Physics and Metaphysics



Written by myself
        by                                                                                                  Dedicated to

Surajit Ghosh                                                                                                   Science
                                                                                                            The Science called Physics

giniexmail@gmail.com                                                                                        Dated: 12/12/2012
                                                                                                            Dated: 12/12/2012


Preface:

When I am writing this, the world of physics is facing lot of puzzles all coming out of the large and small scale structure of the universe. I
believed that the basic problem was drawing the correct picture. I started drawing it 10 years back but had to erase all those. This one I can not
erase from my mind until my death. With this I am in perfect equilibrium, although I know nature works with probabilities any equilibrium is a
                                death.                    perfect
          one.                                            countless
dynamic one. But I just can’t let those sleepless nights, countless cigarettes go astray. 96% uncertainty at quantum level turns out be 96%
deterministic at the universal level, rest 4% uncertainty is the reason the universe cannot have rest.
                     universal

Summary of contents

   •   Classical unification of Newton’s Gravity with Coulombs Law unifying gravity & anti gravity producing gravitational curl.
   •   Neo-
       Neo-Classical unification of Charles Ratio and Fine Structure Ratio, the complementary yin and yang force.
                                                                      Ratio,                                 force.
   •                                                               curvature,                     constant.
       Linking the product of the above two ratio with space time curvature, the cosmological constant.
   •   C onnection between Singularity and Charles Ratio, growth rate, scale of expansion, relativity.
                                                     Ratio,                                   relativity.
                                                                                                lativity
   •                                                                                       Multiverse,
       Explanation to Galaxy rotation, missing mass problem falsifying extra dimension, Multiverse, String theory.
   •                                                                          imageses,
       Relativity Horizon and beyond that, probing reality of Hubble’s UDF imag es, the age & radius of the universe.
   •   Nature
       Nature of Dark matter, Dark energy a double sided error arising out of the gap of scale.
   •   Matter Antimatter symmetry their non destructive interaction to create variety of elements.
                                                                                           elements.
   •   The eternity & infinity of space time arising out of top down singularity in cycle.
Laws governing the Gravity

Two major physical theories which we believe describes gravity are:

    1. Newton’s law of motions and Gravity
    2. Einstein’s General Relativity

Newton’s first law of motion is about inertia of matter which implies unless force is applied a body in rest shall continue to be in rest and a moving body shall continue
to move forever. Later it was understood, as all bodies in the universe are moving, there shall be no place of absolute rest. The lack of absolute rest mean lack of absolute
position, from where one can determine absolute distances of other objects or the absolute time lag between two events that takes place at different time. We stepped into
relativity here itself but understood later when Einstein came out with the broader picture of relativity.

Newton’s second law of motions defines the nature of force, its acceleration on mass of bodies. In a smooth system like space an applied force shall constantly accelerate
bodies for ever results ever increasing velocities with increments equal to the acceleration. This is the reason the force exerted by big bang constantly accelerating the
galaxies further away.

Newton’s third law of motions states that for every action there is always an equal and opposite reaction: or the forces of two bodies on each other are always equal and
are directed in opposite directions. This implies that any object accelerating forward the space time shall feel a negative acceleration called gravity and this gravity is
measured from law of gravity.

According to Newton’s law of universal gravitation, all bodies in the universe are attracted towards each other by a force that is stronger the more massive the bodies and
the closer they are to each other. It is this same force that causes objects to fall to the ground. Newton’s theory of gravity like general relativity (discussed later) also
implied that the universe in which gravity is always attractive, cannot be static, either it has to expand to escape its own gravity or it has to collapse at some point.

Einstein’s Special relativity incorporates the principle that the speed of light is the same for all inertial observers regardless of the state of motion of the source. Special
relativity also predicted that the speed of light is the highest speed limit any object may attain when its rest mass tends to zero. The fundamental postulate of the theory
of relativity, as it was called, was that the laws of science should be the same for all freely moving observers, regardless of their speed. If we extend this we can see that
relativity will not be different from reality i.e. if our measurement of our relative distance, relative time is correct then 5/2,7.5/3, 10/4 would give same result.

Einstein’s General relativity is the geometric theory of gravitation. He transformed three dimensional space into four dimensional Space time, and abandon the idea of
absolute time (absolute time if anything shall remain Gods own Property). He showed that the curvature of space-time is directly related to the energy and momentum
of whatever matter and radiation are present. The relation is specified by the Einstein field equations, a system of partial differential equations. Inspired by static model
of the universe, in his original field equations Einstein introduced a new “antigravity” force, which, unlike other forces, did not come from any particular source but was
built into the very fabric of space-time (a more detailed explanation to Newton’s third law effect on Gravity). When Hubble discovered that the universe is expanding,
the cosmological constant, which he introduced, called the biggest mistake of his life. But cosmological constant was an integral part of the equation inevitable from the
“Space time Relativity” without that special relativity i.e. constant speed of light is not maintained. The beauty of his field equation is that his antigravity or cosmological
constant comes as an addendum to the equation, if in short run, we leave it we see the universe is expanding but in long run we need to add it so that the acceleration is
controlled otherwise the acceleration goes beyond control. This created assignment problem while making CDM model of the universe, with which physical state of mass
or energy this cosmological constant lambda can be associated to. So a new term “Dark energy” was coined and to support its mass “Dark Matter”. The obvious result
came, thousands years of our knowledge got only 4% pie of the bigger picture of our universe.

In Search of Revised Gravitational laws

We may think we know enough about gravity as Newtonian Gravity and General Relativity have not let us down when we send the first rocket or in explaining the
anomalous perihelion shift of planets. Our last job is to find graviton to connect standard model with general relativity. But if we understand the far reaching
consequence of Einstein’s equivalence principle then we will accept the need for some kind of control on the exchange of mass-energy ratio i.e. the speed of light or
critical density ratio, expansion ratio of the universe and the curvature of the space-time. Out of these multiple concepts of one universe we cannot determine which one
is dependent variable which one is independent variable. If we try to do so we encounter chicken-egg problem or hierarchy problem. We know Gravity is pseudo force it
should not exist in reality but still it exists both locally and universally, because it is the culmination of all the fields arising out of exchange of mass-energy and expansion
of the space-time.

To understand Gravity from the scratch let’s go through once again Newton’s law of universal gravitation. After reading several times we shall come across the following
fallacies,

    1. The theory do not explain the origin of gravity, neither it assume any initial condition.
    2. The theory has a tendency to point towards infinity, like the force of gravity is assumed to be infinity in free fall, there shall be potentially infinite number of
       stars to escape the fall. Gravity work on point to point; it does not create a gravitational field.
    3. The theory determines the effect of gravity on planetary system like ours with accuracy, but it does not explain how it works, its nature i.e. being a force how it
       can always be attractive? Or it is the net positive after cancelling the negative? Or there is bottom line for both positive and negative force maintaining a constant
       ratio between the two?
    4. The theory describes many to many relationships, but the equation is restricted to one to one relationship, it’s like “many to many” clue is missing.
    5. The many to many model is not stable and by default collapses to one point and when it collapses Gravity become zero.
    6. The theory cannot explain problem of missing mass calculated by Zwicky in rotation of stars in a galaxy system where unlike planetary system anti gravity plays
       an important role.


Now knowing that our universe is expanding, if we let the many to many relationship fall into one universe, we get the following:


    1. Space must be potentially infinite and perfectly elastic, when matter take its place on the space-time fabric it creates a natural slope so that the lighter matters feel
       gravity towards it, resulting the Universe falling back to its own centre of gravity (As the space is potentially infinite the nearest mass point may serve as centre of
       gravity).The strength of the gravity is directly proportional to mass. It works in the direction of centre of gravity.
2. Presence of energy or energetic matter energizes all the objects in the universe to escape the gravity by squaring its distance from the centre of gravity. It is the
       repulsive gravity resulting from Newton’s third law of motions itself or in Einstein’s language when matter flows towards gravity then space time fabric releases
       equivalent amount of tension in the form of gravitational waves. It works in the opposite direction of centre of gravity.


So basically it’s a split of the original law with two different forces working in two different directions. But as a whole the equations remain same; the gravitational
constant become variable and gets two variable components.

Let’s take a real life example. Its frequently seen among kids playing soccer, when the ball goes to nearby pond, one of the tall guy asks another heavy weight guy to give
a hand, and he literally float his body weight over the pond where both may fall just by balancing one another’s gravity and the first one reaches the ball by stretching his
hand. Doing so, of course they both do some work and losses energy, but roughly the lighter guy do little more work.

In space also lighter galaxies are escaping from gravity with support from heavier galaxies and so on. As in the space there is no fulcrum or holding point like surface of
the earth shown in the example, sliding becomes inevitable by squaring its distance from the centre of gravity. The energy is supplied by chain loss of little mass in
descending order of lighter to heavier galaxies. It also tell us, why the stars have to burn there self in a controlled manner by absorbing little energy from the neighboring
star (as we light up our candle and pass the light back in a religious place).

Now let’s look into antigravity which symmetrically arises from degeneracy pressure of electron in the energy domain. We can transform Newton’s law of universal
gravitation, symmetrically to law of universal antigravity and integrate into revised gravitational laws which shall look like: each body in the universe is repulsed from
every other body by a force that is stronger the more rest energy the bodies carry and apart they are i.e. inverse square of the distance they are to each other. In fact this is
coulombs law / gauss’s law on electromagnetic flux unified by Maxwell. Notable to see that the antigravity proportionately varies with rest energy not rest mass and
inverse square of the distance same as gravity. This is the reason in a field where both gravity and antigravity are present the accumulation of mass need not be centralized
as the gravity component and antigravity component in same distance is cancelled because of their opposite direction.

Now if we merge this two gravity/ antigravity force laws, four individual components then they don’t cancel each other completely rather they coexists according to their
intensity layer by layer. But At large we cannot identify whether a gravitational force felt by any object whether due to gravity or antigravity as they losses their individual
direction (evidence being two pioneers direction, one towards the centre of milky way and the other took opposite direction) leaving a torque or curl effect, which
ultimately determines the curvature of the path the of the whole object driven by these forces.

ga' = Ga’.M/R2--------(1)

ga’’ = Ga’’.E/R2--------(2) OR

ga’’ = Ga’’.M. v2/2R2--------(3)

2. (ga’’/ ga')/ (Ga’’/Ga’) =∆ g dividing 3 by 1, where ∆ g=torque or curl effect on velocity

(ga’’/ ga') represents the coupling constant between gravity and electromagnetic force which causes expansion of space between matter and has value in ascending order
from innermost disk to outermost disk of a galaxy. The value of (ga’’/ ga') ranges from (1/276) to (1/273), followed by Charles empirical constant. (Ga’’/Ga’) represents
the coupling constant between electrostatic force and electromagnetic force which causes the electron to move along the atomic orbital’s at quantum level and also has
value in ascending order from innermost disk to outermost disk of a galaxy. The value of (Ga’’/Ga’) ranges from (1/138.5) to (1/137) followed by Fine structure
Constant.

∆ g =2. (1/276) / (1/138.5) =277/276= 1.003623= k Constant> 1

∆ g =2. (1/273) / (1/137) =274/273= 1.003663= k Constant> 1

So we can see that velocity of a star in a galaxy do not depend on any parameter, it shall follow the galaxy average, masses need not be centralized in a galaxy,
                                                                            parameter,
they can have any position in the continuous gravity chain. Planets may or may not rotate on its own axis, shall depend on the gravitational curl effect on its
                                                        chain.
                                                          density ratio
relative mass. So also our space time curvature, critical density ra tio is just greater than 1 and space time must be curved like a sphere and the universe is built
not to meet any singularity like big crunch i.e. there shall be quantum fluctuation and there shall be no “light off”, galaxies shall recede forever until it
                                                                                                                               galaxies
collapses.
 ollapses.
Hubble’s UDF Images

When Hubble’s telescope brought us its ultra deep field images from distance 13.3 billion light years away, the question arises whether these images are our past or their
present or mix of both? Without knowing the exact space time curvature we cannot determine the origin of the lights. If space time curvature is greater than one then
past light never meets present they are totally internally reflected back to past. On the other hand if space time curvature is less than one then past light enters present
and it creates a bizarre picture of the universe. The weirdness increase as space time flattens. Somehow we are convinced that these are our past lights alone. Mind starts
boggling when we try to reconcile the light path and object path, presence of gravity increases the weirdness as being mass less speed of light should have negligible effect
compared to the effect of gravity on the object path. If the universe is 13.7 billion years old and we are seeing those lights now then straight forward question arise
whether light was sleeping like the rabbit in the race between rabbit and tortoise or gravity gave the galaxies key to wormhole path where they can recede faster than light
without losing any rest mass and gave light path to singularity so that majority of its time are consumed inside the singularity so that ct meets vt now. If we think of
inflation which can stretch 13.7 billion year to 46 billion year then also our initial position must have been poles apart from the centre of big bang, but CMB gives us a
central position pointing towards infinity both side. We were at the central position violating Copernican principle and there was inflation and even after that we are still
at the central position is contradictory. It sound so unbelievable that if this has to be true then edge/unbounded boundary of the universe has to be trillions of light years
away from us that the time 13.7 billion year looks relatively small and it can be worked out without any inflation, in other words established 46/13.7 is according to
original scale valid for the centre of the universal space-time conditions prevailing at the time of origin of the universe. Since then the universe has changed scales
1000(derived later) times. Copernican principle still holds good that there cannot be any preferred position, right time of looking in cosmos then why 46/13.7 alone.
Time dilation cannot be infinitely intensive. If UDF images were from past lights then gravitational lensing would have created multiple images and huge distortion in
the images could not be ruled out. To explain x, y, z three commoving galaxies images may have been formed like (a, x, h), (b, x, q)……… (a, y, h), (b, y, q)……… (a,
z, h), (b, z, q)……… but Hubble’s images are not that much distorted. Actually Hubble’s UDF images appear so real as if there is no difference between relativity and
reality. The reality is we are no more there and our pictures are erased by new pictures and we cannot play it back. Our past, there present, nature doesn’t differentiate
this way, nature maintains only one time (If you say God’s time) or doesn’t maintain any time (If you don’t like God’s time then all time relative to gravity) either way
it’s the present very present, neither future nor even past. It is so sad that even after spending billions of dollars to make telescopes we cannot get pictures of our past and
the situation will not improve even if the size of the telescopes goes bigger. When we pass through a big tunnel our straight-line vision shows the other end of tunnel as a
point (in case of a flat tunnel) or even black (in case of a curved tunnel). Because of tunnel vision (even telescopes eyes are not better than ours), further we look as if
looking through 50 meter straw the picture will not change it will maintain the same brightness with increased number of galaxies as if we are not looking into past
rather we are looking at our very present. So with these wonderful telescopes we should feel happy again as we got the live broadcast right of the Mega universal show
without spending a single dollar. This is possible only because space is opaque; space time is curved with curvature close to one, where photons are virtually imaged on
real time. Even if we reach the distance by telescope, to see a lighted object (We can’t see lights, we see lighted objects) the object must have to be there otherwise no
images are formed. When the object is there, the virtual images are formed depicting their reality i.e. free from relativity. All the irregularities of relativity gets erased in
gravity transposed frame of relativity-reality, otherwise there would have been so many images for every object at interval of every second that their lights would have
solved the Olber’s paradox. This can be explained with quantum entanglement at quantum level, in fact relativity and quantum entanglement complement each other in
showing true and fair view of our universe. Photons are perfectly entangled irrespective of the spatial distance. An object moving in space emits lights from which its
image can be formed. But as gravity deals differently with objects having different mass, so soon the path of the object and the path of lights emerging from the objects
diverge. After crossing the curved path of the gravitation when this light reaches some distant observer the actual position is juxtaposed by some angle. But as the spin of
photons is entangled, the imaging photons remains entangled to the source photons throughout the imaging light path irrespective of the distance they travel. Due to
this phenomenon although the positions of all cosmic objects may be a gravitational approximation but the images are perfectly real and live. If this spooky action was
not there then we could have tracked the whole lifecycle from birth to supernovae explosion of a star moment by moments. But wherever we look from south to north
every angle it’s the repetition of same one picture. Hubble’s data may not be conclusive because beyond Hubble’s sphere radius still we see the galaxies receding faster
than light. For example future telescope may give more accurate data so we get the correct age and radius of the universe.

Red Shift and the expanding Universe

Red Shift of spectra of lights coming from far away objects is an important tool for astronomers to calculate the distances of the objects. This tool has brought us
twentieth century’s greatest discovery of expanding universe as well as mind boggling puzzles what the universe is expanding into, what is the driving force behind the
expansion, whether anything can stop the expansion etc. As Hubble’s images depicts the reality, what shall the red shifts imply which is calculated based on Hubble’s
data. It shall bounce us back ours the very ours Milky Way galaxy’s relative expansion. It will not be safe to attribute the expansion wholly to the universal expansion.
The Actual universal expansion should be calculated age of 13.7 billion years multiplied the velocity of stars 12.04 km/sec equal 166 billion year and it was relatively
slow. The expansion is driven by supply of more ordinary baryonic matter from potentially infinite space time. This continuous expansion is continuously changing the
scale across the space time and if we take grand average scale we can say that the universe has taken a 1000(derived later) leaps or completed 1000(derived later) complete
rotation or in universal times its just 1000 year (derived later) time elapsed which in earthly scale equivalent to 166 billion year (derived later) and in this time the
universe has grown across 46 trillion light years in radius.

Gap of the Scale

Reason of both the pioneers we lost connection cannot be one (Power constraint) as they were twins yet pioneer 10 probed for 8 year longer time which may be its
relativity boundary from earth. If we see its life time data then we find:

Although Pioneer 10 was accelerated up to 12.56 Km /sec its velocity was slightly brought down to 12.51 during this 30.89 years journey starting from Date of launch 2-
Mar-72 to Date of last communication 23-Jan-03. In this time i.e. 974,199,600 seconds (aprox) 12 billion km was travelled by pioneer 10 (as noted from Wikipedia). Once
an objects velocity is gravitationally adjusted then it can maintain its velocity forever. In case of pioneer 10 the relativistic distance it should have crossed in 31 years
starting with 12.56 Km /sec initial velocity comes to be 12,235,945,740 Km which is 12.56 multiple of 974,199,600 seconds (aprox). 12 billion km travelled by pioneer
10 (as noted from Wikipedia) has deviated slightly from its relativistic value mainly because of unexplained acceleration known as pioneer anomaly. Relativistically
speaking even in the presence of gravity where universe is expanding its relativistic orbital velocity should not have slowed down at all. What is this gap? This is a gap of
scale moving across space time. If the scale factor to be 1 somewhere near to centre of Milky Way galaxy then by the time we reach earth trajectory this sale factor we see
got increased near to 1000(derived later). This may be called Expansion Scale Factor. Because of this reason even if we corrected Newtonian g by relativistic g the
difference did not answer everything as this difference yet to be scaled up by 1000(derived later) times as it escapes earths trajectory and result is the exact answer to
pioneer anomaly. But for light this relativity radius will be 300,000,000 year which is highest radius of relativity horizon at any point of time. Beyond 300,000,000 light
year distance whatever we see through telescopes is a virtual image of reality delayed by just another 300,000,000 year even if the object may be billion years away from
us. This is Relativity Boundary. When this boundary is crossed the present light cone converges into pasts and image depicts the real position.

Derivation of Singularity Value

Let’s assume the universe was in its totality, singularity was broken by big bang and (x) number of galaxies was created, entropy after big bang (1/x), initial velocity just
after big bang was (x), big bang acceleration (x), rest mass of any galaxy (x/2), big bang expansion lasted for time (x), Required time for light to reach the nearest galaxy
from the big bang central galaxy(x),
Rest Energy of any galaxy just after big bang = m.v2=x.x2=x3 ------ (1)

(Not ½.m.v2 as there was no gravity, there was no interaction, everything was running one-way)

Energy of first galaxy got light after big bang =1/2.m.c2=x/2.c2 -------- (2)

(Not m.c2 as there was no light, a complete half of the mass was needed to create light energy)

Comparing 1, 2, above:

X/2.c2= x3 OR c=√2.x -------- (3)

Required time for light to reach the nearest galaxy from the big bang central galaxy(x)

Distance crossed by light from the big bang central galaxy c.t=√2.x2 -------- (4)

Velocity of nearest galaxy from the big bang central galaxy after big bang expansion=v=u+ft=x+x2=x(x+1)

Distance crossed by nearest galaxy from the big bang central galaxy s=u.t+1/2.f.t2

=x. x(x+1) +1/2.x.x2 OR s= x2(x+1 +1/2.x) -------- (5)

Comparing 4, 5, above:

√2.x2= x2(x+1 +1/2.x)

x= (√2-1)/ (1+1/2)=.41/1.5=0.273 ~ 0.276

Derivation of Expansion Scale Factor

We know gases expand in proportion of 1/273 with the increase of energy, does this have any connection to the universal expansion i.e. is the universe expanding same
fashion. The answer will be yes there is a deep connection that is why a singularity value derived from some known universal laws shows numerical similarity leaving a
factor meaning of which yet to be understood. Comparing Singularity Value with Charles constant 1/273 we get 1000 which is our (earthly scale) today’s expansion
Scale Factor. We should not misunderstand this exact value of 1000 as arising from decimal system itself. We have taken two intervals since the origin of the universe as
under Newtonian mechanics we need U1 to determine the position of any object relativistically we need U1 and U2 further if we accelerate this constantly then
maintaining Galilean/Newtonian inertia or Einstein’s equivalence principle the object will maintain constant speed, further if we put more mass into the balloon then the
dots on the balloon starts receding and the scale changes. 273 and 1000 can be seen as latitude and longitude of our position in the universe where 273 represents the
three dimensional space coordinate and 100 represents the time coordinate. Elsewhere in the universe it is different as the scale they are operating is different so also the
numerical value of the nature constants. Nothing remains numerically constant except the law. Einstein realized this when he said "as far as the laws of mathematics
                                                                                                                                  said
refer to reality, they are not certain; and as far as they are certain, they do not refer to reality." Here are some other astonishing numerical confirmations of
presence of such expanding relativity scales.
1.   If we product today’s expansion 273 by singularity .276 we get Numerical part of the Hubble’s Constant i.e. 75 i.e. 273*.276=75
    2.   SQRT(Hubble’s Constant/(1+singularity))*(1+singularity) gives numerical value for Acceleration due to gravity(g) i.e. SQRT(73/(1+.276))*(1+.276) =9.82
    3.   Acceleration due to gravity*(1+singularity) gives numerical value for Average Velocity of Stars/ Escape velocity i.e. 9.82/(1+.276)=12.53
    4.   Singularity/Speed of light gives numerical value for pioneer anomaly i.e. .276 /300000000=
         9.2E-10 or Singularity* pioneer anomaly= Speed of light

It may be hard to accept the crude mathematics but such kind of scalar adjustments can arise as nature obeys the underlying universal laws also in God’s dimensionless
world (see below the god’s way) this kind of normalization is not at all illogical.

[GOD created this universe but it was not working. Then he thought, if I cut into pieces it may work. He did so in time (x) with perfection and full concentration so that nothing was
wasted. He didn’t count it how many pieces (x) he made but it was his sense of equity that every piece was equal, he was so concentrated that when he finished with last piece in his hand
and saw to his surprise (his divine touch got everything x) that some kind of entropy (1/x) (due to destruction of absolute rest i.e. absolute zero) were taking all the pieces away from him
as well as from themselves at unknown speed (x), at unknown acceleration (x).Then he decided to catch all those pieces with one piece remaining in hand. He lighted its rest mass (1/2x)
with energy (1/2x).c2 so that it can light up the first piece travelling with rest energy x.x2, from (1/2x).c2= x.x2 i.e. c=√2.x he saw, after time (x) at distance √2.x2= x2. (1+x+x/2) the
first piece got lighted.]

Derivation of Time since Origin

Having derived the singularity, now we can interpolate and extrapolate to find out other nature constants. At the Universal level we have we know precisely the following
constants

    1. Speed of light c
    2. Gravitational constant G
    3. Acceleration due to Gravitational free fall g

Also we know Charles ratio for expansion of Gas on increase in energy (pressure remaining constant) 1/273, Today’s Expansion Scale Factor (1000)

We can derive time since origin t= G/g.c2. (Reciprocal of Charles Ratio). (Expansion Scale Factor) =6.673*10-11/9.80*2997924582*273*1000= 1.65583E+11 i.e. 166
billion years

Comparison: 166 billion years/13.7 billion years=12.04 i.e. Average velocity of Stars in our galaxy, thus 13.7 billion years is the best estimate for age of Milky Way
Galaxy not the age of the universe.
Derivation of Radius of the Universe

From s=u.t+1/2.f.t2
Where u =singularity value of .276, c= Present speed of light, f= 1/c (Present speed of light) & t= time since origin 1.66E+11
Radius of the Universe= 45,978,018,926,667 i.e. 46 trillion light years
Comparison: 46 trillion light years /46 billion light years =1000 i.e. expansion Scale Factor.


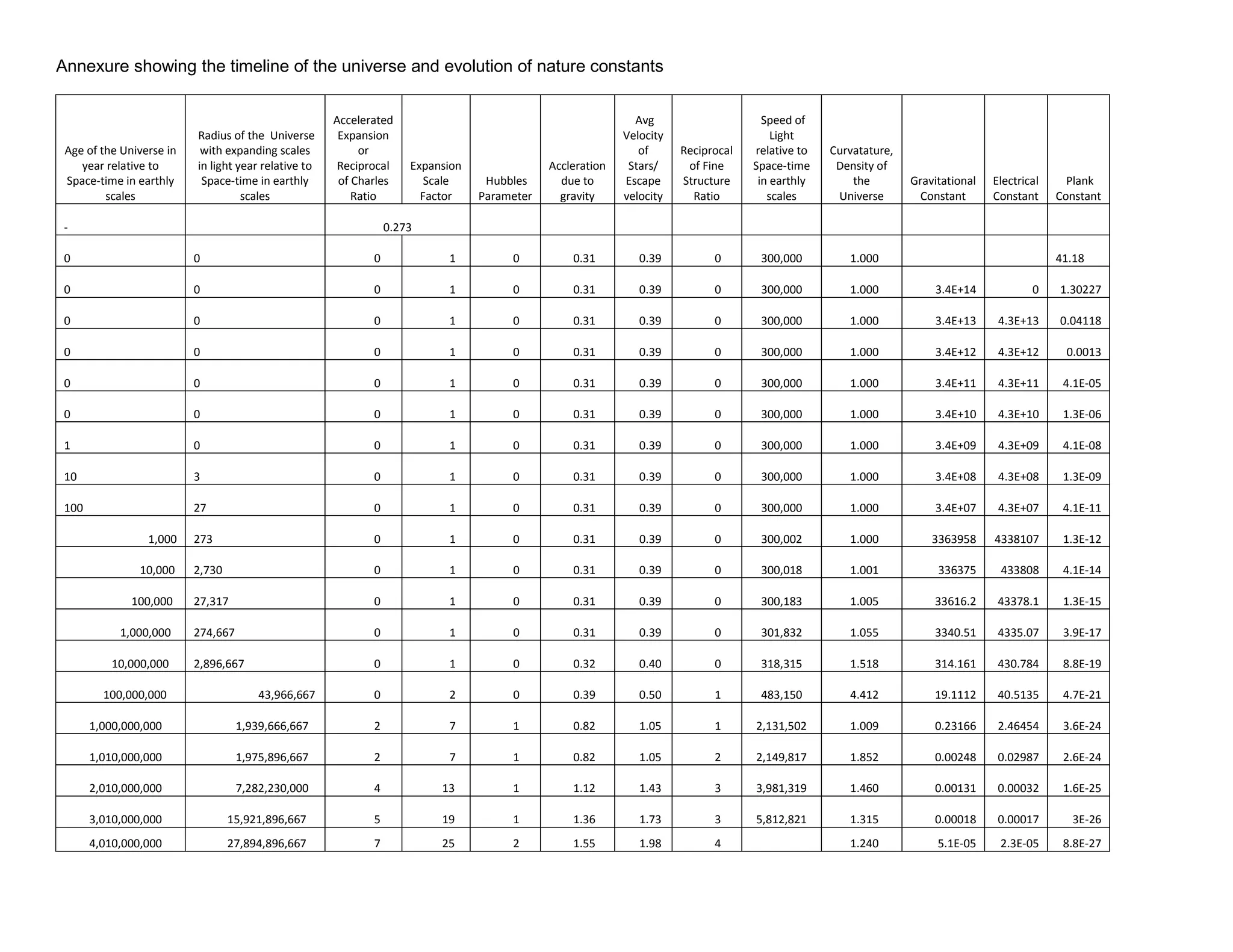
Note: Annexure showing the Timeline of the Universe and changes in nature constants are provided at end of the book.
The origin and fate of the universe

The origin of the universe and fate of the universe remains very debatable. Perhaps these two remain unsolved unless we encounter any one. However from our today’s
observation we can interpolate and extrapolate to make out a picture. Today we are seeing the galaxies are moving away from each other, does not necessarily mean that
they were all together in past; of course it means that the gap must have been less, then also not necessary same number of galaxies as today, most may have got created
recently and got position in the front seats then also our picture remains in the same observation frame. Today’s expansion is happening because of today’s events, if we
go back to time then by default we will see the first picture of universe was smooth and even, without any gravity, perfectly stable. But this stability how long it last,
particles with its quantum fluctuation came into action and created relative hot filaments and cold plasma zones almost maintaining the same smoothness throughout the
universe and gravity came into existence and the journey started. So it was a very slow process, I believe not like “the whole universe in a peanut”, “10−35 to
10−34 seconds after big bang”, “inflation after big bang”. Why hypothetical inflation field, when particles obeys “Uncertainty Principles” and they create dark and
light bars in a double slit experiment. By nature particles gather and create disturbances like waves. If we compare the initial quantum fluctuation with a double slit
experiment then by evolution of time we can see our universe as parallel hot and cold zones similar to dark and light bars in a double slit experiment. Hot being the space
filament along their respective space time spiral axis and cold being the plasmas super imposed on the filaments. Although there was no necessity at all (Quantum
fluctuation can create a spark as trees in vicinity can set the miles of trees on fire in a jungle), Big Bang theory could have been accepted as multiple isolated events in a
small space with small mass involved at a relative slow pace, which resulted small anisotropies which were corrected by gravity thereafter. It cannot be a theory of total
universe as still we have mass, space-time, which remain untouched by Big Bang as apparent from the homogeneous nature of the universe. The hypothetical inflation
field came out to make up the gap of scales which we could not grasp properly. May be CMB gave us an accurate value for observable universe which is 46 billion light
years, But question arise when the universe is expanding how could the speed of light remain constant same as at the time of big bang. Today we see light travels at
300000000 (approximate) meters/ sec, it was not the same speed it was travelling just after so called big bang as matter was denser, gravity was stronger. The speed of
light was 1000 scales lower than today with respect to today’s diluted time. If we multiply 46 billion light years by thousand then we get 46 trillion light years the correct
radius of the universe, everything will come into this, and if future telescopes can reach this distance then it will not see any galaxy receding faster than light. Least
massive Stars which can shine for trillions of years will not be excluded from the picture. The picture will be continuous without having any horizon problem the
hypothetical inflation field will vanish as the expansion itself will look straight line and big bang will look like a tiny quantum fluctuation, Dark matter and Dark energy
will vanish as the basic laws property of inertia, laws of motion, special and general relativity, mass- energy conservation etc… will explain everything. Then correct age of
the universe thus calculated shall be 166 billion years (see the derivation). We need to correct the ratio 46 billion /13.7 billion =3.35 to 46trillion/166 billion=277 so that
it do not contaminate our other results. Perhaps Big Bang was accepted to answer all the non questions of singularity into one singularity but unfortunately it put us into
cycle of false. Our life could have been simpler if we had followed Conservation of mass and energy by heart. Realistically Conservation of mass and energy together
cannot happen unless mass and energy are conserved independently. Mass contain some energy, to make the atomic structure, to form the mass. Energy cannot come to
light unless some atomic structure is destructed. So there is a common area between them, rests are their individuality. Mass cannot be converted into energy and Energy
cannot be put into mass. Higgs boson can explain how matter obtains mass but creating heavy Higgs boson out of nothing sounds impossible. Any transaction happens
in common area i.e. zero point energy which is freely available in the space in the form of gravitational potential. So mass can be released to some atomic energy, light
energy which again working with time can bind some unstructured mass back into the system. The initial amount of mass and energy are both conserved neither cannot
be created nor cannot be destructed. So we can say when a supernova takes place all the baryons free them to a further place but light goes to catch them again.
Conservation of mass and energy along with bottom line and top line singularity limits alone is enough to carry on the mega galactic show like a recycled water fountain
forever. Galaxy will take birth, recede from each other, one day without being able to recede, will break into pieces and recycle once again to run the show. One obvious
possibility from so called Big Bang model may be, now we are going through divergence, after the first Half- life (Not less than 198 billion years i.e. not before 32 billion
years/ convergence will start, after the second Half- life our universe will go through a reverse process (Big Crunch/ Big freeze) perhaps this time Olber’s paradox will
come true, night sky would be as bright as day. But we have seen that CPT symmetry is not followed in nature as thought of. The reverse process cannot restore
everything back to the same position as now. Beyond this swap point it will be absolutely uncertainty, nothing matches our reality today. But we are in reality and there
is no illusion about it. Also then what could be the purpose of gravity taking our galaxy away in a controlled manner as if giving our galaxy a safe exit so that another
galaxy can enter and the cycle goes on, why the nuclear fusions are self controlled, why not blowing up everything at one go so that galaxies recede at speed near to the
speed of light (theoretically not impossible), why the universe looks so smooth every direction, why speed of light is highest speed limit, why density of the universe do
not fall below the critical density, why alpha fine structure constant is so fine. Eternal space time sounds more appropriate and confirms our observation. It can be
directly derived from Special Relativity. Nothing can travel faster than light, in other words nothing (any object or any subsequent light) can travel a distance longer than
the Universe (the whole object or the first light). Galaxies will continue to recede for ever there will be no big crunch, but any galaxy before it goes back to its origin (the
eternity of space time) it will donate some of its light (energy) and gravity (black hole mass) gravity to a new born galaxy. When Einstein thought of a static universe,
conserving mass-energy, momentum he was dynamically right. But when Hubble saw the universe is expanding, we made a mistake; we couldn’t grasp the relative size of
the universe as we cannot follow the story when we enter late at cinema hall but towards the end we can make it out, also we didn’t check it with special relativity. The
acceleration was so clear and obvious that we didn’t give a thought that this acceleration could be relative to our relative space (the galaxies from which we receding) our
relative time (the time we came to existence), the universal truth being the day this relative acceleration stops is the final day for our galaxy, but other galaxies will
continue receding with acceleration and we the people of earth may or may not get any place there in that new galaxy, neither physics cannot answer this nor this should
be its subject.

To think of an eternal universe, we need to clear about the Hubble observed accelerated expansion first. It’s so badly hammered into our mind that we forget the essence
of relativity. This accelerated expansion is not exceptional. This is also relative to the finite life our galaxy. Galaxies are the building block of the universe and all these
blocks were not build same time. Before 10-35 seconds the quantum mathematics breaks that do not mean all those galaxies share same time of birth. Even among
human twins one has to be older by a few seconds. The correct way to understand is to take a single galaxy and then multiply it with the expansion rate. This way you
can renormalize the singularity of all galaxies back to eternity of the whole universe. The Universe is finite and eternal with 66 trillion light year radius and maximum
198 billion year life cycle of matter and antimatter phase. Don’t be confused that universe has an age, 198 billion year is the cosmic time limit any galaxy may survive
from birth singularity to death singularity and, 66 trillion light year radius is the cosmic time limit any galaxy may travel in this time again don’t be confused this as all
the space time. The universe is floating on the infinite space for eternal time. Our universe is matter dominated i.e. everything we see are matters antimatters which
symmetrically arise are not found anywhere unless a dying star or collapsing galaxy sends some signature showing they exist. In fact they exist in disguise just into the
matter deep into the atom. Why neutrons are neutron not proton although lots of property are identical except one, the charge. In fact neutrons are anti proton coupled
with positron i.e. anti electron neutralizing them for survival. If it was not like this then variety of elements we see on earth could not have formed in a star, a star could
not have run the nuclear reaction in a self sustained manner. Exchanging, Sharing among proton, antiproton, electron, anti electron for survival of each other goes well.
But it has a limit when mass gets heavier the star explodes and the antimatter takes over matter and forms a neutron star. Similarly in case of a galaxy when all its stars are
reduced to neutron stars or black hole the galaxy get reduced to an antimatter galaxy but they don’t look for a matter galaxy to annihilate. They remain in this big freeze
until their energy goes below the zero point energy which triggers the big bang explosion and then start over again. Collectively the universe does not go complete big
bang or big freeze phase when the first half life is over 4% galaxies remain out of the big crunch event horizon and the second half life some other 4% galaxies remain out
of the big bang event horizon, thus neither energy do not get completely light off nor mass completely stocks out and the cycle continues.
A- Antimatter Singularity value
330, scale factor 1200            The Universe is finite and eternal with 66 trillion light year radius and maximum 198 billion year life cycle of matter and
                                  antimatter phase. It operates in ever increasing scale from one phase to another phase. Our position on the earth is located at
                                  46 trillion light year space and 166 billion year time coordinate. That means we the people of earth are left with just another
                                  32 billion year (earthly scale) time and we have to travel a mere 20 trillion (earthly scale) light year path to hit the antimatter
                                  singularity. This journey is going to be very quick relative to our past journey. Believe it or not earth’s tilted angle of 23.5
B- Big Bang Singularity value     degree with its axis pointing this fact silently. Last Big bang singularity occurred around 166 billion year back. 13.7 billion year
.273, scale factor 1              as accepted multiplied the velocity of star 12.04 gives 166 billion light years. Also the established radius of 46 billion light year
                                  multiplied 1000 the present scale factor gives 46 trillion light years the correct radius. Perhaps the scale went wrong, space
                                  time remained independent variable emerging out of interaction between mass & energy.

                                  Big Bang happened and happening continuously in tiny region of space in south aligned to earth South Pole. Then it spread
                                  across north at ever expanding rate. There is No Dark force behind this expansion it’s just physics of changing scale not yet
                                  grasped properly. Before Big Bang Singularity it was Antimatter Universe, with the Big Bang Singularity the first Matter Galaxy
                                  was formed. Then its light energy triggered the multiplier event, since then numbers of galaxies are getting multiplied to
                                  billions maintaining the scale gap. Sounds like string theory, but it’s not Multiverse. The countless extra dimensions can be
                                  renormalized and Multiverse can be scaled down to Multi galaxy with every galaxy having its own event horizon maintaining
                                  the critical density ratio or space time curvature just close to 1 so that galaxy structure forms. If every galaxy has space time
                                  closed inside the event horizon then where from its getting nuclear fuel, what are those hundreds of images sent by Hubble
                                  from deep space. Let us not forget the probabilistic nature of quantum events, quantum entanglement. It is those ordinary
                                  matters getting injected into galaxy filaments through its central black hole supplying the fuel for the whole galaxy. Also It is
                                  those photons perfectly entangled to source objects coming out from the galaxy through the open end of the galaxy filaments
                                  so that we can see real time relativistic picture of the universe. These photons energy energizing fresh ordinary matter so that
                                  their gravity pulls the galaxy & the galaxy flies along its own light path just like Spiderman flies. The black holes remain
                                  connected the filaments just like Axon & Dendron in nerves. Gravity works both locally & universally. But unlike local planetary
                                  gravity where antigravity is nil the universal gravity & antigravity almost cancels each other in equal distance leaving a torque
                                  or curl and the space time don’t go flat again, the stars in outer discs do not slow down, the scale changes & it continues. 4%
                                  error occurs in this process which is corrected by supernova, gamma ray burst, merger, demerger of galaxies all has been
                                  detected by telescopes. If we cancel dark energy & dark matter, apply the correct scales to the ordinary matter then majority
                                  of problems are solved. Time will come when the stock of finite mass will go below half i.e. after the half life of the universe
                                  things will happen opposite way. But day comes after the night; this phase also will not stay forever. 4% exceptional Neutron
                                  stars will burst and initiate another big bang. Now the question remain do we have the privilege, or are our position is
                                  something special violating Copernican principle. It will be premature to guess anything like that.
                                                                                                                                                                          A- Antimatter Singularity value
                                                                                                                                                                          330, scale factor 1200




                                                                                                                                                                          B- Big Bang Singularity value
                                                                                                                                                                          .273, scale factor 1
The Universe in the light of Applied Revised Gravitational laws


With variable ga/Ga model of Newton’s law of universal gravitation the antigravity (ga) force comes from the gravity itself but it works opposite direction of gravity (Ga).
A precondition to this model to work is constant supply of the fuel i.e. matter but as per Big Bang model the creation of matter has stopped after being separated from
antimatter from matter-antimatter primordial soup and cooled down gradually. If roughly the same amount of matter were there yesterday then why today gravity is
stronger resulting the galaxies spread away. The only explanation is that fused particles of ordinary baryonic matter (including Higgs boson) spread all across the space
were less dense maintaining gap more than planks length between the particles so that gravity can be avoided. Now by the passage of time they are coming closer forming
nebulae or inter stellar material. These are denser and attract gravity. Answer to the question why they are coming close now is to meet the demand of fuel coming from
nearest galaxies, do they have brain of course not but they follow gravity and special relativity they maintain the ga/Ga balance. As the matters are getting denser, so the
tension on the space, so the attractive gravity, so the release of tension, so the repulsive gravity, back and forth… back and forth… and thus universe cannot be static it
must be expanding. Friedman mathematically proved so from Einstein’s General relativity. So the construction deconstruction processes are happening all within the
same universe, same galaxy, and same time but in different zone hot filament zone and cold plasma zone. There is absolutely no necessity to create Multiverse, extra
dimensions to hold that. Any such idea can easily knock down by gravity alone to our well known idea of the universe. By way of analyzing the spectrum of the light
coming from hot zone we know fusion of hydrogen atom to helium atom is going on in hot zone. In cold zone nothing similar is actually happening, but it’s fully under
the control of gravity. As we have seen earlier that space works like a perfect reflector, it makes it a perfect white body too reflecting all incident rays completely and
uniformly in all directions, this is why light can travel great distances in space. But its emissivity is slight less than one as space is not empty but contains fused particles
(including Higgs boson) at very low density. As the radiation from a galaxy passes through the inter-galactic space, the photons energy is absorbed by those fused particles
(including Higgs boson) and they get kinetic energy. With this kinetic energy they start moving, sooner they cross the Planck’s length and now they are now in dense
plasma form controlled, by gravity. This journey does not continue long as heavier elements like helium precipitate below the lighter elements like hydrogen to form a
black hole (Empty space separating inner core) and hydrogen remains in the outer layer surrounding the black hole separated by an event horizon which again is empty
space. The volume of this two different layers i.e. inner helium core outer hydrogen layer initially do not correspond to their atomic mass as hydrogen are found in more
abundance than helium. Also because of quantum fluctuations the size of black holes differs in sizes among different zones. This difference in sizes is time driven and
creates many to many gravity i.e. the heavier zones start attracting lighter zones and heavier zones gets heavier. This way in a galaxy, first generation star formation and
galaxy formation starts simultaneously. Gravity also give birth to Antigravity which starts the lighter zones taking away from the heavier zones in the galaxy and lighter
hydrogen layer taking away from heavier core in a star. But initially the antigravity being weaker than gravity, huge volume of hydrogen layers starts running towards the
core, this hot up the hydrogen layer more and more to start the nuclear fusion reaction which makes the antigravity stronger enough to take the star away from the centre
of the galaxy and settle at a certain radius, certain shape ( mostly spherical ). This state is near to a state of rest as the star losses very less amount of energy orbiting the
centre of the galaxy. The smaller stars settle around a bigger star. Planets which are remnant of a cooled down star settle around a small star and a galaxy structure is
formed. Sometime if the bigger star is big enough to independently run the show, it forms a smaller galaxy side by side a bigger galaxy, with support from the big
brother. So the centre of the galaxy do not have to contain as much mass as those of billions of stars, rather being the nearest mass point for all the objects of the galaxy, it
has to maintain a critical mass to cancel the angular component of resultant torque or curl vector towards the centre of gravity of the galaxy. In continuation to the galaxy
structure, the hydrogen layers very near to the centre of galaxy cannot escape gravity easily and the whole layer keeps rotating at very high speed around the centre. At the
centre of a galaxy the energy level is so huge that its gravitational waves produces radio like waves. The super massive black holes in the centre of galaxies are known as
quasars. These quasars are the centre of gravity for a galaxy, all the star system and sub system travels around these. Because of huge spin the centre of the galaxy
exfoliates little at centre and Relativistic jet come out along the galactic axis. The quasars also spins at a relative speed, causing the heaviest material formed in the process
of nuclear fusions return back to the space through the space separating radius of the event horizon which only increases (but never decreases) from the hot core as we see
in the biological centrifuge instrument. The centripetal force also releases equivalent amount of hot gas with immense energy from the centre of the galaxy. The erupted
hot gas expands exponentially along the galactic axis and once it comes out of the centre it take different shape (most common being spiral shape for active galaxies). This
two- way process happens in simultaneous sequence in perfect synchronization. When the centrifugal gravity reaches its crest /troughs the spin reverses and centripetal
antigravity force reaches its troughs / crest back and forth… back and forth… without changing the axis. This becomes clear when we look at the picture of a spiral
galaxy taken by Hubble’s Telescope. The same spiral we can visualize as going in and coming out only the spin reverses. As in electromagnetic field if we change both the
direction of electric/magnet they do not change the flow similarly here also there is no visible impact but the pulsar effect are detected. When the out coming hot gas
cools down little, it forms nebulae where further stars and other stellar formations take birth. While cooling down, the gravity starts once again getting stronger, to avoid
the gravitational collapse, huge volume of hot gas speeds up the nuclear fusion reaction and settles down to a certain orbit keeping aside its critical mass into a son black
hole. So Black Hole is not formed after death of a second generation star, but it is formed at the very birth of any active object in the universe. Yesterdays son become a
father and the father becomes grandfather and so on everybody one step up….Unlike earthly father-son relation they are not short lived; black holes being the seeds for
universal life, they both are eternal, only difference being one evolved little earlier than the other from the eternal space-time. This father-son relationship may raise
question like, who is the grand most of all fathers. Whether he is one alone or he has some brothers too? Does today’s son visit him periodically? Actually in space time
these are non questions, as long as the galaxies are connected through space filaments they are part of the whole family. It may not be a miracle if we see that seven
galaxies orbits around a central galaxy to make a strong octet bond among the eight galaxies forming a local group, similarly a cluster of galaxies, similarly a super cluster
and so on….and the Universe as whole rotating an universal black hole. The problem of missing mass as calculated by Zwicky can be solved by rotation of galaxies. As
the galaxies are not receding at its own will, they have very less control on their velocity, path. Which path they choose if it is decided by gravity then it is not impossible
that gravity will give them mostly curved path as seen elsewhere among the stars. But our telescopes have not seen any such path. In presence of tunnel vision our
telescope cannot clearly detect the path of a galaxy as it appears to be clear in case of a star in a galaxy, where the spirals itself shows the path. But galaxies have to
maintain far greater distances among them relative to the strength of their gravity. This huge space between two galaxies makes it impossible to focus two galaxies to
study their relative movement relative to their position at one frame. To make an idea of their motion from two different real positions taken from a larger distance
frames at two different times, the gap between those two times has to be very large relative to our earthy time scale. But as the early days astronomers, by just keeping an
eye on the night sky generation by generation kept on adding new constellate, newer galaxies which part form of our today’s view, similarly keeping an eye on today’s
telescopes for a fairly long period of time will show some movement among the galaxies, a hundred years time is too less to grasp their path. What immediately we can
do, we can fix the missing mass problem by taking a component of the gravity from continuous gravity chain. We cannot isolate a galaxy from the universe to test known
gravitational laws, obvious result will be missing mass problem of a magnitude of 273 multiples relative to actual mass of the galaxy. To confirm rotation of galaxies we
can visualize Hubble’s observed recession from relativistic angle. The recession is not perpendicular but it has a sideways movement. From this sideways movement if we
are able to calculate the curvature with respect to distance equivalent to estimated age of that galaxy and if this curvature eventually comes to be more than 1 then the
galaxies must be rotating to some central object not necessarily the centre of the universe but a central mass points of the filaments. If we add a few central mass points
we shall get a spiral axis of rotation of galaxies with same spin, and there shall be as many spiral axis as the number of galaxy in the early universe. In one such spiral axis
all the father and son galaxies shall appear in order of their age from outer to centre. At any point of such spiral axis the centrifugal force due to gravity and centripetal
force due to anti gravity balances each other by summing up their vector components both inward and outward space time. The intersection point of two such spiral
axis we know as Worm Hole where galaxies do some space time adjustments or gravitational correction. Now let’s see how a galaxy evolutes and why. The reason why
can be worked from variable ga/Ga model of Newton’s law of universal gravitation. Earlier we have seen that there cannot be stability of universal kind of superstructure,
which also mathematically proved by Friedman from general relativity equations. The whole universe becomes unstable as it losses energy. If this energy is not refilled
then it should collapse. Where to get energy? The answer is a question itself, where from universe get energy? Yes, it is atomic energy stored in mass in E = mc2 form.
Where to get fresh mass? All the available mass is allocated. A little portion can be recycled from the mass released by atomic energy in the past which are still in the
galaxy system. But the galaxy has left a bigger portion mass behind the space time as it has moved a long way in time. How to bring it back to cycle? As universe is closed
and mass and energy are conserved, the space being almost smooth everywhere it serves as a buffer stock feeder for recycled mass. A Galaxy just needs light energy t to
catch it up. All the light energy it has radiated in front of space time, it’s time for them to go back into the system as mass to fill the energy gap. But still there may be gap
if the energy scale it was running very high. Then that high energy itself creates suitable condition to off load the outermost disc containing giant stars. Heaviest of these
giant stars form the centre and give birth to an associate galaxy. Further transfer takes place from the father to son as they both become stable and move on.


With applied Revised Gravitational laws, the dark matter and dark energy problem can be solved, and the universal composition pie chart data need to be refreshed by
reducing the dark energy slice to zero and moving equivalent dark matter to baryon matter. Now the universal composition pie chart should look good leaving a
reasonable difference which is responsible for the universal energy show.

Sources:

Concept of Singularity

Bible > Genesis > Chapter 1 > Verse 3

And God said, "Let there be light," and there was light.

Concept of Expansion Scale

[Quran 32.5]

(Allah) Rules the cosmic affair from the heavens to the Earth. Then this affair travels to Him a distance in one day, at a          measure of one thousand years of what you
count.

Concept of cycle of complementary forces in nature

I-Ching or "The Book of Changes"

Yang is like man. Yin is like woman. Yang wouldn't grow without Yin. Yin couldn't give birth without Yang. Yin is born (begins) at Summer Solstice and Yang is born
(begins) at Winter Solstice. Therefore one little circle Yin is marked on the Summer Solstice position. Another little circle Yang is marked on the Winter Solstice
position. These two little circles look like two fish eyes. The universe is changing every day. Although it changes easily every day, it also has seasonal and annual cycles.

Concept of eternity and infinity of space time

Though One, Brahman (Space time) is the cause of the many. Brahman is the unborn (aja) in whom all existing things abide. The One manifests as the many, the
formless putting on forms. (Rig Veda).

"Science without religion is lame, religion without science is blind."                                               Albert Einstein
Annexure showing the timeline of the universe and evolution of nature constants


                                                      Accelerated                                            Avg                     Speed of
                          Radius of the Universe       Expansion                                           Velocity                    Light
 Age of the Universe in    with expanding scales           or                                                 of      Reciprocal   relative to   Curvatature,
    year relative to      in light year relative to    Reciprocal    Expansion               Accleration    Stars/     of Fine     Space-time     Density of
 Space-time in earthly     Space-time in earthly       of Charles       Scale     Hubbles      due to      Escape     Structure     in earthly       the        Gravitational   Electrical     Plank
         scales                     scales                Ratio        Factor    Parameter     gravity     velocity     Ratio         scales      Universe        Constant      Constant     Constant

 -                                                               0.273

 0                        0                                  0             1          0          0.31         0.39          0       300,000         1.000                                    41.18

 0                        0                                  0             1          0          0.31         0.39          0       300,000         1.000           3.4E+14             0    1.30227

 0                        0                                  0             1          0          0.31         0.39          0       300,000         1.000           3.4E+13      4.3E+13     0.04118

 0                        0                                  0             1          0          0.31         0.39          0       300,000         1.000           3.4E+12      4.3E+12      0.0013

 0                        0                                  0             1          0          0.31         0.39          0       300,000         1.000           3.4E+11      4.3E+11      4.1E-05

 0                        0                                  0             1          0          0.31         0.39          0       300,000         1.000           3.4E+10      4.3E+10      1.3E-06

 1                        0                                  0             1          0          0.31         0.39          0       300,000         1.000           3.4E+09      4.3E+09      4.1E-08

 10                       3                                  0             1          0          0.31         0.39          0       300,000         1.000           3.4E+08      4.3E+08      1.3E-09

 100                      27                                 0             1          0          0.31         0.39          0       300,000         1.000           3.4E+07      4.3E+07      4.1E-11

                 1,000    273                                0             1          0          0.31         0.39          0       300,002         1.000           3363958     4338107       1.3E-12

                10,000    2,730                              0             1          0          0.31         0.39          0       300,018         1.001            336375      433808       4.1E-14

              100,000     27,317                             0             1          0          0.31         0.39          0       300,183         1.005           33616.2      43378.1      1.3E-15

            1,000,000     274,667                            0             1          0          0.31         0.39          0       301,832         1.055           3340.51      4335.07      3.9E-17

           10,000,000     2,896,667                          0             1          0          0.32         0.40          0       318,315         1.518           314.161      430.784      8.8E-19

         100,000,000                    43,966,667           0             2          0          0.39         0.50          1       483,150         4.412           19.1112      40.5135      4.7E-21

       1,000,000,000                1,939,666,667            2             7          1          0.82         1.05          1      2,131,502        1.009           0.23166      2.46454      3.6E-24

       1,010,000,000                1,975,896,667            2             7          1          0.82         1.05          2      2,149,817        1.852           0.00248      0.02987      2.6E-24

       2,010,000,000                7,282,230,000            4            13          1          1.12         1.43          3      3,981,319        1.460           0.00131      0.00032      1.6E-25

       3,010,000,000              15,921,896,667             5            19          1          1.36         1.73          3      5,812,821        1.315           0.00018      0.00017       3E-26
       4,010,000,000              27,894,896,667             7            25          2          1.55         1.98          4                       1.240            5.1E-05     2.3E-05      8.8E-27
7,644,322


 5,010,000,000      43,201,230,000    9    32    2   1.73   2.20    5   9,475,824    1.193   2.1E-05   6.6E-06   3.4E-27

 6,010,000,000      61,840,896,667   10    38    3   1.89   2.41    6   11,307,326   1.162    1E-05    2.7E-06   1.5E-27

 7,010,000,000      83,813,896,667   12    44    3   2.04   2.59    7   13,138,828   1.139   5.5E-06   1.3E-06   7.8E-28

 8,010,000,000     109,120,230,000   14    50    4   2.18   2.77    8   14,970,330   1.122   3.3E-06   7.1E-07   4.4E-28

 9,010,000,000     137,759,896,667   15    56    4   2.31   2.93    8   16,801,832   1.109   2.1E-06   4.3E-07   2.6E-28

10,010,000,000     169,732,896,667   17    62    5   2.43   3.09    9   18,633,333   1.098   1.4E-06   2.7E-07   1.6E-28

11,010,000,000     205,039,230,000   19    68    5   2.54   3.24   10   20,464,835   1.089    1E-06    1.8E-07   1.1E-28

12,010,000,000     243,678,896,667   20    74    6   2.66   3.38   11   22,296,337   1.082   7.3E-07   1.3E-07   7.3E-29

13,010,000,000     285,651,896,667   22    80    6   2.76   3.52   12   24,127,839   1.076   5.4E-07   9.4E-08   5.1E-29

14,010,000,000     330,958,230,000   24    87    6   2.87   3.65   13   25,959,341   1.071   4.1E-07    7E-08    3.7E-29

15,010,000,000     379,597,896,667   25    93    7   2.96   3.77   13   27,790,842   1.066   3.2E-07   5.3E-08   2.7E-29

16,010,000,000     431,570,896,667   27    99    7   3.06   3.90   14   29,622,344   1.062   2.5E-07   4.2E-08    2E-29

17,010,000,000     486,877,230,000   29   105    8   3.15   4.01   15   31,453,846   1.058    2E-07    3.3E-08   1.6E-29

18,010,000,000     545,516,896,667   30   111    8   3.24   4.13   16   33,285,348   1.055   1.7E-07   2.6E-08   1.2E-29

19,010,000,000     607,489,896,667   32   117    9   3.33   4.24   17   35,116,850   1.052   1.4E-07   2.1E-08   9.6E-30

20,010,000,000     672,796,230,000   34   123    9   3.42   4.35   18   36,948,352   1.050   1.1E-07   1.8E-08   7.6E-30

21,010,000,000     741,435,896,667   35   129   10   3.50   4.46   18   38,779,853   1.047   9.5E-08   1.5E-08   6.1E-30

22,010,000,000     813,408,896,667   37   135   10   3.58   4.56   19   40,611,355   1.045    8E-08    1.2E-08    5E-30

23,010,000,000     888,715,230,000   39   141   11   3.66   4.66   20   42,442,857   1.043   6.9E-08    1E-08    4.1E-30

24,010,000,000     967,354,896,667   40   148   11   3.74   4.76   21   44,274,359   1.041   5.9E-08   8.8E-09   3.4E-30

25,010,000,000   1,049,327,896,667   42   154   11   3.82   4.86   22   46,105,861   1.040   5.1E-08   7.6E-09   2.8E-30

26,010,000,000   1,134,634,230,000   44   160   12   3.89   4.96   23   47,937,363   1.038   4.4E-08   6.6E-09   2.4E-30

27,010,000,000   1,223,273,896,667   45   166   12   3.97   5.05   23   49,768,864   1.037   3.9E-08   5.7E-09    2E-30

28,010,000,000   1,315,246,896,667   47   172   13   4.04   5.14   24   51,600,366   1.035   3.4E-08    5E-09    1.7E-30
29,010,000,000   1,410,553,230,000   49   178   13   4.11   5.23   25                1.034    3E-08    4.4E-09   1.5E-30
53,431,868


30,010,000,000   1,509,192,896,667   50   184   14   4.18   5.32   26   55,263,370   1.033   2.6E-08   3.9E-09   1.2E-30

31,010,000,000   1,611,165,896,667   52   190   14   4.25   5.41   27   57,094,872   1.032   2.4E-08   3.4E-09   1.1E-30

32,010,000,000   1,716,472,230,000   54   196   15   4.32   5.50   28   58,926,374   1.031   2.1E-08    3E-09    9.3E-31

33,010,000,000   1,825,111,896,667   55   203   15   4.38   5.58   28   60,757,875   1.030   1.9E-08   2.7E-09   8.1E-31

34,010,000,000   1,937,084,896,667   57   209   16   4.45   5.66   29   62,589,377   1.029   1.7E-08   2.4E-09   7.1E-31

35,010,000,000   2,052,391,230,000   59   215   16   4.51   5.75   30   64,420,879   1.028   1.5E-08   2.2E-09   6.3E-31

36,010,000,000   2,171,030,896,667   60   221   16   4.58   5.83   31   66,252,381   1.028   1.4E-08    2E-09    5.5E-31

37,010,000,000   2,293,003,896,667   62   227   17   4.64   5.91   32   68,083,883   1.027   1.3E-08   1.8E-09   4.9E-31

38,010,000,000   2,418,310,230,000   64   233   17   4.70   5.99   33   69,915,385   1.026   1.1E-08   1.6E-09   4.3E-31

39,010,000,000   2,546,949,896,667   65   239   18   4.76   6.06   33   71,746,886   1.026    1E-08    1.5E-09   3.9E-31

40,010,000,000   2,678,922,896,667   67   245   18   4.82   6.14   34   73,578,388   1.025   9.5E-09   1.3E-09   3.4E-31

41,010,000,000   2,814,229,230,000   69   251   19   4.88   6.22   35   75,409,890   1.024   8.7E-09   1.2E-09   3.1E-31

42,010,000,000   2,952,868,896,667   70   257   19   4.94   6.29   36   77,241,392   1.024    8E-09    1.1E-09   2.8E-31

43,010,000,000   3,094,841,896,667   72   264   20   5.00   6.37   37   79,072,894   1.023   7.4E-09    1E-09    2.5E-31

44,010,000,000   3,240,148,230,000   74   270   20   5.06   6.44   38   80,904,396   1.023   6.8E-09   9.5E-10   2.2E-31

45,010,000,000   3,388,787,896,667   75   276   21   5.12   6.51   38   82,735,897   1.022   6.3E-09   8.7E-10    2E-31

46,010,000,000   3,540,760,896,667   77   282   21   5.17   6.58   39   84,567,399   1.022   5.8E-09   8.1E-10   1.8E-31

47,010,000,000   3,696,067,230,000   79   288   21   5.23   6.65   40   86,398,901   1.021   5.4E-09   7.5E-10   1.7E-31

48,010,000,000   3,854,706,896,667   80   294   22   5.28   6.72   41   88,230,403   1.021    5E-09    6.9E-10   1.5E-31

49,010,000,000   4,016,679,896,667   82   300   22   5.34   6.79   42   90,061,905   1.020   4.6E-09   6.4E-10   1.4E-31

50,010,000,000   4,181,986,230,000   84   306   23   5.39   6.86   43   91,893,407   1.020   4.3E-09    6E-10    1.3E-31

51,010,000,000   4,350,625,896,667   85   312   23   5.44   6.93   43   93,724,908   1.020    4E-09    5.6E-10   1.2E-31

52,010,000,000   4,522,598,896,667   87   319   24   5.50   7.00   44   95,556,410   1.019   3.7E-09   5.2E-10   1.1E-31

53,010,000,000   4,697,905,230,000   89   325   24   5.55   7.06   45   97,387,912   1.019   3.5E-09   4.8E-10   9.8E-32
54,010,000,000   4,876,544,896,667   90   331   25   5.60   7.13   46                1.018   3.3E-09   4.5E-10    9E-32
99,219,414


55,010,000,000    5,058,517,896,667    92   337   25   5.65   7.20   47   101,050,916   1.018   3.1E-09   4.2E-10   8.3E-32

56,010,000,000    5,243,824,230,000    94   343   26   5.70   7.26   48   102,882,418   1.018   2.9E-09    4E-10    7.6E-32

57,010,000,000    5,432,463,896,667    95   349   26   5.75   7.33   48   104,713,919   1.017   2.7E-09   3.7E-10   7.1E-32

58,010,000,000    5,624,436,896,667    97   355   26   5.80   7.39   49   106,545,421   1.017   2.5E-09   3.5E-10   6.5E-32

59,010,000,000    5,819,743,230,000    99   361   27   5.85   7.45   50   108,376,923   1.017   2.4E-09   3.3E-10    6E-32

60,010,000,000    6,018,382,896,667   100   367   27   5.90   7.52   51   110,208,425   1.017   2.3E-09   3.1E-10   5.6E-32

61,010,000,000    6,220,355,896,667   102   373   28   5.95   7.58   52   112,039,927   1.016   2.1E-09   2.9E-10   5.2E-32

62,010,000,000    6,425,662,230,000   104   380   28   6.00   7.64   53   113,871,429   1.016    2E-09    2.7E-10   4.8E-32

63,010,000,000    6,634,301,896,667   105   386   29   6.05   7.70   53   115,702,930   1.016   1.9E-09   2.6E-10   4.5E-32

64,010,000,000    6,846,274,896,667   107   392   29   6.10   7.76   54   117,534,432   1.016   1.8E-09   2.5E-10   4.2E-32

65,010,000,000    7,061,581,230,000   109   398   30   6.14   7.82   55   119,365,934   1.015   1.7E-09   2.3E-10   3.9E-32

66,010,000,000    7,280,220,896,667   110   404   30   6.19   7.88   56   121,197,436   1.015   1.6E-09   2.2E-10   3.7E-32

67,010,000,000    7,502,193,896,667   112   410   31   6.24   7.94   57   123,028,938   1.015   1.5E-09   2.1E-10   3.4E-32

68,010,000,000    7,727,500,230,000   114   416   31   6.28   8.00   58   124,860,440   1.015   1.5E-09    2E-10    3.2E-32

69,010,000,000    7,956,139,896,667   115   422   31   6.33   8.06   58   126,691,941   1.014   1.4E-09   1.9E-10    3E-32

70,010,000,000    8,188,112,896,667   117   428   32   6.38   8.12   59   128,523,443   1.014   1.3E-09   1.8E-10   2.8E-32

71,010,000,000    8,423,419,230,000   119   435   32   6.42   8.17   60   130,354,945   1.014   1.2E-09   1.7E-10   2.6E-32

72,010,000,000    8,662,058,896,667   120   441   33   6.47   8.23   61   132,186,447   1.014   1.2E-09   1.6E-10   2.5E-32

73,010,000,000    8,904,031,896,667   122   447   33   6.51   8.29   62   134,017,949   1.014   1.1E-09   1.5E-10   2.3E-32

74,010,000,000    9,149,338,230,000   124   453   34   6.55   8.34   63   135,849,451   1.013   1.1E-09   1.5E-10   2.2E-32

75,010,000,000    9,397,977,896,667   125   459   34   6.60   8.40   63   137,680,952   1.013    1E-09    1.4E-10   2.1E-32

76,010,000,000    9,649,950,896,667   127   465   35   6.64   8.46   64   139,512,454   1.013   9.8E-10   1.3E-10   1.9E-32

77,010,000,000    9,905,257,230,000   129   471   35   6.69   8.51   65   141,343,956   1.013   9.4E-10   1.3E-10   1.8E-32

78,010,000,000   10,163,896,896,667   130   477   36   6.73   8.57   66   143,175,458   1.013    9E-10    1.2E-10   1.7E-32
79,010,000,000   10,425,869,896,667   132   483   36   6.77   8.62   67                 1.013   8.6E-10   1.2E-10   1.6E-32
145,006,960


 80,010,000,000   10,691,176,230,000   134   489   36   6.81   8.67   68   146,838,462   1.012   8.2E-10   1.1E-10   1.5E-32

 81,010,000,000   10,959,815,896,667   135   496   37   6.86   8.73   68   148,669,963   1.012   7.8E-10   1.1E-10   1.5E-32

 82,010,000,000   11,231,788,896,667   137   502   37   6.90   8.78   69   150,501,465   1.012   7.5E-10    1E-10    1.4E-32

 83,010,000,000   11,507,095,230,000   139   508   38   6.94   8.84   70   152,332,967   1.012   7.2E-10   9.7E-11   1.3E-32

 84,010,000,000   11,785,734,896,667   140   514   38   6.98   8.89   71   154,164,469   1.012   6.9E-10   9.3E-11   1.2E-32

 85,010,000,000   12,067,707,896,667   142   520   39   7.02   8.94   72   155,995,971   1.012   6.6E-10   8.9E-11   1.2E-32

 86,010,000,000   12,353,014,230,000   144   526   39   7.06   8.99   73   157,827,473   1.012   6.3E-10   8.5E-11   1.1E-32

 87,010,000,000   12,641,653,896,667   145   532   40   7.11   9.05   73   159,658,974   1.011   6.1E-10   8.2E-11   1.1E-32

 88,010,000,000   12,933,626,896,667   147   538   40   7.15   9.10   74   161,490,476   1.011   5.8E-10   7.9E-11    1E-32

 89,010,000,000   13,228,933,230,000   149   544   41   7.19   9.15   75   163,321,978   1.011   5.6E-10   7.5E-11   9.6E-33

 90,010,000,000   13,527,572,896,667   150   551   41   7.23   9.20   76   165,153,480   1.011   5.4E-10   7.2E-11   9.1E-33

 91,010,000,000   13,829,545,896,667   152   557   41   7.27   9.25   77   166,984,982   1.011   5.2E-10    7E-11    8.7E-33

 92,010,000,000   14,134,852,230,000   154   563   42   7.31   9.30   78   168,816,484   1.011    5E-10    6.7E-11   8.2E-33

 93,010,000,000   14,443,491,896,667   155   569   42   7.35   9.35   78   170,647,985   1.011   4.8E-10   6.5E-11   7.8E-33

 94,010,000,000   14,755,464,896,667   157   575   43   7.39   9.40   79   172,479,487   1.011   4.6E-10   6.2E-11   7.5E-33

 95,010,000,000   15,070,771,230,000   159   581   43   7.42   9.45   80   174,310,989   1.011   4.5E-10    6E-11    7.1E-33

 96,010,000,000   15,389,410,896,667   160   587   44   7.46   9.50   81   176,142,491   1.010   4.3E-10   5.8E-11   6.8E-33

 97,010,000,000   15,711,383,896,667   162   593   44   7.50   9.55   82   177,973,993   1.010   4.2E-10   5.6E-11   6.5E-33

 98,010,000,000   16,036,690,230,000   164   599   45   7.54   9.60   83   179,805,495   1.010    4E-10    5.4E-11   6.2E-33

 99,010,000,000   16,365,329,896,667   165   605   45   7.58   9.65   83   181,636,996   1.010   3.9E-10   5.2E-11   5.9E-33

100,010,000,000   16,697,302,896,667   167   612   46   7.62   9.70   84   183,468,498   1.010   3.7E-10    5E-11    5.7E-33

101,010,000,000   17,032,609,230,000   169   618   46   7.66   9.75   85   185,300,000   1.010   3.6E-10   4.8E-11   5.4E-33

102,010,000,000   17,371,248,896,667   170   624   46   7.69   9.79   86   187,131,502   1.010   3.5E-10   4.6E-11   5.2E-33

103,010,000,000   17,713,221,896,667   172   630   47   7.73   9.84   87   188,963,004   1.010   3.4E-10   4.5E-11    5E-33
104,010,000,000   18,058,528,230,000   174   636   47   7.77   9.89   88                 1.010   3.2E-10   4.3E-11   4.7E-33
190,794,505


105,010,000,000   18,407,167,896,667   175   642   48   7.81    9.94    88   192,626,007   1.010   3.1E-10   4.2E-11   4.6E-33

106,010,000,000   18,759,140,896,667   177   648   48   7.84    9.98    89   194,457,509   1.009    3E-10    4.1E-11   4.4E-33

107,010,000,000   19,114,447,230,000   179   654   49   7.88   10.03    90   196,289,011   1.009   2.9E-10   3.9E-11   4.2E-33

108,010,000,000   19,473,086,896,667   180   660   49   7.92   10.08    91   198,120,513   1.009   2.8E-10   3.8E-11    4E-33

109,010,000,000   19,835,059,896,667   182   667   50   7.95   10.12    92   199,952,015   1.009   2.8E-10   3.7E-11   3.8E-33

110,010,000,000   20,200,366,230,000   184   673   50   7.99   10.17    93   201,783,516   1.009   2.7E-10   3.6E-11   3.7E-33

111,010,000,000   20,569,005,896,667   185   679   51   8.02   10.22    93   203,615,018   1.009   2.6E-10   3.4E-11   3.5E-33

112,010,000,000   20,940,978,896,667   187   685   51   8.06   10.26    94   205,446,520   1.009   2.5E-10   3.3E-11   3.4E-33

113,010,000,000   21,316,285,230,000   189   691   51   8.10   10.31    95   207,278,022   1.009   2.4E-10   3.2E-11   3.3E-33

114,010,000,000   21,694,924,896,667   190   697   52   8.13   10.35    96   209,109,524   1.009   2.4E-10   3.1E-11   3.1E-33

115,010,000,000   22,076,897,896,667   192   703   52   8.17   10.40    97   210,941,026   1.009   2.3E-10    3E-11     3E-33

116,010,000,000   22,462,204,230,000   194   709   53   8.20   10.44    98   212,772,527   1.009   2.2E-10   2.9E-11   2.9E-33

117,010,000,000   22,850,843,896,667   195   715   53   8.24   10.49    98   214,604,029   1.009   2.1E-10   2.9E-11   2.8E-33

118,010,000,000   23,242,816,896,667   197   721   54   8.27   10.53    99   216,435,531   1.008   2.1E-10   2.8E-11   2.7E-33

119,010,000,000   23,638,123,230,000   199   728   54   8.31   10.58   100   218,267,033   1.008    2E-10    2.7E-11   2.6E-33

120,010,000,000   24,036,762,896,667   200   734   55   8.34   10.62   101   220,098,535   1.008    2E-10    2.6E-11   2.5E-33

121,010,000,000   24,438,735,896,667   202   740   55   8.38   10.66   102   221,930,037   1.008   1.9E-10   2.5E-11   2.4E-33

122,010,000,000   24,844,042,230,000   204   746   56   8.41   10.71   103   223,761,538   1.008   1.9E-10   2.5E-11   2.3E-33

123,010,000,000   25,252,681,896,667   205   752   56   8.45   10.75   103   225,593,040   1.008   1.8E-10   2.4E-11   2.2E-33

124,010,000,000   25,664,654,896,667   207   758   56   8.48   10.80   104   227,424,542   1.008   1.7E-10   2.3E-11   2.2E-33

125,010,000,000   26,079,961,230,000   209   764   57   8.51   10.84   105   229,256,044   1.008   1.7E-10   2.3E-11   2.1E-33

126,010,000,000   26,498,600,896,667   210   770   57   8.55   10.88   106   231,087,546   1.008   1.7E-10   2.2E-11    2E-33

127,010,000,000   26,920,573,896,667   212   776   58   8.58   10.93   107   232,919,048   1.008   1.6E-10   2.1E-11   1.9E-33

128,010,000,000   27,345,880,230,000   214   783   58   8.62   10.97   108   234,750,549   1.008   1.6E-10   2.1E-11   1.9E-33
129,010,000,000   27,774,519,896,667   215   789   59   8.65   11.01   108                 1.008   1.5E-10    2E-11    1.8E-33
236,582,051


130,010,000,000   28,206,492,896,667   217   795   59   8.68   11.05   109   238,413,553   1.008   1.5E-10    2E-11    1.7E-33

131,010,000,000   28,641,799,230,000   219   801   60   8.72   11.10   110   240,245,055   1.008   1.4E-10   1.9E-11   1.7E-33

132,010,000,000   29,080,438,896,667   220   807   60   8.75   11.14   111   242,076,557   1.008   1.4E-10   1.9E-11   1.6E-33

133,010,000,000   29,522,411,896,667   222   813   61   8.78   11.18   112   243,908,059   1.008   1.4E-10   1.8E-11   1.6E-33

134,010,000,000   29,967,718,230,000   224   819   61   8.82   11.22   113   245,739,560   1.007   1.3E-10   1.8E-11   1.5E-33

135,010,000,000   30,416,357,896,667   225   825   62   8.85   11.26   113   247,571,062   1.007   1.3E-10   1.7E-11   1.5E-33

136,010,000,000   30,868,330,896,667   227   831   62   8.88   11.31   114   249,402,564   1.007   1.3E-10   1.7E-11   1.4E-33

137,010,000,000   31,323,637,230,000   229   837   62   8.91   11.35   115   251,234,066   1.007   1.2E-10   1.6E-11   1.4E-33

138,010,000,000   31,782,276,896,667   230   844   63   8.95   11.39   116   253,065,568   1.007   1.2E-10   1.6E-11   1.3E-33

139,010,000,000   32,244,249,896,667   232   850   63   8.98   11.43   117   254,897,070   1.007   1.2E-10   1.5E-11   1.3E-33

140,010,000,000   32,709,556,230,000   234   856   64   9.01   11.47   118   256,728,571   1.007   1.1E-10   1.5E-11   1.2E-33

141,010,000,000   33,178,195,896,667   235   862   64   9.04   11.51   118   258,560,073   1.007   1.1E-10   1.5E-11   1.2E-33

142,010,000,000   33,650,168,896,667   237   868   65   9.07   11.55   119   260,391,575   1.007   1.1E-10   1.4E-11   1.2E-33

143,010,000,000   34,125,475,230,000   239   874   65   9.11   11.59   120   262,223,077   1.007   1.1E-10   1.4E-11   1.1E-33

144,010,000,000   34,604,114,896,667   240   880   66   9.14   11.63   121   264,054,579   1.007    1E-10    1.4E-11   1.1E-33

145,010,000,000   35,086,087,896,667   242   886   66   9.17   11.67   122   265,886,081   1.007    1E-10    1.3E-11   1.1E-33

146,010,000,000   35,571,394,230,000   244   892   67   9.20   11.71   123   267,717,582   1.007   9.9E-11   1.3E-11    1E-33

147,010,000,000   36,060,033,896,667   245   898   67   9.23   11.75   123   269,549,084   1.007   9.6E-11   1.3E-11    1E-33

148,010,000,000   36,552,006,896,667   247   905   67   9.26   11.79   124   271,380,586   1.007   9.4E-11   1.2E-11   9.7E-34

149,010,000,000   37,047,313,230,000   249   911   68   9.30   11.83   125   273,212,088   1.007   9.2E-11   1.2E-11   9.4E-34

150,010,000,000   37,545,952,896,667   250   917   68   9.33   11.87   126   275,043,590   1.007    9E-11    1.2E-11   9.2E-34

151,010,000,000   38,047,925,896,667   252   923   69   9.36   11.91   127   276,875,092   1.007   8.8E-11   1.2E-11   8.9E-34

152,010,000,000   38,553,232,230,000   254   929   69   9.39   11.95   128   278,706,593   1.007   8.6E-11   1.1E-11   8.6E-34

153,010,000,000   39,061,871,896,667   255   935   70   9.42   11.99   128   280,538,095   1.007   8.4E-11   1.1E-11   8.4E-34
154,010,000,000   39,573,844,896,667   257   941   70   9.45   12.03   129                 1.006   8.2E-11   1.1E-11   8.1E-34
282,369,597


155,010,000,000   40,089,151,230,000   259    947    71    9.48   12.07   130   284,201,099   1.006    8E-11    1.1E-11   7.9E-34

156,010,000,000   40,607,790,896,667   260    953    71    9.51   12.11   131   286,032,601   1.006   7.8E-11    1E-11    7.7E-34

157,010,000,000   41,129,763,896,667   262    960    72    9.54   12.15   132   287,864,103   1.006   7.6E-11    1E-11    7.5E-34

158,010,000,000   41,655,070,230,000   264    966    72    9.57   12.18   133   289,695,604   1.006   7.5E-11   9.8E-12   7.3E-34


159,010,000,000   42,183,709,896,667   265    972    72    9.60   12.22   133   291,527,106   1.006   7.3E-11   9.6E-12   7.1E-34

160,010,000,000   42,715,682,896,667   267    978    73    9.63   12.26   134   293,358,608   1.006   7.1E-11   9.4E-12   6.9E-34

161,010,000,000   43,250,989,230,000   269    984    73    9.66   12.30   135   295,190,110   1.006    7E-11    9.2E-12   6.7E-34

162,010,000,000   43,789,628,896,667   270    990    74    9.69   12.34   136   297,021,612   1.006   6.8E-11    9E-12    6.5E-34

163,010,000,000   44,331,601,896,667   272    996    74    9.72   12.38   137   298,853,114   1.006   6.7E-11   8.8E-12   6.3E-34



164,010,000,000   44,876,908,230,000   274   1,002   75    9.75   12.41   138   300,684,615   1.006   6.5E-11   8.6E-12   6.1E-34

165,010,000,000   45,425,547,896,667   275   1,008   75    9.78   12.45   138   302,516,117   1.006   6.4E-11   8.4E-12    6E-34

166,010,000,000   45,977,520,896,667   277   1,014   76    9.81   12.49   139   304,347,619   1.006   6.3E-11   8.3E-12   5.8E-34

167,010,000,000   46,532,827,230,000   279   1,021   76    9.84   12.53   140   306,179,121   1.006   6.1E-11   8.1E-12   5.7E-34

168,010,000,000   47,091,466,896,667   280   1,027   77    9.87   12.56   141   308,010,623   1.006    6E-11    7.9E-12   5.5E-34

169,010,000,000   47,653,439,896,667   282   1,033   77    9.90   12.60   142   309,842,125   1.006   5.9E-11   7.8E-12   5.4E-34

170,010,000,000   48,218,746,230,000   284   1,039   77    9.93   12.64   143   311,673,626   1.006   5.8E-11   7.6E-12   5.2E-34

171,010,000,000   48,787,385,896,667   285   1,045   78    9.96   12.68   143   313,505,128   1.006   5.7E-11   7.4E-12   5.1E-34

172,010,000,000   49,359,358,896,667   287   1,051   78    9.99   12.71   144   315,336,630   1.006   5.5E-11   7.3E-12    5E-34

173,010,000,000   49,934,665,230,000   289   1,057   79   10.02   12.75   145   317,168,132   1.006   5.4E-11   7.1E-12   4.8E-34

174,010,000,000   50,513,304,896,667   290   1,063   79   10.04   12.79   146   318,999,634   1.006   5.3E-11    7E-12    4.7E-34

175,010,000,000   51,095,277,896,667   292   1,069   80   10.07   12.82   147   320,831,136   1.006   5.2E-11   6.9E-12   4.6E-34

176,010,000,000   51,680,584,230,000   294   1,076   80   10.10   12.86   148   322,662,637   1.006   5.1E-11   6.7E-12   4.5E-34

177,010,000,000   52,269,223,896,667   295   1,082   81   10.13   12.90   148   324,494,139   1.006    5E-11    6.6E-12   4.4E-34
178,010,000,000   52,861,196,896,667   297   1,088   81   10.16   12.93   149   326,325,641   1.006   4.9E-11   6.5E-12   4.2E-34

179,010,000,000   53,456,503,230,000   299   1,094   82   10.19   12.97   150   328,157,143   1.006   4.8E-11   6.3E-12   4.1E-34

180,010,000,000   54,055,142,896,667   300   1,100   82   10.22   13.00   151   329,988,645   1.006   4.7E-11   6.2E-12    4E-34

181,010,000,000   54,657,115,896,667   302   1,106   82   10.24   13.04   152   331,820,147   1.006   4.6E-11   6.1E-12   3.9E-34

182,010,000,000   55,262,422,230,000   304   1,112   83   10.27   13.08   153   333,651,648   1.005   4.5E-11    6E-12    3.8E-34

183,010,000,000   55,871,061,896,667   305   1,118   83   10.30   13.11   153   335,483,150   1.005   4.5E-11   5.9E-12   3.8E-34

184,010,000,000   56,483,034,896,667   307   1,124   84   10.33   13.15   154   337,314,652   1.005   4.4E-11   5.7E-12   3.7E-34

185,010,000,000   57,098,341,230,000   309   1,130   84   10.36   13.18   155   339,146,154   1.005   4.3E-11   5.6E-12   3.6E-34

186,010,000,000   57,716,980,896,667   310   1,137   85   10.38   13.22   156   340,977,656   1.005   4.2E-11   5.5E-12   3.5E-34

187,010,000,000   58,338,953,896,667   312   1,143   85   10.41   13.25   157   342,809,158   1.005   4.1E-11   5.4E-12   3.4E-34

188,010,000,000   58,964,260,230,000   314   1,149   86   10.44   13.29   158   344,640,659   1.005   4.1E-11   5.3E-12   3.3E-34

189,010,000,000   59,592,899,896,667   315   1,155   86   10.47   13.33   158   346,472,161   1.005    4E-11    5.2E-12   3.2E-34

190,010,000,000   60,224,872,896,667   317   1,161   87   10.50   13.36   159   348,303,663   1.005   3.9E-11   5.1E-12   3.2E-34

191,010,000,000   60,860,179,230,000   319   1,167   87   10.52   13.40   160   350,135,165   1.005   3.8E-11    5E-12    3.1E-34

192,010,000,000   61,498,818,896,667   320   1,173   87   10.55   13.43   161   351,966,667   1.005   3.8E-11   4.9E-12    3E-34

193,010,000,000   62,140,791,896,667   322   1,179   88   10.58   13.47   162   353,798,168   1.005   3.7E-11   4.9E-12    3E-34

194,010,000,000   62,786,098,230,000   324   1,185   88   10.61   13.50   163   355,629,670   1.005   3.6E-11   4.8E-12   2.9E-34

195,010,000,000   63,434,737,896,667   325   1,192   89   10.63   13.54   163   357,461,172   1.005   3.6E-11   4.7E-12   2.8E-34

196,010,000,000   64,086,710,896,667   327   1,198   89   10.66   13.57   164   359,292,674   1.005   3.5E-11   4.6E-12   2.8E-34

197,010,000,000   64,742,017,230,000   329   1,204   90   10.69   13.60   165   361,124,176   1.005   3.4E-11   4.5E-12   2.7E-34

198,010,000,000   65,400,656,896,667   330   1,210   90   10.71   13.64   166   362,955,678   1.005   3.4E-11   4.4E-12   2.6E-34

199,010,000,000   66,062,629,896,667   332   1,216   91   10.74   13.67   167   364,787,179   1.005   3.3E-11   4.4E-12   2.6E-34

200,010,000,000   66,727,936,230,000   334   1,222   91   10.77   13.71   168   366,618,681   1.005   3.3E-11   4.3E-12   2.5E-34

201,010,000,000   67,396,575,896,667   335   1,228   92   10.79   13.74   168   368,450,183   1.005   3.2E-11   4.2E-12   2.5E-34

202,010,000,000   68,068,548,896,667   337   1,234   92   10.82   13.78   169   370,281,685   1.005   3.2E-11   4.1E-12   2.4E-34
203,010,000,000   68,743,855,230,000   339   1,240   92   10.85   13.81   170   372,113,187   1.005   3.1E-11   4.1E-12   2.4E-34

204,010,000,000   69,422,494,896,667   340   1,246   93   10.87   13.84   171   373,944,689   1.005    3E-11     4E-12    2.3E-34

Physics and metaphysics

  • 1.
    Physics and Metaphysics Writtenby myself by Dedicated to Surajit Ghosh Science The Science called Physics giniexmail@gmail.com Dated: 12/12/2012 Dated: 12/12/2012 Preface: When I am writing this, the world of physics is facing lot of puzzles all coming out of the large and small scale structure of the universe. I believed that the basic problem was drawing the correct picture. I started drawing it 10 years back but had to erase all those. This one I can not erase from my mind until my death. With this I am in perfect equilibrium, although I know nature works with probabilities any equilibrium is a death. perfect one. countless dynamic one. But I just can’t let those sleepless nights, countless cigarettes go astray. 96% uncertainty at quantum level turns out be 96% deterministic at the universal level, rest 4% uncertainty is the reason the universe cannot have rest. universal Summary of contents • Classical unification of Newton’s Gravity with Coulombs Law unifying gravity & anti gravity producing gravitational curl. • Neo- Neo-Classical unification of Charles Ratio and Fine Structure Ratio, the complementary yin and yang force. Ratio, force. • curvature, constant. Linking the product of the above two ratio with space time curvature, the cosmological constant. • C onnection between Singularity and Charles Ratio, growth rate, scale of expansion, relativity. Ratio, relativity. lativity • Multiverse, Explanation to Galaxy rotation, missing mass problem falsifying extra dimension, Multiverse, String theory. • imageses, Relativity Horizon and beyond that, probing reality of Hubble’s UDF imag es, the age & radius of the universe. • Nature Nature of Dark matter, Dark energy a double sided error arising out of the gap of scale. • Matter Antimatter symmetry their non destructive interaction to create variety of elements. elements. • The eternity & infinity of space time arising out of top down singularity in cycle.
  • 2.
    Laws governing theGravity Two major physical theories which we believe describes gravity are: 1. Newton’s law of motions and Gravity 2. Einstein’s General Relativity Newton’s first law of motion is about inertia of matter which implies unless force is applied a body in rest shall continue to be in rest and a moving body shall continue to move forever. Later it was understood, as all bodies in the universe are moving, there shall be no place of absolute rest. The lack of absolute rest mean lack of absolute position, from where one can determine absolute distances of other objects or the absolute time lag between two events that takes place at different time. We stepped into relativity here itself but understood later when Einstein came out with the broader picture of relativity. Newton’s second law of motions defines the nature of force, its acceleration on mass of bodies. In a smooth system like space an applied force shall constantly accelerate bodies for ever results ever increasing velocities with increments equal to the acceleration. This is the reason the force exerted by big bang constantly accelerating the galaxies further away. Newton’s third law of motions states that for every action there is always an equal and opposite reaction: or the forces of two bodies on each other are always equal and are directed in opposite directions. This implies that any object accelerating forward the space time shall feel a negative acceleration called gravity and this gravity is measured from law of gravity. According to Newton’s law of universal gravitation, all bodies in the universe are attracted towards each other by a force that is stronger the more massive the bodies and the closer they are to each other. It is this same force that causes objects to fall to the ground. Newton’s theory of gravity like general relativity (discussed later) also implied that the universe in which gravity is always attractive, cannot be static, either it has to expand to escape its own gravity or it has to collapse at some point. Einstein’s Special relativity incorporates the principle that the speed of light is the same for all inertial observers regardless of the state of motion of the source. Special relativity also predicted that the speed of light is the highest speed limit any object may attain when its rest mass tends to zero. The fundamental postulate of the theory of relativity, as it was called, was that the laws of science should be the same for all freely moving observers, regardless of their speed. If we extend this we can see that relativity will not be different from reality i.e. if our measurement of our relative distance, relative time is correct then 5/2,7.5/3, 10/4 would give same result. Einstein’s General relativity is the geometric theory of gravitation. He transformed three dimensional space into four dimensional Space time, and abandon the idea of absolute time (absolute time if anything shall remain Gods own Property). He showed that the curvature of space-time is directly related to the energy and momentum of whatever matter and radiation are present. The relation is specified by the Einstein field equations, a system of partial differential equations. Inspired by static model of the universe, in his original field equations Einstein introduced a new “antigravity” force, which, unlike other forces, did not come from any particular source but was built into the very fabric of space-time (a more detailed explanation to Newton’s third law effect on Gravity). When Hubble discovered that the universe is expanding,
  • 3.
    the cosmological constant,which he introduced, called the biggest mistake of his life. But cosmological constant was an integral part of the equation inevitable from the “Space time Relativity” without that special relativity i.e. constant speed of light is not maintained. The beauty of his field equation is that his antigravity or cosmological constant comes as an addendum to the equation, if in short run, we leave it we see the universe is expanding but in long run we need to add it so that the acceleration is controlled otherwise the acceleration goes beyond control. This created assignment problem while making CDM model of the universe, with which physical state of mass or energy this cosmological constant lambda can be associated to. So a new term “Dark energy” was coined and to support its mass “Dark Matter”. The obvious result came, thousands years of our knowledge got only 4% pie of the bigger picture of our universe. In Search of Revised Gravitational laws We may think we know enough about gravity as Newtonian Gravity and General Relativity have not let us down when we send the first rocket or in explaining the anomalous perihelion shift of planets. Our last job is to find graviton to connect standard model with general relativity. But if we understand the far reaching consequence of Einstein’s equivalence principle then we will accept the need for some kind of control on the exchange of mass-energy ratio i.e. the speed of light or critical density ratio, expansion ratio of the universe and the curvature of the space-time. Out of these multiple concepts of one universe we cannot determine which one is dependent variable which one is independent variable. If we try to do so we encounter chicken-egg problem or hierarchy problem. We know Gravity is pseudo force it should not exist in reality but still it exists both locally and universally, because it is the culmination of all the fields arising out of exchange of mass-energy and expansion of the space-time. To understand Gravity from the scratch let’s go through once again Newton’s law of universal gravitation. After reading several times we shall come across the following fallacies, 1. The theory do not explain the origin of gravity, neither it assume any initial condition. 2. The theory has a tendency to point towards infinity, like the force of gravity is assumed to be infinity in free fall, there shall be potentially infinite number of stars to escape the fall. Gravity work on point to point; it does not create a gravitational field. 3. The theory determines the effect of gravity on planetary system like ours with accuracy, but it does not explain how it works, its nature i.e. being a force how it can always be attractive? Or it is the net positive after cancelling the negative? Or there is bottom line for both positive and negative force maintaining a constant ratio between the two? 4. The theory describes many to many relationships, but the equation is restricted to one to one relationship, it’s like “many to many” clue is missing. 5. The many to many model is not stable and by default collapses to one point and when it collapses Gravity become zero. 6. The theory cannot explain problem of missing mass calculated by Zwicky in rotation of stars in a galaxy system where unlike planetary system anti gravity plays an important role. Now knowing that our universe is expanding, if we let the many to many relationship fall into one universe, we get the following: 1. Space must be potentially infinite and perfectly elastic, when matter take its place on the space-time fabric it creates a natural slope so that the lighter matters feel gravity towards it, resulting the Universe falling back to its own centre of gravity (As the space is potentially infinite the nearest mass point may serve as centre of gravity).The strength of the gravity is directly proportional to mass. It works in the direction of centre of gravity.
  • 4.
    2. Presence ofenergy or energetic matter energizes all the objects in the universe to escape the gravity by squaring its distance from the centre of gravity. It is the repulsive gravity resulting from Newton’s third law of motions itself or in Einstein’s language when matter flows towards gravity then space time fabric releases equivalent amount of tension in the form of gravitational waves. It works in the opposite direction of centre of gravity. So basically it’s a split of the original law with two different forces working in two different directions. But as a whole the equations remain same; the gravitational constant become variable and gets two variable components. Let’s take a real life example. Its frequently seen among kids playing soccer, when the ball goes to nearby pond, one of the tall guy asks another heavy weight guy to give a hand, and he literally float his body weight over the pond where both may fall just by balancing one another’s gravity and the first one reaches the ball by stretching his hand. Doing so, of course they both do some work and losses energy, but roughly the lighter guy do little more work. In space also lighter galaxies are escaping from gravity with support from heavier galaxies and so on. As in the space there is no fulcrum or holding point like surface of the earth shown in the example, sliding becomes inevitable by squaring its distance from the centre of gravity. The energy is supplied by chain loss of little mass in descending order of lighter to heavier galaxies. It also tell us, why the stars have to burn there self in a controlled manner by absorbing little energy from the neighboring star (as we light up our candle and pass the light back in a religious place). Now let’s look into antigravity which symmetrically arises from degeneracy pressure of electron in the energy domain. We can transform Newton’s law of universal gravitation, symmetrically to law of universal antigravity and integrate into revised gravitational laws which shall look like: each body in the universe is repulsed from every other body by a force that is stronger the more rest energy the bodies carry and apart they are i.e. inverse square of the distance they are to each other. In fact this is coulombs law / gauss’s law on electromagnetic flux unified by Maxwell. Notable to see that the antigravity proportionately varies with rest energy not rest mass and inverse square of the distance same as gravity. This is the reason in a field where both gravity and antigravity are present the accumulation of mass need not be centralized as the gravity component and antigravity component in same distance is cancelled because of their opposite direction. Now if we merge this two gravity/ antigravity force laws, four individual components then they don’t cancel each other completely rather they coexists according to their intensity layer by layer. But At large we cannot identify whether a gravitational force felt by any object whether due to gravity or antigravity as they losses their individual direction (evidence being two pioneers direction, one towards the centre of milky way and the other took opposite direction) leaving a torque or curl effect, which ultimately determines the curvature of the path the of the whole object driven by these forces. ga' = Ga’.M/R2--------(1) ga’’ = Ga’’.E/R2--------(2) OR ga’’ = Ga’’.M. v2/2R2--------(3) 2. (ga’’/ ga')/ (Ga’’/Ga’) =∆ g dividing 3 by 1, where ∆ g=torque or curl effect on velocity (ga’’/ ga') represents the coupling constant between gravity and electromagnetic force which causes expansion of space between matter and has value in ascending order from innermost disk to outermost disk of a galaxy. The value of (ga’’/ ga') ranges from (1/276) to (1/273), followed by Charles empirical constant. (Ga’’/Ga’) represents
  • 5.
    the coupling constantbetween electrostatic force and electromagnetic force which causes the electron to move along the atomic orbital’s at quantum level and also has value in ascending order from innermost disk to outermost disk of a galaxy. The value of (Ga’’/Ga’) ranges from (1/138.5) to (1/137) followed by Fine structure Constant. ∆ g =2. (1/276) / (1/138.5) =277/276= 1.003623= k Constant> 1 ∆ g =2. (1/273) / (1/137) =274/273= 1.003663= k Constant> 1 So we can see that velocity of a star in a galaxy do not depend on any parameter, it shall follow the galaxy average, masses need not be centralized in a galaxy, parameter, they can have any position in the continuous gravity chain. Planets may or may not rotate on its own axis, shall depend on the gravitational curl effect on its chain. density ratio relative mass. So also our space time curvature, critical density ra tio is just greater than 1 and space time must be curved like a sphere and the universe is built not to meet any singularity like big crunch i.e. there shall be quantum fluctuation and there shall be no “light off”, galaxies shall recede forever until it galaxies collapses. ollapses.
  • 6.
    Hubble’s UDF Images WhenHubble’s telescope brought us its ultra deep field images from distance 13.3 billion light years away, the question arises whether these images are our past or their present or mix of both? Without knowing the exact space time curvature we cannot determine the origin of the lights. If space time curvature is greater than one then past light never meets present they are totally internally reflected back to past. On the other hand if space time curvature is less than one then past light enters present and it creates a bizarre picture of the universe. The weirdness increase as space time flattens. Somehow we are convinced that these are our past lights alone. Mind starts boggling when we try to reconcile the light path and object path, presence of gravity increases the weirdness as being mass less speed of light should have negligible effect compared to the effect of gravity on the object path. If the universe is 13.7 billion years old and we are seeing those lights now then straight forward question arise whether light was sleeping like the rabbit in the race between rabbit and tortoise or gravity gave the galaxies key to wormhole path where they can recede faster than light without losing any rest mass and gave light path to singularity so that majority of its time are consumed inside the singularity so that ct meets vt now. If we think of inflation which can stretch 13.7 billion year to 46 billion year then also our initial position must have been poles apart from the centre of big bang, but CMB gives us a central position pointing towards infinity both side. We were at the central position violating Copernican principle and there was inflation and even after that we are still at the central position is contradictory. It sound so unbelievable that if this has to be true then edge/unbounded boundary of the universe has to be trillions of light years away from us that the time 13.7 billion year looks relatively small and it can be worked out without any inflation, in other words established 46/13.7 is according to original scale valid for the centre of the universal space-time conditions prevailing at the time of origin of the universe. Since then the universe has changed scales 1000(derived later) times. Copernican principle still holds good that there cannot be any preferred position, right time of looking in cosmos then why 46/13.7 alone. Time dilation cannot be infinitely intensive. If UDF images were from past lights then gravitational lensing would have created multiple images and huge distortion in the images could not be ruled out. To explain x, y, z three commoving galaxies images may have been formed like (a, x, h), (b, x, q)……… (a, y, h), (b, y, q)……… (a, z, h), (b, z, q)……… but Hubble’s images are not that much distorted. Actually Hubble’s UDF images appear so real as if there is no difference between relativity and reality. The reality is we are no more there and our pictures are erased by new pictures and we cannot play it back. Our past, there present, nature doesn’t differentiate this way, nature maintains only one time (If you say God’s time) or doesn’t maintain any time (If you don’t like God’s time then all time relative to gravity) either way it’s the present very present, neither future nor even past. It is so sad that even after spending billions of dollars to make telescopes we cannot get pictures of our past and the situation will not improve even if the size of the telescopes goes bigger. When we pass through a big tunnel our straight-line vision shows the other end of tunnel as a point (in case of a flat tunnel) or even black (in case of a curved tunnel). Because of tunnel vision (even telescopes eyes are not better than ours), further we look as if looking through 50 meter straw the picture will not change it will maintain the same brightness with increased number of galaxies as if we are not looking into past rather we are looking at our very present. So with these wonderful telescopes we should feel happy again as we got the live broadcast right of the Mega universal show without spending a single dollar. This is possible only because space is opaque; space time is curved with curvature close to one, where photons are virtually imaged on real time. Even if we reach the distance by telescope, to see a lighted object (We can’t see lights, we see lighted objects) the object must have to be there otherwise no images are formed. When the object is there, the virtual images are formed depicting their reality i.e. free from relativity. All the irregularities of relativity gets erased in gravity transposed frame of relativity-reality, otherwise there would have been so many images for every object at interval of every second that their lights would have solved the Olber’s paradox. This can be explained with quantum entanglement at quantum level, in fact relativity and quantum entanglement complement each other in showing true and fair view of our universe. Photons are perfectly entangled irrespective of the spatial distance. An object moving in space emits lights from which its image can be formed. But as gravity deals differently with objects having different mass, so soon the path of the object and the path of lights emerging from the objects diverge. After crossing the curved path of the gravitation when this light reaches some distant observer the actual position is juxtaposed by some angle. But as the spin of photons is entangled, the imaging photons remains entangled to the source photons throughout the imaging light path irrespective of the distance they travel. Due to this phenomenon although the positions of all cosmic objects may be a gravitational approximation but the images are perfectly real and live. If this spooky action was not there then we could have tracked the whole lifecycle from birth to supernovae explosion of a star moment by moments. But wherever we look from south to north
  • 7.
    every angle it’sthe repetition of same one picture. Hubble’s data may not be conclusive because beyond Hubble’s sphere radius still we see the galaxies receding faster than light. For example future telescope may give more accurate data so we get the correct age and radius of the universe. Red Shift and the expanding Universe Red Shift of spectra of lights coming from far away objects is an important tool for astronomers to calculate the distances of the objects. This tool has brought us twentieth century’s greatest discovery of expanding universe as well as mind boggling puzzles what the universe is expanding into, what is the driving force behind the expansion, whether anything can stop the expansion etc. As Hubble’s images depicts the reality, what shall the red shifts imply which is calculated based on Hubble’s data. It shall bounce us back ours the very ours Milky Way galaxy’s relative expansion. It will not be safe to attribute the expansion wholly to the universal expansion. The Actual universal expansion should be calculated age of 13.7 billion years multiplied the velocity of stars 12.04 km/sec equal 166 billion year and it was relatively slow. The expansion is driven by supply of more ordinary baryonic matter from potentially infinite space time. This continuous expansion is continuously changing the scale across the space time and if we take grand average scale we can say that the universe has taken a 1000(derived later) leaps or completed 1000(derived later) complete rotation or in universal times its just 1000 year (derived later) time elapsed which in earthly scale equivalent to 166 billion year (derived later) and in this time the universe has grown across 46 trillion light years in radius. Gap of the Scale Reason of both the pioneers we lost connection cannot be one (Power constraint) as they were twins yet pioneer 10 probed for 8 year longer time which may be its relativity boundary from earth. If we see its life time data then we find: Although Pioneer 10 was accelerated up to 12.56 Km /sec its velocity was slightly brought down to 12.51 during this 30.89 years journey starting from Date of launch 2- Mar-72 to Date of last communication 23-Jan-03. In this time i.e. 974,199,600 seconds (aprox) 12 billion km was travelled by pioneer 10 (as noted from Wikipedia). Once an objects velocity is gravitationally adjusted then it can maintain its velocity forever. In case of pioneer 10 the relativistic distance it should have crossed in 31 years starting with 12.56 Km /sec initial velocity comes to be 12,235,945,740 Km which is 12.56 multiple of 974,199,600 seconds (aprox). 12 billion km travelled by pioneer 10 (as noted from Wikipedia) has deviated slightly from its relativistic value mainly because of unexplained acceleration known as pioneer anomaly. Relativistically speaking even in the presence of gravity where universe is expanding its relativistic orbital velocity should not have slowed down at all. What is this gap? This is a gap of scale moving across space time. If the scale factor to be 1 somewhere near to centre of Milky Way galaxy then by the time we reach earth trajectory this sale factor we see got increased near to 1000(derived later). This may be called Expansion Scale Factor. Because of this reason even if we corrected Newtonian g by relativistic g the difference did not answer everything as this difference yet to be scaled up by 1000(derived later) times as it escapes earths trajectory and result is the exact answer to pioneer anomaly. But for light this relativity radius will be 300,000,000 year which is highest radius of relativity horizon at any point of time. Beyond 300,000,000 light year distance whatever we see through telescopes is a virtual image of reality delayed by just another 300,000,000 year even if the object may be billion years away from us. This is Relativity Boundary. When this boundary is crossed the present light cone converges into pasts and image depicts the real position. Derivation of Singularity Value Let’s assume the universe was in its totality, singularity was broken by big bang and (x) number of galaxies was created, entropy after big bang (1/x), initial velocity just after big bang was (x), big bang acceleration (x), rest mass of any galaxy (x/2), big bang expansion lasted for time (x), Required time for light to reach the nearest galaxy from the big bang central galaxy(x),
  • 8.
    Rest Energy ofany galaxy just after big bang = m.v2=x.x2=x3 ------ (1) (Not ½.m.v2 as there was no gravity, there was no interaction, everything was running one-way) Energy of first galaxy got light after big bang =1/2.m.c2=x/2.c2 -------- (2) (Not m.c2 as there was no light, a complete half of the mass was needed to create light energy) Comparing 1, 2, above: X/2.c2= x3 OR c=√2.x -------- (3) Required time for light to reach the nearest galaxy from the big bang central galaxy(x) Distance crossed by light from the big bang central galaxy c.t=√2.x2 -------- (4) Velocity of nearest galaxy from the big bang central galaxy after big bang expansion=v=u+ft=x+x2=x(x+1) Distance crossed by nearest galaxy from the big bang central galaxy s=u.t+1/2.f.t2 =x. x(x+1) +1/2.x.x2 OR s= x2(x+1 +1/2.x) -------- (5) Comparing 4, 5, above: √2.x2= x2(x+1 +1/2.x) x= (√2-1)/ (1+1/2)=.41/1.5=0.273 ~ 0.276 Derivation of Expansion Scale Factor We know gases expand in proportion of 1/273 with the increase of energy, does this have any connection to the universal expansion i.e. is the universe expanding same fashion. The answer will be yes there is a deep connection that is why a singularity value derived from some known universal laws shows numerical similarity leaving a factor meaning of which yet to be understood. Comparing Singularity Value with Charles constant 1/273 we get 1000 which is our (earthly scale) today’s expansion Scale Factor. We should not misunderstand this exact value of 1000 as arising from decimal system itself. We have taken two intervals since the origin of the universe as under Newtonian mechanics we need U1 to determine the position of any object relativistically we need U1 and U2 further if we accelerate this constantly then maintaining Galilean/Newtonian inertia or Einstein’s equivalence principle the object will maintain constant speed, further if we put more mass into the balloon then the dots on the balloon starts receding and the scale changes. 273 and 1000 can be seen as latitude and longitude of our position in the universe where 273 represents the three dimensional space coordinate and 100 represents the time coordinate. Elsewhere in the universe it is different as the scale they are operating is different so also the numerical value of the nature constants. Nothing remains numerically constant except the law. Einstein realized this when he said "as far as the laws of mathematics said refer to reality, they are not certain; and as far as they are certain, they do not refer to reality." Here are some other astonishing numerical confirmations of presence of such expanding relativity scales.
  • 9.
    1. If we product today’s expansion 273 by singularity .276 we get Numerical part of the Hubble’s Constant i.e. 75 i.e. 273*.276=75 2. SQRT(Hubble’s Constant/(1+singularity))*(1+singularity) gives numerical value for Acceleration due to gravity(g) i.e. SQRT(73/(1+.276))*(1+.276) =9.82 3. Acceleration due to gravity*(1+singularity) gives numerical value for Average Velocity of Stars/ Escape velocity i.e. 9.82/(1+.276)=12.53 4. Singularity/Speed of light gives numerical value for pioneer anomaly i.e. .276 /300000000= 9.2E-10 or Singularity* pioneer anomaly= Speed of light It may be hard to accept the crude mathematics but such kind of scalar adjustments can arise as nature obeys the underlying universal laws also in God’s dimensionless world (see below the god’s way) this kind of normalization is not at all illogical. [GOD created this universe but it was not working. Then he thought, if I cut into pieces it may work. He did so in time (x) with perfection and full concentration so that nothing was wasted. He didn’t count it how many pieces (x) he made but it was his sense of equity that every piece was equal, he was so concentrated that when he finished with last piece in his hand and saw to his surprise (his divine touch got everything x) that some kind of entropy (1/x) (due to destruction of absolute rest i.e. absolute zero) were taking all the pieces away from him as well as from themselves at unknown speed (x), at unknown acceleration (x).Then he decided to catch all those pieces with one piece remaining in hand. He lighted its rest mass (1/2x) with energy (1/2x).c2 so that it can light up the first piece travelling with rest energy x.x2, from (1/2x).c2= x.x2 i.e. c=√2.x he saw, after time (x) at distance √2.x2= x2. (1+x+x/2) the first piece got lighted.] Derivation of Time since Origin Having derived the singularity, now we can interpolate and extrapolate to find out other nature constants. At the Universal level we have we know precisely the following constants 1. Speed of light c 2. Gravitational constant G 3. Acceleration due to Gravitational free fall g Also we know Charles ratio for expansion of Gas on increase in energy (pressure remaining constant) 1/273, Today’s Expansion Scale Factor (1000) We can derive time since origin t= G/g.c2. (Reciprocal of Charles Ratio). (Expansion Scale Factor) =6.673*10-11/9.80*2997924582*273*1000= 1.65583E+11 i.e. 166 billion years Comparison: 166 billion years/13.7 billion years=12.04 i.e. Average velocity of Stars in our galaxy, thus 13.7 billion years is the best estimate for age of Milky Way Galaxy not the age of the universe.
  • 10.
    Derivation of Radiusof the Universe From s=u.t+1/2.f.t2 Where u =singularity value of .276, c= Present speed of light, f= 1/c (Present speed of light) & t= time since origin 1.66E+11 Radius of the Universe= 45,978,018,926,667 i.e. 46 trillion light years Comparison: 46 trillion light years /46 billion light years =1000 i.e. expansion Scale Factor. Note: Annexure showing the Timeline of the Universe and changes in nature constants are provided at end of the book.
  • 11.
    The origin andfate of the universe The origin of the universe and fate of the universe remains very debatable. Perhaps these two remain unsolved unless we encounter any one. However from our today’s observation we can interpolate and extrapolate to make out a picture. Today we are seeing the galaxies are moving away from each other, does not necessarily mean that they were all together in past; of course it means that the gap must have been less, then also not necessary same number of galaxies as today, most may have got created recently and got position in the front seats then also our picture remains in the same observation frame. Today’s expansion is happening because of today’s events, if we go back to time then by default we will see the first picture of universe was smooth and even, without any gravity, perfectly stable. But this stability how long it last, particles with its quantum fluctuation came into action and created relative hot filaments and cold plasma zones almost maintaining the same smoothness throughout the universe and gravity came into existence and the journey started. So it was a very slow process, I believe not like “the whole universe in a peanut”, “10−35 to 10−34 seconds after big bang”, “inflation after big bang”. Why hypothetical inflation field, when particles obeys “Uncertainty Principles” and they create dark and light bars in a double slit experiment. By nature particles gather and create disturbances like waves. If we compare the initial quantum fluctuation with a double slit experiment then by evolution of time we can see our universe as parallel hot and cold zones similar to dark and light bars in a double slit experiment. Hot being the space filament along their respective space time spiral axis and cold being the plasmas super imposed on the filaments. Although there was no necessity at all (Quantum fluctuation can create a spark as trees in vicinity can set the miles of trees on fire in a jungle), Big Bang theory could have been accepted as multiple isolated events in a small space with small mass involved at a relative slow pace, which resulted small anisotropies which were corrected by gravity thereafter. It cannot be a theory of total universe as still we have mass, space-time, which remain untouched by Big Bang as apparent from the homogeneous nature of the universe. The hypothetical inflation field came out to make up the gap of scales which we could not grasp properly. May be CMB gave us an accurate value for observable universe which is 46 billion light years, But question arise when the universe is expanding how could the speed of light remain constant same as at the time of big bang. Today we see light travels at 300000000 (approximate) meters/ sec, it was not the same speed it was travelling just after so called big bang as matter was denser, gravity was stronger. The speed of light was 1000 scales lower than today with respect to today’s diluted time. If we multiply 46 billion light years by thousand then we get 46 trillion light years the correct radius of the universe, everything will come into this, and if future telescopes can reach this distance then it will not see any galaxy receding faster than light. Least massive Stars which can shine for trillions of years will not be excluded from the picture. The picture will be continuous without having any horizon problem the hypothetical inflation field will vanish as the expansion itself will look straight line and big bang will look like a tiny quantum fluctuation, Dark matter and Dark energy will vanish as the basic laws property of inertia, laws of motion, special and general relativity, mass- energy conservation etc… will explain everything. Then correct age of the universe thus calculated shall be 166 billion years (see the derivation). We need to correct the ratio 46 billion /13.7 billion =3.35 to 46trillion/166 billion=277 so that it do not contaminate our other results. Perhaps Big Bang was accepted to answer all the non questions of singularity into one singularity but unfortunately it put us into cycle of false. Our life could have been simpler if we had followed Conservation of mass and energy by heart. Realistically Conservation of mass and energy together cannot happen unless mass and energy are conserved independently. Mass contain some energy, to make the atomic structure, to form the mass. Energy cannot come to light unless some atomic structure is destructed. So there is a common area between them, rests are their individuality. Mass cannot be converted into energy and Energy cannot be put into mass. Higgs boson can explain how matter obtains mass but creating heavy Higgs boson out of nothing sounds impossible. Any transaction happens in common area i.e. zero point energy which is freely available in the space in the form of gravitational potential. So mass can be released to some atomic energy, light energy which again working with time can bind some unstructured mass back into the system. The initial amount of mass and energy are both conserved neither cannot be created nor cannot be destructed. So we can say when a supernova takes place all the baryons free them to a further place but light goes to catch them again. Conservation of mass and energy along with bottom line and top line singularity limits alone is enough to carry on the mega galactic show like a recycled water fountain forever. Galaxy will take birth, recede from each other, one day without being able to recede, will break into pieces and recycle once again to run the show. One obvious possibility from so called Big Bang model may be, now we are going through divergence, after the first Half- life (Not less than 198 billion years i.e. not before 32 billion
  • 12.
    years/ convergence willstart, after the second Half- life our universe will go through a reverse process (Big Crunch/ Big freeze) perhaps this time Olber’s paradox will come true, night sky would be as bright as day. But we have seen that CPT symmetry is not followed in nature as thought of. The reverse process cannot restore everything back to the same position as now. Beyond this swap point it will be absolutely uncertainty, nothing matches our reality today. But we are in reality and there is no illusion about it. Also then what could be the purpose of gravity taking our galaxy away in a controlled manner as if giving our galaxy a safe exit so that another galaxy can enter and the cycle goes on, why the nuclear fusions are self controlled, why not blowing up everything at one go so that galaxies recede at speed near to the speed of light (theoretically not impossible), why the universe looks so smooth every direction, why speed of light is highest speed limit, why density of the universe do not fall below the critical density, why alpha fine structure constant is so fine. Eternal space time sounds more appropriate and confirms our observation. It can be directly derived from Special Relativity. Nothing can travel faster than light, in other words nothing (any object or any subsequent light) can travel a distance longer than the Universe (the whole object or the first light). Galaxies will continue to recede for ever there will be no big crunch, but any galaxy before it goes back to its origin (the eternity of space time) it will donate some of its light (energy) and gravity (black hole mass) gravity to a new born galaxy. When Einstein thought of a static universe, conserving mass-energy, momentum he was dynamically right. But when Hubble saw the universe is expanding, we made a mistake; we couldn’t grasp the relative size of the universe as we cannot follow the story when we enter late at cinema hall but towards the end we can make it out, also we didn’t check it with special relativity. The acceleration was so clear and obvious that we didn’t give a thought that this acceleration could be relative to our relative space (the galaxies from which we receding) our relative time (the time we came to existence), the universal truth being the day this relative acceleration stops is the final day for our galaxy, but other galaxies will continue receding with acceleration and we the people of earth may or may not get any place there in that new galaxy, neither physics cannot answer this nor this should be its subject. To think of an eternal universe, we need to clear about the Hubble observed accelerated expansion first. It’s so badly hammered into our mind that we forget the essence of relativity. This accelerated expansion is not exceptional. This is also relative to the finite life our galaxy. Galaxies are the building block of the universe and all these blocks were not build same time. Before 10-35 seconds the quantum mathematics breaks that do not mean all those galaxies share same time of birth. Even among human twins one has to be older by a few seconds. The correct way to understand is to take a single galaxy and then multiply it with the expansion rate. This way you can renormalize the singularity of all galaxies back to eternity of the whole universe. The Universe is finite and eternal with 66 trillion light year radius and maximum 198 billion year life cycle of matter and antimatter phase. Don’t be confused that universe has an age, 198 billion year is the cosmic time limit any galaxy may survive from birth singularity to death singularity and, 66 trillion light year radius is the cosmic time limit any galaxy may travel in this time again don’t be confused this as all the space time. The universe is floating on the infinite space for eternal time. Our universe is matter dominated i.e. everything we see are matters antimatters which symmetrically arise are not found anywhere unless a dying star or collapsing galaxy sends some signature showing they exist. In fact they exist in disguise just into the matter deep into the atom. Why neutrons are neutron not proton although lots of property are identical except one, the charge. In fact neutrons are anti proton coupled with positron i.e. anti electron neutralizing them for survival. If it was not like this then variety of elements we see on earth could not have formed in a star, a star could not have run the nuclear reaction in a self sustained manner. Exchanging, Sharing among proton, antiproton, electron, anti electron for survival of each other goes well. But it has a limit when mass gets heavier the star explodes and the antimatter takes over matter and forms a neutron star. Similarly in case of a galaxy when all its stars are reduced to neutron stars or black hole the galaxy get reduced to an antimatter galaxy but they don’t look for a matter galaxy to annihilate. They remain in this big freeze until their energy goes below the zero point energy which triggers the big bang explosion and then start over again. Collectively the universe does not go complete big bang or big freeze phase when the first half life is over 4% galaxies remain out of the big crunch event horizon and the second half life some other 4% galaxies remain out of the big bang event horizon, thus neither energy do not get completely light off nor mass completely stocks out and the cycle continues.
  • 13.
    A- Antimatter Singularityvalue 330, scale factor 1200 The Universe is finite and eternal with 66 trillion light year radius and maximum 198 billion year life cycle of matter and antimatter phase. It operates in ever increasing scale from one phase to another phase. Our position on the earth is located at 46 trillion light year space and 166 billion year time coordinate. That means we the people of earth are left with just another 32 billion year (earthly scale) time and we have to travel a mere 20 trillion (earthly scale) light year path to hit the antimatter singularity. This journey is going to be very quick relative to our past journey. Believe it or not earth’s tilted angle of 23.5 B- Big Bang Singularity value degree with its axis pointing this fact silently. Last Big bang singularity occurred around 166 billion year back. 13.7 billion year .273, scale factor 1 as accepted multiplied the velocity of star 12.04 gives 166 billion light years. Also the established radius of 46 billion light year multiplied 1000 the present scale factor gives 46 trillion light years the correct radius. Perhaps the scale went wrong, space time remained independent variable emerging out of interaction between mass & energy. Big Bang happened and happening continuously in tiny region of space in south aligned to earth South Pole. Then it spread across north at ever expanding rate. There is No Dark force behind this expansion it’s just physics of changing scale not yet grasped properly. Before Big Bang Singularity it was Antimatter Universe, with the Big Bang Singularity the first Matter Galaxy was formed. Then its light energy triggered the multiplier event, since then numbers of galaxies are getting multiplied to billions maintaining the scale gap. Sounds like string theory, but it’s not Multiverse. The countless extra dimensions can be renormalized and Multiverse can be scaled down to Multi galaxy with every galaxy having its own event horizon maintaining the critical density ratio or space time curvature just close to 1 so that galaxy structure forms. If every galaxy has space time closed inside the event horizon then where from its getting nuclear fuel, what are those hundreds of images sent by Hubble from deep space. Let us not forget the probabilistic nature of quantum events, quantum entanglement. It is those ordinary matters getting injected into galaxy filaments through its central black hole supplying the fuel for the whole galaxy. Also It is those photons perfectly entangled to source objects coming out from the galaxy through the open end of the galaxy filaments so that we can see real time relativistic picture of the universe. These photons energy energizing fresh ordinary matter so that their gravity pulls the galaxy & the galaxy flies along its own light path just like Spiderman flies. The black holes remain connected the filaments just like Axon & Dendron in nerves. Gravity works both locally & universally. But unlike local planetary gravity where antigravity is nil the universal gravity & antigravity almost cancels each other in equal distance leaving a torque or curl and the space time don’t go flat again, the stars in outer discs do not slow down, the scale changes & it continues. 4% error occurs in this process which is corrected by supernova, gamma ray burst, merger, demerger of galaxies all has been detected by telescopes. If we cancel dark energy & dark matter, apply the correct scales to the ordinary matter then majority of problems are solved. Time will come when the stock of finite mass will go below half i.e. after the half life of the universe things will happen opposite way. But day comes after the night; this phase also will not stay forever. 4% exceptional Neutron stars will burst and initiate another big bang. Now the question remain do we have the privilege, or are our position is something special violating Copernican principle. It will be premature to guess anything like that. A- Antimatter Singularity value 330, scale factor 1200 B- Big Bang Singularity value .273, scale factor 1
  • 14.
    The Universe inthe light of Applied Revised Gravitational laws With variable ga/Ga model of Newton’s law of universal gravitation the antigravity (ga) force comes from the gravity itself but it works opposite direction of gravity (Ga). A precondition to this model to work is constant supply of the fuel i.e. matter but as per Big Bang model the creation of matter has stopped after being separated from antimatter from matter-antimatter primordial soup and cooled down gradually. If roughly the same amount of matter were there yesterday then why today gravity is stronger resulting the galaxies spread away. The only explanation is that fused particles of ordinary baryonic matter (including Higgs boson) spread all across the space were less dense maintaining gap more than planks length between the particles so that gravity can be avoided. Now by the passage of time they are coming closer forming nebulae or inter stellar material. These are denser and attract gravity. Answer to the question why they are coming close now is to meet the demand of fuel coming from nearest galaxies, do they have brain of course not but they follow gravity and special relativity they maintain the ga/Ga balance. As the matters are getting denser, so the tension on the space, so the attractive gravity, so the release of tension, so the repulsive gravity, back and forth… back and forth… and thus universe cannot be static it must be expanding. Friedman mathematically proved so from Einstein’s General relativity. So the construction deconstruction processes are happening all within the same universe, same galaxy, and same time but in different zone hot filament zone and cold plasma zone. There is absolutely no necessity to create Multiverse, extra dimensions to hold that. Any such idea can easily knock down by gravity alone to our well known idea of the universe. By way of analyzing the spectrum of the light coming from hot zone we know fusion of hydrogen atom to helium atom is going on in hot zone. In cold zone nothing similar is actually happening, but it’s fully under the control of gravity. As we have seen earlier that space works like a perfect reflector, it makes it a perfect white body too reflecting all incident rays completely and uniformly in all directions, this is why light can travel great distances in space. But its emissivity is slight less than one as space is not empty but contains fused particles (including Higgs boson) at very low density. As the radiation from a galaxy passes through the inter-galactic space, the photons energy is absorbed by those fused particles (including Higgs boson) and they get kinetic energy. With this kinetic energy they start moving, sooner they cross the Planck’s length and now they are now in dense plasma form controlled, by gravity. This journey does not continue long as heavier elements like helium precipitate below the lighter elements like hydrogen to form a black hole (Empty space separating inner core) and hydrogen remains in the outer layer surrounding the black hole separated by an event horizon which again is empty space. The volume of this two different layers i.e. inner helium core outer hydrogen layer initially do not correspond to their atomic mass as hydrogen are found in more abundance than helium. Also because of quantum fluctuations the size of black holes differs in sizes among different zones. This difference in sizes is time driven and creates many to many gravity i.e. the heavier zones start attracting lighter zones and heavier zones gets heavier. This way in a galaxy, first generation star formation and galaxy formation starts simultaneously. Gravity also give birth to Antigravity which starts the lighter zones taking away from the heavier zones in the galaxy and lighter hydrogen layer taking away from heavier core in a star. But initially the antigravity being weaker than gravity, huge volume of hydrogen layers starts running towards the core, this hot up the hydrogen layer more and more to start the nuclear fusion reaction which makes the antigravity stronger enough to take the star away from the centre of the galaxy and settle at a certain radius, certain shape ( mostly spherical ). This state is near to a state of rest as the star losses very less amount of energy orbiting the centre of the galaxy. The smaller stars settle around a bigger star. Planets which are remnant of a cooled down star settle around a small star and a galaxy structure is formed. Sometime if the bigger star is big enough to independently run the show, it forms a smaller galaxy side by side a bigger galaxy, with support from the big brother. So the centre of the galaxy do not have to contain as much mass as those of billions of stars, rather being the nearest mass point for all the objects of the galaxy, it has to maintain a critical mass to cancel the angular component of resultant torque or curl vector towards the centre of gravity of the galaxy. In continuation to the galaxy structure, the hydrogen layers very near to the centre of galaxy cannot escape gravity easily and the whole layer keeps rotating at very high speed around the centre. At the centre of a galaxy the energy level is so huge that its gravitational waves produces radio like waves. The super massive black holes in the centre of galaxies are known as quasars. These quasars are the centre of gravity for a galaxy, all the star system and sub system travels around these. Because of huge spin the centre of the galaxy exfoliates little at centre and Relativistic jet come out along the galactic axis. The quasars also spins at a relative speed, causing the heaviest material formed in the process of nuclear fusions return back to the space through the space separating radius of the event horizon which only increases (but never decreases) from the hot core as we see
  • 15.
    in the biologicalcentrifuge instrument. The centripetal force also releases equivalent amount of hot gas with immense energy from the centre of the galaxy. The erupted hot gas expands exponentially along the galactic axis and once it comes out of the centre it take different shape (most common being spiral shape for active galaxies). This two- way process happens in simultaneous sequence in perfect synchronization. When the centrifugal gravity reaches its crest /troughs the spin reverses and centripetal antigravity force reaches its troughs / crest back and forth… back and forth… without changing the axis. This becomes clear when we look at the picture of a spiral galaxy taken by Hubble’s Telescope. The same spiral we can visualize as going in and coming out only the spin reverses. As in electromagnetic field if we change both the direction of electric/magnet they do not change the flow similarly here also there is no visible impact but the pulsar effect are detected. When the out coming hot gas cools down little, it forms nebulae where further stars and other stellar formations take birth. While cooling down, the gravity starts once again getting stronger, to avoid the gravitational collapse, huge volume of hot gas speeds up the nuclear fusion reaction and settles down to a certain orbit keeping aside its critical mass into a son black hole. So Black Hole is not formed after death of a second generation star, but it is formed at the very birth of any active object in the universe. Yesterdays son become a father and the father becomes grandfather and so on everybody one step up….Unlike earthly father-son relation they are not short lived; black holes being the seeds for universal life, they both are eternal, only difference being one evolved little earlier than the other from the eternal space-time. This father-son relationship may raise question like, who is the grand most of all fathers. Whether he is one alone or he has some brothers too? Does today’s son visit him periodically? Actually in space time these are non questions, as long as the galaxies are connected through space filaments they are part of the whole family. It may not be a miracle if we see that seven galaxies orbits around a central galaxy to make a strong octet bond among the eight galaxies forming a local group, similarly a cluster of galaxies, similarly a super cluster and so on….and the Universe as whole rotating an universal black hole. The problem of missing mass as calculated by Zwicky can be solved by rotation of galaxies. As the galaxies are not receding at its own will, they have very less control on their velocity, path. Which path they choose if it is decided by gravity then it is not impossible that gravity will give them mostly curved path as seen elsewhere among the stars. But our telescopes have not seen any such path. In presence of tunnel vision our telescope cannot clearly detect the path of a galaxy as it appears to be clear in case of a star in a galaxy, where the spirals itself shows the path. But galaxies have to maintain far greater distances among them relative to the strength of their gravity. This huge space between two galaxies makes it impossible to focus two galaxies to study their relative movement relative to their position at one frame. To make an idea of their motion from two different real positions taken from a larger distance frames at two different times, the gap between those two times has to be very large relative to our earthy time scale. But as the early days astronomers, by just keeping an eye on the night sky generation by generation kept on adding new constellate, newer galaxies which part form of our today’s view, similarly keeping an eye on today’s telescopes for a fairly long period of time will show some movement among the galaxies, a hundred years time is too less to grasp their path. What immediately we can do, we can fix the missing mass problem by taking a component of the gravity from continuous gravity chain. We cannot isolate a galaxy from the universe to test known gravitational laws, obvious result will be missing mass problem of a magnitude of 273 multiples relative to actual mass of the galaxy. To confirm rotation of galaxies we can visualize Hubble’s observed recession from relativistic angle. The recession is not perpendicular but it has a sideways movement. From this sideways movement if we are able to calculate the curvature with respect to distance equivalent to estimated age of that galaxy and if this curvature eventually comes to be more than 1 then the galaxies must be rotating to some central object not necessarily the centre of the universe but a central mass points of the filaments. If we add a few central mass points we shall get a spiral axis of rotation of galaxies with same spin, and there shall be as many spiral axis as the number of galaxy in the early universe. In one such spiral axis all the father and son galaxies shall appear in order of their age from outer to centre. At any point of such spiral axis the centrifugal force due to gravity and centripetal force due to anti gravity balances each other by summing up their vector components both inward and outward space time. The intersection point of two such spiral axis we know as Worm Hole where galaxies do some space time adjustments or gravitational correction. Now let’s see how a galaxy evolutes and why. The reason why can be worked from variable ga/Ga model of Newton’s law of universal gravitation. Earlier we have seen that there cannot be stability of universal kind of superstructure, which also mathematically proved by Friedman from general relativity equations. The whole universe becomes unstable as it losses energy. If this energy is not refilled then it should collapse. Where to get energy? The answer is a question itself, where from universe get energy? Yes, it is atomic energy stored in mass in E = mc2 form. Where to get fresh mass? All the available mass is allocated. A little portion can be recycled from the mass released by atomic energy in the past which are still in the
  • 16.
    galaxy system. Butthe galaxy has left a bigger portion mass behind the space time as it has moved a long way in time. How to bring it back to cycle? As universe is closed and mass and energy are conserved, the space being almost smooth everywhere it serves as a buffer stock feeder for recycled mass. A Galaxy just needs light energy t to catch it up. All the light energy it has radiated in front of space time, it’s time for them to go back into the system as mass to fill the energy gap. But still there may be gap if the energy scale it was running very high. Then that high energy itself creates suitable condition to off load the outermost disc containing giant stars. Heaviest of these giant stars form the centre and give birth to an associate galaxy. Further transfer takes place from the father to son as they both become stable and move on. With applied Revised Gravitational laws, the dark matter and dark energy problem can be solved, and the universal composition pie chart data need to be refreshed by reducing the dark energy slice to zero and moving equivalent dark matter to baryon matter. Now the universal composition pie chart should look good leaving a reasonable difference which is responsible for the universal energy show. Sources: Concept of Singularity Bible > Genesis > Chapter 1 > Verse 3 And God said, "Let there be light," and there was light. Concept of Expansion Scale [Quran 32.5] (Allah) Rules the cosmic affair from the heavens to the Earth. Then this affair travels to Him a distance in one day, at a measure of one thousand years of what you count. Concept of cycle of complementary forces in nature I-Ching or "The Book of Changes" Yang is like man. Yin is like woman. Yang wouldn't grow without Yin. Yin couldn't give birth without Yang. Yin is born (begins) at Summer Solstice and Yang is born (begins) at Winter Solstice. Therefore one little circle Yin is marked on the Summer Solstice position. Another little circle Yang is marked on the Winter Solstice position. These two little circles look like two fish eyes. The universe is changing every day. Although it changes easily every day, it also has seasonal and annual cycles. Concept of eternity and infinity of space time Though One, Brahman (Space time) is the cause of the many. Brahman is the unborn (aja) in whom all existing things abide. The One manifests as the many, the formless putting on forms. (Rig Veda). "Science without religion is lame, religion without science is blind." Albert Einstein
  • 17.
    Annexure showing thetimeline of the universe and evolution of nature constants Accelerated Avg Speed of Radius of the Universe Expansion Velocity Light Age of the Universe in with expanding scales or of Reciprocal relative to Curvatature, year relative to in light year relative to Reciprocal Expansion Accleration Stars/ of Fine Space-time Density of Space-time in earthly Space-time in earthly of Charles Scale Hubbles due to Escape Structure in earthly the Gravitational Electrical Plank scales scales Ratio Factor Parameter gravity velocity Ratio scales Universe Constant Constant Constant - 0.273 0 0 0 1 0 0.31 0.39 0 300,000 1.000 41.18 0 0 0 1 0 0.31 0.39 0 300,000 1.000 3.4E+14 0 1.30227 0 0 0 1 0 0.31 0.39 0 300,000 1.000 3.4E+13 4.3E+13 0.04118 0 0 0 1 0 0.31 0.39 0 300,000 1.000 3.4E+12 4.3E+12 0.0013 0 0 0 1 0 0.31 0.39 0 300,000 1.000 3.4E+11 4.3E+11 4.1E-05 0 0 0 1 0 0.31 0.39 0 300,000 1.000 3.4E+10 4.3E+10 1.3E-06 1 0 0 1 0 0.31 0.39 0 300,000 1.000 3.4E+09 4.3E+09 4.1E-08 10 3 0 1 0 0.31 0.39 0 300,000 1.000 3.4E+08 4.3E+08 1.3E-09 100 27 0 1 0 0.31 0.39 0 300,000 1.000 3.4E+07 4.3E+07 4.1E-11 1,000 273 0 1 0 0.31 0.39 0 300,002 1.000 3363958 4338107 1.3E-12 10,000 2,730 0 1 0 0.31 0.39 0 300,018 1.001 336375 433808 4.1E-14 100,000 27,317 0 1 0 0.31 0.39 0 300,183 1.005 33616.2 43378.1 1.3E-15 1,000,000 274,667 0 1 0 0.31 0.39 0 301,832 1.055 3340.51 4335.07 3.9E-17 10,000,000 2,896,667 0 1 0 0.32 0.40 0 318,315 1.518 314.161 430.784 8.8E-19 100,000,000 43,966,667 0 2 0 0.39 0.50 1 483,150 4.412 19.1112 40.5135 4.7E-21 1,000,000,000 1,939,666,667 2 7 1 0.82 1.05 1 2,131,502 1.009 0.23166 2.46454 3.6E-24 1,010,000,000 1,975,896,667 2 7 1 0.82 1.05 2 2,149,817 1.852 0.00248 0.02987 2.6E-24 2,010,000,000 7,282,230,000 4 13 1 1.12 1.43 3 3,981,319 1.460 0.00131 0.00032 1.6E-25 3,010,000,000 15,921,896,667 5 19 1 1.36 1.73 3 5,812,821 1.315 0.00018 0.00017 3E-26 4,010,000,000 27,894,896,667 7 25 2 1.55 1.98 4 1.240 5.1E-05 2.3E-05 8.8E-27
  • 18.
    7,644,322 5,010,000,000 43,201,230,000 9 32 2 1.73 2.20 5 9,475,824 1.193 2.1E-05 6.6E-06 3.4E-27 6,010,000,000 61,840,896,667 10 38 3 1.89 2.41 6 11,307,326 1.162 1E-05 2.7E-06 1.5E-27 7,010,000,000 83,813,896,667 12 44 3 2.04 2.59 7 13,138,828 1.139 5.5E-06 1.3E-06 7.8E-28 8,010,000,000 109,120,230,000 14 50 4 2.18 2.77 8 14,970,330 1.122 3.3E-06 7.1E-07 4.4E-28 9,010,000,000 137,759,896,667 15 56 4 2.31 2.93 8 16,801,832 1.109 2.1E-06 4.3E-07 2.6E-28 10,010,000,000 169,732,896,667 17 62 5 2.43 3.09 9 18,633,333 1.098 1.4E-06 2.7E-07 1.6E-28 11,010,000,000 205,039,230,000 19 68 5 2.54 3.24 10 20,464,835 1.089 1E-06 1.8E-07 1.1E-28 12,010,000,000 243,678,896,667 20 74 6 2.66 3.38 11 22,296,337 1.082 7.3E-07 1.3E-07 7.3E-29 13,010,000,000 285,651,896,667 22 80 6 2.76 3.52 12 24,127,839 1.076 5.4E-07 9.4E-08 5.1E-29 14,010,000,000 330,958,230,000 24 87 6 2.87 3.65 13 25,959,341 1.071 4.1E-07 7E-08 3.7E-29 15,010,000,000 379,597,896,667 25 93 7 2.96 3.77 13 27,790,842 1.066 3.2E-07 5.3E-08 2.7E-29 16,010,000,000 431,570,896,667 27 99 7 3.06 3.90 14 29,622,344 1.062 2.5E-07 4.2E-08 2E-29 17,010,000,000 486,877,230,000 29 105 8 3.15 4.01 15 31,453,846 1.058 2E-07 3.3E-08 1.6E-29 18,010,000,000 545,516,896,667 30 111 8 3.24 4.13 16 33,285,348 1.055 1.7E-07 2.6E-08 1.2E-29 19,010,000,000 607,489,896,667 32 117 9 3.33 4.24 17 35,116,850 1.052 1.4E-07 2.1E-08 9.6E-30 20,010,000,000 672,796,230,000 34 123 9 3.42 4.35 18 36,948,352 1.050 1.1E-07 1.8E-08 7.6E-30 21,010,000,000 741,435,896,667 35 129 10 3.50 4.46 18 38,779,853 1.047 9.5E-08 1.5E-08 6.1E-30 22,010,000,000 813,408,896,667 37 135 10 3.58 4.56 19 40,611,355 1.045 8E-08 1.2E-08 5E-30 23,010,000,000 888,715,230,000 39 141 11 3.66 4.66 20 42,442,857 1.043 6.9E-08 1E-08 4.1E-30 24,010,000,000 967,354,896,667 40 148 11 3.74 4.76 21 44,274,359 1.041 5.9E-08 8.8E-09 3.4E-30 25,010,000,000 1,049,327,896,667 42 154 11 3.82 4.86 22 46,105,861 1.040 5.1E-08 7.6E-09 2.8E-30 26,010,000,000 1,134,634,230,000 44 160 12 3.89 4.96 23 47,937,363 1.038 4.4E-08 6.6E-09 2.4E-30 27,010,000,000 1,223,273,896,667 45 166 12 3.97 5.05 23 49,768,864 1.037 3.9E-08 5.7E-09 2E-30 28,010,000,000 1,315,246,896,667 47 172 13 4.04 5.14 24 51,600,366 1.035 3.4E-08 5E-09 1.7E-30 29,010,000,000 1,410,553,230,000 49 178 13 4.11 5.23 25 1.034 3E-08 4.4E-09 1.5E-30
  • 19.
    53,431,868 30,010,000,000 1,509,192,896,667 50 184 14 4.18 5.32 26 55,263,370 1.033 2.6E-08 3.9E-09 1.2E-30 31,010,000,000 1,611,165,896,667 52 190 14 4.25 5.41 27 57,094,872 1.032 2.4E-08 3.4E-09 1.1E-30 32,010,000,000 1,716,472,230,000 54 196 15 4.32 5.50 28 58,926,374 1.031 2.1E-08 3E-09 9.3E-31 33,010,000,000 1,825,111,896,667 55 203 15 4.38 5.58 28 60,757,875 1.030 1.9E-08 2.7E-09 8.1E-31 34,010,000,000 1,937,084,896,667 57 209 16 4.45 5.66 29 62,589,377 1.029 1.7E-08 2.4E-09 7.1E-31 35,010,000,000 2,052,391,230,000 59 215 16 4.51 5.75 30 64,420,879 1.028 1.5E-08 2.2E-09 6.3E-31 36,010,000,000 2,171,030,896,667 60 221 16 4.58 5.83 31 66,252,381 1.028 1.4E-08 2E-09 5.5E-31 37,010,000,000 2,293,003,896,667 62 227 17 4.64 5.91 32 68,083,883 1.027 1.3E-08 1.8E-09 4.9E-31 38,010,000,000 2,418,310,230,000 64 233 17 4.70 5.99 33 69,915,385 1.026 1.1E-08 1.6E-09 4.3E-31 39,010,000,000 2,546,949,896,667 65 239 18 4.76 6.06 33 71,746,886 1.026 1E-08 1.5E-09 3.9E-31 40,010,000,000 2,678,922,896,667 67 245 18 4.82 6.14 34 73,578,388 1.025 9.5E-09 1.3E-09 3.4E-31 41,010,000,000 2,814,229,230,000 69 251 19 4.88 6.22 35 75,409,890 1.024 8.7E-09 1.2E-09 3.1E-31 42,010,000,000 2,952,868,896,667 70 257 19 4.94 6.29 36 77,241,392 1.024 8E-09 1.1E-09 2.8E-31 43,010,000,000 3,094,841,896,667 72 264 20 5.00 6.37 37 79,072,894 1.023 7.4E-09 1E-09 2.5E-31 44,010,000,000 3,240,148,230,000 74 270 20 5.06 6.44 38 80,904,396 1.023 6.8E-09 9.5E-10 2.2E-31 45,010,000,000 3,388,787,896,667 75 276 21 5.12 6.51 38 82,735,897 1.022 6.3E-09 8.7E-10 2E-31 46,010,000,000 3,540,760,896,667 77 282 21 5.17 6.58 39 84,567,399 1.022 5.8E-09 8.1E-10 1.8E-31 47,010,000,000 3,696,067,230,000 79 288 21 5.23 6.65 40 86,398,901 1.021 5.4E-09 7.5E-10 1.7E-31 48,010,000,000 3,854,706,896,667 80 294 22 5.28 6.72 41 88,230,403 1.021 5E-09 6.9E-10 1.5E-31 49,010,000,000 4,016,679,896,667 82 300 22 5.34 6.79 42 90,061,905 1.020 4.6E-09 6.4E-10 1.4E-31 50,010,000,000 4,181,986,230,000 84 306 23 5.39 6.86 43 91,893,407 1.020 4.3E-09 6E-10 1.3E-31 51,010,000,000 4,350,625,896,667 85 312 23 5.44 6.93 43 93,724,908 1.020 4E-09 5.6E-10 1.2E-31 52,010,000,000 4,522,598,896,667 87 319 24 5.50 7.00 44 95,556,410 1.019 3.7E-09 5.2E-10 1.1E-31 53,010,000,000 4,697,905,230,000 89 325 24 5.55 7.06 45 97,387,912 1.019 3.5E-09 4.8E-10 9.8E-32 54,010,000,000 4,876,544,896,667 90 331 25 5.60 7.13 46 1.018 3.3E-09 4.5E-10 9E-32
  • 20.
    99,219,414 55,010,000,000 5,058,517,896,667 92 337 25 5.65 7.20 47 101,050,916 1.018 3.1E-09 4.2E-10 8.3E-32 56,010,000,000 5,243,824,230,000 94 343 26 5.70 7.26 48 102,882,418 1.018 2.9E-09 4E-10 7.6E-32 57,010,000,000 5,432,463,896,667 95 349 26 5.75 7.33 48 104,713,919 1.017 2.7E-09 3.7E-10 7.1E-32 58,010,000,000 5,624,436,896,667 97 355 26 5.80 7.39 49 106,545,421 1.017 2.5E-09 3.5E-10 6.5E-32 59,010,000,000 5,819,743,230,000 99 361 27 5.85 7.45 50 108,376,923 1.017 2.4E-09 3.3E-10 6E-32 60,010,000,000 6,018,382,896,667 100 367 27 5.90 7.52 51 110,208,425 1.017 2.3E-09 3.1E-10 5.6E-32 61,010,000,000 6,220,355,896,667 102 373 28 5.95 7.58 52 112,039,927 1.016 2.1E-09 2.9E-10 5.2E-32 62,010,000,000 6,425,662,230,000 104 380 28 6.00 7.64 53 113,871,429 1.016 2E-09 2.7E-10 4.8E-32 63,010,000,000 6,634,301,896,667 105 386 29 6.05 7.70 53 115,702,930 1.016 1.9E-09 2.6E-10 4.5E-32 64,010,000,000 6,846,274,896,667 107 392 29 6.10 7.76 54 117,534,432 1.016 1.8E-09 2.5E-10 4.2E-32 65,010,000,000 7,061,581,230,000 109 398 30 6.14 7.82 55 119,365,934 1.015 1.7E-09 2.3E-10 3.9E-32 66,010,000,000 7,280,220,896,667 110 404 30 6.19 7.88 56 121,197,436 1.015 1.6E-09 2.2E-10 3.7E-32 67,010,000,000 7,502,193,896,667 112 410 31 6.24 7.94 57 123,028,938 1.015 1.5E-09 2.1E-10 3.4E-32 68,010,000,000 7,727,500,230,000 114 416 31 6.28 8.00 58 124,860,440 1.015 1.5E-09 2E-10 3.2E-32 69,010,000,000 7,956,139,896,667 115 422 31 6.33 8.06 58 126,691,941 1.014 1.4E-09 1.9E-10 3E-32 70,010,000,000 8,188,112,896,667 117 428 32 6.38 8.12 59 128,523,443 1.014 1.3E-09 1.8E-10 2.8E-32 71,010,000,000 8,423,419,230,000 119 435 32 6.42 8.17 60 130,354,945 1.014 1.2E-09 1.7E-10 2.6E-32 72,010,000,000 8,662,058,896,667 120 441 33 6.47 8.23 61 132,186,447 1.014 1.2E-09 1.6E-10 2.5E-32 73,010,000,000 8,904,031,896,667 122 447 33 6.51 8.29 62 134,017,949 1.014 1.1E-09 1.5E-10 2.3E-32 74,010,000,000 9,149,338,230,000 124 453 34 6.55 8.34 63 135,849,451 1.013 1.1E-09 1.5E-10 2.2E-32 75,010,000,000 9,397,977,896,667 125 459 34 6.60 8.40 63 137,680,952 1.013 1E-09 1.4E-10 2.1E-32 76,010,000,000 9,649,950,896,667 127 465 35 6.64 8.46 64 139,512,454 1.013 9.8E-10 1.3E-10 1.9E-32 77,010,000,000 9,905,257,230,000 129 471 35 6.69 8.51 65 141,343,956 1.013 9.4E-10 1.3E-10 1.8E-32 78,010,000,000 10,163,896,896,667 130 477 36 6.73 8.57 66 143,175,458 1.013 9E-10 1.2E-10 1.7E-32 79,010,000,000 10,425,869,896,667 132 483 36 6.77 8.62 67 1.013 8.6E-10 1.2E-10 1.6E-32
  • 21.
    145,006,960 80,010,000,000 10,691,176,230,000 134 489 36 6.81 8.67 68 146,838,462 1.012 8.2E-10 1.1E-10 1.5E-32 81,010,000,000 10,959,815,896,667 135 496 37 6.86 8.73 68 148,669,963 1.012 7.8E-10 1.1E-10 1.5E-32 82,010,000,000 11,231,788,896,667 137 502 37 6.90 8.78 69 150,501,465 1.012 7.5E-10 1E-10 1.4E-32 83,010,000,000 11,507,095,230,000 139 508 38 6.94 8.84 70 152,332,967 1.012 7.2E-10 9.7E-11 1.3E-32 84,010,000,000 11,785,734,896,667 140 514 38 6.98 8.89 71 154,164,469 1.012 6.9E-10 9.3E-11 1.2E-32 85,010,000,000 12,067,707,896,667 142 520 39 7.02 8.94 72 155,995,971 1.012 6.6E-10 8.9E-11 1.2E-32 86,010,000,000 12,353,014,230,000 144 526 39 7.06 8.99 73 157,827,473 1.012 6.3E-10 8.5E-11 1.1E-32 87,010,000,000 12,641,653,896,667 145 532 40 7.11 9.05 73 159,658,974 1.011 6.1E-10 8.2E-11 1.1E-32 88,010,000,000 12,933,626,896,667 147 538 40 7.15 9.10 74 161,490,476 1.011 5.8E-10 7.9E-11 1E-32 89,010,000,000 13,228,933,230,000 149 544 41 7.19 9.15 75 163,321,978 1.011 5.6E-10 7.5E-11 9.6E-33 90,010,000,000 13,527,572,896,667 150 551 41 7.23 9.20 76 165,153,480 1.011 5.4E-10 7.2E-11 9.1E-33 91,010,000,000 13,829,545,896,667 152 557 41 7.27 9.25 77 166,984,982 1.011 5.2E-10 7E-11 8.7E-33 92,010,000,000 14,134,852,230,000 154 563 42 7.31 9.30 78 168,816,484 1.011 5E-10 6.7E-11 8.2E-33 93,010,000,000 14,443,491,896,667 155 569 42 7.35 9.35 78 170,647,985 1.011 4.8E-10 6.5E-11 7.8E-33 94,010,000,000 14,755,464,896,667 157 575 43 7.39 9.40 79 172,479,487 1.011 4.6E-10 6.2E-11 7.5E-33 95,010,000,000 15,070,771,230,000 159 581 43 7.42 9.45 80 174,310,989 1.011 4.5E-10 6E-11 7.1E-33 96,010,000,000 15,389,410,896,667 160 587 44 7.46 9.50 81 176,142,491 1.010 4.3E-10 5.8E-11 6.8E-33 97,010,000,000 15,711,383,896,667 162 593 44 7.50 9.55 82 177,973,993 1.010 4.2E-10 5.6E-11 6.5E-33 98,010,000,000 16,036,690,230,000 164 599 45 7.54 9.60 83 179,805,495 1.010 4E-10 5.4E-11 6.2E-33 99,010,000,000 16,365,329,896,667 165 605 45 7.58 9.65 83 181,636,996 1.010 3.9E-10 5.2E-11 5.9E-33 100,010,000,000 16,697,302,896,667 167 612 46 7.62 9.70 84 183,468,498 1.010 3.7E-10 5E-11 5.7E-33 101,010,000,000 17,032,609,230,000 169 618 46 7.66 9.75 85 185,300,000 1.010 3.6E-10 4.8E-11 5.4E-33 102,010,000,000 17,371,248,896,667 170 624 46 7.69 9.79 86 187,131,502 1.010 3.5E-10 4.6E-11 5.2E-33 103,010,000,000 17,713,221,896,667 172 630 47 7.73 9.84 87 188,963,004 1.010 3.4E-10 4.5E-11 5E-33 104,010,000,000 18,058,528,230,000 174 636 47 7.77 9.89 88 1.010 3.2E-10 4.3E-11 4.7E-33
  • 22.
    190,794,505 105,010,000,000 18,407,167,896,667 175 642 48 7.81 9.94 88 192,626,007 1.010 3.1E-10 4.2E-11 4.6E-33 106,010,000,000 18,759,140,896,667 177 648 48 7.84 9.98 89 194,457,509 1.009 3E-10 4.1E-11 4.4E-33 107,010,000,000 19,114,447,230,000 179 654 49 7.88 10.03 90 196,289,011 1.009 2.9E-10 3.9E-11 4.2E-33 108,010,000,000 19,473,086,896,667 180 660 49 7.92 10.08 91 198,120,513 1.009 2.8E-10 3.8E-11 4E-33 109,010,000,000 19,835,059,896,667 182 667 50 7.95 10.12 92 199,952,015 1.009 2.8E-10 3.7E-11 3.8E-33 110,010,000,000 20,200,366,230,000 184 673 50 7.99 10.17 93 201,783,516 1.009 2.7E-10 3.6E-11 3.7E-33 111,010,000,000 20,569,005,896,667 185 679 51 8.02 10.22 93 203,615,018 1.009 2.6E-10 3.4E-11 3.5E-33 112,010,000,000 20,940,978,896,667 187 685 51 8.06 10.26 94 205,446,520 1.009 2.5E-10 3.3E-11 3.4E-33 113,010,000,000 21,316,285,230,000 189 691 51 8.10 10.31 95 207,278,022 1.009 2.4E-10 3.2E-11 3.3E-33 114,010,000,000 21,694,924,896,667 190 697 52 8.13 10.35 96 209,109,524 1.009 2.4E-10 3.1E-11 3.1E-33 115,010,000,000 22,076,897,896,667 192 703 52 8.17 10.40 97 210,941,026 1.009 2.3E-10 3E-11 3E-33 116,010,000,000 22,462,204,230,000 194 709 53 8.20 10.44 98 212,772,527 1.009 2.2E-10 2.9E-11 2.9E-33 117,010,000,000 22,850,843,896,667 195 715 53 8.24 10.49 98 214,604,029 1.009 2.1E-10 2.9E-11 2.8E-33 118,010,000,000 23,242,816,896,667 197 721 54 8.27 10.53 99 216,435,531 1.008 2.1E-10 2.8E-11 2.7E-33 119,010,000,000 23,638,123,230,000 199 728 54 8.31 10.58 100 218,267,033 1.008 2E-10 2.7E-11 2.6E-33 120,010,000,000 24,036,762,896,667 200 734 55 8.34 10.62 101 220,098,535 1.008 2E-10 2.6E-11 2.5E-33 121,010,000,000 24,438,735,896,667 202 740 55 8.38 10.66 102 221,930,037 1.008 1.9E-10 2.5E-11 2.4E-33 122,010,000,000 24,844,042,230,000 204 746 56 8.41 10.71 103 223,761,538 1.008 1.9E-10 2.5E-11 2.3E-33 123,010,000,000 25,252,681,896,667 205 752 56 8.45 10.75 103 225,593,040 1.008 1.8E-10 2.4E-11 2.2E-33 124,010,000,000 25,664,654,896,667 207 758 56 8.48 10.80 104 227,424,542 1.008 1.7E-10 2.3E-11 2.2E-33 125,010,000,000 26,079,961,230,000 209 764 57 8.51 10.84 105 229,256,044 1.008 1.7E-10 2.3E-11 2.1E-33 126,010,000,000 26,498,600,896,667 210 770 57 8.55 10.88 106 231,087,546 1.008 1.7E-10 2.2E-11 2E-33 127,010,000,000 26,920,573,896,667 212 776 58 8.58 10.93 107 232,919,048 1.008 1.6E-10 2.1E-11 1.9E-33 128,010,000,000 27,345,880,230,000 214 783 58 8.62 10.97 108 234,750,549 1.008 1.6E-10 2.1E-11 1.9E-33 129,010,000,000 27,774,519,896,667 215 789 59 8.65 11.01 108 1.008 1.5E-10 2E-11 1.8E-33
  • 23.
    236,582,051 130,010,000,000 28,206,492,896,667 217 795 59 8.68 11.05 109 238,413,553 1.008 1.5E-10 2E-11 1.7E-33 131,010,000,000 28,641,799,230,000 219 801 60 8.72 11.10 110 240,245,055 1.008 1.4E-10 1.9E-11 1.7E-33 132,010,000,000 29,080,438,896,667 220 807 60 8.75 11.14 111 242,076,557 1.008 1.4E-10 1.9E-11 1.6E-33 133,010,000,000 29,522,411,896,667 222 813 61 8.78 11.18 112 243,908,059 1.008 1.4E-10 1.8E-11 1.6E-33 134,010,000,000 29,967,718,230,000 224 819 61 8.82 11.22 113 245,739,560 1.007 1.3E-10 1.8E-11 1.5E-33 135,010,000,000 30,416,357,896,667 225 825 62 8.85 11.26 113 247,571,062 1.007 1.3E-10 1.7E-11 1.5E-33 136,010,000,000 30,868,330,896,667 227 831 62 8.88 11.31 114 249,402,564 1.007 1.3E-10 1.7E-11 1.4E-33 137,010,000,000 31,323,637,230,000 229 837 62 8.91 11.35 115 251,234,066 1.007 1.2E-10 1.6E-11 1.4E-33 138,010,000,000 31,782,276,896,667 230 844 63 8.95 11.39 116 253,065,568 1.007 1.2E-10 1.6E-11 1.3E-33 139,010,000,000 32,244,249,896,667 232 850 63 8.98 11.43 117 254,897,070 1.007 1.2E-10 1.5E-11 1.3E-33 140,010,000,000 32,709,556,230,000 234 856 64 9.01 11.47 118 256,728,571 1.007 1.1E-10 1.5E-11 1.2E-33 141,010,000,000 33,178,195,896,667 235 862 64 9.04 11.51 118 258,560,073 1.007 1.1E-10 1.5E-11 1.2E-33 142,010,000,000 33,650,168,896,667 237 868 65 9.07 11.55 119 260,391,575 1.007 1.1E-10 1.4E-11 1.2E-33 143,010,000,000 34,125,475,230,000 239 874 65 9.11 11.59 120 262,223,077 1.007 1.1E-10 1.4E-11 1.1E-33 144,010,000,000 34,604,114,896,667 240 880 66 9.14 11.63 121 264,054,579 1.007 1E-10 1.4E-11 1.1E-33 145,010,000,000 35,086,087,896,667 242 886 66 9.17 11.67 122 265,886,081 1.007 1E-10 1.3E-11 1.1E-33 146,010,000,000 35,571,394,230,000 244 892 67 9.20 11.71 123 267,717,582 1.007 9.9E-11 1.3E-11 1E-33 147,010,000,000 36,060,033,896,667 245 898 67 9.23 11.75 123 269,549,084 1.007 9.6E-11 1.3E-11 1E-33 148,010,000,000 36,552,006,896,667 247 905 67 9.26 11.79 124 271,380,586 1.007 9.4E-11 1.2E-11 9.7E-34 149,010,000,000 37,047,313,230,000 249 911 68 9.30 11.83 125 273,212,088 1.007 9.2E-11 1.2E-11 9.4E-34 150,010,000,000 37,545,952,896,667 250 917 68 9.33 11.87 126 275,043,590 1.007 9E-11 1.2E-11 9.2E-34 151,010,000,000 38,047,925,896,667 252 923 69 9.36 11.91 127 276,875,092 1.007 8.8E-11 1.2E-11 8.9E-34 152,010,000,000 38,553,232,230,000 254 929 69 9.39 11.95 128 278,706,593 1.007 8.6E-11 1.1E-11 8.6E-34 153,010,000,000 39,061,871,896,667 255 935 70 9.42 11.99 128 280,538,095 1.007 8.4E-11 1.1E-11 8.4E-34 154,010,000,000 39,573,844,896,667 257 941 70 9.45 12.03 129 1.006 8.2E-11 1.1E-11 8.1E-34
  • 24.
    282,369,597 155,010,000,000 40,089,151,230,000 259 947 71 9.48 12.07 130 284,201,099 1.006 8E-11 1.1E-11 7.9E-34 156,010,000,000 40,607,790,896,667 260 953 71 9.51 12.11 131 286,032,601 1.006 7.8E-11 1E-11 7.7E-34 157,010,000,000 41,129,763,896,667 262 960 72 9.54 12.15 132 287,864,103 1.006 7.6E-11 1E-11 7.5E-34 158,010,000,000 41,655,070,230,000 264 966 72 9.57 12.18 133 289,695,604 1.006 7.5E-11 9.8E-12 7.3E-34 159,010,000,000 42,183,709,896,667 265 972 72 9.60 12.22 133 291,527,106 1.006 7.3E-11 9.6E-12 7.1E-34 160,010,000,000 42,715,682,896,667 267 978 73 9.63 12.26 134 293,358,608 1.006 7.1E-11 9.4E-12 6.9E-34 161,010,000,000 43,250,989,230,000 269 984 73 9.66 12.30 135 295,190,110 1.006 7E-11 9.2E-12 6.7E-34 162,010,000,000 43,789,628,896,667 270 990 74 9.69 12.34 136 297,021,612 1.006 6.8E-11 9E-12 6.5E-34 163,010,000,000 44,331,601,896,667 272 996 74 9.72 12.38 137 298,853,114 1.006 6.7E-11 8.8E-12 6.3E-34 164,010,000,000 44,876,908,230,000 274 1,002 75 9.75 12.41 138 300,684,615 1.006 6.5E-11 8.6E-12 6.1E-34 165,010,000,000 45,425,547,896,667 275 1,008 75 9.78 12.45 138 302,516,117 1.006 6.4E-11 8.4E-12 6E-34 166,010,000,000 45,977,520,896,667 277 1,014 76 9.81 12.49 139 304,347,619 1.006 6.3E-11 8.3E-12 5.8E-34 167,010,000,000 46,532,827,230,000 279 1,021 76 9.84 12.53 140 306,179,121 1.006 6.1E-11 8.1E-12 5.7E-34 168,010,000,000 47,091,466,896,667 280 1,027 77 9.87 12.56 141 308,010,623 1.006 6E-11 7.9E-12 5.5E-34 169,010,000,000 47,653,439,896,667 282 1,033 77 9.90 12.60 142 309,842,125 1.006 5.9E-11 7.8E-12 5.4E-34 170,010,000,000 48,218,746,230,000 284 1,039 77 9.93 12.64 143 311,673,626 1.006 5.8E-11 7.6E-12 5.2E-34 171,010,000,000 48,787,385,896,667 285 1,045 78 9.96 12.68 143 313,505,128 1.006 5.7E-11 7.4E-12 5.1E-34 172,010,000,000 49,359,358,896,667 287 1,051 78 9.99 12.71 144 315,336,630 1.006 5.5E-11 7.3E-12 5E-34 173,010,000,000 49,934,665,230,000 289 1,057 79 10.02 12.75 145 317,168,132 1.006 5.4E-11 7.1E-12 4.8E-34 174,010,000,000 50,513,304,896,667 290 1,063 79 10.04 12.79 146 318,999,634 1.006 5.3E-11 7E-12 4.7E-34 175,010,000,000 51,095,277,896,667 292 1,069 80 10.07 12.82 147 320,831,136 1.006 5.2E-11 6.9E-12 4.6E-34 176,010,000,000 51,680,584,230,000 294 1,076 80 10.10 12.86 148 322,662,637 1.006 5.1E-11 6.7E-12 4.5E-34 177,010,000,000 52,269,223,896,667 295 1,082 81 10.13 12.90 148 324,494,139 1.006 5E-11 6.6E-12 4.4E-34
  • 25.
    178,010,000,000 52,861,196,896,667 297 1,088 81 10.16 12.93 149 326,325,641 1.006 4.9E-11 6.5E-12 4.2E-34 179,010,000,000 53,456,503,230,000 299 1,094 82 10.19 12.97 150 328,157,143 1.006 4.8E-11 6.3E-12 4.1E-34 180,010,000,000 54,055,142,896,667 300 1,100 82 10.22 13.00 151 329,988,645 1.006 4.7E-11 6.2E-12 4E-34 181,010,000,000 54,657,115,896,667 302 1,106 82 10.24 13.04 152 331,820,147 1.006 4.6E-11 6.1E-12 3.9E-34 182,010,000,000 55,262,422,230,000 304 1,112 83 10.27 13.08 153 333,651,648 1.005 4.5E-11 6E-12 3.8E-34 183,010,000,000 55,871,061,896,667 305 1,118 83 10.30 13.11 153 335,483,150 1.005 4.5E-11 5.9E-12 3.8E-34 184,010,000,000 56,483,034,896,667 307 1,124 84 10.33 13.15 154 337,314,652 1.005 4.4E-11 5.7E-12 3.7E-34 185,010,000,000 57,098,341,230,000 309 1,130 84 10.36 13.18 155 339,146,154 1.005 4.3E-11 5.6E-12 3.6E-34 186,010,000,000 57,716,980,896,667 310 1,137 85 10.38 13.22 156 340,977,656 1.005 4.2E-11 5.5E-12 3.5E-34 187,010,000,000 58,338,953,896,667 312 1,143 85 10.41 13.25 157 342,809,158 1.005 4.1E-11 5.4E-12 3.4E-34 188,010,000,000 58,964,260,230,000 314 1,149 86 10.44 13.29 158 344,640,659 1.005 4.1E-11 5.3E-12 3.3E-34 189,010,000,000 59,592,899,896,667 315 1,155 86 10.47 13.33 158 346,472,161 1.005 4E-11 5.2E-12 3.2E-34 190,010,000,000 60,224,872,896,667 317 1,161 87 10.50 13.36 159 348,303,663 1.005 3.9E-11 5.1E-12 3.2E-34 191,010,000,000 60,860,179,230,000 319 1,167 87 10.52 13.40 160 350,135,165 1.005 3.8E-11 5E-12 3.1E-34 192,010,000,000 61,498,818,896,667 320 1,173 87 10.55 13.43 161 351,966,667 1.005 3.8E-11 4.9E-12 3E-34 193,010,000,000 62,140,791,896,667 322 1,179 88 10.58 13.47 162 353,798,168 1.005 3.7E-11 4.9E-12 3E-34 194,010,000,000 62,786,098,230,000 324 1,185 88 10.61 13.50 163 355,629,670 1.005 3.6E-11 4.8E-12 2.9E-34 195,010,000,000 63,434,737,896,667 325 1,192 89 10.63 13.54 163 357,461,172 1.005 3.6E-11 4.7E-12 2.8E-34 196,010,000,000 64,086,710,896,667 327 1,198 89 10.66 13.57 164 359,292,674 1.005 3.5E-11 4.6E-12 2.8E-34 197,010,000,000 64,742,017,230,000 329 1,204 90 10.69 13.60 165 361,124,176 1.005 3.4E-11 4.5E-12 2.7E-34 198,010,000,000 65,400,656,896,667 330 1,210 90 10.71 13.64 166 362,955,678 1.005 3.4E-11 4.4E-12 2.6E-34 199,010,000,000 66,062,629,896,667 332 1,216 91 10.74 13.67 167 364,787,179 1.005 3.3E-11 4.4E-12 2.6E-34 200,010,000,000 66,727,936,230,000 334 1,222 91 10.77 13.71 168 366,618,681 1.005 3.3E-11 4.3E-12 2.5E-34 201,010,000,000 67,396,575,896,667 335 1,228 92 10.79 13.74 168 368,450,183 1.005 3.2E-11 4.2E-12 2.5E-34 202,010,000,000 68,068,548,896,667 337 1,234 92 10.82 13.78 169 370,281,685 1.005 3.2E-11 4.1E-12 2.4E-34
  • 26.
    203,010,000,000 68,743,855,230,000 339 1,240 92 10.85 13.81 170 372,113,187 1.005 3.1E-11 4.1E-12 2.4E-34 204,010,000,000 69,422,494,896,667 340 1,246 93 10.87 13.84 171 373,944,689 1.005 3E-11 4E-12 2.3E-34