关于仿真程序的几个问题
产生信息序列 编码 通过信道 译码 与信息序列比较,判断是否有错 计算误比特率 中止 Yes 实际系统中, 采用检错码判断
复习课(一) —— 几种编码方式
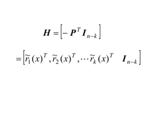
几个概念 生成矩阵 G 和校验矩阵 H 典型校验矩阵是什么含义? G 的每一行的物理含义是什么? H 的每一行的物理含义是什么?每一列的物理含义是什么? 错误图样 E 伴随式 S
G 的每一行代表一个码字,且生成矩阵各行之间是线性独立的。 H 的每一行决定了一个码字中各码元之间的约束关系。所有码字都必须满足 H 给出的 n - k 个线性方程。 H 的每一列实际是某一错误图样对应的伴随式,该错误图样中只有该列对应位置为 1, 其他位置均为零。 伴随式实际是由 H 中各列的线性组合构成的。
几个特殊码类的 生成矩阵和校验矩阵 汉明码  [2 m -1 ,  2 m -1- m ,3] 了解汉明码的参数和纠错能力 循环码  g ( x ) h ( x ) =x n -1 给定码长和信息位长度,会求生成多项式和校验多项式;会求生成矩阵和校验矩阵;会画编码电路。
循环码的编码原理 (1) 基本步骤 ([ n , k ]) 1 、分解多项式 x n -1= g ( x ) h ( x ) 2 、选择其中的 n - k 次多项式 g ( x ) 为生成多项式 3 、由 g ( x ) 可得到 k 个多项式 g ( x ),  xg ( x ),… x k- 1 g ( x ) 4 、取上述 k 个多项式的系数即可构成相应的生成矩阵 5 、取 h ( x ) 的互反多项式 h *( x ), 取 h *(  x ),  xh *(  x ),…  x n-k -1 h *(  x ) 的系数即可构成相应的校验矩阵
循环码的编码原理 (2) 可选择 k 个线性无关的信息组  (1,0,0,…,0)  x k -1 , (0,1,0,0,…0)  x k -2 , … (0,0,0,…,0,1)  1
表示 r i ( x ) 的系数
 
n - k   级编码器 基本原理:利用生成多项式 g (x) 若要求编成非系统码形式,则利用乘法电路 若要求编成系统码形式,则利用除法电路
g 0 g 1 g 2 g n-k -2 b 1 g n-k -1 b 1 g n-k 输出 C ( x ) 输入 m ( x ) m 0 , m 1 ,… m k 乘 g ( x ) 运算电路 m k -1  g n-k -1 m k -1   g n-k 输入 m (x) 是信息序列, g (x) 为生成多项式 m k -1  g 0 m k -1  g 1
输入 m ( x ) m 0 , m 1 ,… m k- 1 g n-k -1 -g 0 -g n -k-1 -g n -k-2 乘 x n-k 除 g ( x ) 运算电路 -g 1 -g 2 门 1
循环码 k 级编码电路 -h 0 -h 1 -h 2 -h k -2 b 1 -h k -1 输入信息 门 c n -1 c n -2 c n - k -1 c n - k
Ex1 GF(2) 上, x 7 -1=( x +1)( x 3 + x +1)( x 3 + x 2 +1) 试画一个 [7,4] 循环码的编码电路。
几个特殊码类的 生成矩阵和校验矩阵 卷积码  ( n 0 ,  k 0 ,  m )  G , G ( D ) 根据编码电路会求 G 和 G ( D ) ; 由 G 会求 G ( D ) ; 由 G ( D )  会求 G ; 由 G 和 G ( D ) 会画编码电路; G 以子码为单位描述卷积码 G (D) 以子码中的单个码元为单位描述卷积码
生成矩阵和生成多项式矩阵 (P380) (3,1,2)  卷积编码器 m i p i 2 p i 1
生成矩阵 G 基本生成矩阵 是信息序列 (100000……) 送入编码器时对应 的输出子码
生成多项式矩阵 基本生成矩阵 子生成元
生成矩阵和生成多项式矩阵 (P380) (3,2,2)  卷积编码器 M i (1) M i (2) c i (2) c i (1) c i (3)
生成矩阵 G
基本生成矩阵 子生成元 生成矩阵中的第一行是信息序列 (10,00,00,……) 对应的输出 生成矩阵中的第二行是信息序列 (01,00,00,……) 对应的输出
生成多项式矩阵
Ex2 已知 (2,1,4) 码的子生成元为 1  求出该码的 G (D) 和 G  矩阵 2  画出该码的编码器 3  求出相应于信息序列 M=(11001) 的码序列 4  判断此码是否是系统码
Ex3 已知 (3,2,2) 码的子生成元为 1  画出该码的编码器 3 已知 M ( D )=[1+ D + D 3 ,1+ D 2 + D 3 ] , 求出 C (1) ( D ) ,  C (2) ( D ) 和 C (3) ( D ) , 并写出 C ( D ) 2  写出 G (D)
复习课 ( 二 ) —— 有关的代数知识
要求掌握的几个数学概念 群、环、域 多项式剩余类环 循环群的概念
一、同余和剩余类 (p23) 同余 :若整数 a 和 b 被同一正整数 m 除时,有相同的余数,则称 a 、 b 关于模 m 同余,记为 剩余类 (Residue) :给定正整数 m ,可将全体整数按余数相同进行分类,可获得 m 个剩余类,分别用
二、群 (Group) 的定义 (p26) 设 G 是一个非空集合,并在 G 内定义了一种代数运算 “  。 ”,若满足: 则称 G 构成一个群。若加法,恒等元用 0 表示, 若为乘法,恒等元称为单位元 1)  封闭性。对任意 ,恒有 2)  结合律。对任意 ,恒有 3) G 中存在一恒等元 e, 对任意 ,使 4)  对任意 ,存在 a 的逆元 ,使
三、环 (Ring) 的定义 (p30) 非空集合 R 中,若定义了两种代数运算加和乘,且满足: 1)  集合 R 在加法运算下构成阿贝尔群 2)  乘法有封闭性 3)  乘法结合律成立,且加和乘之间有分配律
四、域 (Field) 的定义 (p31) 非空集合 F ,若 F 中定义了加和乘两种运算,且满足: 1) F 关于加法构成阿贝尔群,加法恒等元记为 0 2) F 中所有非零元素对乘法构成阿贝尔群,乘法恒等元记为 1 3)  加法和乘法之间满足分配律
五、多项式剩余类环
定义 : 以一个 F p 上的多项式 f ( x )= f n x n + f n -1 x n -1 +…+ f 1 x+f 0 为模的剩余类全体构成一个 多项式剩余类环 F p 上的所有次数小于 n -1 的多项式构成 n 次多项式的剩余类全体   剩余类之间的加法和乘法运算规则
Examples 1 、 GF(2) 上的多项式  f ( x )= x 2 +1 的剩余类全体为:  2 、 GF(2) 上的多项式  f ( x )= x 2 + x +1 的剩余类全体为:  对所定义的加法和乘法运算,前者构成剩余类环,后者构成域 结论:若 n 次首一多项式 f ( x ) 在域 F p 上既约,则 f ( x ) 的剩余类环构成 一个有 p n 个元素的有限域
六、循环群的定义 (p113)
定义: 由一个单独元素的所有 幂次 所构成的群称为循环群,该元素为循环群的生成元 注:  1 、幂次的含义与在群上所定义的运算有关。若定义加法运算,幂运算为连加运算;若定义乘法运算,则幂运算为连乘。 2 、循环群的生成元不止一个。 2 、凡是循环群必是可换群。
Ex4: 模 4 剩余类全体关于加法运算构成循环群,生成元为 1 和 3 。 模 5 全体非零剩余类关于乘法构成循环群,生成元为 2 和 3
有限循环群和无限循环群 若元素 a 的所有幂次均不相同 ( 无限循环群 ) 存在整数  h 和 k ,使得 a k = a h ,则有 a 生成的循环群中元素个数有限 ( 有限循环群 ) 循环群元素的级 若 a k = a h , 则有 a h - k = e , 定义使 a n = e 的最小正整数为有限循环群元素 a 的 级 。
有限循环群的几个特点 1 、若元素 a 的级为 n ,则 a 0 = e , a , a 2 ,…a n -1 均互不相同 2 、若 a 为 n 级元素,则 a 的一切幂次生成的元素都在群 G ( a ) 中 3 、凡是循环群必是可换群 4 、可换群 G 中的每一个元素 a 都能生成一个循环群。若 a 为有限级,则生成有限循环群,  a 的级即为循环群中元素的个数 ( 循环群的阶 )
Ex5 设 GF(2) 上的多项式 x 2 + x +1 试写出模该多项式的剩余类全体 在模多项式的加法和乘法运算下构造加法 和乘法运算表 3)  上述剩余类全体在所定义的运算下是否构 成域? 4)  若构成域,所有非零元素在上述定义的乘 法运算下是否构成循环群?若是,该循环群的 生成元是什么?单位元是什么?每个元素的级 是多少?

香港六合彩

  • 1.
  • 2.
    产生信息序列 编码 通过信道译码 与信息序列比较,判断是否有错 计算误比特率 中止 Yes 实际系统中, 采用检错码判断
  • 3.
  • 4.
    几个概念 生成矩阵 G和校验矩阵 H 典型校验矩阵是什么含义? G 的每一行的物理含义是什么? H 的每一行的物理含义是什么?每一列的物理含义是什么? 错误图样 E 伴随式 S
  • 5.
    G 的每一行代表一个码字,且生成矩阵各行之间是线性独立的。 H的每一行决定了一个码字中各码元之间的约束关系。所有码字都必须满足 H 给出的 n - k 个线性方程。 H 的每一列实际是某一错误图样对应的伴随式,该错误图样中只有该列对应位置为 1, 其他位置均为零。 伴随式实际是由 H 中各列的线性组合构成的。
  • 6.
    几个特殊码类的 生成矩阵和校验矩阵 汉明码 [2 m -1 , 2 m -1- m ,3] 了解汉明码的参数和纠错能力 循环码 g ( x ) h ( x ) =x n -1 给定码长和信息位长度,会求生成多项式和校验多项式;会求生成矩阵和校验矩阵;会画编码电路。
  • 7.
    循环码的编码原理 (1) 基本步骤([ n , k ]) 1 、分解多项式 x n -1= g ( x ) h ( x ) 2 、选择其中的 n - k 次多项式 g ( x ) 为生成多项式 3 、由 g ( x ) 可得到 k 个多项式 g ( x ), xg ( x ),… x k- 1 g ( x ) 4 、取上述 k 个多项式的系数即可构成相应的生成矩阵 5 、取 h ( x ) 的互反多项式 h *( x ), 取 h *( x ), xh *( x ),… x n-k -1 h *( x ) 的系数即可构成相应的校验矩阵
  • 8.
    循环码的编码原理 (2) 可选择k 个线性无关的信息组 (1,0,0,…,0) x k -1 , (0,1,0,0,…0) x k -2 , … (0,0,0,…,0,1) 1
  • 9.
    表示 r i( x ) 的系数
  • 10.
  • 11.
    n - k 级编码器 基本原理:利用生成多项式 g (x) 若要求编成非系统码形式,则利用乘法电路 若要求编成系统码形式,则利用除法电路
  • 12.
    g 0 g1 g 2 g n-k -2 b 1 g n-k -1 b 1 g n-k 输出 C ( x ) 输入 m ( x ) m 0 , m 1 ,… m k 乘 g ( x ) 运算电路 m k -1 g n-k -1 m k -1 g n-k 输入 m (x) 是信息序列, g (x) 为生成多项式 m k -1 g 0 m k -1 g 1
  • 13.
    输入 m (x ) m 0 , m 1 ,… m k- 1 g n-k -1 -g 0 -g n -k-1 -g n -k-2 乘 x n-k 除 g ( x ) 运算电路 -g 1 -g 2 门 1
  • 14.
    循环码 k 级编码电路-h 0 -h 1 -h 2 -h k -2 b 1 -h k -1 输入信息 门 c n -1 c n -2 c n - k -1 c n - k
  • 15.
    Ex1 GF(2) 上,x 7 -1=( x +1)( x 3 + x +1)( x 3 + x 2 +1) 试画一个 [7,4] 循环码的编码电路。
  • 16.
    几个特殊码类的 生成矩阵和校验矩阵 卷积码 ( n 0 , k 0 , m ) G , G ( D ) 根据编码电路会求 G 和 G ( D ) ; 由 G 会求 G ( D ) ; 由 G ( D ) 会求 G ; 由 G 和 G ( D ) 会画编码电路; G 以子码为单位描述卷积码 G (D) 以子码中的单个码元为单位描述卷积码
  • 17.
  • 18.
    生成矩阵 G 基本生成矩阵是信息序列 (100000……) 送入编码器时对应 的输出子码
  • 19.
  • 20.
    生成矩阵和生成多项式矩阵 (P380) (3,2,2) 卷积编码器 M i (1) M i (2) c i (2) c i (1) c i (3)
  • 21.
  • 22.
    基本生成矩阵 子生成元 生成矩阵中的第一行是信息序列(10,00,00,……) 对应的输出 生成矩阵中的第二行是信息序列 (01,00,00,……) 对应的输出
  • 23.
  • 24.
    Ex2 已知 (2,1,4)码的子生成元为 1 求出该码的 G (D) 和 G  矩阵 2 画出该码的编码器 3 求出相应于信息序列 M=(11001) 的码序列 4 判断此码是否是系统码
  • 25.
    Ex3 已知 (3,2,2)码的子生成元为 1 画出该码的编码器 3 已知 M ( D )=[1+ D + D 3 ,1+ D 2 + D 3 ] , 求出 C (1) ( D ) , C (2) ( D ) 和 C (3) ( D ) , 并写出 C ( D ) 2 写出 G (D)
  • 26.
    复习课 ( 二) —— 有关的代数知识
  • 27.
  • 28.
    一、同余和剩余类 (p23) 同余:若整数 a 和 b 被同一正整数 m 除时,有相同的余数,则称 a 、 b 关于模 m 同余,记为 剩余类 (Residue) :给定正整数 m ,可将全体整数按余数相同进行分类,可获得 m 个剩余类,分别用
  • 29.
    二、群 (Group) 的定义(p26) 设 G 是一个非空集合,并在 G 内定义了一种代数运算 “ 。 ”,若满足: 则称 G 构成一个群。若加法,恒等元用 0 表示, 若为乘法,恒等元称为单位元 1) 封闭性。对任意 ,恒有 2) 结合律。对任意 ,恒有 3) G 中存在一恒等元 e, 对任意 ,使 4) 对任意 ,存在 a 的逆元 ,使
  • 30.
    三、环 (Ring) 的定义(p30) 非空集合 R 中,若定义了两种代数运算加和乘,且满足: 1) 集合 R 在加法运算下构成阿贝尔群 2) 乘法有封闭性 3) 乘法结合律成立,且加和乘之间有分配律
  • 31.
    四、域 (Field) 的定义(p31) 非空集合 F ,若 F 中定义了加和乘两种运算,且满足: 1) F 关于加法构成阿贝尔群,加法恒等元记为 0 2) F 中所有非零元素对乘法构成阿贝尔群,乘法恒等元记为 1 3) 加法和乘法之间满足分配律
  • 32.
  • 33.
    定义 : 以一个F p 上的多项式 f ( x )= f n x n + f n -1 x n -1 +…+ f 1 x+f 0 为模的剩余类全体构成一个 多项式剩余类环 F p 上的所有次数小于 n -1 的多项式构成 n 次多项式的剩余类全体 剩余类之间的加法和乘法运算规则
  • 34.
    Examples 1 、GF(2) 上的多项式 f ( x )= x 2 +1 的剩余类全体为: 2 、 GF(2) 上的多项式 f ( x )= x 2 + x +1 的剩余类全体为: 对所定义的加法和乘法运算,前者构成剩余类环,后者构成域 结论:若 n 次首一多项式 f ( x ) 在域 F p 上既约,则 f ( x ) 的剩余类环构成 一个有 p n 个元素的有限域
  • 35.
  • 36.
    定义: 由一个单独元素的所有 幂次所构成的群称为循环群,该元素为循环群的生成元 注: 1 、幂次的含义与在群上所定义的运算有关。若定义加法运算,幂运算为连加运算;若定义乘法运算,则幂运算为连乘。 2 、循环群的生成元不止一个。 2 、凡是循环群必是可换群。
  • 37.
    Ex4: 模 4剩余类全体关于加法运算构成循环群,生成元为 1 和 3 。 模 5 全体非零剩余类关于乘法构成循环群,生成元为 2 和 3
  • 38.
    有限循环群和无限循环群 若元素 a的所有幂次均不相同 ( 无限循环群 ) 存在整数 h 和 k ,使得 a k = a h ,则有 a 生成的循环群中元素个数有限 ( 有限循环群 ) 循环群元素的级 若 a k = a h , 则有 a h - k = e , 定义使 a n = e 的最小正整数为有限循环群元素 a 的 级 。
  • 39.
    有限循环群的几个特点 1 、若元素a 的级为 n ,则 a 0 = e , a , a 2 ,…a n -1 均互不相同 2 、若 a 为 n 级元素,则 a 的一切幂次生成的元素都在群 G ( a ) 中 3 、凡是循环群必是可换群 4 、可换群 G 中的每一个元素 a 都能生成一个循环群。若 a 为有限级,则生成有限循环群, a 的级即为循环群中元素的个数 ( 循环群的阶 )
  • 40.
    Ex5 设 GF(2)上的多项式 x 2 + x +1 试写出模该多项式的剩余类全体 在模多项式的加法和乘法运算下构造加法 和乘法运算表 3) 上述剩余类全体在所定义的运算下是否构 成域? 4) 若构成域,所有非零元素在上述定义的乘 法运算下是否构成循环群?若是,该循环群的 生成元是什么?单位元是什么?每个元素的级 是多少?