0 
PENERAPAN MODEL PEMBELAJARAN STAD (STUDENT TEAMS ACHIEVEMENT DIVISION) DENGAN METODE EKSPERIMEN UNTUK MENINGKATKAN KEMAMPUAN BERPIKIR KRITIS DAN HASIL BELAJAR SISWA KELAS X SMAN 9 MALANG POKOK BAHASAN SUHU DAN KALOR 
PROPOSAL SKRIPSI 
OLEH : 
RESA MAHESTA 
110321419521 
UNIVERSITAS NEGERI MALANG 
FAKULTAS MATEMATIKA DAN ILMU PENGETAHUAN ALAM 
PROGRAM STUDI PENDIDIKAN FISIKA 
SEPTEMBER 2014
1 
BAB I 
PENDAHULUAN 
1.1 Latar Belakang 
Kurikulum 2013 adalah kurikulum berbasis kompetensi yang pernah digagas dalam Rintisan Kurikulum Berbasis Kompetensi (KBK) 2004, tetapi diimplementasikan setelah Kurikulum Tingkat Satuan Pendidikan (KTSP) 2006 (Mendikbud, 2013). Implementasi kurikulum pada sekolah dasar/madrasah ibtidaiyah (SD/MI), sekolah menengah pertama/madrasah tsanawiyah (SMP/MTs), sekolah menengah atas/madrasah aliyah (SMA/MA), dan sekolah menengah kejuruan/madrasah aliyah kejuruan (SMK/MAK) dilakukan secara bertahap mulai tahun pelajaran 2013/2014(Permendikbud No. 81A/2013 tentang Implementasi Kurikulum ). 
Menurut Peraturan Menteri Pendidikan Dan Kebudayaan Nomor 69 Tahun 2013 , kurikulum 2013 dikembangkan dengan penyempurnaan pola pikir bahwa pola pembelajaran yang berpusat pada guru menjadi pembelajaran berpusat pada peserta didik. Peserta didik harus memiliki pilihan-pilihan terhadap materi yang dipelajari untuk memiliki kompetensi yang sama. Tentang pola pembelajaran satu arah (interaksi guru-peserta didik) menjadi pembelajaran interaktif , pola pembelajaran terisolasi menjadi pembelajaran secara jejaring yaitu peserta didik dapat menimba ilmu dari siapa saja dan dari mana saja yang dapat dihubungi serta diperoleh melalui internet, pola pembelajaran pasif menjadi pembelajaran aktif-mencari, pola belajar sendiri menjadi belajar kelompok (berbasis tim), pola pembelajaran alat tunggal menjadi pembelajaran
2 
berbasis alat multimedia, pola pembelajaran berbasis massal menjadi kebutuhan pelanggan (users) dengan memperkuat pengembangan potensi khusus yang dimiliki setiap peserta didik, pola pembelajaran ilmu pengetahuan tunggal (monodiscipline) menjadi pembelajaran ilmu pengetahuan jamak (multidisciplines) dan pola pembelajaran pasif menjadi pembelajaran kritis. 
Peraturan Menteri Pendidikan Nasional Nomor 22 Tahun 2006 menyatakan tujuan pelajaran Fisika di SMA adalah agar peserta didik memiliki kemampuan-kemampuan sebagai berikut. (1) Membentuk sikap positif terhadap fisika dengan menyadari keteraturan dan keindahan alam serta mengagungkan kebesaran Tuhan Yang Maha Esa. (2) Memupuk sikap ilmiah yaitu jujur, obyektif, terbuka, ulet, kritis dan dapat bekerjasama dengan orang lain. (3). Mengembangkan pengalaman untuk dapat merumuskan masalah, mengajukan dan menguji hipotesis melalui percobaan, merancang dan merakit instrumen percobaan, mengumpulkan, mengolah, dan menafsirkan data, serta mengomunikasikan hasil percobaan secara lisan dan tertulis. (4) Mengembangkan kemampuan bernalar dalam berpikir analisis induktif dan deduktif dengan menggunakan konsep dan prinsip fisika untuk menjelaskan berbagai peristiwa alam dan menyelesaian masalah baik secara kualitatif maupun kuantitatif. (5) Menguasai konsep dan prinsip fisika serta mempunyai keterampilan mengembangkan pengetahuan dan sikap percaya diri sebagai bekal untuk melan-jutkan pendidikan pada jenjang yang lebih tinggi serta mengembangkan ilmu pengetahuan dan teknologi. 
Kurikulum 2013 menuntut standart kompetensi lulusan harus meliputi 3 ranah yaitu ranah sikap, keterampilan dan pengetahuan. Ranah sikap mencakup
3 
transformasi substansi atau materi ajar agar peserta didik “tahu mengapa.” Ranah keterampilan mencakup transformasi substansi atau materi ajar agar peserta didik “tahu bagaimana”. Ranah pengetahuan mencakup transformasi substansi atau materi ajar agar peserta didik “tahu apa.” Hasil akhirnya adalah peningkatan dan keseimbangan antara kemampuan untuk menjadi manusia yang baik (soft skills) dan manusia yang memiliki kecakapan dan pengetahuan untuk hidup secara layak (hard skills) dari peserta didik yang meliputi aspek kompetensi sikap, keterampilan, dan pengetahuan (Kemendikbud, 2012). 
Berdasarkan wawancara kepada guru fisika SMAN 9 Malang yang dilakukan pada sabtu, 8 Februari 2014 diperoleh hasil bahwa selama ini pembelajaran di kelas belum berpusat pada peserta didik. Aktivitas peserta didik di dalam kelas bergantung pada guru. Guru jarang sekali melaksanakan percobaan di dalam kelas. Peserta didik cenderung pasif di di dalam kelas dan hal ini secara otomatis akan berpengaruh kepada pemahaman konsep peserta didik. Berdasarkan wawancara terhadap siswa kelas X-7 SMAN 9 Malang yang dilakukan pada sabtu, 8 Februari 2014 diperoleh hasil bahwa guru hanya menjelaskan teori saja sesuai buku teks yang ada, padahal peserta didik bosan dengan pembelajaran ceramah seperti itu. Peserta didik juga mengatakan bahwa mereka hanya menghafal rumus-rumus fisika untuk mengerjakan soal tanpa mengerti maknanya sehingga fisika menjadi terasa sulit dibenak mereka. Dari keterangan tersebut menunjukkan bahwa kemampuan berpikir kritis siswa masih rendah karena mereka mengerjakan soal dengan rumus hafalan saja. Menurut Yuliati (2008: 4) belajar fisika tidak hanya dilakukan dengan menghafal, tetapi juga melalui suatu prosedur ilmiah seperti seorang ilmuan. Hal inilah yang menyebabkan hasil
4 
belajar dan kemampuan berpikir siswa kelas X-7 SMA Negeri 9 Malang masih rendah. 
Sejauh ini pelajaran fisika masih dianggap sulit dan menakutkan oleh peserta didik yang memiliki hasil belajar tidak memuaskan (Naim, 2009:3). Studi pendahuluan tentang pokok bahasan suhu dan kalor kepada 40 peserta didik SMAN 9 Malang menunjukkan bahwa peserta didik yang menguasai konsep sebanyak 20 %, miskonsepsi sebanyak 25% dan tidak menguasai konsep sebanyak 55%. Dari data tersebut terlihat bahwa presentase peserta didik yang tidak menguasai konsep masih besar. Berdasarkam uraian tersebut di atas diperlukan model pembelajaran yang sesuai dengan tuntutan kurikulum 2013. Salah satu model pembelajaran yang cocok yaitu model pembelajaran STAD (Student Teams Achievement Division). 
Model pembelajaran STAD (Student Teams Achievement Divisions) merupakan salah satu model pembelajaran kooperatif yang paling sederhana dan efektif menurut Slavin (1991:350). Hal yang ditawarkan dalam model pembelajaran kooperatif tipe STAD (Student Teams Achievement Divisions) ini adalah proses belajar mengajar yang menuntut siswa bekerja sama dalam kelompok kecil untuk saling membantu satu sama lain dalam mempelajari sesuatu dan menyelesaikan tugas-tugas kelompok untuk mencapai tujuan bersama (Mahmudah, 2011). Dengan model pembelajaran kooperatif tipe STAD (Student Teams Achievement Divisions) membuat siswa menjadi subjek pembelajaran yang sesungguhnya, aktif di dalam proses pembelajaran, dan pembelajaran menjadi lebih interaktif.
5 
Untuk mewujudkan pembelajaran yang konseptual, membuat peserta didik mampu menemukan konsepnya sendiri, serta tidak hanya sekedar hafalan, model pembelajaran kooperatif tipe STAD (Student Teams Achievement Divisions) dipadukan dengan moetode eksperimen. Metode eksperimen ialah salah satu cara mengajar, dimana siswa melaksanakan suatu percobaan tentang suatu hal, mengamati prosesnya, serta menuliskan hasil percobaannya, kemudian hasil pengamatan itu didiskusikan di kelas dan dievaluasi oleh guru. Metode eksperimen merupakan suatu pekerjaan menggunakan alat-alat sains dengan tujuan untuk mengatahui alat-alat sains dengan tujuan untuk mengatehui sesuatu yang baru (setidak-tidaknya bagi anak-anak itu sendiri, meskipun tidak baru lagi bagi orang lain), atau mengetahui apa yang terjadi kalau diadakan suatu proses tertentu (Wartono,2009:99). 
Pada penelitian yang dilakukan oleh Atna Fresh Violina Marrysca pada tahun 2013 model pembelajaran STAD (Student Teams Achievement Division) mampu meningkatkan aktivitas dan hasil belajar kognitif siswa SMPN 16 Surakarta. Hal ini dapat dilihat dari hasil pengamatan aktivitas belajar pada tiap siklus. Dari indikator aktivitas yang ditentukan terjadi peningkatan aktivitas belajar positif tiap siklus, dari 65,7% di siklus I menjadi 73,76% di siklus II dan 75,47% di siklus III. Kemampuan kognitif siswa juga meningkat dalam setiap siklus dengan peningkatan nilai rata-rata pre-test ke post-test, yakni 31,67 menjadi 60,83 dengan rata-rata gain ternormalisasi 0,42 pada siklus I, 48,95 menjadi 72,91 dengan rata-rata gain ternormalisasi 0,46 pada siklus II dan 29,58 menjadi 81,25 dengan rata-rata gain ternormalisasi 0,73 pada siklus III.
6 
Berdasarkan latar belakang di atas, maka dilakukan penelitian yang berjudul “Penerapan Model Pembelajaran STAD (Student Teams Achievement Division) dengan Metode Eksperimen untuk Meningkatkan Kemampuan Berpikir Kritis dan Hasil Belajar Siswa Kelas X SMAN 9 Malang Pokok Bahasan Suhu dan Kalor” 
1.2 Rumusan Masalah 
1. Bagaimana peningkatan kemampuan berpikir kritis peserta didik kelas X SMAN 9 Malang pada Materi Suhu dan Kalor dengan penerapan model pembelajaran STAD (Student Teams Achievement Division) dengan metode eksperimen? 
2. Bagaimana peningkatan hasil belajar peserta didik kelas X SMAN 9 Malang pada Materi Suhu dan Kalor dengan penerapan model pembelajaran STAD (Student Teams Achievement Division) dengan metode eksperimen? 
3. Bagaimana keterlaksanaan penerapan model pembelajaran STAD (Student Teams Achievement Division) dengan metode eksperimen untuk meningkatkan kemampuan berpikir kritis dan hasil belajar siswa kelas X SMAN 9 Malang? 
1.3 Hipotesis 
1. Terjadi peningkatan kemampuan berpikir kritis peserta didik kelas X SMAN 9 Malang pada Materi Suhu dan Kalor dengan penerapan model
7 
pembelajaran STAD (Student Teams Achievement Division) dengan metode eksperimen. 
2. Terjadi peningkatan hasil belajar peserta didik kelas X SMAN 9 Malang pada Materi Suhu dan Kalor dengan penerapan model pembelajaran STAD (Student Teams Achievement Division) dengan metode eksperimen. 
3. Keterlaksanaan penerapan model pembelajaran STAD (Student Teams Achievement Division) dengan metode eksperimen mampu meningkatkan kemampuan berpikir kritis dan hasil belajar siswa kelas X SMAN 9 Malang. 
1.4 Manfaat Penelitian 
1. Bagi peserta didik : 
a. Untuk meningkatkan kemampuan berpikir kritis peserta didik terhadap mata pelajaran fisika. 
b. Untuk meningkatkan hasil belajar peserta didik pada mata pelajaran fisika. 
2. Bagi guru : 
a. Sebagai alternatif model pembelajaran untuk meningkatakan kemampuan berpikir kritis dan hasil belajar peserta didik terhadap mata pelajaran fisika. 
3. Bagi sekolah : 
a. Untuk memberi konstribusi terhadap peningkatan kemampuan berpikir kritis dan hasil belajar peserta didik di kelas X SMAN 9 Malang. 
4. Bagi peneliti :
8 
a. Sebagai pertimbangan dan referensi untuk penelitian selanjutnya. 
1.5 Ruang Lingkup Penelitian 
1. Subjek penelitian adalah peserta didik kelas X-7 SMAN 9 Malang dengan jumlah peserta didik 40 orang yang terdiri dari 17 peserta didik laki-laki dan 23 peserta didik perempuan. 
2. Model pembelajaran yang digunakan adalah STAD (Student Teams Achievement Division) yang memiliki 4 tahap pembelajaran yaitu penyajian kelas (teach), belajar dengan kelompok (team), Tes (test), dan pengakuan kelompok (team recognition) dengan metode eksperimen yang dilaksanakan pada tahap belajar dengan kelompok (team). 
3. Penelitian dilakukan terbatas pada mata pelajaran fisika kelas X pada pokok bahasan suhu dan kalor. 
1.6 Definisi Operasional 
Untuk menghindari pemaknaan yang salah terhadap istilah-istilah yang digunakan dalam penelitian ini, maka perlu ditegaskan melalui definisi operasional sebagai berikut 
1. Model pembelajaran STAD (Student Teams Achievement Division) dilaksanakan dengan melibatkan siswa untuk belajar secara kelompok. Tahapan model pembelajaran STAD (Student Teams Achievement Division) yaitu penyajian kelas (teach), belajar dengan kelompok (team), tes (test), dan pengakuan kelompok (team recognition) dengan metode eksperimen yang dilaksanakan pada tahap belajar dengan kelompok (team). Metode eksperimen yang digunakan menekankan dalam kegiatan pengamatan dan percobaan dengan menggunakan lembar kerja siswa (LKS) pada suhu dan
9 
kalor. Dalam pembelajaran ini, setiap kelompok melakukan praktikum, diskusi, dan presentasi untuk memecahkan suatu masalah yang berkaitan dengan materi suhu dan kalors sesuai dengan lembar kerja yang sudah disediakan. 
2. Kemampuan berpikir kritis yang diteliti dalam penelitian ini terdiri dari 9 kecakapan, yakni memfokuskan pertanyaan, menganalisis pertanyaan, bertanya dan menjawab pertanyaan tentang suatu penjelasan, mempertimbangkan apakah sumber dapat dipercaya atau tidak (kredibilitas), mendeduksi dan mempertimbangkan hasil deduksi, menentukan nilai pertimbangan, mengidentifikasi asumsi, menentukan tindakan, dan berinteraksi dengan orang lain. Kemampuan berpikir kritis ini diukur menggunakan instrumen tes berupa soal uraian materi suhu dan kalor. 
3. Hasil belajar merupakan hasil yang diperoleh dari serangkaian proses belajar yang dilakukan siswa yang meliputi aspek kognitif, psikomotor, dan afektif. Dalam penelitian ini, aspek kognitif pada dimensi proses kognitif mengingat (C1), memahami (C2), dan menerapkan (C3); aspek psikomotor pada dimensi proses psikomotor kesiapan, gerakan terbimbing; dan gerakan terbiasa; dan aspek afektif pada dimensi proses afektif penerimaan, partisipasi, penilaian dan penentuan sikap, organisasi, dan pembentukan pola hidup. Aspek kognitif diukur melalui tes berupa soal pilihan ganda materi suhu dan kalor, aspek psikomotor diukur melalui pengamatan dengan menggunakan lembar observasi pada saat praktikum materi suhu dan kalor, dan aspek afektif diukur melalui kegiatan pengamatan dengan lembar observasi.
10 
BAB II 
KAJIAN PUSTAKA 
A. Metode Eksperimen 
Di dalam kegiatan eksperimen sangat dimungkinkan adanya penerapan beragam keterampilan proses sains sekaligus pengembangan sikap ilmiah yang mendukung proses perolehan pengetahuan (produk keilmuan) dalam diri siswa. Disinilah tampak betapa eksperimen memiliki kedudukan yang amat penting dalam pembelajaran IPA, karena melalui eksperimen siswa memiliki peluang mengembangkan dan menerapkan keterampilan proses sains, sikap ilmiah dalam rangka memperoleh pengetahuannya (Subiantoro, 2010: 7). 
Menurut Syaiful Sagala (2010: 220), metode eksperimen adalah cara penyajian bahan pelajaran dimana siswa melakukan percobaan dengan mengalami untuk membuktikan sendiri suatu pertanyaan atau hipotesis yang dipelajari. Roestiyah N.K (2001:80) menyatakan bahwametode eksperimen adalah suatu cara mengajar, dimana siswa melakukansuatu percobaan tentang sesuatu hal, mengamati prosesnya sertamenuliskan hasil percobaannya, kemudian hasil pengamatan itu disampaikan ke kelas dan dievaluasi oleh guru. 
Metode eksperimen merupakan metode yang dikembangkan dengan tujuan untuk membimbing siswa agar mampu menemukan jawaban-jawaban sendiri dari fenomena-fenomena yang dihadapi melalui serangkaian kegiatan belajar mengajar dan bimbingan serta pengarahan dari guru. Dapat disimpulkan bahwa metode eksperimen adalah metode yang memberikan kesempatan kepada siswa baik
11 
secara peroranganmaupun perkelompok untuk melakukan suatu eksperimen denganmengalami dan menemukan sendiri suatu pengetahuan baru bagi siswa. 
Menurut Udin S. Winataputra (1998: 20), karakteristik metode eksperimen serta hubungannya dengan pengalaman belajar siswa antara lain: 
a. Ada alat bantu yang digunakan 
b. Siswa aktif melakukan percobaan 
c. Guru membimbing 
d. Tempat dikondisikan 
e. Ada pedoman untuk siswa 
f. Ada topik yang di eksperimenkan 
g. Ada temuan-temuan dari pelaksanaan eksperimen 
Pengalaman belajar yang diperoleh siswa dari penerapan metode eksperimen antara lain: 
a. Mengamati sesuatu hal 
b. Menguji hipotesis 
c. Menemukan hasil percobaan 
d. Membuat kesimpulan 
e. Membangkitkan rasa ingin tahu siswa 
f. Menerapkan konsep informasi dari eksperimen 
Menurut A. Tabrani Rusyan (1993: 94), tujuan metode eksperimen 
adalah sebagai berikut: 
a. Mengembangkan keterampilan memecahkan masalah melalui identifikasi masalah, pengumpulan dan penafsiran data, serta penarikan kesimpulan.
12 
b. Mengembangkan kebiasaan dan keterampilan mendayagunakan alat-alat laboratorium. 
c. Membentuk dan mengembangkan kebiasaan mencatat data secara teratur. 
d. Mengembangkan dan membentuk sikap-sikap ilmiah pada siswa. 
e. Belajar menggunakan metode ilmiah pada siswa. 
f. Mengembangkan rasa percaya diri dan tanggung jawab bagi setiap siswa. 
g. Menemukan cara-cara menyelidiki sesuatu yang baru, sehingga meningkatkan minat siswa pada masalah-masalah sains. 
B. Model Pembelajaran Kooperatif Tipe STAD (Student Teams Achievement Division) 
Pembelajaran kooperatif merupakan pendekatan yang mengutamakan adanya kerjasama antar siswa dalam kelompok untuk mencapai tujuan pembelajaran. Isioni (2009:12) mengungkapkan bahwa dalam pembelajaran kooperatif, siswa belajar dalam kelompok kecil dengan tingkat kemampuan yang berbeda. Dalam menyelesaikan tugas kelompok, setiap anggota kelompok harus saling bekerja sama dan saling membantu untuk memahami materi pelajaran. Belajar dikatakan belum selesai jika salah satu teman dalam kelompok belum menguasai bahan pelajaran. 
Roger dan David Johnson (dalam Suprijono, 2009:58) mengatakan bahwa tidak semua belajar kelompok bisa dianggap pembelajaran kooperatif. Untuk mencapai hasil yang maksimal, lima unsur dalam model pembelajaran kooperatif harus diterapkan. Lima unsur tersebut adalah: 
1. Positive interdependence (saling ketergantungan positif).
13 
2. Personal responsibility (tanggung jawab perseorangan). 
3. Face to face promotive interaction (interaktif promotif). 
4. Interpersonal skill (komunikasi antaranggota) 
5. Group processing (pemrosesan kelompok). 
Unsur pertama pembelajaran kooperatif adalah ketergantungan positif. Unsur ini menunjukkan bahwa dalam pembelajaran kooperatif ada dua pertanggungjawaban kelompok. Pertama, mempelajari bahan yang ditugaskan kepada kelompok. Kedua, menjamin semua anggota kelompok secara individu mempelajari bahan yang ditugaskan tersebut. Unsur kedua pembelajaran kooperatif adalah tanggung jawab individual. Pertanggungjawaban ini muncul jika dilakukan pengukuran terhadap keberhasilan kelompok. Unsur ketiga pembelajaran kooperatif adalah interaksi promotif. Unsur ini penting karena dapat menghasilkan saling ketergantungan positif. Unsur keempat pembelajaran kooperatif adalah keterampilan sosial. Untuk mengkoordinasikan kegiatan peserta didik dalam pencapaian tujuan peserta didik harus mampu berkomunikasi secara akurat dan tidak ambisius. Unsur yang kelima pembelajaran kooperatif adalah pemrosesan kelompok. Pemrosesan mengandung arti menilai. Melalui pemrosesan kelompok dapat diidentifikasi dari urutan atau tahapan kegiatan kelompok dan kegiatan dari anggota kelompok. Tujuan pemrosesan kelompok adalah meningkatkan efektivitas anggota dalam memberikan kontribusi terhadap kegiatan kolaboratif untuk mencapai tujuan kelompok. 
STAD (Student Teams Achievement Divisions) merupakan salah satu model pembelajaran kooperatif yang paling sederhana dan efektif menurut Slavin (1991:350). Hal yang ditawarkan dalam model pembelajaran kooperatif tipe
14 
STAD (Student Teams Achievement Divisions) ini adalah proses belajar mengajar yang menuntut siswa bekerja sama dalam kelompok kecil untuk saling membantu satu sama lain dalam mempelajari sesuatu dan menyelesaikan tugas- tugas kelompok untuk mencapai tujuan bersama (Mahmudah, 2011). 
Menurut Slavin ( 2008: 143) model pembelajaran STAD terdiri dari lima tahapan yaitu : 
1. Penyajian kelas (teach), yaitu guru menjelaskan secara singkat mengenai semua materi yang akan didiskusikan nantinya pada pembukaan pembelajaran dan guru mendorong serta mengarahkan siswa dalam memfokuskan suatu konsep pada pemahaman bukan hafalan. 
2. Belajar dengan kelompok (team study), yaitu setiap siswa berbagi pengetahuan dengan teman kelompoknya sehingga semua anggota kelompok memiliki penguasaan konsep yang sama. Disini digunakan metode eksperimen. 
3. Tes (test), dilakukan secara individu dan selanjutnya diakumulasikan dengan nilai kelompok sehingga diperoleh skor kelompok. Dalam hal ini yang diperhatikan adalah skor peningkatan yaitu perubahan skor siswa dari awal sampai akhir apakah ada peningkatan atau tidak. 
4. Pengakuan kelompok (team recognition), diberikan kepada kelompok yang memperoleh skor kelompok tertinggi. 
Kelebihan dari model pembelajaran STAD adalah melatih siswa dalam mengembangkan aspek kecakapan social disamping kecakapan kognitif. Selain itu, peran guru juga lebih terfokus sebagai fasilitator, mediator, motivator, dan evaluator (Isjoni, 2010).
15 
C. Kemampuan Berpikir Kritis 
Menurut Nurhadi (2004: 75) berpikir kritis merupakan kemampuan untuk menganalisis, mengkritik, dan mencapai kesimpulan berdasar-kan pada inferensi atau pertimbangan yang sama. Kemampuan berpikir kritis antar siswa berbeda, karena berpikir kritis merupakan proses mental yang dapat tumbuh pada setiap individu secara berbeda sehingga diperlukan suatu iklim atau aktivitas untuk menunjangnya melalui kegiatan observasi siswa akan dilatih untuk berpikir kritis karena mereka harus meneliti, menganalisis sampai membuat suatu kesimpulan akhir, bahkan mengkomunikasikan dengan siswa lain. Berpikir kritis adalah pemikiran yang masuk akal dan reflektif yang berfokus untuk memutuskan apa yang mesti dipercaya atau dilakukan (Ennis dalam Fisher, 2008: 4). 
Menurut Ennis (dalam Filsaime, 2008) berpikir kritis merupakan hasil dari interaksi serangkaian dugaan terhadap berpikir kritis, dengan serangkaian kecakapan untuk berpikir kritis. Dugaan-dugaan berpikir kritis yang dinyatakan Ennis meliputi: 1) mencari sebuah pernyataan yang jelas dari pertanyaan; 2) mencari alasan-alasan; 3) mencoba untuk berpengetahuan luas; dan 4) mencoba untuk tetap relevan pada poin utama.. 
Ennis (1996) menyebutkan ada 5 aspek kemampauan berpikir kritis yang kemudian dikelompokkan menjadi 12 kecakapan kemampuan berpikir kritis, seperti pada Tabel 2.1. Kemampuan berpikir kritis dapat diukur dengan menggunakan instrumen tes yang berupa soal uraian. Soal uraian yang dipergunakan harus memenuhi beberapa indikator kecakapan berpikir kritis seperti pada Tabel 2.1. Indikator yang dipergunakan tidak diambil semua, tetapi diambil beberapa, misalnya 9 dari 12 indikator kecakapan berpikir kritis. Dari
16 
beberapa indikator kecakapan berpikir kritis tersebut, selanjutnya dapat dibuat rubrik-rubrik penilaian dengan menggunakan skor. 
Tabel 2.1 Kemampuan Berpikir Kritis 
Aspek Berpikir Kritis 
Kecakapan Berpikir Kritis 
a. Memberikan penjelasan secara sederhana 
1. Memfokuskan pertanyaan 
2. Menganalisis pertanyaan 
3. Bertanya dan menjawab pertanyaan tentang suatu penjelasan 
b. Membangun keterampilan dasar 
4. Mempertimbangkan apakah sumber dapat dipercaya atau tidak (kredibilitas) 
c. Menyimpulkan 
5. Mengamati dan mempertimbangkan suatu laporan hasil observasi 
6. Mendeduksi dan mempertimbangkan hasil deduksi 
7. Menginduksi hasil induksi 
8. Menentukan nilai pertimbangan 
d. Memberikan penjelasan lanjut 
9. Mendefinisikan istilah 
10. Mengidentifikasi asumsi 
e. Mengatur strategi dan taktik 
11. Menentukan tindakan 
12. Berinteraksi dengan orang lain 
D. Hasil Belajar 
Hasil belajar adalah kemampuan-kemampuan yang dimiliki siswa setelah ia menerima pengalaman belajarnya (Sudjana, 2012: 22). Hamalik (2010:155) menyatakan bahwa hasil belajar tampak sebagai terjadinya perubahan tingkah laku pada diri siswa, yang dapat diamati dan diukur dalam bentuk perubahan pengetahuan sikap dan keterampilan. Sedangkan, Dimyati dan Mudjiono (2006: 200) menyatakan bahwa evaluasi hasil belajar merupakan proses untuk menetukan nilai belajar siswa melalui kegiatan penilaian dan/atau pengukuran hasil belajar. 
Hasil belajar seorang siswa dapat diketahui dari pengukuran. Pengukuran terhadap hasil belajar dapat menunjukkan sampai sejauh mana bahan yang dipel- ajari itu dipahami dan dikuasai siswa. Tes hasil belajar adalah suatu alat ukur yang banyak digunakan untuk menentukan keberhasilan siswa dalam suatu proses
17 
belajar mengajar. Bagi guru, hasil belajar siswa di kelas berguna untuk melakukan perbaikan tindak mengajar dan evaluasi sedangkan bagi siswa sendiri hasil belajar berguna untuk memperbaiki cara-cara belajar lebih lanjut. 
Faktor-faktor yang mempengaruhi hasil belajar menurut Winkel (dalam Handayani, 2008:22), bahwa faktor yang menyebabkan perbedaan hasil belajar meliputi faktor internal dan eksternal. Faktor internal terdiri dari (1) psikologi, yang meliputi intelegensi, motivasi belajar, minat, perasaan kondisi akibat keadaan sosial, kultural, dan ekonomi; (2) fisiologi, yang meliputi kesehatan jasmani. Sedangkan untuk faktor eksternal terdiri dari (1) proses belajar di sekolah yang meliputi kurikulum pembelajaran, disiplin sekolah, fasilitas belajar dan pengelompokan siswa; (2) sosial, yang meliputi sistem sekolah, status sosial sekolah siswa, dan interaksi pengajar dengan siswa. 
Hasil belajar dibagi dalam tiga ranah yaitu ranah kognitif, ranah psikomotorik dan ranah afektif (Arikunto, 2008:117). Setiap ranah dirinci lagi dalam tujuan yang lebih spesifik dan hirarkis. Menurut Taksonomi Bloom yang telah direvisi oleh Anderson dan Krathwohl (2001), proses koginitif tersebut dikenal dengan istilah dimensi proses kognitif (cognitive process dimension). Dimensi proses kognitif merupakan proses berpikir dalam mengkonstruk pengetahuan yang meliputi mengingat (remember), mengerti (understand), menerapkan (apply), menganalisis (analize), mengevaluasi (evaluate), dan mengkreasi (create). Ranah afektif terdiri dari lima jenjang, yaitu penerimaan (receiving), partisipasi (responding), penilaian dan penentuan sikap (valuing), organisasi (organization), pembentukan pola hidup (characterization by value or value complex). Sedangkan ranah psikomotor dibagi menjadi 7 tingkatan, yaitu
18 
persepsi (perception), kesiapan (set), gerakan terbimbing (guided response), gerakan yang terbiasa (mechanism), gerakan kompleks (complex overt response), penyesuaian pola gerakan (adaption), dan kreativitas (origination). 
Hasil belajar fisika dapat diukur dengan menggunakan instrumen tes dan lembar observasi. Pengukuran hasil belajar untuk ranah kognitif menggunakan instrumen tes yang berupa soal dengan menggunakan rubrik penilaian tertentu. Pengukuran hasil belajar untuk ranah psikomotor menggunakan instrumen lembar observasi yang dilengkapi dengan rubrik penilaian dengan mengamati aktivitas siswa secara langsung saat kegiatan praktikum. Pengukuran hasil belajar untuk ranah afektif menggunakan instrumen lembar observasi yang dilengkapi dengan rubrik penilaian dengan mengamati aktivitas siswa secara langsung. 
E. Hasil Penelitian Terdahulu 
1. Alfando R Rorong (2012) 
Judul Penelitian : Pengaruh Model Pembelajaran Kooperatif Tipe Stad terhadap Hasil Belajar Siswa Pada Mata Diklat menganalisa Rangkaian Listrik Dengan Mengontrol kemampuan Awal Siswa 
Hasil Penelitian : Data yang diperoleh di analisis dengan menggunakan analisis kovarian (ANAKOVA) satu arah. Dari Hasil perhitungan, menunjukan F Hitung >F Tabel, yaitu 27.524 > 6.99 dengan α 0.01. Berdasarkan hasil perhitungan, dapat disimpulkan bahwa kelompok siswa yang diberi model pembelajaran kooperatif tipe STAD lebih tinggi dari pada kelompok siswa yang diberi model pembelajaran konvensional, atau dengan katalain, model pembelajaran kooperatif tipe STAD berpengaruh positif terhadap hasil belajar siswa pada mata diklat menganalisa rangkaian listrik setelah mengontrolkemampuan awal siswa.
19 
2. Niken Puspitasari 2011 
Judul Penelitian : Penerapan Model Cooperative Learning Tipe Student Teams Achievement Division (Stad) Dengan Metode Eksperimen Untuk Meningkatkan Aktivitas Belajar Dan Ketuntasan Hasil Belajar Fisika Pada Siswa Kelas X.4 Sma Negeri Grujugan Tahun Ajaran 2010/2011 
Hasil Penelitian : Data hasil observasi memperlihatkan bahwa prosentase aktivitas siswa secara klasikal mengalami peningkatan dari siklus I ke siklus II yaitu masing-masing 72.71% dan 82.37%. Berdasarkan analisis hasil belajar pada siklus I diperoleh ketuntasan hasil belajar sebesar 82.61%, siswa yang tuntas belajar secara individu sebanyak 19 siswa dan yang tidak tuntas secara individu sebanyak 4 siswa. Sedangkan analisis hasil belajar pada siklus II diperoleh ketuntasan hasil belajar sebesar 91.30%, siswa yang tuntas belajar secara individu sebanyak 21 siswa dan yang tidak tuntas secara individu sebanyak 2 siswa. Berdasarkan pada hasil dan analisis data yang ditunjukkan pada siklus I dan siklus II, dapat disimpulkan bahwa penerapan model cooperative learning tipe Student Teams Achievement Division (STAD) dengan metode eksperimen dapat meningkatkan aktivitas belajar dan ketuntasan hasil belajar fisika siswa kelas X.4 SMA Negeri Grujugan tahun ajaran 2010/2011.
20 
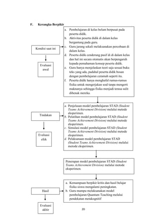
F. Kerangka Berpikir 
Evaluasi awal 
Kondisi saat ini 
a. Pembelajaran di kelas belum berpusat pada peserta didik. 
b. Aktivitas peserta didik di dalam kelas bergantung pada guru. 
c. Guru jarang sekali melaksanakan percobaan di dalam kelas. 
d. Peserta didik cenderung pasif di di dalam kelas dan hal ini secara otomatis akan berpengaruh kepada pemahaman konsep peserta didik. 
e. Guru hanya menjelaskan teori saja sesuai buku teks yang ada, padahal peserta didik bosan dengan pembelajaran ceramah seperti itu. 
f. Peserta didik hanya menghafal rumus-rumus fisika untuk mengerjakan soal tanpa mengerti maknanya sehingga fisika menjadi terasa sulit dibenak mereka. 
a. Kemampuan berpikir kritis dan hasil belajar fisika siswa mengalami peningkatan. 
b. Guru mampu melaksanakan model pembelajaran Quantum Teaching melalui pendekatan metakognitif 
Hasil 
Evaluasi akhir 
a. Penjelasan model pembelajaran STAD (Student Teams Achievement Division) melalui metode eksperimen. 
b. Pelatihan model pembelajaran STAD (Student Teams Achievement Division) melalui metode eksperimen. 
c. Simulasi model pembelajaran STAD (Student Teams Achievement Division) melalui metode eksperimen. 
d. Pelaksanaan model pembelajaran STAD (Student Teams Achievement Division) melalui metode eksperimen. 
e. 
Penerapan model pembelajaran STAD (Student Teams Achievement Division) melalui metode eksperimen. 
Tindakan 
Evaluasi efek
21 
G. Hipotesis 
Berdasarkan teori, kajian pustaka dan kerangka berfikir diatas jika pembelajaran dilakukan dengan model pembelajaran STAD (Student Teams Achievement Division) dengan metode eksperimen dilakukan maka akan terjadi peningkatan kemampuan berpikir kritis dan hasil belajar peserta didik.
22 
BAB III 
METODE PENELITIAN 
A. Pendekatan Penelitian 
Penelitian ini menggunakan pendekatan kualitatif karena memenuhi ciri- ciri penelitian kualitatif yaitu (1) penelitiannya digunakan untuk meneliti pada kondisi obyek yang alamiah, (2) peneliti adalah sebagai instrumen kunci, (3) pengambilan sampel sumber data dilakukan secara purposive dan snowbaal, (4) teknik pengumpulan dengan trianggulasi (gabungan), (5) analisis data bersifat induktif/kualitatif, dan (6) hasil penelitian lebih menekankan makna dari pada generalisasi (Sugiyono, 2011: 15). 
Gambar 3.1 Tahapan dalam Siklus PTK (Sumber: Arikunto, dkk., 2008:16) 
Penelitian yang diterapkan dalam pembelajaran ini adalah penelitian tindakan kelas (PTK). PTK adalah penelitian tindakan yang dilakukan dengan tujuan memperbaiki mutu praktik pembelajaran di kelas (Kunandar, 2008: 45). Prosedur dan langkah-langkah dalam penelitian ini mengikuti prinsip dasar 
Refleksi 
Refleksi 
Pelaksanaan 
Tindakan 
Pelaksanaan Tindakan 
Observasi 
Observasi 
Rencanaan Tindakan 
Rencanaan Tindakan
23 
penelitian tindakan kelas yaitu menggunakan prosedur kerja yang bersifat siklus, meliputi tahapan-tahapan: perencanaan, pelaksanaan tindakan, observasi dan refleksi yang diikuti dengan perencanaan ulang. Secara skematis, model penelitian tindakan kelas diadaptasi dari Kemmis & Mc Taggart (Arikunto, dkk., 2008: 16) ditunjukkan pada Gambar 3.1. 
B. Kehadiran dan Peran Peneliti di Lapangan 
Dalam penelitian ini, kehadiran peneliti mutlak diperlukan karena pengumpulan data dilakukan dalam situasi sesungguhnya oleh peneliti. Peran peneliti dalam penelitian kualitatif adalah sebagai perencana, pelaksana pengumpulan data, penganalisa data, dan akhirnya pelaporan hasil penelitian. Dalam penelitian ini peneliti berposisi sebagai pelaksana (guru model) yang menerapkan model pembelajaran STAD (Student Teams Achievement Divisions) dengan metode eksperimen dan dibantu oleh observer yang berjumlah 1 orang. Observer dalam penelitian ini adalah teman peneliti dari program studi dan angkatan yang sama. Untuk perencanaan tindakan dilakukan oleh guru bersama peneliti serta meminta pertimbangan pada dosen pembimbing penelitian ini. 
C. Kancah Penelitian 
Penelitian ini dilaksanakan pada bulan Januari 2014 sampai dengan bulan Mei 2014 di SMA Negeri 9 Malang yang berlokasi di Jalan Puncak Borobudur No 1, Malang. 
D. Subjek Penelitian
24 
Subjek penelitian adalah peserta didik kelas X-7 SMAN 9 Malang dengan jumlah peserta didik 40 orang yang terdiri dari 17 peserta didik laki-laki dan 23 peserta didik perempuan. 
E. Data dan Sumber Data 
Data keterlaksanaan pembelajaran diperoleh dari hasil observasi pada setiap pertemuan. Sumber data keterlaksanaan pembelajaran adalah guru. Data kemampuan berpikir kritis diperoleh dari tes tulis berupa soal uraian. Sumber data kemampuan berpikir kritis ini adalah siswa. Data hasil belajar terdiri dari tiga aspek, yaitu aspek kognitif, aspek psikomotor, dan aspek afektif. Data aspek kognitif diperoleh dari nilai ulangan harian murni. Data hasil belajar aspek psikomotor dan afektif diperoleh dari hasil observasi pada setiap pertemuan. Sumber data hasil belajar ini adalah siswa. 
F. Pengumpulan Data 
1. Teknik Pengumpulan Data 
Untuk memperoleh data dilakukan langkah-langkah berikut. 
a. Observasi 
Sebelum melakukan penelitian, peneliti melakukan observasi awal terlebih dahulu untuk mengetahui kemampuan awal siswa. Selain melakukan observasi awal, peneliti juga mengobservasi seluruh aktivitas belajar siswa selama penelitian berlangsung dan dibantu oleh observer. Observasi dilakukan untuk mengetahui keterlaksanaan model pembelajaran STAD (Student Teams
25 
Achievement Divisions) dengan metode eksperimen dan hasil belajar siswa pada aspek psikomotor dan afektif. 
b. Tes 
Untuk mengetahui kemampuan berpikir kritis dan hasil belajar pada aspek kognitif siswa dilakukan tes uji kompetensi berupa ulangan harian yang dilaksana- kan setiap akhir siklus. 
2. Instrumen Penelitian 
Instrumen yang digunakan dalam penelitian ini adalah sebagai berikut. 
a. Lembar Observasi 
Lembar observasi dibuat untuk mengamati aktivitas belajar siswa pada aspek psikomotor dan afektif selama penelitian serta keterlaksanaan model pembelajaran pembelajaran STAD (Student Teams Achievement Divisions) dengan metode eksperimen. Data dari hasil observasi berupa data cek list yang sudah memiliki rubrik penilaian masing-masing. 
b. Lembar Tes 
Lembar tes berisi soal ulangan harian yang diisi langsung oleh siswa. Untuk kemampuan berpikir kritis ada soal sendiri dan dikerjakan setelah mengerjakan soal tes ranah kognitif. 
G. Analisis Data, Evaluasi, dan Refleksi 
1. Analisis Data 
Untuk menganalisis data, dilakukan teknik reduksi data dan mempersentase data untuk melihat keberhasilan penelitian yang dilakukan.
26 
a. Untuk menentukan persentanse keterlaksanaan model pembelajaran digunakan rumus sebagai berikut. 
Rubrik observasi keterlaksanaan pembelajaran disajikan dalam Lampiran .. halaman .. 
b. Untuk menentukan kemampuan berpikir kritis dan nilai aspek kognitif digunakan rumus sebagai berikut. 
Rubrik penilaian kemampuan berpikir kritis disajikan dalam Lampiran .. pada halaman .. 
c. Untuk menentukan nilai aspek psikomotor digunakan rumus sebagai berikut. 
Keterangan: 
NP = Nilai Psikomotor 
A1 = Merangkai alat percobaan 
A2 = Menggunakan alat percobaan 
A3 = Melakukan pengukuran 
A4 = Merapikan alat percobaan 
Rubrik penilaian aspek psikomotor disajikan pada masing-masing RPP dalam Lampiran .. pada halaman .. 
d. Untuk menentukan nilai aspek afektif digunakan rumus sebagai berikut. 
Keterangan: 
NA = Nilai Afektif 
NAK = Nilai Afektif Karakter 
A1 = Melakukan pengamatan 
A2 = Menyajikan data hasil percobaan 
A3 = Keaktifan dalam percobaan
27 
A4 = Rajin mengerjakan tugas 
Keterangan: 
NAS = Nilai Afektif Sosial 
A1 = Kerjasama dan menghargai teman dalam kelompok 
A2 = Keterampilan bertanya 
A3 = Menyumbang ide atau pendapat 
A4 = Menjadi pendengar 
Rubrik penilaian aspek afektif disajikan pada masing-masing RPP dalam Lampiran ..pada halaman .. 
2. Evaluasi 
Setelah data dianalisis, hasil analisis dibandingkan dengan indikator keber- hasilan penelitian untuk direfleksi. Indikator keberhasilan untuk keterlaksanaan model pembelajaran adalah 85%, indikator keberhasilan untuk kemampuan berpikir kritis adalah 70, dan indikator keberhasilan untuk hasil belajar siswa adalah 75 dan ketuntasan belajar siswa untuk hasil belajar adalah 70%. 
3. Refleksi 
Refleksi dilakukan setelah mengevaluasi data penelitian. Refleksi menen- tukan lanjut atau tidaknya penelitian. Jika data penelitian sudah mencapai indikator keberhasilan, maka penelitian bisa dihentikan. Namun, jika data penelitian belum mencapai indikator keberhasilan, penelitian harus dilanjutkan ke siklus selanjutnya sampai mencapai indikator keberhasilan. 
H. Prosedur Penelitian 
Penelitian tindakan kelas ini dilakukan dalam 2 siklus. Adapun penjelasannya sebagai berikut. 
1. Siklus I
28 
a. Perencanaan Tindakan Siklus I 
1) Guru melakukan analisis kurikulum untuk mengetahui kompetensi dasar yang akan disampaikan kepada siswa dengan menggunakan model STAD (Student Teams Achievement Division) dengan metode eksperimen dalam pembelajaran. 
2) Menyusun rencana pelaksanaan pembelajaran (RPP). 
3) Menyiapkan instrumen penilaian hasil belajar siswa 
4) Menyiapkan kisi-kisi dan soal ulangan harian siklus I 
5) Menyiapkan kisi-kisi dan soal kemampuan berpikir kritis siklus I 
6) Menyiapkan lembar kerja siswa (LKS). 
7) Menyusun lembar keterlaksanaan dalam pembelajaran dengan menggunakan model STAD (Student Teams Achievement Division) dengan metode eksperimen 
8) Menyiapkan alat-alat yang akan digunakan dalam praktikum. 
b. Pelaksanaan Tindakan Siklus I 
Siklus I terdiri atas 2 kali pertemuan yaitu (4x45 menit). Pembelajaran materi dengan model STAD (Student Teams Achievement Division) dengan metode eksperimen dilaksanakan dalam waktu 180 menit. Materi yang diajarkan pada siklus I adalah suhu dan pemuaian. Selama kegiatan berlangsung dilakukan pengamatan terhadap peristiwa yang ditemui selama penelitian sesuai dengan lembar observasi. Pada pelaksanaan tindakan I nilai kognitif siswa diukur melalui ulangan harian di akhir pelaksanaan siklus I, begitu juga untuk kemampuan berpikir kritis. Nilai psikomotor siswa diukur melalui kegiatan percobaan. Nilai afektif siswa diukur melalui keaktifan siswa pada saat proses pembelajaran
29 
dengan menggunakan lembar penilaian diri. Hasil pengamatan dari peristiwa tersebut akan dijadikan bahan refleksi untuk perbaikan siklus II. Pelaksanaan pembelajaran diatur sebagai berikut. 
1) Pertemuan I Tahap pendahuluan (10 menit) 
Pada tahap penyajian materi suhu dan pemuaian, guru menunjukkan demonstrasi singkat menggunakan tangan yang dicelupkan dalam air yang berbeda kondisi dan memberikan permasalahan kepada siswa kemudian guru mengemukakan tujuan pembelajaran dan prosedur kegiatan yang akan dilakukan oleh siswa. Tahap inti (70 menit) 
Pada tahap ini guru membagi kelas menjadi 8 kelompok dan masing- masing kelompok terdiri dari 5 siswa. Guru membagikan LKS suhu dan kalor kepada siswa untuk melaksanakan kegiatan praktikum. Setelah praktikum, siswa disuruh berdiskusi dengan teman satu kelompok untuk menjawab pertanyaan yang ada pada LKS. Selanjutnya perwakilan dua kelompok disuruh untuk mempresentasikan hasil diskusinya ke depan. Guru memberi kesempatan kepada kelompok lain untuk menanggapi hasil presentasi dan memberikan penguatan. Guru mengajak siswa menerapkan konsep yang telah diperoleh untuk menjawab pertanyaan saat demonstrasi di awal.Setelah itu, guru memberikan permasalahan baru dalam kehidupan sehari-hari dari konsep yang dipelajari. Guru memberikan soal tes untuk memperdalam pemahaman siswa serta membahas soal tersebut. Guru melakukan refleksi dari hasil pembelajaran dan membenarkan konsep yang benar dan menyalahkan konsep yang salah.
30 
Tahap penutup (10 menit) 
Guru membimbing siswa membuat kesimpulan tentang apa saja yang sudah dipelajari. Selanjutnya guru memberikan tugas kepada siswa berupa soal dan menutupnya dengan salam. 
2) Pertemuan II Tahap pendahuluan (10 menit) 
Pada tahap penyajian materi pemuaian, guru menunjukkan demonstrasi singkat menggunakan air yang dipanaskan dengan pembakar bunsen dan memberikan permasalahan kepada siswa kemudian guru mengemukakan tujuan pembelajaran dan prosedur kegiatan yang akan dilakukan oleh siswa. Tahap inti (70 menit) 
Pada tahap ini guru membagi kelas menjadi 8 kelompok dan masing- masing kelompok terdiri dari 5 siswa. Guru membagikan LKS pemuaian kepada siswa untuk melaksanakan kegiatan praktikum. Setelah praktikum, siswa disuruh berdiskusi dengan teman satu kelompok untuk menjawab pertanyaan yang ada pada LKS. Selanjutnya perwakilan dua kelompok disuruh untuk mempresentasikan hasil diskusinya ke depan. Guru memberi kesempatan kepada kelompok lain untuk menanggapi hasil presentasi dan memberikan penguatan. Guru mengajak siswa menerapkan konsep yang telah diperoleh untuk menjawab pertanyaan saat demonstrasi di awal.Setelah itu, guru memberikan permasalahan baru dalam kehidupan sehari-hari dari konsep yang dipelajari. Guru memberikan soal tes untuk memperdalam pemahaman siswa serta membahas soal tersebut. Guru melakukan refleksi dari hasil pembelajaran dan membenarkan konsep yang benar dan menyalahkan konsep yang salah.
31 
Tahap penutup (10 menit) 
Guru membimbing siswa membuat kesimpulan tentang apa saja yang sudah dipelajari. Selanjutnya guru memberikan tugas kepada siswa berupa soal dan menyuruh siswa untuk mempelajari lagi materi-materi pertemuan I dan II karena pertemuan selanjutnya diadakan tes dan menutupnya dengan salam. 
c. Pengamatan (Observation) 
Observasi dilakukan selama proses pembelajaran berlangsung. Pada tahap ini dilakukan observasi terhadap kegiatan guru dan kegiatan belajar siswa selama pembelajaran berlangsung. 
d. Refleksi (Reflection) 
Berdasarkan data yang diperoleh dari tindakan I, maka data tersebut diolah atau dianalisis, kemudian disesuiakan dengan indikator keberhasilan yang telah ditentukan. Indikator keberhasilan untuk keterlaksanaan model pembelajaran adalah 85%, indikator keberhasilan untuk kemampuan berpikir kritis adalah 70, dan indikator keberhasilan untuk hasil belajar siswa adalah 75 dan ketuntasan belajar siswa untuk hasil belajar adalah 70%. Apabila hasil yang didapatkan belum mencapai indikator keberhasilan, maka perlu dilakukan siklus berikutnya sampai hasil yang diperoleh mencapai indikator keberhasilan. 
2. Siklus II 
a. Perencanaan Tindakan Siklus II 
1) Menyusun rencana pelaksanaan pembelajaran (RPP). 
2) Menyiapkan lembar kerja siswa (LKS).
32 
3) Menyiapkan rubrik penilaian hasil belajar siswa yaitu pada aspek kognitif, aspek psikomotor, dan aspek afektif. 
4) Menyiapkan kisi-kisi dan soal ulangan harian siklus II 
5) Menyiapkan Kisi-Kisi dan Soal Kemampuan Berpikir Kritis Siklus II 
6) Menyiapkan alat-alat yang akan digunakan dalam praktikum. 
b. Pelaksanaan Tindakan Siklus II 
Siklus II terdiri atas 2 kali pertemuan yaitu (4x45 menit). Pembelajaran materi dengan model STAD (Student Teams Achievement Division) dengan metode eksperimen dilaksanakan dalam waktu 180 menit. Materi yang diajarkan pada siklus II adalah Azas Black. Selama kegiatan berlangsung dilakukan pengamatan terhadap peristiwa yang ditemui selama penelitian sesuai dengan lembar observasi. Pada pelaksanaan tindakan II nilai kognitif siswa diukur melalui ulangan harian di akhir pelaksanaan siklus II, begitu juga untuk kemampuan berpikir kritis. Nilai psikomotor siswa diukur melalui kegiatan percobaan. Nilai afektif siswa diukur melalui keaktifan siswa pada saat proses pembelajaran dengan menggunakan lembar penilaian diri. Hasil pengamatan dari peristiwa tersebut akan dijadikan bahan refleksi untuk perbaikan siklus II. Pelaksanaan pembelajaran diatur sebagai berikut. 
1) Pertemuan I Tahap pendahuluan (10 menit) 
Pada tahap penyajian materi Azas Black, guru menunjukkan demonstrasi singkat menggunakan air panas dan air dingin yang dicampur dan memberikan
33 
permasalahan kepada siswa kemudian guru mengemukakan tujuan pembelajaran dan prosedur kegiatan yang akan dilakukan oleh siswa. Tahap inti (70 menit) 
Pada tahap ini guru membagi kelas menjadi 8 kelompok dan masing- masing kelompok terdiri dari 5 siswa. Guru membagikan LKS Azas Black kepada siswa untuk melaksanakan kegiatan praktikum. Setelah praktikum, siswa disuruh berdiskusi dengan teman satu kelompok untuk menjawab pertanyaan yang ada pada LKS. Selanjutnya perwakilan dua kelompok disuruh untuk mempresentasikan hasil diskusinya ke depan. Guru memberi kesempatan kepada kelompok lain untuk menanggapi hasil presentasi dan memberikan penguatan. Guru mengajak siswa menerapkan konsep yang telah diperoleh untuk menjawab pertanyaan saat demonstrasi di awal.Setelah itu, guru memberikan permasalahan baru dalam kehidupan sehari-hari dari konsep yang dipelajari. Guru memberikan soal tes untuk memperdalam pemahaman siswa serta membahas soal tersebut. Guru melakukan refleksi dari hasil pembelajaran dan membenarkan konsep yang benar dan menyalahkan konsep yang salah. Tahap penutup (10 menit) 
Guru membimbing siswa membuat kesimpulan tentang apa saja yang sudah dipelajari. Selanjutnya guru memberikan tugas kepada siswa berupa soal dan menutupnya dengan salam. 
2) Pertemuan II Tahap pendahuluan (10 menit) 
Pada tahap penyajian materi perpindahan kalor, guru menunjukkan demonstrasi singkat menggunakan sendok yang dipanaskan dan memberikan
34 
permasalahan kepada siswa kemudian guru mengemukakan tujuan pembelajaran dan prosedur kegiatan yang akan dilakukan oleh siswa. Tahap inti (70 menit) 
Pada tahap ini guru membagi kelas menjadi 8 kelompok dan masing- masing kelompok terdiri dari 5 siswa. Guru membagikan LKS perpindahan kalor listrik kepada siswa untuk melaksanakan kegiatan praktikum. Setelah praktikum, siswa disuruh berdiskusi dengan teman satu kelompok untuk menjawab pertanyaan yang ada pada LKS. Selanjutnya perwakilan dua kelompok disuruh untuk mempresentasikan hasil diskusinya ke depan. Guru memberi kesempatan kepada kelompok lain untuk menanggapi hasil presentasi dan memberikan penguatan. Guru mengajak siswa menerapkan konsep yang telah diperoleh untuk menjawab pertanyaan saat demonstrasi di awal.Setelah itu, guru memberikan permasalahan baru dalam kehidupan sehari-hari dari konsep yang dipelajari. Guru memberikan soal tes untuk memperdalam pemahaman siswa serta membahas soal tersebut. Guru melakukan refleksi dari hasil pembelajaran dan membenarkan konsep yang benar dan menyalahkan konsep yang salah. Tahap penutup (10 menit) 
Guru membimbing siswa membuat kesimpulan tentang apa saja yang sudah dipelajari. Selanjutnya guru memberikan tugas kepada siswa berupa soal dan menyuruh siswa untuk mempelajari lagi materi-materi pertemuan I dan II karena pertemuan selanjutnya diadakan tes dan menutupnya dengan salam. 
c. Pengamatan (Observation)
35 
Observasi dilakukan selama proses pembelajaran berlangsung. Pada tahap ini dilakukan observasi terhadap kegiatan guru dan kegiatan belajar siswa selama pembelajaran berlangsung. 
d. Refleksi (Reflection) 
Berdasarkan data yang diperoleh dari tindakan II, maka data tersebut diolah atau dianalisis, kemudian disesuiakan dengan indikator keberhasilan yang telah ditentukan. Apabila hasil yang didapatkan belum mencapai indikator keberhasilan, maka perlu dilakukan siklus berikutnya sampai hasil yang diperoleh mencapai indikator keberhasilan atau belum. Jadwal penelitian selengkapnya disajikan pada Lampiran …. Pelaksanaan penelitian hanya dilakukan dalam dua siklus karena keterbatasan waktu penelitian.

Proposal skripsi

  • 1.
    0 PENERAPAN MODELPEMBELAJARAN STAD (STUDENT TEAMS ACHIEVEMENT DIVISION) DENGAN METODE EKSPERIMEN UNTUK MENINGKATKAN KEMAMPUAN BERPIKIR KRITIS DAN HASIL BELAJAR SISWA KELAS X SMAN 9 MALANG POKOK BAHASAN SUHU DAN KALOR PROPOSAL SKRIPSI OLEH : RESA MAHESTA 110321419521 UNIVERSITAS NEGERI MALANG FAKULTAS MATEMATIKA DAN ILMU PENGETAHUAN ALAM PROGRAM STUDI PENDIDIKAN FISIKA SEPTEMBER 2014
  • 2.
    1 BAB I PENDAHULUAN 1.1 Latar Belakang Kurikulum 2013 adalah kurikulum berbasis kompetensi yang pernah digagas dalam Rintisan Kurikulum Berbasis Kompetensi (KBK) 2004, tetapi diimplementasikan setelah Kurikulum Tingkat Satuan Pendidikan (KTSP) 2006 (Mendikbud, 2013). Implementasi kurikulum pada sekolah dasar/madrasah ibtidaiyah (SD/MI), sekolah menengah pertama/madrasah tsanawiyah (SMP/MTs), sekolah menengah atas/madrasah aliyah (SMA/MA), dan sekolah menengah kejuruan/madrasah aliyah kejuruan (SMK/MAK) dilakukan secara bertahap mulai tahun pelajaran 2013/2014(Permendikbud No. 81A/2013 tentang Implementasi Kurikulum ). Menurut Peraturan Menteri Pendidikan Dan Kebudayaan Nomor 69 Tahun 2013 , kurikulum 2013 dikembangkan dengan penyempurnaan pola pikir bahwa pola pembelajaran yang berpusat pada guru menjadi pembelajaran berpusat pada peserta didik. Peserta didik harus memiliki pilihan-pilihan terhadap materi yang dipelajari untuk memiliki kompetensi yang sama. Tentang pola pembelajaran satu arah (interaksi guru-peserta didik) menjadi pembelajaran interaktif , pola pembelajaran terisolasi menjadi pembelajaran secara jejaring yaitu peserta didik dapat menimba ilmu dari siapa saja dan dari mana saja yang dapat dihubungi serta diperoleh melalui internet, pola pembelajaran pasif menjadi pembelajaran aktif-mencari, pola belajar sendiri menjadi belajar kelompok (berbasis tim), pola pembelajaran alat tunggal menjadi pembelajaran
  • 3.
    2 berbasis alatmultimedia, pola pembelajaran berbasis massal menjadi kebutuhan pelanggan (users) dengan memperkuat pengembangan potensi khusus yang dimiliki setiap peserta didik, pola pembelajaran ilmu pengetahuan tunggal (monodiscipline) menjadi pembelajaran ilmu pengetahuan jamak (multidisciplines) dan pola pembelajaran pasif menjadi pembelajaran kritis. Peraturan Menteri Pendidikan Nasional Nomor 22 Tahun 2006 menyatakan tujuan pelajaran Fisika di SMA adalah agar peserta didik memiliki kemampuan-kemampuan sebagai berikut. (1) Membentuk sikap positif terhadap fisika dengan menyadari keteraturan dan keindahan alam serta mengagungkan kebesaran Tuhan Yang Maha Esa. (2) Memupuk sikap ilmiah yaitu jujur, obyektif, terbuka, ulet, kritis dan dapat bekerjasama dengan orang lain. (3). Mengembangkan pengalaman untuk dapat merumuskan masalah, mengajukan dan menguji hipotesis melalui percobaan, merancang dan merakit instrumen percobaan, mengumpulkan, mengolah, dan menafsirkan data, serta mengomunikasikan hasil percobaan secara lisan dan tertulis. (4) Mengembangkan kemampuan bernalar dalam berpikir analisis induktif dan deduktif dengan menggunakan konsep dan prinsip fisika untuk menjelaskan berbagai peristiwa alam dan menyelesaian masalah baik secara kualitatif maupun kuantitatif. (5) Menguasai konsep dan prinsip fisika serta mempunyai keterampilan mengembangkan pengetahuan dan sikap percaya diri sebagai bekal untuk melan-jutkan pendidikan pada jenjang yang lebih tinggi serta mengembangkan ilmu pengetahuan dan teknologi. Kurikulum 2013 menuntut standart kompetensi lulusan harus meliputi 3 ranah yaitu ranah sikap, keterampilan dan pengetahuan. Ranah sikap mencakup
  • 4.
    3 transformasi substansiatau materi ajar agar peserta didik “tahu mengapa.” Ranah keterampilan mencakup transformasi substansi atau materi ajar agar peserta didik “tahu bagaimana”. Ranah pengetahuan mencakup transformasi substansi atau materi ajar agar peserta didik “tahu apa.” Hasil akhirnya adalah peningkatan dan keseimbangan antara kemampuan untuk menjadi manusia yang baik (soft skills) dan manusia yang memiliki kecakapan dan pengetahuan untuk hidup secara layak (hard skills) dari peserta didik yang meliputi aspek kompetensi sikap, keterampilan, dan pengetahuan (Kemendikbud, 2012). Berdasarkan wawancara kepada guru fisika SMAN 9 Malang yang dilakukan pada sabtu, 8 Februari 2014 diperoleh hasil bahwa selama ini pembelajaran di kelas belum berpusat pada peserta didik. Aktivitas peserta didik di dalam kelas bergantung pada guru. Guru jarang sekali melaksanakan percobaan di dalam kelas. Peserta didik cenderung pasif di di dalam kelas dan hal ini secara otomatis akan berpengaruh kepada pemahaman konsep peserta didik. Berdasarkan wawancara terhadap siswa kelas X-7 SMAN 9 Malang yang dilakukan pada sabtu, 8 Februari 2014 diperoleh hasil bahwa guru hanya menjelaskan teori saja sesuai buku teks yang ada, padahal peserta didik bosan dengan pembelajaran ceramah seperti itu. Peserta didik juga mengatakan bahwa mereka hanya menghafal rumus-rumus fisika untuk mengerjakan soal tanpa mengerti maknanya sehingga fisika menjadi terasa sulit dibenak mereka. Dari keterangan tersebut menunjukkan bahwa kemampuan berpikir kritis siswa masih rendah karena mereka mengerjakan soal dengan rumus hafalan saja. Menurut Yuliati (2008: 4) belajar fisika tidak hanya dilakukan dengan menghafal, tetapi juga melalui suatu prosedur ilmiah seperti seorang ilmuan. Hal inilah yang menyebabkan hasil
  • 5.
    4 belajar dankemampuan berpikir siswa kelas X-7 SMA Negeri 9 Malang masih rendah. Sejauh ini pelajaran fisika masih dianggap sulit dan menakutkan oleh peserta didik yang memiliki hasil belajar tidak memuaskan (Naim, 2009:3). Studi pendahuluan tentang pokok bahasan suhu dan kalor kepada 40 peserta didik SMAN 9 Malang menunjukkan bahwa peserta didik yang menguasai konsep sebanyak 20 %, miskonsepsi sebanyak 25% dan tidak menguasai konsep sebanyak 55%. Dari data tersebut terlihat bahwa presentase peserta didik yang tidak menguasai konsep masih besar. Berdasarkam uraian tersebut di atas diperlukan model pembelajaran yang sesuai dengan tuntutan kurikulum 2013. Salah satu model pembelajaran yang cocok yaitu model pembelajaran STAD (Student Teams Achievement Division). Model pembelajaran STAD (Student Teams Achievement Divisions) merupakan salah satu model pembelajaran kooperatif yang paling sederhana dan efektif menurut Slavin (1991:350). Hal yang ditawarkan dalam model pembelajaran kooperatif tipe STAD (Student Teams Achievement Divisions) ini adalah proses belajar mengajar yang menuntut siswa bekerja sama dalam kelompok kecil untuk saling membantu satu sama lain dalam mempelajari sesuatu dan menyelesaikan tugas-tugas kelompok untuk mencapai tujuan bersama (Mahmudah, 2011). Dengan model pembelajaran kooperatif tipe STAD (Student Teams Achievement Divisions) membuat siswa menjadi subjek pembelajaran yang sesungguhnya, aktif di dalam proses pembelajaran, dan pembelajaran menjadi lebih interaktif.
  • 6.
    5 Untuk mewujudkanpembelajaran yang konseptual, membuat peserta didik mampu menemukan konsepnya sendiri, serta tidak hanya sekedar hafalan, model pembelajaran kooperatif tipe STAD (Student Teams Achievement Divisions) dipadukan dengan moetode eksperimen. Metode eksperimen ialah salah satu cara mengajar, dimana siswa melaksanakan suatu percobaan tentang suatu hal, mengamati prosesnya, serta menuliskan hasil percobaannya, kemudian hasil pengamatan itu didiskusikan di kelas dan dievaluasi oleh guru. Metode eksperimen merupakan suatu pekerjaan menggunakan alat-alat sains dengan tujuan untuk mengatahui alat-alat sains dengan tujuan untuk mengatehui sesuatu yang baru (setidak-tidaknya bagi anak-anak itu sendiri, meskipun tidak baru lagi bagi orang lain), atau mengetahui apa yang terjadi kalau diadakan suatu proses tertentu (Wartono,2009:99). Pada penelitian yang dilakukan oleh Atna Fresh Violina Marrysca pada tahun 2013 model pembelajaran STAD (Student Teams Achievement Division) mampu meningkatkan aktivitas dan hasil belajar kognitif siswa SMPN 16 Surakarta. Hal ini dapat dilihat dari hasil pengamatan aktivitas belajar pada tiap siklus. Dari indikator aktivitas yang ditentukan terjadi peningkatan aktivitas belajar positif tiap siklus, dari 65,7% di siklus I menjadi 73,76% di siklus II dan 75,47% di siklus III. Kemampuan kognitif siswa juga meningkat dalam setiap siklus dengan peningkatan nilai rata-rata pre-test ke post-test, yakni 31,67 menjadi 60,83 dengan rata-rata gain ternormalisasi 0,42 pada siklus I, 48,95 menjadi 72,91 dengan rata-rata gain ternormalisasi 0,46 pada siklus II dan 29,58 menjadi 81,25 dengan rata-rata gain ternormalisasi 0,73 pada siklus III.
  • 7.
    6 Berdasarkan latarbelakang di atas, maka dilakukan penelitian yang berjudul “Penerapan Model Pembelajaran STAD (Student Teams Achievement Division) dengan Metode Eksperimen untuk Meningkatkan Kemampuan Berpikir Kritis dan Hasil Belajar Siswa Kelas X SMAN 9 Malang Pokok Bahasan Suhu dan Kalor” 1.2 Rumusan Masalah 1. Bagaimana peningkatan kemampuan berpikir kritis peserta didik kelas X SMAN 9 Malang pada Materi Suhu dan Kalor dengan penerapan model pembelajaran STAD (Student Teams Achievement Division) dengan metode eksperimen? 2. Bagaimana peningkatan hasil belajar peserta didik kelas X SMAN 9 Malang pada Materi Suhu dan Kalor dengan penerapan model pembelajaran STAD (Student Teams Achievement Division) dengan metode eksperimen? 3. Bagaimana keterlaksanaan penerapan model pembelajaran STAD (Student Teams Achievement Division) dengan metode eksperimen untuk meningkatkan kemampuan berpikir kritis dan hasil belajar siswa kelas X SMAN 9 Malang? 1.3 Hipotesis 1. Terjadi peningkatan kemampuan berpikir kritis peserta didik kelas X SMAN 9 Malang pada Materi Suhu dan Kalor dengan penerapan model
  • 8.
    7 pembelajaran STAD(Student Teams Achievement Division) dengan metode eksperimen. 2. Terjadi peningkatan hasil belajar peserta didik kelas X SMAN 9 Malang pada Materi Suhu dan Kalor dengan penerapan model pembelajaran STAD (Student Teams Achievement Division) dengan metode eksperimen. 3. Keterlaksanaan penerapan model pembelajaran STAD (Student Teams Achievement Division) dengan metode eksperimen mampu meningkatkan kemampuan berpikir kritis dan hasil belajar siswa kelas X SMAN 9 Malang. 1.4 Manfaat Penelitian 1. Bagi peserta didik : a. Untuk meningkatkan kemampuan berpikir kritis peserta didik terhadap mata pelajaran fisika. b. Untuk meningkatkan hasil belajar peserta didik pada mata pelajaran fisika. 2. Bagi guru : a. Sebagai alternatif model pembelajaran untuk meningkatakan kemampuan berpikir kritis dan hasil belajar peserta didik terhadap mata pelajaran fisika. 3. Bagi sekolah : a. Untuk memberi konstribusi terhadap peningkatan kemampuan berpikir kritis dan hasil belajar peserta didik di kelas X SMAN 9 Malang. 4. Bagi peneliti :
  • 9.
    8 a. Sebagaipertimbangan dan referensi untuk penelitian selanjutnya. 1.5 Ruang Lingkup Penelitian 1. Subjek penelitian adalah peserta didik kelas X-7 SMAN 9 Malang dengan jumlah peserta didik 40 orang yang terdiri dari 17 peserta didik laki-laki dan 23 peserta didik perempuan. 2. Model pembelajaran yang digunakan adalah STAD (Student Teams Achievement Division) yang memiliki 4 tahap pembelajaran yaitu penyajian kelas (teach), belajar dengan kelompok (team), Tes (test), dan pengakuan kelompok (team recognition) dengan metode eksperimen yang dilaksanakan pada tahap belajar dengan kelompok (team). 3. Penelitian dilakukan terbatas pada mata pelajaran fisika kelas X pada pokok bahasan suhu dan kalor. 1.6 Definisi Operasional Untuk menghindari pemaknaan yang salah terhadap istilah-istilah yang digunakan dalam penelitian ini, maka perlu ditegaskan melalui definisi operasional sebagai berikut 1. Model pembelajaran STAD (Student Teams Achievement Division) dilaksanakan dengan melibatkan siswa untuk belajar secara kelompok. Tahapan model pembelajaran STAD (Student Teams Achievement Division) yaitu penyajian kelas (teach), belajar dengan kelompok (team), tes (test), dan pengakuan kelompok (team recognition) dengan metode eksperimen yang dilaksanakan pada tahap belajar dengan kelompok (team). Metode eksperimen yang digunakan menekankan dalam kegiatan pengamatan dan percobaan dengan menggunakan lembar kerja siswa (LKS) pada suhu dan
  • 10.
    9 kalor. Dalampembelajaran ini, setiap kelompok melakukan praktikum, diskusi, dan presentasi untuk memecahkan suatu masalah yang berkaitan dengan materi suhu dan kalors sesuai dengan lembar kerja yang sudah disediakan. 2. Kemampuan berpikir kritis yang diteliti dalam penelitian ini terdiri dari 9 kecakapan, yakni memfokuskan pertanyaan, menganalisis pertanyaan, bertanya dan menjawab pertanyaan tentang suatu penjelasan, mempertimbangkan apakah sumber dapat dipercaya atau tidak (kredibilitas), mendeduksi dan mempertimbangkan hasil deduksi, menentukan nilai pertimbangan, mengidentifikasi asumsi, menentukan tindakan, dan berinteraksi dengan orang lain. Kemampuan berpikir kritis ini diukur menggunakan instrumen tes berupa soal uraian materi suhu dan kalor. 3. Hasil belajar merupakan hasil yang diperoleh dari serangkaian proses belajar yang dilakukan siswa yang meliputi aspek kognitif, psikomotor, dan afektif. Dalam penelitian ini, aspek kognitif pada dimensi proses kognitif mengingat (C1), memahami (C2), dan menerapkan (C3); aspek psikomotor pada dimensi proses psikomotor kesiapan, gerakan terbimbing; dan gerakan terbiasa; dan aspek afektif pada dimensi proses afektif penerimaan, partisipasi, penilaian dan penentuan sikap, organisasi, dan pembentukan pola hidup. Aspek kognitif diukur melalui tes berupa soal pilihan ganda materi suhu dan kalor, aspek psikomotor diukur melalui pengamatan dengan menggunakan lembar observasi pada saat praktikum materi suhu dan kalor, dan aspek afektif diukur melalui kegiatan pengamatan dengan lembar observasi.
  • 11.
    10 BAB II KAJIAN PUSTAKA A. Metode Eksperimen Di dalam kegiatan eksperimen sangat dimungkinkan adanya penerapan beragam keterampilan proses sains sekaligus pengembangan sikap ilmiah yang mendukung proses perolehan pengetahuan (produk keilmuan) dalam diri siswa. Disinilah tampak betapa eksperimen memiliki kedudukan yang amat penting dalam pembelajaran IPA, karena melalui eksperimen siswa memiliki peluang mengembangkan dan menerapkan keterampilan proses sains, sikap ilmiah dalam rangka memperoleh pengetahuannya (Subiantoro, 2010: 7). Menurut Syaiful Sagala (2010: 220), metode eksperimen adalah cara penyajian bahan pelajaran dimana siswa melakukan percobaan dengan mengalami untuk membuktikan sendiri suatu pertanyaan atau hipotesis yang dipelajari. Roestiyah N.K (2001:80) menyatakan bahwametode eksperimen adalah suatu cara mengajar, dimana siswa melakukansuatu percobaan tentang sesuatu hal, mengamati prosesnya sertamenuliskan hasil percobaannya, kemudian hasil pengamatan itu disampaikan ke kelas dan dievaluasi oleh guru. Metode eksperimen merupakan metode yang dikembangkan dengan tujuan untuk membimbing siswa agar mampu menemukan jawaban-jawaban sendiri dari fenomena-fenomena yang dihadapi melalui serangkaian kegiatan belajar mengajar dan bimbingan serta pengarahan dari guru. Dapat disimpulkan bahwa metode eksperimen adalah metode yang memberikan kesempatan kepada siswa baik
  • 12.
    11 secara peroranganmaupunperkelompok untuk melakukan suatu eksperimen denganmengalami dan menemukan sendiri suatu pengetahuan baru bagi siswa. Menurut Udin S. Winataputra (1998: 20), karakteristik metode eksperimen serta hubungannya dengan pengalaman belajar siswa antara lain: a. Ada alat bantu yang digunakan b. Siswa aktif melakukan percobaan c. Guru membimbing d. Tempat dikondisikan e. Ada pedoman untuk siswa f. Ada topik yang di eksperimenkan g. Ada temuan-temuan dari pelaksanaan eksperimen Pengalaman belajar yang diperoleh siswa dari penerapan metode eksperimen antara lain: a. Mengamati sesuatu hal b. Menguji hipotesis c. Menemukan hasil percobaan d. Membuat kesimpulan e. Membangkitkan rasa ingin tahu siswa f. Menerapkan konsep informasi dari eksperimen Menurut A. Tabrani Rusyan (1993: 94), tujuan metode eksperimen adalah sebagai berikut: a. Mengembangkan keterampilan memecahkan masalah melalui identifikasi masalah, pengumpulan dan penafsiran data, serta penarikan kesimpulan.
  • 13.
    12 b. Mengembangkankebiasaan dan keterampilan mendayagunakan alat-alat laboratorium. c. Membentuk dan mengembangkan kebiasaan mencatat data secara teratur. d. Mengembangkan dan membentuk sikap-sikap ilmiah pada siswa. e. Belajar menggunakan metode ilmiah pada siswa. f. Mengembangkan rasa percaya diri dan tanggung jawab bagi setiap siswa. g. Menemukan cara-cara menyelidiki sesuatu yang baru, sehingga meningkatkan minat siswa pada masalah-masalah sains. B. Model Pembelajaran Kooperatif Tipe STAD (Student Teams Achievement Division) Pembelajaran kooperatif merupakan pendekatan yang mengutamakan adanya kerjasama antar siswa dalam kelompok untuk mencapai tujuan pembelajaran. Isioni (2009:12) mengungkapkan bahwa dalam pembelajaran kooperatif, siswa belajar dalam kelompok kecil dengan tingkat kemampuan yang berbeda. Dalam menyelesaikan tugas kelompok, setiap anggota kelompok harus saling bekerja sama dan saling membantu untuk memahami materi pelajaran. Belajar dikatakan belum selesai jika salah satu teman dalam kelompok belum menguasai bahan pelajaran. Roger dan David Johnson (dalam Suprijono, 2009:58) mengatakan bahwa tidak semua belajar kelompok bisa dianggap pembelajaran kooperatif. Untuk mencapai hasil yang maksimal, lima unsur dalam model pembelajaran kooperatif harus diterapkan. Lima unsur tersebut adalah: 1. Positive interdependence (saling ketergantungan positif).
  • 14.
    13 2. Personalresponsibility (tanggung jawab perseorangan). 3. Face to face promotive interaction (interaktif promotif). 4. Interpersonal skill (komunikasi antaranggota) 5. Group processing (pemrosesan kelompok). Unsur pertama pembelajaran kooperatif adalah ketergantungan positif. Unsur ini menunjukkan bahwa dalam pembelajaran kooperatif ada dua pertanggungjawaban kelompok. Pertama, mempelajari bahan yang ditugaskan kepada kelompok. Kedua, menjamin semua anggota kelompok secara individu mempelajari bahan yang ditugaskan tersebut. Unsur kedua pembelajaran kooperatif adalah tanggung jawab individual. Pertanggungjawaban ini muncul jika dilakukan pengukuran terhadap keberhasilan kelompok. Unsur ketiga pembelajaran kooperatif adalah interaksi promotif. Unsur ini penting karena dapat menghasilkan saling ketergantungan positif. Unsur keempat pembelajaran kooperatif adalah keterampilan sosial. Untuk mengkoordinasikan kegiatan peserta didik dalam pencapaian tujuan peserta didik harus mampu berkomunikasi secara akurat dan tidak ambisius. Unsur yang kelima pembelajaran kooperatif adalah pemrosesan kelompok. Pemrosesan mengandung arti menilai. Melalui pemrosesan kelompok dapat diidentifikasi dari urutan atau tahapan kegiatan kelompok dan kegiatan dari anggota kelompok. Tujuan pemrosesan kelompok adalah meningkatkan efektivitas anggota dalam memberikan kontribusi terhadap kegiatan kolaboratif untuk mencapai tujuan kelompok. STAD (Student Teams Achievement Divisions) merupakan salah satu model pembelajaran kooperatif yang paling sederhana dan efektif menurut Slavin (1991:350). Hal yang ditawarkan dalam model pembelajaran kooperatif tipe
  • 15.
    14 STAD (StudentTeams Achievement Divisions) ini adalah proses belajar mengajar yang menuntut siswa bekerja sama dalam kelompok kecil untuk saling membantu satu sama lain dalam mempelajari sesuatu dan menyelesaikan tugas- tugas kelompok untuk mencapai tujuan bersama (Mahmudah, 2011). Menurut Slavin ( 2008: 143) model pembelajaran STAD terdiri dari lima tahapan yaitu : 1. Penyajian kelas (teach), yaitu guru menjelaskan secara singkat mengenai semua materi yang akan didiskusikan nantinya pada pembukaan pembelajaran dan guru mendorong serta mengarahkan siswa dalam memfokuskan suatu konsep pada pemahaman bukan hafalan. 2. Belajar dengan kelompok (team study), yaitu setiap siswa berbagi pengetahuan dengan teman kelompoknya sehingga semua anggota kelompok memiliki penguasaan konsep yang sama. Disini digunakan metode eksperimen. 3. Tes (test), dilakukan secara individu dan selanjutnya diakumulasikan dengan nilai kelompok sehingga diperoleh skor kelompok. Dalam hal ini yang diperhatikan adalah skor peningkatan yaitu perubahan skor siswa dari awal sampai akhir apakah ada peningkatan atau tidak. 4. Pengakuan kelompok (team recognition), diberikan kepada kelompok yang memperoleh skor kelompok tertinggi. Kelebihan dari model pembelajaran STAD adalah melatih siswa dalam mengembangkan aspek kecakapan social disamping kecakapan kognitif. Selain itu, peran guru juga lebih terfokus sebagai fasilitator, mediator, motivator, dan evaluator (Isjoni, 2010).
  • 16.
    15 C. KemampuanBerpikir Kritis Menurut Nurhadi (2004: 75) berpikir kritis merupakan kemampuan untuk menganalisis, mengkritik, dan mencapai kesimpulan berdasar-kan pada inferensi atau pertimbangan yang sama. Kemampuan berpikir kritis antar siswa berbeda, karena berpikir kritis merupakan proses mental yang dapat tumbuh pada setiap individu secara berbeda sehingga diperlukan suatu iklim atau aktivitas untuk menunjangnya melalui kegiatan observasi siswa akan dilatih untuk berpikir kritis karena mereka harus meneliti, menganalisis sampai membuat suatu kesimpulan akhir, bahkan mengkomunikasikan dengan siswa lain. Berpikir kritis adalah pemikiran yang masuk akal dan reflektif yang berfokus untuk memutuskan apa yang mesti dipercaya atau dilakukan (Ennis dalam Fisher, 2008: 4). Menurut Ennis (dalam Filsaime, 2008) berpikir kritis merupakan hasil dari interaksi serangkaian dugaan terhadap berpikir kritis, dengan serangkaian kecakapan untuk berpikir kritis. Dugaan-dugaan berpikir kritis yang dinyatakan Ennis meliputi: 1) mencari sebuah pernyataan yang jelas dari pertanyaan; 2) mencari alasan-alasan; 3) mencoba untuk berpengetahuan luas; dan 4) mencoba untuk tetap relevan pada poin utama.. Ennis (1996) menyebutkan ada 5 aspek kemampauan berpikir kritis yang kemudian dikelompokkan menjadi 12 kecakapan kemampuan berpikir kritis, seperti pada Tabel 2.1. Kemampuan berpikir kritis dapat diukur dengan menggunakan instrumen tes yang berupa soal uraian. Soal uraian yang dipergunakan harus memenuhi beberapa indikator kecakapan berpikir kritis seperti pada Tabel 2.1. Indikator yang dipergunakan tidak diambil semua, tetapi diambil beberapa, misalnya 9 dari 12 indikator kecakapan berpikir kritis. Dari
  • 17.
    16 beberapa indikatorkecakapan berpikir kritis tersebut, selanjutnya dapat dibuat rubrik-rubrik penilaian dengan menggunakan skor. Tabel 2.1 Kemampuan Berpikir Kritis Aspek Berpikir Kritis Kecakapan Berpikir Kritis a. Memberikan penjelasan secara sederhana 1. Memfokuskan pertanyaan 2. Menganalisis pertanyaan 3. Bertanya dan menjawab pertanyaan tentang suatu penjelasan b. Membangun keterampilan dasar 4. Mempertimbangkan apakah sumber dapat dipercaya atau tidak (kredibilitas) c. Menyimpulkan 5. Mengamati dan mempertimbangkan suatu laporan hasil observasi 6. Mendeduksi dan mempertimbangkan hasil deduksi 7. Menginduksi hasil induksi 8. Menentukan nilai pertimbangan d. Memberikan penjelasan lanjut 9. Mendefinisikan istilah 10. Mengidentifikasi asumsi e. Mengatur strategi dan taktik 11. Menentukan tindakan 12. Berinteraksi dengan orang lain D. Hasil Belajar Hasil belajar adalah kemampuan-kemampuan yang dimiliki siswa setelah ia menerima pengalaman belajarnya (Sudjana, 2012: 22). Hamalik (2010:155) menyatakan bahwa hasil belajar tampak sebagai terjadinya perubahan tingkah laku pada diri siswa, yang dapat diamati dan diukur dalam bentuk perubahan pengetahuan sikap dan keterampilan. Sedangkan, Dimyati dan Mudjiono (2006: 200) menyatakan bahwa evaluasi hasil belajar merupakan proses untuk menetukan nilai belajar siswa melalui kegiatan penilaian dan/atau pengukuran hasil belajar. Hasil belajar seorang siswa dapat diketahui dari pengukuran. Pengukuran terhadap hasil belajar dapat menunjukkan sampai sejauh mana bahan yang dipel- ajari itu dipahami dan dikuasai siswa. Tes hasil belajar adalah suatu alat ukur yang banyak digunakan untuk menentukan keberhasilan siswa dalam suatu proses
  • 18.
    17 belajar mengajar.Bagi guru, hasil belajar siswa di kelas berguna untuk melakukan perbaikan tindak mengajar dan evaluasi sedangkan bagi siswa sendiri hasil belajar berguna untuk memperbaiki cara-cara belajar lebih lanjut. Faktor-faktor yang mempengaruhi hasil belajar menurut Winkel (dalam Handayani, 2008:22), bahwa faktor yang menyebabkan perbedaan hasil belajar meliputi faktor internal dan eksternal. Faktor internal terdiri dari (1) psikologi, yang meliputi intelegensi, motivasi belajar, minat, perasaan kondisi akibat keadaan sosial, kultural, dan ekonomi; (2) fisiologi, yang meliputi kesehatan jasmani. Sedangkan untuk faktor eksternal terdiri dari (1) proses belajar di sekolah yang meliputi kurikulum pembelajaran, disiplin sekolah, fasilitas belajar dan pengelompokan siswa; (2) sosial, yang meliputi sistem sekolah, status sosial sekolah siswa, dan interaksi pengajar dengan siswa. Hasil belajar dibagi dalam tiga ranah yaitu ranah kognitif, ranah psikomotorik dan ranah afektif (Arikunto, 2008:117). Setiap ranah dirinci lagi dalam tujuan yang lebih spesifik dan hirarkis. Menurut Taksonomi Bloom yang telah direvisi oleh Anderson dan Krathwohl (2001), proses koginitif tersebut dikenal dengan istilah dimensi proses kognitif (cognitive process dimension). Dimensi proses kognitif merupakan proses berpikir dalam mengkonstruk pengetahuan yang meliputi mengingat (remember), mengerti (understand), menerapkan (apply), menganalisis (analize), mengevaluasi (evaluate), dan mengkreasi (create). Ranah afektif terdiri dari lima jenjang, yaitu penerimaan (receiving), partisipasi (responding), penilaian dan penentuan sikap (valuing), organisasi (organization), pembentukan pola hidup (characterization by value or value complex). Sedangkan ranah psikomotor dibagi menjadi 7 tingkatan, yaitu
  • 19.
    18 persepsi (perception),kesiapan (set), gerakan terbimbing (guided response), gerakan yang terbiasa (mechanism), gerakan kompleks (complex overt response), penyesuaian pola gerakan (adaption), dan kreativitas (origination). Hasil belajar fisika dapat diukur dengan menggunakan instrumen tes dan lembar observasi. Pengukuran hasil belajar untuk ranah kognitif menggunakan instrumen tes yang berupa soal dengan menggunakan rubrik penilaian tertentu. Pengukuran hasil belajar untuk ranah psikomotor menggunakan instrumen lembar observasi yang dilengkapi dengan rubrik penilaian dengan mengamati aktivitas siswa secara langsung saat kegiatan praktikum. Pengukuran hasil belajar untuk ranah afektif menggunakan instrumen lembar observasi yang dilengkapi dengan rubrik penilaian dengan mengamati aktivitas siswa secara langsung. E. Hasil Penelitian Terdahulu 1. Alfando R Rorong (2012) Judul Penelitian : Pengaruh Model Pembelajaran Kooperatif Tipe Stad terhadap Hasil Belajar Siswa Pada Mata Diklat menganalisa Rangkaian Listrik Dengan Mengontrol kemampuan Awal Siswa Hasil Penelitian : Data yang diperoleh di analisis dengan menggunakan analisis kovarian (ANAKOVA) satu arah. Dari Hasil perhitungan, menunjukan F Hitung >F Tabel, yaitu 27.524 > 6.99 dengan α 0.01. Berdasarkan hasil perhitungan, dapat disimpulkan bahwa kelompok siswa yang diberi model pembelajaran kooperatif tipe STAD lebih tinggi dari pada kelompok siswa yang diberi model pembelajaran konvensional, atau dengan katalain, model pembelajaran kooperatif tipe STAD berpengaruh positif terhadap hasil belajar siswa pada mata diklat menganalisa rangkaian listrik setelah mengontrolkemampuan awal siswa.
  • 20.
    19 2. NikenPuspitasari 2011 Judul Penelitian : Penerapan Model Cooperative Learning Tipe Student Teams Achievement Division (Stad) Dengan Metode Eksperimen Untuk Meningkatkan Aktivitas Belajar Dan Ketuntasan Hasil Belajar Fisika Pada Siswa Kelas X.4 Sma Negeri Grujugan Tahun Ajaran 2010/2011 Hasil Penelitian : Data hasil observasi memperlihatkan bahwa prosentase aktivitas siswa secara klasikal mengalami peningkatan dari siklus I ke siklus II yaitu masing-masing 72.71% dan 82.37%. Berdasarkan analisis hasil belajar pada siklus I diperoleh ketuntasan hasil belajar sebesar 82.61%, siswa yang tuntas belajar secara individu sebanyak 19 siswa dan yang tidak tuntas secara individu sebanyak 4 siswa. Sedangkan analisis hasil belajar pada siklus II diperoleh ketuntasan hasil belajar sebesar 91.30%, siswa yang tuntas belajar secara individu sebanyak 21 siswa dan yang tidak tuntas secara individu sebanyak 2 siswa. Berdasarkan pada hasil dan analisis data yang ditunjukkan pada siklus I dan siklus II, dapat disimpulkan bahwa penerapan model cooperative learning tipe Student Teams Achievement Division (STAD) dengan metode eksperimen dapat meningkatkan aktivitas belajar dan ketuntasan hasil belajar fisika siswa kelas X.4 SMA Negeri Grujugan tahun ajaran 2010/2011.
  • 21.
    20 F. KerangkaBerpikir Evaluasi awal Kondisi saat ini a. Pembelajaran di kelas belum berpusat pada peserta didik. b. Aktivitas peserta didik di dalam kelas bergantung pada guru. c. Guru jarang sekali melaksanakan percobaan di dalam kelas. d. Peserta didik cenderung pasif di di dalam kelas dan hal ini secara otomatis akan berpengaruh kepada pemahaman konsep peserta didik. e. Guru hanya menjelaskan teori saja sesuai buku teks yang ada, padahal peserta didik bosan dengan pembelajaran ceramah seperti itu. f. Peserta didik hanya menghafal rumus-rumus fisika untuk mengerjakan soal tanpa mengerti maknanya sehingga fisika menjadi terasa sulit dibenak mereka. a. Kemampuan berpikir kritis dan hasil belajar fisika siswa mengalami peningkatan. b. Guru mampu melaksanakan model pembelajaran Quantum Teaching melalui pendekatan metakognitif Hasil Evaluasi akhir a. Penjelasan model pembelajaran STAD (Student Teams Achievement Division) melalui metode eksperimen. b. Pelatihan model pembelajaran STAD (Student Teams Achievement Division) melalui metode eksperimen. c. Simulasi model pembelajaran STAD (Student Teams Achievement Division) melalui metode eksperimen. d. Pelaksanaan model pembelajaran STAD (Student Teams Achievement Division) melalui metode eksperimen. e. Penerapan model pembelajaran STAD (Student Teams Achievement Division) melalui metode eksperimen. Tindakan Evaluasi efek
  • 22.
    21 G. Hipotesis Berdasarkan teori, kajian pustaka dan kerangka berfikir diatas jika pembelajaran dilakukan dengan model pembelajaran STAD (Student Teams Achievement Division) dengan metode eksperimen dilakukan maka akan terjadi peningkatan kemampuan berpikir kritis dan hasil belajar peserta didik.
  • 23.
    22 BAB III METODE PENELITIAN A. Pendekatan Penelitian Penelitian ini menggunakan pendekatan kualitatif karena memenuhi ciri- ciri penelitian kualitatif yaitu (1) penelitiannya digunakan untuk meneliti pada kondisi obyek yang alamiah, (2) peneliti adalah sebagai instrumen kunci, (3) pengambilan sampel sumber data dilakukan secara purposive dan snowbaal, (4) teknik pengumpulan dengan trianggulasi (gabungan), (5) analisis data bersifat induktif/kualitatif, dan (6) hasil penelitian lebih menekankan makna dari pada generalisasi (Sugiyono, 2011: 15). Gambar 3.1 Tahapan dalam Siklus PTK (Sumber: Arikunto, dkk., 2008:16) Penelitian yang diterapkan dalam pembelajaran ini adalah penelitian tindakan kelas (PTK). PTK adalah penelitian tindakan yang dilakukan dengan tujuan memperbaiki mutu praktik pembelajaran di kelas (Kunandar, 2008: 45). Prosedur dan langkah-langkah dalam penelitian ini mengikuti prinsip dasar Refleksi Refleksi Pelaksanaan Tindakan Pelaksanaan Tindakan Observasi Observasi Rencanaan Tindakan Rencanaan Tindakan
  • 24.
    23 penelitian tindakankelas yaitu menggunakan prosedur kerja yang bersifat siklus, meliputi tahapan-tahapan: perencanaan, pelaksanaan tindakan, observasi dan refleksi yang diikuti dengan perencanaan ulang. Secara skematis, model penelitian tindakan kelas diadaptasi dari Kemmis & Mc Taggart (Arikunto, dkk., 2008: 16) ditunjukkan pada Gambar 3.1. B. Kehadiran dan Peran Peneliti di Lapangan Dalam penelitian ini, kehadiran peneliti mutlak diperlukan karena pengumpulan data dilakukan dalam situasi sesungguhnya oleh peneliti. Peran peneliti dalam penelitian kualitatif adalah sebagai perencana, pelaksana pengumpulan data, penganalisa data, dan akhirnya pelaporan hasil penelitian. Dalam penelitian ini peneliti berposisi sebagai pelaksana (guru model) yang menerapkan model pembelajaran STAD (Student Teams Achievement Divisions) dengan metode eksperimen dan dibantu oleh observer yang berjumlah 1 orang. Observer dalam penelitian ini adalah teman peneliti dari program studi dan angkatan yang sama. Untuk perencanaan tindakan dilakukan oleh guru bersama peneliti serta meminta pertimbangan pada dosen pembimbing penelitian ini. C. Kancah Penelitian Penelitian ini dilaksanakan pada bulan Januari 2014 sampai dengan bulan Mei 2014 di SMA Negeri 9 Malang yang berlokasi di Jalan Puncak Borobudur No 1, Malang. D. Subjek Penelitian
  • 25.
    24 Subjek penelitianadalah peserta didik kelas X-7 SMAN 9 Malang dengan jumlah peserta didik 40 orang yang terdiri dari 17 peserta didik laki-laki dan 23 peserta didik perempuan. E. Data dan Sumber Data Data keterlaksanaan pembelajaran diperoleh dari hasil observasi pada setiap pertemuan. Sumber data keterlaksanaan pembelajaran adalah guru. Data kemampuan berpikir kritis diperoleh dari tes tulis berupa soal uraian. Sumber data kemampuan berpikir kritis ini adalah siswa. Data hasil belajar terdiri dari tiga aspek, yaitu aspek kognitif, aspek psikomotor, dan aspek afektif. Data aspek kognitif diperoleh dari nilai ulangan harian murni. Data hasil belajar aspek psikomotor dan afektif diperoleh dari hasil observasi pada setiap pertemuan. Sumber data hasil belajar ini adalah siswa. F. Pengumpulan Data 1. Teknik Pengumpulan Data Untuk memperoleh data dilakukan langkah-langkah berikut. a. Observasi Sebelum melakukan penelitian, peneliti melakukan observasi awal terlebih dahulu untuk mengetahui kemampuan awal siswa. Selain melakukan observasi awal, peneliti juga mengobservasi seluruh aktivitas belajar siswa selama penelitian berlangsung dan dibantu oleh observer. Observasi dilakukan untuk mengetahui keterlaksanaan model pembelajaran STAD (Student Teams
  • 26.
    25 Achievement Divisions)dengan metode eksperimen dan hasil belajar siswa pada aspek psikomotor dan afektif. b. Tes Untuk mengetahui kemampuan berpikir kritis dan hasil belajar pada aspek kognitif siswa dilakukan tes uji kompetensi berupa ulangan harian yang dilaksana- kan setiap akhir siklus. 2. Instrumen Penelitian Instrumen yang digunakan dalam penelitian ini adalah sebagai berikut. a. Lembar Observasi Lembar observasi dibuat untuk mengamati aktivitas belajar siswa pada aspek psikomotor dan afektif selama penelitian serta keterlaksanaan model pembelajaran pembelajaran STAD (Student Teams Achievement Divisions) dengan metode eksperimen. Data dari hasil observasi berupa data cek list yang sudah memiliki rubrik penilaian masing-masing. b. Lembar Tes Lembar tes berisi soal ulangan harian yang diisi langsung oleh siswa. Untuk kemampuan berpikir kritis ada soal sendiri dan dikerjakan setelah mengerjakan soal tes ranah kognitif. G. Analisis Data, Evaluasi, dan Refleksi 1. Analisis Data Untuk menganalisis data, dilakukan teknik reduksi data dan mempersentase data untuk melihat keberhasilan penelitian yang dilakukan.
  • 27.
    26 a. Untukmenentukan persentanse keterlaksanaan model pembelajaran digunakan rumus sebagai berikut. Rubrik observasi keterlaksanaan pembelajaran disajikan dalam Lampiran .. halaman .. b. Untuk menentukan kemampuan berpikir kritis dan nilai aspek kognitif digunakan rumus sebagai berikut. Rubrik penilaian kemampuan berpikir kritis disajikan dalam Lampiran .. pada halaman .. c. Untuk menentukan nilai aspek psikomotor digunakan rumus sebagai berikut. Keterangan: NP = Nilai Psikomotor A1 = Merangkai alat percobaan A2 = Menggunakan alat percobaan A3 = Melakukan pengukuran A4 = Merapikan alat percobaan Rubrik penilaian aspek psikomotor disajikan pada masing-masing RPP dalam Lampiran .. pada halaman .. d. Untuk menentukan nilai aspek afektif digunakan rumus sebagai berikut. Keterangan: NA = Nilai Afektif NAK = Nilai Afektif Karakter A1 = Melakukan pengamatan A2 = Menyajikan data hasil percobaan A3 = Keaktifan dalam percobaan
  • 28.
    27 A4 =Rajin mengerjakan tugas Keterangan: NAS = Nilai Afektif Sosial A1 = Kerjasama dan menghargai teman dalam kelompok A2 = Keterampilan bertanya A3 = Menyumbang ide atau pendapat A4 = Menjadi pendengar Rubrik penilaian aspek afektif disajikan pada masing-masing RPP dalam Lampiran ..pada halaman .. 2. Evaluasi Setelah data dianalisis, hasil analisis dibandingkan dengan indikator keber- hasilan penelitian untuk direfleksi. Indikator keberhasilan untuk keterlaksanaan model pembelajaran adalah 85%, indikator keberhasilan untuk kemampuan berpikir kritis adalah 70, dan indikator keberhasilan untuk hasil belajar siswa adalah 75 dan ketuntasan belajar siswa untuk hasil belajar adalah 70%. 3. Refleksi Refleksi dilakukan setelah mengevaluasi data penelitian. Refleksi menen- tukan lanjut atau tidaknya penelitian. Jika data penelitian sudah mencapai indikator keberhasilan, maka penelitian bisa dihentikan. Namun, jika data penelitian belum mencapai indikator keberhasilan, penelitian harus dilanjutkan ke siklus selanjutnya sampai mencapai indikator keberhasilan. H. Prosedur Penelitian Penelitian tindakan kelas ini dilakukan dalam 2 siklus. Adapun penjelasannya sebagai berikut. 1. Siklus I
  • 29.
    28 a. PerencanaanTindakan Siklus I 1) Guru melakukan analisis kurikulum untuk mengetahui kompetensi dasar yang akan disampaikan kepada siswa dengan menggunakan model STAD (Student Teams Achievement Division) dengan metode eksperimen dalam pembelajaran. 2) Menyusun rencana pelaksanaan pembelajaran (RPP). 3) Menyiapkan instrumen penilaian hasil belajar siswa 4) Menyiapkan kisi-kisi dan soal ulangan harian siklus I 5) Menyiapkan kisi-kisi dan soal kemampuan berpikir kritis siklus I 6) Menyiapkan lembar kerja siswa (LKS). 7) Menyusun lembar keterlaksanaan dalam pembelajaran dengan menggunakan model STAD (Student Teams Achievement Division) dengan metode eksperimen 8) Menyiapkan alat-alat yang akan digunakan dalam praktikum. b. Pelaksanaan Tindakan Siklus I Siklus I terdiri atas 2 kali pertemuan yaitu (4x45 menit). Pembelajaran materi dengan model STAD (Student Teams Achievement Division) dengan metode eksperimen dilaksanakan dalam waktu 180 menit. Materi yang diajarkan pada siklus I adalah suhu dan pemuaian. Selama kegiatan berlangsung dilakukan pengamatan terhadap peristiwa yang ditemui selama penelitian sesuai dengan lembar observasi. Pada pelaksanaan tindakan I nilai kognitif siswa diukur melalui ulangan harian di akhir pelaksanaan siklus I, begitu juga untuk kemampuan berpikir kritis. Nilai psikomotor siswa diukur melalui kegiatan percobaan. Nilai afektif siswa diukur melalui keaktifan siswa pada saat proses pembelajaran
  • 30.
    29 dengan menggunakanlembar penilaian diri. Hasil pengamatan dari peristiwa tersebut akan dijadikan bahan refleksi untuk perbaikan siklus II. Pelaksanaan pembelajaran diatur sebagai berikut. 1) Pertemuan I Tahap pendahuluan (10 menit) Pada tahap penyajian materi suhu dan pemuaian, guru menunjukkan demonstrasi singkat menggunakan tangan yang dicelupkan dalam air yang berbeda kondisi dan memberikan permasalahan kepada siswa kemudian guru mengemukakan tujuan pembelajaran dan prosedur kegiatan yang akan dilakukan oleh siswa. Tahap inti (70 menit) Pada tahap ini guru membagi kelas menjadi 8 kelompok dan masing- masing kelompok terdiri dari 5 siswa. Guru membagikan LKS suhu dan kalor kepada siswa untuk melaksanakan kegiatan praktikum. Setelah praktikum, siswa disuruh berdiskusi dengan teman satu kelompok untuk menjawab pertanyaan yang ada pada LKS. Selanjutnya perwakilan dua kelompok disuruh untuk mempresentasikan hasil diskusinya ke depan. Guru memberi kesempatan kepada kelompok lain untuk menanggapi hasil presentasi dan memberikan penguatan. Guru mengajak siswa menerapkan konsep yang telah diperoleh untuk menjawab pertanyaan saat demonstrasi di awal.Setelah itu, guru memberikan permasalahan baru dalam kehidupan sehari-hari dari konsep yang dipelajari. Guru memberikan soal tes untuk memperdalam pemahaman siswa serta membahas soal tersebut. Guru melakukan refleksi dari hasil pembelajaran dan membenarkan konsep yang benar dan menyalahkan konsep yang salah.
  • 31.
    30 Tahap penutup(10 menit) Guru membimbing siswa membuat kesimpulan tentang apa saja yang sudah dipelajari. Selanjutnya guru memberikan tugas kepada siswa berupa soal dan menutupnya dengan salam. 2) Pertemuan II Tahap pendahuluan (10 menit) Pada tahap penyajian materi pemuaian, guru menunjukkan demonstrasi singkat menggunakan air yang dipanaskan dengan pembakar bunsen dan memberikan permasalahan kepada siswa kemudian guru mengemukakan tujuan pembelajaran dan prosedur kegiatan yang akan dilakukan oleh siswa. Tahap inti (70 menit) Pada tahap ini guru membagi kelas menjadi 8 kelompok dan masing- masing kelompok terdiri dari 5 siswa. Guru membagikan LKS pemuaian kepada siswa untuk melaksanakan kegiatan praktikum. Setelah praktikum, siswa disuruh berdiskusi dengan teman satu kelompok untuk menjawab pertanyaan yang ada pada LKS. Selanjutnya perwakilan dua kelompok disuruh untuk mempresentasikan hasil diskusinya ke depan. Guru memberi kesempatan kepada kelompok lain untuk menanggapi hasil presentasi dan memberikan penguatan. Guru mengajak siswa menerapkan konsep yang telah diperoleh untuk menjawab pertanyaan saat demonstrasi di awal.Setelah itu, guru memberikan permasalahan baru dalam kehidupan sehari-hari dari konsep yang dipelajari. Guru memberikan soal tes untuk memperdalam pemahaman siswa serta membahas soal tersebut. Guru melakukan refleksi dari hasil pembelajaran dan membenarkan konsep yang benar dan menyalahkan konsep yang salah.
  • 32.
    31 Tahap penutup(10 menit) Guru membimbing siswa membuat kesimpulan tentang apa saja yang sudah dipelajari. Selanjutnya guru memberikan tugas kepada siswa berupa soal dan menyuruh siswa untuk mempelajari lagi materi-materi pertemuan I dan II karena pertemuan selanjutnya diadakan tes dan menutupnya dengan salam. c. Pengamatan (Observation) Observasi dilakukan selama proses pembelajaran berlangsung. Pada tahap ini dilakukan observasi terhadap kegiatan guru dan kegiatan belajar siswa selama pembelajaran berlangsung. d. Refleksi (Reflection) Berdasarkan data yang diperoleh dari tindakan I, maka data tersebut diolah atau dianalisis, kemudian disesuiakan dengan indikator keberhasilan yang telah ditentukan. Indikator keberhasilan untuk keterlaksanaan model pembelajaran adalah 85%, indikator keberhasilan untuk kemampuan berpikir kritis adalah 70, dan indikator keberhasilan untuk hasil belajar siswa adalah 75 dan ketuntasan belajar siswa untuk hasil belajar adalah 70%. Apabila hasil yang didapatkan belum mencapai indikator keberhasilan, maka perlu dilakukan siklus berikutnya sampai hasil yang diperoleh mencapai indikator keberhasilan. 2. Siklus II a. Perencanaan Tindakan Siklus II 1) Menyusun rencana pelaksanaan pembelajaran (RPP). 2) Menyiapkan lembar kerja siswa (LKS).
  • 33.
    32 3) Menyiapkanrubrik penilaian hasil belajar siswa yaitu pada aspek kognitif, aspek psikomotor, dan aspek afektif. 4) Menyiapkan kisi-kisi dan soal ulangan harian siklus II 5) Menyiapkan Kisi-Kisi dan Soal Kemampuan Berpikir Kritis Siklus II 6) Menyiapkan alat-alat yang akan digunakan dalam praktikum. b. Pelaksanaan Tindakan Siklus II Siklus II terdiri atas 2 kali pertemuan yaitu (4x45 menit). Pembelajaran materi dengan model STAD (Student Teams Achievement Division) dengan metode eksperimen dilaksanakan dalam waktu 180 menit. Materi yang diajarkan pada siklus II adalah Azas Black. Selama kegiatan berlangsung dilakukan pengamatan terhadap peristiwa yang ditemui selama penelitian sesuai dengan lembar observasi. Pada pelaksanaan tindakan II nilai kognitif siswa diukur melalui ulangan harian di akhir pelaksanaan siklus II, begitu juga untuk kemampuan berpikir kritis. Nilai psikomotor siswa diukur melalui kegiatan percobaan. Nilai afektif siswa diukur melalui keaktifan siswa pada saat proses pembelajaran dengan menggunakan lembar penilaian diri. Hasil pengamatan dari peristiwa tersebut akan dijadikan bahan refleksi untuk perbaikan siklus II. Pelaksanaan pembelajaran diatur sebagai berikut. 1) Pertemuan I Tahap pendahuluan (10 menit) Pada tahap penyajian materi Azas Black, guru menunjukkan demonstrasi singkat menggunakan air panas dan air dingin yang dicampur dan memberikan
  • 34.
    33 permasalahan kepadasiswa kemudian guru mengemukakan tujuan pembelajaran dan prosedur kegiatan yang akan dilakukan oleh siswa. Tahap inti (70 menit) Pada tahap ini guru membagi kelas menjadi 8 kelompok dan masing- masing kelompok terdiri dari 5 siswa. Guru membagikan LKS Azas Black kepada siswa untuk melaksanakan kegiatan praktikum. Setelah praktikum, siswa disuruh berdiskusi dengan teman satu kelompok untuk menjawab pertanyaan yang ada pada LKS. Selanjutnya perwakilan dua kelompok disuruh untuk mempresentasikan hasil diskusinya ke depan. Guru memberi kesempatan kepada kelompok lain untuk menanggapi hasil presentasi dan memberikan penguatan. Guru mengajak siswa menerapkan konsep yang telah diperoleh untuk menjawab pertanyaan saat demonstrasi di awal.Setelah itu, guru memberikan permasalahan baru dalam kehidupan sehari-hari dari konsep yang dipelajari. Guru memberikan soal tes untuk memperdalam pemahaman siswa serta membahas soal tersebut. Guru melakukan refleksi dari hasil pembelajaran dan membenarkan konsep yang benar dan menyalahkan konsep yang salah. Tahap penutup (10 menit) Guru membimbing siswa membuat kesimpulan tentang apa saja yang sudah dipelajari. Selanjutnya guru memberikan tugas kepada siswa berupa soal dan menutupnya dengan salam. 2) Pertemuan II Tahap pendahuluan (10 menit) Pada tahap penyajian materi perpindahan kalor, guru menunjukkan demonstrasi singkat menggunakan sendok yang dipanaskan dan memberikan
  • 35.
    34 permasalahan kepadasiswa kemudian guru mengemukakan tujuan pembelajaran dan prosedur kegiatan yang akan dilakukan oleh siswa. Tahap inti (70 menit) Pada tahap ini guru membagi kelas menjadi 8 kelompok dan masing- masing kelompok terdiri dari 5 siswa. Guru membagikan LKS perpindahan kalor listrik kepada siswa untuk melaksanakan kegiatan praktikum. Setelah praktikum, siswa disuruh berdiskusi dengan teman satu kelompok untuk menjawab pertanyaan yang ada pada LKS. Selanjutnya perwakilan dua kelompok disuruh untuk mempresentasikan hasil diskusinya ke depan. Guru memberi kesempatan kepada kelompok lain untuk menanggapi hasil presentasi dan memberikan penguatan. Guru mengajak siswa menerapkan konsep yang telah diperoleh untuk menjawab pertanyaan saat demonstrasi di awal.Setelah itu, guru memberikan permasalahan baru dalam kehidupan sehari-hari dari konsep yang dipelajari. Guru memberikan soal tes untuk memperdalam pemahaman siswa serta membahas soal tersebut. Guru melakukan refleksi dari hasil pembelajaran dan membenarkan konsep yang benar dan menyalahkan konsep yang salah. Tahap penutup (10 menit) Guru membimbing siswa membuat kesimpulan tentang apa saja yang sudah dipelajari. Selanjutnya guru memberikan tugas kepada siswa berupa soal dan menyuruh siswa untuk mempelajari lagi materi-materi pertemuan I dan II karena pertemuan selanjutnya diadakan tes dan menutupnya dengan salam. c. Pengamatan (Observation)
  • 36.
    35 Observasi dilakukanselama proses pembelajaran berlangsung. Pada tahap ini dilakukan observasi terhadap kegiatan guru dan kegiatan belajar siswa selama pembelajaran berlangsung. d. Refleksi (Reflection) Berdasarkan data yang diperoleh dari tindakan II, maka data tersebut diolah atau dianalisis, kemudian disesuiakan dengan indikator keberhasilan yang telah ditentukan. Apabila hasil yang didapatkan belum mencapai indikator keberhasilan, maka perlu dilakukan siklus berikutnya sampai hasil yang diperoleh mencapai indikator keberhasilan atau belum. Jadwal penelitian selengkapnya disajikan pada Lampiran …. Pelaksanaan penelitian hanya dilakukan dalam dua siklus karena keterbatasan waktu penelitian.