1. The chapter discusses probability distributions of discrete random variables. Probability distributions show the probabilities of all possible outcomes of a random variable.
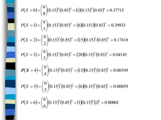
2. A binomial distribution models experiments with a fixed number of trials, two possible outcomes per trial (success/failure), and a constant probability of success for each trial.
3. For a binomial random variable X with n trials and probability of success π, the mean is nπ and the variance is nπ(1-π).