Network Analysis and Synthesis
Chapter 4
Synthesis of deriving point functions
(one port networks)
Elementary Synthesis procedures
• The basic philosophy behind the synthesis of
driving-point functions is to break up a
positive real (p.r.) function Z(s) into a sum of
simpler p.r. functions Z1(s), Z2(s) . . . Zn(s).
• Then to synthesize these individual Zi(s) as
elements of the overall network whose dp
impedance is
)
(
...
)
(
)
(
)
( 2
1 s
Z
s
Z
s
Z
s
Z n




Breaking up process
• One important restriction is that all Zi(s) must
be positive real.
• If we were given all the Zi(s), we could
synthesize a network whose driving point
impendance is Z(s) by simply connecting the
Zi(s) in series.
• However, if we were to start from Z(s) alone,
how do we decompose Z(s) into Zi(s)?
)
(
)
(
...
...
)
(
0
1
1
1
0
1
1
1
s
Q
s
P
b
s
b
s
b
s
b
a
s
a
s
a
s
a
s
Z m
m
m
m
n
n
n
n









 



Removing a pole at s=0
• If there is a pole at s=0, we can write Q(s) as
• Hence, Z(s) becomes
• Z1(s) is a capacitor.
• We know Z1(s) is positive real, is Z2(s) positive
real?
)
(
)
( s
sG
s
Q 
)
(
)
(
)
(
)
(
2
1 s
Z
s
Z
s
R
s
D
s
Z




Is Z2(s) positive real?
• The poles of Z2(s) are also poles of Z1(s), hence,
Z2(s) doesn’t’ have poles on the right hand side of
the s plane and no multiple poles on the jw axis.
– Satisfies the first 2 properties of p.r. functions.
• What about Re(Z2(jw))?
• Since Z(s) is p.r. Re(Z2(jw))=Re(Z(jw))>0.
• Hence, Z2(s) is p.r.
       
 
)
(
Re
)
(
Re
)
(
Re
)
(
)
(
Re
)
(
Re
2
2
1
2
1
jw
Z
jw
Z
jw
Z
jw
Z
jw
Z
jw
Z





Removing a pole at s=∞
• If Z(s) has a pole at s=∞, we can write Z(s) as
• Using a similar argument as previous we can
show that Z2(s) is p.r.
• Z1(s) is an inductor.
)
(
)
(
)
(
)
(
2
1 s
Z
s
Z
s
R
Ls
s
Z




Removing complex conjugate poles on the jw
axis.
• If Z(s) has complex conjugate poles on the jw
axis, Z(s) can be expanded into
• Note that
• Hence,
• Z2(s) is p.r.
)
(
2
)
( 2
2
1
2
s
Z
s
Ks
s
Z 



0
2
Re 2
1
2










s
Kjw
  0
))
(
Re(
)
(
Re 2 
 s
Z
s
Z
Removing a constant K
• If Re(Z(jw)) is minimum at some point wi and if
Re(Z(jw)) = Ki as shown in the figure
• We can remove that Ki as
• Z2(s) is p.r.
• This is essentially removing
a resistor.
)
(
)
( 2 s
Z
K
s
Z i 

Constructing
• Assume that using one of the removal
processes discussed we expanded Z(s) into
Z1(s) and Z2(s).
• We connect Z1(s) and Z2(s) in series as shown
on the figure.
Example 1
• Synthesize the following p.r. function
• Solution:
– Note that we have a pole at s=0. Lets remove it
– Note that 2/s is a capacitor, while s/(s+3) is a
parallel connection of a resistor and an inductor.
)
3
(
6
2
)
(
2




s
s
s
s
s
Z
3
2
)
(
0
,
1
,
2
3
)
(










s
s
s
s
Z
C
B
A
s
C
Bs
s
A
s
Z
• 2/s is a capacitor with C=1/2.
• While s/(s+3) is a R=1 connected in parallel
with an inductor L=1/3.
Example 2
• Synthesis the following p.r. function
• Solution
– Note that there are no poles on s=0 or s=∞ or jw
axis.
– Lets find the minimum of Re(Y(jw))
4
2
2
7
)
(



s
s
s
Y
    
2
2
2
2
2
8
8
14
4
16
16
28
8
16
16
4
4
7
2
Re
4
4
2
7
Re
)
(
Re
w
w
w
w
w
w
j
w
j
jw
jw
jw
Y



























• Note that minimum of Re(Y(jw))=1/2.
• Lets remove it
• ½ is a conductance in parallel with Y2(s)=
• Note that Y2(s) is a conductance 1/3 in series
with an inductor 3/2.
2
3
2
1
)
(



s
s
s
Y
2
3

s
s
Exercise
• Synthesize the following p.r. function.
s
s
s
s
s
s
Z
3
6
1
3
3
6
)
( 3
2
3





Synthesis of one port networks with two
kinds of elements
• In this section we will focus on the synthesis of
networks with only L-C, R-C or R-L elements.
• The deriving point impedance/admittance of
these kinds of networks have special
properties that makes them easy to
synthesize.
1. L-C imittance functions
• These networks have only inductors and
capacitors.
• Hence, the average power consumed in these
kind of networks is zero. (Because an inductor
and a capacitor don’t dissipate energy.)
• If we have an L-C deriving point impedance
Z(s)
)
(
)
(
)
(
)
(
)
(
2
2
1
1
s
N
s
M
s
N
s
M
s
Z


 M1 and M2 even parts
N1 and N2 odd parts
• The average power dissipated by the network
is
 
 
even
odd
s
Z
odd
even
s
Z
s
N
s
M
s
Z
s
M
s
N
s
Z
s
N
s
M
s
N
s
M
s
N
s
N
s
M
s
M
s
N
s
M
s
N
s
N
s
M
s
M
jw
Z
jw
I
jw
Z
Power
Average




















)
(
or
)
(
)
(
)
(
)
(
or
)
(
)
(
)
(
)
(
0
)
(
or
)
(
0
)
(
0
)
(
)
(
)
(
)
(
)
(
)
(
)
(
)
(
)
(
)
(
0
)
(
Re
0
)
(
)
(
Re
2
1
2
1
2
1
1
2
2
1
2
1
2
1
2
2
2
2
2
1
2
1
2
Properties of L-C function
1. The driving point impedance/admittance of
an L-C network is even/odd or odd/even.
2. Both are Hurwitz, hence only simple
imaginary zeros and poles on the jw axis.
3. Poles and zeros interlace on the jw axis.
4. Highest power of the numerator and
denominator may only differ by 1.
5. Either a zero or a pole at origin or infinity.
Synthesis of L-C networks
• There are two kinds of network realization
types for two element only networks.
– Foster and
– Cauer
Foster synthesis
• Uses decomposition of the given F(s) into
simpler two element impedances/admittances.
• For an L-C network with system function F(s), it
can be written as
• This is because F(s) has poles on the jw axis
only.
...
2
)
( 2
2
0




 
i
i
s
s
K
s
K
s
K
s
F

• Using the above decomposition, we can
realize F(s) as
For a driving point
impedance
For a driving point
admittance
Example
• Synthesize as driving point
impedance and admittance.
Solution:
– Decompose F(s) into simpler forms
  
 
4
9
1
2
)
( 2
2
2




s
s
s
s
s
F
2
15
,
2
9
,
2
4
2
)
(
1
0
2
1
0









K
K
K
s
s
K
s
K
s
K
s
F
• For driving point impedance
• For driving point admittance
Cauer synthesis
• Uses partial fraction expansion method.
• It is based on removing pole at s=∞.
• Since the degree of the numerator and
denominator differ by only 1, there is either a
pole at s=∞ or a zero at s=∞.
– If a pole at s=∞, then we remove it.
– If a zero at s=∞, first we inverse it and remove the
pole at s=∞.
)
(
)
(
)
(
or
)
(
)
(
)
(
2
1
2
1
s
N
s
M
s
Z
s
M
s
N
s
Z 

• Case 1: pole at s=∞
– In this case, F(s) can be written as
...
1
1
)
(
)
(
1
)
(
Hence,
1
)
(
of
Order
)
(
M
of
Order
,
)
(
)
(
)
(
2
1
3
2
3
2
2
3













s
K
s
K
s
K
s
N
s
M
s
K
s
F
s
N
s
s
M
s
N
s
K
s
F
• This expansion can easily be realized as
• Case 2: zero at s=∞
– In this case will have a pole at s=∞.
– We synthesize G(s) using the procedure in the
previous step.
– Remember that if F(s) is an impedance function,
G(s) will be an admittance function and vice versa.
)
(
1
)
(
s
F
s
G 
Example
• Using Cauer realization synthesize
Solution:
– This is an impedance function.
– We have a pole at s=∞, hence, we should remove
it.
3
4
16
12
2
)
( 2
4
3
5





s
s
s
s
s
s
Z
s
s
s
s
s
s
Z
4
10
4
2
)
( 4
3




• If we were given Y(s) instead our realization
would be
R-C driving point impedance/ R-L admittance
• R-C impedance and R-L admittance driving
point functions have the same properties.
• By replacing the inductor in LC by a resistor an
R-C driving point impedance or R-L driving
point admittance, it can be written as
• Where
...
)
( 1
0




 
i
s
K
K
s
K
s
F

resistors
Represent
,...
,
K
admittance
L
-
R
for
inductor
and
impedance
C
-
R
for
Capaictors
,...
1
,
1
0
i
i
i
K
K
K


Properties of R-C impedance or R-L
admittance functions
1. Poles and zeros lie on the negative real axis.
2. The singularity nearest origin must be a pole
and a zero near infinity.
3. The residues of the poles must be positive
and real.
4. Poles and zeros must alternate on the
negative real axis.
Synthesis of R-C impedance or R-L
admittance
• Foster
– In foster realization we decompose the function
into simple imittances according to the poles. That
is we write F(s) as
– For R-C impedance
...
)
( 1
0




 
i
s
K
K
s
K
s
F

• For R-L admittance
Example
• Synthesize as R-C impedance
and R-L admittance in foster realization.
Solution:
– Note that the singularity near origin is a pole and a
zero near infinity.
– The poles and zeros alternate
– We can expand F(s) as
– R-C impedance
)
3
(
)
4
)(
2
(
3
)
(




s
s
s
s
s
F
3
3
1
8
)
( 



s
s
s
F
• R-L admittance
• Cauer realization
– Cauer realization uses continued fraction expansion.
– For R-C impedance and R-L admittance we remove a
resistor first.
– Then invert and remove a capacitor
– Then invert and remove a resistor . . .
Example
• Synthesize using Cauer realization as
R-C impedance and R-L admittance.
Solution:
– Note that the singularity near origin is a pole.
– The singularity near infinity is a zero.
– The zeros and the poles alternate.
– Note that the power of the numerator and denominator
is equal, hence, we remove the resistor first.
)
3
(
)
4
)(
2
(
3
)
(




s
s
s
s
s
F
F(s) is R-L impedance
or R-C admittance
For R-C impedance For R-L admittance
R-L impedance/R-C admittance
• R-L impedance deriving point function and R-C
admittance deriving point function have the
same property.
• If F(s) is R-L impedance or R-C admittance, it
can be written as
...
)
( 0 



 
i
i
s
s
K
K
s
K
s
F

resistors
Represent
,...
,
K
admittance
C
-
R
for
Capacitors
and
impedance
L
-
R
for
Inductors
,...
1
,
1
0
i
i
i
K
K
K


Properties of R-L impedance/R-C admittance
1. Poles and zeros are located on the negative
real axis and they alternate.
2. The nearest singularity near origin is zero.
The singularity near infinity is a pole.
3. The residues of the poles must be real and
negative.
• Because the residues are negative, we can’t use
standard decomposition method to synthesize.
Synthesis of R-L impedance and R-C
admittance
• Foster
– If F(s) is R-L impedance d.p or R-C admittance d.p
function. We can write it as
– Because of the third property of R-L impedance/R-
C admittance d.p. functions, we can’t decompose
F(s) into synthesizable components with the way
we were using till now.
– We have to find a new way where the residues
wont be negative.
...
)
( 0 



 
i
i
s
s
K
K
s
K
s
F

• If we divide F(s) by s, we get
• Note that this is a standard R-C impedance d.p.
function, hence, the residues of the poles of
F(s)/s will be positive.
• Once we find Ki and σi we multiply by s and
draw the foster realization.
...
)
( 0




 
i
i
s
K
K
s
K
s
s
F

Example
• Synthesize as R-L
impedance and R-C admittance using Foster
realization.
Solution:
– Note that the singularity near origin is a zero.
– The singularity near infinity is a pole.
– The zeros and the poles alternate.
)
6
)(
2
(
)
3
)(
1
(
2
)
(





s
s
s
s
s
F
F(s) is R-L impedance
or R-C admittance
• We divide F(s) by s.
6
4
5
2
4
1
2
1
)
(
s
by
g
multiplyin
Then
6
4
5
2
4
1
2
1
)
6
)(
2
(
)
3
)(
1
(
)
(















s
s
s
s
s
F
s
s
s
s
s
s
s
s
s
s
F
• R-L impedance
• R-C admittance
• Cauer realization
– Using continued fractional expansion
– We first remove R0. To do this we use fractional
expansion method by focusing on removing the
lowest s term first.
– We write N(s) and M(s) starting with the lowest
term first.
Example
• Synthesize as R-L
impedance and R-C admittance using Cauer
realization.
• Solution:
– We write P(s) and M(s) as
)
6
)(
2
(
)
3
)(
1
(
2
)
(





s
s
s
s
s
F
2
2
8
12
)
(
2
8
6
)
(
s
s
s
Q
s
s
s
P






)
(
)
(
)
(
s
Q
s
P
s
F 
• R-L impedance
• R-C admittance

Network analysis and synthesis CH 03-pptx.pptx

  • 1.
    Network Analysis andSynthesis Chapter 4 Synthesis of deriving point functions (one port networks)
  • 2.
    Elementary Synthesis procedures •The basic philosophy behind the synthesis of driving-point functions is to break up a positive real (p.r.) function Z(s) into a sum of simpler p.r. functions Z1(s), Z2(s) . . . Zn(s). • Then to synthesize these individual Zi(s) as elements of the overall network whose dp impedance is ) ( ... ) ( ) ( ) ( 2 1 s Z s Z s Z s Z n    
  • 3.
    Breaking up process •One important restriction is that all Zi(s) must be positive real. • If we were given all the Zi(s), we could synthesize a network whose driving point impendance is Z(s) by simply connecting the Zi(s) in series. • However, if we were to start from Z(s) alone, how do we decompose Z(s) into Zi(s)? ) ( ) ( ... ... ) ( 0 1 1 1 0 1 1 1 s Q s P b s b s b s b a s a s a s a s Z m m m m n n n n              
  • 4.
    Removing a poleat s=0 • If there is a pole at s=0, we can write Q(s) as • Hence, Z(s) becomes • Z1(s) is a capacitor. • We know Z1(s) is positive real, is Z2(s) positive real? ) ( ) ( s sG s Q  ) ( ) ( ) ( ) ( 2 1 s Z s Z s R s D s Z    
  • 5.
    Is Z2(s) positivereal? • The poles of Z2(s) are also poles of Z1(s), hence, Z2(s) doesn’t’ have poles on the right hand side of the s plane and no multiple poles on the jw axis. – Satisfies the first 2 properties of p.r. functions. • What about Re(Z2(jw))? • Since Z(s) is p.r. Re(Z2(jw))=Re(Z(jw))>0. • Hence, Z2(s) is p.r.           ) ( Re ) ( Re ) ( Re ) ( ) ( Re ) ( Re 2 2 1 2 1 jw Z jw Z jw Z jw Z jw Z jw Z     
  • 6.
    Removing a poleat s=∞ • If Z(s) has a pole at s=∞, we can write Z(s) as • Using a similar argument as previous we can show that Z2(s) is p.r. • Z1(s) is an inductor. ) ( ) ( ) ( ) ( 2 1 s Z s Z s R Ls s Z    
  • 7.
    Removing complex conjugatepoles on the jw axis. • If Z(s) has complex conjugate poles on the jw axis, Z(s) can be expanded into • Note that • Hence, • Z2(s) is p.r. ) ( 2 ) ( 2 2 1 2 s Z s Ks s Z     0 2 Re 2 1 2           s Kjw   0 )) ( Re( ) ( Re 2   s Z s Z
  • 8.
    Removing a constantK • If Re(Z(jw)) is minimum at some point wi and if Re(Z(jw)) = Ki as shown in the figure • We can remove that Ki as • Z2(s) is p.r. • This is essentially removing a resistor. ) ( ) ( 2 s Z K s Z i  
  • 9.
    Constructing • Assume thatusing one of the removal processes discussed we expanded Z(s) into Z1(s) and Z2(s). • We connect Z1(s) and Z2(s) in series as shown on the figure.
  • 10.
    Example 1 • Synthesizethe following p.r. function • Solution: – Note that we have a pole at s=0. Lets remove it – Note that 2/s is a capacitor, while s/(s+3) is a parallel connection of a resistor and an inductor. ) 3 ( 6 2 ) ( 2     s s s s s Z 3 2 ) ( 0 , 1 , 2 3 ) (           s s s s Z C B A s C Bs s A s Z
  • 11.
    • 2/s isa capacitor with C=1/2. • While s/(s+3) is a R=1 connected in parallel with an inductor L=1/3.
  • 12.
    Example 2 • Synthesisthe following p.r. function • Solution – Note that there are no poles on s=0 or s=∞ or jw axis. – Lets find the minimum of Re(Y(jw)) 4 2 2 7 ) (    s s s Y      2 2 2 2 2 8 8 14 4 16 16 28 8 16 16 4 4 7 2 Re 4 4 2 7 Re ) ( Re w w w w w w j w j jw jw jw Y                           
  • 13.
    • Note thatminimum of Re(Y(jw))=1/2. • Lets remove it • ½ is a conductance in parallel with Y2(s)= • Note that Y2(s) is a conductance 1/3 in series with an inductor 3/2. 2 3 2 1 ) (    s s s Y 2 3  s s
  • 14.
    Exercise • Synthesize thefollowing p.r. function. s s s s s s Z 3 6 1 3 3 6 ) ( 3 2 3     
  • 15.
    Synthesis of oneport networks with two kinds of elements • In this section we will focus on the synthesis of networks with only L-C, R-C or R-L elements. • The deriving point impedance/admittance of these kinds of networks have special properties that makes them easy to synthesize.
  • 16.
    1. L-C imittancefunctions • These networks have only inductors and capacitors. • Hence, the average power consumed in these kind of networks is zero. (Because an inductor and a capacitor don’t dissipate energy.) • If we have an L-C deriving point impedance Z(s) ) ( ) ( ) ( ) ( ) ( 2 2 1 1 s N s M s N s M s Z    M1 and M2 even parts N1 and N2 odd parts
  • 17.
    • The averagepower dissipated by the network is     even odd s Z odd even s Z s N s M s Z s M s N s Z s N s M s N s M s N s N s M s M s N s M s N s N s M s M jw Z jw I jw Z Power Average                     ) ( or ) ( ) ( ) ( ) ( or ) ( ) ( ) ( ) ( 0 ) ( or ) ( 0 ) ( 0 ) ( ) ( ) ( ) ( ) ( ) ( ) ( ) ( ) ( ) ( 0 ) ( Re 0 ) ( ) ( Re 2 1 2 1 2 1 1 2 2 1 2 1 2 1 2 2 2 2 2 1 2 1 2
  • 18.
    Properties of L-Cfunction 1. The driving point impedance/admittance of an L-C network is even/odd or odd/even. 2. Both are Hurwitz, hence only simple imaginary zeros and poles on the jw axis. 3. Poles and zeros interlace on the jw axis. 4. Highest power of the numerator and denominator may only differ by 1. 5. Either a zero or a pole at origin or infinity.
  • 19.
    Synthesis of L-Cnetworks • There are two kinds of network realization types for two element only networks. – Foster and – Cauer
  • 20.
    Foster synthesis • Usesdecomposition of the given F(s) into simpler two element impedances/admittances. • For an L-C network with system function F(s), it can be written as • This is because F(s) has poles on the jw axis only. ... 2 ) ( 2 2 0       i i s s K s K s K s F 
  • 21.
    • Using theabove decomposition, we can realize F(s) as For a driving point impedance For a driving point admittance
  • 22.
    Example • Synthesize asdriving point impedance and admittance. Solution: – Decompose F(s) into simpler forms      4 9 1 2 ) ( 2 2 2     s s s s s F 2 15 , 2 9 , 2 4 2 ) ( 1 0 2 1 0          K K K s s K s K s K s F
  • 23.
    • For drivingpoint impedance • For driving point admittance
  • 24.
    Cauer synthesis • Usespartial fraction expansion method. • It is based on removing pole at s=∞. • Since the degree of the numerator and denominator differ by only 1, there is either a pole at s=∞ or a zero at s=∞. – If a pole at s=∞, then we remove it. – If a zero at s=∞, first we inverse it and remove the pole at s=∞. ) ( ) ( ) ( or ) ( ) ( ) ( 2 1 2 1 s N s M s Z s M s N s Z  
  • 25.
    • Case 1:pole at s=∞ – In this case, F(s) can be written as ... 1 1 ) ( ) ( 1 ) ( Hence, 1 ) ( of Order ) ( M of Order , ) ( ) ( ) ( 2 1 3 2 3 2 2 3              s K s K s K s N s M s K s F s N s s M s N s K s F
  • 26.
    • This expansioncan easily be realized as
  • 27.
    • Case 2:zero at s=∞ – In this case will have a pole at s=∞. – We synthesize G(s) using the procedure in the previous step. – Remember that if F(s) is an impedance function, G(s) will be an admittance function and vice versa. ) ( 1 ) ( s F s G 
  • 28.
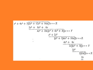
    Example • Using Cauerrealization synthesize Solution: – This is an impedance function. – We have a pole at s=∞, hence, we should remove it. 3 4 16 12 2 ) ( 2 4 3 5      s s s s s s Z
  • 29.
  • 30.
    • If wewere given Y(s) instead our realization would be
  • 31.
    R-C driving pointimpedance/ R-L admittance • R-C impedance and R-L admittance driving point functions have the same properties. • By replacing the inductor in LC by a resistor an R-C driving point impedance or R-L driving point admittance, it can be written as • Where ... ) ( 1 0       i s K K s K s F  resistors Represent ,... , K admittance L - R for inductor and impedance C - R for Capaictors ,... 1 , 1 0 i i i K K K  
  • 32.
    Properties of R-Cimpedance or R-L admittance functions 1. Poles and zeros lie on the negative real axis. 2. The singularity nearest origin must be a pole and a zero near infinity. 3. The residues of the poles must be positive and real. 4. Poles and zeros must alternate on the negative real axis.
  • 33.
    Synthesis of R-Cimpedance or R-L admittance • Foster – In foster realization we decompose the function into simple imittances according to the poles. That is we write F(s) as – For R-C impedance ... ) ( 1 0       i s K K s K s F 
  • 34.
    • For R-Ladmittance
  • 35.
    Example • Synthesize asR-C impedance and R-L admittance in foster realization. Solution: – Note that the singularity near origin is a pole and a zero near infinity. – The poles and zeros alternate – We can expand F(s) as – R-C impedance ) 3 ( ) 4 )( 2 ( 3 ) (     s s s s s F 3 3 1 8 ) (     s s s F
  • 36.
  • 37.
    • Cauer realization –Cauer realization uses continued fraction expansion. – For R-C impedance and R-L admittance we remove a resistor first. – Then invert and remove a capacitor – Then invert and remove a resistor . . .
  • 38.
    Example • Synthesize usingCauer realization as R-C impedance and R-L admittance. Solution: – Note that the singularity near origin is a pole. – The singularity near infinity is a zero. – The zeros and the poles alternate. – Note that the power of the numerator and denominator is equal, hence, we remove the resistor first. ) 3 ( ) 4 )( 2 ( 3 ) (     s s s s s F F(s) is R-L impedance or R-C admittance
  • 40.
    For R-C impedanceFor R-L admittance
  • 41.
    R-L impedance/R-C admittance •R-L impedance deriving point function and R-C admittance deriving point function have the same property. • If F(s) is R-L impedance or R-C admittance, it can be written as ... ) ( 0       i i s s K K s K s F  resistors Represent ,... , K admittance C - R for Capacitors and impedance L - R for Inductors ,... 1 , 1 0 i i i K K K  
  • 42.
    Properties of R-Limpedance/R-C admittance 1. Poles and zeros are located on the negative real axis and they alternate. 2. The nearest singularity near origin is zero. The singularity near infinity is a pole. 3. The residues of the poles must be real and negative. • Because the residues are negative, we can’t use standard decomposition method to synthesize.
  • 43.
    Synthesis of R-Limpedance and R-C admittance • Foster – If F(s) is R-L impedance d.p or R-C admittance d.p function. We can write it as – Because of the third property of R-L impedance/R- C admittance d.p. functions, we can’t decompose F(s) into synthesizable components with the way we were using till now. – We have to find a new way where the residues wont be negative. ... ) ( 0       i i s s K K s K s F 
  • 44.
    • If wedivide F(s) by s, we get • Note that this is a standard R-C impedance d.p. function, hence, the residues of the poles of F(s)/s will be positive. • Once we find Ki and σi we multiply by s and draw the foster realization. ... ) ( 0       i i s K K s K s s F 
  • 45.
    Example • Synthesize asR-L impedance and R-C admittance using Foster realization. Solution: – Note that the singularity near origin is a zero. – The singularity near infinity is a pole. – The zeros and the poles alternate. ) 6 )( 2 ( ) 3 )( 1 ( 2 ) (      s s s s s F F(s) is R-L impedance or R-C admittance
  • 46.
    • We divideF(s) by s. 6 4 5 2 4 1 2 1 ) ( s by g multiplyin Then 6 4 5 2 4 1 2 1 ) 6 )( 2 ( ) 3 )( 1 ( ) (                s s s s s F s s s s s s s s s s F
  • 47.
    • R-L impedance •R-C admittance
  • 48.
    • Cauer realization –Using continued fractional expansion – We first remove R0. To do this we use fractional expansion method by focusing on removing the lowest s term first. – We write N(s) and M(s) starting with the lowest term first.
  • 49.
    Example • Synthesize asR-L impedance and R-C admittance using Cauer realization. • Solution: – We write P(s) and M(s) as ) 6 )( 2 ( ) 3 )( 1 ( 2 ) (      s s s s s F 2 2 8 12 ) ( 2 8 6 ) ( s s s Q s s s P       ) ( ) ( ) ( s Q s P s F 
  • 51.
    • R-L impedance •R-C admittance