What is a set?
A group or collection of objects
Each objects in a set is called a
MEMBER or an ELEMENT of a
set
𝜖
𝜀
(ellipsis)
Which of the following sets are well – defined?
The sets of all large numbers.
The set of all multiples of 5.
The set of good citizens.
The set of honest students in your class
Representation of set
1) A set is denoted by a capital letter.
Example : set A, set B, set N etc.
2) The elements of a set are denoted by small letters. All
elements are written in { } (curly) brackets separated by ,
(comma).
Example : {a,b,c,x ,y}
3) In set notation, elements are not repeated.
Example : A is a set of letters in the word good ,
then set A = { g,o,d}.
4) The order of elements in a set does not matter.
Three ways of writing a Set
Roster Notation or Listing Method
In roster form, all the elements of a
set are listed, the elements are being
separated by commas and are
enclosed within braces { }
A is a set of whole numbers less than 6.
A = { 0,1,2,3,4,5}
C is the set of letters in the word excellent
C = { e, x, c, l, n, t }
Set-builder form ( Rule method)
In this method , we specify the rule or property or statement.
This method lists the rules that determine whether an object is an element of the set or not.
A = { x | x has a property of p}
This is read as A is the set of elements x such that( | ) x has a
property p.
Verbal Description Method
a verbal description of a set uses an English
sentence to state a rule that allows us to determine
the class of objects being discussed and to
determine for any particular object whether or not
it is in the set
Set A is the set of natural numbers less than 4.
Set B is the set of letters in the word “geometry”
We have three ways of describing sets:
by name or verbal description of the elements of a set,
by roster (list) form by listing the elements separated by
commas and using braces to enclose the list,
by set-builder notation that uses a variable and
a rule to describe the elements of a se
Set A is the set of natural numbers less than 4.
Example:
A = {1, 2, 3}
A = {x|x is a counting number less than 4}
Set B is the set of letters in the word “geometry”
B = {g, t, y, r, m, o, e}
B = {x|x is a letter in the word “geometry}
A set either be FINITE or INFINITE.
FINITE = if the elements in it can be counted
INFINITE = if the elements in it cannot be counted
The number of elements is a set A is called the CARDINAL NUMBER of A or the
cardinality of A.
In symbols, we write n(A) or |A|
Let P = {5, 10, 15, 20, 25, 30}
Then, P is a finite set and n(P) = 6
Let Q = {natural numbers less than 25}
Then, Q is a finite set and n(P) = 24
Let R = {whole numbers between 5 and 45}
Then, R is a finite set and n(R) = 38
The set of all students in Munsci
Set of all points in a plane is an infinite set
Set of all positive integers which is multiple of 3
set of all whole numbers is an infinite set
W = {0, 1, 2, 3, ……..}
set of all natural numbers is an infinite set
N = {1, 2, 3, ……….}
Common Symbols Used in Set Theory
⊆
Equal and Equivalent Sets
Set A and C are EQUAL sets
Set A and set B are equivalent sets. These sets are not equal.
Two sets are equal if and only if they contain exactly the
same element.
Two sets are equivalent if and only of there is a one-to-one
correspondence between the sets.
Remember!
One-to-one correspondence pairs the element of two sets so
that, for each element of one set, there is exactly one element
of the other. The two sets have the same cardinality.
1.Equal Sets
2.Equal sets
3.Not equal but Equivalent Sets
Think about this!!!
If two sets are equivalent, are they equal?
If two sets are equal, are they equivalent?
UNIVERSAL SETS, SUBSETS, and , VENN DIAGRAM
A = {1, 2, 3,4}
B = {2, 4}
C = {2, 3, 5, 7}
D = {1, 2, 3, 4}
The set of number in the 10 cards is
U = {1, 2, 3, 4, 5, 6, 7, 8, 9 , 10}
The universal set, or simply the universe, denoted by U, contains
all elements being considered in a given situation.
The other sets are defined as follows:
A = {1, 2, 3,4}
B = {2, 4}
C = {2, 3, 5, 7}
D = {1, 2, 3, 4}
A = {1, 2, 3,4}
B = {2, 4}
C = {2, 3, 5, 7}
D = {1, 2, 3, 4}
Notice that every member of B is also a member of A.
B ⊆ 𝐴 𝑜𝑟 𝐵 ⊂ 𝐴
𝐵 ⊂ 𝐴 means that A has at least one element that is not in B. The
symbol ⊂ suggest proper inclusion.
We write D ⊆ A but not D ⊂ 𝐴 since A has no member that is not in D.
Thus, D ⊄ A
Generalization!
B = {1, 2, 3, 4}A = {2, 4}
1. Subset
2. Not subset. Triangle is just an element of the set.
3. Subset
4. Not subset, since it has an element of heart.
5. Subset. Empty set has no element. Hence, it is true that there is no element in {}
that is not element of
NOTE: Empty set is subset of every set because every element in the empty
set belongs to any set since the empty set has no elements.
Determine how many subsets of the following:
A = {1, 2, 3}
A contains 3 elements.
So, n = 3
Then, the number of subsets is
= 23
= 8
the formula to find the number of subsets for A is
given by 2n
And also, the formula to find the number of proper
subsets is given by
2n-1
{1}, {2}, {3}, {1, 2}, {1, 3}, {2, 3}, {1, 2, 3}, { }
Proper subsets of A :
{1}, {2}, {3}, {1, 2}, {1, 3}, {2, 3}, { }
Note :
A subset which is not a proper subset is called as
improper subset. The improper subset of a given set is the
set itself.
Improper subset of A :
{1, 2, 3}
Set Operations
Ac
A Venn diagram, also called primary diagram, set
diagram or logic diagram, is a diagram that
shows all possible logical relations between a finite
collection of different sets. These diagrams
depict elements as points in the plane, and sets as
regions inside closed curves.
Venn diagram
John Venn
INTERSECTION the intersection of two sets A and B, denoted by A ∩ B, is
the set containing all elements of A that also belong to B
(or equivalently, all elements of B that also belong to A).
INTERSECTION
Given: A = {p, u, r, e} and B = {h, e, a, r, t}
the intersection of two sets A and B, denoted by A ∩ B, is
the set containing all elements of A that also belong to B
(or equivalently, all elements of B that also belong to A).
A ∩ B = {r, e}
Given: A = {2, 4, 6, 8} and B = {1, 3, 5, 7}
A ∩ B = {} or ∅
Draw a Venn diagram to represent the relationship
between the sets
X = {1, 2, 5, 6, 7, 9, 10} and Y = {1, 3, 4, 5, 6, 8, 10}
X ∩ Y = {1, 5, 6, 10}
X = {1, 6, 9} and Y = {1, 3, 5, 6, 8, 9}
UNION
The union of two sets is a set containing all elements that
are in A or in B (possibly both)
UNION
The union of two sets is a set containing all elements that
are in A or in B (possibly both)
Given: A = {p, u, r, e} and B = {h, e, a, r, t}
A U B = {p, u, r, e, h, a, t}
Given: A = {l, o, v, e} and B = {h, a, t, e}
A U B = {l, o, v, e, h, a, t}
Given U = {1, 2, 3, 4, 5, 6, 7, 8, 10}
X = {1, 2, 6, 7} and Y = {1, 3, 4, 5, 8}
Find X ∪ Y and draw a Venn diagram to illustrate X ∪ Y.
X ∪ Y = {1, 2, 3, 4, 5, 6, 7, 8}
COMPLEMENT The complement of a set, denoted A', is the set of all
elements in the given universal set U that are not in A.
U = {f, r, i, e, n, d}
A = {d, i, n, e} B = {e, n, d}
A’ = {f, r} B’ = {f, r, i}
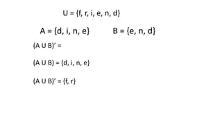
(A U B)’ =
U = {f, r, i, e, n, d}
A = {d, i, n, e} B = {e, n, d}
(A U B) = {d, i, n, e}
(A U B)’ = {f, r}
If U = {1, 2, 3, 4, 5, 6, 7, 8, 9} and A = {1, 3, 5, 7, 9} then A' = {2, 4, 6, 8}
The complement of a set,
denoted A', is the set of all
elements in the given
universal set U that are not in A.
DIFFERENCE The relative complement or set difference of sets A and
B, denoted A – B, is the set of all elements in A that are
not in B.
A = {d, i, n, e} B = {e, n, d}
A - B = {i}
If A = {2, 3, 4, 5, 6, 7} and B = {3, 5, 7, 9, 11, 13}
Find A – B and B – A.
Venn Diagram

Module week 1 Q1

  • 3.
    What is aset? A group or collection of objects Each objects in a set is called a MEMBER or an ELEMENT of a set 𝜖 𝜀
  • 4.
  • 5.
    Which of thefollowing sets are well – defined? The sets of all large numbers. The set of all multiples of 5. The set of good citizens. The set of honest students in your class
  • 6.
    Representation of set 1)A set is denoted by a capital letter. Example : set A, set B, set N etc. 2) The elements of a set are denoted by small letters. All elements are written in { } (curly) brackets separated by , (comma). Example : {a,b,c,x ,y} 3) In set notation, elements are not repeated. Example : A is a set of letters in the word good , then set A = { g,o,d}. 4) The order of elements in a set does not matter.
  • 7.
    Three ways ofwriting a Set Roster Notation or Listing Method In roster form, all the elements of a set are listed, the elements are being separated by commas and are enclosed within braces { }
  • 9.
    A is aset of whole numbers less than 6. A = { 0,1,2,3,4,5} C is the set of letters in the word excellent C = { e, x, c, l, n, t }
  • 10.
    Set-builder form (Rule method) In this method , we specify the rule or property or statement. This method lists the rules that determine whether an object is an element of the set or not. A = { x | x has a property of p} This is read as A is the set of elements x such that( | ) x has a property p.
  • 11.
    Verbal Description Method averbal description of a set uses an English sentence to state a rule that allows us to determine the class of objects being discussed and to determine for any particular object whether or not it is in the set Set A is the set of natural numbers less than 4. Set B is the set of letters in the word “geometry”
  • 12.
    We have threeways of describing sets: by name or verbal description of the elements of a set, by roster (list) form by listing the elements separated by commas and using braces to enclose the list, by set-builder notation that uses a variable and a rule to describe the elements of a se
  • 13.
    Set A isthe set of natural numbers less than 4. Example: A = {1, 2, 3} A = {x|x is a counting number less than 4}
  • 14.
    Set B isthe set of letters in the word “geometry” B = {g, t, y, r, m, o, e} B = {x|x is a letter in the word “geometry}
  • 15.
    A set eitherbe FINITE or INFINITE. FINITE = if the elements in it can be counted INFINITE = if the elements in it cannot be counted The number of elements is a set A is called the CARDINAL NUMBER of A or the cardinality of A. In symbols, we write n(A) or |A|
  • 16.
    Let P ={5, 10, 15, 20, 25, 30} Then, P is a finite set and n(P) = 6 Let Q = {natural numbers less than 25} Then, Q is a finite set and n(P) = 24 Let R = {whole numbers between 5 and 45} Then, R is a finite set and n(R) = 38 The set of all students in Munsci
  • 17.
    Set of allpoints in a plane is an infinite set Set of all positive integers which is multiple of 3 set of all whole numbers is an infinite set W = {0, 1, 2, 3, ……..} set of all natural numbers is an infinite set N = {1, 2, 3, ……….}
  • 18.
    Common Symbols Usedin Set Theory
  • 19.
  • 21.
    Equal and EquivalentSets Set A and C are EQUAL sets Set A and set B are equivalent sets. These sets are not equal.
  • 22.
    Two sets areequal if and only if they contain exactly the same element. Two sets are equivalent if and only of there is a one-to-one correspondence between the sets. Remember! One-to-one correspondence pairs the element of two sets so that, for each element of one set, there is exactly one element of the other. The two sets have the same cardinality.
  • 23.
    1.Equal Sets 2.Equal sets 3.Notequal but Equivalent Sets
  • 24.
    Think about this!!! Iftwo sets are equivalent, are they equal? If two sets are equal, are they equivalent?
  • 25.
    UNIVERSAL SETS, SUBSETS,and , VENN DIAGRAM A = {1, 2, 3,4} B = {2, 4} C = {2, 3, 5, 7} D = {1, 2, 3, 4}
  • 26.
    The set ofnumber in the 10 cards is U = {1, 2, 3, 4, 5, 6, 7, 8, 9 , 10} The universal set, or simply the universe, denoted by U, contains all elements being considered in a given situation. The other sets are defined as follows: A = {1, 2, 3,4} B = {2, 4} C = {2, 3, 5, 7} D = {1, 2, 3, 4}
  • 27.
    A = {1,2, 3,4} B = {2, 4} C = {2, 3, 5, 7} D = {1, 2, 3, 4} Notice that every member of B is also a member of A. B ⊆ 𝐴 𝑜𝑟 𝐵 ⊂ 𝐴 𝐵 ⊂ 𝐴 means that A has at least one element that is not in B. The symbol ⊂ suggest proper inclusion. We write D ⊆ A but not D ⊂ 𝐴 since A has no member that is not in D. Thus, D ⊄ A
  • 28.
    Generalization! B = {1,2, 3, 4}A = {2, 4}
  • 29.
    1. Subset 2. Notsubset. Triangle is just an element of the set. 3. Subset 4. Not subset, since it has an element of heart. 5. Subset. Empty set has no element. Hence, it is true that there is no element in {} that is not element of NOTE: Empty set is subset of every set because every element in the empty set belongs to any set since the empty set has no elements.
  • 30.
    Determine how manysubsets of the following: A = {1, 2, 3} A contains 3 elements. So, n = 3 Then, the number of subsets is = 23 = 8 the formula to find the number of subsets for A is given by 2n And also, the formula to find the number of proper subsets is given by 2n-1 {1}, {2}, {3}, {1, 2}, {1, 3}, {2, 3}, {1, 2, 3}, { } Proper subsets of A : {1}, {2}, {3}, {1, 2}, {1, 3}, {2, 3}, { } Note : A subset which is not a proper subset is called as improper subset. The improper subset of a given set is the set itself. Improper subset of A : {1, 2, 3}
  • 31.
  • 32.
    A Venn diagram,also called primary diagram, set diagram or logic diagram, is a diagram that shows all possible logical relations between a finite collection of different sets. These diagrams depict elements as points in the plane, and sets as regions inside closed curves. Venn diagram John Venn
  • 34.
    INTERSECTION the intersectionof two sets A and B, denoted by A ∩ B, is the set containing all elements of A that also belong to B (or equivalently, all elements of B that also belong to A).
  • 35.
    INTERSECTION Given: A ={p, u, r, e} and B = {h, e, a, r, t} the intersection of two sets A and B, denoted by A ∩ B, is the set containing all elements of A that also belong to B (or equivalently, all elements of B that also belong to A). A ∩ B = {r, e} Given: A = {2, 4, 6, 8} and B = {1, 3, 5, 7} A ∩ B = {} or ∅
  • 36.
    Draw a Venndiagram to represent the relationship between the sets X = {1, 2, 5, 6, 7, 9, 10} and Y = {1, 3, 4, 5, 6, 8, 10} X ∩ Y = {1, 5, 6, 10}
  • 37.
    X = {1,6, 9} and Y = {1, 3, 5, 6, 8, 9}
  • 38.
    UNION The union oftwo sets is a set containing all elements that are in A or in B (possibly both)
  • 39.
    UNION The union oftwo sets is a set containing all elements that are in A or in B (possibly both) Given: A = {p, u, r, e} and B = {h, e, a, r, t} A U B = {p, u, r, e, h, a, t} Given: A = {l, o, v, e} and B = {h, a, t, e} A U B = {l, o, v, e, h, a, t}
  • 40.
    Given U ={1, 2, 3, 4, 5, 6, 7, 8, 10} X = {1, 2, 6, 7} and Y = {1, 3, 4, 5, 8} Find X ∪ Y and draw a Venn diagram to illustrate X ∪ Y. X ∪ Y = {1, 2, 3, 4, 5, 6, 7, 8}
  • 41.
    COMPLEMENT The complementof a set, denoted A', is the set of all elements in the given universal set U that are not in A. U = {f, r, i, e, n, d} A = {d, i, n, e} B = {e, n, d} A’ = {f, r} B’ = {f, r, i}
  • 42.
    (A U B)’= U = {f, r, i, e, n, d} A = {d, i, n, e} B = {e, n, d} (A U B) = {d, i, n, e} (A U B)’ = {f, r}
  • 43.
    If U ={1, 2, 3, 4, 5, 6, 7, 8, 9} and A = {1, 3, 5, 7, 9} then A' = {2, 4, 6, 8} The complement of a set, denoted A', is the set of all elements in the given universal set U that are not in A.
  • 44.
    DIFFERENCE The relativecomplement or set difference of sets A and B, denoted A – B, is the set of all elements in A that are not in B. A = {d, i, n, e} B = {e, n, d} A - B = {i}
  • 45.
    If A ={2, 3, 4, 5, 6, 7} and B = {3, 5, 7, 9, 11, 13} Find A – B and B – A.
  • 47.