1
Pediatric Advance life support 2009
āļŠāļēāļŦāļĢāļąāļšāđāļžāļ—āļĒāđŒāđ€āļ§āļŠāļ›āļāļīāļšāļąāļ•āļī
āļĻ.āļ™āļž.āļāļĪāļ•āļĒāđŒāļ§āļīāļāļĢāļĄ āļ”āļļāļĢāļ‡āļ„āđŒāļžāļīāļĻāļīāļĐāļāđŒāļāļļāļĨ
āļ āļēāļ§āļ°āļŦāļąāļ§āđƒāļˆāļŦāļĒāļļāļ”āđ€āļ•āđ‰āļ™āđƒāļ™āđ€āļ”āđ‡āļāđ€āļ›āđ‡āļ™āļ āļēāļ§āļ°āļ—āļĩāđˆāļžāļšāđ„āļĄāđˆāļšāđˆāļ­āļĒ āļāļēāļĢāļŠāđˆāļ§āļĒāļŠāļĩāļ§āļīāļ•āļ—āļĩāđˆāļ–āļđāļāļ•āđ‰āļ­āļ‡āđāļĨāļ°āļĢāļ§āļ”āđ€āļĢāđ‡āļ§ āļˆāļ°āļ—āļēāđƒāļŦāđ‰
āļœāļđāđ‰āļ›āđˆāļ§āļĒāđ€āļ”āđ‡āļāļĢāļ­āļ”āļŠāļĩāļ§āļīāļ•āđ‚āļ”āļĒāđ„āļĄāđˆāļĄāļĩāļœāļĨāđāļ—āļĢāļāļ‹āđ‰āļ­āļ™ āļŦāļąāļ§āđƒāļˆāļŠāļēāļ„āļąāļāļ‚āļ­āļ‡āļāļēāļĢāđƒāļŦāđ‰āļāļēāļĢāļŠāđˆāļ§āļĒāļŠāļĩāļ§āļīāļ•āđƒāļ™āđ€āļ”āđ‡āļāļ‚āļąāđ‰āļ™āļŠāļđāļ‡ (Pediatric
Advance life support :PALS) āđāļ•āđˆāđ€āļ”āļīāļĄ āđ„āļ”āđ‰āđāļāđˆ āļāļēāļĢāļ›āđ‰āļ­āļ‡āļāļąāļ™āļĢāļ°āļĄāļąāļ”āļĢāļ°āļ§āļąāļ‡āđ„āļĄāđˆāđƒāļŦāđ‰āđ€āļ”āđ‡āļāđ€āļāļīāļ”āļ āļēāļ§āļ°āļŦāļąāļ§āđƒāļˆāļŦāļĒāļļāļ”āđ€āļ•āđ‰āļ™
āđāļ•āđˆāļžāļšāļ§āđˆāļēāļāļēāļĢāļ›āđ‰āļ­āļ‡āļāļąāļ™āđ€āļžāļĩāļĒāļ‡āļ­āļĒāđˆāļēāļ‡āđ€āļ”āļĩāļĒāļ§āļāđ‡āļĒāļąāļ‡āļ—āļēāđƒāļŦāđ‰āļĄāļĩāļ­āļąāļ•āļĢāļēāļāļēāļĢāļĢāļ­āļ”āļŠāļĩāļ§āļīāļ•āļ‚āļ­āļ‡āļœāļđāđ‰āļ›āđˆāļ§āļĒāđ€āļ”āđ‡āļāļ™āļąāđ‰āļ™āļ•āđˆāļēāļ­āļĒāļđāđˆ
āļĄāļĩāļāļēāļĢāļĻāļĩāļāļĐāļēāļ—āļĩāđˆāļŠāļąāļ”āđ€āļˆāļ™āđ‚āļ”āļĒ Vinay M. Nadkarni āđāļĨāļ°āļ„āļ“āļ°āļ—āļĩāđˆāļ—āļēāļāļēāļĢāļĢāļ§āļšāļĢāļ§āļĄāļ‚āđ‰āļ­āļĄāļđāļĨāđƒāļ™āļœāļđāđ‰āļ›āđˆāļ§āļĒāđ€āļ”āđ‡āļāļ—āļĩāđˆ
āļĄāļĩāļ āļēāļ§āļ°āļŦāļąāļ§āđƒāļˆāļŦāļĒāļļāļ”āđ€āļ•āđ‰āļ™āļˆāļēāļ™āļ§āļ™ 880 āļĢāļēāļĒ āđ€āļ›āļĢāļĩāļĒāļšāđ€āļ—āļĩāļĒāļšāļāļąāļšāļœāļđāđ‰āđƒāļŦāļāđˆāļ—āļĩāđˆāļĄāļĩ āļ āļēāļ§āļ°āļŦāļąāļ§āđƒāļˆāļŦāļĒāļļāļ”āđ€āļ•āđ‰āļ™āļˆāļēāļ™āļ§āļ™ 36,902
āļĢāļēāļĒ āļˆāļēāļāđ‚āļĢāļ‡āļžāļĒāļēāļšāļēāļĨāļˆāļēāļ™āļ§āļ™ 253 āđāļŦāđˆāļ‡āđƒāļ™āļ›āļĢāļ°āđ€āļ—āļĻāļŠāļŦāļĢāļąāļāļ­āđ€āļĄāļĢāļīāļāļēāđāļĨāļ°āđāļ„āļ™āļēāļ”āļēāđƒāļ™āļ›āļĩ āļž .āļĻ.2549 āļžāļšāļ§āđˆāļē
āđāļĄāđ‰āļ§āđˆāļēāļŠāļēāđ€āļŦāļ•āļļāļŠāļēāļ„āļąāļāļ—āļĩāđˆāļ—āļēāđƒāļŦāđ‰āļœāļđāđ‰āļ›āđˆāļ§āļĒāđ€āļ”āđ‡āļāļ āļēāļ§āļ°āļŦāļąāļ§āđƒāļˆāļŦāļĒāļļāļ”āđ€āļ•āđ‰āļ™āļˆāļ°āļĄāļĩāļŦāļĨāļēāļāļŦāļĨāļēāļĒāđāļ•āđˆāļāļēāļĢāđƒāļŦāđ‰āļāļēāļĢāļŠāđˆāļ§āļĒāļŠāļĩāļ§āļīāļ•āļ—āļĩāđˆ
āļĢāļ§āļ”āđ€āļĢāđ‡āļ§āđ‚āļ”āļĒāđ€āļ™āđ‰āļ™āļāļēāļĢāļŠāđˆāļ§āļĒāļŠāļĩāļ§āļīāļ•āđƒāļ™āđ€āļ”āđ‡āļāļ‚āļąāđ‰āļ™āļžāļ·āđ‰āļ™āļāļēāļ™ (Pediatric basic life support : PBLS) āļ—āļĩāđˆāļ”āļĩ
āļĢāļ§āļĄāļ—āļąāđ‰āļ‡āļāļēāļĢāļ—āļĩāđˆāđ€āļ‚āđ‰āļēāđƒāļˆāļ§āđˆāļēāļœāļđāđ‰āļ›āđˆāļ§āļĒāđ€āļ”āđ‡āļāļ—āļĩāđˆāļĄāļĩāļ āļēāļ§āļ°āļŦāļąāļ§āđƒāļˆāļŦāļĒāļļāļ”āđ€āļ•āđ‰āļ™āļ•āđˆāļēāļ‡āļāļąāļ™ āļĒāđˆāļ­āļĄāļ•āđ‰āļ­āļ‡āļāļēāļĢāļ§āļīāļ˜āļĩāļāļēāļĢāļŠāđˆāļ§āļĒāļŠāļĩāļ§āļīāļ•āļ—āļĩāđˆāđāļ•āļāļ•āđˆāļēāļ‡
āļāļąāļ™ āļ„āļ§āļĢāđƒāļŦāđ‰āļ„āļ§āļēāļĄāļŠāļēāļ„āļąāļāđƒāļ™āļŠāđˆāļ§āļ‡āđ€āļ§āļĨāļē 2 āļŠāđˆāļ§āļ‡āļ„āļ·āļ­
1. āļ āļēāļ§āļ°āļŦāļąāļ§āđƒāļˆāļŦāļĒāļļāļ”āđ€āļ•āđ‰āļ™āđ‚āļ”āļĒāļĄāļĩ asystole āļŦāļĢāļ·āļ­ pulseless electrical activity (PEA) āđƒāļ™āđ€āļ”āđ‡āļāļˆāļ°
āļŠāļēāļĄāļēāļĢāļ–āļĄāļĩāļ­āļąāļ•āļĢāļēāļāļēāļĢāļĢāļ­āļ”āļŠāļĩāļ§āļīāļ•āđ„āļ”āđ‰āļ–āļķāļ‡āļĢāđ‰āļ­āļĒāļĨāļ° 27 āđ€āļĄāļ·āđˆāļ­āđ€āļ—āļĩāļĒāļšāļāļąāļšāļ­āļąāļ•āļĢāļēāļāļēāļĢāļĢāļ­āļ”āļŠāļĩāļ§āļīāļ•āđƒāļ™āļœāļđāđ‰āđƒāļŦāļāđˆāļˆāļēāļāļ āļēāļ§āļ°
āđ€āļ”āļĩāļĒāļ§āļāļąāļ™āļ—āļĩāđˆāļĄāļĩāđ€āļžāļĩāļĒāļ‡āļĢāđ‰āļ­āļĒāļĨāļ° 18 āđāļĨāļ°āļžāļšāļ§āđˆāļēāļ āļēāļ§āļ° ventricular fibrillation āđƒāļ™āđ€āļ”āđ‡āļāļ™āļąāđ‰āļ™āļžāļšāđ„āļ”āđ‰āļšāđˆāļ­āļĒāļāļ§āđˆāļēāļ—āļĩāđˆāļ„āļēāļ”āđ„āļ§āđ‰
āđ‚āļ”āļĒāļžāļšāļ–āļķāļ‡āļĢāđ‰āļ­āļĒāļĨāļ° 14 āļ‚āļ­āļ‡āđ€āļ”āđ‡āļāļ—āļĩāđˆāļĄāļĩāļ āļēāļ§āļ°āļŦāļąāļ§āđƒāļˆāļŦāļĒāļļāļ”āđ€āļ•āđ‰āļ™ āļ‹āļķāđˆāļ‡āļŠāļ­āļ”āļ„āļĨāđ‰āļ­āļ‡āļāļąāļšāļāļēāļĢāļĻāļķāļāļĐāļēāđƒāļ™āļŠāđˆāļ§āļ‡āļŦāļĨāļąāļ‡āļ—āļĩāđˆāļžāļšāļ§āđˆāļē
āļ­āļąāļ•āļĢāļēāļĢāļ­āļ”āļŠāļĩāļ§āļīāļ•āđƒāļ™āļœāļđāđ‰āļ›āđˆāļ§āļĒāđ€āļ”āđ‡āļāļ”āļĩāļ‚āļķāđ‰āļ™āļāļ§āđˆāļēāđ€āļ”āļīāļĄ
2. āļŠāđˆāļ§āļ‡āļŦāļĨāļąāļ‡āļ āļēāļ§āļ°āļŦāļąāļ§āđƒāļˆāļŦāļĒāļļāļ”āđ€āļ•āđ‰āļ™āđƒāļ™āļāļēāļĢāđ€āļāđ‰āļēāļĢāļ°āļ§āļąāļ‡āđāļĨāļ°āļ›āļĢāļ°āļ„āļąāļšāļ›āļĢāļ°āļ„āļ­āļ‡āđƒāļŦāđ‰āļœāļđāđ‰āļ›āđˆāļ§āļĒāļĄāļĩāļāļēāļĢāļšāļĩāļšāļ•āļąāļ§āļ‚āļ­āļ‡
āļŦāļąāļ§āđƒāļˆāđāļĨāļ°āļŠāļąāļāļāļēāļ“āļŠāļĩāļžāļ—āļĩāđˆāļŠāļĄāđˆāļēāđ€āļŠāļĄāļ­āđ€āļžāļĩāļĒāļ‡āļžāļ­āđ€āļžāļ·āđˆāļ­āļ›āđ‰āļ­āļ‡āļāļąāļ™āļ āļēāļ§āļ°āļ­āļ§āļąāļĒāļ§āļ°āļŠāđˆāļ§āļ™āļ›āļĨāļēāļĒāļ—āļēāļ‡āļēāļ™āļĨāđ‰āļĄāđ€āļŦāļĨāļ§ (end
organ failure)
āļāļēāļĢāļ—āļĩāđˆāļŠāļēāļĄāļēāļĢāļ–āļžāļąāļ’āļ™āļēāļĢāļ°āļšāļšāļŠāđˆāļ§āļĒāļŠāļĩāļ§āļīāļ•āđ„āļ”āđ‰āļˆāļēāļāļ„āļ§āļēāļĄāđ€āļ‚āđ‰āļēāđƒāļˆāļŠāļ āļēāļ§āļ°āļžāļ·āđ‰āļ™āļāļēāļ™āļ—āļąāđ‰āļ‡ 2 āļŠāđˆāļ§āļ‡āđ€āļ§āļĨāļēāļ™āļĩāđ‰āļˆāļ°
āļŠāļēāļĄāļēāļĢāļ–āđ€āļžāļīāđˆāļĄāļ­āļąāļ•āļĢāļēāļāļēāļĢāļĢāļ­āļ”āļŠāļĩāļ§āļīāļ•āđ„āļ”āđ‰ āđ‚āļ”āļĒāļžāļšāļ§āđˆāļēāđƒāļ™āļ āļēāļ§āļ°āđāļ™āļ§āļ„āļīāļ”āļ™āļĩāđ‰āļŠāļ­āļ”āļ„āļĨāļ­āļ‡āļāļąāļšāļāļēāļĢāļ›āļĢāļąāļšāļ›āļĢāļļāļ‡ guideline
āļāļēāļĢāļŠāđˆāļ§āļĒāļŠāļĩāļ§āļīāļ•āļœāļđāđ‰āļ›āđˆāļ§āļĒāđ€āļ”āđ‡āļāļ—āļĩāđˆāđ€āļ™āđ‰āļ™āļāļēāļĢāļ›āļāļīāļšāļąāļ•āļīāļ—āļĩāđˆāļ‡āđˆāļēāļĒāđāļĨāļ°āļĢāļ§āļ”āđ€āļĢāđ‡āļ§āļ‚āļķāđ‰āļ™āđ‚āļ”āļĒāđƒāļŦāđ‰āļĄāļĩāļāļēāļĢāļāļ”āļŦāļ™āđ‰āļēāļ­āļāļ—āļĩāđˆāļĄāļĩāļ›āļĢāļ°āļŠāļīāļ—āļ˜āļīāļ āļēāļž
āļ­āļĒāđˆāļēāļ‡āļ•āđˆāļ­āđ€āļ™āļ·āđˆāļ­āļ‡āļĄāļēāļāļ‚āļķāđ‰āļ™āļāļ§āđˆāļēāļāļēāļĢāļžāļĒāļēāļĒāļēāļĄāđ€āļ›āļīāļ”āļ—āļēāļ‡āđ€āļ”āļīāļ™āļŦāļēāļĒāđƒāļˆāļ”āđ‰āļ§āļĒāļāļēāļĢāđƒāļŠāđˆāļ—āđˆāļ­āļŠāđˆāļ§āļĒāļŦāļēāļĒāđƒāļˆāļ­āļĒāđˆāļēāļ‡āđ€āļ”āļīāļĄāļ‹āļķāđˆāļ‡āđƒāļŠāđ‰
āđ€āļ§āļĨāļēāļ™āļēāļ™āļĒāļāđ€āļ§āđ‰āļ™āđƒāļ™āļœāļđāđ‰āļ—āļĩāđˆāđ€āļŠāļĩāđˆāļĒāļ§āļŠāļēāļāļˆāļĢāļīāļ‡āđāļĨāļ°āļ—āļēāđƒāļŦāđ‰āļāļēāļĢāļāļ”āļŦāļ™āđ‰āļēāļ­āļāļ—āļēāđ„āļ”āđ‰āđ„āļĄāđˆāđ€āļ•āđ‡āļĄāļ—āļĩāđˆāļ™āļ­āļāļˆāļēāļāļ™āļĩāđ‰āļĒāļąāļ‡āđ€āļžāļīāđˆāļĄ
āļ„āļ§āļēāļĄāļŠāļēāļ„āļąāļāļ‚āļ­āļ‡āļāļēāļĢāļ—āļē defibrillation āļĄāļēāļāļ‚āļķāđ‰āļ™āļāļ§āđˆāļēāđ€āļ”āļīāļĄāđ‚āļ”āļĒāļŠāļēāļĄāļēāļĢāļ–āđƒāļŠāđ‰āđ€āļ„āļĢāļ·āđˆāļ­āļ‡ automate external
defibrillator (AED) āđƒāļ™āđ€āļ”āđ‡āļāļ­āļēāļĒāļļ 1 āļ–āļķāļ‡ 8 āļ›āļĩ āđ€āļŠāđˆāļ™āđƒāļ™āđ€āļ”āđ‡āļāđ‚āļ•āļŦāļĢāļ·āļ­āļœāļđāđ‰āđƒāļŦāļāđˆ
Pediatric Advance life support (PALS) āļ‹āļķāđˆāļ‡āđ€āļ™āđ‰āļ™āļāļēāļĢāļŠāđˆāļ§āļĒāļŠāļĩāļ§āļīāļ•āđƒāļ™āđ€āļ”āđ‡āļāļ—āļĩāđˆāļĄāļĩ āļ āļēāļ§āļ°āļŦāļąāļ§āđƒāļˆāļŦāļĒāļļāļ”āđ€āļ•āđ‰āļ™āđƒāļ™
āļŠāđˆāļ§āļ‡āđāļĢāļ āđ‚āļ”āļĒāļĄāļĩāļāļēāļĢāļ›āļĢāļąāļšāļ›āļĢāļļāļ‡ guideline āļ„āļĢāļąāđ‰āļ‡āļŠāļļāļ”āļ—āđ‰āļēāļĒāļ‚āļ­āļ‡ American Heart Association āđ‚āļ”āļĒāđ€āļ›āđ‡āļ™āđƒāļ™
āļĢāļđāļ›āđāļšāļšāļ‚āļ­āļ‡ emergency cardiac care āđ€āļĄāļ·āđˆāļ­āļ›āļĩ āļž.āļĻ.2548 āđāļĨāļ°āđ„āļ”āđ‰āļ–āļđāļāļ™āļēāļĄāļēāđƒāļŠāđ‰āđ‚āļ”āļĒāļŠāļĄāļēāļ„āļĄāđāļžāļ—āļĒāđŒ
āđ‚āļĢāļ„āļŦāļąāļ§āđƒāļˆāđāļŦāđˆāļ‡āļ›āļĢāļ°āđ€āļ—āļĻāđ„āļ—āļĒ āđ€āļ™āļ·āđ‰āļ­āļŦāļēāļāļēāļĢāļ›āļĢāļąāļšāļ›āļĢāļļāļ‡āļ—āļĩāđˆāļŠāļēāļ„āļąāļāļ„āļ·āļ­
2
1. āļāļēāļĢāđ€āļ™āđ‰āļ™āļāļēāļĢāļŠāđˆāļ§āļĒāļŠāļĩāļ§āļīāļ•āļ‚āļąāđ‰āļ™āļžāļ·āđ‰āļ™āļāļēāļ™āļ­āļĒāđˆāļēāļ‡āļĢāļ§āļ”āđ€āļĢāđ‡āļ§āđāļĨāļ°āļ–āļđāļāļ•āđ‰āļ­āļ‡āļ•āļīāļ”āļ•āđˆāļ­āļāļąāļ™āđƒāļ™ 2 āļ™āļēāļ—āļĩāđāļĢāļ (āđƒāļŠāđ‰āļ­āļąāļ•āļĢāļē
compression ratio 30:2 āđƒāļ™ single rescuer āļŦāļĢāļ·āļ­ 15:2 āđƒāļ™ 2 rescuers)
2. āļŦāļĨāļąāļāļ‚āļ­āļ‡āļāļēāļĢāļ—āļē Effective chest compression āļ„āļ·āļ­ push hard āđāļĨāļ° push fast āļ”āđ‰āļ§āļĒāļ­āļąāļ•āļĢāļē
āļĄāļēāļāļāļ§āđˆāļē 100 āļ„āļĢāļąāđ‰āļ‡āļ•āđˆāļ­āļ™āļēāļ—āļĩ āđ‚āļ”āļĒāļĄāļĩāļāļēāļĢāļŦāļĒāļļāļ”āļ™āđ‰āļ­āļĒāļ—āļĩāđˆāļŠāļļāļ”
3. āđ€āļ™āđ‰āļ™āļāļēāļĢāļ—āļē Defibrillation āļ—āļĩāđˆāđ€āļĢāđ‡āļ§ āđ€āļžāļĩāļĒāļ‡ 1 āļŦāļ™ āđ‚āļ”āļĒāđ€āļĢāļīāđˆāļĄāļāļ”āļŦāļ™āđ‰āļēāļ­āļāļ—āļąāļ™āļ—āļĩāļŦāļĨāļąāļ‡ āļŠāđ‡āļ­āļāļ”āđ‰āļ§āļĒāđ„āļŸāļŸāđ‰āļē
āļ•āđˆāļ­āđ€āļ™āļ·āđˆāļ­āļ‡āđ€āļ›āđ‡āļ™āđ€āļ§āļĨāļē 2 āļ™āļēāļ—āļĩ āļāđˆāļ­āļ™āļ—āļĩāđˆāļˆāļ°āļŦāļĒāļļāļ”āļ•āļĢāļ§āļˆāļŠāļĩāļžāļˆāļĢāļāļēāļĢāđ€āļ•āđ‰āļ™āļ‚āļ­āļ‡āļŦāļąāļ§āđƒāļˆ āļ•āļĨāļ­āļ”āļ–āļķāļ‡āļāļēāļĢāđƒāļŠāđ‰ automated
external defibrillator (AED)
āđ‚āļ”āļĒāļ—āļĩāđˆāļĄāļēāļ‚āļ­āļ‡āļāļēāļĢāđ€āļ›āļĨāļĩāđˆāļĒāļ™āđāļ›āļĨāļ‡āļ„āļēāđāļ™āļ°āļ™āļēāđ€āļāļīāļ”āļˆāļēāļāļžāļšāļ§āđˆāļēāđƒāļ™āļ āļēāļ§āļ° ventricular fibrillation āđāļĄāđ‰āļ§āđˆāļē
āļŦāļąāļ§āđƒāļˆāļˆāļ°āļ•āļ­āļšāļŠāļ™āļ­āļ‡āļ•āđˆāļ­āļāļēāļĢāļ—āļē defibrillation āđāļĨāļ°āļāļĨāļąāļšāļĄāļēāļĄāļĩ sinus rhythm āđāļ•āđˆāļāđ‡āļˆāļ°āđ„āļĄāđˆāļŠāļēāļĄāļēāļĢāļ–āļšāļĩāļšāļ•āļąāļ§āđ„āļ”āđ‰āļ”āļĩ
āđƒāļ™āļŠāđˆāļ§āļ‡āđāļĢāļāļĒāļąāļ‡āļ•āđ‰āļ­āļ‡āļāļēāļĢāļāļēāļĢāļāļ”āļŦāļ™āđ‰āļēāļ­āļāđ€āļžāļ·āđˆāļ­āļ—āļēāđƒāļŦāđ‰āļĄāļĩāļāļēāļĢāđ„āļŦāļĨāđ€āļ§āļĩāļĒāļ™āđ€āļĨāļ·āļ­āļ”āļ—āļĩāđˆāļŠāļĄāđˆāļēāđ€āļŠāļĄāļ­āđ€āļžāļĩāļĒāļ‡āļžāļ­ āļ™āļ­āļāļˆāļēāļāļ™āļĩāđ‰
āļ„āļ§āļĢāļ„āļēāļ™āļķāļ‡āļ–āļķāļ‡āļāļēāļĢāļāļēāļĢāđ€āļāđ‰āļēāļĢāļ°āļ§āļąāļ‡āđāļĨāļ°āļ›āļĢāļ°āļ„āļąāļšāļ›āļĢāļ°āļ„āļ­āļ‡āđƒāļŦāđ‰āļœāļđāđ‰āļ›āđˆāļ§āļĒāļĄāļĩāļāļēāļĢāļšāļĩāļšāļ•āļąāļ§āļ‚āļ­āļ‡āļŦāļąāļ§āđƒāļˆāđāļĨāļ°āļŠāļąāļāļāļēāļ“āļŠāļĩāļžāļ—āļĩāđˆ
āļŠāļĄāđˆāļēāđ€āļŠāļĄāļ­āđ€āļžāļĩāļĒāļ‡āļžāļ­ āđāļĨāļ°āđƒāļŦāđ‰āļāļēāļĢāļĢāļąāļāļĐāļēāļœāļđāđ‰āļ›āđˆāļ§āļĒāđ€āļ”āđ‡āļāļŦāļĨāļąāļ‡āļŦāļąāļ§āđƒāļˆāļŦāļĒāļļāļ”āđ€āļ•āđ‰āļ™āļ—āļĩāđˆāļĄāļĩāļ„āļ§āļēāļĄāļ•āđ‰āļ­āļ‡āļāļēāļĢāļŦāļĨāļēāļāļŠāļ™āļīāļ” āđ€āļŠāđˆāļ™
āļŦāļĨāļąāļ‡āļœāđˆāļēāļ•āļąāļ”āļŦāļąāļ§āđƒāļˆ āđ€āļ”āđ‡āļāļ—āļĩāđˆāļĄāļĩāļ›āļąāļāļŦāļēāļ—āļēāļ‡āđ€āļ”āļīāļ™āļŦāļēāļĒāđƒāļˆ āđ€āļ”āđ‡āļāļ—āļĩāđˆāđ„āļ”āđ‰āļĢāļąāļšāļŠāļēāļĢāļžāļīāļĐ āļŦāļĢāļ·āļ­āđ€āļ”āđ‡āļāļ—āļĩāđˆāļĄāļĩāļ„āļ§āļēāļĄāļœāļīāļ”āļ›āļāļ•āļīāļ—āļēāļ‡āļŠāļĄāļ­āļ‡
āđāļ™āļ§āļ„āļīāļ”āļ™āļĩāđ‰āļĒāļąāļ‡āđ€āļŦāļĄāļēāļ°āļŠāļĄāļāļąāļšāļāļļāļĄāļēāļĢāđāļžāļ—āļĒāđŒāļŦāļĢāļ·āļ­āļšāļļāļ„āļ„āļĨāļēāļāļĢāļ—āļēāļ‡āļāļēāļĢāđāļžāļ—āļĒāđŒāļ—āļĩāđˆāļ•āđ‰āļ­āļ‡āđƒāļŦāđ‰āļāļēāļĢāļĢāļąāļāļĐāļēāļœāļđāđ‰āļ›āđˆāļ§āļĒāļŦāļ™āļąāļāļ­āļĒāđˆāļēāļ‡
āļ•āđˆāļ­āđ€āļ™āļ·āđˆāļ­āļ‡āđ‚āļ”āļĒāđ€āļ™āđ‰āļ™āļ›āļąāļāļŦāļēāļāļēāļĢāļĢāļąāļāļĐāļēāļœāļđāđ‰āļ›āđˆāļ§āļĒāļ—āļĩāđˆāļĄāļĩāļŠāļ āļēāļ§āļ°āļ„āļ§āļēāļĄāļœāļīāļ”āļ›āļāļ•āļīāđƒāļ™āļ­āļ§āļąāļĒāļ§āļ°āļŦāļĨāļēāļĒāļĢāļ°āļšāļš
āļāļēāļĢāļ›āļĢāļ°āđ€āļĄāļīāļ™āđ€āļšāļ·āđ‰āļ­āļ‡āļ•āđ‰āļ™āđāļĨāļ°āļŠāļąāļāļāļēāļ“āļŠāļĩāļžāđƒāļ™āđ€āļ”āđ‡āļ
āļ āļēāļ§āļ°āļŦāļąāļ§āđƒāļˆāļŦāļĒāļļāļ”āđ€āļ•āđ‰āļ™āļˆāļēāļāļ„āļ§āļēāļĄāļœāļīāļ”āļ›āļāļ•āļīāļ‚āļ­āļ‡āļŦāļąāļ§āđƒāļˆ (primary cardiac arrest) āđƒāļ™āđ€āļ”āđ‡āļāļžāļšāļ™āđ‰āļ­āļĒāļĄāļēāļ
āđ€āļĄāļ·āđˆāļ­āđ€āļ—āļĩāļĒāļšāļāļąāļšāļœāļđāđ‰āđƒāļŦāļāđˆ āļŠāļēāđ€āļŦāļ•āļļāļ‚āļ­āļ‡āļŦāļąāļ§āđƒāļˆāļŦāļĒāļļāļ”āđ€āļ•āđ‰āļ™āļĄāļąāļāđ€āļāļīāļ”āļˆāļēāļāļ āļēāļ§āļ°āļ„āļ§āļēāļĄāļœāļīāļ”āļ›āļāļ•āļīāļ‚āļ­āļ‡āļĢāļ°āļšāļšāļ­āļ·āđˆāļ™ āđ€āļŠāđˆāļ™ āļĢāļ°āļšāļš
āļŦāļēāļĒāđƒāļˆ āļŦāļĢāļ·āļ­āļĢāļ°āļšāļšāļāļēāļĢāđ„āļŦāļĨāđ€āļ§āļĩāļĒāļ™āđ‚āļĨāļŦāļīāļ•āļ—āļĩāđˆāļœāļīāļ”āļ›āļāļ•āļīāđ€āļ›āđ‡āļ™āđ€āļ§āļĨāļēāļ™āļēāļ™ āđ‚āļ­āļāļēāļŠāļĢāļ­āļ”āļŠāļĩāļ§āļīāļ•āļ‚āļ­āļ‡āđ€āļ”āđ‡āļāļ—āļĩāđˆāļŦāļąāļ§āđƒāļˆāļŦāļĒāļļāļ”āđ€āļ•āđ‰āļ™
āđāļĨāļ°āđ„āļĄāđˆāļĄāļĩāļŠāļĩāļžāļˆāļĢāļĒāļąāļ‡āļĄāļĩāļ™āđ‰āļ­āļĒ āļŠāļīāđˆāļ‡āļŠāļēāļ„āļąāļāļ„āļ·āļ­ āļāļēāļĢāļ§āļīāļ™āļīāļˆāļ‰āļąāļĒāđāļĨāļ°āļĢāļąāļāļĐāļēāļ āļēāļ§āļ°āļŦāļēāļĒāđƒāļˆāļĨāđ‰āļĄāđ€āļŦāļĨāļ§ āļŠāđ‡āļ­āļ„ āļŦāļĢāļ·āļ­āļŦāļĒāļļāļ”āļŦāļēāļĒāđƒāļˆ
āļ­āļĒāđˆāļēāļ‡āđ€āļŦāļĄāļēāļ°āļŠāļĄ āđ€āļžāļ·āđˆāļ­āļ›āđ‰āļ­āļ‡āļāļąāļ™āđ„āļĄāđˆāđƒāļŦāđ‰āļœāļđāđ‰āļ›āđˆāļ§āļĒāļĄāļĩāļ­āļēāļāļēāļĢāđ€āļĨāļ§āļĨāļ‡āļˆāļ™āļŦāļąāļ§āđƒāļˆāļŦāļĒāļļāļ”āđ€āļ•āđ‰āļ™
āļ āļēāļ§āļ°āļ—āļĩāđˆāļ•āđ‰āļ­āļ‡āļĢāļĩāļšāļ›āļĢāļ°āđ€āļĄāļīāļ™āđāļĨāļ°āļŠāđˆāļ§āļĒāļāļēāļĢāļ—āļēāļ‡āļēāļ™āļ‚āļ­āļ‡āļŦāļąāļ§āđƒāļˆāđāļĨāļ°āļ›āļ­āļ”āļ­āļĒāđˆāļēāļ‡āđ€āļĢāđˆāļ‡āļ”āđˆāļ§āļ™
āļ­āļąāļ•āļĢāļēāļāļēāļĢāļŦāļēāļĒāđƒāļˆ > 60 āļ„āļĢāļąāđ‰āļ‡/āļ™āļēāļ—āļĩ
āļ­āļąāļ•āļĢāļēāļāļēāļĢāđ€āļ•āđ‰āļ™āļ‚āļ­āļ‡āļŦāļąāļ§āđƒāļˆ (āđ‚āļ”āļĒāđ€āļ‰āļžāļēāļ°āđ€āļĄāļ·āđˆāļ­āļĄāļĩ perfusion āļœāļīāļ”āļ›āļāļ•āļī)
- āđ€āļ”āđ‡āļāļ­āļēāļĒāļļ < 8 āļ›āļĩ: < 80 āļ„āļĢāļąāđ‰āļ‡/āļ™āļēāļ—āļĩ āļŦāļĢāļ·āļ­ >180 āļ„āļĢāļąāđ‰āļ‡/ āļ™āļēāļ—āļĩ
- āđ€āļ”āđ‡āļāļ­āļēāļĒāļļ > 8 āļ›āļĩ: < 60 āļ„āļĢāļąāđ‰āļ‡/āļ™āļēāļ—āļĩ āļŦāļĢāļ·āļ­ > 160 āļ„āļĢāļąāđ‰āļ‡/āļ™āļēāļ—āļĩ
āļĄāļĩāļ āļēāļ§āļ°āļāļēāļĢāđ„āļŦāļĨāđ€āļ§āļĩāļĒāļ™āđ€āļĨāļ·āļ­āļ”āļœāļīāļ”āļ›āļāļ•āļī āđ‚āļ”āļĒāļ„āļĨāļēāļŠāļĩāļžāļˆāļĢāļ›āļĨāļēāļĒāļĄāļ·āļ­āļ›āļĨāļēāļĒāđ€āļ—āđ‰āļēāđ„āļ”āđ‰āđ„āļĄāđˆāļŠāļąāļ”āđ€āļˆāļ™
āļĄāļĩāļ āļēāļ§āļ°āļāļēāļĢāļŦāļēāļĒāđƒāļˆāļœāļīāļ”āļ›āļāļ•āļī (retractions, nasal flaring, grunting)
āđ€āļ‚āļĩāļĒāļ§ āļŦāļĢāļ·āļ­āļĄāļĩ oxygen saturation āļĨāļ”āļĨāļ‡
āļĄāļĩāļāļēāļĢāđ€āļ›āļĨāļĩāđˆāļĒāļ™āđāļ›āļĨāļ‡āļ‚āļ­āļ‡āļ„āļ§āļēāļĄāļĢāļđāđ‰āļŠāļķāļāđ€āļŠāđˆāļ™āļāļĢāļ°āļŠāļąāļšāļāļĢāļ°āļŠāđˆāļēāļĒ āļ‹āļķāļĄāļĨāļ‡ āļŦāļĢāļ·āļ­āđ„āļĄāđˆāļ•āļ­āļšāļŠāļ™āļ­āļ‡āļ•āđˆāļ­āļžāđˆāļ­āđāļĄāđˆ āļŦāļĢāļ·āļ­
āļ•āļ­āļšāļŠāļ™āļ­āļ‡āļ•āđˆāļ­āļāļēāļĢāļāļĢāļ°āļ•āļļāđ‰āļ™āļœāļīāļ”āļ›āļāļ•āļīāđ„āļ›
āļŠāļąāļ
3
āļĄāļĩāđ„āļ‚āđ‰āđāļĨāļ°āļˆāļļāļ”āđ€āļĨāļ·āļ­āļ”āļ­āļ­āļāļ•āļēāļĄāļ•āļąāļ§
āļ­āļļāļšāļąāļ•āļīāđ€āļŦāļ•āļļ āļŦāļĢāļ·āļ­ āļāļēāļĢāļšāļēāļ”āđ€āļˆāđ‡āļš
āļšāļēāļ”āđāļœāļĨāđ„āļŸāđ„āļŦāļĄāđ‰āļ™āđ‰āļēāļĢāđ‰āļ­āļ™āļĨāļ§āļāļ—āļĩāđˆ > 10% āļ‚āļ­āļ‡āļžāļ·āđ‰āļ™āļ—āļĩāđˆāļœāļīāļ§āļ‚āļ­āļ‡āļĢāđˆāļēāļ‡āļāļēāļĒ
āļŠāļąāļāļāļēāļ“āļŠāļĩāļžāđƒāļ™āđ€āļ”āđ‡āļ
āļ­āļąāļ•āļĢāļēāļāļēāļĢāđ€āļ•āđ‰āļ™āļ‚āļ­āļ‡āļŦāļąāļ§āđƒāļˆ (āļ„āļĢāļąāđ‰āļ‡/āļ™āļēāļ—āļĩ)
āļ­āļēāļĒāļļ āļ‚āļ“āļ°āļ•āļ·āđˆāļ™ āļ„āđˆāļēāđ€āļ‰āļĨāļĩāđˆāļĒ āļ‚āļ“āļ°āļŦāļĨāļąāļš
āđāļĢāļāđ€āļāļīāļ” â€“ 3 āđ€āļ”āļ·āļ­āļ™ 85 – 205 140 80 – 160
3 āđ€āļ”āļ·āļ­āļ™ â€“ 2 āļ›āļĩ 100 – 190 130 75 – 160
2 āļ›āļĩ – 10 āļ›āļĩ 60 – 140 80 60 – 90
> 10 āļ›āļĩ 60 – 100 75 50 – 90
āļ­āļąāļ•āļĢāļēāļāļēāļĢāļŦāļēāļĒāđƒāļˆ (āļ„āļĢāļąāđ‰āļ‡/āļ™āļēāļ—āļĩ)
āļ­āļēāļĒāļļ āļ­āļąāļ•āļĢāļēāļāļēāļĢāļŦāļēāļĒāđƒāļˆ
āļ§āļąāļĒāđāļĢāļāđ€āļāļīāļ” 30 – 60
āļ§āļąāļĒāđ€āļ•āļēāļ°āđāļ•āļ° (toddler) 24 – 40
āļ§āļąāļĒāđ€āļ”āđ‡āļāļāđˆāļ­āļ™āđ€āļĢāļĩāļĒāļ™ 22 – 34
āļ§āļąāļĒāđ€āļĢāļĩāļĒāļ™ 18 – 30
āļ§āļąāļĒāļĢāļļāđˆāļ™ 12 – 16
āļ„āļ§āļēāļĄāļ”āļąāļ™āđ‚āļĨāļŦāļīāļ•
āļ„āđˆāļēāļ›āļāļ•āļīāļ‚āļ­āļ‡ systolic BP āđƒāļ™āđ€āļ”āđ‡āļ 1 – 10 āļ›āļĩ (50th
percentile):
90 mmHg + (āļ­āļēāļĒāļļāļ‚āļ­āļ‡āđ€āļ”āđ‡āļāđ€āļ›āđ‡āļ™āļ›āļĩ X 2) mmHg
āļ„āđˆāļēāļ•āđˆāļēāļŠāļļāļ”āļ—āļĩāđˆāļĒāļ­āļĄāļĢāļąāļšāđ„āļ”āđ‰āļ‚āļ­āļ‡ systolic BP āđƒāļ™āđ€āļ”āđ‡āļ 1 – 10 āļ›āļĩ (5th
percentile):
70 mmHg + (āļ­āļēāļĒāļļāļ‚āļ­āļ‡āđ€āļ”āđ‡āļāđ€āļ›āđ‡āļ™āļ›āļĩ X 2) mmHg
āļ„āđˆāļēāļ•āđˆāļēāļŠāļļāļ”āļ‚āļ­āļ‡ systolic BP āđƒāļ™āđ€āļ”āđ‡āļāļ­āļēāļĒāļļāļĄāļēāļāļāļ§āđˆāļē 10 āļ›āļĩ āļ›āļĢāļ°āļĄāļēāļ“ 90 mmHg
4
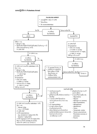
āļ•āļēāļĢāļēāļ‡āļ—āļĩāđˆ 1 āļŠāļĢāļļāļ›āļāļēāļĢāļ—āļēāļŦāļąāļ•āļ–āļāļēāļĢ BLS ABCD āļŠāļēāļŦāļĢāļąāļšāļ—āļēāļĢāļ āđ€āļ”āđ‡āļ āđāļĨāļ°āļœāļđāđ‰āđƒāļŦāļāđˆ āļāļĢāļ“āļĩāļ—āļĩāđˆāļ•āđ‰āļ­āļ‡āļ”āļēāđ€āļ™āļīāļ™āļāļēāļĢ
āđ‚āļ”āļĒāļšāļļāļ„āļĨāļēāļāļĢāļ—āļēāļ‡āļāļēāļĢāđāļžāļ—āļĒāđŒāļˆāļ°āļĢāļ°āļšāļļāđ€āļ›āđ‡āļ™ HCP (health care provider)
āļŦāļąāļ•āļ–āļāļēāļĢ
āļœāļđāđ‰āđƒāļŦāļāđˆ
āļ›āļĢāļ°āļŠāļēāļŠāļ™āļ—āļąāđˆāļ§āđ„āļ›:āļ­āļēāļĒāļļ > 8 āļ›āļĩ
HCP: āļ•āļąāđ‰āļ‡āđāļ•āđˆāļ§āļąāļĒāļĢāļļāđˆāļ™āļ‚āļķāđ‰āļ™āđ„āļ›
āđ€āļ”āđ‡āļ
āļ›āļĢāļ°āļŠāļēāļŠāļ™āļ—āļąāđˆāļ§āđ„āļ›:āļ­āļēāļĒāļļ 1-8 āļ›āļĩ
HCP: āļ­āļēāļĒāļļ 1 āļ›āļĩ-āļ§āļąāļĒāļĢāļļāđˆāļ™
āļ—āļēāļĢāļ
āļ­āļēāļĒāļļ < 1 āļ›āļĩ
Activate
āđ‚āļ—āļĢāđ€āļĢāļĩāļĒāļāļĻāļđāļ™āļĒāđŒāļ§āļīāļ—āļĒāļļāļ‰āļļāļāđ€āļ‰āļīāļ™
Activate āđ€āļĄāļ·āđˆāļ­āļžāļšāļœāļđāđ‰āļŦāļĄāļ”āļŠāļ•āļī
HCP: āļ–āđ‰āļēāļ™āđˆāļēāļˆāļ°āđ€āļ›āđ‡āļ™āļŦāļąāļ§āđƒāļˆāļŦāļĒāļļāļ”
āđ€āļ•āđ‰āļ™āļˆāļēāļāļ‚āļēāļ”āļ­āļēāļāļēāļĻ āđƒāļŦāđ‰āļ—āļē
CPR āļāđˆāļ­āļ™ 5 āļĢāļ­āļšāđāļĨāđ‰āļ§āļ‚āļ­āļ„āļ§āļēāļĄ
āļŠāđˆāļ§āļĒāđ€āļŦāļĨāļ·āļ­
āļ—āļē CPR āļāđˆāļ­āļ™ 5 āļĢāļ­āļšāđāļĨāđ‰āļ§āļˆāļķāļ‡ activate
āļāļĢāļ“āļĩāļŦāļąāļ§āđƒāļˆāļŦāļĒāļļāļ”āđ€āļ•āđ‰āļ™āļ‰āļąāļšāļžāļĨāļąāļ™āđāļĨāļ°āļĄāļĩāļœāļđāđ‰āļžāļšāđ€āļŦāđ‡āļ™ āđƒāļŦāđ‰ activate
āđ€āļĄāļ·āđˆāļ­āļ•āļĢāļ§āļˆāļžāļšāļ§āđˆāļēāļŦāļĄāļ”āļŠāļ•āļī
Airway āļāļ”āļŦāļ™āđ‰āļēāļœāļēāļ-āđ€āļŠāļĒāļ„āļēāļ‡ (head tilt-chin lift) (āļāļĢāļ“āļĩāļŠāļ‡āļŠāļąāļĒāļ­āļļāļšāļąāļ•āļīāđ€āļŦāļ•āļļāđƒāļŦāđ‰āļ—āļē jaw thrust āđāļ—āļ™)
Breaths āđ€āļĢāļīāđˆāļĄāļ•āđ‰āļ™ āđ€āļ›āđˆāļēāļŠāđˆāļ§āļĒāļŦāļēāļĒāđƒāļˆ 2 āļ„āļĢāļąāđ‰āļ‡āļ­āļąāļ•āļĢāļē 1 āļ§āļīāļ™āļēāļ—āļĩ/āļ„āļĢāļąāđ‰āļ‡
HCP: rescue breathing āđ‚āļ”āļĒāđ„āļĄāđˆ
āļ•āđ‰āļ­āļ‡āļ—āļē CPR
10-12 āļ„āļĢāļąāđ‰āļ‡/āļ™āļēāļ—āļĩ (āđ€āļ›āđˆāļē 1 āļ„āļĢāļąāđ‰āļ‡
āļ—āļļāļ 5-6 āļ§āļīāļ™āļēāļ—āļĩ)
12-20 āļ„āļĢāļąāđ‰āļ‡/āļ™āļēāļ—āļĩ (āđ€āļ›āđˆāļē 1 āļ„āļĢāļąāđ‰āļ‡āļ—āļļāļ 3-5 āļ§āļīāļ™āļēāļ—āļĩ)
HCP: rescue breathing āļŠāļēāļŦāļĢāļąāļš
CPR āļ—āļĩāđˆāđƒāļŠāđˆāļ—āđˆāļ­āļŠāđˆāļ§āļĒāļŦāļēāļĒāđƒāļˆāđāļĨāđ‰āļ§
8-10 āļ„āļĢāļąāđ‰āļ‡/āļ™āļēāļ—āļĩ (āđ€āļ›āđˆāļē 1 āļ„āļĢāļąāđ‰āļ‡āļ—āļļāļ 6-8 āļ§āļīāļ™āļēāļ—āļĩ)
āļ§āļąāļ•āļ–āļļāđāļ›āļĨāļāļ›āļĨāļ­āļĄāļ­āļļāļ”āļāļąāđ‰āļ™āļ—āļēāļ‡āđ€āļ”āļīāļ™
āļŦāļēāļĒāđƒāļˆ
āļāļ”āļ—āđ‰āļ­āļ‡ (abdominal thrust)
āļ•āļšāļŦāļĨāļąāļ‡ āļāļ”āļŦāļ™āđ‰āļēāļ­āļ
(back slap, chest thrust)
Circulation
HCP: āļˆāļąāļšāļŠāļĩāļžāļˆāļĢ ( < 10 āļ§āļīāļ™āļēāļ—āļĩ)
Carotid
(āļŠāļēāļĄāļēāļĢāļ–āđƒāļŠāđ‰ femoral pulse āđƒāļ™āđ€āļ”āđ‡āļ)
Brachial āļŦāļĢāļ·āļ­ femoral
āļ•āļēāđāļŦāļ™āđˆāļ‡āļāļēāļĢāļāļ”āļŦāļ™āđ‰āļēāļ­āļ āļāļĨāļēāļ‡āļŦāļ™āđ‰āļēāļ­āļāļĢāļ°āļŦāļ§āđˆāļēāļ‡āļŦāļąāļ§āļ™āļĄ āđƒāļ•āđ‰āļ•āđˆāļ­āđāļ™āļ§āļŦāļąāļ§āļ™āļĄ
āļāļ”āļŦāļ™āđ‰āļēāļ­āļāļŦāļ™āļąāļ āđ€āļĢāđ‡āļ§ āļ›āļĨāđˆāļ­āļĒāļ„āļ·āļ™
āđ€āļ•āđ‡āļĄāļ—āļĩāđˆ
2 āļĄāļ·āļ­: āļŠāļąāļ™āļĄāļ·āļ­āļ§āļēāļ‡āļšāļ™āļŦāļ™āđ‰āļēāļ­āļ
āļ­āļĩāļāļĄāļ·āļ­āļŦāļ™āļķāđˆāļ‡āļ§āļēāļ‡āļ—āļąāļš
2 āļĄāļ·āļ­: āļŠāļąāļ™āļĄāļ·āļ­āļ§āļēāļ‡āļšāļ™āļŦāļ™āđ‰āļēāļ­āļ
āļ­āļĩāļāļĄāļ·āļ­āļŦāļ™āļķāđˆāļ‡āļ§āļēāļ‡āļ—āļąāļš
1 āļĄāļ·āļ­: āļŠāļąāļ™āļĄāļ·āļ­āđ€āļ”āļĩāļĒāļ§
āļœāļđāđ‰āļŠāđˆāļ§āļĒ 1 āļ„āļ™: 2 āļ™āļīāđ‰āļ§
HCP: āļœāļđāđ‰āļŠāđˆāļ§āļĒ 2 āļ„āļ™āđƒāļŠāđ‰ 2
thumb-encircling hands
āļ„āļ§āļēāļĄāļĨāļķāļāļāļēāļĢāļāļ”āļŦāļ™āđ‰āļēāļ­āļ 1 Â― -2 āļ™āļīāđ‰āļ§ 1/3-1/2 āļ‚āļ­āļ‡āļ„āļ§āļēāļĄāļŦāļ™āļēāļŦāļ™āđ‰āļēāļ­āļ
āļ­āļąāļ•āļĢāļēāļāļēāļĢāļāļ”āļŦāļ™āđ‰āļēāļ­āļ 100 āļ„āļĢāļąāđ‰āļ‡/āļ™āļēāļ—āļĩ
āļŠāļąāļ”āļŠāđˆāļ§āļ™āļāļēāļĢāļāļ”āļŦāļ™āđ‰āļēāļ­āļ/āļŠāđˆāļ§āļĒ
āļŦāļēāļĒāđƒāļˆ
30:2 (āļœāļđāđ‰āļŠāđˆāļ§āļĒāļ—āļąāđ‰āļ‡ 1 āļŦāļĢāļ·āļ­ 2 āļ„āļ™)
30:2 (āļœāļđāđ‰āļŠāđˆāļ§āļĒ 1 āļ„āļ™)
HCP: 15:2 (āļœāļđāđ‰āļŠāđˆāļ§āļĒ 2 āļ„āļ™)
Defibrillation
AED āđƒāļŠāđ‰ adult pad
HCP: āđ€āļŦāļ•āļļāļ™āļ­āļāđ‚āļĢāļ‡āļžāļĒāļēāļšāļēāļĨāļ–āđ‰āļē
āļœāļđāđ‰āļŠāđˆāļ§āļĒāļ–āļķāļ‡āļ—āļĩāđˆāđ€āļāļīāļ”āđ€āļŦāļ•āļļāļŠāđ‰āļēāļāļ§āđˆāļē 4-5
āļ™āļēāļ—āļĩāđāļĨāļ°āđ„āļĄāđˆāļĄāļĩāļœāļđāđ‰āđ€āļŦāđ‡āļ™ āđ€āļŦāļ•āļļāļāļēāļĢāļ“āđŒ
āđƒāļŦāđ‰āļ—āļē CPR 5 āļĢāļ­āļš (2 āļ™āļēāļ—āļĩ)
āļāđˆāļ­āļ™āļ—āļē āļŠāđ‰āļ­āļāļ”āđ‰āļ§āļĒ AED
HCP: āđƒāļŠāđ‰ AED āļ—āļąāļ™āļ—āļĩāļāļĢāļ“āļĩāļŦāļąāļ§āđƒāļˆ
āļŦāļĒāļļāļ”āđ€āļ•āđ‰āļ™āļāļ°āļ—āļąāļ™āļŦāļąāļ™āđāļĨāļ°āļĄāļĩ
āļœāļđāđ‰āđ€āļŦāđ‡āļ™āđ€āļŦāļ•āļļāļāļēāļĢāļ“āđŒ āđāļĨāļ°āļ­āļĒāļđāđˆāđƒāļ™
āđ‚āļĢāļ‡āļžāļĒāļēāļšāļēāļĨ
āļāļĢāļ“āļĩāļ—āļąāđˆāļ§āđ„āļ›: āļ™āļ­āļāđ‚āļĢāļ‡āļžāļĒāļēāļšāļēāļĨ
āđƒāļŦāđ‰āļ—āļē CPR āļāđˆāļ­āļ™ 2 āļ™āļēāļ—āļĩ āđƒāļŠāđ‰
āđāļœāđˆāļ™āļ‚āļąāđ‰āļ§āđāļĨāļ°āļžāļĨāļąāļ‡āļ‡āļēāļ™āļ‚āļ™āļēāļ”āđ€āļ”āđ‡āļ
āļŠāļēāļŦāļĢāļąāļšāļ­āļēāļĒāļļ 1-8 āļ›āļĩ āļ–āđ‰āļēāđ„āļĄāđˆāļĄāļĩāđƒāļŠāđ‰
āļ‚āļ™āļēāļ”āļœāļđāđ‰āđƒāļŦāļāđˆāđāļ—āļ™āđ„āļ”āđ‰
āđ„āļĄāđˆāļĄāļĩāļ‚āđ‰āļ­āđāļ™āļ°āļ™āļēāļŠāļēāļŦāļĢāļąāļšāļ—āļēāļĢāļ
āļ­āļēāļĒāļļ < 1 āļ›āļĩ
5
āļ•āļēāļĢāļēāļ‡āļ—āļĩāđˆ 2 āļāļēāļĢāđāļšāđˆāļ‡āļŦāļ™āđ‰āļēāļ—āļĩāđˆāļœāļđāđ‰āļ›āļāļīāļšāļąāļ•āļī CPR
No āļ•āļēāđāļŦāļ™āđˆāļ‡ āļŦāļ™āđ‰āļēāļ—āļĩāđˆāļĢāļąāļšāļœāļīāļ”āļŠāļ­āļš āļŦāļĄāļēāļĒāđ€āļŦāļ•āļļ
Airway &
Breathing
Staff : āđāļžāļ—āļĒāđŒ
āļžāļĒāļēāļšāļēāļĨ
āļœāļđāđ‰āļŠāđˆāļ§āļĒāļžāļĒāļēāļšāļēāļĨ
āļ›āļĢāļ°āđ€āļĄāļīāļ™āļĢāļ°āļ”āļąāļšConscious āļ•āļĢāļ§āļˆāļŠāļ­āļšāļāļēāļĢāļŦāļēāļĒāđƒāļˆāđāļĨāļ°āļŠāļĩāļžāļˆāļĢ
āļˆāļąāļ” Position āđ€āļ›āļīāļ”āļ—āļēāļ‡āđ€āļ”āļīāļ™āļŦāļēāļĒāđƒāļˆ(Head Tilt - Chin Lift)
O2 Bagging 10 L/min āļœāđˆāļēāļ™āļ—āļēāļ‡Face Mask āļŦāļĢāļ·āļ­ ET-Tube āđƒāļ™
āļ­āļąāļ•āļĢāļē20 āļ„āļĢāļąāđ‰āļ‡/āļ™āļēāļ—āļĩ
āđƒāļ™āļāļĢāļ“āļĩāđƒāļŠāđˆET-tube āļ­āļĒāļđāđˆāđāļĨāđ‰āļ§ āđƒāļŦāđ‰āļ•āļĢāļ§āļˆāļŠāļ­āļšāļ•āļēāđāļŦāļ™āđˆāļ‡āļ‚āļ­āļ‡ET-tube
Suction clear airway
Instruments
āļĢāļ– Emergency
āļ­āļļāļ›āļāļĢāļ“āđŒ Suction
āļ‚āļ™āļēāļ”āļ‚āļ­āļ‡Ambubag
āļ—āļēāļĢāļāđāļĢāļāđ€āļāļīāļ”(<1āđ€āļ”āļ·āļ­āļ™)āđƒāļŠāđ‰ āļ‚āļ™āļēāļ”250–300ml
āđ€āļ”āđ‡āļ āļ™āļ™. < 10 kg āđƒāļŠāđ‰ Ambubag āļ‚āļ™āļēāļ” 500 ml
āđ€āļ”āđ‡āļāļ™āļ™.>10kg āđƒāļŠāđ‰Ambubagāļ‚āļ™āļēāļ”1600ml
Suction tube (āđƒāļ™āļāļĢāļ“āļĩāļ—āļĩāđˆāļĒāļąāļ‡āđ„āļĄāđˆ Intubate)
āļ™āļ™. < 10 kg āđƒāļŠāđ‰ Fr. 8-10
āļ™āļ™. > 10 kg āđƒāļŠāđ‰ Fr. 12
āļ—āļēāļĢāļāđāļĢāļāđ€āļāļīāļ” āđƒāļŠāđ‰Fr. 6-8 āļ–āđ‰āļē Intubate
āđāļĨāđ‰āļ§ āđƒāļŦāđ‰āđƒāļŠāđ‰āļŠāļēāļĒSuction āļ‚āļ™āļēāļ”Fr. āļ›āļĢāļ°āļĄāļēāļ“2 āđ€āļ—āđˆāļē
āļ‚āļ­āļ‡ No. ET tube
āļ‚āļ™āļēāļ”āļ‚āļ­āļ‡ Face Mask
āļ—āļēāļĢāļāđāļĢāļāđ€āļāļīāļ” āđƒāļŠāđ‰No. 00 – 01
āđ€āļ”āđ‡āļ āļ™āļ™. < 10 kg āđƒāļŠāđ‰ No. 2
āđ€āļ”āđ‡āļ āļ™āļ™. > 10 kg āđƒāļŠāđ‰ No. 3 - 5
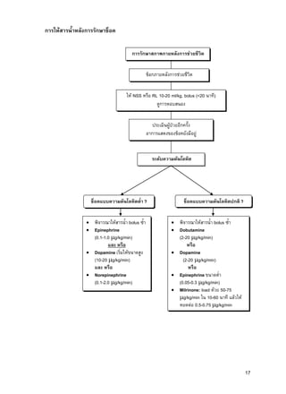
6
No āļ•āļēāđāļŦāļ™āđˆāļ‡ āļŦāļ™āđ‰āļēāļ—āļĩāđˆāļĢāļąāļšāļœāļīāļ”āļŠāļ­āļš āļŦāļĄāļēāļĒāđ€āļŦāļ•āļļ
Circulation
Staff : āđāļžāļ—āļĒāđŒ
āļžāļĒāļēāļšāļēāļĨ
āļœāļđāđ‰āļŠāđˆāļ§āļĒāļžāļĒāļēāļšāļēāļĨ
Chest compression āđ€āļĢāļīāđˆāļĄāļ—āļēāđ€āļĄāļ·āđˆāļ­
HR < 60 āļ„āļĢāļąāđ‰āļ‡/āļ™āļēāļ—āļĩ āđƒāļ™āļ—āļēāļĢāļāđāļĢāļāđ€āļāļīāļ”
HR < 80 āļ„āļĢāļąāđ‰āļ‡/āļ™āļēāļ—āļĩ āđƒāļ™āđ€āļ”āđ‡āļāļ­āļēāļĒāļļāļ™āđ‰āļ­āļĒāļāļ§āđˆāļē 1 āļ›āļĩ
HR < 60 āļ„āļĢāļąāđ‰āļ‡/āļ™āļēāļ—āļĩ āđƒāļ™āđ€āļ”āđ‡āļāļ­āļēāļĒāļļāļĄāļēāļāļāļ§āđˆāļē 1 āļ›āļĩ
āļ­āļąāļ•āļĢāļē Bagging āļ•āđˆāļ­ Chest compression = 15:2 āđƒāļ™āđ€āļ”āđ‡āļāđ€āļĨāđ‡āļāđāļĨāļ°āđ€āļ”āđ‡āļāđ‚āļ•
āļ–āđ‰āļēāļĒāļąāļ‡āđ„āļĄāđˆāđƒāļŠāđˆ ET-tube āļˆāļąāļ‡āļŦāļ§āļ°āļāļēāļĢāļāļ”āđāļĨāļ°bagging āļ•āđ‰āļ­āļ‡āļŠāļąāļĄāļžāļąāļ™āļ˜āđŒāļāļąāļ™
āļŦāļĨāļąāļ‡ āđƒāļŠāđˆ ET-tube āđāļĨāđ‰āļ§ āđ„āļĄāđˆāļ•āđ‰āļ­āļ‡āļŠāļąāļĄāļžāļąāļ™āļ˜āđŒāļāļąāļ™ āđ„āļ”āđ‰
āļĒāļāđ€āļ§āđ‰āļ™ āļ—āļēāļĢāļāđāļĢāļāđ€āļāļīāļ” āļˆāļ°āļ•āđ‰āļ­āļ‡āļāļ”āđƒāļŦāđ‰āļŠāļąāļĄāļžāļąāļ™āļ˜āđŒāļāļąāļš bagging
āļ•āļĨāļ­āļ”āđ€āļ§āļĨāļē
Monitoring
- āļ•āļīāļ” ECG Monitor āļ–āđ‰āļēāđ„āļĄāđˆāļĄāļĩāđƒāļŦāđ‰āļ„āļĨāļē Pulse āļŦāļĢāļ·āļ­āļŸāļąāļ‡ Heart rate
āļ—āļļāļ 1 āļ™āļēāļ—āļĩ āđƒāļ™ āđ€āļ”āđ‡āļāđ€āļĨāđ‡āļ āđāļĨāļ°āļ—āļļāļ 30 āļ§āļīāļ™āļēāļ—āļĩ āđƒāļ™ āļ—āļēāļĢāļāđāļĢāļāđ€āļāļīāļ”
- āļ§āļąāļ” Blood Pressure
Defibrillation
- āđ€āļ•āļĢāļĩāļĒāļĄāđ€āļ„āļĢāļ·āđˆāļ­āļ‡ Defibrillator āđƒāļŠāđˆ Paddle āļ•āļēāļĄāļ‚āļ™āļēāļ”āđ€āļ”āđ‡āļ
Instrument
āļāļĢāļ°āļ”āļēāļ™ CPR
Monitor
Defibrillator
āļ­āļēāļĒāļļāļ™āđ‰āļ­āļĒāļāļ§āđˆāļē 1 āļ›āļĩ Rate > 100 /āļ™āļēāļ—āļĩ āļāļ”āļĨāļķāļ
Â― – 1 āļ™āļīāđ‰āļ§
āļ­āļēāļĒāļļāļĄāļēāļāļāļ§āđˆāļē 8 āļ›āļĩ
Rate 100 /āļ™āļēāļ—āļĩ
āļĨāļķāļ 1Â― – 2 cm.
Defibrillator Paddle
āļ™āļ™. āļ™āđ‰āļ­āļĒāļāļ§āđˆāļē 10 kg āđƒāļŠāđ‰ Paddle āļ‚āļ™āļēāļ”āđ€āļĨāđ‡āļ
āļ™āļ™. āļĄāļēāļāļāļ§āđˆāļē 10 kg āđƒāļŠāđ‰ Paddle āļ‚āļ™āļēāļ”āđƒāļŦāļāđˆ
āļ­āļēāļĒāļļ 1-8 āļ›āļĩ
Rate 100/ āļ™āļēāļ—āļĩ
āļĨāļķāļ 1 – 1Â― āļ™āļīāđ‰āļ§
7
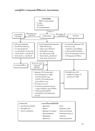
No āļ•āļēāđāļŦāļ™āđˆāļ‡ āļŦāļ™āđ‰āļēāļ—āļĩāđˆāļĢāļąāļšāļœāļīāļ”āļŠāļ­āļš āļŦāļĄāļēāļĒāđ€āļŦāļ•āļļ
Drug
Staff : āļžāļĒāļēāļšāļēāļĨ
āđāļžāļ—āļĒāđŒ
Vascular Access
āđ€āļ›āļīāļ”āđ€āļŠāđ‰āļ™āđ€āļĨāļ·āļ­āļ”āļ”āļē
āđ€āļĄāļ·āđˆāļ­āđāļ—āļ‡IVāđ„āļ”āđ‰āđāļĨāđ‰āļ§ āļ•āđˆāļ­āļ”āđ‰āļ§āļĒ NSSāļŦāļĢāļ·āļ­ IV Fluid āļ•āļēāļĄāļŠāļ āļēāļ§āļ°āļœāļđāđ‰āļ›āđˆāļ§āļĒ
Drug
āđ€āļ•āļĢāļĩāļĒāļĄāļĒāļē Adrenaline
Dose āļ—āļĩāđˆ 1 ; āļ—āļēāļĢāļāđāļĢāļāđ€āļāļīāļ”āđāļĨāļ°āļ—āļēāļĢāļ āļ™āļ™.< 10 kg āđ€āļ•āļĢāļĩāļĒāļĄ Adrenaline
1:10,000āđƒāļŠāđˆ Syringe 1 ml ( Adrenaline 0.1 ml + NSS 0.9 ml )
āļ‚āļ™āļēāļ” 0.1 ml/kg/dose
: āđ€āļ”āđ‡āļāđ‚āļ• āļ™āļ™.> 10 kg āđ€āļ•āļĢāļĩāļĒāļĄ Adrenaline 1:10,000 āđƒāļŠāđˆ
Syringe 10 ml ( Adrenaline 1 ml + NSS 9 ml ) āļ‚āļ™āļēāļ” 0.1
ml/kg/dose
Dose āļ—āļĩāđˆ 2 ; āļŦāđˆāļēāļ‡āļāļąāļ™ 3 āļ™āļēāļ—āļĩ
āđ€āļ•āļĢāļĩāļĒāļĄāļĒāļēāļ­āļ·āđˆāļ™āđ† āđāļĨāļ°āđƒāļŦāđ‰āļĒāļēāļ•āļēāļĄāļ„āļēāļŠāļąāđˆāļ‡ TEAM LEADER
Instrument
IV Catheter No 24 , Extension set with T, Three Way, IV Set
Intraosseous Needle No 20 (āļ­āļēāļĒāļļ < 1 āļ›āļĩ) , No 18 ( āļ­āļēāļĒāļļ > 1 āļ›āļĩ )
āļ­āļļāļ›āļāļĢāļ“āđŒ Strap IV
Position
āļžāļĒāļēāļĒāļēāļĄāđ€āļĨāļ·āļ­āļāđ€āļŠāđ‰āļ™āđ€āļĨāļ·āļ­āļ”āļ”āļēāļ—āļĩāđˆāļĄāļĩāļ‚āļ™āļēāļ”āđƒāļŦāļāđˆāļšāļĢāļīāđ€āļ§āļ“
āđāļ‚āļ™āđāļĨāļ°āļ‚āļē āđƒāļ™āļ•āļēāđāļŦāļ™āđˆāļ‡āļ—āļĩāđˆāđ„āļĄāđˆāļĢāļšāļāļ§āļ™āļāļēāļĢCPR
āđƒāļŠāđ‰ IV Catheter No 24 āļ•āđˆāļ­āļ”āđ‰āļ§āļĒExtension āđāļĨāļ°
Three Way āļ­āļĒāđˆāļēāļ‡āļ™āđ‰āļ­āļĒ2 āļ­āļąāļ™ āļāđˆāļ­āļ™āđƒāļŦāđ‰IVFāļŦāļĢāļ·āļ­āļĒāļē
āđƒāļ™āļāļĢāļ“āļĩāļœāļđāđ‰āļ›āđˆāļ§āļĒāļ­āļēāļĒāļļāļ™āđ‰āļ­āļĒāļāļ§āđˆāļē6 āļ›āļĩ āđāļĨāļ°āđ„āļĄāđˆāļŠāļēāļĄāļēāļĢāļ–
āđāļ—āļ‡ IV āđ„āļ”āđ‰āļ āļēāļĒāđƒāļ™āđ€āļ§āļĨāļē90 āļ§āļīāļ™āļēāļ—āļĩ āđƒāļŦāđ‰āļžāļīāļˆāļēāļĢāļ“āļēāļ—āļē
Intraosseous
āļāļēāļĢāļœāļŠāļĄāļĒāļē
7.5 % NaHCO3 dilute Sterile Water ( 1:1 )
10% Calcium gluconate dilute āļ”āđ‰āļ§āļĒ Sterile
Water ( 1:1 )
āđƒāļŠāđ‰ NSS 2-5 ml flush āļāđˆāļ­āļ™+āļŦāļĨāļąāļ‡āļ‰āļĩāļ”āļĒāļēāļ—āļļāļāļ„āļĢāļąāđ‰āļ‡
*āļ”āļđāļĢāļēāļĒāļĨāļ°āđ€āļ­āļĩāļĒāļ”āļ—āđ‰āļēāļĒāļšāļ—
8
No āļ•āļēāđāļŦāļ™āđˆāļ‡ āļŦāļ™āđ‰āļēāļ—āļĩāđˆāļĢāļąāļšāļœāļīāļ”āļŠāļ­āļš āļŦāļĄāļēāļĒāđ€āļŦāļ•āļļ
Team Leader
Staff : āđāļžāļ—āļĒāđŒ
āļ›āļĢāļ°āđ€āļĄāļīāļ™ A B C āđ€āļ›āđ‡āļ™āļĢāļ°āļĒāļ°āđ† āļ­āļĒāđˆāļēāļ‡āļ™āđ‰āļ­āļĒāļ—āļļāļ 3 āļ™āļēāļ—āļĩ
āļŠāļąāđˆāļ‡āļāļēāļĢāļĢāļąāļāļĐāļē
āļ‚āļ™āļēāļ” ET - Tube
= āļ­āļēāļĒāļļ ( āļ›āļĩ ) + 4
4
āļ„āļ§āļēāļĄāļĨāļķāļāļ‚āļ­āļ‡ ET – Tube
= āļ­āļēāļĒāļļ ( āļ›āļĩ ) + 12
2
Manager
Staff : āļžāļĒāļēāļšāļēāļĨ
āļŦāļąāļ§āļŦāļ™āđ‰āļēāđ€āļ§āļĢ
āļŦāļĢāļ·āļ­āļŦāļąāļ§āļŦāļ™āđ‰āļēāļ•āļķāļ
āļ›āļĢāļ°āļŠāļēāļ™āļ‡āļēāļ™āļāļąāļš Team Leader āđāļĨāļ°āļŠāđˆāļ§āļĒāļ›āļĢāļ°āđ€āļĄāļīāļ™ Vital
Signs āļ—āļĩāđˆāđ€āļ›āļĨāļĩāđˆāļĒāļ™āđāļ›āļĨāļ‡ + āļāļēāļĢāđƒāļŦāđ‰āļĒāļē + āļāļēāļĢāļĢāļąāļāļĐāļēāļ­āļ·āđˆāļ™āđ†
āļšāļąāļ™āļ—āļķāļ Code Record
āļˆāļąāļ”āļŦāļēāļŦāļĢāļ·āļ­āļ‚āļ­āļĒāļ·āļĄāļ­āļļāļ›āļāļĢāļ“āđŒāļ—āļĩāđˆāļˆāļēāđ€āļ›āđ‡āļ™āļˆāļēāļ Ward āļ­āļ·āđˆāļ™
āļ•āļīāļ”āļ•āđˆāļ­āļ›āļĢāļ°āļŠāļēāļ™āļ‡āļēāļ™āļāļąāļšāļŦāļ™āđˆāļ§āļĒāļ‡āļēāļ™āļ­āļ·āđˆāļ™āđ† āđāļĨāļ°āļāļēāļ•āļīāļœāļđāđ‰āļ›āđˆāļ§āļĒ
Assess
reassess Action
6
9
āđāļœāļ™āļ›āļāļīāļšāļąāļ•āļīāļāļēāļĢāļŠāđˆāļ§āļĒāļŠāļĩāļ§āļīāļ•āđƒāļ™āđ€āļ”āđ‡āļāđ„āļ”āđ‰āļ–āļđāļāđāļšāđˆāļ‡āļ”āļąāļ‡āļ™āļĩāđ‰
1. āđāļœāļ™āļ›āļāļīāļšāļąāļ•āļīāļāļēāļĢāļŠāđˆāļ§āļĒāļŠāļĩāļ§āļīāļ•āļ‚āļąāđ‰āļ™āļžāļ·āđ‰āļ™āļāļēāļ™āđƒāļ™āđ€āļ”āđ‡āļ āđ„āļ”āđ‰āļĄāļĩāļāļēāļĢāđ€āļ™āđ‰āļ™āļāļēāļĢāļāļ”āļŦāļ™āđ‰āļēāļ­āļāļ—āļĩāđˆāļĢāļ§āļ”āđ€āļĢāđ‡āļ§āđāļĨāļ°āļ™āļēāļ™ 2
āļ™āļēāļ—āļĩāļŦāļĢāļ·āļ­ 5 āļĢāļ­āļš āđ‚āļ”āļĒāđ„āļ”āđ‰āļĢāļ§āļĄāļāļēāļĢāđƒāļŠāđ‰ automate external defibrillator (AED) āđ€āļ‚āđ‰āļēāđ„āļ›āļ”āđ‰āļ§āļĒāļāļąāļ™
āđāļĨāļ°āđāļ™āļ°āļ™āļēāđƒāļŦāđ‰āđƒāļŠāđ‰āđƒāļ™āđ€āļ”āđ‡āļāļ­āļēāļĒāļļāļ•āļąāđ‰āļ‡āđāļ•āđˆ 1 āļ›āļĩ-8 āļ›āļĩ āđ‚āļ”āļĒāđƒāļŠāđ‰āļĢāļ°āļšāļšāļ—āļĩāđˆāđƒāļŠāđ‰āđƒāļ™āđ€āļ”āđ‡āļ āļŠāđˆāļ§āļ™āđ€āļ”āđ‡āļāļ—āļĩāđˆāļ­āļēāļĒāļļāļĄāļēāļāļāļ§āđˆāļē 8
āļ›āļĩāļŠāļēāļĄāļēāļĢāļ–āđƒāļŠāđ‰āļĢāļ°āļšāļšāđ€āļ”āļĩāļĒāļ§āļāļąāļšāļœāļđāđ‰āđƒāļŦāļāđˆāļāđ‡āđ„āļ”āđ‰ āđ‚āļ”āļĒāļ‚āļ™āļēāļ”āļžāļĨāļąāļ‡āļ‡āļēāļ™āļ—āļĩāđˆāđƒāļŠāđ‰āđ€āļ—āđˆāļēāļāļąāļ™āđ„āļĄāđˆāļ§āđˆāļēāļˆāļ° āđƒāļŠāđ‰āđ€āļ„āļĢāļ·āđˆāļ­āļ‡ mono
āļŦāļĢāļ·āļ­ biphasic
2. āđāļœāļ™āļ›āļāļīāļšāļąāļ•āļīāļāļēāļĢ Bradycardia āļ—āļĩāđˆāļĄāļĩāļŠāļĩāļžāļˆāļĢ āđ‚āļ”āļĒāļĄāļĩāļāļēāļĢāļāļēāļŦāļ™āļ”āļ‚āļ™āļēāļ”āļĒāļē epinephrine āđāļĨāļ°
atropine āļĢāļ§āļĄāļ—āļąāđ‰āļ‡āļāļēāļĢāđƒāļŠāđ‰ cardiac pacing āđ€āļžāļīāđˆāļĄāđ€āļ•āļīāļĄ
3. āđāļœāļ™āļ›āļāļīāļšāļąāļ•āļīāļāļēāļĢ Pulseless Arrest āđ€āļ™āđ‰āļ™āļāļēāļĢāļĢāļąāļāļĐāļēāļ—āļąāđ‰āļ‡ ventricular fibrillation āđāļĨāļ° pulseless
electrical activity (PEA) āđ‚āļ”āļĒāđƒāļŦāđ‰āļĢāđˆāļ§āļĄāđāļāđ‰āļ āļēāļ§āļ° 11 āļ›āļĢāļ°āļāļēāļĢ āļ•āļēāļĄāļ„āļēāļĒāđˆāļ­ 6 H 5 T
4. āđāļœāļ™āļ›āļāļīāļšāļąāļ•āļīāļāļēāļĢ Tachycardia āļ—āļĩāđˆāļĄāļĩāļŠāļĩāļžāļˆāļĢāđāļĨāļ° Poor Perfusion āđ‚āļ”āļĒāļ•āđ‰āļ­āļ‡āđāļĒāļāļ āļēāļ§āļ° sinus
tachycardia āļ­āļ­āļāļˆāļēāļsupraventricular tachycardia (āļ—āļĩāđˆāļ•āđ‰āļ­āļ‡āļĢāļĩāļšāļ—āļē synchronize cardioversion)
āļŦāļĢāļ·āļ­ ventricular fibrillation āļ—āļĩāđˆāļ•āđ‰āļ­āļ‡āļ—āļēdefibrillation
5. āđāļœāļ™āļ›āļāļīāļšāļąāļ•āļīāļāļēāļĢ Tachycardia āļ—āļĩāđˆāļĄāļĩ Adequate Perfusion āļ•āđ‰āļ­āļ‡āđāļĒāļāļ āļēāļ§āļ° supraventricular
tachycardia āļ‹āļķāđˆāļ‡āļŠāļēāļĄāļēāļĢāļ–āđƒāļŦāđ‰āļāļēāļĢāļĢāļąāļāļĐāļēāđ‚āļ”āļĒāđƒāļŠāđ‰adenosine āļŦāļĢāļ·āļ­ ventricular tachycardia āļ—āļĩāđˆāļ­āļēāļˆāđƒāļŦāđ‰
āļĒāļē amiodarone āļŦāļĢāļ·āļ­ lidocaine āļŦāļĢāļ·āļ­ procainamide
6. āļāļēāļĢāđƒāļŦāđ‰āļŠāļēāļĢāļ™āđ‰āļēāļŦāļĨāļąāļ‡āļāļēāļĢāļĢāļąāļāļĐāļēāļŠāđ‡āļ­āļ„ āđ€āļ™āđ‰āļ™āļāļēāļĢāđƒāļŦāđ‰ isotonic solution āđƒāļ™āļ‚āļ™āļēāļ” 20 ml/kg āđāļšāļš
bolus āļ”āđ‰āļ§āļĒāļ„āļ§āļēāļĄāļĢāļ§āļ”āđ€āļĢāđ‡āļ§ 2-3 āļŦāļ™ āđ‚āļ”āļĒāļ­āļēāļˆāļ•āđ‰āļ­āļ‡āđƒāļŦāđ‰āđ€āļĨāļ·āļ­āļ”āļĢāđˆāļ§āļĄāļāļąāļšāļāļēāļĢāđƒāļŠāđ‰āļĒāļē inotropic āļŦāļĢāļ·āļ­āļĒāļē
vasodilator
10
āļĄāļĩāļŠāļĩāļžāļˆāļĢ
āđ„āļĄāđˆāļĄāļĩāļŠāļĩāļžāļˆāļĢ
āđāļœāļ™āļ›āļāļīāļšāļąāļ•āļīāļāļēāļĢāļŠāđˆāļ§āļĒāļŠāļĩāļ§āļīāļ•āļ‚āļąāđ‰āļ™āļžāļ·āđ‰āļ™āļāļēāļ™āđƒāļ™āđ€āļ”āđ‡āļ
AED = āđ€āļ„āļĢāļ·āđˆāļ­āļ‡āļŠāđ‡āļ­āļāđ„āļŸāļŸāđ‰āļēāļŦāļąāļ§āđƒāļˆāļ­āļąāļ•āđ‚āļ™āļĄāļąāļ•āļī
āđ„āļĄāđˆāđ€āļ„āļĨāļ·āđˆāļ­āļ™āđ„āļŦāļ§ āļŦāļĢāļ·āļ­āđ„āļĄāđˆāļ•āļ­āļšāļŠāļ™āļ­āļ‡ āđ‚āļ—āļĢāļ•āļēāļĄāđ€āļšāļ­āļĢāđŒāļ‰āļļāļāđ€āļ‰āļīāļ™
āđāļĨāļ°āđ€āļ„āļĢāļ·āđˆāļ­āļ‡āļŠāđ‡āļ­āļāđ„āļŸāļŸāđ‰āļēāļŦāļąāļ§āđƒāļˆāļ­āļąāļ•āđ‚āļ™āļĄāļąāļ•āļī (AED)
āļœāļđāđ‰āļŠāđˆāļ§āļĒāļŠāļĩāļ§āļīāļ•āļ„āļ™āđ€āļ”āļĩāļĒāļ§ āđƒāļ™āļāļĢāļ“āļĩāļĨāđ‰āļĄāļĨāļ‡āļ—āļąāļ™āļ—āļĩ āđ‚āļ—āļĢāļ•āļēāļĄāđ€āļšāļ­āļĢāđŒāļ‰āļļāļāđ€āļ‰āļīāļ™
āđāļĨāļ°āđ€āļ„āļĢāļ·āđˆāļ­āļ‡āļŠāđ‡āļ­āļāđ„āļŸāļŸāđ‰āļēāļŦāļąāļ§āđƒāļˆāļ­āļąāļ•āđ‚āļ™āļĄāļąāļ•āļī (AED)
āđ€āļ›āļīāļ”āļ—āļēāļ‡āđ€āļ”āļīāļ™āļŦāļēāļĒāđƒāļˆ āļ•āļĢāļ§āļˆāļāļēāļĢāļŦāļēāļĒāđƒāļˆ
āļ–āđ‰āļēāđ„āļĄāđˆāļŦāļēāļĒāđƒāļˆ āļŠāđˆāļ§āļĒāļŦāļēāļĒāđƒāļˆ 2 āļŦāļ™ āļˆāļ™āļŦāļ™āđ‰āļēāļ­āļāļĒāļāļ‚āļķāđ‰āļ™
āļŠāđˆāļ§āļĒāļŦāļēāļĒāđƒāļˆ 1 āļŦāļ™ āļ—āļļāļ 3 āļ§āļīāļ™āļēāļ—āļĩ
āļ•āļĢāļ§āļˆāļŠāļĩāļžāļˆāļĢāļ—āļļāļ 2 āļ™āļēāļ—āļĩ
āļœāļđāđ‰āļŠāđˆāļ§āļĒāļŠāļĩāļ§āļīāļ•āļ„āļ™āđ€āļ”āļĩāļĒāļ§āđƒāļŦāđ‰āļāļ”āļŦāļ™āđ‰āļēāļ­āļ 30 āļŦāļ™ āļ•āđˆāļ­āļŠāđˆāļ§āļĒāļŦāļēāļĒāđƒāļˆ 2 āļŦāļ™
āļāļ”āđāļĢāļ‡āđāļĨāļ°āđ€āļĢāđ‡āļ§ (100 āļŦāļ™āļ•āđˆāļ­āļ™āļēāļ—āļĩ) āļ›āļĨāđˆāļ­āļĒāļĄāļ·āļ­āđ€āļ•āđ‡āļĄāļ—āļĩāđˆ āđāļĨāļ°āļ‚āļąāļ”āļˆāļąāļ‡āļŦāļ§āļ°āļāļēāļĢāļāļ”āļŦāļ™āđ‰āļēāļ­āļāđƒāļŦāđ‰āļ™āđ‰āļ­āļĒāļ—āļĩāđˆāļŠāļļāļ”
āļœāļđāđ‰āļŠāđˆāļ§āļĒāļŠāļĩāļ§āļīāļ• 2 āļ„āļ™ āļāļ”āļŦāļ™āđ‰āļēāļ­āļ 15 āļŦāļ™ āļ•āđˆāļ­āļŠāđˆāļ§āļĒāļŦāļēāļĒāđƒāļˆ 2 āļŦāļ™
āļ–āđ‰āļēāđ„āļĄāđˆāļ•āļ­āļšāļŠāļ™āļ­āļ‡ āļ•āļĢāļ§āļˆāļŠāļĩāļžāļˆāļĢāļ§āđˆāļēāļĄāļĩ
āļ āļēāļĒāđƒāļ™ 10 āļ§āļīāļ™āļēāļ—āļĩ
āļ–āđ‰āļēāļĒāļąāļ‡āđ„āļĄāđˆāđ„āļ”āđ‰āļ›āļāļīāļšāļąāļ•āļīāđƒāļŦāđ‰āđ‚āļ—āļĢāļ•āļēāļĄāđ€āļšāļ­āļĢāđŒāļ‰āļļāļāđ€āļ‰āļīāļ™ āđāļĨāļ°āđ€āļ„āļĢāļ·āđˆāļ­āļ‡āļŠāđ‡āļ­āļāđ„āļŸāļŸāđ‰āļēāļŦāļąāļ§āđƒāļˆāļ­āļąāļ•āđ‚āļ™āļĄāļąāļ•āļī (AED)
āđ€āļ”āđ‡āļāļ—āļēāļĢāļ < 1 āļ›āļĩ āļŠāđˆāļ§āļĒāļŠāļĩāļ§āļīāļ•āļˆāļ™āļ—āļĩāļĄ PALS āļĄāļēāļ–āļķāļ‡āļŦāļĢāļ·āļ­āļœāļđāđ‰āļ›āđˆāļ§āļĒāđ€āļĢāļīāđˆāļĄāļ‚āļĒāļąāļšāļ•āļąāļ§
āđ€āļ”āđ‡āļ > 1 āļ›āļĩ āļŠāđˆāļ§āļĒāļŠāļĩāļ§āļīāļ• āđāļĨāļ°āđƒāļŠāđ‰āđ€āļ„āļĢāļ·āđˆāļ­āļ‡āļŠāđ‡āļ­āļāđ„āļŸāļŸāđ‰āļēāļŦāļąāļ§āđƒāļˆāļ­āļąāļ•āđ‚āļ™āļĄāļąāļ•āļī (AED) āļŦāļĨāļąāļ‡āļ—āļē CPR āļ„āļĢāļš 5 āļĢāļ­āļš
(āđƒāļŠāđ‰āđ€āļ„āļĢāļ·āđˆāļ­āļ‡āļŠāđ‡āļ­āļāđ„āļŸāļŸāđ‰āļēāļŦāļąāļ§āđƒāļˆāļ­āļąāļ•āđ‚āļ™āļĄāļąāļ•āļī (AED) āđƒāļ™āļāļĢāļ“āļĩāļĨāđ‰āļĄāļĨāļ‡āđ€āļ‰āļĩāļĒāļšāļžāļĨāļąāļ™)
āđ€āļ”āđ‡āļ > 1 āļ›āļĩ āļ•āļĢāļ§āļˆāļŠāļĩāļž
āļˆāļĢāļ§āđˆāļēāļŠāđ‡āļ­āļāđ„āļ”āđ‰āļŦāļĢāļ·āļ­āđ„āļĄāđˆ
āđƒāļŦāđ‰āļŠāđ‡āļ­āļ 1 āļŦāļ™
āļ•āļēāļĄāļ”āđ‰āļ§āļĒ CPR 5 āļĢāļ­āļšāļ—āļąāļ™āļ—āļĩ
āđƒāļŦāđ‰āļ—āļē CPR 5 āļĢāļ­āļš
āļ•āļĢāļ§āļˆāļŠāļĩāļžāļˆāļĢāļ—āļļāļ 5 āļĢāļ­āļš āļˆāļ™āļāļ§āđˆāļēāļ—āļĩāļĄ
PALS āļĄāļē āļŦāļĢāļ·āļ­āļœāļđāđ‰āļ›āđˆāļ§āļĒāđ€āļĢāļīāđˆāļĄāļ‚āļĒāļąāļšāļ•āļąāļ§
āđ„āļ”āđ‰ āđ„āļĄāđˆāđ„āļ”āđ‰
11
Ventricular fibrillation
āļāļēāļĢāļĢāļąāļāļĐāļēāļ āļēāļ§āļ° Ventricular fibrillation āđƒāļ™āļ›āļąāļˆāļˆāļļāļšāļąāļ™āđ€āļ™āđ‰āļ™āļāļēāļĢāļ—āļē BLS āđ„āļ›āļāđˆāļ­āļ™āđ‚āļ”āļĒāļˆāļ°āļ•āđ‰āļ­āļ‡āđƒāļŠāđ‰āđ€āļ§āļĨāļē
āđƒāļ™āļāļēāļĢ check rhythm āđ€āļžāļ·āđˆāļ­āļ§āļīāļ™āļīāļˆāļ‰āļąāļĒāļ āļēāļ§āļ°āļŠāđ‡āļ­āļāļŠāļąāđ‰āļ™āļ—āļĩāđˆāļŠāļļāļ” āđ€āļĄāļ·āđˆāļ­āđ€āļ„āļĢāļ·āđˆāļ­āļ‡ defibrillation charge āđ„āļŸāļžāļĢāđ‰āļ­āļĄāļ—āļĩāđˆāļˆāļ°
āļŠāđ‡āļ­āļ āļˆāļķāļ‡āļŦāļĒāļļāļ”āļ—āļē Chest compression āđƒāļŠāđ‰āļāļĢāļ°āđāļŠāđ„āļŸāđ€āļĢāļīāđˆāļĄāļ•āđ‰āļ™ 2 J/kg āđ€āļžāļĩāļĒāļ‡āļŦāļ™āđ€āļ”āļĩāļĒāļ§āđāļĨāļ°āļ—āļē chest
compression āļ•āđˆāļ­āđ„āļ›āļ­āļĩāļ 2 āļ™āļēāļ—āļĩāļ—āļąāļ™āļ—āļĩ āļˆāļķāļ‡āļŦāļĒāļļāļ”āđ€āļžāļ·āđˆāļ­āļ”āļđ rhythm āļ–āđ‰āļēāļĒāļąāļ‡āļĄāļĩ ventricular fibrillation āļāđ‡āđƒāļŦāđ‰āļ—āļē
chest compression āļ•āļēāļĄāļ”āđ‰āļ§āļĒāļĒāļēāļ„āļ·āļ­ Epinephrine āļ—āļēāļ‡ IV/IO āđƒāļ™āļ‚āļ™āļēāļ” 0.01 mg/kg (1:10,000, 0.1
ml/kg) āđāļĨāļ°āđƒāļŦāđ‰āļ—āļē defibrillation āđƒāļ™āļ‚āļ™āļēāļ” 4 J/kg āđ€āļžāļĩāļĒāļ‡āļŦāļ™āđ€āļ”āļĩāļĒāļ§āđāļĨāļ°āļ—āļē chest compression āļ•āđˆāļ­āđ„āļ›āļ­āļĩāļ
2 āļ™āļēāļ—āļĩāļ—āļąāļ™āļ—āļĩ āļˆāļķāļ‡āļŦāļĒāļļāļ”āđ€āļžāļ·āđˆāļ­āļ”āļđ rhythm āļ–āđ‰āļēāļĒāļąāļ‡āļĄāļĩ ventricular fibrillation āļāđ‡āđƒāļŦāđ‰āļĒāļē amiodarone 5 mg/kg āđāļĨāļ°
āļ—āļē Chest compression āļ•āļēāļĄāļ”āđ‰āļ§āļĒ defibrillation āđƒāļ™āļ‚āļ™āļēāļ” 4 J/kg
āļāļēāļĢāđƒāļŠāđ‰ Biphasic shock āđƒāļ™āļœāļđāđ‰āļ›āđˆāļ§āļĒāđ€āļ”āđ‡āļāļ™āđˆāļēāļˆāļ°āđ„āļ”āđ‰āļœāļĨāļ”āļĩāđ€āļ—āđˆāļēāļāļąāļš Monophasic shock āđ‚āļ”āļĒāļĄāļĩ
āļœāļĨāļ‚āđ‰āļēāļ‡āđ€āļ„āļĩāļĒāļ‡āļ•āđˆāļ­ myocardial dysfunction āļ™āđ‰āļ­āļĒāļāļ§āđˆāļē āđ‚āļ”āļĒāļ‚āļ™āļēāļ” dose āļ—āļĩāđˆāđƒāļŠāđ‰āļ™āļąāđ‰āļ™āđ€āļ—āđˆāļēāļāļąāļ™ āļāļēāļĢāđƒāļŠāđ‰ AED āļ™āļąāđ‰āļ™āļĄāļĩ
āļŦāļĨāļąāļāļāļēāļ™āļ§āđˆāļēāļ™āļ—āļēāļ‡āļ›āļŽāļīāļšāļąāļ•āļīāđƒāļŦāđ‰āļāļēāļĢāļŠāđ‡āļ­āļāđ„āļ”āđ‰āļĢāļ§āļ”āđ€āļĢāđ‡āļ§āļāļ§āđˆāļē manual defibrillator āđ€āļžāļĢāļēāļ°āđ€āļ„āļĢāļ·āđˆāļ­āļ‡āļˆāļ°āļŠāļēāļĄāļēāļĢāļ–āļ­āđˆāļēāļ™
āđāļĨāļ°āđāļ™āļ°āļ™āļēāđƒāļŦāđ‰āļŠāđ‡āļ­āļāđ„āļ”āđ‰āđ€āļĢāđ‡āļ§āđ€āļĄāļ·āđˆāļ­āđ€āļ—āļĩāļĒāļšāļāļąāļšāļœāļđāđ‰āđƒāļŦāđ‰āļāļēāļĢāļŠāđˆāļ§āļĒāļŠāļĩāļ§āļīāļ•āļ—āļĩāđˆāđ„āļĄāđˆāđ„āļ”āđ‰āļĄāļĩāļ›āļĢāļ°āļŠāļšāļāļēāļĢāļ“āđŒāđƒāļ™āļāļēāļĢāļ§āļīāļ™āļīāļˆāļ‰āļąāļĒāļ āļēāļ§āļ°
Ventricular fibrillation āļ­āļĒāļđāđˆāļšāđˆāļ­āļĒāđ†
āļāļēāļĢāđƒāļŠāđ‰ AED āđƒāļ™āđ€āļ”āđ‡āļ
āļ•āļēāļĄāļ—āļĩāđˆāļ—āļĢāļēāļšāļāļąāļ™āļ”āļĩāđāļĨāđ‰āļ§āļ§āđˆāļēāļŠāļēāđ€āļŦāļ•āļļāļ‚āļ­āļ‡ cardiac arrest āļŦāļĢāļ·āļ­ cardiopulmonary arrest āđƒāļ™āđ€āļ”āđ‡āļ
āļŠāđˆāļ§āļ™āđƒāļŦāļāđˆāđ€āļ›āđ‡āļ™āļœāļĨāļˆāļēāļāđ‚āļĢāļ„āļ‚āļ­āļ‡āđ€āļ”āđ‡āļāļ—āļĩāđˆāđ€āļ›āđ‡āļ™āđāļĨāđ‰āļ§āđ€āļ›āđ‡āļ™āļĄāļēāļāļ‚āļķāđ‰āļ™ āļŠāđˆāļ§āļ™āļ™āđ‰āļ­āļĒ (āļ›āļĢāļ°āļĄāļēāļ“ 5-15%) āļ—āļĩāđˆāļĄāļĩāļŠāļēāđ€āļŦāļ•āļļāļˆāļēāļāļŦāļąāļ§
āđƒāļˆāđ€āļ•āđ‰āļ™āļœāļīāļ”āļ›āļāļ•āļīāđ€āļ›āđ‡āļ™ VF/VT āđ‚āļ”āļĒāļĄāļēāļāļžāļšāđƒāļ™āđ€āļ”āđ‡āļāđ‚āļ•āļŦāļĢāļ·āļ­āļ§āļąāļĒāļĢāļļāđˆāļ™āđ‚āļ”āļĒāļ›āļāļ•āļīāđ€āļ”āđ‡āļāļāļĨāļļāđˆāļĄāļ™āļĩāđ‰āļˆāļ°āļŠāļšāļēāļĒāļ”āļĩ āđ„āļĄāđˆāļĄāļĩāļ­āļēāļāļēāļĢ
āđāļĨāđ‰āļ§āđ€āļāļīāļ” sudden collapse āļœāļđāđ‰āļ›āđˆāļ§āļĒāļāļĨāļļāđˆāļĄāļ™āļĩāđ‰āļ•āđ‰āļ­āļ‡āļāļēāļĢ defibrillation
āļžāļĨāļąāļ‡āļ‡āļēāļ™ (energy dose) āļ—āļĩāđˆāļ•āđˆāļēāļ—āļĩāđˆāļŠāļļāļ” āļŦāļĢāļ·āļ­āđ€āļŦāļĄāļēāļ°āļŠāļĄāļ—āļĩāđˆāļŠāļļāļ”āļŠāļēāļŦāļĢāļąāļšāļāļēāļĢāļ—āļē defibrillation āđƒāļ™āđ€āļ”āđ‡āļāļĒāļąāļ‡
āđ„āļĄāđˆāļ—āļĢāļēāļš āđ€āļŠāđˆāļ™āđ€āļ”āļĩāļĒāļ§āļāļąāļšāļ‚āļ™āļēāļ”āļŠāļđāļ‡āļŠāļļāļ”āļ—āļĩāđˆāļ›āļĨāļ­āļ”āļ āļąāļĒāļāđ‡āļĒāļąāļ‡āđ„āļĄāđˆāļ—āļĢāļēāļš āđāļ•āđˆāļˆāļēāļāļāļēāļĢāļĻāļķāļāļĐāļēāļžāļšāļ§āđˆāļē āļ‚āļ™āļēāļ”āļžāļĨāļąāļ‡āļ‡āļēāļ™āļ™āđ‰āļ­āļĒ
āļāļ§āđˆāļē 4J/Kg (āļŦāļĢāļ·āļ­āļ­āļēāļˆāļŠāļđāļ‡āļ–āļķāļ‡ 9 J/Kg) āđ„āļ”āđ‰āļœāļĨāđƒāļ™ defibrillation āđƒāļ™āđ€āļ”āđ‡āļ (children) āđāļĨāļ°āđƒāļ™āļŠāļąāļ•āļ§āđŒāļ—āļ”āļĨāļ­āļ‡ āđ‚āļ”āļĒ
āđ„āļĄāđˆāđ€āļāļīāļ”āļœāļĨāļ‚āđ‰āļēāļ‡āđ€āļ„āļĩāļĒāļ‡ āđāļĨāļ°āļˆāļēāļāļ‚āđ‰āļ­āļĄāļđāļĨāļāļēāļĢāđƒāļŠāđ‰ defibrillation āđƒāļ™āļœāļđāđ‰āđƒāļŦāļāđˆ āđāļĨāļ°āļˆāļēāļāļŠāļąāļ•āļ§āđŒāļ—āļ”āļĨāļ­āļ‡āļžāļšāļ§āđˆāļē Biphasic
12
shock āđ„āļ”āđ‰āļœāļĨāļ”āļĩāļāļ§āđˆāļēāļŦāļĢāļ·āļ­āļ­āļĒāđˆāļēāļ‡āļ™āđ‰āļ­āļĒāđ€āļ—āđˆāļēāļāļąāļš Monophasic shock āđāļĨāļ°āļĄāļĩāļ­āļąāļ™āļ•āļĢāļēāļĒāļ™āđ‰āļ­āļĒāļāļ§āđˆāļē āļˆāļķāļ‡āđāļ™āļ°āļ™āļēāļ‚āļ™āļēāļ”
āļ‚āļ­āļ‡āļžāļĨāļąāļ‡āļ‡āļēāļ™ (energy) āļ—āļĩāđˆāđƒāļŠāđ‰āđƒāļ™āđ€āļ”āđ‡āļāļ—āļąāđ‰āļ‡ Monophasic āđāļĨāļ° Biphasic āļ‚āļ™āļēāļ” 2J/Kg āļŠāļēāļŦāļĢāļąāļš dose āđāļĢāļ
āđāļĨāļ°āļ‚āļ™āļēāļ” 4J/Kg āļŠāļēāļŦāļĢāļąāļš dose āļ•āđˆāļ­āđ„āļ› āļŠāļēāļŦāļĢāļąāļš VF/VT āđāļĨāļ° 0.5–1 J/Kg āļŠāļēāļŦāļĢāļąāļš unsynchronized
cardioversion
āđ€āļ„āļĢāļ·āđˆāļ­āļ‡ AED āļĄāļĩāļ›āļĢāļ°āļŠāļīāļ—āļ˜āļīāļ āļēāļžāļ—āļĩāđˆāļ”āļĩāļĄāļēāļ āļĄāļĩāļ„āļ§āļēāļĄāđ€āļ—āļĩāđˆāļĒāļ‡āļ•āļĢāļ‡āđāļĨāļ°āđāļ›āļĨāļœāļĨ Rhythm āđƒāļŦāđ‰āļ­āļĒāđˆāļēāļ‡āļ–āļđāļāļ•āđ‰āļ­āļ‡āđƒāļ™
āđ€āļ”āđ‡āļāļ—āļļāļāļ­āļēāļĒāļļāđāļĨāļ°āļŠāļēāļĄāļēāļĢāļ–āđāļĒāļ Rhythm āļ™āļąāđ‰āļ™āļ§āđˆāļēāđ€āļ›āđ‡āļ™ shockable (VF/VT) āļŦāļĢāļ·āļ­ nonshockable rhythm
(Asystole/PEA) āđ„āļ”āđ‰āļ­āļĒāđˆāļēāļ‡āļĄāļĩ specificity āđāļĨāļ° sensitivity āļŠāļđāļ‡āļĄāļēāļ āļŠāļēāļŦāļĢāļąāļšāđ€āļ”āđ‡āļāļ­āļēāļĒāļļ 1-8 āļ›āļĩ āļ„āļ§āļĢāđƒāļŠāđ‰
pediatric dose attenuator system āđāļ•āđˆāļ–āđ‰āļēāđ€āļ„āļĢāļ·āđˆāļ­āļ‡ AED āļ™āļąāđ‰āļ™āđ„āļĄāđˆāļĄāļĩ system āļ™āļĩāđ‰āļāđ‡āđƒāļŠāđ‰āļ•āļēāļĄāļĄāļēāļ•āļĢāļāļēāļ™āļ‚āļ­āļ‡ AED
āļ—āļąāđˆāļ§āđ„āļ› āļĒāļąāļ‡āđ„āļĄāđˆāļĄāļĩāļ‚āđ‰āļ­āļĄāļđāļĨāļžāļ­āđ€āļžāļĩāļĒāļ‡āļŠāļēāļŦāļĢāļąāļšāļāļēāļĢāđāļ™āļ°āļ™āļēāđƒāļŠāđ‰ AED āđƒāļ™āđ€āļ”āđ‡āļāļ­āļēāļĒāļļāļ™āđ‰āļ­āļĒāļāļ§āđˆāļē 1 āļ›āļĩ (class interminate)
āđāļĨāļ°āļĒāļąāļ‡āđ„āļĄāđˆāļ—āļĢāļēāļšāļ­āļļāļšāļąāļ•āļīāļāļēāļĢāļ“āđŒāđāļ™āđˆāļ™āļ­āļ™āļ§āđˆāļēāđƒāļ™āđ€āļ”āđ‡āļāļ­āļēāļĒāļļāļ™āđ‰āļ­āļĒāļāļ§āđˆāļē 1 āļ›āļĩāļˆāļ°āđ€āļāļīāļ” VF āļŦāļĢāļ·āļ­āđ„āļĄāđˆ āđ€āļžāļĢāļēāļ°āđ‚āļ”āļĒāļĄāļēāļāđāļĨāđ‰āļ§
āđ€āļ”āđ‡āļāļ­āļēāļĒāļļāļ™āđ‰āļ­āļĒāđ€āļāļīāļ”āļ āļēāļ§āļ° cardiac arrest āļŦāļĢāļ·āļ­ cardiopulmonary arrest āļĄāļąāļāđ€āļ›āđ‡āļ™āļœāļĨāļ•āļēāļĄāļŦāļĨāļąāļ‡āļ‚āļ­āļ‡āđ‚āļĢāļ„āļ—āļĩāđˆ
āđ€āļ”āđ‡āļāđ€āļ›āđ‡āļ™āđāļĨāđ‰āļ§āđ€āļ›āđ‡āļ™āļĄāļēāļāļ‚āļķāđ‰āļ™ āđ€āļŠāđˆāļ™ āļˆāļēāļ progressive respiratory failure āļŦāļĢāļ·āļ­ shock āđāļĨāļ°āļĒāļąāļ‡āđ„āļĄāđˆāļĄāļĩāļ‚āđ‰āļ­āļĄāļđāļĨāļ–āļķāļ‡
āļœāļĨāļāļēāļĢāđƒāļŠāđ‰ AED āđƒāļ™āđ€āļ”āđ‡āļāļ—āļĩāđˆāļ›āđˆāļ§āļĒāđƒāļ™āđ‚āļĢāļ‡āļžāļĒāļēāļšāļēāļĨ āđāļ•āđˆāļāđ‡āļ„āļ§āļĢāļžāļīāļˆāļēāļĢāļ“āļēāļ™āļēāļĄāļēāđƒāļŠāđ‰āđƒāļ™āđāļ‡āđˆāļ‚āļ­āļ‡ early defibrillation
(āđ€āļ§āļĨāļē < 3 āļ™āļēāļ—āļĩāļˆāļēāļ collapse) āđāļĨāļ°āļ•āđ‰āļ­āļ‡āļāļķāļāļ„āļ™āđƒāļŦāđ‰āļĢāļđāđ‰āļˆāļąāļ detect EKG rhythm āđāļĨāļ°āļāļēāļĢāđƒāļŠāđ‰āđ€āļ„āļĢāļ·āđˆāļ­āļ‡ AED
āļ­āļĒāđˆāļēāļ‡āļ–āļđāļāļ•āđ‰āļ­āļ‡ āđāļĨāļ°āļĄāļĩāļ›āļĢāļ°āļŠāļīāļ—āļ˜āļīāļ āļēāļž āđāļĨāļ°āļ„āļ§āļĢāļĄāļĩāđ€āļ„āļĢāļ·āđˆāļ­āļ‡ AED āđƒāļ™āļĢāļ– Ambulance āļ”āđ‰āļ§āļĒ
13
āđƒāļŠāđˆāđ„āļĄāđˆ
āđ„āļĄāđˆ
āđƒāļŠāđˆ
āđāļœāļ™āļ›āļāļīāļšāļąāļ•āļīāļāļēāļĢ Bradycardia āļ—āļĩāđˆāļĄāļĩāļŠāļĩāļžāļˆāļĢ
Bradycardia āļ—āļĩāđˆāļĄāļĩāļŠāļĩāļžāļˆāļĢāđāļĨāļ°āļ—āļēāđƒāļŦāđ‰āļĄāļĩ
cardiorespiratory compromise
āļ—āļē ABCs
āđƒāļŦāđ‰āļ­āļ­āļāļ‹āļīāđ€āļˆāļ™
āļ•āļīāļ” monitor/defibrillator
Bradycardia āļ—āļĩāđˆāļ—āļēāđƒāļŦāđ‰
cardiorespiratory compromise?
āđƒāļŦāđ‰ ABCs; āđƒāļŦāđ‰āļ­āļ­āļāļ‹āļīāđ€āļˆāļ™
āļ•āļēāļĄāļ”āļđāļ­āļēāļāļēāļĢ
āļ›āļĢāļķāļāļĐāļēāđāļžāļ—āļĒāđŒāļœāļđāđ‰āđ€āļŠāļĩāđˆāļĒāļ§āļŠāļēāļ
āļ—āļē CPR āļ–āđ‰āļēāļāļēāļĢāđƒāļŦāđ‰āļ­āļ­āļāļ‹āļīāđ€āļˆāļ™ āđāļĨāļ°āļŠāđˆāļ§āļĒ
āļŦāļēāļĒāđƒāļˆāđāļĨāđ‰āļ§āļĒāļąāļ‡āļĄāļĩāļŠāļĩāļžāļˆāļĢ < 60 āļ„āļĢāļąāđ‰āļ‡/āļ™āļēāļ—āļĩ
āđāļĨāļ°āļĄāļĩ poor perfusion
āļĒāļąāļ‡āļĄāļĩ symptomatic bradycardia?
āđƒāļŦāđ‰ epinephrine āđ€āļ›āđ‡āļ™āļĒāļēāļ•āļąāļ§āđāļĢāļ
- IV/IO: 0.01 mg/kg
- āļ—āļēāļ‡āļ—āđˆāļ­āļŠāđˆāļ§āļĒāļŦāļēāļĒāđƒāļˆ:
0.1 mg/kg
(1:1000: 0.1 mL/kg)
āđƒāļŦāđ‰āļ‹āđ‰āļēāļ—āļļāļ 3-5 āļ™āļēāļ—āļĩ
āļ–āđ‰āļēāļĄāļĩ vagal tone āđ€āļžāļīāđˆāļĄāļ‚āļķāđ‰āļ™āļŦāļĢāļ·āļ­
primary AV block:
āđƒāļŦāđ‰ atropine āļāđˆāļ­āļ™āļ‚āļ™āļēāļ”: 0.02 mg/kg,
āļ­āļēāļˆāđƒāļŦāđ‰āļ‹āđ‰āļēāđ„āļ”āđ‰ (Minimum dose: 0.1 mg;
Maximum total dose āļŠāļēāļŦāļĢāļąāļšāđ€āļ”āđ‡āļ: 1 mg.)
āļ­āļēāļˆāļžāļīāļˆāļēāļĢāļ“āļēāđƒāļŠāđ‰ cardiac pacing
āļ‚āđ‰āļ­āļ„āļ§āļĢāļˆāļē
āļĢāļ°āļŦāļ§āđˆāļēāļ‡āļ—āļē CPR āđƒāļŦāđ‰āļāļ”āļŦāļ™āđ‰āļēāļ­āļ āļŦāļēāļŠāļēāđ€āļŦāļ•āļļāļ­āļ·āđˆāļ™ āđ€āļŠāđˆāļ™
āđāļĢāļ‡āđāļĨāļ°āđ€āļĢāđ‡āļ§ (100 āļŦāļ™/āļ™āļēāļ—āļĩ) - Hypovolemia
āļ•āļĢāļ§āļˆāđƒāļŦāđ‰āđāļ™āđˆāđƒāļˆāļ§āđˆāļēāļŦāļ™āđ‰āļēāļ­āļāļĒāļāļ‚āļķāđ‰āļ™ - Hypoxia or ventilation problems
āļŦāļĨāļąāļ‡āļāļ”āđ€āļ•āđ‡āļĄāļ—āļĩāđˆ āđ‚āļ”āļĒāļ‚āļąāļ”āļˆāļąāļ‡āļŦāļ§āļ°āļāļ”āļŦāļ™āđ‰āļēāļ­āļ - Hydrogen ion (acidosis)
āđƒāļŦāđ‰āļ™āđ‰āļ­āļĒāļ—āļĩāđˆāļŠāļļāļ” - Hypo-/hyperkalemia
āđƒāļŦāđ‰āļ”āļđ ABCs - Hypoglycemia
āļ”āļđāļ—āļēāļ‡āđ€āļ”āļīāļ™āļŦāļēāļĒāđƒāļˆ āđāļĨāļ°āļ•āļĢāļ§āļˆāļ”āļđ - Hypothermia
āļ•āļēāđāļŦāļ™āđˆāļ‡āļ—āđˆāļ­āļŠāđˆāļ§āļĒāļŦāļēāļĒāđƒāļˆ - Toxins
- Tamponade, cardiac
- Tension pneumothorax
- Thrombosis (coronary or
pulmonary)
- Trauma (hypovolemia,
increased ICP)
āļ–āđ‰āļēāļĄāļĩ pulseless arrest āđƒāļŦāđ‰āđƒāļŠāđ‰āđāļœāļ™āļ›āļāļīāļšāļąāļ•āļīāļāļēāļĢ
Pulseless Arrest
14
āđ„āļĄāđˆāļŠāļēāļĄāļēāļĢāļ–āļŠāđ‡āļ­āļāđ„āļ”āđ‰āļŠāđ‡āļ­āļāđ„āļ”āđ‰
āļ—āļē CPR 5 āļĢāļ­āļš
āļ—āļē CPR 5 āļĢāļ­āļš
āļŠāđ‡āļ­āļāđ„āļ”āđ‰
āļ—āļē CPR 5
āļĢāļ­āļš
āđ„āļĄāđˆ
āđ„āļĄāđˆāļŠāļēāļĄāļēāļĢāļ–āļŠāđ‡āļ­āļāđ„āļ”āđ‰ āļŠāđ‡āļ­āļāđ„āļ”āđ‰
āļŠāđ‡āļ­āļāđ„āļ”āđ‰
1
āđ„āļĄāđˆ
āđāļœāļ™āļ›āļāļīāļšāļąāļ•āļīāļāļēāļĢ Pulseless Arrest
PULSELESS ARREST
āđāļœāļ™āļ›āļāļīāļšāļąāļ•āļīāļāļēāļĢ BLS: āļ—āļē CPR
āđƒāļŦāđ‰āļ­āļ­āļāļ‹āļīāđ€āļˆāļ™
āļ•āļīāļ” monitor/defibrillator
āļ•āļĢāļ§āļˆāļŠāļĩāļžāļˆāļĢ
āļŠāđ‡āļ­āļāđ„āļ”āđ‰āļŦāļĢāļ·āļ­āđ„āļĄāđˆ
Asystole/PEA
āđƒāļŦāđ‰āļŠāđ‡āļ­āļ 1 āļŦāļ™
Manual: 2 J/kg
āđƒāļŠāđ‰āđ€āļ„āļĢāļ·āđˆāļ­āļ‡āļŠāđ‡āļ­āļāđ„āļŸāļŸāđ‰āļēāļŦāļąāļ§āđƒāļˆāļ­āļąāļ•āđ‚āļ™āļĄāļąāļ•āļī (AED) āđƒāļ™āđ€āļ”āđ‡āļāļ­āļēāļĒāļļ > 1 āļ›āļĩ
(āđƒāļŠāđ‰āļĢāļ°āļšāļšāļ‚āļ­āļ‡āđ€āļ”āđ‡āļāđƒāļ™āļ­āļēāļĒāļļ 1-8 āļ›āļĩ)
āļ—āļē CPR āļ—āļąāļ™āļ—āļĩ
āļ—āļē CPR āļ—āļąāļ™āļ—āļĩ
āđƒāļŦāđ‰ epinephrine
IV/IO: 0.01 mL/kg)
(1:10 000: 0.1 mL/kg)
āļ—āļēāļ‡āļ—āđˆāļ­āļŠāđˆāļ§āļĒāļŦāļēāļĒāđƒāļˆ: 0.1 mg/kg
(1:1000: 0.1 mL/kg)
āđƒāļŦāđ‰āļ‹āđ‰āļēāļ—āļļāļ 3 āļ–āļķāļ‡ 5 āļ™āļēāļ—āļĩ
āļ•āļĢāļ§āļˆāļŠāļĩāļžāļˆāļĢ
āļŠāđ‡āļ­āļāđ„āļ”āđ‰āļŦāļĢāļ·āļ­āđ„āļĄāđˆ
āļ•āļĢāļ§āļˆāļŠāļĩāļžāļˆāļĢ
āļŠāđ‡āļ­āļāđ„āļ”āđ‰āļŦāļĢāļ·āļ­āđ„āļĄāđˆāļ—āļē CPR āļĢāļ°āļŦāļ§āđˆāļēāļ‡āļĢāļ­āđ€āļ„āļĢāļ·āđˆāļ­āļ‡ defibrillator āļŠāļēāļĢāđŒāļˆ
āļŠāđ‡āļ­āļ 1 āļŦāļ™
Manual: 4 J/kg
āđƒāļŠāđ‰āđ€āļ„āļĢāļ·āđˆāļ­āļ‡āļŠāđ‡āļ­āļāđ„āļŸāļŸāđ‰āļēāļŦāļąāļ§āđƒāļˆāļ­āļąāļ•āđ‚āļ™āļĄāļąāļ•āļī (AED):
> 1 year of age
āļ—āļē CPR āļ—āļąāļ™āļ—āļĩ
āđƒāļŦāđ‰ epinephrine
IV/IO: 0.01 mg/kg
(1:10000: 0.1 mL/kg)
āļ—āđˆāļ­āļŠāđˆāļ§āļĒāļŦāļēāļĒāđƒāļˆ: 0.1 mg/kg
(1: 1000: 0.1 mL/kg)
āđƒāļŦāđ‰āļ‹āđ‰āļēāļ—āļļāļ 3-5 āļ™āļēāļ—āļĩ
āļ–āđ‰āļē asystole,āđ„āļ›āļāļĨāđˆāļ­āļ‡ 10
āļ–āđ‰āļēāļĄāļĩāļˆāļąāļ‡āļŦāļ§āļ°āļāļēāļĢāđ€āļ•āđ‰āļ™āļŦāļąāļ§āđƒāļˆ
āđƒāļŦāđ‰āļ•āļĢāļ§āļˆāļŠāļĩāļžāļˆāļĢ āļ–āđ‰āļēāđ„āļĄāđˆāļĄāļĩ
āļŠāļĩāļžāļˆāļĢāđ„āļ›āļāļĨāđˆāļ­āļ‡ 10
āļ–āđ‰āļēāļĄāļĩāļŠāļĩāļžāļˆāļĢ āđƒāļŦāđ‰āđ€āļĢāļīāđˆāļĄ
postresuscitaition care
āļ•āļĢāļ§āļˆāļŠāļĩāļžāļˆāļĢ
āļŠāđ‡āļ­āļāđ„āļ”āđ‰āļŦāļĢāļ·āļ­āđ„āļĄāđˆ
āļ—āļē CPR āļĢāļ°āļŦāļ§āđˆāļēāļ‡āļĢāļ­āđ€āļ„āļĢāļ·āđˆāļ­āļ‡ defibrillator āļŠāļēāļĢāđŒāļˆ
āļŠāđ‡āļ­āļ 1 āļŦāļ™
Manual: 4J/kg
āļ­āļēāļĒāļļ > 1 āļ›āļĩ āđƒāļŠāđ‰ AED
āļ—āļē CPR āļ—āļąāļ™āļ—āļĩ
āļ­āļēāļˆāđƒāļŦāđ‰ antiarrhythmics
(eg, amiodarone 5 mg/kg IV/IO āļŦāļĢāļ·āļ­
lidocaine 1 mg/kg IV/IO)
āļ­āļēāļˆāđƒāļŦāđ‰ magnesium 25 āļ–āļķāļ‡ 50 mg/kg IV/IO,
Max 2 g āļŠāļēāļŦāļĢāļąāļš torsades de pointes
āļŦāļĨāļąāļ‡āļˆāļēāļāļ—āļē CPR 5 āļĢāļ­āļš āđ„āļ›āļāļĨāđˆāļ­āļ‡ 5
āđ„āļ›āļāļĨāđˆāļ­āļ‡ 4
āļĢāļ°āļŦāļ§āđˆāļēāļ‡āļ—āļē CPR
āļāļ”āļŦāļ™āđ‰āļēāļ­āļāđāļĢāļ‡āđāļĨāļ°āđ€āļĢāđ‡āļ§ āļŠāļĨāļąāļšāļœāļđāđ‰āļāļ”āļŦāļ™āđ‰āļēāļ­āļāļ—āļļāļ 2 āļ™āļēāļ—āļĩ
(100 āļ„āļĢāļąāđ‰āļ‡/āļ™āļēāļ—āļĩ) āđāļĨāļ°āļ•āļĢāļ§āļˆāļŠāļĩāļžāļˆāļĢ
āļ”āļđāđƒāļŦāđ‰āļŦāļ™āđ‰āļēāļ­āļāļĒāļāļ‚āļķāđ‰āļ™ āļ‚āļąāļ”āļˆāļąāļ‡āļŦāļ§āļ°āļāļ”āļŦāļ™āđ‰āļēāļ­āļ āļŦāļēāđāļĨāļ°āđāļāđ‰āđ„āļ‚āļŠāļēāđ€āļŦāļ•āļļāļ­āļ·āđˆāļ™ āđ€āļŠāđˆāļ™
āļ™āđ‰āļ­āļĒāļ—āļĩāđˆāļŠāļļāļ” - Hypovolemia
1 āļĢāļ­āļšāļ‚āļ­āļ‡ CPR āđƒāļŦāđ‰āļāļ”āļŦāļ™āđ‰āļēāļ­āļ - Hypoxia
15 āļŦāļ™ āļ•āđˆāļ­āļŠāđˆāļ§āļĒāļŦāļēāļĒāđƒāļˆ 2 āļŦāļ™ 5 āļĢāļ­āļš - Hydrogen ion (acidosis)
1-2 āļ™āļēāļ—āļĩ - Hypo-/hyperkalemia
āļ­āļĒāđˆāļē hyperventilation - Hypoglycemia
āļ•āļĢāļ§āļˆāļ”āļđāļ—āļēāļ‡āđ€āļ”āļīāļ™āļŦāļēāļĒāđƒāļˆāđāļĨāļ° - Hypothermia
āļ•āļēāđāļŦāļ™āđˆāļ‡āļ—āđˆāļ­āļŠāđˆāļ§āļĒāļŦāļēāļĒāđƒāļˆ - Toxins
āļŦāļĨāļąāļ‡āļˆāļēāļāđƒāļŠāđˆāļ—āđˆāļ­āļŠāđˆāļ§āļĒāļŦāļēāļĒāđƒāļˆāļāļ”āļŦāļ™āđ‰āļēāļ­āļ - Tamponade, cardiac
āļ•āđˆāļ­āđ€āļ™āļ·āđˆāļ­āļ‡āđ‚āļ”āļĒāđ„āļĄāđˆāļ•āđ‰āļ­āļ‡āļŦāļĒāļļāļ”āļĢāļ­āļāļēāļĢāļŠāđˆāļ§āļĒāļŦāļēāļĒāđƒāļˆ - Tension pneumothorax
āđ‚āļ”āļĒāļŠāđˆāļ§āļĒāļŦāļēāļĒāđƒāļˆ 8-10 āļŦāļ™ - Thrombosis (coronary or
āļ•āļĢāļ§āļˆāļŠāļĩāļžāļˆāļĢāļ—āļļāļ 2 āļ™āļēāļ—āļĩ pulmonary)
- Trauma
VF/VT
15
āļĒāļąāļ‡āļĄāļĩāļ­āļēāļāļēāļĢ
QRS duration āđāļ„āļš
< 0.08 āļ§āļīāļ™āļēāļ—āļĩ
QRS duration āļāļ§āđ‰āļēāļ‡
> 0.08 āļ§āļīāļ™āļēāļ—āļĩ
āđāļœāļ™āļ›āļāļīāļšāļąāļ•āļīāļāļēāļĢ Tachycardia āļ—āļĩāđˆāļĄāļĩāļŠāļĩāļžāļˆāļĢāđāļĨāļ° Poor Perfusion
TACHYCARDIA
āļ—āļĩāđˆāļĄāļĩāļŠāļĩāļžāļˆāļĢ āđāļĨāļ°poor perfusion
āļ—āļē ABCs
āđƒāļŦāđ‰āļ­āļ­āļāļ‹āļīāđ€āļˆāļ™
āļ•āļīāļ” monitor/defibrillator
āļ”āļđ QRS duration Ventricular
Tachycardia
āļ”āļđ 12-lead ECG
āļŦāļĢāļ·āļ­ monitor
āļ™āđˆāļēāļˆāļ°āđ€āļ›āđ‡āļ™ sinus tachycardia
āļĄāļĩāļ›āļĢāļ°āļ§āļąāļ•āļīāđ€āļ‚āđ‰āļēāđ„āļ”āđ‰ āļŦāļĢāļ·āļ­āļĄāļĩāļŠāļēāđ€āļŦāļ•āļļ
āļĄāļĩ P wave āļĨāļąāļāļĐāļ“āļ°āļ›āļāļ•āļī
āļĢāļ°āļĒāļ° RR āđ€āļ›āļĨāļĩāđˆāļĒāļ™āđ„āļ› āđāļ•āđˆ PR āđ€āļ—āđˆāļēāđ€āļ”āļīāļĄ
āđ€āļ”āđ‡āļāđ€āļĨāđ‡āļ HR āļĄāļąāļāļˆāļ° < 220 āļ„āļĢāļąāđ‰āļ‡/āļ™āļēāļ—āļĩ
āđ€āļ”āđ‡āļāđ‚āļ• HR āļĄāļąāļāļˆāļ° < 180 āļ„āļĢāļąāđ‰āļ‡/āļ™āļēāļ—āļĩ
āļ™āđˆāļēāļˆāļ°āđ€āļ›āđ‡āļ™ supraventricular tachycardia
āđ„āļĄāđˆāļĄāļĩāļ›āļĢāļ°āļ§āļąāļ•āļīāļŦāļĢāļ·āļ­āļŠāļēāđ€āļŦāļ•āļļ
āđ„āļĄāđˆāđ€āļŦāđ‡āļ™ P wave āļŦāļĢāļ·āļ­āļœāļīāļ”āļ›āļāļ•āļī
HR āđ„āļĄāđˆāđ€āļ›āļĨāļĩāđˆāļĒāļ™āļ•āļēāļĄ activity
HR āđ€āļ›āļĨāļĩāđˆāļĒāļ™āđāļ›āļĨāļ‡āļ­āļĒāđˆāļēāļ‡āļ—āļąāļ™āļ—āļĩ
āđ€āļ”āđ‡āļāđ€āļĨāđ‡āļ HR āļĄāļąāļ > 220 āļ„āļĢāļąāđ‰āļ‡/āļ™āļēāļ—āļĩ
āđ€āļ”āđ‡āļāđ‚āļ• HR āļĄāļąāļ >180 āļ„āļĢāļąāđ‰āļ‡/āļ™āļēāļ—āļĩ
āļ—āļē synchronize cardioversion āļ—āļąāļ™āļ—āļĩ
āļ‚āļ™āļēāļ” 0.5-1.0 J/kg
(āļ­āļēāļˆāđ€āļžāļīāđˆāļĄāđ€āļ›āđ‡āļ™ 2 J/kg āļ–āđ‰āļēāđ„āļĄāđˆāđ„āļ”āđ‰āļœāļĨ)
āļ„āļ§āļĢāđƒāļŦāđ‰āļĒāļēāļ™āļ­āļ™āļŦāļĨāļąāļšāļ–āđ‰āļēāđ€āļ›āđ‡āļ™āđ„āļ›āđ„āļ”āđ‰āđāļ•āđˆ
āđ„āļĄāđˆāļ„āļ§āļĢāļ—āļēāđƒāļŦāđ‰ cardioversion āļŠāđ‰āļēāļ­āļ­āļāđ„āļ›
āļ­āļēāļˆāđƒāļŦāđ‰ adenosine āļ–āđ‰āļēāļ—āļēāđ„āļ”āđ‰āđ€āļĨāļĒ
āļžāļīāļˆāļēāļĢāļ“āļēāļ—āļē vagal
maneuvers
(āđ„āļĄāđˆāļ„āļ§āļĢāļŠāđ‰āļē)
āļŦāļēāļŠāļēāđ€āļŦāļ•āļļāđāļĨāļ°āļ§āļīāļ˜āļĩāļĢāļąāļāļĐāļē
Adenosine: āļ–āđ‰āļēāļĄāļĩ IV access āļ­āļĒāļđāđˆāđāļĨāđ‰āļ§
āļžāļīāļˆāļēāļĢāļ“āļēāđƒāļŦāđ‰ adenosine 0.1 mg/kg
IV/IO (āļ„āļĢāļąāđ‰āļ‡āđāļĢāļāđ„āļĄāđˆāđ€āļāļīāļ™ 6 mg)
āļ­āļēāļˆāļ‹āđ‰āļēāđ„āļ”āđ‰ 1 āļ„āļĢāļąāđ‰āļ‡ āđ‚āļ”āļĒāđ€āļžāļīāđˆāļĄāļ‚āļ™āļēāļ”āđ€āļ›āđ‡āļ™
āļŠāļ­āļ‡āđ€āļ—āđˆāļēāđāļ•āđˆāđ„āļĄāđˆāđ€āļāļīāļ™ 12 mg
āđƒāļŦāđ‰ IV bolus āļ­āļĒāđˆāļēāļ‡āļĢāļ§āļ”āđ€āļĢāđ‡āļ§
āļ—āļē synchronus cardioversion āļ”āđ‰āļ§āļĒ 0.5-
1.0 J/kg (āļ­āļēāļˆāđ€āļžāļīāđˆāļĄāđ€āļ›āđ‡āļ™ 2 J/kg āļ–āđ‰āļēāđ„āļĄāđˆāđ„āļ”āđ‰āļœāļĨ)
āļ„āļ§āļĢāđƒāļŦāđ‰āļĒāļēāļ™āļ­āļ™āļŦāļĨāļąāļšāļ–āđ‰āļēāđ€āļ›āđ‡āļ™āđ„āļ›āđ„āļ”āđ‰
āļĒāļēāļ™āļ­āļ™āļŦāļĨāļąāļšāđ„āļĄāđˆāļ„āļ§āļĢāļ—āļēāđƒāļŦāđ‰ cardioversion
āļŠāđ‰āļēāļ­āļ­āļāđ„āļ›
āļ›āļĢāļķāļāļĐāļēāļœāļđāđ‰āđ€āļŠāļĩāđˆāļĒāļ§āļŠāļēāļ āļ­āļēāļˆāđƒāļŦāđ‰
Amiodarone 5 mg/kg IV āđƒāļ™
20 āļ–āļķāļ‡ 60 āļ™āļēāļ—āļĩ āļŦāļĢāļ·āļ­āđƒāļŠāđ‰
āļĢāļ°āļŦāļ§āđˆāļēāļ‡āļāļēāļĢāļ—āļē āļŦāļēāđāļĨāļ°āđāļāđ‰āđ„āļ‚āļŠāļēāđ€āļŦāļ•āļļāļ—āļĩāđˆāđ€āļ›āđ‡āļ™āđ„āļ›āđ„āļ”āđ‰
āļ”āļđāļ—āļēāļ‡āđ€āļ”āļīāļ™āļŦāļēāļĒāđƒāļˆāđāļĨāļ°āđ€āļ›āļīāļ”āđ€āļŠāđ‰āļ™ - Hypovolemia - Toxins
āļ›āļĢāļķāļāļĐāļēāļœāļđāđ‰āđ€āļŠāļĩāđˆāļĒāļ§āļŠāļēāļ - Hypoxia - Tamponade, cardiac
āđ€āļ•āļĢāļĩāļĒāļĄāļ—āļē cardioversion - Hydrongen ion (acidosis) - Tension pneumothorax
- Hypo-/hyperkalemia - Thrombosis (coronary or
- Hypoglycemia pulmonary)
- Hypothermia - Trauma (hypovolemia)
16
QRS duration āļ›āļāļ•āļīāļŠāļēāļŦāļĢāļąāļšāđ€āļ”āđ‡āļ
(< 0.08 āļ§āļīāļ™āļēāļ—āļĩ)
QRS duration āļāļ§āđ‰āļēāļ‡
( > 0.08 āļ§āļīāļ™āļēāļ—āļĩ)
āđāļœāļ™āļ›āļāļīāļšāļąāļ•āļīāļāļēāļĢ Tachycardia āļ—āļĩāđˆāļĄāļĩ Adequate Perfusion
āđāļœāļ™āļ›āļāļīāļšāļąāļ•āļīāļāļēāļĢ BLS: āļ›āļĢāļ°āđ€āļĄāļīāļ™, āļŠāđˆāļ§āļĒāđ€āļŦāļĨāļ·āļ­āļ•āļēāļĄ ABCs
āļ›āļĢāļ°āđ€āļĄāļīāļ™āļāļēāļĢāđ„āļŦāļĨāđ€āļ§āļĩāļĒāļ™āđ‚āļĨāļŦāļīāļ• āļŠāļĩāļžāļˆāļĢ āđāļĨāļ°āđƒāļŦāđ‰āļ­āļ­āļāļ‹āļīāđ€āļˆāļ™
āđāļĨāļ°āļŠāđˆāļ§āļĒāļŦāļēāļĒāđƒāļˆāļ•āļēāļĄāļ•āđ‰āļ­āļ‡āļāļēāļĢ
āļ•āļīāļ” monitor/defibrillator
āļ›āļĢāļ°āđ€āļĄāļīāļ™ ECG12-lead āļ–āđ‰āļēāļ—āļēāđ„āļ”āđ‰
āļ›āļĢāļ°āđ€āļĄāļīāļ™āļˆāļąāļ‡āļŦāļ§āļ°āļāļēāļĢāđ€āļ•āđ‰āļ™āļ‚āļ­āļ‡āļŦāļąāļ§āđƒāļˆ QRS duration? āļ™āđˆāļēāļˆāļ°āđ€āļ›āđ‡āļ™ ventricular tachycardia
āļ™āđˆāļēāļˆāļ°āđ€āļ›āđ‡āļ™ sinus tachycardia
āļĄāļĩāļ›āļĢāļ°āļ§āļąāļ•āļīāļ—āļĩāđˆāđ€āļ‚āđ‰āļēāđ„āļ”āđ‰ āļŦāļĢāļ·āļ­āļĄāļĩāļŠāļēāđ€āļŦāļ•āļļ
āļĄāļĩ P wave āļĨāļąāļāļĐāļ“āļ°āļ›āļāļ•āļī
HR āđ€āļ›āļĨāļĩāđˆāļĒāļ™āļ•āļēāļĄ activity
āļĢāļ°āļĒāļ° RR āđ€āļ›āļĨāļĩāđˆāļĒāļ™āđ„āļ› āđāļ•āđˆ PR āđ€āļ—āđˆāļēāđ€āļ”āļīāļĄ
āđ€āļ”āđ‡āļāđ€āļĨāđ‡āļ HR āļĄāļąāļāļˆāļ° < 220 āļ„āļĢāļąāđ‰āļ‡/āļ™āļēāļ—āļĩ
āđ€āļ”āđ‡āļāđ‚āļ• HR āļĄāļąāļāļˆāļ° < 180 āļ„āļĢāļąāđ‰āļ‡/āļ™āļēāļ—āļĩ
āļ™āđˆāļēāļˆāļ°āđ€āļ›āđ‡āļ™ supraventricular tachycardia
āđ„āļĄāđˆāļĄāļĩāļ›āļĢāļ°āļ§āļąāļ•āļīāļŦāļĢāļ·āļ­āļŠāļēāđ€āļŦāļ•āļļ
āđ„āļĄāđˆāđ€āļŦāđ‡āļ™ P wave āļŦāļĢāļ·āļ­āļœāļīāļ”āļ›āļāļ•āļī
HR āđ„āļĄāđˆāđ€āļ›āļĨāļĩāđˆāļĒāļ™āļ•āļēāļĄ activity
HR āđ€āļ›āļĨāļĩāđˆāļĒāļ™āđāļ›āļĨāļ‡āļ­āļĒāđˆāļēāļ‡āļ—āļąāļ™āļ—āļĩ
āđ€āļ”āđ‡āļāđ€āļĨāđ‡āļ HR āļĄāļąāļ > 220 āļ„āļĢāļąāđ‰āļ‡/āļ™āļēāļ—āļĩ
āđ€āļ”āđ‡āļāđ‚āļ• HR āļĄāļąāļ > 180/āļ„āļĢāļąāđ‰āļ‡/āļ™āļēāļ—āļĩ
āļžāļīāļˆāļēāļĢāļ“āļēāđ€āļĨāļ·āļ­āļāđƒāļŠāđ‰āļĒāļē
Amiodarone 5 mg/kg
IV āđƒāļ™āđ€āļ§āļĨāļē 20-60 āļ™āļēāļ—āļĩ
Procainamide 15 mg/kg IV
āđƒāļ™āđ€āļ§āļĨāļē 30-60 āļ™āļēāļ—āļĩ (āđ„āļĄāđˆāļ„āļ§āļĢ
āđƒāļŦāđ‰ amiodarone āđāļĨāļ°
procainamide āļ”āđ‰āļ§āļĒāļāļąāļ™āđ€āļ›āđ‡āļ™
routine) āļŦāļĢāļ·āļ­
Lidocaine 1 mg/kg IV bolus
āļžāļīāļˆāļēāļĢāļ“āļēāļ—āļē vagal maneuvers
āđ€āļ›āļīāļ”āļŦāļĨāļ­āļ”āđ€āļĨāļ·āļ­āļ”āļ”āļē
āļžāļīāļˆāļēāļĢāļ“āļēāđƒāļŦāđ‰ adenosine 0.1 mg/kg
IV (āļ„āļĢāļąāđ‰āļ‡āđāļĢāļāđ„āļĄāđˆāđ€āļāļīāļ™ 6 mg)
āļ­āļēāļˆāļ‹āđ‰āļēāđ„āļ”āđ‰ 1 āļ„āļĢāļąāđ‰āļ‡ āđ‚āļ”āļĒāđ€āļžāļīāđˆāļĄāļ‚āļ™āļēāļ”
āđ€āļ›āđ‡āļ™āļŠāļ­āļ‡āđ€āļ—āđˆāļēāđāļ•āđˆāđ„āļĄāđˆāđ€āļāļīāļ™ 12 mg
IV bolus āļ­āļĒāđˆāļēāļ‡āļĢāļ§āļ”āđ€āļĢāđ‡āļ§
āļ›āļĢāļķāļāļĐāļēāđāļžāļ—āļĒāđŒāđ‚āļĢāļ„āļŦāļąāļ§āđƒāļˆ
āļ—āļē cardioversion 0.5-1 J/kg (āļ­āļēāļˆāđ€āļžāļīāđˆāļĄāđ€āļ›āđ‡āļ™
2 J/kg āļ–āđ‰āļēāļ„āļĢāļąāđ‰āļ‡āđāļĢāļāđ„āļĄāđˆāđ„āļ”āđ‰āļœāļĨ)
āđƒāļŦāđ‰āļĒāļē sedation āļāđˆāļ­āļ™āļ—āļē cardioversion
ECG12-lead
āļĢāļ°āļŦāļ§āđˆāļēāļ‡āļ›āļĢāļ°āđ€āļĄāļīāļ™
āđƒāļŦāđ‰āļ­āļ­āļāļ‹āļīāđ€āļˆāļ™āđāļĨāļ°āļŠāđˆāļ§āļĒāļāļēāļĢāļŦāļēāļĒāđƒāļˆāļ•āļēāļĄāļ„āļ§āļēāļĄāļˆāļēāđ€āļ›āđ‡āļ™
āļŠāđˆāļ§āļĒ ABCs
monitor āļ­āļĒāđˆāļēāļ‡āļ•āđˆāļ­āđ€āļ™āļ·āđˆāļ­āļ‡āđāļĨāļ°āļ•āļīāļ” pacer
āļžāļīāļˆāļēāļĢāļ“āļēāļ›āļĢāļķāļāļĐāļēāļœāļđāđ‰āđ€āļŠāļĩāđˆāļĒāļ§āļŠāļēāļ
āđ€āļ•āļĢāļĩāļĒāļĄāļŠāļēāļŦāļĢāļąāļšāļ—āļē cardioversion 0.5-1.0 J/kg
(āļžāļīāļˆāļēāļ“āļēāđƒāļŦāđ‰āļĒāļē sedation)
āļŦāļēāđāļĨāļ°āļĢāļąāļāļĐāļēāļŠāļēāđ€āļŦāļ•āļļāļ—āļĩāđˆāđ€āļ›āđ‡āļ™āđ„āļ›āđ„āļ”āđ‰
Hypovolemia
Hypoxia
Hyperthermia
Hyper-/hypokalemia and metabolic disorders
Tamponade, cardiac
Tension pneumothorax
Toxins
Thrombosis (coronary or pulmonary)
Pain
17
āļāļēāļĢāđƒāļŦāđ‰āļŠāļēāļĢāļ™āđ‰āļēāļŦāļĨāļąāļ‡āļāļēāļĢāļĢāļąāļāļĐāļēāļŠāđ‡āļ­āļ„
āļŠāđ‡āļ­āļāļ āļēāļĒāļŦāļĨāļąāļ‡āļāļēāļĢāļŠāđˆāļ§āļĒāļŠāļĩāļ§āļīāļ•
āđƒāļŦāđ‰ NSS āļŦāļĢāļ·āļ­ RL 10-20 ml/kg, bolus (<20 āļ™āļēāļ—āļĩ)
āļ”āļđāļāļēāļĢāļ•āļ­āļšāļŠāļ™āļ­āļ‡
āļ›āļĢāļ°āđ€āļĄāļīāļ™āļœāļđāđ‰āļ›āđˆāļ§āļĒāļ­āļĩāļāļ„āļĢāļąāđ‰āļ‡
āļ­āļēāļāļēāļĢāđāļŠāļ”āļ‡āļ‚āļ­āļ‡āļŠāđ‡āļ­āļ„āļĒāļąāļ‡āļĄāļĩāļ­āļĒāļđāđˆ
āļĢāļ°āļ”āļąāļšāļ„āļ§āļēāļĄāļ”āļąāļ™āđ‚āļĨāļŦāļīāļ•
āļŠāđ‡āļ­āļ„āđāļšāļšāļ„āļ§āļēāļĄāļ”āļąāļ™āđ‚āļĨāļŦāļīāļ•āļ•āđˆāļē ? āļŠāđ‡āļ­āļ„āđāļšāļšāļ„āļ§āļēāļĄāļ”āļąāļ™āđ‚āļĨāļŦāļīāļ•āļ›āļāļ•āļī ?
āļžāļīāļˆāļēāļĢāļ“āļēāđƒāļŦāđ‰āļŠāļēāļĢāļ™āđ‰āļē bolus āļ‹āđ‰āļē
Epinephrine
(0.1-1.0 g/kg/min)
āđāļĨāļ° āļŦāļĢāļ·āļ­
Dopamine āđ€āļĢāļīāđˆāļĄāđƒāļŦāđ‰āļ‚āļ™āļēāļ”āļŠāļđāļ‡
(10-20 g/kg/min)
āđāļĨāļ° āļŦāļĢāļ·āļ­
Norepinephrine
(0.1-2.0 g/kg/min)
āļžāļīāļˆāļēāļĢāļ“āļēāđƒāļŦāđ‰āļŠāļēāļĢāļ™āđ‰āļē bolus āļ‹āđ‰āļē
Dobutamine
(2-20 g/kg/min)
āļŦāļĢāļ·āļ­
Dopamine
(2-20 g/kg/min)
āļŦāļĢāļ·āļ­
Epinephrine āļ‚āļ™āļēāļ”āļ•āđˆāļē
(0.05-0.3 g/kg/min)
Milrinone: load āļ”āđ‰āļ§āļĒ 50-75
g/kg/min āđƒāļ™ 10-60 āļ™āļēāļ—āļĩ āđāļĨāđ‰āļ§āđƒāļŦāđ‰
āļŦāļĒāļ”āļ•āđˆāļ­ 0.5-0.75 g/kg/min
āļāļēāļĢāļĢāļąāļāļĐāļēāļŠāļ āļēāļžāļ āļēāļĒāļŦāļĨāļąāļ‡āļāļēāļĢāļŠāđˆāļ§āļĒāļŠāļĩāļ§āļīāļ•
18
Heomodynamic monitoring āđāļĨāļ°āļāļēāļĢ maintain cardiac output
āđāļœāļ™āļ›āļāļīāļšāļąāļ•āļīāļāļēāļĢ septic shock āļ—āļĩāđˆāļĄāļĩāļāļēāļĢāļ›āļĢāļąāļšāļ›āļĢāļļāļ‡āđāļĨāļ°āđƒāļŦāđ‰āļ„āļēāđāļ™āļ°āļ™āļēāđ‚āļ”āļĒāđ€āļ™āđ‰āļ™āļāļēāļĢāđƒāļŠāđ‰āļĒāļēāđ€āļžāļ·āđˆāļ­
āļ›āļĢāļ°āļ„āļąāļšāļ›āļĢāļ°āļ„āļ­āļ‡āđƒāļŦāđ‰āļœāļđāđ‰āļ›āđˆāļ§āļĒāļĄāļĩāļāļēāļĢāļšāļĩāļšāļ•āļąāļ§āļ‚āļ­āļ‡āļŦāļąāļ§āđƒāļˆāđāļĨāļ°āļŠāļąāļāļāļēāļ“āļŠāļĩāļžāļ—āļĩāđˆāļŠāļĄāđˆāļēāđ€āļŠāļĄāļ­āđ€āļžāļĩāļĒāļ‡āļžāļ­āđ‚āļ”āļĒāļ”āļđāļ§āđˆāļē cardiac
output āđ€āļžāļĩāļĒāļ‡āļžāļ­āļŦāļĢāļ·āļ­āđ„āļĄāđˆāđ€āļžāļ·āđˆāļ­āđ€āļ›āđ‡āļ™āļāļēāļĢāļ›āđ‰āļ­āļ‡āļāļąāļ™āļ āļēāļ§āļ°āļ—āļĩāđˆāļ­āļ§āļąāļĒāļ§āļ°āļŠāđˆāļ§āļ™āļ›āļĨāļēāļĒāļ—āļēāļ‡āļēāļ™āļĨāđ‰āļĄāđ€āļŦāļĨāļ§ (end organ
failure) āļāļēāļĢāļ§āļąāļ” cardiac output āļ­āļēāļˆāļ—āļēāđ„āļ”āđ‰āđ‚āļ”āļĒāļ‡āđˆāļēāļĒāđ‚āļ”āļĒāļāļēāļĢāļ§āļąāļ”āļ āļēāļ§āļ°āļ„āļ§āļēāļĄāļ­āļīāđˆāļĄāļ•āļąāļ§āļ‚āļ­āļ‡āļ­āļ­āļāļ‹āļīāđ€āļˆāļ™āđƒāļ™āļŦāļĨāļ­āļ”
āđ€āļĨāļ·āļ­āļ”āļ”āļēāļŠāđˆāļ§āļ™āļāļĨāļēāļ‡ (mix venous O2 saturation) āđ€āļŠāđˆāļ™ āļ—āļĩāđˆāļ•āļēāđāļŦāļ™āđˆāļ‡ superior vena cava āđ‚āļ”āļĒāļ„āđˆāļēāļ—āļĩāđˆāļ•āđˆāļē
āļāļ§āđˆāļē 70% āđāļŠāļ”āļ‡āļ–āļķāļ‡ low cardiac output āđ‚āļ”āļĒāđƒāļ™āļ—āļēāļ‡āļ›āļāļīāļšāļąāļ•āļīāļ­āļēāļˆāđƒāļŠāđ‰āļāļēāļĢāđƒāļŠāđˆ central venous line āļ—āļĩāđˆ
āļ•āļēāđāļŦāļ™āđˆāļ‡ internal jugular vein āđāļ—āļ™āļāļēāļĢāļ—āļē cutdown āļ—āļĩāđˆāđāļ‚āļ™āđāļ•āđˆāđāļšāļšāđ€āļ”āļīāļĄ āļŦāļĢāļ·āļ­āļ­āļēāļˆāđƒāļŠāđ‰āļāļēāļĢāļ›āļĢāļ°āļĄāļēāļ“āļāļēāļĢ
āđ‚āļ”āļĒāļāļēāļĢāļ§āļąāļ”āļ—āļēāļ‡ echocardiography āđ„āļ”āđ‰ āļāļēāļĢāļ§āļąāļ” mix venous O2 saturation āļ™āļĩāđ‰āļˆāļēāđ€āļ›āđ‡āļ™āļ•āđˆāļ­āļāļēāļĢāļ›āļĢāļąāļšāļĒāļēāļ—āļĩāđˆ
āļŠāđˆāļ§āļĒāļāļēāļĢāļšāļĩāļšāļ•āļąāļ§āļ‚āļ­āļ‡āļŦāļąāļ§āđƒāļˆ āđāļĨāļ°āđƒāļ™āļšāļēāļ‡āļāļĢāļ“āļĩāđ€āļŠāđˆāļ™āļœāļđāđ‰āļ›āđˆāļ§āļĒāļ—āļĩāđˆāļĄāļĩ left ventricular failure āļŠāļąāļ”āđ€āļˆāļ™āļŦāļĢāļ·āļ­āļĄāļĩāļ āļēāļ§āļ°
pulmonary hypertension āļ­āļēāļˆāđƒāļŠāđˆāđ€āļ›āđ‡āļ™āļŠāļēāļ™ Swan Ganz catheter āđ€āļžāļ·āđˆāļ­āļ§āļąāļ”āļ—āļąāđ‰āļ‡ pulmonary artery
pressure āļŦāļĢāļ·āļ­ pulmonary capillary wedge pressure āđ‚āļ”āļĒāļŠāļēāļĄāļĢāļ–āļŠāđˆāļ§āļĒāđƒāļ™āļāļēāļĢāļ•āļąāļ”āļŠāļīāļ™āđƒāļˆāļāļēāļĢāđƒāļŦāđ‰āļ‚āļ™āļēāļ”
āļŠāļēāļĢāļ™āđ‰āļēāļ­āļĒāđˆāļēāļ‡āđ€āļŦāļĄāļēāļ°āļŠāļĄ
āļŠāļēāļŦāļĢāļąāļšāļĒāļēāļ—āļĩāđˆāđƒāļŠāđ‰āđƒāļ™āļāļēāļĢ maintain cardiac output āļ›āļąāļˆāļˆāļļāļšāļąāļ™āđ€āļ™āđ‰āļ™āļĒāļēāđƒāļ™āļāļĨāļļāđˆāļĄ inotropic āļ—āļĩāđˆāđ„āļĄāđˆāļĄāļĩāļœāļĨ
vasoconstriction āļĄāļēāļāđ€āļāļīāļ™āđ„āļ› āđ€āļŠāđˆāļ™ āđƒāļŦāđ‰āļĒāļē dopamine āđ€āļžāļĩāļĒāļ‡āļ‚āļ™āļēāļ”āļ•āđˆāļē (<10 Âĩg/kg/min) āļĄāļēāļāļāļ§āđˆāļēāļāļēāļĢāđƒāļŠāđ‰
āļ‚āļ™āļēāļ”āļ–āļķāļ‡ 20 Âĩg/kg/min āļŦāļĢāļ·āļ­āļ­āļēāļˆāđƒāļŦāđ‰āļĢāđˆāļ§āļĄāļāļąāļšāļĒāļē epinephrine āļ‚āļ™āļēāļ”āļ•āđˆāļēāđ€āļŠāđˆāļ™ 0.1-0.4 Âĩg/kg/min āđ‚āļ”āļĒāļ•āđ‰āļ­āļ‡
āļ§āļąāļ”āļ­āļąāļ•āļĢāļēāļāļēāļĢāđ€āļ•āđ‰āļ™āļŠāļĩāļžāļˆāļĢāđ„āļĄāđˆāđƒāļŦāđ‰āđ€āļĢāđ‡āļ§āļˆāļ™āđ€āļāļīāļ™āđ„āļ› āđ€āļžāļ·āđˆāļ­āđ€āļ›āđ‡āļ™āļāļēāļĢāļĨāļ” O2 consumption āļ‚āļ­āļ‡āļŦāļąāļ§āđƒāļˆ āđāļĨāļ°āļ™āļ­āļāļˆāļēāļāļ™āļĩāđ‰
āļ­āļēāļˆāđƒāļŠāđ‰āļĒāļēāđƒāļ™āļāļĨāļļāđˆāļĄāļ­āļ·āđˆāļ™āđ€āļŠāđˆāļ™ milrinone āļ‹āļķāđˆāļ‡āđ€āļ›āđ‡āļ™āđ€āļ›āđ‡āļ™ phosphodiesterase inhibitor āļ‹āļķāđˆāļ‡āđ€āļ›āđ‡āļ™ vasodilator
āđ‚āļ”āļĒāļĄāļĩāļĪāļ—āļ˜āļīāđŒāļĨāļ” afterload āļ‹āļķāđˆāļ‡āļĄāļĩāļŦāļĨāļąāļāļāļēāļ™āļŠāļēāļ„āļąāļāļ§āđˆāļēāļŠāļēāļĄāļēāļĢāļ–āļ›āđ‰āļ­āļ‡āļāļąāļ™āļ āļēāļ§āļ° low cardiac output syndrome
āļŦāļĨāļąāļ‡āļāļēāļĢāļœāđˆāļēāļ•āļąāļ”āļŦāļąāļ§āđƒāļˆāđƒāļ™āđ€āļ”āđ‡āļāļŦāļąāļ§āđƒāļˆāļžāļīāļāļēāļĢāđāļ•āđˆāļāļēāđ€āļ™āļīāļ”āļŠāļ™āļīāļ”āļ—āļĩāđˆāđƒāļŠāđ‰āđ€āļ„āļĢāļ·āđˆāļ­āļ‡āļ›āļ­āļ”āđāļĨāļ°āļŦāļąāļ§āđƒāļˆāđ€āļ—āļĩāļĒāļĄāđ„āļ”āđ‰ āđ€āļĢāļēāļŠāļēāļĄāļēāļĢāļ–
āļ›āļĢāļ°āļĒāļļāļāļ•āđŒāđƒāļŠāđ‰āļœāļĨāļāļēāļĢāļĢāļąāļāļĐāļēāļ™āļĩāđ‰āđ€āļžāļĢāļēāļ°āļœāļđāđ‰āļ›āđˆāļ§āļĒāļ—āļĩāđˆāđ„āļ”āđ‰āļĢāļąāļšāļāļēāļĢāļœāđˆāļēāļ•āļąāļ”āļŦāļąāļ§āđƒāļˆāļ—āļļāļāļĢāļēāļĒāļ™āļąāđ‰āļ™āđ€āļ›āļĢāļĩāļĒāļšāđāļĨāđ‰āļ§āļ„āļĨāđ‰āļēāļĒāļāļąāļšāļāļēāļĢāļ—āļēāđƒāļŦāđ‰
āļĄāļĩāļ āļēāļ§āļ°āļŦāļąāļ§āđƒāļˆāļŦāļĒāļļāļ”āđ€āļ•āđ‰āļ™āļ™āļąāđ‰āļ™āđ€āļ­āļ‡
āļšāļ—āļŠāļĢāļļāļ›
āļāļēāļĢāļ—āļĩāđˆāļŠāļēāļĄāļēāļĢāļ–āļžāļąāļ’āļ™āļēāļĢāļ°āļšāļšāļŠāđˆāļ§āļĒāļŠāļĩāļ§āļīāļ•āđ„āļ”āđ‰āļˆāļēāļāļ„āļ§āļēāļĄāđ€āļ‚āđ‰āļēāđƒāļˆāļŠāļ āļēāļ§āļ° āļžāļ·āđ‰āļ™āļāļēāļ™āđ‚āļ”āļĒāđ€āļ™āđ‰āļ™āļ„āļ§āļēāļĄāļŠāļēāļ„āļąāļāđƒāļ™
āļŠāđˆāļ§āļ‡āđ€āļ§āļĨāļē 2 āļŠāđˆāļ§āļ‡ āļ„āļ·āļ­ āļĢāļ°āļŦāļ§āđˆāļēāļ‡āļ—āļĩāđˆāļĄāļĩāļ āļēāļ§āļ°āļŦāļąāļ§āđƒāļˆāļŦāļĒāļļāļ”āđ€āļ•āđ‰āļ™ āđāļĨāļ°āđƒāļ™āļŠāđˆāļ§āļ‡āļŦāļĨāļąāļ‡āļ āļēāļ§āļ°āļŦāļąāļ§āđƒāļˆāļŦāļĒāļļāļ”āđ€āļ•āđ‰āļ™ 2 āđāļšāļšāļˆāļ°
āļŠāļēāļĄāļēāļĢāļ–āđ€āļžāļīāđˆāļĄāļ­āļąāļ•āļĢāļēāļāļēāļĢāļĢāļ­āļ”āļŠāļĩāļ§āļīāļ• āđ„āļ”āđ‰āđ‚āļ”āļĒāđāļĄāđ‰āļ§āđˆāļēāđƒāļ™āļ āļēāļ§āļ° asystole āļŦāļĢāļ·āļ­ PEA āļœāļđāđ‰āļ›āđˆāļ§āļĒāđ€āļ”āđ‡āļāļāđ‡āļ­āļēāļˆāļĄāļĩāļ­āļąāļ•āļĢāļēāļāļēāļĢ
āļĢāļ­āļ”āļŠāļĩāļ§āļīāļ•āļ—āļĩāđˆāļ”āļĩāļāļ§āđˆāļēāđƒāļ™āļœāļđāđ‰āļ›āđˆāļ§āļĒāļœāļđāđ‰āđƒāļŦāļāđˆāđ„āļ”āđ‰ āđāļ™āļ§āļ„āļīāļ”āļ™āļĩāđ‰āļŠāļ­āļ”āļ„āļĨāļ­āļ‡āļāļąāļšāļāļēāļĢāļ›āļĢāļąāļšāļ›āļĢāļļāļ‡ guideline āļāļēāļĢāļŠāđˆāļ§āļĒāļŠāļĩāļ§āļīāļ•āļœāļđāđ‰āļ›āđˆāļ§āļĒ
āđ€āļ”āđ‡āļāļ—āļĩāđˆāđ€āļ™āđ‰āļ™āļāļēāļĢ āļ›āļāļīāļšāļąāļ•āļīāļ—āļĩāđˆāļ‡āđˆāļēāļĒāđāļĨāļ°āļĢāļ§āļ”āđ€āļĢāđ‡āļ§āļ‚āļķāđ‰āļ™āđ‚āļ”āļĒāđƒāļŦāđ‰āļĄāļĩāļāļēāļĢāļāļ”āļŦāļ™āđ‰āļēāļ­āļāļ—āļĩāđˆāļĄāļĩāļ›āļĢāļ°āļŠāļīāļ—āļ˜āļīāļ āļēāļžāļ­āļĒāđˆāļēāļ‡āļ•āđˆāļ­āđ€āļ™āļ·āđˆāļ­āļ‡
āļĢāļ§āļĄāļ—āļąāđ‰āļ‡āļāļēāļĢāđƒāļŦāđ‰āļ„āļ§āļēāļĄāļŠāļēāļ„āļąāļāļ‚āļ­āļ‡āļāļēāļĢāļ—āļē defibrillation āļĄāļēāļāļ‚āļķāđ‰āļ™āļāļ§āđˆāļēāđ€āļ”āļīāļĄāđ‚āļ”āļĒāļŠāļēāļĄāļēāļĢāļ–āđƒāļŠāđ‰āđ€āļ„āļĢāļ·āđˆāļ­āļ‡ automate
external defibrillator (AED) āđƒāļ™āđ€āļ”āđ‡āļāļ­āļēāļĒāļļ 1 āļ–āļķāļ‡ 8 āļ›āļĩ āđ€āļŠāđˆāļ™āđƒāļ™āđ€āļ”āđ‡āļāđ‚āļ•āļŦāļĢāļ·āļ­āļœāļđāđ‰āđƒāļŦāļāđˆ āđāļĨāļ°āļāļēāļĢāđ€āļāđ‰āļēāļĢāļ°āļ§āļąāļ‡āđāļĨāļ°
āļ›āļĢāļ°āļ„āļąāļšāļ›āļĢāļ°āļ„āļ­āļ‡āđƒāļŦāđ‰āļœāļđāđ‰āļ›āđˆāļ§āļĒāļĄāļĩāļāļēāļĢāļšāļĩāļšāļ•āļąāļ§āļ‚āļ­āļ‡āļŦāļąāļ§āđƒāļˆāđāļĨāļ°āļŠāļąāļāļāļēāļ“āļŠāļĩāļžāļ—āļĩāđˆāļŠāļĄāđˆāļēāđ€āļŠāļĄāļ­āđ€āļžāļĩāļĒāļ‡āļžāļ­āđ€āļžāļ·āđˆāļ­āļ›āđ‰āļ­āļ‡āļāļąāļ™āļ āļēāļ§āļ°
āļ­āļ§āļąāļĒāļ§āļ°āļŠāđˆāļ§āļ™āļ›āļĨāļēāļĒāļ—āļēāļ‡āļēāļ™āļĨāđ‰āļĄāđ€āļŦāļĨāļ§ (end organ failure) āđ‚āļ”āļĒāđƒāļŠāđ‰āļĒāļēāļ—āļĩāđˆāļĄāļĩāļ­āļĒāļđāđˆāļĢāđˆāļ§āļĄāļāļąāļ™āđƒāļ™āļāļĨāļļāđˆāļĄ dopamine āļŦāļĢāļ·āļ­
epinephrine āļĢāđˆāļ§āļĄāļāļąāļš milrinone āđ‚āļ”āļĒāļ•āđ‰āļ­āļ‡āļĄāļĩāļāļēāļĢāļ§āļąāļ” cardiac output āļˆāļēāļ central line āđ‚āļ”āļĒāđƒāļŠāđ‰ mix
19
venous O2 saturation āđ„āļ”āđ‰ āļˆāļ°āļ—āļēāđƒāļŦāđ‰āļāļēāļĢāļ§āļąāļ” cardiac output āļŠāļąāļ”āđ€āļˆāļ™āđāļĨāļ°āļāļēāļĢāļ›āļĢāļąāļšāļĒāļēāļĄāļĩāļ›āļĢāļ°āļŠāļīāļ—āļ˜āļīāļ āļēāļžāļ—āļĩāđˆāļ”āļĩ
āđāļĨāļ°āļĨāļ”āļ‚āđ‰āļ­āđāļ—āļĢāļāļ‹āđ‰āļ­āļ™āļĨāļ‡āđ„āļ”āđ‰
20
āļ āļēāļ„āļœāļ™āļ§āļ
āļ•āļēāļĢāļēāļ‡āļ­āļļāļ›āļāļĢāļ“āđŒāļ›āļĢāļ°āļˆāļēāļĢāļ– Emergency
āđ€āļ„āļĢāļ·āđˆāļ­āļ‡āļĄāļ·āļ­
Newborn/
Small infant
(3-5 āļāļ.)
Infant
(6-9 āļāļ.)
Toddler
(10-11 āļāļ.)
Small Child
(12-14 āļāļ.)
Child
(15-18 āļāļ.)
Child
(19-22 āļāļ.)
Large Child
(24-30 āļāļ.)
Adult
(32-34+ āļāļ.)
Resuscitation bag Infant Infant Child Child Child Child Child/adult Adult
O2 mask Newborn Newborn Pediatric Pediatric Pediatric Pediatric Adult Adult
Oral airway Infant/small child Infant/small child Small child Child Child Child/small adult Child/small adult Medium adult
Laryngoscope blade (āļ‚āļ™āļēāļ”) 0-1 āļ•āļĢāļ‡ 1 āļ•āļĢāļ‡ 2 āļ•āļĢāļ‡ 2 āļ•āļĢāļ‡ āļŦāļĢāļ·āļ­ āđ‚āļ„āđ‰āļ‡ 2 āļ•āļĢāļ‡ āļŦāļĢāļ·āļ­ āđ‚āļ„āđ‰āļ‡ 2-3 āļ•āļĢāļ‡ āļŦāļĢāļ·āļ­ āđ‚āļ„āđ‰āļ‡ 2 āļ•āļĢāļ‡ āļŦāļĢāļ·āļ­ āđ‚āļ„āđ‰āļ‡ 3 āļ•āļĢāļ‡ āļŦāļĢāļ·āļ­ āđ‚āļ„āđ‰āļ‡
āļ—āđˆāļ­āļŠāđˆāļ§āļĒāļŦāļēāļĒāđƒāļˆ
(1.0 āļĄāļĄ.)
Premature infant 2.5
Term infant
3.0-3.5 āđ„āļĄāđˆāļĄāļĩcuffed
3.5 āđ„āļĄāđˆāļĄāļĩ cuffed 4.0 āđ„āļĄāđˆāļĄāļĩcuffed 4.5 āđ„āļĄāđˆāļĄāļĩcuffed 5.0 āđ„āļĄāđˆāļĄāļĩcuffed 5.5 āđ„āļĄāđˆāļĄāļĩcuffed 6.0 cuffed 6.5 cuffed
āļ„āļ§āļēāļĄāļĒāļēāļ§āļ‚āļ­āļ‡āļ—āđˆāļ­āļŠāđˆāļ§āļĒāļŦāļēāļĒāđƒāļˆ
( āļ‹āļĄ. āļˆāļēāļāļĄāļļāļĄāļ›āļēāļ)
10.10.5 10.10.5 11.12 12.5-13.5 14-15 15.5-16.5 17-18 18.5-19.5
Stylet (F) 6* 6 6 6 6 14 14 14
Suction catheter(F) 6-8 8 8-10 10 10 10 10 12
BP cuff Newborn/infant Newborn/infant Infant/child Child Child Child Child/adult Adult
IV catheter (G) 22-24 22-24 20-24 18-22 18-22 18-20 18-20 18-20
Butterfly (G) 23-25 23-25 23-25 21-23 21-23 21-23 21-22 18-21
Nasogastric tube (F) 5-8 5-8 8-10 10 10-12 12-14 14-18 18
Urinary catheter (F) 5-8 5-8 8-10 10 10-12 10-12 12 12
Defibrillation/
cardioversion external
paddles
Infant paddles
Infant paddles
āļˆāļ™āļ–āļķāļ‡ 1 āļ‚āļ§āļš
āļŦāļĢāļ·āļ­ 10 āļāļ.
Adult paddles
āļˆāļ™āļ–āļķāļ‡ 1 āļ‚āļ§āļš
āļŦāļĢāļ·āļ­ 10 āļāļ.
Adult paddles Adult paddles Adult paddles Adult paddles Adult paddles
Chest tube (F) 10-12 10-12 16-20 20-24 20-24 24-32 28-32 32-40
Pediatric Resuscitation Supplies*
āļ‹āļķāđˆāļ‡āļ‚āļķāđ‰āļ™āļāļąāļš Color-Coded Resuscitation Tape
* āļŠāļēāļŦāļĢāļąāļšāļ—āļēāļĢāļāđāļĢāļāđ€āļāļīāļ”āđ„āļĄāđˆāđƒāļŠāđ‰ stylet
21
āļŦāļ™āļąāļ‡āļŠāļ·āļ­āļ­āđ‰āļēāļ‡āļ­āļīāļ‡
1. Nadkarni VM, Larkin GL, Peberdy MA, Carey SM, Kaye W, Mancini ME, et al. First
documented rhythm and clinical outcome from in-hospital cardiac arrest among
children and adults. JAMA 2006; 295: 50-7.
2. Billi JE, Eigel B, Montgomery WH, Nadkarni VM, Hazinski MF. Management of
conflict of interest issues in the activities of the American Heart Association
Emergency Cardiovascular Care Committee, 2000–2005. Circulation 2005; 112: IV-
204-5.
3. Quan L. Adult and pediatric resuscitation: finding common ground. JAMA 2006; 295:
96-8.
4. Billi JE, Eigel B, Montgomery WH, Nadkarni VM, Hazinski MF. editor in Pediatric
basic life support. Circulation 2005; 112: IV156-66.
5. Billi JE,, Eigel B, Montgomery WH, Nadkarni VM, Hazinski MF. editor in Pediatric
advance life support. Circulation 2005; 112:IV167-87.
6. Ralston M, Hazinski MF, Zaritsky AL, Schexnayder SM, Kleinman ME. Recognition
and management of cardiac arrest. In: Ralston M, Hazinski MF, Zaritsky AL,
Schexnayder SM, Kleinman ME, editors. PALS provider manual. Dallas: American
Heart Association 2006: p.153-89.
7. Chameides L, Hazinski MF. Highlights of the 2005 American Heart Association
Guidelines for Cardiopulmonary Resuscitation and Emergency Cardiovascular Care.
Currents in Emergency Cardiovascular Care. Winter 2005-2006: 16(4): 1-27.

Thai PALS manual 2009

  • 1.
    1 Pediatric Advance lifesupport 2009 āļŠāļēāļŦāļĢāļąāļšāđāļžāļ—āļĒāđŒāđ€āļ§āļŠāļ›āļāļīāļšāļąāļ•āļī āļĻ.āļ™āļž.āļāļĪāļ•āļĒāđŒāļ§āļīāļāļĢāļĄ āļ”āļļāļĢāļ‡āļ„āđŒāļžāļīāļĻāļīāļĐāļāđŒāļāļļāļĨ āļ āļēāļ§āļ°āļŦāļąāļ§āđƒāļˆāļŦāļĒāļļāļ”āđ€āļ•āđ‰āļ™āđƒāļ™āđ€āļ”āđ‡āļāđ€āļ›āđ‡āļ™āļ āļēāļ§āļ°āļ—āļĩāđˆāļžāļšāđ„āļĄāđˆāļšāđˆāļ­āļĒ āļāļēāļĢāļŠāđˆāļ§āļĒāļŠāļĩāļ§āļīāļ•āļ—āļĩāđˆāļ–āļđāļāļ•āđ‰āļ­āļ‡āđāļĨāļ°āļĢāļ§āļ”āđ€āļĢāđ‡āļ§ āļˆāļ°āļ—āļēāđƒāļŦāđ‰ āļœāļđāđ‰āļ›āđˆāļ§āļĒāđ€āļ”āđ‡āļāļĢāļ­āļ”āļŠāļĩāļ§āļīāļ•āđ‚āļ”āļĒāđ„āļĄāđˆāļĄāļĩāļœāļĨāđāļ—āļĢāļāļ‹āđ‰āļ­āļ™ āļŦāļąāļ§āđƒāļˆāļŠāļēāļ„āļąāļāļ‚āļ­āļ‡āļāļēāļĢāđƒāļŦāđ‰āļāļēāļĢāļŠāđˆāļ§āļĒāļŠāļĩāļ§āļīāļ•āđƒāļ™āđ€āļ”āđ‡āļāļ‚āļąāđ‰āļ™āļŠāļđāļ‡ (Pediatric Advance life support :PALS) āđāļ•āđˆāđ€āļ”āļīāļĄ āđ„āļ”āđ‰āđāļāđˆ āļāļēāļĢāļ›āđ‰āļ­āļ‡āļāļąāļ™āļĢāļ°āļĄāļąāļ”āļĢāļ°āļ§āļąāļ‡āđ„āļĄāđˆāđƒāļŦāđ‰āđ€āļ”āđ‡āļāđ€āļāļīāļ”āļ āļēāļ§āļ°āļŦāļąāļ§āđƒāļˆāļŦāļĒāļļāļ”āđ€āļ•āđ‰āļ™ āđāļ•āđˆāļžāļšāļ§āđˆāļēāļāļēāļĢāļ›āđ‰āļ­āļ‡āļāļąāļ™āđ€āļžāļĩāļĒāļ‡āļ­āļĒāđˆāļēāļ‡āđ€āļ”āļĩāļĒāļ§āļāđ‡āļĒāļąāļ‡āļ—āļēāđƒāļŦāđ‰āļĄāļĩāļ­āļąāļ•āļĢāļēāļāļēāļĢāļĢāļ­āļ”āļŠāļĩāļ§āļīāļ•āļ‚āļ­āļ‡āļœāļđāđ‰āļ›āđˆāļ§āļĒāđ€āļ”āđ‡āļāļ™āļąāđ‰āļ™āļ•āđˆāļēāļ­āļĒāļđāđˆ āļĄāļĩāļāļēāļĢāļĻāļĩāļāļĐāļēāļ—āļĩāđˆāļŠāļąāļ”āđ€āļˆāļ™āđ‚āļ”āļĒ Vinay M. Nadkarni āđāļĨāļ°āļ„āļ“āļ°āļ—āļĩāđˆāļ—āļēāļāļēāļĢāļĢāļ§āļšāļĢāļ§āļĄāļ‚āđ‰āļ­āļĄāļđāļĨāđƒāļ™āļœāļđāđ‰āļ›āđˆāļ§āļĒāđ€āļ”āđ‡āļāļ—āļĩāđˆ āļĄāļĩāļ āļēāļ§āļ°āļŦāļąāļ§āđƒāļˆāļŦāļĒāļļāļ”āđ€āļ•āđ‰āļ™āļˆāļēāļ™āļ§āļ™ 880 āļĢāļēāļĒ āđ€āļ›āļĢāļĩāļĒāļšāđ€āļ—āļĩāļĒāļšāļāļąāļšāļœāļđāđ‰āđƒāļŦāļāđˆāļ—āļĩāđˆāļĄāļĩ āļ āļēāļ§āļ°āļŦāļąāļ§āđƒāļˆāļŦāļĒāļļāļ”āđ€āļ•āđ‰āļ™āļˆāļēāļ™āļ§āļ™ 36,902 āļĢāļēāļĒ āļˆāļēāļāđ‚āļĢāļ‡āļžāļĒāļēāļšāļēāļĨāļˆāļēāļ™āļ§āļ™ 253 āđāļŦāđˆāļ‡āđƒāļ™āļ›āļĢāļ°āđ€āļ—āļĻāļŠāļŦāļĢāļąāļāļ­āđ€āļĄāļĢāļīāļāļēāđāļĨāļ°āđāļ„āļ™āļēāļ”āļēāđƒāļ™āļ›āļĩ āļž .āļĻ.2549 āļžāļšāļ§āđˆāļē āđāļĄāđ‰āļ§āđˆāļēāļŠāļēāđ€āļŦāļ•āļļāļŠāļēāļ„āļąāļāļ—āļĩāđˆāļ—āļēāđƒāļŦāđ‰āļœāļđāđ‰āļ›āđˆāļ§āļĒāđ€āļ”āđ‡āļāļ āļēāļ§āļ°āļŦāļąāļ§āđƒāļˆāļŦāļĒāļļāļ”āđ€āļ•āđ‰āļ™āļˆāļ°āļĄāļĩāļŦāļĨāļēāļāļŦāļĨāļēāļĒāđāļ•āđˆāļāļēāļĢāđƒāļŦāđ‰āļāļēāļĢāļŠāđˆāļ§āļĒāļŠāļĩāļ§āļīāļ•āļ—āļĩāđˆ āļĢāļ§āļ”āđ€āļĢāđ‡āļ§āđ‚āļ”āļĒāđ€āļ™āđ‰āļ™āļāļēāļĢāļŠāđˆāļ§āļĒāļŠāļĩāļ§āļīāļ•āđƒāļ™āđ€āļ”āđ‡āļāļ‚āļąāđ‰āļ™āļžāļ·āđ‰āļ™āļāļēāļ™ (Pediatric basic life support : PBLS) āļ—āļĩāđˆāļ”āļĩ āļĢāļ§āļĄāļ—āļąāđ‰āļ‡āļāļēāļĢāļ—āļĩāđˆāđ€āļ‚āđ‰āļēāđƒāļˆāļ§āđˆāļēāļœāļđāđ‰āļ›āđˆāļ§āļĒāđ€āļ”āđ‡āļāļ—āļĩāđˆāļĄāļĩāļ āļēāļ§āļ°āļŦāļąāļ§āđƒāļˆāļŦāļĒāļļāļ”āđ€āļ•āđ‰āļ™āļ•āđˆāļēāļ‡āļāļąāļ™ āļĒāđˆāļ­āļĄāļ•āđ‰āļ­āļ‡āļāļēāļĢāļ§āļīāļ˜āļĩāļāļēāļĢāļŠāđˆāļ§āļĒāļŠāļĩāļ§āļīāļ•āļ—āļĩāđˆāđāļ•āļāļ•āđˆāļēāļ‡ āļāļąāļ™ āļ„āļ§āļĢāđƒāļŦāđ‰āļ„āļ§āļēāļĄāļŠāļēāļ„āļąāļāđƒāļ™āļŠāđˆāļ§āļ‡āđ€āļ§āļĨāļē 2 āļŠāđˆāļ§āļ‡āļ„āļ·āļ­ 1. āļ āļēāļ§āļ°āļŦāļąāļ§āđƒāļˆāļŦāļĒāļļāļ”āđ€āļ•āđ‰āļ™āđ‚āļ”āļĒāļĄāļĩ asystole āļŦāļĢāļ·āļ­ pulseless electrical activity (PEA) āđƒāļ™āđ€āļ”āđ‡āļāļˆāļ° āļŠāļēāļĄāļēāļĢāļ–āļĄāļĩāļ­āļąāļ•āļĢāļēāļāļēāļĢāļĢāļ­āļ”āļŠāļĩāļ§āļīāļ•āđ„āļ”āđ‰āļ–āļķāļ‡āļĢāđ‰āļ­āļĒāļĨāļ° 27 āđ€āļĄāļ·āđˆāļ­āđ€āļ—āļĩāļĒāļšāļāļąāļšāļ­āļąāļ•āļĢāļēāļāļēāļĢāļĢāļ­āļ”āļŠāļĩāļ§āļīāļ•āđƒāļ™āļœāļđāđ‰āđƒāļŦāļāđˆāļˆāļēāļāļ āļēāļ§āļ° āđ€āļ”āļĩāļĒāļ§āļāļąāļ™āļ—āļĩāđˆāļĄāļĩāđ€āļžāļĩāļĒāļ‡āļĢāđ‰āļ­āļĒāļĨāļ° 18 āđāļĨāļ°āļžāļšāļ§āđˆāļēāļ āļēāļ§āļ° ventricular fibrillation āđƒāļ™āđ€āļ”āđ‡āļāļ™āļąāđ‰āļ™āļžāļšāđ„āļ”āđ‰āļšāđˆāļ­āļĒāļāļ§āđˆāļēāļ—āļĩāđˆāļ„āļēāļ”āđ„āļ§āđ‰ āđ‚āļ”āļĒāļžāļšāļ–āļķāļ‡āļĢāđ‰āļ­āļĒāļĨāļ° 14 āļ‚āļ­āļ‡āđ€āļ”āđ‡āļāļ—āļĩāđˆāļĄāļĩāļ āļēāļ§āļ°āļŦāļąāļ§āđƒāļˆāļŦāļĒāļļāļ”āđ€āļ•āđ‰āļ™ āļ‹āļķāđˆāļ‡āļŠāļ­āļ”āļ„āļĨāđ‰āļ­āļ‡āļāļąāļšāļāļēāļĢāļĻāļķāļāļĐāļēāđƒāļ™āļŠāđˆāļ§āļ‡āļŦāļĨāļąāļ‡āļ—āļĩāđˆāļžāļšāļ§āđˆāļē āļ­āļąāļ•āļĢāļēāļĢāļ­āļ”āļŠāļĩāļ§āļīāļ•āđƒāļ™āļœāļđāđ‰āļ›āđˆāļ§āļĒāđ€āļ”āđ‡āļāļ”āļĩāļ‚āļķāđ‰āļ™āļāļ§āđˆāļēāđ€āļ”āļīāļĄ 2. āļŠāđˆāļ§āļ‡āļŦāļĨāļąāļ‡āļ āļēāļ§āļ°āļŦāļąāļ§āđƒāļˆāļŦāļĒāļļāļ”āđ€āļ•āđ‰āļ™āđƒāļ™āļāļēāļĢāđ€āļāđ‰āļēāļĢāļ°āļ§āļąāļ‡āđāļĨāļ°āļ›āļĢāļ°āļ„āļąāļšāļ›āļĢāļ°āļ„āļ­āļ‡āđƒāļŦāđ‰āļœāļđāđ‰āļ›āđˆāļ§āļĒāļĄāļĩāļāļēāļĢāļšāļĩāļšāļ•āļąāļ§āļ‚āļ­āļ‡ āļŦāļąāļ§āđƒāļˆāđāļĨāļ°āļŠāļąāļāļāļēāļ“āļŠāļĩāļžāļ—āļĩāđˆāļŠāļĄāđˆāļēāđ€āļŠāļĄāļ­āđ€āļžāļĩāļĒāļ‡āļžāļ­āđ€āļžāļ·āđˆāļ­āļ›āđ‰āļ­āļ‡āļāļąāļ™āļ āļēāļ§āļ°āļ­āļ§āļąāļĒāļ§āļ°āļŠāđˆāļ§āļ™āļ›āļĨāļēāļĒāļ—āļēāļ‡āļēāļ™āļĨāđ‰āļĄāđ€āļŦāļĨāļ§ (end organ failure) āļāļēāļĢāļ—āļĩāđˆāļŠāļēāļĄāļēāļĢāļ–āļžāļąāļ’āļ™āļēāļĢāļ°āļšāļšāļŠāđˆāļ§āļĒāļŠāļĩāļ§āļīāļ•āđ„āļ”āđ‰āļˆāļēāļāļ„āļ§āļēāļĄāđ€āļ‚āđ‰āļēāđƒāļˆāļŠāļ āļēāļ§āļ°āļžāļ·āđ‰āļ™āļāļēāļ™āļ—āļąāđ‰āļ‡ 2 āļŠāđˆāļ§āļ‡āđ€āļ§āļĨāļēāļ™āļĩāđ‰āļˆāļ° āļŠāļēāļĄāļēāļĢāļ–āđ€āļžāļīāđˆāļĄāļ­āļąāļ•āļĢāļēāļāļēāļĢāļĢāļ­āļ”āļŠāļĩāļ§āļīāļ•āđ„āļ”āđ‰ āđ‚āļ”āļĒāļžāļšāļ§āđˆāļēāđƒāļ™āļ āļēāļ§āļ°āđāļ™āļ§āļ„āļīāļ”āļ™āļĩāđ‰āļŠāļ­āļ”āļ„āļĨāļ­āļ‡āļāļąāļšāļāļēāļĢāļ›āļĢāļąāļšāļ›āļĢāļļāļ‡ guideline āļāļēāļĢāļŠāđˆāļ§āļĒāļŠāļĩāļ§āļīāļ•āļœāļđāđ‰āļ›āđˆāļ§āļĒāđ€āļ”āđ‡āļāļ—āļĩāđˆāđ€āļ™āđ‰āļ™āļāļēāļĢāļ›āļāļīāļšāļąāļ•āļīāļ—āļĩāđˆāļ‡āđˆāļēāļĒāđāļĨāļ°āļĢāļ§āļ”āđ€āļĢāđ‡āļ§āļ‚āļķāđ‰āļ™āđ‚āļ”āļĒāđƒāļŦāđ‰āļĄāļĩāļāļēāļĢāļāļ”āļŦāļ™āđ‰āļēāļ­āļāļ—āļĩāđˆāļĄāļĩāļ›āļĢāļ°āļŠāļīāļ—āļ˜āļīāļ āļēāļž āļ­āļĒāđˆāļēāļ‡āļ•āđˆāļ­āđ€āļ™āļ·āđˆāļ­āļ‡āļĄāļēāļāļ‚āļķāđ‰āļ™āļāļ§āđˆāļēāļāļēāļĢāļžāļĒāļēāļĒāļēāļĄāđ€āļ›āļīāļ”āļ—āļēāļ‡āđ€āļ”āļīāļ™āļŦāļēāļĒāđƒāļˆāļ”āđ‰āļ§āļĒāļāļēāļĢāđƒāļŠāđˆāļ—āđˆāļ­āļŠāđˆāļ§āļĒāļŦāļēāļĒāđƒāļˆāļ­āļĒāđˆāļēāļ‡āđ€āļ”āļīāļĄāļ‹āļķāđˆāļ‡āđƒāļŠāđ‰ āđ€āļ§āļĨāļēāļ™āļēāļ™āļĒāļāđ€āļ§āđ‰āļ™āđƒāļ™āļœāļđāđ‰āļ—āļĩāđˆāđ€āļŠāļĩāđˆāļĒāļ§āļŠāļēāļāļˆāļĢāļīāļ‡āđāļĨāļ°āļ—āļēāđƒāļŦāđ‰āļāļēāļĢāļāļ”āļŦāļ™āđ‰āļēāļ­āļāļ—āļēāđ„āļ”āđ‰āđ„āļĄāđˆāđ€āļ•āđ‡āļĄāļ—āļĩāđˆāļ™āļ­āļāļˆāļēāļāļ™āļĩāđ‰āļĒāļąāļ‡āđ€āļžāļīāđˆāļĄ āļ„āļ§āļēāļĄāļŠāļēāļ„āļąāļāļ‚āļ­āļ‡āļāļēāļĢāļ—āļē defibrillation āļĄāļēāļāļ‚āļķāđ‰āļ™āļāļ§āđˆāļēāđ€āļ”āļīāļĄāđ‚āļ”āļĒāļŠāļēāļĄāļēāļĢāļ–āđƒāļŠāđ‰āđ€āļ„āļĢāļ·āđˆāļ­āļ‡ automate external defibrillator (AED) āđƒāļ™āđ€āļ”āđ‡āļāļ­āļēāļĒāļļ 1 āļ–āļķāļ‡ 8 āļ›āļĩ āđ€āļŠāđˆāļ™āđƒāļ™āđ€āļ”āđ‡āļāđ‚āļ•āļŦāļĢāļ·āļ­āļœāļđāđ‰āđƒāļŦāļāđˆ Pediatric Advance life support (PALS) āļ‹āļķāđˆāļ‡āđ€āļ™āđ‰āļ™āļāļēāļĢāļŠāđˆāļ§āļĒāļŠāļĩāļ§āļīāļ•āđƒāļ™āđ€āļ”āđ‡āļāļ—āļĩāđˆāļĄāļĩ āļ āļēāļ§āļ°āļŦāļąāļ§āđƒāļˆāļŦāļĒāļļāļ”āđ€āļ•āđ‰āļ™āđƒāļ™ āļŠāđˆāļ§āļ‡āđāļĢāļ āđ‚āļ”āļĒāļĄāļĩāļāļēāļĢāļ›āļĢāļąāļšāļ›āļĢāļļāļ‡ guideline āļ„āļĢāļąāđ‰āļ‡āļŠāļļāļ”āļ—āđ‰āļēāļĒāļ‚āļ­āļ‡ American Heart Association āđ‚āļ”āļĒāđ€āļ›āđ‡āļ™āđƒāļ™ āļĢāļđāļ›āđāļšāļšāļ‚āļ­āļ‡ emergency cardiac care āđ€āļĄāļ·āđˆāļ­āļ›āļĩ āļž.āļĻ.2548 āđāļĨāļ°āđ„āļ”āđ‰āļ–āļđāļāļ™āļēāļĄāļēāđƒāļŠāđ‰āđ‚āļ”āļĒāļŠāļĄāļēāļ„āļĄāđāļžāļ—āļĒāđŒ āđ‚āļĢāļ„āļŦāļąāļ§āđƒāļˆāđāļŦāđˆāļ‡āļ›āļĢāļ°āđ€āļ—āļĻāđ„āļ—āļĒ āđ€āļ™āļ·āđ‰āļ­āļŦāļēāļāļēāļĢāļ›āļĢāļąāļšāļ›āļĢāļļāļ‡āļ—āļĩāđˆāļŠāļēāļ„āļąāļāļ„āļ·āļ­
  • 2.
    2 1. āļāļēāļĢāđ€āļ™āđ‰āļ™āļāļēāļĢāļŠāđˆāļ§āļĒāļŠāļĩāļ§āļīāļ•āļ‚āļąāđ‰āļ™āļžāļ·āđ‰āļ™āļāļēāļ™āļ­āļĒāđˆāļēāļ‡āļĢāļ§āļ”āđ€āļĢāđ‡āļ§āđāļĨāļ°āļ–āļđāļāļ•āđ‰āļ­āļ‡āļ•āļīāļ”āļ•āđˆāļ­āļāļąāļ™āđƒāļ™ 2āļ™āļēāļ—āļĩāđāļĢāļ (āđƒāļŠāđ‰āļ­āļąāļ•āļĢāļē compression ratio 30:2 āđƒāļ™ single rescuer āļŦāļĢāļ·āļ­ 15:2 āđƒāļ™ 2 rescuers) 2. āļŦāļĨāļąāļāļ‚āļ­āļ‡āļāļēāļĢāļ—āļē Effective chest compression āļ„āļ·āļ­ push hard āđāļĨāļ° push fast āļ”āđ‰āļ§āļĒāļ­āļąāļ•āļĢāļē āļĄāļēāļāļāļ§āđˆāļē 100 āļ„āļĢāļąāđ‰āļ‡āļ•āđˆāļ­āļ™āļēāļ—āļĩ āđ‚āļ”āļĒāļĄāļĩāļāļēāļĢāļŦāļĒāļļāļ”āļ™āđ‰āļ­āļĒāļ—āļĩāđˆāļŠāļļāļ” 3. āđ€āļ™āđ‰āļ™āļāļēāļĢāļ—āļē Defibrillation āļ—āļĩāđˆāđ€āļĢāđ‡āļ§ āđ€āļžāļĩāļĒāļ‡ 1 āļŦāļ™ āđ‚āļ”āļĒāđ€āļĢāļīāđˆāļĄāļāļ”āļŦāļ™āđ‰āļēāļ­āļāļ—āļąāļ™āļ—āļĩāļŦāļĨāļąāļ‡ āļŠāđ‡āļ­āļāļ”āđ‰āļ§āļĒāđ„āļŸāļŸāđ‰āļē āļ•āđˆāļ­āđ€āļ™āļ·āđˆāļ­āļ‡āđ€āļ›āđ‡āļ™āđ€āļ§āļĨāļē 2 āļ™āļēāļ—āļĩ āļāđˆāļ­āļ™āļ—āļĩāđˆāļˆāļ°āļŦāļĒāļļāļ”āļ•āļĢāļ§āļˆāļŠāļĩāļžāļˆāļĢāļāļēāļĢāđ€āļ•āđ‰āļ™āļ‚āļ­āļ‡āļŦāļąāļ§āđƒāļˆ āļ•āļĨāļ­āļ”āļ–āļķāļ‡āļāļēāļĢāđƒāļŠāđ‰ automated external defibrillator (AED) āđ‚āļ”āļĒāļ—āļĩāđˆāļĄāļēāļ‚āļ­āļ‡āļāļēāļĢāđ€āļ›āļĨāļĩāđˆāļĒāļ™āđāļ›āļĨāļ‡āļ„āļēāđāļ™āļ°āļ™āļēāđ€āļāļīāļ”āļˆāļēāļāļžāļšāļ§āđˆāļēāđƒāļ™āļ āļēāļ§āļ° ventricular fibrillation āđāļĄāđ‰āļ§āđˆāļē āļŦāļąāļ§āđƒāļˆāļˆāļ°āļ•āļ­āļšāļŠāļ™āļ­āļ‡āļ•āđˆāļ­āļāļēāļĢāļ—āļē defibrillation āđāļĨāļ°āļāļĨāļąāļšāļĄāļēāļĄāļĩ sinus rhythm āđāļ•āđˆāļāđ‡āļˆāļ°āđ„āļĄāđˆāļŠāļēāļĄāļēāļĢāļ–āļšāļĩāļšāļ•āļąāļ§āđ„āļ”āđ‰āļ”āļĩ āđƒāļ™āļŠāđˆāļ§āļ‡āđāļĢāļāļĒāļąāļ‡āļ•āđ‰āļ­āļ‡āļāļēāļĢāļāļēāļĢāļāļ”āļŦāļ™āđ‰āļēāļ­āļāđ€āļžāļ·āđˆāļ­āļ—āļēāđƒāļŦāđ‰āļĄāļĩāļāļēāļĢāđ„āļŦāļĨāđ€āļ§āļĩāļĒāļ™āđ€āļĨāļ·āļ­āļ”āļ—āļĩāđˆāļŠāļĄāđˆāļēāđ€āļŠāļĄāļ­āđ€āļžāļĩāļĒāļ‡āļžāļ­ āļ™āļ­āļāļˆāļēāļāļ™āļĩāđ‰ āļ„āļ§āļĢāļ„āļēāļ™āļķāļ‡āļ–āļķāļ‡āļāļēāļĢāļāļēāļĢāđ€āļāđ‰āļēāļĢāļ°āļ§āļąāļ‡āđāļĨāļ°āļ›āļĢāļ°āļ„āļąāļšāļ›āļĢāļ°āļ„āļ­āļ‡āđƒāļŦāđ‰āļœāļđāđ‰āļ›āđˆāļ§āļĒāļĄāļĩāļāļēāļĢāļšāļĩāļšāļ•āļąāļ§āļ‚āļ­āļ‡āļŦāļąāļ§āđƒāļˆāđāļĨāļ°āļŠāļąāļāļāļēāļ“āļŠāļĩāļžāļ—āļĩāđˆ āļŠāļĄāđˆāļēāđ€āļŠāļĄāļ­āđ€āļžāļĩāļĒāļ‡āļžāļ­ āđāļĨāļ°āđƒāļŦāđ‰āļāļēāļĢāļĢāļąāļāļĐāļēāļœāļđāđ‰āļ›āđˆāļ§āļĒāđ€āļ”āđ‡āļāļŦāļĨāļąāļ‡āļŦāļąāļ§āđƒāļˆāļŦāļĒāļļāļ”āđ€āļ•āđ‰āļ™āļ—āļĩāđˆāļĄāļĩāļ„āļ§āļēāļĄāļ•āđ‰āļ­āļ‡āļāļēāļĢāļŦāļĨāļēāļāļŠāļ™āļīāļ” āđ€āļŠāđˆāļ™ āļŦāļĨāļąāļ‡āļœāđˆāļēāļ•āļąāļ”āļŦāļąāļ§āđƒāļˆ āđ€āļ”āđ‡āļāļ—āļĩāđˆāļĄāļĩāļ›āļąāļāļŦāļēāļ—āļēāļ‡āđ€āļ”āļīāļ™āļŦāļēāļĒāđƒāļˆ āđ€āļ”āđ‡āļāļ—āļĩāđˆāđ„āļ”āđ‰āļĢāļąāļšāļŠāļēāļĢāļžāļīāļĐ āļŦāļĢāļ·āļ­āđ€āļ”āđ‡āļāļ—āļĩāđˆāļĄāļĩāļ„āļ§āļēāļĄāļœāļīāļ”āļ›āļāļ•āļīāļ—āļēāļ‡āļŠāļĄāļ­āļ‡ āđāļ™āļ§āļ„āļīāļ”āļ™āļĩāđ‰āļĒāļąāļ‡āđ€āļŦāļĄāļēāļ°āļŠāļĄāļāļąāļšāļāļļāļĄāļēāļĢāđāļžāļ—āļĒāđŒāļŦāļĢāļ·āļ­āļšāļļāļ„āļ„āļĨāļēāļāļĢāļ—āļēāļ‡āļāļēāļĢāđāļžāļ—āļĒāđŒāļ—āļĩāđˆāļ•āđ‰āļ­āļ‡āđƒāļŦāđ‰āļāļēāļĢāļĢāļąāļāļĐāļēāļœāļđāđ‰āļ›āđˆāļ§āļĒāļŦāļ™āļąāļāļ­āļĒāđˆāļēāļ‡ āļ•āđˆāļ­āđ€āļ™āļ·āđˆāļ­āļ‡āđ‚āļ”āļĒāđ€āļ™āđ‰āļ™āļ›āļąāļāļŦāļēāļāļēāļĢāļĢāļąāļāļĐāļēāļœāļđāđ‰āļ›āđˆāļ§āļĒāļ—āļĩāđˆāļĄāļĩāļŠāļ āļēāļ§āļ°āļ„āļ§āļēāļĄāļœāļīāļ”āļ›āļāļ•āļīāđƒāļ™āļ­āļ§āļąāļĒāļ§āļ°āļŦāļĨāļēāļĒāļĢāļ°āļšāļš āļāļēāļĢāļ›āļĢāļ°āđ€āļĄāļīāļ™āđ€āļšāļ·āđ‰āļ­āļ‡āļ•āđ‰āļ™āđāļĨāļ°āļŠāļąāļāļāļēāļ“āļŠāļĩāļžāđƒāļ™āđ€āļ”āđ‡āļ āļ āļēāļ§āļ°āļŦāļąāļ§āđƒāļˆāļŦāļĒāļļāļ”āđ€āļ•āđ‰āļ™āļˆāļēāļāļ„āļ§āļēāļĄāļœāļīāļ”āļ›āļāļ•āļīāļ‚āļ­āļ‡āļŦāļąāļ§āđƒāļˆ (primary cardiac arrest) āđƒāļ™āđ€āļ”āđ‡āļāļžāļšāļ™āđ‰āļ­āļĒāļĄāļēāļ āđ€āļĄāļ·āđˆāļ­āđ€āļ—āļĩāļĒāļšāļāļąāļšāļœāļđāđ‰āđƒāļŦāļāđˆ āļŠāļēāđ€āļŦāļ•āļļāļ‚āļ­āļ‡āļŦāļąāļ§āđƒāļˆāļŦāļĒāļļāļ”āđ€āļ•āđ‰āļ™āļĄāļąāļāđ€āļāļīāļ”āļˆāļēāļāļ āļēāļ§āļ°āļ„āļ§āļēāļĄāļœāļīāļ”āļ›āļāļ•āļīāļ‚āļ­āļ‡āļĢāļ°āļšāļšāļ­āļ·āđˆāļ™ āđ€āļŠāđˆāļ™ āļĢāļ°āļšāļš āļŦāļēāļĒāđƒāļˆ āļŦāļĢāļ·āļ­āļĢāļ°āļšāļšāļāļēāļĢāđ„āļŦāļĨāđ€āļ§āļĩāļĒāļ™āđ‚āļĨāļŦāļīāļ•āļ—āļĩāđˆāļœāļīāļ”āļ›āļāļ•āļīāđ€āļ›āđ‡āļ™āđ€āļ§āļĨāļēāļ™āļēāļ™ āđ‚āļ­āļāļēāļŠāļĢāļ­āļ”āļŠāļĩāļ§āļīāļ•āļ‚āļ­āļ‡āđ€āļ”āđ‡āļāļ—āļĩāđˆāļŦāļąāļ§āđƒāļˆāļŦāļĒāļļāļ”āđ€āļ•āđ‰āļ™ āđāļĨāļ°āđ„āļĄāđˆāļĄāļĩāļŠāļĩāļžāļˆāļĢāļĒāļąāļ‡āļĄāļĩāļ™āđ‰āļ­āļĒ āļŠāļīāđˆāļ‡āļŠāļēāļ„āļąāļāļ„āļ·āļ­ āļāļēāļĢāļ§āļīāļ™āļīāļˆāļ‰āļąāļĒāđāļĨāļ°āļĢāļąāļāļĐāļēāļ āļēāļ§āļ°āļŦāļēāļĒāđƒāļˆāļĨāđ‰āļĄāđ€āļŦāļĨāļ§ āļŠāđ‡āļ­āļ„ āļŦāļĢāļ·āļ­āļŦāļĒāļļāļ”āļŦāļēāļĒāđƒāļˆ āļ­āļĒāđˆāļēāļ‡āđ€āļŦāļĄāļēāļ°āļŠāļĄ āđ€āļžāļ·āđˆāļ­āļ›āđ‰āļ­āļ‡āļāļąāļ™āđ„āļĄāđˆāđƒāļŦāđ‰āļœāļđāđ‰āļ›āđˆāļ§āļĒāļĄāļĩāļ­āļēāļāļēāļĢāđ€āļĨāļ§āļĨāļ‡āļˆāļ™āļŦāļąāļ§āđƒāļˆāļŦāļĒāļļāļ”āđ€āļ•āđ‰āļ™ āļ āļēāļ§āļ°āļ—āļĩāđˆāļ•āđ‰āļ­āļ‡āļĢāļĩāļšāļ›āļĢāļ°āđ€āļĄāļīāļ™āđāļĨāļ°āļŠāđˆāļ§āļĒāļāļēāļĢāļ—āļēāļ‡āļēāļ™āļ‚āļ­āļ‡āļŦāļąāļ§āđƒāļˆāđāļĨāļ°āļ›āļ­āļ”āļ­āļĒāđˆāļēāļ‡āđ€āļĢāđˆāļ‡āļ”āđˆāļ§āļ™ āļ­āļąāļ•āļĢāļēāļāļēāļĢāļŦāļēāļĒāđƒāļˆ > 60 āļ„āļĢāļąāđ‰āļ‡/āļ™āļēāļ—āļĩ āļ­āļąāļ•āļĢāļēāļāļēāļĢāđ€āļ•āđ‰āļ™āļ‚āļ­āļ‡āļŦāļąāļ§āđƒāļˆ (āđ‚āļ”āļĒāđ€āļ‰āļžāļēāļ°āđ€āļĄāļ·āđˆāļ­āļĄāļĩ perfusion āļœāļīāļ”āļ›āļāļ•āļī) - āđ€āļ”āđ‡āļāļ­āļēāļĒāļļ < 8 āļ›āļĩ: < 80 āļ„āļĢāļąāđ‰āļ‡/āļ™āļēāļ—āļĩ āļŦāļĢāļ·āļ­ >180 āļ„āļĢāļąāđ‰āļ‡/ āļ™āļēāļ—āļĩ - āđ€āļ”āđ‡āļāļ­āļēāļĒāļļ > 8 āļ›āļĩ: < 60 āļ„āļĢāļąāđ‰āļ‡/āļ™āļēāļ—āļĩ āļŦāļĢāļ·āļ­ > 160 āļ„āļĢāļąāđ‰āļ‡/āļ™āļēāļ—āļĩ āļĄāļĩāļ āļēāļ§āļ°āļāļēāļĢāđ„āļŦāļĨāđ€āļ§āļĩāļĒāļ™āđ€āļĨāļ·āļ­āļ”āļœāļīāļ”āļ›āļāļ•āļī āđ‚āļ”āļĒāļ„āļĨāļēāļŠāļĩāļžāļˆāļĢāļ›āļĨāļēāļĒāļĄāļ·āļ­āļ›āļĨāļēāļĒāđ€āļ—āđ‰āļēāđ„āļ”āđ‰āđ„āļĄāđˆāļŠāļąāļ”āđ€āļˆāļ™ āļĄāļĩāļ āļēāļ§āļ°āļāļēāļĢāļŦāļēāļĒāđƒāļˆāļœāļīāļ”āļ›āļāļ•āļī (retractions, nasal flaring, grunting) āđ€āļ‚āļĩāļĒāļ§ āļŦāļĢāļ·āļ­āļĄāļĩ oxygen saturation āļĨāļ”āļĨāļ‡ āļĄāļĩāļāļēāļĢāđ€āļ›āļĨāļĩāđˆāļĒāļ™āđāļ›āļĨāļ‡āļ‚āļ­āļ‡āļ„āļ§āļēāļĄāļĢāļđāđ‰āļŠāļķāļāđ€āļŠāđˆāļ™āļāļĢāļ°āļŠāļąāļšāļāļĢāļ°āļŠāđˆāļēāļĒ āļ‹āļķāļĄāļĨāļ‡ āļŦāļĢāļ·āļ­āđ„āļĄāđˆāļ•āļ­āļšāļŠāļ™āļ­āļ‡āļ•āđˆāļ­āļžāđˆāļ­āđāļĄāđˆ āļŦāļĢāļ·āļ­ āļ•āļ­āļšāļŠāļ™āļ­āļ‡āļ•āđˆāļ­āļāļēāļĢāļāļĢāļ°āļ•āļļāđ‰āļ™āļœāļīāļ”āļ›āļāļ•āļīāđ„āļ› āļŠāļąāļ
  • 3.
    3 āļĄāļĩāđ„āļ‚āđ‰āđāļĨāļ°āļˆāļļāļ”āđ€āļĨāļ·āļ­āļ”āļ­āļ­āļāļ•āļēāļĄāļ•āļąāļ§ āļ­āļļāļšāļąāļ•āļīāđ€āļŦāļ•āļļ āļŦāļĢāļ·āļ­ āļāļēāļĢāļšāļēāļ”āđ€āļˆāđ‡āļš āļšāļēāļ”āđāļœāļĨāđ„āļŸāđ„āļŦāļĄāđ‰āļ™āđ‰āļēāļĢāđ‰āļ­āļ™āļĨāļ§āļāļ—āļĩāđˆ> 10% āļ‚āļ­āļ‡āļžāļ·āđ‰āļ™āļ—āļĩāđˆāļœāļīāļ§āļ‚āļ­āļ‡āļĢāđˆāļēāļ‡āļāļēāļĒ āļŠāļąāļāļāļēāļ“āļŠāļĩāļžāđƒāļ™āđ€āļ”āđ‡āļ āļ­āļąāļ•āļĢāļēāļāļēāļĢāđ€āļ•āđ‰āļ™āļ‚āļ­āļ‡āļŦāļąāļ§āđƒāļˆ (āļ„āļĢāļąāđ‰āļ‡/āļ™āļēāļ—āļĩ) āļ­āļēāļĒāļļ āļ‚āļ“āļ°āļ•āļ·āđˆāļ™ āļ„āđˆāļēāđ€āļ‰āļĨāļĩāđˆāļĒ āļ‚āļ“āļ°āļŦāļĨāļąāļš āđāļĢāļāđ€āļāļīāļ” â€“ 3 āđ€āļ”āļ·āļ­āļ™ 85 – 205 140 80 – 160 3 āđ€āļ”āļ·āļ­āļ™ â€“ 2 āļ›āļĩ 100 – 190 130 75 – 160 2 āļ›āļĩ – 10 āļ›āļĩ 60 – 140 80 60 – 90 > 10 āļ›āļĩ 60 – 100 75 50 – 90 āļ­āļąāļ•āļĢāļēāļāļēāļĢāļŦāļēāļĒāđƒāļˆ (āļ„āļĢāļąāđ‰āļ‡/āļ™āļēāļ—āļĩ) āļ­āļēāļĒāļļ āļ­āļąāļ•āļĢāļēāļāļēāļĢāļŦāļēāļĒāđƒāļˆ āļ§āļąāļĒāđāļĢāļāđ€āļāļīāļ” 30 – 60 āļ§āļąāļĒāđ€āļ•āļēāļ°āđāļ•āļ° (toddler) 24 – 40 āļ§āļąāļĒāđ€āļ”āđ‡āļāļāđˆāļ­āļ™āđ€āļĢāļĩāļĒāļ™ 22 – 34 āļ§āļąāļĒāđ€āļĢāļĩāļĒāļ™ 18 – 30 āļ§āļąāļĒāļĢāļļāđˆāļ™ 12 – 16 āļ„āļ§āļēāļĄāļ”āļąāļ™āđ‚āļĨāļŦāļīāļ• āļ„āđˆāļēāļ›āļāļ•āļīāļ‚āļ­āļ‡ systolic BP āđƒāļ™āđ€āļ”āđ‡āļ 1 – 10 āļ›āļĩ (50th percentile): 90 mmHg + (āļ­āļēāļĒāļļāļ‚āļ­āļ‡āđ€āļ”āđ‡āļāđ€āļ›āđ‡āļ™āļ›āļĩ X 2) mmHg āļ„āđˆāļēāļ•āđˆāļēāļŠāļļāļ”āļ—āļĩāđˆāļĒāļ­āļĄāļĢāļąāļšāđ„āļ”āđ‰āļ‚āļ­āļ‡ systolic BP āđƒāļ™āđ€āļ”āđ‡āļ 1 – 10 āļ›āļĩ (5th percentile): 70 mmHg + (āļ­āļēāļĒāļļāļ‚āļ­āļ‡āđ€āļ”āđ‡āļāđ€āļ›āđ‡āļ™āļ›āļĩ X 2) mmHg āļ„āđˆāļēāļ•āđˆāļēāļŠāļļāļ”āļ‚āļ­āļ‡ systolic BP āđƒāļ™āđ€āļ”āđ‡āļāļ­āļēāļĒāļļāļĄāļēāļāļāļ§āđˆāļē 10 āļ›āļĩ āļ›āļĢāļ°āļĄāļēāļ“ 90 mmHg
  • 4.
    4 āļ•āļēāļĢāļēāļ‡āļ—āļĩāđˆ 1 āļŠāļĢāļļāļ›āļāļēāļĢāļ—āļēāļŦāļąāļ•āļ–āļāļēāļĢBLS ABCD āļŠāļēāļŦāļĢāļąāļšāļ—āļēāļĢāļ āđ€āļ”āđ‡āļ āđāļĨāļ°āļœāļđāđ‰āđƒāļŦāļāđˆ āļāļĢāļ“āļĩāļ—āļĩāđˆāļ•āđ‰āļ­āļ‡āļ”āļēāđ€āļ™āļīāļ™āļāļēāļĢ āđ‚āļ”āļĒāļšāļļāļ„āļĨāļēāļāļĢāļ—āļēāļ‡āļāļēāļĢāđāļžāļ—āļĒāđŒāļˆāļ°āļĢāļ°āļšāļļāđ€āļ›āđ‡āļ™ HCP (health care provider) āļŦāļąāļ•āļ–āļāļēāļĢ āļœāļđāđ‰āđƒāļŦāļāđˆ āļ›āļĢāļ°āļŠāļēāļŠāļ™āļ—āļąāđˆāļ§āđ„āļ›:āļ­āļēāļĒāļļ > 8 āļ›āļĩ HCP: āļ•āļąāđ‰āļ‡āđāļ•āđˆāļ§āļąāļĒāļĢāļļāđˆāļ™āļ‚āļķāđ‰āļ™āđ„āļ› āđ€āļ”āđ‡āļ āļ›āļĢāļ°āļŠāļēāļŠāļ™āļ—āļąāđˆāļ§āđ„āļ›:āļ­āļēāļĒāļļ 1-8 āļ›āļĩ HCP: āļ­āļēāļĒāļļ 1 āļ›āļĩ-āļ§āļąāļĒāļĢāļļāđˆāļ™ āļ—āļēāļĢāļ āļ­āļēāļĒāļļ < 1 āļ›āļĩ Activate āđ‚āļ—āļĢāđ€āļĢāļĩāļĒāļāļĻāļđāļ™āļĒāđŒāļ§āļīāļ—āļĒāļļāļ‰āļļāļāđ€āļ‰āļīāļ™ Activate āđ€āļĄāļ·āđˆāļ­āļžāļšāļœāļđāđ‰āļŦāļĄāļ”āļŠāļ•āļī HCP: āļ–āđ‰āļēāļ™āđˆāļēāļˆāļ°āđ€āļ›āđ‡āļ™āļŦāļąāļ§āđƒāļˆāļŦāļĒāļļāļ” āđ€āļ•āđ‰āļ™āļˆāļēāļāļ‚āļēāļ”āļ­āļēāļāļēāļĻ āđƒāļŦāđ‰āļ—āļē CPR āļāđˆāļ­āļ™ 5 āļĢāļ­āļšāđāļĨāđ‰āļ§āļ‚āļ­āļ„āļ§āļēāļĄ āļŠāđˆāļ§āļĒāđ€āļŦāļĨāļ·āļ­ āļ—āļē CPR āļāđˆāļ­āļ™ 5 āļĢāļ­āļšāđāļĨāđ‰āļ§āļˆāļķāļ‡ activate āļāļĢāļ“āļĩāļŦāļąāļ§āđƒāļˆāļŦāļĒāļļāļ”āđ€āļ•āđ‰āļ™āļ‰āļąāļšāļžāļĨāļąāļ™āđāļĨāļ°āļĄāļĩāļœāļđāđ‰āļžāļšāđ€āļŦāđ‡āļ™ āđƒāļŦāđ‰ activate āđ€āļĄāļ·āđˆāļ­āļ•āļĢāļ§āļˆāļžāļšāļ§āđˆāļēāļŦāļĄāļ”āļŠāļ•āļī Airway āļāļ”āļŦāļ™āđ‰āļēāļœāļēāļ-āđ€āļŠāļĒāļ„āļēāļ‡ (head tilt-chin lift) (āļāļĢāļ“āļĩāļŠāļ‡āļŠāļąāļĒāļ­āļļāļšāļąāļ•āļīāđ€āļŦāļ•āļļāđƒāļŦāđ‰āļ—āļē jaw thrust āđāļ—āļ™) Breaths āđ€āļĢāļīāđˆāļĄāļ•āđ‰āļ™ āđ€āļ›āđˆāļēāļŠāđˆāļ§āļĒāļŦāļēāļĒāđƒāļˆ 2 āļ„āļĢāļąāđ‰āļ‡āļ­āļąāļ•āļĢāļē 1 āļ§āļīāļ™āļēāļ—āļĩ/āļ„āļĢāļąāđ‰āļ‡ HCP: rescue breathing āđ‚āļ”āļĒāđ„āļĄāđˆ āļ•āđ‰āļ­āļ‡āļ—āļē CPR 10-12 āļ„āļĢāļąāđ‰āļ‡/āļ™āļēāļ—āļĩ (āđ€āļ›āđˆāļē 1 āļ„āļĢāļąāđ‰āļ‡ āļ—āļļāļ 5-6 āļ§āļīāļ™āļēāļ—āļĩ) 12-20 āļ„āļĢāļąāđ‰āļ‡/āļ™āļēāļ—āļĩ (āđ€āļ›āđˆāļē 1 āļ„āļĢāļąāđ‰āļ‡āļ—āļļāļ 3-5 āļ§āļīāļ™āļēāļ—āļĩ) HCP: rescue breathing āļŠāļēāļŦāļĢāļąāļš CPR āļ—āļĩāđˆāđƒāļŠāđˆāļ—āđˆāļ­āļŠāđˆāļ§āļĒāļŦāļēāļĒāđƒāļˆāđāļĨāđ‰āļ§ 8-10 āļ„āļĢāļąāđ‰āļ‡/āļ™āļēāļ—āļĩ (āđ€āļ›āđˆāļē 1 āļ„āļĢāļąāđ‰āļ‡āļ—āļļāļ 6-8 āļ§āļīāļ™āļēāļ—āļĩ) āļ§āļąāļ•āļ–āļļāđāļ›āļĨāļāļ›āļĨāļ­āļĄāļ­āļļāļ”āļāļąāđ‰āļ™āļ—āļēāļ‡āđ€āļ”āļīāļ™ āļŦāļēāļĒāđƒāļˆ āļāļ”āļ—āđ‰āļ­āļ‡ (abdominal thrust) āļ•āļšāļŦāļĨāļąāļ‡ āļāļ”āļŦāļ™āđ‰āļēāļ­āļ (back slap, chest thrust) Circulation HCP: āļˆāļąāļšāļŠāļĩāļžāļˆāļĢ ( < 10 āļ§āļīāļ™āļēāļ—āļĩ) Carotid (āļŠāļēāļĄāļēāļĢāļ–āđƒāļŠāđ‰ femoral pulse āđƒāļ™āđ€āļ”āđ‡āļ) Brachial āļŦāļĢāļ·āļ­ femoral āļ•āļēāđāļŦāļ™āđˆāļ‡āļāļēāļĢāļāļ”āļŦāļ™āđ‰āļēāļ­āļ āļāļĨāļēāļ‡āļŦāļ™āđ‰āļēāļ­āļāļĢāļ°āļŦāļ§āđˆāļēāļ‡āļŦāļąāļ§āļ™āļĄ āđƒāļ•āđ‰āļ•āđˆāļ­āđāļ™āļ§āļŦāļąāļ§āļ™āļĄ āļāļ”āļŦāļ™āđ‰āļēāļ­āļāļŦāļ™āļąāļ āđ€āļĢāđ‡āļ§ āļ›āļĨāđˆāļ­āļĒāļ„āļ·āļ™ āđ€āļ•āđ‡āļĄāļ—āļĩāđˆ 2 āļĄāļ·āļ­: āļŠāļąāļ™āļĄāļ·āļ­āļ§āļēāļ‡āļšāļ™āļŦāļ™āđ‰āļēāļ­āļ āļ­āļĩāļāļĄāļ·āļ­āļŦāļ™āļķāđˆāļ‡āļ§āļēāļ‡āļ—āļąāļš 2 āļĄāļ·āļ­: āļŠāļąāļ™āļĄāļ·āļ­āļ§āļēāļ‡āļšāļ™āļŦāļ™āđ‰āļēāļ­āļ āļ­āļĩāļāļĄāļ·āļ­āļŦāļ™āļķāđˆāļ‡āļ§āļēāļ‡āļ—āļąāļš 1 āļĄāļ·āļ­: āļŠāļąāļ™āļĄāļ·āļ­āđ€āļ”āļĩāļĒāļ§ āļœāļđāđ‰āļŠāđˆāļ§āļĒ 1 āļ„āļ™: 2 āļ™āļīāđ‰āļ§ HCP: āļœāļđāđ‰āļŠāđˆāļ§āļĒ 2 āļ„āļ™āđƒāļŠāđ‰ 2 thumb-encircling hands āļ„āļ§āļēāļĄāļĨāļķāļāļāļēāļĢāļāļ”āļŦāļ™āđ‰āļēāļ­āļ 1 Â― -2 āļ™āļīāđ‰āļ§ 1/3-1/2 āļ‚āļ­āļ‡āļ„āļ§āļēāļĄāļŦāļ™āļēāļŦāļ™āđ‰āļēāļ­āļ āļ­āļąāļ•āļĢāļēāļāļēāļĢāļāļ”āļŦāļ™āđ‰āļēāļ­āļ 100 āļ„āļĢāļąāđ‰āļ‡/āļ™āļēāļ—āļĩ āļŠāļąāļ”āļŠāđˆāļ§āļ™āļāļēāļĢāļāļ”āļŦāļ™āđ‰āļēāļ­āļ/āļŠāđˆāļ§āļĒ āļŦāļēāļĒāđƒāļˆ 30:2 (āļœāļđāđ‰āļŠāđˆāļ§āļĒāļ—āļąāđ‰āļ‡ 1 āļŦāļĢāļ·āļ­ 2 āļ„āļ™) 30:2 (āļœāļđāđ‰āļŠāđˆāļ§āļĒ 1 āļ„āļ™) HCP: 15:2 (āļœāļđāđ‰āļŠāđˆāļ§āļĒ 2 āļ„āļ™) Defibrillation AED āđƒāļŠāđ‰ adult pad HCP: āđ€āļŦāļ•āļļāļ™āļ­āļāđ‚āļĢāļ‡āļžāļĒāļēāļšāļēāļĨāļ–āđ‰āļē āļœāļđāđ‰āļŠāđˆāļ§āļĒāļ–āļķāļ‡āļ—āļĩāđˆāđ€āļāļīāļ”āđ€āļŦāļ•āļļāļŠāđ‰āļēāļāļ§āđˆāļē 4-5 āļ™āļēāļ—āļĩāđāļĨāļ°āđ„āļĄāđˆāļĄāļĩāļœāļđāđ‰āđ€āļŦāđ‡āļ™ āđ€āļŦāļ•āļļāļāļēāļĢāļ“āđŒ āđƒāļŦāđ‰āļ—āļē CPR 5 āļĢāļ­āļš (2 āļ™āļēāļ—āļĩ) āļāđˆāļ­āļ™āļ—āļē āļŠāđ‰āļ­āļāļ”āđ‰āļ§āļĒ AED HCP: āđƒāļŠāđ‰ AED āļ—āļąāļ™āļ—āļĩāļāļĢāļ“āļĩāļŦāļąāļ§āđƒāļˆ āļŦāļĒāļļāļ”āđ€āļ•āđ‰āļ™āļāļ°āļ—āļąāļ™āļŦāļąāļ™āđāļĨāļ°āļĄāļĩ āļœāļđāđ‰āđ€āļŦāđ‡āļ™āđ€āļŦāļ•āļļāļāļēāļĢāļ“āđŒ āđāļĨāļ°āļ­āļĒāļđāđˆāđƒāļ™ āđ‚āļĢāļ‡āļžāļĒāļēāļšāļēāļĨ āļāļĢāļ“āļĩāļ—āļąāđˆāļ§āđ„āļ›: āļ™āļ­āļāđ‚āļĢāļ‡āļžāļĒāļēāļšāļēāļĨ āđƒāļŦāđ‰āļ—āļē CPR āļāđˆāļ­āļ™ 2 āļ™āļēāļ—āļĩ āđƒāļŠāđ‰ āđāļœāđˆāļ™āļ‚āļąāđ‰āļ§āđāļĨāļ°āļžāļĨāļąāļ‡āļ‡āļēāļ™āļ‚āļ™āļēāļ”āđ€āļ”āđ‡āļ āļŠāļēāļŦāļĢāļąāļšāļ­āļēāļĒāļļ 1-8 āļ›āļĩ āļ–āđ‰āļēāđ„āļĄāđˆāļĄāļĩāđƒāļŠāđ‰ āļ‚āļ™āļēāļ”āļœāļđāđ‰āđƒāļŦāļāđˆāđāļ—āļ™āđ„āļ”āđ‰ āđ„āļĄāđˆāļĄāļĩāļ‚āđ‰āļ­āđāļ™āļ°āļ™āļēāļŠāļēāļŦāļĢāļąāļšāļ—āļēāļĢāļ āļ­āļēāļĒāļļ < 1 āļ›āļĩ
  • 5.
    5 āļ•āļēāļĢāļēāļ‡āļ—āļĩāđˆ 2 āļāļēāļĢāđāļšāđˆāļ‡āļŦāļ™āđ‰āļēāļ—āļĩāđˆāļœāļđāđ‰āļ›āļāļīāļšāļąāļ•āļīCPR No āļ•āļēāđāļŦāļ™āđˆāļ‡ āļŦāļ™āđ‰āļēāļ—āļĩāđˆāļĢāļąāļšāļœāļīāļ”āļŠāļ­āļš āļŦāļĄāļēāļĒāđ€āļŦāļ•āļļ Airway & Breathing Staff : āđāļžāļ—āļĒāđŒ āļžāļĒāļēāļšāļēāļĨ āļœāļđāđ‰āļŠāđˆāļ§āļĒāļžāļĒāļēāļšāļēāļĨ āļ›āļĢāļ°āđ€āļĄāļīāļ™āļĢāļ°āļ”āļąāļšConscious āļ•āļĢāļ§āļˆāļŠāļ­āļšāļāļēāļĢāļŦāļēāļĒāđƒāļˆāđāļĨāļ°āļŠāļĩāļžāļˆāļĢ āļˆāļąāļ” Position āđ€āļ›āļīāļ”āļ—āļēāļ‡āđ€āļ”āļīāļ™āļŦāļēāļĒāđƒāļˆ(Head Tilt - Chin Lift) O2 Bagging 10 L/min āļœāđˆāļēāļ™āļ—āļēāļ‡Face Mask āļŦāļĢāļ·āļ­ ET-Tube āđƒāļ™ āļ­āļąāļ•āļĢāļē20 āļ„āļĢāļąāđ‰āļ‡/āļ™āļēāļ—āļĩ āđƒāļ™āļāļĢāļ“āļĩāđƒāļŠāđˆET-tube āļ­āļĒāļđāđˆāđāļĨāđ‰āļ§ āđƒāļŦāđ‰āļ•āļĢāļ§āļˆāļŠāļ­āļšāļ•āļēāđāļŦāļ™āđˆāļ‡āļ‚āļ­āļ‡ET-tube Suction clear airway Instruments āļĢāļ– Emergency āļ­āļļāļ›āļāļĢāļ“āđŒ Suction āļ‚āļ™āļēāļ”āļ‚āļ­āļ‡Ambubag āļ—āļēāļĢāļāđāļĢāļāđ€āļāļīāļ”(<1āđ€āļ”āļ·āļ­āļ™)āđƒāļŠāđ‰ āļ‚āļ™āļēāļ”250–300ml āđ€āļ”āđ‡āļ āļ™āļ™. < 10 kg āđƒāļŠāđ‰ Ambubag āļ‚āļ™āļēāļ” 500 ml āđ€āļ”āđ‡āļāļ™āļ™.>10kg āđƒāļŠāđ‰Ambubagāļ‚āļ™āļēāļ”1600ml Suction tube (āđƒāļ™āļāļĢāļ“āļĩāļ—āļĩāđˆāļĒāļąāļ‡āđ„āļĄāđˆ Intubate) āļ™āļ™. < 10 kg āđƒāļŠāđ‰ Fr. 8-10 āļ™āļ™. > 10 kg āđƒāļŠāđ‰ Fr. 12 āļ—āļēāļĢāļāđāļĢāļāđ€āļāļīāļ” āđƒāļŠāđ‰Fr. 6-8 āļ–āđ‰āļē Intubate āđāļĨāđ‰āļ§ āđƒāļŦāđ‰āđƒāļŠāđ‰āļŠāļēāļĒSuction āļ‚āļ™āļēāļ”Fr. āļ›āļĢāļ°āļĄāļēāļ“2 āđ€āļ—āđˆāļē āļ‚āļ­āļ‡ No. ET tube āļ‚āļ™āļēāļ”āļ‚āļ­āļ‡ Face Mask āļ—āļēāļĢāļāđāļĢāļāđ€āļāļīāļ” āđƒāļŠāđ‰No. 00 – 01 āđ€āļ”āđ‡āļ āļ™āļ™. < 10 kg āđƒāļŠāđ‰ No. 2 āđ€āļ”āđ‡āļ āļ™āļ™. > 10 kg āđƒāļŠāđ‰ No. 3 - 5
  • 6.
    6 No āļ•āļēāđāļŦāļ™āđˆāļ‡ āļŦāļ™āđ‰āļēāļ—āļĩāđˆāļĢāļąāļšāļœāļīāļ”āļŠāļ­āļšāļŦāļĄāļēāļĒāđ€āļŦāļ•āļļ Circulation Staff : āđāļžāļ—āļĒāđŒ āļžāļĒāļēāļšāļēāļĨ āļœāļđāđ‰āļŠāđˆāļ§āļĒāļžāļĒāļēāļšāļēāļĨ Chest compression āđ€āļĢāļīāđˆāļĄāļ—āļēāđ€āļĄāļ·āđˆāļ­ HR < 60 āļ„āļĢāļąāđ‰āļ‡/āļ™āļēāļ—āļĩ āđƒāļ™āļ—āļēāļĢāļāđāļĢāļāđ€āļāļīāļ” HR < 80 āļ„āļĢāļąāđ‰āļ‡/āļ™āļēāļ—āļĩ āđƒāļ™āđ€āļ”āđ‡āļāļ­āļēāļĒāļļāļ™āđ‰āļ­āļĒāļāļ§āđˆāļē 1 āļ›āļĩ HR < 60 āļ„āļĢāļąāđ‰āļ‡/āļ™āļēāļ—āļĩ āđƒāļ™āđ€āļ”āđ‡āļāļ­āļēāļĒāļļāļĄāļēāļāļāļ§āđˆāļē 1 āļ›āļĩ āļ­āļąāļ•āļĢāļē Bagging āļ•āđˆāļ­ Chest compression = 15:2 āđƒāļ™āđ€āļ”āđ‡āļāđ€āļĨāđ‡āļāđāļĨāļ°āđ€āļ”āđ‡āļāđ‚āļ• āļ–āđ‰āļēāļĒāļąāļ‡āđ„āļĄāđˆāđƒāļŠāđˆ ET-tube āļˆāļąāļ‡āļŦāļ§āļ°āļāļēāļĢāļāļ”āđāļĨāļ°bagging āļ•āđ‰āļ­āļ‡āļŠāļąāļĄāļžāļąāļ™āļ˜āđŒāļāļąāļ™ āļŦāļĨāļąāļ‡ āđƒāļŠāđˆ ET-tube āđāļĨāđ‰āļ§ āđ„āļĄāđˆāļ•āđ‰āļ­āļ‡āļŠāļąāļĄāļžāļąāļ™āļ˜āđŒāļāļąāļ™ āđ„āļ”āđ‰ āļĒāļāđ€āļ§āđ‰āļ™ āļ—āļēāļĢāļāđāļĢāļāđ€āļāļīāļ” āļˆāļ°āļ•āđ‰āļ­āļ‡āļāļ”āđƒāļŦāđ‰āļŠāļąāļĄāļžāļąāļ™āļ˜āđŒāļāļąāļš bagging āļ•āļĨāļ­āļ”āđ€āļ§āļĨāļē Monitoring - āļ•āļīāļ” ECG Monitor āļ–āđ‰āļēāđ„āļĄāđˆāļĄāļĩāđƒāļŦāđ‰āļ„āļĨāļē Pulse āļŦāļĢāļ·āļ­āļŸāļąāļ‡ Heart rate āļ—āļļāļ 1 āļ™āļēāļ—āļĩ āđƒāļ™ āđ€āļ”āđ‡āļāđ€āļĨāđ‡āļ āđāļĨāļ°āļ—āļļāļ 30 āļ§āļīāļ™āļēāļ—āļĩ āđƒāļ™ āļ—āļēāļĢāļāđāļĢāļāđ€āļāļīāļ” - āļ§āļąāļ” Blood Pressure Defibrillation - āđ€āļ•āļĢāļĩāļĒāļĄāđ€āļ„āļĢāļ·āđˆāļ­āļ‡ Defibrillator āđƒāļŠāđˆ Paddle āļ•āļēāļĄāļ‚āļ™āļēāļ”āđ€āļ”āđ‡āļ Instrument āļāļĢāļ°āļ”āļēāļ™ CPR Monitor Defibrillator āļ­āļēāļĒāļļāļ™āđ‰āļ­āļĒāļāļ§āđˆāļē 1 āļ›āļĩ Rate > 100 /āļ™āļēāļ—āļĩ āļāļ”āļĨāļķāļ Â― – 1 āļ™āļīāđ‰āļ§ āļ­āļēāļĒāļļāļĄāļēāļāļāļ§āđˆāļē 8 āļ›āļĩ Rate 100 /āļ™āļēāļ—āļĩ āļĨāļķāļ 1Â― – 2 cm. Defibrillator Paddle āļ™āļ™. āļ™āđ‰āļ­āļĒāļāļ§āđˆāļē 10 kg āđƒāļŠāđ‰ Paddle āļ‚āļ™āļēāļ”āđ€āļĨāđ‡āļ āļ™āļ™. āļĄāļēāļāļāļ§āđˆāļē 10 kg āđƒāļŠāđ‰ Paddle āļ‚āļ™āļēāļ”āđƒāļŦāļāđˆ āļ­āļēāļĒāļļ 1-8 āļ›āļĩ Rate 100/ āļ™āļēāļ—āļĩ āļĨāļķāļ 1 – 1Â― āļ™āļīāđ‰āļ§
  • 7.
    7 No āļ•āļēāđāļŦāļ™āđˆāļ‡ āļŦāļ™āđ‰āļēāļ—āļĩāđˆāļĢāļąāļšāļœāļīāļ”āļŠāļ­āļšāļŦāļĄāļēāļĒāđ€āļŦāļ•āļļ Drug Staff : āļžāļĒāļēāļšāļēāļĨ āđāļžāļ—āļĒāđŒ Vascular Access āđ€āļ›āļīāļ”āđ€āļŠāđ‰āļ™āđ€āļĨāļ·āļ­āļ”āļ”āļē āđ€āļĄāļ·āđˆāļ­āđāļ—āļ‡IVāđ„āļ”āđ‰āđāļĨāđ‰āļ§ āļ•āđˆāļ­āļ”āđ‰āļ§āļĒ NSSāļŦāļĢāļ·āļ­ IV Fluid āļ•āļēāļĄāļŠāļ āļēāļ§āļ°āļœāļđāđ‰āļ›āđˆāļ§āļĒ Drug āđ€āļ•āļĢāļĩāļĒāļĄāļĒāļē Adrenaline Dose āļ—āļĩāđˆ 1 ; āļ—āļēāļĢāļāđāļĢāļāđ€āļāļīāļ”āđāļĨāļ°āļ—āļēāļĢāļ āļ™āļ™.< 10 kg āđ€āļ•āļĢāļĩāļĒāļĄ Adrenaline 1:10,000āđƒāļŠāđˆ Syringe 1 ml ( Adrenaline 0.1 ml + NSS 0.9 ml ) āļ‚āļ™āļēāļ” 0.1 ml/kg/dose : āđ€āļ”āđ‡āļāđ‚āļ• āļ™āļ™.> 10 kg āđ€āļ•āļĢāļĩāļĒāļĄ Adrenaline 1:10,000 āđƒāļŠāđˆ Syringe 10 ml ( Adrenaline 1 ml + NSS 9 ml ) āļ‚āļ™āļēāļ” 0.1 ml/kg/dose Dose āļ—āļĩāđˆ 2 ; āļŦāđˆāļēāļ‡āļāļąāļ™ 3 āļ™āļēāļ—āļĩ āđ€āļ•āļĢāļĩāļĒāļĄāļĒāļēāļ­āļ·āđˆāļ™āđ† āđāļĨāļ°āđƒāļŦāđ‰āļĒāļēāļ•āļēāļĄāļ„āļēāļŠāļąāđˆāļ‡ TEAM LEADER Instrument IV Catheter No 24 , Extension set with T, Three Way, IV Set Intraosseous Needle No 20 (āļ­āļēāļĒāļļ < 1 āļ›āļĩ) , No 18 ( āļ­āļēāļĒāļļ > 1 āļ›āļĩ ) āļ­āļļāļ›āļāļĢāļ“āđŒ Strap IV Position āļžāļĒāļēāļĒāļēāļĄāđ€āļĨāļ·āļ­āļāđ€āļŠāđ‰āļ™āđ€āļĨāļ·āļ­āļ”āļ”āļēāļ—āļĩāđˆāļĄāļĩāļ‚āļ™āļēāļ”āđƒāļŦāļāđˆāļšāļĢāļīāđ€āļ§āļ“ āđāļ‚āļ™āđāļĨāļ°āļ‚āļē āđƒāļ™āļ•āļēāđāļŦāļ™āđˆāļ‡āļ—āļĩāđˆāđ„āļĄāđˆāļĢāļšāļāļ§āļ™āļāļēāļĢCPR āđƒāļŠāđ‰ IV Catheter No 24 āļ•āđˆāļ­āļ”āđ‰āļ§āļĒExtension āđāļĨāļ° Three Way āļ­āļĒāđˆāļēāļ‡āļ™āđ‰āļ­āļĒ2 āļ­āļąāļ™ āļāđˆāļ­āļ™āđƒāļŦāđ‰IVFāļŦāļĢāļ·āļ­āļĒāļē āđƒāļ™āļāļĢāļ“āļĩāļœāļđāđ‰āļ›āđˆāļ§āļĒāļ­āļēāļĒāļļāļ™āđ‰āļ­āļĒāļāļ§āđˆāļē6 āļ›āļĩ āđāļĨāļ°āđ„āļĄāđˆāļŠāļēāļĄāļēāļĢāļ– āđāļ—āļ‡ IV āđ„āļ”āđ‰āļ āļēāļĒāđƒāļ™āđ€āļ§āļĨāļē90 āļ§āļīāļ™āļēāļ—āļĩ āđƒāļŦāđ‰āļžāļīāļˆāļēāļĢāļ“āļēāļ—āļē Intraosseous āļāļēāļĢāļœāļŠāļĄāļĒāļē 7.5 % NaHCO3 dilute Sterile Water ( 1:1 ) 10% Calcium gluconate dilute āļ”āđ‰āļ§āļĒ Sterile Water ( 1:1 ) āđƒāļŠāđ‰ NSS 2-5 ml flush āļāđˆāļ­āļ™+āļŦāļĨāļąāļ‡āļ‰āļĩāļ”āļĒāļēāļ—āļļāļāļ„āļĢāļąāđ‰āļ‡ *āļ”āļđāļĢāļēāļĒāļĨāļ°āđ€āļ­āļĩāļĒāļ”āļ—āđ‰āļēāļĒāļšāļ—
  • 8.
    8 No āļ•āļēāđāļŦāļ™āđˆāļ‡ āļŦāļ™āđ‰āļēāļ—āļĩāđˆāļĢāļąāļšāļœāļīāļ”āļŠāļ­āļšāļŦāļĄāļēāļĒāđ€āļŦāļ•āļļ Team Leader Staff : āđāļžāļ—āļĒāđŒ āļ›āļĢāļ°āđ€āļĄāļīāļ™ A B C āđ€āļ›āđ‡āļ™āļĢāļ°āļĒāļ°āđ† āļ­āļĒāđˆāļēāļ‡āļ™āđ‰āļ­āļĒāļ—āļļāļ 3 āļ™āļēāļ—āļĩ āļŠāļąāđˆāļ‡āļāļēāļĢāļĢāļąāļāļĐāļē āļ‚āļ™āļēāļ” ET - Tube = āļ­āļēāļĒāļļ ( āļ›āļĩ ) + 4 4 āļ„āļ§āļēāļĄāļĨāļķāļāļ‚āļ­āļ‡ ET – Tube = āļ­āļēāļĒāļļ ( āļ›āļĩ ) + 12 2 Manager Staff : āļžāļĒāļēāļšāļēāļĨ āļŦāļąāļ§āļŦāļ™āđ‰āļēāđ€āļ§āļĢ āļŦāļĢāļ·āļ­āļŦāļąāļ§āļŦāļ™āđ‰āļēāļ•āļķāļ āļ›āļĢāļ°āļŠāļēāļ™āļ‡āļēāļ™āļāļąāļš Team Leader āđāļĨāļ°āļŠāđˆāļ§āļĒāļ›āļĢāļ°āđ€āļĄāļīāļ™ Vital Signs āļ—āļĩāđˆāđ€āļ›āļĨāļĩāđˆāļĒāļ™āđāļ›āļĨāļ‡ + āļāļēāļĢāđƒāļŦāđ‰āļĒāļē + āļāļēāļĢāļĢāļąāļāļĐāļēāļ­āļ·āđˆāļ™āđ† āļšāļąāļ™āļ—āļķāļ Code Record āļˆāļąāļ”āļŦāļēāļŦāļĢāļ·āļ­āļ‚āļ­āļĒāļ·āļĄāļ­āļļāļ›āļāļĢāļ“āđŒāļ—āļĩāđˆāļˆāļēāđ€āļ›āđ‡āļ™āļˆāļēāļ Ward āļ­āļ·āđˆāļ™ āļ•āļīāļ”āļ•āđˆāļ­āļ›āļĢāļ°āļŠāļēāļ™āļ‡āļēāļ™āļāļąāļšāļŦāļ™āđˆāļ§āļĒāļ‡āļēāļ™āļ­āļ·āđˆāļ™āđ† āđāļĨāļ°āļāļēāļ•āļīāļœāļđāđ‰āļ›āđˆāļ§āļĒ Assess reassess Action 6
  • 9.
    9 āđāļœāļ™āļ›āļāļīāļšāļąāļ•āļīāļāļēāļĢāļŠāđˆāļ§āļĒāļŠāļĩāļ§āļīāļ•āđƒāļ™āđ€āļ”āđ‡āļāđ„āļ”āđ‰āļ–āļđāļāđāļšāđˆāļ‡āļ”āļąāļ‡āļ™āļĩāđ‰ 1. āđāļœāļ™āļ›āļāļīāļšāļąāļ•āļīāļāļēāļĢāļŠāđˆāļ§āļĒāļŠāļĩāļ§āļīāļ•āļ‚āļąāđ‰āļ™āļžāļ·āđ‰āļ™āļāļēāļ™āđƒāļ™āđ€āļ”āđ‡āļ āđ„āļ”āđ‰āļĄāļĩāļāļēāļĢāđ€āļ™āđ‰āļ™āļāļēāļĢāļāļ”āļŦāļ™āđ‰āļēāļ­āļāļ—āļĩāđˆāļĢāļ§āļ”āđ€āļĢāđ‡āļ§āđāļĨāļ°āļ™āļēāļ™2 āļ™āļēāļ—āļĩāļŦāļĢāļ·āļ­ 5 āļĢāļ­āļš āđ‚āļ”āļĒāđ„āļ”āđ‰āļĢāļ§āļĄāļāļēāļĢāđƒāļŠāđ‰ automate external defibrillator (AED) āđ€āļ‚āđ‰āļēāđ„āļ›āļ”āđ‰āļ§āļĒāļāļąāļ™ āđāļĨāļ°āđāļ™āļ°āļ™āļēāđƒāļŦāđ‰āđƒāļŠāđ‰āđƒāļ™āđ€āļ”āđ‡āļāļ­āļēāļĒāļļāļ•āļąāđ‰āļ‡āđāļ•āđˆ 1 āļ›āļĩ-8 āļ›āļĩ āđ‚āļ”āļĒāđƒāļŠāđ‰āļĢāļ°āļšāļšāļ—āļĩāđˆāđƒāļŠāđ‰āđƒāļ™āđ€āļ”āđ‡āļ āļŠāđˆāļ§āļ™āđ€āļ”āđ‡āļāļ—āļĩāđˆāļ­āļēāļĒāļļāļĄāļēāļāļāļ§āđˆāļē 8 āļ›āļĩāļŠāļēāļĄāļēāļĢāļ–āđƒāļŠāđ‰āļĢāļ°āļšāļšāđ€āļ”āļĩāļĒāļ§āļāļąāļšāļœāļđāđ‰āđƒāļŦāļāđˆāļāđ‡āđ„āļ”āđ‰ āđ‚āļ”āļĒāļ‚āļ™āļēāļ”āļžāļĨāļąāļ‡āļ‡āļēāļ™āļ—āļĩāđˆāđƒāļŠāđ‰āđ€āļ—āđˆāļēāļāļąāļ™āđ„āļĄāđˆāļ§āđˆāļēāļˆāļ° āđƒāļŠāđ‰āđ€āļ„āļĢāļ·āđˆāļ­āļ‡ mono āļŦāļĢāļ·āļ­ biphasic 2. āđāļœāļ™āļ›āļāļīāļšāļąāļ•āļīāļāļēāļĢ Bradycardia āļ—āļĩāđˆāļĄāļĩāļŠāļĩāļžāļˆāļĢ āđ‚āļ”āļĒāļĄāļĩāļāļēāļĢāļāļēāļŦāļ™āļ”āļ‚āļ™āļēāļ”āļĒāļē epinephrine āđāļĨāļ° atropine āļĢāļ§āļĄāļ—āļąāđ‰āļ‡āļāļēāļĢāđƒāļŠāđ‰ cardiac pacing āđ€āļžāļīāđˆāļĄāđ€āļ•āļīāļĄ 3. āđāļœāļ™āļ›āļāļīāļšāļąāļ•āļīāļāļēāļĢ Pulseless Arrest āđ€āļ™āđ‰āļ™āļāļēāļĢāļĢāļąāļāļĐāļēāļ—āļąāđ‰āļ‡ ventricular fibrillation āđāļĨāļ° pulseless electrical activity (PEA) āđ‚āļ”āļĒāđƒāļŦāđ‰āļĢāđˆāļ§āļĄāđāļāđ‰āļ āļēāļ§āļ° 11 āļ›āļĢāļ°āļāļēāļĢ āļ•āļēāļĄāļ„āļēāļĒāđˆāļ­ 6 H 5 T 4. āđāļœāļ™āļ›āļāļīāļšāļąāļ•āļīāļāļēāļĢ Tachycardia āļ—āļĩāđˆāļĄāļĩāļŠāļĩāļžāļˆāļĢāđāļĨāļ° Poor Perfusion āđ‚āļ”āļĒāļ•āđ‰āļ­āļ‡āđāļĒāļāļ āļēāļ§āļ° sinus tachycardia āļ­āļ­āļāļˆāļēāļsupraventricular tachycardia (āļ—āļĩāđˆāļ•āđ‰āļ­āļ‡āļĢāļĩāļšāļ—āļē synchronize cardioversion) āļŦāļĢāļ·āļ­ ventricular fibrillation āļ—āļĩāđˆāļ•āđ‰āļ­āļ‡āļ—āļēdefibrillation 5. āđāļœāļ™āļ›āļāļīāļšāļąāļ•āļīāļāļēāļĢ Tachycardia āļ—āļĩāđˆāļĄāļĩ Adequate Perfusion āļ•āđ‰āļ­āļ‡āđāļĒāļāļ āļēāļ§āļ° supraventricular tachycardia āļ‹āļķāđˆāļ‡āļŠāļēāļĄāļēāļĢāļ–āđƒāļŦāđ‰āļāļēāļĢāļĢāļąāļāļĐāļēāđ‚āļ”āļĒāđƒāļŠāđ‰adenosine āļŦāļĢāļ·āļ­ ventricular tachycardia āļ—āļĩāđˆāļ­āļēāļˆāđƒāļŦāđ‰ āļĒāļē amiodarone āļŦāļĢāļ·āļ­ lidocaine āļŦāļĢāļ·āļ­ procainamide 6. āļāļēāļĢāđƒāļŦāđ‰āļŠāļēāļĢāļ™āđ‰āļēāļŦāļĨāļąāļ‡āļāļēāļĢāļĢāļąāļāļĐāļēāļŠāđ‡āļ­āļ„ āđ€āļ™āđ‰āļ™āļāļēāļĢāđƒāļŦāđ‰ isotonic solution āđƒāļ™āļ‚āļ™āļēāļ” 20 ml/kg āđāļšāļš bolus āļ”āđ‰āļ§āļĒāļ„āļ§āļēāļĄāļĢāļ§āļ”āđ€āļĢāđ‡āļ§ 2-3 āļŦāļ™ āđ‚āļ”āļĒāļ­āļēāļˆāļ•āđ‰āļ­āļ‡āđƒāļŦāđ‰āđ€āļĨāļ·āļ­āļ”āļĢāđˆāļ§āļĄāļāļąāļšāļāļēāļĢāđƒāļŠāđ‰āļĒāļē inotropic āļŦāļĢāļ·āļ­āļĒāļē vasodilator
  • 10.
    10 āļĄāļĩāļŠāļĩāļžāļˆāļĢ āđ„āļĄāđˆāļĄāļĩāļŠāļĩāļžāļˆāļĢ āđāļœāļ™āļ›āļāļīāļšāļąāļ•āļīāļāļēāļĢāļŠāđˆāļ§āļĒāļŠāļĩāļ§āļīāļ•āļ‚āļąāđ‰āļ™āļžāļ·āđ‰āļ™āļāļēāļ™āđƒāļ™āđ€āļ”āđ‡āļ AED = āđ€āļ„āļĢāļ·āđˆāļ­āļ‡āļŠāđ‡āļ­āļāđ„āļŸāļŸāđ‰āļēāļŦāļąāļ§āđƒāļˆāļ­āļąāļ•āđ‚āļ™āļĄāļąāļ•āļī āđ„āļĄāđˆāđ€āļ„āļĨāļ·āđˆāļ­āļ™āđ„āļŦāļ§āļŦāļĢāļ·āļ­āđ„āļĄāđˆāļ•āļ­āļšāļŠāļ™āļ­āļ‡ āđ‚āļ—āļĢāļ•āļēāļĄāđ€āļšāļ­āļĢāđŒāļ‰āļļāļāđ€āļ‰āļīāļ™ āđāļĨāļ°āđ€āļ„āļĢāļ·āđˆāļ­āļ‡āļŠāđ‡āļ­āļāđ„āļŸāļŸāđ‰āļēāļŦāļąāļ§āđƒāļˆāļ­āļąāļ•āđ‚āļ™āļĄāļąāļ•āļī (AED) āļœāļđāđ‰āļŠāđˆāļ§āļĒāļŠāļĩāļ§āļīāļ•āļ„āļ™āđ€āļ”āļĩāļĒāļ§ āđƒāļ™āļāļĢāļ“āļĩāļĨāđ‰āļĄāļĨāļ‡āļ—āļąāļ™āļ—āļĩ āđ‚āļ—āļĢāļ•āļēāļĄāđ€āļšāļ­āļĢāđŒāļ‰āļļāļāđ€āļ‰āļīāļ™ āđāļĨāļ°āđ€āļ„āļĢāļ·āđˆāļ­āļ‡āļŠāđ‡āļ­āļāđ„āļŸāļŸāđ‰āļēāļŦāļąāļ§āđƒāļˆāļ­āļąāļ•āđ‚āļ™āļĄāļąāļ•āļī (AED) āđ€āļ›āļīāļ”āļ—āļēāļ‡āđ€āļ”āļīāļ™āļŦāļēāļĒāđƒāļˆ āļ•āļĢāļ§āļˆāļāļēāļĢāļŦāļēāļĒāđƒāļˆ āļ–āđ‰āļēāđ„āļĄāđˆāļŦāļēāļĒāđƒāļˆ āļŠāđˆāļ§āļĒāļŦāļēāļĒāđƒāļˆ 2 āļŦāļ™ āļˆāļ™āļŦāļ™āđ‰āļēāļ­āļāļĒāļāļ‚āļķāđ‰āļ™ āļŠāđˆāļ§āļĒāļŦāļēāļĒāđƒāļˆ 1 āļŦāļ™ āļ—āļļāļ 3 āļ§āļīāļ™āļēāļ—āļĩ āļ•āļĢāļ§āļˆāļŠāļĩāļžāļˆāļĢāļ—āļļāļ 2 āļ™āļēāļ—āļĩ āļœāļđāđ‰āļŠāđˆāļ§āļĒāļŠāļĩāļ§āļīāļ•āļ„āļ™āđ€āļ”āļĩāļĒāļ§āđƒāļŦāđ‰āļāļ”āļŦāļ™āđ‰āļēāļ­āļ 30 āļŦāļ™ āļ•āđˆāļ­āļŠāđˆāļ§āļĒāļŦāļēāļĒāđƒāļˆ 2 āļŦāļ™ āļāļ”āđāļĢāļ‡āđāļĨāļ°āđ€āļĢāđ‡āļ§ (100 āļŦāļ™āļ•āđˆāļ­āļ™āļēāļ—āļĩ) āļ›āļĨāđˆāļ­āļĒāļĄāļ·āļ­āđ€āļ•āđ‡āļĄāļ—āļĩāđˆ āđāļĨāļ°āļ‚āļąāļ”āļˆāļąāļ‡āļŦāļ§āļ°āļāļēāļĢāļāļ”āļŦāļ™āđ‰āļēāļ­āļāđƒāļŦāđ‰āļ™āđ‰āļ­āļĒāļ—āļĩāđˆāļŠāļļāļ” āļœāļđāđ‰āļŠāđˆāļ§āļĒāļŠāļĩāļ§āļīāļ• 2 āļ„āļ™ āļāļ”āļŦāļ™āđ‰āļēāļ­āļ 15 āļŦāļ™ āļ•āđˆāļ­āļŠāđˆāļ§āļĒāļŦāļēāļĒāđƒāļˆ 2 āļŦāļ™ āļ–āđ‰āļēāđ„āļĄāđˆāļ•āļ­āļšāļŠāļ™āļ­āļ‡ āļ•āļĢāļ§āļˆāļŠāļĩāļžāļˆāļĢāļ§āđˆāļēāļĄāļĩ āļ āļēāļĒāđƒāļ™ 10 āļ§āļīāļ™āļēāļ—āļĩ āļ–āđ‰āļēāļĒāļąāļ‡āđ„āļĄāđˆāđ„āļ”āđ‰āļ›āļāļīāļšāļąāļ•āļīāđƒāļŦāđ‰āđ‚āļ—āļĢāļ•āļēāļĄāđ€āļšāļ­āļĢāđŒāļ‰āļļāļāđ€āļ‰āļīāļ™ āđāļĨāļ°āđ€āļ„āļĢāļ·āđˆāļ­āļ‡āļŠāđ‡āļ­āļāđ„āļŸāļŸāđ‰āļēāļŦāļąāļ§āđƒāļˆāļ­āļąāļ•āđ‚āļ™āļĄāļąāļ•āļī (AED) āđ€āļ”āđ‡āļāļ—āļēāļĢāļ < 1 āļ›āļĩ āļŠāđˆāļ§āļĒāļŠāļĩāļ§āļīāļ•āļˆāļ™āļ—āļĩāļĄ PALS āļĄāļēāļ–āļķāļ‡āļŦāļĢāļ·āļ­āļœāļđāđ‰āļ›āđˆāļ§āļĒāđ€āļĢāļīāđˆāļĄāļ‚āļĒāļąāļšāļ•āļąāļ§ āđ€āļ”āđ‡āļ > 1 āļ›āļĩ āļŠāđˆāļ§āļĒāļŠāļĩāļ§āļīāļ• āđāļĨāļ°āđƒāļŠāđ‰āđ€āļ„āļĢāļ·āđˆāļ­āļ‡āļŠāđ‡āļ­āļāđ„āļŸāļŸāđ‰āļēāļŦāļąāļ§āđƒāļˆāļ­āļąāļ•āđ‚āļ™āļĄāļąāļ•āļī (AED) āļŦāļĨāļąāļ‡āļ—āļē CPR āļ„āļĢāļš 5 āļĢāļ­āļš (āđƒāļŠāđ‰āđ€āļ„āļĢāļ·āđˆāļ­āļ‡āļŠāđ‡āļ­āļāđ„āļŸāļŸāđ‰āļēāļŦāļąāļ§āđƒāļˆāļ­āļąāļ•āđ‚āļ™āļĄāļąāļ•āļī (AED) āđƒāļ™āļāļĢāļ“āļĩāļĨāđ‰āļĄāļĨāļ‡āđ€āļ‰āļĩāļĒāļšāļžāļĨāļąāļ™) āđ€āļ”āđ‡āļ > 1 āļ›āļĩ āļ•āļĢāļ§āļˆāļŠāļĩāļž āļˆāļĢāļ§āđˆāļēāļŠāđ‡āļ­āļāđ„āļ”āđ‰āļŦāļĢāļ·āļ­āđ„āļĄāđˆ āđƒāļŦāđ‰āļŠāđ‡āļ­āļ 1 āļŦāļ™ āļ•āļēāļĄāļ”āđ‰āļ§āļĒ CPR 5 āļĢāļ­āļšāļ—āļąāļ™āļ—āļĩ āđƒāļŦāđ‰āļ—āļē CPR 5 āļĢāļ­āļš āļ•āļĢāļ§āļˆāļŠāļĩāļžāļˆāļĢāļ—āļļāļ 5 āļĢāļ­āļš āļˆāļ™āļāļ§āđˆāļēāļ—āļĩāļĄ PALS āļĄāļē āļŦāļĢāļ·āļ­āļœāļđāđ‰āļ›āđˆāļ§āļĒāđ€āļĢāļīāđˆāļĄāļ‚āļĒāļąāļšāļ•āļąāļ§ āđ„āļ”āđ‰ āđ„āļĄāđˆāđ„āļ”āđ‰
  • 11.
    11 Ventricular fibrillation āļāļēāļĢāļĢāļąāļāļĐāļēāļ āļēāļ§āļ° Ventricularfibrillation āđƒāļ™āļ›āļąāļˆāļˆāļļāļšāļąāļ™āđ€āļ™āđ‰āļ™āļāļēāļĢāļ—āļē BLS āđ„āļ›āļāđˆāļ­āļ™āđ‚āļ”āļĒāļˆāļ°āļ•āđ‰āļ­āļ‡āđƒāļŠāđ‰āđ€āļ§āļĨāļē āđƒāļ™āļāļēāļĢ check rhythm āđ€āļžāļ·āđˆāļ­āļ§āļīāļ™āļīāļˆāļ‰āļąāļĒāļ āļēāļ§āļ°āļŠāđ‡āļ­āļāļŠāļąāđ‰āļ™āļ—āļĩāđˆāļŠāļļāļ” āđ€āļĄāļ·āđˆāļ­āđ€āļ„āļĢāļ·āđˆāļ­āļ‡ defibrillation charge āđ„āļŸāļžāļĢāđ‰āļ­āļĄāļ—āļĩāđˆāļˆāļ° āļŠāđ‡āļ­āļ āļˆāļķāļ‡āļŦāļĒāļļāļ”āļ—āļē Chest compression āđƒāļŠāđ‰āļāļĢāļ°āđāļŠāđ„āļŸāđ€āļĢāļīāđˆāļĄāļ•āđ‰āļ™ 2 J/kg āđ€āļžāļĩāļĒāļ‡āļŦāļ™āđ€āļ”āļĩāļĒāļ§āđāļĨāļ°āļ—āļē chest compression āļ•āđˆāļ­āđ„āļ›āļ­āļĩāļ 2 āļ™āļēāļ—āļĩāļ—āļąāļ™āļ—āļĩ āļˆāļķāļ‡āļŦāļĒāļļāļ”āđ€āļžāļ·āđˆāļ­āļ”āļđ rhythm āļ–āđ‰āļēāļĒāļąāļ‡āļĄāļĩ ventricular fibrillation āļāđ‡āđƒāļŦāđ‰āļ—āļē chest compression āļ•āļēāļĄāļ”āđ‰āļ§āļĒāļĒāļēāļ„āļ·āļ­ Epinephrine āļ—āļēāļ‡ IV/IO āđƒāļ™āļ‚āļ™āļēāļ” 0.01 mg/kg (1:10,000, 0.1 ml/kg) āđāļĨāļ°āđƒāļŦāđ‰āļ—āļē defibrillation āđƒāļ™āļ‚āļ™āļēāļ” 4 J/kg āđ€āļžāļĩāļĒāļ‡āļŦāļ™āđ€āļ”āļĩāļĒāļ§āđāļĨāļ°āļ—āļē chest compression āļ•āđˆāļ­āđ„āļ›āļ­āļĩāļ 2 āļ™āļēāļ—āļĩāļ—āļąāļ™āļ—āļĩ āļˆāļķāļ‡āļŦāļĒāļļāļ”āđ€āļžāļ·āđˆāļ­āļ”āļđ rhythm āļ–āđ‰āļēāļĒāļąāļ‡āļĄāļĩ ventricular fibrillation āļāđ‡āđƒāļŦāđ‰āļĒāļē amiodarone 5 mg/kg āđāļĨāļ° āļ—āļē Chest compression āļ•āļēāļĄāļ”āđ‰āļ§āļĒ defibrillation āđƒāļ™āļ‚āļ™āļēāļ” 4 J/kg āļāļēāļĢāđƒāļŠāđ‰ Biphasic shock āđƒāļ™āļœāļđāđ‰āļ›āđˆāļ§āļĒāđ€āļ”āđ‡āļāļ™āđˆāļēāļˆāļ°āđ„āļ”āđ‰āļœāļĨāļ”āļĩāđ€āļ—āđˆāļēāļāļąāļš Monophasic shock āđ‚āļ”āļĒāļĄāļĩ āļœāļĨāļ‚āđ‰āļēāļ‡āđ€āļ„āļĩāļĒāļ‡āļ•āđˆāļ­ myocardial dysfunction āļ™āđ‰āļ­āļĒāļāļ§āđˆāļē āđ‚āļ”āļĒāļ‚āļ™āļēāļ” dose āļ—āļĩāđˆāđƒāļŠāđ‰āļ™āļąāđ‰āļ™āđ€āļ—āđˆāļēāļāļąāļ™ āļāļēāļĢāđƒāļŠāđ‰ AED āļ™āļąāđ‰āļ™āļĄāļĩ āļŦāļĨāļąāļāļāļēāļ™āļ§āđˆāļēāļ™āļ—āļēāļ‡āļ›āļŽāļīāļšāļąāļ•āļīāđƒāļŦāđ‰āļāļēāļĢāļŠāđ‡āļ­āļāđ„āļ”āđ‰āļĢāļ§āļ”āđ€āļĢāđ‡āļ§āļāļ§āđˆāļē manual defibrillator āđ€āļžāļĢāļēāļ°āđ€āļ„āļĢāļ·āđˆāļ­āļ‡āļˆāļ°āļŠāļēāļĄāļēāļĢāļ–āļ­āđˆāļēāļ™ āđāļĨāļ°āđāļ™āļ°āļ™āļēāđƒāļŦāđ‰āļŠāđ‡āļ­āļāđ„āļ”āđ‰āđ€āļĢāđ‡āļ§āđ€āļĄāļ·āđˆāļ­āđ€āļ—āļĩāļĒāļšāļāļąāļšāļœāļđāđ‰āđƒāļŦāđ‰āļāļēāļĢāļŠāđˆāļ§āļĒāļŠāļĩāļ§āļīāļ•āļ—āļĩāđˆāđ„āļĄāđˆāđ„āļ”āđ‰āļĄāļĩāļ›āļĢāļ°āļŠāļšāļāļēāļĢāļ“āđŒāđƒāļ™āļāļēāļĢāļ§āļīāļ™āļīāļˆāļ‰āļąāļĒāļ āļēāļ§āļ° Ventricular fibrillation āļ­āļĒāļđāđˆāļšāđˆāļ­āļĒāđ† āļāļēāļĢāđƒāļŠāđ‰ AED āđƒāļ™āđ€āļ”āđ‡āļ āļ•āļēāļĄāļ—āļĩāđˆāļ—āļĢāļēāļšāļāļąāļ™āļ”āļĩāđāļĨāđ‰āļ§āļ§āđˆāļēāļŠāļēāđ€āļŦāļ•āļļāļ‚āļ­āļ‡ cardiac arrest āļŦāļĢāļ·āļ­ cardiopulmonary arrest āđƒāļ™āđ€āļ”āđ‡āļ āļŠāđˆāļ§āļ™āđƒāļŦāļāđˆāđ€āļ›āđ‡āļ™āļœāļĨāļˆāļēāļāđ‚āļĢāļ„āļ‚āļ­āļ‡āđ€āļ”āđ‡āļāļ—āļĩāđˆāđ€āļ›āđ‡āļ™āđāļĨāđ‰āļ§āđ€āļ›āđ‡āļ™āļĄāļēāļāļ‚āļķāđ‰āļ™ āļŠāđˆāļ§āļ™āļ™āđ‰āļ­āļĒ (āļ›āļĢāļ°āļĄāļēāļ“ 5-15%) āļ—āļĩāđˆāļĄāļĩāļŠāļēāđ€āļŦāļ•āļļāļˆāļēāļāļŦāļąāļ§ āđƒāļˆāđ€āļ•āđ‰āļ™āļœāļīāļ”āļ›āļāļ•āļīāđ€āļ›āđ‡āļ™ VF/VT āđ‚āļ”āļĒāļĄāļēāļāļžāļšāđƒāļ™āđ€āļ”āđ‡āļāđ‚āļ•āļŦāļĢāļ·āļ­āļ§āļąāļĒāļĢāļļāđˆāļ™āđ‚āļ”āļĒāļ›āļāļ•āļīāđ€āļ”āđ‡āļāļāļĨāļļāđˆāļĄāļ™āļĩāđ‰āļˆāļ°āļŠāļšāļēāļĒāļ”āļĩ āđ„āļĄāđˆāļĄāļĩāļ­āļēāļāļēāļĢ āđāļĨāđ‰āļ§āđ€āļāļīāļ” sudden collapse āļœāļđāđ‰āļ›āđˆāļ§āļĒāļāļĨāļļāđˆāļĄāļ™āļĩāđ‰āļ•āđ‰āļ­āļ‡āļāļēāļĢ defibrillation āļžāļĨāļąāļ‡āļ‡āļēāļ™ (energy dose) āļ—āļĩāđˆāļ•āđˆāļēāļ—āļĩāđˆāļŠāļļāļ” āļŦāļĢāļ·āļ­āđ€āļŦāļĄāļēāļ°āļŠāļĄāļ—āļĩāđˆāļŠāļļāļ”āļŠāļēāļŦāļĢāļąāļšāļāļēāļĢāļ—āļē defibrillation āđƒāļ™āđ€āļ”āđ‡āļāļĒāļąāļ‡ āđ„āļĄāđˆāļ—āļĢāļēāļš āđ€āļŠāđˆāļ™āđ€āļ”āļĩāļĒāļ§āļāļąāļšāļ‚āļ™āļēāļ”āļŠāļđāļ‡āļŠāļļāļ”āļ—āļĩāđˆāļ›āļĨāļ­āļ”āļ āļąāļĒāļāđ‡āļĒāļąāļ‡āđ„āļĄāđˆāļ—āļĢāļēāļš āđāļ•āđˆāļˆāļēāļāļāļēāļĢāļĻāļķāļāļĐāļēāļžāļšāļ§āđˆāļē āļ‚āļ™āļēāļ”āļžāļĨāļąāļ‡āļ‡āļēāļ™āļ™āđ‰āļ­āļĒ āļāļ§āđˆāļē 4J/Kg (āļŦāļĢāļ·āļ­āļ­āļēāļˆāļŠāļđāļ‡āļ–āļķāļ‡ 9 J/Kg) āđ„āļ”āđ‰āļœāļĨāđƒāļ™ defibrillation āđƒāļ™āđ€āļ”āđ‡āļ (children) āđāļĨāļ°āđƒāļ™āļŠāļąāļ•āļ§āđŒāļ—āļ”āļĨāļ­āļ‡ āđ‚āļ”āļĒ āđ„āļĄāđˆāđ€āļāļīāļ”āļœāļĨāļ‚āđ‰āļēāļ‡āđ€āļ„āļĩāļĒāļ‡ āđāļĨāļ°āļˆāļēāļāļ‚āđ‰āļ­āļĄāļđāļĨāļāļēāļĢāđƒāļŠāđ‰ defibrillation āđƒāļ™āļœāļđāđ‰āđƒāļŦāļāđˆ āđāļĨāļ°āļˆāļēāļāļŠāļąāļ•āļ§āđŒāļ—āļ”āļĨāļ­āļ‡āļžāļšāļ§āđˆāļē Biphasic
  • 12.
    12 shock āđ„āļ”āđ‰āļœāļĨāļ”āļĩāļāļ§āđˆāļēāļŦāļĢāļ·āļ­āļ­āļĒāđˆāļēāļ‡āļ™āđ‰āļ­āļĒāđ€āļ—āđˆāļēāļāļąāļš Monophasicshock āđāļĨāļ°āļĄāļĩāļ­āļąāļ™āļ•āļĢāļēāļĒāļ™āđ‰āļ­āļĒāļāļ§āđˆāļē āļˆāļķāļ‡āđāļ™āļ°āļ™āļēāļ‚āļ™āļēāļ” āļ‚āļ­āļ‡āļžāļĨāļąāļ‡āļ‡āļēāļ™ (energy) āļ—āļĩāđˆāđƒāļŠāđ‰āđƒāļ™āđ€āļ”āđ‡āļāļ—āļąāđ‰āļ‡ Monophasic āđāļĨāļ° Biphasic āļ‚āļ™āļēāļ” 2J/Kg āļŠāļēāļŦāļĢāļąāļš dose āđāļĢāļ āđāļĨāļ°āļ‚āļ™āļēāļ” 4J/Kg āļŠāļēāļŦāļĢāļąāļš dose āļ•āđˆāļ­āđ„āļ› āļŠāļēāļŦāļĢāļąāļš VF/VT āđāļĨāļ° 0.5–1 J/Kg āļŠāļēāļŦāļĢāļąāļš unsynchronized cardioversion āđ€āļ„āļĢāļ·āđˆāļ­āļ‡ AED āļĄāļĩāļ›āļĢāļ°āļŠāļīāļ—āļ˜āļīāļ āļēāļžāļ—āļĩāđˆāļ”āļĩāļĄāļēāļ āļĄāļĩāļ„āļ§āļēāļĄāđ€āļ—āļĩāđˆāļĒāļ‡āļ•āļĢāļ‡āđāļĨāļ°āđāļ›āļĨāļœāļĨ Rhythm āđƒāļŦāđ‰āļ­āļĒāđˆāļēāļ‡āļ–āļđāļāļ•āđ‰āļ­āļ‡āđƒāļ™ āđ€āļ”āđ‡āļāļ—āļļāļāļ­āļēāļĒāļļāđāļĨāļ°āļŠāļēāļĄāļēāļĢāļ–āđāļĒāļ Rhythm āļ™āļąāđ‰āļ™āļ§āđˆāļēāđ€āļ›āđ‡āļ™ shockable (VF/VT) āļŦāļĢāļ·āļ­ nonshockable rhythm (Asystole/PEA) āđ„āļ”āđ‰āļ­āļĒāđˆāļēāļ‡āļĄāļĩ specificity āđāļĨāļ° sensitivity āļŠāļđāļ‡āļĄāļēāļ āļŠāļēāļŦāļĢāļąāļšāđ€āļ”āđ‡āļāļ­āļēāļĒāļļ 1-8 āļ›āļĩ āļ„āļ§āļĢāđƒāļŠāđ‰ pediatric dose attenuator system āđāļ•āđˆāļ–āđ‰āļēāđ€āļ„āļĢāļ·āđˆāļ­āļ‡ AED āļ™āļąāđ‰āļ™āđ„āļĄāđˆāļĄāļĩ system āļ™āļĩāđ‰āļāđ‡āđƒāļŠāđ‰āļ•āļēāļĄāļĄāļēāļ•āļĢāļāļēāļ™āļ‚āļ­āļ‡ AED āļ—āļąāđˆāļ§āđ„āļ› āļĒāļąāļ‡āđ„āļĄāđˆāļĄāļĩāļ‚āđ‰āļ­āļĄāļđāļĨāļžāļ­āđ€āļžāļĩāļĒāļ‡āļŠāļēāļŦāļĢāļąāļšāļāļēāļĢāđāļ™āļ°āļ™āļēāđƒāļŠāđ‰ AED āđƒāļ™āđ€āļ”āđ‡āļāļ­āļēāļĒāļļāļ™āđ‰āļ­āļĒāļāļ§āđˆāļē 1 āļ›āļĩ (class interminate) āđāļĨāļ°āļĒāļąāļ‡āđ„āļĄāđˆāļ—āļĢāļēāļšāļ­āļļāļšāļąāļ•āļīāļāļēāļĢāļ“āđŒāđāļ™āđˆāļ™āļ­āļ™āļ§āđˆāļēāđƒāļ™āđ€āļ”āđ‡āļāļ­āļēāļĒāļļāļ™āđ‰āļ­āļĒāļāļ§āđˆāļē 1 āļ›āļĩāļˆāļ°āđ€āļāļīāļ” VF āļŦāļĢāļ·āļ­āđ„āļĄāđˆ āđ€āļžāļĢāļēāļ°āđ‚āļ”āļĒāļĄāļēāļāđāļĨāđ‰āļ§ āđ€āļ”āđ‡āļāļ­āļēāļĒāļļāļ™āđ‰āļ­āļĒāđ€āļāļīāļ”āļ āļēāļ§āļ° cardiac arrest āļŦāļĢāļ·āļ­ cardiopulmonary arrest āļĄāļąāļāđ€āļ›āđ‡āļ™āļœāļĨāļ•āļēāļĄāļŦāļĨāļąāļ‡āļ‚āļ­āļ‡āđ‚āļĢāļ„āļ—āļĩāđˆ āđ€āļ”āđ‡āļāđ€āļ›āđ‡āļ™āđāļĨāđ‰āļ§āđ€āļ›āđ‡āļ™āļĄāļēāļāļ‚āļķāđ‰āļ™ āđ€āļŠāđˆāļ™ āļˆāļēāļ progressive respiratory failure āļŦāļĢāļ·āļ­ shock āđāļĨāļ°āļĒāļąāļ‡āđ„āļĄāđˆāļĄāļĩāļ‚āđ‰āļ­āļĄāļđāļĨāļ–āļķāļ‡ āļœāļĨāļāļēāļĢāđƒāļŠāđ‰ AED āđƒāļ™āđ€āļ”āđ‡āļāļ—āļĩāđˆāļ›āđˆāļ§āļĒāđƒāļ™āđ‚āļĢāļ‡āļžāļĒāļēāļšāļēāļĨ āđāļ•āđˆāļāđ‡āļ„āļ§āļĢāļžāļīāļˆāļēāļĢāļ“āļēāļ™āļēāļĄāļēāđƒāļŠāđ‰āđƒāļ™āđāļ‡āđˆāļ‚āļ­āļ‡ early defibrillation (āđ€āļ§āļĨāļē < 3 āļ™āļēāļ—āļĩāļˆāļēāļ collapse) āđāļĨāļ°āļ•āđ‰āļ­āļ‡āļāļķāļāļ„āļ™āđƒāļŦāđ‰āļĢāļđāđ‰āļˆāļąāļ detect EKG rhythm āđāļĨāļ°āļāļēāļĢāđƒāļŠāđ‰āđ€āļ„āļĢāļ·āđˆāļ­āļ‡ AED āļ­āļĒāđˆāļēāļ‡āļ–āļđāļāļ•āđ‰āļ­āļ‡ āđāļĨāļ°āļĄāļĩāļ›āļĢāļ°āļŠāļīāļ—āļ˜āļīāļ āļēāļž āđāļĨāļ°āļ„āļ§āļĢāļĄāļĩāđ€āļ„āļĢāļ·āđˆāļ­āļ‡ AED āđƒāļ™āļĢāļ– Ambulance āļ”āđ‰āļ§āļĒ
  • 13.
    13 āđƒāļŠāđˆāđ„āļĄāđˆ āđ„āļĄāđˆ āđƒāļŠāđˆ āđāļœāļ™āļ›āļāļīāļšāļąāļ•āļīāļāļēāļĢ Bradycardia āļ—āļĩāđˆāļĄāļĩāļŠāļĩāļžāļˆāļĢ Bradycardiaāļ—āļĩāđˆāļĄāļĩāļŠāļĩāļžāļˆāļĢāđāļĨāļ°āļ—āļēāđƒāļŦāđ‰āļĄāļĩ cardiorespiratory compromise āļ—āļē ABCs āđƒāļŦāđ‰āļ­āļ­āļāļ‹āļīāđ€āļˆāļ™ āļ•āļīāļ” monitor/defibrillator Bradycardia āļ—āļĩāđˆāļ—āļēāđƒāļŦāđ‰ cardiorespiratory compromise? āđƒāļŦāđ‰ ABCs; āđƒāļŦāđ‰āļ­āļ­āļāļ‹āļīāđ€āļˆāļ™ āļ•āļēāļĄāļ”āļđāļ­āļēāļāļēāļĢ āļ›āļĢāļķāļāļĐāļēāđāļžāļ—āļĒāđŒāļœāļđāđ‰āđ€āļŠāļĩāđˆāļĒāļ§āļŠāļēāļ āļ—āļē CPR āļ–āđ‰āļēāļāļēāļĢāđƒāļŦāđ‰āļ­āļ­āļāļ‹āļīāđ€āļˆāļ™ āđāļĨāļ°āļŠāđˆāļ§āļĒ āļŦāļēāļĒāđƒāļˆāđāļĨāđ‰āļ§āļĒāļąāļ‡āļĄāļĩāļŠāļĩāļžāļˆāļĢ < 60 āļ„āļĢāļąāđ‰āļ‡/āļ™āļēāļ—āļĩ āđāļĨāļ°āļĄāļĩ poor perfusion āļĒāļąāļ‡āļĄāļĩ symptomatic bradycardia? āđƒāļŦāđ‰ epinephrine āđ€āļ›āđ‡āļ™āļĒāļēāļ•āļąāļ§āđāļĢāļ - IV/IO: 0.01 mg/kg - āļ—āļēāļ‡āļ—āđˆāļ­āļŠāđˆāļ§āļĒāļŦāļēāļĒāđƒāļˆ: 0.1 mg/kg (1:1000: 0.1 mL/kg) āđƒāļŦāđ‰āļ‹āđ‰āļēāļ—āļļāļ 3-5 āļ™āļēāļ—āļĩ āļ–āđ‰āļēāļĄāļĩ vagal tone āđ€āļžāļīāđˆāļĄāļ‚āļķāđ‰āļ™āļŦāļĢāļ·āļ­ primary AV block: āđƒāļŦāđ‰ atropine āļāđˆāļ­āļ™āļ‚āļ™āļēāļ”: 0.02 mg/kg, āļ­āļēāļˆāđƒāļŦāđ‰āļ‹āđ‰āļēāđ„āļ”āđ‰ (Minimum dose: 0.1 mg; Maximum total dose āļŠāļēāļŦāļĢāļąāļšāđ€āļ”āđ‡āļ: 1 mg.) āļ­āļēāļˆāļžāļīāļˆāļēāļĢāļ“āļēāđƒāļŠāđ‰ cardiac pacing āļ‚āđ‰āļ­āļ„āļ§āļĢāļˆāļē āļĢāļ°āļŦāļ§āđˆāļēāļ‡āļ—āļē CPR āđƒāļŦāđ‰āļāļ”āļŦāļ™āđ‰āļēāļ­āļ āļŦāļēāļŠāļēāđ€āļŦāļ•āļļāļ­āļ·āđˆāļ™ āđ€āļŠāđˆāļ™ āđāļĢāļ‡āđāļĨāļ°āđ€āļĢāđ‡āļ§ (100 āļŦāļ™/āļ™āļēāļ—āļĩ) - Hypovolemia āļ•āļĢāļ§āļˆāđƒāļŦāđ‰āđāļ™āđˆāđƒāļˆāļ§āđˆāļēāļŦāļ™āđ‰āļēāļ­āļāļĒāļāļ‚āļķāđ‰āļ™ - Hypoxia or ventilation problems āļŦāļĨāļąāļ‡āļāļ”āđ€āļ•āđ‡āļĄāļ—āļĩāđˆ āđ‚āļ”āļĒāļ‚āļąāļ”āļˆāļąāļ‡āļŦāļ§āļ°āļāļ”āļŦāļ™āđ‰āļēāļ­āļ - Hydrogen ion (acidosis) āđƒāļŦāđ‰āļ™āđ‰āļ­āļĒāļ—āļĩāđˆāļŠāļļāļ” - Hypo-/hyperkalemia āđƒāļŦāđ‰āļ”āļđ ABCs - Hypoglycemia āļ”āļđāļ—āļēāļ‡āđ€āļ”āļīāļ™āļŦāļēāļĒāđƒāļˆ āđāļĨāļ°āļ•āļĢāļ§āļˆāļ”āļđ - Hypothermia āļ•āļēāđāļŦāļ™āđˆāļ‡āļ—āđˆāļ­āļŠāđˆāļ§āļĒāļŦāļēāļĒāđƒāļˆ - Toxins - Tamponade, cardiac - Tension pneumothorax - Thrombosis (coronary or pulmonary) - Trauma (hypovolemia, increased ICP) āļ–āđ‰āļēāļĄāļĩ pulseless arrest āđƒāļŦāđ‰āđƒāļŠāđ‰āđāļœāļ™āļ›āļāļīāļšāļąāļ•āļīāļāļēāļĢ Pulseless Arrest
  • 14.
    14 āđ„āļĄāđˆāļŠāļēāļĄāļēāļĢāļ–āļŠāđ‡āļ­āļāđ„āļ”āđ‰āļŠāđ‡āļ­āļāđ„āļ”āđ‰ āļ—āļē CPR 5āļĢāļ­āļš āļ—āļē CPR 5 āļĢāļ­āļš āļŠāđ‡āļ­āļāđ„āļ”āđ‰ āļ—āļē CPR 5 āļĢāļ­āļš āđ„āļĄāđˆ āđ„āļĄāđˆāļŠāļēāļĄāļēāļĢāļ–āļŠāđ‡āļ­āļāđ„āļ”āđ‰ āļŠāđ‡āļ­āļāđ„āļ”āđ‰ āļŠāđ‡āļ­āļāđ„āļ”āđ‰ 1 āđ„āļĄāđˆ āđāļœāļ™āļ›āļāļīāļšāļąāļ•āļīāļāļēāļĢ Pulseless Arrest PULSELESS ARREST āđāļœāļ™āļ›āļāļīāļšāļąāļ•āļīāļāļēāļĢ BLS: āļ—āļē CPR āđƒāļŦāđ‰āļ­āļ­āļāļ‹āļīāđ€āļˆāļ™ āļ•āļīāļ” monitor/defibrillator āļ•āļĢāļ§āļˆāļŠāļĩāļžāļˆāļĢ āļŠāđ‡āļ­āļāđ„āļ”āđ‰āļŦāļĢāļ·āļ­āđ„āļĄāđˆ Asystole/PEA āđƒāļŦāđ‰āļŠāđ‡āļ­āļ 1 āļŦāļ™ Manual: 2 J/kg āđƒāļŠāđ‰āđ€āļ„āļĢāļ·āđˆāļ­āļ‡āļŠāđ‡āļ­āļāđ„āļŸāļŸāđ‰āļēāļŦāļąāļ§āđƒāļˆāļ­āļąāļ•āđ‚āļ™āļĄāļąāļ•āļī (AED) āđƒāļ™āđ€āļ”āđ‡āļāļ­āļēāļĒāļļ > 1 āļ›āļĩ (āđƒāļŠāđ‰āļĢāļ°āļšāļšāļ‚āļ­āļ‡āđ€āļ”āđ‡āļāđƒāļ™āļ­āļēāļĒāļļ 1-8 āļ›āļĩ) āļ—āļē CPR āļ—āļąāļ™āļ—āļĩ āļ—āļē CPR āļ—āļąāļ™āļ—āļĩ āđƒāļŦāđ‰ epinephrine IV/IO: 0.01 mL/kg) (1:10 000: 0.1 mL/kg) āļ—āļēāļ‡āļ—āđˆāļ­āļŠāđˆāļ§āļĒāļŦāļēāļĒāđƒāļˆ: 0.1 mg/kg (1:1000: 0.1 mL/kg) āđƒāļŦāđ‰āļ‹āđ‰āļēāļ—āļļāļ 3 āļ–āļķāļ‡ 5 āļ™āļēāļ—āļĩ āļ•āļĢāļ§āļˆāļŠāļĩāļžāļˆāļĢ āļŠāđ‡āļ­āļāđ„āļ”āđ‰āļŦāļĢāļ·āļ­āđ„āļĄāđˆ āļ•āļĢāļ§āļˆāļŠāļĩāļžāļˆāļĢ āļŠāđ‡āļ­āļāđ„āļ”āđ‰āļŦāļĢāļ·āļ­āđ„āļĄāđˆāļ—āļē CPR āļĢāļ°āļŦāļ§āđˆāļēāļ‡āļĢāļ­āđ€āļ„āļĢāļ·āđˆāļ­āļ‡ defibrillator āļŠāļēāļĢāđŒāļˆ āļŠāđ‡āļ­āļ 1 āļŦāļ™ Manual: 4 J/kg āđƒāļŠāđ‰āđ€āļ„āļĢāļ·āđˆāļ­āļ‡āļŠāđ‡āļ­āļāđ„āļŸāļŸāđ‰āļēāļŦāļąāļ§āđƒāļˆāļ­āļąāļ•āđ‚āļ™āļĄāļąāļ•āļī (AED): > 1 year of age āļ—āļē CPR āļ—āļąāļ™āļ—āļĩ āđƒāļŦāđ‰ epinephrine IV/IO: 0.01 mg/kg (1:10000: 0.1 mL/kg) āļ—āđˆāļ­āļŠāđˆāļ§āļĒāļŦāļēāļĒāđƒāļˆ: 0.1 mg/kg (1: 1000: 0.1 mL/kg) āđƒāļŦāđ‰āļ‹āđ‰āļēāļ—āļļāļ 3-5 āļ™āļēāļ—āļĩ āļ–āđ‰āļē asystole,āđ„āļ›āļāļĨāđˆāļ­āļ‡ 10 āļ–āđ‰āļēāļĄāļĩāļˆāļąāļ‡āļŦāļ§āļ°āļāļēāļĢāđ€āļ•āđ‰āļ™āļŦāļąāļ§āđƒāļˆ āđƒāļŦāđ‰āļ•āļĢāļ§āļˆāļŠāļĩāļžāļˆāļĢ āļ–āđ‰āļēāđ„āļĄāđˆāļĄāļĩ āļŠāļĩāļžāļˆāļĢāđ„āļ›āļāļĨāđˆāļ­āļ‡ 10 āļ–āđ‰āļēāļĄāļĩāļŠāļĩāļžāļˆāļĢ āđƒāļŦāđ‰āđ€āļĢāļīāđˆāļĄ postresuscitaition care āļ•āļĢāļ§āļˆāļŠāļĩāļžāļˆāļĢ āļŠāđ‡āļ­āļāđ„āļ”āđ‰āļŦāļĢāļ·āļ­āđ„āļĄāđˆ āļ—āļē CPR āļĢāļ°āļŦāļ§āđˆāļēāļ‡āļĢāļ­āđ€āļ„āļĢāļ·āđˆāļ­āļ‡ defibrillator āļŠāļēāļĢāđŒāļˆ āļŠāđ‡āļ­āļ 1 āļŦāļ™ Manual: 4J/kg āļ­āļēāļĒāļļ > 1 āļ›āļĩ āđƒāļŠāđ‰ AED āļ—āļē CPR āļ—āļąāļ™āļ—āļĩ āļ­āļēāļˆāđƒāļŦāđ‰ antiarrhythmics (eg, amiodarone 5 mg/kg IV/IO āļŦāļĢāļ·āļ­ lidocaine 1 mg/kg IV/IO) āļ­āļēāļˆāđƒāļŦāđ‰ magnesium 25 āļ–āļķāļ‡ 50 mg/kg IV/IO, Max 2 g āļŠāļēāļŦāļĢāļąāļš torsades de pointes āļŦāļĨāļąāļ‡āļˆāļēāļāļ—āļē CPR 5 āļĢāļ­āļš āđ„āļ›āļāļĨāđˆāļ­āļ‡ 5 āđ„āļ›āļāļĨāđˆāļ­āļ‡ 4 āļĢāļ°āļŦāļ§āđˆāļēāļ‡āļ—āļē CPR āļāļ”āļŦāļ™āđ‰āļēāļ­āļāđāļĢāļ‡āđāļĨāļ°āđ€āļĢāđ‡āļ§ āļŠāļĨāļąāļšāļœāļđāđ‰āļāļ”āļŦāļ™āđ‰āļēāļ­āļāļ—āļļāļ 2 āļ™āļēāļ—āļĩ (100 āļ„āļĢāļąāđ‰āļ‡/āļ™āļēāļ—āļĩ) āđāļĨāļ°āļ•āļĢāļ§āļˆāļŠāļĩāļžāļˆāļĢ āļ”āļđāđƒāļŦāđ‰āļŦāļ™āđ‰āļēāļ­āļāļĒāļāļ‚āļķāđ‰āļ™ āļ‚āļąāļ”āļˆāļąāļ‡āļŦāļ§āļ°āļāļ”āļŦāļ™āđ‰āļēāļ­āļ āļŦāļēāđāļĨāļ°āđāļāđ‰āđ„āļ‚āļŠāļēāđ€āļŦāļ•āļļāļ­āļ·āđˆāļ™ āđ€āļŠāđˆāļ™ āļ™āđ‰āļ­āļĒāļ—āļĩāđˆāļŠāļļāļ” - Hypovolemia 1 āļĢāļ­āļšāļ‚āļ­āļ‡ CPR āđƒāļŦāđ‰āļāļ”āļŦāļ™āđ‰āļēāļ­āļ - Hypoxia 15 āļŦāļ™ āļ•āđˆāļ­āļŠāđˆāļ§āļĒāļŦāļēāļĒāđƒāļˆ 2 āļŦāļ™ 5 āļĢāļ­āļš - Hydrogen ion (acidosis) 1-2 āļ™āļēāļ—āļĩ - Hypo-/hyperkalemia āļ­āļĒāđˆāļē hyperventilation - Hypoglycemia āļ•āļĢāļ§āļˆāļ”āļđāļ—āļēāļ‡āđ€āļ”āļīāļ™āļŦāļēāļĒāđƒāļˆāđāļĨāļ° - Hypothermia āļ•āļēāđāļŦāļ™āđˆāļ‡āļ—āđˆāļ­āļŠāđˆāļ§āļĒāļŦāļēāļĒāđƒāļˆ - Toxins āļŦāļĨāļąāļ‡āļˆāļēāļāđƒāļŠāđˆāļ—āđˆāļ­āļŠāđˆāļ§āļĒāļŦāļēāļĒāđƒāļˆāļāļ”āļŦāļ™āđ‰āļēāļ­āļ - Tamponade, cardiac āļ•āđˆāļ­āđ€āļ™āļ·āđˆāļ­āļ‡āđ‚āļ”āļĒāđ„āļĄāđˆāļ•āđ‰āļ­āļ‡āļŦāļĒāļļāļ”āļĢāļ­āļāļēāļĢāļŠāđˆāļ§āļĒāļŦāļēāļĒāđƒāļˆ - Tension pneumothorax āđ‚āļ”āļĒāļŠāđˆāļ§āļĒāļŦāļēāļĒāđƒāļˆ 8-10 āļŦāļ™ - Thrombosis (coronary or āļ•āļĢāļ§āļˆāļŠāļĩāļžāļˆāļĢāļ—āļļāļ 2 āļ™āļēāļ—āļĩ pulmonary) - Trauma VF/VT
  • 15.
    15 āļĒāļąāļ‡āļĄāļĩāļ­āļēāļāļēāļĢ QRS duration āđāļ„āļš <0.08 āļ§āļīāļ™āļēāļ—āļĩ QRS duration āļāļ§āđ‰āļēāļ‡ > 0.08 āļ§āļīāļ™āļēāļ—āļĩ āđāļœāļ™āļ›āļāļīāļšāļąāļ•āļīāļāļēāļĢ Tachycardia āļ—āļĩāđˆāļĄāļĩāļŠāļĩāļžāļˆāļĢāđāļĨāļ° Poor Perfusion TACHYCARDIA āļ—āļĩāđˆāļĄāļĩāļŠāļĩāļžāļˆāļĢ āđāļĨāļ°poor perfusion āļ—āļē ABCs āđƒāļŦāđ‰āļ­āļ­āļāļ‹āļīāđ€āļˆāļ™ āļ•āļīāļ” monitor/defibrillator āļ”āļđ QRS duration Ventricular Tachycardia āļ”āļđ 12-lead ECG āļŦāļĢāļ·āļ­ monitor āļ™āđˆāļēāļˆāļ°āđ€āļ›āđ‡āļ™ sinus tachycardia āļĄāļĩāļ›āļĢāļ°āļ§āļąāļ•āļīāđ€āļ‚āđ‰āļēāđ„āļ”āđ‰ āļŦāļĢāļ·āļ­āļĄāļĩāļŠāļēāđ€āļŦāļ•āļļ āļĄāļĩ P wave āļĨāļąāļāļĐāļ“āļ°āļ›āļāļ•āļī āļĢāļ°āļĒāļ° RR āđ€āļ›āļĨāļĩāđˆāļĒāļ™āđ„āļ› āđāļ•āđˆ PR āđ€āļ—āđˆāļēāđ€āļ”āļīāļĄ āđ€āļ”āđ‡āļāđ€āļĨāđ‡āļ HR āļĄāļąāļāļˆāļ° < 220 āļ„āļĢāļąāđ‰āļ‡/āļ™āļēāļ—āļĩ āđ€āļ”āđ‡āļāđ‚āļ• HR āļĄāļąāļāļˆāļ° < 180 āļ„āļĢāļąāđ‰āļ‡/āļ™āļēāļ—āļĩ āļ™āđˆāļēāļˆāļ°āđ€āļ›āđ‡āļ™ supraventricular tachycardia āđ„āļĄāđˆāļĄāļĩāļ›āļĢāļ°āļ§āļąāļ•āļīāļŦāļĢāļ·āļ­āļŠāļēāđ€āļŦāļ•āļļ āđ„āļĄāđˆāđ€āļŦāđ‡āļ™ P wave āļŦāļĢāļ·āļ­āļœāļīāļ”āļ›āļāļ•āļī HR āđ„āļĄāđˆāđ€āļ›āļĨāļĩāđˆāļĒāļ™āļ•āļēāļĄ activity HR āđ€āļ›āļĨāļĩāđˆāļĒāļ™āđāļ›āļĨāļ‡āļ­āļĒāđˆāļēāļ‡āļ—āļąāļ™āļ—āļĩ āđ€āļ”āđ‡āļāđ€āļĨāđ‡āļ HR āļĄāļąāļ > 220 āļ„āļĢāļąāđ‰āļ‡/āļ™āļēāļ—āļĩ āđ€āļ”āđ‡āļāđ‚āļ• HR āļĄāļąāļ >180 āļ„āļĢāļąāđ‰āļ‡/āļ™āļēāļ—āļĩ āļ—āļē synchronize cardioversion āļ—āļąāļ™āļ—āļĩ āļ‚āļ™āļēāļ” 0.5-1.0 J/kg (āļ­āļēāļˆāđ€āļžāļīāđˆāļĄāđ€āļ›āđ‡āļ™ 2 J/kg āļ–āđ‰āļēāđ„āļĄāđˆāđ„āļ”āđ‰āļœāļĨ) āļ„āļ§āļĢāđƒāļŦāđ‰āļĒāļēāļ™āļ­āļ™āļŦāļĨāļąāļšāļ–āđ‰āļēāđ€āļ›āđ‡āļ™āđ„āļ›āđ„āļ”āđ‰āđāļ•āđˆ āđ„āļĄāđˆāļ„āļ§āļĢāļ—āļēāđƒāļŦāđ‰ cardioversion āļŠāđ‰āļēāļ­āļ­āļāđ„āļ› āļ­āļēāļˆāđƒāļŦāđ‰ adenosine āļ–āđ‰āļēāļ—āļēāđ„āļ”āđ‰āđ€āļĨāļĒ āļžāļīāļˆāļēāļĢāļ“āļēāļ—āļē vagal maneuvers (āđ„āļĄāđˆāļ„āļ§āļĢāļŠāđ‰āļē) āļŦāļēāļŠāļēāđ€āļŦāļ•āļļāđāļĨāļ°āļ§āļīāļ˜āļĩāļĢāļąāļāļĐāļē Adenosine: āļ–āđ‰āļēāļĄāļĩ IV access āļ­āļĒāļđāđˆāđāļĨāđ‰āļ§ āļžāļīāļˆāļēāļĢāļ“āļēāđƒāļŦāđ‰ adenosine 0.1 mg/kg IV/IO (āļ„āļĢāļąāđ‰āļ‡āđāļĢāļāđ„āļĄāđˆāđ€āļāļīāļ™ 6 mg) āļ­āļēāļˆāļ‹āđ‰āļēāđ„āļ”āđ‰ 1 āļ„āļĢāļąāđ‰āļ‡ āđ‚āļ”āļĒāđ€āļžāļīāđˆāļĄāļ‚āļ™āļēāļ”āđ€āļ›āđ‡āļ™ āļŠāļ­āļ‡āđ€āļ—āđˆāļēāđāļ•āđˆāđ„āļĄāđˆāđ€āļāļīāļ™ 12 mg āđƒāļŦāđ‰ IV bolus āļ­āļĒāđˆāļēāļ‡āļĢāļ§āļ”āđ€āļĢāđ‡āļ§ āļ—āļē synchronus cardioversion āļ”āđ‰āļ§āļĒ 0.5- 1.0 J/kg (āļ­āļēāļˆāđ€āļžāļīāđˆāļĄāđ€āļ›āđ‡āļ™ 2 J/kg āļ–āđ‰āļēāđ„āļĄāđˆāđ„āļ”āđ‰āļœāļĨ) āļ„āļ§āļĢāđƒāļŦāđ‰āļĒāļēāļ™āļ­āļ™āļŦāļĨāļąāļšāļ–āđ‰āļēāđ€āļ›āđ‡āļ™āđ„āļ›āđ„āļ”āđ‰ āļĒāļēāļ™āļ­āļ™āļŦāļĨāļąāļšāđ„āļĄāđˆāļ„āļ§āļĢāļ—āļēāđƒāļŦāđ‰ cardioversion āļŠāđ‰āļēāļ­āļ­āļāđ„āļ› āļ›āļĢāļķāļāļĐāļēāļœāļđāđ‰āđ€āļŠāļĩāđˆāļĒāļ§āļŠāļēāļ āļ­āļēāļˆāđƒāļŦāđ‰ Amiodarone 5 mg/kg IV āđƒāļ™ 20 āļ–āļķāļ‡ 60 āļ™āļēāļ—āļĩ āļŦāļĢāļ·āļ­āđƒāļŠāđ‰ āļĢāļ°āļŦāļ§āđˆāļēāļ‡āļāļēāļĢāļ—āļē āļŦāļēāđāļĨāļ°āđāļāđ‰āđ„āļ‚āļŠāļēāđ€āļŦāļ•āļļāļ—āļĩāđˆāđ€āļ›āđ‡āļ™āđ„āļ›āđ„āļ”āđ‰ āļ”āļđāļ—āļēāļ‡āđ€āļ”āļīāļ™āļŦāļēāļĒāđƒāļˆāđāļĨāļ°āđ€āļ›āļīāļ”āđ€āļŠāđ‰āļ™ - Hypovolemia - Toxins āļ›āļĢāļķāļāļĐāļēāļœāļđāđ‰āđ€āļŠāļĩāđˆāļĒāļ§āļŠāļēāļ - Hypoxia - Tamponade, cardiac āđ€āļ•āļĢāļĩāļĒāļĄāļ—āļē cardioversion - Hydrongen ion (acidosis) - Tension pneumothorax - Hypo-/hyperkalemia - Thrombosis (coronary or - Hypoglycemia pulmonary) - Hypothermia - Trauma (hypovolemia)
  • 16.
    16 QRS duration āļ›āļāļ•āļīāļŠāļēāļŦāļĢāļąāļšāđ€āļ”āđ‡āļ (<0.08 āļ§āļīāļ™āļēāļ—āļĩ) QRS duration āļāļ§āđ‰āļēāļ‡ ( > 0.08 āļ§āļīāļ™āļēāļ—āļĩ) āđāļœāļ™āļ›āļāļīāļšāļąāļ•āļīāļāļēāļĢ Tachycardia āļ—āļĩāđˆāļĄāļĩ Adequate Perfusion āđāļœāļ™āļ›āļāļīāļšāļąāļ•āļīāļāļēāļĢ BLS: āļ›āļĢāļ°āđ€āļĄāļīāļ™, āļŠāđˆāļ§āļĒāđ€āļŦāļĨāļ·āļ­āļ•āļēāļĄ ABCs āļ›āļĢāļ°āđ€āļĄāļīāļ™āļāļēāļĢāđ„āļŦāļĨāđ€āļ§āļĩāļĒāļ™āđ‚āļĨāļŦāļīāļ• āļŠāļĩāļžāļˆāļĢ āđāļĨāļ°āđƒāļŦāđ‰āļ­āļ­āļāļ‹āļīāđ€āļˆāļ™ āđāļĨāļ°āļŠāđˆāļ§āļĒāļŦāļēāļĒāđƒāļˆāļ•āļēāļĄāļ•āđ‰āļ­āļ‡āļāļēāļĢ āļ•āļīāļ” monitor/defibrillator āļ›āļĢāļ°āđ€āļĄāļīāļ™ ECG12-lead āļ–āđ‰āļēāļ—āļēāđ„āļ”āđ‰ āļ›āļĢāļ°āđ€āļĄāļīāļ™āļˆāļąāļ‡āļŦāļ§āļ°āļāļēāļĢāđ€āļ•āđ‰āļ™āļ‚āļ­āļ‡āļŦāļąāļ§āđƒāļˆ QRS duration? āļ™āđˆāļēāļˆāļ°āđ€āļ›āđ‡āļ™ ventricular tachycardia āļ™āđˆāļēāļˆāļ°āđ€āļ›āđ‡āļ™ sinus tachycardia āļĄāļĩāļ›āļĢāļ°āļ§āļąāļ•āļīāļ—āļĩāđˆāđ€āļ‚āđ‰āļēāđ„āļ”āđ‰ āļŦāļĢāļ·āļ­āļĄāļĩāļŠāļēāđ€āļŦāļ•āļļ āļĄāļĩ P wave āļĨāļąāļāļĐāļ“āļ°āļ›āļāļ•āļī HR āđ€āļ›āļĨāļĩāđˆāļĒāļ™āļ•āļēāļĄ activity āļĢāļ°āļĒāļ° RR āđ€āļ›āļĨāļĩāđˆāļĒāļ™āđ„āļ› āđāļ•āđˆ PR āđ€āļ—āđˆāļēāđ€āļ”āļīāļĄ āđ€āļ”āđ‡āļāđ€āļĨāđ‡āļ HR āļĄāļąāļāļˆāļ° < 220 āļ„āļĢāļąāđ‰āļ‡/āļ™āļēāļ—āļĩ āđ€āļ”āđ‡āļāđ‚āļ• HR āļĄāļąāļāļˆāļ° < 180 āļ„āļĢāļąāđ‰āļ‡/āļ™āļēāļ—āļĩ āļ™āđˆāļēāļˆāļ°āđ€āļ›āđ‡āļ™ supraventricular tachycardia āđ„āļĄāđˆāļĄāļĩāļ›āļĢāļ°āļ§āļąāļ•āļīāļŦāļĢāļ·āļ­āļŠāļēāđ€āļŦāļ•āļļ āđ„āļĄāđˆāđ€āļŦāđ‡āļ™ P wave āļŦāļĢāļ·āļ­āļœāļīāļ”āļ›āļāļ•āļī HR āđ„āļĄāđˆāđ€āļ›āļĨāļĩāđˆāļĒāļ™āļ•āļēāļĄ activity HR āđ€āļ›āļĨāļĩāđˆāļĒāļ™āđāļ›āļĨāļ‡āļ­āļĒāđˆāļēāļ‡āļ—āļąāļ™āļ—āļĩ āđ€āļ”āđ‡āļāđ€āļĨāđ‡āļ HR āļĄāļąāļ > 220 āļ„āļĢāļąāđ‰āļ‡/āļ™āļēāļ—āļĩ āđ€āļ”āđ‡āļāđ‚āļ• HR āļĄāļąāļ > 180/āļ„āļĢāļąāđ‰āļ‡/āļ™āļēāļ—āļĩ āļžāļīāļˆāļēāļĢāļ“āļēāđ€āļĨāļ·āļ­āļāđƒāļŠāđ‰āļĒāļē Amiodarone 5 mg/kg IV āđƒāļ™āđ€āļ§āļĨāļē 20-60 āļ™āļēāļ—āļĩ Procainamide 15 mg/kg IV āđƒāļ™āđ€āļ§āļĨāļē 30-60 āļ™āļēāļ—āļĩ (āđ„āļĄāđˆāļ„āļ§āļĢ āđƒāļŦāđ‰ amiodarone āđāļĨāļ° procainamide āļ”āđ‰āļ§āļĒāļāļąāļ™āđ€āļ›āđ‡āļ™ routine) āļŦāļĢāļ·āļ­ Lidocaine 1 mg/kg IV bolus āļžāļīāļˆāļēāļĢāļ“āļēāļ—āļē vagal maneuvers āđ€āļ›āļīāļ”āļŦāļĨāļ­āļ”āđ€āļĨāļ·āļ­āļ”āļ”āļē āļžāļīāļˆāļēāļĢāļ“āļēāđƒāļŦāđ‰ adenosine 0.1 mg/kg IV (āļ„āļĢāļąāđ‰āļ‡āđāļĢāļāđ„āļĄāđˆāđ€āļāļīāļ™ 6 mg) āļ­āļēāļˆāļ‹āđ‰āļēāđ„āļ”āđ‰ 1 āļ„āļĢāļąāđ‰āļ‡ āđ‚āļ”āļĒāđ€āļžāļīāđˆāļĄāļ‚āļ™āļēāļ” āđ€āļ›āđ‡āļ™āļŠāļ­āļ‡āđ€āļ—āđˆāļēāđāļ•āđˆāđ„āļĄāđˆāđ€āļāļīāļ™ 12 mg IV bolus āļ­āļĒāđˆāļēāļ‡āļĢāļ§āļ”āđ€āļĢāđ‡āļ§ āļ›āļĢāļķāļāļĐāļēāđāļžāļ—āļĒāđŒāđ‚āļĢāļ„āļŦāļąāļ§āđƒāļˆ āļ—āļē cardioversion 0.5-1 J/kg (āļ­āļēāļˆāđ€āļžāļīāđˆāļĄāđ€āļ›āđ‡āļ™ 2 J/kg āļ–āđ‰āļēāļ„āļĢāļąāđ‰āļ‡āđāļĢāļāđ„āļĄāđˆāđ„āļ”āđ‰āļœāļĨ) āđƒāļŦāđ‰āļĒāļē sedation āļāđˆāļ­āļ™āļ—āļē cardioversion ECG12-lead āļĢāļ°āļŦāļ§āđˆāļēāļ‡āļ›āļĢāļ°āđ€āļĄāļīāļ™ āđƒāļŦāđ‰āļ­āļ­āļāļ‹āļīāđ€āļˆāļ™āđāļĨāļ°āļŠāđˆāļ§āļĒāļāļēāļĢāļŦāļēāļĒāđƒāļˆāļ•āļēāļĄāļ„āļ§āļēāļĄāļˆāļēāđ€āļ›āđ‡āļ™ āļŠāđˆāļ§āļĒ ABCs monitor āļ­āļĒāđˆāļēāļ‡āļ•āđˆāļ­āđ€āļ™āļ·āđˆāļ­āļ‡āđāļĨāļ°āļ•āļīāļ” pacer āļžāļīāļˆāļēāļĢāļ“āļēāļ›āļĢāļķāļāļĐāļēāļœāļđāđ‰āđ€āļŠāļĩāđˆāļĒāļ§āļŠāļēāļ āđ€āļ•āļĢāļĩāļĒāļĄāļŠāļēāļŦāļĢāļąāļšāļ—āļē cardioversion 0.5-1.0 J/kg (āļžāļīāļˆāļēāļ“āļēāđƒāļŦāđ‰āļĒāļē sedation) āļŦāļēāđāļĨāļ°āļĢāļąāļāļĐāļēāļŠāļēāđ€āļŦāļ•āļļāļ—āļĩāđˆāđ€āļ›āđ‡āļ™āđ„āļ›āđ„āļ”āđ‰ Hypovolemia Hypoxia Hyperthermia Hyper-/hypokalemia and metabolic disorders Tamponade, cardiac Tension pneumothorax Toxins Thrombosis (coronary or pulmonary) Pain
  • 17.
    17 āļāļēāļĢāđƒāļŦāđ‰āļŠāļēāļĢāļ™āđ‰āļēāļŦāļĨāļąāļ‡āļāļēāļĢāļĢāļąāļāļĐāļēāļŠāđ‡āļ­āļ„ āļŠāđ‡āļ­āļāļ āļēāļĒāļŦāļĨāļąāļ‡āļāļēāļĢāļŠāđˆāļ§āļĒāļŠāļĩāļ§āļīāļ• āđƒāļŦāđ‰ NSS āļŦāļĢāļ·āļ­RL 10-20 ml/kg, bolus (<20 āļ™āļēāļ—āļĩ) āļ”āļđāļāļēāļĢāļ•āļ­āļšāļŠāļ™āļ­āļ‡ āļ›āļĢāļ°āđ€āļĄāļīāļ™āļœāļđāđ‰āļ›āđˆāļ§āļĒāļ­āļĩāļāļ„āļĢāļąāđ‰āļ‡ āļ­āļēāļāļēāļĢāđāļŠāļ”āļ‡āļ‚āļ­āļ‡āļŠāđ‡āļ­āļ„āļĒāļąāļ‡āļĄāļĩāļ­āļĒāļđāđˆ āļĢāļ°āļ”āļąāļšāļ„āļ§āļēāļĄāļ”āļąāļ™āđ‚āļĨāļŦāļīāļ• āļŠāđ‡āļ­āļ„āđāļšāļšāļ„āļ§āļēāļĄāļ”āļąāļ™āđ‚āļĨāļŦāļīāļ•āļ•āđˆāļē ? āļŠāđ‡āļ­āļ„āđāļšāļšāļ„āļ§āļēāļĄāļ”āļąāļ™āđ‚āļĨāļŦāļīāļ•āļ›āļāļ•āļī ? āļžāļīāļˆāļēāļĢāļ“āļēāđƒāļŦāđ‰āļŠāļēāļĢāļ™āđ‰āļē bolus āļ‹āđ‰āļē Epinephrine (0.1-1.0 g/kg/min) āđāļĨāļ° āļŦāļĢāļ·āļ­ Dopamine āđ€āļĢāļīāđˆāļĄāđƒāļŦāđ‰āļ‚āļ™āļēāļ”āļŠāļđāļ‡ (10-20 g/kg/min) āđāļĨāļ° āļŦāļĢāļ·āļ­ Norepinephrine (0.1-2.0 g/kg/min) āļžāļīāļˆāļēāļĢāļ“āļēāđƒāļŦāđ‰āļŠāļēāļĢāļ™āđ‰āļē bolus āļ‹āđ‰āļē Dobutamine (2-20 g/kg/min) āļŦāļĢāļ·āļ­ Dopamine (2-20 g/kg/min) āļŦāļĢāļ·āļ­ Epinephrine āļ‚āļ™āļēāļ”āļ•āđˆāļē (0.05-0.3 g/kg/min) Milrinone: load āļ”āđ‰āļ§āļĒ 50-75 g/kg/min āđƒāļ™ 10-60 āļ™āļēāļ—āļĩ āđāļĨāđ‰āļ§āđƒāļŦāđ‰ āļŦāļĒāļ”āļ•āđˆāļ­ 0.5-0.75 g/kg/min āļāļēāļĢāļĢāļąāļāļĐāļēāļŠāļ āļēāļžāļ āļēāļĒāļŦāļĨāļąāļ‡āļāļēāļĢāļŠāđˆāļ§āļĒāļŠāļĩāļ§āļīāļ•
  • 18.
    18 Heomodynamic monitoring āđāļĨāļ°āļāļēāļĢmaintain cardiac output āđāļœāļ™āļ›āļāļīāļšāļąāļ•āļīāļāļēāļĢ septic shock āļ—āļĩāđˆāļĄāļĩāļāļēāļĢāļ›āļĢāļąāļšāļ›āļĢāļļāļ‡āđāļĨāļ°āđƒāļŦāđ‰āļ„āļēāđāļ™āļ°āļ™āļēāđ‚āļ”āļĒāđ€āļ™āđ‰āļ™āļāļēāļĢāđƒāļŠāđ‰āļĒāļēāđ€āļžāļ·āđˆāļ­ āļ›āļĢāļ°āļ„āļąāļšāļ›āļĢāļ°āļ„āļ­āļ‡āđƒāļŦāđ‰āļœāļđāđ‰āļ›āđˆāļ§āļĒāļĄāļĩāļāļēāļĢāļšāļĩāļšāļ•āļąāļ§āļ‚āļ­āļ‡āļŦāļąāļ§āđƒāļˆāđāļĨāļ°āļŠāļąāļāļāļēāļ“āļŠāļĩāļžāļ—āļĩāđˆāļŠāļĄāđˆāļēāđ€āļŠāļĄāļ­āđ€āļžāļĩāļĒāļ‡āļžāļ­āđ‚āļ”āļĒāļ”āļđāļ§āđˆāļē cardiac output āđ€āļžāļĩāļĒāļ‡āļžāļ­āļŦāļĢāļ·āļ­āđ„āļĄāđˆāđ€āļžāļ·āđˆāļ­āđ€āļ›āđ‡āļ™āļāļēāļĢāļ›āđ‰āļ­āļ‡āļāļąāļ™āļ āļēāļ§āļ°āļ—āļĩāđˆāļ­āļ§āļąāļĒāļ§āļ°āļŠāđˆāļ§āļ™āļ›āļĨāļēāļĒāļ—āļēāļ‡āļēāļ™āļĨāđ‰āļĄāđ€āļŦāļĨāļ§ (end organ failure) āļāļēāļĢāļ§āļąāļ” cardiac output āļ­āļēāļˆāļ—āļēāđ„āļ”āđ‰āđ‚āļ”āļĒāļ‡āđˆāļēāļĒāđ‚āļ”āļĒāļāļēāļĢāļ§āļąāļ”āļ āļēāļ§āļ°āļ„āļ§āļēāļĄāļ­āļīāđˆāļĄāļ•āļąāļ§āļ‚āļ­āļ‡āļ­āļ­āļāļ‹āļīāđ€āļˆāļ™āđƒāļ™āļŦāļĨāļ­āļ” āđ€āļĨāļ·āļ­āļ”āļ”āļēāļŠāđˆāļ§āļ™āļāļĨāļēāļ‡ (mix venous O2 saturation) āđ€āļŠāđˆāļ™ āļ—āļĩāđˆāļ•āļēāđāļŦāļ™āđˆāļ‡ superior vena cava āđ‚āļ”āļĒāļ„āđˆāļēāļ—āļĩāđˆāļ•āđˆāļē āļāļ§āđˆāļē 70% āđāļŠāļ”āļ‡āļ–āļķāļ‡ low cardiac output āđ‚āļ”āļĒāđƒāļ™āļ—āļēāļ‡āļ›āļāļīāļšāļąāļ•āļīāļ­āļēāļˆāđƒāļŠāđ‰āļāļēāļĢāđƒāļŠāđˆ central venous line āļ—āļĩāđˆ āļ•āļēāđāļŦāļ™āđˆāļ‡ internal jugular vein āđāļ—āļ™āļāļēāļĢāļ—āļē cutdown āļ—āļĩāđˆāđāļ‚āļ™āđāļ•āđˆāđāļšāļšāđ€āļ”āļīāļĄ āļŦāļĢāļ·āļ­āļ­āļēāļˆāđƒāļŠāđ‰āļāļēāļĢāļ›āļĢāļ°āļĄāļēāļ“āļāļēāļĢ āđ‚āļ”āļĒāļāļēāļĢāļ§āļąāļ”āļ—āļēāļ‡ echocardiography āđ„āļ”āđ‰ āļāļēāļĢāļ§āļąāļ” mix venous O2 saturation āļ™āļĩāđ‰āļˆāļēāđ€āļ›āđ‡āļ™āļ•āđˆāļ­āļāļēāļĢāļ›āļĢāļąāļšāļĒāļēāļ—āļĩāđˆ āļŠāđˆāļ§āļĒāļāļēāļĢāļšāļĩāļšāļ•āļąāļ§āļ‚āļ­āļ‡āļŦāļąāļ§āđƒāļˆ āđāļĨāļ°āđƒāļ™āļšāļēāļ‡āļāļĢāļ“āļĩāđ€āļŠāđˆāļ™āļœāļđāđ‰āļ›āđˆāļ§āļĒāļ—āļĩāđˆāļĄāļĩ left ventricular failure āļŠāļąāļ”āđ€āļˆāļ™āļŦāļĢāļ·āļ­āļĄāļĩāļ āļēāļ§āļ° pulmonary hypertension āļ­āļēāļˆāđƒāļŠāđˆāđ€āļ›āđ‡āļ™āļŠāļēāļ™ Swan Ganz catheter āđ€āļžāļ·āđˆāļ­āļ§āļąāļ”āļ—āļąāđ‰āļ‡ pulmonary artery pressure āļŦāļĢāļ·āļ­ pulmonary capillary wedge pressure āđ‚āļ”āļĒāļŠāļēāļĄāļĢāļ–āļŠāđˆāļ§āļĒāđƒāļ™āļāļēāļĢāļ•āļąāļ”āļŠāļīāļ™āđƒāļˆāļāļēāļĢāđƒāļŦāđ‰āļ‚āļ™āļēāļ” āļŠāļēāļĢāļ™āđ‰āļēāļ­āļĒāđˆāļēāļ‡āđ€āļŦāļĄāļēāļ°āļŠāļĄ āļŠāļēāļŦāļĢāļąāļšāļĒāļēāļ—āļĩāđˆāđƒāļŠāđ‰āđƒāļ™āļāļēāļĢ maintain cardiac output āļ›āļąāļˆāļˆāļļāļšāļąāļ™āđ€āļ™āđ‰āļ™āļĒāļēāđƒāļ™āļāļĨāļļāđˆāļĄ inotropic āļ—āļĩāđˆāđ„āļĄāđˆāļĄāļĩāļœāļĨ vasoconstriction āļĄāļēāļāđ€āļāļīāļ™āđ„āļ› āđ€āļŠāđˆāļ™ āđƒāļŦāđ‰āļĒāļē dopamine āđ€āļžāļĩāļĒāļ‡āļ‚āļ™āļēāļ”āļ•āđˆāļē (<10 Âĩg/kg/min) āļĄāļēāļāļāļ§āđˆāļēāļāļēāļĢāđƒāļŠāđ‰ āļ‚āļ™āļēāļ”āļ–āļķāļ‡ 20 Âĩg/kg/min āļŦāļĢāļ·āļ­āļ­āļēāļˆāđƒāļŦāđ‰āļĢāđˆāļ§āļĄāļāļąāļšāļĒāļē epinephrine āļ‚āļ™āļēāļ”āļ•āđˆāļēāđ€āļŠāđˆāļ™ 0.1-0.4 Âĩg/kg/min āđ‚āļ”āļĒāļ•āđ‰āļ­āļ‡ āļ§āļąāļ”āļ­āļąāļ•āļĢāļēāļāļēāļĢāđ€āļ•āđ‰āļ™āļŠāļĩāļžāļˆāļĢāđ„āļĄāđˆāđƒāļŦāđ‰āđ€āļĢāđ‡āļ§āļˆāļ™āđ€āļāļīāļ™āđ„āļ› āđ€āļžāļ·āđˆāļ­āđ€āļ›āđ‡āļ™āļāļēāļĢāļĨāļ” O2 consumption āļ‚āļ­āļ‡āļŦāļąāļ§āđƒāļˆ āđāļĨāļ°āļ™āļ­āļāļˆāļēāļāļ™āļĩāđ‰ āļ­āļēāļˆāđƒāļŠāđ‰āļĒāļēāđƒāļ™āļāļĨāļļāđˆāļĄāļ­āļ·āđˆāļ™āđ€āļŠāđˆāļ™ milrinone āļ‹āļķāđˆāļ‡āđ€āļ›āđ‡āļ™āđ€āļ›āđ‡āļ™ phosphodiesterase inhibitor āļ‹āļķāđˆāļ‡āđ€āļ›āđ‡āļ™ vasodilator āđ‚āļ”āļĒāļĄāļĩāļĪāļ—āļ˜āļīāđŒāļĨāļ” afterload āļ‹āļķāđˆāļ‡āļĄāļĩāļŦāļĨāļąāļāļāļēāļ™āļŠāļēāļ„āļąāļāļ§āđˆāļēāļŠāļēāļĄāļēāļĢāļ–āļ›āđ‰āļ­āļ‡āļāļąāļ™āļ āļēāļ§āļ° low cardiac output syndrome āļŦāļĨāļąāļ‡āļāļēāļĢāļœāđˆāļēāļ•āļąāļ”āļŦāļąāļ§āđƒāļˆāđƒāļ™āđ€āļ”āđ‡āļāļŦāļąāļ§āđƒāļˆāļžāļīāļāļēāļĢāđāļ•āđˆāļāļēāđ€āļ™āļīāļ”āļŠāļ™āļīāļ”āļ—āļĩāđˆāđƒāļŠāđ‰āđ€āļ„āļĢāļ·āđˆāļ­āļ‡āļ›āļ­āļ”āđāļĨāļ°āļŦāļąāļ§āđƒāļˆāđ€āļ—āļĩāļĒāļĄāđ„āļ”āđ‰ āđ€āļĢāļēāļŠāļēāļĄāļēāļĢāļ– āļ›āļĢāļ°āļĒāļļāļāļ•āđŒāđƒāļŠāđ‰āļœāļĨāļāļēāļĢāļĢāļąāļāļĐāļēāļ™āļĩāđ‰āđ€āļžāļĢāļēāļ°āļœāļđāđ‰āļ›āđˆāļ§āļĒāļ—āļĩāđˆāđ„āļ”āđ‰āļĢāļąāļšāļāļēāļĢāļœāđˆāļēāļ•āļąāļ”āļŦāļąāļ§āđƒāļˆāļ—āļļāļāļĢāļēāļĒāļ™āļąāđ‰āļ™āđ€āļ›āļĢāļĩāļĒāļšāđāļĨāđ‰āļ§āļ„āļĨāđ‰āļēāļĒāļāļąāļšāļāļēāļĢāļ—āļēāđƒāļŦāđ‰ āļĄāļĩāļ āļēāļ§āļ°āļŦāļąāļ§āđƒāļˆāļŦāļĒāļļāļ”āđ€āļ•āđ‰āļ™āļ™āļąāđ‰āļ™āđ€āļ­āļ‡ āļšāļ—āļŠāļĢāļļāļ› āļāļēāļĢāļ—āļĩāđˆāļŠāļēāļĄāļēāļĢāļ–āļžāļąāļ’āļ™āļēāļĢāļ°āļšāļšāļŠāđˆāļ§āļĒāļŠāļĩāļ§āļīāļ•āđ„āļ”āđ‰āļˆāļēāļāļ„āļ§āļēāļĄāđ€āļ‚āđ‰āļēāđƒāļˆāļŠāļ āļēāļ§āļ° āļžāļ·āđ‰āļ™āļāļēāļ™āđ‚āļ”āļĒāđ€āļ™āđ‰āļ™āļ„āļ§āļēāļĄāļŠāļēāļ„āļąāļāđƒāļ™ āļŠāđˆāļ§āļ‡āđ€āļ§āļĨāļē 2 āļŠāđˆāļ§āļ‡ āļ„āļ·āļ­ āļĢāļ°āļŦāļ§āđˆāļēāļ‡āļ—āļĩāđˆāļĄāļĩāļ āļēāļ§āļ°āļŦāļąāļ§āđƒāļˆāļŦāļĒāļļāļ”āđ€āļ•āđ‰āļ™ āđāļĨāļ°āđƒāļ™āļŠāđˆāļ§āļ‡āļŦāļĨāļąāļ‡āļ āļēāļ§āļ°āļŦāļąāļ§āđƒāļˆāļŦāļĒāļļāļ”āđ€āļ•āđ‰āļ™ 2 āđāļšāļšāļˆāļ° āļŠāļēāļĄāļēāļĢāļ–āđ€āļžāļīāđˆāļĄāļ­āļąāļ•āļĢāļēāļāļēāļĢāļĢāļ­āļ”āļŠāļĩāļ§āļīāļ• āđ„āļ”āđ‰āđ‚āļ”āļĒāđāļĄāđ‰āļ§āđˆāļēāđƒāļ™āļ āļēāļ§āļ° asystole āļŦāļĢāļ·āļ­ PEA āļœāļđāđ‰āļ›āđˆāļ§āļĒāđ€āļ”āđ‡āļāļāđ‡āļ­āļēāļˆāļĄāļĩāļ­āļąāļ•āļĢāļēāļāļēāļĢ āļĢāļ­āļ”āļŠāļĩāļ§āļīāļ•āļ—āļĩāđˆāļ”āļĩāļāļ§āđˆāļēāđƒāļ™āļœāļđāđ‰āļ›āđˆāļ§āļĒāļœāļđāđ‰āđƒāļŦāļāđˆāđ„āļ”āđ‰ āđāļ™āļ§āļ„āļīāļ”āļ™āļĩāđ‰āļŠāļ­āļ”āļ„āļĨāļ­āļ‡āļāļąāļšāļāļēāļĢāļ›āļĢāļąāļšāļ›āļĢāļļāļ‡ guideline āļāļēāļĢāļŠāđˆāļ§āļĒāļŠāļĩāļ§āļīāļ•āļœāļđāđ‰āļ›āđˆāļ§āļĒ āđ€āļ”āđ‡āļāļ—āļĩāđˆāđ€āļ™āđ‰āļ™āļāļēāļĢ āļ›āļāļīāļšāļąāļ•āļīāļ—āļĩāđˆāļ‡āđˆāļēāļĒāđāļĨāļ°āļĢāļ§āļ”āđ€āļĢāđ‡āļ§āļ‚āļķāđ‰āļ™āđ‚āļ”āļĒāđƒāļŦāđ‰āļĄāļĩāļāļēāļĢāļāļ”āļŦāļ™āđ‰āļēāļ­āļāļ—āļĩāđˆāļĄāļĩāļ›āļĢāļ°āļŠāļīāļ—āļ˜āļīāļ āļēāļžāļ­āļĒāđˆāļēāļ‡āļ•āđˆāļ­āđ€āļ™āļ·āđˆāļ­āļ‡ āļĢāļ§āļĄāļ—āļąāđ‰āļ‡āļāļēāļĢāđƒāļŦāđ‰āļ„āļ§āļēāļĄāļŠāļēāļ„āļąāļāļ‚āļ­āļ‡āļāļēāļĢāļ—āļē defibrillation āļĄāļēāļāļ‚āļķāđ‰āļ™āļāļ§āđˆāļēāđ€āļ”āļīāļĄāđ‚āļ”āļĒāļŠāļēāļĄāļēāļĢāļ–āđƒāļŠāđ‰āđ€āļ„āļĢāļ·āđˆāļ­āļ‡ automate external defibrillator (AED) āđƒāļ™āđ€āļ”āđ‡āļāļ­āļēāļĒāļļ 1 āļ–āļķāļ‡ 8 āļ›āļĩ āđ€āļŠāđˆāļ™āđƒāļ™āđ€āļ”āđ‡āļāđ‚āļ•āļŦāļĢāļ·āļ­āļœāļđāđ‰āđƒāļŦāļāđˆ āđāļĨāļ°āļāļēāļĢāđ€āļāđ‰āļēāļĢāļ°āļ§āļąāļ‡āđāļĨāļ° āļ›āļĢāļ°āļ„āļąāļšāļ›āļĢāļ°āļ„āļ­āļ‡āđƒāļŦāđ‰āļœāļđāđ‰āļ›āđˆāļ§āļĒāļĄāļĩāļāļēāļĢāļšāļĩāļšāļ•āļąāļ§āļ‚āļ­āļ‡āļŦāļąāļ§āđƒāļˆāđāļĨāļ°āļŠāļąāļāļāļēāļ“āļŠāļĩāļžāļ—āļĩāđˆāļŠāļĄāđˆāļēāđ€āļŠāļĄāļ­āđ€āļžāļĩāļĒāļ‡āļžāļ­āđ€āļžāļ·āđˆāļ­āļ›āđ‰āļ­āļ‡āļāļąāļ™āļ āļēāļ§āļ° āļ­āļ§āļąāļĒāļ§āļ°āļŠāđˆāļ§āļ™āļ›āļĨāļēāļĒāļ—āļēāļ‡āļēāļ™āļĨāđ‰āļĄāđ€āļŦāļĨāļ§ (end organ failure) āđ‚āļ”āļĒāđƒāļŠāđ‰āļĒāļēāļ—āļĩāđˆāļĄāļĩāļ­āļĒāļđāđˆāļĢāđˆāļ§āļĄāļāļąāļ™āđƒāļ™āļāļĨāļļāđˆāļĄ dopamine āļŦāļĢāļ·āļ­ epinephrine āļĢāđˆāļ§āļĄāļāļąāļš milrinone āđ‚āļ”āļĒāļ•āđ‰āļ­āļ‡āļĄāļĩāļāļēāļĢāļ§āļąāļ” cardiac output āļˆāļēāļ central line āđ‚āļ”āļĒāđƒāļŠāđ‰ mix
  • 19.
    19 venous O2 saturationāđ„āļ”āđ‰ āļˆāļ°āļ—āļēāđƒāļŦāđ‰āļāļēāļĢāļ§āļąāļ” cardiac output āļŠāļąāļ”āđ€āļˆāļ™āđāļĨāļ°āļāļēāļĢāļ›āļĢāļąāļšāļĒāļēāļĄāļĩāļ›āļĢāļ°āļŠāļīāļ—āļ˜āļīāļ āļēāļžāļ—āļĩāđˆāļ”āļĩ āđāļĨāļ°āļĨāļ”āļ‚āđ‰āļ­āđāļ—āļĢāļāļ‹āđ‰āļ­āļ™āļĨāļ‡āđ„āļ”āđ‰
  • 20.
    20 āļ āļēāļ„āļœāļ™āļ§āļ āļ•āļēāļĢāļēāļ‡āļ­āļļāļ›āļāļĢāļ“āđŒāļ›āļĢāļ°āļˆāļēāļĢāļ– Emergency āđ€āļ„āļĢāļ·āđˆāļ­āļ‡āļĄāļ·āļ­ Newborn/ Small infant (3-5āļāļ.) Infant (6-9 āļāļ.) Toddler (10-11 āļāļ.) Small Child (12-14 āļāļ.) Child (15-18 āļāļ.) Child (19-22 āļāļ.) Large Child (24-30 āļāļ.) Adult (32-34+ āļāļ.) Resuscitation bag Infant Infant Child Child Child Child Child/adult Adult O2 mask Newborn Newborn Pediatric Pediatric Pediatric Pediatric Adult Adult Oral airway Infant/small child Infant/small child Small child Child Child Child/small adult Child/small adult Medium adult Laryngoscope blade (āļ‚āļ™āļēāļ”) 0-1 āļ•āļĢāļ‡ 1 āļ•āļĢāļ‡ 2 āļ•āļĢāļ‡ 2 āļ•āļĢāļ‡ āļŦāļĢāļ·āļ­ āđ‚āļ„āđ‰āļ‡ 2 āļ•āļĢāļ‡ āļŦāļĢāļ·āļ­ āđ‚āļ„āđ‰āļ‡ 2-3 āļ•āļĢāļ‡ āļŦāļĢāļ·āļ­ āđ‚āļ„āđ‰āļ‡ 2 āļ•āļĢāļ‡ āļŦāļĢāļ·āļ­ āđ‚āļ„āđ‰āļ‡ 3 āļ•āļĢāļ‡ āļŦāļĢāļ·āļ­ āđ‚āļ„āđ‰āļ‡ āļ—āđˆāļ­āļŠāđˆāļ§āļĒāļŦāļēāļĒāđƒāļˆ (1.0 āļĄāļĄ.) Premature infant 2.5 Term infant 3.0-3.5 āđ„āļĄāđˆāļĄāļĩcuffed 3.5 āđ„āļĄāđˆāļĄāļĩ cuffed 4.0 āđ„āļĄāđˆāļĄāļĩcuffed 4.5 āđ„āļĄāđˆāļĄāļĩcuffed 5.0 āđ„āļĄāđˆāļĄāļĩcuffed 5.5 āđ„āļĄāđˆāļĄāļĩcuffed 6.0 cuffed 6.5 cuffed āļ„āļ§āļēāļĄāļĒāļēāļ§āļ‚āļ­āļ‡āļ—āđˆāļ­āļŠāđˆāļ§āļĒāļŦāļēāļĒāđƒāļˆ ( āļ‹āļĄ. āļˆāļēāļāļĄāļļāļĄāļ›āļēāļ) 10.10.5 10.10.5 11.12 12.5-13.5 14-15 15.5-16.5 17-18 18.5-19.5 Stylet (F) 6* 6 6 6 6 14 14 14 Suction catheter(F) 6-8 8 8-10 10 10 10 10 12 BP cuff Newborn/infant Newborn/infant Infant/child Child Child Child Child/adult Adult IV catheter (G) 22-24 22-24 20-24 18-22 18-22 18-20 18-20 18-20 Butterfly (G) 23-25 23-25 23-25 21-23 21-23 21-23 21-22 18-21 Nasogastric tube (F) 5-8 5-8 8-10 10 10-12 12-14 14-18 18 Urinary catheter (F) 5-8 5-8 8-10 10 10-12 10-12 12 12 Defibrillation/ cardioversion external paddles Infant paddles Infant paddles āļˆāļ™āļ–āļķāļ‡ 1 āļ‚āļ§āļš āļŦāļĢāļ·āļ­ 10 āļāļ. Adult paddles āļˆāļ™āļ–āļķāļ‡ 1 āļ‚āļ§āļš āļŦāļĢāļ·āļ­ 10 āļāļ. Adult paddles Adult paddles Adult paddles Adult paddles Adult paddles Chest tube (F) 10-12 10-12 16-20 20-24 20-24 24-32 28-32 32-40 Pediatric Resuscitation Supplies* āļ‹āļķāđˆāļ‡āļ‚āļķāđ‰āļ™āļāļąāļš Color-Coded Resuscitation Tape * āļŠāļēāļŦāļĢāļąāļšāļ—āļēāļĢāļāđāļĢāļāđ€āļāļīāļ”āđ„āļĄāđˆāđƒāļŠāđ‰ stylet
  • 21.
    21 āļŦāļ™āļąāļ‡āļŠāļ·āļ­āļ­āđ‰āļēāļ‡āļ­āļīāļ‡ 1. Nadkarni VM,Larkin GL, Peberdy MA, Carey SM, Kaye W, Mancini ME, et al. First documented rhythm and clinical outcome from in-hospital cardiac arrest among children and adults. JAMA 2006; 295: 50-7. 2. Billi JE, Eigel B, Montgomery WH, Nadkarni VM, Hazinski MF. Management of conflict of interest issues in the activities of the American Heart Association Emergency Cardiovascular Care Committee, 2000–2005. Circulation 2005; 112: IV- 204-5. 3. Quan L. Adult and pediatric resuscitation: finding common ground. JAMA 2006; 295: 96-8. 4. Billi JE, Eigel B, Montgomery WH, Nadkarni VM, Hazinski MF. editor in Pediatric basic life support. Circulation 2005; 112: IV156-66. 5. Billi JE,, Eigel B, Montgomery WH, Nadkarni VM, Hazinski MF. editor in Pediatric advance life support. Circulation 2005; 112:IV167-87. 6. Ralston M, Hazinski MF, Zaritsky AL, Schexnayder SM, Kleinman ME. Recognition and management of cardiac arrest. In: Ralston M, Hazinski MF, Zaritsky AL, Schexnayder SM, Kleinman ME, editors. PALS provider manual. Dallas: American Heart Association 2006: p.153-89. 7. Chameides L, Hazinski MF. Highlights of the 2005 American Heart Association Guidelines for Cardiopulmonary Resuscitation and Emergency Cardiovascular Care. Currents in Emergency Cardiovascular Care. Winter 2005-2006: 16(4): 1-27.