SILDENAFIL REVIEW
BY
DR ANTHONY MELVIN CRASTO
WORLDDRUGTRACKER
http://newdrugapprovals.wordpress.com/
DEDICATED TO MY SON LIONEL CRASTO,
He was only in first standard in school (Dec
2007) when I was Paralysed head to toe.
His smiling face sees me through day in and day out.
Vast readership from academia and industry motivates me, and keeps me
going.
Helping millions with free advertisement free websites and has million
hits on google
Thanks for helping me to keep lionel smiling
SHORE
 Your own will power and determination will reach
you to the shore even if you are drowned in the
middle of a storm
 Erectile dysfunction (or ED), also called male
impotence, describes a mans inability to achieve
and maintain an erection sufficient for mutually
satisfactory sexual intercourse with his partner. By
itself, ED is not a disease but more of a signal that
something else may be a problem.
 Viagra works best if taken 30-60 minutes before
sexual activity. Only 1 tablet should be taken per
day. It should be taken on an empty stomach.
Increasing the dosage beyond the recommended
amounts will not improve the response and will only
result in greater side effects.
 Sildenafil is a vasoactive agent used to treat erectile
dysfunction and reduce symptoms in patients with
pulmonary arterial hypertension (PAH).
 Sildenafil elevates levels of the second messenger,
cGMP, by inhibiting its breakdown via
phosphodiesterase type 5 (PDE5). PDE5 is found in
particularly high concentrations in the corpus
cavernosum, erectile tissue of the penis.
 It is also found in the retina and vascular endothelium.
 Increased cGMP results in vasodilation which facilitates
generation and maintenance of an erection. The
vasodilatory effects of sildenafil also help reduce
symptoms of PAH.
 In simple terms, Sildenafil Citrate works by increasing the amount of blood that flows to the
penis. This causes a healthy erection, something the users of the drug want.
 Most men, up to a certain age at least, take their ability to achieve a healthy erection for
granted. They do not consider that impotence may be a problem for them, and when it does
happen, it can be a distressing experience, and can even cause families to fall apart. The
problem can cause depression in men. The idea that sexual potency is limited and may even be
gone forever from a man’s life is one that many men do not even want to contemplate. The
emotional impact of erectile dysfunction can be devastating, with many sufferers reporting
feelings linked to depression. Some sufferers fear intimacy in their relationships. Others suffer
from high anxiety.
 The problem is quite common. In fact, over 50% of men between the age of 40 and 70 reported
recently that they have had at least one incidence of erectile dysfunction. This problem gets
even worse as men get older, with one in three 70 year olds reporting the problem.
 Men who smoke are more likely to suffer from erectile dysfunction, as are men who are
overweight. Those who suffer from any kind of hypertension or heart disease are even more
likely to suffer from impotence, since such conditions restrict the flow of blood to organs.
 When a man is sexually excited, Sildenafil works to create an erection by increasing blood flow.
As the sexual experience finishes, the erection dies away.
 The erection process takes place when nitric oxide is released to the penile corpus
cavernosum. This process then activates an enzyme known as guanylate cyclase. All of this
leads to some relaxation of the smooth muscles in this area of the penis, which results in
erection.
 Sildenafil Citrate does not work without sexual stimulation
GENERAL
 Sildenafil (compound UK-92,480) was synthesized by a group of
pharmaceutical chemists working at Pfizer's Sandwich, Kent, research
facility in England. It was initially studied for use in hypertension (high
blood pressure) and angina pectoris (a symptom of ischaemic heart
disease). The first clinical trials were conducted in Morriston Hospital in
Swansea. Phase I clinical trials under the direction of Ian Osterloh
suggested that the drug had little effect on angina, but that it could
induce marked penile erections.[1][47] Pfizer therefore decided to market it
for erectile dysfunction, rather than for angina. The drug was patented in
1996, approved for use in erectile dysfunction by the United States Food
and Drug Administration on March 27, 1998, becoming the first oral
treatment approved to treat erectile dysfunction in the United States, and
offered for sale in the United States later that year.[48] It soon became a
great success: annual sales of Viagra peaked in 2008 at US$1,934
million.
 The British press portrayed Peter Dunn and Albert Wood as the inventors
of the drug, a claim that Pfizer disputes. Their names are on the
manufacturing patent application, but the original patent on the synthesis
of the drug was filed by Nicholas Terrett and Peter Ellis.
 Sildenafil citrate, sold as Viagra, Revatio and
under various other trade names, is adrug used to
treat erectile dysfunction and pulmonary arterial
hypertension (PAH).
 It was originally developed by British scientists and
then brought to market by the US-
basedpharmaceutical company Pfizer.
 It acts by inhibiting cGMP-specific
phosphodiesterase type 5, an enzyme that
promotes degradation of cGMP, which regulates
blood flow in thepenis.
 Since becoming available in 1998, sildenafil has
been the prime treatment for erectile dysfunction;
its primary competitors on the market
are tadalafil (Cialis) and vardenafil (Levitra).
SILDENAFIL
Sildenafil citrate, commonly called as “Viagra” was first discovered by Pfizer
company in U.K.
It was initially used to study its effects for the treatment of angina pectoris
and hypertension.
It was found to be effective for penile errections than on cardiovascular
diseases.
First clinical trials were conducted in Morriston Hospital in Swansea under
the guidance of Prof. Lan Osterloh.
The drug was patented in 1996 and approved by U.S FDA on March 27th
1998.
SEXUAL DYSFUNCTION
 The primary indication of sildenafil is treatment
of erectile dysfunction (inability to sustain a
satisfactory erection to complete intercourse). Its
use is now standard treatment for erectile
dysfunction in all settings, including diabetes.
 People on antidepressants may experience sexual
dysfunction, either as a result of their illness or as a
result of their treatment. A 2003 study showed that
sildenafil improved sexual function in men in this
situation. Following up reports from 1999,[4] the
same researchers found that sildenafil improved
sexual function in female patients on
antidepressants as well.
DOSAGE
 Viagra
 Viagra pills are blue and diamond-shaped with the
word "Pfizer" engraved on one side, and "VGR xx"
(where xx stands for "25", "50" or "100", the dose of
that pill in milligrams) engraved on the other. It is
taken not more than once per day between
30 minutes and 4 hours prior to sexual intercourse.
 The dosage for pulmonary arterial hypertension
(Revatio) is three times a day. Revatio pills are
white, round, film-coated tablets imprinted with
"RVT 20" embossed on one side
STRUCTURE
1-[4-ethoxy-3-(6,7-dihydro-1-methyl-
7-oxo-3-propyl-1H-pyrazolo[4,3-
d]pyrimidin-5-yl)
phenylsulfonyl]-4-methylpiperazine citrate
TARGET
 Target is cyclic guanosine monophosphate
phosphodiesterase type 5 receptor.
 Fluforma is a company which found the genome
explorations and target identification through affymetrix
microarrays.
 High throughput functional assays of Si Rna’s inhibit the
expression of target, chromatographic techniques,
spectrophotometric methods, adsorptive stripping
voltametry.
 Gingel et.al showed that a 50mg dose given daily for 28
days consecutively improved errections in almost 90%
of patients.
 Structural validation techniques are NMR technique,
Infrared spectrum, HPLC, Mass spectroscopy and
Liquid chromatography.
MECHANISM OF ACTION
 Erections are controlled by the parasympathetic nervous system. Upon
sexual stimulation, a decrease in vascular resistance is mediated by
acetylcholine and nitric oxide resulting in vasodilation. The hemodynamic
mechanism of an erection is comprised of five stages. During the latent
stage, arterial and carvernous smooth muscle relaxation occurs.
Vasodilation results in high levels of blood flow causing the penis to grow
to its full size. This stage is called tumescence. During the full-erection
stage, blood flow fills penis sinusoids and outflow is restricted. This is
followed by the rigid-erection phase during which the cavernous muscles
contract causing the penis to become rigid. Little blood flow occurs
during this stage. During the final stage, detumescence, the cavernous
muscles relax and blood flows out of the penis. Erectile dysfunction may
occur when there is insufficient blood supply to the penis or when the
penis is unable to prevent outflow of blood from the penis. Sildenafil is a
specific inhibitor of PDE5, an enzyme responsible for the breakdown of
cGMP to 5’-GMP. Increased levels of cGMP stimulate vasodilation and
facilitate the generation and maintenance of erections. These
vasodilatory effects also help decrease symptoms of PAH. Sildenfail also
exhibits some activity against PDE6 (10 times less potentcy compared to
PDE5), a PDE isoform found predmoninantly in the retina. This activity is
responsible for the blue tinged vision experienced by users of sildenafil.
Crystal structure of human PDE5 with bound
sildenafil
PHARMAKOKINETICS
 Sildenafil is rapidly absorbed with absolute
bioavailability of 40%, it is cleared by hepatic
microsomal isoenzymes CYP3A4 and CYP2C9 and
excreted.
 Sildenafil is available in 25mg, 50mg, 100mg.
 Efficacy of erectile function can be scored by five
domains, namely erectile function, orgasmic
function, sexual desire, intercourse satisfaction,
overall satisfaction by international
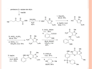
SYNTHESIS
PATENT ISSUES AND EXPIRATIONS
 A UK patent held by Pfizer on the use of PDE5 inhibitors (see
below) as treatment of impotence was invalidated in 2000
because of obviousness; this decision was upheld on appeal
in 2002. But there are two other patents covering the methods
for manufacturing Viagra, and Pfizer has maintained its
monopoly on the drug in the UK.
 Egypt approved Viagra for sale in 2002, but soon afterwards
allowed local companies to produce generic versions of the
drug, citing the interests of poor people who would not be able
to afford Pfizer's price.
 Pfizer's patent on sildenafil citrate expired in Brazil in 2010. It
was originally believed that Pfizer's patents would expire in
the United States in March 2012, but an August 2011 federal
district court case raises the prospect that at least one of
Pfizer's patents will be valid until 2019.
 In Canada, Pfizer's patent 2,324,324 for Revatio (sildenafil used to treat
pulmonary hypertension) was found invalid by the Federal Court in June
2010, on an application by Ratiopharm Inc.
 On November 8, 2012 the Supreme Court of Canada ruled that Pfizer's
patent 2,163,446 on Viagra was invalid from the beginning because the
company did not provide full disclosure in its application. The decision,
Teva Canada Ltd. v. Pfizer Canada Inc., pointed to section 27(3)(b) of
The Patent Act which requires that disclosure must include sufficient
information "to enable any person skilled in the art or science to which it
pertains" to produce it. It added further: "As a matter of policy and sound
statutory interpretation, patentees cannot be allowed to “game” the
system in this way. This, in my view, is the key issue in this appeal."
 Teva Canada launched Novo-Sildenafil, a generic version of Viagra, on
the day the Supreme Court of Canada released its decision. To remain
competitive, Pfizer then reduced the price of Viagra in Canada. However,
on November 9, 2012, Pfizer filed a motion for a re-hearing of the appeal
in the Supreme Court of Canada on the grounds that the court
accidentally exceeded its jurisdiction by voiding the patent.
INDIA
 Manufacture and sale of sildenafil citrate drugs
known as "generic viagra" is common in India,
where Pfizer's patent claim does not apply. Trade
names include Kamagra (Ajanta Pharma), Silagra
(Cipla), Edegra (Sun Pharmaceutical), Penegra
(Zydus Cadila), and Zenegra (Alkem Laboratories).
LINK
 http://newdrugapprovals.wordpress.com/
 http://worlddrugtracker.blogspot.in/
 is the link to my blog which tracks drugs worldwide
 US, CANADA, JAPAN, EU CHINA ETC
SITE NEEDS=
Join my process development group on google
http://groups.google.com/group/organic-
process-development
DR ANTHONY CRASTO
CHEMISTRY SITES
HTTPS://SITES.GOOGLE.COM/SITE/ANTHONYCRASTOORGANICCHEMISTRY/
SITES---MY-OWN-ON-THE-NET
HTTP://NEWDRUGAPPROVALS.WORDPRESS.COM/
HTTP://WORLDDRUGTRACKER.BLOGSPOT.IN/
THANKS
DR ANTHONY MELVIN CRASTO Ph.D
amcrasto@gmail.com
MOBILE-+91 9323115463
GLENMARK SCIENTIST , NAVIMUMBAI,
INDIA
web link
http://anthonycrasto.jimdo.com/
http://www.anthonymelvincrasto.yolasite.com/
http://www.slidestaxx.com/anthony-melvin-crasto-phd
https://sites.google.com/site/anthonycrastoorganicchemistry/sites---
my-own-on-the-net
http://anthonycrasto.wordpress.com/
http://organicchemistrysite.blogspot.com/
http://www.mendeley.com/profiles/anthony-melvin-crasto/
Congratulations! Your presentation titled "Anthony Crasto Glenmark
scientist, helping millions with websites" has just
crossed MILLION views.
THANKS

Sildenafil by Anthony Crasto

  • 1.
    SILDENAFIL REVIEW BY DR ANTHONYMELVIN CRASTO WORLDDRUGTRACKER http://newdrugapprovals.wordpress.com/
  • 2.
    DEDICATED TO MYSON LIONEL CRASTO, He was only in first standard in school (Dec 2007) when I was Paralysed head to toe. His smiling face sees me through day in and day out. Vast readership from academia and industry motivates me, and keeps me going. Helping millions with free advertisement free websites and has million hits on google Thanks for helping me to keep lionel smiling
  • 3.
    SHORE  Your ownwill power and determination will reach you to the shore even if you are drowned in the middle of a storm
  • 4.
     Erectile dysfunction(or ED), also called male impotence, describes a mans inability to achieve and maintain an erection sufficient for mutually satisfactory sexual intercourse with his partner. By itself, ED is not a disease but more of a signal that something else may be a problem.
  • 5.
     Viagra worksbest if taken 30-60 minutes before sexual activity. Only 1 tablet should be taken per day. It should be taken on an empty stomach. Increasing the dosage beyond the recommended amounts will not improve the response and will only result in greater side effects.
  • 6.
     Sildenafil isa vasoactive agent used to treat erectile dysfunction and reduce symptoms in patients with pulmonary arterial hypertension (PAH).  Sildenafil elevates levels of the second messenger, cGMP, by inhibiting its breakdown via phosphodiesterase type 5 (PDE5). PDE5 is found in particularly high concentrations in the corpus cavernosum, erectile tissue of the penis.  It is also found in the retina and vascular endothelium.  Increased cGMP results in vasodilation which facilitates generation and maintenance of an erection. The vasodilatory effects of sildenafil also help reduce symptoms of PAH.
  • 7.
     In simpleterms, Sildenafil Citrate works by increasing the amount of blood that flows to the penis. This causes a healthy erection, something the users of the drug want.  Most men, up to a certain age at least, take their ability to achieve a healthy erection for granted. They do not consider that impotence may be a problem for them, and when it does happen, it can be a distressing experience, and can even cause families to fall apart. The problem can cause depression in men. The idea that sexual potency is limited and may even be gone forever from a man’s life is one that many men do not even want to contemplate. The emotional impact of erectile dysfunction can be devastating, with many sufferers reporting feelings linked to depression. Some sufferers fear intimacy in their relationships. Others suffer from high anxiety.  The problem is quite common. In fact, over 50% of men between the age of 40 and 70 reported recently that they have had at least one incidence of erectile dysfunction. This problem gets even worse as men get older, with one in three 70 year olds reporting the problem.  Men who smoke are more likely to suffer from erectile dysfunction, as are men who are overweight. Those who suffer from any kind of hypertension or heart disease are even more likely to suffer from impotence, since such conditions restrict the flow of blood to organs.  When a man is sexually excited, Sildenafil works to create an erection by increasing blood flow. As the sexual experience finishes, the erection dies away.  The erection process takes place when nitric oxide is released to the penile corpus cavernosum. This process then activates an enzyme known as guanylate cyclase. All of this leads to some relaxation of the smooth muscles in this area of the penis, which results in erection.  Sildenafil Citrate does not work without sexual stimulation
  • 8.
    GENERAL  Sildenafil (compoundUK-92,480) was synthesized by a group of pharmaceutical chemists working at Pfizer's Sandwich, Kent, research facility in England. It was initially studied for use in hypertension (high blood pressure) and angina pectoris (a symptom of ischaemic heart disease). The first clinical trials were conducted in Morriston Hospital in Swansea. Phase I clinical trials under the direction of Ian Osterloh suggested that the drug had little effect on angina, but that it could induce marked penile erections.[1][47] Pfizer therefore decided to market it for erectile dysfunction, rather than for angina. The drug was patented in 1996, approved for use in erectile dysfunction by the United States Food and Drug Administration on March 27, 1998, becoming the first oral treatment approved to treat erectile dysfunction in the United States, and offered for sale in the United States later that year.[48] It soon became a great success: annual sales of Viagra peaked in 2008 at US$1,934 million.  The British press portrayed Peter Dunn and Albert Wood as the inventors of the drug, a claim that Pfizer disputes. Their names are on the manufacturing patent application, but the original patent on the synthesis of the drug was filed by Nicholas Terrett and Peter Ellis.
  • 9.
     Sildenafil citrate,sold as Viagra, Revatio and under various other trade names, is adrug used to treat erectile dysfunction and pulmonary arterial hypertension (PAH).  It was originally developed by British scientists and then brought to market by the US- basedpharmaceutical company Pfizer.
  • 10.
     It actsby inhibiting cGMP-specific phosphodiesterase type 5, an enzyme that promotes degradation of cGMP, which regulates blood flow in thepenis.  Since becoming available in 1998, sildenafil has been the prime treatment for erectile dysfunction; its primary competitors on the market are tadalafil (Cialis) and vardenafil (Levitra).
  • 11.
    SILDENAFIL Sildenafil citrate, commonlycalled as “Viagra” was first discovered by Pfizer company in U.K. It was initially used to study its effects for the treatment of angina pectoris and hypertension. It was found to be effective for penile errections than on cardiovascular diseases. First clinical trials were conducted in Morriston Hospital in Swansea under the guidance of Prof. Lan Osterloh. The drug was patented in 1996 and approved by U.S FDA on March 27th 1998.
  • 12.
    SEXUAL DYSFUNCTION  Theprimary indication of sildenafil is treatment of erectile dysfunction (inability to sustain a satisfactory erection to complete intercourse). Its use is now standard treatment for erectile dysfunction in all settings, including diabetes.  People on antidepressants may experience sexual dysfunction, either as a result of their illness or as a result of their treatment. A 2003 study showed that sildenafil improved sexual function in men in this situation. Following up reports from 1999,[4] the same researchers found that sildenafil improved sexual function in female patients on antidepressants as well.
  • 14.
    DOSAGE  Viagra  Viagrapills are blue and diamond-shaped with the word "Pfizer" engraved on one side, and "VGR xx" (where xx stands for "25", "50" or "100", the dose of that pill in milligrams) engraved on the other. It is taken not more than once per day between 30 minutes and 4 hours prior to sexual intercourse.  The dosage for pulmonary arterial hypertension (Revatio) is three times a day. Revatio pills are white, round, film-coated tablets imprinted with "RVT 20" embossed on one side
  • 15.
  • 16.
    TARGET  Target iscyclic guanosine monophosphate phosphodiesterase type 5 receptor.  Fluforma is a company which found the genome explorations and target identification through affymetrix microarrays.  High throughput functional assays of Si Rna’s inhibit the expression of target, chromatographic techniques, spectrophotometric methods, adsorptive stripping voltametry.  Gingel et.al showed that a 50mg dose given daily for 28 days consecutively improved errections in almost 90% of patients.  Structural validation techniques are NMR technique, Infrared spectrum, HPLC, Mass spectroscopy and Liquid chromatography.
  • 17.
  • 18.
     Erections arecontrolled by the parasympathetic nervous system. Upon sexual stimulation, a decrease in vascular resistance is mediated by acetylcholine and nitric oxide resulting in vasodilation. The hemodynamic mechanism of an erection is comprised of five stages. During the latent stage, arterial and carvernous smooth muscle relaxation occurs. Vasodilation results in high levels of blood flow causing the penis to grow to its full size. This stage is called tumescence. During the full-erection stage, blood flow fills penis sinusoids and outflow is restricted. This is followed by the rigid-erection phase during which the cavernous muscles contract causing the penis to become rigid. Little blood flow occurs during this stage. During the final stage, detumescence, the cavernous muscles relax and blood flows out of the penis. Erectile dysfunction may occur when there is insufficient blood supply to the penis or when the penis is unable to prevent outflow of blood from the penis. Sildenafil is a specific inhibitor of PDE5, an enzyme responsible for the breakdown of cGMP to 5’-GMP. Increased levels of cGMP stimulate vasodilation and facilitate the generation and maintenance of erections. These vasodilatory effects also help decrease symptoms of PAH. Sildenfail also exhibits some activity against PDE6 (10 times less potentcy compared to PDE5), a PDE isoform found predmoninantly in the retina. This activity is responsible for the blue tinged vision experienced by users of sildenafil.
  • 19.
    Crystal structure ofhuman PDE5 with bound sildenafil
  • 20.
    PHARMAKOKINETICS  Sildenafil israpidly absorbed with absolute bioavailability of 40%, it is cleared by hepatic microsomal isoenzymes CYP3A4 and CYP2C9 and excreted.  Sildenafil is available in 25mg, 50mg, 100mg.  Efficacy of erectile function can be scored by five domains, namely erectile function, orgasmic function, sexual desire, intercourse satisfaction, overall satisfaction by international
  • 21.
  • 26.
    PATENT ISSUES ANDEXPIRATIONS  A UK patent held by Pfizer on the use of PDE5 inhibitors (see below) as treatment of impotence was invalidated in 2000 because of obviousness; this decision was upheld on appeal in 2002. But there are two other patents covering the methods for manufacturing Viagra, and Pfizer has maintained its monopoly on the drug in the UK.  Egypt approved Viagra for sale in 2002, but soon afterwards allowed local companies to produce generic versions of the drug, citing the interests of poor people who would not be able to afford Pfizer's price.  Pfizer's patent on sildenafil citrate expired in Brazil in 2010. It was originally believed that Pfizer's patents would expire in the United States in March 2012, but an August 2011 federal district court case raises the prospect that at least one of Pfizer's patents will be valid until 2019.
  • 27.
     In Canada,Pfizer's patent 2,324,324 for Revatio (sildenafil used to treat pulmonary hypertension) was found invalid by the Federal Court in June 2010, on an application by Ratiopharm Inc.  On November 8, 2012 the Supreme Court of Canada ruled that Pfizer's patent 2,163,446 on Viagra was invalid from the beginning because the company did not provide full disclosure in its application. The decision, Teva Canada Ltd. v. Pfizer Canada Inc., pointed to section 27(3)(b) of The Patent Act which requires that disclosure must include sufficient information "to enable any person skilled in the art or science to which it pertains" to produce it. It added further: "As a matter of policy and sound statutory interpretation, patentees cannot be allowed to “game” the system in this way. This, in my view, is the key issue in this appeal."  Teva Canada launched Novo-Sildenafil, a generic version of Viagra, on the day the Supreme Court of Canada released its decision. To remain competitive, Pfizer then reduced the price of Viagra in Canada. However, on November 9, 2012, Pfizer filed a motion for a re-hearing of the appeal in the Supreme Court of Canada on the grounds that the court accidentally exceeded its jurisdiction by voiding the patent.
  • 28.
    INDIA  Manufacture andsale of sildenafil citrate drugs known as "generic viagra" is common in India, where Pfizer's patent claim does not apply. Trade names include Kamagra (Ajanta Pharma), Silagra (Cipla), Edegra (Sun Pharmaceutical), Penegra (Zydus Cadila), and Zenegra (Alkem Laboratories).
  • 29.
    LINK  http://newdrugapprovals.wordpress.com/  http://worlddrugtracker.blogspot.in/ is the link to my blog which tracks drugs worldwide  US, CANADA, JAPAN, EU CHINA ETC
  • 30.
  • 31.
    Join my processdevelopment group on google http://groups.google.com/group/organic- process-development
  • 32.
    DR ANTHONY CRASTO CHEMISTRYSITES HTTPS://SITES.GOOGLE.COM/SITE/ANTHONYCRASTOORGANICCHEMISTRY/ SITES---MY-OWN-ON-THE-NET HTTP://NEWDRUGAPPROVALS.WORDPRESS.COM/ HTTP://WORLDDRUGTRACKER.BLOGSPOT.IN/
  • 33.
    THANKS DR ANTHONY MELVINCRASTO Ph.D amcrasto@gmail.com MOBILE-+91 9323115463 GLENMARK SCIENTIST , NAVIMUMBAI, INDIA web link http://anthonycrasto.jimdo.com/ http://www.anthonymelvincrasto.yolasite.com/ http://www.slidestaxx.com/anthony-melvin-crasto-phd https://sites.google.com/site/anthonycrastoorganicchemistry/sites--- my-own-on-the-net http://anthonycrasto.wordpress.com/ http://organicchemistrysite.blogspot.com/ http://www.mendeley.com/profiles/anthony-melvin-crasto/ Congratulations! Your presentation titled "Anthony Crasto Glenmark scientist, helping millions with websites" has just crossed MILLION views.
  • 34.