The Electric Cow 
If livestock’s emissions came from electricity, would most 
environmentalists listen? 
Paul Mahony, 26th May 2014 
terrastendo.net 
© Paul Mahony 2014
The Electric Cow 
If cows ran on electricity, how much would we use in 
order to produce a beef steak? 
© Paul Mahony 2014
First, some background 
© Paul Mahony 2014
Key reasons for livestock’s impact 
Inherent inefficiency 
Scale 
Greenhouse gases and other warming agents 
Land clearing and degradation 
© Paul Mahony 2014
Key reasons for livestock’s impact 
Inherent inefficiency 
Scale 
Inter-related 
Greenhouse gases and other warming agents 
Land clearing and degradation 
© Paul Mahony 2014
We’ll focus on the inefficiency of livestock as a 
food source 
© Paul Mahony 2014
Inherent inefficiencies 
The figures depicted have been provided in beef industry material. 
Even a conversion factor of, say, 7 or 8 kg of grain per kg of end 
product would represent a grossly inefficient system. 
© Paul Mahony 2014
Inherent inefficiencies 
The figures depicted have been provided in beef industry material. 
Even a conversion factor of, say, 7 or 8 kg of grain per kg of end 
product would represent a grossly inefficient system. 
© Paul Mahony 2014
Inherent inefficiencies 
The figures depicted have been provided in beef industry material. 
Even a conversion factor of, say, 7 or 8 kg of grain per kg of end 
product would represent a grossly inefficient system. 
© Paul Mahony 2014
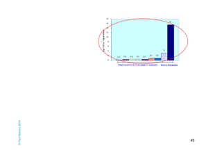
Inherent inefficiencies 
The figures depicted have been provided in beef industry material. 
Even a conversion factor of, say, 7 or 8 kg of grain per kg of end 
product would represent a grossly inefficient system. 
© Paul Mahony 2014
What if we wanted to feed the same number of people 
under each system? 
© Paul Mahony 2014
Inherent inefficiencies 
The figures depicted have been provided in beef industry material. 
Even a conversion factor of, say, 7 or 8 kg of grain per kg of end 
product would represent a grossly inefficient system. 
© Paul Mahony 2014
Inherent inefficiencies 
More land 
The figures depicted have been provided in beef industry material. 
Even a conversion factor of, say, 7 or 8 kg of grain per kg of end 
product would represent a grossly inefficient system. 
© Paul Mahony 2014
Inherent inefficiencies 
More land 
More fertiliser 
The figures depicted have been provided in beef industry material. 
Even a conversion factor of, say, 7 or 8 kg of grain per kg of end 
product would represent a grossly inefficient system. 
© Paul Mahony 2014
Inherent inefficiencies 
More land 
More fertiliser 
More energy 
The figures depicted have been provided in beef industry material. 
Even a conversion factor of, say, 7 or 8 kg of grain per kg of end 
product would represent a grossly inefficient system. 
© Paul Mahony 2014
Inherent inefficiencies 
Chicken meat is better, but . . . still a poor feed conversion ratio 
© Paul Mahony 2014
1.7 
Inherent inefficiencies 
© Paul Mahony 2014
Yield (meat from live 
weight) 72.25% 
= 2.35 kg feed per kg meat Inherent inefficiencies 
1.7 
© Paul Mahony 2014
Yield (meat from live 
weight) 72.25% 
= 2.35 kg feed per kg meat 
© Paul Mahony 2014 
1.7
Yield (meat from live 
weight) 72.25% 
= 2.35 kg feed per kg meat 
© Paul Mahony 2014
Yield (meat from live weight) 72.25% 
= 2.35 kg feed per kg meat 
© Paul Mahony 2014
Yield (meat from live weight) 72.25% 
= 2.35 kg feed per kg meat 
= a return of 43% (or nutrition loss of 57%) 
© Paul Mahony 2014
Yield (meat from live weight) 72.25% 
= 2.35 kg feed per kg meat 
= a return of 43% (or nutrition loss of 57%) 
Any management team 
promoting this level of 
efficiency for a conventional 
business would be shown the 
door! 
© Paul Mahony 2014
Livestock 
Certain livestock-related emissions figures are effectively 
omitted from official figures in Australia and elsewhere 
because relevant factors are: 
© Paul Mahony 2014
Livestock 
Certain livestock-related emissions figures are effectively 
omitted from official figures in Australia and elsewhere 
because relevant factors are: 
(a) omitted entirely from official figures 
e.g. tropospheric ozone and black carbon 
© Paul Mahony 2014
Livestock 
Certain livestock-related emissions figures are effectively 
omitted from official figures in Australia and elsewhere 
because relevant factors are: 
(a) omitted entirely from official figures 
e.g. tropospheric ozone and black carbon 
(b) classified under non-livestock headings 
e.g. livestock-related land clearing reported under 
“land use, land use change and forestry” 
© Paul Mahony 2014
Livestock 
Certain livestock-related emissions figures are effectively 
omitted from official figures in Australia and elsewhere 
because relevant factors are: 
(a) omitted entirely from official figures 
e.g. tropospheric ozone and black carbon 
(b) classified under non-livestock headings 
e.g. livestock-related land clearing reported under 
“land use, land use change and forestry” 
(c) considered but with conservative calculations 
e.g. methane’s impact based on a 100-year, rather 
than 20-year, “global warming potential” 
© Paul Mahony 2014
Back to the electric cow 
© Paul Mahony 2014
Back to the electric cow 
If cows ran on electricity, how much would we use in 
order to produce a beef steak? 
© Paul Mahony 2014
Specifically, what figure would we arrive at if it was based 
on their current level of greenhouse gas emissions? 
© Paul Mahony 2014
To get some idea, we’ll compare their emissions 
performance to: 
© Paul Mahony 2014 
• Australian aluminium smelting, which 
consumes vast amounts of electricity 
• Australian electricity generation, which comes 
largely from coal
Firstly, aluminium 
© Paul Mahony 2014 
“Aluminium is the ultimate proxy 
for energy” 
Marius Kloppers, former CEO of 
BHP Billiton 
“To phrase it in terms of the 
industry joke, aluminium is 
congealed electricity.” 
Mining Weekly.com
Aluminium smelting has at times consumed 16% 
of Australia’s electricity 
. . . for less than 1% of gross domestic product 
. . . and less than 0.1% of jobs. 
© Paul Mahony 2014
That percentage may have reduced due to smelter 
closures and a reduction in emissions intensity from 
20 tonnes of greenhouse gas per tonne of product in 
1999 to 15.6 tonnes in 2011, but its contribution is 
still extremely significant. 
© Paul Mahony 2014
The emissions intensity of Australian aluminium 
smelting has been 2.5 times the global average, as 
the electricity is primarily coal-fired, including brown 
coal from the Latrobe Valley in Victoria. 
© Paul Mahony 2014
The emissions intensity of Australian aluminium 
smelting has been 2.5 times the global average, as 
the electricity is primarily coal-fired, including brown 
coal from the Latrobe Valley in Victoria. 
© Paul Mahony 2014 
Emissions intensity represents the unit weight of 
CO2-equivalent greenhouse gases per unit weight of 
end product for any given commodity.
Let’s compare the emissions intensity of 
aluminium smelting to that of various plant-based 
food products, i.e.: 
- sugar, 
- wheat, 
- other grains, 
- carrots, 
- potatoes, 
- apples and 
- soy beans. 
37 
© Paul Mahony 2014
© Paul Mahony 2014 Here are emissions intensity figures for various 
plant-based food sources 
0.2 0.4 0.4 0.4 0.5 
0.8 0.9 
18 
16 
14 
12 
10 
8 
6 
4 
2 
0 
kg CO2-e / kg product 
Plant-based foods from sugar to soybeans
Let’s then see how steel production and 
aluminium smelting compare 
(rounded up to zero decimal places). 
0.2 0.4 0.4 0.4 0.5 
0.8 0.9 
18 
16 
14 
12 
10 
8 
6 
4 
2 
0 
kg CO2-e / kg product 
Plant-based foods from sugar to soybeans 
© Paul Mahony 2014
0.2 0.4 0.4 0.4 0.5 
0.8 0.9 
18 
16 
14 
12 
10 
8 
6 
4 
2 
0 
kg CO2-e / kg product 
Plant-based foods from sugar to soybeans 
© Paul Mahony 2014
0.2 0.4 0.4 0.4 0.5 
0.8 0.9 
3 
18 
16 
14 
12 
10 
8 
6 
4 
2 
0 
kg CO2-e / kg product 
Plant-based foods from sugar to soybeans Steel 
© Paul Mahony 2014
0.2 0.4 0.4 0.4 0.5 
0.8 0.9 
3 
16 
18 
16 
14 
12 
10 
8 
6 
4 
2 
0 
kg CO2-e / kg product 
Plant-based foods from sugar to soybeans Steel & Aluminium 
© Paul Mahony 2014
We’ll now consider beef production, but first we 
need to change the scale of the chart. 
0.2 0.4 0.4 0.4 0.5 
0.8 0.9 
3 
16 
18 
16 
14 
12 
10 
8 
6 
4 
2 
0 
kg CO2-e / kg product 
Plant-based foods from sugar to soybeans Steel & Aluminium 
© Paul Mahony 2014
0.2 0.4 0.4 0.4 0.5 
0.8 0.9 
3 
16 
18 
16 
14 
12 
10 
8 
6 
4 
2 
0 
kg CO2-e / kg product 
Plant-based foods from sugar to soybeans Steel & Aluminium 
© Paul Mahony 2014
© Paul Mahony 2014 
45
46 
0.2 0.4 0.4 0.4 0.5 0.8 0.9 3 
16 
350 
300 
250 
200 
150 
100 
50 
0 
kg CO2-e / kg product 
Plant-based foods, steel & aluminium 
© Paul Mahony 2014
47 
0.2 0.4 0.4 0.4 0.5 0.8 0.9 3 
16 
350 
300 
250 
200 
150 
100 
50 
0 
kg CO2-e / kg product 
Plant-based foods, steel & aluminium 
© Paul Mahony 2014
48 
0.2 0.4 0.4 0.4 0.5 0.8 0.9 3 
16 
350 
300 
250 
200 
150 
100 
50 
0 
kg CO2-e / kg product 
Plant-based foods, steel & aluminium Grass-fed 
beef 
Mixed-grazing 
beef 
© Paul Mahony 2014
The first figures are global average figures based on 
carcass weight, published by the Food & Agriculture 
Organization of the United Nations in Dec, 2013. 
49 
0.2 0.4 0.4 0.4 0.5 0.8 0.9 3 
16 
350 
300 
250 
200 
150 
100 
50 
0 
kg CO2-e / kg product 
Plant-based foods, steel & aluminium Grass-fed 
beef 
Mixed-grazing 
beef 
© Paul Mahony 2014
50 
0.2 0.4 0.4 0.4 0.5 0.8 0.9 3 
16 
350 
300 
250 
200 
150 
100 
50 
0 
kg CO2-e / kg product 
Plant-based foods, steel & aluminium Grass-fed 
beef 
Mixed-grazing 
beef 
© Paul Mahony 2014
51 
0.2 0.4 0.4 0.4 0.5 0.8 0.9 3 
16 
56 
350 
300 
250 
200 
150 
100 
50 
0 
kg CO2-e / kg product 
Plant-based foods, steel & aluminium Mixed-grazing 
beef 
Grass-fed 
beef 
© Paul Mahony 2014
52 
0.2 0.4 0.4 0.4 0.5 0.8 0.9 3 
16 
56 
102 
350 
300 
250 
200 
150 
100 
50 
0 
kg CO2-e / kg product 
Plant-based foods, steel & aluminium Mixed-grazing 
beef 
Grass-fed 
beef 
© Paul Mahony 2014
Now let’s consider emissions intensity based on the weight 
of the retail product (representing the yield), rather than 
53 
0.2 0.4 0.4 0.4 0.5 0.8 0.9 3 
16 
56 
102 
350 
300 
250 
200 
150 
100 
50 
0 
kg CO2-e / kg product 
Plant-based foods, steel & aluminium Mixed-grazing 
beef 
Grass-fed 
beef 
the weight of the carcass. 
© Paul Mahony 2014
© Paul Mahony 2014 The emissions relating to the cow haven’t changed, but the “end 
product”, retail meat obtained from the carcass, is lighter than 
54 
the carcass itself, so the emissions intensity increases. 
0.2 0.4 0.4 0.4 0.5 0.8 0.9 3 
16 
56 
102 
350 
300 
250 
200 
150 
100 
50 
0 
kg CO2-e / kg product 
Plant-based foods, steel & aluminium Mixed-grazing 
beef 
Grass-fed 
beef
55 
0.2 0.4 0.4 0.4 0.5 0.8 0.9 3 
16 
56 
102 
350 
300 
250 
200 
150 
100 
50 
0 
kg CO2-e / kg product 
Plant-based foods, steel & aluminium Mixed-grazing 
beef 
Grass-fed 
beef 
© Paul Mahony 2014
56 
0.2 0.4 0.4 0.4 0.5 0.8 0.9 3 
16 
56 
77 
350 
300 
250 
200 
150 
100 
50 
0 
kg CO2-e / kg product 
Plant-based foods, steel & aluminium Mixed-grazing 
beef 
Grass-fed 
beef 
102 
© Paul Mahony 2014
57 
0.2 0.4 0.4 0.4 0.5 0.8 0.9 3 
16 
56 
77 
102 
140 
350 
300 
250 
200 
150 
100 
50 
0 
kg CO2-e / kg product 
Plant-based foods, steel & aluminium Mixed-grazing 
beef 
Grass-fed 
beef 
© Paul Mahony 2014
58 
Now let’s adjust for a 20-year “global warming 
potential” (GWP) for methane, but first an 
0.2 0.4 0.4 0.4 0.5 0.8 0.9 3 
16 
56 
77 
102 
140 
350 
300 
250 
200 
150 
100 
50 
0 
kg CO2-e / kg product 
Plant-based foods, steel & aluminium Mixed-grazing 
beef 
Grass-fed 
beef 
explanation. 
© Paul Mahony 2014
The emissions of different gases can be aggregated by 
converting them to carbon dioxide equivalents (CO2-e). It 
is like a common denomination for greenhouse gases. 
59 
© Paul Mahony 2014 
They are converted by multiplying the mass of emissions 
by the appropriate global warming potentials (GWPs). 
GWPs represent the relative warming effect of a unit 
mass of the gas when compared with the same mass of 
CO2 over a specific period.
60 
CO2-e equivalent (CO2-e) emissions from livestock 
20-year “Global Warming Potential” (GWP) 
Traditional reporting of 
methane’s global warming 
potential has understated its 
shorter-term impact, as it 
breaks down in the 
atmosphere much faster 
than carbon dioxide. 
The IPCC’s 100-year GWP 
for methane was increased 
to 34 (with carbon cycle 
feedbacks) in 2013. 
The figure for a 20 year 
timeframe is 86. 
NASA reports figures of 33 
for 100 years and 105 for 20 
years. 
© Paul Mahony 2014
61 
CO2-e equivalent (CO2-e) emissions from livestock 
20-year “Global Warming Potential” (GWP) 
Methane’s shorter-term 
impacts can become long-term 
to the extent that they 
contribute to us reaching 
climate change tipping points 
with catastrophic and 
irreversible consequences. 
© Paul Mahony 2014
62 
CO2-e equivalent (CO2-e) emissions from livestock 
20-year “Global Warming Potential” (GWP) 
Methane’s shorter-term 
impacts can become long-term 
to the extent that they 
contribute to us reaching 
climate change tipping points 
with catastrophic and 
irreversible consequences. 
© Paul Mahony 2014 
Meaningful action in regard 
to key sources of methane 
can represent a significant 
mitigation measure with a 
relatively fast response time.
63 
CO2-e equivalent (CO2-e) emissions from livestock 
20-year “Global Warming Potential” (GWP) 
To repeat: Methane’s shorter-term impacts can become long-term 
Methane’s shorter-term 
impacts can become long-term 
to the extent that they contribute to us reaching climate change 
to the extent that they 
tipping points with catastrophic and irreversible consequences. 
contribute to us reaching 
climate change tipping points 
with catastrophic and 
irreversible consequences. 
© Paul Mahony 2014 
Meaningful action in regard 
to key sources of methane 
can represent a significant 
mitigation measure with a 
relatively fast response time.
So now we’ll insert figures based on a 20-year GWP © Paul Mahony 2014 
64 
0.2 0.4 0.4 0.4 0.5 0.8 0.9 3 
16 
56 
77 
102 
140 
350 
300 
250 
200 
150 
100 
50 
0 
kg CO2-e / kg product 
Plant-based foods, steel & aluminium Mixed-grazing 
beef 
Grass-fed 
beef
65 
0.2 0.4 0.4 0.4 0.5 0.8 0.9 3 
16 
56 
77 
102 
140 
350 
300 
250 
200 
150 
100 
50 
0 
kg CO2-e / kg product 
Plant-based foods, steel & aluminium Mixed-grazing 
beef 
Grass-fed 
beef 
© Paul Mahony 2014
66 
0.2 0.4 0.4 0.4 0.5 0.8 0.9 3 
16 
56 
77 
160 
102 
140 
350 
300 
250 
200 
150 
100 
50 
0 
kg CO2-e / kg product 
Plant-based foods, steel & aluminium Mixed-grazing 
beef 
Grass-fed 
beef 
© Paul Mahony 2014
67 
0.2 0.4 0.4 0.4 0.5 0.8 0.9 3 
16 
56 
77 
160 
102 
140 
291 
350 
300 
250 
200 
150 
100 
50 
0 
kg CO2-e / kg product 
Plant-based foods, steel & aluminium Mixed-grazing 
beef 
Grass-fed 
beef 
© Paul Mahony 2014
68 
0.2 0.4 0.4 0.4 0.5 0.8 0.9 3 
16 
56 
77 
160 
102 
140 
291 
350 
300 
250 
200 
150 
100 
50 
0 
kg CO2-e / kg product 
Plant-based foods, steel & aluminium Mixed-grazing 
beef 
Grass-fed 
beef 
© Paul Mahony 2014
intensity of beef from grass-fed cows is more than 
18 times that of Australian aluminium smelting. 
69 
On that basis, the global average emissions 
0.2 0.4 0.4 0.4 0.5 0.8 0.9 3 
16 
56 
77 
160 
102 
140 
291 
350 
300 
250 
200 
150 
100 
50 
0 
kg CO2-e / kg product 
Plant-based foods, steel & aluminium Mixed-grazing 
beef 
Grass-fed 
beef 
© Paul Mahony 2014
70 
As mentioned, Australian aluminium smelting has 
been 2.5 times as emissions intensive as the 
0.2 0.4 0.4 0.4 0.5 0.8 0.9 3 
16 
56 
77 
160 
102 
140 
291 
350 
300 
250 
200 
150 
100 
50 
0 
kg CO2-e / kg product 
Plant-based foods, steel & aluminium Mixed-grazing 
beef 
Grass-fed 
beef 
global average. 
© Paul Mahony 2014
percentage split of the various factors contributing to beef’s emissions 
71 
The “20-year GWP” figures are based on the global average 
0.2 0.4 0.4 0.4 0.5 0.8 0.9 3 
16 
56 
77 
160 
102 
140 
291 
350 
300 
250 
200 
150 
100 
50 
0 
kg CO2-e / kg product 
Plant-based foods, steel & aluminium Mixed-grazing 
beef 
Grass-fed 
beef 
intensity. 
© Paul Mahony 2014
As methane’s percentage contribution would be lower in mixed 
systems than in grazing systems, they may be over-stated for the 
72 
former (160 kg) and under-stated for the latter (291 kg). 
They are intended to be approximations only. 
0.2 0.4 0.4 0.4 0.5 0.8 0.9 3 
16 
56 
77 
160 
102 
140 
291 
350 
300 
250 
200 
150 
100 
50 
0 
kg CO2-e / kg product 
Plant-based foods, steel & aluminium Mixed-grazing 
beef 
Grass-fed 
beef 
© Paul Mahony 2014
73 
0.2 0.4 0.4 0.4 0.5 0.8 0.9 3 
16 
56 
77 
160 
102 
140 
291 
350 
300 
250 
200 
150 
100 
50 
0 
kg CO2-e / kg product 
Plant-based foods, steel & aluminium Mixed-grazing 
beef 
Grass-fed 
beef 
The figures also vary by region. 
As stated, those shown here are the global average. 
© Paul Mahony 2014
74 
Here’s how meat from small ruminants (primarily 
sheep & goats) compares 
© Paul Mahony 2014
75 
Here’s how meat from small ruminants (primarily 
sheep & goats) compares 
3 
16 
100 
90 
80 
70 
60 
50 
40 
30 
20 
10 
0 
kg CO2-e / kg product 
Steel & 
Aluminium 
Sheep from grazing 
systems 
Sheep from mixed 
systems 
Steel Aluminium Sheep - Mixed - Carcass 
Sheep - Mixed - Retail Sheep Mixed Retail - 20 Yr GWP Sheep - Grazing - Carcass 
Sheep - Grazing - Retail Sheep Grazing Retail - 20 Yr GWP 
© Paul Mahony 2014
76 
Here’s how meat from small ruminants (primarily 
sheep & goats) compares 
3 
23 24 
16 
100 
90 
80 
70 
60 
50 
40 
30 
20 
10 
0 
kg CO2-e / kg product 
Steel & 
Aluminium 
Sheep from grazing 
systems 
Sheep from mixed 
systems 
Steel Aluminium Sheep - Mixed - Carcass 
Sheep - Mixed - Retail Sheep Mixed Retail - 20 Yr GWP Sheep - Grazing - Carcass 
Sheep - Grazing - Retail Sheep Grazing Retail - 20 Yr GWP 
© Paul Mahony 2014
77 
Here’s how meat from small ruminants (primarily 
sheep & goats) compares 
3 
23 
35 
24 
16 
36 
100 
90 
80 
70 
60 
50 
40 
30 
20 
10 
0 
kg CO2-e / kg product 
Steel & 
Aluminium 
Sheep from grazing 
systems 
Sheep from mixed 
systems 
Steel Aluminium Sheep - Mixed - Carcass 
Sheep - Mixed - Retail Sheep Mixed Retail - 20 Yr GWP Sheep - Grazing - Carcass 
Sheep - Grazing - Retail Sheep Grazing Retail - 20 Yr GWP 
© Paul Mahony 2014
78 
Here’s how meat from small ruminants (primarily 
sheep & goats) compares 
3 
23 
35 
24 
86 
16 
84 
36 
100 
90 
80 
70 
60 
50 
40 
30 
20 
10 
0 
kg CO2-e / kg product 
Steel & 
Aluminium 
Sheep from grazing 
systems 
Sheep from mixed 
systems 
Steel Aluminium Sheep - Mixed - Carcass 
Sheep - Mixed - Retail Sheep Mixed Retail - 20 Yr GWP Sheep - Grazing - Carcass 
Sheep - Grazing - Retail Sheep Grazing Retail - 20 Yr GWP 
© Paul Mahony 2014
79 
Some of the emissions from small ruminants are 
attributed to milk and fibre, reducing the meat figure 
3 
23 
35 
24 
86 
16 
84 
36 
100 
90 
80 
70 
60 
50 
40 
30 
20 
10 
0 
kg CO2-e / kg product 
Steel & 
Aluminium 
Sheep from grazing 
systems 
Sheep from mixed 
systems 
Steel Aluminium Sheep - Mixed - Carcass 
Sheep - Mixed - Retail Sheep Mixed Retail - 20 Yr GWP Sheep - Grazing - Carcass 
Sheep - Grazing - Retail Sheep Grazing Retail - 20 Yr GWP 
© Paul Mahony 2014
Let’s see how the global emissions intensity of chicken and 
pig meat compares, based on retail weight and a 20-year 
80 
GWP. 
© Paul Mahony 2014 
SOME FURTHER COMPARISONS
81 
SOME FURTHER COMPARISONS 
Let’s see how the global emissions intensity of chicken and 
pig meat compares, based on retail weight and a 20-year 
GWP. 
Firstly, we’ll revert to the original scale on the chart. 
© Paul Mahony 2014
82 
0.2 0.4 0.4 0.4 0.5 0.8 0.9 3 
16 
350 
300 
250 
200 
150 
100 
50 
0 
kg CO2-e / kg product 
Plant-based foods, steel & aluminium 
© Paul Mahony 2014
83 
0.2 0.4 0.4 0.4 0.5 0.8 0.9 3 
16 
350 
300 
250 
200 
150 
100 
50 
0 
kg CO2-e / kg product 
Plant-based foods, steel & aluminium 
© Paul Mahony 2014
Emissions Intensity 
0.2 0.4 0.4 0.4 0.5 
0.8 0.9 
3 
16 
18 
16 
14 
12 
10 
8 
6 
4 
2 
0 
kg CO2-e / kg product 
Plant-based foods from sugar to soybeans Steel & Aluminium 
© Paul Mahony 2014
© Paul Mahony 2014 To make some room, we’ll remove soy beans and steel 
0.2 0.4 0.4 0.4 0.5 
0.8 0.9 
3 
16 
18 
16 
14 
12 
10 
8 
6 
4 
2 
0 
kg CO2-e / kg product 
Plant-based foods from sugar to soybeans Steel & Aluminium
0.2 0.4 0.4 0.4 0.5 
0.8 0.9 
3 
16 
18 
16 
14 
12 
10 
8 
6 
4 
2 
0 
kg CO2-e / kg product 
Plant-based foods from sugar to soybeans Steel & Aluminium 
© Paul Mahony 2014
0.2 0.4 0.4 0.4 0.5 
0.8 
16 
18 
16 
14 
12 
10 
8 
6 
4 
2 
0 
kg CO2-e / kg product 
Plant-based foods from sugar to apples Aluminium 
© Paul Mahony 2014
© Paul Mahony 2014 Now we’ll add pig and chicken meat. 
0.2 0.4 0.4 0.4 0.5 
0.8 
16 
18 
16 
14 
12 
10 
8 
6 
4 
2 
0 
kg CO2-e / kg product 
Plant-based foods from sugar to apples Aluminium
0.2 0.4 0.4 0.4 0.5 
0.8 
16 
18 
16 
14 
12 
10 
8 
6 
4 
2 
0 
kg CO2-e / kg product 
Plant-based foods from sugar to apples Aluminium 
© Paul Mahony 2014
0.2 0.4 0.4 0.4 0.5 
0.8 
7.6 
16 
18 
16 
14 
12 
10 
8 
6 
4 
2 
0 
kg CO2-e / kg product 
Plant-based foods from sugar to apples Chicken Aluminium 
© Paul Mahony 2014
0.2 0.4 0.4 0.4 0.5 
0.8 
7.6 
13.6 
16 
18 
16 
14 
12 
10 
8 
6 
4 
2 
0 
kg CO2-e / kg product 
Plant-based foods from sugar to apples Chicken Pig Aluminium 
© Paul Mahony 2014
0.2 0.4 0.4 0.4 0.5 
0.8 
7.6 
13.6 
16 
18 
16 
14 
12 
10 
8 
6 
4 
2 
0 
kg CO2-e / kg product 
Plant-based foods from sugar to apples Chicken Pig Aluminium 
© Paul Mahony 2014
The emissions intensity of chicken and pig meat is very 
poor relative to plant-based alternatives. 
0.2 0.4 0.4 0.4 0.5 
0.8 
7.6 
13.6 
16 
18 
16 
14 
12 
10 
8 
6 
4 
2 
0 
kg CO2-e / kg product 
Plant-based foods from sugar to apples Chicken Pig Aluminium 
© Paul Mahony 2014
94 
The emissions intensity of Australian beef 
production is lower than the global average due 
primarily to higher productivity (more meat per 
cow), relatively high feed digestibility and a 
reduction in livestock-related land clearing since 
the end of 2006. 
© Paul Mahony 2014
95 
The land clearing may increase following the 
recent overturning by the current Queensland 
government of a ban imposed by the previous 
government on broad scale land clearing. 
© Paul Mahony 2014
96 
The land clearing may increase following the 
recent overturning by the current Queensland 
government of a ban imposed by the previous 
government on broad scale land clearing. 
© Paul Mahony 2014
97 
The UNFAO has not produced emissions intensity 
figures for specialised beef in Australia. 
© Paul Mahony 2014
98 
The UNFAO has not produced emissions intensity 
figures for specialised beef in Australia. 
© Paul Mahony 2014 
For our next comparison, we’ll consider figures 
produced by Australia’s Department of the 
Environment.
99 
The UNFAO has not produced emissions intensity 
figures for specialised beef in Australia. 
© Paul Mahony 2014 
For our next comparison, we’ll consider figures 
produced by Australia’s Department of the 
Environment. 
Let’s see how the aggregate emissions of cows 
and other livestock animals compare to those of 
Australian electricity generation, taking into 
account only methane emissions in respect of the 
animals.
Background: Around 90 per cent of Australia’s electricity 
is generated from traditional fossil fuels, with 69 per cent 
from coal and 19 per cent from natural gas. 
© Paul Mahony 2014 
a includes wind, hydro, solar PV and bioenergy; b includes multi-fuel power plants
In terms of gross domestic product, Australia’s economy 
was ranked number 12 of 214 nations by The World Bank 
as at 8th May, 2014. 
© Paul Mahony 2014 
a includes wind, hydro, solar PV and bioenergy; b includes multi-fuel power plants
Australia’s per capita emissions are amongst the highest 
in the world. 
© Paul Mahony 2014 
a includes wind, hydro, solar PV and bioenergy; b includes multi-fuel power plants
Around 90 percent of Australia’s emissions from fossil fuel 
electricity generation come from black and brown coal. 
© Paul Mahony 2014 
Electricity emissions: Australian Government, Dept of the Environment, “National Inventory Report 2012 Volume 1”, Fig. 3.2 
CO2-e emissions from electricity generation by fossil fuels, 1990-92, p. 50.
104 
CO2-e emissions (Gg) 2012: 
Coal-fired electricity 
© Paul Mahony 2014 
215,725 
175,000 
250,000 
200,000 
150,000 
100,000 
50,000 
0 
Coal-fired electricity
105 
© Paul Mahony 2014 
CO2-e emissions (Gg) 2012: 
Coal-fired electricity 
and methane from animal agriculture based 
on 20-year GWP 
215,725 
175,000 
250,000 
200,000 
150,000 
100,000 
50,000 
0 
Coal-fired electricity Methane from animal 
agriculture
106 
© Paul Mahony 2014 
CO2-e emissions (Gg) 2012: 
All electricity generation 
and methane from animal agriculture based 
on 20-year GWP 
193,000 215,725 
250,000 
200,000 
150,000 
100,000 
50,000 
0 
Total electricity 
Methane from animal 
agriculture
107 
© Paul Mahony 2014 
On this basis, if the newly developed electric cows, sheep, 
chickens, pigs and other livestock animals were to require 
the amount of electricity that would create their current 
level of greenhouse gas emissions, then we would not be 
generating enough for them to operate, even if all other 
activities using electricity ceased! 
193,000 215,725
108 
© Paul Mahony 2014 
The reported methane emissions are from: enteric 
fermentation (released primarily through belching); manure 
management; and savanna burning. 
There appears to be no allowance in Australia’s livestock-related 
greenhouse gas inventory for the following non-methane 
factors that are considered by the FAO: manure 
applied to feed crops (N2O); Fertilizer and crop residues 
(N2O); feed (CO2); and land use change (pasture expansion) 
193,000 (CO2). 
215,725 
Australia’s greenhouse gas inventory does include N20 
emissions from manure management and savanna burning. 
Notes: 
- CO2 = carbon dioxide; CH4 = methane; N2O = nitrous oxide 
- The UN FAO treats “manure management” and “applied and deposited manure” as separate 
categories. It appears the Australian figures included “deposited manure” in “manure management”. 
- We have applied 57% of savanna burning to livestock production, in line with material 
commissioned by the former Australian Greenhouse Office.
109 
Methane’s share of beef’s global average emissions is 44% 
(Enteric fermentation 42.6% and manure management 1.4%) 
Enteric 42.6% 
Manure (3 categories) 23.1% 
Feed & fertiliser 17.4% 
LUC – Pasture 14.8% 
Energy 0.9% 
LUC – Soybean 0.7% 
Postfarm 0.5% 
Total 100% 
© Paul Mahony 2014
110 
Buying locally hardly helps 
Postfarm 
emissions 
(transport and 
processing) only 
account for 0.5% 
of the total. 
Enteric 42.6% 
Manure (3 categories) 23.1% 
Feed & fertiliser 17.4% 
LUC – Pasture 14.8% 
Energy 0.9% 
LUC – Soybean 0.7% 
Postfarm 0.5% 
Total 100% 
© Paul Mahony 2014
James Hansen – Essential Measures © Paul Mahony 2014
James Hansen – Essential Measures © Paul Mahony 2014 
Massive reforestation and action on soil carbon will be critical
Alternative Diets (updated October 2014) 
Chicken 200g 
Broccoli 50g 
Carrot 50g 
Potato 150g 
Almonds 50g 
Banana 150g 
Orange 150g 
Oats 80g 
Quinoa 100g 
Spinach 100g 
Dried Apricots 65g 
Avocado 50g 
W'meal Bread 130g 
Cow’s milk 400g 
Beef mixed 200g 
Broccoli 50g 
Carrot 50g 
Potato 150g 
Almonds 50g 
Banana 150g 
Orange 150g 
Oats 80g 
Quinoa 100g 
Spinach 100g 
Dried Apricots 65g 
Avocado 50g 
W'meal Bread 130g 
Cow’s milk 400g 
Beef grass fed 200g 
Broccoli 50g 
Carrot 50g 
Potato 150g 
Almonds 50g 
Banana 150g 
Orange 150g 
Oats 80g 
Quinoa 100g 
Spinach 100g 
Dried Apricots 65g 
Avocado 50g 
W'meal Bread 130g 
Cow’s milk 400g 
Fish 200g 
Broccoli 50g 
Carrot 50g 
Potato 150g 
Almonds 50g 
Banana 150g 
Orange 150g 
Oats 80g 
Quinoa 100g 
Spinach 100g 
Dried Apricots 65g 
Avocado 50g 
W'meal Bread 130g 
Cow’s milk 400g 
Tofu 100g 
Soy Nuts 50g 
Kidney Beans 50g 
Broccoli 50g 
Carrot 50g 
Potato 150g 
Almonds 50g 
Banana 150g 
Orange 150g 
Oats 80g 
Quinoa 100g 
Spinach 100g 
Dried Apricots 65g 
Avocado 50g 
W'meal Bread 130g 
Soymilk 400g 
Plant foods’ emissions for this and subsequent slides are from an Oxford study released in June, 2014. Some 
are slightly higher than figures used in earlier slides but still significantly below the animal-based figures.
Alternative Diets (updated October 2014) 
Chicken 200g 
Broccoli 50g 
Carrot 50g 
Potato 150g 
Almonds 50g 
Banana 150g 
Orange 150g 
Oats 80g 
Quinoa 100g 
Spinach 100g 
Dried Apricots 65g 
Avocado 50g 
W'meal Bread 130g 
Cow’s milk 400g 
Beef mixed 200g 
Broccoli 50g 
Carrot 50g 
Potato 150g 
Almonds 50g 
Banana 150g 
Orange 150g 
Oats 80g 
Quinoa 100g 
Spinach 100g 
Dried Apricots 65g 
Avocado 50g 
W'meal Bread 130g 
Cow’s milk 400g 
Beef grass fed 200g 
Broccoli 50g 
Carrot 50g 
Potato 150g 
Almonds 50g 
Banana 150g 
Orange 150g 
Oats 80g 
Quinoa 100g 
Spinach 100g 
Dried Apricots 65g 
Avocado 50g 
W'meal Bread 130g 
Cow’s milk 400g 
Fish 200g 
Broccoli 50g 
Carrot 50g 
Potato 150g 
Almonds 50g 
Banana 150g 
Orange 150g 
Oats 80g 
Quinoa 100g 
Spinach 100g 
Dried Apricots 65g 
Avocado 50g 
W'meal Bread 130g 
Cow’s milk 400g 
Tofu 100g 
Soy Nuts 50g 
Kidney Beans 50g 
Broccoli 50g 
Carrot 50g 
Potato 150g 
Almonds 50g 
Banana 150g 
Orange 150g 
Oats 80g 
Quinoa 100g 
Spinach 100g 
Dried Apricots 65g 
Avocado 50g 
W'meal Bread 130g 
Soymilk 400g 
Plant foods’ emissions for this and subsequent slides are from an Oxford study released in June, 2014. Some 
are slightly higher than figures used in earlier slides but still significantly below the animal-based figures.
Alternative Diets (updated October 2014) 
Emissions: 
2.00 kg 
Chicken 200g 
Broccoli 50g 
Carrot 50g 
Potato 150g 
Almonds 50g 
Banana 150g 
Orange 150g 
Oats 80g 
Quinoa 100g 
Spinach 100g 
Dried Apricots 65g 
Avocado 50g 
W'meal Bread 130g 
Cow’s milk 400g 
Beef mixed 200g 
Broccoli 50g 
Carrot 50g 
Potato 150g 
Almonds 50g 
Banana 150g 
Orange 150g 
Oats 80g 
Quinoa 100g 
Spinach 100g 
Dried Apricots 65g 
Avocado 50g 
W'meal Bread 130g 
Cow’s milk 400g 
Beef grass fed 200g 
Broccoli 50g 
Carrot 50g 
Potato 150g 
Almonds 50g 
Banana 150g 
Orange 150g 
Oats 80g 
Quinoa 100g 
Spinach 100g 
Dried Apricots 65g 
Avocado 50g 
W'meal Bread 130g 
Cow’s milk 400g 
Fish 200g 
Broccoli 50g 
Carrot 50g 
Potato 150g 
Almonds 50g 
Banana 150g 
Orange 150g 
Oats 80g 
Quinoa 100g 
Spinach 100g 
Dried Apricots 65g 
Avocado 50g 
W'meal Bread 130g 
Cow’s milk 400g 
Emissions: 
3.24 kg 
Emissions: 
3.68 kg 
Emissions: 
34.17 kg 
Emissions: 
60.34 kg 
Tofu 100g 
Soy Nuts 50g 
Kidney Beans 50g 
Broccoli 50g 
Carrot 50g 
Potato 150g 
Almonds 50g 
Banana 150g 
Orange 150g 
Oats 80g 
Quinoa 100g 
Spinach 100g 
Dried Apricots 65g 
Avocado 50g 
W'meal Bread 130g 
Soymilk 400g 
Plant foods’ emissions for this and subsequent slides are from an Oxford study released in June, 2014. Some 
are slightly higher than figures used in earlier slides but still significantly below the animal-based figures.
Alternative Diets (updated October 2014) 
Greenhouse gas emissions (kg per day) 
Key distinguishing ingredients shown 
Plant foods’ emissions for this and subsequent slides are from an Oxford study released in June, 2014. Some 
are slightly higher than figures used in earlier slides but still significantly below the animal-based figures.
What about chickens and fish? 
While emissions from diets featuring chicken and 
fish are comparable to the plant-based alternative, 
those two commodities in their own right are 
around three to four times as emissions intensive. 
Fish photo© Furzyk73 | Dreamstime.com - Tinca Tinca, Doctor Fish, The Tench Photo; Chicken photo courtesy of aussiechickens.com.au
What about chickens and fish? 
They also involve other massive environmental 
problems, including destruction of oceanic 
ecosystems and waste from around 60 billion 
chickens bred and slaughtered annually. 
Fish photo© Furzyk73 | Dreamstime.com - Tinca Tinca, Doctor Fish, The Tench Photo; Chicken photo courtesy of aussiechickens.com.au
Dr Andrew Glikson, earth and paleoclimate scientist at Australian National 
University 
119 
Some thoughts to conclude © Paul Mahony 2014
Some thoughts to conclude 
“Contrarian claims by sceptics, 
misrepresenting direct observations in 
nature and ignoring the laws of physics, 
have been adopted by neo-conservative 
political parties.” 
120 
© Paul Mahony 2014 
Dr Andrew Glikson, earth and paleoclimate scientist at Australian National 
University
Some thoughts to conclude 
“Contrarian claims by sceptics, 
misrepresenting direct observations in 
nature and ignoring the laws of physics, 
have been adopted by neo-conservative 
political parties.” 
121 
“A corporate media maintains a 
‘balance’ between facts and fiction.” 
© Paul Mahony 2014 
Dr Andrew Glikson, earth and paleoclimate scientist at Australian National 
University
Some thoughts to conclude 
“Contrarian claims by sceptics, 
misrepresenting direct observations in 
nature and ignoring the laws of physics, 
have been adopted by neo-conservative 
political parties.” 
“The best that governments seem to do 
is devise cosmetic solutions, or promise 
further discussions, while time is 
running out.” 
122 
“A corporate media maintains a 
‘balance’ between facts and fiction.” 
© Paul Mahony 2014 
Dr Andrew Glikson, earth and paleoclimate scientist at Australian National 
University
Some thoughts to conclude 
“Contrarian claims by sceptics, 
misrepresenting direct observations in 
nature and ignoring the laws of physics, 
have been adopted by neo-conservative 
political parties.” 
“The best that governments seem to do 
is devise cosmetic solutions, or promise 
further discussions, while time is 
running out.” 
123 
“A corporate media maintains a 
‘balance’ between facts and fiction.” 
“GOOD PLANETS ARE HARD TO COME BY!” 
© Paul Mahony 2014 
Dr Andrew Glikson, earth and paleoclimate scientist at Australian National 
University
Some thoughts to conclude 
“Contrarian claims by sceptics, 
misrepresenting direct observations in 
nature and ignoring the laws of physics, 
have been adopted by neo-conservative 
political parties.” 
“The best that governments seem to do 
is devise cosmetic solutions, or promise 
further discussions, while time is 
running out.” 
124 
“A corporate media maintains a 
‘balance’ between facts and fiction.” 
© Paul Mahony 2014 
Dr Andrew Glikson, earth and paleoclimate scientist at Australian National 
University 
References and supplementary slides follow
125 
© Paul Mahony 2014 
References 
Methane GWP Chart: Smith, K., cited in World Preservation Foundation, “Reducing Shorter-Lived Climate Forcers through Dietary Change: Our best chance 
for preserving global food security and protecting nations vulnerable to climate change“, 
http://www.worldpreservationfoundation.org/Downloads/ReducingShorterLivedClimateForcersThroughDietaryChange.pdf 
Shindell, D.T., Faluvegi, G., Koch, D.M., Schmidt, G.A., Unger, N., Bauer, S.E., “Improved Attribution of Climate Forcing to Emissions“, Science 30 October 
2009: Vol. 326 no. 5953 pp. 716-718 DOI: 10.1126/science.1174760, https://www.sciencemag.org/content/326/5953/716.figures-only 
Sanderson, K., “Aerosols make methane more potent”, Nature, Published online 29 October 2009 | Nature | doi:10.1038/news.2009.1049, 
http://www.nature.com/news/2009/091029/full/news.2009.1049.html 
Intergovernmental Panel on Climate Change, Fifth Assessment Report, 2014, http://www.ipcc.ch/report/ar5/, cited in Romm, J., “More Bad News For 
Fracking: IPCC Warns Methane Traps More Heat”, The Energy Collective, 7th October, 2013, http://theenergycollective.com/josephromm/284336/more-bad-news- 
fracking-ipcc-warns-methane-traps-much-more-heat-we-thoughtSanderson, K., “Aerosols make methane more potent”, Nature, Published online 29 
October 2009 | Nature | doi:10.1038/news.2009.1049, http://www.nature.com/news/2009/091029/full/news.2009.1049.html 
Food and Agriculture Organization of the United Nations, “Tackling climate change through livestock: A global assessment of emissions and mitigation 
opportunities”, Nov 2013, http://www.fao.org/ag/againfo/resources/en/publications/tackling_climate_change/index.htm; 
http://www.fao.org/docrep/018/i3437e/i3437e.pdf 
Food and Agriculture Organization of the United Nations, “Greenhouse gas emissions from ruminant supply chains: A global life cycle assessment”, Nov 
2013, http://www.fao.org/ag/againfo/resources/en/publications/tackling_climate_change/index.htm; http://www.fao.org/docrep/018/i3461e/i3461e.pdf 
United States Department of Agriculture Economic Research Service, Agricultural Handbook No. 697, June, 1992 (website updated 10 September, 2013), 
“Weights, Measures, and Conversion Factors for Agricultural Commodities and Their Products”, http://www.ers.usda.gov/publications/ah-agricultural-handbook/ 
ah697.aspx#.U0ihR6Ikykw 
Hamilton, C, “Scorcher: The Dirty Politics of Climate Change”, (2007) Black Inc Agenda, p. 40 
Australian Aluminium Council Ltd, “Climate Change: Aluminium Smelting Greenhouse Performance”, http://aluminium.org.au/climate-change/smelting-greenhouse- 
performance (Accessed 14th April, 2014) 
Turton, H. “Greenhouse gas emissions in industrialised countries Where does Australiastand?”, The Australia Institute, Discussion Paper Number 66, June 
2004, ISSN 1322-5421, p. viii, https://www.tai.org.au/documents/dp_fulltext/DP66.pdf 
Carlsson-Kanyama, A. & Gonzalez, A.D. “Potential Contributions of Food Consumption Patterns to Climate Change”, The American Journal of Clinical 
Nutrition, Vol. 89, No. 5, pp. 1704S-1709S, May 2009, http://www.ajcn.org/cgi/content/abstract/89/5/1704S 
George Wilkenfeld & Associates Pty Ltd and Energy Strategies, “National Greenhouse Gas Inventory 1990, 1995, 1999, End Use Allocation of Emissions 
Report to the Australian Greenhouse Office, 2003, Volume 1”, Table S5, p. vii 
Glikson, A., “As emissions rise, we may be heading for an ice-free planet”, The Conversation, 18 January, 2012, 
http://theconversation.edu.au/as-emissions-rise-we-may-be-heading-for-an-ice-free-planet-4893 (Accessed 4 February 2012)
126 
© Paul Mahony 2014 
References 
Australian Government Department of Industry, “The Australian Aluminium Industry”, 
http://www.innovation.gov.au/INDUSTRY/AUSTRALIANALUMINIUMINDUSTRY/Pages/default.aspx (accessed 18th April, 2014) (Industry output 2010/11 
1,938,000 tonnes) 
Australian Government Department of Agriculture, Fisheries and Forestry, “Australian food statistics 2011–12”, Table 2.4 Supply and Use of Australian 
Meats, p. 58, http://www.daff.gov.au/__data/assets/pdf_file/0007/2269762/daff-foodstats-2011-12.pdf (Beef and veal production 2010/11 2,133,000 tonnes) 
Australian Government, Bureau of Resources and Energy Economics, “2013 Australian Energy Update”, Fig. 3 Australian electricity generation, by fuel type, 
p. 10, http://www.bree.gov.au/sites/default/files/files//publications/aes/2013-australian-energy-statistics.pdf 
Electricity emissions: Australian Government, Dept of the Environment, “National Inventory Report 2012 Volume 1”, Fig. 3.2 CO2-e emissions from electricity 
generation by fossil fuels, 1990-2012, p. 50. 
Campbell, K., "Energy crunch constraining aluminium expansions”, 27 February, 2006, www.miningweekly.com, http://www.miningweekly.com/article/energy-crunch- 
constraining-aluminum-expansions-2006-02-27 
The World Bank, GDP Ranking, 8th May, 2014, http://data.worldbank.org/data-catalog/GDP-ranking-table 
Pie chart: Figure 7, p. 24, Food and Agriculture Organization of the United Nations, “Tackling climate change through livestock: A global assessment of 
emissions and mitigation opportunities”, Nov 2013, http://www.fao.org/ag/againfo/resources/en/publications/tackling_climate_change/index.htm; 
http://www.fao.org/docrep/018/i3437e/i3437e.pdf 
Beef’s efficiency diagram derived from W.O. Herring and J.K. Bertrand, “Multi-trait Prediction of Feed Conversion in Feedlot Cattle”, Proceedings from the 
34th Annual Beef Improvement Federation Annual Meeting, Omaha, NE, July 10-13, 2002, 
www.bifconference.com/bif2002/BIFsymposium_pdfs/Herring_02BIF.pdf, cited in Singer, P & Mason, J, “The Ethics of What We Eat” (2006), Text Publishing 
Company, p. 210 
Chicken’s feed conversion figures: Australian Chicken Meat Federation, Industry facts and figures, http://www.chicken.org.au/page.php?id=4 (accessed 7th 
May, 2014). 
Chicken yield figure: USDA Agricultural Handbook # 697 “Weights, Measures and Conversion Factors for Agricultural Commodities and Their Products”, 
June 1992, http://www.ers.usda.gov/publications/ah-agricultural-handbook/ah697.aspx, updated 10 Sep, 2013 
Hansen, J; Sato, M; Kharecha, P; Beerling, D; Berner, R; Masson-Delmotte, V; Pagani, M; Raymo, M; Royer, D.L.; and Zachos, J.C. “Target Atmospheric 
CO2: Where Should Humanity Aim?”, 2008. 
Acknowledgement: An earlier comparison between electricity generation and methane emissions was reported by Prof. Barry Brook and Geoff Russell in 
“Meat’s Carbon Hoofprint”, Australasian Science, Nov/Dec 2007, pp. 37-39, http://www.control.com.au/bi2007/2810Brook.pdf 
Australian Government, Bureau of Resources and Energy Economics, “2013 Australian Energy Update”, Fig. 3 Australian electricity generation, by fuel type, 
p. 10, http://www.bree.gov.au/sites/default/files/files//publications/aes/2013-australian-energy-statistics.pdf 
Electricity emissions: Australian Government, Dept of the Environment, “National Inventory Report 2012 Volume 1”, Fig. 3.2 CO2-e emissions from electricity 
generation by fossil fuels, 1990-92, p. 50. 
Scarborough, P., Appleby, P.N., Mizdrak, A., Briggs, A.D.M., Travis, R.C., Bradbury, K.E., & Key, T.J., "Dietary greenhouse gas emissions of meat-eaters, 
fish-eaters, vegetarians and vegans in the UK", Climatic Change, DOI 10.1007/s10584-014-1169-1 
Cover images: Plug © Antonio Mirabile | Dreamstime.com; Cow © Pavelmidi1968 | Dreamstime.com
127 
© Paul Mahony 2014 
Supplementary slides 
Land clearing 
Nutrition
128 
Land Clearing in Australia 
Total area cleared since European settlement approx. 1 million sq. km. 
Approx. 70% or 700,000 sq km (9% of Australia’s land area) is due to livestock. 
Cleared native vegetation and protected areas 
Cleared native vegetation 
Native vegetation 
Protected areas 
Sources: Map - National Biodiversity Strategy Review Task Group, “Australia’s 
Biodiversity Conservation Strategy 2010–2020”, Figure A10.1, p. 91 
Other figures derived from Russell, G. “The global food system and climate 
change – Part 1”, 9 Oct 2008, www.bravenewclimate.com, which utilised: 
Dept. of Sustainability, Environment, Water, Population and Communities, 
State of the Environment Report 2006, Indicator: LD-01 The proportion and 
area of native vegetation and changes over time, March 2009; and 
ABS, 4613.0 “Australia’s Environment: Issues and Trends”, Jan 2010; and 
ABS 1301.0 Australian Year Book 2008, since updated for 2009-10, 16.13 Area of crops 
© Paul Mahony 2014
129 
Land clearing in Australia 
Original Map: Copyright 2010 Melway Publishing Pty Ltd. Reproduced from Melway Edition 38 with permission. 
10 km 
How far north would we go to clear as much land as was cleared in Queensland 
If we assumed that the land north of a 10 km line running east from the middle of 
Melbourne was covered by forest and other wooded vegetation. 
between 1988 and 2008? 
© Paul Mahony 2014
130 
Land clearing in Australia © Paul Mahony 2014 
10 km 
Original Map: Copyright 2010 Melway Publishing Pty Ltd. Reproduced from Melway Edition 38 with permission.
131 
Land clearing in Australia – Queensland 1988 -2008 
Approximately 78,000 square kilometres 
Source: 
Derived from Bisshop, G. & Pavlidis, L, “Deforestation and land 
degradation in Queensland - The culprit”, Article 5, 16th Biennial Australian 
Association for Environmental Education Conference, Australian National 
University, Canberra, 
26-30 September 2010 
Original map: www.street-directory.com.au. Used with permission. 
(Cairns inserted by this presenter.) 
Cairns 
© Paul Mahony 2014
132 
Land clearing in Australia – Queensland 1988 -2008 
Approximately 78,000 square kilometres 
Source: 
Derived from Bisshop, G. & Pavlidis, L, “Deforestation and land 
degradation in Queensland - The culprit”, Article 5, 16th Biennial Australian 
Association for Environmental Education Conference, Australian National 
University, Canberra, 
26-30 September 2010 
Original map: www.street-directory.com.au. Used with permission. 
(Cairns inserted by this presenter.) 
Cairns 
© Paul Mahony 2014
133 
Land clearing in Australia – Queensland 1988 -2008 
Approximately 78,000 square kilometres 
Source: 
Derived from Bisshop, G. & Pavlidis, L, “Deforestation and land 
degradation in Queensland - The culprit”, Article 5, 16th Biennial Australian 
Association for Environmental Education Conference, Australian National 
University, Canberra, 
26-30 September 2010 
Original map: www.street-directory.com.au. Used with permission. 
(Cairns inserted by this presenter.) 
Cairns 
© Paul Mahony 2014
134 
Land clearing in Australia – Queensland 1988 -2008 
Approximately 78,000 square kilometres 
Source: 
Derived from Bisshop, G. & Pavlidis, L, “Deforestation and land 
degradation in Queensland - The culprit”, Article 5, 16th Biennial Australian 
Association for Environmental Education Conference, Australian National 
University, Canberra, 
26-30 September 2010 
Original map: www.street-directory.com.au. Used with permission. 
(Cairns inserted by this presenter.) 
Cairns 
© Paul Mahony 2014
135 
Land clearing in Australia – Queensland 1988 -2008 
Approximately 78,000 square kilometres 
Source: 
Derived from Bisshop, G. & Pavlidis, L, “Deforestation and land 
degradation in Queensland - The culprit”, Article 5, 16th Biennial Australian 
Association for Environmental Education Conference, Australian National 
University, Canberra, 
26-30 September 2010 
Original map: www.street-directory.com.au. Used with permission. 
(Cairns inserted by this presenter.) 
Cairns 
© Paul Mahony 2014
136 
Land clearing in Australia – Queensland 1988 -2008 
Approximately 78,000 square kilometres 
Source: 
Derived from Bisshop, G. & Pavlidis, L, “Deforestation and land 
degradation in Queensland - The culprit”, Article 5, 16th Biennial Australian 
Association for Environmental Education Conference, Australian National 
University, Canberra, 
26-30 September 2010 
Original map: www.street-directory.com.au. Used with permission. 
(Cairns inserted by this presenter.) 
Cairns 
78,000 sq km 
© Paul Mahony 2014
Rainforest destruction in Africa 
The vertical lines primarily 
represent the Guinea Savanna, 
which was once forest and is 
maintained as savanna through 
regular burning, primarily to 
enable cattle grazing. 
Sources: Mahesh Sankaran, et al, “Determinants of woody cover in African savannas”, Nature 438, 846-849 (8 December 
137 
2005), cited in Russell, G. “Burning the biosphere, boverty blues (Part 2)”, www.bravenewclimate.com 
© Paul Mahony 2014
Rainforest destruction in Africa 
Sources: Mahesh Sankaran, et al, “Determinants of woody cover in African savannas”, Nature 438, 846-849 (8 December 
138 
2005), cited in Russell, G. “Burning the biosphere, boverty blues (Part 2)”, www.bravenewclimate.com 
MODIS Rapid Response Team, NASA Goddard Space Flight Center, http://rapidfire.sci.gsfc.nasa.gov/firemaps/ 
© Paul Mahony 2014
Rainforest destruction in Africa 
Sources: Mahesh Sankaran, et al, “Determinants of woody cover in African savannas”, Nature 438, 846-849 (8 December 
139 
2005), cited in Russell, G. “Burning the biosphere, boverty blues (Part 2)”, www.bravenewclimate.com 
MODIS Rapid Response Team, NASA Goddard Space Flight Center, http://rapidfire.sci.gsfc.nasa.gov/firemaps/ 
© Paul Mahony 2014
140 
Rainforest destruction in South America 
Winds transport black carbon 
from the Amazon to the Antarctic 
Peninsula. 
47% to 61% of black carbon in 
Antarctica comes from pasture 
management in the Amazon and 
Africa. 
Black carbon melts ice rapidly by 
absorbing heat from sunlight. 
http://www.world-maps.co.uk/continent-map-of-south-america.htm 
http://rainforests.mongabay.com/amazon/amazon_map.html 
MODIS Rapid Response Team, NASA Goddard Space Flight 
Center - http://rapidfire.sci.gsfc.nasa.gov/firemaps/ 
Black carbon information: Presentation by Gerard Bisshop, World Preservation Fund presentation to Cancun Climate 
Summit, Dec, 2010 “Shorter lived climate forcers: Agriculture Sector and Land Clearing for Livestock” (co-authors 
Lefkothea Pavlidis and Dr Hsien Hui Khoo). MODIS Rapid Response Team, NASA Goddard Space Flight Center - 
http://rapidfire.sci.gsfc.nasa.gov/firemaps/ 
© Paul Mahony 2014
Burning in Australia 
To put Australian savanna burning into context, the 2009 Black Saturday bushfires in the state of 
Victoria burnt around 4,500 hectares. In comparison, each year in northern Australia where 70% of 
our cattle graze, we burn 100 times that area across the tropical savanna. 
Source: Modis fire map, NASA 141 
© Paul Mahony 2014
142 
Protein © Paul Mahony 2014 
Bull elephant © William Manning | Dreamstime.com
143 
Protein Content 
0 
500,000 
1,000,000 
1,500,000 
2,000,000 
2,500,000 
3,000,000 
3,500,000 
Wheat 
Lupins 
Field peas 
Chickpeas 
Rice 
Mung beans 
Navy beans 
Faba beans 
Lentils 
Barley 
Oats 
Maize 
Sorghum 
Triticale 
Potatoes 
Onions 
Carrots 
Asparagus 
Broccoli 
Cauliflower 
Tomatoes 
Mushrooms 
Lettuce 
Capsicum/chillies 
Cabbage 
Beans 
Other 
Soy beans 
Sugar cane 
Peanuts 
Apples 
Pears 
Nashi 
Avocado 
Melons 
Pineapples 
Bananas 
Kiwifruit 
Mangoes 
Table and dried grapes 
Oranges 
Mandarins 
Lemons/limes/grapefruit 
Peaches 
Nectarines 
Apricots 
Plums 
Cherries 
Almonds 
Macadamia 
Berries 
Beef 
Lamb 
Pig meat 
Poultry 
Whole milk 
Cheese - Cheddar 
Cheese - Non-Cheddar 
Butter 
Eggs 
Tuna 
Other fish 
Prawns 
Rock lobster 
Abalone 
Scallops 
Oysters 
Tonnes 
© Paul Mahony 2014
144 
Protein © Paul Mahony 2014
Trophic levels “represent a synthetic metric of species’ diet, which describe 
the composition of food consumed and enables comparisons of diets 
between species”. 
145 
Trophic levels: a worrying trend 
Bonhommeau, S. et al., “Eating up the world’s food web and the human trophic level”, Proc. Natl Acad. Sci. USA 
http://www.pnas.org/cgi/doi/10.1073/pnas.1305827110 (2013), cited in Hoag, H., “Humans are becoming more carnivorous”, Nature, 2 
December, 2013 doi:10.1038/nature.2013.14282, http://www.nature.com/news/humans-are-becoming-more-carnivorous-1.14282 
© Paul Mahony 2014

The Electric Cow

  • 1.
    The Electric Cow If livestock’s emissions came from electricity, would most environmentalists listen? Paul Mahony, 26th May 2014 terrastendo.net © Paul Mahony 2014
  • 2.
    The Electric Cow If cows ran on electricity, how much would we use in order to produce a beef steak? © Paul Mahony 2014
  • 3.
    First, some background © Paul Mahony 2014
  • 4.
    Key reasons forlivestock’s impact Inherent inefficiency Scale Greenhouse gases and other warming agents Land clearing and degradation © Paul Mahony 2014
  • 5.
    Key reasons forlivestock’s impact Inherent inefficiency Scale Inter-related Greenhouse gases and other warming agents Land clearing and degradation © Paul Mahony 2014
  • 6.
    We’ll focus onthe inefficiency of livestock as a food source © Paul Mahony 2014
  • 7.
    Inherent inefficiencies Thefigures depicted have been provided in beef industry material. Even a conversion factor of, say, 7 or 8 kg of grain per kg of end product would represent a grossly inefficient system. © Paul Mahony 2014
  • 8.
    Inherent inefficiencies Thefigures depicted have been provided in beef industry material. Even a conversion factor of, say, 7 or 8 kg of grain per kg of end product would represent a grossly inefficient system. © Paul Mahony 2014
  • 9.
    Inherent inefficiencies Thefigures depicted have been provided in beef industry material. Even a conversion factor of, say, 7 or 8 kg of grain per kg of end product would represent a grossly inefficient system. © Paul Mahony 2014
  • 10.
    Inherent inefficiencies Thefigures depicted have been provided in beef industry material. Even a conversion factor of, say, 7 or 8 kg of grain per kg of end product would represent a grossly inefficient system. © Paul Mahony 2014
  • 11.
    What if wewanted to feed the same number of people under each system? © Paul Mahony 2014
  • 12.
    Inherent inefficiencies Thefigures depicted have been provided in beef industry material. Even a conversion factor of, say, 7 or 8 kg of grain per kg of end product would represent a grossly inefficient system. © Paul Mahony 2014
  • 13.
    Inherent inefficiencies Moreland The figures depicted have been provided in beef industry material. Even a conversion factor of, say, 7 or 8 kg of grain per kg of end product would represent a grossly inefficient system. © Paul Mahony 2014
  • 14.
    Inherent inefficiencies Moreland More fertiliser The figures depicted have been provided in beef industry material. Even a conversion factor of, say, 7 or 8 kg of grain per kg of end product would represent a grossly inefficient system. © Paul Mahony 2014
  • 15.
    Inherent inefficiencies Moreland More fertiliser More energy The figures depicted have been provided in beef industry material. Even a conversion factor of, say, 7 or 8 kg of grain per kg of end product would represent a grossly inefficient system. © Paul Mahony 2014
  • 16.
    Inherent inefficiencies Chickenmeat is better, but . . . still a poor feed conversion ratio © Paul Mahony 2014
  • 17.
    1.7 Inherent inefficiencies © Paul Mahony 2014
  • 18.
    Yield (meat fromlive weight) 72.25% = 2.35 kg feed per kg meat Inherent inefficiencies 1.7 © Paul Mahony 2014
  • 19.
    Yield (meat fromlive weight) 72.25% = 2.35 kg feed per kg meat © Paul Mahony 2014 1.7
  • 20.
    Yield (meat fromlive weight) 72.25% = 2.35 kg feed per kg meat © Paul Mahony 2014
  • 21.
    Yield (meat fromlive weight) 72.25% = 2.35 kg feed per kg meat © Paul Mahony 2014
  • 22.
    Yield (meat fromlive weight) 72.25% = 2.35 kg feed per kg meat = a return of 43% (or nutrition loss of 57%) © Paul Mahony 2014
  • 23.
    Yield (meat fromlive weight) 72.25% = 2.35 kg feed per kg meat = a return of 43% (or nutrition loss of 57%) Any management team promoting this level of efficiency for a conventional business would be shown the door! © Paul Mahony 2014
  • 24.
    Livestock Certain livestock-relatedemissions figures are effectively omitted from official figures in Australia and elsewhere because relevant factors are: © Paul Mahony 2014
  • 25.
    Livestock Certain livestock-relatedemissions figures are effectively omitted from official figures in Australia and elsewhere because relevant factors are: (a) omitted entirely from official figures e.g. tropospheric ozone and black carbon © Paul Mahony 2014
  • 26.
    Livestock Certain livestock-relatedemissions figures are effectively omitted from official figures in Australia and elsewhere because relevant factors are: (a) omitted entirely from official figures e.g. tropospheric ozone and black carbon (b) classified under non-livestock headings e.g. livestock-related land clearing reported under “land use, land use change and forestry” © Paul Mahony 2014
  • 27.
    Livestock Certain livestock-relatedemissions figures are effectively omitted from official figures in Australia and elsewhere because relevant factors are: (a) omitted entirely from official figures e.g. tropospheric ozone and black carbon (b) classified under non-livestock headings e.g. livestock-related land clearing reported under “land use, land use change and forestry” (c) considered but with conservative calculations e.g. methane’s impact based on a 100-year, rather than 20-year, “global warming potential” © Paul Mahony 2014
  • 28.
    Back to theelectric cow © Paul Mahony 2014
  • 29.
    Back to theelectric cow If cows ran on electricity, how much would we use in order to produce a beef steak? © Paul Mahony 2014
  • 30.
    Specifically, what figurewould we arrive at if it was based on their current level of greenhouse gas emissions? © Paul Mahony 2014
  • 31.
    To get someidea, we’ll compare their emissions performance to: © Paul Mahony 2014 • Australian aluminium smelting, which consumes vast amounts of electricity • Australian electricity generation, which comes largely from coal
  • 32.
    Firstly, aluminium ©Paul Mahony 2014 “Aluminium is the ultimate proxy for energy” Marius Kloppers, former CEO of BHP Billiton “To phrase it in terms of the industry joke, aluminium is congealed electricity.” Mining Weekly.com
  • 33.
    Aluminium smelting hasat times consumed 16% of Australia’s electricity . . . for less than 1% of gross domestic product . . . and less than 0.1% of jobs. © Paul Mahony 2014
  • 34.
    That percentage mayhave reduced due to smelter closures and a reduction in emissions intensity from 20 tonnes of greenhouse gas per tonne of product in 1999 to 15.6 tonnes in 2011, but its contribution is still extremely significant. © Paul Mahony 2014
  • 35.
    The emissions intensityof Australian aluminium smelting has been 2.5 times the global average, as the electricity is primarily coal-fired, including brown coal from the Latrobe Valley in Victoria. © Paul Mahony 2014
  • 36.
    The emissions intensityof Australian aluminium smelting has been 2.5 times the global average, as the electricity is primarily coal-fired, including brown coal from the Latrobe Valley in Victoria. © Paul Mahony 2014 Emissions intensity represents the unit weight of CO2-equivalent greenhouse gases per unit weight of end product for any given commodity.
  • 37.
    Let’s compare theemissions intensity of aluminium smelting to that of various plant-based food products, i.e.: - sugar, - wheat, - other grains, - carrots, - potatoes, - apples and - soy beans. 37 © Paul Mahony 2014
  • 38.
    © Paul Mahony2014 Here are emissions intensity figures for various plant-based food sources 0.2 0.4 0.4 0.4 0.5 0.8 0.9 18 16 14 12 10 8 6 4 2 0 kg CO2-e / kg product Plant-based foods from sugar to soybeans
  • 39.
    Let’s then seehow steel production and aluminium smelting compare (rounded up to zero decimal places). 0.2 0.4 0.4 0.4 0.5 0.8 0.9 18 16 14 12 10 8 6 4 2 0 kg CO2-e / kg product Plant-based foods from sugar to soybeans © Paul Mahony 2014
  • 40.
    0.2 0.4 0.40.4 0.5 0.8 0.9 18 16 14 12 10 8 6 4 2 0 kg CO2-e / kg product Plant-based foods from sugar to soybeans © Paul Mahony 2014
  • 41.
    0.2 0.4 0.40.4 0.5 0.8 0.9 3 18 16 14 12 10 8 6 4 2 0 kg CO2-e / kg product Plant-based foods from sugar to soybeans Steel © Paul Mahony 2014
  • 42.
    0.2 0.4 0.40.4 0.5 0.8 0.9 3 16 18 16 14 12 10 8 6 4 2 0 kg CO2-e / kg product Plant-based foods from sugar to soybeans Steel & Aluminium © Paul Mahony 2014
  • 43.
    We’ll now considerbeef production, but first we need to change the scale of the chart. 0.2 0.4 0.4 0.4 0.5 0.8 0.9 3 16 18 16 14 12 10 8 6 4 2 0 kg CO2-e / kg product Plant-based foods from sugar to soybeans Steel & Aluminium © Paul Mahony 2014
  • 44.
    0.2 0.4 0.40.4 0.5 0.8 0.9 3 16 18 16 14 12 10 8 6 4 2 0 kg CO2-e / kg product Plant-based foods from sugar to soybeans Steel & Aluminium © Paul Mahony 2014
  • 45.
  • 46.
    46 0.2 0.40.4 0.4 0.5 0.8 0.9 3 16 350 300 250 200 150 100 50 0 kg CO2-e / kg product Plant-based foods, steel & aluminium © Paul Mahony 2014
  • 47.
    47 0.2 0.40.4 0.4 0.5 0.8 0.9 3 16 350 300 250 200 150 100 50 0 kg CO2-e / kg product Plant-based foods, steel & aluminium © Paul Mahony 2014
  • 48.
    48 0.2 0.40.4 0.4 0.5 0.8 0.9 3 16 350 300 250 200 150 100 50 0 kg CO2-e / kg product Plant-based foods, steel & aluminium Grass-fed beef Mixed-grazing beef © Paul Mahony 2014
  • 49.
    The first figuresare global average figures based on carcass weight, published by the Food & Agriculture Organization of the United Nations in Dec, 2013. 49 0.2 0.4 0.4 0.4 0.5 0.8 0.9 3 16 350 300 250 200 150 100 50 0 kg CO2-e / kg product Plant-based foods, steel & aluminium Grass-fed beef Mixed-grazing beef © Paul Mahony 2014
  • 50.
    50 0.2 0.40.4 0.4 0.5 0.8 0.9 3 16 350 300 250 200 150 100 50 0 kg CO2-e / kg product Plant-based foods, steel & aluminium Grass-fed beef Mixed-grazing beef © Paul Mahony 2014
  • 51.
    51 0.2 0.40.4 0.4 0.5 0.8 0.9 3 16 56 350 300 250 200 150 100 50 0 kg CO2-e / kg product Plant-based foods, steel & aluminium Mixed-grazing beef Grass-fed beef © Paul Mahony 2014
  • 52.
    52 0.2 0.40.4 0.4 0.5 0.8 0.9 3 16 56 102 350 300 250 200 150 100 50 0 kg CO2-e / kg product Plant-based foods, steel & aluminium Mixed-grazing beef Grass-fed beef © Paul Mahony 2014
  • 53.
    Now let’s consideremissions intensity based on the weight of the retail product (representing the yield), rather than 53 0.2 0.4 0.4 0.4 0.5 0.8 0.9 3 16 56 102 350 300 250 200 150 100 50 0 kg CO2-e / kg product Plant-based foods, steel & aluminium Mixed-grazing beef Grass-fed beef the weight of the carcass. © Paul Mahony 2014
  • 54.
    © Paul Mahony2014 The emissions relating to the cow haven’t changed, but the “end product”, retail meat obtained from the carcass, is lighter than 54 the carcass itself, so the emissions intensity increases. 0.2 0.4 0.4 0.4 0.5 0.8 0.9 3 16 56 102 350 300 250 200 150 100 50 0 kg CO2-e / kg product Plant-based foods, steel & aluminium Mixed-grazing beef Grass-fed beef
  • 55.
    55 0.2 0.40.4 0.4 0.5 0.8 0.9 3 16 56 102 350 300 250 200 150 100 50 0 kg CO2-e / kg product Plant-based foods, steel & aluminium Mixed-grazing beef Grass-fed beef © Paul Mahony 2014
  • 56.
    56 0.2 0.40.4 0.4 0.5 0.8 0.9 3 16 56 77 350 300 250 200 150 100 50 0 kg CO2-e / kg product Plant-based foods, steel & aluminium Mixed-grazing beef Grass-fed beef 102 © Paul Mahony 2014
  • 57.
    57 0.2 0.40.4 0.4 0.5 0.8 0.9 3 16 56 77 102 140 350 300 250 200 150 100 50 0 kg CO2-e / kg product Plant-based foods, steel & aluminium Mixed-grazing beef Grass-fed beef © Paul Mahony 2014
  • 58.
    58 Now let’sadjust for a 20-year “global warming potential” (GWP) for methane, but first an 0.2 0.4 0.4 0.4 0.5 0.8 0.9 3 16 56 77 102 140 350 300 250 200 150 100 50 0 kg CO2-e / kg product Plant-based foods, steel & aluminium Mixed-grazing beef Grass-fed beef explanation. © Paul Mahony 2014
  • 59.
    The emissions ofdifferent gases can be aggregated by converting them to carbon dioxide equivalents (CO2-e). It is like a common denomination for greenhouse gases. 59 © Paul Mahony 2014 They are converted by multiplying the mass of emissions by the appropriate global warming potentials (GWPs). GWPs represent the relative warming effect of a unit mass of the gas when compared with the same mass of CO2 over a specific period.
  • 60.
    60 CO2-e equivalent(CO2-e) emissions from livestock 20-year “Global Warming Potential” (GWP) Traditional reporting of methane’s global warming potential has understated its shorter-term impact, as it breaks down in the atmosphere much faster than carbon dioxide. The IPCC’s 100-year GWP for methane was increased to 34 (with carbon cycle feedbacks) in 2013. The figure for a 20 year timeframe is 86. NASA reports figures of 33 for 100 years and 105 for 20 years. © Paul Mahony 2014
  • 61.
    61 CO2-e equivalent(CO2-e) emissions from livestock 20-year “Global Warming Potential” (GWP) Methane’s shorter-term impacts can become long-term to the extent that they contribute to us reaching climate change tipping points with catastrophic and irreversible consequences. © Paul Mahony 2014
  • 62.
    62 CO2-e equivalent(CO2-e) emissions from livestock 20-year “Global Warming Potential” (GWP) Methane’s shorter-term impacts can become long-term to the extent that they contribute to us reaching climate change tipping points with catastrophic and irreversible consequences. © Paul Mahony 2014 Meaningful action in regard to key sources of methane can represent a significant mitigation measure with a relatively fast response time.
  • 63.
    63 CO2-e equivalent(CO2-e) emissions from livestock 20-year “Global Warming Potential” (GWP) To repeat: Methane’s shorter-term impacts can become long-term Methane’s shorter-term impacts can become long-term to the extent that they contribute to us reaching climate change to the extent that they tipping points with catastrophic and irreversible consequences. contribute to us reaching climate change tipping points with catastrophic and irreversible consequences. © Paul Mahony 2014 Meaningful action in regard to key sources of methane can represent a significant mitigation measure with a relatively fast response time.
  • 64.
    So now we’llinsert figures based on a 20-year GWP © Paul Mahony 2014 64 0.2 0.4 0.4 0.4 0.5 0.8 0.9 3 16 56 77 102 140 350 300 250 200 150 100 50 0 kg CO2-e / kg product Plant-based foods, steel & aluminium Mixed-grazing beef Grass-fed beef
  • 65.
    65 0.2 0.40.4 0.4 0.5 0.8 0.9 3 16 56 77 102 140 350 300 250 200 150 100 50 0 kg CO2-e / kg product Plant-based foods, steel & aluminium Mixed-grazing beef Grass-fed beef © Paul Mahony 2014
  • 66.
    66 0.2 0.40.4 0.4 0.5 0.8 0.9 3 16 56 77 160 102 140 350 300 250 200 150 100 50 0 kg CO2-e / kg product Plant-based foods, steel & aluminium Mixed-grazing beef Grass-fed beef © Paul Mahony 2014
  • 67.
    67 0.2 0.40.4 0.4 0.5 0.8 0.9 3 16 56 77 160 102 140 291 350 300 250 200 150 100 50 0 kg CO2-e / kg product Plant-based foods, steel & aluminium Mixed-grazing beef Grass-fed beef © Paul Mahony 2014
  • 68.
    68 0.2 0.40.4 0.4 0.5 0.8 0.9 3 16 56 77 160 102 140 291 350 300 250 200 150 100 50 0 kg CO2-e / kg product Plant-based foods, steel & aluminium Mixed-grazing beef Grass-fed beef © Paul Mahony 2014
  • 69.
    intensity of beeffrom grass-fed cows is more than 18 times that of Australian aluminium smelting. 69 On that basis, the global average emissions 0.2 0.4 0.4 0.4 0.5 0.8 0.9 3 16 56 77 160 102 140 291 350 300 250 200 150 100 50 0 kg CO2-e / kg product Plant-based foods, steel & aluminium Mixed-grazing beef Grass-fed beef © Paul Mahony 2014
  • 70.
    70 As mentioned,Australian aluminium smelting has been 2.5 times as emissions intensive as the 0.2 0.4 0.4 0.4 0.5 0.8 0.9 3 16 56 77 160 102 140 291 350 300 250 200 150 100 50 0 kg CO2-e / kg product Plant-based foods, steel & aluminium Mixed-grazing beef Grass-fed beef global average. © Paul Mahony 2014
  • 71.
    percentage split ofthe various factors contributing to beef’s emissions 71 The “20-year GWP” figures are based on the global average 0.2 0.4 0.4 0.4 0.5 0.8 0.9 3 16 56 77 160 102 140 291 350 300 250 200 150 100 50 0 kg CO2-e / kg product Plant-based foods, steel & aluminium Mixed-grazing beef Grass-fed beef intensity. © Paul Mahony 2014
  • 72.
    As methane’s percentagecontribution would be lower in mixed systems than in grazing systems, they may be over-stated for the 72 former (160 kg) and under-stated for the latter (291 kg). They are intended to be approximations only. 0.2 0.4 0.4 0.4 0.5 0.8 0.9 3 16 56 77 160 102 140 291 350 300 250 200 150 100 50 0 kg CO2-e / kg product Plant-based foods, steel & aluminium Mixed-grazing beef Grass-fed beef © Paul Mahony 2014
  • 73.
    73 0.2 0.40.4 0.4 0.5 0.8 0.9 3 16 56 77 160 102 140 291 350 300 250 200 150 100 50 0 kg CO2-e / kg product Plant-based foods, steel & aluminium Mixed-grazing beef Grass-fed beef The figures also vary by region. As stated, those shown here are the global average. © Paul Mahony 2014
  • 74.
    74 Here’s howmeat from small ruminants (primarily sheep & goats) compares © Paul Mahony 2014
  • 75.
    75 Here’s howmeat from small ruminants (primarily sheep & goats) compares 3 16 100 90 80 70 60 50 40 30 20 10 0 kg CO2-e / kg product Steel & Aluminium Sheep from grazing systems Sheep from mixed systems Steel Aluminium Sheep - Mixed - Carcass Sheep - Mixed - Retail Sheep Mixed Retail - 20 Yr GWP Sheep - Grazing - Carcass Sheep - Grazing - Retail Sheep Grazing Retail - 20 Yr GWP © Paul Mahony 2014
  • 76.
    76 Here’s howmeat from small ruminants (primarily sheep & goats) compares 3 23 24 16 100 90 80 70 60 50 40 30 20 10 0 kg CO2-e / kg product Steel & Aluminium Sheep from grazing systems Sheep from mixed systems Steel Aluminium Sheep - Mixed - Carcass Sheep - Mixed - Retail Sheep Mixed Retail - 20 Yr GWP Sheep - Grazing - Carcass Sheep - Grazing - Retail Sheep Grazing Retail - 20 Yr GWP © Paul Mahony 2014
  • 77.
    77 Here’s howmeat from small ruminants (primarily sheep & goats) compares 3 23 35 24 16 36 100 90 80 70 60 50 40 30 20 10 0 kg CO2-e / kg product Steel & Aluminium Sheep from grazing systems Sheep from mixed systems Steel Aluminium Sheep - Mixed - Carcass Sheep - Mixed - Retail Sheep Mixed Retail - 20 Yr GWP Sheep - Grazing - Carcass Sheep - Grazing - Retail Sheep Grazing Retail - 20 Yr GWP © Paul Mahony 2014
  • 78.
    78 Here’s howmeat from small ruminants (primarily sheep & goats) compares 3 23 35 24 86 16 84 36 100 90 80 70 60 50 40 30 20 10 0 kg CO2-e / kg product Steel & Aluminium Sheep from grazing systems Sheep from mixed systems Steel Aluminium Sheep - Mixed - Carcass Sheep - Mixed - Retail Sheep Mixed Retail - 20 Yr GWP Sheep - Grazing - Carcass Sheep - Grazing - Retail Sheep Grazing Retail - 20 Yr GWP © Paul Mahony 2014
  • 79.
    79 Some ofthe emissions from small ruminants are attributed to milk and fibre, reducing the meat figure 3 23 35 24 86 16 84 36 100 90 80 70 60 50 40 30 20 10 0 kg CO2-e / kg product Steel & Aluminium Sheep from grazing systems Sheep from mixed systems Steel Aluminium Sheep - Mixed - Carcass Sheep - Mixed - Retail Sheep Mixed Retail - 20 Yr GWP Sheep - Grazing - Carcass Sheep - Grazing - Retail Sheep Grazing Retail - 20 Yr GWP © Paul Mahony 2014
  • 80.
    Let’s see howthe global emissions intensity of chicken and pig meat compares, based on retail weight and a 20-year 80 GWP. © Paul Mahony 2014 SOME FURTHER COMPARISONS
  • 81.
    81 SOME FURTHERCOMPARISONS Let’s see how the global emissions intensity of chicken and pig meat compares, based on retail weight and a 20-year GWP. Firstly, we’ll revert to the original scale on the chart. © Paul Mahony 2014
  • 82.
    82 0.2 0.40.4 0.4 0.5 0.8 0.9 3 16 350 300 250 200 150 100 50 0 kg CO2-e / kg product Plant-based foods, steel & aluminium © Paul Mahony 2014
  • 83.
    83 0.2 0.40.4 0.4 0.5 0.8 0.9 3 16 350 300 250 200 150 100 50 0 kg CO2-e / kg product Plant-based foods, steel & aluminium © Paul Mahony 2014
  • 84.
    Emissions Intensity 0.20.4 0.4 0.4 0.5 0.8 0.9 3 16 18 16 14 12 10 8 6 4 2 0 kg CO2-e / kg product Plant-based foods from sugar to soybeans Steel & Aluminium © Paul Mahony 2014
  • 85.
    © Paul Mahony2014 To make some room, we’ll remove soy beans and steel 0.2 0.4 0.4 0.4 0.5 0.8 0.9 3 16 18 16 14 12 10 8 6 4 2 0 kg CO2-e / kg product Plant-based foods from sugar to soybeans Steel & Aluminium
  • 86.
    0.2 0.4 0.40.4 0.5 0.8 0.9 3 16 18 16 14 12 10 8 6 4 2 0 kg CO2-e / kg product Plant-based foods from sugar to soybeans Steel & Aluminium © Paul Mahony 2014
  • 87.
    0.2 0.4 0.40.4 0.5 0.8 16 18 16 14 12 10 8 6 4 2 0 kg CO2-e / kg product Plant-based foods from sugar to apples Aluminium © Paul Mahony 2014
  • 88.
    © Paul Mahony2014 Now we’ll add pig and chicken meat. 0.2 0.4 0.4 0.4 0.5 0.8 16 18 16 14 12 10 8 6 4 2 0 kg CO2-e / kg product Plant-based foods from sugar to apples Aluminium
  • 89.
    0.2 0.4 0.40.4 0.5 0.8 16 18 16 14 12 10 8 6 4 2 0 kg CO2-e / kg product Plant-based foods from sugar to apples Aluminium © Paul Mahony 2014
  • 90.
    0.2 0.4 0.40.4 0.5 0.8 7.6 16 18 16 14 12 10 8 6 4 2 0 kg CO2-e / kg product Plant-based foods from sugar to apples Chicken Aluminium © Paul Mahony 2014
  • 91.
    0.2 0.4 0.40.4 0.5 0.8 7.6 13.6 16 18 16 14 12 10 8 6 4 2 0 kg CO2-e / kg product Plant-based foods from sugar to apples Chicken Pig Aluminium © Paul Mahony 2014
  • 92.
    0.2 0.4 0.40.4 0.5 0.8 7.6 13.6 16 18 16 14 12 10 8 6 4 2 0 kg CO2-e / kg product Plant-based foods from sugar to apples Chicken Pig Aluminium © Paul Mahony 2014
  • 93.
    The emissions intensityof chicken and pig meat is very poor relative to plant-based alternatives. 0.2 0.4 0.4 0.4 0.5 0.8 7.6 13.6 16 18 16 14 12 10 8 6 4 2 0 kg CO2-e / kg product Plant-based foods from sugar to apples Chicken Pig Aluminium © Paul Mahony 2014
  • 94.
    94 The emissionsintensity of Australian beef production is lower than the global average due primarily to higher productivity (more meat per cow), relatively high feed digestibility and a reduction in livestock-related land clearing since the end of 2006. © Paul Mahony 2014
  • 95.
    95 The landclearing may increase following the recent overturning by the current Queensland government of a ban imposed by the previous government on broad scale land clearing. © Paul Mahony 2014
  • 96.
    96 The landclearing may increase following the recent overturning by the current Queensland government of a ban imposed by the previous government on broad scale land clearing. © Paul Mahony 2014
  • 97.
    97 The UNFAOhas not produced emissions intensity figures for specialised beef in Australia. © Paul Mahony 2014
  • 98.
    98 The UNFAOhas not produced emissions intensity figures for specialised beef in Australia. © Paul Mahony 2014 For our next comparison, we’ll consider figures produced by Australia’s Department of the Environment.
  • 99.
    99 The UNFAOhas not produced emissions intensity figures for specialised beef in Australia. © Paul Mahony 2014 For our next comparison, we’ll consider figures produced by Australia’s Department of the Environment. Let’s see how the aggregate emissions of cows and other livestock animals compare to those of Australian electricity generation, taking into account only methane emissions in respect of the animals.
  • 100.
    Background: Around 90per cent of Australia’s electricity is generated from traditional fossil fuels, with 69 per cent from coal and 19 per cent from natural gas. © Paul Mahony 2014 a includes wind, hydro, solar PV and bioenergy; b includes multi-fuel power plants
  • 101.
    In terms ofgross domestic product, Australia’s economy was ranked number 12 of 214 nations by The World Bank as at 8th May, 2014. © Paul Mahony 2014 a includes wind, hydro, solar PV and bioenergy; b includes multi-fuel power plants
  • 102.
    Australia’s per capitaemissions are amongst the highest in the world. © Paul Mahony 2014 a includes wind, hydro, solar PV and bioenergy; b includes multi-fuel power plants
  • 103.
    Around 90 percentof Australia’s emissions from fossil fuel electricity generation come from black and brown coal. © Paul Mahony 2014 Electricity emissions: Australian Government, Dept of the Environment, “National Inventory Report 2012 Volume 1”, Fig. 3.2 CO2-e emissions from electricity generation by fossil fuels, 1990-92, p. 50.
  • 104.
    104 CO2-e emissions(Gg) 2012: Coal-fired electricity © Paul Mahony 2014 215,725 175,000 250,000 200,000 150,000 100,000 50,000 0 Coal-fired electricity
  • 105.
    105 © PaulMahony 2014 CO2-e emissions (Gg) 2012: Coal-fired electricity and methane from animal agriculture based on 20-year GWP 215,725 175,000 250,000 200,000 150,000 100,000 50,000 0 Coal-fired electricity Methane from animal agriculture
  • 106.
    106 © PaulMahony 2014 CO2-e emissions (Gg) 2012: All electricity generation and methane from animal agriculture based on 20-year GWP 193,000 215,725 250,000 200,000 150,000 100,000 50,000 0 Total electricity Methane from animal agriculture
  • 107.
    107 © PaulMahony 2014 On this basis, if the newly developed electric cows, sheep, chickens, pigs and other livestock animals were to require the amount of electricity that would create their current level of greenhouse gas emissions, then we would not be generating enough for them to operate, even if all other activities using electricity ceased! 193,000 215,725
  • 108.
    108 © PaulMahony 2014 The reported methane emissions are from: enteric fermentation (released primarily through belching); manure management; and savanna burning. There appears to be no allowance in Australia’s livestock-related greenhouse gas inventory for the following non-methane factors that are considered by the FAO: manure applied to feed crops (N2O); Fertilizer and crop residues (N2O); feed (CO2); and land use change (pasture expansion) 193,000 (CO2). 215,725 Australia’s greenhouse gas inventory does include N20 emissions from manure management and savanna burning. Notes: - CO2 = carbon dioxide; CH4 = methane; N2O = nitrous oxide - The UN FAO treats “manure management” and “applied and deposited manure” as separate categories. It appears the Australian figures included “deposited manure” in “manure management”. - We have applied 57% of savanna burning to livestock production, in line with material commissioned by the former Australian Greenhouse Office.
  • 109.
    109 Methane’s shareof beef’s global average emissions is 44% (Enteric fermentation 42.6% and manure management 1.4%) Enteric 42.6% Manure (3 categories) 23.1% Feed & fertiliser 17.4% LUC – Pasture 14.8% Energy 0.9% LUC – Soybean 0.7% Postfarm 0.5% Total 100% © Paul Mahony 2014
  • 110.
    110 Buying locallyhardly helps Postfarm emissions (transport and processing) only account for 0.5% of the total. Enteric 42.6% Manure (3 categories) 23.1% Feed & fertiliser 17.4% LUC – Pasture 14.8% Energy 0.9% LUC – Soybean 0.7% Postfarm 0.5% Total 100% © Paul Mahony 2014
  • 111.
    James Hansen –Essential Measures © Paul Mahony 2014
  • 112.
    James Hansen –Essential Measures © Paul Mahony 2014 Massive reforestation and action on soil carbon will be critical
  • 113.
    Alternative Diets (updatedOctober 2014) Chicken 200g Broccoli 50g Carrot 50g Potato 150g Almonds 50g Banana 150g Orange 150g Oats 80g Quinoa 100g Spinach 100g Dried Apricots 65g Avocado 50g W'meal Bread 130g Cow’s milk 400g Beef mixed 200g Broccoli 50g Carrot 50g Potato 150g Almonds 50g Banana 150g Orange 150g Oats 80g Quinoa 100g Spinach 100g Dried Apricots 65g Avocado 50g W'meal Bread 130g Cow’s milk 400g Beef grass fed 200g Broccoli 50g Carrot 50g Potato 150g Almonds 50g Banana 150g Orange 150g Oats 80g Quinoa 100g Spinach 100g Dried Apricots 65g Avocado 50g W'meal Bread 130g Cow’s milk 400g Fish 200g Broccoli 50g Carrot 50g Potato 150g Almonds 50g Banana 150g Orange 150g Oats 80g Quinoa 100g Spinach 100g Dried Apricots 65g Avocado 50g W'meal Bread 130g Cow’s milk 400g Tofu 100g Soy Nuts 50g Kidney Beans 50g Broccoli 50g Carrot 50g Potato 150g Almonds 50g Banana 150g Orange 150g Oats 80g Quinoa 100g Spinach 100g Dried Apricots 65g Avocado 50g W'meal Bread 130g Soymilk 400g Plant foods’ emissions for this and subsequent slides are from an Oxford study released in June, 2014. Some are slightly higher than figures used in earlier slides but still significantly below the animal-based figures.
  • 114.
    Alternative Diets (updatedOctober 2014) Chicken 200g Broccoli 50g Carrot 50g Potato 150g Almonds 50g Banana 150g Orange 150g Oats 80g Quinoa 100g Spinach 100g Dried Apricots 65g Avocado 50g W'meal Bread 130g Cow’s milk 400g Beef mixed 200g Broccoli 50g Carrot 50g Potato 150g Almonds 50g Banana 150g Orange 150g Oats 80g Quinoa 100g Spinach 100g Dried Apricots 65g Avocado 50g W'meal Bread 130g Cow’s milk 400g Beef grass fed 200g Broccoli 50g Carrot 50g Potato 150g Almonds 50g Banana 150g Orange 150g Oats 80g Quinoa 100g Spinach 100g Dried Apricots 65g Avocado 50g W'meal Bread 130g Cow’s milk 400g Fish 200g Broccoli 50g Carrot 50g Potato 150g Almonds 50g Banana 150g Orange 150g Oats 80g Quinoa 100g Spinach 100g Dried Apricots 65g Avocado 50g W'meal Bread 130g Cow’s milk 400g Tofu 100g Soy Nuts 50g Kidney Beans 50g Broccoli 50g Carrot 50g Potato 150g Almonds 50g Banana 150g Orange 150g Oats 80g Quinoa 100g Spinach 100g Dried Apricots 65g Avocado 50g W'meal Bread 130g Soymilk 400g Plant foods’ emissions for this and subsequent slides are from an Oxford study released in June, 2014. Some are slightly higher than figures used in earlier slides but still significantly below the animal-based figures.
  • 115.
    Alternative Diets (updatedOctober 2014) Emissions: 2.00 kg Chicken 200g Broccoli 50g Carrot 50g Potato 150g Almonds 50g Banana 150g Orange 150g Oats 80g Quinoa 100g Spinach 100g Dried Apricots 65g Avocado 50g W'meal Bread 130g Cow’s milk 400g Beef mixed 200g Broccoli 50g Carrot 50g Potato 150g Almonds 50g Banana 150g Orange 150g Oats 80g Quinoa 100g Spinach 100g Dried Apricots 65g Avocado 50g W'meal Bread 130g Cow’s milk 400g Beef grass fed 200g Broccoli 50g Carrot 50g Potato 150g Almonds 50g Banana 150g Orange 150g Oats 80g Quinoa 100g Spinach 100g Dried Apricots 65g Avocado 50g W'meal Bread 130g Cow’s milk 400g Fish 200g Broccoli 50g Carrot 50g Potato 150g Almonds 50g Banana 150g Orange 150g Oats 80g Quinoa 100g Spinach 100g Dried Apricots 65g Avocado 50g W'meal Bread 130g Cow’s milk 400g Emissions: 3.24 kg Emissions: 3.68 kg Emissions: 34.17 kg Emissions: 60.34 kg Tofu 100g Soy Nuts 50g Kidney Beans 50g Broccoli 50g Carrot 50g Potato 150g Almonds 50g Banana 150g Orange 150g Oats 80g Quinoa 100g Spinach 100g Dried Apricots 65g Avocado 50g W'meal Bread 130g Soymilk 400g Plant foods’ emissions for this and subsequent slides are from an Oxford study released in June, 2014. Some are slightly higher than figures used in earlier slides but still significantly below the animal-based figures.
  • 116.
    Alternative Diets (updatedOctober 2014) Greenhouse gas emissions (kg per day) Key distinguishing ingredients shown Plant foods’ emissions for this and subsequent slides are from an Oxford study released in June, 2014. Some are slightly higher than figures used in earlier slides but still significantly below the animal-based figures.
  • 117.
    What about chickensand fish? While emissions from diets featuring chicken and fish are comparable to the plant-based alternative, those two commodities in their own right are around three to four times as emissions intensive. Fish photo© Furzyk73 | Dreamstime.com - Tinca Tinca, Doctor Fish, The Tench Photo; Chicken photo courtesy of aussiechickens.com.au
  • 118.
    What about chickensand fish? They also involve other massive environmental problems, including destruction of oceanic ecosystems and waste from around 60 billion chickens bred and slaughtered annually. Fish photo© Furzyk73 | Dreamstime.com - Tinca Tinca, Doctor Fish, The Tench Photo; Chicken photo courtesy of aussiechickens.com.au
  • 119.
    Dr Andrew Glikson,earth and paleoclimate scientist at Australian National University 119 Some thoughts to conclude © Paul Mahony 2014
  • 120.
    Some thoughts toconclude “Contrarian claims by sceptics, misrepresenting direct observations in nature and ignoring the laws of physics, have been adopted by neo-conservative political parties.” 120 © Paul Mahony 2014 Dr Andrew Glikson, earth and paleoclimate scientist at Australian National University
  • 121.
    Some thoughts toconclude “Contrarian claims by sceptics, misrepresenting direct observations in nature and ignoring the laws of physics, have been adopted by neo-conservative political parties.” 121 “A corporate media maintains a ‘balance’ between facts and fiction.” © Paul Mahony 2014 Dr Andrew Glikson, earth and paleoclimate scientist at Australian National University
  • 122.
    Some thoughts toconclude “Contrarian claims by sceptics, misrepresenting direct observations in nature and ignoring the laws of physics, have been adopted by neo-conservative political parties.” “The best that governments seem to do is devise cosmetic solutions, or promise further discussions, while time is running out.” 122 “A corporate media maintains a ‘balance’ between facts and fiction.” © Paul Mahony 2014 Dr Andrew Glikson, earth and paleoclimate scientist at Australian National University
  • 123.
    Some thoughts toconclude “Contrarian claims by sceptics, misrepresenting direct observations in nature and ignoring the laws of physics, have been adopted by neo-conservative political parties.” “The best that governments seem to do is devise cosmetic solutions, or promise further discussions, while time is running out.” 123 “A corporate media maintains a ‘balance’ between facts and fiction.” “GOOD PLANETS ARE HARD TO COME BY!” © Paul Mahony 2014 Dr Andrew Glikson, earth and paleoclimate scientist at Australian National University
  • 124.
    Some thoughts toconclude “Contrarian claims by sceptics, misrepresenting direct observations in nature and ignoring the laws of physics, have been adopted by neo-conservative political parties.” “The best that governments seem to do is devise cosmetic solutions, or promise further discussions, while time is running out.” 124 “A corporate media maintains a ‘balance’ between facts and fiction.” © Paul Mahony 2014 Dr Andrew Glikson, earth and paleoclimate scientist at Australian National University References and supplementary slides follow
  • 125.
    125 © PaulMahony 2014 References Methane GWP Chart: Smith, K., cited in World Preservation Foundation, “Reducing Shorter-Lived Climate Forcers through Dietary Change: Our best chance for preserving global food security and protecting nations vulnerable to climate change“, http://www.worldpreservationfoundation.org/Downloads/ReducingShorterLivedClimateForcersThroughDietaryChange.pdf Shindell, D.T., Faluvegi, G., Koch, D.M., Schmidt, G.A., Unger, N., Bauer, S.E., “Improved Attribution of Climate Forcing to Emissions“, Science 30 October 2009: Vol. 326 no. 5953 pp. 716-718 DOI: 10.1126/science.1174760, https://www.sciencemag.org/content/326/5953/716.figures-only Sanderson, K., “Aerosols make methane more potent”, Nature, Published online 29 October 2009 | Nature | doi:10.1038/news.2009.1049, http://www.nature.com/news/2009/091029/full/news.2009.1049.html Intergovernmental Panel on Climate Change, Fifth Assessment Report, 2014, http://www.ipcc.ch/report/ar5/, cited in Romm, J., “More Bad News For Fracking: IPCC Warns Methane Traps More Heat”, The Energy Collective, 7th October, 2013, http://theenergycollective.com/josephromm/284336/more-bad-news- fracking-ipcc-warns-methane-traps-much-more-heat-we-thoughtSanderson, K., “Aerosols make methane more potent”, Nature, Published online 29 October 2009 | Nature | doi:10.1038/news.2009.1049, http://www.nature.com/news/2009/091029/full/news.2009.1049.html Food and Agriculture Organization of the United Nations, “Tackling climate change through livestock: A global assessment of emissions and mitigation opportunities”, Nov 2013, http://www.fao.org/ag/againfo/resources/en/publications/tackling_climate_change/index.htm; http://www.fao.org/docrep/018/i3437e/i3437e.pdf Food and Agriculture Organization of the United Nations, “Greenhouse gas emissions from ruminant supply chains: A global life cycle assessment”, Nov 2013, http://www.fao.org/ag/againfo/resources/en/publications/tackling_climate_change/index.htm; http://www.fao.org/docrep/018/i3461e/i3461e.pdf United States Department of Agriculture Economic Research Service, Agricultural Handbook No. 697, June, 1992 (website updated 10 September, 2013), “Weights, Measures, and Conversion Factors for Agricultural Commodities and Their Products”, http://www.ers.usda.gov/publications/ah-agricultural-handbook/ ah697.aspx#.U0ihR6Ikykw Hamilton, C, “Scorcher: The Dirty Politics of Climate Change”, (2007) Black Inc Agenda, p. 40 Australian Aluminium Council Ltd, “Climate Change: Aluminium Smelting Greenhouse Performance”, http://aluminium.org.au/climate-change/smelting-greenhouse- performance (Accessed 14th April, 2014) Turton, H. “Greenhouse gas emissions in industrialised countries Where does Australiastand?”, The Australia Institute, Discussion Paper Number 66, June 2004, ISSN 1322-5421, p. viii, https://www.tai.org.au/documents/dp_fulltext/DP66.pdf Carlsson-Kanyama, A. & Gonzalez, A.D. “Potential Contributions of Food Consumption Patterns to Climate Change”, The American Journal of Clinical Nutrition, Vol. 89, No. 5, pp. 1704S-1709S, May 2009, http://www.ajcn.org/cgi/content/abstract/89/5/1704S George Wilkenfeld & Associates Pty Ltd and Energy Strategies, “National Greenhouse Gas Inventory 1990, 1995, 1999, End Use Allocation of Emissions Report to the Australian Greenhouse Office, 2003, Volume 1”, Table S5, p. vii Glikson, A., “As emissions rise, we may be heading for an ice-free planet”, The Conversation, 18 January, 2012, http://theconversation.edu.au/as-emissions-rise-we-may-be-heading-for-an-ice-free-planet-4893 (Accessed 4 February 2012)
  • 126.
    126 © PaulMahony 2014 References Australian Government Department of Industry, “The Australian Aluminium Industry”, http://www.innovation.gov.au/INDUSTRY/AUSTRALIANALUMINIUMINDUSTRY/Pages/default.aspx (accessed 18th April, 2014) (Industry output 2010/11 1,938,000 tonnes) Australian Government Department of Agriculture, Fisheries and Forestry, “Australian food statistics 2011–12”, Table 2.4 Supply and Use of Australian Meats, p. 58, http://www.daff.gov.au/__data/assets/pdf_file/0007/2269762/daff-foodstats-2011-12.pdf (Beef and veal production 2010/11 2,133,000 tonnes) Australian Government, Bureau of Resources and Energy Economics, “2013 Australian Energy Update”, Fig. 3 Australian electricity generation, by fuel type, p. 10, http://www.bree.gov.au/sites/default/files/files//publications/aes/2013-australian-energy-statistics.pdf Electricity emissions: Australian Government, Dept of the Environment, “National Inventory Report 2012 Volume 1”, Fig. 3.2 CO2-e emissions from electricity generation by fossil fuels, 1990-2012, p. 50. Campbell, K., "Energy crunch constraining aluminium expansions”, 27 February, 2006, www.miningweekly.com, http://www.miningweekly.com/article/energy-crunch- constraining-aluminum-expansions-2006-02-27 The World Bank, GDP Ranking, 8th May, 2014, http://data.worldbank.org/data-catalog/GDP-ranking-table Pie chart: Figure 7, p. 24, Food and Agriculture Organization of the United Nations, “Tackling climate change through livestock: A global assessment of emissions and mitigation opportunities”, Nov 2013, http://www.fao.org/ag/againfo/resources/en/publications/tackling_climate_change/index.htm; http://www.fao.org/docrep/018/i3437e/i3437e.pdf Beef’s efficiency diagram derived from W.O. Herring and J.K. Bertrand, “Multi-trait Prediction of Feed Conversion in Feedlot Cattle”, Proceedings from the 34th Annual Beef Improvement Federation Annual Meeting, Omaha, NE, July 10-13, 2002, www.bifconference.com/bif2002/BIFsymposium_pdfs/Herring_02BIF.pdf, cited in Singer, P & Mason, J, “The Ethics of What We Eat” (2006), Text Publishing Company, p. 210 Chicken’s feed conversion figures: Australian Chicken Meat Federation, Industry facts and figures, http://www.chicken.org.au/page.php?id=4 (accessed 7th May, 2014). Chicken yield figure: USDA Agricultural Handbook # 697 “Weights, Measures and Conversion Factors for Agricultural Commodities and Their Products”, June 1992, http://www.ers.usda.gov/publications/ah-agricultural-handbook/ah697.aspx, updated 10 Sep, 2013 Hansen, J; Sato, M; Kharecha, P; Beerling, D; Berner, R; Masson-Delmotte, V; Pagani, M; Raymo, M; Royer, D.L.; and Zachos, J.C. “Target Atmospheric CO2: Where Should Humanity Aim?”, 2008. Acknowledgement: An earlier comparison between electricity generation and methane emissions was reported by Prof. Barry Brook and Geoff Russell in “Meat’s Carbon Hoofprint”, Australasian Science, Nov/Dec 2007, pp. 37-39, http://www.control.com.au/bi2007/2810Brook.pdf Australian Government, Bureau of Resources and Energy Economics, “2013 Australian Energy Update”, Fig. 3 Australian electricity generation, by fuel type, p. 10, http://www.bree.gov.au/sites/default/files/files//publications/aes/2013-australian-energy-statistics.pdf Electricity emissions: Australian Government, Dept of the Environment, “National Inventory Report 2012 Volume 1”, Fig. 3.2 CO2-e emissions from electricity generation by fossil fuels, 1990-92, p. 50. Scarborough, P., Appleby, P.N., Mizdrak, A., Briggs, A.D.M., Travis, R.C., Bradbury, K.E., & Key, T.J., "Dietary greenhouse gas emissions of meat-eaters, fish-eaters, vegetarians and vegans in the UK", Climatic Change, DOI 10.1007/s10584-014-1169-1 Cover images: Plug © Antonio Mirabile | Dreamstime.com; Cow © Pavelmidi1968 | Dreamstime.com
  • 127.
    127 © PaulMahony 2014 Supplementary slides Land clearing Nutrition
  • 128.
    128 Land Clearingin Australia Total area cleared since European settlement approx. 1 million sq. km. Approx. 70% or 700,000 sq km (9% of Australia’s land area) is due to livestock. Cleared native vegetation and protected areas Cleared native vegetation Native vegetation Protected areas Sources: Map - National Biodiversity Strategy Review Task Group, “Australia’s Biodiversity Conservation Strategy 2010–2020”, Figure A10.1, p. 91 Other figures derived from Russell, G. “The global food system and climate change – Part 1”, 9 Oct 2008, www.bravenewclimate.com, which utilised: Dept. of Sustainability, Environment, Water, Population and Communities, State of the Environment Report 2006, Indicator: LD-01 The proportion and area of native vegetation and changes over time, March 2009; and ABS, 4613.0 “Australia’s Environment: Issues and Trends”, Jan 2010; and ABS 1301.0 Australian Year Book 2008, since updated for 2009-10, 16.13 Area of crops © Paul Mahony 2014
  • 129.
    129 Land clearingin Australia Original Map: Copyright 2010 Melway Publishing Pty Ltd. Reproduced from Melway Edition 38 with permission. 10 km How far north would we go to clear as much land as was cleared in Queensland If we assumed that the land north of a 10 km line running east from the middle of Melbourne was covered by forest and other wooded vegetation. between 1988 and 2008? © Paul Mahony 2014
  • 130.
    130 Land clearingin Australia © Paul Mahony 2014 10 km Original Map: Copyright 2010 Melway Publishing Pty Ltd. Reproduced from Melway Edition 38 with permission.
  • 131.
    131 Land clearingin Australia – Queensland 1988 -2008 Approximately 78,000 square kilometres Source: Derived from Bisshop, G. & Pavlidis, L, “Deforestation and land degradation in Queensland - The culprit”, Article 5, 16th Biennial Australian Association for Environmental Education Conference, Australian National University, Canberra, 26-30 September 2010 Original map: www.street-directory.com.au. Used with permission. (Cairns inserted by this presenter.) Cairns © Paul Mahony 2014
  • 132.
    132 Land clearingin Australia – Queensland 1988 -2008 Approximately 78,000 square kilometres Source: Derived from Bisshop, G. & Pavlidis, L, “Deforestation and land degradation in Queensland - The culprit”, Article 5, 16th Biennial Australian Association for Environmental Education Conference, Australian National University, Canberra, 26-30 September 2010 Original map: www.street-directory.com.au. Used with permission. (Cairns inserted by this presenter.) Cairns © Paul Mahony 2014
  • 133.
    133 Land clearingin Australia – Queensland 1988 -2008 Approximately 78,000 square kilometres Source: Derived from Bisshop, G. & Pavlidis, L, “Deforestation and land degradation in Queensland - The culprit”, Article 5, 16th Biennial Australian Association for Environmental Education Conference, Australian National University, Canberra, 26-30 September 2010 Original map: www.street-directory.com.au. Used with permission. (Cairns inserted by this presenter.) Cairns © Paul Mahony 2014
  • 134.
    134 Land clearingin Australia – Queensland 1988 -2008 Approximately 78,000 square kilometres Source: Derived from Bisshop, G. & Pavlidis, L, “Deforestation and land degradation in Queensland - The culprit”, Article 5, 16th Biennial Australian Association for Environmental Education Conference, Australian National University, Canberra, 26-30 September 2010 Original map: www.street-directory.com.au. Used with permission. (Cairns inserted by this presenter.) Cairns © Paul Mahony 2014
  • 135.
    135 Land clearingin Australia – Queensland 1988 -2008 Approximately 78,000 square kilometres Source: Derived from Bisshop, G. & Pavlidis, L, “Deforestation and land degradation in Queensland - The culprit”, Article 5, 16th Biennial Australian Association for Environmental Education Conference, Australian National University, Canberra, 26-30 September 2010 Original map: www.street-directory.com.au. Used with permission. (Cairns inserted by this presenter.) Cairns © Paul Mahony 2014
  • 136.
    136 Land clearingin Australia – Queensland 1988 -2008 Approximately 78,000 square kilometres Source: Derived from Bisshop, G. & Pavlidis, L, “Deforestation and land degradation in Queensland - The culprit”, Article 5, 16th Biennial Australian Association for Environmental Education Conference, Australian National University, Canberra, 26-30 September 2010 Original map: www.street-directory.com.au. Used with permission. (Cairns inserted by this presenter.) Cairns 78,000 sq km © Paul Mahony 2014
  • 137.
    Rainforest destruction inAfrica The vertical lines primarily represent the Guinea Savanna, which was once forest and is maintained as savanna through regular burning, primarily to enable cattle grazing. Sources: Mahesh Sankaran, et al, “Determinants of woody cover in African savannas”, Nature 438, 846-849 (8 December 137 2005), cited in Russell, G. “Burning the biosphere, boverty blues (Part 2)”, www.bravenewclimate.com © Paul Mahony 2014
  • 138.
    Rainforest destruction inAfrica Sources: Mahesh Sankaran, et al, “Determinants of woody cover in African savannas”, Nature 438, 846-849 (8 December 138 2005), cited in Russell, G. “Burning the biosphere, boverty blues (Part 2)”, www.bravenewclimate.com MODIS Rapid Response Team, NASA Goddard Space Flight Center, http://rapidfire.sci.gsfc.nasa.gov/firemaps/ © Paul Mahony 2014
  • 139.
    Rainforest destruction inAfrica Sources: Mahesh Sankaran, et al, “Determinants of woody cover in African savannas”, Nature 438, 846-849 (8 December 139 2005), cited in Russell, G. “Burning the biosphere, boverty blues (Part 2)”, www.bravenewclimate.com MODIS Rapid Response Team, NASA Goddard Space Flight Center, http://rapidfire.sci.gsfc.nasa.gov/firemaps/ © Paul Mahony 2014
  • 140.
    140 Rainforest destructionin South America Winds transport black carbon from the Amazon to the Antarctic Peninsula. 47% to 61% of black carbon in Antarctica comes from pasture management in the Amazon and Africa. Black carbon melts ice rapidly by absorbing heat from sunlight. http://www.world-maps.co.uk/continent-map-of-south-america.htm http://rainforests.mongabay.com/amazon/amazon_map.html MODIS Rapid Response Team, NASA Goddard Space Flight Center - http://rapidfire.sci.gsfc.nasa.gov/firemaps/ Black carbon information: Presentation by Gerard Bisshop, World Preservation Fund presentation to Cancun Climate Summit, Dec, 2010 “Shorter lived climate forcers: Agriculture Sector and Land Clearing for Livestock” (co-authors Lefkothea Pavlidis and Dr Hsien Hui Khoo). MODIS Rapid Response Team, NASA Goddard Space Flight Center - http://rapidfire.sci.gsfc.nasa.gov/firemaps/ © Paul Mahony 2014
  • 141.
    Burning in Australia To put Australian savanna burning into context, the 2009 Black Saturday bushfires in the state of Victoria burnt around 4,500 hectares. In comparison, each year in northern Australia where 70% of our cattle graze, we burn 100 times that area across the tropical savanna. Source: Modis fire map, NASA 141 © Paul Mahony 2014
  • 142.
    142 Protein ©Paul Mahony 2014 Bull elephant © William Manning | Dreamstime.com
  • 143.
    143 Protein Content 0 500,000 1,000,000 1,500,000 2,000,000 2,500,000 3,000,000 3,500,000 Wheat Lupins Field peas Chickpeas Rice Mung beans Navy beans Faba beans Lentils Barley Oats Maize Sorghum Triticale Potatoes Onions Carrots Asparagus Broccoli Cauliflower Tomatoes Mushrooms Lettuce Capsicum/chillies Cabbage Beans Other Soy beans Sugar cane Peanuts Apples Pears Nashi Avocado Melons Pineapples Bananas Kiwifruit Mangoes Table and dried grapes Oranges Mandarins Lemons/limes/grapefruit Peaches Nectarines Apricots Plums Cherries Almonds Macadamia Berries Beef Lamb Pig meat Poultry Whole milk Cheese - Cheddar Cheese - Non-Cheddar Butter Eggs Tuna Other fish Prawns Rock lobster Abalone Scallops Oysters Tonnes © Paul Mahony 2014
  • 144.
    144 Protein ©Paul Mahony 2014
  • 145.
    Trophic levels “representa synthetic metric of species’ diet, which describe the composition of food consumed and enables comparisons of diets between species”. 145 Trophic levels: a worrying trend Bonhommeau, S. et al., “Eating up the world’s food web and the human trophic level”, Proc. Natl Acad. Sci. USA http://www.pnas.org/cgi/doi/10.1073/pnas.1305827110 (2013), cited in Hoag, H., “Humans are becoming more carnivorous”, Nature, 2 December, 2013 doi:10.1038/nature.2013.14282, http://www.nature.com/news/humans-are-becoming-more-carnivorous-1.14282 © Paul Mahony 2014