Standardizing inter-element distances in grids
A revision of Hartmann distances

EPCA Conference, Dublin, July 1, 2012

Mark Heckmann
University of Bremen, Germany
1.  Inter-element distances
2.  Slater‘s standardization
3.  Hartmann‘s standardization
4.  A new approach to standardization
5.  Discussion
Types of (inter-element) distances


   •  Euclidean distance




   •  City-Block distance




   •  Minkowski metrics
Inter-element distances (Euclidean)



      Self

                           Element X




             Ideal Self
Self	
  




Ideal	
  self	
  




                    Conrad, R., Schilling, G., & Liedtke, R. (2005). Parental Coping
                    with Sudden Infant Death After Donor Insemination: Case
                    Report. Human Reproduction, 20(4), 1053–1056.
                                                                                       Norris and Makhlouf-Norris‘ self-identity-plot
                                                                                                          Parental coping after sudden death of DI in
Issue
   (Euclidean) distance
depends on grid size and
 rating scale graduation
point scale. In the example, the elements are rated to maximum dissimilarity,
 the extremes of the scales are used. Though the rating pattern is consistent over
        (Euclidean) distance depends on grid size
s, the Euclidean distance changes considerably.

          Table 6.1 Dependency of Euclidean distance on grid size and rating scale.

                       a                         b                         c                         d
               self        ideal         self        ideal         self        ideal         self        ideal
                           self                      self                      self                      self
     C1        1           3             1           5             1           3             1           5
     C2        1           3             1           5             1           3             1           5
     C3        1           3             1           5             1           3             1           5
     C4                                                            1           3             1           5
     C5                                                            1           3             1           5
     ED        3.46                      6.92                      4.47                      8.94

    Note: ED = Euclidean distance.



     Heckmann M. (2011). OpenRepGrid - An R package for the analysis of repertory grids (Unpublished diploma
s property inherent in the definition of the Euclidean distance hinders the compar
     thesis). University of Bremen, Germany, p. 84.
Challenge
  Standardization is
needed to compare
distances across grids
z-Transform
First approach
    Slater 1977
Euclidean distance matrix can be rewritten as Ejk = (Sj + Sk + 2Pjk )1/2 .
value for Sj and Sk is the average of S, i.e., Savg = S/m where m is the number
the grid. The average of the off-line diagonals of P is −S/m(m − 1). Inserted
             Divide Euclidean distances by
e formula, this yields the following expected average Euclidean distance U =
ch is outputted as “Unit of Expected Distance” in Slater’s INGRID program
tandardized Euclidean distances expected distance
              the unit of ES are then calculated as ES = E/U.



                                         Euclidean distance
                                 E       matrix                             (1)
                        ES = E/U       Divide by unit of                    (2)
                                       expected distance




                                     G
Norris & Makhlouf-Norris‘ simulation

 92% of distances inside (0.8, 1.2) interval



   Cut-offs to determine „significant“
      deviation from randomness

        Slater‘s Simulation: 78% of
          values inside (0.8, 1.2)
         and skewed distribution
Hartmanns‘s
 Simulation
   1992
Hartmann‘s extended simulation design
                                Element Comparisons                                  47



                                                        ~ Slater‘s
                                                       simulation




                            ~ Norris &                           I         I

                             loo     loo                             loo
                       Markhlouf-Norris‘
         21        loo  loo      loo     loo                                   loo


     When probability theory is taken into account, this result is no
Hartmann, A. (1992). Element comparisons in repertory grid technique: Results and consequences
of a monte carlo study, JCP, 5(1), p. computation of a zero distance between
 longer surprising. For the 47
 two vectors of random numbers, these vectors (i.e., elements) must
Issue
 Slater distances still
depend on the size of
       the grid
rating poles (producing a maximum distance) will also become more
unlikely. Because the cause of the effect occurs before the computa-
tion ofdepends kindsthe number of constructs
  SD distances, all on of distances (euclidean, city-block, etc.)
will be affected.

          1.6                                                                    Not	
  
          1.5                                                                 symmetrical	
  
         E1.4
          1.3
        = 1.2
 distance	
  
 Slater‘s	
  




        ; 1.1
       ' 1.0
        6
       : 0.9
       .
       I 0.8
        8 0.7
         0.6
          0.5
             0.4
                   7   8   9     10   11   12   13    14    15    16     17   18   19   20      21

                                           Number	
  off	
  constructs
                                            number
                                                     o constructs	
  
                                   Percentiles: 1s 5% 10s 9Or 95x 99s
                                 Range (Uin.Max) represented by T-bars

                               Figure 2 Means of percentiles: QUASIS.
 Hartmann, A. (1992). Element comparisons in repertory grid technique: Results and consequences
 of a monte carlo study, JCP, 5(1), p. 47
Skewness of a distribution
with the same number of constructs. The first sample contained 64
grids of the size 8E x 1OC. They were produced by students of med-
      Skewness courses dealing on the number of
icine participating in
                       depends with doctor-patient interaction.
These grids were provided constructs
                            for didactic purposes to explore the stu-

 Skewness	
  
   skewness
         0 03




       -c)   25

       -0 30
                  7   E   9   10   11   12     !9     13    15     16    17   15   19   20   2i
                                         numper of constructs
                                        Number	
  of	
  constructs	
  
      Figure 3 Skewness of distance distributions including linear regression.
   Hartmann, A. (1992). Element comparisons in repertory grid technique: Results and consequences
   of a monte carlo study, JCP, 5(1), p. 47
Hartmann‘s results for Slater distances

•  SD of distribution depends on number of
   constructs
•  Distributions are skewed
•  Symmetrical cutoffs overrepresent similarities
•  Skewness depends on the number of constructs
•  No effect of rating scales (5-, 7-, 10-point)
Second
approach
Hartmann 1992
-
ard deviations of the distance distributio
            .217 to SD,, .123.
om SD, Hartmann‘s standardizationThese m
 ted by the following formula:
                                                            -

the distancesdof a grid are computed acc
    Dslater	
  =	
  Slater	
   istances	
  	
  
  corresponding mean (or the expected
    Mc	
  =	
  mean	
  of	
  simulated	
  Slater	
  distribu;on	
  
 d, divided byevia;on	
  ostandard istribu;on	
  
    sdc	
  =	
  standard	
  d the f	
  simulated	
  d deviation
 nce distribution of quasis and multiplie
     Hartmann, A. (1992). Element comparisons in repertory grid technique: Results and consequences
     of a monte carlo study, JCP, 5(1), p. 49
Suggested assymetrical
                     cutoff values




Hartmann, A. (1992). Element comparisons in repertory grid technique: Results and consequences
of a monte carlo study, JCP, 5(1), p. 52
Why replicate
Hartmann’s study?
•  Simulation uses few scale ranges
•  Variation in results
•  No removal of skewness
    Symmetrical cutoffs more favorable
•  Equally skewed after transform (p. 52) X
•  Contradicts relation between skewness and
   the number of constructs

          Replication with bigger
          sample size
Study design
                                                    Scale range
                                                      1 - 13
                                                                             ~ Hartmann‘s
                          .	
  	
  .	
  	
  .	
                                simulation
Scale range                                                     Elements (by 2)
   1-2                                              6         8     . . .       28       30
                     4          n = 1000 n = 1000                    . . .   n = 1000 n = 1000
                     6          n = 1000 n = 1000                    . . .   n = 1000 n = 1000
 Constructs (by 2)




                     .                              .         .        .        .        .
                     .                              .         .        .        .        .
                     .                              .         .        .        .        .

                     28         n = 1000 n = 1000                    . . .   n = 1000 n = 1000
                     30         n = 1000 n = 1000                    . . .   n = 1000 n = 1000
with the same number of constructs. The first sample contained 64
grids of the size 8E x 1OC. They were produced by students of med-
      Skewness courses dealing on the number of
icine participating in
                       depends with doctor-patient interaction.
These grids were provided constructs
                            for didactic purposes to explore the stu-

 Skewness	
  
   skewness
         0 03




                                    No	
  breakdown	
  by	
  
                                   number	
  of	
  elements	
  
       -c)   25

       -0 30
                  7   E   9   10    11   12   !9   13   15   16   17   15   19   20   2i
                                         numper of constructs
                                 Number	
  of	
  constructs	
  
      Figure 3 Skewness of distance distributions including linear regression.
   Hartmann, A. (1992). Element comparisons in repertory grid technique: Results and consequences
   of a monte carlo study, JCP, 5(1), p. 47
Skewness by number constructs and
  Number	
  of	
      number of elements
     elements	
  
                                                   6                                                        8                                                 10                                                          12                                                          14                                              16                                           18                                     20

                0.00




               −0.05


                                                                                                                                                                                                                                                                                                                                                      ●                                                 ●
                                                                                                                                                                                                                                                                                                                                                          ●
                                                                                                                                                                                                                                                      ●                                                                                                                                                                                       ●
                                                                                                                                                                                                                                                                                                                                            ●●
               −0.10                                                                                                                                                                                                      ●                   ●
                                                                                                                                                                                                                                                                                                                                                                                                    ●       ●●                     ●●●●
                                                                                                                                                                                                                                                                                                                                                                                                                                          ●
Skewness	
  




                                                                                                                                                                                                                                                                                                    ●        ●                                                             ●               ●●   ●                             ●●
                                                                                                                                                                                                                                  ●                       ●                                                                       ●              ●●
                                                                                                                                                                                                                                                  ●                                       ●●            ●●
                                                                                                                          ●                                                       ●       ●                                               ●                                                    ●●                                     ●●●                                              ●                                 ●●
                                                                                                                                                                                                                                                                                  ●                                                                                    ●
                                                                                                                                                                              ●       ●       ●                                                                                                                                                                                    ●
                                                                                                                              ●                               ●                                           ●                   ●                                       ●               ●                                                                                                                          ●●●●●
                                                                                                    ●                                                                                                                                                                                                                                                                          ●
 Skewness




                                                                                                                     ●●                                                                                       ●       ●                                       ●                                                           ●                                       ●●
                                                                                                                                                                          ●
                                                                                                                                                                  ●                                                                                                       ●                                          ●●       ●                               ●
                                                                                                                                  ●                                                                               ●                                                                                              ●
                                                                                                                                                  ●                                                                                                                           ●
                                                       ●                                                                                                                                          ●                                   ●                           ●
               −0.15                                                   ●                                ●                                                 ●
                                                                                                                                                                      ●
                                                                                                                                                                                                      ●
                                                                                       ●                         ●
                                                                   ●                                                                          ●
                                                                                                            ●●                                        ●
                                                                                                ●
                                                           ●                   ●                                                          ●
                                               ●               ●                           ●●                                         ●
                                                                           ●       ●
                           ●
                                           ●       ●
               −0.20               ●




                                                                                                                                          Pronounced	
  joint	
  effect	
  
                               ●
                       ●
                                       ●




               −0.25




               −0.30
                                                                                                                                               on	
  skewness	
  
                           8           12              16              20              8        12              16        20              8           12              16              20              8           12              16              20              8           12           16           20           8        12           16     20              8        12              16           20       8   12        16     20


                                                                                                                                                                                                              Number of constructs
                                                                                                                                                                                                  Number	
  of	
  constructs	
  
6                                                       10                                                      20                                                      30
Number	
  of	
            −0.4                                ●   ●   ●
                                                                          ●   ●   ●   ●
                                                                                                                      ●
                                                                                                                          ●   ●   ●
                                                                                                                                      ●   ●   ●

                                                                                                                                                                              ●
                                                                                                                                                                                  ●
                                                                                                                                                                                      ●   ●   ●   ●   ●

                                                                                                                                                                                                                                      ●   ●   ●   ●   ●   ●   ●




elements	
  
                                                          ●                                                       ●                                                       ●                                                       ●
                                                                                                              ●                                                       ●                                                       ●
                                                      ●                                                   ●
                                                                                                                                                                  ●                                                       ●

                          −0.6                ●
                                                  ●

                                                                                                      ●                                                       ●                                                       ●




                                                                                                                                                                                                                                                                  1−2
                          −0.8            ●                                                       ●                                                       ●                                                       ●



                          −1.0
                                                                                                                                                                                                              ●

                          −1.2                                                                ●                                                       ●
                                      ●
                                                                                          ●                                                       ●                                                       ●
                                  ●


                                                                                                                                                                                                                                                          ●   ●
                                                                                                                                                                                              ●   ●   ●                                           ●   ●

                          −0.15                                                                                           ●
                                                                                                                              ●
                                                                                                                                  ●
                                                                                                                                      ●
                                                                                                                                          ●
                                                                                                                                              ●
                                                                                                                                                                          ●
                                                                                                                                                                              ●
                                                                                                                                                                                  ●   ●   ●
                                                                                                                                                                                                                                  ●
                                                                                                                                                                                                                                      ●
                                                                                                                                                                                                                                          ●
                                                                                                                                                                                                                                              ●


                                                                                                              ●                                                       ●                                                       ●
                                                                                                                                                                                                                          ●
                          −0.20                           ●
                                                              ●   ●
                                                                      ●
                                                                          ●   ●
                                                                                  ●
                                                                                      ●

                                                                                                      ●
                                                                                                          ●
                                                                                                                  ●   ●


                                                                                                                                                          ●
                                                                                                                                                              ●
                                                                                                                                                                  ●
                                                                                                                                                                                                                  ●
                                                                                                                                                                                                                      ●




                                                                                                                                                                                                                                                                  1−3
                          −0.25               ●
                                                  ●   ●                                           ●
                                                                                                                                                                                                              ●
                                                                                                                                                      ●

                          −0.30
                                                                                              ●

                                          ●


                          −0.35       ●                                                                                                           ●
                                                                                                                                                                                                          ●


                                                                                          ●

                          −0.40   ●


                                                                                                                                                                                                      ●

                          −0.10                                                                                                                                                                   ●
                                                                                                                                                                                                                                                  ●       ●   ●
           Skewness	
  




                                                                                                                                                                                  ●   ●   ●                                               ●   ●       ●
                                                                                                                                              ●                               ●               ●                                       ●
                                                                  ●                                                                       ●
                                                                                                                      ●       ●                                                                                                   ●




                                                                  Triple	
  interac;on	
  effect	
  
                                                                                                                                                                          ●



                                                                                                                                                                                                                                                                           Scale	
  	
  
                                                                                                                                                                                                                              ●
            Skewness




                                                                              ●                                                                                       ●                                                   ●
                                                                                      ●                           ●       ●                                       ●
                                                                                                                                                                                                                      ●
                          −0.15
                                                                          ●                                                       ●   ●
                                                              ●       ●                                       ●                                               ●                                               ●   ●
                                                                                  ●                   ●                                           ●   ●                                                   ●
                                                                                                                                                          ●




                                                                                                                                                                                                                                                                  1−4
                                                                                                  ●
                                                                                                          ●




                                                                                                                                                                                                                                                                           range	
  
                                              ●       ●                                       ●

                          −0.20                   ●
                                                                                          ●




                                                                        on	
  skewness	
  
                                                          ●

                          −0.25       ●
                                          ●




                          −0.30   ●


                                                                                                                                                                                                                                                              ●

                          −0.08                                                                                                                                                   ●
                                                                                                                                                                                      ●       ●
                                                                                                                                                                                                  ●
                                                                                                                                                                                                      ●
                                                                                                                                                                                                          ●
                                                                                                                                                                                                                                          ●
                                                                                                                                                                                                                                              ●
                                                                                                                                                                                                                                                  ●
                                                                                                                                                                                                                                                      ●
                                                                                                                                                                                                                                                          ●



                          −0.10                                               ●                                               ●           ●
                                                                                                                                              ●
                                                                                                                                                  ●                       ●
                                                                                                                                                                              ●           ●

                                                                                                                                                                                                                      ●   ●
                                                                                                                                                                                                                              ●
                                                                                                                                                                                                                                  ●
                                                                                                                                                                                                                                      ●



                          −0.12
                                                                                                                  ●       ●
                                                                  ●                                       ●           ●           ●                               ●                                               ●
                                                                                                                                      ●                       ●                                               ●
                                                                                                                                                          ●




                                                                                                                                                                                                                                                                  1−5
                                                                                                                                                                      ●
                                                                                                              ●

                          −0.14                               ●
                                                                          ●
                                                                                  ●
                                                                                      ●
                                                                                                      ●
                                                                                                                                                      ●



                          −0.16                           ●
                                                                      ●
                                                                                          ●
                                                                                                  ●



                          −0.18                   ●                                           ●
                                          ●
                                              ●

                          −0.20   ●

                          −0.22       ●
                                                      ●


                                                                                                                                                                                                          ●

                          −0.05                                                                                                                   ●
                                                                                                                                                                                      ●       ●   ●   ●
                                                                                                                                                                                                                                  ●   ●           ●   ●
                                                                                                                                                                                                                                                          ●   ●

                                                                                                              ●                                       ●                       ●   ●                                                       ●   ●
                                                                                                                                      ●       ●                           ●               ●                                   ●
                                                                                                                                                                                                              ●
                                                                                                                                  ●                                                                                       ●
                                                                                                                                          ●               ●       ●   ●                                           ●   ●
                                                                                                                      ●

                          −0.10




                                                                                                                                                                                                                                                                  1 − 13
                                                                                          ●                               ●                                   ●
                                                                                                          ●       ●           ●
                                                                                      ●
                                                          ●       ●           ●
                                                                      ●   ●                           ●
                                                              ●
                                                                                              ●   ●
                                                  ●
                          −0.15   ●           ●                                   ●

                                                      ●
                                          ●

                          −0.20       ●




                                  5 10 15 20 25 30 5 10 15 20 25 30 5 10 15 20 25 30 5 10 15 20 25 30

                                                                                              Number	
  of	
  constructs
                                                                                                Number of constructs	
  
Why is varying
skewness an issue?
0.
                                         P1                                                     P99


                        Effect of skewness on quantiles
                      0.0
                                   −3          −2          −1        0           1          2          3


              Figure 6.6 Effect of distribution form on percentiles. The figure shows a normal
            0.4




                                                                               A	
  
              (A: solid line) and skewed normal distribution (B: dashed line). Both have a mean
                                        P5A	
   1.
              of 0 and standard deviation ofP5B	
  The vertical bars denote the percentiles P1 to P99
            0.3




              for each distribution. For the quantile values, refer to Table 6.6.
  Density




                                                    P10
                                                B	
            P90
            0.2




As a consequence, one and the P  same cutoff value may correspond to different proportion
                                                                   P95
                                  5
 f the distribution, as shown in Table 6.7. In distribution A (Figure 6.6, solid line), 5%
            0.1




                         P1                                              P99
 f the values were smaller than or equal to -1.64. For the skewed distribution B (dashed
            0.0




 ne), this is the case for only 2.7%. Hence, when one single value is used as a cutoff to
 etermine the 5% lowest values, the results may be flawed.
                              −3          −2               −1            0           1            2              3
                                   Table 6.6 Effect of distribution form on percentiles.

                         P1       P5      P10        P90     P95    P99      mean      sd   skew      kurtosis
                  A   -2.31    -1.64    -1.28       1.28    1.65   2.31       0.00   1.00    0.00        -0.02
                  B   -1.91    -1.44    -1.18       1.35    1.82   2.75      -0.00   1.00    0.58         0.42

              Note: The table shows the percentiles and the moments of the distributions A (solid)
0.4   Effect of skewness on proportions

                                                                    A	
  
                                  Δ	
  
           0.3
 Density




                                      P10           B	
               P90
           0.2




distances revisited              P5                                         P95
           0.1




                          P1                                                      P99
           0.0




            Table 6.7 Effect of distribution form on proportions.
                  −3    −2      −1      0       1     2      3


                  -2.31        -1.64        -1.28            1.28      1.65         2.31
             A    0.010        0.050        0.100           0.900     0.950        0.990
             B    0.002        0.027        0.078           0.890     0.935        0.978
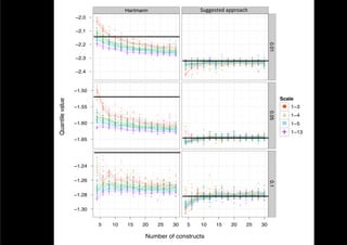
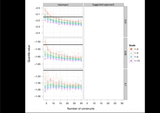
Hartmann                                              Suggested	
  approach	
  
                                                                                                            Normalized
                 −2.0    ●
                         ●
                         ●
                         ●
                         ●
                         ●
                         ●
                         ●
                         ●
                         ●
                         ●


                                     ●
                                 ●
                                 ●
                                 ●
                                 ●


                 −2.1
                                 ●
                                 ●       ●
                                 ●   ●
                                 ●
                                 ●
                                 ●
                                 ●
                                     ●        ●
                                     ●
                                     ●
                                     ●   ●    ●
                                     ●
                                     ●   ●
                                         ●                         ●
                                     ●   ●
                                         ●                             ●
                                         ●    ●       ●
                                         ●
                                         ●    ●
                                              ●   ●                        ●
                                         ●    ●       ●       ●
                                              ●   ●   ●
                                              ●   ●
                                                  ●
                                                  ●       ●
                                                          ●
                                                  ●
                                                  ●                                ●
                                                  ●   ●
                                                      ●




                                                                                                                                                       0.01
                 −2.2
                                                  ●   ●   ●   ●    ●   ●   ●
                                                      ●
                                                      ●   ●   ●                    ●
                                                                                   ●
                                                      ●   ●
                                                          ●
                                                          ●   ●    ●
                                                                   ●           ●
                                                              ●        ●   ●   ●
                                                              ●
                                                              ●    ●
                                                                   ●   ●       ●
                                                          ●   ●    ●   ●   ●   ●
                                                              ●    ●   ●   ●       ●
                                                                       ●
                                                                       ●   ●
                                                                           ●   ●
                                                                               ●   ●
                                                                       ●   ●       ●
                                                                       ●   ●       ●
                                                                           ●       ●
                                                                                   ●
                                                                                   ●




                 −2.3                                                                               ●
                                                                                                    ●    ●
                                                                                                             ●
                                                                                                             ●
                                                                                                             ●   ●
                                                                                                                             ●
                                                                                                                             ●
                                                                                                                             ●
                                                                                                                             ●
                                                                                                                             ●
                                                                                                                                  ●
                                                                                                                                  ●
                                                                                                                                  ●
                                                                                                                                  ●
                                                                                                                                      ●
                                                                                                                                      ●
                                                                                                                                          ●
                                                                                                                                          ●
                                                                                                                                          ●
                                                                                                                                              ●
                                                                                                                                              ●
                                                                                                                                              ●
                                                                                                                                              ●
                                                                                                                                                  ●


                                                                                                                                                  ●
                                                                                                                                                  ●
                                                                                                             ●
                                                                                                             ●           ●
                                                                                                                         ●        ●   ●   ●   ●
                                                                                                             ●   ●
                                                                                                                 ●   ●
                                                                                                                     ●   ●
                                                                                                                         ●   ●    ●   ●   ●   ●
                                                                                                                                              ●   ●
                                                                                                    ●    ●
                                                                                                         ●   ●   ●   ●   ●   ●    ●
                                                                                                                                  ●   ●   ●   ●   ●
                                                                                                                                                  ●
                                                                                                ●   ●
                                                                                                    ●    ●   ●   ●   ●
                                                                                                                     ●   ●   ●
                                                                                                                             ●        ●   ●
                                                                                                                                          ●       ●
                                                                                                ●   ●    ●       ●
                                                                                                                 ●   ●       ●
                                                                                                                             ●    ●   ●           ●
                                                                                                                                                  ●
                                                                                                    ●
                                                                                                    ●        ●   ●       ●                    ●
                                                                                                         ●       ●   ●
                                                                                                                     ●   ●            ●           ●
                                                                                                ●   ●            ●   ●       ●
                                                                                                ●
                                                                                                ●                                     ●   ●
                                                                                                                         ●                ●
                                                                                                ●        ●
                                                                                        ●       ●
                                                                                                ●            ●
                                                                                        ●


                 −2.4
                                                                                        ●
                                                                                        ●                ●
                                                                                                                                              ●
                                                                                        ●                        ●
                                                                                        ●
                                                                                        ●
                                                                                        ●
                                                                                        ●       ●
                                                                                        ●
                                                                                        ●
                                                                                                ●




                         ●
                         ●

                         ●


                 −1.50
                         ●
                         ●
                         ●
                         ●
                         ●
                         ●
                         ●

                         ●
                                 ●


                                                                                                                                                              Scale
Quantile value




                         ●


                                 ●
                                 ●
                                 ●       ●



                 −1.55                                                                                                                                             1−3
                                 ●
                                 ●                                                                                                                             ●
                                 ●
                                 ●
                                 ●
                                 ●   ●        ●
                                 ●
                                     ●
                                     ●




                                                                                                                                                       0.05
                                              ●
                                                  ●
                                     ●
                                     ●   ●            ●


                                                                                                                                                                   1−4
                                     ●                                         ●
                                     ●   ●    ●   ●       ●            ●
                                     ●   ●
                                         ●    ●
                                     ●
                                     ●   ●    ●
                                     ●   ●
                                         ●                                         ●
                                         ●
                                         ●    ●
                                              ●
                                              ●   ●   ●   ●
                                              ●   ●   ●
                                                  ●
                                                  ●   ●       ●                ●
                                                  ●
                                                  ●   ●
                                                      ●   ●   ●
                                                  ●       ●
                                                          ●                ●
                                                      ●                ●
                                                      ●   ●                ●


                 −1.60
                                                          ●
                                                          ●   ●    ●       ●


                                                                                                                                                                   1−5
                                                      ●   ●   ●
                                                              ●    ●   ●       ●
                                                                               ●
                                                      ●   ●        ●
                                                              ●
                                                              ●    ●
                                                                   ●
                                                                   ●   ●   ●   ●
                                                              ●        ●   ●
                                                                           ●       ●
                                                                   ●   ●
                                                                       ●   ●   ●   ●
                                                              ●    ●   ●   ●   ●   ●
                                                              ●                ●   ●
                                                                                   ●    ●




                                                                                                                                                              +	
   1−13
                                                                               ●        ●
                                                                                   ●
                                                                                   ●
                                                                                                         ●
                                                                                        ●
                                                                                        ●
                                                                                        ●
                                                                                        ●                                ●            ●
                                                                                                ●            ●   ●                            ●
                                                                                        ●                    ●                    ●   ●   ●   ●
                                                                                                ●
                                                                                                ●            ●       ●   ●        ●           ●   ●
                                                                                                    ●        ●   ●   ●   ●            ●           ●
                                                                                        ●       ●            ●   ●       ●   ●
                                                                                                                             ●    ●
                                                                                                                                  ●   ●   ●   ●
                                                                                                    ●    ●
                                                                                                         ●   ●   ●
                                                                                                                 ●   ●   ●
                                                                                                                         ●   ●    ●   ●   ●   ●   ●
                                                                                                                                                  ●
                                                                                        ●                            ●       ●        ●       ●


                 −1.65
                                                                                                ●        ●
                                                                                                         ●   ●   ●
                                                                                                                 ●       ●        ●
                                                                                                                                  ●       ●   ●   ●
                                                                                        ●       ●                    ●   ●   ●
                                                                                                                             ●        ●
                                                                                                                                      ●   ●   ●
                                                                                                                                              ●   ●
                                                                                                                                                  ●
                                                                                                ●   ●
                                                                                                    ●    ●   ●   ●   ●
                                                                                                                     ●                ●   ●       ●
                                                                                                ●   ●    ●           ●
                                                                                                                     ●            ●               ●
                                                                                                ●        ●                   ●
                                                                                                    ●
                                                                                                    ●    ●                   ●
                                                                                                    ●
                                                                                                    ●
                                                                                        ●                            ●            ●
                                                                                        ●       ●




                         ●

                                 ●
                         ●
                         ●
                                 ●


                         ●



                 −1.24   ●

                         ●

                         ●
                                 ●
                                         ●
                                              ●                                ●
                         ●
                         ●       ●   ●            ●
                                         ●    ●
                                 ●   ●                ●
                         ●           ●
                                     ●
                         ●           ●
                                     ●
                         ●           ●
                                     ●
                         ●               ●        ●
                                     ●                ●                            ●
                                 ●       ●    ●
                                         ●        ●       ●
                                 ●                ●   ●
                                                      ●       ●        ●       ●
                                     ●   ●    ●           ●   ●


                 −1.26
                                         ●
                                         ●    ●   ●                    ●   ●
                                 ●            ●   ●   ●
                                                      ●
                                         ●    ●           ●                ●
                                 ●       ●    ●       ●            ●       ●




                                                                                                                                                       0.1
                                         ●    ●   ●   ●   ●        ●       ●       ●
                                                  ●
                                                  ●       ●        ●
                                 ●       ●        ●   ●   ●
                                 ●                            ●    ●   ●
                                                                       ●       ●                                                              ●
                                 ●                ●   ●   ●
                                                          ●   ●    ●   ●
                                                                       ●   ●   ●
                                                      ●       ●    ●       ●   ●   ●            ●
                                 ●                        ●   ●
                                                              ●    ●   ●       ●   ●
                                                              ●        ●
                                                                       ●       ●
                                                                               ●   ●
                                                                   ●   ●   ●   ●
                                                                       ●   ●       ●
                                                                                   ●
                                                              ●    ●       ●   ●
                                                                   ●   ●   ●       ●            ●        ●           ●       ●
                                                                                   ●
                                                                                   ●                ●                                         ●
                                                                                   ●                ●        ●   ●
                                                                                                         ●   ●   ●                    ●
                                                                               ●                                     ●                    ●       ●
                                                                                                    ●
                                                                                                    ●                    ●        ●               ●
                                                                                        ●           ●            ●   ●                    ●   ●
                                                                                                ●                        ●   ●    ●   ●
                                                                                                    ●        ●       ●   ●        ●   ●           ●
                                                                                                    ●    ●   ●           ●        ●       ●   ●
                                                                                                                         ●   ●        ●

                 −1.28
                                                                                                    ●
                                                                                                    ●        ●       ●   ●   ●            ●   ●   ●
                                                                                                                                                  ●
                                                                                        ●                ●   ●       ●
                                                                                                                     ●   ●   ●                ●   ●
                                                                                                         ●       ●   ●   ●        ●   ●   ●
                                                                                        ●           ●    ●   ●   ●   ●       ●
                                                                                                                             ●    ●
                                                                                                                                  ●       ●       ●
                                                                                                                 ●
                                                                                                                 ●       ●
                                                                                                                         ●   ●        ●   ●   ●   ●
                                                                                                ●        ●   ●
                                                                                                             ●   ●   ●   ●        ●   ●   ●       ●
                                                                                                                                                  ●
                                                                                                         ●   ●               ●    ●
                                                                                                                                  ●       ●
                                                                                                ●            ●   ●                                ●
                                                                                        ●                ●
                                                                                                         ●                   ●
                                                                                                    ●    ●                                    ●
                                                                                                    ●
                                                                                                ●
                                                                                        ●
                                                                                                ●
                                                                                                ●

                                                                                        ●
                                                                                        ●       ●


                 −1.30
                                                                                        ●
                                                                                                ●
                                                                                                ●
                                                                                        ●       ●

                                                                                        ●
                                                                                        ●
                                                                                        ●




                             5           10       15          20       25          30       5           10       15          20       25          30

                                                              Number of constructs
Hartmann                                              Suggested	
  approach	
  
                                                                                                           Normalized
                                ●
                                ●
                                ●
                                ●
                                ●
                                ●
                                ●


                 1.40           ●
                                ●

                                                                                               ●
                                                                                               ●
                                ●
                                                                                               ●
                                                                                               ●
                                ●                                                              ●
                                                                                               ●



                 1.35               ●
                                    ●
                                    ●
                                    ●
                                                                                               ●
                                                                                               ●


                                    ●
                                    ●                                                          ●
                                                                              ●
                                    ●
                                    ●                                                              ●
                                        ●                         ●                                ●
                                        ●
                                                 ●                                                 ●




                                                                                                                                                      0.9
                                             ●
                                             ●   ●   ●                                         ●
                                        ●
                                        ●        ●   ●
                                                     ●                                             ●
                                             ●   ●

                 1.30
                                        ●
                                        ●    ●   ●   ●   ●   ●        ●   ●       ●                ●
                                        ●
                                        ●    ●   ●
                                                 ●   ●
                                                     ●   ●   ●    ●   ●
                        ●               ●    ●
                                             ●   ●   ●   ●   ●
                                                             ●    ●   ●
                                                                      ●   ●   ●
                                                                              ●   ●                ●
                                        ●            ●       ●    ●
                                                                  ●   ●
                                                                      ●   ●   ●   ●
                                                                                  ●                                                          ●
                                                             ●    ●       ●
                                                                          ●   ●
                                                                              ●   ●                ●
                                                         ●        ●   ●   ●   ●   ●
                                                                                  ●                ●
                                                                                                   ●                             ●
                                                         ●   ●                    ●                ●    ●       ●
                                                                                                                ●           ●
                                                                                                            ●
                                                                                                            ●   ●
                                                                                                                ●   ●   ●
                                                                                                                        ●
                                                                                                                        ●        ●   ●   ●       ●
                                                                                                        ●   ●   ●   ●
                                                                                                                    ●   ●   ●    ●   ●
                                                                                                                                     ●   ●   ●
                                                                                                                                             ●   ●
                                                                                                        ●
                                                                                                        ●   ●
                                                                                                            ●   ●   ●
                                                                                                                    ●   ●   ●
                                                                                                                            ●    ●   ●   ●   ●   ●
                                                                                                                                                 ●
                                                                                                        ●   ●   ●   ●   ●        ●   ●
                                                                                                                                     ●   ●   ●
                                                                                                                                             ●   ●
                                                                                                                                                 ●
                                                                                                        ●   ●                            ●       ●
                        ●                                                                               ●
                                                                                                        ●               ●                ●       ●
                                                                                                            ●   ●           ●
                                                                                                                        ●
                        ●


                 1.25   ●                                                              ●



                        ●                                                              ●
                        ●
                        ●
                        ●                                                              ●
                        ●                                                              ●


                 1.20
                        ●
                        ●
                        ●                                                              ●
                                                                                       ●
                                                                                       ●
                                                                                       ●
                                                                                       ●
                                                                                       ●
                                                                                       ●
                                                                                       ●




                                    ●
                                    ●
                                    ●
                                    ●
                                    ●
                                    ●
                                    ●
                                    ●
                                    ●
                                    ●
                                    ●


                 1.75   ●
                                ●

                                ●
                                    ●




                                                                                                                                                             Scale
                        ●               ●
                        ●
Quantile value




                        ●
                        ●
                        ●               ●
                        ●               ●
                                        ●            ●
                                ●       ●
                                        ●
                                        ●                                 ●
                                                 ●           ●        ●
                                             ●
                                             ●   ●   ●            ●



                 1.70                                                                                                                                             1−3
                                             ●
                                             ●   ●   ●   ●   ●                ●
                                             ●   ●   ●   ●
                                ●            ●
                                             ●   ●   ●       ●    ●   ●       ●                                                                               ●
                                ●                ●   ●                                             ●
                                                 ●   ●   ●
                                                     ●   ●   ●                    ●
                                ●                    ●   ●
                                                         ●            ●   ●                        ●
                                                     ●   ●   ●    ●
                                                             ●    ●   ●
                                                                      ●   ●
                                                                          ●   ●
                                                                              ●   ●                ●
                                                         ●   ●
                                                             ●    ●
                                                                  ●   ●   ●   ●   ●                ●
                                                             ●    ●   ●
                                                                      ●   ●       ●
                                                                              ●




                                                                                                                                                      0.95
                                                                  ●
                                                                  ●   ●   ●
                                                                          ●   ●
                                                                              ●   ●                ●
                                                                                                   ●
                                                                  ●       ●       ●
                                                                                  ●                ●
                                                                              ●   ●                ●
                                ●                                         ●
                                                                                                   ●
                                                                                                   ●
                                                                                                        ●
                                                                                                        ●                   ●
                                                                                                                                         ●                        1−4
                 1.65
                                ●
                                ●                                                                       ●                        ●
                                                                                                        ●               ●            ●       ●
                                                                                                        ●
                                                                                                        ●       ●
                                                                                                                ●   ●
                                                                                                                    ●   ●   ●
                                                                                                                            ●        ●       ●   ●
                                                                                                            ●   ●   ●   ●
                                                                                                                        ●        ●   ●   ●   ●   ●
                                ●                                                                           ●   ●   ●   ●
                                                                                                                        ●   ●    ●   ●
                                                                                                                                     ●   ●       ●
                                                                                                            ●
                                                                                                            ●   ●
                                                                                                                ●       ●   ●    ●   ●
                                                                                                                                     ●       ●
                                                                                                                                             ●   ●
                                                                                                                                                 ●
                                                                                                                    ●       ●            ●   ●   ●


                                                                                                                                                                  1−5
                                                                                                            ●
                                                                                                            ●   ●   ●   ●
                                                                                                                        ●   ●    ●   ●   ●   ●
                                                                                                        ●       ●   ●
                                                                                                                    ●   ●   ●    ●       ●   ●
                                                                                                                                 ●       ●       ●
                                                                                                            ●
                                                                                                            ●       ●                        ●   ●
                                ●                                                              ●                        ●
                                                                                                                ●       ●




                                                                                                                                                             +	
   1−13
                                                                                               ●
                                                                                               ●

                                                                                               ●
                                                                                               ●


                 1.60                                                                  ●       ●
                                                                                       ●
                                                                                       ●       ●
                                                                                       ●
                                                                                       ●
                                                                                       ●
                                                                                       ●       ●
                                                                                       ●
                                                                                       ●
                                                                                               ●



                                                                                               ●
                                                                                               ●

                                                                                               ●




                        ●



                        ●



                 3.2    ●
                        ●
                        ●
                        ●
                        ●




                 3.0
                 2.8                                                                   ●




                                                                                                                                                      0.99
                                                                                       ●
                                                                                       ●
                                                                                       ●
                                                                                       ●
                                                                                       ●
                                                                                       ●
                                                                                       ●


                 2.6            ●
                                ●
                                ●
                                ●
                                ●       ●
                                ●   ●        ●           ●
                                        ●    ●   ●                        ●
                                    ●        ●   ●
                                                 ●   ●                ●       ●
                                        ●
                                        ●        ●
                                                 ●   ●   ●
                                                         ●   ●        ●           ●
                                                                                  ●
                                    ●   ●        ●   ●
                                                     ●   ●
                                                         ●   ●    ●
                                        ●
                                        ●                ●   ●
                                                             ●    ●       ●   ●


                 2.4
                                                     ●   ●
                                                         ●   ●
                                                             ●    ●   ●
                                                                      ●   ●
                                                                          ●   ●
                                                                              ●   ●
                                    ●                                 ●   ●   ●
                                                                              ●   ●
                                                                                  ●
                                    ●                                             ●

                                    ●                                                                       ●           ●   ●            ●       ●
                                    ●
                                    ●                                                                       ●   ●           ●    ●   ●       ●
                                                                                                                                             ●   ●
                                    ●
                                    ●
                                    ●                                                          ●        ●   ●
                                                                                                            ●   ●   ●   ●   ●
                                                                                                                            ●    ●   ●
                                                                                                                                     ●   ●
                                                                                                                                         ●   ●   ●
                                                                                                                                                 ●
                                                                                               ●        ●       ●
                                                                                                                ●   ●   ●
                                                                                                                        ●   ●
                                                                                                                            ●    ●
                                                                                                                                 ●   ●   ●
                                                                                                                                         ●   ●
                                                                                                                                             ●   ●
                                    ●                                                          ●            ●       ●
                                                                                                                    ●   ●            ●   ●   ●   ●
                                                                                                        ●   ●   ●   ●   ●   ●    ●
                                                                                               ●   ●    ●
                                                                                                        ●
                                                                                                   ●
                                                                                               ●   ●


                 2.2                                                                           ●   ●
                                                                                                   ●
                                                                                                   ●
                                                                                                   ●




                            5           10       15          20       25          30       5           10       15          20       25          30

                                                                 Number of constructs
Issues
      Hartmann distances are
        still affected by the

  -  number of constructs
  -  number of elements
  -  range of the rating scale

(but much less than Slater distances)
New approach
 Diminishing skewness
 by optimal Box-Cox
    transformation
Box-Cox Transformation



                                            original                                      Box-­‐Cox	
  boxcox
                                                                                                       transformed	
  

          0.8                                                  1                                                             2
                c	
  =	
  min(Y)	
  
          0.6
                λ	
  =	
  .35	
  
                                                                Search	
  
density




          0.4

                                                               op;mal	
  λ	
  	
  
          0.2




          0.0

                −6       −4            −2              0   2       4           −6    −4          −2             0        2   4
                                                                                                      value
Final z-Transformation



                               Box-­‐Cox	
  transformed	
  
                                    boxcox
                                      original                                               Suggested	
  approach	
  
                                                                                                 transformed
                                                                                                      boxcox

          0.8                                                         2                                                          3

          0.6
density




          0.4




          0.2




          0.0

                −6   −2   −4   0−2             02             2   4       4   −6   −2   −4      0−2            02        2   4   4
                                     value                                                             value
Three steps
                     1.  Calculate Hartmann distances
                     2.  Optimal Box-Cox transformation
                     3.  z-transform
                               original                              boxcox                         Suggested	
  approach	
  
                                                                                                       transformed

          0.8


                                                  1                                   2                                             3
          0.6
density




          0.4




          0.2




          0.0

                −6   −4   −2              0   2   4   −6   −4   −2            0   2   4   −6   −4       −2            0         2   4
                                                                     value
Hartmann distances


          0.4
                      10	
  constructs	
  
                                                                      30	
  constructs	
  
          0.3
Density




                                    Q10                              Q90
          0.2
                               Q5                 Standard	
               Q95
          0.1                                      normal	
  
                     Q1                                                              Q99

          0.0

                −3        −2                 −1       0          1               2           3
Hartmann distances


          0.30                                               10	
  constructs	
  
          0.25
                                                                  Q10
          0.20
Density




          0.15                                        Q5
                        Standard	
  
          0.10           normal	
                                          30	
  constructs	
  
                                          Q1
          0.05

          0.00

                 −3.0                  −2.5    −2.0        −1.5                     −1.0
Power transformed distances


          0.30

          0.25
                                                     Q10
          0.20
Density




          0.15                           Q5

          0.10
                             Q1
          0.05

          0.00

                 −3.0     −2.5    −2.0        −1.5         −1.0
Hartmann distances


          0.30

          0.25
                                    Q90
          0.20
                                                            10	
  constructs	
  
Density




          0.15                                  Q95
                                                                                   Standard	
  
          0.10    30	
  constructs	
                                                normal	
  
                                                                      Q99
          0.05

          0.00

                 1.0                      1.5         2.0                 2.5               3.0
Power transformed distances


          0.30

          0.25
                           Q90
          0.20
Density




          0.15                         Q95

          0.10
                                                   Q99
          0.05

          0.00

                 1.0             1.5         2.0     2.5   3.0
Hartmann                                              Suggested	
  approach	
  
                                                                                                            Normalized
                 −2.0    ●
                         ●
                         ●
                         ●
                         ●
                         ●
                         ●
                         ●
                         ●
                         ●
                         ●


                                     ●
                                 ●
                                 ●
                                 ●
                                 ●


                 −2.1
                                 ●
                                 ●       ●
                                 ●   ●
                                 ●
                                 ●
                                 ●
                                 ●
                                     ●        ●
                                     ●
                                     ●
                                     ●   ●    ●
                                     ●
                                     ●   ●
                                         ●                         ●
                                     ●   ●
                                         ●                             ●
                                         ●    ●       ●
                                         ●
                                         ●    ●
                                              ●   ●                        ●
                                         ●    ●       ●       ●
                                              ●   ●   ●
                                              ●   ●
                                                  ●
                                                  ●       ●
                                                          ●
                                                  ●
                                                  ●                                ●
                                                  ●   ●
                                                      ●




                                                                                                                                                       0.01
                 −2.2
                                                  ●   ●   ●   ●    ●   ●   ●
                                                      ●
                                                      ●   ●   ●                    ●
                                                                                   ●
                                                      ●   ●
                                                          ●
                                                          ●   ●    ●
                                                                   ●           ●
                                                              ●        ●   ●   ●
                                                              ●
                                                              ●    ●
                                                                   ●   ●       ●
                                                          ●   ●    ●   ●   ●   ●
                                                              ●    ●   ●   ●       ●
                                                                       ●
                                                                       ●   ●
                                                                           ●   ●   ●
                                                                           ●   ●   ●
                                                                       ●   ●       ●
                                                                       ●
                                                                           ●       ●
                                                                                   ●
                                                                                   ●




                 −2.3                                                                               ●
                                                                                                    ●    ●
                                                                                                             ●
                                                                                                             ●
                                                                                                             ●   ●
                                                                                                                             ●
                                                                                                                             ●
                                                                                                                             ●
                                                                                                                             ●
                                                                                                                             ●
                                                                                                                                  ●
                                                                                                                                  ●
                                                                                                                                  ●
                                                                                                                                  ●
                                                                                                                                      ●
                                                                                                                                      ●
                                                                                                                                          ●
                                                                                                                                          ●
                                                                                                                                          ●
                                                                                                                                              ●
                                                                                                                                              ●
                                                                                                                                              ●
                                                                                                                                              ●
                                                                                                                                                  ●


                                                                                                                                                  ●
                                                                                                                                                  ●
                                                                                                             ●
                                                                                                             ●           ●
                                                                                                                         ●        ●   ●   ●   ●
                                                                                                             ●   ●
                                                                                                                 ●   ●
                                                                                                                     ●   ●
                                                                                                                         ●   ●    ●   ●   ●   ●
                                                                                                                                              ●   ●
                                                                                                    ●    ●
                                                                                                         ●   ●   ●   ●   ●   ●    ●
                                                                                                                                  ●   ●   ●   ●   ●
                                                                                                                                                  ●
                                                                                                ●   ●
                                                                                                    ●    ●   ●   ●   ●
                                                                                                                     ●   ●   ●
                                                                                                                             ●        ●   ●
                                                                                                                                          ●       ●
                                                                                                ●   ●    ●       ●
                                                                                                                 ●   ●       ●
                                                                                                                             ●    ●   ●           ●
                                                                                                                                                  ●
                                                                                                    ●
                                                                                                    ●        ●   ●       ●                    ●
                                                                                                         ●       ●   ●
                                                                                                                     ●   ●            ●           ●
                                                                                                ●   ●            ●   ●       ●
                                                                                                ●
                                                                                                ●                                     ●   ●
                                                                                                                         ●                ●
                                                                                                ●        ●
                                                                                        ●       ●
                                                                                                ●            ●
                                                                                        ●


                 −2.4
                                                                                        ●
                                                                                        ●                ●
                                                                                                                                              ●
                                                                                        ●                        ●
                                                                                        ●
                                                                                        ●
                                                                                        ●
                                                                                        ●       ●
                                                                                        ●
                                                                                        ●
                                                                                                ●




                         ●
                         ●

                         ●


                 −1.50
                         ●
                         ●
                         ●
                         ●
                         ●
                         ●
                         ●

                         ●
                                 ●


                                                                                                                                                              Scale
Quantile value




                         ●


                                 ●
                                 ●
                                 ●       ●



                 −1.55                                                                                                                                             1−3
                                 ●
                                 ●                                                                                                                             ●
                                 ●
                                 ●
                                 ●
                                 ●   ●        ●
                                 ●
                                     ●
                                     ●




                                                                                                                                                       0.05
                                              ●
                                                  ●
                                     ●
                                     ●   ●            ●


                                                                                                                                                                   1−4
                                     ●                                         ●
                                     ●   ●    ●   ●       ●            ●
                                     ●   ●
                                         ●    ●
                                     ●
                                     ●   ●    ●
                                     ●   ●
                                         ●                                         ●
                                         ●
                                         ●    ●
                                              ●
                                              ●   ●   ●   ●
                                              ●   ●   ●
                                                  ●
                                                  ●   ●       ●                ●
                                                  ●   ●
                                                      ●   ●   ●
                                                  ●
                                                  ●       ●
                                                          ●
                                                                       ●   ●
                                                      ●
                                                      ●   ●                ●


                 −1.60
                                                          ●
                                                          ●   ●    ●       ●


                                                                                                                                                                   1−5
                                                      ●   ●   ●
                                                              ●    ●   ●       ●
                                                                               ●
                                                      ●   ●        ●
                                                              ●
                                                              ●    ●
                                                                   ●
                                                                   ●   ●   ●   ●
                                                              ●        ●   ●
                                                                           ●       ●
                                                                   ●   ●
                                                                       ●   ●   ●   ●
                                                              ●    ●   ●   ●
                                                                           ●   ●   ●
                                                              ●                ●




                                                                                                                                                              +	
   1−13
                                                                                   ●
                                                                                   ●    ●
                                                                                        ●
                                                                               ●
                                                                                   ●
                                                                                   ●
                                                                                                         ●
                                                                                        ●
                                                                                        ●
                                                                                        ●
                                                                                        ●                                ●            ●
                                                                                                ●            ●   ●                            ●
                                                                                        ●                    ●                    ●   ●       ●
                                                                                                ●            ●       ●   ●                ●   ●   ●
                                                                                                ●   ●                ●            ●               ●
                                                                                        ●       ●            ●
                                                                                                             ●   ●       ●
                                                                                                                         ●   ●    ●   ●
                                                                                                                                      ●   ●
                                                                                                         ●   ●   ●
                                                                                                                 ●   ●   ●   ●
                                                                                                                             ●    ●
                                                                                                                                  ●   ●       ●
                                                                                                                                              ●   ●
                                                                                        ●           ●    ●       ●   ●   ●   ●        ●   ●   ●   ●


                 −1.65
                                                                                                ●        ●   ●   ●       ●        ●
                                                                                                                                  ●       ●   ●   ●
                                                                                        ●       ●                    ●   ●   ●
                                                                                                                             ●        ●
                                                                                                                                      ●   ●   ●   ●
                                                                                                                                                  ●
                                                                                                ●   ●
                                                                                                    ●    ●   ●   ●   ●
                                                                                                                     ●                ●   ●       ●
                                                                                                ●   ●    ●           ●
                                                                                                                     ●            ●               ●
                                                                                                ●        ●                   ●
                                                                                                    ●
                                                                                                    ●    ●                   ●
                                                                                                    ●
                                                                                                    ●
                                                                                        ●                            ●            ●
                                                                                        ●       ●




                         ●

                                 ●
                         ●
                         ●
                                 ●


                         ●



                 −1.24   ●

                         ●

                         ●
                                 ●
                                         ●
                                              ●                                ●
                         ●
                         ●       ●   ●            ●
                                         ●    ●
                                 ●   ●                ●
                         ●           ●
                                     ●
                         ●           ●
                                     ●
                         ●           ●
                                     ●
                         ●               ●        ●
                                     ●                ●                            ●
                                 ●       ●    ●
                                         ●        ●       ●
                                 ●                ●   ●
                                                      ●       ●        ●       ●
                                     ●   ●    ●           ●   ●


                 −1.26
                                         ●
                                         ●    ●   ●                    ●   ●
                                 ●            ●   ●   ●
                                                      ●
                                         ●    ●           ●                ●
                                 ●       ●    ●       ●            ●       ●




                                                                                                                                                       0.1
                                         ●    ●   ●   ●   ●        ●       ●       ●
                                                  ●
                                                  ●       ●        ●
                                 ●       ●        ●   ●   ●
                                 ●                            ●    ●   ●
                                                                       ●       ●                                                              ●
                                 ●                ●   ●   ●
                                                          ●   ●    ●   ●
                                                                       ●   ●   ●
                                                      ●       ●    ●       ●   ●   ●            ●
                                 ●                        ●   ●
                                                              ●    ●   ●       ●   ●
                                                              ●        ●
                                                                       ●       ●
                                                                               ●   ●
                                                                   ●   ●   ●   ●
                                                                       ●   ●       ●
                                                                                   ●
                                                              ●    ●       ●   ●
                                                                   ●   ●   ●       ●            ●        ●           ●       ●
                                                                                   ●
                                                                                   ●
                                                                                   ●                ●                                         ●
                                                                                                    ●    ●   ●   ●                    ●
                                                                                                             ●   ●   ●                            ●
                                                                               ●                    ●                    ●                ●       ●
                                                                                                    ●                             ●
                                                                                        ●           ●            ●   ●                    ●   ●
                                                                                                ●                        ●   ●    ●   ●
                                                                                                    ●        ●       ●   ●        ●   ●           ●
                                                                                                    ●    ●   ●           ●        ●       ●   ●
                                                                                                                         ●   ●        ●

                 −1.28
                                                                                                    ●
                                                                                                    ●        ●       ●   ●   ●            ●   ●   ●
                                                                                                                                                  ●
                                                                                        ●                ●   ●       ●
                                                                                                                     ●   ●   ●                ●   ●
                                                                                                         ●       ●   ●   ●        ●   ●   ●
                                                                                        ●           ●    ●   ●   ●   ●       ●
                                                                                                                             ●    ●
                                                                                                                                  ●       ●       ●
                                                                                                                 ●       ●
                                                                                                                         ●   ●        ●   ●   ●   ●
                                                                                                ●        ●   ●
                                                                                                             ●   ●   ●   ●        ●   ●   ●       ●
                                                                                                                                                  ●
                                                                                                         ●   ●               ●    ●
                                                                                                                                  ●       ●
                                                                                                ●            ●   ●                                ●
                                                                                        ●                ●
                                                                                                         ●                   ●
                                                                                                    ●    ●                                    ●
                                                                                                    ●
                                                                                                ●
                                                                                        ●
                                                                                                ●
                                                                                                ●

                                                                                        ●
                                                                                        ●       ●


                 −1.30
                                                                                        ●
                                                                                                ●
                                                                                                ●
                                                                                        ●       ●

                                                                                        ●
                                                                                        ●
                                                                                        ●




                             5           10       15          20       25          30       5           10       15          20       25          30

                                                              Number of constructs
Hartmann                                              Suggested	
  approach	
  
                                                                                                           Normalized
                                ●
                                ●
                                ●
                                ●
                                ●
                                ●
                                ●


                 1.40           ●
                                ●

                                                                                               ●
                                                                                               ●
                                ●
                                                                                               ●
                                                                                               ●
                                ●                                                              ●
                                                                                               ●



                 1.35               ●
                                    ●
                                    ●
                                    ●
                                                                                               ●
                                                                                               ●


                                    ●
                                    ●                                                          ●
                                                                              ●
                                    ●
                                    ●                                                              ●
                                        ●                         ●                                ●
                                        ●
                                                 ●                                                 ●




                                                                                                                                                      0.9
                                             ●
                                             ●   ●   ●                                         ●
                                        ●
                                        ●        ●   ●
                                                     ●                                             ●
                                             ●   ●

                 1.30
                                        ●
                                        ●    ●   ●   ●   ●   ●        ●   ●       ●                ●
                                        ●
                                        ●    ●   ●
                                                 ●   ●
                                                     ●   ●   ●    ●   ●
                        ●               ●    ●
                                             ●   ●   ●   ●   ●
                                                             ●    ●   ●
                                                                      ●   ●   ●
                                                                              ●   ●                ●
                                        ●            ●       ●    ●
                                                                  ●   ●
                                                                      ●   ●   ●   ●
                                                                                  ●                                                          ●
                                                             ●    ●       ●
                                                                          ●   ●
                                                                              ●   ●                ●
                                                         ●        ●   ●   ●   ●   ●
                                                                                  ●                ●
                                                                                                   ●                             ●
                                                         ●   ●                    ●                ●    ●       ●
                                                                                                                ●           ●
                                                                                                            ●
                                                                                                            ●   ●
                                                                                                                ●   ●   ●
                                                                                                                        ●
                                                                                                                        ●        ●   ●   ●       ●
                                                                                                        ●   ●   ●   ●
                                                                                                                    ●   ●   ●    ●   ●
                                                                                                                                     ●   ●   ●
                                                                                                                                             ●   ●
                                                                                                        ●
                                                                                                        ●   ●
                                                                                                            ●   ●   ●
                                                                                                                    ●   ●   ●
                                                                                                                            ●    ●   ●   ●   ●   ●
                                                                                                                                                 ●
                                                                                                        ●   ●   ●   ●   ●        ●   ●
                                                                                                                                     ●   ●   ●
                                                                                                                                             ●   ●
                                                                                                                                                 ●
                                                                                                        ●   ●                            ●       ●
                        ●                                                                               ●
                                                                                                        ●               ●                ●       ●
                                                                                                            ●   ●           ●
                                                                                                                        ●
                        ●


                 1.25   ●                                                              ●



                        ●                                                              ●
                        ●
                        ●
                        ●                                                              ●
                        ●                                                              ●


                 1.20
                        ●
                        ●
                        ●                                                              ●
                                                                                       ●
                                                                                       ●
                                                                                       ●
                                                                                       ●
                                                                                       ●
                                                                                       ●
                                                                                       ●




                                    ●
                                    ●
                                    ●
                                    ●
                                    ●
                                    ●
                                    ●
                                    ●
                                    ●
                                    ●
                                    ●


                 1.75   ●
                                ●

                                ●
                                    ●




                                                                                                                                                             Scale
                        ●               ●
                        ●
Quantile value




                        ●
                        ●
                        ●               ●
                        ●               ●
                                        ●            ●
                                ●       ●
                                        ●
                                        ●                                 ●
                                                 ●           ●        ●
                                             ●
                                             ●   ●   ●            ●



                 1.70                                                                                                                                             1−3
                                             ●
                                             ●   ●   ●   ●   ●                ●
                                             ●   ●   ●   ●
                                ●            ●
                                             ●   ●   ●       ●    ●   ●       ●                                                                               ●
                                ●                ●   ●                                             ●
                                                 ●   ●   ●
                                                     ●   ●   ●                    ●
                                ●                    ●   ●
                                                         ●            ●   ●                        ●
                                                     ●   ●   ●    ●
                                                             ●    ●   ●
                                                                      ●   ●
                                                                          ●   ●
                                                                              ●   ●                ●
                                                         ●   ●
                                                             ●    ●
                                                                  ●   ●   ●   ●   ●                ●
                                                             ●    ●   ●
                                                                      ●   ●       ●
                                                                              ●




                                                                                                                                                      0.95
                                                                  ●
                                                                  ●   ●   ●
                                                                          ●   ●
                                                                              ●   ●                ●
                                                                                                   ●
                                                                  ●       ●       ●
                                                                                  ●                ●
                                                                              ●   ●                ●
                                ●                                         ●
                                                                                                   ●
                                                                                                   ●
                                                                                                        ●
                                                                                                        ●                   ●
                                                                                                                                         ●                        1−4
                 1.65
                                ●
                                ●                                                                       ●                        ●
                                                                                                        ●               ●            ●       ●
                                                                                                        ●
                                                                                                        ●       ●
                                                                                                                ●   ●
                                                                                                                    ●   ●   ●
                                                                                                                            ●        ●       ●   ●
                                                                                                            ●   ●   ●   ●
                                                                                                                        ●        ●   ●   ●   ●   ●
                                ●                                                                           ●   ●   ●   ●
                                                                                                                        ●   ●    ●   ●
                                                                                                                                     ●   ●       ●
                                                                                                            ●
                                                                                                            ●   ●
                                                                                                                ●       ●   ●    ●   ●
                                                                                                                                     ●       ●
                                                                                                                                             ●   ●
                                                                                                                                                 ●
                                                                                                                    ●       ●            ●   ●   ●


                                                                                                                                                                  1−5
                                                                                                            ●
                                                                                                            ●   ●   ●   ●
                                                                                                                        ●   ●    ●   ●   ●   ●
                                                                                                        ●       ●   ●
                                                                                                                    ●   ●   ●    ●       ●   ●
                                                                                                                                 ●       ●       ●
                                                                                                            ●
                                                                                                            ●       ●                        ●   ●
                                ●                                                              ●                        ●
                                                                                                                ●       ●




                                                                                                                                                             +	
   1−13
                                                                                               ●
                                                                                               ●

                                                                                               ●
                                                                                               ●


                 1.60                                                                  ●       ●
                                                                                       ●
                                                                                       ●       ●
                                                                                       ●
                                                                                       ●
                                                                                       ●
                                                                                       ●       ●
                                                                                       ●
                                                                                       ●
                                                                                               ●



                                                                                               ●
                                                                                               ●

                                                                                               ●




                        ●



                        ●



                 3.2    ●
                        ●
                        ●
                        ●
                        ●




                 3.0
                 2.8                                                                   ●




                                                                                                                                                      0.99
                                                                                       ●
                                                                                       ●
                                                                                       ●
                                                                                       ●
                                                                                       ●
                                                                                       ●
                                                                                       ●


                 2.6            ●
                                ●
                                ●
                                ●
                                ●       ●
                                ●   ●        ●           ●
                                        ●    ●   ●                        ●
                                    ●        ●   ●
                                                 ●   ●                ●       ●
                                        ●
                                        ●        ●
                                                 ●   ●   ●
                                                         ●   ●        ●           ●
                                                                                  ●
                                    ●   ●        ●   ●
                                                     ●   ●
                                                         ●   ●    ●
                                        ●
                                        ●                ●   ●
                                                             ●    ●       ●   ●


                 2.4
                                                     ●   ●
                                                         ●   ●
                                                             ●    ●   ●
                                                                      ●   ●
                                                                          ●   ●
                                                                              ●   ●
                                    ●                                 ●   ●   ●
                                                                              ●   ●
                                                                                  ●
                                    ●                                             ●

                                    ●                                                                       ●           ●   ●            ●       ●
                                    ●
                                    ●                                                                       ●   ●           ●    ●   ●       ●
                                                                                                                                             ●   ●
                                    ●
                                    ●
                                    ●                                                          ●        ●   ●
                                                                                                            ●   ●   ●   ●   ●
                                                                                                                            ●    ●   ●
                                                                                                                                     ●   ●
                                                                                                                                         ●   ●   ●
                                                                                                                                                 ●
                                                                                               ●        ●       ●
                                                                                                                ●   ●   ●
                                                                                                                        ●   ●
                                                                                                                            ●    ●
                                                                                                                                 ●   ●   ●
                                                                                                                                         ●   ●
                                                                                                                                             ●   ●
                                    ●                                                          ●            ●       ●
                                                                                                                    ●   ●            ●   ●   ●   ●
                                                                                                        ●   ●   ●   ●   ●   ●    ●
                                                                                               ●   ●    ●
                                                                                                        ●
                                                                                                   ●
                                                                                               ●   ●


                 2.2                                                                           ●   ●
                                                                                                   ●
                                                                                                   ●
                                                                                                   ●




                            5           10       15          20       25          30       5           10       15          20       25          30

                                                                 Number of constructs
Wrap-up
Approach                Transforms                Mean   Sd   Skew

Slater                        ini;al

Hartmann                z-­‐Transform              x     x

                         Box-­‐Cox	
  +	
  	
  
Suggested	
  approach                              x     x     x
                        z-­‐Transform
Results
+  Less influence of grid size and scale
   range
+  More stable and symmetrical cutoff
   values
+  Usage of standard normal
   distribution percentiles as cut-offs


-  Currently involves simulation
Implications for
 distance comparisons
•         Do not use unstandardized Euclidean
                       distances
               •     Do not use Slater distances
          •         Either use Hartmann distances
     •         or use the presented approach for
                  stable and symmetric cutoffs
What‘s next?
            •      Make approach available in
                 OpenRepGrid* software package
 •         Find approximation to estimate Lambda
                    that avoids simulation
            •     Compare with empirical grids
      •     Generalize to other types of distances

                       Interested?
                      Get in touch!
*Heckmann, 2011. Software freely available at www.openrepgrid.org
Literature
•    Ben-Tovim, D. I., & Greenup, J. (1983). The representation of transference through serial grids: A
     methodological study. British Journal of Medical Psychology, 56, 255–261.
•    Borkenhagen, A., Klapp, B. F., Schoeneich, F., & Brähler, E. (2005). Differences in body image between
     anorexics and in-vitro-fertilization patients: a study with Body Grid. GMS Psychosoc Med., 2(Doc10).
     Conrad, R., Schilling, G., & Liedtke, R. (2005). Parental Coping with Sudden Infant Death After Donor
     Insemination: Case Report. Human Reproduction, 20(4), 1053–1056. doi:10.1093/humrep/deh705
•    Fransella, F., & Crisp, A. H. (1970). Conceptual organization and weight change. Psychotherapy and
     Psychosomatics, 18(1-6), 176–185.
•    Hartmann, A. (1992). Element comparisons in repertory grid technique: Results and consequences of a
     monte carlo study. International Journal of Personal Construct Psychology, 5(1), 41–56
•    Heckmann, M. (2011). OpenRepGrid - An R package for the analysis of repertory grids (Unpublished
     diploma thesis). University of Bremen, Bremen, Germany.
•    Leach, C., Freshwater, K., Aldridge, J., & Sunderland, J. (2001). Analysis of repertory grids in clinical
     practice. The British Journal of Clinical Psychology, 40, 225–248.
•    Schoeneich, F., & Klapp, B. F. (1998). Standardization of interelement distances in repertory grid
     technique and its consequences for psychological interpretation of self-identity plots: An empirical study.
     Journal of Constructivist Psychology, 11(1), 49–58.
•    Schwab, K. (2006). Die Bedeutung standardisierter Maße der Repertory-grid-Technik als ein idiografisches
     Verfahren in der Beziehungsdiagnostik in der Psychosomatik : eine statistische Analyse der
     Zusammenhänge zwischen nomothetischen diagnostischen Fragebogenverfahren und standardisierten
     Repertory-Grid-Maßen (Dissertation). Universität Marburg, Fachbereich Medizin, Marburg.
•    Slater, P. (1977). The measurement of intrapersonal space by grid technique: Dimensions of intrapersonal
     space (Vol. 2). London: Wiley & Sons.
•    Winter, D. A., Bell, R. C., & Watson, S. (2010). Midpoint Ratings on Personal Constructs: Constriction or the
     Middle Way? Journal of Constructivist Psychology, 23(4), p. 343

Standardizing inter-element distances in repertory grids

  • 1.
    Standardizing inter-element distancesin grids A revision of Hartmann distances EPCA Conference, Dublin, July 1, 2012 Mark Heckmann University of Bremen, Germany
  • 2.
    1.  Inter-element distances 2. Slater‘s standardization 3.  Hartmann‘s standardization 4.  A new approach to standardization 5.  Discussion
  • 3.
    Types of (inter-element)distances •  Euclidean distance •  City-Block distance •  Minkowski metrics
  • 4.
    Inter-element distances (Euclidean) Self Element X Ideal Self
  • 5.
    Self   Ideal  self   Conrad, R., Schilling, G., & Liedtke, R. (2005). Parental Coping with Sudden Infant Death After Donor Insemination: Case Report. Human Reproduction, 20(4), 1053–1056. Norris and Makhlouf-Norris‘ self-identity-plot Parental coping after sudden death of DI in
  • 6.
    Issue (Euclidean) distance depends on grid size and rating scale graduation
  • 7.
    point scale. Inthe example, the elements are rated to maximum dissimilarity, the extremes of the scales are used. Though the rating pattern is consistent over (Euclidean) distance depends on grid size s, the Euclidean distance changes considerably. Table 6.1 Dependency of Euclidean distance on grid size and rating scale. a b c d self ideal self ideal self ideal self ideal self self self self C1 1 3 1 5 1 3 1 5 C2 1 3 1 5 1 3 1 5 C3 1 3 1 5 1 3 1 5 C4 1 3 1 5 C5 1 3 1 5 ED 3.46 6.92 4.47 8.94 Note: ED = Euclidean distance. Heckmann M. (2011). OpenRepGrid - An R package for the analysis of repertory grids (Unpublished diploma s property inherent in the definition of the Euclidean distance hinders the compar thesis). University of Bremen, Germany, p. 84.
  • 8.
    Challenge Standardizationis needed to compare distances across grids
  • 9.
  • 10.
    First approach Slater 1977
  • 11.
    Euclidean distance matrixcan be rewritten as Ejk = (Sj + Sk + 2Pjk )1/2 . value for Sj and Sk is the average of S, i.e., Savg = S/m where m is the number the grid. The average of the off-line diagonals of P is −S/m(m − 1). Inserted Divide Euclidean distances by e formula, this yields the following expected average Euclidean distance U = ch is outputted as “Unit of Expected Distance” in Slater’s INGRID program tandardized Euclidean distances expected distance the unit of ES are then calculated as ES = E/U. Euclidean distance E matrix (1) ES = E/U Divide by unit of (2) expected distance G
  • 12.
    Norris & Makhlouf-Norris‘simulation 92% of distances inside (0.8, 1.2) interval Cut-offs to determine „significant“ deviation from randomness Slater‘s Simulation: 78% of values inside (0.8, 1.2) and skewed distribution
  • 13.
  • 14.
    Hartmann‘s extended simulationdesign Element Comparisons 47 ~ Slater‘s simulation ~ Norris & I I loo loo loo Markhlouf-Norris‘ 21 loo loo loo loo loo When probability theory is taken into account, this result is no Hartmann, A. (1992). Element comparisons in repertory grid technique: Results and consequences of a monte carlo study, JCP, 5(1), p. computation of a zero distance between longer surprising. For the 47 two vectors of random numbers, these vectors (i.e., elements) must
  • 15.
    Issue Slater distancesstill depend on the size of the grid
  • 16.
    rating poles (producinga maximum distance) will also become more unlikely. Because the cause of the effect occurs before the computa- tion ofdepends kindsthe number of constructs SD distances, all on of distances (euclidean, city-block, etc.) will be affected. 1.6 Not   1.5 symmetrical   E1.4 1.3 = 1.2 distance   Slater‘s   ; 1.1 ' 1.0 6 : 0.9 . I 0.8 8 0.7 0.6 0.5 0.4 7 8 9 10 11 12 13 14 15 16 17 18 19 20 21 Number  off  constructs number o constructs   Percentiles: 1s 5% 10s 9Or 95x 99s Range (Uin.Max) represented by T-bars Figure 2 Means of percentiles: QUASIS. Hartmann, A. (1992). Element comparisons in repertory grid technique: Results and consequences of a monte carlo study, JCP, 5(1), p. 47
  • 17.
    Skewness of adistribution
  • 18.
    with the samenumber of constructs. The first sample contained 64 grids of the size 8E x 1OC. They were produced by students of med- Skewness courses dealing on the number of icine participating in depends with doctor-patient interaction. These grids were provided constructs for didactic purposes to explore the stu- Skewness   skewness 0 03 -c) 25 -0 30 7 E 9 10 11 12 !9 13 15 16 17 15 19 20 2i numper of constructs Number  of  constructs   Figure 3 Skewness of distance distributions including linear regression. Hartmann, A. (1992). Element comparisons in repertory grid technique: Results and consequences of a monte carlo study, JCP, 5(1), p. 47
  • 19.
    Hartmann‘s results forSlater distances •  SD of distribution depends on number of constructs •  Distributions are skewed •  Symmetrical cutoffs overrepresent similarities •  Skewness depends on the number of constructs •  No effect of rating scales (5-, 7-, 10-point)
  • 20.
  • 21.
    - ard deviations ofthe distance distributio .217 to SD,, .123. om SD, Hartmann‘s standardizationThese m ted by the following formula: - the distancesdof a grid are computed acc Dslater  =  Slater   istances     corresponding mean (or the expected Mc  =  mean  of  simulated  Slater  distribu;on   d, divided byevia;on  ostandard istribu;on   sdc  =  standard  d the f  simulated  d deviation nce distribution of quasis and multiplie Hartmann, A. (1992). Element comparisons in repertory grid technique: Results and consequences of a monte carlo study, JCP, 5(1), p. 49
  • 22.
    Suggested assymetrical cutoff values Hartmann, A. (1992). Element comparisons in repertory grid technique: Results and consequences of a monte carlo study, JCP, 5(1), p. 52
  • 23.
  • 24.
    •  Simulation usesfew scale ranges •  Variation in results •  No removal of skewness  Symmetrical cutoffs more favorable •  Equally skewed after transform (p. 52) X •  Contradicts relation between skewness and the number of constructs Replication with bigger sample size
  • 25.
    Study design Scale range 1 - 13 ~ Hartmann‘s .    .    .   simulation Scale range Elements (by 2) 1-2 6 8 . . . 28 30 4 n = 1000 n = 1000 . . . n = 1000 n = 1000 6 n = 1000 n = 1000 . . . n = 1000 n = 1000 Constructs (by 2) . . . . . . . . . . . . . . . . . . 28 n = 1000 n = 1000 . . . n = 1000 n = 1000 30 n = 1000 n = 1000 . . . n = 1000 n = 1000
  • 26.
    with the samenumber of constructs. The first sample contained 64 grids of the size 8E x 1OC. They were produced by students of med- Skewness courses dealing on the number of icine participating in depends with doctor-patient interaction. These grids were provided constructs for didactic purposes to explore the stu- Skewness   skewness 0 03 No  breakdown  by   number  of  elements   -c) 25 -0 30 7 E 9 10 11 12 !9 13 15 16 17 15 19 20 2i numper of constructs Number  of  constructs   Figure 3 Skewness of distance distributions including linear regression. Hartmann, A. (1992). Element comparisons in repertory grid technique: Results and consequences of a monte carlo study, JCP, 5(1), p. 47
  • 27.
    Skewness by numberconstructs and Number  of   number of elements elements   6 8 10 12 14 16 18 20 0.00 −0.05 ● ● ● ● ● ●● −0.10 ● ● ● ●● ●●●● ● Skewness   ● ● ● ●● ● ●● ● ● ● ●● ● ●● ●● ● ● ● ● ●● ●●● ● ●● ● ● ● ● ● ● ● ● ● ● ● ● ●●●●● ● ● Skewness ●● ● ● ● ● ●● ● ● ● ●● ● ● ● ● ● ● ● ● ● ● ● −0.15 ● ● ● ● ● ● ● ● ● ●● ● ● ● ● ● ● ● ●● ● ● ● ● ● ● −0.20 ● Pronounced  joint  effect   ● ● ● −0.25 −0.30 on  skewness   8 12 16 20 8 12 16 20 8 12 16 20 8 12 16 20 8 12 16 20 8 12 16 20 8 12 16 20 8 12 16 20 Number of constructs Number  of  constructs  
  • 28.
    6 10 20 30 Number  of   −0.4 ● ● ● ● ● ● ● ● ● ● ● ● ● ● ● ● ● ● ● ● ● ● ● ● ● ● ● ● elements   ● ● ● ● ● ● ● ● ● ● ● −0.6 ● ● ● ● ● 1−2 −0.8 ● ● ● ● −1.0 ● −1.2 ● ● ● ● ● ● ● ● ● ● ● ● ● ● −0.15 ● ● ● ● ● ● ● ● ● ● ● ● ● ● ● ● ● ● ● −0.20 ● ● ● ● ● ● ● ● ● ● ● ● ● ● ● ● ● 1−3 −0.25 ● ● ● ● ● ● −0.30 ● ● −0.35 ● ● ● ● −0.40 ● ● −0.10 ● ● ● ● Skewness   ● ● ● ● ● ● ● ● ● ● ● ● ● ● ● Triple  interac;on  effect   ● Scale     ● Skewness ● ● ● ● ● ● ● ● −0.15 ● ● ● ● ● ● ● ● ● ● ● ● ● ● ● 1−4 ● ● range   ● ● ● −0.20 ● ● on  skewness   ● −0.25 ● ● −0.30 ● ● −0.08 ● ● ● ● ● ● ● ● ● ● ● −0.10 ● ● ● ● ● ● ● ● ● ● ● ● ● −0.12 ● ● ● ● ● ● ● ● ● ● ● ● 1−5 ● ● −0.14 ● ● ● ● ● ● −0.16 ● ● ● ● −0.18 ● ● ● ● −0.20 ● −0.22 ● ● ● −0.05 ● ● ● ● ● ● ● ● ● ● ● ● ● ● ● ● ● ● ● ● ● ● ● ● ● ● ● ● ● ● ● ● −0.10 1 − 13 ● ● ● ● ● ● ● ● ● ● ● ● ● ● ● ● ● −0.15 ● ● ● ● ● −0.20 ● 5 10 15 20 25 30 5 10 15 20 25 30 5 10 15 20 25 30 5 10 15 20 25 30 Number  of  constructs Number of constructs  
  • 29.
  • 30.
    0. P1 P99 Effect of skewness on quantiles 0.0 −3 −2 −1 0 1 2 3 Figure 6.6 Effect of distribution form on percentiles. The figure shows a normal 0.4 A   (A: solid line) and skewed normal distribution (B: dashed line). Both have a mean P5A   1. of 0 and standard deviation ofP5B  The vertical bars denote the percentiles P1 to P99 0.3 for each distribution. For the quantile values, refer to Table 6.6. Density P10 B   P90 0.2 As a consequence, one and the P same cutoff value may correspond to different proportion P95 5 f the distribution, as shown in Table 6.7. In distribution A (Figure 6.6, solid line), 5% 0.1 P1 P99 f the values were smaller than or equal to -1.64. For the skewed distribution B (dashed 0.0 ne), this is the case for only 2.7%. Hence, when one single value is used as a cutoff to etermine the 5% lowest values, the results may be flawed. −3 −2 −1 0 1 2 3 Table 6.6 Effect of distribution form on percentiles. P1 P5 P10 P90 P95 P99 mean sd skew kurtosis A -2.31 -1.64 -1.28 1.28 1.65 2.31 0.00 1.00 0.00 -0.02 B -1.91 -1.44 -1.18 1.35 1.82 2.75 -0.00 1.00 0.58 0.42 Note: The table shows the percentiles and the moments of the distributions A (solid)
  • 31.
    0.4 Effect of skewness on proportions A   Δ   0.3 Density P10 B   P90 0.2 distances revisited P5 P95 0.1 P1 P99 0.0 Table 6.7 Effect of distribution form on proportions. −3 −2 −1 0 1 2 3 -2.31 -1.64 -1.28 1.28 1.65 2.31 A 0.010 0.050 0.100 0.900 0.950 0.990 B 0.002 0.027 0.078 0.890 0.935 0.978
  • 32.
    Hartmann Suggested  approach   Normalized −2.0 ● ● ● ● ● ● ● ● ● ● ● ● ● ● ● ● −2.1 ● ● ● ● ● ● ● ● ● ● ● ● ● ● ● ● ● ● ● ● ● ● ● ● ● ● ● ● ● ● ● ● ● ● ● ● ● ● ● ● ● ● ● ● ● ● ● ● ● ● ● ● ● 0.01 −2.2 ● ● ● ● ● ● ● ● ● ● ● ● ● ● ● ● ● ● ● ● ● ● ● ● ● ● ● ● ● ● ● ● ● ● ● ● ● ● ● ● ● ● ● ● ● ● ● ● ● ● ● ● ● ● ● ● ● ● ● −2.3 ● ● ● ● ● ● ● ● ● ● ● ● ● ● ● ● ● ● ● ● ● ● ● ● ● ● ● ● ● ● ● ● ● ● ● ● ● ● ● ● ● ● ● ● ● ● ● ● ● ● ● ● ● ● ● ● ● ● ● ● ● ● ● ● ● ● ● ● ● ● ● ● ● ● ● ● ● ● ● ● ● ● ● ● ● ● ● ● ● ● ● ● ● ● ● ● ● ● ● ● ● ● ● ● ● ● ● ● ● ● ● ● ● ● ● ● ● ● ● ● ● ● ● −2.4 ● ● ● ● ● ● ● ● ● ● ● ● ● ● ● ● ● −1.50 ● ● ● ● ● ● ● ● ● Scale Quantile value ● ● ● ● ● −1.55 1−3 ● ● ● ● ● ● ● ● ● ● ● ● 0.05 ● ● ● ● ● ● 1−4 ● ● ● ● ● ● ● ● ● ● ● ● ● ● ● ● ● ● ● ● ● ● ● ● ● ● ● ● ● ● ● ● ● ● ● ● ● ● ● ● ● ● ● ● ● ● ● ● ● ● ● −1.60 ● ● ● ● ● 1−5 ● ● ● ● ● ● ● ● ● ● ● ● ● ● ● ● ● ● ● ● ● ● ● ● ● ● ● ● ● ● ● ● ● ● ● ● ● ● ● ● ● +   1−13 ● ● ● ● ● ● ● ● ● ● ● ● ● ● ● ● ● ● ● ● ● ● ● ● ● ● ● ● ● ● ● ● ● ● ● ● ● ● ● ● ● ● ● ● ● ● ● ● ● ● ● ● ● ● ● ● ● ● ● ● ● ● ● ● ● ● ● ● ● −1.65 ● ● ● ● ● ● ● ● ● ● ● ● ● ● ● ● ● ● ● ● ● ● ● ● ● ● ● ● ● ● ● ● ● ● ● ● ● ● ● ● ● ● ● ● ● ● ● ● ● ● ● ● ● ● ● ● ● ● ● ● ● ● ● −1.24 ● ● ● ● ● ● ● ● ● ● ● ● ● ● ● ● ● ● ● ● ● ● ● ● ● ● ● ● ● ● ● ● ● ● ● ● ● ● ● ● ● ● ● ● ● ● ● ● ● ● −1.26 ● ● ● ● ● ● ● ● ● ● ● ● ● ● ● ● ● ● ● ● ● 0.1 ● ● ● ● ● ● ● ● ● ● ● ● ● ● ● ● ● ● ● ● ● ● ● ● ● ● ● ● ● ● ● ● ● ● ● ● ● ● ● ● ● ● ● ● ● ● ● ● ● ● ● ● ● ● ● ● ● ● ● ● ● ● ● ● ● ● ● ● ● ● ● ● ● ● ● ● ● ● ● ● ● ● ● ● ● ● ● ● ● ● ● ● ● ● ● ● ● ● ● ● ● ● ● ● ● ● ● ● ● ● ● ● ● ● ● ● ● ● ● ● ● ● ● ● ● −1.28 ● ● ● ● ● ● ● ● ● ● ● ● ● ● ● ● ● ● ● ● ● ● ● ● ● ● ● ● ● ● ● ● ● ● ● ● ● ● ● ● ● ● ● ● ● ● ● ● ● ● ● ● ● ● ● ● ● ● ● ● ● ● ● ● ● ● ● ● ● ● ● ● ● ● ● ● ● ● ● ● ● ● ● ● −1.30 ● ● ● ● ● ● ● ● 5 10 15 20 25 30 5 10 15 20 25 30 Number of constructs
  • 33.
    Hartmann Suggested  approach   Normalized ● ● ● ● ● ● ● 1.40 ● ● ● ● ● ● ● ● ● ● 1.35 ● ● ● ● ● ● ● ● ● ● ● ● ● ● ● ● ● ● ● 0.9 ● ● ● ● ● ● ● ● ● ● ● ● ● 1.30 ● ● ● ● ● ● ● ● ● ● ● ● ● ● ● ● ● ● ● ● ● ● ● ● ● ● ● ● ● ● ● ● ● ● ● ● ● ● ● ● ● ● ● ● ● ● ● ● ● ● ● ● ● ● ● ● ● ● ● ● ● ● ● ● ● ● ● ● ● ● ● ● ● ● ● ● ● ● ● ● ● ● ● ● ● ● ● ● ● ● ● ● ● ● ● ● ● ● ● ● ● ● ● ● ● ● ● ● ● ● ● ● ● ● ● ● ● ● ● ● ● ● ● ● ● ● ● ● ● ● ● ● ● ● ● ● ● ● ● ● ● ● ● ● ● ● ● 1.25 ● ● ● ● ● ● ● ● ● ● 1.20 ● ● ● ● ● ● ● ● ● ● ● ● ● ● ● ● ● ● ● ● ● ● 1.75 ● ● ● ● Scale ● ● ● Quantile value ● ● ● ● ● ● ● ● ● ● ● ● ● ● ● ● ● ● ● ● ● 1.70 1−3 ● ● ● ● ● ● ● ● ● ● ● ● ● ● ● ● ● ● ● ● ● ● ● ● ● ● ● ● ● ● ● ● ● ● ● ● ● ● ● ● ● ● ● ● ● ● ● ● ● ● ● ● ● ● ● ● ● ● ● ● ● ● ● ● ● ● ● ● ● ● 0.95 ● ● ● ● ● ● ● ● ● ● ● ● ● ● ● ● ● ● ● ● ● ● ● ● ● ● 1−4 1.65 ● ● ● ● ● ● ● ● ● ● ● ● ● ● ● ● ● ● ● ● ● ● ● ● ● ● ● ● ● ● ● ● ● ● ● ● ● ● ● ● ● ● ● ● ● ● ● ● ● ● ● ● ● ● ● ● ● ● ● ● 1−5 ● ● ● ● ● ● ● ● ● ● ● ● ● ● ● ● ● ● ● ● ● ● ● ● ● ● ● ● ● ● ● ● ● +   1−13 ● ● ● ● 1.60 ● ● ● ● ● ● ● ● ● ● ● ● ● ● ● ● ● ● 3.2 ● ● ● ● ● 3.0 2.8 ● 0.99 ● ● ● ● ● ● ● 2.6 ● ● ● ● ● ● ● ● ● ● ● ● ● ● ● ● ● ● ● ● ● ● ● ● ● ● ● ● ● ● ● ● ● ● ● ● ● ● ● ● ● ● ● ● ● ● ● ● ● 2.4 ● ● ● ● ● ● ● ● ● ● ● ● ● ● ● ● ● ● ● ● ● ● ● ● ● ● ● ● ● ● ● ● ● ● ● ● ● ● ● ● ● ● ● ● ● ● ● ● ● ● ● ● ● ● ● ● ● ● ● ● ● ● ● ● ● ● ● ● ● ● ● ● ● ● ● ● ● ● ● ● ● ● ● ● ● ● ● ● ● ● ● ● ● ● ● ● ● ● ● 2.2 ● ● ● ● ● 5 10 15 20 25 30 5 10 15 20 25 30 Number of constructs
  • 34.
    Issues Hartmann distances are still affected by the -  number of constructs -  number of elements -  range of the rating scale (but much less than Slater distances)
  • 35.
    New approach Diminishingskewness by optimal Box-Cox transformation
  • 36.
    Box-Cox Transformation original Box-­‐Cox  boxcox transformed   0.8 1 2 c  =  min(Y)   0.6 λ  =  .35   Search   density 0.4 op;mal  λ     0.2 0.0 −6 −4 −2 0 2 4 −6 −4 −2 0 2 4 value
  • 37.
    Final z-Transformation Box-­‐Cox  transformed   boxcox original Suggested  approach   transformed boxcox 0.8 2 3 0.6 density 0.4 0.2 0.0 −6 −2 −4 0−2 02 2 4 4 −6 −2 −4 0−2 02 2 4 4 value value
  • 38.
    Three steps 1.  Calculate Hartmann distances 2.  Optimal Box-Cox transformation 3.  z-transform original boxcox Suggested  approach   transformed 0.8 1 2 3 0.6 density 0.4 0.2 0.0 −6 −4 −2 0 2 4 −6 −4 −2 0 2 4 −6 −4 −2 0 2 4 value
  • 39.
    Hartmann distances 0.4 10  constructs   30  constructs   0.3 Density Q10 Q90 0.2 Q5 Standard   Q95 0.1 normal   Q1 Q99 0.0 −3 −2 −1 0 1 2 3
  • 40.
    Hartmann distances 0.30 10  constructs   0.25 Q10 0.20 Density 0.15 Q5 Standard   0.10 normal   30  constructs   Q1 0.05 0.00 −3.0 −2.5 −2.0 −1.5 −1.0
  • 41.
    Power transformed distances 0.30 0.25 Q10 0.20 Density 0.15 Q5 0.10 Q1 0.05 0.00 −3.0 −2.5 −2.0 −1.5 −1.0
  • 42.
    Hartmann distances 0.30 0.25 Q90 0.20 10  constructs   Density 0.15 Q95 Standard   0.10 30  constructs   normal   Q99 0.05 0.00 1.0 1.5 2.0 2.5 3.0
  • 43.
    Power transformed distances 0.30 0.25 Q90 0.20 Density 0.15 Q95 0.10 Q99 0.05 0.00 1.0 1.5 2.0 2.5 3.0
  • 44.
    Hartmann Suggested  approach   Normalized −2.0 ● ● ● ● ● ● ● ● ● ● ● ● ● ● ● ● −2.1 ● ● ● ● ● ● ● ● ● ● ● ● ● ● ● ● ● ● ● ● ● ● ● ● ● ● ● ● ● ● ● ● ● ● ● ● ● ● ● ● ● ● ● ● ● ● ● ● ● ● ● ● ● 0.01 −2.2 ● ● ● ● ● ● ● ● ● ● ● ● ● ● ● ● ● ● ● ● ● ● ● ● ● ● ● ● ● ● ● ● ● ● ● ● ● ● ● ● ● ● ● ● ● ● ● ● ● ● ● ● ● ● ● ● ● ● ● −2.3 ● ● ● ● ● ● ● ● ● ● ● ● ● ● ● ● ● ● ● ● ● ● ● ● ● ● ● ● ● ● ● ● ● ● ● ● ● ● ● ● ● ● ● ● ● ● ● ● ● ● ● ● ● ● ● ● ● ● ● ● ● ● ● ● ● ● ● ● ● ● ● ● ● ● ● ● ● ● ● ● ● ● ● ● ● ● ● ● ● ● ● ● ● ● ● ● ● ● ● ● ● ● ● ● ● ● ● ● ● ● ● ● ● ● ● ● ● ● ● ● ● ● ● −2.4 ● ● ● ● ● ● ● ● ● ● ● ● ● ● ● ● ● −1.50 ● ● ● ● ● ● ● ● ● Scale Quantile value ● ● ● ● ● −1.55 1−3 ● ● ● ● ● ● ● ● ● ● ● ● 0.05 ● ● ● ● ● ● 1−4 ● ● ● ● ● ● ● ● ● ● ● ● ● ● ● ● ● ● ● ● ● ● ● ● ● ● ● ● ● ● ● ● ● ● ● ● ● ● ● ● ● ● ● ● ● ● ● ● ● ● ● −1.60 ● ● ● ● ● 1−5 ● ● ● ● ● ● ● ● ● ● ● ● ● ● ● ● ● ● ● ● ● ● ● ● ● ● ● ● ● ● ● ● ● ● ● ● ● ● ● +   1−13 ● ● ● ● ● ● ● ● ● ● ● ● ● ● ● ● ● ● ● ● ● ● ● ● ● ● ● ● ● ● ● ● ● ● ● ● ● ● ● ● ● ● ● ● ● ● ● ● ● ● ● ● ● ● ● ● ● ● ● ● ● ● ● ● ● ● ● ● ● ● ● ● −1.65 ● ● ● ● ● ● ● ● ● ● ● ● ● ● ● ● ● ● ● ● ● ● ● ● ● ● ● ● ● ● ● ● ● ● ● ● ● ● ● ● ● ● ● ● ● ● ● ● ● ● ● ● ● ● ● ● ● ● ● ● −1.24 ● ● ● ● ● ● ● ● ● ● ● ● ● ● ● ● ● ● ● ● ● ● ● ● ● ● ● ● ● ● ● ● ● ● ● ● ● ● ● ● ● ● ● ● ● ● ● ● ● ● −1.26 ● ● ● ● ● ● ● ● ● ● ● ● ● ● ● ● ● ● ● ● ● 0.1 ● ● ● ● ● ● ● ● ● ● ● ● ● ● ● ● ● ● ● ● ● ● ● ● ● ● ● ● ● ● ● ● ● ● ● ● ● ● ● ● ● ● ● ● ● ● ● ● ● ● ● ● ● ● ● ● ● ● ● ● ● ● ● ● ● ● ● ● ● ● ● ● ● ● ● ● ● ● ● ● ● ● ● ● ● ● ● ● ● ● ● ● ● ● ● ● ● ● ● ● ● ● ● ● ● ● ● ● ● ● ● ● ● ● ● ● ● ● ● ● ● ● ● ● ● −1.28 ● ● ● ● ● ● ● ● ● ● ● ● ● ● ● ● ● ● ● ● ● ● ● ● ● ● ● ● ● ● ● ● ● ● ● ● ● ● ● ● ● ● ● ● ● ● ● ● ● ● ● ● ● ● ● ● ● ● ● ● ● ● ● ● ● ● ● ● ● ● ● ● ● ● ● ● ● ● ● ● ● ● ● −1.30 ● ● ● ● ● ● ● ● 5 10 15 20 25 30 5 10 15 20 25 30 Number of constructs
  • 45.
    Hartmann Suggested  approach   Normalized ● ● ● ● ● ● ● 1.40 ● ● ● ● ● ● ● ● ● ● 1.35 ● ● ● ● ● ● ● ● ● ● ● ● ● ● ● ● ● ● ● 0.9 ● ● ● ● ● ● ● ● ● ● ● ● ● 1.30 ● ● ● ● ● ● ● ● ● ● ● ● ● ● ● ● ● ● ● ● ● ● ● ● ● ● ● ● ● ● ● ● ● ● ● ● ● ● ● ● ● ● ● ● ● ● ● ● ● ● ● ● ● ● ● ● ● ● ● ● ● ● ● ● ● ● ● ● ● ● ● ● ● ● ● ● ● ● ● ● ● ● ● ● ● ● ● ● ● ● ● ● ● ● ● ● ● ● ● ● ● ● ● ● ● ● ● ● ● ● ● ● ● ● ● ● ● ● ● ● ● ● ● ● ● ● ● ● ● ● ● ● ● ● ● ● ● ● ● ● ● ● ● ● ● ● ● 1.25 ● ● ● ● ● ● ● ● ● ● 1.20 ● ● ● ● ● ● ● ● ● ● ● ● ● ● ● ● ● ● ● ● ● ● 1.75 ● ● ● ● Scale ● ● ● Quantile value ● ● ● ● ● ● ● ● ● ● ● ● ● ● ● ● ● ● ● ● ● 1.70 1−3 ● ● ● ● ● ● ● ● ● ● ● ● ● ● ● ● ● ● ● ● ● ● ● ● ● ● ● ● ● ● ● ● ● ● ● ● ● ● ● ● ● ● ● ● ● ● ● ● ● ● ● ● ● ● ● ● ● ● ● ● ● ● ● ● ● ● ● ● ● ● 0.95 ● ● ● ● ● ● ● ● ● ● ● ● ● ● ● ● ● ● ● ● ● ● ● ● ● ● 1−4 1.65 ● ● ● ● ● ● ● ● ● ● ● ● ● ● ● ● ● ● ● ● ● ● ● ● ● ● ● ● ● ● ● ● ● ● ● ● ● ● ● ● ● ● ● ● ● ● ● ● ● ● ● ● ● ● ● ● ● ● ● ● 1−5 ● ● ● ● ● ● ● ● ● ● ● ● ● ● ● ● ● ● ● ● ● ● ● ● ● ● ● ● ● ● ● ● ● +   1−13 ● ● ● ● 1.60 ● ● ● ● ● ● ● ● ● ● ● ● ● ● ● ● ● ● 3.2 ● ● ● ● ● 3.0 2.8 ● 0.99 ● ● ● ● ● ● ● 2.6 ● ● ● ● ● ● ● ● ● ● ● ● ● ● ● ● ● ● ● ● ● ● ● ● ● ● ● ● ● ● ● ● ● ● ● ● ● ● ● ● ● ● ● ● ● ● ● ● ● 2.4 ● ● ● ● ● ● ● ● ● ● ● ● ● ● ● ● ● ● ● ● ● ● ● ● ● ● ● ● ● ● ● ● ● ● ● ● ● ● ● ● ● ● ● ● ● ● ● ● ● ● ● ● ● ● ● ● ● ● ● ● ● ● ● ● ● ● ● ● ● ● ● ● ● ● ● ● ● ● ● ● ● ● ● ● ● ● ● ● ● ● ● ● ● ● ● ● ● ● ● 2.2 ● ● ● ● ● 5 10 15 20 25 30 5 10 15 20 25 30 Number of constructs
  • 46.
    Wrap-up Approach Transforms Mean Sd Skew Slater ini;al Hartmann z-­‐Transform x x Box-­‐Cox  +     Suggested  approach x x x z-­‐Transform
  • 47.
    Results +  Less influenceof grid size and scale range +  More stable and symmetrical cutoff values +  Usage of standard normal distribution percentiles as cut-offs -  Currently involves simulation
  • 48.
    Implications for distancecomparisons •  Do not use unstandardized Euclidean distances •  Do not use Slater distances •  Either use Hartmann distances •  or use the presented approach for stable and symmetric cutoffs
  • 49.
    What‘s next? •  Make approach available in OpenRepGrid* software package •  Find approximation to estimate Lambda that avoids simulation •  Compare with empirical grids •  Generalize to other types of distances Interested? Get in touch! *Heckmann, 2011. Software freely available at www.openrepgrid.org
  • 50.
    Literature •  Ben-Tovim, D. I., & Greenup, J. (1983). The representation of transference through serial grids: A methodological study. British Journal of Medical Psychology, 56, 255–261. •  Borkenhagen, A., Klapp, B. F., Schoeneich, F., & Brähler, E. (2005). Differences in body image between anorexics and in-vitro-fertilization patients: a study with Body Grid. GMS Psychosoc Med., 2(Doc10). Conrad, R., Schilling, G., & Liedtke, R. (2005). Parental Coping with Sudden Infant Death After Donor Insemination: Case Report. Human Reproduction, 20(4), 1053–1056. doi:10.1093/humrep/deh705 •  Fransella, F., & Crisp, A. H. (1970). Conceptual organization and weight change. Psychotherapy and Psychosomatics, 18(1-6), 176–185. •  Hartmann, A. (1992). Element comparisons in repertory grid technique: Results and consequences of a monte carlo study. International Journal of Personal Construct Psychology, 5(1), 41–56 •  Heckmann, M. (2011). OpenRepGrid - An R package for the analysis of repertory grids (Unpublished diploma thesis). University of Bremen, Bremen, Germany. •  Leach, C., Freshwater, K., Aldridge, J., & Sunderland, J. (2001). Analysis of repertory grids in clinical practice. The British Journal of Clinical Psychology, 40, 225–248. •  Schoeneich, F., & Klapp, B. F. (1998). Standardization of interelement distances in repertory grid technique and its consequences for psychological interpretation of self-identity plots: An empirical study. Journal of Constructivist Psychology, 11(1), 49–58. •  Schwab, K. (2006). Die Bedeutung standardisierter Maße der Repertory-grid-Technik als ein idiografisches Verfahren in der Beziehungsdiagnostik in der Psychosomatik : eine statistische Analyse der Zusammenhänge zwischen nomothetischen diagnostischen Fragebogenverfahren und standardisierten Repertory-Grid-Maßen (Dissertation). Universität Marburg, Fachbereich Medizin, Marburg. •  Slater, P. (1977). The measurement of intrapersonal space by grid technique: Dimensions of intrapersonal space (Vol. 2). London: Wiley & Sons. •  Winter, D. A., Bell, R. C., & Watson, S. (2010). Midpoint Ratings on Personal Constructs: Constriction or the Middle Way? Journal of Constructivist Psychology, 23(4), p. 343