INTRODUCTION
 Properties of fluids
 Properties of fluids
 Viscosity
 Types of Fluids
 Surface Tension
 Capillarity
 Vapour Pressure  Cavitation
INTRODUCTION
• Fluid Mechanics is the branch of science that deals with the behavior of the fluids
(liquid or gas) at rest as well as in motion.
• It deals with the static (fluid at rest), kinematics (fluid in motion without pressure
forces) and dynamics (fluid in motion with pressure force consideration)aspects of
fluids.
PROPERTIES OF FLUIDS
 Mass Density:
fluid
the
of
Volume
fluid
the
of
Mass
=
ρ
ρ
ρ
ρ
S.I. unit = Kg/m3. Density of water is 1 gm/cm3 or 1000Kg/m3
 Specific Weight or Weight Density:
Specific weight of water is 9.81x1000 Newton/m3.
g
w
or
w
ρ
ρ
ρ
ρ
=
×
=
×
=
=
fluid
the
of
volume
g
fluid
of
mass
,
fluid
the
of
Volume
gravity
to
due
n
Accleratio
fluid)
the
of
(Mass
fluid
the
of
Volume
fluid
the
of
weight
Specific Volume:
Commonly applied to gases. S.I. unit =m3/Kg
 Specific Gravity: (Relative Density)
ρ
ρ
ρ
ρ
1
fluid
the
of
Mass
fluid
the
of
Volume
=
=
liquids)
for
fluid
standard
(water
water
of
density
Weight
liquid
of
(density)
density
Weight
)
( =
=
liqiud
S
gases)
for
fluid
Standard
(Air
air
of
density
Weight
Gas
of
(density)
density
Weight
)
( =
=
liqiud
S
Specific Gravity of Mercury is 13.6.
3
/
1000
water
of
Density
liquid
of
Density
N/m
9.81
1000
S
water
of
density
Weight
liquid
of
density
The
3
m
kg
S
S
S
×
=
×
=
×
×
=
×
=
EXAMPLE-
VISCOSITY (μ,ν)
 It is the property of a fluid which offers resistance to the movement of one layer of fluid
over another layer of the fluid.
 Two layers of fluid ‘dy’ apart move over the other at velocities
say u and u+du. The viscosity together with relative velocity
causes a shear stress between the fluid layers.
 Mathematically,
du
τ
τ
τ
τ =
 Viscosity is also defined as the shear stress required to produce unit rate shear strain.
dy
du
or
ity
s
Dynamic Vi
dy
du
or
dy
du
τ
τ
τ
τ
µ
µ
µ
µ
µ
µ
µ
µ
µ
µ
µ
µ
τ
τ
τ
τ
τ
τ
τ
τ
=
=
=
=
,
cos
of
t
coefficien
where
,
,
Units of Viscosity
( )
( )2
2
Length
Time
Force
Time
1
Length
Force
Length
1
Time
Length
Force
distance
of
change
velocity
of
Change
Stress
Shear
×
=
=
×






=
=
µ
µ
µ
µ
MKS Unit-
SI Unit-
CGS Unit-
2
m
sec
kgf −
Pa.S
Pascal.Sec
m
Ns
m
sec
Newton
2
2
=
=
=
−
Poise
cm
sec
-
dyne
2
=
Some Conversions
Viscosity of water at 200C is 0.01 poise or 1.0 poise
poise(P)
100
1
(cP)
centipoise
1
m
Ns
10
1
poise
1
or
poise
10
9.81
1
.
98
m
Ns
One
poise
1
.
98
m
Ns
81
.
9
m
sec
-
kgf
One
2
2
2
2
=
=
=
=
=
=
Viscosity of water at 200C is 0.01 poise or 1.0 poise
Newton`s law of viscosity states that the shear stress (ζ) on a fluid
element layer is directly proportional to the rate of shear strain. The
constant of proportionality is called the coefficient of viscosity.
Mathematically,
dy
du
=
τ
τ
τ
τ
VARIATION OF VISCOSITY WITH TEMPERATURE
 LIQUIDS- Viscosity decreases with increase of temperature. In liquids cohesive forces
predominates the molecular momentum transfer due to closely packed molecules and
with increase in temperature the cohesive forces decreases resulting in decrease in
viscosity.
 GASES- Viscosity increases with the increase of temperature. The cohesive force are
small in gases and molecular momentum transfer predominates, with increase in
temperature the molecular momentum transfer increases thus viscosity increases.
TYPES OF FLUIDS
 Ideal Fluid- A fluid which is incompressible and having no viscosity. It is an imaginary fluid
as all fluids, in nature, have some viscosity.
 Real Fluid- A fluid that possesses viscosity is known as real fluid. All fluids in actual
practice are real fluids.
 Newtonian Fluid- A real fluid in which shear stress is directly proportional the rate of
shear strain (velocity gradient).
Example- Water.
 Non-Newtonian Fluid- A Fluid in which shear
stress in not directly proportional to velocity
gradient.
Examples- Blood, paints, etc.
 Ideal Plastic Fluid- A fluid in which shear stress
is more than yield value and proportional to
the rate of shear strain (velocity gradient).
EXAMPLE-
SURFACE TENSION (σ)
 Surface tension is defined as the tensile force acting on the surface of a liquid in contact
with a gas or on the surface between two immiscible liquids such that the surface behaves
like a membrane under tension.
 SI Unit is N/m.
 Example- Floating of some objects on the surface of water, even though they are denser
than water, and in the ability of some insects (e.g. water striders) and even reptiles
(basilisk) to run on the water surface. This property is caused by cohesion of like
molecules, and is responsible for many of the behaviours of liquids.
 The phenomenon of surface tension can be explained by the figure as
Consider three molecules A, B, C of a liquid in a mass of
Consider three molecules A, B, C of a liquid in a mass of
liquid. The molecule A is attracted in all directions equally
by the surrounding molecules of the liquid thus the
resultant force acting on molecule A is zero. Molecule B
situated near the free surface is acted upon by upward and
downward forces which are unbalanced, thus a net
resultant force acting is in downward direction. The
molecule C situated on the free surface of the liquid
experience a resultant downward force. Thus the free
surface of the liquid acts like a very thin film under tension
of the surface of the liquid acts as though it is an elastic
membrane under tension
The molecules at the surface of this
sample of liquid water are not
surrounded by other water
The unbalanced attraction of molecules at the
surface of a liquid tends to pull the molecules
back into the bulk liquid leaving the minimum
number of molecules on the surface. It required
A microscopic view of water illustrates the difference between molecules at the surface of a
liquid and water molecules within a liquid.
surrounded by other water
molecules. The molecules inside the
sample are surrounded by other
molecules.
number of molecules on the surface. It required
energy to increase the surface area of a liquid
because a larger surface area contains more
molecules in the unbalanced situation.
d
p
or
σ
σ
σ
σ
2
, =
CAPILLARITY
 Capillarity is defined as a phenomenon of rise and fall of a liquid surface in a small tube
relative to the adjacent general level of liquid when the tube is held vertically in the liquid.
 The rise of liquid surface- Capillary Rise
 Fall of the liquid surface- Capillary Depression
 Units- cm, mm
 Depends upon- Specific weight of the liquid, diameter of the tube, surface tension of the
liquid.
Capillary Rise
Consider a glass tube of diameter ‘d’ open at both the ends inserted
in a liquid (say, water).
in a liquid (say, water).
Let h=height of the liquid in the tube.
Under equilibrium condition,
Weight of liquid of height ‘h’ = Force at the surface of the liquid in the tube.
(due to Surface tension)
Let σ = Surface tension of liquid
θ = Angle of contact between liquid and glass tube.
Weight of liquid in the tube= (Area of tube x h)xρxg =
Vertical component of the surface tensile force= (σ x circumference)x cos θ = σ x πd x cos θ
gh
d ρ
ρ
ρ
ρ
π
π
π
π
×
2
4
Equating, we get
Or,
The angle between water and glass tube is approximately equal to zero
Capillary Fall (Depression)
If a glass tube is dipped in mercury, the level of mercury in the tube will be lower than the
general level of the outside liquid.
general level of the outside liquid.
Let, h=height of depression in tube.
In equilibrium condition,
(1) surface tension acting in the ( ) direction = σ x πd x cos θ
(2) hydrostatic force acting ( ) = intensity of pressure at depth ‘h’ x Area
=
Equating the two forces, we get
2
2
4
4
d
h
g
d
p
π
π
π
π
ρ
ρ
ρ
ρ
π
π
π
π
×
×
=
×
=
VAPOUR PRESSURE AND CAVITATION
The pressure at which a liquid will boil is called its vapor pressure. This pressure is a
function of temperature (vapor pressure increases with temperature).
For example, water boils at 100oC at sea-level atmospheric pressure (1 atm abs). However,
in terms of vapor pressure, we can say that by increasing the temperature of water at sea
level to 100 oC, we increase the vapor pressure to the point at which it is equal to the
atmospheric pressure (1 atm abs), so that boiling occurs.
It is easy to visualize that boiling can also occur in water at temperatures much below 100oC
if the pressure in the water is reduced to its vapor pressure. For example, the vapor pressure
of water at 10oC is 0.01 atm. Therefore, if the pressure within water at that temperature is
reduced to that value, the water boils. Such boiling often occurs in flowing liquids, such as
reduced to that value, the water boils. Such boiling often occurs in flowing liquids, such as
on the suction side of a pump.
When such boiling does occur in the flowing liquids, vapor bubbles start growing in local
regions of very low pressure and then collapse in regions of high downstream pressure. This
phenomenon is called as cavitation
FLUID STATICS
 Pascal`s Law
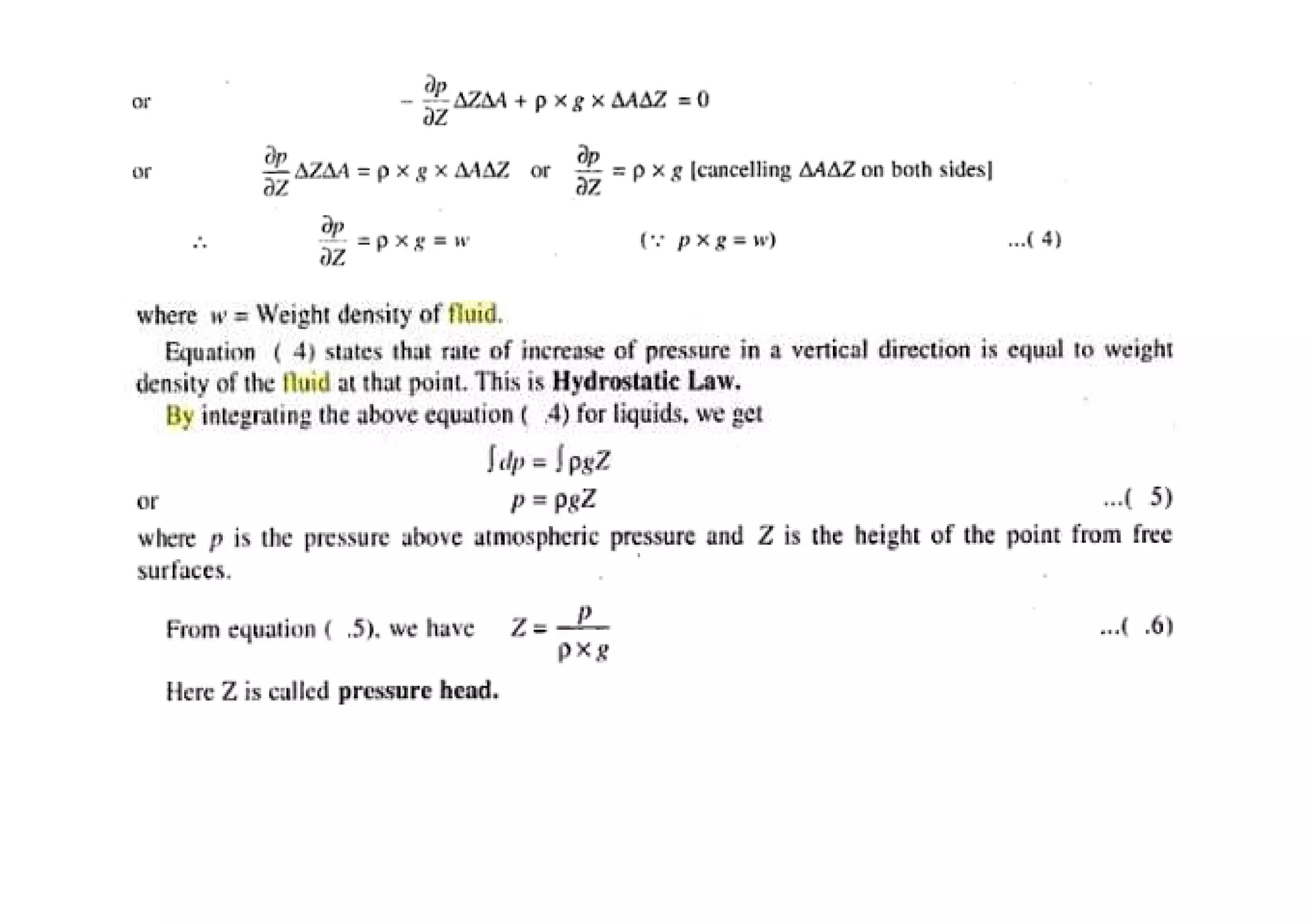
 Pressure–Density-Height relationship
 Pressure–Density-Height relationship
 Manometers
 Types of Manometers
FLUID PRESSURE AT A POINT
Consider a small area (dA) in al arge mass of fluid. When at rest, the force (dF) exerted by the surrounding
fluid on the area (dA) will always be perpendicular to the surface (dA)
Pressure at a point in a fluid at rest,
P is called the intensity of pressure.
If (F) force is uniformly distributed over the area (A), then the pressure is
Units are: kgf/m2 and kgf/cm2 in MKS system, N/m2 in S.I unit known as Pascal (Pa).
1 Kilo pascal=1000 N/m2 and Bar=100 kPa= 105 N/m2
PASCAL`S LAW
It states that the pressure intensity at a point in static fluid (fluid at rest) is equal in all directions.
dA
dF
p=
A
F
p=
It states that the pressure intensity at a point in static fluid (fluid at rest) is equal in all directions.
Let us consider an arbitrary fluid element of wedge shape in fluid mass at rest.
---------------------(1)
The pressure of a fluid is measured by:
(a) Manometers (b) Mechanical Gauges
MECHANICAL GAUGES: Devices used for measuring the fluid column by the spring
or dead weight.
(a)Diaphragm pressure gauge (b)Bourdon tube pressure gauge
(c) Dead weight pressure gauge (d) Bellow pressure gauge.
MANOMETERS: Devices used for measuring the pressure at a point in a fluid by
balancing the column of fluid by the same or another column of the fluid.
 Simple Manometers
 Piezometer
 Piezometer
 U-tube Manometer
 Single Column Manometers
 Vertical Single Column Manometer
 Inclined Single Column Manometer
 Differential Manometers
 U-tube Differential Manometer
 Inverted U-tube Differential Manometer
SIMPLE MANOMETERS- Consists of a glass tube having one of its end connected to a
point where pressure is to be measured and other end remains open to atmosphere.
1. Piezometer- It is the simplest form of manometer used for measuring gauge pressures.
The rise of liquid gives the pressure head at that point. If at pt (A) the height of liquid is ‘h’
then pressure at (A) = ρ x g x h N/m2
2. U-Tube Manometer- consists of glass tube bent in U-shape , one end connected to
point where pressure is to be measured and the other open to the atmosphere. The tube generally
Contains mercury or any other liquid whose specific gravity is greater than the specific gravity of
the liquid whose pressure is to be measured.
3. Single Column Manometer- It is a modified form of u tube manometer in which a
reservoir (whose c/s is comparable to the area of the tube) is connected to one of the
limbs . Due to large c/s area of the reservoir, the change in liquid level in reservoir due to
any pressure change is very very small and is neglected. So the pressure is given by the
height of the other limb which may be vertical or inclined.
(a) Vertical Single Column Manometer- Let X-X be the datum in the reservoir and in the right
limb of the manometer, when not connected to the pipe. When the manometer is
connected to the pipe, due to high pressure at A, the heavy liquid in the reservoir will be
pushed downward and will rise in the right limb.
limb
Here area (A) is very large as compared to (a), so (a/A) becomes very small and is neglected.
So from the equation it is clear that h1 is known and by knowing h2 or rise of heavy liquid in
the right limb, the pressure at A can be calculated.
The manometer is more sensitive and due to inclination the distance moved by heavy liquid
in the right limb will be more
Differential Manometers- Devices used for measuring pressure between two points in a pipe or in two
different pipes.
1. U tube Differential Manometer- Figure shows two points A and B at
different levels containing liquids of different specific gravity. These are
connected to the U-tube differential manometer. Let the pressures at A and
B are pA and pB.
Limitations of Manometers
The manometer in its various forms is an extremely useful type of pressure
measuring instrument, but suffers from a number of limitations:
• While it can be adapted to measure very small pressure differences, it can
not be used conveniently for large pressure differences - although it is
possible to connect a number of manometers in series and to use mercury as
the manometric fluid to improve the range. (limitation)
• A manometer does not have to be calibrated against any standard; the
pressure difference can be calculated from first principles. ( Advantage)
pressure difference can be calculated from first principles. ( Advantage)
• Some liquids are unsuitable for use because they do not form well-defined
menisci. Surface tension can also cause errors due to capillary rise; this can
be avoided if the diameters of the tubes are sufficiently large - preferably
not less than 15 mm diameter. (limitation)
• A major disadvantage of the manometer is its slow response, which makes it
unsuitable for measuring fluctuating pressures.(limitation)
• It is essential that the pipes connecting the manometer to the pipe or vessel
containing the liquid under pressure should be filled with this liquid and
there should be no air bubbles in the liquid.(important point to be kept in
mind)
Pressure force on plane and curved surfaces
 Centre of pressure, Total Pressure, Buoyancy
 Metacentric height
 Stability of immersed and floating bodies
 Stability of immersed and floating bodies
The fluids is at rest, so there will be no relative motion between the adjacent fluid layers.
The forces acting on the fluid particles will be :
1. Due to pressure of fluid normal to the surface
2. Due to gravity or self weight of the fluid.
CENTRE OF PFRESSURE and TOTAL PRESSURE
Center of pressure is defined as the point of application of the total pressure on the surface.
Total pressure is defined as the force exerted by a static fluid on either a plane or a curved
surface when the fluid comes in contact with the surfaces. This force always acts normal to the
surface.
.
0
stress
shear
the
Also
.
0 =
=
dy
du
dy
du
µ
µ
µ
µ
Cases of submerged surfaces on which the centre of pressure and total pressure is to be
determined.
SUBMERGED SURFACE
PLANE SURFACE
VERTICAL PLANE
SURFACE
HORIZONTAL PLANE
SURFACE
INCLINED PLANE SURFACE
CURVED
SURFACE
VERTICAL PLANE SURFACE SUBMERGED IN LIQUID
The total pressure on the surface can be determined by dividing the entire surface
Into a number of small parallel strips.
The force on small strips is calculated by integrating the force on small strip.
A strip of thickness dh and width b at a depth h from free surface of liquid is considered.
Pressure intensity on the strip, p= ρgh
Area of the strip, dA= b X dh
Area of the strip, dA= b X dh
h
gA
F
h
A
ρ
ρ
ρ
ρ
=
×
=
The centre of pressure is calculated by using the “Principle of moments” stating that the moment of the resultant force
about an axis is equal to the sum of moments of the components about the same axis.
The resultant force is acting at P, at a distance h* from free surface of the liquid. Hence moment of the force F about
free surface of liquid= F X h*------------------------------------------------------------------------------------------------------------(1)
Sum of moments about free surface = ρgI0 ----------------------------------------------------------------------------------------------------------------------------------(2)
Equating equation (1) and (2), we get
HORIZONTAL PLANE SURFACE SUBMERGED IN LIQUID
A plane horizontal surface immersed in a static fluid is considered. In this
Case all the point of the surface is at same depth from the free surface.
The pressure intensity will be equal on the entire surface and equal to
p=ρgh, for depth h.
INCLINED PLANE SURFACE SUBMERGED IN LIQUID
A plane surface of arbitrary shape immersed in liquid is considered
making an angle θ with the free surface of the liquid.
---------------------(a)
---------------------(a)
---------------------(b)
(a) (b)
TOTAL FORCE ON IMMERSED CURVED SURFACES
Suppose it is required to find the total force acting on the curved surface ABC shown in the
attached figure. In order to find this force consider the equilibrium of the body of liquid ABC
with unit width perpendicular to the plane ABCO.
Let Fx and Fy represent the total forces on the areas OB and OA respectively, the magnitudes
of points of applications of which can be easily known by using the methods described
previously.
Let Rx and Ry represent the components of unknown total force on the curved surface ABC,
and W be the weight of the liquid in ABCO which acts through the centroid of the area.
Equations for the equilibrium will be obtained from the conditions that:
(i) Summation of all horizontal force components is equal to zero.
(ii) Summation of all vertical force components is equal to zero.
(iii) Summation of moments of all forces about any axis, such as the one passing through O
and perpendicular to ACBO is zero.
Hence, F + R = 0
or Rx = - Fx
Evidently Fx and Rx must act along the same horizontal line.
Similarly,
Fy + W – Ry = 0 and Ry = Fy + W
knowing actual values of Fy and W and their points of application, the point of application of
Ry can be obtained by equating moments of these forces about O.
Ry can be obtained by equating moments of these forces about O.
http://www.planetseed.com/files/u
ploadedfiles/Science/Notes/float/en
/fands06/index.html
section 1.pdf
section 1.pdf
section 1.pdf

section 1.pdf

  • 1.
    INTRODUCTION Properties offluids Properties of fluids Viscosity Types of Fluids Surface Tension Capillarity Vapour Pressure Cavitation
  • 2.
    INTRODUCTION • Fluid Mechanicsis the branch of science that deals with the behavior of the fluids (liquid or gas) at rest as well as in motion. • It deals with the static (fluid at rest), kinematics (fluid in motion without pressure forces) and dynamics (fluid in motion with pressure force consideration)aspects of fluids. PROPERTIES OF FLUIDS Mass Density: fluid the of Volume fluid the of Mass = ρ ρ ρ ρ S.I. unit = Kg/m3. Density of water is 1 gm/cm3 or 1000Kg/m3 Specific Weight or Weight Density: Specific weight of water is 9.81x1000 Newton/m3. g w or w ρ ρ ρ ρ = × = × = = fluid the of volume g fluid of mass , fluid the of Volume gravity to due n Accleratio fluid) the of (Mass fluid the of Volume fluid the of weight
  • 3.
    Specific Volume: Commonly appliedto gases. S.I. unit =m3/Kg Specific Gravity: (Relative Density) ρ ρ ρ ρ 1 fluid the of Mass fluid the of Volume = = liquids) for fluid standard (water water of density Weight liquid of (density) density Weight ) ( = = liqiud S gases) for fluid Standard (Air air of density Weight Gas of (density) density Weight ) ( = = liqiud S Specific Gravity of Mercury is 13.6. 3 / 1000 water of Density liquid of Density N/m 9.81 1000 S water of density Weight liquid of density The 3 m kg S S S × = × = × × = × =
  • 4.
  • 5.
    VISCOSITY (μ,ν) Itis the property of a fluid which offers resistance to the movement of one layer of fluid over another layer of the fluid. Two layers of fluid ‘dy’ apart move over the other at velocities say u and u+du. The viscosity together with relative velocity causes a shear stress between the fluid layers. Mathematically, du τ τ τ τ = Viscosity is also defined as the shear stress required to produce unit rate shear strain. dy du or ity s Dynamic Vi dy du or dy du τ τ τ τ µ µ µ µ µ µ µ µ µ µ µ µ τ τ τ τ τ τ τ τ = = = = , cos of t coefficien where , ,
  • 6.
    Units of Viscosity () ( )2 2 Length Time Force Time 1 Length Force Length 1 Time Length Force distance of change velocity of Change Stress Shear × = = ×       = = µ µ µ µ MKS Unit- SI Unit- CGS Unit- 2 m sec kgf − Pa.S Pascal.Sec m Ns m sec Newton 2 2 = = = − Poise cm sec - dyne 2 =
  • 7.
    Some Conversions Viscosity ofwater at 200C is 0.01 poise or 1.0 poise poise(P) 100 1 (cP) centipoise 1 m Ns 10 1 poise 1 or poise 10 9.81 1 . 98 m Ns One poise 1 . 98 m Ns 81 . 9 m sec - kgf One 2 2 2 2 = = = = = = Viscosity of water at 200C is 0.01 poise or 1.0 poise Newton`s law of viscosity states that the shear stress (ζ) on a fluid element layer is directly proportional to the rate of shear strain. The constant of proportionality is called the coefficient of viscosity. Mathematically, dy du = τ τ τ τ
  • 9.
    VARIATION OF VISCOSITYWITH TEMPERATURE LIQUIDS- Viscosity decreases with increase of temperature. In liquids cohesive forces predominates the molecular momentum transfer due to closely packed molecules and with increase in temperature the cohesive forces decreases resulting in decrease in viscosity. GASES- Viscosity increases with the increase of temperature. The cohesive force are small in gases and molecular momentum transfer predominates, with increase in temperature the molecular momentum transfer increases thus viscosity increases.
  • 10.
    TYPES OF FLUIDS Ideal Fluid- A fluid which is incompressible and having no viscosity. It is an imaginary fluid as all fluids, in nature, have some viscosity. Real Fluid- A fluid that possesses viscosity is known as real fluid. All fluids in actual practice are real fluids. Newtonian Fluid- A real fluid in which shear stress is directly proportional the rate of shear strain (velocity gradient). Example- Water. Non-Newtonian Fluid- A Fluid in which shear stress in not directly proportional to velocity gradient. Examples- Blood, paints, etc. Ideal Plastic Fluid- A fluid in which shear stress is more than yield value and proportional to the rate of shear strain (velocity gradient).
  • 11.
  • 14.
    SURFACE TENSION (σ) Surface tension is defined as the tensile force acting on the surface of a liquid in contact with a gas or on the surface between two immiscible liquids such that the surface behaves like a membrane under tension. SI Unit is N/m. Example- Floating of some objects on the surface of water, even though they are denser than water, and in the ability of some insects (e.g. water striders) and even reptiles (basilisk) to run on the water surface. This property is caused by cohesion of like molecules, and is responsible for many of the behaviours of liquids. The phenomenon of surface tension can be explained by the figure as Consider three molecules A, B, C of a liquid in a mass of Consider three molecules A, B, C of a liquid in a mass of liquid. The molecule A is attracted in all directions equally by the surrounding molecules of the liquid thus the resultant force acting on molecule A is zero. Molecule B situated near the free surface is acted upon by upward and downward forces which are unbalanced, thus a net resultant force acting is in downward direction. The molecule C situated on the free surface of the liquid experience a resultant downward force. Thus the free surface of the liquid acts like a very thin film under tension of the surface of the liquid acts as though it is an elastic membrane under tension
  • 15.
    The molecules atthe surface of this sample of liquid water are not surrounded by other water The unbalanced attraction of molecules at the surface of a liquid tends to pull the molecules back into the bulk liquid leaving the minimum number of molecules on the surface. It required A microscopic view of water illustrates the difference between molecules at the surface of a liquid and water molecules within a liquid. surrounded by other water molecules. The molecules inside the sample are surrounded by other molecules. number of molecules on the surface. It required energy to increase the surface area of a liquid because a larger surface area contains more molecules in the unbalanced situation.
  • 17.
  • 18.
    CAPILLARITY Capillarity isdefined as a phenomenon of rise and fall of a liquid surface in a small tube relative to the adjacent general level of liquid when the tube is held vertically in the liquid. The rise of liquid surface- Capillary Rise Fall of the liquid surface- Capillary Depression Units- cm, mm Depends upon- Specific weight of the liquid, diameter of the tube, surface tension of the liquid. Capillary Rise Consider a glass tube of diameter ‘d’ open at both the ends inserted in a liquid (say, water). in a liquid (say, water). Let h=height of the liquid in the tube. Under equilibrium condition, Weight of liquid of height ‘h’ = Force at the surface of the liquid in the tube. (due to Surface tension) Let σ = Surface tension of liquid θ = Angle of contact between liquid and glass tube. Weight of liquid in the tube= (Area of tube x h)xρxg = Vertical component of the surface tensile force= (σ x circumference)x cos θ = σ x πd x cos θ gh d ρ ρ ρ ρ π π π π × 2 4
  • 19.
    Equating, we get Or, Theangle between water and glass tube is approximately equal to zero Capillary Fall (Depression) If a glass tube is dipped in mercury, the level of mercury in the tube will be lower than the general level of the outside liquid. general level of the outside liquid. Let, h=height of depression in tube. In equilibrium condition, (1) surface tension acting in the ( ) direction = σ x πd x cos θ (2) hydrostatic force acting ( ) = intensity of pressure at depth ‘h’ x Area = Equating the two forces, we get 2 2 4 4 d h g d p π π π π ρ ρ ρ ρ π π π π × × = × =
  • 20.
    VAPOUR PRESSURE ANDCAVITATION The pressure at which a liquid will boil is called its vapor pressure. This pressure is a function of temperature (vapor pressure increases with temperature). For example, water boils at 100oC at sea-level atmospheric pressure (1 atm abs). However, in terms of vapor pressure, we can say that by increasing the temperature of water at sea level to 100 oC, we increase the vapor pressure to the point at which it is equal to the atmospheric pressure (1 atm abs), so that boiling occurs. It is easy to visualize that boiling can also occur in water at temperatures much below 100oC if the pressure in the water is reduced to its vapor pressure. For example, the vapor pressure of water at 10oC is 0.01 atm. Therefore, if the pressure within water at that temperature is reduced to that value, the water boils. Such boiling often occurs in flowing liquids, such as reduced to that value, the water boils. Such boiling often occurs in flowing liquids, such as on the suction side of a pump. When such boiling does occur in the flowing liquids, vapor bubbles start growing in local regions of very low pressure and then collapse in regions of high downstream pressure. This phenomenon is called as cavitation
  • 21.
    FLUID STATICS Pascal`sLaw Pressure–Density-Height relationship Pressure–Density-Height relationship Manometers Types of Manometers
  • 22.
    FLUID PRESSURE ATA POINT Consider a small area (dA) in al arge mass of fluid. When at rest, the force (dF) exerted by the surrounding fluid on the area (dA) will always be perpendicular to the surface (dA) Pressure at a point in a fluid at rest, P is called the intensity of pressure. If (F) force is uniformly distributed over the area (A), then the pressure is Units are: kgf/m2 and kgf/cm2 in MKS system, N/m2 in S.I unit known as Pascal (Pa). 1 Kilo pascal=1000 N/m2 and Bar=100 kPa= 105 N/m2 PASCAL`S LAW It states that the pressure intensity at a point in static fluid (fluid at rest) is equal in all directions. dA dF p= A F p= It states that the pressure intensity at a point in static fluid (fluid at rest) is equal in all directions. Let us consider an arbitrary fluid element of wedge shape in fluid mass at rest.
  • 23.
  • 27.
    The pressure ofa fluid is measured by: (a) Manometers (b) Mechanical Gauges MECHANICAL GAUGES: Devices used for measuring the fluid column by the spring or dead weight. (a)Diaphragm pressure gauge (b)Bourdon tube pressure gauge (c) Dead weight pressure gauge (d) Bellow pressure gauge. MANOMETERS: Devices used for measuring the pressure at a point in a fluid by balancing the column of fluid by the same or another column of the fluid. Simple Manometers Piezometer Piezometer U-tube Manometer Single Column Manometers Vertical Single Column Manometer Inclined Single Column Manometer Differential Manometers U-tube Differential Manometer Inverted U-tube Differential Manometer
  • 28.
    SIMPLE MANOMETERS- Consistsof a glass tube having one of its end connected to a point where pressure is to be measured and other end remains open to atmosphere. 1. Piezometer- It is the simplest form of manometer used for measuring gauge pressures. The rise of liquid gives the pressure head at that point. If at pt (A) the height of liquid is ‘h’ then pressure at (A) = ρ x g x h N/m2 2. U-Tube Manometer- consists of glass tube bent in U-shape , one end connected to point where pressure is to be measured and the other open to the atmosphere. The tube generally Contains mercury or any other liquid whose specific gravity is greater than the specific gravity of the liquid whose pressure is to be measured.
  • 29.
    3. Single ColumnManometer- It is a modified form of u tube manometer in which a reservoir (whose c/s is comparable to the area of the tube) is connected to one of the limbs . Due to large c/s area of the reservoir, the change in liquid level in reservoir due to any pressure change is very very small and is neglected. So the pressure is given by the height of the other limb which may be vertical or inclined. (a) Vertical Single Column Manometer- Let X-X be the datum in the reservoir and in the right limb of the manometer, when not connected to the pipe. When the manometer is connected to the pipe, due to high pressure at A, the heavy liquid in the reservoir will be pushed downward and will rise in the right limb. limb
  • 30.
    Here area (A)is very large as compared to (a), so (a/A) becomes very small and is neglected. So from the equation it is clear that h1 is known and by knowing h2 or rise of heavy liquid in the right limb, the pressure at A can be calculated.
  • 31.
    The manometer ismore sensitive and due to inclination the distance moved by heavy liquid in the right limb will be more
  • 32.
    Differential Manometers- Devicesused for measuring pressure between two points in a pipe or in two different pipes. 1. U tube Differential Manometer- Figure shows two points A and B at different levels containing liquids of different specific gravity. These are connected to the U-tube differential manometer. Let the pressures at A and B are pA and pB.
  • 34.
    Limitations of Manometers Themanometer in its various forms is an extremely useful type of pressure measuring instrument, but suffers from a number of limitations: • While it can be adapted to measure very small pressure differences, it can not be used conveniently for large pressure differences - although it is possible to connect a number of manometers in series and to use mercury as the manometric fluid to improve the range. (limitation) • A manometer does not have to be calibrated against any standard; the pressure difference can be calculated from first principles. ( Advantage) pressure difference can be calculated from first principles. ( Advantage) • Some liquids are unsuitable for use because they do not form well-defined menisci. Surface tension can also cause errors due to capillary rise; this can be avoided if the diameters of the tubes are sufficiently large - preferably not less than 15 mm diameter. (limitation) • A major disadvantage of the manometer is its slow response, which makes it unsuitable for measuring fluctuating pressures.(limitation) • It is essential that the pipes connecting the manometer to the pipe or vessel containing the liquid under pressure should be filled with this liquid and there should be no air bubbles in the liquid.(important point to be kept in mind)
  • 35.
    Pressure force onplane and curved surfaces Centre of pressure, Total Pressure, Buoyancy Metacentric height Stability of immersed and floating bodies Stability of immersed and floating bodies
  • 36.
    The fluids isat rest, so there will be no relative motion between the adjacent fluid layers. The forces acting on the fluid particles will be : 1. Due to pressure of fluid normal to the surface 2. Due to gravity or self weight of the fluid. CENTRE OF PFRESSURE and TOTAL PRESSURE Center of pressure is defined as the point of application of the total pressure on the surface. Total pressure is defined as the force exerted by a static fluid on either a plane or a curved surface when the fluid comes in contact with the surfaces. This force always acts normal to the surface. . 0 stress shear the Also . 0 = = dy du dy du µ µ µ µ Cases of submerged surfaces on which the centre of pressure and total pressure is to be determined. SUBMERGED SURFACE PLANE SURFACE VERTICAL PLANE SURFACE HORIZONTAL PLANE SURFACE INCLINED PLANE SURFACE CURVED SURFACE
  • 37.
    VERTICAL PLANE SURFACESUBMERGED IN LIQUID The total pressure on the surface can be determined by dividing the entire surface Into a number of small parallel strips. The force on small strips is calculated by integrating the force on small strip. A strip of thickness dh and width b at a depth h from free surface of liquid is considered. Pressure intensity on the strip, p= ρgh Area of the strip, dA= b X dh Area of the strip, dA= b X dh h gA F h A ρ ρ ρ ρ = × =
  • 38.
    The centre ofpressure is calculated by using the “Principle of moments” stating that the moment of the resultant force about an axis is equal to the sum of moments of the components about the same axis. The resultant force is acting at P, at a distance h* from free surface of the liquid. Hence moment of the force F about free surface of liquid= F X h*------------------------------------------------------------------------------------------------------------(1) Sum of moments about free surface = ρgI0 ----------------------------------------------------------------------------------------------------------------------------------(2) Equating equation (1) and (2), we get
  • 39.
    HORIZONTAL PLANE SURFACESUBMERGED IN LIQUID A plane horizontal surface immersed in a static fluid is considered. In this Case all the point of the surface is at same depth from the free surface. The pressure intensity will be equal on the entire surface and equal to p=ρgh, for depth h.
  • 40.
    INCLINED PLANE SURFACESUBMERGED IN LIQUID A plane surface of arbitrary shape immersed in liquid is considered making an angle θ with the free surface of the liquid.
  • 41.
  • 43.
    TOTAL FORCE ONIMMERSED CURVED SURFACES Suppose it is required to find the total force acting on the curved surface ABC shown in the attached figure. In order to find this force consider the equilibrium of the body of liquid ABC with unit width perpendicular to the plane ABCO. Let Fx and Fy represent the total forces on the areas OB and OA respectively, the magnitudes of points of applications of which can be easily known by using the methods described previously. Let Rx and Ry represent the components of unknown total force on the curved surface ABC, and W be the weight of the liquid in ABCO which acts through the centroid of the area.
  • 44.
    Equations for theequilibrium will be obtained from the conditions that: (i) Summation of all horizontal force components is equal to zero. (ii) Summation of all vertical force components is equal to zero. (iii) Summation of moments of all forces about any axis, such as the one passing through O and perpendicular to ACBO is zero. Hence, F + R = 0 or Rx = - Fx Evidently Fx and Rx must act along the same horizontal line. Similarly, Fy + W – Ry = 0 and Ry = Fy + W knowing actual values of Fy and W and their points of application, the point of application of Ry can be obtained by equating moments of these forces about O. Ry can be obtained by equating moments of these forces about O.
  • 46.