэлцээ
 Худалдан авах чадварын бууралт
 Түүхий эдийн болон нийлүүлэлтийн сүлжээ
Судалгаанд хамрагдсан ЖДҮ эрхлэгчдийн 70 орчим хувь нь одоогийн эрхэлж
байгаа цаашид үргэлжлүүлэх, 30 гаруй хувь нь өөр бизнес шинээр эрхлэх
сонирхолтой байгаа тэд МАА-н гаралтай түүхий эдийн бүрэн боловсруулалт
хийж эцсийн бүтээгдэхүүн үйлдвэрлэх сонирхолтой байна.
79
4.6 МЭДЭЭЛЛИЙН ТЕХНОЛОГИ
Дэвшилтэт шинэ техник, технологи, мэдээ мэдээллийг цаг тухайд нь олж авч
өөрийн үйл ажиллагаа болон бусдад хүргэх, эрсдэлээс урьдчилан сэргийлэх
зэрэг нь мэдлэг, мэдээллийн технологид суурилсан үйлдвэрлэлийн онцлог юм.
Компьютер болон үүрэн телефон ашиглах нь шинэ мэдээлэл, мэдлэг, зах
зээлийн тэлэлт, технологи, шинэ санаа сэдэл зэргийг нэвтрүүлэх, судлахад
ихээхэн түлхэц болно байгаа гэж үзэж болно.
4.7 АЯЛАЛ ЖУУЛЧЛАЛ
Нэг аж ахуйн нэгж нь загасчлалын чиглэлийн үйл ажиллагаа явуулахаар
зөвшөөрөл аваагүй, үйл ажиллагаа нь эхлээгүй байна. Бүртгэлтэй дөрвөн
иргэн, аж ахуйн нэгж байдаг бөгөөд гэр буудал хэлбэрээр үйл ажиллагаа
явуулж байна.
4.8 ДЭД БҮТЭЦ
Зам тээвэр. Сумын нутаг дэвсгэр дээгүүр Улаанбаатар хотыг баруун аймгуудтай
холбосон улсын чанартай 80 км авто зам дайран өнгөрдөг. Багууд хоорондоо
шороон замаар холбогддог. Мянганы замын хэвтээ тэнхлэгийн 318 дугаар
тэмдэгтээс Өлзийт сумын төвөөр дамжин Хайрхан сум хүртэлх Хөвсгөл-
Тариалан чиглэлийн босоо тэнхлэгийн хатуу хучилттай 123 км автозамын
барилгын ажил 2017 онд эхэлсэн боловч одоогийн байдлаар зогссон.
Усан хангамж. Сумын төвд цэвэр усны эх үүсвэрийн гүний 6 худаг, 25 м3
багтаамжтай 2 усан сан, 45 м3/хоног хүчин чадалтай 1 насос станц, 50 м3/хоног
хүчин чадалтай 1 ус зөөлрүүлэх, цэнгэгжүүлэх төхөөрөмж байгаа боловч 1 усан
сан ашиглалтаас гарсан, 845 айл өрх 2 ус түгээх байрнаас усаа авч байна.
Орон сууц хангамж. Сумын хэмжээнд инженерийн бүрэн хангамжтай орон сууц
байхгүй бөгөөд амины орон сууц, гэр сууцанд амьдардаг.
Цахилгаан хангамж. Сум нь төвлөрсөн эрчим хүчний системийн Эрдэнэт
Булганы сүлжээнд 1987 онд холбогдсон. 110/35/10квт-ын дэд станцтай.
Дулаан хангамж. Сумын төвд төвлөрсөн уурын зуух байхгүй бөгөөд 12 жилийн
сургуульд, ЗДТГ, Цэцэрлэг, Хүн эмнэлэг зэрэг газруудад 9 нам даралтын зуух
ажилладаг.
80
ТАВ. ГАЗАР АШИГЛАЛТЫН ОДООГИЙН БАЙДАЛ
5.1 Газрын нэгдмэл сан
Өлзийт сумын газрын нэгдмэл сангийн 2019 оны тайлангаас үзэхэд нийт
талбайн 96.63 хувь буюу 166232.6 га-г хөдөө аж ахуйн газар, 0.06 хувь буюу
107.7 га-г хот тосгон бусад суурин газар, 0.20 хувь буюу 340.9 га-г зам шугам
сүлжээний газар, 2.60 хувь буюу 4465 га-г ойн сан бүхий газар, 0.52 хувь буюу
890 га-г усны сан бүхий газар тус тус эзэлж байна.
Хүснэгт 5.1.1 Газрын нэгдмэл сангийн мэдээ 2019 он
№
Сумы
н нэр
Нийт
газар
нутаг
Хөдөө
аж
ахуйн
газар
Хот
тосгон
бусад
суурин
ы газар
Зам
шугам
сүлжээни
й газар
Ойн
сан
бүхи
й
газар
Усны
сан
бүхи
й
газар
Тусгай
хэрэгцээни
й газар
1 Өлзийт
17203
7
166232.
4
107.7 340.9 4465 890 1
Хүснэгт 5.1.2 Газрын нэгдмэл сангийн ангиллын зөрүү /мян.га/
№
Газрын нэгдмэл
сангийн ангилал
ГНС-ий
ангиллын 2019
оны тайлангаар
Газарзүйн мэдээллийн
систем Arc GIS
программаар бодуулсан
хэмжээ /га/
Зөрүү
/мян га/
I Хөдөө аж ахуйн газар 166232.36 162186.5 -4045.86
1 Бэлчээрийн газар 161682.92 156490 -5192.92
2 Хадлангийн талбай 1064 855.8 -208.2
3 Тариалангийн газар 2036.7 1620.5 -416.2
4 Атаршсан газар 1414.3 3185.8 1771.5
5
ХАА-н барилга,
байгууламжийн
дэвсгэр газар
34.4 34.4 0
6
ХАА-н хэрэгцээнд
тохиромжгүй газар
0 0
II
Хот, тосгон бусад
суурины газар
107.7 151.2 43.5
7
Барилга,
байгууламжийн
дэвсгэр газар
30.3 5.8 -24.5
8 Нийтийн эдэлбэр газар 12.5 0.8 -11.7
9 Үйлдвэрийн газар 0
10 Уурхайн газар 0 89.5 89.5
11 Гэр хорооллын газар 64.9 55.1 -9.8
III
Зам, шугам
сүлжээний газар
340.9 0 -340.9
12 Авто замын газар 137 644.3 507.3
13 Төмөр замын газар 0 0 0
14
Агаарын тээврийн
газар
0 0 0
15
Шугам сүлжээний
газар
203.9 67.3 -136.6
16
Усан тээврийн
буудлын газар
0 0 0
81
IV Ойн сан бүхий газар 4465 11397.7 6932.7
17
Ой модоор бүрхэгдсэн
газар
3844 3924 80
18
Ой модыг нь огтолсон
газар
26 128.5 102.5
19 Мод үржүүлгийн газар 0
20
Ой тэлэн ургах нөөц
газар
0 253 253
21
Ойн сангийн бусад
газар
595 7092.2 6497.2
V Усны сан бүхий газар 890 2923.2 2033.2
22
Гол мөрний эзлэх
газар
702 1691.3 989.3
23
Нуур, цөөрөм, тойрмын
эзлэх газар
188 1211.6 1023.6
25
Горхи, булаг, шандын
эзлэх газар
0 20.3 20.3
24
Мөнх цас, мөсөн голын
эзлэх газар
0 0 0
VI
Улсын тусгай
хэрэгцээний газар
1 1 0
26
Улсын тусгай
хамгаалалттай газар
0 0 0
27
Улсын хилийн зурвас
газар
0 0 0
28
Улсын батлан
хамгаалах
зориулалтын газар
0 0 0
29
Гадаадын дипломат,
консул, төлөөлөгчийн
газар
0 0 0
30
ШУ, туршилт, цаг
уурын ажиглалтын
талбай
1 1 0
31
Аймаг дундын отрын
бэлчээр
0 0 0
32
Улсын тэжээлийн
сангийн хадлангийн
газар
0 0 0
33
Газрын тосны гэрээт
талбай
0 0 0
34 Чөлөөт бүсийн газар 0 0 0
НИЙТ ДҮН 172036.96
82
Зураг 5.1.1 Газрын нэгдмэл сангийн зураг
Эх сурвалж: ГЗБГЗЗГ, БСТ
83
Зураг 5.1.2 Газар ашиглалтын зураг
Эх сурвалж: ГЗБГЗЗГ, БСТ
84
5.2 ХӨДӨӨ АЖ АХУЙН ГАЗАР АШИГЛАЛТЫН БАЙДАЛ
5.2.1 Бэлчээр ашиглалтын байдал
5.2.1.1 Малчдын өвөлжөө, хаваржаа, зуслан, намаржааны байршил
Өлзийт сумын нутаг дэвсгэрийн 93.9% буюу 161682 га газрыг бэлчээрийн газар
эзэлдэг. Өлзийт сум нь мал аж ахуйн 3 баг, төвийн 1 баг нийт 4 багтай.
Өвөлжөө, хаваржааны байршлыг газарзүйн солбицлоор нь тоон хэлбэрт оруулж
сумын суурь зурагт буулган нэгдсэн дугаар өглөө. Малчдын зуны сууцны
байшин, эсвэл малчид байнга төвлөрч зусдаг, намарждаг газрын байршлыг нь
GPS-ээр хэмжиж оруулав.
Хүснэгт 5.2.1.1.1 Өвөлжөө хаваржаа, зуслан намаржааны тоон мэдээлэл
Цэгийн төрөл Ямаат баг Бодонт баг Байшир баг Хөшөөт баг нийт
Өвөлжөө 73 85 84 4 242
Хаваржаа 95 89 75 16 275
Зуслан 15 20 30 3 68
Намаржаа 15 23 26 4 68
Баг бүрээр 198 217 215 27 630
Хувь 31.4 34.4 34.1 4.2 100
Эх сурвалж БСТ 2019 он
Сумын хэмжээнд 2019 оны байдлаар 583 малчин өрх 630 өвөлжөө, хаваржаа,
зуслан, намаржааг эзэмшиж бэлчээрийг ашиглаж байна. Үүнээс Ямаат багт 198
цэг буюу 31.4%, Бодонт баг 217 цэг буюу 34.4%, Байшир баг 215 цэг ба 34.1%,
Хөшөөт баг 27 цэг буюу 4.2% -ийг тус тус газарзүйн мэдээллийн санд
нэгтгэгдсэн байна. Дэлгэрэнгүйг хавсралт 5.2.1.1-д үзүүлэв.
85
Зураг 5.2.1.1.1 Малчдын хатуу цэгийн байршил
86
5.2.1.2 Бэлчээр ашиглалтын улирлын хуваарь
Сумын ихэнх малчид Орхон голын ай сав газарт зусаж, намарждаг. Сумын Урт
булгийн эх, Зэгстийн эхэн булаг, Өндөр толгойн ар булаг, Цагаан нуурын
хөндий, Рашаант, Зодохын хөндий, Бага хужирт, Бухын гол, Хавчуугийн гол,
Өгөөмөр гол, Тахилт ачаат орчимд зуслан, намартаа нутагладаг. Хөх хошуу,
Ганц мод, Рашаант, Дунд даваа, Хүрэн шанд, Жаргалант, Байширын нуруу, Их
хавцал, Бага хавцал, Улаан чулуут, Салхит, Баян хайрхан орчимд өвөл
хавартаа нутагладаг.
Хүснэгт 5.2.1.2.1 Улирлын бэлчээрийн талбайн хэмжээ
Бэлчээр Талбайн хэмжээ
Өвөл хаврын бэлчээр 96955.76
Зун намрын бэлчээр 64727.16
Зураг 5.2.1.2.1 Улирлын байршил
87
5.2.1.3 Бэлчээр ашиглалтын хэсэг
Өлзийт сум 10 бэлчээр ашиглалтын хэсэгт хуваагдсан байна. Энэхүү хэсгийн
хил заагийг газрын LM программ-д оруулж баталгаажсан байна. Байшир багийг
3 хэсэгт, Бодонт багийг 3 хэсэгт, Ямаат багийг 3 хэсэгт, Хөшөөт багийг 1 хэсэгт
тус бүр хуваасан байна.
Хүснэгт 5.2.1.3.1 Бэлчээр ашиглалтын хэсгийн нэр, бэлчээрийн хэмжээ
Д/д Багийн нэр
Бэлчээр ашиглалтын хэсгийн
нэр
Талбайн хэмжээ,
га
1 Байшир Бүрд зэгст 21785.5
2 Байшир Бэл 20987.6
3 Байшир Гацаа 10495.0
4 Бодонт Өгөөмөр дөрөлж 16679.6
5 Бодонт Будант 18412.4
6 Бодонт Тахилт 14667.6
7 Ямаат Цайдам 25745.5
8 Ямаат Хужирт 15534.7
9 Ямаат Мэргэн зодох 22640.4
10 Хөшөөт Хөшөөт баг 5263.4
Эх сурвалж. БСТ 2019 он
88
Зураг 5.2.1.3.1 Бэлчээр ашиглалтын зураг
5.2.1.4 Бэлчээр ашиглалтын бүлэг, нөхөрлөл
Өлзийт сум нь одоогийн бэлчээр ашиглалтын байдлаар явбал улам доройтох
нөхцөл ажиглагдаж байна. Үүнийг шийдвэрлэх арга зам нь юу байх вэ гэхээр
малчдыг бүлэг зохион байгуулалтад оруулж, өвөлжөө, хаваржааны бэлчээрийг
зураглан талбайг тооцон гаргаж, цаашлаад тухайн бүлгийн өрхүүдийн малын
тоог бууруулах явдал юм.
Газрын тухай хуулийн 52.2 дахь заалт, Байгаль орчны тухай хуулийн 50-р зүйл
заалтуудыг тус тус үндэслэн малчид өөрийн ойр байгаа айл саахалт, нэг дор
89
нутагладаг өрхүүдтэйгээ санаа нийлэн бүлэг, нөхөрлөл болж бэлчээрийг урт
хугацаагаар ашиглахаар сумын засаг даргатай гэрээ хийсэн байна.
2019 оны 12 сарын 16 өдрийн а/92 дугаар тоот Сумын Засаг Даргын
Захирамжийг үндэслэн малчид / ашиглагч гэх /нөгөө талаас сумын засаг дарга
/ашиглуулагч гэх/ 2 талт гэрээг байгуулсан байна.
Зураг 5.2.1.4.1 Сумын засаг даргын захирамж
Сумын хэмжээнд Байшир, Бодонт, Ямаат, Хөшөөт багийн малчдыг хамруулсан
25 бүлэг, 4 БНХМН байгуулагдаж албан ёсоор бүлэг, нөхөрлөлөө
баталгаажуулсан байна. 29 бүлэг,нөхөрлөлд 110 малчин өрхийн 198 малчдыг
хамруулжээ. Малчдын нэрсийн жагсаалтыг хавсралт 5.2.1.4-өөс харна уу.
Хүснэгт 5.2.1.4.1 Байгуулсан малчдын бүлгүүдийн мэдээлэл
№ Бүлгийн нэр Ахлагчийн нэр Гишүүн
өрхийн тоо
Гишүүдийн
тоо
Гэрээлсэн
талбайн
хэмжээ
/га/
1 "Төмөртийн нуруу" С.Хатанбаатар 7 12 1289
2 "Улаан толгой" Ж.Цогтбаатар 4 7 825
3 "Баян байшир" Х.Орхонбаатар 3 6 215
90
4 "Ташгай" Л.Чинбаатар 2 4 1813
5 "Зэгст" БНХМН П.Батсүх 3 5 189
6 "Хүрэн шанд" Н.Чинзориг 3 5 1136
7 "Байшир" БНХМН Т.Гүнгаваа 4 7 1525
8 "Хайлааст" Ж.Намсрай 3 5 576
9 "Марааны булан" П.Болдсүх 3 5 1041
10 "Ундрах булаг" А.Галхүү 3 5 196
11 "Бүрдний эх" Х.Очирсүх 2 4 1305
12 "Ар булаг" Т.Батжаргал 3 5 153
13 "Таван толгой" П.Алтанхуяг 4 6 1449
14 "Цул" Б.Пүрэвсүрэн 3 6 720
15 "Цагаан нуур" А.Цэрэнбямба 2 2 247
16 "Гурван хэц" Д.Лхагвацэдэн 4 8 1232
17 "Дэлгэрэх булаг"
БНХМН
Т.Туул 4 7 993
18 "Дунд даваа" БНХМН Ж.Болдбаатар 7 14 1215
19 "Дуут" Ц.Батдорж 4 7 696
20 "Их хавцал" Н.Батбаатар 4 7 1510
21 "Нарийн гүвээ" П.Болдбаатар 2 5 869
22 "Наст" Б.Энхтайван 5 9 739
23 "Гозгор хайрхан" Ж.Хосбаяр 4 6 398
24 "Өгөөмөр" С.Энэбиш 6 10 529
25 "Ханан" Ж.Эрдэнэчимэг 6 10 837
26 "Баянхайрхан" Г.Баатар 4 7 454
27 "Чулуут" Г.Амгаланбаатар 3 7 601
28 "Өндөр толгой" Ч.Нарангэрэл 5 11 1409
29 “Өөлд зүмбэр” Т.Баатархүү 3 6 696
Нийт 110 198 110 198 24857
Эх сурвалж: 2019 он. БСТ
91
Зураг 5.2.1.4.2 Малчдын бүлэг, нөхөрлөлийн байршлын зураг
5.2.1.5 Бэлчээрийн даац, багтаамж
Сумын мал нь өмнөх оноос 50275 толгой малаар өссөн дүнтэй гарсан байна.
Энэ нь бэлчээрт маш их дарамт үүсэж байгаа нь илт байна. 2019 оны жилийн
эцсийн мал тооны мэдээг үндэслэн бэлчээрийн даацыг тооцов. Ургацын мэдээг
сумын байнгын ажиглалтын цэгээс буюу цаг уурын станцаас авсан болно.
92
Бэлчээрийн талбайг бодуулахдаа газарзүйн мэдээллийн сангийн програм болох
ArcGIS ашиглан тооцож гаргасан.
Бэлчээрийн газрын хил заагийг тодорхойлохдоо газар ашиглалтын хамгийн
сүүлийн үеийн мэдээг ашиглан бэлчээрийн зориулалтаар ашиглагдаагүй
газруудыг тогтоож, зураглал хийх талбайгаас хасаж тооцов. Бэлчээрийн
зориулалтаар ашиглагдаагүй газарт дараах газрууд орно.
Үүнд:
 Ой;
 Гол, мөрөн, нуур, цөөрөм, Булаг шанд;
 Хот, суурин, тосгон;
 Уурхай, ашигт малтмалын тусгай зөвшөөрөлтэй талбай;
 Тариалангийн газар;
 Тусгай хэрэгцээний газар гэх мэт.
Бусад ангиллын газраас бэлчээрт ашиглагдаж буй дараах газруудыг зураглал
хийх талбайд хамруулна.
Үүнд:
 Ой тэлж ургах зурвас газар;
 Хайгуулын тусгай зөвшөөрөлтэй талбай;
 Атаршсан талбай;
 Тусгай хэрэгцээний газраас бэлчээрт ашиглагдаж буй газар гэх мэт
Өлзийт сумын Бодонт багийн бэлчээрийн даац 7.5 дахин, Байшир баг 15.6
дахин, Ямаат баг 9.5 дахин, Хөшөөт баг 80.5 дахин тус тус хэтэрсэн байна.
Сумын төвийн баг нь газар нутаг жижиг учраас маш их хэтэрсэн дүнтэй гарч
байна.
Хүснэгт 5.2.1.5.1 Сумын бэлчээрийн даац, багаар
Багийн
нэр
Бэлчээрий
н талбай,
га
Га-
ийн
урга
ц
Бэлчээрий
н малд
идэгдэх
өвсний
хэмжээ
Багтаамж
, хонин
толгой
Малын тоо,
хонин толгойд
шилжүүлсэнээ
р
Даац,
хувиа
р
Ямаат 63309 1.7 107625.3 17937.6 165288 921.5
Бодонт 46310 3.8 175978 29329.7 163146.2 556.2
Байшир 45352 1.2 54422.4 9070.4 141520.3
1560.
2
Хөшөөт 5112 1.1 5623.2 937.2 75519.4
8058.
0
93
Зураг 5.2.1.5.1 Бэлчээрийн даацын зураг
94
5.2.1.6 Бэлчээрийн ачаалал
Зураг 5.2.1.6.1 Бэлчээрийн ачааллын жилийн дундаж ачаалалын зураг
5.2.1.7 Бэлчээрийн сэргэх чадавх
Бэлчээрийн экологийн чадавхын зураглалын зорилго нь тухайн сумын
бэлчээрийн экологийн чадавхыг хиймэл дагуулын мэдээ ашиглан хийх
аргачлалыг нутагшуулах, газар зохион байгуулалт, төлөвлөлт, газрын хянан
баталгаа, мониторингийн ажилд анхдагч суурь мэдээлэл бий болгоход оршино.
Чадавхын зургийг ArcGIS, QGIS программ хангамж ашиглан хийж дэлхийн
хөндлөн меркаторын “UTM” тусгагаар боловсрууллаа. Чадавхын зураглалд
ашигласан мэдээ нь ургамал ургалтын хамгийн оргил үеийн хиймэл дагуулын
95
мэдээ болох 8 дугаар сар, үүлний бүрхэвч хамгийн багатай Landsat хиймэл
дагуулын мэдээг ашиглан хийж гүйцэтгэв.
Мөн орон нутгийн бэлчээрийн холбогдолтой дараах мэдээллийг давхцуулан
анализ хийлээ. Үүнд:
 Сумын бэлчээрийн хянан баталгааны тайлан мэдээ
 Хөрсний зураг /1:100000 масштабтай зураг/
 Ургамалжилтын зураг /1:100000 масштабтай зураг/
 Тоон өндрийн загвар DEM, STRM /30м/
 Бэлчээрийн фото мониторингийн үнэлгээний материалууд
 Сумын газар ашиглалтын мэдээ
Өлзийт сум нь ойт хээр болон хээрийн бүсэд хамрагддаг бөгөөд сэргэх
чадавхын ангиллаар-III багтаж байна. Энэ нь бэлчээрийг сэргээн сайжруулахад
дор хаяж 3 ба түүнээс олон жил шаардагдах төлөв байдал ажиглагдаж байна.
Монгол орны бэлчээрийн төлөв байдлын ангиллаар 7 ангилалд хуваагдаж
байна. Үүнд:
 10 –Хөрсний гүний ус ойрхон дэрст цайдам
 1а -Чулуурхаг хөрстэй уулын энгэр болон толгодын орой, хажуугийн
Жижиг дэгнүүлт үетэн-чулуусаг алаг өвс-агьт бэлчээр
 1б –Шавранцар хөрстэй уулын энгэр, бэл хажуугийн ботууль-алаг өвст
бэлчээр
 2 – Шавранцар хөрстэй уулын бэл хөндийн Жижиг дэгнүүлт үетэн-алаг
өвст бэлчээр
 3 - Шавранцар хөрстэй уулын бэл, Уул хоорондын тэгшивтэр хөндийн
Байгаль хялгана-алаг өвст нугын хээрийн бэлчээр
 7 - Чулуурхаг хөрстэй уулын орой, энгэр хажуугийн Крыловын хялгана-
үетэн-алаг өвст бэлчээр
 9 - Зузаан элсэн хөрстэй тэгшивтэр тал хөндийн бяцхан навчит харгана-
үетэнт бэлчээр
Дүгнэлт
Өлзийт сум нь ойт хээр болон хээрийн бүсэд хамрагддаг бөгөөд сэргэх
чадавхын ангиллаар-IV-р түвшинд багтаж байна. Энэ нь ургамлын зүйлийн
бүрдэл хүчтэй доройтсон ба малын хөлийн талхагдал их байгаагийн сөрөг үр
нөлөө юм.
Зонхилогч ургамал нь үетэн, ширэг улалж, дэрвээн хазаар өвс, Крыловын
хялгана, агь, имт гичгэнэ, нангиад түнгэ, жижиг навчит харгана, ногоон лууль,
цөөн наст зэрэг доройтлыг илэрхийлсэн ургамлууд зонхилон ургаж байгаа
ажиглагдаж байна. Энэ нь бэлчээрийг сэргээн сайжруулахад дор хаяж 3 ба
түүнээс олон жил шаардагдах төлөв байдал ажиглагдаж байна.
Санал, зөвлөмж
Өлзийт сумын ард иргэд амьжиргаагаа залгуулж байгаа гол салбар бол яах
аргагүй мал аж ахуйн салбар юм. Мал аж ахуйн гол хөгжлийн тулгуур үндэс нь
96
бэлчээр. Гэвч даац их хэмжээгээр хэтэрсний улмаас бэлчээрийн төрх
алдагдаж, доройтлын 3-р түвшинд хүрсэн байна. Энэ байдлаараа цаашид
явбал мал идэх өвсгүй, ашиглах бэлчээргүй болох эрсдэл нүүрлээд байна.
Иймээс малчдын орлогыг бууруулалгүйгээр малын тоог бэлчээрийн даацад
аажим нийцүүлэх зорилтыг дэвшүүлсэн МАА-н тогтвортой хөгжлийн
хөтөлбөрийг цаг алдалгүй хэрэгжүүлэхийг онцгойлон зөвлөж байна. Малын тоог
цөөлж, бэлчээрийн ачааллыг бууруулах үр дүнг харгалзан дараагийн шатанд
бэлчээрийг сэлгэж ашиглах, амраах, өнжөөх арга хэмжээг зохистой төлөвлөж
хэрэгжүүлэхийг зөвлөж байна. Ингэснээр бэлчээрийг сэргэх чадавхын
дараагийн буюу 1-2-р түвшинд шилжүүлэх нөхцөл бүрдэх юм.
Зураг 5.2.1.7.1 Бэлчээрийн сэргэх чадавхын зураг
Эх сурвалж: ГЗБГЗЗГ-ын мэдээ БСТ-ын боловсруулалт
97
5.2.1.8 Бэлчээрийн доройтол
Өлзийт сумын бэлчээр нь 2019 оны байдлаар Ямаат багийн ихэнх нутгийг
үлийн цагаан оготно эзэлсэн байна. Үүнээс болоод малчид их хэмжээгээр отор
нүүдэл хийсэн байна. Бодонт багийн зүүн урд хэсэг буюу Орхон голын орчим
хортон мэрэгчид ихээхэн тархсан байна. Мөн сумын төв сууринаас баруун хойш
Байшир багийн хэсэг газарт үлийн оготно тархсан байна. Хортон мэрэгчийн
талбай 73064 га-г эзэлж байна. Их талхлагдсан бэлчээр 14837 га талбайг
хамарч байна. Дунд зэрэг талхлагдсан бэлчээр 21131 га талбайг хамарч байна.
/Зураг 10./
Зураг 5.2.1.8.1 Бэлчээрийн доройтлын зураг
98
5.2.2 Тариалангийн газрын ашиглалт
Өлзийт суманд газар тариалангийн нийт 2000 га талбайг ашиглаж байна.
Сумын хэмжээнд нийт 4 иргэн, аж ахуй нэгж газар тариалан эрхэлж байна.
Эдгээр иргэд нь гол төлөв ногоон тэжээл, улаан буудай, төмс, хүнсний ногоо,
рапс, жимс, жимсгэнэт мод, бут, сөөг тус тус тариалж байна. Тариалангийн гол
талбай нь сумын төвөөс баруун хойш 30 км гаруй зайд Хайрхан сум явах зам
дагуу бүрдийн эх орчимд байрлаж байна.
Хүснэгт 5.2.2.1 Тариалангийн газар ашиглалт
Нэгж талбарын
дугаар Эзэмшигч Талбай /га/
20600001 Эрдэнэ Виаламс XXK 280.62
20600004 Эрдэнэ Виаламс XXK 242.34
20600007 ЗДТГ 192.35
20600008 ЗДТГ 32.73
20600009 Эрдэнэ Виаламс XXK 400.76
20600010 Угалз мандал хоршоо 68.46
20600011 Эрдэнэ Виаламс XXK 392.85
20600037 Угалз мандал хоршоо 1.79
20600038 ЗДТГ 7.32
20600039 Лхагвацэдэн 0.17
20600040 Алтаншагай 1.14
Нийт 1620.53
99
Зураг 5.2.2.1 Сумын тариалангийн газар ашиглалтын зураг
5.2.3 Хадлангийн газрын газар ашиглалт
Өлзийт сум нь албан ёсоор сумын ИТХ-аар баталгаажилж тухайн газар жилийн
газар зохион байгуулалтын төлөвлөгөөнд суусан хадлангийн газар байхгүй
100
болно. Харин иргэд, малчид өөрсдийн өвөлжөө хаваржаа орчмын хэсэгхэн
газруудыг хадаж байна.
5.2.4 Атаршсан газар
Сумын хэмжээнд нийт 3185 га газар атаршсан талбай байна.
Зураг 5.2.4.1. Сумын атаршсан газрын зураг
101
5.2.5 Хамгаалах, нөхөн сэргээх газар
5.2.5.1 Эвдэрсэн бохирдсон газар
Өлзийт сумын хувьд үйл ажиллагаа явуулж байгаа уурхай одоогоор байхгүй ч
гэсэн Өлзийт-Хайрхан сум чиглэлийн замын далангийн ажил гүйцэтгэхдээ олон
газрыг ухсан байна. Нийт 40 га талбай газар эвдэрсэн байна. Сумын зүгээс уг
газруудыг цаашдаа нөхөн сэргээх шаардлагатай гэж үзэж байна. Гаднын
нөлөөнөөс эвдэрсэн газруудыг зурагт буулгав.
Зураг 5.2.5.1.1 Сумын нөхөн сэргээх газрын зураг
102
5.3 Хот тосгон бусад суурины газар ашиглалтын байдал
5.3.1 Хот тосгон бусад суурин газрын ашиглалт
Сумын хот суурин газрын тэг гортиг нийт 1009 га талбай байна. Тус
суманд Иргэдийн Төлөөлөгчдийн Хурал, Засаг даргын тамгын газар, ерөнхий
боловсролын сургууль, хүн эмнэлэг, хүүхдийн цэцэрлэг, соёлын төв зэрэг
төсөвт байгууллага, цагаан идээ үйлдвэрлэл, эсгий, мал эмнэлэг, эмийн сан,
барилга засал, шатахуун түгээх станц, худалдаа үйлчилгээний чиглэлээр
хувийн аж ахуйн нэгжүүд үйл ажиллагаа явуулж байна. Сумын төв төвлөрсөн
эрчим хүчний систем болон үүрэн холбооны сүлжээнд холбогдсон.
Зураг 5.3.1.1 Сумын суурин газрын ашиглалтын зураг
103
5.3.1.1 Хог хаягдал
Сумын төвөөс баруун зүгт 1 км-т байрладаг хогийн цэгтэй. Хогийн цэгийг
хашаажуулсан. Хогийн зориулалтын 1 машинтай хуучирсан бөгөөд эвдэрсэн.
Одоогоор энгийн болон аюултай хог хаягдлыг ангилан ялгадаг тогтолцоо
сумын иргэдийн дунд алга байна. Ангилж ялгалаа гэхэд ангилсан хогийг авдаг
үйлдвэр, ААН одоогоор байхгүй байна. Одоогийн байдлаар хогийг булшлах,
шатаах аргуудаар багасгаж байна.
5.3.2 Уул уурхайн газар ашиглалт
Сумын хэмжээнд ашиглалтын 1 уурхай байна. Ашиглалтын зөвшөөрөл Бэрэн
майнинг ХХК нэр дээр байна. Энэхүү уурхай нь сумын төвөөс зүүн хойно 3км
зайд Орхон голын зүүн талд байрлана. Ашиглалтын зөвшөөрлөө авсан байгаа ч
одоогоор үйл ажиллагаа явагдаагүй байгаа. Төмөртэй орд гэж тэмдэглэгдсэн
байна.
Хүснэгт 5.3.2.1 Уул уурхайн газар ашиглалт
Д/д
ТЗ-ийн
дугаар
Талбайн
нэр
Талбайн
хэмжээ
/га/ Баг Эзэмшигч
Олгосон
огноо
Дуусах
огноо
1 11619 Өлзийт-1 89.45 Ямаат Бэрэнмайнинг 4/3/2006 4/3/2036
Зураг 5.3.2.1 Уул уурхайн газар ашиглалтын зураг
5.3.3 Аялал жуулчлалын газар ашиглалт
Өлзийт сум нь аялал жуулчлал төдийлөн сайн хөгжөөгүй сумын нэг юм. 2019
оны байдлаар “Бошгот тур” гэр буудал, Н.Сүхбаатар гэр буудал, Д.Батгэрэл гэр
буудал, Ч.Алтаншагай явган аялал гэх 4 үйл ажиллагаа явуулдаг газрууд
байна. Тухайн газрууд нь улирлын чанартай үйл ажиллагаа явуулдаг.
Хүснэгт 5.3.3.1 Аялал жуулчлалын мэдээлэл
104
Д
/д
Үйлчилгээний
байгууллагын
нэр
Үйлчилг
ээний
чиглэл
Эзэмши
гч нэр
Дото
одын
жуул
чин
Гада
адын
жуул
чин
тайлб
ар
Байршил
/газарзүйн
координат/
1
Н.Сүхбаатар
гэр буудал
Гэр
буудал
Н.Сүхба
атар
102°34'21.8"E,
48°6'6.3"N
2 Бошгот тур
Гэр
буудал
Н.Ганцэ
цэг 920 35
давха
рдсан
тоогоо
р
102°34'34.6"E,
48°6'19.1"N
3
Н.Батгэрэл
гэр буудал
Гэр
буудал
Н.Батгэ
рэл
4 Тахилт бүлэг
Явган
аялал
Ч.Алтан
шагай 285
давха
рдсан
тоогоо
р
Зураг 5.3.3.1 Аялал жуулчлалын газрын зураг
105
5.4 Ойн сан бүхий газрын ашиглалтын байдал, ба нөөц
5.4.1 Ойн сангийн газрын ашиглалт
Өлзийт сумын хэмжээнд нийт 4874.6 га талбайг ойн сан эзэлж байна. Энэ нь
нийт газар нутгийн хэмжээтэй харьцуулбал 2.8% -ийг эзэлж байна. Ойн сангийн
талбай маш бага болох нь харагдаж байна. Сумын хэмжээнд ойн сангийн 11
хэсгийн 259 ялгарал байна. Ойн сан нь 12 төрлөөр ангилагдсан ба үүнээс болц
гүйцсэн хөгшин шинэс хамгийн их 3151.6 га талбайг эзэлж байна.
Өлзийт сумын ойн сангийн 19.2 хувь буюу 936 га талбай ногоон бүсийн ойд
хамаарч байна. Ногоон бүсийн ойн сангийн 801 га буюу 85.6 хувь нь ойгоор
бүрхэгдсэн талбай, 135 га буюу 14.4 хувь нь ойгоор бүрхэгдээгүй талбай байна.
Ойгоор бүрхэгдсэн талбайн 93.4 хувийг байгалийн ой эзлэх бөгөөд
бүрэлдэхүүний хувьд шинэс зонхилон ургана. Өлзийт сум нь 2019 байдлаар ойн
нөхөрлөл албан ёсоор байгуулагдаагүй байна.
Ойн хэв шинжийн ангиллаар Архангай аймгийн Өлзийт сумын нутаг нь Хангайн
мужийн Зүүн өмнөд Хангайн хошуу дээд Тамир голын хушин ойн тойрогт
багтана. Зүүн өмнөд Хангайн хошууны ой үүсгэгч мод нь шинэс бөгөөд уулын
оройгоор хуш ургана. Тайгын дэд бүслүүр өргөн тархах бөгөөд ус зохицуулах,
цуглуулах онцгой үүрэг бүхий хэд хэдэн зүйлийн ногоон хөвд ихтэй.
Хүснэгт 5.4.1.1 Сумын ойн сангийн мэдээлэл
Д/д Төрлийн нэр Ялгарлын тоо
Талбайн
хэмжээ /га/ Хувиар
1 Болц гүйцэж буй шинэс 24 221.71 4.5483
2 Болц гүйцсэн хөгшин шинэс 105 3151.63 64.6539
3 Дунд насны бургас 7 21.02 0.43131
4 Дунд насны шинэс 30 378.86 7.77207
5 ОХШӨ-д нэрвэгдсэн талбай 6 98.09 2.0122
6 Мод бэлтгэсэн талбай 8 128.54 2.63699
7 Ойжих талбай 18 271.21 5.56366
8 Шатсан шинэс 6 230.79 4.73457
9 Сөөг торлог 4 71.09 1.45843
10 Тармаг бургас 45 232.94 4.7786
11 Тармаг шинэс 5 55.04 1.12913
12 Залуу шинэс 1 13.69 0.28086
12 төрөл 259.0 4874.63 100
106
Зураг 5.4.1.1 Ойн тархалтын зураг
5.4.2 Ойн сангийн өөрчлөлт
Монгол орны ойн экосистемийн тэнцвэрт байдлыг алдагдуулж, байгалийн
ойг бууруулах өөрчлөлт оруулахад ойн түймэр, эмх замбараагүй хийгддэг мод
бэлтгэл, ойн хортон шавжийн үржил, тархалт мөн бэлчээрийн малын нөлөө
зэрэг хүчин зүйл нөлөөлж байдаг.
Үүний зэрэгцээ уур амьсгалын хуурайшилт, дулааралт нь ойн нөөцийг
аажмаар багасгахад хүргэж буй байгалийн хүчин зүйлийн нэг болж байна.
Байгалийн хүчин зүйлээс гадна хүний сөрөг үйл ажиллагааны нөлөөллөөс ойн
нөөц хомсдож, ойн чанар, чансаа улам буурсаар байна.
107
Монгол улс нь ойн баялгаар ядмаг орны тоонд орох бөгөөд ойн сангийн
хувирал, өөрчлөлт, тэдгээрт нөлөөлж буй хүчин зүйл, цаашдын хандлагыг тухай
бүр тогтоож байх нь ойн баялгийг зүй зохистой ашиглахад чухал ач
холбогдолтой.
Ой зохион байгуулалтын ажлын нэг зорилго нь тухайн газар нутгийн ойн
сангийн төлөв байдал, талбай, тархалтыг тогтоож түүнд гарсан өөрчлөлт
түүний шалтгааныг тооцож цаашид хэрэгжүүлэх ойн аж ахуйн арга хэмжээг
оновчтой төлөвлөж өгөх явдал юм.
Ойн сангийн өөрчлөлтийг гаргахдаа 2008 оны ой зохион байгуулалтын
ажлын дүн мэдээг 2018 оны давтан ой зохион байгуулалтын ажлын дүн
мэдээтэй харьцуулан газрын төрлийн ангиллыг доорх хүснэгтээр тус тус гаргаж
үзүүлэв.
Хүснэгт 5.4.2.1 Ойн сангийн газрын төрлийн өөрчлөлт
Ойн сангийн
талбайн төрөл
Газрын төрөл 2008 оны ой зохион
байгуулалт
2018 оны ой зохион
байгуулалт
Зөрүү
Ойгоор
бүрхэгдсэн
талбай
Байгалийн ой 3355 3852 497
Бут, сөөг 71 72 1
дүн 3426 3924 498
Ойгоор
бүрхэгдээгүй
талбай
Шатсан ой 348 230 -118
Тармаг мод 83 242 159
Мод бэлтгэсэн
талбай
332 129 -203
Ойжих талбай 10 253 243
ХШӨН талбай 98 98
дүн 773 952 179
Ойн талбайн дүн 4199 4876 677
Ойн сангийн газрын төрлийн өөрчлөлтийн хүснэгтээс харахад байгалийн
ой 497 га, бут сөөг 1 га талбайгаар нэмэгдсэнээр ойгоор бүрхэгдсэн талбай 498
га талбайгаар нэмэгдсэн байна.
Харин шатсан талбай 118 га, мод бэлтгэсэн талбай 203 га талбайгаар
багасаж, тармаг мод 159 га, ойжих талбай 243 га, хөнөөлт шавж өвчинд
нэрвэгдсэн талбай 98 га талбайгаар тус тус нэмэгдсэнээр ойгоор бүрхэгдээгүй
талбай 179 га талбайгаар нэмэгдэж ойн талбай нийт дүнгээрээ 677 га
талбайгаар нэмэгдсэн үзүүлэлттэй байна.
Өлзийт сумын байгалийн ойн талбай нэмэгдсэн гол шалтгаан нь Орхон
гол дагуух бургасан ойг шинээр бүртгэж тэмдэглэсэн болон зарим нэг орхигдсон
төгөл ойг бүртгэж авсантай холбоотой юм.
Шатсан болон мод бэлтгэсэн талбайн хэмжээ багасаж гарсан нь тухайн
талбайд байгалийн аясаар сэргэн ургалт явагдаж ойжих талбайн ангилалд
шилжсэн явдал юм.
Харин хөнөөлт шавж, өвчинд нэрвэгдсэн 98 га талбай бүртгэгдсэн нь уур
амьсгалын өөрчлөлт, хэт хуурайшилтын нөлөөгөөр ойн хөнөөлт шавжийн хэт
108
олшрол болж ойн санд ялангуяа залуу дунд насны шинэсэн ойг их хэмжээгээр
идэж сүйтгэн цаашид ургах чадваргүй болгосонтой холбоотой юм.
Манай орны хувьд ойн экосистемийн тэнцвэрт байдлыг алдагдуулж, байгалийн
ойн үүрэг ач холбогдлыг бууруулж байгаа гол хүчин зүйлс нь доорх
шалтгаанаас үүдэлтэй байдаг.Үүнд:
 Дэлхий нийтийг хамарсан уур амьсгалын өөрчлөлт, дулаарал,
хуурайшилт
 Хүний болгоомжгүй үйлдлээс үүдэн гарч буй ойн түймэр
 Ойн хөнөөлт шавжийн хэт олшролын улмаас ойн санд учирч буй хор
нөлөө
 Ойн санд хэрэгжүүлбэл зохих ойн аж ахуйн арга хэмжээний хэрэгжилт
 Эмх замбараагүй мод бэлтгэл, хууль бус үйл ажиллагаа
 Бэлчээрийн хомсдолтой холбоотой ойн сан дахь мал бэлчээрлэлт зэрэг
болно.
Дээрх нөхцөл байдлын улмаас агаарын бохирдлыг бууруулж, хүлэмжийн хий
гэгдэх нүүрсхүчлийн хийг шингээн хүчилтөрөгчийг ялгаруулж байдаг нандин
орчин болсон ойн сан хөмрөг ихээр хумигдан ойн орчин доройтон бохирдож
экологийн тэнцвэрт байдал алдагдахад хүргэж байна.
5.5 Усан сан бүхий газрын ашиглалтын байдал
5.5.1 Усны сангийн газрын ашиглалт
Өлзийт сумын нутаг дэвсгэр нь Орхон голын ай сав газарт оршиж байна.
Гадаргын усан хангамж харьцангуй сайн бөгөөд сумын нутаг дэвгэрээр Орхон
гол урдаас хойш чиглэлтэй урсаж байна. Их, бага хужирт, Улаан чулуут, Дунд
даваа, Хөх хошуу, Ар булаг, Их булаг зэрэг 20 шахам булаг, шанд байдгаас
заримыг нь жилийн турш ашигладаг.
Долоон хайлаас, Рашаант, Дунд даваа, Богино ам, Наранбулаг, Гарангийн
рашаан, Цайдам, Цагаан нуурын хүхэрлэг шаврыг нутгийн болон хөрш
зэргэлдээ сумын иргэд эрт үеэс эмчилгээний чанартай ашиглаж ирсэн байна.
Сумын ИТХ -ын 2018 оны 12сарын 18 өдрийн дугаар – 27 дах тогтоолоор 2019
оны газар зохион байгуулалтын төлөвлөгөөнд Рашаан ус, нуур цөөрөм булгийн
эхийг хашиж хамгаалах 3 газрыг баталсан байна. Үүнд:
 Бодонт багт - Сожын булаг
 Ямаат багт – Бор хонины булаг
 Ямаат багт – Улаан чулуутын булаг
Бэлчээрийн усан хангамжийн эх үүсвэрт худаг, булаг шанд, гол горхи, нуур
тойром, цөөрөм зэргийг хамруулна. Тухайн суманд ашиглагдаж байгаа усан
хангамжийн эх үүсвэрийн байршлыг хэмжиж, зурагт оруулж дугаарлав. Худаг
уст цэгийн эзэмшигч ашиглагчдын талаарх мэдээллийг шивж оруулж өгөв.
Өлзийт сумын гадаргын ус
 Гол горхи – 10, үүнээс усгүй 3
 Булаг рашаан – 26 үүнээс ширгэсэн 5
 Нуур цөөрөм – 15
109
 Гүн өрмийн худаг – 29
 Энгийн уурхайн худаг – 12
 Эвдэрсэн худаг – 11
Зураг 5.5.1.1 Усан сангийн газар ашиглалтын зураг
Эх сурвалж: БОАЖЯ
Дэлгэрэнгүй мэдээллийг 5.5.1 хавсралтаас үзнэ үү
5.6 Тусгай хэрэгцээний газрын ашиглалтын байдал
Өлзийт сум нь одоогоор тусгай хамгаалалттай газар 1 га талбай ГНС-д
бүртгэгдсэн байна. Энэ нь Ус Цаг Уурын станцын талбай юм.
5.7 Зам, шугам сүлжээний газрын ашиглалтын байдал
5.7.1 Авто замын газрын ашиглалт
Өлзийт сум нь Улаанбаатар хотоос 375 км зайтай бөгөөд 345 км газрыг засмал
замаар явж, Мянганы замын хэвтээ тэнхлэгийн замаас 30 км замыг
сайжруулсан шороон замаар туулж байна. Харин аймгийн төв Цэцэрлэг хотоос
140 км хол оршдог бөгөөд ердийн шороон замаар холбогддог. Өлзийт-Хайрхан-
Хөвсгөл чиглэлийн зам сайжруулсан шороон замаар явж байна. Сумын төвөөс
багуудын төв хүртэл ердийн шороон замаар явдаг.
110
Хүснэгт 5.7.1.1 Зам, шугам сүлжээний газрын эзэлж буй талбайн хэмжээ
Үндсэн
ангилал
Ангиллын түвшин
1
Ангиллын түвшин 2 /ашиглалтын
зориулалт/
Талбай,
га
Зам, шугам
сүлжээний
газар
Авто замын газар
Улсын чанартай авто зам 149.8
сайжруулсан шороон зам 356.1
Ердийн шороон зам 288.1
Шугам,
сүлжээний газар
Холбоо, мэдээлэл дамжуулах
хүлээн авах станц, шугам 148.9
Эрчим хүч, дамжуулах шугам, станц 55.1
5.7.2 Цахилгаан холбооны шугам, шилэн кабелийн газрын ашиглалт
Сум нь төвийн эрчим хүчний системд 1987 онд холбогдсон. 110/35/10квт-ын дэд
станцтай. Эрдэнэт-Булганы цахилгаан түгээх станцаас цахилгаанаа авдаг.
Сумын Ямаат багийн Цайдам гэдэг газраас Хөшөөт баг чиглэлд нийт 31 км-ын
урт шилэн кабель татагдсан байна.
Хүснэгт 5.7.2.1 Сумын цахилгаан шугам
Төрөл Чиглэл Урт /км/
Шилэн кабель Ямаат баг-Хөшөөт баг 31.2
Цахилгааны шугам Эрдэнэт-Булган ЦТС - Өлзийт сум 16.1
111
Зураг 5.7.2.1 Зам, шугам сүлжээний газрын зураг
5.8 Байгалийн нөөц, дагалт баялаг ашиглалтын байдал
5.8.1 Түүх соёлын дурсгалт газар
Өлзийт сумын нутаг эртний хүмүүсийн үлдээсэн түүх соёлын дурсгалуудаар
арвин. Төмрийн үеийн болон Түрэгийн үеийн хиргисүүр сумын нийт нутгаар
өргөн тархжээ. 2016 онд сумын хэмжээнд түүх соёлын дурсгалт газрын 15 нэр
бүхий газрыг сумын хамгаалалтад авсан байна. Үүнээс
 Хадны зураг, бичгийн дурсгал – 5
 Булш, оршуулгын дурсгал, хиргисүүр – 6
 Хөшөө дурсгал, буган чулуун хөшөө – 4
Бодонт багт: “Мөнгөний хөндий” дэх Түрэг хиргисүүрээс зүүн тийш 2 эгнээ
“Зэл чулуу буюу балбал” хэмээн нэрлэдэг “Шон чулуу”-г 1,5 км үргэлжлүүлэн
босгосон байдаг аж.
112
МЭӨ VII-VIII зууны үед нутаглаж байсан нүүдэлчдийн ахуй, соёлд хамаарах
дөрвөлжин булш “Шувуут нуурын дэнж”, Жаргалантын өвөр Тосонгийн хоолой
зэрэг газруудад цөөнгүй байна. “Төмөртийн нуруу”-нд байгаа 3 хэсэг том
“Ухмал” хүмүүсийн сонирхлыг их татдаг байна.
“Хөх чулууны хярын хадны зураг”, “Маанийн дэнжийн буган хөшөө”, ”Олзот
уулын буган хөшөө” зэрэг дурсгалт газрууд байдаг.
Хөшөөт баг: Дүүлэн давхиж буй буга, тураг дүрслэгдсэн бугын чулуун хөшөө
сумын төвийн “Хөшөөтийн дэнж”-д гурав, “Хар усны тохой”-д нэг байгаа нь
жуулчин, судлаачдын анхаарлыг татсаар байна.
Ямаат багт: Эртний хүмүүсийн ахуй амьдралыг тод дүрсэлсэн хадны сүг зураг
Ямаат багийн нутаг “Хэцүү хөтлийн ар”, “Гүрэн мандлын хадны зураг”
Байшир багт: Жаргалант уулын өвөр хөндийд өвөрмөц байдлаар бүтээсэн 10
гаруй хиргисүүр байдаг. Төвдөө 10-15 м-ийн голчтой, 2,0-2,5 м өндөр
хиргисүүрийг урд талаар нь 1 м орчим голчтой дугуй тойрог чулууг 3 эгнээгээр
үргэлжлүүлэн байрлуулж, баруун, зүүн хажуу дахь 20 м өргөн чулуун зурвасыг
ар талаар нь 1 м өргөн урт зурвас чулуугаар холбож өгсөн нь түүхч судлаачдын
сонирхлыг татсан байгууламж юм.
“Янгиртын хадны зураг”, “Гацааны хадны зураг”, “Өндөр толгойн хадны зураг”,
“Бага Хайрханы булш”, “Хустайн адгийн булш”, зэрэг дурсгалт газрууд байдаг.
Дэлгэрэнгү йг хавсралт 5.8.1-т тусгав.
113
Хүснэгт 5.8.1.1 Түүх соёлын дурсгалт газар
№
Бүртгэлийн
дугаар
Дурсгалт газрын нэр
Хамгаалалтанд
авсан огноо
Төрөл зүйл
Оршиж
буй багийн
нэр
Эрх зүйн
хамгаалалт
Дурсгалын
үнэ цэнэ
зэрэглэл
Солбицол
N E
1 650400032 Янгиртын хадны зураг 2016.05.04
2. Хадны зураг,
бичгийн дурсгал Байшир Сумын Аймгийн 5315259 302972
2 650400042
Хөх чулууны хярын хадны
зураг 2016.05.04
2. Хадны зураг,
бичгийн дурсгал Бодонт Аймаг Аймгийн 5316524 302059
3 650400122 Гацааны хадны зураг 2016.05.04
2. Хадны зураг,
бичгийн дурсгал Байшир Сумын Аймгийн 5351563 323400
4 650400152
Гүрэн мандлын хадны
зураг 2016.05.04
2. Хадны зураг,
бичгийн дурсгал Ямаат Сумын Аймгийн 5328771 378910
5 650400092
Өндөр толгойн хадны
зураг 2016.05.04
2. Хадны зураг,
бичгийн дурсгал Байшир Сумын Аймгийн 5341238 311697
6 650400032
Янгиртын хадны булш
хиргисүүр 2016.05.04
3. Булш оршуулгын
дурсгал, Хиргисүүр Байшир Сумын Аймгийн 5315259 302972
7 650400163
Бага хайрханы булш
оршуулгын дурсгал,
хиргисүүр 2016.04.27
3. Булш оршуулгын
дурсгал, Хиргисүүр Байшир Сумын Аймгийн 5319227 314732
8 650400103
Жаргалант уулын булш
оршуулгын дурсгал,
хиргисүүр 2016.04.27
3. Булш оршуулгын
дурсгал, Хиргисүүр Байшир Сумын Аймгийн 5335790 317184
9 650400113
Хустайн адгийн булш,
хиргисүүр 2016.05.04
3. Булш оршуулгын
дурсгал, Хиргисүүр Байшир Сумын Аймгийн 5339813 320125
10 650400083
Норжин уулын булш,
хиргисүүр 2016.05.04
3. Булш оршуулгын
дурсгал, Хиргисүүр Хөшөөт Сумын Аймгийн 5335456 302241
11 650400092
Өндөр толгойн булш,
хиргисүүр 2016.05.04
3. Булш оршуулгын
дурсгал, Хиргисүүр Байшир Сумын Аймгийн 5341238 311697
12 650400026
Маанийн дэнжийн буган
хөшөө 2016.05.10
6. Хөшөө дурсгал,
Буган чулуун хөшөө Бодонт Сумын Аймгийн 5306813 318365
13 650400146
Хөшөөтийн дэнжийн
буган хөшөө 2016.05.10
6. Хөшөө дурсгал,
Буган чулуун хөшөө Хөшөөт Аймаг Аймгийн 5330308 318502
14 650400056
Мөнгөний хөндийн буган
хөшөө 2016.05.04
6. Хөшөө дурсгал,
Буган чулуун хөшөө Бодонт Сумын Аймгийн 5324148 300895
15 650400076 Олзот уулын буган хөшөө 2016.05.04
6. Хөшөө дурсгал,
Буган чулуун хөшөө Бодонт Сумын Аймгийн 5326813 300087
114
Зураг 5.8.1.1 Түүх дурсгалт газрын зураг
115
5.8.2 Амьтны тархалт байршил
Өлзийт суманд ан амьтдаас рашаант орчимд буга, гөрөөс, зэрлэг гахай, үнэг хярс,
өмхий хүрэн, туулай, тарвага, дорго, гэх зэрэг цөөвтөр ба мөлхөгчдөөс зараа,
могой, гүрвэл, мэрэгчдээс зурам, алагдаага үхэр оготно, хөх оготно, шар сүүлт
оготно, зэрэг амьтад хэвийн хэмжээнд өсөж байна. Харин үлийн цагаан оготно
ихсэж бэлчээрийн даацад ихээхэн нөлөөлж байна. Сумын хэмжээнд амьтдын16
тархац нутгийн нийт 68040.3 га талбай байгаагаас Байшир багт 18843.1 га, Бодонт
багт 13881.8 га, Ямаат багт 2590.5 га талбай тус бүр эзэлж байна. /хүснэгт-4/
/зураг 6./
Дийлэнх ан амьтад нь сумын төвөөс баруун хойш Рашаант-Бодонт чиглэлд
нутаглаж байна.
Халиун буга: Монгол орны нутагт элбэг тархсан. Модлог, бутлаг ургамлууд
тэднийг махан идэшт амьтдаас биеэ хамгаалах халхавч болох төдийгүй өвлийн
улиралд бас чухал хоол тэжээл болдог. Энэ зүйлийн ховордох гол шалтгаан нь
хууль бус агналт, дэд бүтцийн хөгжил, нөөцийн олборлолтын үйл ажиллагаа
зэргээс шалтгаалсан орчны хомсдол, амьдрах орчны хуваагдал, хүний нөлөө зэрэг
юм.
Тархац байршил: Өлзийт сумын Рашаант уул, Улаан хуст уул, Дунд даваа,гэх
газруудад ихээхэн үзэгддэг. 2013 оны байдлаар тус сумын нутагт 17,9 км2 талбайд
тархсан байсан бол 2018 оны судалгаагаар 25,5 км2 талбайд тархдаг болсон
байна. Өөрөөр хэлбэл тус суманд халиун бугын тархац нутаг нь өмнө зүгт Норжин
чомбо ууланд нэмэгдэж 2018 онд өмнөх 5 жилээс 29,8%-иар өссөн байна.
Нутгийн иргэд Булууны хяр орчимд судалгаагаар тогтоогдсон тархцаас гадна
Булууны хяр орчимд 5,7 км2 талбайд буга байршдаг болохыг мэдээлэв. Мөн
Рашаантын голын баруун хэсэгт халиун буга нь зэрлэг гахай, бор гөрөөстэй тархац
нутаг нь давхцан байршдаг гэж үздэг байна (Зураг 5.8.2.1).
16 Аймгийн ан агнуурын менежментийн төлөвлөгөө, 2018он
116
Зураг 5.8.2.1 Өлзийт сумын халиун бугын тархац (2013, 2018) ба Орон нутгийн
мэдээлэл
Бор гөрөөс: Бор гөрөөс (Capreolus pygargus) нь мах, эмчилгээ, арьсны
уламжлалт ан бөгөөд Монгол улсад ахуйн зориулалтаар 8-р сарын 1-нэс 12-р
сарын 1 хүртэл агнахыг зөвшөөрдөг. Нас, хүйс, хэмжээг заагаагүй. Тоо толгойн
бууралтад нөлөөлж болзошгүй хүчин зүйлүүдэд хууль бус агнуур, амьдрах орчны
доройтол зэрэг орно. Бор гөрөөсний тархац нутгийн 13 хувь нь улсын тусгай
хамгаалалттай газарт хамрагддаг.
Тархац байршил: Өлзийт сумын Рашаант уул орчимд, Их тамир сумын Сумт
уулаас эхлэн урагш Байширийн нуруу, Тогоотын нуруу, Хөх нуур, Шалхагийн хойд
117
нуруу, Улаан булуу зэрэг газруудад үзэгддэг. Бор гөрөөс тус сумын нутагт 2013
онд 17.9 км2 талбайд тархаж байсан бол 2018 онд 31.3 км2 талбайд тархаж өмнөх
5 жилээсээ тархац нутгийн хэмжээ 42.8%-иар нэмэгдсэн байна. Орон нутгийнхан
2019 онд бор гөрөөс Рашаантын голын баруун биед 31.0 км2 талбайд байрладаг
гэсэн мэдээлэл өгсөн бөгөөд энэ нь 2013, 2018 оны судалгаагаар зурагласан
талбайтай бараг давхцахгүй байна. (Зураг 5.8.2.2)
Зураг 5.8.2.2 Өлзийт сумын нутаг дахь бор гөрөөсний тархац (2013, 2018 оны
судалгаа ба 2019 оны орон нутгийнхны мэдээллээр)
Зэрлэг гахай: Зэрлэг гахай (Sus scrofa) нь уламжлалт анд тооцогдож ирсэн
бөгөөд монгол улсад ойн зэрлэг гахай (S.sc sibiricus), зэгсний зэрлэг гахай (S.sc.
118
nigripes) гэх хоёр зүйл бий. Монгол улсын Улаан номд зэгсний зэрлэг гахай (S.sc.
nigripes) нь нэн ховор зэрэглэлээр орсон байна. Амьтны тухай хуулинд агнах
хугацааг 8-р сарын 1-нэс 12-р сарын 1 хүртэл байхаар тогтоосон. Зэрлэг гахайн
тархац нутгийн 13 хувь нь улсын тусгай хамгаалалттай газарт хамрагддаг байна
(Улаан данс 2006).
Тархац байршил: Өлзийт сумын Рашаант ууланд үзэгддэг. 2013 оны судалгаагаар
тус сумын нутагт 26.9 км2 талбайд зэрлэг гахайн тархсан байсан бол 2018 оны
судалгаагаар гахай тэмдэглэгдээгүй байна. Харин 2019 онд нутгийн иргэдээс
авсан мэдээлснээс үзэхэд зэрлэг гахай тус сумын нутагт 31.0 км2 талбайд тархдаг
байна (Зураг 5.8.2.3).
Зураг 5.8.2.3 Өлзийт суманд зэрлэг гахайн тархац (2013 оны судалгаа ба 2019
оны орон нутгийнхны мэдээллээр)
119
Монгол тарвага:Олон улсын үнэлгээ (IUCN, 2010) болон бүс нутгийн үнэлгээ
(IUCN, 2006)-ээр устаж болзошгүй зүйл (endangered species) ангилалд тус тус
хамрагдсан. Монгол тарвага нь ховор болон нэн ховор амьтны жагсаалтад
ороогүй. Монгол улсын Байгаль орчин, Ногоон хөгжлийн сайдын тушаалаар 2005-
2007 онд орон даяар тарваганы агнуурыг бүрэн хориглосон, 2014 оны 02-р сарын
25-ны өдрийн А-61 дүгээр тушаалаар монгол тарвагыг агнуурын нөөц нь
хангалттай өсөн нэмэгдэхгүй байгаа учраас ахуйн болон үйлдвэрлэлийн зорилгоор
3 жилийн хугацаатай агнахыг хориглосон байна. Гэсэн хэдий ч байгаль цаг уурын
таагүй нөхцөл, хууль бус агнуур тодорхой хэмжээнд буурахгүй байгаа тул 2017
оноос дахин 3 жилээр агнахыг хориглосон. Монгол тарваганы тархац нутгийн 6
орчим хувь нь улсын тусгай хамгаалалттай газарт хамрагдсан.
Сумын нутагт тал хээрийн бүсэд устаж, уулын хээр, ойт хээрийн бүсийн цөөн
хэдэн нутагт үлдэж хоцорсон байна.
Тархац байршил: Өлзийт сумын Бүрдэд, Могод, Отрын толгод, Цагаан хөтөл,
Нарийн гүвээний Эхэн, Шувуут,зэрэг газруудад тархсан байна.
2013 онд хийсэн судалгаагаар тарвага тус суманд 315.9 км2 талбайд тархаж
байсан бол 2018 оны судалгаагаар 489.55 км2 талбайд тарвага тархсан болохыг
тогтоожээ. Тарваганы тархац нутгийн хэмжээ 35.5%-иар нэмэгдсэн байна. 2018
онд тарвага сумын баруун болон зүүн хойд хэсэгт нэмэгдсэн бол өмнөд хэсэгт
тасархайтаж багассан байна. 2019 онд авсан орон нутгийн иргэдээс авсан аман
мэдээнээс үзэхэд 2018 оны судалгаагаар тогтоосон талбайгаас гадна Зодохын
хөндийн зүүн уулсаар 18.6 км2 талбайд, Цагаан хөтөл, Хэрээ шанд орчимд 30.6 км2
талбайд тархдаг гэж мэдээлэл өгсөн байна (Зураг 5.8.2.4).
120
Зураг 5.8.2.4 -р зураг. Тарваганы тархац (2013, 2018 оны судалгаа ба 2019 оны
орон нутгийнхны мэдээллээр)
Сумын нутагт ажиглагдсан монгол тарваганы тоо толгой:
Сумын хэмжээнд 29 бүлд хамрагдах 90 бодгалийн нас, хүйсийг ялган
тодорхойлсон байдаг ба 49 бие гүйцсэн, 11 хотил, 30 мөндөл байна.
Хүснэгт 5.8.2.1 Амьтдын тархалт
Сумын нэр Бүлийн тоо Нийт тоо Бие гүйцсэн Хотил Мөндөл
Өлзийт 29 90 49 11 30
121
Саарал чоно: Махан идэштний баг (Carnivoria Bowdich., 1821), чонынхон овог
(Carniidae Gray., 1821), чоно төрлийн (Canis lupus Linnaeus., 1758) үслэг ан, махан
идэшт амьтан. Монголын саарал чоныг ахуйн болон үйлдвэрлэлийн зориулалтаар
агнаж болно.
Тархац байршил: Өлзийт сумын Рашаант уул, Байширын нуруу, Төмөртийн нуруу,
Норжин уул, дунд даваа, ганц мод хөх хошуу, Их бумба, Бодонт голын эх, Салхит
уул зэрэг олон газруудад тархсан байна.
Шар үнэг: Архангай аймгийн бүх сумдын нутагт өргөн тархах боловч өнөө үед тус
аймгийн шар үнэгний тоо толгой цөлөрхөг хээрээр багасаж тус сумын хойд хэсэг
болох ой болон уулархаг нуруудын салбар уулсаар элбэг ажиглагдана.
Тархац байршил: Хярс үнэгний тархац нутаг байршил үлийн цагаан отготны тоо
толгойн өсөлт бууралттай ихээхэн хамааралтай байдаг. Хаана үлийн цагаан
оготнын голомт нутаг байна тэнд хярс, үнэгний нягтшил өндөр байдаг.
Хүснэгт 5.8.2.2 Амьтдын тархалт
Д/
д
Багийн
нэр Газрын нэр Амьтан
Талбай
/га/
1 Байшир Ганц мод, хөх хошуу,
Үнэг, хярс, чоно,дорго,
тарвага, гөрөөс 6744.5
2 Байшир Норжин уул Зэрлэг гахай, буга гөрөөс 2326.2
3 Байшир Дунд даваа Буга 3695.3
4 Байшир Их бумба, Төмөртийн нуруу Тарвага, үнэг 297.9
5 Байшир Хүрэн шанд, бүрдний эх Тарвага 5779.2
Нийт 18843.1
6 Бодонт Бодонтын голын эх
Үнэг, хярс, чоно,дорго,
тарвага, гөрөөс 7585.8
7 Бодонт Рашаант уул Зэрлэг гахай, буга гөрөөс 778.5
8 Бодонт Салхит уул
Чоно, тарвага, үнэг хярс,
дорго 3497.8
9 Бодонт Их бумба, Төмөртийн нуруу Тарвага, үнэг 2019.7
Нийт 13881.8
10 Ямаат Дэрст Тарвага 2590.5
Бүгд 68040.3
122
5.8.3 Ургамал, жимс, жимсгэний тархац байршил
Өлзийт сум нь ойн сангийн талбай бага учир жимс, жимсгэнийн талбай маш бага
буюу 1700 га эзэлж байна.
Зураг 5.8.3.1 Жимс, жимсгэнийн тархац байршлын зураг
123
5.9 Мал, амьтны гоц халдварт өвчний голомттой газар
Тус сумын Ямаат багийн Цайдмын овоо гэдэг газрын орчим 2018 онд малын
шүлхий өвчин гарч байсан байна.
Зураг 5.9.1 Малын гоц халдварт өвчин гарсан газрын байршлын зураг
5.10 Газар, байгалийн нөөц эдэлбэрийн зүй ёсны эрх
“Зүй ёсны эрх” гэдэг нь уламжлалт мал аж ахуйд голлон түшиглэж тухайн нутаг
дэвсгэр дахь байгалийн бүхий л төрлийн нөөцийг түүний нөхцөлд дасан зохицож,
арвижуулан, өсгөж, хамгаалж зүй зохистойгоор хэрэглэж ирсэн хараахан
124
баталгаажаагүй байгаа уламжлалт эрх, албан бус эрх, тэдгээрийн дагалдах
эрхүүд юм17.
Өлзийт сумын хувьд зүй ёсны эрхийн давамгайлах үндсэн төрөл нь малчдын
бэлчээр, нутгаа ашиглаж ирсэн уламжлалт эрх бөгөөд бэлчээр дэх ус, ургамал, ан
амьтан, хужир мараа зэрэг дагалдах баялгийг ашиглах эрх үүнд хамаарна.
Олон зууны турш Монголчуудын амьдралыг залгуулж ирсэн бэлчээрийн мал аж
ахуй экологийн тэнцвэрийг хадгалж ирсний нууц нь дөрвөн улирлын бэлчээртэй,
түүнийгээ сэлгэж ашигладаг, ган, зуд болоход ашиглах нөөц нутаг харьцангуй
хангалттай байсанд оршиж байв.
Харин зах зээлд шилжиж орсон өнгөрсөн 30 шахам жилийн хугацаанд дээрх
“нууц”-ыг эвдсэн нөхцөл байдал бий болсон байна. Мал хувьчлагдаж нээлттэй зах
зээлд шилжсэн нь цөөвтөр малаар хэрэгцээгээ хангаад байх бололцоотой байсан
хэдэн мянган жилийн түүхтэй харьцуулшгүй өөр байв. Асар ихээр нэмэгдсэн
хэрэгцээгээ хангах шаардлагын үүднээс малынхаа тоог өсгөх гэсэн хувийн
сонирхол, бэлчээрийн төлөөх өрсөлдөөн нь бэлчээрээ сэлгэн зохистой ашиглаж
ирсэн уламжлалт зан заншлыг уланд гишгэх хэмжээнд хүрсэн байна. 1990 оноос
хойш малчин өрхийн тоо огцом нэмэгдсэн нь өвөлжөө, хаваржааны тоог огцом
өсгөж, улирлын бэлчээр сэлгэх, ган, зудын үед ашиглах нөөц бэлчээрийн
боломжийг үгүй хийгээд байна. Шинээр малчин болсон хүмүүсийн дийлэнх нь
уламжлалт зан заншлын мэдлэг сул, дагаж мөрдөх “нүнжиг” дутаж байгаа нь
дайран дээр давс нэмсэн байна. Нүүхэд нь араар нь очоод идчихдэг болсон тул
өвөлжөө, хаваржаагаа сахиад нүүхээ больж байгаа нь үүний нэг жишээ юм.
Энэ бүхний улмаас бэлчээрээ хамгаалах үүднээс ухамсраараа нүүдэг малчид
ховордож, харин усгүйгээс, бэлчээргүйгээс, хүйтнээс, ялаа шумуулаас гэх мэт
байгалийн аргагүй нөхцөлөөс болж холын нүүдэл хийж байгаа багахан газар л энд
тэнд алаг цоог үлдэж хоцроод байна. Харин улирлын бэлчээрийг зааглаж
чадахуйц байгалийн хил хязгаар бага, газарзүйн хувьд ижил нөхцөл бүхий хээрийн
бүсийн ихэнх нутагт буйраа сэлгэх төдий зайнд бууж, бэлчээрийг жил тойрон
ашиглаж, гэрийн босго шиг элээх нь түгээмэл болоод байна. Улирлын бэлчээрийн
хил зааг муутайгаас даацыг нь улирлаар хуваан зохицуулах сэтгэлгээ байхгүй
болж малын тоог нийт нутгаар баримжаалан замбараагүй өсгөх хандлага бий
болоод байна.
Уламжлалт зан заншлын зохицуулалт бэлчээрийн талхагдлаас сэргийлэх үүргээ
гүйцэтгэж чадахаа больж, түүнийг орлох төрийн зохицуулалт байхгүйгээс үүдсэн
бэлчээрийн доройтол ихээхэн газар авсныг 5.2, 8.1-р бүлэгт тодорхой дурдсан
билээ.
Бэлчээрийг уламжлалт эрхийн хүрээнд нийтээр зохицуулалтгүй ашиглаж
байгаагийн нэг сөрөг үр дагавар нь малчдын дунд хөрөнгө, чинээний ялгаа
гүнзгийрч, цөөн малтай малчид олон малтай чинээлэг малчдын шахалтад өртөж,
уламжлалт бэлчээр ашиглах эрхээ алдах алдах явдал түгээмэл болж байна.
17 Газар зохион байгуулалт, геодези, зураг зүйн газар, “Сумын нутаг дэвсгэрийн хөгжлийн
төлөвлөгөө боловсруулах арга зүй”, 2018 он
125
Дээрх бүх сөрөг үр дагаврыг зогсоож, түүнээс урьдчилан сэргийлэх, малчин өрх
бүр дарван улирлын хангалтай бэлчээртэй, ган, зуд болоход ордог нөөц нутагтай,
үүнийг дагаад амьжиргааг нь тогтвортой болгох үүднээс бэлчээрийг гэрээгээр
ашиглах тогтолцоог багтаасан МАА-н тогтвортой хөгжлийн хөтөлбөрийг 8.1-р
бүлэгт дэвшүүлж байгаа билээ.
Ой, түүнийг дагалдах баялаг, ан амьтан зэрэг бусад нөөцийн зүй ёсны эрхийн
асуудал нь 5.4-5.5, 5.8.2-5.8.3-р бүлгүүдэд дурдсан нөөцийн ашиглалтын хүрээнд
тодорхой хэмжээгээр тусгагдсан тул дахин давтсангүй.
ЗУРГАА. ТОХИРОМЖТОЙ БАЙДЛЫН ҮНЭЛГЭЭ
6.1 СУМЫН ГАЗАР АШИГЛАЛТЫН ТОХИРОМЖТОЙ БАЙДЛЫН ҮНЭЛГЭЭ
ГХГЗЗГ-ын даргын тушаалын 2015 оны 9-р сарын 9-ний өдрийн А/200 тоот “Газрын
тохиромжтой байдлын үнэлгээний аргазүй, шалгуур үзүүлэлтүүд батлах тухай”
тушаалд зааснаар Өлзийт суманд тариалан, аялал жуулчлал, шинээр байгуулах
хот суурин, бэлчээр, хадлан, байгалийн аялал-рекреацийн газрын тохиромжтой
байдлын үнэлгээг дараах шалгуур үзүүлэлтүүдээр хийсэн.
6.2 БЭЛЧЭЭР ХАДЛАНГИЙН ТОХИРОМЖТОЙ БАЙДЛЫН ҮНЭЛГЭЭ
Өлзийт сумын бүс нутгийн бэлчээрийн идэмж, байгалийн бүс бүслүүр, гадаргын
нөхцөл, усан хангамж, бэлчээрийн хэв шинж зэрэг үзүүлэлтэд үндэслэн улирлаар
болон малын төрөл тус бүрээр тодорхойлон “Тохиромжтой байдлын үнэлгээ” хийх
арга зүйн 18дагуу хийж гүйцэтгэв.
6.2.1 Бэлчээрийн тохиромжтой байдал өвөл, хаврын улиралд
Хүснэгт 6.2.1.1 Бэлчээрт тохиромжтой газрын талбайн хэмжээ, га /өвөл-
хавар/
№ Өвөл-хавар
Адуу Тэмээ Үхэр Хонь Ямаа
Талбай /га/
1 Нэн тохиромжгүй - 11710.8 - - -
2 Тохиромжгүй 34185.5 48517.1 10200.5 13509.8 2341.5
3 Хязгаарлагдмал тохиромжтой 6248.4 35540 9656.5 21019.2 7795.7
4 Тохиромжтой - 9125.50 31538.4 15030.4 19133.8
5 Нэн тохиромжтой 64459.5 - 53498.0 55334.0 75622.4
6 Бусад газар ашиглалт 66655.6 66655.6 66655.6 66655.6 66655.6
18
ГХГЗЗГ-ын “Тохиромжтой байдлын үнэлгээ хийх арга зүй”, 2015 он
126
Тахирмаг 6.2.1.1 Таван хошуу малд тохиромжтой бэлчээрийн эзлэх хувь
/өвөл-хавар/
6.2.1.1 Өвөл-хаврын улиралд адуунд тохиромжтой бэлчээр /Зураг 6.2.2.1.1/.
Үүнд:
 Нэн тохиромжтой болон тохиромжтой бэлчээр. Нийт нутаг дэвсгэрийн
37.6 хувь буюу 64.6 мянган га талбай нь өвөл-хаврын улиралд адуунд
тохиромжтой бэлчээр байна. Нурамт, Дэнхээлжин, Зараа, Хүнхэр, Ар булаг,
Зодохын өвөр, Хүүш, Хавцалын гуя, Луд, Холбоо, таван толгой, Бээвээ,
үнхэлцэг, Хойд зуух, Бичигт, Бунхан, Тахилтын баруун, Дөрөлжний өвөр, Хөх
хошуу, Дунд даваа, Өвдгийн бууц зэрэг газрууд энэхүү бэлчээрт багтаж
байна.
 Хязгаарлагдмал тохиромжтой бэлчээр. Нийт нутаг дэвсгэрийн 3.6 хувь
буюу 6.2 мянган га талбай нь өвөл хаврын улиралд адуунд хязгаарлагдмал
тохиромжтой бэлчээр байна. Далайн түвшнээс дээш 1570-1800 метрийн
өндөрт өргөгдсөн зүг зовхис, газрын гадаргуугийн хувьд уулын энгэр ар,
хажуугийн Хойд зуух, Гурван гозгор, Ханан, Цахирын дугуй, Ар булаг,
Мандарын өвөр, хэлтгий гуя, Өвгөн хүрээ, Бага хавчиг зэрэг газрууд энэ
бэлчээрт багтаж байна.
 Тохиромжгүй болон нэн тохиромжгүй бэлчээр. Нийт нутаг дэвсгэрийн
19.9 хувь буюу 34.1 мянган га талбай нь өвөл хаврын улиралд адуунд нэн
тохиромжгүй бэлчээр байна. Далайн түвшнээс дээш 1800-2100 метрийн
өндөрт өргөгдсөн зүг зовхис, газрын гадаргуугийн хувьд уулын ар, хажуу,
чулуутай хадтай энгэр налуу огцом, цас их хунгарладаг газрууд Арц,
Хүнхэрийн бууц, Ханан, Эмээлийн өвөр, Мангаст, Хамар даваа, Агуйтын ам,
Дугант зэрэг газрууд энэ бэлчээрт багтаж байна.
Адуу Тэмээ Үхэр Хонь Ямаа
Нэн тохиромжгүй 0.0 6.8 0.0 0.0 0.0
Тохиромжгүй 19.9 28.3 5.9 7.9 1.4
Хязгаарлагдмал тохиромжтой 3.6 20.7 5.6 12.3 4.5
Тохиромжтой 0.0 5.3 18.4 8.8 11.2
Нэн тохиромжтой 37.6 0.0 31.2 32.3 44.1
0.0
10.0
20.0
30.0
40.0
50.0
127
Зураг 6.2.1.1 Өвөл-хаврын улиралд адуунд тохиромжтой бэлчээр
Эх сурвалж: ГЗБГЗЗГ, БСТ-ын боловсруулалт
6.2.1.2 Өвөл-хаврын улиралд тэмээнд тохиромжтой бэлчээр /Зураг 6.2.1.2.1/.
Үүнд:
 Тохиромжтой бэлчээр. Нийт нутаг дэвсгэрийн 5.3 хувь буюу 9.1 мянган га
талбай нь өвөл-хаврын улиралд тэмээнд тохиромжтой бэлчээр байна.
Бодонт, Ямаат багуудын нутагт Хүнхэр, Ханан, Барчгар, Өлзийтийн эх, Бага
булаг, Ачаат, дунд гол, Улаан толгой, Шүтээн толгой, Бага хужирт, Дунд
хамар, Чүеэ хөндлөн зэрэг газрууд энэхүү бэлчээрт багтаж байна.
 Хязгаарлагдмал тохиромжтой бэлчээр. Нийт нутаг дэвсгэрийн 20.7 хувь
буюу 35.5 мянган га талбай нь өвөл хаврын улиралд тэмээнд
хязгаарлагдмал тохиромжтой бэлчээр байна. Уртын гуя, Ихэр ханан,
128
Дэнхээлжин, Тасархай, Хавцал, Зүүн өндөр, Бор өндөр, Улаан овоо,
Харганат, Худгийн баруун, Өндөр үзүүр, Балбын үзүүр зэрэг газрууд энэ
бэлчээрт багтаж байна.
 Тохиромжгүй болон нэн тохиромжгүй бэлчээр. Нийт нутаг дэвсгэрийн
35.3 хувь буюу 60.2 мянган га талбай нь өвөл хаврын улиралд тэмээнд нэн
тохиромжгүй болон тохиромжгүй бэлчээр байна. Далайн түвшнээс дээш
1400 метрээс дээш өндөрт өргөгдсөн Хөтөл нутаг, Тасархай баруун,
Эмээлийн өвөр, нарийн гүвээ, Таван толгой, Дунд гол, Ганц харгайт,
Рашаант, Бодонтын эх зэрэг газрууд энэ бэлчээрт багтаж байна.
Зураг 6.2.1.2.1 Өвөл-хаврын улиралд тэмээнд тохиромжтой бэлчээр
129
Эх сурвалж: ГЗБГЗЗГ, БСТ-ын боловсруулалт
6.2.1.3 Өвөл-хаврын улиралд үхэрт тохиромжтой бэлчээр /Зураг 6.2.1.3.1/.
Үүнд:
 Нэн тохиромжтой болон тохиромжтой бэлчээр. Нийт нутаг дэвсгэрийн
49.6 хувь буюу 85.2 мянган га талбай нь өвөл-хаврын улиралд үхэрт
тохиромжтой бэлчээр байна. Нурамт, Дэнхээлжин, Зараа, Хүнхэр, Ар булаг,
Зодохын өвөр, Хүүш, Хавцалын гуя, Луд, Холбоо, таван толгой, Бээвээ,
үнхэлцэг, Хойд зуух, Бичигт, Бунхан, Тахилтын баруун, Дөрөлжний өвөр, Хөх
хошуу, Дунд даваа, Өвдгийн бууц зэрэг газрууд энэхүү бэлчээрт багтаж
байна.
 Хязгаарлагдмал тохиромжтой бэлчээр. Нийт нутаг дэвсгэрийн 5.6 хувь
буюу 9.6 мянган га талбай нь өвөл хаврын улиралд үхэрт хязгаарлагдмал
тохиромжтой бэлчээр байна. Далайн түвшнээс дээш 1570-1800 метрийн
өндөрт өргөгдсөн зүг зовхис, газрын гадаргуугийн хувьд уулын энгэр ар,
хажуугийн Хойд зуух, Гурван гозгор, Ханан, Цахирын дугуй, Ар булаг,
Мандарын өвөр, хэлтгий гуя, Өвгөн хүрээ, Бага хавчиг зэрэг газрууд энэ
бэлчээрт багтаж байна.
 Тохиромжгүй болон нэн тохиромжгүй бэлчээр. Нийт нутаг дэвсгэрийн 5.9
хувь буюу 10.0 мянган га талбай нь өвөл хаврын улиралд адуунд нэн
тохиромжгүй бэлчээр байна. Далайн түвшнээс дээш 1800-2100 метрийн
өндөрт өргөгдсөн зүг зовхис, газрын гадаргуугийн хувьд уулын ар, хажуу,
чулуутай хадтай энгэр налуу огцом, цас их хунгарладаг газрууд Арц,
Хүнхэрийн бууц, Ханан, Эмээлийн өвөр, Мангаст, Хамар даваа, Агуйтын ам,
Дугант зэрэг газрууд энэ бэлчээрт багтаж байна.
130
Зураг 6.2.1.3.1 Өвөл-хаврын улиралд үхэрт тохиромжтой бэлчээр
Эх сурвалж: ГЗБГЗЗГ, БСТ-ын боловсруулалт
6.2.1.4 Өвөл-хаврын улиралд хонинд тохиромжтой бэлчээр /Зураг 6.2.1.4.1/.
Үүнд:
 Нэн тохиромжтой болон тохиромжтой бэлчээр. Нийт нутаг дэвсгэрийн
41.1 хувь буюу 70.0 мянган га талбай нь өвөл-хаврын улиралд хонинд
тохиромжтой бэлчээр байна. Нурамт, Дэнхээлжин, Зараа, Хүнхэр, Ар булаг,
Зодохын өвөр, Хүүш, Хавцалын гуя, Луд, Холбоо, Таван толгой, Бээвээ,
үнхэлцэг, Хойд зуух, Бичигт, Бунхан, Тахилтын баруун, Дөрөлжний өвөр, Хөх
131
хошуу, Дунд даваа, Өвдгийн бууц зэрэг газрууд энэхүү бэлчээрт багтаж
байна.
 Хязгаарлагдмал тохиромжтой бэлчээр. Нийт нутаг дэвсгэрийн 12.3 хувь
буюу 21.0 мянган га талбай нь өвөл хаврын улиралд хонинд хязгаарлагдмал
тохиромжтой бэлчээр байна. Зүг зовхис, газрын гадаргуугийн хувьд уулын
энгэр ар, хажуугийн Хойд зуух, Гурван гозгор, Ханан, Цахирын дугуй, Ар
булаг, Мандарын өвөр, Хэлтгий гуя, Өвгөн хүрээ, Бага хавчиг зэрэг газрууд
энэ бэлчээрт багтаж байна.
 Тохиромжгүй болон нэн тохиромжгүй бэлчээр. Нийт нутаг дэвсгэрийн 7.9
хувь буюу 13.5 мянган га талбай нь өвөл хаврын улиралд хонинд нэн
тохиромжгүй бэлчээр байна. Далайн түвшнээс дээш 1800-2100 метрийн
өндөрт өргөгдсөн зүг зовхис, газрын гадаргуугийн хувьд уулын ар, хажуу,
чулуутай хадтай энгэр налуу огцом, цас их хунгарладаг газрууд Арц,
Хүнхэрийн бууц, Ханан, Эмээлийн өвөр, Мангаст, Хамар даваа, Агуйтын ам,
Дугант зэрэг газрууд энэ бэлчээрт багтаж байна.
132
Зураг 6.2.1.4.1 Өвөл-хаврын улиралд хонинд тохиромжтой бэлчээр
Эх сурвалж: ГЗБГЗЗГ, БСТ-ын боловсруулалт
6.2.1.5 Өвөл-хаврын улиралд ямаанд тохиромжтой бэлчээр /Зураг 6.2.1.5.1/.
Үүнд:
 Нэн тохиромжтой болон тохиромжтой бэлчээр. Нийт нутаг дэвсгэрийн
55.3 хувь буюу 94.0 мянган га талбай нь өвөл-хаврын улиралд ямаанд
тохиромжтой бэлчээр байна. Нурамт, Дэнхээлжин, Зараа, Хүнхэр, Ар булаг,
Зодохын өвөр, Хүүш, Хавцалын гуя, Луд, Холбоо, Таван толгой, Бээвээ,
үнхэлцэг, Хойд зуух, Бичигт, Бунхан, Тахилтын баруун, Дөрөлжний өвөр, Хөх
хошуу, Дунд даваа, Өвдгийн бууц зэрэг газрууд энэхүү бэлчээрт багтаж
байна.
 Хязгаарлагдмал тохиромжтой бэлчээр. Нийт нутаг дэвсгэрийн 4.5 хувь
буюу 7.7 мянган га талбай нь өвөл хаврын улиралд ямаанд хязгаарлагдмал
тохиромжтой бэлчээр байна. Зүг зовхис, газрын гадаргуугийн хувьд улын
энгэр ар, хажуугийн Хойд зуух, Гурван гозгор, Ханан, Цахирын дугуй, Ар
булаг, Мандарын өвөр, Хэлтгий гуя, Өвгөн хүрээ, Бага хавчиг зэрэг газрууд
энэ бэлчээрт багтаж байна.
 Тохиромжгүй болон нэн тохиромжгүй бэлчээр. Нийт нутаг дэвсгэрийн 1.4
хувь буюу 2.3 мянган га талбай нь өвөл хаврын улиралд ямаанд нэн
тохиромжгүй бэлчээр байна. Далайн түвшнээс дээш 1800-2100 метрийн
өндөрт өргөгдсөн зүг зовхис, газрын гадаргуугийн хувьд уулын ар, хажуу,
чулуутай хадтай энгэр налуу огцом, цас их хунгарладаг газрууд Арц,
Хүнхэрийн бууц, Ханан, Эмээлийн өвөр, Мангаст, Хамар даваа, Агуйтын ам,
Дугант зэрэг газрууд энэ бэлчээрт багтаж байна.
133
Зураг 6.2.1.5.1 Өвөл-хаврын улиралд ямаанд тохиромжтой бэлчээр
Эх сурвалж: ГЗБГЗЗГ, БСТ-ын боловсруулалт
134
6.2.2 Бэлчээрийн тохиромжтой байдал зун, намрын улиралд
Хүснэгт 6.2.2.1 Бэлчээрт тохиромжтой газрын талбайн хэмжээ, га /зун-намар/
№ Зун-намар
Адуу Тэмээ Үхэр Хонь Ямаа
Талбай /га/
1 Нэн тохиромжгүй - 2300.7 - - -
2 Тохиромжгүй 395.6 12568.3 395.6 529.8 529.8
3
Хязгаарлагдмал
тохиромжтой
- 8674.9 - 345.1 -
4 Тохиромжтой 1489.7 30371.1 53519.4 8171.0 8515.6373
5 Нэн тохиромжтой 52029.7 - - 44869.1 44869.137
6 Бусад газар ашиглалт 117633.0 117633.0 117633.0 117633.0 117633.0
Тахирмаг 6.2.2.1 Таван хошуу малд тохиромжтой бэлчээрийн эзлэх хувь /зун-
намар/
6.2.2.1 Зун-намрын улиралд адуунд тохиромжтой бэлчээр /Зураг 6.2.2.1.1/.
Үүнд:
 Нэн тохиромжтой болон тохиромжтой бэлчээр. Нийт нутаг дэвсгэрийн
22.5 хувь буюу 79.0 мянган га талбай нь зун-намрын улиралд адуунд
тохиромжтой бэлчээр байна. Орхон голын ай сав газар, Нурамт, Өгөөмөр,
Тахилтын өвөр, Улаан хад, Ар булаг, Баян хошууны өвөр, Наран, Улаан
жалга, Марз, Холбоо, Цагаан толгой, Өлзийт гозгор, Цайдам, Бага хужирт,
Маанийн дэнж, Дүүхээ, Ачаат, Зуухын баруун, Дөрөлжийн ар, Шүтээн
толгой, Тосон газрууд энэхүү бэлчээрт багтаж байна.
 Тохиромжгүй болон нэн тохиромжгүй бэлчээр. Нийт нутаг дэвсгэрийн 0.4
хувь буюу 1.5 мянган га талбай нь зун, намрын улиралд адуунд тохиромжгүй
0.0
5.0
10.0
15.0
20.0
25.0
30.0
35.0
Адуу Тэмээ Үхэр Хонь Ямаа
Нэн тохиромжгүй 0.0 1.3 0.0 0.0 0.0
Тохиромжгүй 0.2 7.3 0.2 0.3 0.0
Хязгаарлагдмал тохиромжтой 0.0 5.1 0.0 0.2 0.0
Тохиромжтой 0.9 17.7 31.2 4.8 5.0
Нэн тохиромжтой 30.3 0.0 0.0 26.2 26.2
135
бэлчээр байна. Далайн түвшнээс дээш 1800-2100 метрийн өндөрт өргөгдсөн
зүг зовхис, газрын гадаргуугийн хувьд уулын ар, хажуугийн газрууд Зураа,
Их-Уул, Овгор улаан, Салхит, Хар гуя, Ханхар зэрэг газрууд энэ бэлчээрт
багтаж байна.
Зураг 6.2.2.1.2 Зун-намрын улиралд адуунд тохиромжтой бэлчээр
Эх сурвалж: ГЗБГЗЗГ, БСТ-ын боловсруулалт
136
6.2.2.2 Зун-намрын улиралд тэмээнд тохиромжтой бэлчээр /Зураг 6.2.2.2.1/
Үүнд:
 Нэн тохиромжтой болон тохиромжтой бэлчээр. Нийт нутаг дэвсгэрийн
17.7 хувь буюу 30.3 мянган га талбай нь зун-намрын улиралд тэмээнд
тохиромжтой бэлчээр байна. Орхон голын ай сав газар, Талын толгой,
Могой дов, Майний дэнж, Сайрын ам, Цагаан эрэг, Өндөр эрэг, Хархираа,
Хүрээлэн, Гацаа, Хөшөөт зэрэг газрууд энэхүү бэлчээрт багтаж байна.
 Хязгаарлагдмал тохиромжтой бэлчээр. Нийт нутаг дэвсгэрийн 5.1 хувь
буюу 8.6 мянган га талбай нь зун-намрын улиралд тэмээнд хязгаарлагдмал
тохиромжтой бэлчээр байна. Орхон голын ай сав газар, Уяатын гарам,
Улаан эрэг, Бодонт гол, Урт булаг, Агьт, Мөстийн ар, Мөнгөний хөндий зэрэг
газрууд энэхүү бэлчээрт багтаж байна.
 Тохиромжгүй болон нэн тохиромжгүй бэлчээр. Нийт нутаг дэвсгэрийн 8.6
хувь буюу 14.8 мянган га талбай нь зун, намрын улиралд тэмээнд
тохиромжгүй бэлчээр байна. Далайн түвшнээс дээш 1800-2100 метрийн
өндөрт өргөгдсөн зүг зовхис, газрын гадаргуугийн хувьд уулын ар, хажуугийн
газрууд Наран,Үст, Нарийн хөндий, Рашаант, Хавчигийн зүүн, Мандарын
үзүүр зэрэг газрууд энэ бэлчээрт багтаж байна.
137
Зураг 6.2.2.2.1. Зун-намрын улиралд тэмээнд тохиромжтой бэлчээр
Эх сурвалж: ГЗБГЗЗГ, БСТ-ын боловсруулалт
6.2.2.3 Зун-намрын улиралд үхэрт тохиромжтой бэлчээр /Зураг 6.2.2.3.1/. Үүнд:
 Нэн тохиромжтой болон тохиромжтой бэлчээр. Нийт нутаг дэвсгэрийн
31.2 хувь буюу 53.5 мянган га талбай нь зун-намрын улиралд үхэрт
тохиромжтой бэлчээр байна. Орхон голын ай сав газар, Талын толгой,
Могой дов, Майний дэнж, Сайрын ам, Цагаан эрэг, Өндөр эрэг, Хархираа,
Хүрээлэн, Гацаа, Хөшөөт, Байн толгой, Дунд гол, Гэгээн нуур, Бодонт гол,
Уртын гол, Хархираа, Дөшийн ар, Өндөр толгой, Нуурын дэнж, Хар ус,
Өндөр эрэг, Агьт, Халзан, Хөшөөт, Жаргалантын тохой зэрэг газрууд энэхүү
бэлчээрт багтаж байна.
 Тохиромжгүй болон нэн тохиромжгүй бэлчээр. Нийт нутаг дэвсгэрийн 0.2
хувь буюу 0.3 мянган га талбай нь зун, намрын улиралд үхэрт тохиромжгүй
бэлчээр байна. Далайн түвшнээс дээш 1800-2100 метрийн өндөрт өргөгдсөн
зүг зовхис, газрын гадаргуугийн хувьд уулын ар, хажуу газрууд болох
Рашаант, Хэлтгий гуя зэрэг газрууд энэ бэлчээрт багтаж байна.
138
Зураг 6.2.2.3.1 Зун-намрын улиралд үхэрт тохиромжтой бэлчээр
Эх сурвалж: ГЗБГЗЗГ, БСТ-ын боловсруулалт
6.2.2.4 Зун-намрын улиралд хонинд тохиромжтой бэлчээр /Зураг 6.2.2.4.1/.
Үүнд:
 Нэн тохиромжтой болон тохиромжтой бэлчээр. Нийт нутаг дэвсгэрийн
30.2 хувь буюу 53.0 мянган га талбай нь зун-намрын улиралд хонинд
тохиромжтой бэлчээр байна. Орхон голын ай сав газар, Талын толгой,
Могой дов, Майний дэнж, Сайрын ам, Цагаан эрэг, Өндөр эрэг, Хархираа,
Хүрээлэн, Гацаа, Хөшөөт, Байн толгой, Дунд гол, Гэгээн нуур, Бодонт гол,
Уртын гол, Хархираа, Дөшийн ар, Өндөр толгой, Нуурын дэнж, Хар ус,
Өндөр эрэг, Агьт, Халзан, Хөшөөт, Жаргалантын тохой зэрэг газрууд энэхүү
бэлчээрт багтаж байна.
 Хязгаарлагдмал тохиромжтой бэлчээр. Нийт нутаг дэвсгэрийн 0.2 хувь
буюу 0.3 мянган га талбай нь зун-намрын улиралд хонинд хязгаарлагдмал
тохиромжтой бэлчээр байна. Хөх хошууны дээд, Рашаант зэрэг газрууд
энэхүү бэлчээрт багтаж байна.
 Тохиромжгүй болон нэн тохиромжгүй бэлчээр. Нийт нутаг дэвсгэрийн 0.3
хувь буюу 0.5 мянган га талбай нь зун, намрын улиралд хонинд тохиромжгүй
бэлчээр байна. Далайн түвшнээс дээш 1800-2100 метрийн өндөрт өргөгдсөн
зүг зовхис, газрын гадаргуугийн хувьд уулын ар, хажуу газрууд болох
Рашаант, Хэлтгий гуя зэрэг газрууд энэ бэлчээрт багтаж байна.
139
Зураг 6.2.2.4.1 Зун-намрын улиралд хонинд тохиромжтой бэлчээр
Эх сурвалж: ГЗБГЗЗГ, БСТ-ын боловсруулалт
6.2.2.5 Зун-намрын улиралд ямаанд тохиромжтой бэлчээр /Зураг 6.2.2.5.1/.
Үүнд:
 Нэн тохиромжтой болон тохиромжтой бэлчээр. Нийт нутаг дэвсгэрийн
31.2 хувь буюу 53.3 мянган га талбай нь зун-намрын улиралд хонинд
тохиромжтой бэлчээр байна. Орхон голын ай сав газар, Талын толгой,
Могой дов, Майний дэнж, Сайрын ам, Цагаан эрэг, Өндөр эрэг, Хархираа,
Хүрээлэн, Гацаа, Хөшөөт, Байн толгой, Дунд гол, Гэгээн нуур, Бодонт гол,
Уртын гол, Хархираа, Дөшийн ар, Өндөр толгой, Нуурын дэнж, Хар ус,
140
Өндөр эрэг, Агьт, Халзан, Хөшөөт, Жаргалантын тохой зэрэг газрууд энэхүү
бэлчээрт багтаж байна.
Тохиромжгүй болон нэн тохиромжгүй бэлчээр. Нийт нутаг дэвсгэрийн 0.3
хувь буюу 0.5 мянган га талбай нь зун, намрын улиралд хонинд тохиромжгүй
бэлчээр байна. Далайн түвшнээс дээш 1800-2100 метрийн өндөрт өргөгдсөн
зүг зовхис, газрын гадаргуугийн хувьд уулын ар, хажуу газрууд болох
Рашаант, Хэлтгий гуя зэрэг газрууд энэ бэлчээрт багтаж байна.
Зураг 6.2.2.5.1. Зун-намрын улиралд ямаанд тохиромжтой бэлчээр
Эх сурвалж: ГЗБГЗЗГ, БСТ-ын боловсруулалт
6.3 ТАРИАЛАНГИЙН ГАЗРЫН ТОХИРОМЖТОЙ БАЙДЛЫН ҮНЭЛГЭЭ
Тухайн орон нутаг, бүс нутгийн байгаль орчин, уур амьсгал, газар ашиглалтын
онцлогоос хамаарч үндсэн болон дэд үзүүлэлтийг сонгон үнэлгээ өгсөн ба
үзүүлэлтийг нэгтгэн “Тариалангийн газрын тохиромжтой байдлын иж бүрэн
үнэлгээ”-ний арга зүйн дагуу хийж гүйцэтгэв.
Тариалангийн газрын тохиромжтой байдлын үнэлгээний шалгуур үзүүлэлтийг
үндэслэн Өлзийт сумын нийт нутаг дэвсгэрийн тариаланд тохиромжтой газрын
талбайн хэмжээг тодорхойлоход 22.2 хувь буюу 38.2 мянган га талбай
141
тохиромжтой, 8.4 хувь буюу 14.3 мянган га талбай хязгаарлагдмал тохиромжтой,
23.7 хувь буюу 40.6 га талбай тохиромжгүй, 34.6 хувь буюу 59.6 га талбай нэн
тохиромжгүй газар байна.
Хүснэгт 6.3.1 Тариаланд тохиромжтой газрын талбайн хэмжээ, га
№ Үнэлгээ Талбай /га/ Эзлэх хувь
1 Нэн тохиромжгүй /1балл/ 59591.0 34.6
2 Тохиромжгүй /2 балл/ 40693.4 23.7
3 Хязгаарлагдмал тохиромжтой /3 балл/ 14365.4 8.4
4 Тохиромжтой /4 балл/ 38267.0 22.2
5 Бусад газар ашиглалт 19120.0 11.1
Нийт талбай 172036.9 100.00
Тариалан эрхлэх тохиромжтой газар нь газрын гадаргын хувьд 2-4 градусын
налуутай, 1000-1500 м д.т.д өндөрт, уулын хөндий, голын хөндий, нам дор,
хөрсний үржил шим сайтай газрууд хамрагдсан.
Хязгаарлагдмал тохиромжтой газарт гадаргын хувьд 4-6 градусын налуутай,
1500-2000 м д.т.д өндөрт, дов толгодын хүрэн шороон хөрс, тал хээрийн цайвар
хүрэн хөрс, дунд зэрэг чулуутай газрууд хамрагдсан.
Тохиромжгүй газарт гадаргын хувьд 6-12 градусын налуутай, 2000-3500 м д.т.д
өндөрт, уулын орой, хажуу, өндөрлөг газрууд, хүнд шавранцар, хөрсний үржил
шим муутай, дулаан хангамжийн хувьд сэрүүн нөхцөлтэй газрууд хамрагдсан.
142
Зураг 6.3.1 Тариалангийн газрын тохиромжтой байдлын үнэлгээ
Эх сурвалж: ГЗБГЗЗГ, БСТ-ын боловсруулалт
143
6.4 ШИНЭЭР БАЙГУУЛАХ ХОТ СУУРИН ГАЗРЫН ҮНЭЛГЭЭ
Тухайн орон нутаг, бүс нутгийн байгаль орчин, уур амьсгал, инженер геологийн
нөхцөл, газар ашиглалтын онцлогоос хамаарч “Шинээр байгуулах хот суурины
дэвсгэр газрын тохиромжтой байдлын иж бүрэн үнэлгээ”-г боловсруулсан.
Тухайн сумын хувьд тохиромжтой байдлын үнэлгээгээр 4 төрлийн үнэлгээ өгсөн.
Үүнд:
Хориглох нөхцөл: Өндөр уулын бүс нутаг хамаарагдах ба одоогийн газар
ашиглалтын суурь нөхцөлүүд бүгд хамаарагдана.
Тохиромжгүй: Газар хөдлөлийн хувьд 9 баллаас дээш, цэвдэг үргэлжилсэн
тархалттай, намаг ихтэй, үерийн нөлөөлд орж болзошгүй, 2500 м д.т.д болон
түүнээс дээш өндөрт, 20 градусаас дээш налуутай, хүчтэй салхи, шороон болон
цасан шуурганы их нөлөөтэй газрууд хамаарагдана.
Хязгаарлагдмал тохиромжтой: Газар хөдлөлийн хувьд 7-8 балл, овоолт суулт
сул байх, цэвдэг алаг, цоог тархалттай, үерийн нөлөөлд 4% хүртэл хангамжтай,
1500-2500 м д.т.д болон дээш өндөрт, 8-20 градус налуутай, газрууд
хамаарагдана.
Тохиромжтой: Газар хөдлөлийн хувьд 6 баллаас доош, цэвдэггүй, намаггүй,
үерийн нөлөөлөл байхгүй, 1500 м д.т.д хүртэл, 0-8 градусын налуутай, хүчтэй
салхи, шороон болон цасан шуурганы бага нөлөөтэй, хөрсний давсжилтгүй, усны
нөөц ихтэй газрууд хамаарагдана.
144
Зураг 6.4.1 Шинээр байгуулах хот суурин газрын тохиромжтой байдлын
үнэлгээ
Эх сурвалж: ГЗБГЗЗГ
145
6.5 АЯЛАЛ ЖУУЛЧЛАЛЫН ТОХИРОМЖТОЙ БАЙДЛЫН ҮНЭЛГЭЭ
Байгалийн нөөц рекреацийн нутаг дэвсгэр ашиглалтын урьдчилсан нөхцөлүүдийн
нэг гол хүчин зүйл, байгалийн бүрэлдэхүүн хэсгүүдийн төдийгүй түүний иж
бүрдлийг бүхэлд нь хамардаг онцлогтой юм. Байгалийн Аялал-рекреацийн газрын
тохиромжтой байдлын үнэлгээ хийх арга зүйн дагуу гүйцэтгэв. Сумын нийт нутгийн
82.7 хувь буюу 142333 га талбай тохиромжтой, 6.9 хувь буюу 11972 га
хязгаарлагдмал тохиромжтой, 10.3 хувь буюу 17735 га тохиромжгүй байна. Тухайн
сумын хувьд аяллын тохиромжтой байдлын үнэлгээгээр 4 төрлийн үнэлгээ өгсөн
бөгөөд Үүнд:
Хориглох нөхцөл: Өндөр уулын бүс нутаг хамаарагдах ба одоогийн газар
ашиглалтын суурь нөхцөлүүд бүгд хамаарагдана.
Тохиромжгүй: Газар хөдлөлийн хувьд 9 баллаас дээш, цэвдэг үргэлжилсэн
тархалттай, намаг ихтэй, үерийн нөлөөлд орж болзошгүй, 2500 м д.т.д болон дээш
өндөрт, 20 градусаас дээш налуутай, хүчтэй салхи, шороон болон цасан шуурганы
их нөлөөтэй, гол, усан сан бүхий газар байхгүй, зам харгуй хүнд нөхцөлтэй,
газрууд хамаарагдана.
Хязгаарлагдмал тохиромжтой: Газар хөдлөлийн хувьд 7-8 балл, цэвдэг алаг,
цоог тархалттай, 12-20 градус налуутай, усанд сэлэхэд тохиромжтой жижиг голтой,
рашаантай, ойн дагалт баялаг ховортой, 1 цагийн дотор хүрэх боломжтой газрууд
хамаарагдана.
Тохиромжтой: Газар хөдлөлийн хувьд 6 баллаас доош, цэвдэггүй, намаггүй,
үерийн нөлөөлөл байхгүй, 12 градусаас доош налуутай, хүчтэй салхи, шороон
болон цасан шуурганы бага нөлөөтэй, усанд сэлэхэд тааламжтай нуур цөөрөм,
голтой, рашаантай, самар, мөөг, жимс, жимсгэнэ, элбэгтэй, агуй, эртний хотын
туурь ихтэй, хадны зураг, буган хөшөө хосолсон, харьцангуй онгон байгалиараа
газрууд хамаарагдана.
146
Зураг 6.5.1 Аялал-Рекреацийн газрын тохиромжтой байдлын үнэлгээ
Эх сурвалж: ГЗБГЗЗГ
147
6.6 ОЙН САНГИЙН ТОХИРОМЖТОЙ БАЙДЛЫН ҮНЭЛГЭЭ
Тухайн орон нутаг, бүс нутгийн ой-ургамалжлын муж, хошуу, өндрийн бүслүүр
ангилалд үндэслэн гадаргын нөхцөл, хөрсний шинж чанарыг илтгэх үндсэн болон
дэд үзүүлэлтийг сонгон үнэлгээ өгсөн ба эдгээр үзүүлэлтийг нэгтгэн “Ойн сангийн
тохиромжтой байдлын үнэлгээ”-г хийв.
Тухайн сумын хувьд ойн сангийн тохиромжтой байдлын үнэлгээгээр 4 төрлийн
үнэлгээ өгсөн.Үүнд:
Хориглох нөхцөл: Өндөр уулын бүс нутаг хамаарагдах ба одоогийн газар
ашиглалтын суурь нөхцөлүүд бүгд хамаарагдана.
Тохиромжгүй: Далайн түвшнээс 1800-аас доош, 2000-аас дээш метр болон 30
градусаас дээш налуутай, хөрсний үржил шим муутай, газрууд хамаарагдана.
Хязгаарлагдмал тохиромжтой: Далайн түвшнээс 1800-1900 метр болон 20-30
градусын налуутай, хөнгөн шавранцар, чулуурхаг, газрууд хамаарагдана.
Тохиромжтой: Далайн түвшнээс 1700-1900 метр болон 10 градусаас доош
налуутай, хөрсний үржил шим сайтай, газрууд хамаарагдана.
Зураг 6.6.1 Ойн сангийн газрын тохиромжтой байдлын үнэлгээ
Эх сурвалж: ГЗБГЗЗГ
148
6.7 ШУГАМАН БАЙГУУЛАМЖИЙН ЗОРИУЛАЛТААР АШИГЛАХ ТОХИРОМЖТОЙ
БАЙДЛЫН ҮНЭЛГЭЭ
Тухайн орон нутаг, бүс нутгийн байгаль орчин, уур амьсгал, инженер геологийн
нөхцөл, газар ашиглалтын онцлогоос хамаарч үндсэн болон дэд үзүүлэлтийг
сонгон үнэлгээ өгсөн ба эдгээр үзүүлэлтийг нэгтгэн “Шугаман байгууламжийн
зориулалтаар ашиглах газрын үнэлгээ”-г хийж гүйцэтгэв. Тухайн сумын хувьд
тохиромжтой байдлын үнэлгээгээр 3 төрлийн үнэлгээ өгсөн. Үүнд:
Нэн хүндрэлтэй: Далайн түвшнээс дээш 2500 м-ээс дээш өндөр газар, гадаргын
налуу 30-аас дээш, цэвдэг чулуулаг үргэлжилсэн болон тасалданги тархалттай
газрууд хамаарагдана.
Хүндрэлтэй тохиромжтой: Далайн түвшнээс дээш 1500-2500 м өндөрлөг газар,
гадаргын налуу 15-30 градус, цэвдэг чулуулаг алаг цоог тархалттай газрууд
хамаарагдана.
Хэвийн: Далайн түвшнээс дээш 1500 метрээс доош газар, гадаргын налуу 0-15
градус, цэвдэг чулуулаг өнжмөл, улирлын тохиолдлын тархалттай, хөөлттэй хөрс
тархаагүй газрууд хамаарагдана.
Сумын нийт нутгийн 54.2 хувь буюу 93265 га талбай тохиромжтой, 5.1 хувь буюу
8837 га хязгаарлагдмал тохиромжтой, 40.6 хувь буюу 69938 га тохиромжгүй байна.
149
Зураг 6.7. Цахилгаан дамжуулах агаарын шугамын зориулалтаар ашиглах
газрын нэгдсэн үнэлгээ
Эх сурвалж: ГЗБГЗЗГ
150
6.8 ХАДГАЛАН ХАМГААЛАХ ГАЗРЫН ТОХИРОМЖТОЙ БАЙДЛЫН ҮНЭЛГЭЭ
Газар нутгийн хадгалан хамгаалах нь оршин тогтнох эх үндэс, хүмүүсийн
амьдралыг тэтгэгч ус, цэвэр агаар, эрүүл орчин бүрдүүлэхэд чухал үүрэгтэй билээ.
Түүнчлэн биологийн төрөл зүйлийн нөөцийг тогтвортой, эрүүл байлгах, уур
амьсгалын өөрчлөлтийг бууруулахад бидний амьдарч буй орчин нөлөөлдөг.
Иймээс эдгээр шинж чанарыг авч үлдэхийн тулд хадгалан хамгаалах зайлшгүй
шаардлагатай.
Хадгалан хамгаалах газрын үнэлгээ хийхдээ хамгаалах амьтан, ургамлын зүйлийг
тодорхойлохоос эхэлдэг бөгөөд дараах аргыг хэрэглэдэг. Үүнд:
1. Амьдрах орчны хамгаалал болон газар нутгийг тусгай хамгаалалтад авах,
байгаль орчны төлөвлөгөө боловсруулах
2. Уул уурхай болон эрчим хүчний хөгжил тэдгээрийн нөлөөг бууруулах
3. Биологийн судалгаа болон хяналт шинжилгээ
4. Экосистемийн үйлчилгээний үнэлгээний хүрээнд бэлчээр болон усны
нөөцийг тогтоох зэрэг ашигладаг.
Амьтны тархцын зүйлийн тархцын загвар гаргахад дараах мэдээллийг ашиглана.
Үүнд:
Амьдрах орчны тодорхойлолт-тухайн зүйлийн амьдрах орчны физик шинж чанар
болон хүрээлэн буй орчны тодорхойлолт
1. Ажиглалт судалгааны мэдээ
2. Идэш тэжээл
3. Өндөршил
4. Гадаргын хэлбэр
5. Экосистемийн ангилал
6. Хур тунадас зэрэг болно
2016 онд TNC / Дэ Нэйчи Консерванси/ Олон Улсын байгууллага, Байгаль Орчин,
Ногоон Хөгжлийн Яам (хуучнаар) болон Газрын Харилцаа, Геодези, Зурагзүйн
Газар хамтран Монгол Алтай, Их нууруудын хотгор, Олон нууруудын хөндий болон
Хангай, Хөвсгөлийн экологийн бүс нутгуудад экологийн бүс нутгийн үнэлгээг
хийсэн. Үүний үр дүнд экосистемийн хувьд хамгаалахад чухал ач холбогдолтой
газруудыг сонгосон байна. Өлзийт сумын хувьд Бөхөн шарын нурууны бүс нутаг
хамрагдсан байна.
151
Зураг 6.8.1 Хадгалан хамгаалах газрын тохиромжтой байдлын үнэлгээ
Эх сурвалж: TNC / Дэ нэйчи консерванси/ Олон улсын байгууллага
152
ДОЛОО.ТОДРУУЛАЛТ, УУЛЗАЛТ, ЯРИЛЦЛАГА, ИРГЭД ОЛОН НИЙТИЙН
САНАЛ АСУУЛГА, БҮЛГИЙН ХЭЛЭЛЦҮҮЛЭГ, SWOT ШИНЖИЛГЭЭ
7.1 Сумын төрийн албан хаагчид болон иргэдийн оролцоо
Засгийн газрын хэрэгжүүлэгч агентлаг ГЗБГЗЗГ-ын даргын 2017.11.24 ний өдрийн
А278 дугаар тушаалаар батлагдсан Сумын нутаг дэвсгэрийн төлөвлөгөө
боловсруулах арга зүйн 4-р бүлгийн дагуу дараах ажлуудыг хийж гүйцэтгэв.
Архангай аймгийн ЗДТГ-ын холбогдох хэлтсүүдийн удирдлагууд (Хөгжлийн
бодлого төлөвлөлтийн хэлтсийн дарга, Статистикийн хэлтсийн дарга болон харьяа
албан газруудын ХХААГ, БОАЖГ, Газрын алба, Иргэний бүртгэлийн тасгийн дарга
мэргэжилтнүүдтэй уулзаж холбогдох мэдээллүүдийг авав.
Архангай аймгийн Өлзийт сумын газар ашиглалтын өнөөгийн нөхцөл байдалд
нөлөөлж буй дотоод, гадаад хүчин зүйлийг үнэн зөв тодорхойлох, газрын
хэрэгцээ болон газар ашиглалтын нөхцөл байдалд дүн шинжилгээ хийж газар
ашиглалтын онцлогийг тодруулах үүднээс эхний зорилтод бүлгүүдийг хамарсан
хэлэлцүүлгийг зохион байгууллаа.
Өлзийт сумаас дараах төлөөлөл бүхий төрийн албан хаагчид, иргэд, үйлдвэр
үйлчилгээ эрхлэгчдийн төлөөллийг хамруулсан болно.
Хүснэгт 7.1.1 Олон нийтийн оролцуулсан байдал
№ Олон нийтийн
төлөөлөл
Нормативт
хувь19
Сумын
үзүүлэлт20
Хамрагдах
ёстой
Хамруулсан
байдал
1 Сумын төвийн өрх 5 388 19 21
2 Тариаланчид 10 5 1 1
3
Үйлдвэр
үйлчилгээ
эрхлэгчид
25 27 7 7
4
ЗДТГ-ын албан
хаагчид
25 32 20 21
5
Бусад төрийн
албан хаагчид
15 125 20 20
6
Нийгмийн эмзэг
бүлгийн иргэд
30 64 20 28
7
Хувиараа
хөдөлмөр
эрхлэгчид
20 32 5 5
Нийт дүн 92 103
Эх сурвалж: Санал асуулга, 2019 БСТ
19 Сумын нутаг дэвсгэрийн хөгжлийн төлөвлөгөө боловсруулах арга зүй-2018 он хуудас-14
20 Өлзийт сумын багийн судалгаа-2018 он
153
Тус сумаас суурь судалгаанд хамруулахаар төлөвлөсөн олон нийтийн
төлөөллөөс 10 хүн буюу 10 хувиар илүү хамруулсан болно./ хавсралтад- нэр
албан тушаалаар хавсаргав/
7.2 Бүлгийн хэлэлцүүлэг болон санал асуулгын үр дүн
Орон нутгийн удирдах ажилтан болон иргэдийн санал, хэлэлцүүлгийн үр дүнг
нэгтгэн орон нутгийн хөгжлийн төлөвлөгөөнд дараах саналуудыг тусгахаар байна.
МАА-Н ТАЛААР: Бодлого судлалын төвөөс санал болгож буй бэлчээрийн даацад
тохируулсан малын тоо толгойг бууруулах хөтөлбөрийг судалгаанд оролцсон
иргэд болон удирдах ажилтнууд 100 хувь дэмжсэн болно.
Суманд орон нутгийн байгаль цаг уурын нөхцөлд тохирсон хагас эрчимжсэн мал
аж ахуйг хөгжүүлэхийг дэмжсэн бөгөөд дараах асуудлуудыг иж бүрнээр
шийдвэрлэх хэрэгтэй байна.
Хүснэгт 7.2.1 Тэжээл хангамжийн шийдэх боломж
№ Тулгамдаж буй асуудал Шийдвэрлэх боломж
1
Малын тэжээлийн хангамж
хүрэлцээ
Тариалалтыг нэмэгдүүлэх
2 Техникийн үйлчилгээ
3 Усалгаа
4 Бизнес эрхлэгчдийн ур чадварыг сайжруулах
Малын үүлдэр угсааг сайжруулах чиглэлд хийгдэх шаардлагатай арга хэмжээний
хувьд:
 Малын үүлдэр угсааг сайжруулах Малын тоо толгойг бууруулж,
бэлчээрийн даацад тохирсон малтай болох
 Мал угаалгын зөөврийн ванн байгуулж, үзлэгийн хашаатай болох
 Мал нядалгааны цэг байгуулах
 Сум дагуух дайран өнгөрч байгаа мал, амьтны түр амраах цэг
байгуулах
 Малын эмийн үлдэгдэл анхан шатанд илрүүлэх мини лаборатори
байгуулах
 Малын эрүүл бүс болох
 Малын тэжээлийн цехтэй болох
 Хувийн мал эмнэлгийн ажлын байр шинэчлэх
 Мал эмнэлгийн дутагдалтай тоног төхөөрөмж, шаардлагатай
мотоцикльтэй болох
ГАЗАР ТАРИАЛАНГИЙН ТАЛААР:
154
 Атаршсан газраа дахин газар тариаланд ашиглах
 Газар тариаланг хөгжүүлж, малын таримал тэжээл тарих
 Газар тариалангийн дэвшилтэт техник тоног төхөөрөмжөөр хангах
 Хүнсний ногоо болон хүлэмжийн аж ахуйг хөгжүүлэх
БОЛОВСРУУЛАХ ҮЙЛДВЭРЛЭЛИЙН ТАЛААР
 Сүү цагаан идээ борлуулах худалдааны төвтэй болох
 Түүхий эд боловсруулах үйлдвэр байгуулах
 Сүүний чиглэлийн фермтэй болох
 Хоёрдох түүхий эд хүлээн авдаг цэгтэй болох
АЯЛАЛ ЖУУЛЧЛАЛЫН ТАЛААР
 Загасны аж ахуй хөгжүүлэх
 Эко аялал жуулчлал хөгжүүлэхийг төрөөс дэмжих
 Олон улсын аялал жуулчлалын маршрутад оруулах
 Цайдам нуур, Нарангийн рашааныг түшиглээд сувилал байгуулах
СУМЫН ДЭД БҮТЦИЙН ТАЛААР
 Сумын төвд байрлах 2 давхар орон сууцны өнгө үзэмжийг
сайжруулах
 ЗДТГ-ын байрыг шинэчлэх
 Сумын төвийн замыг сэргээн засварлаж, хатуу хучилттай 3-5 км
зам тавих
 Сумын төвийн айл өрхүүдийг нэгдсэн халаалт, цэвэр бохир усны
сүлжээнд холбох
 Сумын төвийн айл, өрхүүдийн хашаа хорооны өнгө үзэмжийг
сайжруулж, сэргээн засах
 Цахилгааны дэд станц байгуулах
 Сэргээгдэх эрчим хүчний станц байгуулах
 Босоо тэнхлэгийн хатуу хучилттай замыг Хар хорин хөшөө
Цайдмын замтай холбох
 Эрүүл мэндийн төвийг түшиглэж, фитнес клуб байгуулах
 ЭМТ-д эхийн амаржих байртай болох
 Орхон голын сав дагуу ногоон төгөл байгуулах
 Хүнсний бөөний төвтэй болох
 Байшир багийн Дөшийн арын худаг засварлах
 Цэвэрлэх байгууламж барих
 Хүүхдийн цэцэрлэгийн өргөтгөл барих
155
 Сургуулийн өргөтгөл барих
 Эрүүл мэндийн төвийн өргөтгөл барьж, улсын жишигт нийцсэн
эрүүл мэндийн төвтэй болох Тоног төхөөрөмжөөр хангах Эхо
аппарат,
 Эхийн амрах байртай болох
 Бие бялдар чийрэгжүүлэх техник төхөөрөмжтэй болох
 Ямаат баг дээр багийн төв барих
 Ахуй үйлчилгээг өргөжүүлэн сайжруулах, тэр дундаа халуун усны
үйл ажиллагааг өргөжүүлэн мэргэжлийн боловсон үйлчилгээгээр
хангах
 Хүүхэд хөгжлийн ордонтой болох
 Уламжлалт сэргээн засах эмчилгээг нэвтрүүлэх
 Архидалтыг тууштай бууруулах ажлын байр нэмэгдүүлэх
ХОГ ХАЯГДЛЫН ТАЛААР
 Үхсэн малын сэг зэмийг цэгцлэх
 Хог дахин боловсруулах үйлдвэр
 Хог шатаах зуухтай болох
 Сургуулиуд болон олон нийтийн газарт аюултай хог хаягдал авах
савуудыг байршуулах / батарей/
7.2 Сумын ЗДТГ-ын төрийн албан хаагчид болон сумын иргэдтэй хийсэн
уулзалт, ярилцлага, хэлэлцүүлгийн үеийн зарим зургууд
Зураг 7.2.1 Сумын засаг даргын тамгын газрын төрийн албан хаагчдаас
санал авч байгаа нь
156
Зураг 7.2.2 Өлзийт сумын бүлгийн хэлэлцүүлэг болон ярилцлагын үе
157
Зураг 7.2.3 Сумын иргэдтэй хэлэлцүүлэг хийж байгаа нь
Сумын төрийн албан хаагчид болон иргэдтэй хийсэн уулзалт, ярилцлага, санал
асуулга, бүлгийн хэлэлцүүлэгт оролцогчдын дэлгэрэнгүй бүртгэлийг хавсралт 7.1-д
үзүүлэв.
Хэлэлцүүлэгт оролцогчдоор газар, байгалийн нөөц эдэлбэрийн зүй ёсны
158
эрх эдлэгчдийн хил зааг, мөн нийгэм, эдийн засгийн эрэлт, хэрэгцээнд
тулгуурлан шинээр бий болгох жуулчны бааз, отог, амралт, сувиллын газрын
байршлыг тогтоож, зураглах болон сумын онцлогоос хамаарсан бусад
асуудлуудыг нэмж тодорхойлж, тэдний харилцан зөвшилцлөөр санал асуулга
авч зураг дээр тэмдэглэгээ хийлгүүлж, зурууллаа.
7.3 Сумын SWOT шинжилгээ
Сумын нутаг дэвсгэрийн хөгжлийн төлөвлөгөөг боловсруулахдаа дээрх SWOT
шинжилгээнд тулгуурлан давуу талыг бэхжүүлж, боломжийг бүрэн ашиглаж,
харин сул тал, эрсдэлийг даван туулах арга хэмжээг сайтар суулгах замаар:
7. Сумын эдийн эдийн засаг, иргэдийн амьжиргааны үндэс болсон мал аж
ахуйн салбарт тооноос чанарт шилжиж, уур амьсгалын өөрчлөлтийг даван
туулах чадвартай тогтвортой хөгжлийг хангах
8. Газар тариалангийн бүтээгдэхүүний өсөн нэмэгдэж байгаа хэрэгцээг өөрийн
үйлдвэрлэлээр хангах түвшнийг тасралтгүй нэмэгдүүлэх
Байгальд ээлтэй аялал жуулчлал, жижиг дүнд үйлдвэрлэл, байгалийн нөөц,
баялгийг зохистой ашиглаж, хамгаалах, харилцаа холбоо, дэд бүтэц, боловсрол,
нийгэм, соёл, спортын тулгамдсан эн тэргүүний асуудлыг эрэмбэлж, дэс дараатай
шийдвэрлэх замаар ажлын байр, иргэдийн орлогыг нэмэгдүүлж, сумандаа ая
тухтай, тогтвор суурьшилтай амьдрах нөхцөлийг бүрдүүлэхийг зөвлөж байна
МАА-н салбар
Давуу тал Сул тал
 Байгалийн бэлчээрт
үйлдвэрлэсэн тул органик
зах зээлийн шаардлагыг
хангахад дөхөм /360 хоног
бэлчээрт байдаг, олон улсын
органик махны шаардлага
120 хоног/
 Дотоодын эрэлтээс давсан
махны нөөцтэй
 Сумын хэрэглэгчдийн
хэрэглээнд мах өндөр хувийн
жин эзэлдэг тул эрэлт хүн
амын өсөлтийг даган цаашид
өснө. Мах, сүүний эрэлт 2027
онд 8% өснө
 Харьцангуй хямд зардлаар
бүтээгдэхүүн үйлдвэрлэдэг
 Олон жилийн туршлага
хуримтлуулсан малчид нь
ажиллах хүч болдог
 МАА, малчид уламжлалт
 Малын тоогоор хөөцөлдсөн сэтгэлгээ нь бэлчээр,
малын чанар, өрсөлдөх чадварыг бууруулдаг. 2019
оны байдлаар бэлчээрийн даац 11.2 дахин хэтэрсэн
 Уламжлалт МАА нь бүтээмж бага, байгалийн
эрсдэлээс хараат, улирлын хэлбэлзэл ихтэй
бэлчээрт суурилсан
 Нийт үйлдвэрлэгчдийн 62.8% нь 200 хүртэл малтай
амиа аргацаасан өрхийн жижиг аж ахуйд байгаагаас
борлуулалтад сөргөөр нөлөөлдөг
 Эрчимжсэн МАА эрхлэхэд хөрс, цаг агаарын нөхцөл
таатай бус, зардал өндөр тул өрсөлдөх чадварт
сөргөөр нөлөөлдөг
 Үйлдвэрлэл нь улирлын шинж чанартайгаас
хадгалалтын зардал, үнийг өсгөдөг
 Малын зохистой бүртгэлгүй тул гарал үүслийг мөшгөх
боломжгүй, мал, бүтээгдэхүүний чанар, эрүүл мэнд,
ариун цэврийн баталгаа шаардлагын түвшинд
хүрэхгүй байгаагаас бүтээгдэхүүнээ үнэ хүргэж
борлуулах, экспортлоход саад болдог
 Дэд бүтэц сул уудам нутагт тархсан өрхийн жижиг аж
ахуйд үйлдвэрлэл явагддаг, тэдний хоорондын
159
нүүдлийн соёл иргэншлийг
тээдэг тул нэр хүндтэй
 Мянганы замын хэвтээ
тэнхлэгийн 318-р багана
хүртэл автозамтай ба сумын
төв хүртэл 50км сайжруулсан
шороон замтай. Мянганы
замын босоо болон хэвтээ
тэнхлэгийн үргэлжлэл нь
явагдаж байгаа тул 2020-
2021 онд сумын төв нь
автозамаар бүрэн холбогдох
юм.
хамтын ажиллагаа сулаас өртгийн сүлжээ /цуглуулах,
тээвэрлэх, хадгалах/-нд зардал өндөр
 Бэлтгэлийн оновчтой сүлжээ, чанартай
бүтээгдэхүүний урамшууллын /үнийн/ механизм
бүрдээгүй
 Малын тоог биш чанарыг дээдэлсэн шинэлэг арга,
технологийн талаарх мэдлэг, хэрэгжүүлэх санхүү
дутагдалтай
 Ченжийн оролцоо их, албан бус ам хэлцэл
давамгайлдгаас эцсийн хэрэглэгчийн шаардлагыг
мэдрэх нь сул, ашгийн дийлэнхийг ченжүүд хүртэх
боломжийг олгодог
 Үйлдвэрлэл нь эрсдэл өндөр, үйлдвэрлэгчид нь
барьцаа хөрөнгө муутайгаас банкны зээл авах
боломж хязгаарлагдмал
 Түүхий эд бэлтгэлд шаардлагатай санхүүгийн
нөөцийн дутмаг, банкны зээлийн хүү өндөр
Боломж Эрсдэл
 Бүтээгдэхүүний эрэлт,
ялангуяа экологийн цэвэр,
органик, хашигдаагүй
бэлчээрийн /free range/ зэрэг
шинж чанар нь олон улсын
зах зээлд өндөр үнэлэгддэг
 Малын тоог бэлчээрийн
даацад нийцүүлэх бэлчээр
ашиглалтын гэрээ байгуулах
ажлын эхлэл тавигдаж
байгаа жишээ төсөл бичих
тухайлбал ЕСБХБ-ы
санхүүжилттэй “Бэлчээр
ашиглалт, МАА-н менежмент,
Ноолуур бэлтгэлийг
сайжруулж, тогтвортой
ноолуурыг дэмжих нь” болон
НҮБ-ын санхүүжилттэй
“ENSURE” төслийн хүрээнд
29 малчдын бүлэг бэлчээр
ашиглалтын гэрээ
байгуулаад байна.
 Малын тоог бэлчээрийн
даацад нийцүүлэх бэлчээр
ашиглалтын гэрээ байгуулах
ажлын эхлэл тавигдаж
байгаа ба олон улсын төсөл
хөтөлбөрийн хүрээнд сайн
дурын үндсэн дээр
байгуулагдсан 110 малчин
өрхийн 29 малчдын бүлэг
 Бэлчээрийн даац хэтрүүлэн хариуцлагагүй
ашигладгаас доройтон цөлжиж, ойн сан бүхий газрыг
мал бэлчээхэд их ашиглах болсон нь биологийн олон
янз байдалд нэн сөрөг нөлөөлөх болсон. 2019 оны
байдлаар нийт 161682 га талбайд мал бэлчиж байна.
Бэлчээр ашиглалтын гэрээ байгуулахаар хүсэлт
гаргасан малчдын бүлгүүдийн мал бэлчээж байгаа
талбайд ойн эзлэх хувь 1.44 % болж байна.
 Бэлчээрийг нийтээр хариуцлага хүлээлгүй ашиглаж
ирсэн тогтолцоог өөрчлөхийг өөрсдийн богино
хугацааны сонирхлын үүднээс эсэргүүцэгч зарим
чинээлэг малчид, уул уурхайн компаниуд зэрэг хүч
бий
 Ган, зуд зэрэг байгалийн эрсдэл өндөр, түүнээс
хамгаалах бэлтгэл ажлыг хангахад санхүүгийн нөөц
дутагдалтай. 2019 оны байдлаар нэг хонин толгойд
3.5 кг тэжээл ноогдож байгаа нь шаардагдах
түвшнээс 2.9 дахин доогуур байна.
 Даян дэлхийн уур амьсгалын өөрчлөлтийн мөрөг
нөлөө нэмэгдэж байна. 2019 оны байдлаар нийт 5
булаг рашаан ширгэсэн байна.
 Бүтээгдэхүүн нийлүүлэлтийг савлуулдаг байгалийн
эрсдэлийн аюул өндөр
 Гар аргаар бэлтгэсэн уламжлалт махны хэрэглээ
өндөр, дотоодын үнийг голлон тодорхойлдог, масс
хэрэглэгчдийн энэхүү араншин /behavior/ мал, махны
чанарыг сайжруулах, түүнийг боловсруулах, өртгийн
сүлжээнд оруулах хөрөнгө оруулалтад сөрөг
нөлөөлдөг
 Чанарын шаардлага хангасан бүтээгдэхүүний
үйлдвэрлэл, бэлтгэлийг бий болгоход шаардлагатай
160
байгуулагдсан.
 Малын сүргийн бүтэц /эх
малын болон, шилмэл
омгийн малын эзлэх хувь/-
ийг сайжруулах замаар
үйлдвэрлэлийг ихээхэн
нэмэгдүүлэх боломжтой
 Малчид, зуучлагчид,
боловсруулах үйлдвэр
өртгийн сүлжээнд хамтрахын
давуу талыг ойлгож, арга
замыг эрэлхийлэх болсон
 Малаа чанаржуулан
баталгаажуулж үнэ хүргэх
малчдын сонирхол нэмэгдэж
байгаа
 Засгийн газар болон ОУ-ын
байгууллагууд мал
эрүүлжүүлэх, бүтээгдэхүүний
өртгийн сүлжээг хөгжүүлэн
экспортыг дэмжихэд илүү
анхаарал тавьж эхэлсэн
урт хугацааны санхүүгийн эх үүсвэрийн дутагдал
 Олон айл малдаа хэрэгцээгүй, хоморголсон,
мэргэжлийн бус эмийн хэрэглээ, вакцинжуулалтын
уламжлалыг хурдан өөрчлөхөд бэрхшээлтэй
 Хөгжлийг хурдасгахад шаардлагатай эрх зүй,
зохицуулалтын орчны өөрчлөлт удаан
Газар тариалангийн салбар
Газар тариалан эрхлэх газрын
хөрс, чийгийн хангамж сайн,
ялзмагт үе зузаан талбайтай.
2019 оны байдлаар тариалан
эрхлэхэд тохиромжтой 52632.4
га талбайтай.
Таримал ургахад шаардлагатай дулаан хангамж
дутагдалтай хэдий ч дулаан өдрийн тоо 106 байна.
Цөөн боловч тариалан, жимс,
жимсгэнэ эрхэлж байсан
туршлага бүхий хүмүүстэй
Тариалангийн газраа ашиглахгүй байсаар
атаршуулсан, 2019 оны байдлаар атаршсан талбай
3185 га
Цаашид төмс, хүнсний ногоо,
жимс, жимсгэнийн эрэлт өснө.
2027 онд 11%-р нэмэгдэнэ.
Атаршсан талбай болон одоо ашиглаж буй талбайнууд
хамгаалалтын ойн зурвас хангалттай байхгүй
Усалгаатай тариалан эрхлэх
боломжтой
Тариаланд сүүлийн үеийн өндөр бүтээмжтэй техник,
технологи нэвтрүүлэх, чанартай үр хэрэглэхэд
санхүүгийн чадавх дутагдалтай
Хүлэмжийн аж ахуй эрхлэх
чиглэлээр тариаланчид
мэргэшиж эхэлж байгаа
Тариалан эрхлэхэд шаардлагатай мэргэжлийн зөвлөх
үйлчилгээ сул
Газар тариалан эрхлэх газрын
хөрс, чийгийн хангамж сайтай,
ялзмагт үеийн зузаан хэвийн
талбайнууд одоогоор байгаа
Сумын хэмжээнд хүлэмжийн болон зоорины аж ахуйн
хөгжил нэн сул
Боломж Эрсдэл
Газар тариаланг нэмэгдүүлэх Цочир хүйтрэх, ган болох зэрэг байгалийн эрсдэл
161
газрын нөөцтэй. 2019 оны
байдлаар 2770 га тариаланд
тохиромжтой ашиглагдаагүй
газар байна.
өндөр
Дулаан дутагдалтай газар
хүлэмжийн аж ахуй эрхлэх
харьцангуй хямд технологи,
тоног төхөөрөмж нэмэгдэж
байна.
Байгалийн зэрлэг жимс элбэг дотоодын эрэлт хэрэгцээ
бага, алсын зах зээлд борлуулахад зардал харьцангуй
өндөр, аймаг хүртэл 130 км, Эрдэнэт хот хүртэл 260
км, Улаанбаатар хот хүртэл 370 км зайтай
Хөрсний үржил шим
харьцангуй бага элэгдсэн,
усалгааны боломж сайтай_
Гаднаас ирдэг хямд үнэтэй төмс, ногоо, жимс сумын
зах зээлд өрсөлдөх эрсдэлтэй.
Усалгаатай болон далд
хөрсний аж ахуйгаар га-н ургац
нэмэгдүүлэх боломжтой
Бусад салбарын боломжууд
Сумын хэмжээнд аялал жуулчлалын салбар хөгжих боломжтой. Энэ хүрээнд 2 ажил
төлөвлөгөөнд суусан
Орчин үеийн цахилгаан, харилцаа холбооны хөгжил хурдсаж байгаа нь хөдөлмөрийн
залуу халааг бэлтгэх, мэдлэг боловсролыг дээшлүүлэх, амьдралын таатай орчин
бүрдүүлэхэд эерэг нөлөөлж байна. 2019 оны байдлаар малчдын 67.7% нь цахилгааны
эх үүсвэртэй, 100% нь гар утастай, 62.4% нь таваг антентай, 63.9% нь телевизортой
болсон байна.
Аж үйлдвэр
Нэхий боловсруулах, гурилан бүтэгдэхүүн үйлдвэрлэх ЖДҮ эрхлэгчдийн туршлага
сайжирч байгаа.
Дэд бүтэц
Сумын төвөөр дамжин өнгөрөх болон сумын урд хэсгээр дамжин өнгөрч буй 2 чиглэлийн
авто замыг ашиглан томоохон зах зээлд ойртох боломжтой
НАЙМ. ТӨЛӨВЛӨЛТИЙН ҮЕ
8. СУМЫН ХҮН АМЫН ХЭТИЙН ТӨЛӨВИЙН ТООЦОО, ҮНДЭСЛЭЛ
Хүн амын хэтийн төлөв, хандлагыг тооцож, тодорхойлох бүрэлдэхүүний болон
математик гэсэн 2 арга байдаг. Бүрэлдэхүүний аргад хүн амын төрөлт, нас баралт,
шилжих хөдөлгөөний өөрчлөлтөд тулгуурлан таамаглал дэвшүүлэх тооцоолол
хийгддэг учраас ихэвчлэн улс, бүс нутгийн түвшинд хүн амын төлөв хэтийг
тооцоход ашигладаг. Харин математик аргын хувьд өнгөрсөн үеийн хүн амын
жилийн өсөлтийн хандлагад суурилдаг учраас жижиг нутаг дэвсгэрийн хувьд авч
ашиглах нь илүү оновчтой юм. Тиймээс сумын хүн амын хэтийн төлөвийг
математик аргаар тооцлоо.
Архангай аймгийн Өлзийт сумын хүн амын тоо 2013-2018 онд өссөн хэдий ч
өсөлтийн хувь хэлбэлзэлтэй, ерөнхий хандлага буурсан байна. Тиймээс тус 2
сумын хүн амын жилийн өсөлтийн хувь 2019 онд өмнөх 2014-2018 оны дундаж
түвшинд (0.8-0.9 хувь), цаашид жил тутам өмнөх оноос 1 хувиар өснө гэж үзээд хүн
амыг тооцлоо.
162
Архангай аймгийн Өлзийт сумын хүн амын тоо, өсөлтийн хувь, 2013-2018 он
Өлзийт:
Архангай аймгийн Өлзийт сумын хүн амын хэтийн төлөв, 2019-2027 он
8.1 Хөдөө аж ахуйн газрын газар зохион байгуулалтын төлөвлөлт
Энэхүү төлөвлөгөөний чиг баримжаа нь “Монгол улсын мянганы хөгжлийн
зорилтод суурилсан үндэсний хөгжлийн цогц бодлого”, “Монгол улсын бүсчилсэн
хөгжлийн үзэл баримтлал”, “Аймгийн газар зохион байгуулалтын ерөнхий
төлөвлөгөө”, “Сумын хөгжлийн цогц бодлого 2016-2021 он” зэрэг бодлогын баримт
бичгүүд, хүн амын өсөлттэй уялдуулан боловсруулсан болно.
Нутаг дэвсгэрийн хөгжлийн төлөвлөгөөнд сумын нутаг дэвсгэрийн хөгжлийн чиглэл
бүрээр тодорхой тусгалаа.
“Өлзийт” сумын нутаг дэвсгэрийн хөгжлийн төлөвлөгөө”-г газрын болон
байгалийн нөөц, нөхцөлд тулгуурлан дараах эрхзүйн баримт бичгийг үндэслэн
боловсруулсан. Үүнд:
 Монгол Улсын “Газрын тухай” хууль. УБ. 2002 он
 Монгол Улсын “Авто замын тухай” хууль. УБ. 2017 он
 Монгол Улсын “Ойн тухай” хууль. УБ. 2012 он
 Монгол Улсын “Аялал жуулчлалын тухай” хууль. УБ. 2000 он
 Монгол Улсын “Харилцаа холбооны тухай” хууль. УБ. 2001 он
 Монгол Улсын “Усны тухай” хууль. УБ. 2012 он
3784 3803
2.4
0.5
-4.0
-2.0
0.0
2.0
4.0
6.0
8.0
10.0
2017 2018
тоо
өсөлтийн хувь
3014 3333 3301 3347 3383 3454
10.58
-0.96
1.39
1.08
2.10
-2.0
0.0
2.0
4.0
6.0
8.0
10.0
12.0
2700
2800
2900
3000
3100
3200
3300
3400
3500
2013 2014 2015 2016 2017 2018
163
 “Аймаг, Нийслэлийн газар зохион байгуулалтын ерөнхий төлөвлөгөө
боловсруулах аргазүйн заавар” УБ, 2008 он.
 “Сумын газар зохион байгуулалтын тухайн жилийн төлөвлөгөө
боловсруулах аргачлал” УБ, 2011 он.
 ГЗБГЗЗГ-ын даргын 2017 оны А/278 тоот тушаал “Сумын нутаг
дэвсгэрийн хөгжлийн төлөвлөгөө боловсруулах арга зүй”
 ЗГ-ын 2001 оны 263-р тогтоол “Эрчим хүчний шугам, сүлжээг хамгаалах
дүрэм”
 БОАЖЯ, ЭМЯ-ны сайд нарын 2009 оны 51/75 дугаар хамтарсан тушаал
“Усны сан бүхий газрын онцгой болон энгийн хамгаалалтын бүс, ус
хангамжийн эх үүсвэрийн эрүүл ахуйн бүсийн дэглэм”
 ГХГЗЗГ-ын даргын А/22 тоот тушаал “Газар, байгалийн нөөц, эдэлбэрийн
зүй ёсны эрхийг зориулалтаар бүртгэн, баталгаажуулах түр журам” 2016 он.
 ГХГЗЗГ-ын даргын 2015 оны А/200 тоот тушаал “Газар ашиглалтын
тохиромжтой байдлын үнэлгээ хийх арга зүй”
Хөдөө аж ахуйн газрыг бэлчээр, хадлан, тариалангийн талбай гэсэн үндсэн
ангиллаар төлөвлөв.
8.1.1 Бэлчээрийн газрын төлөвлөлт
Бэлчээрийн газрыг төлөвлөхдөө МАА-н хөгжил, бэлчээр ашиглалтын талаар
үндэсний болон бүс, орон нутгийн хэмжээнд баримталж байгаа бодлогын
тэргүүлэх чиглэл, тохиромжтой байдлын үнэлгээ, нутгийн иргэд, байгууллагын
саналыг харгалзан салбарт тулгамдсан гол бэрхшээлийг даван туулахад
чиглүүлэв.
Өлзийт сум нь бэлчээрийн уламжлалт мал аж ахуй зонхилон хөгжүүлж ирсэн
бөгөөд байгаль цаг агаарын нөхцөл, байршлаас хамаараад цаашид ч энэ байдал
хадгалагдах төлөвтэй байна.
Аж ахуй эрхэлж ирсэн түүхэн уламжлал, бэлчээрийн мал аж ахуй эрхлэх давуу
тал, сумын эдийн засаг, иргэдийн амьжиргаанд үзүүлэх нөлөө зэргийг харгалзан
энэхүү төлөвлөлтөд уламжлалт бэлчээрийн мал аж ахуйг голлон анхаарч 8.1.1-д
авч үзсэн бөгөөд, харин эрчимжсэн мал аж ахуйн талаар 8.1.2-т оруулав.
8.1.1.1 Бэлчээрийн газар ашиглалтын хүрээн дахь тулгамдсан асуудлууд
Өлзийт сум 1990 онд 75212 толгой буюу 218216 хонин толгойтой тэнцэх тооны
малтай, нэг хонин толгойд 1.7 га бэлчээр ногдож, ган, зудын үед ашиглах нөөцтэй
байв. Малын тоо бэлчээрийн харьцаа зохистой түвшинд байсан бөгөөд малаас
болж бэлчээрийн талхлагдах явдал гардаггүй байжээ.
Эдүгээ малын тоо асар ихээр өсөж, 2019 оны дүнгээр 353240-д хүрсэн нь 552890
хонин толгойтой тэнцэж байна. Нэг хонин толгойд ногдох бэлчээр 0.29 га болтлоо
буурч бэлчээрийн хүрэлцээ 5.9 дахин багасаж, даац 11.4 дахин хэтрээд байна.
Бэлчээрийн даац хэтэрснээс мал хэвийнхээс 91.2 хувь дутуу идээшилж
давжааран, ашиг шим нь багасахын зэрэгцээ өвчин, ган зудад эмзэгшин, зах
зээлийн үнэлгээ нь буурч байна. Бэлчээрийн даац хэтэрсний улмаас ган, зуднаар
орох нөөц бэлчээргүй болж, эрсдэлд нэн өртөмхий болов. 2000-2003 оны зуд,
164
гамшигт үзэгдлээр нийт малынхаа 30 шахам хувийг хорогдуулсан жишээг энд
дурдаж болох юм. Малын тооны хойноос хөөцөлдсөн сэтгэлгээ малын ашиг шим,
бүтээмжит чанарыг дээшлүүлэх боломжид харалган хандахад хүргэлээ. Малаа зах
зээлд борлуулахдаа хамтрах бус хотноосоо ганц нэгээр сугачаа борлуулдгаас
болоод малын чанарт тавигдаж буй шаардлагыг хангаж, үнэ хүргэхэд саад болж
байна.
Дээрх тулгамдсан асуудал сумын малчдын дунд хийсэн санал асуулга,
хэлэлцүүлгийн дүнгээр ч батлагдаж байна.
2019 онд сумын малчин өрхийн 97% болох 569 өрхийг хамруулан явуулсан санал
асуулгын судалгаагаар бэлчээрийн даац хэтэрсэн нь хамгийн гол бэрхшээл, үүний
дараа оготно царцаа, усгүй бэлчээр гэж эрэмбэлсэн байна /Хүснэгт 8.1.1.1/.
Хүснэгт 8.1.1.1 Бэлчээр ашиглалтад тулгарч буй гол бэрхшээлийн талаарх
малчдын бодол
1. Бэрхшээл Хариултын
тоо
Хувь Эрэмбэ
2. Бэлчээрийн даац хэтэрсэн 504 86.5% I
3. Усгүй бэлчээр их 309 53.0% II
4. Уул уурхай зэрэг нь бэлчээрээс их авдаг малчид
хохирдог
1 0.1% IX
5. Олон малтай чинээлэг малчид түрж ядуу малчид
шахагдаж байна
95 16.3% VI
6. Гаднаас нүүдэллэн ирэгсэд ихсэж бэлчээр
хүрэлцэхгүй байна
52 8.9% VII
7. Огтоно царцаа их 281 48.2% III
8. Төрийн зохицуулалт дутагдаж эмх замбараагүй
ашиглаж байна
271 46.5% IY
9. Бэлчээрийн маргаан их байна 149 25.6% Y
10. Өөрийн өвөлжөө хаваржаагүй 8 1.3% VIII
Эх сурвалж: БСТ, Малчдаас авсан санал асуулгын судалгаа, 2019
Бэлчээрийн хүрээнд тулгамдсан бэрхшээлийг багуудаар харуулсныг Хүснэгт
8.1.1.2-д үзүүлэв.
Хүснэгт 8.1.1.2 Багуудын бэлчээр ашиглалтад тулгарч буй бэрхшээлүүд
165
Баг
Бэлчээрийндаац
хэтэрсэн
Усгүйбэлчээрих
УУлуурхайзэрэгнь
бэлчээрээсихавдаг
малчидхохирдог
Олонмалтайчинээлэг
малчидтүржядуу
малчидшахагдажбайна
Гаднааснүүдэллэн
ирэгсэдихсэжбэлчээр
хүрэлцэхгүйбайна
Огтоноцарцааих
Төрийнзохицуулалт
дутагдажэмх
замбараагүйашиглаж
байна
Бэлчээрийнмаргааних
байна
Өөрийнөвөлжөө
хаваржаагүй
Ямаат I III IX VI VII II V IV VIII
Бодонт I III 0 VI IV II VI VII 0
Байшир I III 0 0 0 IV II VI V
Хөшөөт II III 0 0 0 I III 0 0
Мал аж ахуйн 3 багийн бэлчээрийн ашиглалтад тулгарч буй гол бэрхшээл нь I)
бэлчээрийн даац хэтэрсэн, II) Оготно өссөн, III) Усгүй бэлчээр их, төрийн
зохицуулалт дутагдаж эмх замбараагүй ашиглаж байна, IY) Гаднаас нүүдэллэн
ирэгсэд ихсэж бэлчээр хүрэлцэхгүй байна зэрэг болно. Гэхдээ баг тус бүрд зарим
бэрхшээл ялгаатай байна.
Малын тоог бэлчээрийн даац хэтрүүлэн ашиглах нь ихээхэн сөрөг үр дагавартай
болохыг Зураг 8.1.1.1-д харуулав.
Зураг 8.1.1.1 Малын тоог бэлчээрийн даацад нийцүүлэх ба хэтрүүлэн
өсгөхийн үр дагаврыг харьцуулсан нь
Эх сурвалж: БСТ-н боловсруулалт
166
Зураг 8.1.1.1-с харвал бэлчээрийн даац тохирсон үед мал дүүрэн идэштэй, тарга
хүч сайтай, улирлаар сэлгэж ашиглах боломжтой тул бэлчээр соргог, ган зуднаар
орох нөөц нутагтай тал эрсдэлээс хамгаалагдсан, бүтээгдэхүүнээ өндөр үнэтэй
органик зах зээлд гарган үнэ хүргэх боломжтой, малаас ялгаруулах хүлэмжийн
хийг багасган уур амьсгалын өөрчлөлтийг бууруулахад хувь нэмэр оруулдаг
байна. Харин бэлчээрийн даац хэтэрсэн үед энэ бүх эерэг боломж алдагдаж мал
дундуур идэштэй, тарга хүч муугаас давжааран ашиг шим нь буурч, эрсдэлд
өртөмхий болдог байна. 2019 оны байдлаар Өлзийт сумын бэлчээрийн ашиглалт
1126.6% буюу даац хэтрэлт 1026.6% болж байгаа нь 1 хонины идэх бэлчээрийг
10.2 хонь хувааж идэж, малын дутуу хооллолт 91.1% болж байна.
Малын эрсдэлийн үнэлгээ. Малд тохиолдох эрсдэлийг хэмжих үзүүлэлт нь
эрсдэлийн тоо буюу давтамж, учруулсан хохирлын хэмжээ байдаг. Монгол орны
нөхцөлд хамгийн түгээмэл, хохирол ихтэй эрсдэл нь байгалийн хүчин зүйлээс
үүдэлтэй зуд байдаг. Малын индексжүүлсэн даатгалын хуульд зааснаар малын
хорогдол тухайн сумын хэмжээнд 6%-с дээш давсан бол гамшгийн чанартай
эрсдэл боллоо гэж үзэн малаа даатгуулсан малчдад нөхөн олговор олгодог. Энэ
үзүүлэлтийг ашиглан Өлзийт сумын малын эрсдэлийн үнэлгээг адуу, үхэр, хонь
ямаан дээр хийснийг Хүснэгт 8.1.3-д харуулав. 2010-2018 оны хугацаанд эрсдэл 8
удаа тохиолдсоноос 2010 онд 4 төрлийн мал дээр, 2010, 2018 онд тус бүр 2
төрлийн мал дээр тохиолдсон байна. Эрсдэл адуу, үхэрт тус бүр 2, ямаа 3, хонь 1
удаа тохиолдож, нийлбэр дүнгээр үхэр 43.3%, адуу 27.0%, ямаа 36.4%, хонь
18.2%-р хорогдсон байна. Эрсдэлийн үнэлгээгээр үхэр эрсдэлд нэн өртөмхий, хонь
бага өртөмхий болсон байна. Тохиромжтой байдлын үнэлгээгээр Хангайн бүсэд
үхэр хамгийн тохиромжтой мал боловч бэлчээрийн даац хэтэрснээс үүдэлтэй
тэжээлийн дутагдал үхэрт илүү эмзэг тусч байна гэсэн дүгнэлт гарч байна. Учир нь
ургац сайтай бэлчээрт зохицсон биологийн онцлогоосоо болоод талхлагдсан
тачир бэлчээрээс идээшлэх үхрийн чадвар бусад малаас муу байдаг байна.
Хүснэгт 8.1.1.3 Малын эрсдэлийн үнэлгээ
Он Адуу Үхэр Хонь Ямаа Хорогдол 6%-иас
дээш давсан
тохиолдлын
Тоо Дундаж
2018 12.5 24.0 5.6 8.1 2 14.8
2017 2.5 2.8 1.9 3.0 -
2016 4.2 4.1 3.3 3.6 -
2015 3.0 3.5 5.1 6.6 1 6.6
2014 3.7 3.0 4.2 5.6 -
2013 2.4 2.6 3.2 3.7 -
2012 1.5 3.3 1.7 2.0 -
2011 2.0 3.6 3.8 4.0 -
2010 14.5 19.3 18.2 21.8 4 18.5
167
Хорогдол 6%-
иас дээш
давсан
тохиолдлын
тоо
2 2 1 3 8 -
ДҮН 27.0 43.3 18.2 36.4 - 31.2
Эх сурвалж: ҮСХ, 2018, БСТ-н тооцоо
Эрдэмтдийн судалгаагаар бэлчээрийн доройтлоос шалтгаалан хонины амьдын
жин 48-с 44 кг, ямааных 35-с 33 кг болж, хонины ноос, ямааны ноолуурын гарц 2-
8%-р буурсан гэсэн дүн гарчээ21. Зөвхөн эдгээр гуравхан үзүүлэлтээр тооцоход
малын ашиг шим буурснаас малчин өрхийн орлогын алдагдал жил бүр 2.6 сая
төгрөг, улсын хэмжээнд 368 тэрбум төгрөг болж байна22. Байгалийн бэлчээрт
идээшилсэн Монгол малын мах олон улсын стандартаар органик ангилалд багтан
өндөр үнэ хүрэх боломжтой. Гэвч малын чанар муудсанаас халдварт өвчинд
өртөмхий болж, махны экспортын хоригт өртөн энэхүү өндөр үнэтэй зах зээлд
хүрэх боломжгүй байна. Түүнчлэн олон улсын стандартаар органик мах гэдэг нь
зөвхөн бэлчээрт идээшлээд зогсохгүй, даац нь тохирсон бэлчээрээс үйлдвэрлэсэн
махыг хэлнэ гэж заасан байна. Ийнхүү Монгол малын мах бэлчээрийн байх
шаардлагыг хангадаг ч даац хэтрээгүй, өвчингүй эрүүл гэсэн гол хоёр шаардлагыг
хангаж чадахгүй байна. Өндөр үнэтэй органик маханд тавьдаг ОХУ, БНХАУ зэрэг
олон улсын шаардлагыг Хавсралт 8.1.1-д харуулав.
8.1.1.2 Тулгамдсан асуудлыг шийдвэрлэх арга зам
Бэлчээрийн хүрээнд тулгамдсан асуудлыг шийдвэрлэхийн тулд малын тооны
хойноос хөөцөлдсөн явцгүй сэтгэлгээг өөрчилж, бэлчээрт ээлтэй аргаар малчдын
орлогыг нэмэгдүүлж амьжиргааг нь тогтвортой болгох арга замыг нэвтрүүлэх явдаг
гэж үзэв.
Дээрх зорилтыг амьдралд хэрэгжүүлэхийн тулд тулгамдсан асуудлыг цогцоор
шийдэх МАА-н тогтвортой хөгжлийн хөтөлбөрийг дэвшүүлж байна.
Хөтөлбөрийг хэрэгжүүлэх эрх зүй, бодлогын орчин. МАА-н тогтвортой хөгжлийн
хөтөлбөр нь үндэсний болон орон нутгийн дараах бодлоготой нийцэж байна. Үүнд:
Монгол Улсын тогтвортой хөгжлийн үзэл баримтлал:
Бэлчээрийн даацад нийцсэн мал сүргийн тоо, төрлийн зохистой харьцааг
бүрдүүлэх, бэлчээрийн газрын доройтлыг бууруулж, нөхөн сэргээх
“Монгол мал” үндэсний хөтөлбөр:
 Малын тоо, төрлийг бэлчээрийн даацтай уялдуулах, бэлчээрийн даац хэтэрсэн
нутагт байлгах малын тооны дээд хязгаарыг тогтоож, түүнээс давуулахгүй
байлгах эдийн засгийн хөшүүргүүдийг бий болгох
21
Батима П, “Уур амьсгалын өөрчлөлтийн нөлөө, дасан зохицох байдлын үнэлгээ” АS 06
төслийн тайлан, Вашингтон, www.start.org / 2006 он /
22
Бодлого судлалын төвийн тооцоо, 2016
168
 Мал, малын гаралтай түүхий эд, бүтээгдэхүүний бэлтгэлийн системийг
боловсронгуй болгож түүний чанараас хамаарсан эдийн засгийн хөшүүрэг бий
болгон зорилтот зах зээлийг хөгжүүлэх;
2018 онд Хүнс, хөдөө, аж ахуй, хөнгөн үйлдвэрийн сайдын тушаалаар баталсан
“МАА-н тогтвортой хөгжлийн үйл ажиллагааны төлөвлөгөө”23-д:
 Бэлчээр ба усны нөөцийг нөхөн сэргээж, зохистой, хариуцлагатай ашиглах,
дэлхийн уур амьсгалын өөрчлөлтөд дасан зохицох, уур амьсгалын
өөрчлөлтийн нөлөөг багасгах зорилт дэвшүүлсэн бөгөөд малын тоо 2017 оны
байдлаар бэлчээрийн оновчтой даацаас 25 сая хонин толгойгоор хэтрээд
байгааг 2020 он гэхэд 20 сая болгож бууруулах зорилт дэвшүүлжээ.
Архангай аймгийн тогтвортой хөгжлийн хэтийн зорилт-2026 дунд бодлогын
баримт бичиг /2017-2026/
 Байгалийн нөөцийн хэмнэлттэй, хүлэмжийн хийн ялгарал болон хаягдал
багатай, хүртээмжтэй, ногоон эдийн засгийн өсөлтийг дэмжих...
 Бэлчээрийг зохистой ашиглах, хамгаалах, нөхөн сэргээх, даац багтаамжийг
тохируулах
Хөтөлбөрийг хэрэгжүүлэх үйл ажиллагаа: МАА-н тогтвортой хөгжлийн хөтөлбөрөөр
харилцан уялдаа бүхий дараах үйл ажиллагааг хэрэгжүүлнэ. Үүнд:
 Бэлчээр ашиглуулах гэрээ (БАГ)-ий байгуулж, хэрэгжилтийг хангах замаар
бэлчээрийг тодорхой “эзэнтэй” болгон уул уурхай зэрэг бусад эдэлбэрт
алдахаас сэргийлэх, малын тоог бэлчээрийн даацад нийцүүлэх хариуцлагын
тогтолцоотой болох
 Бэлчээрийн даацыг жил бүр тооцож, даацаас хэтэрсэн малыг аж ахуйн эргэлтэд
оруулдаг тогтолцоог нэвтрүүлэх
 Аж ахуйн эргэлтэд орж байгаа мал, бүтээгдэхүүнийг зах зээлд хүргэх шат
дамжлага (анхан шатны боловсруулалт, тээвэрлэлт, борлуулалт г.м.)-ыг
малчдын байгууллага (бүлэг/нөхөрлөл, хоршоо г.м.)-ны бүтцээр зохион
байгуулж, сумын төвд төвлөрүүлэн чанарын хяналт хийж, нэг цонхоор зах зээлд
борлуулан бүтээгдэхүүний хэмжээ, үнэлэмж, гишүүдийн хүртэх ашгийг
нэмэгдүүлэх
 Бэлчээр, эрсдэлийн менежмент, малын чанар, эрүүл мэндийг сайжруулах,
малыг аж ахуй эргэлтэд оруулан борлуулах зэрэг орон нутагт МАА-н үйл
ажиллагааг санхүүжүүлэх МАА-н эрсдэлийн сан хэмээх бие даасан эх үүсвэрийг
орон нутгийн хөгжлийн сан, малчдаас нийлүүлэх хандиваар бүрдүүлж,
ажиллуулах
 БАГ байгуулсан малчдын байгууллага (бүлэг/нөхөрлөл) нь гэрээт бэлчээр дээр
байгаа зэрлэг амьтан, ургамал зэрэг биологийн олон янз байдал, байгалийн
23
МАА-н Тогтвортой хөгжлийн хөтөлбөрийн үйл ажиллагааны төлөвлөгөө’, ХХААХҮ-ийн
сайдын 2018 оны 6-р сарын 8-ний өдрийн A-105 тушаал
169
баялгийг гэрээгээр хамгаалж, ашиг хүртдэг, орлогоо нэмэгдүүлж, байгаль
орчныг хамгаалахад хувь нэмэр оруулдаг болох
 Хөтөлбөрийн зорилго, хэрэгжүүлэх үйл ажиллагаа, гарах дүнг ойлгуулах,
хэрэгжүүлэх чадавхыг бэхжүүлэх сургалтыг малчдын дунд зохион байгуулан
хөтөлбөрт сайн дураар оролцоход нь дэмжлэг үзүүлэх
Хөтөлбөрөөр дэвшүүлж байгаа үйл ажиллагаа Өлзийт сумын малчдын дунд өндөр
дэмжлэгтэй байна. Тухайлбал, 2019 онд малчдын дунд явуулсан судалгаагаар
МАА-н эрсдэлийн санг 582 малчнаас 419 нь буюу 72.0% нь дэмжиж оролцоно
гэсэн байна24.
Хөтөлбөрийг хэрэгжүүлснээр гарах үр дүн. Хөтөлбөрийг хэрэгжүүлснээр дараах үр
дүн гарна. Үүнд:
 Малын тоо 125074 хонин толгойгоор цөөрч, бэлчээрийн даац хэтрэлт 1041.5%-с
788.8% болж 252.7 пунктээр, малын дутуу хооллолт 91.2%-с 88.7% болж 2.5
пунктээр буурна
 Малын тарга хүч, ашиг шим сайжирч, эдийн засгийн эргэлтэд оруулж,
борлуулах нь нэмэгдсэнээр малын өрхийн жилийн дундаж мөнгө орлого 14.6
саяас 25.2 сая төгрөг болж 73%-р өснө
 Бэлчээрийн ачаалал буурснаар малын эрсдэл багасаж, чанар ашиг шим нь
сайжирснаар өндөр үнэтэй зах зээлд хүрэх боломж нээгдэнэ
 Бэлчээрийн талхагдал багасаж, байгалийн унаган төрх, биологийн олон янз
байдал сэргэн орон нутгийн аялал жуулчлалын үнэ цэнэ нэмэгдэнэ
 Төсвийн татааснаас хараат бус 342 сая төгрөгийн орон нутгийн бие даасан эх
үүсвэртэй болж, МАА-н үйл ажиллагааг санхүүжүүлэх эдийн засгийн чадавх
нэмэгдэнэ
Хөтөлбөрөөр гарах үр дүнгийн үндэслэл тооцоо. Тооцоонд дараах мэдээлэл,
аргачлалыг ашиглав. Үүнд:
 Бэлчээрийн талбай: Газар зохион байгуулалт, геодези, зураг зүйн газрын
2019 оны мэдээлэл, га
 Бэлчээрийн ургац: Ус, цаг уур, орчны шинжилгээний газрын 2014-2019 оны
сумдын бэлчээрийн дундаж ургац, ц/га
 Бүтээгдэхүүний үнэ: Архангай аймгийн зах зээлийн сүүлийн 3 жилийн
дундаж үнэ
 Малын ашиг шим: ойт хээр, хээрийн бүсийн дундаж ашиг шим
 Малын тоо, сүргийн бүтэц: Өлзийт 2019 оны жилийн эцсийн тоо, сүргийн
бүтцийн мэдээлэл
 Малчин өрхийн нийт орлого: Тухайн жилд үйлдвэрлэсэн МАА-н
бүтээгдэхүүнийг үнээр үржүүлж
24 Бодлого судлалын төв, Бэлчээрийн тогтвортой менежмент төслийн явцын
тайлан, “Монголын унаган байгалийн хүлцэл ба тогтворжилтыг хангах нь” төсөл,
2019
170
 Малчин өрхийн мөнгөн орлого: Нийт орлогоос өрхийн хүнсэнд хэрэглэсэн
бүтээгдэхүүний үнийг хасаж
 Мал цөөлснөөр олох нэмэгдэл хуримтлал: Малын тоог урьд оноос
бууруулсан хэмжээгээр борлуулсан малын мах, арьс ширний орлогоор
тооцов
 Нэг хонин толгойд мөнгөн ноогдох орлого: Өрхийн мөнгөн орлогыг өрхийн
малын хонин толгойн тоонд хувааж
 Малын тоо цөөрч байгаа ч орлого өсөж байгаа нь малын тоо цөөрснөөр
үлдэж байгаа малын идэш, тэжээлийн хангамж сайжирч, үүнийг дагаад
малын тарга хүч, ашиг шим нэмэгддэг зүй тогтлоос хамааралтай юм. Үүнийг
Хүснэгт 8.1.1.2.1 -д харуулав.
Хүснэгт 8.1.1.2.1а Нэг малаас авах ашиг шим, суурь болон 2027 оноор
Нэгжийн ашиг
шим
Малы
н
төрөл
Суурь он буюу 2019 он 2027 он
Ноос
кг
Сүү
л
Мах
кг
арьс
,
шир
Ноо
с кг
Сү
ү л
Ма
х кг
арьс
,
шир
Тэмээ 5 220 200 1 5.2 247 225 1
Адуу - - 135 1 - - 152 1
Үхэр - 240 130 1 - 270 146 1
Хонь 1.1 - 18 1 1.1 - 20 1
Ямаа 0.29 - 15 1 0.3 - 17 1
Эх сурвалж: БСТ-н тооцоо
Хүснэгтээс хараад бэлчээрийн төлөв байдал сайжирсан, малын дутуу хооллолт
багассанаар тарга тэвээрэг сайжирч нэгжийн ашиг шим сайжирч байна. Малын
ашиг шимийг дагаад бүтээгдэхүүн үйлдвэрлэл өсөж байгааг дараагийн хүснэгтэд
харуулав.
Хүснэгт 8.1.1.2.1б Малын тоог цөөлөх, барих, өсгөх сүргийн эргэлтийн үед
МАА-н түүхий эд, бүтээгдэхүүний үйлдвэрлэл, малын тооны өөрчлөлт
№ МАА-н бүтээгдэхүүний үйлдвэрлэл 2027 он
Малын тоог
цөөлөх
Малын тоог
барих
Малын
тоог өсгөх
1 Мах үйлдвэрлэл, тонн 3548.4 2675.5 1995.7
2 Сүү, мянган литр 1715.1 1719.2 1922.9
3 Арьс шир, ширхэг 126,689 108,162 88,459
4 Ноос, тонн 192.6 227.2 296.9
5 Ноолуур,тонн 26.7 31.5 41.2
6 Борлуулах мах, тонн 3106.7 2323.8 1554.0
7 Борлуулах сүү, мянган литр 1161.2 1165.3 1369.0
8 Малын тоо, хонин толгой 427,816 552,890 739,892
9 1 өрхийн малын тоо, хонин толгой 510 659 929
171
10 Малчин өрхийн жилийн дундаж мөнгөн
орлого, сая төгрөг
27.8 20.2 16.6
10 1 хонин толгойд ногдох мөнгөн орлого,
мянган төгрөг
49.5 30.7 17.9
Хүснэгт 8.1.1.2.2 Малын тоог бэлчээрийн даацад нийцүүлэн цөөлөх тооцоо,
сумын дүнгээр
Он
Бэлчээрийн
хэмжээ,га
Бэлчээрийн
дундаж
ургац,цн/га
Бэлчээрийн
тэжээлийн
нөөц,цн
Бэлчээрийн
даац,хонин
толгой
Бэлчээрийн
ачаалал,
хонин
толгой
Бэлчээрийн
даац
ашиглалты
нхувь
Суурь 2019 156490 1.9 297331 49555
565689 1141.5
2020-2022
бэлтгэл үе
156490 1.9 297331 49555
565689 1141.5
2023 156490 1.9 297331 49555 538368 1086.4
2024 156490 1.9 297331 49555 512013 1033.2
2025 156490 1.9 297331 49555 486959 982.7
2026 156490 1.9 297331 49555 463142 934.6
2027 156490 1.9 297331 49555 440435 888.8
Эх сурвалж: БСТ-н тооцоо
Малын тоо толгойг бэлчээрийн даацад нийцүүлэн бууруулах тооцоог Хүснэгт
8.1.1.2.3 -д харуулав.
Хүснэгт 8.1.1.2.3 Сумын бэлчээрийн даац, ачаалал, хонин толгойгоор
Үзүүлэлт
2020-
2022
2023 2024 2025 2026 2027
Бэлчээрийн даац 49555 49555 49555 49555 49555 49555
Бэлчээрийн ачаалал бүгд 565689
53836
8
51201
3
48695
9
46314
2
44043
5
- Том мал 552890
52524
6
49898
3
47403
4
45033
2
42781
6
- Төл 12799 13123 13030 12925 12810 12619
Бэлчээрийн даац ашиглалтын
хувь 1141.5 1086.4 1033.2 982.7 934.6 888.8
Малын дутуу хооллолтын хувь 91.2% 90.8% 90.3% 89.8% 89.3% 88.7%
Эх сурвалж: БСТ-н тооцоо
Малын тоог бууруулахдаа 2020-2022 онуудад хөтөлбөрийг малчдад ойлгуулах
зэрэг бэлтгэл ажлыг ханган 2023 оноос эхлэн хэрэгжүүлэхээр төлөвлөж байна.
172
Тооцоогоор хөтөлбөр хэрэгжиж дуусах 2027 онд 2019 оныхоос малын тоо 125074
хонин толгойгоор цөөрч 427816 хонин толгой болно.
Малын тоог цөөлснөөр бэлчээрийн ачаалал буурах зүй тогтлыг Зураг 8.1.1.2 -д
харуулав. Бэлчээрийн ачаалал буурснаар зэрлэг амьтны идэш тэжээлийн олдоц
энэ хэмжээгээр сайжирна гэсэн үг юм.
Малын тоог бэлчээрийн даацад нийцүүлэн цөөлөх зорилтыг хэрэгжүүлэхийн тулд
бэлчээр ашиглалтын гэрээ байгуулж, түүнд бэлчээрийн даацад тохирсон малын
тоог хонин толгойгоор заан түүнээс хэтэрсэн малыг жилд 6%-с ихгүйгээр аажмаар
цөөлөх замаар хэрэгжүүлэх юм.
Зураг 8.1.1.2 Бэлчээрийн ачаалал буурах нь
Эх сурвалж: БСТ-н боловсруулалт
Газрын тухай хуулийн 52.2-т “Өвөлжөө, хаваржааны тодорхой нутаг бэлчээрийг
талхагдлаас хамгаалах, нөхөн сэргээх зорилгоор тухайн бүс нутгийн онцлог,
бэлчээр ашиглаж ирсэн уламжлал, даац, чадавхыг харгалзан, Багийн Иргэдийн
нийтийн хурлын саналыг үндэслэн сумын Засаг дарга малчдад болзол гэрээний
173
дагуу хэсэг бүлгээр ашиглуулж болно” гэж заасны дагуу бэлчээрийг гэрээгээр
ашиглуулах ажлыг 3 үе шатаар хэрэгжүүлэхээр төлөвлөв /Зураг 8.1.1.3/.
Зураг 8.1.1.3 Бэлчээрийг гэрээгээр ашиглуулах ажлын үе шат
Эх сурвалж: БСТ-н тооцоо
Бэлчээрийг гэрээгээр ашиглуулах нь дараах ач холбогдолтой. Үүнд:
174
1. Бэлчээр “эзэнтэй” болж, зохистой ашиглах, хамгаалах, сайжруулах хөшүүрэг
бий болно.
2. Малын тоог бэлчээрийн даацтай уялдуулснаар зөвхөн малын тоог өсгөх
биш харин харин эдийн засгийн эргэлтэд оруулан борлуулах, ашиг шим,
чанарыг эрхэмлэх сэтгэлгээ төлөвшинө.
3. Мал аж ахуйг чанар, бүтээмжид суурилсан тогтвортой хөгжлийн гулдралд
оруулж, МАА-н өсөн нэмэгдэж байгаа хэрэгцээг хангаж, үнийн өсөлтөөс
сэргийлнэ.
4. Бэлчээрийн эдэлбэрээс бусад эдэлбэрт шилжихэд малчид, нутгийн
захиргаа, мал аж ахуйн салбарын эрх ашгийг зохистой харгалздаг нөхцөлийг
бүрдүүлнэ.
5. Бэлчээрийн унаган төрхийг сэргээн хадгалж, экологийн цэвэр
бүтээгдэхүүнээр зах зээлд өрсөлдөж, эдийн засгийг солонгоруулах гарцыг
нээнэ.
Малыг аж ахуйн эргэлтэд оруулан бэлчээрийн ачааллыг бууруулснаар бэлчээрийн
гарц, зүйлийн бүрэлдэхүүнийг сайжруулан МАА-н үндэс болсон бэлчээрээ
хамгаалах, ингэснээр малынхаа ашиг шим, чанарыг сайжруулан орлогоо
нэмэгдүүлэх нь МАА-н тогтвортой хөгжлийн хөтөлбөрийн эдийн засгийн үндэслэл
юм. Ийм бодит үндэслэл байгаа болох нь шинжлэх ухааны үндэстэй сүргийн
бүтцийн тооцоогоор батлагдаж байна. Сумын дундаж нэг малчин өрх дээр
малынхаа тоог жилд дунджаар 5% бууруулах, жилд малыг 6-10 хувиар өсгөх гэсэн
2 хувилбараар сүргийн эргэлтийн нарийвчилсан тооцоог хийж харьцуулав
/Сүргийн эргэлтийг Хавсралт 8.1.2-д харуулав.
Сүргийн эргэлтийг үндэслэн хийсэн орлогын тооцоог Хүснэгт 8.1.1.2.4-д харуулав.
Хүснэгт 8.1.1.2.4 Малтай өрхийн малын тоо буурсан ч орлого нэмэгдэх
тооцоо
Үзүүлэлт Суурь 2023 2024 2025 2026 2027
Сумын мал, мянган толгой 353042 335390 318620 302689 287555 273177
Сумын мал, мянган хонин толгой 552890 525246 498983 474034 450332 427816
Малчин өрхийн малын тоо, хонин
толгой 659 626 595 565 537 510
Малчин өрхийн нийт орлого 1,
мянган төгрөг 17193 26837 27179 27511 27832 27831
Өрхийн дотооддоо хэрэглэсэн
бүтээгдэхүүн, мянган төгрөг 2587 2587 2587 2587 2587 2587
Малчин өрхийн мөнгөн орлого,
мянган төгрөг 14605 24250 24592 24923 25244 25243
Мал цөөлснөөр хадгаламж,
хөрөнгө оруулалтын эх үүсвэр
бүрдүүлэх боломж 2, мянган
төгрөг 0 3534 3454 3376 3299 3224
1 хонин толгойд ногдох мөнгөн 20.7 38.7 41.3 44.1 47.0 49.5
175
орлого, мянган төгрөг
Эх сурвалж: БСТ-н тооцоо
Тайлбар: 1 Малын тоо буурсан ч малчин өрхийн орлого өсөж байгаа нь
бүтээмжийн өсөлтөөс буюу малын ашиг шим дээшилж, хорогдол багасан эх
малын хувийн жин дээшилж, сүргийн бүтэц сайжирснаар гарч байгаа юм. Дээрх
орлого нь жилд дунджаар 10 хувиар нэмэгддэг МАА-н бүтээгдэхүүний үнийн
өсөлтийг оруулаагүй бөгөөд учир нь инфляцын түвшин мөн 10 хувь орчим
байгаа тул бодит орлогод үзүүлэх нөлөө нь ойролцоогоор тэг гэж үзэж болох
юм.
2 Малын тоог барих эсвэл өсгөх тохиолдолд ашиглах бүтээгдэхүүн нь орлого
болдог, харин малын тоог бууруулах нь орлого олох хэрэгслээ худалдаж байгаа
учраас орлогод тооцогдохгүй. Өөрөөр хэлбэл мал гэдэг хөрөнгөө мөнгө болгож
байгаа хэлбэр бөгөөд цаашид хадгаламж юм уу мал аж ахуй, жижиг дунд
үйлдвэрлэлд оруулах хөрөнгийн эх үүсвэр болгон ашиглаж болно. Дээрх хүснэгт
дээр энэхүү боломж 1 өрхөд дунджаар 3.5 сая төгрөг буюу 10 өрхтэй бүлэг дээр
жилдээ 35 сая төгрөг хуримтлагдаж байна. Үүнээс малын чанар, эрүүл мэндийг
сайжруулах, бүтээгдэхүүнээ боловсруулж, зах зээлд үнэ хүргэж борлуулах,
гэрээт бэлчээр дээрх амьтан, ургамал зэргээр ашиг орлогоо цаашид улам бүр
нэмэгдүүлэхэд хөрөнгө оруулах боломжтой юм.
Дээрх хүснэгтэд харуулснаар малын тоо буурч, бэлчээрийн хүрэлцээ сайжирснаар
малын ашиг шим нэмэгдэж, өрхийн дотоод хэрэгцээг хасаад үлдэх жилийн мөнгөн
орлого суурь онд 14.6 саяас 25.2 сая төгрөгөөр, нэг хонин толгой малаас авах
орлого буюу бүтээмж 20.7 мянган төгрөгөөс 49.5 мянган төгрөг болж 2.4 дахин
өсөж байна.
Тахирмаг 8.1.1.2.1 Нэг хонин толгой малаас зах зээлд борлуулах
бүтээгдэхүүний харьцуулалт, мянган төгрөг
176
Тахирмагт үзүүлснээр малын тоо толгойг өнөөгийн байдлаар өсгөсөн тохиолдолд
нэг хонин толгой малаас үйлдвэрлэж, борлуулах бүтээгдэхүүн 2019 онд 20.7
мянган төгрөг байгаа бол 2027 онд 17.9 мянган төгрөг болж буурч байна. Харин
хөтөлбөрийг хэрэгжүүлснээр энэ үзүүлэлт өнөөгийнхөөс 2.8 дахин илүү байх
тооцоо гарч байна.
Малын тоо толгойг өнөөгийн байдлаар өсгөсөн тохиолдолд малчин өрхийн
орлогын тооцоог Хүснэгт 8.1.1.2.5 -д үзүүлэв.
Хүснэгт 8.1.1.2.5 Малтай өрхийн малын тоог өсгөх тооцоо
Үзүүлэлт Суурь 2023 2024 2025 2026 2027
Сумын мал, мянган толгой 35304
2
37422
5
396678 420479 445707
47245
0
Сумын мал, мянган хонин
толгой
55289
0
58606
3
621227 658501 698011
73989
2
Малчин өрхийн малын тоо,
хонин толгой 659 706 756 810 868 929
Малчин өрхийн нийт орлого,
мянган төгрөг 17193 17193 17693 18196 18698 19199
Өрхийн дотооддоо хэрэглэсэн
бүтээгдэхүүн, мянган төгрөг 2587 2587 2587 2587 2587 2587
Малчин өрхийн мөнгөн
орлого, мянган төгрөг 14605 14605 15106 15608 16111 16611
1 хонин толгойд ногдох
мөнгөн орлого, мянган төгрөг 20.7 20.7 20.0 19.3 18.6 17.9
Эх сурвалж: БСТ-н тооцоо
Хүснэгт 8.1.1.2.5- с харвал малаа өнөөгийн байдлаар жилд 6-10 хувь өсгөж байгаа
малчин өрхийн мөнгөн орлого малын тоогоо цөөлж байгаа малчин өрхийн мөнгөн
орлогоос бага өсөж байна.
Мал аж ахуйн гол нэрийн бүтээгдэхүүний үйлдвэрлэл. Монгол улсын МАА-н
үйлдвэрлэл зонхилсон аль ч сумын адил Өлзийт сум нь өөрийн цөөн хүн амын
МАА-н гаралтай хүнс, түүхий эдийн хэрэгцээг бүрэн хангаад дийлэнхийг аймгийн
төв, Улаанбаатар хот зэрэг бусад зах зээлд нийлүүлж байна. Хөтөлбөрийг
хэрэгжүүлсний эцэст /2027 онд/ Өлзийт сум 3548.4 тн мах, 126.7 мянган ширхэг
арьс шир, 1715.1 мянган литр сүү, 26.6 тн ноолуур, 192.6 тн ноос үйлдвэрлэх юм.
Эрчимжсэн аж ахуйгаас үйлдвэрлэх 20 мянган литр сүүг оруулбал сүү үйлдвэрлэл
1735.1 мянган литр болж өсөж байгаа юм.
Өлзийт сумын хэмжээнд өнөөгийн байдал болон 2027 оны байдлаар сумын хүн
амын мах, сүүний хэрэгцээг үйлдвэрлэлийн хэмжээтэй харьцуулсан үзүүлэлтийг
Тахирмаг 8.1.1.2.2-д харуулав. Мах, сүүний хэрэгцээг одоогийн 1 жишсэн хүний
жилийн дундаж хэрэглээгээр тооцов. Үүнд мах жилд 130 кг, сүү 163 кг.
177
Сумын хүн ам 2027 онд 3398 болж өсөж байгаа бөгөөд МАА-н тогтвортой хөгжлийн
хөтөлбөрийг хэрэгжүүлснээр сумын хүн амын мах, сүүний хэрэгцээг бүрэн хангаад
3106.7 тн мах, 1161.2 мянган литр сүү сумаас гадагш зах зээлд нийлүүлэх тооцоо
гарч байна. Малчин өрхийн бэлтгэж байгаа сүү нь ихэвчлэн өрхийн дотоод
хэрэглээнд зориулагддаг тул сумын төвийн хүн ам, сургууль, цэцэрлэгийн
хэрэгцээг жилийн турш хангах зорилгоор сүүний үүлдрийн 20 үнээтэй 1 ферм
байгуулахаар төлөвлөж байна /Бүлэг 8.2-с харах/.
Тахирмаг 8.1.1.2.2 Өлзийт сумын хүн амын мах, сүүний хэрэгцээ,
үйлдвэрлэл 2019 ба 2027 оноор, тонн
Эх сурвалж: БСТ-н тооцоо
МАА-н тогтвортой хөгжлийн хөтөлбөрийг хэрэгжүүлж, малыг аж ахуйн эргэлтэд
оруулснаар 3106.7 тн махыг дунджаар 6000 төгрөгөөр борлуулбал 18.6 тэрбум
төгрөгийн борлуулалт хийх бөгөөд хэрэглэгчдийн шаардлагад нийцсэн гарал үүсэл
нь тодорхой, эрүүл, чанарын шаардлага хангасан гэж үзээд борлуулах махны
50%-г дотоодын зах зээлд 10% буюу 600 төгрөгийн илүү үнээр борлуулна гэж
үзвэл үнийн зөрүүнээс 932 сая төгрөгийн нэмэлт орлого зөвхөн чанарын
шаардлага хангасан махнаас олох боломж харагдаж байна.
МАА-н тогтвортой хөгжлийн хөтөлбөрийг хэрэгжүүлэх хөрөнгийн эх үүсвэр.
Хөтөлбөрийг хэрэгжүүлэх санхүүгийн эх үүсвэрийг МАА-н эрсдэлийн сан
байгуулж, шийдвэрлэнэ гэж үзэв.
МАА-н эрсдэлийн сангийн санхүүжилтийг 2 эх үүсвэрээс бүрдүүлнэ. Үүнд:
 Малчдын санд оруулах хандив: 1 хонин толгой тутамд-500 төгрөг
408.1
1878.9
441.7
3548.4
511.7
1699.0
553.9
1715.1
0.0
500.0
1000.0
1500.0
2000.0
2500.0
3000.0
3500.0
4000.0
хэрэгцээ Үйлдвэрлэл хэрэгцээ Үйлдвэрлэл
2019 он 2027 он
Мах тн Сүү мян. л
178
 Орон нутгийн хөгжлийн сан, төсөл хөтөлбөр бусад хандив тусламж: 1 хонин
толгой тутам 300 төгрөг
 Сангийн нийт орлого 1 хонин толгойд 800 төгрөг байна
МАА-н эрсдэлийн сангаар бүрдсэн санхүүжилтийг дараах байдлаар зарцуулна.
Үүнд:
 1 хонин толгойд 365 төгрөгөөр тооцсон санхүүжилтийг бэлчээр, эрсдэл,
малын эрүүл мэнд, үржил, бүтээгдэхүүн борлуулах, байгаль хамгаалах зэрэг
нэр бүхий 21 чиглэлээр малчдаас гарах төслийг хэрэгжүүлэхэд
 1 хонин толгойд 300 төгрөгөөр тооцсон санхүүжилтийг сумын төвд
байгуулах малын чанарыг хянаж, баталгаажуулах цэгээр малаа борлуулсан
малчдыг урамшуулахад
 1 хонин толгойд 135 төгрөгөөр тооцсон санхүүжилтийг сумын мэдэлд
үлдээж, хөтөлбөрийг хэрэгжүүлэх, хяналт тавих, тэргүүн туршлага, шилдэг
арга барилыг сурталчлах, дэлгэрүүлэх зэрэг сумын нийтлэг арга хэмжээнд
зарцуулна.
Ийнхүү малчид 500 төгрөгийн хандив төлж байгаа ч буцаагаад 665 төгрөгийн ашиг
хүртэх юм.
МАА-н эрсдэлийн сангийн санхүүжилтийг Хүснэгт 8.1.1.2.6-д заасан үе шаттайгаар
хэрэгжүүлэх бөгөөд эхний жил малын 20 хувийг хамруулж 84 сая төгрөгийн сан
бүрдүүлж нийт сангийн хөрөнгийн 83.1 хувийг малчдын МАА-н эрсдэлийг
бууруулах үйл ажиллагаанд, 16.9 хувийг сумын мэдэлд хуваарилж, сум орон
нутгийн МАА-н нийтлэг арга хэмжээнд зориулан зарцуулна.
Хүснэгт 8.1.1.2.6 Өлзийт сумын МАА-н эрсдэлийн сангийн тооцоо, сая төгрөг
Үзүүлэлт оноор 2023 2024 2025 2026 2027
Малын тоо, хонин толгой 525246 498983 474034 450332 427816
Малын хөтөлбөрт хамрагдах % 20 40 60 80 100
Малын хамрагдах хонин толгой 105049 199593 284420 360266 427816
1 х/т –д 500-р тооцсон малчдын
хандив, сая төгрөг
52.5 99.8 142.2 180.1 213.9
1 х/т –д 300-р тооцсон ОНХС-ийн
санхүүжилт, сая төгрөг
31.5 59.9 85.3 108.1 128.3
Сангийн нийт орлого, сая төгрөг 84.0 159.7 227.5 288.2 342.3
Малчдаас гарах саналыг
санхүүжүүлэхээр тэдэнд буцаан
олгох, сая төгрөг
69.9 132.7 189.1 239.6 284.5
Үүнээс малын чанарыг хянаж,
баталгаажуулах цэгээр
дамжуулан малчдад буцаан
олгох, сая төгрөг
38.3 72.9 103.8 131.5 156.2
Сумын мэдэлд үлдэх сая төгрөг 14.2 26.9 38.4 48.6 57.8
179
Эх сурвалж: БСТ-н тооцоо
МАА-н эрсдэлийн сангийн талаарх дэлгэрэнгүй мэдээлэл, арга зүй, журмыг МАА-
тогтвортой хөгжлийн хөтөлбөрт үзүүлэв /Хавсралт 8.1.4/
Дэвшүүлж байгаа МАА-н тогтвортой хөгжлийн хөтөлбөр нь ахиу мал, бэлчээрийн
төлөө малчид өөр хоорондоо дов довон дээрээ өрсөлддөг, үр дүнд нь нэг мянгат
малчин нөгөөгөөр л солигддог хөгжлийн одоогийн амиа аргацаасан явцгүй
загварыг өөрчилж, малчин бүр бэлчээр, малынхаа чанар, ашиг шимийг
дээшлүүлэн дэлхийн тавцанд өрсөлдөх алсаа бодсон хөгжлийн загварыг санал
болгож байгаа юм /Зураг 8.1.4/.
Зураг 8.1.1.2.1 МАА-н тогтвортой хөгжлийн загварыг одоогийн загвартай
харьцуулсан нь
8.1.2 ЭРЧИМЖСЭН МАЛ АЖ АХУЙН ХӨГЖЛИЙН ТӨЛӨВЛӨЛТ
Засгийн газрын 2018 оны 400 дугаар тогтоолоор батлагдсан “Эрчимжсэн мал аж
ахуйн хөгжлийг дэмжих үндэсний хөтөлбөр”-р сүүний чиглэлийн үхрийн эрчимжсэн
аж ахуйг нийслэл орчмын, аймгийн төвийн, тариалангийн бүсийн гэсэн гурван
чиглэлээр хөгжүүлэхээр заасан бөгөөд Өлзийт сум нь тариалангийн бүсийн
чиглэлд хамаарч байна. “Тариалангийн зарим бүс нутгийг тогтоох тухай” Засгийн
газрын 2018 оны 131-р тогтоолоор эрчимжсэн мал аж ахуйн бүс гэж үзэв.
Эрчимжсэн МАА-г хөгжүүлэх талаар үндэсний болон орон нутгийн бодлогын
тэргүүлэх чиглэлд дараах заалтууд орсон байна. Үүнд:
“Монгол мал” үндэсний хөтөлбөр:
180
 Уур амьсгалын өөрчлөлт, нийгмийн хөгжлийн чиг хандлага, эдийн засгийн
эрэлт хэрэгцээнд тулгуурлан Монгол улсад бэлчээрийн мал аж ахуйг
зонхилон, эрчимжсэн мал аж ахуйг тодорхой бүс нутагт хязгаарлагдмал
хүрээнд эрхлэх
Архангай аймгийн тогтвортой хөгжлийн хэтийн зорилт-2026 дунд бодлогын
баримт бичиг /2017-2026/:
 Төв суурин газруудыг түшиглэн түүний ойролцоо эрчимжсэн загвар аж ахуйг
бий болгох бүсүүдийг тогтоох,
 Өндөр ашиг шимтэй мах, сүүний чиглэлийн үүлдрийг дэмжих
Дээрх шийдвэр, бодлогын бичиг баримтыг үндэслэн тогтоосон эрчимжсэн МАА-г
хөгжүүлэх бүсийг Зураг 8.1.2.1-д харуулав.
181
Зураг 8.1.2.1 Эрчимжсэн мал аж ахуйн бүс нутаг
Эх сурвалж: БСТ-н боловсруулалт
Засгийн газрын 2018 оны 131 дүгээр тогтоолд заасанчлан газар тариаланг
эрчимжсэн мал аж ахуйтай хоршин хөгжүүлэх бодит суурь, боломж бүрдээд байна.
182
2019 оны байдлаар тус суманд мах сүүний хосолмол ашиг шимт Алатау үүлдрийн
32 үнээ, 2 бух 4 малчин өрхөд өсгөж байна.
Архангай аймгийн МАА-н салбарыг хөгжүүлэх дунд хугацааны бодлогыг баримт
бичигт хосолмол ашиг шимт үхрийн жижиг ферм байгуулах зорилт тусгагдсаныг
хэрэгжүүлэх, сумын төвийн иргэд, сургууль, цэцэрлэг, эмнэлгийн сүүний хэрэгцээг
жилийн 4 улиралд хангах зорилгоор Алатау үүлдрийн 20 үнээтэй жилийн нийт
саам нь 20000 литрээс багагүй 1 сүүний ферм байгуулахаар төлөвлөгөөнд оруулж
байна.
Алатау үүлдрийн үхэр нь бэлчээр болон хагас байран маллагааны нөхцөлд
зохицсон, тэсвэртэй мах-сүүний хосолмол ашиг шимтэй халиун зүстэй. Алатау
үүлдрийн нас гүйцсэн бух 680-700, үнээ 470-490, гунж 390-430 кг жинд хүрэхээс
гадна саалийн хугацаанд 3.8-4.0 хувийн тослогтой 2300-2700 л сүү өгдөг. Түүний
эрлийз нь 1100-1300 л сүү өгдөг. Цэвэр буюу эрлийз үнээ нь 11 сараас 4 сарыг
хүртэл 150-180 хоног битүү дулаан байранд байнгын тэжээлд байна. Үнээг 240
хоног саана.
Сүүний ферм байгуулагдахад шаардагдах хөрөнгө оруулалт, хүн хүч, тоног
төхөөрөмж хангамж:
 Зун-намрын улиралд ашиглах бэлчээр
 Малын тэжээл тариалах талбай
 Үнээ маллах 2 малчин
 Ачааны машин – 8 сая төгрөг
 Жилдээ 1200 литр сүү өгдөг 20 эрлийз үнээ -40 сая төгрөг
 20 үнээний байр – 50 сая төгрөг
 Худаг – 20 сая
20 саалийн үнээтэй ферм байгуулах нийт хөрөнгө оруулалт 98 сая төгрөг
Үйлдвэрлэх бүтээгдэхүүний нэр төрөл
 Үнээний сүү: Хэрэглэгчдийн эрүүл ахуйн хэрэгцээ болон үндэсний сүү
боловсруулах үйлдвэрүүдийн технологийн шаардлагыг бүрэн хангасан
20000 л сүү үйлдвэрлэж нийлүүлнэ.
 Үхрийн мах: Сүргийн зохистой эргэлтийн дагуу ангилан заазалсан болон
эр өсвөр малыг махны зориулалтаар борлуулж, жилд дунджаар 9 сая
төгрөгийн орлого олно
Сүү үйлдвэрлэл, борлуулалтын орлого: Жилдээ 20000 литр сүү үйлдвэрлэж 2000
төгрөгөөр борлуулан 40 сая төгрөгийн орлого олно. Ингэснээр нийт орлого 49 сая
төгрөг болно.
Малын тэжээлийн зардлыг тооцохдоо 1 литр сүү үйлдвэрлэхэд 1.2 кг-с доошгүй
тэжээл нэгжтэй тэнцэх хэмжээний тэжээл зарцуулдаг зарчмаар саалийн үнээний
тэжээлийн хэрэгцээг тооцов. Түүнчлэн 20 үнээтэй байхын тулд сүрэг сэлбэх гунж
зэрэг бусад малыг 6-р тооцож тэжээлийн хэрэгцээг гаргав.
183
Хүснэгт 8.1.2.1 Саалийн фермийн үнээний тэжээлийн зардал жилээр
Үзүүлэлт Өвс Шүүст Хүчит Дүн
1 үнээнд өдөрт өгөх норм хэмжээ, кг 4 8 2
Тэжээх хоног 180 180 180
20 толгой үнээнд шаардагдах тэжээл, тн 14.4 28.8 7.2
1 кг-н үнэ, төгрөг 120 360 460
Нийт үнэ, сая төгрөг 1.7 10.4 3.3 15.4
Эх сурвалж: БСТ-н тооцоо
Хүснэгт 8.1.2.2 Саалийн фермийн бусад үхрийн тэжээлийн зардал жилээр
Үзүүлэлт Өвс Шүүст Хүчит Дүн
1 үхэрт өдөрт өгөх норм хэмжээ, кг 3 1
Тэжээх хоног 180 180
6 толгой үхэрт шаардагдах тэжээл, кг 3.24 3.6
1 кг-н үнэ, төгрөг 200.0 460.0
Нийт үнэ, сая төгрөг 0.6 1.7 2.3
Эх сурвалж: БСТ-н тооцоо
Дээрх тооцооноос үндэслэн 20 үнээтэй фермийн тэжээлийн нийт зардал 17.7 сая
төгрөг болж байна.
Тухайн хөрөнгө оруулалт ашигтай эсэх үнэлгээ хийхэд түгээмэл хэрэглэдэг мөнгөн
урсгал, хөрөнгийн дотоод өгөмж /Internal rate of Return, IRR/-н үзүүлэлтээр үнэлгээ
хийхэд 20 үнээтэй сүүний фермийн хөрөнгийн дотоод өгөмж 12% гарсан нь энэхүү
төслийг 12%-ийн зээл аваад хэрэгжүүлсэн ч эдийн засгийн үр ашигтай гэсэн дүн
гарч байна.
Хүснэгт 8.1.2.3 Саалийн фермийн эдийн засгийн үр ашгийн тооцоо, 10
жилээр, сая төгрөг
Үзүүлэлт, жилээр 1 2 3 4 5 6 7 8 9 10
Тэжээлийн зардал 17.7 17.7 17.7 17.7 17.7 17.7 17.7 17.7 17.7
Малчны зардал 3.6 3.6 3.6 3.6 3.6 3.6 3.6 3.6 3.6
Бусад урсгал 0.6 0.6 0.6 0.6 0.6 0.6 0.6 0.6 0.6
Урсгал зардлын
дүн
21.9 21.9 21.9 21.9 21.9 21.9 21.9 21.9 21.9
Хөрөнгө оруулалт 98 - - - - - - - - -
Нийт зардал 98 21.9 21.9 21.9 21.9 21.9 21.9 21.9 21.9 21.9
Орлого 0 40.0 40.0 40.0 40.0 40.0 40.0 40.0 40.0 40.0
Мөнгөн урсгал -98 18.1 18.1 18.1 18.1 18.1 18.1 18.1 18.1 18.1
Хөрөнгө оруулалтын дотоод өгөмж 12%
Эх сурвалж: БСТ-н тооцоо
Цаашид:
 Сүүний чиглэлийн нэг үнээнээс саах сүүний хэмжээг нэмэгдүүлэх
 Бэлчээр, цаг уурын нөхцөл сайтай, түүнчлэн газар тариалангийн бүсэд
орсон багуудад тэжээлийн бэлтгэлийн асуудлыг шийдэх
184
 Цэвэр үүлдрийн болон дээд үеийн эрлийз малын тоог нэмэгдүүлэхийн тулд
эрлийзжүүлгийг нэлээд эрчимжүүлэх шаардлагатай.
8.1.3 Мал сүргийн үржлийн талаар авах арга хэмжээ
“Архангай аймгийн тогтвортой хөгжлийн хэтийн зорилт - 2026” бодлогын баримт
бичигт хөдөө аж ахуйн салбар, байгаль орчин аялал жуулчлалыг тэргүүлэх чиглэл
хэмээн тодорхойлж, МАА-н салбарын үндсэн зорилгыг, нэгдүгээрт: МАА-н
үйлдвэрлэлээ чанаржуулах, хоёрдугаарт: нэг малаас гарч байгаа ашиг шимийг
нэмэгдүүлэх, гуравдугаарт: малын чанар, үржлийг сайжруулах ажлыг мэргэжлийн
байгууллагуудтай хамтран зохион байгуулахад чиглүүлэхээр заасан нь сумдад
хэрэгжүүлэх үйл ажиллагаанд
Нийт сүрэгт өндөр ашиг шимт мал, амьтны эзлэх хувийг нэмэгдүүлж, эрчимжсэн
загвар, цогцолбор аж ахуйг олноор бий, малын удмын сан генетик нөөцийг
сайжруулах, үржил-селекцийн ажлыг шинжлэх ухааны үндэслэлтэй явуулж,
биотехнологийн ололтыг нэвтрүүлэн нийт сүрэгт цөм сүргийн малын эзлэх хувийг
нэмэгдүүлэн, шинэ үүлдэр, омгийг бий болгохыг дэмжинэ хэмээн “Архангай
аймгийн Засаг даргын мөрийн хөтөлбөр 2016-2020”-т тусгажээ.
МАЛ СҮРГИЙН ТОО, ЧАНАРЫН ҮЗҮҮЛЭЛТҮҮД. Мал сүрэг жил дараалан өсөж,
бэлчээрт үзүүлэх ачаалал нэмэгдэж байгаагийн улмаас талхдагдах хандлагатайн
дээр байгаль орчинд зарим таагүй нөлөөлөл үзүүлэх тал ажиглагдаж байгаа тухай
төлөвлөгөөний холбогдох бүлэгт баримттай өгүүлсэн болно.
Тус сумын нийт малын дотор бог /хонь, ямаа/ мал, түүний дотор хонь
давамгайлсан, гэхдээ багуудад үндсэн 4 төрлийн мал харьцангуй жигд тархжээ.
Тахирмаг 8.1.3.1 Сумын нийт малд төрөл бүрийн малын эзлэх хувь, багаар,
2019 он
185
Эх сурвалж: сумын ЗДТГ, 2020, БСТ-ийн тооцоо
Тархалт жигд боловч бод ба богийн харьцаагаар Бодонт, Байшир багт бод тоогоор
илүү, өөрөөр хэлбэл хонины хувийн жин нэмэгдэхэд бод, ялангуяа үхрийнх буурах
хандлагатай байгааг үржлийн ажилд анхаарах болно.
Хүснэгт 8.1.3.1 Бод:богийн ба хонь:ямааны харьцаа, толгой, 2019 он
Ямаат Бодонт Байшир Хөшөөт Сум
Бод, толгой 10403 11997 10431 5241 38072
Бог, толгой 103004 90238 78027 43898 315167
Бод:бог 9.9 7.5 7.5 8.4 8.3
Хонь:ямаа 1.8 2.1 1.8 2.1 1.9
Эх сурвалж: ҮСХ, 2019
Харин хонь ба ямааны тооны харьцаа сумын дүнгээр1.9:1 байгаа нь ямааны тоо
бусад малынхыг давсан бусад аймаг сумдаас ялгаатай үзүүлэлт мөн.
МАЛ ҮРЖЛИЙН БОДЛОГО, АРГА ЗАМ
Малын тоо, үүлдэрлэг байдал, төрөл бүрийн малын сүрэгт эзлэх хувь, түүнчлэн
бог ба бод малын харьцааг одоогийн байдлаар буюу 2019 оны жилийн эцсийн мал
тооллогын мэдээллийг ашиглан сумын хэмжээнд болон багаар тооцсон дүнгээс
үзвэл дурдсан үзүүлэлтүүд сумын нутаг дэвсгэрт жигд гарсан нь малын үүлдэрлэг
байдал, ашиг шимт чанарыг сайжруулахтай холбогдуулан зарим асуудлыг онцлон
авч үзэх үндэслэл болж байна. Үүнд:
Нэгдүгээрт: тэмээнээс бусад 4 төрлийн малд явуулах үржлийн ажлыг бүх
багт нэгдсэн бодлого, үйл ажиллагаа, аргаар явуулах боломж
Хоёрдугаарт: бүх багт үржлийн ажлыг нэг аргаар явуулахад байгаль-цаг
уурын болон бэлчээр нутаг, газрын гадаргуун байдал тохирох эсэх зэрэг болно.
32.1
28.9
25.0
13.9
25.0
0.0
10.0
20.0
30.0
40.0
50.0
60.0
70.0
0.0
5.0
10.0
15.0
20.0
25.0
30.0
35.0
Ямаат Бодонт Байшир Хөшөөт Дундаж
Төрөлбүрийнмалынэзлэххувь
Бүхмалдбагийнмалынэзлэххувь
Адуу Үхэр Хонь Ямаа Бүгд
186
Эдгээрээс гадна “Тариалангийн зарим бүс нутгийг тогтоох тухай” Засгийн газрын
2018 оны 131 дугаар тогтоолоор тус сумын Байшир, Бодонт багийг газар
тариалангийн бүсэд хамруулсантай холбогдуулан шинээр авч хэрэгжүүлэх арга
хэмжээ гуравдугаар үндэслэл болж гарч байгаа юм.
МАЛ ҮРЖЛИЙН АЖЛЫН ЧИГЛЭЛ, БОЛОМЖТОЙ АРГА ХЭМЖЭЭ
Сумын мал сүрэгт явуулах үржлийн ажлыг “Малын генетик нөөцийн тухай” хуульд
заасны дагуу шаталсан хэлбэрээр хэрэгжүүлэхээр төлөвлөж, үйл ажиллагаагаа
зохицуулна. Мал сүргийн үүлдэрлэг байдал, үржил-ашиг шимт чанарыг
сайжруулах ажлыг сумын хэмжээнд хэрэгжүүлэхэд ЗДТГ-ын ХАА-н тасаг
зохицуулалтаар хангаж, мал үржүүлэг-технологийн ажил үйлчилгээний нэгж
байгуулах, үйл ажиллагааг нь жигдрүүлэхэд зохион байгуулалтын талаас нь
анхаарна.
Бүх малчин өрхийн малд ХХААХҮ-н сайдын 2017 оны А/71 тоот тушаалаар
баталсан “Мал ангилах заавар”-ын дагуу үзлэг ангилалт хийж, үржлийн сүргийн
шаардлага хангасан сүрэг бүрдүүлэхээс үржлийн ажлыг шаталсан хэлбэрт
шилжүүлэх эхний шаталбарыг хэрэгжүүлнэ.
Зураг 8.1.3.1 Үржлийн ажлын шаталсан хэлбэрийн эхний шаталбар
Малчин өрхийн сүрэг
ҮС – үржлийн сүрэг
ХС – хэрэгцээний сүрэг
Эх сурвалж: Малын чанарыг сайжруулах талаар хэрэгжүүлэх үйл ажиллагаа, Мал
аж ахуйн маркетинг төсөл, 2018
Үржлийн сүрэг нь хоёр талын нэн чухал ач холбогдолтой: 1.цөм сүрэг бүрдүүлэх
суурь болж өгдөг, 2.хэрэгцээний сүргийг сайжруулах замаар аль болох олон
малчин өрхийн сүргийг чанаржуулахад тустай зэрэг болно. Хэрэгцээний сүрэг
сайжрахын хэрээр ашиг шим сайтай малын тоо олширч, шилэлт хийх боломж
нэмэгддэг, ингэснээр үржлийн ажлыг илүү дээд шатанд хөтлөн явуулах урьдал
нөхцөл бүрддэг зүй тогтолтой. Жишээ нь, үржлийн сүрэг сайжирч, дунджаас нь
дээгүүр ашиг шимтэй мал олширвол цөм сүрэг бий болгох талаар төлөвлөнө.
ХС
ҮС
ҮС
Ү
Ү
Ү
Ү
Ү
Ү
Ү
Өрхийн малыг үржлийн сүргийн
хээлтүүлэгчээр сайжруулах
187
Мал зүйн шинжлэх ухаанд тогтсоноор цөм сүргийн ашиг шимийн босго үзүүлэлт
үржлийн сүргийнхээс 15 ба түүнээс дээш хувь илүү байх ёстой. Цөм сүрэгт мал
сонгох болохын цагт үүнийг баримжаалах нь зүйтэй.
Мал сүргийн үржил-ашиг шимт чанарыг сайжруулах стратеги
Эрчимжсэн мал аж ахуйг эрхлэх газар тариалангийн бүсэд багтсан Байшир,
Бодонт багт дурдсан аргаар эрхлэхэд хамгийн тохиромжтой үхрийн хувийн жин
сумын дунджаас доогуур, бог малынх өндөр байгаа учраас газар тариалан ба
эрчимжсэн аж ахуйг хоршин эрхлэх шаардлагын дагуу тусгайлсан бодлого, арга
хэмжээ хэрэгжүүлнэ.
А. Үхэр сүргийг сайжруулах /тариалангийн бүсийн нэр бүхий 2 багийг
хамруулах/
нэгдүгээрт: Эх орны махны үүлдэр болох Сэлэнгэ болон Дорнод Монголын
талын улаан үүлдрийг ашиглан нутгийн үхрийн биерхэг байдлыг сайжруулах,
амьдын жин өсвөр үедээ 15-18 хувь хүртэл нэмэгдэх тэжээллэг-маллагааны
нөхцөлийг бүрдүүлэхэд бүх талаар анхаарна. Махны чиглэлээр “бэлчээр-нэмэгдэл
тэжээл-бордоо” системд зохицуулан сайжруулах боломжийг судалж хэрэгжүүлнэ.
хоёрдугаарт: мах-сүүний, эсвэл сүү-махны чиглэлээр жижиг фермийн аргаар
эрхлэхэд хосолмол ашиг шимт Алатау, Симментал үүлдэр тохиромжтой, 1980-аад
оны дундаас хосолмол ашиг шимт үхрээр сумынхаа үхрийг сайжруулах эрчимтэй
эрлийзжүүлгийн бүсэд хамрагдаж тухайн үед хэрэгжүүлсэн үйл ажиллагааны
туршлага, сургамжид тулгуурлана.
Нэг үнээнээс саалийн 240-270 хоногт нийтдээ 1000 литр сүү саана гэвэл жилдээ
тэжээл ба бусад зардлыг хасаад 420-440 мянга орчим төгрөгийн цэвэр ашгийг
сүүнээс орох ба 1.3 жил нэг төллөхөөр тооцвол аж ахуйд ашиглах хугацаанд 4
удаа төллөж, нэг эхээс гаралтай 5-6 толгой болж өснө. Ийм үндэслэлээр тооцвол
үнээ анх худалдан авсан өртгөө сүү ба төлөөрөө 4.2 жилийн дотор бүрэн төлнө.
Гуравдугаарт: цэвэр үүлдрийн юм уу гурав ба түүнээс дээш үеийн эрлийз
үхрээр эрлийзжүүлж сайжруулах хувилбарын тухайд гадаадаас оруулж ирсэн
Лимузин, Херефорд, Казахын цагаан толгойт, Ангус үүлдрийг нутгийн үхрийг
сайжруулахад ашиглах боломжийг хязгаарлагдмал хүрээнд сонирхсон малчдын
хөрөнгө, оролцоо, сумын мэргэжлийн нэгжийн дэмжлэгтэйгээр туршина.
Үхэр сүргийн үүлдэрлэг байдал, ашиг шимийг сайжруулах арга хэмжээг
тариалангийн бүсэд орсон хоёр багийг түшиглэн явуулах ба сумын төвд ойр
байгаа /Байшир ба Бодонт багийн/ атаршсан талбайг зөвхөн малын тэжээл
тариалах зориулалтаар одоо байгаа болон шинээр байгуулагдах фермд олгоно.
Харин Байшир багийн нутгийн баруун хойд хэсэгт байгаа талбайд чанартай өвс
бэлтгэх арга хэмжээ авна.
Б. Хонины сүргийг сайжруулах. Баяд, түүнчлэн Дархад, Цагаан-Уул үүлдэр,
Хотонт үүлдрийн хэсгийг ашиглах замаар хониныхоо махан ашиг шимийг дагуулж
малынхаа биерхэг байдлыг сайжруулах, улмаар нэгжээс ахиу ноос авах чиглэлийг
188
баримтална. Ихтамир суман дахь Өндөр уулын бүсийн эрдэм шинжилгээний
станцад явуулсан судалгаагаар Баяд үүлдрийн эрлийз бусад үүлдрийн эрлийзээс
амьдын жин, ноосны гарцаар илүү болохыг тогтоосон нь энэ үүлдрийг ашиглахад
үр дүнд хүрэх боломжтойг харуулж байна25.
В. Ямааны ноолууран ашиг шимийг нэмэгдүүлэх. Ямаан сүргийн ашиг шимийн
чадавхыг сайжруулахдаа чанаржуулах талыг барих нь тус сумын МАА-н хөгжлийн
тэргүүлэх чиглэл байх болно. Ямааны ноолуурын нарийн ба уртын үзүүлэлтийг
сайжруулахад үржлийн ажлыг чиглүүлэх, Эрчмийн хар үүлдрийн биологи-аж ахуйн
үнэт чанарыг ашиглахад түлхүү анхаарна.
Ямаан сүрэг бол үржлийн ажлыг шаталсан хэлбэрээр явуулахад хамгийн
тохиромжтой гэж үздэг. Үржлийн сүрэг бүрдүүлэхийн тулд дараах арга хэмжээг нэн
түрүүнд хэрэгжүүлнэ.
- Малчдын ямаанд үзлэг, ангилалт хийж 500 орчим эм ямаа зүс, ноолуурын
чанараар голчлон сонгох замаар үржлийн сүргийн эхний хэсгийг бүрдүүлэх,
- Малчдын ашиглаж байгаа ухнад үзлэг хийж, үржлийн сүрэгт ашиглах
боломжтой /нас болон ноолуурын чанар/ хээлтүүлэгчийг илрүүлж үржлийн сүргийн
бүртгэлд авах,
- Хэсэгчлэн нийлүүлэх аргаар 500 эм ямааг хээлтүүлэхэд 60 орчим ухна
тавихаар тооцно. Суманд байгаа үржлийн бүртгэлтэй ухнаа хасаад гаднаас авах
ухнын тоог гаргах.
Нэг ухныг 150 орчим мянган төгрөгөөр худалдан авч нийлүүлэгт 3-4 жил
ашиглахад багаар тооцоход төл нь 125-130 толгой хүрэх бөгөөд үүнээс 30 хувийг
нь маханд, 20 орчим хувийг нь үржилд хэрэгцээний сүрэгт худалдана гэвэл
худалдан авсан өртгөө 2.5 жилд нөхнө. 2025-2026 оны үед үржлийн ажлын
шаталсан тогтолцооны дээд шаталбар болох цөм сүрэг бүрдүүлэх боломж
бүрдэнэ.
Малын тоог өсгөх болон тогтвортой барих нь
Хүснэгт 8.1.3.2 Малын тоог цөөлөх, барих, өсгөх сүргийн эргэлтийн үед МАА-
н түүхий эд, бүтээгдэхүүний үйлдвэрлэл, малын тооны өөрчлөлт
№ МАА-н бүтээгдэхүүний үйлдвэрлэл
2027 он
Малын тоог
цөөлөх
Малын
тоог барих
Малын тоог
өсгөх
1 Мах үйлдвэрлэл, тн 3548.4 2675.5 1995.7
2 Сүү,мян. л 1715.1 1719.2 1922.9
3 Арьс шир, ш 126688.8 108162.2 88459.3
4 Ноос, тн 192.6 227.2 296.9
5 Ноолуур,тн 26.7 31.5 41.2
25
Г.Самбуу, Нутгийн үүлдэр, омгийг ашиглан монгол хонийг үржүүлэх асуудалд. ХАА-н ухааны
дэд эрдэмтний зэрэг горилсон диссертаци, 1994
189
6 Борлуулах мах,тн 3106.6 2233.7 1554.0
7 Борлуулах сүү, мян.л 1161.3 1165.3 1369.1
8 Малын тоо, хонин, тол 421229 544377 728500
9
Малчин өрхийн дундаж орлого.
сая.төг 25.2 14.6 16.6
10
1 хонин толгойд ногдох мөнгөн
орлого, мянган төгрөг 50.3 21.0 18.1
Малын тоо цөөрч байгаа ч орлого өсөж байгаа нь малын тоо цөөрснөөр үлдэж
байгаа малын идэш, тэжээлийн хангамж сайжирч, үүнийг дагаад малын тарга хүч,
ашиг шим нэмэгддэг зүй тогтлоос хамааралтай юм. Үүнийг Хүснэгт 8.1.3.2-д
харуулав.
Хү снэгт 8.1.3.3 Нас гү йцсэн эр малын сү рэгт эзлэх хувь
№
Малын
төрөл
2027 он
Малын тоог цөөлөх Малын тоог барих Малын тоог өсгөх
1 Адуу 7.0% 18.5% 25.7%
2 Үхэр 0.1% 8.8% 15.7%
3 Хонь 6.8% 12.9% 10.2%
4 Ямаа 6.9% 14.4% 9.9%
Хүснэгт 8.1.3.4 Малын тоо цөөлөх, барих, өсгөх үед нэг малаас авах ашиг
шим
Нэгжий
н ашиг
шим
Малын
төрөл
Малын тоог цөөлөх Малын тоог барих Малын тоог өсгөх
Нооскг
Сүүл
Махкг
Арьс,
шир.ш
Нооскг
Сүүл
Махкг
Арьс,
шир.ш
Нооскг
Сүүл
Махкг
Арьс,
шир.шТэмээ 5.2 24
7
22
5
1 5 22
0
20
0
1 4.9 210 191 1
Адуу - - 15
2
1 - - 13
5
1 0.0 0.0 129 1
Үхэр - 45
0
14
6
1 - 40
0
13
0
1 0.0 376 124 1
Хонь 1.1 - 20 1 1.1 - 18 1 1.1 0.0 17 1
Ямаа 0.3 - 17 1 0.2
9
- 15 1 0.3 0.0 14 1
Эх сурвалж: БСТ-н тооцоо
190
Малын төрөл тус бүр дээрх өсгөх болон тогтвортой барих үеийн тооцооллыг
Хавсралт 8.1.3.1 ба 8.1.3.2 -д тус тус тусгав.
8.1.4 Малын эрүүл мэндийн ажлын төлөвлөлт
Мал, амьтны эрүүл мэндийн тухай хуулийн зохих заалтууд, “Малын эрүүл мэнд”
үндэсний хөтөлбөр/2018-2021/-ийн хүрээнд доорх зорилтуудыг дэвшүүлсэн байна.
Үүнд:
2.2.1. Мал эмнэлгийн салбарын хууль эрх зүйн орчныг боловсронгуй болгох;
2.2.2. Мал, амьтны гоц халдварт болон халдварт, шинэ болон дахин сэргэж байгаа
өвчнийг эрт илрүүлэх тандалтыг өргөжүүлэх замаар өвчнийг хяналтад авч,
халдварт өвчингүй тайван байдлыг лабораторийн шинжилгээний үр дүнг харгалзан
бүс нутгаар баталгаажуулах;
2.2.3. Мал, амьтны гоц халдварт, зооноз, шинэ болон дахин сэргэж байгаа
халдварт өвчнөөс урьдчилан сэргийлэх, дархлаажуулалтыг шинжлэх ухааны
нотолгоо, тархвар зүйн судалгааг үндэслэн төлөвлөх замаар бүс нутгаар нь
хяналтад авах;
2.2.4. Мал, амьтны шилжилт хөдөлгөөний хяналтыг сайжруулах замаар гоц
халдварт өвчин гарах, тархах шалтгаан, нөхцөлийг таслан зогсоох;
2.2.5. Мал эмнэлгийн байгууллагын мэргэжилтэн, малын эмч нарын мэдлэг, ур
чадварыг дээшлүүлэх, малын эрүүл мэндийг хамгаалах үйлчилгээний чанар,
хүртээмжийг нэмэгдүүлэх;
2.2.6. Малчин, үйлдвэрлэгч, хэрэглэгчдийг мал, амьтны эрүүл мэнд, түүнтэй шууд
холбогдох нийтийн эрүүл мэндийн талаарх мэдлэг, мэдээллээр хангаж, үр дүнг
сурталчлан таниулах
Дээрх хууль, хөтөлбөрийн үзэл санаа, заалтуудтай уялдуулан Өлзийт сумын
малын эрүүл мэндийн ажлыг төлөвлөв.
Хүснэгт 8.1.4.1 Малын эрүүл мэндийн ажлын төлөвлөлт
А.Сумын мал эмнэлгийн тасаг/МЭТ/-ийн үйл ажиллагааны талаар
№ Хэрэгжүүлэх үйл ажиллагаа
Хариуцах
эзэн
Шаардагдах
хөрөнгө
оруулалт. мян.
төг
Хэрэгжих
хугацаа
1 Сумын мал эмнэлгийн тасгийн 2
малын эмчийг ажлын өрөөтэй
болгох
Сумын ЗДТГ
ЗДТГ-ын
байрнаас өрөө
гаргах
2020-2021
191
2 Сумын мал эмнэлгийн тасгийн 2
малын эмчийг ширээ, сандал,
хувцасны шүүгээ, компьютерээр
хангах
МЭЕГ
5000.0
2021-2023
3 Мал эмнэлгийн тасагт малын
өвчний 500-800 литр вакцин
хадгалдаг багтаамж бүхий хүйтэн
хэлхээний өрөөтэй болох,
ажиллуулах
МЭЕГ,
Сумын ЗДТГ,
Төсөл,
хөтөлбөр
20000.0 2025-2027
4 Малын эм бэлдмэлийн хадгалалт,
хамгаалалтыг зохих зааврын дагуу
хийлгэх
Сумын МЭТ
Ажил үүргийн
хуваарийн
дагуу хийлгэх
Жил бүр
5 Сумын мал эмнэлгийн тасгийн
малын их эмч нарын мэргэжлийг
дээшлүүлэх
МЭЕГ,
Аймгийн
МЭГ, Төсөл,
хөтөлбөр
2000.0 2022-2027
6 Орон нутагт нэн түрүүнд
шаардлагатай байдаг мах, махан
бүтээгдэхүүн, сүү, хүнсний ногоон
дээр түргэвчилсэн зарим
шинжилгээг хийх ажлыг туршин
эхлүүлэх
МЭЕГ,
Аймгийн
МЭГ, Төсөл,
хөтөлбөр
5000.0 2022-2025
7 Сумын төв дээр зах зээлд
борлуулж байгаа малд үзлэг,
шинжилгээ хийх нэг цэгийн
үйлчилгээ ажиллуулах /Малын
хашаа, малд үзлэг хийх хашаа,
мал пүүлэх цахилгаан жин 500-
1000 кг/
Мал
худалдан
авагч ХХК,
Төсөл,
хөтөлбөр,
сумын ЗДТГ
6000.0
Шаардлагатай
үед
8 Мал, амьтнаас хүнд халдварладаг
/зооноз/ өвчнөөс мал сүрэг, хүн
амаа урьдчилан сэргийлэх,
хамгаалахын тулд сумын эрүүл
мэндийн төвтэй хамтран сургалт,
сурталчилгаа хүн амын дунд
зохион явуулах
Сумын МЭТ,
ЭМТ, МЭҮН
Ажил үүргийн
хуваарийн
дагуу хийх
Жил бүр
9 Сумын малын нэн тэргүүнд
шаардлагатай халдварт өвчний
тархвар зүйн зураглалтай болох
Аймгийн
МЭГ, Сумын
МЭТ, МЭҮН,
Төсөл,
хөтөлбөр
МЭТ-ийн
тархвар зүйч
эмч ажил,
үүргийн
хуваарийн
дагуу хийх
2021-2025
10 Мал эмнэлгийн үйлчилгээний
нэгжийн хийж байгаа ажил,
үйлчилгээний чанарт хяналт тавьж
ажиллах
Сумын МЭТ
МЭТ-ийн
эмнэлгийн
улсын
байцаагч,
ажил үүргийн
Жил бүр
192
хуваарийн
дагуу
хэрэгжүүлэх
11 Тус сумын мал сүрэгт голдуу
гардаг листериоз, дуут хавдар,
дотрын халдварт хордлого /ДХХ/,
цусан халдвар, боом , галзуу
өвчнүүдээс урьдчилан сэргийлэх
вакцин тариулах
МЭЕГ,
Сумын МЭТ,
МЭҮН
Вакцины үнэ:
8400.0
Жил бүр
12 Малын дотор, гадна шимэгчдийн
өвчнүүдээс урьдчилан сэргийлэх
туулгалт, угаалгыг графикт
хугацаанд чанартай хийлгэх
Сумын МЭТ,
МЭҮН,
малчин
өрхүүд
Тогтоосон
төлбөрийг
малын эзэн
хариуцах
Жил бүр
13 Малын гоц халдварт өвчин
шүлхий, мялзан болон бусад
шаардлагатай өвчнүүдийн тандах
шинжилгээг жил бүр явуулан
цаашид малын өвчнөөр тайван
/эрүүл/ бүс нутаг болох зорилт
тавин ажиллах
МЭЕГ,
Сумын ЗДТГ,
МЭТ, МЭҮН 1000.0
Жил бүр
14 Сумын хөдөөгийн 2 багийн нутагт
мал угаах суурин ванн шинээр
барьж ашиглах
МЭЕГ,
Сумын МЭТ,
МЭҮН
12000.0 2022-2025
15 Үхсэн малын хүүр, сэг зэмийг булж
устгадаг цэгтэй болох
МЭЕГ,
Сумын МЭТ,
МЭҮН,Төсөл,
хөтөлбөр
8000.0 2021-2023
16 Шаардлагатай үед хорио цээр,
хязгаарлалтын дэглэм тогтоолгон
ажиллах
МЭЕГ,
Сумын МЭТ,
МЭҮН
Тухайн үед
хууль, журмын
дагуу төсвөөс
гаргуулах
Тухайн үед
17 Малын эрүүл мэндийн ажилд
зарцуулах мал аж ахуйн
эрсдэлийн сан/МААЭС/ байгуулж
ашиглах
Сумын ЗДТГ,
МЭТ,
Малчид,
Төсөл,
хөтөлбөр
Сумын ОНХС-
аас 1 хонин
толгойд 300
төгрөг, малчид
1 хонин
толгойд 500
төгрөгөөр
бодож
МААЭС-г 2021
оны нийт
малын 20%-д
байгуулах,
цаашид жил
бүр малын
тоог 20%-иар
өргөжүүлэн
2021 оноос
хойш жил бүр
193
байгуулах
Б.Мал эмнэлгийн үйлчилгээний нэгжийн ажил, үйлчилгээний талаар
18 Мал эмнэлгийн үйлчилгээний
нэгжийн байрны тохижилт, багаж,
хэрэгслийн хангамжийг
сайжруулах замаар стандартын
шаардлага ханган ажиллах
МЭҮН,
Төсөл,
хөтөлбөр
10000.0 2022-2025
19 Мал эмнэлгийн үйл ажиллагааны
бизнес төлөвлөгөөтэй ажиллах
Сумын МЭТ,
МЭҮН
Ажил үүргийн
хуваарийн
дагуу хийх
Жил бүр
20 Мал эмнэлгийн үйлчилгээний нэгж
нь сумын ЗДТГ, малчин өрх
зэрэгтэй гурвалсан гэрээ
байгуулан ажиллах
Сумын ЗДТГ,
МЭҮН,
малчин
өрхүүд
Ажил үүргийн
хуваарийн
дагуу хийх
Жил бүр
21 Мал эмнэлгийн үйлчилгээний
нэгжийн мэргэжлийн үйлчилгээ
үзүүлэх итгэмжлэл бүхий малын
эмч нарын хөдөлмөр хамгааллын
хувцасны хангамж, шаардлагатай
тариур, бусад багаж хэрэгслийн
хангамжийг сайжруулах
МЭҮН,
Төсөл,
хөтөлбөр
10000.0
2021-2023,
2024-2027
22 Зах зээлд борлуулах малд гарал
үүсэл, эрүүл мэндийн гэрчилгээ
олгох
Сумын
МЭҮН,
малчид
Тогтоосон
зардлыг
малын эзэн
хариуцах
Тухайн бүр
24 Улсын захиалгат малын халдварт
өвчний вакцин тарих
МЭЕГ,
Аймгийн
МЭГ, сумын
ЗДТГ,МЭТ,
МЭҮН,
малчид
24000.0 Жил бүр
25 Малд туулгалт, угаалга хийх
МЭЕГ,
Аймгийн
МЭГ, сумын
МЭТ, МЭҮН
Туулга,
угаалгад
хамрагдсан
малын
үйлчилгээний
хөлсийг
малын эзэн
хариуцах
Жил бүр
26 Малын шүлхий, мялзан зэрэг
өвчний тандах шинжилгээнд сорьц
авах
МЭЕГ,
Аймгийн
МЭГ, сумын
МЭТ, МЭҮН
800.0 Жил бүр
23 Сумын хөдөөгийн 2 багийн нутагт
мал угаах суурин ванн шинээр
барихад оролцож, ашиглах,
хамгаалах
МЭЕГ,
Сумын МЭТ,
МЭҮН
Зардлыг дээд
тусгасан
байгаа
2021-2027
194
24 Шаардлага гарсан үед өвөлжөө,
хаваржаа, бусад шаардлагатай
газрууд болон халдварт өвчин
гарсан голомтот цэг газарт
халдваргүйтгэлийг чанартай хийх
МЭЕГ,
Сумын
ЗДТГ, МЭТ,
МЭҮН,
Байгууллага,
ААН, малчид
2500.0 Жил бүр
25 Мал эмнэлгийн үйлчилгээ
үзүүлдэг малчин өрхийн малын
эрүүл мэндийн дэвтрийг хөтөлж
ажиллах
Сумын МЭТ,
МЭҮН
Ажлын үүрэг,
хуваарийн
дагуу хийх
Үйлчилгээ
үзүүлэх бүрд
26 Мал эмнэлгийн үйлчилгээний нэгж
нь ажил, үйлчилгээний тайлан,
мэдээг хууль тогтоомжид заасан
хугацаанд гаргаж, мал эмнэлгийн
тасагт хүргүүлэх
Сумын
МЭҮН
Ажил үүргийн
хуваарийн
дагуу хийх
Жил бүр
8.1.5 Хадлан, тэжээлийн төлөвлөлт
Өлзийт сумын хэмжээнд мал сүргийн тэжээлийн хангамж малчдын бэлтгэх болон
үйлдвэрлэлийн аргаар бэлтгэх үндсэн хоёр эх үүсвэр аль алиных нь хувьд дутмаг
байгаа тул тэжээл үйлдвэрлэл, хангамжийг нэмэгдүүлэх нь нэн чухал юм.
Өлзийт суманд Атрын III аяныг үргэлжлүүлэн газар тариаланг бүсчлэн хөгжүүлэх
зорилт, аймгийн МАА-н салбарыг хөгжүүлэх дунд хугацааны бодлогод тусгагдсан
хадлангийн талбайг хашиж, хамгаалах, усалж бордох замаар ургац нэмэгдүүлэх,
атаржсан талбайд олон наст ургамал тариалж бэлчээрт шилжүүлэх, овьёос,
царгас зэрэг уургийн агууламж ихтэй нэг ба олон наст ургамал тариалах ажлыг
өргөтгөх зэрэг зорилтын дагуу тэжээл үйлдвэрлэлийг нэмэгдүүлэхээр тусгаж
байна. Ингэхдээ бэлчээрийн ургацын олон жилийн дундаж, ирэх жилүүдэд малын
тоог бууруулах тооцоо, бэлчээрийн ачаалал буурснаар бэлчээрийн даац сайжрах
боломжийг харгалзан үзэв.
Хадлан, тэжээлийн хэрэгцээ, түүнийг хангах боломж. Өлзийт сум нь хээр болон
ойт хээрийн бүсэд хамрагддаг учраас нэг хонины жилд бэлчээрээс идэх өвсний
хэмжээг дурдсан хоёр бүсийн дундаж, мөн ургамлын нөмрөгийн хэв шинж, төлөв
байдал, өөрчлөлтийн чиг хандлага зэргийг харгалзан тухайн жилд шаардагдах
тэжээлийн хэрэгцээг дараах байдлаар тооцлоо. Үүнд:
 Бэлчээрийн малын тухайд тэжээлийн үндсэн хэрэгцээг бэлчээрээс хангах
 2001 оны Засгийн газрын 47-р тогтоолоор батлагдсан “Мал сүргийг ган,
зудаас хамгаалахад туслах үндэсний хөтөлбөр”-т тусгагдсан заалтыг
харгалзан аюулгүй нөөц бүрдүүлэхээр төлөвлөв. Энэ хөтөлбөрт зааснаар:
 Малчин өрх ойт хээрийн бүсэд нэг хонин толгойд 30 кг, хээрийн бүсэд 10 кг
өвс
 Сумын нөөцөд нэг хонин толгойд 1кг-аар тооцож 3 өдөр тэжээх өвс
195
Нэг хонин толгойд ноогдох хадлангийн өвсний хэмжээ 2019 оны байдлаар сумын
дунджаар 6.5 кг байна. Цаашдаа төлөвлөн буй 7 жилийн хугацаанд малын тоо
болон бэлчээрийн ачаалал хамтдаа бууран бэлчээрийн бүтээмжийг сайжруулж
хадлангийн талбайг нэмсний үр дүнд энэ үзүүлэлт 2027 онд 33 кг буюу 5.07 дахин
нэмэгдэх юм.
Хүснэгт 8.1.5.1 Өлзийт сумын малын нэмэгдэл тэжээлийн хангамж, 2019-2027
Он
Малын
тоо,
хонин
толгой
Тэжээл
хангамж
Бэлтгэвэл зохих тэжээл,
цн өвс
Хадлангийн талбай
Малчдын
бэлтгэх
Сумын
нөөц
Шаардагдах
га
Га-
гийн
ургац
цт
хэрэгцээ хувь Нийт
2019 544377 179645 20 35000 450 35450 6445 5.5
2023 544377 179645 40 64672 7186 71858 13065 5.5
2024 517159 170662 50 76798 8533 85331 15515 5.5
2025 491301 162129 60 87550 9728 97278 17687 5.5
2026 443399 146322 80 105352 11706 117057 21283 5.5
2027 421229 139006 100 125105 13901 139006 25274 5.5
Эх сурвалж: БСТ-н тооцоо
Ингэснээр бэлчээрийн маллагаатай нэг хонийг нэмэгдлээр тэжээх (хоногт 1 кг өвс)
хугацаа сар гаруй (33 хоног) болж, өвөл-хаврын улиралд амьдын жин бууралт дан
бэлчээрээр байсан эм хониор төлөөлүүлж харьцуулбал 13%26 орчмоор багасна.
26 Б.Мөнх, Монгол хонины нэмэгдэл тэжээл, 1980, БТЭШХ-н бүтээл, №7
196
Зураг 8.1.5.1 Бэлчээрийн МАА-н нэмэгдэл тэжээл бэлтгэх хадлангийн газрын
төлөвлөлт, 2027 он
Эх сурвалж: БСТ-н боловсруулалт

Ulziit 01

  • 1.
    НҮБ-ЫН ХӨГЖЛИЙН ХӨТӨЛБӨР БАЙГАЛЬ ОРЧИН АЯЛАЛ ЖУУЛЧЛАЛЫН ЯАМ ДАЯН ДЭЛХИЙН БАЙГАЛЬ ОРЧНЫ САН АРХАНГАЙАЙМГИЙН ӨЛЗИЙТ СУМЫН НУТАГ ДЭВСГЭРИЙН ХӨГЖЛИЙН ТӨЛӨВЛӨГӨӨ Захиалагч: “МОНГОЛЫН УНАГАН БАЙГАЛИЙН ХҮЛЦЭЛ БА ТОГТВОРЖИЛТЫГ ХАНГАХ НЬ” ТӨСӨЛ Гүйцэтгэгч: БОДЛОГО СУДЛАЛЫН ТӨВ Интер оффис, Ерөнхий сайд Амарын гудамж 4, Сүхбаатар дүүрэг, 8-р хороо, Ерөнхий сайд Амарын гудамж 4, Улаанбаатар 14200 Утас: 77119027 Факс: 70119419, e-mail: cpr@cpr.mn Web: www.cpr.mn ГАЗРЫН МЭРГЭЖЛИЙН БАЙГУУЛЛАГА “ЛАПЛАНД ЭКО” ХХК 2020 он Улаанбаатар хот
  • 2.
    6 НЭГ.ОРШИЛ 1.1 Ажлын зорилго:Сумын байгалийн нөөц, газар ашиглалтын онцлог, нийгэм, эдийн засаг, соёл, амьдралын хэв маяг, онцлогийг судлан тодорхойлж, хэрэгцээт болон тохиромжтой байдлын үнэлгээнд үндэслэн иргэд, олон нийтийн оролцоотойгоор тогтвортой хөгжлийн үзэл баримтлал, бусад бодлогын баримт бичигт тулгуурлан сумын нутаг дэвсгэрийн хөгжлийн төлөвлөгөө боловсруулахад энэхүү ажлын зорилго оршино. Хамрах хүрээ: Сумын нутаг дэвсгэрийн хөгжлийн төлөвлөгөө нь тухайн сумын газар нутгийг бүрэн хамарна. Хугацаа: Сумын нийгэм, эдийн засгийн нөхцөл, хөгжлийн бодлого болон дээд шатны газар зохион байгуулалтын төлөвлөгөөний хэрэгжилттэй уялдуулж сумын нутаг дэвсгэрийн төлөвлөгөөг 5-7 жилд шинэчлэн боловсруулна. 1.2 Ажлын их бүрдэл “Газрын нэгдсэн мэдээллийн сан байгуулах, газар ашиглалтын төлөвлөгөөг аймгийн болон сумын түвшинд боловсронгуй болгох”зөвлөх үйлчилгээ үзүүлэх ажлыг 2 аймгийн 4 сумын газар нутгийг бүрэн хамруулж дараах иж бүрдэлтэйгээр хийж гүйцэтгэлээ. Үүнд: 1. Хамрагдах 4 сумын дараах тоон болон статистик мэдээг бүрдүүлэн ажиллана. Үүнд:  Байр зүйн мэдээ  Агаар сансрын зургийн мэдээ  Засаг захиргааны хилийн мэдээ  Уур амьсгалын мэдээ  Газрын гадаргын мэдээ  Байгалийн нөөц, дагалдах баялгийн мэдээ  Ургамалжилтын мэдээ  Хөрсний мэдээ  Ойн мэдээ  Инженер геологи, гидрологийн мэдээ  Газар ашиглалтын мэдээ  Нийгэм эдийн засгийн мэдээ 2. Мэдээлэл дүн шинжилгээ хийж мэдээллийн сан үүсгэн, зохих боловсруулалтыг хийлээ.  Бэлтгэсэн тоон болон шинж чанарын мэдээлэлд тулгуурлан тухайн сумын нутаг дэвсгэрийн газар, байгалийн нөөц, газрын төлөв байдал, чанарт анализ дүн шинжилгээний тоон боловсруулалтыг хийж зурган мэдээг төрлөөр /ГНС, ашиглалтын байдал, хүрээлэн буй орчин г.м/ ангилж гаргах ба зохих дүгнэлт зөвлөмжийг гаргана.  ГЗБГЗЗГ-ын холбогдох хэлтсүүдтэй хамтран ажиллаж тоон мэдээлэлдээ тулгуурлан ашиглалт бүрээр тохиромжтой байдлын үнэлгээний арга зүйн дагуу тохиромжтой байдлын үнэлгээ хийж нийгэм эдийн засаг, статистикийн мэдээг боловсруулж хэрэгцээт байдлыг урьдчилсан байдлаар тодорхойлж мэдээллийн сан үүсгэнэ.  Хээрийн хэмжилт судалгааг холбогдох мэргэжилтэн, орон нутагтай хамтран гүйцэтгэж газар ашиглалтын тохиромжтой байдал, одоогийн
  • 3.
    7 ашиглалтыг газар дээртодруулж зохих хэмжилт, өөрчлөлтүүдийг хийж иргэд, хуулийн этгээдээс санал болон хэлэлцүүлэг хийнэ. Бэлтгэл болон хээрийн судалгааны ажлын үр дүнг боловсруулж мэдээллийн санг шинэчлэн сайжруулж улмаар газар ашиглалтын тохиромжтой болон хэрэгцээт байдлыг нарийвчлан тодорхойлж нутаг дэвсгэрийн хөгжлийн төлөвлөгөөг боловсруулж гаргана.  Мөн зүй ёсны эрхийн зориулалтаар газар ашиглах боломжтой нөөцийн байршил, хэмжээг тогтоож, Зураг-т буулган төлөвлөлтөд тусгана. Хүснэгтийн иж бүрдэл 1. Сумын агаарын температур, хур тунадасны үзүүлэлт 2. Хүснэгт 3.2.1 Хөрсний хэв шинж ба механик бүрэлдэхүүн 3. Хүснэгт 3.2.2 Хөрсний агрохимийн шинж чанар 4. Хүснэгт 3.2.3 Хөрсний элэгдэл эвдрэл 5. Хүснэгт 3.2.4 Тариалангийн талбайн өндөржилт ба налуу 6. Хүснэгт 3.2.5 Тариалангийн талбайн чулуужилт ба намагжилт 7. Хүснэгт 3.2.6 Тариалангийн талбайн хог ургамал, хортон шавж 8. Хүснэгт 3.5.1.1 Усны чанарын үнэлгээ 9. Хүснэгт 3.6.2.1 Сумын гадаргын өндөржилтийн талбайн эзлэх хувь 10. Хүснэгт 3.6.2.2 Сумын гадаргын налуужилтын талбай 11. Хүснэгт 3.6.2.3 Сумын гадаргын зүг зовхис эзлэх талбай 12. Хүснэгт 3.7.1 Байгалийн бүс бүслүүр 13. Хүснэгт 4.1.1 Хүн амын нас, хүйс бүтцийн үзүүлэлт, 2015-2019 он 14. Хүснэгт 4.1.2 Хүн ам зүйн бусад үзүүлэлт 15. Хүснэгт 4.1.3 Хүн амын байршил, тоогоор 16. Хүснэгт 4.1.4 Хүн амын нягтрал 17. Хүснэгт 4.1.5 Өрхийн тоо ба байршил 18. Хүснэгт 4.2.1 Хөгжлийн бэрхшээлтэй хүн амын тоо ба эзлэх хувь 19. Хүснэгт 4.2.2 Ядуурлын түвшин 20. Хүснэгт 4.2.3 Ажил эрхлэлт ба ажилгүйдэл /МАА-н бус салбарын/ 21. Хүснэгт 4.3.1 Малчин өрхийн тоо 22. Хүснэгт 4.3.2 Малын тоо,өсөлт, багаар 23. Хүснэгт 4.3.3 Малын зарлага, толгойгоор 24. Хүснэгт 4.3.4 Тэжээл бэлтгэл, суманд бэлтгэсэн дүнгээр 25. Хүснэгт 4.4.1 Тариалсан талбай 26. Хүснэгт 4.4.2 Хураан авсан ургац тн 27. Хүснэгт 4.4.3 Хураан авсан ургацын төрөл-тн 28. Хүснэгт 5.1.1 Газрын нэгдмэл сангийн мэдээ 2019 он 29. Хүснэгт 5.2.1.1.1 Өвөлжөө хаваржаа, зуслан намаржааны тоон мэдээлэл 30. Хүснэгт 5.2.1.2.1 Улирлын бэлчээрийн талбайн хэмжээ 31. Хүснэгт 5.2.1.3.1 Бэлчээр ашиглалтын хэсгийн мэдээлэл 32. Хүснэгт 5.2.1.4.1 Байгуулсан малчдын бүлгүүдийн мэдээлэл 33. Хүснэгт 5.2.1.5.1 Сумын бэлчээрийн даац, багаар 34. Хүснэгт 5.2.2.1 Тариалангийн газар ашиглалт 35. Хүснэгт 5.3.2.1 Уул уурхайн газар ашиглалт 36. Хүснэгт 5.3.3.1 Аялал жуулчлалын мэдээлэл 37. Хүснэгт 5.4.1.1 Сумын ойн сангийн мэдээлэл 38. Хүснэгт 5.4.2.1 Ойн сангийн газрын төрлийн өөрчлөлт
  • 4.
    8 39. Хүснэгт 5.7.1.1Зам, шугам сүлжээний газрын эзэлж буй талбайн хэмжээ 40. Хүснэгт 5.7.2.1 Сумын цахилгаан шугам 41. Хүснэгт 5.8.1.1 Түүх соёлын дурсгалт газар 42. Хүснэгт 5.8.2.1 Амьтдын тархалт 43. Хүснэгт 5.8.2.2 Амьтдын тархалт 44. Хүснэгт 6.2.1.1 Бэлчээрт тохиромжтой газрын талбайн хэмжээ, га /өвөл-хавар/ 45. Хүснэгт 6.2.2.1 Бэлчээрт тохиромжтой газрын талбайн хэмжээ, га /зун-намар/ 46. Хүснэгт 6.3.1 Тариаланд тохиромжтой газрын талбайн хэмжээ, га 47. Хүснэгт 7.1.1 Олон нийтийн оролцуулсан байдал 48. Хүснэгт 7.2.1 Тэжээл хангамжийн шийдэх боломж 49. Хүснэгт 8.1.1.1 Бэлчээр ашиглалтад тулгарч буй гол бэрхшээлийн талаарх малчдын бодол 50. Хүснэгт 8.1.1.2 Багуудын бэлчээр ашиглалтад тулгарч буй бэрхшээлүүд 51. Хүснэгт 8.1.1.3 Малын эрсдэлийн үнэлгээ 52. Хүснэгт 8.1.1.2.1 Нэг малаас авах ашиг шим, суурь болон 2027 оноор 53. Хүснэгт 8.1.1.2.2 Малын тоог бэлчээрийн даацад нийцүүлэн цөөлөх тооцоо, сумын дүнгээр 54. Хүснэгт 8.1.1.2.3 Сумын бэлчээрийн даац, ачаалал, хонин толгойгоор 55. Хүснэгт 8.1.1.2.4 Малчин өрхийн малын тоо буурсан ч орлого нэмэгдэх тооцоо 56. Хүснэгт 8.1.1.2.5 Малчин өрхийн малын тоог өсгөх тооцоо 57. Хүснэгт 8.1.1.2.6 Өлзийт сумын МАА-н эрсдэлийн сангийн тооцоо, сая төгрөг 58. Хүснэгт 8.1.2.1 Саалийн фермийн үнээний тэжээлийн зардал жилээр 59. Хүснэгт 8.1.2.2 Саалийн фермийн бусад үхрийн тэжээлийн зардал жилээр 60. Хүснэгт 8.1.2.3 Саалийн фермийн эдийн засгийн үр ашгийн тооцоо, 10 жилээр, сая төгрөг 61. Хүснэгт 8.1.3.1 Бод:богийн ба хонь:ямааны харьцаа, толгой, 2019 он 62. Хүснэгт 8.1.3.2 Малын тоог цөөлөх, барих, өсгөх сүргийн эргэлтийн үед МАА-н түүхий эд, бүтээгдэхүүний үйлдвэрлэл, малын тооны өөрчлөлт 63. Хү снэгт 8.1.3.3 Нас гү йцсэн эр малын сү рэгт эзлэх хувь 64. Хүснэгт 8.1.3.4 Малын тоо цөөлөх, барих, өсгөх үед нэг малаас авах ашиг шим 65. Хүснэгт 8.1.4.1 Малын эрүүл мэндийн ажлын төлөвлөлт 66. Хүснэгт 8.1.5.1 Өлзийт сумын малын нэмэгдэл тэжээлийн хангамж, 2019-2027 67. Хүснэгт 8.1.5.2 Хадлангийн газрын төлөвлөгөө, байршил 68. Хүснэгт 8.1.6.1 Атаржсан газрыг ашиглах төлөвлөгөө 69. Хүснэгт 8.1.6.2 Сумын төмс, хүнсний ногоо, жимс, жимсгэнэ, ногоон тэжээлийн хэрэгцээ 70. Хүснэгт 8.1.6.3 Төмс тариалалтыг нэмэгдүүлэх төлөвлөгөө, сумын дүнгээр 71. Хүснэгт 8.1.6.4 Хүнсний ногоо тариалалтыг нэмэгдүүлэх төлөвлөгөө 72. Хүснэгт 8.1.6.5 Жимс, жимсгэнийн тариалалтыг нэмэгдүүлэх төлөвлөгөө 73. Хүснэгт 8.1.6.6 Ногоон тэжээл тариалалтыг нэмэгдүүлэх төлөвлөгөө 74. Хүснэгт 8.1.6.7 Төмс, хүнсний ногооны зоорь барих төлөвлөгөө 75. Хүснэгт 8.1.7.1 Энгийн аргаар бэлчээр хортон мэрэгчтэй тэмцэхэд шаардлагатай зардлын тооцоо 76. Хүснэгт 8.2.2.1 Шаардагдах хөрөнгө оруулалтын тооцоо 77. Хүснэгт 8.3.1.1 Авто замын газрын төлөвлөгөө 78. Хүснэгт 8.3.1.2 Хатуу хучилттай автозамын санхүүгийн тооцоо 79. Хүснэгт 8.3.2.1. Авто замын газрын төлөвлөгөө 80. Хүснэгт 8.3.3.1 Гар утасны антен байгуулах газруудын байршил 81. Хүснэгт 8.4.1 Төлөвлөлтөд тусгагдсан уст цэгийн тоо 82. Хүснэгт 8.4.2 Худаг гаргах санхүүжилт
  • 5.
    9 83. Хүснэгт 8.4.3Хөв байгуулах санхүүжилт 84. Хүснэгт 8.4.4 Булаг, шандын эх хамгаалах санхүүжилт 85. Хүснэгт 8.5.1 Төлөвлөж буй тусгай хамгаалалтад авах газрын нэрс 86. Хүснэгт 8.6.1.1 Гэр бааз байгуулахад шаардлагатай анхны хөрөнгө оруулалтын зардал 87. Хүснэгт 8.7.2.1 Өлзийт сумын ойн нөөц 88. Хүснэгт 8.7.4.1 Арчилгааны огтлолт 89. Хүснэгт 8.7.4.2 Цэвэрлэгээний ажлын төлөвлөлт 90. Хүснэгт 8.8.1 Хамгаалалтын бүс 91. Хүснэгт 8.8.1.1 Усны хамгаалалтын бүсүүд, талбайгаар 92. Хүснэгт 8.8.2.1 Шугам сүлжээний газрын хамгаалалтын бүс 93. Хүснэгт 8.8.2.2 Авто замын зурвас газрын хэмжээ 94. Хүснэгт 8.8.2.3 Замын хамгаалалтын зурвас Зургийн иж бүрдэл 1. Зураг 2.2.1 Газарзүйн байрлал 1:70000 2. Зураг 3.1.1 Жилийн нийлбэр хур тунадасны тархалт 1:70000 3. Зураг 3.2.1 Хөрсний нэвчилт 1:70000 4. Зураг 3.2.2 Хөрсний хэв шинж 1:70000 5. Зураг 3.3.1 Ургамалын хэв шинж 1:70000 6. Зураг 3.4.1 Ойн сангийн талбай газрын төрлөөр ангилагдсан байдал 1:70000 7. Зураг 3.4.2 Ойн сангийн газрын тохиромжтой байдлын нэгдсэн үнэлгээ 1:70000 8. Зураг 3.5.1.1 Гадаргын ус 1:70000 9. Зураг 3.5.1.2 Боломжит ууршилтын тархалт 1:70000 10. Зураг 3.5.2.1 Гидрогеологийн зураг 1:70000 11. Зураг 3.6.1.1 Геологи 1:70000 12. Зураг 3.6.2.1 Геоморфологи 1:70000 13. Зураг 3.6.2.2 Гадаргын өндөршилт 1:70000 14. Зураг 3.6.2.3 Газрын гадаргын налуу 1:70000 15. Зураг 3.6.2.4 Зүг зовхис Зураг 3.6.3.1 Цэвдгийн тархалт 1:70000 16. Зураг 3.6.4.1 Газар хөдлөлийн мужлал 1:70000 17. Зураг 3.7.1 Байгалийн бүс бүслүүр 1:70000 18. Зураг 5.1.1 Газар ашиглалтын зураг 1:70000 19. Зураг 5.2.1.1.1 Малчдын хатуу цэгийн байршил 1:70000 20. Зураг 5.2.1.2.1 Улирлын байршил 1:70000 21. Зураг 5.2.1.3.1 Бэлчээр ашиглалтын зураг 1:70000 22. Зураг 5.2.1.4.1 Сумын засаг даргын захирамж 1:70000 23. Зураг 5.2.1.4.2 Малчдын бүлэг, нөхөрлөлийн байршлын зураг 1:70000 24. Зураг 5.2.1.5.1 Бэлчээрийн даацын зураг 1:70000 25. Зураг 5.2.1.6.1 Бэлчээрийн ачааллын жилийн дундаж ачааллын зураг 1:70000 26. Зураг 5.2.1.7.1 Бэлчээрийн чадавхын зураг 1:70000 27. Зураг 5.2.1.8.1 Бэлчээрийн доройтлын зураг 1:70000 28. Зураг 5.2.2.1 Сумын тариалангийн газар ашиглалтын зураг 1:70000 29. Зураг 5.2.4.1. Сумын атаршсан газрын зураг 1:70000 30. Зураг 5.2.5.1.1 Сумын нөхөн сэргээх газрын зураг 1:70000
  • 6.
    10 31. Зураг 5.3.1.1Сумын суурин газрын ашиглалтын зураг 1:70000 32. Зураг 5.3.2.1 Уул уурхайн газар ашиглалтын зураг 1:70000 33. Зураг 5.3.3.1 Аялал жуулчлалын газрын зураг 1:70000 34. Зураг 5.4.1.1 Ойн тархалтын зураг 1:70000 35. Зураг 5.5.1.1 Усан сангийн газар ашиглалтын зураг 1:70000 36. Зураг 5.8.1.1 Түүх дурсгалт газрын зураг 1:70000 37. Зураг 5.8.2.1 Амьтны тархалт байршлын зураг 1:70000 38. Зураг 5.8.3.1 Амьтны тархалт байршлын зураг 1:70000 39. Зураг 5.9.1 Амьтны тархалт байршлын зураг 1:70000 40. Зураг 6.2.1.1 Өвөл-хаврын улиралд адуунд тохиромжтой бэлчээр 1:70000 41. Зураг 6.2.1.2.1 Өвөл-хаврын улиралд тэмээнд тохиромжтой бэлчээр 1:70000 42. Зураг 6.2.1.3.1 Өвөл-хаврын улиралд үхэрт тохиромжтой бэлчээр 1:70000 43. Зураг 6.2.1.4.1 Өвөл-хаврын улиралд хонинд тохиромжтой бэлчээр 1:70000 44. Зураг 6.2.1.5.1 Өвөл-хаврын улиралд ямаанд тохиромжтой бэлчээр 1:70000 45. Зураг 6.2.2.1.2 Зун-намрын улиралд адуунд тохиромжтой бэлчээр 1:70000 46. Зураг 6.2.2.2.1 Зун-намрын улиралд тэмээнд тохиромжтой бэлчээр 1:70000 47. Зураг 6.2.2.3.1 Зун-намрын улиралд үхэрт тохиромжтой бэлчээр 1:70000 48. Зураг 6.2.2.4.1 Зун-намрын улиралд хонинд тохиромжтой бэлчээр 1:70000 49. Зураг 6.2.2.5.1 Зун-намрын улиралд ямаанд тохиромжтой бэлчээр 1:70000 50. Зураг 6.3.1 Тариалангийн газрын тохиромжтой байдлын үнэлгээ 1:70000 51. Зураг 6.4.1 Шинээр байгуулах хот суурин газрын тохиромжтой байдлын үнэлгээ 1:70000 52. Зураг 6.5.1 Аялал-Рекреацийн газрын тохиромжтой байдлын үнэлгээ 1:70000 53. Зураг 6.6.1 Ойн сангийн газрын тохиромжтой байдлын үнэлгээ 1:70000 54. Зураг 6.7. Цахилгаан дамжуулах агаарын шугамын зориулалтаар ашиглах газрын нэгдсэн үнэлгээ 1:70000 55. Зураг 6.8.1 Хадгалан хамгаалах газрын тохиромжтой байдлын үнэлгээ 1:70000 56. Зураг 7.2.1 Сумын засаг даргын тамгын газрын төрийн албан хаагчдаас санал авч буй нь 1:70000 57. Зураг 7.2.2 Өлзийт сумын бүлгийн хэлэлцүүлэг болон ярилцлагын үе 1:70000 58. Зураг 7.2.3 Сумын иргэдтэй хэлэлцүүлэг хийж байгаа нь 1:70000 59. Зураг 8.1.1.1 Малын тоог бэлчээрийн даацад нийцүүлэх ба хэтрүүлэн өсгөхийн үр дагаврыг харьцуулсан нь 1:70000 60. Зураг 8.1.1.2 Бэлчээрийн ачаалал буурах нь 1:70000 61. Зураг 8.1.1.3 Бэлчээрийг гэрээгээр ашиглуулах ажлын үе шат 1:70000 62. Зураг 8.1.1.2.1 МАА-н тогтвортой хөгжлийн загварыг одоогийн загвартай харьцуулсан нь 1:70000 63. Зураг 8.1.2.1 Эрчимжсэн мал аж ахуйн бүс нутаг 1:70000 64. Зураг 8.1.3.1 Үржлийн ажлын шаталсан хэлбэрийн эхний шаталбар 65. Зураг 8.1.5.1 Бэлчээрийн МАА-н нэмэгдэл тэжээл бэлтгэх хадлангийн газрын төлөвлөлт, 2027 он 1:70000
  • 7.
    11 66. Зураг 8.1.6.1.Тариалангийн газрын төлөвлөлт 1:70000 67. Зураг 8.1.7.1.1 Бэлчээрийн ургамалд хөнөөл учруулж буй үлийн цагаан оготнотой тэмцэх аргуудыг нутаг бэлчээрийн онцлогт тохируулан хэрэглэх бүдүүвч 1:70000 68. Зураг 8.1.7.1.2 Бэлчээрийн доройтлыг сэргээх төлөвлөлт 1:70000 69. Зураг 8.2.1.1 Сумын тэг гортиг төлөвлөлт 1:70000 70. Зураг 8.2.2 Сумын төвийн төлөвлөлтийн эрсдэлийн зураг 3D 1:70000 71. Зураг 8.3.2.1 Авто замын газрын төлөвлөлт 1:70000 72. Зураг 8.3.3.1 Шугам, сүлжээний газрын төлөвлөлт 1:70000 73. Зураг 8.4.1. Усан сан бүхий газрын төлөвлөлт 1:70000 74. Зураг 8.5.1 Тусгай хамгаалалттай газрын төлөвлөлт 1:70000 75. Зураг 8.6.1 Аймгийн Эдийн засгийн бүсчлэл 1:70000 76. Зураг 8.6.1.1 Аялал, рекреацийн газрын төлөвлөлт 1:70000 77. Зураг 8.7.1.1 Ойн ашиглалт хамгаалалтын бүсийн төлөвлөлт 1:70000 78. Зураг 8.7.4.1 Ойн сан бүхий газрын төлөвлөлт 1:70000 79. Зураг 8.8.2.1 Хамгаалалтын бүсийн төлөвлөлтийн зураг 1:70000 80. Зураг 8.9.1 Зүй ёсны эрхийн төлөвлөлт 1:70000 Тахирмагийн иж бүрдэл 1. Тахирмаг 4.1.1 Хүн амын нас, хүйсийн суварга 2. Тахирмаг 4.3.1 2019 оны Малчин өрхийн малын тооны бүлэглэл 3. Тахирмаг 6.2.1.1 Таван хошуу малд тохиромжтой бэлчээрийн эзлэх хувь /өвөл- хавар/ 4. Тахирмаг 6.2.2.1 Таван хошуу малд тохиромжтой бэлчээрийн эзлэх хувь /зун- намар/ 5. Тахирмаг 8.1.1.2.1 Нэг хонин толгой малаас зах зээлд борлуулах бүтээгдэхүүний харьцуулалт, мянган төгрөг 6. Тахирмаг 8.1.1.2.2 Өлзийт сумын хүн амын мах, сүүний хэрэгцээ, үйлдвэрлэл 2019 ба 2027 оноор, тонн 7. Тахирмаг 8.1.3.1 Сумын нийт малд төрөл бүрийн малын эзлэх хувь, багаар, 2019 он 8. Тахирмаг 8.7.1.1 Ойн сангийн бүсийн ангилал
  • 8.
    12 1.3 СУМЫН НУТАГДЭВСГЭРИЙН ХӨГЖЛИЙН ТӨЛӨВЛӨГӨӨ”-НИЙ ХУРААНГУЙ ТАНИЛЦУУЛГА НЭГ.ОРШИЛ 1.1 Ажлын зорилго: Сумын байгалийн нөөц, газар 1.2 хаагчид, иргэд үйлдвэр үйлчилгээ эрхлэгчид зэрэг нийт 103 хүнийг хамруулсан болно. Тус сумаас суурь судалгаанд хамруулахаар төлөвлөсөн олон нийтийн төлөөллөөс 11 хүн буюу 10.1 хувиар илүү хамруулсан болно. Орон нутгийн удирдах ажилтан болон иргэдийн санал, хэлэлцүүлгийн үр дүнг нэгтгэн орон нутгийн хөгжлийн төлөвлөгөөнд тодорхой саналуудыг тусгасан болно. Сумын нутаг дэвсгэрийн хөгжлийн төлөвлөгөөг боловсруулахын өмнө SWOT шинжилгээ хийж, давуу талыг бэхжүүлж, боломжийг бүрэн ашиглаж, харин сул тал, эрсдэлийг даван туулах арга хэмжээг сайтар суулгах замаар: 1. Сумын эдийн эдийн засаг, иргэдийн амьжиргааны үндэс болсон мал аж ахуйн салбарт тооноос чанарт шилжиж, уур амьсгалын өөрчлөлтийг даван туулах чадвартай тогтвортой хөгжлийг хангах 2. Газар тариалангийн бүтээгдэхүүний өсөн нэмэгдэж байгаа хэрэгцээг өөрийн үйлдвэрлэлээр хангах түвшнийг тасралтгүй нэмэгдүүлэх 3. Байгальд ээлтэй аялал жуулчлал, жижиг дүнд үйлдвэрлэл, байгалийн нөөц, баялгийг зохистой ашиглаж, хамгаалах, харилцаа холбоо, дэд бүтэц, боловсрол, нийгэм, соёл, спортын тулгамдсан эн тэргүүний асуудлыг эрэмбэлж, дэс дараатай шийдвэрлэх замаар ажлын байр, иргэдийн орлогыг нэмэгдүүлж, сумандаа ая тухтай, тогтвор суурьшилтай амьдрах нөхцөлийг бүрдүүлэх дүгнэлт гаргав. НАЙМДУГААР БҮЛЭГ. ТӨЛӨВЛӨЛТИЙН ҮЕ 8.1 ХӨДӨӨ АЖ АХУЙН ГАЗРЫН ГАЗАР ЗОХИОН БАЙГУУЛАЛТЫН ТӨЛӨВЛӨЛТ Хөдөө аж ахуйн газрыг бэлчээр, хадлан, тариалангийн талбай гэсэн үндсэн ангиллаар төлөвлөв. 8.1.1 БЭЛЧЭЭРИЙН ГАЗРЫН ТӨЛӨВЛӨЛТ Бэлчээрийн газрыг төлөвлөхдөө МАА-н хөгжил, бэлчээр ашиглалтын талаар үндэсний болон бүс, орон нутгийн хэмжээнд баримталж байгаа бодлогын тэргүүлэх чиглэл, тохиромжтой байдлын үнэлгээ, нутгийн иргэд, байгууллагын саналыг харгалзан салбарт тулгамдсан гол бэрхшээлийг даван туулахад чиглүүлэв. Өлзийт сум нь бэлчээрийн уламжлалт мал аж ахуй зонхилон хөгжүүлж ирсэн бөгөөд байгаль цаг агаарын нөхцөл, байршлаас хамаараад цаашид ч энэ байдал хадгалагдах төлөвтэй байна. 8.1.1.1 Бэлчээрийн газар ашиглалтын хүрээн дахь тулгамдсан асуудлууд Архангай аймгийн Өлзийт сум 1990 онд 75212 толгой буюу 218216 хонин толгойтой тэнцэх тооны малтай, нэг хонин толгойд 1.7 га бэлчээр ногдож байв. Бэлчээрийн даац хэтрээгүй тул талхлагддаггүй байжээ.
  • 9.
    13 Гэвч сүүлийн жилүүдэдмалын тоо ихээр өсөж, 2019 онд нийт мал 353240 бодит толгой буюу 552890 хонин толгойтой тэнцэж байна. Нэг хонин толгойд ногдох бэлчээр 0.29 га болтлоо буурч бэлчээрийн хүрэлцээ 5.9 дахин багасжээ. Бэлчээрийн даац хэтэрснээс мал хэвийнхээс 91.2 хувь дутуу идээшилж давжааран, ашиг шим нь багасахын зэрэгцээ өвчин, ган зудад эмзэгшин, улмаар зах зээлийн үнэлгээ нь буурч байна. Түүнчлэн ган, зуднаар орох нөөц бэлчээргүй болж, эрсдэлд нэн өртөмхий болов. 2000-2003 оны зуд, гамшигт үзэгдлээр нийт малынхаа 30 шахам хувийг хорогдуулсан жишээг энд дурдаж болох юм. 2019 онд сумын малчин өрхийн 97% болох 569 өрхийг хамруулан явуулсан санал асуулгын судалгаагаар бэлчээрийн даац хэтэрсэн нь хамгийн гол бэрхшээл, үүний дараа усгүй бэлчээр, оготно царцаа их байна гэж эрэмбэлсэн. Зураг 8.1.1.1 Малын тоог бэлчээрийн даацад нийцүүлэх ба хэтрүүлэн өсгөхийн үр дагаврыг харьцуулсан нь /Эх сурвалж: БСТ-н боловсруулалт/ Хүснэгт 8.1.3.2 Малын тоог цөөлөх, барих, өсгөх сүргийн эргэлтийн үед МАА-н түүхий эд, бүтээгдэхүүний үйлдвэрлэл, малын тооны өөрчлөлт № МАА-н бүтээгдэхүүний үйлдвэрлэл 2027 он Малын тоог цөөлөх Малын тоог барих Малын тоог өсгөх 1 Мах үйлдвэрлэл, тонн 3548.4 2675.5 1995.7 2 Сүү, мянган литр 1715.1 1719.2 1922.9 3 Арьс шир, ширхэг 126,689 108,162 88,459 4 Ноос, тонн 192.6 227.2 296.9 5 Ноолуур,тонн 26.7 31.5 41.2 6 Борлуулах мах, тонн 3106.7 2323.8 1554.0 7 Борлуулах сүү, мянган литр 1161.2 1165.3 1369.0 8 Малын тоо, хонин толгой 427,816 552,890 739,892 9 1 өрхийн малын тоо, хонин толгой 510 659 929 10 Малчин өрхийн жилийн дундаж мөнгөн орлого, сая төгрөг 27.8 20.2 16.6 10 1 хонин толгойд ногдох мөнгөн орлого, мянган төгрөг 49.5 30.7 17.9
  • 10.
    14 Малын тоог цөөлөхсүргийн эргэлтийн үед мах, сүү, арьс шир үйлдвэрлэл, борлуулах махны хэмжээ, малчин өрхийн орлого, 1 хонин толгойд ногдох мөнгөн орлого нэмэгдэх, малын тоо цөөрч бэлчээрт ээлтэй нөлөөлөх зэргээр нөгөө 2 сүргийн эргэлтээс илүү үр дүнтэй болохыг харуулж байна. Малын тоо цөөрснөөс бэлчээрийн даац, ачаалал багасаж нэг малаас авах ашиг шим дээшилнэ. Хүснэгт 8.1.1.2.2 Малын тоог бэлчээрийн даацад нийцүүлэн цөөлөх тооцоо, сумын дүнгээр Он Бэлчээрийн хэмжээ, га Бэлчээри йн дундаж ургац, цн/га Бэлчээри йн тэжээлий н нөөц, цн Бэлчээрий н даац, хонин толгой Бэлчээрийн ачаалал, хонин толгой Бэлчээр ийн даац ашиглал тын хувь Суурь 2019 156490 1.9 297331 49555.2 565689 1141.5 2020-2022 бэлтгэл үе 156490 1.9 297331 49555.2 565689 1141.5 2023 156490 1.9 297331 49555.2 538368 1086.4 2024 156490 1.9 297331 49555.2 512013 1033.2 2025 156490 1.9 297331 49555.2 486959 982.7 2026 156490 1.9 297331 49555.2 463142 934.6 2027 156490 1.9 297331 49555.2 440435 888.8 Эх сурвалж: БСТ-н тооцоо Малын тоог бууруулахдаа 2020-2022 онд хөтөлбөрийг малчдад ойлгуулах зэрэг бэлтгэл ажлыг ханган 2023 оноос эхлэн хэрэгжүүлэхээр төлөвлөж байна. Тооцоогоор хөтөлбөр хэрэгжиж дуусах 2027 онд 2019 оныхоос малын тоо 125074 хонин толгойгоор цөөрч 427816 хонин толгой болно. Бэлчээрийн ачаалал буурснаар зэрлэг амьтны идэш тэжээлийн олдоц энэ хэмжээгээр сайжирна гэсэн үг юм. Малын тоог бэлчээрийн даацад нийцүүлэн цөөлөх зорилтыг хэрэгжүүлэхийн тулд бэлчээр ашиглалтын гэрээ байгуулж, түүнд бэлчээрийн даацад тохирсон малын тоог хонин толгойгоор заан түүнээс хэтэрсэн малыг жилд 6%-с ихгүйгээр аажмаар цөөлөх замаар хэрэгжүүлэх юм. Сүргийн эргэлтийг үндэслэн хийсэн орлогын тооцоог Хүснэгт 8.1.1.2.4-д харуулав. Хүснэгт 8.1.1.2.4 Малчин өрхийн малын тоо буурсан ч орлого нэмэгдэх тооцоо Үзүүлэлт Суурь 2023 2024 2025 2026 2027 Сумын мал, мянган толгой 353042 335390 318620 302689 287555 273177 Сумын мал, мянган хонин толгой 552890 525246 498983 474034 450332 427816 Малчин өрхийн малын тоо, хонин толгой 659 626 595 565 537 510 Малчин өрхийн нийт орлого, мянган төгрөг 17193 26837 27179 27511 27832 27831 Өрхийн дотооддоо хэрэглэсэн бүтээгдэхүүн, мянган төгрөг 2587 2587 2587 2587 2587 2587 Малчин өрхийн мөнгөн орлого, мянган төгрөг 14605 24250 24592 24923 25244 25243 Мал цөөлснөөр хадгаламж, хөрөнгө оруулалтын эх үүсвэр 0 3534 3454 3376 3299 3224
  • 11.
    15 бүрдүүлэх боломж, мянган төгрөг 1хонин толгойд ногдох мөнгөн орлого, мянган төгрөг 20.7 38.7 41.3 44.1 47.0 49.5 Эх сурвалж: БСТ-н тооцоо Малчин өрхийн мөнгөн орлогыг бууруулахгүйгээр, харин ч өсгөх зарчмаар малын тоог аажмаар жилд 6 % цөөлөх замаар явахад 2027 онд Өлзийт сум 156490 га бэлчээрт 427816 хонин толгой малтай байх тооцоо гарч байна. Малаа өнөөгийн байдлаар жилд 6-10 хувь өсгөж байгаа малчин өрхийн мөнгөн орлого малын тоогоо цөөлж байгаа малчин өрхийн мөнгөн орлогоос бага өсөж байна. Мал аж ахуйн гол нэрийн бүтээгдэхүүний үйлдвэрлэл. Монгол улсын МАА-н үйлдвэрлэл зонхилсон аль ч сумын адил Өлзийт сум нь өөрийн цөөн хүн амын МАА-н гаралтай хүнс, түүхий эдийн хэрэгцээг бүрэн хангаад дийлэнхийг аймгийн төв, Улаанбаатар хот зэрэг бусад зах зээлд нийлүүлж байна. Хөтөлбөрийг хэрэгжүүлсний эцэст Өлзийт сум 3548.4 тн мах, 126.7 мянган ширхэг арьс шир, 1715.1 мянган литр сүү, 26.6 тн ноолуур, 192.6 тн ноос үйлдвэрлэх юм. Өлзийт сумын хэмжээнд өнөөгийн байдал болон 2027 оны байдлаар сумын хүн амын мах, сүүний хэрэгцээг үйлдвэрлэлийн хэмжээтэй харьцуулсан үзүүлэлтийг Тахирмаг 8.1.1.2.2-д харуулав. Мах, сүүний хэрэгцээг одоогийн 1 жишсэн хүний жилийн дундаж хэрэглээгээр тооцов. Үүнд мах жилд 130 кг, сүү 163 кг. Тахирмаг 8.1.1.2.2 Өлзийт сумын хүн амын мах, сүүний хэрэгцээ, үйлдвэрлэл 2019 ба 2027 оноор, тонн Эх сурвалж: БСТ-н тооцоо МАА-н тогтвортой хөгжлийн хөтөлбөрийг хэрэгжүүлснээр сумын хүн амын мах, сүүний хэрэгцээг бүрэн хангаад 3106.7 тн мах, 1161.2 мянган литр сүү сумаас гадагш зах зээлд нийлүүлэх тооцоо гарч байна. Малчин өрхийн бэлтгэж байгаа сүү нь ихэвчлэн өрхийн дотоод хэрэглээнд зориулагддаг тул сумын төвийн хүн ам, сургууль цэцэрлэгийн хэрэгцээг жилийн турш хангах зорилгоор сүүний үүлдрийн 20 үнээтэй 1 ферм байгуулахаар төлөвлөж байна /Бүлэг 8.2-с харах/. 8.1.3 Мал сүргийн үржлийн талаар авах арга хэмжээ 408.1 1878.9 441.7 3548.4 511.7 1699.0 553.9 1715.1 0.0 500.0 1000.0 1500.0 2000.0 2500.0 3000.0 3500.0 4000.0 хэрэгцээ Үйлдвэрлэл хэрэгцээ Үйлдвэрлэл 2019 он 2027 он Мах тн Сүү мян. л
  • 12.
    16 Нутаг дэвсгэрийн хөгжлийнтөлөвлөгөөний хүрээнд мал сүргийн чанар, биологи- аж ахуйн ашигтай шинжийг сайжруулах зорилт тавьж үржлийн ажлыг зохион байгуулах үйл ажиллагааг дор дурдсан чиглэлээр төлөвлөлөө. Мал сүргийн үржил-ашиг шимт чанарыг сайжруулах стратеги Үхэр сүргийг сайжруулах. Нэгдүгээрт: Эх орны махны үүлдэр болох Сэлэнгэ болон Дорнод Монголын талын улаан үүлдрийг ашиглан нутгийн үхрийн биерхэг байдлыг сайжруулах, амьдын жин өсвөр үедээ 15-18 хувь хүртэл нэмэгдэх тэжээллэг-маллагааны нөхцөлийг бүрдүүлэхэд бүх талаар анхаарна. Махны чиглэлээр “бэлчээр- нэмэгдэл тэжээл-бордоо” системд зохицуулан сайжруулах боломжийг судалж хэрэгжүүлнэ. Хоёрдугаарт: мах-сүүний, эсвэл сүү-махны чиглэлээр жижиг фермийн аргаар эрхлэхэд хосолмол ашиг шимт Алатау, Симментал үүлдэр тохиромжтой, 1980- аад оны дундаас хосолмол ашиг шимт үхрээр сумынхаа үхрийг сайжруулах эрчимтэй эрлийзжүүлгийн бүсэд хамрагдаж тухайн үед хэрэгжүүлсэн үйл ажиллагааны туршлага, сургамжид тулгуурлана. Гуравдугаарт: цэвэр үүлдрийн юм уу гурав ба түүнээс дээш үеийн эрлийз үхрээр эрлийзжүүлж сайжруулах хувилбарын тухайд гадаадаас оруулж ирсэн Лимузин, Херефорд, Казахын цагаан толгойт, Ангус үүлдрийг нутгийн үхрийг сайжруулахад ашиглах боломжийг хязгаарлагдмал хүрээнд сонирхсон малчдын хөрөнгө, оролцоо, сумын мэргэжлийн нэгжийн дэмжлэгтэйгээр туршина. Б. Хонины сүргийг сайжруулах. Баяд, түүнчлэн Дархад, Цагаан-Уул үүлдэр, Хотонт үүлдрийн хэсгийг ашиглах замаар хониныхоо махан ашиг шимийг дагуулж малынхаа биерхэг байдлыг сайжруулах, улмаар нэгжээс ахиу ноос авах чиглэлийг баримтална. Ихтамир суман дахь Өндөр уулын бүсийн эрдэм шинжилгээний станцад явуулсан судалгаагаар Баяд үүлдрийн эрлийз бусад үүлдрийн эрлийзээс амьдын жин, ноосны гарцаар илүү болохыг тогтоосон нь энэ үүлдрийг ашиглахад үр дүнд хүрэх боломжтойг харуулж байна. В. Ямааны ноолууран ашиг шимийг нэмэгдүүлэх. Ямаан сүргийн ашиг шимийн чадавхыг сайжруулахдаа чанаржуулах талыг барих нь тус сумын МАА-н хөгжлийн тэргүүлэх чиглэл байх болно. Ямааны ноолуурын нарийн ба уртын үзүүлэлтийг сайжруулахад үржлийн ажлыг чиглүүлэх, Эрчмийн хар үүлдрийн биологи-аж ахуйн үнэт чанарыг ашиглахад түлхүү анхаарна. Б. Эрчимжсэн мал аж ахуйн хөгжлийн төлөвлөлт Засгийн газрын 2018 оны 400 дугаар тогтоолоор батлагдсан “Эрчимжсэн мал аж ахуйн хөгжлийг дэмжих үндэсний хөтөлбөр”-р сүүний чиглэлийн үхрийн эрчимжсэн аж ахуйг нийслэл орчмын, аймгийн төвийн, тариалангийн бүсийн гэсэн гурван чиглэлээр хөгжүүлэхээр заасан бөгөөд Өлзийт сум нь тариалангийн бүсийн чиглэлд хамаарч байгаа бөгөөд 2027 онд 3775 хүн амтай болохоор байгаа учир сумын төвийн хүн амыг сүүгээр хангах шаардлага гарч байна. Архангай аймгийн МАА-н салбарыг хөгжүүлэх дунд хугацааны бодлогыг баримт бичигт хосолмол ашиг шимт үхрийн жижиг ферм байгуулах зорилт тусгагдсаныг хэрэгжүүлэх, сумын төвийн иргэд, сургууль, цэцэрлэг, эмнэлгийн сүүний хэрэгцээг жилийн 4 улиралд хангах зорилгоор Алатау үүлдрийн 20 үнээтэй
  • 13.
    17 жилийн нийт саамнь 20000 литрээс багагүй 1 сүүний ферм байгуулахаар төлөвлөгөөнд оруулж байна. 8.1.4 Малын эрүүл мэндийн ажлын төлөвлөлт Мал, амьтны эрүүл мэндийн тухай хуулийн зохих заалтууд, “Малын эрүүл мэнд” үндэсний хөтөлбөр/2018-2021/-ийн хүрээний зорилтуудыг хэрэгжүүлэх цлгц арга хэмжээ төлөвлөж өгөв. 8.1.5 ХАДЛАН, ТЭЖЭЭЛИЙН ТӨЛӨВЛӨЛТ Хадлан, тэжээлийн хэрэгцээ, түүнийг хангах боломж. Нэг хонин толгойд ноогдох хадлангийн өвсний хэмжээ 2019 оны байдлаар сумын дунджаар 6.5 кг байна. Цаашдаа төлөвлөн буй 7 жилийн хугацаанд малын тоо болон бэлчээрийн ачаалал хамтдаа бууран бэлчээрийн бүтээмжийг сайжруулж хадлангийн талбайг нэмсний үр дүнд энэ үзүүлэлт 2027 онд 33 кг буюу 5.06 дахин нэмэгдэх юм. Хүснэгт 8.1.5.1 Өлзийт сумын малын нэмэгдэл тэжээлийн хангамж, 2019-2027 Он Малын тоо, хонин толгой Тэжээл хангамж Бэлтгэвэл зохих тэжээл, цн, өвс Хадлангийн талбай Малчдын бэлтгэх Сумын нөөц Шаардагдах га Га- гийн ургац цтхэрэгцээ хувь Нийт 2019 544377 179645 20 35000 450 35450 6445 5.5 2023 544377 179645 40 64672 7186 71858 13065 5.5 2024 517159 170662 50 76798 8533 85331 15515 5.5 2025 491301 162129 60 87550 9728 97278 17687 5.5 2026 443399 146322 80 105352 11706 117057 21283 5.5 2027 421229 139006 100 125105 13901 139006 25274 5.5 Эх сурвалж: БСТ-н тооцоо Хадлан, тэжээл бэлтгэлийг цаашид нэмэгдүүлэхдээ атаршсан талбайд тэжээлийн ургамал тариалах, хадлангийн талбайг хашиж хамгаалах, усалж бордох замаар ургацыг нэмэгдүүлэх арга хэмжээ авах, хадах боломжтой бэлчээр газрыг хадах, үлдэгдлийг худалдан авах зэргээр тэжээл хангамжийг шийдвэрлэх боломжтой юм. 8.1.6 ТАРИАЛАНГИЙН ГАЗРЫН ТӨЛӨВЛӨЛТ Өлзийт сум нь одоогоор 2036 га талбайд тариалалт эрхэлж, 2770 га газар атаршсан талбайг огт ашиглаагүй байна. Цаашид атаршсан газрыг иргэдэд эзэмшүүлж, ногоон тэжээл, төмс хүнсний ногоо, жимс жимсгэнэ, зэрэг төрөл төрлийн тариалалтыг эрчимжүүлэх шаардлагатай байна. Иймээс ирэх 7 жилийн хугацаанд атаршсан газраа эргэж бүрэн ашиглахаар төлөвлөж байна. Төлөвлөлтийг 2021-2023, 2024-2025, 2026-2027 он гэсэн 3 үе шаттайгаар хийв. Хүснэгт 8.1.6.7 Төмс, хүнсний ногооны зоорь барих төлөвлөгөө Он 2019 Хэрэгжүүлэх үе шат I II III Хураах төмсний хэмжээ, тн 7 14.3 29.2 44.6 Хураах хүнсний ногооны хэмжээ, тн 5 31.0 63.2 96.7 Төмс, хүнсний ногооны зоорь барих, багтаамж тн 0 10 30 50
  • 14.
    18 Шаардагдах хөрөнгө оруулалт,12000 мян.төг/10 тн 0 12000 36000 60000 Эх сурвалж: БСТ-н тооцоо 8.2 ХОТ, ТОСГОН, БУСАД СУУРИН ГАЗРЫН ГАЗАР ЗОХИОН БАЙГУУЛАЛТЫН ТӨЛӨВЛӨЛТ 8.2.2 Хот, тосгон, бусад суурин газрын ашиглалт, бүсчлэл Сумын хот суурин газрын тэг гортиг нийт 293 га байгаагаас 107.7 га талбай 2019 оны газрын нэгдмэл сангийн тайланд орсон байна. Өлзийт сум нь 2019 оны байдлаар гэр хорооллын газарт 34.4 га 491 гаруй айлд хашааны газарт олгоод байна. Мөн гэр бүлийн хэрэгцээнд зориулж төмс хүнсний ногооны зориулалтаар 1.31 га талбайг олгосон байна. 8.2.2 Хог хаягдлын төлөвлөлт Тулгамдаж буй бэрхшээл: Өлзийт сумын айл өрхүүд нь гудамж талбайд ил задгай хог хаягдлаа хаядаг бөгөөд хугацаанд нь зайлуулдаггүй, хог агуулж байгаа сав нь эрүүл ахуйн шаардлага хангадаггүй, хогийн цэг хашаажуулсан боловч хашаанаас гадна хогоо асгадаг, гэх зэрэг бэрхшээлүүд тулгамдаж байна. Энэ нь байгаль орчинд сөргөөр нөлөөлж хөрсний бохирдол үүсгэж, улмаар өвчний эх үүсвэр болж байна. Мөн хогны нэг машин байгаа нь эвдэрсэн ба тэр болгон айлуудын хогыг ачин тээвэрлэж чаддаггүй байна. Малын сэг зэм: Малчид үхсэн малын сэг зэм устгахдаа хойрго ханддаг бөгөөд зарим айлууд нь газар ухаж булшилж хаядаг байна. Цаашид авах арга хэмжээ, төлөвлөлт Хог хаягдлыг цаашид ангилан ялгах, хог шатаах зуухтай болох, ангилсан хогоо дахин боловсруулах үйлдвэр байгуулах, аж ахуй нэгж байгууллага, олон нийтийн газарт аюултай хог хаягдал ангилах савуудыг байршуулах зэрэг хэд хэдэн ажлуудыг хэрэгжүүлэхээр төлөвлөж байна. Мөн 3-5 тооны даацтай, зориулалтын бүхээгтэй хогны машин 1 шинээр авахаар төлөвлөж байна. Хүснэгт 8.2.2.1 Хог хаягдлын хүрээнд шаардагдах хөрөнгө оруулалтын тооцоо № Нэр төрөл Үйлдвэрлэгч улсМарк, модельНэгжийн үнэ, төгрөгДавуу, сул тал 1. Хогны машин (бүхээгтэй, шахагчтай) БНХАУ Faw, бусад 37,000,000 Үнэ хямд, эвдрэл их, сэлбэгийн олдоц бага 2. Хогны машин (бүхээгтэй, шахагчтай) БНСУ Hyundai, Mayti 45,000,000 Эвдрэл их, сэлбэгийн олдоц их 3. Хогны машин (бүхээгтэй, шахагчтай) Япон Nissan, Mitsubishi 58,000,000 Үнэ өндөр, эвдрэл бага, сэлбэгийн олдоц их 4. Хог ангилан ялгах сав (150кг, листэн төмөр) Монгол улс 300,000 Орон нутагт үйлдвэрлэх боломжтой 5. Хог шатааж эрчим үйлдвэрлэх үйлдвэр БНХАУ 60,000,000 Утаан дахь хорт бодисын агууламж бага. Эх сурвалж: Бодлого судлалын тавийн боловсруулалт 8.3 ЗАМ, ШУГАМ СҮЛЖЭЭНИЙ ГАЗРЫН ГАЗАР ЗОХИОН БАЙГУУЛАЛТЫН ТӨЛӨВЛӨЛТ
  • 15.
    19 8.3.3 Авто замынгазрын төлөвлөлт Нутгийн иргэдийн санал, мөн иргэдийн хэрэгцээт байдлын үнэлгээ болон авто замын газрын тохиромжтой байдлын үнэлгээ зэргийг үндэслэн тус суманд хэд хэдэн газар зам засах сайжруулах, шинээр хатуу хучилттай авто зам тавих зэрэг ажлуудыг ирэх 7 жилийн төлөвлөгөөнд тусгав. Үүнд: А.Мянганы замын хэвтээ тэнхлэгийн Орхон гол-Их тамирын чиглэлийн гүүр, хатуу хучилттай авто замыг барьж байгуулах ажлыг эрчимжүүлэх Б.Мянганы замын босоо тэнхлэгийн Өлзийт-Хайрхан-Хөвсгөл чиглэлийн хатуу хучилттай авто замыг барьж байгуулах ажлыг эрчимжүүлэх 8.4 УСАН САН БҮХИЙ ГАЗРЫН ГАЗАР ЗОХИОН БАЙГУУЛАЛТЫН ТӨЛӨВЛӨЛТ Сумын хэмжээнд нийт 14 худаг шинээр гаргах, 14 булаг, шандын эхийг хашиж хамгаалах, 8 газарт хөв байгуулахаар төлөвлөв. 8.5 Тусгай хэрэгцээний газрын газар зохион байгуулалтын төлөвлөлт Өлзийт сумын Ямаат багийн нутагт орших 1526.6 га газар /Нурамт уул/, Бодонт, Байшир багийн нутагт орших 1783.1 га /Их бумба овоо зэрэг газрууд/-г орон нутгийн тусгай хамгаалалтад авахаар төлөвлөв. 8.6 АЯЛАЛ, РЕКРЕАЦИЙН НӨӨЦ БҮХИЙ ГАЗРЫН ГАЗАР ЗОХИОН БАЙГУУЛАЛТЫН ТӨЛӨВЛӨЛТ Сум орон нутгийн удирдлагууд болон малчид иргэдийн саналаар аялал жуулчлалаар доорх газруудыг төлөвлөв.  Хөшөө цайдам-Өгийн нуур-Алтанзуу хийд-Гол мод гэсэн чиглэлийн маршрутыг Олон Улсын аялал жуулчлалын маршрутад оруулах  Орхон гол дагуу Эко загасчлал, тур байгуулах 8.7 ОЙН САН БҮХИЙ ГАЗРЫН ГАЗАР ЗОХИОН БАЙГУУЛАЛТЫН ТӨЛӨВЛӨЛТ Өлзийт сумын хэмжээнд нийт 4874.6 га талбайг ойн сан эзэлж байна. Ойн ашиглалт хамгаалалтын бүсэд ногоон бүс, хориотой зурвасын ой гэж төлөвлөсөн. 8.8. ХАМГААЛАЛТЫН БҮСИЙН ГАЗАР ЗОХИОН БАЙГУУЛАЛТЫН ТӨЛӨВЛӨЛТ 8.8.2 Хамгаалалтын бүсийн төрөл, дэглэм, хэмжээ Сумын нутагт гадаргын ус болон зам, шугам сүлжээний газрын хамгаалалтын бүсүүдийг дараах зорилгоор тогтоосон. Үүнд:  Усны эх, ундарга, нөөцийг хомстох, бохирдохоос хамгаалах, хүн амыг үер усны гамшгаас сэргийлэх;  Эрчим хүчний шугам сүлжээний аюулгүй ажиллагааг хангах, хүн, амьтан осолдохоос урьдчилан сэргийлэх; Тус сумын нутагт хамгаалалтын бүсүүдийг хууль, дүрэм, журам, стандартыг баримталж тогтоосон бөгөөд гол, нуурын онцгой хамгаалалтын бүс, булаг, худгийн эрүүл ахуйн бүс, булгийн онцгой бүс, эрчим хүчний шугамын
  • 16.
    20 хамгаалалтын бүс, шугамсүлжээний газрын хамгаалалтын бүсүүдийг нарийвчлан тогтоож өгөв. 8.9. ГАЗАР, БАЙГАЛИЙН НӨӨЦ ЭДЭЛБЭРИЙН ЗҮЙ ЁСНЫ ЭРХИЙН ТӨЛӨВЛӨЛТ Газар, байгалийн нөөц эдэлбэрийн зүй ёсны эрхийг Газрын Харилцаа, Геодези, Зураг Зүйн Газрын даргын 2016 оны 01 дүгээр сарын 21 өдрийн А/22 дугаар тушаалаар батлагдсан “Газар, байгалийн нөөц эдэлбэрийн зүй ёсны эрхийг зориулалтаар нь бүртгэн, баталгаажуулах түр заавар”-ын дагуу бүртгэн газар, ус, ой, бэлчээр, хадлан зэрэг байгалийн нөөцийг арвижуулан өсгөж, ашиглан хамгаалах зорилгыг хангах үүднээс дараах байдлаар төлөвлөж байна. Бэлчээрийн нөөцийг зохистой ашиглах, хамгаалах талаар. Малчдын ашиглаж ирсэн дөрвөн улирлын бэлчээр, ус, хужир мараа, нөөц нутгийн одоогийн эрхийг бүртгэж, бэлчээр ашиглалтын гэрээгээр албажуулахаар төлөвлөв. Өлзийт сум нь 2019 оны байдлаар 582 малчин өрх байгаа бөгөөд өвөлжөө, хаваржаа нь 517 өвөлжөө хаваржаатай гэсэн тооцоо байна. Газрын нэгдмэл сангийн мэдээгээр сумын дүнгээр 34.4 га талбайг өвөлжөөний зориулалтаар эзэмшүүлсэн байна. Үүнийг нэг өрхөд 0.07 га гэж тооцвол нийт малчин өрхийн 491 буюу 95% гэрчилгээгээ авсан бөгөөд үлдсэн 26 буюу 5% нь өвөлжөө, хаваржааныхаа доорх газрын гэрчилгээгээ хараахан баталгаажуулж амжаагүй байна. Өвөлжөө, хаваржааны гэрчилгээ нь зөвхөн бууцны доорх газрыг хамардаг учраас түүнийг тойрсон бэлчээрийг ашиглах эрх нь ялгаагүй албан бус зүй ёсны эрхэд хамаарч байгаа юм. Өөрөөр хэлбэл сумын бэлчээр бүхэлдээ зүй ёсны эрхийн хүрээнд зохицуулагдаж байна. Өлзийт сумын хувьд БАХ-ууд 2015 онд байгуулагдсан боловч түүнээс хойш малын тоо тогтмол өсөж ирсэн байна. 2019 онд хийсэн судалгаагаар сумын хэмжээнд 9 бэлчээр ашиглалтын хэсэг /БАХ/ байгуулагдаж, үүнд нийт бэлчээрийн 100% хамрагдсан байна. БАХ-н түвшинд бэлчээр ашиглалтын гэрээ байгуулах нь сайшаалтай зүйл боловч дундаж БАХ-н гишүүн өрхийн тоо олон, хамрагдах бэлчээр нутаг том учир бэлчээрийн зохистой ашиглалтыг тогтоож, бэлчээрийн даац хэтрэлт, талхагдлаас сэргийлэх механизм болж хараахан чадахгүй байна. Суманд 2019 онд явуулсан судалгаагаар 582 малчин өрхөөс Та БАХ-н гишүүн өрх мөн үү? гэж асуухад 100% нь гишүүн биш, гэж хариулсан нь БАХ бэлчээрийн зохистой ашиглалтыг төлөвшүүлэх механизм болж чадахгүй байгааг харуулж байна. Үүний гол шалтгаан нь хэтэрхий том, өрхийн тоо олон учраас гишүүд хоорондоо зөвшилцөж, нэгдсэн шийдвэр гаргах боломжгүйд байна. Энэ нь ялангуяа малын тоог бэлчээрийн даацад нийцүүлэн цөөлөх гэх мэтийн эмзэг асуудал тодорхой харагдаж, энэ талаар тавьсан зорилт биелэгдэхгүй байна. Сумын хэмжээнд Байшир, Бодонт, Ямаат, Хөшөөт багийн малчдыг хамруулсан 29 малчдын бүлэг шинээр байгуулагдаж албан ёсоор бүлгээ баталгаажуулав. 29 бүлэгт 110 малчин өрх хамрагдсан нь сумын нийт малчин өрхийн 19% -ийг эзэлж байна. Цаашид бүлэг зохион байгуулалтад ороогүй 472 өрх буюу 81% - ийг 3 үе шаттайгаар хамруулахаар төлөвлөв. Ан амьтан хамгаалах, ашиглах талаар. Өлзийт сумын нутагт ховор болон ховордож байгаа ан амьтад байгаа тул тэдгээрийг хамгаалж, өсгөх, нутагшуулах нь энэхүү төлөвлөлтийн үндсэн зорилго юм. Ан амьтдын байршил давхацсан бүс нутагт байгуулагдах малчдын бүлэг, ойн нөхөрлөлүүдэд бэлчээр ашиглах гэрээ, ойн нөөцийг эзэмших гэрээн дээр нэмж гэрээт бэлчээр, ойн нутаг
  • 17.
    21 дэвсгэрт байгаа зэрлэгамьтныг хамгаалах гэрээг давхар байгуулахыг зөвлөж байна. Ан амьтан, ховор ургамал хамгаалах төлөвлөлт. Сумын малчин өрх бүрээр орж судалгаа авахад тарвага өсгөж үржүүлэх, хамгаалах, өмнө тарвагатай байсан газарт шинээр тарвага нутагшуулах саналууд гарсан байна. Тухайлбал 582 малчин өрхөөс асуулга авахад 305 өрх буюу 52% нь тарвага хамгаалах, өсгөх тухай санал гаргасан байна. Иргэдийн саналыг үндэслэн тухайн газруудыг цаашдаа хамгаалахаар төлөвлөлтөд суулгаж өгөв. Үүнд:  Тарвага өсгөж үржүүлэх, нутагшуулах  Загас үржүүлэх, хамгаалах Зүй ёсны эрхийг бүртгэн албажуулж, төлөвлөх, төлөвлөгөөг хэрэгжүүлэхэд орон нутгийн захиргааны оролцоо, дэмжлэг нэн ялангуяа Газрын даамал, Байгаль орчны байцаагч, ХАА-н тасгийн мэргэжилтнүүд, байгаль хамгаалагч, багийн Засаг дарга нарын идэвх, санаачилга, гүйцэтгэх үүрэг онц чухал юм. Сумын нутаг дэвсгэрийн хөгжлийн төлөвлөгөөг хэрэгжүүлэх үйл ажиллагааны төлөвлөгөөг тусад нь боловсруулж хавсаргав /Хавсралт 9/. ENGLISH SUMMARY LANDSCAPE BASED DEVELOPMENT PLAN ULZIIT SOUM, ARKHANGAI AIMAG BACKGROUND Objective: To study and identify soum natural resource, land use practices, social and economic development, culture, lifestyle and its specifics, and to develop a landscape based soum development plan with participation of soum communities based on the needs and suitability assessment within the Sustainable Development Vision and other policy documents. Scope: Soum territory Timeframe: Landscape based soum development plan shall be updated in 5-7 years in conformity with soum social and economic condition, development policy, and implementation of the aimag land management plan. CLARIFICATIONS, MEETINGS, INTERVIEWS, QUESTIONNAIRE SURVEY, GROUP DISCUSSIONS Field survey has been carried out in the course of developing the landscape based soum development plan as specified in the methodology with the aim of incorporating local people’s feedback and ensuring their participation. Ulziit soum herders’ questionnaire survey was conducted in November 2019, and other group discussions and interviews were held on January 16-23, 2020.
  • 18.
    22 The questionnaire survey,group discussions and interviews covered 758 people. Representatives of 582 herder households in the questionnaire survey. Representatives of soum government, residents, and entities were 103, that are more by 11 persons or 10.1% than the planned number included in the baseline study. Feedback of local government officials and residents and findings of the discussions were integrated to reflect certain comments on the landscape based soum development plan. SWOT analysis was conducted prior to development of the landscape based soum development plan and conclusions were made as regards the followings through embedding the measures to promote strengths, utilize opportunities fully, and manage weaknesses or risks: 4. Secure sustainable development and capacity to cope with climate change by shifting the focus from quantity to quality in the livestock sector that is a basis of soum socio-economic development and soum community’s livelihood; 5. Increase crop farming consistently to meet the growing demand of agricultural products by its own production; 6. Create jobs and increase people’s income through support of environmentally friendly tourism and SMEs, proper use and conservation of natural resources, and develop communication, infrastructure, education, and social, cultural and sports priorities in order to provide comfortable and stable living environment in the soum. Chapter VIII. PLANNING PHASE 8.1 AGRICULTURAL LAND MANAGEMENT PLANNING Agricultural land use planning includes the basic categories as pastureland, hayfield and arable land. 8.1.1 PASTURELAND PLANNING Pastureland planning was focused on managing key pressing issues of the sector in consideration of the priorities of national, regional and local policies, suitability assessment, and feedback of local communities and organizations. Traditional livestock herding has been the predominant economic sector in the soum that is expected to be maintained further due to its location, natural environment and climate. 8.1.1.1 Pressing issues in pastureland use Ulziit soum had 353240 heads of livestock or 552890 sheep units in 2019. Compared to 1990, pastureland per sheep unit decreased to 0.29 ha, while pastureland availability dropped 5.9 times. Malnutrition has reached 91.2% due to overgrazing, coupled with decreased productivity and increased vulnerability to drought and dzud, resulting in a fall of livestock market value. In addition, it has no reserve pastures and is getting prone to risk. Livestock number dropped by 30% in the 2000-2003 dzud.
  • 19.
    23 Figure 8.1.1 Whatherders gain and lose by continually increasing animal numbers /Source: CPR estimates/ Overgrazing is a key challenge, followed lack of water and damages by voles and grasshoppers according to the result of the questionnaire survey which was conducted among 569 herder households (97%) in 2019. Table 8.1.3.2 Production of animal raw material and products and changes in herd size during herd turnover model to reduce, maintain and increase the herd size № Production of animal products 2027 Reducing of herd size Maintaining of herd size Increasing of herd size 1 Meat, ton 3548.4 2675.5 1995.7 2 Milk, thousand liter 1715.1 1719.2 1922.9 3 Hides, pcs 126,689 108,162 88,459 4 Wool, ton 192.6 227.2 296.9 5 Cashmere, ton 26.7 31.5 41.2 6 Meat to be sold, ton 3106.7 2323.8 1554.0 7 Milk to be sold, thousand liter 1161.2 1165.3 1369.0 8 Livestock number, SU 427,816 552,890 739,892 9 Average income of herder household, million ₮ 510 659 929 10 Cash revenue per SU, thousand ₮ 27.8 20.2 16.6 Source: CPR estimates Compared to the other two models, a herd size reduction model has more benefits, such as higher growth in meat, milk and hides production, meat sales, herder household’s income and cash income per sheep unit and reduced herd size, all of which result in the positive impacts on pastureland, as shown in the table. Herd size reduction will lessen the pastureland burden and pasture carrying capacity and improve animal productivity.
  • 20.
    24 Table 8.1.1.7 Estimateon reducing animal numbers reconciling with the pasture carrying capacity, in soum total Year Pasturelandha Average pastureyield, Center/ha Totalpasture forage, centner Pasturecarrying capacity,sheep unit Stocking density,sheep unit Utilizationof pasturecarrying capacity,% 2019-base year 156490 1.9 297331 49555.2 565689 1141.5 2020-2022 preparation phase 156490 1.9 297331 49555.2 565689 1141.5 2023 156490 1.9 297331 49555.2 538368 1086.4 2024 156490 1.9 297331 49555.2 512013 1033.2 2025 156490 1.9 297331 49555.2 486959 982.7 2026 156490 1.9 297331 49555.2 463142 934.6 2027 156490 1.9 297331 49555.2 440435 888.8 Source: CPR estimates Herd size reduction program is planned to be implemented from 2023 upon ensuring the preparation works, such as introducing the program to herders in 2020-2022. The livestock number is expected to reduce by 125074 sheep units, reaching 427816 sheep units, in the final year of the program in 2027, compared to those of 2019. Reduced stocking density results in increased availability of forage for wildlife. Pasture use agreement will be established in which the optimum stocking density shall be indicated in sheep units and the excess shall be reduced by 5% at maximum per year. Table 8.1.1.9 shows the income estimates based on the herd turnover models. Indicators Base Year Year 1 Year 2 Year 3 Year 4 Year 5 Animal numbers, physical units 353042 33539 0 31862 0 30268 9 28755 5 27317 7 Animal numbers, sheep units 552890 52524 6 49898 3 47403 4 45033 2 42781 6 Sheep units per herder household 659 626 595 565 537 510 Household total income, ‘000 MNT 17193 26837 27179 27511 27832 27831 Home consumption, ‘000 MNT 2587 2587 2587 2587 2587 2587 Cash income, ‘000 MNT 14605 24250 24592 24923 25244 25243 Cash value of decreased herd size ‘000 MNT 0 3534 3454 3376 3299 3224 Income per sheep unit, ‘000 MNT 20.7 38.7 41.3 44.1 47.0 49.5 Source: CPR estimates
  • 21.
    25 Ulziit soum isexpected to have 427816 sheep units in 2027 within 156490 ha pastureland in accordance with the estimate to reduce livestock number by 6% annually, not reducing, but increasing cash incomes of herder households. Cash income of herder households that currently increase livestock number by 6- 10% per annum is lower than those that are reducing the livestock number. Production of key animal products Like any other soums across Mongolia, Ulziit soum fully supplies its animal products and raw material demand and delivers a majority of them to the other market such as aimag center and Ulaanbaatar. The soum will produce 3548.4 tons of meat, 126,700 skins and hides, 1715.1 thousand liters of milk, 26.6 tons of cashmere and 192.6 tons of wool by the end of the program. A comparison of the current meat and milk needs and production of the soum with those of 2027 is shown below in the Figure 8.1.1.2. Figure 8.1.1.2 Meat and milk demand and supply, 2019 and 2027 Soum population is estimated to reach 3398 in 2027. According to the estimate, soum population’s meat and milk demand will be fully supplied with its production and provide 3687 tons of meat and 641.0 thousand liters of milk to other markets as a result of implementing the sustainable livestock development program. As herder households’ prepared milk is used for their needs, a farm with 20 dairy cattle is planned to be established for the purpose of supplying year-round demand of soum center population, school and kindergarten /see Chapter 8.2/. 8.1.3 Livestock breeding measures Animal selection has been planned in the directions provided below as part of the landscape based soum development plan to meet the objective to improve herd quality and livestock biological-economic productivity. Plan for herd breeding and upgrading of productive performance Upgrading of local cattle First: Explore and implement opportunities to improve cattle for beef adapted to the “pasture-supplementary fodder-fattening” system. Through crossing
  • 22.
    26 with the nationalbeef breeds - Selenge and Dornod Mongolian Red, make local cattle larger in the body size of local cattle and create feeding and maintenance system enabling 18-23 percent increase of bodyweight of growing cattle. Second: To raise dual purpose cattle for small scale beef-dairy or for beef-dairy farms in Ulziit soum, it is appropriate to use dual purpose breeds like Alatau or Simmental based on the past experiences of raising these breeds for butter production in 1980s. . Third: Alternatively, to crossbreed using high crossbreds of above F3 generations of exotic imported breeds Limousine, Hereford, Galloway and Kazakh White Head at limited scale may be tested. 2. Upgrading of sheep. It has been found that herders are interested to improve local sheep for wool by importing carpet wool breeds – Gobi-Altai, Sartuul and Baidrag, whereas a simultaneous upgrading of mutton and wool productivity can be achieved by introducing mutton-wool breeds like Bayad, Darkhad and Tsagaan- Uul. 3. Goat improvement for cashmere production. In order to upgrade cashmere quality, more efforts should be made to benefit from the excellent biological and productive performance of goats of Erchim Black breed. B. Intensive animal development planning The National Program on Support of Intensive Livestock Farming Development, adopted under the Government Resolution #400 in 2018, states to develop intensive dairy cattle farms in peri-urban areas, aimag centers and crop agriculture regions. Ulziit soum has been included in the crop agriculture region since 2018. Referring to recent estimates that the soum population will grow to 3775 persons in 2027, it needs to heighten the supply of milk to soum center inhabitants. In order to fulfill the goals of the mid-term livestock development policy of Arkhangai aimag and improve the milk consumption of soum center citizens, school, kindergarten and hospital, a dairy farm with 20 cows of Alatau breed to produce 20000 liters of milk annually to supply milk year-round will be established. 8.1.4 Animal health measures Detailed animal health improvement measures were planned in accordance with the newly approved animal health law and the national animal health program for 2018- 2021. 8.1.5 Hay and fodder planning Demand and potential supply of hay and fodder As of 2019, feed supply per per sheep unit was 6.5 kg on a soum’s average. It will increase 5..06 times reaching 33 kg in 2027 with increases in yield and hay field areas as well as green fodder production in 7 years. 8.1.5 Crop land planning Currently, Ulziit soum cultivates 2036 ha arable land and 2770 ha abandoned crop land is not used at all. It is planned to raise cultivation of fodder, vegetable and fruit on these fallow areas in upcoming 7 years.
  • 23.
    27 Demand of cropproducts has been assessed in order to supply soum population’s demand of potatoes and vegetable, fruit and animal fodder by its own production or capacity. Cultivation of potatoes and vegetable, fruit trees and animal fodder is planned to raise in 3 phases as part of its arable land planning. Table 8.1.6.7 Potato and vegetable storage building Year 2019 Phases I II III Potato harvest, t 7 14.3 29.2 44.6 Vegetable harvest, t 5 31.0 63.2 96.7 Vegetable storage building, capacity, t 0 10 30 50 Required funding, 12000 thousand MNT /10 t 0 12000 36000 60000 8.2 LAND MANAGEMENT PLAN IN TOWN, VILLAGE AND OTHER SETTLEMENT The soum has 293 ha of urban land out of which 107.7 ha is reflected in the state land fund report. As of 2019, the soum has allocated 34.4 ha for homestead purposes for 491 khashaa plots. In addition, 1.31 ha was allocated for household horticulture gardening purposes. 8.2.2 Waste in town and settlement As households of Ulziit soum dump waste in open areas and streets, it has pressing issues, including those related to waste removal, lack of hygienic requirements of waste bins, waste dump outside the waste point fences, unsorted waste, lack of waste points to receive segregated waste, and unsorting of hazardous waste. Further measures and planning. It is planned to take several actions such as sorting waste, building incinerator and sorted waste processing shop, and placing containers for hazardous waste sorted at entities and in public areas. Moreover, it is planned to buy a new 3-5 ton capacity waste van. Table 8.2.1 Funding estimate required for waste treatment measures № Item Manufacturer Model Unit cost, MNT Strength and weakness 6. Waste truck (van with press) China Faw, other 37,000,000 Cheap, frequent failures, poor availability of spare parts 7. Waste truck (van with press) Korea Hyundai, Mayti 45,000,000 Frequent failures, good availability of spare parts 8. Waste truck (van with press) Japan Nissan, Mitsubishi 58,000,000 Expensive, low failures, good availability of
  • 24.
    28 parts 9. Container forsorted waste (150kg, plate) Mongolia 300,000 Possible to produce in soum 10. Incinerator which is able to make energy China 60,000,000 Low content of toxic pollutants in smoke Source: CPR estimates 8.3 ROAD AND COMMUNICATION NETWORK LAND MANAGEMENT PLANNING 8.3.3 Land planning for roads New roads. To speed up building of Orkhon river-Ikh tamir bridge and paved road and 44 km paved road between Tsenkher bridge and the soum center. To launch building paved road connecting the vertical road network Ulziit-Khairkhan- Khuvsgul 8.5 LAND MANAGEMENT PLANNING IN PROTECTED AREAS Local protected areas: It was planned to take 1526.6 ha in the Yamaat bagh and 1783.1 ha around the Ikh Bumbat place under the local protected areas. 8.6 LAND MANAGEMENT PLANNING IN TOURISM AND RECREATIONAL AREAS It was planned to:  Include Ugii Nuur-Altan Zuu-Gol Mod route in the international tourism network  Develop eco fishing and tour sites along the Orkhon river 8.7 FOREST LAND MANAGEMENT PLANNING The soum has 4876.6 ha of forest land. It was planned green zone as well as protected zones in the forest areas. 8.8. LAND MANAGEMENT PLANNING IN PROTECTION ZONES 8.8.2 Type, practice and size of protection zones Water, road and lines protection zones were established in the soum for the following purposes:  Prevent water resource shortage, contamination and protect people from flood;  Ensure power lines safety to prevent accidents among people and animals; 8.9 PLANNING OF LEGITIMATE RIGHTS FOR LAND AND NATURAL RESOURCES It was planned to formalize the existing informal user rights of herders by the registration and introduction of pastureland use agreements. According to the unified land use funds information 34.4 ha of land was possessed by herders for winter- spring camping purposes which means that around 517 camp sites or 95% herders have possessed their camps.
  • 25.
    29 Possession of winterand spring camps does not apply to surrounding pastures which are under informal user rights. According to a 2019 survey there are 9 pasture user groups /PUG/ established covering the soum pastureland for 100%. Wildlife protection and use. As there are rare or endangered wildlife in Ulziit soum, key goal of the planning is to protect, raise and re-introduce them. Thus, it is proposed to establish wildlife protection agreements with herder groups and forest partnerships in areas with wildlife habitats. As the local herders recommended, the wildlife for further protection are:  Re-introduce and raise marmots  Protect and farm fish ХОЁР. СУМЫН ТАНИЛЦУУЛГА, БҮС НУТГИЙН ЧИГ ХАНДЛАГА, ХӨГЖЛИЙН ЦОГЦ БОДЛОГО 2.1 СУМЫН ТАНИЛЦУУЛГА Сайн ноён хан аймгийн харьяад Халх хошууны тоонд орж 1762 онд байгуулагдсан Өөлдийн өмнөд хошуу 1912-1923 онд Бишрэлт бэйсийн хошуу гэж нэрлэгдэж байснаа 1924 он Цэцэрлэг мандал аймгийн Баянбайшир хошуу нэртэй болсон бөгөөд 1931 оноос одоогийн Архангай аймгийн Өлзийт сум болсон. Олонх баруун Монголын дөрвөн Ойрадын Өөлд ястан юм. Өлзийт сум Алтан зуу бурхан шүтээнтэй. Түүндээ зориулж шинийн 15, намрын дунд сарын 15 морь уралдуулж, бөх барилдуулж, хурал ном хурж наадам хийдэг. Алтан зуу бурхан нь 1640 оны үед Ойрадын зая бандида Намхайжанцан Төвдөөс алтаар зуу бурхан хийлгэж аравнайлуулан залж ирсэн түүхтэй. зуу бурхан гэдэг нь бурхан багшийн өөрийн нь амьд сэрүүнд бүтээсэн бурхан багшийн дүр юм. 1640-1930 аад он хүртэл шүтэж байсан. хувьсгалын үед зуу бурхан алга болсон. Нутаг дэвсгэр нь 1,7 мянган км2 . Нийт 1094 өрхийн 3403 хүн амтай. Архангай аймгийн Өлзийт сум нь аймгийнхаа зүүн хойд хэсэгт оршиж Баруун өмнө, баруун талаараа Батцэнгэл, баруун хойд талаараа Хайрхан, хойд талаараа Булган аймгийн Сайхан, зүүн хойд болон зүүн талаараа Булган аймгийн Могод сум, зүүн өмнө, урд талаараа Өгий нуур сумдын нутаг дэвсгэртэй тус тус хиллэнэ. Тус сумын төв Улаанбаатар хотоос 375 км, аймгийн төв Цэцэрлэг хотоос 134 км-т оршино. Өлзийт сум засаг захиргаа, нутаг дэвсгэрийн нэгжээр Ямаат, Бодонт, Байшир, Хөшөөт гэсэн 4 багт хуваагддаг. Эдийн засгийн үндсэн салбар нь ХАА бөгөөд үүний дотор МАА-н үйлдвэрлэл зонхилно.
  • 26.
    30 Нийт малын тоо2019 оны эцсийн байдлаар 353 мянга, үүнээс тэмээ 22, адуу 21.3 мянга, үхэр 16.5 мянга, хонь 206.6 мянга, ямаа 108.6 мянга тус тус байна1. Далайн түвшнээс дээш 1020-1400 м өргөгдсөн, тал хээрийн бүсэд оршдог. Сумын нутаг дэвсгэр нь уул, гүвээ толгод бүхий тал хээр мал аж ахуй болон газар тариалан эрхлэхэд тохиромжтой. Сумын газар нутаг дээгүүр мянганы замын хэвтээ тэнхлэгийн 10 км хатуу хучилттай авто зам дайран өнгөрдөг. Багууд хоорондоо шороон замаар холбогддог. Өлзийт сумын төв мянганы замын хэвтээ тэнхлэгийн замаас 30 км зайд оршдог бөгөөд дэд бүтэц сайн хөгжсөн тул үйлдвэрлэл үйлчилгээ хөгжих боломжтой. Сумын төв нь цэвэр усны эх үүсвэрийн гүний 3 худгаас ундны усны хэрэглээгээ хангаж байна. Төвлөрсөн ус хангамжийн системд холбогдсон айл өрх, аж ахуйн нэгж байхгүй. Сумын цаг уурын онцлогийг авч үзвэл эх газрын эрс тэс уур амьсгал ноёлно. Энд хоногийн болон улирлын агаарын температурын хэлбэлзэл ихтэй, өвөлдөө хүйтэн, зундаа огцом халдаг онцлогтой. Олон жилийн дунджаар жилийн агаарын дундаж температур -2.1о ба дулааны улиралд буюу IY-X саруудад сарын дундаж температур +9,1о хүрдэг. Жилийн дундаж хур тунадасны нийлбэр 280-300 мм ба түүний ихэнх нь IY-X саруудад хур борооны хэлбэрээр унаж дунджаар 279.8 мм хүрдэг байна /Өлзийтийн цаг уурын станцын мэдээгээр/. Эндээс харахад тус сумын хувьд ХАА-н таримлын болцонд агаарын температур, чийгийн хангамж муугүй болох нь харагдаж байна. Судалгаа явуулсан 8-р сард агаарын температур, хур тунадас олон жилийн дунджийн орчим байлаа. Тус сумын тариалангийн газар нь Орхон гол, Хавчуугийн гол бараадан байрлах тул усан хангамжийн асуудлаа дээрх голуудаас шийдэх боломжтой. 2.2 Газарзүйн байрлал Архангай аймгийн Өлзийт сум нь Хангайн нурууны ойт хээрийн бүс болон хээрийн бүсэд хамрагддаг бөгөөд нийслэл Улаанбаатар хотоос 375 км, аймгийн төвөөс 140 км-ын зайтай оршдог. Сумын нутаг д.т.д 1300 м өндөрт Хойд өргөргийн 48 градус, уртрагийн 102 градуст, хамгийн нам дор цэг нь Гацаа д.т.д 1271 м, хамгийн өндөр цэг нь Байшир багийн нутагт байх Рашаант уул д.т.д 2106 м өндөрт оршдог. Тус сумын хиллэх сумууд нь  А-Б Сайхан сум  Б-В Могод сум  В-Г Өгийнуур сум  Г-Д Батцэнгэл сум  Д-А Хайрхан сум зэрэг сумуудтай хиллэж байна. 1 Архангай аймгийн статистикийн мэдээ, 2019 он
  • 27.
    31 Зураг 2.2.1 Газарзүйнбайрлал Эх сурвалж: ГХГЗЗГ-ын мэдээ, БСТ-ын боловсруулалт ГУРАВ. ӨЛЗИЙТ СУМЫН БАЙГАЛИЙН ТӨРХ БАЙДАЛ, НӨӨЦ 3.1 Уур амьсгал Уур амьсгалын хувьд далайн түвшнээс 1800 метрээс дээш өндөр өргөгдсөн бол чийглэг-хүйтэн, 1300-1800 метр бол чийглэг-сэрүүн, 700-1300 м бол хуурайдуу – сэрүүвтэр уур амьсгалтай гэсэн мужлал (Б.Жамбаажамц, 1989 он)-аар авч үзвэл Өлзийт сумын нутаг чийглэг-хүйтэн, хуурайдуу–сэрүүвтэр бүсэд хуваагдаж байна. Гадаргын рельеф, газар зүйн өвөрмөц онцлогоос шалтгаалан уур амьсгалын өндөр уул, тал хээрийн нөхцөл ялгаа, хур чийг, дулаан, нарны цацраг хуваарилагдах зүй тогтлыг үүсгэдэг. Сумын нийт нутаг дэвсгэр дэх уур амьсгал эх газрын эрс тэс хахир, хахирдуу уур амьсгалтай, жилийн 4 улиралтай. Уур амьсгалын улирлын шинж. Өвөл. Жил бүрийн 10 дугаар сарын сүүлч, 11 дүгээр сарын эхнээс өвөл эхэлж, 3 дугаар сарын сүүлээр дуусаж нийтдээ 140-150 хоног үргэлжилнэ. Өвлийн саруудад цаг агаар гол төлөв цэлмэг тогтуун байдаг. Хамгийн хүйтэн 1 дүгээр сарын дундаж агаарын температур 20-25оС хүйтэн байна. Энэ улиралд 5-6 мм хур тунадас унах ба харьцангуй чийгшил 50- 58% байдаг байна. Зарим жил Орхон голын сав нутгаар +45 оС дулаарч, -50 оС хүртэл хүйтрэх тохиолдол байжээ/Архангай аймгийн цаг уурын нэгдсэн үзүүлэлт.1973 он/
  • 28.
    32 Хавар. Хаврын улирал3 дугаар сарын сүүлчээс эхэлж, 5 дугаар сарын эцэс хүртэл 55-65 хоног үргэлжилдэг. Хоногийн дундаж температур түргэн нэмэгдэж 4 дүгээр сарын дундаас 0 0С-г давж дулаардаг. Агаарын даралт 826.6-846.0 гПа болж өвлийнхөөс буурна. Салхины хурд хамгийн ихсэж 5-10м/с болох бөгөөд заримдаа 24м/с хүрдэг. Энэ улиралд хуурай өдрийн тоо ихсэж дунджаар 16.6-18.6, чийглэг өдрийн тоо эрс багасаж 1.1-2.0 тус тус байна. Зун. Зуны улирал 5 дугаар сарын 20-ны орчмоор эхэлж, 8 дугаар сүүлч, 9 дүгээр сарын 15-ны орчмоор төгсдөг. Зуны улирал нийтдээ 95-106 хоног үргэлжилнэ. Энэ улиралд хамгийн дулаан болж, хур тунадасны дийлэнх хэсэг ордог. Салхины хурд бусад улирлаас бага 1.6-3.6м/с байх бөгөөд уул хөндийн өдөр шөнөөр чиглэлээ сольдог салхи томоохон голын хөндий нутгуудаар ажиглагддаг. Агаарын дундаж температур жилийн хамгийн дулаан 7 дугаар сард 14-200С байна. Үүлшлийн хэмжээ бусад улирлаас их байдаг. Нийт үүлшил дунджаар 6 балл, доод мандлын үүлшил 3.0-4.5 балл хүрдэг. Бүрхэг өдрийн тоо нийт үүлшлээр 6-15 хүрнэ. Зуны улиралд жилийн хур тунадас 60-70% нь 83-92 мм хур тунадас унадаг. Намар. Намрын улирал 8 дугаар сарын сүүлч 9 дүгээр сарын эхнээс, 10 дугаар сарын эцэс, 11 дүгээр сарын эхэн үе хүртэл нийтдээ 60 гаруй хоног үргэлжилнэ. Намрын эхэн үед хоногийн дундаж агаарын температур 9 дүгээр сарын 21-27- нд +5 градусын зайцыг, 10 дугаар сарын 20-ны орчмоор 00С-ын зайцыг тус тус дайрч хүйтэрдэг. Салхины хурд 2.0-3.5 м/с болж зуны улирлаас ихэсдэг. Хур тунадасны хэмжээ намрын эхний сард 24-30 мм, сүүлийн сард 8-10 мм болж эрс буурдаг. Харьцангуй чийгшил алгуур багасаж 60-54%, усны уурын даралт 3.4 гПа болно. Анхны цас дунджаар 9 дүгээр сарын 15-22-ны үед орж 9 дүгээр сарын 25-31-ны үед цасан бүрхүүл үүсэн тогтож эхэлнэ. Хур тунадас. Уулархаг нутгаар нутгаар жилдээ дунджаар 400 мм-ээс их, уулсын хоорондох голын сав нутгаар 300-400 мм, зүүн, зүүн өмнө талын нутагт 300 мм-ээс бага хур тунадас ордог байна. Жилийн дулааны улиралд хур тунадасны 93.2-95.5% нь, харин хүйтний улиралд маш бага хэсэг нь ордог нь монгол орны хур тунадасны горимын нэг онцлог юм. Цас бороотой өдрийн тоо. Жилд дунджаар 50-65 өдөр бороо, 26-40 өдөр цас орох боловч өндөр ууландаа цас бороотой өдрийн тоо олон байна. Хавар 3-5 дугаар, намар 8-10 дугаар сард нойтон цас, бороо холилдон ордог бөгөөд дулаан үеийн бусад сард бороо хүйтний саруудад дан цас байдалтай орно. Цасан бүрхүүл. Ихэвчлэн анхны цас 9 дүгээр сарын 15-17-нд орж, сүүлчийн цас 5 дугаар сарын 22-27-ны үеэр ордог. Зарим жилд энэ хугацаанаас эрт болон орой орох тохиолдол байдаг. Цасан бүрхүүл дунджаар 10 дугаар сарын 1 ба 2 дугаар 10 хоногт үүсэн тогтож, хавар дунджаар 5 дугаар сарын эхний 10 хоногт арилдаг. Цасан бүрхүүл хамгийн эрт 9 дүгээр сарын 4-14-нд тогтож хамгийн эрт 3 дугаар сарын 20-25 үеэр арилна. Тогтвортой цасан бүрхүүл 90- 110 хоног тогтож дундаж зузаан нь 8-12 см, хамгийн зузаан нь 19 см байх
  • 29.
    33 боловч заримдаа 25-30см ч хүрдэг. Цасан бүрхүүлийн зузаан жил бүр харилцан адилгүй байдаг бөгөөд зарим жилд 40-50 см хүрэх тохиолдол ч бий. Үүлшил.Жилийн дундаж нийт үүлшил 4.6-4.7 балл, доод мандлын үүлшил 1.5- 2.1 балл байдаг. Жилийн дулааны улиралд үүлшил нэмэгдэж зуны сард нийт үүлшил 5.9-6.1 балл, доод мандлын үүлшил 3.0-3.5 балл байна. Цэлмэг өдрийн тоо нийт үүлшлээр 80-84, доод мандлын үүлшлээр 229-247, бүрхэг өдрийн тоо нийт үүлшлээр 60, доод мандлын үүлшлээр 9-19 тус тус байна. Хүчтэй салхи.Хүчтэй салхитай өдрийн тоо 6-7 өдөр, хамгийн олон нь 20-24 хүрдэг. Хүчтэй салхины хоногийн явцыг авч үзвэл 3-6 цагийн хооронд хамгийн цөөн 4-7%, 12-15 цагийн үед хамгийн олон 23-25% нь тохиолдоно. Хүчтэй салхины жилийн явц салхины хурдны явцтай адилхан, өвлийн улиралд цөөн, хаврын саруудад хамгийн олон 15-20 өдөр тохиолддог. Шороон ба цасан шуурга.Салхины хурд хөрсний байдалтай уялдан шороон шуурганы хүч, шороон шуургатай өдрийн тоо нутаг бүхэнд харилцан адилгүй өөр өөр байдаг. Шороон шуурганы 60-75.5% нь 3-5 дугаар сард ажиглагдана. Уулархаг нутагт шороон шуурганы үргэлжлэх хугацаа хамгийн бага 7-8 цаг байна. Шороон шуурганы 75-85% нь 9-20 цагийн хооронд тэр дундаа 14-19 цагийн хооронд хамгийн олон ажиглагддаг байна. Цасан шуургатай өдрийн тоо жилд 4-6 байдаг бөгөөд зарим жил 11-15 өдөр байна. Цасан шуурга нь ихэвчлэн 9-5 дугаар саруудад ажиглагдана. Зарим жил хавар орой, намар эрт гэнэт цас орж шуурга шуурах тохиолдол бий. Мөндөр, аянга цахилгаан. Жилийн 5-10 дугаар сард мөндөр, аянга цахилгаан ажиглагддаг бөгөөд мөндөртэй өдрийн тоо жилд дунджаар 3-7, зарим жилд 10 өдөр хүрдэг байна. Аянга цахилгаантай өдрийн тоо жилд дунджаар 30-32, зарим жилд 60 өдөр хүрэх тохиолдол бий. Аянга цахилгаан 4-9 дүгээр сард голдуу ажиглагдах боловч 7-8 дугаар сард 10 гаруй өдөр тохиолддог. Манан. Манантай өдрийн тоо жилд дунджаар 2-8, хамгийн олон нь 20 гаруй өдөр ажиглагддаг. Манан гол төлөв 7-8 дугаар сард ажиглагдах боловч өвлийн улиралд хааяа тохиолддог. Хүснэгт 3.1 Сумын агаарын температур, хур тунадасны үзүүлэлт Он Агаарын температурын жилийн дундаж хэмжээ Жилийн хур тунадасны хэмжээ, Хур тунадастай байсан өдөр Олон жилийн дундаж үзүүлэлт Тунадас, мм Температур С0 Нийлбэр, мм Тоо 1-р сар 7-р сар 2014 3.3 С0 206.8 59 297.9 -32.2 +23.6 2015 1.0 С0 257.8 62 2016 -0. 7 С0 322.4 80 2017 1.6 С0 199.6 62 Олон жилийн дунджаар үзвэл, хур тунадас 297.9 мм, тунадастай өдөр 65.7, тухайн жилийн хамгийн хүйтэн -32.2 С0, хамгийн дулаан +23.6 С0 байв.
  • 30.
    34 Зураг 3.1.1 Жилийннийлбэр хур тунадасны тархалт
  • 31.
    35 3.2 Хөрс, хөрсөнбүрхэвч Хөрс нь өндөр уулын ба уулын ойн 4 төрлийн, ойт хээрийн 3 төрлийн, бүс дундын 1 төрлийн хөрснөөс тус тус бүрддэг. Дээрх төрлийн хөрснөөс тус сумын нутаг дэвсгэрт хамаарах байршлаар тодорхойлбол дараах байдалтай байна. Үүнд: Уул нурууд, нам уул, ухаа толгодын болон тал, хөндий, жижиг цав толгодын хар хүрэн хөрс. Энэ төрлийн хөрсний хэсэг нь тус сумын нутаг дэвсгэрийн багахан хэсэгт тархана. Тал, хөндий, жижиг цав толгодын хүрэн хөрс. Энэ төрлийн хөрс нь Өлзийт сумын өмнөд, Орхон голын хөндийг даган далайн түвшнээс дээш 1000-1500 метрийн өндөрт Өгий нуурыг тойрон тархсан байна. Бүс дундын нугын, нугат намгийн, намгийн хөрс. Энэ төрлийн хөрс нь Орхон голын хөндийн ай сав газар, Орхон голын дагуу хамгийн их тархсан хөрс юм. Гол мөрний хөндий, хээрийн бүсэд хар шороон ба уул-хээрийн хүрэн хөрс зонхилдог. Зураг 3.2.1 Хөрсний нэвчилт
  • 32.
    36 Өлзийт сумын тариалангийнгазарт 2011 онд хийсэн судалгаагаар хөрсний физик, химийн шинж чанар нь делюви хурдас дээр тогтсон дунд зэргийн зузаан хөнгөн шавранцар хүрэн хөрс зонхилж бага хэмжээгээр аллювын нуга, нугын хүрэн хөрс тархсаныг тогтоосон байна2. Хүрэн хөрсний физик, хими шинж чанарыг судалжээ. Уг хөрсний ялзмагт үеийн зузаан дунджаар 20-40 см, ялзмаг агууламж 1.2-1.6%, ерөнхий азот 0.08 -0.1% байсан ба үе давхарга доошлох тутам энэ хэмжээ буурна. Хөдөлгөөнт фосфор, калийн агууламжаар дунд зэрэг. Энэ хэмжээ нь ХАА-н таримлын бүрэн дүүрэн ургац авахад шаардлагыг хангаж чадахгүй. Хөрсний орчин ерөнхий сул хүчиллэгээс саармаг рН=6.8-7.0 байна. Карбонатын хуримтлал их төлөв 35- дээш см-т ажиглагдана. Зүсэлт хийхэд хүрэн өнгөтэй, нягтарсан тоосорхог бөөмөрхөг бүтэцтэй, ургамлын үндэс бага, зарим газраа жижиг бага зэрэг хайрга чулуутай, шилжилт тод, ихэвчлэн хөнгөн шавранцар хааяа элсэнцэр механикийн бүрэлдэхүүнтэй байна. Дээрхээс үзэхэд тус сумын тариалангийн ихэнх газрын хөрс үржил шим, шинж чанарын хувьд ерөнхийдөө гайгүй боловч ХАА-н таримал тариалахад хөрс сайжруулалт хийх, тухайн таримлын онцлогт тохируулан эрдэс болон шим бордоог зайлшгүй хэрэглэх шаардлагатай. Хөрсний механик бүрэлдэхүүний хувьд ихэвчлэн хөнгөн, элсэнцэр бүтэцтэй байгаа нь хөрс салхийг тэсвэрлэх чадвараар дунд зэрэг байна гэсэн үг. Тус сумын тариалангийн талбайн төлөв байдлыг хөрсний төрөл, механик бүрэлдэхүүн, талбайн өндөржилт ба налуу, чулуужилт, салхины ба шугаман элэгдэл эвдрэл, хог ургамал, хортон шавжийн тархалт, давсжилт, намагжилт, агрохимийн шинж чанар, саад тотгор, зам харгуй, шугам сүлжээ дайрсан эсэх зэрэг унаган болон ашиглалтын явцад гарсан өөрчлөлтүүдээр тодорхойллоо. Хөрсний хэв шинж ба механик бүрэлдэхүүн.Тариалангийн талбайн төлөв байдлын үндсэн үзүүлэлтийн тоонд хөрс болон түүний механик бүрэлдэхүүн чухал байр суурийг эзэлнэ. Энд нийт тариалангийн талбайд дунд зэргийн зузаан хөнгөн шавранцар хүрэн хөрс зонхилж бага хэмжээгээр аллювын нугын хөрс тархана /хүснэгт 3.2.1/. Хөрсний задлан шинжилгээ хийхэд ихэнх хөрсний /Н. А. Качинскийн аргаар / механик бүрэлдэхүүнд эзлэх 0.01мм-ээс бага хэмжээтэй физик шаврын агууламж 18.3% байгаа нь элсэнцэр, 24.3-28.4% байгаа нь хөнгөн шавранцар механик бүрэлдэхүүнтэй болохыг дахин нотолж байна /хүснэгт 3.2.1/. Эндээс харахад тус сумын талбайн хөрс үржил шим, механик бүрэлдэхүүн, хөрс салхины хүчийг тэсвэрлэх чадвараар дунд зэрэг байна. Гэвч газар тариалангийн үйлдвэрлэл эрхлэхдээ юуны өмнө салхины эвдрэлээс хамгаалах техник, технологи нэвтрүүлэх, ХАА-н таримлыг тариалахад нэмэлт бордоог тарилтын өмнө буюу тарилтын үед гурвал тунгаар хийж өгөх нь зүйтэй. Эс хэрэглэвээс хөрс шим тэжээлийн бодисоор ядуурч элсжих процесс түргэсдэг. Дээрх хөрсний чийгийн хангамж, ус барих чадвар дунд зэрэг. 2 Архангай аймгийн Өлзийт сумын тариалангийн болон атаршсан газрын төлөв байдал, чанарын хянан баталгаа ажлын тайлан, Глобус ХХК, Д.Цэцгээ, 2011 он
  • 33.
    37 Хүснэгт 3.2.1 Хөрснийхэв шинж ба механик бүрэлдэхүүн Хөрсний хэв шинж Эзлэх талбай Хөрсний механик бүрэлдэхүүн Эзлэх талбай Га Хувь Га Хувь Он 2005 2011 2005 2011 Он 2005 2011 2005 2011 Хүрэн хөрс 3208.8 4401.7 91.8 91.6 Элсэнцэр 419.4 275.3 12.0 5.7 Нугын хөрс 287.4 404.3 8.2 8.4 Хөнгөн шавранцар 3076.8 4530.7 88.0 94.3 Аллюви нуга - 0.5 - 0.01 Дунд шавранцар - 0.5 - 0.01 Дүн 3496.2 4806.5 100 100 Дүн 3496.2 4806.5 100 100
  • 34.
  • 35.
    39 Хөрсний агрохимийн шинжчанар. Хөрсний агрохимийн шинж чанар бол тухайн талбайг агро үйлдвэрлэл талаас тодорхойлогч гол хүчин зүйл мөн. Хөрсний голлох тогтвортой үзүүлэлтүүдээр уг хөрсний шинж чанарыг тодорхойлохын зэрэгцээ агро шинж чанарыг тодотгох үүднээс хөдөлгөөнт азот, фосфор, калийг тодорхойлох нь чухал. Хүснэгтээс харахад тус сумын тариалангийн талбайд тархсан хөрс, хөрсний ялзмагт үе, ялзмагийн агууламжийн хувьд дунд зэрэг байна. Эдгээр үзүүлэлтийг шим тэжээлийн бодисын хангалтын зэрэглэлээр /УГТЭШ Хүрээлэн, ХАУТ Лабораторийн бага, дунд, хангалтай, сайн хангалттай гэсэн 4 баллын зэрэглэл, мг/100 г шороонд, 0- 20 см гүн/ авч үзвэл дээрх хөрс нь хөдөлгөөнт азотоор бага, фосфор, калиар багаас дунд зэрэг хангалттай байна. Иймд энд дурдсан байгаа бүх төрлийн хөрсийг ХАА-н таримал, ялангуяа төмс, хүнсний ногоо тарихад шим болон эрдэс бордоогоор заавал бордох шаардлагатай. Хөрсний ялзмагт үеийн зузааныг өмнөх судалгаатай харьцуулж үзэхэд 0.5-1.0 см-ээр нимгэрч, ялзмаг агууламж болон бусад шим тэжээлийн бодис бага зэрэг буурах хандлагатай байна. Энд нэг зүйлийг анхааруулж хэлэхэд зарим нэг /NPK гэх мэт/ элементийг энэ удаад тодорхойлсон арга зүй, 2005 онд хийсэн задлан шинжилгээний арга зүйгээс арай өөр арга зүйгээр хийсэн учир яг тэдэн хувийн бууралт өсөлт гэж нарийн тоо хэлэхэд хүндрэлтэй учир ерөнхий шим тэжээлийн бодисын аль зэрэглэлд хамаарч байна гэдгээр дүгнэлтийг гаргав.Тухайлбал, азот гэхэд нийт азот биш нитрат азотыг энэ удаад тодорхойлсон болно. Хүснэгт 3.2.2 Хөрсний агрохимийн шинж чанар Хөрсний хэв шинж Он Ялзмагт үеийн зузаан,см Ялзмаг, % Нитрат азот, мг/кг рН Р 205 мг/г К 20 мг/г Шингээх багтаамж , мг/экв Хүрэн 2005 24-25 2.64 0.132 6.66 102 177 2011 22-24 1.96 5.60 6.50 1.6 15.0 16 Өөрчлөлт -1.0
  • 36.
    40 Зураг 3.2.3 Хөрсниймеханик бүрэлдэхүүн
  • 37.
    41 Хөрсний элэгдэл эвдрэл.Тус сумын тариалангийн талбайд тархсан хөрсний зарим нэг нь /Өвөр Жаргалант/ ашиглалтын явцад салхины сул эвдрэлд орсон байна. Эвдрэлд орсон талбайд 1-3 см нимгэн элсэн бүрхүүл тогтсон байв. Өмнөх судалгааны үетэй харьцуулахад ялзмагт үе давхарга 0.5-1.0 см нимгэрснээс гадна ялзмагийн агууламж 5-10%-р буурсан байна. Ер нь элсэнцэр хөрс элэгдэж эвдрэхдээ амархан байдаг. Энэ нь хөрсний уг шинж чанар, механик бүрэлдэхүүн, газар зүйн байрлал зэрэг байгалийн унаган төрх байдалтай холбоотой боловч талбайн ашиглалт, хамгаалалт, агротехник, хөрс эвдрэл зэрэг хүний үйл ажиллагаатай салшгүй холбоотой байдаг. Усны элэгдэл, эвдрэлд байгалийн унаган төрх байдал газрын гадаргын хэвгий байдал, налуулаг чухал үүрэгтэй байдаг. Тус сумын талбайнууд одоогоор усны эвдрэлд ороогүй бөгөөд цаашид ч орох магадлал багатай. Хүснэгт 3.2.3 Хөрсний элэгдэл эвдрэл Салхины элэгдэл эвдрэл Эзлэх талбай Усны элэгдэл эвдрэл Эзлэх талбай Га Хувь Га Хувь Он 2005 2011 2005 2011 он 2005 2011 2005 2011 Сул 805 979 23.0 20.4 Ороогүй - - - - Дунд - - - - Шугаман - - - - Ороогүй 2691.2 3827.5 77.0 79.6 Нэлэнхүй - - - - Дүн 3496.2 4806.5 100 100 Дүн - - - - Тариалангийн талбайн өндөржилт ба налуу. Тус сумын тариалангийн талбайнууд нь Бүрдийн хөндий, Өвөр Жаргалантад үндсэндээ байрладаг. Талбайн өндөржилтийн хувьд байрлалаасаа хамааран бага зэрэг ялгаатай. Тухайлбал Бүрдийн хөндийд байрлах талбайнууд далайн түвшнээс дээш 1450 м-ийн өндөрт оршдог бол Өвөр Жаргалантын талбайнууд 1340-1360 м-ийн өндөрт оршино. Газрын гадаргын хамгийн тохиромжтой өндөр бол газар тариалангийн үйлдвэрлэлд далайн түвшнээс дээш 900-1200 м-ийн өндөр байх ба түүнээс дээш ХАА-н таримлын болц оройтох, агаарын температурын дулааны хангамж хүрэлцэхгүй байх зэрэг сөрөг үр дагавартай байдаг. Гэвч тус сумын хувьд агаарын температур хүрэлцээтэй учир хяруу цохих аюул бага. Налуугийн хувьд боломжийн Бүрдийн хөндийн ганц нэг талбайгаас бусад нь бүгд 0-10 градусын налууд байрлаж байгаа нь ХАА-н машин техник явахад ямар ч саадгүй байна. Ийнхүү тус сумын талбайнууд бага зэрэг өндөрлөг газар байрлах ба харин налуугийн хувьд ямар ч саадгүй тэгш гадаргад байрладаг. Хэт налуу тухайлбал 3-50, 5-70 налуу нь төдий тохиромжтой биш байдаг. Тариалангийн талбайн өндрөөс агаарын дулааны температур, ХАА-н таримлын болц ихээхэн хамаардаг бол налуу нь хөрсний элэгдэл эвдрэл, хөрс боловсруулалт, ХАА-н техникийн үйл ажиллагаанд хүндрэл учруулах сөрөг талтай байдаг. Хүснэгт 3.2.4 Тариалангийн талбайн өндөржилт ба налуу Талбайн өндөржилт, Д.т.д, м Эзлэх талбай Талбайн налуу, градусаар Эзлэх талбай га хувь га хувь он 2005 2011 2005 2011 он 2005 2011 2005 2011 1300-1400 1137.8 2008 32.6 41.8 0-1 2746 3948 78.6 82.1 1400-1500 2358.4 2798.5 67.4 58.2 1-3 750 858 21.4 17.9
  • 38.
    42 Дүн 3496.2 4806.5100 100 Дүн 3496 4806 100 100 Тариалангийн талбайн чулуужилт ба намагжилт, давсжилт. Газар тариалангийн үйлдвэрлэлийн үйл ажиллагаанд чулуужилт чухал нөлөө үзүүлнэ. Гэхдээ чулуужилтын үзүүлэлт 3 см-ээс дээш диаметртэй чулууг хамруулдаг ба манай орны ихэнх тариалангийн талбайд ажиглагддаг хайрга болон жижиг үйрмэг чулуу агро технологид нөлөөлдөггүй учраас чулуужилтад хамруулж үздэггүй бөгөөд зөвхөн түүнээс том хэмжээний чулууг хамруулж их, дунд, бага гэсэн 3 ангиллаар авч үзлээ. Чулуужилтын хувьд тус сумын талбайнууд бага зэрэг чулуутай. Тус суманд одоогоор усны эвдрэлд орж намагжсан, хужир мараатай талбай байхгүй. Хээрийн бүдгэрсэн зам харгуй хажуу талаар нь дайрсан талбай тохиолдох боловч тэдгээрийн хамрах хүрээ харьцангуй бага учир тодорхой хэмжээ тавьсангүй дэлгэрэнгүй хүснэгтэд зөвхөн зам харгуй гарсан гэж тэмдэглэв. Ахуйн болон химийн бохирдолтын шинж тэмдэг одоогоор илрээгүй. Доорх хүснэгтээс харахад нийт талбайд элдэв сөрөг нөлөөлөл байхгүй байна. Хүснэгт 3.2.5 Тариалангийн талбайн чулуужилт ба намагжилт Талбайн чулуужилт Эзлэх талбай Талбайн намагжилт, давсжилт Эзлэх талбай Га Хувь Га Хувь Он 2005 2011 2005 2011 Он 2005 2011 2005 2011 Чулуугүй 2624 4062 75.1 84.6 Нөлөөлөлгүй Бага - - - Намагтай - - - - Дунд 651 404 18.6 8.4 Хужир, мараатай - - - - Их 221 340 6.3 7.0 бохирдолтой - - - - Дүн 3496 4806 100 100 Дүн - - - - Тариалангийн талбайн хог ургамал, хортон шавж. Талбайн хог ургамал нь талбайг бохирдуулж талбайн соёлжилтыг бууруулахаас гадна ХАА-н таримлын ургацыг бууруулдаг сөрөг үзүүлэлт юм. Тус сум нь нийт талбайнуудаа ашиглаагүй атаршуулсан учир хог ургамал нэлээд ихтэй байв. Хог ургамлаас лууль, шарилж, чөдөр тарна, урвуу гагадай, үхэр гоньд, хээрийн сэдэргэнэ, жамба цэцэг, хиаг, зэрлэг олс, хээрийн шаралзгана зэрэг хог ургамлууд түгээмэл тохиолдоно. Хог ургамлын ангиллаар 1м2 талбайд 0-1 ширхэг хог ургамал буюу нийт талбайн 10%-д тархсан байвал маш бага, 1м2 талбайд 1-3 ширхэг хог ургамал буюу нийт талбайн 11-25%-д тархсан байвал бага, 3-6 ш буюу 26-35%-д тархсан бол дунд, 6-10 ш буюу 36-50%д тархсан бол их түүнээс дээш бол маш их гэж ангилдаг. Тэгвэл юм тарьсан талбайнууд маш бага, атаршуулсан талбайнууд дунд гэсэн ангилалд хамрагдаж байна. Хортон шавж төмс, хүнсний ногооны талбайд мэр сэр байв. Харин хортон мэрэгч байхгүй /Хүснэгт 3.2.6/. Хүснэгт 3.2.6 Тариалангийн талбайн хог ургамал, хортон шавж Талбайн хог ургамал, % Эзлэх талбай Талбайн хортон шавж, ш/м2 Эзлэх талбай Га Хувь Га Хувь Он 2005 2011 2005 2011 Он 2005 2011 2005 2011 10 3496 11.5 100 0.2 0.5-1 - 11.5 - 0.2 11-25 - - - - 1-4 - - - -
  • 39.
    43 26-35 - 4795- 99.8 4-ээс их - - - - 35-50 - - - - - - Дүн 3496 4806 100 100 Дүн 11.5 - 0.2 Тариалангийн талбайн газар ашиглалтын одоогийн байдал хэтийн төлөв. Тус сум 2010 оны газрын тоо бүртгэлээр 20.4 га тариалангийн, 3430.6 га атаршсан газартай гэжээ. Судалгаа явуулсан 2011 оны хувьд 11.5 га талбайд төмс, хүнсний ногоо, малын тэжээл тариалсан байв. Атаршсан талбай балансаар 3430.6 га боловч газар дээрээ 4795 га талбай байна. Эдгээр талбайнууд Бүрдийн хөндий, Өвөр Жаргалантын хөндийд байрлах ба социалист нийгмийн үед үр тариа, малын тэжээл тарьж байгаад 1990 оны үеэс зах зээлийн хямралд өртөн атаршуулжээ. Одоогоор дээрх талбайнуудад нөхөн сэргээлтийн ажил хийгдээгүй боловч түрүүчээсээ шарилж, хиагийн үе өнгөрч үетэн буурцагтны үе буюу эдгэрэх шатандаа явж байна. Жаргалантын өвөрт салхины сул элэгдэл эвдрэлд орсон талбайг эс тооцвол эвдрэл харьцангуй гайгүй, хөрс зузаавтар, чулуу байхгүй. Атаршуулсан талбайнуудынхаа захад ганц нэг иргэд төмс, хүнсний ногоо тарьдаг. Усалгааны асуудлыг голоос суваг шуудуу татан шийдвэрлэдэг. Дээрхээс харахад тус сумын тариалангийн газрын бүтцийг төмс, хүнсний ногоо дангаараа бүрдүүлэх бөгөөд үр тариа, тэжээлийн ургамал албан ёсоор тариалдаггүй. Сүүлийн үед урган гарч буй цаг үеийн шаардлагаа дагаад чацаргана, малын тэжээл тариалахаар сонирхож байна. Сумын төвд чацаргана тарьсан талбайтай. 2009 онд хийгдсэн тариалангийн газрын кадастрын зураглал хийгдсэн. 2019 онд сумын ЗДТГ-ын ХААТ-ийн гаргасан мэдээллээр 1.5 га-аас төмс 7.0 тн, 1.9 га талбайгаас хүнсний ногоо 3.5 тн, 70 га талбайгаас 110 тн ногоон тэжээл, хүлэмжийн 282 м2 талбайгаас өргөст хэмх, улаан лооль 1.5 тн-ыг тус тус хураав. Сумын газар тариалангийн талбайнууд байгалийн нөхцөл байдал, хөрсний үржил шимийн хувьд үр тариа, малын тэжээл тариалах боломжтой. Гагцхүү зөв агро технологи, арчилгаа, тордлогоо хийх шим болон эрдэс бордоог өргөн хэрэглэх, элэгдлээс хамгаалах техник технологи хэрэглэх шаардлагатай. Цаашид авах арга хэмжээ, өгөх зөвлөмж. Атаршуулсан талбайг даруй ашиглах, үр тариа тарих боломжийг хайх, төмс, хүнсний ногоо, таримал тэжээл, хүлэмжийн ногоо тарих талбайг өргөжүүлэх, нэгжийн ургацыг нэмэгдүүлэх дэвшилтэт арга технологийг нэвтрүүлэх Хөрсний элэгдэл эвдрэлтэй тэмцэх иж бүрэн агро технологи мөрдөх Хөрсний үржил шимийг нэмэгдүүлэх шим болон эрдэс бордоог өргөн хэрэглэх Тариалангийн талбайд оновчтой, эрчимжсэн агротехникийн бодлого явуулах Тариалангийн талбайд тархсан хог ургамал, хортон шавжийг устгах 3.3 Ургамалжилт Монгол улсад 2000-2005 онуудад хийсэн ургамалжилтын судалгаа, Монгол орны ургамалжилтын 1:1000000 масштабын зураг, бэлчээрийн зураглал, тэжээлийн нөөцийг тооцсон олон эрдэм шинжилгээний хүрээлэнгүүдийн эрдэмтэд судалж, нэн их материалыг бүрдүүлсэн нь аймаг, сумын ургамлын үнэлгээг хийх мэдээллийн тулгуур эх үүсвэр болж байна. ШУА-ийн Геоэкологийн хүрээлэн, Ботаникийн хүрээлэнгийн судлаачид 2004 онд өндөр уул, ойт хээр, хээрийн бүс, бүслүүрийн бэлчээрийн ургамалжилт түүний онцлог, зүйлийн бүрэлдэхүүн, малд идэгдэх ургац, тэжээлийн нөөц, ургамлын
  • 40.
    44 аймгийн овог, төрөл,зүйлээр нь тооцож, судалгааны дүнг нэгтгэн дүгнэсэн байна3. Энэ ажлын үр дүнд ургамлын аймгийн овог, төрөл, зүйлийг илрүүлэх судалгааг явуулахдаа Архангай аймгийн бүх сумдын нутгийг хамарсан маршрут судалгааг явуулан, ургамлын бичиглэл хийж, аймаг, сумын нэгдсэн ургамлын төрөл, зүйлийн жагсаалтыг гаргажээ. Бэлчээрийн ургамалжилт.1981 онд сансраас авсан бэлчээрийн 1:100000 масштабын ургамалжилтын зураг болон энэ судалгааны дүнгээс үзэхэд өндөр уулын бэлчээрийн ургамалжилт 142.3 мянган га буюу 4.0 хувь, ойт хээрийн ургамалжилт 2181.7 мянган га буюу 57.0 хувь, тал хээрийн ургамалжилт 950.7 мянган га буюу 25.0 хувь, голын хөндий ба нам хотосын ургамалжилт 528.2 мянган га буюу 14.0 хувийг тус тус эзэлж байгааг тогтоожээ. Бүс, бүслүүрийн бэлчээрийн ургамлын онцлог болон ургамлын зүйлийн бүрэлдэхүүн, малд идэгдэх дундаж ургацын байдлыг тодорхойлжээ. Ургамалжилт, ургамлын аймгийн онцлог. Архангай аймгийн ургамалжилтыг ботаник-газарзүйн бүсчлэл ба ургамлын аймгийн бүтэц, бүрэлдэхүүнийг тооцохын зэрэгцээ нэн ховор, ховор ургамлын тархалт байршилтыг тогтоосон байна. Бүх сумдын нутаг дэвсгэрээр явж, маршрут судалгаа хийснээс гадна Монгол- Оросын хамтарсан биологийн экспедицийн материалыг үндэслэн сумдын ургамлын жагсаалтыг гаргасны үндсэн дээр Архангай аймгийн нутагт нийт ургамлын 81 овог, 231 төрөл, 946 зүйл ургамал байгааг бүртгэж тооцжээ. Тус аймагт бүртгэгдсэн овгоос үетэн, нийлмэл цэцэгтэн, уруул цэцэгтэн, улалж, тэргүүлэгч цэцэгтэн орж байна. Томоохон төрлүүдээс: улалж, шарилж, гичгэнэ, бургас, хунчир, үетэн, банздоо зэрэг орно. Аймгийн бүх сумдын ургамлыг овог, төрөл, зүйлээр ялгаварлан гаргаснаас Өлзийт сумын нутагт 43 овогт хамраах 118 төрлийн 219 зүйл ургамал ургаж байна. Архангай аймагт ургаж байгаа байгалийн ургамлыг тэжээллэг ба эмчилгээний чанар ач холбогдлоор нь ангилж үзэхэд эмийн ба ашигт ургамал 283, тэжээл 601, нэн ховор 19, ховор 35 зүйл ургамлууд тус тус ургаж байгааг тогтоосон байна. Эдгээр ургамлын тархалт, биологийн онцлогийг харгалзан үзэж нөөцийг арвижуулах, нөхөн сэргээх шаардлагатай байна4. Аймгийн нутаг дэвсгэрт уулын хээрийн ургамалжилт бүхий 3 төрлийн ургамлын бүрхэвч тархсан байна гэж үзэж болно. Үүнд: Алаг өвс-жижиг үетэнт, үетэн-улалж-ботууль ургамал бүрхэвч. Энэ төрлийн ургамлын бүрхэвч нь аймгийн нийт нутаг дэвсгэрт жигд байдлаар хамгийн их тархсан бөгөөд нийт нутгийн 40.9 хувийг эзэлдэг. Уулын хээрийн ургамалжилт бүхий дээрх 3 төрлийн ургамлын бүрхэвч нь аймгийн гол бэлчээрийн газрыг бүрдүүлэх бөгөөд ерөнхий дүнгээрээ нийт нутаг дэвсгэрийн 56.7 хувийг эзэлдэг. 3 Я.Баасандорж (Ph.D), Д.Зооёо (Ph.D), С.Бадрах. “Архангай аймгийн бэлчээрийн ургамалжилт түүний зарим онцлог” эрдэм шинжилгээний өгүүлэл. 4 Баасандорж Я. Бадрах С. Зооёо Д., 2004. “Архангай аймгийн байгалийн ургамлын тооллого, бүртгэл” ажлын тайлан. УБ. Х. 9-21
  • 41.
    45 Хуурай хээрийн харгана,жижиг үетэн хялганат, чулуулаг алаг өвс ботуульт ургамал бүрхэвч нь аймгийн нийт нутаг дэвсгэрийн 10.2 хувийг эзлэх бөгөөд зөвхөн Өлзийт, Өгийнуур, Хотонт, Хашаат сумдын бэлчээр нутгийн гол цөмийг бүрдүүлдэг байна. Нуурын хөвөө, голын татмын ургамалжилттай бургас, улиас, хааяа шинэс, гацуур бүхий улалжит, үетэн-алаг өвст, дэрст ургамал бүрхэвч нь хойд Тамир, Орхон голыг дагасан хөндийгөөр тархсан бөгөөд нийт нутаг дэвсгэрийн 4.5 хувийг эзэлнэ. Архангай аймгийн нутгийн 15% орчмыг шинэс хар модон болон холимог ой эзэлнэ. Аймгийн нийт нутаг дэвсгэрийн 19.6 хувийг шилмүүст ой эзэлдэг. Ой бүхий газар 50 гаруй зүйлийн мод бут, 1700 нэрийн ургамал ургадгаас түүний 20 орчим хувь нь эмийн зориулалтаар ашигладаг ховор ургамал юм Гол мөрний хөндий, хээрийн бүсэд хар шороон ба уул-хээрийн хүрэн хөрс зонхилдог. Үет болон агь, үет ургамал хосолсон өтгөн шигүү ургамал ургана. Тайгын бүслүүрт мөнх цэвдэг нэлээд тархсан байна. Сумын нутаг нь ургамал газар зүйн мужлалаар Евразийн хээрийн муж, Хангай Хэнтийн уулархаг их мужийн Хангайн муж, Хангайн гол нурууны ойт хээрийн тойрогт хамрагддаг. Өлзийт сумын нутаг нь ургамал газар зүйн мужлалаар Евроазийн хээрийн муж, Хангай-Хэнтийн уулархаг мужийн Хангай сум, Хангайн гол нурууны тойрогт хамрагддаг байна5. Судалгаа явуулсан тариалангийн талбайн орчимд хээрт 50-55%-ийн ерөнхий бүрхэцтэй хялгана-үетэн-алаг өвст, нугад нь улалж-алаг өвст төрөл зонхилон тархана. Өөрөөр хэлбэл ургамал нөмрөгт хялгана, хиаг, саман ерхөг, бүхий үетэн ургахаас гадна алаг өвснөөс имт гичгэнэ, арзгар согсоолж, далан түрүү, агь, улалж зэрэг ургана6. 5 А.А. Юнатов БНМАУ-ын ургамал нөмрөгийн үндсэн шинжүүд, 1976 он 6 Архангай аймгийн Өлзийт сумын тариалангийн болон атаршсан газрын төлөв байдал, чанарын хянан баталгааны ажлын тайлан, Глобус ХХК, Д.Цэцгээ, 2011 он
  • 42.
  • 43.
    47 Өлзийт сумын үржилшимт хар хүрэн шороон хөрсөнд ерхөг, согоовор, агь, хиаг, хялгана, ботууль зэрэг соргог нарийн өвс, үет болон буурцагт ургамал ургана. Хөндий, хоолой, талархаг нутгаар шивээт хялгана, харгана, дэрс мэт бутлаг ургамал тааралдана. Уулархаг газраа хар мод, хус, голын хөндий тохойгоор улиас, бургас ургана. Мөн торлог, буриагуул зэрэг модлог бутлаг ургамлаар элбэг болно. Алтан гагнуур, хунчир, бамбай, нохойн хошуу, царван, таван салаа, игүүшин, тарваган шийр, чихэр өвс, дэгд зэрэг эмийн, таана, хөмүүл, мангир, шувуун хөл, гоньд, мөөг, мэхээр, цээнэ, халгай мэт хүнсний болон аминдэмтэй ургамал, тошлой, улаалзгана, гүзээлзгэнэ зэрэг олон төрлийн жимс ургадаг7. 3.4 Ойн нөөц, төлөв байдал Сумын ойгоор бүрхэгдсэн талбайн 3852 га буюу 98.2 хувийг байгалийн ой, 72 га буюу 1.8 хувийг сөөг эзэлж байна. Харин ойгоор бүрхэгдээгүй талбайн 242 га буюу 25.4 хувийг тармаг мод, 230 га буюу 24.2 хувийг шатсан ой, 129 га буюу 13.6 хувийг мод бэлтгэсэн0 талбай, 253 га буюу 26.6 хувийг ойжиж байгаа талбай, 98 га буюу 10.3 хувийг хөнөөлт шавж, өвчинд нэрвэгдсэн талбай тус тус эзэлж байна. Зураг 3.4.1 Ойн сангийн талбай газрын төрлөөр ангилагдсан байдал 7 Ц.Дамдинжав, Д.Даваасүх, Архангай аймгийн Өлзийт сумын түүхийн товчоон,Улаанбаатар, 2014 он Ойн сангийн талбай 4876 га Ойн талбай 4876 га Ойгоор бүрхэгдсэн 3924 га Байгалийн ой 3852 га Сөөг, торлог 72 га Ойгоор бүрхэгдээгүй 952 га ХШӨН талбай 98 га Тармаг мод 242 га Шатсан талбай 230 га МБ талбай 129 га Ойжих 253 га
  • 44.
    48 Зураг 3.4.1 Ойнтөрөл Ойн талбайг /4876 га/ сумын нийт нутаг дэвсгэрийн талбайд /172034 га/ харьцуулахад ойрхог чанар 2.8 хувь байна. Энэ нь ойн нөөцөөр нэн хомс
  • 45.
    49 болохыг харуулж байна.Тухайн нутаг дэвсгэрийн 30-50 хувь ой модоор хучигдсан байвал экологийн тааламжтай орчин үүсдэг гэсэн дэлхий нийтийн жишиг байдаг байна. 3.5 Гадаргын болон гүний усны нөөц 3.5.1 Гадаргын усны нөөц Орхон голын сав газарт 8 аймгийн 53 сумын нутаг дэвсгэр ямар нэг хэмжээгээр багтдаг. Орхон голын сав газрын 38.2 хувийг Архангай аймгийн нутаг эзэлж байна. Сумын нийт талбай 1717.54 км2 талбай нь бүгдээрээ Орхон голын сав газарт хамаарна. Өлзийт сумын нутаг, бэлчээрийн усан хангамжийг гол горхи, нуур цөөрөм, булаг шанд зэрэг урсгал болон ундармал, тогтмол усны нөөц бүрдүүлдэг. Орхон гол сумын нутаг дундуур 70 орчим км урсахдаа нутаг, бэлчээрийн 30 гаруй хувийг усаар хангаж, Тамир, Бодонт, Хархираагийн голууд урсгал усны нөөцийг ихэсгэнэ. Сумын гадаргын усны 2017 оны тооллогын дүнгээс үзвэл гол горхи 10, булаг, рашаан 17, нуур, цөөрөм 6 байснаас булаг, рашааны 2 нь ширгэжээ.
  • 46.
  • 47.
    51 Их, бага хужирт,Улаан чулуут, Дунд даваа, Хөх хошуу, Ар булаг, Их булаг зэрэг 20 шахам булаг, шанд байдгаас заримыг нь жилийн турш ашигладаг. Цайдмын их, Бага нуур, Олгой нуур, Их дэрст, Зодох, Дээд, доод цагаан нуур, Олон нуур зэрэг том, жижиг нуурууд бий. Цайдмын цагаан нуураас давс, сайн чанарын хужир олборлоно. Хужрын найрлагад цэвэр сод 72%, хоолны давс 26%, бусад микро-элемент 2% байгаа нь тогтоогджээ. Долоон хайлаас, Рашаант, Дунд даваа, Богино ам, Наранбулаг, Гарангийн рашаан, Цайдам, Цагаан нуурын хүхэрлэг шаврыг нутгийн болон хөрш зэргэлдээ сумын иргэд эрт үеэс эмчилгээний чанартай ашиглаж ирсэн байна8. 2001 оны гадаргын усны чанарын үнэлгээ, хяналт, шинжилгээний дүнгээр бохирдлын индексийг тооцож, усны чанарын зэргийг тогтоон үнэлгээ өгчээ. Бохирдлын индексийг бохирдуулагч бодсын тархац, бусад хор хөнөөл зэрэг хүчин зүйлүүдийг үндэслэн усанд ууссан хүчилтөрөгч, хялбар исэлдэх органик бодис, эрдэс азот болон фосфор, хром, зэс зэрэг хүнд металлуудаас 6-аас доошгүй үзүүлэлтүүдийг сонгон авч, жилийн дундаж агууламжийг нь “-4586-98” гэсэн “Усны чанарын стандарт”-тай харьцуулан гаргадаг. Архангай аймгийн Өлзийт сумын нутаг дэвсгэрт хамаарах том голын усны чанарын үнэлгээг дараах хүснэгтээс харж болно. Хүснэгт 3.5.1.1 Усны чанарын үнэлгээ ¹ Гол мөрөн-харуул Бохирдлын индекс Усны чанарын Зэрэг Ангилал 5 Орхон-Хар хорин 0.14 I Маш цэвэр Дээрх хүснэгтээс үзэхэд эдгээр томоохон голууд бохирдлын индексээрээ цэвэр, маш цэвэр гэсэн ангилалд багтаж байна. 8 Ц.Дамдинжав, Д.Даваасүх, Архангай аймгийн Өлзийт сумын түүхийн товчоон,Улаанбаатар, 2014 он
  • 48.
    52 Зураг 3.5.1.2 Боломжитууршилтын тархалт 3.5.2 Гүний усны нөөц Орхон голын сав газрын хэмжээнд газрын доорх усны хамгийн их урсалтын модуль гурван Тамирын голын эх, Өгий нуурын орчимд 190км/жил/км2 хүрдэг байна. Сумын төвийн Орхон голын газрын доорх усаар тэжээгддэг 2 худгийн усны ашиглалтын ундарга нь дунджаар 4.0 л/сек байв. Сав газрын дунд хэсгийн газрын доорх усны чанар, найрлага: Сумын худгийн усанд хийсэн химийн шинжилгээний дүнгээс үзэхэд ундны усны стандартын шаардлага бүрэн хангасан цэнгэг устай.
  • 49.
  • 50.
    54 3.6 Инженер геологийннөхцөл 3.6.1 Геологи, мужлал, ашигт малтмал Өлзийт сумын нутаг дэвсгэр нь монгол орны физик газар зүйн мужлалаар Хангай-Хэнтийн уулархаг их мужийн Хангайн мужийн Хангайн гол нурууны тойрогт хамрагдана. Өлзийт сумын нутагт Баян байшир, Норжинчинбо, Баянхайрхан, Дулаан хайрхан, Төмөрт, Салхит, Алаг морьт, Асгат зэрэг өндөр уулс, Таван толгой, Саалийн мухар, Хүрэн хоолой, Хүрэн шанд, Цагаан хоолой, Харгана, Зодох, Дүүхээ, Цайдмын өргөн хөндий бий. Ямаат, Арц, Улаан бумба, Өгөөмөр, Хөшиг, Зараа, Их бага барчгар, Улаан чулуут, Өлзийт, Зэгстэйн цагаан нуруу, уулархаг ухаа, толгод, дэл сэрвэн гүвээ,
  • 51.
    55 тэдгээрийн хоорондох хөндийхоолойнууд үргэлжлэх нь тал хээрийн бүсийг илэрхийлнэ.9 Сумын эдэлбэр нутаг далайн төвшнөөс дээш 1300-1450 м өндөрт орших ба хойноосоо урагшаа сунасан зууван хэлбэрийн дүрстэй. Газрын гадаргын ерөнхий төрхийг ойт хээрийн шинж төрхийг агуулсан уулархаг гадарга зонхилж дундаж өндөр нам бэсрэг уулс, тэдгээрийн хоорондох өргөн нарийн ам хөндийнүүд бүрдүүлнэ. Сумын тариалангийн гол газар нь сумын төвийн ойролцоо Бүрдийн хөндий, Жаргалантын өвөр орчмоор байрлах ба тэдгээр нь тэгшивтэр гадаргатай.10 Өлзийт сумын нутагт төмрийн хүдэр, шатдаг занар, шохойн чулуу, боржин чулуу, наанги шавар, зос будаг зэрэг барилын материал, түүхий эд зэрэг ашигт малтмалын илрэлүүд нээгдсэн байна. Сүүлийн үед геологийн эрэл хайгуулын явцад Өлзийт, Чулуут сумын нутагт хийгдсэн 1:50000-ын масштабын геологийн эрэл-зураглалын ажлын явцад Жаргалантын Их-Элэгдэйн шороон ордод Р2 зэрэглэлээр алтны нөөцийг нь 60 кг гэж тогтоожээ. Өлзийт зэрэг сумын нутагт скарны, тунамал, маагмын гарал үүсэлтэй төмрийн илэрцүүд, алт зэрэг металл ашигт малтмалын илрэлүүд, өнгөт эрдэнийн чулуу, шүү зэрэг металл бус ашигт малтмалын орд, илрэлүүд байгаа бөгөөд цаашид судалгаа явуулж нөөцийг тогтоох ирээдүйтэй бүс нутагт багтаж байна. 9 Ц.Дамдинжав, Д.Даваасүх, Архангай аймгийн Өлзийт сумын түүхийн товчоон,Улаанбаатар, 2014 он 10 Архангай аймгийн Өлзийт сумын тариалангийн болон атаршсан газрын төлөв байдал, чанарын хянан баталгааны ажлын тайлан, Глобус ХХК, Д.Цэцгээ, 2011 он
  • 52.
  • 53.
    57 Зураг 3.6.1.1 Геологи 3.6.2Инженер геоморфологийн нөхцөл Сумын нутаг дэвсгэр геоморфологийн дараах гол хэв шинжтэй. Үүнд: Техтоник-элэгдлийн хэв шинжит хотгор гүдгэр /N-Q / Ихээхэн хэрчигдсэн, хавтгай, бөмбөгөрдүү оройтой эгц хажуутай дундаж өндөр уул /геоморфологийн зурагт-1312 гэсэн тэмдгээр заасан газрууд /. Дунд зэрэг хэрчигдсэн, эгцдүү хажуутай дундаж уул / геоморфологийн зурагт- 1313 гэсэн тэмдгээр заасан газрууд / Их хэрчигдсэн эгц хажуутай нам уул / геоморфологийн зурагт-1411 гэсэн тэмдгээр заасан газрууд / Дунд зэрэг хэрчигдсэн эгцдүү хажуутай нам уул/ геоморфологийн зурагт-1413 гэсэн тэмдгээр заасан газрууд / Тэгширмэл газар, уулс хоорондын ба уулс дотоодын хотгор, голын хөндий дэх хуримтлалын хэв шинжит хотгор гүдгэр /N-Q1Q/ Голын татам бүхий аллювийн тал/Байнгын урсгалтай голын хөндий, дээрх зургийн 4111-ээр тэмдэглэсэн газрууд /
  • 54.
    58 Голын татам баангилагдаагүй татмын нам дэнж бүхий аллювийн тал /дээрх зургийн 4112-аар тэмдэглэсэн газрууд / Нам дэнж бүхий аллювийн тал /дээрх зургийн 4115-аар тэмдэглэсэн газрууд / Орчин үеийн татам, сайрын хөндий ба ёроол /Түр зуурын урсгалтай голын хөндий, 4116 тэмдэгтээр заасан газрууд/ Зураг 3.6.2.1 Геоморфологи
  • 55.
    59 Газрын гадарга ньгеоморфологийн шинжээр дараах гадаргуудаас бүрдэнэ. Үүнд:  Тод илэрсэн эргийн далан, эвдрэлийн хөмөг хошуу бүхий нуурын хаялга ба нам дэнж бүхий нуурын хурдас тал /Зураг дээр 4211 тэмдэгтээр заасан /  Пролювийн тал / Зураг дээр 4311 тэмдэгтээр заасан/  Нуур-аллювийн тал / Зураг дээр 4314 тэмдэгтээр заасан/  Деллюви- пролювийн тал / Зураг дээр 4317 тэмдэгтээр заасан / Тэгшрэлийн гадарга /K-P,N/ Налуу хажуутай, сул хэрчигдсэн /5112 тэмдэгтээр заасан газрууд/ Налуу, сул хэрчигдэлтэй /Зураг дээр 5114 тэмдэгтээр заасан / Сулавтар хэрчигдэлтэй, бага зэрэг өргөгдсөн / Зураг дээр 515 тэмдэгтээр заасан / 3.6.2.1 Сумын газрын гадарга: Сумын эдэлбэр нутаг д.т.д 1300 м өндөрт Хойд өргөргийн 48 градус, уртрагийн 102 градуст, хамгийн нам дор цэг нь Гацаа д.т.д 1271 м, хамгийн өндөр цэг нь Байшир багийн нутагт байх Рашаант уул д.т.д 2106 м өндөрт оршдог. Сумынхаа баруун хэсэг болон зүүн хэсгээрээ өндөр уул нуруудтай ба гол хэсгээрээ Орхон голын сав хөндий тал гадаргуутай. Хүснэгт 3.6.2.1 Сумын гадаргын өндөржилтийн талбайн эзлэх хувь Д/д Өндөржилт Талбай /га/ Эзлэх хувь 1 1271-1381 м 57865.45 33.70 2 1381-1481 м 46736.63 27.22 3 1481-1600 м 39908.32 23.24 4 1600-1766 м 19601.02 11.42 5 1766-2106 м 7578.39 4.41
  • 56.
  • 57.
    61 Өлзийт сумын нийтгадаргын 33.7% нь 1381 метрээс доош, 27.2% нь 1381-1481 метр, 23.2% нь 1481-1600 метр, 11.4% нь 1600-1766 метр, 4.4% нь 1766-2106 метр өндөрлөгт байрладаг. Гадаргын налуу: Гадаргын хэвгийн хувьд 0-2 градусын хэвгий бүхий газар 35611 га буюу 21 хувь, 3-5 градусын хэвгий бүхий газар 45632.42 га буюу 26 хувь, 6-7 градусын хэвгий бүхий газар 38273.1 га буюу 22 хувь, 8-10 градусын хэвгий бүхий газар 20805.51 га буюу 12 хувь, 11-13 градусын хэвгий бүхий газар 12475.7 га буюу 7 хувь, 14- 17 градусын хэвгий бүхий газар 7962.6 га буюу 5 хувь, 18-21 градусын хэвгий бүхий газар 6220.7 га буюу 4 хувь, 22-25 градусын хэвгий бүхий газар 3405.2 га буюу 2 хувь, 26-43 градусын хэвгий бүхий газар 1300.7 га буюу 1 хувийг тус тус эзэлж байна. Хүснэгт 3.6.2.2 Сумын гадаргын налуужилтын талбай № Гадаргын налуужилт Талбай /га/ Эзлэх хувь 1 0-2 35611.33 20.7 2 3-5 45632.42 26.5 3 6-7 38273.11 22.2 4 8-10 20805.51 12.1 5 11-13 12475.74 7.2 6 14-17 7962.59 4.6 7 18-21 6220.75 3.6 8 22-25 3405.24 1.9
  • 58.
    62 Зураг 3.6.2.3 Газрынгадаргын налуу
  • 59.
    63 Гадаргын зүг зовхис:Гадаргын зүг зовхисын хувьд сумын нутаг дэвсгэрийн 9.42 хувийг тал газар, 18.9 хувийг хойд зүг буюу 337.5-22.5 градусын зүг зовхис, 8.3 хувийг зүүн хойд зүг буюу 22.5-67.5 градусын зүг зовхис, 6.6 хувийг зүүн зүг буюу 67.5-112.5 градусын зүг зовхис, 12 хувийг зүүн урд зүг буюу 112.5-157.5 градусын зүг зовхис, 14.9 хувийг урд зүг буюу 157.5-202.5 градусын зүг зовхис, 11.4 хувийг баруун урд зүг буюу 202.5-247.5 градусын зүг зовхис, 8.7 хувийг баруун зүг буюу 247.5-292.5 градусын зүг зовхис, 9.3 хувийг баруун хойд зүг буюу 292.5-337.5 градусын зүг зовхистой гадарга тус тус эзэлж байна. Хүснэгт 3.6.2.3 Сумын гадаргын зүг зовхис эзлэх талбай № Зүг зовхис Талбай /га/ Эзлэх хувь 1 Тэгш тал 16168.09 9.42 2 Хойд (0-22.5) 18851.41 10.98 3 Зүүн хойд (22.5-67.5) 14327.19 8.35 4 Зүүн (67.5-112.5) 11326.88 6.60 5 Зүүн урд (112.5-157.5) 20722.96 12.07 6 Урд (157.5-202.5) 25660.29 14.95 7 Баруун урд (202.5-247.5) 19652.74 11.45 8 Баруун (247.5-292.5) 15011.28 8.74 9 Баруун хойд (292.5-337.5) 16116.54 9.39 10 Хойд (337.5-360) 13825.75 8.05
  • 60.
  • 61.
    65 3.6.3 Цэвдэг, түүнийтархалт ЗХУ-БНМАУ-ын /хуучнаар/ хамтарсан геокриологийн экспедицийн (1968-1970) судалгааны ажлын үр дүнд 1:1500000 масштабтай “БНМАУ-ын Геокриологийн зураг” 1971 онд зохиогдсон бөгөөд монгол орны нийт газар нутгийн 63%-д тасалданги болон алаг цоог хэлбэрийн цэвдэгтэй гэж тогтоосон аж 11 Байгаль орчин, ногоон хөгжил, аялал жуулчлалын яамны ногоон хөгжлийн бодлого, стратеги төлөвлөлтийн газрын захиалгаар НҮБ-ын Хөгжлийн Хөтөлбөрийн “Экосистемд түшиглэсэн дасан зохицох арга хэмжээг уур амьсгалын өөрчлөлтөд өндөр эрсдэлтэй голуудын сав газарт хэрэгжүүлэх нь” төслийн санхүүжилтээр цэвдгийн тархалтын TTOP (mean annual temperature at the top of permafrost) загварчлалын аргазүйг ашиглан 1:1000 000 масштабтай “Монгол орны цэвдгийн тархалтын зураг” 2016 онд зохиосон байна(Я.Жамбалжав ба бусад, 2016). Уг зурагт цэвдгийн тархалтыг үргэлжилсэн, тасалданги, алаг цоог, тохиолдлын тархалттай цэвдэгт бүслүүр болон улирлын хөлдөлтийн бүсэд ангилсан бөгөөд нийт газар нутгийн 29.3%-д тархсан гэж дүгнэжээ. Монгол орны цэвдэг нь Хангайн уулархаг бүс нутгийн өндөр уулс, хөндий хотост төвлөрөн тархдаг бөгөөд хөрсний гулсалт, чулуун хүрээ, дов сондуул, бөөрөг, халиа тошин зэрэг хүйтний гаралтай үзэгдлүүд элбэг тархсан байдаг байна. Энэ бүс нутагт Монгол орны цэвдэг тархах боломжит талбайн 38.1% ноогдох бөгөөд үргэлжилсэн тархалттай цэвдэг 40222 км2, тасалданги тархалттай цэвдэг 48655 км2, алаг цоог тархалттай цэвдэг 49809 км2, тохиолдлын тархалттай цэвдэг 37525 км2 талбайг тус тус эзэлдэг байна.. Монгол орны цэвдгийн тархалтын зурагт үзүүлснээр Хангайн уулархаг бүс нутагт цэвдгийн тархалтын доод хил Хан Хөхийн нуруунд 1400-1900 м, Хангайн баруун хэсэгт 1900-2000 м, Хангайн өвөр хэсэгт 2000-2200 м, Хангайн зүүн хэсэг болон Орхон-Сэлэнгийн бэсрэг уулсад 1400-1800 метрийн өндөрт тус тус байна. 11 Гравис ба бусад, 1974, Монгол орны уулархаг бүс нутгуудын цэвдгийн ялгаа, өөрчлөлт Я.Жамбалжав, Я.Гансүх, А.Саруулзаяа ШУА, Газарзүй-геоэкологийн хүрээлэн, Цэвдэг судлалын салбар
  • 62.
  • 63.
    67 3.6.4 Газар чичирхийлэл 2019оны 2-р сарын 16-ны өдрийн Улаанбаатарын цагаар 13 цаг 23 минутад Архангай аймгийн Өлзийт сумын нутагт 4.6 магнитудын хүчтэй газар хөдлөлт болсон. Ямаат баг нь аймгийн тѳвѳѳс 120 км-ын зайтай бѳгѳѳд аймгийн төвийн зүүн дэнж буюу Цогт-Уул, Бор толгой орчимд чичирхийлэл мэдэгдсэн байна. Газар хөдлөлтийн төв нь сумын төвөөс зүүн урагш 28 км-ийн зайд, өргөргийн 47.88, уртрагийн 102.79-т байсан бөгөөд хүн, малгүй эзгүй хээр газар юм. Зураг 3.6.4.1 Газар хөдлөлийн мужлал
  • 64.
    68 3.7 Байгалийн бүсбүслүүр Өлзийт сум нь байгалийн бүс бүслүүрийн хувьд ойт хээр болон хээрийн бүсэд хамаарагдаж байна. Ойт хээрийн бүс нь бага зэргийн ой болон хээр хосолсон бүс юм. Энэ бүсэд сумын Байшир багийн нийт нутаг, Бодонт багийн хойд хэсэг, Ямаат багийн хойд, Хөшөөт багийн хойд хэсгийг хамааран сумын газар нутгийн 53% -ийг эзэлж байна. Хээрийн бүс нь ой модгүй уул болон тал хээр хосолсон бүс юм. Энэ бүсэд Ямаат багийн урд хэсэг, Бодонт багийн урд хэсэг, Хөшөөт багийн урд хэсгийг хамааран сумын газар нутгийн 47% -ийг эзэлж байна. Хүснэгт 3.7.1 Байгалийн бүс бүслүүр № Байгалийн бүс, бүслүүр Талбай /га/ Эзлэх хувь 1 Ойт хээрийн бүс 90358.0 53.0 2 Хээрийн бүс 81333.0 47.0
  • 65.
    69 Зураг 3.7.1 Байгалийнбүс бүслүүр ДӨРӨВ. НИЙГЭМ ЭДИЙН ЗАСГИЙН СУУРЬ НӨХЦӨЛ 4.1 ХҮН АМ ЗҮЙ Сумын хүн амын нас, хүйсийн бүтцийг 2014 оныг суурь болгон авч сонгосон үзүүлэлтээр 2015-2019 оноор тооцоход сумын хүн ам нийт дүнгээр 40 орчим хүнээр нэмэгдэж, өсөлтийн коэффициент 2015 болон 2019 онд 1.0, 1.5 хувиар буурснаар бусад жил нэмэгдэх хандлагатай байгааг нотолж байна. Харин аймгийн нийт хүн амд тус сумын эзлэх хувийн жин тогтвортой, 100 эрэгтэйд ногдох эмэгтэй хүний тоо буурах, өөрөөр хэлбэл эр хүйсийн харьцаа нэмэгдэж иржээ.
  • 66.
    70 Хүснэгт 4.1.1 Хүнамын нас, хүйс бүтцийн үзүүлэлт, 2015-2019 он Үзүүлэлт Oн 2014 2015 2016 2017 2018 2019 Нийт хүн ам 3,301 3,347 3,383 3,454 3,403 Жилийн өсөлтийн коэффициент -1.0 1.4 1.1 2.1 -1.5 Аймгийн хүн амд эзлэх хувь 3.59 3.59 3.56 3.57 3,45 Хүйсийн харьцаа 108.3 108.1 108.2 107.8 105.9 Насны бүтэц, хувиар 0-14 31.1 30.5 30.9 31.2 31.7 15-64 65.1 66.2 65.4 64.9 64.7 65+ 3.8 3.3 3.8 3.8 3.6 Голч нас Насжилтын индекс 12.3 11.0 12.2 12.2 11.5 Хүн ам зүйн ачаалал, хувиар Хүүхэд 47.7 46.0 47.2 48.1 49.0 Хөгшин хүн ам 5.9 5.1 5.7 5.9 5.6 Нийт 53.6 51.1 52.9 54.0 54.6 Тэмдэглэгээ: Насжилтын индексийг 65+ насны хүн амын тоог 0-14 насны хүн амын тоонд харьцуулах, хүүхдийн ачааллыг 0-14 насны хүүхдийг 15-64 насны хүн амын тоонд, хөгшин хүн амын ачааллыг 65+ насны хүн амыг 15-64 насны хүн амын тоонд харьцуулах байдлаар тооцсон болно. Сумын хүн амын өсөлт тогтвортой байгаа таатай нөхцөл нь насны бүтэц, хүн ам зүйн ачаалал харьцангуй хэвийн байгаа үзүүлэлт гарлаа. 15-64 насныхан сумын нийт хүн амын 2/3 хувийг эзэлж байгаа нь ажиллах хүч хангалттай нөөцтэй, энэхүү хөгжлийн төлөвлөгөөг хэрэгжүүлэх зохистой зэхэлтэй гэж үзэх үндэслэлтэй. Хүн ам зүйн нас, хүйсийн суваргаас харахад 0-14 насны эрэгтэй хүүхэд эмэгтэйгээсээ илүү, хүртэлх хүн амд эрэгтэйчүүд давамгайлж байдал бол 55- дээш насанд эмэгтэй хүйс давамгайлж байна. 15-19 насны ангилал дээр хоёр хүйсийн хүн ам тэнцүү гарснаас бусад тохиолдолд 55-59 нас хүртэл эрэгтэйчүүд давуу, харин сүүлийн 3 ангилалд эмэгтэйчүүд давуу болж байна.
  • 67.
    71 Тахирмаг 4.1.1 Хүнамын нас, хүйсийн суварга Эх сурвалж. ҮСХ Төрөлжилт багатай буюу нэг төрлийн ажил нийтлэгээр эрхэлдэг газар, тухайлбал өрхийн тариалан, нүүдлийн мал аж ахуй гэх мэт биеийн хүчний хэрэгцээ ихтэй нөхцөлд дунд насны эрэгтэйчүүд зонхилдог12 тэрхүү зүй тогтолтой дүйлгэж болохоор дүрслэлийг суваргаас харж болно. Хүснэгт 4.1.2 Хүн ам зүйн бусад үзүүлэлт Гэрлэлт Хүүхэд үрчлэлт Шилжиж ирсэн Шилжсэн13 Гэрлэсэн Гэрлэлт цуцалсан Aймаг, нийслэлд Сум хооронд Аймаг, нийслэлээс Сум хооронд 2014 16 0 4 14 7 2015 16 1 2 15 8 2016 20 2 8 21 9 2017 38 0 5 14 6 2018 32 1 3 18 16 Эх сурвалж: Аймаг, сумын статистик мэдээ 2014 оноос хойших 5 жилд нийт 122 гэр бүл шинээр нэмэгдсэн нь гэр бүл салалтаас 30 гаруй дахин илүү, тэр чингээгээр тус суманд гэр бүлийн тогтвортой байдал өндөр байгааг харуулав. Хүн амын шилжилт хөдөлгөөний тухайд жилд дунджаар 25 орчим хүн шилжиж ирдэг мэдээг сумаас өгсөн болно. 12 Christina Le Beau, Discrimination against girls may be worse in places with one type of farming history, 2018. https://qz.com/work/1243704/discrimination-against- girls-may-be-worse-in-places-with-one-type-of-farming-history/ 13 2018 оноос эхлэн бүртгэхгүй болсон тул сумаас гарахгүй болно -203 -201 -156 -148 -147 -133 -142 -137 -133 -120 -76 -64 -39 -23 -28 199 181 138 147 113 113 153 110 126 90 98 64 48 27 46 ( 0-4 ) ( 5-9 ) ( 10-14 ) ( 15-19 ) ( 20-24 ) ( 25-29 ) ( 30-34 ) ( 35-39 ) ( 40-44 ) ( 45-49 ) ( 50-54 ) ( 55-59 ) ( 60-64 ) ( 65-69 ) ( 70-74 ) Эмэгтэй Эрэгтэй
  • 68.
    72 Сумын эдийн засагүндсэндээ мал аж ахуйгаас хамааралтай, харьцангуй давуу учраас энэ салбарт ажил эрхлэгчид төвлөрдөг манай орны нийтлэг дүр зургийг Өлзийт сумын хүн амын байршлаас нэгэн адил харж болно. Хүснэгт 4.1.3 Хүн амын байршил, тоогоор Он Нийт хүн ам Байршил Бүгд Эрэгтэ й Эмэгтэ й Сумын төв Хөдөө Бүгд Эрэгтэй Эмэгтэ й Бүгд Эрэгтэй Эмэгтэ й 2014 3333 1718 1615 851 420 431 2482 1298 1184 2015 3301 1716 1585 816 412 404 2485 1304 1181 2016 3347 1739 1608 828 417 411 2519 1322 1197 2017 3383 1758 1625 835 422 413 2548 1336 1212 2018 3454 1792 1662 833 422 411 2621 1370 1251 2019 3403 1750 1653 805 404 401 2598 1346 1252 Хүн амын байршил, хувиар 2014 100 % 51.5 48.5 25.5 12.6 12.9 74.5 38.9 35.5 2015 100 52.0 48.0 24.7 12.5 12.2 75.3 39.5 35.8 2016 100 52.0 48.0 24.7 12.5 12.3 75.3 39.5 35.8 2017 100 52.0 48.0 24.7 12.5 12.2 75.3 39.5 35.8 2018 100 51.9 48.1 24.1 12.2 11.9 75.9 39.7 36.2 2019 100 51.4 48.6 23.7 11.9 11.8 76.3 39.6 36.8 Дунда ж 51.8% 48.2% 24.6 % 12.4 % 12.2 % 75.4 % 39.4 % 36.0 % Эх сурвалж: Аймаг, сумын статистик мэдээ 2014 онд гэхэд сумын 4 хүний нэг нь сумын төвд оршин суудаг байсан тэр харьцаа өөрчлөгдөөгүй, өөрөөр хэлбэл мал аж ахуйг орхиж сумын төвд гэр бүлээр шилжин суурьших явдал нэмэгдэх хандлага энэ суманд одоо хэр ажиглагдахгүй, харин ч 2019 оны байдлаар хөдөө амьдардаг иргэдийн тоо 1.8 хувиар өссөн байна. Өлзийт сумын хүн амын нягтрал Хангайн бүсийн болон Архангай аймгийн дунджаас өндөр төдийгүй өсөж байгаа нь хүн амын өсөлт харьцуулж буй бүс, аймгийн дунджаас илүү байгаатай холбоотой юм. Хүснэгт 4.1.4 Хүн амын нягтрал14 2014 2015 2016 2017 2018 Хангайн бүс 1.48 1.49 1.52 1.5 1.6 Архангай аймаг 1.68 1.66 1.69 1.7 1.7 Өлзийт сум 1.94 1.92 1.95 2 2 14 https://www.1212.mn/tables.aspx?TBL_ID=DT_NSO_0300_034V2
  • 69.
    73 Эх сурвалж: ҮСХ Хүнамын нягтралыг дагаж өрх айлын тоо мэдэгдэм бус ч гэсэн тооны хувьд өсөх, улмаар хөдөө тал руугаа хандсан байршил дээр шийдэх асуудал гарч болзошгүй юм. Аль ч талаас нь авч үзсэн, энэ бол сумын эдийн засаг болон бусад хөгжлийн үзүүлэлтэд эерэг нөлөө үзүүлэх боломжтой. Хүснэгт 4.1.5 Өрхийн тоо ба байршил Он Нийт өрх Нэг өрхийн ам бүл Бүгд Сумын төвд Хөдөөд Дундаж Сумын төвийн Хөдөөгийн 2014 1088 288 800 3.1 3.0 3.1 2015 1075 275 800 3.1 3.0 3.1 2016 1071 277 794 3.1 3.0 3.2 2017 1087 283 804 3.1 3.0 3.2 2018 1103 284 819 3.1 2.9 3.2 2019 1094 279 825 3.1 2.9 3.1 Эх сурвалж: ҮСХ, аймаг, сумын статистик мэдээ Сумын нийт өрхийн 17.5 хувь нь сумын төвд, 82.5 хувь хөдөө амьдардаг, өрхийн дундаж ам бүлийн тоонд өөрчлөгдөөгүй 3.1 хүн байна. Хөдөөгийн өрхийн ам бүлийн тоо сумын төвийн дундаж өрхийн ам бүлийн тооноос 0.2 хүнээр илүү байна. 4.2 ХӨДӨЛМӨР ЭРХЛЭЛТ, АМЬЖИРГААНЫ ТҮВШИН Ажил эрхлэлтийн түвшнийг тодорхойлохын тулд нийт хүн амыг эдийн засгийн идэвхтэй ба идэвхгүй хүн амын бүтцийг зайлшгүй тогтоосон байх шаардлагатай. Хүснэгт 4.2.1 Хөгжлийн бэрхшээлтэй хүн амын тоо ба эзлэх хувь Үзүүлэлт Оноор 2015 2016 2017 2018 2019 Хөгжлийн бэрхшээлтэй иргэд 110 121 123 137 118 Үүнээс Тахир дутуу 88 92 90 97 85 Ердийн өвчний 22 29 33 40 33 Хүн амд эзлэх хувь 3.3% 3.6% 3.6% 4.0% 3.5% Эдийн засгийн идэвхгүй хүн амын нэг бүрэлдэхүүн хэсэг бол хөгжлийн бэрхшээлтэй буюу хөдөлмөрлөх боломжгүй иргэд сүүлийн 5 жилийн дунджаар сумын нийт хүн амын 3.5 орчим хувь байна. 2015 оны байдлаар сумын нийт өрхийн 9.0 хувь нь ядуу гэсэн ангилалд багтаж байсан бол энэ үзүүлэлт 2019 онд 4.7 хувь нэмэгдэж, хүн амын доторх ядуурлын түвшин өсөх хандлагатай байдал харагдаж байна.
  • 70.
    74 Хүснэгт 4.2.2 Ядуурлынтүвшин Үзүүлэлт Оноор 2015 2016 2017 2018 2019 Нийт өрх 1075 1071 1087 1103 1094 Ядуу өрх 50 51 65 82 87 Нэн ядуу өрх 47 45 46 48 63 Ядуурлын хувь 9.0% 9.0% 10.2% 11.8% 13.7% Эх сурвалж: Сумын өрхийн судалгаа, 2015-2019 Хүснэгт 4.2.3 Ажил эрхлэлт ба ажилгүйдэл /МАА-н бус салбарын/ Үзүүлэлт Оноор 2015 2016 2017 2018 2019 1 Ажил эрхлэлтийн түвшин 193 194 196 197 202 1.1 Төсөвт байгууллагад 151 150 149 149 152 1.2 ААН-д 32 33 34 35 36 1.3 Хувиараа 10 11 13 13 14 2 Ажилгүйдлийн түвшин 74 75 77 79 72 2.1 Бүртгэлтэй 54 53 52 51 50 2.2 Бүртгэлгүй 20 22 25 28 22 Эх сурвалж: Сумын өрхийн судалгаа, 2015-2019 2019 оны ажил эрхлэлтийн түвшнийг 2015 онтой харьцуулахад 9.3 хувиар буурч, ажилгүйдэл тэр хэмжээгээр өссөн байна. 2019 оны ажил эрхэлж буй иргэдийн 86.5 хувь нь хувиараа, 8.9 хувь нь төсөвт байгууллагад, 4.7 хувь нь аж ахуйн нэгжид ажилладаг байна. 4.3 МАЛ АЖ АХУЙН САЛБАР МАА нь Өлзийт сумын эдийн засгийн суурь, хүн амын амьжиргааны гол эх үүсвэр юм. Хүснэгт 4.3.1 Малчин өрхийн тоо Он Нийт өрх Малчин өрх Эзлэх хувь 2015 1075 561 52.2 2016 1071 578 54.0 2017 1087 580 53.4 2018 1103 583 52.9 2019 1094 609 55.7 Эх сурвалж: ҮСХ, аймаг, сумын статистик мэдээ Хүснэгт 4.3.2 Малын тоо,өсөлт, багаар Он Бүгд Үүнээс багаар Ямаат Бодонт Байшир Хөшөөт Малын тоо 2015 242909 77143 71389 60209 34168
  • 71.
    75 2016 282624 8953384460 68441 40190 2017 304291 96236 91868 74129 42058 2018 302965 95637 90133 75677 41518 2019 353240 113407 102235 88458 49139 Малын тооны өсөлт 2015 -14% -14% -15% -12% -15% 2016 16% 16% 18% 14% 18% 2017 8% 7% 9% 8% 5% 2018 0% -1% -2% 2% -1% 2019 17% 19% 13% 17% 18% 2019/2015 45.42% 47.01% 43.21% 46.92% 43.82% Эх сурвалж: Сумын статистик мэдээ 2016 ба 2017 оны хооронд үл ялиг буурсныг эс тооцвол, 2015 оноос хойш сумын мал жил дараалан өссөн дүнтэй, аль нэг багийг мал өсөлтөөр онцгойлох зүйлгүй жигд байна. Дүнгээр нь хэлбэл, 2019 онд сумын мал сүрэг өмнөх оныхоос 17 хувь, харин 2015 онтой харьцуулахад 45.42 хувь тус тус өссөн байна. Хүснэгт 4.3.3 Малын зарлага, толгойгоор Он Зарлага Бүгд Үүнээс Адуу Үхэр Тэмээ Хонь Ямаа 2015 Хүнсэнд 10941 517 658 2 5309 4455 Зах зээлд борлуулсан 29819 1612 1830 61 18437 7879 Оны эхний малд эзлэх хувь 17.4% 12.9% 16.5% 20.1% 18.4% 16.6% 2016 Хүнсэнд 7819 431 567 2 4146 2673 Зах зээлд борлуулсан 34012 1861 1978 63 19352 10758 Оны эхний малд эзлэх хувь 17.2% 12.6% 15.5% 20.9% 17.5% 18.2% 2017 Хүнсэнд 10129 563 656 5 4891 4014 Зах зээлд борлуулсан 65694 3838 4141 40 39519 18156 Оны эхний малд эзлэх хувь 26.8% 22.7% 26.6% 13.0% 27.7% 26.1% 2018 Хүнсэнд 10333 559 690 2 5232 3850 Зах зээлд борлуулсан 45756 2611 3118 38 28250 11739 Оны эхний малд эзлэх хувь 18.4% 15.7% 20.2% 12.9% 19.2% 17.5% 2019 Хүнсэнд 1711 118 104 3 754 732 Зах зээлд борлуулсан 61927 3514 2951 64 40523 14875 Оны эхний малд эзлэх хувь 21.0% 19.4% 21.0% 28.4% 22.9% 17.5% Эх сурвалж: Сумын статистик мэдээ Тус сум оны эхний малын 22.8-28.9 хувийг зарлагадаж байгаа бөгөөд үүний 65.2 хувь буюу 38.3 мянган толгой малыг зах зээлд борлуулдаг аж. Сүүлийн жилүүдэд зах зээлд борлуулах малын тоо нэмэгдэж байгаа нь бэлчээрийн
  • 72.
    76 даацыг бууруулах малаж ахуйн салбарын эрсдэл, өрхийн эдийн засаг зэрэгт эерэг нөлөө үзүүлж байгаа билээ. Тахирмаг 4.3.1 2019 оны Малчин өрхийн малын тооны бүлэглэл Нийт малчин өрхийн 35.2 хувийг 100 хүртэлх толгой малтай өрх эзэлж эдгээр өрхөд хүн амын 27.7 хувь, 27.6 хувь нь 101-200 хүртэлх толгой малтай өрх, хүн амын 28.4 хувь, өрхийн дундаж ам бүл 3.5 хүн , 27.9 хувь нь 201-500 хүртэлх толгой малтай өрх, хүн амын 32.2 хувь, өрхийн дундаж ам бүл 4.0 хүн, 7.6 хувь нь 501-999 хүртэлх малтай өрх, хүн амын 9.7 хувь, өрхийн дундаж ам бүл- 4.5 хүн, 1.7 хувь нь 1000-1499 хүртэлх малтай өрх, хүн амын 2.0 хувь, өрхийн дундаж ам бүл-4.9 хүн, 0.1 хувь нь 1500-аас дээш толгой малтай өрх, хүн амын 0.1 хувь, өрхийн дундаж ам бүлийн тоо 4.7 хүн байна. Өрхийн ам бүлийн тоо өрхийн малын тоо хоёр эерэг хамааралтай байна. Өөрөөр хэлбэл нэг өрхөд оногдох малын тоо өсөхийн хирээр өрхийн ам бүлийн тоо өсдөг байна. Судалгаанд хамрагдсан малчдын 98.8 хувь нь мал аж ахуйн салбар сумын эдийн засгийн үндсэн салбар байх бөгөөд малчдын 83.6 хувь нь цаашдаа ч мал аж ахуйн салбараа үргэлжлүүлэн эрхлэх болно гэжээ Тэжээл бэлтгэл: 2019 оны эцсийн мэдээгээр нэг хонин толгойд 3.5 кг тэжээл нэгжтэй тэнцэх хэмжээний тэжээл бэлтгэдэг бөгөөд ихэнх хэрэгцээт тэжээлийг гаднаас худалдан авдаг. Сүүлийн 3 жил дараалан байгаль цаг уурын хүндрэлтэй байгаа учраас ихэнх малчид отор хийн Булган аймгийн залгаа сумуудад болон тус сумын бусад багуудад өвөлждөг. Хүснэгт 4.3.4 Тэжээл бэлтгэл, суманд бэлтгэсэн дүнгээр төрөл Хэмжих Оноор нэгж 2015 2016 2017 2018 2019 Өрхийн Ногоон тэжээл тн 20 200 270 210 Өвс тн 3800 3500 3400 3500 Гар тэжээл 85 40 80 90 Аж ахуй нэгжийн Ногоон тэжээл тн 50 150 25 16 20 Өвс тн 630 55 45 45 Гар тэжээл 0.6% 3.5% 4.5% 6.3% 18.5% 37.4% 21.0% 6.6% 1.0% 0.7% 0.0% 5.0% 10.0% 15.0% 20.0% 25.0% 30.0% 35.0% 40.0% 10 хүртлэх малтай 11--30 31--50 51-100 101-200 201-500 501-999 1000-14991500-2000 2000+
  • 73.
    77 Нийт Ногоон тэжээл тн50 170 225 286 230 Өвс тн 630 3800 3555 3445 3545 Гар тэжээл 0 85 40 80 90 Тэжээл нэгжээр Ногоон тэжээл 50 170 225 286 230 Өвс 283.5 1710 1599. 7 1550.2 1595.2 Гар тэжээл 0 85 40 80 90 Эх сурвалж: Сумын статистик мэдээ 4.4 ГАЗАР ТАРИАЛАН Сумын хөдөө аж ахуйн газрын 0.16 хувь буюу 282.6 га тариалангийн газар, 0.11 хувь буюу 195.3 га атаршсан талбайн бүхий нийтдээ 477.9 га буюу 0.27 хувьтай тэнцэх хэмжээний газар тариалангийн талбай байна. Хүснэгт 4.4.1 Тариалсан талбай15, га 2015 2016 2017 2018 2019 Тариалсан талбай 177.6 407.6 1507.6 1344.2 2000 Тариалангийн талбайд эзлэх хувь 3.7% 8.5% 31.4% 28.0% 41.7% Эх сурвалж: Сумын статистик мэдээ Сумын нийт тариалангийн талбайн 8.8 орчим хувийг ашиглаж байгаа ба орон нутгийн иргэдийн газар тариалан эрхлэх сонирхол бага багаар өсөн нэмэгдэж 2015 онд 8.6 га талбайд төмс, байцаа лууван, манжин тариалдаг байсан бол 2019 онд ургамлын төрөл зүйл нэмэгдэж 7 төрлийн хүнсний ногоо тариалсан байна. Суманд нийтдээ 12 өрх, 9 аж ахуйн нэгж газар тариалан-мал аж ахуйн салбарыг хослуулан эрхэлж байна. Хүснэгт 4.4.2 Хураан авсан ургац тн Үзүүлэлт Хэмжих нэгж Оноор 2015 2016 2017 2018 2019 Суурин хүн ам тоо 3301.0 3347.0 3383.0 3454.0 3403.0 Жишмэл хүн тоо 2970.9 3012.3 3044.7 3108.6 3062.7 Хэрэгцээ төмс тн 130.1 131.9 133.3 136.1 134.1 хүнсний ногоо тн 281.9 285.8 288.9 295.0 290.6 Үйлдвэрлэ л төмс тн 8 40 25 4 7 хүнсний ногоо тн 2 21 8 9 4 Хангалтын хувь төмс хувь 6.1% 30.3% 18.7% 2.9% 5.2% хүнсний ногоо хувь 0.78% 7.28% 2.73% 3.02% 1.20% Эх сурвалж: Сумын статистик мэдээ Жилдээ хураан авч буй ургацын хэмжээ нь сумын нийт хэрэгцээний 15 орчим хувийг хангадаг байна. Төмс хүнсний ногооны үйлдвэрлэл өрхийн түвшинд эрхэлж байна. Харин малын тэжээл, мод үржүүлэг нь аж ахуйн түвшинд байгаа бөгөөд 2018 онд дээрх аж ахуйн нэгжүүдэд ОНХС-с зээл олгож дэмжсэн байна. 15 arkhangai.nso.mn
  • 74.
    78 Хүснэгт 4.4.3 Хураанавсан ургацын төрөл-тн 2014 2015 2016 2017 2018 2019 Төмс 95. 8. 40. 25. 4. 7 Хүнсний ногоо-Бүгд 17.3 2.2 20.8 7.9 8.9 3.5 Байцаа 7. 0. 1.5 0.8 Лууван, кг 6. 0.5 4. 3. 1. 0.4 шар манжин 4. 0.6 4.8 1.6 1. 0.7 улаан манжин 1.3 Сонгино 0.3 4. 1.8 1.3 0.1 Өргөст хэмх 3.2 1. 0.7 улаан лооль 0.5 0. 1. 0.5 Тарвас 0.3 2.4 Амтат гуа 0.3 чинжүү 2.4 1.2 0.3 Бусад 1.1 Ногоон тэжээл 300. 50. 150. 300. 372.5 210 Эх сурвалж: Сумын статистик мэдээ Газар тариалангийн үйлдвэрлэл эрхлэхэд тулгарч буй гол бэрхшээлүүдэд:  Техникийн хүрэлцээ  Тариалан эрхлэгчдийн ур чадвар  Санхүүгийн хүндрэл зэрэг болно. 4.5 АЖ ҮЙЛДВЭР Ихэвчлэн өрхийн түвшинд үйлдвэрлэдэг төдийгүй Facebook ашиглан онлайнаар захиалга авч нийлүүлдэг өрхийн тоо нэлээд өсөж байна. Суманд нийт бүртгэлтэй 26 аж ахуйн нэгж байгаагийн 25 нь худалдааных бол 1 нь нэхий боловсруулах үйлдвэрлэлийн чиглэлээр үйл ажиллагаа явуулж байна. Бизнесийг өргөтгөх, шинээр эрхлэхэд тулгарч буй бэрхшээлүүдийг эрэмбэлж үзэхэд:  Дэд бүтцийн хөгжил/ нэн ялангуяа цэвэрлэх байгууламжгүй/  Санхүүгийн эх үүсвэр  Мэргэжилтэй ажиллах хүчний нийлүүлэлт  Ажлын байрны хүрэлцээ  Худалдан авах чадварын бууралт  Түүхий эдийн болон нийлүүлэлтийн сүлжээ Судалгаанд хамрагдсан ЖДҮ эрхлэгчдийн 70 орчим хувь нь одоогийн эрхэлж байгаа цаашид үргэлжлүүлэх, 30 гаруй хувь нь өөр бизнес шинээр эрхлэх сонирхолтой байгаа тэд МАА-н гаралтай түүхий эдийн бүрэн боловсруулалт хийж эцсийн бүтээгдэхүүн үйлдвэрлэх сонирхолтой байна.
  • 75.
    79 4.6 МЭДЭЭЛЛИЙН ТЕХНОЛОГИ Дэвшилтэтшинэ техник, технологи, мэдээ мэдээллийг цаг тухайд нь олж авч өөрийн үйл ажиллагаа болон бусдад хүргэх, эрсдэлээс урьдчилан сэргийлэх зэрэг нь мэдлэг, мэдээллийн технологид суурилсан үйлдвэрлэлийн онцлог юм. Компьютер болон үүрэн телефон ашиглах нь шинэ мэдээлэл, мэдлэг, зах зээлийн тэлэлт, технологи, шинэ санаа сэдэл зэргийг нэвтрүүлэх, судлахад ихээхэн түлхэц болно байгаа гэж үзэж болно. 4.7 АЯЛАЛ ЖУУЛЧЛАЛ Нэг аж ахуйн нэгж нь загасчлалын чиглэлийн үйл ажиллагаа явуулахаар зөвшөөрөл аваагүй, үйл ажиллагаа нь эхлээгүй байна. Бүртгэлтэй дөрвөн иргэн, аж ахуйн нэгж байдаг бөгөөд гэр буудал хэлбэрээр үйл ажиллагаа явуулж байна. 4.8 ДЭД БҮТЭЦ Зам тээвэр. Сумын нутаг дэвсгэр дээгүүр Улаанбаатар хотыг баруун аймгуудтай холбосон улсын чанартай 80 км авто зам дайран өнгөрдөг. Багууд хоорондоо шороон замаар холбогддог. Мянганы замын хэвтээ тэнхлэгийн 318 дугаар тэмдэгтээс Өлзийт сумын төвөөр дамжин Хайрхан сум хүртэлх Хөвсгөл- Тариалан чиглэлийн босоо тэнхлэгийн хатуу хучилттай 123 км автозамын барилгын ажил 2017 онд эхэлсэн боловч одоогийн байдлаар зогссон. Усан хангамж. Сумын төвд цэвэр усны эх үүсвэрийн гүний 6 худаг, 25 м3 багтаамжтай 2 усан сан, 45 м3/хоног хүчин чадалтай 1 насос станц, 50 м3/хоног хүчин чадалтай 1 ус зөөлрүүлэх, цэнгэгжүүлэх төхөөрөмж байгаа боловч 1 усан сан ашиглалтаас гарсан, 845 айл өрх 2 ус түгээх байрнаас усаа авч байна. Орон сууц хангамж. Сумын хэмжээнд инженерийн бүрэн хангамжтай орон сууц байхгүй бөгөөд амины орон сууц, гэр сууцанд амьдардаг. Цахилгаан хангамж. Сум нь төвлөрсөн эрчим хүчний системийн Эрдэнэт Булганы сүлжээнд 1987 онд холбогдсон. 110/35/10квт-ын дэд станцтай. Дулаан хангамж. Сумын төвд төвлөрсөн уурын зуух байхгүй бөгөөд 12 жилийн сургуульд, ЗДТГ, Цэцэрлэг, Хүн эмнэлэг зэрэг газруудад 9 нам даралтын зуух ажилладаг.
  • 76.
    80 ТАВ. ГАЗАР АШИГЛАЛТЫНОДООГИЙН БАЙДАЛ 5.1 Газрын нэгдмэл сан Өлзийт сумын газрын нэгдмэл сангийн 2019 оны тайлангаас үзэхэд нийт талбайн 96.63 хувь буюу 166232.6 га-г хөдөө аж ахуйн газар, 0.06 хувь буюу 107.7 га-г хот тосгон бусад суурин газар, 0.20 хувь буюу 340.9 га-г зам шугам сүлжээний газар, 2.60 хувь буюу 4465 га-г ойн сан бүхий газар, 0.52 хувь буюу 890 га-г усны сан бүхий газар тус тус эзэлж байна. Хүснэгт 5.1.1 Газрын нэгдмэл сангийн мэдээ 2019 он № Сумы н нэр Нийт газар нутаг Хөдөө аж ахуйн газар Хот тосгон бусад суурин ы газар Зам шугам сүлжээни й газар Ойн сан бүхи й газар Усны сан бүхи й газар Тусгай хэрэгцээни й газар 1 Өлзийт 17203 7 166232. 4 107.7 340.9 4465 890 1 Хүснэгт 5.1.2 Газрын нэгдмэл сангийн ангиллын зөрүү /мян.га/ № Газрын нэгдмэл сангийн ангилал ГНС-ий ангиллын 2019 оны тайлангаар Газарзүйн мэдээллийн систем Arc GIS программаар бодуулсан хэмжээ /га/ Зөрүү /мян га/ I Хөдөө аж ахуйн газар 166232.36 162186.5 -4045.86 1 Бэлчээрийн газар 161682.92 156490 -5192.92 2 Хадлангийн талбай 1064 855.8 -208.2 3 Тариалангийн газар 2036.7 1620.5 -416.2 4 Атаршсан газар 1414.3 3185.8 1771.5 5 ХАА-н барилга, байгууламжийн дэвсгэр газар 34.4 34.4 0 6 ХАА-н хэрэгцээнд тохиромжгүй газар 0 0 II Хот, тосгон бусад суурины газар 107.7 151.2 43.5 7 Барилга, байгууламжийн дэвсгэр газар 30.3 5.8 -24.5 8 Нийтийн эдэлбэр газар 12.5 0.8 -11.7 9 Үйлдвэрийн газар 0 10 Уурхайн газар 0 89.5 89.5 11 Гэр хорооллын газар 64.9 55.1 -9.8 III Зам, шугам сүлжээний газар 340.9 0 -340.9 12 Авто замын газар 137 644.3 507.3 13 Төмөр замын газар 0 0 0 14 Агаарын тээврийн газар 0 0 0 15 Шугам сүлжээний газар 203.9 67.3 -136.6 16 Усан тээврийн буудлын газар 0 0 0
  • 77.
    81 IV Ойн санбүхий газар 4465 11397.7 6932.7 17 Ой модоор бүрхэгдсэн газар 3844 3924 80 18 Ой модыг нь огтолсон газар 26 128.5 102.5 19 Мод үржүүлгийн газар 0 20 Ой тэлэн ургах нөөц газар 0 253 253 21 Ойн сангийн бусад газар 595 7092.2 6497.2 V Усны сан бүхий газар 890 2923.2 2033.2 22 Гол мөрний эзлэх газар 702 1691.3 989.3 23 Нуур, цөөрөм, тойрмын эзлэх газар 188 1211.6 1023.6 25 Горхи, булаг, шандын эзлэх газар 0 20.3 20.3 24 Мөнх цас, мөсөн голын эзлэх газар 0 0 0 VI Улсын тусгай хэрэгцээний газар 1 1 0 26 Улсын тусгай хамгаалалттай газар 0 0 0 27 Улсын хилийн зурвас газар 0 0 0 28 Улсын батлан хамгаалах зориулалтын газар 0 0 0 29 Гадаадын дипломат, консул, төлөөлөгчийн газар 0 0 0 30 ШУ, туршилт, цаг уурын ажиглалтын талбай 1 1 0 31 Аймаг дундын отрын бэлчээр 0 0 0 32 Улсын тэжээлийн сангийн хадлангийн газар 0 0 0 33 Газрын тосны гэрээт талбай 0 0 0 34 Чөлөөт бүсийн газар 0 0 0 НИЙТ ДҮН 172036.96
  • 78.
    82 Зураг 5.1.1 Газрыннэгдмэл сангийн зураг Эх сурвалж: ГЗБГЗЗГ, БСТ
  • 79.
    83 Зураг 5.1.2 Газарашиглалтын зураг Эх сурвалж: ГЗБГЗЗГ, БСТ
  • 80.
    84 5.2 ХӨДӨӨ АЖАХУЙН ГАЗАР АШИГЛАЛТЫН БАЙДАЛ 5.2.1 Бэлчээр ашиглалтын байдал 5.2.1.1 Малчдын өвөлжөө, хаваржаа, зуслан, намаржааны байршил Өлзийт сумын нутаг дэвсгэрийн 93.9% буюу 161682 га газрыг бэлчээрийн газар эзэлдэг. Өлзийт сум нь мал аж ахуйн 3 баг, төвийн 1 баг нийт 4 багтай. Өвөлжөө, хаваржааны байршлыг газарзүйн солбицлоор нь тоон хэлбэрт оруулж сумын суурь зурагт буулган нэгдсэн дугаар өглөө. Малчдын зуны сууцны байшин, эсвэл малчид байнга төвлөрч зусдаг, намарждаг газрын байршлыг нь GPS-ээр хэмжиж оруулав. Хүснэгт 5.2.1.1.1 Өвөлжөө хаваржаа, зуслан намаржааны тоон мэдээлэл Цэгийн төрөл Ямаат баг Бодонт баг Байшир баг Хөшөөт баг нийт Өвөлжөө 73 85 84 4 242 Хаваржаа 95 89 75 16 275 Зуслан 15 20 30 3 68 Намаржаа 15 23 26 4 68 Баг бүрээр 198 217 215 27 630 Хувь 31.4 34.4 34.1 4.2 100 Эх сурвалж БСТ 2019 он Сумын хэмжээнд 2019 оны байдлаар 583 малчин өрх 630 өвөлжөө, хаваржаа, зуслан, намаржааг эзэмшиж бэлчээрийг ашиглаж байна. Үүнээс Ямаат багт 198 цэг буюу 31.4%, Бодонт баг 217 цэг буюу 34.4%, Байшир баг 215 цэг ба 34.1%, Хөшөөт баг 27 цэг буюу 4.2% -ийг тус тус газарзүйн мэдээллийн санд нэгтгэгдсэн байна. Дэлгэрэнгүйг хавсралт 5.2.1.1-д үзүүлэв.
  • 81.
    85 Зураг 5.2.1.1.1 Малчдынхатуу цэгийн байршил
  • 82.
    86 5.2.1.2 Бэлчээр ашиглалтынулирлын хуваарь Сумын ихэнх малчид Орхон голын ай сав газарт зусаж, намарждаг. Сумын Урт булгийн эх, Зэгстийн эхэн булаг, Өндөр толгойн ар булаг, Цагаан нуурын хөндий, Рашаант, Зодохын хөндий, Бага хужирт, Бухын гол, Хавчуугийн гол, Өгөөмөр гол, Тахилт ачаат орчимд зуслан, намартаа нутагладаг. Хөх хошуу, Ганц мод, Рашаант, Дунд даваа, Хүрэн шанд, Жаргалант, Байширын нуруу, Их хавцал, Бага хавцал, Улаан чулуут, Салхит, Баян хайрхан орчимд өвөл хавартаа нутагладаг. Хүснэгт 5.2.1.2.1 Улирлын бэлчээрийн талбайн хэмжээ Бэлчээр Талбайн хэмжээ Өвөл хаврын бэлчээр 96955.76 Зун намрын бэлчээр 64727.16 Зураг 5.2.1.2.1 Улирлын байршил
  • 83.
    87 5.2.1.3 Бэлчээр ашиглалтынхэсэг Өлзийт сум 10 бэлчээр ашиглалтын хэсэгт хуваагдсан байна. Энэхүү хэсгийн хил заагийг газрын LM программ-д оруулж баталгаажсан байна. Байшир багийг 3 хэсэгт, Бодонт багийг 3 хэсэгт, Ямаат багийг 3 хэсэгт, Хөшөөт багийг 1 хэсэгт тус бүр хуваасан байна. Хүснэгт 5.2.1.3.1 Бэлчээр ашиглалтын хэсгийн нэр, бэлчээрийн хэмжээ Д/д Багийн нэр Бэлчээр ашиглалтын хэсгийн нэр Талбайн хэмжээ, га 1 Байшир Бүрд зэгст 21785.5 2 Байшир Бэл 20987.6 3 Байшир Гацаа 10495.0 4 Бодонт Өгөөмөр дөрөлж 16679.6 5 Бодонт Будант 18412.4 6 Бодонт Тахилт 14667.6 7 Ямаат Цайдам 25745.5 8 Ямаат Хужирт 15534.7 9 Ямаат Мэргэн зодох 22640.4 10 Хөшөөт Хөшөөт баг 5263.4 Эх сурвалж. БСТ 2019 он
  • 84.
    88 Зураг 5.2.1.3.1 Бэлчээрашиглалтын зураг 5.2.1.4 Бэлчээр ашиглалтын бүлэг, нөхөрлөл Өлзийт сум нь одоогийн бэлчээр ашиглалтын байдлаар явбал улам доройтох нөхцөл ажиглагдаж байна. Үүнийг шийдвэрлэх арга зам нь юу байх вэ гэхээр малчдыг бүлэг зохион байгуулалтад оруулж, өвөлжөө, хаваржааны бэлчээрийг зураглан талбайг тооцон гаргаж, цаашлаад тухайн бүлгийн өрхүүдийн малын тоог бууруулах явдал юм. Газрын тухай хуулийн 52.2 дахь заалт, Байгаль орчны тухай хуулийн 50-р зүйл заалтуудыг тус тус үндэслэн малчид өөрийн ойр байгаа айл саахалт, нэг дор
  • 85.
    89 нутагладаг өрхүүдтэйгээ санаанийлэн бүлэг, нөхөрлөл болж бэлчээрийг урт хугацаагаар ашиглахаар сумын засаг даргатай гэрээ хийсэн байна. 2019 оны 12 сарын 16 өдрийн а/92 дугаар тоот Сумын Засаг Даргын Захирамжийг үндэслэн малчид / ашиглагч гэх /нөгөө талаас сумын засаг дарга /ашиглуулагч гэх/ 2 талт гэрээг байгуулсан байна. Зураг 5.2.1.4.1 Сумын засаг даргын захирамж Сумын хэмжээнд Байшир, Бодонт, Ямаат, Хөшөөт багийн малчдыг хамруулсан 25 бүлэг, 4 БНХМН байгуулагдаж албан ёсоор бүлэг, нөхөрлөлөө баталгаажуулсан байна. 29 бүлэг,нөхөрлөлд 110 малчин өрхийн 198 малчдыг хамруулжээ. Малчдын нэрсийн жагсаалтыг хавсралт 5.2.1.4-өөс харна уу. Хүснэгт 5.2.1.4.1 Байгуулсан малчдын бүлгүүдийн мэдээлэл № Бүлгийн нэр Ахлагчийн нэр Гишүүн өрхийн тоо Гишүүдийн тоо Гэрээлсэн талбайн хэмжээ /га/ 1 "Төмөртийн нуруу" С.Хатанбаатар 7 12 1289 2 "Улаан толгой" Ж.Цогтбаатар 4 7 825 3 "Баян байшир" Х.Орхонбаатар 3 6 215
  • 86.
    90 4 "Ташгай" Л.Чинбаатар2 4 1813 5 "Зэгст" БНХМН П.Батсүх 3 5 189 6 "Хүрэн шанд" Н.Чинзориг 3 5 1136 7 "Байшир" БНХМН Т.Гүнгаваа 4 7 1525 8 "Хайлааст" Ж.Намсрай 3 5 576 9 "Марааны булан" П.Болдсүх 3 5 1041 10 "Ундрах булаг" А.Галхүү 3 5 196 11 "Бүрдний эх" Х.Очирсүх 2 4 1305 12 "Ар булаг" Т.Батжаргал 3 5 153 13 "Таван толгой" П.Алтанхуяг 4 6 1449 14 "Цул" Б.Пүрэвсүрэн 3 6 720 15 "Цагаан нуур" А.Цэрэнбямба 2 2 247 16 "Гурван хэц" Д.Лхагвацэдэн 4 8 1232 17 "Дэлгэрэх булаг" БНХМН Т.Туул 4 7 993 18 "Дунд даваа" БНХМН Ж.Болдбаатар 7 14 1215 19 "Дуут" Ц.Батдорж 4 7 696 20 "Их хавцал" Н.Батбаатар 4 7 1510 21 "Нарийн гүвээ" П.Болдбаатар 2 5 869 22 "Наст" Б.Энхтайван 5 9 739 23 "Гозгор хайрхан" Ж.Хосбаяр 4 6 398 24 "Өгөөмөр" С.Энэбиш 6 10 529 25 "Ханан" Ж.Эрдэнэчимэг 6 10 837 26 "Баянхайрхан" Г.Баатар 4 7 454 27 "Чулуут" Г.Амгаланбаатар 3 7 601 28 "Өндөр толгой" Ч.Нарангэрэл 5 11 1409 29 “Өөлд зүмбэр” Т.Баатархүү 3 6 696 Нийт 110 198 110 198 24857 Эх сурвалж: 2019 он. БСТ
  • 87.
    91 Зураг 5.2.1.4.2 Малчдынбүлэг, нөхөрлөлийн байршлын зураг 5.2.1.5 Бэлчээрийн даац, багтаамж Сумын мал нь өмнөх оноос 50275 толгой малаар өссөн дүнтэй гарсан байна. Энэ нь бэлчээрт маш их дарамт үүсэж байгаа нь илт байна. 2019 оны жилийн эцсийн мал тооны мэдээг үндэслэн бэлчээрийн даацыг тооцов. Ургацын мэдээг сумын байнгын ажиглалтын цэгээс буюу цаг уурын станцаас авсан болно.
  • 88.
    92 Бэлчээрийн талбайг бодуулахдаагазарзүйн мэдээллийн сангийн програм болох ArcGIS ашиглан тооцож гаргасан. Бэлчээрийн газрын хил заагийг тодорхойлохдоо газар ашиглалтын хамгийн сүүлийн үеийн мэдээг ашиглан бэлчээрийн зориулалтаар ашиглагдаагүй газруудыг тогтоож, зураглал хийх талбайгаас хасаж тооцов. Бэлчээрийн зориулалтаар ашиглагдаагүй газарт дараах газрууд орно. Үүнд:  Ой;  Гол, мөрөн, нуур, цөөрөм, Булаг шанд;  Хот, суурин, тосгон;  Уурхай, ашигт малтмалын тусгай зөвшөөрөлтэй талбай;  Тариалангийн газар;  Тусгай хэрэгцээний газар гэх мэт. Бусад ангиллын газраас бэлчээрт ашиглагдаж буй дараах газруудыг зураглал хийх талбайд хамруулна. Үүнд:  Ой тэлж ургах зурвас газар;  Хайгуулын тусгай зөвшөөрөлтэй талбай;  Атаршсан талбай;  Тусгай хэрэгцээний газраас бэлчээрт ашиглагдаж буй газар гэх мэт Өлзийт сумын Бодонт багийн бэлчээрийн даац 7.5 дахин, Байшир баг 15.6 дахин, Ямаат баг 9.5 дахин, Хөшөөт баг 80.5 дахин тус тус хэтэрсэн байна. Сумын төвийн баг нь газар нутаг жижиг учраас маш их хэтэрсэн дүнтэй гарч байна. Хүснэгт 5.2.1.5.1 Сумын бэлчээрийн даац, багаар Багийн нэр Бэлчээрий н талбай, га Га- ийн урга ц Бэлчээрий н малд идэгдэх өвсний хэмжээ Багтаамж , хонин толгой Малын тоо, хонин толгойд шилжүүлсэнээ р Даац, хувиа р Ямаат 63309 1.7 107625.3 17937.6 165288 921.5 Бодонт 46310 3.8 175978 29329.7 163146.2 556.2 Байшир 45352 1.2 54422.4 9070.4 141520.3 1560. 2 Хөшөөт 5112 1.1 5623.2 937.2 75519.4 8058. 0
  • 89.
  • 90.
    94 5.2.1.6 Бэлчээрийн ачаалал Зураг5.2.1.6.1 Бэлчээрийн ачааллын жилийн дундаж ачаалалын зураг 5.2.1.7 Бэлчээрийн сэргэх чадавх Бэлчээрийн экологийн чадавхын зураглалын зорилго нь тухайн сумын бэлчээрийн экологийн чадавхыг хиймэл дагуулын мэдээ ашиглан хийх аргачлалыг нутагшуулах, газар зохион байгуулалт, төлөвлөлт, газрын хянан баталгаа, мониторингийн ажилд анхдагч суурь мэдээлэл бий болгоход оршино. Чадавхын зургийг ArcGIS, QGIS программ хангамж ашиглан хийж дэлхийн хөндлөн меркаторын “UTM” тусгагаар боловсрууллаа. Чадавхын зураглалд ашигласан мэдээ нь ургамал ургалтын хамгийн оргил үеийн хиймэл дагуулын
  • 91.
    95 мэдээ болох 8дугаар сар, үүлний бүрхэвч хамгийн багатай Landsat хиймэл дагуулын мэдээг ашиглан хийж гүйцэтгэв. Мөн орон нутгийн бэлчээрийн холбогдолтой дараах мэдээллийг давхцуулан анализ хийлээ. Үүнд:  Сумын бэлчээрийн хянан баталгааны тайлан мэдээ  Хөрсний зураг /1:100000 масштабтай зураг/  Ургамалжилтын зураг /1:100000 масштабтай зураг/  Тоон өндрийн загвар DEM, STRM /30м/  Бэлчээрийн фото мониторингийн үнэлгээний материалууд  Сумын газар ашиглалтын мэдээ Өлзийт сум нь ойт хээр болон хээрийн бүсэд хамрагддаг бөгөөд сэргэх чадавхын ангиллаар-III багтаж байна. Энэ нь бэлчээрийг сэргээн сайжруулахад дор хаяж 3 ба түүнээс олон жил шаардагдах төлөв байдал ажиглагдаж байна. Монгол орны бэлчээрийн төлөв байдлын ангиллаар 7 ангилалд хуваагдаж байна. Үүнд:  10 –Хөрсний гүний ус ойрхон дэрст цайдам  1а -Чулуурхаг хөрстэй уулын энгэр болон толгодын орой, хажуугийн Жижиг дэгнүүлт үетэн-чулуусаг алаг өвс-агьт бэлчээр  1б –Шавранцар хөрстэй уулын энгэр, бэл хажуугийн ботууль-алаг өвст бэлчээр  2 – Шавранцар хөрстэй уулын бэл хөндийн Жижиг дэгнүүлт үетэн-алаг өвст бэлчээр  3 - Шавранцар хөрстэй уулын бэл, Уул хоорондын тэгшивтэр хөндийн Байгаль хялгана-алаг өвст нугын хээрийн бэлчээр  7 - Чулуурхаг хөрстэй уулын орой, энгэр хажуугийн Крыловын хялгана- үетэн-алаг өвст бэлчээр  9 - Зузаан элсэн хөрстэй тэгшивтэр тал хөндийн бяцхан навчит харгана- үетэнт бэлчээр Дүгнэлт Өлзийт сум нь ойт хээр болон хээрийн бүсэд хамрагддаг бөгөөд сэргэх чадавхын ангиллаар-IV-р түвшинд багтаж байна. Энэ нь ургамлын зүйлийн бүрдэл хүчтэй доройтсон ба малын хөлийн талхагдал их байгаагийн сөрөг үр нөлөө юм. Зонхилогч ургамал нь үетэн, ширэг улалж, дэрвээн хазаар өвс, Крыловын хялгана, агь, имт гичгэнэ, нангиад түнгэ, жижиг навчит харгана, ногоон лууль, цөөн наст зэрэг доройтлыг илэрхийлсэн ургамлууд зонхилон ургаж байгаа ажиглагдаж байна. Энэ нь бэлчээрийг сэргээн сайжруулахад дор хаяж 3 ба түүнээс олон жил шаардагдах төлөв байдал ажиглагдаж байна. Санал, зөвлөмж Өлзийт сумын ард иргэд амьжиргаагаа залгуулж байгаа гол салбар бол яах аргагүй мал аж ахуйн салбар юм. Мал аж ахуйн гол хөгжлийн тулгуур үндэс нь
  • 92.
    96 бэлчээр. Гэвч даацих хэмжээгээр хэтэрсний улмаас бэлчээрийн төрх алдагдаж, доройтлын 3-р түвшинд хүрсэн байна. Энэ байдлаараа цаашид явбал мал идэх өвсгүй, ашиглах бэлчээргүй болох эрсдэл нүүрлээд байна. Иймээс малчдын орлогыг бууруулалгүйгээр малын тоог бэлчээрийн даацад аажим нийцүүлэх зорилтыг дэвшүүлсэн МАА-н тогтвортой хөгжлийн хөтөлбөрийг цаг алдалгүй хэрэгжүүлэхийг онцгойлон зөвлөж байна. Малын тоог цөөлж, бэлчээрийн ачааллыг бууруулах үр дүнг харгалзан дараагийн шатанд бэлчээрийг сэлгэж ашиглах, амраах, өнжөөх арга хэмжээг зохистой төлөвлөж хэрэгжүүлэхийг зөвлөж байна. Ингэснээр бэлчээрийг сэргэх чадавхын дараагийн буюу 1-2-р түвшинд шилжүүлэх нөхцөл бүрдэх юм. Зураг 5.2.1.7.1 Бэлчээрийн сэргэх чадавхын зураг Эх сурвалж: ГЗБГЗЗГ-ын мэдээ БСТ-ын боловсруулалт
  • 93.
    97 5.2.1.8 Бэлчээрийн доройтол Өлзийтсумын бэлчээр нь 2019 оны байдлаар Ямаат багийн ихэнх нутгийг үлийн цагаан оготно эзэлсэн байна. Үүнээс болоод малчид их хэмжээгээр отор нүүдэл хийсэн байна. Бодонт багийн зүүн урд хэсэг буюу Орхон голын орчим хортон мэрэгчид ихээхэн тархсан байна. Мөн сумын төв сууринаас баруун хойш Байшир багийн хэсэг газарт үлийн оготно тархсан байна. Хортон мэрэгчийн талбай 73064 га-г эзэлж байна. Их талхлагдсан бэлчээр 14837 га талбайг хамарч байна. Дунд зэрэг талхлагдсан бэлчээр 21131 га талбайг хамарч байна. /Зураг 10./ Зураг 5.2.1.8.1 Бэлчээрийн доройтлын зураг
  • 94.
    98 5.2.2 Тариалангийн газрынашиглалт Өлзийт суманд газар тариалангийн нийт 2000 га талбайг ашиглаж байна. Сумын хэмжээнд нийт 4 иргэн, аж ахуй нэгж газар тариалан эрхэлж байна. Эдгээр иргэд нь гол төлөв ногоон тэжээл, улаан буудай, төмс, хүнсний ногоо, рапс, жимс, жимсгэнэт мод, бут, сөөг тус тус тариалж байна. Тариалангийн гол талбай нь сумын төвөөс баруун хойш 30 км гаруй зайд Хайрхан сум явах зам дагуу бүрдийн эх орчимд байрлаж байна. Хүснэгт 5.2.2.1 Тариалангийн газар ашиглалт Нэгж талбарын дугаар Эзэмшигч Талбай /га/ 20600001 Эрдэнэ Виаламс XXK 280.62 20600004 Эрдэнэ Виаламс XXK 242.34 20600007 ЗДТГ 192.35 20600008 ЗДТГ 32.73 20600009 Эрдэнэ Виаламс XXK 400.76 20600010 Угалз мандал хоршоо 68.46 20600011 Эрдэнэ Виаламс XXK 392.85 20600037 Угалз мандал хоршоо 1.79 20600038 ЗДТГ 7.32 20600039 Лхагвацэдэн 0.17 20600040 Алтаншагай 1.14 Нийт 1620.53
  • 95.
    99 Зураг 5.2.2.1 Сумынтариалангийн газар ашиглалтын зураг 5.2.3 Хадлангийн газрын газар ашиглалт Өлзийт сум нь албан ёсоор сумын ИТХ-аар баталгаажилж тухайн газар жилийн газар зохион байгуулалтын төлөвлөгөөнд суусан хадлангийн газар байхгүй
  • 96.
    100 болно. Харин иргэд,малчид өөрсдийн өвөлжөө хаваржаа орчмын хэсэгхэн газруудыг хадаж байна. 5.2.4 Атаршсан газар Сумын хэмжээнд нийт 3185 га газар атаршсан талбай байна. Зураг 5.2.4.1. Сумын атаршсан газрын зураг
  • 97.
    101 5.2.5 Хамгаалах, нөхөнсэргээх газар 5.2.5.1 Эвдэрсэн бохирдсон газар Өлзийт сумын хувьд үйл ажиллагаа явуулж байгаа уурхай одоогоор байхгүй ч гэсэн Өлзийт-Хайрхан сум чиглэлийн замын далангийн ажил гүйцэтгэхдээ олон газрыг ухсан байна. Нийт 40 га талбай газар эвдэрсэн байна. Сумын зүгээс уг газруудыг цаашдаа нөхөн сэргээх шаардлагатай гэж үзэж байна. Гаднын нөлөөнөөс эвдэрсэн газруудыг зурагт буулгав. Зураг 5.2.5.1.1 Сумын нөхөн сэргээх газрын зураг
  • 98.
    102 5.3 Хот тосгонбусад суурины газар ашиглалтын байдал 5.3.1 Хот тосгон бусад суурин газрын ашиглалт Сумын хот суурин газрын тэг гортиг нийт 1009 га талбай байна. Тус суманд Иргэдийн Төлөөлөгчдийн Хурал, Засаг даргын тамгын газар, ерөнхий боловсролын сургууль, хүн эмнэлэг, хүүхдийн цэцэрлэг, соёлын төв зэрэг төсөвт байгууллага, цагаан идээ үйлдвэрлэл, эсгий, мал эмнэлэг, эмийн сан, барилга засал, шатахуун түгээх станц, худалдаа үйлчилгээний чиглэлээр хувийн аж ахуйн нэгжүүд үйл ажиллагаа явуулж байна. Сумын төв төвлөрсөн эрчим хүчний систем болон үүрэн холбооны сүлжээнд холбогдсон. Зураг 5.3.1.1 Сумын суурин газрын ашиглалтын зураг
  • 99.
    103 5.3.1.1 Хог хаягдал Сумынтөвөөс баруун зүгт 1 км-т байрладаг хогийн цэгтэй. Хогийн цэгийг хашаажуулсан. Хогийн зориулалтын 1 машинтай хуучирсан бөгөөд эвдэрсэн. Одоогоор энгийн болон аюултай хог хаягдлыг ангилан ялгадаг тогтолцоо сумын иргэдийн дунд алга байна. Ангилж ялгалаа гэхэд ангилсан хогийг авдаг үйлдвэр, ААН одоогоор байхгүй байна. Одоогийн байдлаар хогийг булшлах, шатаах аргуудаар багасгаж байна. 5.3.2 Уул уурхайн газар ашиглалт Сумын хэмжээнд ашиглалтын 1 уурхай байна. Ашиглалтын зөвшөөрөл Бэрэн майнинг ХХК нэр дээр байна. Энэхүү уурхай нь сумын төвөөс зүүн хойно 3км зайд Орхон голын зүүн талд байрлана. Ашиглалтын зөвшөөрлөө авсан байгаа ч одоогоор үйл ажиллагаа явагдаагүй байгаа. Төмөртэй орд гэж тэмдэглэгдсэн байна. Хүснэгт 5.3.2.1 Уул уурхайн газар ашиглалт Д/д ТЗ-ийн дугаар Талбайн нэр Талбайн хэмжээ /га/ Баг Эзэмшигч Олгосон огноо Дуусах огноо 1 11619 Өлзийт-1 89.45 Ямаат Бэрэнмайнинг 4/3/2006 4/3/2036 Зураг 5.3.2.1 Уул уурхайн газар ашиглалтын зураг 5.3.3 Аялал жуулчлалын газар ашиглалт Өлзийт сум нь аялал жуулчлал төдийлөн сайн хөгжөөгүй сумын нэг юм. 2019 оны байдлаар “Бошгот тур” гэр буудал, Н.Сүхбаатар гэр буудал, Д.Батгэрэл гэр буудал, Ч.Алтаншагай явган аялал гэх 4 үйл ажиллагаа явуулдаг газрууд байна. Тухайн газрууд нь улирлын чанартай үйл ажиллагаа явуулдаг. Хүснэгт 5.3.3.1 Аялал жуулчлалын мэдээлэл
  • 100.
    104 Д /д Үйлчилгээний байгууллагын нэр Үйлчилг ээний чиглэл Эзэмши гч нэр Дото одын жуул чин Гада адын жуул чин тайлб ар Байршил /газарзүйн координат/ 1 Н.Сүхбаатар гэр буудал Гэр буудал Н.Сүхба атар 102°34'21.8"E, 48°6'6.3"N 2Бошгот тур Гэр буудал Н.Ганцэ цэг 920 35 давха рдсан тоогоо р 102°34'34.6"E, 48°6'19.1"N 3 Н.Батгэрэл гэр буудал Гэр буудал Н.Батгэ рэл 4 Тахилт бүлэг Явган аялал Ч.Алтан шагай 285 давха рдсан тоогоо р Зураг 5.3.3.1 Аялал жуулчлалын газрын зураг
  • 101.
    105 5.4 Ойн санбүхий газрын ашиглалтын байдал, ба нөөц 5.4.1 Ойн сангийн газрын ашиглалт Өлзийт сумын хэмжээнд нийт 4874.6 га талбайг ойн сан эзэлж байна. Энэ нь нийт газар нутгийн хэмжээтэй харьцуулбал 2.8% -ийг эзэлж байна. Ойн сангийн талбай маш бага болох нь харагдаж байна. Сумын хэмжээнд ойн сангийн 11 хэсгийн 259 ялгарал байна. Ойн сан нь 12 төрлөөр ангилагдсан ба үүнээс болц гүйцсэн хөгшин шинэс хамгийн их 3151.6 га талбайг эзэлж байна. Өлзийт сумын ойн сангийн 19.2 хувь буюу 936 га талбай ногоон бүсийн ойд хамаарч байна. Ногоон бүсийн ойн сангийн 801 га буюу 85.6 хувь нь ойгоор бүрхэгдсэн талбай, 135 га буюу 14.4 хувь нь ойгоор бүрхэгдээгүй талбай байна. Ойгоор бүрхэгдсэн талбайн 93.4 хувийг байгалийн ой эзлэх бөгөөд бүрэлдэхүүний хувьд шинэс зонхилон ургана. Өлзийт сум нь 2019 байдлаар ойн нөхөрлөл албан ёсоор байгуулагдаагүй байна. Ойн хэв шинжийн ангиллаар Архангай аймгийн Өлзийт сумын нутаг нь Хангайн мужийн Зүүн өмнөд Хангайн хошуу дээд Тамир голын хушин ойн тойрогт багтана. Зүүн өмнөд Хангайн хошууны ой үүсгэгч мод нь шинэс бөгөөд уулын оройгоор хуш ургана. Тайгын дэд бүслүүр өргөн тархах бөгөөд ус зохицуулах, цуглуулах онцгой үүрэг бүхий хэд хэдэн зүйлийн ногоон хөвд ихтэй. Хүснэгт 5.4.1.1 Сумын ойн сангийн мэдээлэл Д/д Төрлийн нэр Ялгарлын тоо Талбайн хэмжээ /га/ Хувиар 1 Болц гүйцэж буй шинэс 24 221.71 4.5483 2 Болц гүйцсэн хөгшин шинэс 105 3151.63 64.6539 3 Дунд насны бургас 7 21.02 0.43131 4 Дунд насны шинэс 30 378.86 7.77207 5 ОХШӨ-д нэрвэгдсэн талбай 6 98.09 2.0122 6 Мод бэлтгэсэн талбай 8 128.54 2.63699 7 Ойжих талбай 18 271.21 5.56366 8 Шатсан шинэс 6 230.79 4.73457 9 Сөөг торлог 4 71.09 1.45843 10 Тармаг бургас 45 232.94 4.7786 11 Тармаг шинэс 5 55.04 1.12913 12 Залуу шинэс 1 13.69 0.28086 12 төрөл 259.0 4874.63 100
  • 102.
    106 Зураг 5.4.1.1 Ойнтархалтын зураг 5.4.2 Ойн сангийн өөрчлөлт Монгол орны ойн экосистемийн тэнцвэрт байдлыг алдагдуулж, байгалийн ойг бууруулах өөрчлөлт оруулахад ойн түймэр, эмх замбараагүй хийгддэг мод бэлтгэл, ойн хортон шавжийн үржил, тархалт мөн бэлчээрийн малын нөлөө зэрэг хүчин зүйл нөлөөлж байдаг. Үүний зэрэгцээ уур амьсгалын хуурайшилт, дулааралт нь ойн нөөцийг аажмаар багасгахад хүргэж буй байгалийн хүчин зүйлийн нэг болж байна. Байгалийн хүчин зүйлээс гадна хүний сөрөг үйл ажиллагааны нөлөөллөөс ойн нөөц хомсдож, ойн чанар, чансаа улам буурсаар байна.
  • 103.
    107 Монгол улс ньойн баялгаар ядмаг орны тоонд орох бөгөөд ойн сангийн хувирал, өөрчлөлт, тэдгээрт нөлөөлж буй хүчин зүйл, цаашдын хандлагыг тухай бүр тогтоож байх нь ойн баялгийг зүй зохистой ашиглахад чухал ач холбогдолтой. Ой зохион байгуулалтын ажлын нэг зорилго нь тухайн газар нутгийн ойн сангийн төлөв байдал, талбай, тархалтыг тогтоож түүнд гарсан өөрчлөлт түүний шалтгааныг тооцож цаашид хэрэгжүүлэх ойн аж ахуйн арга хэмжээг оновчтой төлөвлөж өгөх явдал юм. Ойн сангийн өөрчлөлтийг гаргахдаа 2008 оны ой зохион байгуулалтын ажлын дүн мэдээг 2018 оны давтан ой зохион байгуулалтын ажлын дүн мэдээтэй харьцуулан газрын төрлийн ангиллыг доорх хүснэгтээр тус тус гаргаж үзүүлэв. Хүснэгт 5.4.2.1 Ойн сангийн газрын төрлийн өөрчлөлт Ойн сангийн талбайн төрөл Газрын төрөл 2008 оны ой зохион байгуулалт 2018 оны ой зохион байгуулалт Зөрүү Ойгоор бүрхэгдсэн талбай Байгалийн ой 3355 3852 497 Бут, сөөг 71 72 1 дүн 3426 3924 498 Ойгоор бүрхэгдээгүй талбай Шатсан ой 348 230 -118 Тармаг мод 83 242 159 Мод бэлтгэсэн талбай 332 129 -203 Ойжих талбай 10 253 243 ХШӨН талбай 98 98 дүн 773 952 179 Ойн талбайн дүн 4199 4876 677 Ойн сангийн газрын төрлийн өөрчлөлтийн хүснэгтээс харахад байгалийн ой 497 га, бут сөөг 1 га талбайгаар нэмэгдсэнээр ойгоор бүрхэгдсэн талбай 498 га талбайгаар нэмэгдсэн байна. Харин шатсан талбай 118 га, мод бэлтгэсэн талбай 203 га талбайгаар багасаж, тармаг мод 159 га, ойжих талбай 243 га, хөнөөлт шавж өвчинд нэрвэгдсэн талбай 98 га талбайгаар тус тус нэмэгдсэнээр ойгоор бүрхэгдээгүй талбай 179 га талбайгаар нэмэгдэж ойн талбай нийт дүнгээрээ 677 га талбайгаар нэмэгдсэн үзүүлэлттэй байна. Өлзийт сумын байгалийн ойн талбай нэмэгдсэн гол шалтгаан нь Орхон гол дагуух бургасан ойг шинээр бүртгэж тэмдэглэсэн болон зарим нэг орхигдсон төгөл ойг бүртгэж авсантай холбоотой юм. Шатсан болон мод бэлтгэсэн талбайн хэмжээ багасаж гарсан нь тухайн талбайд байгалийн аясаар сэргэн ургалт явагдаж ойжих талбайн ангилалд шилжсэн явдал юм. Харин хөнөөлт шавж, өвчинд нэрвэгдсэн 98 га талбай бүртгэгдсэн нь уур амьсгалын өөрчлөлт, хэт хуурайшилтын нөлөөгөөр ойн хөнөөлт шавжийн хэт
  • 104.
    108 олшрол болж ойнсанд ялангуяа залуу дунд насны шинэсэн ойг их хэмжээгээр идэж сүйтгэн цаашид ургах чадваргүй болгосонтой холбоотой юм. Манай орны хувьд ойн экосистемийн тэнцвэрт байдлыг алдагдуулж, байгалийн ойн үүрэг ач холбогдлыг бууруулж байгаа гол хүчин зүйлс нь доорх шалтгаанаас үүдэлтэй байдаг.Үүнд:  Дэлхий нийтийг хамарсан уур амьсгалын өөрчлөлт, дулаарал, хуурайшилт  Хүний болгоомжгүй үйлдлээс үүдэн гарч буй ойн түймэр  Ойн хөнөөлт шавжийн хэт олшролын улмаас ойн санд учирч буй хор нөлөө  Ойн санд хэрэгжүүлбэл зохих ойн аж ахуйн арга хэмжээний хэрэгжилт  Эмх замбараагүй мод бэлтгэл, хууль бус үйл ажиллагаа  Бэлчээрийн хомсдолтой холбоотой ойн сан дахь мал бэлчээрлэлт зэрэг болно. Дээрх нөхцөл байдлын улмаас агаарын бохирдлыг бууруулж, хүлэмжийн хий гэгдэх нүүрсхүчлийн хийг шингээн хүчилтөрөгчийг ялгаруулж байдаг нандин орчин болсон ойн сан хөмрөг ихээр хумигдан ойн орчин доройтон бохирдож экологийн тэнцвэрт байдал алдагдахад хүргэж байна. 5.5 Усан сан бүхий газрын ашиглалтын байдал 5.5.1 Усны сангийн газрын ашиглалт Өлзийт сумын нутаг дэвсгэр нь Орхон голын ай сав газарт оршиж байна. Гадаргын усан хангамж харьцангуй сайн бөгөөд сумын нутаг дэвгэрээр Орхон гол урдаас хойш чиглэлтэй урсаж байна. Их, бага хужирт, Улаан чулуут, Дунд даваа, Хөх хошуу, Ар булаг, Их булаг зэрэг 20 шахам булаг, шанд байдгаас заримыг нь жилийн турш ашигладаг. Долоон хайлаас, Рашаант, Дунд даваа, Богино ам, Наранбулаг, Гарангийн рашаан, Цайдам, Цагаан нуурын хүхэрлэг шаврыг нутгийн болон хөрш зэргэлдээ сумын иргэд эрт үеэс эмчилгээний чанартай ашиглаж ирсэн байна. Сумын ИТХ -ын 2018 оны 12сарын 18 өдрийн дугаар – 27 дах тогтоолоор 2019 оны газар зохион байгуулалтын төлөвлөгөөнд Рашаан ус, нуур цөөрөм булгийн эхийг хашиж хамгаалах 3 газрыг баталсан байна. Үүнд:  Бодонт багт - Сожын булаг  Ямаат багт – Бор хонины булаг  Ямаат багт – Улаан чулуутын булаг Бэлчээрийн усан хангамжийн эх үүсвэрт худаг, булаг шанд, гол горхи, нуур тойром, цөөрөм зэргийг хамруулна. Тухайн суманд ашиглагдаж байгаа усан хангамжийн эх үүсвэрийн байршлыг хэмжиж, зурагт оруулж дугаарлав. Худаг уст цэгийн эзэмшигч ашиглагчдын талаарх мэдээллийг шивж оруулж өгөв. Өлзийт сумын гадаргын ус  Гол горхи – 10, үүнээс усгүй 3  Булаг рашаан – 26 үүнээс ширгэсэн 5  Нуур цөөрөм – 15
  • 105.
    109  Гүн өрмийнхудаг – 29  Энгийн уурхайн худаг – 12  Эвдэрсэн худаг – 11 Зураг 5.5.1.1 Усан сангийн газар ашиглалтын зураг Эх сурвалж: БОАЖЯ Дэлгэрэнгүй мэдээллийг 5.5.1 хавсралтаас үзнэ үү 5.6 Тусгай хэрэгцээний газрын ашиглалтын байдал Өлзийт сум нь одоогоор тусгай хамгаалалттай газар 1 га талбай ГНС-д бүртгэгдсэн байна. Энэ нь Ус Цаг Уурын станцын талбай юм. 5.7 Зам, шугам сүлжээний газрын ашиглалтын байдал 5.7.1 Авто замын газрын ашиглалт Өлзийт сум нь Улаанбаатар хотоос 375 км зайтай бөгөөд 345 км газрыг засмал замаар явж, Мянганы замын хэвтээ тэнхлэгийн замаас 30 км замыг сайжруулсан шороон замаар туулж байна. Харин аймгийн төв Цэцэрлэг хотоос 140 км хол оршдог бөгөөд ердийн шороон замаар холбогддог. Өлзийт-Хайрхан- Хөвсгөл чиглэлийн зам сайжруулсан шороон замаар явж байна. Сумын төвөөс багуудын төв хүртэл ердийн шороон замаар явдаг.
  • 106.
    110 Хүснэгт 5.7.1.1 Зам,шугам сүлжээний газрын эзэлж буй талбайн хэмжээ Үндсэн ангилал Ангиллын түвшин 1 Ангиллын түвшин 2 /ашиглалтын зориулалт/ Талбай, га Зам, шугам сүлжээний газар Авто замын газар Улсын чанартай авто зам 149.8 сайжруулсан шороон зам 356.1 Ердийн шороон зам 288.1 Шугам, сүлжээний газар Холбоо, мэдээлэл дамжуулах хүлээн авах станц, шугам 148.9 Эрчим хүч, дамжуулах шугам, станц 55.1 5.7.2 Цахилгаан холбооны шугам, шилэн кабелийн газрын ашиглалт Сум нь төвийн эрчим хүчний системд 1987 онд холбогдсон. 110/35/10квт-ын дэд станцтай. Эрдэнэт-Булганы цахилгаан түгээх станцаас цахилгаанаа авдаг. Сумын Ямаат багийн Цайдам гэдэг газраас Хөшөөт баг чиглэлд нийт 31 км-ын урт шилэн кабель татагдсан байна. Хүснэгт 5.7.2.1 Сумын цахилгаан шугам Төрөл Чиглэл Урт /км/ Шилэн кабель Ямаат баг-Хөшөөт баг 31.2 Цахилгааны шугам Эрдэнэт-Булган ЦТС - Өлзийт сум 16.1
  • 107.
    111 Зураг 5.7.2.1 Зам,шугам сүлжээний газрын зураг 5.8 Байгалийн нөөц, дагалт баялаг ашиглалтын байдал 5.8.1 Түүх соёлын дурсгалт газар Өлзийт сумын нутаг эртний хүмүүсийн үлдээсэн түүх соёлын дурсгалуудаар арвин. Төмрийн үеийн болон Түрэгийн үеийн хиргисүүр сумын нийт нутгаар өргөн тархжээ. 2016 онд сумын хэмжээнд түүх соёлын дурсгалт газрын 15 нэр бүхий газрыг сумын хамгаалалтад авсан байна. Үүнээс  Хадны зураг, бичгийн дурсгал – 5  Булш, оршуулгын дурсгал, хиргисүүр – 6  Хөшөө дурсгал, буган чулуун хөшөө – 4 Бодонт багт: “Мөнгөний хөндий” дэх Түрэг хиргисүүрээс зүүн тийш 2 эгнээ “Зэл чулуу буюу балбал” хэмээн нэрлэдэг “Шон чулуу”-г 1,5 км үргэлжлүүлэн босгосон байдаг аж.
  • 108.
    112 МЭӨ VII-VIII зууныүед нутаглаж байсан нүүдэлчдийн ахуй, соёлд хамаарах дөрвөлжин булш “Шувуут нуурын дэнж”, Жаргалантын өвөр Тосонгийн хоолой зэрэг газруудад цөөнгүй байна. “Төмөртийн нуруу”-нд байгаа 3 хэсэг том “Ухмал” хүмүүсийн сонирхлыг их татдаг байна. “Хөх чулууны хярын хадны зураг”, “Маанийн дэнжийн буган хөшөө”, ”Олзот уулын буган хөшөө” зэрэг дурсгалт газрууд байдаг. Хөшөөт баг: Дүүлэн давхиж буй буга, тураг дүрслэгдсэн бугын чулуун хөшөө сумын төвийн “Хөшөөтийн дэнж”-д гурав, “Хар усны тохой”-д нэг байгаа нь жуулчин, судлаачдын анхаарлыг татсаар байна. Ямаат багт: Эртний хүмүүсийн ахуй амьдралыг тод дүрсэлсэн хадны сүг зураг Ямаат багийн нутаг “Хэцүү хөтлийн ар”, “Гүрэн мандлын хадны зураг” Байшир багт: Жаргалант уулын өвөр хөндийд өвөрмөц байдлаар бүтээсэн 10 гаруй хиргисүүр байдаг. Төвдөө 10-15 м-ийн голчтой, 2,0-2,5 м өндөр хиргисүүрийг урд талаар нь 1 м орчим голчтой дугуй тойрог чулууг 3 эгнээгээр үргэлжлүүлэн байрлуулж, баруун, зүүн хажуу дахь 20 м өргөн чулуун зурвасыг ар талаар нь 1 м өргөн урт зурвас чулуугаар холбож өгсөн нь түүхч судлаачдын сонирхлыг татсан байгууламж юм. “Янгиртын хадны зураг”, “Гацааны хадны зураг”, “Өндөр толгойн хадны зураг”, “Бага Хайрханы булш”, “Хустайн адгийн булш”, зэрэг дурсгалт газрууд байдаг. Дэлгэрэнгү йг хавсралт 5.8.1-т тусгав.
  • 109.
    113 Хүснэгт 5.8.1.1 Түүхсоёлын дурсгалт газар № Бүртгэлийн дугаар Дурсгалт газрын нэр Хамгаалалтанд авсан огноо Төрөл зүйл Оршиж буй багийн нэр Эрх зүйн хамгаалалт Дурсгалын үнэ цэнэ зэрэглэл Солбицол N E 1 650400032 Янгиртын хадны зураг 2016.05.04 2. Хадны зураг, бичгийн дурсгал Байшир Сумын Аймгийн 5315259 302972 2 650400042 Хөх чулууны хярын хадны зураг 2016.05.04 2. Хадны зураг, бичгийн дурсгал Бодонт Аймаг Аймгийн 5316524 302059 3 650400122 Гацааны хадны зураг 2016.05.04 2. Хадны зураг, бичгийн дурсгал Байшир Сумын Аймгийн 5351563 323400 4 650400152 Гүрэн мандлын хадны зураг 2016.05.04 2. Хадны зураг, бичгийн дурсгал Ямаат Сумын Аймгийн 5328771 378910 5 650400092 Өндөр толгойн хадны зураг 2016.05.04 2. Хадны зураг, бичгийн дурсгал Байшир Сумын Аймгийн 5341238 311697 6 650400032 Янгиртын хадны булш хиргисүүр 2016.05.04 3. Булш оршуулгын дурсгал, Хиргисүүр Байшир Сумын Аймгийн 5315259 302972 7 650400163 Бага хайрханы булш оршуулгын дурсгал, хиргисүүр 2016.04.27 3. Булш оршуулгын дурсгал, Хиргисүүр Байшир Сумын Аймгийн 5319227 314732 8 650400103 Жаргалант уулын булш оршуулгын дурсгал, хиргисүүр 2016.04.27 3. Булш оршуулгын дурсгал, Хиргисүүр Байшир Сумын Аймгийн 5335790 317184 9 650400113 Хустайн адгийн булш, хиргисүүр 2016.05.04 3. Булш оршуулгын дурсгал, Хиргисүүр Байшир Сумын Аймгийн 5339813 320125 10 650400083 Норжин уулын булш, хиргисүүр 2016.05.04 3. Булш оршуулгын дурсгал, Хиргисүүр Хөшөөт Сумын Аймгийн 5335456 302241 11 650400092 Өндөр толгойн булш, хиргисүүр 2016.05.04 3. Булш оршуулгын дурсгал, Хиргисүүр Байшир Сумын Аймгийн 5341238 311697 12 650400026 Маанийн дэнжийн буган хөшөө 2016.05.10 6. Хөшөө дурсгал, Буган чулуун хөшөө Бодонт Сумын Аймгийн 5306813 318365 13 650400146 Хөшөөтийн дэнжийн буган хөшөө 2016.05.10 6. Хөшөө дурсгал, Буган чулуун хөшөө Хөшөөт Аймаг Аймгийн 5330308 318502 14 650400056 Мөнгөний хөндийн буган хөшөө 2016.05.04 6. Хөшөө дурсгал, Буган чулуун хөшөө Бодонт Сумын Аймгийн 5324148 300895 15 650400076 Олзот уулын буган хөшөө 2016.05.04 6. Хөшөө дурсгал, Буган чулуун хөшөө Бодонт Сумын Аймгийн 5326813 300087
  • 110.
    114 Зураг 5.8.1.1 Түүхдурсгалт газрын зураг
  • 111.
    115 5.8.2 Амьтны тархалтбайршил Өлзийт суманд ан амьтдаас рашаант орчимд буга, гөрөөс, зэрлэг гахай, үнэг хярс, өмхий хүрэн, туулай, тарвага, дорго, гэх зэрэг цөөвтөр ба мөлхөгчдөөс зараа, могой, гүрвэл, мэрэгчдээс зурам, алагдаага үхэр оготно, хөх оготно, шар сүүлт оготно, зэрэг амьтад хэвийн хэмжээнд өсөж байна. Харин үлийн цагаан оготно ихсэж бэлчээрийн даацад ихээхэн нөлөөлж байна. Сумын хэмжээнд амьтдын16 тархац нутгийн нийт 68040.3 га талбай байгаагаас Байшир багт 18843.1 га, Бодонт багт 13881.8 га, Ямаат багт 2590.5 га талбай тус бүр эзэлж байна. /хүснэгт-4/ /зураг 6./ Дийлэнх ан амьтад нь сумын төвөөс баруун хойш Рашаант-Бодонт чиглэлд нутаглаж байна. Халиун буга: Монгол орны нутагт элбэг тархсан. Модлог, бутлаг ургамлууд тэднийг махан идэшт амьтдаас биеэ хамгаалах халхавч болох төдийгүй өвлийн улиралд бас чухал хоол тэжээл болдог. Энэ зүйлийн ховордох гол шалтгаан нь хууль бус агналт, дэд бүтцийн хөгжил, нөөцийн олборлолтын үйл ажиллагаа зэргээс шалтгаалсан орчны хомсдол, амьдрах орчны хуваагдал, хүний нөлөө зэрэг юм. Тархац байршил: Өлзийт сумын Рашаант уул, Улаан хуст уул, Дунд даваа,гэх газруудад ихээхэн үзэгддэг. 2013 оны байдлаар тус сумын нутагт 17,9 км2 талбайд тархсан байсан бол 2018 оны судалгаагаар 25,5 км2 талбайд тархдаг болсон байна. Өөрөөр хэлбэл тус суманд халиун бугын тархац нутаг нь өмнө зүгт Норжин чомбо ууланд нэмэгдэж 2018 онд өмнөх 5 жилээс 29,8%-иар өссөн байна. Нутгийн иргэд Булууны хяр орчимд судалгаагаар тогтоогдсон тархцаас гадна Булууны хяр орчимд 5,7 км2 талбайд буга байршдаг болохыг мэдээлэв. Мөн Рашаантын голын баруун хэсэгт халиун буга нь зэрлэг гахай, бор гөрөөстэй тархац нутаг нь давхцан байршдаг гэж үздэг байна (Зураг 5.8.2.1). 16 Аймгийн ан агнуурын менежментийн төлөвлөгөө, 2018он
  • 112.
    116 Зураг 5.8.2.1 Өлзийтсумын халиун бугын тархац (2013, 2018) ба Орон нутгийн мэдээлэл Бор гөрөөс: Бор гөрөөс (Capreolus pygargus) нь мах, эмчилгээ, арьсны уламжлалт ан бөгөөд Монгол улсад ахуйн зориулалтаар 8-р сарын 1-нэс 12-р сарын 1 хүртэл агнахыг зөвшөөрдөг. Нас, хүйс, хэмжээг заагаагүй. Тоо толгойн бууралтад нөлөөлж болзошгүй хүчин зүйлүүдэд хууль бус агнуур, амьдрах орчны доройтол зэрэг орно. Бор гөрөөсний тархац нутгийн 13 хувь нь улсын тусгай хамгаалалттай газарт хамрагддаг. Тархац байршил: Өлзийт сумын Рашаант уул орчимд, Их тамир сумын Сумт уулаас эхлэн урагш Байширийн нуруу, Тогоотын нуруу, Хөх нуур, Шалхагийн хойд
  • 113.
    117 нуруу, Улаан булуузэрэг газруудад үзэгддэг. Бор гөрөөс тус сумын нутагт 2013 онд 17.9 км2 талбайд тархаж байсан бол 2018 онд 31.3 км2 талбайд тархаж өмнөх 5 жилээсээ тархац нутгийн хэмжээ 42.8%-иар нэмэгдсэн байна. Орон нутгийнхан 2019 онд бор гөрөөс Рашаантын голын баруун биед 31.0 км2 талбайд байрладаг гэсэн мэдээлэл өгсөн бөгөөд энэ нь 2013, 2018 оны судалгаагаар зурагласан талбайтай бараг давхцахгүй байна. (Зураг 5.8.2.2) Зураг 5.8.2.2 Өлзийт сумын нутаг дахь бор гөрөөсний тархац (2013, 2018 оны судалгаа ба 2019 оны орон нутгийнхны мэдээллээр) Зэрлэг гахай: Зэрлэг гахай (Sus scrofa) нь уламжлалт анд тооцогдож ирсэн бөгөөд монгол улсад ойн зэрлэг гахай (S.sc sibiricus), зэгсний зэрлэг гахай (S.sc.
  • 114.
    118 nigripes) гэх хоёрзүйл бий. Монгол улсын Улаан номд зэгсний зэрлэг гахай (S.sc. nigripes) нь нэн ховор зэрэглэлээр орсон байна. Амьтны тухай хуулинд агнах хугацааг 8-р сарын 1-нэс 12-р сарын 1 хүртэл байхаар тогтоосон. Зэрлэг гахайн тархац нутгийн 13 хувь нь улсын тусгай хамгаалалттай газарт хамрагддаг байна (Улаан данс 2006). Тархац байршил: Өлзийт сумын Рашаант ууланд үзэгддэг. 2013 оны судалгаагаар тус сумын нутагт 26.9 км2 талбайд зэрлэг гахайн тархсан байсан бол 2018 оны судалгаагаар гахай тэмдэглэгдээгүй байна. Харин 2019 онд нутгийн иргэдээс авсан мэдээлснээс үзэхэд зэрлэг гахай тус сумын нутагт 31.0 км2 талбайд тархдаг байна (Зураг 5.8.2.3). Зураг 5.8.2.3 Өлзийт суманд зэрлэг гахайн тархац (2013 оны судалгаа ба 2019 оны орон нутгийнхны мэдээллээр)
  • 115.
    119 Монгол тарвага:Олон улсынүнэлгээ (IUCN, 2010) болон бүс нутгийн үнэлгээ (IUCN, 2006)-ээр устаж болзошгүй зүйл (endangered species) ангилалд тус тус хамрагдсан. Монгол тарвага нь ховор болон нэн ховор амьтны жагсаалтад ороогүй. Монгол улсын Байгаль орчин, Ногоон хөгжлийн сайдын тушаалаар 2005- 2007 онд орон даяар тарваганы агнуурыг бүрэн хориглосон, 2014 оны 02-р сарын 25-ны өдрийн А-61 дүгээр тушаалаар монгол тарвагыг агнуурын нөөц нь хангалттай өсөн нэмэгдэхгүй байгаа учраас ахуйн болон үйлдвэрлэлийн зорилгоор 3 жилийн хугацаатай агнахыг хориглосон байна. Гэсэн хэдий ч байгаль цаг уурын таагүй нөхцөл, хууль бус агнуур тодорхой хэмжээнд буурахгүй байгаа тул 2017 оноос дахин 3 жилээр агнахыг хориглосон. Монгол тарваганы тархац нутгийн 6 орчим хувь нь улсын тусгай хамгаалалттай газарт хамрагдсан. Сумын нутагт тал хээрийн бүсэд устаж, уулын хээр, ойт хээрийн бүсийн цөөн хэдэн нутагт үлдэж хоцорсон байна. Тархац байршил: Өлзийт сумын Бүрдэд, Могод, Отрын толгод, Цагаан хөтөл, Нарийн гүвээний Эхэн, Шувуут,зэрэг газруудад тархсан байна. 2013 онд хийсэн судалгаагаар тарвага тус суманд 315.9 км2 талбайд тархаж байсан бол 2018 оны судалгаагаар 489.55 км2 талбайд тарвага тархсан болохыг тогтоожээ. Тарваганы тархац нутгийн хэмжээ 35.5%-иар нэмэгдсэн байна. 2018 онд тарвага сумын баруун болон зүүн хойд хэсэгт нэмэгдсэн бол өмнөд хэсэгт тасархайтаж багассан байна. 2019 онд авсан орон нутгийн иргэдээс авсан аман мэдээнээс үзэхэд 2018 оны судалгаагаар тогтоосон талбайгаас гадна Зодохын хөндийн зүүн уулсаар 18.6 км2 талбайд, Цагаан хөтөл, Хэрээ шанд орчимд 30.6 км2 талбайд тархдаг гэж мэдээлэл өгсөн байна (Зураг 5.8.2.4).
  • 116.
    120 Зураг 5.8.2.4 -рзураг. Тарваганы тархац (2013, 2018 оны судалгаа ба 2019 оны орон нутгийнхны мэдээллээр) Сумын нутагт ажиглагдсан монгол тарваганы тоо толгой: Сумын хэмжээнд 29 бүлд хамрагдах 90 бодгалийн нас, хүйсийг ялган тодорхойлсон байдаг ба 49 бие гүйцсэн, 11 хотил, 30 мөндөл байна. Хүснэгт 5.8.2.1 Амьтдын тархалт Сумын нэр Бүлийн тоо Нийт тоо Бие гүйцсэн Хотил Мөндөл Өлзийт 29 90 49 11 30
  • 117.
    121 Саарал чоно: Маханидэштний баг (Carnivoria Bowdich., 1821), чонынхон овог (Carniidae Gray., 1821), чоно төрлийн (Canis lupus Linnaeus., 1758) үслэг ан, махан идэшт амьтан. Монголын саарал чоныг ахуйн болон үйлдвэрлэлийн зориулалтаар агнаж болно. Тархац байршил: Өлзийт сумын Рашаант уул, Байширын нуруу, Төмөртийн нуруу, Норжин уул, дунд даваа, ганц мод хөх хошуу, Их бумба, Бодонт голын эх, Салхит уул зэрэг олон газруудад тархсан байна. Шар үнэг: Архангай аймгийн бүх сумдын нутагт өргөн тархах боловч өнөө үед тус аймгийн шар үнэгний тоо толгой цөлөрхөг хээрээр багасаж тус сумын хойд хэсэг болох ой болон уулархаг нуруудын салбар уулсаар элбэг ажиглагдана. Тархац байршил: Хярс үнэгний тархац нутаг байршил үлийн цагаан отготны тоо толгойн өсөлт бууралттай ихээхэн хамааралтай байдаг. Хаана үлийн цагаан оготнын голомт нутаг байна тэнд хярс, үнэгний нягтшил өндөр байдаг. Хүснэгт 5.8.2.2 Амьтдын тархалт Д/ д Багийн нэр Газрын нэр Амьтан Талбай /га/ 1 Байшир Ганц мод, хөх хошуу, Үнэг, хярс, чоно,дорго, тарвага, гөрөөс 6744.5 2 Байшир Норжин уул Зэрлэг гахай, буга гөрөөс 2326.2 3 Байшир Дунд даваа Буга 3695.3 4 Байшир Их бумба, Төмөртийн нуруу Тарвага, үнэг 297.9 5 Байшир Хүрэн шанд, бүрдний эх Тарвага 5779.2 Нийт 18843.1 6 Бодонт Бодонтын голын эх Үнэг, хярс, чоно,дорго, тарвага, гөрөөс 7585.8 7 Бодонт Рашаант уул Зэрлэг гахай, буга гөрөөс 778.5 8 Бодонт Салхит уул Чоно, тарвага, үнэг хярс, дорго 3497.8 9 Бодонт Их бумба, Төмөртийн нуруу Тарвага, үнэг 2019.7 Нийт 13881.8 10 Ямаат Дэрст Тарвага 2590.5 Бүгд 68040.3
  • 118.
    122 5.8.3 Ургамал, жимс,жимсгэний тархац байршил Өлзийт сум нь ойн сангийн талбай бага учир жимс, жимсгэнийн талбай маш бага буюу 1700 га эзэлж байна. Зураг 5.8.3.1 Жимс, жимсгэнийн тархац байршлын зураг
  • 119.
    123 5.9 Мал, амьтныгоц халдварт өвчний голомттой газар Тус сумын Ямаат багийн Цайдмын овоо гэдэг газрын орчим 2018 онд малын шүлхий өвчин гарч байсан байна. Зураг 5.9.1 Малын гоц халдварт өвчин гарсан газрын байршлын зураг 5.10 Газар, байгалийн нөөц эдэлбэрийн зүй ёсны эрх “Зүй ёсны эрх” гэдэг нь уламжлалт мал аж ахуйд голлон түшиглэж тухайн нутаг дэвсгэр дахь байгалийн бүхий л төрлийн нөөцийг түүний нөхцөлд дасан зохицож, арвижуулан, өсгөж, хамгаалж зүй зохистойгоор хэрэглэж ирсэн хараахан
  • 120.
    124 баталгаажаагүй байгаа уламжлалтэрх, албан бус эрх, тэдгээрийн дагалдах эрхүүд юм17. Өлзийт сумын хувьд зүй ёсны эрхийн давамгайлах үндсэн төрөл нь малчдын бэлчээр, нутгаа ашиглаж ирсэн уламжлалт эрх бөгөөд бэлчээр дэх ус, ургамал, ан амьтан, хужир мараа зэрэг дагалдах баялгийг ашиглах эрх үүнд хамаарна. Олон зууны турш Монголчуудын амьдралыг залгуулж ирсэн бэлчээрийн мал аж ахуй экологийн тэнцвэрийг хадгалж ирсний нууц нь дөрвөн улирлын бэлчээртэй, түүнийгээ сэлгэж ашигладаг, ган, зуд болоход ашиглах нөөц нутаг харьцангуй хангалттай байсанд оршиж байв. Харин зах зээлд шилжиж орсон өнгөрсөн 30 шахам жилийн хугацаанд дээрх “нууц”-ыг эвдсэн нөхцөл байдал бий болсон байна. Мал хувьчлагдаж нээлттэй зах зээлд шилжсэн нь цөөвтөр малаар хэрэгцээгээ хангаад байх бололцоотой байсан хэдэн мянган жилийн түүхтэй харьцуулшгүй өөр байв. Асар ихээр нэмэгдсэн хэрэгцээгээ хангах шаардлагын үүднээс малынхаа тоог өсгөх гэсэн хувийн сонирхол, бэлчээрийн төлөөх өрсөлдөөн нь бэлчээрээ сэлгэн зохистой ашиглаж ирсэн уламжлалт зан заншлыг уланд гишгэх хэмжээнд хүрсэн байна. 1990 оноос хойш малчин өрхийн тоо огцом нэмэгдсэн нь өвөлжөө, хаваржааны тоог огцом өсгөж, улирлын бэлчээр сэлгэх, ган, зудын үед ашиглах нөөц бэлчээрийн боломжийг үгүй хийгээд байна. Шинээр малчин болсон хүмүүсийн дийлэнх нь уламжлалт зан заншлын мэдлэг сул, дагаж мөрдөх “нүнжиг” дутаж байгаа нь дайран дээр давс нэмсэн байна. Нүүхэд нь араар нь очоод идчихдэг болсон тул өвөлжөө, хаваржаагаа сахиад нүүхээ больж байгаа нь үүний нэг жишээ юм. Энэ бүхний улмаас бэлчээрээ хамгаалах үүднээс ухамсраараа нүүдэг малчид ховордож, харин усгүйгээс, бэлчээргүйгээс, хүйтнээс, ялаа шумуулаас гэх мэт байгалийн аргагүй нөхцөлөөс болж холын нүүдэл хийж байгаа багахан газар л энд тэнд алаг цоог үлдэж хоцроод байна. Харин улирлын бэлчээрийг зааглаж чадахуйц байгалийн хил хязгаар бага, газарзүйн хувьд ижил нөхцөл бүхий хээрийн бүсийн ихэнх нутагт буйраа сэлгэх төдий зайнд бууж, бэлчээрийг жил тойрон ашиглаж, гэрийн босго шиг элээх нь түгээмэл болоод байна. Улирлын бэлчээрийн хил зааг муутайгаас даацыг нь улирлаар хуваан зохицуулах сэтгэлгээ байхгүй болж малын тоог нийт нутгаар баримжаалан замбараагүй өсгөх хандлага бий болоод байна. Уламжлалт зан заншлын зохицуулалт бэлчээрийн талхагдлаас сэргийлэх үүргээ гүйцэтгэж чадахаа больж, түүнийг орлох төрийн зохицуулалт байхгүйгээс үүдсэн бэлчээрийн доройтол ихээхэн газар авсныг 5.2, 8.1-р бүлэгт тодорхой дурдсан билээ. Бэлчээрийг уламжлалт эрхийн хүрээнд нийтээр зохицуулалтгүй ашиглаж байгаагийн нэг сөрөг үр дагавар нь малчдын дунд хөрөнгө, чинээний ялгаа гүнзгийрч, цөөн малтай малчид олон малтай чинээлэг малчдын шахалтад өртөж, уламжлалт бэлчээр ашиглах эрхээ алдах алдах явдал түгээмэл болж байна. 17 Газар зохион байгуулалт, геодези, зураг зүйн газар, “Сумын нутаг дэвсгэрийн хөгжлийн төлөвлөгөө боловсруулах арга зүй”, 2018 он
  • 121.
    125 Дээрх бүх сөрөгүр дагаврыг зогсоож, түүнээс урьдчилан сэргийлэх, малчин өрх бүр дарван улирлын хангалтай бэлчээртэй, ган, зуд болоход ордог нөөц нутагтай, үүнийг дагаад амьжиргааг нь тогтвортой болгох үүднээс бэлчээрийг гэрээгээр ашиглах тогтолцоог багтаасан МАА-н тогтвортой хөгжлийн хөтөлбөрийг 8.1-р бүлэгт дэвшүүлж байгаа билээ. Ой, түүнийг дагалдах баялаг, ан амьтан зэрэг бусад нөөцийн зүй ёсны эрхийн асуудал нь 5.4-5.5, 5.8.2-5.8.3-р бүлгүүдэд дурдсан нөөцийн ашиглалтын хүрээнд тодорхой хэмжээгээр тусгагдсан тул дахин давтсангүй. ЗУРГАА. ТОХИРОМЖТОЙ БАЙДЛЫН ҮНЭЛГЭЭ 6.1 СУМЫН ГАЗАР АШИГЛАЛТЫН ТОХИРОМЖТОЙ БАЙДЛЫН ҮНЭЛГЭЭ ГХГЗЗГ-ын даргын тушаалын 2015 оны 9-р сарын 9-ний өдрийн А/200 тоот “Газрын тохиромжтой байдлын үнэлгээний аргазүй, шалгуур үзүүлэлтүүд батлах тухай” тушаалд зааснаар Өлзийт суманд тариалан, аялал жуулчлал, шинээр байгуулах хот суурин, бэлчээр, хадлан, байгалийн аялал-рекреацийн газрын тохиромжтой байдлын үнэлгээг дараах шалгуур үзүүлэлтүүдээр хийсэн. 6.2 БЭЛЧЭЭР ХАДЛАНГИЙН ТОХИРОМЖТОЙ БАЙДЛЫН ҮНЭЛГЭЭ Өлзийт сумын бүс нутгийн бэлчээрийн идэмж, байгалийн бүс бүслүүр, гадаргын нөхцөл, усан хангамж, бэлчээрийн хэв шинж зэрэг үзүүлэлтэд үндэслэн улирлаар болон малын төрөл тус бүрээр тодорхойлон “Тохиромжтой байдлын үнэлгээ” хийх арга зүйн 18дагуу хийж гүйцэтгэв. 6.2.1 Бэлчээрийн тохиромжтой байдал өвөл, хаврын улиралд Хүснэгт 6.2.1.1 Бэлчээрт тохиромжтой газрын талбайн хэмжээ, га /өвөл- хавар/ № Өвөл-хавар Адуу Тэмээ Үхэр Хонь Ямаа Талбай /га/ 1 Нэн тохиромжгүй - 11710.8 - - - 2 Тохиромжгүй 34185.5 48517.1 10200.5 13509.8 2341.5 3 Хязгаарлагдмал тохиромжтой 6248.4 35540 9656.5 21019.2 7795.7 4 Тохиромжтой - 9125.50 31538.4 15030.4 19133.8 5 Нэн тохиромжтой 64459.5 - 53498.0 55334.0 75622.4 6 Бусад газар ашиглалт 66655.6 66655.6 66655.6 66655.6 66655.6 18 ГХГЗЗГ-ын “Тохиромжтой байдлын үнэлгээ хийх арга зүй”, 2015 он
  • 122.
    126 Тахирмаг 6.2.1.1 Таванхошуу малд тохиромжтой бэлчээрийн эзлэх хувь /өвөл-хавар/ 6.2.1.1 Өвөл-хаврын улиралд адуунд тохиромжтой бэлчээр /Зураг 6.2.2.1.1/. Үүнд:  Нэн тохиромжтой болон тохиромжтой бэлчээр. Нийт нутаг дэвсгэрийн 37.6 хувь буюу 64.6 мянган га талбай нь өвөл-хаврын улиралд адуунд тохиромжтой бэлчээр байна. Нурамт, Дэнхээлжин, Зараа, Хүнхэр, Ар булаг, Зодохын өвөр, Хүүш, Хавцалын гуя, Луд, Холбоо, таван толгой, Бээвээ, үнхэлцэг, Хойд зуух, Бичигт, Бунхан, Тахилтын баруун, Дөрөлжний өвөр, Хөх хошуу, Дунд даваа, Өвдгийн бууц зэрэг газрууд энэхүү бэлчээрт багтаж байна.  Хязгаарлагдмал тохиромжтой бэлчээр. Нийт нутаг дэвсгэрийн 3.6 хувь буюу 6.2 мянган га талбай нь өвөл хаврын улиралд адуунд хязгаарлагдмал тохиромжтой бэлчээр байна. Далайн түвшнээс дээш 1570-1800 метрийн өндөрт өргөгдсөн зүг зовхис, газрын гадаргуугийн хувьд уулын энгэр ар, хажуугийн Хойд зуух, Гурван гозгор, Ханан, Цахирын дугуй, Ар булаг, Мандарын өвөр, хэлтгий гуя, Өвгөн хүрээ, Бага хавчиг зэрэг газрууд энэ бэлчээрт багтаж байна.  Тохиромжгүй болон нэн тохиромжгүй бэлчээр. Нийт нутаг дэвсгэрийн 19.9 хувь буюу 34.1 мянган га талбай нь өвөл хаврын улиралд адуунд нэн тохиромжгүй бэлчээр байна. Далайн түвшнээс дээш 1800-2100 метрийн өндөрт өргөгдсөн зүг зовхис, газрын гадаргуугийн хувьд уулын ар, хажуу, чулуутай хадтай энгэр налуу огцом, цас их хунгарладаг газрууд Арц, Хүнхэрийн бууц, Ханан, Эмээлийн өвөр, Мангаст, Хамар даваа, Агуйтын ам, Дугант зэрэг газрууд энэ бэлчээрт багтаж байна. Адуу Тэмээ Үхэр Хонь Ямаа Нэн тохиромжгүй 0.0 6.8 0.0 0.0 0.0 Тохиромжгүй 19.9 28.3 5.9 7.9 1.4 Хязгаарлагдмал тохиромжтой 3.6 20.7 5.6 12.3 4.5 Тохиромжтой 0.0 5.3 18.4 8.8 11.2 Нэн тохиромжтой 37.6 0.0 31.2 32.3 44.1 0.0 10.0 20.0 30.0 40.0 50.0
  • 123.
    127 Зураг 6.2.1.1 Өвөл-хаврынулиралд адуунд тохиромжтой бэлчээр Эх сурвалж: ГЗБГЗЗГ, БСТ-ын боловсруулалт 6.2.1.2 Өвөл-хаврын улиралд тэмээнд тохиромжтой бэлчээр /Зураг 6.2.1.2.1/. Үүнд:  Тохиромжтой бэлчээр. Нийт нутаг дэвсгэрийн 5.3 хувь буюу 9.1 мянган га талбай нь өвөл-хаврын улиралд тэмээнд тохиромжтой бэлчээр байна. Бодонт, Ямаат багуудын нутагт Хүнхэр, Ханан, Барчгар, Өлзийтийн эх, Бага булаг, Ачаат, дунд гол, Улаан толгой, Шүтээн толгой, Бага хужирт, Дунд хамар, Чүеэ хөндлөн зэрэг газрууд энэхүү бэлчээрт багтаж байна.  Хязгаарлагдмал тохиромжтой бэлчээр. Нийт нутаг дэвсгэрийн 20.7 хувь буюу 35.5 мянган га талбай нь өвөл хаврын улиралд тэмээнд хязгаарлагдмал тохиромжтой бэлчээр байна. Уртын гуя, Ихэр ханан,
  • 124.
    128 Дэнхээлжин, Тасархай, Хавцал,Зүүн өндөр, Бор өндөр, Улаан овоо, Харганат, Худгийн баруун, Өндөр үзүүр, Балбын үзүүр зэрэг газрууд энэ бэлчээрт багтаж байна.  Тохиромжгүй болон нэн тохиромжгүй бэлчээр. Нийт нутаг дэвсгэрийн 35.3 хувь буюу 60.2 мянган га талбай нь өвөл хаврын улиралд тэмээнд нэн тохиромжгүй болон тохиромжгүй бэлчээр байна. Далайн түвшнээс дээш 1400 метрээс дээш өндөрт өргөгдсөн Хөтөл нутаг, Тасархай баруун, Эмээлийн өвөр, нарийн гүвээ, Таван толгой, Дунд гол, Ганц харгайт, Рашаант, Бодонтын эх зэрэг газрууд энэ бэлчээрт багтаж байна. Зураг 6.2.1.2.1 Өвөл-хаврын улиралд тэмээнд тохиромжтой бэлчээр
  • 125.
    129 Эх сурвалж: ГЗБГЗЗГ,БСТ-ын боловсруулалт 6.2.1.3 Өвөл-хаврын улиралд үхэрт тохиромжтой бэлчээр /Зураг 6.2.1.3.1/. Үүнд:  Нэн тохиромжтой болон тохиромжтой бэлчээр. Нийт нутаг дэвсгэрийн 49.6 хувь буюу 85.2 мянган га талбай нь өвөл-хаврын улиралд үхэрт тохиромжтой бэлчээр байна. Нурамт, Дэнхээлжин, Зараа, Хүнхэр, Ар булаг, Зодохын өвөр, Хүүш, Хавцалын гуя, Луд, Холбоо, таван толгой, Бээвээ, үнхэлцэг, Хойд зуух, Бичигт, Бунхан, Тахилтын баруун, Дөрөлжний өвөр, Хөх хошуу, Дунд даваа, Өвдгийн бууц зэрэг газрууд энэхүү бэлчээрт багтаж байна.  Хязгаарлагдмал тохиромжтой бэлчээр. Нийт нутаг дэвсгэрийн 5.6 хувь буюу 9.6 мянган га талбай нь өвөл хаврын улиралд үхэрт хязгаарлагдмал тохиромжтой бэлчээр байна. Далайн түвшнээс дээш 1570-1800 метрийн өндөрт өргөгдсөн зүг зовхис, газрын гадаргуугийн хувьд уулын энгэр ар, хажуугийн Хойд зуух, Гурван гозгор, Ханан, Цахирын дугуй, Ар булаг, Мандарын өвөр, хэлтгий гуя, Өвгөн хүрээ, Бага хавчиг зэрэг газрууд энэ бэлчээрт багтаж байна.  Тохиромжгүй болон нэн тохиромжгүй бэлчээр. Нийт нутаг дэвсгэрийн 5.9 хувь буюу 10.0 мянган га талбай нь өвөл хаврын улиралд адуунд нэн тохиромжгүй бэлчээр байна. Далайн түвшнээс дээш 1800-2100 метрийн өндөрт өргөгдсөн зүг зовхис, газрын гадаргуугийн хувьд уулын ар, хажуу, чулуутай хадтай энгэр налуу огцом, цас их хунгарладаг газрууд Арц, Хүнхэрийн бууц, Ханан, Эмээлийн өвөр, Мангаст, Хамар даваа, Агуйтын ам, Дугант зэрэг газрууд энэ бэлчээрт багтаж байна.
  • 126.
    130 Зураг 6.2.1.3.1 Өвөл-хаврынулиралд үхэрт тохиромжтой бэлчээр Эх сурвалж: ГЗБГЗЗГ, БСТ-ын боловсруулалт 6.2.1.4 Өвөл-хаврын улиралд хонинд тохиромжтой бэлчээр /Зураг 6.2.1.4.1/. Үүнд:  Нэн тохиромжтой болон тохиромжтой бэлчээр. Нийт нутаг дэвсгэрийн 41.1 хувь буюу 70.0 мянган га талбай нь өвөл-хаврын улиралд хонинд тохиромжтой бэлчээр байна. Нурамт, Дэнхээлжин, Зараа, Хүнхэр, Ар булаг, Зодохын өвөр, Хүүш, Хавцалын гуя, Луд, Холбоо, Таван толгой, Бээвээ, үнхэлцэг, Хойд зуух, Бичигт, Бунхан, Тахилтын баруун, Дөрөлжний өвөр, Хөх
  • 127.
    131 хошуу, Дунд даваа,Өвдгийн бууц зэрэг газрууд энэхүү бэлчээрт багтаж байна.  Хязгаарлагдмал тохиромжтой бэлчээр. Нийт нутаг дэвсгэрийн 12.3 хувь буюу 21.0 мянган га талбай нь өвөл хаврын улиралд хонинд хязгаарлагдмал тохиромжтой бэлчээр байна. Зүг зовхис, газрын гадаргуугийн хувьд уулын энгэр ар, хажуугийн Хойд зуух, Гурван гозгор, Ханан, Цахирын дугуй, Ар булаг, Мандарын өвөр, Хэлтгий гуя, Өвгөн хүрээ, Бага хавчиг зэрэг газрууд энэ бэлчээрт багтаж байна.  Тохиромжгүй болон нэн тохиромжгүй бэлчээр. Нийт нутаг дэвсгэрийн 7.9 хувь буюу 13.5 мянган га талбай нь өвөл хаврын улиралд хонинд нэн тохиромжгүй бэлчээр байна. Далайн түвшнээс дээш 1800-2100 метрийн өндөрт өргөгдсөн зүг зовхис, газрын гадаргуугийн хувьд уулын ар, хажуу, чулуутай хадтай энгэр налуу огцом, цас их хунгарладаг газрууд Арц, Хүнхэрийн бууц, Ханан, Эмээлийн өвөр, Мангаст, Хамар даваа, Агуйтын ам, Дугант зэрэг газрууд энэ бэлчээрт багтаж байна.
  • 128.
    132 Зураг 6.2.1.4.1 Өвөл-хаврынулиралд хонинд тохиромжтой бэлчээр Эх сурвалж: ГЗБГЗЗГ, БСТ-ын боловсруулалт 6.2.1.5 Өвөл-хаврын улиралд ямаанд тохиромжтой бэлчээр /Зураг 6.2.1.5.1/. Үүнд:  Нэн тохиромжтой болон тохиромжтой бэлчээр. Нийт нутаг дэвсгэрийн 55.3 хувь буюу 94.0 мянган га талбай нь өвөл-хаврын улиралд ямаанд тохиромжтой бэлчээр байна. Нурамт, Дэнхээлжин, Зараа, Хүнхэр, Ар булаг, Зодохын өвөр, Хүүш, Хавцалын гуя, Луд, Холбоо, Таван толгой, Бээвээ, үнхэлцэг, Хойд зуух, Бичигт, Бунхан, Тахилтын баруун, Дөрөлжний өвөр, Хөх хошуу, Дунд даваа, Өвдгийн бууц зэрэг газрууд энэхүү бэлчээрт багтаж байна.  Хязгаарлагдмал тохиромжтой бэлчээр. Нийт нутаг дэвсгэрийн 4.5 хувь буюу 7.7 мянган га талбай нь өвөл хаврын улиралд ямаанд хязгаарлагдмал тохиромжтой бэлчээр байна. Зүг зовхис, газрын гадаргуугийн хувьд улын энгэр ар, хажуугийн Хойд зуух, Гурван гозгор, Ханан, Цахирын дугуй, Ар булаг, Мандарын өвөр, Хэлтгий гуя, Өвгөн хүрээ, Бага хавчиг зэрэг газрууд энэ бэлчээрт багтаж байна.  Тохиромжгүй болон нэн тохиромжгүй бэлчээр. Нийт нутаг дэвсгэрийн 1.4 хувь буюу 2.3 мянган га талбай нь өвөл хаврын улиралд ямаанд нэн тохиромжгүй бэлчээр байна. Далайн түвшнээс дээш 1800-2100 метрийн өндөрт өргөгдсөн зүг зовхис, газрын гадаргуугийн хувьд уулын ар, хажуу, чулуутай хадтай энгэр налуу огцом, цас их хунгарладаг газрууд Арц, Хүнхэрийн бууц, Ханан, Эмээлийн өвөр, Мангаст, Хамар даваа, Агуйтын ам, Дугант зэрэг газрууд энэ бэлчээрт багтаж байна.
  • 129.
    133 Зураг 6.2.1.5.1 Өвөл-хаврынулиралд ямаанд тохиромжтой бэлчээр Эх сурвалж: ГЗБГЗЗГ, БСТ-ын боловсруулалт
  • 130.
    134 6.2.2 Бэлчээрийн тохиромжтойбайдал зун, намрын улиралд Хүснэгт 6.2.2.1 Бэлчээрт тохиромжтой газрын талбайн хэмжээ, га /зун-намар/ № Зун-намар Адуу Тэмээ Үхэр Хонь Ямаа Талбай /га/ 1 Нэн тохиромжгүй - 2300.7 - - - 2 Тохиромжгүй 395.6 12568.3 395.6 529.8 529.8 3 Хязгаарлагдмал тохиромжтой - 8674.9 - 345.1 - 4 Тохиромжтой 1489.7 30371.1 53519.4 8171.0 8515.6373 5 Нэн тохиромжтой 52029.7 - - 44869.1 44869.137 6 Бусад газар ашиглалт 117633.0 117633.0 117633.0 117633.0 117633.0 Тахирмаг 6.2.2.1 Таван хошуу малд тохиромжтой бэлчээрийн эзлэх хувь /зун- намар/ 6.2.2.1 Зун-намрын улиралд адуунд тохиромжтой бэлчээр /Зураг 6.2.2.1.1/. Үүнд:  Нэн тохиромжтой болон тохиромжтой бэлчээр. Нийт нутаг дэвсгэрийн 22.5 хувь буюу 79.0 мянган га талбай нь зун-намрын улиралд адуунд тохиромжтой бэлчээр байна. Орхон голын ай сав газар, Нурамт, Өгөөмөр, Тахилтын өвөр, Улаан хад, Ар булаг, Баян хошууны өвөр, Наран, Улаан жалга, Марз, Холбоо, Цагаан толгой, Өлзийт гозгор, Цайдам, Бага хужирт, Маанийн дэнж, Дүүхээ, Ачаат, Зуухын баруун, Дөрөлжийн ар, Шүтээн толгой, Тосон газрууд энэхүү бэлчээрт багтаж байна.  Тохиромжгүй болон нэн тохиромжгүй бэлчээр. Нийт нутаг дэвсгэрийн 0.4 хувь буюу 1.5 мянган га талбай нь зун, намрын улиралд адуунд тохиромжгүй 0.0 5.0 10.0 15.0 20.0 25.0 30.0 35.0 Адуу Тэмээ Үхэр Хонь Ямаа Нэн тохиромжгүй 0.0 1.3 0.0 0.0 0.0 Тохиромжгүй 0.2 7.3 0.2 0.3 0.0 Хязгаарлагдмал тохиромжтой 0.0 5.1 0.0 0.2 0.0 Тохиромжтой 0.9 17.7 31.2 4.8 5.0 Нэн тохиромжтой 30.3 0.0 0.0 26.2 26.2
  • 131.
    135 бэлчээр байна. Далайнтүвшнээс дээш 1800-2100 метрийн өндөрт өргөгдсөн зүг зовхис, газрын гадаргуугийн хувьд уулын ар, хажуугийн газрууд Зураа, Их-Уул, Овгор улаан, Салхит, Хар гуя, Ханхар зэрэг газрууд энэ бэлчээрт багтаж байна. Зураг 6.2.2.1.2 Зун-намрын улиралд адуунд тохиромжтой бэлчээр Эх сурвалж: ГЗБГЗЗГ, БСТ-ын боловсруулалт
  • 132.
    136 6.2.2.2 Зун-намрын улиралдтэмээнд тохиромжтой бэлчээр /Зураг 6.2.2.2.1/ Үүнд:  Нэн тохиромжтой болон тохиромжтой бэлчээр. Нийт нутаг дэвсгэрийн 17.7 хувь буюу 30.3 мянган га талбай нь зун-намрын улиралд тэмээнд тохиромжтой бэлчээр байна. Орхон голын ай сав газар, Талын толгой, Могой дов, Майний дэнж, Сайрын ам, Цагаан эрэг, Өндөр эрэг, Хархираа, Хүрээлэн, Гацаа, Хөшөөт зэрэг газрууд энэхүү бэлчээрт багтаж байна.  Хязгаарлагдмал тохиромжтой бэлчээр. Нийт нутаг дэвсгэрийн 5.1 хувь буюу 8.6 мянган га талбай нь зун-намрын улиралд тэмээнд хязгаарлагдмал тохиромжтой бэлчээр байна. Орхон голын ай сав газар, Уяатын гарам, Улаан эрэг, Бодонт гол, Урт булаг, Агьт, Мөстийн ар, Мөнгөний хөндий зэрэг газрууд энэхүү бэлчээрт багтаж байна.  Тохиромжгүй болон нэн тохиромжгүй бэлчээр. Нийт нутаг дэвсгэрийн 8.6 хувь буюу 14.8 мянган га талбай нь зун, намрын улиралд тэмээнд тохиромжгүй бэлчээр байна. Далайн түвшнээс дээш 1800-2100 метрийн өндөрт өргөгдсөн зүг зовхис, газрын гадаргуугийн хувьд уулын ар, хажуугийн газрууд Наран,Үст, Нарийн хөндий, Рашаант, Хавчигийн зүүн, Мандарын үзүүр зэрэг газрууд энэ бэлчээрт багтаж байна.
  • 133.
    137 Зураг 6.2.2.2.1. Зун-намрынулиралд тэмээнд тохиромжтой бэлчээр Эх сурвалж: ГЗБГЗЗГ, БСТ-ын боловсруулалт 6.2.2.3 Зун-намрын улиралд үхэрт тохиромжтой бэлчээр /Зураг 6.2.2.3.1/. Үүнд:  Нэн тохиромжтой болон тохиромжтой бэлчээр. Нийт нутаг дэвсгэрийн 31.2 хувь буюу 53.5 мянган га талбай нь зун-намрын улиралд үхэрт тохиромжтой бэлчээр байна. Орхон голын ай сав газар, Талын толгой, Могой дов, Майний дэнж, Сайрын ам, Цагаан эрэг, Өндөр эрэг, Хархираа, Хүрээлэн, Гацаа, Хөшөөт, Байн толгой, Дунд гол, Гэгээн нуур, Бодонт гол, Уртын гол, Хархираа, Дөшийн ар, Өндөр толгой, Нуурын дэнж, Хар ус, Өндөр эрэг, Агьт, Халзан, Хөшөөт, Жаргалантын тохой зэрэг газрууд энэхүү бэлчээрт багтаж байна.  Тохиромжгүй болон нэн тохиромжгүй бэлчээр. Нийт нутаг дэвсгэрийн 0.2 хувь буюу 0.3 мянган га талбай нь зун, намрын улиралд үхэрт тохиромжгүй бэлчээр байна. Далайн түвшнээс дээш 1800-2100 метрийн өндөрт өргөгдсөн зүг зовхис, газрын гадаргуугийн хувьд уулын ар, хажуу газрууд болох Рашаант, Хэлтгий гуя зэрэг газрууд энэ бэлчээрт багтаж байна.
  • 134.
    138 Зураг 6.2.2.3.1 Зун-намрынулиралд үхэрт тохиромжтой бэлчээр Эх сурвалж: ГЗБГЗЗГ, БСТ-ын боловсруулалт 6.2.2.4 Зун-намрын улиралд хонинд тохиромжтой бэлчээр /Зураг 6.2.2.4.1/. Үүнд:  Нэн тохиромжтой болон тохиромжтой бэлчээр. Нийт нутаг дэвсгэрийн 30.2 хувь буюу 53.0 мянган га талбай нь зун-намрын улиралд хонинд тохиромжтой бэлчээр байна. Орхон голын ай сав газар, Талын толгой, Могой дов, Майний дэнж, Сайрын ам, Цагаан эрэг, Өндөр эрэг, Хархираа, Хүрээлэн, Гацаа, Хөшөөт, Байн толгой, Дунд гол, Гэгээн нуур, Бодонт гол, Уртын гол, Хархираа, Дөшийн ар, Өндөр толгой, Нуурын дэнж, Хар ус, Өндөр эрэг, Агьт, Халзан, Хөшөөт, Жаргалантын тохой зэрэг газрууд энэхүү бэлчээрт багтаж байна.  Хязгаарлагдмал тохиромжтой бэлчээр. Нийт нутаг дэвсгэрийн 0.2 хувь буюу 0.3 мянган га талбай нь зун-намрын улиралд хонинд хязгаарлагдмал тохиромжтой бэлчээр байна. Хөх хошууны дээд, Рашаант зэрэг газрууд энэхүү бэлчээрт багтаж байна.  Тохиромжгүй болон нэн тохиромжгүй бэлчээр. Нийт нутаг дэвсгэрийн 0.3 хувь буюу 0.5 мянган га талбай нь зун, намрын улиралд хонинд тохиромжгүй бэлчээр байна. Далайн түвшнээс дээш 1800-2100 метрийн өндөрт өргөгдсөн зүг зовхис, газрын гадаргуугийн хувьд уулын ар, хажуу газрууд болох Рашаант, Хэлтгий гуя зэрэг газрууд энэ бэлчээрт багтаж байна.
  • 135.
    139 Зураг 6.2.2.4.1 Зун-намрынулиралд хонинд тохиромжтой бэлчээр Эх сурвалж: ГЗБГЗЗГ, БСТ-ын боловсруулалт 6.2.2.5 Зун-намрын улиралд ямаанд тохиромжтой бэлчээр /Зураг 6.2.2.5.1/. Үүнд:  Нэн тохиромжтой болон тохиромжтой бэлчээр. Нийт нутаг дэвсгэрийн 31.2 хувь буюу 53.3 мянган га талбай нь зун-намрын улиралд хонинд тохиромжтой бэлчээр байна. Орхон голын ай сав газар, Талын толгой, Могой дов, Майний дэнж, Сайрын ам, Цагаан эрэг, Өндөр эрэг, Хархираа, Хүрээлэн, Гацаа, Хөшөөт, Байн толгой, Дунд гол, Гэгээн нуур, Бодонт гол, Уртын гол, Хархираа, Дөшийн ар, Өндөр толгой, Нуурын дэнж, Хар ус,
  • 136.
    140 Өндөр эрэг, Агьт,Халзан, Хөшөөт, Жаргалантын тохой зэрэг газрууд энэхүү бэлчээрт багтаж байна. Тохиромжгүй болон нэн тохиромжгүй бэлчээр. Нийт нутаг дэвсгэрийн 0.3 хувь буюу 0.5 мянган га талбай нь зун, намрын улиралд хонинд тохиромжгүй бэлчээр байна. Далайн түвшнээс дээш 1800-2100 метрийн өндөрт өргөгдсөн зүг зовхис, газрын гадаргуугийн хувьд уулын ар, хажуу газрууд болох Рашаант, Хэлтгий гуя зэрэг газрууд энэ бэлчээрт багтаж байна. Зураг 6.2.2.5.1. Зун-намрын улиралд ямаанд тохиромжтой бэлчээр Эх сурвалж: ГЗБГЗЗГ, БСТ-ын боловсруулалт 6.3 ТАРИАЛАНГИЙН ГАЗРЫН ТОХИРОМЖТОЙ БАЙДЛЫН ҮНЭЛГЭЭ Тухайн орон нутаг, бүс нутгийн байгаль орчин, уур амьсгал, газар ашиглалтын онцлогоос хамаарч үндсэн болон дэд үзүүлэлтийг сонгон үнэлгээ өгсөн ба үзүүлэлтийг нэгтгэн “Тариалангийн газрын тохиромжтой байдлын иж бүрэн үнэлгээ”-ний арга зүйн дагуу хийж гүйцэтгэв. Тариалангийн газрын тохиромжтой байдлын үнэлгээний шалгуур үзүүлэлтийг үндэслэн Өлзийт сумын нийт нутаг дэвсгэрийн тариаланд тохиромжтой газрын талбайн хэмжээг тодорхойлоход 22.2 хувь буюу 38.2 мянган га талбай
  • 137.
    141 тохиромжтой, 8.4 хувьбуюу 14.3 мянган га талбай хязгаарлагдмал тохиромжтой, 23.7 хувь буюу 40.6 га талбай тохиромжгүй, 34.6 хувь буюу 59.6 га талбай нэн тохиромжгүй газар байна. Хүснэгт 6.3.1 Тариаланд тохиромжтой газрын талбайн хэмжээ, га № Үнэлгээ Талбай /га/ Эзлэх хувь 1 Нэн тохиромжгүй /1балл/ 59591.0 34.6 2 Тохиромжгүй /2 балл/ 40693.4 23.7 3 Хязгаарлагдмал тохиромжтой /3 балл/ 14365.4 8.4 4 Тохиромжтой /4 балл/ 38267.0 22.2 5 Бусад газар ашиглалт 19120.0 11.1 Нийт талбай 172036.9 100.00 Тариалан эрхлэх тохиромжтой газар нь газрын гадаргын хувьд 2-4 градусын налуутай, 1000-1500 м д.т.д өндөрт, уулын хөндий, голын хөндий, нам дор, хөрсний үржил шим сайтай газрууд хамрагдсан. Хязгаарлагдмал тохиромжтой газарт гадаргын хувьд 4-6 градусын налуутай, 1500-2000 м д.т.д өндөрт, дов толгодын хүрэн шороон хөрс, тал хээрийн цайвар хүрэн хөрс, дунд зэрэг чулуутай газрууд хамрагдсан. Тохиромжгүй газарт гадаргын хувьд 6-12 градусын налуутай, 2000-3500 м д.т.д өндөрт, уулын орой, хажуу, өндөрлөг газрууд, хүнд шавранцар, хөрсний үржил шим муутай, дулаан хангамжийн хувьд сэрүүн нөхцөлтэй газрууд хамрагдсан.
  • 138.
    142 Зураг 6.3.1 Тариалангийнгазрын тохиромжтой байдлын үнэлгээ Эх сурвалж: ГЗБГЗЗГ, БСТ-ын боловсруулалт
  • 139.
    143 6.4 ШИНЭЭР БАЙГУУЛАХХОТ СУУРИН ГАЗРЫН ҮНЭЛГЭЭ Тухайн орон нутаг, бүс нутгийн байгаль орчин, уур амьсгал, инженер геологийн нөхцөл, газар ашиглалтын онцлогоос хамаарч “Шинээр байгуулах хот суурины дэвсгэр газрын тохиромжтой байдлын иж бүрэн үнэлгээ”-г боловсруулсан. Тухайн сумын хувьд тохиромжтой байдлын үнэлгээгээр 4 төрлийн үнэлгээ өгсөн. Үүнд: Хориглох нөхцөл: Өндөр уулын бүс нутаг хамаарагдах ба одоогийн газар ашиглалтын суурь нөхцөлүүд бүгд хамаарагдана. Тохиромжгүй: Газар хөдлөлийн хувьд 9 баллаас дээш, цэвдэг үргэлжилсэн тархалттай, намаг ихтэй, үерийн нөлөөлд орж болзошгүй, 2500 м д.т.д болон түүнээс дээш өндөрт, 20 градусаас дээш налуутай, хүчтэй салхи, шороон болон цасан шуурганы их нөлөөтэй газрууд хамаарагдана. Хязгаарлагдмал тохиромжтой: Газар хөдлөлийн хувьд 7-8 балл, овоолт суулт сул байх, цэвдэг алаг, цоог тархалттай, үерийн нөлөөлд 4% хүртэл хангамжтай, 1500-2500 м д.т.д болон дээш өндөрт, 8-20 градус налуутай, газрууд хамаарагдана. Тохиромжтой: Газар хөдлөлийн хувьд 6 баллаас доош, цэвдэггүй, намаггүй, үерийн нөлөөлөл байхгүй, 1500 м д.т.д хүртэл, 0-8 градусын налуутай, хүчтэй салхи, шороон болон цасан шуурганы бага нөлөөтэй, хөрсний давсжилтгүй, усны нөөц ихтэй газрууд хамаарагдана.
  • 140.
    144 Зураг 6.4.1 Шинээрбайгуулах хот суурин газрын тохиромжтой байдлын үнэлгээ Эх сурвалж: ГЗБГЗЗГ
  • 141.
    145 6.5 АЯЛАЛ ЖУУЛЧЛАЛЫНТОХИРОМЖТОЙ БАЙДЛЫН ҮНЭЛГЭЭ Байгалийн нөөц рекреацийн нутаг дэвсгэр ашиглалтын урьдчилсан нөхцөлүүдийн нэг гол хүчин зүйл, байгалийн бүрэлдэхүүн хэсгүүдийн төдийгүй түүний иж бүрдлийг бүхэлд нь хамардаг онцлогтой юм. Байгалийн Аялал-рекреацийн газрын тохиромжтой байдлын үнэлгээ хийх арга зүйн дагуу гүйцэтгэв. Сумын нийт нутгийн 82.7 хувь буюу 142333 га талбай тохиромжтой, 6.9 хувь буюу 11972 га хязгаарлагдмал тохиромжтой, 10.3 хувь буюу 17735 га тохиромжгүй байна. Тухайн сумын хувьд аяллын тохиромжтой байдлын үнэлгээгээр 4 төрлийн үнэлгээ өгсөн бөгөөд Үүнд: Хориглох нөхцөл: Өндөр уулын бүс нутаг хамаарагдах ба одоогийн газар ашиглалтын суурь нөхцөлүүд бүгд хамаарагдана. Тохиромжгүй: Газар хөдлөлийн хувьд 9 баллаас дээш, цэвдэг үргэлжилсэн тархалттай, намаг ихтэй, үерийн нөлөөлд орж болзошгүй, 2500 м д.т.д болон дээш өндөрт, 20 градусаас дээш налуутай, хүчтэй салхи, шороон болон цасан шуурганы их нөлөөтэй, гол, усан сан бүхий газар байхгүй, зам харгуй хүнд нөхцөлтэй, газрууд хамаарагдана. Хязгаарлагдмал тохиромжтой: Газар хөдлөлийн хувьд 7-8 балл, цэвдэг алаг, цоог тархалттай, 12-20 градус налуутай, усанд сэлэхэд тохиромжтой жижиг голтой, рашаантай, ойн дагалт баялаг ховортой, 1 цагийн дотор хүрэх боломжтой газрууд хамаарагдана. Тохиромжтой: Газар хөдлөлийн хувьд 6 баллаас доош, цэвдэггүй, намаггүй, үерийн нөлөөлөл байхгүй, 12 градусаас доош налуутай, хүчтэй салхи, шороон болон цасан шуурганы бага нөлөөтэй, усанд сэлэхэд тааламжтай нуур цөөрөм, голтой, рашаантай, самар, мөөг, жимс, жимсгэнэ, элбэгтэй, агуй, эртний хотын туурь ихтэй, хадны зураг, буган хөшөө хосолсон, харьцангуй онгон байгалиараа газрууд хамаарагдана.
  • 142.
    146 Зураг 6.5.1 Аялал-Рекреацийнгазрын тохиромжтой байдлын үнэлгээ Эх сурвалж: ГЗБГЗЗГ
  • 143.
    147 6.6 ОЙН САНГИЙНТОХИРОМЖТОЙ БАЙДЛЫН ҮНЭЛГЭЭ Тухайн орон нутаг, бүс нутгийн ой-ургамалжлын муж, хошуу, өндрийн бүслүүр ангилалд үндэслэн гадаргын нөхцөл, хөрсний шинж чанарыг илтгэх үндсэн болон дэд үзүүлэлтийг сонгон үнэлгээ өгсөн ба эдгээр үзүүлэлтийг нэгтгэн “Ойн сангийн тохиромжтой байдлын үнэлгээ”-г хийв. Тухайн сумын хувьд ойн сангийн тохиромжтой байдлын үнэлгээгээр 4 төрлийн үнэлгээ өгсөн.Үүнд: Хориглох нөхцөл: Өндөр уулын бүс нутаг хамаарагдах ба одоогийн газар ашиглалтын суурь нөхцөлүүд бүгд хамаарагдана. Тохиромжгүй: Далайн түвшнээс 1800-аас доош, 2000-аас дээш метр болон 30 градусаас дээш налуутай, хөрсний үржил шим муутай, газрууд хамаарагдана. Хязгаарлагдмал тохиромжтой: Далайн түвшнээс 1800-1900 метр болон 20-30 градусын налуутай, хөнгөн шавранцар, чулуурхаг, газрууд хамаарагдана. Тохиромжтой: Далайн түвшнээс 1700-1900 метр болон 10 градусаас доош налуутай, хөрсний үржил шим сайтай, газрууд хамаарагдана. Зураг 6.6.1 Ойн сангийн газрын тохиромжтой байдлын үнэлгээ Эх сурвалж: ГЗБГЗЗГ
  • 144.
    148 6.7 ШУГАМАН БАЙГУУЛАМЖИЙНЗОРИУЛАЛТААР АШИГЛАХ ТОХИРОМЖТОЙ БАЙДЛЫН ҮНЭЛГЭЭ Тухайн орон нутаг, бүс нутгийн байгаль орчин, уур амьсгал, инженер геологийн нөхцөл, газар ашиглалтын онцлогоос хамаарч үндсэн болон дэд үзүүлэлтийг сонгон үнэлгээ өгсөн ба эдгээр үзүүлэлтийг нэгтгэн “Шугаман байгууламжийн зориулалтаар ашиглах газрын үнэлгээ”-г хийж гүйцэтгэв. Тухайн сумын хувьд тохиромжтой байдлын үнэлгээгээр 3 төрлийн үнэлгээ өгсөн. Үүнд: Нэн хүндрэлтэй: Далайн түвшнээс дээш 2500 м-ээс дээш өндөр газар, гадаргын налуу 30-аас дээш, цэвдэг чулуулаг үргэлжилсэн болон тасалданги тархалттай газрууд хамаарагдана. Хүндрэлтэй тохиромжтой: Далайн түвшнээс дээш 1500-2500 м өндөрлөг газар, гадаргын налуу 15-30 градус, цэвдэг чулуулаг алаг цоог тархалттай газрууд хамаарагдана. Хэвийн: Далайн түвшнээс дээш 1500 метрээс доош газар, гадаргын налуу 0-15 градус, цэвдэг чулуулаг өнжмөл, улирлын тохиолдлын тархалттай, хөөлттэй хөрс тархаагүй газрууд хамаарагдана. Сумын нийт нутгийн 54.2 хувь буюу 93265 га талбай тохиромжтой, 5.1 хувь буюу 8837 га хязгаарлагдмал тохиромжтой, 40.6 хувь буюу 69938 га тохиромжгүй байна.
  • 145.
    149 Зураг 6.7. Цахилгаандамжуулах агаарын шугамын зориулалтаар ашиглах газрын нэгдсэн үнэлгээ Эх сурвалж: ГЗБГЗЗГ
  • 146.
    150 6.8 ХАДГАЛАН ХАМГААЛАХГАЗРЫН ТОХИРОМЖТОЙ БАЙДЛЫН ҮНЭЛГЭЭ Газар нутгийн хадгалан хамгаалах нь оршин тогтнох эх үндэс, хүмүүсийн амьдралыг тэтгэгч ус, цэвэр агаар, эрүүл орчин бүрдүүлэхэд чухал үүрэгтэй билээ. Түүнчлэн биологийн төрөл зүйлийн нөөцийг тогтвортой, эрүүл байлгах, уур амьсгалын өөрчлөлтийг бууруулахад бидний амьдарч буй орчин нөлөөлдөг. Иймээс эдгээр шинж чанарыг авч үлдэхийн тулд хадгалан хамгаалах зайлшгүй шаардлагатай. Хадгалан хамгаалах газрын үнэлгээ хийхдээ хамгаалах амьтан, ургамлын зүйлийг тодорхойлохоос эхэлдэг бөгөөд дараах аргыг хэрэглэдэг. Үүнд: 1. Амьдрах орчны хамгаалал болон газар нутгийг тусгай хамгаалалтад авах, байгаль орчны төлөвлөгөө боловсруулах 2. Уул уурхай болон эрчим хүчний хөгжил тэдгээрийн нөлөөг бууруулах 3. Биологийн судалгаа болон хяналт шинжилгээ 4. Экосистемийн үйлчилгээний үнэлгээний хүрээнд бэлчээр болон усны нөөцийг тогтоох зэрэг ашигладаг. Амьтны тархцын зүйлийн тархцын загвар гаргахад дараах мэдээллийг ашиглана. Үүнд: Амьдрах орчны тодорхойлолт-тухайн зүйлийн амьдрах орчны физик шинж чанар болон хүрээлэн буй орчны тодорхойлолт 1. Ажиглалт судалгааны мэдээ 2. Идэш тэжээл 3. Өндөршил 4. Гадаргын хэлбэр 5. Экосистемийн ангилал 6. Хур тунадас зэрэг болно 2016 онд TNC / Дэ Нэйчи Консерванси/ Олон Улсын байгууллага, Байгаль Орчин, Ногоон Хөгжлийн Яам (хуучнаар) болон Газрын Харилцаа, Геодези, Зурагзүйн Газар хамтран Монгол Алтай, Их нууруудын хотгор, Олон нууруудын хөндий болон Хангай, Хөвсгөлийн экологийн бүс нутгуудад экологийн бүс нутгийн үнэлгээг хийсэн. Үүний үр дүнд экосистемийн хувьд хамгаалахад чухал ач холбогдолтой газруудыг сонгосон байна. Өлзийт сумын хувьд Бөхөн шарын нурууны бүс нутаг хамрагдсан байна.
  • 147.
    151 Зураг 6.8.1 Хадгаланхамгаалах газрын тохиромжтой байдлын үнэлгээ Эх сурвалж: TNC / Дэ нэйчи консерванси/ Олон улсын байгууллага
  • 148.
    152 ДОЛОО.ТОДРУУЛАЛТ, УУЛЗАЛТ, ЯРИЛЦЛАГА,ИРГЭД ОЛОН НИЙТИЙН САНАЛ АСУУЛГА, БҮЛГИЙН ХЭЛЭЛЦҮҮЛЭГ, SWOT ШИНЖИЛГЭЭ 7.1 Сумын төрийн албан хаагчид болон иргэдийн оролцоо Засгийн газрын хэрэгжүүлэгч агентлаг ГЗБГЗЗГ-ын даргын 2017.11.24 ний өдрийн А278 дугаар тушаалаар батлагдсан Сумын нутаг дэвсгэрийн төлөвлөгөө боловсруулах арга зүйн 4-р бүлгийн дагуу дараах ажлуудыг хийж гүйцэтгэв. Архангай аймгийн ЗДТГ-ын холбогдох хэлтсүүдийн удирдлагууд (Хөгжлийн бодлого төлөвлөлтийн хэлтсийн дарга, Статистикийн хэлтсийн дарга болон харьяа албан газруудын ХХААГ, БОАЖГ, Газрын алба, Иргэний бүртгэлийн тасгийн дарга мэргэжилтнүүдтэй уулзаж холбогдох мэдээллүүдийг авав. Архангай аймгийн Өлзийт сумын газар ашиглалтын өнөөгийн нөхцөл байдалд нөлөөлж буй дотоод, гадаад хүчин зүйлийг үнэн зөв тодорхойлох, газрын хэрэгцээ болон газар ашиглалтын нөхцөл байдалд дүн шинжилгээ хийж газар ашиглалтын онцлогийг тодруулах үүднээс эхний зорилтод бүлгүүдийг хамарсан хэлэлцүүлгийг зохион байгууллаа. Өлзийт сумаас дараах төлөөлөл бүхий төрийн албан хаагчид, иргэд, үйлдвэр үйлчилгээ эрхлэгчдийн төлөөллийг хамруулсан болно. Хүснэгт 7.1.1 Олон нийтийн оролцуулсан байдал № Олон нийтийн төлөөлөл Нормативт хувь19 Сумын үзүүлэлт20 Хамрагдах ёстой Хамруулсан байдал 1 Сумын төвийн өрх 5 388 19 21 2 Тариаланчид 10 5 1 1 3 Үйлдвэр үйлчилгээ эрхлэгчид 25 27 7 7 4 ЗДТГ-ын албан хаагчид 25 32 20 21 5 Бусад төрийн албан хаагчид 15 125 20 20 6 Нийгмийн эмзэг бүлгийн иргэд 30 64 20 28 7 Хувиараа хөдөлмөр эрхлэгчид 20 32 5 5 Нийт дүн 92 103 Эх сурвалж: Санал асуулга, 2019 БСТ 19 Сумын нутаг дэвсгэрийн хөгжлийн төлөвлөгөө боловсруулах арга зүй-2018 он хуудас-14 20 Өлзийт сумын багийн судалгаа-2018 он
  • 149.
    153 Тус сумаас суурьсудалгаанд хамруулахаар төлөвлөсөн олон нийтийн төлөөллөөс 10 хүн буюу 10 хувиар илүү хамруулсан болно./ хавсралтад- нэр албан тушаалаар хавсаргав/ 7.2 Бүлгийн хэлэлцүүлэг болон санал асуулгын үр дүн Орон нутгийн удирдах ажилтан болон иргэдийн санал, хэлэлцүүлгийн үр дүнг нэгтгэн орон нутгийн хөгжлийн төлөвлөгөөнд дараах саналуудыг тусгахаар байна. МАА-Н ТАЛААР: Бодлого судлалын төвөөс санал болгож буй бэлчээрийн даацад тохируулсан малын тоо толгойг бууруулах хөтөлбөрийг судалгаанд оролцсон иргэд болон удирдах ажилтнууд 100 хувь дэмжсэн болно. Суманд орон нутгийн байгаль цаг уурын нөхцөлд тохирсон хагас эрчимжсэн мал аж ахуйг хөгжүүлэхийг дэмжсэн бөгөөд дараах асуудлуудыг иж бүрнээр шийдвэрлэх хэрэгтэй байна. Хүснэгт 7.2.1 Тэжээл хангамжийн шийдэх боломж № Тулгамдаж буй асуудал Шийдвэрлэх боломж 1 Малын тэжээлийн хангамж хүрэлцээ Тариалалтыг нэмэгдүүлэх 2 Техникийн үйлчилгээ 3 Усалгаа 4 Бизнес эрхлэгчдийн ур чадварыг сайжруулах Малын үүлдэр угсааг сайжруулах чиглэлд хийгдэх шаардлагатай арга хэмжээний хувьд:  Малын үүлдэр угсааг сайжруулах Малын тоо толгойг бууруулж, бэлчээрийн даацад тохирсон малтай болох  Мал угаалгын зөөврийн ванн байгуулж, үзлэгийн хашаатай болох  Мал нядалгааны цэг байгуулах  Сум дагуух дайран өнгөрч байгаа мал, амьтны түр амраах цэг байгуулах  Малын эмийн үлдэгдэл анхан шатанд илрүүлэх мини лаборатори байгуулах  Малын эрүүл бүс болох  Малын тэжээлийн цехтэй болох  Хувийн мал эмнэлгийн ажлын байр шинэчлэх  Мал эмнэлгийн дутагдалтай тоног төхөөрөмж, шаардлагатай мотоцикльтэй болох ГАЗАР ТАРИАЛАНГИЙН ТАЛААР:
  • 150.
    154  Атаршсан газраадахин газар тариаланд ашиглах  Газар тариаланг хөгжүүлж, малын таримал тэжээл тарих  Газар тариалангийн дэвшилтэт техник тоног төхөөрөмжөөр хангах  Хүнсний ногоо болон хүлэмжийн аж ахуйг хөгжүүлэх БОЛОВСРУУЛАХ ҮЙЛДВЭРЛЭЛИЙН ТАЛААР  Сүү цагаан идээ борлуулах худалдааны төвтэй болох  Түүхий эд боловсруулах үйлдвэр байгуулах  Сүүний чиглэлийн фермтэй болох  Хоёрдох түүхий эд хүлээн авдаг цэгтэй болох АЯЛАЛ ЖУУЛЧЛАЛЫН ТАЛААР  Загасны аж ахуй хөгжүүлэх  Эко аялал жуулчлал хөгжүүлэхийг төрөөс дэмжих  Олон улсын аялал жуулчлалын маршрутад оруулах  Цайдам нуур, Нарангийн рашааныг түшиглээд сувилал байгуулах СУМЫН ДЭД БҮТЦИЙН ТАЛААР  Сумын төвд байрлах 2 давхар орон сууцны өнгө үзэмжийг сайжруулах  ЗДТГ-ын байрыг шинэчлэх  Сумын төвийн замыг сэргээн засварлаж, хатуу хучилттай 3-5 км зам тавих  Сумын төвийн айл өрхүүдийг нэгдсэн халаалт, цэвэр бохир усны сүлжээнд холбох  Сумын төвийн айл, өрхүүдийн хашаа хорооны өнгө үзэмжийг сайжруулж, сэргээн засах  Цахилгааны дэд станц байгуулах  Сэргээгдэх эрчим хүчний станц байгуулах  Босоо тэнхлэгийн хатуу хучилттай замыг Хар хорин хөшөө Цайдмын замтай холбох  Эрүүл мэндийн төвийг түшиглэж, фитнес клуб байгуулах  ЭМТ-д эхийн амаржих байртай болох  Орхон голын сав дагуу ногоон төгөл байгуулах  Хүнсний бөөний төвтэй болох  Байшир багийн Дөшийн арын худаг засварлах  Цэвэрлэх байгууламж барих  Хүүхдийн цэцэрлэгийн өргөтгөл барих
  • 151.
    155  Сургуулийн өргөтгөлбарих  Эрүүл мэндийн төвийн өргөтгөл барьж, улсын жишигт нийцсэн эрүүл мэндийн төвтэй болох Тоног төхөөрөмжөөр хангах Эхо аппарат,  Эхийн амрах байртай болох  Бие бялдар чийрэгжүүлэх техник төхөөрөмжтэй болох  Ямаат баг дээр багийн төв барих  Ахуй үйлчилгээг өргөжүүлэн сайжруулах, тэр дундаа халуун усны үйл ажиллагааг өргөжүүлэн мэргэжлийн боловсон үйлчилгээгээр хангах  Хүүхэд хөгжлийн ордонтой болох  Уламжлалт сэргээн засах эмчилгээг нэвтрүүлэх  Архидалтыг тууштай бууруулах ажлын байр нэмэгдүүлэх ХОГ ХАЯГДЛЫН ТАЛААР  Үхсэн малын сэг зэмийг цэгцлэх  Хог дахин боловсруулах үйлдвэр  Хог шатаах зуухтай болох  Сургуулиуд болон олон нийтийн газарт аюултай хог хаягдал авах савуудыг байршуулах / батарей/ 7.2 Сумын ЗДТГ-ын төрийн албан хаагчид болон сумын иргэдтэй хийсэн уулзалт, ярилцлага, хэлэлцүүлгийн үеийн зарим зургууд Зураг 7.2.1 Сумын засаг даргын тамгын газрын төрийн албан хаагчдаас санал авч байгаа нь
  • 152.
    156 Зураг 7.2.2 Өлзийтсумын бүлгийн хэлэлцүүлэг болон ярилцлагын үе
  • 153.
    157 Зураг 7.2.3 Сумыниргэдтэй хэлэлцүүлэг хийж байгаа нь Сумын төрийн албан хаагчид болон иргэдтэй хийсэн уулзалт, ярилцлага, санал асуулга, бүлгийн хэлэлцүүлэгт оролцогчдын дэлгэрэнгүй бүртгэлийг хавсралт 7.1-д үзүүлэв. Хэлэлцүүлэгт оролцогчдоор газар, байгалийн нөөц эдэлбэрийн зүй ёсны
  • 154.
    158 эрх эдлэгчдийн хилзааг, мөн нийгэм, эдийн засгийн эрэлт, хэрэгцээнд тулгуурлан шинээр бий болгох жуулчны бааз, отог, амралт, сувиллын газрын байршлыг тогтоож, зураглах болон сумын онцлогоос хамаарсан бусад асуудлуудыг нэмж тодорхойлж, тэдний харилцан зөвшилцлөөр санал асуулга авч зураг дээр тэмдэглэгээ хийлгүүлж, зурууллаа. 7.3 Сумын SWOT шинжилгээ Сумын нутаг дэвсгэрийн хөгжлийн төлөвлөгөөг боловсруулахдаа дээрх SWOT шинжилгээнд тулгуурлан давуу талыг бэхжүүлж, боломжийг бүрэн ашиглаж, харин сул тал, эрсдэлийг даван туулах арга хэмжээг сайтар суулгах замаар: 7. Сумын эдийн эдийн засаг, иргэдийн амьжиргааны үндэс болсон мал аж ахуйн салбарт тооноос чанарт шилжиж, уур амьсгалын өөрчлөлтийг даван туулах чадвартай тогтвортой хөгжлийг хангах 8. Газар тариалангийн бүтээгдэхүүний өсөн нэмэгдэж байгаа хэрэгцээг өөрийн үйлдвэрлэлээр хангах түвшнийг тасралтгүй нэмэгдүүлэх Байгальд ээлтэй аялал жуулчлал, жижиг дүнд үйлдвэрлэл, байгалийн нөөц, баялгийг зохистой ашиглаж, хамгаалах, харилцаа холбоо, дэд бүтэц, боловсрол, нийгэм, соёл, спортын тулгамдсан эн тэргүүний асуудлыг эрэмбэлж, дэс дараатай шийдвэрлэх замаар ажлын байр, иргэдийн орлогыг нэмэгдүүлж, сумандаа ая тухтай, тогтвор суурьшилтай амьдрах нөхцөлийг бүрдүүлэхийг зөвлөж байна МАА-н салбар Давуу тал Сул тал  Байгалийн бэлчээрт үйлдвэрлэсэн тул органик зах зээлийн шаардлагыг хангахад дөхөм /360 хоног бэлчээрт байдаг, олон улсын органик махны шаардлага 120 хоног/  Дотоодын эрэлтээс давсан махны нөөцтэй  Сумын хэрэглэгчдийн хэрэглээнд мах өндөр хувийн жин эзэлдэг тул эрэлт хүн амын өсөлтийг даган цаашид өснө. Мах, сүүний эрэлт 2027 онд 8% өснө  Харьцангуй хямд зардлаар бүтээгдэхүүн үйлдвэрлэдэг  Олон жилийн туршлага хуримтлуулсан малчид нь ажиллах хүч болдог  МАА, малчид уламжлалт  Малын тоогоор хөөцөлдсөн сэтгэлгээ нь бэлчээр, малын чанар, өрсөлдөх чадварыг бууруулдаг. 2019 оны байдлаар бэлчээрийн даац 11.2 дахин хэтэрсэн  Уламжлалт МАА нь бүтээмж бага, байгалийн эрсдэлээс хараат, улирлын хэлбэлзэл ихтэй бэлчээрт суурилсан  Нийт үйлдвэрлэгчдийн 62.8% нь 200 хүртэл малтай амиа аргацаасан өрхийн жижиг аж ахуйд байгаагаас борлуулалтад сөргөөр нөлөөлдөг  Эрчимжсэн МАА эрхлэхэд хөрс, цаг агаарын нөхцөл таатай бус, зардал өндөр тул өрсөлдөх чадварт сөргөөр нөлөөлдөг  Үйлдвэрлэл нь улирлын шинж чанартайгаас хадгалалтын зардал, үнийг өсгөдөг  Малын зохистой бүртгэлгүй тул гарал үүслийг мөшгөх боломжгүй, мал, бүтээгдэхүүний чанар, эрүүл мэнд, ариун цэврийн баталгаа шаардлагын түвшинд хүрэхгүй байгаагаас бүтээгдэхүүнээ үнэ хүргэж борлуулах, экспортлоход саад болдог  Дэд бүтэц сул уудам нутагт тархсан өрхийн жижиг аж ахуйд үйлдвэрлэл явагддаг, тэдний хоорондын
  • 155.
    159 нүүдлийн соёл иргэншлийг тээдэгтул нэр хүндтэй  Мянганы замын хэвтээ тэнхлэгийн 318-р багана хүртэл автозамтай ба сумын төв хүртэл 50км сайжруулсан шороон замтай. Мянганы замын босоо болон хэвтээ тэнхлэгийн үргэлжлэл нь явагдаж байгаа тул 2020- 2021 онд сумын төв нь автозамаар бүрэн холбогдох юм. хамтын ажиллагаа сулаас өртгийн сүлжээ /цуглуулах, тээвэрлэх, хадгалах/-нд зардал өндөр  Бэлтгэлийн оновчтой сүлжээ, чанартай бүтээгдэхүүний урамшууллын /үнийн/ механизм бүрдээгүй  Малын тоог биш чанарыг дээдэлсэн шинэлэг арга, технологийн талаарх мэдлэг, хэрэгжүүлэх санхүү дутагдалтай  Ченжийн оролцоо их, албан бус ам хэлцэл давамгайлдгаас эцсийн хэрэглэгчийн шаардлагыг мэдрэх нь сул, ашгийн дийлэнхийг ченжүүд хүртэх боломжийг олгодог  Үйлдвэрлэл нь эрсдэл өндөр, үйлдвэрлэгчид нь барьцаа хөрөнгө муутайгаас банкны зээл авах боломж хязгаарлагдмал  Түүхий эд бэлтгэлд шаардлагатай санхүүгийн нөөцийн дутмаг, банкны зээлийн хүү өндөр Боломж Эрсдэл  Бүтээгдэхүүний эрэлт, ялангуяа экологийн цэвэр, органик, хашигдаагүй бэлчээрийн /free range/ зэрэг шинж чанар нь олон улсын зах зээлд өндөр үнэлэгддэг  Малын тоог бэлчээрийн даацад нийцүүлэх бэлчээр ашиглалтын гэрээ байгуулах ажлын эхлэл тавигдаж байгаа жишээ төсөл бичих тухайлбал ЕСБХБ-ы санхүүжилттэй “Бэлчээр ашиглалт, МАА-н менежмент, Ноолуур бэлтгэлийг сайжруулж, тогтвортой ноолуурыг дэмжих нь” болон НҮБ-ын санхүүжилттэй “ENSURE” төслийн хүрээнд 29 малчдын бүлэг бэлчээр ашиглалтын гэрээ байгуулаад байна.  Малын тоог бэлчээрийн даацад нийцүүлэх бэлчээр ашиглалтын гэрээ байгуулах ажлын эхлэл тавигдаж байгаа ба олон улсын төсөл хөтөлбөрийн хүрээнд сайн дурын үндсэн дээр байгуулагдсан 110 малчин өрхийн 29 малчдын бүлэг  Бэлчээрийн даац хэтрүүлэн хариуцлагагүй ашигладгаас доройтон цөлжиж, ойн сан бүхий газрыг мал бэлчээхэд их ашиглах болсон нь биологийн олон янз байдалд нэн сөрөг нөлөөлөх болсон. 2019 оны байдлаар нийт 161682 га талбайд мал бэлчиж байна. Бэлчээр ашиглалтын гэрээ байгуулахаар хүсэлт гаргасан малчдын бүлгүүдийн мал бэлчээж байгаа талбайд ойн эзлэх хувь 1.44 % болж байна.  Бэлчээрийг нийтээр хариуцлага хүлээлгүй ашиглаж ирсэн тогтолцоог өөрчлөхийг өөрсдийн богино хугацааны сонирхлын үүднээс эсэргүүцэгч зарим чинээлэг малчид, уул уурхайн компаниуд зэрэг хүч бий  Ган, зуд зэрэг байгалийн эрсдэл өндөр, түүнээс хамгаалах бэлтгэл ажлыг хангахад санхүүгийн нөөц дутагдалтай. 2019 оны байдлаар нэг хонин толгойд 3.5 кг тэжээл ноогдож байгаа нь шаардагдах түвшнээс 2.9 дахин доогуур байна.  Даян дэлхийн уур амьсгалын өөрчлөлтийн мөрөг нөлөө нэмэгдэж байна. 2019 оны байдлаар нийт 5 булаг рашаан ширгэсэн байна.  Бүтээгдэхүүн нийлүүлэлтийг савлуулдаг байгалийн эрсдэлийн аюул өндөр  Гар аргаар бэлтгэсэн уламжлалт махны хэрэглээ өндөр, дотоодын үнийг голлон тодорхойлдог, масс хэрэглэгчдийн энэхүү араншин /behavior/ мал, махны чанарыг сайжруулах, түүнийг боловсруулах, өртгийн сүлжээнд оруулах хөрөнгө оруулалтад сөрөг нөлөөлдөг  Чанарын шаардлага хангасан бүтээгдэхүүний үйлдвэрлэл, бэлтгэлийг бий болгоход шаардлагатай
  • 156.
    160 байгуулагдсан.  Малын сүргийнбүтэц /эх малын болон, шилмэл омгийн малын эзлэх хувь/- ийг сайжруулах замаар үйлдвэрлэлийг ихээхэн нэмэгдүүлэх боломжтой  Малчид, зуучлагчид, боловсруулах үйлдвэр өртгийн сүлжээнд хамтрахын давуу талыг ойлгож, арга замыг эрэлхийлэх болсон  Малаа чанаржуулан баталгаажуулж үнэ хүргэх малчдын сонирхол нэмэгдэж байгаа  Засгийн газар болон ОУ-ын байгууллагууд мал эрүүлжүүлэх, бүтээгдэхүүний өртгийн сүлжээг хөгжүүлэн экспортыг дэмжихэд илүү анхаарал тавьж эхэлсэн урт хугацааны санхүүгийн эх үүсвэрийн дутагдал  Олон айл малдаа хэрэгцээгүй, хоморголсон, мэргэжлийн бус эмийн хэрэглээ, вакцинжуулалтын уламжлалыг хурдан өөрчлөхөд бэрхшээлтэй  Хөгжлийг хурдасгахад шаардлагатай эрх зүй, зохицуулалтын орчны өөрчлөлт удаан Газар тариалангийн салбар Газар тариалан эрхлэх газрын хөрс, чийгийн хангамж сайн, ялзмагт үе зузаан талбайтай. 2019 оны байдлаар тариалан эрхлэхэд тохиромжтой 52632.4 га талбайтай. Таримал ургахад шаардлагатай дулаан хангамж дутагдалтай хэдий ч дулаан өдрийн тоо 106 байна. Цөөн боловч тариалан, жимс, жимсгэнэ эрхэлж байсан туршлага бүхий хүмүүстэй Тариалангийн газраа ашиглахгүй байсаар атаршуулсан, 2019 оны байдлаар атаршсан талбай 3185 га Цаашид төмс, хүнсний ногоо, жимс, жимсгэнийн эрэлт өснө. 2027 онд 11%-р нэмэгдэнэ. Атаршсан талбай болон одоо ашиглаж буй талбайнууд хамгаалалтын ойн зурвас хангалттай байхгүй Усалгаатай тариалан эрхлэх боломжтой Тариаланд сүүлийн үеийн өндөр бүтээмжтэй техник, технологи нэвтрүүлэх, чанартай үр хэрэглэхэд санхүүгийн чадавх дутагдалтай Хүлэмжийн аж ахуй эрхлэх чиглэлээр тариаланчид мэргэшиж эхэлж байгаа Тариалан эрхлэхэд шаардлагатай мэргэжлийн зөвлөх үйлчилгээ сул Газар тариалан эрхлэх газрын хөрс, чийгийн хангамж сайтай, ялзмагт үеийн зузаан хэвийн талбайнууд одоогоор байгаа Сумын хэмжээнд хүлэмжийн болон зоорины аж ахуйн хөгжил нэн сул Боломж Эрсдэл Газар тариаланг нэмэгдүүлэх Цочир хүйтрэх, ган болох зэрэг байгалийн эрсдэл
  • 157.
    161 газрын нөөцтэй. 2019оны байдлаар 2770 га тариаланд тохиромжтой ашиглагдаагүй газар байна. өндөр Дулаан дутагдалтай газар хүлэмжийн аж ахуй эрхлэх харьцангуй хямд технологи, тоног төхөөрөмж нэмэгдэж байна. Байгалийн зэрлэг жимс элбэг дотоодын эрэлт хэрэгцээ бага, алсын зах зээлд борлуулахад зардал харьцангуй өндөр, аймаг хүртэл 130 км, Эрдэнэт хот хүртэл 260 км, Улаанбаатар хот хүртэл 370 км зайтай Хөрсний үржил шим харьцангуй бага элэгдсэн, усалгааны боломж сайтай_ Гаднаас ирдэг хямд үнэтэй төмс, ногоо, жимс сумын зах зээлд өрсөлдөх эрсдэлтэй. Усалгаатай болон далд хөрсний аж ахуйгаар га-н ургац нэмэгдүүлэх боломжтой Бусад салбарын боломжууд Сумын хэмжээнд аялал жуулчлалын салбар хөгжих боломжтой. Энэ хүрээнд 2 ажил төлөвлөгөөнд суусан Орчин үеийн цахилгаан, харилцаа холбооны хөгжил хурдсаж байгаа нь хөдөлмөрийн залуу халааг бэлтгэх, мэдлэг боловсролыг дээшлүүлэх, амьдралын таатай орчин бүрдүүлэхэд эерэг нөлөөлж байна. 2019 оны байдлаар малчдын 67.7% нь цахилгааны эх үүсвэртэй, 100% нь гар утастай, 62.4% нь таваг антентай, 63.9% нь телевизортой болсон байна. Аж үйлдвэр Нэхий боловсруулах, гурилан бүтэгдэхүүн үйлдвэрлэх ЖДҮ эрхлэгчдийн туршлага сайжирч байгаа. Дэд бүтэц Сумын төвөөр дамжин өнгөрөх болон сумын урд хэсгээр дамжин өнгөрч буй 2 чиглэлийн авто замыг ашиглан томоохон зах зээлд ойртох боломжтой НАЙМ. ТӨЛӨВЛӨЛТИЙН ҮЕ 8. СУМЫН ХҮН АМЫН ХЭТИЙН ТӨЛӨВИЙН ТООЦОО, ҮНДЭСЛЭЛ Хүн амын хэтийн төлөв, хандлагыг тооцож, тодорхойлох бүрэлдэхүүний болон математик гэсэн 2 арга байдаг. Бүрэлдэхүүний аргад хүн амын төрөлт, нас баралт, шилжих хөдөлгөөний өөрчлөлтөд тулгуурлан таамаглал дэвшүүлэх тооцоолол хийгддэг учраас ихэвчлэн улс, бүс нутгийн түвшинд хүн амын төлөв хэтийг тооцоход ашигладаг. Харин математик аргын хувьд өнгөрсөн үеийн хүн амын жилийн өсөлтийн хандлагад суурилдаг учраас жижиг нутаг дэвсгэрийн хувьд авч ашиглах нь илүү оновчтой юм. Тиймээс сумын хүн амын хэтийн төлөвийг математик аргаар тооцлоо. Архангай аймгийн Өлзийт сумын хүн амын тоо 2013-2018 онд өссөн хэдий ч өсөлтийн хувь хэлбэлзэлтэй, ерөнхий хандлага буурсан байна. Тиймээс тус 2 сумын хүн амын жилийн өсөлтийн хувь 2019 онд өмнөх 2014-2018 оны дундаж түвшинд (0.8-0.9 хувь), цаашид жил тутам өмнөх оноос 1 хувиар өснө гэж үзээд хүн амыг тооцлоо.
  • 158.
    162 Архангай аймгийн Өлзийтсумын хүн амын тоо, өсөлтийн хувь, 2013-2018 он Өлзийт: Архангай аймгийн Өлзийт сумын хүн амын хэтийн төлөв, 2019-2027 он 8.1 Хөдөө аж ахуйн газрын газар зохион байгуулалтын төлөвлөлт Энэхүү төлөвлөгөөний чиг баримжаа нь “Монгол улсын мянганы хөгжлийн зорилтод суурилсан үндэсний хөгжлийн цогц бодлого”, “Монгол улсын бүсчилсэн хөгжлийн үзэл баримтлал”, “Аймгийн газар зохион байгуулалтын ерөнхий төлөвлөгөө”, “Сумын хөгжлийн цогц бодлого 2016-2021 он” зэрэг бодлогын баримт бичгүүд, хүн амын өсөлттэй уялдуулан боловсруулсан болно. Нутаг дэвсгэрийн хөгжлийн төлөвлөгөөнд сумын нутаг дэвсгэрийн хөгжлийн чиглэл бүрээр тодорхой тусгалаа. “Өлзийт” сумын нутаг дэвсгэрийн хөгжлийн төлөвлөгөө”-г газрын болон байгалийн нөөц, нөхцөлд тулгуурлан дараах эрхзүйн баримт бичгийг үндэслэн боловсруулсан. Үүнд:  Монгол Улсын “Газрын тухай” хууль. УБ. 2002 он  Монгол Улсын “Авто замын тухай” хууль. УБ. 2017 он  Монгол Улсын “Ойн тухай” хууль. УБ. 2012 он  Монгол Улсын “Аялал жуулчлалын тухай” хууль. УБ. 2000 он  Монгол Улсын “Харилцаа холбооны тухай” хууль. УБ. 2001 он  Монгол Улсын “Усны тухай” хууль. УБ. 2012 он 3784 3803 2.4 0.5 -4.0 -2.0 0.0 2.0 4.0 6.0 8.0 10.0 2017 2018 тоо өсөлтийн хувь 3014 3333 3301 3347 3383 3454 10.58 -0.96 1.39 1.08 2.10 -2.0 0.0 2.0 4.0 6.0 8.0 10.0 12.0 2700 2800 2900 3000 3100 3200 3300 3400 3500 2013 2014 2015 2016 2017 2018
  • 159.
    163  “Аймаг, Нийслэлийнгазар зохион байгуулалтын ерөнхий төлөвлөгөө боловсруулах аргазүйн заавар” УБ, 2008 он.  “Сумын газар зохион байгуулалтын тухайн жилийн төлөвлөгөө боловсруулах аргачлал” УБ, 2011 он.  ГЗБГЗЗГ-ын даргын 2017 оны А/278 тоот тушаал “Сумын нутаг дэвсгэрийн хөгжлийн төлөвлөгөө боловсруулах арга зүй”  ЗГ-ын 2001 оны 263-р тогтоол “Эрчим хүчний шугам, сүлжээг хамгаалах дүрэм”  БОАЖЯ, ЭМЯ-ны сайд нарын 2009 оны 51/75 дугаар хамтарсан тушаал “Усны сан бүхий газрын онцгой болон энгийн хамгаалалтын бүс, ус хангамжийн эх үүсвэрийн эрүүл ахуйн бүсийн дэглэм”  ГХГЗЗГ-ын даргын А/22 тоот тушаал “Газар, байгалийн нөөц, эдэлбэрийн зүй ёсны эрхийг зориулалтаар бүртгэн, баталгаажуулах түр журам” 2016 он.  ГХГЗЗГ-ын даргын 2015 оны А/200 тоот тушаал “Газар ашиглалтын тохиромжтой байдлын үнэлгээ хийх арга зүй” Хөдөө аж ахуйн газрыг бэлчээр, хадлан, тариалангийн талбай гэсэн үндсэн ангиллаар төлөвлөв. 8.1.1 Бэлчээрийн газрын төлөвлөлт Бэлчээрийн газрыг төлөвлөхдөө МАА-н хөгжил, бэлчээр ашиглалтын талаар үндэсний болон бүс, орон нутгийн хэмжээнд баримталж байгаа бодлогын тэргүүлэх чиглэл, тохиромжтой байдлын үнэлгээ, нутгийн иргэд, байгууллагын саналыг харгалзан салбарт тулгамдсан гол бэрхшээлийг даван туулахад чиглүүлэв. Өлзийт сум нь бэлчээрийн уламжлалт мал аж ахуй зонхилон хөгжүүлж ирсэн бөгөөд байгаль цаг агаарын нөхцөл, байршлаас хамаараад цаашид ч энэ байдал хадгалагдах төлөвтэй байна. Аж ахуй эрхэлж ирсэн түүхэн уламжлал, бэлчээрийн мал аж ахуй эрхлэх давуу тал, сумын эдийн засаг, иргэдийн амьжиргаанд үзүүлэх нөлөө зэргийг харгалзан энэхүү төлөвлөлтөд уламжлалт бэлчээрийн мал аж ахуйг голлон анхаарч 8.1.1-д авч үзсэн бөгөөд, харин эрчимжсэн мал аж ахуйн талаар 8.1.2-т оруулав. 8.1.1.1 Бэлчээрийн газар ашиглалтын хүрээн дахь тулгамдсан асуудлууд Өлзийт сум 1990 онд 75212 толгой буюу 218216 хонин толгойтой тэнцэх тооны малтай, нэг хонин толгойд 1.7 га бэлчээр ногдож, ган, зудын үед ашиглах нөөцтэй байв. Малын тоо бэлчээрийн харьцаа зохистой түвшинд байсан бөгөөд малаас болж бэлчээрийн талхлагдах явдал гардаггүй байжээ. Эдүгээ малын тоо асар ихээр өсөж, 2019 оны дүнгээр 353240-д хүрсэн нь 552890 хонин толгойтой тэнцэж байна. Нэг хонин толгойд ногдох бэлчээр 0.29 га болтлоо буурч бэлчээрийн хүрэлцээ 5.9 дахин багасаж, даац 11.4 дахин хэтрээд байна. Бэлчээрийн даац хэтэрснээс мал хэвийнхээс 91.2 хувь дутуу идээшилж давжааран, ашиг шим нь багасахын зэрэгцээ өвчин, ган зудад эмзэгшин, зах зээлийн үнэлгээ нь буурч байна. Бэлчээрийн даац хэтэрсний улмаас ган, зуднаар орох нөөц бэлчээргүй болж, эрсдэлд нэн өртөмхий болов. 2000-2003 оны зуд,
  • 160.
    164 гамшигт үзэгдлээр нийтмалынхаа 30 шахам хувийг хорогдуулсан жишээг энд дурдаж болох юм. Малын тооны хойноос хөөцөлдсөн сэтгэлгээ малын ашиг шим, бүтээмжит чанарыг дээшлүүлэх боломжид харалган хандахад хүргэлээ. Малаа зах зээлд борлуулахдаа хамтрах бус хотноосоо ганц нэгээр сугачаа борлуулдгаас болоод малын чанарт тавигдаж буй шаардлагыг хангаж, үнэ хүргэхэд саад болж байна. Дээрх тулгамдсан асуудал сумын малчдын дунд хийсэн санал асуулга, хэлэлцүүлгийн дүнгээр ч батлагдаж байна. 2019 онд сумын малчин өрхийн 97% болох 569 өрхийг хамруулан явуулсан санал асуулгын судалгаагаар бэлчээрийн даац хэтэрсэн нь хамгийн гол бэрхшээл, үүний дараа оготно царцаа, усгүй бэлчээр гэж эрэмбэлсэн байна /Хүснэгт 8.1.1.1/. Хүснэгт 8.1.1.1 Бэлчээр ашиглалтад тулгарч буй гол бэрхшээлийн талаарх малчдын бодол 1. Бэрхшээл Хариултын тоо Хувь Эрэмбэ 2. Бэлчээрийн даац хэтэрсэн 504 86.5% I 3. Усгүй бэлчээр их 309 53.0% II 4. Уул уурхай зэрэг нь бэлчээрээс их авдаг малчид хохирдог 1 0.1% IX 5. Олон малтай чинээлэг малчид түрж ядуу малчид шахагдаж байна 95 16.3% VI 6. Гаднаас нүүдэллэн ирэгсэд ихсэж бэлчээр хүрэлцэхгүй байна 52 8.9% VII 7. Огтоно царцаа их 281 48.2% III 8. Төрийн зохицуулалт дутагдаж эмх замбараагүй ашиглаж байна 271 46.5% IY 9. Бэлчээрийн маргаан их байна 149 25.6% Y 10. Өөрийн өвөлжөө хаваржаагүй 8 1.3% VIII Эх сурвалж: БСТ, Малчдаас авсан санал асуулгын судалгаа, 2019 Бэлчээрийн хүрээнд тулгамдсан бэрхшээлийг багуудаар харуулсныг Хүснэгт 8.1.1.2-д үзүүлэв. Хүснэгт 8.1.1.2 Багуудын бэлчээр ашиглалтад тулгарч буй бэрхшээлүүд
  • 161.
    165 Баг Бэлчээрийндаац хэтэрсэн Усгүйбэлчээрих УУлуурхайзэрэгнь бэлчээрээсихавдаг малчидхохирдог Олонмалтайчинээлэг малчидтүржядуу малчидшахагдажбайна Гаднааснүүдэллэн ирэгсэдихсэжбэлчээр хүрэлцэхгүйбайна Огтоноцарцааих Төрийнзохицуулалт дутагдажэмх замбараагүйашиглаж байна Бэлчээрийнмаргааних байна Өөрийнөвөлжөө хаваржаагүй Ямаат I IIIIX VI VII II V IV VIII Бодонт I III 0 VI IV II VI VII 0 Байшир I III 0 0 0 IV II VI V Хөшөөт II III 0 0 0 I III 0 0 Мал аж ахуйн 3 багийн бэлчээрийн ашиглалтад тулгарч буй гол бэрхшээл нь I) бэлчээрийн даац хэтэрсэн, II) Оготно өссөн, III) Усгүй бэлчээр их, төрийн зохицуулалт дутагдаж эмх замбараагүй ашиглаж байна, IY) Гаднаас нүүдэллэн ирэгсэд ихсэж бэлчээр хүрэлцэхгүй байна зэрэг болно. Гэхдээ баг тус бүрд зарим бэрхшээл ялгаатай байна. Малын тоог бэлчээрийн даац хэтрүүлэн ашиглах нь ихээхэн сөрөг үр дагавартай болохыг Зураг 8.1.1.1-д харуулав. Зураг 8.1.1.1 Малын тоог бэлчээрийн даацад нийцүүлэх ба хэтрүүлэн өсгөхийн үр дагаврыг харьцуулсан нь Эх сурвалж: БСТ-н боловсруулалт
  • 162.
    166 Зураг 8.1.1.1-с харвалбэлчээрийн даац тохирсон үед мал дүүрэн идэштэй, тарга хүч сайтай, улирлаар сэлгэж ашиглах боломжтой тул бэлчээр соргог, ган зуднаар орох нөөц нутагтай тал эрсдэлээс хамгаалагдсан, бүтээгдэхүүнээ өндөр үнэтэй органик зах зээлд гарган үнэ хүргэх боломжтой, малаас ялгаруулах хүлэмжийн хийг багасган уур амьсгалын өөрчлөлтийг бууруулахад хувь нэмэр оруулдаг байна. Харин бэлчээрийн даац хэтэрсэн үед энэ бүх эерэг боломж алдагдаж мал дундуур идэштэй, тарга хүч муугаас давжааран ашиг шим нь буурч, эрсдэлд өртөмхий болдог байна. 2019 оны байдлаар Өлзийт сумын бэлчээрийн ашиглалт 1126.6% буюу даац хэтрэлт 1026.6% болж байгаа нь 1 хонины идэх бэлчээрийг 10.2 хонь хувааж идэж, малын дутуу хооллолт 91.1% болж байна. Малын эрсдэлийн үнэлгээ. Малд тохиолдох эрсдэлийг хэмжих үзүүлэлт нь эрсдэлийн тоо буюу давтамж, учруулсан хохирлын хэмжээ байдаг. Монгол орны нөхцөлд хамгийн түгээмэл, хохирол ихтэй эрсдэл нь байгалийн хүчин зүйлээс үүдэлтэй зуд байдаг. Малын индексжүүлсэн даатгалын хуульд зааснаар малын хорогдол тухайн сумын хэмжээнд 6%-с дээш давсан бол гамшгийн чанартай эрсдэл боллоо гэж үзэн малаа даатгуулсан малчдад нөхөн олговор олгодог. Энэ үзүүлэлтийг ашиглан Өлзийт сумын малын эрсдэлийн үнэлгээг адуу, үхэр, хонь ямаан дээр хийснийг Хүснэгт 8.1.3-д харуулав. 2010-2018 оны хугацаанд эрсдэл 8 удаа тохиолдсоноос 2010 онд 4 төрлийн мал дээр, 2010, 2018 онд тус бүр 2 төрлийн мал дээр тохиолдсон байна. Эрсдэл адуу, үхэрт тус бүр 2, ямаа 3, хонь 1 удаа тохиолдож, нийлбэр дүнгээр үхэр 43.3%, адуу 27.0%, ямаа 36.4%, хонь 18.2%-р хорогдсон байна. Эрсдэлийн үнэлгээгээр үхэр эрсдэлд нэн өртөмхий, хонь бага өртөмхий болсон байна. Тохиромжтой байдлын үнэлгээгээр Хангайн бүсэд үхэр хамгийн тохиромжтой мал боловч бэлчээрийн даац хэтэрснээс үүдэлтэй тэжээлийн дутагдал үхэрт илүү эмзэг тусч байна гэсэн дүгнэлт гарч байна. Учир нь ургац сайтай бэлчээрт зохицсон биологийн онцлогоосоо болоод талхлагдсан тачир бэлчээрээс идээшлэх үхрийн чадвар бусад малаас муу байдаг байна. Хүснэгт 8.1.1.3 Малын эрсдэлийн үнэлгээ Он Адуу Үхэр Хонь Ямаа Хорогдол 6%-иас дээш давсан тохиолдлын Тоо Дундаж 2018 12.5 24.0 5.6 8.1 2 14.8 2017 2.5 2.8 1.9 3.0 - 2016 4.2 4.1 3.3 3.6 - 2015 3.0 3.5 5.1 6.6 1 6.6 2014 3.7 3.0 4.2 5.6 - 2013 2.4 2.6 3.2 3.7 - 2012 1.5 3.3 1.7 2.0 - 2011 2.0 3.6 3.8 4.0 - 2010 14.5 19.3 18.2 21.8 4 18.5
  • 163.
    167 Хорогдол 6%- иас дээш давсан тохиолдлын тоо 22 1 3 8 - ДҮН 27.0 43.3 18.2 36.4 - 31.2 Эх сурвалж: ҮСХ, 2018, БСТ-н тооцоо Эрдэмтдийн судалгаагаар бэлчээрийн доройтлоос шалтгаалан хонины амьдын жин 48-с 44 кг, ямааных 35-с 33 кг болж, хонины ноос, ямааны ноолуурын гарц 2- 8%-р буурсан гэсэн дүн гарчээ21. Зөвхөн эдгээр гуравхан үзүүлэлтээр тооцоход малын ашиг шим буурснаас малчин өрхийн орлогын алдагдал жил бүр 2.6 сая төгрөг, улсын хэмжээнд 368 тэрбум төгрөг болж байна22. Байгалийн бэлчээрт идээшилсэн Монгол малын мах олон улсын стандартаар органик ангилалд багтан өндөр үнэ хүрэх боломжтой. Гэвч малын чанар муудсанаас халдварт өвчинд өртөмхий болж, махны экспортын хоригт өртөн энэхүү өндөр үнэтэй зах зээлд хүрэх боломжгүй байна. Түүнчлэн олон улсын стандартаар органик мах гэдэг нь зөвхөн бэлчээрт идээшлээд зогсохгүй, даац нь тохирсон бэлчээрээс үйлдвэрлэсэн махыг хэлнэ гэж заасан байна. Ийнхүү Монгол малын мах бэлчээрийн байх шаардлагыг хангадаг ч даац хэтрээгүй, өвчингүй эрүүл гэсэн гол хоёр шаардлагыг хангаж чадахгүй байна. Өндөр үнэтэй органик маханд тавьдаг ОХУ, БНХАУ зэрэг олон улсын шаардлагыг Хавсралт 8.1.1-д харуулав. 8.1.1.2 Тулгамдсан асуудлыг шийдвэрлэх арга зам Бэлчээрийн хүрээнд тулгамдсан асуудлыг шийдвэрлэхийн тулд малын тооны хойноос хөөцөлдсөн явцгүй сэтгэлгээг өөрчилж, бэлчээрт ээлтэй аргаар малчдын орлогыг нэмэгдүүлж амьжиргааг нь тогтвортой болгох арга замыг нэвтрүүлэх явдаг гэж үзэв. Дээрх зорилтыг амьдралд хэрэгжүүлэхийн тулд тулгамдсан асуудлыг цогцоор шийдэх МАА-н тогтвортой хөгжлийн хөтөлбөрийг дэвшүүлж байна. Хөтөлбөрийг хэрэгжүүлэх эрх зүй, бодлогын орчин. МАА-н тогтвортой хөгжлийн хөтөлбөр нь үндэсний болон орон нутгийн дараах бодлоготой нийцэж байна. Үүнд: Монгол Улсын тогтвортой хөгжлийн үзэл баримтлал: Бэлчээрийн даацад нийцсэн мал сүргийн тоо, төрлийн зохистой харьцааг бүрдүүлэх, бэлчээрийн газрын доройтлыг бууруулж, нөхөн сэргээх “Монгол мал” үндэсний хөтөлбөр:  Малын тоо, төрлийг бэлчээрийн даацтай уялдуулах, бэлчээрийн даац хэтэрсэн нутагт байлгах малын тооны дээд хязгаарыг тогтоож, түүнээс давуулахгүй байлгах эдийн засгийн хөшүүргүүдийг бий болгох 21 Батима П, “Уур амьсгалын өөрчлөлтийн нөлөө, дасан зохицох байдлын үнэлгээ” АS 06 төслийн тайлан, Вашингтон, www.start.org / 2006 он / 22 Бодлого судлалын төвийн тооцоо, 2016
  • 164.
    168  Мал, малынгаралтай түүхий эд, бүтээгдэхүүний бэлтгэлийн системийг боловсронгуй болгож түүний чанараас хамаарсан эдийн засгийн хөшүүрэг бий болгон зорилтот зах зээлийг хөгжүүлэх; 2018 онд Хүнс, хөдөө, аж ахуй, хөнгөн үйлдвэрийн сайдын тушаалаар баталсан “МАА-н тогтвортой хөгжлийн үйл ажиллагааны төлөвлөгөө”23-д:  Бэлчээр ба усны нөөцийг нөхөн сэргээж, зохистой, хариуцлагатай ашиглах, дэлхийн уур амьсгалын өөрчлөлтөд дасан зохицох, уур амьсгалын өөрчлөлтийн нөлөөг багасгах зорилт дэвшүүлсэн бөгөөд малын тоо 2017 оны байдлаар бэлчээрийн оновчтой даацаас 25 сая хонин толгойгоор хэтрээд байгааг 2020 он гэхэд 20 сая болгож бууруулах зорилт дэвшүүлжээ. Архангай аймгийн тогтвортой хөгжлийн хэтийн зорилт-2026 дунд бодлогын баримт бичиг /2017-2026/  Байгалийн нөөцийн хэмнэлттэй, хүлэмжийн хийн ялгарал болон хаягдал багатай, хүртээмжтэй, ногоон эдийн засгийн өсөлтийг дэмжих...  Бэлчээрийг зохистой ашиглах, хамгаалах, нөхөн сэргээх, даац багтаамжийг тохируулах Хөтөлбөрийг хэрэгжүүлэх үйл ажиллагаа: МАА-н тогтвортой хөгжлийн хөтөлбөрөөр харилцан уялдаа бүхий дараах үйл ажиллагааг хэрэгжүүлнэ. Үүнд:  Бэлчээр ашиглуулах гэрээ (БАГ)-ий байгуулж, хэрэгжилтийг хангах замаар бэлчээрийг тодорхой “эзэнтэй” болгон уул уурхай зэрэг бусад эдэлбэрт алдахаас сэргийлэх, малын тоог бэлчээрийн даацад нийцүүлэх хариуцлагын тогтолцоотой болох  Бэлчээрийн даацыг жил бүр тооцож, даацаас хэтэрсэн малыг аж ахуйн эргэлтэд оруулдаг тогтолцоог нэвтрүүлэх  Аж ахуйн эргэлтэд орж байгаа мал, бүтээгдэхүүнийг зах зээлд хүргэх шат дамжлага (анхан шатны боловсруулалт, тээвэрлэлт, борлуулалт г.м.)-ыг малчдын байгууллага (бүлэг/нөхөрлөл, хоршоо г.м.)-ны бүтцээр зохион байгуулж, сумын төвд төвлөрүүлэн чанарын хяналт хийж, нэг цонхоор зах зээлд борлуулан бүтээгдэхүүний хэмжээ, үнэлэмж, гишүүдийн хүртэх ашгийг нэмэгдүүлэх  Бэлчээр, эрсдэлийн менежмент, малын чанар, эрүүл мэндийг сайжруулах, малыг аж ахуй эргэлтэд оруулан борлуулах зэрэг орон нутагт МАА-н үйл ажиллагааг санхүүжүүлэх МАА-н эрсдэлийн сан хэмээх бие даасан эх үүсвэрийг орон нутгийн хөгжлийн сан, малчдаас нийлүүлэх хандиваар бүрдүүлж, ажиллуулах  БАГ байгуулсан малчдын байгууллага (бүлэг/нөхөрлөл) нь гэрээт бэлчээр дээр байгаа зэрлэг амьтан, ургамал зэрэг биологийн олон янз байдал, байгалийн 23 МАА-н Тогтвортой хөгжлийн хөтөлбөрийн үйл ажиллагааны төлөвлөгөө’, ХХААХҮ-ийн сайдын 2018 оны 6-р сарын 8-ний өдрийн A-105 тушаал
  • 165.
    169 баялгийг гэрээгээр хамгаалж,ашиг хүртдэг, орлогоо нэмэгдүүлж, байгаль орчныг хамгаалахад хувь нэмэр оруулдаг болох  Хөтөлбөрийн зорилго, хэрэгжүүлэх үйл ажиллагаа, гарах дүнг ойлгуулах, хэрэгжүүлэх чадавхыг бэхжүүлэх сургалтыг малчдын дунд зохион байгуулан хөтөлбөрт сайн дураар оролцоход нь дэмжлэг үзүүлэх Хөтөлбөрөөр дэвшүүлж байгаа үйл ажиллагаа Өлзийт сумын малчдын дунд өндөр дэмжлэгтэй байна. Тухайлбал, 2019 онд малчдын дунд явуулсан судалгаагаар МАА-н эрсдэлийн санг 582 малчнаас 419 нь буюу 72.0% нь дэмжиж оролцоно гэсэн байна24. Хөтөлбөрийг хэрэгжүүлснээр гарах үр дүн. Хөтөлбөрийг хэрэгжүүлснээр дараах үр дүн гарна. Үүнд:  Малын тоо 125074 хонин толгойгоор цөөрч, бэлчээрийн даац хэтрэлт 1041.5%-с 788.8% болж 252.7 пунктээр, малын дутуу хооллолт 91.2%-с 88.7% болж 2.5 пунктээр буурна  Малын тарга хүч, ашиг шим сайжирч, эдийн засгийн эргэлтэд оруулж, борлуулах нь нэмэгдсэнээр малын өрхийн жилийн дундаж мөнгө орлого 14.6 саяас 25.2 сая төгрөг болж 73%-р өснө  Бэлчээрийн ачаалал буурснаар малын эрсдэл багасаж, чанар ашиг шим нь сайжирснаар өндөр үнэтэй зах зээлд хүрэх боломж нээгдэнэ  Бэлчээрийн талхагдал багасаж, байгалийн унаган төрх, биологийн олон янз байдал сэргэн орон нутгийн аялал жуулчлалын үнэ цэнэ нэмэгдэнэ  Төсвийн татааснаас хараат бус 342 сая төгрөгийн орон нутгийн бие даасан эх үүсвэртэй болж, МАА-н үйл ажиллагааг санхүүжүүлэх эдийн засгийн чадавх нэмэгдэнэ Хөтөлбөрөөр гарах үр дүнгийн үндэслэл тооцоо. Тооцоонд дараах мэдээлэл, аргачлалыг ашиглав. Үүнд:  Бэлчээрийн талбай: Газар зохион байгуулалт, геодези, зураг зүйн газрын 2019 оны мэдээлэл, га  Бэлчээрийн ургац: Ус, цаг уур, орчны шинжилгээний газрын 2014-2019 оны сумдын бэлчээрийн дундаж ургац, ц/га  Бүтээгдэхүүний үнэ: Архангай аймгийн зах зээлийн сүүлийн 3 жилийн дундаж үнэ  Малын ашиг шим: ойт хээр, хээрийн бүсийн дундаж ашиг шим  Малын тоо, сүргийн бүтэц: Өлзийт 2019 оны жилийн эцсийн тоо, сүргийн бүтцийн мэдээлэл  Малчин өрхийн нийт орлого: Тухайн жилд үйлдвэрлэсэн МАА-н бүтээгдэхүүнийг үнээр үржүүлж 24 Бодлого судлалын төв, Бэлчээрийн тогтвортой менежмент төслийн явцын тайлан, “Монголын унаган байгалийн хүлцэл ба тогтворжилтыг хангах нь” төсөл, 2019
  • 166.
    170  Малчин өрхийнмөнгөн орлого: Нийт орлогоос өрхийн хүнсэнд хэрэглэсэн бүтээгдэхүүний үнийг хасаж  Мал цөөлснөөр олох нэмэгдэл хуримтлал: Малын тоог урьд оноос бууруулсан хэмжээгээр борлуулсан малын мах, арьс ширний орлогоор тооцов  Нэг хонин толгойд мөнгөн ноогдох орлого: Өрхийн мөнгөн орлогыг өрхийн малын хонин толгойн тоонд хувааж  Малын тоо цөөрч байгаа ч орлого өсөж байгаа нь малын тоо цөөрснөөр үлдэж байгаа малын идэш, тэжээлийн хангамж сайжирч, үүнийг дагаад малын тарга хүч, ашиг шим нэмэгддэг зүй тогтлоос хамааралтай юм. Үүнийг Хүснэгт 8.1.1.2.1 -д харуулав. Хүснэгт 8.1.1.2.1а Нэг малаас авах ашиг шим, суурь болон 2027 оноор Нэгжийн ашиг шим Малы н төрөл Суурь он буюу 2019 он 2027 он Ноос кг Сүү л Мах кг арьс , шир Ноо с кг Сү ү л Ма х кг арьс , шир Тэмээ 5 220 200 1 5.2 247 225 1 Адуу - - 135 1 - - 152 1 Үхэр - 240 130 1 - 270 146 1 Хонь 1.1 - 18 1 1.1 - 20 1 Ямаа 0.29 - 15 1 0.3 - 17 1 Эх сурвалж: БСТ-н тооцоо Хүснэгтээс хараад бэлчээрийн төлөв байдал сайжирсан, малын дутуу хооллолт багассанаар тарга тэвээрэг сайжирч нэгжийн ашиг шим сайжирч байна. Малын ашиг шимийг дагаад бүтээгдэхүүн үйлдвэрлэл өсөж байгааг дараагийн хүснэгтэд харуулав. Хүснэгт 8.1.1.2.1б Малын тоог цөөлөх, барих, өсгөх сүргийн эргэлтийн үед МАА-н түүхий эд, бүтээгдэхүүний үйлдвэрлэл, малын тооны өөрчлөлт № МАА-н бүтээгдэхүүний үйлдвэрлэл 2027 он Малын тоог цөөлөх Малын тоог барих Малын тоог өсгөх 1 Мах үйлдвэрлэл, тонн 3548.4 2675.5 1995.7 2 Сүү, мянган литр 1715.1 1719.2 1922.9 3 Арьс шир, ширхэг 126,689 108,162 88,459 4 Ноос, тонн 192.6 227.2 296.9 5 Ноолуур,тонн 26.7 31.5 41.2 6 Борлуулах мах, тонн 3106.7 2323.8 1554.0 7 Борлуулах сүү, мянган литр 1161.2 1165.3 1369.0 8 Малын тоо, хонин толгой 427,816 552,890 739,892 9 1 өрхийн малын тоо, хонин толгой 510 659 929
  • 167.
    171 10 Малчин өрхийнжилийн дундаж мөнгөн орлого, сая төгрөг 27.8 20.2 16.6 10 1 хонин толгойд ногдох мөнгөн орлого, мянган төгрөг 49.5 30.7 17.9 Хүснэгт 8.1.1.2.2 Малын тоог бэлчээрийн даацад нийцүүлэн цөөлөх тооцоо, сумын дүнгээр Он Бэлчээрийн хэмжээ,га Бэлчээрийн дундаж ургац,цн/га Бэлчээрийн тэжээлийн нөөц,цн Бэлчээрийн даац,хонин толгой Бэлчээрийн ачаалал, хонин толгой Бэлчээрийн даац ашиглалты нхувь Суурь 2019 156490 1.9 297331 49555 565689 1141.5 2020-2022 бэлтгэл үе 156490 1.9 297331 49555 565689 1141.5 2023 156490 1.9 297331 49555 538368 1086.4 2024 156490 1.9 297331 49555 512013 1033.2 2025 156490 1.9 297331 49555 486959 982.7 2026 156490 1.9 297331 49555 463142 934.6 2027 156490 1.9 297331 49555 440435 888.8 Эх сурвалж: БСТ-н тооцоо Малын тоо толгойг бэлчээрийн даацад нийцүүлэн бууруулах тооцоог Хүснэгт 8.1.1.2.3 -д харуулав. Хүснэгт 8.1.1.2.3 Сумын бэлчээрийн даац, ачаалал, хонин толгойгоор Үзүүлэлт 2020- 2022 2023 2024 2025 2026 2027 Бэлчээрийн даац 49555 49555 49555 49555 49555 49555 Бэлчээрийн ачаалал бүгд 565689 53836 8 51201 3 48695 9 46314 2 44043 5 - Том мал 552890 52524 6 49898 3 47403 4 45033 2 42781 6 - Төл 12799 13123 13030 12925 12810 12619 Бэлчээрийн даац ашиглалтын хувь 1141.5 1086.4 1033.2 982.7 934.6 888.8 Малын дутуу хооллолтын хувь 91.2% 90.8% 90.3% 89.8% 89.3% 88.7% Эх сурвалж: БСТ-н тооцоо Малын тоог бууруулахдаа 2020-2022 онуудад хөтөлбөрийг малчдад ойлгуулах зэрэг бэлтгэл ажлыг ханган 2023 оноос эхлэн хэрэгжүүлэхээр төлөвлөж байна.
  • 168.
    172 Тооцоогоор хөтөлбөр хэрэгжиждуусах 2027 онд 2019 оныхоос малын тоо 125074 хонин толгойгоор цөөрч 427816 хонин толгой болно. Малын тоог цөөлснөөр бэлчээрийн ачаалал буурах зүй тогтлыг Зураг 8.1.1.2 -д харуулав. Бэлчээрийн ачаалал буурснаар зэрлэг амьтны идэш тэжээлийн олдоц энэ хэмжээгээр сайжирна гэсэн үг юм. Малын тоог бэлчээрийн даацад нийцүүлэн цөөлөх зорилтыг хэрэгжүүлэхийн тулд бэлчээр ашиглалтын гэрээ байгуулж, түүнд бэлчээрийн даацад тохирсон малын тоог хонин толгойгоор заан түүнээс хэтэрсэн малыг жилд 6%-с ихгүйгээр аажмаар цөөлөх замаар хэрэгжүүлэх юм. Зураг 8.1.1.2 Бэлчээрийн ачаалал буурах нь Эх сурвалж: БСТ-н боловсруулалт Газрын тухай хуулийн 52.2-т “Өвөлжөө, хаваржааны тодорхой нутаг бэлчээрийг талхагдлаас хамгаалах, нөхөн сэргээх зорилгоор тухайн бүс нутгийн онцлог, бэлчээр ашиглаж ирсэн уламжлал, даац, чадавхыг харгалзан, Багийн Иргэдийн нийтийн хурлын саналыг үндэслэн сумын Засаг дарга малчдад болзол гэрээний
  • 169.
    173 дагуу хэсэг бүлгээрашиглуулж болно” гэж заасны дагуу бэлчээрийг гэрээгээр ашиглуулах ажлыг 3 үе шатаар хэрэгжүүлэхээр төлөвлөв /Зураг 8.1.1.3/. Зураг 8.1.1.3 Бэлчээрийг гэрээгээр ашиглуулах ажлын үе шат Эх сурвалж: БСТ-н тооцоо Бэлчээрийг гэрээгээр ашиглуулах нь дараах ач холбогдолтой. Үүнд:
  • 170.
    174 1. Бэлчээр “эзэнтэй”болж, зохистой ашиглах, хамгаалах, сайжруулах хөшүүрэг бий болно. 2. Малын тоог бэлчээрийн даацтай уялдуулснаар зөвхөн малын тоог өсгөх биш харин харин эдийн засгийн эргэлтэд оруулан борлуулах, ашиг шим, чанарыг эрхэмлэх сэтгэлгээ төлөвшинө. 3. Мал аж ахуйг чанар, бүтээмжид суурилсан тогтвортой хөгжлийн гулдралд оруулж, МАА-н өсөн нэмэгдэж байгаа хэрэгцээг хангаж, үнийн өсөлтөөс сэргийлнэ. 4. Бэлчээрийн эдэлбэрээс бусад эдэлбэрт шилжихэд малчид, нутгийн захиргаа, мал аж ахуйн салбарын эрх ашгийг зохистой харгалздаг нөхцөлийг бүрдүүлнэ. 5. Бэлчээрийн унаган төрхийг сэргээн хадгалж, экологийн цэвэр бүтээгдэхүүнээр зах зээлд өрсөлдөж, эдийн засгийг солонгоруулах гарцыг нээнэ. Малыг аж ахуйн эргэлтэд оруулан бэлчээрийн ачааллыг бууруулснаар бэлчээрийн гарц, зүйлийн бүрэлдэхүүнийг сайжруулан МАА-н үндэс болсон бэлчээрээ хамгаалах, ингэснээр малынхаа ашиг шим, чанарыг сайжруулан орлогоо нэмэгдүүлэх нь МАА-н тогтвортой хөгжлийн хөтөлбөрийн эдийн засгийн үндэслэл юм. Ийм бодит үндэслэл байгаа болох нь шинжлэх ухааны үндэстэй сүргийн бүтцийн тооцоогоор батлагдаж байна. Сумын дундаж нэг малчин өрх дээр малынхаа тоог жилд дунджаар 5% бууруулах, жилд малыг 6-10 хувиар өсгөх гэсэн 2 хувилбараар сүргийн эргэлтийн нарийвчилсан тооцоог хийж харьцуулав /Сүргийн эргэлтийг Хавсралт 8.1.2-д харуулав. Сүргийн эргэлтийг үндэслэн хийсэн орлогын тооцоог Хүснэгт 8.1.1.2.4-д харуулав. Хүснэгт 8.1.1.2.4 Малтай өрхийн малын тоо буурсан ч орлого нэмэгдэх тооцоо Үзүүлэлт Суурь 2023 2024 2025 2026 2027 Сумын мал, мянган толгой 353042 335390 318620 302689 287555 273177 Сумын мал, мянган хонин толгой 552890 525246 498983 474034 450332 427816 Малчин өрхийн малын тоо, хонин толгой 659 626 595 565 537 510 Малчин өрхийн нийт орлого 1, мянган төгрөг 17193 26837 27179 27511 27832 27831 Өрхийн дотооддоо хэрэглэсэн бүтээгдэхүүн, мянган төгрөг 2587 2587 2587 2587 2587 2587 Малчин өрхийн мөнгөн орлого, мянган төгрөг 14605 24250 24592 24923 25244 25243 Мал цөөлснөөр хадгаламж, хөрөнгө оруулалтын эх үүсвэр бүрдүүлэх боломж 2, мянган төгрөг 0 3534 3454 3376 3299 3224 1 хонин толгойд ногдох мөнгөн 20.7 38.7 41.3 44.1 47.0 49.5
  • 171.
    175 орлого, мянган төгрөг Эхсурвалж: БСТ-н тооцоо Тайлбар: 1 Малын тоо буурсан ч малчин өрхийн орлого өсөж байгаа нь бүтээмжийн өсөлтөөс буюу малын ашиг шим дээшилж, хорогдол багасан эх малын хувийн жин дээшилж, сүргийн бүтэц сайжирснаар гарч байгаа юм. Дээрх орлого нь жилд дунджаар 10 хувиар нэмэгддэг МАА-н бүтээгдэхүүний үнийн өсөлтийг оруулаагүй бөгөөд учир нь инфляцын түвшин мөн 10 хувь орчим байгаа тул бодит орлогод үзүүлэх нөлөө нь ойролцоогоор тэг гэж үзэж болох юм. 2 Малын тоог барих эсвэл өсгөх тохиолдолд ашиглах бүтээгдэхүүн нь орлого болдог, харин малын тоог бууруулах нь орлого олох хэрэгслээ худалдаж байгаа учраас орлогод тооцогдохгүй. Өөрөөр хэлбэл мал гэдэг хөрөнгөө мөнгө болгож байгаа хэлбэр бөгөөд цаашид хадгаламж юм уу мал аж ахуй, жижиг дунд үйлдвэрлэлд оруулах хөрөнгийн эх үүсвэр болгон ашиглаж болно. Дээрх хүснэгт дээр энэхүү боломж 1 өрхөд дунджаар 3.5 сая төгрөг буюу 10 өрхтэй бүлэг дээр жилдээ 35 сая төгрөг хуримтлагдаж байна. Үүнээс малын чанар, эрүүл мэндийг сайжруулах, бүтээгдэхүүнээ боловсруулж, зах зээлд үнэ хүргэж борлуулах, гэрээт бэлчээр дээрх амьтан, ургамал зэргээр ашиг орлогоо цаашид улам бүр нэмэгдүүлэхэд хөрөнгө оруулах боломжтой юм. Дээрх хүснэгтэд харуулснаар малын тоо буурч, бэлчээрийн хүрэлцээ сайжирснаар малын ашиг шим нэмэгдэж, өрхийн дотоод хэрэгцээг хасаад үлдэх жилийн мөнгөн орлого суурь онд 14.6 саяас 25.2 сая төгрөгөөр, нэг хонин толгой малаас авах орлого буюу бүтээмж 20.7 мянган төгрөгөөс 49.5 мянган төгрөг болж 2.4 дахин өсөж байна. Тахирмаг 8.1.1.2.1 Нэг хонин толгой малаас зах зээлд борлуулах бүтээгдэхүүний харьцуулалт, мянган төгрөг
  • 172.
    176 Тахирмагт үзүүлснээр малынтоо толгойг өнөөгийн байдлаар өсгөсөн тохиолдолд нэг хонин толгой малаас үйлдвэрлэж, борлуулах бүтээгдэхүүн 2019 онд 20.7 мянган төгрөг байгаа бол 2027 онд 17.9 мянган төгрөг болж буурч байна. Харин хөтөлбөрийг хэрэгжүүлснээр энэ үзүүлэлт өнөөгийнхөөс 2.8 дахин илүү байх тооцоо гарч байна. Малын тоо толгойг өнөөгийн байдлаар өсгөсөн тохиолдолд малчин өрхийн орлогын тооцоог Хүснэгт 8.1.1.2.5 -д үзүүлэв. Хүснэгт 8.1.1.2.5 Малтай өрхийн малын тоог өсгөх тооцоо Үзүүлэлт Суурь 2023 2024 2025 2026 2027 Сумын мал, мянган толгой 35304 2 37422 5 396678 420479 445707 47245 0 Сумын мал, мянган хонин толгой 55289 0 58606 3 621227 658501 698011 73989 2 Малчин өрхийн малын тоо, хонин толгой 659 706 756 810 868 929 Малчин өрхийн нийт орлого, мянган төгрөг 17193 17193 17693 18196 18698 19199 Өрхийн дотооддоо хэрэглэсэн бүтээгдэхүүн, мянган төгрөг 2587 2587 2587 2587 2587 2587 Малчин өрхийн мөнгөн орлого, мянган төгрөг 14605 14605 15106 15608 16111 16611 1 хонин толгойд ногдох мөнгөн орлого, мянган төгрөг 20.7 20.7 20.0 19.3 18.6 17.9 Эх сурвалж: БСТ-н тооцоо Хүснэгт 8.1.1.2.5- с харвал малаа өнөөгийн байдлаар жилд 6-10 хувь өсгөж байгаа малчин өрхийн мөнгөн орлого малын тоогоо цөөлж байгаа малчин өрхийн мөнгөн орлогоос бага өсөж байна. Мал аж ахуйн гол нэрийн бүтээгдэхүүний үйлдвэрлэл. Монгол улсын МАА-н үйлдвэрлэл зонхилсон аль ч сумын адил Өлзийт сум нь өөрийн цөөн хүн амын МАА-н гаралтай хүнс, түүхий эдийн хэрэгцээг бүрэн хангаад дийлэнхийг аймгийн төв, Улаанбаатар хот зэрэг бусад зах зээлд нийлүүлж байна. Хөтөлбөрийг хэрэгжүүлсний эцэст /2027 онд/ Өлзийт сум 3548.4 тн мах, 126.7 мянган ширхэг арьс шир, 1715.1 мянган литр сүү, 26.6 тн ноолуур, 192.6 тн ноос үйлдвэрлэх юм. Эрчимжсэн аж ахуйгаас үйлдвэрлэх 20 мянган литр сүүг оруулбал сүү үйлдвэрлэл 1735.1 мянган литр болж өсөж байгаа юм. Өлзийт сумын хэмжээнд өнөөгийн байдал болон 2027 оны байдлаар сумын хүн амын мах, сүүний хэрэгцээг үйлдвэрлэлийн хэмжээтэй харьцуулсан үзүүлэлтийг Тахирмаг 8.1.1.2.2-д харуулав. Мах, сүүний хэрэгцээг одоогийн 1 жишсэн хүний жилийн дундаж хэрэглээгээр тооцов. Үүнд мах жилд 130 кг, сүү 163 кг.
  • 173.
    177 Сумын хүн ам2027 онд 3398 болж өсөж байгаа бөгөөд МАА-н тогтвортой хөгжлийн хөтөлбөрийг хэрэгжүүлснээр сумын хүн амын мах, сүүний хэрэгцээг бүрэн хангаад 3106.7 тн мах, 1161.2 мянган литр сүү сумаас гадагш зах зээлд нийлүүлэх тооцоо гарч байна. Малчин өрхийн бэлтгэж байгаа сүү нь ихэвчлэн өрхийн дотоод хэрэглээнд зориулагддаг тул сумын төвийн хүн ам, сургууль, цэцэрлэгийн хэрэгцээг жилийн турш хангах зорилгоор сүүний үүлдрийн 20 үнээтэй 1 ферм байгуулахаар төлөвлөж байна /Бүлэг 8.2-с харах/. Тахирмаг 8.1.1.2.2 Өлзийт сумын хүн амын мах, сүүний хэрэгцээ, үйлдвэрлэл 2019 ба 2027 оноор, тонн Эх сурвалж: БСТ-н тооцоо МАА-н тогтвортой хөгжлийн хөтөлбөрийг хэрэгжүүлж, малыг аж ахуйн эргэлтэд оруулснаар 3106.7 тн махыг дунджаар 6000 төгрөгөөр борлуулбал 18.6 тэрбум төгрөгийн борлуулалт хийх бөгөөд хэрэглэгчдийн шаардлагад нийцсэн гарал үүсэл нь тодорхой, эрүүл, чанарын шаардлага хангасан гэж үзээд борлуулах махны 50%-г дотоодын зах зээлд 10% буюу 600 төгрөгийн илүү үнээр борлуулна гэж үзвэл үнийн зөрүүнээс 932 сая төгрөгийн нэмэлт орлого зөвхөн чанарын шаардлага хангасан махнаас олох боломж харагдаж байна. МАА-н тогтвортой хөгжлийн хөтөлбөрийг хэрэгжүүлэх хөрөнгийн эх үүсвэр. Хөтөлбөрийг хэрэгжүүлэх санхүүгийн эх үүсвэрийг МАА-н эрсдэлийн сан байгуулж, шийдвэрлэнэ гэж үзэв. МАА-н эрсдэлийн сангийн санхүүжилтийг 2 эх үүсвэрээс бүрдүүлнэ. Үүнд:  Малчдын санд оруулах хандив: 1 хонин толгой тутамд-500 төгрөг 408.1 1878.9 441.7 3548.4 511.7 1699.0 553.9 1715.1 0.0 500.0 1000.0 1500.0 2000.0 2500.0 3000.0 3500.0 4000.0 хэрэгцээ Үйлдвэрлэл хэрэгцээ Үйлдвэрлэл 2019 он 2027 он Мах тн Сүү мян. л
  • 174.
    178  Орон нутгийнхөгжлийн сан, төсөл хөтөлбөр бусад хандив тусламж: 1 хонин толгой тутам 300 төгрөг  Сангийн нийт орлого 1 хонин толгойд 800 төгрөг байна МАА-н эрсдэлийн сангаар бүрдсэн санхүүжилтийг дараах байдлаар зарцуулна. Үүнд:  1 хонин толгойд 365 төгрөгөөр тооцсон санхүүжилтийг бэлчээр, эрсдэл, малын эрүүл мэнд, үржил, бүтээгдэхүүн борлуулах, байгаль хамгаалах зэрэг нэр бүхий 21 чиглэлээр малчдаас гарах төслийг хэрэгжүүлэхэд  1 хонин толгойд 300 төгрөгөөр тооцсон санхүүжилтийг сумын төвд байгуулах малын чанарыг хянаж, баталгаажуулах цэгээр малаа борлуулсан малчдыг урамшуулахад  1 хонин толгойд 135 төгрөгөөр тооцсон санхүүжилтийг сумын мэдэлд үлдээж, хөтөлбөрийг хэрэгжүүлэх, хяналт тавих, тэргүүн туршлага, шилдэг арга барилыг сурталчлах, дэлгэрүүлэх зэрэг сумын нийтлэг арга хэмжээнд зарцуулна. Ийнхүү малчид 500 төгрөгийн хандив төлж байгаа ч буцаагаад 665 төгрөгийн ашиг хүртэх юм. МАА-н эрсдэлийн сангийн санхүүжилтийг Хүснэгт 8.1.1.2.6-д заасан үе шаттайгаар хэрэгжүүлэх бөгөөд эхний жил малын 20 хувийг хамруулж 84 сая төгрөгийн сан бүрдүүлж нийт сангийн хөрөнгийн 83.1 хувийг малчдын МАА-н эрсдэлийг бууруулах үйл ажиллагаанд, 16.9 хувийг сумын мэдэлд хуваарилж, сум орон нутгийн МАА-н нийтлэг арга хэмжээнд зориулан зарцуулна. Хүснэгт 8.1.1.2.6 Өлзийт сумын МАА-н эрсдэлийн сангийн тооцоо, сая төгрөг Үзүүлэлт оноор 2023 2024 2025 2026 2027 Малын тоо, хонин толгой 525246 498983 474034 450332 427816 Малын хөтөлбөрт хамрагдах % 20 40 60 80 100 Малын хамрагдах хонин толгой 105049 199593 284420 360266 427816 1 х/т –д 500-р тооцсон малчдын хандив, сая төгрөг 52.5 99.8 142.2 180.1 213.9 1 х/т –д 300-р тооцсон ОНХС-ийн санхүүжилт, сая төгрөг 31.5 59.9 85.3 108.1 128.3 Сангийн нийт орлого, сая төгрөг 84.0 159.7 227.5 288.2 342.3 Малчдаас гарах саналыг санхүүжүүлэхээр тэдэнд буцаан олгох, сая төгрөг 69.9 132.7 189.1 239.6 284.5 Үүнээс малын чанарыг хянаж, баталгаажуулах цэгээр дамжуулан малчдад буцаан олгох, сая төгрөг 38.3 72.9 103.8 131.5 156.2 Сумын мэдэлд үлдэх сая төгрөг 14.2 26.9 38.4 48.6 57.8
  • 175.
    179 Эх сурвалж: БСТ-нтооцоо МАА-н эрсдэлийн сангийн талаарх дэлгэрэнгүй мэдээлэл, арга зүй, журмыг МАА- тогтвортой хөгжлийн хөтөлбөрт үзүүлэв /Хавсралт 8.1.4/ Дэвшүүлж байгаа МАА-н тогтвортой хөгжлийн хөтөлбөр нь ахиу мал, бэлчээрийн төлөө малчид өөр хоорондоо дов довон дээрээ өрсөлддөг, үр дүнд нь нэг мянгат малчин нөгөөгөөр л солигддог хөгжлийн одоогийн амиа аргацаасан явцгүй загварыг өөрчилж, малчин бүр бэлчээр, малынхаа чанар, ашиг шимийг дээшлүүлэн дэлхийн тавцанд өрсөлдөх алсаа бодсон хөгжлийн загварыг санал болгож байгаа юм /Зураг 8.1.4/. Зураг 8.1.1.2.1 МАА-н тогтвортой хөгжлийн загварыг одоогийн загвартай харьцуулсан нь 8.1.2 ЭРЧИМЖСЭН МАЛ АЖ АХУЙН ХӨГЖЛИЙН ТӨЛӨВЛӨЛТ Засгийн газрын 2018 оны 400 дугаар тогтоолоор батлагдсан “Эрчимжсэн мал аж ахуйн хөгжлийг дэмжих үндэсний хөтөлбөр”-р сүүний чиглэлийн үхрийн эрчимжсэн аж ахуйг нийслэл орчмын, аймгийн төвийн, тариалангийн бүсийн гэсэн гурван чиглэлээр хөгжүүлэхээр заасан бөгөөд Өлзийт сум нь тариалангийн бүсийн чиглэлд хамаарч байна. “Тариалангийн зарим бүс нутгийг тогтоох тухай” Засгийн газрын 2018 оны 131-р тогтоолоор эрчимжсэн мал аж ахуйн бүс гэж үзэв. Эрчимжсэн МАА-г хөгжүүлэх талаар үндэсний болон орон нутгийн бодлогын тэргүүлэх чиглэлд дараах заалтууд орсон байна. Үүнд: “Монгол мал” үндэсний хөтөлбөр:
  • 176.
    180  Уур амьсгалынөөрчлөлт, нийгмийн хөгжлийн чиг хандлага, эдийн засгийн эрэлт хэрэгцээнд тулгуурлан Монгол улсад бэлчээрийн мал аж ахуйг зонхилон, эрчимжсэн мал аж ахуйг тодорхой бүс нутагт хязгаарлагдмал хүрээнд эрхлэх Архангай аймгийн тогтвортой хөгжлийн хэтийн зорилт-2026 дунд бодлогын баримт бичиг /2017-2026/:  Төв суурин газруудыг түшиглэн түүний ойролцоо эрчимжсэн загвар аж ахуйг бий болгох бүсүүдийг тогтоох,  Өндөр ашиг шимтэй мах, сүүний чиглэлийн үүлдрийг дэмжих Дээрх шийдвэр, бодлогын бичиг баримтыг үндэслэн тогтоосон эрчимжсэн МАА-г хөгжүүлэх бүсийг Зураг 8.1.2.1-д харуулав.
  • 177.
    181 Зураг 8.1.2.1 Эрчимжсэнмал аж ахуйн бүс нутаг Эх сурвалж: БСТ-н боловсруулалт Засгийн газрын 2018 оны 131 дүгээр тогтоолд заасанчлан газар тариаланг эрчимжсэн мал аж ахуйтай хоршин хөгжүүлэх бодит суурь, боломж бүрдээд байна.
  • 178.
    182 2019 оны байдлаартус суманд мах сүүний хосолмол ашиг шимт Алатау үүлдрийн 32 үнээ, 2 бух 4 малчин өрхөд өсгөж байна. Архангай аймгийн МАА-н салбарыг хөгжүүлэх дунд хугацааны бодлогыг баримт бичигт хосолмол ашиг шимт үхрийн жижиг ферм байгуулах зорилт тусгагдсаныг хэрэгжүүлэх, сумын төвийн иргэд, сургууль, цэцэрлэг, эмнэлгийн сүүний хэрэгцээг жилийн 4 улиралд хангах зорилгоор Алатау үүлдрийн 20 үнээтэй жилийн нийт саам нь 20000 литрээс багагүй 1 сүүний ферм байгуулахаар төлөвлөгөөнд оруулж байна. Алатау үүлдрийн үхэр нь бэлчээр болон хагас байран маллагааны нөхцөлд зохицсон, тэсвэртэй мах-сүүний хосолмол ашиг шимтэй халиун зүстэй. Алатау үүлдрийн нас гүйцсэн бух 680-700, үнээ 470-490, гунж 390-430 кг жинд хүрэхээс гадна саалийн хугацаанд 3.8-4.0 хувийн тослогтой 2300-2700 л сүү өгдөг. Түүний эрлийз нь 1100-1300 л сүү өгдөг. Цэвэр буюу эрлийз үнээ нь 11 сараас 4 сарыг хүртэл 150-180 хоног битүү дулаан байранд байнгын тэжээлд байна. Үнээг 240 хоног саана. Сүүний ферм байгуулагдахад шаардагдах хөрөнгө оруулалт, хүн хүч, тоног төхөөрөмж хангамж:  Зун-намрын улиралд ашиглах бэлчээр  Малын тэжээл тариалах талбай  Үнээ маллах 2 малчин  Ачааны машин – 8 сая төгрөг  Жилдээ 1200 литр сүү өгдөг 20 эрлийз үнээ -40 сая төгрөг  20 үнээний байр – 50 сая төгрөг  Худаг – 20 сая 20 саалийн үнээтэй ферм байгуулах нийт хөрөнгө оруулалт 98 сая төгрөг Үйлдвэрлэх бүтээгдэхүүний нэр төрөл  Үнээний сүү: Хэрэглэгчдийн эрүүл ахуйн хэрэгцээ болон үндэсний сүү боловсруулах үйлдвэрүүдийн технологийн шаардлагыг бүрэн хангасан 20000 л сүү үйлдвэрлэж нийлүүлнэ.  Үхрийн мах: Сүргийн зохистой эргэлтийн дагуу ангилан заазалсан болон эр өсвөр малыг махны зориулалтаар борлуулж, жилд дунджаар 9 сая төгрөгийн орлого олно Сүү үйлдвэрлэл, борлуулалтын орлого: Жилдээ 20000 литр сүү үйлдвэрлэж 2000 төгрөгөөр борлуулан 40 сая төгрөгийн орлого олно. Ингэснээр нийт орлого 49 сая төгрөг болно. Малын тэжээлийн зардлыг тооцохдоо 1 литр сүү үйлдвэрлэхэд 1.2 кг-с доошгүй тэжээл нэгжтэй тэнцэх хэмжээний тэжээл зарцуулдаг зарчмаар саалийн үнээний тэжээлийн хэрэгцээг тооцов. Түүнчлэн 20 үнээтэй байхын тулд сүрэг сэлбэх гунж зэрэг бусад малыг 6-р тооцож тэжээлийн хэрэгцээг гаргав.
  • 179.
    183 Хүснэгт 8.1.2.1 Саалийнфермийн үнээний тэжээлийн зардал жилээр Үзүүлэлт Өвс Шүүст Хүчит Дүн 1 үнээнд өдөрт өгөх норм хэмжээ, кг 4 8 2 Тэжээх хоног 180 180 180 20 толгой үнээнд шаардагдах тэжээл, тн 14.4 28.8 7.2 1 кг-н үнэ, төгрөг 120 360 460 Нийт үнэ, сая төгрөг 1.7 10.4 3.3 15.4 Эх сурвалж: БСТ-н тооцоо Хүснэгт 8.1.2.2 Саалийн фермийн бусад үхрийн тэжээлийн зардал жилээр Үзүүлэлт Өвс Шүүст Хүчит Дүн 1 үхэрт өдөрт өгөх норм хэмжээ, кг 3 1 Тэжээх хоног 180 180 6 толгой үхэрт шаардагдах тэжээл, кг 3.24 3.6 1 кг-н үнэ, төгрөг 200.0 460.0 Нийт үнэ, сая төгрөг 0.6 1.7 2.3 Эх сурвалж: БСТ-н тооцоо Дээрх тооцооноос үндэслэн 20 үнээтэй фермийн тэжээлийн нийт зардал 17.7 сая төгрөг болж байна. Тухайн хөрөнгө оруулалт ашигтай эсэх үнэлгээ хийхэд түгээмэл хэрэглэдэг мөнгөн урсгал, хөрөнгийн дотоод өгөмж /Internal rate of Return, IRR/-н үзүүлэлтээр үнэлгээ хийхэд 20 үнээтэй сүүний фермийн хөрөнгийн дотоод өгөмж 12% гарсан нь энэхүү төслийг 12%-ийн зээл аваад хэрэгжүүлсэн ч эдийн засгийн үр ашигтай гэсэн дүн гарч байна. Хүснэгт 8.1.2.3 Саалийн фермийн эдийн засгийн үр ашгийн тооцоо, 10 жилээр, сая төгрөг Үзүүлэлт, жилээр 1 2 3 4 5 6 7 8 9 10 Тэжээлийн зардал 17.7 17.7 17.7 17.7 17.7 17.7 17.7 17.7 17.7 Малчны зардал 3.6 3.6 3.6 3.6 3.6 3.6 3.6 3.6 3.6 Бусад урсгал 0.6 0.6 0.6 0.6 0.6 0.6 0.6 0.6 0.6 Урсгал зардлын дүн 21.9 21.9 21.9 21.9 21.9 21.9 21.9 21.9 21.9 Хөрөнгө оруулалт 98 - - - - - - - - - Нийт зардал 98 21.9 21.9 21.9 21.9 21.9 21.9 21.9 21.9 21.9 Орлого 0 40.0 40.0 40.0 40.0 40.0 40.0 40.0 40.0 40.0 Мөнгөн урсгал -98 18.1 18.1 18.1 18.1 18.1 18.1 18.1 18.1 18.1 Хөрөнгө оруулалтын дотоод өгөмж 12% Эх сурвалж: БСТ-н тооцоо Цаашид:  Сүүний чиглэлийн нэг үнээнээс саах сүүний хэмжээг нэмэгдүүлэх  Бэлчээр, цаг уурын нөхцөл сайтай, түүнчлэн газар тариалангийн бүсэд орсон багуудад тэжээлийн бэлтгэлийн асуудлыг шийдэх
  • 180.
    184  Цэвэр үүлдрийнболон дээд үеийн эрлийз малын тоог нэмэгдүүлэхийн тулд эрлийзжүүлгийг нэлээд эрчимжүүлэх шаардлагатай. 8.1.3 Мал сүргийн үржлийн талаар авах арга хэмжээ “Архангай аймгийн тогтвортой хөгжлийн хэтийн зорилт - 2026” бодлогын баримт бичигт хөдөө аж ахуйн салбар, байгаль орчин аялал жуулчлалыг тэргүүлэх чиглэл хэмээн тодорхойлж, МАА-н салбарын үндсэн зорилгыг, нэгдүгээрт: МАА-н үйлдвэрлэлээ чанаржуулах, хоёрдугаарт: нэг малаас гарч байгаа ашиг шимийг нэмэгдүүлэх, гуравдугаарт: малын чанар, үржлийг сайжруулах ажлыг мэргэжлийн байгууллагуудтай хамтран зохион байгуулахад чиглүүлэхээр заасан нь сумдад хэрэгжүүлэх үйл ажиллагаанд Нийт сүрэгт өндөр ашиг шимт мал, амьтны эзлэх хувийг нэмэгдүүлж, эрчимжсэн загвар, цогцолбор аж ахуйг олноор бий, малын удмын сан генетик нөөцийг сайжруулах, үржил-селекцийн ажлыг шинжлэх ухааны үндэслэлтэй явуулж, биотехнологийн ололтыг нэвтрүүлэн нийт сүрэгт цөм сүргийн малын эзлэх хувийг нэмэгдүүлэн, шинэ үүлдэр, омгийг бий болгохыг дэмжинэ хэмээн “Архангай аймгийн Засаг даргын мөрийн хөтөлбөр 2016-2020”-т тусгажээ. МАЛ СҮРГИЙН ТОО, ЧАНАРЫН ҮЗҮҮЛЭЛТҮҮД. Мал сүрэг жил дараалан өсөж, бэлчээрт үзүүлэх ачаалал нэмэгдэж байгаагийн улмаас талхдагдах хандлагатайн дээр байгаль орчинд зарим таагүй нөлөөлөл үзүүлэх тал ажиглагдаж байгаа тухай төлөвлөгөөний холбогдох бүлэгт баримттай өгүүлсэн болно. Тус сумын нийт малын дотор бог /хонь, ямаа/ мал, түүний дотор хонь давамгайлсан, гэхдээ багуудад үндсэн 4 төрлийн мал харьцангуй жигд тархжээ. Тахирмаг 8.1.3.1 Сумын нийт малд төрөл бүрийн малын эзлэх хувь, багаар, 2019 он
  • 181.
    185 Эх сурвалж: сумынЗДТГ, 2020, БСТ-ийн тооцоо Тархалт жигд боловч бод ба богийн харьцаагаар Бодонт, Байшир багт бод тоогоор илүү, өөрөөр хэлбэл хонины хувийн жин нэмэгдэхэд бод, ялангуяа үхрийнх буурах хандлагатай байгааг үржлийн ажилд анхаарах болно. Хүснэгт 8.1.3.1 Бод:богийн ба хонь:ямааны харьцаа, толгой, 2019 он Ямаат Бодонт Байшир Хөшөөт Сум Бод, толгой 10403 11997 10431 5241 38072 Бог, толгой 103004 90238 78027 43898 315167 Бод:бог 9.9 7.5 7.5 8.4 8.3 Хонь:ямаа 1.8 2.1 1.8 2.1 1.9 Эх сурвалж: ҮСХ, 2019 Харин хонь ба ямааны тооны харьцаа сумын дүнгээр1.9:1 байгаа нь ямааны тоо бусад малынхыг давсан бусад аймаг сумдаас ялгаатай үзүүлэлт мөн. МАЛ ҮРЖЛИЙН БОДЛОГО, АРГА ЗАМ Малын тоо, үүлдэрлэг байдал, төрөл бүрийн малын сүрэгт эзлэх хувь, түүнчлэн бог ба бод малын харьцааг одоогийн байдлаар буюу 2019 оны жилийн эцсийн мал тооллогын мэдээллийг ашиглан сумын хэмжээнд болон багаар тооцсон дүнгээс үзвэл дурдсан үзүүлэлтүүд сумын нутаг дэвсгэрт жигд гарсан нь малын үүлдэрлэг байдал, ашиг шимт чанарыг сайжруулахтай холбогдуулан зарим асуудлыг онцлон авч үзэх үндэслэл болж байна. Үүнд: Нэгдүгээрт: тэмээнээс бусад 4 төрлийн малд явуулах үржлийн ажлыг бүх багт нэгдсэн бодлого, үйл ажиллагаа, аргаар явуулах боломж Хоёрдугаарт: бүх багт үржлийн ажлыг нэг аргаар явуулахад байгаль-цаг уурын болон бэлчээр нутаг, газрын гадаргуун байдал тохирох эсэх зэрэг болно. 32.1 28.9 25.0 13.9 25.0 0.0 10.0 20.0 30.0 40.0 50.0 60.0 70.0 0.0 5.0 10.0 15.0 20.0 25.0 30.0 35.0 Ямаат Бодонт Байшир Хөшөөт Дундаж Төрөлбүрийнмалынэзлэххувь Бүхмалдбагийнмалынэзлэххувь Адуу Үхэр Хонь Ямаа Бүгд
  • 182.
    186 Эдгээрээс гадна “Тариалангийнзарим бүс нутгийг тогтоох тухай” Засгийн газрын 2018 оны 131 дугаар тогтоолоор тус сумын Байшир, Бодонт багийг газар тариалангийн бүсэд хамруулсантай холбогдуулан шинээр авч хэрэгжүүлэх арга хэмжээ гуравдугаар үндэслэл болж гарч байгаа юм. МАЛ ҮРЖЛИЙН АЖЛЫН ЧИГЛЭЛ, БОЛОМЖТОЙ АРГА ХЭМЖЭЭ Сумын мал сүрэгт явуулах үржлийн ажлыг “Малын генетик нөөцийн тухай” хуульд заасны дагуу шаталсан хэлбэрээр хэрэгжүүлэхээр төлөвлөж, үйл ажиллагаагаа зохицуулна. Мал сүргийн үүлдэрлэг байдал, үржил-ашиг шимт чанарыг сайжруулах ажлыг сумын хэмжээнд хэрэгжүүлэхэд ЗДТГ-ын ХАА-н тасаг зохицуулалтаар хангаж, мал үржүүлэг-технологийн ажил үйлчилгээний нэгж байгуулах, үйл ажиллагааг нь жигдрүүлэхэд зохион байгуулалтын талаас нь анхаарна. Бүх малчин өрхийн малд ХХААХҮ-н сайдын 2017 оны А/71 тоот тушаалаар баталсан “Мал ангилах заавар”-ын дагуу үзлэг ангилалт хийж, үржлийн сүргийн шаардлага хангасан сүрэг бүрдүүлэхээс үржлийн ажлыг шаталсан хэлбэрт шилжүүлэх эхний шаталбарыг хэрэгжүүлнэ. Зураг 8.1.3.1 Үржлийн ажлын шаталсан хэлбэрийн эхний шаталбар Малчин өрхийн сүрэг ҮС – үржлийн сүрэг ХС – хэрэгцээний сүрэг Эх сурвалж: Малын чанарыг сайжруулах талаар хэрэгжүүлэх үйл ажиллагаа, Мал аж ахуйн маркетинг төсөл, 2018 Үржлийн сүрэг нь хоёр талын нэн чухал ач холбогдолтой: 1.цөм сүрэг бүрдүүлэх суурь болж өгдөг, 2.хэрэгцээний сүргийг сайжруулах замаар аль болох олон малчин өрхийн сүргийг чанаржуулахад тустай зэрэг болно. Хэрэгцээний сүрэг сайжрахын хэрээр ашиг шим сайтай малын тоо олширч, шилэлт хийх боломж нэмэгддэг, ингэснээр үржлийн ажлыг илүү дээд шатанд хөтлөн явуулах урьдал нөхцөл бүрддэг зүй тогтолтой. Жишээ нь, үржлийн сүрэг сайжирч, дунджаас нь дээгүүр ашиг шимтэй мал олширвол цөм сүрэг бий болгох талаар төлөвлөнө. ХС ҮС ҮС Ү Ү Ү Ү Ү Ү Ү Өрхийн малыг үржлийн сүргийн хээлтүүлэгчээр сайжруулах
  • 183.
    187 Мал зүйн шинжлэхухаанд тогтсоноор цөм сүргийн ашиг шимийн босго үзүүлэлт үржлийн сүргийнхээс 15 ба түүнээс дээш хувь илүү байх ёстой. Цөм сүрэгт мал сонгох болохын цагт үүнийг баримжаалах нь зүйтэй. Мал сүргийн үржил-ашиг шимт чанарыг сайжруулах стратеги Эрчимжсэн мал аж ахуйг эрхлэх газар тариалангийн бүсэд багтсан Байшир, Бодонт багт дурдсан аргаар эрхлэхэд хамгийн тохиромжтой үхрийн хувийн жин сумын дунджаас доогуур, бог малынх өндөр байгаа учраас газар тариалан ба эрчимжсэн аж ахуйг хоршин эрхлэх шаардлагын дагуу тусгайлсан бодлого, арга хэмжээ хэрэгжүүлнэ. А. Үхэр сүргийг сайжруулах /тариалангийн бүсийн нэр бүхий 2 багийг хамруулах/ нэгдүгээрт: Эх орны махны үүлдэр болох Сэлэнгэ болон Дорнод Монголын талын улаан үүлдрийг ашиглан нутгийн үхрийн биерхэг байдлыг сайжруулах, амьдын жин өсвөр үедээ 15-18 хувь хүртэл нэмэгдэх тэжээллэг-маллагааны нөхцөлийг бүрдүүлэхэд бүх талаар анхаарна. Махны чиглэлээр “бэлчээр-нэмэгдэл тэжээл-бордоо” системд зохицуулан сайжруулах боломжийг судалж хэрэгжүүлнэ. хоёрдугаарт: мах-сүүний, эсвэл сүү-махны чиглэлээр жижиг фермийн аргаар эрхлэхэд хосолмол ашиг шимт Алатау, Симментал үүлдэр тохиромжтой, 1980-аад оны дундаас хосолмол ашиг шимт үхрээр сумынхаа үхрийг сайжруулах эрчимтэй эрлийзжүүлгийн бүсэд хамрагдаж тухайн үед хэрэгжүүлсэн үйл ажиллагааны туршлага, сургамжид тулгуурлана. Нэг үнээнээс саалийн 240-270 хоногт нийтдээ 1000 литр сүү саана гэвэл жилдээ тэжээл ба бусад зардлыг хасаад 420-440 мянга орчим төгрөгийн цэвэр ашгийг сүүнээс орох ба 1.3 жил нэг төллөхөөр тооцвол аж ахуйд ашиглах хугацаанд 4 удаа төллөж, нэг эхээс гаралтай 5-6 толгой болж өснө. Ийм үндэслэлээр тооцвол үнээ анх худалдан авсан өртгөө сүү ба төлөөрөө 4.2 жилийн дотор бүрэн төлнө. Гуравдугаарт: цэвэр үүлдрийн юм уу гурав ба түүнээс дээш үеийн эрлийз үхрээр эрлийзжүүлж сайжруулах хувилбарын тухайд гадаадаас оруулж ирсэн Лимузин, Херефорд, Казахын цагаан толгойт, Ангус үүлдрийг нутгийн үхрийг сайжруулахад ашиглах боломжийг хязгаарлагдмал хүрээнд сонирхсон малчдын хөрөнгө, оролцоо, сумын мэргэжлийн нэгжийн дэмжлэгтэйгээр туршина. Үхэр сүргийн үүлдэрлэг байдал, ашиг шимийг сайжруулах арга хэмжээг тариалангийн бүсэд орсон хоёр багийг түшиглэн явуулах ба сумын төвд ойр байгаа /Байшир ба Бодонт багийн/ атаршсан талбайг зөвхөн малын тэжээл тариалах зориулалтаар одоо байгаа болон шинээр байгуулагдах фермд олгоно. Харин Байшир багийн нутгийн баруун хойд хэсэгт байгаа талбайд чанартай өвс бэлтгэх арга хэмжээ авна. Б. Хонины сүргийг сайжруулах. Баяд, түүнчлэн Дархад, Цагаан-Уул үүлдэр, Хотонт үүлдрийн хэсгийг ашиглах замаар хониныхоо махан ашиг шимийг дагуулж малынхаа биерхэг байдлыг сайжруулах, улмаар нэгжээс ахиу ноос авах чиглэлийг
  • 184.
    188 баримтална. Ихтамир сумандахь Өндөр уулын бүсийн эрдэм шинжилгээний станцад явуулсан судалгаагаар Баяд үүлдрийн эрлийз бусад үүлдрийн эрлийзээс амьдын жин, ноосны гарцаар илүү болохыг тогтоосон нь энэ үүлдрийг ашиглахад үр дүнд хүрэх боломжтойг харуулж байна25. В. Ямааны ноолууран ашиг шимийг нэмэгдүүлэх. Ямаан сүргийн ашиг шимийн чадавхыг сайжруулахдаа чанаржуулах талыг барих нь тус сумын МАА-н хөгжлийн тэргүүлэх чиглэл байх болно. Ямааны ноолуурын нарийн ба уртын үзүүлэлтийг сайжруулахад үржлийн ажлыг чиглүүлэх, Эрчмийн хар үүлдрийн биологи-аж ахуйн үнэт чанарыг ашиглахад түлхүү анхаарна. Ямаан сүрэг бол үржлийн ажлыг шаталсан хэлбэрээр явуулахад хамгийн тохиромжтой гэж үздэг. Үржлийн сүрэг бүрдүүлэхийн тулд дараах арга хэмжээг нэн түрүүнд хэрэгжүүлнэ. - Малчдын ямаанд үзлэг, ангилалт хийж 500 орчим эм ямаа зүс, ноолуурын чанараар голчлон сонгох замаар үржлийн сүргийн эхний хэсгийг бүрдүүлэх, - Малчдын ашиглаж байгаа ухнад үзлэг хийж, үржлийн сүрэгт ашиглах боломжтой /нас болон ноолуурын чанар/ хээлтүүлэгчийг илрүүлж үржлийн сүргийн бүртгэлд авах, - Хэсэгчлэн нийлүүлэх аргаар 500 эм ямааг хээлтүүлэхэд 60 орчим ухна тавихаар тооцно. Суманд байгаа үржлийн бүртгэлтэй ухнаа хасаад гаднаас авах ухнын тоог гаргах. Нэг ухныг 150 орчим мянган төгрөгөөр худалдан авч нийлүүлэгт 3-4 жил ашиглахад багаар тооцоход төл нь 125-130 толгой хүрэх бөгөөд үүнээс 30 хувийг нь маханд, 20 орчим хувийг нь үржилд хэрэгцээний сүрэгт худалдана гэвэл худалдан авсан өртгөө 2.5 жилд нөхнө. 2025-2026 оны үед үржлийн ажлын шаталсан тогтолцооны дээд шаталбар болох цөм сүрэг бүрдүүлэх боломж бүрдэнэ. Малын тоог өсгөх болон тогтвортой барих нь Хүснэгт 8.1.3.2 Малын тоог цөөлөх, барих, өсгөх сүргийн эргэлтийн үед МАА- н түүхий эд, бүтээгдэхүүний үйлдвэрлэл, малын тооны өөрчлөлт № МАА-н бүтээгдэхүүний үйлдвэрлэл 2027 он Малын тоог цөөлөх Малын тоог барих Малын тоог өсгөх 1 Мах үйлдвэрлэл, тн 3548.4 2675.5 1995.7 2 Сүү,мян. л 1715.1 1719.2 1922.9 3 Арьс шир, ш 126688.8 108162.2 88459.3 4 Ноос, тн 192.6 227.2 296.9 5 Ноолуур,тн 26.7 31.5 41.2 25 Г.Самбуу, Нутгийн үүлдэр, омгийг ашиглан монгол хонийг үржүүлэх асуудалд. ХАА-н ухааны дэд эрдэмтний зэрэг горилсон диссертаци, 1994
  • 185.
    189 6 Борлуулах мах,тн3106.6 2233.7 1554.0 7 Борлуулах сүү, мян.л 1161.3 1165.3 1369.1 8 Малын тоо, хонин, тол 421229 544377 728500 9 Малчин өрхийн дундаж орлого. сая.төг 25.2 14.6 16.6 10 1 хонин толгойд ногдох мөнгөн орлого, мянган төгрөг 50.3 21.0 18.1 Малын тоо цөөрч байгаа ч орлого өсөж байгаа нь малын тоо цөөрснөөр үлдэж байгаа малын идэш, тэжээлийн хангамж сайжирч, үүнийг дагаад малын тарга хүч, ашиг шим нэмэгддэг зүй тогтлоос хамааралтай юм. Үүнийг Хүснэгт 8.1.3.2-д харуулав. Хү снэгт 8.1.3.3 Нас гү йцсэн эр малын сү рэгт эзлэх хувь № Малын төрөл 2027 он Малын тоог цөөлөх Малын тоог барих Малын тоог өсгөх 1 Адуу 7.0% 18.5% 25.7% 2 Үхэр 0.1% 8.8% 15.7% 3 Хонь 6.8% 12.9% 10.2% 4 Ямаа 6.9% 14.4% 9.9% Хүснэгт 8.1.3.4 Малын тоо цөөлөх, барих, өсгөх үед нэг малаас авах ашиг шим Нэгжий н ашиг шим Малын төрөл Малын тоог цөөлөх Малын тоог барих Малын тоог өсгөх Нооскг Сүүл Махкг Арьс, шир.ш Нооскг Сүүл Махкг Арьс, шир.ш Нооскг Сүүл Махкг Арьс, шир.шТэмээ 5.2 24 7 22 5 1 5 22 0 20 0 1 4.9 210 191 1 Адуу - - 15 2 1 - - 13 5 1 0.0 0.0 129 1 Үхэр - 45 0 14 6 1 - 40 0 13 0 1 0.0 376 124 1 Хонь 1.1 - 20 1 1.1 - 18 1 1.1 0.0 17 1 Ямаа 0.3 - 17 1 0.2 9 - 15 1 0.3 0.0 14 1 Эх сурвалж: БСТ-н тооцоо
  • 186.
    190 Малын төрөл тусбүр дээрх өсгөх болон тогтвортой барих үеийн тооцооллыг Хавсралт 8.1.3.1 ба 8.1.3.2 -д тус тус тусгав. 8.1.4 Малын эрүүл мэндийн ажлын төлөвлөлт Мал, амьтны эрүүл мэндийн тухай хуулийн зохих заалтууд, “Малын эрүүл мэнд” үндэсний хөтөлбөр/2018-2021/-ийн хүрээнд доорх зорилтуудыг дэвшүүлсэн байна. Үүнд: 2.2.1. Мал эмнэлгийн салбарын хууль эрх зүйн орчныг боловсронгуй болгох; 2.2.2. Мал, амьтны гоц халдварт болон халдварт, шинэ болон дахин сэргэж байгаа өвчнийг эрт илрүүлэх тандалтыг өргөжүүлэх замаар өвчнийг хяналтад авч, халдварт өвчингүй тайван байдлыг лабораторийн шинжилгээний үр дүнг харгалзан бүс нутгаар баталгаажуулах; 2.2.3. Мал, амьтны гоц халдварт, зооноз, шинэ болон дахин сэргэж байгаа халдварт өвчнөөс урьдчилан сэргийлэх, дархлаажуулалтыг шинжлэх ухааны нотолгоо, тархвар зүйн судалгааг үндэслэн төлөвлөх замаар бүс нутгаар нь хяналтад авах; 2.2.4. Мал, амьтны шилжилт хөдөлгөөний хяналтыг сайжруулах замаар гоц халдварт өвчин гарах, тархах шалтгаан, нөхцөлийг таслан зогсоох; 2.2.5. Мал эмнэлгийн байгууллагын мэргэжилтэн, малын эмч нарын мэдлэг, ур чадварыг дээшлүүлэх, малын эрүүл мэндийг хамгаалах үйлчилгээний чанар, хүртээмжийг нэмэгдүүлэх; 2.2.6. Малчин, үйлдвэрлэгч, хэрэглэгчдийг мал, амьтны эрүүл мэнд, түүнтэй шууд холбогдох нийтийн эрүүл мэндийн талаарх мэдлэг, мэдээллээр хангаж, үр дүнг сурталчлан таниулах Дээрх хууль, хөтөлбөрийн үзэл санаа, заалтуудтай уялдуулан Өлзийт сумын малын эрүүл мэндийн ажлыг төлөвлөв. Хүснэгт 8.1.4.1 Малын эрүүл мэндийн ажлын төлөвлөлт А.Сумын мал эмнэлгийн тасаг/МЭТ/-ийн үйл ажиллагааны талаар № Хэрэгжүүлэх үйл ажиллагаа Хариуцах эзэн Шаардагдах хөрөнгө оруулалт. мян. төг Хэрэгжих хугацаа 1 Сумын мал эмнэлгийн тасгийн 2 малын эмчийг ажлын өрөөтэй болгох Сумын ЗДТГ ЗДТГ-ын байрнаас өрөө гаргах 2020-2021
  • 187.
    191 2 Сумын малэмнэлгийн тасгийн 2 малын эмчийг ширээ, сандал, хувцасны шүүгээ, компьютерээр хангах МЭЕГ 5000.0 2021-2023 3 Мал эмнэлгийн тасагт малын өвчний 500-800 литр вакцин хадгалдаг багтаамж бүхий хүйтэн хэлхээний өрөөтэй болох, ажиллуулах МЭЕГ, Сумын ЗДТГ, Төсөл, хөтөлбөр 20000.0 2025-2027 4 Малын эм бэлдмэлийн хадгалалт, хамгаалалтыг зохих зааврын дагуу хийлгэх Сумын МЭТ Ажил үүргийн хуваарийн дагуу хийлгэх Жил бүр 5 Сумын мал эмнэлгийн тасгийн малын их эмч нарын мэргэжлийг дээшлүүлэх МЭЕГ, Аймгийн МЭГ, Төсөл, хөтөлбөр 2000.0 2022-2027 6 Орон нутагт нэн түрүүнд шаардлагатай байдаг мах, махан бүтээгдэхүүн, сүү, хүнсний ногоон дээр түргэвчилсэн зарим шинжилгээг хийх ажлыг туршин эхлүүлэх МЭЕГ, Аймгийн МЭГ, Төсөл, хөтөлбөр 5000.0 2022-2025 7 Сумын төв дээр зах зээлд борлуулж байгаа малд үзлэг, шинжилгээ хийх нэг цэгийн үйлчилгээ ажиллуулах /Малын хашаа, малд үзлэг хийх хашаа, мал пүүлэх цахилгаан жин 500- 1000 кг/ Мал худалдан авагч ХХК, Төсөл, хөтөлбөр, сумын ЗДТГ 6000.0 Шаардлагатай үед 8 Мал, амьтнаас хүнд халдварладаг /зооноз/ өвчнөөс мал сүрэг, хүн амаа урьдчилан сэргийлэх, хамгаалахын тулд сумын эрүүл мэндийн төвтэй хамтран сургалт, сурталчилгаа хүн амын дунд зохион явуулах Сумын МЭТ, ЭМТ, МЭҮН Ажил үүргийн хуваарийн дагуу хийх Жил бүр 9 Сумын малын нэн тэргүүнд шаардлагатай халдварт өвчний тархвар зүйн зураглалтай болох Аймгийн МЭГ, Сумын МЭТ, МЭҮН, Төсөл, хөтөлбөр МЭТ-ийн тархвар зүйч эмч ажил, үүргийн хуваарийн дагуу хийх 2021-2025 10 Мал эмнэлгийн үйлчилгээний нэгжийн хийж байгаа ажил, үйлчилгээний чанарт хяналт тавьж ажиллах Сумын МЭТ МЭТ-ийн эмнэлгийн улсын байцаагч, ажил үүргийн Жил бүр
  • 188.
    192 хуваарийн дагуу хэрэгжүүлэх 11 Тус сумынмал сүрэгт голдуу гардаг листериоз, дуут хавдар, дотрын халдварт хордлого /ДХХ/, цусан халдвар, боом , галзуу өвчнүүдээс урьдчилан сэргийлэх вакцин тариулах МЭЕГ, Сумын МЭТ, МЭҮН Вакцины үнэ: 8400.0 Жил бүр 12 Малын дотор, гадна шимэгчдийн өвчнүүдээс урьдчилан сэргийлэх туулгалт, угаалгыг графикт хугацаанд чанартай хийлгэх Сумын МЭТ, МЭҮН, малчин өрхүүд Тогтоосон төлбөрийг малын эзэн хариуцах Жил бүр 13 Малын гоц халдварт өвчин шүлхий, мялзан болон бусад шаардлагатай өвчнүүдийн тандах шинжилгээг жил бүр явуулан цаашид малын өвчнөөр тайван /эрүүл/ бүс нутаг болох зорилт тавин ажиллах МЭЕГ, Сумын ЗДТГ, МЭТ, МЭҮН 1000.0 Жил бүр 14 Сумын хөдөөгийн 2 багийн нутагт мал угаах суурин ванн шинээр барьж ашиглах МЭЕГ, Сумын МЭТ, МЭҮН 12000.0 2022-2025 15 Үхсэн малын хүүр, сэг зэмийг булж устгадаг цэгтэй болох МЭЕГ, Сумын МЭТ, МЭҮН,Төсөл, хөтөлбөр 8000.0 2021-2023 16 Шаардлагатай үед хорио цээр, хязгаарлалтын дэглэм тогтоолгон ажиллах МЭЕГ, Сумын МЭТ, МЭҮН Тухайн үед хууль, журмын дагуу төсвөөс гаргуулах Тухайн үед 17 Малын эрүүл мэндийн ажилд зарцуулах мал аж ахуйн эрсдэлийн сан/МААЭС/ байгуулж ашиглах Сумын ЗДТГ, МЭТ, Малчид, Төсөл, хөтөлбөр Сумын ОНХС- аас 1 хонин толгойд 300 төгрөг, малчид 1 хонин толгойд 500 төгрөгөөр бодож МААЭС-г 2021 оны нийт малын 20%-д байгуулах, цаашид жил бүр малын тоог 20%-иар өргөжүүлэн 2021 оноос хойш жил бүр
  • 189.
    193 байгуулах Б.Мал эмнэлгийн үйлчилгээнийнэгжийн ажил, үйлчилгээний талаар 18 Мал эмнэлгийн үйлчилгээний нэгжийн байрны тохижилт, багаж, хэрэгслийн хангамжийг сайжруулах замаар стандартын шаардлага ханган ажиллах МЭҮН, Төсөл, хөтөлбөр 10000.0 2022-2025 19 Мал эмнэлгийн үйл ажиллагааны бизнес төлөвлөгөөтэй ажиллах Сумын МЭТ, МЭҮН Ажил үүргийн хуваарийн дагуу хийх Жил бүр 20 Мал эмнэлгийн үйлчилгээний нэгж нь сумын ЗДТГ, малчин өрх зэрэгтэй гурвалсан гэрээ байгуулан ажиллах Сумын ЗДТГ, МЭҮН, малчин өрхүүд Ажил үүргийн хуваарийн дагуу хийх Жил бүр 21 Мал эмнэлгийн үйлчилгээний нэгжийн мэргэжлийн үйлчилгээ үзүүлэх итгэмжлэл бүхий малын эмч нарын хөдөлмөр хамгааллын хувцасны хангамж, шаардлагатай тариур, бусад багаж хэрэгслийн хангамжийг сайжруулах МЭҮН, Төсөл, хөтөлбөр 10000.0 2021-2023, 2024-2027 22 Зах зээлд борлуулах малд гарал үүсэл, эрүүл мэндийн гэрчилгээ олгох Сумын МЭҮН, малчид Тогтоосон зардлыг малын эзэн хариуцах Тухайн бүр 24 Улсын захиалгат малын халдварт өвчний вакцин тарих МЭЕГ, Аймгийн МЭГ, сумын ЗДТГ,МЭТ, МЭҮН, малчид 24000.0 Жил бүр 25 Малд туулгалт, угаалга хийх МЭЕГ, Аймгийн МЭГ, сумын МЭТ, МЭҮН Туулга, угаалгад хамрагдсан малын үйлчилгээний хөлсийг малын эзэн хариуцах Жил бүр 26 Малын шүлхий, мялзан зэрэг өвчний тандах шинжилгээнд сорьц авах МЭЕГ, Аймгийн МЭГ, сумын МЭТ, МЭҮН 800.0 Жил бүр 23 Сумын хөдөөгийн 2 багийн нутагт мал угаах суурин ванн шинээр барихад оролцож, ашиглах, хамгаалах МЭЕГ, Сумын МЭТ, МЭҮН Зардлыг дээд тусгасан байгаа 2021-2027
  • 190.
    194 24 Шаардлага гарсанүед өвөлжөө, хаваржаа, бусад шаардлагатай газрууд болон халдварт өвчин гарсан голомтот цэг газарт халдваргүйтгэлийг чанартай хийх МЭЕГ, Сумын ЗДТГ, МЭТ, МЭҮН, Байгууллага, ААН, малчид 2500.0 Жил бүр 25 Мал эмнэлгийн үйлчилгээ үзүүлдэг малчин өрхийн малын эрүүл мэндийн дэвтрийг хөтөлж ажиллах Сумын МЭТ, МЭҮН Ажлын үүрэг, хуваарийн дагуу хийх Үйлчилгээ үзүүлэх бүрд 26 Мал эмнэлгийн үйлчилгээний нэгж нь ажил, үйлчилгээний тайлан, мэдээг хууль тогтоомжид заасан хугацаанд гаргаж, мал эмнэлгийн тасагт хүргүүлэх Сумын МЭҮН Ажил үүргийн хуваарийн дагуу хийх Жил бүр 8.1.5 Хадлан, тэжээлийн төлөвлөлт Өлзийт сумын хэмжээнд мал сүргийн тэжээлийн хангамж малчдын бэлтгэх болон үйлдвэрлэлийн аргаар бэлтгэх үндсэн хоёр эх үүсвэр аль алиных нь хувьд дутмаг байгаа тул тэжээл үйлдвэрлэл, хангамжийг нэмэгдүүлэх нь нэн чухал юм. Өлзийт суманд Атрын III аяныг үргэлжлүүлэн газар тариаланг бүсчлэн хөгжүүлэх зорилт, аймгийн МАА-н салбарыг хөгжүүлэх дунд хугацааны бодлогод тусгагдсан хадлангийн талбайг хашиж, хамгаалах, усалж бордох замаар ургац нэмэгдүүлэх, атаржсан талбайд олон наст ургамал тариалж бэлчээрт шилжүүлэх, овьёос, царгас зэрэг уургийн агууламж ихтэй нэг ба олон наст ургамал тариалах ажлыг өргөтгөх зэрэг зорилтын дагуу тэжээл үйлдвэрлэлийг нэмэгдүүлэхээр тусгаж байна. Ингэхдээ бэлчээрийн ургацын олон жилийн дундаж, ирэх жилүүдэд малын тоог бууруулах тооцоо, бэлчээрийн ачаалал буурснаар бэлчээрийн даац сайжрах боломжийг харгалзан үзэв. Хадлан, тэжээлийн хэрэгцээ, түүнийг хангах боломж. Өлзийт сум нь хээр болон ойт хээрийн бүсэд хамрагддаг учраас нэг хонины жилд бэлчээрээс идэх өвсний хэмжээг дурдсан хоёр бүсийн дундаж, мөн ургамлын нөмрөгийн хэв шинж, төлөв байдал, өөрчлөлтийн чиг хандлага зэргийг харгалзан тухайн жилд шаардагдах тэжээлийн хэрэгцээг дараах байдлаар тооцлоо. Үүнд:  Бэлчээрийн малын тухайд тэжээлийн үндсэн хэрэгцээг бэлчээрээс хангах  2001 оны Засгийн газрын 47-р тогтоолоор батлагдсан “Мал сүргийг ган, зудаас хамгаалахад туслах үндэсний хөтөлбөр”-т тусгагдсан заалтыг харгалзан аюулгүй нөөц бүрдүүлэхээр төлөвлөв. Энэ хөтөлбөрт зааснаар:  Малчин өрх ойт хээрийн бүсэд нэг хонин толгойд 30 кг, хээрийн бүсэд 10 кг өвс  Сумын нөөцөд нэг хонин толгойд 1кг-аар тооцож 3 өдөр тэжээх өвс
  • 191.
    195 Нэг хонин толгойдноогдох хадлангийн өвсний хэмжээ 2019 оны байдлаар сумын дунджаар 6.5 кг байна. Цаашдаа төлөвлөн буй 7 жилийн хугацаанд малын тоо болон бэлчээрийн ачаалал хамтдаа бууран бэлчээрийн бүтээмжийг сайжруулж хадлангийн талбайг нэмсний үр дүнд энэ үзүүлэлт 2027 онд 33 кг буюу 5.07 дахин нэмэгдэх юм. Хүснэгт 8.1.5.1 Өлзийт сумын малын нэмэгдэл тэжээлийн хангамж, 2019-2027 Он Малын тоо, хонин толгой Тэжээл хангамж Бэлтгэвэл зохих тэжээл, цн өвс Хадлангийн талбай Малчдын бэлтгэх Сумын нөөц Шаардагдах га Га- гийн ургац цт хэрэгцээ хувь Нийт 2019 544377 179645 20 35000 450 35450 6445 5.5 2023 544377 179645 40 64672 7186 71858 13065 5.5 2024 517159 170662 50 76798 8533 85331 15515 5.5 2025 491301 162129 60 87550 9728 97278 17687 5.5 2026 443399 146322 80 105352 11706 117057 21283 5.5 2027 421229 139006 100 125105 13901 139006 25274 5.5 Эх сурвалж: БСТ-н тооцоо Ингэснээр бэлчээрийн маллагаатай нэг хонийг нэмэгдлээр тэжээх (хоногт 1 кг өвс) хугацаа сар гаруй (33 хоног) болж, өвөл-хаврын улиралд амьдын жин бууралт дан бэлчээрээр байсан эм хониор төлөөлүүлж харьцуулбал 13%26 орчмоор багасна. 26 Б.Мөнх, Монгол хонины нэмэгдэл тэжээл, 1980, БТЭШХ-н бүтээл, №7
  • 192.
    196 Зураг 8.1.5.1 БэлчээрийнМАА-н нэмэгдэл тэжээл бэлтгэх хадлангийн газрын төлөвлөлт, 2027 он Эх сурвалж: БСТ-н боловсруулалт