Embed presentation
Downloaded 22 times











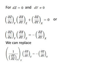
This document discusses partial differential equations in thermodynamics. It presents equations for partial derivatives of state variables like pressure, volume, and temperature with respect to other variables. These equations can be applied to ideal gas systems undergoing processes like isothermal compression, where the compressibility of an ideal gas is defined based on the partial derivative of volume with respect to pressure at constant temperature.










