Embed presentation
Download to read offline

![Xo X1 X2 ………………………………..Xn
Q.Explain trapezoidal rule for finding numerical
integration.
ProoF
Let F(x) be real value continuous function define on
close interval [a,b].
We want to find the definite
integral](https://image.slidesharecdn.com/trapezoidalrule-240613133311-f0d5975c/75/TRAPEZOIDAL-RULE-IN-NUMERICAL-ANYLISIS-pptx-2-2048.jpg)

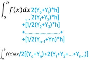
![= [1/2(Yo+Y1)*h]
+[1/2(Y1+Y2)*h]
+[1/2(Y2+Y3)*h]
+………………………..+
+[1/2(Yn-1+Yn)*h]
=h/2[(Yo+Yn)+2(Y1+Y2+...+Yn-1)]](https://image.slidesharecdn.com/trapezoidalrule-240613133311-f0d5975c/75/TRAPEZOIDAL-RULE-IN-NUMERICAL-ANYLISIS-pptx-4-2048.jpg)

![=h/2[(Yo+Y6)+2(Y1+Y2+Y3+Y4+Y5)]
=1/2[(1+1/37)+2(1/2+1/5+1/10+1/17+1/26)]
=1/2[1.02+1+0.4+0.2+0.11+0.07]
=1/2(2.8)
=1.4
By Using Trapezoidal rule](https://image.slidesharecdn.com/trapezoidalrule-240613133311-f0d5975c/75/TRAPEZOIDAL-RULE-IN-NUMERICAL-ANYLISIS-pptx-6-2048.jpg)

The document explains the trapezoidal rule for numerical integration, detailing how to approximate the area under a curve by dividing it into trapeziums. It demonstrates the calculation using a specific function over a defined interval, providing formulas and a sample evaluation with the trapezoidal method. The final result obtained from the calculation is 1.4.

![Xo X1 X2 ………………………………..Xn
Q.Explain trapezoidal rule for finding numerical
integration.
ProoF
Let F(x) be real value continuous function define on
close interval [a,b].
We want to find the definite
integral](https://image.slidesharecdn.com/trapezoidalrule-240613133311-f0d5975c/75/TRAPEZOIDAL-RULE-IN-NUMERICAL-ANYLISIS-pptx-2-2048.jpg)

![= [1/2(Yo+Y1)*h]
+[1/2(Y1+Y2)*h]
+[1/2(Y2+Y3)*h]
+………………………..+
+[1/2(Yn-1+Yn)*h]
=h/2[(Yo+Yn)+2(Y1+Y2+...+Yn-1)]](https://image.slidesharecdn.com/trapezoidalrule-240613133311-f0d5975c/75/TRAPEZOIDAL-RULE-IN-NUMERICAL-ANYLISIS-pptx-4-2048.jpg)

![=h/2[(Yo+Y6)+2(Y1+Y2+Y3+Y4+Y5)]
=1/2[(1+1/37)+2(1/2+1/5+1/10+1/17+1/26)]
=1/2[1.02+1+0.4+0.2+0.11+0.07]
=1/2(2.8)
=1.4
By Using Trapezoidal rule](https://image.slidesharecdn.com/trapezoidalrule-240613133311-f0d5975c/75/TRAPEZOIDAL-RULE-IN-NUMERICAL-ANYLISIS-pptx-6-2048.jpg)
