May 25, 2016
Summer School
I A C S
112/28/2018
A three fold challenge
Yet in another School ?
Moreover, in Summer ?
More-moreover in a
Post-Lunch Session ?
212/28/2018
312/28/2018
What is
COMMON
among the
images?
412/28/2018
512/28/2018
612/28/2018
712/28/2018
812/28/2018
912/28/2018
1012/28/2018
1112/28/2018
1212/28/2018
They are Beautiful,
the Most Beautiful …
1312/28/2018
‘all mathematics is beautiful, yet
some is more beautiful than the
other’
paraphrasing George Orwell
1412/28/2018
 What is the most beautiful formula?
 How and Why is it Most Beautiful?
 How and why something is Beautiful?
 A Few Remarks on Mathematics, Mathematicians,
and Formula…
1512/28/2018
 The moving power of mathematical invention is
not reasoning but imagination.
Augustus de Morgan
 Imagination is more important than knowledge.
Albert Einstein
How can it be that mathematics, being after all a
product of human thought independent of experience,
is so admirably adapted to the objects of reality?
Albert Einstein 1612/28/2018
 There is no branch of mathematics,
however abstract, which may not some
day be applied to phenomena of the real
world.
Nikolai Lobatchevsky.
 A mathematician is a blind man in a
dark room looking for a black cat which
isn’t there.
 Charles Darwin.
1712/28/2018
Lt y →xU = 1 ; Buddhahood (enlightened)
y → x is “Human Revolution”,
“Casting off the transient and Revealing the True”.
LIFE
A philosophical Version of the Mathematical Identity
U = x/y y = Bodhisattva, x = true identity
“Yui Butsu, Yo Butsu”
1812/28/2018
1912/28/2018
 Does an infinite series necessarily have a finite Answer?
 Convergence
 S = ?
S = 1+x +x2 +x3+ . . .+xn-1 + xn
S.x= x+ x2 +x3 +. . . + xn +xn+1
S.(1-x) = 1 - xn+1
S = (1 – xn+1)/(1-x)
S => 1/(1-x) [since xn+1 =0 for large n]
Check it using calculator and see the convergence
2012/28/2018
2112/28/2018
2212/28/2018
The hare and the tortoise
decide to race
2312/28/2018
Since I run twice as fast as you do, I
will give you a half mile head start.
Thanks!
2412/28/2018
½ ¼ 8
1
16
1
2512/28/2018
½ ¼ 8
1
16
1
The hare quickly reaches the turtle’s
starting point – but in that same time
The turtle moves ¼ mile ahead.
2612/28/2018
½ ¼ 8
1
16
1
By the time the rabbit reaches the
turtle’s new position, the turtle
has had time to move ahead.
2712/28/2018
½ ¼ 8
1
16
1
No matter how quickly the hare
covers the distance between himself
and the turtle, the turtle uses that
time to move ahead.
2812/28/2018
½ ¼ 8
1
16
1
Can the hare ever catch the
turtle???
2912/28/2018
1+1/2 +1/4 +1/8 + . . . ?
3012/28/2018
3112/28/2018
3212/28/2018
1 mile 2 miles
1+1/2 +1/4 +1/8 + . . . = 2 ???
3312/28/2018
let x = ½
S = 1+1/2 +1/4 +1/8 + . . .
S = 1/(1-x) = 1/(1- ½) = 1/(1/2) = 2
3412/28/2018
1 mile 2 miles
3512/28/2018
3612/28/2018
 A zeroth order reaction [At = A0 - k t ]
 t1/2 = f(? ? ?) [ half-life time]
= A0 /(2k) [k = rate constant]
 tcomp = A0 / k [completion time]
 A0 → A0 /2 → A0 /4 → A0 /8 → → → zero
 tcomp = t1 + t2 + t3 + …
 A0 / k = A0 /2k + A0 /4k + A0 /8k + …
 A0 / k = (A0 /k) (1/2 + 1 /4 +1 /8 + … )
 1 = (1/2 + 1 /4 +1 /8 + … )
 2 = (1+ 1/2 + 1 /4 +1 /8 + … )
3712/28/2018
 A zeroth order reaction [At = A0 - k t ]
 tƟ = f(? ? ?) [ half-life time]
= A0 /(2k) [k = rate constant]
 tcomp = A0 / k [completion time]
 A0 → A0 /2 → A0 /4 → A0 /8 → → → zero
 tcomp = t1 + t2 + t3 + …
 A0 / k = A0 /2k + A0 /4k + A0 /8k + …
 A0 / k = (A0 /k) (1/2 + 1 /4 +1 /8 + … )
 1 = (1/2 + 1 /4 +1 /8 + … )
 2 = (1+ 1/2 + 1 /4 +1 /8 + … )
3812/28/2018
1/4
1
1
3912/28/2018
1/2
1/4
1
1/2
4012/28/2018
1/4
1/4
1
1/2
4112/28/2018
1/8
1/4
1/8
1
1/2
4212/28/2018
1/16
1/4
1/8
1
1/2
4312/28/2018
1/16 1/32
1/32
1/4
1/8
1
1/2
4412/28/2018
Physicist Richard Feynman wrote in his
notebook in bold scrawl, when he was
fifteen.
4512/28/2018
 Kanser and J. Newman, in Mathematics and the
Imagination.
4612/28/2018
 A discovery of the
remarkable connection
between the
exponential and the
trigonometric functions,
by all time great
Mathematician,
Euler.
 Euler was a great
experimental
mathematician.
 He played with
formulas like a
child playing
with toys.
4712/28/2018
4812/28/2018
Can I expand an arbitrary function f(x) around x=a
as an infinite series?
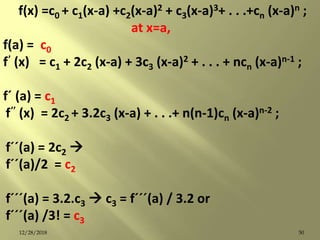
f(x) =c0 + c1(x-a) +c2(x-a)2 + c3(x-a)3+ . . .+cn (x-a)n ;
But how to get all those {ci}?
4912/28/2018
f(x) =c0 + c1(x-a) +c2(x-a)2 + c3(x-a)3+ . . .+cn (x-a)n ;
at x=a,
f(a) = c0
f’ (x) = c1 + 2c2 (x-a) + 3c3 (x-a)2 + . . . + ncn (x-a)n-1 ;
fˊ (a) = c1
f’’ (x) = 2c2 + 3.2c3 (x-a) + . . .+ n(n-1)cn (x-a)n-2 ;
fˊˊ(a) = 2c2 
fˊˊ(a)/2 = c2
fˊˊˊ(a) = 3.2.c3  c3 = fˊˊˊ(a) / 3.2 or
fˊˊˊ(a) /3! = c3
5012/28/2018
f(x) =c0 + c1(x-a) +c2(x-a)2 + c3(x-a)3+ . . .+cn (x-a)n ;
at x=a,
f(a) = c0
fˊ (a) = c1
fˊˊ(a)/2 = c2
fˊˊˊ(a) /3! = c3
Similarly …
f(n)(a) /n! = cn
5112/28/2018
Thus we get the Taylor’s series
f(x) =c0 + c1(x-a) +c2(x-a)2 + c3(x-a)3+ . . .+ cn (x-a)n ;
with Cn = f(n)(a) /n!
f(x) = f(a) + (x-a) fˊ (a) + {(x-a)2/2!} fˊˊ(a)
+ {(x-a)3/3!} fˊˊˊ(a) + . . .;
take a=0, to get the Maclaurin Series:
f(x) = f(0) + x fˊ (0) + (x2/2!) fˊˊ(0) + (x3/3!) fˊˊˊ(0) + . . .
5212/28/2018
5312/28/2018
Example 2
f(x) = f(0) + x fˊ (0) + (x2/2!) fˊˊ(0) + (x3/3!) fˊˊˊ(0) + . . .
f(x)= sin(x) = x - x3/3! + x5/5! – x7/7! + x9/9! - …
5412/28/2018
 Replacing x by iy is like playing with meaningless
symbols, but Euler had enough faith in his formula to
make it meaningful. Thus we get,
eiy = 1 + iy - y2/2! - iy3/3! + y4/4! + iy5/5! - y6/6! – iy7/7! + …
5512/28/2018
5612/28/2018
eiy = 1 + iy - y2/2! - iy3/3! + y4/4! + iy5/5! - y6/6! – iy7/7! + …
eiy = (1 - y2/2! + y4/4! - y6/6! + …) +
i (y - y3/3! + y5/5! - y7/7! + …)
 eiy = 1 + iy - y2/2! - iy3/3! + y4/4! + iy5/5! - y6/6! – iy7/7! +
eiy = (1 - y2/2! + y4/4! - y6/6! + …) +
i (y - y3/3! + y5/5! - y7/7! + …)
 sin(x) = x - x3/3! + x5/5! – x7/7! + x9/9! - …
 cos(x) = 1 - x2/2! + x4/4! – x6/6! + x8/8! - …
eiy = cos (y) + i sin(y), similarly e-iy = cos (y) - i sin(y)
Take y = π,
eiπ = cos (π) + i sin(π) = -1 + 0
eiπ = -1 5712/28/2018
 It involves three most important mathematical operations,
namely
 addition,
 multiplication and
 exponentiation.
 It connects the five most important constants in
mathematics:
e, π, i, 0 and 1.
5812/28/2018
 It includes four major branches of classical
mathematics:
 arithmetic (through 0 and 1 ),
 algebra (by i),
 geometry (by π), and
 analysis (by e).
5912/28/2018
A Home Task
π/4 = 1 – 1/3 +1/5 -1/7 +1/9 - …
6012/28/2018
1. Use eiπ = -1 = i2 to prove ln i = iπ/2;
4. evaluate ln(1+ i) – ln(1- i) = 2 i (1 – 1/3 +1/5 -1/7 + 1/9 - …)
5. manipulate to have ln {(1+i)/(1-i)} = ln i
6. equate (4) and (5) to get ln i = 2 i (1 – 1/3 +1/5 -1/7 + 1/9 - …)
7. equate (1) and (7) to find
π/4 = 1 – 1/3 +1/5 -1/7 +1/9 - …
Enough Hints
6112/28/2018
eiπ = -1 = i2 Solution
ln eiπ = ln i2
iπ = 2 ln i
ln i = iπ/2;
ln(1+ i) – ln(1- i) = 2 i (1 – 1/3 +1/5 -1/7 + 1/9 - …)
ln{(1+i)/(1-i)} = ln{(1+i)(1+i)/(1-i)(1+i)}
= ln(1+i2+ 2i)/(1- i2)=ln(2i/2) = ln i
So, ln i = 2 i (1 – 1/3 +1/5 -1/7 + 1/9 - …)
Or, i π/2 = 2 i (1 – 1/3 +1/5 -1/7 +1/9 - …)
π/4 = 1 – 1/3 +1/5 -1/7 +1/9 - …
6212/28/2018
Often we say, Simple is beautiful. If
it’s so, then the formula must be
beautiful.
6312/28/2018
6412/28/2018
if you like to relate
beauty with
usefulness and significance,
then also we must say:
The formula is beautiful.
6512/28/2018
 The most beautiful is
something lying in
repaying the debt of Gratitude.
6612/28/2018

The Most Beautiful formula

  • 1.
    May 25, 2016 SummerSchool I A C S 112/28/2018
  • 2.
    A three foldchallenge Yet in another School ? Moreover, in Summer ? More-moreover in a Post-Lunch Session ? 212/28/2018
  • 3.
  • 4.
  • 5.
  • 6.
  • 7.
  • 8.
  • 9.
  • 10.
  • 11.
  • 12.
  • 13.
    They are Beautiful, theMost Beautiful … 1312/28/2018
  • 14.
    ‘all mathematics isbeautiful, yet some is more beautiful than the other’ paraphrasing George Orwell 1412/28/2018
  • 15.
     What isthe most beautiful formula?  How and Why is it Most Beautiful?  How and why something is Beautiful?  A Few Remarks on Mathematics, Mathematicians, and Formula… 1512/28/2018
  • 16.
     The movingpower of mathematical invention is not reasoning but imagination. Augustus de Morgan  Imagination is more important than knowledge. Albert Einstein How can it be that mathematics, being after all a product of human thought independent of experience, is so admirably adapted to the objects of reality? Albert Einstein 1612/28/2018
  • 17.
     There isno branch of mathematics, however abstract, which may not some day be applied to phenomena of the real world. Nikolai Lobatchevsky.  A mathematician is a blind man in a dark room looking for a black cat which isn’t there.  Charles Darwin. 1712/28/2018
  • 18.
    Lt y →xU= 1 ; Buddhahood (enlightened) y → x is “Human Revolution”, “Casting off the transient and Revealing the True”. LIFE A philosophical Version of the Mathematical Identity U = x/y y = Bodhisattva, x = true identity “Yui Butsu, Yo Butsu” 1812/28/2018
  • 19.
  • 20.
     Does aninfinite series necessarily have a finite Answer?  Convergence  S = ? S = 1+x +x2 +x3+ . . .+xn-1 + xn S.x= x+ x2 +x3 +. . . + xn +xn+1 S.(1-x) = 1 - xn+1 S = (1 – xn+1)/(1-x) S => 1/(1-x) [since xn+1 =0 for large n] Check it using calculator and see the convergence 2012/28/2018
  • 21.
  • 22.
  • 23.
    The hare andthe tortoise decide to race 2312/28/2018
  • 24.
    Since I runtwice as fast as you do, I will give you a half mile head start. Thanks! 2412/28/2018
  • 25.
  • 26.
    ½ ¼ 8 1 16 1 Thehare quickly reaches the turtle’s starting point – but in that same time The turtle moves ¼ mile ahead. 2612/28/2018
  • 27.
    ½ ¼ 8 1 16 1 Bythe time the rabbit reaches the turtle’s new position, the turtle has had time to move ahead. 2712/28/2018
  • 28.
    ½ ¼ 8 1 16 1 Nomatter how quickly the hare covers the distance between himself and the turtle, the turtle uses that time to move ahead. 2812/28/2018
  • 29.
    ½ ¼ 8 1 16 1 Canthe hare ever catch the turtle??? 2912/28/2018
  • 30.
    1+1/2 +1/4 +1/8+ . . . ? 3012/28/2018
  • 31.
  • 32.
  • 33.
    1 mile 2miles 1+1/2 +1/4 +1/8 + . . . = 2 ??? 3312/28/2018
  • 34.
    let x =½ S = 1+1/2 +1/4 +1/8 + . . . S = 1/(1-x) = 1/(1- ½) = 1/(1/2) = 2 3412/28/2018
  • 35.
    1 mile 2miles 3512/28/2018
  • 36.
  • 37.
     A zerothorder reaction [At = A0 - k t ]  t1/2 = f(? ? ?) [ half-life time] = A0 /(2k) [k = rate constant]  tcomp = A0 / k [completion time]  A0 → A0 /2 → A0 /4 → A0 /8 → → → zero  tcomp = t1 + t2 + t3 + …  A0 / k = A0 /2k + A0 /4k + A0 /8k + …  A0 / k = (A0 /k) (1/2 + 1 /4 +1 /8 + … )  1 = (1/2 + 1 /4 +1 /8 + … )  2 = (1+ 1/2 + 1 /4 +1 /8 + … ) 3712/28/2018
  • 38.
     A zerothorder reaction [At = A0 - k t ]  tƟ = f(? ? ?) [ half-life time] = A0 /(2k) [k = rate constant]  tcomp = A0 / k [completion time]  A0 → A0 /2 → A0 /4 → A0 /8 → → → zero  tcomp = t1 + t2 + t3 + …  A0 / k = A0 /2k + A0 /4k + A0 /8k + …  A0 / k = (A0 /k) (1/2 + 1 /4 +1 /8 + … )  1 = (1/2 + 1 /4 +1 /8 + … )  2 = (1+ 1/2 + 1 /4 +1 /8 + … ) 3812/28/2018
  • 39.
  • 40.
  • 41.
  • 42.
  • 43.
  • 44.
  • 45.
    Physicist Richard Feynmanwrote in his notebook in bold scrawl, when he was fifteen. 4512/28/2018
  • 46.
     Kanser andJ. Newman, in Mathematics and the Imagination. 4612/28/2018
  • 47.
     A discoveryof the remarkable connection between the exponential and the trigonometric functions, by all time great Mathematician, Euler.  Euler was a great experimental mathematician.  He played with formulas like a child playing with toys. 4712/28/2018
  • 48.
  • 49.
    Can I expandan arbitrary function f(x) around x=a as an infinite series? f(x) =c0 + c1(x-a) +c2(x-a)2 + c3(x-a)3+ . . .+cn (x-a)n ; But how to get all those {ci}? 4912/28/2018
  • 50.
    f(x) =c0 +c1(x-a) +c2(x-a)2 + c3(x-a)3+ . . .+cn (x-a)n ; at x=a, f(a) = c0 f’ (x) = c1 + 2c2 (x-a) + 3c3 (x-a)2 + . . . + ncn (x-a)n-1 ; fˊ (a) = c1 f’’ (x) = 2c2 + 3.2c3 (x-a) + . . .+ n(n-1)cn (x-a)n-2 ; fˊˊ(a) = 2c2  fˊˊ(a)/2 = c2 fˊˊˊ(a) = 3.2.c3  c3 = fˊˊˊ(a) / 3.2 or fˊˊˊ(a) /3! = c3 5012/28/2018
  • 51.
    f(x) =c0 +c1(x-a) +c2(x-a)2 + c3(x-a)3+ . . .+cn (x-a)n ; at x=a, f(a) = c0 fˊ (a) = c1 fˊˊ(a)/2 = c2 fˊˊˊ(a) /3! = c3 Similarly … f(n)(a) /n! = cn 5112/28/2018
  • 52.
    Thus we getthe Taylor’s series f(x) =c0 + c1(x-a) +c2(x-a)2 + c3(x-a)3+ . . .+ cn (x-a)n ; with Cn = f(n)(a) /n! f(x) = f(a) + (x-a) fˊ (a) + {(x-a)2/2!} fˊˊ(a) + {(x-a)3/3!} fˊˊˊ(a) + . . .; take a=0, to get the Maclaurin Series: f(x) = f(0) + x fˊ (0) + (x2/2!) fˊˊ(0) + (x3/3!) fˊˊˊ(0) + . . . 5212/28/2018
  • 53.
  • 54.
    Example 2 f(x) =f(0) + x fˊ (0) + (x2/2!) fˊˊ(0) + (x3/3!) fˊˊˊ(0) + . . . f(x)= sin(x) = x - x3/3! + x5/5! – x7/7! + x9/9! - … 5412/28/2018
  • 55.
     Replacing xby iy is like playing with meaningless symbols, but Euler had enough faith in his formula to make it meaningful. Thus we get, eiy = 1 + iy - y2/2! - iy3/3! + y4/4! + iy5/5! - y6/6! – iy7/7! + … 5512/28/2018
  • 56.
    5612/28/2018 eiy = 1+ iy - y2/2! - iy3/3! + y4/4! + iy5/5! - y6/6! – iy7/7! + … eiy = (1 - y2/2! + y4/4! - y6/6! + …) + i (y - y3/3! + y5/5! - y7/7! + …)
  • 57.
     eiy =1 + iy - y2/2! - iy3/3! + y4/4! + iy5/5! - y6/6! – iy7/7! + eiy = (1 - y2/2! + y4/4! - y6/6! + …) + i (y - y3/3! + y5/5! - y7/7! + …)  sin(x) = x - x3/3! + x5/5! – x7/7! + x9/9! - …  cos(x) = 1 - x2/2! + x4/4! – x6/6! + x8/8! - … eiy = cos (y) + i sin(y), similarly e-iy = cos (y) - i sin(y) Take y = π, eiπ = cos (π) + i sin(π) = -1 + 0 eiπ = -1 5712/28/2018
  • 58.
     It involvesthree most important mathematical operations, namely  addition,  multiplication and  exponentiation.  It connects the five most important constants in mathematics: e, π, i, 0 and 1. 5812/28/2018
  • 59.
     It includesfour major branches of classical mathematics:  arithmetic (through 0 and 1 ),  algebra (by i),  geometry (by π), and  analysis (by e). 5912/28/2018
  • 60.
    A Home Task π/4= 1 – 1/3 +1/5 -1/7 +1/9 - … 6012/28/2018
  • 61.
    1. Use eiπ= -1 = i2 to prove ln i = iπ/2; 4. evaluate ln(1+ i) – ln(1- i) = 2 i (1 – 1/3 +1/5 -1/7 + 1/9 - …) 5. manipulate to have ln {(1+i)/(1-i)} = ln i 6. equate (4) and (5) to get ln i = 2 i (1 – 1/3 +1/5 -1/7 + 1/9 - …) 7. equate (1) and (7) to find π/4 = 1 – 1/3 +1/5 -1/7 +1/9 - … Enough Hints 6112/28/2018
  • 62.
    eiπ = -1= i2 Solution ln eiπ = ln i2 iπ = 2 ln i ln i = iπ/2; ln(1+ i) – ln(1- i) = 2 i (1 – 1/3 +1/5 -1/7 + 1/9 - …) ln{(1+i)/(1-i)} = ln{(1+i)(1+i)/(1-i)(1+i)} = ln(1+i2+ 2i)/(1- i2)=ln(2i/2) = ln i So, ln i = 2 i (1 – 1/3 +1/5 -1/7 + 1/9 - …) Or, i π/2 = 2 i (1 – 1/3 +1/5 -1/7 +1/9 - …) π/4 = 1 – 1/3 +1/5 -1/7 +1/9 - … 6212/28/2018
  • 63.
    Often we say,Simple is beautiful. If it’s so, then the formula must be beautiful. 6312/28/2018
  • 64.
  • 65.
    if you liketo relate beauty with usefulness and significance, then also we must say: The formula is beautiful. 6512/28/2018
  • 66.
     The mostbeautiful is something lying in repaying the debt of Gratitude. 6612/28/2018