Performance
Appraisal
 Performance Management
 Performance Appraisal
 Modern Appraisal
 Performance Management Linkage
 The Need for Appraise
 Performance Structure
 Purpose of Performance Appraisals
 Performance Cycle
 Problems during Performance Appraisal
 Appraisal Outcomes
Performance appraisal is a
systematic and periodic
process that assesses an
individual employee's job
performance & productivity
in relation to certain pre-
established criteria and
organizational objectives.
The aim of performance
appraisal is to improve the
organizational performance
as well as individual
development.
Periodical appraisal helps
the company to compare
employee’s performance
and to take apt decisions
for further improvement.
Compiled By: Markos Mulat
Performance Appraisal Page 1
Performance appraisal is a universal phenomenon in which the organization is making
judgment about one is working with and about oneself. It serves as a basic element of
effective work performance. Performance appraisal is essential for the effective
management and evaluation of staff. It aims to improve the organizational performance as
well as individual development. The history of performance appraisal is quite brief. Its
roots in the early 20th century can be traced to Taylor's pioneering Time and Motion
studies. It really dates from the time of the Second World War not more than 60 years ago
as distinct and formal management procedure used in the evaluation of work performance.
Yet in a broader sense, the practice of appraisal is a very ancient art. In the scale of things
historical, it might well lay claim to being the world's second oldest profession.
The human inclination to judge can create serious motivational, ethical and legal problems
in the workplace. Without a structured appraisal system, there is little chance of ensuring
that the judgments made will be lawful, fair, defensible and accurate. Performance
appraisal systems began as simple methods of income justification. That is, appraisal was
used to decide whether or not the salary or wage of an individual employee was justified.
The process of performance appraisal was firmly linked to material outcomes. If an
employee's performance was found to be less than ideal, a cut in pay would follow. On the
other hand, if their performance was better than the supervisor expected, a pay rise was in
order. If was felt that a cut in pay, or a rise, should provide the only required impetus for
an employee to either improve or continue to perform well. As a result, the traditional
emphasis on reward outcomes was progressively rejected. In the 1950s in the United States,
the potential usefulness of appraisal as tool for motivation and development was gradually
recognized. The general model of performance appraisal, as it is known today, began from
that time.
1. Introduction
Performance Appraisal Page 2
2. Performance Management - Definition
Performance Management is the integrated process by which an agency involves its
employees in improving organizational effectiveness in the accomplishment of agency
mission and strategic goals. Performance Management consists of: performance planning,
monitoring employee performance, employee development, evaluating employee
performance, and recognition.
Performance Management is one of the key processes that, when effectively carried out,
helps employees know that their contributions are recognized and acknowledged.
Performance management is an ongoing process of communication between a supervisor
and an employee that occurs throughout the year, in support of accomplishing the strategic
objectives of the organization. The communication process includes clarifying
expectations, setting objectives, identifying goals, providing feedback, and evaluating
results.
3. Performance Appraisal- Definition
Performance appraisal is a systematic and periodic process that assesses an individual
employee's job performance & productivity in relation to certain pre-established criteria
and organizational objectives. It is a system describes how agency will identify
performance standards and core competencies and communicate them to employees.
Periodical appraisal helps the company to compare employee’s performance and to take
apt decisions for further improvement. A structured business planning depends on the
performance of the employee and it will be successful only when the employees are
analyzing their work performance individually. The formal performance appraisal in a
company is conducted annually for all staff and each staff member is appraised by their
line manager. Generally employees are appraised based on the structure of the company
Performance Appraisal Page 3
A performance appraisal is a review and discussion of an employee's performance of
assigned duties and responsibilities. The appraisal is based on results obtained by the
employee in his/her job, not on the employee's personality characteristics. The appraisal
measures skills and accomplishments with reasonable accuracy and uniformity. It provides
a way to help identify areas for performance enhancement and to help promote professional
growth. It should not, however, be considered the supervisor's only communication tool.
Open lines of communication throughout the year help to make effective working
relationships.
Annual performance appraisals evaluate the role of the employee in the organizational
development and also monitoring the standard, expectations, objectives, efficiency in
handling task and responsibilities in a period of time. Appraisal also helps to analyze the
individual training needs of the employee and planning of future job allocation. It also help
to adopt appropriate strategy based on organizational training needs. Performance appraisal
analyzes employee’s performance and which utilize to review the grades and modify the
annual pay. It generally reviews each individual performance against the objectives and
standard of the organization. Performance management creating a work environment and
it is enabling the employees to perform best of their abilities. Through performance
management companies are hiring efficient people .Then the company building up their
skills and talents through employee development program. The tools like performance
appraisal, performance review, and appraisal forms create the process of nurturing
employee developments.
Effective appraisal considering increase in staff productivity, knowledge and contribution.
Formal management procedure used the evaluation of work performance. Effective
appraisal helps the employer in providing increased productivity, knowledge and
contribution from the staff. These resources increase the ability to do performance
consulting, measure performance improvement, and provide resultant training using
internal staff, which increases self-sufficiency in performance consulting and
Performance Appraisal Page 4
improvement. Providing feedback about employee’s job performance and the contribution
of reward for their work is very essential in the smooth functioning of an organization.
4. Modern Appraisal
Performance appraisal is structured formal interaction between a subordinate and
supervisor, that usually takes the form of a periodic interview (annual or semi-annual), in
which the work performance of the subordinate is examined and discussed, with a view to
identifying weaknesses and strengths as well as opportunities for improvement and skills
development.
In many organizations - but not all - appraisal results are used, either directly or indirectly,
to help determine reward outcomes. That is, the appraisal results are used to identify the
better performing employees who should get the majority of available merit pay increases,
bonuses, and promotions. By the same token, appraisal results are used to identify the
poorer performers who may require some form of counseling, or in extreme cases,
demotion, dismissal or decreases in pay. Organizations need to be aware of laws in their
country that might restrict their capacity to dismiss employees or decrease pay.
Performance Appraisal Page 5
5. Performance Management Linkage
Many companies use performance management to improve the performance of their staff.
If well-designed and correctly implemented, they can help to improve operations. Poorly
designed or implemented performance appraisals may lead to employee frustration,
resentment and withdrawal.
Performance Appraisal Page 6
6. The Need for Appraise Performance
Periodic reviews help supervisors gain a better understanding of each employee's abilities.
The goal of the review process is to recognize achievement, to evaluate job progress, and
then to design training for the further development of skills and strengths. A careful review
will stimulate employee’s interest and improve job performance. The review provides the
employee, the supervisor, the Vice President, and Human Resources a critical, formal
feedback mechanism on an annual basis; however these discussions should not be restricted
solely to a formal annual review.
7. Objectives of Performance Appraisal
1. Give feedback to employees to improve subsequent performance.
2. Identify employee-training needs.
3. Document criteria used to allocate organizational rewards.
4. Form a basis for personnel decisions-salary increases, disciplinary actions, etc.
5. Provide the opportunity for organizational diagnosis and development.
6. Facilitate communication between employee and administrator.
8. Effective Performance Appraisals
The appraisals process provides the platform for development and motivation, so
organizations should foster a feeling that performance appraisals are positive opportunities,
in order to get the best out of the people and the process. An effective performance
management process sets the foundation for rewarding excellence.
 By linking individual employee work efforts with the organization’s mission and
objectives, the employee and the organization understand how that job contributes
to the organization.
Performance Appraisal Page 7
 By focusing attention on setting clear performance expectations (results + actions
& behaviors), it helps the employee know what needs to be done to be successful
on the job.
 Through the use of objectives, standards, performance dimensions, and other
measures it focuses effort. This helps the department get done what needs to be done
and provides a solid rationale for eliminating work that is no longer useful.
 By defining job-mastery and career development goals as part of the process, it
makes it very clear how the current position supports employee growth and the
additional opportunities the employee needs to explore.
 Through regular check-in discussions, which include status updates, coaching, and
feedback, it promotes flexibility, allowing you and the employee to identify
problems early and change the course of a project or work assignment.
An effective performance management process, while requiring time to plan and
implement, can save time and energy. Most importantly, it can be a very effective
motivator; since it can help you and the employee achieve the best possible performance.
9. Effective Performance Management Process (PMP)
 Maximizes staff engagement, development, and performance
 Is consistent across units to enhance full development and utilization of talent
 Remains flexible, efficient, measurable, fair, transparent
 Provides better alignment of staff roles and goals with the university’s mission
 Promotes on-going and proactive succession management
Performance Appraisal Page 8
10. Purpose of Performance Appraisals
Performance appraisals are essential for the effective management and evaluation of staff.
Appraisals help develop individuals, improve organizational performance, and feed into
business planning. Formal performance appraisals are generally conducted annually for all
staff in the organization. Each staff member is appraised by their line manager. Directors
are appraised by the CEO, who is appraised by the chairman or company owners,
depending on the size and structure of the organization.
Annual performance appraisals enable management and monitoring of standards, agreeing
expectations and objectives, and delegation of responsibilities and tasks. Staff performance
appraisals also establish individual training needs and enable organizational training needs
analysis and planning. Performance appraisals also typically feed into organizational
annual pay and grading reviews, which commonly also coincide with the business planning
for the next trading year.
Performance appraisals generally review each individual's performance against objectives
and standards for the trading year, agreed at the previous appraisal meeting. Performance
appraisals are also essential for career and succession planning - for individuals, crucial
jobs, and for the organization as a whole. Performance appraisals are important for staff
motivation, attitude and behavior development, communicating and aligning individual
and organizational aims, and fostering positive relationships between management and
staff. Performance appraisals provide a formal, recorded, regular review of an individual's
performance, and a plan for future development. Job performance appraisals - in whatever
form they take - are therefore vital for managing the performance of people and
organizations.
Performance Appraisal Page 9
11. Appraisals and Social Responsibility
There is increasingly a need for performance appraisals of staff and especially managers,
directors and CEO's, to include accountabilities relating to corporate responsibility,
represented by various converging corporate responsibility concepts including: the 'Triple
Bottom Line' ('profit people planet'); corporate social responsibility; Sustainability;
corporate integrity and ethics; etc. The organization must decide the extent to which these
accountabilities are reflected in job responsibilities, which would then naturally feature
accordingly in performance appraisals. More about this aspect of responsibility is in
the directors’ job descriptions section.
Significantly also, while appraisal outline is necessarily a formal structure does not mean
that the development discussed with the appraisee must be formal and constrained. In fact
the opposite applies. Appraisals must address whole person development - not just job
skills or the skills required for the next promotion. Appraisals must not discriminate against
anyone on the grounds of age, gender, sexual orientation, race, religion, disability, etc.
Therefore in appraisals, creativity and imaginative in discussing, discovering and agreeing
whole-person development that people will respond to, beyond the usual job skill-set, and
incorporate this sort of development into the appraisal process.
12. Benefit of Performance Appraisals
Performance appraisals can achieve and contribute to employee and organization when
they are properly managed, for example:
 Performance measurement - transparent, short, medium and long term
 Clarifying, defining, redefining priorities and objectives
 Motivation through agreeing helpful aims and targets
 Motivation though achievement and feedback
 Training needs and learning desires - assessment and agreement
Performance Appraisal Page 10
 Identification of personal strengths & direction - including unused hidden strengths
 Career and succession planning - personal and organizational
 Team roles clarification and team building
 Organizational training needs assessment and analysis
 Appraisee and manager mutual awareness, understanding and relationship
 Reinforcing and cascading organizational philosophies, values, aims, strategies,
priorities, etc
 Delegation, additional responsibilities, employee growth and development
 Manager development - all good managers should be able to conduct appraisals well
- it's a fundamental process
Performance appraisals offer a way to protect and manage these valuable face-to-face
opportunities. There are various ways of conducting performance appraisals, and ideas
change over time as to what are the most effective appraisals methods and systems. Some
people advocate traditional appraisals and forms; others prefer 360-degree-type appraisals;
others suggest using little more than a blank sheet of paper. In fact performance appraisals
of all types are effective if they are conducted properly, and better still if the appraisal
process is clearly explained to, agreed by, the people involved.
Managers need guidance, training and encouragement in how to conduct appraisals
properly. Help managers (and directors) develop and adapt appraisals methods that work
for them. Be flexible. There are lots of ways to conduct appraisals, and particularly lots of
ways to diffuse apprehension and fear - for managers and appraisees alike. Particularly -
encourage people to sit down together and review informally and often - this removes much
of the pressure for managers and appraisees at formal appraisals times. Leaving everything
to a single make-or-break discussion once a year is asking for trouble and trepidation.
Performance Appraisal Page 11
13. Performance Appraisal Methods
 Graphic rating scale
 Alternation ranking method
 Paired comparison method
 Forced distribution method
 Behaviorally anchored rating scale (BARS)
All of these performance assessment methods can be used in conjunction with others in the
list, depending on situation and organizational policy. Where any of these processes is
used, the manager must keep a written record, and must ensure agreed actions are followed
up. The notes of all review situations can then be referred to at the formal appraisal.
Holding regular informal one-to-one review meetings greatly reduces the pressure and time
required for the annual formal appraisal meeting. Holding informal reviews every month
is ideal all staff. There are several benefits of reviewing frequently and informally:
 The manager is better informed and more up-to-date with his or her people's
activities (and more in touch with what lies beyond, e.g., customers, suppliers,
competitors, markets, etc)
 Difficult issues can be identified, discussed and resolved quickly, before they
become more serious.
 Help can be given more readily - people rarely ask unless they see a good
opportunity to do so - the regular informal review provides just this.
 Assignments, tasks and objectives can be agreed completed and reviewed quickly -
leaving actions more than a few weeks reduces completion rates significantly for all
but the most senior and experienced people.
Performance Appraisal Page 12
 Objectives, direction, and purpose is more up-to-date - modern organizations
demand more flexibility than a single annual review allows - priorities often change
through the year, so people need to be re-directed and re-focused.
 Relationships and mutual understanding develops more quickly with greater
frequency of meetings between manager and staff member.
 Frequent review meetings increase the reliability of notes and performance data, and
reduce the chances of overlooking things at the formal appraisal.
14. The Performance Cycle
» Major Areas of
Responsibility
» Individual Priorities
» Knowledge, Skills
and Behaviors
» Development plan
» Reaching agreement
» End-of-cycle
review
» Continuous
progress
and
development
» Ongoing Feedback
» Coaching
» Interim reviews
Performance Appraisal Page 13
15. Problems during Performance Appraisal
If the evaluation system is poor, it will not give adequate effect. There are chances of
opposition for valuation due to fear. Other problems like leniency or harshness error,
central tendency error, personal bias error, contrast error are also affecting the performance
appraisal of an employee.
Insufficient
reward for
performance
Manager
lacks
information
Lack of
appraisal
skills
Manager not
taking
appraisal
seriously
Manager
not
prepared
Manager not
being honest
or sincere
Employee not
receiving
ongoing
feedback
Ineffective
discussion of
employee
development
Unclear
language
Performance
Appraisals
fail because
Performance Appraisal Page 14
16. Appraisal Outcomes
Employees are privy to their appraisal scores because supervisors are required to share the
outcomes of the appraisal. Employees can see how well, or poorly, they scored. In turn,
this will signify to an employee how his supervisor perceives him.
17. Effects
It is human nature for employees to be affected by how well they score on a performance
appraisal. Depending on the outcomes, employees may feel motivated or deflated.
1. Positive Impact
Employees who receive good scores on their appraisals are generally motivated to perform
well and maintain their productivity. Positive feedback on appraisals gives employees a
feeling of worth and value, especially when accompanied by a raise.
2. Negative Impact
If a supervisor gives an employee a poor score on his appraisal, the employee may feel loss
of motivation in the workplace. Consequently, this can impact the employee’s productivity
and performance.
18. Conclusion
Performance appraisals are important for staff motivation, attitude and behavior
development, communicating organizational aims, and fostering positive relationships
between management and staff. Performance appraisals provide a formal, recorded, regular
review of an individual's performance, and a plan for future development. In short,
performance and job appraisals are vital for managing the performance of people and
organizations.
Performance Appraisal Page 15
Each employee should be evaluated by his supervisor and discuss with each other to set
objectives for upcoming evaluation and the discussion should cover the review of overall
progress, problems encountered, performance improvement possibilities, long term career
goals, specific action plan about job description and responsibilities, employee
development interest and needs, ongoing feedback and periodic discussions. Completing
the appraisal process in a professional manner from the preparation to the appraisal
discussion is an important responsibility of every supervisor. Although the process requires
time, the results are worthwhile.
Traditional Performance
Appraisal Process
Performance Appraisal Page 16
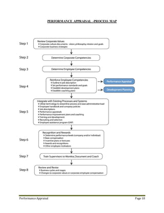
19. PERFORMANCE APPRAISAL -PROCESS MAP
Performance Appraisal Page 17
EMPLOYEE NAME: ________________POSITION TITLE: _______________ APPRAISAL PERIOD ____________
DEPARTMENT: ____________________SUPERVISOR: _______________ REASON FOR APPRAISAL _________
Professional
Knowledge:
Possesses knowledge of
the relevant professional
field and can apply it to
job responsibilities.
Exceptional: Demonstrates deep knowledge of the
professional field and understands the most complex aspects
of the job responsibilities.
Exceeds expectations: Demonstrates solid working
knowledge of the professional area and is capable of handling
complex projects. Actively seeks training opportunities that
will enhance professional knowledge.
Meets Expectations: Demonstrates sufficient knowledge
of the professional area and performs job responsibilities well.
Improvement Needed: Acquiring additional knowledge of
the professional area would be beneficial in performing basic
job responsibilities with less difficulty.
(E)
100-
90
Remarks
(EE)
75-90
(ME)
60-75
(I)
<60
Technical
Knowledge:
Remains current on
technical developments in
relevant areas of expertise
and seeks new technical
knowledge as necessary.
Exceptional: Outstanding knowledge of relevant
technologies as they apply to the position. Always seeking and
finding technology solutions that improve the efficiency of
work processes.
Exceeds expectations: Very good knowledge of relevant
technologies as they apply to the position. An active
contributor in seeking improved technology solutions for work
processes and an avid willingness to learn and use new
technology.
Meets Expectations: Proficient at using technology to
complete work in a timely manner. Willing to attend
technology training as needed.
Improvement Needed: Marginally proficient at using
technology to complete work assignments. Can be resistant to
technology changes. Additional training required.
(E)
100-
90
Remarks
(EE)
75-90
(ME)
60-75
(I)
<60
Work Quality:
Completes assigned work
in a timely and accurate
fashion.
Exceptional: Consistently produces work that is of
the highest quality and accuracy.
Exceeds expectations: Almost always produces high
quality, accurate work.
Meets Expectations: Typically produces quality
work with occasional errors.
Improvement Needed: Attention needed to
producing work that is more thorough and acc
(E)
100-
90
Remarks
(EE)
75-90
(ME)
60-75
(I)
<60
Performance Appraisal Page 18
Fiscal Responsibility:
Maintains yearly budgets
effectively and accurately
forecasts future budgetary
needs.
Exceptional: Displays highly accurate and organized
methods for setting and maintaining departmental budgets.
Always identifies cost-effective methods for all areas of the
budget.
Exceeds expectations: Very accurate and organized
maintenance of departmental budgets. Actively seeks cost-
effective methods for all areas of the budget.
Meets Expectations: Maintains the departmental
budget accurately. Occasionally operates off-budget.
Improvement Needed: A better sense of fiscal
responsibility should be sought. Lacks a solid understanding
of spending implications and frequently miscalculates budget
needs.
(E)
100-
90
Remarks
(EE)
75-90
(ME)
60-75
(I)
<60
Problem solving /
Decision Making
Identifies problems, involves
others in seeking solutions,
conducts appropriate
analyses, searches for best
solutions; responds quickly
to new challenges. Makes
clear, consistent,
transparent decisions; acts
with integrity in all decision
making.
Exceptional: Constantly Makes clear, consistent,
transparent decisions; acts with integrity in all decision
making; distinguishes relevant from irrelevant information
and makes timely decisions.
Exceeds expectations: Very good at Making clear,
consistent, transparent decisions; acts with integrity in all
decision making; distinguishes relevant from irrelevant
information and makes timely decisions.
Meets Expectations: Makes clear, consistent,
transparent decisions with minimal supervision
Improvement Needed: Additional training to develop is
Decision making skill recommended. Lacks adequate attention
at Making clear, consistent, transparent decisions
(E)
100-
90
Remarks
(EE)
75-90
(ME)
60-75
(I)
<60
Service focus:
Works well with customers,
co-workers. Values the
importance of delivering
high quality, innovative
service to internal and
external clients;
understands the needs of the
client; customer service
focus.
Exceptional: Consistently anticipates and meets the
needs of customers. Always communicates and works well
with co-workers and customers. Deliver high quality,
innovative service to internal and external clients;
understands the needs of the client; customer service focuses.
Exceeds expectations: Frequently anticipates the needs
of customers. Generally communicates and works well with
co-workers and customers. Deliver high quality, innovative
service to internal and external clients.
Meets Expectations: Meets customer needs.
Communicates and works with customers and co-workers in
an acceptable manner.
Improvement Needed: Lacks adequate attention to
meeting customer needs. Communication and work with
customers and co-workers needs improvement.
(E)
100-
90
Remarks
(EE)
75-90
(ME)
60-75
(I)
<60
Performance Appraisal Page 19
Strategic planning
and organizing
Understands big picture
and aligns priorities with
broader goals, measures
outcomes, uses feedback
to change as needed,
evaluates alternatives,
solutions oriented.
Exceptional: Outstanding at understanding of big picture
and aligns priorities with broader goals, measures outcomes,
uses feedback to change as needed, evaluates alternatives,
solutions oriented, seeks alternatives and broad input.
Exceed expectations: Very good at understanding of big
picture and aligns priorities with broader goals, measures
outcomes, and uses feedback to change as needed. Can see
connections within complex issues
Meets Expectations: Proficient at understanding of big
picture and aligns priorities with broader goals, measures
outcomes, and uses feedback to change as needed and Willing
to attend training on Strategic planning and organizing As
needed.
Improvement Needed: not clearly Understands big
picture and weak at aligns priorities with broader goals,
measures outcomes. Requires very close supervision at all
times. Additional training required.
(E)
100-
90
Remarks
(EE)
75-90
(ME)
60-75
(I)
<60
Communication
Skills:
Connects with peers,
subordinates and
customers, actively listens,
clearly and effectively
shares information,
demonstrates effective
oral and written
communication skills
Exceptional: Excellent oral and written communication
skills. An active listener who has a sound sense of when to
share important information and with whom to share it.
Exceeds expectations: Demonstrates above average
oral and written communication skills.
Meets Expectations: Demonstrates solid
communication skills but may need occasional training to
sharpen certain areas.
Improvement Needed: Additional training to develop
communication skills is recommended. Frequent
communication break downs can cause confusion with
coworkers and interfere with the employee’s ability to
complete assignments accurately.
(E)
100-
90
Remarks
(EE)
75-90
(ME)
60-75
(I)
<60
Initiative:
Demonstrates independent
action and resourcefulness
on the job. Performs duties
in an acceptable manner
and with minimal
supervision
Exceptional: Constantly exhibits independent action and
resourcefulness. Exercises outstanding judgment on knowing
when to seek guidance from supervisor. A highly motivated
employee.
Exceeds expectations: Frequently exhibits independent
action and resourcefulness. Exercises good judgment on
knowing when to seek guidance from supervisor.
Meets Expectations: Generally demonstrates
independent action with minimal supervision.
Improvement Needed: More independent action is
needed. Requires very close supervision at all times.
(E)
100-
90
Remarks
(EE)
75-90
(ME)
60-75
(I)
<60
Performance Appraisal Page 20
Teamwork
Cooperates and
collaborates with
colleagues as appropriate;
works in partnership with
others.
Exceptional: Outstanding at Cooperating and
collaborating with colleagues as appropriate; works in
partnership with others. Always seeking and finding
teamwork that improve the efficiency of work processes.
Exceeds expectations: Very good at Cooperating and
collaborating with colleagues as appropriate; works in
partnership with others. Active at working with team and
contribute in improving efficiency.
Meets Expectations: Consistently meets expectations of
Cooperating and collaborating with colleagues as appropriate;
works in partnership with others.
Improvement Needed: Additional training required to
be perfect at Cooperating and collaborating with colleagues as
appropriate; works in partnership with others.
(E)
100-
90
Remarks
(EE)
75-90
(ME)
60-75
(I)
<60
Performance Appraisal Page 21
21. Summary of Performance Area Evaluations
Exceptional
Exceeds
Expectations
Meets
Expectations
Improvement
Needed
Professional
Knowledge
Technical
Knowledge
Work Quality
Fiscal
Responsibility
Problem solving /
Decision Making
Service focus
Strategic
planning and
organizing
Communication
Skills
Initiative:
Teamwork
Overall Employee Rating: Overall Performance Comments:
Exceptional ----------------------------------------------------
--------------------------
Exceeds Expectations -----------------------------------------------------
----------------------
Meets Expectations -----------------------------------------------------
-------------------------
Improvement Needed ----------------------------------------------------
--------------------------
Performance Appraisal Page 22
Signatures:
Employee: ___________________________Date: _____________
My signature indicates that I have received a copy of this evaluation.
___ I would like to include comments from my assessment.
Manager/supervisor: Name: _____________________________
Signature: _____________Date: ___________
Department manager: Name: ___________________________
Signature: ______________Date: __________
The employee being evaluated is to receive a copy of the completed evaluation
form and one copy shall be placed in the personnel file.

Performance Appraisal

  • 1.
    Performance Appraisal  Performance Management Performance Appraisal  Modern Appraisal  Performance Management Linkage  The Need for Appraise  Performance Structure  Purpose of Performance Appraisals  Performance Cycle  Problems during Performance Appraisal  Appraisal Outcomes Performance appraisal is a systematic and periodic process that assesses an individual employee's job performance & productivity in relation to certain pre- established criteria and organizational objectives. The aim of performance appraisal is to improve the organizational performance as well as individual development. Periodical appraisal helps the company to compare employee’s performance and to take apt decisions for further improvement. Compiled By: Markos Mulat
  • 2.
    Performance Appraisal Page1 Performance appraisal is a universal phenomenon in which the organization is making judgment about one is working with and about oneself. It serves as a basic element of effective work performance. Performance appraisal is essential for the effective management and evaluation of staff. It aims to improve the organizational performance as well as individual development. The history of performance appraisal is quite brief. Its roots in the early 20th century can be traced to Taylor's pioneering Time and Motion studies. It really dates from the time of the Second World War not more than 60 years ago as distinct and formal management procedure used in the evaluation of work performance. Yet in a broader sense, the practice of appraisal is a very ancient art. In the scale of things historical, it might well lay claim to being the world's second oldest profession. The human inclination to judge can create serious motivational, ethical and legal problems in the workplace. Without a structured appraisal system, there is little chance of ensuring that the judgments made will be lawful, fair, defensible and accurate. Performance appraisal systems began as simple methods of income justification. That is, appraisal was used to decide whether or not the salary or wage of an individual employee was justified. The process of performance appraisal was firmly linked to material outcomes. If an employee's performance was found to be less than ideal, a cut in pay would follow. On the other hand, if their performance was better than the supervisor expected, a pay rise was in order. If was felt that a cut in pay, or a rise, should provide the only required impetus for an employee to either improve or continue to perform well. As a result, the traditional emphasis on reward outcomes was progressively rejected. In the 1950s in the United States, the potential usefulness of appraisal as tool for motivation and development was gradually recognized. The general model of performance appraisal, as it is known today, began from that time. 1. Introduction
  • 3.
    Performance Appraisal Page2 2. Performance Management - Definition Performance Management is the integrated process by which an agency involves its employees in improving organizational effectiveness in the accomplishment of agency mission and strategic goals. Performance Management consists of: performance planning, monitoring employee performance, employee development, evaluating employee performance, and recognition. Performance Management is one of the key processes that, when effectively carried out, helps employees know that their contributions are recognized and acknowledged. Performance management is an ongoing process of communication between a supervisor and an employee that occurs throughout the year, in support of accomplishing the strategic objectives of the organization. The communication process includes clarifying expectations, setting objectives, identifying goals, providing feedback, and evaluating results. 3. Performance Appraisal- Definition Performance appraisal is a systematic and periodic process that assesses an individual employee's job performance & productivity in relation to certain pre-established criteria and organizational objectives. It is a system describes how agency will identify performance standards and core competencies and communicate them to employees. Periodical appraisal helps the company to compare employee’s performance and to take apt decisions for further improvement. A structured business planning depends on the performance of the employee and it will be successful only when the employees are analyzing their work performance individually. The formal performance appraisal in a company is conducted annually for all staff and each staff member is appraised by their line manager. Generally employees are appraised based on the structure of the company
  • 4.
    Performance Appraisal Page3 A performance appraisal is a review and discussion of an employee's performance of assigned duties and responsibilities. The appraisal is based on results obtained by the employee in his/her job, not on the employee's personality characteristics. The appraisal measures skills and accomplishments with reasonable accuracy and uniformity. It provides a way to help identify areas for performance enhancement and to help promote professional growth. It should not, however, be considered the supervisor's only communication tool. Open lines of communication throughout the year help to make effective working relationships. Annual performance appraisals evaluate the role of the employee in the organizational development and also monitoring the standard, expectations, objectives, efficiency in handling task and responsibilities in a period of time. Appraisal also helps to analyze the individual training needs of the employee and planning of future job allocation. It also help to adopt appropriate strategy based on organizational training needs. Performance appraisal analyzes employee’s performance and which utilize to review the grades and modify the annual pay. It generally reviews each individual performance against the objectives and standard of the organization. Performance management creating a work environment and it is enabling the employees to perform best of their abilities. Through performance management companies are hiring efficient people .Then the company building up their skills and talents through employee development program. The tools like performance appraisal, performance review, and appraisal forms create the process of nurturing employee developments. Effective appraisal considering increase in staff productivity, knowledge and contribution. Formal management procedure used the evaluation of work performance. Effective appraisal helps the employer in providing increased productivity, knowledge and contribution from the staff. These resources increase the ability to do performance consulting, measure performance improvement, and provide resultant training using internal staff, which increases self-sufficiency in performance consulting and
  • 5.
    Performance Appraisal Page4 improvement. Providing feedback about employee’s job performance and the contribution of reward for their work is very essential in the smooth functioning of an organization. 4. Modern Appraisal Performance appraisal is structured formal interaction between a subordinate and supervisor, that usually takes the form of a periodic interview (annual or semi-annual), in which the work performance of the subordinate is examined and discussed, with a view to identifying weaknesses and strengths as well as opportunities for improvement and skills development. In many organizations - but not all - appraisal results are used, either directly or indirectly, to help determine reward outcomes. That is, the appraisal results are used to identify the better performing employees who should get the majority of available merit pay increases, bonuses, and promotions. By the same token, appraisal results are used to identify the poorer performers who may require some form of counseling, or in extreme cases, demotion, dismissal or decreases in pay. Organizations need to be aware of laws in their country that might restrict their capacity to dismiss employees or decrease pay.
  • 6.
    Performance Appraisal Page5 5. Performance Management Linkage Many companies use performance management to improve the performance of their staff. If well-designed and correctly implemented, they can help to improve operations. Poorly designed or implemented performance appraisals may lead to employee frustration, resentment and withdrawal.
  • 7.
    Performance Appraisal Page6 6. The Need for Appraise Performance Periodic reviews help supervisors gain a better understanding of each employee's abilities. The goal of the review process is to recognize achievement, to evaluate job progress, and then to design training for the further development of skills and strengths. A careful review will stimulate employee’s interest and improve job performance. The review provides the employee, the supervisor, the Vice President, and Human Resources a critical, formal feedback mechanism on an annual basis; however these discussions should not be restricted solely to a formal annual review. 7. Objectives of Performance Appraisal 1. Give feedback to employees to improve subsequent performance. 2. Identify employee-training needs. 3. Document criteria used to allocate organizational rewards. 4. Form a basis for personnel decisions-salary increases, disciplinary actions, etc. 5. Provide the opportunity for organizational diagnosis and development. 6. Facilitate communication between employee and administrator. 8. Effective Performance Appraisals The appraisals process provides the platform for development and motivation, so organizations should foster a feeling that performance appraisals are positive opportunities, in order to get the best out of the people and the process. An effective performance management process sets the foundation for rewarding excellence.  By linking individual employee work efforts with the organization’s mission and objectives, the employee and the organization understand how that job contributes to the organization.
  • 8.
    Performance Appraisal Page7  By focusing attention on setting clear performance expectations (results + actions & behaviors), it helps the employee know what needs to be done to be successful on the job.  Through the use of objectives, standards, performance dimensions, and other measures it focuses effort. This helps the department get done what needs to be done and provides a solid rationale for eliminating work that is no longer useful.  By defining job-mastery and career development goals as part of the process, it makes it very clear how the current position supports employee growth and the additional opportunities the employee needs to explore.  Through regular check-in discussions, which include status updates, coaching, and feedback, it promotes flexibility, allowing you and the employee to identify problems early and change the course of a project or work assignment. An effective performance management process, while requiring time to plan and implement, can save time and energy. Most importantly, it can be a very effective motivator; since it can help you and the employee achieve the best possible performance. 9. Effective Performance Management Process (PMP)  Maximizes staff engagement, development, and performance  Is consistent across units to enhance full development and utilization of talent  Remains flexible, efficient, measurable, fair, transparent  Provides better alignment of staff roles and goals with the university’s mission  Promotes on-going and proactive succession management
  • 9.
    Performance Appraisal Page8 10. Purpose of Performance Appraisals Performance appraisals are essential for the effective management and evaluation of staff. Appraisals help develop individuals, improve organizational performance, and feed into business planning. Formal performance appraisals are generally conducted annually for all staff in the organization. Each staff member is appraised by their line manager. Directors are appraised by the CEO, who is appraised by the chairman or company owners, depending on the size and structure of the organization. Annual performance appraisals enable management and monitoring of standards, agreeing expectations and objectives, and delegation of responsibilities and tasks. Staff performance appraisals also establish individual training needs and enable organizational training needs analysis and planning. Performance appraisals also typically feed into organizational annual pay and grading reviews, which commonly also coincide with the business planning for the next trading year. Performance appraisals generally review each individual's performance against objectives and standards for the trading year, agreed at the previous appraisal meeting. Performance appraisals are also essential for career and succession planning - for individuals, crucial jobs, and for the organization as a whole. Performance appraisals are important for staff motivation, attitude and behavior development, communicating and aligning individual and organizational aims, and fostering positive relationships between management and staff. Performance appraisals provide a formal, recorded, regular review of an individual's performance, and a plan for future development. Job performance appraisals - in whatever form they take - are therefore vital for managing the performance of people and organizations.
  • 10.
    Performance Appraisal Page9 11. Appraisals and Social Responsibility There is increasingly a need for performance appraisals of staff and especially managers, directors and CEO's, to include accountabilities relating to corporate responsibility, represented by various converging corporate responsibility concepts including: the 'Triple Bottom Line' ('profit people planet'); corporate social responsibility; Sustainability; corporate integrity and ethics; etc. The organization must decide the extent to which these accountabilities are reflected in job responsibilities, which would then naturally feature accordingly in performance appraisals. More about this aspect of responsibility is in the directors’ job descriptions section. Significantly also, while appraisal outline is necessarily a formal structure does not mean that the development discussed with the appraisee must be formal and constrained. In fact the opposite applies. Appraisals must address whole person development - not just job skills or the skills required for the next promotion. Appraisals must not discriminate against anyone on the grounds of age, gender, sexual orientation, race, religion, disability, etc. Therefore in appraisals, creativity and imaginative in discussing, discovering and agreeing whole-person development that people will respond to, beyond the usual job skill-set, and incorporate this sort of development into the appraisal process. 12. Benefit of Performance Appraisals Performance appraisals can achieve and contribute to employee and organization when they are properly managed, for example:  Performance measurement - transparent, short, medium and long term  Clarifying, defining, redefining priorities and objectives  Motivation through agreeing helpful aims and targets  Motivation though achievement and feedback  Training needs and learning desires - assessment and agreement
  • 11.
    Performance Appraisal Page10  Identification of personal strengths & direction - including unused hidden strengths  Career and succession planning - personal and organizational  Team roles clarification and team building  Organizational training needs assessment and analysis  Appraisee and manager mutual awareness, understanding and relationship  Reinforcing and cascading organizational philosophies, values, aims, strategies, priorities, etc  Delegation, additional responsibilities, employee growth and development  Manager development - all good managers should be able to conduct appraisals well - it's a fundamental process Performance appraisals offer a way to protect and manage these valuable face-to-face opportunities. There are various ways of conducting performance appraisals, and ideas change over time as to what are the most effective appraisals methods and systems. Some people advocate traditional appraisals and forms; others prefer 360-degree-type appraisals; others suggest using little more than a blank sheet of paper. In fact performance appraisals of all types are effective if they are conducted properly, and better still if the appraisal process is clearly explained to, agreed by, the people involved. Managers need guidance, training and encouragement in how to conduct appraisals properly. Help managers (and directors) develop and adapt appraisals methods that work for them. Be flexible. There are lots of ways to conduct appraisals, and particularly lots of ways to diffuse apprehension and fear - for managers and appraisees alike. Particularly - encourage people to sit down together and review informally and often - this removes much of the pressure for managers and appraisees at formal appraisals times. Leaving everything to a single make-or-break discussion once a year is asking for trouble and trepidation.
  • 12.
    Performance Appraisal Page11 13. Performance Appraisal Methods  Graphic rating scale  Alternation ranking method  Paired comparison method  Forced distribution method  Behaviorally anchored rating scale (BARS) All of these performance assessment methods can be used in conjunction with others in the list, depending on situation and organizational policy. Where any of these processes is used, the manager must keep a written record, and must ensure agreed actions are followed up. The notes of all review situations can then be referred to at the formal appraisal. Holding regular informal one-to-one review meetings greatly reduces the pressure and time required for the annual formal appraisal meeting. Holding informal reviews every month is ideal all staff. There are several benefits of reviewing frequently and informally:  The manager is better informed and more up-to-date with his or her people's activities (and more in touch with what lies beyond, e.g., customers, suppliers, competitors, markets, etc)  Difficult issues can be identified, discussed and resolved quickly, before they become more serious.  Help can be given more readily - people rarely ask unless they see a good opportunity to do so - the regular informal review provides just this.  Assignments, tasks and objectives can be agreed completed and reviewed quickly - leaving actions more than a few weeks reduces completion rates significantly for all but the most senior and experienced people.
  • 13.
    Performance Appraisal Page12  Objectives, direction, and purpose is more up-to-date - modern organizations demand more flexibility than a single annual review allows - priorities often change through the year, so people need to be re-directed and re-focused.  Relationships and mutual understanding develops more quickly with greater frequency of meetings between manager and staff member.  Frequent review meetings increase the reliability of notes and performance data, and reduce the chances of overlooking things at the formal appraisal. 14. The Performance Cycle » Major Areas of Responsibility » Individual Priorities » Knowledge, Skills and Behaviors » Development plan » Reaching agreement » End-of-cycle review » Continuous progress and development » Ongoing Feedback » Coaching » Interim reviews
  • 14.
    Performance Appraisal Page13 15. Problems during Performance Appraisal If the evaluation system is poor, it will not give adequate effect. There are chances of opposition for valuation due to fear. Other problems like leniency or harshness error, central tendency error, personal bias error, contrast error are also affecting the performance appraisal of an employee. Insufficient reward for performance Manager lacks information Lack of appraisal skills Manager not taking appraisal seriously Manager not prepared Manager not being honest or sincere Employee not receiving ongoing feedback Ineffective discussion of employee development Unclear language Performance Appraisals fail because
  • 15.
    Performance Appraisal Page14 16. Appraisal Outcomes Employees are privy to their appraisal scores because supervisors are required to share the outcomes of the appraisal. Employees can see how well, or poorly, they scored. In turn, this will signify to an employee how his supervisor perceives him. 17. Effects It is human nature for employees to be affected by how well they score on a performance appraisal. Depending on the outcomes, employees may feel motivated or deflated. 1. Positive Impact Employees who receive good scores on their appraisals are generally motivated to perform well and maintain their productivity. Positive feedback on appraisals gives employees a feeling of worth and value, especially when accompanied by a raise. 2. Negative Impact If a supervisor gives an employee a poor score on his appraisal, the employee may feel loss of motivation in the workplace. Consequently, this can impact the employee’s productivity and performance. 18. Conclusion Performance appraisals are important for staff motivation, attitude and behavior development, communicating organizational aims, and fostering positive relationships between management and staff. Performance appraisals provide a formal, recorded, regular review of an individual's performance, and a plan for future development. In short, performance and job appraisals are vital for managing the performance of people and organizations.
  • 16.
    Performance Appraisal Page15 Each employee should be evaluated by his supervisor and discuss with each other to set objectives for upcoming evaluation and the discussion should cover the review of overall progress, problems encountered, performance improvement possibilities, long term career goals, specific action plan about job description and responsibilities, employee development interest and needs, ongoing feedback and periodic discussions. Completing the appraisal process in a professional manner from the preparation to the appraisal discussion is an important responsibility of every supervisor. Although the process requires time, the results are worthwhile. Traditional Performance Appraisal Process
  • 17.
    Performance Appraisal Page16 19. PERFORMANCE APPRAISAL -PROCESS MAP
  • 18.
    Performance Appraisal Page17 EMPLOYEE NAME: ________________POSITION TITLE: _______________ APPRAISAL PERIOD ____________ DEPARTMENT: ____________________SUPERVISOR: _______________ REASON FOR APPRAISAL _________ Professional Knowledge: Possesses knowledge of the relevant professional field and can apply it to job responsibilities. Exceptional: Demonstrates deep knowledge of the professional field and understands the most complex aspects of the job responsibilities. Exceeds expectations: Demonstrates solid working knowledge of the professional area and is capable of handling complex projects. Actively seeks training opportunities that will enhance professional knowledge. Meets Expectations: Demonstrates sufficient knowledge of the professional area and performs job responsibilities well. Improvement Needed: Acquiring additional knowledge of the professional area would be beneficial in performing basic job responsibilities with less difficulty. (E) 100- 90 Remarks (EE) 75-90 (ME) 60-75 (I) <60 Technical Knowledge: Remains current on technical developments in relevant areas of expertise and seeks new technical knowledge as necessary. Exceptional: Outstanding knowledge of relevant technologies as they apply to the position. Always seeking and finding technology solutions that improve the efficiency of work processes. Exceeds expectations: Very good knowledge of relevant technologies as they apply to the position. An active contributor in seeking improved technology solutions for work processes and an avid willingness to learn and use new technology. Meets Expectations: Proficient at using technology to complete work in a timely manner. Willing to attend technology training as needed. Improvement Needed: Marginally proficient at using technology to complete work assignments. Can be resistant to technology changes. Additional training required. (E) 100- 90 Remarks (EE) 75-90 (ME) 60-75 (I) <60 Work Quality: Completes assigned work in a timely and accurate fashion. Exceptional: Consistently produces work that is of the highest quality and accuracy. Exceeds expectations: Almost always produces high quality, accurate work. Meets Expectations: Typically produces quality work with occasional errors. Improvement Needed: Attention needed to producing work that is more thorough and acc (E) 100- 90 Remarks (EE) 75-90 (ME) 60-75 (I) <60
  • 19.
    Performance Appraisal Page18 Fiscal Responsibility: Maintains yearly budgets effectively and accurately forecasts future budgetary needs. Exceptional: Displays highly accurate and organized methods for setting and maintaining departmental budgets. Always identifies cost-effective methods for all areas of the budget. Exceeds expectations: Very accurate and organized maintenance of departmental budgets. Actively seeks cost- effective methods for all areas of the budget. Meets Expectations: Maintains the departmental budget accurately. Occasionally operates off-budget. Improvement Needed: A better sense of fiscal responsibility should be sought. Lacks a solid understanding of spending implications and frequently miscalculates budget needs. (E) 100- 90 Remarks (EE) 75-90 (ME) 60-75 (I) <60 Problem solving / Decision Making Identifies problems, involves others in seeking solutions, conducts appropriate analyses, searches for best solutions; responds quickly to new challenges. Makes clear, consistent, transparent decisions; acts with integrity in all decision making. Exceptional: Constantly Makes clear, consistent, transparent decisions; acts with integrity in all decision making; distinguishes relevant from irrelevant information and makes timely decisions. Exceeds expectations: Very good at Making clear, consistent, transparent decisions; acts with integrity in all decision making; distinguishes relevant from irrelevant information and makes timely decisions. Meets Expectations: Makes clear, consistent, transparent decisions with minimal supervision Improvement Needed: Additional training to develop is Decision making skill recommended. Lacks adequate attention at Making clear, consistent, transparent decisions (E) 100- 90 Remarks (EE) 75-90 (ME) 60-75 (I) <60 Service focus: Works well with customers, co-workers. Values the importance of delivering high quality, innovative service to internal and external clients; understands the needs of the client; customer service focus. Exceptional: Consistently anticipates and meets the needs of customers. Always communicates and works well with co-workers and customers. Deliver high quality, innovative service to internal and external clients; understands the needs of the client; customer service focuses. Exceeds expectations: Frequently anticipates the needs of customers. Generally communicates and works well with co-workers and customers. Deliver high quality, innovative service to internal and external clients. Meets Expectations: Meets customer needs. Communicates and works with customers and co-workers in an acceptable manner. Improvement Needed: Lacks adequate attention to meeting customer needs. Communication and work with customers and co-workers needs improvement. (E) 100- 90 Remarks (EE) 75-90 (ME) 60-75 (I) <60
  • 20.
    Performance Appraisal Page19 Strategic planning and organizing Understands big picture and aligns priorities with broader goals, measures outcomes, uses feedback to change as needed, evaluates alternatives, solutions oriented. Exceptional: Outstanding at understanding of big picture and aligns priorities with broader goals, measures outcomes, uses feedback to change as needed, evaluates alternatives, solutions oriented, seeks alternatives and broad input. Exceed expectations: Very good at understanding of big picture and aligns priorities with broader goals, measures outcomes, and uses feedback to change as needed. Can see connections within complex issues Meets Expectations: Proficient at understanding of big picture and aligns priorities with broader goals, measures outcomes, and uses feedback to change as needed and Willing to attend training on Strategic planning and organizing As needed. Improvement Needed: not clearly Understands big picture and weak at aligns priorities with broader goals, measures outcomes. Requires very close supervision at all times. Additional training required. (E) 100- 90 Remarks (EE) 75-90 (ME) 60-75 (I) <60 Communication Skills: Connects with peers, subordinates and customers, actively listens, clearly and effectively shares information, demonstrates effective oral and written communication skills Exceptional: Excellent oral and written communication skills. An active listener who has a sound sense of when to share important information and with whom to share it. Exceeds expectations: Demonstrates above average oral and written communication skills. Meets Expectations: Demonstrates solid communication skills but may need occasional training to sharpen certain areas. Improvement Needed: Additional training to develop communication skills is recommended. Frequent communication break downs can cause confusion with coworkers and interfere with the employee’s ability to complete assignments accurately. (E) 100- 90 Remarks (EE) 75-90 (ME) 60-75 (I) <60 Initiative: Demonstrates independent action and resourcefulness on the job. Performs duties in an acceptable manner and with minimal supervision Exceptional: Constantly exhibits independent action and resourcefulness. Exercises outstanding judgment on knowing when to seek guidance from supervisor. A highly motivated employee. Exceeds expectations: Frequently exhibits independent action and resourcefulness. Exercises good judgment on knowing when to seek guidance from supervisor. Meets Expectations: Generally demonstrates independent action with minimal supervision. Improvement Needed: More independent action is needed. Requires very close supervision at all times. (E) 100- 90 Remarks (EE) 75-90 (ME) 60-75 (I) <60
  • 21.
    Performance Appraisal Page20 Teamwork Cooperates and collaborates with colleagues as appropriate; works in partnership with others. Exceptional: Outstanding at Cooperating and collaborating with colleagues as appropriate; works in partnership with others. Always seeking and finding teamwork that improve the efficiency of work processes. Exceeds expectations: Very good at Cooperating and collaborating with colleagues as appropriate; works in partnership with others. Active at working with team and contribute in improving efficiency. Meets Expectations: Consistently meets expectations of Cooperating and collaborating with colleagues as appropriate; works in partnership with others. Improvement Needed: Additional training required to be perfect at Cooperating and collaborating with colleagues as appropriate; works in partnership with others. (E) 100- 90 Remarks (EE) 75-90 (ME) 60-75 (I) <60
  • 22.
    Performance Appraisal Page21 21. Summary of Performance Area Evaluations Exceptional Exceeds Expectations Meets Expectations Improvement Needed Professional Knowledge Technical Knowledge Work Quality Fiscal Responsibility Problem solving / Decision Making Service focus Strategic planning and organizing Communication Skills Initiative: Teamwork Overall Employee Rating: Overall Performance Comments: Exceptional ---------------------------------------------------- -------------------------- Exceeds Expectations ----------------------------------------------------- ---------------------- Meets Expectations ----------------------------------------------------- ------------------------- Improvement Needed ---------------------------------------------------- --------------------------
  • 23.
    Performance Appraisal Page22 Signatures: Employee: ___________________________Date: _____________ My signature indicates that I have received a copy of this evaluation. ___ I would like to include comments from my assessment. Manager/supervisor: Name: _____________________________ Signature: _____________Date: ___________ Department manager: Name: ___________________________ Signature: ______________Date: __________ The employee being evaluated is to receive a copy of the completed evaluation form and one copy shall be placed in the personnel file.