Lecture Notes

The Black-Litterman model in the light of Bayesian
                portfolio analysis

        Parameter Uncertainty and Learning in Dynamic
                     Financial Decisions

                    Daniel A. Bruggisser
                     December 1, 2010
Agenda

1. Introduction

2. Bayesian portfolio analysis

3. The mixed estimation model

4. The Black-Litterman model

5. Relating the Black-Litterman model to shrinkage estimation

6. Conclusion




                                                                2
Introduction

• Parameter uncertainty is ubiquitous in finance.

• Given that the observation history is rarely a good predictor of the future and that
  certain parameters such as the mean of asset returns are difficult to estimate with
  precision, it is evident that information other than the sample statistics of past
  observations may be very useful in a portfolio selection context.

• Such non-sample information may include fundamental analysis and the beliefs in
  a certain economic model such as market efficiency or equilibrium pricing.

• The Black-Litterman model is an application of Bayesian mixed estimation. It is
  deeply rooted in the theory of Bayesian analysis.

• The Balck-Litterman model allows the investor to combine two sources of infor-
  mation: (1) The market equilibrium risk prima; (2) The investors subjective views
  about some of the assets return forecasts.

                                                                                     3
Bayesian Portfolio Analysis


• The classical portfolio selection problem:1


      max ET [U (WT +1)] = max             U (WT +1)p(rT +1|θ)drT +1             (1)
        ω                         ω    Ω
                                                f                    f
            s.t.    WT +1 = WT ω ′ exp(rT +1 + rT ) + (1 − ι′ω) exp(rT ) , (2)


  where Ω is the sample space, U (WT +1) is a utility function, WT +1 is the wealth
  at time T + 1, θ is a set parameters, ω are portfolio weights, p(rT +1|θ) is the
                              f
  sample density of returns, rT is the risk free rate, and ι is a vector of ones. The
  column vectors ι, ω and rT +1 are of the same dimension.


• The parameter vector θ is assumed to be known to the investor. However, some
  parameters are estimates and subject to parameter uncertainty.

                                                                                    4
• Bayesian portfolio selection problem:2


      max ET [U (WT +1)] = max             U (WT +1)p(rT +1|ΦT )drT +1,           (3)
        ω                         ω    Ω
                                                f                    f
            s.t.    WT +1 = WT ω ′ exp(rT +1 + rT ) + (1 − ι′ω) exp(rT ) , (4)


  where ΦT is the information available up to time T , and p(rT +1|ΦT ) is the
  Bayesian predictive distribution (density) of asset returns.



• Conditioning takes place on ΦT instead of essentially uncertain parameters θ.



• There are many ways to derive the Bayesian predictive distribution depending on
  the model at hand, the choice of the prior distribution of uncertain quantities, and
  the information the investor assumes as known.

                                                                                     5
• Bayesian decomposition, Bayes′ rule and Fubini′s theorem:3


     ET [U (WT +1)] =          U (WT +1)p(rT +1|ΦT )drT +1                           (5)
                           Ω

                      =             U (WT +1)p(rT +1, θ|ΦT )d(drT +1, θ)
                           Ω×Θ

                      =             U (WT +1)p(rT +1|θ)p(θ|ΦT )dθdrT +1
                           Ω    Θ

                      =        U (WT +1)          p(rT +1|θ)p(ΦT |θ)p(θ)dθ drT +1,
                           Ω                  Θ


  where Θ is the parameter space, p(rT +1, θ|ΦT ) is the joint density of parameters
  and realizations, p(θ|ΦT ) is the posterior density, p(ΦT |θ) is the conditional
  likelihood, and p(θ) is the prior density of the parameters.




                                                                                       6
The mixed estimation model
• Mixed estimation allows the investor to combine different sources of information.4
  Let the sample density of returns be given a multivariate normal density

                               p(rt|µ, Σ) = N µ, Σ ,                             (6)

  and assume that the prior density for the m × 1 vector of means µ also has
  multivariate normal density with

                                p(µ) = N (m0, Λ0) .                              (7)

  The investor expresses views about µ by imposing

                                p(v|µ) = N (Pµ, Ω) ,                             (8)

  where P is an n×m design matrix that selects and combines returns into portfolios
  about which the investor is able to express his views. v is a n × 1 vector of views
  and the n × n matrix Ω expresses the uncertainty of those views.

                                                                                    7
Applying Bayes′ rule, the posterior of µ given the investors views v is then

                           p(µ|v) ∝ p(v|µ)p(µ).                                 (9)


It emerges that the posterior of µ updated by the views v is (see Appendix 1 for
a proof)

            p(µ|v) = N (mv , Λv )                                              (10)
                                              −1
                mv    =    Λ−1 + P′Ω−1 P
                            0                          Λ−1 m0 + P′Ω−1v
                                                        0
                                              −1
                Λv    =    Λ−1 + P′Ω−1 P
                            0                      .

Then, the predictive density of one period ahead returns is obtained by integrating
over the unknown parameter µ


                   p(rT +1|v, Σ) =       p(rT +1|µ, Σ)p(µ|v)dµ,                (11)
                                     Θ

                                                                                  8
which can be shown to result in (see Appendix 1 for a proof)

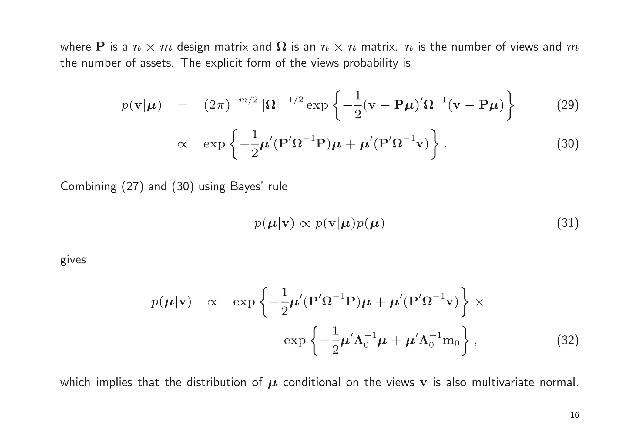
                        p(rT +1|v, Σ) = N mv , Σ + Λv .                       (12)


An interesting effect of parameter uncertainty is that in the long-run (buy-and-hold
investor), assets are viewed riskier than at short-sight. It can be shown that the
k-period predictive density is (see Appendix 1 for a proof)

                     p(rT +k |v, Σ) = N (kmv , kΣ + k 2Λv ).                  (13)

This effect of parameter uncertainty has first been noted by Barberis (2000).




                                                                                  9
Black-Litterman model

• The Black-Litterman model
  Black & Litterman (1992) suggest using the market equilibrium model as a prior
  obtained by reverse optimization5

                                 µequ = γΣω ∗ ,
                                            mkt                             (14)

  where γ is the risk aversion of a power utility investor and ω ∗ are the market
                                                                 mkt
  portfolio weights (fractions of the market capitalization). Black & Litterman
  assume a natural conjugate prior for the vector of means such that

                              p(µ) = N µequ, λ0Σ .                          (15)

  The investor expresses views about µ by imposing

                              p(v|µ) = N (Pµ, Ω) .                          (16)

                                                                               10
It follows that the posterior of µ updated by the views is

        p(µ|v) = N (mv , Λv )                                                             (17)
                                                   −1
                               −1         −1                        −1
            mv    =    (λ0Σ)         ′
                                    +PΩ        P            (λ0Σ)        µequ + P′ Ω−1v   (18)
                                                   −1
                               −1    ′    −1
            Λv    =    (λ0Σ)        +PΩ        P        .                                 (19)


  Then, the Bayesian predictive density of one period ahead returns is obtained by
  the same argument as in mixed estimation (see Appendix 1 for a proof)6

                          p(rT +1|v, Σ) = N mv , Σ + Λv                                   (20)

  and the k-period predictive density is again

                       p(rT +k |v, Σ) = N (kmv , kΣ + k 2Λv ).                            (21)

• An example of the Black-Litterman model is given in Appendix 2.

                                                                                            11
Relating the Black-Litterman model to shrinkage estimation

• The Black-Litterman model can be aligned to shrinkage estimation by matrix
  algebra.7
  If P and Ω are m × m with full rank (n = m), and v is an m × 1 vector, the
  mean of the posterior in (18) can be written in shrinkage form:

                         µv = δµequ + (I − δ)(P′P)−1 P′v,                           (22)

  where I is an m × m identity matrix with principal diagonal elements of one and
  zero elsewhere. δ is called the posterior shrinkage factor. It can be shown that8

                                       −1
                   −1
  δ =      (λ0Σ)         ′
                        +PΩ   −1
                                   P        (λ0Σ)−1                                 (23)
                                                               −1
      =    [prior covariance]−1 + [conditional covariance]−1        [prior covariance]−1
      = [posterior covariance][prior covariance]−1.


                                                                                       12
Conclusion (1)

• Bayesian portfolio analysis has a long tradition in finance.

• Given that the observation history is rarely a good predictor of the future, it is
  evident that information other than the sample statistics of past observations may
  be very useful in a portfolio selection context.

• Furthermore, portfolio choices are by nature subjective decisions and not objective
  inference problems as the mainstream literature on portfolio choice might suggest.
  Therefore, there is no need to facilitate comparison.9

• The mixed estimation model and the Black-Litterman model in particular allow
  the investor to combine different sources of information.

• If the investor uses the market equilibrium risk prima as a prior, the mixed
  estimation model is the Black-Litterman model.

                                                                                   13
• Portfolios constructed from Black-Litterman model exhibit overall more stability
  in the optimal allocation decision compared to the case where sample statistics
  are used.




                                                                                14
Appendix 1: Proof of mixed estimation
• Derivation of the posterior

  The proof follows Satchell & Scowcroft (2000), Scowcroft & Sefton (2003), and Theil & Goldberger
  (1961). The prior on the m × 1 vector of means µ is multivariate normal such that

                                           p(µ) = N (m0 , Λ0)                                (24)

  where m0 is a m × 1 vector and Λ0 is a m × m and matrix assumed non-singular. In explicit
  form, the prior can be written as

                            −m/2       −1/2          1        ′ −1
         p(µ)    =    (2π)         |Λ0 |      exp   − (µ − m0) Λ0 (µ − m0 )                  (25)
                                                     2
                            −m/2       −1/2          1 ′ −1     ′ −1    1 ′ −1
                 =    (2π)         |Λ0 |      exp   − µ Λ0 µ + µ Λ0 m0 − µ0Λ0 µ0             (26)
                                                     2                  2
                              1
                 ∝    exp    − µ′Λ−1µ + µ′Λ−1m0
                                  0        0              .                                  (27)
                              2

  The probability density of the views is also multivariate normal

                                           p(v|µ) = N (Pµ, Ω)                                (28)

                                                                                                15
where P is a n × m design matrix and Ω is an n × n matrix. n is the number of views and m
the number of assets. The explicit form of the views probability is

                                         −1/2          1
           p(v|µ)    =    (2π)−m/2 |Ω|          exp   − (v − Pµ)′ Ω−1(v − Pµ)              (29)
                                                       2
                                  1 ′ ′ −1       ′  ′ −1
                     ∝    exp    − µ (P Ω P)µ + µ (P Ω v)             .                    (30)
                                  2

Combining (27) and (30) using Bayes’ rule

                                   p(µ|v) ∝ p(v|µ)p(µ)                                     (31)

gives

                                       1
                p(µ|v)     ∝    exp   − µ′(P′ Ω−1P)µ + µ′(P′ Ω−1v)          ×
                                       2
                                                  1
                                         exp     − µ′Λ−1µ + µ′Λ−1m0
                                                      0        0            ,              (32)
                                                  2

which implies that the distribution of µ conditional on the views v is also multivariate normal.

                                                                                              16
Collecting terms in (32), it follows that

                    p(µ|v)     =       N (mv , Λv )                                                          (33)
                                                                   −1
                                         −1           ′   −1                    −1             ′    −1
                         mv    =        Λ0       +PΩ           P            Λ0 m0 + P Ω                  v   (34)
                                                                   −1
                                            −1        ′   −1
                         Λv    =        Λ0 + P Ω               P        .                                    (35)


• Derivation of the shrinkage form

  If P and Ω are m × m with full rank (n = m), and v is an m × 1 vector, the above posterior
  can be brought into shrinkage form by expanding the last term in (34) by P(P′P)−1 P′. Then10
                                                 −1
                         −1        ′   −1                 −1                ′   −1         ′   −1    ′
               mv =     Λ0    +PΩ           P         Λ0 m0 + P Ω                    P(P P)         Pv       (36)

  has shrinkage form and can be written11

                               mv       =        δ m0 + (I − δ)(P′ P)−1P′v                                   (37)
                                                                                −1
                                                   −1          ′   −1                 −1
                                 δ      =         Λ0      +PΩ           P            Λ0 .                    (38)



                                                                                                               17
• Derivation of the Bayesian predictive density

  The Bayesian predictive density of one period ahead returns is obtained by integrating over the
  unknown parameter µ

                           p(rT +1 |v, Σ) =       p(rT +1 |µ, Σ)p(µ|v)dµ,                   (39)
                                              Θ

  which can be shown to result in

                                 p(rT +1 |v, Σ) = N mv , Σ + Λv .                           (40)


  We can avoid the tedious effort of integration by making use of the well known properties of
  multivariate normal densities. Note that p(rT +1 |µ, Σ) = N µ, Σ) and p(µ|v) = N (mv , Λv ).
  Therefore, the partitioned matrix for the joint movement of rT +1 and µ is

                           µ                       mv         Λv    H12
                                 v, Σ ∼ N                ,                   .              (41)
                         rT +1                     mv         H21   H22

  The following equality must hold for the mean of the conditional density p(rT +1 |µ, Σ)

                                    µ ≡ mv + H21 Λ−1(µ − mv )
                                                  v                                         (42)

                                                                                               18
and therefore H21 = Λv . By symmetry of the covariance H12 = Λv . Furthermore, because
                                                           −1
                                      Σ ≡ H22 − Λv Λv Λv                                     (43)

  it is clear that H22 = Σ + Λv
  The complete partitioned matrix is then (Bauwens, Lubrano & Richard, 1999, p. 300)

                         µ                       mv             Λv     Λv
                               v, Σ ∼ N                ,                      .              (44)
                       rT +1                     mv             Λv   Σ + Λv

  and therefore
                                p(rT +1 |v, Σ) = N mv , Σ + Λv .                             (45)

• k-period predictiv density. The argument is that the k-period sample density is p(rT +k |µ, Σ) =
  N (kµ, kΣ) and the posterior density of µ is given by p(µ|v) = N (mv , Λv ), then, the Bayesian
  predictive density is obtained from solving the integral

                        p(rT +k |v, Σ) =       p(rT +k |µ, Σ)p(µ|v)dµ.                       (46)
                                           Θ

  It can be shown by the same argument as for the one period case, that the k-period predictive
  density
                            p(rT +k |v, Σ) = N (kmv , kΣ + k2 Λv ).                       (47)

                                                                                                19
Appendix 2: Example
• The Black-Litterman model and the idea of implied equilibrium risk premia is best illustrated
  through an example.

• The investor is given the following descriptive statistics of six portfolios of all AMEX, NASDAQ
  and NYSE stocks sorted by their market capitalization and book-to-market ratio.12

                              Table 1: Descriptive statistics
  Size     Book to      Historical   Volatility   Correlations
           Market     risk premia
  Small    Low            5.61%      24.56%           1
  Small    Medium        12.75%      17.01%       0.926        1
  Small    High          14.36%      16.46%       0.859    0.966       1
  Big      Low            9.72%      17.07%       0.784    0.763   0.711        1
  Big      Medium        10.59%      15.05%       0.643    0.768   0.763    0.847        1
  Big      High          10.44%      13.89%       0.555    0.698   0.735    0.753    0.913



• The investor calculates equilibrium risk premia implied by market capitalization weights for

                                                                                                20
preferences with different levels of risk aversion γ .13

                               Table 2: Equilibrium risk prima
     Size     Book to      Market      Equilibrium risk prima                             Historical
              Market       weight      γ = 1 γ = 2.5          γ=5          γ = 7.5      risk premia
     Small    Low          2.89%       3.07%       7.69% 15.37%            23.06%           5.61%
     Small    Medium       3.89%       2.21%       5.52% 11.03%            16.55%          12.75%
     Small    High         2.21%       2.04%       5.11% 10.22%            15.33%          14.36%
     Big      Low         59.07%       2.62%       6.55% 13.10%            19.64%           9.72%
     Big      Medium      23.26%       2.18%       5.44% 10.88%            16.32%          10.59%
     Big      High         8.60%       1.97%       4.91%      9.83%        14.74%          10.44%



• A striking result of Table 2 is the differences that exist between market equilibrium risk prima and
  historical risk prima.

• For some reasons, the investor beliefs that the market has γ = 2.5 and expresses his personal
  views identical to historical evidence, that is, the historical risk prima. Furthermore, his uncertainty
  about these views is the historical variance. His confidence in market equilibrium is quite strong,
  so he chooses to set λ0 = 1/T , with T = 20 years, the length of the observation history.14

                                                                                                        21
• The views of the investor translate into the following matrices:

                                                                               
                                1   0   0    0   0   0                   0.0561
                         
                               0   1   0    0   0   0   
                                                         
                                                                
                                                                        0.1275   
                                                                                  
                                0   0   1    0   0   0                   0.1436
                                                                               
                       P=                               ,   v=                          (48)
                                                                               
                                0   0   0    1   0   0                   0.0972
                                                                                  
                                                                               
                                0   0   0    0   1   0                   0.1059
                                                                               
                                                                               
                                0   0   0    0   0   1                   0.1044


                                                                                      
                         0.0603        0        0           0           0        0
                 
                           0       0.0289      0           0           0        0     
                                                                                       
                            0          0     0.0271         0           0        0
                                                                                      
               Ω=                                                                         (49)
                                                                                      
                            0          0        0        0.0291         0        0
                                                                                       
                                                                                      
                            0          0        0           0        0.0227      0
                                                                                      
                                                                                      
                            0          0        0           0           0     0.0193



  Using equations (17)-(19), the investor calculates the posterior of µ given the views: With

                                                                                             22
equilibrium risk premium µequ and Σ given by
                                                                                             
               0.0769            0.0603        0.0387    0.0347    0.0329    0.0238    0.0189
              0.0552          0.0387        0.0289    0.0270    0.0222    0.0197    0.0165   
                                                                                             
               0.0511           0.0347        0.0270    0.0271    0.0200    0.0189    0.0168
                                                                                             
µequ   =               , Σ =                                                                 ,
                                                                                              
              0.0655          0.0329        0.0222    0.0200    0.0291    0.0218    0.0179   
               0.0544           0.0238        0.0197    0.0189    0.0218    0.0227    0.0191
                                                                                             
                                                                                              
               0.0491            0.0189        0.0165    0.0168    0.0179    0.0191    0.0193

the posterior is p(µ|v) = N (mv , Λv ) with
                                                                                              
           0.0901                     0.0025    0.0016    0.0014    0.0013    0.0009    0.0007
     
          0.0657       
                        
                                  
                                     0.0016    0.0012    0.0011    0.0009    0.0008    0.0006   
                                                                                                 
           0.0614                     0.0014    0.0011    0.0011    0.0008    0.0007    0.0007
                                                                                              
µv =                   ,   Λv =                                                               .
                                                                                              
          0.0751                   0.0013    0.0009    0.0008    0.0012    0.0009    0.0007   
           0.0638                     0.0009    0.0008    0.0007    0.0009    0.0009    0.0008
                                                                                              
                                                                                              
           0.0542                     0.0007    0.0006    0.0007    0.0007    0.0008    0.0008


The investor then calculates his optimal portfolio holdings implied by the Bayesian predictive
distribution
                             p(rT +1 |v, Σ) = N (mv , Σ + Λv )                           (50)

                                                                                                 23
• Table 3 presents the portfolios held by the investor for different assumed models: (1) ω mkt if he
  holds the market portfolio, (2) ω BL if he uses the Black-Litterman model with views as described
  above, (3) ω hist if he uses historical risk prima.


                               Table 3: Optimal portfolios
                     Size     Book to    Optimal portfolio holdings
                              Market       ω mkt        ω BL          ω hist
                     Small    Low         2.89%      1.55% −206.46%
                     Small    Medium      3.89%      7.57%         246.60%
                     Small    High        2.21%      6.23%          65.79%
                     Big      Low        59.07% 50.41%             133.02%
                     Big      Medium     23.26% 22.68% −120.83%
                     Big      High        8.60% 11.56%            −18.12%



• Portfolio weights obtained with historical means take extreme positions, either short-selling or
  excessive buying of only a few stocks. The portfolio weights obtained by the Black-Litterman
  model are more stable and can be better matched with market equilibrium holdings.



                                                                                                 24
Footnotes
   1
       See, e.g., Campbell & Viceira (2003, p. 22), Barberis (2000).

   2
       See, e.g., Barberis (2000), Kandel & Stambaugh (1996, p. 388), Rachev et al. (2008, p. 96), Wachter (2007, p. 14).

   3
    See Barberis (2000), Brandt (2010, p. 308), Brown (1976, 1978), Kandel & Stambaugh (1996, p. 388), Klein & Bawa
(1976), Pstor (2000), Skoulakis (2007, p. 7), and Zellner & Chetty (1965).

   4
    Mixed estimation is attributed to the work of Theil & Goldberg (1961). It is also presented in Brandt (2010, p. 313),
Satchell & Scowcroft (2000), Scowcroft & Sefton (2003). The Black & Litterman (1992) model is a special case of mixed
estimation.

   5
   Note that Black & Litterman (1992) assume simple returns. The exact formula for power utility and continuously
compounded excess returns is µequ = γ Σω ∗          2
                                           mkt − σ /2 (see Campbell & Viceira, 2003, p. 30). The optimal
                                                               1−γ
allocation for a power utility investor with U (WT +1 ) = WT +1 /(1 − γ) and continuously compounded excess returns
is ω = γ Σ µ + σ 2 /2 , where σ 2 is the vector of the diagonal elements of Σ. However, for short investment horizon,
         1

the optimal allocation will not be significantly different for continuously compounded excess returns.

   6
       See also Rachev et al. (2008, p. 148).

   7
     Posterior shrinkage is a generalization of the Bayes-Stein estimator (Jorion, 1986) and is a direct result from
reformulating the posterior obtained by an informative prior in shrinkage form.

   8
       See, e.g., Greene (2008, p. 607), Hoff (2009, p. 108), Koop, Poirier & Tobias (2007, p. 26).


                                                                                                                       25
9
       See Brandt (2010, p. 311).

  10
       See Rachev et al. (2008, p. 146).

  11
       See, e.g., Greene (2008, p. 607), Hoff (2009, p. 108), Koop, Poirier & Tobias (2007, p. 26).

  12
    The values of the example are taken from Brandt (2010) who uses monthly data from January 1983 through December
2003.

  13
    The values of the example are taken from Brandt (2010) who uses monthly data from January 1983 through December
2003.

  14
    See Rachev et al. (2008, p. 147), who also use λ0 = 1/T . Note that the view forecasts are assumed to be
independent. Therefore, Ω is a diagonal matrix.




                                                                                                                 26

The Black-Litterman model in the light of Bayesian portfolio analysis

  • 1.
    Lecture Notes The Black-Littermanmodel in the light of Bayesian portfolio analysis Parameter Uncertainty and Learning in Dynamic Financial Decisions Daniel A. Bruggisser December 1, 2010
  • 2.
    Agenda 1. Introduction 2. Bayesianportfolio analysis 3. The mixed estimation model 4. The Black-Litterman model 5. Relating the Black-Litterman model to shrinkage estimation 6. Conclusion 2
  • 3.
    Introduction • Parameter uncertaintyis ubiquitous in finance. • Given that the observation history is rarely a good predictor of the future and that certain parameters such as the mean of asset returns are difficult to estimate with precision, it is evident that information other than the sample statistics of past observations may be very useful in a portfolio selection context. • Such non-sample information may include fundamental analysis and the beliefs in a certain economic model such as market efficiency or equilibrium pricing. • The Black-Litterman model is an application of Bayesian mixed estimation. It is deeply rooted in the theory of Bayesian analysis. • The Balck-Litterman model allows the investor to combine two sources of infor- mation: (1) The market equilibrium risk prima; (2) The investors subjective views about some of the assets return forecasts. 3
  • 4.
    Bayesian Portfolio Analysis •The classical portfolio selection problem:1 max ET [U (WT +1)] = max U (WT +1)p(rT +1|θ)drT +1 (1) ω ω Ω f f s.t. WT +1 = WT ω ′ exp(rT +1 + rT ) + (1 − ι′ω) exp(rT ) , (2) where Ω is the sample space, U (WT +1) is a utility function, WT +1 is the wealth at time T + 1, θ is a set parameters, ω are portfolio weights, p(rT +1|θ) is the f sample density of returns, rT is the risk free rate, and ι is a vector of ones. The column vectors ι, ω and rT +1 are of the same dimension. • The parameter vector θ is assumed to be known to the investor. However, some parameters are estimates and subject to parameter uncertainty. 4
  • 5.
    • Bayesian portfolioselection problem:2 max ET [U (WT +1)] = max U (WT +1)p(rT +1|ΦT )drT +1, (3) ω ω Ω f f s.t. WT +1 = WT ω ′ exp(rT +1 + rT ) + (1 − ι′ω) exp(rT ) , (4) where ΦT is the information available up to time T , and p(rT +1|ΦT ) is the Bayesian predictive distribution (density) of asset returns. • Conditioning takes place on ΦT instead of essentially uncertain parameters θ. • There are many ways to derive the Bayesian predictive distribution depending on the model at hand, the choice of the prior distribution of uncertain quantities, and the information the investor assumes as known. 5
  • 6.
    • Bayesian decomposition,Bayes′ rule and Fubini′s theorem:3 ET [U (WT +1)] = U (WT +1)p(rT +1|ΦT )drT +1 (5) Ω = U (WT +1)p(rT +1, θ|ΦT )d(drT +1, θ) Ω×Θ = U (WT +1)p(rT +1|θ)p(θ|ΦT )dθdrT +1 Ω Θ = U (WT +1) p(rT +1|θ)p(ΦT |θ)p(θ)dθ drT +1, Ω Θ where Θ is the parameter space, p(rT +1, θ|ΦT ) is the joint density of parameters and realizations, p(θ|ΦT ) is the posterior density, p(ΦT |θ) is the conditional likelihood, and p(θ) is the prior density of the parameters. 6
  • 7.
    The mixed estimationmodel • Mixed estimation allows the investor to combine different sources of information.4 Let the sample density of returns be given a multivariate normal density p(rt|µ, Σ) = N µ, Σ , (6) and assume that the prior density for the m × 1 vector of means µ also has multivariate normal density with p(µ) = N (m0, Λ0) . (7) The investor expresses views about µ by imposing p(v|µ) = N (Pµ, Ω) , (8) where P is an n×m design matrix that selects and combines returns into portfolios about which the investor is able to express his views. v is a n × 1 vector of views and the n × n matrix Ω expresses the uncertainty of those views. 7
  • 8.
    Applying Bayes′ rule,the posterior of µ given the investors views v is then p(µ|v) ∝ p(v|µ)p(µ). (9) It emerges that the posterior of µ updated by the views v is (see Appendix 1 for a proof) p(µ|v) = N (mv , Λv ) (10) −1 mv = Λ−1 + P′Ω−1 P 0 Λ−1 m0 + P′Ω−1v 0 −1 Λv = Λ−1 + P′Ω−1 P 0 . Then, the predictive density of one period ahead returns is obtained by integrating over the unknown parameter µ p(rT +1|v, Σ) = p(rT +1|µ, Σ)p(µ|v)dµ, (11) Θ 8
  • 9.
    which can beshown to result in (see Appendix 1 for a proof) p(rT +1|v, Σ) = N mv , Σ + Λv . (12) An interesting effect of parameter uncertainty is that in the long-run (buy-and-hold investor), assets are viewed riskier than at short-sight. It can be shown that the k-period predictive density is (see Appendix 1 for a proof) p(rT +k |v, Σ) = N (kmv , kΣ + k 2Λv ). (13) This effect of parameter uncertainty has first been noted by Barberis (2000). 9
  • 10.
    Black-Litterman model • TheBlack-Litterman model Black & Litterman (1992) suggest using the market equilibrium model as a prior obtained by reverse optimization5 µequ = γΣω ∗ , mkt (14) where γ is the risk aversion of a power utility investor and ω ∗ are the market mkt portfolio weights (fractions of the market capitalization). Black & Litterman assume a natural conjugate prior for the vector of means such that p(µ) = N µequ, λ0Σ . (15) The investor expresses views about µ by imposing p(v|µ) = N (Pµ, Ω) . (16) 10
  • 11.
    It follows thatthe posterior of µ updated by the views is p(µ|v) = N (mv , Λv ) (17) −1 −1 −1 −1 mv = (λ0Σ) ′ +PΩ P (λ0Σ) µequ + P′ Ω−1v (18) −1 −1 ′ −1 Λv = (λ0Σ) +PΩ P . (19) Then, the Bayesian predictive density of one period ahead returns is obtained by the same argument as in mixed estimation (see Appendix 1 for a proof)6 p(rT +1|v, Σ) = N mv , Σ + Λv (20) and the k-period predictive density is again p(rT +k |v, Σ) = N (kmv , kΣ + k 2Λv ). (21) • An example of the Black-Litterman model is given in Appendix 2. 11
  • 12.
    Relating the Black-Littermanmodel to shrinkage estimation • The Black-Litterman model can be aligned to shrinkage estimation by matrix algebra.7 If P and Ω are m × m with full rank (n = m), and v is an m × 1 vector, the mean of the posterior in (18) can be written in shrinkage form: µv = δµequ + (I − δ)(P′P)−1 P′v, (22) where I is an m × m identity matrix with principal diagonal elements of one and zero elsewhere. δ is called the posterior shrinkage factor. It can be shown that8 −1 −1 δ = (λ0Σ) ′ +PΩ −1 P (λ0Σ)−1 (23) −1 = [prior covariance]−1 + [conditional covariance]−1 [prior covariance]−1 = [posterior covariance][prior covariance]−1. 12
  • 13.
    Conclusion (1) • Bayesianportfolio analysis has a long tradition in finance. • Given that the observation history is rarely a good predictor of the future, it is evident that information other than the sample statistics of past observations may be very useful in a portfolio selection context. • Furthermore, portfolio choices are by nature subjective decisions and not objective inference problems as the mainstream literature on portfolio choice might suggest. Therefore, there is no need to facilitate comparison.9 • The mixed estimation model and the Black-Litterman model in particular allow the investor to combine different sources of information. • If the investor uses the market equilibrium risk prima as a prior, the mixed estimation model is the Black-Litterman model. 13
  • 14.
    • Portfolios constructedfrom Black-Litterman model exhibit overall more stability in the optimal allocation decision compared to the case where sample statistics are used. 14
  • 15.
    Appendix 1: Proofof mixed estimation • Derivation of the posterior The proof follows Satchell & Scowcroft (2000), Scowcroft & Sefton (2003), and Theil & Goldberger (1961). The prior on the m × 1 vector of means µ is multivariate normal such that p(µ) = N (m0 , Λ0) (24) where m0 is a m × 1 vector and Λ0 is a m × m and matrix assumed non-singular. In explicit form, the prior can be written as −m/2 −1/2 1 ′ −1 p(µ) = (2π) |Λ0 | exp − (µ − m0) Λ0 (µ − m0 ) (25) 2 −m/2 −1/2 1 ′ −1 ′ −1 1 ′ −1 = (2π) |Λ0 | exp − µ Λ0 µ + µ Λ0 m0 − µ0Λ0 µ0 (26) 2 2 1 ∝ exp − µ′Λ−1µ + µ′Λ−1m0 0 0 . (27) 2 The probability density of the views is also multivariate normal p(v|µ) = N (Pµ, Ω) (28) 15
  • 16.
    where P isa n × m design matrix and Ω is an n × n matrix. n is the number of views and m the number of assets. The explicit form of the views probability is −1/2 1 p(v|µ) = (2π)−m/2 |Ω| exp − (v − Pµ)′ Ω−1(v − Pµ) (29) 2 1 ′ ′ −1 ′ ′ −1 ∝ exp − µ (P Ω P)µ + µ (P Ω v) . (30) 2 Combining (27) and (30) using Bayes’ rule p(µ|v) ∝ p(v|µ)p(µ) (31) gives 1 p(µ|v) ∝ exp − µ′(P′ Ω−1P)µ + µ′(P′ Ω−1v) × 2 1 exp − µ′Λ−1µ + µ′Λ−1m0 0 0 , (32) 2 which implies that the distribution of µ conditional on the views v is also multivariate normal. 16
  • 17.
    Collecting terms in(32), it follows that p(µ|v) = N (mv , Λv ) (33) −1 −1 ′ −1 −1 ′ −1 mv = Λ0 +PΩ P Λ0 m0 + P Ω v (34) −1 −1 ′ −1 Λv = Λ0 + P Ω P . (35) • Derivation of the shrinkage form If P and Ω are m × m with full rank (n = m), and v is an m × 1 vector, the above posterior can be brought into shrinkage form by expanding the last term in (34) by P(P′P)−1 P′. Then10 −1 −1 ′ −1 −1 ′ −1 ′ −1 ′ mv = Λ0 +PΩ P Λ0 m0 + P Ω P(P P) Pv (36) has shrinkage form and can be written11 mv = δ m0 + (I − δ)(P′ P)−1P′v (37) −1 −1 ′ −1 −1 δ = Λ0 +PΩ P Λ0 . (38) 17
  • 18.
    • Derivation ofthe Bayesian predictive density The Bayesian predictive density of one period ahead returns is obtained by integrating over the unknown parameter µ p(rT +1 |v, Σ) = p(rT +1 |µ, Σ)p(µ|v)dµ, (39) Θ which can be shown to result in p(rT +1 |v, Σ) = N mv , Σ + Λv . (40) We can avoid the tedious effort of integration by making use of the well known properties of multivariate normal densities. Note that p(rT +1 |µ, Σ) = N µ, Σ) and p(µ|v) = N (mv , Λv ). Therefore, the partitioned matrix for the joint movement of rT +1 and µ is µ mv Λv H12 v, Σ ∼ N , . (41) rT +1 mv H21 H22 The following equality must hold for the mean of the conditional density p(rT +1 |µ, Σ) µ ≡ mv + H21 Λ−1(µ − mv ) v (42) 18
  • 19.
    and therefore H21= Λv . By symmetry of the covariance H12 = Λv . Furthermore, because −1 Σ ≡ H22 − Λv Λv Λv (43) it is clear that H22 = Σ + Λv The complete partitioned matrix is then (Bauwens, Lubrano & Richard, 1999, p. 300) µ mv Λv Λv v, Σ ∼ N , . (44) rT +1 mv Λv Σ + Λv and therefore p(rT +1 |v, Σ) = N mv , Σ + Λv . (45) • k-period predictiv density. The argument is that the k-period sample density is p(rT +k |µ, Σ) = N (kµ, kΣ) and the posterior density of µ is given by p(µ|v) = N (mv , Λv ), then, the Bayesian predictive density is obtained from solving the integral p(rT +k |v, Σ) = p(rT +k |µ, Σ)p(µ|v)dµ. (46) Θ It can be shown by the same argument as for the one period case, that the k-period predictive density p(rT +k |v, Σ) = N (kmv , kΣ + k2 Λv ). (47) 19
  • 20.
    Appendix 2: Example •The Black-Litterman model and the idea of implied equilibrium risk premia is best illustrated through an example. • The investor is given the following descriptive statistics of six portfolios of all AMEX, NASDAQ and NYSE stocks sorted by their market capitalization and book-to-market ratio.12 Table 1: Descriptive statistics Size Book to Historical Volatility Correlations Market risk premia Small Low 5.61% 24.56% 1 Small Medium 12.75% 17.01% 0.926 1 Small High 14.36% 16.46% 0.859 0.966 1 Big Low 9.72% 17.07% 0.784 0.763 0.711 1 Big Medium 10.59% 15.05% 0.643 0.768 0.763 0.847 1 Big High 10.44% 13.89% 0.555 0.698 0.735 0.753 0.913 • The investor calculates equilibrium risk premia implied by market capitalization weights for 20
  • 21.
    preferences with differentlevels of risk aversion γ .13 Table 2: Equilibrium risk prima Size Book to Market Equilibrium risk prima Historical Market weight γ = 1 γ = 2.5 γ=5 γ = 7.5 risk premia Small Low 2.89% 3.07% 7.69% 15.37% 23.06% 5.61% Small Medium 3.89% 2.21% 5.52% 11.03% 16.55% 12.75% Small High 2.21% 2.04% 5.11% 10.22% 15.33% 14.36% Big Low 59.07% 2.62% 6.55% 13.10% 19.64% 9.72% Big Medium 23.26% 2.18% 5.44% 10.88% 16.32% 10.59% Big High 8.60% 1.97% 4.91% 9.83% 14.74% 10.44% • A striking result of Table 2 is the differences that exist between market equilibrium risk prima and historical risk prima. • For some reasons, the investor beliefs that the market has γ = 2.5 and expresses his personal views identical to historical evidence, that is, the historical risk prima. Furthermore, his uncertainty about these views is the historical variance. His confidence in market equilibrium is quite strong, so he chooses to set λ0 = 1/T , with T = 20 years, the length of the observation history.14 21
  • 22.
    • The viewsof the investor translate into the following matrices:     1 0 0 0 0 0 0.0561   0 1 0 0 0 0     0.1275   0 0 1 0 0 0 0.1436     P= , v= (48)     0 0 0 1 0 0 0.0972      0 0 0 0 1 0 0.1059         0 0 0 0 0 1 0.1044   0.0603 0 0 0 0 0   0 0.0289 0 0 0 0   0 0 0.0271 0 0 0   Ω= (49)   0 0 0 0.0291 0 0    0 0 0 0 0.0227 0     0 0 0 0 0 0.0193 Using equations (17)-(19), the investor calculates the posterior of µ given the views: With 22
  • 23.
    equilibrium risk premiumµequ and Σ given by     0.0769 0.0603 0.0387 0.0347 0.0329 0.0238 0.0189  0.0552   0.0387 0.0289 0.0270 0.0222 0.0197 0.0165      0.0511  0.0347 0.0270 0.0271 0.0200 0.0189 0.0168     µequ = , Σ =  ,     0.0655   0.0329 0.0222 0.0200 0.0291 0.0218 0.0179  0.0544  0.0238 0.0197 0.0189 0.0218 0.0227 0.0191        0.0491 0.0189 0.0165 0.0168 0.0179 0.0191 0.0193 the posterior is p(µ|v) = N (mv , Λv ) with     0.0901 0.0025 0.0016 0.0014 0.0013 0.0009 0.0007   0.0657     0.0016 0.0012 0.0011 0.0009 0.0008 0.0006   0.0614 0.0014 0.0011 0.0011 0.0008 0.0007 0.0007     µv =  , Λv =  .      0.0751   0.0013 0.0009 0.0008 0.0012 0.0009 0.0007  0.0638 0.0009 0.0008 0.0007 0.0009 0.0009 0.0008         0.0542 0.0007 0.0006 0.0007 0.0007 0.0008 0.0008 The investor then calculates his optimal portfolio holdings implied by the Bayesian predictive distribution p(rT +1 |v, Σ) = N (mv , Σ + Λv ) (50) 23
  • 24.
    • Table 3presents the portfolios held by the investor for different assumed models: (1) ω mkt if he holds the market portfolio, (2) ω BL if he uses the Black-Litterman model with views as described above, (3) ω hist if he uses historical risk prima. Table 3: Optimal portfolios Size Book to Optimal portfolio holdings Market ω mkt ω BL ω hist Small Low 2.89% 1.55% −206.46% Small Medium 3.89% 7.57% 246.60% Small High 2.21% 6.23% 65.79% Big Low 59.07% 50.41% 133.02% Big Medium 23.26% 22.68% −120.83% Big High 8.60% 11.56% −18.12% • Portfolio weights obtained with historical means take extreme positions, either short-selling or excessive buying of only a few stocks. The portfolio weights obtained by the Black-Litterman model are more stable and can be better matched with market equilibrium holdings. 24
  • 25.
    Footnotes 1 See, e.g., Campbell & Viceira (2003, p. 22), Barberis (2000). 2 See, e.g., Barberis (2000), Kandel & Stambaugh (1996, p. 388), Rachev et al. (2008, p. 96), Wachter (2007, p. 14). 3 See Barberis (2000), Brandt (2010, p. 308), Brown (1976, 1978), Kandel & Stambaugh (1996, p. 388), Klein & Bawa (1976), Pstor (2000), Skoulakis (2007, p. 7), and Zellner & Chetty (1965). 4 Mixed estimation is attributed to the work of Theil & Goldberg (1961). It is also presented in Brandt (2010, p. 313), Satchell & Scowcroft (2000), Scowcroft & Sefton (2003). The Black & Litterman (1992) model is a special case of mixed estimation. 5 Note that Black & Litterman (1992) assume simple returns. The exact formula for power utility and continuously compounded excess returns is µequ = γ Σω ∗ 2 mkt − σ /2 (see Campbell & Viceira, 2003, p. 30). The optimal 1−γ allocation for a power utility investor with U (WT +1 ) = WT +1 /(1 − γ) and continuously compounded excess returns is ω = γ Σ µ + σ 2 /2 , where σ 2 is the vector of the diagonal elements of Σ. However, for short investment horizon, 1 the optimal allocation will not be significantly different for continuously compounded excess returns. 6 See also Rachev et al. (2008, p. 148). 7 Posterior shrinkage is a generalization of the Bayes-Stein estimator (Jorion, 1986) and is a direct result from reformulating the posterior obtained by an informative prior in shrinkage form. 8 See, e.g., Greene (2008, p. 607), Hoff (2009, p. 108), Koop, Poirier & Tobias (2007, p. 26). 25
  • 26.
    9 See Brandt (2010, p. 311). 10 See Rachev et al. (2008, p. 146). 11 See, e.g., Greene (2008, p. 607), Hoff (2009, p. 108), Koop, Poirier & Tobias (2007, p. 26). 12 The values of the example are taken from Brandt (2010) who uses monthly data from January 1983 through December 2003. 13 The values of the example are taken from Brandt (2010) who uses monthly data from January 1983 through December 2003. 14 See Rachev et al. (2008, p. 147), who also use λ0 = 1/T . Note that the view forecasts are assumed to be independent. Therefore, Ω is a diagonal matrix. 26