64       Int. J. Lifecycle Performance Engineering, Vol. 1, No. 1, 2012


Reliability based approach for structural design and
assessment: performance criteria and indicators in
current European codes and guidelines

         Stefania Arangio
         Sapienza University of Rome,
         Via Eudossiana 18, 00184 – Rome, Italy
         E-mail: stefania.arangio@uniroma1.it

         Abstract: This paper deals with the reliability based approach for design and
         assessment of civil engineering systems: in particular the performance criteria
         and indicators given in current structural codes are discussed. The paper is
         organized in three parts. In the first part the general aspects related to the
         structural design are discussed, while in the second part the performance
         indicators for the reliability assessment of existing structures are presented. In
         this regard, the contents of current European standards for structural design and
         assessment are briefly presented. In the third part the concept of robustness is
         discussed and the main definitions and methods for reliability verification
         taking into account the structural robustness are given. At the end, the concept
         of dependability is introduced. This is a quite new concept in the field of Civil
         Engineering and could be useful to describe the overall quality of a structural
         system.

         Keywords: safety and reliability; structural assessment; performance indicator;
         codes and guidelines; Eurocodes; system engineering; dependability.

         Reference to this paper should be made as follows: Arangio, S. (2012)
         ‘Reliability based approach for structural design and assessment: performance
         criteria and indicators in current European codes and guidelines’, Int. J.
         Lifecycle Performance Engineering, Vol. 1, No. 1, pp.64–91.

         Biographical notes: Stefania Arangio is an Associate Researcher at Sapienza
         University of Rome where she also obtained her PhD in Structural Engineering
         in 2008. She has been developing her research in Italy and in the USA. Her
         work is focused on safety and reliability of complex structural systems with
         specific attention to bridges integrity monitoring, structural identification, and
         analysis of the structural behavior in accidental situations. In order to handle
         with complexity and uncertainty, the investigation is oriented toward
         probabilistic methods and heuristic techniques.




Part I Structural design

1    Structural system design

In recent years more and more demanding structures, like tall building, bridges or
offshore structures, are designed, built and operated to satisfy the increasing needs of the
society. These constructions require high performance levels and should be designed


Copyright © 2012 Inderscience Enterprises Ltd.
Reliability based approach for structural design and assessment                               65

taking into account their durability during the entire life cycle and their behaviour in
accidental situations. A modern framework for structural design should consider that a
structure is a real physical object; it is composed by many elements and components that
interact with each other and with the design environment and these interactions can lead
to strong non-linearities and can be source of different uncertainties.
     All these requirements are often in contrast with the simplified formulations that are
still widely applied. It is possible to handle these aspects evolving from the simplistic
idealisation of the structure as a ‘device for channeling loads’ to the idea of the structural
system, intended as a “set of interrelated components working together toward a common
purpose” (NASA, 2007), and acting according system engineering, which is a robust
approach to the creation, design, realisation and operation of an engineered system.

Figure 1     System engineering approach for design

    PROCESS
     INPUT

    Requirements Analysis
    - Analyze missions and enviroments                                            System
    - Identify functional requirements                                           Modeling
    - Define performance and design                                                And
      constraint requirement                                                     Analysis

                              Requirement
                                 loop


                            Functional Analysis/
                            Resources Allocation
                            - Decomposition to lower-level function
                            - Allocate performance
                            - Define functional interfaces
                            - Define functional architecture

                                                          Design loop

                                                           Synthesis
                                                           - Transform architecture
         Historic Analyses                                 - Define alternative product concepts
                                                           - Define physical interfaces
    Evolutive / Innovative Design
                                                           - Define alternative product            PROCESS
        Risk Management                                      and process solutions
                                                                                                    OUTPUT

           Source: Adapted from Bentley (1993)

According to the system approach, the design of a generic system is carried out according
to the three main phases shown in Figure 1 (Bentley, 1993):
1     requirements analysis, where the design environment is considered, the functional
      requirements are identified and design performance and constraints are fixed
2     functional analysis and resources allocation, where the task is broken down into
      lower-level details
3     synthesis of the solution.
66         S. Arangio

System design is an iterative (and non-linear) procedure, so if the first solution is not
satisfactory the design process is iterated; it is possible to note a requirement loop
between phase 1 and 2, and a design loop between phase 2 and 3. Iterations may be
required for several loops. These phases are carried out by means of an integration of
‘soft’ heuristic tools (left bottom side of Figure 1) and ‘hard’ computational techniques
(right top side of Figure 1).
    A key concept of the system approach that can be applied to the structural systems is
the decomposition: for a global understanding of the structural behavior, information on
both the entire structure and the single elements are needed (Figure 2). The structural
design should be carried out at different levels of detail and the results of the various
levels should be properly integrated in order to gain an overall understanding.
    The whole structural design process can be framed within this system view leading to
the so called performance-based design (PBD) (Smith, 2001, Petrini et al., 2010).

Figure 2    Decomposition of a steel structural system


                              Struttura
                  Structural system



            Substructure
             Sottostruttura




     Components
      Componenti




                                                                           Elements




1.1 Structural system quality
Another key concept related to the system approach is the assurance of the system
quality. In recent years, in order to meet international standards and customer demands,
Reliability based approach for structural design and assessment          67

some general standards on system quality, which can be applied also to structural
systems, have been developed. An important and well known family of standards is
the ISO 9000 series, which represent an international consensus on good quality
management practises. According to the ISO 9000, as synthetically shown in Figure 3,
the quality management can be represented as a cycle, set up with the aim of assuring
consistency in the quality of system products and services, combined with continual
improvement in customer satisfaction. A quality management system is a fundamental
tool for achieving the required performance and for checking their accomplishment
during time.

Figure 3       Quality management according to ISO 9000



                                           MANAGEMENT
                                          RESPONSIBILITY
          R                                                                      S
          E                                                                      A
    C     Q                                                                      T    C
                                            CONTINUAL
    U     U                                                                      I    U
    S     I                                                     MEASUREMENT      S    S
          R          RESOURCE ,            Management             ANALYSIS       F
    T               MANAGEMENT               system                                   T
          E                                                     IMPROVEMENT      A
    O                                                                                 O
    M     M                                                                      C    M
    E     E                                IMPROVEMENT                           T    E
    R     N                                                                      I    R
          T                                                                      O
          S                                PRODUCT &                             N
                    INPUTS                   SERVICE                 OUTPUTS
                                           REALIZATION


              Source: Adapted from quality-factors.com (2010)

1.2 Quality management and Eurocodes
The European structural codes (Eurocodes) assume that an appropriate quality policy is
implemented by parties during all stages of the life-cycle. For example, the measures
highlighted in EN 1990 comprise:

•       accurate definitions of the reliability requirements

•       organisational measures

•       control at the stage of design, execution and maintenance.
Quality management is an essential consideration in every stage of the life cycle of any
construction. The various stages and the associated specific quality assurance activities
are identified schematically in the quality loop diagram in Figure 4 (Gulvanessian et al.,
2009).
68         S. Arangio

Figure 4    Quality loop for structural systems
                                          Specifications
                                          for design
                                                       Design
                        Demolition
                                                                     New building
                        and recycling                0

                                            90            1
                                                                 3
                                                                                Operation and
                                                                                maintenance
                                                                     15



     Maintenance            75          years                             25        Maintenance




                                                     50




                                                Rehabilitation
           Source: Adapted from Gulvanessian et al. (2009)


2     Criteria for reliability based design

The aim of structural design is to realise structures that meet the expected performance,
which can be often represented by a target reliability level (Schneider, 1997). As shown
in Figure 5, there are different approaches for reliability verification:
a     deterministic
b     probabilistic
c     semi-probabilistic.
The most common deterministic safety measure is the global factor of safety, defined as
the ratio of the resistance over the load effect. The concept of the allowable stresses is a
traditional deterministic method, where failure of the structure is assumed to occur when
any stressed part of it reaches the permissible stress. Deterministic verification methods
based on a single global safety factor do not properly account for the uncertainties
associated with strength and load evaluation.
    The semi-probabilistic approach is based on the limit state principle and makes use of
partial safety factors for checking the structural safety. These partial factors have been
calibrated so that a structure that satisfies the safety check using a set of design
parameters will also satisfy the target reliability level. The semi-probabilistic verification
Reliability based approach for structural design and assessment                    69

method is still a simplified method but it can much better account for the uncertainties of
some design parameters.
   Probabilistic verification procedures are also based on the principle of limit states, by
checking that predefined target structural reliability levels are not exceeded. This
approach takes into account explicitly the uncertainties.

Figure 5     Reliability verification approaches

                           Safety factors          Deterministic       Allowable stress



    Reliability
    verification
    approaches                                        Semi-
                                                   probabilistic     Partial safety factors


                             Limit States
                                                                         Analytical and
                                                                           numeric
                                                   Probabilistic

                                                                          Simulation



3     European codes and guidelines for reliability based design

Most of the modern codes for constructions have recognised the need of using advanced
reliability based design methods that allow taking into account various sources of
uncertainty. To verify whether or not a structural design is acceptable, the uncertainties
are modelled by using statistical tools and the failure probability is estimated with respect
to all relevant limit states.
    The three main documents that have been drawn on reliability based design, which
are briefly presented in the following sections, are the standard ISO 2394 (1998), the
probabilistic model code developed by the Joint Committee on Structural Safety (JCSS,
2001) and the structural Eurocodes.

3.1 The international standard ISO
The ISO 2394 – General principles on reliability of structures – is an important
international standard that specifies general principles for the verification of the
reliability of structures subjected to different types of actions. Reliability is considered in
relation to the performance of the structure throughout its design working life. This
international standard is applicable in all the stages of the construction process as well as
during the use of the structure, including maintenance and repair. The principles are also
70         S. Arangio

applicable to the structural appraisal of existing constructions or assessing changes of
use.

3.2 The JCSS probabilistic model code
The probabilistic model code developed by the Joint Committee on Structural Safety
(JCSS, 2001) represents an important step in the direction of the necessary
standardisation of the reliability based method. In 1971, the Liaison Committee, which
coordinates the activities of six international associations of Civil Engineering (FIB, CIB,
ECCS, IABSE, IASS, and RILEM), created a Joint Committee on Structural Safety
(JCSS) with the aim of improving the general knowledge in structural safety. In 1992, the
JCSS set as a long term goal the development of a probabilistic model code for new and
for existing structures. The JCSS code gives guidance on the modelling of the random
variables in structural engineering and it is intended as the operational part of codes like
the ISO 2394 (1998), the Eurocodes and other national codes that allow for probabilistic
design but do not give any detailed guidance.
    The code consists out of three main parts that deal with general requirements,
modelling of loads and modelling of structural properties. The code gives no information,
however, on mechanical models like buckling, shear capacity, foundation failure and so
on. Little or no information is given on other modelling aspects, like for example the
wind pressure coefficients.

3.3 Structural Eurocodes
The idea of common modern structural specifications for the countries of the European
economic area was born in 1975, when the Commission of the European Community
decided on an action programme in the field of construction based on Article 95 of the
Treaty of Rome. The objective of the programme was the elimination of technical
obstacles to trade and the harmonisation of technical specifications.

Figure 6    Links between the Eurocodes

                                 EN 1990          Basis of Structural Design


                                 EN 1991          Action on structures


                   EN 1992        EN 1993      EN 1994
                                                              Design and detailing
                   EN 1995        EN 1996      EN 1999


                                                              Geotechnical and
                     EN 1997                 EN 1998          Seismic Design



The Eurocodes are used for the design of new structures but they also cover engineering
principles that could be used to form the basis of assessment of existing structures. The
Reliability based approach for structural design and assessment                  71

ten structural Eurocodes are linked as shown in Figure 6. The first one, EN 1990 – Basis
of Structural Design is the head code, which gives the basis of structural design adopted
by the whole suite and needs to be used alongside of the remaining standards. The
second one (EN 1991 – Actions on structures) gives actions. Then, there are six
standards for design and detailing, grouped by material (EN 1992 – Concrete,
EN 1993 – Steel, etc.), and two standards for Geotechnical (EN 1997) and Seismic (EN
1998) design. The Eurocodes are being implemented by each member country trough
national standards which comprise the full text of the Eurocode and may be followed by a
national Annex.


3.4 The Italian approach
In Italy a new structural code is in force from July 2009 (Norme Tecniche delle
Costruzioni (NTC) – passed with D.M. 14/01/2008). This code has been written in
accordance with the principles of the Eurocodes. Many parts have been quoted from the
Eurocodes, others have been modified, according to the Italian needs. The NTC
represents an important step in the Italian approach: for the first time the national code is
based on a modern probabilistic approach (that actually in most of the cases can be
brought to a semi-probabilistic approach with the use of the partial factors). It deals with
both design of new structures and assessment of existing ones.



Part II Existing structures

4   Structural assessment process

The assessment of existing structures aims at producing evidence that they will function
safely over a specified residual service life. It is mainly based on estimating the material
properties and strength capacity of the members taking into account the present state of
the structure, and evaluating its ability to withstand anticipated hazards and future loads.
    Nowadays, this problem is particularly important in the case of infrastructures. In
fact, the rate and extent of the deterioration of existing bridges have lately significantly
increased. Indeed, the current low funding in the infrastructure sector of many European
countries has forced highway agencies to postpone necessary investments in new road
and bridges and consequently stretch the service life of their existing old stock. The
prioritisation of the distribution of funds among maintenance, repair and rehabilitation
activities is a major problem that bridge authorities everywhere are facing (Frangopol and
Das, 1999; Casas, 2006).
    The structural assessment is assuming a key role in the management of existing
structures and different approaches exist. The most commonly used method is the so
called condition rating method, where, on the basis of visual inspections, a grade is
assigned to the structure. The grade can be either numerical ranging for example between
one for very poor condition to ten for excellent condition, or descriptive by classifying
infrastructures as poor, acceptable, good, etc. The main drawback of this approach is that
often it lacks of objectivity because it is based on the sensibility of the engineer, so the
same structure, assessed by two different engineers, can be rated with different grades.
72         S. Arangio

    In the past three decades, a new measure for the assessment of existing structures has
been developed within the probabilistic framework based on the reliability index
(Melchers, 1999).
    According with the decomposition approach previously discussed, the most efficient
processes are based on the verification of the reliability at different levels. Looking at the
example in Figure 7 (Bontempi et al., 2009), the verification can be carried out at a global
level (called 4th level in the figure), at the level of the single structural element
(3rd level), on the section of the element (2nd level), and at the material level (1st level).
For each level appropriate methods and tools are available.


Figure 7    Reliability verification levels in the limit states approach




           Source: Adapted from Bontempi et al. (2009)
It is also important to note that the choice of the assessment method and level of accuracy
is strictly related to the specific phase of the life-cycle and to the complexity and
importance of the structure (Bontempi, 2006). The use of advanced methods is not
justified for all structures; the restriction in terms of time and cost is important
(Arangio et al., 2010): for each structural system a specific assessment process, which
would be congruent with the available resources and the complexity of the system, should
be developed. In Bontempi et al. (2008) for example, the structures are classified for
monitoring purposes in the following categories: ordinary, selected, special, strategic,
active and smart structures. The information needed for an efficient monitoring,
shown in Figure 8 by means of different size circles, increases with the complexity of the
structure.
Reliability based approach for structural design and assessment                                         73

Figure 8       Relationship between classification of structures and characteristics of the monitoring
               process




           Source: From Bontempi et al. (2008)
Another hierarchical model, based on six levels of assessment, is proposed in various
guidelines (e.g., SAMARIS, 2006; Rücker et al., 2006 for bridges). The various levels are
summarised in Figure 9 and Table 1. They are numbered from 0 to 5 with
level 0 (informal qualitative assessment) being the simplest and level 5 (full probabilistic
assessment) the most sophisticated.
Figure 9       Structural assessment levels

                      Structural Assessment




  Qualitative                                   Quantitative
  Assessment                                    Assessment


                     Measurement based                                   Model based
                        Assessment                                       Assessment


     Level 0               Level 1            Level 2             Level 3            Level 4             Level 5

    Experience              Direct        Assessment of        Assessment of      Adaptation of         Probabilistic
 based subjective       assessment of       safety and           safety and      target reliability    assessment of
  assessment of         serviceability    serviceability       serviceability       methods ad           safety and
   deterioration         values from       using simple        using refined      assessment of        serviceability
 effects and other      measured load      model based          model based          safety and            values
   damage after            effects           methods              methods          serviceability
 visual inspection                                                                with modified       Data from test,
                                              Data from        Data from test,       structure-       monitoring, etc.
                                              documents        monitoring, etc    specific values


           Source: Adapted from Rücker et al. (2006)
74          S. Arangio

Table 1          Structural assessment levels

    Assessment            Strength and load
                                                  Calculation models       Assessment methodology
    level                      models
                       Strength and load          Simple linear elastic   LFRD-based analysis,
    1
                       models as in design code   calculation             load combinations and
                       Material properties        Refined, load           partial factors as in the
                       based on design            redistribution is       design code
    2
                       documentation and          allowed, provided
                       standards                  that the ductility
    3                  Material properties can    requirements are
                       be updated on the basis    fulfilled
                                                                          LRFD-based analysis,
                       of in situ testing and                             modified partial factor are
    4                  observations using                                 allowed
                       Bayesian approach
                       Strength model                                     Probabilistic analysis
                       including probability
    5
                       distribution for all
                       variables
            Source: Adapted from Rücker et al. (2006)
It is important to note that there are some substantial differences between the design of
new structures and the assessment of existing ones. Consider for example the following
aspects:
•       the structural codes for design consider generic situations and the inputs of the
        design process are established according to standard rules. On the other hand, the
        assessment of existing structures is carried out case by case, evaluating the real
        actions
•       in the assessment of existing structures the real constraints are uncertain
•       the required performance are easier to be accomplished in the design phase than in
        the assessment
•       some structures could have adequate performance even if they have exceeded their
        nominal life.
The probabilistic framework for assessment of existing structures can thus be seen as an
extension of the probabilistic framework for the design of new structures, providing a
rational and consistent basis for the inclusion of new information and uncertainties. An
example is schematically illustrated in the JCSS document (Figure 10). The assessment
of existing structures by using methods of modern reliability theory is seen as a
successive process of model building, consequence evaluation and model updating by
introduction of new information or by modification of the structure. The analysis to be
performed involves various steps:
•       formulation of a priori uncertainty models
•       formulation of limit state functions
•       establishing posterior probabilistic models
•       setting acceptable levels for the probability of failure.
Reliability based approach for structural design and assessment                 75

The issue of setting acceptable levels for probabilities of failure, that is setting target
reliability levels, assumes a key role. In the following sections some strategies suggested
by different guidelines and codes for the selection of the target reliability indices are
presented.

Figure 10 Probabilistic approach for structural assessment

                                        Probabilistic modeling


                   Uncertainty            Limit state equation
                    Modeling                                     Consequence




                                           Modify design


                                            Introduce new
                                             information


                                            Change use of
                                              structure

                                               Actions

         Source: Adapted from JCSS (2001)


5   European codes and guidelines for structural reliability assessment

Guidelines for evaluating the safety of existing structures are available in some countries.
For example, in Canada, Germany, Slovenia, the Netherlands, Switzerland, and in some
states of the USA they have been prepared with a careful attention to details. In the UK, a
considerable amount of guidance on the design, management and assessment of bridge
structures is provided in the Design Manual for Roads and Bridges (DMRB) (HMSO,
2001). A good example of evaluation code is the recently developed Danish BMS
DANPRO+ (Bjerrum et al., 2006). In Italy, the recently issued structural code (NTC,
2008) includes an entire chapter on the assessment of existing constructions. Even if
some countries in Europe are using specific guidelines or standards for structural safety
assessment, many European countries still do not have specific methods.
    While for the design of new structures there are common European specifications
(the Eurocodes), there are no common standards for the assessment of existing structures.
As already said, some indications are given in the Eurocodes but they are not enough. In
the light of the development of common European standards, there is a need to harmonise
the various existing specifications. For example, a report by the European Convention for
Construction Steelwork (ECCS) and the Joint Research Center has been prepared to
76       S. Arangio

provide technical insight on the way existing steel structures could be assessed and the
remaining life could be estimated (Kühn et al., 2004). These recommendations follow the
principles of the Eurocodes.
    It is important to note that, even if all the mentioned specifications provide a
philosophical basis and a theoretical framework for the assessment of structures, most of
them propose procedures based on deterministic approaches. There have been a number
of applications of reliability based assessment in some countries (Frangopol and Strauss,
2008) but the probabilistic approaches are not yet commonly used in practise, mainly due
to the lack of information and standardisation. A remarkable exception is presented for
example in the work by Biondini et al. (2004a). Some important documents that have
been drawn up in this sense are the standards ISO 2394 and 13822, and the JCSS
Probabilistic Code. Also various research projects [e.g., Rücker et al. (2006) and BRIME
(2003)] have proposed guidelines on monitoring and reliability-based assessment.

5.1 The international standard ISO
The already mentioned ISO 2394 – General Principles on Reliability of Structures, and
the ISO 13822 – Assessment of Existing Structures – deal with reliability assessment of
existing structures. The general principles for the verification of the reliability are
introduce in clause 10 of ISO 2394, where it is explained how the basic variables, such as
loads, material properties and model uncertainties, shall be taken. This approach allows
drawing conclusions with respect to the bearing capacity of single tested members, to the
capacity of other non-tested members and other load conditions as well as to the
behaviour of the entire system. The International Standard ISO 13822 provides general
requirements and procedures for the assessment of existing structures (buildings, bridges,
industrial structures, etc.) based on the principles of structural reliability and
consequences of failure. It is intended to serve as a basis for preparing national standards
or codes of practise in accordance with current engineering practise and the economic
conditions.

5.2 The JCSS probabilistic model code
An important step in the direction of the necessary standardisation of the reliability based
method is the probabilistic model code developed by the Joint Committee on Structural
Safety (JCSS, 2001). The JCSS document includes general guidelines on reassessment,
methodologies for reliability updating, acceptability and safety criteria, with examples
and case studies. This document was created because the classical code approaches were
often not suited to address questions such as the evaluation of the risk of structures, and
the choice of the adequate type of inspection. Thus, the document was created with the
following basic goals:
a    to standardise methods and terminology
b    to be operational for the consulting engineers
c    to be generally applicable for various materials and various structural types
d    to build the basis of future codes and standards.
Reliability based approach for structural design and assessment                 77

5.3 Structural Eurocodes
As specified above, the structural Eurocodes deal with the design of new structures but
they also cover engineering principles that could be used to form the basis of structural
assessment. For example, according to UNI EN (1990), a concrete structure shall be
designed in such a way that deterioration of concrete and/or steel should not impair the
durability and performance of the structure. In other words, an adequate maintenance
strategy is part of the design concept of the structural Eurocodes. However, clause 1.1(4)
does recognise that additional or amended rules and provisions might be necessary where
appropriate.

5.4 The Italian approach
Italy represents a particular case in the field of structural assessment because of the huge
number of historic and valuable existing structures. There are numerous typologies of
structures, built in various historic epochs and by using different methods. For these
reasons it was very difficult to define standards able to deal with the issue of structural
assessment in a general way. Another important aspect is that, in Italy, the indications
given in the structural codes are compulsory, so the existing guidelines cannot be used
and, even if the Eurocodes are standards for all the member states, they need a specific
document, approved as a law, for their effective application in Italy.
     In the last Italian structural code (NTC, 2008) an entire chapter is devoted to the
existing structures. The indications regarding the assessment are mainly oriented toward a
performance based approach: few rules and general indications are given and the
engineer is free to choice the method to guarantee the required performance. In this code
it is noticeable the introduction of two new concepts related to the performance approach:
the so called knowledge levels and confident factors. Both are used to modify the
capacity parameters. Three different levels of knowledge (Livelli di conoscenza, LC) are
defined:
•   level of knowledge 1 (LC1): limited knowledge
•   level of knowledge 2 (LC2): adequate knowledge
•   level of knowledge 3 (LC3): accurate knowledge.
For each level of knowledge a confident factor, which is used together with the other
partial factors, is assigned (Table 2). The aspects that are considered in order to classify
the level of knowledge are:
•   the geometrical characteristics of the structure
•   the mechanical properties of the materials, obtained from both project documents
    and specific tests
•   the geotechnical characterisation.
More details are available in the code and in specific publications (see for example
Franchin et al., 2010).
78          S. Arangio

Table 2        Level of knowledge and confident factor

    Level of knowledge                                         Confident factor
    LC1 – limited knowledge                                         1.35
    LC2 – adequate knowledge                                        1.20
    LC3 – accurate knowledge                                          1
            Source: Adapted by NTC (2008)



6      Acceptability and target criteria for the reliability index

For the assessment of existing structures, target reliability levels different than those used
in the design must be considered (Vrouwenvelder and Scholten, 2010). The differences
are based on the following considerations (ISO 13822).
•      economic consideration: the cost between accepting and upgrading an existing
       structure can be very large, whereas the cost of increasing the safety of a structural
       design is generally very small; consequently conservative criteria are used in design
       but should not be used in assessment
•      social considerations, as the consequences of disruption of ongoing activities
•      sustainability considerations: reduction of waste and recycling, which are
       considerations of lower importance in the design of new structures.
Table 3 Target reliability indices for the reference period of 50 years and 1 year and ‘moderate’
        relative costs of safety measures

    Codes                                                  Consequences
    EN 1990                                          Low             Normal             High
    ISO 9324                       Small            Some            Moderate            Great
    JCSS                                            Minor           Moderate           Large
    EN 1990 – 50 years                -              3.3                  3.8            4.2
    ISO 9324 – life time            1.3              2.3                  3.1            3.8
    JCSS – 50 years                   -              2.5                  3.2            3.5
    EN 1990 – 1 year                  -              4.2                  4.7            5.2
    ISO 9324 – 1 year                2.9             3.5                  4.1            4.7
    JCSS – 1 year                     -              3.7                  4.2            4.4

Target values are given in several codes and guidelines (e.g., Moses, 2001; CAN/CSA-
S6-00, 2000; COWI, 2007; JCSS, 2001; UNI EN, 1990, 2002). For the definition of the
reliability indices various factors are considered as for example consequences of failure
(e.g., low, normal, high for EN 1990), reference period, relative cost of safety measures
(e.g., small, moderate, great for ISO 9324), importance of structure (bridges, public
structures, residential buildings, etc.) and so on. In Table 3, some target reliability levels
proposed by international codes for design and assessment are shown. They vary with the
consequences of failure and the reference periods (in the table 50 years for design and
Reliability based approach for structural design and assessment                      79

1 year for assessment). The proposed values consider ‘moderate’ relative costs of safety
measure
    The target limits are obtained from different procedures. For example, the Canadian
Standards Association (CSA, 2000) has adopted the following life-safety criterion for
bridge assessment. To take into account that some failures are much less likely to result
in death or injury than others, they define the conventional probability of failure:
                         A⋅ K
      Pconventional =
                        W⋅ n
where Pconventional is defined as the target annual probability of failure based on life-safety
consequences, K is a constant based on calibration to existing experience which is known
to provide satisfactory life safety, A is the activity factor which reflects the risk to human
life associated with activities for which the structure is used, W is the warning factor
corresponding to the probability that, given a failure, a person at risk will be killed or
seriously injured, and n is the importance factor based on the number of people n at
risk if failure occurs.
     The CAN/CSA-S6-00 (2000) proposes also to adjust the target reliability indices for
bridges according to the consequences of failure of one element. For example, if the
failure of one element does not lead to collapse because of redundancy then the risk to
life is reduced; if an element fails gradually, then the failure is likely to be noticed before
collapse takes place. Table 4 provides some examples of adjustments for single elements
and for the entire system.
Table 4      Reliability index adjustment for bridge assessment

 β = 3.5 − ( Δ E + Δ S + Δ I + Δ PC )
 Adjustment for element behaviour                                                       ΔE
     Sudden loss of capacity with little or no warning                                  0.0
     Sudden failure with little or no warning but retention of post-failure capacity    0.25
     Gradual failure with probable warning                                              0.5
 Adjustment for system behaviour                                                        ΔS
     Element failure leads to total collapse                                            0.0
     Element failure probably does not lead to total collapse                           0.25
     Element failure leads to local failure only                                        0.5
 Adjustment for inspection level                                                         ΔI
     Component not inspectable                                                         – 0.25
     Component regularly inspectable                                                    0.0
     Critical component inspected by evaluator                                          0.25
 Adjustment for traffic category                                                        ΔPC
     All traffic category except PC                                                     0.0
     Traffic category PC                                                                0.6

          Source: Adapted from CAN/CSA-S6-00 (2000)
80       S. Arangio

Part III Structural system robustness and dependability

7    Structural robustness

The traditional approach for structural design and assessment aims at the verification of
the safety of the structure under assigned loads and boundary conditions, but it does not
take into account some advanced aspects: for example the fact that also a small initial
failure could result in a disproportionate structural damage as shown by several cases of
building collapses in the past (see for example Crowder et al., 2008). Such behaviour is
commonly interpreted as a lack of structural robustness (Starossek, 2009; Giuliani, 2009).
    To clarify the role assumed by structural robustness, it is necessary first to clarify its
meaning. The term robustness appears often in the structural engineering literature and it
has been widely discussed in international scientific conferences (see for example the
special sessions on structural robustness organised at the IABMAS Conferences (2008,
2010) by Bontempi and Starossek, and the Conferences ‘Handling the Exceptions’ in
Rome (HE, 2008; 2010). Even so, it is used differently by the various authors and there is
no general agreement today about its precise meaning. A set of definitions has been
selected in a recent work by Starossek and Haberland (2010). Two qualitative definitions
are the following:
•    ability of a structure to withstand actions due to fires, explosions, impacts or
     consequences of human error, without suffering damages disproportionate to the
     triggering causes (EN 1991-1-7: 2006)
•    insensitivity of the structure to local failures (Starossek et al., 2007).
The main difference in these definitions, which reflects also a certain dispute in recent
literature (Starossek and Wolff, 2005; Faber, 2006), consists in the identification of the
cause a structure should withstand in order to be considered robust. According to the first
definition, a structure is robust if a disproportionate collapse is not triggered in
consequence of an accidental action, while the second definition of robustness refers
directly to the ability of a system to tolerate structural damages, apart from the actions
that could have determined them.
     In the latter case, the robustness is intended as a property inherent to the structural
system and can represent a direct measure of the susceptibility of a structure to
disproportionate collapses. According to the first definition instead, the robustness of a
structure would depends on the accidental action considered.
     Summing up the different definitions, it is possible to say that robustness refers to the
ability of a structure not to respond disproportionately to either abnormal events or initial
local failure. It is important to point out that it is not to be expected that the structure will
resist all the possible occurrences without any damage: not only is practically impossible
the foreseeing of any possible critical event, but hardening a structure to resist perfectly
integer to hazards that have such a low probability of occurrence, would be not
economically feasible. More detail can be found in Starossek (2009), Giuliani (2009),
Bontempi et al. (2007) and Brando et al. (2010).
     The robustness of a structure strongly influences its reliability but it very difficult to
measure the contribution. In most of the existing codes and guidelines the subject of
structural robustness in treated in a general way and only indirect design criteria are
provided. The task of the quantitative evaluation of robustness, and consequently the
Reliability based approach for structural design and assessment                        81

modification of the reliability indices have been treated by several authors. Four main
approaches exist: risk based (Faber, 2006), topology based (Agarwal et al., 2003), energy
based (Starossek and Haberland, 2008) damage based (Biondini and Frangopol, 2008;
Yan and Chang, 2006; Bontempi et al., 2007). A summary of the main quantitative
definitions proposed in the past few years is given in Giuliani and Bontempi (2009).

7.1 Robustness and the Eurocodes
The topic of robustness is essentially covered by two Eurocodes, EN 1990 – Basis of
Structural Design, which provides the high level principles for achieving robustness and
EN 1991: Part 1-7 – Accidental Actions (EN 1991-1-7), which provides strategies, and
methods to obtain robustness and the actions to consider.
    The leading principle is that, in case of accidental actions, local damage is acceptable,
provided that it will not endanger the structure, and that the overall load-bearing capacity
is maintained during an appropriate length of time to allow necessary emergency
measures to be taken (Gulvanessain and Vrouwenvelder, 2006).

Figure 11 The arrow indicates the point where the rock impacted the pile, (a) impacted point
          (b) rock (c) maximum height of the debris flow during the event (d) height of debris at
          the end of the landslide (see online version for colours)


            Messina – Catania Highway




     Racinazzo Torrent




         Source: From Ortolani and Spizuoco (2009)
An example of lack of structural robustness in an accidental situation is shown in
Figure 11. The highway bridge in the picture is located at the entrance of the city of
Messina (Sicily Island, Italy) where in October 2009 a large landslide occurred; the
debris flow impacted the bridge and a big rock (visible in Figure 12) strongly damaged
one of the piers. The traffic was interrupted for entire days causing trouble to the
circulation of the entire city. In Figure 11, the arrow indicates the point where the rock
82        S. Arangio

impacted and the marked surface represents the volume of the debris flow. In Figure 12
the zone is viewed from the other side. In such a case, it would have been necessary to
quantify the structural robustness and evaluate the residual life of the structure before
reopening the bridge to the normal traffic. In fact this structure was designed to carry
mainly vertical loads and the sudden impact with the heavy rock changed its structural
behavior. A robust design approach of bridges located in hazardous areas should properly
take into account accidental situations in order to avoid disruption of the service or even
the collapse of the structure. Other examples of structural behaviour under accidental
scenarios are given for example in Crosti (2009) and Gentili et al. (2010).

Figure 12 The arrow indicates the damaged pier (see online version for colours)


                         Damaged pier


                                   Messina – Catania Highway




Notes: On the right it is possible to see the big rock that impacted on the bridge.
         Source: From Ortolani and Spizuoco (2009)

7.2 Redundancy in Eurocodes and NCHRP
According to the Eurocodes, redundancy is the availability of alternative load-carrying
components and alternative paths for a load to be transferred from a point of application
to a point of resistance. This implies the absence of critical components whose failure
would cause the collapse of the structure (Frangopol and Curley, 1987).
    There is a strong connection between redundancy and robustness (Starossek and
Haberland, 2010). Redundancy is a key factor for robustness: a redundant structure has
alternative load carrying components; if one or more components fail, the remaining
structure is able to redistribute the force originally carried by the failed components into
alternative load paths. However, the terms robustness and redundancy denote different
properties of the structure and they should be clearly distinguished (Biondini et al., 2008;
Starossek, 2009). Using them as synonyms obscures the fact that redundancy is not the
only means to achieve robustness. Both concepts should be considered in a reliability
based assessment of structures.
    It is important to note that the definitions given above are generally used in Europe;
the term redundancy is used in a different way in the literature of the USA: the concept of
redundancy is mainly related to the ability of a structure to withstand the failure of a
single structural member without collapsing. For example, NCHRP 406 defines bridge
redundancy as “the capability of a bridge to continue to carry loads after the damage or
the failure of one of its member (the first member to fail)” (Ghosn and Moses, 1998). In a
sense, their definition of redundancy is equivalent to the definition of the robustness
Reliability based approach for structural design and assessment                     83

given in the Eurocodes. Thus, the methods proposed in USA (as for example in the
NCHRP Report 406, 1998) for the assessment of the reliability taking into account the
redundancy, in the European point of view, could be applied for reliability assessment
taking into account the robustness. Actually, this is the same concept called in different
ways (Arangio and Ghosn, 2010).
    NCHRP Report 406 (Ghosn and Moses, 1998) developed a process for quantifying
redundancy (i.e., robustness according to the European view) in bridge super structures.
Subsequently, this approach was extended to substructures (Liu et al., 2001). A bridge is
considered safe if:
•   it provides a reasonable safety against first member failure
•   it provides an adequate level of safety before it reaches its ultimate limit states
•   it does not deform excessively under expected loads
•   it is able to carry some traffic loads after damage or loss of members.
Accordingly four limit states are defined as:
•   member failure, which is a check of individual member safety using elastic analysis
•   ultimate limit state, which is defined as the ultimate capacity of the bridge system or
    the formation of a collapse mechanism
•   functionality limit states, which is defined as the capacity of the structure to resist a
    main member live load displacements of specified magnitude
•   damaged condition limit state, which is defined as the ultimate capacity after
    removal of one main load carrying component.
The four limit states should be checked to ensure the satisfactory safe performance of the
bridge system under extreme and regular conditions. ‘Adequate’ safety margins can be
determined using reliability based techniques. A reliability index can be defined for each
limit state, thus there will be βmember for the member failure, βu for the ultimate limit state,
βfunct for the functionality limit state, and the system reliability index βdamaged for damaged
conditions.
    To study the redundancy of a system, it is useful to examine the differences between
the reliability indices of the system expressed as βu, βfunct, and βdamaged and the reliability
index of the most critical member as βmember. The relative reliability indices are defined
as:
      Δβ u = β u − β member
      Δβ f = β func − β member
      Δβ d = β damage − β member

These relative reliability indices give measures of the relative safety provided by the
bridge system compared with the nominal safety of first member failure. On the basis of
analyses of typical bridge configurations, a direct redundancy evaluation procedure has
been proposed in the NCHRP reports. It is based on satisfying minimum values of the
relative reliability indices. According to these analyses, a bridge will provide adequate
levels of redundancy if all three following conditions are satisfied:
84       S. Arangio

      Δβ u ≥ 0.85
      Δβ f ≥ 0.25
      Δβ d ≥ −2.70


8    Structural systems dependability

For the purpose of the evaluation of the overall quality of structural systems a new
concept has been recently proposed: the structural dependability. It can be introduced
looking at the scheme in Figure 13, where the various aspects discussed in the previous
paragraphs are ordered and related to this concept. It has been said that a modern
approach to structural design requires evolving from the simplistic idea of structure to the
idea of structural system, and acting according to the system engineering approach. In
this way it is possible to take into account the interaction between the different structural
parts and between the whole structure and the design environment. The grade of
non-linearity and uncertainty in these interactions determines the grade of complexity of
the structural system. In case of complex structural systems, it is important to evaluate
how the system works as a whole, and how the elements behave singularly. In this
contest, dependability is a global concept that describes the aspects assumed as relevant
to describe the quality of a system and their influencing factors (Bentley, 1993). It has
been originally developed in the computer science field but it can be reinterpreted in the
civil engineering field (Arangio et al., 2010). The dependability reflects the user’s degree
of trust in the system, i.e., the user’s confidence that the system will operate as expected
and will not ‘fail’ in normal use: the system shall give the expected performance during
the whole lifetime.

Figure 13 Roadmap for the analysis and design of complex structural systems

                                           Interaction among
                                           different structural
                                                  parts             Interactions are
                                                                   characterized by
                       STRUCTURAL
                         SYSTEM                                   strong nonlinearity
                                           Interaction between      and uncertainty
                                           the whole structure
                                              and the design
                                               environment




                      DECOMPOSITION           SYSTEM
                                             APPROACH              COMPLEXITY
                        STRATEGY




                                             ATTRIBUTES
                       QUALITY of the
                        whole structural
                                              THREATS
                            system:
                       DEPENDABILITY
                                                MEANS




                      PERFORMANCE
                      BASED DESIGN
Reliability based approach for structural design and assessment                     85

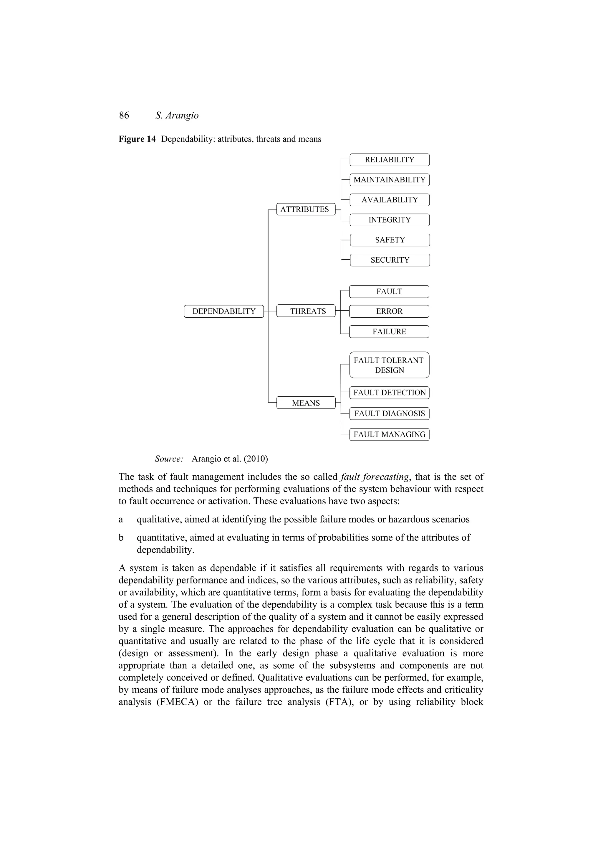
The assessment of dependability requires the definition of three elements (Figure 14):

•   the attributes, i.e., the properties that quantify the dependability

•   the threats, i.e., the elements that affect the dependability

•   the means, i.e., the tools that can be used to obtain a dependable system.

In structural engineering, relevant attributes are reliability, safety, security,
maintainability, availability, and integrity. Not all the attributes are required for all the
systems and they can vary over the life-cycle. They are essential to guarantee:

•   the ‘safety’ of the system under the relevant hazard scenarios, that in current practise
    is evaluated by checking a set of ultimate limit states (ULS)

•   the survivability of the system under accidental scenarios, considering also the
    security issues; in recent guidelines, this property is evaluated by checking a set of
    ‘integrity’ limit states (ILS)

•   the functionality of the system under operative conditions (availability), that in
    current practice is evaluated by checking a set of serviceability limit states (SLS)

•   the durability of the system.

These attributes can be divided in high level or active performance (reliability,
availability, and maintainability) and low level or passive performance (safety, security,
and integrity) (Petrini et al., 2010).
    The threats to system dependability can be subdivided into faults, errors and
failures. According to the definitions given in Avižienis et al. (2004), an active or
dormant fault is a defect or an anomaly in the system behaviour that represents a potential
cause of error; an error is the cause for the system being in an incorrect state; failure is a
permanent interruption of the system ability to perform a required function under
specified operating conditions. Error may or may not cause failure or activate a fault. In
case of civil engineering constructions, possible faults are incorrect design, construction
defects, improper use and maintenance, and damages due to accidental actions or
deterioration.
    The problem of conceiving and building a dependable structural system can be
considered at least by four different points of view:

1   how to design a dependable system, that is a fault-tolerant system

2   how to detect faults, i.e., anomalies in the system behaviour (fault detection)

3   how to localise and quantify the effects of faults and errors (fault diagnosis)

4   how to manage faults and errors and avoid failures (fault management).
86       S. Arangio

Figure 14 Dependability: attributes, threats and means

                                                               RELIABILITY

                                                            MAINTAINABILITY

                                                              AVAILABILITY
                                           ATTRIBUTES
                                                                INTEGRITY

                                                                 SAFETY

                                                                SECURITY


                                                                  FAULT

                   DEPENDABILITY             THREATS              ERROR

                                                                 FAILURE


                                                            FAULT TOLERANT
                                                                DESIGN

                                                            FAULT DETECTION
                                              MEANS
                                                            FAULT DIAGNOSIS

                                                            FAULT MANAGING


         Source: Arangio et al. (2010)
The task of fault management includes the so called fault forecasting, that is the set of
methods and techniques for performing evaluations of the system behaviour with respect
to fault occurrence or activation. These evaluations have two aspects:
a    qualitative, aimed at identifying the possible failure modes or hazardous scenarios
b    quantitative, aimed at evaluating in terms of probabilities some of the attributes of
     dependability.
A system is taken as dependable if it satisfies all requirements with regards to various
dependability performance and indices, so the various attributes, such as reliability, safety
or availability, which are quantitative terms, form a basis for evaluating the dependability
of a system. The evaluation of the dependability is a complex task because this is a term
used for a general description of the quality of a system and it cannot be easily expressed
by a single measure. The approaches for dependability evaluation can be qualitative or
quantitative and usually are related to the phase of the life cycle that it is considered
(design or assessment). In the early design phase a qualitative evaluation is more
appropriate than a detailed one, as some of the subsystems and components are not
completely conceived or defined. Qualitative evaluations can be performed, for example,
by means of failure mode analyses approaches, as the failure mode effects and criticality
analysis (FMECA) or the failure tree analysis (FTA), or by using reliability block
Reliability based approach for structural design and assessment                   87

diagrams. Note that these models assume independence among modeled components. On
the other hand, in the assessment phase, numerous aspects should be taken into account
and all of them are affected by uncertainty and interdependencies, so quantitative
evaluations, based on probabilistic methods, are more suitable. It is important to evaluate
whether the failure of a component may affect other components, or whether a
reconfiguration is involved upon a component failure. These stochastic dependencies can
be captured for example by Markov chains models, which can incorporate interactions
among components and failure dependence. Others methods are based on Petri Nets and
stochastic simulation. At the moment, most of the applications are on electrical systems
(e.g., Nahman, 2002) but the principles can be applied in the civil engineering field.
When numerous different factors have to be taken into account and dependability cannot
be described by using analytical functions, the use of linguistic attributes by means of the
fuzzy logic reasoning can be helpful (Ivezić et al., 2008; Biondini et al., 2004b).



9   Conclusions

In this work a state of the art about the European reliability based approach for the design
and assessment of civil engineering systems is presented. The first part deals with the
issues related to the design phase, while the second part considers the reliability based
assessment of existing structures. In the last part the concept of structural robustness is
discussed showing the difference between the European point of view and the US one.
Looking at the recent literature and structural standards, it is possible to notice that there
is an increasing interest in the reliability based approach. However it has been shown that
most of the regulations are still based on over simplified approaches that are not able to
take into account the intrinsic complexity of the modern structural systems and the
concept of robustness. The existing measures are mostly local indices whereas the
reliability of a structural system should be evaluated in global way, taking into account
the possible non-linearities and the various sources of uncertainties. For the purpose of
the evaluation of the overall quality of structural system a new concept has been recently
proposed and it is discussed in the last part of the paper: the dependability. It is a global
concept that describes the aspects assumed as relevant and their influencing factors. It has
been originally developed in the computer science field but it can be applied to civil
engineering systems.



Acknowledgements

The present paper is a result of a work conducted within a collaboration with the Task
Group 2 of the SEI-ASCE Technical Council on Life-Cycle Performance, Safety and
Reliability and Risk of Structural Systems. Prof. Franco Bontempi and his team
www.francobontempi.org from Sapienza University of Rome, and Prof. Michel Ghosn
from CUNY of New York are gratefully acknowledged for their suggestions. Prof. Casas
of the UPC, Prof. Malerba of the Polytechnic of Milan and Dr. Starnes of the TRB are
also acknowledged. The opinions and conclusions presented in this paper are those of the
author and do not necessarily reflect the views of the sponsoring organisations.
88        S. Arangio

References
Agarwal, J., Blockley, D., Woodman, N. (2003) ‘Vulnerability of structural systems’, Structural
    Safety, Vol. 25, No. 3, pp.263–286.
Arangio, S. and Ghosn, M. (2010) ‘Non deterministic approaches in current structural codes for
    assessing the safety and reliability of bridges’, Proceeding of IABMAS Conference, 11–15 July
    2010, Philadelphia, USA.
Arangio, S., Bontempi, F. and Ciampoli, M. (2011) ‘Structural integrity monitoring for
    dependability’, Structures and Infrastructures, Vol. 7, Nos. 1–2, pp.75–86, DOI: 10.1080/
    15732471003588387.
Avižienis, I., Laprie, J.C. and Randell, B. (2004) ‘Dependability and its threats: a taxonomy’, 18th
    IFIP World Computer Congress, Toulouse, France, Vol. 156, pp.91– 120, Kluwer Academic
    Publishers.
Bentley, J.P. (1993) An Introduction to Reliability and Quality Engineering, Longman, Essex.
Biondini, F. and Frangopol, D.M. (2008) ‘Structural robustness of deteriorating systems’,
    Proceedings of Handling Exceptions in Structural Engineering (HE08), 13–14 November,
    Rome, Italy.
Biondini, F., Bontempi, F., Frangopol, D. and Malerba, P.G. (2004a) ‘Reliability of material and
    geometrically non-linear reinforced and prestressed concrete structures’, Computer &
    Structures, Vol. 82, Nos.13/14, pp.1021–1031.
Biondini, F., Bontempi, F. and Malerba, P.G. (2004b) ‘Fuzzy reliability of concrete structures’,
    Computers & Structures, Vol. 82, pp.1033–1052.
Biondini, F., Frangopol, D.M. and Restelli, S. (2008) ‘On structural robustness, redundancy
    and static indeterminacy’, ASCE/SEI 2008 Structures Congress, Nos. 13–14, ASCE, SEI,
    Vancouver, BC, Canada.
Bjerrum, J., Larsen, E., Bak, H. and Jensen, F. (2006) ‘Internet-based management of major bridges
     and tunnels using DANPRO+’, Conference on Operation, Maintenance and Rehabilitation of
     Large Infrastructure Projects, Bridges and Tunnel, Copenhagen.
Bontempi, F. (2006) ‘Basis of design and expected performances for the Messina Strait Bridge’,
    Proceedings of BRIDGE 2006, Hong Kong (on CD-ROM).
Bontempi, F., Crosti, C., Giuliani, L. and Petrini, F. (2009) ‘Principi fondamentali ed applicazioni
    dell’approccio prestazionale’, (in Italian), Antincendio, pp.106–119, May, ISSN E012421.
Bontempi, F., Giuliani, L. and Gkoumas, K. (2007) ‘Handling the exceptions: robustness
    assessment of a complex structural system’, (invited lecture) Proceedings of the 3rd
    International Conference on Structural Engineering, Mechanics and Computation (SEMC),
    pp.1747–1752, Cape Town, South Africa.
Bontempi, F., Gkoumas, K. and Arangio, S. (2008) ‘Systemic approach for the maintenance
    of complex structural systems’, Structure and Infrastructure Engineering, Vol. 4, No. 2,
    pp.77–94.
Brando, F., Testa, R.B. and Bontempi, F. (2010) ‘Multilevel structural analysis for robustness
    assessment of a steel truss bridge’, IABMAS 2010, The Fifth International Conference on
    Bridge Maintenance, Safety and Management, 11–15 July, Philadelphia, USA.
Bridge Management in Europe (BRIME), Deliverable D6 (2003) ‘Experimental assessment
    methods and use of reliability techniques’, Demands and Longer Lives, Project start and end
    date: 2003-12-01–2007-11-30.
CAN/CSA-S6-00 (2000) Canadian Highway Bridge Design Code and Commentary, Canadian
   Society for Civil Engineering (CSCE).
Casas, J.R. (2006) ‘Bridge management: actual and future trends’, in Bridge Management, Life
    Cycle Performance and Cost, pp.21–30, Taylor and Frances, London.
Reliability based approach for structural design and assessment                       89

COWI (2007) ‘Guidelines for load and resistance assessment of existing European railway
   bridges’, Report of the WP4 of the integrated research project ‘Sustainable Bridges –
   Assessment for Future Traffic Demands and Longer Lives’ funded by the European
   Commission within 6th Framework Programme.
Crosti, C. (2009) ‘Structural analysis of steel structures under fire loading’, Acta Polytechnica,
    Vol. 49, No. 1, pp.21–28.
Crowder, B., Stevens, D.J., Hall, B. and Marchand, K.A. (2008) Unified Progressive Collapse
    Design Requirements for DOD and GSA, 2008 Structures Congress – Crossing Borders,
    Vancouver, Canada, 24–26 April 2008.
Faber, M. (2006) ‘Robustness of structures: an introduction’, Structural Engineering International,
    SEI, May, Vol. 16, No. 2, pp.101–107.
Franchin, P., Pinto, P.E. and Rajeev, P. (2010) ‘Confidence factor?’, Journal of Earthquake
    Engineering, Taylor and Francis, Vol. 14, No. 7, pp.989–1007.
Frangopol, D. and Das, P. (1999) ‘Management of bridge stocks based on future reliability and
    maintenance cost’, Current and Future Trends in Bridge Design, Construction and
    Management, pp.45–58, Thomas Thelford.
Frangopol, D.M. and Curley, J.P. (1987) ‘Effects of damage and redundancy on structural
    reliability’, Journal of Structural Engineering, Vol. 113, No. 7, pp.1533–1549.
Frangopol, D.M. and Strauss, A. (2008) ‘Bridge reliability assessment based on monitoring’,
    Journal of Bridge Engineering, Vol. 13, No. 3, pp.258–270.
Gentili, F., Crosti, C. and Giuliani, L. (2010) ‘Performance based investigation of structural
    systems under fire’, 4th International Conference on Structural Engineering, Mechanics and
    Computation (SEMC’10), September 2010, Cape Town, South Africa.
Ghosn, M. and Moses, F. (1998) NCHRP Report 406 Redundancy in Highway Bridge
    Superstructures, Transportation Research Board, Washington DC.
Giuliani, L. (2009) ‘Structural integrity: robustness assessment and progressive collapse
     susceptibility’, PhD thesis, University of Rome “La Sapienza”.
Giuliani, L. and Bontempi, F. (2009) ‘Numerical strategies for structural robustness assessment’,
     Proc. of the 2nd International Conference on Computational Methods in Structural Dynamics
     and Earthquake Engineering (COMPDYN 2009), 22–24 June 2009, Island of Rhodes, Greece.
Gulvanessian, H. and Vrouwenvelder, T. (2006) ‘Robustness and the eurocodes’, Journal of the
    International Association for Bridge and Structural Engineering (IABSE), Structural
    Engineering International, Vol. 16, No. 2, pp.167–171.
Gulvanessian, H., Calgaro, J-A. and Holický, M. (2009) Designers’ Guide to EN 1990 – Eurocode:
    Basis of Structural Design, Thomas Telford, London.
Handling Exceptions in Structural Engineering (HE20 08) (2008) Bontempi, F. (Ed.), Sapienza
    University of Rome, available at http://www.francobontempi.org/handling.php (accessed on
    02 February 2010), 10.3267/HE2008.
Handling Exceptions in Structural Engineering Workshop, Rome (2008) DOI: 10.3167/HE2008.
Handling Exceptions in Structural Engineering Workshop, Rome (2010) DOI: 10.3267/HE2010.
HMSO (2001) Design Manual for Roads and Bridge (DMRB), UK.
IABMAS 08 (2008) ‘Special session: structural robustness’, organized by Bontempi, F. and
   Starossek, U., 13–17, July, Seoul, Korea.
IABMAS 10 (2010) ‘Special session: advances in structural robustness: dependability framework’,
   organized by Starossek, U. and Bontempi, F., 11–15 July 2010, Philadelphia, USA.
ISO 13822 (2001) Bases for the Design of Structures – Assessment of Existing Structures.
ISO 2394 (1998) General Principles on Reliability for Structures.
90        S. Arangio

Ivezić, D., Tanasijević, M. and Ignjatović, D. (2008) ‘Fuzzy approach to dependability
     performance evaluation’, Quality and Reliability Engineering International, Vol. 24, No. 7,
     pp.779–792, doi: 10.1002/qre.926.
Joint Committee on Structural Safety (JCSS) (2001) Diamantidis, D. (Ed.): Probabilistic
     Assessment of Existing Structures, RILEM Publications, Bagneux-France, ISBN: 2-912143-
     24-1.
Kühn, B. et al. (2004) ‘Review by questionnaire on guidelines and standards on the assessment of
    existing structures’, Report WGA-0604-06 of ECCS Technical Committee 6 “Fatigue”,
    Working Group A, available at http://icom.epfl.ch/ECCSTC6/.
Liu, W.D., Neuenhoffer, A., Ghosn, M. and Moses, F. (2001) NCHRP Report 458 Redundancy in
     Highway Bridge Substructures, Transportation Research Board, Washington DC.
Melchers, R.E. (1999) Structural Reliability Analysis and Prediction, 2nd ed., Wiley & Sons Ltd.,
    Baffins Lane, Chichester, England.
Moses, F. (2001) ‘Calibration of load factors for LRFR bridge evaluation’, NCHRP Report 454,
   National Cooperative Highway Research Program, Transportation Research Board, National
   Research Council, Washington, DC.
Nahman, J. (2002) Dependability of Engineering Systems, Springer-Verlag, Berlin.
Norme tecniche per le costruzioni (NTC) (2008) D.M. Infrastrutture 14 gennaio 2008 (in Italian).
National Aeronautics and Space Administration (NASA) (2007) Systems Engineering Handbook,
     available at http://www.nasa.gov (accessed on 16 October 2011).
Ortolani, F. and Spizuoco, A. (2009) ‘Alluvione del messinese del 1 Ottobre 2009’, La colata
     fangoso-detritica del Torrente Racinazzo che ha devastato Scaletta Zanclea Marina, available
     at    http://www.scomunicando.it/cronaca-provinciale/alluvione-del-messinese-del-1-ottobre-
     2009 (accessed on 20 February 2011).
Petrini, F., Manenti, S., Gkoumas, K. and Bontempi, F. (2010) ‘Structural design and analysis of
     offshore wind turbines from a system point of view’, Wind Engineering, Vol. 34, No. 1,
     pp.85–108, Multi-Science Publishing Company: Brentwood, UK, ISSN 0309-524X,
     DOI: 10.1260/0309-524X.34.1.85.
Rücker, W., Hille, F. and Rohrmann, R. (2006) ‘F08a guideline for the assessment of existing
    structures’, SAMCO Final Report, Federal Institute of Materials Research and Testing (BAM),
    Berlin.
SAMARIS (2006) ‘Guidance for the optimal assessment of highway structures’, Final Report to
   the European Commission, deliverable D30, doc. SAM-GE-DE30.
Schneider, J. (1997) ‘Introduction to safety and reliability of structures’, IABSE – AIPC – IVBH.
Smith, I. (2001) ‘Increasing knowledge of structural performance’, Structural Engineering
    International, Vol. 12, No. 3, pp.191–195.
Starossek, U. (2009) Progressive Collapse of Structures, Thomas Telford Publishing, London.
Starossek, U. and Haberland, M. (2008) ‘Approaches to measures of structural robustness’, 2008
     Structures Congress – Crossing Borders, 24–26 April 2008, Vancouver, Canada.
Starossek, U. and Haberland, M. (2010) ‘Disproportionate collapse: terminology and procedures’,
     ASCE, Journal of Performance of Constructed Facilities, Vol. 24, No. 6, pp.519–528.
Starossek, U. and Wolff, M. (2005) ‘Design of collapse-resistant structures’, Workshop on
     Robustness of Structures, JCSS & IABSE WC 1, 28–29 November 2005, Garston, Watford,
     UK.
Starossek, U., Smilowitz, R., Waggoner, M., Rubenacker, K.J. and Haberland, M. (2011) ‘Report
     of the terminology and procedures sub-committee (SC1): recommendations for design against
     disproportionate collapse of structures’, in Ames, D., Droessler, T.L. and Hoit, M. (Eds.):
     Proceedings of the Structures Congress 2011 – ASCE, Las Vegas, Nevada, USA, 14–16 April,
     pp.2090–2103.
Reliability based approach for structural design and assessment                       91

Swiss-code SIA 263 (2003) Steel Structures, Swiss Society of Engineers & Architects.
UNI EN (1990) Eurocode: Basis of Design, European Committee for Standardization (CEN),
   Brussels, EN 1990, 2002.
Vrouwenvelder, T. and Scholten, N. (2010) ‘Assessment criteria for existing structures’, Structural
    Engineering International, Vol. 20, No. 1, pp.62–65.
Yan, D. and Chang, C. (2006) ‘Vulnerability of long-span cable-stayed bridges under terrorist
    event’, Proceedings of the International Conference on Bridge Engineering – Challenges in
    the 21st Century, Hong Kong.

Reliability based approach for structural design and assessment performance criteria and indicators in current European codes and guidelines_Stefania Arangio

  • 1.
    64 Int. J. Lifecycle Performance Engineering, Vol. 1, No. 1, 2012 Reliability based approach for structural design and assessment: performance criteria and indicators in current European codes and guidelines Stefania Arangio Sapienza University of Rome, Via Eudossiana 18, 00184 – Rome, Italy E-mail: stefania.arangio@uniroma1.it Abstract: This paper deals with the reliability based approach for design and assessment of civil engineering systems: in particular the performance criteria and indicators given in current structural codes are discussed. The paper is organized in three parts. In the first part the general aspects related to the structural design are discussed, while in the second part the performance indicators for the reliability assessment of existing structures are presented. In this regard, the contents of current European standards for structural design and assessment are briefly presented. In the third part the concept of robustness is discussed and the main definitions and methods for reliability verification taking into account the structural robustness are given. At the end, the concept of dependability is introduced. This is a quite new concept in the field of Civil Engineering and could be useful to describe the overall quality of a structural system. Keywords: safety and reliability; structural assessment; performance indicator; codes and guidelines; Eurocodes; system engineering; dependability. Reference to this paper should be made as follows: Arangio, S. (2012) ‘Reliability based approach for structural design and assessment: performance criteria and indicators in current European codes and guidelines’, Int. J. Lifecycle Performance Engineering, Vol. 1, No. 1, pp.64–91. Biographical notes: Stefania Arangio is an Associate Researcher at Sapienza University of Rome where she also obtained her PhD in Structural Engineering in 2008. She has been developing her research in Italy and in the USA. Her work is focused on safety and reliability of complex structural systems with specific attention to bridges integrity monitoring, structural identification, and analysis of the structural behavior in accidental situations. In order to handle with complexity and uncertainty, the investigation is oriented toward probabilistic methods and heuristic techniques. Part I Structural design 1 Structural system design In recent years more and more demanding structures, like tall building, bridges or offshore structures, are designed, built and operated to satisfy the increasing needs of the society. These constructions require high performance levels and should be designed Copyright © 2012 Inderscience Enterprises Ltd.
  • 2.
    Reliability based approachfor structural design and assessment 65 taking into account their durability during the entire life cycle and their behaviour in accidental situations. A modern framework for structural design should consider that a structure is a real physical object; it is composed by many elements and components that interact with each other and with the design environment and these interactions can lead to strong non-linearities and can be source of different uncertainties. All these requirements are often in contrast with the simplified formulations that are still widely applied. It is possible to handle these aspects evolving from the simplistic idealisation of the structure as a ‘device for channeling loads’ to the idea of the structural system, intended as a “set of interrelated components working together toward a common purpose” (NASA, 2007), and acting according system engineering, which is a robust approach to the creation, design, realisation and operation of an engineered system. Figure 1 System engineering approach for design PROCESS INPUT Requirements Analysis - Analyze missions and enviroments System - Identify functional requirements Modeling - Define performance and design And constraint requirement Analysis Requirement loop Functional Analysis/ Resources Allocation - Decomposition to lower-level function - Allocate performance - Define functional interfaces - Define functional architecture Design loop Synthesis - Transform architecture Historic Analyses - Define alternative product concepts - Define physical interfaces Evolutive / Innovative Design - Define alternative product PROCESS Risk Management and process solutions OUTPUT Source: Adapted from Bentley (1993) According to the system approach, the design of a generic system is carried out according to the three main phases shown in Figure 1 (Bentley, 1993): 1 requirements analysis, where the design environment is considered, the functional requirements are identified and design performance and constraints are fixed 2 functional analysis and resources allocation, where the task is broken down into lower-level details 3 synthesis of the solution.
  • 3.
    66 S. Arangio System design is an iterative (and non-linear) procedure, so if the first solution is not satisfactory the design process is iterated; it is possible to note a requirement loop between phase 1 and 2, and a design loop between phase 2 and 3. Iterations may be required for several loops. These phases are carried out by means of an integration of ‘soft’ heuristic tools (left bottom side of Figure 1) and ‘hard’ computational techniques (right top side of Figure 1). A key concept of the system approach that can be applied to the structural systems is the decomposition: for a global understanding of the structural behavior, information on both the entire structure and the single elements are needed (Figure 2). The structural design should be carried out at different levels of detail and the results of the various levels should be properly integrated in order to gain an overall understanding. The whole structural design process can be framed within this system view leading to the so called performance-based design (PBD) (Smith, 2001, Petrini et al., 2010). Figure 2 Decomposition of a steel structural system Struttura Structural system Substructure Sottostruttura Components Componenti Elements 1.1 Structural system quality Another key concept related to the system approach is the assurance of the system quality. In recent years, in order to meet international standards and customer demands,
  • 4.
    Reliability based approachfor structural design and assessment 67 some general standards on system quality, which can be applied also to structural systems, have been developed. An important and well known family of standards is the ISO 9000 series, which represent an international consensus on good quality management practises. According to the ISO 9000, as synthetically shown in Figure 3, the quality management can be represented as a cycle, set up with the aim of assuring consistency in the quality of system products and services, combined with continual improvement in customer satisfaction. A quality management system is a fundamental tool for achieving the required performance and for checking their accomplishment during time. Figure 3 Quality management according to ISO 9000 MANAGEMENT RESPONSIBILITY R S E A C Q T C CONTINUAL U U I U S I MEASUREMENT S S R RESOURCE , Management ANALYSIS F T MANAGEMENT system T E IMPROVEMENT A O O M M C M E E IMPROVEMENT T E R N I R T O S PRODUCT & N INPUTS SERVICE OUTPUTS REALIZATION Source: Adapted from quality-factors.com (2010) 1.2 Quality management and Eurocodes The European structural codes (Eurocodes) assume that an appropriate quality policy is implemented by parties during all stages of the life-cycle. For example, the measures highlighted in EN 1990 comprise: • accurate definitions of the reliability requirements • organisational measures • control at the stage of design, execution and maintenance. Quality management is an essential consideration in every stage of the life cycle of any construction. The various stages and the associated specific quality assurance activities are identified schematically in the quality loop diagram in Figure 4 (Gulvanessian et al., 2009).
  • 5.
    68 S. Arangio Figure 4 Quality loop for structural systems Specifications for design Design Demolition New building and recycling 0 90 1 3 Operation and maintenance 15 Maintenance 75 years 25 Maintenance 50 Rehabilitation Source: Adapted from Gulvanessian et al. (2009) 2 Criteria for reliability based design The aim of structural design is to realise structures that meet the expected performance, which can be often represented by a target reliability level (Schneider, 1997). As shown in Figure 5, there are different approaches for reliability verification: a deterministic b probabilistic c semi-probabilistic. The most common deterministic safety measure is the global factor of safety, defined as the ratio of the resistance over the load effect. The concept of the allowable stresses is a traditional deterministic method, where failure of the structure is assumed to occur when any stressed part of it reaches the permissible stress. Deterministic verification methods based on a single global safety factor do not properly account for the uncertainties associated with strength and load evaluation. The semi-probabilistic approach is based on the limit state principle and makes use of partial safety factors for checking the structural safety. These partial factors have been calibrated so that a structure that satisfies the safety check using a set of design parameters will also satisfy the target reliability level. The semi-probabilistic verification
  • 6.
    Reliability based approachfor structural design and assessment 69 method is still a simplified method but it can much better account for the uncertainties of some design parameters. Probabilistic verification procedures are also based on the principle of limit states, by checking that predefined target structural reliability levels are not exceeded. This approach takes into account explicitly the uncertainties. Figure 5 Reliability verification approaches Safety factors Deterministic Allowable stress Reliability verification approaches Semi- probabilistic Partial safety factors Limit States Analytical and numeric Probabilistic Simulation 3 European codes and guidelines for reliability based design Most of the modern codes for constructions have recognised the need of using advanced reliability based design methods that allow taking into account various sources of uncertainty. To verify whether or not a structural design is acceptable, the uncertainties are modelled by using statistical tools and the failure probability is estimated with respect to all relevant limit states. The three main documents that have been drawn on reliability based design, which are briefly presented in the following sections, are the standard ISO 2394 (1998), the probabilistic model code developed by the Joint Committee on Structural Safety (JCSS, 2001) and the structural Eurocodes. 3.1 The international standard ISO The ISO 2394 – General principles on reliability of structures – is an important international standard that specifies general principles for the verification of the reliability of structures subjected to different types of actions. Reliability is considered in relation to the performance of the structure throughout its design working life. This international standard is applicable in all the stages of the construction process as well as during the use of the structure, including maintenance and repair. The principles are also
  • 7.
    70 S. Arangio applicable to the structural appraisal of existing constructions or assessing changes of use. 3.2 The JCSS probabilistic model code The probabilistic model code developed by the Joint Committee on Structural Safety (JCSS, 2001) represents an important step in the direction of the necessary standardisation of the reliability based method. In 1971, the Liaison Committee, which coordinates the activities of six international associations of Civil Engineering (FIB, CIB, ECCS, IABSE, IASS, and RILEM), created a Joint Committee on Structural Safety (JCSS) with the aim of improving the general knowledge in structural safety. In 1992, the JCSS set as a long term goal the development of a probabilistic model code for new and for existing structures. The JCSS code gives guidance on the modelling of the random variables in structural engineering and it is intended as the operational part of codes like the ISO 2394 (1998), the Eurocodes and other national codes that allow for probabilistic design but do not give any detailed guidance. The code consists out of three main parts that deal with general requirements, modelling of loads and modelling of structural properties. The code gives no information, however, on mechanical models like buckling, shear capacity, foundation failure and so on. Little or no information is given on other modelling aspects, like for example the wind pressure coefficients. 3.3 Structural Eurocodes The idea of common modern structural specifications for the countries of the European economic area was born in 1975, when the Commission of the European Community decided on an action programme in the field of construction based on Article 95 of the Treaty of Rome. The objective of the programme was the elimination of technical obstacles to trade and the harmonisation of technical specifications. Figure 6 Links between the Eurocodes EN 1990 Basis of Structural Design EN 1991 Action on structures EN 1992 EN 1993 EN 1994 Design and detailing EN 1995 EN 1996 EN 1999 Geotechnical and EN 1997 EN 1998 Seismic Design The Eurocodes are used for the design of new structures but they also cover engineering principles that could be used to form the basis of assessment of existing structures. The
  • 8.
    Reliability based approachfor structural design and assessment 71 ten structural Eurocodes are linked as shown in Figure 6. The first one, EN 1990 – Basis of Structural Design is the head code, which gives the basis of structural design adopted by the whole suite and needs to be used alongside of the remaining standards. The second one (EN 1991 – Actions on structures) gives actions. Then, there are six standards for design and detailing, grouped by material (EN 1992 – Concrete, EN 1993 – Steel, etc.), and two standards for Geotechnical (EN 1997) and Seismic (EN 1998) design. The Eurocodes are being implemented by each member country trough national standards which comprise the full text of the Eurocode and may be followed by a national Annex. 3.4 The Italian approach In Italy a new structural code is in force from July 2009 (Norme Tecniche delle Costruzioni (NTC) – passed with D.M. 14/01/2008). This code has been written in accordance with the principles of the Eurocodes. Many parts have been quoted from the Eurocodes, others have been modified, according to the Italian needs. The NTC represents an important step in the Italian approach: for the first time the national code is based on a modern probabilistic approach (that actually in most of the cases can be brought to a semi-probabilistic approach with the use of the partial factors). It deals with both design of new structures and assessment of existing ones. Part II Existing structures 4 Structural assessment process The assessment of existing structures aims at producing evidence that they will function safely over a specified residual service life. It is mainly based on estimating the material properties and strength capacity of the members taking into account the present state of the structure, and evaluating its ability to withstand anticipated hazards and future loads. Nowadays, this problem is particularly important in the case of infrastructures. In fact, the rate and extent of the deterioration of existing bridges have lately significantly increased. Indeed, the current low funding in the infrastructure sector of many European countries has forced highway agencies to postpone necessary investments in new road and bridges and consequently stretch the service life of their existing old stock. The prioritisation of the distribution of funds among maintenance, repair and rehabilitation activities is a major problem that bridge authorities everywhere are facing (Frangopol and Das, 1999; Casas, 2006). The structural assessment is assuming a key role in the management of existing structures and different approaches exist. The most commonly used method is the so called condition rating method, where, on the basis of visual inspections, a grade is assigned to the structure. The grade can be either numerical ranging for example between one for very poor condition to ten for excellent condition, or descriptive by classifying infrastructures as poor, acceptable, good, etc. The main drawback of this approach is that often it lacks of objectivity because it is based on the sensibility of the engineer, so the same structure, assessed by two different engineers, can be rated with different grades.
  • 9.
    72 S. Arangio In the past three decades, a new measure for the assessment of existing structures has been developed within the probabilistic framework based on the reliability index (Melchers, 1999). According with the decomposition approach previously discussed, the most efficient processes are based on the verification of the reliability at different levels. Looking at the example in Figure 7 (Bontempi et al., 2009), the verification can be carried out at a global level (called 4th level in the figure), at the level of the single structural element (3rd level), on the section of the element (2nd level), and at the material level (1st level). For each level appropriate methods and tools are available. Figure 7 Reliability verification levels in the limit states approach Source: Adapted from Bontempi et al. (2009) It is also important to note that the choice of the assessment method and level of accuracy is strictly related to the specific phase of the life-cycle and to the complexity and importance of the structure (Bontempi, 2006). The use of advanced methods is not justified for all structures; the restriction in terms of time and cost is important (Arangio et al., 2010): for each structural system a specific assessment process, which would be congruent with the available resources and the complexity of the system, should be developed. In Bontempi et al. (2008) for example, the structures are classified for monitoring purposes in the following categories: ordinary, selected, special, strategic, active and smart structures. The information needed for an efficient monitoring, shown in Figure 8 by means of different size circles, increases with the complexity of the structure.
  • 10.
    Reliability based approachfor structural design and assessment 73 Figure 8 Relationship between classification of structures and characteristics of the monitoring process Source: From Bontempi et al. (2008) Another hierarchical model, based on six levels of assessment, is proposed in various guidelines (e.g., SAMARIS, 2006; Rücker et al., 2006 for bridges). The various levels are summarised in Figure 9 and Table 1. They are numbered from 0 to 5 with level 0 (informal qualitative assessment) being the simplest and level 5 (full probabilistic assessment) the most sophisticated. Figure 9 Structural assessment levels Structural Assessment Qualitative Quantitative Assessment Assessment Measurement based Model based Assessment Assessment Level 0 Level 1 Level 2 Level 3 Level 4 Level 5 Experience Direct Assessment of Assessment of Adaptation of Probabilistic based subjective assessment of safety and safety and target reliability assessment of assessment of serviceability serviceability serviceability methods ad safety and deterioration values from using simple using refined assessment of serviceability effects and other measured load model based model based safety and values damage after effects methods methods serviceability visual inspection with modified Data from test, Data from Data from test, structure- monitoring, etc. documents monitoring, etc specific values Source: Adapted from Rücker et al. (2006)
  • 11.
    74 S. Arangio Table 1 Structural assessment levels Assessment Strength and load Calculation models Assessment methodology level models Strength and load Simple linear elastic LFRD-based analysis, 1 models as in design code calculation load combinations and Material properties Refined, load partial factors as in the based on design redistribution is design code 2 documentation and allowed, provided standards that the ductility 3 Material properties can requirements are be updated on the basis fulfilled LRFD-based analysis, of in situ testing and modified partial factor are 4 observations using allowed Bayesian approach Strength model Probabilistic analysis including probability 5 distribution for all variables Source: Adapted from Rücker et al. (2006) It is important to note that there are some substantial differences between the design of new structures and the assessment of existing ones. Consider for example the following aspects: • the structural codes for design consider generic situations and the inputs of the design process are established according to standard rules. On the other hand, the assessment of existing structures is carried out case by case, evaluating the real actions • in the assessment of existing structures the real constraints are uncertain • the required performance are easier to be accomplished in the design phase than in the assessment • some structures could have adequate performance even if they have exceeded their nominal life. The probabilistic framework for assessment of existing structures can thus be seen as an extension of the probabilistic framework for the design of new structures, providing a rational and consistent basis for the inclusion of new information and uncertainties. An example is schematically illustrated in the JCSS document (Figure 10). The assessment of existing structures by using methods of modern reliability theory is seen as a successive process of model building, consequence evaluation and model updating by introduction of new information or by modification of the structure. The analysis to be performed involves various steps: • formulation of a priori uncertainty models • formulation of limit state functions • establishing posterior probabilistic models • setting acceptable levels for the probability of failure.
  • 12.
    Reliability based approachfor structural design and assessment 75 The issue of setting acceptable levels for probabilities of failure, that is setting target reliability levels, assumes a key role. In the following sections some strategies suggested by different guidelines and codes for the selection of the target reliability indices are presented. Figure 10 Probabilistic approach for structural assessment Probabilistic modeling Uncertainty Limit state equation Modeling Consequence Modify design Introduce new information Change use of structure Actions Source: Adapted from JCSS (2001) 5 European codes and guidelines for structural reliability assessment Guidelines for evaluating the safety of existing structures are available in some countries. For example, in Canada, Germany, Slovenia, the Netherlands, Switzerland, and in some states of the USA they have been prepared with a careful attention to details. In the UK, a considerable amount of guidance on the design, management and assessment of bridge structures is provided in the Design Manual for Roads and Bridges (DMRB) (HMSO, 2001). A good example of evaluation code is the recently developed Danish BMS DANPRO+ (Bjerrum et al., 2006). In Italy, the recently issued structural code (NTC, 2008) includes an entire chapter on the assessment of existing constructions. Even if some countries in Europe are using specific guidelines or standards for structural safety assessment, many European countries still do not have specific methods. While for the design of new structures there are common European specifications (the Eurocodes), there are no common standards for the assessment of existing structures. As already said, some indications are given in the Eurocodes but they are not enough. In the light of the development of common European standards, there is a need to harmonise the various existing specifications. For example, a report by the European Convention for Construction Steelwork (ECCS) and the Joint Research Center has been prepared to
  • 13.
    76 S. Arangio provide technical insight on the way existing steel structures could be assessed and the remaining life could be estimated (Kühn et al., 2004). These recommendations follow the principles of the Eurocodes. It is important to note that, even if all the mentioned specifications provide a philosophical basis and a theoretical framework for the assessment of structures, most of them propose procedures based on deterministic approaches. There have been a number of applications of reliability based assessment in some countries (Frangopol and Strauss, 2008) but the probabilistic approaches are not yet commonly used in practise, mainly due to the lack of information and standardisation. A remarkable exception is presented for example in the work by Biondini et al. (2004a). Some important documents that have been drawn up in this sense are the standards ISO 2394 and 13822, and the JCSS Probabilistic Code. Also various research projects [e.g., Rücker et al. (2006) and BRIME (2003)] have proposed guidelines on monitoring and reliability-based assessment. 5.1 The international standard ISO The already mentioned ISO 2394 – General Principles on Reliability of Structures, and the ISO 13822 – Assessment of Existing Structures – deal with reliability assessment of existing structures. The general principles for the verification of the reliability are introduce in clause 10 of ISO 2394, where it is explained how the basic variables, such as loads, material properties and model uncertainties, shall be taken. This approach allows drawing conclusions with respect to the bearing capacity of single tested members, to the capacity of other non-tested members and other load conditions as well as to the behaviour of the entire system. The International Standard ISO 13822 provides general requirements and procedures for the assessment of existing structures (buildings, bridges, industrial structures, etc.) based on the principles of structural reliability and consequences of failure. It is intended to serve as a basis for preparing national standards or codes of practise in accordance with current engineering practise and the economic conditions. 5.2 The JCSS probabilistic model code An important step in the direction of the necessary standardisation of the reliability based method is the probabilistic model code developed by the Joint Committee on Structural Safety (JCSS, 2001). The JCSS document includes general guidelines on reassessment, methodologies for reliability updating, acceptability and safety criteria, with examples and case studies. This document was created because the classical code approaches were often not suited to address questions such as the evaluation of the risk of structures, and the choice of the adequate type of inspection. Thus, the document was created with the following basic goals: a to standardise methods and terminology b to be operational for the consulting engineers c to be generally applicable for various materials and various structural types d to build the basis of future codes and standards.
  • 14.
    Reliability based approachfor structural design and assessment 77 5.3 Structural Eurocodes As specified above, the structural Eurocodes deal with the design of new structures but they also cover engineering principles that could be used to form the basis of structural assessment. For example, according to UNI EN (1990), a concrete structure shall be designed in such a way that deterioration of concrete and/or steel should not impair the durability and performance of the structure. In other words, an adequate maintenance strategy is part of the design concept of the structural Eurocodes. However, clause 1.1(4) does recognise that additional or amended rules and provisions might be necessary where appropriate. 5.4 The Italian approach Italy represents a particular case in the field of structural assessment because of the huge number of historic and valuable existing structures. There are numerous typologies of structures, built in various historic epochs and by using different methods. For these reasons it was very difficult to define standards able to deal with the issue of structural assessment in a general way. Another important aspect is that, in Italy, the indications given in the structural codes are compulsory, so the existing guidelines cannot be used and, even if the Eurocodes are standards for all the member states, they need a specific document, approved as a law, for their effective application in Italy. In the last Italian structural code (NTC, 2008) an entire chapter is devoted to the existing structures. The indications regarding the assessment are mainly oriented toward a performance based approach: few rules and general indications are given and the engineer is free to choice the method to guarantee the required performance. In this code it is noticeable the introduction of two new concepts related to the performance approach: the so called knowledge levels and confident factors. Both are used to modify the capacity parameters. Three different levels of knowledge (Livelli di conoscenza, LC) are defined: • level of knowledge 1 (LC1): limited knowledge • level of knowledge 2 (LC2): adequate knowledge • level of knowledge 3 (LC3): accurate knowledge. For each level of knowledge a confident factor, which is used together with the other partial factors, is assigned (Table 2). The aspects that are considered in order to classify the level of knowledge are: • the geometrical characteristics of the structure • the mechanical properties of the materials, obtained from both project documents and specific tests • the geotechnical characterisation. More details are available in the code and in specific publications (see for example Franchin et al., 2010).
  • 15.
    78 S. Arangio Table 2 Level of knowledge and confident factor Level of knowledge Confident factor LC1 – limited knowledge 1.35 LC2 – adequate knowledge 1.20 LC3 – accurate knowledge 1 Source: Adapted by NTC (2008) 6 Acceptability and target criteria for the reliability index For the assessment of existing structures, target reliability levels different than those used in the design must be considered (Vrouwenvelder and Scholten, 2010). The differences are based on the following considerations (ISO 13822). • economic consideration: the cost between accepting and upgrading an existing structure can be very large, whereas the cost of increasing the safety of a structural design is generally very small; consequently conservative criteria are used in design but should not be used in assessment • social considerations, as the consequences of disruption of ongoing activities • sustainability considerations: reduction of waste and recycling, which are considerations of lower importance in the design of new structures. Table 3 Target reliability indices for the reference period of 50 years and 1 year and ‘moderate’ relative costs of safety measures Codes Consequences EN 1990 Low Normal High ISO 9324 Small Some Moderate Great JCSS Minor Moderate Large EN 1990 – 50 years - 3.3 3.8 4.2 ISO 9324 – life time 1.3 2.3 3.1 3.8 JCSS – 50 years - 2.5 3.2 3.5 EN 1990 – 1 year - 4.2 4.7 5.2 ISO 9324 – 1 year 2.9 3.5 4.1 4.7 JCSS – 1 year - 3.7 4.2 4.4 Target values are given in several codes and guidelines (e.g., Moses, 2001; CAN/CSA- S6-00, 2000; COWI, 2007; JCSS, 2001; UNI EN, 1990, 2002). For the definition of the reliability indices various factors are considered as for example consequences of failure (e.g., low, normal, high for EN 1990), reference period, relative cost of safety measures (e.g., small, moderate, great for ISO 9324), importance of structure (bridges, public structures, residential buildings, etc.) and so on. In Table 3, some target reliability levels proposed by international codes for design and assessment are shown. They vary with the consequences of failure and the reference periods (in the table 50 years for design and
  • 16.
    Reliability based approachfor structural design and assessment 79 1 year for assessment). The proposed values consider ‘moderate’ relative costs of safety measure The target limits are obtained from different procedures. For example, the Canadian Standards Association (CSA, 2000) has adopted the following life-safety criterion for bridge assessment. To take into account that some failures are much less likely to result in death or injury than others, they define the conventional probability of failure: A⋅ K Pconventional = W⋅ n where Pconventional is defined as the target annual probability of failure based on life-safety consequences, K is a constant based on calibration to existing experience which is known to provide satisfactory life safety, A is the activity factor which reflects the risk to human life associated with activities for which the structure is used, W is the warning factor corresponding to the probability that, given a failure, a person at risk will be killed or seriously injured, and n is the importance factor based on the number of people n at risk if failure occurs. The CAN/CSA-S6-00 (2000) proposes also to adjust the target reliability indices for bridges according to the consequences of failure of one element. For example, if the failure of one element does not lead to collapse because of redundancy then the risk to life is reduced; if an element fails gradually, then the failure is likely to be noticed before collapse takes place. Table 4 provides some examples of adjustments for single elements and for the entire system. Table 4 Reliability index adjustment for bridge assessment β = 3.5 − ( Δ E + Δ S + Δ I + Δ PC ) Adjustment for element behaviour ΔE Sudden loss of capacity with little or no warning 0.0 Sudden failure with little or no warning but retention of post-failure capacity 0.25 Gradual failure with probable warning 0.5 Adjustment for system behaviour ΔS Element failure leads to total collapse 0.0 Element failure probably does not lead to total collapse 0.25 Element failure leads to local failure only 0.5 Adjustment for inspection level ΔI Component not inspectable – 0.25 Component regularly inspectable 0.0 Critical component inspected by evaluator 0.25 Adjustment for traffic category ΔPC All traffic category except PC 0.0 Traffic category PC 0.6 Source: Adapted from CAN/CSA-S6-00 (2000)
  • 17.
    80 S. Arangio Part III Structural system robustness and dependability 7 Structural robustness The traditional approach for structural design and assessment aims at the verification of the safety of the structure under assigned loads and boundary conditions, but it does not take into account some advanced aspects: for example the fact that also a small initial failure could result in a disproportionate structural damage as shown by several cases of building collapses in the past (see for example Crowder et al., 2008). Such behaviour is commonly interpreted as a lack of structural robustness (Starossek, 2009; Giuliani, 2009). To clarify the role assumed by structural robustness, it is necessary first to clarify its meaning. The term robustness appears often in the structural engineering literature and it has been widely discussed in international scientific conferences (see for example the special sessions on structural robustness organised at the IABMAS Conferences (2008, 2010) by Bontempi and Starossek, and the Conferences ‘Handling the Exceptions’ in Rome (HE, 2008; 2010). Even so, it is used differently by the various authors and there is no general agreement today about its precise meaning. A set of definitions has been selected in a recent work by Starossek and Haberland (2010). Two qualitative definitions are the following: • ability of a structure to withstand actions due to fires, explosions, impacts or consequences of human error, without suffering damages disproportionate to the triggering causes (EN 1991-1-7: 2006) • insensitivity of the structure to local failures (Starossek et al., 2007). The main difference in these definitions, which reflects also a certain dispute in recent literature (Starossek and Wolff, 2005; Faber, 2006), consists in the identification of the cause a structure should withstand in order to be considered robust. According to the first definition, a structure is robust if a disproportionate collapse is not triggered in consequence of an accidental action, while the second definition of robustness refers directly to the ability of a system to tolerate structural damages, apart from the actions that could have determined them. In the latter case, the robustness is intended as a property inherent to the structural system and can represent a direct measure of the susceptibility of a structure to disproportionate collapses. According to the first definition instead, the robustness of a structure would depends on the accidental action considered. Summing up the different definitions, it is possible to say that robustness refers to the ability of a structure not to respond disproportionately to either abnormal events or initial local failure. It is important to point out that it is not to be expected that the structure will resist all the possible occurrences without any damage: not only is practically impossible the foreseeing of any possible critical event, but hardening a structure to resist perfectly integer to hazards that have such a low probability of occurrence, would be not economically feasible. More detail can be found in Starossek (2009), Giuliani (2009), Bontempi et al. (2007) and Brando et al. (2010). The robustness of a structure strongly influences its reliability but it very difficult to measure the contribution. In most of the existing codes and guidelines the subject of structural robustness in treated in a general way and only indirect design criteria are provided. The task of the quantitative evaluation of robustness, and consequently the
  • 18.
    Reliability based approachfor structural design and assessment 81 modification of the reliability indices have been treated by several authors. Four main approaches exist: risk based (Faber, 2006), topology based (Agarwal et al., 2003), energy based (Starossek and Haberland, 2008) damage based (Biondini and Frangopol, 2008; Yan and Chang, 2006; Bontempi et al., 2007). A summary of the main quantitative definitions proposed in the past few years is given in Giuliani and Bontempi (2009). 7.1 Robustness and the Eurocodes The topic of robustness is essentially covered by two Eurocodes, EN 1990 – Basis of Structural Design, which provides the high level principles for achieving robustness and EN 1991: Part 1-7 – Accidental Actions (EN 1991-1-7), which provides strategies, and methods to obtain robustness and the actions to consider. The leading principle is that, in case of accidental actions, local damage is acceptable, provided that it will not endanger the structure, and that the overall load-bearing capacity is maintained during an appropriate length of time to allow necessary emergency measures to be taken (Gulvanessain and Vrouwenvelder, 2006). Figure 11 The arrow indicates the point where the rock impacted the pile, (a) impacted point (b) rock (c) maximum height of the debris flow during the event (d) height of debris at the end of the landslide (see online version for colours) Messina – Catania Highway Racinazzo Torrent Source: From Ortolani and Spizuoco (2009) An example of lack of structural robustness in an accidental situation is shown in Figure 11. The highway bridge in the picture is located at the entrance of the city of Messina (Sicily Island, Italy) where in October 2009 a large landslide occurred; the debris flow impacted the bridge and a big rock (visible in Figure 12) strongly damaged one of the piers. The traffic was interrupted for entire days causing trouble to the circulation of the entire city. In Figure 11, the arrow indicates the point where the rock
  • 19.
    82 S. Arangio impacted and the marked surface represents the volume of the debris flow. In Figure 12 the zone is viewed from the other side. In such a case, it would have been necessary to quantify the structural robustness and evaluate the residual life of the structure before reopening the bridge to the normal traffic. In fact this structure was designed to carry mainly vertical loads and the sudden impact with the heavy rock changed its structural behavior. A robust design approach of bridges located in hazardous areas should properly take into account accidental situations in order to avoid disruption of the service or even the collapse of the structure. Other examples of structural behaviour under accidental scenarios are given for example in Crosti (2009) and Gentili et al. (2010). Figure 12 The arrow indicates the damaged pier (see online version for colours) Damaged pier Messina – Catania Highway Notes: On the right it is possible to see the big rock that impacted on the bridge. Source: From Ortolani and Spizuoco (2009) 7.2 Redundancy in Eurocodes and NCHRP According to the Eurocodes, redundancy is the availability of alternative load-carrying components and alternative paths for a load to be transferred from a point of application to a point of resistance. This implies the absence of critical components whose failure would cause the collapse of the structure (Frangopol and Curley, 1987). There is a strong connection between redundancy and robustness (Starossek and Haberland, 2010). Redundancy is a key factor for robustness: a redundant structure has alternative load carrying components; if one or more components fail, the remaining structure is able to redistribute the force originally carried by the failed components into alternative load paths. However, the terms robustness and redundancy denote different properties of the structure and they should be clearly distinguished (Biondini et al., 2008; Starossek, 2009). Using them as synonyms obscures the fact that redundancy is not the only means to achieve robustness. Both concepts should be considered in a reliability based assessment of structures. It is important to note that the definitions given above are generally used in Europe; the term redundancy is used in a different way in the literature of the USA: the concept of redundancy is mainly related to the ability of a structure to withstand the failure of a single structural member without collapsing. For example, NCHRP 406 defines bridge redundancy as “the capability of a bridge to continue to carry loads after the damage or the failure of one of its member (the first member to fail)” (Ghosn and Moses, 1998). In a sense, their definition of redundancy is equivalent to the definition of the robustness
  • 20.
    Reliability based approachfor structural design and assessment 83 given in the Eurocodes. Thus, the methods proposed in USA (as for example in the NCHRP Report 406, 1998) for the assessment of the reliability taking into account the redundancy, in the European point of view, could be applied for reliability assessment taking into account the robustness. Actually, this is the same concept called in different ways (Arangio and Ghosn, 2010). NCHRP Report 406 (Ghosn and Moses, 1998) developed a process for quantifying redundancy (i.e., robustness according to the European view) in bridge super structures. Subsequently, this approach was extended to substructures (Liu et al., 2001). A bridge is considered safe if: • it provides a reasonable safety against first member failure • it provides an adequate level of safety before it reaches its ultimate limit states • it does not deform excessively under expected loads • it is able to carry some traffic loads after damage or loss of members. Accordingly four limit states are defined as: • member failure, which is a check of individual member safety using elastic analysis • ultimate limit state, which is defined as the ultimate capacity of the bridge system or the formation of a collapse mechanism • functionality limit states, which is defined as the capacity of the structure to resist a main member live load displacements of specified magnitude • damaged condition limit state, which is defined as the ultimate capacity after removal of one main load carrying component. The four limit states should be checked to ensure the satisfactory safe performance of the bridge system under extreme and regular conditions. ‘Adequate’ safety margins can be determined using reliability based techniques. A reliability index can be defined for each limit state, thus there will be βmember for the member failure, βu for the ultimate limit state, βfunct for the functionality limit state, and the system reliability index βdamaged for damaged conditions. To study the redundancy of a system, it is useful to examine the differences between the reliability indices of the system expressed as βu, βfunct, and βdamaged and the reliability index of the most critical member as βmember. The relative reliability indices are defined as: Δβ u = β u − β member Δβ f = β func − β member Δβ d = β damage − β member These relative reliability indices give measures of the relative safety provided by the bridge system compared with the nominal safety of first member failure. On the basis of analyses of typical bridge configurations, a direct redundancy evaluation procedure has been proposed in the NCHRP reports. It is based on satisfying minimum values of the relative reliability indices. According to these analyses, a bridge will provide adequate levels of redundancy if all three following conditions are satisfied:
  • 21.
    84 S. Arangio Δβ u ≥ 0.85 Δβ f ≥ 0.25 Δβ d ≥ −2.70 8 Structural systems dependability For the purpose of the evaluation of the overall quality of structural systems a new concept has been recently proposed: the structural dependability. It can be introduced looking at the scheme in Figure 13, where the various aspects discussed in the previous paragraphs are ordered and related to this concept. It has been said that a modern approach to structural design requires evolving from the simplistic idea of structure to the idea of structural system, and acting according to the system engineering approach. In this way it is possible to take into account the interaction between the different structural parts and between the whole structure and the design environment. The grade of non-linearity and uncertainty in these interactions determines the grade of complexity of the structural system. In case of complex structural systems, it is important to evaluate how the system works as a whole, and how the elements behave singularly. In this contest, dependability is a global concept that describes the aspects assumed as relevant to describe the quality of a system and their influencing factors (Bentley, 1993). It has been originally developed in the computer science field but it can be reinterpreted in the civil engineering field (Arangio et al., 2010). The dependability reflects the user’s degree of trust in the system, i.e., the user’s confidence that the system will operate as expected and will not ‘fail’ in normal use: the system shall give the expected performance during the whole lifetime. Figure 13 Roadmap for the analysis and design of complex structural systems Interaction among different structural parts Interactions are characterized by STRUCTURAL SYSTEM strong nonlinearity Interaction between and uncertainty the whole structure and the design environment DECOMPOSITION SYSTEM APPROACH COMPLEXITY STRATEGY ATTRIBUTES QUALITY of the whole structural THREATS system: DEPENDABILITY MEANS PERFORMANCE BASED DESIGN
  • 22.
    Reliability based approachfor structural design and assessment 85 The assessment of dependability requires the definition of three elements (Figure 14): • the attributes, i.e., the properties that quantify the dependability • the threats, i.e., the elements that affect the dependability • the means, i.e., the tools that can be used to obtain a dependable system. In structural engineering, relevant attributes are reliability, safety, security, maintainability, availability, and integrity. Not all the attributes are required for all the systems and they can vary over the life-cycle. They are essential to guarantee: • the ‘safety’ of the system under the relevant hazard scenarios, that in current practise is evaluated by checking a set of ultimate limit states (ULS) • the survivability of the system under accidental scenarios, considering also the security issues; in recent guidelines, this property is evaluated by checking a set of ‘integrity’ limit states (ILS) • the functionality of the system under operative conditions (availability), that in current practice is evaluated by checking a set of serviceability limit states (SLS) • the durability of the system. These attributes can be divided in high level or active performance (reliability, availability, and maintainability) and low level or passive performance (safety, security, and integrity) (Petrini et al., 2010). The threats to system dependability can be subdivided into faults, errors and failures. According to the definitions given in Avižienis et al. (2004), an active or dormant fault is a defect or an anomaly in the system behaviour that represents a potential cause of error; an error is the cause for the system being in an incorrect state; failure is a permanent interruption of the system ability to perform a required function under specified operating conditions. Error may or may not cause failure or activate a fault. In case of civil engineering constructions, possible faults are incorrect design, construction defects, improper use and maintenance, and damages due to accidental actions or deterioration. The problem of conceiving and building a dependable structural system can be considered at least by four different points of view: 1 how to design a dependable system, that is a fault-tolerant system 2 how to detect faults, i.e., anomalies in the system behaviour (fault detection) 3 how to localise and quantify the effects of faults and errors (fault diagnosis) 4 how to manage faults and errors and avoid failures (fault management).
  • 23.
    86 S. Arangio Figure 14 Dependability: attributes, threats and means RELIABILITY MAINTAINABILITY AVAILABILITY ATTRIBUTES INTEGRITY SAFETY SECURITY FAULT DEPENDABILITY THREATS ERROR FAILURE FAULT TOLERANT DESIGN FAULT DETECTION MEANS FAULT DIAGNOSIS FAULT MANAGING Source: Arangio et al. (2010) The task of fault management includes the so called fault forecasting, that is the set of methods and techniques for performing evaluations of the system behaviour with respect to fault occurrence or activation. These evaluations have two aspects: a qualitative, aimed at identifying the possible failure modes or hazardous scenarios b quantitative, aimed at evaluating in terms of probabilities some of the attributes of dependability. A system is taken as dependable if it satisfies all requirements with regards to various dependability performance and indices, so the various attributes, such as reliability, safety or availability, which are quantitative terms, form a basis for evaluating the dependability of a system. The evaluation of the dependability is a complex task because this is a term used for a general description of the quality of a system and it cannot be easily expressed by a single measure. The approaches for dependability evaluation can be qualitative or quantitative and usually are related to the phase of the life cycle that it is considered (design or assessment). In the early design phase a qualitative evaluation is more appropriate than a detailed one, as some of the subsystems and components are not completely conceived or defined. Qualitative evaluations can be performed, for example, by means of failure mode analyses approaches, as the failure mode effects and criticality analysis (FMECA) or the failure tree analysis (FTA), or by using reliability block
  • 24.
    Reliability based approachfor structural design and assessment 87 diagrams. Note that these models assume independence among modeled components. On the other hand, in the assessment phase, numerous aspects should be taken into account and all of them are affected by uncertainty and interdependencies, so quantitative evaluations, based on probabilistic methods, are more suitable. It is important to evaluate whether the failure of a component may affect other components, or whether a reconfiguration is involved upon a component failure. These stochastic dependencies can be captured for example by Markov chains models, which can incorporate interactions among components and failure dependence. Others methods are based on Petri Nets and stochastic simulation. At the moment, most of the applications are on electrical systems (e.g., Nahman, 2002) but the principles can be applied in the civil engineering field. When numerous different factors have to be taken into account and dependability cannot be described by using analytical functions, the use of linguistic attributes by means of the fuzzy logic reasoning can be helpful (Ivezić et al., 2008; Biondini et al., 2004b). 9 Conclusions In this work a state of the art about the European reliability based approach for the design and assessment of civil engineering systems is presented. The first part deals with the issues related to the design phase, while the second part considers the reliability based assessment of existing structures. In the last part the concept of structural robustness is discussed showing the difference between the European point of view and the US one. Looking at the recent literature and structural standards, it is possible to notice that there is an increasing interest in the reliability based approach. However it has been shown that most of the regulations are still based on over simplified approaches that are not able to take into account the intrinsic complexity of the modern structural systems and the concept of robustness. The existing measures are mostly local indices whereas the reliability of a structural system should be evaluated in global way, taking into account the possible non-linearities and the various sources of uncertainties. For the purpose of the evaluation of the overall quality of structural system a new concept has been recently proposed and it is discussed in the last part of the paper: the dependability. It is a global concept that describes the aspects assumed as relevant and their influencing factors. It has been originally developed in the computer science field but it can be applied to civil engineering systems. Acknowledgements The present paper is a result of a work conducted within a collaboration with the Task Group 2 of the SEI-ASCE Technical Council on Life-Cycle Performance, Safety and Reliability and Risk of Structural Systems. Prof. Franco Bontempi and his team www.francobontempi.org from Sapienza University of Rome, and Prof. Michel Ghosn from CUNY of New York are gratefully acknowledged for their suggestions. Prof. Casas of the UPC, Prof. Malerba of the Polytechnic of Milan and Dr. Starnes of the TRB are also acknowledged. The opinions and conclusions presented in this paper are those of the author and do not necessarily reflect the views of the sponsoring organisations.
  • 25.
    88 S. Arangio References Agarwal, J., Blockley, D., Woodman, N. (2003) ‘Vulnerability of structural systems’, Structural Safety, Vol. 25, No. 3, pp.263–286. Arangio, S. and Ghosn, M. (2010) ‘Non deterministic approaches in current structural codes for assessing the safety and reliability of bridges’, Proceeding of IABMAS Conference, 11–15 July 2010, Philadelphia, USA. Arangio, S., Bontempi, F. and Ciampoli, M. (2011) ‘Structural integrity monitoring for dependability’, Structures and Infrastructures, Vol. 7, Nos. 1–2, pp.75–86, DOI: 10.1080/ 15732471003588387. Avižienis, I., Laprie, J.C. and Randell, B. (2004) ‘Dependability and its threats: a taxonomy’, 18th IFIP World Computer Congress, Toulouse, France, Vol. 156, pp.91– 120, Kluwer Academic Publishers. Bentley, J.P. (1993) An Introduction to Reliability and Quality Engineering, Longman, Essex. Biondini, F. and Frangopol, D.M. (2008) ‘Structural robustness of deteriorating systems’, Proceedings of Handling Exceptions in Structural Engineering (HE08), 13–14 November, Rome, Italy. Biondini, F., Bontempi, F., Frangopol, D. and Malerba, P.G. (2004a) ‘Reliability of material and geometrically non-linear reinforced and prestressed concrete structures’, Computer & Structures, Vol. 82, Nos.13/14, pp.1021–1031. Biondini, F., Bontempi, F. and Malerba, P.G. (2004b) ‘Fuzzy reliability of concrete structures’, Computers & Structures, Vol. 82, pp.1033–1052. Biondini, F., Frangopol, D.M. and Restelli, S. (2008) ‘On structural robustness, redundancy and static indeterminacy’, ASCE/SEI 2008 Structures Congress, Nos. 13–14, ASCE, SEI, Vancouver, BC, Canada. Bjerrum, J., Larsen, E., Bak, H. and Jensen, F. (2006) ‘Internet-based management of major bridges and tunnels using DANPRO+’, Conference on Operation, Maintenance and Rehabilitation of Large Infrastructure Projects, Bridges and Tunnel, Copenhagen. Bontempi, F. (2006) ‘Basis of design and expected performances for the Messina Strait Bridge’, Proceedings of BRIDGE 2006, Hong Kong (on CD-ROM). Bontempi, F., Crosti, C., Giuliani, L. and Petrini, F. (2009) ‘Principi fondamentali ed applicazioni dell’approccio prestazionale’, (in Italian), Antincendio, pp.106–119, May, ISSN E012421. Bontempi, F., Giuliani, L. and Gkoumas, K. (2007) ‘Handling the exceptions: robustness assessment of a complex structural system’, (invited lecture) Proceedings of the 3rd International Conference on Structural Engineering, Mechanics and Computation (SEMC), pp.1747–1752, Cape Town, South Africa. Bontempi, F., Gkoumas, K. and Arangio, S. (2008) ‘Systemic approach for the maintenance of complex structural systems’, Structure and Infrastructure Engineering, Vol. 4, No. 2, pp.77–94. Brando, F., Testa, R.B. and Bontempi, F. (2010) ‘Multilevel structural analysis for robustness assessment of a steel truss bridge’, IABMAS 2010, The Fifth International Conference on Bridge Maintenance, Safety and Management, 11–15 July, Philadelphia, USA. Bridge Management in Europe (BRIME), Deliverable D6 (2003) ‘Experimental assessment methods and use of reliability techniques’, Demands and Longer Lives, Project start and end date: 2003-12-01–2007-11-30. CAN/CSA-S6-00 (2000) Canadian Highway Bridge Design Code and Commentary, Canadian Society for Civil Engineering (CSCE). Casas, J.R. (2006) ‘Bridge management: actual and future trends’, in Bridge Management, Life Cycle Performance and Cost, pp.21–30, Taylor and Frances, London.
  • 26.
    Reliability based approachfor structural design and assessment 89 COWI (2007) ‘Guidelines for load and resistance assessment of existing European railway bridges’, Report of the WP4 of the integrated research project ‘Sustainable Bridges – Assessment for Future Traffic Demands and Longer Lives’ funded by the European Commission within 6th Framework Programme. Crosti, C. (2009) ‘Structural analysis of steel structures under fire loading’, Acta Polytechnica, Vol. 49, No. 1, pp.21–28. Crowder, B., Stevens, D.J., Hall, B. and Marchand, K.A. (2008) Unified Progressive Collapse Design Requirements for DOD and GSA, 2008 Structures Congress – Crossing Borders, Vancouver, Canada, 24–26 April 2008. Faber, M. (2006) ‘Robustness of structures: an introduction’, Structural Engineering International, SEI, May, Vol. 16, No. 2, pp.101–107. Franchin, P., Pinto, P.E. and Rajeev, P. (2010) ‘Confidence factor?’, Journal of Earthquake Engineering, Taylor and Francis, Vol. 14, No. 7, pp.989–1007. Frangopol, D. and Das, P. (1999) ‘Management of bridge stocks based on future reliability and maintenance cost’, Current and Future Trends in Bridge Design, Construction and Management, pp.45–58, Thomas Thelford. Frangopol, D.M. and Curley, J.P. (1987) ‘Effects of damage and redundancy on structural reliability’, Journal of Structural Engineering, Vol. 113, No. 7, pp.1533–1549. Frangopol, D.M. and Strauss, A. (2008) ‘Bridge reliability assessment based on monitoring’, Journal of Bridge Engineering, Vol. 13, No. 3, pp.258–270. Gentili, F., Crosti, C. and Giuliani, L. (2010) ‘Performance based investigation of structural systems under fire’, 4th International Conference on Structural Engineering, Mechanics and Computation (SEMC’10), September 2010, Cape Town, South Africa. Ghosn, M. and Moses, F. (1998) NCHRP Report 406 Redundancy in Highway Bridge Superstructures, Transportation Research Board, Washington DC. Giuliani, L. (2009) ‘Structural integrity: robustness assessment and progressive collapse susceptibility’, PhD thesis, University of Rome “La Sapienza”. Giuliani, L. and Bontempi, F. (2009) ‘Numerical strategies for structural robustness assessment’, Proc. of the 2nd International Conference on Computational Methods in Structural Dynamics and Earthquake Engineering (COMPDYN 2009), 22–24 June 2009, Island of Rhodes, Greece. Gulvanessian, H. and Vrouwenvelder, T. (2006) ‘Robustness and the eurocodes’, Journal of the International Association for Bridge and Structural Engineering (IABSE), Structural Engineering International, Vol. 16, No. 2, pp.167–171. Gulvanessian, H., Calgaro, J-A. and Holický, M. (2009) Designers’ Guide to EN 1990 – Eurocode: Basis of Structural Design, Thomas Telford, London. Handling Exceptions in Structural Engineering (HE20 08) (2008) Bontempi, F. (Ed.), Sapienza University of Rome, available at http://www.francobontempi.org/handling.php (accessed on 02 February 2010), 10.3267/HE2008. Handling Exceptions in Structural Engineering Workshop, Rome (2008) DOI: 10.3167/HE2008. Handling Exceptions in Structural Engineering Workshop, Rome (2010) DOI: 10.3267/HE2010. HMSO (2001) Design Manual for Roads and Bridge (DMRB), UK. IABMAS 08 (2008) ‘Special session: structural robustness’, organized by Bontempi, F. and Starossek, U., 13–17, July, Seoul, Korea. IABMAS 10 (2010) ‘Special session: advances in structural robustness: dependability framework’, organized by Starossek, U. and Bontempi, F., 11–15 July 2010, Philadelphia, USA. ISO 13822 (2001) Bases for the Design of Structures – Assessment of Existing Structures. ISO 2394 (1998) General Principles on Reliability for Structures.
  • 27.
    90 S. Arangio Ivezić, D., Tanasijević, M. and Ignjatović, D. (2008) ‘Fuzzy approach to dependability performance evaluation’, Quality and Reliability Engineering International, Vol. 24, No. 7, pp.779–792, doi: 10.1002/qre.926. Joint Committee on Structural Safety (JCSS) (2001) Diamantidis, D. (Ed.): Probabilistic Assessment of Existing Structures, RILEM Publications, Bagneux-France, ISBN: 2-912143- 24-1. Kühn, B. et al. (2004) ‘Review by questionnaire on guidelines and standards on the assessment of existing structures’, Report WGA-0604-06 of ECCS Technical Committee 6 “Fatigue”, Working Group A, available at http://icom.epfl.ch/ECCSTC6/. Liu, W.D., Neuenhoffer, A., Ghosn, M. and Moses, F. (2001) NCHRP Report 458 Redundancy in Highway Bridge Substructures, Transportation Research Board, Washington DC. Melchers, R.E. (1999) Structural Reliability Analysis and Prediction, 2nd ed., Wiley & Sons Ltd., Baffins Lane, Chichester, England. Moses, F. (2001) ‘Calibration of load factors for LRFR bridge evaluation’, NCHRP Report 454, National Cooperative Highway Research Program, Transportation Research Board, National Research Council, Washington, DC. Nahman, J. (2002) Dependability of Engineering Systems, Springer-Verlag, Berlin. Norme tecniche per le costruzioni (NTC) (2008) D.M. Infrastrutture 14 gennaio 2008 (in Italian). National Aeronautics and Space Administration (NASA) (2007) Systems Engineering Handbook, available at http://www.nasa.gov (accessed on 16 October 2011). Ortolani, F. and Spizuoco, A. (2009) ‘Alluvione del messinese del 1 Ottobre 2009’, La colata fangoso-detritica del Torrente Racinazzo che ha devastato Scaletta Zanclea Marina, available at http://www.scomunicando.it/cronaca-provinciale/alluvione-del-messinese-del-1-ottobre- 2009 (accessed on 20 February 2011). Petrini, F., Manenti, S., Gkoumas, K. and Bontempi, F. (2010) ‘Structural design and analysis of offshore wind turbines from a system point of view’, Wind Engineering, Vol. 34, No. 1, pp.85–108, Multi-Science Publishing Company: Brentwood, UK, ISSN 0309-524X, DOI: 10.1260/0309-524X.34.1.85. Rücker, W., Hille, F. and Rohrmann, R. (2006) ‘F08a guideline for the assessment of existing structures’, SAMCO Final Report, Federal Institute of Materials Research and Testing (BAM), Berlin. SAMARIS (2006) ‘Guidance for the optimal assessment of highway structures’, Final Report to the European Commission, deliverable D30, doc. SAM-GE-DE30. Schneider, J. (1997) ‘Introduction to safety and reliability of structures’, IABSE – AIPC – IVBH. Smith, I. (2001) ‘Increasing knowledge of structural performance’, Structural Engineering International, Vol. 12, No. 3, pp.191–195. Starossek, U. (2009) Progressive Collapse of Structures, Thomas Telford Publishing, London. Starossek, U. and Haberland, M. (2008) ‘Approaches to measures of structural robustness’, 2008 Structures Congress – Crossing Borders, 24–26 April 2008, Vancouver, Canada. Starossek, U. and Haberland, M. (2010) ‘Disproportionate collapse: terminology and procedures’, ASCE, Journal of Performance of Constructed Facilities, Vol. 24, No. 6, pp.519–528. Starossek, U. and Wolff, M. (2005) ‘Design of collapse-resistant structures’, Workshop on Robustness of Structures, JCSS & IABSE WC 1, 28–29 November 2005, Garston, Watford, UK. Starossek, U., Smilowitz, R., Waggoner, M., Rubenacker, K.J. and Haberland, M. (2011) ‘Report of the terminology and procedures sub-committee (SC1): recommendations for design against disproportionate collapse of structures’, in Ames, D., Droessler, T.L. and Hoit, M. (Eds.): Proceedings of the Structures Congress 2011 – ASCE, Las Vegas, Nevada, USA, 14–16 April, pp.2090–2103.
  • 28.
    Reliability based approachfor structural design and assessment 91 Swiss-code SIA 263 (2003) Steel Structures, Swiss Society of Engineers & Architects. UNI EN (1990) Eurocode: Basis of Design, European Committee for Standardization (CEN), Brussels, EN 1990, 2002. Vrouwenvelder, T. and Scholten, N. (2010) ‘Assessment criteria for existing structures’, Structural Engineering International, Vol. 20, No. 1, pp.62–65. Yan, D. and Chang, C. (2006) ‘Vulnerability of long-span cable-stayed bridges under terrorist event’, Proceedings of the International Conference on Bridge Engineering – Challenges in the 21st Century, Hong Kong.