Poly Methyl Methacrylate
What is PMMA?
PMMA - Poly Methyl Methacrylate (C₅O₂H₈)n
It is a thermoplastic and transparent plastic.
Chemically, it is a synthetic polymer of Methyl
Methacrylate
PMMA Pellets
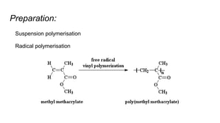
Preparation:
Suspension polymerisation
Radical polymerisation
Transparent Property:
Density of PMMA: 1150 - 1190 kg/m³
Density of Glass: 2400 - 2800 kg/m³
It can transmit 97% of visible light ( 3-mm thickness)
Glass PMMA
Applications:
In Aquariums
Applications:
At residents:
Applications:
Viewing dome in airbus helicopters Exterior lights of automobiles:
Strength properties:
Tensile Strength of PMMA: 70 MPa
Tensile Strength of glass: 27 MPa to 62 MPa
PMMA breaks into large dull - edged pieces
Applications:
Helmet visor: Aircraft Windows Panes
Property:
Daylight Redirection:
PMMA can be used in laser - cut panels to redirect sunlight into a light pipe and
then spread it into a room.
Property:
Orthopaedics:
Bone cement:
Bone cement, a derivative of PMMA,
when mixed with liquid MMA yields a
dough-like cement that gradually
hardens.
It has excellent compatibility with
tissues.
Applications:
Used to affix implants and remodel
lost bones
Few more applications:
Acrylic paint:
Acrylic paint is nothing but
PMMA suspended in water.
Few more applications:
Acrylic glass:
Acrylic glasses are used to make
opaque objects translucent.
Recycling problems:
Requires a lot of energy
Contains toxic contents and potential environmental hazard
Not biodegradable
Recycling methods:
Pyrolysis:
Molecular breakdown of larger
molecules to smaller molecules
At extremely high temperature
In the absence of Oxygen Pyrolysis machine
Recycling methods
Thermal depolymerization:
Heating PMMA until the monomers (C₅O₂H₈) are separate.
Presentation by,
Nirmal Kumar. A
Follow Nirmal on Social Media
FaceBook, Twitter, LinkedIn, Pinterest
Here is Nirmal’s blog,
https://www.onlinerockershub.com/blog
Don’t forget to subscribe to email newsletters.
Nirmal Kumar is a blogger at OnlineRockersHub. He
blogs about blogging, WordPress tutorials, Making
Money Online, Educational Content etc.
Thank you for your attention...

PolyMethyl Methacrylate (PMMA)