OUTLOOK KOMODITAS PERTANIAN - PERKEBUNAN
                                            ISSN 1907-1507 2010




OUTLOOK
KOMODITAS PERTANIAN
PERKEBUNAN




          Pusat Data Dan Informasi Pertanian
                      Kementerian Pertanian
                                       2010

                     Pusat Data dan Informasi Pertanian     i
2010         OUTLOOK KOMODITAS PERTANIAN - PERKEBUNAN




 ii    Pusat Data dan Informasi Pertanian
OUTLOOK KOMODITAS PERTANIAN - PERKEBUNAN       2010




OUTLOOK KOMODITAS PERTANIAN
PERKEBUNAN


ISSN : 1907-1507

Ukuran Buku : 10,12 inci x 7,17 inci (B5)
Jumlah Halaman : 189 halaman


Penasehat : Dr. Ir. Edi Abdurachman, MSc


Penyunting :
Ir. Yasid Taufik, MM
Ir. Leli Nuryati, MSc.
Ir. Efi Respati, MSi.


Naskah :
Ir. Efi Respati, MSi
Ir. Sabarella, MSi
Ir. Anna Astrid Susanti, MSi
Ir. Noviati, MSi
Puji Nantoro, SSi, MM
Ir. Ekanantari
Megawaty M, SP

Design dan Layout :
Ir. Efi Respati, M.Si.
Roydatul Zikria, S.Si
Dyah Indarti, SE


Diterbitkan oleh :
Pusat Data dan Informasi Pertanian
Kementerian Pertanian
2010




                                             Pusat Data dan Informasi Pertanian   iii
2010         OUTLOOK KOMODITAS PERTANIAN - PERKEBUNAN



Boleh dikutip dengan menyebut sumbernya




 iv    Pusat Data dan Informasi Pertanian
OUTLOOK KOMODITAS PERTANIAN - PERKEBUNAN       2010


                               KATA PENGANTAR


        Guna mengemban visi dan misinya, Pusat Data dan Informasi Pertanian
mempublikasikan data sektor pertanian serta hasil analisis datanya. Salah satu
hasil analisis yang telah dipublikasikan secara reguler adalah Outlook Komoditas
Perkebunan.
        Publikasi Outlook Komoditas Perkebunan Tahun 2010 menyajikan
keragaan data series komoditas perkebunan secara nasional dan internasional
selama 10-20 tahun terakhir serta dilengkapi dengan hasil analisis proyeksi
penawaran dan permintaan domestik untuk masing-masing komoditas dari tahun
2010 sampai dengan tahun 2012. Pada tahun 2010 ini, analisis outlook komoditas
perkebunan mencakup 7 (tujuh) komoditas yakni kelapa sawit, kelapa, kakao,
cengkeh, tembakau, nilam dan tebu.
        Publikasi ini disajikan tidak hanya dalam bentuk hard copy namun juga
dalam bentuk soft copy (CD) dan dapat dengan mudah diperoleh atau diakses
melalui website Pusdatin yaitu http://www.deptan.go.id/pusdatin/.
        Dengan diterbitkannya publikasi ini diharapkan para pembaca dapat
memperoleh gambaran tentang keragaan dan proyeksi masing-masing komoditas
strategis pertanian secara lebih lengkap dan menyeluruh.
        Kepada semua pihak yang telah terlibat dalam penyusunan publikasi ini,
kami ucapkan terima kasih dan penghargaan yang setinggi-tingginya. Kritik dan
saran dari segenap pembaca sangat diharapkan guna dijadikan dasar
penyempurnaan dan perbaikan untuk penerbitan publikasi berikutnya.




                                                  Jakarta, September 2010
                                                  Kepala Pusat Data dan
                                                  Informasi Pertanian,




                                                  Dr. Ir. Edi Abdurachman, MS.
                                                  NIP.19550517.197901.1.001




                                            Pusat Data dan Informasi Pertanian    v
ISSN 1907-1507

2010           OUTLOOK KOMODITAS PERTANIAN - PERKEBUNAN


                                       DAFTAR ISI

                                                                                      Halaman
KATA PENGANTAR ........................................................................... v
DAFTAR ISI ................................................................................... vi
DAFTAR TABEL ............................................................................... x
DAFTAR GAMBAR ........................................................................... xii
DAFTAR LAMPIRAN.........................................................................xix
BAB I. PENDAHULUAN ...................................................................... 1
         1.1. LATAR BELAKANG .............................................................. 1
         1.2. METODOLOGI ................................................................... 2
BAB II. KELAPA SAWIT ...................................................................... 5
         2.1. PERKEMBANGAN LUAS AREAL, PRODUKTIVITAS DAN PRODUKSI
               KELAPA SAWIT INDONESIA................................................... 6
         2.2. PERKEMBANGAN KONSUMSI KELAPA SAWIT DI INDONESIA ............ 11
         2.3. PERKEMBANGAN HARGA KELAPA SAWIT DI INDONESIA.................12
         2.4. PERKEMBANGAN EKSPOR-IMPOR KELAPA SAWIT DI INDONESIA ...... 13
         2.5. PERKEMBANGAN LUAS TANAMAN MENGHASILKAN DAN PRODUKSI
               KELAPA SAWIT DUNIA ...................................................... 15
         2.6. PERKEMBANGAN EKSPOR – IMPOR KELAPA SAWIT DUNIA ............. 17
         2.7. PROYEKSI PENAWARAN KELAPA SAWIT 2010-2012..................... 19
         2.8. PROYEKSI PERMINTAAN MINYAK SAWIT 2010-2012 .................... 20
         2.9. PROYEKSI SURPLUS/DEFISIT MINYAK SAWIT 2010-2012 ............... 21
         LAMPIRAN ........................................................................... 22
BAB III. KELAPA ............................................................................. 31
         3.1. PERKEMBANGAN LUAS AREAL, PRODUKSI DAN PRODUKTIVITAS
               KELAPA INDONESIA ......................................................... 32
         3.2. PERKEMBANGAN KONSUMSI KELAPA DI INDONESIA .................... 36
         3.3. PERKEMBANGAN HARGA KELAPA DI INDONESIA ........................ 38
         3.4. PERKEMBANGAN EKSPOR-IMPOR KELAPA INDONESIA .................. 39




 vi     Pusat Data dan Informasi Pertanian
OUTLOOK KOMODITAS PERTANIAN - PERKEBUNAN          2010


         3.5. PERKEMBANGAN LUAS TANAMAN MENGHASILKAN, PRODUKSI
               DAN PRODUKTIVITAS KELAPA DUNIA .....................................41
        3.6. PERKEMBANGAN EKSPOR-IMPOR KELAPA DUNIA ........................44
        3.7. PERKEMBANGAN HARGA KELAPA DUNIA..................................46
        3.8. PROYEKSI PENAWARAN KELAPA 2010-2012 ..............................47
        3.9. PROYEKSI PERMINTAAN KELAPA 2010-2012..............................48
        3.10. PROYEKSI SURPLUS/DEFISIT KELAPA 2010-2012 ........................49
        LAMPIRAN ............................................................................50
BAB IV. KAKAO ............................................................................ 59
        4.1. PERKEMBANGAN LUAS AREAL, PRODUKSI DAN PRODUKTIVITAS
               KAKAO DI INDONESIA ........................................................59
        4.2. KONSUMSI KAKAO DI INDONESIA...........................................64
        4.3. PERKEMBANGAN HARGA KAKAO DI INDONESIA ..........................65
        4.4. PERKEMBANGAN EKSPOR-IMPOR KAKAO INDONESIA....................66
        4.5. PERKEMBANGAN LUAS AREAL, PRODUKSI DAN PRODUKTIVITAS KAKAO
               DUNIA .........................................................................70
        4.6. PERKEMBANGAN HARGA PRODUSEN KAKAO DUNIA .....................73
        4.7. PERKEMBANGAN EKSPOR-IMPOR KAKAO DUNIA .........................74
        4.8. PROYEKSI PENAWARAN KAKAO 2010-2012 ...............................76
        4.9. PROYEKSI PERMINTAAN KAKAO 2008-2010 ..............................77
        4.10. PROYEKSI SURPLUS/DEFISIT KAKAO 2010-2012 .........................78
        LAMPIRAN ............................................................................80
BAB V. CENGKEH ........................................................................... 91
        5.1. PERKEMBANGAN LUAS AREAL, PRODUKSI DAN PRODUKTIVITAS
               CENGKEH DI INDONESIA ....................................................93
        5.2. PERKEMBANGAN KONSUMSI CENGKEH DI INDONESIA ..................98
        5.3. PERKEMBANGAN HARGA CENGKEH DI INDONESIA.......................99
        5.4. PERKEMBANGAN EKSPOR – IMPOR CENGKEH DI INDONESIA ......... 100
        5.5. PERKEMBANGAN LUAS AREAL TANAMAN MENGHASILKAN, PRODUKSI,
               DAN PRODUKTIVITAS CENGKEH DUNIA ................................. 102
        5.6. PERKEMBANGAN HARGA CENGKEH DUNIA ............................. 105
        5.7. PERKEMBANGAN EKSPOR – IMPOR CENGKEH DUNIA .................. 106

                                                    Pusat Data dan Informasi Pertanian      vii
2010          OUTLOOK KOMODITAS PERTANIAN - PERKEBUNAN


        5.8. PROYEKSI PENAWARAN CENGKEH 2009-2012.......................... 107
        5.9. PROYEKSI PERMINTAAN CENGKEH 2009-2012 ......................... 108
        5.10. PROYEKSI SURPLUS/DEFISIT KOMODITAS CENGKEH 2009-2012 ..... 109
        LAMPIRAN .......................................................................... 111
BAB VI. TEMBAKAU ........................................................................123
        6.1. PERKEMBANGAN LUAS AREAL, PRODUKTIVITAS DAN PRODUKSI
               TEMBAKAU INDONESIA .................................................... 123
        6.2. PERKEMBANGAN HARGA KONSUMEN TEMBAKAU DI INDONESIA ..... 127
        6.3. PERKEMBANGAN KONSUMSI TEMBAKAU DAN ROKOK INDONESIA ... 128
        6.4. PERKEMBANGAN EKSPOR-IMPOR TEMBAKAU PRIMER DAN
               MANUFAKTUR INDONESIA................................................. 130
        6.5. PERKEMBANGAN LUAS AREAL DAN PRODUKSI TEMBAKAU DUNIA ... 132
        6.6. PERKEMBANGAN HARGA PRODUSEN TEMBAKAU DUNIA .............. 135
        6.7. PERKEMBANGAN EKSPOR-IMPOR TEMBAKAU DUNIA .................. 135
        6.8. PROYEKSI PENAWARAN TEMBAKAU 2010-2012 ........................ 137
        6.9. PROYEKSI PERMINTAAN TEMBAKAU 2010-2012 ........................ 139
        6.10. PROYEKSI SURPLUS/DEFISIT TEMBAKAU 2010-2012 .................. 140
        LAMPIRAN .......................................................................... 141
BAB VII. NILAM .............................................................................151
        7.1. PERKEMBANGAN LUAS AREAL, PRODUKSI DAN PRODUKTIVITAS
               NILAM DI INDONESIA ...................................................... 151
        7.2. PERKEMBANGAN KONSUMSI NILAM DI INDONESIA ..................... 156
        7.3. PERKEMBANGAN HARGA NILAM DI INDONESIA ......................... 157
        7.4. PERKEMBANGAN EKSPOR-IMPOR NILAM INDONESIA .................. 158
        7.5. PROYEKSI PENAWARAN NILAM 2009-2011 .............................. 159
        7.6. PROYEKSI PERMINTAAN NILAM 2009-2011 ............................. 160
        7.7. PROYEKSI SURPLUS/DEFISIT NILAM 2009-2011 ........................ 161
        LAMPIRAN .......................................................................... 163
BAB VIII. TEBU .............................................................................169
        8.1. PERKEMBANGAN LUAS AREAL, PRODUKTIVITAS DAN PRODUKSI
               TEBU DI INDONESIA........................................................ 170
        8.2. PERKEMBANGAN KONSUMSI GULA DI INDONESIA.......................177

 viii   Pusat Data dan Informasi Pertanian
OUTLOOK KOMODITAS PERTANIAN - PERKEBUNAN          2010


        8.3. PERKEMBANGAN HARGA GULA DI INDONESIA..........................178
        8.4. PERKEMBANGAN EKSPOR-IMPOR GULA INDONESIA ................... 179
        8.5. PERKEMBANGAN LUAS AREAL, PRODUKTIVITAS DAN PRODUKSI TEBU
              DUNIA ....................................................................... 180
        8.6. PROYEKSI PENAWARAN GULA 2010-2012 .............................. 184
        8.7. PROYEKSI PERMINTAAN GULA 2010-2012 .............................. 185
        8.8. PROYEKSI SURPLUS/DEFISIT GULA ...................................... 186
        LAMPIRAN .......................................................................... 188


DAFTAR PUSTAKA.........................................................................195




                                                   Pusat Data dan Informasi Pertanian      ix
2010         OUTLOOK KOMODITAS PERTANIAN - PERKEBUNAN


                                  DAFTAR TABEL

                                                                                   Halaman
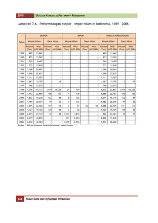
Tabel 2.1.   Perkembangan produktivitas kelapa sawit menurut status
             pengusahaan, 2003-2009. ..................................................10
Tabel 2.2.   Proyeksi produksi minyak sawit Indonesia, 2009-2012 ................20
Tabel 2.3.   Proyeksi volume ekspor minyak sawit dan penggunaan minyak
             goreng sawit dalam negeri di Indonesia, 2010-2012 ...................21
Tabel 2.4.   Proyeksi surplus/defisit minyak sawit Indonesia, 2010-2012 ........21
Tabel 3.1.   Rata-rata laju pertumbuhan dan kontribusi luas areal dan
             produksi kelapa di Indonesia, 1970-2009 ................................33
Tabel 3.2.   Perkembangan produktivitas kelapa di Indonesia menurut
             status pengusahaan, 2004-2009 ...........................................36
Tabel 3.3.   Hasil analisis fungsi respon produksi kelapa ............................47
Tabel 3.4.   Hasil proyeksi produksi kelapa di Indonesia, 2010-2012 ..............48
Tabel 3.5.   Proyeksi permintaan kopra/minyak kelapa di Indonesia,
             2010-2012 ....................................................................49
Tabel 3.6.   Proyeksi surplus/defisit kelapa (kopra) di Indonesia 2010-2012 ....49
Tabel 4.1.   Perkembangan luas areal kakao Indonesia berdasarkan status
             pengusahaannya, 2005-2009...............................................60
Tabel 4.2.   Perkembangan produktivitas kakao Indonesia berdasarkan
             status pengusahaannya, 2003-2009 ......................................62
Tabel 4.3.   Perkembangan produksi biji kakao kering Indonesia
             berdasarkan status pengusahaannya, 2005-2009 .......................63
Tabel 4.4.   Neraca perdagangan total kakao Indonesia, 1996-2009 ...............69
Tabel 4.5.   Nilai statistik model produksi kakao dalam negeri ....................76
Tabel 4.6.   Proyeksi produksi kakao Indonesia, 2008-2010 .........................77
Tabel 4.7.   Proyeksi total permintaan kakao Indonesia, 2008-2010...............78
Tabel 4.8.   Proyeksi surplus/defisit kakao Indonesia, 2008-2010..................79




 x     Pusat Data dan Informasi Pertanian
OUTLOOK KOMODITAS PERTANIAN - PERKEBUNAN         2010


Tabel 5.1.   Kontribusi rata-rata luas areal dan produksi cengkeh di
             Indonesia menurut status pengusahaan, 1967-2009 ................... 94
Tabel 5.2.   Hasil proyeksi produksi cengkeh di Indonesia, 2010-2012 .......... 108
Tabel 5.3.   Hasil proyeksi konsumsi domestik cengkeh di Indonesia,
             2009-2011 .................................................................. 109
Tabel 5.4.   Proyeksi surplus/defisit cengkeh di Indonesia, tahun 2009-2012.. 110

Tabel 6.1.   Perkembangan produktivitas tembakau Indonesia, 2006-2009 .... 127
Tabel 6.2.   Perkembangan harga konsumen pedesaan tembakau Indonesia,
             2000-2006 .................................................................. 128
Tabel 6.3.   Hasil analisis fungsi respon produksi tembakau di Indonesia ...... 138
Tabel 6.4.   Hasil proyeksi produksi tembakau Indonesia, 2010-2012 ........... 138
Tabel 6.5.   Hasil proyeksi permintaan untuk industri tembakau Indonesia,
             2010-2012 .................................................................. 140
Tabel 6.6.   Proyeksi surplus/defisit tembakau Indonesia, 2010-2012 .......... 140
Tabel 7.1.   Rata-rata laju pertumbuhan dan kontribusi luas areal dan
             produksi nilam di Indonesia ............................................. 153
Tabel 7.2.   Hasil proyeksi produksi nilam di Indonesia, 2009-2011 ............. 160
Tabel 7.3.   Hasil proyeksi permintaan nilam di Indonesia, 2009-2011 ......... 161
Tabel 7.4.   Proyeksi surplus/defisit nilam di Indonesia, 2009-2011 ............. 162
Tabel 8.1.   Perkembangan produktivitas tebu di Indonesia berdasarkan,
             status pengusahaan, 1969-2009 ......................................... 173
Tabel 8.2.   Perkembangan rata-rata produksi gula hablur di Indonesia,
             berdasarkan status pengusahaan, 1969-2009 ......................... 175
Tabel 8.3.   Hasil proyeksi fungsi penawaran gula di Indonesia .................. 184
Tabel 8.4.   Proyeksi produksi gula Indonesia, 2010-2012 ......................... 185
Tabel 8.5.   Hasil proyeksi fungsi permintaan gula di Indonesia.................. 185
Tabel 8.6.   Proyeksi permintaan gula Indonesia, 2010-2012 ..................... 186
Tabel 8.7.   Proyeksi surplus/defisit gula Indonesia, 2010-2012 ................. 187




                                                 Pusat Data dan Informasi Pertanian      xi
2010          OUTLOOK KOMODITAS PERTANIAN - PERKEBUNAN


                                 DAFTAR GAMBAR

                                                                                     Halaman
Gambar 2.1.      Perkembangan luas areal kelapa sawit menurut status
                 pengusahaan di Indonesia, 1970 - 2009 ................................ 6
Gambar 2.2.      Kontribusi luas areal kelapa sawit menurut status
                 pengusahaan di Indonesia, (rata-rata 1998-2009) .................... 7
Gambar 2.3.      Perkembangan produksi minyak sawit menurut status
                 pengusahaan di Indonesia, 1970-2009 .................................. 8
Gambar 2.4.      Kontribusi rata-rata produksi minyak sawit menurut status
                 pengusahaan, (rata-rata 1998-2009) .................................... 8
Gambar 2.5.      Provinsi sentra produksi minyak sawit di Indonesia,
                 (rata-rata 2005-2009) ..................................................... 9
Gambar 2.6.      Perkembangan produktivitas kelapa sawit di Indonesia,
                 2003-2009 ..................................................................10
Gambar 2.7.      Perkembangan ketersediaan minyak sawit/minyak goreng
                 Indonesia menurut Neraca Bahan Makanan, 1999-2007 ............11
Gambar 2.8.      Perkembangan harga produsen TBS dan harga perdagangan
                 besar minyak sawit Indonesia, 2000-2008 ............................12
Gambar 2.9.      Perkembangan volume ekspor-impor kelapa sawit Indonesia,
                 1996-2009 ..................................................................13
Gambar 2.10. Perkembangan ekspor, impor dan neraca perdagangan
                 kelapa sawit Indonesia, 1996-2009.....................................14
Gambar 2.11. Perkembangan harga ekspor-impor kelapa sawit Indonesia,
                 1996-2009 ..................................................................14
Gambar 2.12. Perkembangan luas areal dan produksi tandan buah segar
                 kelapa sawit dunia, 1961-2008 .........................................15
Gambar 2.13. Negara dengan luas areal kelapa sawit terbesar di dunia,
                 (rata-rata 2004-2008) ....................................................15
Gambar 2.14. Negara produsen kelapa sawit terbesar dunia,
                 (rata-rata 2004-2008) ....................................................17



 xii   Pusat Data dan Informasi Pertanian
OUTLOOK KOMODITAS PERTANIAN - PERKEBUNAN          2010


Gambar 2.15. Negara eksportir minyak sawit terbesar dunia,
              (rata-rata 2003-2007) .................................................... 18
Gambar 2.16. Negara importir kelapa sawit terbesar dunia,
              (rata-rata 2003-2007) .................................................... 19
Gambar 3.1.   Perkembangan luas areal kelapa di Indonesia menurut status
              pengusahaan, 1970-2009 ................................................ 32
Gambar 3.2.   Perkembangan produksi kelapa di Indonesia, 1970-2009 ........... 34
Gambar 3.3.   Kontribusi sentra produksi kelapa di Indonesia, 2005-2009 ........ 35
Gambar 3.4.   Perkembangan produktivitas kelapa di Indonesia, 2004-2009 ..... 35
Gambar 3.5.   Perkembangan konsumsi kelapa butiran dan minyak kelapa di
              Indonesia, 1981-2008 ..................................................... 37
Gambar 3.6.   Perkembangan total penggunaan kelapa (kopra) di Indonesia,
              1990-2007 .................................................................. 38
Gambar 3.7.   Perkembangan harga kelapa di tingkat produsen dan
              konsumen di Indonesia, 1983-2008..................................... 39
Gambar 3.8.   Perkembangan volume ekspor kelapa Indonesia, 2000-2009 ...... 40
Gambar 3.9.   Perkembangan volume impor kelapa Indonesia, 2000-2009 ....... 40
Gambar 3.10. Perkembangan luas tanaman menghasilkan kelapa dunia,
              1970-2008 .................................................................. 41
Gambar 3.11. Perkembangan produksi kelapa dunia, 1970-2008................... 42
Gambar 3.12. Negara-negara produsen kelapa terbesar di dunia,
              (rata-rata 2004-2008) .................................................... 42
Gambar 3.13. Perkembangan produktivitas kelapa dunia, 1970-2008 ............. 43
Gambar 3.14. Negara dengan produktivitas kelapa terbesar di dunia,
              2004-2008 .................................................................. 44
Gambar 3.15. Negara eksportir minyak kelapa terbesar di dunia, 2003-2007 .... 45
Gambar 3.16. Negara importir minyak kelapa terbesar di dunia, 2003-2007 ..... 45

Gambar 3.17. Negara dengan harga kelapa tingkat produsen terbesar di
              dunia, 2003-2007 ......................................................... 46




                                                 Pusat Data dan Informasi Pertanian      xiii
2010          OUTLOOK KOMODITAS PERTANIAN - PERKEBUNAN


Gambar 4.1.      Perkembangan luas areal kakao Indonesia berdasarkan status
                 pengusahaannya, 2005-2009 ............................................60
Gambar 4.2.      Perkembangan produktivitas kakao Indonesia berdasarkan
                 status pengusahaannya, 2003-2009 ....................................61
Gambar 4.3.      Perkembangan produksi biji kakao kering Indonesia
                 berdasarkan status pengusahaannya, 1967-2009 ....................62
Gambar 4.4.      Kontribusi PR, PBN dan PBS terhadap produksi kakao
                 Indonesia (rata-rata 2005-2009) ........................................63
Gambar 4.5.      Provinsi sentra produksi kakao PR (rata-rata 2005-2009) ..........64
Gambar 4.6.      Perkembangan konsumsi kakao di Indonesia, 1981-2008 ...........65
Gambar 4.7.      Perkembangan harga domestik biji kakao kering, 1992-2008......66
Gambar 4.8.      Perkembangan volume dan nilai ekspor total kakao
                 Indonesia, 1996-2009 .....................................................67
Gambar 4.9.      Kontribusi nilai ekspor kakao menurut bentuk hasilnya
                 (rata-rata 2005-2009) ....................................................67
Gambar 4.10. Perkembangan volume dan nilai impor kakao Indonesia,
                 1996-2009 ..................................................................68
Gambar 4.11. Perkembangan nilai ekspor, impor dan neraca perdagangan
                 kakao Indonesia, 1996-2009 .............................................69
Gambar 4.12. Perkembangan luas areal dan produksi kakao dunia,
                 1961-2008 ..................................................................70
Gambar 4.13. Negara dengan luas areal kakao terbesar di dunia
                 (rata-rata 2004-2008) ....................................................71
Gambar 4.14. Negara produsen kakao terbesar di dunia
                 (rata-rata 2004-2008) ....................................................72
Gambar 4.15. Negara dengan produktivitas kakao terbesar dunia
                 (rata-rata 2004-2008) ....................................................72
Gambar 4.16. Perkembangan harga produsen biji kakao kering dunia,
                 1991-2007 ..................................................................73
Gambar 4.17. Negara dengan harga produsen kakao terbesar dunia,
                 (rata-rata 2003-2007) ....................................................74



 xiv   Pusat Data dan Informasi Pertanian
OUTLOOK KOMODITAS PERTANIAN - PERKEBUNAN          2010


Gambar 4.18. Negara pengekspor kakao terbesar dunia
              (rata-rata 2003-2007) .................................................... 75
Gambar 4.19. Negara importir kakao terbesar dunia (rata-rata 2003-2007) ..... 75
Gambar 5.1.   Perkembangan luas areal cengkeh PR di Indonesia, 1967-2009 ... 94
Gambar 5.2.   Perkembangan luas areal cengkeh di Indonesia, 1971-2009 ....... 95
Gambar 5.3.   Perkembangan produksi cengkeh di Indonesia, 1967-2009 ......... 96
Gambar 5.4.   Kontribusi produksi cengkeh PR di provinsi sentra
              (rata-rata 2005-2009) .................................................... 97
Gambar 5.5.   Perkembangan produktivitas cengkeh di Indonesia,
              1970-2009 .................................................................. 98
Gambar 5.6.   Perkembangan konsumsi domestik cengkeh di Indonesia,
              1970-2008 .................................................................. 99
Gambar 5.7.   Perkembangan harga cengkeh di pasar domestik dan pasar
              dunia, 1987-2008 ....................................................... 100
Gambar 5.8.   Perkembangan volume ekspor impor cengkeh di Indonesia,
              1996-2008 ................................................................ 101
Gambar 5.9.   Perkembangan nilai ekspor impor cengkeh di Indonesia,
              1996-2008 ................................................................ 101
Gambar 5.10. Perkembangan luas areal tanaman menghasilkan cengkeh
              dunia dan Indonesia, 1967-2008 ...................................... 102
Gambar 5.11. Negara-negara dengan luas TM cengkeh terbesar dunia,
              (rata-rata 2004-2008) .................................................. 103
Gambar 5.12. Perkembangan produksi cengkeh dunia, 1961-2008............... 104
Gambar 5.13. Negara-negara produsen cengkeh terbesar dunia, 2004-2008 ... 104
Gambar 5.14. Negara-negara dengan rata-rata produktivitas cengkeh
              tertinggi dunia, 2004-2008 ............................................ 105
Gambar 5.15. Negara-negara dengan harga produsen cengkeh tertinggi
              dunia (rata-rata 2004-2008) ........................................... 105
Gambar 5.16. Negara eksportir cengkeh terbesar di dunia
              (rata-rata 2004-2008) .................................................. 106




                                                 Pusat Data dan Informasi Pertanian      xv
2010          OUTLOOK KOMODITAS PERTANIAN - PERKEBUNAN


Gambar 5.17. Negara importir cengkeh terbesar di dunia
                 (rata-rata 2004-2008) .................................................. 107
Gambar 6.1.      Perkembangan luas areal tembakau menurut status
                 pengusahaannya, 1971-2009 .......................................... 124
Gambar 6.2.      Kontribusi luas areal tembakau di Indonesia menurut status
                 pengusahaan (rata-rata 2005-2009) .................................. 124
Gambar 6.3.      Perkembangan produksi tembakau menurut status
                 pengusahaan, 1971-2009............................................... 125
Gambar 6.4.      Kontribusi sentra produksi tembakau PR di Indonesia
                 (rata-rata 2006-2009) .................................................. 126
Gambar 6.5.      Rata-rata produktivitas tembakau Indonesia menurut status
                 pengusahaan, 2006-2009............................................... 126
Gambar 6.6.      Perkembangan harga konsumen tembakau di Indonesia,
                 2000-2008 ................................................................ 128
Gambar 6.7.      Perkembangan konsumsi tembakau di Indonesia, 1987-2008 .... 129
Gambar 6.8.      Perkembangan konsumsi rokok di Indonesia, 1987-2008 ......... 129
Gambar 6.9.      Perkembangan volume dan harga ekspor - impor tembakau
                 primer, 1996-2009 ...................................................... 130
Gambar 6.10. Perkembangan volume dan harga ekspor – impor tembakau
                 manufaktur, 1996-2009 ................................................ 131
Gambar 6.11. Perkembangan luas areal tembakau dunia, 1961-2008 ........... 132
Gambar 6.12. Negara dengan luas area tembakau terbesar di dunia,
                 2004-2008 ................................................................ 133
Gambar 6.13. Perkembangan produksi tembakau dunia, 1961-2008 ............. 134
Gambar 6.14. Sepuluh negara produsen tembakau dunia, 2004-2008 ........... 134
Gambar 6.15. Perkembangan rata-rata harga produsen tembakau dunia,
                 1991-2007 ................................................................ 135
Gambar 6.16. Perkembangan volume ekspor dan impor tembakau dunia,
                 1961-2007 ................................................................ 136
Gambar 6.17. Negara pengekspor tembakau terbesar dunia
                 (rata-rata 2003-2007) .................................................. 136



 xvi   Pusat Data dan Informasi Pertanian
OUTLOOK KOMODITAS PERTANIAN - PERKEBUNAN          2010


Gambar 6.18. Negara pengimpor tembakau terbesar dunia
              (rata-rata 2003-2007) .................................................. 137
Gambar 7.1.   Perkembangan luas areal nilam di Indonesia, 1989-2008 ........ 152
Gambar 7.2.   Perkembangan produksi minyak nilam di Indonesia,
              1989-2008 ................................................................ 154
Gambar 7.3.   Provinsi sentra produksi minyak nilam di Indonesia
              (rata-rata 2004-2008) .................................................. 154
Gambar 7.4.   Perkembangan produktivitas nilam di Indonesia
              (rata-rata 2004-2008) .................................................. 155
Gambar 7.5.   Perkembangan konsumsi minyak nilam di Indonesia,
              1989-2008 ................................................................ 156
Gambar 7.6.   Perkembangan harga ekspor minyak nilam di Indonesia,
              1989-2006 ................................................................ 157

Gambar 7.7.   Perkembangan volume ekspor minyak nilam dan daun nilam
              di Indonesia, 1989-2006................................................ 159
Gambar 8.1.   Perkembangan luas areal tebu di Indonesia, 1969 - 2009 ........ 170
Gambar 8.2.   Perkembangan luas areal tebu Indonesia berdasarkan status
              pengusahaan,1969-2009 ............................................... 171
Gambar 8.3.   Perkembangan produktivitas tebu di Indonesia, 1969-2009 ..... 172
Gambar 8.4.   Perkembangan produktivitas tebu di Indonesia berdasarkan
              status pengusahaan, 1969-2009) ..................................... 173
Gambar 8.5.   Perkembangan produksi gula hablur di Indonesia,1969-2009 .... 174
Gambar 8.6.   Perkembangan produksi gula hablur berdasarkan status,
              pengusahaan, 1969-2005 .............................................. 174
Gambar 8.7.   Provinsi sentra produksi tebu Perkebunan Rakyat, 2006-2010 .. 176
Gambar 8.8.   Provinsi sentra produksi tebu Nasional, 2009 ...................... 177
Gambar 8.9.   Perkembangan konsumsi gula oleh rumah tangga di
              Indonesia, 1990-2009 ................................................... 178
Gambar 8.10. Perkembangan harga gula pasir dalam negeri, 1997-2009 ...... 179
Gambar 8.11. Perkembangan volume ekspor dan impor gula di Indonesia,
              1969-2009 ................................................................ 179


                                                Pusat Data dan Informasi Pertanian     xvii
2010          OUTLOOK KOMODITAS PERTANIAN - PERKEBUNAN


Gambar 8.12. Perkembangan luas areal tebu dunia, 1970-2008 .................. 181
Gambar 8.13. Perkembangan produktivitas tebu dunia, 1970-2008 ............. 181
Gambar 8.14. Perkembangan produksi tebu dunia, 1970-2008 .................. 182
Gambar 8.15. Negara dengan luas areal tebu terbesar di dunia, 2004-2008 ... 182
Gambar 8.16. Negara produsen tebu terbesar dunia, 2004-2008 ................. 183
Gambar 8.17. Perkembangan penawaran dan permintaan gula Indonesia,
                 1990-2012 ................................................................ 186




xviii   Pusat Data dan Informasi Pertanian
OUTLOOK KOMODITAS PERTANIAN - PERKEBUNAN           2010


                                 DAFTAR LAMPIRAN

                                                                                  Halaman
Lampiran 2.1.   Perkembangan luas areal kelapa sawit (palm oil) Indonesia
                menurut status pengusahaan, 1970-2009. .......................... 22
Lampiran 2.2.   Perkembangan produksi minyak sawit (crude palm oil/CPO)
                Indonesia menurut status pengusahaan, 1970-2009 .............. 23
Lampiran 2.3.   Provinsi sentra produksi kelapa sawit Indonesia, 2005-2009 .... 24
Lampiran 2.4.   Penggunaan dan ketersediaan untuk konsumsi minyak sawit
                Indonesia, 1990-2007 .................................................. 24
Lampiran 2.5.   Perkembangan harga produsen tandan buah segar dan
                minyak sawit (CPO) Indonesia, 2000-2008 .......................... 25
Lampiran 2.6.   Perkembangan ekspor – impor, neraca perdagangan serta
                harga minyak sawit Indonesia, 1996-2009 .......................... 26
Lampiran 2.7.   Perkembangan luas tanaman menghasilkan, yield dan
                produksi kelapa sawit dunia, 1961-2008 ............................ 27
Lampiran 2.8.   Negara dengan luas tanaman menghasilkan kelapa sawit
                terbesar di dunia, 2004-2008 ......................................... 28
Lampiran 2.9    Negara produsen kelapa sawit terbesar dunia, 2004-2008....... 28
Lampiran 2.10. Negara eksportir minyak sawit terbesar dunia, 2003-2007 ...... 29
Lampiran 2.11. Negara importir minyak sawit terbesar dunia, 2003-2007 ....... 29
Lampiran 3.1.   Perkembangan luas areal kelapa di Indonesia menurut
                status pengusahaannya, 1970 - 2009. ............................... 50
Lampiran 3.2.   Perkembangan produksi kelapa di Indonesia menurut status
                pengusahaannya, 1970 - 2009 ........................................ 51
Lampiran 3.3.   Provinsi sentra produksi kelapa di Indonesia, 2005-2009 ........ 52
Lampiran 3.4.   Perkembangan konsumsi kelapa dan minyak kelapa di
                Indonesia, 1981-2008 .................................................. 53
Lampiran 3.5.   Penggunaan dan ketersediaan konsumsi kopra di Indonesia,
                1990-2007 ................................................................ 54
Lampiran 3.6.   Perkembangan harga kelapa di tingkat produsen dan
                konsumen di Indonesia, 1983-2008 .................................. 55

                                                Pusat Data dan Informasi Pertanian       xix
2010         OUTLOOK KOMODITAS PERTANIAN - PERKEBUNAN


Lampiran 3.7.     Perkembangan ekspor-impor kelapa Indonesia, 2000-2009 ......56
Lampiran 3.8.     Perkembangan luas tanaman menghasilkan, produksi dan
                  produktivitas kelapa dunia, 1970-2008 .............................57
Lampiran 3.9.     Negara produsen kelapa terbesar di dunia, 2004-2008 ...........58
Lampiran 4.1.     Perkembangan luas areal kakao Indonesia menurut status
                  pengusahaan, 1967-2009 ..............................................80
Lampiran 4.2.     Perkembangan produksi kakao Indonesia menurut status
                  pengusahaan, 1967-2009 ..............................................81
Lampiran 4.3.     Perkembangan produksi kakao PR di provinsi sentra di
                  Indonesia, 2005-2009 ..................................................82
Lampiran 4.4.     Perkembangan konsumsi coklat instan dan coklat bubuk di
                  Indonesia , 1981-2008..................................................82
Lampiran 4.5.     Perkembangan harga domestik kakao Indonesia, 1992-2007 ....83
Lampiran 4.6.     Perkembangan volume dan nilai ekspor total kakao
                  Indonesia, 1996-2009 ..................................................84
Lampiran 4.7.     Perkembangan volume dan nilai impor total kakao
                  Indonesia, 1996-2009 ..................................................85
Lampiran 4.8.     Perkembangan luas areal, produktivitas dan produksi kakao
                  dunia, 1961-2008 .......................................................86
Lampiran 4.9.     Negara dengan luas areal kakao terbesar dunia, 2004-2008 ....87
Lampiran 4.10. Negara produsen kakao terbesar dunia, 2004-2008 ...............87
Lampiran 4.11. Negara dengan produktivitas kakao terbesar dunia,
                  2004-2008 ................................................................88
Lampiran 4.12. Negara dengan harga produsen kakao terbesar dunia,
                  2003-2007 ................................................................88
Lampiran 4.13. Negara eksportir kakao terbesar dunia, 2003-2007 ...............89

Lampiran 4.14. Negara importir kakao terbesar dunia, 2003-2007 ................89

Lampiran 5.1.     Luas areal cengkeh di Indonesia berdasarkan status
                  pengusahaan, 1967-2009 ............................................ 111




 xx    Pusat Data dan Informasi Pertanian
OUTLOOK KOMODITAS PERTANIAN - PERKEBUNAN          2010



Lampiran 5.2.   Produksi cengkeh di Indonesia berdasarkan status
                pengusahaan, 1967-2009 ............................................ 112
Lampiran 5.3.   Perkembangan produksi cengkeh di provinsi sentra di
                Indonesia, 2005-2009 ................................................ 113
Lampiran 5.4.   Produktivitas cengkeh di Indonesia, 2005-2009 ................. 114
Lampiran 5.5.   Perkembangan produksi, ekspor, impor, dan konsumsi
                cengkeh Indonesia, 1970-2008 ..................................... 115
Lampiran 5.6.   Perkembangan harga cengkeh di pasar dalam negeri dan
                pasar dunia, 1987-2008 .............................................. 116
Lampiran 5.7.   Perkembangan ekspor-impor dan neraca perdagangan
                cengkeh di Indonesia, 1996-2009 .................................. 117
Lampiran 5.8.   Luas tanaman menghasilkan, produksi, dan produktivitas
                cengkeh dunia, 1961-2008 .......................................... 118
Lampiran 5.9.   Negara dengan luas areal cengkeh terbesar di dunia,
                2004-2008 .............................................................. 119
Lampiran 5.10. Negara produsen cengkeh terbesar di dunia, 2004-2008 ....... 119
Lampiran 5.11. Negara-negara dengan rata-rata produktivitas cengkeh
                tertinggi di dunia, 2004-2008 ....................................... 120
Lampiran 5.12. Harga produsen cengkeh terbesar di dunia, 2004-2008 ........ 120
Lampiran 5.13. Negara eksportir cengkeh terbesar di dunia, 2004-2007 ....... 121
Lampiran 5.14. Negara importir cengkeh terbesar di dunia, 2004-2007 ........ 121
Lampiran 6.1.   Perkembangan luas areal tembakau Indonesia menurut
                status pengusahaan, 1971-2009 .................................... 141
Lampiran 6.2.   Perkembangan produksi tembakau Indonesia menurut
                status pengusahaan, 1971-2009 .................................... 142
Lampiran 6.3.   Perkembangan produksi tembakau di provinsi sentra di
                Indonesia, 2006-2009 ................................................ 143
Lampiran 6.4.   Perkembangan harga konsumen pedesaan tembakau di
                Indonesia menurut provinsi, 2004-2008 ........................... 144
Lampiran 6.5.   Perkembangan konsumsi tembakau dan rokok di Indonesia,
                1987-2008 .............................................................. 145


                                                Pusat Data dan Informasi Pertanian      xxi
2010         OUTLOOK KOMODITAS PERTANIAN - PERKEBUNAN


Lampiran 6.6.     Perkembangan ekspor-impor tembakau primer, 1996-2009 ... 145
Lampiran 6.7.     Perkembangan ekspor-impor tembakau manufaktur, 1996-
                  2009..................................................................... 146
Lampiran 6.8.     Perkembangan produksi dan luas areal tembakau dunia,
                  1961-2008 .............................................................. 147
Lampiran 6.9.     Negara dengan luas areal tembakau terbesar dunia,
                  2004-2008 .............................................................. 148
Lampiran 6.10. Negara produsen tembakau terbesar dunia, 2004-2008 ........ 148
Lampiran 6.11. Negara dengan harga produsen tembakau terbesar dunia,
                  2003-2007 .............................................................. 149
Lampiran 6.12. Perkembangan ekspor-impor tembakau dunia, 1961-2007..... 150
Lampiran 7.1.     Perkembangan luas areal nilam di Indonesia menurut jenis
                  pengusahaan, 1989-2008 ............................................ 163
Lampiran 7.2.     Perkembangan produksi minyak nilam di Indonesia menurut
                  status pengusahaan, 1989-2008 .................................... 164
Lampiran 7.3.     Perkembangan produksi minyak nilam di provinsi sentra
                  Indonesia, 2004-2008 ................................................ 165
Lampiran 7.4.     Perkembangan total konsumsi minyak nilam di Indonesia,
                  1989-2008 .............................................................. 166
Lampiran 7.5.     Perkembangan harga ekspor minyak nilam di Indonesia,
                  1989-2006 .............................................................. 167
Lampiran 7.6.     Perkembangan ekspor-impor nilam di Indonesia, 1989-2006 .. 168
Lampiran 7.1.     Perkembangan luas areal nilam di Indonesia menurut jenis
                  pengusahaan, 1989-2008 ............................................ 163
Lampiran 7.2.     Perkembangan produksi minyak nilam di Indonesia menurut
                  status pengusahaan, 1989-2008 .................................... 164
Lampiran 7.3.     Perkembangan produksi minyak nilam di provinsi sentra
                  Indonesia, 2004-2008 ................................................ 165
Lampiran 7.4.     Perkembangan total konsumsi minyak nilam di Indonesia,
                  1989-2008 .............................................................. 166




xxii   Pusat Data dan Informasi Pertanian
OUTLOOK KOMODITAS PERTANIAN - PERKEBUNAN          2010


Lampiran 7.5.   Perkembangan harga ekspor minyak nilam di Indonesia,
                1989-2006 .............................................................. 167
Lampiran 7.6.   Perkembangan ekspor-impor nilam di Indonesia, 1989-2006 .. 168
Lampiran 8.1.   Perkembangan luas areal tebu di Indonesia berdasarkan
                status pengusahaan, 1969-2009 .................................... 188
Lampiran 8.2.   Perkembangan produksi gula hablur di Indonesia
                berdasarkan status pengusahaan, 1969-2009 .................... 189
Lampiran 8.3.   Perkembangan produktivitas tebu di Indonesia berdasarkan
                status pengusahaan, 1969-2009 .................................... 190
Lampiran 8.4.   Produksi gula Perkebunan Rakyat di provinsi sentra di
                Indonesia, 2006-2010 ................................................ 191
Lampiran 8.5.   Perkembangan ekspor dan impor tebu Indonesia,1969-2009 .. 192
Lampiran 8.6.   Perkembangan luas areal, produktivitas dan produksi tebu
                dunia, 1970-2008 ..................................................... 193
Lampiran 8.7.   Negara dengan luas areal tebu terbesar di dunia,
                2004-2008 .............................................................. 194
Lampiran 8.8.   Negara produsen tebu terbesar di dunia, 2004-2008 ........... 194




                                                Pusat Data dan Informasi Pertanian     xxiii
OUTLOOK KOMODITAS PERTANIAN - PERKEBUNAN         2010


                         BAB I. PENDAHULUAN

1.1. LATAR BELAKANG

     Perkebunan sebagai bagian integral dari sektor pertanian merupakan salah
satu sub sektor yang mempunyai peranan penting dan strategis dalam
pembangunan nasional. Peranannya terlihat nyata dalam penerimaan devisa
negara melalui ekspor, penyediaan lapangan kerja, pemenuhan kebutuhan
konsumsi dalam negeri, bahan baku berbagai industri dalam negeri, perolehan
nilai tambah dan daya saing serta optimalisasi pengelolaan sumberdaya alam
secara berkelanjutan. Peranan sub sektor perkebunan bagi perekonomian
nasional tercermin dari realisasi pencapaian PDB yang mencapai Rp. 112,52
trilyun (atas dasar harga berlaku) pada tahun 2009. Sementara, peranan ekspor
komoditas perkebunan pada tahun 2009 memberikan sumbangan surplus neraca
perdagangan bagi sektor pertanian sebesar US$ 17,63 milyar dimana sub sektor
lainnya mengalami defisit.
     Dalam rangka meningkatkan peran sub sektor perkebunan, Kementerian
Pertanian telah menyusun rencana strategis beserta program dan kebijakan
pembangunan yang terkait secara langsung maupun tidak langsung dengan
pengembangan    masing-masing   komoditas      perkebunan.       Dalam       penyusunan
rencana strategis ketersediaan data dan informasi yang berkualitas maka sangat
dibutuhkan agar kebijakan yang diputuskan menjadi efektif.
     Dalam mengemban visi dan misinya, Pusat Data dan Informasi Pertanian
(Pusdatin) senantiasa menyediakan data dan informasi yang diperlukan oleh
berbagai pihak yang berkecimpung dalam sektor pertanian, seperti penentu
kebijakan, asosiasi, akademisi maupun masyarakat umum lainnya. Salah satu
produk informasi yang secara reguler dihasilkan oleh Pusdatin adalah Analisis
Outlook Perkebunan, yang didalamnya mengulas keragaan data nasional dan
situasi global disertai dengan proyeksi penawaran dan permintaan masing-masing
komoditas.



                                              Pusat Data dan Informasi Pertanian    1
2010         OUTLOOK KOMODITAS PERTANIAN - PERKEBUNAN


       Pada tahun 2010, analisis outlook komoditas perkebunan mencakup 7
(tujuh) komoditas yakni kelapa sawit, kelapa, kakao, cengkeh, tembakau, nilam
dan tebu.


1.2. METODOLOGI


Sumber Data dan Informasi
       Outlook Komoditas Perkebunan tahun 2010 disusun berdasarkan data dan
informasi yang diperoleh dari data primer yang bersumber dari daerah, instansi
terkait di lingkup Kementerian Pertanian dan instansi di luar Kementerian
Pertanian seperti Badan Pusat Statistik (BPS) dan Food and Agriculture
Organization (FAO).


Metode Analisis
       Metode yang digunakan dalam penyusunan Outlook Komoditas Perkebunan
adalah sebagai berikut:
a. Analisis keragaan atau perkembangan komoditas perkebunan dilakukan
    berdasarkan ketersediaan data series yang yang mencakup indikator luas
    areal dan luas panen, produktivitas, produksi, konsumsi, ekspor-impor serta
    harga di tingkat produsen maupun konsumen dengan analisis deskriptif
    sederhana. Analisis keragaan dilakukan baik untuk data series nasional
    maupun dunia.
b. Analisis Penawaran
          Analisis penawaran komoditas perkebunan dilakukan berdasarkan
    analisis fungsi produksi. Penelusuran model untuk analisis fungsi produksi
    tersebut dilakukan dengan pendekatan model Regresi Berganda (Multivariate
    Regression).
          Secara teoritis bentuk umum dari model ini adalah :
            Y = b0 + b1 X 1 + b2 X 2 + ... + bn X n + ε
                        n
               = b0 + ∑ b j X j + ε
                       j =1



2   Pusat Data dan Informasi Pertanian
OUTLOOK KOMODITAS PERTANIAN - PERKEBUNAN          2010


   dimana :   Y     =   Peubah respons/tak bebas
              Xn =      Peubah penjelas/bebas
              n     =   1,2,…
              b0 =      nilai konstanta
              bn =      koefisien arah regresi atau parameter model regresi untuk
                        peubah xn
              ε =       sisaan

        Produksi pada periode ke-t diduga merupakan fungsi dari produksi pada
   periode sebelumnya, luas areal periode sebelumnya, harga ekspor dan
   pengaruh inflasi.
        Dengan       memperhatikan        ketersediaan    data,    analisis     penawaran
   dilakukan berdasarkan data produksi dalam periode tahunan. Untuk peubah-
   peubah bebas yang tidak tersedia datanya dalam periode waktu yang
   bersesuaian maka dilakukan proyeksi terlebih dahulu dengan menggunakan
   model analisis trend (trend analysis) atau model pemulusan eksponensial
   berganda (double exponential smoothing).


c. Analisis Permintaan
        Analisis     permintaan     komoditas     perkebunan       merupakan       analisis
   permintaan langsung masyarakat terhadap komoditas perkebunan yang
   dikonsumsi oleh rumah tangga konsumen dalam bentuk tanpa diolah maupun
   telah diolah, maupun permintaan untuk kepentingan ekspor.
        Sama halnya seperti pada analisis penawaran, analisis permintaan juga
   menggunakan Model Regresi Berganda menggunakan peubah penjelas, namun
   karena keterbatasan ketersediaan data, analisis permintaan untuk beberapa
   komoditas menggunakan model analisis trend (trend analysis) atau model
   pemulusan eksponensial berganda (double exponential smoothing). Periode
   series data yang digunakan adalah tahunan. Pada komoditas tertentu dimana
   sebagian besar produksinya digunakan untuk bahan baku industry pengolahan,
   maka analisis permintaan didekati dengan cara melihat proporsi permintaan
   untuk industry pengolahan menggunakan bantuan Tabel I-O BPS.

                                                  Pusat Data dan Informasi Pertanian    3
2010           OUTLOOK KOMODITAS PERTANIAN - PERKEBUNAN


d. Kelayakan Model
          Ketepatan sebuah model regresi dapat dilihat dari Uji-F, Uji-t dan
    koefisien determinasi (R2).
          Koefisien determinasi diartikan sebagai besarnya keragaman dari
    peubah tak bebas (Y) yang dapat dijelaskan oleh peubah–peubah bebas (X).
    Koefisien determinasi dihitung dengan menggunakan persamaan:

                       SS R egresi
                R2 =
                        SS Total

    dimana :      SS Regresi adalah jumlah kuadrat regresi
                  SS Total adalah jumlah kuadrat total


        Sementara, untuk model data deret waktu baik analisis tren maupun
    model pemulusan eksponensial berganda (double exponential smoothing),
    ukuran kelayakan model dilihat berdasarkan kecilnya nilai kesalahan yakni
    menggunakan statistik MAPE (mean absolute percentage error) atau
    kesalahan persentase absolut rata-rata yang diformulasikan sbb.:




    dengan, Xt adalah data aktual dan Ft adalah nilai ramalan.




4    Pusat Data dan Informasi Pertanian
OUTLOOK KOMODITAS PERTANIAN - PERKEBUNAN          2010


                         BAB II. KELAPA SAWIT

      Kelapa sawit merupakan salah satu komoditas perkebunan yang mempunyai
peran cukup penting dalam perekonomian Indonesia, karena merupakan
komoditas andalan ekspor sehingga menjadi penghasil devisa negara di luar
minyak dan gas.    Selain peluang ekspor yang semakin terbuka, pasar dalam
negeri juga masih cukup besar.     Pasar yang banyak menyerap produk minyak
sawit (CPO) dan minyak inti sawit (PKO) adalah industri fraksinasi/ranifasi
(terutama insdustri minyak goreng), lemak khusus (cocoa butter substitute),
margarin/shortening, oleochemical dan sabun mandi (BPS, 2006).                Disamping
produk konvensional, minyak kelapa sawit juga merupakan salah satu bahan yang
dapat dijadikan sumber bahan bakar/energi (biodisel) yang terbarukan untuk
menggantikan bahan bakar yang berasal dari minyak bumi yang semakin tipis
persediaannya (Ditjen Perkebunan, 2006).
      Perkebunan kelapa sawit merupakan salah satu sektor unggulan bagi
Indonesia, hal ini dikarenakan kondisi geografis wilayah Indonesia memang sangat
cocok untuk pengembangan perkebunan kelapa sawit.             Pada tahun 2009, luas
areal kelapa sawit di Indonesia mencapai 7,51 juta hektar dengan produksi
sebesar 18,64 juta ton minyak sawit dan 3,47 juta ton inti sawit. Sementara,
bila dilihat dari luas areal kelapa sawit berdasarkan status pengusahaan rata-rata
tahun 1998-2009 sebanyak 52,23% diusahakan oleh Perkebunan Besar Swasta
(PBS), 36,70% diusahakan oleh Perkebunn Rakyat (PR) dan 11,07% diusahakan
oleh Perkebunan Besar Negara (PBN).
     Pengembangan perkebunan kelapa sawit di Indonesia menjadi sangat
berkembang pesat dikarenakan:
1. Kebutuhan minyak nabati dunia cukup besar dan akan terus meningkat,
   sebagai akibat jumlah penduduk maupun tingkat konsumsi per kapita yang
   masih rendah.
2. Di antara berbagai jenis tanaman penghasil minyak nabati, kelapa sawit
   tanaman dengan potensi produksi minyak tertinggi.



                                                Pusat Data dan Informasi Pertanian     5
2010          OUTLOOK KOMODITAS PERTANIAN - PERKEBUNAN


3. Semakin berkembangnya jenis-jenis industri hulu pabrik kelapa sawit maupun
     industri hilir oleokimia dan oleomakanan (oleochemical dan oleofoods),
     hingga industri konversi minyak sawit sebagai bahan bakar biodiesel.
       Cerahnya prospek komoditi minyak kelapa sawit dalam perdagangan
minyak nabati dunia telah mendorong pemerintah Indonesia untuk memacu
pengembangan areal perkebunan kelapa sawit, hingga tahun 2008, sekitar 41,39%
produksi minyak sawit dunia dihasilkan oleh Indonesia sebagai negara produsen
dunia minyak sawit kedua setelah Malaysia.


2.1.     PERKEMBANGAN LUAS AREAL, PRODUKTIVITAS DAN PRODUKSI
         KELAPA SAWIT INDONESIA

       Secara umum pola perkembangan luas areal kelapa sawit di Indonesia pada
periode tahun 1970–2009 cenderung mengalami peningkatan dengan rata-rata
pertumbuhan       sebesar    11,12%     (Gambar      2.1).   Berdasarkan   atas   status
pengusahaannya, maka luas areal kelapa sawit sangat berfluktuasi namun
cenderung terus mengalami peningkatan untuk luas areal PR dan PBS masing-
masing sebesar 34,53% dan 14,18%, sedangkan pola pertumbuhan luas areal
kelapa sawit PBN hanya sebesar 4,75% (Lampiran 2.1).




Gambar 2.1. Perkembangan luas areal kelapa sawit menurut status pengusahaan
                          di Indonesia,1970–2009



 6     Pusat Data dan Informasi Pertanian
OUTLOOK KOMODITAS PERTANIAN - PERKEBUNAN          2010




 Gambar 2.2. Konstribusi luas areal kelapa sawit menurut status pengusahaan di
                      Indonesia, (rata-rata 1998 – 2009)

     Jika ditinjau kontribusi rata-rata luas areal kelapa sawit di Indonesia tahun
1998 – 2009, terlihat bahwa PBS berkontribusi sebesar 52,23% terhadap luas areal
kelapa sawit Indonesia, sedangkan PR dan PBN masing-masing               berkontribusi
sebesar 36,70% dan 11,07% (Gambar 2.2).
     Selama periode tahun 1970-2009, perkembangan luas areal perkebunan
kelapa sawit Indonesia meningkat cukup tinggi dari 133,30 ribu hektar pada
tahun 1970 menjadi 7,51 juta hektar tahun 2009 atau meningkat rata-rata 11,12%
per tahun. Apabila dilihat dari status pengusahaannya maka rata-rata
pertumbuhan per tahun setelah krisis ekonomi di Indonesia tahun 1998-2009
semakin menurun yaitu PR hanya sebesar 11,83%, PBN sebesar 1,89% dan PBS
sebesar 8,34% (Lampiran 2.1).
     Seiring dengan peningkatan luas areal kelapa sawit, maka produksi kelapa
sawit Indonesia dalam wujud produksi minyak sawit selama tahun 1970-2009 juga
cenderung meningkat. Jika pada tahun 1970 produksi minyak sawit Indonesia
hanya sebesar 216,8 ribu ton maka pada tahun 2009 meningkat menjadi 18,64
juta ton atau tumbuh rata-rata sebesar 12,47% per tahun (Gambar 2.3).




                                               Pusat Data dan Informasi Pertanian     7
2010          OUTLOOK KOMODITAS PERTANIAN - PERKEBUNAN




 Gambar 2.3. Perkembangan produksi minyak sawit menurut status pengusahaan
                         di Indonesia, 1970-2009

       Berdasarkan status pengusahaan selama kurun waktu 1970 – 2009, produksi
minyak sawit yang berasal dari PR meningkat dengan rata-rata pertumbuhan
sebesar 63,88%, PBS meningkat sebesar 14,67% dan PBN meningkat sebesar
7,47%. Peningkatan produksi minyak sawit PR terutama terjadi pada tahun 1982,
1985, 1987 dan 1990 yang meningkat di atas 100%, namun setelah tahun 1997,
yaitu tahun 1998 – 2009 hanya tumbuh sebesar 16,11% per tahun (Lampiran 2.2).




       Gambar 2.4. Kontribusi rata-rata produksi minyak sawit menurut status
                             pengusahaan, (rata-rata 1998 – 2009)

       Seiring dengan besarnya luas areal, maka produksi minyak sawit Indonesia
didominasi juga oleh produksi yang berasal dari PBS. Kontribusi rata-rata

 8     Pusat Data dan Informasi Pertanian
OUTLOOK KOMODITAS PERTANIAN - PERKEBUNAN          2010


produksi minyak sawit PBS selama periode tahun 1998 – 2009 sebesar 51,36%
terhadap rata-rata produksi minyak sawit Indonesia, sedangkan kontribusi PR dan
PBN masing-masing sebesar 34,23% dan 14,41% (Gambar 2.4).
       Sentra produksi minyak sawit Indonesia terutama berasal dari 7 (tujuh)
provinsi yang memberikan kontribusi sebesar 81,80% terhadap produksi minyak
sawit Indonesia, seperti yang disajikan pada      Gambar 2.5. Provinsi Riau dan
Sumatera Utara merupakan provinsi sentra produksi terbesar yang berkontribusi
masing-masing sebesar 28,52%      dan 17,77%, disusul berturut-turut provinsi
Sumsel, Kalteng, Jambi, Kalbar dan Sumbar masing-masing sebesar 10,19%,
7,92%, 7,04%, 5,44%, dan 4,94%.




        Gambar 2.5. Provinsi sentra produksi minyak sawit di Indonesia,
                           (rata-rata 2005 - 2009)

       Perkembangan produktivitas kelapa sawit di Indonesia selama tahun 2003
– 2009 menunjukkan pola yang sama untuk ketiga status pengusahaan. Rata-rata
produktivitas kelapa sawit Indonesia selama periode tahun 2003 – 2009 adalah
sebesar 3,27 ton per hektar, dimana rata-rata produktivitas minyak sawit
terbesar pada PBS sebesar 3,59 ton per hektar disusul PBN sebesar 3,48 ton per
hektar dan PR sebesar 2,97 ton per hektar (Gambar 2.6 ).




                                               Pusat Data dan Informasi Pertanian     9
2010                  OUTLOOK KOMODITAS PERTANIAN - PERKEBUNAN




Gambar 2.6. Perkembangan produktivitas kelapa sawit di Indonesia, 2003– 2009


         Rata-rata pertumbuhan produktivitas kelapa sawit tersaji secara lengkap
pada Tabel 2.1. Produktivitas kelapa sawit Indonesia tahun 2003 - 2009 secara
keseluruhan naik sebesar 3,00%                                per tahun, yang dirinci, pertumbuhan
produktivitas PR sebesar 2,97% per tahun, PBN sebesar 2,91% per tahun,
sedangkan PBS terlihat sangat fluktuatif dan cenderung menurun sebesar 0,93%
per tahun. Meskipun demikian, realisasi produktivitas kelapa sawit PBS tertinggi
dibandingkan dengan PR dan PBN paling yakni mencapai 3,59 ton per hektar
bahkan pada tahun 2009 mencapai 3,72 ton per hektar.

Tabel 2.1. Perkembangan produktivitas kelapa sawit Indonesia menurut status
           pengusahaan, 2003 – 2009

                                                              Produktivitas (Ton/Ha)
       Tahun               PR 1)                    PBN 2)    Pertumb.        PBS   3)
                                                                                           Pertumb.    Perkebunan   Pertumb.
                                      Pertumb.
                                         (%)                     (%)                          (%)      Indonesia       (%)
        2003                   2.75                    3.25                         4.29                     3.05
        2004                   2.49       -9.33        3.16           -2.83         3.03      -29.26         2.83       -6.98
        2005                   2.69       7.75         3.31           4.64          3.05       0.38          2.93       3.27
        2006                   3.13      16.51         3.62           9.32          3.74      22.87          3.50      19.57
        2007                   3.21       2.39         3.37           -6.94         3.86       3.11          3.63       3.89
        2008                   3.33       3.84         3.82          13.49          3.42      -11.25         3.42       -5.78
       2009 *)                 3.16       -4.99        3.81           -0.24         3.72       8.56          3.56       4.03
Rata-rata
2003-2009                      2.97       2.69         3.48           2.91          3.59       -0.93         3.27       3.00
Sumber: Ditjen Perkebunan
                                                              2)
Keterangan : *) Angka Sementara                                    PR = Perkebunan Rakyat
               3)                                             4)
                    PBN = Perkebunan Besar Negara                  PBS = Perkebunan Besar Swasta


10      Pusat Data dan Informasi Pertanian
OUTLOOK KOMODITAS PERTANIAN - PERKEBUNAN          2010


2.2. PERKEMBANGAN KONSUMSI KELAPA SAWIT DI INDONESIA


     Ditinjau dari sisi ketersediaan kelapa sawit berdasarkan perhitungan Neraca
Bahan Makanan (NBM), kelapa sawit di Indonesia umumnya digunakan sebagai
bahan untuk diolah menjadi minyak sawit/minyak goreng yang dirinci sebagai
bahan makanan dan diolah non makanan (Lampiran 2.4). Pada tahun 1990-2007
rata-rata ketersediaan minyak   sawit/minyak goreng        sebagai bahan makanan
mencapai 1.928 ribu ton per tahun atau 98,36% dari total penggunaan, sedangkan
diolah non makanan rata-rata sebesar 23 ribu ton per tahun atau 1,19% dari total
penggunaan dan tercecer sebesar 36 ribu ton per tahun atau 1,83%. Untuk
mengurangi persentase tercecer perlu dilakukan pengelolaan yang baik pada saat
panen dan pasca panen maupun proses pengolahan dan distribusi ke konsumen.
     Pemakaian minyak sawit/minyak goreng di dalam negeri sebagai bahan
makanan terlihat menurun pada tahun 2005 (Gambar 2.7). Pada tahun 2004
penggunaan minyak sawit/minyak goreng untuk bahan makanan sebesar 1.969
ribu ton, pada tahun 2005 menurun menjadi 920 ribu ton dan kemudian
meningkat kembali hingga menjadi 3.081 ribu ton pada tahun 2007.




Gambar 2.7. Perkembangan ketersediaan minyak sawit/minyak goreng Indonesia
                 menurut Neraca Bahan Makanan, 1999-2007




                                               Pusat Data dan Informasi Pertanian    11
2010          OUTLOOK KOMODITAS PERTANIAN - PERKEBUNAN


2.3. PERKEMBANGAN HARGA KELAPA SAWIT DI INDONESIA


       Perkembangan harga tandan buah segar (TBS) di tingkat produsen dan
harga minyak sawit di perdagangan besar selama tahun 2000–2008 memiliki pola
yang berbeda. Harga minyak sawit di perdagangan besar terus mengalami
peningkatan dengan rata-rata peningkatan sebesar 13,05% per tahun. Sedangkan
harga TBS relatif berfluktuasi, namun cenderung meningkat dengan rata-rata
sebesar 18,83% per tahun. Harga TBS pada tahun 2001 dan 2005 mengalami
penurunan masing-masing sebesar 15,59% dan 12,90%, sedangkan peningkatan
harga yang cukup tajam terjadi pada tahun 2002, 2003 dan 2007 masing-masing
naik sebesar 30,66%, 26,57% dan 61,43% (Gambar 2.8).
       Besarnya konversi dari TBS ke minyak sawit dalam buku Pembakuan
Statistik Perkebunan tahun 2007 adalah 18 – 26%, yang berarti 100 kg TBS
menjadi 18-26 kg minyak sawit atau perbandingan kurang lebih 5 : 1. Namun jika
dilihat perbandingan harga rata-rata TBS sebesar Rp 504.099,-/ton sedangkan
harga rata-rata minyak sawit sebesar Rp 4.551.507,-/ton atau dengan
perbandingan 1 : 9, hal ini terlihat adanya nilai tambah yang cukup besar dari
komoditas kelapa sawit yaitu wujud produksi saat panen sampai menjadi wujud
produksi yang diperdagangkan. Keragaan harga kelapa sawit secara rinci disajikan
pada Lampiran 2.5.




  Gambar 2.8. Perkembangan harga produsen TBS dan harga perdagangan besar
                     minyak sawit Indonesia, 2000–2008


12     Pusat Data dan Informasi Pertanian
OUTLOOK KOMODITAS PERTANIAN - PERKEBUNAN          2010


2.4. PERKEMBANGAN EKSPOR IMPOR KELAPA SAWIT DI INDONESIA


     Ekspor- impor kelapa sawit Indonesia dilakukan dalam wujud minyak sawit,
minyak inti sawit dan wujud lainnya. Perkembangan volume ekspor kelapa sawit
pada periode 1996–2009 cenderung terus meningkat, yaitu dari 2,62 juta ton
tahun 1996 menjadi 21,67 juta ton tahun 2009 atau mengalami pertumbuhan per
tahun sebesar 21,30% per tahun, sementara rata-rata pertumbuhan volume impor
kelapa sawit meningkat sebesar 14,85% per tahun (Gambar 2.9). Besarnya volume
ekspor dibandingkan dengan volume impor yang cukup besar menjadikan
Indonesia selalu mengalami surplus kelapa sawit yang dapat menyumbang devisa
negara.




Gambar 2.9. Perkembangan volume ekspor - impor kelapa sawit Indonesia,
                               1996–2009

     Perkembangan surplus neraca perdagangan kelapa sawit Indonesia tahun
1996 – 2009 terus mengalami peningkatan dengan rata-rata sebesar 26,81%
(Gambar 2.10).    Pada tahun 1996, surplus neraca perdagangan kelapa sawit
sebesar US$ 1,05 milyar, dan pada tahun 2009 telah mencapai US$ 11,71 milyar.
Perkembangan ekspor, impor dan neraca perdagangan kelapa sawit Indonesia
tahun 1996 - 2009 secara rinci disajikan pada Lampiran 2.6.




                                                Pusat Data dan Informasi Pertanian    13
2010          OUTLOOK KOMODITAS PERTANIAN - PERKEBUNAN




     Gambar 2.10. Perkembangan ekspor, impor dan neraca perdagangan kelapa
                          sawit Indonesia, 1996–2009

       Sementara itu bila dilihat perbandingan antara harga ekspor dan harga
impor kelapa sawit tahun 1996 – 2009 terlihat cenderung selalu lebih tinggi harga
impornya, kecuali pada tahun 1999 (Gambar 2.11). Selisih antara harga ekspor
terhadap harga impor terbesar terjadi pada tahun 2005 dan 2007 yaitu masing-
masing mencapai US$ 519,28 dan US$ 912,43 per ton. Harga ekspor dan impor
kelapa sawit Indonesia dari tahun 1996 – 2009 secara rinci disajikan pada
Lampiran 2.6.




     Gambar 2.11. Perkembangan harga ekspor - impor kelapa sawit Indonesia,
                                 1996–2009




14     Pusat Data dan Informasi Pertanian
OUTLOOK KOMODITAS PERTANIAN - PERKEBUNAN          2010


2.5. PERKEMBANGAN LUAS TANAMAN                         MENGHASILKAN                   DAN
     PRODUKSI KELAPA SAWIT DUNIA

     Berdasarkan data yang bersumber dari FAO, secara umum perkembangan
luas tanaman menghasilkan kelapa sawit dunia selama periode tahun 1961–2008
cenderung meningkat dengan rata-rata peningkatan sebesar 3,09% per tahun
(Gambar 2.12). Peningkatan luas tanaman menghasilkan kelapa sawit yang cukup
besar terjadi pada tahun 1979 dan 1984 yaitu masing-masing meningkat sebesar
11,75% dan 10,50% (Lampiran 2.7).




 Gambar 2.12. Perkembangan luas areal dan produksi tandan buah segar kelapa
                         sawit dunia, 1961–2008




     Gambar 2.13. Negara dengan luas areal kelapa sawit terbesar di dunia,
                           (rata-rata 2004-2008)

                                                 Pusat Data dan Informasi Pertanian    15
2010          OUTLOOK KOMODITAS PERTANIAN - PERKEBUNAN


       Berdasarkan data rata-rata luas tanaman menghasilkan kelapa sawit tahun
2004-2008 yang bersumber dari FAO, terdapat 3 negara produsen kelapa sawit
terbesar di dunia yang memberikan kontribusi hingga 85,60% terhadap total luas
tanaman menghasilkan kelapa sawit dunia. Indonesia merupakan negara dengan
luas tanaman menghasilkan terbesar di dunia dengan rata-rata tahun 2004 – 2008
sebesar 4,57 juta hektar atau 34,18% dari total luas tanaman menghasilkan
kelapa sawit dunia. Selanjutnya disusul Malaysia dengan kontribusi sebesar
27,34% atau rata-rata luas sebesar 3,65 juta hektar dan Nigeria dengan kontribusi
sebesar 24,08% atau rata-rata luas sebesar 3,22 juta hektar. Sementara negara
Thailand, Ghana dan Guinea masing-masing berkontribusi kurang dari 3%
(Gambar 2.13 dan Lampiran 2.8).
       Perkembangan produksi tandan buah segar kelapa sawit dunia tahun 1961–
2008 menunjukkan pola yang hampir sama dengan perkembangan luas tanaman
menghasilkan. Rata-rata pertumbuhan produksi tandan buah segar kelapa sawit
dunia sebesar 6,08% per tahun (Gambar 2.12 dan Lampiran 2.7).
       Berdasarkan data rata-rata produksi tandan buah segar kelapa sawit tahun
2004-2008 yang bersumber dari FAO, terdapat 2 negara produsen kelapa sawit
terbesar di dunia yang memberikan kontribusi hingga 81,43% terhadap total
produksi kelapa sawit dunia. Malaysia merupakan negara produsen kelapa sawit
terbesar di dunia dengan pencapaian produksi rata-rata tahun 2004 – 2008
sebesar 77,24 juta ton TBS atau 41,17% dari total produksi kelapa sawit dunia.
Selanjutnya adalah Indonesia dengan kontribusi sebesar 40,26% atau rata-rata
produksi sebesar 75,54 juta ton TBS (Gambar 2.14). Sementara itu, Nigeria
meskipun luas arealnya memberikan kontribusi yang hampir sejajar dengan kedua
negara terbesar namun dari sisi produksi hanya berkontribusi sebesar 4,53% atau
8,5 juta ton TBS.        Dua negara lainnya yakni Thailand dan Colombia hanya
berkontribusi masing-masing sebesar 3,32% dan 1,70%.      Produksi tandan buah
segar kelapa sawit dari negara produsen terbesar dunia secara rinci tersaji pada
Lampiran 2.9.




16     Pusat Data dan Informasi Pertanian
OUTLOOK KOMODITAS PERTANIAN - PERKEBUNAN          2010




           Gambar 2.14. Negara produsen kelapa sawit terbesar dunia,
                            (rata-rata 2004-2008)


2.6.    PERKEMBANGAN EKSPOR - IMPOR KELAPA SAWIT DUNIA


       Perkembangan volume ekspor dan impor kelapa sawit dunia dalam bentuk
minyak sawit menunjukkan kecenderungan meningkat dari tahun ke tahun.
Berdasarkan data FAO, pada tahun 2003–2007 terdapat dua negara eksportir
minyak sawit terbesar di dunia yang secara kumulatif memberikan kontribusi
sebesar 86,88% terhadap total volume ekspor minyak sawit di dunia. Malaysia
merupakan negara eksportir minyak sawit terbesar di dunia dengan rata-rata
volume ekspor mencapai 12,86 juta ton per tahun atau memberikan kontribusi
sebesar 50,46% dan peringkat kedua ditempati oleh Indonesia yang memberikan
kontribusi 36,42% dengan rata-rata volume ekspor 9,28 juta ton per tahun.
Sementara,    Netherland   dan   Papua    New     Guinea     masing-masing     hanya
berkontribusi sebesar 3,25% dan 1,33% terhadap total volume ekspor dunia
(Lampiran 2.10).




                                               Pusat Data dan Informasi Pertanian    17
2010          OUTLOOK KOMODITAS PERTANIAN - PERKEBUNAN




            Gambar 2.15. Negara eksportir minyak sawit terbesar dunia,
                             (rata-rata 2003-2007)


       Berdasarkan data FAO, pada tahun 2003–2007 terdapat delapan negara
importir kelapa sawit terbesar di dunia yang secara kumulatif memberikan
kontribusi sebesar 54,37% terhadap total volume impor kelapa sawit di dunia.
China merupakan negara importir kelapa sawit terbesar di dunia dengan rata-rata
volume impor mencapai 4,46 juta ton per tahun atau memberikan kontribusi
sebesar 17,62%, disusul oleh India dengan realisasi impor sebesar 3,25 juta ton
atau berkontribusi sebesar 12,81%. Peringkat ke-3 dan ke-4 ditempati oleh
Pakistan dan Belanda yang masing-masing memberikan kontribusi 5,84% (1,48
juta ton per tahun) dan 5,72% (1,45 juta ton per tahun). Negara-negara importir
kelapa sawit terbesar lainnya adalah Bangladesh, Jerman, Inggris dan Malaysia
dengan realisasi impor dibawah 1 juta ton. Indonesia berada pada urutan ke-113
dengan realisasi hanya sebesar 6,3 ribu ton per tahun. Sementara, Malaysia
meskipun merupakan negara eksportir terbesar kelapa sawit di dunia ternyata
juga menjadi negara importir kelapa sawit pada urutan ke-8 karena volume
impor mencapai 578,3 ribu ton. Negara importir kelapa sawit di dunia secara
rinci tersaji pada Lampiran 2.11.




18     Pusat Data dan Informasi Pertanian
OUTLOOK KOMODITAS PERTANIAN - PERKEBUNAN          2010




Gambar 2.16. Negara importir kelapa sawit terbesar dunia, (rata-rata 2003-2007)


2.7.     PROYEKSI PENAWARAN KELAPA SAWIT 2010 – 2012


       Penawaran kelapa sawit merupakan representasi dari produksi. Pemodelan
produksi kelapa sawit nasional dalam analisis ini dalam wujud produksi minyak
sawit.   Produksi minyak sawit sebagian besar diperuntukan bagi kepentingan
ekspor, sehingga dalam menyusun model proyeksi penawaran pada awalnya
digunakan data harga ekspor dan luas areal, namun demikian peubah tersebut
secara statistik tidak signifikan mempengaruhi model produksi. Oleh karenanya,
proyeksi penawaran dilakukan dengan menggunakan model deret waktu dari data
produksi minyak sawit secara langsung dan diperoleh model terbaik adalah model
tren kuadratik. Model tersebut kemudian digunakan untuk memproyeksi produksi
minyak sawit hingga tahun 2012 seperti tersaji pada Tabel 2.2.
       Dengan menggunakan model tren kuadratik, maka produksi minyak sawit di
Indonesia tahun 2010 – 2012 diperkirakan mengalami peningkatan dengan rata-
rata per tahun sebesar 8,07%, yaitu meningkat sebesar 9,27% di tahun 2010, yaitu
dari 18,64 juta ton pada tahun 2009 menjadi 20,37 juta ton tahun 2010 (Tabel
2.2). Selanjutnya pada tahun 2011 dan 2012 diperkirakan akan naik masing-
masing menjadi 21,92 juta ton dan 23,52 juta ton.




                                               Pusat Data dan Informasi Pertanian    19
2010           OUTLOOK KOMODITAS PERTANIAN - PERKEBUNAN


       Tabel   2.2. Proyeksi produksi minyak sawit Indonesia, 2009-2012



                   Tahun             Produksi (Ton)       Pertumbuhan (%)

                    20091)             18.640.881
                    2010               20.369.032               9,27
                    2011               21.916.549               7,60
                   2012           23.523.775                    7,33
                 Rata-rata Pertumbuhan (%)
                                                                8,07
                        2010 – 2012
          Keterangan : Tahun 20091) Angka Sementara dari Ditjen Perkebunan
                       Tahun 2010 – 2012 Angka hasil proyeksi



2.8. PROYEKSI PERMINTAAN MINYAK SAWIT 2010 – 2012


       Permintaan minyak sawit terdiri atas permintaan untuk ekspor dan
penggunaan dalam negeri, dimana sebagian besar permintaan diperuntukkan bagi
kepentingan ekspor.          Selama periode     tahun     1996 hingga 2009, total ekspor
minyak sawit Indonesia mencapai sekitar 73% dari total produksi dan penggunaan
dalam negeri minyak goreng berdasarkan data Neraca Bahan Makanan sekitar 17%
dari total produksi. Berdasarkan kenyataan tersebut maka pemodelan permintaan
minyak sawit dilakukan dengan menggunakan model deret waktu dari data
volume ekspor dan penggunaan dalam negeri minyak goreng. Berdasarkan hasil
penelusuran model dihasilkan model terbaik adalah tren kuadratik untuk peubah
volume ekspor dan penggunaan minyak goreng. Dengan menggunakan model
tersebut maka proyeksi permintaan total minyak sawit disajikan pada Tabel 2.3.
       Selama periode tahun 2010 – 2012, permintaan minyak sawit diproyeksikan
akan naik sebesar 7,34%. Kenaikan ini lebih disebabkan oleh kenaikan volume
ekspor sebesar 8,96%, sementara penggunaan dalam negeri turun sebesar 0,28%.
Pada tahun 2010 total permintaan minyak sawit diproyeksikan 18,82 juta ton,
kemudian naik menjadi 19,75 juta ton pada tahun 2011 dan 21,40 juta ton pada
tahun 2012.


20     Pusat Data dan Informasi Pertanian
OUTLOOK KOMODITAS PERTANIAN - PERKEBUNAN          2010


Tabel 2.3. Proyeksi volume ekspor minyak sawit dan penggunaan minyak goreng
           sawit dalam negeri di Indonesia, 2010 – 2012

                                                Penggunaan
                                                                       Total
                           Volume Ekspor       minyak goreng
            Tahun                                                   Permintaan
                               (Ton)               sawit
                                                                       (Ton)
                                                   (Ton)
             2009*)          14.163.417          3.152.730          17.316.147
             2010            15.490.990           3.327.800         18.818.790
             2011            16.877.746           2.869.050         19.746.796
             2012            18.323.684           3.081.260         21.404.944
           Rata-rata
         Pertumbuhan             8,96                -0,28              7,34
              (%)
        Keterangan: Tahun 2009*) : Angka Sementara Ditjen Perkebunan
                    Tahun 2010 – 2012 : Angka hasil proyeksi


2.9. PROYEKSI SURPLUS/DEFISIT MINYAK SAWIT 2010 – 2012


     Selama periode 2010 – 2012, surplus produksi minyak sawit diproyeksikan
akan semakin besar yaitu dengan rata-rata pertumbuhan sebesar 18,81%. Pada
tahun 2010, surplus produksi minyak sawit Indonesia mencapai 1,55 juta ton dan
meningkat menjadi 2,17 juta ton pada tahun 2011, kemudian akan mengalami
peningkatan kembali pada tahun 2012 menjadi 2,12 juta ton (Tabel 2.4). Surplus
tersebut diduga digunakan dalam industri dalam negeri yang menggunakan bahan
dari minyak sawit selain industri pembuatan minyak goreng.


     Tabel 2.4. Proyeksi surplus/defisit minyak sawit Indonesia, 2010-2012

                                 Produksi           Permintaan         Surplus/Defisit
             Tahun
                                  (Ton)                (Ton)                (Ton)

              2010              20.369.032          18.818.790           1.550.242

              2011              21.916.549          19.746.796           2.169.753

              2012              23.523.775          21.404.944           2.118.831
          Rata-rata
                                                                            18,81
       Pertumbuhan (%)


                                                  Pusat Data dan Informasi Pertanian     21
2010                    OUTLOOK KOMODITAS PERTANIAN - PERKEBUNAN


Lampiran 2.1. Perkembangan luas areal kelapa sawit (palm oil) Indonesia
              menurut status pengusahaan, 1970 – 2009

                               PR 1)                            PBN   2)
                                                                                               PBS   3)
                                                                                                                            Nasional
     Tahun
                       (Ha)        Pertumb. (%)          (Ha)      Pertumb. (%)         (Ha)         Pertumb. (%)    (Ha)       Pertumb. (%)
     1970                      0                          86,640                         46,658                      133,298
     1971                      0                          91,153             5.21        47,950              2.77    139,103            4.35
     1972                      0                          96,562             5.93        55,497             15.74    152,059            9.31
     1973                      0                          98,033             1.52        59,747              7.66    157,780            3.76
     1974                      0                        117,513            19.87         64,223              7.49    181,736           15.18
     1975                      0                        120,940              2.92        67,885              5.70    188,825            3.90
     1976                      0                        141,333            16.86         69,772              2.78    211,105           11.80
     1977                      0                        148,775              5.27        71,626              2.66    220,401            4.40
     1978                      0                        163,465              9.87        86,651             20.98    250,116           13.48
     1979                 3,125                         176,408              7.92        81,406             -6.05    260,939            4.33
     1980                 6,175           97.60         199,538            13.11         88,847              9.14    294,560           12.88
     1981                 5,695           -7.77         213,264              6.88       100,008             12.56    318,967            8.29
     1982                 8,537           49.90         224,440              5.24        96,924             -3.08    329,901            3.43
     1983               37,043           333.91         261,339            16.44        107,264             10.67    405,646           22.96
     1984               40,552             9.47         340,511            30.29        130,958             22.09    512,021           26.22
     1985              118,564           192.38         335,195             -1.56       143,603              9.66    597,362           16.67
     1986              129,904             9.56         332,694             -0.75       144,182              0.40    606,780            1.58
     1987              203,047            56.31         365,575              9.88       160,040             11.00    728,662           20.09
     1988              196,279            -3.33         373,409              2.14       293,171             83.19    862,859           18.42
     1989              223,832            14.04         366,028             -1.98       383,668             30.87    973,528           12.83
     1990              291,338            30.16         372,246              1.70       463,093             20.70   1,126,677          15.73
     1991              384,594            32.01         395,183              6.16       531,219             14.71   1,310,996          16.36
     1992              439,468            14.27         389,761             -1.37       638,241             20.15   1,467,470          11.94
     1993              502,332            14.30         380,746             -2.31       730,109             14.39   1,613,187           9.93
     1994              572,544            13.98         386,309              1.46       845,296             15.78   1,804,149          11.84
     1995              658,536            15.02         404,732              4.77       961,718             13.77   2,024,986          12.24
     1996              738,887            12.20         426,804              5.45      1,083,823            12.70   2,249,514          11.09
     1997              813,175            10.05         517,064            21.15       1,592,057            46.89   2,922,296          29.91
     1998              890,506             9.51         556,640              7.65      2,113,050            32.72   3,560,196          21.83
     1999            1,041,046            16.90         576,999              3.66      2,283,757             8.08   3,901,802           9.60
     2000            1,166,758            12.08         588,125              1.93      2,403,194             5.23   4,158,077           6.57
     2001            1,561,031            33.79         609,947              3.71      2,542,457             5.79   4,713,435          13.36
     2002            1,808,424            15.85         631,566              3.54      2,627,068             3.33   5,067,058           7.50
     2003            1,854,394             2.54         662,803              4.95      2,766,360             5.30   5,283,557           4.27
     2004            2,220,338            19.73         605,865             -8.59      2,458,520           -11.13   5,284,723           0.02
     2005            2,356,895             6.15         529,854            -12.55      2,567,068             4.42   5,453,817           3.20
     2006            2,549,572             8.18         687,428            29.74       3,357,914            30.81   6,594,914          20.92
     2007            2,752,172             7.95         606,248            -11.81      3,408,416             1.50   6,766,836           2.61
     2008            2,881,898             4.71         602,963             -0.54      3,878,986            13.81   7,363,847           8.82
   2009 *)           3,013,973             4.58         608,580              0.93      3,885,470             0.17   7,508,023           1.96
                                                          Rata-rata laju pertumbuhan (%)
1970-2009 *)                             34.53                              4.75                           14.18                       11.12
1970-1997                                49.67                              7.11                           15.01                       12.33
1998-2009 *)                             11.83                              1.89                            8.34                        8.39
                                                  Kontribusi luas areal terhadap nasional (%)
1970-2009 *)                              34.24                            15.95                            49.81                        100
1970-1997                                 24.38                            34.14                            41.49                        100
1998-2009 *)                              36.70                            11.07                            52.23                        100
Sumber : Ditjen. Perkebunan
                                                  1)
Keterangan: *) Angka Sementara                         PR = Perkebunan Rakyat
             2)                                   3)
                  PBN = Perkebunan Besar Negara        PBS = Perkebunan Besar Swasta



22      Pusat Data dan Informasi Pertanian
OUTLOOK KOMODITAS PERTANIAN - PERKEBUNAN                                2010


Lampiran 2.2. Perkembangan produksi minyak sawit (crude palm oil/CPO)
              Indonesia menurut status pengusahaan, 1970 – 2009

                               PR 1)                            PBN   2)
                                                                                                PBS   3)
                                                                                                                               Nasional
    Tahun
                       (Ton)       Pertumb. (%)         (Ton)       Pertumb. (%)        (Ton)         Pertumb. (%)     (Ton)        Pertumb. (%)
    1970                       0                         147,003                          69,824                       216,827
    1971                       0                         170,304            15.85         79,653             14.08     249,957             15.28
    1972                       0                         189,261            11.13         80,203              0.69     269,464              7.80
    1973                       0                         207,448             9.61         82,229              2.53     289,677              7.50
    1974                       0                         243,641            17.45       104,035              26.52     347,676             20.02
    1975                       0                         271,171            11.30       126,082              21.19     397,253             14.26
    1976                       0                         286,096             5.50       144,910              14.93     431,006              8.50
    1977                       0                         336,891            17.75       120,716             -16.70     457,607              6.17
    1978                       0                         336,224            -0.20       165,060              36.73     501,284              9.54
    1979                    760                          438,756            30.50       201,724              22.21     641,240             27.92
    1980                    770            1.32          498,858            13.70       221,544               9.83     721,172             12.47
    1981                  1,045           35.71          533,399             6.92       265,616              19.89     800,060             10.94
    1982                  2,955          182.78          598,653            12.23       285,212               7.38     886,820             10.84
    1983                  3,454           16.89          710,431            18.67        269,102             -5.65     982,987             10.84
    1984                  4,031           16.71          814,015            14.58        329,144             22.31    1,147,190            16.70
    1985                43,016           967.13          861,173             5.79        339,241              3.07    1,243,430             8.39
    1986                53,504            24.38          912,306             5.94        384,919             13.46    1,350,729             8.63
    1987               165,162           208.69          988,480             8.35        352,413             -8.44    1,506,055            11.50
    1988               156,148            -5.46        1,102,692            11.55        454,495             28.97    1,713,335            13.76
    1989               183,689            17.64        1,184,226             7.39        597,039             31.36    1,964,954            14.69
    1990               376,950           105.21        1,247,156             5.31       788,506              32.07    2,412,612            22.78
    1991               413,319             9.65        1,360,963             9.13       883,918              12.10    2,658,200            10.18
    1992               699,605            69.27        1,489,745             9.46      1,076,900             21.83    3,266,250            22.87
    1993               582,021           -16.81        1,469,156            -1.38      1,370,272             27.24    3,421,449             4.75
    1994               839,334            44.21        1,571,501             6.97      1,597,227             16.56    4,008,062            17.15
    1995             1,001,443            19.31        1,613,848             2.69      1,864,379             16.73    4,479,670            11.77
    1996             1,135,547            13.39        1,706,852             5.76      2,058,259             10.40    4,900,658             9.40
    1997             1,282,823            12.97        1,586,879            -7.03      2,578,806             25.29    5,448,508            11.18
    1998             1,344,569             4.81        1,501,747            -5.36      3,084,099             19.59    5,930,415             8.84
    1999             1,547,811            15.12        1,468,949            -2.18      3,438,830             11.50    6,455,590             8.86
    2000             1,905,653            23.12        1,460,954            -0.54      5,633,901             63.83    9,000,508            39.42
    2001             2,798,032            46.83        1,519,289             3.99      4,079,151            -27.60    8,396,472            -6.71
    2002             3,426,740            22.47        1,607,734             5.82      4,589,871             12.52    9,624,345            14.62
    2003             3,517,324             2.64        1,750,651             8.89      5,172,859             12.70   10,440,834             8.48
    2004             3,847,157             9.38        1,617,706            -7.59      5,365,526              3.72   10,830,389             3.73
    2005             4,500,769            16.99        1,449,254           -10.41      5,911,592             10.18   11,861,615             9.52
    2006             5,783,088            28.49        2,313,729            59.65      9,254,031             56.54   17,350,848            46.28
    2007             6,358,389             9.95        2,117,035            -8.50      9,189,301             -0.70   17,664,725             1.81
    2008             6,923,042             8.88        1,938,134            -8.45      8,678,612             -5.56   17,539,788            -0.71
   2009 *)           7,247,979             4.69        1,961,813             1.22      9,431,089              8.67   18,640,881             6.28
                                                          Rata-rata laju pertumbuhan (%)
1970-2009 *)                              63.88                              7.47                            14.67                         12.47
1970-1997                                95.72                              9.44                            15.06                         12.81
1998-2009 *)                             16.11                              3.04                            13.78                         11.70
                                                   Kontribusi produksi terhadap nasional (%)
1970-2009 *)                              29.48                             22.88                            47.63                        100.00
1970-1997                                 14.87                             48.97                            36.16                        100.00
1998-2009 *)                              34.23                             14.41                            51.36                        100.00
Sumber : Ditjen. Perkebunan
                                                  1)
Keterangan: *) Angka Sementara                         PR = Perkebunan Rakyat
             2)                                   3)
                  PBN = Perkebunan Besar Negara        PBS = Perkebunan Besar Swasta




                                                                                       Pusat Data dan Informasi Pertanian                    23
2010                  OUTLOOK KOMODITAS PERTANIAN - PERKEBUNAN


Lampiran 2.3. Provinsi sentra produksi kelapa sawit Indonesia, 2005 – 2009

                                                                Produksi (Ton)                                                    Share
No         Provinsi                                                                                                   Share (%) kumulatif
                                  2005          2006          2007           2008          2009 *)      Rata-rata                  (%)
 1 Riau                       2,370,465        4,685,660     5,117,730      5,764,203      5,751,461     4,737,904       28.52      28.52

 2 Sumatera Utara             2,511,587        3,244,922     3,083,389      2,738,279      3,179,507     2,951,537       17.77      46.29

 3 Sumatera Selatan           1,439,974        1,616,161     1,809,949      1,753,212      1,841,242     1,692,108       10.19      56.48

 4 Kalimantan Tengah               908,301     1,383,317     1,387,696      1,449,294      1,445,992     1,314,920        7.92      71.43

 5 Jambi                           930,265     1,281,636     1,194,354      1,203,430      1,233,538     1,168,645        7.04      63.51

 6 Kalimantan Barat                761,963     1,050,450     1,005,100        845,409        851,603       902,905        5.44      76.86

 7 Sumatera Barat                  662,877       925,155       824,406        794,167        893,640       820,049        4.94      81.80

 8 Lainnya                        2,276,183     3,163,547     3,242,101      2,991,794      3,443,898    3,023,505       18.20     100.00

     Indonesia               11,861,615       17,350,848    17,664,725     17,539,788     18,640,881    16,611,571      100.00
Sumber : Ditjen Perkebunan diolah Pusdatin
Keterangan : *) Angka sementara




Lampiran 2.4. Penggunaan dan ketersediaan untuk konsumsi minyak sawit
              Indonesia, 1990 – 2007

                        Diolah                          Bahan                Total          ketersediaan              Jumlah
                                Tercecer
      Tahun           untuk non                        makanan            penggunaan       untuk konsumsi            Penduduk
                                                  (000 Ton)                                 (Kg/kapita/th)           (000 orang)
       1990                                                  1,055               1,055                    5.92          178,170
       1991                                                     993                 993                   5.48          181,094
       1992                                                  1,334               1,334                    7.23          184,491
       1993                                                  1,431               1,431                    7.63          187,589
       1994                                                  1,517               1,517                    7.96          190,538
       1995                                                  2,090               2,090                    10.8          193,486
       1996                    16                            2,150               2,166                   10.92          196,807
       1997                    16                            1,614               1,630                    8.08          199,837
       1998                                                  2,262               2,262                   11.15          202,873
       1999                    24              27            1,722               1,773                    8.49          205,915
       2000                    30              35            2,209               2,274                   10.73          208,489
       2001                    36              42            2,635               2,713                   12.64          209,776
       2002                    32              37            2,309               2,378                   10.94          211,063
       2003                    36              41            2,597               2,675                   12.15          213,722
       2004                    27              31            1,969               2,027                      9.1         216,415
       2005                    13              15               920                 948                  4.18           219,852
       2006                    13              45            2,819               2,877                  12.65           222,747
    2007*)                     13              49            3,081               3,143                  13.66           225,642
Rata-rata                      23              36            1,928               1,960                   9.43
Share (%)                   1.19              1.83           98.36             100.00
Sumber      : Neraca Bahan Makanan Indonesia, Badan Ketahanan Pangan-Departemen Pertanian
Keterangan : *) Angka Sementara


24       Pusat Data dan Informasi Pertanian
OUTLOOK KOMODITAS PERTANIAN - PERKEBUNAN           2010


Lampiran 2.5. Perkembangan harga produsen tandan buah segar dan minyak
             sawit (CPO) Indonesia, 2000 – 2008

                                                             Harga
                 Harga Produsen      Pertumbuhan          Perdagangan         Pertumbuhan
    Tahun
                  TBS (Rp/Ton)            (%)             Besar Minyak             (%)
                                                         Sawit (Rp/Ton)

     2000                 349,879                               3,217,150
     2001                 295,333             -15.59            3,242,250                  0.78
     2002                 385,875              30.66            4,212,690             29.93
     2003                 488,417              26.57            4,267,930                  1.31
     2004                 573,127              17.34            4,584,302                  7.41
     2005                 499,201             -12.90            4,825,600                  5.26
     2006                 551,186              10.41            4,701,113              -2.58
     2007                 889,771              61.43            7,361,021             56.58
     2008              1,180,705               32.70            7,783,393                  5.74
Rata-rata dan laju pertumbuhan (%)
  2000-2008               579,277             18.83             4,910,605             13.05
Sumber : BPS dan Direktorat Jenderal Perkebunan, diolah Pusdatin




                                                      Pusat Data dan Informasi Pertanian     25
2010                OUTLOOK KOMODITAS PERTANIAN - PERKEBUNAN


Lampiran 2.6. Perkembangan ekspor – impor, neraca perdagangan serta harga
              minyak sawit Indonesia, 1996 – 2009

                           Ekspor                           Impor                Neraca         Harga (US$/ton)
                                                                                                                         Selisih
   Tahun          Volume              Nilai      Volume             Nilai         Nilai                                (US$/ton)
                                                                                               Ekspor         Impor
                  ( Ton)            (000 US$)     ( Ton)       (000 US$)        (000 US$)
     1996        2,619,318           1,121,838   115,975             72,198      1,049,640             428       623     -194.24
     1997        4,138,780           1,784,322    86,087             59,780      1,724,542             431       694     -263.29
     1998        2,512,631            969,985     18,029             11,704       958,281              386       649     -263.13
     1999        4,729,849           1,497,160    11,879               1,858     1,495,302             317       156      160.12
     2000        5,519,500           1,357,628      7,448              4,531     1,353,097             246       608     -362.38
     2001        6,297,107           1,250,995      5,223              2,626     1,248,369             199       503     -304.11
     2002        7,894,074           2,388,032    11,912               4,702     2,383,330             303       395       -92.22
     2003        7,821,443           2,764,474      5,613              3,778     2,760,696             353       673      -319.63
     2004       10,967,882           4,030,764      8,459              6,772     4,023,992             368       801      -433.06
     2005       13,131,029           4,430,921    13,945             11,947      4,418,974             337       857      -519.28
     2006       15,386,946           5,551,160    17,100             11,088      5,540,072             361       648      -287.65
     2007       15,200,733           9,078,283      4,662              7,038     9,071,245             597     1,510      -912.43
     2008       18,141,004          14,110,229    11,721             13,106     14,097,123             778     1,118      -340.29
     2009       21,669,489          11,728,840    24,273             16,522     11,712,318             541       681      -139.43
                                                 Rata-rata laju pertumbuhan (%)
1996-2009              21.30             26.18      14.85              15.67         26.81            5.22     24.55
1996-2003              23.17             22.46     (18.70)             (2.93)        23.63           (0.03)    35.68
2004-2009              14.90             27.46      54.65              29.00         27.48           12.82     10.09
Sumber      : BPS diolah Pusdatin
Keterangan : Angka negatif pada selisih berarti harga impor lebih tinggi dibandingkan harga ekspor




26       Pusat Data dan Informasi Pertanian
OUTLOOK KOMODITAS PERTANIAN - PERKEBUNAN              2010


Lampiran 2.7. Perkembangan luas tanaman menghasilkan, yield dan produksi
              kelapa sawit dunia, 1961 - 2008

                           Luas TM                       Produktivitas                     Produksi
   Tahun
                    (Ha)        Pertumb. (%)        (Ton/Ha)     Pertumb. (%)      (Ton)        Pertumb. (%)
    1961         3,621,037                                3.77                    13,636,250
    1962         3,422,412              -5.49             3.87          2.77      13,245,466           -2.87
    1963         3,517,630               2.78             3.86         -0.25      13,579,681            2.52
    1964         3,540,825               0.66             3.84         -0.58      13,589,323            0.07
    1965         3,617,385               2.16             3.81         -0.66      13,791,506            1.49
    1966         3,523,670              -2.59             3.89          1.92      13,691,499           -0.73
    1967         3,081,995             -12.53             4.27          9.77      13,145,568           -3.99
    1968         3,185,274               3.35             4.42          3.60      14,074,539            7.07
    1969         3,295,732               3.47             4.48          1.43      14,770,861            4.95
    1970         3,263,027              -0.99             4.64          3.44      15,127,942            2.42
    1971         3,311,979               1.50             4.93          6.28      16,318,727            7.87
    1972         3,210,852              -3.05             5.19          5.40      16,674,448            2.18
    1973         3,263,026               1.62             5.31          2.21      17,320,637            3.88
    1974         3,498,230               7.21             5.57          5.00      19,498,488           12.57
    1975         3,535,854               1.08             5.93          6.31      20,952,218            7.46
    1976         3,593,114               1.62             5.91         -0.18      21,252,831            1.43
    1977         3,722,319               3.60             5.99          1.20      22,281,025            4.84
    1978         3,718,311              -0.11             6.67         11.42      24,798,566           11.30
    1979         4,155,088              11.75             6.57         -1.43      27,316,222           10.15
    1980         4,276,828               2.93             6.98          6.20      29,858,675            9.31
    1981         4,077,535              -4.66             7.60          8.90      31,000,047            3.82
    1982         4,190,963               2.78             8.53         12.22      35,756,699           15.34
    1983         4,225,265               0.82             7.88         -7.64      33,295,322           -6.88
    1984         4,668,824              10.50             8.65          9.81      40,399,328           21.34
    1985         4,898,899               4.93             8.82          1.97      43,223,956            6.99
    1986         5,146,653               5.06             9.12          3.32      46,917,489            8.55
    1987         5,301,514               3.01             9.07         -0.49      48,090,189            2.50
    1988         5,567,146               5.01             9.51          4.86      52,956,114           10.12
    1989         5,827,284               4.67            10.10          6.18      58,856,609           11.14
    1990         6,085,211               4.43            10.01         -0.91      60,902,077            3.48
    1991         6,469,739               6.32             9.78         -2.26      63,287,310            3.92
    1992         6,788,751               4.93             9.85          0.72      66,886,584            5.69
    1993         7,149,830               5.32            10.99         11.55      78,581,976           17.49
    1994         7,505,871               4.98            10.82         -1.55      81,215,495            3.35
    1995         7,957,565               6.02            11.07          2.33      88,106,230            8.48
    1996         8,383,285               5.35            11.10          0.28      93,083,525            5.65
    1997         8,686,011               3.61            11.42          2.88      99,226,963            6.60
    1998         9,015,419               3.79            10.94         -4.24      98,618,825           -0.61
    1999         9,345,985               3.67            12.24         11.88     114,385,331           15.99
    2000         9,962,994               6.60            12.09         -1.23     120,440,185            5.29
    2001        10,536,037               5.75            12.22          1.05     128,710,851            6.87
    2002        11,263,471               6.90            12.02         -1.60     135,395,160            5.19
    2003        11,641,788               3.36            12.88          7.19     150,000,849           10.79
    2004        12,265,017               5.35            13.31          3.30     163,239,840            8.83
    2005        12,872,827               4.96            14.13          6.19     181,941,422           11.46
    2006        13,247,130               2.91            14.72          4.12     194,952,684            7.15
    2007        13,863,026               4.65            13.89         -5.64     192,503,168           -1.26
    2008        14,585,811               5.21            14.08          1.39     205,361,525            6.68
                                                   Rata-rata pertumbuhan (%)
1961-2008                                3.09                          2.95                            6.08
Keterangan : *) Produksi Tandan Buah Segar (TBS)
Sumber : FAO, diolah Pusdatin




                                                                                Pusat Data dan Informasi Pertanian    27
2010               OUTLOOK KOMODITAS PERTANIAN - PERKEBUNAN


Lampiran 2.8. Negara dengan luas tanaman menghasilkan kelapa sawit terbesar
              di dunia, 2004 – 2008

                                       Luas Tanaman Menghasilkan (000 Ha)                                   Kumulatif
 No        Negara                                                                               Share (%)
                          2004         2005         2006       2007        2008     Rata-rata               Share (%)

     1 Indonesia               3,823    4,055        4,961      4,881       5,122      4,568        34.18       34.18

     2 Malaysia                3,402    3,552        3,678      3,741       3,900      3,655        27.34       61.52

     3 Nigeria                 3,320    3,350        3,075      3,150       3,200      3,219        24.08       85.60

     4 Thailand                 309       324          380        435         450        380         2.84       88.44

     5 Ghana                    318       325          333        300         300        315         2.36       90.80

     6 Guinea                   310       310          310        310         310        310         2.32       93.12

     7 Lainnya                  783       957          511      1,046       1,304        920         6.88      100.00

        Dunia             12,265       12,873       13,247     13,863      14,586     13,367      100.00
Sumber: FAO, diolah Pusdatin




Lampiran 2.9. Negara produsen kelapa sawit terbesar dunia, 2004 - 2008

                                                 Produksi TBS (000 Ton)                                        Share
 No         Negara                                                                              Share (%)
                           2004         2005        2006       2007        2008     Rata-rata               Kumulatif (%)

     1 Malaysia            69,881       74,800      79,400     79,100      83,000     77,236        41.17           41.17

     2 Indonesia           60,426       74,000      80,250     78,000      85,000     75,535        40.26           81.43

     3 Nigeria                 8,700     8,500       8,300      8,500       8,500      8,500         4.53           85.97

     4 Thailand                5,182     5,003       6,715      6,390       7,873      6,232         3.32           89.29

     5 Colombia                3,107     3,273       3,200      3,200       3,200      3,196         1.70           90.99

     6 Negara Lainnya      15,945       16,366      17,088     17,313      17,789     16,900         9.01          100.00

       Dunia              163,240      181,941     194,953   192,503      205,362    187,600       100.00
Sumber: FAO, diolah Pusdatin




28      Pusat Data dan Informasi Pertanian
OUTLOOK KOMODITAS PERTANIAN - PERKEBUNAN                              2010



Lampiran 2.10. Negara eksportir minyak sawit terbesar dunia, 2003 - 2007


                                                             Volume Ekspor (Ton)                                                Kumulatif
No            Negara                                                                                                Share (%)
                                 2003          2004           2005           2006          2007         Rata-rata               share (%)

 1 Malaysia                    12,079,129    11,793,588     13,192,535     14,202,672     13,011,131   12,855,811       50.46       50.46

 2 Indonesia                    6,386,410     8,661,647     10,376,190     12,100,922      8,875,419    9,280,118       36.42       86.88

 3 Netherlands                    533,618       624,865       698,843       1,027,438      1,251,807      827,314        3.25       90.12

 4 Papua New Guinea                326900        339000         295200         362300         368300      338,340        1.33       91.45

 5 Negara Lainnya               1,761,434     2,132,813      2,201,748      2,257,858      2,536,489    2,178,068        8.55      100.00

      Dunia                    21,087,491    23,551,913     26,764,516     29,951,190     26,043,146   25,479,651      100.00
Sumber: FAO diolah Pusdatin




Lampiran 2.11. Negara importir minyak sawit terbesar dunia, 2003 - 2007

                                                      Volume Impor (Ton)                                                      Share
                                                                                                                     Share
 No           Negara                                                                                   Rata-rata            kumulatif
                                2003          2004          2005            2006          2007                        (%)
                                                                                                                               (%)
   1 China                     3,422,999     3,980,868     4,468,210       5,220,161     5,223,369      4,463,121     17.62     17.62
   2 India                     4,026,436     3,472,518     2,449,184       2,766,382     3,514,900      3,245,884     12.81       30.44
   3 Pakistan                  1,210,881     1,279,966     1,531,194       1,663,231     1,710,437      1,479,142       5.84      36.28
   4 Netherlands               1,076,643     1,378,826     1,721,369       1,832,217     1,237,817      1,449,374       5.72      42.00
   5 Bangladesh                 498,100       644,400        608,379       1,507,124     1,728,006        997,202       3.94      52.09
   6 Germany                    636,565       821,987        949,792        963,886      1,076,393        889,725       3.51      45.51
   7 United Kingdom             782,188       706,083        668,841        692,513       491,944         668,314       2.64      48.15
   8 Malaysia                   367,999       822,154        486,338        779,037       435,845         578,275       2.28      54.37
   9 Negara Lainnya            8,441,697    10,201,285    11,905,899     14,120,960     13,120,494     11,558,067     45.63      100.00
      Dunia                   20,463,508    23,308,087    24,789,206     29,545,511     28,539,205     25,329,103    100.00
Sumber: FAO diolah Pusdatin




                                                                              Pusat Data dan Informasi Pertanian                     29
OUTLOOK KOMODITAS PERTANIAN - PERKEBUNAN          2010


                                BAB III. KELAPA

       Kelapa (Cocos nucifera) merupakan tanaman perkebunan/industri berupa
pohon batang lurus dari famili Palmae. Kelapa ini banyak terdapat di negara-
negara Asia yang menghasilkan 52.127.000 ton (85,32%) produksi dunia dalam
bentuk kelapa segar dengan luas ± 9.361.000 ha (2008). Indonesia merupakan
negara penghasil kelapa terluas dunia pada urutan ke-2 menurut data rata-rata
FAO 2004-2008 yang tersebar di Riau, Sulut, Jatim, Jateng, Jabar, Sulteng,
Sulsel, Lampung, Jambi dan Maluku, tapi produksinya paling tinggi di dunia
yaitu sebesar 18,16 juta ton.
       Kelapa dijuluki pohon kehidupan, karena setiap bagian tanaman dapat
dimanfaatkan seperti berikut: (1) sabut: coir fiber, keset, sapu, matras, bahan
pembuat spring bed; (2) tempurung: charcoal, carbon aktif dan kerajinan
tangan; (3)daging buah: kopra, minyak kelapa, coconut cream, santan, kelapa
parutan kering(desiccated coconut); (4) air kelapa: cuka, Nata de Coco; (5)
batang kelapa: bahan bangunan untuk kerangka atau atap; (6) daun kelapa: Lidi
untuk sapu, barang anyaman (dekorasi pesta atau Mayang); (7) nira kelapa: gula
merah (Anonim, 2007).
      Bahkan dengan perkembangan teknologi saat ini, pohon kelapa bisa
digunakan sebagai bahan tenaga listrik. Hasil penelitian menunjukkan bahwa
penggunaan minyak kelapa mampu menghasilkan daya listrik sebesar 1
megawatt. Betapa luar biasa hal tersebut. Dari daya sebesar itu, listrik tersebut
bisa di distribusikan pada kurang lebih 100 rumah dengan kapasitas pemakaian 3
lampu, televisi dan satu atau dua peralatan elektronik lainnya. Hal ini merupakan
penemuan hebat pada dewasa ini (Jaliouz, 2009).
      Alasan utama yang membuat kelapa menjadi komoditi komersial adalah
karena semua bagian kelapa dapat dimanfaatkan untuk berbagai keperluan. Dari
analisis budidaya terlihat bahwa investasi yang besar dapat menguntungkan
hanya dalam waktu kurang dari 6 tahun, belum termasuk keuntungan lain yang



                                                Pusat Data dan Informasi Pertanian    31
2010           OUTLOOK KOMODITAS PERTANIAN - PERKEBUNAN


didapat selain dari buah. Oleh karena itu, budidaya tanaman kelapa merupakan
salah satu alternatif yang sangat menguntungkan (Anonim, 2007).
        Untuk mengetahui perkembangan komoditas kelapa dan prospeknya,
berikut ini disajikan keragaan komoditas kelapa serta proyeksi penawaran dan
permintaannya untuk beberapa tahun ke depan.


3.1. PERKEMBANGAN LUAS AREAL, PRODUKSI DAN PRODUKTIVITAS
     KELAPA INDONESIA

        Pada periode tahun 1970-2009 luas areal perkebunan kelapa di Indonesia
menunjukkan pola peningkatan yang cukup konsisten (Gambar 3.1). Pola
perkembangan luas areal kelapa Indonesia menyerupai pola perkembangan luas
areal perkebunan kelapa rakyat karena sekitar 98% areal pertanaman kelapa
diusahakan oleh rakyat (PR) sedangkan sisanya diusahakan oleh perkebunan besar
negara (PBN) dan perkebunan besar swasta (PBS). Pada kurun waktu tersebut
rata-rata pertumbuhan luas areal kelapa di Indonesia sebesar 1,95% per tahun.
Peningkatan luas areal kelapa yang cukup tinggi umumnya terjadi sebelum tahun
1997 (sebelum terjadinya krisis moneter), dengan rata-rata pertumbuhan sebesar
2,68% per tahun. Setelah tahun tersebut luas areal kelapa masih meningkat
tetapi lebih lambat, yaitu rata-rata sebesar 0,33% per tahun (Tabel 3.1).




       Gambar 3.1. Perkembangan luas areal kelapa di Indonesia menurut status
                            pengusahaan, 1970-2009*)


32      Pusat Data dan Informasi Pertanian
OUTLOOK KOMODITAS PERTANIAN - PERKEBUNAN                  2010


      Berdasarkan jenis pengusahaannya, perkembangan luas areal kelapa                                       PR
juga lebih stabil dibandingkan luas areal kelapa yang diusahakan oleh PBN dan
PBS. Pada tahun 1970-1997 pertumbuhan luas areal kelapa PR rata-rata sebesar
2,58% per tahun, PBN sebesar 7,06% per tahun dan PBS sebesar 15,68% per tahun.
Setelah tahun 1997 pertumbuhan luas areal kelapa PR melambat menjadi sebesar
0,47% per tahun, sedangkan luas areal kelapa PBN dan PBS turun masing-masing
sebesar 13,34% per tahun dan 1,35% per tahun.
      Perkembangan              luas         areal     kelapa        di        Indonesia       menurut     jenis
pengusahaannya secara rinci disajikan dalam Lampiran 3.1.

Tabel 3.1. Rata-rata laju pertumbuhan dan kontribusi luas areal dan produksi
           kelapa di Indonesia, 1970 – 2009*)

                                         Luas Areal                                      Produksi
         Tahun
                            PR1)     PBN2)        PBS3)      Total         PR
                                                                                1)
                                                                                      PBN2)     PBS3)    Total
 Pertumbuhan (%)
    1970-2009                 1.93       0.78        10.44      1.95           2.61    10.14    18.00      2.66
    1970-1997                 2.58       7.06        15.68      2.68           3.02    19.31    24.07      3.13
    1998-2009                 0.47 -13.34            -1.35      0.33           1.68 -10.47       4.32      1.59
  Kontribusi (%)
    1970-2009              97.69        0.46         1.84    100.00       98.09        0.37      1.55    100.00
    1970-1997              97.62        0.60         1.79    100.00       98.51        0.47      1.02    100.00
    1998-2009              97.83        0.23         1.94    100.00       97.48        0.21      2.31    100.00
Sumber: Ditjen Perkebunan, diolah Pusdatin
               1)                       2)                                3)
Keterangan :        Perkebunan Rakyat        Perkebunan Besar Negara           Perkebunan Besar Swasta
Tahun 2009 : Angka Sementara



      Pada periode tahun 1970-2009 sebagian besar luas areal perkebunan kelapa
di Indonesia dikuasai oleh PR dengan persentase mencapai 98,09% dari total luas
areal kelapa di Indonesia (Tabel 3.1). Pertumbuhan luas areal perkebunan kelapa
rakyat     setelah        tahun      1997        cenderung       melambat,             tetapi    kontribusinya



                                                                Pusat Data dan Informasi Pertanian            33
2010          OUTLOOK KOMODITAS PERTANIAN - PERKEBUNAN


menunjukkan sedikit kenaikan dibandingkan periode sebelumnya, karena luas
areal kelapa PBN mengalami penurunan.
       Perkembangan produksi kelapa (dalam bentuk “kopra”) di Indonesia pada
periode 1970-2009 menunjukkan kecenderungan meningkat (Gambar 3.2).
Berdasarkan status pengusahaan, produksi kelapa Indonesia didominasi oleh
kelapa hasil PR, sehingga pola perkembangan produksi kelapa Indonesia serupa
dengan pola perkembangan produksi kelapa PR. Produksi kelapa Indonesia pada
tahun 1970 sebesar 1,2 juta ton, kemudian meningkat menjadi 3,25 juta ton
pada tahun 2009 atau rata-rata meningkat sebesar 2,66% per tahun (Tabel 3.1).
Pada periode yang sama produksi kelapa PR rata-rata mengalami peningkatan
2,61% per tahun dengan kontribusi sebesar 98,09% terhadap total produksi kelapa
Indonesia. Sementara itu PBN dan PBS masing-masing memberikan kontribusi
sebesar 0,37% dan 1,55%. Secara rinci perkembangan produksi kelapa disajikan
pada Lampiran 3.2.


                 (000 Ha)
                 5.000

                 4.000

                 3.000

                 2.000

                 1.000

                     0
                                                                                                                     2009*)
                         1970

                                1973

                                       1976

                                              1979

                                                     1982

                                                            1985

                                                                   1988

                                                                          1991

                                                                                 1994

                                                                                         1997

                                                                                                2000

                                                                                                       2003

                                                                                                              2006




                                        PR            PBN             PBS               Indonesia


           Gambar 3.2. Perkembangan produksi kelapa di Indonesia, 1970-2009


       Berdasarkan data rata-rata produksi kelapa Indonesia lima tahun terakhir
(2005-2009), sentra produksi kelapa Indonesia terdapat di 11 provinsi dengan
kontribusi kumulatif mencapai 70,16%. Provinsi sentra produksi kelapa terbesar
di Indonesia adalah Riau yang memberikan kontribusi rata-rata sebesar 17,05%
atau sebesar 542,37 ribu ton, diikuti oleh Sulawesi Utara, Jawa Timur dan Maluku

34     Pusat Data dan Informasi Pertanian
OUTLOOK KOMODITAS PERTANIAN - PERKEBUNAN             2010


Utara dengan kontribusi masing-masing sebesar 8,44%, 7,49% dan 7,08%. Provinsi-
provinsi lainnya rata-rata memberikan kontribusi kurang dari 7% (Gambar 3.3).
Provinsi sentra produksi kelapa di Indonesia dan kontribusinya disajikan secara
rinci pada Lampiran 3.3.



                                               29,84
                        2,93
                     3,02
                                                                              17,05
                   3,68
                  3,71

                      4,62
                                                                             8,44
                        5,62
                                 6,54                              7,49
                                                   7,08
                         Riau             Sulut           Jatim           Malut
                         Sulteng          Jateng          Jabar           Lampung
                         Jambi            Sumut           Sulsel          Lainnya


    Gambar 3.3. Kontribusi sentra produksi kelapa di Indonesia, 2005-2009*)


                      (Ton/Ha)
               1,18
                                                                      1,17      1,16
               1,16
                                                           1,14
               1,14
                                              1,12
               1,12
                                   1,11
               1,10      1,09

               1,08

               1,06

               1,04

               1,02
                         2004      2005       2006         2007       2008      2009*)


    Gambar 3.4. Perkembangan produktivitas kelapa di Indonesia, 2004-2009

     Perkembangan produktivitas kelapa di Indonesia (dalam bentuk “kopra”)
selama tahun 2004-2009 secara umum berfluktuasi (Gambar 3.4). Pada tahun
2004 produktivitas kelapa Indonesia sebesar 1,09 ton/ha, naik menjadi 1,17
ton/ha pada tahun 2008 tetapi kemudian turun kembali menjadi 1,16 ton/ha

                                                            Pusat Data dan Informasi Pertanian    35
2010                 OUTLOOK KOMODITAS PERTANIAN - PERKEBUNAN


pada tahun 2009. Rata-rata produktivitas kelapa pada kurun waktu 2004-2009
sebesar 1,13 ton/ha dengan laju pertumbuhan sebesar 1,22% (Tabel 3.2).


Tabel 3.2. Perkembangan produktivitas kelapa di Indonesia menurut status
           pengusahaan, 2004-2009

                                                          Produktivitas (Ton/Ha)
     Tahun                     Pertumb.                   Pertumb.                    Pertumb.                Pertumb.
                      PR                         PBN                         PBS                  Indonesia
                                  (%)                        (%)                         (%)                     (%)
     2004               1.09                       1.11                        1.03                    1.09
     2005               1.11        1.34           0.84      -23.85            1.36       31.92        1.11       1.09
     2006               1.12        0.58           0.67      -21.08            1.02      -24.66        1.12       1.27
     2007               1.14        2.35           0.79       18.21            1.34       30.83        1.14       2.30
     2008               1.16        1.98           1.47       86.68            1.45        8.26        1.17       2.10
     2009*)             1.16       -0.68           1.47        0.16            1.48        2.40        1.16       -0.63
 Rata-rata              1.13        1.11           1.06       12.02            1.28        9.75        1.13       1.22
Sumber: Ditjen Perkebunan, diolah Pusdatin
               1)                       2)                             3)
Keterangan :        Perkebunan Rakyat        Perkebunan Besar Negara        Perkebunan Besar Swasta
Tahun 2009 : Angka Sementara



        Dari sisi status pengusahaannya, produktivitas kelapa PR relatif lebih stabil
dan lebih tinggi dibandingkan produktivitas kelapa PBN. Produktivitas kelapa
Indonesia terbaik ada di jenis pengusahaan PBS dengan rata-rata produktivitas
sebesar 1,28 ton/ha. Hal ini menunjukkan bahwa sebenarnya produksi kelapa
dalam negeri masih dapat ditingkatkan dengan upaya budidaya yang lebih
intensif.


3.2. PERKEMBANGAN KONSUMSI KELAPA DI INDONESIA


        Konsumsi kelapa di Indonesia dihitung dalam bentuk kelapa butiran dan
minyak kelapa. Berdasarkan hasil Survei Sosial Ekonomi Nasional (SUSENAS), pada
periode tahun 1981-2008 terjadi penurunan konsumsi kelapa baik dalam bentuk
kelapa butiran maupun minyak kelapa (Gambar 3.5).



36      Pusat Data dan Informasi Pertanian
OUTLOOK KOMODITAS PERTANIAN - PERKEBUNAN              2010


     Selama periode tersebut konsumsi kelapa butiran mengalami penurunan
rata-rata sebesar 1,96% per tahun. Jika tahun 1981 konsumsi kelapa butiran
mencapai 16 butir per kapita, maka pada tahun 2007 turun menjadi 10 butir per
kapita (Lampiran 3.4). Konsumsi kelapa butiran terendah terjadi pada tahun 1999
sebesar 9 butir per kapita. Sementara itu konsumsi minyak kelapa per kapita juga
turun dari 4,00 liter pada tahun 1981 menjadi 2,24 liter pada tahun 2008. Rata-
rata penurunan konsumsi minyak kelapa mencapai 3,19% per tahun. Penurunan
konsumsi minyak kelapa ini dimungkinkan dengan berkembangnya kebun kelapa
sawit sehingga produk minyak goreng lebih banyak menggunakan bahan baku dari
kelapa sawit.


                (Per Kapita/
                  Minggu)
                   0,40
                  0,35
                  0,30
                  0,25
                  0,20
                  0,15
                  0,10
                  0,05
                  0,00
                         1981   1987    1993      1999      2003     2005    2007

                                 Kelapa (Butir)          M. Kelapa (Liter)


   Gambar 3.5. Perkembangan konsumsi kelapa butiran dan minyak kelapa di
                          Indonesia, 1981-2008



     Dari hasil perhitungan Neraca Bahan Makanan (NBM) periode tahun 1990-
2007, ketersediaan kelapa di Indonesia berdasarkan total penggunaan kelapa
dalam bentuk kopra menjadi minyak goreng cenderung berfluktuasi (Gambar
3.6). Total penggunaan kelapa (kopra) tertinggi terjadi pada tahun 1992 sebesar
705 ribu ton, sedangkan total penggunaan kelapa terendah terjadi saat awal
krisis ekonomi tahun 1997 sebesar 85 ribu ton. Kelapa tersebut sebagian besar
digunakan sebagai bahan makanan (97,44%), sedangkan sisanya digunakan dalam


                                                           Pusat Data dan Informasi Pertanian    37
2010          OUTLOOK KOMODITAS PERTANIAN - PERKEBUNAN


industri pengolahan (1,86%) dan tercecer (0,70%). Penggunaan dan ketersediaan
kelapa (kopra) di Indonesia disajikan pada Lampiran 3.5.


                 (000 Ton)
                   800
                   700
                   600
                   500
                   400
                   300
                   200
                   100
                     0
                         1990
                                1991
                                       1992
                                              1993
                                                     1994
                                                            1995
                                                                   1996
                                                                          1997
                                                                                 1998
                                                                                        1999
                                                                                               2000
                                                                                                      2001
                                                                                                             2002
                                                                                                                    2003
                                                                                                                           2004
                                                                                                                                  2005
                                                                                                                                         2006
                                                                                                                                                2007*)
     Gambar 3.6. Perkembangan total penggunaan kelapa (kopra) di Indonesia,
                                 1990-2007*)


3.3. PERKEMBANGAN HARGA KELAPA DI INDONESIA


       Secara umum perkembangan harga kelapa di tingkat produsen dan
konsumen di Indonesia tahun 1983-2008 mempunyai kecenderungan meningkat
(Gambar 3.7). Pada tahun 1983-1997 rata-rata kenaikan harga kelapa di tingkat
produsen mencapai 9,70% per tahun, namun kenaikan harga di tingkat konsumen
lebih lambat, yaitu rata-rata mencapai 8,45% per tahun (Lampiran 3.6). Lonjakan
harga kelapa sangat signifikan terjadi pada awal krisis moneter (1998), baik
untuk harga di tingkat produsen maupun konsumen. Setelah tahun 1998 rata-rata
kenaikan harga kelapa di tingkat konsumen lebih tinggi dibandingkan kenaikan
harga di tingkat produsen. Rata-rata kenaikan harga kelapa di tingkat konsumen
tahun 1998-2008 sebesar 26,70% per tahun, sedangkan di tingkat produsen
sebesar 22,23% per tahun. Hal ini mengakibatkan disparitas harga produsen dan
harga konsumen semakin lebar. Harga kelapa tahun 2008 di tingkat konsumen
sebesar Rp 2.246,- per butir dan di tingkat produsen sebesar Rp 1.613,- per butir


38     Pusat Data dan Informasi Pertanian
OUTLOOK KOMODITAS PERTANIAN - PERKEBUNAN                            2010


sehingga disparitas meningkat hingga Rp. 633,33,- per butir. Secara rinci
perkembangan harga kelapa di Indonesia disajikan pada Lampiran 3.6.


                  (Rp/Butir)
                  2.500,00

                  2.000,00

                  1.500,00

                  1.000,00

                    500,00

                      0,00
                               1983

                                      1985

                                             1987

                                                    1989

                                                           1991

                                                                  1993

                                                                         1995

                                                                                1997

                                                                                        1999

                                                                                               2001

                                                                                                      2003

                                                                                                             2005

                                                                                                                    2007
                                                      Produsen                         Konsumen


  Gambar 3.7. Perkembangan harga kelapa di tingkat produsen dan konsumen
                         di Indonesia, 1983-2008


3.4. PERKEMBANGAN EKSPOR-IMPOR KELAPA INDONESIA


      Perkembangan ekspor kelapa Indonesia selama periode tahun 2000-2009
cenderung berfluktuasi (Gambar 3.8). Pada tahun 2000 volume ekspor kelapa
Indonesia mencapai 1,27 juta ton atau setara dengan US$ 393,63 juta, namun
mengalami penurunan cukup drastis hingga 40,50% pada tahun 2001. Ekspor
kelapa Indonesia tertinggi terjadi pada tahun 2007 dengan volume sebesar 1,26
juta ton dan nilai sebesar US$ 674,32 juta. Meskipun volume sedikit menurun dari
tahun sebelumnya, yakni sebesar 1,08 juta ton pada tahun 2008, namun nilainya
lebih tinggi yaitu sebesar US$ 900,92 juta (Lampiran 3.7).
      Sementara itu, impor kelapa Indonesia secara absolut jauh lebih kecil
dibandingkan ekspornya dan cenderung berfluktuasi (Gambar 3.9). Pada tahun
2000 volume impor kelapa Indonesia hanya sebesar 620 ton senilai US$ 948 ribu,
meningkat menjadi 3.868 ton pada tahun 2009 dengan nilai impor sebesar US$
2,30 juta. Volume impor tertinggi dicapai pada tahun 2006 sebesar 13.220 ton
senilai US$ 6,37 juta.

                                                                                 Pusat Data dan Informasi Pertanian         39
2010          OUTLOOK KOMODITAS PERTANIAN - PERKEBUNAN


       Neraca perdagangan komoditas kelapa Indonesia selama tahun 2000-2009
menunjukkan posisi surplus, yang terus mengalami peningkatan sebesar 19,26%
per tahun. Surplus neraca perdagangan kelapa Indonesia terbesar terjadi pada
tahun 2008 sebesar US$ 899,24 juta (Lampiran 3.7).




       Gambar 3.8. Perkembangan volume ekspor kelapa Indonesia, 2000-2009




       Gambar 3.9. Perkembangan volume impor kelapa Indonesia, 2000-2009




40     Pusat Data dan Informasi Pertanian
OUTLOOK KOMODITAS PERTANIAN - PERKEBUNAN          2010


3.5. PERKEMBANGAN LUAS TANAMAN MENGHASILKAN, PRODUKSI
     DAN PRODUKTIVITAS KELAPA DUNIA

     Perkembangan luas tanaman menghasilkan kelapa dunia pada tahun 1970-
2008 secara umum menunjukkan peningkatan (Gambar 3.10). Meskipun terjadi
penurunan luas pada tahun-tahun tertentu, dalam periode tersebut luas tanaman
menghasilkan kelapa rata-rata meningkat sebesar 1,39% per tahun. Pada tahun
1970 total luas tanaman menghasilkan kelapa di dunia sebesar 6,69 juta ha dan
pada tahun 2008 telah terjadi peningkatan menjadi 11,21 juta ha. Luas tanaman
menghasilkan tertinggi dicapai pada tahun 1999 sebesar 11,49 juta ha. Pada
tahun 2000 terjadi penurunan luas tanaman menghasilkan kelapa sebesar 7,82%,
setelah tahun tersebut luas tanaman menghasilkan kelapa cenderung lebih stabil
dan tidak mengalami banyak perubahan. Secara rinci perkembangan luas
tanaman menghasilkan kelapa disajikan pada Lampiran 3.8.




     Gambar 3.10. Perkembangan luas tanaman menghasilkan kelapa dunia,
                                1970-2008


     Sejalan dengan perkembangan luas tanaman menghasilkan, perkembangan
produksi kelapa dunia (dalam bentuk “kelapa segar”) selama tahun 1970-2008
juga menunjukkan kecenderungan meningkat tetapi lebih berfluktuasi (Gambar
3.11). Pada periode tersebut terjadi peningkatan produksi kelapa dunia rata-rata

                                               Pusat Data dan Informasi Pertanian    41
2010          OUTLOOK KOMODITAS PERTANIAN - PERKEBUNAN


sebesar 2,37% per tahun. Jika pada tahun 1970 produksi kelapa dunia sebesar
26,32 juta ton maka tahun 2008 telah mencapai 61,09 juta ton. Total produksi
kelapa dunia tertinggi dicapai tahun 2008, yaitu sebesar 61,09 juta ton.
Perkembangan produksi kelapa di dunia secara rinci disajikan pada Lampiran 3.8.




           Gambar 3.11. Perkembangan produksi kelapa dunia, 1970-2008




          Gambar 3.12. Negara-negara produsen kelapa terbesar di dunia,
                             (rata-rata 2004-2008)


       Negara produsen kelapa tertinggi di dunia (bentuk ‘kelapa segar’)
berdasarkan data rata-rata lima tahun terakhir (tahun 2004-2008), didominasi


42     Pusat Data dan Informasi Pertanian
OUTLOOK KOMODITAS PERTANIAN - PERKEBUNAN          2010


oleh Indonesia, Philipina dan India. Ketiga negara produsen kelapa tersebut
memberikan kontribusi sebesar 73,53% terhadap total produksi kelapa dunia.
Indonesia menduduki peringkat pertama dengan rata-rata produksi tahun 2004-
2008 sebesar 18,16 juta ton per tahun atau memberikan kontribusi sebesar
31,15% terhadap total produksi kelapa dunia (Gambar 3.12). Philipina dengan
kontribusi sebesar 25,50 % berada di peringkat kedua, diikuti oleh India dengan
kontribusi sebesar 16,88%. Negara-negara produsen kelapa lainnya mempunyai
rata-rata kontribusi kurang dari 6% per tahun. Beberapa negara produsen kelapa
terbesar di dunia disajikan pada Lampiran 3.9.
     Perkembangan produktivitas kelapa (dalam bentuk “kelapa segar”) selama
periode tahun 1970-2008 menunjukan pola berfluktuasi cenderung meningkat
(Gambar 3.13). Laju pertumbuhan produktivitas kelapa dunia pada periode
tersebut sebesar 1,00% per tahun dimana produktivitas kelapa tertinggi berhasil
dicapai pada tahun 2008 sebesar 5,45 ton/ha (Lampiran 3.8).



               (Ton/Ha)
                  6,00
                  5,50
                  5,00
                  4,50
                  4,00
                  3,50
                  3,00
                          1970
                          1972
                          1974
                          1976
                          1978
                          1980
                          1982
                          1984
                          1986
                          1988
                          1990
                          1992
                          1994
                          1996
                          1998
                          2000
                          2002
                          2004
                          2006
                          2008




      Gambar 3.13. Perkembangan produktivitas kelapa dunia, 1970-2008


     Menurut FAO, terdapat empat negara dengan tingkat produktivitas kelapa
rata-rata terbesar di dunia, yaitu Peru, Puerto Rico, El Salvador dan Brazil.
Keempat negara tersebut mempunyai tingkat produktivitas kelapa lebih dari 10
ton/ha. Peru berada di peringkat pertama dengan tingkat produktivitas kelapa
mencapai 145.523 hg/ha atau 14,52 ton/ha. Puerto Rico berada di peringkat
                                               Pusat Data dan Informasi Pertanian    43
2010          OUTLOOK KOMODITAS PERTANIAN - PERKEBUNAN


kedua dengan tingkat produktivitas mencapai 13,31 ton/ha, diikuti oleh El
Salvador dan Brazil dengan tingkat produktivitas masing-masing sebesar 12,40
ton/ha dan 10,45 ton/ha. (Gambar 3.14). Sementara itu Indonesia berada di
peringkat ke-19 dengan rata-rata produktivitas kelapa segar sebesar 6,50 ton/ha.




 Gambar 3.14. Negara dengan produktivitas kelapa terbesar di dunia, 2004-2008



3.6. PERKEMBANGAN EKSPOR-IMPOR KELAPA DUNIA


       Kegiatan perdagangan kelapa internasional dilakukan dalam beberapa
bentuk, seperti kelapa segar, kopra, minyak kelapa, dan lain-lain. Dari bentuk-
bentuk produksi tersebut, perdagangan minyak kelapa lebih dominan di tingkat
internasional, baik dari sisi volume maupun nilainya. Ekspor minyak kelapa
selama periode tahun 2003-2007 didominasi oleh empat negara, yaitu Philipina,
Indonesia, Malaysia dan Belanda (Gambar 3.15). Keempat negara tersebut
memberikan kontribusi ekspor minyak kelapa dunia sebesar 91,31 persen
terhadap total ekspor dunia. Rata-rata volume ekspor minyak kelapa dari
Philipina mencapai 1,05 juta ton per tahun, berkontribusi 48,90 persen serta
merupakan negara eksportir minyak kelapa terbesar dunia. Indonesia menduduki
posisi kedua dengan rata-rata volume ekspor minyak kelapa 0,57 juta ton per
tahun, berkontribusi 26,37 persen. Urutan ketiga dan keempat adalah Malaysia

44     Pusat Data dan Informasi Pertanian
OUTLOOK KOMODITAS PERTANIAN - PERKEBUNAN                 2010


dan Belanda dengan rata-rata volume ekspor masing-masing 0,19 juta ton per
tahun dan 0,15 juta ton per tahun.



                     1,05 juta ton                                         0,57 juta ton
                       (48,90%)                                              (26,37%)




                                                                               0,19 juta ton
                                0,19 juta ton              0,15 juta ton          (8,91%)
                                   (8,69%)                    (7,13%)

                        Philippines   Indonesia     Malaysia     Netherlands     Lainnya


   Gambar 3.15. Negara eksportir minyak kelapa terbesar di dunia, 2003-2007


                                                    0,66 juta ton
                                                      (29,22%)
                    0,11 juta ton
                        (4,88%)
             0,14 juta ton                                                     0,43 juta ton
                (6,33%)                                                          (19,05%)


             0,22 juta ton
                (9,56%)


                      0,32 juta ton                                    0,38 juta ton
                        (14,15%)                                         (16,81%)

                    USA               Netherlands      Germany             Malaysia
                    China             Russian          Lainnya


   Gambar 3.16. Negara importir minyak kelapa terbesar di dunia, 2003-2007


       Sementara, impor minyak kelapa dilakukan oleh hampir semua negara di
dunia. Negara importir minyak kelapa terbesar adalah Amerika Serikat dengan
rata-rata volume impor tahun 2003-2007 sebesar 0,43 juta ton per tahun
(Gambar 3.16). Peringkat kedua diduduki oleh Belanda dengan rata-rata volume
impor sebesar 0,38 juta ton per tahun. Peringkat berikutnya adalah Jerman,
Malaysia, China dan Rusia dengan rata-rata volume impor masing-masing sebesar

                                                               Pusat Data dan Informasi Pertanian    45
2010          OUTLOOK KOMODITAS PERTANIAN - PERKEBUNAN


0,32 juta ton, 0,22 juta ton, 0,14 juta ton dan 0,11juta ton. Indonesia berada di
peringkat ke-28 dengan rata-rata volume impor minyak kelapa sebesar 0,007 juta
ton.


3.7. PERKEMBANGAN HARGA KELAPA DUNIA


       Perdagangan kelapa memiliki wujud produksi cukup beragam seperti kelapa
segar atau kelapa butiran, kopra, dan sebagainya. Berdasarkan data FAO 2003-
2007, harga rata-rata kelapa dunia di tingkat produsen dalam wujud ‘kelapa
segar’ tertinggi terjadi di negara Barbados seharga US$ 1.030,76/ton (Gambar
3.17). Diikuti posisi berikutnya adalah negara Trindad dan Tobago, Cuba, Cook
Island, Saint Lucia dan Nigeria dengan harga masing-masing US$ 714,37/ton, US$
708,40/ton, US$ 627,17/ton, US$ 524,29/ton dan US$ 515,34/ton.
       Selain negara-negara yang telah tersebut, harga ‘kelapa segar’dunia
dibawah $ 500/ton. Harga rata-rata ‘kelapa segar’ Indonesia di dunia dihargai
US$ 95,68/ton.


                      (US$/Ton)

                       1.200,00
                                  1.030,76
                       1.000,00

                         800,00              714,37     708,40
                                                                 627,16
                         600,00                                              524,29      515,34

                         400,00

                         200,00

                           0,00
                                  Barbados   Trinidad   Cuba      Cook     Saint Lucia   Nigeria
                                               and               Islands
                                             Tobago


         Gambar 3.17. Negara dengan Harga Kelapa tingkat Produsen terbesar di
                                  dunia, 2003-2007




46     Pusat Data dan Informasi Pertanian
OUTLOOK KOMODITAS PERTANIAN - PERKEBUNAN          2010


3.8. PROYEKSI PENAWARAN KELAPA 2010-2012

     Proyeksi penawaran kelapa didasarkan pada proyeksi produksi kelapa.
Fungsi respon produksi kelapa hasil pengolahan data series tahunan disajikan
pada Tabel 3.3. Hasil analisis fungsi respon produksi kelapa Indonesia dengan
menggunakan model analisis regresi berganda menunjukkan bahwa pada tingkat
kesalahan α = 5% produksi kelapa di Indonesia (dalam bentuk “kopra”) secara
nyata dipengaruhi oleh peubah produksi kelapa periode sebelumnya dan harga
kelapa periode sebelumnya. Koefisien determinasi (R2) dari fungsi respon ini
sangat baik, yaitu sebesar 98,2%. Hal ini berarti bahwa 98,2% keragaman produksi
kelapa dalam bentuk kopra dapat dijelaskan oleh keragaman peubah-peubah
bebas yang digunakan di dalam model.


       Tabel 3.3. Hasil analisis fungsi respon produksi kelapa

                     Peubah                     Koefisien        p_Value

        Constanta                                 1,2757           0,005

        Ln Produksi kelapa periode (t-1)          0,9077           0,000

        Ln Harga riil kelapa periode (t-1)        0,0532           0,033

                        R2 = 98,2% ; p(F-Stat) = 0,000


     Produksi kelapa secara nyata dan positif dipengaruhi oleh produksi kelapa
periode sebelumnya dengan koefisien regresi sebesar 0,9077. Ini berarti bahwa
setiap kenaikan produksi tahun sebelumnya sebesar 10% akan menyebabkan
peningkatan produksi tahun berikutnya sebesar 9,08%. Produksi kelapa juga
dipengaruhi oleh harga riil kelapa periode sebelumnya dengan koefisien regresi
sebesar 0,0532 yang menunjukkan bahwa peningkatan harga kelapa tahun
sebelumnya sebesar 10% akan berdampak pada peningkatan produksi kelapa
(dalam bentuk “kopra”) sebesar 0,05%.
                                                 Pusat Data dan Informasi Pertanian    47
2010          OUTLOOK KOMODITAS PERTANIAN - PERKEBUNAN


       Berdasarkan fungsi respon produksi kelapa tersebut di atas, diperkirakan
produksi kelapa di Indonesia tahun 2010 akan meningkat menjadi 3.330,39 ribu
ton (Tabel 3.4). Pada tahun 2011 dan 2012 produksi kelapa masih akan
mengalami peningkatan. Dengan rata-rata peningkatan 1,45% per tahun, maka
produksi kelapa tahun 2011 diperkirakan sebesar 3.362,00 ribu ton dan tahun
2012 sebesar 3.390,28 ribu ton.


         Tabel 3.4. Hasil proyeksi produksi kelapa di Indonesia, 2010-2012


                                        Produksi Kelapa           Pertumbuhan
                  Tahun
                                             (Ton)                     (%)
                  2009*)                    3.247.383
                   2010                     3.330.385                    2,56
                   2011                     3.361.999                    0,95
                   2012                     3.390.275                    0,84
        Rata-rata Pertumbuhan
                                                                         1,45
               (% / th.)
       Keterangan : *) Angka Sementara, Direktorat Jenderal Perkebunan
                   Tahun 2010 – 2012 Angka hasil proyeksi


3.9. PROYEKSI PERMINTAAN KELAPA 2010-2012


       Kelapa di Indonesia (dalam bentuk “kopra”) terutama digunakan sebagai
bahan baku untuk minyak kelapa. Proyeksi permintaan kopra/minyak kelapa
dilakukan dengan menggunakan model trend kuadratik berdasarkan series data
Neraca Bahan Makanan (NBM). Hasil proyeksi menunjukkan adanya penurunan
konsumsi kopra/minyak kelapa selama periode tahun 2010-2012 dengan rata-rata
penurunan sebesar 3,86% per tahun. Secara absolut konsumsi kopra/minyak
kelapa diperkirakan akan menurun menjadi 276.180 ton pada tahun 2010 dan
masih akan menurun hingga mencapai 255.283 ton pada tahun 2012.
Kecenderungan menurunnya konsumsi kopra dalam negeri tampaknya bahan baku



48     Pusat Data dan Informasi Pertanian
OUTLOOK KOMODITAS PERTANIAN - PERKEBUNAN          2010


minyak goreng mulai didominasi oleh kelapa sawit. Sementara itu juga cukup
gencar disosialisasikan diversifikasi produk kelapa.


Tabel 3.5. Proyeksi permintaan kopra/minyak kelapa di Indonesia, 2010-2012

                               Konsumsi Kopra/Minyak               Pertumbuhan
           Tahun
                                    Kelapa (Ton)                        (%)

           2010                        276.180
           2011                        265.702                         -3,79
           2012                        255.283                         -3,92
  Rata-rata Pertumbuhan
                                                                       -3,86
          (%/th.)


3.10. PROYEKSI SURPLUS/DEFISIT KELAPA 2010-2012


      Berdasarkan hasil proyeksi penawaran dan permintaan kelapa di Indonesia
maka diproyeksikan terjadi surplus kelapa (dalam bentuk “kopra). Tahun 2010
surplus kelapa diperkirakan mencapai 3,05 juta ton, meningkat menjadi 3,10 juta
ton (tahun 2011) dan 3,13 juta ton (tahun 2012). Surplus produksi kelapa (dalam
bentuk kopra) ini merupakan alokasi untuk ekspor kopra Indonesia (Tabel 3.6).


Tabel 3.6. Proyeksi surplus/defisit kelapa (kopra) di Indonesia, 2010-2012


                                    Konsumsi Kopra/
               Produksi Kelapa                                Surplus/Defisit
   Tahun                             Minyak Kelapa
                    (Ton)                                          (Ton)
                                         (Ton)

    2010           3.330.385             276.180                 3.054.205

    2011           3.361.999             265.702                 3.096.297

    2012           3.390.275             255.283                 3.134.992




                                                 Pusat Data dan Informasi Pertanian    49
2010                OUTLOOK KOMODITAS PERTANIAN - PERKEBUNAN


Lampiran 3.1. Perkembangan luas areal kelapa di Indonesia menurut status
              pengusahaannya,1970- 2009

                               1)                          2)                         3)
                          PR                       PBN                          PBS                      Jumlah
  Tahun                         Pertumb.                  Pertumb.                Pertumb.                      Pertumb.
                   (Ha)                     (Ha)                         (Ha)                         (Ha)
                                   (%)                       (%)                     (%)                           (%)
   1970          1,789,262                   5,928              10,521                              1,805,711
   1971          1,870,564           4.54    6,435        8.55  11,180                       6.26   1,888,179       4.57
   1972          1,889,682           1.02    6,982        8.50  11,556                       3.36   1,908,220       1.06
   1973          1,989,618           5.29    6,969       -0.19  12,384                       7.17   2,008,971       5.28
   1974          2,108,591           5.98    6,691       -3.99  15,282                      23.40   2,130,564       6.05
   1975          2,193,097           4.01    7,694       14.99  16,274                       6.49   2,217,065       4.06
   1976          2,304,790           5.09    9,243       20.13  14,800                      -9.06   2,328,833       5.04
   1977          2,393,112           3.83   10,182       10.16  58,072                     292.38   2,461,366       5.69
   1978          2,454,115           2.55    9,234       -9.31  42,212                     -27.31   2,505,561       1.80
   1979          2,520,938           2.72   10,405       12.68  48,230                      14.26   2,579,573       2.95
   1980          2,622,206           4.02   15,050       44.64  43,167                     -10.50   2,680,423       3.91
   1981          2,752,386           4.96   15,075        0.17  57,401                      32.97   2,824,862       5.39
   1982          2,808,989           2.06   13,411      -11.04  29,764                     -48.15   2,852,164       0.97
   1983          2,890,681           2.91   16,683       24.40  39,346                      32.19   2,946,710       3.31
   1984          2,958,170           2.33   14,197      -14.90  39,113                      -0.59   3,011,480       2.20
   1985          2,994,442           1.23   14,642        3.13  40,916                       4.61   3,050,000       1.28
   1986          3,056,575           2.07   14,271       -2.53  41,682                       1.87   3,112,528       2.05
   1987          3,084,688           0.92   17,964       25.88  50,492                      21.14   3,153,144       1.30
   1988          3,147,382           2.03   15,807      -12.01  62,299                      23.38   3,225,488       2.29
   1989          3,186,754           1.25   23,927       51.37  72,908                      17.03   3,283,589       1.80
   1990          3,308,037           3.81   25,032        4.62  60,853                     -16.53   3,393,922       3.36
   1991          3,459,225           4.57   33,350       33.23  80,745                      32.69   3,573,320       5.29
   1992          3,482,817           0.68   33,287       -0.19  82,461                       2.13   3,598,565       0.71
   1993          3,507,992           0.72   32,687       -1.80  95,176                      15.42   3,635,855       1.04
   1994          3,543,924           1.02   31,754       -2.85 105,702                      11.06   3,681,380       1.25
   1995          3,584,477           1.14   28,884       -9.04 110,495                       4.53   3,723,856       1.15
   1996          3,603,878           0.54   28,395       -1.69 103,783                      -6.07   3,736,056       0.33
   1997          3,548,017          -1.55   27,711       -2.41  92,505                     -10.87   3,668,233      -1.82
   1998          3,579,872           0.90   25,466       -8.10 100,636                       8.79   3,705,974       1.03
   1999          3,585,743           0.16   15,313      -39.87  78,320                     -22.17   3,679,376      -0.72
   2000          3,601,698           0.44   13,891       -9.29  75,825                      -3.19   3,691,414       0.33
   2001          3,818,946           6.03    8,006      -42.37  70,515                      -7.00   3,897,467       5.58
   2002          3,806,032          -0.34    7,070      -11.69  71,848                       1.89   3,884,950      -0.32
   2003          3,785,343          -0.54    5,838      -17.43 121,949                      69.73   3,913,130       0.73
   2004          3,723,879          -1.62    4,883      -16.36  68,242                     -44.04   3,797,004      -2.97
   2005          3,735,838           0.32    6,127       25.48  61,649                      -9.66   3,803,614       0.17
   2006          3,720,490          -0.41    5,668       -7.49  62,734                       1.76   3,788,892      -0.39
   2007          3,720,533          0.001    5,507       -2.84  61,948                      -1.25   3,787,989      -0.02
   2008          3,724,118           0.10    3,822      -30.60  55,134                     -11.00   3,783,074      -0.13
  2009*)         3,748,135           0.64    3,840        0.47  55,081                      -0.10   3,807,056       0.63
                                            Rata-rata pertumbuhan (%)
1970-2009                            1.93                 0.78                              10.44                   1.95
1970-1997                            2.58                 7.06                              15.68                   2.68
1998-2009                            0.47               -13.34                              -1.35                   0.33
Sumber : Ditjen. Perkebunan
                                                   1)
Keterangan: *) Angka Sementara                          PR = Perkebunan Rakyat
            2)                                   3)
                 PBN = Perkebunan Besar Negara          PBS = Perkebunan Besar Swasta



50     Pusat Data dan Informasi Pertanian
OUTLOOK KOMODITAS PERTANIAN - PERKEBUNAN                      2010


Lampiran 3.2. Perkembangan produksi kelapa di Indonesia menurut status
               pengusahaannya,1970 – 2009
                                1)                        2)                      3)
                           PR                     PBN                       PBS                       Jumlah
  Tahun                         Pertumb.                 Pertumb.               Pertumb.                    Pertumb.
                   (Ton)                      (Ton)                    (Ton)                     (Ton)
                                   (%)                      (%)                    (%)                         (%)
   1970          1,198,863                     1,749               2,290                        1,202,902
   1971          1,273,935             6.26    2,068       18.24   3,576                56.16   1,279,579        6.37
   1972          1,248,739            -1.98    3,007       45.41   4,205                17.59   1,255,951       -1.85
   1973          1,274,441             2.06    1,626      -45.93   3,859                -8.23   1,279,926        1.91
   1974          1,335,441             4.79    1,495       -8.06   6,475                67.79   1,343,411        4.96
   1975          1,380,929             3.41    3,169      111.97   5,545               -14.36   1,389,643        3.44
   1976          1,526,577            10.55    3,253        2.65   4,811               -13.24   1,534,641       10.43
   1977          1,541,996             1.01    3,230       -0.71  21,231               341.30   1,566,457        2.07
   1978          1,553,763             0.76    3,527        9.20  20,952                -1.31   1,578,242        0.75
   1979          1,596,191             2.73    3,612        2.41  22,284                 6.36   1,622,087        2.78
   1980          1,629,726             2.10    3,701        2.46  32,646                46.50   1,666,073        2.71
   1981          1,764,567             8.27    3,887        5.03  24,468               -25.05   1,792,922        7.61
   1982          1,587,177           -10.05    4,457       14.66  11,411               -53.36   1,603,045      -10.59
   1983          1,590,173             0.19    3,443      -22.75  14,022                22.88   1,607,638        0.29
   1984          1,737,263             9.25    2,430      -29.42  10,795               -23.01   1,750,488        8.89
   1985          1,905,241             9.67    4,147       70.66  11,043                 2.30   1,920,431        9.71
   1986          1,950,290             2.36    7,628       83.94  16,724                51.44   1,974,642        2.82
   1987          2,054,514             5.34   24,359      219.34  19,671                17.62   2,098,544        6.27
   1988          2,116,975             3.04    9,471      -61.12  17,541               -10.83   2,143,987        2.17
   1989          2,192,851             3.58   13,072       38.02  15,434               -12.01   2,221,357        3.61
   1990          2,297,832             4.79   14,890       13.91  18,848                22.12   2,331,570        4.96
   1991          2,431,616             5.82   20,538       37.93  26,162                38.81   2,478,316        6.29
   1992          2,425,452            -0.25   20,785        1.20  29,047                11.03   2,475,284       -0.12
   1993          2,557,908             5.46   17,852      -14.11  30,143                 3.77   2,605,903        5.28
   1994          2,601,424             1.70   21,043       17.87  26,567               -11.86   2,649,034        1.66
   1995          2,661,641             2.31   15,127      -28.11  27,518                 3.58   2,704,286        2.09
   1996          2,686,768             0.94   19,370       28.05  54,748                98.95   2,760,886        2.09
   1997          2,619,926            -2.49   21,020        8.52  62,992                15.06   2,703,938       -2.06
   1998          2,690,204             2.68   22,018        4.75  65,905                 4.62   2,778,127        2.74
   1999          2,903,716             7.94   12,205      -44.57  78,701                19.42   2,994,622        7.79
   2000          2,951,005             1.63    9,038      -25.95  84,485                 7.35   3,044,528        1.67
   2001          3,068,997             4.00    8,272       -8.48  85,749                 1.50   3,163,018        3.89
   2002          3,010,894            -1.89    4,815      -41.79  82,787                -3.45   3,098,496       -2.04
   2003          3,136,360             4.17    2,629      -45.40 115,865                39.96   3,254,854        5.05
   2004          3,000,839            -4.32    4,489       70.75  49,183               -57.55   3,054,511       -6.16
   2005          3,052,461             1.72    3,659      -18.49  40,724               -17.20   3,096,844        1.39
   2006          3,061,408             0.29    2,897      -20.83  66,853                64.16   3,131,158        1.11
   2007          3,122,995             2.01    2,935        1.31  67,337                 0.72   3,193,266        1.98
   2008          3,176,004             1.70    3,000        2.21  60,668                -9.90   3,239,673        1.45
  2009*)         3,182,333             0.20    3,024        0.80  62,026                 2.24   3,247,383        0.24
                                              Rata-rata pertumbuhan (%)
1970-2009                             2.61                 10.14                        18.00                   2.66
1970-1997                             3.02                 19.31                        24.07                   3.13
1998-2009                             1.68                -10.47                         4.32                   1.59
Sumber : Ditjen. Perkebunan
                                                  1)
Keterangan: *) Angka Sementara                         PR = Perkebunan Rakyat
            2)                                    3)
                 PBN = Perkebunan Besar Negara         PBS = Perkebunan Besar Swasta
                  Ujud produksi adalah kopra


                                                                          Pusat Data dan Informasi Pertanian             51
2010                 OUTLOOK KOMODITAS PERTANIAN - PERKEBUNAN


Lampiran 3.3. Provinsi sentra produksi kelapa di Indonesia, 2005 – 2009


                                                          Produksi (Ton)                                      Share
No.       Provinsi                                                                                Share (%) kumulatif
                             2005          2006         2007        2008       2009*)   Rata-rata              (%)
 1 Riau                      488,689       555,842       567,088    553,462     546,773  542,371     17.05      17.05
 2 Sulawesi Utara            246,377       251,743       287,461    263,346    293,002    268,386      8.44    25.48
 3 Jawa Timur                236,499       222,857       233,172    248,259    250,491    238,256      7.49    32.97
 4 Maluku Utara              222,229       218,301       197,378    244,586    244,591    225,417      7.08    40.06
 5 Sulawesi Tengah           177,345       187,297       189,268    209,139    276,633    207,936      6.54    46.59
 6 Jawa Tengah               182,874       175,144       179,657    175,847    180,299    178,764      5.62    52.21
 7 Jawa Barat                161,972       147,507       139,280    150,818    134,697    146,855      4.62    56.83
 8 Lampung                   120,557       120,259       118,971    118,668    112,219    118,135      3.71    60.54
 9 Jambi                     126,746       119,191       114,752    110,548    113,427    116,933      3.68    64.21
10 Sumatera Utara             98,816       101,525        82,352      99,502    97,821     96,003      3.02    67.23
11 Sulawesi Selatan           99,491        87,705        87,228      95,783    96,058     93,253      2.93    70.16
12 Lainnya                   935,251       943,776       996,659    969,716    901,372    949,355     29.84   100.00
      Indonesia             3096846       3131147       3193266     3239674    3247383 3,181,663
Sumber     : Direktorat Jenderal Perkebunan, diolah Pusdatin
Keterangan : *) Angka Sementara




52       Pusat Data dan Informasi Pertanian
OUTLOOK KOMODITAS PERTANIAN - PERKEBUNAN           2010


Lampiran 3.4. Perkembangan konsumsi kelapa dan minyak kelapa di Indonesia,
               1981 – 2008

                                   Konsumsi/kapita/tahun
    Tahun                   Kelapa                   Minyak Kelapa
                    (Butir)    Pertumb. (%)      (Liter)     Pertumb. (%)
     1981              15.964                               4.004
     1984              15.236             -1.52             1.716            -19.05
     1987              16.484              2.73             3.172             28.28
     1990              17.368              1.79             3.744                 6.01
     1993              15.652             -3.29             4.316                 5.09
     1996              12.532             -6.64             4.940                 4.82
     1999               9.464             -8.16             3.796                 -7.72
     2002              11.960              8.79             4.732                 8.22
     2003              12.636              5.65             4.420                 -6.59
     2004              11.284            -10.70             4.004                 -9.41
     2005              11.752              4.15             4.056                 1.30
     2006              10.400            -11.50             3.900                 -3.85
     2007              11.232              8.00             2.912            -25.33
     2008               9.568            -14.81             2.236            -23.21
                          Rata-rata pertumbuhan (%)
  1981-2008                               -1.96                                   -3.19
Sumber : Badan Pusat Statistik (SUSENAS), diolah Pusdatin




                                                    Pusat Data dan Informasi Pertanian     53
2010               OUTLOOK KOMODITAS PERTANIAN - PERKEBUNAN


Lampiran 3.5. Penggunaan dan ketersediaan konsumsi kopra di Indonesia,
               1990 – 2007

                          Penggunaan (000 Ton)             Ketersediaan    Jumlah     Share thd. Total Penggunaan (%)
                                                           Konsumsi per   Penduduk
     Tahun       Industri           Bahan                                              Industri               Bahan
                          Tercecer                Total       Kapita    Tengah Tahun              Tercecer
               Pengolahan          Makanan                                           Pengolahan              Makanan
                                                           (Kg/Kap/Th)   (000 Orang)
     1990                  0            0   457      457           2.56       178,170        0.00      0.00     100.00
     1991                  0            0   465      465           2.57       181,094        0.00      0.00     100.00
     1992                  0            0   705      705           3.82       184,491        0.00      0.00     100.00
     1993                  0            0   474      474           2.53       187,589        0.00      0.00     100.00
     1994                  0            0   330      330           1.73       190,538        0.00      0.00     100.00
     1995                  0            0   609      609           3.15       193,486        0.00      0.00     100.00
     1996                  9            0   403      412           2.05       196,807        2.18      0.00      97.82
     1997                  9            0    76       85           0.38       199,837       10.59      0.00      89.41
     1998                  9            0   338      347           1.66       202,873        2.59      0.00      97.41
     1999                  9            0   362      371           1.76       205,915        2.43      0.00      97.57
     2000                  2            3   191      196           0.93       208,489        1.02      1.53      97.45
     2001                  4            9   560      573           2.68       209,776        0.70      1.57      97.73
     2002                  4            7   465      476           2.20       211,063        0.84      1.47      97.69
     2003                  5        10      605      620           2.83       213,722        0.78      1.56      97.66
     2004                  4            9   537      550           2.48       216,382        0.73      1.64      97.64
     2005                  1            3   161      165           0.73       219,852        0.61      1.82      97.58
     2006                11             6   372      389           1.67       222,747        2.83      1.54      95.63
   2007*)                11             2   122      135           0.54       225,643        8.15      1.48      90.37
  Rata-rata            4.32       2.70      402      409           2.02       202,693        1.86      0.70      97.44
Sumber : Badan Ketahanan Pangan (NBM)
Keterangan : *) Angka Sementara
              Bentuk konsumsi : Kopra




54      Pusat Data dan Informasi Pertanian
OUTLOOK KOMODITAS PERTANIAN - PERKEBUNAN           2010


Lampiran 3.6. Perkembangan harga kelapa di tingkat produsen dan konsumen di
              Indonesia, 1983 – 2008

                    Harga Produsen                Harga Konsumen
                                                                              Margin
  Tahun
               (Rp/Butir)    Pertumb.(%)      (Rp/Butir)     Pertumb.(%)    (Rp/Butir)

   1983             116.80                         142.37                            25.57
   1984             201.31            72.35        227.79           60.00            26.48
   1985             116.04           -42.36        132.86          -41.67            16.82
   1986             121.19             4.44        139.06            4.67            17.87
   1987             126.31             4.22        146.40            5.28            20.09
   1988             144.96            14.76        171.85           17.38            26.89
   1989             163.55            12.83        193.69           12.71            30.14
   1990             140.05           -14.37        168.93          -12.78            28.88
   1991             146.59             4.67        177.49            5.07            30.90
   1992             180.34            23.02        216.27           21.85            35.93
   1993             180.00            -0.19        221.61            2.47            41.61
   1994             184.65             2.58        237.00            6.94            52.35
   1995             268.53            45.43        328.15           38.46            59.62
   1996             299.05            11.37        345.14            5.18            46.09
   1997             290.10            -2.99        319.90           -7.31            29.80
   1998             677.78          133.64         835.14         161.06         157.37
   1999             942.68            39.08       1,156.26          38.45        213.57
   2000             685.98           -27.23        761.66          -34.13            75.68
   2001             705.90             2.90        888.45           16.65        182.54
   2002             945.92            34.00        998.21           12.35            52.29
   2003             826.34           -12.64        903.92           -9.45            77.58
   2004             901.25             9.06       1,024.36          13.32        123.11
   2005             894.85            -0.71       1,028.45           0.40        133.60
   2006           1,079.86            20.67       1,102.58           7.21            22.72
   2007           1,188.10            10.02       1,385.17          25.63        197.07
   2008           1,612.93            35.76       2,246.16          62.16        633.23
                               Rata-rata pertumbuhan (%)
1983-2008                             15.21                         16.48
1983-1997                              9.70                          8.45
1998-2008                             22.23                         26.70
Sumber : Badan Pusat Statistik, diolah Pusdatin



                                                       Pusat Data dan Informasi Pertanian     55
2010               OUTLOOK KOMODITAS PERTANIAN - PERKEBUNAN


Lampiran 3.7. Perkembangan ekspor-impor kelapa Indonesia, 2000 – 2009

                             Ekspor                                          Impor
                                                                                                        Neraca
             Volume     Pertumb. Nilai (000 Pertumb. Volume Pertumb. Nilai (000 Pertumb.               (000 US$)
 Tahun
              (Ton)        (%)      US$)       (%)    (Ton)    (%)      US$)       (%)

  2000      1,265,501               393,629                  620                      948                 392,680

  2001       752,990       -40.50   178,814        -54.57    305      -50.76          299     -68.53      178,516

  2002       899,849       19.50    240,625         34.57   2,453     703.94          852     185.41      239,773

  2003       773,119       -14.08   221,608         -7.90 11,708      377.27         4,623    442.58      216,986

  2004       823,316        6.49    329,687         48.77   2,309     -80.28         1,867    -59.61      327,819

  2005      1,246,962      51.46    513,735         55.83   7,392     220.09         4,016    115.11      509,718

  2006       978,113       -21.56   363,081        -29.33 13,220          78.85      6,369     58.59      356,712

  2007      1,264,840      29.31    674,316         85.72   7,836     -40.73         3,739    -41.30      670,578

  2008      1,080,981      -14.54   900,917         33.60   2,761     -64.77         1,676    -55.18      899,242

  2009       957,517       -11.42   489,885        -45.62   3,868         40.10      2,296     37.05      487,589

                                              Rata-rata pertumbuhan (%)

       2000-2009          0.52                   13.45              131.52                   68.23          13.68




56       Pusat Data dan Informasi Pertanian
OUTLOOK KOMODITAS PERTANIAN - PERKEBUNAN            2010


Lampiran 3.8. Perkembangan luas tanaman menghasilkan, produksi dan
               produktivitas kelapa dunia, 1970-2008

                      Luas TM                      Produksi                  Produktivitas
  Tahun
                  (Ha)      Pertumb. (%)     (Ton)   Pertumb. (%)       (Ton/Ha)      Pertumb. (%)
   1970        6,691,748                  26,318,803                      3.93
   1971        6,987,986          4.43    28,660,007         8.90         4.10                4.28
   1972        7,076,587          1.27    30,080,115         4.96         4.25                3.64
   1973        7,121,515          0.63    27,998,001       -6.92          3.93               -7.51
   1974        7,300,583          2.51    26,666,560       -4.76          3.65               -7.09
   1975        7,401,591          1.38    30,744,652       15.29          4.15               13.72
   1976        7,739,009          4.56    33,619,173         9.35         4.34                4.58
   1977        7,991,187          3.26    32,122,505       -4.45          4.02               -7.47
   1978        8,193,589          2.53    32,789,390         2.08         4.00               -0.45
   1979        8,544,768          4.29    31,320,667       -4.48          3.67               -8.41
   1980        8,752,394          2.43    32,247,761         2.96         3.68                0.52
   1981        8,914,097          1.85    34,070,472         5.65         3.82                3.74
   1982        9,065,593          1.70    33,493,906       -1.69          3.69               -3.34
   1983        9,015,068         -0.56    32,548,461       -2.82          3.61               -2.28
   1984        9,124,975          1.22    31,466,538       -3.32          3.45               -4.49
   1985        9,396,118          2.97    35,941,618       14.22          3.83               10.93
   1986        9,617,909          2.36    38,974,685         8.44         4.05                5.94
   1987        9,790,041          1.79    38,734,382       -0.62          3.96               -2.36
   1988        9,899,711          1.12    37,288,974       -3.73          3.77               -4.80
   1989        9,883,665         -0.16    38,315,806         2.75         3.88                2.92
   1990        10,022,934         1.41    42,477,367       10.86          4.24                9.32
   1991        10,052,691         0.30    40,683,319       -4.22          4.05               -4.51
   1992        10,086,504         0.34    42,742,846         5.06         4.24                4.71
   1993        10,361,079         2.72    46,071,494         7.79         4.45                4.93
   1994        10,576,961         2.08    47,243,372         2.54         4.47                0.45
   1995        10,635,595         0.55    48,964,064         3.64         4.60                3.07
   1996        10,739,684         0.98    48,640,180       -0.66          4.53               -1.62
   1997        10,834,952         0.89    50,078,192         2.96         4.62                2.05
   1998        11,133,866         2.76    49,011,494       -2.13          4.40               -4.76
   1999        11,493,421         3.23    49,889,888         1.79         4.34               -1.39
   2000        10,594,814        -7.82    50,795,371         1.81         4.79               10.45
   2001        10,852,211         2.43    51,416,643         1.22         4.74               -1.18
   2002        10,763,878        -0.81    53,467,623         3.99         4.97                4.84
   2003        10,793,846         0.28    54,121,420         1.22         5.01                0.94
   2004        10,798,514         0.04    54,899,903         1.44         5.08                1.39
   2005        10,801,264         0.03    57,303,364         4.38         5.31                4.35
   2006        10,846,190         0.42    57,534,695         0.40         5.30               -0.01
   2007        11,139,112         2.70    60,617,566         5.36         5.44                2.59
   2008        11,208,072         0.62    61,094,243         0.79         5.45                0.17
                                   Rata-rata pertumbuhan (%)
        1970-2008                 1.39                         2.37                           1.00
Sumber : FAO


                                                        Pusat Data dan Informasi Pertanian       57
2010               OUTLOOK KOMODITAS PERTANIAN - PERKEBUNAN


Lampiran 3.9. Negara produsen kelapa terbesar di dunia, 2004-2008

                                                Produksi (000 Ton)                                    Share
  No            Negara                                                                    Share (%) kumulatif
                             2004      2005      2006         2007     2008     Rata-rata              (%)
   1   Indonesia             16,285    18,250    17,125       19,625   19,500     18,157      31.15     31.15

   2   Philippines           14,366    14,825    14,958       14,853   15,320     14,864      25.50     56.65

   3   India                  8,380     8,829    10,190       10,894   10,894      9,837      16.88     73.53

   4   Brazil                 3,117     3,119     2,978        2,831    2,759      2,961       5.08     78.61

   5   Sri Lanka              1,969     1,912     2,116        2,181    2,200      2,075       3.56     82.17

   6   Thailand               2,126     1,871     1,815        1,722    1,722      1,851       3.18     85.34

   7   Negara Lainnya         8,657     8,498     8,352        8,512    8,700      8,544      14.66    100.00

       Dunia                 54,900    57,303    57,535       60,618   61,094     58,290
Sumber : FAO




58      Pusat Data dan Informasi Pertanian
OUTLOOK KOMODITAS PERTANIAN - PERKEBUNAN          2010


                               BAB IV. KAKAO

   Kakao merupakan salah satu komoditas unggulan sub sektor perkebunan dari 15
komoditas komoditas unggulan nasional yang dicanangkan untuk dikembangkan
secara besar-besaran di Indonesia. Ekspor kakao mampu memberikan kontribusi
dalam upaya peningkatan devisa Indonesia. Komoditas ini bisa menempati peringkat
keempat dalam upaya menyumbang devisa negara setelah komoditas kelapa sawit,
karet dan kelapa.
   Luas panen dan produksi kakao Indonesia dari tahun ke tahun terus mengalami
peningkatan dan cukup signifikan pada era tahun 1985-an. Perkebunan kakao
Indonesia sebagian besar (hampir 90%) dikelola oleh rakyat. Produksi kakao dalam
negeri sebagian besar dipergunakan untuk ekspor, dimana pada tahun 2009 realisasi
ekspor Indonesia mencapai 560 ribu ton atau setara dengan US$ 1,46 milyar.
Sayangnya, ekspor kakao Indonesia masih didominasi bentuk kakao biji kering tanpa
ada proses pengolahan lebih lanjut sehingga harga ekspor masih relatif rendah.
   Tulisan berikut akan mengulas keragaan kakao Indonesia dan dunia serta
proyeksi produksi dan permintaan kakao Indonesia di 2010 - 2012.


4.1. PERKEMBANGAN LUAS AREAL, PRODUKSI DAN PRODUKTIVITAS
     KAKAO DI INDONESIA

   Secara umum, perkembangan luas areal kakao Indonesia dari tahun 1967 s.d
tahun 2009 terus mengalami peningkatan, dengan laju pertumbuhan sebesar 13.36%
(Gambar 4.1). Peningkatan yang cukup signifikan terjadi pada luas areal kakao
Perkebunan Rakyat (PR). Pada periode tahun 1987 hingga 2009, luas areal kakao PR
bertambah dengan laju rata-rata sebesar 39,46% per tahun, padahal sebelum
periode tersebut, yakni tahun 1967 hingga 1986 rata-rata pertumbuhan luas areal
kakao PR hanya sebesar 21,56% per tahun. Sebaliknya, luas areal kakao Perkebunan
Besar Negara (PBN) dan Perkebunan Besar Swasta (PBS) tidak mengalami
peningkatan yang cukup signifikan selama periode tahun 1987 – 2009, namun cukup
besar peningkatannya pada periode sebelumnya (1967-1986) yakni masing-masing
sebesar 23,59% dan 37,97% (Tabel 4.1).

                                                  Pusat Data dan Informasi Pertanian    59
2010               OUTLOOK KOMODITAS PERTANIAN - PERKEBUNAN


     Sementara itu, dalam periode lima tahun terakhir yakni 2005 - 2009, luas areal
kakao PR dan PBN mengalami peningkatan masing-masing sebesar 6,22% dan 10,56%,
sementara luas areal kakao PBS relatif tidak mengalami peningkatan luas areal.
Total luas areal kakao Indonesia pada tahun 2009 adalah sebesar 1,48 juta ha yang
terdiri dari 1,37 juta ha PR, 55,17 ribu ha PBN dan 47,47 ribu ha PBS (Tabel 4.1).
Perkembangan luas areal kakao Indonesia berdasarkan status pengusahaannya dari
tahun 1967 – 2009 secara lengkap tersaji pada Lampiran 4.1.




Gambar 4.1. Perkembangan luas areal kakao berdasarkan status pengusahaannya,
                                1967 -2009

Tabel 4.1. Perkembangan luas areal kakao Indonesia berdasarkan status
            pengusahaannya, 2005 – 2009

                 PR 1)            PBN
                                      2)
                                                    PBS
                                                        3)
                                                                                           Indonesia
 Tahun Luas (Ha) Pertumb. Luas (Ha) Pertumb. Luas (Ha) Pertumb.                       Luas (Ha) Pertumb.
                       (%)               (%)               (%)                                      (%)
  2005    1,081,102           38,295            47,649                                1,167,046
  2006    1,219,633     12.81 48,930      27.77 52,257       9.67                     1,320,820      13.18
  2007    1,272,781      4.36 57,343      17.19 49,155      -5.94                     1,379,279       4.43
  2008    1,326,784      4.24 50,584     -11.79 47,848      -2.66                     1,425,216       3.33
 2009*) 1,372,705        3.46 55,165       9.06 47,473      -0.78                     1,475,343       3.52
Rata-rata pertumbuhan (%)
2005-2009                6.22             10.56              0.07                                    6.11
Sumber : Ditjen. Perkebunan
                                                 1)
Keterangan: *) Angka Sementara                        PR = Perkebunan Rakyat
            2)                                   3)
                 PBN = Perkebunan Besar Negara        PBS = Perkebunan Besar Swasta




60     Pusat Data dan Informasi Pertanian
OUTLOOK KOMODITAS PERTANIAN - PERKEBUNAN          2010




   Gambar 4.2. Perkembangan produktivitas kakao Indonesia berdasarkan status
                        pengusahaannya, 2003-2009

   Selama periode tahun 2003 - 2009, perkembangan produktivitas kakao PR sangat
berfluktuatif dan mempunyai kecenderungan menurun dengan rata-rata sebesar
4,31% per tahun. Sementara, pangusahaan kakao oleh PBN dan PBS lebih intensif
dengan pemeliharaan tanaman yang lebih baik yang tercermin dari produktivitas
kakao PBN dan PBS berfluktuatif namun mempunyai kecenderungan meningkat,
masing-masing dengan rata-rata sebesar 0,54% per tahun dan 0,23% per tahun
(Tabel 4.2). Pada periode tahun 2003, produktivitas kakao PR berada di atas
pencapaian produktivitas PBN dan PBS, namun kemudian pada tahun 2004 terjadi
peningkatan produktivitas kakao PBS yang cukup signifikan sehingga melampaui
produktivitas kakao PR. Sementara itu, produktivitas kakao PBN selalu berada di
bawah produktivitas kakao PR dan PBS hingga pada tahun 2006-2007 terjadi
peningkatan produktivitas kakao PBN sehingga pencapaiannya diatas produktivitas
kakao PR dan PBS. Pada tahun 2009 terjadi penurunan produktivitas yang cukup
signifikan di ketiga status pengusahaan dibandingkan tahun sebelumnya yakni
masing-masing 8,61% untuk kakao PR, 0,38% (PBN) dan 1,18% (PBS) (Gambar 4.2).




                                                Pusat Data dan Informasi Pertanian    61
2010               OUTLOOK KOMODITAS PERTANIAN - PERKEBUNAN


Tabel 4.2. Perkembangan produktivitas kakao Indonesia berdasarkan status
           pengusahaannya, 2003 – 2009
                                    1)                              2)                           3)
                               PR                             PBN                          PBS
     Tahun             Hasil         Pertumb.        Hasil          Pertumb.         Hasil       Pertumb.
                     (Kg/Ha)            (%)        (Kg/Ha)             (%)         (Kg/Ha)          (%)
       2003              1,089                               845                         911
       2004                 906          -16.79             739          -12.51         1,125         23.48
       2005                 911           0.55              741           0.18          1,004         -10.75
       2006                 843           -7.41             880          18.80           961           -4.24
       2007                 790           -6.32           1,001          13.81            964          0.31
       2008                 891          12.73              834          -16.67           904          -6.25
     2009*)                 814           -8.61             831           -0.38           893          -1.18
Rata-rata pertumbuhan (%)
2003-2009                                 -4.31                           0.54                         0.23
Sumber : Ditjen. Perkebunan
                                                   1)
Keterangan: *) Angka Sementara                          PR = Perkebunan Rakyat
              2)                                   3)
                   PBN = Perkebunan Besar Negara        PBS = Perkebunan Besar Swasta




          Gambar 4.3. Perkembangan produksi biji kakao kering Indonesia berdasarkan
                            status pengusahaannya, 1967-2009

     Seiring dengan perkembangan luas areal dan produktivitasnya, produksi biji
kakao kering Indonesia juga terus mengalami peningkatan dari tahun 1967 - 2009
dengan rata-rata pertumbuhan sebesar 18,15% (Lampiran 4.2). Peningkatan produksi
yang cukup signifikan terjadi pada PR periode tahun 1987 - 2009 hingga mencapai

62      Pusat Data dan Informasi Pertanian
OUTLOOK KOMODITAS PERTANIAN - PERKEBUNAN               2010


90,91%, padahal sebelumnya yakni periode tahun 1967 - 1986 produksi biji kakao
kering hanya tumbuh sebesar 43,53%. Sementara itu, produksi biji kakao kering
untuk PBN dan PBS juga terus mengalami peningkatan walaupun dalam kuantitas
yang relatif lebih kecil (Tabel 4.3). Perkembangan produksi biji kakao kering
menurut status pengusahaannya mulai periode tahun 1967 – 2009 secara rinci tersaji
pada Lampiran 4.2.

Tabel       4.3.         Perkembangan     produksi   biji   kakao    kering                              Indonesia
                         berdasarkan status pengusahaannya, 2005-2009

                          1)                            2)                       3)
                  PR               PBN                PBS                                         Indonesia
 Tahun     Produksi Pertumb. Produksi Pertumb. Produksi Pertumb.                              Produksi Pertumb.
            (Ton)      (%)    (Ton)      (%)    (Ton)      (%)                                 (Ton)       (%)
  2005      693,701            25,494            29,633                                        748,828
  2006       702,207             1.23     33,795             32.56    33,384          12.66    769,386        2.75
  2007       671,370            -4.39     34,643              2.51    33,993           1.82    740,006       -3.82
  2008       740,681           10.32       31130             -10.14   31,783          -6.50    803,594        8.59
 2009*)      694,783            -6.20      32558              4.59    31,070          -2.24    758,411       -5.62
Rata-rata pertumbuhan (%)
2005-2009                        0.24                         7.38                     1.43                   0.47
Sumber : Ditjen. Perkebunan
                                                 1)
Keterangan: *) Angka Sementara                        PR = Perkebunan Rakyat
            2)                                   3)
                 PBN = Perkebunan Besar Negara        PBS = Perkebunan Besar Swasta




     Gambar 4.4. Kontribusi PR, PBN dan PBS terhadap produksi kakao Indonesia
                              (rata-rata 2005 – 2009)



                                                                      Pusat Data dan Informasi Pertanian       63
2010          OUTLOOK KOMODITAS PERTANIAN - PERKEBUNAN


       Berdasarkan data produksi kakao rata-rata selama 5 tahun terakhir (2005-
2009), kontribusi produksi kakao PR mendominasi produksi kakao Indonesia dengan
kontribusi sebesar 91,68%. Sisanya disumbang dari produksi PBN sebesar 4,13% dan
PBS sebesar 4,19% (Gambar 4.4).




         Gambar 4.5. Provinsi sentra produksi kakao PR (rata-rata 2005-2009)

       Lebih dari 65% produksi kakao nasional berasal dari sumbangan produksi PR di
6 provinsi sentra di Luar Jawa yakni Sulawesi Tengah, Sulawesi Selatan, Sulawesi
Barat, Sulawesi Tenggara, Sumatera Utara, dan Kalimantan Timur (Gambar 4.5).
Berdasarkan data rata-rata selama 5 tahun (2005 - 2009), provinsi Sulawesi Tengah
menyumbang 16,63% terhadap produksi kakao nasional. Berikutnya adalah provinsi
Sulawesi Selatan, Sulawesi Barat dan Sulawesi Tenggara yang masing-masing
memberikan kontribusi produksi sebesar 14,28%, 13,45% dan 13,20%. Sedangkan
Sumatera Utara dan Kalimantan Timur menyumbang produksi                   kakao Indonesia
sebesar 5,55% dan 2,74% (Gambar 4.5 dan Lampiran 4.3).



4.2. KONSUMSI KAKAO DI INDONESIA

       Menurut    data    hasil   Survei    Sosial   Ekonomi   Nasional   (SUSENAS)   yang
dipublikasikan oleh BPS, konsumsi kakao Indonesia dibedakan atas konsumsi coklat
instan dan coklat bubuk. Perkembangan konsumsi kedua jenis coklat tersebut dari
tahun 1981 hingga 2008 relatif berfluktuatif namun cenderung mengalami

64     Pusat Data dan Informasi Pertanian
OUTLOOK KOMODITAS PERTANIAN - PERKEBUNAN          2010


peningkatan yakni masing-masing sebesar 35,71% untuk konsumsi coklat instan dan
17,31% untuk konsumsi coklat bubuk.




       Gambar 4.6. Perkembangan konsumsi kakao di Indonesia, 1981-2008


     Konsumsi coklat bubuk sangat berfluktuasi dan tertinggi terjadi pada tahun
1996 yang mencapai 20,8 gr/kapita. Sementara data konsumsi coklat instan hasil
SUSENAS hanya tersedia sejak tahun 1999 hingga 2008. Pada Gambar 4.6 terlihat
bahwa konsumsi coklat instan juga berfluktuasi dan mempunyai kecenderungan
meningkat sejak tahun 2004 hingga akhirnya pada tahun 2005 mencapai 31,2
gr/kapita, namun kemudian berfluktuasi namun cenderungmenurun hingga pada
tahun 2008 hanya mencapai 23,4 gr/kapita (Lampiran 4.4).



4.3. PERKEMBANGAN HARGA KAKAO DI INDONESIA

     Perkembangan harga domestik biji kakao kering sejak tahun 1992 hingga 2008
terus mengalami peningkatan, dengan rata-rata pertumbuhan sebesar 24,64%
(Gambar 4.7). Peningkatan harga yang cukup tajam terjadi pada tahun 1998 hingga
mencapai 203,65% seperti tersaji pada Lampiran 4.5. Hal ini antara lain sebagai
dampak dari meningkatnya nilai tukar rupiah terhadap dollar Amerika. Pada tahun
1992 harga biji kakao kering hanya sebesar Rp. 1.373,- per kg kemudian meningkat
pada tahun 2008 yang tercacat pada level Rp. 16.357,-/kg.


                                                   Pusat Data dan Informasi Pertanian    65
2010          OUTLOOK KOMODITAS PERTANIAN - PERKEBUNAN




             Gambar 4.7. Perkembangan harga domestik biji kakao kering,
                                   1992 – 2008



4.4. PERKEMBANGAN EKSPOR-IMPOR KAKAO INDONESIA



     Kakao merupakan salah satu andalan ekspor Indonesia, dimana Indonesia
menempati urutan ke-3 sebagai negara pengeksor kakao terbesar di dunia. Volume
dan nilai ekspor total kakao Indonesia dari tahun 1996-2009 relatif berfluktuasi
namun mempunyai kecenderungan meningkat dengan rata-rata pertumbuhan
sebesar 5,93% (volume) dan 13,72% (nilai) (Gambar 4.8). Pada tahun 1997, 2001 dan
2007, terjadi penurunan volume ekspor kakao Indonesia namun nilai ekspornya
menunjukkan peningkatan. Hal ini mengindikasikan terjadinya peningkatan harga
ekspor kakao Indonesia. Sebaliknya, pada tahun 1999, 2000 dan 2004 terjadi
kenaikan volume ekspor kakao Indonesia namun nilai ekspornya menurun, hal ini
menunjukkan adanya penurunan harga ekspor kakao pada tahun-tahun tersebut.
Pada tahun 2009, realisasi ekspor total kakao Indonesia sebesar 559,80 ribu ton atau
setara dengan US$ 1,46 milyar (Lampiran 4.6).




66     Pusat Data dan Informasi Pertanian
OUTLOOK KOMODITAS PERTANIAN - PERKEBUNAN          2010




      Gambar 4.8. Perkembangan volume dan nilai ekspor total kakao Indonesia,
                                  1996 – 2009

       Bentuk hasil kakao yang banyak diekspor oleh Indonesia adalah biji kakao
kering tanpa mengalami pengolahan apapun. Rata-rata selama lima tahun terakhir
(2005-2009), ekspor biji kakao kering mencapai lebih dari 70% dari total ekspor
kakao Indonesia. Disusul kemudian bentuk mentega, lemak dan minyak kakao
sebesar 21,67%, bubuk kakao sebesar 3,34%, pasta kakao sebesar 1,41% dan bentuk
lainnya sebesar 2,20%. Realisasi ekspor biji kakao kering pada tahun 2009 mencapai
461,19 ribu ton atau setara dengan US$ 1,12 milyar (Gambar 4.9). Kenyataan ini
perlu mendapatkan perhatian agar supaya di masa mendatang Indonesia bisa
mengekspor kakao olahan sehingga menghasilkan devisa yang lebih besar lagi.




        Gambar 4.9. Kontribusi nilai ekspor kakao menurut bentuk hasilnya
                              (rata-rata 2005-2009)

                                                 Pusat Data dan Informasi Pertanian    67
2010          OUTLOOK KOMODITAS PERTANIAN - PERKEBUNAN


        Selain sebagai negara pengekspor kakao dalam volume yang cukup besar,
ternyata selama periode tahun 1996-2009 Indonesia juga melakukan impor kakao
walaupun dalam jumlah yang relatif kecil. Impor kakao dari tahun ke tahun selama
periode tersebut terus mengalami peningkatan sebesar 38,59% (volume) dan nilainya
naik 50,01% (Gambar 4.10).         Peningkatan impor total kakao cukup tajam tahun
2001, yakni lebih dari tiga kali lipat dibandingkan dengan tahun sebelumnya. Impor
total kakao Indonesia pada tahun 2009 adalah sebesar 46,93 ribu ton atau setara
dengan US$ 121,39 juta seperti yang tersaji pada Tabel 3.7. Bentuk yang banyak
diimpor oleh Indonesia selama lima tahun teakhir dari 2005 – 2009 selain biji kering
adalah dalam bentuk bubuk coklat bergula dan bubuk coklat tanpa gula, masing-
masing berkontribusi sebesar 55,69%, 17,24% dan 11,69% terhadap total kakao yang
diimpor Indonesia (Lampiran 4.7).




          Gambar 4.10. Perkembangan volume dan nilai impor kakao Indonesia,
                                   1996 – 2009


     Sebagai negara pengekspor kakao menjadikan neraca perdagangan total kakao
Indonesia dari tahun 1996 - 2009 selalu mengalami surplus. Penurunan surplus
neraca perdagangan kakao terjadi pada tahun 1999, 2000, 2003 dan 2004. Namun
demikian, setelah tahun 2004, surplus neraca perdagangan terus mengalami
peningkatan. Pada tahun 2009, surplus neraca perdagangan total kakao Indonesia
mencapai US$ 1,34 milyar (Gambar 4.11 dan Tabel 4.4).



68     Pusat Data dan Informasi Pertanian
OUTLOOK KOMODITAS PERTANIAN - PERKEBUNAN          2010




    Gambar 4.11. Perkembangan nilai ekspor, impor dan neraca perdagangan kakao
                           Indonesia, 1996 – 2009

Tabel 4.4. Neraca perdagangan total kakao Indonesia, 1996 – 2009

                          Nilai (US$ 000)               Neraca        Pertumbuhan
       Tahun
                      Ekspor           Impor           (US$ 000)            (%)
        1996             373,927            2,885           371,042
        1997             419,066            4,861           414,205            11.63
        1998             502,906          10,628            492,278            18.85
        1999             423,273          13,751            409,522            -16.81
        2000             341,860            9,387           332,473            -18.81
        2001             389,262          40,176            349,086              5.00
        2002             701,034          55,492            645,542            84.92
        2003             624,234          81,070            543,164            -15.86
        2004             549,348          86,003            463,345            -14.70
        2005             667,993          85,455            582,538            25.72
        2006             855,047          76,031            779,016            33.73
        2007             915,145          75,864            839,281              7.74
        2008           1,269,022         119,130          1,149,892            37.01
        2009           1,459,297         121,390          1,337,907            16.35
  Rata-rata pertumbuhan (%)
  1996-2007                                                                    11.04
  Sumber: BPS




                                                 Pusat Data dan Informasi Pertanian     69
2010          OUTLOOK KOMODITAS PERTANIAN - PERKEBUNAN


4.5. PERKEMBANGAN LUAS AREAL, PRODUKSI DAN PRODUKTIVITAS
     KAKAO DUNIA

       Selama periode tahun 1961 – 2008, total luas areal kakao dunia relatif
berfluktuatif tapi cenderung mengalami peningkatan dengan rata-rata sebesar
1,43%. Peningkatan luas areal kakao ini merupakan kontribusi peningkatan luas areal
di beberapa negara sentra (Gambar 4.12 dan Lampiran 4.8).




     Gambar 4.12. Perkembangan luas areal dan produksi kakao dunia, 1961-2008


        Berdasarkan data rata-rata luas areal TM tahun 2004 - 2008, Pantai Gading
merupakan negara dengan luas areal kakao terbesar di dunia dengan luas areal
mencapai 2,14 juta ha atau berkontribusi sebesar 25,28% dari total luas areal kakao
dunia, disusul kemudian oleh Ghana dan Nigeria dengan luas areal TM masing-
masing sebesar 1,78 juta ha (21,00%) dan 1,09 juta ha (12,89%). Indonesia
menempati urutan ke-4 sebagai negara dengan luas areal kakao sebesar 1,03 juta ha
atau berkontribusi sebesar 12,22%. Negara berikutnya adalah Brazil, Kamerun dan
Ekuador dengan luas areal TM kakao masing-masing sebesar 639 ribu ha, 480 ribu ha
dan 355 ribu ha. Sementara 3 negara terakhir adalah Republik Dominika, Papua New
Guinea dan Togo, dengan realisasi luas areal TM-nya jauh dibandingkan dengan
negara sebelumnya, yakni di bawah 150 ribu ha (Gambar 4.13 dan Lampiran 4.9).




70     Pusat Data dan Informasi Pertanian
OUTLOOK KOMODITAS PERTANIAN - PERKEBUNAN          2010




          Gambar 4.13. Negara dengan luas areal kakao terbesar di dunia
                             (rata-rata 2004-2008)

       Seiring dengan peningkatan luas areal TM maka produksi kakao dunia juga
terus mengalami peningkatan dari tahun 1961-2008 dengan rata-rata pertumbuhan
sebesar 3,15%. Pada tahun 2008, tingkat produksi kakao dunia lebih dari 4,3 juta ton
(Gambar 4.13 dan Lampiran 4.8).
       Pantai Gading yang memiliki luas areal kakao terbesar di dunia juga sebagai
negara produsen kakao terbesar, dengan tingkat produksi rata-rata 2004-2008
mencapai 1,38 juta ton atau berkontribusi sebesar 33,14% dari total produksi kakao
dunia. Walaupun Indonesia berada pada posisi ke-4 dari sisi luas areal, namun
tingkat produksinya berada pada posisi ke-2 yakni sebesar 717 ribu ton (atau
17,25%). Hal ini disebabkan tingginya tingkat pencapaian produktivitas kakao
Indonesia. Negara produsen kakao terbesar berikutnya adalah Ghana dan Nigeria
dengan tingkat produksi masing-masing sebesar 705 ribu ton (16,95%) dan 468 ribu
ton (11,24%). Kemudian disusul oleh Brazil dan Kamerun dengan tingkat produksi
masing-masing sebesar 205 ribu ton (4,94%) dan 175 ribu ton (4,21%). Negara
produsen berikutnya yakni, Ekuador, Togo, Papua New Guinea dan Rep. Dominika,
dan mempunyai tingkat produksi jauh di bawah tingkat produksi negara sebelumnya
yakni di bawah 100 ribu ton (Gambar 4.14, Lampiran 4.10).




                                                  Pusat Data dan Informasi Pertanian    71
2010          OUTLOOK KOMODITAS PERTANIAN - PERKEBUNAN




                Gambar 4.14. Negara produsen kakao terbesar di dunia
                               (rata-rata 2004-2008)




           Gambar 4.15. Negara dengan produktivitas kakao terbesar dunia
                              (rata-rata 2004-2008)

        Kondisi iklim dan penggunaan teknologi sangat berpengaruh terhadap
pencapaian produktivitas tanaman. Pantai Gading sebagai negara dengan luas areal
kakao terbesar di dunia tidak dibarengi dengan pencapaian besaran produktivitas
tanaman kakaonya, karena tidak termasuk dalam sepuluh negara dengan
produktivitas terbesar di dunia. Demikian pula pencapaian produktivitas negara
produsen terbesar kakao lainnya juga relatif rendah, karena negara-negara dengan
produktivitas kakao terbesar bukan ditempati oleh negara produsen kakao.


72     Pusat Data dan Informasi Pertanian
OUTLOOK KOMODITAS PERTANIAN - PERKEBUNAN          2010


Indonesia menempati urutan ke-10 sebagai negara dengan produktivitas kakao
terbesar dunia yakni sebesar 0,71 ton/ha (Gambar 4.15 dan Lampiran 4.11).


4.6. PERKEMBANGAN HARGA PRODUSEN KAKAO DUNIA

       Selama periode tahun 1991-2007, perkembangan harga biji kakao kering
dunia cukup berfluktuatif namun mempunyai kecenderungan mengalami sedikit
peningkatan sebesar 4,24%. Penurunan harga kakao cukup besar terjadi pada tahun
1999 hingga sebesar 15,50% dibandingkan periode tahun sebelumnya (Gambar 4.16).




       Gambar 4.16. Perkembangan harga produsen biji kakao kering dunia,
                                 1991-2007

       Harga biji kakao kering sangat bervariasi antar satu negara dengan negara
lainnya. Perbedaan harga biji kakao kering ini dipengaruhi oleh banyak faktor
seperti kualitas, ukuran, kebersihan produk, dll. Pada umumnya, harga biji kakao
kering cukup tinggi terjadi bukan di negara sentra produsen kakao. Harga rata-rata
kakao di tingkat produsen selama periode tahun 2003 – 2007 tertinggi terjadi di
Trinidad dan Tobago sebesar US$ 3.854,68 per ton, disusul kemudian di Cuba
sebesar US$ 3.759 per ton, Suriname sebesar US$ 3.476,77 per ton, Saint Lucia
sebesar US$ 2.508,6 per ton, Panama sebesar US$ 2.325,22 per ton, Belize sebesar
US$ 2.301,16 per ton, Togo sebesar US$ 2.115,66 per ton, Cameroon sebesar US$
1.894,28 per ton, Equatorial Guinea sebesar US$ 1.865,66 per ton dan Colombia
sebesar US$ 1.705,60 per ton (Gambar 4.17, Lampiran 4.12).

                                                 Pusat Data dan Informasi Pertanian    73
2010          OUTLOOK KOMODITAS PERTANIAN - PERKEBUNAN




          Gambar 4.17. Negara dengan harga produsen kakao terbesar dunia,
                               (rata-rata 2003-2007)



4.7. PERKEMBANGAN EKSPOR IMPOR KAKAO DUNIA


       Sebagai negara produsen kakao terbesar di dunia, menjadikan Pantai Gading
sebagai negara ekaportir kakao terbesar dengan realisasi ekspor sebesar 1,2 juta ton
atau setara dengan 21,99% dari total ekspor kakao dunia (rata-rata 2003-2007), yang
disusul kemudian oleh Netherlands dengan realisasi ekspor sebesar 703,45 ribu ton
(12,89%) dan Ghana sebesar 596,28 ribu ton (10,93%). Indonesia menempati urutan
ke-4 sebagai negara pengekspor kakao terbesar di dunia dengan realisasi ekspor
sebesar 459,87 ribu ton (8,43%). Negara berikutnya adalah Nigeria, Kamerun dan
Belanda dengan realisasi ekspor masing-masing sebesar 222,57 ribu ton, 139,86 ribu
ton dan 122,58 ribu ton. Belanda bukan merupakan negara produsen kakao, namun
masuk ke dalam urutan negara pengeskpor terbesar kakao, hal ini mengindikasikan
bahwa Belanda melakukan kegiatan re-ekspor untuk komoditas kakao. Negara
berikutnya adalah Belgia, Ekuador, Papua Nugini dan Republik Dominika, namun
realisasi ekspornya jauh di bawah negera-negara sebelumnya, yakni masing-masing
sebesar 88,60 ribu ton, 64,75 ribu ton, 45,08 ribu ton dan 38,32 ribu ton (Gambar
4.18 dan Lampiran 4.13).




74     Pusat Data dan Informasi Pertanian
OUTLOOK KOMODITAS PERTANIAN - PERKEBUNAN          2010




              Gambar 4.18. Negara pengekspor kakao terbesar dunia
                            (rata-rata 2003 – 2007)

       Seperti telah diulas di atas, ternyata Belanda melakukan kegiatan re-ekspor
komoditas kakao. Hal ini jelas terlihat dari realisasi impor kakao Belanda sebesar
776,17 ribu ton (rata-rata 2003-2007) sehingga menempati urutan pertama negara
pengimpor kakao terbesar dunia. Negara pengimpor lainnya didominasi oleh negara-
negara maju seperti Amerika Serikat di urutan ke-2 dengan realisasi impor sebesar
710,53 ribu ton, Malaysia sebesar 493,59 ribu ton, Jerman sebesar 425,26 ribu ton,
Perancis sebesar 365,24 ribu ton, Belgia sebesar 330,52 ribu ton dan Inggris sebesar
218,32 ribu ton. Sedangkan, Federasi Rusian Spanyol dan Kanada, termasuk negara
pengimpor kakao berikutnya tetapi tidak terlalu besar yakni masing-masing hanya
dibawah 150 ribu ton (Gambar 4.19 dan Lampiran 4.14).




     Gambar 4.19. Negara importir kakao terbesar dunia, rata-rata 2003 – 2007


                                                  Pusat Data dan Informasi Pertanian    75
2010           OUTLOOK KOMODITAS PERTANIAN - PERKEBUNAN


4.8. PROYEKSI PENAWARAN KAKAO 2010-2012

     Berdasarkan hasil penelusuran model, produksi kakao dalam negeri lebih
dipengaruhi oleh luas areal kakao dua tahun sebelumnya, harga ekspor riil kakao biji
kering satu tahun sebelumnya dan trend waktu yang merupakan refleksi dari
perkembangan penerapan teknologi budidaya kakao. Dari model tersebut didapat
statistik koefisien determinasi (R2) sebesar 98,70%. Hal ini menunjukkan kelayakan
model yang digunakan karena keragaman produksi kakao dalam negeri telah
dijelaskan sebesar 98,70% dari keragaman luas areal kakao, harga ekspor dan trend.
Hasil statistik secara lengkap untuk model di atas tersaji pada Tabel 4.5.
        Dari Tabel 4.5 menunjukkan bahwa produksi kakao secara positif
dipengaruhi oleh harga ekspor riil sendiri dengan koefisien model sebesar 0.13. Hal
ini menunjukkan bahwa apabila harga ekspor riil kakao naik (turun) sebesar 1% maka
produksi kakao akan naik (turun) sebesar 0.13%. Sementara luas areal kakao dua
tahun sebelumnya juga secara positif sangat berpengaruh terhadap produksi kakao
dengan koefisien model sebesar 1,10. Hal ini menunjukkan bahwa apabila luas areal
kakao dua tahun sebelumnya naik (turun) sebesar 1% maka produksi kakao akan naik
(turun) sebesar 1,10%.


Tabel 4.5. Nilai statistik model produksi kakao dalam negeri

          No              Peubah                   Koefisien           P Value

          1     Intercept                             -2,60            0.000

          2     Luas areal (t-3)                      1,10             0.000

          3     Harga ekspor riil (t-2)               0.13             0.136

                R2                                             0.987


        Dengan menggunakan angka koefisien model tersebut di atas, maka hasil
proyeksi penawaran kakao Indonesia selama periode tahun 2010 hingga 2012 tersaji
pada Tabel 4.6.


76     Pusat Data dan Informasi Pertanian
OUTLOOK KOMODITAS PERTANIAN - PERKEBUNAN          2010


Tabel 4.6. Proyeksi produksi kakao Indonesia, 2009 – 2012


        No       Tahun                 Produksi               Pertumbuhan
                                        (Ton)                      (%)
        1         2009                 758.411
        2         2010                 877.296                    15,68
        3         2011                 849.257                    -3,20
        4         2012                 823.064                    -3,08
                 Rata-rata pertumbuhan (%)                         3,13
       Keterangan: Tahun 2009 Angka sementara Ditjen Perkebunan
                 Tahun 2010 – 2012 Angka hasil poryeksi


   Dari Tabel 4.6 terlihat bahwa produksi kakao Indonesia selama periode tahun
2009 hingga 2012 diproyeksikan akan tumbuh sebesar 3,13% per tahun. Pada tahun
2010, produksi biji kakao kering diproyeksikan mencapai 877,30 ribu ton atau
meningkat sebesar 15,68%, kemudian pada tahun 2011 sedikit mengalami penurunan
hingga menjadi 849,26 ribu ton dan kembali turun pada tahun 2012 menjadi 823,06
ribu ton.


4.9.   PROYEKSI PERMINTAAN KAKAO 2010 – 2012


   Seperti telah diuraikan di depan bahwa produksi biji kakao kering nasional
dominan diperuntukkan bagi kepentingan ekspor. Selama periode tahun 1969 hingga
2009, ekspor total kakao Indonesia mencapai lebih dari 70% dari total produksinya,
hanya sebagian kecil yang digunakan untuk konsumsi dalam negeri. Hal ini
ditunjukkan   juga   oleh   sangat   elastisnya   harga     ekspor    riil   kakao   dalam
mempengaruhi produksi kakao nasional. Sedangkan yang dikonsumsi langsung oleh
masyarakat hanya sebesar 23,4 gr/kapita coklat instan dan 10,4 gr/kapita coklat
bubuk pada tahun 2008.      Sementara itu, menurut Ketua Umum Asosiasi Industri
Kakao Indonesia (AIKI), pada tahun 2006, dari total kapasitas terpasang industri
pengolahan nasional yang mencapai 300 ribu ton, pemanfaatan kapasitas
produksinya baru 50 persen saja, atau sekitar 150 ribu ton. Karena kecilnya angka

                                                   Pusat Data dan Informasi Pertanian    77
2010           OUTLOOK KOMODITAS PERTANIAN - PERKEBUNAN


konsumsi kakao Indonesia, maka proyeksi permintaan kakao hanya didekati melalui
kebutuhan untuk ekspor dan industri pengolah biji kakao. Dengan menggunakan
analisis double exponential smoothing (pemulusan eksponensial berganda) dengan
konstanta pemulusan alpha sebesar 0,387449 dan gamma sebesar 0,208593 untuk
proyeksi volume ekspor kakao serta asumsi penyerapan industri biji kakao kering
tidak mengalami perubahan selama 3 periode tahun ke depan, maka permintaan
total kakao diproyeksikan seperti yang disajikan pada Tabel 4.7.


     Tabel 4.7. Proyeksi total permintaan kakao Indonesia, 2010 – 2012


          No       Tahun            Ekspor                Industri       Total Permintaan
                                    (Ton)                  (Ton)               (Ton)
           1        2010           573.378                150.000             726.378
           2        2011           596.503                150.000             746.503
           3        2012           616.629                150.000             766.629
             Rata-rata               0,43                  0,00                0,73
          pertumbuhan (%)



     Selama periode tahun 2010-2012, permintaan kakao diproyeksikan akan naik
sebesar 0,73 %. Kenaikan ini lebih disebabkan oleh kenaikan volume ekspor sebesar
0,43% . Pada tahun 2010, total permintaan biji kakao kering diproyeksikan mencapai
726,38 ribu ton, kemudian naik menjadi 746,50 ribu ton pada tahun 2011 dan
diproyeksikan naik kembali pada tahun 2012 menjadi sebesar 733,63 ribu ton.



4.10. PROYEKSI SURPLUS/ DEFISIT KAKAO 2010 - 2012

         Selama periode 2010-2012 diproyeksikan masih akan terjadi surplus produksi
kakao     namun     ada    kecenderungan       mengalami          penurunan   dengan    rata-rata
pertumbuhan turun sebesar 38,50% (Tabel 4.8). Pada tahun 2010, surplus produksi
kakao kering Indonesia mencapai 150,92 ribu ton, dan turun menjadi 102,75 ribu ton


78      Pusat Data dan Informasi Pertanian
OUTLOOK KOMODITAS PERTANIAN - PERKEBUNAN           2010


pada tahun 2011, kemudian akan mengalami penurunan lagi pada tahun 2012
menjadi sebesar 56,44 ribu ton.



    Tabel 4.8. Proyeksi surplus/defisit kakao Indonesia, 2010 – 2012


     No      Tahun      Penawaran       Permintaan        Surplus/Defisit
                          (Ton)            (Ton)               (Ton)

     1        2010        877.296         726.378             150.918
     2        2011        849.257         746.503
                                                              102.754
     3        2012        823.064         766.629
                                                               56.435
        Rata-rata           3,13            0,73               -38,50
     pertumbuhan (%)




                                                   Pusat Data dan Informasi Pertanian    79
2010          OUTLOOK KOMODITAS PERTANIAN - PERKEBUNAN


Lampiran 4.1. Perkembangan luas areal kakao Indonesia menurut status
               pengusahaan,1967 – 2009

                                                  Luas Areal (Ha)
           Tahun       1)                    2)                 3)
                      PR         %       PBN         %       PBS          %        Total        %
          1967         6,342              4,439               2,058                 12,839
          1968         6,362     0.32     4,440      0.02     2,053      -0.24      12,855     0.12
          1969         5,413   -14.92     6,393     43.99     1,254     -38.92      13,060     1.59
          1970         5,156    -4.75     5,722    -10.50     1,232      -1.75      12,110    -7.27
          1971         6,298    22.15     7,034     22.93     1,061     -13.88      14,393    18.85
          1972         9,819    55.91     9,159     30.21     1,152       8.58      20,130    39.86
          1973         4,813   -50.98     9,484      3.55     1,220       5.90      15,517   -22.92
          1974         6,066    26.03    10,917     15.11       580     -52.46      17,563    13.19
          1975         5,733    -5.49    10,453     -4.25     1,312     126.21      17,498    -0.37
          1976         1,848   -67.77    12,162     16.35     1,331       1.45      15,341   -12.33
          1977         7,694 316.34      12,271      0.90     1,830      37.49      21,795    42.07
          1978         8,746    13.67    14,623     19.17     2,390      30.60      25,759    18.19
          1979        10,764    23.07    16,900     15.57     8,046     236.65      35,710    38.63
          1980        13,125    21.93    18,636     10.27     5,321     -33.87      37,082     3.84
          1981        14,869    13.29    20,678     10.96     7,422      39.49      42,969    15.88
          1982        18,000    21.06    23,308     12.72     7,121      -4.06      48,429    12.71
          1983        25,858    43.66    25,132      7.83     8,938      25.52      59,928    23.74
          1984        39,217    51.66    27,667     10.09    11,635      30.17      78,519    31.02
          1985        51,765    32.00    29,198      5.53    11,834       1.71      92,797    18.18
          1986        58,584    13.17    29,994      2.73     9,537     -19.41      98,115     5.73
          1987       114,922    96.17    38,391     28.00    18,513      94.12     171,826    75.13
          1988       165,100    43.66    53,137     38.41    34,867      88.34     253,104    47.30
          1989       212,352    28.62    57,600      8.40    47,753      36.96     317,705    25.52
          1990       252,237    18.78    57,600      0.00    47,653      -0.21     357,490    12.52
          1991       299,998    18.93    64,406     11.82    79,658      67.16     444,062    24.22
          1992       351,911    17.30    62,437     -3.06    81,658       2.51     496,006    11.70
          1993       376,636     7.03    65,525      4.95    93,124      14.04     535,285     7.92
          1994       415,522    10.32    69,760      6.46 111,729        19.98     597,011    11.53
          1995       428,614     3.15    66,021     -5.36 107,484        -3.80     602,119     0.86
          1996       488,815    14.05    63,025     -4.54 103,491        -3.71     655,331     8.84
          1997       308,811   -36.82    62,455     -0.90    85,791     -17.10     457,057   -30.26
          1998       436,576    41.37    58,261     -6.72    77,716      -9.41     572,553    25.27
          1999       534,670    22.47    59,990      2.97    73,055      -6.00     667,715    16.62
          2000       641,133    19.91    52,690    -12.17    56,094     -23.22     749,917    12.31
          2001       710,044    10.75    55,291      4.94    56,114       0.04     821,449     9.54
          2002       798,628    12.48    54,815     -0.86    60,608       8.01     914,051    11.27
          2003       861,099     7.82    49,913     -8.94    53,211     -12.20     964,223     5.49
          2004     1,003,252    16.51    38,668    -22.53    49,040      -7.84   1,090,960    13.14
          2005     1,081,102     7.76    38,295     -0.96    47,649      -2.84   1,167,046     6.97
          2006     1,219,633    12.81    48,930     27.77    52,257       9.67   1,320,820    13.18
          2007     1,272,781     4.36    57,343     17.19    49,155      -5.94   1,379,279     4.43
          2008     1,326,784     4.24    50,584    -11.79    47,848      -2.66   1,425,216     3.33
          2009*) 1,372,705       3.46    55,165      9.06    47,473      -0.78   1,475,343     3.52
          Rata-rata pertumbuhan (%)
          1967-2009             21.32               7.03                 14.86                  13.36
          1967-1986             21.56              23.59                 37.97                  22.07
          1987-2009             39.46               8.34                 27.11                  32.98
          Sumber : Ditjen. Perkebunan
                                                           1)
          Keterangan: *) Angka Sementara                        PR = Perkebunan Rakyat
                      2)                                   3)
                           PBN = Perkebunan Besar Negara        PBS = Perkebunan Besar Swasta

80     Pusat Data dan Informasi Pertanian
OUTLOOK KOMODITAS PERTANIAN - PERKEBUNAN              2010


Lampiran 4.2. Perkembangan produksi kakao Indonesia menurut status
              pengusahaan, 1967 – 2009

                                                   Produksi (Ton)
          Tahun
                     PR          %       PBN         %       PBS         %      Total            %
           1967         527                623                  83                1,233
           1968         453 -14.04         623       0.00      128      54.22     1,204      -2.35
           1969         334 -26.27         922      47.99      507     296.09     1,763      46.43
           1970         487    45.81     1,061      15.08      190     -62.52     1,738      -1.42
           1971         443     -9.03    1,164       9.71      402     111.58     2,009      15.59
           1972         342 -22.80       1,265       8.68      194     -51.74     1,801     -10.35
           1973         510    49.12     1,117     -11.70      186      -4.12     1,813       0.67
           1974         789    54.71     2,382     113.25       20     -89.25     3,191      76.01
           1975         801      1.52    3,074      29.05       46     130.00     3,921      22.88
           1976         842      5.12    2,980      -3.06       87      89.13     3,909      -0.31
           1977         879      4.39    3,825      28.36      112      28.74     4,816      23.20
           1978         950      8.08    4,264      11.48      282     151.79     5,496      14.12
           1979       1,036      9.05    7,411      73.80      185     -34.40     8,632      57.06
           1980       1,058      2.12    8,410      13.48      816     341.08    10,284      19.14
           1981       1,437    35.82    10,429      24.01    1,271      55.76    13,137      27.74
           1982       3,787 163.54      11,464       9.92    2,009      58.06    17,260      31.38
           1983       5,401    42.62    11,738       2.39    2,501      24.49    19,640      13.79
           1984       6,229    15.33    16,561      41.09    3,712      48.42    26,502      34.94
           1985       8,997    44.44    20,512      23.86    4,289      15.54    33,798      27.53
           1986      11,761    30.72    18,288     -10.84    4,278      -0.26    34,327       1.57
           1987      25,841 119.72      17,658      -3.44    6,700      56.62    50,199      46.24
           1988      39,757    53.85    24,112      36.55 15,466       130.84    79,335      58.04
           1989      68,259    71.69    26,975      11.87 15,275        -1.23   110,509      39.29
           1990      97,418    42.72    27,016       0.15 17,913        17.27   142,347      28.81
           1991     119,284    22.45    35,463      31.27 20,152        12.50   174,899      22.87
           1992     145,563    22.03    35,993       1.49 25,591        26.99   207,147      18.44
           1993     187,529    28.83    40,638      12.91 29,892        16.81   258,059      24.58
           1994     198,001      5.58   42,086       3.56 29,894         0.01   269,981       4.62
           1995     231,992    17.17    40,933      -2.74 31,941         6.85   304,866      12.92
           1996     304,013    31.04    36,456     -10.94 33,530         4.97   373,999      22.68
           1997     263,846 -13.21      35,644      -2.23 30,729        -8.35   330,219     -11.71
           1998     369,887    40.19    46,307      29.92 32,733         6.52   448,927      35.95
           1999     304,549 -17.66      37,064     -19.96 25,862       -20.99   367,475     -18.14
           2000     363,628    19.40    34,790      -6.14 22,724       -12.13   421,142      14.60
           2001     476,924    31.16    33,905      -2.54 25,975        14.31   536,804      27.46
           2002     511,379      7.22   34,083       0.52 25,693        -1.09   571,155       6.40
           2003     634,877    24.15    32,075      -5.89 31,864        24.02   698,816      22.35
           2004     636,783      0.30   25,830     -19.47 29,091        -8.70   691,704      -1.02
           2005     693,701      8.94   25,494      -1.30 29,633         1.86   748,828       8.26
           2006     702,207      1.23   33,795      32.56 33,384        12.66   769,386       2.75
           2007     671,370     -4.39   34,643       2.51 33,993         1.82   740,006      -3.82
           2008     740,681    10.32    31,130     -10.14 31,783        -6.50   803,594       8.59
          2009*)    694,783     -6.20   32,558       4.59 31,070        -2.24   758,411      -5.62
          pertumbuhan (%)
          1967-2009            22.78                12.13               34.18                18.15
          1967-1986            43.53                39.85               94.65                40.06
          1987-2009            90.91                37.45               36.08                71.79
          Sumber : Ditjen. Perkebunan
                                                            1)
          Keterangan: *) Angka Sementara                         PR = Perkebunan Rakyat
                      2)                                    3)
                           PBN = Perkebunan Besar Negara         PBS = Perkebunan Besar Swasta


                                                                  Pusat Data dan Informasi Pertanian    81
2010               OUTLOOK KOMODITAS PERTANIAN - PERKEBUNAN


Lampiran 4.3. Perkembangan produksi kakao PR di provinsi sentra di Indonesia,
               2005 – 2009

                                                Produksi (Ton)                                                       Share
                                                                                           Rata-rata
No     Propinsi                                                                                        Share (%)   kumulatif
                      2005            2006          2007          2008          2009*)       (Ton)
                                                                                                                      (%)

 1 Sulteng            152,318         131,842       146,778      151,949        154,844      147,546       16.63       16.63

 2 Sulsel             148,259         142,392       119,293      112,037        111,444      126,685       14.28       30.91

 3 Sulbar              96,481         112,927        88,436      149,458        149,458      119,352       13.45       44.37

 4 Sultra             132,740         124,921       135,113      116,994         75,553      117,064       13.20       57.56

 5 Sumut               28,914          32,781        64,782       60,253         59,298       49,206        5.55       63.11

 6 Kaltim              25,072          26,774        24,331       23,894         21,446       24,303        2.74       65.85

 7 Prop. lain        262,236          262,412       308,051      340,957        341,212      302,974       34.15      100.00

     Nasional        693,702          702,207       740,006      803,593        758,411      887,130      100.00
Sumber       : Direktorat Jenderal Perkebunan
Keterangan : *) Angka Sementara




Lampiran 4.4. Perkembangan konsumsi coklat instan dan coklat bubuk di Indonesia,
              1981 – 2008

                             Coklat instan                           Coklat bubuk
     Tahun          Konsumsi            Pertumbuhan            Konsumsi         Pertumbuhan
                   (gr/kapita)               (%)              (gr/kapita)            (%)

     1981                                                                10.4
     1984                                                                 5.2             -50.00
     1987                                                                 5.2               0.00
     1990                                                                 5.2               0.00
     1993                                                                10.4             100.00
     1996                                                                20.8             100.00
     1999                       7.8                                       5.2             -75.00
     2002                     15.6                100.00                 10.4             100.00
     2003                       7.8               -50.00                  5.2             -50.00
     2004                     15.6                100.00                 10.4             100.00
     2005                     31.2                100.00                 10.4               0.00
     2006                     15.6                -50.00                 10.4               0.00
     2007                     23.4                 50.00                 10.4               0.00
     2008                     23.4                  0.00                 10.4               0.00
                                 Rata-rata pertumbuhan (%)
1981-2008                                          35.71                                   17.31
Sumber: SUSENAS, BPS



82       Pusat Data dan Informasi Pertanian
OUTLOOK KOMODITAS PERTANIAN - PERKEBUNAN            2010


Lampiran 4.5. Perkembangan harga domestik kakao Indonesia, 1992 - 2007


                Harga Domestik
   Tahun                             Pertumbuhan (%)
                   (Rp/Kg)
    1992                     1,373
    1993                     1,265              -7.87
    1994                     2,581            104.03
    1995                     2,021             -21.70
    1996                     2,281              12.86
    1997                     2,932              28.54
    1998                     8,903            203.65
    1999                     6,673             -25.05
    2000                     7,411              11.06
    2001                     7,208              -2.74
    2002                     8,948              24.14
    2003                     9,576               7.02
    2004                     9,579               0.03
    2005                     9,415              -1.71
    2006                 10,103                  7.31
    2007                 13,325                 31.89
    2008                 16,357                 22.75
Rata-rata pertumbuhan (%)
 1992-2008                                      24.64
Sumber : Ditjen Perkebunan




                                                        Pusat Data dan Informasi Pertanian    83
2010             OUTLOOK KOMODITAS PERTANIAN - PERKEBUNAN


Lampiran 4.6. Perkembangan volume dan nilai ekspor total kakao Indonesia, 1996 –
              2009


                                      Volume                              Nilai
         Tahun
                             (Ton)          Pertumb. (%)      (000 US$)       Pertumb. (%)
          1996                  322,858                           373,927
          1997                  265,949              -17.63       419,066            12.07
          1998                  334,807               25.89       502,906            20.01
          1999                  419,874               25.41       423,273            -15.83
          2000                  424,089                1.00       341,860            -19.23
          2001                  392,072               -7.55       389,262            13.87
          2002                  465,622               18.76       701,034            80.09
          2003                  357,737              -23.17       624,234            -10.96
          2004                  368,758                3.08       549,348            -12.00
          2005                  465,162               26.14       667,993            21.60
          2006                  612,124               31.59       855,047            28.00
          2007                 495,583               -19.04      915,145              7.03
          2008                  515,576                4.03     1,269,022            38.67
          2009                  559,799                8.58     1,459,297            14.99
     Rata-rata pertumbuhan (%)                         5.93                          13.72
     Sumber: BPS




84      Pusat Data dan Informasi Pertanian
OUTLOOK KOMODITAS PERTANIAN - PERKEBUNAN             2010


lampiran 4.7. Perkembangan volume dan nilai impor total kakao Indonesia, 1996 –
              2009

                              Volume                                Nilai
     Tahun
                    (Ton)           Pertumb. (%)        (000 US$)           Pertumb. (%)
     1996                   2,422                              2,885
     1997                   3,211           32.58              4,861                68.49
     1998                   6,959          116.72             10,628               118.64
     1999               10,450              50.17             13,751                29.38
     2000                   9,534            -8.77             9,387               -31.73
     2001               35,411             271.40             40,176               327.98
     2002               33,706               -4.81            55,492                38.12
     2003               41,339              22.65             81,070                46.09
     2004               51,017              23.41             86,003                 6.08
     2005               53,865                5.58            85,455                -0.64
     2006              47,109              -12.54            76,031                -11.03
     2007              41,148              -12.65             75,864                -0.22
     2008              53,761               30.65           119,130                 57.03
     2009              46,929              -12.71           121,390                  1.90
Rata-rata pertumbuhan (%)
1996-2009                                   38.59                                   50.01
Sumber : BPS




                                                     Pusat Data dan Informasi Pertanian      85
2010              OUTLOOK KOMODITAS PERTANIAN - PERKEBUNAN


Lampiran 4.8. Perkembangan luas areal, produktivitas dan produksi kakao dunia,
              1961-2008

                   Luas Areal                   Produktivitas                     Produksi
  Tahun
              (000 Ha)          %          (kg/ha)            %           (000 Ton)          %
   1961         4,403.48                       337.32                       1,186.36
   1962         4,468.79          1.48         336.04             -0.38     1,213.11               2.25
   1963         4,516.08          1.06         352.35              4.85     1,280.52               5.56
   1964         4,541.28          0.56         348.29             -1.15     1,544.61              20.62
   1965         4,589.43          1.06         326.74             -6.19     1,228.71             -20.45
   1966         4,076.79        -11.17         343.34              5.08     1,344.41               9.42
   1967         4,217.41          3.45         352.95              2.80     1,390.56               3.43
   1968         4,079.36         -3.27         352.89             -0.02     1,246.63             -10.35
   1969         4,260.16          4.43         359.35              1.83     1,418.92              13.82
   1970         4,358.55          2.31         360.89              0.43     1,543.45               8.78
   1971         4,423.36          1.49         358.31             -0.71     1,638.90               6.18
   1972         4,299.40         -2.80         364.88              1.83     1,510.77              -7.82
   1973         4,316.72          0.40         350.18             -4.03     1,402.11              -7.19
   1974         4,398.85          1.90         368.95              5.36     1,556.48              11.01
   1975         4,360.73         -0.87         369.20              0.07     1,561.67               0.33
   1976         4,309.67         -1.17         354.00             -4.12     1,366.56             -12.49
   1977         4,436.82          2.95         367.40              3.79     1,452.55               6.29
   1978         4,581.60          3.26         373.69              1.71     1,495.42               2.95
   1979         4,632.80          1.12         389.96              4.35     1,659.91              11.00
   1980         4,740.39          2.32         378.37             -2.97     1,670.68               0.65
   1981         4,848.33          2.28         374.47             -1.03     1,735.29               3.87
   1982         4,678.40         -3.51         378.05              0.96     1,615.36              -6.91
   1983         4,658.94         -0.42         361.10             -4.48     1,604.67              -0.66
   1984         4,768.17          2.34         372.17              3.07     1,810.61              12.83
   1985         5,046.03          5.83         380.21              2.16     2,014.02              11.23
   1986         5,247.63          4.00         374.61             -1.47     2,118.41               5.18
   1987         5,275.08          0.52         374.77              0.04     2,055.94              -2.95
   1988         5,655.18          7.21         376.36              0.43     2,563.34              24.68
   1989         5,514.97         -2.48         382.01              1.50     2,641.02               3.03
   1990         5,709.93          3.53         371.23             -2.82     2,532.08              -4.12
   1991         5,684.35         -0.45         363.32             -2.13     2,532.62               0.02
   1992         5,729.88          0.80         375.76              3.42     2,677.32               5.71
   1993         5,752.45          0.39         381.72              1.59     2,673.40              -0.15
   1994         5,759.37          0.12         370.95             -2.82     2,672.36              -0.04
   1995         6,562.75         13.95         380.34              2.53     2,991.19              11.93
   1996         6,469.47         -1.42         391.84              3.02     3,245.00               8.49
   1997         6,497.61          0.43         387.87             -1.02     3,015.56              -7.07
   1998         6,653.28          2.40         395.14              1.88     3,309.91               9.76
   1999         6,549.54         -1.56         382.08             -3.31     2,975.52             -10.10
   2000         7,592.63         15.93         372.30             -2.56     3,371.88              13.32
   2001         7,156.48         -5.74         377.89              1.50     3,108.49              -7.81
   2002         7,009.19         -2.06         394.79              4.47     3,271.49               5.24
   2003         7,729.48         10.28         438.66             11.11     3,578.81               9.39
   2004         8,531.59         10.38         421.85             -3.83     4,017.99              12.27
   2005         8,766.62          2.75         411.71             -2.40     4,054.25               0.90
   2006         8,539.70         -2.59         428.96              4.19     4,275.43               5.46
   2007         8,285.65         -2.97         433.71              1.11     4,150.05              -2.93
   2008         8,185.91         -1.20         433.77              0.01     4,300.21               3.62
Rata-rata pertumbuhan (%)
1961-2007                           1.43                           0.59                           3.15
Sumber : FAO


86     Pusat Data dan Informasi Pertanian
OUTLOOK KOMODITAS PERTANIAN - PERKEBUNAN                                2010


Lampiran 4.9. Negara dengan luas areal kakao terbesar dunia, 2004-2008


                                                  Luas (Ha)                                                                Share
 No            Negara                                                                        Rata-rata     Share (%)     kumulatif
                         2004         2005          2006           2007         2008                                        (%)
   1 Côte d'Ivoire      2,050,000    2,193,548    2,281,290     2,372,542      1,800,000     2,139,476         25.28         25.28
   2 Ghana              2,000,000    1,850,000    1,835,000     1,450,000      1,750,000     1,777,000         21.00         46.28
   3 Nigeria            1,062,000    1,062,000    1,104,000     1,110,000      1,115,000     1,090,600         12.89         59.17
   4 Indonesia          1,114,200    1,235,213      905,730        923,968      990,052      1,033,833         12.22         71.39
   5 Brazil              638,825      625,384       647,135        628,928      655,585        639,171          7.55         78.94
   6 Cameroon            490,000      520,000       440,000        450,000      500,000        480,000          5.67         84.62
   7 Ecuador             336,358      357,706       350,027        356,658      376,604        355,471          4.20         88.82
   8 Dominican Rep.      125,787      153,219       153,219        153,219      153,219        147,733          1.75         90.56
   9 PNG                  97,000      110,000       120,000        120,000      120,000        113,400          1.34         91.90
  10 Togo                 35,000       80,000       104,000        104,000      105,000         85,600          1.01         92.91
  11 Lainnya             582,417      579,551       599,296        616,339      620,451        599,611          7.09        100.00
      DUNIA             8,531,587    8,766,621    8,539,697     8,285,654      8,185,911     8,461,894       100.00
Sumber : FAO




Lampiran 4.10. Negara produsen kakao terbesar dunia, 2004-2008


                                                                                                                         Share
                                                  Produksi (Ton)
 No            Negara                                                                          Rata-rata     Share (%) kumulatif
                           2004         2005          2006           2007          2008                                   (%)
   1 Côte d'Ivoire       1,407,213    1,360,000     1,372,000      1,384,000     1,370,000     1,378,643         25.28      25.28
   2 Indonesia             641,700      642,900       769,386       740,006       792,761        717,351         21.00      46.28
   3 Ghana                 737,000      740,000       734,000       615,000       700,000        705,200         12.89      59.17
   4 Nigeria               412,000      441,000       485,000       500,000       500,000        467,600         12.22      71.39
   5 Brazil                196,005      208,620       212,270        201,651       208,386       205,386          7.55      78.94
   6 Cameroon              166,754      178,500       164,553        179,239       187,532       175,316          5.67      84.62
   7 Ecuador                89,680       93,658        87,561         85,891        94,300        90,218          4.20      88.82
   8 Togo                   21,700       53,000        73,000         78,000        80,000        61,140          1.75      90.56
   9 PNG                    38,900       47,800        51,100         47,300        48,800        46,780          1.34      91.90
  10 Dominican Rep.         47,985       31,361        45,912         42,154        42,154        41,913          1.01      92.91
  11 Lainnya               259,049      257,410       280,651        276,806       276,272       270,038          7.09     100.00
      DUNIA              4,017,986    4,054,249     4,275,433      4,150,047     4,300,205     4,159,584        100.00
Sumber : FAO




                                                                          Pusat Data dan Informasi Pertanian                    87
2010              OUTLOOK KOMODITAS PERTANIAN - PERKEBUNAN


Lampiran 4.11. Negara dengan produktivitas kakao terbesar dunia, 2004-2008



                                                        Produktivitas (Ton/Ha)
 No                Negara                                                                    Rata-rata
                                        2004         2005       2006       2007      2008
     1 Guatemala                        1.23         1.46       1.66       1.71      1.71      1.55
     2 Malaysia                         0.80         0.84       1.02       1.25      1.45      1.07
     3 El Salvador                      1.00         1.00       1.00       1.00      1.00      1.00
     4 Guinea                           0.75         0.90       0.98       0.71      0.87      0.84
     5 Bolivia                           0.82        0.83       0.84       0.86      0.86      0.84
     6 Madagascar                        0.94        0.78       0.78       0.90      0.75      0.83
     7 Honduras                          0.80        0.81       0.80       0.78      0.78      0.80
     8 Saint Lucia                       0.75        0.73       0.75       0.80      0.80      0.77
     9 Tanzania, United Rep. of          0.70        0.77       0.75       0.75      0.75      0.74
  10 Indonesia                           0.58        0.52       0.85       0.80      0.80      0.71
Sumber : FAO




Lampiran 4.12. Negara dengan harga produsen kakao terbesar dunia, 2003-2007



                                                  Harga produsen (US$/ton)
 No               Negara                                                                     Rata-rata
                                    2003         2004         2005       2006      2007
     1 Trinidad & Tobago          2,841.58      3,416.85    3,968.14   4,287.68   4,759.14   3,854.68
     2 Cuba                       3,759.00      3,759.00    3,759.00   3,759.00   3,759.00   3,759.00
     3 Suriname                   2,583.10      2,953.06    3,490.83   3,926.89   4,429.98   3,476.77
     4 Saint Lucia                2,444.44      2,521.41    2,544.63   2,490.48   2,542.04   2,508.60
     5 Panama                     2,271.00      2,705.50    2,171.10   2,435.90   2,042.60   2,325.22
     6 Belize                     2,204.50      2,221.55    2,266.50   2,332.50   2,480.75   2,301.16
     7 Togo                       1,553.09      2,076.02    2,111.58   2,241.64   2,595.97   2,115.66
     8 Cameroon                   1,256.02      1,631.98    2,007.87   2,114.16   2,461.35   1,894.28
     9 Equatorial Guinea          1,290.43      1,549.34    1,787.86   2,157.39   2,543.27   1,865.66
  10 Colombia                     1,583.12      1,521.07    1,593.09   1,657.03   2,173.68   1,705.60
Sumber : FAO




88     Pusat Data dan Informasi Pertanian
OUTLOOK KOMODITAS PERTANIAN - PERKEBUNAN                    2010


Lampiran 4.13. Negara eksportir kakao terbesar dunia, 2003-2007


                                                                                                                  Share
                                                   Ekspor (Ton)
 No           Negara                                                                      Rata-rata   Share (%) kumulatif
                          2003         2004           2005         2006        2007                                (%)
      1 Côte d'Ivoire    1,180,937    1,303,440      1,260,247    1,176,877   1,079,466   1,200,193      25.25    25.25
      2 Netherlands       496,738      800,555         786,189     697,707      736,054     703,449      14.80    40.05
      3 Ghana             415,558      720,262         597,887     670,578      577,133     596,284      12.55    52.60
      4 Indonesia         357,737      368,758         465,162     612,124      495,583     459,873       9.68    62.28
      5 Nigeria           242,580      266,429         281,840     205,341      191,881     237,614       5.00    67.28
      6 Malaysia          180,197      242,902         202,543     223,131      262,271     222,209       4.68    71.95
      7 Cameroon          149,376      187,507         181,103     186,875      179,625     176,897       3.72    75.67
      8 France            151,041      150,832         141,717     157,052      161,887     152,506       3.21    78.88
      9 Belgium            80,194      124,816         148,346     142,828      152,050     129,647       2.73    81.61
   10 Ecuador              82,662       89,637         100,150      93,355       88,696      90,900       1.91    83.52
   11 Lainnya             739,059      715,228         775,954     799,425      885,808     783,095      16.48   100.00
        DUNIA            4,076,079    4,970,366      4,941,138    4,965,293   4,810,454   4,752,666     100.00
Sumber : FAO




Lampiran 4.14. Negara importir kakao terbesar dunia, 2003-2007


                                                    Impor (Ton)                                                 Share
 No             Negara                                                                    Rata-rata Share (%) kumulatif
                            2003         2004          2005         2006       2007
                                                                                                                 (%)
      1 Netherlands         702,911     816,663        829,551     735,590     796,136      776,170     15.51    15.51
      2 USA                 621,290     719,523        841,128     750,990     619,714      710,529      14.20    29.71
      3 Malaysia            341,748     856,508        342,068     467,438     460,188      493,590       9.86    39.58
      4 Germany             358,386     358,435        417,796     456,448     535,218      425,257       8.50    48.07
      5 France              342,640     363,837        355,391      366,468    397,847      365,237       7.30    55.37
      6 Belgium             239,961     438,206        308,931      329,415    336,074      330,517       6.61    61.98
      7 Uni. Kingdom        206,893     211,828        224,539      203,846    244,489      218,319       4.36    66.34
      8 Russian Fed.        116,515     128,920        145,334      147,376    160,754      139,780       2.79    69.13
      9 Spain               119,148     127,494        137,365      151,395    163,228      139,726       2.79    71.93
   10 Canada                125,934     156,661        120,506      143,096    121,325      133,504       2.67    74.59
   11 Lainnya             1,203,408    1,154,394     1,267,087    1,315,465   1,415,882   1,271,247      25.41   100.00
        DUNIA             4,378,834    5,332,469     4,989,696    5,067,527   5,250,855   5,003,876     100.00
Sumber : FAO




                                                                       Pusat Data dan Informasi Pertanian             89
OUTLOOK KOMODITAS PERTANIAN - PERKEBUNAN         2010



                                  V. CENGKEH

       Cengkeh (Syzygium aromaticum, syn. Eugenia aromaticum), dalam
bahasa Inggris disebut cloves, adalah tangkai bunga kering beraroma dari
keluarga pohon Myrtaceae. Cengkeh adalah tanaman asli Indonesia yang banyak
digunakan sebagai bumbu masakan pedas di negara-negara Eropa, dan sebagai
bahan utama rokok kretek khas Indonesia. Cengkeh ditanam terutama di
Indonesia (Kepulauan Banda) dan Madagaskar; selain itu juga dibudidayakan di
Zanzibar, India, dan Sri Lanka. Tumbuhan ini adalah flora identitas Provinsi
Maluku Utara. Pohon cengkeh merupakan tanaman tahunan yang dapat tumbuh
dengan tinggi 10-20 m, mempunyai daun berbentuk lonjong yang berbunga pada
pucuk-pucuknya. Tangkai buah pada awalnya berwarna hijau, dan berwarna
merah jika bunga sudah mekar. Cengkeh akan dipanen jika sudah mencapai
panjang 1,5-2 cm.
       Minyak   esensial   dari   cengkeh    mempunyai       fungsi    anestesik    dan
antimikrobial. Minyak cengkeh sering digunakan untuk menghilangkan bau nafas
dan untuk menghilangkan sakit gigi. Zat yang terkandung dalam cengkeh yang
bernama eugenol, digunakan dokter gigi untuk menenangkan saraf gigi. Minyak
cengkeh juga digunakan dalam campuran tradisional chōjiyu (1% minyak cengkeh
dalam minyak mineral; "chōji" berarti cengkeh; "yu" berarti minyak) dan
digunakan oleh orang Jepang untuk merawat permukaan pedang mereka
(http://id.wikipedia.org/wiki/Cengkeh, 2 Juni 2010).
       Pesatnya industri rokok kretek di Indonesia menyebabkan tanaman
cengkeh yang dulunya merupakan komoditas ekspor berubah posisi menjadi
komoditas impor, sehingga pada tahun 1970 muncul program swasembada
cengkeh melalui perluasan areal. Program swasembada tersebut tercapai pada
tahun 1991, namun dengan melimpahnya produksi cengkeh menyebabkan harga
cengkeh turun terus. Permasalahan harga tersebut membuat pemerintah
mengeluarkan kebijakan mengatur tata niaga cengkeh melalui pembentukan
Badan Penyangga dan Pemasaran Cengkeh (BPPC), sayangnya upaya tersebut



                                               Pusat Data dan Informasi Pertanian     91
2010           OUTLOOK KOMODITAS PERTANIAN - PERKEBUNAN



tidak berhasil dan petani menelantarkan areal pertanaman cengkeh (Departemen
Pertanian 2005).
         Sekitar tahun 2001-2002 harga cengkeh di pasar dalam negeri melonjak
cukup tajam. Kenyataan ini mengejutkan semua pihak, baik petani maupun
produsen rokok kretek yang merupakan satu-satunya konsumen komoditas 'emas
hijau' itu. Betapa tidak, harga cengkeh yang telah lama terpuruk pada era
monopoli Badan Penyangga Pemasaran Cengkeh (Rp 2.500,-/kg hingga Rp 8.500,-
/kg), tiba-tiba meroket bahkan mencapai Rp 70.000,-/kg. Kondisi ini ternyata
mengungkap dua fakta yang kontradiktif. Di satu sisi produsen rokok kretek
menjerit akibat mahalnya harga cengkeh, di sisi lain, petani sebagai produsen
cengkeh tidak bergembira dengan melambungnya harga tersebut karena bukan
hasil panenan petani. Kemungkinan besar hal ini bisa terjadi karena cengkeh
yang diperdagangkan saat harga mencapai puncaknya, bukan dari hasil panenan
petani melainkan stok timbunan para pedagang besar (Fahmi Ismail, 2002).
Indikasi trend kenaikan harga cengkeh ini antara lain akibat dari :
1. Masih belum ada penambahan areal cengkeh yang cukup signifikan akibat
     cengkeh dinilai sudah tidak memiliki nilai tambah, sehingga secara bertahap
     akan menurunkan kemampuan pasok bahan baku cengkeh.
2. Terjadinya pertumbuhan jumlah pelaku usaha di industri rokok kretek yang
     signifikan pada saat krisis ekonomi (1998), industri ini mampu bertahan dari
     terjangan krisis ekonomi bahkan berhasil meraih keuntungan sangat besar di
     tengah terpuruknya sebagian industri lainnya. Pada tahun 1999 tidak kurang
     dari 70 pabrik yang turut menjadi pemain baru di industri rokok. Hal ini
     lambat laun jelas akan menambah total produksi dan berdampak pada
     meningkatnya kebutuhan bahan baku rokok kretek terutama tembakau dan
     cengkeh.
3. Zanzibar dan Madagaskar sebagai negara produsen cengkeh terbesar di dunia
       turut melakukan konversi tanaman menyusul anjloknya harga cengkeh dunia
       sehingga hanya bergantung pada pasar cengkeh dunia.




92      Pusat Data dan Informasi Pertanian
OUTLOOK KOMODITAS PERTANIAN - PERKEBUNAN          2010



5.1. PERKEMBANGAN LUAS AREAL, PRODUKSI DAN PRODUKTIVITAS
     CENGKEH DI INDONESIA


     Total luas areal cengkeh di Indonesia menunjukkan peningkatan pada
periode 1967 - 1987 dengan laju pertumbuhan rata-rata mencapai 11,52% per
tahun. Menginjak tahun 1988 - 2009 terjadi kecenderungan penurunan luas areal
cengkeh dengan rata-rata penurunan sebesar 2,28% per tahun. Namun demikian,
secara umum sejak tahun 1967 - 2009, luas areal cengkeh masih menunjukkan
peningkatan sebesar 4,29% per tahun atau dari 59,56 ribu ha pada tahun 1967
menjadi 459,19 ribu ha pada tahun 2009 (Lampiran 5.1).
     Dari status pengusahaannya, luas areal cengkeh di Indonesia sangat
didominasi oleh perkebunan rakyat (PR). Pada periode tahun 1967 - 2009, rata-
rata luas areal cengkeh PR mencapai 94,74% dari total luas areal cengkeh
Indonesia (Tabel 5.1). Selama periode tahun 1967 - 1987, perkembangan luas
areal cengkeh PR menunjukkan peningkatan yang cukup pesat dengan rata-rata
sebesar   11,40%.   Hal   ini   antara   lain   dikarenakan     konsekuensi    program
swasembada cengkeh pada tahun 1970, sehingga terjadi peningkatan luas areal
yang cukup signifikan, yaitu dari 59,56 ribu hektar pada tahun 1967 menjadi
722,69 ribu hektar pada tahun 1987 (Lampiran 5.1).
     Namun sejak awal tahun 1991 luas areal cengkeh terus menurun hingga
tahun 2000, seperti tersaji pada Gambar 5.1. Hal ini terjadi karena Badan
Penyangga dan Pemasaran Cengkeh (BPPC) yang didirikan oleh pemerintah untuk
mengatur harga cengkeh nasional tidak berhasil, sehingga banyak petani pada
saat itu yang kecewa dan memangkas tanaman cengkehnya.




                                                 Pusat Data dan Informasi Pertanian     93
2010             OUTLOOK KOMODITAS PERTANIAN - PERKEBUNAN



Tabel 5.1. Kontribusi rata-rata luas areal dan produksi cengkeh di Indonesia
           menurut status pengusahaan, 1967-2009

                               Luas Areal (%)                               Produksi (%)
     Tahun
                   PR          PBN         PBS         Total         PR         PBN         PBS      Total

 1967-2009*)      94.74        0.69        2.09       100.00        97.13      0.58         2.30     100.00

 1967-1987        96.51        1.06        2.43       100.00        98.22      0.57         1.20     100.00

 1988-2009*)      97.66        0.46        1.88       100.00        96.72      0.58         2.71     100.00
Sumber : Direktorat Jenderal Perkebunan, diolah Pusdatin
Tahun 2009 : Angka Sementara


       Perkembangan            industri      rokok         kretek   pasca      krisis      ekonomi   (1998)
berdampak pada meningkatnya kebutuhan cengkeh serta mulai membaiknya
harga jual cengkeh menyebabkan di beberapa daerah mulai tertarik untuk
melakukan peremajaan tanaman cengkeh yang rusak/mati sehingga menginjak
tahun 2001 mulai nampak adanya perluasan areal meskipun pertumbuhannya
masih sangat lambat. Selama periode 1988 - 2009 total luas areal cengkeh
menurun rata-rata sebesar 2,28% per tahun (Lampiran 5.1).




     Gambar 5.1. Perkembangan luas areal cengkeh PR di Indonesia, 1967-2009



       Sementara itu, perkembangan luas areal perkebunan besar negara (PBN)
dan perkebunan besar swasta (PBS) pada periode tahun 1967 - 2009 memiliki pola

94     Pusat Data dan Informasi Pertanian
OUTLOOK KOMODITAS PERTANIAN - PERKEBUNAN         2010



yang hampir sama dengan PR. Kecenderungan kenaikan luas areal juga terjadi
pada periode tahun 1967 - 1987 dimana perkembangan luas areal PBS lebih
fluktuatif dibandingkan PBN (Gambar 5.2). Pada periode tersebut luas areal PBN
rata-rata meningkat sebesar 11,28% per tahun, sedangkan PBS meningkat sebesar
12,99% per tahun. Namun setelah periode tersebut (1988 - 2009), terjadi
perkembangan luas areal berkebalikan yaitu terjadi penurunan areal yang cukup
besar pada PBN yaitu rata-rata sebesar 16,44% per tahun dan 3,91% untuk PBS,
yang menyebabkan penurunan total areal cengkeh di Indonesia sebesar 2,28% per
tahun (Lampiran 5.1).




    Gambar 5.2. Perkembangan luas areal cengkeh di Indonesia, 1971-2009

     Sejalan dengan peningkatan luas arealnya, total produksi cengkeh
Indonesia juga mengalami peningkatan yang cukup signifikan, yaitu dari 8,82 ribu
ton pada tahun 1967 menjadi 71 ribu ton pada tahun 1987 dengan rata-rata
pertumbuhan sebesar 2,53% per tahun. Produksi cengkeh nasional mencapai
puncaknya pada tahun 1995 hingga mencapai 90 ribu ton. Sayangnya setelah
periode tersebut, terjadi penurunan produksi secara drastis sebagai dampak dari
ketidakpastian harga (Gambar 5.3), yang mengakibatkan petani enggan
memelihara tanamannya sehingga produksi tahun 2000 hanya sebesar 59,88 ribu
ton dan produksi tahun 2001, saat harga mulai membaik mencapai 72,69 ribu ton
(GAPPRI dalam Departemen Pertanian 2005).



                                              Pusat Data dan Informasi Pertanian     95
2010          OUTLOOK KOMODITAS PERTANIAN - PERKEBUNAN



       Masalah lain yang dihadapi petani cengkeh selain ketidakpastian harga
adalah masa awal produksi cengkeh yang cukup lama yaitu setelah 5-7 tahun
serta fluktuasi produksi yang cukup tinggi yang dikenal sebagai siklus 2-4 tahun,
artinya produksi yang tinggi pada tahun tertentu diikuti dengan penurunan
produksi 1-2 tahun berikutnya (Departemen Pertanian, 2005).




       Gambar 5.3. Perkembangan produksi cengkeh di Indonesia, 1967-2009


       Seperti halnya areal cengkeh, produksi cengkeh nasional didominasi oleh
PR dimana pada periode tahun 1967 - 2009 rata-rata produksi PR sebesar 97,13%
terhadap total produksi cengkeh Indonesia. Dengan demikian pola perkembangan
produksi cengkeh nasional merupakan refleksi dari pola perkembangan produksi
cengkeh PR di Indonesia.
       Pola perkembangan produksi cengkeh pada perkebunan besar baik PBN
maupun PBS agak berbeda. Pada PBN mulai berproduksi pada tahun 1971 sebesar
1 ton dan mencapai puncak produksi pada tahun 1989 sebesar 1.089 ton. Setelah
tahun tersebut terjadi kecenderungan penurunan produksi hingga hanya
mencapai 316 ton pada tahun 2009. Sementara, pola produksi cengkeh PBS lebih
tinggi dibandingkan PBN yaitu pada tahun 1970 sebesar 76 ton dan tertinggi
terjadi pada tahun 2004 sebesar 6.660 ton, namun setelah itu cenderung turun
hingga 1.816 ton pada tahun 2009 (Lampiran 5.2).



96     Pusat Data dan Informasi Pertanian
OUTLOOK KOMODITAS PERTANIAN - PERKEBUNAN         2010



     Budidaya komoditas cengkeh menyebar di sebagian besar provinsi di
Indonesia. Berdasarkan data produksi rata-rata tahun 2005-2009 terdapat 10
provinsi sentra produksi cengkeh PR yang mempunyai kontribusi kumulatif hingga
mencapai 83,82%, yaitu provinsi Maluku, Sulawesi Selatan, Sulawesi Tengah,
Jawa Timur, Sulawesi Utara,Jawa Tengah, Bali, Jawa Barat, Maluku Utara, dan
Banten. Maluku memberikan kontribusi terbesar terhadap total produksi
Indonesia hingga mencapai 12,33% atau sebesar 9.405 ton. Peringkat kedua
adalah Sulawesi Selatan sebesar 9.077 ton (11,90%), diikuti Sulawesi Tengah
8.657 ton (11,35%), dan Jawa Timur 8.381 ton (10,99 5). Provinsi sentra produksi
lainnya   dibawah   10%,   sedangkan    provinsi-provinsi     bukan     sentra   hanya
memberikan kontribusi kurang dari 3% (Gambar 5.4, Lampiran 5.3).




          Gambar 5.4. Kontribusi produksi cengkeh PR di provinsi sentra
                             (rata-rata 2005-2009)


     Secara umum produktivitas cengkeh di Indonesia sangat fluktuatif dan
cenderung menurun (Gambar 5.5), karena lebih dari 90% tanaman cengkeh di
Indonesia adalah milik rakyat yang kurang dipelihara dengan baik. Selama
periode 1970-2009, rata-rata laju pertumbuhan produktivitas cengkeh hanya
sebesar 1,02% per tahun. Produktivitas tertinggi selama periode tersebut terjadi
pada tahun 1980 sebesar 39,96 persen atau 233,20 kg/ha. Pertumbuhan
produktivitas cengkeh Indonesia secara rinci disajikan pada Lampiran 5.4.



                                               Pusat Data dan Informasi Pertanian     97
2010          OUTLOOK KOMODITAS PERTANIAN - PERKEBUNAN




     Gambar 5.5. Perkembangan produktivitas cengkeh di Indonesia, 1970-2009



5.2. PERKEMBANGAN KONSUMSI CENGKEH DI INDONESIA

       Konsumsi cengkeh di Indonesia dibedakan atas konsumsi rumah tangga dan
konsumsi industri pengolahan. Konsumsi tersebut dipenuhi dari produksi dalam
negeri dan impor. Berdasarkan Tabel Input Output (I/O) 1995, cengkeh sebagian
besar digunakan oleh industri sebagai permintaan antara dengan proporsi 97,67%
dan hasil survei oleh BPS tersebut pada tahun 2000 permintaan antara cengkeh
menurun menjadi 91,56%. Industri olahan utama di Indonesia yang menggunakan
cengkeh sebagai bahan baku adalah industri rokok kretek.
       Selama ini, konsumsi cengkeh di Indonesia dipenuhi dari produksi dalam
negeri maupun impor. Perkembangan konsumsi cengkeh selama tahun 1970 -
2008 meskipun berfluktuasi namun cenderung meningkat dengan rata-rata
kenaikan sebesar 10,17% per tahun (Gambar 5.6 dan Lampiran 5.5 ). Hal ini
kemungkinan besar terkait dengan terjadinya pertumbuhan jumlah pelaku usaha
industri rokok kretek di Indonesia. Pada tahun 1970 konsumsi cengkeh domestik
hanya sebesar 14.926 ton dan terus bergerak naik hingga sebesar 89.321 ton pada
tahun 1995. Selanjutnya konsumsi cengkeh domestik turun signifikan menjadi
59.249 ton pada tahun 1996 karena sebagian besar produsen rokok kretek
mengurangi pemakaian cengkeh akibat turunnya produksi dalam negeri. Namun
penurunan angka konsumsi cengkeh domestik tersebut tidak berlangsung lama
hingga terjadinya krisis ekonomi tahun 1998. Pada tahun 1999 konsumsi cengkeh
98     Pusat Data dan Informasi Pertanian
OUTLOOK KOMODITAS PERTANIAN - PERKEBUNAN         2010



mengalami kenaikan yang signifikan hingga 73.737 ton. Namun pada tahun-tahun
berikutnya konsumsi cengkeh terus mengalami penurunan hingga mencapai
66.284 ton pada tahun 2008, walaupun sempat mengalami peningkatan konsumsi
pada tahun 2001 sebesar 83.260 ton. Total konsumsi cengkeh domestik pada
tahun 2008 seluruhnya berasal dari produksi dalam negeri yang mencapai angka
70.535 ton dikurangi ekspor sebesar 4.251 ton (Lampiran 5.5).




Gambar 5.6. Perkembangan konsumsi domestik cengkeh di Indonesia, 1970-2008



5.3. PERKEMBANGAN HARGA CENGKEH DI INDONESIA

     Harga cengkeh di pasar domestik sejak tahun 1987 terus mengalami
penurunan dari sebesar Rp. 6.440,-/kg hingga menjadi Rp. 3.800,-/kg pada tahun
1997. Hal tersebut karena pemerintah membentuk BPPC pada tahun 1992 sebagai
lembaga pengendali harga. Melalui BPPC, ditetapkan harga pembelian dari
tingkat petani sebesar Rp. 2.000,-/kg – Rp.3.500,-/kg. Namun pada tahun 1998
harga cengkeh di pasar domestik mulai mengalami peningkatan, seiring dengan
meningkatnya kebutuhan cengkeh untuk industri rokok kretek dan tidak
difungsikannya lagi kelembagaan BPPC. Peningkatan harga yang begitu signifikan
terjadi pada tahun 1999 hingga mencapai 169,54% atau sebesar Rp. 20.000,-/kg
dari sebesar Rp. 7.420,-/kg pada tahun 1998. Pada tahun 2003 harga cengkeh
kembali jatuh menjadi Rp. 28.873,-/kg dan pada tahun 2004 harga kembali jatuh


                                              Pusat Data dan Informasi Pertanian     99
2010          OUTLOOK KOMODITAS PERTANIAN - PERKEBUNAN



hingga menjadi Rp. 26.570,-/kg. Berdasarkan perkiraan biaya produksi, harga
yang layak di tingkat petani adalah Rp. 30.000,-/kg – Rp. 40.000,-/kg cengkeh
kering. Dengan tingkat harga tersebut petani akan memperoleh 1/3 bagian
keuntungan dari usahataninya (Balittro dalam Departemen Pertanian 2005).
Tahun-tahun selanjutnya harga bergerak naik hingga sebesar 34,86% pada tahun
2008 atau sebesar Rp. 53.005,-/kg . Rata-rata pertumbuhan harga cengkeh di
pasar domestik mengalami peningkatan 38,41% pada periode 1998-2008
(Lampiran 5.6), dan bila dilihat trendnya harga cengkeh di Indonesia terus
mengalami peningkatan hingga tahun 2008 ( Gambar 5.7).




 Gambar 5.7. Perkembangan harga cengkeh di pasar domestik dan pasar dunia,
                               1987-2008


5.4.     PERKEMBANGAN EKSPOR IMPOR CENGKEH DI INDONESIA

         Komoditas cengkeh memang merupakan salah satu komoditas ekspor
Indonesia, walaupun pada tahun 1999 - 2001 sempat mengalami impor yang
cukup besar (Gambar 5.7). Peningkatan impor yang terjadi pada periode tersebut
disebabkan konsumsi yang juga cukup besar, sementara produksi cengkeh
tidaklah mencukupi konsumsi domestik yang tinggi pada periode tersebut. Namun
sejak tahun 2003, ekspor cengkeh Indonesia kembali meningkat hingga mencapai
15.688 ton, dan pada tahun 2007 - 2009 Indonesia tidak mengimpor cengkeh.



100    Pusat Data dan Informasi Pertanian
OUTLOOK KOMODITAS PERTANIAN - PERKEBUNAN         2010



Selama periode tahun 2002-2009, neraca perdagangan cengkeh pada posisi
surplus (Lampiran 5.7).




    Gambar 5.8. Perkembangan volume ekspor impor cengkeh di Indonesia,
                               1996-2008

     Perkembangan nilai ekspor maupun nilai impor mempunyai tren yang
hampir sama dengan volumenya (Gambar 5.9). Nilai ekspor tertinggi terjadi pada
tahun 2002 senilai US$ 25,97 juta, sedangkan nilai impor tertinggi pada tahun
1999 sebesar US$ 40,07 juta (Lampiran 5.7).




Gambar 5.9. Perkembangan nilai ekspor-impor cengkeh di Indonesia, 1996-2008


     Neraca   perdagangan    cengkeh   Indonesia     pada     tahun    1996   -    2009
menunjukkan perkembangan yang meningkat, walaupun pada tahun 1999 - 2001

                                              Pusat Data dan Informasi Pertanian     101
2010           OUTLOOK KOMODITAS PERTANIAN - PERKEBUNAN



mengalami defisit karena meningkatnya kebutuhan cengkeh untuk industri rokok
kretek di dalam negeri. Defisit tertinggi terjadi pada tahun 1999 hingga
mencapai US$ 38,43 juta. Selama periode 2002 – 2009, neraca perdagangan
cengkeh menunjukkan surplus yang cukup signifikan dan tertinggi terjadi pada
tahun 2007 sebesar US$ 33,62 juta (Lampiran 5.7).


5.5. PERKEMBANGAN LUAS AREAL TANAMAN MENGHASILKAN,
     PRODUKSI, DAN PRODUKTIVITAS CENGKEH DUNIA

        Perkembangan luas areal tanaman menghasilkan (TM) dunia pada periode
tahun 1961 - 1997 sangat menggembirakan dengan rata-rata pertumbuhan 5,86%
per tahun (Lampiran 5.8). Namun bila dilihat dari Gambar 5.10 peningkatan luas
tanaman menghasilkan cengkeh dunia mengalami peningkatan tertinggi pada
tahun 1991 yang mencapai 584.067 hektar dari sebesar 80.800 hektar pada tahun
1967.     Pada periode selanjutnya yakni tahun 1998-2008 luas areal tanaman
menghasilkan mengalami penurunan, dengan rata-rata pertumbuhan turun
sebesar 1,38% per tahun. Pertumbuhan yang negatif pada periode ini
menyebabkan rata-rata pertumbuhan areal tanaman menghasilkan cengkeh dunia
sejak tahun 1961 - 2008 hanya sebesar 4,17% per tahun, hingga pada tahun 2008
luas TM cengkeh dunia hanya sebesar 385.030 hektar (Lampiran 5.8).




 Gambar 5.10. Perkembangan luas areal tanaman menghasilkan cengkeh dunia
                       dan Indonesia, 1967-2008


102     Pusat Data dan Informasi Pertanian
OUTLOOK KOMODITAS PERTANIAN - PERKEBUNAN         2010



     Berdasarkan Gambar 5.10, ternyata perkembangan luas areal TM Indonesia
mempengaruhi perkembangan luas areal TM dunia, dan dilihat dari rata-rata
pertumbuhan areal TM tahun 2004-2008, Indonesia memberikan kontribusi yang
sangat besar yaitu 81,04% atau sebesar 340.891 hektar terhadap total dunia
(Lampiran 5.9). Setelah Indonesia, Madagaskar memberikan kontribusi terbesar
ke dua walaupun hanya sebesar 10,78% atau sebesar 45.362 hektar (Gambar 5.11
dan Lampiran 5.9).




     Gambar 5.11. Negara-negara dengan luas TM cengkeh terbesar dunia,
                           (rata-rata 2004-2008)



     Perkembangan total produksi cengkeh dunia cenderung meningkat namun
sangat berfluktuasi dibandingkan perkembangan luas areal TM dunia (Gambar
5.12). Tahun 1961 produksi cengkeh dunia tercatat sebesar 27.770 ton dan
meningkat menjadi 110.264 ton pada tahun 2008. Dengan demikian rata-rata laju
pertumbuhan selama periode 1961-2007 adalah sebesar 5,70% per tahun
(Lampiran 5.8).




                                             Pusat Data dan Informasi Pertanian    103
2010           OUTLOOK KOMODITAS PERTANIAN - PERKEBUNAN




          Gambar 5.12. Perkembangan produksi cengkeh dunia , 1961-2008


        Secara umum rata-rata produksi cengkeh dunia periode tahun 2004 - 2008
didominasi oleh 5 negara, yaitu Indonesia, Madagaskar, Tanzania, Sri Lanka dan
Comoros. Kelima negara tersebut memberikan kontribusi 98,12% terhadap total
produksi dunia. Rata-rata produksi cengkeh Indonesia mencapai 75.109 ton per
tahun, Madagaskar 11.566 ton, Tanzania 9.940 ton, Sri Lanka 3.346 ton, dan
Comoros 2.840 ton . Indonesia berada pada peringkat pertama dengan kontribusi
produksi rata-rata 71,69% terhadap total produksi cengkeh dunia (Gambar 5.13,
Lampiran 5.10).




      Gambar 5.13. Negara-negara produsen cengkeh terbesar dunia , 2004-2008


        Ditinjau dari sisi produktivitas (rata-rata 2004 - 2008), China menempati
urutan pertama dengan rata-rata produktivitas cengkeh sebesar 1,07 ton/ha,
104     Pusat Data dan Informasi Pertanian
OUTLOOK KOMODITAS PERTANIAN - PERKEBUNAN         2010



diikuti negara Tanzania dengan rata-rata produktivitas 0,78 ton/ha. Urutan
berikutnya adalah Kenya dan Sri Lanka dengan rata-rata produktivitas 0,51
ton/ha dan 0,44 ton/ha. Negara berikutnya mempunyai produktivitas cengkeh
dibawah 0,30 ton/ha termasuk Indonesia yang berada di urutan ke-8 dengan
produktivitas rata-rata sebesar 0,22 ton/ha. Gambar 5.14 dan Lampiran 5.11
menyajikan produktivitas negara-negara penghasil cengkeh dunia.




 Gambar 5.14. Negara-negara dengan rata-rata produktivitas cengkeh tertinggi
                             dunia, 2004-2008


5.6. PERKEMBANGAN HARGA CENGKEH DUNIA




  Gambar 5.15. Negara-negara dengan harga produsen cengkeh tertinggi dunia,
                           (rata-rata 2004-2008)




                                             Pusat Data dan Informasi Pertanian    105
2010          OUTLOOK KOMODITAS PERTANIAN - PERKEBUNAN



       Selama periode lima tahun (2004-2008) perkembangan harga produsen
cengkeh dunia cukup fluktuatif, begitu pula yang terjadi untuk Indonesia.
Berdasarkan harga rata-rata selama periode tersebut, Indonesia memiliki harga
cengkeh tertinggi yaitu sebesar US$ 75.109 per ton. Berada diurutan berikutnya
adalah Madagascar dan Tanzania dengan harga rata-rata pada periode tersebut
masing-masing sebesar US$ 11.566 per ton, dan US$ 9.940 per ton. Sementara
negara lainnya dibawah US$ 4.000 per tonnya (Gambar 5.15 dan Lampiran 5.12)



5.7. PERKEMBANGAN EKSPOR-IMPOR CENGKEH DUNIA


       Ekspor cengkeh selama lima tahun terakhir didominasi oleh 5 negara, yaitu
Singapore, Madagascar, Indonesia, Sri Lanka dan Brazil. Berdasarkan data dari
FAO, rata-rata ekspor cengkeh Singapore sebesar 11.314 ton per tahun,
Madagascar 10.710 ton, Indonesia 10.527 ton, Sri lanka 4.012 ton, dan Brazil
3.607 ton. Sedangkan ekspor cengkeh dari negara-negara lainnya kurang dari 3,00
ribu ton per tahun (Gambar 5.14 dan Lampiran 5.13). Singapore meskipun bukan
negara produsen cengkeh namun tercacat sebagai negara eksportir terbesar,
dikarenakan melakukan kegiatan re-ekspor cengkeh, sementara         madagascar
memang memiliki produktivitas yang lebih tinggi dari Indonesia.




 Gambar 5.16. Negara eksportir cengkeh terbesar di dunia, rata-rata 2004-2008



106    Pusat Data dan Informasi Pertanian
OUTLOOK KOMODITAS PERTANIAN - PERKEBUNAN         2010



      Sementara itu impor cengkeh dilakukan oleh hampir semua negara di
dunia. Negara importir cengkeh terbesar adalah Singapore dengan rata-rata
volume impor sebesar 13.478 ton per tahun. Peringkat kedua adalah India dengan
rata-rata volume impor 11.117 ton per tahun. Peringkat ketiga adalah Arab
sebesar 3.681 per tahun, sedangkan negara-negara lainnya kurang dari 3,00 ribu
ton per tahun, termasuk Indonesia ada diperingkat 59 yang hanya sebesar 3 ton
per tahunnya. Gambar 5.17 dan Lampiran 5.14 menyajikan lima negara importir
terbesar di dunia.




 Gambar 5.17. Negara importir cengkeh terbesar di dunia, rata-rata 2004-2008



5.8. PROYEKSI PENAWARAN CENGKEH 2009-2012


       Proyeksi penawaran cengkeh berdasarkan pada proyeksi produksi
cengkeh. Dari hasil uji coba model yang dilakukan ternyata produksi cengkeh
hanya dapat diproyeksikan dengan menggunakan model trend kuadratik
(univariate) dengan MAPE ( Mean Absolute Percentage Error) sebesar 12.




                                             Pusat Data dan Informasi Pertanian    107
2010          OUTLOOK KOMODITAS PERTANIAN - PERKEBUNAN



       Tabel 5.2. Hasil proyeksi produksi cengkeh di Indonesia, 2010 - 2012


               Tahun                Produksi (ton)         Pertumbuhan (%)

               2009*)                   76.247

                2010                    77.457                    1,59

                2011                    78.760                    1,68

                2012                    80.156                    1,77

           Rata-rata pertumbuhan (% per tahun)                    1,68
       Keterangan : *) Angka Sementara, Ditjen Perkebunan
                       Tahun 2010-2012 angka hasil proyeksi Pusdatin


       Berdasarkan hasil proyeksi di atas, produksi cengkeh di Indonesia periode
tahun 2010 – 2012 diproyeksikan akan terus mengalami peningkatan dengan rata-
rata pertumbuhan pertahun sebesar 1,68%. Pada tahun 2010 produksi cengkeh
diperkirakan akan meningkat sebesar 1,59% menjadi 77.457 ton, dibandingkan
produksi tahun sebelumnya. Produksi ini diperkirakan akan terus meningkat
hingga mencapai 80.156 ton pada tahun 2012 (Tabel 5.2).



5.9. PROYEKSI PERMINTAAN CENGKEH 2009-2012



       Proyeksi permintaan cengkeh didasarkan pada proyeksi konsumsi domestik
cengkeh karena sebagian ketersediaan cengkah digunakan untuk memenuhi
kebutuhan dalam negeri, baik untuk konsumsi rumah tangga, industri rokok
kretek, industri minyak cengkeh, atau industri lainnya.                Karena keterbatasan
ketersediaan data maka permintaan cengkeh diproyeksikan melalui model trend
kuadratik (univariate) dengan MAPE (Mean Absolute Percentage Error) sebesar
12.




108    Pusat Data dan Informasi Pertanian
OUTLOOK KOMODITAS PERTANIAN - PERKEBUNAN          2010



Tabel 5.3. Hasil proyeksi konsumsi domestik cengkeh di Indonesia, 2009-2011


                               Konsumsi domestik
              Tahun                                       Pertumbuhan (%)
                                     (Ton)

              2009*)                  63.741

              2010                    63.367                     -0,59

              2011                    62.993                     -0,59

              2012                    62.619                     -0,59

         Rat-rata pertumbuhan (% per tahun)                      -0,59
      Keterangan : *) Angka Sementara, Ditjen Perkebunan & BPS
                      Tahun 2010-2012 Angka hasil proyeksi Pusdatin


     Dari Tabel 5.3 terlihat bahwa konsumsi domestik cengkeh di Indonesia akan
terus mengalami penurunan hingga tahun 2012 dengan rata-rata penurunan per
tahun sebesar 0,59% hingga mencapai 62.619 ton pada tahun 2012.
     Konsumsi cengkeh di Indonesia umumnya digunakan oleh industri rokok
keretek. Sejak tahun 2007 pemerintah Indonesia mulai menabuh genderang
perang terhadap rokok, baik melalui imbauan maupun ketentuan umum. Hingga
pada tahun 2010 pemerintah meningkatkan cukai rokok dalam skala besar, dan
menurunkan volume produk rokok. Akibat dari pembatasan volume produk rokok
tersebut adalah anjloknya konsumsi cengkeh (Koran Tempo).



5.10. PROYEKSI SURPLUS/DEFISIT KOMODITAS CENGKEH 2009-2012



     Jika ketersediaan komoditas cengkeh hanya dihitung berdasarkan produksi
 dan total konsumsi domestik sebagai gambaran dari total permintaan, maka
 selama periode tahun 2010 - 2012 diperkirakan masih akan terjadi surplus
 komoditas cengkeh, dengan rata-rata pertumbuhan sebesar 11,93% per tahun.
 Surplus tersebut merupakan stok cengkeh di dalam negeri. Diperkirakan surplus


                                                   Pusat Data dan Informasi Pertanian    109
2010          OUTLOOK KOMODITAS PERTANIAN - PERKEBUNAN



 cengkeh akan terus meningkat hingga tahun 2012 menjadi 17.537 ton dari
 sebesar 12.506 ton pada tahun 2009 (Tabel 5.4).
       Bila   dilihat   dari   rata-rata      pertumbuhan    per    tahun,   pertumbuhan
 ketersediaan bertambah setiap tahunnya dibanding permintaan yang terus
 menurun. Ini menunjukkan bahwa Indonesia akan mengalami surplus cengkeh
 yang semakin besar tiap tahunnya. Bila konsumsi domestik cengkeh dianalogkan
 kepada pabrik rokok, berarti Indonesia akan berhasil dalam prorgam hidup
 sehat tanpa rokok. Penurunan konsumsi cengkeh bukan berarti akan mematikan
 kehidupan petani cengkeh di Indonesia, karena fungsi cengkeh bukan hanya
 sebagai bahan baku rokok, tetapi dapat dipergunakan sebagai bahan baku obat-
 obatan, minyak atsiri dan lainnya.


       Tabel 5.4. Proyeksi surplus/defisit cengkeh di Indonesia, tahun 2009-2012


                                 Ketersediaan            Permintaan     Surplus/Defisit
               Tahun
                                    (Ton)                   (Ton)            (Ton)

               2009*)                76.247                63.741            12.506

                2010                 77.457                63.367            14.090

                2011                 78.760                62.993            15.767

                2012                 80.156                62.619            17.537
             Rata-rata
          pertumbuhan (%               1,68                -0,59             11,93
            per tahun)
       Keterangan : *) Angka Sementara, Ditjen Perkebunan & BPS
                       Tahun 2010-2012 angka hasil proyeksi Pusdatin




110    Pusat Data dan Informasi Pertanian
OUTLOOK KOMODITAS PERTANIAN - PERKEBUNAN                 2010



Lampiran 5.1. Luas areal cengkeh di Indonesia berdasarkan status pengusahaan,
              1967-2009

                       PR                           PBN                        PBS                    Total
  Tahun
               (Ha)   Pertumb. (%)            PBN    Pertumb. (%)      PBS      Pertumb. (%)    Total  Pertumb. (%)
   1967        59,559                             -                       -                     59,559
   1968        75,751       21.38                 -                       -                     75,751       21.38
   1969        68,956        -9.85                -                    752                      69,708        -8.67
   1970        81,610       15.51                 -                    777              3.22    82,387       15.39
   1971       100,803       19.04             1,294         100.00   1,323             41.27   103,420       20.34
   1972       109,145         7.64            3,570          63.75   1,630             18.83   114,345         9.55
   1973       139,592       21.81             3,650           2.19   3,124             47.82   146,366       21.88
   1974       171,609       18.66             3,751           2.69   5,176             39.64   180,536       18.93
   1975       208,844       17.83             3,177         -18.07   5,864             11.73   217,885       17.14
   1976       232,067       10.01             3,624          12.33   6,036              2.85   241,727         9.86
   1977       283,988       18.28             3,687           1.71   6,681              9.65   294,356       17.88
   1978       301,045         5.67            4,254          13.33   8,151             18.03   313,450         6.09
   1979       339,418       11.31             5,454          22.00   8,192              0.50   353,064       11.22
   1980       391,445       13.29             5,481           0.49  11,176             26.70   408,102       13.49
   1981       494,815       20.89             5,333          -2.78  16,986             34.20   517,134       21.08
   1982       511,216         3.21            5,236          -1.85  14,417            -17.82   530,869         2.59
   1983       551,717         7.34            4,754         -10.14  16,174             10.86   572,645         7.30
   1984       587,774         6.13            4,996           4.84  15,512             -4.27   608,282         5.86
   1985       642,664         8.54            4,781          -4.50  16,030              3.23   663,475         8.32
   1986       656,414         2.09            5,823          17.89  17,072              6.10   679,309         2.33
   1987       722,689         9.17            5,195         -12.09  14,385            -18.68   742,269         8.48
   1988       672,398        -7.48            4,659         -11.50  15,708              8.42   692,765        -7.15
   1989       681,524         1.34            4,742           1.75  15,726              0.11   701,992         1.31
   1990       672,607        -1.33            3,968         -19.51  16,107              2.37   692,682        -1.34
   1991       650,407        -3.41            3,298         -20.32  14,499            -11.09   668,204        -3.66
   1992       592,446        -9.78            3,086          -6.87  12,818            -13.11   608,350        -9.84
   1993       556,496        -6.46            2,307         -33.77  12,244             -4.69   571,047        -6.53
   1994       520,012        -7.02            2,221          -3.87  12,143             -0.83   534,376        -6.86
   1995       491,563        -5.79              504        -340.67   9,756            -24.47   501,823        -6.49
   1996       479,379        -2.54            1,914          73.67  10,420              6.37   491,713        -2.06
   1997       447,549        -7.11            1,928           0.73   8,065            -29.20   457,542        -7.47
   1998       419,827        -6.60            1,860          -3.66   7,048            -14.43   428,735        -6.72
   1999       407,149        -3.11            1,860           0.00   6,850             -2.89   415,859        -3.10
   2000       407,010        -0.03            1,860           0.00   6,728             -1.81   415,598        -0.06
   2001       420,341         3.17            1,860           0.00   7,099              5.23   429,300         3.19
   2002       421,589         0.30            1,865           0.27   6,758             -5.05   430,212         0.21
   2003       433,885         2.83            1,865           0.00   6,583             -2.66   442,333         2.74
   2004       429,728        -0.97            1,865           0.00   6,660              1.16   438,253        -0.93
   2005       438,771         2.06            1,865           0.00   8,221             18.99   448,857         2.36
   2006       436,091        -0.61            1,865           0.00   6,702            -22.66   444,658        -0.94
   2007       444,683         1.93            1,865           0.00   6,744              0.62   453,292         1.90
   2008       447,702         0.67            1,865           0.00   6,905              2.33   456,472         0.70
  2009*)      450,290         0.57            1,903           2.00   7,000              1.36   459,193         0.59
                                                Rata-rata pertumbuhan (%)
     1967-2009*)                  4.25                       -4.36                      3.70                   4.29
      1967-1987                  11.40                       11.28                     12.99                  11.52
     1988-2009*)                 -2.24                      -16.44                     -3.91                  -2.28
Sumber: Direktorat Jenderal Perkebunan
Keterangan : *) Angka Sementara                     PR= Perkebunan Rakyat
               PBN= Perkebunan Besar Negara         PBS = Perkebunan Besar Swasta




                                                                     Pusat Data dan Informasi Pertanian         111
2010               OUTLOOK KOMODITAS PERTANIAN - PERKEBUNAN



Lampiran 5.2. Produksi cengkeh di Indonesia berdasarkan status pengusahaan,
              1967-2009

                           PR                        PBN                          PBS                     Total
  Tahun
                (Ton)      Pertumb. (%)      (Ton)     Pertumb. (%)     (Ton)     Pertumb. (%)   (Ton)     Pertumb. (%)
   1967            8,821                          -                           -                   8,821
   1968           17,156           48.58          -                           -                  17,156            48.58
   1969           11,037          -55.44          -                           1                  11,038           -55.43
   1970           15,371           28.20          -                          76          98.68   15,447            28.54
   1971           11,283          -36.23          1                          47         -61.70   11,331           -36.33
   1972           14,963           24.59          3         66.67           164          71.34   15,130            25.11
   1973           27,314           45.22         26         88.46           106         -54.72   27,446            44.87
   1974           14,980          -82.34          1     -2,500.00            17        -523.53   14,998           -83.00
   1975           19,148           21.77          7         85.71           139          87.77   19,294            22.27
   1976           19,855            3.56         27         74.07           150           7.33   20,032             3.68
   1977           39,519           49.76        118         77.12           286          47.55   39,923            49.82
   1978           21,149          -86.86        123          4.07           282          -1.42   21,554           -85.22
   1979           18,174          -16.37         14       -778.57            20      -1,310.00   18,208           -18.38
   1980           33,453           45.67        367         96.19           398          94.97   34,218            46.79
   1981           28,775          -16.26        176       -108.52           401           0.75   29,352           -16.58
   1982           32,412           11.22        217         18.89           180        -122.78   32,809            10.54
   1983           40,401           19.77        824         73.67           603          70.15   41,828            21.56
   1984           47,751           15.39        283       -191.17           854          29.39   48,888            14.44
   1985           40,652          -17.46        301          5.98         1,037          17.65   41,990           -16.43
   1986           48,681           16.49        598         49.67         1,349          23.13   50,628            17.06
   1987           69,679           30.14        312        -91.67         1,011         -33.43   71,002            28.69
   1988           77,909           10.56      1,082         71.16         2,233          54.72   81,224            12.58
   1989           53,066          -46.82      1,089          0.64         2,243           0.45   56,398           -44.02
   1990           64,423           17.63        837        -30.11         1,652         -35.77   66,912            15.71
   1991           77,642           17.03        422        -98.34         2,189          24.53   80,253            16.62
   1992           70,278          -10.48        462          8.66         2,384           8.18   73,124            -9.75
   1993           65,669           -7.02        218       -111.93         1,479         -61.19   67,366            -8.55
   1994           75,812           13.38        192        -13.54         2,375          37.73   78,379            14.05
   1995           87,889           13.74        148        -29.73         1,970         -20.56   90,007            12.92
   1996           57,396          -53.13        320         53.75         1,763         -11.74   59,479           -51.33
   1997           57,492            0.17        316         -1.27         1,384         -27.38   59,192            -0.48
   1998           64,835           11.33        343          7.87         1,999          30.77   67,177            11.89
   1999           51,345          -26.27        364          5.77         1,194         -67.42   52,903           -26.98
   2000           57,926           11.36        343         -6.12         1,609          25.79   59,878            11.65
   2001           70,782           18.16        346          0.87         1,557          -3.34   72,685            17.62
   2002           77,241            8.36        351          1.42         1,417          -9.88   79,009             8.00
   2003           74,518           -3.65        354          0.85         1,599          11.38   76,471            -3.32
   2004           71,794           -3.79        355          0.28         6,660          75.99   78,809             2.97
   2005           76,201            5.78        372          4.57         1,777        -274.79   78,350            -0.59
   2006           60,271          -26.43        196        -89.80           941         -88.84   61,408           -27.59
   2007           79,126           23.83        310         36.77           969           2.89   80,405            23.63
   2008           68,874          -14.89        310          0.00         1,352          28.33   70,536           -13.99
  2009*)          80,158           14.08        316          1.90         1,816          25.55   82,290            14.28
                                              Rata-rata pertumbuhan (%)
       1967-2009*)                  0.53                   -84.62                       -45.84                      0.62
        1967-1987                   2.47                  -189.34                       -86.60                      2.53
       1988-2009*)                 -1.23                    -8.47                       -12.48                     -1.12
Sumber: Direktorat Jenderal Perkebunan
Keterangan : *) Angka Sementara                       PR= Perkebunan Rakyat
              PBN= Perkebunan Besar Negara           PBS = Perkebunan Besar Swasta




112     Pusat Data dan Informasi Pertanian
OUTLOOK KOMODITAS PERTANIAN - PERKEBUNAN                       2010



Lampiran 5.3. Perkembangan produksi cengkeh di provinsi sentra di Indonesia,
              2005-2009

                                                 Produksi (Ton)                                                Share
 No.           Provinsi                                                               Rata-rata Share (%)
                               2005       2006       2007         2008       2009*)                         kumulatif (%)

  1    Maluku                     7,294    7,851     10,588       10,631     10,660      9,405    12.33        12.33
  2    Sulawesi Selatan        12,090     13,013      4,840        7,315      8,126      9,077    11.90        24.23
  3    Sulawesi Tengah            9,244    8,953      8,690        6,767      9,632      8,657    11.35        35.59
  4    Jawa Timur                 6,714    7,227      9,185        9,380      9,399      8,381    10.99        46.57
  5    Sulawesi Utara             9,187    9,889     11,387         461       6,565      7,498    9.83         56.41
  6    Jawa Tengah                4,576    4,926      6,296        5,802      5,813      5,483    7.19         63.59
  7    Bali                       4,335    4,666      5,094        3,763      5,947      4,761    6.24         69.84
  8    Jawa Barat                 5,054    5,440      4,723        5,134        519      4,174    5.47         75.31
  9    Maluku Utara               3,152    3,392      3,015        4,312      4,321      3,638    4.77         80.08
 10 Banten                        2,514    3,549      2,719        2,766      2,719      2,853    3.74         83.82
 11 Lainnya                    12,042     12,723     12,590       12,546     11,785     12,337    16.18        100.00
       Total                   76,202     81,629     79,127       68,877     75,486    76,264
Sumber: Direktorat Jenderal Perkebunan
Keterangan : *) Angka Sementara                      PR= Perkebunan Rakyat
                PBN= Perkebunan Besar Negara        PBS = Perkebunan Besar Swasta




                                                                      Pusat Data dan Informasi Pertanian                113
2010            OUTLOOK KOMODITAS PERTANIAN - PERKEBUNAN



Lampiran 5.4. Produktivitas cengkeh di Indonesia, 2005-2009

  Tahun       Produktivitas   Pertumb
                 (Kg/Ha)        (%)
   1970           358.69
   1971           290.04      -19.14
   1972           279.60       -3.60
   1973           326.11       16.63
   1974           345.88        6.06
   1975           249.21      -27.95
   1976           281.65       13.02
   1977           346.01       22.85
   1978           210.59      -39.14
   1979           166.62      -20.88
   1980           233.20       39.96
   1981           176.47      -24.33
   1982           169.13       -4.16
   1983           172.36        1.91
   1984           213.10       23.64
   1985           154.82      -27.35
   1986           162.57        5.00
   1987           197.98       21.78
   1988           226.87       14.60
   1989           147.61      -34.94
   1990           158.27        7.22
   1991           194.18       22.69
   1992           176.67       -9.02
   1993           183.97        4.13
   1994           203.92       10.85
   1995           225.16       10.41
   1996           184.39      -18.11
   1997           171.46       -7.01
   1998           189.25       10.37
   1999           188.62       -0.33
   2000           200.35        6.21
   2001           210.49        5.06
   2002           227.49        8.08
   2003           286.40       25.89
   2004           217.87      -23.93
   2005           224.82        3.19
   2006           210.93       -6.18
   2007           211.52        0.28
   2008           232.09        9.72
  2009*)          269.63       16.18
Rata-rata Pertumbuhan
1970-2009*)                     1.02
1970-1987                      -0.92
1988-2009*)                     2.52




114    Pusat Data dan Informasi Pertanian
OUTLOOK KOMODITAS PERTANIAN - PERKEBUNAN            2010



Lampiran 5.5. Perkembangan produksi, ekspor, impor, dan konsumsi cengkeh
             Indonesia, 1970-2008

                    Produksi  Ekspor            Impor       Konsumsi       Pertumbuhan
          Tahun
                     (Ton)     (Ton)            (Ton)     Domestik (Ton)        (%)
          1970        15,447       521               -            14,926
          1971        11,331        31               -            11,300     -24.29
          1972        15,130       156               -            14,974      32.51
          1973        27,446       353               -            27,093      80.93
          1974        14,998        64               -            14,934     -44.88
          1975        19,294        47          28,948            48,195     222.72
          1976        20,032       125          10,291            30,198     -37.34
          1977        39,923        86           3,787            43,624      44.46
          1978        21,554        16           9,791            31,329     -28.18
          1979        18,208        17          10,993            29,184      -6.85
          1980        34,218        39           9,510            43,689      49.70
          1981        29,352        51          14,492            43,793       0.24
          1982        32,809        81           7,998            40,726      -7.00
          1983        41,828       341               3            41,490       1.88
          1984        48,888     1,584               2            47,306      14.02
          1985        41,990     1,071          13,725            54,644      15.51
          1986        50,628     1,818           2,189            50,999      -6.67
          1987        71,002     1,836           1,996            71,162      39.54
          1988        81,224     2,568               6            78,662      10.54
          1989        56,398     1,255              12            55,155     -29.88
          1990        66,912     1,105               8            65,815      19.33
          1991        80,253     1,118               3            79,138      20.24
          1992        73,124       794               6            72,336      -8.60
          1993        67,366       700               5            66,671      -7.83
          1994        78,379       670               3            77,712      16.56
          1995        90,007       690               4            89,321      14.94
          1996        59,479       230               -            59,249     -33.67
          1997        59,192       356               0            58,836      -0.70
          1998        67,177    20,157           1,183            48,203     -18.07
          1999        52,903     1,776          22,610            73,737      52.97
          2000        59,878     4,655          12,866            68,089      -7.66
          2001        72,685     6,324          16,899            83,260      22.28
          2002        79,009     9,399             796            70,406     -15.44
          2003        76,471    15,688             172            60,955     -13.42
          2004        73,837     9,060               9            64,786       6.28
          2005        78,350     7,680               1            70,671       9.08
          2006        61,408    11,270               1            50,139     -29.05
          2007        80,404    14,094               -            66,310      32.25
          2008        70,535     4,251               -            66,284      -0.04
       Rat-rata Pertumbuhan (%)
        1970-2008                                                                 10.17
        1970-1987                                                                 20.37
        1988-2008                                                                  3.56
       Sumber : Ditjen Perkebunan dan BPS, diolah oleh Pusdatin




                                                              Pusat Data dan Informasi Pertanian    115
2010           OUTLOOK KOMODITAS PERTANIAN - PERKEBUNAN



Lampiran 5.6. Perkembangan harga cengkeh di pasar dalam negeri dan pasar
              dunia, 1987-2008

                      Dalam Negeri                   Dunia (harga ekspor)
  Tahun
                  (Rp/Kg)   Pertumb. (%)            (Rp/Kg)     Pertumb. (%)
      1987            6,440                             2,744
      1988          5,720         -11.18                2,886            5.17
      1989          5,010         -12.41                2,823           -2.18
      1990          6,280          25.35                3,508           24.26
      1991          6,160           -1.91               4,130           17.73
      1992          3,660         -40.58                3,022          -26.83
      1993          2,470         -32.51                3,356           11.05
      1994          2,680            8.50               6,309           87.99
      1995          2,720            1.49               5,773           -8.50
      1996          2,820            3.68                 498          -91.37
      1997          3,800          34.75                3,538          610.44
      1998          7,420          95.26                5,672           60.32
      1999         20,000         169.54                6,597           16.31
      2000         30,875          54.38               16,695          153.07
      2001         57,698          86.88               17,630            5.60
      2002         54,653           -5.28              24,674           39.95
      2003         28,873         -47.17               13,551          -45.08
      2004         26,570           -7.98              16,570           22.28
      2005         31,791          19.65               19,131           15.46
      2006         35,871          12.83               21,899           14.47
      2007         39,304            9.57              23,191            5.90
      2008         53,005      34.86                    1,706      -92.64
                       Rata-rata pertumbuhan          (%)
          1987-2008            18.94                               39.21
          1987-1997            -2.48                               62.78
          1998-2008            38.41                               17.78
Sumber: Ditjen Perkebunan




116     Pusat Data dan Informasi Pertanian
OUTLOOK KOMODITAS PERTANIAN - PERKEBUNAN           2010



Lampiran 5.7. Perkembangan ekspor-impor dan neraca perdagangan cengkeh di
              Indonesia, 1996-2009

                  Volume (Ton)                   Nilai (000 US$)             Neraca
  Tahun
               Ekspor          Impor          Ekspor          Impor         (000 US$)
   1996             230            -                 48             -                   48
   1997             356            -                221             -                  221
   1998         20,157           1,183          14,115             505           13,610
   1999           1,776         22,610           1,636          40,067          -38,431
   2000           4,655         12,866           8,281          33,430          -25,149
   2001           6,324         16,899          10,669          17,365            -6,696
   2002           9,399           796           25,973             653           25,320
   2003         15,688            172           24,929             151           24,778
   2004           9,060                8        16,037                  7        16,030
   2005           7,680                1        14,916                  1        14,915
   2006         11,270           1,337          25,533                  1        25,532
   2007         13,970             -            33,622              -            33,622
   2008           4,251            -             7,251              -                 7,251
   2009           4,994            31            5,498             112                5,386
Sumber: BPS, diolah Pusdatin




                                                       Pusat Data dan Informasi Pertanian      117
2010                OUTLOOK KOMODITAS PERTANIAN - PERKEBUNAN



Lampiran 5.8. Luas tanaman menghasilkan, produksi, dan produktivitas cengkeh
              dunia, 1961-2008

                           Luas TM                       Produksi                  Produktivitas
   Tahun
                    (Ha)       Pertumb. (%)      (Ton)       Pertumb. (%)      (Ton/Ha)     Pertumb. (%)
   1961            80,800                          27,770                            0.19
   1962            73,430                -9.12     19,085             -31.27         0.17          -11.40
   1963            86,650                18.00     26,345              38.04         0.19            8.97
   1964            98,695                13.90     29,263              11.08         0.18           -1.92
   1965            88,970                -9.85     26,378              -9.86         0.18           -0.90
   1966           121,130                36.15     35,532              34.70         0.17           -5.24
   1967            98,895               -18.36     39,603              11.46         0.26           52.03
   1968           117,230                18.54     33,831             -14.57         0.21          -19.08
   1969            83,965               -28.38     23,716             -29.90         0.23            9.35
   1970            95,830                14.13     34,373              44.94         0.26           11.09
   1971           101,265                 5.67     29,371             -14.55         0.21          -16.64
   1972           123,300                21.76     34,475              17.38         0.21           -2.08
   1973           140,355                13.83     45,771              32.77         0.25           17.53
   1974           127,540                -9.13     44,113              -3.62         0.26            5.09
   1975           153,290                20.19     38,201             -13.40         0.20          -23.80
   1976           158,190                 3.20     44,555              16.63         0.22           10.23
   1977           186,705                18.03     64,601              44.99         0.26           17.50
   1978           187,842                 0.61     39,558             -38.77         0.20          -22.66
   1979           219,100                16.64     36,506              -7.72         0.19           -5.13
   1980           238,837                 9.01     55,697              52.57         0.21           12.35
   1981           274,360                14.87     48,416             -13.07         0.20           -5.63
   1982           282,477                 2.96     47,775              -1.32         0.18           -7.32
   1983           325,605                15.27     56,121              17.47         0.20           11.32
   1984           377,975                16.08     80,548              43.53         0.23           11.14
   1985           384,996                 1.86     59,605             -26.00         0.19          -18.20
   1986           442,694                14.99     71,968              20.74         0.23           24.54
   1987           414,702                -6.32     82,101              14.08         0.23           -2.28
   1988           472,273                13.88    107,146              30.51         0.26           13.80
   1989           479,045                 1.43     70,713             -34.00         0.22          -14.27
   1990           517,882                 8.11     81,967              15.92         0.23            5.91
   1991           584,067                12.78    113,415              38.37         0.28           17.88
   1992           506,874               -13.22     89,549             -21.04         0.23          -15.08
   1993           485,665                -4.18     89,348              -0.22         0.25            8.19
   1994           499,865                 2.92    101,934              14.09         0.27            7.75
   1995           480,365                -3.90    108,157               6.10         0.28            0.79
   1996           471,277                -1.89     86,898             -19.66         0.30            9.77
   1997           473,919                 0.56     81,260              -6.49         0.28           -5.92
   1998           488,189                 3.01     92,391              13.70         0.33           15.51
   1999           424,220               -13.10     80,018             -13.39         0.35            7.42
   2000           500,080                17.88    100,189              25.21         0.38            7.75
   2001           512,420                 2.47    107,859               7.66         0.39            2.83
   2002           517,025                 0.90    117,618               9.05         0.42            7.10
   2003           534,390                 3.36    153,048              30.12         0.45            8.23
   2004           505,720                -5.36    110,182             -28.01         0.46            1.84
   2005           467,501                -7.56    105,103              -4.61         0.46           -0.39
   2006           368,384               -21.20     89,287             -15.05         0.47            2.34
   2007           376,520                 2.21    108,894              21.96         0.49            3.77
   2008           385,030                 2.26    110,364               1.35         0.50            1.88
Rata-rata pertumbuhan (%)
1961-2008                             4.17                          5.70                        2.89
1961-1997                             5.86                          6.11                        2.16
1998-2008                            -1.38                          4.36                        5.30
Sumber: FAO, diolah Pusdatin




118      Pusat Data dan Informasi Pertanian
OUTLOOK KOMODITAS PERTANIAN - PERKEBUNAN                     2010



Lampiran 5.9. Negara dengan luas areal cengkeh terbesar di dunia, 2004-2008

                                  Luas Tanaman Menghasilkan (Ha)                                              Share
 No      Negara                                                                     Rata-rata   Share (%)   kumulatif
                        2004        2005         2006          2007       2008                                 (%)
  1    Indonesia       390,000     400,000      299,224   303,470        311,760    340,891      81.04           81.04
  2    Madagascar      78,910       37,231      36,670     37,000         37,000     45,362      10.78          91.83
  3    Tanzania        13,000       13,000      12,500     12,500         12,500     12,700       3.02          94.85
  4    Comoros         12,000       5,500        9,000     13,000         13,000     10,500       2.50          97.34
  5    Sri Lanka        8,060       7,970        7,740     7,250          7,420      7,688        1.83          99.17
  6    Lainnya          3,750       3,800        3,250     3,300          3,350      3,490        0.83         100.00
       Dunia           505,720     467,501      368,384   376,520        385,030    420,631
Sumber : FAO diolah Pusdatin



Lampiran 5.10. Negara produsen cengkeh terbesar di dunia, 2004-2008

                                              Produksi (Ton)                                                  Share
No       Negara                                                                     Rata-rata Share (%)     kumulatif
                          2004        2005        2006         2007        2008                                (%)
 1 Indonesia             73,837      78,350      62,027        80,404     80,929      75,109      71.69       71.69
 2 Madagascar            18,055      9,873        9,900        10,000     10,000      11,566      11.04       82.73
 3 Tanzania              9,900       10,200       9,800        9,900       9,900      9,940       9.49        92.22
 4 Sri Lanka             3,270       3,260        3,140        3,070       3,990      3,346       3.19       95.41
 5 Comoros               3,200       1,500        2,500        3,500       3,500      2,840       2.71       98.12
 6 Lainnya               1,920       1,920        1,920        2,020       2,045      1,965       1.88       100.00
      Dunia             110,182     105,103      89,287    108,894        110,364    104,766     100.00
Sumber : FAO diolah Pusdatin




                                                                       Pusat Data dan Informasi Pertanian             119
2010            OUTLOOK KOMODITAS PERTANIAN - PERKEBUNAN



Lampiran 5.11 Negara-negara dengan rata-rata produktivitas cengkeh tertinggi di
              dunia, 2004-2008

                                            Produktivitas (Ton/Ha)
 No         Negara                                                                       Rata-rata
                                2004      2005       2006        2007        2008

  1     China                   1.17      1.08        1.00       1.07        1.03          1.07
  2     Tanzania                0.76      0.78        0.78       0.79        0.79          0.78
  3     Kenya                   0.43      0.43        0.57       0.57        0.57          0.51
  4     Sri Lanka               0.41      0.41        0.41       0.42        0.54          0.44
  5     Comoros                 0.27      0.27        0.28       0.27        0.27          0.27
  6     Madagascar              0.23      0.27        0.27       0.27        0.27          0.26
  7     Malaysia                0.25      0.25        0.25       0.25        0.25          0.25
  8     Indonesia               0.19      0.20        0.21       0.26        0.26          0.22
Sumber : FAO diolah Pusdatin




Lampiran 5.12. Harga produsen cengkeh terbesar di dunia, 2004-2008

                                        Harga produsen (US$/Ton)
 No       Negara                                                                         Rata-rata
                            2004        2005        2006         2007        2008
 1 Indonesia                   73,837    78,350      62,027      80,404      80,929        75,109
 2 Madagascar                  18,055     9,873       9,900      10,000      10,000        11,566
 3 Tanzania                     9,900    10,200       9,800       9,900       9,900          9,940
 4 Sri Lanka                    3,270     3,260       3,140       3,070       3,990          3,346
 5 Comoros                      3,200     1,500       2,500       3,500       3,500          2,840
 6 Kenya                        1000       1000        1000        1000        1000          1000
 7 China                         700        700            700       800        825           745
 8 Malaysia                      200        200            200       200        200           200
 9 Grenada                         20          20          20           20          20            20
Sumber : FAO diolah Pusdatin




120    Pusat Data dan Informasi Pertanian
OUTLOOK KOMODITAS PERTANIAN - PERKEBUNAN          2010



Lampiran 5.13. Negara eksportir cengkeh terbesar di dunia, 2004-2007

                                        Volume ekspor (Ton)                                      Share
 No           Negara                                                     Rata-rata Share (%)   kumulatif
                                2004      2005         2006      2007                             (%)
  1    Singapore               15,007     11,762      8,347     10,138    11,314     22.40       22.40

  2    Madagascar              12,585     6,314       10,358    13,583    10,710     21.21       43.61

  3    Indonesia               9,060      7,683       11,270    14,093    10,527     20.85       64.46

  4    Sri Lanka               3,428      5,517       2,346      4,756     4,012      7.94       72.40

  5    Brazil                  6,211      2,107       3,533      2,576     3,607      7.14       79.54

  6    Lainnya                 11,409     12,073      9,323      8,513    10,330     20.46      100.00

       Dunia                   57,700     45,456      45,177    53,659    50,498
Sumber : FAO diolah Pusdatin




Lampiran 5.14. Negara importir cengkeh terbesar di dunia, 2004-2007

                                        Volume impor (Ton)                                     Share
 No        Negara                                                        Rata-rata Share (%) kumulatif
                               2004       2005        2006      2007                            (%)
  1   Singapore            21,416        11,085      10,522     10,890    13,478     29.15     29.15
  2   India                6,945         10,775      11,748     14,999    11,117     24.04       53.19
  3   Arab                 3,773         2,176        4,018     4,756      3,681      7.96       61.15
  4   Viet Nam                 992       2,504        1,752     3,314      2,141      4.63       65.78
  5   Saudi Arabia         1,252         1,979        1,727     2,109      1,767      3.82       69.60
  6   Lainnya              14,139        13,700      12,662     15,725    14,057     30.40      100.00
      Dunia                48,517        42,219      42,429     51,793    46,240
Sumber : FAO diolah Pusdatin




                                                               Pusat Data dan Informasi Pertanian        121
OUTLOOK KOMODITAS PERTANIAN - PERKEBUNAN          2010


                               VI. TEMBAKAU

    Tembakau (Nicotiana spp., L.) adalah genus tanaman yang berdaun lebar yang
berasal dari daerah Amerika Utara dan Amerika Selatan. Daun dari pohon ini sering
digunakan sebagai bahan baku rokok, baik dengan menggunakan pipa maupun
digulung dalam bentuk rokok atau cerutu. Daun tembakau dapat pula dikunyah atau
dikulum, dan ada pula yang menghisap bubuk tembakau melalui hidung. Tembakau
mengandung zat alkaloid nikotin, sejenis neurotoxin yang sangat ampuh jika
digunakan pada serangga. Zat ini sering digunakan sebagai bahan utama insektisida
(http://id.wikipedia.org/wiki/Tembakau, 22 April 2010).
    Tembakau termasuk komoditas yang mempunyai arti penting karena selain
memberikan manfaat ekonomi, manfaat sosialnya pun sangat dirasakan. Peran
tembakau didalam perekonomian Indonesia dapat ditunjukkan terutama oleh
besarnya cukai yang disumbangkan sebagai penerimaan negara dan banyaknya
tenaga kerja yang terserap baik dalam tahap penanaman dan pengolahan tembakau
sebelum diekspor atau dibuat rokok, maupun pada tahap pembuatan rokok.
Penerimaan negara dari tembakau sangat besar yaitu dari cukai dan setiap tahun
terus meningkat pada tahun 2007 sebesar 42 trilyun, tahun 2008 sebesar 50,2
trilyun dan tahun 2009 ditargetkan mencapai 52 trilyun demikian juga pada periode
5 tahun terakhir devisa yang dihasilkan dari eksport tembakau senilai US $ 100.627
(48.278 ton) (http://ditjenbun.deptan.go.id/budtansim/images/pdf/tembakau, 22
April 2010).
    Tulisan berikut akan mengulas keragaan komoditas tembakau Indonesia dan
dunia serta proyeksi produksi dan permintaan tembakau Indonesia di tahun-tahun
mendatang.


6.1.   PERKEMBANGAN LUAS AREAL, PRODUKTIVITAS DAN PRODUKSI
       TEMBAKAU INDONESIA

       Secara umum perkembangan luas areal tembakau di Indonesia selama tahun
1971 - 2009 tampak berfluktuatif dengan rata-rata pertumbuhan sebesar 3,23%

                                                  Pusat Data dan Informasi Pertanian    123
2010          OUTLOOK KOMODITAS PERTANIAN - PERKEBUNAN


      (Gambar 6.1.). Total luas areal tembakau menunjukkan peningkatan pada periode
      tahun 1971 - 1997 dengan laju pertumbuhan rata-rata mencapai 4,76% per tahun.
      Menginjak tahun 1998 - 2009 terjadi kecenderungan penurunan laju pertumbuhan
      luas areal tembakau menjadi sebesar 0,07% per tahun (Lampiran 6.1.). Terjadinya
      penurunan laju pertumbuhan luas areal tembakau pada periode tahun 1990 - 2009,
      dikarenakan tembakau di Indonesia hanya diusahakan oleh Perkebunan Rakyat (PR)
      dan Perkebunan Besar Negara (PBN), sementara Perkebunan Besar Swasta (PBS)
      tidak melakukan penanaman sama sekali.




       Gambar 6.1. Perkembangan luas areal tembakau menurut status pengusahaannya,
                                        1971-2009




             Gambar 6.2. Kontribusi luas areal tembakau di Indonesia menurut status
                              pengusahaan, (rata-rata 2005-2009)


124
      124    Pusat Data dan Informasi Pertanian
OUTLOOK KOMODITAS PERTANIAN - PERKEBUNAN          2010


     Berdasarkan status pengusahaannya, rata-rata luas areal tembakau tahun 2005
- 2009 didominasi oleh PR sebesar 97,43%, sisanya 2,57% PBN, sementara tidak ada
PBS yang melakukan penanaman tembakau (Gambar 6.2).
     Sejalan dengan perkembangan luas          arealnya, perkembangan produksi
tembakau di Indonesia juga tampak berfluktuatif. Pada periode tahun 1971 – 2009,
produksi tembakau Indonesia meningkat dengan dengan laju pertumbuhan rata-rata
sebesar 7,43% per tahun (Gambar 6.3). Sementara laju pertumbuhan rata-rata pada
periode tahun 1998 - 2009 mengalami sedikit peningkatan sebesar 1,53% per tahun.
Hal ini dikarenakan, tidak ada kontribusi produksi tembakau yang berasal dari PBS
pada periode tersebut. Namun demikian, secara umum terjadi peningkatan total
produksi tembakau di Indonesia dari 57,35 ribu ton pada tahun 1971 menjadi 176,94
ribu ton pada tahun 2009 (Lampiran 6.2).




   Gambar 6.3. Perkembangan produksi tembakau menurut status pengusahaan,
                                 1971-2009

       Secara umum produksi tembakau PR pada periode tahun 2006 - 2009
didominasi oleh 4 provinsi, yaitu: Jawa Timur, Nusa Tenggara Barat, Jawa Tengah,
dan Jawa Barat (Lampiran 6.3.). Keempat provinsi tersebut memberikan kontribusi
sebesar 95,22% terhadap total produksi tembakau Indonesia. Jawa Timur
memberikan kontribusi sebesar 48,40%, Nusa Tenggara Barat 27,83%, Jawa Tengah
15,07%, Jawa Barat 3,92%, dan provinsi lainnya hanya memberikan kontribusi
sebesar 7,78% (Gambar 6.4).

                                                 Pusat Data dan Informasi Pertanian    125
2010          OUTLOOK KOMODITAS PERTANIAN - PERKEBUNAN




                Gambar 6.4. Kontrubusi sentra produksi tembakau PR di Indonesia,
                                     (rata-rata 2006-2009)


             Berbeda dengan perkembangan luas areal dan produksinya, perkembangan
      produktivitas tembakau di Indonesia selama empat tahun terakhir (2006 - 2009)
      cenderung memiliki pola yang seragam sesuai dengan jenis pengusahaannya
      (Gambar 6.5.). Rata-rata produktivitas untuk PR dan PBN masing-masing sebesar
      0,86 ton/ha dan 0,64 ton/ha (Tabel 6.1.).




             Gambar 6.5. Rata-rata produktivitas tembakau Indonesia menurut status
                                    pengusahaan, 2006-2009




126
      126    Pusat Data dan Informasi Pertanian
OUTLOOK KOMODITAS PERTANIAN - PERKEBUNAN            2010


       Tabel 6.1. Perkembangan produktivitas tembakau Indonesia, 2006-2009

                                                Produktivitas (Ton/Ha)
                  Tahun
                                       PR1)                PBN2)          Nasional
                  2006                 0,85                0,82             0,85
                  2007                 0,84                0,54             0,83
                  2008                 0,86                0,57             0,85
                  2009*)               0,88                0,65             0,87
             Rata-rata                 0,86                0,64             0,85
             Sumber      : Ditjen. Perkebunan
             Keterangan: *) Angka Sementara
                           1)                       2)
                                Perkebunan Rakyat        Perkebunan Besar Negara



6.2.    PERKEMBANGAN HARGA KONSUMEN TEMBAKAU DI INDONESIA


       Secara umum perkembangan harga tembakau di tingkat konsumen pedesaan
pada periode tahun 2000 - 2008 cenderung meningkat (Gambar 6.6.). Harga
tembakau di tingkat konsumen dimulai dengan harga Rp. 21.499,90,- per kg pada
tahun 2000 dan meningkat pada tahun 2008 menjadi sebesar Rp. 43.768,71,- per kg.
Rata-rata laju pertumbuhan harga tembakau selama periode tahun 2000 - 2008
sebesar 9.51% (Tabel 6.2.).
       Pada periode tersebut, harga tembakau di tingkat konsumen untuk setiap
provinsi cukup beragam. Harga rata-rata tingkat konsumen tembakau tertinggi
selama 5 tahun terakhir terjadi di Sumatera Utara yang mencapai Rp. 59.056,- per
kg (rata-rata 2004 - 2008). Berikutnya adalah Sumatera Barat sebesar Rp. 49.840,-
per kg, dan provinsi lainnya berada pada kisaran di bawah Rp. 40.000,- per kg
(Lampiran 6.4).




                                                               Pusat Data dan Informasi Pertanian    127
2010          OUTLOOK KOMODITAS PERTANIAN - PERKEBUNAN


             Tabel 6.2. Perkembangan harga konsumen pedesaan tembakau Indonesia,
                       2000-2006

                                              Harga
                            Tahun           Konsumen           Pertumbuhan
                                             (Rp/kg)               (%)
                             2000           21.499,90
                             2001           24.063,09                11,92
                             2002           29.546,90                22,79
                             2003           32.571,65                10,24
                             2004           31.551,74                -3,13
                             2005           32.822,84                    4,03
                             2006           35.684,13                    8,72
                             2007           40.188,39                12,62
                             2008           43.768,71                    8,91
                         Rata-Rata                                       9,51
                         Sumber : BPS




               Gambar 6.6. Perkembangan harga konsumen tembakau di Indonesia,
                                         2000-2008



      6.3. PERKEMBANGAN KONSUMSI TEMBAKAU DAN ROKOK INDONESIA


             Konsumsi tembakau segar di Indonesia selama periode tahun 1987 - 2008
      berfluktuatif walaupun cenderung turun dengan rata-rata pertumbuhan sebesar
      2,19% per tahun. Penurunan konsumsi tembakau cukup besar terjadi pada tahun
128
      128    Pusat Data dan Informasi Pertanian
OUTLOOK KOMODITAS PERTANIAN - PERKEBUNAN          2010


1996 bila dibandingkan dengan tahun sebelumnya sebesar 29,51% (Gambar 6.7).
Apabila dilihat dari besarannya, konsumsi tembakau segar per kapita relatif kecil
karena cenderung mengkonsumsi dalam bentuk rokok hasil industri. Pada tahun
2008, rata-rata konsumsi tembakau segar hanya sebesar 0,27 kg per kapita.




           Gambar 6.7. Perkembangan konsumsi tembakau di Indonesia,
                                 1987-2008




        Gambar 6.8. Perkembangan konsumsi rokok di Indonesia, 1987-2008

     Sementara itu, konsumsi hasil olahan tembakau yaitu rokok dibedakan atas
rokok kretek filter, rokok kretek tanpa filter dan rokok putih. Selama periode tahun
1987 - 2008, pola konsumsi rokok kretek baik filter, tanpa filter maupun rokok putih
cenderung meningkat dengan rata-rata pertumbuhan masing-masing sebesar 1,97%,
1,21% dan 1,08%. Pada tahun 2008, konsumsi rokok kretek filter sebanyak 316

                                                  Pusat Data dan Informasi Pertanian    129
2010          OUTLOOK KOMODITAS PERTANIAN - PERKEBUNAN


      batang per kapita, rokok kretek tanpa filter sebanyak 182 batang per kapita, dan
      rokok putih sebanyak 39 batang per kapita (Gambar 6.8).



      6.4.    PERKEMBANGAN EKSPOR-IMPOR                        TEMBAKAU    PRIMER     DAN
              MANUFAKTUR INDONESIA

             Perkembangan volume ekspor dan impor tembakau primer selama periode
      tahun 1996 - 2009 relatif berfluktuatif namun cenderung meningkat masing-masing
      sebesar 4,29% dan 6,33% per tahun. (Gambar 6.9.).           Peningkatan volume ekspor
      tembakau primer pada tahun 2009 sebesar 3,73%. Total volume ekspor pada tahun
      1996 sebesar 33,24 ribu ton dan pada tahun 2009 meningkat menjadi sebesar 52,14
      ribu ton. Sedangkan total volume impor pada tahun 1996 sebesar 45,06 ribu ton dan
      pada tahun 2009 meningkat menjadi sebesar 53,20 ribu ton. Secara umum, realisasi
      ekspor tembakau primer pada periode tahun 2000 - 2009 berada di atas realisasi
      impornya, yang berarti neraca perdagangan internasional tembakau mengalami
      surplus.




       Gambar 6.9. Perkembangan volume dan harga ekspor – impor tembakau primer,
                                     1996-2009

             Demikian pula, perkembangan harga ekspor maupun impor dari periode tahun
      1996 - 2009 juga berfluktuatif namun mempunyai kecenderungan meningkat masing-
      masing dengan laju pertumbuhan rata-rata sebesar 3,81% dan 6,28%. Namun
130
      130    Pusat Data dan Informasi Pertanian
OUTLOOK KOMODITAS PERTANIAN - PERKEBUNAN          2010


demikian, pada periode tertentu terjadi peningkatan volume baik ekspor maupun
impor yang tidak dibarengi dengan peningkatan harga ekspor maupun impornya
(Lampiran 6.6.).
     Dilihat dari harga ekspor dan impor terlihat bahwa pada periode 1996 - 2009,
harga ekspor tembakau Indonesia jauh dibawah harga impor tembakau luar negeri.
Pada tahun 2009, harga ekspor tembakau primer Indonesia mencapai US$ 3.385 per
ton, sementara harga impornya mencapai US$ 5.455 per ton. Hal ini menunjukkan
bahwa kualitas tembakau primer di Indonesia lebih rendah dibandingkan dengan
kualitas tembakau primer yang ada di luar negeri.
     Perkembangan volume ekspor dan impor tembakau manufaktur selama
periode tahun 1996-2009 juga relatif berfluktuatif dan cenderung mengalami
peningkatan untuk volume ekspor dan impor dengan rata-rata sebesar 6,72%, dan
16,67% (Gambar 6.10.). Total volume ekspor pada tahun 1996 sebesar 28,94 ribu
ton dan pada tahun 2009 meningkat menjadi 57,97 ribu ton. Sedangkan total volume
impor pada tahun 1996 sebesar 4,58 ribu ton pada tahun 2009 juga mengalami
peningkatan menjadi 10,49 ribu ton.
     Secara umum, realisasi ekspor tembakau manufaktur (cerutu, sigaret,
tembakau iris, blended tobacco, tembakau dihomogenisasi, ekstrak dan essens
tembakau) juga berada diatas realisasi impornya, atau mengalami surplus neraca
perdagangan.




     Gambar 6.10. Perkembangan volume dan harga ekspor - impor tembakau
                           manufaktur 1996-2009

                                                   Pusat Data dan Informasi Pertanian    131
2010          OUTLOOK KOMODITAS PERTANIAN - PERKEBUNAN


             Demikian pula, harga impor tembakau manufaktur Indonesia pada periode
      tahun 1996-2009 lebih tinggi dibandingkan dengan harga ekspornya. Hal ini
      menunjukkan pula bahwa kualitas tembakau manufaktur dari luar negeri yang masuk
      ke Indonesia lebih bagus dibandingkan dengan kualitas tembakau manufaktur
      Indonesia yang diekspor ke luar negeri.



      6.5.    PERKEMBANGAN LUAS AREAL DAN PRODUKSI TEMBAKAU DUNIA


             Perkembangan luas areal tembakau dunia selama periode tahun 1961-2008
      menunjukkan pola yang cukup berfluktuatif tetapi cenderung sedikit mengalami
      peningkatan (Gambar 6.11.), dengan rata-rata pertumbuhan sebesar 1,07%        per
      tahun. Sementara, rata-rata pertumbuhan tahun 1961-1995 meningkat sebesar
      1,47% per tahun, dan selanjutnya mengalami peningkatan sangat kecil rata-rata
      pertumbuhan per tahun untuk periode 1996-2008 hanya sebesar 0,01% per tahun
      (Lampiran 6.8.).




               Gambar 6.11. Perkembangan luas areal tembakau dunia, 1961-2008

             Sementara itu, berdasarkan data rata-rata luas areal tembakau dunia periode
      tahun 2004 - 2008, terdapat sepuluh negara yang memberikan kontribusi luas areal
      terbesar di dunia (Lampiran 6.9). Sepuluh negara tersebut secara total memberikan
      kontribusi kumulatif mendekati 85,71% terhadap total luas areal tembakau di dunia.
      China memberikan kontribusi terbesar yaitu sebesar 40,70% (atau 1,28 juta ha),

132
      132    Pusat Data dan Informasi Pertanian
OUTLOOK KOMODITAS PERTANIAN - PERKEBUNAN          2010


Brazil sebesar 14,84%, India sebesar 11,72%, dan Indonesia berada di urutan ke-4
dengan memberikan kontribusi sebesar 6,09%, sementara Melawi dan Argentina
masing-masing memberikan kontribusi sebesar 4,40% dan 2,72%. Sedangkan negara-
negara lainnya memberikan kontribusi rata-rata dibawah 2% (Gambar 6.12.).




       Gambar 6.12. Negara dengan luas areal tembakau terbesar di dunia,
                                 2004 – 2008

     Sejalan   dengan perkembangan luas areal tembakau dunia, perkembangan
produksi tembakau dunia juga menunjukkan pola yang berfluktuatif dan cenderung
meningkat selama periode tahun 1961-2008 (Gambar 6.13.). Rata-rata pertumbuhan
produksi untuk periode tahun tersebut adalah sebesar 2,92% per tahun. Rata-rata
pertumbuhan produksi tembakau dunia cukup besar terjadi pada periode tahun 1961
- 1995 yakni sebesar 3,16% per tahun, dan selanjutnya mengalami pertumbuhan
rata-rata per tahun yang melandai untuk periode 1996 - 2008 yakni sebesar 2,29%
per tahun (Lampiran 6.8.).




                                                 Pusat Data dan Informasi Pertanian    133
2010          OUTLOOK KOMODITAS PERTANIAN - PERKEBUNAN




                Gambar 6.13. Perkembangan produksi tembakau dunia, 1961-2008


             Secara umum produksi tembakau dunia pada periode tahun 2004 - 2008
      didominasi oleh sepuluh negara yang memberikan kontribusi kumulatif sebesar
      86,61% terhadap total produksi tembakau dunia (Lampiran 6.10.). Negara yang
      memberikan kontribusi terbesar yaitu China sebesar 46,89% (atau setara dengan 2,6
      juta ton), Brazil sebesar 16,03%, India sebesar 9,65%, dan Indonesia di urutan ke-4
      dengan kontribusi sebesar 2,87%. Sementara Argentina dan Melawi masing-masing
      memberikan kontribusi sebesar 2,82% dan 2,15%. Sedangkan negara-negara lainnya
      hanya memberikan kontribusi dibawah 2% (Gambar 6.14.).




              Gambar 6.14. Sepuluh negara produsen tembakau dunia, 2004 - 2008



134
      134    Pusat Data dan Informasi Pertanian
OUTLOOK KOMODITAS PERTANIAN - PERKEBUNAN          2010


6.6.    PERKEMBANGAN HARGA PRODUSEN TEMBAKAU DUNIA


       Berdasarkan data FAO, selama periode tahun 1991-2007 menunjukkan bahwa
rata-rata harga produsen tembakau di dunia cukup berfluktuatif dengan pola yang
cenderung meningkat dengan laju pertumbuhan sebesar 1,55%. Pada periode tahun
1991-2002 laju pertumbuhan harga rata-rata tembakau dunia mengalami penurunan
sebesar 1,39%, namun kemudian meningkat pesat pada periode selanjutnya (2003-
2007) hingga mencapai 8,04% (Gambar 6.15.).




       Gambar 6.15. Perkembangan rata-rata harga produsen tembakau dunia,
                                  1991-2007


6.7. PERKEMBANGAN EKSPOR - IMPOR TEMBAKAU DUNIA


       Perkembangan volume ekspor dan impor tembakau di dunia periode 1961 -
2007 tampak berfluktuatif namun cenderung meningkat                 dengan rata-rata
pertumbuhan masing-masing sebesar 6,69% per tahun dan 5,52% per tahun (Gambar
6.16.). Dari Gambar 6.16, terlihat bahwa realisasi impor dunia lebih rendah
dibandingkan dengan realisasi ekspor dunia. Hal ini menunjukkan bahwa lebih
banyak negara-negara yang tidak bisa memenuhi kebutuhan tembakaunya dari
produksi domestiknya. Pada tahun 1961, realisasi ekspor dan impor dunia masing-
masing mencapai 376 ribu ton dan 401 ribu ton, kemudian meningkat menjadi

                                                Pusat Data dan Informasi Pertanian    135
2010          OUTLOOK KOMODITAS PERTANIAN - PERKEBUNAN


      masing-masing sebesar 5,79 juta ton dan 3,97 juta ton pada tahun 2007. Pola
      perkembangan nilai ekspor dan impor tembakau seiring dengan pola perkembangan
      volume ekspor dan impornya.




      Gambar 6.16. Perkembangan volume ekspor dan impor tembakau dunia, 1961-2007




       Gambar 6.17. Negara pengekspor tembakau terbesar dunia, (rata-rata 2003-2007)

             Sementara itu, apabila dilihat dari realisasi ekspor per negara menunjukkan
      bahwa Brazil merupakan negara pengekspor tembakau terbesar di dunia sebesar
      1,60 juta ton (rata-rata 2003 - 2007). Negara selanjutnya adalah Melawai, Greece
      dan Germany masing-masing dengan realisasi ekspor sebesar 344 ribu ton, 313 ribu
      ton dan 309 ribu ton. Sementara, realisasi ekspor tembakau negara selanjutnya


136
      136    Pusat Data dan Informasi Pertanian
OUTLOOK KOMODITAS PERTANIAN - PERKEBUNAN          2010


yakni China, Italy, India, Belgium, Argentina dan France hanya berkisar antara 193
ribu ton hingga 283 ribu ton (Gambar 6.17).
     Dari sisi impor, terlihat bahwa Germany menempati urutan pertama sebagai
negara pengimpor tembakau terbesar di dunia dengan realisasi sebesar 991 ribu ton
(rata-rata 2003 - 2007). Disusul kemudian oleh China, Japan, Belgium dan France
masing-masing sebesar 379 ribu ton, 323 ribu ton, 286 ribu ton dan 209 ribu ton.
Negara-negara berikutnya yakni Egypt, Indonesia, Greece, Dominican R dan Italy
mempunyai realisasi impor berkisar antara 93 hingga 163 ribu ton (Gambar 6.18).




 Gambar 6.18. Negara pengimpor tembakau terbesar dunia, (rata-rata 2003-2007)



6.8. PROYEKSI PENAWARAN TEMBAKAU 2010-2012


     Proyeksi penawaran tembakau didasarkan pada proyeksi produksi tembakau.
Proyeksi produksi tembakau dapat dipengaruhi oleh banyak peubah. Berdasarkan
hasil analisis fungsi respons produksi tembakau dengan menggunakan metode
analisis regresi berganda menunjukkan bahwa produksi tembakau dipengaruhi dua
peubah, yaitu luas area tembakau dan harga ekspor tembakau tahun sebelumnya.
     Berdasarkan hasil pengolahan data diperoleh koefisien determinasi (R2)
sebesar 80,0%. Hal ini berarti 80,0% keragaman pada produksi tembakau dapat


                                                  Pusat Data dan Informasi Pertanian    137
2010            OUTLOOK KOMODITAS PERTANIAN - PERKEBUNAN


      dijelaskan oleh peubah-peubah yang digunakan dalam model, dan hanya sebesar
      20,0% dipengaruhi oleh faktor-faktor lainnya (Tabel 6.3).


             Tabel 6.3. Hasil analisis fungsi respon produksi tembakau di Indonesia


                             Peubah                       Koefisien         P Value
              Intersep                                      -1,22           0,454

              Ln luas area                                  0,959           0,000

              Ln harga riil TSP sebelumnya                  0,151           0,000

              R2                                                    80,0%



             Koefisien dari luas area 0,959 menunjukkan bahwa jika luas area naik (turun)
      sebesar 10% maka produksi tembakau akan naik (turun) sebesar 9,59%. Begitu juga
      pula dengan koefisien harga ekspor riil tembakau menunjukkan hasil yang positif
      sebesar 0,151, artinya bahwa apabila harga ekspor tembakau tahun sebelumnya naik
      sebesar 10% akan merangsang petani untuk mengusahakan tanaman tembakau
      sehingga akan meningkatkan produksi tembakau sebesar 1,51%.


                   Tabel 6.4. Hasil proyeksi produksi tembakau Indonesia, 2010-2012


                     Tahun            Produksi (Ton)             Pertumbuhan (%)

                     2009                 176.937

                     2010                 174.424                              -1,42

                     2011                 177.634                               1,84

                     2012                 180.839                               1,80

                        Rata-rata pertumbuhan                                   0,74
              Keterangan: Tahun 2009: Angka Sementara Ditjen Perkebunan
                           Tahun 2010 – 2012 Angka hasil proyeksi

138
      138    Pusat Data dan Informasi Pertanian
OUTLOOK KOMODITAS PERTANIAN - PERKEBUNAN          2010


      Hasil proyeksi produksi tembakau 2010 - 2012 yang disajikan pada Tabel 6.4.
menunjukkan bahwa pada tahun 2010, produksi tembakau Indonesia diproyeksikan
sebesar 174,42 ribu ton atau turun sebesar 1,42% dari produksi tahun sebelumnya.
Sedangkan pada tahun 2011 dan 2012, produksi tembakau Indonesia diproyeksikan
akan mengalami peningkatan masing-masing sebesar 1,84% dan 1,80%.



6.9. PROYEKSI PERMINTAAN TEMBAKAU 2010-2012


       Secara umum, produksi tembakau segar Indonesia lebih terserap untuk
industri rokok dalam negeri. Hal ini bisa dilihat dari kenyataan bahwa konsumsi
tembakau segar Indonesia sangat kecil yakni hanya sebesar 0,74 kg per kapita pada
tahun 2009. Kemudian, berdasarkan atas proporsi output tembakau segar yang
dialokasikan untuk industri rokok menurut Tabel Input-Output Indonesia Tahun 2005
(BPS) adalah sebesar 75%. Sementara sisanya yakni sebesar 25% digunakan untuk
ekspor dan konsumsi domestik. Berdasarkan kenyataan tersebut diatas, maka
proyeksi permintaan tembakau Indonesia lebih diarahkan untuk kebutuhan industri
rokok dalam negeri. Dengan asumsi bahwa kebutuhan tembakau segar untuk industri
rokok dalam negeri belum mengalami perubahan dari kondisi tahun 2005 maka,
proyeksi permintaan tembakau segar Indonesia tahun 2010-2012 seperti tersaji pada
tabel di bawah ini:




                                                 Pusat Data dan Informasi Pertanian    139
2010            OUTLOOK KOMODITAS PERTANIAN - PERKEBUNAN


             Tabel 6.5. Hasil proyeksi permintaan untuk industri tembakau Indonesia,
                       2010-2012

                                Tahun          Permintaan (Ton)         Pertumbuhan (%)

                                 2009                 132.703

                                 2010                 130.818                -1,42

                                 2011                 133.226                1,84

                                 2012                 135.629                1,80

                                    Rata-rata pertumbuhan                    0,74
                                 Keterangan: Tahun 2009: Angka Sementara Ditjen Perkebunan
                                 Tahun 2010 – 2012 Angka hasil proyeksi




      6.10. PROYEKSI SURPLUS/DEFISIT TEMBAKAU 2010-2012

               Selama periode tahun 2010-2012 diproyeksikan akan terus terjadi surplus
      produksi tembakau primer Indonesia dengan rata-rata pertumbuhan sebesar 1,82%.
      Surplus tembakau primer inilah yang dialokasikan untuk ekspor dan konsumsi
      domestik, selain yang berasal dari impornya.


             Tabel 6.6. Proyeksi Surplus/Defisit Tembakau Indonesia, 2010 – 2012


              No           Tahun           Penawaran       Permintaan    Surplus/Defisit
                                             (Ton)            (Ton)           (Ton)

               1            2010             174.424         130.818         43.606

               2            2011             177.634         133.226         44.409

               3            2012             180.839         135.629         45.210

                      Rata-rata                0,74              0,74         1,82
                   pertumbuhan (%)



140
      140    Pusat Data dan Informasi Pertanian
OUTLOOK KOMODITAS PERTANIAN - PERKEBUNAN             2010


Lampiran 6.1. Perkembangan luas areal tembakau Indonesia menurut status
              pengusahaan, 1971-2009

                                           LUAS AREAL (Ha)
  Tahun              Pertumb.              Pertumb.             Pertumb.              Pertumb.
              PR                  PBN                  PBS                 Nasional
                        (%)                  (%)                  (%)                   (%)
   1971      122.010              12.605                 597               135.212
   1972      161.501      32,37   13.863       9,98      146      -75,54   175.510       29,80
   1973      162.782       0,79   12.713      -8,30      228       56,16   175.723        0,12
   1974      158.965      -2,34   13.673       7,55    2.408      956,14   175.046       -0,39
   1975      182.551      14,84   14.074       2,93    2.032      -15,61   198.657       13,49
   1976      184.526       1,08   12.677      -9,93    1.405      -30,86   198.608       -0,02
   1977      173.643      -5,90   12.155      -4,12    2.572       83,06   188.370       -5,15
   1978      164.035      -5,53    8.775     -27,81    2.747        6,80   175.557       -6,80
   1979      193.707      18,09   11.984      36,57    2.777        1,09   208.468       18,75
   1980      127.103     -34,38   12.822       6,99    1.300      -53,19   141.225      -32,26
   1981      189.898      49,40   13.403       4,53      725      -44,23   204.026       44,47
   1982      193.806       2,06   15.495      15,61      725        0,00   210.026        2,94
   1983      194.927       0,58    5.632     -63,65      735        1,38   201.294       -4,16
   1984      150.974     -22,55    5.632       0,00      -          0,00   156.606      -22,20
   1985      282.051      86,82    6.067       7,72      -          0,00   288.118       83,98
   1986      193.583     -31,37    5.259     -13,32      -          0,00   198.842      -30,99
   1987      207.658       7,27    3.774     -28,24      -          0,00   211.432        6,33
   1988      181.420     -12,64    5.952      57,71        60       0,00   187.432      -11,35
   1989      177.557      -2,13    6.177       3,78        60       0,00   183.794       -1,94
   1990      231.284      30,26    4.582     -25,82      -          0,00   235.866       28,33
   1991      210.844      -8,84    3.994     -12,83      -          0,00   214.838       -8,92
   1992      162.685     -22,84    4.162       4,21      -          0,00   166.847      -22,34
   1993      174.798       7,45    3.698     -11,15      -          0,00   178.496        6,98
   1994      189.227       8,25    3.868       4,60      -          0,00   193.095        8,18
   1995      217.469      14,92    3.475     -10,16      -          0,00   220.944       14,42
   1996      222.025       2,10    3.450      -0,72      -          0,00   225.475        2,05
   1997      245.327      10,50    3.550       2,90      -          0,00   248.877       10,38
   1998      161.550     -34,15    3.937      10,90      -          0,00   165.487      -33,51
   1999      163.278       1,07    3.993       1,42      -          0,00   167.271        1,08
   2000      236.000      44,54    3.737      -6,41      -          0,00   239.737       43,32
   2001      256.652       8,75    4.086       9,34      -          0,00   260.738        8,76
   2002      251.994      -1,81    4.087       0,02      -          0,00   256.081       -1,79
   2003      253.484       0,59    3.317     -18,84      -          0,00   256.801        0,28
   2004      197.631     -22,03    3.342       0,75      -          0,00   200.973      -21,74
   2005      193.378      -2,15    4.834      44,64      -          0,00   198.212       -1,37
   2006      167.088     -13,60    5.146       6,45      -          0,00   172.234      -13,11
   2007      192.237      15,05    5.817      13,04      -          0,00   198.054       14,99
   2008      192.062      -0,09    4.565     -21,52      -          0,00   196.627       -0,72
  2009*)     197.906       3,04    4.547      -0,39      -          0,00   202.453        2,96
Rata-rata pertumbuhan
1971 - 2009                3,62                -0,30               23,29                  3,23
1971 - 1997                5,32                -1,96               34,05                  4,76
1998 - 2009               -0,07                 3,28                0,00                 -0,07
Sumber: Ditjen Perkebunan
Keterangan : *) Angka Sementara

                                                          Pusat Data dan Informasi Pertanian      141
2010           OUTLOOK KOMODITAS PERTANIAN - PERKEBUNAN


        Lampiran 6.2. Perkembangan produksi tembakau Indonesia menurut status
                      pengusahaan, 1971-2009

                                                        PRODUKSI (Ton)
             Tahun              Pertumb.              Pertumb.              Pertumb.              Pertumb.
                         PR                  PBN                   PBS                 Nasional
                                   (%)                   (%)                  (%)                   (%)
           1971        48.333                 8.662                  357                57.352
           1972       115.997    140,00       9.742        12,47     819      129,41   126.558      120,67
           1973        66.156     -42,97     10.112         3,80     239      -70,82    76.507      -39,55
           1974        69.075       4,41      7.995       -20,94   1.041      335,56    78.071        2,04
           1975        86.297      24,93      8.080         1,06   1.288       23,73    95.665       22,54
           1976        77.880      -9,75     10.716        32,62   1.202       -6,68    89.798       -6,13
           1977        72.568      -6,82     10.241        -4,43   1.693       40,85    84.502       -5,90
           1978        67.826      -6,53     13.175        28,65   1.465      -13,47    82.466       -2,41
           1979       105.034      54,86     13.755         4,40   1.510        3,07   120.299       45,88
           1980        69.438     -33,89     15.161        10,22     888      -41,19    85.487      -28,94
           1981        99.838      43,78      9.313       -38,57     495      -44,26   109.646       28,26
           1982        96.945      -2,90      9.362         0,53     495        0,00   106.802       -2,59
           1983       100.340       3,50      8.643        -7,68     501        1,21   109.484        2,51
           1984       103.586       3,24      4.239       -50,95     -          0,00   107.825       -1,52
           1985       155.576      50,19      5.189        22,41     -          0,00   160.765       49,10
           1986        96.328     -38,08      4.907        -5,43     -          0,00   101.235      -37,03
           1987       109.742      13,93      2.949       -39,90     -          0,00   112.691       11,32
           1988       112.625       2,63      4.247        44,01       45       0,00   116.917        3,75
           1989        76.765     -31,84      4.169        -1,84       45       0,00    80.979      -30,74
           1990       152.768      99,01      3.664       -12,11     -          0,00   156.432       93,18
           1991       137.039     -10,30      3.244       -11,46     -          0,00   140.283      -10,32
           1992       109.566     -20,05      2.089       -35,60     -          0,00   111.655      -20,41
           1993       118.936       8,55      2.434        16,52     -          0,00   121.370        8,70
           1994       127.730       7,39      2.404        -1,23     -          0,00   130.134        7,22
           1995       137.078       7,32      3.091        28,58     -          0,00   140.169        7,71
           1996       148.435       8,29      2.590       -16,21     -          0,00   151.025        7,74
           1997       206.322      39,00      3.304        27,57     -          0,00   209.626       38,80
           1998       102.174     -50,48      3.406         3,09     -          0,00   105.580      -49,63
           1999       132.174      29,36      3.210        -5,75     -          0,00   135.384       28,23
           2000       201.305      52,30      3.024        -5,79     -          0,00   204.329       50,93
           2001       196.365      -2,45      2.738        -9,46     -          0,00   199.103       -2,56
           2002       189.342      -3,58      2.740         0,07     -          0,00   192.082       -3,53
           2003       198.363       4,76      2.512        -8,32     -          0,00   200.875        4,58
           2004       162.429     -18,12      2.679         6,65     -          0,00   165.108      -17,81
           2005       149.467      -7,98      4.003        49,42     -          0,00   153.470       -7,05
           2006       142.045      -4,97      4.220         5,42     -          0,00   146.265       -4,69
           2007       161.728      13,86      3.123       -26,00     -          0,00   164.851       12,71
           2008       165.423       2,28      2.614       -16,30     -          0,00   168.037        1,93
          2009*)      173.994       5,18      2.943        12,59     -          0,00   176.937        5,30
        Rata-rata pertumbuhan
        1971 - 2009                 8,63                   -0,21                9,41                  7,43
        1971 - 1997                11,84                   -0,52               13,75                 10,15
        1998 - 2009                 1,68                    0,47                0,00                  1,53
        Sumber: Ditjen Perkebunan
        Keterangan : *) Angka Sementara


142
      142     Pusat Data dan Informasi Pertanian
OUTLOOK KOMODITAS PERTANIAN - PERKEBUNAN           2010


Lampiran 6.3. Perkembangan produksi tembakau di provinsi sentra di Indonesia,
              2006 - 2009


                                       Produksi (Ton)                                          Share
                                                                     Rata-rata
 No        Provinsi                                                                Share (%) kumulatif
                             2006      2007      2008     2009*)       (Ton)
                                                                                                (%)

   1 Jawa timur              81,887    78,343    77,852    79,469         79,388       48.40       48.40

   2 NTB                     31,590    42,793    51,006    57,232         45,655       27.83       76.24

   3 Jawa Tengah             18,440    29,679    25,329    25,418         24,717       15.07       91.30

   4 Jawa Barat               5,749     6,396     6,769     6,772          6,422        3.92       95.22

   5 Lainnya                  8,599     7,640     7,081     8,046          7,842        4.78    100.00
      Indonesia             146,265   164,851   168,037   176,937        164,023
Sumber: Ditjen Perkebunan
Keterangan : *) Angka Sementara




                                                              Pusat Data dan Informasi Pertanian     143
2010                 OUTLOOK KOMODITAS PERTANIAN - PERKEBUNAN


      Lampiran 6.4. Perkembangan harga konsumen pedesaan tembakau di Indonesia
                    menurut provinsi, 2004 – 2008

                                                   Harga konsumen pedesaan (Rp/ons)                             Pertumbuhan
                                                                                                    Rata-rata
      No              Provinsi                                                                                       (%)
                                         2004        2005       2006           2007       2008      2004-2008
                                                                                                                2008 thd 2007

        1 Nanggroe Aceh Darussalam      3,988.19    4,393.06   3,305.56       3,729.17   5,500.00    4,183.19              47.49

        2 Sumatera Utara                5,961.11    6,025.00   6,500.00       7,750.00   3,292.00    5,905.62             -57.52

        3 Sumatera Barat                5,250.00    5,010.42   4,555.56       4,833.33   5,271.00    4,984.06               9.06

        4 Riau                          5,000.00    3,715.28   4,666.67       7,041.67   3,938.00    4,872.32             -44.08

        5 Sumatera Selatan              2,561.39    2,500.00   2,500.00       2,750.00   2,625.00    2,587.28              -4.55

        6 Bengkulu                      4,533.33    4,062.50   3,906.25       4,333.33   5,056.00    4,378.28              16.68

        7 Lampung                       2,500.00    2,445.37   2,700.00       2,764.58   3,000.00    2,681.99               8.52

        8 Bangka Belitung                  -           -          -             -        8,181.00    8,181.00   -

        9 Riau Kepulauan                   -          -           -             -        3,750.00    3,750.00   -

       10 Jawa Barat                    3,068.02    2,907.41   2,993.06       3,341.00   6,061.00    3,674.10              81.41

       11 Jawa tengah                   3,661.43    4,129.83   4,268.86       4,351.90   3,870.00    4,056.40             -11.07

       12 DI Yogyakarta                 3,067.50    3,125.52   3,311.46       3,441.67   3,500.00    3,289.23               1.69

       13 Jawa Timur                    3,459.69    3,885.44   4,152.33       4,391.14   4,430.00    4,063.72               0.88

       14 Banten                           -           -          -       -              2,500.00    2,500.00   -

       15 Bali                          3,625.00    4,250.00   6,000.00       4,750.00   4,490.00    4,623.00              -5.47

       16 Nusa Tenggara Barat           3,434.72    4,050.00   4,906.25       5,312.50   2,558.00    4,052.29             -51.85

       17 Nusa Tenggara Timur           1,041.67    1,000.00   2,000.00       3,000.00   2,818.00    1,971.93              -6.07

       18 Kalimantan Barat              2,375.63    3,007.64   2,693.75       3,502.78   3,707.00    3,057.36               5.83

       19 Kalimantan Tengah             2,322.22    2,000.00   2,000.00       2,909.72   5,000.00    2,846.39              71.84

       20 Kalimantan Selatan            1,825.00    3,275.00   4,000.00       4,000.00   5,759.00    3,771.80              43.98

       21 Kalimantan Timur              2,500.00    3,355.56   3,500.00       3,500.00   5,300.00    3,631.11              51.43

       22 Sulawesi Utara                3,000.00    2,833.33   3,500.00       5,000.00   3,476.00    3,561.87             -30.48

       23 Sulawesi Tengah               2,716.67    2,450.00   2,900.00       2,729.86   4,542.00    3,067.71              66.38

       24 Sulawesi Selatan              1,500.00    1,513.89   1,812.71       2,184.03   6,750.00    2,752.13             209.06

       25 Sulawesi Tenggara             2,022.26    2,275.00   2,332.64       2,797.78   4,500.00    2,785.54              60.84

       26 Gorontalo                        -          -           -             -        2,750.00    2,750.00         -

       27 Sulawesi Barat                   -          -           -             -        6,400.00    6,400.00         -

       28 Maluku                           -          -           -             -        4,396.00    4,396.00         -

       29 Maluku Utara                     -          -           -             -        3,488.00    3,488.00         -

       30 Papua                            -          -           -             -        4,892.00    4,892.00         -

       31 Irian Jaya Barat                 -          -           -             -        3,883.00    3,883.00         -

           NASIONAL                     3,155.17    3,282.28   3,568.41       4,018.84   4,376.87    3,680.32               8.91

      Sumber : BPS




144
      144        Pusat Data dan Informasi Pertanian
OUTLOOK KOMODITAS PERTANIAN - PERKEBUNAN               2010


Lampiran 6.5. Perkembangan konsumsi tembakau dan rokok di Indonesia, 1987 –
              2008

               Tembakau         Rokok kretek filter Rokok kretek tanpa       Rokok putih
  Tahun
              (kg/kapita)        (batang/kapita)    filter (batang/kapita) (batang/kapita)

   1987                0,47                  138,32                      124,80              56,16
   1990                0,38                  206,44                      122,20              39,00
   1993                0,32                  241,28                      117,52              33,28
   1996                0,22                  279,76                      114,40              31,72
   2002                0,25                  307,74                      194,12              38,01
   2003                0,27                  312,99                      212,11              35,20
   2004                0,31                  284,13                      199,89              35,15
   2006                0,30                  304,46                      167,75              34,48
   2007                0,33                  287,87                      171,03              34,27
   2008                0,27                  316,47                      181,95              38,84
Rata-rata pertumbuhan
1987-2008              -2,19                   1,97                        1,21               1,08
Sumber: Susenas, BPS



Lampiran 6.6. Perkembangan ekspor - impor tembakau primer, 1996 – 2009

                        Ekspor                        Impor                        Harga
  Tahun       Volume             Nilai      Volume          Nilai           Ekspor         Impor
               (Ton)           (000 US$)     (Ton)        (000 US$)       (US$/ton)      (US$/ton)
   1996         33,240             85,623     45,060         134,153           2,576         2,977
   1997         42,281            104,743     47,108         157,767           2,477         3,349
   1998         46,960            147,552     23,219         108,464           3,142         4,671
   1999         37,096             91,833     40,914         128,021           2,476         3,129
   2000         35,957             71,287     34,248         114,834           1,983         3,353
   2001         43,030             91,404     44,346         139,608           2,124         3,148
   2002         42,686             76,684     33,289         105,953           1,796         3,183
   2003         40,639             62,874     29,579          95,190           1,547         3,218
   2004         46,462             90,618     35,171         120,854           1,950         3,436
   2005         49,712            107,282     42,031         142,206           2,158         3,383
   2006         51,997            102,549     48,287         150,225           1,972         3,111
   2007         45,880            120,270     61,687         217,210           2,621         3,521
   2008         50,268            133,196     77,302         330,511           2,650         4,276
   2009         52,141            176,491     53,198         290,171           3,385         5,455
Rata-rata pertumbuhan
 1996-2009         4.29              8.91        6.33             8.94            3.81        6.28
Sumber: BPS diolah Pusdatin
Keterangan: termasuk dalam tembakau primer adalah tembakau bertangkai/bertulang daun



                                                              Pusat Data dan Informasi Pertanian      145
2010            OUTLOOK KOMODITAS PERTANIAN - PERKEBUNAN


      Lampiran 6.7. Perkembangan ekspor - impor tembakau manufaktur, 1996 – 2009


                               Ekspor                          Impor                        Harga
         Tahun      Volume             Nilai         Volume           Nilai           Ekspor        Impor
                     (Ton)           (000 US$)        (Ton)         (000 US$)       (US$/ton)     (US$/ton)
         1996         28,942            135,248         4,583           47,034           4,673        10,262
         1997         30,362             94,104         4,863           48,120           3,099         9,895
         1998         25,246            106,781         2,582           83,337           4,230        32,276
         1999         25,309            120,197         7,839           45,466           4,749         5,800
         2000         24,703            149,690         8,442           48,660           6,060         5,764
         2001         33,367            183,513        11,864           80,527           5,500         6,788
         2002         30,808            167,417        13,854           92,830           5,434         6,701
         2003         25,969            146,997         8,816           58,031           5,660         6,582
         2004         33,693            166,622         7,459           47,956           4,945         6,429
         2005         41,892            216,456         6,298           37,869           5,167         6,013
         2006         44,854            237,211         6,551           40,747           5,289         6,220
         2007          50,112            304,450         8,180           50,583          6,075         6,184
         2008          61,350            375,609        10,088           71,405          6,122         7,078
         2009          57,966            419,271        10,490           75,599          7,233         7,207
      Rata-rata pertumbuhan
       1996-2009         6.72               10.61         16.67             9.29           4.95        12.69
      Sumber: BPS diolah Pusdatin
      Keterangan: termasuk dalam tembakau manufaktur: cerutu dan sigaret, tembakau iris,
                 blended tobacco, tembakau dihomogenisasi, ekstrak dan essens tembakau.




146
      146    Pusat Data dan Informasi Pertanian
OUTLOOK KOMODITAS PERTANIAN - PERKEBUNAN              2010


Lampiran 6.8. Perkembangan produksi dan luas areal tembakau dunia, 1961-2008

  Tahun       Produksi (Ton)    Pertumbuhan (%)    Luas Area (Ha)      Pertumbuhan(%)
   1961             1,981,281                            2,184,509
   1962             2,235,735              12.84         2,311,041                5.79
   1963             2,434,411               8.89         2,552,654               10.45
   1964             2,622,387               7.72         2,456,897               -3.75
   1965             2,660,101               1.44         2,471,539                0.60
   1966             2,812,079               5.71         2,481,092                0.39
   1967             3,019,069               7.36         2,546,413                2.63
   1968             3,020,999               0.06         2,464,379               -3.22
   1969             2,901,027              -3.97         2,496,107                1.29
   1970             2,865,643              -1.22         2,388,652               -4.30
   1971             2,886,045               0.71         2,369,799               -0.79
   1972             3,152,840               9.24         2,508,610                5.86
   1973             3,173,743               0.66         2,485,083               -0.94
   1974             3,350,277               5.56         2,535,567                2.03
   1975             3,352,588               0.07         2,625,117                3.53
   1976             3,437,516               2.53         2,783,199                6.02
   1977             3,562,742               3.64         2,932,245                5.36
   1978             3,911,308               9.78         3,061,922                4.42
   1979             3,616,487              -7.54         2,810,073               -8.23
   1980             3,396,559              -6.08         2,568,475               -8.60
   1981             4,038,796              18.91         2,869,107               11.70
   1982             4,871,421              20.62         3,262,181               13.70
   1983             4,057,380             -16.71         2,977,397               -8.73
   1984             4,489,644              10.65         2,962,386               -0.50
   1985             5,113,179              13.89         3,510,598               18.51
   1986             4,217,850             -17.51         3,160,644               -9.97
   1987             4,474,049               6.07         3,128,828               -1.01
   1988             5,140,728              14.90         3,406,045                8.86
   1989             5,328,504               3.65         3,668,881                7.72
   1990             5,233,328              -1.79         3,494,151               -4.76
   1991             5,650,082               7.96         3,710,156                6.18
   1992             6,452,274              14.20         4,139,204               11.56
   1993             6,531,533               1.23         4,145,339               0.15
   1994             4,949,142             -24.23         3,310,696              -20.13
   1995             4,863,176              -1.74         3,252,844               -1.75
   1996             5,848,897              20.27         3,706,280               13.94
   1997             7,177,721              22.72         4,317,674               16.50
   1998             5,202,067             -27.52         3,425,101              -20.67
   1999             5,423,725               4.26         3,345,691               -2.32
   2000             5,303,991              -2.21         3,316,652               -0.87
   2001             4,883,566              -7.93         3,082,922               -7.05
   2002             5,274,090               8.00         3,164,410                2.64
   2003             4,962,567              -5.91         3,091,918               -2.29
   2004             5,428,217               9.38         3,155,162                2.05
   2005             5,696,201               4.94         3,311,051                4.94
   2006             5,684,785              -0.20         3,253,093               -1.75
   2007             5,226,170              -8.07         2,980,573               -8.38
   2008             5,853,587              12.01         3,081,833                3.40
Rata-rata Laju Pertumbuhan
          1961-2008                         2.92                                  1.07
          1961-1995                         3.16                                  1.47
          1996-2008                         2.29                                  0.01
Sumber: FAO




                                                                    Pusat Data dan Informasi Pertanian    147
2010                    OUTLOOK KOMODITAS PERTANIAN - PERKEBUNAN


      Lampiran 6.9. Negara dengan luas areal tembakau terbesar dunia, 2004 - 2008


                                                             Luas areal (Ha)                                                  Share           Share
      No             Negara                                                                                Rata-rata                        kumulatif
                                       2004        2005           2006           2007          2008                            (%)             (%)
       1 China                       1,267,796   1,364,312     1,375,877       1,164,503     1,250,703     1,284,638            40.70            40.70
       2 Brazil                        462,265    493,761        495,706        459,481       431,378          468,518          14.84            55.54
       3 India                         369,700    366,500        372,800        370,000       370,000          369,800          11.72            67.26
       4 Indonesia                     200,973    198,212        168,692        194,517       199,031          192,285               6.09        73.35
       5 Malawi                        136,012    141,527        136,527        118,551       161,626          138,849               4.40        77.75
       6 Argentina                      66,000      90,000        90,000         92,000        92,000           86,000               2.72        80.48
       7 Pakistan                       45,600      50,500        56,360         50,861        51,398           50,944               1.61        82.09
       8 Korea, D.P.Rep. of             45,000      46,000        46,000         45,000        45,000           45,400               1.44        83.53
       9 Italy                          33,760      34,372        36,000         35,000        35,000           34,826               1.10        84.63
      10 Bulgaria                       47,149      40,869        27,369         29,900        25,276           34,113               1.08        85.71
      11 Lainnya                       480,907    484,998        447,762        420,760       420,421          450,970          14.29           100.00
            DUNIA                    3,155,162   3,311,051     3,253,093       2,980,573     3,081,833     3,156,342           100.00
      Sumber : FAO




      Lampiran 6.10. Negara produsen tembakau terbesar dunia, 2004 - 2008


                                                             Produksi (Ton)                                                      Share           Share
      No            Negara                                                                                      Rata-rata                      kumulatif
                                     2004         2005            2006            2007            2008                               (%)          (%)
       1 China                      2,411,490    2,685,743       2,746,193       2,397,152       2,836,725       2,615,461             46.89       46.89
       2 Brazil                      921,281      889,426          900,381         908,679        850,421          894,038             16.03       62.92
       3 India                       549,900      549,100          552,200         520,000        520,000          538,240              9.65       72.57
       4 Indonesia                   165,108      153,470          146,265         164,851        169,668          159,872              2.87       75.44
       5 Argentina                   118,000      163,528          165,000         170,000        170,000          157,306              2.82       78.26
       6 Malawi                      106,187       93,598          121,600         118,000        160,238          119,925              2.15       80.41
       7 Italy                       117,882      115,983          110,000         100,000        100,000          108,773              1.95       82.36
       8 Pakistan                     86,200      100,500          112,592         103,240        107,765          102,059              1.83       84.19
       9 Greece                      133,937      125,904           37,386          30,783            28,000        71,202              1.28       85.46
       10 Korea, D.P.Rep.of           64,000       65,400           65,000          63,000            63,000        64,080              1.15       86.61
       11 Lainnya                    754,232      753,549          728,168         650,465        847,770          746,837             13.39      100.00
            DUNIA                   5,428,217    5,696,201       5,684,785       5,226,170       5,853,587        5,577,792           100.00
      Sumber : FAO




148
      148      Pusat Data dan Informasi Pertanian
OUTLOOK KOMODITAS PERTANIAN - PERKEBUNAN             2010


Lampiran 6.11. Negara dengan harga produsen tembakau terbesar dunia,
               2003 – 2007

                                        Harga produsen (US$/ton)
No           Negara                                                                     Rata-rata
                          2003       2004           2005          2006        2007

 1 Japan                   15,664     16,915         17,400        16,617      16,439       16,607
 2 Switzerland             11,204     12,148         12,029        11,746      12,249       11,875
 3 Sri Lanka                6,028      6,521          7,586        10,530      11,234           8,380
 4 Puerto Rico              8,185      8,696          7,319         8,873       8,510           8,317
 5 Nigeria                  5,712      6,893          8,571         9,517      10,848           8,308
 6 Bhutan                   5,214      6,984          8,081         8,243      10,351           7,774
 7 Korea, Republic of       5,824      6,067          6,982         8,145       8,365           7,076
 8 Lebanon                  6,570      6,790          6,891         7,309       7,325           6,977
 9 Trinidad and Tobago      5,718      5,465          5,624         6,076       6,351           5,847
10 Syrian Arab Republic          -          -              -        5,533       6,012           2,309
Sumber : FAO




                                                           Pusat Data dan Informasi Pertanian     149
2010              OUTLOOK KOMODITAS PERTANIAN - PERKEBUNAN


      Lampiran 6.12. Perkembangan ekspor - impor tembakau dunia, 1961-2007

                             Ekspor                    Impor            Pertumbuhan (%)
         Tahun        Volume        Nilai       Volume       Nilai     Volume      Volume
                     (000 ton)    (000 US$)    (000 ton)   (000 US$)   ekspor       impor
          1961              376      400,737         401     355,828
          1962              368      392,616         497     409,713       -2.17       23.92
          1963              454      441,358         507     396,202       23.22        2.07
          1964              477      493,101         544     421,711        5.19        7.32
          1965              455      453,442         556     417,557       -4.68        2.20
          1966              433      430,368         605     449,066       -4.90        8.68
          1967              494      474,903         648     485,131       14.12        7.24
          1968              480      453,015         579     442,005       -2.72      -10.68
          1969              512      483,721         668     495,770        6.51       15.32
          1970              500      471,316         600     435,810       -2.27      -10.17
          1971              543      504,109         706     497,909        8.66       17.63
          1972              654      588,418         813     542,936       20.41       15.17
          1973              740      608,230         910     556,235       13.19       12.01
          1974            1,036      726,255       1,010     561,857       39.92       10.96
          1975            1,142      679,878       1,340     606,483       10.19       32.69
          1976            1,205      697,544       1,471     608,552        5.52        9.75
          1977            1,310      690,943       1,571     596,046        8.72        6.79
          1978            1,536      740,307       1,971     656,553       17.28       25.46
          1979            1,662      761,135       1,951     629,642        8.18       -1.01
          1980            1,647      722,869       2,074     647,206       -0.89        6.31
          1981            1,830      794,023       2,114     687,371       11.09        1.93
          1982            2,019      806,568       2,332     677,015       10.32       10.30
          1983            1,844      782,515       2,319     663,536       -8.63       -0.57
          1984            1,816      833,814       2,282     647,324       -1.54       -1.59
          1985            1,662      803,166       2,391     663,545       -8.50        4.80
          1986            1,798      794,938       2,577     661,047        8.19        7.74
          1987            1,906      821,022       2,687     689,068        5.98        4.27
          1988            1,941      825,181       2,342     646,850        1.86      -12.82
          1989            1,885      834,940       2,534     705,316       -2.86        8.17
          1990            2,236      911,476       2,609     710,720       18.57        2.96
          1991            2,699      964,392       2,861     742,490       20.73        9.67
          1992            2,838    1,025,521       3,311     796,639        5.15       15.72
          1993            2,488    1,104,820       2,836     732,582      -12.34      -14.34
          1994            2,246    1,016,087       3,049     796,591       -9.72        7.52
          1995            2,563    1,059,123       3,024     782,977       14.09       -0.82
          1996            3,316    1,208,970       3,080     808,272       29.40        1.82
          1997            3,590    1,265,277       3,239     811,018        8.27        5.18
          1998            3,278    1,214,349       3,156     775,637       -8.71       -2.57
          1999            3,288    1,315,805       3,093     783,119        0.31       -2.00
          2000            2,906    1,247,195       3,173     864,222      -11.62        2.62
          2001            2,944    1,420,054       3,117     880,864        1.29       -1.79
          2002            3,115    1,496,834       3,313     901,764        5.81        6.30
          2003            3,506    1,514,401       3,412     892,105       12.58        2.99
          2004            4,301    1,724,747       3,855   1,033,278       22.67       12.96
          2005            4,682    1,774,814       3,490     972,032        8.86       -9.47
          2006            4,924    1,771,757       3,645   1,010,205        5.16        4.45
          2007            5,793    1,921,937       3,969   1,035,999       17.65        8.89
      Rata-rata laju pertumbuhan (%)
       1961-2007           6.69         3.69        5.52        2.55       6.69        5.52
       1961-1997           7.04         3.47        6.43        2.51        7.04        6.43
       1998-2007           5.40         4.47        2.24        2.66        5.40        2.24
      Sumber : FAO




150
      150     Pusat Data dan Informasi Pertanian
OUTLOOK KOMODITAS PERTANIAN - PERKEBUNAN        2010


                             BAB VII. NILAM


     Tanaman nilam (Pogostemon cablin Benth) merupakan salah satu tanaman
penghasil minyak atsiri yang cukup penting, yaitu minyak nilam atau lebih
dikenal dengan nama patchouly oil. Minyak nilam bersama dengan 14 jenis
minyak atsiri lainnya adalah komoditas ekspor penghasil devisa. Minyak nilam
Indonesia sudah dikenal dunia sejak 65 tahun yang lalu, bahkan Indonesia
merupakan pemasok utama minyak nilam dunia (90%). Ekspor nilam Indonesia
berfluktuasi dengan laju peningkatan ekspor sekitar 12% per tahun atau berkisar
antara 700 ton - 2.800 ton minyak nilam per tahun. Sementara itu kebutuhan
dunia berkisar 1.200 ton – 1.500 ton dengan pertumbuhan sebesar 5% per tahun.
        Sebagai komoditas ekspor, minyak nilam mempunyai prospek yang cukup
baik, karena permintaan akan minyak nilam sebagai bahan baku industri parfum,
kosmetik, sabun dan lainnya akan terus meningkat. Fungsi minyak nilam dalam
industri parfum adalah untuk memfiksasi bahan pewangi dan mencegah
penguapan sehingga wangi tidak cepat hilang, serta membentuk bau yang khas
dalam suatu campuran (Ketaren dalam Emmyzar dan Yulius, 2004). Hal ini
menyebabkan minyak nilam mutlak diperlukan dalam industri parfum.
     Berikut ini akan disajikan perkembangan komoditas nilam di Indonesia serta
prospeknya dalam memenuhi kebutuhan domestik maupun kebutuhan pasar luar
negeri di masa mendatang.



7.1. PERKEMBANGAN LUAS AREAL, PRODUKSI DAN PRODUKTIVITAS
     NILAM DI INDONESIA

        Perkembangan luas areal perkebunan nilam di Indonesia pada periode
tahun     1989-2008   menunjukkan    kecenderungan        meningkat       dengan    pola
perkembangan yang serupa dengan pola perkembangan luas areal perkebunan
nilam rakyat (Gambar 7.1). Hal ini disebabkan luas areal nilam di Indonesia
didominasi oleh perkebunan rakyat (PR). Pada periode tersebut pertumbuhan

                                               Pusat Data dan Informasi Pertanian    151
2010          OUTLOOK KOMODITAS PERTANIAN - PERKEBUNAN


luas areal nilam Indonesia rata-rata mencapai 10,76% per tahun. Krisis moneter
yang terjadi di Indonesia pada tahun 1997-1998 ternyata berdampak positif pada
perkembangan luas areal nilam, mengingat minyak nilam merupakan komoditas
ekspor. Jika sebelum tahun 1997 terjadi peningkatan luas nilam sebesar 7,70%
per tahun, maka tahun 1998-2008 luas areal nilam meningkat pesat dengan rata-
rata peningkatan sebesar 12,98% (Tabel 7.1). Bahkan pada tahun 2002 terjadi
peningkatan luas areal nilam hingga mencapai 139,79% dibandingkan tahun
sebelumnya.


                 (Ha)
                25.000

                20.000

                15.000

                10.000

                 5.000

                     0


                         2008*)
                          1989
                          1990
                          1991
                          1992
                          1993
                          1994
                          1995
                          1996
                          1997
                          1998
                          1999
                          2000
                          2001
                          2002
                          2003
                          2004
                          2005
                          2006
                          2007


                                    PR       PBS         Indonesia


        Gambar 7.1. Perkembangan luas areal nilam di Indonesia, 1989-2008

       Berdasarkan status pengusahaannya, nilam hanya diusahakan oleh PR dan
perkebunan besar swasta (PBS), namun setelah tahun 1998 pengusahaan nilam
sepenuhnya dilakukan oleh PR. Pada tahun 1989 - 1997 pertumbuhan luas areal
nilam PR rata-rata sebesar 7,75% per tahun sedangkan luas areal nilam PBS turun
sebesar 14,17% per tahun. Setelah tahun 1997 pertumbuhan luas areal nilam PR
meningkat menjadi 12,98% per tahun.
       Rata-rata kontribusi luas areal nilam PR tahun 1989 - 2008 mencapai 99,93%
dari total luas areal nilam di Indonesia, sedangkan sisanya sebesar 0,07%
diusahakan oleh PBS. Setelah tahun 1998 seluruh areal perkebunan nilam
diusahakan oleh PR. Perkembangan luas areal nilam di Indonesia menurut jenis
pengusahaannya secara rinci disajikan dalam Lampiran 7.1.


152    Pusat Data dan Informasi Pertanian
OUTLOOK KOMODITAS PERTANIAN - PERKEBUNAN         2010


Tabel 7.1. Rata-rata laju pertumbuhan dan kontribusi luas areal dan produksi
           nilam di Indonesia

                                 Luas Areal                             Produksi
       Tahun
                        PR         PBS        Indonesia       PR         PBS        Indonesia
Pertumbuhan (%)
1989-2008                10,78     -11,23           10,76       4,41           -          4,41
1989-1997                 7,75     -14,17            7,70       6,71           -          6,71
1998-2008                12,98      -9,09           12,98       2,74           -          2,74
Kontribusi (%)
1989-2008                99,93       0,07         100,00     100,00         0,00        100,00
1989-1997                99,77       0,23         100,00     100,00         0,00        100,00
1998-2008               100,00       0,00         100,00     100,00         0,00        100,00
Sumber : Direktorat Jenderal Perkebunan, diolah Pusdatin


      Seperti halnya perkembangan luas areal nilam, secara umum perkembangan
produksi minyak nilam di Indonesia pada periode 1989 - 2008 juga menunjukkan
kecenderungan meningkat meskipun lebih berfluktuasi (Gambar 7.2). Pola
perkembangan       produksi      minyak     nilam     Indonesia     serupa     dengan     pola
perkembangan produksi minyak nilam PR. Produksi minyak nilam Indonesia pada
periode tersebut rata-rata meningkat sebesar 4,41% per tahun (Tabel 7.1).
Berbeda dengan perkembangan luas arealnya, pada tahun 1989 - 1997 (sebelum
krisis moneter) produksi minyak nilam Indonesia meningkat sebesar 6,71%, tetapi
setelah krisis moneter peningkatan produksinya melambat menjadi 2,74% per
tahun. Perkembangan produksi minyak nilam di Indonesia secara rinci disajikan
pada Lampiran 7.2.




                                                     Pusat Data dan Informasi Pertanian    153
2010          OUTLOOK KOMODITAS PERTANIAN - PERKEBUNAN


                   (Ton)
                   3.500
                   3.000
                   2.500
                   2.000
                   1.500
                   1.000
                    500
                      0




                           2008*)
                            1989
                            1990
                            1991
                            1992
                            1993
                            1994
                            1995
                            1996
                            1997
                            1998
                            1999
                            2000
                            2001
                            2002
                            2003
                            2004
                            2005
                            2006
                            2007
                                       PR          Indonesia


       Gambar 7.2. Perkembangan produksi minyak nilam di Indonesia, 1989-2008


       Berdasarkan data rata-rata produksi minyak nilam Indonesia lima tahun
terakhir (2004 - 2008), sentra produksi minyak nilam Indonesia terdapat di 5
provinsi dengan kontribusi kumulatif mencapai 81,87%.




          Gambar 7.3. Provinsi sentra produksi minyak nilam di Indonesia,
                               (rata-rata 2004-2008)


       Sentra produksi minyak nilam terbesar di Indonesia adalah Sumatera Barat
yang memberikan kontribusi rata-rata sebesar 24,46%, diikuti oleh Jawa Tengah
di peringkat kedua dengan kontribusi sebesar 21,20%. Bengkulu dan Sumatera
Utara berada di peringkat ketiga dan keempat dengan kontribusi masing-masing
sebesar 15,39% dan 10,84%. Jawa Barat juga menjadi sentra produksi minyak

154    Pusat Data dan Informasi Pertanian
OUTLOOK KOMODITAS PERTANIAN - PERKEBUNAN        2010


nilam namun kontribusinya hanya 9,99%, sedangkan provinsi-provinsi lainnya
rata-rata memberikan kontribusi kurang dari 7% (Gambar 8.3). Provinsi sentra
produksi nilam di Indonesia dan kontribusinya disajikan pada Lampiran 7.3.
     Perkembangan produktivitas nilam di Indonesia selama tahun 2004 - 2008
secara umum berfluktuasi (Gambar 7.4). Pada tahun 2004 produktivitas nilam
Indonesia sebesar 103,42 kg/ha, namun tahun berikutnya mengalami penurunan
menjadi 103,11 kg/ha. Tahun 2006 terjadi peningkatan produktivitas nilam yang
cukup signifikan hingga mencapai 107,23 kg/ha. Tingkat produktivitas yang cukup
tinggi tersebut tidak dapat dipertahankan hingga tahun 2007 kembali terjadi
penurunan produktivitas nilam menjadi 72,92 kg/ha. Tahun 2008 tingkat
produktivitas nilam sebesar 83,05 kg/ha. Banyak faktor yang menyebabkan
rendahnya produksi dan mutu nilam Indonesia, selain masalah teknologi,
budidaya yang tidak intensif, bibit yang kurang baik, juga cara penanganan bahan
baku dan penyulingan minyak nilam yang masih jauh dari sempurna.
     Mengingat sebagian besar nilam di Indonesia diusahakan oleh rakyat maka
tingkat   produktivitas   yang   dicapai   sekarang     belum     merupakan     tingkat
produktivitas yang maksimal. Dengan demikian diperlukan upaya perbaikan agar
produksi minyak nilam dalam negeri dapat ditingkatkan, baik dengan upaya
budidaya yang lebih intensif maupun penangan pasca panen yang lebih baik.




          Gambar 7.4. Perkembangan produktivitas nilam di Indonesia,
                             (rata-rata 2004-2008)


                                               Pusat Data dan Informasi Pertanian   155
2010          OUTLOOK KOMODITAS PERTANIAN - PERKEBUNAN


7.2. PERKEMBANGAN KONSUMSI NILAM DI INDONESIA


       Karena keterbatasan ketersediaan data maka konsumsi minyak nilam untuk
kebutuhan domestik di Indonesia dihitung berdasarkan pendekatan produksi dan
volume ekspor impor minyak nilam. Konsumsi minyak nilam di Indonesia pada
periode tahun 1989-2008 secara umum berfluktuasi namun menunjukkan
peningkatan (Gambar 7.5). Rata-rata pertumbuhan konsumsi domestik untuk
minyak nilam dalam kurun waktu tersebut mencapai 59,66% per tahun. Konsumsi
tertinggi terjadi pada tahun 1989 sebesar 2.627 ton, namun setelah periode
tersebut terjadi penurunan konsumsi minyak nilam hingga tahun 1996. Saat krisis
moneter tahun 1997 terjadi peningkatan konsumsi minyak nilam di dalam negeri
menjadi sebesar 1.681 ton. Tahun 2006 konsumsi minyak nilam mencapai 1.143
ton. Karena data ekspor dan impor minyak nilam tahun 2007 dan 2008 tidak
tersedia (menjadi satu dengan data ekspor impor minyak atsiri), maka konsumsi
minyak nilam domestik diasumsikan sama dengan produksinya. Perkembangan
konsumsi minyak nilam di Indonesia secara rinci disajikan pada Lampiran 7.4.


                  (Ton)
                 3.000

                 2.500

                 2.000

                 1.500

                 1.000

                  500

                     0
                                                                                                                                                               2008*)
                          1989
                                 1990
                                        1991
                                               1992
                                                      1993
                                                             1994
                                                                    1995
                                                                           1996
                                                                                  1997
                                                                                         1998
                                                                                                1999
                                                                                                       2000
                                                                                                              2001
                                                                                                                     2002
                                                                                                                            2003
                                                                                                                                   2004
                                                                                                                                          2005
                                                                                                                                                 2006
                                                                                                                                                        2007




   Gambar 7.5. Perkembangan konsumsi minyak nilam di Indonesia, 1989-2008




156    Pusat Data dan Informasi Pertanian
OUTLOOK KOMODITAS PERTANIAN - PERKEBUNAN                                                         2010


7.3. PERKEMBANGAN HARGA NILAM DI INDONESIA


     Perkembangan harga minyak nilam Indonesia didekati dari perkembangan
harga ekspor minyak nilam Indonesia ke luar negeri. Secara umum harga ekspor
minyak nilam Indonesia mengalami fluktuasi (Gambar 7.6). Pada periode tahun
1989-1997 (sebelum krisis moneter) terjadi kenaikan harga ekspor minyak nilam
Indonesia yang rata-rata mencapai 23,83%. Harga ekspor tertinggi terjadi pada
tahun 1997 sebesar US$ 43,18 per kg. Setelah periode tersebut, harga ekspor
minyak nilam Indonesia mulai bergerak turun dengan rata-rata penurunan
sebesar 6,42%. Pada tahun 2006 harga ekspor minyak nilam Indonesia di pasar
dunia hanya sebesar US$ 15,53 per kg (Lampiran 7.5).


                (US$/Kg)
                50,00
                45,00
                40,00
                35,00
                30,00
                25,00
                20,00
                15,00
                10,00
                 5,00
                 0,00
                        1989
                               1990
                                      1991
                                             1992
                                                    1993
                                                           1994
                                                                  1995
                                                                         1996
                                                                                1997
                                                                                       1998
                                                                                              1999
                                                                                                     2000
                                                                                                            2001
                                                                                                                   2002
                                                                                                                          2003
                                                                                                                                 2004
                                                                                                                                        2005
                                                                                                                                               2006




 Gambar 7.6. Perkembangan harga ekspor minyak nilam di Indonesia, 1989-2006

     Berdasarkan informasi dari Asosiasi Eksportir Minyak Atsiri Indonesia, harga
minyak nilam pada pertengahan tahun 2010 naik menjadi US$ 40 per kilogram
dari US$ 20 per kilogram pada tahun 2009. Kenaikan harga tersebut disebabkan
oleh cuaca yang kurang kondusif sehingga produksi tidak maksimal dan
berdampak pada kenaikan harga minyak nilam (Suprapto dan Elly, 2010).
     Menurut Balai Penelitian Tanaman Rempah dan Obat Bogor, Indonesia
merupakan penghasil minyak nilam terbesar di dunia yang setiap tahunnya
memasok    70%-90%      kebutuhan                          dunia.                      Namun                   sayang,                         maraknya   praktek

                                                                                          Pusat Data dan Informasi Pertanian                                  157
2010          OUTLOOK KOMODITAS PERTANIAN - PERKEBUNAN


pencampuran       atau    pemalsuan      dan    rendahnya   teknologi   yang   akhirnya
berpengaruh pada kualitas menyebabkan harga jualnya menjadi rendah (Nita,
2007). Oleh karena itu perlu dilakukan pembenahan secara menyeluruh baik
dalam usaha budidaya, penanganan pasca panen maupun pemasaran nilam
Indonesia.



7.4. PERKEMBANGAN EKSPOR IMPOR NILAM INDONESIA


       Kegiatan ekspor dan impor nilam Indonesia dilakukan dalam bentuk minyak
nilam dan daun nilam, tetapi ekspor minyak nilam mendominasi perdagangan
Indonesia ke luar negeri. Data ekspor impor nilam hanya tersedia hingga tahun
2006, sedangkan mulai tahun 2007 data yang tersedia adalah data minyak atsiri.
       Perkembangan ekspor minyak nilam Indonesia selama periode tahun 1989-
2006 cenderung meningkat, tetapi ekspor daun nilam cenderung turun (Gambar
7.7). Ekspor minyak nilam terendah terjadi saat krisis ekonomi tahun 1997
dengan volume ekspor hanya sebesar 766 ton, tetapi nilai ekspornya melonjak
hingga mencapai US$ 33,07 juta dimana harga ekspor pada tahun tersebut
merupakan harga ekspor tertinggi selama periode 1989-2006 (US$ 43,18/kg).
Ekspor minyak nilam tertinggi terjadi pada tahun 2006 dengan total volume
ekspor mencapai 2.832 ton senilai US$ 43,98 juta. Sementara itu ekspor daun
nilam hanya dilakukan sampai tahun 2004 saja, karena kurangnya permintaan
ekspor nilam dalam bentuk daun kering.




158    Pusat Data dan Informasi Pertanian
OUTLOOK KOMODITAS PERTANIAN - PERKEBUNAN                                                2010


               (Ton)
               3.000

               2.500

               2.000

               1.500

               1.000

                500

                  0
                       1989
                              1990
                                     1991
                                            1992
                                                   1993
                                                          1994
                                                                 1995
                                                                        1996
                                                                               1997
                                                                                      1998
                                                                                             1999
                                                                                                    2000
                                                                                                           2001
                                                                                                                  2002
                                                                                                                         2003
                                                                                                                                2004
                                                                                                                                       2005
                                                                                                                                              2006
                                               Minyak Nilam                                    Daun Nilam


   Gambar 7.7. Perkembangan volume ekspor minyak nilam dan daun nilam di
                           Indonesia, 1989-2006


     Selain ekspor, Indonesia juga melakukan kegiatan impor minyak nilam.
Perkembangan impor minyak nilam menunjukkan kecenderungan meningkat.
Tahun 2006 impor minyak nilam Indonesia mencapai 1.479 ton dengan nilai impor
sebesar US$ 5,95 juta.
     Berdasarkan nilai ekspor dan nilai impor diperoleh neraca perdagangan
minyak nilam Indonesia, dimana selama tahun 1989-2006 masih menunjukkan
posisi surplus. Surplus neraca perdagangan nilam terbesar terjadi pada tahun
1998 senilai US$ 52,65 juta, dan semakin menurun hingga tahun 2003. Tahun
2004-2006 surplus neraca perdagangan minyak nilam Indonesia naik kembali, dan
pada tahun 2006 surplus neraca perdagangan minyak nilam mencapai US$ 38,03
juta. Perkembangan ekspor, impor dan neraca perdagangan minyak nilam dan
daun nilam Indonesia selengkapnya disajikan pada Lampiran 7.6.


7.5. PROYEKSI PENAWARAN NILAM 2009-2011


     Proyeksi penawaran nilam didasarkan pada proyeksi produksi minyak nilam.
Karena keterbatasan ketersediaan data pendukung, seperti harga produsen,
harga pupuk dan harga obat-obatan, maka digunakan metode deret waktu
dengan pemulusan eksponensial berganda (double exponential smoothing). Pada

                                                                                        Pusat Data dan Informasi Pertanian                           159
2010            OUTLOOK KOMODITAS PERTANIAN - PERKEBUNAN


konstanta pemulusan alpha (level)=0,244 dan gamma (trend)=0,171 diperoleh
MAPE=32 dengan hasil proyeksi produksi nilam disajikan pada Tabel 7.2.
         Produksi nilam di Indonesia pada tahun 2009 diperkirakan akan meningkat
sebesar 10,85% dibandingkan tahun sebelumnya. Peningkatan produksi juga akan
terjadi pada tahun 2010 dan 2011 namun tidak signifikan, yaitu sebesar 0,22%.
Dengan demikian produksi nilam di Indonesia tahun 2009 diperkirakan mencapai
1.651,64 ton, tahun 2010 sebesar 1.655,21 ton dan tahun 2011 meningkat
menjadi 1.658,78 ton.
       Meskipun diperkirakan akan terjadi peningkatan produksi nilam pada tahun
2009-2011, namun perlu dilakukan juga upaya perbaikan kualitas nilam
Indonesia. Hal ini mengingat masih kurangnya penerapan teknologi oleh petani
dalam budidaya komoditas nilam yang menyebabkan rendahnya produksi dan
produktivitas daun nilam. Selain itu juga diperlukan perbaikan cara penanganan
bahan baku dan proses penyulingan hingga menjadi minyak nilam.


Tabel 7.2. Hasil proyeksi produksi nilam di Indonesia, 2009-2011



       Tahun                    Produksi (Ton)             Pertumbuhan (%)

       2008*)                       1.490,00
        2009                        1.651,64                      10,85
        2010                        1.655,21                      0,22
        2011                        1.658,78                      0,22
 Rata-rata pertumbuhan (%/tahun)                                  3,76
Keterangan : *) Angka Sementara, Direktorat Jenderal Perkebunan



7.6. PROYEKSI PERMINTAAN NILAM 2009-2011


       Proyeksi permintaan nilam didasarkan pada proyeksi konsumsi minyak
nilam. Metode estimasi yang digunakan adalah metode pemulusan eksponensial
berganda (double exponential smoothing). Pada konstanta pemulusan alpha
160    Pusat Data dan Informasi Pertanian
OUTLOOK KOMODITAS PERTANIAN - PERKEBUNAN        2010


(level)=0,713 dan gamma (trend)=0,108 diperoleh nilai MAPE=118 dengan hasil
proyeksi seperti disajikan pada Tabel 8.3. Untuk periode tahun 2009-2011
konsumsi nilam diproyeksikan akan meningkat rata-rata sebesar 1,75% per tahun.
Secara absolut konsumsi nilam diperkirakan mencapai 1.404,63 ton pada tahun
2009, tahun 2010 naik menjadi 1.429,41 ton dan akan terus meningkat hingga
tahun 2011 sebesar 1.454,19 ton.


Tabel 7.3. Hasil proyeksi permintaan nilam di Indonesia, 2009 - 2011


                                     Konsumsi                      Pertumbuhan
          Tahun
                                       (Ton)                            (%)

          2009                       1.404,63

          2010                       1.429,41                            1,76

          2011                       1.454,19                            1,73

 Rata-rata pertumbuhan
                                                                         1,75
         (%/Th.)




7.7. PROYEKSI SURPLUS/DEFISIT NILAM 2009-2011


     Berdasarkan hasil proyeksi penawaran dan permintaan nilam di Indonesia
diperoleh proyeksi surplus/defisit nilam. Peningkatan permintaan nilam tahun
2009-2011 masih mampu diimbangi dengan produksi dalam negeri sehingga
diperkirakan masih akan terjadi surplus hingga tahun 2011. Tahun 2009 surplus
nilam diperkirakan sebesar 247,01 ton, tahun 2010 turun menjadi 225,80 ton dan
tahun 2011 menjadi 204,59 ton (Tabel 7.4).




                                              Pusat Data dan Informasi Pertanian   161
2010           OUTLOOK KOMODITAS PERTANIAN - PERKEBUNAN


Tabel 7.4. Proyeksi surplus/defisit nilam di Indonesia, 2009-2011



                         Produksi                 Konsumsi   Surplus/Defisit
      Tahun
                          (Ton)                     (Ton)         (Ton)

       2009              1.651,64                 1.404,63       247,01

       2010              1.655,21                 1.429,41       225,80

       2011              1.658,78                 1.454,19       204,59


        Melihat hasil proyeksi surplus/defisit nilam tersebut, sebenarnya masih
terbuka peluang bagi pelaku usaha komoditas nilam untuk mengembangkan usaha
budidaya nilam. Semakin berkembangnya industri yang menggunakan nilam
sebagai salah satu bahan bakunya, seperti industri parfum, kosmetika, dan obat-
obatan, dapat menjadi pasar yang sangat menjanjikan bagi upaya pengembangan
nilam Indonesia. Hal ini juga didukung oleh hasil proyeksi yang menunjukkan
bahwa konsumsi nilam di dalam negeri akan semakin meningkat di masa
mendatang. Kebutuhan minyak nilam untuk pasar dunia yang saat ini rata-rata
mencapai 1.200 ton - 1.500 ton per tahun dengan kecenderungan yang semakin
meningkat (Anonim, 2010) juga merupakan peluang usaha yang sangat
menjanjikan.




162     Pusat Data dan Informasi Pertanian
OUTLOOK KOMODITAS PERTANIAN - PERKEBUNAN                   2010


Lampiran 7.1. Perkembangan luas areal nilam di Indonesia menurut jenis
              pengusahaan, 1989-2008


                          PR                          PBN                        PBS                    Total
   Tahun
                            Pertumb.                      Pertumb.                   Pertumb.              Pertumb.
                  (Ha)                         (Ha)                      (Ha)                    (Ha)
                               (%)                           (%)                        (%)                   (%)
    1989            8,745                             -                          -                8,745
    1990            6,494        -25.74               -              -          84          -     6,578         -24.78
    1991          11,385          75.32               -              -          84        0.00   11,469          74.35
    1992            6,618        -41.87               -              -      -          -100.00    6,618         -42.30
    1993            9,060         36.90               -              -           5          -     9,065          36.97
    1994            9,679          6.83               -              -           6       20.00    9,685           6.84
    1995          10,511           8.60               -              -           4      -33.33   10,515           8.57
    1996          10,146          -3.47               -              -           4        0.00   10,150          -3.47
    1997          10,695           5.41               -              -           4        0.00   10,699           5.41
    1998          10,601          -0.88               -              -           4        0.00   10,605          -0.88
    1999            9,052        -14.61               -              -           -     -100.00    9,052         -14.64
    2000          12,781          41.20               -              -           -          -    12,781          41.20
    2001            9,010        -29.50               -              -           -          -     9,010         -29.50
    2002          21,605        139.79                -              -           -          -    21,605         139.79
    2003          16,354         -24.30               -              -           -          -    16,354         -24.30
    2004          20,179          23.39               -              -           -          -    20,179          23.39
    2005          20,455           1.37               -              -           -          -    20,455           1.37
    2006          21,716           6.16               -              -           -          -    21,716           6.16
    2007          21,440          -1.27               -              -           -          -    21,440          -1.27
   2008*)         21,761           1.50             -           -                -          -    21,761           1.50
                                               Rata-rata pertumbuhan (%)
 1989-2008                        10.78                              -                  -11.23                   10.76
 1989-1997                         7.75                              -                  -14.17                    7.70
 1998-2008                        12.98                              -                   -9.09                   12.98
Sumber      : Direktorat Jenderal Perkebunan
Keterangan : *) Angka Sementara                              PR = Perkebunan Rakyat
              PBN = Perkebunan Besar Negara                 PBS = Perkebunan Besar Swasta




                                                                     Pusat Data dan Informasi Pertanian           163
2010             OUTLOOK KOMODITAS PERTANIAN - PERKEBUNAN


Lampiran 7.2. Perkembangan produksi minyak nilam di Indonesia menurut status
              pengusahaan, 1989-2008

                         PR                      PBN                         PBS                   Total
  Tahun
                          Pertumb.                   Pertumb.                 Pertumb.                 Pertumb.
                (Ton)                    (Ton)                   (Ton)                     (Ton)
                             (%)                        (%)                      (%)                      (%)
   1989          3,312                           0                       -                   3,312
   1990          2,860         -13.65            0           -           -           -       2,860         -13.65
   1991          2,762          -3.43            0           -           -           -       2,762          -3.43
   1992          1,062         -61.55            0           -           -           -       1,062         -61.55
   1993          1,742          64.03            0           -           -           -       1,742         64.03
   1994          1,829            4.99           0           -           -           -       1,829          4.99
   1995          1,267         -30.73            0           -           -           -       1,267         -30.73
   1996          1,255          -0.95            0           -           -           -       1,255          -0.95
   1997          2,447          94.98            0           -           -           -       2,447         94.98
   1998          2,323          -5.07            0           -           -           -       2,323          -5.07
   1999          1,743         -24.97            0           -           -           -       1,743         -24.97
   2000          1,106         -36.55            0           -           -           -       1,106         -36.55
   2001          1,054          -4.70            0           -           -           -       1,054          -4.70
   2002          1,449          37.48            0           -           -           -       1,449         37.48
   2003          2,382          64.39            0           -           -           -       2,382         64.39
   2004          1,712         -28.13            0           -           -           -       1,712         -28.13
   2005          1,537         -10.22            0           -           -           -       1,537         -10.22
   2006          2,496          62.39            0           -           -           -       2,496         62.39
   2007          1,152         -53.85            0           -           -           -       1,152         -53.85
  2008*)         1,490          29.34         0           -      -                   -       1,490         29.34
                                          Rata-rata pertumbuhan (%)
1977-2008                         4.41                       -                       -                      4.41
1977-1997                         6.71                       -                       -                      6.71
1998-2008                         2.74                       -                       -                      2.74
Sumber      : Direktorat Jenderal Perkebunan
Keterangan : *) Angka Sementara                            PR = Perkebunan Rakyat
              PBN = Perkebunan Besar Negara                PBS = Perkebunan Besar Swasta




164      Pusat Data dan Informasi Pertanian
OUTLOOK KOMODITAS PERTANIAN - PERKEBUNAN                       2010


Lampiran 7.3. Perkembangan produksi minyak nilam di provinsi sentra Indonesia,
              2004 - 2008


                                                        Produksi (Ton)                                              Share
 No.          Provinsi                                                                                Share (%)   kumulatif
                                  2004         2005     2006     2007        2008*)     Rata-rata                    (%)
  1      Sumatera Barat              404          396      453     300           318            374       24.46       24.46

  2      Jawa Tengah                 234          330      378     292           388            324       21.20       45.66

  3      Bengkulu                    584          286      307           -          -           235       15.39       61.05

  4      Sumatera Utara              233          178      204      98           116            166       10.84       71.88

  5      Jawa Barat                      55       180      193     155           181            153        9.99       81.87

  6       Provinsi Lainnya        202          167      961      307          487         277             18.13      100.00

         Indonesia                 1,712        1,537    2,496    1,152        1,490        1,530        100.00
Sumber      : Direktorat Jenderal Perkebunan
Keterangan : *) Angka Sementara




                                                                       Pusat Data dan Informasi Pertanian               165
2010           OUTLOOK KOMODITAS PERTANIAN - PERKEBUNAN


Lampiran 7.4. Perkembangan total konsumsi minyak nilam di Indonesia, 1989 -
              2008


                                                                   Total
                  Produksi         Ekspor         Impor                          Pertumb.
      Tahun                                                      Konsumsi
                   (Ton)            (Ton)         (Ton)                             (%)
                                                                   (Ton)
       1989             3,312             685              -             2627
       1990             2,860             873              -             1987         -24.36
       1991             2,762             765              -             1997          0.50
       1992             1,062             772              -               290        -85.48
       1993             1,742           1,166              -               576        98.62
       1994             1,829           1,268              -               561         -2.60
       1995             1,267           1,111              -               156        -72.19
       1996             1,255           1,067              -               188        20.51
       1997             2,447             766              -             1681        794.15
       1998             2,323           1,356             24               991        -41.05
       1999             1,743           1,592              4               155        -84.36
       2000             1,106           1,052              8                62        -60.00
       2001             1,054           1,189              7                 0       -100.00
       2002             1,449           1,295              7               161              -
       2003             2,382           1,127              2             1257        680.75
       2004             1,712           2,074        1,112                 750        -40.33
       2005             1,537           2,679           477                  0       -100.00
       2006             2,496           2,832        1,479               1143               -
       2007             1,152                -             -             1152          0.79
      2008*)            1,490                -             -             1490         29.34
                             Rata-rata pertumbuhan (%/tahun)
 1989-2008                                                                            59.66
Sumber : Direktorat Jenderal Perkebunan dan Badan Pusat Statistik, diolah Pusdatin
Keterangan : *) Angka Sementara untuk produksi minyak nilam




166     Pusat Data dan Informasi Pertanian
OUTLOOK KOMODITAS PERTANIAN - PERKEBUNAN        2010


Lampiran 7.5. Perkembangan harga ekspor minyak nilam di Indonesia, 1989 –
              2006


               Volume Ekspor      Nilai Ekspor    Harga Ekspor     Pertumbuhan
    Tahun
                   (Ton)           (US$ 000)       (US$/Kg)             (%)

    1989                  685         11,662              17.02
    1990                  873         13,262              15.19            -10.77
    1991                  765          9,407              12.30            -19.05
    1992                  772         12,839              16.63             35.25
    1993                1,166         20,691              17.75              6.70
    1994                1,268         22,671              17.88              0.76
    1995                1,111         15,027              13.53            -24.35
    1996                1,067         15,707              14.72              8.84
    1997                  766         33,073              43.18            193.30
    1998                1,356         53,177              39.22             -9.17
    1999                1,592         22,869              14.36            -63.37
    2000                1,052         16,239              15.44              7.46
    2001                1,189         20,571              17.30             12.08
    2002                1,295         22,526              17.39              0.54
    2003                1,127         19,165              17.01             -2.24
    2004                2,074         27,137              13.08            -23.06
    2005                2,679         43,894              16.38             25.22
    2006                2,832         43,984              15.53             -5.21
                          Rata-rata pertumbuhan (%)
 1989-2006                                                                   7.82
 1989-1997                                                                  23.83
 1998-2006                                                                  -6.42
Sumber : BPS dan Direktorat Jenderal Perkebunan, diolah Pusdatin




                                                    Pusat Data dan Informasi Pertanian   167
2010                OUTLOOK KOMODITAS PERTANIAN - PERKEBUNAN


Lampiran 7.6. Perkembangan ekspor – impor nilam di Indonesia, 1989 – 2006


                         EKSPOR                                       IMPOR                             NERACA PERDAGANGAN


Tahun      Minyak Nilam           Daun Nilam          Minyak Nilam            Daun Nilam         Minyak Nilam        Daun Nilam

        Volume   Nilai   Volume  Nilai   Volume  Nilai   Volume  Nilai   Volume  Nilai   Volume  Nilai
         (Ton) (US$ 000) (Ton) (US$ 000) (Ton) (US$ 000) (Ton) (US$ 000) (Ton) (US$ 000) (Ton) (US$ 000)
 1989       685     11,662           -          -         -            -        -           -     685      11,662       -          -
 1990       873     13,262           -          -         -            -        -           -     873      13,262       -          -
 1991       765       9,407          -          -         -            -        -           -     765       9,407       -          -
 1992       772     12,839           -          -         -            -        -           -     772      12,839       -          -
 1993     1,166     20,691           -          -         -            -        -           -   1,166      20,691       -          -
 1994     1,268     22,671           -          -         -            -        -           -   1,268      22,671       -          -
 1995     1,111     15,027           -          -         -            -        -           -   1,111      15,027       -          -
 1996     1,067     15,707           1         15         -            -        -           -   1,067      15,707       1         15
 1997       766     33,073           -          -         -            -        -           -     766      33,073       -          -
 1998     1,356     53,177      1,439     53,226        24          524         -           -   1,332     52,653    1,439    53,226
 1999     1,592     22,869         106       160          4         118         -           -   1,588     22,751     106       160
 2000     1,052     16,239         122         89         8         123         -           -   1,044     16,116     122          89
 2001     1,189     20,571          97         52         7         112         -           -   1,182     20,459      97          52
 2002     1,295     22,526         157       115          7          91       26           52   1,288     22,435     131          63
 2003     1,127     19,165         149         99         2          36         -           -   1,125     19,129     149          99
 2004     2,074     27,137          32         34    1,112         3,814        -           -    962      23,323      32          34
 2005     2,679     43,894           -          -      477         2,654        -           -   2,202     41,240        -          -
 2006     2,832     43,984           -          -    1,479         5,954        -           -   1,353     38,030        -          -
Sumber : BPS dan Direktorat Jenderal Perkebunan, diolah Pusdatin




168      Pusat Data dan Informasi Pertanian
OUTLOOK KOMODITAS PERTANIAN - PERKEBUNAN        2010


                              BAB VIII. TEBU


        Tebu adalah salah satu komoditas perkebunan penting yang ditanam
untuk bahan baku utama gula.       Hingga saat ini, gula merupakan salah satu
komoditas strategis dalam perekonomian Indonesia karena disamping sebagai
salah satu kebutuhan pokok masyarakat juga sebagai sumber kalori yang relatif
murah. Berdasarkan penghitungan dari data hasil Susenas, konsumsi gula oleh
rumah tangga cenderung mengalami peningkatan. Penurunan konsumsi terjadi
pada tahun 1998 sebagai akibat dari tingginya peningkatan harga gula di pasar
domestik. Namun periode berikutnya konsumsi gula kembali mengalami
peningkatan.
        Sementara itu dari sisi penawaran, meskipun produksi gula nasional
pada tahun 2010 sampai dengan tahun 2012 diproyeksikan akan terus meningkat
rata-rata sebesar 2,96% per tahun, namun produksi gula dalam negeri
diperkirakan baru mampu memenuhi tingkat konsumsi gula rumah tangga, tetapi
belum mampu memenuhi kebutuhan industri.            Pada tahun 2010 diperkirakan
produksi gula sebesar 3,08 juta ton dan 2012 sebesar 3,1 juta ton.
        Kebutuhan gula oleh rumah tangga pada tahun 2010 diperkirakan
sebesar 2,1 juta ton dan tahun 2012 sebesar 2,3 juta ton. Dengan demikian
permintaan oleh rumah tangga masih bias dipenuhi dari produksi dalam negeri.
Namun berdasarkan data ketersediaan untuk industri yang diperoleh dari
ketersediaan total dikurangi konsumsi rumah tangga diperoleh informasi bahwa
rata-rata kebutuhan industri setiap tahunnya berkisar antara 1,6 – 1,7 juta ton.
Dengan demikian maka untuk tiga tahun mendatang diperkirakan Indonesia masih
membutuhkan impor gula sekitar 700 – 800 ribu ton per tahun. Namun demikian,
keragaan ekspor impor gula tidak lepas dari kebijakan pemerintah.




                                              Pusat Data dan Informasi Pertanian   169
2010          OUTLOOK KOMODITAS PERTANIAN - PERKEBUNAN


8.1. PERKEMBANGAN LUAS AREAL, PRODUKTIVITAS DAN PRODUKSI
     TEBU DI INDONESIA


          Perkembangan luas areal tebu di Indonesia pada periode tahun 1969-
2009 cenderung mengalami peningkatan yaitu dari 123.036 ha pada tahun 1969
menjadi 443.832 ha pada tahun 2009 atau mengalami peningkatan rata-rata
sebesar 3,53% per tahun. Namun demikian, pada periode 1997-2003 luas areal
tebu di Indonesia cenderung mengalami penurunan, tetapi tahun berikutnya
kembali mengalami peningkatan. Penurunan luas areal tebu yang cukup tinggi
terjadi pada periode tahun 1997 sebesar 13,36% (Gambar 8.1).




        Gambar 8.1. Perkembangan luas areal tebu di Indonesia, 1969–2009

         Rata-rata peningkatan luas areal tebu tertinggi terjadi pada dekade 1970-
1979 dengan peningkatan luas areal rata-rata per tahun sebesar 11,31%. Pada
dekade berikutnya hanya mengalami peningkatan rata-rata per tahun sebesar
0,63%. Periode 1990-1999, saat terjadi krisis, luas areal tebu mengalami
penurunan rata-rata sebesar 0,25%, tetapi pada dekade terakhir 2000-2009
kembali mengalami peningkatan rata-rata sebesar 2,71% per tahun.
         Perkembangan luas areal tebu berdasarkan status pengusahaan pada
periode 1969 – 1979 sebagian besar merupakan kontribusi dari perkebunan besar
negara (PBN) dengan rata-rata kontribusi sebesar 50,21%, diikuti perkebunan


170    Pusat Data dan Informasi Pertanian
OUTLOOK KOMODITAS PERTANIAN - PERKEBUNAN        2010


rakyat (PR) sebesar 42,14% dan sisanya merupakan perkebunan besar swasta
(PBS). Tetapi setelah periode tersebut, PR yang justru lebih mendominasi, diikuti
PBN dan PBS. Bahkan pada dekade terakhir, perkebunan besar negara ada
dibawah kontribusi perkebunan besar swasta (Lampiran 8.1).
       Pada periode 1980-1989, luas areal PR mampu menyusul dominasi PBN
dengan memberikan kontribusi sebesar 73,81%, sedangkan PBN dan PBS
memberikan kontribusi masing-masing sebesar 20,60% dan 5,59%. Pada dekade
berikutnya yakni tahun 1990-1999 luas areal tebu PR sebesar 63,94% dari
perkebunan tebu nasional, PBN sebesar 23,14% dan PBS naik menjadi 12,15%.
       Perkembangan luas areal tebu secara umum untuk setiap status
pengusahaan pada periode 1969-2009 cenderung mengalami peningkatan.
Peningkatan rata-rata tertinggi terjadi pada PBS yaitu sebesar 14,32%.
Selanjutnya diikuti PR dan PBN masing-masing sebesar 5,72% dan 3,30%.
Peningkatan luas areal PBS yang cukup tinggi mampu meningkatkan kontribusi
luas areal tebu pada tahun 1998. Sementara itu luas areal tebu pada PBN sejak
tahun 1991 sudah tidak banyak mengalami peningkatan. Bahkan sejak tahun 2004
sudah berada dibawah luas areal PBS.




    Gambar 8.2. Perkembangan luas areal tebu Indonesia berdasarkan status
                        pengusahaan, 1969 – 2009




                                              Pusat Data dan Informasi Pertanian   171
2010           OUTLOOK KOMODITAS PERTANIAN - PERKEBUNAN


          Produktivitas tebu nasional diukur dalam wujud produksi gula hablur.
Perkembangan produktivitas tebu nasional pada kurun waktu 1969–2009 secara
umum terus berfluktuasi. Pada tahun 1969–1979 produktivitas tebu cenderung
mengalami penurunan, tetapi pada periode 1980–1987 cenderung mengalami
peningkatan. Pada periode berikutnya yakni tahun 1988–1998 kembali cenderung
menurun dan pada periode 1999–2009 cenderung mengalami peningkatan
(Gambar 8.3).




        Gambar 8.3. Perkembangan produktivitas tebu di Indonesia, 1969 - 2009



          Rata-rata produktivitas tebu nasional pada periode 1969–1979 sebesar
6,38 ton/ha gula hablur dengan rata-rata pertumbuhan turun sebesar 5,21%.
Untuk kurun waktu 1980–1989, rata-rata produktivitas sebesar 5,21 ton/ha
dengan pertumbuhan sebesar 6,35%. Untuk periode 1990 – 1999 rata-rata
pertumbuhan produktivitas turun sebesar 1,98% dengan produktivitas rata-rata
sebesar 5,20 ton/ha dan pada periode 2000 – 2009 rata-rata produktivitas tebu
nasional sebesar 5,61 ton/ha dengan rata-rata pertumbuhan naik sebesar 4,19%.
Secara umum pada kurun waktu 1969 – 2009 rata-rata produktivitas tebu nasional
sebesar 5,62 ton/ha dengan rata-rata pertumbuhan sebesar 0,84% (Lampiran
8.2).




172     Pusat Data dan Informasi Pertanian
OUTLOOK KOMODITAS PERTANIAN - PERKEBUNAN         2010


Tabel 8.1. Perkembangan produktivitas tebu di Indonesia berdasarkan status
          pengusahaan, 1969 – 2009

                            Produktivitas (Ton/Ha)                    Pertumbuhan (%)
      Tahun
                       PR       PBN     PBS       Total       PR      PBN       PBS      Total

    1969-1979          3,57      8,68    9,72        6,38      1,55    -6,82     63,47       -5,21

    1980-1989          5,38      4,72    5,21        5,12      7,36    11,65      9,36       6,35

    1990-1999          5,45      4,09    6,04        5,20     -3,64    -0,17     12,13       -1,98

   2000-2009*)         5,41      4,46    7,00        5,61      3,91     6,08      5,16       4,19

   1969-2009*)         4,94      5,58    7,08        5,62      2,30     2,69     22,53       0,84
Sumber: Ditjen Perkebunan
Keterangan: *) Angka Sementara                        PR= Perkebunan Rakyat
             PBN = Perkebunan Besar Negara            PBS = Perkebunan Besar Swasta




        Berdasarkan status pengusahaannya, selama kurun waktu 1969 – 2009
tebu PR memiliki rata-rata produktivitas terendah yaitu sebesar 4,94 ton/ha
dalam wujud gula hablur. Sementara di PBS mencapai 7,08 ton/ha dan PBN
sebesar 5,58 ton/ha.




 Gambar 8.4. Perkembangan produktivitas tebu di Indonesia berdasarkan status
                        pengusahaan, 1969 - 2009




                                                        Pusat Data dan Informasi Pertanian    173
2010           OUTLOOK KOMODITAS PERTANIAN - PERKEBUNAN




      Gambar 8.5. Perkembangan produksi gula hablur di Indonesia, 1969 - 2009

          Produksi tebu nasional dihitung dalam wujud produksi gula hablur.
Perkembangan produksi gula hablur di Indonesia pada periode tahun 1969 – 2009
cenderung mengalami peningkatan walaupun sempat mengalami guncangan
berupa penurunan produksi pada tahun 1998 dan 1999. Hal tersebut lebih banyak
disebabkan menurunnya luas areal pada periode tersebut dan tak kunjung
meningkatnya produktivitas tebu. Namun demikian, setelah periode tersebut
produksi tebu mulai membaik dan sedikit demi sedikit mengalami peningkatan
seiring dengan peningkatan luas areal dan produktivitasnya.




        Gambar 8.6. Perkembangan produksi gula hablur berdasarkan status
                          pengusahaan, 1969 - 2009



174     Pusat Data dan Informasi Pertanian
OUTLOOK KOMODITAS PERTANIAN - PERKEBUNAN          2010


       Seperti halnya produksi tebu nasional, perkembangan produksi gula
hablur menurut pengusahaan dari tahun 1969 sampai dengan 2009 juga
cenderung mengalami peningkatan, khususnya untuk PBS (Gambar 8.6). Produksi
gula hablur PR cenderung mengalami peningkatan, khususnya pada periode 1969
– 1994. Setelah periode tersebut, produksi gula hablur yang berasal dari PR
sedikit mengalami penurunan. Walaupun demikian, sejak tahun 2000 produksi
gula hablur dari PR mulai bergerak naik meski secara perlahan. Sedangkan
produksi gula hablur yang berasal dari PBN sejak tahun 1979 sampai sekarang
cenderung stagnan dan tidak mengalami perkembangan yang signifikan. Padahal
pada periode 1969 – 1978 produksi gula hablur yang berasal dari PBN memberi
kontribusi yang dominan bahkan lebih tinggi dari PR.
       Pada periode 1969 – 1978 seperti yang disebutkan sebelumnya, produksi
gula hablur dari PBN mendominasi produksi nasional. Namun pada tahun
berikutnya seiring dengan menurunnya produksi gula hablur dari PBN dan
meningkatnya PR maka produksi tebu dari PBN mampu dilampaui PR. Bahkan
sejak tahun 1999 – 2009 sudah dilampaui oleh produksi tebu dari PBS yang saat ini
menempati urutan kedua setelah PR (Lampiran 8.3).


Tabel 8.2. Perkembangan rata-rata produksi gula hablur di Indonesia berdasarkan
          status pengusahaan, 1969 – 2009

                                                 Produksi (Ton)
               Tahun
                                 PR            PBN            PBS           Total

             1969-1979           304,494        750,844         97,590      1,152,955

             1980-1989         1,377,562        293,345        103,937      1,774,844

             1990-1999         1,378,883        382,978        317,178      2,079,039

            2000-2009*)        1,145,673        360,607        638,264      2,154,514

            1969-2009*)        1,033,429        454,356        284,568      1,774,792
          Sumber: Ditjen Perkebunan, diolah Pusdatin
          Keterangan: *) Angka Sementara PR= Perkebunan Rakyat
                       PBN = Perkebunan Besar Negara PBS = Perkebunan Besar Swasta


                                                  Pusat Data dan Informasi Pertanian    175
2010           OUTLOOK KOMODITAS PERTANIAN - PERKEBUNAN


          Berdasarkan angka rata-rata produksi gula hablur PR per provinsi periode
2006 - 2010 terdapat 8 (delapan) provinsi yang menghasilkan gula hablur bagi
produksi nasional. Jawa Timur merupakan penyumbang produksi tebu PR terbesar
yaitu sebesar 72,57%, disusul oleh Jawa Tengah dan Lampung yang masing-masing
berkontribusi sebesar 16,90% dan 4,60%. Jawa Barat mempunyai kontribusi
sebesar 3,95%, disusul DI Yogyakarta sebesar 1,34%. Sedangkan provinsi lainnya
yakni     Sumatera     Utara,    Sulawesi     Selatan     dan   Sumatera   Selatan   hanya
menyumbang masing-masing kurang dari 1,00% (Lampiran 8.4).




       Gambar 8.7. Provinsi sentra produksi tebu Perkebunan Rakyat, 2006-2010

          Berdasarkan produksi gula hablur nasional, meskipun Jawa Timur masih
merupakan penyumbang produksi nasional terbesar tetapi kontribusinya hanya
sebesar 45,87%. Provinsi Lampung yang produksi gula hablur di PR berada di
peringkat ketiga (4,60%), tetapi secara nasional berada peringkat kedua dengan
kontribusi produksi gula hablur nasional sebesar 32,78%. Disusul oleh Jawa
Tengah dan Jawa Barat, yang masing-masing berkontribusi bagi produksi gula
hablur nasional sebesar 9,79% dan 4,37%. Provinsi lainnya masing-masing hanya
menyumbang kurang dari 3,00%.




176     Pusat Data dan Informasi Pertanian
OUTLOOK KOMODITAS PERTANIAN - PERKEBUNAN        2010




              Gambar 8.8. Provinsi sentra produksi tebu Nasional, 2009



8.2. PERKEMBANGAN KONSUMSI GULA DI INDONESIA


     Konsumsi gula nasional oleh rumah tangga per tahun dihitung berdasarkan
konsumsi gula per kapita per minggu dari data hasil Susenas BPS dikalikan dengan
jumlah penduduk pada tahun bersangkutan. Mengingat bahwa Susenas pada
tahun-tahun sebelumnya tidak dilakukan setiap tahun maka pada periode yang
tidak dilakukan survei, terlebih dahulu dilakukan estimasi.
     Dari hasil perhitungan tersebut, konsumsi rumah tangga per tahun untuk
komoditas gula pada tahun 1990 sebesar 1,41 juta ton yang secara beruntun terus
meningkat menjadi 1,73 juta ton pada tahun 1996. Selanjutnya pada tahun 1997,
konsumsi gula oleh rumah tangga berkurang menjadi 1,72 juta ton dan berturut-
turut menurun menjadi 1,71 juta ton dan 1,67 juta ton pada tahun 1998 dan
1999. Penurunan tersebut disebabkan turunnya jumlah konsumsi perkapita yang
diperkirakan dipengaruhi oleh peningkatan harga gula di pasar domestik pada
tahun 1998.
     Jumlah konsumsi gula oleh rumah tangga kembali naik pada tahun 2000-
2002, tetapi setelah periode tersebut jumlah konsumsi gula oleh rumah tangga
cenderung stabil pada kisaran 1,94 - 1,96 juta ton per tahun sampai dengan
tahun 2006. Pada tahun 2007 konsumsi gula oleh rumah tangga juga mengalami

                                               Pusat Data dan Informasi Pertanian   177
2010           OUTLOOK KOMODITAS PERTANIAN - PERKEBUNAN


peningkatan menjadi 2,15 juta ton dan tahun berikutnya sampai dengan tahun
2009 masih berkisar pada jumlah tersebut. Konsumsi gula tersebut di atas adalah
konsumsi gula langsung oleh rumah tangga, sementara kebutuhan gula oleh
industri belum dihitung. Grafik perkembangan konsumsi gula oleh rumah tangga
disajikan pada Gambar 8.9.




      Gambar 8.9. Perkembangan konsumsi gula oleh rumah tangga di Indonesia,
                                   1990-2009


8.3. PERKEMBANGAN HARGA GULA DI INDONESIA


           Perkembangan harga gula dalam negeri berdasarkan data Kantor
Pemasaran Bersama (KPB) PT. Perkebunan Nusantara selama periode 1997-2009
terus bergerak naik. Harga gula rata-rata pada tahun 1997 sebesar Rp. 1.525,-/kg
dan pada tahun 2009 sudah mencapai Rp. 7.940,-/kg atau lebih dari 5 kali lipat
dibandingkan tahun 1997. Peningkatan harga gula tertinggi terjadi pada saat
krisis moneter yakni tahun 1998 dimana peningkatannya mencapai 79,25%
dibandingkan tahun sebelumnya.
           Peningkatan harga gula pada tahun 1998 merupakan efek dari
menurunnya produksi gula nasional dan meningkatkan impor gula. Padahal pada
saat itu nilai tukar rupiah sedang mengalami penurunan. Akibatnya, harga produk
impor menjadi lebih mahal, demikian pula halnya dengan komoditi gula. Hal

178     Pusat Data dan Informasi Pertanian
OUTLOOK KOMODITAS PERTANIAN - PERKEBUNAN        2010


inilah yang mengakibatkan harga gula di dalam negeri pada saat itu meningkat
pesat.




     Gambar 8.10. Perkembangan harga gula pasir dalam negeri, 1997-2009


8.4. PERKEMBANGAN EKSPOR IMPOR GULA INDONESIA


         Gambar 8.11 menyajikan perkembangan volume ekspor dan impor gula
Indonesia pada periode tahun 1969 – 2009 dalam bentuk molase dan dalam
bentuk gula hablur.




    Gambar 8.11. Perkembangan volume ekspor dan impor gula di Indonesia,
                                1969–2009




                                           Pusat Data dan Informasi Pertanian   179
2010          OUTLOOK KOMODITAS PERTANIAN - PERKEBUNAN


          Masa surplus volume ekspor impor gula di Indonesia terjadi antara tahun
1969 – 1975 dan 1983 – 1994. Untuk periode lainnya, Indonesia selalu mengalami
defisit volume ekspor-impor. Bahkan pada tahun 1996 – 2007 defisit neraca
perdagangan gula Indonesia semakin besar dengan semakin banyaknya gula impor
di pasaran domestik. Melalui kebijakan pembatasan impor gula, pada tahun 2008
impor gula sudah mulai berkurang. Kebijakan pemerintah dengan memperketat
impor gula mampu mengurangi impor gula nasional. Namun seiring dengan
berkurangnya stok gula pada awal tahun maka dikeluarkan kebijakan penurunan
bea masuk gula melalui Peraturan Menteri Keuangan No. 150/PMK.011/2009 pada
tanggal 24 September 2009 yang bertujuan meningkatkan volume impor sehingga
pada tahun 2009, impor gula kembali mengalami peningkatan (Purna, Ibnu et all.
2009).
          Neraca perdagangan komoditas gula Indonesia (dalam bentuk molase
dan hablur) dari tahun ke tahun sejak 1969 hingga 2009 terus mengalami defisit
dengan pola berfluktuasi. Defisit neraca perdagangan tertinggi terjadi pada
tahun 2007 hingga mencapai US$ 999,62 juta. Pada tahun 2008 melalui kebijakan
pemerintah terhadap impor gula, maka defisit neraca perdagangan gula sudah
mampu ditekan. Namun pada tahun 2009, defisit perdagangan kembali melebar
setelah dikeluarkannya penurunan bea masuk untuk impor gula (Lampiran 8.5).




8.5. PERKEMBANGAN LUAS AREAL, PRODUKTIVITAS DAN PRODUKSI
    TEBU DUNIA


          Perkembangan luas areal tebu dunia pada periode tahun 1970 – 2008
cenderung terus mengalami peningkatan meskipun pada tahun-tahun tertentu
terjadi penurunan (Gambar 8.12). Penurunan tertinggi terjadi pada tahun 1993
yaitu sebesar 4,73% dari 18,15 juta ha menjadi 17,29 juta ha. Rata-rata laju
pertumbuhan luas areal tebu dunia sejak tahun 1970 – 2008 adalah sebesar
2,14%. Berdasarkan data dari FAO, total luas areal tebu dunia pada tahun 2008


180    Pusat Data dan Informasi Pertanian
OUTLOOK KOMODITAS PERTANIAN - PERKEBUNAN        2010


mencapai angka 18,57 juta ha. Luas areal tertinggi pada kurun waktu tersebut
terjadi pada tahun 2003 yaitu sebesar 24,37 juta ha (Lampiran 8.6).




         Gambar 8.12. Perkembangan luas areal tebu dunia, 1970 – 2008

       Laju pertumbuhan produktivitas tebu dunia (dalam bentuk tebu) dari
tahun 1970 hingga 2008 terus mengalami peningkatan, walaupun ada beberapa
penurunan tetapi terlalu tinggi (Gambar 8.13). Laju pertumbuhan produktivitas
tebu dunia selama periode tersebut adalah sebesar 0,73%. Menurut data dari
FAO, produktivitas tebu dunia pada tahun 2008 mencapai 71,51 ton/ha dalam
wujud tebu. Peningkatan produktivitas tebu dunia yang cukup tinggi terjadi pada
tahun 2007 yakni sebesar 4,00% (Lampiran 8.6).




       Gambar 8.13. Perkembangan produktivitas tebu dunia, 1970 – 2008


                                             Pusat Data dan Informasi Pertanian   181
2010          OUTLOOK KOMODITAS PERTANIAN - PERKEBUNAN


         Perkembangan produksi tebu dunia dari tahun 1970 hingga 2008 terus
mengalami peningkatan, walaupun ada beberapa penurunan tetapi tidak ada
penurunan produksi yang signifikan (Gambar 7.14). Rata-rata pertumbuhan
produksi selama periode tersebut adalah sebesar 2,91%. Menurut data dari FAO,
produksi tebu dunia pada tahun 2005 mencapai 1,74 milyar ton (dalam bentuk
tebu). Peningkatan produksi tebu dunia yang cukup tinggi terjadi pada tahun
2007 yaitu sebesar 14,71% (Lampiran 8.6).




           Gambar 8.14. Perkembangan produksi tebu dunia, 1970 - 2008

         Berdasarkan data rata-rata luas areal tebu periode 2004 - 2008 dari FAO,
Brazil merupakan negara yang memiliki rata-rata luas areal tebu tahun 2004 -
2008 terbesar di dunia yakni sebesar 6,60 juta ha atau 30,39% dari total luas
areal tebu dunia. Urutan kedua adalah India dengan luas areal tebu rata-rata
mencapai 4,40 juta ha (20,26%). Selanjutnya China menempati urutan ketiga
dengan luas areal mencapai 1,49 juta ha (6,86%), dan urutan berikutnya
ditempati oleh Pakistan dengan luas areal mencapai 1,04 juta ha, kemudian
disusul oleh Thailand dengan luas areal sebesar 1,04 juta ha (Gambar 8.15).
Sementara itu, Indonesia berada pada posisi 11 dibawah Meksiko, Kuba, Afrika
Selatan, Australia dan Kolombia yang menempati posisi 6 sampai 10. Luas areal
tebu beberapa negara di dunia secara rinci disajikan pada Lampiran 8.7.




182    Pusat Data dan Informasi Pertanian
OUTLOOK KOMODITAS PERTANIAN - PERKEBUNAN        2010




  Gambar 8.15. Negara dengan luas areal tebu terbesar di dunia, 2004 – 2008

         Berdasarkan data produksi tebu rata-rata selama 5 tahun terakhir (2004-
2008),    Brazil merupakan negara produsen tebu terbesar di dunia, dengan
produksi mencapai 502,84 juta ton (dalam bentuk tebu) atau sebesar 33,76% dari
produksi dunia. Urutan kedua ditempati oleh India dengan produksi tebu
mencapai 291,17 juta ton (19,55%). China menempati urutan ke-3 dengan rata-
rata produksi tebu 5 tahun terakhir sebesar 102,12 juta ton (6,86%). Urutan
keempat dan kelima ditempati oleh Thailand dan Pakistan. Sementara itu
Indonesia berada pada urutan ke-10 dunia dengan produksi tebu 27,31 juta ton.
Produksi tebu di beberapa negara di dunia secara rinci disajikan pada Lampiran
8.8.




         Gambar 8.16. Negara produsen tebu terbesar dunia, 2004 – 2008


                                              Pusat Data dan Informasi Pertanian   183
2010          OUTLOOK KOMODITAS PERTANIAN - PERKEBUNAN


8.6.     PROYEKSI PENAWARAN GULA 2010-2012

         Perilaku penawaran dari suatu komoditas dicerminkan oleh respon atau
keputusan produsen terhadap mekanisme pasar dan pengaruh faktor non pasar,
yang dalam hal ini direpresentasikan oleh produksi. Sedangkan perilaku
penawaran komoditas pertanian dicerminkan oleh pengaruh harga pasar dan
kekuatan non harga (teknologi, kondisi krisis, dan sebagainya) terhadap
keputusan petani dalam memproduksi komoditas yang dihasilkan (Syafa’at et al,
2005).
         Hasil estimasi perilaku penawaran gula dengan menggunakan data time
series menunjukkan bahwa produksi gula dipengaruhi oleh peubah-peubah luas
areal tanam, harga gula dalam negeri dan harga gula ekspor periode sebelumnya
dengan koefisien determinasi (R2) = 0,782 (Tabel 8.4). Ini berarti bahwa 78,2%
variasi areal tanam tebu dapat dijelaskan oleh variasi peubah-peubah yang
digunakan dalam model.


Tabel 8.3. Hasil proyeksi fungsi penawaran gula di Indonesia



              Peubah                     Koefisien           P Value

Luas Areal (t-1)                            6,214            0,001

Harga Gula Dalam Negeri (t-1)               142,11           0,000

Harga Ekspor Gula (t-1)                     333,4            0,033

Intercept                                -999.718            0,100

R2                                                   0,782




         Berdasarkan hasil analisis fungsi tersebut, produksi gula pada tahun 2010
diproyeksikan akan meningkat menjadi 3,08 juta ton dan menjadi 3,10 juta ton
pada tahun 2012. Rata-rata peningkatan produksi gula nasional diperkirakan
hanya sebesar 2,96%. Proyeksi produksi gula nasional disajikan pada Tabel 8.4.
184    Pusat Data dan Informasi Pertanian
OUTLOOK KOMODITAS PERTANIAN - PERKEBUNAN         2010


Tabel 8.4. Proyeksi produksi gula Indonesia, 2010 – 2012


                     Tahun                     Produksi (ton)

                        2010                     3.080.704

                        2011                     3.021.158

                        2012                     3.102.584

                 Pertumbuhan (%)                    2,96




8.7. PROYEKSI PERMINTAAN GULA 2010-2012

       Hasil proyeksi perilaku permintaan gula untuk konsumsi rumah tangga
dengan menggunakan data time series hasil Susenas, BPS dikalikan dengan
jumlah penduduk menunjukkan bahwa konsumsi gula hanya dipengaruhi oleh tren
(tahun) dengan koefisien determinasi (R2) = 0,932. Hal itu juga berarti faktor
utama yang mempengaruhi jumlah konsumsi gula oleh rumah tangga adalah
pertambahan jumlah penduduk. Nilai koefisien determinasi 0,932 menunjukkan
bahwa 93,2% variasi permintaan gula dapat dijelaskan oleh variasi peubah yang
digunakan dalam model.

Tabel 8.5. Hasil proyeksi fungsi permintaan gula di Indonesia


                 Peubah            Koefisien               P Value

            Tahun                   37.226                 0,000

            Intercept               0,9621                 0,000

            R2                                 0,932




                                               Pusat Data dan Informasi Pertanian   185
2010          OUTLOOK KOMODITAS PERTANIAN - PERKEBUNAN


         Berdasarkan hasil analisis fungsi tersebut, permintaan gula untuk
konsumsi rumah tangga pada tahun 2010 diproyeksikan akan meningkat menjadi
2,18 juta ton dan mencapai 2,26 juta ton pada 2012. Rata-rata peningkatan
permintaan gula nasional diperkirakan sebesar 1,75%. Peningkatan permintaan
gula hanya disebabkan oleh meningkatnya jumlah penduduk dan dari hasil
analisis tidak dipengaruhi oleh harga gula dalam negeri maupun gula impor.
Proyeksi permintaan gula nasional secara rinci disajikan pada Tabel 8.6.

Tabel 8.6. Proyeksi permintaan gula Indonesia, 2010-2012


                        Tahun                  Permintaan Gula (Ton)

                         2010                            2.182.199

                         2011                            2.219.425

                         2012                            2.256.651

              Pertumbuhan (%/tahun)                        1,75


8.8. PROYEKSI SURPLUS/ DEFISIT GULA




       Gambar 8.17. Perkembangan penawaran dan permintaan gula Indonesia,
                                  1990-2012



186    Pusat Data dan Informasi Pertanian
OUTLOOK KOMODITAS PERTANIAN - PERKEBUNAN             2010


        Perhitungan surplus/defisit gula diperoleh dari produksi dikurangi dengan
konsumsi rumah tangga. Pada tahun 2010 diperkirakan produksi gula nasional
masih mampu memenuhi kebutuhan rumah tangga dan mengalami surplus
sebesar 898.505 ton. Demikian pula pada tahun 2011 mengalami surplus sebesar
801.733 ton dan pada tahun 2012 mengalami surplus sebesar 845.933 ton (Tabel
8.7).

Tabel 8.7. Proyeksi surplus/defisit gula Indonesia, 2010 – 2012


               Tahun        Penawaran          Permintaan         Suplus/Defisit

               2010          3.080.704              2.182.199                 898.505

               2011          3.021.158              2.219.425                 801.733

               2012          3.102.584              2.256.651                 845.933


        Kelebihan/surplus penawaran ini hanya berlaku apabila tidak ada
kebutuhan gula untuk industri. Dalam hal ini artinya Indonesia sudah swasembada
gula untuk memenuhi konsumsi rumah tangga. Hanya saja apabila dilihat dari
ketersediaan untuk industri rata-rata selama 5 tahun terakhir, kebutuhan gula
untuk industri setiap tahunnya berkisar antara 1,6 – 1,7 juta ton, sehingga
Indonesia selama 3 tahun ke depan Indonesia masih membutuhkan impor gula
antara 700.000 – 800.000 ton setiap tahun.




                                              Pusat Data dan Informasi Pertanian        187
2010          OUTLOOK KOMODITAS PERTANIAN - PERKEBUNAN


Lampiran 8.1. Perkembangan luas areal tebu di Indonesia berdasarkan status
              pengusahaan, 1969-2009

                         Luas Areal (Ha)                          Pertumbuhan (%)
  Tahun
                PR        PBN        PBS        Total     PR        PBN    PBS    Total
   1969         48.826    67.300     6.910     123.036
   1970         45.067    69.607     7.041     121.715    -7,70      3,43   1,90    -1,07
   1971         48.569    74.811     3.004     126.384     7,77      7,48 -57,34     3,84
   1972         71.667    63.807    13.236     148.710    47,56    -14,71 340,61    17,67
   1973         69.541    85.492    14.476     169.509    -2,97     33,99   9,37    13,99
   1974         71.962    90.102    14.711     176.775     3,48      5,39   1,62     4,29
   1975         72.964    89.003    17.861     179.828     1,39     -1,22 21,41      1,73
   1976         92.040    95.583    21.279     208.902    26,14      7,39 19,14     16,17
   1977        118.453    99.644    16.395     234.492    28,70      4,25 -22,95    12,25
   1978        102.213   121.423    24.465     248.101   -13,71     21,86 49,22      5,80
   1979        191.859   126.103    25.534     343.496    87,71      3,85   4,37    38,45
   1980        259.874    37.629    18.560     316.063    35,45    -70,16 -27,31    -7,99
   1981        290.470    36.722    18.996     346.188    11,77     -2,41   2,35     9,53
   1982        303.228    43.043    17.049     363.320     4,39     17,21 -10,25     4,95
   1983        315.649    49.152    19.572     384.373     4,10     14,19 14,80      5,79
   1984        236.810    85.569    19.629     342.008   -24,98     74,09   0,29   -11,02
   1985        225.787    95.079    19.363     340.229    -4,65     11,11  -1,36    -0,52
   1986        238.509    69.168    18.026     325.703     5,63    -27,25  -6,90    -4,27
   1987        241.169    75.926    17.823     334.910     1,12      9,77  -1,13     2,83
   1988        254.669    92.368    18.492     365.529     5,60     21,66   3,75     9,14
   1989        249.933    77.378    30.441     357.752    -1,86    -16,23 64,62     -2,13
   1990        259.877    71.252    32.839     363.968     3,98     -7,92   7,88     1,74
   1991        255.934    96.625    33.745     386.304    -1,52     35,61   2,76     6,14
   1992        262.092   105.905    36.065     404.062     2,41      9,60   6,88     4,60
   1993        280.504   104.460    40.689     425.653     7,03     -1,36 12,82      5,34
   1994        276.581   107.750    44.585     428.736    -1,40      3,15   9,58     0,72
   1995        263.157   120.162    52.718     436.037    -4,85     11,52 18,24      1,70
   1996        304.047    79.269    63.217     446.533    15,54    -34,03 19,92      2,41
   1997        218.201    85.086    53.591     386.878   -28,23      7,34 -15,23   -13,36
   1998        195.048    83.069    98.972     377.089   -10,61     -2,37 84,68     -2,53
   1999        176.733    82.106    83.372     342.211    -9,39     -1,16 -15,76    -9,25
   2000        171.279    64.133 105.248       340.660    -3,09    -21,89 26,24     -0,45
   2001        178.887    87.687    77.867     344.441     4,44     36,73 -26,02     1,11
   2002        196.509    79.975    74.238     350.722     9,85     -8,79  -4,66     1,82
   2003        172.015    87.251    76.459     335.725   -12,46      9,10   2,99    -4,28
   2004        184.283    78.205    82.305     344.793     7,13    -10,37   7,65     2,70
   2005        211.479    80.383    89.924     381.786    14,76      2,78   9,26    10,73
   2006        213.876    87.227    95.338     396.441     1,13      8,51   6,02     3,84
   2007        249.487    81.655    96.657     427.799    16,65     -6,39   1,38     7,91
   2008        252.783    82.222 101.500       436.505     1,32      0,69   5,01     2,04
  2009*)       255.313    80.069 108.450       443.832     1,00     -2,62   6,85     1,68
Sumber : Ditjen Perkebunan
*) Angka Sementara

188    Pusat Data dan Informasi Pertanian
OUTLOOK KOMODITAS PERTANIAN - PERKEBUNAN            2010


Lampiran 8.2. Perkembangan produksi gula hablur di Indonesia berdasarkan
              status pengusahaan, 1969-2009

                         Produksi (ton)                            Pertumbuhan (%)
  Tahun
               PR        PBN        PBS         Total      PR        PBN    PBS      Total
   1969       205.500   630.000    72.100       907.600
   1970       195.846   602.700    73.900       872.446    -4,70     -4,33   2,50     -3,87
   1971       218.700   707.586   122.239     1.048.525    11,67     17,40 65,41      20,18
   1972       213.933   756.195   130.449     1.100.577    -2,18      6,87   6,72      4,96
   1973       203.659   693.089    18.121       914.869    -4,80     -8,35 -86,11    -16,87
   1974       249.647   857.566   127.213     1.234.726    22,58     23,73 602,02     34,96
   1975       221.226   877.703   142.727     1.241.656   -11,38      2,35 12,20       0,56
   1976       266.728   899.715   151.931     1.318.374    20,57      2,51   6,45      6,18
   1977       353.385   923.829    83.159     1.360.373    32,49      2,68 -45,27      3,19
   1978       484.914   940.972    71.082     1.496.968    37,22      1,86 -14,52     10,04
   1979       735.894   369.926    80.570     1.186.390    51,76    -60,69 13,35     -20,75
   1980       893.120   273.355    93.475     1.259.950    21,37    -26,11 16,02       6,20
   1981       913.677   200.436   116.007     1.230.120     2,30    -26,68 24,10      -2,37
   1982     1.373.009   182.041    71.752     1.626.802    50,27     -9,18 -38,15     32,25
   1983     1.240.500   290.597    88.441     1.619.538    -9,65     59,63 23,26      -0,45
   1984     1.397.350   329.713    83.310     1.810.373    12,64     13,46  -5,80     11,78
   1985     1.450.184   343.035   105.590     1.898.809     3,78      4,04 26,74       4,88
   1986     1.567.552   346.130   100.892     2.014.574     8,09      0,90  -4,45      6,10
   1987     1.743.677   322.758   109.439     2.175.874    11,24     -6,75   8,47      8,01
   1988     1.575.083   339.541    89.427     2.004.051    -9,67      5,20 -18,29     -7,90
   1989     1.621.468   305.847   181.033     2.108.348     2,94     -9,92 102,44      5,20
   1990     1.609.041   306.263   204.281     2.119.585    -0,77      0,14 12,84       0,53
   1991     1.612.240   450.561   189.866     2.252.667     0,20     47,12  -7,06      6,28
   1992     1.652.685   475.804   177.995     2.306.484     2,51      5,60  -6,25      2,39
   1993     1.684.614   393.720   251.477     2.329.811     1,93    -17,25 41,28       1,01
   1994     1.673.246   509.047   271.588     2.453.881    -0,67     29,29   8,00      5,33
   1995     1.350.476   422.300   286.800     2.059.576   -19,29    -17,04   5,60    -16,07
   1996     1.512.131   316.660   265.404     2.094.195    11,97    -25,02  -7,46      1,68
   1997     1.196.409   365.313   630.264     2.191.986   -20,88     15,36 137,47      4,67
   1998       759.094   305.332   423.843     1.488.269   -36,55    -16,42 -32,75    -32,10
   1999       738.893   284.782   470.258     1.493.933    -2,66     -6,73 10,95       0,38
   2000       790.573   234.288   665.143     1.690.004     6,99    -17,73 41,44      13,12
   2001       813.538   210.949   600.980     1.725.467     2,90     -9,96  -9,65      2,10
   2002       967.160   297.985   490.509     1.755.354    18,88     41,26 -18,38      1,73
   2003       839.028   370.476   422.414     1.631.918   -13,25     24,33 -13,88     -7,03
   2004     1.028.681   383.892   639.071     2.051.645    22,60      3,62 51,29      25,72
   2005     1.193.653   423.421   624.668     2.241.742    16,04     10,30  -2,25      9,27
   2006     1.226.845   453.234   626.948     2.307.027     2,78      7,04   0,36      2,91
   2007     1.514.529   424.692   684.565     2.623.786    23,45     -6,30   9,19     13,73
   2008     1.536.209   396.186   736.033     2.668.428     1,43     -6,71   7,52      1,70
  2009*)    1.546.511   410.948   892.310     2.849.769     0,67      3,73 21,23       6,80
Sumber : Ditjen Perkebunan
*) Angka Sementara

                                                     Pusat Data dan Informasi Pertanian       189
2010          OUTLOOK KOMODITAS PERTANIAN - PERKEBUNAN


Lampiran 8.3. Perkembangan produktivitas tebu di Indonesia berdasarkan status
              pengusahaan, 1969-2009
                  Produktivitas   (Ton/Ha)                 Pertumbuhan (%)
  Tahun
               PR     PBN         PBS      Total            Produksi (ton)
   1969        4,21    9,36       10,43     7,38     PR      PBN     PBS      Total
   1970        4,35    8,66       10,50     7,17      3,25    -7,50    0,59    -2,83
   1971        4,50    9,46       40,69     8,30      3,62     9,24 287,70     15,74
   1972        2,99   11,85         9,86    7,40    -33,71   25,30 -75,78     -10,79
   1973        2,93    8,11         1,25    5,40     -1,89 -31,59 -87,30      -27,07
   1974        3,47    9,52         8,65    6,98     18,46   17,40 590,81      29,41
   1975        3,03    9,86         7,99    6,90    -12,60     3,61   -7,59    -1,15
   1976        2,90    9,41         7,14    6,31     -4,42    -4,55 -10,65     -8,60
   1977        2,98    9,27         5,07    5,80      2,95    -1,50 -28,96     -8,07
   1978        4,74    7,75         2,91    6,03     59,02 -16,41 -42,72        4,00
   1979        3,84    2,93         3,16    3,45    -19,15 -62,15      8,60   -42,76
   1980        3,44    7,26         5,04    3,99    -10,40 147,64     59,61    15,42
   1981        3,15    5,46         6,11    3,55     -8,47 -24,86     21,26   -10,86
   1982        4,53    4,23         4,21    4,48     43,95 -22,52 -31,09       26,01
   1983        3,93    5,91         4,52    4,21    -13,21   39,79     7,37    -5,90
   1984        5,90    3,85         4,24    5,29     50,15 -34,83     -6,08    25,63
   1985        6,42    3,61         5,45    5,58      8,85    -6,37   28,48     5,43
   1986        6,57    5,00         5,60    6,19      2,33   38,70     2,64    10,83
   1987        7,23    4,25         6,14    6,50     10,01 -15,05      9,71     5,04
   1988        6,18    3,68         4,84    5,48    -14,46 -13,53 -21,24      -15,61
   1989        6,49    3,95         5,95    5,89      4,90     7,53   22,97     7,49
   1990        6,19    4,30         6,22    5,82     -4,56     8,75    4,60    -1,18
   1991        6,30    4,66         5,63    5,83      1,74     8,48   -9,55     0,13
   1992        6,31    4,49         4,94    5,71      0,10    -3,65 -12,28     -2,11
   1993        6,01    3,77         6,18    5,47     -4,76 -16,11     25,23    -4,11
   1994        6,05    4,72         6,09    5,72      0,73   25,34    -1,44     4,57
   1995        5,13    3,51         5,44    4,72    -15,17 -25,61 -10,69      -17,47
   1996        4,97    3,99         4,20    4,69     -3,09   13,67 -22,83      -0,71
   1997        5,48    4,29       11,76     5,67     10,25     7,48 180,13     20,81
   1998        3,89    3,68         4,28    3,95    -29,02 -14,39 -63,59      -30,34
   1999        4,18    3,47         5,64    4,37      7,43    -5,64   31,71    10,61
   2000        4,62    3,65         6,32    4,96     10,40     5,32   12,04    13,64
   2001        4,55    2,41         7,72    5,01     -1,47 -34,15     22,13     0,98
   2002        4,92    3,73         6,61    5,00      8,22   54,88 -14,39      -0,09
   2003        4,88    4,25         5,52    4,86     -0,90   13,96 -16,38      -2,88
   2004        5,58    4,91         7,76    5,95     14,44   15,61    40,54    22,41
   2005        5,64    5,27         6,95    5,87      1,11     7,31 -10,54     -1,32
   2006        5,74    5,20         6,58    5,82      1,63    -1,36   -5,33    -0,89
   2007        6,07    5,20         7,08    6,13      5,83     0,10    7,70     5,39
   2008        6,08    4,82         7,25    6,11      0,11    -7,36    2,39    -0,33
  2009*)       6,06    5,13         8,23    6,42     -0,33     6,52   13,46     5,03
Sumber : Ditjen Perkebunan
*) Angka Sementara

190    Pusat Data dan Informasi Pertanian
OUTLOOK KOMODITAS PERTANIAN - PERKEBUNAN                     2010


Lampiran 8.4. Produksi gula Perkebunan Rakyat di provinsi sentra di Indonesia,
              2006-2010

                                                            Produksi (Ton)                                         Share
                                                                                                        Share
No.        Provinsi                                                                                              kumulatif
                               2006         2007          2008       2009*)      2010**)    Rata-rata    (%)
                                                                                                                    (%)
 1 Jawa Timur                 833,291     1,137,690    1,124,414    1,125,731   1,125,797   1,069,385    72.57      72.57
 2 Jawa Tengah                252,568      243,633       255,873     246,365     246,518     248,991     16.90      89.46
 3 Lampung                     67,629       37,400        72,738      80,291      80,765      67,765      4.60      94.06
 4 Jawa Barat                  56,816       61,035        56,768      56,645      59,702      58,193      3.95      98.01
 5 DI Yogyakarta               13,423       15,785        15,648      26,756      26,857      19,694      1.34      99.35
 6 Sumatera Utara                 2,129      2,764          5,901       5,944       5,963       4,540     0.31      99.65
 7 Sulawesi Selatan                          3,462          1,793       2,154       5,682       3,273     0.22      99.88
 8 Sumatera Selatan                989         563          2,286       2,625       2,631       1,819     0.12     100.00
      Indonesia              1,226,845    1,502,332    1,535,421    1,546,511   1,553,915   1,473,659   100.00
Sumber : Ditjen Perkebunan
Keterangan : *) Angka Sementara                **) Angka Estimasi




                                                                      Pusat Data dan Informasi Pertanian              191
2010            OUTLOOK KOMODITAS PERTANIAN - PERKEBUNAN


Lampiran 8.5. Perkembangan ekspor dan impor tebu Indonesia, 1969-2009

                            Ekspor                         Impor                 Neraca
       TAHUN         Volume         Nilai        Volume           Nilai           Nilai
                      (Ton)      (000 US$)        (Ton)        (000 US$)       (000 US$)
        1969            166.457         2.367             0                0          2.367
        1970            134.551         2.257             0                0          2.257
        1971            279.005         4.114             0                0          4.114
        1972            255.915         4.608         6.123            1.238          3.370
        1973            211.725         8.005        49.140            8.032            -27
        1974            194.655        10.970       112.919           25.110        -14.140
        1975            176.908         9.032        96.809           34.068        -25.036
        1976            169.084         6.384       207.828          110.611      -104.227
        1977             67.135         2.197       226.828          106.324      -104.127
        1978            203.780         8.734       433.055          284.487      -275.753
        1979            239.896        16.221       295.081          130.139      -113.918
        1980            224.010        22.906       400.920          163.216      -140.310
        1981            255.873        20.375       721.019          705.609      -685.234
        1982            459.654        13.922       687.179          420.682      -406.760
        1983            619.384        23.045       168.095          133.279      -110.234
        1984            690.528        26.912         2.917            2.337         24.575
        1985            577.002        22.341         4.407            3.330         19.011
        1986            714.712        39.759        79.932           16.405         23.354
        1987            737.512        36.817       129.838           25.683         11.134
        1988            521.415        27.203       130.331           35.087         -7.884
        1989            447.490        19.819       325.930          112.241        -92.422
        1990            622.645        32.992       280.978          123.350        -90.358
        1991            386.391        22.495        73.986           26.677         -4.182
        1992            555.133        48.863       294.226           98.935        -50.072
        1993            789.025        33.240       181.334           54.177        -20.937
        1994            799.439        46.346        21.207            6.350         39.996
        1995            453.906        48.284       578.519          251.710      -203.426
        1996            185.501        18.028     1.286.080          487.008      -468.980
        1997            337.421        25.493       673.899          242.464      -216.971
        1998            173.787         9.673       950.141          319.994      -310.321
        1999            195.979         8.070     1.583.957          358.820      -350.750
        2000            136.753         5.926     1.677.611          290.099      -284.173
        2001             94.572         6.288     1.469.244          254.217      -247.929
        2002            125.137         8.089     1.113.777          216.341      -208.252
        2003             81.659         4.613     1.079.592          223.778      -219.165
        2004            195.571        11.396     1.181.397          269.490      -258.094
        2005            228.669        19.914     2.033.348          593.301      -573.387
        2006            554.728        50.391     1.452.956          544.431      -494.040
        2007            526.685        48.649     3.027.423        1.048.269      -999.620
        2008            947.402        73.199     1.044.000          363.504      -290.305
       2009*)           599.690        80.902     1.660.200          689.275      -608.373
Sumber : Ditjen Perkebunan
*) Angka Pusdatin

192     Pusat Data dan Informasi Pertanian
OUTLOOK KOMODITAS PERTANIAN - PERKEBUNAN        2010


Lampiran 8.6. Perkembangan luas areal, produktivitas dan produksi tebu dunia,
              1970-2008

                        Luas Panen     Produktivitas        Produksi
        Tahun
                           (Ha)           (Kg/Ha)             (Ton)
        1970              11.113.307           54,76          608.616.105
        1971              11.055.376           52,65          582.105.426
        1972              10.871.074           52,35          569.105.570
        1973              11.149.211           53,84          600.227.145
        1974              11.932.313           54,35          648.516.497
        1975              12.198.454           53,76          655.815.792
        1976              12.575.275           54,65          687.207.538
        1977              13.029.277           56,40          734.858.286
        1978              13.690.038           56,57          774.416.858
        1979              13.733.150           56,09          770.245.178
        1980              13.284.827           55,29          734.489.200
        1981              13.686.584           58,42          799.604.214
        1982              15.055.213           60,25          907.067.880
        1983              15.380.802           58,75          903.684.353
        1984              15.635.479           59,47          929.768.246
        1985              15.947.852           58,52          933.213.589
        1986              15.826.297           59,06          934.719.186
        1987              16.310.476           60,72          990.319.251
        1988              16.390.040           60,58          992.982.513
        1989              16.535.904           61,56        1.017.998.783
        1990              17.079.401           61,65        1.052.997.497
        1991              17.783.308           61,26        1.089.330.376
        1992              18.151.894           61,50        1.116.324.081
        1993              17.292.800           59,58        1.030.379.898
        1994              17.591.927           61,94        1.089.642.360
        1995              18.577.716           63,10        1.172.261.485
        1996              19.417.500           62,98        1.222.851.749
        1997              19.294.527           64,86        1.251.521.695
        1998              19.317.787           66,03        1.275.519.840
        1999              19.204.979           66,73        1.281.577.252
        2000              19.514.391           64,27        1.254.146.685
        2001              19.735.176           64,03        1.263.573.678
        2002              20.489.056           64,98        1.331.460.081
        2003              20.779.879           66,20        1.375.572.761
        2004              20.371.568           65,69        1.338.138.099
        2005              19.997.110           65,97        1.319.136.603
        2006              20.870.596           67,98        1.418.744.891
        2007              23.020.459           70,70        1.627.450.797
        2008              24.375.413           71,51        1.743.092.995
Sumber : FAO
                                            Pusat Data dan Informasi Pertanian   193
2010                   OUTLOOK KOMODITAS PERTANIAN - PERKEBUNAN


Lampiran 8.7. Negara dengan luas areal tebu terbesar di dunia, 2004-2008

                                                                   Luas Areal (Ha)
 No            Negara
                                  2004            2005           2006           2007            2008         Rata-rata
 1      Brazil                  5,631,741        5,805,518      6,355,498      7,080,920      8,141,135       6,602,962
 2      India                   3,938,400        3,661,500      4,201,100      5,150,000      5,055,200       4,401,240
 3      China                    1,393,089       1,365,777      1,388,980      1,596,643      1,708,520       1,490,602
 4      Pakistan                 1,074,500         966,400        907,300      1,029,000      1,241,300       1,043,700
 5      Thailand                 1,111,166       1,067,244        965,333      1,010,287      1,054,439       1,041,694
 6      Meksiko                   651,911          669,781        679,936        690,441        669,231         672,260
 7      Kuba                      661,000          517,200        397,100        329,500        380,300         457,020
 8      Afrika Selatan            425,000          428,000        420,000        420,000        425,000         423,600
 9      Australia                 447,644          433,953        415,000        420,000        390,000         421,319
 10     Kolombia                  399,509          406,060        410,060        410,201        383,388         401,844
 11     Indonesia                 344,793          382,083        396,441        404,653        415,578         388,710
 12     Philipina                 388,627          368,944        392,280        382,956        397,991         386,160
 13     Amerika Serikat           379,680          373,080        367,780        357,539        374,200         370,456
 14     Argentina                 281,886          284,639        315,000        355,000        355,000         318,305
 15     Vietnam                   286,100          266,300        288,100        293,400        271,100         281,000
 16     Guatemala                 226,000          271,554        233,334        287,000        287,000         260,978
    Total                      20,371,568       19,997,110     20,870,596     23,020,459     24,375,413      21,727,029
Sumber : FAO




Lampiran 8.8. Negara produsen tebu terbesar di dunia, 2004-2008

                                                                    Produksi (Ton)
No            Negara
                                2004             2005            2006            2007            2008         Rata-rata
 1 Brazil                    415,205,835      422,956,646     477,410,656     549,707,328     648,921,280     502,840,349
 2 India                     233,861,800      237,088,400     281,171,800     355,519,700     348,187,900     291,165,920
 3 China                      91,044,422       87,578,212      93,306,257     113,731,917     124,917,502     102,115,662
 4 Thailand                   64,995,741       49,586,360      47,658,097      64,365,482      73,501,610      60,021,458
 5 Pakistan                   53,820,000       47,244,100      44,665,500      54,741,600      63,920,000      52,878,240
 6 Meksiko                    48,662,244       51,645,544      50,675,820      52,089,356      51,106,900      50,835,973
 7 Kolombia                   40,000,000       39,849,240      38,450,000      38,500,000      38,500,000      39,059,848
 8 Australia                  36,993,454       37,822,192      37,128,000      36,397,000      33,973,000      36,462,729
 9 Philipina                  33,500,000       31,400,000      31,550,000      32,500,000      26,601,400      31,110,280
10 Indonesia                  26,750,000       29,300,000      29,200,000      25,300,000      26,000,000      27,310,000
11 Amerika Serikat            26,320,160       24,136,570      27,033,200      27,750,600      27,603,000      26,568,706
12 Argentina                  20,950,000       24,400,000      26,450,000      29,950,000      29,950,000      26,340,000
13 Guatemala                  20,000,000       23,454,030      18,721,415      25,436,764      25,436,764      22,609,795
14 Afrika Selatan             19,094,760       21,265,000      20,275,430      20,300,000      20,500,000      20,287,038
15 Mesir                      16,230,438       16,317,320      16,656,330      17,014,272      16,469,947      16,537,661
16 Lainnya                   190,711,249      175,094,994     178,394,392     184,148,785     187,505,700     183,169,018
      Total                 1,338,140,103    1,319,138,608   1,418,746,897   1,627,452,804   1,743,095,003   1,489,312,677
Sumber : FAO




194      Pusat Data dan Informasi Pertanian
OUTLOOK KOMODITAS PERTANIAN - PERKEBUNAN             2010



                             DAFTAR PUSTAKA

Anonim,      2007. Budidaya Kelapa. http://insidewinme.blogspot.com/2007/
           11/budidaya-kelapa.html. [Terhubung secara berkala].

Anonim. 2010a. Cengkeh. http://id.wikipedia.org/wiki/Cengkeh [terhubung
     berkala].

Anonim.     2010b.     Nilam:     Tanaman      Semak     Berminyak     Mahal.
     http://images.toiusd.multiply.multiplycontent.com [terhubung berkala].

Badan Pusat Statisik. 2006. Statistik Kelapa Sawit Indonesia 2005. BPS, Jakarta.

Bambang Susatyo. 2008. Setelah Rokoh Dihabisi. Koran Tempo 31 Mei 2008.

Departemen Pertanian. 2005. Prospek dan Arah Pengembangan Agribisnis
     Cengkeh. Jakarta: Badan Penelitian dan Pengembangan Pertanian
     Departemen Pertanian.

Departemen Pertanian. 2009. Statistik Perkebunan Kelapa Sawit. Setditjen
     Perkebunan, Jakarta.

Emmyzar dan Yulius F. 2004. Pola Budidaya untuk Peningkatan Produktivitas dan
    Mutu Minyak Nilam (Pogostemon cablin Benth). Perkembangan Teknologi
    TRO VOL. XVI, No. 2, 2004. Bogor, Balai Penelitian Tanaman Rempah dan
    Obat.

Fahmi, I. 2002. Tak Ada Solusi, Krisis Cengkeh Bisa Delapan Tahun.
     http://www.bisnis.com/servlet . Terhubung berkala [2 Juni 2010].

Jaliouz,     2009. Kelapa dan Energi. http://www.ristek.go.id/makalah-
           menteri/index.php/2009/01/27/inovasi-kelapa-dalam-sektor-energi/.
           [Terhubung secara berkala].

Nita.        2007.     Minyak       Nilam        Sebagai      Bahan                   Parfum.
        http://ikm.depperin.go.id/Publikasi [terhubung berkala].

Purna, Ibnu et all. 2009. Kebijakan HPP Beras dan Penurunan Bea Masuk Impor
     Gula.      http://www.setneg.go.id/index.php?option=com_content&task=
     view&id=4082&Itemid=29 [terhubung berkala].

Suprapto H. dan Elly SR. 2010. Harga Minyak Atsiri                             Naik     100%.
     http://bisnis.vivanews.com/news [terhubung berkala].


                                               Pusat Data dan Informasi Pertanian        195

Outlook komoditas perkebunan

  • 1.
    OUTLOOK KOMODITAS PERTANIAN- PERKEBUNAN ISSN 1907-1507 2010 OUTLOOK KOMODITAS PERTANIAN PERKEBUNAN Pusat Data Dan Informasi Pertanian Kementerian Pertanian 2010 Pusat Data dan Informasi Pertanian i
  • 2.
    2010 OUTLOOK KOMODITAS PERTANIAN - PERKEBUNAN ii Pusat Data dan Informasi Pertanian
  • 3.
    OUTLOOK KOMODITAS PERTANIAN- PERKEBUNAN 2010 OUTLOOK KOMODITAS PERTANIAN PERKEBUNAN ISSN : 1907-1507 Ukuran Buku : 10,12 inci x 7,17 inci (B5) Jumlah Halaman : 189 halaman Penasehat : Dr. Ir. Edi Abdurachman, MSc Penyunting : Ir. Yasid Taufik, MM Ir. Leli Nuryati, MSc. Ir. Efi Respati, MSi. Naskah : Ir. Efi Respati, MSi Ir. Sabarella, MSi Ir. Anna Astrid Susanti, MSi Ir. Noviati, MSi Puji Nantoro, SSi, MM Ir. Ekanantari Megawaty M, SP Design dan Layout : Ir. Efi Respati, M.Si. Roydatul Zikria, S.Si Dyah Indarti, SE Diterbitkan oleh : Pusat Data dan Informasi Pertanian Kementerian Pertanian 2010 Pusat Data dan Informasi Pertanian iii
  • 4.
    2010 OUTLOOK KOMODITAS PERTANIAN - PERKEBUNAN Boleh dikutip dengan menyebut sumbernya iv Pusat Data dan Informasi Pertanian
  • 5.
    OUTLOOK KOMODITAS PERTANIAN- PERKEBUNAN 2010 KATA PENGANTAR Guna mengemban visi dan misinya, Pusat Data dan Informasi Pertanian mempublikasikan data sektor pertanian serta hasil analisis datanya. Salah satu hasil analisis yang telah dipublikasikan secara reguler adalah Outlook Komoditas Perkebunan. Publikasi Outlook Komoditas Perkebunan Tahun 2010 menyajikan keragaan data series komoditas perkebunan secara nasional dan internasional selama 10-20 tahun terakhir serta dilengkapi dengan hasil analisis proyeksi penawaran dan permintaan domestik untuk masing-masing komoditas dari tahun 2010 sampai dengan tahun 2012. Pada tahun 2010 ini, analisis outlook komoditas perkebunan mencakup 7 (tujuh) komoditas yakni kelapa sawit, kelapa, kakao, cengkeh, tembakau, nilam dan tebu. Publikasi ini disajikan tidak hanya dalam bentuk hard copy namun juga dalam bentuk soft copy (CD) dan dapat dengan mudah diperoleh atau diakses melalui website Pusdatin yaitu http://www.deptan.go.id/pusdatin/. Dengan diterbitkannya publikasi ini diharapkan para pembaca dapat memperoleh gambaran tentang keragaan dan proyeksi masing-masing komoditas strategis pertanian secara lebih lengkap dan menyeluruh. Kepada semua pihak yang telah terlibat dalam penyusunan publikasi ini, kami ucapkan terima kasih dan penghargaan yang setinggi-tingginya. Kritik dan saran dari segenap pembaca sangat diharapkan guna dijadikan dasar penyempurnaan dan perbaikan untuk penerbitan publikasi berikutnya. Jakarta, September 2010 Kepala Pusat Data dan Informasi Pertanian, Dr. Ir. Edi Abdurachman, MS. NIP.19550517.197901.1.001 Pusat Data dan Informasi Pertanian v
  • 6.
    ISSN 1907-1507 2010 OUTLOOK KOMODITAS PERTANIAN - PERKEBUNAN DAFTAR ISI Halaman KATA PENGANTAR ........................................................................... v DAFTAR ISI ................................................................................... vi DAFTAR TABEL ............................................................................... x DAFTAR GAMBAR ........................................................................... xii DAFTAR LAMPIRAN.........................................................................xix BAB I. PENDAHULUAN ...................................................................... 1 1.1. LATAR BELAKANG .............................................................. 1 1.2. METODOLOGI ................................................................... 2 BAB II. KELAPA SAWIT ...................................................................... 5 2.1. PERKEMBANGAN LUAS AREAL, PRODUKTIVITAS DAN PRODUKSI KELAPA SAWIT INDONESIA................................................... 6 2.2. PERKEMBANGAN KONSUMSI KELAPA SAWIT DI INDONESIA ............ 11 2.3. PERKEMBANGAN HARGA KELAPA SAWIT DI INDONESIA.................12 2.4. PERKEMBANGAN EKSPOR-IMPOR KELAPA SAWIT DI INDONESIA ...... 13 2.5. PERKEMBANGAN LUAS TANAMAN MENGHASILKAN DAN PRODUKSI KELAPA SAWIT DUNIA ...................................................... 15 2.6. PERKEMBANGAN EKSPOR – IMPOR KELAPA SAWIT DUNIA ............. 17 2.7. PROYEKSI PENAWARAN KELAPA SAWIT 2010-2012..................... 19 2.8. PROYEKSI PERMINTAAN MINYAK SAWIT 2010-2012 .................... 20 2.9. PROYEKSI SURPLUS/DEFISIT MINYAK SAWIT 2010-2012 ............... 21 LAMPIRAN ........................................................................... 22 BAB III. KELAPA ............................................................................. 31 3.1. PERKEMBANGAN LUAS AREAL, PRODUKSI DAN PRODUKTIVITAS KELAPA INDONESIA ......................................................... 32 3.2. PERKEMBANGAN KONSUMSI KELAPA DI INDONESIA .................... 36 3.3. PERKEMBANGAN HARGA KELAPA DI INDONESIA ........................ 38 3.4. PERKEMBANGAN EKSPOR-IMPOR KELAPA INDONESIA .................. 39 vi Pusat Data dan Informasi Pertanian
  • 7.
    OUTLOOK KOMODITAS PERTANIAN- PERKEBUNAN 2010 3.5. PERKEMBANGAN LUAS TANAMAN MENGHASILKAN, PRODUKSI DAN PRODUKTIVITAS KELAPA DUNIA .....................................41 3.6. PERKEMBANGAN EKSPOR-IMPOR KELAPA DUNIA ........................44 3.7. PERKEMBANGAN HARGA KELAPA DUNIA..................................46 3.8. PROYEKSI PENAWARAN KELAPA 2010-2012 ..............................47 3.9. PROYEKSI PERMINTAAN KELAPA 2010-2012..............................48 3.10. PROYEKSI SURPLUS/DEFISIT KELAPA 2010-2012 ........................49 LAMPIRAN ............................................................................50 BAB IV. KAKAO ............................................................................ 59 4.1. PERKEMBANGAN LUAS AREAL, PRODUKSI DAN PRODUKTIVITAS KAKAO DI INDONESIA ........................................................59 4.2. KONSUMSI KAKAO DI INDONESIA...........................................64 4.3. PERKEMBANGAN HARGA KAKAO DI INDONESIA ..........................65 4.4. PERKEMBANGAN EKSPOR-IMPOR KAKAO INDONESIA....................66 4.5. PERKEMBANGAN LUAS AREAL, PRODUKSI DAN PRODUKTIVITAS KAKAO DUNIA .........................................................................70 4.6. PERKEMBANGAN HARGA PRODUSEN KAKAO DUNIA .....................73 4.7. PERKEMBANGAN EKSPOR-IMPOR KAKAO DUNIA .........................74 4.8. PROYEKSI PENAWARAN KAKAO 2010-2012 ...............................76 4.9. PROYEKSI PERMINTAAN KAKAO 2008-2010 ..............................77 4.10. PROYEKSI SURPLUS/DEFISIT KAKAO 2010-2012 .........................78 LAMPIRAN ............................................................................80 BAB V. CENGKEH ........................................................................... 91 5.1. PERKEMBANGAN LUAS AREAL, PRODUKSI DAN PRODUKTIVITAS CENGKEH DI INDONESIA ....................................................93 5.2. PERKEMBANGAN KONSUMSI CENGKEH DI INDONESIA ..................98 5.3. PERKEMBANGAN HARGA CENGKEH DI INDONESIA.......................99 5.4. PERKEMBANGAN EKSPOR – IMPOR CENGKEH DI INDONESIA ......... 100 5.5. PERKEMBANGAN LUAS AREAL TANAMAN MENGHASILKAN, PRODUKSI, DAN PRODUKTIVITAS CENGKEH DUNIA ................................. 102 5.6. PERKEMBANGAN HARGA CENGKEH DUNIA ............................. 105 5.7. PERKEMBANGAN EKSPOR – IMPOR CENGKEH DUNIA .................. 106 Pusat Data dan Informasi Pertanian vii
  • 8.
    2010 OUTLOOK KOMODITAS PERTANIAN - PERKEBUNAN 5.8. PROYEKSI PENAWARAN CENGKEH 2009-2012.......................... 107 5.9. PROYEKSI PERMINTAAN CENGKEH 2009-2012 ......................... 108 5.10. PROYEKSI SURPLUS/DEFISIT KOMODITAS CENGKEH 2009-2012 ..... 109 LAMPIRAN .......................................................................... 111 BAB VI. TEMBAKAU ........................................................................123 6.1. PERKEMBANGAN LUAS AREAL, PRODUKTIVITAS DAN PRODUKSI TEMBAKAU INDONESIA .................................................... 123 6.2. PERKEMBANGAN HARGA KONSUMEN TEMBAKAU DI INDONESIA ..... 127 6.3. PERKEMBANGAN KONSUMSI TEMBAKAU DAN ROKOK INDONESIA ... 128 6.4. PERKEMBANGAN EKSPOR-IMPOR TEMBAKAU PRIMER DAN MANUFAKTUR INDONESIA................................................. 130 6.5. PERKEMBANGAN LUAS AREAL DAN PRODUKSI TEMBAKAU DUNIA ... 132 6.6. PERKEMBANGAN HARGA PRODUSEN TEMBAKAU DUNIA .............. 135 6.7. PERKEMBANGAN EKSPOR-IMPOR TEMBAKAU DUNIA .................. 135 6.8. PROYEKSI PENAWARAN TEMBAKAU 2010-2012 ........................ 137 6.9. PROYEKSI PERMINTAAN TEMBAKAU 2010-2012 ........................ 139 6.10. PROYEKSI SURPLUS/DEFISIT TEMBAKAU 2010-2012 .................. 140 LAMPIRAN .......................................................................... 141 BAB VII. NILAM .............................................................................151 7.1. PERKEMBANGAN LUAS AREAL, PRODUKSI DAN PRODUKTIVITAS NILAM DI INDONESIA ...................................................... 151 7.2. PERKEMBANGAN KONSUMSI NILAM DI INDONESIA ..................... 156 7.3. PERKEMBANGAN HARGA NILAM DI INDONESIA ......................... 157 7.4. PERKEMBANGAN EKSPOR-IMPOR NILAM INDONESIA .................. 158 7.5. PROYEKSI PENAWARAN NILAM 2009-2011 .............................. 159 7.6. PROYEKSI PERMINTAAN NILAM 2009-2011 ............................. 160 7.7. PROYEKSI SURPLUS/DEFISIT NILAM 2009-2011 ........................ 161 LAMPIRAN .......................................................................... 163 BAB VIII. TEBU .............................................................................169 8.1. PERKEMBANGAN LUAS AREAL, PRODUKTIVITAS DAN PRODUKSI TEBU DI INDONESIA........................................................ 170 8.2. PERKEMBANGAN KONSUMSI GULA DI INDONESIA.......................177 viii Pusat Data dan Informasi Pertanian
  • 9.
    OUTLOOK KOMODITAS PERTANIAN- PERKEBUNAN 2010 8.3. PERKEMBANGAN HARGA GULA DI INDONESIA..........................178 8.4. PERKEMBANGAN EKSPOR-IMPOR GULA INDONESIA ................... 179 8.5. PERKEMBANGAN LUAS AREAL, PRODUKTIVITAS DAN PRODUKSI TEBU DUNIA ....................................................................... 180 8.6. PROYEKSI PENAWARAN GULA 2010-2012 .............................. 184 8.7. PROYEKSI PERMINTAAN GULA 2010-2012 .............................. 185 8.8. PROYEKSI SURPLUS/DEFISIT GULA ...................................... 186 LAMPIRAN .......................................................................... 188 DAFTAR PUSTAKA.........................................................................195 Pusat Data dan Informasi Pertanian ix
  • 10.
    2010 OUTLOOK KOMODITAS PERTANIAN - PERKEBUNAN DAFTAR TABEL Halaman Tabel 2.1. Perkembangan produktivitas kelapa sawit menurut status pengusahaan, 2003-2009. ..................................................10 Tabel 2.2. Proyeksi produksi minyak sawit Indonesia, 2009-2012 ................20 Tabel 2.3. Proyeksi volume ekspor minyak sawit dan penggunaan minyak goreng sawit dalam negeri di Indonesia, 2010-2012 ...................21 Tabel 2.4. Proyeksi surplus/defisit minyak sawit Indonesia, 2010-2012 ........21 Tabel 3.1. Rata-rata laju pertumbuhan dan kontribusi luas areal dan produksi kelapa di Indonesia, 1970-2009 ................................33 Tabel 3.2. Perkembangan produktivitas kelapa di Indonesia menurut status pengusahaan, 2004-2009 ...........................................36 Tabel 3.3. Hasil analisis fungsi respon produksi kelapa ............................47 Tabel 3.4. Hasil proyeksi produksi kelapa di Indonesia, 2010-2012 ..............48 Tabel 3.5. Proyeksi permintaan kopra/minyak kelapa di Indonesia, 2010-2012 ....................................................................49 Tabel 3.6. Proyeksi surplus/defisit kelapa (kopra) di Indonesia 2010-2012 ....49 Tabel 4.1. Perkembangan luas areal kakao Indonesia berdasarkan status pengusahaannya, 2005-2009...............................................60 Tabel 4.2. Perkembangan produktivitas kakao Indonesia berdasarkan status pengusahaannya, 2003-2009 ......................................62 Tabel 4.3. Perkembangan produksi biji kakao kering Indonesia berdasarkan status pengusahaannya, 2005-2009 .......................63 Tabel 4.4. Neraca perdagangan total kakao Indonesia, 1996-2009 ...............69 Tabel 4.5. Nilai statistik model produksi kakao dalam negeri ....................76 Tabel 4.6. Proyeksi produksi kakao Indonesia, 2008-2010 .........................77 Tabel 4.7. Proyeksi total permintaan kakao Indonesia, 2008-2010...............78 Tabel 4.8. Proyeksi surplus/defisit kakao Indonesia, 2008-2010..................79 x Pusat Data dan Informasi Pertanian
  • 11.
    OUTLOOK KOMODITAS PERTANIAN- PERKEBUNAN 2010 Tabel 5.1. Kontribusi rata-rata luas areal dan produksi cengkeh di Indonesia menurut status pengusahaan, 1967-2009 ................... 94 Tabel 5.2. Hasil proyeksi produksi cengkeh di Indonesia, 2010-2012 .......... 108 Tabel 5.3. Hasil proyeksi konsumsi domestik cengkeh di Indonesia, 2009-2011 .................................................................. 109 Tabel 5.4. Proyeksi surplus/defisit cengkeh di Indonesia, tahun 2009-2012.. 110 Tabel 6.1. Perkembangan produktivitas tembakau Indonesia, 2006-2009 .... 127 Tabel 6.2. Perkembangan harga konsumen pedesaan tembakau Indonesia, 2000-2006 .................................................................. 128 Tabel 6.3. Hasil analisis fungsi respon produksi tembakau di Indonesia ...... 138 Tabel 6.4. Hasil proyeksi produksi tembakau Indonesia, 2010-2012 ........... 138 Tabel 6.5. Hasil proyeksi permintaan untuk industri tembakau Indonesia, 2010-2012 .................................................................. 140 Tabel 6.6. Proyeksi surplus/defisit tembakau Indonesia, 2010-2012 .......... 140 Tabel 7.1. Rata-rata laju pertumbuhan dan kontribusi luas areal dan produksi nilam di Indonesia ............................................. 153 Tabel 7.2. Hasil proyeksi produksi nilam di Indonesia, 2009-2011 ............. 160 Tabel 7.3. Hasil proyeksi permintaan nilam di Indonesia, 2009-2011 ......... 161 Tabel 7.4. Proyeksi surplus/defisit nilam di Indonesia, 2009-2011 ............. 162 Tabel 8.1. Perkembangan produktivitas tebu di Indonesia berdasarkan, status pengusahaan, 1969-2009 ......................................... 173 Tabel 8.2. Perkembangan rata-rata produksi gula hablur di Indonesia, berdasarkan status pengusahaan, 1969-2009 ......................... 175 Tabel 8.3. Hasil proyeksi fungsi penawaran gula di Indonesia .................. 184 Tabel 8.4. Proyeksi produksi gula Indonesia, 2010-2012 ......................... 185 Tabel 8.5. Hasil proyeksi fungsi permintaan gula di Indonesia.................. 185 Tabel 8.6. Proyeksi permintaan gula Indonesia, 2010-2012 ..................... 186 Tabel 8.7. Proyeksi surplus/defisit gula Indonesia, 2010-2012 ................. 187 Pusat Data dan Informasi Pertanian xi
  • 12.
    2010 OUTLOOK KOMODITAS PERTANIAN - PERKEBUNAN DAFTAR GAMBAR Halaman Gambar 2.1. Perkembangan luas areal kelapa sawit menurut status pengusahaan di Indonesia, 1970 - 2009 ................................ 6 Gambar 2.2. Kontribusi luas areal kelapa sawit menurut status pengusahaan di Indonesia, (rata-rata 1998-2009) .................... 7 Gambar 2.3. Perkembangan produksi minyak sawit menurut status pengusahaan di Indonesia, 1970-2009 .................................. 8 Gambar 2.4. Kontribusi rata-rata produksi minyak sawit menurut status pengusahaan, (rata-rata 1998-2009) .................................... 8 Gambar 2.5. Provinsi sentra produksi minyak sawit di Indonesia, (rata-rata 2005-2009) ..................................................... 9 Gambar 2.6. Perkembangan produktivitas kelapa sawit di Indonesia, 2003-2009 ..................................................................10 Gambar 2.7. Perkembangan ketersediaan minyak sawit/minyak goreng Indonesia menurut Neraca Bahan Makanan, 1999-2007 ............11 Gambar 2.8. Perkembangan harga produsen TBS dan harga perdagangan besar minyak sawit Indonesia, 2000-2008 ............................12 Gambar 2.9. Perkembangan volume ekspor-impor kelapa sawit Indonesia, 1996-2009 ..................................................................13 Gambar 2.10. Perkembangan ekspor, impor dan neraca perdagangan kelapa sawit Indonesia, 1996-2009.....................................14 Gambar 2.11. Perkembangan harga ekspor-impor kelapa sawit Indonesia, 1996-2009 ..................................................................14 Gambar 2.12. Perkembangan luas areal dan produksi tandan buah segar kelapa sawit dunia, 1961-2008 .........................................15 Gambar 2.13. Negara dengan luas areal kelapa sawit terbesar di dunia, (rata-rata 2004-2008) ....................................................15 Gambar 2.14. Negara produsen kelapa sawit terbesar dunia, (rata-rata 2004-2008) ....................................................17 xii Pusat Data dan Informasi Pertanian
  • 13.
    OUTLOOK KOMODITAS PERTANIAN- PERKEBUNAN 2010 Gambar 2.15. Negara eksportir minyak sawit terbesar dunia, (rata-rata 2003-2007) .................................................... 18 Gambar 2.16. Negara importir kelapa sawit terbesar dunia, (rata-rata 2003-2007) .................................................... 19 Gambar 3.1. Perkembangan luas areal kelapa di Indonesia menurut status pengusahaan, 1970-2009 ................................................ 32 Gambar 3.2. Perkembangan produksi kelapa di Indonesia, 1970-2009 ........... 34 Gambar 3.3. Kontribusi sentra produksi kelapa di Indonesia, 2005-2009 ........ 35 Gambar 3.4. Perkembangan produktivitas kelapa di Indonesia, 2004-2009 ..... 35 Gambar 3.5. Perkembangan konsumsi kelapa butiran dan minyak kelapa di Indonesia, 1981-2008 ..................................................... 37 Gambar 3.6. Perkembangan total penggunaan kelapa (kopra) di Indonesia, 1990-2007 .................................................................. 38 Gambar 3.7. Perkembangan harga kelapa di tingkat produsen dan konsumen di Indonesia, 1983-2008..................................... 39 Gambar 3.8. Perkembangan volume ekspor kelapa Indonesia, 2000-2009 ...... 40 Gambar 3.9. Perkembangan volume impor kelapa Indonesia, 2000-2009 ....... 40 Gambar 3.10. Perkembangan luas tanaman menghasilkan kelapa dunia, 1970-2008 .................................................................. 41 Gambar 3.11. Perkembangan produksi kelapa dunia, 1970-2008................... 42 Gambar 3.12. Negara-negara produsen kelapa terbesar di dunia, (rata-rata 2004-2008) .................................................... 42 Gambar 3.13. Perkembangan produktivitas kelapa dunia, 1970-2008 ............. 43 Gambar 3.14. Negara dengan produktivitas kelapa terbesar di dunia, 2004-2008 .................................................................. 44 Gambar 3.15. Negara eksportir minyak kelapa terbesar di dunia, 2003-2007 .... 45 Gambar 3.16. Negara importir minyak kelapa terbesar di dunia, 2003-2007 ..... 45 Gambar 3.17. Negara dengan harga kelapa tingkat produsen terbesar di dunia, 2003-2007 ......................................................... 46 Pusat Data dan Informasi Pertanian xiii
  • 14.
    2010 OUTLOOK KOMODITAS PERTANIAN - PERKEBUNAN Gambar 4.1. Perkembangan luas areal kakao Indonesia berdasarkan status pengusahaannya, 2005-2009 ............................................60 Gambar 4.2. Perkembangan produktivitas kakao Indonesia berdasarkan status pengusahaannya, 2003-2009 ....................................61 Gambar 4.3. Perkembangan produksi biji kakao kering Indonesia berdasarkan status pengusahaannya, 1967-2009 ....................62 Gambar 4.4. Kontribusi PR, PBN dan PBS terhadap produksi kakao Indonesia (rata-rata 2005-2009) ........................................63 Gambar 4.5. Provinsi sentra produksi kakao PR (rata-rata 2005-2009) ..........64 Gambar 4.6. Perkembangan konsumsi kakao di Indonesia, 1981-2008 ...........65 Gambar 4.7. Perkembangan harga domestik biji kakao kering, 1992-2008......66 Gambar 4.8. Perkembangan volume dan nilai ekspor total kakao Indonesia, 1996-2009 .....................................................67 Gambar 4.9. Kontribusi nilai ekspor kakao menurut bentuk hasilnya (rata-rata 2005-2009) ....................................................67 Gambar 4.10. Perkembangan volume dan nilai impor kakao Indonesia, 1996-2009 ..................................................................68 Gambar 4.11. Perkembangan nilai ekspor, impor dan neraca perdagangan kakao Indonesia, 1996-2009 .............................................69 Gambar 4.12. Perkembangan luas areal dan produksi kakao dunia, 1961-2008 ..................................................................70 Gambar 4.13. Negara dengan luas areal kakao terbesar di dunia (rata-rata 2004-2008) ....................................................71 Gambar 4.14. Negara produsen kakao terbesar di dunia (rata-rata 2004-2008) ....................................................72 Gambar 4.15. Negara dengan produktivitas kakao terbesar dunia (rata-rata 2004-2008) ....................................................72 Gambar 4.16. Perkembangan harga produsen biji kakao kering dunia, 1991-2007 ..................................................................73 Gambar 4.17. Negara dengan harga produsen kakao terbesar dunia, (rata-rata 2003-2007) ....................................................74 xiv Pusat Data dan Informasi Pertanian
  • 15.
    OUTLOOK KOMODITAS PERTANIAN- PERKEBUNAN 2010 Gambar 4.18. Negara pengekspor kakao terbesar dunia (rata-rata 2003-2007) .................................................... 75 Gambar 4.19. Negara importir kakao terbesar dunia (rata-rata 2003-2007) ..... 75 Gambar 5.1. Perkembangan luas areal cengkeh PR di Indonesia, 1967-2009 ... 94 Gambar 5.2. Perkembangan luas areal cengkeh di Indonesia, 1971-2009 ....... 95 Gambar 5.3. Perkembangan produksi cengkeh di Indonesia, 1967-2009 ......... 96 Gambar 5.4. Kontribusi produksi cengkeh PR di provinsi sentra (rata-rata 2005-2009) .................................................... 97 Gambar 5.5. Perkembangan produktivitas cengkeh di Indonesia, 1970-2009 .................................................................. 98 Gambar 5.6. Perkembangan konsumsi domestik cengkeh di Indonesia, 1970-2008 .................................................................. 99 Gambar 5.7. Perkembangan harga cengkeh di pasar domestik dan pasar dunia, 1987-2008 ....................................................... 100 Gambar 5.8. Perkembangan volume ekspor impor cengkeh di Indonesia, 1996-2008 ................................................................ 101 Gambar 5.9. Perkembangan nilai ekspor impor cengkeh di Indonesia, 1996-2008 ................................................................ 101 Gambar 5.10. Perkembangan luas areal tanaman menghasilkan cengkeh dunia dan Indonesia, 1967-2008 ...................................... 102 Gambar 5.11. Negara-negara dengan luas TM cengkeh terbesar dunia, (rata-rata 2004-2008) .................................................. 103 Gambar 5.12. Perkembangan produksi cengkeh dunia, 1961-2008............... 104 Gambar 5.13. Negara-negara produsen cengkeh terbesar dunia, 2004-2008 ... 104 Gambar 5.14. Negara-negara dengan rata-rata produktivitas cengkeh tertinggi dunia, 2004-2008 ............................................ 105 Gambar 5.15. Negara-negara dengan harga produsen cengkeh tertinggi dunia (rata-rata 2004-2008) ........................................... 105 Gambar 5.16. Negara eksportir cengkeh terbesar di dunia (rata-rata 2004-2008) .................................................. 106 Pusat Data dan Informasi Pertanian xv
  • 16.
    2010 OUTLOOK KOMODITAS PERTANIAN - PERKEBUNAN Gambar 5.17. Negara importir cengkeh terbesar di dunia (rata-rata 2004-2008) .................................................. 107 Gambar 6.1. Perkembangan luas areal tembakau menurut status pengusahaannya, 1971-2009 .......................................... 124 Gambar 6.2. Kontribusi luas areal tembakau di Indonesia menurut status pengusahaan (rata-rata 2005-2009) .................................. 124 Gambar 6.3. Perkembangan produksi tembakau menurut status pengusahaan, 1971-2009............................................... 125 Gambar 6.4. Kontribusi sentra produksi tembakau PR di Indonesia (rata-rata 2006-2009) .................................................. 126 Gambar 6.5. Rata-rata produktivitas tembakau Indonesia menurut status pengusahaan, 2006-2009............................................... 126 Gambar 6.6. Perkembangan harga konsumen tembakau di Indonesia, 2000-2008 ................................................................ 128 Gambar 6.7. Perkembangan konsumsi tembakau di Indonesia, 1987-2008 .... 129 Gambar 6.8. Perkembangan konsumsi rokok di Indonesia, 1987-2008 ......... 129 Gambar 6.9. Perkembangan volume dan harga ekspor - impor tembakau primer, 1996-2009 ...................................................... 130 Gambar 6.10. Perkembangan volume dan harga ekspor – impor tembakau manufaktur, 1996-2009 ................................................ 131 Gambar 6.11. Perkembangan luas areal tembakau dunia, 1961-2008 ........... 132 Gambar 6.12. Negara dengan luas area tembakau terbesar di dunia, 2004-2008 ................................................................ 133 Gambar 6.13. Perkembangan produksi tembakau dunia, 1961-2008 ............. 134 Gambar 6.14. Sepuluh negara produsen tembakau dunia, 2004-2008 ........... 134 Gambar 6.15. Perkembangan rata-rata harga produsen tembakau dunia, 1991-2007 ................................................................ 135 Gambar 6.16. Perkembangan volume ekspor dan impor tembakau dunia, 1961-2007 ................................................................ 136 Gambar 6.17. Negara pengekspor tembakau terbesar dunia (rata-rata 2003-2007) .................................................. 136 xvi Pusat Data dan Informasi Pertanian
  • 17.
    OUTLOOK KOMODITAS PERTANIAN- PERKEBUNAN 2010 Gambar 6.18. Negara pengimpor tembakau terbesar dunia (rata-rata 2003-2007) .................................................. 137 Gambar 7.1. Perkembangan luas areal nilam di Indonesia, 1989-2008 ........ 152 Gambar 7.2. Perkembangan produksi minyak nilam di Indonesia, 1989-2008 ................................................................ 154 Gambar 7.3. Provinsi sentra produksi minyak nilam di Indonesia (rata-rata 2004-2008) .................................................. 154 Gambar 7.4. Perkembangan produktivitas nilam di Indonesia (rata-rata 2004-2008) .................................................. 155 Gambar 7.5. Perkembangan konsumsi minyak nilam di Indonesia, 1989-2008 ................................................................ 156 Gambar 7.6. Perkembangan harga ekspor minyak nilam di Indonesia, 1989-2006 ................................................................ 157 Gambar 7.7. Perkembangan volume ekspor minyak nilam dan daun nilam di Indonesia, 1989-2006................................................ 159 Gambar 8.1. Perkembangan luas areal tebu di Indonesia, 1969 - 2009 ........ 170 Gambar 8.2. Perkembangan luas areal tebu Indonesia berdasarkan status pengusahaan,1969-2009 ............................................... 171 Gambar 8.3. Perkembangan produktivitas tebu di Indonesia, 1969-2009 ..... 172 Gambar 8.4. Perkembangan produktivitas tebu di Indonesia berdasarkan status pengusahaan, 1969-2009) ..................................... 173 Gambar 8.5. Perkembangan produksi gula hablur di Indonesia,1969-2009 .... 174 Gambar 8.6. Perkembangan produksi gula hablur berdasarkan status, pengusahaan, 1969-2005 .............................................. 174 Gambar 8.7. Provinsi sentra produksi tebu Perkebunan Rakyat, 2006-2010 .. 176 Gambar 8.8. Provinsi sentra produksi tebu Nasional, 2009 ...................... 177 Gambar 8.9. Perkembangan konsumsi gula oleh rumah tangga di Indonesia, 1990-2009 ................................................... 178 Gambar 8.10. Perkembangan harga gula pasir dalam negeri, 1997-2009 ...... 179 Gambar 8.11. Perkembangan volume ekspor dan impor gula di Indonesia, 1969-2009 ................................................................ 179 Pusat Data dan Informasi Pertanian xvii
  • 18.
    2010 OUTLOOK KOMODITAS PERTANIAN - PERKEBUNAN Gambar 8.12. Perkembangan luas areal tebu dunia, 1970-2008 .................. 181 Gambar 8.13. Perkembangan produktivitas tebu dunia, 1970-2008 ............. 181 Gambar 8.14. Perkembangan produksi tebu dunia, 1970-2008 .................. 182 Gambar 8.15. Negara dengan luas areal tebu terbesar di dunia, 2004-2008 ... 182 Gambar 8.16. Negara produsen tebu terbesar dunia, 2004-2008 ................. 183 Gambar 8.17. Perkembangan penawaran dan permintaan gula Indonesia, 1990-2012 ................................................................ 186 xviii Pusat Data dan Informasi Pertanian
  • 19.
    OUTLOOK KOMODITAS PERTANIAN- PERKEBUNAN 2010 DAFTAR LAMPIRAN Halaman Lampiran 2.1. Perkembangan luas areal kelapa sawit (palm oil) Indonesia menurut status pengusahaan, 1970-2009. .......................... 22 Lampiran 2.2. Perkembangan produksi minyak sawit (crude palm oil/CPO) Indonesia menurut status pengusahaan, 1970-2009 .............. 23 Lampiran 2.3. Provinsi sentra produksi kelapa sawit Indonesia, 2005-2009 .... 24 Lampiran 2.4. Penggunaan dan ketersediaan untuk konsumsi minyak sawit Indonesia, 1990-2007 .................................................. 24 Lampiran 2.5. Perkembangan harga produsen tandan buah segar dan minyak sawit (CPO) Indonesia, 2000-2008 .......................... 25 Lampiran 2.6. Perkembangan ekspor – impor, neraca perdagangan serta harga minyak sawit Indonesia, 1996-2009 .......................... 26 Lampiran 2.7. Perkembangan luas tanaman menghasilkan, yield dan produksi kelapa sawit dunia, 1961-2008 ............................ 27 Lampiran 2.8. Negara dengan luas tanaman menghasilkan kelapa sawit terbesar di dunia, 2004-2008 ......................................... 28 Lampiran 2.9 Negara produsen kelapa sawit terbesar dunia, 2004-2008....... 28 Lampiran 2.10. Negara eksportir minyak sawit terbesar dunia, 2003-2007 ...... 29 Lampiran 2.11. Negara importir minyak sawit terbesar dunia, 2003-2007 ....... 29 Lampiran 3.1. Perkembangan luas areal kelapa di Indonesia menurut status pengusahaannya, 1970 - 2009. ............................... 50 Lampiran 3.2. Perkembangan produksi kelapa di Indonesia menurut status pengusahaannya, 1970 - 2009 ........................................ 51 Lampiran 3.3. Provinsi sentra produksi kelapa di Indonesia, 2005-2009 ........ 52 Lampiran 3.4. Perkembangan konsumsi kelapa dan minyak kelapa di Indonesia, 1981-2008 .................................................. 53 Lampiran 3.5. Penggunaan dan ketersediaan konsumsi kopra di Indonesia, 1990-2007 ................................................................ 54 Lampiran 3.6. Perkembangan harga kelapa di tingkat produsen dan konsumen di Indonesia, 1983-2008 .................................. 55 Pusat Data dan Informasi Pertanian xix
  • 20.
    2010 OUTLOOK KOMODITAS PERTANIAN - PERKEBUNAN Lampiran 3.7. Perkembangan ekspor-impor kelapa Indonesia, 2000-2009 ......56 Lampiran 3.8. Perkembangan luas tanaman menghasilkan, produksi dan produktivitas kelapa dunia, 1970-2008 .............................57 Lampiran 3.9. Negara produsen kelapa terbesar di dunia, 2004-2008 ...........58 Lampiran 4.1. Perkembangan luas areal kakao Indonesia menurut status pengusahaan, 1967-2009 ..............................................80 Lampiran 4.2. Perkembangan produksi kakao Indonesia menurut status pengusahaan, 1967-2009 ..............................................81 Lampiran 4.3. Perkembangan produksi kakao PR di provinsi sentra di Indonesia, 2005-2009 ..................................................82 Lampiran 4.4. Perkembangan konsumsi coklat instan dan coklat bubuk di Indonesia , 1981-2008..................................................82 Lampiran 4.5. Perkembangan harga domestik kakao Indonesia, 1992-2007 ....83 Lampiran 4.6. Perkembangan volume dan nilai ekspor total kakao Indonesia, 1996-2009 ..................................................84 Lampiran 4.7. Perkembangan volume dan nilai impor total kakao Indonesia, 1996-2009 ..................................................85 Lampiran 4.8. Perkembangan luas areal, produktivitas dan produksi kakao dunia, 1961-2008 .......................................................86 Lampiran 4.9. Negara dengan luas areal kakao terbesar dunia, 2004-2008 ....87 Lampiran 4.10. Negara produsen kakao terbesar dunia, 2004-2008 ...............87 Lampiran 4.11. Negara dengan produktivitas kakao terbesar dunia, 2004-2008 ................................................................88 Lampiran 4.12. Negara dengan harga produsen kakao terbesar dunia, 2003-2007 ................................................................88 Lampiran 4.13. Negara eksportir kakao terbesar dunia, 2003-2007 ...............89 Lampiran 4.14. Negara importir kakao terbesar dunia, 2003-2007 ................89 Lampiran 5.1. Luas areal cengkeh di Indonesia berdasarkan status pengusahaan, 1967-2009 ............................................ 111 xx Pusat Data dan Informasi Pertanian
  • 21.
    OUTLOOK KOMODITAS PERTANIAN- PERKEBUNAN 2010 Lampiran 5.2. Produksi cengkeh di Indonesia berdasarkan status pengusahaan, 1967-2009 ............................................ 112 Lampiran 5.3. Perkembangan produksi cengkeh di provinsi sentra di Indonesia, 2005-2009 ................................................ 113 Lampiran 5.4. Produktivitas cengkeh di Indonesia, 2005-2009 ................. 114 Lampiran 5.5. Perkembangan produksi, ekspor, impor, dan konsumsi cengkeh Indonesia, 1970-2008 ..................................... 115 Lampiran 5.6. Perkembangan harga cengkeh di pasar dalam negeri dan pasar dunia, 1987-2008 .............................................. 116 Lampiran 5.7. Perkembangan ekspor-impor dan neraca perdagangan cengkeh di Indonesia, 1996-2009 .................................. 117 Lampiran 5.8. Luas tanaman menghasilkan, produksi, dan produktivitas cengkeh dunia, 1961-2008 .......................................... 118 Lampiran 5.9. Negara dengan luas areal cengkeh terbesar di dunia, 2004-2008 .............................................................. 119 Lampiran 5.10. Negara produsen cengkeh terbesar di dunia, 2004-2008 ....... 119 Lampiran 5.11. Negara-negara dengan rata-rata produktivitas cengkeh tertinggi di dunia, 2004-2008 ....................................... 120 Lampiran 5.12. Harga produsen cengkeh terbesar di dunia, 2004-2008 ........ 120 Lampiran 5.13. Negara eksportir cengkeh terbesar di dunia, 2004-2007 ....... 121 Lampiran 5.14. Negara importir cengkeh terbesar di dunia, 2004-2007 ........ 121 Lampiran 6.1. Perkembangan luas areal tembakau Indonesia menurut status pengusahaan, 1971-2009 .................................... 141 Lampiran 6.2. Perkembangan produksi tembakau Indonesia menurut status pengusahaan, 1971-2009 .................................... 142 Lampiran 6.3. Perkembangan produksi tembakau di provinsi sentra di Indonesia, 2006-2009 ................................................ 143 Lampiran 6.4. Perkembangan harga konsumen pedesaan tembakau di Indonesia menurut provinsi, 2004-2008 ........................... 144 Lampiran 6.5. Perkembangan konsumsi tembakau dan rokok di Indonesia, 1987-2008 .............................................................. 145 Pusat Data dan Informasi Pertanian xxi
  • 22.
    2010 OUTLOOK KOMODITAS PERTANIAN - PERKEBUNAN Lampiran 6.6. Perkembangan ekspor-impor tembakau primer, 1996-2009 ... 145 Lampiran 6.7. Perkembangan ekspor-impor tembakau manufaktur, 1996- 2009..................................................................... 146 Lampiran 6.8. Perkembangan produksi dan luas areal tembakau dunia, 1961-2008 .............................................................. 147 Lampiran 6.9. Negara dengan luas areal tembakau terbesar dunia, 2004-2008 .............................................................. 148 Lampiran 6.10. Negara produsen tembakau terbesar dunia, 2004-2008 ........ 148 Lampiran 6.11. Negara dengan harga produsen tembakau terbesar dunia, 2003-2007 .............................................................. 149 Lampiran 6.12. Perkembangan ekspor-impor tembakau dunia, 1961-2007..... 150 Lampiran 7.1. Perkembangan luas areal nilam di Indonesia menurut jenis pengusahaan, 1989-2008 ............................................ 163 Lampiran 7.2. Perkembangan produksi minyak nilam di Indonesia menurut status pengusahaan, 1989-2008 .................................... 164 Lampiran 7.3. Perkembangan produksi minyak nilam di provinsi sentra Indonesia, 2004-2008 ................................................ 165 Lampiran 7.4. Perkembangan total konsumsi minyak nilam di Indonesia, 1989-2008 .............................................................. 166 Lampiran 7.5. Perkembangan harga ekspor minyak nilam di Indonesia, 1989-2006 .............................................................. 167 Lampiran 7.6. Perkembangan ekspor-impor nilam di Indonesia, 1989-2006 .. 168 Lampiran 7.1. Perkembangan luas areal nilam di Indonesia menurut jenis pengusahaan, 1989-2008 ............................................ 163 Lampiran 7.2. Perkembangan produksi minyak nilam di Indonesia menurut status pengusahaan, 1989-2008 .................................... 164 Lampiran 7.3. Perkembangan produksi minyak nilam di provinsi sentra Indonesia, 2004-2008 ................................................ 165 Lampiran 7.4. Perkembangan total konsumsi minyak nilam di Indonesia, 1989-2008 .............................................................. 166 xxii Pusat Data dan Informasi Pertanian
  • 23.
    OUTLOOK KOMODITAS PERTANIAN- PERKEBUNAN 2010 Lampiran 7.5. Perkembangan harga ekspor minyak nilam di Indonesia, 1989-2006 .............................................................. 167 Lampiran 7.6. Perkembangan ekspor-impor nilam di Indonesia, 1989-2006 .. 168 Lampiran 8.1. Perkembangan luas areal tebu di Indonesia berdasarkan status pengusahaan, 1969-2009 .................................... 188 Lampiran 8.2. Perkembangan produksi gula hablur di Indonesia berdasarkan status pengusahaan, 1969-2009 .................... 189 Lampiran 8.3. Perkembangan produktivitas tebu di Indonesia berdasarkan status pengusahaan, 1969-2009 .................................... 190 Lampiran 8.4. Produksi gula Perkebunan Rakyat di provinsi sentra di Indonesia, 2006-2010 ................................................ 191 Lampiran 8.5. Perkembangan ekspor dan impor tebu Indonesia,1969-2009 .. 192 Lampiran 8.6. Perkembangan luas areal, produktivitas dan produksi tebu dunia, 1970-2008 ..................................................... 193 Lampiran 8.7. Negara dengan luas areal tebu terbesar di dunia, 2004-2008 .............................................................. 194 Lampiran 8.8. Negara produsen tebu terbesar di dunia, 2004-2008 ........... 194 Pusat Data dan Informasi Pertanian xxiii
  • 24.
    OUTLOOK KOMODITAS PERTANIAN- PERKEBUNAN 2010 BAB I. PENDAHULUAN 1.1. LATAR BELAKANG Perkebunan sebagai bagian integral dari sektor pertanian merupakan salah satu sub sektor yang mempunyai peranan penting dan strategis dalam pembangunan nasional. Peranannya terlihat nyata dalam penerimaan devisa negara melalui ekspor, penyediaan lapangan kerja, pemenuhan kebutuhan konsumsi dalam negeri, bahan baku berbagai industri dalam negeri, perolehan nilai tambah dan daya saing serta optimalisasi pengelolaan sumberdaya alam secara berkelanjutan. Peranan sub sektor perkebunan bagi perekonomian nasional tercermin dari realisasi pencapaian PDB yang mencapai Rp. 112,52 trilyun (atas dasar harga berlaku) pada tahun 2009. Sementara, peranan ekspor komoditas perkebunan pada tahun 2009 memberikan sumbangan surplus neraca perdagangan bagi sektor pertanian sebesar US$ 17,63 milyar dimana sub sektor lainnya mengalami defisit. Dalam rangka meningkatkan peran sub sektor perkebunan, Kementerian Pertanian telah menyusun rencana strategis beserta program dan kebijakan pembangunan yang terkait secara langsung maupun tidak langsung dengan pengembangan masing-masing komoditas perkebunan. Dalam penyusunan rencana strategis ketersediaan data dan informasi yang berkualitas maka sangat dibutuhkan agar kebijakan yang diputuskan menjadi efektif. Dalam mengemban visi dan misinya, Pusat Data dan Informasi Pertanian (Pusdatin) senantiasa menyediakan data dan informasi yang diperlukan oleh berbagai pihak yang berkecimpung dalam sektor pertanian, seperti penentu kebijakan, asosiasi, akademisi maupun masyarakat umum lainnya. Salah satu produk informasi yang secara reguler dihasilkan oleh Pusdatin adalah Analisis Outlook Perkebunan, yang didalamnya mengulas keragaan data nasional dan situasi global disertai dengan proyeksi penawaran dan permintaan masing-masing komoditas. Pusat Data dan Informasi Pertanian 1
  • 25.
    2010 OUTLOOK KOMODITAS PERTANIAN - PERKEBUNAN Pada tahun 2010, analisis outlook komoditas perkebunan mencakup 7 (tujuh) komoditas yakni kelapa sawit, kelapa, kakao, cengkeh, tembakau, nilam dan tebu. 1.2. METODOLOGI Sumber Data dan Informasi Outlook Komoditas Perkebunan tahun 2010 disusun berdasarkan data dan informasi yang diperoleh dari data primer yang bersumber dari daerah, instansi terkait di lingkup Kementerian Pertanian dan instansi di luar Kementerian Pertanian seperti Badan Pusat Statistik (BPS) dan Food and Agriculture Organization (FAO). Metode Analisis Metode yang digunakan dalam penyusunan Outlook Komoditas Perkebunan adalah sebagai berikut: a. Analisis keragaan atau perkembangan komoditas perkebunan dilakukan berdasarkan ketersediaan data series yang yang mencakup indikator luas areal dan luas panen, produktivitas, produksi, konsumsi, ekspor-impor serta harga di tingkat produsen maupun konsumen dengan analisis deskriptif sederhana. Analisis keragaan dilakukan baik untuk data series nasional maupun dunia. b. Analisis Penawaran Analisis penawaran komoditas perkebunan dilakukan berdasarkan analisis fungsi produksi. Penelusuran model untuk analisis fungsi produksi tersebut dilakukan dengan pendekatan model Regresi Berganda (Multivariate Regression). Secara teoritis bentuk umum dari model ini adalah : Y = b0 + b1 X 1 + b2 X 2 + ... + bn X n + ε n = b0 + ∑ b j X j + ε j =1 2 Pusat Data dan Informasi Pertanian
  • 26.
    OUTLOOK KOMODITAS PERTANIAN- PERKEBUNAN 2010 dimana : Y = Peubah respons/tak bebas Xn = Peubah penjelas/bebas n = 1,2,… b0 = nilai konstanta bn = koefisien arah regresi atau parameter model regresi untuk peubah xn ε = sisaan Produksi pada periode ke-t diduga merupakan fungsi dari produksi pada periode sebelumnya, luas areal periode sebelumnya, harga ekspor dan pengaruh inflasi. Dengan memperhatikan ketersediaan data, analisis penawaran dilakukan berdasarkan data produksi dalam periode tahunan. Untuk peubah- peubah bebas yang tidak tersedia datanya dalam periode waktu yang bersesuaian maka dilakukan proyeksi terlebih dahulu dengan menggunakan model analisis trend (trend analysis) atau model pemulusan eksponensial berganda (double exponential smoothing). c. Analisis Permintaan Analisis permintaan komoditas perkebunan merupakan analisis permintaan langsung masyarakat terhadap komoditas perkebunan yang dikonsumsi oleh rumah tangga konsumen dalam bentuk tanpa diolah maupun telah diolah, maupun permintaan untuk kepentingan ekspor. Sama halnya seperti pada analisis penawaran, analisis permintaan juga menggunakan Model Regresi Berganda menggunakan peubah penjelas, namun karena keterbatasan ketersediaan data, analisis permintaan untuk beberapa komoditas menggunakan model analisis trend (trend analysis) atau model pemulusan eksponensial berganda (double exponential smoothing). Periode series data yang digunakan adalah tahunan. Pada komoditas tertentu dimana sebagian besar produksinya digunakan untuk bahan baku industry pengolahan, maka analisis permintaan didekati dengan cara melihat proporsi permintaan untuk industry pengolahan menggunakan bantuan Tabel I-O BPS. Pusat Data dan Informasi Pertanian 3
  • 27.
    2010 OUTLOOK KOMODITAS PERTANIAN - PERKEBUNAN d. Kelayakan Model Ketepatan sebuah model regresi dapat dilihat dari Uji-F, Uji-t dan koefisien determinasi (R2). Koefisien determinasi diartikan sebagai besarnya keragaman dari peubah tak bebas (Y) yang dapat dijelaskan oleh peubah–peubah bebas (X). Koefisien determinasi dihitung dengan menggunakan persamaan: SS R egresi R2 = SS Total dimana : SS Regresi adalah jumlah kuadrat regresi SS Total adalah jumlah kuadrat total Sementara, untuk model data deret waktu baik analisis tren maupun model pemulusan eksponensial berganda (double exponential smoothing), ukuran kelayakan model dilihat berdasarkan kecilnya nilai kesalahan yakni menggunakan statistik MAPE (mean absolute percentage error) atau kesalahan persentase absolut rata-rata yang diformulasikan sbb.: dengan, Xt adalah data aktual dan Ft adalah nilai ramalan. 4 Pusat Data dan Informasi Pertanian
  • 28.
    OUTLOOK KOMODITAS PERTANIAN- PERKEBUNAN 2010 BAB II. KELAPA SAWIT Kelapa sawit merupakan salah satu komoditas perkebunan yang mempunyai peran cukup penting dalam perekonomian Indonesia, karena merupakan komoditas andalan ekspor sehingga menjadi penghasil devisa negara di luar minyak dan gas. Selain peluang ekspor yang semakin terbuka, pasar dalam negeri juga masih cukup besar. Pasar yang banyak menyerap produk minyak sawit (CPO) dan minyak inti sawit (PKO) adalah industri fraksinasi/ranifasi (terutama insdustri minyak goreng), lemak khusus (cocoa butter substitute), margarin/shortening, oleochemical dan sabun mandi (BPS, 2006). Disamping produk konvensional, minyak kelapa sawit juga merupakan salah satu bahan yang dapat dijadikan sumber bahan bakar/energi (biodisel) yang terbarukan untuk menggantikan bahan bakar yang berasal dari minyak bumi yang semakin tipis persediaannya (Ditjen Perkebunan, 2006). Perkebunan kelapa sawit merupakan salah satu sektor unggulan bagi Indonesia, hal ini dikarenakan kondisi geografis wilayah Indonesia memang sangat cocok untuk pengembangan perkebunan kelapa sawit. Pada tahun 2009, luas areal kelapa sawit di Indonesia mencapai 7,51 juta hektar dengan produksi sebesar 18,64 juta ton minyak sawit dan 3,47 juta ton inti sawit. Sementara, bila dilihat dari luas areal kelapa sawit berdasarkan status pengusahaan rata-rata tahun 1998-2009 sebanyak 52,23% diusahakan oleh Perkebunan Besar Swasta (PBS), 36,70% diusahakan oleh Perkebunn Rakyat (PR) dan 11,07% diusahakan oleh Perkebunan Besar Negara (PBN). Pengembangan perkebunan kelapa sawit di Indonesia menjadi sangat berkembang pesat dikarenakan: 1. Kebutuhan minyak nabati dunia cukup besar dan akan terus meningkat, sebagai akibat jumlah penduduk maupun tingkat konsumsi per kapita yang masih rendah. 2. Di antara berbagai jenis tanaman penghasil minyak nabati, kelapa sawit tanaman dengan potensi produksi minyak tertinggi. Pusat Data dan Informasi Pertanian 5
  • 29.
    2010 OUTLOOK KOMODITAS PERTANIAN - PERKEBUNAN 3. Semakin berkembangnya jenis-jenis industri hulu pabrik kelapa sawit maupun industri hilir oleokimia dan oleomakanan (oleochemical dan oleofoods), hingga industri konversi minyak sawit sebagai bahan bakar biodiesel. Cerahnya prospek komoditi minyak kelapa sawit dalam perdagangan minyak nabati dunia telah mendorong pemerintah Indonesia untuk memacu pengembangan areal perkebunan kelapa sawit, hingga tahun 2008, sekitar 41,39% produksi minyak sawit dunia dihasilkan oleh Indonesia sebagai negara produsen dunia minyak sawit kedua setelah Malaysia. 2.1. PERKEMBANGAN LUAS AREAL, PRODUKTIVITAS DAN PRODUKSI KELAPA SAWIT INDONESIA Secara umum pola perkembangan luas areal kelapa sawit di Indonesia pada periode tahun 1970–2009 cenderung mengalami peningkatan dengan rata-rata pertumbuhan sebesar 11,12% (Gambar 2.1). Berdasarkan atas status pengusahaannya, maka luas areal kelapa sawit sangat berfluktuasi namun cenderung terus mengalami peningkatan untuk luas areal PR dan PBS masing- masing sebesar 34,53% dan 14,18%, sedangkan pola pertumbuhan luas areal kelapa sawit PBN hanya sebesar 4,75% (Lampiran 2.1). Gambar 2.1. Perkembangan luas areal kelapa sawit menurut status pengusahaan di Indonesia,1970–2009 6 Pusat Data dan Informasi Pertanian
  • 30.
    OUTLOOK KOMODITAS PERTANIAN- PERKEBUNAN 2010 Gambar 2.2. Konstribusi luas areal kelapa sawit menurut status pengusahaan di Indonesia, (rata-rata 1998 – 2009) Jika ditinjau kontribusi rata-rata luas areal kelapa sawit di Indonesia tahun 1998 – 2009, terlihat bahwa PBS berkontribusi sebesar 52,23% terhadap luas areal kelapa sawit Indonesia, sedangkan PR dan PBN masing-masing berkontribusi sebesar 36,70% dan 11,07% (Gambar 2.2). Selama periode tahun 1970-2009, perkembangan luas areal perkebunan kelapa sawit Indonesia meningkat cukup tinggi dari 133,30 ribu hektar pada tahun 1970 menjadi 7,51 juta hektar tahun 2009 atau meningkat rata-rata 11,12% per tahun. Apabila dilihat dari status pengusahaannya maka rata-rata pertumbuhan per tahun setelah krisis ekonomi di Indonesia tahun 1998-2009 semakin menurun yaitu PR hanya sebesar 11,83%, PBN sebesar 1,89% dan PBS sebesar 8,34% (Lampiran 2.1). Seiring dengan peningkatan luas areal kelapa sawit, maka produksi kelapa sawit Indonesia dalam wujud produksi minyak sawit selama tahun 1970-2009 juga cenderung meningkat. Jika pada tahun 1970 produksi minyak sawit Indonesia hanya sebesar 216,8 ribu ton maka pada tahun 2009 meningkat menjadi 18,64 juta ton atau tumbuh rata-rata sebesar 12,47% per tahun (Gambar 2.3). Pusat Data dan Informasi Pertanian 7
  • 31.
    2010 OUTLOOK KOMODITAS PERTANIAN - PERKEBUNAN Gambar 2.3. Perkembangan produksi minyak sawit menurut status pengusahaan di Indonesia, 1970-2009 Berdasarkan status pengusahaan selama kurun waktu 1970 – 2009, produksi minyak sawit yang berasal dari PR meningkat dengan rata-rata pertumbuhan sebesar 63,88%, PBS meningkat sebesar 14,67% dan PBN meningkat sebesar 7,47%. Peningkatan produksi minyak sawit PR terutama terjadi pada tahun 1982, 1985, 1987 dan 1990 yang meningkat di atas 100%, namun setelah tahun 1997, yaitu tahun 1998 – 2009 hanya tumbuh sebesar 16,11% per tahun (Lampiran 2.2). Gambar 2.4. Kontribusi rata-rata produksi minyak sawit menurut status pengusahaan, (rata-rata 1998 – 2009) Seiring dengan besarnya luas areal, maka produksi minyak sawit Indonesia didominasi juga oleh produksi yang berasal dari PBS. Kontribusi rata-rata 8 Pusat Data dan Informasi Pertanian
  • 32.
    OUTLOOK KOMODITAS PERTANIAN- PERKEBUNAN 2010 produksi minyak sawit PBS selama periode tahun 1998 – 2009 sebesar 51,36% terhadap rata-rata produksi minyak sawit Indonesia, sedangkan kontribusi PR dan PBN masing-masing sebesar 34,23% dan 14,41% (Gambar 2.4). Sentra produksi minyak sawit Indonesia terutama berasal dari 7 (tujuh) provinsi yang memberikan kontribusi sebesar 81,80% terhadap produksi minyak sawit Indonesia, seperti yang disajikan pada Gambar 2.5. Provinsi Riau dan Sumatera Utara merupakan provinsi sentra produksi terbesar yang berkontribusi masing-masing sebesar 28,52% dan 17,77%, disusul berturut-turut provinsi Sumsel, Kalteng, Jambi, Kalbar dan Sumbar masing-masing sebesar 10,19%, 7,92%, 7,04%, 5,44%, dan 4,94%. Gambar 2.5. Provinsi sentra produksi minyak sawit di Indonesia, (rata-rata 2005 - 2009) Perkembangan produktivitas kelapa sawit di Indonesia selama tahun 2003 – 2009 menunjukkan pola yang sama untuk ketiga status pengusahaan. Rata-rata produktivitas kelapa sawit Indonesia selama periode tahun 2003 – 2009 adalah sebesar 3,27 ton per hektar, dimana rata-rata produktivitas minyak sawit terbesar pada PBS sebesar 3,59 ton per hektar disusul PBN sebesar 3,48 ton per hektar dan PR sebesar 2,97 ton per hektar (Gambar 2.6 ). Pusat Data dan Informasi Pertanian 9
  • 33.
    2010 OUTLOOK KOMODITAS PERTANIAN - PERKEBUNAN Gambar 2.6. Perkembangan produktivitas kelapa sawit di Indonesia, 2003– 2009 Rata-rata pertumbuhan produktivitas kelapa sawit tersaji secara lengkap pada Tabel 2.1. Produktivitas kelapa sawit Indonesia tahun 2003 - 2009 secara keseluruhan naik sebesar 3,00% per tahun, yang dirinci, pertumbuhan produktivitas PR sebesar 2,97% per tahun, PBN sebesar 2,91% per tahun, sedangkan PBS terlihat sangat fluktuatif dan cenderung menurun sebesar 0,93% per tahun. Meskipun demikian, realisasi produktivitas kelapa sawit PBS tertinggi dibandingkan dengan PR dan PBN paling yakni mencapai 3,59 ton per hektar bahkan pada tahun 2009 mencapai 3,72 ton per hektar. Tabel 2.1. Perkembangan produktivitas kelapa sawit Indonesia menurut status pengusahaan, 2003 – 2009 Produktivitas (Ton/Ha) Tahun PR 1) PBN 2) Pertumb. PBS 3) Pertumb. Perkebunan Pertumb. Pertumb. (%) (%) (%) Indonesia (%) 2003 2.75 3.25 4.29 3.05 2004 2.49 -9.33 3.16 -2.83 3.03 -29.26 2.83 -6.98 2005 2.69 7.75 3.31 4.64 3.05 0.38 2.93 3.27 2006 3.13 16.51 3.62 9.32 3.74 22.87 3.50 19.57 2007 3.21 2.39 3.37 -6.94 3.86 3.11 3.63 3.89 2008 3.33 3.84 3.82 13.49 3.42 -11.25 3.42 -5.78 2009 *) 3.16 -4.99 3.81 -0.24 3.72 8.56 3.56 4.03 Rata-rata 2003-2009 2.97 2.69 3.48 2.91 3.59 -0.93 3.27 3.00 Sumber: Ditjen Perkebunan 2) Keterangan : *) Angka Sementara PR = Perkebunan Rakyat 3) 4) PBN = Perkebunan Besar Negara PBS = Perkebunan Besar Swasta 10 Pusat Data dan Informasi Pertanian
  • 34.
    OUTLOOK KOMODITAS PERTANIAN- PERKEBUNAN 2010 2.2. PERKEMBANGAN KONSUMSI KELAPA SAWIT DI INDONESIA Ditinjau dari sisi ketersediaan kelapa sawit berdasarkan perhitungan Neraca Bahan Makanan (NBM), kelapa sawit di Indonesia umumnya digunakan sebagai bahan untuk diolah menjadi minyak sawit/minyak goreng yang dirinci sebagai bahan makanan dan diolah non makanan (Lampiran 2.4). Pada tahun 1990-2007 rata-rata ketersediaan minyak sawit/minyak goreng sebagai bahan makanan mencapai 1.928 ribu ton per tahun atau 98,36% dari total penggunaan, sedangkan diolah non makanan rata-rata sebesar 23 ribu ton per tahun atau 1,19% dari total penggunaan dan tercecer sebesar 36 ribu ton per tahun atau 1,83%. Untuk mengurangi persentase tercecer perlu dilakukan pengelolaan yang baik pada saat panen dan pasca panen maupun proses pengolahan dan distribusi ke konsumen. Pemakaian minyak sawit/minyak goreng di dalam negeri sebagai bahan makanan terlihat menurun pada tahun 2005 (Gambar 2.7). Pada tahun 2004 penggunaan minyak sawit/minyak goreng untuk bahan makanan sebesar 1.969 ribu ton, pada tahun 2005 menurun menjadi 920 ribu ton dan kemudian meningkat kembali hingga menjadi 3.081 ribu ton pada tahun 2007. Gambar 2.7. Perkembangan ketersediaan minyak sawit/minyak goreng Indonesia menurut Neraca Bahan Makanan, 1999-2007 Pusat Data dan Informasi Pertanian 11
  • 35.
    2010 OUTLOOK KOMODITAS PERTANIAN - PERKEBUNAN 2.3. PERKEMBANGAN HARGA KELAPA SAWIT DI INDONESIA Perkembangan harga tandan buah segar (TBS) di tingkat produsen dan harga minyak sawit di perdagangan besar selama tahun 2000–2008 memiliki pola yang berbeda. Harga minyak sawit di perdagangan besar terus mengalami peningkatan dengan rata-rata peningkatan sebesar 13,05% per tahun. Sedangkan harga TBS relatif berfluktuasi, namun cenderung meningkat dengan rata-rata sebesar 18,83% per tahun. Harga TBS pada tahun 2001 dan 2005 mengalami penurunan masing-masing sebesar 15,59% dan 12,90%, sedangkan peningkatan harga yang cukup tajam terjadi pada tahun 2002, 2003 dan 2007 masing-masing naik sebesar 30,66%, 26,57% dan 61,43% (Gambar 2.8). Besarnya konversi dari TBS ke minyak sawit dalam buku Pembakuan Statistik Perkebunan tahun 2007 adalah 18 – 26%, yang berarti 100 kg TBS menjadi 18-26 kg minyak sawit atau perbandingan kurang lebih 5 : 1. Namun jika dilihat perbandingan harga rata-rata TBS sebesar Rp 504.099,-/ton sedangkan harga rata-rata minyak sawit sebesar Rp 4.551.507,-/ton atau dengan perbandingan 1 : 9, hal ini terlihat adanya nilai tambah yang cukup besar dari komoditas kelapa sawit yaitu wujud produksi saat panen sampai menjadi wujud produksi yang diperdagangkan. Keragaan harga kelapa sawit secara rinci disajikan pada Lampiran 2.5. Gambar 2.8. Perkembangan harga produsen TBS dan harga perdagangan besar minyak sawit Indonesia, 2000–2008 12 Pusat Data dan Informasi Pertanian
  • 36.
    OUTLOOK KOMODITAS PERTANIAN- PERKEBUNAN 2010 2.4. PERKEMBANGAN EKSPOR IMPOR KELAPA SAWIT DI INDONESIA Ekspor- impor kelapa sawit Indonesia dilakukan dalam wujud minyak sawit, minyak inti sawit dan wujud lainnya. Perkembangan volume ekspor kelapa sawit pada periode 1996–2009 cenderung terus meningkat, yaitu dari 2,62 juta ton tahun 1996 menjadi 21,67 juta ton tahun 2009 atau mengalami pertumbuhan per tahun sebesar 21,30% per tahun, sementara rata-rata pertumbuhan volume impor kelapa sawit meningkat sebesar 14,85% per tahun (Gambar 2.9). Besarnya volume ekspor dibandingkan dengan volume impor yang cukup besar menjadikan Indonesia selalu mengalami surplus kelapa sawit yang dapat menyumbang devisa negara. Gambar 2.9. Perkembangan volume ekspor - impor kelapa sawit Indonesia, 1996–2009 Perkembangan surplus neraca perdagangan kelapa sawit Indonesia tahun 1996 – 2009 terus mengalami peningkatan dengan rata-rata sebesar 26,81% (Gambar 2.10). Pada tahun 1996, surplus neraca perdagangan kelapa sawit sebesar US$ 1,05 milyar, dan pada tahun 2009 telah mencapai US$ 11,71 milyar. Perkembangan ekspor, impor dan neraca perdagangan kelapa sawit Indonesia tahun 1996 - 2009 secara rinci disajikan pada Lampiran 2.6. Pusat Data dan Informasi Pertanian 13
  • 37.
    2010 OUTLOOK KOMODITAS PERTANIAN - PERKEBUNAN Gambar 2.10. Perkembangan ekspor, impor dan neraca perdagangan kelapa sawit Indonesia, 1996–2009 Sementara itu bila dilihat perbandingan antara harga ekspor dan harga impor kelapa sawit tahun 1996 – 2009 terlihat cenderung selalu lebih tinggi harga impornya, kecuali pada tahun 1999 (Gambar 2.11). Selisih antara harga ekspor terhadap harga impor terbesar terjadi pada tahun 2005 dan 2007 yaitu masing- masing mencapai US$ 519,28 dan US$ 912,43 per ton. Harga ekspor dan impor kelapa sawit Indonesia dari tahun 1996 – 2009 secara rinci disajikan pada Lampiran 2.6. Gambar 2.11. Perkembangan harga ekspor - impor kelapa sawit Indonesia, 1996–2009 14 Pusat Data dan Informasi Pertanian
  • 38.
    OUTLOOK KOMODITAS PERTANIAN- PERKEBUNAN 2010 2.5. PERKEMBANGAN LUAS TANAMAN MENGHASILKAN DAN PRODUKSI KELAPA SAWIT DUNIA Berdasarkan data yang bersumber dari FAO, secara umum perkembangan luas tanaman menghasilkan kelapa sawit dunia selama periode tahun 1961–2008 cenderung meningkat dengan rata-rata peningkatan sebesar 3,09% per tahun (Gambar 2.12). Peningkatan luas tanaman menghasilkan kelapa sawit yang cukup besar terjadi pada tahun 1979 dan 1984 yaitu masing-masing meningkat sebesar 11,75% dan 10,50% (Lampiran 2.7). Gambar 2.12. Perkembangan luas areal dan produksi tandan buah segar kelapa sawit dunia, 1961–2008 Gambar 2.13. Negara dengan luas areal kelapa sawit terbesar di dunia, (rata-rata 2004-2008) Pusat Data dan Informasi Pertanian 15
  • 39.
    2010 OUTLOOK KOMODITAS PERTANIAN - PERKEBUNAN Berdasarkan data rata-rata luas tanaman menghasilkan kelapa sawit tahun 2004-2008 yang bersumber dari FAO, terdapat 3 negara produsen kelapa sawit terbesar di dunia yang memberikan kontribusi hingga 85,60% terhadap total luas tanaman menghasilkan kelapa sawit dunia. Indonesia merupakan negara dengan luas tanaman menghasilkan terbesar di dunia dengan rata-rata tahun 2004 – 2008 sebesar 4,57 juta hektar atau 34,18% dari total luas tanaman menghasilkan kelapa sawit dunia. Selanjutnya disusul Malaysia dengan kontribusi sebesar 27,34% atau rata-rata luas sebesar 3,65 juta hektar dan Nigeria dengan kontribusi sebesar 24,08% atau rata-rata luas sebesar 3,22 juta hektar. Sementara negara Thailand, Ghana dan Guinea masing-masing berkontribusi kurang dari 3% (Gambar 2.13 dan Lampiran 2.8). Perkembangan produksi tandan buah segar kelapa sawit dunia tahun 1961– 2008 menunjukkan pola yang hampir sama dengan perkembangan luas tanaman menghasilkan. Rata-rata pertumbuhan produksi tandan buah segar kelapa sawit dunia sebesar 6,08% per tahun (Gambar 2.12 dan Lampiran 2.7). Berdasarkan data rata-rata produksi tandan buah segar kelapa sawit tahun 2004-2008 yang bersumber dari FAO, terdapat 2 negara produsen kelapa sawit terbesar di dunia yang memberikan kontribusi hingga 81,43% terhadap total produksi kelapa sawit dunia. Malaysia merupakan negara produsen kelapa sawit terbesar di dunia dengan pencapaian produksi rata-rata tahun 2004 – 2008 sebesar 77,24 juta ton TBS atau 41,17% dari total produksi kelapa sawit dunia. Selanjutnya adalah Indonesia dengan kontribusi sebesar 40,26% atau rata-rata produksi sebesar 75,54 juta ton TBS (Gambar 2.14). Sementara itu, Nigeria meskipun luas arealnya memberikan kontribusi yang hampir sejajar dengan kedua negara terbesar namun dari sisi produksi hanya berkontribusi sebesar 4,53% atau 8,5 juta ton TBS. Dua negara lainnya yakni Thailand dan Colombia hanya berkontribusi masing-masing sebesar 3,32% dan 1,70%. Produksi tandan buah segar kelapa sawit dari negara produsen terbesar dunia secara rinci tersaji pada Lampiran 2.9. 16 Pusat Data dan Informasi Pertanian
  • 40.
    OUTLOOK KOMODITAS PERTANIAN- PERKEBUNAN 2010 Gambar 2.14. Negara produsen kelapa sawit terbesar dunia, (rata-rata 2004-2008) 2.6. PERKEMBANGAN EKSPOR - IMPOR KELAPA SAWIT DUNIA Perkembangan volume ekspor dan impor kelapa sawit dunia dalam bentuk minyak sawit menunjukkan kecenderungan meningkat dari tahun ke tahun. Berdasarkan data FAO, pada tahun 2003–2007 terdapat dua negara eksportir minyak sawit terbesar di dunia yang secara kumulatif memberikan kontribusi sebesar 86,88% terhadap total volume ekspor minyak sawit di dunia. Malaysia merupakan negara eksportir minyak sawit terbesar di dunia dengan rata-rata volume ekspor mencapai 12,86 juta ton per tahun atau memberikan kontribusi sebesar 50,46% dan peringkat kedua ditempati oleh Indonesia yang memberikan kontribusi 36,42% dengan rata-rata volume ekspor 9,28 juta ton per tahun. Sementara, Netherland dan Papua New Guinea masing-masing hanya berkontribusi sebesar 3,25% dan 1,33% terhadap total volume ekspor dunia (Lampiran 2.10). Pusat Data dan Informasi Pertanian 17
  • 41.
    2010 OUTLOOK KOMODITAS PERTANIAN - PERKEBUNAN Gambar 2.15. Negara eksportir minyak sawit terbesar dunia, (rata-rata 2003-2007) Berdasarkan data FAO, pada tahun 2003–2007 terdapat delapan negara importir kelapa sawit terbesar di dunia yang secara kumulatif memberikan kontribusi sebesar 54,37% terhadap total volume impor kelapa sawit di dunia. China merupakan negara importir kelapa sawit terbesar di dunia dengan rata-rata volume impor mencapai 4,46 juta ton per tahun atau memberikan kontribusi sebesar 17,62%, disusul oleh India dengan realisasi impor sebesar 3,25 juta ton atau berkontribusi sebesar 12,81%. Peringkat ke-3 dan ke-4 ditempati oleh Pakistan dan Belanda yang masing-masing memberikan kontribusi 5,84% (1,48 juta ton per tahun) dan 5,72% (1,45 juta ton per tahun). Negara-negara importir kelapa sawit terbesar lainnya adalah Bangladesh, Jerman, Inggris dan Malaysia dengan realisasi impor dibawah 1 juta ton. Indonesia berada pada urutan ke-113 dengan realisasi hanya sebesar 6,3 ribu ton per tahun. Sementara, Malaysia meskipun merupakan negara eksportir terbesar kelapa sawit di dunia ternyata juga menjadi negara importir kelapa sawit pada urutan ke-8 karena volume impor mencapai 578,3 ribu ton. Negara importir kelapa sawit di dunia secara rinci tersaji pada Lampiran 2.11. 18 Pusat Data dan Informasi Pertanian
  • 42.
    OUTLOOK KOMODITAS PERTANIAN- PERKEBUNAN 2010 Gambar 2.16. Negara importir kelapa sawit terbesar dunia, (rata-rata 2003-2007) 2.7. PROYEKSI PENAWARAN KELAPA SAWIT 2010 – 2012 Penawaran kelapa sawit merupakan representasi dari produksi. Pemodelan produksi kelapa sawit nasional dalam analisis ini dalam wujud produksi minyak sawit. Produksi minyak sawit sebagian besar diperuntukan bagi kepentingan ekspor, sehingga dalam menyusun model proyeksi penawaran pada awalnya digunakan data harga ekspor dan luas areal, namun demikian peubah tersebut secara statistik tidak signifikan mempengaruhi model produksi. Oleh karenanya, proyeksi penawaran dilakukan dengan menggunakan model deret waktu dari data produksi minyak sawit secara langsung dan diperoleh model terbaik adalah model tren kuadratik. Model tersebut kemudian digunakan untuk memproyeksi produksi minyak sawit hingga tahun 2012 seperti tersaji pada Tabel 2.2. Dengan menggunakan model tren kuadratik, maka produksi minyak sawit di Indonesia tahun 2010 – 2012 diperkirakan mengalami peningkatan dengan rata- rata per tahun sebesar 8,07%, yaitu meningkat sebesar 9,27% di tahun 2010, yaitu dari 18,64 juta ton pada tahun 2009 menjadi 20,37 juta ton tahun 2010 (Tabel 2.2). Selanjutnya pada tahun 2011 dan 2012 diperkirakan akan naik masing- masing menjadi 21,92 juta ton dan 23,52 juta ton. Pusat Data dan Informasi Pertanian 19
  • 43.
    2010 OUTLOOK KOMODITAS PERTANIAN - PERKEBUNAN Tabel 2.2. Proyeksi produksi minyak sawit Indonesia, 2009-2012 Tahun Produksi (Ton) Pertumbuhan (%) 20091) 18.640.881 2010 20.369.032 9,27 2011 21.916.549 7,60 2012 23.523.775 7,33 Rata-rata Pertumbuhan (%) 8,07 2010 – 2012 Keterangan : Tahun 20091) Angka Sementara dari Ditjen Perkebunan Tahun 2010 – 2012 Angka hasil proyeksi 2.8. PROYEKSI PERMINTAAN MINYAK SAWIT 2010 – 2012 Permintaan minyak sawit terdiri atas permintaan untuk ekspor dan penggunaan dalam negeri, dimana sebagian besar permintaan diperuntukkan bagi kepentingan ekspor. Selama periode tahun 1996 hingga 2009, total ekspor minyak sawit Indonesia mencapai sekitar 73% dari total produksi dan penggunaan dalam negeri minyak goreng berdasarkan data Neraca Bahan Makanan sekitar 17% dari total produksi. Berdasarkan kenyataan tersebut maka pemodelan permintaan minyak sawit dilakukan dengan menggunakan model deret waktu dari data volume ekspor dan penggunaan dalam negeri minyak goreng. Berdasarkan hasil penelusuran model dihasilkan model terbaik adalah tren kuadratik untuk peubah volume ekspor dan penggunaan minyak goreng. Dengan menggunakan model tersebut maka proyeksi permintaan total minyak sawit disajikan pada Tabel 2.3. Selama periode tahun 2010 – 2012, permintaan minyak sawit diproyeksikan akan naik sebesar 7,34%. Kenaikan ini lebih disebabkan oleh kenaikan volume ekspor sebesar 8,96%, sementara penggunaan dalam negeri turun sebesar 0,28%. Pada tahun 2010 total permintaan minyak sawit diproyeksikan 18,82 juta ton, kemudian naik menjadi 19,75 juta ton pada tahun 2011 dan 21,40 juta ton pada tahun 2012. 20 Pusat Data dan Informasi Pertanian
  • 44.
    OUTLOOK KOMODITAS PERTANIAN- PERKEBUNAN 2010 Tabel 2.3. Proyeksi volume ekspor minyak sawit dan penggunaan minyak goreng sawit dalam negeri di Indonesia, 2010 – 2012 Penggunaan Total Volume Ekspor minyak goreng Tahun Permintaan (Ton) sawit (Ton) (Ton) 2009*) 14.163.417 3.152.730 17.316.147 2010 15.490.990 3.327.800 18.818.790 2011 16.877.746 2.869.050 19.746.796 2012 18.323.684 3.081.260 21.404.944 Rata-rata Pertumbuhan 8,96 -0,28 7,34 (%) Keterangan: Tahun 2009*) : Angka Sementara Ditjen Perkebunan Tahun 2010 – 2012 : Angka hasil proyeksi 2.9. PROYEKSI SURPLUS/DEFISIT MINYAK SAWIT 2010 – 2012 Selama periode 2010 – 2012, surplus produksi minyak sawit diproyeksikan akan semakin besar yaitu dengan rata-rata pertumbuhan sebesar 18,81%. Pada tahun 2010, surplus produksi minyak sawit Indonesia mencapai 1,55 juta ton dan meningkat menjadi 2,17 juta ton pada tahun 2011, kemudian akan mengalami peningkatan kembali pada tahun 2012 menjadi 2,12 juta ton (Tabel 2.4). Surplus tersebut diduga digunakan dalam industri dalam negeri yang menggunakan bahan dari minyak sawit selain industri pembuatan minyak goreng. Tabel 2.4. Proyeksi surplus/defisit minyak sawit Indonesia, 2010-2012 Produksi Permintaan Surplus/Defisit Tahun (Ton) (Ton) (Ton) 2010 20.369.032 18.818.790 1.550.242 2011 21.916.549 19.746.796 2.169.753 2012 23.523.775 21.404.944 2.118.831 Rata-rata 18,81 Pertumbuhan (%) Pusat Data dan Informasi Pertanian 21
  • 45.
    2010 OUTLOOK KOMODITAS PERTANIAN - PERKEBUNAN Lampiran 2.1. Perkembangan luas areal kelapa sawit (palm oil) Indonesia menurut status pengusahaan, 1970 – 2009 PR 1) PBN 2) PBS 3) Nasional Tahun (Ha) Pertumb. (%) (Ha) Pertumb. (%) (Ha) Pertumb. (%) (Ha) Pertumb. (%) 1970 0 86,640 46,658 133,298 1971 0 91,153 5.21 47,950 2.77 139,103 4.35 1972 0 96,562 5.93 55,497 15.74 152,059 9.31 1973 0 98,033 1.52 59,747 7.66 157,780 3.76 1974 0 117,513 19.87 64,223 7.49 181,736 15.18 1975 0 120,940 2.92 67,885 5.70 188,825 3.90 1976 0 141,333 16.86 69,772 2.78 211,105 11.80 1977 0 148,775 5.27 71,626 2.66 220,401 4.40 1978 0 163,465 9.87 86,651 20.98 250,116 13.48 1979 3,125 176,408 7.92 81,406 -6.05 260,939 4.33 1980 6,175 97.60 199,538 13.11 88,847 9.14 294,560 12.88 1981 5,695 -7.77 213,264 6.88 100,008 12.56 318,967 8.29 1982 8,537 49.90 224,440 5.24 96,924 -3.08 329,901 3.43 1983 37,043 333.91 261,339 16.44 107,264 10.67 405,646 22.96 1984 40,552 9.47 340,511 30.29 130,958 22.09 512,021 26.22 1985 118,564 192.38 335,195 -1.56 143,603 9.66 597,362 16.67 1986 129,904 9.56 332,694 -0.75 144,182 0.40 606,780 1.58 1987 203,047 56.31 365,575 9.88 160,040 11.00 728,662 20.09 1988 196,279 -3.33 373,409 2.14 293,171 83.19 862,859 18.42 1989 223,832 14.04 366,028 -1.98 383,668 30.87 973,528 12.83 1990 291,338 30.16 372,246 1.70 463,093 20.70 1,126,677 15.73 1991 384,594 32.01 395,183 6.16 531,219 14.71 1,310,996 16.36 1992 439,468 14.27 389,761 -1.37 638,241 20.15 1,467,470 11.94 1993 502,332 14.30 380,746 -2.31 730,109 14.39 1,613,187 9.93 1994 572,544 13.98 386,309 1.46 845,296 15.78 1,804,149 11.84 1995 658,536 15.02 404,732 4.77 961,718 13.77 2,024,986 12.24 1996 738,887 12.20 426,804 5.45 1,083,823 12.70 2,249,514 11.09 1997 813,175 10.05 517,064 21.15 1,592,057 46.89 2,922,296 29.91 1998 890,506 9.51 556,640 7.65 2,113,050 32.72 3,560,196 21.83 1999 1,041,046 16.90 576,999 3.66 2,283,757 8.08 3,901,802 9.60 2000 1,166,758 12.08 588,125 1.93 2,403,194 5.23 4,158,077 6.57 2001 1,561,031 33.79 609,947 3.71 2,542,457 5.79 4,713,435 13.36 2002 1,808,424 15.85 631,566 3.54 2,627,068 3.33 5,067,058 7.50 2003 1,854,394 2.54 662,803 4.95 2,766,360 5.30 5,283,557 4.27 2004 2,220,338 19.73 605,865 -8.59 2,458,520 -11.13 5,284,723 0.02 2005 2,356,895 6.15 529,854 -12.55 2,567,068 4.42 5,453,817 3.20 2006 2,549,572 8.18 687,428 29.74 3,357,914 30.81 6,594,914 20.92 2007 2,752,172 7.95 606,248 -11.81 3,408,416 1.50 6,766,836 2.61 2008 2,881,898 4.71 602,963 -0.54 3,878,986 13.81 7,363,847 8.82 2009 *) 3,013,973 4.58 608,580 0.93 3,885,470 0.17 7,508,023 1.96 Rata-rata laju pertumbuhan (%) 1970-2009 *) 34.53 4.75 14.18 11.12 1970-1997 49.67 7.11 15.01 12.33 1998-2009 *) 11.83 1.89 8.34 8.39 Kontribusi luas areal terhadap nasional (%) 1970-2009 *) 34.24 15.95 49.81 100 1970-1997 24.38 34.14 41.49 100 1998-2009 *) 36.70 11.07 52.23 100 Sumber : Ditjen. Perkebunan 1) Keterangan: *) Angka Sementara PR = Perkebunan Rakyat 2) 3) PBN = Perkebunan Besar Negara PBS = Perkebunan Besar Swasta 22 Pusat Data dan Informasi Pertanian
  • 46.
    OUTLOOK KOMODITAS PERTANIAN- PERKEBUNAN 2010 Lampiran 2.2. Perkembangan produksi minyak sawit (crude palm oil/CPO) Indonesia menurut status pengusahaan, 1970 – 2009 PR 1) PBN 2) PBS 3) Nasional Tahun (Ton) Pertumb. (%) (Ton) Pertumb. (%) (Ton) Pertumb. (%) (Ton) Pertumb. (%) 1970 0 147,003 69,824 216,827 1971 0 170,304 15.85 79,653 14.08 249,957 15.28 1972 0 189,261 11.13 80,203 0.69 269,464 7.80 1973 0 207,448 9.61 82,229 2.53 289,677 7.50 1974 0 243,641 17.45 104,035 26.52 347,676 20.02 1975 0 271,171 11.30 126,082 21.19 397,253 14.26 1976 0 286,096 5.50 144,910 14.93 431,006 8.50 1977 0 336,891 17.75 120,716 -16.70 457,607 6.17 1978 0 336,224 -0.20 165,060 36.73 501,284 9.54 1979 760 438,756 30.50 201,724 22.21 641,240 27.92 1980 770 1.32 498,858 13.70 221,544 9.83 721,172 12.47 1981 1,045 35.71 533,399 6.92 265,616 19.89 800,060 10.94 1982 2,955 182.78 598,653 12.23 285,212 7.38 886,820 10.84 1983 3,454 16.89 710,431 18.67 269,102 -5.65 982,987 10.84 1984 4,031 16.71 814,015 14.58 329,144 22.31 1,147,190 16.70 1985 43,016 967.13 861,173 5.79 339,241 3.07 1,243,430 8.39 1986 53,504 24.38 912,306 5.94 384,919 13.46 1,350,729 8.63 1987 165,162 208.69 988,480 8.35 352,413 -8.44 1,506,055 11.50 1988 156,148 -5.46 1,102,692 11.55 454,495 28.97 1,713,335 13.76 1989 183,689 17.64 1,184,226 7.39 597,039 31.36 1,964,954 14.69 1990 376,950 105.21 1,247,156 5.31 788,506 32.07 2,412,612 22.78 1991 413,319 9.65 1,360,963 9.13 883,918 12.10 2,658,200 10.18 1992 699,605 69.27 1,489,745 9.46 1,076,900 21.83 3,266,250 22.87 1993 582,021 -16.81 1,469,156 -1.38 1,370,272 27.24 3,421,449 4.75 1994 839,334 44.21 1,571,501 6.97 1,597,227 16.56 4,008,062 17.15 1995 1,001,443 19.31 1,613,848 2.69 1,864,379 16.73 4,479,670 11.77 1996 1,135,547 13.39 1,706,852 5.76 2,058,259 10.40 4,900,658 9.40 1997 1,282,823 12.97 1,586,879 -7.03 2,578,806 25.29 5,448,508 11.18 1998 1,344,569 4.81 1,501,747 -5.36 3,084,099 19.59 5,930,415 8.84 1999 1,547,811 15.12 1,468,949 -2.18 3,438,830 11.50 6,455,590 8.86 2000 1,905,653 23.12 1,460,954 -0.54 5,633,901 63.83 9,000,508 39.42 2001 2,798,032 46.83 1,519,289 3.99 4,079,151 -27.60 8,396,472 -6.71 2002 3,426,740 22.47 1,607,734 5.82 4,589,871 12.52 9,624,345 14.62 2003 3,517,324 2.64 1,750,651 8.89 5,172,859 12.70 10,440,834 8.48 2004 3,847,157 9.38 1,617,706 -7.59 5,365,526 3.72 10,830,389 3.73 2005 4,500,769 16.99 1,449,254 -10.41 5,911,592 10.18 11,861,615 9.52 2006 5,783,088 28.49 2,313,729 59.65 9,254,031 56.54 17,350,848 46.28 2007 6,358,389 9.95 2,117,035 -8.50 9,189,301 -0.70 17,664,725 1.81 2008 6,923,042 8.88 1,938,134 -8.45 8,678,612 -5.56 17,539,788 -0.71 2009 *) 7,247,979 4.69 1,961,813 1.22 9,431,089 8.67 18,640,881 6.28 Rata-rata laju pertumbuhan (%) 1970-2009 *) 63.88 7.47 14.67 12.47 1970-1997 95.72 9.44 15.06 12.81 1998-2009 *) 16.11 3.04 13.78 11.70 Kontribusi produksi terhadap nasional (%) 1970-2009 *) 29.48 22.88 47.63 100.00 1970-1997 14.87 48.97 36.16 100.00 1998-2009 *) 34.23 14.41 51.36 100.00 Sumber : Ditjen. Perkebunan 1) Keterangan: *) Angka Sementara PR = Perkebunan Rakyat 2) 3) PBN = Perkebunan Besar Negara PBS = Perkebunan Besar Swasta Pusat Data dan Informasi Pertanian 23
  • 47.
    2010 OUTLOOK KOMODITAS PERTANIAN - PERKEBUNAN Lampiran 2.3. Provinsi sentra produksi kelapa sawit Indonesia, 2005 – 2009 Produksi (Ton) Share No Provinsi Share (%) kumulatif 2005 2006 2007 2008 2009 *) Rata-rata (%) 1 Riau 2,370,465 4,685,660 5,117,730 5,764,203 5,751,461 4,737,904 28.52 28.52 2 Sumatera Utara 2,511,587 3,244,922 3,083,389 2,738,279 3,179,507 2,951,537 17.77 46.29 3 Sumatera Selatan 1,439,974 1,616,161 1,809,949 1,753,212 1,841,242 1,692,108 10.19 56.48 4 Kalimantan Tengah 908,301 1,383,317 1,387,696 1,449,294 1,445,992 1,314,920 7.92 71.43 5 Jambi 930,265 1,281,636 1,194,354 1,203,430 1,233,538 1,168,645 7.04 63.51 6 Kalimantan Barat 761,963 1,050,450 1,005,100 845,409 851,603 902,905 5.44 76.86 7 Sumatera Barat 662,877 925,155 824,406 794,167 893,640 820,049 4.94 81.80 8 Lainnya 2,276,183 3,163,547 3,242,101 2,991,794 3,443,898 3,023,505 18.20 100.00 Indonesia 11,861,615 17,350,848 17,664,725 17,539,788 18,640,881 16,611,571 100.00 Sumber : Ditjen Perkebunan diolah Pusdatin Keterangan : *) Angka sementara Lampiran 2.4. Penggunaan dan ketersediaan untuk konsumsi minyak sawit Indonesia, 1990 – 2007 Diolah Bahan Total ketersediaan Jumlah Tercecer Tahun untuk non makanan penggunaan untuk konsumsi Penduduk (000 Ton) (Kg/kapita/th) (000 orang) 1990 1,055 1,055 5.92 178,170 1991 993 993 5.48 181,094 1992 1,334 1,334 7.23 184,491 1993 1,431 1,431 7.63 187,589 1994 1,517 1,517 7.96 190,538 1995 2,090 2,090 10.8 193,486 1996 16 2,150 2,166 10.92 196,807 1997 16 1,614 1,630 8.08 199,837 1998 2,262 2,262 11.15 202,873 1999 24 27 1,722 1,773 8.49 205,915 2000 30 35 2,209 2,274 10.73 208,489 2001 36 42 2,635 2,713 12.64 209,776 2002 32 37 2,309 2,378 10.94 211,063 2003 36 41 2,597 2,675 12.15 213,722 2004 27 31 1,969 2,027 9.1 216,415 2005 13 15 920 948 4.18 219,852 2006 13 45 2,819 2,877 12.65 222,747 2007*) 13 49 3,081 3,143 13.66 225,642 Rata-rata 23 36 1,928 1,960 9.43 Share (%) 1.19 1.83 98.36 100.00 Sumber : Neraca Bahan Makanan Indonesia, Badan Ketahanan Pangan-Departemen Pertanian Keterangan : *) Angka Sementara 24 Pusat Data dan Informasi Pertanian
  • 48.
    OUTLOOK KOMODITAS PERTANIAN- PERKEBUNAN 2010 Lampiran 2.5. Perkembangan harga produsen tandan buah segar dan minyak sawit (CPO) Indonesia, 2000 – 2008 Harga Harga Produsen Pertumbuhan Perdagangan Pertumbuhan Tahun TBS (Rp/Ton) (%) Besar Minyak (%) Sawit (Rp/Ton) 2000 349,879 3,217,150 2001 295,333 -15.59 3,242,250 0.78 2002 385,875 30.66 4,212,690 29.93 2003 488,417 26.57 4,267,930 1.31 2004 573,127 17.34 4,584,302 7.41 2005 499,201 -12.90 4,825,600 5.26 2006 551,186 10.41 4,701,113 -2.58 2007 889,771 61.43 7,361,021 56.58 2008 1,180,705 32.70 7,783,393 5.74 Rata-rata dan laju pertumbuhan (%) 2000-2008 579,277 18.83 4,910,605 13.05 Sumber : BPS dan Direktorat Jenderal Perkebunan, diolah Pusdatin Pusat Data dan Informasi Pertanian 25
  • 49.
    2010 OUTLOOK KOMODITAS PERTANIAN - PERKEBUNAN Lampiran 2.6. Perkembangan ekspor – impor, neraca perdagangan serta harga minyak sawit Indonesia, 1996 – 2009 Ekspor Impor Neraca Harga (US$/ton) Selisih Tahun Volume Nilai Volume Nilai Nilai (US$/ton) Ekspor Impor ( Ton) (000 US$) ( Ton) (000 US$) (000 US$) 1996 2,619,318 1,121,838 115,975 72,198 1,049,640 428 623 -194.24 1997 4,138,780 1,784,322 86,087 59,780 1,724,542 431 694 -263.29 1998 2,512,631 969,985 18,029 11,704 958,281 386 649 -263.13 1999 4,729,849 1,497,160 11,879 1,858 1,495,302 317 156 160.12 2000 5,519,500 1,357,628 7,448 4,531 1,353,097 246 608 -362.38 2001 6,297,107 1,250,995 5,223 2,626 1,248,369 199 503 -304.11 2002 7,894,074 2,388,032 11,912 4,702 2,383,330 303 395 -92.22 2003 7,821,443 2,764,474 5,613 3,778 2,760,696 353 673 -319.63 2004 10,967,882 4,030,764 8,459 6,772 4,023,992 368 801 -433.06 2005 13,131,029 4,430,921 13,945 11,947 4,418,974 337 857 -519.28 2006 15,386,946 5,551,160 17,100 11,088 5,540,072 361 648 -287.65 2007 15,200,733 9,078,283 4,662 7,038 9,071,245 597 1,510 -912.43 2008 18,141,004 14,110,229 11,721 13,106 14,097,123 778 1,118 -340.29 2009 21,669,489 11,728,840 24,273 16,522 11,712,318 541 681 -139.43 Rata-rata laju pertumbuhan (%) 1996-2009 21.30 26.18 14.85 15.67 26.81 5.22 24.55 1996-2003 23.17 22.46 (18.70) (2.93) 23.63 (0.03) 35.68 2004-2009 14.90 27.46 54.65 29.00 27.48 12.82 10.09 Sumber : BPS diolah Pusdatin Keterangan : Angka negatif pada selisih berarti harga impor lebih tinggi dibandingkan harga ekspor 26 Pusat Data dan Informasi Pertanian
  • 50.
    OUTLOOK KOMODITAS PERTANIAN- PERKEBUNAN 2010 Lampiran 2.7. Perkembangan luas tanaman menghasilkan, yield dan produksi kelapa sawit dunia, 1961 - 2008 Luas TM Produktivitas Produksi Tahun (Ha) Pertumb. (%) (Ton/Ha) Pertumb. (%) (Ton) Pertumb. (%) 1961 3,621,037 3.77 13,636,250 1962 3,422,412 -5.49 3.87 2.77 13,245,466 -2.87 1963 3,517,630 2.78 3.86 -0.25 13,579,681 2.52 1964 3,540,825 0.66 3.84 -0.58 13,589,323 0.07 1965 3,617,385 2.16 3.81 -0.66 13,791,506 1.49 1966 3,523,670 -2.59 3.89 1.92 13,691,499 -0.73 1967 3,081,995 -12.53 4.27 9.77 13,145,568 -3.99 1968 3,185,274 3.35 4.42 3.60 14,074,539 7.07 1969 3,295,732 3.47 4.48 1.43 14,770,861 4.95 1970 3,263,027 -0.99 4.64 3.44 15,127,942 2.42 1971 3,311,979 1.50 4.93 6.28 16,318,727 7.87 1972 3,210,852 -3.05 5.19 5.40 16,674,448 2.18 1973 3,263,026 1.62 5.31 2.21 17,320,637 3.88 1974 3,498,230 7.21 5.57 5.00 19,498,488 12.57 1975 3,535,854 1.08 5.93 6.31 20,952,218 7.46 1976 3,593,114 1.62 5.91 -0.18 21,252,831 1.43 1977 3,722,319 3.60 5.99 1.20 22,281,025 4.84 1978 3,718,311 -0.11 6.67 11.42 24,798,566 11.30 1979 4,155,088 11.75 6.57 -1.43 27,316,222 10.15 1980 4,276,828 2.93 6.98 6.20 29,858,675 9.31 1981 4,077,535 -4.66 7.60 8.90 31,000,047 3.82 1982 4,190,963 2.78 8.53 12.22 35,756,699 15.34 1983 4,225,265 0.82 7.88 -7.64 33,295,322 -6.88 1984 4,668,824 10.50 8.65 9.81 40,399,328 21.34 1985 4,898,899 4.93 8.82 1.97 43,223,956 6.99 1986 5,146,653 5.06 9.12 3.32 46,917,489 8.55 1987 5,301,514 3.01 9.07 -0.49 48,090,189 2.50 1988 5,567,146 5.01 9.51 4.86 52,956,114 10.12 1989 5,827,284 4.67 10.10 6.18 58,856,609 11.14 1990 6,085,211 4.43 10.01 -0.91 60,902,077 3.48 1991 6,469,739 6.32 9.78 -2.26 63,287,310 3.92 1992 6,788,751 4.93 9.85 0.72 66,886,584 5.69 1993 7,149,830 5.32 10.99 11.55 78,581,976 17.49 1994 7,505,871 4.98 10.82 -1.55 81,215,495 3.35 1995 7,957,565 6.02 11.07 2.33 88,106,230 8.48 1996 8,383,285 5.35 11.10 0.28 93,083,525 5.65 1997 8,686,011 3.61 11.42 2.88 99,226,963 6.60 1998 9,015,419 3.79 10.94 -4.24 98,618,825 -0.61 1999 9,345,985 3.67 12.24 11.88 114,385,331 15.99 2000 9,962,994 6.60 12.09 -1.23 120,440,185 5.29 2001 10,536,037 5.75 12.22 1.05 128,710,851 6.87 2002 11,263,471 6.90 12.02 -1.60 135,395,160 5.19 2003 11,641,788 3.36 12.88 7.19 150,000,849 10.79 2004 12,265,017 5.35 13.31 3.30 163,239,840 8.83 2005 12,872,827 4.96 14.13 6.19 181,941,422 11.46 2006 13,247,130 2.91 14.72 4.12 194,952,684 7.15 2007 13,863,026 4.65 13.89 -5.64 192,503,168 -1.26 2008 14,585,811 5.21 14.08 1.39 205,361,525 6.68 Rata-rata pertumbuhan (%) 1961-2008 3.09 2.95 6.08 Keterangan : *) Produksi Tandan Buah Segar (TBS) Sumber : FAO, diolah Pusdatin Pusat Data dan Informasi Pertanian 27
  • 51.
    2010 OUTLOOK KOMODITAS PERTANIAN - PERKEBUNAN Lampiran 2.8. Negara dengan luas tanaman menghasilkan kelapa sawit terbesar di dunia, 2004 – 2008 Luas Tanaman Menghasilkan (000 Ha) Kumulatif No Negara Share (%) 2004 2005 2006 2007 2008 Rata-rata Share (%) 1 Indonesia 3,823 4,055 4,961 4,881 5,122 4,568 34.18 34.18 2 Malaysia 3,402 3,552 3,678 3,741 3,900 3,655 27.34 61.52 3 Nigeria 3,320 3,350 3,075 3,150 3,200 3,219 24.08 85.60 4 Thailand 309 324 380 435 450 380 2.84 88.44 5 Ghana 318 325 333 300 300 315 2.36 90.80 6 Guinea 310 310 310 310 310 310 2.32 93.12 7 Lainnya 783 957 511 1,046 1,304 920 6.88 100.00 Dunia 12,265 12,873 13,247 13,863 14,586 13,367 100.00 Sumber: FAO, diolah Pusdatin Lampiran 2.9. Negara produsen kelapa sawit terbesar dunia, 2004 - 2008 Produksi TBS (000 Ton) Share No Negara Share (%) 2004 2005 2006 2007 2008 Rata-rata Kumulatif (%) 1 Malaysia 69,881 74,800 79,400 79,100 83,000 77,236 41.17 41.17 2 Indonesia 60,426 74,000 80,250 78,000 85,000 75,535 40.26 81.43 3 Nigeria 8,700 8,500 8,300 8,500 8,500 8,500 4.53 85.97 4 Thailand 5,182 5,003 6,715 6,390 7,873 6,232 3.32 89.29 5 Colombia 3,107 3,273 3,200 3,200 3,200 3,196 1.70 90.99 6 Negara Lainnya 15,945 16,366 17,088 17,313 17,789 16,900 9.01 100.00 Dunia 163,240 181,941 194,953 192,503 205,362 187,600 100.00 Sumber: FAO, diolah Pusdatin 28 Pusat Data dan Informasi Pertanian
  • 52.
    OUTLOOK KOMODITAS PERTANIAN- PERKEBUNAN 2010 Lampiran 2.10. Negara eksportir minyak sawit terbesar dunia, 2003 - 2007 Volume Ekspor (Ton) Kumulatif No Negara Share (%) 2003 2004 2005 2006 2007 Rata-rata share (%) 1 Malaysia 12,079,129 11,793,588 13,192,535 14,202,672 13,011,131 12,855,811 50.46 50.46 2 Indonesia 6,386,410 8,661,647 10,376,190 12,100,922 8,875,419 9,280,118 36.42 86.88 3 Netherlands 533,618 624,865 698,843 1,027,438 1,251,807 827,314 3.25 90.12 4 Papua New Guinea 326900 339000 295200 362300 368300 338,340 1.33 91.45 5 Negara Lainnya 1,761,434 2,132,813 2,201,748 2,257,858 2,536,489 2,178,068 8.55 100.00 Dunia 21,087,491 23,551,913 26,764,516 29,951,190 26,043,146 25,479,651 100.00 Sumber: FAO diolah Pusdatin Lampiran 2.11. Negara importir minyak sawit terbesar dunia, 2003 - 2007 Volume Impor (Ton) Share Share No Negara Rata-rata kumulatif 2003 2004 2005 2006 2007 (%) (%) 1 China 3,422,999 3,980,868 4,468,210 5,220,161 5,223,369 4,463,121 17.62 17.62 2 India 4,026,436 3,472,518 2,449,184 2,766,382 3,514,900 3,245,884 12.81 30.44 3 Pakistan 1,210,881 1,279,966 1,531,194 1,663,231 1,710,437 1,479,142 5.84 36.28 4 Netherlands 1,076,643 1,378,826 1,721,369 1,832,217 1,237,817 1,449,374 5.72 42.00 5 Bangladesh 498,100 644,400 608,379 1,507,124 1,728,006 997,202 3.94 52.09 6 Germany 636,565 821,987 949,792 963,886 1,076,393 889,725 3.51 45.51 7 United Kingdom 782,188 706,083 668,841 692,513 491,944 668,314 2.64 48.15 8 Malaysia 367,999 822,154 486,338 779,037 435,845 578,275 2.28 54.37 9 Negara Lainnya 8,441,697 10,201,285 11,905,899 14,120,960 13,120,494 11,558,067 45.63 100.00 Dunia 20,463,508 23,308,087 24,789,206 29,545,511 28,539,205 25,329,103 100.00 Sumber: FAO diolah Pusdatin Pusat Data dan Informasi Pertanian 29
  • 53.
    OUTLOOK KOMODITAS PERTANIAN- PERKEBUNAN 2010 BAB III. KELAPA Kelapa (Cocos nucifera) merupakan tanaman perkebunan/industri berupa pohon batang lurus dari famili Palmae. Kelapa ini banyak terdapat di negara- negara Asia yang menghasilkan 52.127.000 ton (85,32%) produksi dunia dalam bentuk kelapa segar dengan luas ± 9.361.000 ha (2008). Indonesia merupakan negara penghasil kelapa terluas dunia pada urutan ke-2 menurut data rata-rata FAO 2004-2008 yang tersebar di Riau, Sulut, Jatim, Jateng, Jabar, Sulteng, Sulsel, Lampung, Jambi dan Maluku, tapi produksinya paling tinggi di dunia yaitu sebesar 18,16 juta ton. Kelapa dijuluki pohon kehidupan, karena setiap bagian tanaman dapat dimanfaatkan seperti berikut: (1) sabut: coir fiber, keset, sapu, matras, bahan pembuat spring bed; (2) tempurung: charcoal, carbon aktif dan kerajinan tangan; (3)daging buah: kopra, minyak kelapa, coconut cream, santan, kelapa parutan kering(desiccated coconut); (4) air kelapa: cuka, Nata de Coco; (5) batang kelapa: bahan bangunan untuk kerangka atau atap; (6) daun kelapa: Lidi untuk sapu, barang anyaman (dekorasi pesta atau Mayang); (7) nira kelapa: gula merah (Anonim, 2007). Bahkan dengan perkembangan teknologi saat ini, pohon kelapa bisa digunakan sebagai bahan tenaga listrik. Hasil penelitian menunjukkan bahwa penggunaan minyak kelapa mampu menghasilkan daya listrik sebesar 1 megawatt. Betapa luar biasa hal tersebut. Dari daya sebesar itu, listrik tersebut bisa di distribusikan pada kurang lebih 100 rumah dengan kapasitas pemakaian 3 lampu, televisi dan satu atau dua peralatan elektronik lainnya. Hal ini merupakan penemuan hebat pada dewasa ini (Jaliouz, 2009). Alasan utama yang membuat kelapa menjadi komoditi komersial adalah karena semua bagian kelapa dapat dimanfaatkan untuk berbagai keperluan. Dari analisis budidaya terlihat bahwa investasi yang besar dapat menguntungkan hanya dalam waktu kurang dari 6 tahun, belum termasuk keuntungan lain yang Pusat Data dan Informasi Pertanian 31
  • 54.
    2010 OUTLOOK KOMODITAS PERTANIAN - PERKEBUNAN didapat selain dari buah. Oleh karena itu, budidaya tanaman kelapa merupakan salah satu alternatif yang sangat menguntungkan (Anonim, 2007). Untuk mengetahui perkembangan komoditas kelapa dan prospeknya, berikut ini disajikan keragaan komoditas kelapa serta proyeksi penawaran dan permintaannya untuk beberapa tahun ke depan. 3.1. PERKEMBANGAN LUAS AREAL, PRODUKSI DAN PRODUKTIVITAS KELAPA INDONESIA Pada periode tahun 1970-2009 luas areal perkebunan kelapa di Indonesia menunjukkan pola peningkatan yang cukup konsisten (Gambar 3.1). Pola perkembangan luas areal kelapa Indonesia menyerupai pola perkembangan luas areal perkebunan kelapa rakyat karena sekitar 98% areal pertanaman kelapa diusahakan oleh rakyat (PR) sedangkan sisanya diusahakan oleh perkebunan besar negara (PBN) dan perkebunan besar swasta (PBS). Pada kurun waktu tersebut rata-rata pertumbuhan luas areal kelapa di Indonesia sebesar 1,95% per tahun. Peningkatan luas areal kelapa yang cukup tinggi umumnya terjadi sebelum tahun 1997 (sebelum terjadinya krisis moneter), dengan rata-rata pertumbuhan sebesar 2,68% per tahun. Setelah tahun tersebut luas areal kelapa masih meningkat tetapi lebih lambat, yaitu rata-rata sebesar 0,33% per tahun (Tabel 3.1). Gambar 3.1. Perkembangan luas areal kelapa di Indonesia menurut status pengusahaan, 1970-2009*) 32 Pusat Data dan Informasi Pertanian
  • 55.
    OUTLOOK KOMODITAS PERTANIAN- PERKEBUNAN 2010 Berdasarkan jenis pengusahaannya, perkembangan luas areal kelapa PR juga lebih stabil dibandingkan luas areal kelapa yang diusahakan oleh PBN dan PBS. Pada tahun 1970-1997 pertumbuhan luas areal kelapa PR rata-rata sebesar 2,58% per tahun, PBN sebesar 7,06% per tahun dan PBS sebesar 15,68% per tahun. Setelah tahun 1997 pertumbuhan luas areal kelapa PR melambat menjadi sebesar 0,47% per tahun, sedangkan luas areal kelapa PBN dan PBS turun masing-masing sebesar 13,34% per tahun dan 1,35% per tahun. Perkembangan luas areal kelapa di Indonesia menurut jenis pengusahaannya secara rinci disajikan dalam Lampiran 3.1. Tabel 3.1. Rata-rata laju pertumbuhan dan kontribusi luas areal dan produksi kelapa di Indonesia, 1970 – 2009*) Luas Areal Produksi Tahun PR1) PBN2) PBS3) Total PR 1) PBN2) PBS3) Total Pertumbuhan (%) 1970-2009 1.93 0.78 10.44 1.95 2.61 10.14 18.00 2.66 1970-1997 2.58 7.06 15.68 2.68 3.02 19.31 24.07 3.13 1998-2009 0.47 -13.34 -1.35 0.33 1.68 -10.47 4.32 1.59 Kontribusi (%) 1970-2009 97.69 0.46 1.84 100.00 98.09 0.37 1.55 100.00 1970-1997 97.62 0.60 1.79 100.00 98.51 0.47 1.02 100.00 1998-2009 97.83 0.23 1.94 100.00 97.48 0.21 2.31 100.00 Sumber: Ditjen Perkebunan, diolah Pusdatin 1) 2) 3) Keterangan : Perkebunan Rakyat Perkebunan Besar Negara Perkebunan Besar Swasta Tahun 2009 : Angka Sementara Pada periode tahun 1970-2009 sebagian besar luas areal perkebunan kelapa di Indonesia dikuasai oleh PR dengan persentase mencapai 98,09% dari total luas areal kelapa di Indonesia (Tabel 3.1). Pertumbuhan luas areal perkebunan kelapa rakyat setelah tahun 1997 cenderung melambat, tetapi kontribusinya Pusat Data dan Informasi Pertanian 33
  • 56.
    2010 OUTLOOK KOMODITAS PERTANIAN - PERKEBUNAN menunjukkan sedikit kenaikan dibandingkan periode sebelumnya, karena luas areal kelapa PBN mengalami penurunan. Perkembangan produksi kelapa (dalam bentuk “kopra”) di Indonesia pada periode 1970-2009 menunjukkan kecenderungan meningkat (Gambar 3.2). Berdasarkan status pengusahaan, produksi kelapa Indonesia didominasi oleh kelapa hasil PR, sehingga pola perkembangan produksi kelapa Indonesia serupa dengan pola perkembangan produksi kelapa PR. Produksi kelapa Indonesia pada tahun 1970 sebesar 1,2 juta ton, kemudian meningkat menjadi 3,25 juta ton pada tahun 2009 atau rata-rata meningkat sebesar 2,66% per tahun (Tabel 3.1). Pada periode yang sama produksi kelapa PR rata-rata mengalami peningkatan 2,61% per tahun dengan kontribusi sebesar 98,09% terhadap total produksi kelapa Indonesia. Sementara itu PBN dan PBS masing-masing memberikan kontribusi sebesar 0,37% dan 1,55%. Secara rinci perkembangan produksi kelapa disajikan pada Lampiran 3.2. (000 Ha) 5.000 4.000 3.000 2.000 1.000 0 2009*) 1970 1973 1976 1979 1982 1985 1988 1991 1994 1997 2000 2003 2006 PR PBN PBS Indonesia Gambar 3.2. Perkembangan produksi kelapa di Indonesia, 1970-2009 Berdasarkan data rata-rata produksi kelapa Indonesia lima tahun terakhir (2005-2009), sentra produksi kelapa Indonesia terdapat di 11 provinsi dengan kontribusi kumulatif mencapai 70,16%. Provinsi sentra produksi kelapa terbesar di Indonesia adalah Riau yang memberikan kontribusi rata-rata sebesar 17,05% atau sebesar 542,37 ribu ton, diikuti oleh Sulawesi Utara, Jawa Timur dan Maluku 34 Pusat Data dan Informasi Pertanian
  • 57.
    OUTLOOK KOMODITAS PERTANIAN- PERKEBUNAN 2010 Utara dengan kontribusi masing-masing sebesar 8,44%, 7,49% dan 7,08%. Provinsi- provinsi lainnya rata-rata memberikan kontribusi kurang dari 7% (Gambar 3.3). Provinsi sentra produksi kelapa di Indonesia dan kontribusinya disajikan secara rinci pada Lampiran 3.3. 29,84 2,93 3,02 17,05 3,68 3,71 4,62 8,44 5,62 6,54 7,49 7,08 Riau Sulut Jatim Malut Sulteng Jateng Jabar Lampung Jambi Sumut Sulsel Lainnya Gambar 3.3. Kontribusi sentra produksi kelapa di Indonesia, 2005-2009*) (Ton/Ha) 1,18 1,17 1,16 1,16 1,14 1,14 1,12 1,12 1,11 1,10 1,09 1,08 1,06 1,04 1,02 2004 2005 2006 2007 2008 2009*) Gambar 3.4. Perkembangan produktivitas kelapa di Indonesia, 2004-2009 Perkembangan produktivitas kelapa di Indonesia (dalam bentuk “kopra”) selama tahun 2004-2009 secara umum berfluktuasi (Gambar 3.4). Pada tahun 2004 produktivitas kelapa Indonesia sebesar 1,09 ton/ha, naik menjadi 1,17 ton/ha pada tahun 2008 tetapi kemudian turun kembali menjadi 1,16 ton/ha Pusat Data dan Informasi Pertanian 35
  • 58.
    2010 OUTLOOK KOMODITAS PERTANIAN - PERKEBUNAN pada tahun 2009. Rata-rata produktivitas kelapa pada kurun waktu 2004-2009 sebesar 1,13 ton/ha dengan laju pertumbuhan sebesar 1,22% (Tabel 3.2). Tabel 3.2. Perkembangan produktivitas kelapa di Indonesia menurut status pengusahaan, 2004-2009 Produktivitas (Ton/Ha) Tahun Pertumb. Pertumb. Pertumb. Pertumb. PR PBN PBS Indonesia (%) (%) (%) (%) 2004 1.09 1.11 1.03 1.09 2005 1.11 1.34 0.84 -23.85 1.36 31.92 1.11 1.09 2006 1.12 0.58 0.67 -21.08 1.02 -24.66 1.12 1.27 2007 1.14 2.35 0.79 18.21 1.34 30.83 1.14 2.30 2008 1.16 1.98 1.47 86.68 1.45 8.26 1.17 2.10 2009*) 1.16 -0.68 1.47 0.16 1.48 2.40 1.16 -0.63 Rata-rata 1.13 1.11 1.06 12.02 1.28 9.75 1.13 1.22 Sumber: Ditjen Perkebunan, diolah Pusdatin 1) 2) 3) Keterangan : Perkebunan Rakyat Perkebunan Besar Negara Perkebunan Besar Swasta Tahun 2009 : Angka Sementara Dari sisi status pengusahaannya, produktivitas kelapa PR relatif lebih stabil dan lebih tinggi dibandingkan produktivitas kelapa PBN. Produktivitas kelapa Indonesia terbaik ada di jenis pengusahaan PBS dengan rata-rata produktivitas sebesar 1,28 ton/ha. Hal ini menunjukkan bahwa sebenarnya produksi kelapa dalam negeri masih dapat ditingkatkan dengan upaya budidaya yang lebih intensif. 3.2. PERKEMBANGAN KONSUMSI KELAPA DI INDONESIA Konsumsi kelapa di Indonesia dihitung dalam bentuk kelapa butiran dan minyak kelapa. Berdasarkan hasil Survei Sosial Ekonomi Nasional (SUSENAS), pada periode tahun 1981-2008 terjadi penurunan konsumsi kelapa baik dalam bentuk kelapa butiran maupun minyak kelapa (Gambar 3.5). 36 Pusat Data dan Informasi Pertanian
  • 59.
    OUTLOOK KOMODITAS PERTANIAN- PERKEBUNAN 2010 Selama periode tersebut konsumsi kelapa butiran mengalami penurunan rata-rata sebesar 1,96% per tahun. Jika tahun 1981 konsumsi kelapa butiran mencapai 16 butir per kapita, maka pada tahun 2007 turun menjadi 10 butir per kapita (Lampiran 3.4). Konsumsi kelapa butiran terendah terjadi pada tahun 1999 sebesar 9 butir per kapita. Sementara itu konsumsi minyak kelapa per kapita juga turun dari 4,00 liter pada tahun 1981 menjadi 2,24 liter pada tahun 2008. Rata- rata penurunan konsumsi minyak kelapa mencapai 3,19% per tahun. Penurunan konsumsi minyak kelapa ini dimungkinkan dengan berkembangnya kebun kelapa sawit sehingga produk minyak goreng lebih banyak menggunakan bahan baku dari kelapa sawit. (Per Kapita/ Minggu) 0,40 0,35 0,30 0,25 0,20 0,15 0,10 0,05 0,00 1981 1987 1993 1999 2003 2005 2007 Kelapa (Butir) M. Kelapa (Liter) Gambar 3.5. Perkembangan konsumsi kelapa butiran dan minyak kelapa di Indonesia, 1981-2008 Dari hasil perhitungan Neraca Bahan Makanan (NBM) periode tahun 1990- 2007, ketersediaan kelapa di Indonesia berdasarkan total penggunaan kelapa dalam bentuk kopra menjadi minyak goreng cenderung berfluktuasi (Gambar 3.6). Total penggunaan kelapa (kopra) tertinggi terjadi pada tahun 1992 sebesar 705 ribu ton, sedangkan total penggunaan kelapa terendah terjadi saat awal krisis ekonomi tahun 1997 sebesar 85 ribu ton. Kelapa tersebut sebagian besar digunakan sebagai bahan makanan (97,44%), sedangkan sisanya digunakan dalam Pusat Data dan Informasi Pertanian 37
  • 60.
    2010 OUTLOOK KOMODITAS PERTANIAN - PERKEBUNAN industri pengolahan (1,86%) dan tercecer (0,70%). Penggunaan dan ketersediaan kelapa (kopra) di Indonesia disajikan pada Lampiran 3.5. (000 Ton) 800 700 600 500 400 300 200 100 0 1990 1991 1992 1993 1994 1995 1996 1997 1998 1999 2000 2001 2002 2003 2004 2005 2006 2007*) Gambar 3.6. Perkembangan total penggunaan kelapa (kopra) di Indonesia, 1990-2007*) 3.3. PERKEMBANGAN HARGA KELAPA DI INDONESIA Secara umum perkembangan harga kelapa di tingkat produsen dan konsumen di Indonesia tahun 1983-2008 mempunyai kecenderungan meningkat (Gambar 3.7). Pada tahun 1983-1997 rata-rata kenaikan harga kelapa di tingkat produsen mencapai 9,70% per tahun, namun kenaikan harga di tingkat konsumen lebih lambat, yaitu rata-rata mencapai 8,45% per tahun (Lampiran 3.6). Lonjakan harga kelapa sangat signifikan terjadi pada awal krisis moneter (1998), baik untuk harga di tingkat produsen maupun konsumen. Setelah tahun 1998 rata-rata kenaikan harga kelapa di tingkat konsumen lebih tinggi dibandingkan kenaikan harga di tingkat produsen. Rata-rata kenaikan harga kelapa di tingkat konsumen tahun 1998-2008 sebesar 26,70% per tahun, sedangkan di tingkat produsen sebesar 22,23% per tahun. Hal ini mengakibatkan disparitas harga produsen dan harga konsumen semakin lebar. Harga kelapa tahun 2008 di tingkat konsumen sebesar Rp 2.246,- per butir dan di tingkat produsen sebesar Rp 1.613,- per butir 38 Pusat Data dan Informasi Pertanian
  • 61.
    OUTLOOK KOMODITAS PERTANIAN- PERKEBUNAN 2010 sehingga disparitas meningkat hingga Rp. 633,33,- per butir. Secara rinci perkembangan harga kelapa di Indonesia disajikan pada Lampiran 3.6. (Rp/Butir) 2.500,00 2.000,00 1.500,00 1.000,00 500,00 0,00 1983 1985 1987 1989 1991 1993 1995 1997 1999 2001 2003 2005 2007 Produsen Konsumen Gambar 3.7. Perkembangan harga kelapa di tingkat produsen dan konsumen di Indonesia, 1983-2008 3.4. PERKEMBANGAN EKSPOR-IMPOR KELAPA INDONESIA Perkembangan ekspor kelapa Indonesia selama periode tahun 2000-2009 cenderung berfluktuasi (Gambar 3.8). Pada tahun 2000 volume ekspor kelapa Indonesia mencapai 1,27 juta ton atau setara dengan US$ 393,63 juta, namun mengalami penurunan cukup drastis hingga 40,50% pada tahun 2001. Ekspor kelapa Indonesia tertinggi terjadi pada tahun 2007 dengan volume sebesar 1,26 juta ton dan nilai sebesar US$ 674,32 juta. Meskipun volume sedikit menurun dari tahun sebelumnya, yakni sebesar 1,08 juta ton pada tahun 2008, namun nilainya lebih tinggi yaitu sebesar US$ 900,92 juta (Lampiran 3.7). Sementara itu, impor kelapa Indonesia secara absolut jauh lebih kecil dibandingkan ekspornya dan cenderung berfluktuasi (Gambar 3.9). Pada tahun 2000 volume impor kelapa Indonesia hanya sebesar 620 ton senilai US$ 948 ribu, meningkat menjadi 3.868 ton pada tahun 2009 dengan nilai impor sebesar US$ 2,30 juta. Volume impor tertinggi dicapai pada tahun 2006 sebesar 13.220 ton senilai US$ 6,37 juta. Pusat Data dan Informasi Pertanian 39
  • 62.
    2010 OUTLOOK KOMODITAS PERTANIAN - PERKEBUNAN Neraca perdagangan komoditas kelapa Indonesia selama tahun 2000-2009 menunjukkan posisi surplus, yang terus mengalami peningkatan sebesar 19,26% per tahun. Surplus neraca perdagangan kelapa Indonesia terbesar terjadi pada tahun 2008 sebesar US$ 899,24 juta (Lampiran 3.7). Gambar 3.8. Perkembangan volume ekspor kelapa Indonesia, 2000-2009 Gambar 3.9. Perkembangan volume impor kelapa Indonesia, 2000-2009 40 Pusat Data dan Informasi Pertanian
  • 63.
    OUTLOOK KOMODITAS PERTANIAN- PERKEBUNAN 2010 3.5. PERKEMBANGAN LUAS TANAMAN MENGHASILKAN, PRODUKSI DAN PRODUKTIVITAS KELAPA DUNIA Perkembangan luas tanaman menghasilkan kelapa dunia pada tahun 1970- 2008 secara umum menunjukkan peningkatan (Gambar 3.10). Meskipun terjadi penurunan luas pada tahun-tahun tertentu, dalam periode tersebut luas tanaman menghasilkan kelapa rata-rata meningkat sebesar 1,39% per tahun. Pada tahun 1970 total luas tanaman menghasilkan kelapa di dunia sebesar 6,69 juta ha dan pada tahun 2008 telah terjadi peningkatan menjadi 11,21 juta ha. Luas tanaman menghasilkan tertinggi dicapai pada tahun 1999 sebesar 11,49 juta ha. Pada tahun 2000 terjadi penurunan luas tanaman menghasilkan kelapa sebesar 7,82%, setelah tahun tersebut luas tanaman menghasilkan kelapa cenderung lebih stabil dan tidak mengalami banyak perubahan. Secara rinci perkembangan luas tanaman menghasilkan kelapa disajikan pada Lampiran 3.8. Gambar 3.10. Perkembangan luas tanaman menghasilkan kelapa dunia, 1970-2008 Sejalan dengan perkembangan luas tanaman menghasilkan, perkembangan produksi kelapa dunia (dalam bentuk “kelapa segar”) selama tahun 1970-2008 juga menunjukkan kecenderungan meningkat tetapi lebih berfluktuasi (Gambar 3.11). Pada periode tersebut terjadi peningkatan produksi kelapa dunia rata-rata Pusat Data dan Informasi Pertanian 41
  • 64.
    2010 OUTLOOK KOMODITAS PERTANIAN - PERKEBUNAN sebesar 2,37% per tahun. Jika pada tahun 1970 produksi kelapa dunia sebesar 26,32 juta ton maka tahun 2008 telah mencapai 61,09 juta ton. Total produksi kelapa dunia tertinggi dicapai tahun 2008, yaitu sebesar 61,09 juta ton. Perkembangan produksi kelapa di dunia secara rinci disajikan pada Lampiran 3.8. Gambar 3.11. Perkembangan produksi kelapa dunia, 1970-2008 Gambar 3.12. Negara-negara produsen kelapa terbesar di dunia, (rata-rata 2004-2008) Negara produsen kelapa tertinggi di dunia (bentuk ‘kelapa segar’) berdasarkan data rata-rata lima tahun terakhir (tahun 2004-2008), didominasi 42 Pusat Data dan Informasi Pertanian
  • 65.
    OUTLOOK KOMODITAS PERTANIAN- PERKEBUNAN 2010 oleh Indonesia, Philipina dan India. Ketiga negara produsen kelapa tersebut memberikan kontribusi sebesar 73,53% terhadap total produksi kelapa dunia. Indonesia menduduki peringkat pertama dengan rata-rata produksi tahun 2004- 2008 sebesar 18,16 juta ton per tahun atau memberikan kontribusi sebesar 31,15% terhadap total produksi kelapa dunia (Gambar 3.12). Philipina dengan kontribusi sebesar 25,50 % berada di peringkat kedua, diikuti oleh India dengan kontribusi sebesar 16,88%. Negara-negara produsen kelapa lainnya mempunyai rata-rata kontribusi kurang dari 6% per tahun. Beberapa negara produsen kelapa terbesar di dunia disajikan pada Lampiran 3.9. Perkembangan produktivitas kelapa (dalam bentuk “kelapa segar”) selama periode tahun 1970-2008 menunjukan pola berfluktuasi cenderung meningkat (Gambar 3.13). Laju pertumbuhan produktivitas kelapa dunia pada periode tersebut sebesar 1,00% per tahun dimana produktivitas kelapa tertinggi berhasil dicapai pada tahun 2008 sebesar 5,45 ton/ha (Lampiran 3.8). (Ton/Ha) 6,00 5,50 5,00 4,50 4,00 3,50 3,00 1970 1972 1974 1976 1978 1980 1982 1984 1986 1988 1990 1992 1994 1996 1998 2000 2002 2004 2006 2008 Gambar 3.13. Perkembangan produktivitas kelapa dunia, 1970-2008 Menurut FAO, terdapat empat negara dengan tingkat produktivitas kelapa rata-rata terbesar di dunia, yaitu Peru, Puerto Rico, El Salvador dan Brazil. Keempat negara tersebut mempunyai tingkat produktivitas kelapa lebih dari 10 ton/ha. Peru berada di peringkat pertama dengan tingkat produktivitas kelapa mencapai 145.523 hg/ha atau 14,52 ton/ha. Puerto Rico berada di peringkat Pusat Data dan Informasi Pertanian 43
  • 66.
    2010 OUTLOOK KOMODITAS PERTANIAN - PERKEBUNAN kedua dengan tingkat produktivitas mencapai 13,31 ton/ha, diikuti oleh El Salvador dan Brazil dengan tingkat produktivitas masing-masing sebesar 12,40 ton/ha dan 10,45 ton/ha. (Gambar 3.14). Sementara itu Indonesia berada di peringkat ke-19 dengan rata-rata produktivitas kelapa segar sebesar 6,50 ton/ha. Gambar 3.14. Negara dengan produktivitas kelapa terbesar di dunia, 2004-2008 3.6. PERKEMBANGAN EKSPOR-IMPOR KELAPA DUNIA Kegiatan perdagangan kelapa internasional dilakukan dalam beberapa bentuk, seperti kelapa segar, kopra, minyak kelapa, dan lain-lain. Dari bentuk- bentuk produksi tersebut, perdagangan minyak kelapa lebih dominan di tingkat internasional, baik dari sisi volume maupun nilainya. Ekspor minyak kelapa selama periode tahun 2003-2007 didominasi oleh empat negara, yaitu Philipina, Indonesia, Malaysia dan Belanda (Gambar 3.15). Keempat negara tersebut memberikan kontribusi ekspor minyak kelapa dunia sebesar 91,31 persen terhadap total ekspor dunia. Rata-rata volume ekspor minyak kelapa dari Philipina mencapai 1,05 juta ton per tahun, berkontribusi 48,90 persen serta merupakan negara eksportir minyak kelapa terbesar dunia. Indonesia menduduki posisi kedua dengan rata-rata volume ekspor minyak kelapa 0,57 juta ton per tahun, berkontribusi 26,37 persen. Urutan ketiga dan keempat adalah Malaysia 44 Pusat Data dan Informasi Pertanian
  • 67.
    OUTLOOK KOMODITAS PERTANIAN- PERKEBUNAN 2010 dan Belanda dengan rata-rata volume ekspor masing-masing 0,19 juta ton per tahun dan 0,15 juta ton per tahun. 1,05 juta ton 0,57 juta ton (48,90%) (26,37%) 0,19 juta ton 0,19 juta ton 0,15 juta ton (8,91%) (8,69%) (7,13%) Philippines Indonesia Malaysia Netherlands Lainnya Gambar 3.15. Negara eksportir minyak kelapa terbesar di dunia, 2003-2007 0,66 juta ton (29,22%) 0,11 juta ton (4,88%) 0,14 juta ton 0,43 juta ton (6,33%) (19,05%) 0,22 juta ton (9,56%) 0,32 juta ton 0,38 juta ton (14,15%) (16,81%) USA Netherlands Germany Malaysia China Russian Lainnya Gambar 3.16. Negara importir minyak kelapa terbesar di dunia, 2003-2007 Sementara, impor minyak kelapa dilakukan oleh hampir semua negara di dunia. Negara importir minyak kelapa terbesar adalah Amerika Serikat dengan rata-rata volume impor tahun 2003-2007 sebesar 0,43 juta ton per tahun (Gambar 3.16). Peringkat kedua diduduki oleh Belanda dengan rata-rata volume impor sebesar 0,38 juta ton per tahun. Peringkat berikutnya adalah Jerman, Malaysia, China dan Rusia dengan rata-rata volume impor masing-masing sebesar Pusat Data dan Informasi Pertanian 45
  • 68.
    2010 OUTLOOK KOMODITAS PERTANIAN - PERKEBUNAN 0,32 juta ton, 0,22 juta ton, 0,14 juta ton dan 0,11juta ton. Indonesia berada di peringkat ke-28 dengan rata-rata volume impor minyak kelapa sebesar 0,007 juta ton. 3.7. PERKEMBANGAN HARGA KELAPA DUNIA Perdagangan kelapa memiliki wujud produksi cukup beragam seperti kelapa segar atau kelapa butiran, kopra, dan sebagainya. Berdasarkan data FAO 2003- 2007, harga rata-rata kelapa dunia di tingkat produsen dalam wujud ‘kelapa segar’ tertinggi terjadi di negara Barbados seharga US$ 1.030,76/ton (Gambar 3.17). Diikuti posisi berikutnya adalah negara Trindad dan Tobago, Cuba, Cook Island, Saint Lucia dan Nigeria dengan harga masing-masing US$ 714,37/ton, US$ 708,40/ton, US$ 627,17/ton, US$ 524,29/ton dan US$ 515,34/ton. Selain negara-negara yang telah tersebut, harga ‘kelapa segar’dunia dibawah $ 500/ton. Harga rata-rata ‘kelapa segar’ Indonesia di dunia dihargai US$ 95,68/ton. (US$/Ton) 1.200,00 1.030,76 1.000,00 800,00 714,37 708,40 627,16 600,00 524,29 515,34 400,00 200,00 0,00 Barbados Trinidad Cuba Cook Saint Lucia Nigeria and Islands Tobago Gambar 3.17. Negara dengan Harga Kelapa tingkat Produsen terbesar di dunia, 2003-2007 46 Pusat Data dan Informasi Pertanian
  • 69.
    OUTLOOK KOMODITAS PERTANIAN- PERKEBUNAN 2010 3.8. PROYEKSI PENAWARAN KELAPA 2010-2012 Proyeksi penawaran kelapa didasarkan pada proyeksi produksi kelapa. Fungsi respon produksi kelapa hasil pengolahan data series tahunan disajikan pada Tabel 3.3. Hasil analisis fungsi respon produksi kelapa Indonesia dengan menggunakan model analisis regresi berganda menunjukkan bahwa pada tingkat kesalahan α = 5% produksi kelapa di Indonesia (dalam bentuk “kopra”) secara nyata dipengaruhi oleh peubah produksi kelapa periode sebelumnya dan harga kelapa periode sebelumnya. Koefisien determinasi (R2) dari fungsi respon ini sangat baik, yaitu sebesar 98,2%. Hal ini berarti bahwa 98,2% keragaman produksi kelapa dalam bentuk kopra dapat dijelaskan oleh keragaman peubah-peubah bebas yang digunakan di dalam model. Tabel 3.3. Hasil analisis fungsi respon produksi kelapa Peubah Koefisien p_Value Constanta 1,2757 0,005 Ln Produksi kelapa periode (t-1) 0,9077 0,000 Ln Harga riil kelapa periode (t-1) 0,0532 0,033 R2 = 98,2% ; p(F-Stat) = 0,000 Produksi kelapa secara nyata dan positif dipengaruhi oleh produksi kelapa periode sebelumnya dengan koefisien regresi sebesar 0,9077. Ini berarti bahwa setiap kenaikan produksi tahun sebelumnya sebesar 10% akan menyebabkan peningkatan produksi tahun berikutnya sebesar 9,08%. Produksi kelapa juga dipengaruhi oleh harga riil kelapa periode sebelumnya dengan koefisien regresi sebesar 0,0532 yang menunjukkan bahwa peningkatan harga kelapa tahun sebelumnya sebesar 10% akan berdampak pada peningkatan produksi kelapa (dalam bentuk “kopra”) sebesar 0,05%. Pusat Data dan Informasi Pertanian 47
  • 70.
    2010 OUTLOOK KOMODITAS PERTANIAN - PERKEBUNAN Berdasarkan fungsi respon produksi kelapa tersebut di atas, diperkirakan produksi kelapa di Indonesia tahun 2010 akan meningkat menjadi 3.330,39 ribu ton (Tabel 3.4). Pada tahun 2011 dan 2012 produksi kelapa masih akan mengalami peningkatan. Dengan rata-rata peningkatan 1,45% per tahun, maka produksi kelapa tahun 2011 diperkirakan sebesar 3.362,00 ribu ton dan tahun 2012 sebesar 3.390,28 ribu ton. Tabel 3.4. Hasil proyeksi produksi kelapa di Indonesia, 2010-2012 Produksi Kelapa Pertumbuhan Tahun (Ton) (%) 2009*) 3.247.383 2010 3.330.385 2,56 2011 3.361.999 0,95 2012 3.390.275 0,84 Rata-rata Pertumbuhan 1,45 (% / th.) Keterangan : *) Angka Sementara, Direktorat Jenderal Perkebunan Tahun 2010 – 2012 Angka hasil proyeksi 3.9. PROYEKSI PERMINTAAN KELAPA 2010-2012 Kelapa di Indonesia (dalam bentuk “kopra”) terutama digunakan sebagai bahan baku untuk minyak kelapa. Proyeksi permintaan kopra/minyak kelapa dilakukan dengan menggunakan model trend kuadratik berdasarkan series data Neraca Bahan Makanan (NBM). Hasil proyeksi menunjukkan adanya penurunan konsumsi kopra/minyak kelapa selama periode tahun 2010-2012 dengan rata-rata penurunan sebesar 3,86% per tahun. Secara absolut konsumsi kopra/minyak kelapa diperkirakan akan menurun menjadi 276.180 ton pada tahun 2010 dan masih akan menurun hingga mencapai 255.283 ton pada tahun 2012. Kecenderungan menurunnya konsumsi kopra dalam negeri tampaknya bahan baku 48 Pusat Data dan Informasi Pertanian
  • 71.
    OUTLOOK KOMODITAS PERTANIAN- PERKEBUNAN 2010 minyak goreng mulai didominasi oleh kelapa sawit. Sementara itu juga cukup gencar disosialisasikan diversifikasi produk kelapa. Tabel 3.5. Proyeksi permintaan kopra/minyak kelapa di Indonesia, 2010-2012 Konsumsi Kopra/Minyak Pertumbuhan Tahun Kelapa (Ton) (%) 2010 276.180 2011 265.702 -3,79 2012 255.283 -3,92 Rata-rata Pertumbuhan -3,86 (%/th.) 3.10. PROYEKSI SURPLUS/DEFISIT KELAPA 2010-2012 Berdasarkan hasil proyeksi penawaran dan permintaan kelapa di Indonesia maka diproyeksikan terjadi surplus kelapa (dalam bentuk “kopra). Tahun 2010 surplus kelapa diperkirakan mencapai 3,05 juta ton, meningkat menjadi 3,10 juta ton (tahun 2011) dan 3,13 juta ton (tahun 2012). Surplus produksi kelapa (dalam bentuk kopra) ini merupakan alokasi untuk ekspor kopra Indonesia (Tabel 3.6). Tabel 3.6. Proyeksi surplus/defisit kelapa (kopra) di Indonesia, 2010-2012 Konsumsi Kopra/ Produksi Kelapa Surplus/Defisit Tahun Minyak Kelapa (Ton) (Ton) (Ton) 2010 3.330.385 276.180 3.054.205 2011 3.361.999 265.702 3.096.297 2012 3.390.275 255.283 3.134.992 Pusat Data dan Informasi Pertanian 49
  • 72.
    2010 OUTLOOK KOMODITAS PERTANIAN - PERKEBUNAN Lampiran 3.1. Perkembangan luas areal kelapa di Indonesia menurut status pengusahaannya,1970- 2009 1) 2) 3) PR PBN PBS Jumlah Tahun Pertumb. Pertumb. Pertumb. Pertumb. (Ha) (Ha) (Ha) (Ha) (%) (%) (%) (%) 1970 1,789,262 5,928 10,521 1,805,711 1971 1,870,564 4.54 6,435 8.55 11,180 6.26 1,888,179 4.57 1972 1,889,682 1.02 6,982 8.50 11,556 3.36 1,908,220 1.06 1973 1,989,618 5.29 6,969 -0.19 12,384 7.17 2,008,971 5.28 1974 2,108,591 5.98 6,691 -3.99 15,282 23.40 2,130,564 6.05 1975 2,193,097 4.01 7,694 14.99 16,274 6.49 2,217,065 4.06 1976 2,304,790 5.09 9,243 20.13 14,800 -9.06 2,328,833 5.04 1977 2,393,112 3.83 10,182 10.16 58,072 292.38 2,461,366 5.69 1978 2,454,115 2.55 9,234 -9.31 42,212 -27.31 2,505,561 1.80 1979 2,520,938 2.72 10,405 12.68 48,230 14.26 2,579,573 2.95 1980 2,622,206 4.02 15,050 44.64 43,167 -10.50 2,680,423 3.91 1981 2,752,386 4.96 15,075 0.17 57,401 32.97 2,824,862 5.39 1982 2,808,989 2.06 13,411 -11.04 29,764 -48.15 2,852,164 0.97 1983 2,890,681 2.91 16,683 24.40 39,346 32.19 2,946,710 3.31 1984 2,958,170 2.33 14,197 -14.90 39,113 -0.59 3,011,480 2.20 1985 2,994,442 1.23 14,642 3.13 40,916 4.61 3,050,000 1.28 1986 3,056,575 2.07 14,271 -2.53 41,682 1.87 3,112,528 2.05 1987 3,084,688 0.92 17,964 25.88 50,492 21.14 3,153,144 1.30 1988 3,147,382 2.03 15,807 -12.01 62,299 23.38 3,225,488 2.29 1989 3,186,754 1.25 23,927 51.37 72,908 17.03 3,283,589 1.80 1990 3,308,037 3.81 25,032 4.62 60,853 -16.53 3,393,922 3.36 1991 3,459,225 4.57 33,350 33.23 80,745 32.69 3,573,320 5.29 1992 3,482,817 0.68 33,287 -0.19 82,461 2.13 3,598,565 0.71 1993 3,507,992 0.72 32,687 -1.80 95,176 15.42 3,635,855 1.04 1994 3,543,924 1.02 31,754 -2.85 105,702 11.06 3,681,380 1.25 1995 3,584,477 1.14 28,884 -9.04 110,495 4.53 3,723,856 1.15 1996 3,603,878 0.54 28,395 -1.69 103,783 -6.07 3,736,056 0.33 1997 3,548,017 -1.55 27,711 -2.41 92,505 -10.87 3,668,233 -1.82 1998 3,579,872 0.90 25,466 -8.10 100,636 8.79 3,705,974 1.03 1999 3,585,743 0.16 15,313 -39.87 78,320 -22.17 3,679,376 -0.72 2000 3,601,698 0.44 13,891 -9.29 75,825 -3.19 3,691,414 0.33 2001 3,818,946 6.03 8,006 -42.37 70,515 -7.00 3,897,467 5.58 2002 3,806,032 -0.34 7,070 -11.69 71,848 1.89 3,884,950 -0.32 2003 3,785,343 -0.54 5,838 -17.43 121,949 69.73 3,913,130 0.73 2004 3,723,879 -1.62 4,883 -16.36 68,242 -44.04 3,797,004 -2.97 2005 3,735,838 0.32 6,127 25.48 61,649 -9.66 3,803,614 0.17 2006 3,720,490 -0.41 5,668 -7.49 62,734 1.76 3,788,892 -0.39 2007 3,720,533 0.001 5,507 -2.84 61,948 -1.25 3,787,989 -0.02 2008 3,724,118 0.10 3,822 -30.60 55,134 -11.00 3,783,074 -0.13 2009*) 3,748,135 0.64 3,840 0.47 55,081 -0.10 3,807,056 0.63 Rata-rata pertumbuhan (%) 1970-2009 1.93 0.78 10.44 1.95 1970-1997 2.58 7.06 15.68 2.68 1998-2009 0.47 -13.34 -1.35 0.33 Sumber : Ditjen. Perkebunan 1) Keterangan: *) Angka Sementara PR = Perkebunan Rakyat 2) 3) PBN = Perkebunan Besar Negara PBS = Perkebunan Besar Swasta 50 Pusat Data dan Informasi Pertanian
  • 73.
    OUTLOOK KOMODITAS PERTANIAN- PERKEBUNAN 2010 Lampiran 3.2. Perkembangan produksi kelapa di Indonesia menurut status pengusahaannya,1970 – 2009 1) 2) 3) PR PBN PBS Jumlah Tahun Pertumb. Pertumb. Pertumb. Pertumb. (Ton) (Ton) (Ton) (Ton) (%) (%) (%) (%) 1970 1,198,863 1,749 2,290 1,202,902 1971 1,273,935 6.26 2,068 18.24 3,576 56.16 1,279,579 6.37 1972 1,248,739 -1.98 3,007 45.41 4,205 17.59 1,255,951 -1.85 1973 1,274,441 2.06 1,626 -45.93 3,859 -8.23 1,279,926 1.91 1974 1,335,441 4.79 1,495 -8.06 6,475 67.79 1,343,411 4.96 1975 1,380,929 3.41 3,169 111.97 5,545 -14.36 1,389,643 3.44 1976 1,526,577 10.55 3,253 2.65 4,811 -13.24 1,534,641 10.43 1977 1,541,996 1.01 3,230 -0.71 21,231 341.30 1,566,457 2.07 1978 1,553,763 0.76 3,527 9.20 20,952 -1.31 1,578,242 0.75 1979 1,596,191 2.73 3,612 2.41 22,284 6.36 1,622,087 2.78 1980 1,629,726 2.10 3,701 2.46 32,646 46.50 1,666,073 2.71 1981 1,764,567 8.27 3,887 5.03 24,468 -25.05 1,792,922 7.61 1982 1,587,177 -10.05 4,457 14.66 11,411 -53.36 1,603,045 -10.59 1983 1,590,173 0.19 3,443 -22.75 14,022 22.88 1,607,638 0.29 1984 1,737,263 9.25 2,430 -29.42 10,795 -23.01 1,750,488 8.89 1985 1,905,241 9.67 4,147 70.66 11,043 2.30 1,920,431 9.71 1986 1,950,290 2.36 7,628 83.94 16,724 51.44 1,974,642 2.82 1987 2,054,514 5.34 24,359 219.34 19,671 17.62 2,098,544 6.27 1988 2,116,975 3.04 9,471 -61.12 17,541 -10.83 2,143,987 2.17 1989 2,192,851 3.58 13,072 38.02 15,434 -12.01 2,221,357 3.61 1990 2,297,832 4.79 14,890 13.91 18,848 22.12 2,331,570 4.96 1991 2,431,616 5.82 20,538 37.93 26,162 38.81 2,478,316 6.29 1992 2,425,452 -0.25 20,785 1.20 29,047 11.03 2,475,284 -0.12 1993 2,557,908 5.46 17,852 -14.11 30,143 3.77 2,605,903 5.28 1994 2,601,424 1.70 21,043 17.87 26,567 -11.86 2,649,034 1.66 1995 2,661,641 2.31 15,127 -28.11 27,518 3.58 2,704,286 2.09 1996 2,686,768 0.94 19,370 28.05 54,748 98.95 2,760,886 2.09 1997 2,619,926 -2.49 21,020 8.52 62,992 15.06 2,703,938 -2.06 1998 2,690,204 2.68 22,018 4.75 65,905 4.62 2,778,127 2.74 1999 2,903,716 7.94 12,205 -44.57 78,701 19.42 2,994,622 7.79 2000 2,951,005 1.63 9,038 -25.95 84,485 7.35 3,044,528 1.67 2001 3,068,997 4.00 8,272 -8.48 85,749 1.50 3,163,018 3.89 2002 3,010,894 -1.89 4,815 -41.79 82,787 -3.45 3,098,496 -2.04 2003 3,136,360 4.17 2,629 -45.40 115,865 39.96 3,254,854 5.05 2004 3,000,839 -4.32 4,489 70.75 49,183 -57.55 3,054,511 -6.16 2005 3,052,461 1.72 3,659 -18.49 40,724 -17.20 3,096,844 1.39 2006 3,061,408 0.29 2,897 -20.83 66,853 64.16 3,131,158 1.11 2007 3,122,995 2.01 2,935 1.31 67,337 0.72 3,193,266 1.98 2008 3,176,004 1.70 3,000 2.21 60,668 -9.90 3,239,673 1.45 2009*) 3,182,333 0.20 3,024 0.80 62,026 2.24 3,247,383 0.24 Rata-rata pertumbuhan (%) 1970-2009 2.61 10.14 18.00 2.66 1970-1997 3.02 19.31 24.07 3.13 1998-2009 1.68 -10.47 4.32 1.59 Sumber : Ditjen. Perkebunan 1) Keterangan: *) Angka Sementara PR = Perkebunan Rakyat 2) 3) PBN = Perkebunan Besar Negara PBS = Perkebunan Besar Swasta Ujud produksi adalah kopra Pusat Data dan Informasi Pertanian 51
  • 74.
    2010 OUTLOOK KOMODITAS PERTANIAN - PERKEBUNAN Lampiran 3.3. Provinsi sentra produksi kelapa di Indonesia, 2005 – 2009 Produksi (Ton) Share No. Provinsi Share (%) kumulatif 2005 2006 2007 2008 2009*) Rata-rata (%) 1 Riau 488,689 555,842 567,088 553,462 546,773 542,371 17.05 17.05 2 Sulawesi Utara 246,377 251,743 287,461 263,346 293,002 268,386 8.44 25.48 3 Jawa Timur 236,499 222,857 233,172 248,259 250,491 238,256 7.49 32.97 4 Maluku Utara 222,229 218,301 197,378 244,586 244,591 225,417 7.08 40.06 5 Sulawesi Tengah 177,345 187,297 189,268 209,139 276,633 207,936 6.54 46.59 6 Jawa Tengah 182,874 175,144 179,657 175,847 180,299 178,764 5.62 52.21 7 Jawa Barat 161,972 147,507 139,280 150,818 134,697 146,855 4.62 56.83 8 Lampung 120,557 120,259 118,971 118,668 112,219 118,135 3.71 60.54 9 Jambi 126,746 119,191 114,752 110,548 113,427 116,933 3.68 64.21 10 Sumatera Utara 98,816 101,525 82,352 99,502 97,821 96,003 3.02 67.23 11 Sulawesi Selatan 99,491 87,705 87,228 95,783 96,058 93,253 2.93 70.16 12 Lainnya 935,251 943,776 996,659 969,716 901,372 949,355 29.84 100.00 Indonesia 3096846 3131147 3193266 3239674 3247383 3,181,663 Sumber : Direktorat Jenderal Perkebunan, diolah Pusdatin Keterangan : *) Angka Sementara 52 Pusat Data dan Informasi Pertanian
  • 75.
    OUTLOOK KOMODITAS PERTANIAN- PERKEBUNAN 2010 Lampiran 3.4. Perkembangan konsumsi kelapa dan minyak kelapa di Indonesia, 1981 – 2008 Konsumsi/kapita/tahun Tahun Kelapa Minyak Kelapa (Butir) Pertumb. (%) (Liter) Pertumb. (%) 1981 15.964 4.004 1984 15.236 -1.52 1.716 -19.05 1987 16.484 2.73 3.172 28.28 1990 17.368 1.79 3.744 6.01 1993 15.652 -3.29 4.316 5.09 1996 12.532 -6.64 4.940 4.82 1999 9.464 -8.16 3.796 -7.72 2002 11.960 8.79 4.732 8.22 2003 12.636 5.65 4.420 -6.59 2004 11.284 -10.70 4.004 -9.41 2005 11.752 4.15 4.056 1.30 2006 10.400 -11.50 3.900 -3.85 2007 11.232 8.00 2.912 -25.33 2008 9.568 -14.81 2.236 -23.21 Rata-rata pertumbuhan (%) 1981-2008 -1.96 -3.19 Sumber : Badan Pusat Statistik (SUSENAS), diolah Pusdatin Pusat Data dan Informasi Pertanian 53
  • 76.
    2010 OUTLOOK KOMODITAS PERTANIAN - PERKEBUNAN Lampiran 3.5. Penggunaan dan ketersediaan konsumsi kopra di Indonesia, 1990 – 2007 Penggunaan (000 Ton) Ketersediaan Jumlah Share thd. Total Penggunaan (%) Konsumsi per Penduduk Tahun Industri Bahan Industri Bahan Tercecer Total Kapita Tengah Tahun Tercecer Pengolahan Makanan Pengolahan Makanan (Kg/Kap/Th) (000 Orang) 1990 0 0 457 457 2.56 178,170 0.00 0.00 100.00 1991 0 0 465 465 2.57 181,094 0.00 0.00 100.00 1992 0 0 705 705 3.82 184,491 0.00 0.00 100.00 1993 0 0 474 474 2.53 187,589 0.00 0.00 100.00 1994 0 0 330 330 1.73 190,538 0.00 0.00 100.00 1995 0 0 609 609 3.15 193,486 0.00 0.00 100.00 1996 9 0 403 412 2.05 196,807 2.18 0.00 97.82 1997 9 0 76 85 0.38 199,837 10.59 0.00 89.41 1998 9 0 338 347 1.66 202,873 2.59 0.00 97.41 1999 9 0 362 371 1.76 205,915 2.43 0.00 97.57 2000 2 3 191 196 0.93 208,489 1.02 1.53 97.45 2001 4 9 560 573 2.68 209,776 0.70 1.57 97.73 2002 4 7 465 476 2.20 211,063 0.84 1.47 97.69 2003 5 10 605 620 2.83 213,722 0.78 1.56 97.66 2004 4 9 537 550 2.48 216,382 0.73 1.64 97.64 2005 1 3 161 165 0.73 219,852 0.61 1.82 97.58 2006 11 6 372 389 1.67 222,747 2.83 1.54 95.63 2007*) 11 2 122 135 0.54 225,643 8.15 1.48 90.37 Rata-rata 4.32 2.70 402 409 2.02 202,693 1.86 0.70 97.44 Sumber : Badan Ketahanan Pangan (NBM) Keterangan : *) Angka Sementara Bentuk konsumsi : Kopra 54 Pusat Data dan Informasi Pertanian
  • 77.
    OUTLOOK KOMODITAS PERTANIAN- PERKEBUNAN 2010 Lampiran 3.6. Perkembangan harga kelapa di tingkat produsen dan konsumen di Indonesia, 1983 – 2008 Harga Produsen Harga Konsumen Margin Tahun (Rp/Butir) Pertumb.(%) (Rp/Butir) Pertumb.(%) (Rp/Butir) 1983 116.80 142.37 25.57 1984 201.31 72.35 227.79 60.00 26.48 1985 116.04 -42.36 132.86 -41.67 16.82 1986 121.19 4.44 139.06 4.67 17.87 1987 126.31 4.22 146.40 5.28 20.09 1988 144.96 14.76 171.85 17.38 26.89 1989 163.55 12.83 193.69 12.71 30.14 1990 140.05 -14.37 168.93 -12.78 28.88 1991 146.59 4.67 177.49 5.07 30.90 1992 180.34 23.02 216.27 21.85 35.93 1993 180.00 -0.19 221.61 2.47 41.61 1994 184.65 2.58 237.00 6.94 52.35 1995 268.53 45.43 328.15 38.46 59.62 1996 299.05 11.37 345.14 5.18 46.09 1997 290.10 -2.99 319.90 -7.31 29.80 1998 677.78 133.64 835.14 161.06 157.37 1999 942.68 39.08 1,156.26 38.45 213.57 2000 685.98 -27.23 761.66 -34.13 75.68 2001 705.90 2.90 888.45 16.65 182.54 2002 945.92 34.00 998.21 12.35 52.29 2003 826.34 -12.64 903.92 -9.45 77.58 2004 901.25 9.06 1,024.36 13.32 123.11 2005 894.85 -0.71 1,028.45 0.40 133.60 2006 1,079.86 20.67 1,102.58 7.21 22.72 2007 1,188.10 10.02 1,385.17 25.63 197.07 2008 1,612.93 35.76 2,246.16 62.16 633.23 Rata-rata pertumbuhan (%) 1983-2008 15.21 16.48 1983-1997 9.70 8.45 1998-2008 22.23 26.70 Sumber : Badan Pusat Statistik, diolah Pusdatin Pusat Data dan Informasi Pertanian 55
  • 78.
    2010 OUTLOOK KOMODITAS PERTANIAN - PERKEBUNAN Lampiran 3.7. Perkembangan ekspor-impor kelapa Indonesia, 2000 – 2009 Ekspor Impor Neraca Volume Pertumb. Nilai (000 Pertumb. Volume Pertumb. Nilai (000 Pertumb. (000 US$) Tahun (Ton) (%) US$) (%) (Ton) (%) US$) (%) 2000 1,265,501 393,629 620 948 392,680 2001 752,990 -40.50 178,814 -54.57 305 -50.76 299 -68.53 178,516 2002 899,849 19.50 240,625 34.57 2,453 703.94 852 185.41 239,773 2003 773,119 -14.08 221,608 -7.90 11,708 377.27 4,623 442.58 216,986 2004 823,316 6.49 329,687 48.77 2,309 -80.28 1,867 -59.61 327,819 2005 1,246,962 51.46 513,735 55.83 7,392 220.09 4,016 115.11 509,718 2006 978,113 -21.56 363,081 -29.33 13,220 78.85 6,369 58.59 356,712 2007 1,264,840 29.31 674,316 85.72 7,836 -40.73 3,739 -41.30 670,578 2008 1,080,981 -14.54 900,917 33.60 2,761 -64.77 1,676 -55.18 899,242 2009 957,517 -11.42 489,885 -45.62 3,868 40.10 2,296 37.05 487,589 Rata-rata pertumbuhan (%) 2000-2009 0.52 13.45 131.52 68.23 13.68 56 Pusat Data dan Informasi Pertanian
  • 79.
    OUTLOOK KOMODITAS PERTANIAN- PERKEBUNAN 2010 Lampiran 3.8. Perkembangan luas tanaman menghasilkan, produksi dan produktivitas kelapa dunia, 1970-2008 Luas TM Produksi Produktivitas Tahun (Ha) Pertumb. (%) (Ton) Pertumb. (%) (Ton/Ha) Pertumb. (%) 1970 6,691,748 26,318,803 3.93 1971 6,987,986 4.43 28,660,007 8.90 4.10 4.28 1972 7,076,587 1.27 30,080,115 4.96 4.25 3.64 1973 7,121,515 0.63 27,998,001 -6.92 3.93 -7.51 1974 7,300,583 2.51 26,666,560 -4.76 3.65 -7.09 1975 7,401,591 1.38 30,744,652 15.29 4.15 13.72 1976 7,739,009 4.56 33,619,173 9.35 4.34 4.58 1977 7,991,187 3.26 32,122,505 -4.45 4.02 -7.47 1978 8,193,589 2.53 32,789,390 2.08 4.00 -0.45 1979 8,544,768 4.29 31,320,667 -4.48 3.67 -8.41 1980 8,752,394 2.43 32,247,761 2.96 3.68 0.52 1981 8,914,097 1.85 34,070,472 5.65 3.82 3.74 1982 9,065,593 1.70 33,493,906 -1.69 3.69 -3.34 1983 9,015,068 -0.56 32,548,461 -2.82 3.61 -2.28 1984 9,124,975 1.22 31,466,538 -3.32 3.45 -4.49 1985 9,396,118 2.97 35,941,618 14.22 3.83 10.93 1986 9,617,909 2.36 38,974,685 8.44 4.05 5.94 1987 9,790,041 1.79 38,734,382 -0.62 3.96 -2.36 1988 9,899,711 1.12 37,288,974 -3.73 3.77 -4.80 1989 9,883,665 -0.16 38,315,806 2.75 3.88 2.92 1990 10,022,934 1.41 42,477,367 10.86 4.24 9.32 1991 10,052,691 0.30 40,683,319 -4.22 4.05 -4.51 1992 10,086,504 0.34 42,742,846 5.06 4.24 4.71 1993 10,361,079 2.72 46,071,494 7.79 4.45 4.93 1994 10,576,961 2.08 47,243,372 2.54 4.47 0.45 1995 10,635,595 0.55 48,964,064 3.64 4.60 3.07 1996 10,739,684 0.98 48,640,180 -0.66 4.53 -1.62 1997 10,834,952 0.89 50,078,192 2.96 4.62 2.05 1998 11,133,866 2.76 49,011,494 -2.13 4.40 -4.76 1999 11,493,421 3.23 49,889,888 1.79 4.34 -1.39 2000 10,594,814 -7.82 50,795,371 1.81 4.79 10.45 2001 10,852,211 2.43 51,416,643 1.22 4.74 -1.18 2002 10,763,878 -0.81 53,467,623 3.99 4.97 4.84 2003 10,793,846 0.28 54,121,420 1.22 5.01 0.94 2004 10,798,514 0.04 54,899,903 1.44 5.08 1.39 2005 10,801,264 0.03 57,303,364 4.38 5.31 4.35 2006 10,846,190 0.42 57,534,695 0.40 5.30 -0.01 2007 11,139,112 2.70 60,617,566 5.36 5.44 2.59 2008 11,208,072 0.62 61,094,243 0.79 5.45 0.17 Rata-rata pertumbuhan (%) 1970-2008 1.39 2.37 1.00 Sumber : FAO Pusat Data dan Informasi Pertanian 57
  • 80.
    2010 OUTLOOK KOMODITAS PERTANIAN - PERKEBUNAN Lampiran 3.9. Negara produsen kelapa terbesar di dunia, 2004-2008 Produksi (000 Ton) Share No Negara Share (%) kumulatif 2004 2005 2006 2007 2008 Rata-rata (%) 1 Indonesia 16,285 18,250 17,125 19,625 19,500 18,157 31.15 31.15 2 Philippines 14,366 14,825 14,958 14,853 15,320 14,864 25.50 56.65 3 India 8,380 8,829 10,190 10,894 10,894 9,837 16.88 73.53 4 Brazil 3,117 3,119 2,978 2,831 2,759 2,961 5.08 78.61 5 Sri Lanka 1,969 1,912 2,116 2,181 2,200 2,075 3.56 82.17 6 Thailand 2,126 1,871 1,815 1,722 1,722 1,851 3.18 85.34 7 Negara Lainnya 8,657 8,498 8,352 8,512 8,700 8,544 14.66 100.00 Dunia 54,900 57,303 57,535 60,618 61,094 58,290 Sumber : FAO 58 Pusat Data dan Informasi Pertanian
  • 81.
    OUTLOOK KOMODITAS PERTANIAN- PERKEBUNAN 2010 BAB IV. KAKAO Kakao merupakan salah satu komoditas unggulan sub sektor perkebunan dari 15 komoditas komoditas unggulan nasional yang dicanangkan untuk dikembangkan secara besar-besaran di Indonesia. Ekspor kakao mampu memberikan kontribusi dalam upaya peningkatan devisa Indonesia. Komoditas ini bisa menempati peringkat keempat dalam upaya menyumbang devisa negara setelah komoditas kelapa sawit, karet dan kelapa. Luas panen dan produksi kakao Indonesia dari tahun ke tahun terus mengalami peningkatan dan cukup signifikan pada era tahun 1985-an. Perkebunan kakao Indonesia sebagian besar (hampir 90%) dikelola oleh rakyat. Produksi kakao dalam negeri sebagian besar dipergunakan untuk ekspor, dimana pada tahun 2009 realisasi ekspor Indonesia mencapai 560 ribu ton atau setara dengan US$ 1,46 milyar. Sayangnya, ekspor kakao Indonesia masih didominasi bentuk kakao biji kering tanpa ada proses pengolahan lebih lanjut sehingga harga ekspor masih relatif rendah. Tulisan berikut akan mengulas keragaan kakao Indonesia dan dunia serta proyeksi produksi dan permintaan kakao Indonesia di 2010 - 2012. 4.1. PERKEMBANGAN LUAS AREAL, PRODUKSI DAN PRODUKTIVITAS KAKAO DI INDONESIA Secara umum, perkembangan luas areal kakao Indonesia dari tahun 1967 s.d tahun 2009 terus mengalami peningkatan, dengan laju pertumbuhan sebesar 13.36% (Gambar 4.1). Peningkatan yang cukup signifikan terjadi pada luas areal kakao Perkebunan Rakyat (PR). Pada periode tahun 1987 hingga 2009, luas areal kakao PR bertambah dengan laju rata-rata sebesar 39,46% per tahun, padahal sebelum periode tersebut, yakni tahun 1967 hingga 1986 rata-rata pertumbuhan luas areal kakao PR hanya sebesar 21,56% per tahun. Sebaliknya, luas areal kakao Perkebunan Besar Negara (PBN) dan Perkebunan Besar Swasta (PBS) tidak mengalami peningkatan yang cukup signifikan selama periode tahun 1987 – 2009, namun cukup besar peningkatannya pada periode sebelumnya (1967-1986) yakni masing-masing sebesar 23,59% dan 37,97% (Tabel 4.1). Pusat Data dan Informasi Pertanian 59
  • 82.
    2010 OUTLOOK KOMODITAS PERTANIAN - PERKEBUNAN Sementara itu, dalam periode lima tahun terakhir yakni 2005 - 2009, luas areal kakao PR dan PBN mengalami peningkatan masing-masing sebesar 6,22% dan 10,56%, sementara luas areal kakao PBS relatif tidak mengalami peningkatan luas areal. Total luas areal kakao Indonesia pada tahun 2009 adalah sebesar 1,48 juta ha yang terdiri dari 1,37 juta ha PR, 55,17 ribu ha PBN dan 47,47 ribu ha PBS (Tabel 4.1). Perkembangan luas areal kakao Indonesia berdasarkan status pengusahaannya dari tahun 1967 – 2009 secara lengkap tersaji pada Lampiran 4.1. Gambar 4.1. Perkembangan luas areal kakao berdasarkan status pengusahaannya, 1967 -2009 Tabel 4.1. Perkembangan luas areal kakao Indonesia berdasarkan status pengusahaannya, 2005 – 2009 PR 1) PBN 2) PBS 3) Indonesia Tahun Luas (Ha) Pertumb. Luas (Ha) Pertumb. Luas (Ha) Pertumb. Luas (Ha) Pertumb. (%) (%) (%) (%) 2005 1,081,102 38,295 47,649 1,167,046 2006 1,219,633 12.81 48,930 27.77 52,257 9.67 1,320,820 13.18 2007 1,272,781 4.36 57,343 17.19 49,155 -5.94 1,379,279 4.43 2008 1,326,784 4.24 50,584 -11.79 47,848 -2.66 1,425,216 3.33 2009*) 1,372,705 3.46 55,165 9.06 47,473 -0.78 1,475,343 3.52 Rata-rata pertumbuhan (%) 2005-2009 6.22 10.56 0.07 6.11 Sumber : Ditjen. Perkebunan 1) Keterangan: *) Angka Sementara PR = Perkebunan Rakyat 2) 3) PBN = Perkebunan Besar Negara PBS = Perkebunan Besar Swasta 60 Pusat Data dan Informasi Pertanian
  • 83.
    OUTLOOK KOMODITAS PERTANIAN- PERKEBUNAN 2010 Gambar 4.2. Perkembangan produktivitas kakao Indonesia berdasarkan status pengusahaannya, 2003-2009 Selama periode tahun 2003 - 2009, perkembangan produktivitas kakao PR sangat berfluktuatif dan mempunyai kecenderungan menurun dengan rata-rata sebesar 4,31% per tahun. Sementara, pangusahaan kakao oleh PBN dan PBS lebih intensif dengan pemeliharaan tanaman yang lebih baik yang tercermin dari produktivitas kakao PBN dan PBS berfluktuatif namun mempunyai kecenderungan meningkat, masing-masing dengan rata-rata sebesar 0,54% per tahun dan 0,23% per tahun (Tabel 4.2). Pada periode tahun 2003, produktivitas kakao PR berada di atas pencapaian produktivitas PBN dan PBS, namun kemudian pada tahun 2004 terjadi peningkatan produktivitas kakao PBS yang cukup signifikan sehingga melampaui produktivitas kakao PR. Sementara itu, produktivitas kakao PBN selalu berada di bawah produktivitas kakao PR dan PBS hingga pada tahun 2006-2007 terjadi peningkatan produktivitas kakao PBN sehingga pencapaiannya diatas produktivitas kakao PR dan PBS. Pada tahun 2009 terjadi penurunan produktivitas yang cukup signifikan di ketiga status pengusahaan dibandingkan tahun sebelumnya yakni masing-masing 8,61% untuk kakao PR, 0,38% (PBN) dan 1,18% (PBS) (Gambar 4.2). Pusat Data dan Informasi Pertanian 61
  • 84.
    2010 OUTLOOK KOMODITAS PERTANIAN - PERKEBUNAN Tabel 4.2. Perkembangan produktivitas kakao Indonesia berdasarkan status pengusahaannya, 2003 – 2009 1) 2) 3) PR PBN PBS Tahun Hasil Pertumb. Hasil Pertumb. Hasil Pertumb. (Kg/Ha) (%) (Kg/Ha) (%) (Kg/Ha) (%) 2003 1,089 845 911 2004 906 -16.79 739 -12.51 1,125 23.48 2005 911 0.55 741 0.18 1,004 -10.75 2006 843 -7.41 880 18.80 961 -4.24 2007 790 -6.32 1,001 13.81 964 0.31 2008 891 12.73 834 -16.67 904 -6.25 2009*) 814 -8.61 831 -0.38 893 -1.18 Rata-rata pertumbuhan (%) 2003-2009 -4.31 0.54 0.23 Sumber : Ditjen. Perkebunan 1) Keterangan: *) Angka Sementara PR = Perkebunan Rakyat 2) 3) PBN = Perkebunan Besar Negara PBS = Perkebunan Besar Swasta Gambar 4.3. Perkembangan produksi biji kakao kering Indonesia berdasarkan status pengusahaannya, 1967-2009 Seiring dengan perkembangan luas areal dan produktivitasnya, produksi biji kakao kering Indonesia juga terus mengalami peningkatan dari tahun 1967 - 2009 dengan rata-rata pertumbuhan sebesar 18,15% (Lampiran 4.2). Peningkatan produksi yang cukup signifikan terjadi pada PR periode tahun 1987 - 2009 hingga mencapai 62 Pusat Data dan Informasi Pertanian
  • 85.
    OUTLOOK KOMODITAS PERTANIAN- PERKEBUNAN 2010 90,91%, padahal sebelumnya yakni periode tahun 1967 - 1986 produksi biji kakao kering hanya tumbuh sebesar 43,53%. Sementara itu, produksi biji kakao kering untuk PBN dan PBS juga terus mengalami peningkatan walaupun dalam kuantitas yang relatif lebih kecil (Tabel 4.3). Perkembangan produksi biji kakao kering menurut status pengusahaannya mulai periode tahun 1967 – 2009 secara rinci tersaji pada Lampiran 4.2. Tabel 4.3. Perkembangan produksi biji kakao kering Indonesia berdasarkan status pengusahaannya, 2005-2009 1) 2) 3) PR PBN PBS Indonesia Tahun Produksi Pertumb. Produksi Pertumb. Produksi Pertumb. Produksi Pertumb. (Ton) (%) (Ton) (%) (Ton) (%) (Ton) (%) 2005 693,701 25,494 29,633 748,828 2006 702,207 1.23 33,795 32.56 33,384 12.66 769,386 2.75 2007 671,370 -4.39 34,643 2.51 33,993 1.82 740,006 -3.82 2008 740,681 10.32 31130 -10.14 31,783 -6.50 803,594 8.59 2009*) 694,783 -6.20 32558 4.59 31,070 -2.24 758,411 -5.62 Rata-rata pertumbuhan (%) 2005-2009 0.24 7.38 1.43 0.47 Sumber : Ditjen. Perkebunan 1) Keterangan: *) Angka Sementara PR = Perkebunan Rakyat 2) 3) PBN = Perkebunan Besar Negara PBS = Perkebunan Besar Swasta Gambar 4.4. Kontribusi PR, PBN dan PBS terhadap produksi kakao Indonesia (rata-rata 2005 – 2009) Pusat Data dan Informasi Pertanian 63
  • 86.
    2010 OUTLOOK KOMODITAS PERTANIAN - PERKEBUNAN Berdasarkan data produksi kakao rata-rata selama 5 tahun terakhir (2005- 2009), kontribusi produksi kakao PR mendominasi produksi kakao Indonesia dengan kontribusi sebesar 91,68%. Sisanya disumbang dari produksi PBN sebesar 4,13% dan PBS sebesar 4,19% (Gambar 4.4). Gambar 4.5. Provinsi sentra produksi kakao PR (rata-rata 2005-2009) Lebih dari 65% produksi kakao nasional berasal dari sumbangan produksi PR di 6 provinsi sentra di Luar Jawa yakni Sulawesi Tengah, Sulawesi Selatan, Sulawesi Barat, Sulawesi Tenggara, Sumatera Utara, dan Kalimantan Timur (Gambar 4.5). Berdasarkan data rata-rata selama 5 tahun (2005 - 2009), provinsi Sulawesi Tengah menyumbang 16,63% terhadap produksi kakao nasional. Berikutnya adalah provinsi Sulawesi Selatan, Sulawesi Barat dan Sulawesi Tenggara yang masing-masing memberikan kontribusi produksi sebesar 14,28%, 13,45% dan 13,20%. Sedangkan Sumatera Utara dan Kalimantan Timur menyumbang produksi kakao Indonesia sebesar 5,55% dan 2,74% (Gambar 4.5 dan Lampiran 4.3). 4.2. KONSUMSI KAKAO DI INDONESIA Menurut data hasil Survei Sosial Ekonomi Nasional (SUSENAS) yang dipublikasikan oleh BPS, konsumsi kakao Indonesia dibedakan atas konsumsi coklat instan dan coklat bubuk. Perkembangan konsumsi kedua jenis coklat tersebut dari tahun 1981 hingga 2008 relatif berfluktuatif namun cenderung mengalami 64 Pusat Data dan Informasi Pertanian
  • 87.
    OUTLOOK KOMODITAS PERTANIAN- PERKEBUNAN 2010 peningkatan yakni masing-masing sebesar 35,71% untuk konsumsi coklat instan dan 17,31% untuk konsumsi coklat bubuk. Gambar 4.6. Perkembangan konsumsi kakao di Indonesia, 1981-2008 Konsumsi coklat bubuk sangat berfluktuasi dan tertinggi terjadi pada tahun 1996 yang mencapai 20,8 gr/kapita. Sementara data konsumsi coklat instan hasil SUSENAS hanya tersedia sejak tahun 1999 hingga 2008. Pada Gambar 4.6 terlihat bahwa konsumsi coklat instan juga berfluktuasi dan mempunyai kecenderungan meningkat sejak tahun 2004 hingga akhirnya pada tahun 2005 mencapai 31,2 gr/kapita, namun kemudian berfluktuasi namun cenderungmenurun hingga pada tahun 2008 hanya mencapai 23,4 gr/kapita (Lampiran 4.4). 4.3. PERKEMBANGAN HARGA KAKAO DI INDONESIA Perkembangan harga domestik biji kakao kering sejak tahun 1992 hingga 2008 terus mengalami peningkatan, dengan rata-rata pertumbuhan sebesar 24,64% (Gambar 4.7). Peningkatan harga yang cukup tajam terjadi pada tahun 1998 hingga mencapai 203,65% seperti tersaji pada Lampiran 4.5. Hal ini antara lain sebagai dampak dari meningkatnya nilai tukar rupiah terhadap dollar Amerika. Pada tahun 1992 harga biji kakao kering hanya sebesar Rp. 1.373,- per kg kemudian meningkat pada tahun 2008 yang tercacat pada level Rp. 16.357,-/kg. Pusat Data dan Informasi Pertanian 65
  • 88.
    2010 OUTLOOK KOMODITAS PERTANIAN - PERKEBUNAN Gambar 4.7. Perkembangan harga domestik biji kakao kering, 1992 – 2008 4.4. PERKEMBANGAN EKSPOR-IMPOR KAKAO INDONESIA Kakao merupakan salah satu andalan ekspor Indonesia, dimana Indonesia menempati urutan ke-3 sebagai negara pengeksor kakao terbesar di dunia. Volume dan nilai ekspor total kakao Indonesia dari tahun 1996-2009 relatif berfluktuasi namun mempunyai kecenderungan meningkat dengan rata-rata pertumbuhan sebesar 5,93% (volume) dan 13,72% (nilai) (Gambar 4.8). Pada tahun 1997, 2001 dan 2007, terjadi penurunan volume ekspor kakao Indonesia namun nilai ekspornya menunjukkan peningkatan. Hal ini mengindikasikan terjadinya peningkatan harga ekspor kakao Indonesia. Sebaliknya, pada tahun 1999, 2000 dan 2004 terjadi kenaikan volume ekspor kakao Indonesia namun nilai ekspornya menurun, hal ini menunjukkan adanya penurunan harga ekspor kakao pada tahun-tahun tersebut. Pada tahun 2009, realisasi ekspor total kakao Indonesia sebesar 559,80 ribu ton atau setara dengan US$ 1,46 milyar (Lampiran 4.6). 66 Pusat Data dan Informasi Pertanian
  • 89.
    OUTLOOK KOMODITAS PERTANIAN- PERKEBUNAN 2010 Gambar 4.8. Perkembangan volume dan nilai ekspor total kakao Indonesia, 1996 – 2009 Bentuk hasil kakao yang banyak diekspor oleh Indonesia adalah biji kakao kering tanpa mengalami pengolahan apapun. Rata-rata selama lima tahun terakhir (2005-2009), ekspor biji kakao kering mencapai lebih dari 70% dari total ekspor kakao Indonesia. Disusul kemudian bentuk mentega, lemak dan minyak kakao sebesar 21,67%, bubuk kakao sebesar 3,34%, pasta kakao sebesar 1,41% dan bentuk lainnya sebesar 2,20%. Realisasi ekspor biji kakao kering pada tahun 2009 mencapai 461,19 ribu ton atau setara dengan US$ 1,12 milyar (Gambar 4.9). Kenyataan ini perlu mendapatkan perhatian agar supaya di masa mendatang Indonesia bisa mengekspor kakao olahan sehingga menghasilkan devisa yang lebih besar lagi. Gambar 4.9. Kontribusi nilai ekspor kakao menurut bentuk hasilnya (rata-rata 2005-2009) Pusat Data dan Informasi Pertanian 67
  • 90.
    2010 OUTLOOK KOMODITAS PERTANIAN - PERKEBUNAN Selain sebagai negara pengekspor kakao dalam volume yang cukup besar, ternyata selama periode tahun 1996-2009 Indonesia juga melakukan impor kakao walaupun dalam jumlah yang relatif kecil. Impor kakao dari tahun ke tahun selama periode tersebut terus mengalami peningkatan sebesar 38,59% (volume) dan nilainya naik 50,01% (Gambar 4.10). Peningkatan impor total kakao cukup tajam tahun 2001, yakni lebih dari tiga kali lipat dibandingkan dengan tahun sebelumnya. Impor total kakao Indonesia pada tahun 2009 adalah sebesar 46,93 ribu ton atau setara dengan US$ 121,39 juta seperti yang tersaji pada Tabel 3.7. Bentuk yang banyak diimpor oleh Indonesia selama lima tahun teakhir dari 2005 – 2009 selain biji kering adalah dalam bentuk bubuk coklat bergula dan bubuk coklat tanpa gula, masing- masing berkontribusi sebesar 55,69%, 17,24% dan 11,69% terhadap total kakao yang diimpor Indonesia (Lampiran 4.7). Gambar 4.10. Perkembangan volume dan nilai impor kakao Indonesia, 1996 – 2009 Sebagai negara pengekspor kakao menjadikan neraca perdagangan total kakao Indonesia dari tahun 1996 - 2009 selalu mengalami surplus. Penurunan surplus neraca perdagangan kakao terjadi pada tahun 1999, 2000, 2003 dan 2004. Namun demikian, setelah tahun 2004, surplus neraca perdagangan terus mengalami peningkatan. Pada tahun 2009, surplus neraca perdagangan total kakao Indonesia mencapai US$ 1,34 milyar (Gambar 4.11 dan Tabel 4.4). 68 Pusat Data dan Informasi Pertanian
  • 91.
    OUTLOOK KOMODITAS PERTANIAN- PERKEBUNAN 2010 Gambar 4.11. Perkembangan nilai ekspor, impor dan neraca perdagangan kakao Indonesia, 1996 – 2009 Tabel 4.4. Neraca perdagangan total kakao Indonesia, 1996 – 2009 Nilai (US$ 000) Neraca Pertumbuhan Tahun Ekspor Impor (US$ 000) (%) 1996 373,927 2,885 371,042 1997 419,066 4,861 414,205 11.63 1998 502,906 10,628 492,278 18.85 1999 423,273 13,751 409,522 -16.81 2000 341,860 9,387 332,473 -18.81 2001 389,262 40,176 349,086 5.00 2002 701,034 55,492 645,542 84.92 2003 624,234 81,070 543,164 -15.86 2004 549,348 86,003 463,345 -14.70 2005 667,993 85,455 582,538 25.72 2006 855,047 76,031 779,016 33.73 2007 915,145 75,864 839,281 7.74 2008 1,269,022 119,130 1,149,892 37.01 2009 1,459,297 121,390 1,337,907 16.35 Rata-rata pertumbuhan (%) 1996-2007 11.04 Sumber: BPS Pusat Data dan Informasi Pertanian 69
  • 92.
    2010 OUTLOOK KOMODITAS PERTANIAN - PERKEBUNAN 4.5. PERKEMBANGAN LUAS AREAL, PRODUKSI DAN PRODUKTIVITAS KAKAO DUNIA Selama periode tahun 1961 – 2008, total luas areal kakao dunia relatif berfluktuatif tapi cenderung mengalami peningkatan dengan rata-rata sebesar 1,43%. Peningkatan luas areal kakao ini merupakan kontribusi peningkatan luas areal di beberapa negara sentra (Gambar 4.12 dan Lampiran 4.8). Gambar 4.12. Perkembangan luas areal dan produksi kakao dunia, 1961-2008 Berdasarkan data rata-rata luas areal TM tahun 2004 - 2008, Pantai Gading merupakan negara dengan luas areal kakao terbesar di dunia dengan luas areal mencapai 2,14 juta ha atau berkontribusi sebesar 25,28% dari total luas areal kakao dunia, disusul kemudian oleh Ghana dan Nigeria dengan luas areal TM masing- masing sebesar 1,78 juta ha (21,00%) dan 1,09 juta ha (12,89%). Indonesia menempati urutan ke-4 sebagai negara dengan luas areal kakao sebesar 1,03 juta ha atau berkontribusi sebesar 12,22%. Negara berikutnya adalah Brazil, Kamerun dan Ekuador dengan luas areal TM kakao masing-masing sebesar 639 ribu ha, 480 ribu ha dan 355 ribu ha. Sementara 3 negara terakhir adalah Republik Dominika, Papua New Guinea dan Togo, dengan realisasi luas areal TM-nya jauh dibandingkan dengan negara sebelumnya, yakni di bawah 150 ribu ha (Gambar 4.13 dan Lampiran 4.9). 70 Pusat Data dan Informasi Pertanian
  • 93.
    OUTLOOK KOMODITAS PERTANIAN- PERKEBUNAN 2010 Gambar 4.13. Negara dengan luas areal kakao terbesar di dunia (rata-rata 2004-2008) Seiring dengan peningkatan luas areal TM maka produksi kakao dunia juga terus mengalami peningkatan dari tahun 1961-2008 dengan rata-rata pertumbuhan sebesar 3,15%. Pada tahun 2008, tingkat produksi kakao dunia lebih dari 4,3 juta ton (Gambar 4.13 dan Lampiran 4.8). Pantai Gading yang memiliki luas areal kakao terbesar di dunia juga sebagai negara produsen kakao terbesar, dengan tingkat produksi rata-rata 2004-2008 mencapai 1,38 juta ton atau berkontribusi sebesar 33,14% dari total produksi kakao dunia. Walaupun Indonesia berada pada posisi ke-4 dari sisi luas areal, namun tingkat produksinya berada pada posisi ke-2 yakni sebesar 717 ribu ton (atau 17,25%). Hal ini disebabkan tingginya tingkat pencapaian produktivitas kakao Indonesia. Negara produsen kakao terbesar berikutnya adalah Ghana dan Nigeria dengan tingkat produksi masing-masing sebesar 705 ribu ton (16,95%) dan 468 ribu ton (11,24%). Kemudian disusul oleh Brazil dan Kamerun dengan tingkat produksi masing-masing sebesar 205 ribu ton (4,94%) dan 175 ribu ton (4,21%). Negara produsen berikutnya yakni, Ekuador, Togo, Papua New Guinea dan Rep. Dominika, dan mempunyai tingkat produksi jauh di bawah tingkat produksi negara sebelumnya yakni di bawah 100 ribu ton (Gambar 4.14, Lampiran 4.10). Pusat Data dan Informasi Pertanian 71
  • 94.
    2010 OUTLOOK KOMODITAS PERTANIAN - PERKEBUNAN Gambar 4.14. Negara produsen kakao terbesar di dunia (rata-rata 2004-2008) Gambar 4.15. Negara dengan produktivitas kakao terbesar dunia (rata-rata 2004-2008) Kondisi iklim dan penggunaan teknologi sangat berpengaruh terhadap pencapaian produktivitas tanaman. Pantai Gading sebagai negara dengan luas areal kakao terbesar di dunia tidak dibarengi dengan pencapaian besaran produktivitas tanaman kakaonya, karena tidak termasuk dalam sepuluh negara dengan produktivitas terbesar di dunia. Demikian pula pencapaian produktivitas negara produsen terbesar kakao lainnya juga relatif rendah, karena negara-negara dengan produktivitas kakao terbesar bukan ditempati oleh negara produsen kakao. 72 Pusat Data dan Informasi Pertanian
  • 95.
    OUTLOOK KOMODITAS PERTANIAN- PERKEBUNAN 2010 Indonesia menempati urutan ke-10 sebagai negara dengan produktivitas kakao terbesar dunia yakni sebesar 0,71 ton/ha (Gambar 4.15 dan Lampiran 4.11). 4.6. PERKEMBANGAN HARGA PRODUSEN KAKAO DUNIA Selama periode tahun 1991-2007, perkembangan harga biji kakao kering dunia cukup berfluktuatif namun mempunyai kecenderungan mengalami sedikit peningkatan sebesar 4,24%. Penurunan harga kakao cukup besar terjadi pada tahun 1999 hingga sebesar 15,50% dibandingkan periode tahun sebelumnya (Gambar 4.16). Gambar 4.16. Perkembangan harga produsen biji kakao kering dunia, 1991-2007 Harga biji kakao kering sangat bervariasi antar satu negara dengan negara lainnya. Perbedaan harga biji kakao kering ini dipengaruhi oleh banyak faktor seperti kualitas, ukuran, kebersihan produk, dll. Pada umumnya, harga biji kakao kering cukup tinggi terjadi bukan di negara sentra produsen kakao. Harga rata-rata kakao di tingkat produsen selama periode tahun 2003 – 2007 tertinggi terjadi di Trinidad dan Tobago sebesar US$ 3.854,68 per ton, disusul kemudian di Cuba sebesar US$ 3.759 per ton, Suriname sebesar US$ 3.476,77 per ton, Saint Lucia sebesar US$ 2.508,6 per ton, Panama sebesar US$ 2.325,22 per ton, Belize sebesar US$ 2.301,16 per ton, Togo sebesar US$ 2.115,66 per ton, Cameroon sebesar US$ 1.894,28 per ton, Equatorial Guinea sebesar US$ 1.865,66 per ton dan Colombia sebesar US$ 1.705,60 per ton (Gambar 4.17, Lampiran 4.12). Pusat Data dan Informasi Pertanian 73
  • 96.
    2010 OUTLOOK KOMODITAS PERTANIAN - PERKEBUNAN Gambar 4.17. Negara dengan harga produsen kakao terbesar dunia, (rata-rata 2003-2007) 4.7. PERKEMBANGAN EKSPOR IMPOR KAKAO DUNIA Sebagai negara produsen kakao terbesar di dunia, menjadikan Pantai Gading sebagai negara ekaportir kakao terbesar dengan realisasi ekspor sebesar 1,2 juta ton atau setara dengan 21,99% dari total ekspor kakao dunia (rata-rata 2003-2007), yang disusul kemudian oleh Netherlands dengan realisasi ekspor sebesar 703,45 ribu ton (12,89%) dan Ghana sebesar 596,28 ribu ton (10,93%). Indonesia menempati urutan ke-4 sebagai negara pengekspor kakao terbesar di dunia dengan realisasi ekspor sebesar 459,87 ribu ton (8,43%). Negara berikutnya adalah Nigeria, Kamerun dan Belanda dengan realisasi ekspor masing-masing sebesar 222,57 ribu ton, 139,86 ribu ton dan 122,58 ribu ton. Belanda bukan merupakan negara produsen kakao, namun masuk ke dalam urutan negara pengeskpor terbesar kakao, hal ini mengindikasikan bahwa Belanda melakukan kegiatan re-ekspor untuk komoditas kakao. Negara berikutnya adalah Belgia, Ekuador, Papua Nugini dan Republik Dominika, namun realisasi ekspornya jauh di bawah negera-negara sebelumnya, yakni masing-masing sebesar 88,60 ribu ton, 64,75 ribu ton, 45,08 ribu ton dan 38,32 ribu ton (Gambar 4.18 dan Lampiran 4.13). 74 Pusat Data dan Informasi Pertanian
  • 97.
    OUTLOOK KOMODITAS PERTANIAN- PERKEBUNAN 2010 Gambar 4.18. Negara pengekspor kakao terbesar dunia (rata-rata 2003 – 2007) Seperti telah diulas di atas, ternyata Belanda melakukan kegiatan re-ekspor komoditas kakao. Hal ini jelas terlihat dari realisasi impor kakao Belanda sebesar 776,17 ribu ton (rata-rata 2003-2007) sehingga menempati urutan pertama negara pengimpor kakao terbesar dunia. Negara pengimpor lainnya didominasi oleh negara- negara maju seperti Amerika Serikat di urutan ke-2 dengan realisasi impor sebesar 710,53 ribu ton, Malaysia sebesar 493,59 ribu ton, Jerman sebesar 425,26 ribu ton, Perancis sebesar 365,24 ribu ton, Belgia sebesar 330,52 ribu ton dan Inggris sebesar 218,32 ribu ton. Sedangkan, Federasi Rusian Spanyol dan Kanada, termasuk negara pengimpor kakao berikutnya tetapi tidak terlalu besar yakni masing-masing hanya dibawah 150 ribu ton (Gambar 4.19 dan Lampiran 4.14). Gambar 4.19. Negara importir kakao terbesar dunia, rata-rata 2003 – 2007 Pusat Data dan Informasi Pertanian 75
  • 98.
    2010 OUTLOOK KOMODITAS PERTANIAN - PERKEBUNAN 4.8. PROYEKSI PENAWARAN KAKAO 2010-2012 Berdasarkan hasil penelusuran model, produksi kakao dalam negeri lebih dipengaruhi oleh luas areal kakao dua tahun sebelumnya, harga ekspor riil kakao biji kering satu tahun sebelumnya dan trend waktu yang merupakan refleksi dari perkembangan penerapan teknologi budidaya kakao. Dari model tersebut didapat statistik koefisien determinasi (R2) sebesar 98,70%. Hal ini menunjukkan kelayakan model yang digunakan karena keragaman produksi kakao dalam negeri telah dijelaskan sebesar 98,70% dari keragaman luas areal kakao, harga ekspor dan trend. Hasil statistik secara lengkap untuk model di atas tersaji pada Tabel 4.5. Dari Tabel 4.5 menunjukkan bahwa produksi kakao secara positif dipengaruhi oleh harga ekspor riil sendiri dengan koefisien model sebesar 0.13. Hal ini menunjukkan bahwa apabila harga ekspor riil kakao naik (turun) sebesar 1% maka produksi kakao akan naik (turun) sebesar 0.13%. Sementara luas areal kakao dua tahun sebelumnya juga secara positif sangat berpengaruh terhadap produksi kakao dengan koefisien model sebesar 1,10. Hal ini menunjukkan bahwa apabila luas areal kakao dua tahun sebelumnya naik (turun) sebesar 1% maka produksi kakao akan naik (turun) sebesar 1,10%. Tabel 4.5. Nilai statistik model produksi kakao dalam negeri No Peubah Koefisien P Value 1 Intercept -2,60 0.000 2 Luas areal (t-3) 1,10 0.000 3 Harga ekspor riil (t-2) 0.13 0.136 R2 0.987 Dengan menggunakan angka koefisien model tersebut di atas, maka hasil proyeksi penawaran kakao Indonesia selama periode tahun 2010 hingga 2012 tersaji pada Tabel 4.6. 76 Pusat Data dan Informasi Pertanian
  • 99.
    OUTLOOK KOMODITAS PERTANIAN- PERKEBUNAN 2010 Tabel 4.6. Proyeksi produksi kakao Indonesia, 2009 – 2012 No Tahun Produksi Pertumbuhan (Ton) (%) 1 2009 758.411 2 2010 877.296 15,68 3 2011 849.257 -3,20 4 2012 823.064 -3,08 Rata-rata pertumbuhan (%) 3,13 Keterangan: Tahun 2009 Angka sementara Ditjen Perkebunan Tahun 2010 – 2012 Angka hasil poryeksi Dari Tabel 4.6 terlihat bahwa produksi kakao Indonesia selama periode tahun 2009 hingga 2012 diproyeksikan akan tumbuh sebesar 3,13% per tahun. Pada tahun 2010, produksi biji kakao kering diproyeksikan mencapai 877,30 ribu ton atau meningkat sebesar 15,68%, kemudian pada tahun 2011 sedikit mengalami penurunan hingga menjadi 849,26 ribu ton dan kembali turun pada tahun 2012 menjadi 823,06 ribu ton. 4.9. PROYEKSI PERMINTAAN KAKAO 2010 – 2012 Seperti telah diuraikan di depan bahwa produksi biji kakao kering nasional dominan diperuntukkan bagi kepentingan ekspor. Selama periode tahun 1969 hingga 2009, ekspor total kakao Indonesia mencapai lebih dari 70% dari total produksinya, hanya sebagian kecil yang digunakan untuk konsumsi dalam negeri. Hal ini ditunjukkan juga oleh sangat elastisnya harga ekspor riil kakao dalam mempengaruhi produksi kakao nasional. Sedangkan yang dikonsumsi langsung oleh masyarakat hanya sebesar 23,4 gr/kapita coklat instan dan 10,4 gr/kapita coklat bubuk pada tahun 2008. Sementara itu, menurut Ketua Umum Asosiasi Industri Kakao Indonesia (AIKI), pada tahun 2006, dari total kapasitas terpasang industri pengolahan nasional yang mencapai 300 ribu ton, pemanfaatan kapasitas produksinya baru 50 persen saja, atau sekitar 150 ribu ton. Karena kecilnya angka Pusat Data dan Informasi Pertanian 77
  • 100.
    2010 OUTLOOK KOMODITAS PERTANIAN - PERKEBUNAN konsumsi kakao Indonesia, maka proyeksi permintaan kakao hanya didekati melalui kebutuhan untuk ekspor dan industri pengolah biji kakao. Dengan menggunakan analisis double exponential smoothing (pemulusan eksponensial berganda) dengan konstanta pemulusan alpha sebesar 0,387449 dan gamma sebesar 0,208593 untuk proyeksi volume ekspor kakao serta asumsi penyerapan industri biji kakao kering tidak mengalami perubahan selama 3 periode tahun ke depan, maka permintaan total kakao diproyeksikan seperti yang disajikan pada Tabel 4.7. Tabel 4.7. Proyeksi total permintaan kakao Indonesia, 2010 – 2012 No Tahun Ekspor Industri Total Permintaan (Ton) (Ton) (Ton) 1 2010 573.378 150.000 726.378 2 2011 596.503 150.000 746.503 3 2012 616.629 150.000 766.629 Rata-rata 0,43 0,00 0,73 pertumbuhan (%) Selama periode tahun 2010-2012, permintaan kakao diproyeksikan akan naik sebesar 0,73 %. Kenaikan ini lebih disebabkan oleh kenaikan volume ekspor sebesar 0,43% . Pada tahun 2010, total permintaan biji kakao kering diproyeksikan mencapai 726,38 ribu ton, kemudian naik menjadi 746,50 ribu ton pada tahun 2011 dan diproyeksikan naik kembali pada tahun 2012 menjadi sebesar 733,63 ribu ton. 4.10. PROYEKSI SURPLUS/ DEFISIT KAKAO 2010 - 2012 Selama periode 2010-2012 diproyeksikan masih akan terjadi surplus produksi kakao namun ada kecenderungan mengalami penurunan dengan rata-rata pertumbuhan turun sebesar 38,50% (Tabel 4.8). Pada tahun 2010, surplus produksi kakao kering Indonesia mencapai 150,92 ribu ton, dan turun menjadi 102,75 ribu ton 78 Pusat Data dan Informasi Pertanian
  • 101.
    OUTLOOK KOMODITAS PERTANIAN- PERKEBUNAN 2010 pada tahun 2011, kemudian akan mengalami penurunan lagi pada tahun 2012 menjadi sebesar 56,44 ribu ton. Tabel 4.8. Proyeksi surplus/defisit kakao Indonesia, 2010 – 2012 No Tahun Penawaran Permintaan Surplus/Defisit (Ton) (Ton) (Ton) 1 2010 877.296 726.378 150.918 2 2011 849.257 746.503 102.754 3 2012 823.064 766.629 56.435 Rata-rata 3,13 0,73 -38,50 pertumbuhan (%) Pusat Data dan Informasi Pertanian 79
  • 102.
    2010 OUTLOOK KOMODITAS PERTANIAN - PERKEBUNAN Lampiran 4.1. Perkembangan luas areal kakao Indonesia menurut status pengusahaan,1967 – 2009 Luas Areal (Ha) Tahun 1) 2) 3) PR % PBN % PBS % Total % 1967 6,342 4,439 2,058 12,839 1968 6,362 0.32 4,440 0.02 2,053 -0.24 12,855 0.12 1969 5,413 -14.92 6,393 43.99 1,254 -38.92 13,060 1.59 1970 5,156 -4.75 5,722 -10.50 1,232 -1.75 12,110 -7.27 1971 6,298 22.15 7,034 22.93 1,061 -13.88 14,393 18.85 1972 9,819 55.91 9,159 30.21 1,152 8.58 20,130 39.86 1973 4,813 -50.98 9,484 3.55 1,220 5.90 15,517 -22.92 1974 6,066 26.03 10,917 15.11 580 -52.46 17,563 13.19 1975 5,733 -5.49 10,453 -4.25 1,312 126.21 17,498 -0.37 1976 1,848 -67.77 12,162 16.35 1,331 1.45 15,341 -12.33 1977 7,694 316.34 12,271 0.90 1,830 37.49 21,795 42.07 1978 8,746 13.67 14,623 19.17 2,390 30.60 25,759 18.19 1979 10,764 23.07 16,900 15.57 8,046 236.65 35,710 38.63 1980 13,125 21.93 18,636 10.27 5,321 -33.87 37,082 3.84 1981 14,869 13.29 20,678 10.96 7,422 39.49 42,969 15.88 1982 18,000 21.06 23,308 12.72 7,121 -4.06 48,429 12.71 1983 25,858 43.66 25,132 7.83 8,938 25.52 59,928 23.74 1984 39,217 51.66 27,667 10.09 11,635 30.17 78,519 31.02 1985 51,765 32.00 29,198 5.53 11,834 1.71 92,797 18.18 1986 58,584 13.17 29,994 2.73 9,537 -19.41 98,115 5.73 1987 114,922 96.17 38,391 28.00 18,513 94.12 171,826 75.13 1988 165,100 43.66 53,137 38.41 34,867 88.34 253,104 47.30 1989 212,352 28.62 57,600 8.40 47,753 36.96 317,705 25.52 1990 252,237 18.78 57,600 0.00 47,653 -0.21 357,490 12.52 1991 299,998 18.93 64,406 11.82 79,658 67.16 444,062 24.22 1992 351,911 17.30 62,437 -3.06 81,658 2.51 496,006 11.70 1993 376,636 7.03 65,525 4.95 93,124 14.04 535,285 7.92 1994 415,522 10.32 69,760 6.46 111,729 19.98 597,011 11.53 1995 428,614 3.15 66,021 -5.36 107,484 -3.80 602,119 0.86 1996 488,815 14.05 63,025 -4.54 103,491 -3.71 655,331 8.84 1997 308,811 -36.82 62,455 -0.90 85,791 -17.10 457,057 -30.26 1998 436,576 41.37 58,261 -6.72 77,716 -9.41 572,553 25.27 1999 534,670 22.47 59,990 2.97 73,055 -6.00 667,715 16.62 2000 641,133 19.91 52,690 -12.17 56,094 -23.22 749,917 12.31 2001 710,044 10.75 55,291 4.94 56,114 0.04 821,449 9.54 2002 798,628 12.48 54,815 -0.86 60,608 8.01 914,051 11.27 2003 861,099 7.82 49,913 -8.94 53,211 -12.20 964,223 5.49 2004 1,003,252 16.51 38,668 -22.53 49,040 -7.84 1,090,960 13.14 2005 1,081,102 7.76 38,295 -0.96 47,649 -2.84 1,167,046 6.97 2006 1,219,633 12.81 48,930 27.77 52,257 9.67 1,320,820 13.18 2007 1,272,781 4.36 57,343 17.19 49,155 -5.94 1,379,279 4.43 2008 1,326,784 4.24 50,584 -11.79 47,848 -2.66 1,425,216 3.33 2009*) 1,372,705 3.46 55,165 9.06 47,473 -0.78 1,475,343 3.52 Rata-rata pertumbuhan (%) 1967-2009 21.32 7.03 14.86 13.36 1967-1986 21.56 23.59 37.97 22.07 1987-2009 39.46 8.34 27.11 32.98 Sumber : Ditjen. Perkebunan 1) Keterangan: *) Angka Sementara PR = Perkebunan Rakyat 2) 3) PBN = Perkebunan Besar Negara PBS = Perkebunan Besar Swasta 80 Pusat Data dan Informasi Pertanian
  • 103.
    OUTLOOK KOMODITAS PERTANIAN- PERKEBUNAN 2010 Lampiran 4.2. Perkembangan produksi kakao Indonesia menurut status pengusahaan, 1967 – 2009 Produksi (Ton) Tahun PR % PBN % PBS % Total % 1967 527 623 83 1,233 1968 453 -14.04 623 0.00 128 54.22 1,204 -2.35 1969 334 -26.27 922 47.99 507 296.09 1,763 46.43 1970 487 45.81 1,061 15.08 190 -62.52 1,738 -1.42 1971 443 -9.03 1,164 9.71 402 111.58 2,009 15.59 1972 342 -22.80 1,265 8.68 194 -51.74 1,801 -10.35 1973 510 49.12 1,117 -11.70 186 -4.12 1,813 0.67 1974 789 54.71 2,382 113.25 20 -89.25 3,191 76.01 1975 801 1.52 3,074 29.05 46 130.00 3,921 22.88 1976 842 5.12 2,980 -3.06 87 89.13 3,909 -0.31 1977 879 4.39 3,825 28.36 112 28.74 4,816 23.20 1978 950 8.08 4,264 11.48 282 151.79 5,496 14.12 1979 1,036 9.05 7,411 73.80 185 -34.40 8,632 57.06 1980 1,058 2.12 8,410 13.48 816 341.08 10,284 19.14 1981 1,437 35.82 10,429 24.01 1,271 55.76 13,137 27.74 1982 3,787 163.54 11,464 9.92 2,009 58.06 17,260 31.38 1983 5,401 42.62 11,738 2.39 2,501 24.49 19,640 13.79 1984 6,229 15.33 16,561 41.09 3,712 48.42 26,502 34.94 1985 8,997 44.44 20,512 23.86 4,289 15.54 33,798 27.53 1986 11,761 30.72 18,288 -10.84 4,278 -0.26 34,327 1.57 1987 25,841 119.72 17,658 -3.44 6,700 56.62 50,199 46.24 1988 39,757 53.85 24,112 36.55 15,466 130.84 79,335 58.04 1989 68,259 71.69 26,975 11.87 15,275 -1.23 110,509 39.29 1990 97,418 42.72 27,016 0.15 17,913 17.27 142,347 28.81 1991 119,284 22.45 35,463 31.27 20,152 12.50 174,899 22.87 1992 145,563 22.03 35,993 1.49 25,591 26.99 207,147 18.44 1993 187,529 28.83 40,638 12.91 29,892 16.81 258,059 24.58 1994 198,001 5.58 42,086 3.56 29,894 0.01 269,981 4.62 1995 231,992 17.17 40,933 -2.74 31,941 6.85 304,866 12.92 1996 304,013 31.04 36,456 -10.94 33,530 4.97 373,999 22.68 1997 263,846 -13.21 35,644 -2.23 30,729 -8.35 330,219 -11.71 1998 369,887 40.19 46,307 29.92 32,733 6.52 448,927 35.95 1999 304,549 -17.66 37,064 -19.96 25,862 -20.99 367,475 -18.14 2000 363,628 19.40 34,790 -6.14 22,724 -12.13 421,142 14.60 2001 476,924 31.16 33,905 -2.54 25,975 14.31 536,804 27.46 2002 511,379 7.22 34,083 0.52 25,693 -1.09 571,155 6.40 2003 634,877 24.15 32,075 -5.89 31,864 24.02 698,816 22.35 2004 636,783 0.30 25,830 -19.47 29,091 -8.70 691,704 -1.02 2005 693,701 8.94 25,494 -1.30 29,633 1.86 748,828 8.26 2006 702,207 1.23 33,795 32.56 33,384 12.66 769,386 2.75 2007 671,370 -4.39 34,643 2.51 33,993 1.82 740,006 -3.82 2008 740,681 10.32 31,130 -10.14 31,783 -6.50 803,594 8.59 2009*) 694,783 -6.20 32,558 4.59 31,070 -2.24 758,411 -5.62 pertumbuhan (%) 1967-2009 22.78 12.13 34.18 18.15 1967-1986 43.53 39.85 94.65 40.06 1987-2009 90.91 37.45 36.08 71.79 Sumber : Ditjen. Perkebunan 1) Keterangan: *) Angka Sementara PR = Perkebunan Rakyat 2) 3) PBN = Perkebunan Besar Negara PBS = Perkebunan Besar Swasta Pusat Data dan Informasi Pertanian 81
  • 104.
    2010 OUTLOOK KOMODITAS PERTANIAN - PERKEBUNAN Lampiran 4.3. Perkembangan produksi kakao PR di provinsi sentra di Indonesia, 2005 – 2009 Produksi (Ton) Share Rata-rata No Propinsi Share (%) kumulatif 2005 2006 2007 2008 2009*) (Ton) (%) 1 Sulteng 152,318 131,842 146,778 151,949 154,844 147,546 16.63 16.63 2 Sulsel 148,259 142,392 119,293 112,037 111,444 126,685 14.28 30.91 3 Sulbar 96,481 112,927 88,436 149,458 149,458 119,352 13.45 44.37 4 Sultra 132,740 124,921 135,113 116,994 75,553 117,064 13.20 57.56 5 Sumut 28,914 32,781 64,782 60,253 59,298 49,206 5.55 63.11 6 Kaltim 25,072 26,774 24,331 23,894 21,446 24,303 2.74 65.85 7 Prop. lain 262,236 262,412 308,051 340,957 341,212 302,974 34.15 100.00 Nasional 693,702 702,207 740,006 803,593 758,411 887,130 100.00 Sumber : Direktorat Jenderal Perkebunan Keterangan : *) Angka Sementara Lampiran 4.4. Perkembangan konsumsi coklat instan dan coklat bubuk di Indonesia, 1981 – 2008 Coklat instan Coklat bubuk Tahun Konsumsi Pertumbuhan Konsumsi Pertumbuhan (gr/kapita) (%) (gr/kapita) (%) 1981 10.4 1984 5.2 -50.00 1987 5.2 0.00 1990 5.2 0.00 1993 10.4 100.00 1996 20.8 100.00 1999 7.8 5.2 -75.00 2002 15.6 100.00 10.4 100.00 2003 7.8 -50.00 5.2 -50.00 2004 15.6 100.00 10.4 100.00 2005 31.2 100.00 10.4 0.00 2006 15.6 -50.00 10.4 0.00 2007 23.4 50.00 10.4 0.00 2008 23.4 0.00 10.4 0.00 Rata-rata pertumbuhan (%) 1981-2008 35.71 17.31 Sumber: SUSENAS, BPS 82 Pusat Data dan Informasi Pertanian
  • 105.
    OUTLOOK KOMODITAS PERTANIAN- PERKEBUNAN 2010 Lampiran 4.5. Perkembangan harga domestik kakao Indonesia, 1992 - 2007 Harga Domestik Tahun Pertumbuhan (%) (Rp/Kg) 1992 1,373 1993 1,265 -7.87 1994 2,581 104.03 1995 2,021 -21.70 1996 2,281 12.86 1997 2,932 28.54 1998 8,903 203.65 1999 6,673 -25.05 2000 7,411 11.06 2001 7,208 -2.74 2002 8,948 24.14 2003 9,576 7.02 2004 9,579 0.03 2005 9,415 -1.71 2006 10,103 7.31 2007 13,325 31.89 2008 16,357 22.75 Rata-rata pertumbuhan (%) 1992-2008 24.64 Sumber : Ditjen Perkebunan Pusat Data dan Informasi Pertanian 83
  • 106.
    2010 OUTLOOK KOMODITAS PERTANIAN - PERKEBUNAN Lampiran 4.6. Perkembangan volume dan nilai ekspor total kakao Indonesia, 1996 – 2009 Volume Nilai Tahun (Ton) Pertumb. (%) (000 US$) Pertumb. (%) 1996 322,858 373,927 1997 265,949 -17.63 419,066 12.07 1998 334,807 25.89 502,906 20.01 1999 419,874 25.41 423,273 -15.83 2000 424,089 1.00 341,860 -19.23 2001 392,072 -7.55 389,262 13.87 2002 465,622 18.76 701,034 80.09 2003 357,737 -23.17 624,234 -10.96 2004 368,758 3.08 549,348 -12.00 2005 465,162 26.14 667,993 21.60 2006 612,124 31.59 855,047 28.00 2007 495,583 -19.04 915,145 7.03 2008 515,576 4.03 1,269,022 38.67 2009 559,799 8.58 1,459,297 14.99 Rata-rata pertumbuhan (%) 5.93 13.72 Sumber: BPS 84 Pusat Data dan Informasi Pertanian
  • 107.
    OUTLOOK KOMODITAS PERTANIAN- PERKEBUNAN 2010 lampiran 4.7. Perkembangan volume dan nilai impor total kakao Indonesia, 1996 – 2009 Volume Nilai Tahun (Ton) Pertumb. (%) (000 US$) Pertumb. (%) 1996 2,422 2,885 1997 3,211 32.58 4,861 68.49 1998 6,959 116.72 10,628 118.64 1999 10,450 50.17 13,751 29.38 2000 9,534 -8.77 9,387 -31.73 2001 35,411 271.40 40,176 327.98 2002 33,706 -4.81 55,492 38.12 2003 41,339 22.65 81,070 46.09 2004 51,017 23.41 86,003 6.08 2005 53,865 5.58 85,455 -0.64 2006 47,109 -12.54 76,031 -11.03 2007 41,148 -12.65 75,864 -0.22 2008 53,761 30.65 119,130 57.03 2009 46,929 -12.71 121,390 1.90 Rata-rata pertumbuhan (%) 1996-2009 38.59 50.01 Sumber : BPS Pusat Data dan Informasi Pertanian 85
  • 108.
    2010 OUTLOOK KOMODITAS PERTANIAN - PERKEBUNAN Lampiran 4.8. Perkembangan luas areal, produktivitas dan produksi kakao dunia, 1961-2008 Luas Areal Produktivitas Produksi Tahun (000 Ha) % (kg/ha) % (000 Ton) % 1961 4,403.48 337.32 1,186.36 1962 4,468.79 1.48 336.04 -0.38 1,213.11 2.25 1963 4,516.08 1.06 352.35 4.85 1,280.52 5.56 1964 4,541.28 0.56 348.29 -1.15 1,544.61 20.62 1965 4,589.43 1.06 326.74 -6.19 1,228.71 -20.45 1966 4,076.79 -11.17 343.34 5.08 1,344.41 9.42 1967 4,217.41 3.45 352.95 2.80 1,390.56 3.43 1968 4,079.36 -3.27 352.89 -0.02 1,246.63 -10.35 1969 4,260.16 4.43 359.35 1.83 1,418.92 13.82 1970 4,358.55 2.31 360.89 0.43 1,543.45 8.78 1971 4,423.36 1.49 358.31 -0.71 1,638.90 6.18 1972 4,299.40 -2.80 364.88 1.83 1,510.77 -7.82 1973 4,316.72 0.40 350.18 -4.03 1,402.11 -7.19 1974 4,398.85 1.90 368.95 5.36 1,556.48 11.01 1975 4,360.73 -0.87 369.20 0.07 1,561.67 0.33 1976 4,309.67 -1.17 354.00 -4.12 1,366.56 -12.49 1977 4,436.82 2.95 367.40 3.79 1,452.55 6.29 1978 4,581.60 3.26 373.69 1.71 1,495.42 2.95 1979 4,632.80 1.12 389.96 4.35 1,659.91 11.00 1980 4,740.39 2.32 378.37 -2.97 1,670.68 0.65 1981 4,848.33 2.28 374.47 -1.03 1,735.29 3.87 1982 4,678.40 -3.51 378.05 0.96 1,615.36 -6.91 1983 4,658.94 -0.42 361.10 -4.48 1,604.67 -0.66 1984 4,768.17 2.34 372.17 3.07 1,810.61 12.83 1985 5,046.03 5.83 380.21 2.16 2,014.02 11.23 1986 5,247.63 4.00 374.61 -1.47 2,118.41 5.18 1987 5,275.08 0.52 374.77 0.04 2,055.94 -2.95 1988 5,655.18 7.21 376.36 0.43 2,563.34 24.68 1989 5,514.97 -2.48 382.01 1.50 2,641.02 3.03 1990 5,709.93 3.53 371.23 -2.82 2,532.08 -4.12 1991 5,684.35 -0.45 363.32 -2.13 2,532.62 0.02 1992 5,729.88 0.80 375.76 3.42 2,677.32 5.71 1993 5,752.45 0.39 381.72 1.59 2,673.40 -0.15 1994 5,759.37 0.12 370.95 -2.82 2,672.36 -0.04 1995 6,562.75 13.95 380.34 2.53 2,991.19 11.93 1996 6,469.47 -1.42 391.84 3.02 3,245.00 8.49 1997 6,497.61 0.43 387.87 -1.02 3,015.56 -7.07 1998 6,653.28 2.40 395.14 1.88 3,309.91 9.76 1999 6,549.54 -1.56 382.08 -3.31 2,975.52 -10.10 2000 7,592.63 15.93 372.30 -2.56 3,371.88 13.32 2001 7,156.48 -5.74 377.89 1.50 3,108.49 -7.81 2002 7,009.19 -2.06 394.79 4.47 3,271.49 5.24 2003 7,729.48 10.28 438.66 11.11 3,578.81 9.39 2004 8,531.59 10.38 421.85 -3.83 4,017.99 12.27 2005 8,766.62 2.75 411.71 -2.40 4,054.25 0.90 2006 8,539.70 -2.59 428.96 4.19 4,275.43 5.46 2007 8,285.65 -2.97 433.71 1.11 4,150.05 -2.93 2008 8,185.91 -1.20 433.77 0.01 4,300.21 3.62 Rata-rata pertumbuhan (%) 1961-2007 1.43 0.59 3.15 Sumber : FAO 86 Pusat Data dan Informasi Pertanian
  • 109.
    OUTLOOK KOMODITAS PERTANIAN- PERKEBUNAN 2010 Lampiran 4.9. Negara dengan luas areal kakao terbesar dunia, 2004-2008 Luas (Ha) Share No Negara Rata-rata Share (%) kumulatif 2004 2005 2006 2007 2008 (%) 1 Côte d'Ivoire 2,050,000 2,193,548 2,281,290 2,372,542 1,800,000 2,139,476 25.28 25.28 2 Ghana 2,000,000 1,850,000 1,835,000 1,450,000 1,750,000 1,777,000 21.00 46.28 3 Nigeria 1,062,000 1,062,000 1,104,000 1,110,000 1,115,000 1,090,600 12.89 59.17 4 Indonesia 1,114,200 1,235,213 905,730 923,968 990,052 1,033,833 12.22 71.39 5 Brazil 638,825 625,384 647,135 628,928 655,585 639,171 7.55 78.94 6 Cameroon 490,000 520,000 440,000 450,000 500,000 480,000 5.67 84.62 7 Ecuador 336,358 357,706 350,027 356,658 376,604 355,471 4.20 88.82 8 Dominican Rep. 125,787 153,219 153,219 153,219 153,219 147,733 1.75 90.56 9 PNG 97,000 110,000 120,000 120,000 120,000 113,400 1.34 91.90 10 Togo 35,000 80,000 104,000 104,000 105,000 85,600 1.01 92.91 11 Lainnya 582,417 579,551 599,296 616,339 620,451 599,611 7.09 100.00 DUNIA 8,531,587 8,766,621 8,539,697 8,285,654 8,185,911 8,461,894 100.00 Sumber : FAO Lampiran 4.10. Negara produsen kakao terbesar dunia, 2004-2008 Share Produksi (Ton) No Negara Rata-rata Share (%) kumulatif 2004 2005 2006 2007 2008 (%) 1 Côte d'Ivoire 1,407,213 1,360,000 1,372,000 1,384,000 1,370,000 1,378,643 25.28 25.28 2 Indonesia 641,700 642,900 769,386 740,006 792,761 717,351 21.00 46.28 3 Ghana 737,000 740,000 734,000 615,000 700,000 705,200 12.89 59.17 4 Nigeria 412,000 441,000 485,000 500,000 500,000 467,600 12.22 71.39 5 Brazil 196,005 208,620 212,270 201,651 208,386 205,386 7.55 78.94 6 Cameroon 166,754 178,500 164,553 179,239 187,532 175,316 5.67 84.62 7 Ecuador 89,680 93,658 87,561 85,891 94,300 90,218 4.20 88.82 8 Togo 21,700 53,000 73,000 78,000 80,000 61,140 1.75 90.56 9 PNG 38,900 47,800 51,100 47,300 48,800 46,780 1.34 91.90 10 Dominican Rep. 47,985 31,361 45,912 42,154 42,154 41,913 1.01 92.91 11 Lainnya 259,049 257,410 280,651 276,806 276,272 270,038 7.09 100.00 DUNIA 4,017,986 4,054,249 4,275,433 4,150,047 4,300,205 4,159,584 100.00 Sumber : FAO Pusat Data dan Informasi Pertanian 87
  • 110.
    2010 OUTLOOK KOMODITAS PERTANIAN - PERKEBUNAN Lampiran 4.11. Negara dengan produktivitas kakao terbesar dunia, 2004-2008 Produktivitas (Ton/Ha) No Negara Rata-rata 2004 2005 2006 2007 2008 1 Guatemala 1.23 1.46 1.66 1.71 1.71 1.55 2 Malaysia 0.80 0.84 1.02 1.25 1.45 1.07 3 El Salvador 1.00 1.00 1.00 1.00 1.00 1.00 4 Guinea 0.75 0.90 0.98 0.71 0.87 0.84 5 Bolivia 0.82 0.83 0.84 0.86 0.86 0.84 6 Madagascar 0.94 0.78 0.78 0.90 0.75 0.83 7 Honduras 0.80 0.81 0.80 0.78 0.78 0.80 8 Saint Lucia 0.75 0.73 0.75 0.80 0.80 0.77 9 Tanzania, United Rep. of 0.70 0.77 0.75 0.75 0.75 0.74 10 Indonesia 0.58 0.52 0.85 0.80 0.80 0.71 Sumber : FAO Lampiran 4.12. Negara dengan harga produsen kakao terbesar dunia, 2003-2007 Harga produsen (US$/ton) No Negara Rata-rata 2003 2004 2005 2006 2007 1 Trinidad & Tobago 2,841.58 3,416.85 3,968.14 4,287.68 4,759.14 3,854.68 2 Cuba 3,759.00 3,759.00 3,759.00 3,759.00 3,759.00 3,759.00 3 Suriname 2,583.10 2,953.06 3,490.83 3,926.89 4,429.98 3,476.77 4 Saint Lucia 2,444.44 2,521.41 2,544.63 2,490.48 2,542.04 2,508.60 5 Panama 2,271.00 2,705.50 2,171.10 2,435.90 2,042.60 2,325.22 6 Belize 2,204.50 2,221.55 2,266.50 2,332.50 2,480.75 2,301.16 7 Togo 1,553.09 2,076.02 2,111.58 2,241.64 2,595.97 2,115.66 8 Cameroon 1,256.02 1,631.98 2,007.87 2,114.16 2,461.35 1,894.28 9 Equatorial Guinea 1,290.43 1,549.34 1,787.86 2,157.39 2,543.27 1,865.66 10 Colombia 1,583.12 1,521.07 1,593.09 1,657.03 2,173.68 1,705.60 Sumber : FAO 88 Pusat Data dan Informasi Pertanian
  • 111.
    OUTLOOK KOMODITAS PERTANIAN- PERKEBUNAN 2010 Lampiran 4.13. Negara eksportir kakao terbesar dunia, 2003-2007 Share Ekspor (Ton) No Negara Rata-rata Share (%) kumulatif 2003 2004 2005 2006 2007 (%) 1 Côte d'Ivoire 1,180,937 1,303,440 1,260,247 1,176,877 1,079,466 1,200,193 25.25 25.25 2 Netherlands 496,738 800,555 786,189 697,707 736,054 703,449 14.80 40.05 3 Ghana 415,558 720,262 597,887 670,578 577,133 596,284 12.55 52.60 4 Indonesia 357,737 368,758 465,162 612,124 495,583 459,873 9.68 62.28 5 Nigeria 242,580 266,429 281,840 205,341 191,881 237,614 5.00 67.28 6 Malaysia 180,197 242,902 202,543 223,131 262,271 222,209 4.68 71.95 7 Cameroon 149,376 187,507 181,103 186,875 179,625 176,897 3.72 75.67 8 France 151,041 150,832 141,717 157,052 161,887 152,506 3.21 78.88 9 Belgium 80,194 124,816 148,346 142,828 152,050 129,647 2.73 81.61 10 Ecuador 82,662 89,637 100,150 93,355 88,696 90,900 1.91 83.52 11 Lainnya 739,059 715,228 775,954 799,425 885,808 783,095 16.48 100.00 DUNIA 4,076,079 4,970,366 4,941,138 4,965,293 4,810,454 4,752,666 100.00 Sumber : FAO Lampiran 4.14. Negara importir kakao terbesar dunia, 2003-2007 Impor (Ton) Share No Negara Rata-rata Share (%) kumulatif 2003 2004 2005 2006 2007 (%) 1 Netherlands 702,911 816,663 829,551 735,590 796,136 776,170 15.51 15.51 2 USA 621,290 719,523 841,128 750,990 619,714 710,529 14.20 29.71 3 Malaysia 341,748 856,508 342,068 467,438 460,188 493,590 9.86 39.58 4 Germany 358,386 358,435 417,796 456,448 535,218 425,257 8.50 48.07 5 France 342,640 363,837 355,391 366,468 397,847 365,237 7.30 55.37 6 Belgium 239,961 438,206 308,931 329,415 336,074 330,517 6.61 61.98 7 Uni. Kingdom 206,893 211,828 224,539 203,846 244,489 218,319 4.36 66.34 8 Russian Fed. 116,515 128,920 145,334 147,376 160,754 139,780 2.79 69.13 9 Spain 119,148 127,494 137,365 151,395 163,228 139,726 2.79 71.93 10 Canada 125,934 156,661 120,506 143,096 121,325 133,504 2.67 74.59 11 Lainnya 1,203,408 1,154,394 1,267,087 1,315,465 1,415,882 1,271,247 25.41 100.00 DUNIA 4,378,834 5,332,469 4,989,696 5,067,527 5,250,855 5,003,876 100.00 Sumber : FAO Pusat Data dan Informasi Pertanian 89
  • 112.
    OUTLOOK KOMODITAS PERTANIAN- PERKEBUNAN 2010 V. CENGKEH Cengkeh (Syzygium aromaticum, syn. Eugenia aromaticum), dalam bahasa Inggris disebut cloves, adalah tangkai bunga kering beraroma dari keluarga pohon Myrtaceae. Cengkeh adalah tanaman asli Indonesia yang banyak digunakan sebagai bumbu masakan pedas di negara-negara Eropa, dan sebagai bahan utama rokok kretek khas Indonesia. Cengkeh ditanam terutama di Indonesia (Kepulauan Banda) dan Madagaskar; selain itu juga dibudidayakan di Zanzibar, India, dan Sri Lanka. Tumbuhan ini adalah flora identitas Provinsi Maluku Utara. Pohon cengkeh merupakan tanaman tahunan yang dapat tumbuh dengan tinggi 10-20 m, mempunyai daun berbentuk lonjong yang berbunga pada pucuk-pucuknya. Tangkai buah pada awalnya berwarna hijau, dan berwarna merah jika bunga sudah mekar. Cengkeh akan dipanen jika sudah mencapai panjang 1,5-2 cm. Minyak esensial dari cengkeh mempunyai fungsi anestesik dan antimikrobial. Minyak cengkeh sering digunakan untuk menghilangkan bau nafas dan untuk menghilangkan sakit gigi. Zat yang terkandung dalam cengkeh yang bernama eugenol, digunakan dokter gigi untuk menenangkan saraf gigi. Minyak cengkeh juga digunakan dalam campuran tradisional chōjiyu (1% minyak cengkeh dalam minyak mineral; "chōji" berarti cengkeh; "yu" berarti minyak) dan digunakan oleh orang Jepang untuk merawat permukaan pedang mereka (http://id.wikipedia.org/wiki/Cengkeh, 2 Juni 2010). Pesatnya industri rokok kretek di Indonesia menyebabkan tanaman cengkeh yang dulunya merupakan komoditas ekspor berubah posisi menjadi komoditas impor, sehingga pada tahun 1970 muncul program swasembada cengkeh melalui perluasan areal. Program swasembada tersebut tercapai pada tahun 1991, namun dengan melimpahnya produksi cengkeh menyebabkan harga cengkeh turun terus. Permasalahan harga tersebut membuat pemerintah mengeluarkan kebijakan mengatur tata niaga cengkeh melalui pembentukan Badan Penyangga dan Pemasaran Cengkeh (BPPC), sayangnya upaya tersebut Pusat Data dan Informasi Pertanian 91
  • 113.
    2010 OUTLOOK KOMODITAS PERTANIAN - PERKEBUNAN tidak berhasil dan petani menelantarkan areal pertanaman cengkeh (Departemen Pertanian 2005). Sekitar tahun 2001-2002 harga cengkeh di pasar dalam negeri melonjak cukup tajam. Kenyataan ini mengejutkan semua pihak, baik petani maupun produsen rokok kretek yang merupakan satu-satunya konsumen komoditas 'emas hijau' itu. Betapa tidak, harga cengkeh yang telah lama terpuruk pada era monopoli Badan Penyangga Pemasaran Cengkeh (Rp 2.500,-/kg hingga Rp 8.500,- /kg), tiba-tiba meroket bahkan mencapai Rp 70.000,-/kg. Kondisi ini ternyata mengungkap dua fakta yang kontradiktif. Di satu sisi produsen rokok kretek menjerit akibat mahalnya harga cengkeh, di sisi lain, petani sebagai produsen cengkeh tidak bergembira dengan melambungnya harga tersebut karena bukan hasil panenan petani. Kemungkinan besar hal ini bisa terjadi karena cengkeh yang diperdagangkan saat harga mencapai puncaknya, bukan dari hasil panenan petani melainkan stok timbunan para pedagang besar (Fahmi Ismail, 2002). Indikasi trend kenaikan harga cengkeh ini antara lain akibat dari : 1. Masih belum ada penambahan areal cengkeh yang cukup signifikan akibat cengkeh dinilai sudah tidak memiliki nilai tambah, sehingga secara bertahap akan menurunkan kemampuan pasok bahan baku cengkeh. 2. Terjadinya pertumbuhan jumlah pelaku usaha di industri rokok kretek yang signifikan pada saat krisis ekonomi (1998), industri ini mampu bertahan dari terjangan krisis ekonomi bahkan berhasil meraih keuntungan sangat besar di tengah terpuruknya sebagian industri lainnya. Pada tahun 1999 tidak kurang dari 70 pabrik yang turut menjadi pemain baru di industri rokok. Hal ini lambat laun jelas akan menambah total produksi dan berdampak pada meningkatnya kebutuhan bahan baku rokok kretek terutama tembakau dan cengkeh. 3. Zanzibar dan Madagaskar sebagai negara produsen cengkeh terbesar di dunia turut melakukan konversi tanaman menyusul anjloknya harga cengkeh dunia sehingga hanya bergantung pada pasar cengkeh dunia. 92 Pusat Data dan Informasi Pertanian
  • 114.
    OUTLOOK KOMODITAS PERTANIAN- PERKEBUNAN 2010 5.1. PERKEMBANGAN LUAS AREAL, PRODUKSI DAN PRODUKTIVITAS CENGKEH DI INDONESIA Total luas areal cengkeh di Indonesia menunjukkan peningkatan pada periode 1967 - 1987 dengan laju pertumbuhan rata-rata mencapai 11,52% per tahun. Menginjak tahun 1988 - 2009 terjadi kecenderungan penurunan luas areal cengkeh dengan rata-rata penurunan sebesar 2,28% per tahun. Namun demikian, secara umum sejak tahun 1967 - 2009, luas areal cengkeh masih menunjukkan peningkatan sebesar 4,29% per tahun atau dari 59,56 ribu ha pada tahun 1967 menjadi 459,19 ribu ha pada tahun 2009 (Lampiran 5.1). Dari status pengusahaannya, luas areal cengkeh di Indonesia sangat didominasi oleh perkebunan rakyat (PR). Pada periode tahun 1967 - 2009, rata- rata luas areal cengkeh PR mencapai 94,74% dari total luas areal cengkeh Indonesia (Tabel 5.1). Selama periode tahun 1967 - 1987, perkembangan luas areal cengkeh PR menunjukkan peningkatan yang cukup pesat dengan rata-rata sebesar 11,40%. Hal ini antara lain dikarenakan konsekuensi program swasembada cengkeh pada tahun 1970, sehingga terjadi peningkatan luas areal yang cukup signifikan, yaitu dari 59,56 ribu hektar pada tahun 1967 menjadi 722,69 ribu hektar pada tahun 1987 (Lampiran 5.1). Namun sejak awal tahun 1991 luas areal cengkeh terus menurun hingga tahun 2000, seperti tersaji pada Gambar 5.1. Hal ini terjadi karena Badan Penyangga dan Pemasaran Cengkeh (BPPC) yang didirikan oleh pemerintah untuk mengatur harga cengkeh nasional tidak berhasil, sehingga banyak petani pada saat itu yang kecewa dan memangkas tanaman cengkehnya. Pusat Data dan Informasi Pertanian 93
  • 115.
    2010 OUTLOOK KOMODITAS PERTANIAN - PERKEBUNAN Tabel 5.1. Kontribusi rata-rata luas areal dan produksi cengkeh di Indonesia menurut status pengusahaan, 1967-2009 Luas Areal (%) Produksi (%) Tahun PR PBN PBS Total PR PBN PBS Total 1967-2009*) 94.74 0.69 2.09 100.00 97.13 0.58 2.30 100.00 1967-1987 96.51 1.06 2.43 100.00 98.22 0.57 1.20 100.00 1988-2009*) 97.66 0.46 1.88 100.00 96.72 0.58 2.71 100.00 Sumber : Direktorat Jenderal Perkebunan, diolah Pusdatin Tahun 2009 : Angka Sementara Perkembangan industri rokok kretek pasca krisis ekonomi (1998) berdampak pada meningkatnya kebutuhan cengkeh serta mulai membaiknya harga jual cengkeh menyebabkan di beberapa daerah mulai tertarik untuk melakukan peremajaan tanaman cengkeh yang rusak/mati sehingga menginjak tahun 2001 mulai nampak adanya perluasan areal meskipun pertumbuhannya masih sangat lambat. Selama periode 1988 - 2009 total luas areal cengkeh menurun rata-rata sebesar 2,28% per tahun (Lampiran 5.1). Gambar 5.1. Perkembangan luas areal cengkeh PR di Indonesia, 1967-2009 Sementara itu, perkembangan luas areal perkebunan besar negara (PBN) dan perkebunan besar swasta (PBS) pada periode tahun 1967 - 2009 memiliki pola 94 Pusat Data dan Informasi Pertanian
  • 116.
    OUTLOOK KOMODITAS PERTANIAN- PERKEBUNAN 2010 yang hampir sama dengan PR. Kecenderungan kenaikan luas areal juga terjadi pada periode tahun 1967 - 1987 dimana perkembangan luas areal PBS lebih fluktuatif dibandingkan PBN (Gambar 5.2). Pada periode tersebut luas areal PBN rata-rata meningkat sebesar 11,28% per tahun, sedangkan PBS meningkat sebesar 12,99% per tahun. Namun setelah periode tersebut (1988 - 2009), terjadi perkembangan luas areal berkebalikan yaitu terjadi penurunan areal yang cukup besar pada PBN yaitu rata-rata sebesar 16,44% per tahun dan 3,91% untuk PBS, yang menyebabkan penurunan total areal cengkeh di Indonesia sebesar 2,28% per tahun (Lampiran 5.1). Gambar 5.2. Perkembangan luas areal cengkeh di Indonesia, 1971-2009 Sejalan dengan peningkatan luas arealnya, total produksi cengkeh Indonesia juga mengalami peningkatan yang cukup signifikan, yaitu dari 8,82 ribu ton pada tahun 1967 menjadi 71 ribu ton pada tahun 1987 dengan rata-rata pertumbuhan sebesar 2,53% per tahun. Produksi cengkeh nasional mencapai puncaknya pada tahun 1995 hingga mencapai 90 ribu ton. Sayangnya setelah periode tersebut, terjadi penurunan produksi secara drastis sebagai dampak dari ketidakpastian harga (Gambar 5.3), yang mengakibatkan petani enggan memelihara tanamannya sehingga produksi tahun 2000 hanya sebesar 59,88 ribu ton dan produksi tahun 2001, saat harga mulai membaik mencapai 72,69 ribu ton (GAPPRI dalam Departemen Pertanian 2005). Pusat Data dan Informasi Pertanian 95
  • 117.
    2010 OUTLOOK KOMODITAS PERTANIAN - PERKEBUNAN Masalah lain yang dihadapi petani cengkeh selain ketidakpastian harga adalah masa awal produksi cengkeh yang cukup lama yaitu setelah 5-7 tahun serta fluktuasi produksi yang cukup tinggi yang dikenal sebagai siklus 2-4 tahun, artinya produksi yang tinggi pada tahun tertentu diikuti dengan penurunan produksi 1-2 tahun berikutnya (Departemen Pertanian, 2005). Gambar 5.3. Perkembangan produksi cengkeh di Indonesia, 1967-2009 Seperti halnya areal cengkeh, produksi cengkeh nasional didominasi oleh PR dimana pada periode tahun 1967 - 2009 rata-rata produksi PR sebesar 97,13% terhadap total produksi cengkeh Indonesia. Dengan demikian pola perkembangan produksi cengkeh nasional merupakan refleksi dari pola perkembangan produksi cengkeh PR di Indonesia. Pola perkembangan produksi cengkeh pada perkebunan besar baik PBN maupun PBS agak berbeda. Pada PBN mulai berproduksi pada tahun 1971 sebesar 1 ton dan mencapai puncak produksi pada tahun 1989 sebesar 1.089 ton. Setelah tahun tersebut terjadi kecenderungan penurunan produksi hingga hanya mencapai 316 ton pada tahun 2009. Sementara, pola produksi cengkeh PBS lebih tinggi dibandingkan PBN yaitu pada tahun 1970 sebesar 76 ton dan tertinggi terjadi pada tahun 2004 sebesar 6.660 ton, namun setelah itu cenderung turun hingga 1.816 ton pada tahun 2009 (Lampiran 5.2). 96 Pusat Data dan Informasi Pertanian
  • 118.
    OUTLOOK KOMODITAS PERTANIAN- PERKEBUNAN 2010 Budidaya komoditas cengkeh menyebar di sebagian besar provinsi di Indonesia. Berdasarkan data produksi rata-rata tahun 2005-2009 terdapat 10 provinsi sentra produksi cengkeh PR yang mempunyai kontribusi kumulatif hingga mencapai 83,82%, yaitu provinsi Maluku, Sulawesi Selatan, Sulawesi Tengah, Jawa Timur, Sulawesi Utara,Jawa Tengah, Bali, Jawa Barat, Maluku Utara, dan Banten. Maluku memberikan kontribusi terbesar terhadap total produksi Indonesia hingga mencapai 12,33% atau sebesar 9.405 ton. Peringkat kedua adalah Sulawesi Selatan sebesar 9.077 ton (11,90%), diikuti Sulawesi Tengah 8.657 ton (11,35%), dan Jawa Timur 8.381 ton (10,99 5). Provinsi sentra produksi lainnya dibawah 10%, sedangkan provinsi-provinsi bukan sentra hanya memberikan kontribusi kurang dari 3% (Gambar 5.4, Lampiran 5.3). Gambar 5.4. Kontribusi produksi cengkeh PR di provinsi sentra (rata-rata 2005-2009) Secara umum produktivitas cengkeh di Indonesia sangat fluktuatif dan cenderung menurun (Gambar 5.5), karena lebih dari 90% tanaman cengkeh di Indonesia adalah milik rakyat yang kurang dipelihara dengan baik. Selama periode 1970-2009, rata-rata laju pertumbuhan produktivitas cengkeh hanya sebesar 1,02% per tahun. Produktivitas tertinggi selama periode tersebut terjadi pada tahun 1980 sebesar 39,96 persen atau 233,20 kg/ha. Pertumbuhan produktivitas cengkeh Indonesia secara rinci disajikan pada Lampiran 5.4. Pusat Data dan Informasi Pertanian 97
  • 119.
    2010 OUTLOOK KOMODITAS PERTANIAN - PERKEBUNAN Gambar 5.5. Perkembangan produktivitas cengkeh di Indonesia, 1970-2009 5.2. PERKEMBANGAN KONSUMSI CENGKEH DI INDONESIA Konsumsi cengkeh di Indonesia dibedakan atas konsumsi rumah tangga dan konsumsi industri pengolahan. Konsumsi tersebut dipenuhi dari produksi dalam negeri dan impor. Berdasarkan Tabel Input Output (I/O) 1995, cengkeh sebagian besar digunakan oleh industri sebagai permintaan antara dengan proporsi 97,67% dan hasil survei oleh BPS tersebut pada tahun 2000 permintaan antara cengkeh menurun menjadi 91,56%. Industri olahan utama di Indonesia yang menggunakan cengkeh sebagai bahan baku adalah industri rokok kretek. Selama ini, konsumsi cengkeh di Indonesia dipenuhi dari produksi dalam negeri maupun impor. Perkembangan konsumsi cengkeh selama tahun 1970 - 2008 meskipun berfluktuasi namun cenderung meningkat dengan rata-rata kenaikan sebesar 10,17% per tahun (Gambar 5.6 dan Lampiran 5.5 ). Hal ini kemungkinan besar terkait dengan terjadinya pertumbuhan jumlah pelaku usaha industri rokok kretek di Indonesia. Pada tahun 1970 konsumsi cengkeh domestik hanya sebesar 14.926 ton dan terus bergerak naik hingga sebesar 89.321 ton pada tahun 1995. Selanjutnya konsumsi cengkeh domestik turun signifikan menjadi 59.249 ton pada tahun 1996 karena sebagian besar produsen rokok kretek mengurangi pemakaian cengkeh akibat turunnya produksi dalam negeri. Namun penurunan angka konsumsi cengkeh domestik tersebut tidak berlangsung lama hingga terjadinya krisis ekonomi tahun 1998. Pada tahun 1999 konsumsi cengkeh 98 Pusat Data dan Informasi Pertanian
  • 120.
    OUTLOOK KOMODITAS PERTANIAN- PERKEBUNAN 2010 mengalami kenaikan yang signifikan hingga 73.737 ton. Namun pada tahun-tahun berikutnya konsumsi cengkeh terus mengalami penurunan hingga mencapai 66.284 ton pada tahun 2008, walaupun sempat mengalami peningkatan konsumsi pada tahun 2001 sebesar 83.260 ton. Total konsumsi cengkeh domestik pada tahun 2008 seluruhnya berasal dari produksi dalam negeri yang mencapai angka 70.535 ton dikurangi ekspor sebesar 4.251 ton (Lampiran 5.5). Gambar 5.6. Perkembangan konsumsi domestik cengkeh di Indonesia, 1970-2008 5.3. PERKEMBANGAN HARGA CENGKEH DI INDONESIA Harga cengkeh di pasar domestik sejak tahun 1987 terus mengalami penurunan dari sebesar Rp. 6.440,-/kg hingga menjadi Rp. 3.800,-/kg pada tahun 1997. Hal tersebut karena pemerintah membentuk BPPC pada tahun 1992 sebagai lembaga pengendali harga. Melalui BPPC, ditetapkan harga pembelian dari tingkat petani sebesar Rp. 2.000,-/kg – Rp.3.500,-/kg. Namun pada tahun 1998 harga cengkeh di pasar domestik mulai mengalami peningkatan, seiring dengan meningkatnya kebutuhan cengkeh untuk industri rokok kretek dan tidak difungsikannya lagi kelembagaan BPPC. Peningkatan harga yang begitu signifikan terjadi pada tahun 1999 hingga mencapai 169,54% atau sebesar Rp. 20.000,-/kg dari sebesar Rp. 7.420,-/kg pada tahun 1998. Pada tahun 2003 harga cengkeh kembali jatuh menjadi Rp. 28.873,-/kg dan pada tahun 2004 harga kembali jatuh Pusat Data dan Informasi Pertanian 99
  • 121.
    2010 OUTLOOK KOMODITAS PERTANIAN - PERKEBUNAN hingga menjadi Rp. 26.570,-/kg. Berdasarkan perkiraan biaya produksi, harga yang layak di tingkat petani adalah Rp. 30.000,-/kg – Rp. 40.000,-/kg cengkeh kering. Dengan tingkat harga tersebut petani akan memperoleh 1/3 bagian keuntungan dari usahataninya (Balittro dalam Departemen Pertanian 2005). Tahun-tahun selanjutnya harga bergerak naik hingga sebesar 34,86% pada tahun 2008 atau sebesar Rp. 53.005,-/kg . Rata-rata pertumbuhan harga cengkeh di pasar domestik mengalami peningkatan 38,41% pada periode 1998-2008 (Lampiran 5.6), dan bila dilihat trendnya harga cengkeh di Indonesia terus mengalami peningkatan hingga tahun 2008 ( Gambar 5.7). Gambar 5.7. Perkembangan harga cengkeh di pasar domestik dan pasar dunia, 1987-2008 5.4. PERKEMBANGAN EKSPOR IMPOR CENGKEH DI INDONESIA Komoditas cengkeh memang merupakan salah satu komoditas ekspor Indonesia, walaupun pada tahun 1999 - 2001 sempat mengalami impor yang cukup besar (Gambar 5.7). Peningkatan impor yang terjadi pada periode tersebut disebabkan konsumsi yang juga cukup besar, sementara produksi cengkeh tidaklah mencukupi konsumsi domestik yang tinggi pada periode tersebut. Namun sejak tahun 2003, ekspor cengkeh Indonesia kembali meningkat hingga mencapai 15.688 ton, dan pada tahun 2007 - 2009 Indonesia tidak mengimpor cengkeh. 100 Pusat Data dan Informasi Pertanian
  • 122.
    OUTLOOK KOMODITAS PERTANIAN- PERKEBUNAN 2010 Selama periode tahun 2002-2009, neraca perdagangan cengkeh pada posisi surplus (Lampiran 5.7). Gambar 5.8. Perkembangan volume ekspor impor cengkeh di Indonesia, 1996-2008 Perkembangan nilai ekspor maupun nilai impor mempunyai tren yang hampir sama dengan volumenya (Gambar 5.9). Nilai ekspor tertinggi terjadi pada tahun 2002 senilai US$ 25,97 juta, sedangkan nilai impor tertinggi pada tahun 1999 sebesar US$ 40,07 juta (Lampiran 5.7). Gambar 5.9. Perkembangan nilai ekspor-impor cengkeh di Indonesia, 1996-2008 Neraca perdagangan cengkeh Indonesia pada tahun 1996 - 2009 menunjukkan perkembangan yang meningkat, walaupun pada tahun 1999 - 2001 Pusat Data dan Informasi Pertanian 101
  • 123.
    2010 OUTLOOK KOMODITAS PERTANIAN - PERKEBUNAN mengalami defisit karena meningkatnya kebutuhan cengkeh untuk industri rokok kretek di dalam negeri. Defisit tertinggi terjadi pada tahun 1999 hingga mencapai US$ 38,43 juta. Selama periode 2002 – 2009, neraca perdagangan cengkeh menunjukkan surplus yang cukup signifikan dan tertinggi terjadi pada tahun 2007 sebesar US$ 33,62 juta (Lampiran 5.7). 5.5. PERKEMBANGAN LUAS AREAL TANAMAN MENGHASILKAN, PRODUKSI, DAN PRODUKTIVITAS CENGKEH DUNIA Perkembangan luas areal tanaman menghasilkan (TM) dunia pada periode tahun 1961 - 1997 sangat menggembirakan dengan rata-rata pertumbuhan 5,86% per tahun (Lampiran 5.8). Namun bila dilihat dari Gambar 5.10 peningkatan luas tanaman menghasilkan cengkeh dunia mengalami peningkatan tertinggi pada tahun 1991 yang mencapai 584.067 hektar dari sebesar 80.800 hektar pada tahun 1967. Pada periode selanjutnya yakni tahun 1998-2008 luas areal tanaman menghasilkan mengalami penurunan, dengan rata-rata pertumbuhan turun sebesar 1,38% per tahun. Pertumbuhan yang negatif pada periode ini menyebabkan rata-rata pertumbuhan areal tanaman menghasilkan cengkeh dunia sejak tahun 1961 - 2008 hanya sebesar 4,17% per tahun, hingga pada tahun 2008 luas TM cengkeh dunia hanya sebesar 385.030 hektar (Lampiran 5.8). Gambar 5.10. Perkembangan luas areal tanaman menghasilkan cengkeh dunia dan Indonesia, 1967-2008 102 Pusat Data dan Informasi Pertanian
  • 124.
    OUTLOOK KOMODITAS PERTANIAN- PERKEBUNAN 2010 Berdasarkan Gambar 5.10, ternyata perkembangan luas areal TM Indonesia mempengaruhi perkembangan luas areal TM dunia, dan dilihat dari rata-rata pertumbuhan areal TM tahun 2004-2008, Indonesia memberikan kontribusi yang sangat besar yaitu 81,04% atau sebesar 340.891 hektar terhadap total dunia (Lampiran 5.9). Setelah Indonesia, Madagaskar memberikan kontribusi terbesar ke dua walaupun hanya sebesar 10,78% atau sebesar 45.362 hektar (Gambar 5.11 dan Lampiran 5.9). Gambar 5.11. Negara-negara dengan luas TM cengkeh terbesar dunia, (rata-rata 2004-2008) Perkembangan total produksi cengkeh dunia cenderung meningkat namun sangat berfluktuasi dibandingkan perkembangan luas areal TM dunia (Gambar 5.12). Tahun 1961 produksi cengkeh dunia tercatat sebesar 27.770 ton dan meningkat menjadi 110.264 ton pada tahun 2008. Dengan demikian rata-rata laju pertumbuhan selama periode 1961-2007 adalah sebesar 5,70% per tahun (Lampiran 5.8). Pusat Data dan Informasi Pertanian 103
  • 125.
    2010 OUTLOOK KOMODITAS PERTANIAN - PERKEBUNAN Gambar 5.12. Perkembangan produksi cengkeh dunia , 1961-2008 Secara umum rata-rata produksi cengkeh dunia periode tahun 2004 - 2008 didominasi oleh 5 negara, yaitu Indonesia, Madagaskar, Tanzania, Sri Lanka dan Comoros. Kelima negara tersebut memberikan kontribusi 98,12% terhadap total produksi dunia. Rata-rata produksi cengkeh Indonesia mencapai 75.109 ton per tahun, Madagaskar 11.566 ton, Tanzania 9.940 ton, Sri Lanka 3.346 ton, dan Comoros 2.840 ton . Indonesia berada pada peringkat pertama dengan kontribusi produksi rata-rata 71,69% terhadap total produksi cengkeh dunia (Gambar 5.13, Lampiran 5.10). Gambar 5.13. Negara-negara produsen cengkeh terbesar dunia , 2004-2008 Ditinjau dari sisi produktivitas (rata-rata 2004 - 2008), China menempati urutan pertama dengan rata-rata produktivitas cengkeh sebesar 1,07 ton/ha, 104 Pusat Data dan Informasi Pertanian
  • 126.
    OUTLOOK KOMODITAS PERTANIAN- PERKEBUNAN 2010 diikuti negara Tanzania dengan rata-rata produktivitas 0,78 ton/ha. Urutan berikutnya adalah Kenya dan Sri Lanka dengan rata-rata produktivitas 0,51 ton/ha dan 0,44 ton/ha. Negara berikutnya mempunyai produktivitas cengkeh dibawah 0,30 ton/ha termasuk Indonesia yang berada di urutan ke-8 dengan produktivitas rata-rata sebesar 0,22 ton/ha. Gambar 5.14 dan Lampiran 5.11 menyajikan produktivitas negara-negara penghasil cengkeh dunia. Gambar 5.14. Negara-negara dengan rata-rata produktivitas cengkeh tertinggi dunia, 2004-2008 5.6. PERKEMBANGAN HARGA CENGKEH DUNIA Gambar 5.15. Negara-negara dengan harga produsen cengkeh tertinggi dunia, (rata-rata 2004-2008) Pusat Data dan Informasi Pertanian 105
  • 127.
    2010 OUTLOOK KOMODITAS PERTANIAN - PERKEBUNAN Selama periode lima tahun (2004-2008) perkembangan harga produsen cengkeh dunia cukup fluktuatif, begitu pula yang terjadi untuk Indonesia. Berdasarkan harga rata-rata selama periode tersebut, Indonesia memiliki harga cengkeh tertinggi yaitu sebesar US$ 75.109 per ton. Berada diurutan berikutnya adalah Madagascar dan Tanzania dengan harga rata-rata pada periode tersebut masing-masing sebesar US$ 11.566 per ton, dan US$ 9.940 per ton. Sementara negara lainnya dibawah US$ 4.000 per tonnya (Gambar 5.15 dan Lampiran 5.12) 5.7. PERKEMBANGAN EKSPOR-IMPOR CENGKEH DUNIA Ekspor cengkeh selama lima tahun terakhir didominasi oleh 5 negara, yaitu Singapore, Madagascar, Indonesia, Sri Lanka dan Brazil. Berdasarkan data dari FAO, rata-rata ekspor cengkeh Singapore sebesar 11.314 ton per tahun, Madagascar 10.710 ton, Indonesia 10.527 ton, Sri lanka 4.012 ton, dan Brazil 3.607 ton. Sedangkan ekspor cengkeh dari negara-negara lainnya kurang dari 3,00 ribu ton per tahun (Gambar 5.14 dan Lampiran 5.13). Singapore meskipun bukan negara produsen cengkeh namun tercacat sebagai negara eksportir terbesar, dikarenakan melakukan kegiatan re-ekspor cengkeh, sementara madagascar memang memiliki produktivitas yang lebih tinggi dari Indonesia. Gambar 5.16. Negara eksportir cengkeh terbesar di dunia, rata-rata 2004-2008 106 Pusat Data dan Informasi Pertanian
  • 128.
    OUTLOOK KOMODITAS PERTANIAN- PERKEBUNAN 2010 Sementara itu impor cengkeh dilakukan oleh hampir semua negara di dunia. Negara importir cengkeh terbesar adalah Singapore dengan rata-rata volume impor sebesar 13.478 ton per tahun. Peringkat kedua adalah India dengan rata-rata volume impor 11.117 ton per tahun. Peringkat ketiga adalah Arab sebesar 3.681 per tahun, sedangkan negara-negara lainnya kurang dari 3,00 ribu ton per tahun, termasuk Indonesia ada diperingkat 59 yang hanya sebesar 3 ton per tahunnya. Gambar 5.17 dan Lampiran 5.14 menyajikan lima negara importir terbesar di dunia. Gambar 5.17. Negara importir cengkeh terbesar di dunia, rata-rata 2004-2008 5.8. PROYEKSI PENAWARAN CENGKEH 2009-2012 Proyeksi penawaran cengkeh berdasarkan pada proyeksi produksi cengkeh. Dari hasil uji coba model yang dilakukan ternyata produksi cengkeh hanya dapat diproyeksikan dengan menggunakan model trend kuadratik (univariate) dengan MAPE ( Mean Absolute Percentage Error) sebesar 12. Pusat Data dan Informasi Pertanian 107
  • 129.
    2010 OUTLOOK KOMODITAS PERTANIAN - PERKEBUNAN Tabel 5.2. Hasil proyeksi produksi cengkeh di Indonesia, 2010 - 2012 Tahun Produksi (ton) Pertumbuhan (%) 2009*) 76.247 2010 77.457 1,59 2011 78.760 1,68 2012 80.156 1,77 Rata-rata pertumbuhan (% per tahun) 1,68 Keterangan : *) Angka Sementara, Ditjen Perkebunan Tahun 2010-2012 angka hasil proyeksi Pusdatin Berdasarkan hasil proyeksi di atas, produksi cengkeh di Indonesia periode tahun 2010 – 2012 diproyeksikan akan terus mengalami peningkatan dengan rata- rata pertumbuhan pertahun sebesar 1,68%. Pada tahun 2010 produksi cengkeh diperkirakan akan meningkat sebesar 1,59% menjadi 77.457 ton, dibandingkan produksi tahun sebelumnya. Produksi ini diperkirakan akan terus meningkat hingga mencapai 80.156 ton pada tahun 2012 (Tabel 5.2). 5.9. PROYEKSI PERMINTAAN CENGKEH 2009-2012 Proyeksi permintaan cengkeh didasarkan pada proyeksi konsumsi domestik cengkeh karena sebagian ketersediaan cengkah digunakan untuk memenuhi kebutuhan dalam negeri, baik untuk konsumsi rumah tangga, industri rokok kretek, industri minyak cengkeh, atau industri lainnya. Karena keterbatasan ketersediaan data maka permintaan cengkeh diproyeksikan melalui model trend kuadratik (univariate) dengan MAPE (Mean Absolute Percentage Error) sebesar 12. 108 Pusat Data dan Informasi Pertanian
  • 130.
    OUTLOOK KOMODITAS PERTANIAN- PERKEBUNAN 2010 Tabel 5.3. Hasil proyeksi konsumsi domestik cengkeh di Indonesia, 2009-2011 Konsumsi domestik Tahun Pertumbuhan (%) (Ton) 2009*) 63.741 2010 63.367 -0,59 2011 62.993 -0,59 2012 62.619 -0,59 Rat-rata pertumbuhan (% per tahun) -0,59 Keterangan : *) Angka Sementara, Ditjen Perkebunan & BPS Tahun 2010-2012 Angka hasil proyeksi Pusdatin Dari Tabel 5.3 terlihat bahwa konsumsi domestik cengkeh di Indonesia akan terus mengalami penurunan hingga tahun 2012 dengan rata-rata penurunan per tahun sebesar 0,59% hingga mencapai 62.619 ton pada tahun 2012. Konsumsi cengkeh di Indonesia umumnya digunakan oleh industri rokok keretek. Sejak tahun 2007 pemerintah Indonesia mulai menabuh genderang perang terhadap rokok, baik melalui imbauan maupun ketentuan umum. Hingga pada tahun 2010 pemerintah meningkatkan cukai rokok dalam skala besar, dan menurunkan volume produk rokok. Akibat dari pembatasan volume produk rokok tersebut adalah anjloknya konsumsi cengkeh (Koran Tempo). 5.10. PROYEKSI SURPLUS/DEFISIT KOMODITAS CENGKEH 2009-2012 Jika ketersediaan komoditas cengkeh hanya dihitung berdasarkan produksi dan total konsumsi domestik sebagai gambaran dari total permintaan, maka selama periode tahun 2010 - 2012 diperkirakan masih akan terjadi surplus komoditas cengkeh, dengan rata-rata pertumbuhan sebesar 11,93% per tahun. Surplus tersebut merupakan stok cengkeh di dalam negeri. Diperkirakan surplus Pusat Data dan Informasi Pertanian 109
  • 131.
    2010 OUTLOOK KOMODITAS PERTANIAN - PERKEBUNAN cengkeh akan terus meningkat hingga tahun 2012 menjadi 17.537 ton dari sebesar 12.506 ton pada tahun 2009 (Tabel 5.4). Bila dilihat dari rata-rata pertumbuhan per tahun, pertumbuhan ketersediaan bertambah setiap tahunnya dibanding permintaan yang terus menurun. Ini menunjukkan bahwa Indonesia akan mengalami surplus cengkeh yang semakin besar tiap tahunnya. Bila konsumsi domestik cengkeh dianalogkan kepada pabrik rokok, berarti Indonesia akan berhasil dalam prorgam hidup sehat tanpa rokok. Penurunan konsumsi cengkeh bukan berarti akan mematikan kehidupan petani cengkeh di Indonesia, karena fungsi cengkeh bukan hanya sebagai bahan baku rokok, tetapi dapat dipergunakan sebagai bahan baku obat- obatan, minyak atsiri dan lainnya. Tabel 5.4. Proyeksi surplus/defisit cengkeh di Indonesia, tahun 2009-2012 Ketersediaan Permintaan Surplus/Defisit Tahun (Ton) (Ton) (Ton) 2009*) 76.247 63.741 12.506 2010 77.457 63.367 14.090 2011 78.760 62.993 15.767 2012 80.156 62.619 17.537 Rata-rata pertumbuhan (% 1,68 -0,59 11,93 per tahun) Keterangan : *) Angka Sementara, Ditjen Perkebunan & BPS Tahun 2010-2012 angka hasil proyeksi Pusdatin 110 Pusat Data dan Informasi Pertanian
  • 132.
    OUTLOOK KOMODITAS PERTANIAN- PERKEBUNAN 2010 Lampiran 5.1. Luas areal cengkeh di Indonesia berdasarkan status pengusahaan, 1967-2009 PR PBN PBS Total Tahun (Ha) Pertumb. (%) PBN Pertumb. (%) PBS Pertumb. (%) Total Pertumb. (%) 1967 59,559 - - 59,559 1968 75,751 21.38 - - 75,751 21.38 1969 68,956 -9.85 - 752 69,708 -8.67 1970 81,610 15.51 - 777 3.22 82,387 15.39 1971 100,803 19.04 1,294 100.00 1,323 41.27 103,420 20.34 1972 109,145 7.64 3,570 63.75 1,630 18.83 114,345 9.55 1973 139,592 21.81 3,650 2.19 3,124 47.82 146,366 21.88 1974 171,609 18.66 3,751 2.69 5,176 39.64 180,536 18.93 1975 208,844 17.83 3,177 -18.07 5,864 11.73 217,885 17.14 1976 232,067 10.01 3,624 12.33 6,036 2.85 241,727 9.86 1977 283,988 18.28 3,687 1.71 6,681 9.65 294,356 17.88 1978 301,045 5.67 4,254 13.33 8,151 18.03 313,450 6.09 1979 339,418 11.31 5,454 22.00 8,192 0.50 353,064 11.22 1980 391,445 13.29 5,481 0.49 11,176 26.70 408,102 13.49 1981 494,815 20.89 5,333 -2.78 16,986 34.20 517,134 21.08 1982 511,216 3.21 5,236 -1.85 14,417 -17.82 530,869 2.59 1983 551,717 7.34 4,754 -10.14 16,174 10.86 572,645 7.30 1984 587,774 6.13 4,996 4.84 15,512 -4.27 608,282 5.86 1985 642,664 8.54 4,781 -4.50 16,030 3.23 663,475 8.32 1986 656,414 2.09 5,823 17.89 17,072 6.10 679,309 2.33 1987 722,689 9.17 5,195 -12.09 14,385 -18.68 742,269 8.48 1988 672,398 -7.48 4,659 -11.50 15,708 8.42 692,765 -7.15 1989 681,524 1.34 4,742 1.75 15,726 0.11 701,992 1.31 1990 672,607 -1.33 3,968 -19.51 16,107 2.37 692,682 -1.34 1991 650,407 -3.41 3,298 -20.32 14,499 -11.09 668,204 -3.66 1992 592,446 -9.78 3,086 -6.87 12,818 -13.11 608,350 -9.84 1993 556,496 -6.46 2,307 -33.77 12,244 -4.69 571,047 -6.53 1994 520,012 -7.02 2,221 -3.87 12,143 -0.83 534,376 -6.86 1995 491,563 -5.79 504 -340.67 9,756 -24.47 501,823 -6.49 1996 479,379 -2.54 1,914 73.67 10,420 6.37 491,713 -2.06 1997 447,549 -7.11 1,928 0.73 8,065 -29.20 457,542 -7.47 1998 419,827 -6.60 1,860 -3.66 7,048 -14.43 428,735 -6.72 1999 407,149 -3.11 1,860 0.00 6,850 -2.89 415,859 -3.10 2000 407,010 -0.03 1,860 0.00 6,728 -1.81 415,598 -0.06 2001 420,341 3.17 1,860 0.00 7,099 5.23 429,300 3.19 2002 421,589 0.30 1,865 0.27 6,758 -5.05 430,212 0.21 2003 433,885 2.83 1,865 0.00 6,583 -2.66 442,333 2.74 2004 429,728 -0.97 1,865 0.00 6,660 1.16 438,253 -0.93 2005 438,771 2.06 1,865 0.00 8,221 18.99 448,857 2.36 2006 436,091 -0.61 1,865 0.00 6,702 -22.66 444,658 -0.94 2007 444,683 1.93 1,865 0.00 6,744 0.62 453,292 1.90 2008 447,702 0.67 1,865 0.00 6,905 2.33 456,472 0.70 2009*) 450,290 0.57 1,903 2.00 7,000 1.36 459,193 0.59 Rata-rata pertumbuhan (%) 1967-2009*) 4.25 -4.36 3.70 4.29 1967-1987 11.40 11.28 12.99 11.52 1988-2009*) -2.24 -16.44 -3.91 -2.28 Sumber: Direktorat Jenderal Perkebunan Keterangan : *) Angka Sementara PR= Perkebunan Rakyat PBN= Perkebunan Besar Negara PBS = Perkebunan Besar Swasta Pusat Data dan Informasi Pertanian 111
  • 133.
    2010 OUTLOOK KOMODITAS PERTANIAN - PERKEBUNAN Lampiran 5.2. Produksi cengkeh di Indonesia berdasarkan status pengusahaan, 1967-2009 PR PBN PBS Total Tahun (Ton) Pertumb. (%) (Ton) Pertumb. (%) (Ton) Pertumb. (%) (Ton) Pertumb. (%) 1967 8,821 - - 8,821 1968 17,156 48.58 - - 17,156 48.58 1969 11,037 -55.44 - 1 11,038 -55.43 1970 15,371 28.20 - 76 98.68 15,447 28.54 1971 11,283 -36.23 1 47 -61.70 11,331 -36.33 1972 14,963 24.59 3 66.67 164 71.34 15,130 25.11 1973 27,314 45.22 26 88.46 106 -54.72 27,446 44.87 1974 14,980 -82.34 1 -2,500.00 17 -523.53 14,998 -83.00 1975 19,148 21.77 7 85.71 139 87.77 19,294 22.27 1976 19,855 3.56 27 74.07 150 7.33 20,032 3.68 1977 39,519 49.76 118 77.12 286 47.55 39,923 49.82 1978 21,149 -86.86 123 4.07 282 -1.42 21,554 -85.22 1979 18,174 -16.37 14 -778.57 20 -1,310.00 18,208 -18.38 1980 33,453 45.67 367 96.19 398 94.97 34,218 46.79 1981 28,775 -16.26 176 -108.52 401 0.75 29,352 -16.58 1982 32,412 11.22 217 18.89 180 -122.78 32,809 10.54 1983 40,401 19.77 824 73.67 603 70.15 41,828 21.56 1984 47,751 15.39 283 -191.17 854 29.39 48,888 14.44 1985 40,652 -17.46 301 5.98 1,037 17.65 41,990 -16.43 1986 48,681 16.49 598 49.67 1,349 23.13 50,628 17.06 1987 69,679 30.14 312 -91.67 1,011 -33.43 71,002 28.69 1988 77,909 10.56 1,082 71.16 2,233 54.72 81,224 12.58 1989 53,066 -46.82 1,089 0.64 2,243 0.45 56,398 -44.02 1990 64,423 17.63 837 -30.11 1,652 -35.77 66,912 15.71 1991 77,642 17.03 422 -98.34 2,189 24.53 80,253 16.62 1992 70,278 -10.48 462 8.66 2,384 8.18 73,124 -9.75 1993 65,669 -7.02 218 -111.93 1,479 -61.19 67,366 -8.55 1994 75,812 13.38 192 -13.54 2,375 37.73 78,379 14.05 1995 87,889 13.74 148 -29.73 1,970 -20.56 90,007 12.92 1996 57,396 -53.13 320 53.75 1,763 -11.74 59,479 -51.33 1997 57,492 0.17 316 -1.27 1,384 -27.38 59,192 -0.48 1998 64,835 11.33 343 7.87 1,999 30.77 67,177 11.89 1999 51,345 -26.27 364 5.77 1,194 -67.42 52,903 -26.98 2000 57,926 11.36 343 -6.12 1,609 25.79 59,878 11.65 2001 70,782 18.16 346 0.87 1,557 -3.34 72,685 17.62 2002 77,241 8.36 351 1.42 1,417 -9.88 79,009 8.00 2003 74,518 -3.65 354 0.85 1,599 11.38 76,471 -3.32 2004 71,794 -3.79 355 0.28 6,660 75.99 78,809 2.97 2005 76,201 5.78 372 4.57 1,777 -274.79 78,350 -0.59 2006 60,271 -26.43 196 -89.80 941 -88.84 61,408 -27.59 2007 79,126 23.83 310 36.77 969 2.89 80,405 23.63 2008 68,874 -14.89 310 0.00 1,352 28.33 70,536 -13.99 2009*) 80,158 14.08 316 1.90 1,816 25.55 82,290 14.28 Rata-rata pertumbuhan (%) 1967-2009*) 0.53 -84.62 -45.84 0.62 1967-1987 2.47 -189.34 -86.60 2.53 1988-2009*) -1.23 -8.47 -12.48 -1.12 Sumber: Direktorat Jenderal Perkebunan Keterangan : *) Angka Sementara PR= Perkebunan Rakyat PBN= Perkebunan Besar Negara PBS = Perkebunan Besar Swasta 112 Pusat Data dan Informasi Pertanian
  • 134.
    OUTLOOK KOMODITAS PERTANIAN- PERKEBUNAN 2010 Lampiran 5.3. Perkembangan produksi cengkeh di provinsi sentra di Indonesia, 2005-2009 Produksi (Ton) Share No. Provinsi Rata-rata Share (%) 2005 2006 2007 2008 2009*) kumulatif (%) 1 Maluku 7,294 7,851 10,588 10,631 10,660 9,405 12.33 12.33 2 Sulawesi Selatan 12,090 13,013 4,840 7,315 8,126 9,077 11.90 24.23 3 Sulawesi Tengah 9,244 8,953 8,690 6,767 9,632 8,657 11.35 35.59 4 Jawa Timur 6,714 7,227 9,185 9,380 9,399 8,381 10.99 46.57 5 Sulawesi Utara 9,187 9,889 11,387 461 6,565 7,498 9.83 56.41 6 Jawa Tengah 4,576 4,926 6,296 5,802 5,813 5,483 7.19 63.59 7 Bali 4,335 4,666 5,094 3,763 5,947 4,761 6.24 69.84 8 Jawa Barat 5,054 5,440 4,723 5,134 519 4,174 5.47 75.31 9 Maluku Utara 3,152 3,392 3,015 4,312 4,321 3,638 4.77 80.08 10 Banten 2,514 3,549 2,719 2,766 2,719 2,853 3.74 83.82 11 Lainnya 12,042 12,723 12,590 12,546 11,785 12,337 16.18 100.00 Total 76,202 81,629 79,127 68,877 75,486 76,264 Sumber: Direktorat Jenderal Perkebunan Keterangan : *) Angka Sementara PR= Perkebunan Rakyat PBN= Perkebunan Besar Negara PBS = Perkebunan Besar Swasta Pusat Data dan Informasi Pertanian 113
  • 135.
    2010 OUTLOOK KOMODITAS PERTANIAN - PERKEBUNAN Lampiran 5.4. Produktivitas cengkeh di Indonesia, 2005-2009 Tahun Produktivitas Pertumb (Kg/Ha) (%) 1970 358.69 1971 290.04 -19.14 1972 279.60 -3.60 1973 326.11 16.63 1974 345.88 6.06 1975 249.21 -27.95 1976 281.65 13.02 1977 346.01 22.85 1978 210.59 -39.14 1979 166.62 -20.88 1980 233.20 39.96 1981 176.47 -24.33 1982 169.13 -4.16 1983 172.36 1.91 1984 213.10 23.64 1985 154.82 -27.35 1986 162.57 5.00 1987 197.98 21.78 1988 226.87 14.60 1989 147.61 -34.94 1990 158.27 7.22 1991 194.18 22.69 1992 176.67 -9.02 1993 183.97 4.13 1994 203.92 10.85 1995 225.16 10.41 1996 184.39 -18.11 1997 171.46 -7.01 1998 189.25 10.37 1999 188.62 -0.33 2000 200.35 6.21 2001 210.49 5.06 2002 227.49 8.08 2003 286.40 25.89 2004 217.87 -23.93 2005 224.82 3.19 2006 210.93 -6.18 2007 211.52 0.28 2008 232.09 9.72 2009*) 269.63 16.18 Rata-rata Pertumbuhan 1970-2009*) 1.02 1970-1987 -0.92 1988-2009*) 2.52 114 Pusat Data dan Informasi Pertanian
  • 136.
    OUTLOOK KOMODITAS PERTANIAN- PERKEBUNAN 2010 Lampiran 5.5. Perkembangan produksi, ekspor, impor, dan konsumsi cengkeh Indonesia, 1970-2008 Produksi Ekspor Impor Konsumsi Pertumbuhan Tahun (Ton) (Ton) (Ton) Domestik (Ton) (%) 1970 15,447 521 - 14,926 1971 11,331 31 - 11,300 -24.29 1972 15,130 156 - 14,974 32.51 1973 27,446 353 - 27,093 80.93 1974 14,998 64 - 14,934 -44.88 1975 19,294 47 28,948 48,195 222.72 1976 20,032 125 10,291 30,198 -37.34 1977 39,923 86 3,787 43,624 44.46 1978 21,554 16 9,791 31,329 -28.18 1979 18,208 17 10,993 29,184 -6.85 1980 34,218 39 9,510 43,689 49.70 1981 29,352 51 14,492 43,793 0.24 1982 32,809 81 7,998 40,726 -7.00 1983 41,828 341 3 41,490 1.88 1984 48,888 1,584 2 47,306 14.02 1985 41,990 1,071 13,725 54,644 15.51 1986 50,628 1,818 2,189 50,999 -6.67 1987 71,002 1,836 1,996 71,162 39.54 1988 81,224 2,568 6 78,662 10.54 1989 56,398 1,255 12 55,155 -29.88 1990 66,912 1,105 8 65,815 19.33 1991 80,253 1,118 3 79,138 20.24 1992 73,124 794 6 72,336 -8.60 1993 67,366 700 5 66,671 -7.83 1994 78,379 670 3 77,712 16.56 1995 90,007 690 4 89,321 14.94 1996 59,479 230 - 59,249 -33.67 1997 59,192 356 0 58,836 -0.70 1998 67,177 20,157 1,183 48,203 -18.07 1999 52,903 1,776 22,610 73,737 52.97 2000 59,878 4,655 12,866 68,089 -7.66 2001 72,685 6,324 16,899 83,260 22.28 2002 79,009 9,399 796 70,406 -15.44 2003 76,471 15,688 172 60,955 -13.42 2004 73,837 9,060 9 64,786 6.28 2005 78,350 7,680 1 70,671 9.08 2006 61,408 11,270 1 50,139 -29.05 2007 80,404 14,094 - 66,310 32.25 2008 70,535 4,251 - 66,284 -0.04 Rat-rata Pertumbuhan (%) 1970-2008 10.17 1970-1987 20.37 1988-2008 3.56 Sumber : Ditjen Perkebunan dan BPS, diolah oleh Pusdatin Pusat Data dan Informasi Pertanian 115
  • 137.
    2010 OUTLOOK KOMODITAS PERTANIAN - PERKEBUNAN Lampiran 5.6. Perkembangan harga cengkeh di pasar dalam negeri dan pasar dunia, 1987-2008 Dalam Negeri Dunia (harga ekspor) Tahun (Rp/Kg) Pertumb. (%) (Rp/Kg) Pertumb. (%) 1987 6,440 2,744 1988 5,720 -11.18 2,886 5.17 1989 5,010 -12.41 2,823 -2.18 1990 6,280 25.35 3,508 24.26 1991 6,160 -1.91 4,130 17.73 1992 3,660 -40.58 3,022 -26.83 1993 2,470 -32.51 3,356 11.05 1994 2,680 8.50 6,309 87.99 1995 2,720 1.49 5,773 -8.50 1996 2,820 3.68 498 -91.37 1997 3,800 34.75 3,538 610.44 1998 7,420 95.26 5,672 60.32 1999 20,000 169.54 6,597 16.31 2000 30,875 54.38 16,695 153.07 2001 57,698 86.88 17,630 5.60 2002 54,653 -5.28 24,674 39.95 2003 28,873 -47.17 13,551 -45.08 2004 26,570 -7.98 16,570 22.28 2005 31,791 19.65 19,131 15.46 2006 35,871 12.83 21,899 14.47 2007 39,304 9.57 23,191 5.90 2008 53,005 34.86 1,706 -92.64 Rata-rata pertumbuhan (%) 1987-2008 18.94 39.21 1987-1997 -2.48 62.78 1998-2008 38.41 17.78 Sumber: Ditjen Perkebunan 116 Pusat Data dan Informasi Pertanian
  • 138.
    OUTLOOK KOMODITAS PERTANIAN- PERKEBUNAN 2010 Lampiran 5.7. Perkembangan ekspor-impor dan neraca perdagangan cengkeh di Indonesia, 1996-2009 Volume (Ton) Nilai (000 US$) Neraca Tahun Ekspor Impor Ekspor Impor (000 US$) 1996 230 - 48 - 48 1997 356 - 221 - 221 1998 20,157 1,183 14,115 505 13,610 1999 1,776 22,610 1,636 40,067 -38,431 2000 4,655 12,866 8,281 33,430 -25,149 2001 6,324 16,899 10,669 17,365 -6,696 2002 9,399 796 25,973 653 25,320 2003 15,688 172 24,929 151 24,778 2004 9,060 8 16,037 7 16,030 2005 7,680 1 14,916 1 14,915 2006 11,270 1,337 25,533 1 25,532 2007 13,970 - 33,622 - 33,622 2008 4,251 - 7,251 - 7,251 2009 4,994 31 5,498 112 5,386 Sumber: BPS, diolah Pusdatin Pusat Data dan Informasi Pertanian 117
  • 139.
    2010 OUTLOOK KOMODITAS PERTANIAN - PERKEBUNAN Lampiran 5.8. Luas tanaman menghasilkan, produksi, dan produktivitas cengkeh dunia, 1961-2008 Luas TM Produksi Produktivitas Tahun (Ha) Pertumb. (%) (Ton) Pertumb. (%) (Ton/Ha) Pertumb. (%) 1961 80,800 27,770 0.19 1962 73,430 -9.12 19,085 -31.27 0.17 -11.40 1963 86,650 18.00 26,345 38.04 0.19 8.97 1964 98,695 13.90 29,263 11.08 0.18 -1.92 1965 88,970 -9.85 26,378 -9.86 0.18 -0.90 1966 121,130 36.15 35,532 34.70 0.17 -5.24 1967 98,895 -18.36 39,603 11.46 0.26 52.03 1968 117,230 18.54 33,831 -14.57 0.21 -19.08 1969 83,965 -28.38 23,716 -29.90 0.23 9.35 1970 95,830 14.13 34,373 44.94 0.26 11.09 1971 101,265 5.67 29,371 -14.55 0.21 -16.64 1972 123,300 21.76 34,475 17.38 0.21 -2.08 1973 140,355 13.83 45,771 32.77 0.25 17.53 1974 127,540 -9.13 44,113 -3.62 0.26 5.09 1975 153,290 20.19 38,201 -13.40 0.20 -23.80 1976 158,190 3.20 44,555 16.63 0.22 10.23 1977 186,705 18.03 64,601 44.99 0.26 17.50 1978 187,842 0.61 39,558 -38.77 0.20 -22.66 1979 219,100 16.64 36,506 -7.72 0.19 -5.13 1980 238,837 9.01 55,697 52.57 0.21 12.35 1981 274,360 14.87 48,416 -13.07 0.20 -5.63 1982 282,477 2.96 47,775 -1.32 0.18 -7.32 1983 325,605 15.27 56,121 17.47 0.20 11.32 1984 377,975 16.08 80,548 43.53 0.23 11.14 1985 384,996 1.86 59,605 -26.00 0.19 -18.20 1986 442,694 14.99 71,968 20.74 0.23 24.54 1987 414,702 -6.32 82,101 14.08 0.23 -2.28 1988 472,273 13.88 107,146 30.51 0.26 13.80 1989 479,045 1.43 70,713 -34.00 0.22 -14.27 1990 517,882 8.11 81,967 15.92 0.23 5.91 1991 584,067 12.78 113,415 38.37 0.28 17.88 1992 506,874 -13.22 89,549 -21.04 0.23 -15.08 1993 485,665 -4.18 89,348 -0.22 0.25 8.19 1994 499,865 2.92 101,934 14.09 0.27 7.75 1995 480,365 -3.90 108,157 6.10 0.28 0.79 1996 471,277 -1.89 86,898 -19.66 0.30 9.77 1997 473,919 0.56 81,260 -6.49 0.28 -5.92 1998 488,189 3.01 92,391 13.70 0.33 15.51 1999 424,220 -13.10 80,018 -13.39 0.35 7.42 2000 500,080 17.88 100,189 25.21 0.38 7.75 2001 512,420 2.47 107,859 7.66 0.39 2.83 2002 517,025 0.90 117,618 9.05 0.42 7.10 2003 534,390 3.36 153,048 30.12 0.45 8.23 2004 505,720 -5.36 110,182 -28.01 0.46 1.84 2005 467,501 -7.56 105,103 -4.61 0.46 -0.39 2006 368,384 -21.20 89,287 -15.05 0.47 2.34 2007 376,520 2.21 108,894 21.96 0.49 3.77 2008 385,030 2.26 110,364 1.35 0.50 1.88 Rata-rata pertumbuhan (%) 1961-2008 4.17 5.70 2.89 1961-1997 5.86 6.11 2.16 1998-2008 -1.38 4.36 5.30 Sumber: FAO, diolah Pusdatin 118 Pusat Data dan Informasi Pertanian
  • 140.
    OUTLOOK KOMODITAS PERTANIAN- PERKEBUNAN 2010 Lampiran 5.9. Negara dengan luas areal cengkeh terbesar di dunia, 2004-2008 Luas Tanaman Menghasilkan (Ha) Share No Negara Rata-rata Share (%) kumulatif 2004 2005 2006 2007 2008 (%) 1 Indonesia 390,000 400,000 299,224 303,470 311,760 340,891 81.04 81.04 2 Madagascar 78,910 37,231 36,670 37,000 37,000 45,362 10.78 91.83 3 Tanzania 13,000 13,000 12,500 12,500 12,500 12,700 3.02 94.85 4 Comoros 12,000 5,500 9,000 13,000 13,000 10,500 2.50 97.34 5 Sri Lanka 8,060 7,970 7,740 7,250 7,420 7,688 1.83 99.17 6 Lainnya 3,750 3,800 3,250 3,300 3,350 3,490 0.83 100.00 Dunia 505,720 467,501 368,384 376,520 385,030 420,631 Sumber : FAO diolah Pusdatin Lampiran 5.10. Negara produsen cengkeh terbesar di dunia, 2004-2008 Produksi (Ton) Share No Negara Rata-rata Share (%) kumulatif 2004 2005 2006 2007 2008 (%) 1 Indonesia 73,837 78,350 62,027 80,404 80,929 75,109 71.69 71.69 2 Madagascar 18,055 9,873 9,900 10,000 10,000 11,566 11.04 82.73 3 Tanzania 9,900 10,200 9,800 9,900 9,900 9,940 9.49 92.22 4 Sri Lanka 3,270 3,260 3,140 3,070 3,990 3,346 3.19 95.41 5 Comoros 3,200 1,500 2,500 3,500 3,500 2,840 2.71 98.12 6 Lainnya 1,920 1,920 1,920 2,020 2,045 1,965 1.88 100.00 Dunia 110,182 105,103 89,287 108,894 110,364 104,766 100.00 Sumber : FAO diolah Pusdatin Pusat Data dan Informasi Pertanian 119
  • 141.
    2010 OUTLOOK KOMODITAS PERTANIAN - PERKEBUNAN Lampiran 5.11 Negara-negara dengan rata-rata produktivitas cengkeh tertinggi di dunia, 2004-2008 Produktivitas (Ton/Ha) No Negara Rata-rata 2004 2005 2006 2007 2008 1 China 1.17 1.08 1.00 1.07 1.03 1.07 2 Tanzania 0.76 0.78 0.78 0.79 0.79 0.78 3 Kenya 0.43 0.43 0.57 0.57 0.57 0.51 4 Sri Lanka 0.41 0.41 0.41 0.42 0.54 0.44 5 Comoros 0.27 0.27 0.28 0.27 0.27 0.27 6 Madagascar 0.23 0.27 0.27 0.27 0.27 0.26 7 Malaysia 0.25 0.25 0.25 0.25 0.25 0.25 8 Indonesia 0.19 0.20 0.21 0.26 0.26 0.22 Sumber : FAO diolah Pusdatin Lampiran 5.12. Harga produsen cengkeh terbesar di dunia, 2004-2008 Harga produsen (US$/Ton) No Negara Rata-rata 2004 2005 2006 2007 2008 1 Indonesia 73,837 78,350 62,027 80,404 80,929 75,109 2 Madagascar 18,055 9,873 9,900 10,000 10,000 11,566 3 Tanzania 9,900 10,200 9,800 9,900 9,900 9,940 4 Sri Lanka 3,270 3,260 3,140 3,070 3,990 3,346 5 Comoros 3,200 1,500 2,500 3,500 3,500 2,840 6 Kenya 1000 1000 1000 1000 1000 1000 7 China 700 700 700 800 825 745 8 Malaysia 200 200 200 200 200 200 9 Grenada 20 20 20 20 20 20 Sumber : FAO diolah Pusdatin 120 Pusat Data dan Informasi Pertanian
  • 142.
    OUTLOOK KOMODITAS PERTANIAN- PERKEBUNAN 2010 Lampiran 5.13. Negara eksportir cengkeh terbesar di dunia, 2004-2007 Volume ekspor (Ton) Share No Negara Rata-rata Share (%) kumulatif 2004 2005 2006 2007 (%) 1 Singapore 15,007 11,762 8,347 10,138 11,314 22.40 22.40 2 Madagascar 12,585 6,314 10,358 13,583 10,710 21.21 43.61 3 Indonesia 9,060 7,683 11,270 14,093 10,527 20.85 64.46 4 Sri Lanka 3,428 5,517 2,346 4,756 4,012 7.94 72.40 5 Brazil 6,211 2,107 3,533 2,576 3,607 7.14 79.54 6 Lainnya 11,409 12,073 9,323 8,513 10,330 20.46 100.00 Dunia 57,700 45,456 45,177 53,659 50,498 Sumber : FAO diolah Pusdatin Lampiran 5.14. Negara importir cengkeh terbesar di dunia, 2004-2007 Volume impor (Ton) Share No Negara Rata-rata Share (%) kumulatif 2004 2005 2006 2007 (%) 1 Singapore 21,416 11,085 10,522 10,890 13,478 29.15 29.15 2 India 6,945 10,775 11,748 14,999 11,117 24.04 53.19 3 Arab 3,773 2,176 4,018 4,756 3,681 7.96 61.15 4 Viet Nam 992 2,504 1,752 3,314 2,141 4.63 65.78 5 Saudi Arabia 1,252 1,979 1,727 2,109 1,767 3.82 69.60 6 Lainnya 14,139 13,700 12,662 15,725 14,057 30.40 100.00 Dunia 48,517 42,219 42,429 51,793 46,240 Sumber : FAO diolah Pusdatin Pusat Data dan Informasi Pertanian 121
  • 143.
    OUTLOOK KOMODITAS PERTANIAN- PERKEBUNAN 2010 VI. TEMBAKAU Tembakau (Nicotiana spp., L.) adalah genus tanaman yang berdaun lebar yang berasal dari daerah Amerika Utara dan Amerika Selatan. Daun dari pohon ini sering digunakan sebagai bahan baku rokok, baik dengan menggunakan pipa maupun digulung dalam bentuk rokok atau cerutu. Daun tembakau dapat pula dikunyah atau dikulum, dan ada pula yang menghisap bubuk tembakau melalui hidung. Tembakau mengandung zat alkaloid nikotin, sejenis neurotoxin yang sangat ampuh jika digunakan pada serangga. Zat ini sering digunakan sebagai bahan utama insektisida (http://id.wikipedia.org/wiki/Tembakau, 22 April 2010). Tembakau termasuk komoditas yang mempunyai arti penting karena selain memberikan manfaat ekonomi, manfaat sosialnya pun sangat dirasakan. Peran tembakau didalam perekonomian Indonesia dapat ditunjukkan terutama oleh besarnya cukai yang disumbangkan sebagai penerimaan negara dan banyaknya tenaga kerja yang terserap baik dalam tahap penanaman dan pengolahan tembakau sebelum diekspor atau dibuat rokok, maupun pada tahap pembuatan rokok. Penerimaan negara dari tembakau sangat besar yaitu dari cukai dan setiap tahun terus meningkat pada tahun 2007 sebesar 42 trilyun, tahun 2008 sebesar 50,2 trilyun dan tahun 2009 ditargetkan mencapai 52 trilyun demikian juga pada periode 5 tahun terakhir devisa yang dihasilkan dari eksport tembakau senilai US $ 100.627 (48.278 ton) (http://ditjenbun.deptan.go.id/budtansim/images/pdf/tembakau, 22 April 2010). Tulisan berikut akan mengulas keragaan komoditas tembakau Indonesia dan dunia serta proyeksi produksi dan permintaan tembakau Indonesia di tahun-tahun mendatang. 6.1. PERKEMBANGAN LUAS AREAL, PRODUKTIVITAS DAN PRODUKSI TEMBAKAU INDONESIA Secara umum perkembangan luas areal tembakau di Indonesia selama tahun 1971 - 2009 tampak berfluktuatif dengan rata-rata pertumbuhan sebesar 3,23% Pusat Data dan Informasi Pertanian 123
  • 144.
    2010 OUTLOOK KOMODITAS PERTANIAN - PERKEBUNAN (Gambar 6.1.). Total luas areal tembakau menunjukkan peningkatan pada periode tahun 1971 - 1997 dengan laju pertumbuhan rata-rata mencapai 4,76% per tahun. Menginjak tahun 1998 - 2009 terjadi kecenderungan penurunan laju pertumbuhan luas areal tembakau menjadi sebesar 0,07% per tahun (Lampiran 6.1.). Terjadinya penurunan laju pertumbuhan luas areal tembakau pada periode tahun 1990 - 2009, dikarenakan tembakau di Indonesia hanya diusahakan oleh Perkebunan Rakyat (PR) dan Perkebunan Besar Negara (PBN), sementara Perkebunan Besar Swasta (PBS) tidak melakukan penanaman sama sekali. Gambar 6.1. Perkembangan luas areal tembakau menurut status pengusahaannya, 1971-2009 Gambar 6.2. Kontribusi luas areal tembakau di Indonesia menurut status pengusahaan, (rata-rata 2005-2009) 124 124 Pusat Data dan Informasi Pertanian
  • 145.
    OUTLOOK KOMODITAS PERTANIAN- PERKEBUNAN 2010 Berdasarkan status pengusahaannya, rata-rata luas areal tembakau tahun 2005 - 2009 didominasi oleh PR sebesar 97,43%, sisanya 2,57% PBN, sementara tidak ada PBS yang melakukan penanaman tembakau (Gambar 6.2). Sejalan dengan perkembangan luas arealnya, perkembangan produksi tembakau di Indonesia juga tampak berfluktuatif. Pada periode tahun 1971 – 2009, produksi tembakau Indonesia meningkat dengan dengan laju pertumbuhan rata-rata sebesar 7,43% per tahun (Gambar 6.3). Sementara laju pertumbuhan rata-rata pada periode tahun 1998 - 2009 mengalami sedikit peningkatan sebesar 1,53% per tahun. Hal ini dikarenakan, tidak ada kontribusi produksi tembakau yang berasal dari PBS pada periode tersebut. Namun demikian, secara umum terjadi peningkatan total produksi tembakau di Indonesia dari 57,35 ribu ton pada tahun 1971 menjadi 176,94 ribu ton pada tahun 2009 (Lampiran 6.2). Gambar 6.3. Perkembangan produksi tembakau menurut status pengusahaan, 1971-2009 Secara umum produksi tembakau PR pada periode tahun 2006 - 2009 didominasi oleh 4 provinsi, yaitu: Jawa Timur, Nusa Tenggara Barat, Jawa Tengah, dan Jawa Barat (Lampiran 6.3.). Keempat provinsi tersebut memberikan kontribusi sebesar 95,22% terhadap total produksi tembakau Indonesia. Jawa Timur memberikan kontribusi sebesar 48,40%, Nusa Tenggara Barat 27,83%, Jawa Tengah 15,07%, Jawa Barat 3,92%, dan provinsi lainnya hanya memberikan kontribusi sebesar 7,78% (Gambar 6.4). Pusat Data dan Informasi Pertanian 125
  • 146.
    2010 OUTLOOK KOMODITAS PERTANIAN - PERKEBUNAN Gambar 6.4. Kontrubusi sentra produksi tembakau PR di Indonesia, (rata-rata 2006-2009) Berbeda dengan perkembangan luas areal dan produksinya, perkembangan produktivitas tembakau di Indonesia selama empat tahun terakhir (2006 - 2009) cenderung memiliki pola yang seragam sesuai dengan jenis pengusahaannya (Gambar 6.5.). Rata-rata produktivitas untuk PR dan PBN masing-masing sebesar 0,86 ton/ha dan 0,64 ton/ha (Tabel 6.1.). Gambar 6.5. Rata-rata produktivitas tembakau Indonesia menurut status pengusahaan, 2006-2009 126 126 Pusat Data dan Informasi Pertanian
  • 147.
    OUTLOOK KOMODITAS PERTANIAN- PERKEBUNAN 2010 Tabel 6.1. Perkembangan produktivitas tembakau Indonesia, 2006-2009 Produktivitas (Ton/Ha) Tahun PR1) PBN2) Nasional 2006 0,85 0,82 0,85 2007 0,84 0,54 0,83 2008 0,86 0,57 0,85 2009*) 0,88 0,65 0,87 Rata-rata 0,86 0,64 0,85 Sumber : Ditjen. Perkebunan Keterangan: *) Angka Sementara 1) 2) Perkebunan Rakyat Perkebunan Besar Negara 6.2. PERKEMBANGAN HARGA KONSUMEN TEMBAKAU DI INDONESIA Secara umum perkembangan harga tembakau di tingkat konsumen pedesaan pada periode tahun 2000 - 2008 cenderung meningkat (Gambar 6.6.). Harga tembakau di tingkat konsumen dimulai dengan harga Rp. 21.499,90,- per kg pada tahun 2000 dan meningkat pada tahun 2008 menjadi sebesar Rp. 43.768,71,- per kg. Rata-rata laju pertumbuhan harga tembakau selama periode tahun 2000 - 2008 sebesar 9.51% (Tabel 6.2.). Pada periode tersebut, harga tembakau di tingkat konsumen untuk setiap provinsi cukup beragam. Harga rata-rata tingkat konsumen tembakau tertinggi selama 5 tahun terakhir terjadi di Sumatera Utara yang mencapai Rp. 59.056,- per kg (rata-rata 2004 - 2008). Berikutnya adalah Sumatera Barat sebesar Rp. 49.840,- per kg, dan provinsi lainnya berada pada kisaran di bawah Rp. 40.000,- per kg (Lampiran 6.4). Pusat Data dan Informasi Pertanian 127
  • 148.
    2010 OUTLOOK KOMODITAS PERTANIAN - PERKEBUNAN Tabel 6.2. Perkembangan harga konsumen pedesaan tembakau Indonesia, 2000-2006 Harga Tahun Konsumen Pertumbuhan (Rp/kg) (%) 2000 21.499,90 2001 24.063,09 11,92 2002 29.546,90 22,79 2003 32.571,65 10,24 2004 31.551,74 -3,13 2005 32.822,84 4,03 2006 35.684,13 8,72 2007 40.188,39 12,62 2008 43.768,71 8,91 Rata-Rata 9,51 Sumber : BPS Gambar 6.6. Perkembangan harga konsumen tembakau di Indonesia, 2000-2008 6.3. PERKEMBANGAN KONSUMSI TEMBAKAU DAN ROKOK INDONESIA Konsumsi tembakau segar di Indonesia selama periode tahun 1987 - 2008 berfluktuatif walaupun cenderung turun dengan rata-rata pertumbuhan sebesar 2,19% per tahun. Penurunan konsumsi tembakau cukup besar terjadi pada tahun 128 128 Pusat Data dan Informasi Pertanian
  • 149.
    OUTLOOK KOMODITAS PERTANIAN- PERKEBUNAN 2010 1996 bila dibandingkan dengan tahun sebelumnya sebesar 29,51% (Gambar 6.7). Apabila dilihat dari besarannya, konsumsi tembakau segar per kapita relatif kecil karena cenderung mengkonsumsi dalam bentuk rokok hasil industri. Pada tahun 2008, rata-rata konsumsi tembakau segar hanya sebesar 0,27 kg per kapita. Gambar 6.7. Perkembangan konsumsi tembakau di Indonesia, 1987-2008 Gambar 6.8. Perkembangan konsumsi rokok di Indonesia, 1987-2008 Sementara itu, konsumsi hasil olahan tembakau yaitu rokok dibedakan atas rokok kretek filter, rokok kretek tanpa filter dan rokok putih. Selama periode tahun 1987 - 2008, pola konsumsi rokok kretek baik filter, tanpa filter maupun rokok putih cenderung meningkat dengan rata-rata pertumbuhan masing-masing sebesar 1,97%, 1,21% dan 1,08%. Pada tahun 2008, konsumsi rokok kretek filter sebanyak 316 Pusat Data dan Informasi Pertanian 129
  • 150.
    2010 OUTLOOK KOMODITAS PERTANIAN - PERKEBUNAN batang per kapita, rokok kretek tanpa filter sebanyak 182 batang per kapita, dan rokok putih sebanyak 39 batang per kapita (Gambar 6.8). 6.4. PERKEMBANGAN EKSPOR-IMPOR TEMBAKAU PRIMER DAN MANUFAKTUR INDONESIA Perkembangan volume ekspor dan impor tembakau primer selama periode tahun 1996 - 2009 relatif berfluktuatif namun cenderung meningkat masing-masing sebesar 4,29% dan 6,33% per tahun. (Gambar 6.9.). Peningkatan volume ekspor tembakau primer pada tahun 2009 sebesar 3,73%. Total volume ekspor pada tahun 1996 sebesar 33,24 ribu ton dan pada tahun 2009 meningkat menjadi sebesar 52,14 ribu ton. Sedangkan total volume impor pada tahun 1996 sebesar 45,06 ribu ton dan pada tahun 2009 meningkat menjadi sebesar 53,20 ribu ton. Secara umum, realisasi ekspor tembakau primer pada periode tahun 2000 - 2009 berada di atas realisasi impornya, yang berarti neraca perdagangan internasional tembakau mengalami surplus. Gambar 6.9. Perkembangan volume dan harga ekspor – impor tembakau primer, 1996-2009 Demikian pula, perkembangan harga ekspor maupun impor dari periode tahun 1996 - 2009 juga berfluktuatif namun mempunyai kecenderungan meningkat masing- masing dengan laju pertumbuhan rata-rata sebesar 3,81% dan 6,28%. Namun 130 130 Pusat Data dan Informasi Pertanian
  • 151.
    OUTLOOK KOMODITAS PERTANIAN- PERKEBUNAN 2010 demikian, pada periode tertentu terjadi peningkatan volume baik ekspor maupun impor yang tidak dibarengi dengan peningkatan harga ekspor maupun impornya (Lampiran 6.6.). Dilihat dari harga ekspor dan impor terlihat bahwa pada periode 1996 - 2009, harga ekspor tembakau Indonesia jauh dibawah harga impor tembakau luar negeri. Pada tahun 2009, harga ekspor tembakau primer Indonesia mencapai US$ 3.385 per ton, sementara harga impornya mencapai US$ 5.455 per ton. Hal ini menunjukkan bahwa kualitas tembakau primer di Indonesia lebih rendah dibandingkan dengan kualitas tembakau primer yang ada di luar negeri. Perkembangan volume ekspor dan impor tembakau manufaktur selama periode tahun 1996-2009 juga relatif berfluktuatif dan cenderung mengalami peningkatan untuk volume ekspor dan impor dengan rata-rata sebesar 6,72%, dan 16,67% (Gambar 6.10.). Total volume ekspor pada tahun 1996 sebesar 28,94 ribu ton dan pada tahun 2009 meningkat menjadi 57,97 ribu ton. Sedangkan total volume impor pada tahun 1996 sebesar 4,58 ribu ton pada tahun 2009 juga mengalami peningkatan menjadi 10,49 ribu ton. Secara umum, realisasi ekspor tembakau manufaktur (cerutu, sigaret, tembakau iris, blended tobacco, tembakau dihomogenisasi, ekstrak dan essens tembakau) juga berada diatas realisasi impornya, atau mengalami surplus neraca perdagangan. Gambar 6.10. Perkembangan volume dan harga ekspor - impor tembakau manufaktur 1996-2009 Pusat Data dan Informasi Pertanian 131
  • 152.
    2010 OUTLOOK KOMODITAS PERTANIAN - PERKEBUNAN Demikian pula, harga impor tembakau manufaktur Indonesia pada periode tahun 1996-2009 lebih tinggi dibandingkan dengan harga ekspornya. Hal ini menunjukkan pula bahwa kualitas tembakau manufaktur dari luar negeri yang masuk ke Indonesia lebih bagus dibandingkan dengan kualitas tembakau manufaktur Indonesia yang diekspor ke luar negeri. 6.5. PERKEMBANGAN LUAS AREAL DAN PRODUKSI TEMBAKAU DUNIA Perkembangan luas areal tembakau dunia selama periode tahun 1961-2008 menunjukkan pola yang cukup berfluktuatif tetapi cenderung sedikit mengalami peningkatan (Gambar 6.11.), dengan rata-rata pertumbuhan sebesar 1,07% per tahun. Sementara, rata-rata pertumbuhan tahun 1961-1995 meningkat sebesar 1,47% per tahun, dan selanjutnya mengalami peningkatan sangat kecil rata-rata pertumbuhan per tahun untuk periode 1996-2008 hanya sebesar 0,01% per tahun (Lampiran 6.8.). Gambar 6.11. Perkembangan luas areal tembakau dunia, 1961-2008 Sementara itu, berdasarkan data rata-rata luas areal tembakau dunia periode tahun 2004 - 2008, terdapat sepuluh negara yang memberikan kontribusi luas areal terbesar di dunia (Lampiran 6.9). Sepuluh negara tersebut secara total memberikan kontribusi kumulatif mendekati 85,71% terhadap total luas areal tembakau di dunia. China memberikan kontribusi terbesar yaitu sebesar 40,70% (atau 1,28 juta ha), 132 132 Pusat Data dan Informasi Pertanian
  • 153.
    OUTLOOK KOMODITAS PERTANIAN- PERKEBUNAN 2010 Brazil sebesar 14,84%, India sebesar 11,72%, dan Indonesia berada di urutan ke-4 dengan memberikan kontribusi sebesar 6,09%, sementara Melawi dan Argentina masing-masing memberikan kontribusi sebesar 4,40% dan 2,72%. Sedangkan negara- negara lainnya memberikan kontribusi rata-rata dibawah 2% (Gambar 6.12.). Gambar 6.12. Negara dengan luas areal tembakau terbesar di dunia, 2004 – 2008 Sejalan dengan perkembangan luas areal tembakau dunia, perkembangan produksi tembakau dunia juga menunjukkan pola yang berfluktuatif dan cenderung meningkat selama periode tahun 1961-2008 (Gambar 6.13.). Rata-rata pertumbuhan produksi untuk periode tahun tersebut adalah sebesar 2,92% per tahun. Rata-rata pertumbuhan produksi tembakau dunia cukup besar terjadi pada periode tahun 1961 - 1995 yakni sebesar 3,16% per tahun, dan selanjutnya mengalami pertumbuhan rata-rata per tahun yang melandai untuk periode 1996 - 2008 yakni sebesar 2,29% per tahun (Lampiran 6.8.). Pusat Data dan Informasi Pertanian 133
  • 154.
    2010 OUTLOOK KOMODITAS PERTANIAN - PERKEBUNAN Gambar 6.13. Perkembangan produksi tembakau dunia, 1961-2008 Secara umum produksi tembakau dunia pada periode tahun 2004 - 2008 didominasi oleh sepuluh negara yang memberikan kontribusi kumulatif sebesar 86,61% terhadap total produksi tembakau dunia (Lampiran 6.10.). Negara yang memberikan kontribusi terbesar yaitu China sebesar 46,89% (atau setara dengan 2,6 juta ton), Brazil sebesar 16,03%, India sebesar 9,65%, dan Indonesia di urutan ke-4 dengan kontribusi sebesar 2,87%. Sementara Argentina dan Melawi masing-masing memberikan kontribusi sebesar 2,82% dan 2,15%. Sedangkan negara-negara lainnya hanya memberikan kontribusi dibawah 2% (Gambar 6.14.). Gambar 6.14. Sepuluh negara produsen tembakau dunia, 2004 - 2008 134 134 Pusat Data dan Informasi Pertanian
  • 155.
    OUTLOOK KOMODITAS PERTANIAN- PERKEBUNAN 2010 6.6. PERKEMBANGAN HARGA PRODUSEN TEMBAKAU DUNIA Berdasarkan data FAO, selama periode tahun 1991-2007 menunjukkan bahwa rata-rata harga produsen tembakau di dunia cukup berfluktuatif dengan pola yang cenderung meningkat dengan laju pertumbuhan sebesar 1,55%. Pada periode tahun 1991-2002 laju pertumbuhan harga rata-rata tembakau dunia mengalami penurunan sebesar 1,39%, namun kemudian meningkat pesat pada periode selanjutnya (2003- 2007) hingga mencapai 8,04% (Gambar 6.15.). Gambar 6.15. Perkembangan rata-rata harga produsen tembakau dunia, 1991-2007 6.7. PERKEMBANGAN EKSPOR - IMPOR TEMBAKAU DUNIA Perkembangan volume ekspor dan impor tembakau di dunia periode 1961 - 2007 tampak berfluktuatif namun cenderung meningkat dengan rata-rata pertumbuhan masing-masing sebesar 6,69% per tahun dan 5,52% per tahun (Gambar 6.16.). Dari Gambar 6.16, terlihat bahwa realisasi impor dunia lebih rendah dibandingkan dengan realisasi ekspor dunia. Hal ini menunjukkan bahwa lebih banyak negara-negara yang tidak bisa memenuhi kebutuhan tembakaunya dari produksi domestiknya. Pada tahun 1961, realisasi ekspor dan impor dunia masing- masing mencapai 376 ribu ton dan 401 ribu ton, kemudian meningkat menjadi Pusat Data dan Informasi Pertanian 135
  • 156.
    2010 OUTLOOK KOMODITAS PERTANIAN - PERKEBUNAN masing-masing sebesar 5,79 juta ton dan 3,97 juta ton pada tahun 2007. Pola perkembangan nilai ekspor dan impor tembakau seiring dengan pola perkembangan volume ekspor dan impornya. Gambar 6.16. Perkembangan volume ekspor dan impor tembakau dunia, 1961-2007 Gambar 6.17. Negara pengekspor tembakau terbesar dunia, (rata-rata 2003-2007) Sementara itu, apabila dilihat dari realisasi ekspor per negara menunjukkan bahwa Brazil merupakan negara pengekspor tembakau terbesar di dunia sebesar 1,60 juta ton (rata-rata 2003 - 2007). Negara selanjutnya adalah Melawai, Greece dan Germany masing-masing dengan realisasi ekspor sebesar 344 ribu ton, 313 ribu ton dan 309 ribu ton. Sementara, realisasi ekspor tembakau negara selanjutnya 136 136 Pusat Data dan Informasi Pertanian
  • 157.
    OUTLOOK KOMODITAS PERTANIAN- PERKEBUNAN 2010 yakni China, Italy, India, Belgium, Argentina dan France hanya berkisar antara 193 ribu ton hingga 283 ribu ton (Gambar 6.17). Dari sisi impor, terlihat bahwa Germany menempati urutan pertama sebagai negara pengimpor tembakau terbesar di dunia dengan realisasi sebesar 991 ribu ton (rata-rata 2003 - 2007). Disusul kemudian oleh China, Japan, Belgium dan France masing-masing sebesar 379 ribu ton, 323 ribu ton, 286 ribu ton dan 209 ribu ton. Negara-negara berikutnya yakni Egypt, Indonesia, Greece, Dominican R dan Italy mempunyai realisasi impor berkisar antara 93 hingga 163 ribu ton (Gambar 6.18). Gambar 6.18. Negara pengimpor tembakau terbesar dunia, (rata-rata 2003-2007) 6.8. PROYEKSI PENAWARAN TEMBAKAU 2010-2012 Proyeksi penawaran tembakau didasarkan pada proyeksi produksi tembakau. Proyeksi produksi tembakau dapat dipengaruhi oleh banyak peubah. Berdasarkan hasil analisis fungsi respons produksi tembakau dengan menggunakan metode analisis regresi berganda menunjukkan bahwa produksi tembakau dipengaruhi dua peubah, yaitu luas area tembakau dan harga ekspor tembakau tahun sebelumnya. Berdasarkan hasil pengolahan data diperoleh koefisien determinasi (R2) sebesar 80,0%. Hal ini berarti 80,0% keragaman pada produksi tembakau dapat Pusat Data dan Informasi Pertanian 137
  • 158.
    2010 OUTLOOK KOMODITAS PERTANIAN - PERKEBUNAN dijelaskan oleh peubah-peubah yang digunakan dalam model, dan hanya sebesar 20,0% dipengaruhi oleh faktor-faktor lainnya (Tabel 6.3). Tabel 6.3. Hasil analisis fungsi respon produksi tembakau di Indonesia Peubah Koefisien P Value Intersep -1,22 0,454 Ln luas area 0,959 0,000 Ln harga riil TSP sebelumnya 0,151 0,000 R2 80,0% Koefisien dari luas area 0,959 menunjukkan bahwa jika luas area naik (turun) sebesar 10% maka produksi tembakau akan naik (turun) sebesar 9,59%. Begitu juga pula dengan koefisien harga ekspor riil tembakau menunjukkan hasil yang positif sebesar 0,151, artinya bahwa apabila harga ekspor tembakau tahun sebelumnya naik sebesar 10% akan merangsang petani untuk mengusahakan tanaman tembakau sehingga akan meningkatkan produksi tembakau sebesar 1,51%. Tabel 6.4. Hasil proyeksi produksi tembakau Indonesia, 2010-2012 Tahun Produksi (Ton) Pertumbuhan (%) 2009 176.937 2010 174.424 -1,42 2011 177.634 1,84 2012 180.839 1,80 Rata-rata pertumbuhan 0,74 Keterangan: Tahun 2009: Angka Sementara Ditjen Perkebunan Tahun 2010 – 2012 Angka hasil proyeksi 138 138 Pusat Data dan Informasi Pertanian
  • 159.
    OUTLOOK KOMODITAS PERTANIAN- PERKEBUNAN 2010 Hasil proyeksi produksi tembakau 2010 - 2012 yang disajikan pada Tabel 6.4. menunjukkan bahwa pada tahun 2010, produksi tembakau Indonesia diproyeksikan sebesar 174,42 ribu ton atau turun sebesar 1,42% dari produksi tahun sebelumnya. Sedangkan pada tahun 2011 dan 2012, produksi tembakau Indonesia diproyeksikan akan mengalami peningkatan masing-masing sebesar 1,84% dan 1,80%. 6.9. PROYEKSI PERMINTAAN TEMBAKAU 2010-2012 Secara umum, produksi tembakau segar Indonesia lebih terserap untuk industri rokok dalam negeri. Hal ini bisa dilihat dari kenyataan bahwa konsumsi tembakau segar Indonesia sangat kecil yakni hanya sebesar 0,74 kg per kapita pada tahun 2009. Kemudian, berdasarkan atas proporsi output tembakau segar yang dialokasikan untuk industri rokok menurut Tabel Input-Output Indonesia Tahun 2005 (BPS) adalah sebesar 75%. Sementara sisanya yakni sebesar 25% digunakan untuk ekspor dan konsumsi domestik. Berdasarkan kenyataan tersebut diatas, maka proyeksi permintaan tembakau Indonesia lebih diarahkan untuk kebutuhan industri rokok dalam negeri. Dengan asumsi bahwa kebutuhan tembakau segar untuk industri rokok dalam negeri belum mengalami perubahan dari kondisi tahun 2005 maka, proyeksi permintaan tembakau segar Indonesia tahun 2010-2012 seperti tersaji pada tabel di bawah ini: Pusat Data dan Informasi Pertanian 139
  • 160.
    2010 OUTLOOK KOMODITAS PERTANIAN - PERKEBUNAN Tabel 6.5. Hasil proyeksi permintaan untuk industri tembakau Indonesia, 2010-2012 Tahun Permintaan (Ton) Pertumbuhan (%) 2009 132.703 2010 130.818 -1,42 2011 133.226 1,84 2012 135.629 1,80 Rata-rata pertumbuhan 0,74 Keterangan: Tahun 2009: Angka Sementara Ditjen Perkebunan Tahun 2010 – 2012 Angka hasil proyeksi 6.10. PROYEKSI SURPLUS/DEFISIT TEMBAKAU 2010-2012 Selama periode tahun 2010-2012 diproyeksikan akan terus terjadi surplus produksi tembakau primer Indonesia dengan rata-rata pertumbuhan sebesar 1,82%. Surplus tembakau primer inilah yang dialokasikan untuk ekspor dan konsumsi domestik, selain yang berasal dari impornya. Tabel 6.6. Proyeksi Surplus/Defisit Tembakau Indonesia, 2010 – 2012 No Tahun Penawaran Permintaan Surplus/Defisit (Ton) (Ton) (Ton) 1 2010 174.424 130.818 43.606 2 2011 177.634 133.226 44.409 3 2012 180.839 135.629 45.210 Rata-rata 0,74 0,74 1,82 pertumbuhan (%) 140 140 Pusat Data dan Informasi Pertanian
  • 161.
    OUTLOOK KOMODITAS PERTANIAN- PERKEBUNAN 2010 Lampiran 6.1. Perkembangan luas areal tembakau Indonesia menurut status pengusahaan, 1971-2009 LUAS AREAL (Ha) Tahun Pertumb. Pertumb. Pertumb. Pertumb. PR PBN PBS Nasional (%) (%) (%) (%) 1971 122.010 12.605 597 135.212 1972 161.501 32,37 13.863 9,98 146 -75,54 175.510 29,80 1973 162.782 0,79 12.713 -8,30 228 56,16 175.723 0,12 1974 158.965 -2,34 13.673 7,55 2.408 956,14 175.046 -0,39 1975 182.551 14,84 14.074 2,93 2.032 -15,61 198.657 13,49 1976 184.526 1,08 12.677 -9,93 1.405 -30,86 198.608 -0,02 1977 173.643 -5,90 12.155 -4,12 2.572 83,06 188.370 -5,15 1978 164.035 -5,53 8.775 -27,81 2.747 6,80 175.557 -6,80 1979 193.707 18,09 11.984 36,57 2.777 1,09 208.468 18,75 1980 127.103 -34,38 12.822 6,99 1.300 -53,19 141.225 -32,26 1981 189.898 49,40 13.403 4,53 725 -44,23 204.026 44,47 1982 193.806 2,06 15.495 15,61 725 0,00 210.026 2,94 1983 194.927 0,58 5.632 -63,65 735 1,38 201.294 -4,16 1984 150.974 -22,55 5.632 0,00 - 0,00 156.606 -22,20 1985 282.051 86,82 6.067 7,72 - 0,00 288.118 83,98 1986 193.583 -31,37 5.259 -13,32 - 0,00 198.842 -30,99 1987 207.658 7,27 3.774 -28,24 - 0,00 211.432 6,33 1988 181.420 -12,64 5.952 57,71 60 0,00 187.432 -11,35 1989 177.557 -2,13 6.177 3,78 60 0,00 183.794 -1,94 1990 231.284 30,26 4.582 -25,82 - 0,00 235.866 28,33 1991 210.844 -8,84 3.994 -12,83 - 0,00 214.838 -8,92 1992 162.685 -22,84 4.162 4,21 - 0,00 166.847 -22,34 1993 174.798 7,45 3.698 -11,15 - 0,00 178.496 6,98 1994 189.227 8,25 3.868 4,60 - 0,00 193.095 8,18 1995 217.469 14,92 3.475 -10,16 - 0,00 220.944 14,42 1996 222.025 2,10 3.450 -0,72 - 0,00 225.475 2,05 1997 245.327 10,50 3.550 2,90 - 0,00 248.877 10,38 1998 161.550 -34,15 3.937 10,90 - 0,00 165.487 -33,51 1999 163.278 1,07 3.993 1,42 - 0,00 167.271 1,08 2000 236.000 44,54 3.737 -6,41 - 0,00 239.737 43,32 2001 256.652 8,75 4.086 9,34 - 0,00 260.738 8,76 2002 251.994 -1,81 4.087 0,02 - 0,00 256.081 -1,79 2003 253.484 0,59 3.317 -18,84 - 0,00 256.801 0,28 2004 197.631 -22,03 3.342 0,75 - 0,00 200.973 -21,74 2005 193.378 -2,15 4.834 44,64 - 0,00 198.212 -1,37 2006 167.088 -13,60 5.146 6,45 - 0,00 172.234 -13,11 2007 192.237 15,05 5.817 13,04 - 0,00 198.054 14,99 2008 192.062 -0,09 4.565 -21,52 - 0,00 196.627 -0,72 2009*) 197.906 3,04 4.547 -0,39 - 0,00 202.453 2,96 Rata-rata pertumbuhan 1971 - 2009 3,62 -0,30 23,29 3,23 1971 - 1997 5,32 -1,96 34,05 4,76 1998 - 2009 -0,07 3,28 0,00 -0,07 Sumber: Ditjen Perkebunan Keterangan : *) Angka Sementara Pusat Data dan Informasi Pertanian 141
  • 162.
    2010 OUTLOOK KOMODITAS PERTANIAN - PERKEBUNAN Lampiran 6.2. Perkembangan produksi tembakau Indonesia menurut status pengusahaan, 1971-2009 PRODUKSI (Ton) Tahun Pertumb. Pertumb. Pertumb. Pertumb. PR PBN PBS Nasional (%) (%) (%) (%) 1971 48.333 8.662 357 57.352 1972 115.997 140,00 9.742 12,47 819 129,41 126.558 120,67 1973 66.156 -42,97 10.112 3,80 239 -70,82 76.507 -39,55 1974 69.075 4,41 7.995 -20,94 1.041 335,56 78.071 2,04 1975 86.297 24,93 8.080 1,06 1.288 23,73 95.665 22,54 1976 77.880 -9,75 10.716 32,62 1.202 -6,68 89.798 -6,13 1977 72.568 -6,82 10.241 -4,43 1.693 40,85 84.502 -5,90 1978 67.826 -6,53 13.175 28,65 1.465 -13,47 82.466 -2,41 1979 105.034 54,86 13.755 4,40 1.510 3,07 120.299 45,88 1980 69.438 -33,89 15.161 10,22 888 -41,19 85.487 -28,94 1981 99.838 43,78 9.313 -38,57 495 -44,26 109.646 28,26 1982 96.945 -2,90 9.362 0,53 495 0,00 106.802 -2,59 1983 100.340 3,50 8.643 -7,68 501 1,21 109.484 2,51 1984 103.586 3,24 4.239 -50,95 - 0,00 107.825 -1,52 1985 155.576 50,19 5.189 22,41 - 0,00 160.765 49,10 1986 96.328 -38,08 4.907 -5,43 - 0,00 101.235 -37,03 1987 109.742 13,93 2.949 -39,90 - 0,00 112.691 11,32 1988 112.625 2,63 4.247 44,01 45 0,00 116.917 3,75 1989 76.765 -31,84 4.169 -1,84 45 0,00 80.979 -30,74 1990 152.768 99,01 3.664 -12,11 - 0,00 156.432 93,18 1991 137.039 -10,30 3.244 -11,46 - 0,00 140.283 -10,32 1992 109.566 -20,05 2.089 -35,60 - 0,00 111.655 -20,41 1993 118.936 8,55 2.434 16,52 - 0,00 121.370 8,70 1994 127.730 7,39 2.404 -1,23 - 0,00 130.134 7,22 1995 137.078 7,32 3.091 28,58 - 0,00 140.169 7,71 1996 148.435 8,29 2.590 -16,21 - 0,00 151.025 7,74 1997 206.322 39,00 3.304 27,57 - 0,00 209.626 38,80 1998 102.174 -50,48 3.406 3,09 - 0,00 105.580 -49,63 1999 132.174 29,36 3.210 -5,75 - 0,00 135.384 28,23 2000 201.305 52,30 3.024 -5,79 - 0,00 204.329 50,93 2001 196.365 -2,45 2.738 -9,46 - 0,00 199.103 -2,56 2002 189.342 -3,58 2.740 0,07 - 0,00 192.082 -3,53 2003 198.363 4,76 2.512 -8,32 - 0,00 200.875 4,58 2004 162.429 -18,12 2.679 6,65 - 0,00 165.108 -17,81 2005 149.467 -7,98 4.003 49,42 - 0,00 153.470 -7,05 2006 142.045 -4,97 4.220 5,42 - 0,00 146.265 -4,69 2007 161.728 13,86 3.123 -26,00 - 0,00 164.851 12,71 2008 165.423 2,28 2.614 -16,30 - 0,00 168.037 1,93 2009*) 173.994 5,18 2.943 12,59 - 0,00 176.937 5,30 Rata-rata pertumbuhan 1971 - 2009 8,63 -0,21 9,41 7,43 1971 - 1997 11,84 -0,52 13,75 10,15 1998 - 2009 1,68 0,47 0,00 1,53 Sumber: Ditjen Perkebunan Keterangan : *) Angka Sementara 142 142 Pusat Data dan Informasi Pertanian
  • 163.
    OUTLOOK KOMODITAS PERTANIAN- PERKEBUNAN 2010 Lampiran 6.3. Perkembangan produksi tembakau di provinsi sentra di Indonesia, 2006 - 2009 Produksi (Ton) Share Rata-rata No Provinsi Share (%) kumulatif 2006 2007 2008 2009*) (Ton) (%) 1 Jawa timur 81,887 78,343 77,852 79,469 79,388 48.40 48.40 2 NTB 31,590 42,793 51,006 57,232 45,655 27.83 76.24 3 Jawa Tengah 18,440 29,679 25,329 25,418 24,717 15.07 91.30 4 Jawa Barat 5,749 6,396 6,769 6,772 6,422 3.92 95.22 5 Lainnya 8,599 7,640 7,081 8,046 7,842 4.78 100.00 Indonesia 146,265 164,851 168,037 176,937 164,023 Sumber: Ditjen Perkebunan Keterangan : *) Angka Sementara Pusat Data dan Informasi Pertanian 143
  • 164.
    2010 OUTLOOK KOMODITAS PERTANIAN - PERKEBUNAN Lampiran 6.4. Perkembangan harga konsumen pedesaan tembakau di Indonesia menurut provinsi, 2004 – 2008 Harga konsumen pedesaan (Rp/ons) Pertumbuhan Rata-rata No Provinsi (%) 2004 2005 2006 2007 2008 2004-2008 2008 thd 2007 1 Nanggroe Aceh Darussalam 3,988.19 4,393.06 3,305.56 3,729.17 5,500.00 4,183.19 47.49 2 Sumatera Utara 5,961.11 6,025.00 6,500.00 7,750.00 3,292.00 5,905.62 -57.52 3 Sumatera Barat 5,250.00 5,010.42 4,555.56 4,833.33 5,271.00 4,984.06 9.06 4 Riau 5,000.00 3,715.28 4,666.67 7,041.67 3,938.00 4,872.32 -44.08 5 Sumatera Selatan 2,561.39 2,500.00 2,500.00 2,750.00 2,625.00 2,587.28 -4.55 6 Bengkulu 4,533.33 4,062.50 3,906.25 4,333.33 5,056.00 4,378.28 16.68 7 Lampung 2,500.00 2,445.37 2,700.00 2,764.58 3,000.00 2,681.99 8.52 8 Bangka Belitung - - - - 8,181.00 8,181.00 - 9 Riau Kepulauan - - - - 3,750.00 3,750.00 - 10 Jawa Barat 3,068.02 2,907.41 2,993.06 3,341.00 6,061.00 3,674.10 81.41 11 Jawa tengah 3,661.43 4,129.83 4,268.86 4,351.90 3,870.00 4,056.40 -11.07 12 DI Yogyakarta 3,067.50 3,125.52 3,311.46 3,441.67 3,500.00 3,289.23 1.69 13 Jawa Timur 3,459.69 3,885.44 4,152.33 4,391.14 4,430.00 4,063.72 0.88 14 Banten - - - - 2,500.00 2,500.00 - 15 Bali 3,625.00 4,250.00 6,000.00 4,750.00 4,490.00 4,623.00 -5.47 16 Nusa Tenggara Barat 3,434.72 4,050.00 4,906.25 5,312.50 2,558.00 4,052.29 -51.85 17 Nusa Tenggara Timur 1,041.67 1,000.00 2,000.00 3,000.00 2,818.00 1,971.93 -6.07 18 Kalimantan Barat 2,375.63 3,007.64 2,693.75 3,502.78 3,707.00 3,057.36 5.83 19 Kalimantan Tengah 2,322.22 2,000.00 2,000.00 2,909.72 5,000.00 2,846.39 71.84 20 Kalimantan Selatan 1,825.00 3,275.00 4,000.00 4,000.00 5,759.00 3,771.80 43.98 21 Kalimantan Timur 2,500.00 3,355.56 3,500.00 3,500.00 5,300.00 3,631.11 51.43 22 Sulawesi Utara 3,000.00 2,833.33 3,500.00 5,000.00 3,476.00 3,561.87 -30.48 23 Sulawesi Tengah 2,716.67 2,450.00 2,900.00 2,729.86 4,542.00 3,067.71 66.38 24 Sulawesi Selatan 1,500.00 1,513.89 1,812.71 2,184.03 6,750.00 2,752.13 209.06 25 Sulawesi Tenggara 2,022.26 2,275.00 2,332.64 2,797.78 4,500.00 2,785.54 60.84 26 Gorontalo - - - - 2,750.00 2,750.00 - 27 Sulawesi Barat - - - - 6,400.00 6,400.00 - 28 Maluku - - - - 4,396.00 4,396.00 - 29 Maluku Utara - - - - 3,488.00 3,488.00 - 30 Papua - - - - 4,892.00 4,892.00 - 31 Irian Jaya Barat - - - - 3,883.00 3,883.00 - NASIONAL 3,155.17 3,282.28 3,568.41 4,018.84 4,376.87 3,680.32 8.91 Sumber : BPS 144 144 Pusat Data dan Informasi Pertanian
  • 165.
    OUTLOOK KOMODITAS PERTANIAN- PERKEBUNAN 2010 Lampiran 6.5. Perkembangan konsumsi tembakau dan rokok di Indonesia, 1987 – 2008 Tembakau Rokok kretek filter Rokok kretek tanpa Rokok putih Tahun (kg/kapita) (batang/kapita) filter (batang/kapita) (batang/kapita) 1987 0,47 138,32 124,80 56,16 1990 0,38 206,44 122,20 39,00 1993 0,32 241,28 117,52 33,28 1996 0,22 279,76 114,40 31,72 2002 0,25 307,74 194,12 38,01 2003 0,27 312,99 212,11 35,20 2004 0,31 284,13 199,89 35,15 2006 0,30 304,46 167,75 34,48 2007 0,33 287,87 171,03 34,27 2008 0,27 316,47 181,95 38,84 Rata-rata pertumbuhan 1987-2008 -2,19 1,97 1,21 1,08 Sumber: Susenas, BPS Lampiran 6.6. Perkembangan ekspor - impor tembakau primer, 1996 – 2009 Ekspor Impor Harga Tahun Volume Nilai Volume Nilai Ekspor Impor (Ton) (000 US$) (Ton) (000 US$) (US$/ton) (US$/ton) 1996 33,240 85,623 45,060 134,153 2,576 2,977 1997 42,281 104,743 47,108 157,767 2,477 3,349 1998 46,960 147,552 23,219 108,464 3,142 4,671 1999 37,096 91,833 40,914 128,021 2,476 3,129 2000 35,957 71,287 34,248 114,834 1,983 3,353 2001 43,030 91,404 44,346 139,608 2,124 3,148 2002 42,686 76,684 33,289 105,953 1,796 3,183 2003 40,639 62,874 29,579 95,190 1,547 3,218 2004 46,462 90,618 35,171 120,854 1,950 3,436 2005 49,712 107,282 42,031 142,206 2,158 3,383 2006 51,997 102,549 48,287 150,225 1,972 3,111 2007 45,880 120,270 61,687 217,210 2,621 3,521 2008 50,268 133,196 77,302 330,511 2,650 4,276 2009 52,141 176,491 53,198 290,171 3,385 5,455 Rata-rata pertumbuhan 1996-2009 4.29 8.91 6.33 8.94 3.81 6.28 Sumber: BPS diolah Pusdatin Keterangan: termasuk dalam tembakau primer adalah tembakau bertangkai/bertulang daun Pusat Data dan Informasi Pertanian 145
  • 166.
    2010 OUTLOOK KOMODITAS PERTANIAN - PERKEBUNAN Lampiran 6.7. Perkembangan ekspor - impor tembakau manufaktur, 1996 – 2009 Ekspor Impor Harga Tahun Volume Nilai Volume Nilai Ekspor Impor (Ton) (000 US$) (Ton) (000 US$) (US$/ton) (US$/ton) 1996 28,942 135,248 4,583 47,034 4,673 10,262 1997 30,362 94,104 4,863 48,120 3,099 9,895 1998 25,246 106,781 2,582 83,337 4,230 32,276 1999 25,309 120,197 7,839 45,466 4,749 5,800 2000 24,703 149,690 8,442 48,660 6,060 5,764 2001 33,367 183,513 11,864 80,527 5,500 6,788 2002 30,808 167,417 13,854 92,830 5,434 6,701 2003 25,969 146,997 8,816 58,031 5,660 6,582 2004 33,693 166,622 7,459 47,956 4,945 6,429 2005 41,892 216,456 6,298 37,869 5,167 6,013 2006 44,854 237,211 6,551 40,747 5,289 6,220 2007 50,112 304,450 8,180 50,583 6,075 6,184 2008 61,350 375,609 10,088 71,405 6,122 7,078 2009 57,966 419,271 10,490 75,599 7,233 7,207 Rata-rata pertumbuhan 1996-2009 6.72 10.61 16.67 9.29 4.95 12.69 Sumber: BPS diolah Pusdatin Keterangan: termasuk dalam tembakau manufaktur: cerutu dan sigaret, tembakau iris, blended tobacco, tembakau dihomogenisasi, ekstrak dan essens tembakau. 146 146 Pusat Data dan Informasi Pertanian
  • 167.
    OUTLOOK KOMODITAS PERTANIAN- PERKEBUNAN 2010 Lampiran 6.8. Perkembangan produksi dan luas areal tembakau dunia, 1961-2008 Tahun Produksi (Ton) Pertumbuhan (%) Luas Area (Ha) Pertumbuhan(%) 1961 1,981,281 2,184,509 1962 2,235,735 12.84 2,311,041 5.79 1963 2,434,411 8.89 2,552,654 10.45 1964 2,622,387 7.72 2,456,897 -3.75 1965 2,660,101 1.44 2,471,539 0.60 1966 2,812,079 5.71 2,481,092 0.39 1967 3,019,069 7.36 2,546,413 2.63 1968 3,020,999 0.06 2,464,379 -3.22 1969 2,901,027 -3.97 2,496,107 1.29 1970 2,865,643 -1.22 2,388,652 -4.30 1971 2,886,045 0.71 2,369,799 -0.79 1972 3,152,840 9.24 2,508,610 5.86 1973 3,173,743 0.66 2,485,083 -0.94 1974 3,350,277 5.56 2,535,567 2.03 1975 3,352,588 0.07 2,625,117 3.53 1976 3,437,516 2.53 2,783,199 6.02 1977 3,562,742 3.64 2,932,245 5.36 1978 3,911,308 9.78 3,061,922 4.42 1979 3,616,487 -7.54 2,810,073 -8.23 1980 3,396,559 -6.08 2,568,475 -8.60 1981 4,038,796 18.91 2,869,107 11.70 1982 4,871,421 20.62 3,262,181 13.70 1983 4,057,380 -16.71 2,977,397 -8.73 1984 4,489,644 10.65 2,962,386 -0.50 1985 5,113,179 13.89 3,510,598 18.51 1986 4,217,850 -17.51 3,160,644 -9.97 1987 4,474,049 6.07 3,128,828 -1.01 1988 5,140,728 14.90 3,406,045 8.86 1989 5,328,504 3.65 3,668,881 7.72 1990 5,233,328 -1.79 3,494,151 -4.76 1991 5,650,082 7.96 3,710,156 6.18 1992 6,452,274 14.20 4,139,204 11.56 1993 6,531,533 1.23 4,145,339 0.15 1994 4,949,142 -24.23 3,310,696 -20.13 1995 4,863,176 -1.74 3,252,844 -1.75 1996 5,848,897 20.27 3,706,280 13.94 1997 7,177,721 22.72 4,317,674 16.50 1998 5,202,067 -27.52 3,425,101 -20.67 1999 5,423,725 4.26 3,345,691 -2.32 2000 5,303,991 -2.21 3,316,652 -0.87 2001 4,883,566 -7.93 3,082,922 -7.05 2002 5,274,090 8.00 3,164,410 2.64 2003 4,962,567 -5.91 3,091,918 -2.29 2004 5,428,217 9.38 3,155,162 2.05 2005 5,696,201 4.94 3,311,051 4.94 2006 5,684,785 -0.20 3,253,093 -1.75 2007 5,226,170 -8.07 2,980,573 -8.38 2008 5,853,587 12.01 3,081,833 3.40 Rata-rata Laju Pertumbuhan 1961-2008 2.92 1.07 1961-1995 3.16 1.47 1996-2008 2.29 0.01 Sumber: FAO Pusat Data dan Informasi Pertanian 147
  • 168.
    2010 OUTLOOK KOMODITAS PERTANIAN - PERKEBUNAN Lampiran 6.9. Negara dengan luas areal tembakau terbesar dunia, 2004 - 2008 Luas areal (Ha) Share Share No Negara Rata-rata kumulatif 2004 2005 2006 2007 2008 (%) (%) 1 China 1,267,796 1,364,312 1,375,877 1,164,503 1,250,703 1,284,638 40.70 40.70 2 Brazil 462,265 493,761 495,706 459,481 431,378 468,518 14.84 55.54 3 India 369,700 366,500 372,800 370,000 370,000 369,800 11.72 67.26 4 Indonesia 200,973 198,212 168,692 194,517 199,031 192,285 6.09 73.35 5 Malawi 136,012 141,527 136,527 118,551 161,626 138,849 4.40 77.75 6 Argentina 66,000 90,000 90,000 92,000 92,000 86,000 2.72 80.48 7 Pakistan 45,600 50,500 56,360 50,861 51,398 50,944 1.61 82.09 8 Korea, D.P.Rep. of 45,000 46,000 46,000 45,000 45,000 45,400 1.44 83.53 9 Italy 33,760 34,372 36,000 35,000 35,000 34,826 1.10 84.63 10 Bulgaria 47,149 40,869 27,369 29,900 25,276 34,113 1.08 85.71 11 Lainnya 480,907 484,998 447,762 420,760 420,421 450,970 14.29 100.00 DUNIA 3,155,162 3,311,051 3,253,093 2,980,573 3,081,833 3,156,342 100.00 Sumber : FAO Lampiran 6.10. Negara produsen tembakau terbesar dunia, 2004 - 2008 Produksi (Ton) Share Share No Negara Rata-rata kumulatif 2004 2005 2006 2007 2008 (%) (%) 1 China 2,411,490 2,685,743 2,746,193 2,397,152 2,836,725 2,615,461 46.89 46.89 2 Brazil 921,281 889,426 900,381 908,679 850,421 894,038 16.03 62.92 3 India 549,900 549,100 552,200 520,000 520,000 538,240 9.65 72.57 4 Indonesia 165,108 153,470 146,265 164,851 169,668 159,872 2.87 75.44 5 Argentina 118,000 163,528 165,000 170,000 170,000 157,306 2.82 78.26 6 Malawi 106,187 93,598 121,600 118,000 160,238 119,925 2.15 80.41 7 Italy 117,882 115,983 110,000 100,000 100,000 108,773 1.95 82.36 8 Pakistan 86,200 100,500 112,592 103,240 107,765 102,059 1.83 84.19 9 Greece 133,937 125,904 37,386 30,783 28,000 71,202 1.28 85.46 10 Korea, D.P.Rep.of 64,000 65,400 65,000 63,000 63,000 64,080 1.15 86.61 11 Lainnya 754,232 753,549 728,168 650,465 847,770 746,837 13.39 100.00 DUNIA 5,428,217 5,696,201 5,684,785 5,226,170 5,853,587 5,577,792 100.00 Sumber : FAO 148 148 Pusat Data dan Informasi Pertanian
  • 169.
    OUTLOOK KOMODITAS PERTANIAN- PERKEBUNAN 2010 Lampiran 6.11. Negara dengan harga produsen tembakau terbesar dunia, 2003 – 2007 Harga produsen (US$/ton) No Negara Rata-rata 2003 2004 2005 2006 2007 1 Japan 15,664 16,915 17,400 16,617 16,439 16,607 2 Switzerland 11,204 12,148 12,029 11,746 12,249 11,875 3 Sri Lanka 6,028 6,521 7,586 10,530 11,234 8,380 4 Puerto Rico 8,185 8,696 7,319 8,873 8,510 8,317 5 Nigeria 5,712 6,893 8,571 9,517 10,848 8,308 6 Bhutan 5,214 6,984 8,081 8,243 10,351 7,774 7 Korea, Republic of 5,824 6,067 6,982 8,145 8,365 7,076 8 Lebanon 6,570 6,790 6,891 7,309 7,325 6,977 9 Trinidad and Tobago 5,718 5,465 5,624 6,076 6,351 5,847 10 Syrian Arab Republic - - - 5,533 6,012 2,309 Sumber : FAO Pusat Data dan Informasi Pertanian 149
  • 170.
    2010 OUTLOOK KOMODITAS PERTANIAN - PERKEBUNAN Lampiran 6.12. Perkembangan ekspor - impor tembakau dunia, 1961-2007 Ekspor Impor Pertumbuhan (%) Tahun Volume Nilai Volume Nilai Volume Volume (000 ton) (000 US$) (000 ton) (000 US$) ekspor impor 1961 376 400,737 401 355,828 1962 368 392,616 497 409,713 -2.17 23.92 1963 454 441,358 507 396,202 23.22 2.07 1964 477 493,101 544 421,711 5.19 7.32 1965 455 453,442 556 417,557 -4.68 2.20 1966 433 430,368 605 449,066 -4.90 8.68 1967 494 474,903 648 485,131 14.12 7.24 1968 480 453,015 579 442,005 -2.72 -10.68 1969 512 483,721 668 495,770 6.51 15.32 1970 500 471,316 600 435,810 -2.27 -10.17 1971 543 504,109 706 497,909 8.66 17.63 1972 654 588,418 813 542,936 20.41 15.17 1973 740 608,230 910 556,235 13.19 12.01 1974 1,036 726,255 1,010 561,857 39.92 10.96 1975 1,142 679,878 1,340 606,483 10.19 32.69 1976 1,205 697,544 1,471 608,552 5.52 9.75 1977 1,310 690,943 1,571 596,046 8.72 6.79 1978 1,536 740,307 1,971 656,553 17.28 25.46 1979 1,662 761,135 1,951 629,642 8.18 -1.01 1980 1,647 722,869 2,074 647,206 -0.89 6.31 1981 1,830 794,023 2,114 687,371 11.09 1.93 1982 2,019 806,568 2,332 677,015 10.32 10.30 1983 1,844 782,515 2,319 663,536 -8.63 -0.57 1984 1,816 833,814 2,282 647,324 -1.54 -1.59 1985 1,662 803,166 2,391 663,545 -8.50 4.80 1986 1,798 794,938 2,577 661,047 8.19 7.74 1987 1,906 821,022 2,687 689,068 5.98 4.27 1988 1,941 825,181 2,342 646,850 1.86 -12.82 1989 1,885 834,940 2,534 705,316 -2.86 8.17 1990 2,236 911,476 2,609 710,720 18.57 2.96 1991 2,699 964,392 2,861 742,490 20.73 9.67 1992 2,838 1,025,521 3,311 796,639 5.15 15.72 1993 2,488 1,104,820 2,836 732,582 -12.34 -14.34 1994 2,246 1,016,087 3,049 796,591 -9.72 7.52 1995 2,563 1,059,123 3,024 782,977 14.09 -0.82 1996 3,316 1,208,970 3,080 808,272 29.40 1.82 1997 3,590 1,265,277 3,239 811,018 8.27 5.18 1998 3,278 1,214,349 3,156 775,637 -8.71 -2.57 1999 3,288 1,315,805 3,093 783,119 0.31 -2.00 2000 2,906 1,247,195 3,173 864,222 -11.62 2.62 2001 2,944 1,420,054 3,117 880,864 1.29 -1.79 2002 3,115 1,496,834 3,313 901,764 5.81 6.30 2003 3,506 1,514,401 3,412 892,105 12.58 2.99 2004 4,301 1,724,747 3,855 1,033,278 22.67 12.96 2005 4,682 1,774,814 3,490 972,032 8.86 -9.47 2006 4,924 1,771,757 3,645 1,010,205 5.16 4.45 2007 5,793 1,921,937 3,969 1,035,999 17.65 8.89 Rata-rata laju pertumbuhan (%) 1961-2007 6.69 3.69 5.52 2.55 6.69 5.52 1961-1997 7.04 3.47 6.43 2.51 7.04 6.43 1998-2007 5.40 4.47 2.24 2.66 5.40 2.24 Sumber : FAO 150 150 Pusat Data dan Informasi Pertanian
  • 171.
    OUTLOOK KOMODITAS PERTANIAN- PERKEBUNAN 2010 BAB VII. NILAM Tanaman nilam (Pogostemon cablin Benth) merupakan salah satu tanaman penghasil minyak atsiri yang cukup penting, yaitu minyak nilam atau lebih dikenal dengan nama patchouly oil. Minyak nilam bersama dengan 14 jenis minyak atsiri lainnya adalah komoditas ekspor penghasil devisa. Minyak nilam Indonesia sudah dikenal dunia sejak 65 tahun yang lalu, bahkan Indonesia merupakan pemasok utama minyak nilam dunia (90%). Ekspor nilam Indonesia berfluktuasi dengan laju peningkatan ekspor sekitar 12% per tahun atau berkisar antara 700 ton - 2.800 ton minyak nilam per tahun. Sementara itu kebutuhan dunia berkisar 1.200 ton – 1.500 ton dengan pertumbuhan sebesar 5% per tahun. Sebagai komoditas ekspor, minyak nilam mempunyai prospek yang cukup baik, karena permintaan akan minyak nilam sebagai bahan baku industri parfum, kosmetik, sabun dan lainnya akan terus meningkat. Fungsi minyak nilam dalam industri parfum adalah untuk memfiksasi bahan pewangi dan mencegah penguapan sehingga wangi tidak cepat hilang, serta membentuk bau yang khas dalam suatu campuran (Ketaren dalam Emmyzar dan Yulius, 2004). Hal ini menyebabkan minyak nilam mutlak diperlukan dalam industri parfum. Berikut ini akan disajikan perkembangan komoditas nilam di Indonesia serta prospeknya dalam memenuhi kebutuhan domestik maupun kebutuhan pasar luar negeri di masa mendatang. 7.1. PERKEMBANGAN LUAS AREAL, PRODUKSI DAN PRODUKTIVITAS NILAM DI INDONESIA Perkembangan luas areal perkebunan nilam di Indonesia pada periode tahun 1989-2008 menunjukkan kecenderungan meningkat dengan pola perkembangan yang serupa dengan pola perkembangan luas areal perkebunan nilam rakyat (Gambar 7.1). Hal ini disebabkan luas areal nilam di Indonesia didominasi oleh perkebunan rakyat (PR). Pada periode tersebut pertumbuhan Pusat Data dan Informasi Pertanian 151
  • 172.
    2010 OUTLOOK KOMODITAS PERTANIAN - PERKEBUNAN luas areal nilam Indonesia rata-rata mencapai 10,76% per tahun. Krisis moneter yang terjadi di Indonesia pada tahun 1997-1998 ternyata berdampak positif pada perkembangan luas areal nilam, mengingat minyak nilam merupakan komoditas ekspor. Jika sebelum tahun 1997 terjadi peningkatan luas nilam sebesar 7,70% per tahun, maka tahun 1998-2008 luas areal nilam meningkat pesat dengan rata- rata peningkatan sebesar 12,98% (Tabel 7.1). Bahkan pada tahun 2002 terjadi peningkatan luas areal nilam hingga mencapai 139,79% dibandingkan tahun sebelumnya. (Ha) 25.000 20.000 15.000 10.000 5.000 0 2008*) 1989 1990 1991 1992 1993 1994 1995 1996 1997 1998 1999 2000 2001 2002 2003 2004 2005 2006 2007 PR PBS Indonesia Gambar 7.1. Perkembangan luas areal nilam di Indonesia, 1989-2008 Berdasarkan status pengusahaannya, nilam hanya diusahakan oleh PR dan perkebunan besar swasta (PBS), namun setelah tahun 1998 pengusahaan nilam sepenuhnya dilakukan oleh PR. Pada tahun 1989 - 1997 pertumbuhan luas areal nilam PR rata-rata sebesar 7,75% per tahun sedangkan luas areal nilam PBS turun sebesar 14,17% per tahun. Setelah tahun 1997 pertumbuhan luas areal nilam PR meningkat menjadi 12,98% per tahun. Rata-rata kontribusi luas areal nilam PR tahun 1989 - 2008 mencapai 99,93% dari total luas areal nilam di Indonesia, sedangkan sisanya sebesar 0,07% diusahakan oleh PBS. Setelah tahun 1998 seluruh areal perkebunan nilam diusahakan oleh PR. Perkembangan luas areal nilam di Indonesia menurut jenis pengusahaannya secara rinci disajikan dalam Lampiran 7.1. 152 Pusat Data dan Informasi Pertanian
  • 173.
    OUTLOOK KOMODITAS PERTANIAN- PERKEBUNAN 2010 Tabel 7.1. Rata-rata laju pertumbuhan dan kontribusi luas areal dan produksi nilam di Indonesia Luas Areal Produksi Tahun PR PBS Indonesia PR PBS Indonesia Pertumbuhan (%) 1989-2008 10,78 -11,23 10,76 4,41 - 4,41 1989-1997 7,75 -14,17 7,70 6,71 - 6,71 1998-2008 12,98 -9,09 12,98 2,74 - 2,74 Kontribusi (%) 1989-2008 99,93 0,07 100,00 100,00 0,00 100,00 1989-1997 99,77 0,23 100,00 100,00 0,00 100,00 1998-2008 100,00 0,00 100,00 100,00 0,00 100,00 Sumber : Direktorat Jenderal Perkebunan, diolah Pusdatin Seperti halnya perkembangan luas areal nilam, secara umum perkembangan produksi minyak nilam di Indonesia pada periode 1989 - 2008 juga menunjukkan kecenderungan meningkat meskipun lebih berfluktuasi (Gambar 7.2). Pola perkembangan produksi minyak nilam Indonesia serupa dengan pola perkembangan produksi minyak nilam PR. Produksi minyak nilam Indonesia pada periode tersebut rata-rata meningkat sebesar 4,41% per tahun (Tabel 7.1). Berbeda dengan perkembangan luas arealnya, pada tahun 1989 - 1997 (sebelum krisis moneter) produksi minyak nilam Indonesia meningkat sebesar 6,71%, tetapi setelah krisis moneter peningkatan produksinya melambat menjadi 2,74% per tahun. Perkembangan produksi minyak nilam di Indonesia secara rinci disajikan pada Lampiran 7.2. Pusat Data dan Informasi Pertanian 153
  • 174.
    2010 OUTLOOK KOMODITAS PERTANIAN - PERKEBUNAN (Ton) 3.500 3.000 2.500 2.000 1.500 1.000 500 0 2008*) 1989 1990 1991 1992 1993 1994 1995 1996 1997 1998 1999 2000 2001 2002 2003 2004 2005 2006 2007 PR Indonesia Gambar 7.2. Perkembangan produksi minyak nilam di Indonesia, 1989-2008 Berdasarkan data rata-rata produksi minyak nilam Indonesia lima tahun terakhir (2004 - 2008), sentra produksi minyak nilam Indonesia terdapat di 5 provinsi dengan kontribusi kumulatif mencapai 81,87%. Gambar 7.3. Provinsi sentra produksi minyak nilam di Indonesia, (rata-rata 2004-2008) Sentra produksi minyak nilam terbesar di Indonesia adalah Sumatera Barat yang memberikan kontribusi rata-rata sebesar 24,46%, diikuti oleh Jawa Tengah di peringkat kedua dengan kontribusi sebesar 21,20%. Bengkulu dan Sumatera Utara berada di peringkat ketiga dan keempat dengan kontribusi masing-masing sebesar 15,39% dan 10,84%. Jawa Barat juga menjadi sentra produksi minyak 154 Pusat Data dan Informasi Pertanian
  • 175.
    OUTLOOK KOMODITAS PERTANIAN- PERKEBUNAN 2010 nilam namun kontribusinya hanya 9,99%, sedangkan provinsi-provinsi lainnya rata-rata memberikan kontribusi kurang dari 7% (Gambar 8.3). Provinsi sentra produksi nilam di Indonesia dan kontribusinya disajikan pada Lampiran 7.3. Perkembangan produktivitas nilam di Indonesia selama tahun 2004 - 2008 secara umum berfluktuasi (Gambar 7.4). Pada tahun 2004 produktivitas nilam Indonesia sebesar 103,42 kg/ha, namun tahun berikutnya mengalami penurunan menjadi 103,11 kg/ha. Tahun 2006 terjadi peningkatan produktivitas nilam yang cukup signifikan hingga mencapai 107,23 kg/ha. Tingkat produktivitas yang cukup tinggi tersebut tidak dapat dipertahankan hingga tahun 2007 kembali terjadi penurunan produktivitas nilam menjadi 72,92 kg/ha. Tahun 2008 tingkat produktivitas nilam sebesar 83,05 kg/ha. Banyak faktor yang menyebabkan rendahnya produksi dan mutu nilam Indonesia, selain masalah teknologi, budidaya yang tidak intensif, bibit yang kurang baik, juga cara penanganan bahan baku dan penyulingan minyak nilam yang masih jauh dari sempurna. Mengingat sebagian besar nilam di Indonesia diusahakan oleh rakyat maka tingkat produktivitas yang dicapai sekarang belum merupakan tingkat produktivitas yang maksimal. Dengan demikian diperlukan upaya perbaikan agar produksi minyak nilam dalam negeri dapat ditingkatkan, baik dengan upaya budidaya yang lebih intensif maupun penangan pasca panen yang lebih baik. Gambar 7.4. Perkembangan produktivitas nilam di Indonesia, (rata-rata 2004-2008) Pusat Data dan Informasi Pertanian 155
  • 176.
    2010 OUTLOOK KOMODITAS PERTANIAN - PERKEBUNAN 7.2. PERKEMBANGAN KONSUMSI NILAM DI INDONESIA Karena keterbatasan ketersediaan data maka konsumsi minyak nilam untuk kebutuhan domestik di Indonesia dihitung berdasarkan pendekatan produksi dan volume ekspor impor minyak nilam. Konsumsi minyak nilam di Indonesia pada periode tahun 1989-2008 secara umum berfluktuasi namun menunjukkan peningkatan (Gambar 7.5). Rata-rata pertumbuhan konsumsi domestik untuk minyak nilam dalam kurun waktu tersebut mencapai 59,66% per tahun. Konsumsi tertinggi terjadi pada tahun 1989 sebesar 2.627 ton, namun setelah periode tersebut terjadi penurunan konsumsi minyak nilam hingga tahun 1996. Saat krisis moneter tahun 1997 terjadi peningkatan konsumsi minyak nilam di dalam negeri menjadi sebesar 1.681 ton. Tahun 2006 konsumsi minyak nilam mencapai 1.143 ton. Karena data ekspor dan impor minyak nilam tahun 2007 dan 2008 tidak tersedia (menjadi satu dengan data ekspor impor minyak atsiri), maka konsumsi minyak nilam domestik diasumsikan sama dengan produksinya. Perkembangan konsumsi minyak nilam di Indonesia secara rinci disajikan pada Lampiran 7.4. (Ton) 3.000 2.500 2.000 1.500 1.000 500 0 2008*) 1989 1990 1991 1992 1993 1994 1995 1996 1997 1998 1999 2000 2001 2002 2003 2004 2005 2006 2007 Gambar 7.5. Perkembangan konsumsi minyak nilam di Indonesia, 1989-2008 156 Pusat Data dan Informasi Pertanian
  • 177.
    OUTLOOK KOMODITAS PERTANIAN- PERKEBUNAN 2010 7.3. PERKEMBANGAN HARGA NILAM DI INDONESIA Perkembangan harga minyak nilam Indonesia didekati dari perkembangan harga ekspor minyak nilam Indonesia ke luar negeri. Secara umum harga ekspor minyak nilam Indonesia mengalami fluktuasi (Gambar 7.6). Pada periode tahun 1989-1997 (sebelum krisis moneter) terjadi kenaikan harga ekspor minyak nilam Indonesia yang rata-rata mencapai 23,83%. Harga ekspor tertinggi terjadi pada tahun 1997 sebesar US$ 43,18 per kg. Setelah periode tersebut, harga ekspor minyak nilam Indonesia mulai bergerak turun dengan rata-rata penurunan sebesar 6,42%. Pada tahun 2006 harga ekspor minyak nilam Indonesia di pasar dunia hanya sebesar US$ 15,53 per kg (Lampiran 7.5). (US$/Kg) 50,00 45,00 40,00 35,00 30,00 25,00 20,00 15,00 10,00 5,00 0,00 1989 1990 1991 1992 1993 1994 1995 1996 1997 1998 1999 2000 2001 2002 2003 2004 2005 2006 Gambar 7.6. Perkembangan harga ekspor minyak nilam di Indonesia, 1989-2006 Berdasarkan informasi dari Asosiasi Eksportir Minyak Atsiri Indonesia, harga minyak nilam pada pertengahan tahun 2010 naik menjadi US$ 40 per kilogram dari US$ 20 per kilogram pada tahun 2009. Kenaikan harga tersebut disebabkan oleh cuaca yang kurang kondusif sehingga produksi tidak maksimal dan berdampak pada kenaikan harga minyak nilam (Suprapto dan Elly, 2010). Menurut Balai Penelitian Tanaman Rempah dan Obat Bogor, Indonesia merupakan penghasil minyak nilam terbesar di dunia yang setiap tahunnya memasok 70%-90% kebutuhan dunia. Namun sayang, maraknya praktek Pusat Data dan Informasi Pertanian 157
  • 178.
    2010 OUTLOOK KOMODITAS PERTANIAN - PERKEBUNAN pencampuran atau pemalsuan dan rendahnya teknologi yang akhirnya berpengaruh pada kualitas menyebabkan harga jualnya menjadi rendah (Nita, 2007). Oleh karena itu perlu dilakukan pembenahan secara menyeluruh baik dalam usaha budidaya, penanganan pasca panen maupun pemasaran nilam Indonesia. 7.4. PERKEMBANGAN EKSPOR IMPOR NILAM INDONESIA Kegiatan ekspor dan impor nilam Indonesia dilakukan dalam bentuk minyak nilam dan daun nilam, tetapi ekspor minyak nilam mendominasi perdagangan Indonesia ke luar negeri. Data ekspor impor nilam hanya tersedia hingga tahun 2006, sedangkan mulai tahun 2007 data yang tersedia adalah data minyak atsiri. Perkembangan ekspor minyak nilam Indonesia selama periode tahun 1989- 2006 cenderung meningkat, tetapi ekspor daun nilam cenderung turun (Gambar 7.7). Ekspor minyak nilam terendah terjadi saat krisis ekonomi tahun 1997 dengan volume ekspor hanya sebesar 766 ton, tetapi nilai ekspornya melonjak hingga mencapai US$ 33,07 juta dimana harga ekspor pada tahun tersebut merupakan harga ekspor tertinggi selama periode 1989-2006 (US$ 43,18/kg). Ekspor minyak nilam tertinggi terjadi pada tahun 2006 dengan total volume ekspor mencapai 2.832 ton senilai US$ 43,98 juta. Sementara itu ekspor daun nilam hanya dilakukan sampai tahun 2004 saja, karena kurangnya permintaan ekspor nilam dalam bentuk daun kering. 158 Pusat Data dan Informasi Pertanian
  • 179.
    OUTLOOK KOMODITAS PERTANIAN- PERKEBUNAN 2010 (Ton) 3.000 2.500 2.000 1.500 1.000 500 0 1989 1990 1991 1992 1993 1994 1995 1996 1997 1998 1999 2000 2001 2002 2003 2004 2005 2006 Minyak Nilam Daun Nilam Gambar 7.7. Perkembangan volume ekspor minyak nilam dan daun nilam di Indonesia, 1989-2006 Selain ekspor, Indonesia juga melakukan kegiatan impor minyak nilam. Perkembangan impor minyak nilam menunjukkan kecenderungan meningkat. Tahun 2006 impor minyak nilam Indonesia mencapai 1.479 ton dengan nilai impor sebesar US$ 5,95 juta. Berdasarkan nilai ekspor dan nilai impor diperoleh neraca perdagangan minyak nilam Indonesia, dimana selama tahun 1989-2006 masih menunjukkan posisi surplus. Surplus neraca perdagangan nilam terbesar terjadi pada tahun 1998 senilai US$ 52,65 juta, dan semakin menurun hingga tahun 2003. Tahun 2004-2006 surplus neraca perdagangan minyak nilam Indonesia naik kembali, dan pada tahun 2006 surplus neraca perdagangan minyak nilam mencapai US$ 38,03 juta. Perkembangan ekspor, impor dan neraca perdagangan minyak nilam dan daun nilam Indonesia selengkapnya disajikan pada Lampiran 7.6. 7.5. PROYEKSI PENAWARAN NILAM 2009-2011 Proyeksi penawaran nilam didasarkan pada proyeksi produksi minyak nilam. Karena keterbatasan ketersediaan data pendukung, seperti harga produsen, harga pupuk dan harga obat-obatan, maka digunakan metode deret waktu dengan pemulusan eksponensial berganda (double exponential smoothing). Pada Pusat Data dan Informasi Pertanian 159
  • 180.
    2010 OUTLOOK KOMODITAS PERTANIAN - PERKEBUNAN konstanta pemulusan alpha (level)=0,244 dan gamma (trend)=0,171 diperoleh MAPE=32 dengan hasil proyeksi produksi nilam disajikan pada Tabel 7.2. Produksi nilam di Indonesia pada tahun 2009 diperkirakan akan meningkat sebesar 10,85% dibandingkan tahun sebelumnya. Peningkatan produksi juga akan terjadi pada tahun 2010 dan 2011 namun tidak signifikan, yaitu sebesar 0,22%. Dengan demikian produksi nilam di Indonesia tahun 2009 diperkirakan mencapai 1.651,64 ton, tahun 2010 sebesar 1.655,21 ton dan tahun 2011 meningkat menjadi 1.658,78 ton. Meskipun diperkirakan akan terjadi peningkatan produksi nilam pada tahun 2009-2011, namun perlu dilakukan juga upaya perbaikan kualitas nilam Indonesia. Hal ini mengingat masih kurangnya penerapan teknologi oleh petani dalam budidaya komoditas nilam yang menyebabkan rendahnya produksi dan produktivitas daun nilam. Selain itu juga diperlukan perbaikan cara penanganan bahan baku dan proses penyulingan hingga menjadi minyak nilam. Tabel 7.2. Hasil proyeksi produksi nilam di Indonesia, 2009-2011 Tahun Produksi (Ton) Pertumbuhan (%) 2008*) 1.490,00 2009 1.651,64 10,85 2010 1.655,21 0,22 2011 1.658,78 0,22 Rata-rata pertumbuhan (%/tahun) 3,76 Keterangan : *) Angka Sementara, Direktorat Jenderal Perkebunan 7.6. PROYEKSI PERMINTAAN NILAM 2009-2011 Proyeksi permintaan nilam didasarkan pada proyeksi konsumsi minyak nilam. Metode estimasi yang digunakan adalah metode pemulusan eksponensial berganda (double exponential smoothing). Pada konstanta pemulusan alpha 160 Pusat Data dan Informasi Pertanian
  • 181.
    OUTLOOK KOMODITAS PERTANIAN- PERKEBUNAN 2010 (level)=0,713 dan gamma (trend)=0,108 diperoleh nilai MAPE=118 dengan hasil proyeksi seperti disajikan pada Tabel 8.3. Untuk periode tahun 2009-2011 konsumsi nilam diproyeksikan akan meningkat rata-rata sebesar 1,75% per tahun. Secara absolut konsumsi nilam diperkirakan mencapai 1.404,63 ton pada tahun 2009, tahun 2010 naik menjadi 1.429,41 ton dan akan terus meningkat hingga tahun 2011 sebesar 1.454,19 ton. Tabel 7.3. Hasil proyeksi permintaan nilam di Indonesia, 2009 - 2011 Konsumsi Pertumbuhan Tahun (Ton) (%) 2009 1.404,63 2010 1.429,41 1,76 2011 1.454,19 1,73 Rata-rata pertumbuhan 1,75 (%/Th.) 7.7. PROYEKSI SURPLUS/DEFISIT NILAM 2009-2011 Berdasarkan hasil proyeksi penawaran dan permintaan nilam di Indonesia diperoleh proyeksi surplus/defisit nilam. Peningkatan permintaan nilam tahun 2009-2011 masih mampu diimbangi dengan produksi dalam negeri sehingga diperkirakan masih akan terjadi surplus hingga tahun 2011. Tahun 2009 surplus nilam diperkirakan sebesar 247,01 ton, tahun 2010 turun menjadi 225,80 ton dan tahun 2011 menjadi 204,59 ton (Tabel 7.4). Pusat Data dan Informasi Pertanian 161
  • 182.
    2010 OUTLOOK KOMODITAS PERTANIAN - PERKEBUNAN Tabel 7.4. Proyeksi surplus/defisit nilam di Indonesia, 2009-2011 Produksi Konsumsi Surplus/Defisit Tahun (Ton) (Ton) (Ton) 2009 1.651,64 1.404,63 247,01 2010 1.655,21 1.429,41 225,80 2011 1.658,78 1.454,19 204,59 Melihat hasil proyeksi surplus/defisit nilam tersebut, sebenarnya masih terbuka peluang bagi pelaku usaha komoditas nilam untuk mengembangkan usaha budidaya nilam. Semakin berkembangnya industri yang menggunakan nilam sebagai salah satu bahan bakunya, seperti industri parfum, kosmetika, dan obat- obatan, dapat menjadi pasar yang sangat menjanjikan bagi upaya pengembangan nilam Indonesia. Hal ini juga didukung oleh hasil proyeksi yang menunjukkan bahwa konsumsi nilam di dalam negeri akan semakin meningkat di masa mendatang. Kebutuhan minyak nilam untuk pasar dunia yang saat ini rata-rata mencapai 1.200 ton - 1.500 ton per tahun dengan kecenderungan yang semakin meningkat (Anonim, 2010) juga merupakan peluang usaha yang sangat menjanjikan. 162 Pusat Data dan Informasi Pertanian
  • 183.
    OUTLOOK KOMODITAS PERTANIAN- PERKEBUNAN 2010 Lampiran 7.1. Perkembangan luas areal nilam di Indonesia menurut jenis pengusahaan, 1989-2008 PR PBN PBS Total Tahun Pertumb. Pertumb. Pertumb. Pertumb. (Ha) (Ha) (Ha) (Ha) (%) (%) (%) (%) 1989 8,745 - - 8,745 1990 6,494 -25.74 - - 84 - 6,578 -24.78 1991 11,385 75.32 - - 84 0.00 11,469 74.35 1992 6,618 -41.87 - - - -100.00 6,618 -42.30 1993 9,060 36.90 - - 5 - 9,065 36.97 1994 9,679 6.83 - - 6 20.00 9,685 6.84 1995 10,511 8.60 - - 4 -33.33 10,515 8.57 1996 10,146 -3.47 - - 4 0.00 10,150 -3.47 1997 10,695 5.41 - - 4 0.00 10,699 5.41 1998 10,601 -0.88 - - 4 0.00 10,605 -0.88 1999 9,052 -14.61 - - - -100.00 9,052 -14.64 2000 12,781 41.20 - - - - 12,781 41.20 2001 9,010 -29.50 - - - - 9,010 -29.50 2002 21,605 139.79 - - - - 21,605 139.79 2003 16,354 -24.30 - - - - 16,354 -24.30 2004 20,179 23.39 - - - - 20,179 23.39 2005 20,455 1.37 - - - - 20,455 1.37 2006 21,716 6.16 - - - - 21,716 6.16 2007 21,440 -1.27 - - - - 21,440 -1.27 2008*) 21,761 1.50 - - - - 21,761 1.50 Rata-rata pertumbuhan (%) 1989-2008 10.78 - -11.23 10.76 1989-1997 7.75 - -14.17 7.70 1998-2008 12.98 - -9.09 12.98 Sumber : Direktorat Jenderal Perkebunan Keterangan : *) Angka Sementara PR = Perkebunan Rakyat PBN = Perkebunan Besar Negara PBS = Perkebunan Besar Swasta Pusat Data dan Informasi Pertanian 163
  • 184.
    2010 OUTLOOK KOMODITAS PERTANIAN - PERKEBUNAN Lampiran 7.2. Perkembangan produksi minyak nilam di Indonesia menurut status pengusahaan, 1989-2008 PR PBN PBS Total Tahun Pertumb. Pertumb. Pertumb. Pertumb. (Ton) (Ton) (Ton) (Ton) (%) (%) (%) (%) 1989 3,312 0 - 3,312 1990 2,860 -13.65 0 - - - 2,860 -13.65 1991 2,762 -3.43 0 - - - 2,762 -3.43 1992 1,062 -61.55 0 - - - 1,062 -61.55 1993 1,742 64.03 0 - - - 1,742 64.03 1994 1,829 4.99 0 - - - 1,829 4.99 1995 1,267 -30.73 0 - - - 1,267 -30.73 1996 1,255 -0.95 0 - - - 1,255 -0.95 1997 2,447 94.98 0 - - - 2,447 94.98 1998 2,323 -5.07 0 - - - 2,323 -5.07 1999 1,743 -24.97 0 - - - 1,743 -24.97 2000 1,106 -36.55 0 - - - 1,106 -36.55 2001 1,054 -4.70 0 - - - 1,054 -4.70 2002 1,449 37.48 0 - - - 1,449 37.48 2003 2,382 64.39 0 - - - 2,382 64.39 2004 1,712 -28.13 0 - - - 1,712 -28.13 2005 1,537 -10.22 0 - - - 1,537 -10.22 2006 2,496 62.39 0 - - - 2,496 62.39 2007 1,152 -53.85 0 - - - 1,152 -53.85 2008*) 1,490 29.34 0 - - - 1,490 29.34 Rata-rata pertumbuhan (%) 1977-2008 4.41 - - 4.41 1977-1997 6.71 - - 6.71 1998-2008 2.74 - - 2.74 Sumber : Direktorat Jenderal Perkebunan Keterangan : *) Angka Sementara PR = Perkebunan Rakyat PBN = Perkebunan Besar Negara PBS = Perkebunan Besar Swasta 164 Pusat Data dan Informasi Pertanian
  • 185.
    OUTLOOK KOMODITAS PERTANIAN- PERKEBUNAN 2010 Lampiran 7.3. Perkembangan produksi minyak nilam di provinsi sentra Indonesia, 2004 - 2008 Produksi (Ton) Share No. Provinsi Share (%) kumulatif 2004 2005 2006 2007 2008*) Rata-rata (%) 1 Sumatera Barat 404 396 453 300 318 374 24.46 24.46 2 Jawa Tengah 234 330 378 292 388 324 21.20 45.66 3 Bengkulu 584 286 307 - - 235 15.39 61.05 4 Sumatera Utara 233 178 204 98 116 166 10.84 71.88 5 Jawa Barat 55 180 193 155 181 153 9.99 81.87 6 Provinsi Lainnya 202 167 961 307 487 277 18.13 100.00 Indonesia 1,712 1,537 2,496 1,152 1,490 1,530 100.00 Sumber : Direktorat Jenderal Perkebunan Keterangan : *) Angka Sementara Pusat Data dan Informasi Pertanian 165
  • 186.
    2010 OUTLOOK KOMODITAS PERTANIAN - PERKEBUNAN Lampiran 7.4. Perkembangan total konsumsi minyak nilam di Indonesia, 1989 - 2008 Total Produksi Ekspor Impor Pertumb. Tahun Konsumsi (Ton) (Ton) (Ton) (%) (Ton) 1989 3,312 685 - 2627 1990 2,860 873 - 1987 -24.36 1991 2,762 765 - 1997 0.50 1992 1,062 772 - 290 -85.48 1993 1,742 1,166 - 576 98.62 1994 1,829 1,268 - 561 -2.60 1995 1,267 1,111 - 156 -72.19 1996 1,255 1,067 - 188 20.51 1997 2,447 766 - 1681 794.15 1998 2,323 1,356 24 991 -41.05 1999 1,743 1,592 4 155 -84.36 2000 1,106 1,052 8 62 -60.00 2001 1,054 1,189 7 0 -100.00 2002 1,449 1,295 7 161 - 2003 2,382 1,127 2 1257 680.75 2004 1,712 2,074 1,112 750 -40.33 2005 1,537 2,679 477 0 -100.00 2006 2,496 2,832 1,479 1143 - 2007 1,152 - - 1152 0.79 2008*) 1,490 - - 1490 29.34 Rata-rata pertumbuhan (%/tahun) 1989-2008 59.66 Sumber : Direktorat Jenderal Perkebunan dan Badan Pusat Statistik, diolah Pusdatin Keterangan : *) Angka Sementara untuk produksi minyak nilam 166 Pusat Data dan Informasi Pertanian
  • 187.
    OUTLOOK KOMODITAS PERTANIAN- PERKEBUNAN 2010 Lampiran 7.5. Perkembangan harga ekspor minyak nilam di Indonesia, 1989 – 2006 Volume Ekspor Nilai Ekspor Harga Ekspor Pertumbuhan Tahun (Ton) (US$ 000) (US$/Kg) (%) 1989 685 11,662 17.02 1990 873 13,262 15.19 -10.77 1991 765 9,407 12.30 -19.05 1992 772 12,839 16.63 35.25 1993 1,166 20,691 17.75 6.70 1994 1,268 22,671 17.88 0.76 1995 1,111 15,027 13.53 -24.35 1996 1,067 15,707 14.72 8.84 1997 766 33,073 43.18 193.30 1998 1,356 53,177 39.22 -9.17 1999 1,592 22,869 14.36 -63.37 2000 1,052 16,239 15.44 7.46 2001 1,189 20,571 17.30 12.08 2002 1,295 22,526 17.39 0.54 2003 1,127 19,165 17.01 -2.24 2004 2,074 27,137 13.08 -23.06 2005 2,679 43,894 16.38 25.22 2006 2,832 43,984 15.53 -5.21 Rata-rata pertumbuhan (%) 1989-2006 7.82 1989-1997 23.83 1998-2006 -6.42 Sumber : BPS dan Direktorat Jenderal Perkebunan, diolah Pusdatin Pusat Data dan Informasi Pertanian 167
  • 188.
    2010 OUTLOOK KOMODITAS PERTANIAN - PERKEBUNAN Lampiran 7.6. Perkembangan ekspor – impor nilam di Indonesia, 1989 – 2006 EKSPOR IMPOR NERACA PERDAGANGAN Tahun Minyak Nilam Daun Nilam Minyak Nilam Daun Nilam Minyak Nilam Daun Nilam Volume Nilai Volume Nilai Volume Nilai Volume Nilai Volume Nilai Volume Nilai (Ton) (US$ 000) (Ton) (US$ 000) (Ton) (US$ 000) (Ton) (US$ 000) (Ton) (US$ 000) (Ton) (US$ 000) 1989 685 11,662 - - - - - - 685 11,662 - - 1990 873 13,262 - - - - - - 873 13,262 - - 1991 765 9,407 - - - - - - 765 9,407 - - 1992 772 12,839 - - - - - - 772 12,839 - - 1993 1,166 20,691 - - - - - - 1,166 20,691 - - 1994 1,268 22,671 - - - - - - 1,268 22,671 - - 1995 1,111 15,027 - - - - - - 1,111 15,027 - - 1996 1,067 15,707 1 15 - - - - 1,067 15,707 1 15 1997 766 33,073 - - - - - - 766 33,073 - - 1998 1,356 53,177 1,439 53,226 24 524 - - 1,332 52,653 1,439 53,226 1999 1,592 22,869 106 160 4 118 - - 1,588 22,751 106 160 2000 1,052 16,239 122 89 8 123 - - 1,044 16,116 122 89 2001 1,189 20,571 97 52 7 112 - - 1,182 20,459 97 52 2002 1,295 22,526 157 115 7 91 26 52 1,288 22,435 131 63 2003 1,127 19,165 149 99 2 36 - - 1,125 19,129 149 99 2004 2,074 27,137 32 34 1,112 3,814 - - 962 23,323 32 34 2005 2,679 43,894 - - 477 2,654 - - 2,202 41,240 - - 2006 2,832 43,984 - - 1,479 5,954 - - 1,353 38,030 - - Sumber : BPS dan Direktorat Jenderal Perkebunan, diolah Pusdatin 168 Pusat Data dan Informasi Pertanian
  • 189.
    OUTLOOK KOMODITAS PERTANIAN- PERKEBUNAN 2010 BAB VIII. TEBU Tebu adalah salah satu komoditas perkebunan penting yang ditanam untuk bahan baku utama gula. Hingga saat ini, gula merupakan salah satu komoditas strategis dalam perekonomian Indonesia karena disamping sebagai salah satu kebutuhan pokok masyarakat juga sebagai sumber kalori yang relatif murah. Berdasarkan penghitungan dari data hasil Susenas, konsumsi gula oleh rumah tangga cenderung mengalami peningkatan. Penurunan konsumsi terjadi pada tahun 1998 sebagai akibat dari tingginya peningkatan harga gula di pasar domestik. Namun periode berikutnya konsumsi gula kembali mengalami peningkatan. Sementara itu dari sisi penawaran, meskipun produksi gula nasional pada tahun 2010 sampai dengan tahun 2012 diproyeksikan akan terus meningkat rata-rata sebesar 2,96% per tahun, namun produksi gula dalam negeri diperkirakan baru mampu memenuhi tingkat konsumsi gula rumah tangga, tetapi belum mampu memenuhi kebutuhan industri. Pada tahun 2010 diperkirakan produksi gula sebesar 3,08 juta ton dan 2012 sebesar 3,1 juta ton. Kebutuhan gula oleh rumah tangga pada tahun 2010 diperkirakan sebesar 2,1 juta ton dan tahun 2012 sebesar 2,3 juta ton. Dengan demikian permintaan oleh rumah tangga masih bias dipenuhi dari produksi dalam negeri. Namun berdasarkan data ketersediaan untuk industri yang diperoleh dari ketersediaan total dikurangi konsumsi rumah tangga diperoleh informasi bahwa rata-rata kebutuhan industri setiap tahunnya berkisar antara 1,6 – 1,7 juta ton. Dengan demikian maka untuk tiga tahun mendatang diperkirakan Indonesia masih membutuhkan impor gula sekitar 700 – 800 ribu ton per tahun. Namun demikian, keragaan ekspor impor gula tidak lepas dari kebijakan pemerintah. Pusat Data dan Informasi Pertanian 169
  • 190.
    2010 OUTLOOK KOMODITAS PERTANIAN - PERKEBUNAN 8.1. PERKEMBANGAN LUAS AREAL, PRODUKTIVITAS DAN PRODUKSI TEBU DI INDONESIA Perkembangan luas areal tebu di Indonesia pada periode tahun 1969- 2009 cenderung mengalami peningkatan yaitu dari 123.036 ha pada tahun 1969 menjadi 443.832 ha pada tahun 2009 atau mengalami peningkatan rata-rata sebesar 3,53% per tahun. Namun demikian, pada periode 1997-2003 luas areal tebu di Indonesia cenderung mengalami penurunan, tetapi tahun berikutnya kembali mengalami peningkatan. Penurunan luas areal tebu yang cukup tinggi terjadi pada periode tahun 1997 sebesar 13,36% (Gambar 8.1). Gambar 8.1. Perkembangan luas areal tebu di Indonesia, 1969–2009 Rata-rata peningkatan luas areal tebu tertinggi terjadi pada dekade 1970- 1979 dengan peningkatan luas areal rata-rata per tahun sebesar 11,31%. Pada dekade berikutnya hanya mengalami peningkatan rata-rata per tahun sebesar 0,63%. Periode 1990-1999, saat terjadi krisis, luas areal tebu mengalami penurunan rata-rata sebesar 0,25%, tetapi pada dekade terakhir 2000-2009 kembali mengalami peningkatan rata-rata sebesar 2,71% per tahun. Perkembangan luas areal tebu berdasarkan status pengusahaan pada periode 1969 – 1979 sebagian besar merupakan kontribusi dari perkebunan besar negara (PBN) dengan rata-rata kontribusi sebesar 50,21%, diikuti perkebunan 170 Pusat Data dan Informasi Pertanian
  • 191.
    OUTLOOK KOMODITAS PERTANIAN- PERKEBUNAN 2010 rakyat (PR) sebesar 42,14% dan sisanya merupakan perkebunan besar swasta (PBS). Tetapi setelah periode tersebut, PR yang justru lebih mendominasi, diikuti PBN dan PBS. Bahkan pada dekade terakhir, perkebunan besar negara ada dibawah kontribusi perkebunan besar swasta (Lampiran 8.1). Pada periode 1980-1989, luas areal PR mampu menyusul dominasi PBN dengan memberikan kontribusi sebesar 73,81%, sedangkan PBN dan PBS memberikan kontribusi masing-masing sebesar 20,60% dan 5,59%. Pada dekade berikutnya yakni tahun 1990-1999 luas areal tebu PR sebesar 63,94% dari perkebunan tebu nasional, PBN sebesar 23,14% dan PBS naik menjadi 12,15%. Perkembangan luas areal tebu secara umum untuk setiap status pengusahaan pada periode 1969-2009 cenderung mengalami peningkatan. Peningkatan rata-rata tertinggi terjadi pada PBS yaitu sebesar 14,32%. Selanjutnya diikuti PR dan PBN masing-masing sebesar 5,72% dan 3,30%. Peningkatan luas areal PBS yang cukup tinggi mampu meningkatkan kontribusi luas areal tebu pada tahun 1998. Sementara itu luas areal tebu pada PBN sejak tahun 1991 sudah tidak banyak mengalami peningkatan. Bahkan sejak tahun 2004 sudah berada dibawah luas areal PBS. Gambar 8.2. Perkembangan luas areal tebu Indonesia berdasarkan status pengusahaan, 1969 – 2009 Pusat Data dan Informasi Pertanian 171
  • 192.
    2010 OUTLOOK KOMODITAS PERTANIAN - PERKEBUNAN Produktivitas tebu nasional diukur dalam wujud produksi gula hablur. Perkembangan produktivitas tebu nasional pada kurun waktu 1969–2009 secara umum terus berfluktuasi. Pada tahun 1969–1979 produktivitas tebu cenderung mengalami penurunan, tetapi pada periode 1980–1987 cenderung mengalami peningkatan. Pada periode berikutnya yakni tahun 1988–1998 kembali cenderung menurun dan pada periode 1999–2009 cenderung mengalami peningkatan (Gambar 8.3). Gambar 8.3. Perkembangan produktivitas tebu di Indonesia, 1969 - 2009 Rata-rata produktivitas tebu nasional pada periode 1969–1979 sebesar 6,38 ton/ha gula hablur dengan rata-rata pertumbuhan turun sebesar 5,21%. Untuk kurun waktu 1980–1989, rata-rata produktivitas sebesar 5,21 ton/ha dengan pertumbuhan sebesar 6,35%. Untuk periode 1990 – 1999 rata-rata pertumbuhan produktivitas turun sebesar 1,98% dengan produktivitas rata-rata sebesar 5,20 ton/ha dan pada periode 2000 – 2009 rata-rata produktivitas tebu nasional sebesar 5,61 ton/ha dengan rata-rata pertumbuhan naik sebesar 4,19%. Secara umum pada kurun waktu 1969 – 2009 rata-rata produktivitas tebu nasional sebesar 5,62 ton/ha dengan rata-rata pertumbuhan sebesar 0,84% (Lampiran 8.2). 172 Pusat Data dan Informasi Pertanian
  • 193.
    OUTLOOK KOMODITAS PERTANIAN- PERKEBUNAN 2010 Tabel 8.1. Perkembangan produktivitas tebu di Indonesia berdasarkan status pengusahaan, 1969 – 2009 Produktivitas (Ton/Ha) Pertumbuhan (%) Tahun PR PBN PBS Total PR PBN PBS Total 1969-1979 3,57 8,68 9,72 6,38 1,55 -6,82 63,47 -5,21 1980-1989 5,38 4,72 5,21 5,12 7,36 11,65 9,36 6,35 1990-1999 5,45 4,09 6,04 5,20 -3,64 -0,17 12,13 -1,98 2000-2009*) 5,41 4,46 7,00 5,61 3,91 6,08 5,16 4,19 1969-2009*) 4,94 5,58 7,08 5,62 2,30 2,69 22,53 0,84 Sumber: Ditjen Perkebunan Keterangan: *) Angka Sementara PR= Perkebunan Rakyat PBN = Perkebunan Besar Negara PBS = Perkebunan Besar Swasta Berdasarkan status pengusahaannya, selama kurun waktu 1969 – 2009 tebu PR memiliki rata-rata produktivitas terendah yaitu sebesar 4,94 ton/ha dalam wujud gula hablur. Sementara di PBS mencapai 7,08 ton/ha dan PBN sebesar 5,58 ton/ha. Gambar 8.4. Perkembangan produktivitas tebu di Indonesia berdasarkan status pengusahaan, 1969 - 2009 Pusat Data dan Informasi Pertanian 173
  • 194.
    2010 OUTLOOK KOMODITAS PERTANIAN - PERKEBUNAN Gambar 8.5. Perkembangan produksi gula hablur di Indonesia, 1969 - 2009 Produksi tebu nasional dihitung dalam wujud produksi gula hablur. Perkembangan produksi gula hablur di Indonesia pada periode tahun 1969 – 2009 cenderung mengalami peningkatan walaupun sempat mengalami guncangan berupa penurunan produksi pada tahun 1998 dan 1999. Hal tersebut lebih banyak disebabkan menurunnya luas areal pada periode tersebut dan tak kunjung meningkatnya produktivitas tebu. Namun demikian, setelah periode tersebut produksi tebu mulai membaik dan sedikit demi sedikit mengalami peningkatan seiring dengan peningkatan luas areal dan produktivitasnya. Gambar 8.6. Perkembangan produksi gula hablur berdasarkan status pengusahaan, 1969 - 2009 174 Pusat Data dan Informasi Pertanian
  • 195.
    OUTLOOK KOMODITAS PERTANIAN- PERKEBUNAN 2010 Seperti halnya produksi tebu nasional, perkembangan produksi gula hablur menurut pengusahaan dari tahun 1969 sampai dengan 2009 juga cenderung mengalami peningkatan, khususnya untuk PBS (Gambar 8.6). Produksi gula hablur PR cenderung mengalami peningkatan, khususnya pada periode 1969 – 1994. Setelah periode tersebut, produksi gula hablur yang berasal dari PR sedikit mengalami penurunan. Walaupun demikian, sejak tahun 2000 produksi gula hablur dari PR mulai bergerak naik meski secara perlahan. Sedangkan produksi gula hablur yang berasal dari PBN sejak tahun 1979 sampai sekarang cenderung stagnan dan tidak mengalami perkembangan yang signifikan. Padahal pada periode 1969 – 1978 produksi gula hablur yang berasal dari PBN memberi kontribusi yang dominan bahkan lebih tinggi dari PR. Pada periode 1969 – 1978 seperti yang disebutkan sebelumnya, produksi gula hablur dari PBN mendominasi produksi nasional. Namun pada tahun berikutnya seiring dengan menurunnya produksi gula hablur dari PBN dan meningkatnya PR maka produksi tebu dari PBN mampu dilampaui PR. Bahkan sejak tahun 1999 – 2009 sudah dilampaui oleh produksi tebu dari PBS yang saat ini menempati urutan kedua setelah PR (Lampiran 8.3). Tabel 8.2. Perkembangan rata-rata produksi gula hablur di Indonesia berdasarkan status pengusahaan, 1969 – 2009 Produksi (Ton) Tahun PR PBN PBS Total 1969-1979 304,494 750,844 97,590 1,152,955 1980-1989 1,377,562 293,345 103,937 1,774,844 1990-1999 1,378,883 382,978 317,178 2,079,039 2000-2009*) 1,145,673 360,607 638,264 2,154,514 1969-2009*) 1,033,429 454,356 284,568 1,774,792 Sumber: Ditjen Perkebunan, diolah Pusdatin Keterangan: *) Angka Sementara PR= Perkebunan Rakyat PBN = Perkebunan Besar Negara PBS = Perkebunan Besar Swasta Pusat Data dan Informasi Pertanian 175
  • 196.
    2010 OUTLOOK KOMODITAS PERTANIAN - PERKEBUNAN Berdasarkan angka rata-rata produksi gula hablur PR per provinsi periode 2006 - 2010 terdapat 8 (delapan) provinsi yang menghasilkan gula hablur bagi produksi nasional. Jawa Timur merupakan penyumbang produksi tebu PR terbesar yaitu sebesar 72,57%, disusul oleh Jawa Tengah dan Lampung yang masing-masing berkontribusi sebesar 16,90% dan 4,60%. Jawa Barat mempunyai kontribusi sebesar 3,95%, disusul DI Yogyakarta sebesar 1,34%. Sedangkan provinsi lainnya yakni Sumatera Utara, Sulawesi Selatan dan Sumatera Selatan hanya menyumbang masing-masing kurang dari 1,00% (Lampiran 8.4). Gambar 8.7. Provinsi sentra produksi tebu Perkebunan Rakyat, 2006-2010 Berdasarkan produksi gula hablur nasional, meskipun Jawa Timur masih merupakan penyumbang produksi nasional terbesar tetapi kontribusinya hanya sebesar 45,87%. Provinsi Lampung yang produksi gula hablur di PR berada di peringkat ketiga (4,60%), tetapi secara nasional berada peringkat kedua dengan kontribusi produksi gula hablur nasional sebesar 32,78%. Disusul oleh Jawa Tengah dan Jawa Barat, yang masing-masing berkontribusi bagi produksi gula hablur nasional sebesar 9,79% dan 4,37%. Provinsi lainnya masing-masing hanya menyumbang kurang dari 3,00%. 176 Pusat Data dan Informasi Pertanian
  • 197.
    OUTLOOK KOMODITAS PERTANIAN- PERKEBUNAN 2010 Gambar 8.8. Provinsi sentra produksi tebu Nasional, 2009 8.2. PERKEMBANGAN KONSUMSI GULA DI INDONESIA Konsumsi gula nasional oleh rumah tangga per tahun dihitung berdasarkan konsumsi gula per kapita per minggu dari data hasil Susenas BPS dikalikan dengan jumlah penduduk pada tahun bersangkutan. Mengingat bahwa Susenas pada tahun-tahun sebelumnya tidak dilakukan setiap tahun maka pada periode yang tidak dilakukan survei, terlebih dahulu dilakukan estimasi. Dari hasil perhitungan tersebut, konsumsi rumah tangga per tahun untuk komoditas gula pada tahun 1990 sebesar 1,41 juta ton yang secara beruntun terus meningkat menjadi 1,73 juta ton pada tahun 1996. Selanjutnya pada tahun 1997, konsumsi gula oleh rumah tangga berkurang menjadi 1,72 juta ton dan berturut- turut menurun menjadi 1,71 juta ton dan 1,67 juta ton pada tahun 1998 dan 1999. Penurunan tersebut disebabkan turunnya jumlah konsumsi perkapita yang diperkirakan dipengaruhi oleh peningkatan harga gula di pasar domestik pada tahun 1998. Jumlah konsumsi gula oleh rumah tangga kembali naik pada tahun 2000- 2002, tetapi setelah periode tersebut jumlah konsumsi gula oleh rumah tangga cenderung stabil pada kisaran 1,94 - 1,96 juta ton per tahun sampai dengan tahun 2006. Pada tahun 2007 konsumsi gula oleh rumah tangga juga mengalami Pusat Data dan Informasi Pertanian 177
  • 198.
    2010 OUTLOOK KOMODITAS PERTANIAN - PERKEBUNAN peningkatan menjadi 2,15 juta ton dan tahun berikutnya sampai dengan tahun 2009 masih berkisar pada jumlah tersebut. Konsumsi gula tersebut di atas adalah konsumsi gula langsung oleh rumah tangga, sementara kebutuhan gula oleh industri belum dihitung. Grafik perkembangan konsumsi gula oleh rumah tangga disajikan pada Gambar 8.9. Gambar 8.9. Perkembangan konsumsi gula oleh rumah tangga di Indonesia, 1990-2009 8.3. PERKEMBANGAN HARGA GULA DI INDONESIA Perkembangan harga gula dalam negeri berdasarkan data Kantor Pemasaran Bersama (KPB) PT. Perkebunan Nusantara selama periode 1997-2009 terus bergerak naik. Harga gula rata-rata pada tahun 1997 sebesar Rp. 1.525,-/kg dan pada tahun 2009 sudah mencapai Rp. 7.940,-/kg atau lebih dari 5 kali lipat dibandingkan tahun 1997. Peningkatan harga gula tertinggi terjadi pada saat krisis moneter yakni tahun 1998 dimana peningkatannya mencapai 79,25% dibandingkan tahun sebelumnya. Peningkatan harga gula pada tahun 1998 merupakan efek dari menurunnya produksi gula nasional dan meningkatkan impor gula. Padahal pada saat itu nilai tukar rupiah sedang mengalami penurunan. Akibatnya, harga produk impor menjadi lebih mahal, demikian pula halnya dengan komoditi gula. Hal 178 Pusat Data dan Informasi Pertanian
  • 199.
    OUTLOOK KOMODITAS PERTANIAN- PERKEBUNAN 2010 inilah yang mengakibatkan harga gula di dalam negeri pada saat itu meningkat pesat. Gambar 8.10. Perkembangan harga gula pasir dalam negeri, 1997-2009 8.4. PERKEMBANGAN EKSPOR IMPOR GULA INDONESIA Gambar 8.11 menyajikan perkembangan volume ekspor dan impor gula Indonesia pada periode tahun 1969 – 2009 dalam bentuk molase dan dalam bentuk gula hablur. Gambar 8.11. Perkembangan volume ekspor dan impor gula di Indonesia, 1969–2009 Pusat Data dan Informasi Pertanian 179
  • 200.
    2010 OUTLOOK KOMODITAS PERTANIAN - PERKEBUNAN Masa surplus volume ekspor impor gula di Indonesia terjadi antara tahun 1969 – 1975 dan 1983 – 1994. Untuk periode lainnya, Indonesia selalu mengalami defisit volume ekspor-impor. Bahkan pada tahun 1996 – 2007 defisit neraca perdagangan gula Indonesia semakin besar dengan semakin banyaknya gula impor di pasaran domestik. Melalui kebijakan pembatasan impor gula, pada tahun 2008 impor gula sudah mulai berkurang. Kebijakan pemerintah dengan memperketat impor gula mampu mengurangi impor gula nasional. Namun seiring dengan berkurangnya stok gula pada awal tahun maka dikeluarkan kebijakan penurunan bea masuk gula melalui Peraturan Menteri Keuangan No. 150/PMK.011/2009 pada tanggal 24 September 2009 yang bertujuan meningkatkan volume impor sehingga pada tahun 2009, impor gula kembali mengalami peningkatan (Purna, Ibnu et all. 2009). Neraca perdagangan komoditas gula Indonesia (dalam bentuk molase dan hablur) dari tahun ke tahun sejak 1969 hingga 2009 terus mengalami defisit dengan pola berfluktuasi. Defisit neraca perdagangan tertinggi terjadi pada tahun 2007 hingga mencapai US$ 999,62 juta. Pada tahun 2008 melalui kebijakan pemerintah terhadap impor gula, maka defisit neraca perdagangan gula sudah mampu ditekan. Namun pada tahun 2009, defisit perdagangan kembali melebar setelah dikeluarkannya penurunan bea masuk untuk impor gula (Lampiran 8.5). 8.5. PERKEMBANGAN LUAS AREAL, PRODUKTIVITAS DAN PRODUKSI TEBU DUNIA Perkembangan luas areal tebu dunia pada periode tahun 1970 – 2008 cenderung terus mengalami peningkatan meskipun pada tahun-tahun tertentu terjadi penurunan (Gambar 8.12). Penurunan tertinggi terjadi pada tahun 1993 yaitu sebesar 4,73% dari 18,15 juta ha menjadi 17,29 juta ha. Rata-rata laju pertumbuhan luas areal tebu dunia sejak tahun 1970 – 2008 adalah sebesar 2,14%. Berdasarkan data dari FAO, total luas areal tebu dunia pada tahun 2008 180 Pusat Data dan Informasi Pertanian
  • 201.
    OUTLOOK KOMODITAS PERTANIAN- PERKEBUNAN 2010 mencapai angka 18,57 juta ha. Luas areal tertinggi pada kurun waktu tersebut terjadi pada tahun 2003 yaitu sebesar 24,37 juta ha (Lampiran 8.6). Gambar 8.12. Perkembangan luas areal tebu dunia, 1970 – 2008 Laju pertumbuhan produktivitas tebu dunia (dalam bentuk tebu) dari tahun 1970 hingga 2008 terus mengalami peningkatan, walaupun ada beberapa penurunan tetapi terlalu tinggi (Gambar 8.13). Laju pertumbuhan produktivitas tebu dunia selama periode tersebut adalah sebesar 0,73%. Menurut data dari FAO, produktivitas tebu dunia pada tahun 2008 mencapai 71,51 ton/ha dalam wujud tebu. Peningkatan produktivitas tebu dunia yang cukup tinggi terjadi pada tahun 2007 yakni sebesar 4,00% (Lampiran 8.6). Gambar 8.13. Perkembangan produktivitas tebu dunia, 1970 – 2008 Pusat Data dan Informasi Pertanian 181
  • 202.
    2010 OUTLOOK KOMODITAS PERTANIAN - PERKEBUNAN Perkembangan produksi tebu dunia dari tahun 1970 hingga 2008 terus mengalami peningkatan, walaupun ada beberapa penurunan tetapi tidak ada penurunan produksi yang signifikan (Gambar 7.14). Rata-rata pertumbuhan produksi selama periode tersebut adalah sebesar 2,91%. Menurut data dari FAO, produksi tebu dunia pada tahun 2005 mencapai 1,74 milyar ton (dalam bentuk tebu). Peningkatan produksi tebu dunia yang cukup tinggi terjadi pada tahun 2007 yaitu sebesar 14,71% (Lampiran 8.6). Gambar 8.14. Perkembangan produksi tebu dunia, 1970 - 2008 Berdasarkan data rata-rata luas areal tebu periode 2004 - 2008 dari FAO, Brazil merupakan negara yang memiliki rata-rata luas areal tebu tahun 2004 - 2008 terbesar di dunia yakni sebesar 6,60 juta ha atau 30,39% dari total luas areal tebu dunia. Urutan kedua adalah India dengan luas areal tebu rata-rata mencapai 4,40 juta ha (20,26%). Selanjutnya China menempati urutan ketiga dengan luas areal mencapai 1,49 juta ha (6,86%), dan urutan berikutnya ditempati oleh Pakistan dengan luas areal mencapai 1,04 juta ha, kemudian disusul oleh Thailand dengan luas areal sebesar 1,04 juta ha (Gambar 8.15). Sementara itu, Indonesia berada pada posisi 11 dibawah Meksiko, Kuba, Afrika Selatan, Australia dan Kolombia yang menempati posisi 6 sampai 10. Luas areal tebu beberapa negara di dunia secara rinci disajikan pada Lampiran 8.7. 182 Pusat Data dan Informasi Pertanian
  • 203.
    OUTLOOK KOMODITAS PERTANIAN- PERKEBUNAN 2010 Gambar 8.15. Negara dengan luas areal tebu terbesar di dunia, 2004 – 2008 Berdasarkan data produksi tebu rata-rata selama 5 tahun terakhir (2004- 2008), Brazil merupakan negara produsen tebu terbesar di dunia, dengan produksi mencapai 502,84 juta ton (dalam bentuk tebu) atau sebesar 33,76% dari produksi dunia. Urutan kedua ditempati oleh India dengan produksi tebu mencapai 291,17 juta ton (19,55%). China menempati urutan ke-3 dengan rata- rata produksi tebu 5 tahun terakhir sebesar 102,12 juta ton (6,86%). Urutan keempat dan kelima ditempati oleh Thailand dan Pakistan. Sementara itu Indonesia berada pada urutan ke-10 dunia dengan produksi tebu 27,31 juta ton. Produksi tebu di beberapa negara di dunia secara rinci disajikan pada Lampiran 8.8. Gambar 8.16. Negara produsen tebu terbesar dunia, 2004 – 2008 Pusat Data dan Informasi Pertanian 183
  • 204.
    2010 OUTLOOK KOMODITAS PERTANIAN - PERKEBUNAN 8.6. PROYEKSI PENAWARAN GULA 2010-2012 Perilaku penawaran dari suatu komoditas dicerminkan oleh respon atau keputusan produsen terhadap mekanisme pasar dan pengaruh faktor non pasar, yang dalam hal ini direpresentasikan oleh produksi. Sedangkan perilaku penawaran komoditas pertanian dicerminkan oleh pengaruh harga pasar dan kekuatan non harga (teknologi, kondisi krisis, dan sebagainya) terhadap keputusan petani dalam memproduksi komoditas yang dihasilkan (Syafa’at et al, 2005). Hasil estimasi perilaku penawaran gula dengan menggunakan data time series menunjukkan bahwa produksi gula dipengaruhi oleh peubah-peubah luas areal tanam, harga gula dalam negeri dan harga gula ekspor periode sebelumnya dengan koefisien determinasi (R2) = 0,782 (Tabel 8.4). Ini berarti bahwa 78,2% variasi areal tanam tebu dapat dijelaskan oleh variasi peubah-peubah yang digunakan dalam model. Tabel 8.3. Hasil proyeksi fungsi penawaran gula di Indonesia Peubah Koefisien P Value Luas Areal (t-1) 6,214 0,001 Harga Gula Dalam Negeri (t-1) 142,11 0,000 Harga Ekspor Gula (t-1) 333,4 0,033 Intercept -999.718 0,100 R2 0,782 Berdasarkan hasil analisis fungsi tersebut, produksi gula pada tahun 2010 diproyeksikan akan meningkat menjadi 3,08 juta ton dan menjadi 3,10 juta ton pada tahun 2012. Rata-rata peningkatan produksi gula nasional diperkirakan hanya sebesar 2,96%. Proyeksi produksi gula nasional disajikan pada Tabel 8.4. 184 Pusat Data dan Informasi Pertanian
  • 205.
    OUTLOOK KOMODITAS PERTANIAN- PERKEBUNAN 2010 Tabel 8.4. Proyeksi produksi gula Indonesia, 2010 – 2012 Tahun Produksi (ton) 2010 3.080.704 2011 3.021.158 2012 3.102.584 Pertumbuhan (%) 2,96 8.7. PROYEKSI PERMINTAAN GULA 2010-2012 Hasil proyeksi perilaku permintaan gula untuk konsumsi rumah tangga dengan menggunakan data time series hasil Susenas, BPS dikalikan dengan jumlah penduduk menunjukkan bahwa konsumsi gula hanya dipengaruhi oleh tren (tahun) dengan koefisien determinasi (R2) = 0,932. Hal itu juga berarti faktor utama yang mempengaruhi jumlah konsumsi gula oleh rumah tangga adalah pertambahan jumlah penduduk. Nilai koefisien determinasi 0,932 menunjukkan bahwa 93,2% variasi permintaan gula dapat dijelaskan oleh variasi peubah yang digunakan dalam model. Tabel 8.5. Hasil proyeksi fungsi permintaan gula di Indonesia Peubah Koefisien P Value Tahun 37.226 0,000 Intercept 0,9621 0,000 R2 0,932 Pusat Data dan Informasi Pertanian 185
  • 206.
    2010 OUTLOOK KOMODITAS PERTANIAN - PERKEBUNAN Berdasarkan hasil analisis fungsi tersebut, permintaan gula untuk konsumsi rumah tangga pada tahun 2010 diproyeksikan akan meningkat menjadi 2,18 juta ton dan mencapai 2,26 juta ton pada 2012. Rata-rata peningkatan permintaan gula nasional diperkirakan sebesar 1,75%. Peningkatan permintaan gula hanya disebabkan oleh meningkatnya jumlah penduduk dan dari hasil analisis tidak dipengaruhi oleh harga gula dalam negeri maupun gula impor. Proyeksi permintaan gula nasional secara rinci disajikan pada Tabel 8.6. Tabel 8.6. Proyeksi permintaan gula Indonesia, 2010-2012 Tahun Permintaan Gula (Ton) 2010 2.182.199 2011 2.219.425 2012 2.256.651 Pertumbuhan (%/tahun) 1,75 8.8. PROYEKSI SURPLUS/ DEFISIT GULA Gambar 8.17. Perkembangan penawaran dan permintaan gula Indonesia, 1990-2012 186 Pusat Data dan Informasi Pertanian
  • 207.
    OUTLOOK KOMODITAS PERTANIAN- PERKEBUNAN 2010 Perhitungan surplus/defisit gula diperoleh dari produksi dikurangi dengan konsumsi rumah tangga. Pada tahun 2010 diperkirakan produksi gula nasional masih mampu memenuhi kebutuhan rumah tangga dan mengalami surplus sebesar 898.505 ton. Demikian pula pada tahun 2011 mengalami surplus sebesar 801.733 ton dan pada tahun 2012 mengalami surplus sebesar 845.933 ton (Tabel 8.7). Tabel 8.7. Proyeksi surplus/defisit gula Indonesia, 2010 – 2012 Tahun Penawaran Permintaan Suplus/Defisit 2010 3.080.704 2.182.199 898.505 2011 3.021.158 2.219.425 801.733 2012 3.102.584 2.256.651 845.933 Kelebihan/surplus penawaran ini hanya berlaku apabila tidak ada kebutuhan gula untuk industri. Dalam hal ini artinya Indonesia sudah swasembada gula untuk memenuhi konsumsi rumah tangga. Hanya saja apabila dilihat dari ketersediaan untuk industri rata-rata selama 5 tahun terakhir, kebutuhan gula untuk industri setiap tahunnya berkisar antara 1,6 – 1,7 juta ton, sehingga Indonesia selama 3 tahun ke depan Indonesia masih membutuhkan impor gula antara 700.000 – 800.000 ton setiap tahun. Pusat Data dan Informasi Pertanian 187
  • 208.
    2010 OUTLOOK KOMODITAS PERTANIAN - PERKEBUNAN Lampiran 8.1. Perkembangan luas areal tebu di Indonesia berdasarkan status pengusahaan, 1969-2009 Luas Areal (Ha) Pertumbuhan (%) Tahun PR PBN PBS Total PR PBN PBS Total 1969 48.826 67.300 6.910 123.036 1970 45.067 69.607 7.041 121.715 -7,70 3,43 1,90 -1,07 1971 48.569 74.811 3.004 126.384 7,77 7,48 -57,34 3,84 1972 71.667 63.807 13.236 148.710 47,56 -14,71 340,61 17,67 1973 69.541 85.492 14.476 169.509 -2,97 33,99 9,37 13,99 1974 71.962 90.102 14.711 176.775 3,48 5,39 1,62 4,29 1975 72.964 89.003 17.861 179.828 1,39 -1,22 21,41 1,73 1976 92.040 95.583 21.279 208.902 26,14 7,39 19,14 16,17 1977 118.453 99.644 16.395 234.492 28,70 4,25 -22,95 12,25 1978 102.213 121.423 24.465 248.101 -13,71 21,86 49,22 5,80 1979 191.859 126.103 25.534 343.496 87,71 3,85 4,37 38,45 1980 259.874 37.629 18.560 316.063 35,45 -70,16 -27,31 -7,99 1981 290.470 36.722 18.996 346.188 11,77 -2,41 2,35 9,53 1982 303.228 43.043 17.049 363.320 4,39 17,21 -10,25 4,95 1983 315.649 49.152 19.572 384.373 4,10 14,19 14,80 5,79 1984 236.810 85.569 19.629 342.008 -24,98 74,09 0,29 -11,02 1985 225.787 95.079 19.363 340.229 -4,65 11,11 -1,36 -0,52 1986 238.509 69.168 18.026 325.703 5,63 -27,25 -6,90 -4,27 1987 241.169 75.926 17.823 334.910 1,12 9,77 -1,13 2,83 1988 254.669 92.368 18.492 365.529 5,60 21,66 3,75 9,14 1989 249.933 77.378 30.441 357.752 -1,86 -16,23 64,62 -2,13 1990 259.877 71.252 32.839 363.968 3,98 -7,92 7,88 1,74 1991 255.934 96.625 33.745 386.304 -1,52 35,61 2,76 6,14 1992 262.092 105.905 36.065 404.062 2,41 9,60 6,88 4,60 1993 280.504 104.460 40.689 425.653 7,03 -1,36 12,82 5,34 1994 276.581 107.750 44.585 428.736 -1,40 3,15 9,58 0,72 1995 263.157 120.162 52.718 436.037 -4,85 11,52 18,24 1,70 1996 304.047 79.269 63.217 446.533 15,54 -34,03 19,92 2,41 1997 218.201 85.086 53.591 386.878 -28,23 7,34 -15,23 -13,36 1998 195.048 83.069 98.972 377.089 -10,61 -2,37 84,68 -2,53 1999 176.733 82.106 83.372 342.211 -9,39 -1,16 -15,76 -9,25 2000 171.279 64.133 105.248 340.660 -3,09 -21,89 26,24 -0,45 2001 178.887 87.687 77.867 344.441 4,44 36,73 -26,02 1,11 2002 196.509 79.975 74.238 350.722 9,85 -8,79 -4,66 1,82 2003 172.015 87.251 76.459 335.725 -12,46 9,10 2,99 -4,28 2004 184.283 78.205 82.305 344.793 7,13 -10,37 7,65 2,70 2005 211.479 80.383 89.924 381.786 14,76 2,78 9,26 10,73 2006 213.876 87.227 95.338 396.441 1,13 8,51 6,02 3,84 2007 249.487 81.655 96.657 427.799 16,65 -6,39 1,38 7,91 2008 252.783 82.222 101.500 436.505 1,32 0,69 5,01 2,04 2009*) 255.313 80.069 108.450 443.832 1,00 -2,62 6,85 1,68 Sumber : Ditjen Perkebunan *) Angka Sementara 188 Pusat Data dan Informasi Pertanian
  • 209.
    OUTLOOK KOMODITAS PERTANIAN- PERKEBUNAN 2010 Lampiran 8.2. Perkembangan produksi gula hablur di Indonesia berdasarkan status pengusahaan, 1969-2009 Produksi (ton) Pertumbuhan (%) Tahun PR PBN PBS Total PR PBN PBS Total 1969 205.500 630.000 72.100 907.600 1970 195.846 602.700 73.900 872.446 -4,70 -4,33 2,50 -3,87 1971 218.700 707.586 122.239 1.048.525 11,67 17,40 65,41 20,18 1972 213.933 756.195 130.449 1.100.577 -2,18 6,87 6,72 4,96 1973 203.659 693.089 18.121 914.869 -4,80 -8,35 -86,11 -16,87 1974 249.647 857.566 127.213 1.234.726 22,58 23,73 602,02 34,96 1975 221.226 877.703 142.727 1.241.656 -11,38 2,35 12,20 0,56 1976 266.728 899.715 151.931 1.318.374 20,57 2,51 6,45 6,18 1977 353.385 923.829 83.159 1.360.373 32,49 2,68 -45,27 3,19 1978 484.914 940.972 71.082 1.496.968 37,22 1,86 -14,52 10,04 1979 735.894 369.926 80.570 1.186.390 51,76 -60,69 13,35 -20,75 1980 893.120 273.355 93.475 1.259.950 21,37 -26,11 16,02 6,20 1981 913.677 200.436 116.007 1.230.120 2,30 -26,68 24,10 -2,37 1982 1.373.009 182.041 71.752 1.626.802 50,27 -9,18 -38,15 32,25 1983 1.240.500 290.597 88.441 1.619.538 -9,65 59,63 23,26 -0,45 1984 1.397.350 329.713 83.310 1.810.373 12,64 13,46 -5,80 11,78 1985 1.450.184 343.035 105.590 1.898.809 3,78 4,04 26,74 4,88 1986 1.567.552 346.130 100.892 2.014.574 8,09 0,90 -4,45 6,10 1987 1.743.677 322.758 109.439 2.175.874 11,24 -6,75 8,47 8,01 1988 1.575.083 339.541 89.427 2.004.051 -9,67 5,20 -18,29 -7,90 1989 1.621.468 305.847 181.033 2.108.348 2,94 -9,92 102,44 5,20 1990 1.609.041 306.263 204.281 2.119.585 -0,77 0,14 12,84 0,53 1991 1.612.240 450.561 189.866 2.252.667 0,20 47,12 -7,06 6,28 1992 1.652.685 475.804 177.995 2.306.484 2,51 5,60 -6,25 2,39 1993 1.684.614 393.720 251.477 2.329.811 1,93 -17,25 41,28 1,01 1994 1.673.246 509.047 271.588 2.453.881 -0,67 29,29 8,00 5,33 1995 1.350.476 422.300 286.800 2.059.576 -19,29 -17,04 5,60 -16,07 1996 1.512.131 316.660 265.404 2.094.195 11,97 -25,02 -7,46 1,68 1997 1.196.409 365.313 630.264 2.191.986 -20,88 15,36 137,47 4,67 1998 759.094 305.332 423.843 1.488.269 -36,55 -16,42 -32,75 -32,10 1999 738.893 284.782 470.258 1.493.933 -2,66 -6,73 10,95 0,38 2000 790.573 234.288 665.143 1.690.004 6,99 -17,73 41,44 13,12 2001 813.538 210.949 600.980 1.725.467 2,90 -9,96 -9,65 2,10 2002 967.160 297.985 490.509 1.755.354 18,88 41,26 -18,38 1,73 2003 839.028 370.476 422.414 1.631.918 -13,25 24,33 -13,88 -7,03 2004 1.028.681 383.892 639.071 2.051.645 22,60 3,62 51,29 25,72 2005 1.193.653 423.421 624.668 2.241.742 16,04 10,30 -2,25 9,27 2006 1.226.845 453.234 626.948 2.307.027 2,78 7,04 0,36 2,91 2007 1.514.529 424.692 684.565 2.623.786 23,45 -6,30 9,19 13,73 2008 1.536.209 396.186 736.033 2.668.428 1,43 -6,71 7,52 1,70 2009*) 1.546.511 410.948 892.310 2.849.769 0,67 3,73 21,23 6,80 Sumber : Ditjen Perkebunan *) Angka Sementara Pusat Data dan Informasi Pertanian 189
  • 210.
    2010 OUTLOOK KOMODITAS PERTANIAN - PERKEBUNAN Lampiran 8.3. Perkembangan produktivitas tebu di Indonesia berdasarkan status pengusahaan, 1969-2009 Produktivitas (Ton/Ha) Pertumbuhan (%) Tahun PR PBN PBS Total Produksi (ton) 1969 4,21 9,36 10,43 7,38 PR PBN PBS Total 1970 4,35 8,66 10,50 7,17 3,25 -7,50 0,59 -2,83 1971 4,50 9,46 40,69 8,30 3,62 9,24 287,70 15,74 1972 2,99 11,85 9,86 7,40 -33,71 25,30 -75,78 -10,79 1973 2,93 8,11 1,25 5,40 -1,89 -31,59 -87,30 -27,07 1974 3,47 9,52 8,65 6,98 18,46 17,40 590,81 29,41 1975 3,03 9,86 7,99 6,90 -12,60 3,61 -7,59 -1,15 1976 2,90 9,41 7,14 6,31 -4,42 -4,55 -10,65 -8,60 1977 2,98 9,27 5,07 5,80 2,95 -1,50 -28,96 -8,07 1978 4,74 7,75 2,91 6,03 59,02 -16,41 -42,72 4,00 1979 3,84 2,93 3,16 3,45 -19,15 -62,15 8,60 -42,76 1980 3,44 7,26 5,04 3,99 -10,40 147,64 59,61 15,42 1981 3,15 5,46 6,11 3,55 -8,47 -24,86 21,26 -10,86 1982 4,53 4,23 4,21 4,48 43,95 -22,52 -31,09 26,01 1983 3,93 5,91 4,52 4,21 -13,21 39,79 7,37 -5,90 1984 5,90 3,85 4,24 5,29 50,15 -34,83 -6,08 25,63 1985 6,42 3,61 5,45 5,58 8,85 -6,37 28,48 5,43 1986 6,57 5,00 5,60 6,19 2,33 38,70 2,64 10,83 1987 7,23 4,25 6,14 6,50 10,01 -15,05 9,71 5,04 1988 6,18 3,68 4,84 5,48 -14,46 -13,53 -21,24 -15,61 1989 6,49 3,95 5,95 5,89 4,90 7,53 22,97 7,49 1990 6,19 4,30 6,22 5,82 -4,56 8,75 4,60 -1,18 1991 6,30 4,66 5,63 5,83 1,74 8,48 -9,55 0,13 1992 6,31 4,49 4,94 5,71 0,10 -3,65 -12,28 -2,11 1993 6,01 3,77 6,18 5,47 -4,76 -16,11 25,23 -4,11 1994 6,05 4,72 6,09 5,72 0,73 25,34 -1,44 4,57 1995 5,13 3,51 5,44 4,72 -15,17 -25,61 -10,69 -17,47 1996 4,97 3,99 4,20 4,69 -3,09 13,67 -22,83 -0,71 1997 5,48 4,29 11,76 5,67 10,25 7,48 180,13 20,81 1998 3,89 3,68 4,28 3,95 -29,02 -14,39 -63,59 -30,34 1999 4,18 3,47 5,64 4,37 7,43 -5,64 31,71 10,61 2000 4,62 3,65 6,32 4,96 10,40 5,32 12,04 13,64 2001 4,55 2,41 7,72 5,01 -1,47 -34,15 22,13 0,98 2002 4,92 3,73 6,61 5,00 8,22 54,88 -14,39 -0,09 2003 4,88 4,25 5,52 4,86 -0,90 13,96 -16,38 -2,88 2004 5,58 4,91 7,76 5,95 14,44 15,61 40,54 22,41 2005 5,64 5,27 6,95 5,87 1,11 7,31 -10,54 -1,32 2006 5,74 5,20 6,58 5,82 1,63 -1,36 -5,33 -0,89 2007 6,07 5,20 7,08 6,13 5,83 0,10 7,70 5,39 2008 6,08 4,82 7,25 6,11 0,11 -7,36 2,39 -0,33 2009*) 6,06 5,13 8,23 6,42 -0,33 6,52 13,46 5,03 Sumber : Ditjen Perkebunan *) Angka Sementara 190 Pusat Data dan Informasi Pertanian
  • 211.
    OUTLOOK KOMODITAS PERTANIAN- PERKEBUNAN 2010 Lampiran 8.4. Produksi gula Perkebunan Rakyat di provinsi sentra di Indonesia, 2006-2010 Produksi (Ton) Share Share No. Provinsi kumulatif 2006 2007 2008 2009*) 2010**) Rata-rata (%) (%) 1 Jawa Timur 833,291 1,137,690 1,124,414 1,125,731 1,125,797 1,069,385 72.57 72.57 2 Jawa Tengah 252,568 243,633 255,873 246,365 246,518 248,991 16.90 89.46 3 Lampung 67,629 37,400 72,738 80,291 80,765 67,765 4.60 94.06 4 Jawa Barat 56,816 61,035 56,768 56,645 59,702 58,193 3.95 98.01 5 DI Yogyakarta 13,423 15,785 15,648 26,756 26,857 19,694 1.34 99.35 6 Sumatera Utara 2,129 2,764 5,901 5,944 5,963 4,540 0.31 99.65 7 Sulawesi Selatan 3,462 1,793 2,154 5,682 3,273 0.22 99.88 8 Sumatera Selatan 989 563 2,286 2,625 2,631 1,819 0.12 100.00 Indonesia 1,226,845 1,502,332 1,535,421 1,546,511 1,553,915 1,473,659 100.00 Sumber : Ditjen Perkebunan Keterangan : *) Angka Sementara **) Angka Estimasi Pusat Data dan Informasi Pertanian 191
  • 212.
    2010 OUTLOOK KOMODITAS PERTANIAN - PERKEBUNAN Lampiran 8.5. Perkembangan ekspor dan impor tebu Indonesia, 1969-2009 Ekspor Impor Neraca TAHUN Volume Nilai Volume Nilai Nilai (Ton) (000 US$) (Ton) (000 US$) (000 US$) 1969 166.457 2.367 0 0 2.367 1970 134.551 2.257 0 0 2.257 1971 279.005 4.114 0 0 4.114 1972 255.915 4.608 6.123 1.238 3.370 1973 211.725 8.005 49.140 8.032 -27 1974 194.655 10.970 112.919 25.110 -14.140 1975 176.908 9.032 96.809 34.068 -25.036 1976 169.084 6.384 207.828 110.611 -104.227 1977 67.135 2.197 226.828 106.324 -104.127 1978 203.780 8.734 433.055 284.487 -275.753 1979 239.896 16.221 295.081 130.139 -113.918 1980 224.010 22.906 400.920 163.216 -140.310 1981 255.873 20.375 721.019 705.609 -685.234 1982 459.654 13.922 687.179 420.682 -406.760 1983 619.384 23.045 168.095 133.279 -110.234 1984 690.528 26.912 2.917 2.337 24.575 1985 577.002 22.341 4.407 3.330 19.011 1986 714.712 39.759 79.932 16.405 23.354 1987 737.512 36.817 129.838 25.683 11.134 1988 521.415 27.203 130.331 35.087 -7.884 1989 447.490 19.819 325.930 112.241 -92.422 1990 622.645 32.992 280.978 123.350 -90.358 1991 386.391 22.495 73.986 26.677 -4.182 1992 555.133 48.863 294.226 98.935 -50.072 1993 789.025 33.240 181.334 54.177 -20.937 1994 799.439 46.346 21.207 6.350 39.996 1995 453.906 48.284 578.519 251.710 -203.426 1996 185.501 18.028 1.286.080 487.008 -468.980 1997 337.421 25.493 673.899 242.464 -216.971 1998 173.787 9.673 950.141 319.994 -310.321 1999 195.979 8.070 1.583.957 358.820 -350.750 2000 136.753 5.926 1.677.611 290.099 -284.173 2001 94.572 6.288 1.469.244 254.217 -247.929 2002 125.137 8.089 1.113.777 216.341 -208.252 2003 81.659 4.613 1.079.592 223.778 -219.165 2004 195.571 11.396 1.181.397 269.490 -258.094 2005 228.669 19.914 2.033.348 593.301 -573.387 2006 554.728 50.391 1.452.956 544.431 -494.040 2007 526.685 48.649 3.027.423 1.048.269 -999.620 2008 947.402 73.199 1.044.000 363.504 -290.305 2009*) 599.690 80.902 1.660.200 689.275 -608.373 Sumber : Ditjen Perkebunan *) Angka Pusdatin 192 Pusat Data dan Informasi Pertanian
  • 213.
    OUTLOOK KOMODITAS PERTANIAN- PERKEBUNAN 2010 Lampiran 8.6. Perkembangan luas areal, produktivitas dan produksi tebu dunia, 1970-2008 Luas Panen Produktivitas Produksi Tahun (Ha) (Kg/Ha) (Ton) 1970 11.113.307 54,76 608.616.105 1971 11.055.376 52,65 582.105.426 1972 10.871.074 52,35 569.105.570 1973 11.149.211 53,84 600.227.145 1974 11.932.313 54,35 648.516.497 1975 12.198.454 53,76 655.815.792 1976 12.575.275 54,65 687.207.538 1977 13.029.277 56,40 734.858.286 1978 13.690.038 56,57 774.416.858 1979 13.733.150 56,09 770.245.178 1980 13.284.827 55,29 734.489.200 1981 13.686.584 58,42 799.604.214 1982 15.055.213 60,25 907.067.880 1983 15.380.802 58,75 903.684.353 1984 15.635.479 59,47 929.768.246 1985 15.947.852 58,52 933.213.589 1986 15.826.297 59,06 934.719.186 1987 16.310.476 60,72 990.319.251 1988 16.390.040 60,58 992.982.513 1989 16.535.904 61,56 1.017.998.783 1990 17.079.401 61,65 1.052.997.497 1991 17.783.308 61,26 1.089.330.376 1992 18.151.894 61,50 1.116.324.081 1993 17.292.800 59,58 1.030.379.898 1994 17.591.927 61,94 1.089.642.360 1995 18.577.716 63,10 1.172.261.485 1996 19.417.500 62,98 1.222.851.749 1997 19.294.527 64,86 1.251.521.695 1998 19.317.787 66,03 1.275.519.840 1999 19.204.979 66,73 1.281.577.252 2000 19.514.391 64,27 1.254.146.685 2001 19.735.176 64,03 1.263.573.678 2002 20.489.056 64,98 1.331.460.081 2003 20.779.879 66,20 1.375.572.761 2004 20.371.568 65,69 1.338.138.099 2005 19.997.110 65,97 1.319.136.603 2006 20.870.596 67,98 1.418.744.891 2007 23.020.459 70,70 1.627.450.797 2008 24.375.413 71,51 1.743.092.995 Sumber : FAO Pusat Data dan Informasi Pertanian 193
  • 214.
    2010 OUTLOOK KOMODITAS PERTANIAN - PERKEBUNAN Lampiran 8.7. Negara dengan luas areal tebu terbesar di dunia, 2004-2008 Luas Areal (Ha) No Negara 2004 2005 2006 2007 2008 Rata-rata 1 Brazil 5,631,741 5,805,518 6,355,498 7,080,920 8,141,135 6,602,962 2 India 3,938,400 3,661,500 4,201,100 5,150,000 5,055,200 4,401,240 3 China 1,393,089 1,365,777 1,388,980 1,596,643 1,708,520 1,490,602 4 Pakistan 1,074,500 966,400 907,300 1,029,000 1,241,300 1,043,700 5 Thailand 1,111,166 1,067,244 965,333 1,010,287 1,054,439 1,041,694 6 Meksiko 651,911 669,781 679,936 690,441 669,231 672,260 7 Kuba 661,000 517,200 397,100 329,500 380,300 457,020 8 Afrika Selatan 425,000 428,000 420,000 420,000 425,000 423,600 9 Australia 447,644 433,953 415,000 420,000 390,000 421,319 10 Kolombia 399,509 406,060 410,060 410,201 383,388 401,844 11 Indonesia 344,793 382,083 396,441 404,653 415,578 388,710 12 Philipina 388,627 368,944 392,280 382,956 397,991 386,160 13 Amerika Serikat 379,680 373,080 367,780 357,539 374,200 370,456 14 Argentina 281,886 284,639 315,000 355,000 355,000 318,305 15 Vietnam 286,100 266,300 288,100 293,400 271,100 281,000 16 Guatemala 226,000 271,554 233,334 287,000 287,000 260,978 Total 20,371,568 19,997,110 20,870,596 23,020,459 24,375,413 21,727,029 Sumber : FAO Lampiran 8.8. Negara produsen tebu terbesar di dunia, 2004-2008 Produksi (Ton) No Negara 2004 2005 2006 2007 2008 Rata-rata 1 Brazil 415,205,835 422,956,646 477,410,656 549,707,328 648,921,280 502,840,349 2 India 233,861,800 237,088,400 281,171,800 355,519,700 348,187,900 291,165,920 3 China 91,044,422 87,578,212 93,306,257 113,731,917 124,917,502 102,115,662 4 Thailand 64,995,741 49,586,360 47,658,097 64,365,482 73,501,610 60,021,458 5 Pakistan 53,820,000 47,244,100 44,665,500 54,741,600 63,920,000 52,878,240 6 Meksiko 48,662,244 51,645,544 50,675,820 52,089,356 51,106,900 50,835,973 7 Kolombia 40,000,000 39,849,240 38,450,000 38,500,000 38,500,000 39,059,848 8 Australia 36,993,454 37,822,192 37,128,000 36,397,000 33,973,000 36,462,729 9 Philipina 33,500,000 31,400,000 31,550,000 32,500,000 26,601,400 31,110,280 10 Indonesia 26,750,000 29,300,000 29,200,000 25,300,000 26,000,000 27,310,000 11 Amerika Serikat 26,320,160 24,136,570 27,033,200 27,750,600 27,603,000 26,568,706 12 Argentina 20,950,000 24,400,000 26,450,000 29,950,000 29,950,000 26,340,000 13 Guatemala 20,000,000 23,454,030 18,721,415 25,436,764 25,436,764 22,609,795 14 Afrika Selatan 19,094,760 21,265,000 20,275,430 20,300,000 20,500,000 20,287,038 15 Mesir 16,230,438 16,317,320 16,656,330 17,014,272 16,469,947 16,537,661 16 Lainnya 190,711,249 175,094,994 178,394,392 184,148,785 187,505,700 183,169,018 Total 1,338,140,103 1,319,138,608 1,418,746,897 1,627,452,804 1,743,095,003 1,489,312,677 Sumber : FAO 194 Pusat Data dan Informasi Pertanian
  • 215.
    OUTLOOK KOMODITAS PERTANIAN- PERKEBUNAN 2010 DAFTAR PUSTAKA Anonim, 2007. Budidaya Kelapa. http://insidewinme.blogspot.com/2007/ 11/budidaya-kelapa.html. [Terhubung secara berkala]. Anonim. 2010a. Cengkeh. http://id.wikipedia.org/wiki/Cengkeh [terhubung berkala]. Anonim. 2010b. Nilam: Tanaman Semak Berminyak Mahal. http://images.toiusd.multiply.multiplycontent.com [terhubung berkala]. Badan Pusat Statisik. 2006. Statistik Kelapa Sawit Indonesia 2005. BPS, Jakarta. Bambang Susatyo. 2008. Setelah Rokoh Dihabisi. Koran Tempo 31 Mei 2008. Departemen Pertanian. 2005. Prospek dan Arah Pengembangan Agribisnis Cengkeh. Jakarta: Badan Penelitian dan Pengembangan Pertanian Departemen Pertanian. Departemen Pertanian. 2009. Statistik Perkebunan Kelapa Sawit. Setditjen Perkebunan, Jakarta. Emmyzar dan Yulius F. 2004. Pola Budidaya untuk Peningkatan Produktivitas dan Mutu Minyak Nilam (Pogostemon cablin Benth). Perkembangan Teknologi TRO VOL. XVI, No. 2, 2004. Bogor, Balai Penelitian Tanaman Rempah dan Obat. Fahmi, I. 2002. Tak Ada Solusi, Krisis Cengkeh Bisa Delapan Tahun. http://www.bisnis.com/servlet . Terhubung berkala [2 Juni 2010]. Jaliouz, 2009. Kelapa dan Energi. http://www.ristek.go.id/makalah- menteri/index.php/2009/01/27/inovasi-kelapa-dalam-sektor-energi/. [Terhubung secara berkala]. Nita. 2007. Minyak Nilam Sebagai Bahan Parfum. http://ikm.depperin.go.id/Publikasi [terhubung berkala]. Purna, Ibnu et all. 2009. Kebijakan HPP Beras dan Penurunan Bea Masuk Impor Gula. http://www.setneg.go.id/index.php?option=com_content&task= view&id=4082&Itemid=29 [terhubung berkala]. Suprapto H. dan Elly SR. 2010. Harga Minyak Atsiri Naik 100%. http://bisnis.vivanews.com/news [terhubung berkala]. Pusat Data dan Informasi Pertanian 195