http://www.iaeme.com/IJCIET/index.asp 273 editor@iaeme.com
International Journal of Civil Engineering and Technology (IJCIET)
Volume 8, Issue 1, January 2017, pp. 273–280, Article ID: IJCIET_08_01_029
Available online at http://www.iaeme.com/IJCIET/issues.asp?JType=IJCIET&VType=8&IType=1
ISSN Print: 0976-6308 and ISSN Online: 0976-6316
© IAEME Publication
OPTIMAL RESOURCES UTILIZATION IN
CONSTRUCTION INDUSTRY
J. RamaJogi
M. Tech Student, Department of Civil Engineering,
K L University, Vaddeswaram-522502, Andhra Pradesh, India
SS. Asadi
Associate Dean-Academics, Department of Civil Engineering,
K L University, Vaddeswaram-522502, Andhra Pradesh, India
ABSTRACT
Objectives: The main objective of the study is to discover the nature and degree of wastage, and
to find out the various causes of wastage. To quantify the effects of wastage and to propose a
technique for maximum utilization of resources. Resource planning and management is the most
important factor for profitability and competitiveness in today’s Indian construction industry.
Construction projects are a bit typical to achieve due to time limitations and predetermined
objective.
Methods: selection of the project, Identification of nature & extent of wastage, quantifying the
effects of wastage, Finding out various causes of wastage, Finding out the variation between
perceived & driven, Establishing waste control indices, Design control measures.
Findings: Without leveling the resources which are scheduled and procured, not any activity
can be performed according to fixed time program. Different types of resources are affecting the
project time and cost like material, money, machinery, space etc. In addition to this some degree of
waste of material, manpower and equipment is inevitable in the construction process. The main
goal of this study is to control the construction resources wastage within prescribed limit for
achieving the planned profitability level and productivity of construction industry.
Applications: Study also highlights the failure of quality due to waste in construction process
and therefore, it is desired to quantify wastage and analyze its effect with a view to promote
economy in construction.
Key words: Resource Planning, Management, Resource wastage, Construction, Profitability.
Cite this Article: J. RamaJogi and SS. Asadi, Optimal Resources utilization In Construction
Industry. International Journal of Civil Engineering and Technology, 8(1), 2017, pp. 273–280.
http://www.iaeme.com/IJCIET/issues.asp?JType=IJCIET&VType=8&IType=1
1. INTRODUCTION
The involvement of construction to the GDP at issue value in 2006-07 was Rs.1, 96,555/- crore, recording
an increase of 10.7% from the year 2010. The significance of construction activity in housing,
infrastructure and other accomplishments of buildings will be appreciated from the actual fact that the
element of construction includes nearly 60%-80% of the project value of infrastructure comes like housing,
J. RamaJogi and SS. Asadi
http://www.iaeme.com/IJCIET/index.asp 274 editor@iaeme.com
roads, etc. The employment elasticity of construction with regard to rate of employment and gross
domestic product in construction is determined to be high. In year 2009-2010 asset potential of the
construction business is calculable at Rs.380, 000 crores the share in the GDP works out be 12% in terms
of employment generation delivers 14% of employable subject. The manufacturing product (Construction
material, equipment’s and labor) accounts an approximate nearly 8.6% of GDP together with the gross
share. It is consequently established that construction, as afinancialentity has an impact on the economy of
the country and gross domestic product. Construction activity plays a vital role in sustaining the economy1
.
Construction projects involves a number of inter-related and inter-dependent activities2
. Present days,
due to fast changing environments impose number of legal, financial, logistic, ethical and environmental
constraints. They interact economically, socially and technically within the organization and systems.
These projects employ huge resources, but they will raise difficulties, risks and uncertainties. These
explore series of problems concerning resources alike ‘where they are going to arise from’, ‘how far they
are required’,‘where they should be housed’,’ when they should be inducted at site’, ‘when to mobilize’and
‘how to optimize their utilization’. Due to the nature of resource-driven in construction management, the
management of resources is really a difficult task. The project manager should develop an action plan for
controlling and directing resources of machines, workers and materials intimelyand coordinated manner in
order to deliver a project within the frame of limited time and funding.
2. RESOURCES MANAGEMENT
A resource is an individual that funds the execution of activities of a project such as manpower, material,
money, equipment, space or time3
.
2.1. Significance of Resources in construction projects
The important issue in successful application of a construction project not solely depends within the
amount and value of the work, but also depends on assets availableness. All the activities which are
concerned in the construction project needs specific amount of resources. Every activity of a project is
allotted with a specific resource and it should be completed among the time limitation, otherwise it may
impact overall period of the project. The cost and time are directly dependent on the resources availability.
The time which is needed might be determined by distributing the output related to the resources used on
the activity into the outlined amount of the work for the activity. The best combination of resources for
performing an activity in construction is predicated on ability of contractor’s to spot the interdependencies
of various resources.
2.2. Construction Resources and Cost
Construction resources and its cost awareness is one of the major aspects in taking resource optimization
process various components/resources and their percentage weightage is shown in following [Table 1],
[Figure 1].
Table 1 Entire Project Cost Break-up
Material 35%
Labor 30%
Equipment 15%
Profit 10%
Indirect Cost 05%
Over Head 05%
Optimal Resources
http://www.iaeme.com/IJCIET/index.
2.3. Labor Resources and Cost
Labor being consisting of about 15 to 20 percentage of
productivity4-7
check must be done which is as shown in [Figure 2], [Figure 3], [Figure 4], [Figure 5], and
the workers scenario of Indian construction industry was [Table 2].
Equipment, 15%
Profit, 10%
Indirect Cost, 5%
Material
Optimal Resources utilization In Construction Industry
IJCIET/index.asp 275
Figure 1 Project Cost Break-Up
Labor Resources and Cost
Labor being consisting of about 15 to 20 percentage of total construction
check must be done which is as shown in [Figure 2], [Figure 3], [Figure 4], [Figure 5], and
the workers scenario of Indian construction industry was [Table 2].
Figure 2 Scenario of Workers
Figure 3 Types of Labour
Material, 35%
Labor, 30%
Indirect Cost, 5%
Over Head, 5%
Project Cost Break-Up
Labor Equipment Profit Indirect Cost Over Head
33%
20%12%
3%
25%
7%
TYPE OF WORKERS
Concreting Carpentry
Barbender Welder
Helper Others
50%
20%
30%
0%
Types Of Labour
Independent
Departmental
Sub-Contract
editor@iaeme.com
total construction cost its analysis and
check must be done which is as shown in [Figure 2], [Figure 3], [Figure 4], [Figure 5], and
Over Head
http://www.iaeme.com/IJCIET/index.
Table 2.
Occupation
Technicians & Foreman
Skilled Workers
Unskilled Workers
Total
2.4. Material Resource and Cost
Materials use and reuse, recycling and reduction initiates in the development phases of any project. It
begins with the designer, continues over the engineer, the estimator, the purchaser, the project manager and
lastly to the contractors. Materials budget control and profitability initiates with a plan. But carefully
inspected operational techniques and construction practi
important costs in materials.
0
20
40
< 18
years
J. RamaJogi and SS. Asadi
IJCIET/index.asp 276
Figure 4 Gender Ratio
Figure 5 Age Group of workers
Table 2. Workers Scenario of Indian Construction Industry
Numbers In 1000’s In
1995
%
Numbers In 1000’s
In 2005
687 5.05
2241 16.48 3267
10670 78.46 25600
13598 100.0 29689
Material Resource and Cost
Materials use and reuse, recycling and reduction initiates in the development phases of any project. It
designer, continues over the engineer, the estimator, the purchaser, the project manager and
lastly to the contractors. Materials budget control and profitability initiates with a plan. But carefully
inspected operational techniques and construction practices, a plan can be developed and executed to save
20%
8%
39%
33%
Gender Ratio
Male
Female
Age Group
< 18
years
18 -
30
years
30 -
50
years
> 50
years
Age Group
Age Group
editor@iaeme.com
Workers Scenario of Indian Construction Industry
Numbers In 1000’s
In 2005
%
822 2.8
3267 11.0
25600 86.23
29689 100.0
Materials use and reuse, recycling and reduction initiates in the development phases of any project. It
designer, continues over the engineer, the estimator, the purchaser, the project manager and
lastly to the contractors. Materials budget control and profitability initiates with a plan. But carefully
ces, a plan can be developed and executed to save
Female
Optimal Resources utilization In Construction Industry
http://www.iaeme.com/IJCIET/index.asp 277 editor@iaeme.com
2.5. Cost due to waste
The cost of waste is quite merely the price of obtaining it to a low land and selling it. The price of waste
very is: Original material cost + Delivery price + Management cost+ handling charge+ Tipping fee+
Cleanup price + water transportation cost = Over-all cost of waste in construction.
3. METHODOLOGY
The methodology followed for the work is represented in [Figure 6]
Figure 6 Methodology followed
4. PROJECT ATTRIBUTES
Attributes of the Project presents the details of a residential project in terms of cost variances and wastages
in each attribute.
Type Of Project : Construction of Residential building
Built up area : 100000 sq.ft
Number of storey’s : Ground + Nine Floors
IDENTIFICATION OF NATURE&EXTENT OF
WASTAGE
QUANTIFYING THE EFFECTS OF
WASTAGE
FINDING OUT VARIOUS CAUSES
OF WASTAGE
FINDING OUT THE VARIATION BETWEEN
PRECIEVED & DRIVEN
ESTABLISHING WASTE CONTROL
INDICES
DESIGN CONTROL MEASURES
J. RamaJogi and SS. Asadi
http://www.iaeme.com/IJCIET/index.asp 278 editor@iaeme.com
4.1. Project Management
Project Scheduling was done by using MS Project Software.
4.2. Material Management
Materials were procured centrally for the whole of the project. Proper Inventory control was done and
ABC analysis of material management was used in order to have minimum inventory level.
4.3. Wastage Analysis
Based on the estimated inputs and actual inputs data, variance analysis was carried out. The wastage which
was perceived and the actual wastage as per the analysis tabulated below in the tables [Table 3], [Table 4].
It can be seen that the derived wastage is much less compared to the perceived wastage. This could be a
result of better project management as the project has sufficient staff to supervise different construction
activities.
Table 3 Estimated vs. Actual Consumption of materials and their variances
Sl. No Component Estimated Consumption Actual Consumption % variance
A STRUCTURE
1 Reinforced Steel 3690 MT 3892 MT 5.47
2 Brick work 4600 cu.m 4807 cu.m 4.5
3 M20 Concrete 32525 cu.m 33161.25 cu.m 1.95
a)Cement 28065 bags 29000 bags 3.33
b)aggregate (20mm) 4971.5 cu.m 5120.645 cu.m 3
c)aggregate (10mm) 20270 cu.m 20949.5 cu.m 3.35
d)Sand 15280 cu.m 15662 cu.m 2.5
4 Shuttering 248450 sq.ft 261140.75 sq.ft 5.10
B FINISHINGS
1 Internal Plaster 125000 sq.ft 138750 sq.ft 11
2 External Plaster 19000 sq.ft 20710 sq.ft 9
Table 4 Perceived wastage and the Actual wastage
ITEM PRECEIVED WASTAGE DERIVED WASTAGE
Cement 5 3.33
Reinforced Steel 10 5.47
Sand 10 2.5
Shuttering 10 5.5
Bricks 10 4.5
Optimal Resources utilization In Construction Industry
http://www.iaeme.com/IJCIET/index.asp 279 editor@iaeme.com
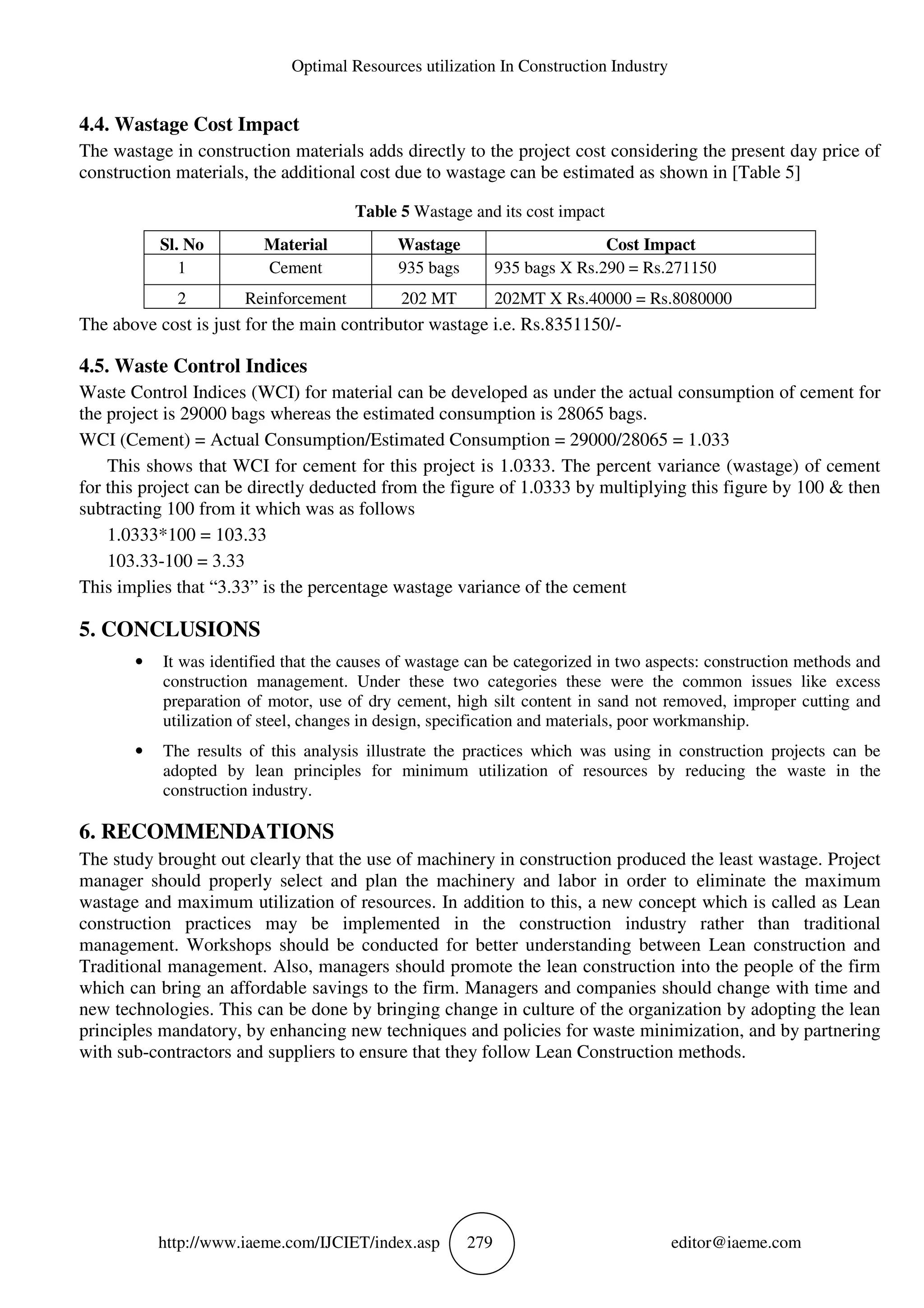
4.4. Wastage Cost Impact
The wastage in construction materials adds directly to the project cost considering the present day price of
construction materials, the additional cost due to wastage can be estimated as shown in [Table 5]
Table 5 Wastage and its cost impact
Sl. No Material Wastage Cost Impact
1 Cement 935 bags 935 bags X Rs.290 = Rs.271150
2 Reinforcement 202 MT 202MT X Rs.40000 = Rs.8080000
The above cost is just for the main contributor wastage i.e. Rs.8351150/-
4.5. Waste Control Indices
Waste Control Indices (WCI) for material can be developed as under the actual consumption of cement for
the project is 29000 bags whereas the estimated consumption is 28065 bags.
WCI (Cement) = Actual Consumption/Estimated Consumption = 29000/28065 = 1.033
This shows that WCI for cement for this project is 1.0333. The percent variance (wastage) of cement
for this project can be directly deducted from the figure of 1.0333 by multiplying this figure by 100 & then
subtracting 100 from it which was as follows
1.0333*100 = 103.33
103.33-100 = 3.33
This implies that “3.33” is the percentage wastage variance of the cement
5. CONCLUSIONS
• It was identified that the causes of wastage can be categorized in two aspects: construction methods and
construction management. Under these two categories these were the common issues like excess
preparation of motor, use of dry cement, high silt content in sand not removed, improper cutting and
utilization of steel, changes in design, specification and materials, poor workmanship.
• The results of this analysis illustrate the practices which was using in construction projects can be
adopted by lean principles for minimum utilization of resources by reducing the waste in the
construction industry.
6. RECOMMENDATIONS
The study brought out clearly that the use of machinery in construction produced the least wastage. Project
manager should properly select and plan the machinery and labor in order to eliminate the maximum
wastage and maximum utilization of resources. In addition to this, a new concept which is called as Lean
construction practices may be implemented in the construction industry rather than traditional
management. Workshops should be conducted for better understanding between Lean construction and
Traditional management. Also, managers should promote the lean construction into the people of the firm
which can bring an affordable savings to the firm. Managers and companies should change with time and
new technologies. This can be done by bringing change in culture of the organization by adopting the lean
principles mandatory, by enhancing new techniques and policies for waste minimization, and by partnering
with sub-contractors and suppliers to ensure that they follow Lean Construction methods.
J. RamaJogi and SS. Asadi
http://www.iaeme.com/IJCIET/index.asp 280 editor@iaeme.com
REFERENCES
[1] Report of The Working Group On Construction For The 11th Five Year Plan (2007-2012)
[2] BMTPC Estimate, Report of the working Group on Building Material and the 8th
Plan, Ministry of
Urban Development. Govt. India 1991
[3] Resource Management in Construction Projects – a case study, SK. Nagaraju, B. Sivakonda Reddy,
Prof. A. Ray Chaudhuri, IRACST (ESTIJ), ISSN: 2250-3498, Vol.2, No.4, August 2012, 660-665.
[4] Evaluate The Effective Resource Management through PERT Analysis, Aditi S. Baghele, P. P.
Bhangale, Prafulla Wankhede, IJRET, eISSN: 2319-1163, Vol.3, Special Issue: 9, June-2014, 5-9.
[5] Karaa, F. and Nasr, A. (1986). Resource Management in Construction. J. Constr. Eng. Manage.,
10.1061/ (ASCE) 0733-9364(1986)112:3(346), 346-357.
[6] Optimal Construction Resources Utilization: Reflections of Site Managers Attributes, Julius Ayodeji
Fapohunda, Prof. Paul Stephenson, the Pacific Journal of Science and Technology, Vol.11, No.2,
November 2010.
[7] Development of Resource-Driven Scheduling Model for Mass Housing Construction Projects, Ar. A.
Cindrela Devi and K. Ananthanarayanan, IACSIT, Vol.7, No.5, October 2015, 419-423
[8] Dineshkumar B, Dhivyamenaga T. Study on Lean Principle Application in Construction Industries.
Indian Journal of Science and Technology. 2016 Jan, 9(2), pp. 1-5.
[9] Nanda Kumaar A, Deventhiran K, Santhana Kumar M, Manoj Kumar M, Suresh R. Study
on Targeted Relationships between Contractors and Consultants in Construction Industry. Indian Journal
of Science and Technology.2016 Apr, 9(16), pp.1-6.
[10] Prasath Kumar V R,Balasubramanian M, Jagadish Raj S. Robotics in Construction Industry. Indian
Journal of Science and Technology. 2016 Jun, 9(23), pp. 1-6.
[11] Nadine Nabeel Abu Shaaban, Construction Industry on the Renewable Energy Bandwagon.
International Journal of Management, 7(4), 2016,pp.51-60.
[12] Prateek Jain and Ayush Srivastava, Problem Diagnosis and Possible Solutions for Contracting Firms In
Construction Industry. International Journal of Civil Engineering and Technology, 7(4), 2016, pp.121–
126.

OPTIMAL RESOURCES UTILIZATION IN CONSTRUCTION INDUSTRY

  • 1.
    http://www.iaeme.com/IJCIET/index.asp 273 editor@iaeme.com InternationalJournal of Civil Engineering and Technology (IJCIET) Volume 8, Issue 1, January 2017, pp. 273–280, Article ID: IJCIET_08_01_029 Available online at http://www.iaeme.com/IJCIET/issues.asp?JType=IJCIET&VType=8&IType=1 ISSN Print: 0976-6308 and ISSN Online: 0976-6316 © IAEME Publication OPTIMAL RESOURCES UTILIZATION IN CONSTRUCTION INDUSTRY J. RamaJogi M. Tech Student, Department of Civil Engineering, K L University, Vaddeswaram-522502, Andhra Pradesh, India SS. Asadi Associate Dean-Academics, Department of Civil Engineering, K L University, Vaddeswaram-522502, Andhra Pradesh, India ABSTRACT Objectives: The main objective of the study is to discover the nature and degree of wastage, and to find out the various causes of wastage. To quantify the effects of wastage and to propose a technique for maximum utilization of resources. Resource planning and management is the most important factor for profitability and competitiveness in today’s Indian construction industry. Construction projects are a bit typical to achieve due to time limitations and predetermined objective. Methods: selection of the project, Identification of nature & extent of wastage, quantifying the effects of wastage, Finding out various causes of wastage, Finding out the variation between perceived & driven, Establishing waste control indices, Design control measures. Findings: Without leveling the resources which are scheduled and procured, not any activity can be performed according to fixed time program. Different types of resources are affecting the project time and cost like material, money, machinery, space etc. In addition to this some degree of waste of material, manpower and equipment is inevitable in the construction process. The main goal of this study is to control the construction resources wastage within prescribed limit for achieving the planned profitability level and productivity of construction industry. Applications: Study also highlights the failure of quality due to waste in construction process and therefore, it is desired to quantify wastage and analyze its effect with a view to promote economy in construction. Key words: Resource Planning, Management, Resource wastage, Construction, Profitability. Cite this Article: J. RamaJogi and SS. Asadi, Optimal Resources utilization In Construction Industry. International Journal of Civil Engineering and Technology, 8(1), 2017, pp. 273–280. http://www.iaeme.com/IJCIET/issues.asp?JType=IJCIET&VType=8&IType=1 1. INTRODUCTION The involvement of construction to the GDP at issue value in 2006-07 was Rs.1, 96,555/- crore, recording an increase of 10.7% from the year 2010. The significance of construction activity in housing, infrastructure and other accomplishments of buildings will be appreciated from the actual fact that the element of construction includes nearly 60%-80% of the project value of infrastructure comes like housing,
  • 2.
    J. RamaJogi andSS. Asadi http://www.iaeme.com/IJCIET/index.asp 274 editor@iaeme.com roads, etc. The employment elasticity of construction with regard to rate of employment and gross domestic product in construction is determined to be high. In year 2009-2010 asset potential of the construction business is calculable at Rs.380, 000 crores the share in the GDP works out be 12% in terms of employment generation delivers 14% of employable subject. The manufacturing product (Construction material, equipment’s and labor) accounts an approximate nearly 8.6% of GDP together with the gross share. It is consequently established that construction, as afinancialentity has an impact on the economy of the country and gross domestic product. Construction activity plays a vital role in sustaining the economy1 . Construction projects involves a number of inter-related and inter-dependent activities2 . Present days, due to fast changing environments impose number of legal, financial, logistic, ethical and environmental constraints. They interact economically, socially and technically within the organization and systems. These projects employ huge resources, but they will raise difficulties, risks and uncertainties. These explore series of problems concerning resources alike ‘where they are going to arise from’, ‘how far they are required’,‘where they should be housed’,’ when they should be inducted at site’, ‘when to mobilize’and ‘how to optimize their utilization’. Due to the nature of resource-driven in construction management, the management of resources is really a difficult task. The project manager should develop an action plan for controlling and directing resources of machines, workers and materials intimelyand coordinated manner in order to deliver a project within the frame of limited time and funding. 2. RESOURCES MANAGEMENT A resource is an individual that funds the execution of activities of a project such as manpower, material, money, equipment, space or time3 . 2.1. Significance of Resources in construction projects The important issue in successful application of a construction project not solely depends within the amount and value of the work, but also depends on assets availableness. All the activities which are concerned in the construction project needs specific amount of resources. Every activity of a project is allotted with a specific resource and it should be completed among the time limitation, otherwise it may impact overall period of the project. The cost and time are directly dependent on the resources availability. The time which is needed might be determined by distributing the output related to the resources used on the activity into the outlined amount of the work for the activity. The best combination of resources for performing an activity in construction is predicated on ability of contractor’s to spot the interdependencies of various resources. 2.2. Construction Resources and Cost Construction resources and its cost awareness is one of the major aspects in taking resource optimization process various components/resources and their percentage weightage is shown in following [Table 1], [Figure 1]. Table 1 Entire Project Cost Break-up Material 35% Labor 30% Equipment 15% Profit 10% Indirect Cost 05% Over Head 05%
  • 3.
    Optimal Resources http://www.iaeme.com/IJCIET/index. 2.3. LaborResources and Cost Labor being consisting of about 15 to 20 percentage of productivity4-7 check must be done which is as shown in [Figure 2], [Figure 3], [Figure 4], [Figure 5], and the workers scenario of Indian construction industry was [Table 2]. Equipment, 15% Profit, 10% Indirect Cost, 5% Material Optimal Resources utilization In Construction Industry IJCIET/index.asp 275 Figure 1 Project Cost Break-Up Labor Resources and Cost Labor being consisting of about 15 to 20 percentage of total construction check must be done which is as shown in [Figure 2], [Figure 3], [Figure 4], [Figure 5], and the workers scenario of Indian construction industry was [Table 2]. Figure 2 Scenario of Workers Figure 3 Types of Labour Material, 35% Labor, 30% Indirect Cost, 5% Over Head, 5% Project Cost Break-Up Labor Equipment Profit Indirect Cost Over Head 33% 20%12% 3% 25% 7% TYPE OF WORKERS Concreting Carpentry Barbender Welder Helper Others 50% 20% 30% 0% Types Of Labour Independent Departmental Sub-Contract editor@iaeme.com total construction cost its analysis and check must be done which is as shown in [Figure 2], [Figure 3], [Figure 4], [Figure 5], and Over Head
  • 4.
    http://www.iaeme.com/IJCIET/index. Table 2. Occupation Technicians &Foreman Skilled Workers Unskilled Workers Total 2.4. Material Resource and Cost Materials use and reuse, recycling and reduction initiates in the development phases of any project. It begins with the designer, continues over the engineer, the estimator, the purchaser, the project manager and lastly to the contractors. Materials budget control and profitability initiates with a plan. But carefully inspected operational techniques and construction practi important costs in materials. 0 20 40 < 18 years J. RamaJogi and SS. Asadi IJCIET/index.asp 276 Figure 4 Gender Ratio Figure 5 Age Group of workers Table 2. Workers Scenario of Indian Construction Industry Numbers In 1000’s In 1995 % Numbers In 1000’s In 2005 687 5.05 2241 16.48 3267 10670 78.46 25600 13598 100.0 29689 Material Resource and Cost Materials use and reuse, recycling and reduction initiates in the development phases of any project. It designer, continues over the engineer, the estimator, the purchaser, the project manager and lastly to the contractors. Materials budget control and profitability initiates with a plan. But carefully inspected operational techniques and construction practices, a plan can be developed and executed to save 20% 8% 39% 33% Gender Ratio Male Female Age Group < 18 years 18 - 30 years 30 - 50 years > 50 years Age Group Age Group editor@iaeme.com Workers Scenario of Indian Construction Industry Numbers In 1000’s In 2005 % 822 2.8 3267 11.0 25600 86.23 29689 100.0 Materials use and reuse, recycling and reduction initiates in the development phases of any project. It designer, continues over the engineer, the estimator, the purchaser, the project manager and lastly to the contractors. Materials budget control and profitability initiates with a plan. But carefully ces, a plan can be developed and executed to save Female
  • 5.
    Optimal Resources utilizationIn Construction Industry http://www.iaeme.com/IJCIET/index.asp 277 editor@iaeme.com 2.5. Cost due to waste The cost of waste is quite merely the price of obtaining it to a low land and selling it. The price of waste very is: Original material cost + Delivery price + Management cost+ handling charge+ Tipping fee+ Cleanup price + water transportation cost = Over-all cost of waste in construction. 3. METHODOLOGY The methodology followed for the work is represented in [Figure 6] Figure 6 Methodology followed 4. PROJECT ATTRIBUTES Attributes of the Project presents the details of a residential project in terms of cost variances and wastages in each attribute. Type Of Project : Construction of Residential building Built up area : 100000 sq.ft Number of storey’s : Ground + Nine Floors IDENTIFICATION OF NATURE&EXTENT OF WASTAGE QUANTIFYING THE EFFECTS OF WASTAGE FINDING OUT VARIOUS CAUSES OF WASTAGE FINDING OUT THE VARIATION BETWEEN PRECIEVED & DRIVEN ESTABLISHING WASTE CONTROL INDICES DESIGN CONTROL MEASURES
  • 6.
    J. RamaJogi andSS. Asadi http://www.iaeme.com/IJCIET/index.asp 278 editor@iaeme.com 4.1. Project Management Project Scheduling was done by using MS Project Software. 4.2. Material Management Materials were procured centrally for the whole of the project. Proper Inventory control was done and ABC analysis of material management was used in order to have minimum inventory level. 4.3. Wastage Analysis Based on the estimated inputs and actual inputs data, variance analysis was carried out. The wastage which was perceived and the actual wastage as per the analysis tabulated below in the tables [Table 3], [Table 4]. It can be seen that the derived wastage is much less compared to the perceived wastage. This could be a result of better project management as the project has sufficient staff to supervise different construction activities. Table 3 Estimated vs. Actual Consumption of materials and their variances Sl. No Component Estimated Consumption Actual Consumption % variance A STRUCTURE 1 Reinforced Steel 3690 MT 3892 MT 5.47 2 Brick work 4600 cu.m 4807 cu.m 4.5 3 M20 Concrete 32525 cu.m 33161.25 cu.m 1.95 a)Cement 28065 bags 29000 bags 3.33 b)aggregate (20mm) 4971.5 cu.m 5120.645 cu.m 3 c)aggregate (10mm) 20270 cu.m 20949.5 cu.m 3.35 d)Sand 15280 cu.m 15662 cu.m 2.5 4 Shuttering 248450 sq.ft 261140.75 sq.ft 5.10 B FINISHINGS 1 Internal Plaster 125000 sq.ft 138750 sq.ft 11 2 External Plaster 19000 sq.ft 20710 sq.ft 9 Table 4 Perceived wastage and the Actual wastage ITEM PRECEIVED WASTAGE DERIVED WASTAGE Cement 5 3.33 Reinforced Steel 10 5.47 Sand 10 2.5 Shuttering 10 5.5 Bricks 10 4.5
  • 7.
    Optimal Resources utilizationIn Construction Industry http://www.iaeme.com/IJCIET/index.asp 279 editor@iaeme.com 4.4. Wastage Cost Impact The wastage in construction materials adds directly to the project cost considering the present day price of construction materials, the additional cost due to wastage can be estimated as shown in [Table 5] Table 5 Wastage and its cost impact Sl. No Material Wastage Cost Impact 1 Cement 935 bags 935 bags X Rs.290 = Rs.271150 2 Reinforcement 202 MT 202MT X Rs.40000 = Rs.8080000 The above cost is just for the main contributor wastage i.e. Rs.8351150/- 4.5. Waste Control Indices Waste Control Indices (WCI) for material can be developed as under the actual consumption of cement for the project is 29000 bags whereas the estimated consumption is 28065 bags. WCI (Cement) = Actual Consumption/Estimated Consumption = 29000/28065 = 1.033 This shows that WCI for cement for this project is 1.0333. The percent variance (wastage) of cement for this project can be directly deducted from the figure of 1.0333 by multiplying this figure by 100 & then subtracting 100 from it which was as follows 1.0333*100 = 103.33 103.33-100 = 3.33 This implies that “3.33” is the percentage wastage variance of the cement 5. CONCLUSIONS • It was identified that the causes of wastage can be categorized in two aspects: construction methods and construction management. Under these two categories these were the common issues like excess preparation of motor, use of dry cement, high silt content in sand not removed, improper cutting and utilization of steel, changes in design, specification and materials, poor workmanship. • The results of this analysis illustrate the practices which was using in construction projects can be adopted by lean principles for minimum utilization of resources by reducing the waste in the construction industry. 6. RECOMMENDATIONS The study brought out clearly that the use of machinery in construction produced the least wastage. Project manager should properly select and plan the machinery and labor in order to eliminate the maximum wastage and maximum utilization of resources. In addition to this, a new concept which is called as Lean construction practices may be implemented in the construction industry rather than traditional management. Workshops should be conducted for better understanding between Lean construction and Traditional management. Also, managers should promote the lean construction into the people of the firm which can bring an affordable savings to the firm. Managers and companies should change with time and new technologies. This can be done by bringing change in culture of the organization by adopting the lean principles mandatory, by enhancing new techniques and policies for waste minimization, and by partnering with sub-contractors and suppliers to ensure that they follow Lean Construction methods.
  • 8.
    J. RamaJogi andSS. Asadi http://www.iaeme.com/IJCIET/index.asp 280 editor@iaeme.com REFERENCES [1] Report of The Working Group On Construction For The 11th Five Year Plan (2007-2012) [2] BMTPC Estimate, Report of the working Group on Building Material and the 8th Plan, Ministry of Urban Development. Govt. India 1991 [3] Resource Management in Construction Projects – a case study, SK. Nagaraju, B. Sivakonda Reddy, Prof. A. Ray Chaudhuri, IRACST (ESTIJ), ISSN: 2250-3498, Vol.2, No.4, August 2012, 660-665. [4] Evaluate The Effective Resource Management through PERT Analysis, Aditi S. Baghele, P. P. Bhangale, Prafulla Wankhede, IJRET, eISSN: 2319-1163, Vol.3, Special Issue: 9, June-2014, 5-9. [5] Karaa, F. and Nasr, A. (1986). Resource Management in Construction. J. Constr. Eng. Manage., 10.1061/ (ASCE) 0733-9364(1986)112:3(346), 346-357. [6] Optimal Construction Resources Utilization: Reflections of Site Managers Attributes, Julius Ayodeji Fapohunda, Prof. Paul Stephenson, the Pacific Journal of Science and Technology, Vol.11, No.2, November 2010. [7] Development of Resource-Driven Scheduling Model for Mass Housing Construction Projects, Ar. A. Cindrela Devi and K. Ananthanarayanan, IACSIT, Vol.7, No.5, October 2015, 419-423 [8] Dineshkumar B, Dhivyamenaga T. Study on Lean Principle Application in Construction Industries. Indian Journal of Science and Technology. 2016 Jan, 9(2), pp. 1-5. [9] Nanda Kumaar A, Deventhiran K, Santhana Kumar M, Manoj Kumar M, Suresh R. Study on Targeted Relationships between Contractors and Consultants in Construction Industry. Indian Journal of Science and Technology.2016 Apr, 9(16), pp.1-6. [10] Prasath Kumar V R,Balasubramanian M, Jagadish Raj S. Robotics in Construction Industry. Indian Journal of Science and Technology. 2016 Jun, 9(23), pp. 1-6. [11] Nadine Nabeel Abu Shaaban, Construction Industry on the Renewable Energy Bandwagon. International Journal of Management, 7(4), 2016,pp.51-60. [12] Prateek Jain and Ayush Srivastava, Problem Diagnosis and Possible Solutions for Contracting Firms In Construction Industry. International Journal of Civil Engineering and Technology, 7(4), 2016, pp.121– 126.