J.B.SHAIKH 1
Presented By;-
Prof. Jawed B. Shaikh
Department of Mechanical Engineering
Deogiri Institute of Engineering and Management studies Aurangabad.
UNIT- 2 DESIGN OF MACHINE ELEMENTS
AGAINST STATIC LOADING
• Static load – a stationary load that is gradually applied having an
unchanging magnitude and direction
• Failure – A part is permanently distorted and will not function
properly. A part has been separated into two or more pieces.
• Material Strength
• Sy = Yield strength in tension,Syt = Syc
• Sys = Yield strength in shear
• Su = Ultimate strength in tension, Sut
• Suc = Ultimate strength in compression
• Sus = Ultimate strength in shear = 0.67 Su
J.B.SHAIKH 2
DESIGN FOR STATIC LOADING
J.B.SHAIKH 3
• SHEAR FAILURE
J.B.SHAIKH 4
Why theories of failure?
• Material strengths are determined from uni-axial
tension tests.
• • Thus, the strengths obtained from those tension tests
cannot be directly used for component design since, in
• actual scenarios components undergo multi-axial stress
conditions.
• • Hence, to use the strengths determined from tension
tests to design mechanical components under any
• condition of static loading, theories of failure are used.
J.B.SHAIKH 5
Requirement of TOF
• Theories of failure are used to determine the
safe dimension of a component when it is
subjected to combined stresses due to various
loads.
• Theories of failure are used in design by
establishing a relationship between stresses
induced under combined loading conditions
and properties obtained from tension test like
Syt & Sut.
J.B.SHAIKH 6
Design of Machine Elements Against Static Loading
Theories of Failure:
The strength of machine members is based upon the mechanical properties of the
materials used. Since these properties are usually determined from simple tension
or compression tests, therefore, predicting failure in members subjected to uniaxial
stress is both simple and straight-forward.
But the problem of predicting the failure stresses for members subjected to bi-
axial or tri-axial stresses is much more complicated. In fact, the problem is so
complicated that a large number of different theories have been formulated.
Since ductile materials usually fail by yielding i.e. when permanent
deformations occur in the material and brittle materials fail by fracture, therefore
the limiting strength for these two classes of materials is normally measured by
different mechanical properties. For ductile materials, the limiting strength is the
stress at yield point as determined from simple tension test and it is, assumed to be
equal in tension or compression. For brittle materials, the limiting strength is the
ultimate stress in tension or compression.
J.B.SHAIKH 7

Theories of Failure:(How many theories are
there?)
1. Maximum principal / normal) stress theory (Rankine’s theory).
2. Maximum shear stress theory (Guest’s or Tresca’s theory).
3. Maximum principal / normal) strain theory (Saint Venant theory).
4. Maximum strain energy theory (Haigh’s theory).
5. Maximum distortion energy theory (Hencky and Von Mises
theory).
J.B.SHAIKH 8
1. Maximum Principal /Normal Stress
Theory (Rankine’s Theory) :
• This theory is suitable for the safe design of machine component
made up of brittle material, because brittle material are weak in
tension
• This theory is not good for design of ductile material because shear
failure may occur
• But this theory is also suitable for ductile material under following
condition :
• 1. uniaxial state of stress condition.
• 2. Under biaxial state of stress when are like in nature.
• According to this theory, the failure or yielding occurs at a point in a
member when the maximum principal or normal stress in a bi-axial
stress system reaches the limiting strength of the material in a simple
tension test. Since the limiting strength for ductile materials is yield
point stress and for brittle materials (which do not have well defined
yield point) the limiting strength is ultimate stress, therefore
according J.B.SHAIKH 9
1. Maximum Principal /Normal Stress Theory (Rankine’s Theory) :
J.B.SHAIKH 10
2. Maximum Shear Stress Theory (Guest’s or Tresca’s Theory)
J.B.SHAIKH 11
3. Maximum Principal Strain Theory (Saint Venant’s Theory)
J.B.SHAIKH 12
3. Maximum Principal Strain Theory (Saint Venant’s Theory)
J.B.SHAIKH 13
4. Maximum Strain Energy Theory (Haigh’s Theory)
According to this theory,
the failure or yielding
occurs at a point in a
member when the strain
energy per unit volume in a
bi-axial stress system
reaches the limiting strain
energy (i.e. strain energy
at the yield point ) per unit
volume as determined from
simple tension test.
J.B.SHAIKH 14
5. Maximum Distortion Energy Theory (Hencky and Von Mises
Theory)
J.B.SHAIKH 15
J.B.SHAIKH 16
J.B.SHAIKH 17
J.B.SHAIKH 18
J.B.SHAIKH 19
J.B.SHAIKH 20
J.B.SHAIKH 21
J.B.SHAIKH 22
J.B.SHAIKH 23
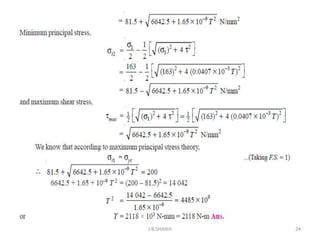
J.B.SHAIKH 24
J.B.SHAIKH 25

Theories of Failures (STATIC LOADING)

  • 1.
    J.B.SHAIKH 1 Presented By;- Prof.Jawed B. Shaikh Department of Mechanical Engineering Deogiri Institute of Engineering and Management studies Aurangabad.
  • 2.
    UNIT- 2 DESIGNOF MACHINE ELEMENTS AGAINST STATIC LOADING • Static load – a stationary load that is gradually applied having an unchanging magnitude and direction • Failure – A part is permanently distorted and will not function properly. A part has been separated into two or more pieces. • Material Strength • Sy = Yield strength in tension,Syt = Syc • Sys = Yield strength in shear • Su = Ultimate strength in tension, Sut • Suc = Ultimate strength in compression • Sus = Ultimate strength in shear = 0.67 Su J.B.SHAIKH 2
  • 3.
    DESIGN FOR STATICLOADING J.B.SHAIKH 3 • SHEAR FAILURE
  • 4.
  • 5.
    Why theories offailure? • Material strengths are determined from uni-axial tension tests. • • Thus, the strengths obtained from those tension tests cannot be directly used for component design since, in • actual scenarios components undergo multi-axial stress conditions. • • Hence, to use the strengths determined from tension tests to design mechanical components under any • condition of static loading, theories of failure are used. J.B.SHAIKH 5
  • 6.
    Requirement of TOF •Theories of failure are used to determine the safe dimension of a component when it is subjected to combined stresses due to various loads. • Theories of failure are used in design by establishing a relationship between stresses induced under combined loading conditions and properties obtained from tension test like Syt & Sut. J.B.SHAIKH 6
  • 7.
    Design of MachineElements Against Static Loading Theories of Failure: The strength of machine members is based upon the mechanical properties of the materials used. Since these properties are usually determined from simple tension or compression tests, therefore, predicting failure in members subjected to uniaxial stress is both simple and straight-forward. But the problem of predicting the failure stresses for members subjected to bi- axial or tri-axial stresses is much more complicated. In fact, the problem is so complicated that a large number of different theories have been formulated. Since ductile materials usually fail by yielding i.e. when permanent deformations occur in the material and brittle materials fail by fracture, therefore the limiting strength for these two classes of materials is normally measured by different mechanical properties. For ductile materials, the limiting strength is the stress at yield point as determined from simple tension test and it is, assumed to be equal in tension or compression. For brittle materials, the limiting strength is the ultimate stress in tension or compression. J.B.SHAIKH 7
  • 8.
     Theories of Failure:(Howmany theories are there?) 1. Maximum principal / normal) stress theory (Rankine’s theory). 2. Maximum shear stress theory (Guest’s or Tresca’s theory). 3. Maximum principal / normal) strain theory (Saint Venant theory). 4. Maximum strain energy theory (Haigh’s theory). 5. Maximum distortion energy theory (Hencky and Von Mises theory). J.B.SHAIKH 8
  • 9.
    1. Maximum Principal/Normal Stress Theory (Rankine’s Theory) : • This theory is suitable for the safe design of machine component made up of brittle material, because brittle material are weak in tension • This theory is not good for design of ductile material because shear failure may occur • But this theory is also suitable for ductile material under following condition : • 1. uniaxial state of stress condition. • 2. Under biaxial state of stress when are like in nature. • According to this theory, the failure or yielding occurs at a point in a member when the maximum principal or normal stress in a bi-axial stress system reaches the limiting strength of the material in a simple tension test. Since the limiting strength for ductile materials is yield point stress and for brittle materials (which do not have well defined yield point) the limiting strength is ultimate stress, therefore according J.B.SHAIKH 9
  • 10.
    1. Maximum Principal/Normal Stress Theory (Rankine’s Theory) : J.B.SHAIKH 10
  • 11.
    2. Maximum ShearStress Theory (Guest’s or Tresca’s Theory) J.B.SHAIKH 11
  • 12.
    3. Maximum PrincipalStrain Theory (Saint Venant’s Theory) J.B.SHAIKH 12
  • 13.
    3. Maximum PrincipalStrain Theory (Saint Venant’s Theory) J.B.SHAIKH 13
  • 14.
    4. Maximum StrainEnergy Theory (Haigh’s Theory) According to this theory, the failure or yielding occurs at a point in a member when the strain energy per unit volume in a bi-axial stress system reaches the limiting strain energy (i.e. strain energy at the yield point ) per unit volume as determined from simple tension test. J.B.SHAIKH 14
  • 15.
    5. Maximum DistortionEnergy Theory (Hencky and Von Mises Theory) J.B.SHAIKH 15
  • 16.
  • 17.
  • 18.
  • 19.
  • 20.
  • 21.
  • 22.
  • 23.
  • 24.
  • 25.