1
Medical Microbiology
1
2
INTRODUCTION
TO
MICROBIOLOGY
2
3
3
INTRODUCTION
Definition: Microbiology, Microorganisms
Branches of Microbiology
Importance of Microorganisms
History of Microbiology
Theory of Spontaneous generation
Koch's postulate
Taxonomy & classification of microorganisms
4
What is Microbiology?
 The scientific field that studies of microscopic organisms,
commonly known as microorganisms
 The study of organisms too small to be seen by the
unaided eye (i.e. microorganisms)
 The word microbiology is derived from three Greek words:
Micros – small
Bios – life
Logos – science/study
-Taken together to mean the study of microscopic life .
 Microbiology: Virology, Bacteriology, Parasitology,
Mycology; Immunology
5
Basic microbiology
 Basic microbiology encompasses
 Bacteria: simplest, smallest, single-celled
 Virus: non cellular, parasitic infectious agents
 Fungi: microscopic (molds & yeasts)
macroscopic (mushrooms & puff balls)
 Protozoa: single-celled
 Phycology: studies simple aquatic organisms (seaweeds)
5
6
Applied microbiology can be generally
divided into several subdisciplines
 Environmental microbiology : The study of the function
and diversity of microbes in their natural environments.
 Industrial microbiology: The exploitation of microbes
for use in industrial processes. Example: industrial
fermentation and waste treatment.
 Aeromicrobiology: The study of airborne
microorganisms.
7
 Food microbiology: The study of microorganisms causing
food spoilage and food borne illness. Using microorganisms
to produce foods, for example by fermentation
 Pharmaceutical microbiology: the study of microorganisms
causing pharmaceutical contamination and spoil
 Agricultural microbiology: The study of agriculturally
important microorganisms.
 Soil Microbiology: The study of those microorganisms that
are found in soil.
 Water microbiology: The study of those microorganisms
that are found in water. e t c
8
Medical microbiology:
 The study of pathogenic microbes
 Pathogenicity/pathogenesis
 Virulence
 Immunity
 Epidemiology and public importance
 Diagnosis
 Prevention and control
9
 What are microorganisms (MO)?
 too small to be seen with the naked eye,
• very diverse and found almost everywhere
10
Beneficial aspects of microorganisms
 Not all microbes are associated with various human
illnesses, many microbes are also responsible for numerous
beneficial processes such as:
 Maintain balance of environment (microbial ecology)
Recycles vital elements (carbon, nitrogen, sulfur,
hydrogen, and oxygen)
Nitrogen fixation
 photosynthesis
Recycles water (sewage treatment)
Clean up toxic wastes (bioremediation)
insect pest control
- eg. Bacillus thuringiensis (Bt) to control caterpillars
: some beetle and fly larvae
Benefits……
11
 Manufacture of food and drink
-bacteria turn wine into vinegar and milk into cheese and
yogurt
Microbes are used to produce Antibiotics
 Penicillin
 Mold
 Penicillium notatum
 1928 Alexander Fleming
12
Microbial Antagonism
13
 Our normal microbial flora prevents potential
pathogens from gaining access to our body
Bacteria synthesize chemicals that our body needs
 Example: Escherichia coli
 B vitamins - for metabolism
 Vitamin K - blood clotting
Recombinant DNA Technology
Gene Therapy
Genetic Engineering
14
 Bacteria can be manipulated to produce enzymes and
proteins they normally would not produce
 Insulin
 Human Growth Hormone
 Interferon
Harmful Effects
15
 Cause disease & basis for bioterrorism
 Food spoilage
Brief History of microbiology
16
History of microbiology can be divided into three different eras:
1. Discovery era
2. Transition era (spontaneous generation and biogenesis)
3. Golden age of microbiology
1. Discovery era
 This period concerns with the discovery of microbial
world, that has dominated by Anton van leeuwenhoek .
A) 1632–1723- Antony van Leeuwenhoek (Dutch) of Delft,
Holland, the first person to observe and accurately describe
microorganisms- "animalcules".
 He discovered major classes of bacteria (spheres ,rods and
spirals ) , protozoa, algae and yeasts.
17
Spontaneous Generation and Biogenesis
 After Leeuwenhock had discovered the vast numbers of
microscopic creatures present in nature, scientists began
to wonder about their origin.
 There were two Schools of Thought :
(a)Some believed that the "animalcules“ were formed
spontaneously from non-living matter.
(a) Others believed "animalcules“ were formed from
living matter or “ germs” or “seeds” present in air.
18
Spontaneous generation (Abiogenesis)
 The phenomenon of spontaneous formation of living
things begins from non-living matter.
 The belief in this phenomenon is known as the
doctrine of spontaneous generation.
 E.g. decaying meat → maggots and flies
Experimental proves for spontaneous generation and
Biogenesis
 Scientists responsible for the removal of doctrine of SG
 Francesco Redi (1626 – 1697) -an Italian physician
 Redi filled six jars with decaying meat.
Conditions Results
3 jars
covered with
fine net
No maggots
3 open jars Maggots
appeared
19
•He showed that worms found on decayed meat were the larvae
from eggs of flies.
No maggots Maggots
20
 Rudolph Virchow 1858
 Theory of Biogenesis
Living cells can arise only from preexisting cells.
So now there are two hypotheses:
The hypothesis that living organisms arise from nonliving matter
is called spontaneous generation. According to spontaneous
generation, a “vital force’ Forms life.
The Alternative hypothesis, that the living organisms arise from
preexisting life, is called biogenesis
1861: Louis Pasteur demonstrated that microorganisms
are present in the air. Pasteur filtered air through
cotton plug showing that filterable particles cause
contamination of sterile broths.
Conditions Results
Nutrient broth placed in
flask, heated, not sealed
Microbial growth
Nutrient broth placed in
flask, heated, then
sealed
No microbial growth
Spontaneous generation or biogenesis?
Next experiment, Pasteur’s S-shaped flask kept microbes out
but let air in. These experiments form the basis of aseptic
technique.
21
Origin of Microbes: Pasteur’s Swan-Necked Flasks
22
Origin of Microbes: Pasteur’s Swan-Necked Flasks
23
Heat to sterilize
(doesn’t always
work).
Bacteria, fungal
spores, and dust
adhere to glass.
Remains sterile.
Contamination of
culture
Broth turbidity
indicates bacterial
growth.
The Golden Age of Microbiology 1857-1914
Beginning with Pasteur’s work,
Discoveries included the relationship between
microbes and disease, immunity, and antimicrobial
drugs
Pasteur showed that microbes are responsible for
fermentation.
Fermentation is the conversation of sugar to alcohol to
make beer and wine.
Microbial growth is also responsible for spoilage of food.
Bacteria that use alcohol and produce acetic acid spoil
wine by turning it to vinegar (acetic acid).
24
 Pasteur demonstrated that these
spoilage bacteria could be killed by heat
that was not hot enough to evaporate
the alcohol in wine Sterilization
 This application of a high heat for a
short time is called Pasteurization.)
The idea of using attenuated
(weakened) strains of
microorganisms as the basis for
vaccines.
 Solved the mysteries of rabies,
anthrax, chicken, cholera, and silkworm
diseases
 Theorized that microorganisms
were the cause of contagious
diseases
25
The Germ theory of disease
26
 1546: Girolamo Fracastoro (1478-1553), wrote about
the "seeds of disease" which can pass from one person
to another (contagion theory/germ theory of disease)
 by the mid 1800's, many people suspected that
microorganisms were responsible for causing many
diseases
 1835: Agostino Bassi de Lodi, showed a fungus to be
the cause of a silkworm disease
 1847: Ignaz Semmelweiss (1818-1865), used chlorinated
lime solutions to prevent puerperal fever and became
the father of nosocomial infection control.
27
 1867: Joseph Lister (1827-1912) an English physician
designed a system of sterile surgery to prevent
microorganisms from entering wounds;
his patients had fewer postoperative infections
Robert Koch - 1st to prove that bacteria actually caused
diseases/Germ theory
 Microbial Etiology of Infectious Disease
• etiology - the cause of a disease
 Established “scientific rules” to show a cause and effect
relationship between a microbe and a disease
28
 Robert Koch - studied the anthrax bacterium
 was the first to cultivate these bacteria outside the
body using blood serum at body temperature
 led to the development of
 Pure culture techniques,
 Stains,
 Agar or culture media,
 petri dishes Etc…….
29
 Koch established the Microbial Etiology of 3 important
diseases of this day
 1. Cholera (fecal-oral disease)
 Vibrio cholerae
 2. Tuberculosis (pulmonary infection)
 Mycobacterium tuberculosis
 3. Anthrax (sheep and cattle)
 Bacillus anthracis
His postulates are still used to establish the link
between a particular microorganism and a Particular
disease
KOCH’s POSTULATES
30
1. The same microbe is always associated with a specific
disease.
2. The microbe must be isolated from the host with the
disease and grown in pure culture
3. The specific disease must be reproduced when a pure
culture of the bacteria is inoculated into a healthy
susceptible host
4. The original microbe must be recovered from the
experimentally infected host and shown to be the
same as the original.
31
31
1. Same
organism
present in each
case.
2. Organism grown
in pure culture.
3. Pure
organism
causes same
disease.
4. Same
organism
recovered.
Together
these indicate
infectious-
disease
causation.
Exceptions to Koch’s Postulates
1. Some organisms have never been grown in
pure culture on artificial media
Treponema pallidum - Syphilis
32
Mycobacterium leprae
Leprosy
Never been grown in pure culture on artificial media
Abdominal cavity of the Seven Banded Armadillo
Exceptions to Koch’s Postulates
33
Exceptions to Koch’s Postulates
34
 Multiple causes
 It can not be applied in a bacteria that can be found in human
body as a normal flora and cause disease in unusual
circumstance
 Chronic or minor conditions
 It is impossible to apply these postulates to the virus, which
cannot be cultivated in artificial media.
 No suitable model. E.g. HIV
Development of antimicrobial chemotherapy
35
 1910: Paul Ehrlich
developed Salvarsan (first
synthetic
chemotherapeutic agent)
to treat syphilis
 1929: Alexander Fleming,
discovered penicillin(1st
antibiotics)
 He observed that
Penicillium fungus made
an antibiotic, penicillin,
that killed S. aureus.
-1942: Penicillin 1st Human
Use
36
Taxonomy and classification of
microorganisms

 (Gk. taxon = arrangement; )
 “Taxonomy” = the science of classification of
organisms in an ordered system that indicates a
natural relationship
 Why: consistently communicates the unique
characteristics of infectious organisms to students,
microbiologists, and healthcare workers
36
Principles
of
Taxonomy
37
 “Taxonomy can be viewed as three separate but
interrelated areas:
1. Classification-- arranging organisms into similar or
related groups, primarily to provide easy
identification and study
2. Nomenclature--the system of assigning names to
organisms by international rules
3. Identification--characterizing organisms
38
 Originally 2 Kingdoms: Animals & Plants
(certain organisms not fit)
 Robert Whittaker: 5 Kingdoms (1969)
1.Prokaryotes/Monera(Bacteria & cyanobacteria)
2. Protista
3. Myceteae/Fungi
4. Plant
5. Animal
38
Taxonomy and classification of microorganisms
39
39
Taxonomy and classification of microorganisms
Binomial System of Taxonomic Classification
40
 Use only the Genus and species
 Genus and species names always are italicized (or
underlined) to indicate that they are scientific names.
 The genus name is always Capitalized, and the species
name is never capitalized.
 Species may be further subdivided into sub-species
called strains (eg. Escherichia coli strain 0157-H7)
41
Comparison of Eukaryotic & Prokaryotic Cells
 all organisms other than viruses and prions are made up
of cells
 Bacteria are prokaryotes, all other organisms are
eukaryotes
41
Eukaryotic cell Prokaryotic cell
Gram +
Gram -
Cell wall
Cell membrane Outer membrane
Ribosomes
Rough endoplasmic
reticulum
Mitochondria
Granule
(e.g. animal)
Cell wall
Nucleoid
Nucleus
Cell membrane
Capsule
Cytoplasm
Flagellum
Pili
42
43
Characteris
tic/
S
tructure
Eukaryote Prokaryote Virus
S
ize(average) 5- 1
- 0.025-
Cell Wall Present Fungi & Algae Present except
Mycoplasma
Absent
Cytoplas
micmembrane Possesssterols No sterolsexcept
Mycoplasma
Absent. Lipid
membranesurrounds
some
Nuclear membrane Present Absent Absent
Nucleolus Present Absent Absent
Hereditaryinfo. DNA: >1chromosome
Proteinsassociated
DNA: single
NO proteinsassociated
DNA or RNA
S
ingleor double
stranded. S
ome
enzymesassociated
Distinguishing Characteristics
43
44
Characteristic/
Structure
Eukaryote Prokaryote Virus
Ribosomes Large 80S Small 70S Absent
Respiration Associated with
Mitochondria
Associated particles
in cytoplasmic
membrane
Absent
Reproduction Sexual & Asexual Asexual
(Binary fission)
Asexual
Habitat Almost exclusively
in environments
containing O2
NO requirement for
intracellular host to
reproduce
Environment may
or may not contain
O2
Some (Rickettsia)
require living host
Reproduce only
within
environment of a
living host
44
Distinguishing Characteristics…
Why bacterial Identification?
45
 Bacterial identification usually is done for reasons of
health, either in the course of treating infectious
disease or to prevent disease. For example
 to identify fecally contaminated water
 to identify organisms associated with food spoilage or
contamination
46
 Some Criteria for Classification of Bacteria
morphology - cell shape and size
staining reactions - especially gram staining reaction
metabolism - biochemical reactions
growth characteristics- colony size, shape, and color
Environmental requirements - e.g.. Oxygen
tolerance, temperature tolerance, etc.
47
serologic reactions - antigen-antibody reactions
protein types - determined by polyacrylamide gel
electrophoresis [ PAGE ]
phage typing - using bacteriophages to identify
bacterial strains
DNA hybridization - to determine closeness of
relationship between various bacteria
base sequence of nucleic acids (DNA & rRNA)
48
How the structural and biological characteristics of
bacteria can be used in classification, taking Gram-positive bacteria as an
example.
49 49
Bacterial shape and size
Bacterial structures and function
Bacterial nutrition and Growth curve
Bacterial generation time
Morphology, growth and nutrition of
bacteria
Bacterial shape and size
50
A. Size
B. Shape and Arrangement
C. Cell Structure
51
SIZE
 Bacteria range: 0.2 μm - 10 μm (Typically 1 - 2 μm)
 Mycoplasma sp. 0.15-0.3 μm dia (size of poxvirus)
 Surface Area ~12 μm2
 Volume is ~4 μm3
 Surface Area to Volume is 3:1
Shapes & arrangements
52
 Coccus
 Chain = Streptoccus
 Cluster = Staphylococcus
 Coccobacillus
 Vibrio = curved
 Bacillus (Cylindrical)
 Chain = Streptobacillus
 Spirillum (pl spirilla): cells with
spiral or curved bodies with one
or more twists
 Spirochete:
 Pleomorphic - display different
shapes
E.g. Mycoplasma pneumonia
Cell arrangements
53
Cell arrangements
54
Cell arrangements
55
Groupings of bacilli include:
 Diplobacilli -Paired rods
 Streptobacilli -chains of cells .
 E.g.Bacillus megaterium
 Coccobacilli -short Bacilli that nearly looks like a cocci.
Cell arrangements
56
Three groups of spirals:
 Vibrios - single curve, comma shaped
 Spirillum - rigid, two or more curves,
 Spirochetes - flexible, two or more curves, wavy – move
by flexing bodies.
Basic Bacterial Cell Structure
57
58
Structures
 EXTERNAL: Flagella
Pili
Fimbriae
Glycocalyx or S-layers
Cell wall
Cell membrane/ Cytoplasmic membrane
 INTERNAL: Cytoplasm/Protoplasm
Nucleoid
Ribosomes
Inclusions
(Endospores) 58
Cell
envelope
59
 Flagella
 long helical filaments extending from the cell surface,
which enable bacteria to move in their environment
 composed entirely of protein, 12–30 nm in diameter
 Not essential for survival
 The number and arrangement on the cell are
diagnostically useful.
 Flagella occur on both Gram-positive and Gram-
negative bacteria
60
 flagella are constructed of a class of proteins
(flagellins)
 Flagellins are immunogenic & constitute a group of
protein antigens called the H antigens-species specific
 Intact and motile flagella are important colonization
factors for C. jejuni in chicks
 Swarming occurs with some bacteria
i.e. Spread across Petri dish,
 E.g. Proteus species
61
Flagellum arrangement basis for classification
 Polar: Monotrichous(single polar flagellum)
e.g. Vibrio sp.
Amphitrichous
e.g. Spirillum sp.
Lophotrichous (multiple polar flagella)
e.g. Pseudomonas sp.
 Lateral: Peritrichous (flagella distributed over the entire
cell)
e.g. Proteus sp.
62
Respond to food/poison
 Movement using flagella important for
 Taxis: involuntary movement of organism in response
to a stimulus
-in a few pathogens motility is known to be a
determinant of virulence
Vibrio cholerae, apparently swim (laterally) into the
intestinal mucosa to avoid being flushed out by the
peristaltic action of the gut
63
Pili (Fimbriae)
 Hollow, helical (9-10nm dia), protein appendages
 Shorter, more rigid & finer than flagella;
 like flagella, composed of structural protein subunits, pilins
 function in attachment either to other bacteria or to host
cells
 play an important role in bacterial colonization of
epithelial surfaces
 to red blood cells (causing hemagglutination)
 to surfaces of yeast and fungal cells
 used for Classification & identification of bacteria
64
 2 types:
 F-pilus (Sex pilus) Gram -Ve Bacteria only
 Exchange of genetic information during conjugation
 (Fimbriae) attachment (common) Pili (type I pili)
 Adhesion to surfaces
 Predominantly Gram -ve, Some Gram +ve
(Corynebacterium renale, Actinomyces naeslundii)
 e.g. Gonococcal attachment pili -attachment of
gonococci mucosal cells of the urogenital epithelium.
Conjugation:
Sex
or
F
Pilus
65
66
Cell envelope
 Glycocalyx: (also known as capsule, slime layer & s-
layer)
 polysaccharide-containing material lying outside
the cell
 Exception (capsules of Bacillus anthracis & Bacillus
licheniformis) composed of the poly-D-glutamic
acid poly peptide
 Capsule : Well-defined layer closely surrounding the
cell that excludes particles
 The capsule is not essential for viability
67
 Bacteria that possess capsules are considered to be
encapsulated,
 generally have greater pathogenicity because
capsules protect bacteria, even from phagocytic
white blood cells of the immune system
 The adhesive power of capsules is also a major factor
in the initiation of some bacterial diseases
68
FUNCTION:
 Adherence:
 to other species members (colonies) = biofilm
formation
 to surfaces
 e.g., Streptococcus mutans (dental caries)-bind to the
proteins covering tooth enamel,
 Antigenic activity: for identification
 e.g., S. pnuemoniae, Haemophilus influenzae
 Antiphagocytic
 Complement can’t penetrate sugars
-e.g., S. pneumoniae - resists phagocytosis
69
 Prevention of neutrophil killing of engulfed bacteria:
 lysosome contents don’t have direct access to the
interior of the bacterial cell
 Prevention of PMN leukocyte migration to site of
infection:
 E.g., Bacteroides fragilis: capsule of succinic acid,
released from capsule & paralyzes PMN leukocyte
 source of nutrients and energy to microbes
 Prevent cell from drying out (desiccation)
70
Cell Wall
 Continuous rigid outer layer that surrounds bacteria
 Surrounds all Eubacteria (except Mycoplasma spp.)
 Functions:
 Prevents osmotic lysis (dilute environments)
 Defines the shape of the cell
 Anchor point for extracellular projections such as
flagella
 Clinically important - site of action of some
antimicrobials
 Major antigenic determinant of the cell surface
 lipopolysaccharide of gram-negative cell walls—
nonspecific endotoxin activity of gram-negative
bacteria
71
 Most bacteria are classified as gram-positive or gram-
negative.
 Gram-positive retain a complex of crystal violet (a
purple dye) and iodine after a brief wash with alcohol or
acetone
 Gram-negative bacteria do not retain the dye-iodine
complex and become translucent
 but they can then be counterstained with safranin (a
red dye)
 Thus, gram-positive bacteria look purple under the
microscope, and gram-negative bacteria look red
 The distinction between these two groups is due to
the fundamental differences in their cell envelopes
Gram positive
Gram negative
72
Gram negative Gram positive
Heat/Dry
Crystal violet stain
Iodine Fix
Safranin stain( counter
stain) RED COLOURED)
Alcohol /acetone
73
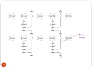
74
Composition of cell wall
Peptidoglycan layer – also called Murein or
mucopeptide
 a complex polymer consisting of three parts:
1. backbone composed of alternating NAG - (N-
acetylglucosamine) and NAM - (N-
acetylmuramic acid)
2. a set of identical tetrapeptide side chains
attached to NAM
3. a set of identical peptide cross-bridges
 The backbone is the same in all bacterial species
 the tetrapeptide side chains and the peptide cross-
bridges vary from species to species
75
Cell wall Composition:
76
Representation of the peptidoglycan lattice formed by cross-linking
Cross
bridges
77
Special Components of Gram-Positive Cell Walls
 Thick peptidoglycan (50-60% of dry weight)
 Teichoic and teichuronic acids
 account for up to 50-60% of the dry weight of the wall
and 10% of the dry weight of the cell
 Teichoic acid
 polymers containing glycerolphosphate or ribitol
phosphate residues (polyalcohols connected by
phosphodiester linkages)
78
 Special Components of Gram-Positive Cell Walls…
 There are two types of teichoic acids
wall teichoic acid (WTA), covalently linked to
peptidoglycan
membrane teichoic acid, covalently linked to
membrane glycolipid (lipoteichoic acids)
Teichuronic acids
Polymers of sugar acids (such as N-
acetylmannosuronic or D-glucosuronic acid)
no phosphorus
synthesized in place of teichoic acids when
phosphate is limiting
79
Lipoteichoic acid (during disease) causes:
80
 Dermal necrosis (Schwartzman reaction)
 Stimulation of specific & non-specific immunity
 Adhesion to the human cell
 adhesins (e.g., Streptococcus pyogen
 Attachment for Phages
 Complement activation
 Induction of hypersensitivity (anaphylaxis)
 Bind protons (maintain low pH), cations (Ca2+ & Mg2+)
81
 Special Components of Gram-Negative Cell Walls
 THIN peptidoglycan (5-10% of dry weight)
 have three components outside the thin the
peptidoglycan layer (5-10% of dry weight):
o Outer membrane
o Lipopolysaccharide (LPS)
o Lipoprotein
82
outer membrane
 Barrier to toxic substances (bile salts, antibiotics,
detergents, heavy metals)
 Porins, proteins that form pores in the outer membrane
permit the passive diffusion of low-molecular-weight
hydrophilic compounds like sugars, amino acids, and
certain ions.
 Strong negative charge helps bacteria evade phagocytosis
and action of complement
 Large antibiotic molecules penetrate the outer membrane
relatively slowly- high antibiotic resistance of gram-
negative bacteria.
83
 Lipopolysaccharide (LPS): endotoxin found in outer
leaflet of outer membrane, comprised of
 lipoid A (lipid A)
 the core polysaccharide
 O-specific polysaccharide chain
 G-ve bacteria only
 Alcohol/Acetone removes
Function:
 Pyrogen; causes fever
 Adjuvant; stimulates immunity
 Heat Resistant; hard to remove
84
Lipid A
Responsible for toxic effect, causes:
 Fever, Haemorrhagic necrosis (Shwartzman reaction)
 Disseminated Intravascular Coagulation due to factor
VII activation
 Activate macrophages to produce cytokines (IL-1 &
TNF) which results fever
 Stimulation of bone marrow cell proliferation
85
O-specific polysaccharide
 called O antigen, is highly immunogenic in a
vertebrate animal
 Because it is highly variable among species and even in
strains within a species, used for bacterial typing
E.g. over 1000 have been recognized in salmonella
alone
 Periplasmic Space
-Gram - ve
-Space between inner & outer membranes
-digestive enzymes and other transport proteins
86
Lipoprotein
 numerically the most abundant protein of gram-negative
cells (ca 700,000 molecules per cell)
 Its function is to stabilize the outer membrane & anchor it
to the peptidoglycan layer
87 87
CHARACTER +VE -VE
No’ of major layers 1 2
Chemical Make-up Peptidoglycan
Teichoic acid
Lipoteichoic acid
Lipopolysaccharide
Lipoprotein
Peptidoglycan
Overall Thickness Thick (20-80nm) Thin (8-11nm)
Outer Membrane No Yes
Periplasmic Space In some In all
Porin Proteins No Yes
Permeability More Permeable Less Penetrable
Table 1. Comparison of Gram+ve /Gram-ve cell walls
88
Acid-Fast Cell Wall
 Genera Mycobacterium & Nocardia have cell walls that
contain waxes, known as mycolic acids
 The cell wall is composed of Peptidoglycan +
arabinose & galactose polymers
 lipid rich cell wall does not allow the alkaline stains to
penetrate well
 Once stained they resist decolorizing, even with HCl-
alcohol.
this property is known as acid fastness.
Atypical Cell Walls
r r r
r
r
r
Acid Fast Cell Envelope
Cytoplasm
r
r
r
r
Peptidoglycan-mycolic acid-arabinogalactan
Cytoplasmic membrane
Mycolic acid lipids
89
90
Protoplasts, Spheroplasts, and L Forms
Protoplasts : Free spherical bodies liberated from
Gram-positive bacteria when treated with lysozyme or
antibiotics in osmotically protective media
Cell wall completely removed (Gram +ve more
sensitive)
Gram-negative cells treated with EDTA-lysozyme or
antibiotics form spheroplasts (retain outer
membrane and entrapped peptidoglycan)
Portion of cell wall remains
91
L forms (bacteria with murein defects) e.g., resulting
from the effects of betalactam antibiotics
 L-forms totally resistant to betalactams, which block
the biosynthesis of murein
 Some L forms can revert to the normal bacillary form
upon removal of the inducing stimulus (the presence
of residual peptidoglycan, which normally acts as a
primer in its own biosynthesis).
 Some bacterial species produce L forms
spontaneously
92
 May produce chronic infections, the organisms
persisting by becoming sequestered in protective
regions of the body.
 Since L-form infections are relatively resistant to
antibiotic treatment, they present special problems in
chemotherapy.
 Their reversion to the bacillary form can produce
relapses of the overt infection
The Mycoplasmas
93
 Cell wall-lacking bacteria , containing no peptidoglycan
 Lack a target for cell wall-inhibiting antimicrobial
agents (eg, penicillins and cephalosporins) -resistant to
these drugs.
 The difference between L forms and mycoplasmas is
that when the murein is allowed to reform, L forms
revert to their original bacteria shape, but mycoplasmas
never do.
Cytoplasmic (plasma) membrane
94
Plasma membrane - Inner membrane
composed of :
 Phospholipid bilayer
 Polar head (phosphate groups and glycerol)
 Nonpolar tails, composed of fatty acids; hydrophobic
insoluble in water; interact in center layers of membranes
 Proteins
 Peripheral proteins - lie at inner or outer surface of
membrane
 Integral proteins - penetrate membrane completely
or partly
 No Sterols (except Mycoplasma sp.)
95
Plasma Membrane functions
96
 Serve and a selective barrier through which materials
enter and exit cell
 Synthesis of structural molecules for cell envelope or
appendages
 Secretion of enzymes and toxins
 Energy metabolism and respiration
Internal contents
97
Cytoplasm
 thick, semitransparent, elastic internal matrix of
cell contained inside the plasma membrane.
Site of biochemical activity
Water 70-80% acts as solvent (sugars, salts & aa’s)
Cytoplasmic Structures
98
Nucleoid – DNA:
contains a single circular molecule of ds DNA
Ribosomes
RNA/PROTEIN bodies
(60% RNA, 40% Protein)
sites of protein synthesis
Exist free in the cytoplasm, rarely attached to
membranes
70S ribosomes (30S subunit + 50S subunit)
 (Sedimentation Coefficient)
99
Plasmids
Extrachromosomal DNA
Circular ,double stranded DNA
 Smaller than chromosome
Self-replicating
Non essential for viability
Often advantage to bacteria
-may carry genes for antibiotic resistance, tolerance to
toxic metals, production of toxins, synthesis of
enzymes or virulence factor)
Endospores (spores)
100
 Specialized structures - produced in environmental
stress
 Few bacteria: most commonly Bacillus & Clostridium
spp. produce endospores
 Resistant structure
 Heat, irradiation, cold, chemical disinfection & drying
 Boiling >1 hr still viable
 Bacillus stearothermophilus -spores
 Used for quality control of heat sterilization
equipment
 Bacillus anthracis - spores
 Used in biological warfare
Bacterial Growth, Nutrition and
Metabolism
101
102
OBJECTIVES
 Describe stages of bacterial growth (reproduction)
 Describe physical factors required for & affecting growth
 List chemical factors required for & affecting growth
Bacterial growth
 Increase in number of
cells, not cell size
 One cell becomes colony
of millions of cells
103
104
Growth Rate: refers to changes in bacterial number
Generation time( doubling time )
 The time required for complete cell division
 Formation of each new bacterial cell, its growth and
eventual division into 2 cells
 asexual process Known as BINARY FISSION
 Division is geometrical (Population Doubles)
i.e., 1 parent cell  2 new daughter cells (1st Generation)
2nd = 4 cells
3rd = 8 cells
4th = 16 cells
and so on …. 2n times
105
GENERATION TIME…
 The in-vitro generation time of rapidly proliferating
species is 15–30 minutes. This time is much longer in
vivo
E.g. (Optimal conditions)
Bacillus stearothermophilus 11 mins
Escherichia coli 20 mins
Staphylococcus aureus 28 mins
Lactobacillus acidophilus 60-80 mins
Mycobacterium tuberculosis 360 mins
Treponema pallidum 1980 mins
GROWTH CURVE
In a closed system: nutrients and space finite
no removal of waste products
Time (hrs)
Log10
Viable
cells
A
B
C
D
Lag
Log
Stationary
Death
106
107
A) LAG PHASE
 Newly inoculated cells, adaptation of the environment
 making new enzymes in response to new medium
cells, depleted of metabolites and enzymes as the result of
the unfavorable conditions at the previous culture
 no cell division
Growth rate zero
108
B.EXPONENTIAL (LOG) PHASE
Exponential growth rate
 Cells reach maximum rate of cell division
(Continues as long as nutrients and environment is
favorable)
Most sensitive to drugs and radiation during this
period.
growth inhibition occurs when
 one or more nutrients in the medium become
exhausted or
toxic metabolic products accumulate
 For aerobic organisms, the nutrient that becomes
limiting is usually oxygen
109
C) STATIONARY PHASE
the exhaustion of nutrients or the accumulation of toxic
products causes growth to cease completely
Rate of cell inhibition (death) = Rate of multiplication
FACTORS: Nutrient depletion, pH changes,
accumulation of waste, reduced O2
(Can induce ENDOSPORES - Bacillus, Clostridium sp.)
Growth rate zero
110
D) DEATH PHASE
 Decline in growth rate (reverse Log phase)
death exceeds division
 Death in geometric fashion
Causes: depletion of nutrients, O2, excretion of toxic
waste products, increased density of cells (limited
space)
Growth rate negative or death .
Factors: same as stationary phase + release of lytic
enzymes
111
 Maintenance of Cells in the Exponential Phase
 Transfer the cells repeatedly into fresh medium of identical
composition while they are still growing exponentially.
 referred to as continuous culture; .
 Definition & Measurement of Death
 For a microbial cell, death means the irreversible loss of the
ability to reproduce (grow and divide).
 The empirical test of death is culture of cells on solid media:
 A cell is considered dead if it fails to give rise to a colony on
any medium.
Bacterial requirements for growth
112
 Physical - temperature, pH, osmotic pressure, oxygen
 Chemical - water, sources of carbon and nitrogen, minerals,
and organic growth factors
 All bacteria obtain energy by oxidizing preformed organic
molecules
 carbohydrates, lipids and proteins from their environment
 Metabolism of these molecules yields ATP as an energy
source
Physical factors
113
TEMPRATURE
 Psychrophile: Psychrophilic
Opt temp below 15oC-20C
Cannot grow above 20oC
found: snow fields, polar ice, deep ocean
Examples: Pseudomonas, Flavobacterium, &
Achromobacter sp.
 Facultative Psychrophile:
Grow slowly in cold conditions, can grow at 0oC
But have opt temp b/n 20-30oC
Examples: Staphylococcus aureus, L.
monocytogenes
Concern: Contaminants of food/dairy products
114
 Mesophile:
Group containing human pathogens (30-37oC)
Most organisms are mesophilic
 30°C is optimal for many free-living forms, and the
body temperature of the host is optimal for symbionts
of warm-blooded animals.
Example: E. coli
115
Thermophile:
Opt temp >45oC
Capable of growth 50-60oC
Incapable of growth at usual body temp.
(not involved in human infections)
Found: VOLCANO, DIRECT EXPOSURE TO SUN
116
 Human pathogenic bacteria are classified in terms of
their O2 requirements and tolerance as
 Obligate aerobes
 Microaerophilic bacteria
 Aerotolerant anaerobes
 Facultative anaerobes
 Obligate anaerobes
Oxygen requirements
116
117
Obligate Aerobes
 Grow only in presence of oxygen
 no fermentation
 oxidative phosphorylation
 Produces catalase and superoxide dismutase enzymes
 detoxifies hydrogen per oxide and super oxide radicals
that are toxic by products of aerobic metabolism.
118
Microbes convert toxic products to molec Oxygen by:
2O2
- + H2O2 –Fe2/ Fe3- .OH+OH - + O2
1.CATALASE
H2O2 H2O + O2
2. PEROXIDASE
H2O2 + NADH + H+ 2H2O + NAD+
3.SUPEROXIDE DISMUTASE
2O2
- + 2 H+ H2O2 + O2
Peroxide is metabolized by Catalase (as above)
119
Microaerophiles
• grow in presence of o2 but tolerate only up to 4%
• Possess enzymes but if toxic products , enzyme
systems overload inhibiting growth
• Grow, low oxygen
• Killed, high oxygen
• Eg Borrelia burgdorferi,
120
Aerotolerant anaerobes
• respire anaerobically
• not killed by oxygen
 facultative anaerobes
 Grow in presence or absence of O2
 Grow best under aerobic conditions
e.g. Enterobacteriacea
121
Obligate anaerobes
 No oxidative phosphorylation
 Fermentation
 Killed by oxygen
 Lack certain enzymes
– Superoxide dismutase
– Catalase
– Peroxidase
122
 Neutralophiles
 Most organisms grow best at a pH of 6.0–8.0
 Acidophiles
 some forms have optima as low as pH 3.0
 Alkaliphiles
 Others have optima as high as pH 10.5.
pH
122
123
Read about Macronutrients ,carbon and energy requirement
of bacteria??
Bacterial genome, MSM of genetic variability in Bacteria
read??
The nature of host-parasite
interactions
124
 Bacteria are consistently associated with the body
surfaces of animals
 have symbiotic relation ship with their animal hosts.
 Mutualism - both members of the association
benefit.
 Commensalism - no apparent benefit or harm to
either member of the association.
 Parasitism - one member of the association lives
at the expense of the other member
Bacterial Flora of Humans
125
 In a healthy animal, the internal tissues, e.g. blood, brain,
muscle, CSF, Bladder etc., are free of micro organisms
 but surface tissues, e.g. skin and mucous memebranes , are
constantly in contact with environmental organisms and
become readily colonized by certain microbial species.
 The mixture of organisms regularly found at any
anatomical site is referred to as the Normal Flora
(Microbiota)
 Normal flora of humans consists of more than 200 species
of bacteria.
Normal
Flora
Locations
&
Species
126
Note that much of those locations
not mentioned are sterile in healthy
individuals.
Basically every surface
(except deep lungs
and, perhaps, the
stomach).
127
NF can be grouped as
 The resident flora
 relatively fixed types of MO regularly found in a given area
at a given age
 if disturbed, it promptly reestablishes itself.
 The transient flora
 Nonpathogenic or potentially pathogenic MOs that inhabit
skin or mucous membranes for hours, days, or weeks
 does not produce disease, and does not establish itself
permanently on the surface.
 But if disturbed, transient microorganisms may colonize,
proliferate, and produce disease
128
Role of the Resident Flora
 Synthesizes and excretes vitamins
 E.g enteric bacteria secrete Vitamin K and Vitamin B12,
and lactic acid bacteria produce certain B-vitamins.
 Prevents colonization by pathogens
 Compete for attachment sites or for essential nutrients.
 May antagonize other bacteria
 intestinal bacteria produce nonspecific fatty acids and
peroxides to highly specific bacteriocins, which inhibit or
kill other bacteria.
 Stimulates the production of cross-reactive antibodies.
 antibodies produced against components of the NF cross
react with certain related pathogens, and prevent
infection or invasion.
 Antibodies to NF referred to as "natural" antibodies
129
 However, members of the normal microbiota may
themselves produce disease under certain circumstances.
 If forcefully removed from the environment they adapted
and introduced into the bloodstream or tissues, these
organisms may become pathogenic.
 Eg. streptococci of the viridans group are the most
common resident organisms of the upper respiratory
tract.
 If large numbers of them are introduced into the
bloodstream (eg, following tooth extraction or oral
surgery)
 they may settle on heart valves and produce infective
endocarditis.
Pathogenesis of Bacterial Infection
130
 Bacterial Pathogenesis (terminology)
 The pathogenesis of bacterial infection includes
initiation of the infectious process and the mechanisms
that lead to the development of signs and symptoms of
disease
 Pathogen- microorganism able to produce
disease
 Pathogenicity- ability of a microorganism to
cause disease
131
 Potential pathogens- Normal flora live in a commensal or
parasitic relationship without producing disease
 cause disease when the host's immunity is compromised
or weakened
 Obligate pathogens- pathogens do not associate with their
host EXCEPT in the case of disease
 Opportunistic Pathogens- cause a disease (opportunistic
infection) in a compromised host which typically would not
occur in a healthy host
 Infection- multiplication of an infectious agent within the
body.
132
 Adherence (adhesion, attachment): The process by
which bacteria stick to the surfaces of host cells.
Adherence is a major initial step in the infection process
 Invasion: The process whereby bacteria, animal parasites,
fungi, and viruses enter host cells or tissues and spread in
the body
 Virulence: The quantitative ability of an agent to cause
disease.
 Toxigenicity: The ability of a microorganism to produce
a toxin that contributes to the development of disease.
133
Mechanisms of Bacterial Pathogenicity
Two broad qualities of pathogenic bacteria
 The ability to invade tissues: invasiveness
 colonization (adherence and initial
multiplication)
 production of extracellular substances which
facilitate invasion.
 ability to bypass or overcome host defense
mechanisms
134
Ability to produce toxins: toxigenesis
 Exotoxins: released and may act at tissue sites
remote from the site of bacterial growth.
 Endotoxins: cell-associated structural components of
the cell walls of Gram-negative bacteria.
 may be released as a result of effective host
defense (e.g. lysozyme) or the activities of certain
antibiotics
135
1. The ability to invade tissues: invasiveness
A. Colonization: first stage of microbial infection
 adherence or attachment requires the participation
of two factors: a receptor and an adhesin
 adherence factors - capsules, pili (fimbriae), and
adhesins (glycoproteins and glycolipids)
 adhesins and receptors usually interact in a
complementary and specific fashion
136
B.Invasion
 aided by substances which breaking down primary or
secondary defenses of the body; invasins
 invasins: proteins (enzymes) or extracellular substances
that act locally to damage host cells and/or facilitating
the growth and spread of the pathogens
 are products other than exotoxins
 invasins usually act at a short range and may not actually
kill cells in their range of activity
 While exotoxins are often cytotoxic and may act at
remote sites.
 Also, exotoxins are more specific and more potent than
invasins
137
Some bacterial proteins that are considered invasins
 Spreading factors - enzymes that affect physical properties
of tissue matrices and intercellular spaces and appear to
promote the spread of the pathogen
 Hyaluronidase
 hydrolyzes hyaluronic acid, a constituent of the
intercellular ground substance that cements cells
 produced by Staphylococci , Streptococcus , Clostridia
 Collagenase
 breaks down collagen that forms framework of connective
tissue
 produced by Clostridia
138
 Streptokinase & Staphylokinase
 converts plasminogen to plasmin, which digests fibrin and
prevents clotting
 Allows pathogen to move from clotted area - Staph and Strep
 Deoxyribonuclease
 lowers viscosity of exudate; breaks down DNA
 Gives pathogen more mobility - S. aureus
139
 Enzymes that cause hemolysis and/or leucolysis - insert
into membrane forming a pore that result in cell lysis or by
enzymatic attack on phospholipids
 Phospholipases
 Hydrolysis of phospholipids - C. perfringens
 Lecithinase
 destroys lecithin (phosphatidlycholine) component of
plasma membrane
 C. perfringens
 Hemolysins
 Channel forming proteins or phospholipases or
lecithinases - lyse erythrocytes
 Cause anemia and weakened host defenses - release
iron that many organisms need in order to grow -
Staph, Strep, Clostridia
-Leukocidins
•cause degranulation of lysosomes within leukocytes
Decreases host resistance - Staph and Strep
-Coagulase
•produced by S. aureus - coagulates (clots) the
fibrinogen in plasma
•Clot protects pathogen from phagocytosis and
isolates it from other defenses of host
140
141
C. Evasion of host defenses
 Some pathogenic bacteria are inherently able to resist
the bactericidal components of host tissues.
 For example, the poly-D-glutamate capsule of
Bacillus anthracis protects the organisms against cell
lysis.
 The outer membrane of Gram-negative bacteria is
not easily penetrated by hydrophobic compounds
such as bile salts
 Pathogenic mycobacteria have a waxy cell wall that
resists attack or digestion by most tissue bactericides.
142
 Most successful pathogens possess additional
structural or biochemical features which allow them to
resist host internal defense.
 Overcoming Host Phagocytic Defenses
 immunosuppression
 persistence of a pathogen at body sites inaccessible to
the immune Response
 antibodies absorbed by Soluble Bacterial Antigens
 antigenic variation
 changing antigens during the course of an infection
 changing antigens between infections
143
2.The ability to produce toxins: toxigenesis
• Over 220 known bacterial toxins
 toxin ingestion following production (food
Poisoning).
 toxin production following colonization
• can be divided into two groups
-Exotoxins & Endotoxins
• Exotoxins
 excreted by living cells
 produced by both gram-positive and gram-
negative bacteria
 Frequently controlled by extrachromosomal genes
(plasmids, phage)
144
Exotoxins are divided into three main groups
 Neurotoxins affect neurons.
 Enterotoxins affect the gastrointestine.
 Cytotoxins damage cells
 Diphtheria toxin - inhibits protein synthesis in
eukaryotic cells
 Erythrogenic toxin - S. pyogenes, cytotoxins damage
blood capillaries under skin and produce red skin rash
 Botulinum toxin - neurotoxin C. botulinum; acts at
neuromuscular junction prevents transmission of
impulses from nerve cell to muscle; flaccid paralysis
145
 Tetanus toxin - neurotoxin C. tetani - binds to nerve
cells that control contraction of various skeletal
muscles result in uncontrollable muscle contraction
(spasmodic contractions) lockjaw; spastic paralysis
 Vibrio enterotoxin - causes abnormally high cAMP
production with consequent copius fluid secretion
 Endotoxins
 Integral part of cell wall of gram-negative bacteria
released on death and in part during growth
 found only in gram-negative bacteria
 lipopolysaccharide complexes; Lipid A portion probably
responsible for toxicity
 Synthesis directed by chromosomal genes
146
 Biologic effects of endotoxin
 induce fever due to release by macrophages of endogenous
pyrogen (interleukin 1) which acts on hypothalmic
temperature regulatory center
 Hypotension, Shock, Neutropenia
 disseminated intravascular coagulation (DIC)
Property Endotoxin Exotoxin
Chemical nature LPS (mw = 10kDa) Protein (mw 50-1000kDa)
Relationship to cell Part of outer membrane Extracellular, diffusible
Denatured by boiling No usually
Antigenic Yes Yes
Form toxiod No Yes
Potency Relatively low (>100μg) Relatively high (1 μg)
Specificity Low degree High degree
Enzyme activity No usually
Pyrogenicity Yes Occasionally
Comparison of Endotoxins and Exotoxins
READ about
Principles of disease and epidemiology
148
149
Nosocomial infections (NI)
Nosocomial infections (NI)
OMIAL INFECTIONS
150
 Infection in a hospitalized patient
 Not present or incubating on admission
 Hospital acquired infection
 Does not become manifest in the first 48-72 hours of admission
 5-15% of patients admitted to acute care hospitals
acquire infections
 2 million patients/year
 25 to 50% of nosocomial infections are due to the
combined effect of the patient’s own flora and
invasive devices
Where do the microbes come from?
• patient's own flora
• cross infection from medical personnel
• cross infection from patient to patient
• hospital environment- inanimate objects
- air , dust
- IV fluids & catheters
- washbowls , bedpans
- endoscopes
- ventilators & respiratory equipment
151
SOURCES OF PATHOGENS IN
152
 Reactivation of latent infection: TB, herpes viruses
 Less common
 Endogenous: normal commensals of the skin,
respiratory, GI, GU tract
 common
 Exogenous
 Inanimate environment: Aspergillus from hospital
construction, Legionella from contaminated water
 Animate environment: hospital staff, visitors, other
patients
 Cross transmission- common
153
The mode of transmission most often is either
cross-infection (e.g., indirect spread of pathogens from
one patient to another on the inadequately cleaned hands
of hospital personnel) or
autoinoculation (e.g., aspiration of oropharyngeal flora
into the lung along an endotracheal tube).
 Factors that increase host susceptibility
 Broken skin or mucous membranes
 suppresses immune system
 impaired cell activity
Exogenous Infections
154
Compromised
Hosts
155
Contamination from medical equipments
Endogenous Infections
156
157
H.A.I. IS INCREASING:
 compromised patients
 ward and inter-hospital transfers
 antibiotic resistance (MRSA, resistant Gram negatives)
 increasing workload
staff pressures
lack of facilities
lack of concern
HAI is inevitable but some is preventable
(irreducible minimum)
realistically reducible by 10-30%
Many Personnel Don’t Realize When
They Have Germs on Their Hands
158
 Healthcare workers can get 100s to 1000s of
bacteria on their hands by doing simple tasks like:
 pulling patients up in bed
 taking a blood pressure or pulse
 touching a patient’s hand
 rolling patients over in bed
 touching the patient’s gown or bed sheets
 touching equipment like bedside rails, overbed
tables, IV pumps
Relative
Nosocomial
Frequencies
159
Just worry about top
three and not about
percentages.
Preventing Nosocomial Infections
160
SURVEILLANCE
Important means of monitoring HAI
Early detection of trends outbreaks
1. Laboratory Based
Microbiology Laboratory lists, culture +ve organisms
2. Ward Based
Ward staff monitor patients
161
162
 Most hospitals aim surveillance for infections
With a high level of morbidity [e.g., intensive care unit
(ICU)–related infections and nosocomial pneumonia];
costly (e.g., cardiac surgical wound infections);
difficult to treat (e.g., infections due to antibiotic-resistant
bacteria)
 pose recurrent epidemic problems (e.g., Clostridium
difficile–related diarrhea); and
potentially preventable (e.g., vascular access–related
infections).
STRATEGIES TO REDUCE NI
163
 Modify host.
 Risk factors such as age, underlying disease, are
difficult to change.
 Reduce patient exposure to pathogens
 Reduce the number and virulence of nosocomial
pathogens
EXPOSURE REDUCTION
 Aseptic technique during patient
care
 Hand washing
 Proper isolation of patients
known or suspected of harboring
infectious diseases
164
165
which body area is not sterile
 Lower respiratory tract (trachea, bronchi, bronchioles,
alveoli, lungs)
 Brain and spinal fluid
 Upper genital tract (kidneys, bladder and ureters)
 Muscles (skeletal, heart)
 Blood
Principles and methods of microbial control
and prevention
166 166
167
Principles and methods of microbial control and prevention
Sterilization and Disinfection
Pasteurization
Chemotherapy and antibiotics
168
Overview
168 Various Microbial Control Methods
Sterilization and disinfection
169
I. Sterilization
 The complete destruction or removal of all
microorganisms including spores
 Recommended method for processing instruments and
other items that will come in contact with the
bloodstream or tissues under the skin
Define and distinguish the following terms
 sterilization ?
 Disinfection?
 Antisepsis?
 Decontamination (reducing virulence)
 Cleaning(removal of contaminating dirty material)
169
170
 Effectiveness depends upon :
1. The type of microorganism present
– Some microorganisms are very difficult to kill.
Others die easily.
2. The number of microorganisms present
– It is much easier to kill one organism than many.
3. The amount and type of organic material that
protects the microorganisms
– Blood or tissue ,protein, , pus, mucus remaining
on poorly cleaned instruments acts as a shield to
microorganisms during the sterilization process
Sterilization…
Sterilization….
171
4. The number of cracks and crevices on an instrument
that might harbor microorganisms
– Microorganisms collect in, and are protected by,
scratches, cracks and crevices, Air bubbles will protect
bacteria from chemicals. In addition to the above
 The time necessary for action.
 The optimum temperature.
 The concentration of killing agent.
 The optimum acidity or alkalinity for killing are some of
the factors that affect the potency of sterlizer
172
Methods of sterilization
Two main kinds
 physical methods of sterilization
 Chemical sterilization
A. physical methods of sterilization
1. Heat sterilization
 Most effective and widely utilized means of
killing microorganisms.
 The main effect of heat is the degradation of organic
matters especially the proteins
 Could be by either of Dry or wet/moist heat
172
Moist heat
173
 Much more effective than dry heat ( causes denaturation of cell
proteins with low temperature and shorter exposure time than
required for oxidation of proteins as in dry heat).
 Different types
174
Types of Moist Heat Treatments
A) Autoclaving (Steam under pressure)
 Done at 121°C at 15 pounds pressure over the square inch
for 15 minutes (15 lb/in²)
 A very good method for sterilizing almost anything, except
heat-labile substances (like some plastics)
 Kills all spores
Autoclave
175
176
Steam sterilization requires four conditions:
1. Adequate contact 3. Sufficiently high temperature
2. Correct time 4. Sufficient moisture
177
b) Boiling
 Boiling at 100oC for 30 minutes kills everything except
some endo spores.
 Actually, for the purposes of purifying drinking water
100oC for five minutes is probably adequate though
there have been some reports that Giardia cysts can
survive this process.
 To kill endo spores, and therefore sterilize the solution,
very long or intermittent boiling is required.
178
c) Tyndallization (Intermittent boiling)
 heat treatment at 100 C for 30 minutes on three
consecutive days.
 used to sterilize substances that would be damaged by
autoclaving.
 1st day - kills vegetative cells, but not spores. The heat
induced endospores to germinate into vegetative cells.
 2nd day – spores are induced by heat and germinate and
are killed in the 2nd boiling
 3rd day – traditional precaution.
179
d )Sub-boiling Temperatures (Pasteurization)
 Sterilization temperatures have adverse effects on many
foods, and alternative treatments must be used to reduce
microbial contamination in these materials.
 A good example is pasteurization
Pasteurization ; is the use of mild heat to reduce the
number of microorganisms (spoilage or pathogenic) in a
product or food.
There are two method of pasteurization,
 Batch method (low temperature long time
method) – heat treatment at 62.8C for 30 min.
 Flash method (High temperature short time
method) – heat treatment at 71.7C for 15 sec.
180
1. Moist heat…
Advantages
 Most commonly used effective method of sterilization
 Sterilization cycle time is shorter than with dry heat or
chemical sterilants
Disadvantages
 Requires a continuous source of heat (wood fuel, kerosene
or electricity)
 Requires equipment (steam sterilizer)
Disadvantages…
181
 Requires strict adherence to time, temperature and
pressure settings
 Repeated sterilization cycles can cause pitting and
dulling of cutting edges of instruments (i.e., scissors)
 Plastic items cannot withstand high temperatures
182
Dry Heat
 Dry heat, or hot air, at sufficiently high temperatures
will kill microorganisms.
 This is not as effective as moist heat, and much higher
temperatures and longer exposure times are
necessary.
 causes oxidation of organic constituents of the cell
(it causes them to burn slowly)
 Different types- Hot air ovens most important
183
Hot air ovens
 Require higher temperature and longer period of heating.
 used to sterilize glass wares, metal instruments, grease,
oils and lubricants (objects that will not melt during
heating).
 Exposure time varies with temperatures of exposure
 170°C for 1 hour or
 160°C for 2 hours and can be used to sterilize glasses
and metals
184
185
 after the oven is cooled (1-2 hours latter) the heating is
removed and the door of the chamber is slightly opened
for materials inside to cool down gradually below
50°C to 40°C.
 Remember: Exposure time begins only after the sterilizer has
reached the target temperature.
 Do not overload the sterilizer
 Leave at least 7.5 cm between the items and walls of
sterilizer
 Overloading alters heat convection and increases the time
required to sterilize
186
Dry heat…
Advantages
 Effective method, as dry heat by conduction reaches all
surfaces of instruments
 Protective of sharps or instruments with a cutting edge
(fewer problems with dulling of cutting edges)
 Leaves no chemical residue
 Eliminates “wet pack” problems in humid climates
Disadvantages
 Plastic and rubber items cannot be dry-heat sterilized
because temperatures used (160–170 oC) are too high for
these materials
 Dry heat penetrates materials slowly and unevenly
187
Other Dry heat methods include
Flaming - done to loops and straight-wires in microbiology
labs
 Leaving the loop in a Bunsen burner until it glows red
ensures that any infectious agent gets oxidized
completely into small molecules
 commonly used for small metal or glass objects, but not
for large objects
Incineration – burning any organism to ash by exposing to
open flame
 used to sanitize medical and other biohazardous waste
188
2. Irradiation
• Irradiation kills microorganisms by damaging their
DNA by utilizing ultraviolet light.
• High – energy radiation includes: gamma rays and vu
light.
• Gamma irradiation is used for sterilization of single–
use disposable syringes
• UV radiations are commonly used to reduce the
number of microorganisms in air and on surfaces like
hospital operating rooms and sterile rooms where
sterile products are dispensed.
Radiation
189
Ionizing radiation:
X-rays
Gamma rays
Electron Beams
Nonionizing radiation:
Ultraviolet light
Microwave -kills by heat, not
especially microbicidal.
Radiation Effects
190
Ionizing radiation:
Ejects orbital electrons from an atom
High energy - penetrates liquids and solids
effectively.
E.g. H2O split into OH- + H+ + electron (Hydroxyl
radials and Hydrogen ions respectively).
Hydroxyl radials are highly reactive and destructive to
normal cellular compounds such as DNA and proteins.
Nonionizing radiation:
Raises atoms to a higher energy level
Low energy - less penetrating
UV - formation of pyrimidine dimers
191
3.Filtration( Mechanical removal)
• Filtration is used to sterilize (remove microorganisms)
from liquids which cannot be sterilized by heat (e.g.,
antibiotics, serum, injectable drugs and vitamins
• Filters are made of special substances (ceramic,
asbestos, cellulose ester)
192
4 . Chemical sterilization
often called “cold sterilization”.
Objects can be chemically sterilized if
 using high-pressure steam or dry-heat sterilization
would damage them
 equipment is not available (or operational)
Chemicals (disinfectants and antiseptics) vary greatly in
ability to kill microorganisms by either of three
mechanisms
 disruption of lipid containing membranes
 modification of proteins
 modification of DNA
193
I . Disinfection
 Elimination of many or all pathogenic microorganisms, with
the exception of bacterial spores using antiseptics and
disinfectants.
 The term, disinfection, refers to the use of a physical
process or a chemical agent (a disinfectant) to destroy
vegetative pathogens but not bacterial endospores
 disinfectants are normally used only on inanimate objects.
 There are three levels of disinfection
1.High level disinfection (HLD)
 Eliminates bacteria, viruses, fungi and parasites but does
not reliably kill all bacterial endospores
194
2.Intermediate level disinfection (ILD)
 Inactivates vegetative bacteria, Mycobacterium and
most fungi and viruses, but do not necessarily kill
spore-forming bacteria
3.Low level disinfection (LLD)
 kills most vegetative bacteria and some enveloped,
medium sized viruses and fungi but not the most
resistant microorganisms such as M. tuberculosis or
bacterial spores.
195
Antiseptics
 Chemical agents that are used on the skin and mucous
membranes to remove or kill microorganisms
 Antiseptics should be used only on the skin and mucous
membranes
 Antiseptics should never be used on instruments or other
items or surfaces
 Antiseptics are indicated for
 Surgical hand scrub
 Skin, cervical, and vaginal preparation before a
clinical procedure
 Hand washing in high-risk situations, such as before
invasive procedures or contact with clients at
high risk of infections
Antiseptics VS Disinfectants
196
Disinfectants
 Used on inanimate objects, such as instruments and
surfaces, to kill microorganisms
 E.g chlorine and glutaraldehyde
 because, in the concentrations required to be effective,
they can be toxic to human and other animal tissue
 Should be used only for processing instruments and other
items for reuse
 Indicated for processing instruments and other items and
Cleaning surfaces
 Disinfectants are not to be used on the skin or mucous
membranes
 Instruments and other items should not be left soaking
indefinitely or stored in disinfectant solutions.
AntisepticsVS Disinfectants…
197
 Qualities looked for in a good chemical disinfectant
or antiseptic
1. Effective killers of all microorganisms including
viruses
2. Soluble in water for ease of preparation
3. Low toxicity for humans
4. Reasonably economic
Antiseptics and Disinfectants…
198
Common antiseptics and disinfectants
1. Alcohols •• Ethyl alcohol, Isopropyl alcohol
 Rapid broad-spectrum antimicrobial activity against
vegetative bacteria, viruses, and fungi but are not
sporicidal
 They have optimal activity when diluted 60 – 90%
 Used for both hard-surface disinfection and skin
antisepsis
 Because of the lack of sporicidal activity, alcohols are
not recommended for sterilization
199
2. Aldehydes •• glutaraldehyde (e.g., Cidex)
 Broad spectrum of activity against bacteria and their
spores, fungi, and viruses
 used for disinfection and sterilization of endoscopes
and surgical equipment and as a fixative in electron
microscopy
 Formaldehyde (formalin) is bactericidal, sporicidal,
and virucidal
 Toxic/Carcinogenic?
 Active against HIV at higher concentration
200
3. Halogens
•• Chlorine and hypochlorites (e.g., Chlorox)
 Bactericidal, sporicidal, virucidal
 Sodium hypochlorite solutions are widely used for
hard-surface disinfection
 Can be used for disinfecting spillages of blood
containing human immunodeficiency virus or HBV
201
4. Silver Compounds •• Silver compounds (e.g., silver
nitrate and silver sulphadiazine)
 Silver compounds have been used to prevent the
infection of burns and some eye infections and to
destroy warts
4. Oxidizing agents •• Hydrogen peroxide (H2O2)
 Active against viruses, bacteria and yeast but a
higher concentration (10 – 30%) and long contact
time is needed to be sporicidal
 Hydrogen peroxide (H2O2) is a widely used for
disinfection, sterilization, and antisepsis
202
5. Phenols •• Phenolic compounds(e.g. Carboloic acid,
Lysol, Hexachlorophene, Dettol)
 phenol, is considered the disinfectant standard
against which all other disinfectants are compared
 Antiseptics at low concentrations; disinfectants at
high concentrations
 Phenol derivatives are used as preservatives and
antimicrobial agents in germicidal soaps and lotions
Read about soaps and detergents????
Mechanical sterilization
203
Filtration
 Aqueous liquids, including solutions of heat
labile substances and air can be sterilized by
forced passage through a filter having pore
small enough to prevent passage of microbes.
 to sterile heat sensitive liquids
204
READ about the mechanism of each individual sterilizing and
disinfecting agent to kill microbes
205
ANTIMICROBIAL DRUGS
206
Antibiotics - are natural substances produced by certain
groups of microorganisms
 low-molecular weight substances
Chemotherapeutic agents - are chemically synthesized
 A hybrid substance is a semi synthetic antibiotic
modified by the chemist to achieve desired properties
ANTIMICROBIAL DRUGS
207
208
Desirable properties of clinically useful antibiotics
 wide spectrum of activity.
 “Selective toxicity,” act upon bacteria at very low
concentration levels without causing damage to the host .
 Non allergenic to the host.
 not eliminate the normal flora of the host.
 able to reach the part of the human body where the infection
is occurring.
 inexpensive and easy to produce.
 chemically-stable (have a long shelf-life).
 Microbial resistance is uncommon and unlikely to develop.
209
Antibiotics differ
The organism they are or were isolated from.
Their chemical structure.
Bactericidal versus bacteriostatic.
Their spectrum of activity.
Their site of action in bacterial cells.
Potential for evolution to resistance.
Mechanism of toxicity to the host.
Cost.
Antibiotics differ in terms of…
210
The organism they are or were isolated from
211
Their chemical structure
212
Chemical structure
213
Chemical structure
Bactericidal VS Bacteriostatic
214
Bactericidal:
 Kill bacteria
 Used when the host
defense mechanisms
are impaired
 Required in
endocarditis, kidney
infection
Bacteriostatic:
 Inhibit bacteria
 Used when the host
defense mechanisms are
intact
 Used in many infectious
diseases
 May be less effective in
immunocompromised
patients
215
Spectrum of action
 Broad spectrum -kill or inhibit a wide range of Gram-
positive and Gram-negative bacteria
 Narrow spectrum antibiotic - effective mainly against
Gram-positive or Gram-negative bacteria
 Limited spectrum antibiotic - effective against a
single organism or disease
Spectrum of Activity
216
Narrow-Spectrum Antimicrobial Wide-Spectrum Antimicrobial
Spectrum of Activity
217
Wide-Spectrum Antimicrobial
Broad-spectrum antibiotics
are useful if one must begin
treatment before
identifying either a
pathogen or its antibiotic
susceptibility.
However, broad-spectrum
antibiotics are more likely
to destroy normal flora,
resulting in superinfections.
Characteristics of Antibiotics
Chemotherapy and Antibiotics
218
Their site of action in bacterial cells
MECHANISMS OF ACTION OF ANTIBACTERIAL DRUGS
219
Selective Toxicity
achieved by exploiting differences in the structure and
metabolism of microorganisms and host cells
the antimicrobial agent should act at a target site present
in the infecting organism, but absent from host cells.
 The most effective antibiotics are generally those used
against bacteria , why ? Why not anti viral and anti
fungal agents?
MECHANISMS cont…
Mechanism of action include:
 Inhibition of cell wall synthesis
 Inhibition of protein synthesis
 Inhibition of nucleic acid
synthesis
 Inhibition of metabolic
pathways
 Interference with cell
membrane integrity
220
MECHANISMS cont…
 Inhibition of Cell wall synthesis
 Bacteria cell wall unique in construction
 Contains peptidoglycan
 Antimicrobials that interfere with the
synthesis of cell wall do not interfere with
eukaryotic cell
 Due to the lack of cell wall in animal cells
and differences in cell wall in plant cells
 These drugs have very high therapeutic
index
 Low toxicity with high effectiveness
 Antimicrobials of this class include
 β lactam drugs
 Vancomycin
 Bacitracin
221
222
β-lactam antibiotics
Have shared chemical
structure called β-lactam
ring
 Penicillins
 Cephalosporins/ceph
amycins
 Monobactams
 Clavulanic acid
223
MSM cont..
 Β-lactams - competitively inhibits function of penicillin-
binding proteins(PBPs)
 Inhibits peptide bridge formation between glycan
molecules
 This causes the cell wall to develop weak points at the
growth sites and become fragile
 All β-lactam drugs are selective inhibitors of bacterial cell
wall synthesis and therefore active against growing
bacteria
224
225
MSM cont..
Natural penicillins: Penicillin G or Penicillin V, produced by
Penicillium chrysogenum.
 considered narrow spectrum (not effective against Gram-
negative rods )
Semisynthetic penicillins: modified chemically by the
addition of side chains
 increased spectrum of activity, resistance to penicillinase,
effective when administered orally, etc.
 E.g Amoxycillin and Ampicillin have broadened spectra
against Gram-negatives and are effective orally
 Methicillin is penicillinase-resistant
226
MSM cont…
 Clavulanic acid
 beta lactam, not an antimicrobial agent but added to a
semisynthetic penicillin preparation
 E.g amoxycillin plus clavulanate = clavamox or augmentin
 binds strongly beta lactamases
 it inhibits beta lactamase enzymes ( has given
extended life to penicillinase-sensitive beta lactams) .
MSM cont…
227
The cephalosporins
 Chemical structures make them resistant to inactivation by
certain β-lactamases
 Tend to have low affinity to penicillin-binding proteins of
Gram + bacteria, therefore, are most effective against Gram
– bacteria.
 Chemically modified to produce family of related
compounds
 First, second, third and fourth generation cephalosporins
Carbapenems and monobactams
 A person allergic to penicillin usually allergic to
cephalosporins and carbapenems as well.
 Such individuals can be treated with the monobactams,
which are structurally different so as not to induce allergy
MSM cont…
228
Vancomycin
 Inhibits formation of glycan chains
 Inhibits formation of peptidoglycans and cell wall
construction
 Does not cross lipid membrane of Gram -ve
 Gram – ve organisms innately resistant
 Important in treating infections caused by penicillin
resistant Gram + ve organisms
 Must be given intravenously due to poor absorption
from intestinal tract
 Acquired resistance most often due to alterations in side
chain of NAM molecule
 Prevents binding of vancomycin to NAM component
of glycan
MSM cont…
229
Bacitracin
 Interferes with transport of peptidoglycan
precursors across cytoplasmic membrane
 Toxicity limits use to topical applications
 Common ingredient in non-prescription first-aid
ointments
MSM cont…
230
Inhibition of protein synthesis
 Structure of prokaryotic ribosome acts as target for
many antimicrobials of this class
 Differences in prokaryotic and eukaryotic ribosomes
responsible for selective toxicity
 Drugs of this class include
 Aminoglycosides
 Tetracyclins
 Macrolids
 Chloramphenicol
MSM cont…
231
 Aminoglycosides
(bactericidal):
 Irreversibly binds to 30S
ribosomal subunit
 Causes distortion and
malfunction of ribosome
 Blocks initiation
translation
 Causes misreading of
mRNA
 Not effective against
anaerobes, enterococci
and streptococci
 Often used in synergistic
combination with β-
lactam drugs
MSM cont..
232
 Examples of aminoglycosides include
streptomycin, kanamycin, gentamicin, tobramycin,
amikacin, netilmicin, neomycin (topical)
 Side effects with extended use include
 Otto toxicity
 Nephrotoxicity
MSM cont…
233
 Tetracyclines
(bacteriostatic)
tetracycline, minocycline and
doxycycline
 Reversibly bind 30S
ribosomal subunit
 Blocks attachment of
tRNA to ribosome
 Prevents continuation
of protein synthesis
MSM cont…
234
 Spectrum of activity - Broad spectrum( certain Gram +
and Gram –ves ); Useful against intracellular bacteria
 Newer tetracyclines such as doxycycline have longer
half-life
 Allows for less frequent dosing
 Resistance – Common
 Adverse effects - Destruction of normal intestinal flora
resulting in increased secondary infections; staining and
impairment of the structure of bone and teeth
MSM cont…
235
 Macrolides (bacteriostatic)
Erythromycin, Clarithromycin,
azithromycin, piramycin
 Reversibly binds to 50S
ribosome
 Prevents continuation of
protein synthesis
 Spectrum of activity - Gram-
positive bacteria, Mycoplasma,
Legionella
 Often drug of choice for
patients allergic to penicillin
MSM cont…
236
 Resistance can occur via
modification of RNA
target
 Also by production of
enzyme that
chemically modifies
drug as well as
alterations that results
in decreased uptake
of drug
MSM cont…
237
 Chloramphenicol
(bacteriostatic)
 Binds to 50S ribosomal
subunit
 Prevents peptide bonds
formation blocking
proteins synthesis
 Effective against a wide
variety of organisms
 Generally used as drug of
last resort for life-
threatening infections-
bacterial meningitis.
 Chloramphenicol is toxic
(bone marrow suppression)
MSM cont…
238
Inhibitors of Nucleic Acid Synthesis
 Inhibitors of RNA Synthesis
 Selectivity due to differences between prokaryotic and
eukaryotic RNA polymerase
Rifampin, Rifamycin, Rifampicin, Rifabutin (bactericidal)
 Mode of action - bind to DNA-dependent RNA
polymerase and inhibit initiation of mRNA synthesis.
 Spectrum of activity - Primarily used to treat tuberculosis
and Hansen’s disease as well as preventing meningitis after
exposure to N. meningitidis
 Resistance due to mutation coding RNA polymerase
 Resistance develops rapidly
 Combination therapy - Since resistance is common,
rifampin is usually used in combination therapy.
Inhibitors of DNA Synthesis
239
Selectivity due to differences between prokaryotic and
eukaryotic enzymes
 Fluoroquinolones
 Quinolones (bactericidal): nalidixic acid, ciprofloxacin,
ofloxacin, norfloxacin, levofloxacin, lomefloxacin,
sparfloxacin
 Mode of action - bind to the A subunit of DNA gyrase
(topoisomerase) and prevent supercoiling of DNA,
thereby inhibiting DNA synthesis.
 Spectrum of activity - Gram-positive cocci and urinary
tract infections
 Resistance - Common for nalidixic acid; developing for
ciprofloxacin
MSM cont…
MSM cont…
 Inhibition of metabolic
pathways
 Relatively few
 Most useful are folate
inhibitors
 inhibit the production
of folic acid
 Antimicrobials in this
class include
 Sulfonamides
 Trimethoprim
240
MSM cont…
241
 Sulfonamides (bacteriostatic)
 Group of related compounds
 Collectively called sulfa drugs
 Inhibit growth of Gram +ve and Gram – ve organisms
 Through competitive inhibition of enzyme that aids in
production of folic acid
 Structurally similar to para-aminobenzoic acid
 Substrate in folic acid pathway
 Human cells lack specific enzyme in folic acid pathway
 Basis for selective toxicity
 Resistance due to plasmid
 Plasmid codes for enzyme that has lower affinity to
drug
MSM cont…
242
 Trimethoprim, Methotrexate, Pyrimethamine
(bacteriostatic)
 Inhibits folic acid production
 Spectrum of activity - Broad range activity against
gram-positive and gram-negative bacteria; used
primarily in urinary tract and Nocardia infections.
 Often used synergistically with sulfonamide
 Most common mechanism of resistance is plasmid
encoded alternative enzyme
MSM cont…
243
 Interference with cell
membrane integrity
 Few damage cell
membrane
 Polymixn B most
common
 Common ingredient in
first-aid skin ointments
 Binds membrane of Gram -
cells
 Alters permeability
 Leads to leakage of
cell and cell death
 Also bind eukaryotic cells
244
Anti-Mycobacterial Antibiotics
Inhibition of Nucleic Acid Synthesis…
Para-aminosalicylic acid (PSA) (bacteriostatic)
Spectrum of activity - Specific for Mycobacterium
tuberculosis
245
Dapsone (bacteriostatic)
 Spectrum of activity - Used in treatment of leprosy
(Mycobacterium leprae)

Inhibition of Nucleic Acid Synthesis…
RESISTANCE TO ANTIBACTERIAL AGENTS
247
The basis of microbial resistance to antibiotics
1.Inherent (Natural) Resistance: some bacteria born resistant
 E.g. Gram-negative bacterium has an outer membrane
that establishes a permeability barrier
 lacks a transport system for the antibiotic
 lacks the target or reaction that is hit by the antibiotic.
248
2.Acquired Resistance
 bacteria previously-sensitive to antibiotics become
resistant
Mutation and selection (sometimes referred to as
vertical evolution)
 a spontaneous mutation in the bacterial
chromosome
Exchange of genes between strains and species
(sometimes called horizontal evolution).
 Through resistance transfer factors, R-Plasmids )
Mechanisms of Resistance
249
Altered permeability of the antimicrobial agent
 Reduced influx: the inability of the antimicrobial agent
to enter the bacterial cell
 Increased efflux: active export of the agent from the
cell.
 Drug inactivating enzymes-
 Betalactamases: hydrolyze the betalactam ring of
betalactam antibiotics
Mechanisms of Resistance
250
 Alteration of target molecule
 Minor structural changes in antibiotic target can
prevent binding
 Changes in ribosomal RNA prevent macrolids
from binding to ribosomal subunits
 Bypass mechanism – increased synthesis of an
essential metabolite that is antagonistic for the drug
(sulfonamides, trimethoprim)
Antimicrobial Drug Resistance
Mechanisms
251
1.Altered permeability of the antimicrobial agent
2. Inactivation
 B-lactamase
 Chloramphenicol acetyl transferase
3. Altered target site
 Penicillin binding proteins (penicillins)
 RNA polymerase (rifampin)
 30S ribosome (streptomycin
Non genetic bases of resistance
252
1. Bacteria can be walled off within an abscess cavity which
the drug can’t penetrate effectively.
2. Bacteria can be in a resting state- insensitive to cell wall
synthesis inhibitors.
3. Loss of cell wall (protoplast) - insensitive to cell-wall-
active drugs.
4. Administration of the wrong drug or wrong dose,
failure of the drug to reach the appropriate site in the
body, or failure of the patient to take the drug
Combination therapy
253
 Prevent emergence of resistant strains
 Temporary treatment until diagnosis is made
 Antibiotic synergism
 Penicillins and aminoglycosides
 CAUTION: Antibiotic antagonism
 Penicillins and bacteriostatic antibiotics
Combination of Drugs
254
 For antibiotics “A” and “B” used in combination:
 Actual killing rate = A + B  Additive
 Actual killing rate > A + B  Synergistic
 Actual killing rate < A + B  Antagonistic
 Typically bacteriostatic agents are antagonistic to
bactericidal agents.
 Bacteriocidal agents can be synergistic to bacteriostatic
agents
 Additive means that the two (or more) antibiotics neither
hinder nor help each other’s ability to kill.
255
Antimicrobial susceptibility testing (AST)
 The objectives of AST are
 Guide the clinician/s in the selection of the most
appropriate antimicrobial agent/s
 Provide clinician/s with an alternative agents to which
the organism is susceptible
 Confirm the susceptibility of the organism to the drug
initially prescribed or may indicate resistance in which
alternative therapy will be required
 Detect and control the spread of drug resistant
organisms
Methods of Antimicrobial Susceptibility Testing
 Two types of antimicrobial susceptibility testing methods
1) Disk Diffusion method 2) Dilution
method
256
Methods of Antimicrobial Susceptibility Testing
 Two types of antimicrobial susceptibility testing methods
1) Disk Diffusion method 2) Dilution
method
SUSCEPTIBILITY OF BACTERIAL TO
ANTIMICROBIAL DRUG
 Conventional disc diffusion
method
 Kirby-Bauer disc diffusion routinely
used to qualitatively determine
susceptibility
 Standard concentration of strain
uniformly spread of standard media
 Discs impregnated with specific
concentration of antibiotic placed on
plate and incubated
 Appropriate Guide: clinical
response depends on host factors
 Clear zone of inhibition around
disc reflects susceptibility
 Based on size of zone organism
can be described as susceptible
or resistant
257
Antibiogram
258
The disks are
impregnated with
specific antibiotics.
The streaks make
up a bacterial
“lawn”.
These two strains have different antibiotic-
resistance patterns.
Measuring the diameter of zones of inhibition in mm.
259
Dilution Antimicrobial Tests
260
 Tubes with increasing drug concentrations are inoculated
with an organism and incubated at 18 hours at 37° C
 Minimum inhibitory concentration (MIC)
 Lowest concentration that results in inhibition of
visible growth
 Minimum bactericidal concentration (MBC)
 Lowest concentration that kills 99.9% of the original
inoculums
 Minimum bactericidal concentration (MBC) found by
sub culturing from tubes with no growth
261
262
Determination of MBC
 A small sample (0.01 or 0.1ml) taken from the tube used
for MIC assay
 spreading it over the surface of a drug-free blood agar
plate.
 Any organism that were inhibited but not killed now have
the chance to grow because the drug has been diluted
significantly
 After incubation at 350c for 48 hrs the lowest conc. that
has reduced the number of colonies by 99.9%, compared
with drug free control, is the MBC
263
 Collection, storage & transport of samples &
diagnosis of microbial infection Read
Microbiological laboratory techniques
264
The objectives of diagnostic microbiology are
Identification of etiological agent/s that caused disease
Appropriate selection of antimicrobial agents for
treating patients
Design a strategy in the control and prevention of
infectious diseases
265
Microscopic examination
 Specimens are often subjected to microscopic
examination
 as a rapid presumptive diagnosis
 for assessing the quality of specimens and selection of
appropriate media for culture
 Examination is carried out using optical instruments on
unstained and stained preparations
 unstained preparations are used on the living state of
specimens
 For observation of motility of microorganisms
 usually done on wet mounts using normal saline
solutions
Microscopic examination
266
267
Microscopic examination…
Microscope has 2 types of lenses
 The eyepiece or ocular lens magnifies 10X.
 The objective lenses
 The small yellow-striped lens magnifies 10X
 The blue-striped lens magnifies 40X
 The white-striped oil immersion lens magnifies 100X
268
Microscopic examination…
 Final magnifications is product of ocular lens x objective
lens
 10X x 10X (yellow) = 100X
 10X x 40 (blue) = 400X
 10X x 100X (white) = 1000X
269
Microscopic examination…
 Examination on stained preparations is made on a
fixed state
 Size, shape and staining reactions are observed
 The staining procedure generally includes
 making a smear
 drying for 5-10 min in air
 fixing the smear either by heat or chemicals (methanol)
 staining with dyes
270
Microscopic examination…
There are two types of staining
 Simple stain
 One dye is applied on a fixed smear including stains
like methylene blue
 Help to diagnose microbial organisms like malaria,
leishmania, Borrelia recurentis and intracellular
inclusion bodies (viral and chlamydial infections)
Differential stain
Different types of dyes are utilized including stains like gram
stain, acid-fast stain, Indian ink stain etc.
 For grouping of microorganisms
 Determination of the shape of bacteria
271
Differential stain
 Different types of dyes are utilized including stains
like gram stain, acid-fast stain, Indian ink stain etc.
 For grouping of microorganisms
 Determination of the shape of bacteria
272
Gram staining
 This technique is developed by Dr. Hams Christian Gram
 The fixed smear is first stained by crystal violet
 followed by application of a Gram’s iodine which is a
fixative/mordant dye
 decolorized by acetone in alcohol for about 30 minutes
273
Gram staining
274
 finally stained with a
counter stain called
safranin/carbol-fuschin
for about a minute
 Gram positive cell will then
have a blue-violet/purple
color reaction
 Gram negative cell will have
a red/pink color reaction
275
Acid-fast staining
 Acid-fast staining is also called Ziehl-Neelsen staining
technique
 staining of the fixed smear with a carbol-fuschin using
flames
 decolorizing using acid-alcohol (3-5% of HCl and 90%
of alcohol)
 finally methylene blue or malachite green is used as a
counter stain
276
 Acid-fast Bacteria (AFB)
positive: RED/PINK
against blue or green
background due to the
first stain-carbol fuschin
 Non Acid-fast bacteria :
BLUE/GREEN
 It is used for the diagnosis
of Mycobacteria and
Nocardia species
277
Culture and identification
Cultivation or propagation of microorganisms by providing
them appropriate nutritional and environmental
conditions on culture media
 There are different forms of culture media
 liquid (without agar)
 semi-solid and solid media which contain agar
Plate culture method
Bacterial Culture
278
Tube culture methods
279
 Slop/slant culture: are tubes containing a nutrient medium plus a solidifying
agent, agar-agar.
Slant
Butt
280
Stab (deep) culture: tubes of hardened agar medium inoculated by
"stabbing" the inoculum into the agar
CDC/Dr. James Feeley
Sheep blood agar plate culture
Bacillus anthracis
Bacillus cereus.
281
Colony characterization
282
 Form : circular ,filamentous ,irregular
 Elevation : flat, convex,raised,
 Density : transparent ,translucent .opaque
 Cosistency: Mucoid , rough
 Color: White, green ,golden ,red
283
284
Biochemical tests
Involve substrate production and utilization by specific
enzymes
enzyme production and utilization of supplied
substrates
The substrate-enzyme reaction is detected by adding
different indicators
Some of the biochemical reactions include tests for
production of
 Catalase, Oxidase, Coagulase, DNAse,
285
Biochemical tests…
 For the identification of Gram negative bacteria tests
accomplished are for the production of enzymes like
 Urease
 Tryptophan
 Gelatinase
 Citrate utilization
 H2S production
 Indole production
 fermentation/oxidation reaction
 gas production etc.
Immunity to infection
286
Definition of terms
287
Immunology
The study of immune system or immunity
The study of all aspects of host defense against
infection and of adverse consequences of
immune responses.
The study of the physiological mechanisms
which enable the body to recognize materials as
foreign and to neutralize, metabolize or
eliminate them without injury to the host tissue.
Immunity
State of protection from infectious diseases
What is immune system ?
288
 The animal /human body with its warmth, moisture ,cells
and reach supplies of nutrients represents an ideal
habitat for growth of bacteria, fungi, viruses ,and
parasites
 If the animal is survive and function ,it must defend it self
effectively against invasion by these microorganism
 Failure to do so results in death from overwhelming
infection
 The body system that defends us against the constant
assault by microorganism is called Immune system
289
Function of the Immune System
(Self/Non-self Discrimination)
 To protect from pathogens
• Intracellular (e.g. viruses and some bacteria and
parasites)
• Extracellular (e.g. most bacteria, fungi and
parasites)
 To eliminate modified or altered self
290
Effects of the Immune System
• Beneficial:
• Protection from Invaders
• Elimination of Altered Self
• Detrimental:
• Discomfort and collateral damage (inflammation)
• Damage to self (hypersensitivity or autoimmunity)
Body defense
291
Body defense is resistance to infection
Can be grouped as follows :
1) First line defense
2) Natural immunity
3) Adaptive(acquired) immunity
292
293
1. First line defense
Most important physical barriers to microorganisms
 Unbroken skin
 Mechanical barrier retards entry of microbes.
 Acidic environment (pH 3–5) retards growth of
microbes
 Mucosal membranes
 Normal flora compete with microbes for attachment
sites and nutrients
 Mucus entraps foreign microorganisms
 Cilia propel microorganisms out of body
294
 Secretions
 Mucus –adhering to membranes of the nose and
nasopharnynx traps microorganisms
 Sebum(oil) –produced by sebaxeous glands and
lactic acid contained in sweat , both poses anti
microbial properties
 Ear wax –guards the auditory canal from infections
 Low pH - Acidity of stomach contents kills most
ingested microorganisms
295
2.Natural immunity
Innate –inborn /Non –acquired
Nonspecific Immunity
Operate regardless of the individuals past experience
The elements of natural immunity include:
 Phagocytic cells
 Complement
 Acute inflammatory reactions
296
Cellular components of natural immunity
 mast cells
Neutrophilis
Macrophages
 Humoral components of natural immunity
Complement
Lysozyme
Interferons
297
Cellular Components
Cell Functions
Neutrophils • Phagocytosis and intracellular killing
• Inflammation and tissue damage
Macrophages • Phagocytosis and intracellular killing
• Extracellular killing of infected or altered
self targets
• Tissue repair
• Antigen presentation for specific immune
response
NK Killing of virus-infected and altered self
targets
Eosinophils Killing of certain parasites
298
Humoral Components
Component Mechanism
Complement • Lysis of bacteria and some viruses
• Opsonin
• Increase in vascular permeability
• Recruitment and activation of phagocytic
cells
Coagulation
system
• Increase vascular permeability
• Recruitment of phagocytic cells
• Β-lysin from platelets – a cationic
detergent
Lactoferrin and
transferrin
Compete with bacteria for iron
Lysozyme Breaks down bacterial cell walls
Cytokines Various effects
299
Phagocytosis and acute inflammation
Phagocytosis –the process in which specialized cells
engulf and destroy foreign particles such as
microorganisms or damaged cells .
 Most phagocytosis is conducted by specialized cells,
Blood monocytes,
neutrophils
 tissue macrophages
300
Phagocytosis
301
 Tissue damage caused by a wound or by an invading
pathogenic microorganism induces a complex sequence
of events collectively known as the inflammatory
response
 The signal that often attracts phagocytic cells to site of
infection is a process called inflammation.
302
 Inflammation is a non specific response to irritants
(chemicals,physical ,microbial ,antigenic )
characterized by Pain, heat, redness, and swelling
The initial events of inflammation include
 Smooth muscle cell
 cause dilation of blood vessels and increase capillary
permeability and leukocyte migration to the site of
injury
 These events are mediated by vasoactive agents such as
prostaglandins and histamine
303
A bacterial infection
tissue damage
release of various
vasoactive and
chemotactic factors
induce increased
blood flow to the area
increased capillary
permeability
influx of phagocytes
and lymphocytes into
tissues
Phagocytosis and
Antibacterial activity by
serum proteins in exudate
Major events in the inflammatory response
304
Phagocyte Response to Infection
305
3. Adaptive Immunity
Adaptive (specific) Immunity
306
 Specific to antigenic challenges
 Capable of recognizing and selectively eliminating
specific foreign microorganisms and molecules (i.e.,
foreign antigens).
Adaptive immunity displays four characteristic attributes:
 Antigenic specificity
 Diversity
 Immunologic memory
 Self/non self recognition
Adaptive (specific) Immunity
307
Acquired immunity may be divided into two types
 Active immunity, the host undergoes an
immunological response and produces the cells and
factors responsible for the immunity
 The host produces its own antibodies and/or
immuno-reactive lymphocytes.
 Active immunity can persist a long time in the host, up
to many years in humans.
Adaptive (specific) Immunity
308
 Passive immunity is acquisition by a host of immune
factors which were produced in another animal
 The host receives antibodies and/or immuno-reactive
lymphocytes originally produced during an active
response in another animal
 Passive immunity is typically short-lived and usually
persists only a few weeks or months
 In acquired immune responses, resistance may be
acquired by natural means or by artificial means (i.e.,
vaccination and immunization procedures)
309
Type of
Immunity
How Acquired
by Host
Examples
Active
Immunity
As a result of exposure
to an infectious agent or
one of its products
(antigens)
Antibodies are produced by the host in
response to the infectious agent itself (e.g.
recovery from the disease), or in response
to artificial immunization (vaccination)
with some product derived from the
infectious agent (e.g. toxoid, killed cells,
structural components of cells, inactivated
virus, etc.).
Passive
Immunity
As a result of the
acquisition of antibodies
which have been
produced in another
animal (by active means)
or derived from cells
grown in tissue culture
(monoclonal antibodies)
Injection of immune serum from an
individual previously immunized or
recovered from disease, e.g. hepatitis;
Injection of serum from an animal
hyperimmunized with tetanus toxoid;
Placental transfer of antibodies from
mother to fetus; Transfer of antibodies
from mother to infant in milk by nursing.
310
Comparison of Innate and Adaptive Immunity
No memory
Innate Immunity Adaptive Immunity
• No time lag
• Not antigen specific
• A lag period
• Antigen specific
• Development
of memory
311
 Innate and adaptive immunity operate in cooperative and
interdependent ways
 The activation of innate immune responses produces
signals that stimulate and direct subsequent adaptive
immune responses
Comparison of Innate and Adaptive
Immunity
Cells and tissues of the immune system
312
 The immunological system is comprised of the lymphoid
tissues and organs of the body
 Lymphoid tissues are widely distributed
 bone marrow, lymph nodes, spleen, liver, thymus, and
Peyer's patches
 The lymphoid system is encompassed by the system of
mononuclear
 Lymphocytes (B lymphocytes & T Lymphocytes)
 macrophages
 plasma cells
313
Cells of the Immune System
Immune System
Myeloid Cells Lymphoid Cells
Granulocytic Monocytic T cells B cells
Neutrophils
Basophils
Eosinophils
Macrophages
Kupffer cells
Dendritic cells
Helper cells
Suppressor cells
Cytotoxic cells
Plasma cells
NK cells
Immune response
314
 Overall, the Adaptive Immune Response (IR) against an
antigen can be divided into two major classifications
 Humoral immune response
 Cell-mediated immune response
Immune response
315
 Antigen (Ag): A molecule which elicits a specific immune
response when introduced into an animal
 More specifically, antigenic (immunogenic) substances are
 Generally large molecules (>10,000 daltons in molecular
weight),
 Structurally complex (proteins are usually very antigenic)
 Accessible (the immune system must be able to contact
the molecule)
 Foreign (not recognizable as "self").
Humoral Immune response
316
Mediated by B lymphocytes
Capable of producing antibodies or immunoglobulins
 B cells recognize antigen and proliferate and
differentiate into antibody-secreting plasma cells
Antibody-mediated immunity (AMI)
The host has the genetic capacity to produce specific
antibodies to thousands of different antigens
Antibodies are found in the blood (plasma) and lymph
and in many extravascular tissues
Humoral Immune response
317
Antibody- Glycoprotein molecules that are produced by plasma
cells in response to an immunogen
 Five human Immunoglobulin Classes
 IgG ,IgM ,IgA ,IgD & IgE
Two forms of humoral response; primary and secondary
A. Primary response
 Activation of naïve B lymphocytes
 The first contact of an exogenous antigen
 produce antibody-secreting plasma cells and memory B cells
 A long lag phase in which naive B cells undergo
differentiation into memory cells or plasma cells
Humoral Immune response
318
B. Secondary response
 Activation of memory lymphocytes
 memory cells are more easily activated than naive B
cells
 has a shorter lag period, reaches a greater
magnitude, and lasts longer
 secret antibodies with a higher affinity for the
antigen, and isotypes other than IgM predominate
Humoral Immune response
319
Figure Concentration and isotype of serum antibody following primary (1°) and
secondary (2°) immunization with antigen
Cell-mediated immune response
320
 Effected by the T helper cell and cytotoxic T lymphocytes
(CTLs)
 The antigen-MHC class II complex is recognized by helper
(CD4) T lymphocytes while
 The antigen-MHC class I complex is recognized by
cytotoxic (CD8) T lymphocytes
 Each class of T cells produces cytokines, becomes
activated, and expands by clonal proliferation
321
Helper T cell activity
Stimulating B cells to produce antibodies,
 Promotes the development of delayed hypersensitivity
Serves in the defense against intracellular agents,
including intracellular bacteria (eg,mycobacteria), fungi,
protozoa, and viruses.
Cytotoxic T cell activity
destruction of cells in tissue grafts, tumor cells, or cells
infected by some viruses.
 Thus, T cells are mainly utilized to activate B cell
responses and to cope with intracellular pathogens
322
323
Vaccines and types of vaccine
Vaccines and types of vaccine
324
 Immunity against infectious agents was first achieved 200
years ago
utilization of vaccinia (cowpox) by Jenner to protect
against smallpox
 Immunization was critical in eradicating smallpox from
the world
 underlies the approach to the global eradication of other
infections, including poliomyelitis
 Expanded Programme on Immunization (EPI) currently
recommended by WHO
 significant mortality or morbidity from several infections
can be prevented in children and adults
Vaccines and types of vaccine
325
Requirements of a good vaccine
 The ideal vaccine should be
 effective,
 safe,
 stable and of low cost
Types
 Live Vaccines/ Live attenuated Vaccines
 Non-living Vaccines
 Live attenuated vaccines are much more likely to be effective
 They reproduce many of the features of the infection itself
 Replication of the virus
 Localization to the appropriate part of the body (e.g. gut,
lung)
 Efficient induction of cytotoxic T cells
326
 The principal disadvantages of living attenuated vaccines
are
The possibility of reversion to virulence
The danger that they may cause severe disease in
immunocompromised patients
 Pathologic consequences of vaccination may be due to
the vaccine or the immune response including
Contamination of attenuated viruses with other viruses
Hypersensitivity to egg proteins with living viral
vaccines grown in chick embryo cells
Autoimmunity - antigenic similarity ('mimicry') between
host and microbe
Vaccines and types of vaccine
327
Figure; Complications are rare with modern vaccines, but
the physician must always be aware of the possibility.
(RSV, respiratory syncytial virus.)
Vaccine and types of vaccines
328
Vaccine and types of vaccines
329
Vaccine and types of vaccines
330
Vaccine and types of vaccines
331
Figure Global deaths from eight vaccine-preventable diseases. Source: GlobalAlliance forVaccines
and Immunization, 2002.
Vaccine and types of vaccines
332
Child immunization in Ethiopia
333
Age of vaccination Types of vaccine
 Birth date BCG POLIO (OPV 0)
 6 weeks DPT 1 OPV 1
 10 weeks DPT 2 OPV 2
 14 weeks DPT 3 OPV 3
 9 months MEASLES VIT A*
Bacterial infections
334
Learning Objectives
335
 After completing this session, the students are expected
to
 Describe the most common bacterial photogenes in
humans
Identify the diseases caused by common bacterial
pathogens
 Indicate the mechanism of pathogenesis of common
bacterial pathogens
Describe the reservoirs mode of transmission
,epidemiology and treatment of common bacterial
pathogens
336
Bacterial infections
Staphylococcus aureus
Streptococcus pyogenes
Streptococcus pneumonia
Clostridium tetani
Clostridium botulinum
Clostridium perfringens
Bacillus anthracis
Bacillus cereus
Neisseria gonnorrhea
Neisseria meningitidis
Haemophilus influenzae
Bordetella pertussis
Escherichia coli
Shigella
Vibrio cholerae
P.areugnosa
Hlicobacter pylori
Campylo bacter jujni
Mycobacterium tuberculosis
Mycobacterium leprae
Treponema pallidium
Borrelia recurrentis
THE GENUS STAPHYLOCOCCUS
337
The genus Staphylococcus contains about forty species and
subspecies
338
But only some of them are important as human pathogens:
 Staphylococcus aureus
 Staphylococcus epidermidis
 Staphylococcus saprophyticus
 Staphylococcus hominis
 Staphylococcus haemolyticus
339
 Gram-positive spherical bacteria that occur in microscopic
clusters resembling grapes.
 Are non motile and do not form spores.
 Are facultative anaerobes.
 The name Staphylococcus is derived from the Greek term
„staphyle“, meaning „a bunch of grapes“.
 The genus Staphylococcus can be divided into two subgroups
(on the basis of its ability to clot blood plasma by enzyme
coagulase)
.coagulase-positive,
.coagulase-negative
339
The genus Staphylococcus...
340
Subgroup of coagulase-positive species contains from human
staphylococci only one species
 Staphylococcus aureus
Other coagulase-positive species are animal staphylococci
 e.g. Staphylococcus intermedius
Subgroup of coagulase-negative species contains from
human staphylococci
 Staphylococcus epidermidis,
 Staphylococcus hominis,
 Staphylococcus haemolyticus,
 Staphylococcus saprophyticus,
 Staphylococcus simulans,
 Staphylococcus warneri and other
341
The three most frequently encountered species of clinical importance
are
 Staphylococcus aureus,
 Staphylococcus epidermidis and Staphylococcus saprophyticus.
Staphylococcus aureus
Morphology
 Gram-positive, spherical cells, mostly arranged in irregular
grape like clusters.
 Polysaccharide capsule is only rarely found on cells.
 The peptidoglycan layer- important in the pathogenesis of
staphylococcal infections(Protein A is the major protein
S .aureus …
342
S aureus is coagulase-positive, which differentiates it
from other species
S. aureus is often hemolytic on blood agar
Are catalase-positive and oxidase-negative
Cultural xcs
 Colonies on solid media are round, regular, smooth,
slightly convex and 2 to 3 mm in diameter after 24h
incubation.
 Most strains show a -hemolysis surrounding the
colonies on blood agar. produce cream, yellow or
orange pigment
Staphylococcus aureus…
343
…
344
Reservoir
 The normal reservoir of S. aureus and S. epidermidis is human
skin.
 S. aureus is carried in nasal cavity of more than 40% healthy
individuals
 Colonization of the umbilical stump, skin and perineal area of
neonates with S. aureus is common.
 Also found in the oropharynx, gastrointestinal and urogenital
tract.
 Staphylococci are also found regularly on clothing, bed linens,
and other fomites in human environments
Resistance patern of s.aureus
345
Like most of medical important non-sporeforming bacteria,
S. aureus is rapidly killed by temperature above 60 C.
S. aureus is susceptible to disinfectants and antiseptics
commonly used.
S. aureus can survive and remain virulent long periods of
drying especially in an environment with pus.
346
Infections
 S. aureus causes disease through the production of toxin or
through direct invasion and destruction of tissue.
 Superficial skin lesions (Direct invasion )
Boils, styes ;an inflamed, suppurative lesion on the eyelid
due to infection
Folliculitis ;(hair follicle lead to tissue necrosis )
furunculosis ;(large areas of the skin are covered in
persistent boils)
deep-seated infections, such as osteo myelitis and
endocarditis
Staphylococcal pneumonia and others
346
Staphylococcus aureus…
347
A major cause of hospital acquired (nosocomial ) infection
of surgical wounds and infections associated with
indwelling medical devices
Stahylococccal intoxications:
Toxic shock syndrome by release of super antigens into
the blood stream
The ability of TSST-1 to penetrate mucosal barriers is
responsible for the systemic effects of TSS.
Staphylococcal scalded skin syndrome (SSSS),
characterized by exfoliative dermatitis, is mediated by
exfoliative toxins.
Food poisoning by releasing enterotoxins into food
348
FIGURE 2. Sites of infection and diseases caused by Staphylococcus aureus
348
Staphylococcus aureus Sites of infection
349
Figure 2 Staphylococcal scalded skin
syndrome. There are large areas of
epidermal loss where bullae have burst
Figure 3 Evidence of staphylococcal
scalded-skin syndrome in a 6-year-old boy
Staphylococcus aureus
350
.
Figure Folliculitis. A superficial
infection shown here localized in
the hair follicles on the leg. The
boils contain creamy-yellow pus
and masses of bacteria.
Staphylococcus aureus is the
most common cause
Staphylococcus aureus
351
Diagnosis
352
Microscopy – smears of clinical materials are stained
according to Gram stian
Cultivation on solid media (agar, usually blood agar)
 Biochemical tests
- catalase test is important in distinguishing streptococci
(catalase-negative) from staphylococci,
 The test is performed by adding 3% hydrogen peroxide to
a colony on an agar plate or slant.
 Catalase-positive cultures produce O2 and bubble at once.
 Coagulase test- s.aureus coagulase positive
353
Treatment
 Hospital acquired infection is often caused by antibiotic
resistant strains
 Many of the community acquired (CA) Staphylococcal
infections are now methicillin resistant
 MRSA can only be treated with vancomycin or an
alternative
Antibiotic treatment based on in vitro susceptibility would
suggest that nafcillin, first or second-generation
cephalosporins, vancomycin, clindamycin, erythromycin,
& fluoroquinolones would be reasonable choices
Staphylococcus aureus
Other staphs
354
 Staphylococcus saprophyticus: - causes urinary tract
infections in sexually active women
 Staphylococcus epidermidis -may cause
endocarditic & bacteremia following infection of
cannulae, indwelling catheters shunts or other
appliances positioned on the body infections is
difficult to treat due to the resistance of S.
epidermidis to many antibiotics
The genus Streptococci
355
 Characters of Streptococci
Gram positive cocci
1µm in diameter
Chains or pairs
Usually capsulated
Non motile
Non spore forming
Facultative anaerobes
Fastidious
Catalase negative (Staphylococci are catalase
positive)
Classification of Streptococci
356
 Streptococci can be classified according to:
 Oxygen requirements
 Anaerobic (Peptostreptococcus)
 Aerobic or facultative anaerobic (Streptococcus)
 Serology (Lanciefield Classification);A to W
 Hemolysis on Blood Agar (BA)
Serology: Lanciefield Classification
 Streptococci classified into many groups from A-K & H-
W
 One or more species per group
 Classification based on C- carbohydrate antigen of cell
wall
 Groupable streptococci
 A, B and D (more frequent)
 C, G and F (Less frequent)
 Non-groupable streptococci
 S. pneumoniae (pneumonia)
 viridans streptococci
 e.g. S. mutans;causing dental carries
357
Streptococci
Group A
S. pyogenes
Group B
S. agalactiae
Group C
S. equisimitis
Group D
Enterococcus
Lanciefield classification
Other groups
(E-U)
Classification of Streptococci Based on Hemolysis on Blood
Agar
358
Hemolysis on BA
– -hemolysis(partial hemolysis)
Green discoloration around the
colonies
e.g. non-groupable
streptococci (S. pneumoniae &
S. viridans)
– -hemolysis
Complete hemolysis
Clear zone of hemolysis
around the colonies
e.g. Group A & B (S. pyogenes
& S. agalactiae)
– -hemolysis;No lysis. e.g. Group
Streptococci
 -hemolysis
 -hemolysis  -hemolysis
Hemolysis on Blood agar
359
-hemolysis
-hemolysis
-hemolysis
Group A streptococci
360
 Include only S. pyogenes
 Group A streptococcal infections affect all ages but peak
incidence at 5-15 years of age
 90% of cases of pharyngitis
Reservoirs ?
 S. pyogenes in nature are the skin and mucous
membranes of humans, and nearly 5% of all people
,regardless of age, carry the organism in their throats
 The baseline streptococcal pharyngeal carriage rate is
roughly 5%
 but reaches rates of 15% to 50% in school-age children in
temperate climates during epidemics of GAS pharyngitis.
Transmission occurs via aerosolized droplets
Pathogenesis and Virulence Factors
361
Structural components
 M protein, which interferes with opsonization and lysis of the
bacteria
 Lipoteichoic acid & F protein adhesion
 Hyaluronic acid capsule, which acts to camouflage the bacteria
Enzymes
 Streptokinases
 Deoxynucleases
 C5a peptidase ? Important for recruitment of phagocytes
Pyrogenic toxins (erythrogenic toxin): that stimulate
macrophages and helper T cells to release cytokines
responsible for rash(scarlet fever &sterptococal Toxic shock
syndrome
Streptolysins(O,S) ;S non antigenic but O is immunogenic
 Streptolysin O lyse red blood cells, white blood cells, and
platelets
facilitate the spread of streptococci through tissues
Disease caused by S. pyogenes
362
 Suppurative
 Non-Invasive
 Pharyngitis (“strep throat”)-inflammation of the pharynx
 Skin infection,
 impetigo (infection of the superficial layers of the skin
 cellulitis (infection of the deep layers of the skin)
 Invasive
 Scarlet fever-rash that begins on the chest and spreads
across the body(due to erythrogenic toxin )is a complication
of streptococcal pharyngitis
 A yellowish-white coating initially covers the tongue and
is later shed, revealing a red(“strawberry tongue”)
Streptococcus pyogenes…
363
Puerperal fever - a septicemia originating in the
infected wound (endometritis )
 occurs when streptococci enter the uterus after delivery,
Non Suppurative
 Rheumatic fever: Life threatening inflammatory disease
that leads to damage of heart valves muscle
 Glomerulonephritits
 Immune complex disease of kidney
 Inflammation of the glomeruli and nephrons which
obstruct blood flow through the kidneys
Streptococcus pyogenes…
364
Figure Impetigo is a condition
limited to the epidermis, with
typically yellow, crusted lesions.
It is commonly caused by
Streptococcus pyogenes either alone
or together with Staphylococcus
aureus.
Streptococcus pyogenes…
365
Figure Erysipelas. Infection
with Streptococcus pyogenes
involving the dermal
lymphatics and giving rise to a
clearly demarcated area of
erythema and induration.
When the face is involved
there is often a typical
'butterfly-wing' rash, as shown
here.
Streptococcus pyogenes…
366
Figure Streptococcal tonsillitis due to group A β-
hemolytic Streptococcus pyogenes with intense
erythema of the tonsils and a creamy-yellow exudate
Streptococcus pyogenes…
367
Figure Scarlet fever. (a) Punctate erythema is followed by
peeling for 2-3 weeks. (b) The tongue is furred at first and
then becomes raw with prominent papillae(strawberry
tongue)
Streptococcus pyogenes…
368
Sources of specimen and Lab diagnosis
 Include a throat swab (avoiding saliva contamination) or swabs
of pus and serous fluid depending on the site of infection and
blood for culture. Testing for ASO antibody in serum is helpful
in diagnosis rheumatic fever.
 Methods
 -Microscopy -Culture -ASO
antibody test
Treatment and prevention
• Penicillin is still uniformly effective in treatment of Group A
streptococcal disease
-Penicillin, erythromycin, tetracycline's etc…
 No effective vaccine has been produced, but specific M-
protein vaccines are being tested
Streptococcus agalactiae
369
 Morphologically similar to S. pyogenes
 Are gram positive cocci, occurring in short chains but also
in pairs and single.
 Non- motile
 Most strains contain capsule
Pathogenecity
 Cause meningitis, neonatal sepsis, and pneumonia in
neonates;
 Adults may experience vaginitis, puerperal fever, urinary
tract infection, skin infection, and endocarditis.
 S. agalactiae forms part of the normal microbial flora of the
female genital tract. Occasionally it caused neonatal
septicemia and meningitis
Lab. Diagnosis and treatment ; similar as S. pyogenes.
370
 Gram-positive, lancet-shaped cocci (elongated cocci with
a slightly pointed outer curvature)
 Usually seen as pairs of cocci (diplococci), but they may also
occur singly and in short chains
 The cells are surrounded by a thick capsule.
 The capsule protects the pathogens from phagocytosis and
is the most important determinant of pneumococcal
virulence.
 Un encapsulated variants are not capable of causing
disease.
Streptococcus pneumoniae
371
372
Are fermentative aero tolerant
anaerobe
 On blood agar, colonies
characteristically produce a
zone of alpha (green)
hemolysis, which differentiates
S. pneumoniae from the group
A (beta hemolytic)
streptococcus
Streptococcus pneumoniae
373
Reservoir
 Colonizes the nasopharynx of 40% of healthy adults
and children with no adverse effects
 Pneumococcal infections usually arise from this normal
flora (endogenous infections).
 children between 6 months and 4 years of age and
adults over 60 years of age are most commonly at risk.
 Virtually every child will experience pneumococcal
otitismedia before the age of 5 years.
374
Pathogenesis
 The most important pneumococcal infections are lobar
pneumonia and bronchopneumonia.
 known as the pneumococcus, referring to its morphology
and its consistent involvement in pneumonia
 It is the leading cause of pneumonia in all ages (particularly
the young and old)
 Also causes otitis media, sinusitis, meningitis, and corneal
ulcer
Lab diagnosis
 Sources of specimens:-Depending on the site of infection
specimens include sputum, exudates, blood for culture and
CSF.
Method
1.Microscopy
2. Culture
3. Direct detection of pneumococcal antigen in body fluids
S . pneumoniae
375
Treatment
 Since pneumococci are sensitive to many antimicrobial
drugs, early treatment usually results in rapid recovery
 Penicillin G is the drug of choice at higher dose
 Some penicillin-resistant strains are resistant to cefotaxime
 Resistance to tetracycline and erythromycin occurs also
 Pneumococci remain susceptible to vancomycin
Enterococcus species
376
 Are gram positive cocci occurring in pairs or short chains
.They are non-capsulated and the majorities are non- motile.
Pathogenicity
 E. faecalis (formerly classified S. faecalis) is the main
pathogen in the genus enterococcus causing about 95% of
enterococcal infections including ;
 Urinary tract, biliary tract, ulcers, wounds, endocarditic or
meningitis.
 It is a normal commensal of the vagina and intestinal tract
Lab. diagnosis
1.Microscopy
2.Culture
Treatment
 Most enteroccocci are sensitive to ampicillin and resistant to
cephalosporin
The genus Clostridium
377
 Large Gram positive
 Straight or slightly curved rods with slightly rounded ends
 Anaerobic bacilli
 Spore bearing
 Saprophytes
 Their natural habitat is the soil or the intestinal tract of
animals and humans
 Causes diseases such as gas gangrene, tetanus, botulism &
pseudo-membranous colitis
Clostridia of medical importance
378
Clostridium
Causes
Tetanus
e.g. Cl.tetani
Gas
gangrene
Botulism
e.g. Cl.botulinum
Saccharolytic
e.g. Cl.perfringens &Cl.septicum
Proteolytic
e.g. Cl.sporogenes
ِAntibiotic associated
diarrhea
e.g. Cl.difficille
Mixed: Cl.histolyticum
A gram stain of a Clostridium species
with terminal spores
379
Clostridium Causing Tetanus
Cl. tetani
380
 Gram positive, straight, slender rod with
rounded ends
 All species form endospore (drumstick
with a large round end)
 Fermentative
 Obligate anaerobe
 Motile by peritrichous flagella
 Spores are highly resistant to adverse
conditions
 Iodine (1%) in water is able to kill the
spores within a few hours
Tetanus
381
 Clostridium tetani
 Common resident of soil and GI tracts of animals
 Causes tetanus or lockjaw, a neuromuscular disease
 Most commonly among geriatric patients and IV drug
abusers; neonates in developing countries
Pathology
382
 Spores usually enter through accidental puncture wounds,
burns, umbilical stumps(tetanus neonatrum), and crushed
body parts.
 Anaerobic environment is ideal for vegetative cells to grow
and release toxin.
 Specifically, tetanospasmin inactivates proteins that
regulate release of the inhibitory neurotransmitters glycine
and gamma-aminobutryic acid (GABA).
 This leads to unregulated excitatory synaptic activity in the
motor neurons, resulting in spastic paralysis
 Death most often due to paralysis of respiratory muscles
383
384
Laboratory Diagnosis of Tetanus
385
 Primarily upon the clinical manifestation of
tetanus including muscle spasm and rigidity.
 Specimen: Wound exudates using capillary tube
 Culture:
 On blood agar and incubated anaerobically
 Growth appears as a fine spreading film.
 Gram stain is a good method for identifying
Clostridium
 Cl. tetani is Gram positive rod with a round terminal
spore giving a drumstick appearance
386
Figure Clostridium tetani with terminal spores
Clostridium tetani
Treatment and Prevention
387
 Proper care of wounds contaminated with soil
 Prophylactic use of antitoxin
 Treatment aimed at deterring degree of toxemia and
infection
 use of penicillin or metronidazole to kill the bacteria and
reduce toxin production
 Antitoxin therapy with human tetanus immune globulin;
inactivates circulating toxin but does not counteract that
which is already bound
 Control infection with penicillin or tetracycline; and muscle
relaxants
 Vaccine available; booster needed every 10 years
Clostridial Food Poisoning
388
 Clostridium botulinum – rare but severe intoxication
usually from home canned food
 Clostridium botulinum – mild intestinal illness; second
most common form of food poisoning worldwide
 Food borne botulism is not an infection, but an
intoxication due to toxin is ingested with food
 The most common foods include : spiced, smoked,
vacuum-packed, or canned alkaline foods that
are eaten without cooking
Botulinum Food Poisoning
389
 Botulism – intoxication associated with inadequate
food preservation
 Clostridium botulinum – spore-forming anaerobe;
commonly inhabits soil and water
Pathogenesis
390
 Spores are present on food when gathered and processed.
 If reliable temperature and pressure are not achieved air
will be evacuated but spores will remain.
 Anaerobic conditions favor spore germination and
vegetative growth.
 Potent toxin, botulin, is released.
 Toxin is carried to neuromuscular junctions and blocks the
release of acetylcholine, necessary for muscle excitation
to occur(uncontrolled contraction)
 Double or blurred vision, difficulty swallowing,
neuromuscular symptoms
391
Infant and Wound Botulism
392
 Infant botulism – caused by ingested spores that
germinate and release toxin; flaccid paralysis
 Honey is the only known dietary reservoir of C.
botulinum spores linked to infant botulism.
 For this reason honey should not be fed to infants
less than one year of age
 Wound botulism – spores enter wound and cause
food poisoning symptoms
Treatment and Prevention
393
 Emptying the stomach by gastric lavage or induction
of vomiting with syrup( if the suspected food
ingestion was recent (within 1 hour).
 It should not be attempted if neurological
symptoms are already present.
 Administer antitoxin; cardiac and respiratory
support
 Infectious botulism treated with penicillin
 Practice proper methods of preserving and handling
canned foods; addition of preservatives.
maintaining food at acid pH
storing food at less than 4°C
Clostridium difficile-Associated Disease
(CDAD)
394
 Normal resident of colon, in low numbers
 Causes antibiotic-associated colitis (pseudomembranous
Colitis)
 Relatively non-invasive; treatment with broad-spectrum
antibiotics kills other bacteria, allowing C. difficile to
overgrow
 Produces enterotoxins that damage intestines
 Major cause of diarrhea in hospitals
 Increasingly more common in community acquired diarrhea
Clostridium diffcile pseudomembranous colitis. The plaques
(arrows) on the surface of the intestinal
mucosa (A) are composed of inflammatory cells and platelets (B).
395 A B
Treatment and Prevention
396
 Mild uncomplicated cases respond to fluid and
electrolyte replacement and withdrawal of antimicrobials.
 Severe infections treated with oral vancomycin or
metronidazole
 Increased precautions to prevent spread
Clostridium perfringens
397
 Large Gram-positive bacilli with stubby ends
 Capsulated
 Non motile (Cl. tetani is motile)
 Anaerobic
 Grown quickly on selective media
 The most common cause of Gas gangrene or
clostridial myonecrosis
 Spores found in soil, human skin, intestine, and vagina
398
 Infection is due to contamination of traumatized tissues
 Infection develops in areas of the body with poor blood
supply (anaerobic)
 The organisms multiply in the subcutaneous tissues,
producing gas and anaerobic cellulitis
Predisposing factors – surgical incisions, compound
fractures, diabetic ulcers, septic abortions, puncture
wounds, gunshot wounds
Clostridium perfringens…
Virulence Factors
399
Toxins
  toxin (phospholipase C, lecithinase) is the most
important toxin
 Lyses of RBCs, platelets, leucocytes and endothelial
cells
 Hepatic toxicity and myocardial dysfunction
 -toxin is responsible for necrotic lesions in necrotizing
enterocolitis
 Enterotoxin is heat labile toxin produced in colon →
food poisoning
 Collagenase
 hyaluronidase
 DNase
Pathology
400
 Not highly invasive; requires damaged and dead tissue
and anaerobic conditions
 Spore germination, vegetative growth and release of
exotoxins, and other virulence factors.
 Fermentation of muscle carbohydrates (saccrolytic) results
in the formation of gas and further destruction of tissue
(gas gangrene)
Clinical disease
401
Soft-Tissue Infections
Cellulitis: localized edema and erythema with gas formation in the
soft tissue; generally non painful
Suppurative myositis: accumulation of pus (suppuration) in the
muscle planes without muscle necrosis or
systemic symptoms
Myonecrosis:
 Painful, rapid destruction of muscle tissue; systemic spread with
high mortality
Gastroenteritis
 Food poisoning: rapid onset of abdominal cramps and watery
diarrhea with no fever, nausea, or vomiting; short duration and
self-limited
Necrotizing enteritis:
 Acute, necrotizing destruction of jejunum with abdominal pain,
vomiting, bloody diarrhea, and peritonitis
402
403
Laboratory Diagnosis
404
Specimen: Histological specimen or wound exudates
used immediately for microscopic examination & culture
Specimens of exudates should be taken from the deeper
areas of the wound
Microscopic examination (Gram, Spore stain etc)
Gram-positive bacilli, non motile, capsulated & sporulated
The spore is oval, sub-terminal & non bulging
Spores are rarely observed
Culture: Anaerobic ally at 37C
On Robertson's cooked meat medium → blackening of
meat will be observed with the production of H2S and
NH3
On blood agar → β-hemolytic colonies
Treatment and Prevention
405
 Immediate cleansing of dirty wounds, deep wounds,
 Debridement of diseased tissue
 Large doses of cephalosporin or penicillin
 Hyperbaric oxygen therapy
 No vaccines available
The genus Bacillus
406
 Very large, Gram-positive, spore forming rod
 Ubiquitous in nature (soil, water, and airborne dust).
 Some species are natural flora in the human intestines
 Form oval spores located centrally
 Most species of Bacillus are harmless saprophytes but two
species are considered medically significant
B. anthracis
B. cereus
407
Bacillus anthracis
 Large, gram-positive, non-motile
rod,non hemolytic
 Two forms
 Vegetative $ spore form
 Over 1,200 strains
 Nearly worldwide distribution
 primarily infects herbivores, with
humans as accidental hosts
408
Spore
 Sporulation requires:
 Poor nutrient conditions
 Presence of oxygen
 Spores
 Very resistant
 Survive for decades
 Taken up by host and germinate
 Lethal dose 2,500 to 55,000 spores
Pathogensis
409
 Causes anthrax in cows, sheep, and sometimes humans
 Anthrax is transmitted to humans via direct contact with
animal products or inhalation of endospores
 Sources of infection are usually industrial or agricultural and
the infection is classified as one of three types
 Cutaneous infection (95% of human cases)
 Inhalation anthrax (rare ) Bioterorrism
 Gastrointestinal anthrax (very rare!)
410
Cutaneous anthrax: most common(95%)
 usually acquired via injured skin
 spores from the soil or a contaminated animal or carcass
inoculated
 Death results from respiratory failure and anoxia caused
by actions of the toxin on the central nervous system
Papule  vesicle  ulcer  scar
Case fatality rate 5 to 20%
Untreated – septicemia and death
411
412
Pulmonary anthrax (wool sorters' disease)
 Results from inhalation of spore-containing dust where
animal hair or hides are being handled.
 Spore germinate in the lung and spreads leads to a fatal
septicemia or meningitis
 The most serious form of disease
 progresses rapidly to a systemic hemorrhagic pathology
and is often fatal
 Case fatality: 75 to 90% (untreated)
413
Gastrointestinal anthrax
 analogous to cutaneous anthrax but occurs on the
intestinal mucosa
 organisms invade the mucosa through a preexisting lesion
 results from the ingestion of poorly cooked meat from
infected animals (common in herbivores)
 Case fatality: 25 to 75%
414
Virulence factor of B. anthracis
Two major determinants of virulence
 Poly-D-glutamyl capsule &
 Anthrax Toxin
The toxin has three parts
Factor I is the edema factor (EF):
 edema producing activity of the toxin.
 increases adenylate cyclase that increases intracellular
cyclic adenosine monophosphate (cAMP) levels, resulting in
edema
Factor II is the protective antigen (PA)
 induce protective antitoxic antibodies in guinea pigs.
Factor III is the lethal factor (LF)
 is essential for the lethal effects of the anthrax toxin
 Bacillus can be used for bio terrorism
415
Treatment
 Antibiotics should be given to unvaccinated individuals
exposed to inhalation anthrax
 Penicillin, tetracyclines and fluoroquinolones are effective if
administered before the onset of lymphatic spread or
septicemia, estimated to be about 24 hours
 Antibiotic treatment is also known to lessen the severity of
disease in individuals who acquire anthrax through the skin
Bacillus cereus
416
 Spore-forming, motile gram-positive rods, Ubiquitous in soils
World wide
 Heat-stable and heat-labile enterotoxin
 Tissue destruction is mediated by cytotoxic enzymes, including
cereolysin and phospholipase C
pathogenesis
Gastroenteritis:
 emetic form characterized by a rapid onset of vomiting and
abdominal pain and a short
 duration; diarrheal form characterized by a longer onset and
duration of diarrhea and abdominal cramps
Ocular infections:
 rapid, progressive destruction of the eye after traumatic
introduction of the bacteria into the eye
B.cereus…
417
Severe pulmonary disease
 severe anthrax-like pulmonary disease in
immunocompetent patients
Diagnosis
 Isolation of the organism in implicated food product or
nonfecal specimens (e.g., eye, wound)
Treatment, Prevention, and Control
 Gastrointestinal infections are treated
symptomatically(supportive)
 Ocular infectious or other invasive diseases require
removal of foreign bodies and treatment with
vancomycin, clindamycin, ciprofloxacin, or gentamicin(
NB resistant to beta lactams)
proper preparation of food (e.g., foods should be
Corynebacterium diphtheriae
418
 Gram-positive, facultative anaerobic non-motile, non-
sporulated, rod-shaped.
 Most do not cause disease, but are part of normal human skin
flora
 C. diphtheriae is a Pleomorphic; often appear in cluster, joined
at angles like Chinese letters.
Pathogenicity
 Nasal, nasopharyngeal and tonsillar diphtheria especially in
young children often there is marked edema of the neck
 infection is by inhaling respiratory droplets.
 It has produce a powerful exotoxin that is absorbed through
the damaged mucous membrane into blood circulation
C. diphtheriae…
419
 The toxin can cause toxemia with fatal cardiac and neural
complications.
 At the site of infection there is an acute inflammatory response
which leads to the formation of a grey -Yellow membrane which
becomes necrotic at a later stage.
 If this membrane extends down wards to the larynx it can block
the passage of air and caused death.
Clinical Diseases
Diphtheria an URT illness
• Ip of 2-to-6 days.
 Is a rapidly developing ,acute ,febrile infection which involves
both local and systemic pathology.
 Characterized by sore throat, low-grade fever ,and an adherent
membrane of the tonsil(s),pharynx, and/or nose.
Dyspnea; because of the obstruction caused by the
pseudo membrane
In addition, any attempt to remove pseudo membrane,
expose and tears the capillaries and results in bleeding.
420
421
Cutaneous (skin) diphtheria ;which usually develops
when C. diphtheria infects open wounds.
 Note: In many developing countries there is a high
prevalence of skin diphtheria especially in rural area
this provides immunity to diphtheria early in life and
is thought to account for the low incidence of throat
diphtheria in some areas.
Lab diagnosis
1. Microscopy 2. Culture
Treatment
 Antitoxic serum therapy is the primary treatment and
it must commence as soon as possible if diphtheria
is suspected. This treatment is supplemented by
administration of penicillin or erythromycin or
vancomycin
 Prevention; DPT vaccine
Listeria monocytogenes
422
 Is a gram positive non-capsulated small rod or coccobacillus
which often stains unevenly and is easily decolorized.
 Non -motile or weakly Motile At 35-370c but at low temperature
(18- 220c ) are actively motile .
 Grow in aerobic condition.
Pathogenicity
 Causes meningitis and septicemia mainly on neonates, pregnant
women the elderly and immuno suppressed persons.
 Listeriosis in pregnancy may lead to abortion and stillbirth
common sources of infection are contaminated meats chicken
soft cheese and vegetables.
Lab. diagnosis
1. Microscopy 2. Culture
Treatment
 Ampicillin, penicillin (less effective), tetracycline, kanamycin and
Gentamicin, combination of ampicillin and Gentamicin
(aminoglycoside).
423
GENUS NEISSERIA
Neisseriae are non-spore-forming ,gram-ve cocci
that usually occur in pairs, bean shaped
 Strictly aerobic, Oxidase +ve, catalase +ve, Non-motile,
Carbohydrates ferment
 are only human pathogen and don't cause natural
infection in other animals.
 Fastidious, requiring complex media for growth.
 The outer membrane is composed of proteins,
phospholipids, and lipo polysaccharide (LPS).
424
 fragile, susceptible to temperature changes, drying, uv light,
fatty acids and other environmental conditions
 Neisseria contains two important human pathogens
 N. gonorrhoeae: gonorrhea
 N. meningitidis: meningococcal meningitis
 N .gonorrhoeae infections have a high prevalence and low
mortality,
 N .meningitidis infections have a low prevalence and high
mortality.
 are closely related, with 70% DNA homology
 and are differentiated by a few laboratory tests and specific
characteristics
Differential Characteristics
N. Meningitides N. Gonorrhoea
1. Intracellular (PMNL) Extracellular or intracellular
2. Polysaccharide capsule Capsule not present
3. Rarely have plasmids Have plasmids
4. Glucose, Maltose, utilised
by oxidation
Only Glucose utilised
5. Produces meningitis Venereal infection and
neonatal eye infection
425
426
N. gonorrhea
 Gram-negative coccus, 0.6 to 1.0 µm in diameter,
usually seen in pairs
427
Antigenic Structure
 N. gonorrhea is antigenic ally heterogeneous and
capable of changing its surface
 pili (Fibriae)
 Por protein,
Infections caused by N. gonorrhea
 Limited to superficial mucosal surfaces lined with
columnar epithelium.
 Most frequently involves the urethra, cervix, rectum,
pharynx, conjunctiva , and vaginal epithelium may be
infected.
 therefore, gonorrhea in young girls may present as
vulvo-vaginitis, sterility may occur
428
 In the adult male, the disease involve the mucous membrane of
anterior urethra.
 the most common Clinical manifestations
 yellow or creamy discharge and dysuria after 2-to-5 days.
 Intense burning and pain upon urination.
 ~ 95% of infected men have acute symptoms.
 the primary site of infection in women is Endocervix
 Characterized by vaginal discharge, dysuria and abdominal
pain.
 about 50% of women are asymptomatic
429
• asymptomatic males though small they are
 important reservoirs
 are at high risk of developing complications.
 in the males, the organism may invade:
 the prostate (prostatitis), the testicles (orchitis)
 in the female, may extend
 the fallopian tubes (salpingitis)
 the ovaries (ovaritis)
 10%- 20% women with uncomplicated cervical infections
may develop pelvic inflammatory disease (PID).
Purulent conjunctivitis (Ophthalmia
neonatorum)
430
 Ocular infections (ophthalmia neonatorum)
 occur most commonly in newborns that are exposed to
infected secretions in the birth canal
characterized by a sticky discharge
clinical manifestations are acute and begin 2 to 5 days
after birth
1% silver nitrate eye drops (or ophthalmic preparations
containing erythromycin or tetracycline) are used as a
prophylactic agent
N. gonorrhoeae Infections
431
Figure Gonococcal ophthalmia neonatorum. Signs appear 2-5
days after birth. The inflammation and edema are more severe
than with chlamydia infection.
432
Treatment
 Gonococci developed resistance to penicillin,
fluoroquinolones & tetracycline
 Recommended treatments are
 Ceftriaxone, intramuscularly as a single dose
 doxycycline, orally twice a day for 7 days
433
Neisseria meningitidis (Meningococcus)
 identical in staining and morphological characteristics to N.
gonorrhoeae; normal flora of nose
 but N. meningitidis has polysaccharide capsule for anti
phagocytosis
 Humans are the only known hosts 13 serotypes but serotype
A,B,C,Y and W135 causes most of the infection
 Meningococcal LPS( endo toxin) is responsible for fever &
shock the toxic effects found in meningococcal disease
 IgA protease helps in adherence to membranes of the URT.
 Meningitis: inflammation of the meninges of the brain or
spinal cord
434
Meningococcal meningitis
the meninges are inflamed, with thrombosis of blood
vessel
the onset of meningococcal meningitis is sudden with a
sore throat, headache, drowsiness
 signs of meningitis include fever, irritability, neck
stiffness and photophobia
Epidemics are caused mainly by strains of sero group A,
sometimes by B strains as well and, more rarely, by
group C strains.
435
Treatment
 Penicillin G is the drug of choice
 Either chloramphenicol or a third-generation
cephalosporin (cefotaxime or ceftriaxone) is used in
persons allergic to penicillins.
Epidemiology, Prevention, & Control
 Meningococcal meningitis occurs in epidemic waves
(eg, in military encampments, and in sub-Saharan
Africa)
 Five to 30% of the normal population may harbor
meningococci
 Vaccine for groups A, C, Y, and W-135 are the capsular
polysaccharides
 group B vaccines with mixtures of antigens
436
The sub-Saharan Africa
“meningitis belt.”
437
Genus Bordetella
 are gram-negative pleomorphic aerobic bacilli
 there are several species of bordetella
 Bordetella pertussis causes whooping cough (pertussis)
 Bordetella parapertussis; cause milder form of whooping cough
 but they differ in that B. parapertussis does not produce
pertussis toxin
 Bordetella bronchi septica, responsible for in occasional
respiratory disease in human
Bordetella holmesii, an uncommon cause of sepsis
 infection is acquired by aerosol droplet during close exposure to a
person with active infection
438
CLINICAL MANIFESTATIONS
 infection is acquired by aerosol droplet during close
exposure to a person with active infection
Catarrhal phase: after an averaging IP of 7 to 10 days, an
illness develops that is indistinguishable from common
cold
 characterized by coryza, lacrimation, mild cough, low-
grade fever, and malaise
 During this stage, large numbers of organisms are
sprayed in droplets, and the patient is highly infectious
but not very ill.
439
 after 1 to 2 weeks, the catarrhal phase develop into the
paroxysmal phase:
 the cough develops its explosive character and the
characteristic "whoop" upon inhalation.
 more frequent and spasmodic with repetitive bursts of 5 to
10 coughs
 which leads to rapid exhaustion and may be associated
with vomiting, cyanosis, and convulsions.
Convalescence stage; at this time, the paroxysms diminish in
number and severity, but secondary complications can
occur
440
Treatment
 erythromycin during the catarrhal stage promotes
elimination of the organisms
 treatment after onset of the paroxysmal phase rarely
alters the clinical course.
Epidemiology & Control
 endemic in most densely populated areas worldwide.
 Communicability is high, ranging from 30% to 90%.
 most cases occur in children under age 5 years
control mainly on adequate active immunization of all
infants
 Prevention: pertussis vaccine, usually combination
Brucella
441
Biology, Virulence, and Disease
 Very small gram-negative cocco bacili
 Strict aerobe; non fermenter
 Requires complex media and prolonged incubation for in
vitro growth
 Intracellular pathogen that is resistant to killing in serum
and by phagocytes
Brucellosis
 initial nonspecific symptoms of malaise, chills, sweats,
fatigue, myalgias, weight loss, arthralgias, and fever; can be
intermittent (undulant fever);
 can progress to systemic involvement (gastrointestinal
tract, bones or joints, respiratory tract, other organs)
Brucella…
442
 Zoon tic disease( animal are like goats and sheep
(Brucella melitensis);cattle (Brucella abortus);and dogs and foxes
(Brucella canis) are the reservoirs
 individuals at greatest risk for disease are people who consume
unpasteurized dairy products, people in direct contact with
infected animals, and laboratory workers
Diagnosis
Microscopy is insensitive
Culture (blood, bone marrow, infected tissue if localized infection)
Serology
 fourfold increase in titer or single titer ≥1:160; high titers can
persist for months to years can be used to confirm the clinical
diagnosis
Brucella…
443
Treatment, Prevention, and Control
 Recommended treatment is doxycycline combined
with rifampin for a minimum of 6 weeks for non
pregnant
adults;
 trimethoprim-sulfamethoxazole for pregnant women
and for children younger than 8 years
 Human disease is controlled by eradication of the
disease in the animal reservoir through vaccination
444
Genus haemophilus
 Small, pleomorphic, gram-negative bacilli or
coccobacilli
 facultative anaerobes or fermentative.
 require enriched media, blood or its derivative.
 X factor (i.e., hemin) and/or V factor (NAD or NADP).
 Haemophilus influenzae type b is an important
human pathogen
 Haemophilus ducreyi, a sexually transmitted
pathogen, causes chancroid
 Other species are among the NF of mucous
membranes and only occasionally cause disease.
445
Haemophilus influenzae
 grow both aerobically and anaerobically.
 aerobic growth requires: hemin (X factor) and NAD (V factor).
 based on antigenically distinct polysaccharide capsules six
major serotypes identified, designated a–f.
 some strains lack a polysaccharide capsule and are referred
to as nontypable strains.
 subtype b (Hib) cause over 90% of all invasive infections
446
EPIDEMIOLOGY
 H. influenzae is the NF of nasopharynx
 spreads by the airborne or direct contact person to
person.
 Non encapsulated strains are frequently found in the
URT.
 up to 3/4 of healthy adults
 Carriage of Hib can occur up to 30% of children in
developing countries
 Hib causes bacteremia, meningitis, epiglottitis,
pneumonia , placentitis and peripartum septicemia in
mothers.
447
Clinical disease
448
Treatment
Chloramphenicol
Third-generation cephalosporins, such as ceftriaxone or
cefotaxime, are effective
Tetracyclines and sulfa drugs remain effective in treating
sinusitis or respiratory infection caused by nontypable H.
influenzae
449
Haemophilus ducreyi
 H. ducreyi is a highly fastidious coccobacillary gram-negative
bacterium whose growth requires X factor (hemin).
 a leading cause (along with syphilis and herpes simplex virus)
of genital ulcers.
 grows best on media supplemented with
 vitamins
 vancomycin to inhibit growth of gram-positive organisms
 charcoal to absorb toxic substances.
450
Epidomolgy
 spread only through sexual contact.
 the organism has no known reservoir other than persons
with ulcers
Disease
 Chancroid (soft chancre)
 an ulcerating disease characterized by multiple lesions
on the genitalia.
 H. ducreyi does not cause systemic, invasive infection.
 the ulcers are usually painful, often quite superficial
 about 40% of patients associated with inguinal
lymphadenitis.
Treatment
 intramuscular ceftriaxone, oral trimethoprim-
sulfamethoxazole, or oral erythromycin often results in
healing in 2 weeks.
PREVENTION
 Primary prevention strategies
Family Enterobacteriaceae
451
 Large family of bacteria found the colon of humans
and animals.
 a number of genera are human intestinal pathogens
(e.g. Salmonella, Shigella, Yersinia).
 others are NF of the human GI tract (e.g. Escherichia,
Enterobacter, Klebsiella),- may occasionally be
associated with diseases of humans.
452
General characteristics
 Gram-negative, rod-shaped bacteria,
 Some motile by peritrichous flagella
are catalase-positive
facultative anaerobes
ferment glucose & produce acid and gas
(fermentation of other sugars varies)
oxidase negative
453
Antigenic Structure
 Enterobacteriaceae have a complex antigenic
structure.
 heat-stable somatic O (lipopolysaccharide) Ag
 heat-labile K (capsular) antigens
 H (flagellar) antigens
454
455
Genus Escherichia
Pathogenic E. coli
 the major aerobic organism of the normal intestinal
flora, with around 106–8 colony-forming units (CFU) per
gram of stool
 the anaerobic Bacteroides species in the bowel out
number E. coli by at least 20:1
 the human bowel is usually colonized within 40 hours
of birth
456
Pathogenesis
 responsible for three types of infections in humans:
 urinary tract infections (UTI)
 neonatal meningitis
 E coli-Associated Diarrheal Diseases
Urinary tract infections
 Uropathogenic E. coli cause 90% of the UTI
 the bacteria colonize from the feces or perineal region
and ascend the UT to the bladder.
 bladder infections are 14-times more common in
females than males by virtue of the shortened urethra.
457
Neonatal meningitis
 affects 1/2,000-4,000 infants
 E. coli strains invade the blood stream of infants from the
naso pharynx or GI tract and are carried to the meninges
 E coli and group B streptococci are the leading causes of
meningitis in infants
E coli-Associated Diarrheal Diseases
 E. coli is best known for its ability to cause intestinal
diseases.
 Five classes (virotypes) of E. coli that cause diarrheal
diseases are recognized:
E coli-Associated Diarrheal Diseases
458
 Enterotoxigenic E. coli (ETEC)
 Enteroinvasive E. coli (EIEC)
 Enterohemorrhagic E. coli (EHEC)
 Enteropathogenic E. coli (EPEC)
 and Enteroaggregative E. coli (EAggEC
459
Entero toxigenic E. coli (ETEC)
 common cause of "traveler's diarrhea" and a very
important cause of diarrhea in infants in developing
countries
 the diseases vary from minor discomfort to a severe
cholera-like syndrome.
 acquired by ingestion of contaminated food and water .
The disease process is :
 colonization (but noninvasive)
 and elaboration of enterotoxins.
 produce enterotoxins LT (heat-labile) toxin and/or the
ST (heat-stable) toxin
Entero invasive E. coli(EIEC)
460
 closely resemble Shigella in their pathogenic mechanisms
and the kind of clinical illness they produce.
 EIEC penetrate and multiply within epithelial cells of the
colon causing widespread cell destruction.
 The clinical syndrome is identical to Shigella dysentery and
includes a dysentery like diarrhea with fever.
 are invasive organisms ??
 They do not produce LT or ST toxin and, unlike Shigella,
they do not produce the shiga toxin.
 They possess specific adhesions for penetration of the
intestinal epithelium
 READ about the remaining serotypes (EHEC,EPE
&EAggEC
461
Treatment
 no single specific therapy is available.
 sulfonamides, ampicillin, cephalosporins,
fluoroquinolones, and aminoglycosides
 variation in susceptibility is great, and laboratory tests
for antibiotic sensitivity are essential.
 Multiple drug resistance is common
462
Shigella and Shigellosis
 Shigellae are gram-negative, non motile, non-spore forming,
rod-shaped bacteria, very closely related to Escherichia coli.
 there are four species of Shigella:
 Shigella dysenteriae, Shigella flexneri, Shigella boydii, and
Shigella sonnei.
 a very small inoculums (10 to 200 organisms) is sufficient to
cause infection.
 epidemics may be food borne or waterborne.
463
Pathogenesis
 Shigella species cause bacillary dysentery or shigellosis
with S. dysenteriae
 Shigella infects only humans Transmission is mainly by
the faecal-oral route with poor sanitation, unhygienic
conditions, flie etc.
 Shigella dysenteriae produces shigatoxin which
contributes to the colonic epithelial damage, the small
intestine -diarrhea with watery stools at the onset of
shigellosis
 Diarrhea, abdominal cramping, tenesmus, stool
frequently contains blood and mucus
464
Lab diagnosis
1, Microscopy
2. Culture
Treatment
 Nalidixic acid, Fluoroquinolones,
Azithromycin,Trimethoprim-sulfamethoxazole and
Ampicillin.
 Losses of water and electrolytes may have to be
replaced.
 Vaccines are not currently available, but some promising
candidates are being developed.
Salmonella and salmonellosis
465
 Salmonella is a Gram-negative facultative rod-shaped
bacteria
 are actively motile , non- sporing and with the exception S.
typhi non –capsulate.
 live in the intestinal tracts of warm and cold blooded animals.
 The most complex genus in the family Entero bacteriaceae
 Infection is by ingesting the organism in contaminated food
or water or from contaminated hands (S. typhi is mainly water
borne, S. paratyphi is mainly food borne)
466
Pathogenesis & Clinical Findings
 Salmonellosis includes several syndromes
 enteric fever: S typhi, S paratyphi-A
 septicemia or focal infections: S. choleraesuis
 Gastroenteritis: S typhimurium and S. enteritidis
 however, any serotype can produce any of the syndromes
Enterocolitis
 is the most common manifestation of salmonella infection.
 mainly caused by S. typhimurium and S. enteritidis, but can be
caused by any of group I serotypes of salmonella
 the stools may contain , blood, and mucus.
467
"Enteric Fevers" (Typhoid Fever)
 S. typhi, S. paratyphi-A, and S. schottmuelleri
 systemic spread of the organisms
 release endotoxin, responsible for cardiovascular “collapsus”
 fever, malaise, headache, constipation, bradycardia(slow heart
beat), and myalgia occur after 10–14 days of IP
 spleen and liver become enlarged.
 rose spots, usually on the skin of the abdomen or chest, are
seen in rare cases.
Epidemiology
 Contaminated food is the major mode of transmission for
non-typhoidal salmonellae
 salmonellosis is a zoonosis and has an enormous animal reservoir
(chickens, pigs, and cows etc.)
Epidemiology…
468
 typhoid fever and other enteric fevers primarily involves
person-to-person spread because these organisms lack
a significant animal reservoir.
 Contamination with human feces is the major mode of
spread, and the usual vehicle is contaminated water.
 asymptomatic human carrier state exists for the agents
of either form of the disease.
 ~ 3% of persons infected with S. typhi and 0.1% of
infected with non-typhoidal salmonellae become
chronic carriers
469
Lab diagnosis
1.Microscopy
2. Culture-
 Blood - organisms can usually be detected in 75-90% of
patients during the first ten days of infection, and in about
30% of patients during the third week
3.Widal test (serology) - Testing for the presence of
salmonella antibodies in a patients serum
Treatment
 Replacement of fluids and electrolytes is essential in
severe diarrhea
 ampicillin, trimethoprim-sulfamethoxazole, or a third-
generation cephalosporin in case of invasive salmonella
infections
Genus Vibrio
470
 Highly motile by a single polar flagellum, facultative anaerobe,
curved gram-negative rods, oxidase-positive.
 Except for V. cholerae and V. mimicus, all are halophilic (require
2-3% NaCl or a sea water base for optimal growth)
 V. cholerae and V. parahaemolyticus are important humans
pathogens.
 Both produce diarrhea, but in ways that are entirely different.
 V. parahaemolyticus is invasive affecting primarily the colon
 V. cholerae is noninvasive, affecting the small intestine
through secretion of enterotoxin.
Medically Important Vibrios
Organism Human Disease
V. cholerae sero groups O1
and O139
Epidemic and pandemic
cholera
V. cholerae sero groups
non-O1/ non-O139
Cholera-like diarrhea; mild
diarrhea; rarely, extra
intestinal infection
V. parahaemolyticus Gastroenteritis, perhaps extra
intestinal infection
Others
V. mimicus, V. vulnificus, V.
hollisae, V. fluvialis, V.
damsela, V. nginolyticus, V.
Ear, wound, soft tissue, and
other extra intestinal
infections, all uncommon
471
472
Vibrio cholerae
 Cholera is a diarrheal illness caused by Vibrio cholerae O1
(and less often by sero group (O139)
Clinical Findings
 about 60% of infections with classic V. cholerae are
asymptomatic,
 after IP of 1–4 days, there is a sudden onset of nausea and
vomiting and profuse diarrhea with abdominal cramps.
 Stools, which resemble "rice water," contain mucus, epithelial
cells, and large numbers of vibrios
 rapid loss of fluid and electrolytes, leads to profound
dehydration, circulatory collapse, and anuria.
 if untreated, mortality rate reach between 25% and 50%.
473
Rice water stool in cholera
474
Treatment
Cholera is simple to treat; only the rapid and adequate replacement of
fluids, electrolytes, and base (ORS) is required.
Although not necessary for cure, the use of an antibiotic to which the
organism is susceptible will diminish the duration and volume of fluid
loss and will hasten clearance of the organism from the stool.
Single-dose tetracycline (2 g) or doxycycline (300 mg) is effective in
adults but is not recommended for children <8 years of age because
of possible deposition in bone and developing teeth.
Emerging drug resistance is an ever-present concern.
Treatment …
475
 For adults with cholera in areas where tetracycline resistance is
prevalent, ciprofloxacin or erythromycin is a clinically effective
substituein reducing total stool output,
 Because of the high cost of quinolones, WHO recommends
erythromycin as the first alternative to tetracycline.
 For children, furazolidone has been the recommended agent
and trimethoprim-sulfamethoxazole the second choice.
Because of cost and/or toxicity issues related to the other drugs,
erythromycin is a good choice for pediatric cholera.
Pseudomonas aeruginosa
476
General characteristics
 Is a small, polarlly flagellated, gram-negative rod with pili.
 Non fermentative, oxidase-positive bacterium.
 Ubiquitous environmental organism widely distributed in
water, soil, and on plants.
 It can grow to large numbers overnight in either distilled or
tap water.
 May produce clinically useful pigments, such as fluorescein,
a greenish fluorescent pigment, and pyocyanin, a blue-
green pigment.
 Blue-green pus is a classic sign of P. aeruginosa cellulites
(mainly in burn patients).
P.aeruginosa…
477
Attributes of pathogenicity
 Pili,
 A mucoid exopolysaccharide layer (slime), which
increases adherence to tracheal epithelium
 Mucin, thereby inhibiting opsonophagocytic clearance
and reducing amino glycoside effectiveness;
 P .aeruginosa strains isolated from cystic fibrosis
patients are prominent slime producers
 Exotoxin A, an ADP-ribose transferase similar to
diphtheria toxin that inactivates EF-2 (elongation
factor), halting protein synthesis and resulting in liver
necrosis
 Exoenzyme S, an ADP-ribose transferase capable of
inhibiting eukaryotic protein synthesis
P.aeruginosa…
478
 Endotoxin (lipopolysaccharide), which plays the usual role
in triggering inflammation and systemic symptoms
 Phospholipase C which damages membranes, causing
tissue necrosis
 Elastase and other proteolytic enzymes, which damage
elastin, human IgA, IgG, complement components, and
collagen
Clinical disease
 infections are primarily opportunistic( patients receiving broad-
spectrum antibiotics patients with compromised host defenses)
Cellulitis
 occurs in patients with burns, wounds, or neutropenia.
 is indicated by blue-green pus and a grape-like, sweet odor.
 may be highly necrotic.
P.aeruginosa…
479
Septicemia
 results from hematogenous spread of the infection
from local lesions or the gastrointestinal tract and
causes gram-negative shock.
 may result in ecthyma gangrenosum, a distinctive skin
lesion with central necrosis and an erythematous
margin.
Recurring pneumonia
 occurs in individuals with cystic fibrosis(hereditary
abnormality of exocrine gland which production thick
mucus that blocks the pancreatic duct, bronchi,
intestine).
Lab diagnosis
Culture of blood and observing for biochemical
reactions
P.aeruginosa…
480
Treatment
 difficult because of frequent resistance to
antibiotics.
 requires combination therapy: an aminoglycoside
and β-lactam agent until drug susceptibilities are
determined.
 Hospital infection control efforts should concentrate
on
preventing contamination of sterile medical equipment
and nosocomial transmission; unnecessary use of
broad-spectrum antibiotics can select for resistant
organisms
Helicobacter pylori
481
General characteristics
 Is gram-negative, urease-positive, and motile rod.
 Is associated with gastritis, gastric and duodenal ulcers,
and gastric carcinomas.
H pylori is now classed by the WHO as a type I carcinogen.
Attributes of pathogenicity
 Produces urease to neutralize stomach acid on its
migration to the stomach lining.
 Produces a mucinase and is flagellated, which improves
penetration of the mucous layer.
 Also produce a vacuolating cytotoxin.
H. pylori…
482
Epidemiology
 Ubiquitous and worldwide, with no seasonal incidence of disease
Infections are common, particularly in people in a low socioeconomic
class or in developing nations
 Humans are the primary reservoir
 Person-to-person spread is important (typically fecal-oral)
Clinical disease
occurs as epigastric pain, sometimes with nausea, vomiting, anorexia,
and gas production.
Diagnosis
 Microscopy: histological examination of biopsy specimens is
sensitive and specific
 Urease test relatively sensitive and highly specific
 H. pylori antigen test is sensitive and specific
H. pylori…
483
 Culture requires incubation in micro aerophilic conditions;
 growth is slow; relatively insensitive unless multiple biopsies
are cultured
 Serology useful for demonstrating exposure to H. pylori
Treatment
 Omeprazole and amoxacillin and clarithromycin, or
 bismuth subsalicylate, metronidazole, tetracycline, and
omeprazole
Campylobacter jejuni
484
General characteristics
 is a gram-negative, curved rod with polar flagella.
 is positive for oxidase and catalase and is
microaerophilic.
 is found in a wide variety of wild and domestic animals
 is transmitted to humans most commonly through dogs
or by poultry products.
 Outbreaks have been caused by unpasteurized milk and
contaminated rural wells
Attributes of pathogenicity
 has flagellated forms, which are more virulent than non
flagellated forms.
 invades tissue, causing fever, abdominal pain, and
bloody diarrhea.
C. jejuni
485
Clinical disease
 Acute enteritis results from oral ingestion of the
organism, leading to colonization and invasion of the
intestinal lining and inflammatory diarrhea
 may lead to extra intestinal and post infective
complications, including reactive arthritis and
Guillain-Barrsyndrome.
 (About 30% of cases of Guillain-Barrsyndrome are
due to C jejuni).
.
C. jejuni
486
Laboratory diagnosis
 is found in the stool as numerous darting organisms along
with blood and excess neutrophils (indicating inflammation).
 is isolated on special agar (Campy or Skirrow's agar) grown
at 42°C (which suppresses most of the growth of other
gastrointestinal tract flora) under micro aerophilic conditions
Treatment
• fluid and electrolytes replacement; however, the disease is
generally self-limiting (lasts < 1 week).
• In severe cases, treatment is with ciprofloxacin or
erythromycin.
Prevention is by sanitation and pasteurization.
Genus Mycobacteria
487
 rod shaped, obligate aerobic bacteria
 do not form spores,
 are acid fast bacteria
 resistance to many antibiotics
 Several members produce disease in man and animals
while others are saprophytes
Mycobacteria..
488
Mycobacterium tuberculosis:
 causative agent of tuberculosis in humans.
 Humans are the only reservoir for the bacterium.
 Mycobacterium bovis:
 cause TB in cows and rarely in humans.
 Humans infected by consumption of unpasteurized
milk.
 can lead to the development of extra pulmonary TB,
 Mycobacterium avium: causes a TB-like disease
prevalent in AIDS patients
 Mycobacterium leprae: cause leprosy.
489
Mycobacterium tuberculosis
Morphology:
 Can not be stained by simple stains due to their high lipid
content (mycolic acids)
 Stained by Ziehl-Neelsen stain
 Once stained, resist decolourization with 20% H2SO4 &
alcohol. acid fast
 Appear as thin pink rods arranged singly or in small
groups
 Slow proliferation (culturing 3–8 weeks)
 Facultative intracellular
 Obligate aerobe
490
MTB…
491
 Causes tuberculosis (pulmonary and extra pulmonary)
 hematogenous spread may result in extra pulmonary
tuberculosis and milliary tuberculosis
 leading cause of death in the world from a bacterial
infectious disease.
 affects 1.7billion people/year equal to 1/3 of the world pop.
TB infection (latent TB)
 M.TB. is in the body but the immune system is keeping the
bacteria under control by macrophages
492
MTB…
 Most people with TB infection have a positive reaction to the
tuberculin skin test.
 People who have TB infection but not TB disease are NOT
infectious
Mode of transmission
 Droplet nuclei generated by during talking, coughing, and
sneezing inhaled
 Droplet nuclei contains > 3 bacilli.
 Sneezing generates the most droplet nuclei by far, which can
spread to individuals up to 10 feet away.
493
Risk factors
 Close contact with large populations of people, i.e., schools,
nursing homes, dormitories, prisons, etc.
 Poor nutrition, alcoholism
 HIV infection, the #1 predisposing factor.
• 10 % of all HIV-positive individuals harbor M.TB.
• this is 400-times the rate associated with the general
public
Pathogenesis:
 M. tuberculosis produces no recognized toxins.
 The organism is capable of multiplying intra-cellularly
stimulating CMI & hypersensitivity which leads to tissue
Mycobacterium tuberculosis
494
Tuberculosis Treatment
two aims of tuberculosis treatment are
 to interrupt tuberculosis transmission
 to prevent morbidity and mortality
 Effective regimens must contain multiple drugs
 to reduce toxicity and resistance.
 Usually treated with four different antimicrobial agents for
a course that lasts from 6-8 months.
 first-line of drugs include rifampin (RIF), isoniazid (INH),
pyrazinamide (PZA) and ethambutol (EMB) or streptomycin
(SM)
 In non compliant patients, directly observed therapy (DOT) is
important
495
WHY Prolonged treatment?
 There is a slow response of TB treatment and it
should be continued for 6-8 months (DOTs = 2
months ).
This is because:
 Most bacilli are found intracellular
 The caseous material of the cell wall interfere
with the drug.
 In chronic lesions TB bacilli are not dividing, i.e.
"metabolically inactive", hence resistant to drugs
Mycobacterium tuberculosis
496
Prevention
The best way to prevent tuberculosis is
 to diagnose infectious cases rapidly and
 administer appropriate treatment until cure
 BCG vaccination-an attenuated strain of M. bovis first
administered to humans in 1921
 treatment of persons with latent tuberculosis infection
who are at high risk of developing active disease.
Mycobacterium leprae
497
Morphology, Biological xcs
 Obligate intracellular bacillus
 produces no known toxins and is well adapted to
penetrate and reside within macrophages
 still has not been cultivated on artificial medium or tissue
culture
 M. leprae grows best in cooler tissues
 The skin, peripheral nerves, anterior chamber of the
eye, upper respiratory tract, and testes), sparing warmer
areas of the skin (the axilla, groin, scalp, and midline of
the back).
Mycobacterium leprae
498
Transmission
 The route of transmission of leprosy remains uncertain and
may be multiple
 nasal droplet infection
 contact with infected soil
 even insect vectors have been considered the prime
candidates
 direct dermal inoculation (e.g., during tattooing) may
transmit M. leprae
Transmission…
499
 Casual contact does not cause leprosy.
 prolonged contact with the person is necessary.
 This contact may be direct (e.g. skin to skin) or indirect (e.g.
contact with soil, and fomites such as contaminated clothes
 Leprosy has a long incubation period, an average of about three to
five years.
 The nose is a major portal of exit of organisms of a person
affected.
Disease
 M. leprae - causes Hansen’s disease / leprosy in man, which affects
mainly the mucous membrane of the nose, skin and nerve fibers.
500
Pathogenesis
2 major clinical forms
1.Tuberculoid leprosy:
 Areas of skin and peripheral nerves are infiltrated with
lymphocytes.
 Nerve involvement is characteristic with loss of sensation.
 CMI is intact & lepromin skin test is positive.
 The organism is found in small number in the lesion.
2.Lepromatous leprosy
 The course is progressive & severe with continuous
bacteraemia.
 CMI is deficient and lepromin test is negative.
Mycobacterium leprae
501
A patient with features of
polar lepromatous
leprosy: multiple nodular
skin lesions, particularly of
the forehead, and loss of
eyebrows
Tuberculoid leprosy -a
characteristic dry
blotchy lesion on the
face, but the diagnosis
needs to be confirmed
by microscopic
examination of skin
biopsy.
Extensive skin
involvement in
lepromatous leprosy
results in a characteristic
leonine appearance.
502
Treatment:
 Sulphones - e.g. Dapsone (DDS) and rifampicin, are
used for treatment.
 Clofazimine is given to sulphone resistant cases.
Prevention
 No vaccine is available.
 Chemoprophylaxis may be used to contacts of case.
503
Spirochetes
 The name spirochete is derived from the Greek words for
"coiled hair.“
 Large heterogonous group, motile organisms
 Habitat most are free living and non pathogenic but
some pathogenic
 Have unique helical structure
 Cell wall similar to gram negative bacteria
 Have flagella for motility
 Are refractive
 Borrelia, leptospira and treponema are among the
important once
Genus Treponema
504
 Gram-negative, thin, motile,
spiral shaped
 pathogenic and NP types
 non stained
 non cultivable in vitro
 Human pathogens cause
treponematoses are
 T. pallidum subspecies
pallidum - venereal syphilis
505
Syphilis
 Syphilis, a chronic systemic infection caused by
Treponema pallidum subspecies pallidum
 Usually sexually transmitted
 Organisms may pass through the placenta to infect the
fetus.
 Approximately 50 percent of fetuses are aborted or
stillborn; the rest exhibit diverse syphilitic stigmata
506
Clinical Manifestations
Primary syphilis
 multiplication of treponemes at the site of entry produces
erythema and induration.
 a hard chancre formation ( painless ) .
NB.H. ducreyi causes soft chancre, (painful.)
 Numerous treponemes are present highly open lesion.
 After 2 to 6 weeks of symptoms, this primary lesion heals,
leaving only remnants of scar tissue
507
Secondary syphilis
After an asymptomatic 2 to 24 weeks,organisms
multiply in many different tissues. .
All of these lesions teem with treponemes and are
highly contagious.
2-6 weeks after the onset of secondary syphilis, host
defenses bring about healing.
Both primary and secondary syphilis are contagious
508
Tertiary syphilis
 can affect almost any tissue.
 Nearly 80 percent of fatalities are caused by cardio
vascular involvement
 20 percent are from neurologic involvement
Venereal syphilis
509
Primary syphilis with a
firm, nontender chancre
Secondary syphilis
demonstrating the
papulosquamous
truncal eruption.
Secondary syphilis
commonly affects the
palms and soles with
scaling, firm, red-
brown papules.
Venereal syphilis
510
Mucous patches on the
tongue of a patient with
secondary syphilis.
Condylomata lata are moist,
somewhat verrucous
intertriginous plaques seen in
secondary syphilis.
511
Laboratory diagnosis
 T. pallidum cannot be grown in vitro,
 laboratory diagnosis hinges on microscopy and
serology.
Microscopy
 Exudate from the primary chancre should be examined
 dark-field microscopy immediately after collection
512
Lab. Diagnosis
 Serologic are mostly used that include:
 Non treponemal tests, which measure antibodies directed
against lipid antigens, principally cardiolipin, thought to be
derived from host tissues
 Ex. (VDRL) and (RPR) tests
 More sensitive, rapid, simple but non specific, malaria,
leprosy, auto immune disease, measles infection may give
false positive results
513
Treponemal tests
 which detect antibodies directed against protein constituents
of T. pallidum .
example
 Fluorescent T pallidum Antibody-Absorption (FTA-ABS)
 Micro hemagglutinationT.pallidum (MHA-Tp)
 T.P.immobilization test
Venereal syphilis
514
Treatment
Penicillin
tetracycline or doxycycline if allergic for pencillin
Contact tracing with screening and treatment is also
important and patients with other STDs should be
screened for syphilis
Congenital syphilis is completely preventable if women are
screened serologically early in pregnancy (less than 3
months) and those who are positive are treated with
penicillin.
Genus Borrelia
515
Borrelia
 Are Helical irregular coils, highly motile spirochetese
• Gram negative, stain with giemsa or Wright's stain
• can be cultured in vitro
 All transmitted by ticks except B. recurrentis
 accidental inoculation of infected blood
 contact of blood with abraded or lacerated skin,
(MM), conjunctiva
516
louse-borne (Epidemic) relapsing fever (LBRF):
• B. recurrentis is pathogenic only in humans.
• Causes Relapsing Fever
• Febrile relapses characteristic of infection with these
organisms
 Transmitted by body lice
 Infected body lice crushed and their fluids contaminate
MM or breaks in the skin
 Not transmitted directly by the bite of a louse
 Common in Military, prisoners, and others living in
impoverished, overcrowded, and unhygienic conditions
517
tick-born (Endemic) relapsing fever (TBRF)
 Caused by at least 15 species, the most important being
B. duttonii, B. hermsii
 Widely distributed throughout the world
 Highly endemic in sub-Saharan Africa
Clinical manifestations
 The c/s of LBRF and TBRF are similar
 The mean IP is 7 days (range, 2 to 18 days)
 Sudden onset with chills and an abrupt rise of
temperature (43°C, usually above 39°C)
 Fever persists for 3–5 days and then declines
518
519
 Transmission in relapsing fever
520
Treatment
 Doxycycline (or another tetracycline), erythromycin, or
chloramphenicol and penicillin
Rickettsiae
521
Include the genera Rickettsia, Ehrlichia, Orientia, and
Coxiella Rickettsia species
 Small, structurally similar to Gram-negative bacilli
 obligate intracellular parasites of eukaryotic cells
 found in ticks, lice, fleas, mites , and mammals
Grow readily in yolk sacs of embryonated eggs or cell
culture
Rickettsiae
522
 Most Rickettsiae survive only for short times outside of the
vector or host
 quickly destroyed by heat, drying, and bactericidal
chemicals
Rickettsia species cause
- Epidemic typhus- R.prowazekii
- Murine typhus- R.typhi
- Scrub typhus- R.tsutsugmushi
 Rocky Mountain spotted fever -R.ricketsii
Epidemic Typhus (louse-borne)
523
 Due to infection with R. prowazekii
 Transmitted by the human body louse (Pediculus
humanus corporis)
 Lives on clothes, found in poor hygienic conditions
,usually in cold areas
 Lice acquire R. prowazekii when they ingest a blood meal
from a rickettsemic patient
multiply in the mid gut
epithelial cells of the louse
spill over into the
louse feces
patient auto inoculates the
organisms by scratching
louse defecates during its
blood meal
• The louse does not pass R. prowazekii to its offspring
524
Epidemiology
Epidemic form of typhus
 Is related to poverty, cold weather, war, and disasters
 Currently prevalent in mountainous areas of Africa, South
America, and Asia.
 The global reemergence of the disease is due to proliferation of
body lice
Treatment and Prevention
 Rickettsia species are susceptible to the broad-spectrum
antibiotics, doxycycline, tetracycline, and chloramphenicol
 Prevention of exposure to infected arthropods offers some
protection.
 Prevention is based on reducing exposure to the vector
Chlamydiae
525
 Chlamydiae are obligate intracellular bacteria
 lack several metabolic and biosynthetic pathways (
depend on the host cell for intermediates, including ATP)
 Lack peptidoglycan layer
 chlamydiae consist of three species,
 C trachomatis, C psittaci, and C pneumoniae
Medically important chlamydiaceae
526
C. trachomatis
527
 C. trachomatis is found only in humans.
 causes the following diseases:
 Trachoma, a chronic follicular kerato conjunctivitis.
 Inclusion conjunctivitis in newborn children
 Nonspecific urogenital infections in both men and women
(urethritis, cervicitis, salpingitis)
 Lymphogranuloma venereum, a venereal disease observed
mainly in countries with warm climates.
C. pneumoniae
 responsible for infections of the upper respiratory tract
 mild form of pneumonia
Trachoma
528
Figure 2 Purulent discharge in bacterial conjunctivitis is often
associated with infections by Streptococcus pneumoniae,
Haemophilus influenzae or Staphylococcus aureus.
Trachoma
529
Figure 5 Chlamydial conjunctivitis is the commonest form of
neonatal conjunctivitis
Trachoma
530
Epidemiology & Control
 > 400 million people throughout the world have
trachoma ( 20 million are blinded by it )
 Most prevalent in
 Africa
 Asia
 The Mediterranean basin
 childhood infection may be universal, and severe
blinding disease is common
hygienic
conditions are
poor and water
is scarce
531
C. trachomatis sero vars D–K
 cause sexually transmitted diseases especially in
developed countries
 may produce infection of the eye - inclusion
conjunctivitis
Genital infections
 nongonococcal urethritis, and occassionally
epididymitis in men
 acute salpingitis and cervicitis, and pelvic
inflammatory disease in women
 Can lead to sterility and predispose to ectopic
pregnancy
 Lymphogranuloma venereum caused by L1, L2, L3
 a venereal disease with genital lesions and regional
lymph node involvement (buboes).
Genital Infections and inclusion conjunct
532
Figure 4 Lymphogranuloma venereum. Bilateral enlargement of
inguinal glands
Genital Infections
533
Tetracycline, erythromycin, rifampin, sulfonamides,
chloramphenicol
Tetracyclines (eg, doxycycline) are commonly used in non
gonococcal urethritis and in non pregnant infected
females
Azithromycin is effective and can be given to pregnant
women
Treatment
Viral infections
534
Introduction
535
Out line
 Definition of viruses
 Host Range
 Properties of Viruses
 Classification
 General structure of Viruses
 Replication of Viruses
 Diagnosis
 Pathogenesis of Viral Diseases

Definition of viruses
536
 Viruses may be define as non cellular organisms which obligately
replicate inside host cells using host metabolic machinery and
ribosomes
Host range:
 Viruses infect all major groups of organisms: vertebrates,
invertebrates, plants, fungi, bacteria.
 Some viruses have a broader host range than others,
Factors which affect host range includes:
i) whether the virus can get into the host cell
ii) if the virus can enter the cell, is the appropriate cellular machinery
available for the virus to replicate?
iii) if the virus can replicate, can infectious virus get out of the cell and
spread the infection?
Properties of Viruses
537
 inert (nucleoprotein ) filterable Agents
 obligate intracellular parasites
 cannot make energy or proteins independent of a host
cell
 viral genome are either RNA or DNA but not both.
 have a naked capsid or envelope with attached proteins
 do not have the genetic capability to multiply by division.
 are non-living entities
538
Shape of Viruses
 Spherical
 Rod-shaped
 Brick-shaped
 Bullet-shaped
 Filament
Size of Viruses
A small virus has a diameter of about 20nm.
Parvovirus
A large virus have a diameter of up to 400nm.
Poxviruses
539
On the basis of shared properties viruses are grouped at
different hierarchical levels
 Order
 Family ------------- 71
 Subfamily
 Genus ------------- 164
 Species ---------- > 3,600
(30,000 different virus isolates)
Order - suffix virales
Family - suffix viridae
Subfamily - suffix virinae
Genus - suffix virus
Species - individual virus
other terms: strain/type
Classification
540
Classification of Viruses
 Virion morphology (size, shape, enveloped/un enveloped)
 genome (RNA, DNA , segmented sequence)
 macromolecules (protein composition and function)
 antigenic properties,
 biological properties (host range, transmission tropism etc)
are all considered.
• Capsid symmetry: cubic, helical, or complex symmetry
541
General structure of Viruses
542
General structure of Viruses
Fig Virus Particle Structure
543
Viral core
 The viral nucleic acid genome
 Control the viral heredity and variation, responsible for the
infectivity.
Genome
 The genome of a virus can be either DNA or RNA
 DNA-double stranded (ds): linear or circular
Single stranded (ss) : linear or circular
 RNA- ss:segmented or non-segmented
ss: polarity+(sense) or polarity –(non-sense)
ds: linear (only reovirus family)
544
Viral Capsid
 The protein shell, or coat, that encloses the nucleic acid
genome.
Functions of capsid
A. Protect the viral nucleic acid.
B. Participate in the viral infection.
C. Share the antigenicity
545
The shape of the capsid may be
 Icosahedral symmetry
 Helical symmetry
 Complex symmetry
General structure of Viruses
546
General structure of Viruses
Icosahedral Helical Complex
(spherical)
consists of
subunits called
capsomers
(rod shaped or coiled)
consists of repeated
units called protomers
Irregular shape
(neither helical nor
polyhedral)
there are five basic structural forms of viruses in nature
1. naked icosahedral
e.g. poliovirus, adenovirus, hepatitis A virus
2. naked helical
e.g. tobacco mosaic virus, so far no human viruses with this
structure known
3. enveloped icosahedral
e.g. herpes virus, yellow fever virus, rubella virus
4. enveloped helical
e.g. rabies virus, influenza virus, parainfluenza virus, mumps
virus, measles virus
5. complex e.g. poxvirus
547
548
Envelope
 A lipid-containing membrane that surrounds some viral
particles.
 It is acquired during viral maturation by a budding
process through a cellular membrane, Viruses-encoded
glycoproteins are exposed on the surface of the envelope.
 Not all viruses have the envelope.
549
Functions of envelope
 Antigenicity
some viruses possess neuraminidase
 Infectivity
 Resistance
550
Adsorption: attachment of the virus to the host
cell surface
Penetration: entry of the virus into the host cell
• Enveloped viruses: by fusing with plasma membrane or
endocytosis
• Non-enveloped: direct penetration or endocytosis
Uncoating: physical separation of viral NA from the
outer structural components
Replication of Viruses
Steps in viral replication
Replication of Viruses…
551
Steps in viral replication…
Replication
• DNA viruses: nucleus with the exception of
Poxviruses
• RNA viruses: cytoplasm with the exception of
Orthomyxoviruses & Retroviruses
Synthesis of viral proteins in the cytoplasm
Replication of Viruses…
552
Steps in viral replication…
Maturation
 all the structural components come together at one site in the
cell and the basic structure of the virus particle is formed.
Assembly
 a virus particle becomes infectious; nucleic acids
and capsids are assembled together.
Release
• Non-enveloped- through lysis
• Enveloped- budding
553
Fig. Schematic presentation of virus replication
Replication of Viruses
Diagnostic Methods in Virology
554
1. Direct Examination
2. Serology
2. Indirect Examination (Virus Isolation)
Direct Examination
555
1. Antigen Detection immunofluorescence, ELISA etc.
2. Electron Microscopy morphology of virus particles
immune electron microscopy
3. Light Microscopy histological appearance
inclusion bodies
4. Viral Genome Detection hybridization with
specific nucleic acid
probes polymerase
chain reaction (PCR)
Indirect Examination
556
1.Cell Culture cytopathic effect (CPE)
haemabsorption
immunofluorescence
2. Eggs
haemagglutination
inclusion bodies
3. Animals disease or death
Serology
557
Detection of rising titres of antibody between acute and
convalescent stages of infection, or the detection of IgM
in primary infection.
5. Counter-immunoelectrophoresis 5. RIBA, Line immunoassay
558
Virus Isolation
 Cell Cultures are most widely used for virus isolation, there
are 3 types of cell cultures:
 Primary (Freshly removed): animal or human tissue e.g.,
primary monkey or baboon kidney
 Finite life span (cultured 1-2 times), supply of organs?
 Semi-continuous diploid cells: from human fetal tissue
e.g., Human embryonic kidney and skin fibroblasts
 Cultured 20-30 times
 Continuous: from tumors of human or animal tissue e.g.,
Vero, Hep2 (human epidermoid carcinoma cells)
 Maintained for extended periods
Cell Cultures
559
Growing virus may produce
1. Cytopathic Effect (CPE) - such as the ballooning of
cells or syncytia formation, may be specific or non-
specific.
2. Haemadsorption - cells acquire the ability to stick to
mammalian red blood cells.
Confirmation of the identity of the virus may be carried out
using neutralization, haemadsorption-inhibition or
immunofluorescence tests.
Cytopathic Effect (1)
560
Cytopathic effect of enterovirus 71 and HSV in cell culture: note the ballooning of cells. (Virology
Laboratory,Yale-New Haven Hospital, Linda Stannard, University of CapeTown)
Cytopathic Effect (2)
561
Syncytium formation in cell culture
caused by RSV (top), and measles
virus (bottom).
(courtesy of Linda Stannard, University of CapeTown,
S.A.)
Haemadsorption
562
Syncytial formation caused by mumps virus and haemadsorption of
erythrocytes onto the surface of the cell sheet.
(courtesy of Linda Stannard, University of CapeTown, S.A.)
563
Pathogenesis of Viral Diseases
Steps in Viral Pathogenesis
 Entry and Primary Replication
 Viral Spread and Cell Tropism
 Cell Injury and Clinical Illness
 Destruction of virus-infected cells in the target tissues and
physiologic alterations
 Recovery from Infection
 the host either succumbs or recovers from viral infection.
 recovery mechanisms include both innate and adaptive
immune responses
 Virus Shedding
564
There are several possible consequences of viral infections
Lytic infections
Persistent infections
Latent infections
Transformation
Lytic infections result in the destruction of the host cell
 caused by virulent viruses, which inherently bring about
the death of the cells that they infect
How Viruses cause diseases
Pathogenesis of viral infections…
565
Persistent infections
 infections occurring over relatively long periods of time
 Viral particles may be released slowly and the host cell
may not be lysed (enveloped viruses are formed by
budding)
Latent infections
 There is a delay between the infection by the virus and the
appearance of symptoms
 E.g. Fever blisters (cold sores) caused by herpes simplex
type 1 result from a latent infection
Pathogenesis of viral infections…
566
Transformation
The potential to change a cell from a normal cell into a
tumor cell
The hallmark of which is to grow without restraint
Viruses that are able to transform normal cells into tumor
cells are referred to as oncogenic viruses
Pathogenesis of viral infections…
Viral infections
567
 Herpes virus infections
 Measles (Rubeola) Virus Infections
 Poliovirus and Poliomyelitis
 Rotaviruses
 Hepatitis Viruses
 HIV Virus
Herpes viridae
568
Structure
 Herpes virus family (Herpesviridae) contains
several of the most important human pathogens
(HSV1, HSV2, VZV(3), CMV(5),EBV(4), HHV6, HHV7,
& HHV8(kapoci sarcoma)
 Herpes viruses are large viruses and have
 a core of double-stranded linear DNA genome
 Enveloped
569
Fig. Schematic diagram of an
enveloped herpesvirus with an
icosahedral nucleocapsid
Herpes virus infections
Structure
570
Outstanding property
establish lifelong persistent infections
undergo periodic reactivation
 Herpes viruses possess a large number of genes
 some genes are susceptible to antiviral chemotherapy
Herpes Simplex Viruses
571
 Two distinct herpes simplex viruses: HSV-1 and HSV-2
HSV-1 is spread by contact, usually involving infected
saliva
HSV-2 is transmitted sexually or from a maternal genital
infection to a newborn
HSV-1 often infects above the waist
 HSV-2 infects below the waist
Diseases caused by HSV-1 and HSV-2
572
Oral-facial infections
Primary HSV-1 infections are usually asymptomatic.
Gingivostomatitis and pharyngitis are the most frequent
clinical manifestations of first-episode HSV-1 infection
most frequently in small children (1–5 years of age)
573
Figure
A. Primary herpes simplex virus infection.
There are shallow ulcers with white exudate
on the palate and gums
B. Herpes simplex gingivostomatitis
574
HSV persist in the latent state in nerve cells of the CNS. When reactivated, they
travel down the axons of these cells to the periphery, where they cause the typical
vesicular exanthem.
575
Genital Herpes
 Usually caused by HSV-2, although HSV-1 can also
cause clinical episodes
 Characterized by vesiculoulcerative lesions of the
penis of the male or of the cervix, vulva, vagina, and
perineum of the female
 lesions are very painful
Viral excretion persists for about 3 weeks
Herpes Simplex Viruses
576
Figure Genital herpes.
Vesicles (a) on the penis and (b) in the perianal area and vulva
577
Neonatal Herpes
 May be acquired in utero, during birth, or after birth
 most common route of infection (≈ 75% of cases) is
during birth by contact with herpetic lesions in the
birth canal
 About 75% of neonatal herpes infections are caused
by HSV-2.
 The overall mortality rate of untreated disease is 50%
Babies with neonatal herpes exhibit three categories of
disease
1.lesions localized to the skin, eye, and mouth
2.encephalitis with or without localized skin
involvement; and
3.disseminated disease involving multiple organs,
including the CNS
578
 CMV is the largest human herpes virus, and there is only
one serotype
 CMV was originally called 'salivary gland' virus and is
transmitted by saliva and other secretions
 Urine is an additional source of infection in children,
 in infected pregnant women the virus can spread via the
blood to the placenta and fetus
 can spread by sexual contact
 It is often present in milk in small quantities, but this is of
doubtful significance in transmission
 CMV can also be transmitted by blood transfusions and
organ transplants
Cytomegalovirus (CMV) infection
579
Congenital infections by
CMV and birth defects in
symptomatic and
asymptomatic children.
CMV is the most common
intrauterine infection
associated with congenital
defects.
CMV infection
Fetal and newborn
infections with CMV
may be severe
580
Figure
Microcephaly with associated severe psychomotor
retardation and hepatosplenomegaly in congenital
cytomegalovirus infection.
Cytomegalovirus retinitis
showing scattered exudates
and hemorrhages, with
sheathing of vessels.
CMV infection
581
Treatment
 Infections with HSV-1,
HSV-2 and VZV are
currently the most
amenable to therapy
 acyclovir, valaciclovir
and famciclovir are all
licensed therapeutics
 Ganciclovir is used to treat
CMV retinitis
 There is as yet no
treatment for EBV or HHV
6,7 or 8 infections
Prevention
 Vaccines against HSV 2, and
CMV are undergoing extensive
evaluations in field trials
 Passive immunization with
immunoglobulin
Control of Herpes virus Infections
Measles
582
583
 Family Paramyxoviridae & genus Morbillivirus
 Enveloped helical RNA viruses
 Morbilli viruses occur only as one cross-reactive
antigenic type
 The natural disease is limited to humans and
monkeys
• Virus is present in tears, nasal and throat secretions,
urine, and blood.
• highly contagious ,droplet transmission
 Measles disseminates throughout the body and
produce generalized disease
Measles (Rubeola) Virus
Infections
584
Schematic diagram of a Paramyxovirus showing major components
Measles (Rubeola)Virus Infections
Measles Epidemiology
585
 Reservoir Human
 Transmission Respiratory Airborne
 Temporal pattern Peak in late winter–
spring
 Communicability 4 days before to 4 days
after
rash onset
Measles Complications
586
Condition
Diarrhea
Otitis media
Pneumonia
Encephalitis
Hospitalization
Death
Percent reported
8
7
6
0.1
18
0.2
Based on 1985-1992 surveillance data
587
Clinical Findings…
Characterized by a macul opapular
rash, fever and respiratory
symptoms →complications
common
 Koplik's spots—
pathognomonic for
measles—are small,
bluish-white ulcerations
on the buccal mucosa
opposite the lower
molars.
 These spots contain giant
cells and viral antigens
and appear about 2 days
before the rash.
Figure 1 Koplik's spots seen as
minute white dots on the inflamed
buccal mucosa of a patient with
measles.
Measles (Rubeola)Virus Infections
588
Figure 3 .Measles
ExanthemaThe typical skin
rash manifests during what
is presumably the second
hematogenous disseminative
episode of the
morbilliviruses
Measles (Rubeola)Virus Infections
589
Treatment and prevention
 No antiviral treatment
 Since 1963, an effective, safe and long-lasting, live
attenuated vaccine has been available as
 monovalent form
 Combined with live attenuated rubella (MR) or rubella
and mumps vaccines (MMR)
 In Ethiopia, a single dose of single antigen preparation of
measles vaccine is given at the age of 9 months
Measles …
590
 Poliovirus particles are typical enteroviruses
 icosahedral , non enveloped RNA viruses
 Inactivated when heated at 55 °C for 30 minutes,
 Purified poliovirus is inactivated by a chlorine
concentration of 0.1 ppm
Poliovirus and Poliomyelitis
591
Pathogenesis & Pathology
The mouth is the portal of entry of the virus
First multiplies in the tonsils, the lymph nodes of the
neck, peyer's patches, and the small intestine
The virus is regularly present in the throat and in the
stools before the onset of illness
The CNS may then be invaded by way of the
circulating blood
 Poliovirus can spread along axons of peripheral nerves
to the CNS
progress along the fibers of the lower motor neurons
to increasingly involve the spinal cord or the brain
(Paralytic Poliomyelitis)
Poliovirus and Poliomyelitis…
592
Treatment and Prevention
 No specific treatment is available
 Disease prevented through active immunization
 the inactivated Salk vaccine - licensed for use in 1955(paralytic
poliomyelitis)
 the attenuated Sabin vaccine - licensed for use in 1962
Poliovirus and Poliomyelitis
593
• members of the family Reoviridae with twelve genera
• RNA viruses
 Four of the genera are able to infect humans and animals:
Rotavirus most important
 a major cause of diarrheal illness in human infants and
young animals,
 Infections in adult humans and animals are also common
 Rotaviruses have been classified into five species (A–E), plus
two tentative species (F and G)
 Group A rotaviruses are the most frequent human
Rotaviruses
Rotaviruses -Diarrhea
594
 Rotaviruses infect cells in the villi of the small intestine
 Multiply in the cytoplasm of enterocytes and damage
their transport mechanisms
 watery diarrhea, fever, abdominal pain, and vomiting,
leading to dehydration
 viral excretion in the stool may persist up to 50 days
after onset of diarrhea
 severe and prolonged disease in children with
immunodeficiencies
595
Epidemiology
 most important worldwide cause of gastroenteritis in
young children
 Up to 50% of cases of acute gastroenteritis of
hospitalized children
 predominate during the winter season
 Symptomatic infections are most common in children
between ages of 6 months and 2 years
 Fecal-oral route transmission and Nosocomial infections
are frequent
Rotaviruses …
596
Diagnosis, treatment and control
 Demonstration of virus in stool collected early in the
illness
 latex agglutination tests, or ELISA
 PCR is most sensitive detection method
 Serologic tests can be used to detect an antibody titer rise,
particularly ELISA
 water and electrolytes replacement ( that may lead to
dehydration, acidosis, shock, and death)
 wastewater treatment and sanitation are significant control
measures.
Rotaviruses…
Hepatitis Viruses
597
 Hepatitis is an inflammation of the liver that can be caused
by several factors: viruses, toxic agents and auto-immune
disorders
 The most common cause of hepatitis infections are the viruses
called hepatitis A, B, C, D, and E
 Hepatitis A and E viruses -transmitted by the faecal-oral route
 do not exist in a chronic carrier state
 Hepatitis B, C and D viruses are parenterally transmitted, occur
both in the acute and chronic forms
 HCV and HBV are highly infectious
 HCV is ~10x ( HBV is 100x ) more infectious than HIV through
percutaneous blood exposures e.g. accidental needle stick
exposures
Hepatitis Viruses…
598
 HBV- among infected adults, 5% - 10% of people progress
to chronicity
 HCV, unlike other viral hepatitis, 80% of the individuals
become chronically infected
 HBV and HCV lead to liver fibrosis, cirrhosis and cancer
599
Characteristics of hepatitis viruses
HepatitisViruses
Hepatitis Viruses…
600
Epidemiology
HAV
 Person to person transmission can lead to outbreaks in
places such as schools and camps
 Viral contamination of water or food is a common source
of infection
 In developing countries up to 90% of children have been
infected by 5 years of age
 Only about up to 20% of young adults have been infected
in developed countries
Hepatitis Viruses…
601
Epidemiology…
HBV
 can be transmitted by various routes
 Sexual intercourse
 Vertically from mother to child (intrauterine, peri- and
postnatal infection)
 Via blood and blood products, blood contaminated
needles and equipment which may be used by injecting
drug users
Hepatitis Viruses …
602
 In hepatitis B infection, the most useful detection
methods are ELISA for HBV antigens and antibodies and
PCR for viral DNA
Laboratory Diagnostics in HBV Infections
Diagnosis
Hepatitis Viruses …
603
Treatment
 Treatment of patients with hepatitis is supportive and
directed at allowing hepatocellular damage to resolve
and repair itself
 Recombinant interferon-alfa – treatment of patients
chronically infected with HBV or HCV
 Several antiviral drugs are being tested against chronic
hepatitis infections and those are only partially effective
 Lamivudine, a reverse transcriptase inhibitor, reduces HBV
DNA levels, but resistant virus mutants are selected when
treatment is stopped
 Combination therapy of interferon-alfa and ribavirin
is used against chronic hepatitis C
 Liver transplantation is a treatment for chronic hepatitis B
and C end-stage liver damage
Hepatitis Viruses …
604
Prevention & Control
 Viral vaccines available against HAV and HBV
 prevention of fecal contamination of food, water, or other
sources ( hepatitis A )
 Reasonable hygiene
 hand washing
 the use of disposable plates and eating utensils
 use of disinfectants
 0.5% sodium hypochlorite (eg, 1:10 dilution of
chlorine bleach) as a disinfectant—is essential in
preventing the spread of HAV during the acute phase
of the illness
Human immunodeficiency virus
&
Acquired Immunodeficiency Syndrome
605
HIV and AIDS
Characteristics of the virus
606
 Icosahedral (20 sided), enveloped virus of the lentivirus
subfamily of retroviruses.
 Retroviruses transcribe RNA to DNA.
 Two viral strands of RNA found in core surrounded by
protein outer coat.
 Outer envelope contains a lipid matrix within which
specific viral glyco proteins are imbedded.
 These knob-like structures responsible for binding to
target cell.
607 Figure -Structure of HIV-1
Retro virus
Structure of HIV
viruses
608
Classification
 There are two distinct types of human AIDS viruses: HIV-1
and HIV-2
 Sequence divergence between HIV-1 and HIV-2 exceeds
50%
 HIV-1:-is responsible for global pandemic and move virulent
 HIV-2:-is less virulent than HIV-1 and confined with West
Africa
HIV-1 has further subtype
 HIV-1-M (major group) A, B, C, D, F, M
 HIV-1-O (Outlier)
 In Ethiopia HIV-1 type C is more predominate
Resistance
 Heat 560C for 10min
 Labile 1000C for 1-2sec
HIV
609
• Polymerase (reverse
transcriptase – RNA dependent
DNA polymerase)
• Integrase
• Protease (cuts polyproteins)
Enzymes
• pol gene
Retrovirus
Polyprotein
HIV replication
610 Figure -The replication cycle of HIV
Route of transmission
611
1 Sexual 80% of the infection in the world due to sexual
2 Parentral and Preinatal 20%
Sexual transmission
Homosexual:-Episode of homosexual (on fact (Anal canal
injury, tears) ,1% of chance per episode
Heterosexual:Risk of 0.1% per episode because no tearing
 Bisexual (Homo + Hetro) has high risk
 STD ulcer on genital e.g. Syphilis has 10 fold increase risk
Parentral Transmission
 Blood transfusion ,donation of organ 90% risk
 Needle stick injury 0.5 – 1%, usually <1%, because most of the
time amount of blood come out of the needle is small and
plasma.
Perinatal transmission :It is form HIV infected mother to fetus
Pathogenesis of AIDS
612
When the virus enter though genital routs
Virus deposit in the tissue
HIV gp120 looking specificCD4 receptor
Once the virus gp120 attach to the CD4 receptor it enter
to the cell and goes to lymphatic and multiplies in
lymph nodes then; the virus goes to blood which is
called viremia
 When virus enter to the blood the patient will start
showing sign and symptom such as sore throat fever
and after one month these sign will subsides.
Clinical feature
613
Clinical Grouping CDC Atlanta
1.Group I Seroconversion – P24antigen are detected
2.Group II Asymptomatic – Antibody is detected
3.Group III Persistent generalized lymphadenopathy
4.Group IIV Opportunistic infections of skin, GIT. CNS and
lung
Opportunistic Infection
1Bacterial Infection
Mycobacterium tuberculosis
2 Viral
 Herpes simplex 1 and 2 ,Ulcers in mouth, genital, per anal
 Varicella zoster Infection
Clinical feature cont..
614
3 Fungal
 Candidasis can occur in mouth Oesophageous
4 Parasites
 Cryptosporidium
 Isosporabelli
 Stronglyoid strocolaris
HIV and AIDS
The Cellular Picture
615
In advanced disease: the loss of another cell type
CD8+ cytotoxic killer cells
Loss of one cell type throughout the course of the disease
CD4+ T4 helper cells
A fall in the CD4+ cells always precedes disease
616
• AIDS is therefore the end point of an infection that is
continuous, progressive and pathogenic
• With the prevalence of HIV in the developing world, HIV
and its complications will be with us for generations
• AIDS is currently defined as the presence of one of
25 conditions indicative of severe
immunosuppression
OR
• HIV infection in an individual with a CD4+ cell count
of <200 cells per cubic mm of blood
AIDS definition
HIV and AIDS
617
• High virus titer
• Mild symptoms
• Fall in CD4+ cells but recovers
• Rise in CD8+ cells but recovers
• A high virus titer (up to 10 million viruses per ml blood)
• Macrophages infected
Macrophages bring HIV into the body if sexually
transmitted
The cellular and immunological picture
The course of the disease
1. Acute Infection
HIV and AIDS
618
Virus almost disappears from circulation
• Good cytoxic T cell response
• Soluble antibodies appear later against both
surface and internal proteins
• Most virus at this stage comes from recently
activated (dividing) and infected CD4+ cells
• CD4+ cell production compensates for loss due
to lysis of cells by virus production and
destruction of infected cells by CTLs
2. A strong immune response
HIV and AIDS
619
Latency of virus and of symptoms
• Virus persists in extra-vascular
tissues
• Lymph node dendritic cells
• Resting CD4+ memory cells (last a
very long time - a very stable
population of cells) carry provirus
3. A latent state
HIV and AIDS
620
Massive loss of CD4+ cells
• CD4+ cells are the targets of the virus
• Cells that proliferate to respond to the
virus are killed by it
• Dendritic cells present antigen and virus
to CD4 cells
• Epitope variation allows more and more HIV to
escape from immune response just as response wanes
• Apoptosis of CD4+ cells
• HIV patients with high T4 cell counts
do not develop AIDS
4. The beginning of disease
HIV and AIDS
621
5. Advanced disease - AIDS
CD8+ cells destroy more CD4+ cells
• CD4 cell loss means virus and
infected
cells no longer controlled
• As CD4+ cells fall below 200 per cu
mm
virus titer rises rapidly and remaining
immune response collapses
• CD8+ cell number collapses
• Opportunistic infections
• Death in ~2 years without
622
– In Ethiopia it was first reported from hospital sources in 1984
 HIV prevalence in 2005 was 3.5%; 3 % among males and 4%
among females
 A total of 1,320,000 people (45% male and 55% female)
 VCT centers, blood banks, and ART programs
 634,000 were living in rural areas and 686,000 in urban
areas
 The national HIV incidence rate is leveling off indicating
some behavioral changes in the population
 increase in the awareness of the disease
 substantial increase in distribution of condoms from less
than one million in 1996 to about 66 million in 2002 and
71 million in 2004/05
 significant increase in voluntary and premarital HIV
testing
HIV in Ethiopia
623
 There are still a number of underlying factors that contribute to
the spread of HIV/AIDS in Ethiopia
 Poverty
 Illiteracy
 Stigma and discrimination
 high rate of unemployment
 Widespread commercial sex work
 Gender disparity
 Population movements including rural to urban migration
 harmful cultural and traditional practices
HIV in Ethiopia
624
 Evidence of infection by HIV can be detected in three ways
 Virus isolation
 Serologic determination of antiviral antibodies
 Measurement of viral nucleic acid or antigens
Laboratory Diagnosis
625
• Education
Sexually transmitted
Not highly infectious
• Chemotherapy
Mutation selection Resistance
but
Suppress replication No capacity for
mutation
Prevention,Treatment, & Control
626
 A growing number of antiviral drugs are approved for
treatment of HIV infections
 nucleoside and non nucleoside inhibitors of the viral
enzyme reverse transcriptase
 inhibitors of the viral protease enzyme (potent antiviral
drugs)
 Absolutely essential for production of infectious virus,
and the viral enzyme is distinct from human cell
proteases
Prevention,Treatment, & Control
627
 HAART
 Targets multiple steps in virus replication usually delays
selection of HIV mutants
 Suppress viral replication to below limits of detection in
plasma
 Decrease viral loads in lymphoid tissues
 Allow the recovery of immune responses to opportunistic
pathogens
 Prolong patient survival
 Has failed to cure HIV-1 infections
 When HAART is discontinued or there is treatment failure,
virus production rebounds
 Mutants that arise which are resistant to one protease
inhibitor are often resistant to other protease inhibitors as
well
Prevention,Treatment, & Control
Remember!
628
• Education led to leveling off of rate of increase in AIDS
• HAART has greatly slowed death rate
• The fact that fewer people are dying per year from the
infection means that the number of HIV-infected people in
the population is rising!
• Unless education continues to be successful and unless we
can cure infected people of virus, the problem of virus
spread is, and will continue to be, with us
Fungal pathogens & fungal diseases
629
Teaching objectives
630
 At the end of this chapter, students will be able to:
 Define fungi
List the differentiating characteristics of
fungi .
Explain the morphology and structure of
fungi.
Discuss different types of micotic diseases
.
631
 Definition
 The Characteristics of Fungi
 Morphology of the Fungi
 Antifungal agents
 mycotic diseases
632
 Definition
 Mycology is the study of fungi that infect human
 Fungi are :
 Plant structures
 Lack the definite root, stem, and leaves of highly
organized plants.
 include macroscopic and microscopic forms.
 all are eukaryotic, non-photosynthetic organisms
usually enclosed by cell walls.
633
 Macroscopic fungi
 Often called fleshy fungi
 Are filamentous organisms
 Produce the large reproductive
structures
 Microscopic fungi exist as either
 Molds that grow on bread, fruits and
cheese or
 Yeasts used in baking
634
Macroscopic fungi ..
635
The Characteristics of Fungi
 Fungi are not motile.
 They are eukaryotic
 Have distinct nucleus surrounded by a membrane
 Cell walls are composed of chitin, a polysaccharide of N-acetyl
glucose amine subunits
fungal Cell Wall

Lacks
• Peptidoglycan
• Techoic acids
• Lipopolysaccharide
Contains
• Peptidomannan
• Glycan (target for
new antifungal agents)
636
Cell membrane
Have ergo sterol which is specific
target for antifungal agents
(cholesterol in mammalian cells)
The Characteristics of Fungi…
637
 Heterotrophy - 'other food'
 Fungi are non-photosynthetic organisms
 Are unable to manufacture their own nutrients,
 Saprophytes or saprobes - feed on dead tissues or organic
waste (decomposers)
 Symbionts - mutually beneficial relationship between
a fungus and another organism
 Parasites - feeding on living tissue of a host.
 Parasites that cause disease are called pathogens.
Fungi as Saprobes and Decomposers
638
Fungi as Symbionts (Mutualism)
639
Fungi as Parasites & Pathogens
640
Morphology of the Fungi
641
 Fungi
 Are generally larger than bacteria
 With individual cell diameters ranging from 1 to 30 µm.
 Based on morphology fungi are classified in to 4
o Monomorphic, existing as single celled yeast
o Multi-cellular filamentous mold:
o Yeast like
o dimorphic
(di= two, morph = form) existing as yeast or
mold
642
1. Molds (filamentous fungi)
 Most fungi are composed of filamentous (tubular)
structures called hyphae.
 Hyphae are multi-cellular fungi which reproduce asexually
and/or sexually
 May be septated OR Aseptated
 They are produced in large numbers
 They are easily disseminated
 Some are resistant to conditions that
would kill the vegetative cells.
Aseptate hyphae
Septate hyphae
643
 Sepatate hyphae
filaments with cross-walls or
 septa that partition the hyphae in to
individual cellular compartments.
 In aseptate hyphae - no physical boundaries to
distinguish individual cells in the hyphae.
2. Yeasts
Unicellular (rounded
or oval)
Reproduce by
budding
example of
pathogenic yeast is
C.neoformans 644
3. Yeast-Like
 Unicellular (rounded or oval)
 Reproduce by budding but buds fail
to detach and may form short
chains of cells called pseudohyphae
 Pseudohyphae are produced during
infection and have diagnostic value
 Example: Candida
645
646
4. Dimorphic Fungi
Some fungi grow only in the yeast form; others grow only
as molds.
Many species can be either molds or yeast, depending on
growth conditions
Able to grow in two different forms
• As molds at room temperature( at 25°C)
• As yeast on incubation at 370C & during infection in
body
“Mold in the cold, yeast in the heat”
• Example: Histoplasma capsulatum
• Most of the more dangerous human pathogenic fungi
are dimorphic
647
Figure Diagrammatic representation of the saprophytic and invasive
tissue forms of pathogenic fungi
Structure and Morphology
648
 fungi are classified in four phyla
 Chytridiomycota
 Zygomycota - zygospore, sporangia
 Ascomycota – ascospores, conidia, Molds
 Basidiomycota – basidiospores
 Ascomycota account for more than 60% of the known
fungi and about 85% of the human pathogens
 The remaining pathogenic fungi are zygomycetes or
basidiomycetes
Classification
649
 fungi are biochemically similar to the human host
(Eukaryotic )
 difficult to develop chemotherapeutic agents that
will destroy the invading fungus without harming the
patient
 In fungal therapy
 We attempt to induce cell injury by causing the cell
membrane of the fungus to become permeable
 Problem
 Finding an agent that will selectively injure fungal
cell walls without damaging the host cell
Antifungal agents
650
ALL EUKARYOTIC CELLS CONTAIN STEROLS
• Mammalian cells – cholesterol
• Fungal cells - ergosterol
651
Primary anti-fungal agents
1. Polyene derivatives
• Amphotericin B
• Nystatin
2. Azoles
• Ketoconazole
• Fluconazole
• Itraconazole
• Voriconazole
• Posaconazole
652
3. Griseofulvin
4. 5-fluorocytosine (5-FC)
5. Allylamines
• Terbinafine (Lamasil)
6. Echinocandins
• Caspofungin
Primary anti-fungal agents…..
653
Mechanism of action
 Amphotericin B binds to sterols
 Ergosterol is a constituent of the fungal cell wall
 AMB has a greater avidity for ergosterol than for the
cholesterol in the human cell wall
 Polyenes
 Preferentially bind to Ergosterol in cell membrane
 Azoles
 Interfere with ergosterol synthesis
MYCOTIC DISEASES
654
655
MYCOTIC DISEASES
(Four Types)
1. Hypersensitivity
 Allergy
2. Mycotoxicosis
 Production of toxin
3. Mycetismus (mushroom poisoning)
 Pre-formed toxin
4. Infection
 Mycosis
656
TYPES OF FUNGAL INFECTIONS
 There are four general categories on the basis of
the primary tissue affinity of the pathogen.
 Superficial – hair shaft, dead layer of skin
 Cutaneous – epidermis, hair and nails
 Subcutaneous – dermis, subcutis
 Systemic – internal organs
 Opportunistic – internal organs
657
 Portal of entry
 Skin
 Hair
 Nails
 Respiratory tract
 Gastrointestinal tract
 Urinary tract
 Colonization
 Multiplication of an organism at a given site without
harm to the host
Pathogenesis…
658
 Fungi have developed many mechanisms to colonize human
hosts
 The ability to grow at 37°C is one of the most important
 Production of keratinase allows dermatophytes to digest
keratin in skin, hair and nails
 Dimorphism allows many fungi to become pathogenic
 the antiphagocytic properties of the Cryptococcus
neoformans capsule
 the adherence abilities of C albicans allow pathogenic
potential
Pathogenesis…
659
 The fungi-producing systemic mycoses first cause
pulmonary infections
 phagocytosed by alveolor macrophages but are not
destroyed
 spread hematogenously to distant sites in the body
660
 Caused by fungi that infect only the superficial
keratinized tissue (skin, hair, and nails)-
Dermatophytes
 belong to three genera
Microsporum,
Trichophyton,
 Epidermophyton
Probably restricted to the nonviable skin because
most are unable to grow at 37 °C or in the presence of
serum
Dermatophytes are acquired by contact with
contaminated soil or with infected animals or humans
. Cutaneous Mycoses
661
Skin Disease
Location of
Lesions Clinical Features
Fungi Most Frequently
Responsible
Tinea
corporis
(ringworm)
Non hairy,
smooth skin
Circular patches with
advancing red, vesiculated
border and central scaling.
Pruritic.
Trichophyton rubrum,
Epidermophyton
floccosum
Tinea pedis
(athlete's
foot)
Interdigital
spaces on feet
of persons
wearing shoes
Acute: itching, red vesicular.
Chronic: itching, scaling,
fissures.
T rubrum,
T mentagrophytes,
E floccosum
Tinea cruris
(jock itch) Groin
Erythematous scaling lesion
in intertriginous area.
Pruritic.
T rubrum,
T mentagrophytes,
E floccosum
Table 2 Some Clinical Features of Dermatophyte Infection
Tinea barbae Beard hair
Edematous, erythematous
lesion. T mentagrophytes
662
Tinea capitis
Scalp hair.
Endothrix: fungus
inside hair shaft.
Ectothrix: fungus on
surface of hair.
Circular bald patches
with short hair stubs or
broken hair within hair
follicles. Kerion rare.
Microsporum-infected
hairs fluoresce.
T
mentagro
ytes, M
canis
Tinea unguium
(onychomycosis) Nail
Nails thickened or
crumbling distally;
discolored; lusterless.
Usually associated with
tinea pedis.
T rubrum
T
mentagro
ytes, E
floccosum
Dermatophytid (id reaction)
Usually sides and
flexor aspects of
fingers. Palm.Any
site on body.
Pruritic vesicular to
bullous lesions. Most
commonly associated
with tinea pedis.
No fungi
present i
lesion. M
become
secondar
infected
with
bacteria.
Skin Disease Location of Lesions Clinical Features
Fungi Most
Frequently
Responsible
Table 2 Some Clinical Features of Dermatophyte Infection…
663
Tinea pedis (feet)
664
Tinea unguium
(nails)
665
Tinea corporis
(the body)
666
Tinea cruris (jock itch)
667
Tinea barbae (bearded area)
668
Tinea capitis (scalp)
669
Figure (a) Classic annular lesion of tinea corporis, caused here
by infection with a Microsporum species.
(b) Tinea cruris or 'jock itch' is a scaly rash on the thighs; the
scrotum is usually spared
(c) Tinea capitis is characterized by scaling on the scalp and hair
loss.
Cutaneous Mycoses
670
 Several factors contribute to infection and
pathogenesis of these organisms.
 Histoplasma capsulatum
 Blastomyces dermatitidis
 Paracoccidioides brasiliensis
 Penicillium marneffei
 Coccidioides immitis
Systemic mycoses
dimorphic
forms spherules
671
 Infections due to fungi of low virulence in patients
who are immunologically compromised
 Normal host
 Systemic pathogens - 25 species
 Cutaneous pathogens - 33 species
 Subcutaneous pathogens - 10 species
 Immunocompromised host
 Opportunistic fungi - 300 species
Opportunistic Mycoses
672
 Most serious opportunistic infections
 Candida species
 Aspergillus species
 Mucor species (zygomyces)
Opportunistic Fungi
673
Candida species
The population of microorganisms that
may be found residing in or on the
human body without causing disease
Normal Flora
674
Competent immune system
Candida albicans
NUMBER OF ORGANISMS x VIRULENCE= NO DISEASE
HOST RESISTANCE
Compromised immune system
Candida albicans
NUMBER OF ORGANISMS xVIRULENCE = DISEASE
HOST RESISTANCE
Candidiasis
675
 Candida manifests itself in different ways depending
upon the nature of the underlying compromise
 Oropharyngeal and esophageal candidiasis
 Chronic mucocutaneous candidiasis
 Gastrointestinal candidiasis
 Disseminated candidiasis
Candidiasis
676
Oropharyngeal and esophageal candidiasis
 Seen in a variety of compromised patients with
 diabetes mellitus
 antibiotics or corticosteroids therapy
 HIV
 Treatment with antifungal mouthwashes (nystatin or an azole
compound) is recommended
677
Oropharyngeal and esophageal candidiasis
678
 Caused by Cryptococcus neoformans, is most typically an
opportunistic fungal infection
 Most frequently causes pneumonia and/or meningitis
 Cryptococcus has a marked tropism for the CNS and is the
major cause of fungal meningitis
 Defective cellular immunity, especially that associated
with the AIDS, is the most common risk factor
Cryptococcosis
679

MICRO FOR NUR.pdf microbiology only. for

  • 1.
  • 2.
  • 3.
    3 3 INTRODUCTION Definition: Microbiology, Microorganisms Branchesof Microbiology Importance of Microorganisms History of Microbiology Theory of Spontaneous generation Koch's postulate Taxonomy & classification of microorganisms
  • 4.
    4 What is Microbiology? The scientific field that studies of microscopic organisms, commonly known as microorganisms  The study of organisms too small to be seen by the unaided eye (i.e. microorganisms)  The word microbiology is derived from three Greek words: Micros – small Bios – life Logos – science/study -Taken together to mean the study of microscopic life .  Microbiology: Virology, Bacteriology, Parasitology, Mycology; Immunology
  • 5.
    5 Basic microbiology  Basicmicrobiology encompasses  Bacteria: simplest, smallest, single-celled  Virus: non cellular, parasitic infectious agents  Fungi: microscopic (molds & yeasts) macroscopic (mushrooms & puff balls)  Protozoa: single-celled  Phycology: studies simple aquatic organisms (seaweeds) 5
  • 6.
    6 Applied microbiology canbe generally divided into several subdisciplines  Environmental microbiology : The study of the function and diversity of microbes in their natural environments.  Industrial microbiology: The exploitation of microbes for use in industrial processes. Example: industrial fermentation and waste treatment.  Aeromicrobiology: The study of airborne microorganisms.
  • 7.
    7  Food microbiology:The study of microorganisms causing food spoilage and food borne illness. Using microorganisms to produce foods, for example by fermentation  Pharmaceutical microbiology: the study of microorganisms causing pharmaceutical contamination and spoil  Agricultural microbiology: The study of agriculturally important microorganisms.  Soil Microbiology: The study of those microorganisms that are found in soil.  Water microbiology: The study of those microorganisms that are found in water. e t c
  • 8.
    8 Medical microbiology:  Thestudy of pathogenic microbes  Pathogenicity/pathogenesis  Virulence  Immunity  Epidemiology and public importance  Diagnosis  Prevention and control
  • 9.
    9  What aremicroorganisms (MO)?  too small to be seen with the naked eye, • very diverse and found almost everywhere
  • 10.
    10 Beneficial aspects ofmicroorganisms  Not all microbes are associated with various human illnesses, many microbes are also responsible for numerous beneficial processes such as:  Maintain balance of environment (microbial ecology) Recycles vital elements (carbon, nitrogen, sulfur, hydrogen, and oxygen) Nitrogen fixation  photosynthesis Recycles water (sewage treatment) Clean up toxic wastes (bioremediation) insect pest control - eg. Bacillus thuringiensis (Bt) to control caterpillars : some beetle and fly larvae
  • 11.
    Benefits…… 11  Manufacture offood and drink -bacteria turn wine into vinegar and milk into cheese and yogurt
  • 12.
    Microbes are usedto produce Antibiotics  Penicillin  Mold  Penicillium notatum  1928 Alexander Fleming 12
  • 13.
    Microbial Antagonism 13  Ournormal microbial flora prevents potential pathogens from gaining access to our body Bacteria synthesize chemicals that our body needs  Example: Escherichia coli  B vitamins - for metabolism  Vitamin K - blood clotting
  • 14.
    Recombinant DNA Technology GeneTherapy Genetic Engineering 14  Bacteria can be manipulated to produce enzymes and proteins they normally would not produce  Insulin  Human Growth Hormone  Interferon
  • 15.
    Harmful Effects 15  Causedisease & basis for bioterrorism  Food spoilage
  • 16.
    Brief History ofmicrobiology 16 History of microbiology can be divided into three different eras: 1. Discovery era 2. Transition era (spontaneous generation and biogenesis) 3. Golden age of microbiology 1. Discovery era  This period concerns with the discovery of microbial world, that has dominated by Anton van leeuwenhoek . A) 1632–1723- Antony van Leeuwenhoek (Dutch) of Delft, Holland, the first person to observe and accurately describe microorganisms- "animalcules".  He discovered major classes of bacteria (spheres ,rods and spirals ) , protozoa, algae and yeasts.
  • 17.
    17 Spontaneous Generation andBiogenesis  After Leeuwenhock had discovered the vast numbers of microscopic creatures present in nature, scientists began to wonder about their origin.  There were two Schools of Thought : (a)Some believed that the "animalcules“ were formed spontaneously from non-living matter. (a) Others believed "animalcules“ were formed from living matter or “ germs” or “seeds” present in air.
  • 18.
    18 Spontaneous generation (Abiogenesis) The phenomenon of spontaneous formation of living things begins from non-living matter.  The belief in this phenomenon is known as the doctrine of spontaneous generation.  E.g. decaying meat → maggots and flies
  • 19.
    Experimental proves forspontaneous generation and Biogenesis  Scientists responsible for the removal of doctrine of SG  Francesco Redi (1626 – 1697) -an Italian physician  Redi filled six jars with decaying meat. Conditions Results 3 jars covered with fine net No maggots 3 open jars Maggots appeared 19 •He showed that worms found on decayed meat were the larvae from eggs of flies. No maggots Maggots
  • 20.
    20  Rudolph Virchow1858  Theory of Biogenesis Living cells can arise only from preexisting cells. So now there are two hypotheses: The hypothesis that living organisms arise from nonliving matter is called spontaneous generation. According to spontaneous generation, a “vital force’ Forms life. The Alternative hypothesis, that the living organisms arise from preexisting life, is called biogenesis
  • 21.
    1861: Louis Pasteurdemonstrated that microorganisms are present in the air. Pasteur filtered air through cotton plug showing that filterable particles cause contamination of sterile broths. Conditions Results Nutrient broth placed in flask, heated, not sealed Microbial growth Nutrient broth placed in flask, heated, then sealed No microbial growth Spontaneous generation or biogenesis? Next experiment, Pasteur’s S-shaped flask kept microbes out but let air in. These experiments form the basis of aseptic technique. 21
  • 22.
    Origin of Microbes:Pasteur’s Swan-Necked Flasks 22
  • 23.
    Origin of Microbes:Pasteur’s Swan-Necked Flasks 23 Heat to sterilize (doesn’t always work). Bacteria, fungal spores, and dust adhere to glass. Remains sterile. Contamination of culture Broth turbidity indicates bacterial growth.
  • 24.
    The Golden Ageof Microbiology 1857-1914 Beginning with Pasteur’s work, Discoveries included the relationship between microbes and disease, immunity, and antimicrobial drugs Pasteur showed that microbes are responsible for fermentation. Fermentation is the conversation of sugar to alcohol to make beer and wine. Microbial growth is also responsible for spoilage of food. Bacteria that use alcohol and produce acetic acid spoil wine by turning it to vinegar (acetic acid). 24
  • 25.
     Pasteur demonstratedthat these spoilage bacteria could be killed by heat that was not hot enough to evaporate the alcohol in wine Sterilization  This application of a high heat for a short time is called Pasteurization.) The idea of using attenuated (weakened) strains of microorganisms as the basis for vaccines.  Solved the mysteries of rabies, anthrax, chicken, cholera, and silkworm diseases  Theorized that microorganisms were the cause of contagious diseases 25
  • 26.
    The Germ theoryof disease 26  1546: Girolamo Fracastoro (1478-1553), wrote about the "seeds of disease" which can pass from one person to another (contagion theory/germ theory of disease)  by the mid 1800's, many people suspected that microorganisms were responsible for causing many diseases  1835: Agostino Bassi de Lodi, showed a fungus to be the cause of a silkworm disease  1847: Ignaz Semmelweiss (1818-1865), used chlorinated lime solutions to prevent puerperal fever and became the father of nosocomial infection control.
  • 27.
    27  1867: JosephLister (1827-1912) an English physician designed a system of sterile surgery to prevent microorganisms from entering wounds; his patients had fewer postoperative infections Robert Koch - 1st to prove that bacteria actually caused diseases/Germ theory  Microbial Etiology of Infectious Disease • etiology - the cause of a disease  Established “scientific rules” to show a cause and effect relationship between a microbe and a disease
  • 28.
    28  Robert Koch- studied the anthrax bacterium  was the first to cultivate these bacteria outside the body using blood serum at body temperature  led to the development of  Pure culture techniques,  Stains,  Agar or culture media,  petri dishes Etc…….
  • 29.
    29  Koch establishedthe Microbial Etiology of 3 important diseases of this day  1. Cholera (fecal-oral disease)  Vibrio cholerae  2. Tuberculosis (pulmonary infection)  Mycobacterium tuberculosis  3. Anthrax (sheep and cattle)  Bacillus anthracis His postulates are still used to establish the link between a particular microorganism and a Particular disease
  • 30.
    KOCH’s POSTULATES 30 1. Thesame microbe is always associated with a specific disease. 2. The microbe must be isolated from the host with the disease and grown in pure culture 3. The specific disease must be reproduced when a pure culture of the bacteria is inoculated into a healthy susceptible host 4. The original microbe must be recovered from the experimentally infected host and shown to be the same as the original.
  • 31.
    31 31 1. Same organism present ineach case. 2. Organism grown in pure culture. 3. Pure organism causes same disease. 4. Same organism recovered. Together these indicate infectious- disease causation.
  • 32.
    Exceptions to Koch’sPostulates 1. Some organisms have never been grown in pure culture on artificial media Treponema pallidum - Syphilis 32
  • 33.
    Mycobacterium leprae Leprosy Never beengrown in pure culture on artificial media Abdominal cavity of the Seven Banded Armadillo Exceptions to Koch’s Postulates 33
  • 34.
    Exceptions to Koch’sPostulates 34  Multiple causes  It can not be applied in a bacteria that can be found in human body as a normal flora and cause disease in unusual circumstance  Chronic or minor conditions  It is impossible to apply these postulates to the virus, which cannot be cultivated in artificial media.  No suitable model. E.g. HIV
  • 35.
    Development of antimicrobialchemotherapy 35  1910: Paul Ehrlich developed Salvarsan (first synthetic chemotherapeutic agent) to treat syphilis  1929: Alexander Fleming, discovered penicillin(1st antibiotics)  He observed that Penicillium fungus made an antibiotic, penicillin, that killed S. aureus. -1942: Penicillin 1st Human Use
  • 36.
    36 Taxonomy and classificationof microorganisms   (Gk. taxon = arrangement; )  “Taxonomy” = the science of classification of organisms in an ordered system that indicates a natural relationship  Why: consistently communicates the unique characteristics of infectious organisms to students, microbiologists, and healthcare workers 36 Principles of Taxonomy
  • 37.
    37  “Taxonomy canbe viewed as three separate but interrelated areas: 1. Classification-- arranging organisms into similar or related groups, primarily to provide easy identification and study 2. Nomenclature--the system of assigning names to organisms by international rules 3. Identification--characterizing organisms
  • 38.
    38  Originally 2Kingdoms: Animals & Plants (certain organisms not fit)  Robert Whittaker: 5 Kingdoms (1969) 1.Prokaryotes/Monera(Bacteria & cyanobacteria) 2. Protista 3. Myceteae/Fungi 4. Plant 5. Animal 38 Taxonomy and classification of microorganisms
  • 39.
  • 40.
    Binomial System ofTaxonomic Classification 40  Use only the Genus and species  Genus and species names always are italicized (or underlined) to indicate that they are scientific names.  The genus name is always Capitalized, and the species name is never capitalized.  Species may be further subdivided into sub-species called strains (eg. Escherichia coli strain 0157-H7)
  • 41.
    41 Comparison of Eukaryotic& Prokaryotic Cells  all organisms other than viruses and prions are made up of cells  Bacteria are prokaryotes, all other organisms are eukaryotes 41
  • 42.
    Eukaryotic cell Prokaryoticcell Gram + Gram - Cell wall Cell membrane Outer membrane Ribosomes Rough endoplasmic reticulum Mitochondria Granule (e.g. animal) Cell wall Nucleoid Nucleus Cell membrane Capsule Cytoplasm Flagellum Pili 42
  • 43.
    43 Characteris tic/ S tructure Eukaryote Prokaryote Virus S ize(average)5- 1 - 0.025- Cell Wall Present Fungi & Algae Present except Mycoplasma Absent Cytoplas micmembrane Possesssterols No sterolsexcept Mycoplasma Absent. Lipid membranesurrounds some Nuclear membrane Present Absent Absent Nucleolus Present Absent Absent Hereditaryinfo. DNA: >1chromosome Proteinsassociated DNA: single NO proteinsassociated DNA or RNA S ingleor double stranded. S ome enzymesassociated Distinguishing Characteristics 43
  • 44.
    44 Characteristic/ Structure Eukaryote Prokaryote Virus RibosomesLarge 80S Small 70S Absent Respiration Associated with Mitochondria Associated particles in cytoplasmic membrane Absent Reproduction Sexual & Asexual Asexual (Binary fission) Asexual Habitat Almost exclusively in environments containing O2 NO requirement for intracellular host to reproduce Environment may or may not contain O2 Some (Rickettsia) require living host Reproduce only within environment of a living host 44 Distinguishing Characteristics…
  • 45.
    Why bacterial Identification? 45 Bacterial identification usually is done for reasons of health, either in the course of treating infectious disease or to prevent disease. For example  to identify fecally contaminated water  to identify organisms associated with food spoilage or contamination
  • 46.
    46  Some Criteriafor Classification of Bacteria morphology - cell shape and size staining reactions - especially gram staining reaction metabolism - biochemical reactions growth characteristics- colony size, shape, and color Environmental requirements - e.g.. Oxygen tolerance, temperature tolerance, etc.
  • 47.
    47 serologic reactions -antigen-antibody reactions protein types - determined by polyacrylamide gel electrophoresis [ PAGE ] phage typing - using bacteriophages to identify bacterial strains DNA hybridization - to determine closeness of relationship between various bacteria base sequence of nucleic acids (DNA & rRNA)
  • 48.
    48 How the structuraland biological characteristics of bacteria can be used in classification, taking Gram-positive bacteria as an example.
  • 49.
    49 49 Bacterial shapeand size Bacterial structures and function Bacterial nutrition and Growth curve Bacterial generation time Morphology, growth and nutrition of bacteria
  • 50.
    Bacterial shape andsize 50 A. Size B. Shape and Arrangement C. Cell Structure
  • 51.
    51 SIZE  Bacteria range:0.2 μm - 10 μm (Typically 1 - 2 μm)  Mycoplasma sp. 0.15-0.3 μm dia (size of poxvirus)  Surface Area ~12 μm2  Volume is ~4 μm3  Surface Area to Volume is 3:1
  • 52.
    Shapes & arrangements 52 Coccus  Chain = Streptoccus  Cluster = Staphylococcus  Coccobacillus  Vibrio = curved  Bacillus (Cylindrical)  Chain = Streptobacillus  Spirillum (pl spirilla): cells with spiral or curved bodies with one or more twists  Spirochete:  Pleomorphic - display different shapes E.g. Mycoplasma pneumonia
  • 53.
  • 54.
  • 55.
    Cell arrangements 55 Groupings ofbacilli include:  Diplobacilli -Paired rods  Streptobacilli -chains of cells .  E.g.Bacillus megaterium  Coccobacilli -short Bacilli that nearly looks like a cocci.
  • 56.
    Cell arrangements 56 Three groupsof spirals:  Vibrios - single curve, comma shaped  Spirillum - rigid, two or more curves,  Spirochetes - flexible, two or more curves, wavy – move by flexing bodies.
  • 57.
  • 58.
    58 Structures  EXTERNAL: Flagella Pili Fimbriae Glycocalyxor S-layers Cell wall Cell membrane/ Cytoplasmic membrane  INTERNAL: Cytoplasm/Protoplasm Nucleoid Ribosomes Inclusions (Endospores) 58 Cell envelope
  • 59.
    59  Flagella  longhelical filaments extending from the cell surface, which enable bacteria to move in their environment  composed entirely of protein, 12–30 nm in diameter  Not essential for survival  The number and arrangement on the cell are diagnostically useful.  Flagella occur on both Gram-positive and Gram- negative bacteria
  • 60.
    60  flagella areconstructed of a class of proteins (flagellins)  Flagellins are immunogenic & constitute a group of protein antigens called the H antigens-species specific  Intact and motile flagella are important colonization factors for C. jejuni in chicks  Swarming occurs with some bacteria i.e. Spread across Petri dish,  E.g. Proteus species
  • 61.
    61 Flagellum arrangement basisfor classification  Polar: Monotrichous(single polar flagellum) e.g. Vibrio sp. Amphitrichous e.g. Spirillum sp. Lophotrichous (multiple polar flagella) e.g. Pseudomonas sp.  Lateral: Peritrichous (flagella distributed over the entire cell) e.g. Proteus sp.
  • 62.
    62 Respond to food/poison Movement using flagella important for  Taxis: involuntary movement of organism in response to a stimulus -in a few pathogens motility is known to be a determinant of virulence Vibrio cholerae, apparently swim (laterally) into the intestinal mucosa to avoid being flushed out by the peristaltic action of the gut
  • 63.
    63 Pili (Fimbriae)  Hollow,helical (9-10nm dia), protein appendages  Shorter, more rigid & finer than flagella;  like flagella, composed of structural protein subunits, pilins  function in attachment either to other bacteria or to host cells  play an important role in bacterial colonization of epithelial surfaces  to red blood cells (causing hemagglutination)  to surfaces of yeast and fungal cells  used for Classification & identification of bacteria
  • 64.
    64  2 types: F-pilus (Sex pilus) Gram -Ve Bacteria only  Exchange of genetic information during conjugation  (Fimbriae) attachment (common) Pili (type I pili)  Adhesion to surfaces  Predominantly Gram -ve, Some Gram +ve (Corynebacterium renale, Actinomyces naeslundii)  e.g. Gonococcal attachment pili -attachment of gonococci mucosal cells of the urogenital epithelium.
  • 65.
  • 66.
    66 Cell envelope  Glycocalyx:(also known as capsule, slime layer & s- layer)  polysaccharide-containing material lying outside the cell  Exception (capsules of Bacillus anthracis & Bacillus licheniformis) composed of the poly-D-glutamic acid poly peptide  Capsule : Well-defined layer closely surrounding the cell that excludes particles  The capsule is not essential for viability
  • 67.
    67  Bacteria thatpossess capsules are considered to be encapsulated,  generally have greater pathogenicity because capsules protect bacteria, even from phagocytic white blood cells of the immune system  The adhesive power of capsules is also a major factor in the initiation of some bacterial diseases
  • 68.
    68 FUNCTION:  Adherence:  toother species members (colonies) = biofilm formation  to surfaces  e.g., Streptococcus mutans (dental caries)-bind to the proteins covering tooth enamel,  Antigenic activity: for identification  e.g., S. pnuemoniae, Haemophilus influenzae  Antiphagocytic  Complement can’t penetrate sugars -e.g., S. pneumoniae - resists phagocytosis
  • 69.
    69  Prevention ofneutrophil killing of engulfed bacteria:  lysosome contents don’t have direct access to the interior of the bacterial cell  Prevention of PMN leukocyte migration to site of infection:  E.g., Bacteroides fragilis: capsule of succinic acid, released from capsule & paralyzes PMN leukocyte  source of nutrients and energy to microbes  Prevent cell from drying out (desiccation)
  • 70.
    70 Cell Wall  Continuousrigid outer layer that surrounds bacteria  Surrounds all Eubacteria (except Mycoplasma spp.)  Functions:  Prevents osmotic lysis (dilute environments)  Defines the shape of the cell  Anchor point for extracellular projections such as flagella  Clinically important - site of action of some antimicrobials  Major antigenic determinant of the cell surface  lipopolysaccharide of gram-negative cell walls— nonspecific endotoxin activity of gram-negative bacteria
  • 71.
    71  Most bacteriaare classified as gram-positive or gram- negative.  Gram-positive retain a complex of crystal violet (a purple dye) and iodine after a brief wash with alcohol or acetone  Gram-negative bacteria do not retain the dye-iodine complex and become translucent  but they can then be counterstained with safranin (a red dye)  Thus, gram-positive bacteria look purple under the microscope, and gram-negative bacteria look red  The distinction between these two groups is due to the fundamental differences in their cell envelopes
  • 72.
  • 73.
    Gram negative Grampositive Heat/Dry Crystal violet stain Iodine Fix Safranin stain( counter stain) RED COLOURED) Alcohol /acetone 73
  • 74.
    74 Composition of cellwall Peptidoglycan layer – also called Murein or mucopeptide  a complex polymer consisting of three parts: 1. backbone composed of alternating NAG - (N- acetylglucosamine) and NAM - (N- acetylmuramic acid) 2. a set of identical tetrapeptide side chains attached to NAM 3. a set of identical peptide cross-bridges  The backbone is the same in all bacterial species  the tetrapeptide side chains and the peptide cross- bridges vary from species to species
  • 75.
  • 76.
    76 Representation of thepeptidoglycan lattice formed by cross-linking Cross bridges
  • 77.
    77 Special Components ofGram-Positive Cell Walls  Thick peptidoglycan (50-60% of dry weight)  Teichoic and teichuronic acids  account for up to 50-60% of the dry weight of the wall and 10% of the dry weight of the cell  Teichoic acid  polymers containing glycerolphosphate or ribitol phosphate residues (polyalcohols connected by phosphodiester linkages)
  • 78.
    78  Special Componentsof Gram-Positive Cell Walls…  There are two types of teichoic acids wall teichoic acid (WTA), covalently linked to peptidoglycan membrane teichoic acid, covalently linked to membrane glycolipid (lipoteichoic acids) Teichuronic acids Polymers of sugar acids (such as N- acetylmannosuronic or D-glucosuronic acid) no phosphorus synthesized in place of teichoic acids when phosphate is limiting
  • 79.
  • 80.
    Lipoteichoic acid (duringdisease) causes: 80  Dermal necrosis (Schwartzman reaction)  Stimulation of specific & non-specific immunity  Adhesion to the human cell  adhesins (e.g., Streptococcus pyogen  Attachment for Phages  Complement activation  Induction of hypersensitivity (anaphylaxis)  Bind protons (maintain low pH), cations (Ca2+ & Mg2+)
  • 81.
    81  Special Componentsof Gram-Negative Cell Walls  THIN peptidoglycan (5-10% of dry weight)  have three components outside the thin the peptidoglycan layer (5-10% of dry weight): o Outer membrane o Lipopolysaccharide (LPS) o Lipoprotein
  • 82.
    82 outer membrane  Barrierto toxic substances (bile salts, antibiotics, detergents, heavy metals)  Porins, proteins that form pores in the outer membrane permit the passive diffusion of low-molecular-weight hydrophilic compounds like sugars, amino acids, and certain ions.  Strong negative charge helps bacteria evade phagocytosis and action of complement  Large antibiotic molecules penetrate the outer membrane relatively slowly- high antibiotic resistance of gram- negative bacteria.
  • 83.
    83  Lipopolysaccharide (LPS):endotoxin found in outer leaflet of outer membrane, comprised of  lipoid A (lipid A)  the core polysaccharide  O-specific polysaccharide chain  G-ve bacteria only  Alcohol/Acetone removes Function:  Pyrogen; causes fever  Adjuvant; stimulates immunity  Heat Resistant; hard to remove
  • 84.
    84 Lipid A Responsible fortoxic effect, causes:  Fever, Haemorrhagic necrosis (Shwartzman reaction)  Disseminated Intravascular Coagulation due to factor VII activation  Activate macrophages to produce cytokines (IL-1 & TNF) which results fever  Stimulation of bone marrow cell proliferation
  • 85.
    85 O-specific polysaccharide  calledO antigen, is highly immunogenic in a vertebrate animal  Because it is highly variable among species and even in strains within a species, used for bacterial typing E.g. over 1000 have been recognized in salmonella alone  Periplasmic Space -Gram - ve -Space between inner & outer membranes -digestive enzymes and other transport proteins
  • 86.
    86 Lipoprotein  numerically themost abundant protein of gram-negative cells (ca 700,000 molecules per cell)  Its function is to stabilize the outer membrane & anchor it to the peptidoglycan layer
  • 87.
    87 87 CHARACTER +VE-VE No’ of major layers 1 2 Chemical Make-up Peptidoglycan Teichoic acid Lipoteichoic acid Lipopolysaccharide Lipoprotein Peptidoglycan Overall Thickness Thick (20-80nm) Thin (8-11nm) Outer Membrane No Yes Periplasmic Space In some In all Porin Proteins No Yes Permeability More Permeable Less Penetrable Table 1. Comparison of Gram+ve /Gram-ve cell walls
  • 88.
    88 Acid-Fast Cell Wall Genera Mycobacterium & Nocardia have cell walls that contain waxes, known as mycolic acids  The cell wall is composed of Peptidoglycan + arabinose & galactose polymers  lipid rich cell wall does not allow the alkaline stains to penetrate well  Once stained they resist decolorizing, even with HCl- alcohol. this property is known as acid fastness. Atypical Cell Walls
  • 89.
    r r r r r r AcidFast Cell Envelope Cytoplasm r r r r Peptidoglycan-mycolic acid-arabinogalactan Cytoplasmic membrane Mycolic acid lipids 89
  • 90.
    90 Protoplasts, Spheroplasts, andL Forms Protoplasts : Free spherical bodies liberated from Gram-positive bacteria when treated with lysozyme or antibiotics in osmotically protective media Cell wall completely removed (Gram +ve more sensitive) Gram-negative cells treated with EDTA-lysozyme or antibiotics form spheroplasts (retain outer membrane and entrapped peptidoglycan) Portion of cell wall remains
  • 91.
    91 L forms (bacteriawith murein defects) e.g., resulting from the effects of betalactam antibiotics  L-forms totally resistant to betalactams, which block the biosynthesis of murein  Some L forms can revert to the normal bacillary form upon removal of the inducing stimulus (the presence of residual peptidoglycan, which normally acts as a primer in its own biosynthesis).  Some bacterial species produce L forms spontaneously
  • 92.
    92  May producechronic infections, the organisms persisting by becoming sequestered in protective regions of the body.  Since L-form infections are relatively resistant to antibiotic treatment, they present special problems in chemotherapy.  Their reversion to the bacillary form can produce relapses of the overt infection
  • 93.
    The Mycoplasmas 93  Cellwall-lacking bacteria , containing no peptidoglycan  Lack a target for cell wall-inhibiting antimicrobial agents (eg, penicillins and cephalosporins) -resistant to these drugs.  The difference between L forms and mycoplasmas is that when the murein is allowed to reform, L forms revert to their original bacteria shape, but mycoplasmas never do.
  • 94.
    Cytoplasmic (plasma) membrane 94 Plasmamembrane - Inner membrane composed of :  Phospholipid bilayer  Polar head (phosphate groups and glycerol)  Nonpolar tails, composed of fatty acids; hydrophobic insoluble in water; interact in center layers of membranes  Proteins  Peripheral proteins - lie at inner or outer surface of membrane  Integral proteins - penetrate membrane completely or partly  No Sterols (except Mycoplasma sp.)
  • 95.
  • 96.
    Plasma Membrane functions 96 Serve and a selective barrier through which materials enter and exit cell  Synthesis of structural molecules for cell envelope or appendages  Secretion of enzymes and toxins  Energy metabolism and respiration
  • 97.
    Internal contents 97 Cytoplasm  thick,semitransparent, elastic internal matrix of cell contained inside the plasma membrane. Site of biochemical activity Water 70-80% acts as solvent (sugars, salts & aa’s)
  • 98.
    Cytoplasmic Structures 98 Nucleoid –DNA: contains a single circular molecule of ds DNA Ribosomes RNA/PROTEIN bodies (60% RNA, 40% Protein) sites of protein synthesis Exist free in the cytoplasm, rarely attached to membranes 70S ribosomes (30S subunit + 50S subunit)  (Sedimentation Coefficient)
  • 99.
    99 Plasmids Extrachromosomal DNA Circular ,doublestranded DNA  Smaller than chromosome Self-replicating Non essential for viability Often advantage to bacteria -may carry genes for antibiotic resistance, tolerance to toxic metals, production of toxins, synthesis of enzymes or virulence factor)
  • 100.
    Endospores (spores) 100  Specializedstructures - produced in environmental stress  Few bacteria: most commonly Bacillus & Clostridium spp. produce endospores  Resistant structure  Heat, irradiation, cold, chemical disinfection & drying  Boiling >1 hr still viable  Bacillus stearothermophilus -spores  Used for quality control of heat sterilization equipment  Bacillus anthracis - spores  Used in biological warfare
  • 101.
    Bacterial Growth, Nutritionand Metabolism 101
  • 102.
    102 OBJECTIVES  Describe stagesof bacterial growth (reproduction)  Describe physical factors required for & affecting growth  List chemical factors required for & affecting growth
  • 103.
    Bacterial growth  Increasein number of cells, not cell size  One cell becomes colony of millions of cells 103
  • 104.
    104 Growth Rate: refersto changes in bacterial number Generation time( doubling time )  The time required for complete cell division  Formation of each new bacterial cell, its growth and eventual division into 2 cells  asexual process Known as BINARY FISSION  Division is geometrical (Population Doubles) i.e., 1 parent cell  2 new daughter cells (1st Generation) 2nd = 4 cells 3rd = 8 cells 4th = 16 cells and so on …. 2n times
  • 105.
    105 GENERATION TIME…  Thein-vitro generation time of rapidly proliferating species is 15–30 minutes. This time is much longer in vivo E.g. (Optimal conditions) Bacillus stearothermophilus 11 mins Escherichia coli 20 mins Staphylococcus aureus 28 mins Lactobacillus acidophilus 60-80 mins Mycobacterium tuberculosis 360 mins Treponema pallidum 1980 mins
  • 106.
    GROWTH CURVE In aclosed system: nutrients and space finite no removal of waste products Time (hrs) Log10 Viable cells A B C D Lag Log Stationary Death 106
  • 107.
    107 A) LAG PHASE Newly inoculated cells, adaptation of the environment  making new enzymes in response to new medium cells, depleted of metabolites and enzymes as the result of the unfavorable conditions at the previous culture  no cell division Growth rate zero
  • 108.
    108 B.EXPONENTIAL (LOG) PHASE Exponentialgrowth rate  Cells reach maximum rate of cell division (Continues as long as nutrients and environment is favorable) Most sensitive to drugs and radiation during this period. growth inhibition occurs when  one or more nutrients in the medium become exhausted or toxic metabolic products accumulate  For aerobic organisms, the nutrient that becomes limiting is usually oxygen
  • 109.
    109 C) STATIONARY PHASE theexhaustion of nutrients or the accumulation of toxic products causes growth to cease completely Rate of cell inhibition (death) = Rate of multiplication FACTORS: Nutrient depletion, pH changes, accumulation of waste, reduced O2 (Can induce ENDOSPORES - Bacillus, Clostridium sp.) Growth rate zero
  • 110.
    110 D) DEATH PHASE Decline in growth rate (reverse Log phase) death exceeds division  Death in geometric fashion Causes: depletion of nutrients, O2, excretion of toxic waste products, increased density of cells (limited space) Growth rate negative or death . Factors: same as stationary phase + release of lytic enzymes
  • 111.
    111  Maintenance ofCells in the Exponential Phase  Transfer the cells repeatedly into fresh medium of identical composition while they are still growing exponentially.  referred to as continuous culture; .  Definition & Measurement of Death  For a microbial cell, death means the irreversible loss of the ability to reproduce (grow and divide).  The empirical test of death is culture of cells on solid media:  A cell is considered dead if it fails to give rise to a colony on any medium.
  • 112.
    Bacterial requirements forgrowth 112  Physical - temperature, pH, osmotic pressure, oxygen  Chemical - water, sources of carbon and nitrogen, minerals, and organic growth factors  All bacteria obtain energy by oxidizing preformed organic molecules  carbohydrates, lipids and proteins from their environment  Metabolism of these molecules yields ATP as an energy source
  • 113.
    Physical factors 113 TEMPRATURE  Psychrophile:Psychrophilic Opt temp below 15oC-20C Cannot grow above 20oC found: snow fields, polar ice, deep ocean Examples: Pseudomonas, Flavobacterium, & Achromobacter sp.  Facultative Psychrophile: Grow slowly in cold conditions, can grow at 0oC But have opt temp b/n 20-30oC Examples: Staphylococcus aureus, L. monocytogenes Concern: Contaminants of food/dairy products
  • 114.
    114  Mesophile: Group containinghuman pathogens (30-37oC) Most organisms are mesophilic  30°C is optimal for many free-living forms, and the body temperature of the host is optimal for symbionts of warm-blooded animals. Example: E. coli
  • 115.
    115 Thermophile: Opt temp >45oC Capableof growth 50-60oC Incapable of growth at usual body temp. (not involved in human infections) Found: VOLCANO, DIRECT EXPOSURE TO SUN
  • 116.
    116  Human pathogenicbacteria are classified in terms of their O2 requirements and tolerance as  Obligate aerobes  Microaerophilic bacteria  Aerotolerant anaerobes  Facultative anaerobes  Obligate anaerobes Oxygen requirements 116
  • 117.
    117 Obligate Aerobes  Growonly in presence of oxygen  no fermentation  oxidative phosphorylation  Produces catalase and superoxide dismutase enzymes  detoxifies hydrogen per oxide and super oxide radicals that are toxic by products of aerobic metabolism.
  • 118.
    118 Microbes convert toxicproducts to molec Oxygen by: 2O2 - + H2O2 –Fe2/ Fe3- .OH+OH - + O2 1.CATALASE H2O2 H2O + O2 2. PEROXIDASE H2O2 + NADH + H+ 2H2O + NAD+ 3.SUPEROXIDE DISMUTASE 2O2 - + 2 H+ H2O2 + O2 Peroxide is metabolized by Catalase (as above)
  • 119.
    119 Microaerophiles • grow inpresence of o2 but tolerate only up to 4% • Possess enzymes but if toxic products , enzyme systems overload inhibiting growth • Grow, low oxygen • Killed, high oxygen • Eg Borrelia burgdorferi,
  • 120.
    120 Aerotolerant anaerobes • respireanaerobically • not killed by oxygen  facultative anaerobes  Grow in presence or absence of O2  Grow best under aerobic conditions e.g. Enterobacteriacea
  • 121.
    121 Obligate anaerobes  Nooxidative phosphorylation  Fermentation  Killed by oxygen  Lack certain enzymes – Superoxide dismutase – Catalase – Peroxidase
  • 122.
    122  Neutralophiles  Mostorganisms grow best at a pH of 6.0–8.0  Acidophiles  some forms have optima as low as pH 3.0  Alkaliphiles  Others have optima as high as pH 10.5. pH 122
  • 123.
    123 Read about Macronutrients,carbon and energy requirement of bacteria?? Bacterial genome, MSM of genetic variability in Bacteria read??
  • 124.
    The nature ofhost-parasite interactions 124  Bacteria are consistently associated with the body surfaces of animals  have symbiotic relation ship with their animal hosts.  Mutualism - both members of the association benefit.  Commensalism - no apparent benefit or harm to either member of the association.  Parasitism - one member of the association lives at the expense of the other member
  • 125.
    Bacterial Flora ofHumans 125  In a healthy animal, the internal tissues, e.g. blood, brain, muscle, CSF, Bladder etc., are free of micro organisms  but surface tissues, e.g. skin and mucous memebranes , are constantly in contact with environmental organisms and become readily colonized by certain microbial species.  The mixture of organisms regularly found at any anatomical site is referred to as the Normal Flora (Microbiota)  Normal flora of humans consists of more than 200 species of bacteria.
  • 126.
    Normal Flora Locations & Species 126 Note that muchof those locations not mentioned are sterile in healthy individuals. Basically every surface (except deep lungs and, perhaps, the stomach).
  • 127.
    127 NF can begrouped as  The resident flora  relatively fixed types of MO regularly found in a given area at a given age  if disturbed, it promptly reestablishes itself.  The transient flora  Nonpathogenic or potentially pathogenic MOs that inhabit skin or mucous membranes for hours, days, or weeks  does not produce disease, and does not establish itself permanently on the surface.  But if disturbed, transient microorganisms may colonize, proliferate, and produce disease
  • 128.
    128 Role of theResident Flora  Synthesizes and excretes vitamins  E.g enteric bacteria secrete Vitamin K and Vitamin B12, and lactic acid bacteria produce certain B-vitamins.  Prevents colonization by pathogens  Compete for attachment sites or for essential nutrients.  May antagonize other bacteria  intestinal bacteria produce nonspecific fatty acids and peroxides to highly specific bacteriocins, which inhibit or kill other bacteria.  Stimulates the production of cross-reactive antibodies.  antibodies produced against components of the NF cross react with certain related pathogens, and prevent infection or invasion.  Antibodies to NF referred to as "natural" antibodies
  • 129.
    129  However, membersof the normal microbiota may themselves produce disease under certain circumstances.  If forcefully removed from the environment they adapted and introduced into the bloodstream or tissues, these organisms may become pathogenic.  Eg. streptococci of the viridans group are the most common resident organisms of the upper respiratory tract.  If large numbers of them are introduced into the bloodstream (eg, following tooth extraction or oral surgery)  they may settle on heart valves and produce infective endocarditis.
  • 130.
    Pathogenesis of BacterialInfection 130  Bacterial Pathogenesis (terminology)  The pathogenesis of bacterial infection includes initiation of the infectious process and the mechanisms that lead to the development of signs and symptoms of disease  Pathogen- microorganism able to produce disease  Pathogenicity- ability of a microorganism to cause disease
  • 131.
    131  Potential pathogens-Normal flora live in a commensal or parasitic relationship without producing disease  cause disease when the host's immunity is compromised or weakened  Obligate pathogens- pathogens do not associate with their host EXCEPT in the case of disease  Opportunistic Pathogens- cause a disease (opportunistic infection) in a compromised host which typically would not occur in a healthy host  Infection- multiplication of an infectious agent within the body.
  • 132.
    132  Adherence (adhesion,attachment): The process by which bacteria stick to the surfaces of host cells. Adherence is a major initial step in the infection process  Invasion: The process whereby bacteria, animal parasites, fungi, and viruses enter host cells or tissues and spread in the body  Virulence: The quantitative ability of an agent to cause disease.  Toxigenicity: The ability of a microorganism to produce a toxin that contributes to the development of disease.
  • 133.
    133 Mechanisms of BacterialPathogenicity Two broad qualities of pathogenic bacteria  The ability to invade tissues: invasiveness  colonization (adherence and initial multiplication)  production of extracellular substances which facilitate invasion.  ability to bypass or overcome host defense mechanisms
  • 134.
    134 Ability to producetoxins: toxigenesis  Exotoxins: released and may act at tissue sites remote from the site of bacterial growth.  Endotoxins: cell-associated structural components of the cell walls of Gram-negative bacteria.  may be released as a result of effective host defense (e.g. lysozyme) or the activities of certain antibiotics
  • 135.
    135 1. The abilityto invade tissues: invasiveness A. Colonization: first stage of microbial infection  adherence or attachment requires the participation of two factors: a receptor and an adhesin  adherence factors - capsules, pili (fimbriae), and adhesins (glycoproteins and glycolipids)  adhesins and receptors usually interact in a complementary and specific fashion
  • 136.
    136 B.Invasion  aided bysubstances which breaking down primary or secondary defenses of the body; invasins  invasins: proteins (enzymes) or extracellular substances that act locally to damage host cells and/or facilitating the growth and spread of the pathogens  are products other than exotoxins  invasins usually act at a short range and may not actually kill cells in their range of activity  While exotoxins are often cytotoxic and may act at remote sites.  Also, exotoxins are more specific and more potent than invasins
  • 137.
    137 Some bacterial proteinsthat are considered invasins  Spreading factors - enzymes that affect physical properties of tissue matrices and intercellular spaces and appear to promote the spread of the pathogen  Hyaluronidase  hydrolyzes hyaluronic acid, a constituent of the intercellular ground substance that cements cells  produced by Staphylococci , Streptococcus , Clostridia  Collagenase  breaks down collagen that forms framework of connective tissue  produced by Clostridia
  • 138.
    138  Streptokinase &Staphylokinase  converts plasminogen to plasmin, which digests fibrin and prevents clotting  Allows pathogen to move from clotted area - Staph and Strep  Deoxyribonuclease  lowers viscosity of exudate; breaks down DNA  Gives pathogen more mobility - S. aureus
  • 139.
    139  Enzymes thatcause hemolysis and/or leucolysis - insert into membrane forming a pore that result in cell lysis or by enzymatic attack on phospholipids  Phospholipases  Hydrolysis of phospholipids - C. perfringens  Lecithinase  destroys lecithin (phosphatidlycholine) component of plasma membrane  C. perfringens  Hemolysins  Channel forming proteins or phospholipases or lecithinases - lyse erythrocytes  Cause anemia and weakened host defenses - release iron that many organisms need in order to grow - Staph, Strep, Clostridia
  • 140.
    -Leukocidins •cause degranulation oflysosomes within leukocytes Decreases host resistance - Staph and Strep -Coagulase •produced by S. aureus - coagulates (clots) the fibrinogen in plasma •Clot protects pathogen from phagocytosis and isolates it from other defenses of host 140
  • 141.
    141 C. Evasion ofhost defenses  Some pathogenic bacteria are inherently able to resist the bactericidal components of host tissues.  For example, the poly-D-glutamate capsule of Bacillus anthracis protects the organisms against cell lysis.  The outer membrane of Gram-negative bacteria is not easily penetrated by hydrophobic compounds such as bile salts  Pathogenic mycobacteria have a waxy cell wall that resists attack or digestion by most tissue bactericides.
  • 142.
    142  Most successfulpathogens possess additional structural or biochemical features which allow them to resist host internal defense.  Overcoming Host Phagocytic Defenses  immunosuppression  persistence of a pathogen at body sites inaccessible to the immune Response  antibodies absorbed by Soluble Bacterial Antigens  antigenic variation  changing antigens during the course of an infection  changing antigens between infections
  • 143.
    143 2.The ability toproduce toxins: toxigenesis • Over 220 known bacterial toxins  toxin ingestion following production (food Poisoning).  toxin production following colonization • can be divided into two groups -Exotoxins & Endotoxins • Exotoxins  excreted by living cells  produced by both gram-positive and gram- negative bacteria  Frequently controlled by extrachromosomal genes (plasmids, phage)
  • 144.
    144 Exotoxins are dividedinto three main groups  Neurotoxins affect neurons.  Enterotoxins affect the gastrointestine.  Cytotoxins damage cells  Diphtheria toxin - inhibits protein synthesis in eukaryotic cells  Erythrogenic toxin - S. pyogenes, cytotoxins damage blood capillaries under skin and produce red skin rash  Botulinum toxin - neurotoxin C. botulinum; acts at neuromuscular junction prevents transmission of impulses from nerve cell to muscle; flaccid paralysis
  • 145.
    145  Tetanus toxin- neurotoxin C. tetani - binds to nerve cells that control contraction of various skeletal muscles result in uncontrollable muscle contraction (spasmodic contractions) lockjaw; spastic paralysis  Vibrio enterotoxin - causes abnormally high cAMP production with consequent copius fluid secretion  Endotoxins  Integral part of cell wall of gram-negative bacteria released on death and in part during growth  found only in gram-negative bacteria  lipopolysaccharide complexes; Lipid A portion probably responsible for toxicity  Synthesis directed by chromosomal genes
  • 146.
    146  Biologic effectsof endotoxin  induce fever due to release by macrophages of endogenous pyrogen (interleukin 1) which acts on hypothalmic temperature regulatory center  Hypotension, Shock, Neutropenia  disseminated intravascular coagulation (DIC)
  • 147.
    Property Endotoxin Exotoxin Chemicalnature LPS (mw = 10kDa) Protein (mw 50-1000kDa) Relationship to cell Part of outer membrane Extracellular, diffusible Denatured by boiling No usually Antigenic Yes Yes Form toxiod No Yes Potency Relatively low (>100μg) Relatively high (1 μg) Specificity Low degree High degree Enzyme activity No usually Pyrogenicity Yes Occasionally Comparison of Endotoxins and Exotoxins
  • 148.
    READ about Principles ofdisease and epidemiology 148
  • 149.
  • 150.
    Nosocomial infections (NI) OMIALINFECTIONS 150  Infection in a hospitalized patient  Not present or incubating on admission  Hospital acquired infection  Does not become manifest in the first 48-72 hours of admission  5-15% of patients admitted to acute care hospitals acquire infections  2 million patients/year  25 to 50% of nosocomial infections are due to the combined effect of the patient’s own flora and invasive devices
  • 151.
    Where do themicrobes come from? • patient's own flora • cross infection from medical personnel • cross infection from patient to patient • hospital environment- inanimate objects - air , dust - IV fluids & catheters - washbowls , bedpans - endoscopes - ventilators & respiratory equipment 151
  • 152.
    SOURCES OF PATHOGENSIN 152  Reactivation of latent infection: TB, herpes viruses  Less common  Endogenous: normal commensals of the skin, respiratory, GI, GU tract  common  Exogenous  Inanimate environment: Aspergillus from hospital construction, Legionella from contaminated water  Animate environment: hospital staff, visitors, other patients  Cross transmission- common
  • 153.
    153 The mode oftransmission most often is either cross-infection (e.g., indirect spread of pathogens from one patient to another on the inadequately cleaned hands of hospital personnel) or autoinoculation (e.g., aspiration of oropharyngeal flora into the lung along an endotracheal tube).  Factors that increase host susceptibility  Broken skin or mucous membranes  suppresses immune system  impaired cell activity
  • 154.
  • 155.
  • 156.
  • 157.
    157 H.A.I. IS INCREASING: compromised patients  ward and inter-hospital transfers  antibiotic resistance (MRSA, resistant Gram negatives)  increasing workload staff pressures lack of facilities lack of concern HAI is inevitable but some is preventable (irreducible minimum) realistically reducible by 10-30%
  • 158.
    Many Personnel Don’tRealize When They Have Germs on Their Hands 158  Healthcare workers can get 100s to 1000s of bacteria on their hands by doing simple tasks like:  pulling patients up in bed  taking a blood pressure or pulse  touching a patient’s hand  rolling patients over in bed  touching the patient’s gown or bed sheets  touching equipment like bedside rails, overbed tables, IV pumps
  • 159.
    Relative Nosocomial Frequencies 159 Just worry abouttop three and not about percentages.
  • 160.
  • 161.
    SURVEILLANCE Important means ofmonitoring HAI Early detection of trends outbreaks 1. Laboratory Based Microbiology Laboratory lists, culture +ve organisms 2. Ward Based Ward staff monitor patients 161
  • 162.
    162  Most hospitalsaim surveillance for infections With a high level of morbidity [e.g., intensive care unit (ICU)–related infections and nosocomial pneumonia]; costly (e.g., cardiac surgical wound infections); difficult to treat (e.g., infections due to antibiotic-resistant bacteria)  pose recurrent epidemic problems (e.g., Clostridium difficile–related diarrhea); and potentially preventable (e.g., vascular access–related infections).
  • 163.
    STRATEGIES TO REDUCENI 163  Modify host.  Risk factors such as age, underlying disease, are difficult to change.  Reduce patient exposure to pathogens  Reduce the number and virulence of nosocomial pathogens
  • 164.
    EXPOSURE REDUCTION  Aseptictechnique during patient care  Hand washing  Proper isolation of patients known or suspected of harboring infectious diseases 164
  • 165.
    165 which body areais not sterile  Lower respiratory tract (trachea, bronchi, bronchioles, alveoli, lungs)  Brain and spinal fluid  Upper genital tract (kidneys, bladder and ureters)  Muscles (skeletal, heart)  Blood
  • 166.
    Principles and methodsof microbial control and prevention 166 166
  • 167.
    167 Principles and methodsof microbial control and prevention Sterilization and Disinfection Pasteurization Chemotherapy and antibiotics
  • 168.
  • 169.
    Sterilization and disinfection 169 I.Sterilization  The complete destruction or removal of all microorganisms including spores  Recommended method for processing instruments and other items that will come in contact with the bloodstream or tissues under the skin Define and distinguish the following terms  sterilization ?  Disinfection?  Antisepsis?  Decontamination (reducing virulence)  Cleaning(removal of contaminating dirty material) 169
  • 170.
    170  Effectiveness dependsupon : 1. The type of microorganism present – Some microorganisms are very difficult to kill. Others die easily. 2. The number of microorganisms present – It is much easier to kill one organism than many. 3. The amount and type of organic material that protects the microorganisms – Blood or tissue ,protein, , pus, mucus remaining on poorly cleaned instruments acts as a shield to microorganisms during the sterilization process Sterilization…
  • 171.
    Sterilization…. 171 4. The numberof cracks and crevices on an instrument that might harbor microorganisms – Microorganisms collect in, and are protected by, scratches, cracks and crevices, Air bubbles will protect bacteria from chemicals. In addition to the above  The time necessary for action.  The optimum temperature.  The concentration of killing agent.  The optimum acidity or alkalinity for killing are some of the factors that affect the potency of sterlizer
  • 172.
    172 Methods of sterilization Twomain kinds  physical methods of sterilization  Chemical sterilization A. physical methods of sterilization 1. Heat sterilization  Most effective and widely utilized means of killing microorganisms.  The main effect of heat is the degradation of organic matters especially the proteins  Could be by either of Dry or wet/moist heat 172
  • 173.
    Moist heat 173  Muchmore effective than dry heat ( causes denaturation of cell proteins with low temperature and shorter exposure time than required for oxidation of proteins as in dry heat).  Different types
  • 174.
    174 Types of MoistHeat Treatments A) Autoclaving (Steam under pressure)  Done at 121°C at 15 pounds pressure over the square inch for 15 minutes (15 lb/in²)  A very good method for sterilizing almost anything, except heat-labile substances (like some plastics)  Kills all spores
  • 175.
  • 176.
    176 Steam sterilization requiresfour conditions: 1. Adequate contact 3. Sufficiently high temperature 2. Correct time 4. Sufficient moisture
  • 177.
    177 b) Boiling  Boilingat 100oC for 30 minutes kills everything except some endo spores.  Actually, for the purposes of purifying drinking water 100oC for five minutes is probably adequate though there have been some reports that Giardia cysts can survive this process.  To kill endo spores, and therefore sterilize the solution, very long or intermittent boiling is required.
  • 178.
    178 c) Tyndallization (Intermittentboiling)  heat treatment at 100 C for 30 minutes on three consecutive days.  used to sterilize substances that would be damaged by autoclaving.  1st day - kills vegetative cells, but not spores. The heat induced endospores to germinate into vegetative cells.  2nd day – spores are induced by heat and germinate and are killed in the 2nd boiling  3rd day – traditional precaution.
  • 179.
    179 d )Sub-boiling Temperatures(Pasteurization)  Sterilization temperatures have adverse effects on many foods, and alternative treatments must be used to reduce microbial contamination in these materials.  A good example is pasteurization Pasteurization ; is the use of mild heat to reduce the number of microorganisms (spoilage or pathogenic) in a product or food. There are two method of pasteurization,  Batch method (low temperature long time method) – heat treatment at 62.8C for 30 min.  Flash method (High temperature short time method) – heat treatment at 71.7C for 15 sec.
  • 180.
    180 1. Moist heat… Advantages Most commonly used effective method of sterilization  Sterilization cycle time is shorter than with dry heat or chemical sterilants Disadvantages  Requires a continuous source of heat (wood fuel, kerosene or electricity)  Requires equipment (steam sterilizer)
  • 181.
    Disadvantages… 181  Requires strictadherence to time, temperature and pressure settings  Repeated sterilization cycles can cause pitting and dulling of cutting edges of instruments (i.e., scissors)  Plastic items cannot withstand high temperatures
  • 182.
    182 Dry Heat  Dryheat, or hot air, at sufficiently high temperatures will kill microorganisms.  This is not as effective as moist heat, and much higher temperatures and longer exposure times are necessary.  causes oxidation of organic constituents of the cell (it causes them to burn slowly)  Different types- Hot air ovens most important
  • 183.
    183 Hot air ovens Require higher temperature and longer period of heating.  used to sterilize glass wares, metal instruments, grease, oils and lubricants (objects that will not melt during heating).  Exposure time varies with temperatures of exposure  170°C for 1 hour or  160°C for 2 hours and can be used to sterilize glasses and metals
  • 184.
  • 185.
    185  after theoven is cooled (1-2 hours latter) the heating is removed and the door of the chamber is slightly opened for materials inside to cool down gradually below 50°C to 40°C.  Remember: Exposure time begins only after the sterilizer has reached the target temperature.  Do not overload the sterilizer  Leave at least 7.5 cm between the items and walls of sterilizer  Overloading alters heat convection and increases the time required to sterilize
  • 186.
    186 Dry heat… Advantages  Effectivemethod, as dry heat by conduction reaches all surfaces of instruments  Protective of sharps or instruments with a cutting edge (fewer problems with dulling of cutting edges)  Leaves no chemical residue  Eliminates “wet pack” problems in humid climates Disadvantages  Plastic and rubber items cannot be dry-heat sterilized because temperatures used (160–170 oC) are too high for these materials  Dry heat penetrates materials slowly and unevenly
  • 187.
    187 Other Dry heatmethods include Flaming - done to loops and straight-wires in microbiology labs  Leaving the loop in a Bunsen burner until it glows red ensures that any infectious agent gets oxidized completely into small molecules  commonly used for small metal or glass objects, but not for large objects Incineration – burning any organism to ash by exposing to open flame  used to sanitize medical and other biohazardous waste
  • 188.
    188 2. Irradiation • Irradiationkills microorganisms by damaging their DNA by utilizing ultraviolet light. • High – energy radiation includes: gamma rays and vu light. • Gamma irradiation is used for sterilization of single– use disposable syringes • UV radiations are commonly used to reduce the number of microorganisms in air and on surfaces like hospital operating rooms and sterile rooms where sterile products are dispensed.
  • 189.
    Radiation 189 Ionizing radiation: X-rays Gamma rays ElectronBeams Nonionizing radiation: Ultraviolet light Microwave -kills by heat, not especially microbicidal.
  • 190.
    Radiation Effects 190 Ionizing radiation: Ejectsorbital electrons from an atom High energy - penetrates liquids and solids effectively. E.g. H2O split into OH- + H+ + electron (Hydroxyl radials and Hydrogen ions respectively). Hydroxyl radials are highly reactive and destructive to normal cellular compounds such as DNA and proteins. Nonionizing radiation: Raises atoms to a higher energy level Low energy - less penetrating UV - formation of pyrimidine dimers
  • 191.
    191 3.Filtration( Mechanical removal) •Filtration is used to sterilize (remove microorganisms) from liquids which cannot be sterilized by heat (e.g., antibiotics, serum, injectable drugs and vitamins • Filters are made of special substances (ceramic, asbestos, cellulose ester)
  • 192.
    192 4 . Chemicalsterilization often called “cold sterilization”. Objects can be chemically sterilized if  using high-pressure steam or dry-heat sterilization would damage them  equipment is not available (or operational) Chemicals (disinfectants and antiseptics) vary greatly in ability to kill microorganisms by either of three mechanisms  disruption of lipid containing membranes  modification of proteins  modification of DNA
  • 193.
    193 I . Disinfection Elimination of many or all pathogenic microorganisms, with the exception of bacterial spores using antiseptics and disinfectants.  The term, disinfection, refers to the use of a physical process or a chemical agent (a disinfectant) to destroy vegetative pathogens but not bacterial endospores  disinfectants are normally used only on inanimate objects.  There are three levels of disinfection 1.High level disinfection (HLD)  Eliminates bacteria, viruses, fungi and parasites but does not reliably kill all bacterial endospores
  • 194.
    194 2.Intermediate level disinfection(ILD)  Inactivates vegetative bacteria, Mycobacterium and most fungi and viruses, but do not necessarily kill spore-forming bacteria 3.Low level disinfection (LLD)  kills most vegetative bacteria and some enveloped, medium sized viruses and fungi but not the most resistant microorganisms such as M. tuberculosis or bacterial spores.
  • 195.
    195 Antiseptics  Chemical agentsthat are used on the skin and mucous membranes to remove or kill microorganisms  Antiseptics should be used only on the skin and mucous membranes  Antiseptics should never be used on instruments or other items or surfaces  Antiseptics are indicated for  Surgical hand scrub  Skin, cervical, and vaginal preparation before a clinical procedure  Hand washing in high-risk situations, such as before invasive procedures or contact with clients at high risk of infections Antiseptics VS Disinfectants
  • 196.
    196 Disinfectants  Used oninanimate objects, such as instruments and surfaces, to kill microorganisms  E.g chlorine and glutaraldehyde  because, in the concentrations required to be effective, they can be toxic to human and other animal tissue  Should be used only for processing instruments and other items for reuse  Indicated for processing instruments and other items and Cleaning surfaces  Disinfectants are not to be used on the skin or mucous membranes  Instruments and other items should not be left soaking indefinitely or stored in disinfectant solutions. AntisepticsVS Disinfectants…
  • 197.
    197  Qualities lookedfor in a good chemical disinfectant or antiseptic 1. Effective killers of all microorganisms including viruses 2. Soluble in water for ease of preparation 3. Low toxicity for humans 4. Reasonably economic Antiseptics and Disinfectants…
  • 198.
    198 Common antiseptics anddisinfectants 1. Alcohols •• Ethyl alcohol, Isopropyl alcohol  Rapid broad-spectrum antimicrobial activity against vegetative bacteria, viruses, and fungi but are not sporicidal  They have optimal activity when diluted 60 – 90%  Used for both hard-surface disinfection and skin antisepsis  Because of the lack of sporicidal activity, alcohols are not recommended for sterilization
  • 199.
    199 2. Aldehydes ••glutaraldehyde (e.g., Cidex)  Broad spectrum of activity against bacteria and their spores, fungi, and viruses  used for disinfection and sterilization of endoscopes and surgical equipment and as a fixative in electron microscopy  Formaldehyde (formalin) is bactericidal, sporicidal, and virucidal  Toxic/Carcinogenic?  Active against HIV at higher concentration
  • 200.
    200 3. Halogens •• Chlorineand hypochlorites (e.g., Chlorox)  Bactericidal, sporicidal, virucidal  Sodium hypochlorite solutions are widely used for hard-surface disinfection  Can be used for disinfecting spillages of blood containing human immunodeficiency virus or HBV
  • 201.
    201 4. Silver Compounds•• Silver compounds (e.g., silver nitrate and silver sulphadiazine)  Silver compounds have been used to prevent the infection of burns and some eye infections and to destroy warts 4. Oxidizing agents •• Hydrogen peroxide (H2O2)  Active against viruses, bacteria and yeast but a higher concentration (10 – 30%) and long contact time is needed to be sporicidal  Hydrogen peroxide (H2O2) is a widely used for disinfection, sterilization, and antisepsis
  • 202.
    202 5. Phenols ••Phenolic compounds(e.g. Carboloic acid, Lysol, Hexachlorophene, Dettol)  phenol, is considered the disinfectant standard against which all other disinfectants are compared  Antiseptics at low concentrations; disinfectants at high concentrations  Phenol derivatives are used as preservatives and antimicrobial agents in germicidal soaps and lotions Read about soaps and detergents????
  • 203.
    Mechanical sterilization 203 Filtration  Aqueousliquids, including solutions of heat labile substances and air can be sterilized by forced passage through a filter having pore small enough to prevent passage of microbes.  to sterile heat sensitive liquids
  • 204.
    204 READ about themechanism of each individual sterilizing and disinfecting agent to kill microbes
  • 205.
  • 206.
    206 Antibiotics - arenatural substances produced by certain groups of microorganisms  low-molecular weight substances Chemotherapeutic agents - are chemically synthesized  A hybrid substance is a semi synthetic antibiotic modified by the chemist to achieve desired properties ANTIMICROBIAL DRUGS
  • 207.
  • 208.
    208 Desirable properties ofclinically useful antibiotics  wide spectrum of activity.  “Selective toxicity,” act upon bacteria at very low concentration levels without causing damage to the host .  Non allergenic to the host.  not eliminate the normal flora of the host.  able to reach the part of the human body where the infection is occurring.  inexpensive and easy to produce.  chemically-stable (have a long shelf-life).  Microbial resistance is uncommon and unlikely to develop.
  • 209.
    209 Antibiotics differ The organismthey are or were isolated from. Their chemical structure. Bactericidal versus bacteriostatic. Their spectrum of activity. Their site of action in bacterial cells. Potential for evolution to resistance. Mechanism of toxicity to the host. Cost.
  • 210.
    Antibiotics differ interms of… 210 The organism they are or were isolated from
  • 211.
  • 212.
  • 213.
  • 214.
    Bactericidal VS Bacteriostatic 214 Bactericidal: Kill bacteria  Used when the host defense mechanisms are impaired  Required in endocarditis, kidney infection Bacteriostatic:  Inhibit bacteria  Used when the host defense mechanisms are intact  Used in many infectious diseases  May be less effective in immunocompromised patients
  • 215.
    215 Spectrum of action Broad spectrum -kill or inhibit a wide range of Gram- positive and Gram-negative bacteria  Narrow spectrum antibiotic - effective mainly against Gram-positive or Gram-negative bacteria  Limited spectrum antibiotic - effective against a single organism or disease
  • 216.
    Spectrum of Activity 216 Narrow-SpectrumAntimicrobial Wide-Spectrum Antimicrobial
  • 217.
    Spectrum of Activity 217 Wide-SpectrumAntimicrobial Broad-spectrum antibiotics are useful if one must begin treatment before identifying either a pathogen or its antibiotic susceptibility. However, broad-spectrum antibiotics are more likely to destroy normal flora, resulting in superinfections. Characteristics of Antibiotics Chemotherapy and Antibiotics
  • 218.
    218 Their site ofaction in bacterial cells
  • 219.
    MECHANISMS OF ACTIONOF ANTIBACTERIAL DRUGS 219 Selective Toxicity achieved by exploiting differences in the structure and metabolism of microorganisms and host cells the antimicrobial agent should act at a target site present in the infecting organism, but absent from host cells.  The most effective antibiotics are generally those used against bacteria , why ? Why not anti viral and anti fungal agents?
  • 220.
    MECHANISMS cont… Mechanism ofaction include:  Inhibition of cell wall synthesis  Inhibition of protein synthesis  Inhibition of nucleic acid synthesis  Inhibition of metabolic pathways  Interference with cell membrane integrity 220
  • 221.
    MECHANISMS cont…  Inhibitionof Cell wall synthesis  Bacteria cell wall unique in construction  Contains peptidoglycan  Antimicrobials that interfere with the synthesis of cell wall do not interfere with eukaryotic cell  Due to the lack of cell wall in animal cells and differences in cell wall in plant cells  These drugs have very high therapeutic index  Low toxicity with high effectiveness  Antimicrobials of this class include  β lactam drugs  Vancomycin  Bacitracin 221
  • 222.
    222 β-lactam antibiotics Have sharedchemical structure called β-lactam ring  Penicillins  Cephalosporins/ceph amycins  Monobactams  Clavulanic acid
  • 223.
    223 MSM cont..  Β-lactams- competitively inhibits function of penicillin- binding proteins(PBPs)  Inhibits peptide bridge formation between glycan molecules  This causes the cell wall to develop weak points at the growth sites and become fragile  All β-lactam drugs are selective inhibitors of bacterial cell wall synthesis and therefore active against growing bacteria
  • 224.
  • 225.
    225 MSM cont.. Natural penicillins:Penicillin G or Penicillin V, produced by Penicillium chrysogenum.  considered narrow spectrum (not effective against Gram- negative rods ) Semisynthetic penicillins: modified chemically by the addition of side chains  increased spectrum of activity, resistance to penicillinase, effective when administered orally, etc.  E.g Amoxycillin and Ampicillin have broadened spectra against Gram-negatives and are effective orally  Methicillin is penicillinase-resistant
  • 226.
    226 MSM cont…  Clavulanicacid  beta lactam, not an antimicrobial agent but added to a semisynthetic penicillin preparation  E.g amoxycillin plus clavulanate = clavamox or augmentin  binds strongly beta lactamases  it inhibits beta lactamase enzymes ( has given extended life to penicillinase-sensitive beta lactams) .
  • 227.
    MSM cont… 227 The cephalosporins Chemical structures make them resistant to inactivation by certain β-lactamases  Tend to have low affinity to penicillin-binding proteins of Gram + bacteria, therefore, are most effective against Gram – bacteria.  Chemically modified to produce family of related compounds  First, second, third and fourth generation cephalosporins Carbapenems and monobactams  A person allergic to penicillin usually allergic to cephalosporins and carbapenems as well.  Such individuals can be treated with the monobactams, which are structurally different so as not to induce allergy
  • 228.
    MSM cont… 228 Vancomycin  Inhibitsformation of glycan chains  Inhibits formation of peptidoglycans and cell wall construction  Does not cross lipid membrane of Gram -ve  Gram – ve organisms innately resistant  Important in treating infections caused by penicillin resistant Gram + ve organisms  Must be given intravenously due to poor absorption from intestinal tract  Acquired resistance most often due to alterations in side chain of NAM molecule  Prevents binding of vancomycin to NAM component of glycan
  • 229.
    MSM cont… 229 Bacitracin  Interfereswith transport of peptidoglycan precursors across cytoplasmic membrane  Toxicity limits use to topical applications  Common ingredient in non-prescription first-aid ointments
  • 230.
    MSM cont… 230 Inhibition ofprotein synthesis  Structure of prokaryotic ribosome acts as target for many antimicrobials of this class  Differences in prokaryotic and eukaryotic ribosomes responsible for selective toxicity  Drugs of this class include  Aminoglycosides  Tetracyclins  Macrolids  Chloramphenicol
  • 231.
    MSM cont… 231  Aminoglycosides (bactericidal): Irreversibly binds to 30S ribosomal subunit  Causes distortion and malfunction of ribosome  Blocks initiation translation  Causes misreading of mRNA  Not effective against anaerobes, enterococci and streptococci  Often used in synergistic combination with β- lactam drugs
  • 232.
    MSM cont.. 232  Examplesof aminoglycosides include streptomycin, kanamycin, gentamicin, tobramycin, amikacin, netilmicin, neomycin (topical)  Side effects with extended use include  Otto toxicity  Nephrotoxicity
  • 233.
    MSM cont… 233  Tetracyclines (bacteriostatic) tetracycline,minocycline and doxycycline  Reversibly bind 30S ribosomal subunit  Blocks attachment of tRNA to ribosome  Prevents continuation of protein synthesis
  • 234.
    MSM cont… 234  Spectrumof activity - Broad spectrum( certain Gram + and Gram –ves ); Useful against intracellular bacteria  Newer tetracyclines such as doxycycline have longer half-life  Allows for less frequent dosing  Resistance – Common  Adverse effects - Destruction of normal intestinal flora resulting in increased secondary infections; staining and impairment of the structure of bone and teeth
  • 235.
    MSM cont… 235  Macrolides(bacteriostatic) Erythromycin, Clarithromycin, azithromycin, piramycin  Reversibly binds to 50S ribosome  Prevents continuation of protein synthesis  Spectrum of activity - Gram- positive bacteria, Mycoplasma, Legionella  Often drug of choice for patients allergic to penicillin
  • 236.
    MSM cont… 236  Resistancecan occur via modification of RNA target  Also by production of enzyme that chemically modifies drug as well as alterations that results in decreased uptake of drug
  • 237.
    MSM cont… 237  Chloramphenicol (bacteriostatic) Binds to 50S ribosomal subunit  Prevents peptide bonds formation blocking proteins synthesis  Effective against a wide variety of organisms  Generally used as drug of last resort for life- threatening infections- bacterial meningitis.  Chloramphenicol is toxic (bone marrow suppression)
  • 238.
    MSM cont… 238 Inhibitors ofNucleic Acid Synthesis  Inhibitors of RNA Synthesis  Selectivity due to differences between prokaryotic and eukaryotic RNA polymerase Rifampin, Rifamycin, Rifampicin, Rifabutin (bactericidal)  Mode of action - bind to DNA-dependent RNA polymerase and inhibit initiation of mRNA synthesis.  Spectrum of activity - Primarily used to treat tuberculosis and Hansen’s disease as well as preventing meningitis after exposure to N. meningitidis  Resistance due to mutation coding RNA polymerase  Resistance develops rapidly  Combination therapy - Since resistance is common, rifampin is usually used in combination therapy.
  • 239.
    Inhibitors of DNASynthesis 239 Selectivity due to differences between prokaryotic and eukaryotic enzymes  Fluoroquinolones  Quinolones (bactericidal): nalidixic acid, ciprofloxacin, ofloxacin, norfloxacin, levofloxacin, lomefloxacin, sparfloxacin  Mode of action - bind to the A subunit of DNA gyrase (topoisomerase) and prevent supercoiling of DNA, thereby inhibiting DNA synthesis.  Spectrum of activity - Gram-positive cocci and urinary tract infections  Resistance - Common for nalidixic acid; developing for ciprofloxacin MSM cont…
  • 240.
    MSM cont…  Inhibitionof metabolic pathways  Relatively few  Most useful are folate inhibitors  inhibit the production of folic acid  Antimicrobials in this class include  Sulfonamides  Trimethoprim 240
  • 241.
    MSM cont… 241  Sulfonamides(bacteriostatic)  Group of related compounds  Collectively called sulfa drugs  Inhibit growth of Gram +ve and Gram – ve organisms  Through competitive inhibition of enzyme that aids in production of folic acid  Structurally similar to para-aminobenzoic acid  Substrate in folic acid pathway  Human cells lack specific enzyme in folic acid pathway  Basis for selective toxicity  Resistance due to plasmid  Plasmid codes for enzyme that has lower affinity to drug
  • 242.
    MSM cont… 242  Trimethoprim,Methotrexate, Pyrimethamine (bacteriostatic)  Inhibits folic acid production  Spectrum of activity - Broad range activity against gram-positive and gram-negative bacteria; used primarily in urinary tract and Nocardia infections.  Often used synergistically with sulfonamide  Most common mechanism of resistance is plasmid encoded alternative enzyme
  • 243.
    MSM cont… 243  Interferencewith cell membrane integrity  Few damage cell membrane  Polymixn B most common  Common ingredient in first-aid skin ointments  Binds membrane of Gram - cells  Alters permeability  Leads to leakage of cell and cell death  Also bind eukaryotic cells
  • 244.
  • 245.
    Para-aminosalicylic acid (PSA)(bacteriostatic) Spectrum of activity - Specific for Mycobacterium tuberculosis 245 Dapsone (bacteriostatic)  Spectrum of activity - Used in treatment of leprosy (Mycobacterium leprae)  Inhibition of Nucleic Acid Synthesis…
  • 246.
    RESISTANCE TO ANTIBACTERIALAGENTS 247 The basis of microbial resistance to antibiotics 1.Inherent (Natural) Resistance: some bacteria born resistant  E.g. Gram-negative bacterium has an outer membrane that establishes a permeability barrier  lacks a transport system for the antibiotic  lacks the target or reaction that is hit by the antibiotic.
  • 247.
    248 2.Acquired Resistance  bacteriapreviously-sensitive to antibiotics become resistant Mutation and selection (sometimes referred to as vertical evolution)  a spontaneous mutation in the bacterial chromosome Exchange of genes between strains and species (sometimes called horizontal evolution).  Through resistance transfer factors, R-Plasmids )
  • 248.
    Mechanisms of Resistance 249 Alteredpermeability of the antimicrobial agent  Reduced influx: the inability of the antimicrobial agent to enter the bacterial cell  Increased efflux: active export of the agent from the cell.  Drug inactivating enzymes-  Betalactamases: hydrolyze the betalactam ring of betalactam antibiotics
  • 249.
    Mechanisms of Resistance 250 Alteration of target molecule  Minor structural changes in antibiotic target can prevent binding  Changes in ribosomal RNA prevent macrolids from binding to ribosomal subunits  Bypass mechanism – increased synthesis of an essential metabolite that is antagonistic for the drug (sulfonamides, trimethoprim)
  • 250.
    Antimicrobial Drug Resistance Mechanisms 251 1.Alteredpermeability of the antimicrobial agent 2. Inactivation  B-lactamase  Chloramphenicol acetyl transferase 3. Altered target site  Penicillin binding proteins (penicillins)  RNA polymerase (rifampin)  30S ribosome (streptomycin
  • 251.
    Non genetic basesof resistance 252 1. Bacteria can be walled off within an abscess cavity which the drug can’t penetrate effectively. 2. Bacteria can be in a resting state- insensitive to cell wall synthesis inhibitors. 3. Loss of cell wall (protoplast) - insensitive to cell-wall- active drugs. 4. Administration of the wrong drug or wrong dose, failure of the drug to reach the appropriate site in the body, or failure of the patient to take the drug
  • 252.
    Combination therapy 253  Preventemergence of resistant strains  Temporary treatment until diagnosis is made  Antibiotic synergism  Penicillins and aminoglycosides  CAUTION: Antibiotic antagonism  Penicillins and bacteriostatic antibiotics
  • 253.
    Combination of Drugs 254 For antibiotics “A” and “B” used in combination:  Actual killing rate = A + B  Additive  Actual killing rate > A + B  Synergistic  Actual killing rate < A + B  Antagonistic  Typically bacteriostatic agents are antagonistic to bactericidal agents.  Bacteriocidal agents can be synergistic to bacteriostatic agents  Additive means that the two (or more) antibiotics neither hinder nor help each other’s ability to kill.
  • 254.
    255 Antimicrobial susceptibility testing(AST)  The objectives of AST are  Guide the clinician/s in the selection of the most appropriate antimicrobial agent/s  Provide clinician/s with an alternative agents to which the organism is susceptible  Confirm the susceptibility of the organism to the drug initially prescribed or may indicate resistance in which alternative therapy will be required  Detect and control the spread of drug resistant organisms Methods of Antimicrobial Susceptibility Testing  Two types of antimicrobial susceptibility testing methods 1) Disk Diffusion method 2) Dilution method
  • 255.
    256 Methods of AntimicrobialSusceptibility Testing  Two types of antimicrobial susceptibility testing methods 1) Disk Diffusion method 2) Dilution method
  • 256.
    SUSCEPTIBILITY OF BACTERIALTO ANTIMICROBIAL DRUG  Conventional disc diffusion method  Kirby-Bauer disc diffusion routinely used to qualitatively determine susceptibility  Standard concentration of strain uniformly spread of standard media  Discs impregnated with specific concentration of antibiotic placed on plate and incubated  Appropriate Guide: clinical response depends on host factors  Clear zone of inhibition around disc reflects susceptibility  Based on size of zone organism can be described as susceptible or resistant 257
  • 257.
    Antibiogram 258 The disks are impregnatedwith specific antibiotics. The streaks make up a bacterial “lawn”. These two strains have different antibiotic- resistance patterns.
  • 258.
    Measuring the diameterof zones of inhibition in mm. 259
  • 259.
    Dilution Antimicrobial Tests 260 Tubes with increasing drug concentrations are inoculated with an organism and incubated at 18 hours at 37° C  Minimum inhibitory concentration (MIC)  Lowest concentration that results in inhibition of visible growth  Minimum bactericidal concentration (MBC)  Lowest concentration that kills 99.9% of the original inoculums  Minimum bactericidal concentration (MBC) found by sub culturing from tubes with no growth
  • 260.
  • 261.
    262 Determination of MBC A small sample (0.01 or 0.1ml) taken from the tube used for MIC assay  spreading it over the surface of a drug-free blood agar plate.  Any organism that were inhibited but not killed now have the chance to grow because the drug has been diluted significantly  After incubation at 350c for 48 hrs the lowest conc. that has reduced the number of colonies by 99.9%, compared with drug free control, is the MBC
  • 262.
    263  Collection, storage& transport of samples & diagnosis of microbial infection Read
  • 263.
    Microbiological laboratory techniques 264 Theobjectives of diagnostic microbiology are Identification of etiological agent/s that caused disease Appropriate selection of antimicrobial agents for treating patients Design a strategy in the control and prevention of infectious diseases
  • 264.
    265 Microscopic examination  Specimensare often subjected to microscopic examination  as a rapid presumptive diagnosis  for assessing the quality of specimens and selection of appropriate media for culture  Examination is carried out using optical instruments on unstained and stained preparations  unstained preparations are used on the living state of specimens  For observation of motility of microorganisms  usually done on wet mounts using normal saline solutions
  • 265.
  • 266.
    267 Microscopic examination… Microscope has2 types of lenses  The eyepiece or ocular lens magnifies 10X.  The objective lenses  The small yellow-striped lens magnifies 10X  The blue-striped lens magnifies 40X  The white-striped oil immersion lens magnifies 100X
  • 267.
    268 Microscopic examination…  Finalmagnifications is product of ocular lens x objective lens  10X x 10X (yellow) = 100X  10X x 40 (blue) = 400X  10X x 100X (white) = 1000X
  • 268.
    269 Microscopic examination…  Examinationon stained preparations is made on a fixed state  Size, shape and staining reactions are observed  The staining procedure generally includes  making a smear  drying for 5-10 min in air  fixing the smear either by heat or chemicals (methanol)  staining with dyes
  • 269.
    270 Microscopic examination… There aretwo types of staining  Simple stain  One dye is applied on a fixed smear including stains like methylene blue  Help to diagnose microbial organisms like malaria, leishmania, Borrelia recurentis and intracellular inclusion bodies (viral and chlamydial infections) Differential stain Different types of dyes are utilized including stains like gram stain, acid-fast stain, Indian ink stain etc.  For grouping of microorganisms  Determination of the shape of bacteria
  • 270.
    271 Differential stain  Differenttypes of dyes are utilized including stains like gram stain, acid-fast stain, Indian ink stain etc.  For grouping of microorganisms  Determination of the shape of bacteria
  • 271.
    272 Gram staining  Thistechnique is developed by Dr. Hams Christian Gram  The fixed smear is first stained by crystal violet  followed by application of a Gram’s iodine which is a fixative/mordant dye  decolorized by acetone in alcohol for about 30 minutes
  • 272.
  • 273.
    274  finally stainedwith a counter stain called safranin/carbol-fuschin for about a minute  Gram positive cell will then have a blue-violet/purple color reaction  Gram negative cell will have a red/pink color reaction
  • 274.
    275 Acid-fast staining  Acid-faststaining is also called Ziehl-Neelsen staining technique  staining of the fixed smear with a carbol-fuschin using flames  decolorizing using acid-alcohol (3-5% of HCl and 90% of alcohol)  finally methylene blue or malachite green is used as a counter stain
  • 275.
    276  Acid-fast Bacteria(AFB) positive: RED/PINK against blue or green background due to the first stain-carbol fuschin  Non Acid-fast bacteria : BLUE/GREEN  It is used for the diagnosis of Mycobacteria and Nocardia species
  • 276.
    277 Culture and identification Cultivationor propagation of microorganisms by providing them appropriate nutritional and environmental conditions on culture media  There are different forms of culture media  liquid (without agar)  semi-solid and solid media which contain agar
  • 277.
  • 278.
    Tube culture methods 279 Slop/slant culture: are tubes containing a nutrient medium plus a solidifying agent, agar-agar. Slant Butt
  • 279.
    280 Stab (deep) culture:tubes of hardened agar medium inoculated by "stabbing" the inoculum into the agar
  • 280.
    CDC/Dr. James Feeley Sheepblood agar plate culture Bacillus anthracis Bacillus cereus. 281
  • 281.
    Colony characterization 282  Form: circular ,filamentous ,irregular  Elevation : flat, convex,raised,  Density : transparent ,translucent .opaque  Cosistency: Mucoid , rough  Color: White, green ,golden ,red
  • 282.
  • 283.
    284 Biochemical tests Involve substrateproduction and utilization by specific enzymes enzyme production and utilization of supplied substrates The substrate-enzyme reaction is detected by adding different indicators Some of the biochemical reactions include tests for production of  Catalase, Oxidase, Coagulase, DNAse,
  • 284.
    285 Biochemical tests…  Forthe identification of Gram negative bacteria tests accomplished are for the production of enzymes like  Urease  Tryptophan  Gelatinase  Citrate utilization  H2S production  Indole production  fermentation/oxidation reaction  gas production etc.
  • 285.
  • 286.
    Definition of terms 287 Immunology Thestudy of immune system or immunity The study of all aspects of host defense against infection and of adverse consequences of immune responses. The study of the physiological mechanisms which enable the body to recognize materials as foreign and to neutralize, metabolize or eliminate them without injury to the host tissue. Immunity State of protection from infectious diseases
  • 287.
    What is immunesystem ? 288  The animal /human body with its warmth, moisture ,cells and reach supplies of nutrients represents an ideal habitat for growth of bacteria, fungi, viruses ,and parasites  If the animal is survive and function ,it must defend it self effectively against invasion by these microorganism  Failure to do so results in death from overwhelming infection  The body system that defends us against the constant assault by microorganism is called Immune system
  • 288.
    289 Function of theImmune System (Self/Non-self Discrimination)  To protect from pathogens • Intracellular (e.g. viruses and some bacteria and parasites) • Extracellular (e.g. most bacteria, fungi and parasites)  To eliminate modified or altered self
  • 289.
    290 Effects of theImmune System • Beneficial: • Protection from Invaders • Elimination of Altered Self • Detrimental: • Discomfort and collateral damage (inflammation) • Damage to self (hypersensitivity or autoimmunity)
  • 290.
    Body defense 291 Body defenseis resistance to infection Can be grouped as follows : 1) First line defense 2) Natural immunity 3) Adaptive(acquired) immunity
  • 291.
  • 292.
    293 1. First linedefense Most important physical barriers to microorganisms  Unbroken skin  Mechanical barrier retards entry of microbes.  Acidic environment (pH 3–5) retards growth of microbes  Mucosal membranes  Normal flora compete with microbes for attachment sites and nutrients  Mucus entraps foreign microorganisms  Cilia propel microorganisms out of body
  • 293.
    294  Secretions  Mucus–adhering to membranes of the nose and nasopharnynx traps microorganisms  Sebum(oil) –produced by sebaxeous glands and lactic acid contained in sweat , both poses anti microbial properties  Ear wax –guards the auditory canal from infections  Low pH - Acidity of stomach contents kills most ingested microorganisms
  • 294.
    295 2.Natural immunity Innate –inborn/Non –acquired Nonspecific Immunity Operate regardless of the individuals past experience The elements of natural immunity include:  Phagocytic cells  Complement  Acute inflammatory reactions
  • 295.
    296 Cellular components ofnatural immunity  mast cells Neutrophilis Macrophages  Humoral components of natural immunity Complement Lysozyme Interferons
  • 296.
    297 Cellular Components Cell Functions Neutrophils• Phagocytosis and intracellular killing • Inflammation and tissue damage Macrophages • Phagocytosis and intracellular killing • Extracellular killing of infected or altered self targets • Tissue repair • Antigen presentation for specific immune response NK Killing of virus-infected and altered self targets Eosinophils Killing of certain parasites
  • 297.
    298 Humoral Components Component Mechanism Complement• Lysis of bacteria and some viruses • Opsonin • Increase in vascular permeability • Recruitment and activation of phagocytic cells Coagulation system • Increase vascular permeability • Recruitment of phagocytic cells • Β-lysin from platelets – a cationic detergent Lactoferrin and transferrin Compete with bacteria for iron Lysozyme Breaks down bacterial cell walls Cytokines Various effects
  • 298.
    299 Phagocytosis and acuteinflammation Phagocytosis –the process in which specialized cells engulf and destroy foreign particles such as microorganisms or damaged cells .  Most phagocytosis is conducted by specialized cells, Blood monocytes, neutrophils  tissue macrophages
  • 299.
  • 300.
    301  Tissue damagecaused by a wound or by an invading pathogenic microorganism induces a complex sequence of events collectively known as the inflammatory response  The signal that often attracts phagocytic cells to site of infection is a process called inflammation.
  • 301.
    302  Inflammation isa non specific response to irritants (chemicals,physical ,microbial ,antigenic ) characterized by Pain, heat, redness, and swelling The initial events of inflammation include  Smooth muscle cell  cause dilation of blood vessels and increase capillary permeability and leukocyte migration to the site of injury  These events are mediated by vasoactive agents such as prostaglandins and histamine
  • 302.
    303 A bacterial infection tissuedamage release of various vasoactive and chemotactic factors induce increased blood flow to the area increased capillary permeability influx of phagocytes and lymphocytes into tissues Phagocytosis and Antibacterial activity by serum proteins in exudate Major events in the inflammatory response
  • 303.
  • 304.
  • 305.
    Adaptive (specific) Immunity 306 Specific to antigenic challenges  Capable of recognizing and selectively eliminating specific foreign microorganisms and molecules (i.e., foreign antigens). Adaptive immunity displays four characteristic attributes:  Antigenic specificity  Diversity  Immunologic memory  Self/non self recognition
  • 306.
    Adaptive (specific) Immunity 307 Acquiredimmunity may be divided into two types  Active immunity, the host undergoes an immunological response and produces the cells and factors responsible for the immunity  The host produces its own antibodies and/or immuno-reactive lymphocytes.  Active immunity can persist a long time in the host, up to many years in humans.
  • 307.
    Adaptive (specific) Immunity 308 Passive immunity is acquisition by a host of immune factors which were produced in another animal  The host receives antibodies and/or immuno-reactive lymphocytes originally produced during an active response in another animal  Passive immunity is typically short-lived and usually persists only a few weeks or months  In acquired immune responses, resistance may be acquired by natural means or by artificial means (i.e., vaccination and immunization procedures)
  • 308.
    309 Type of Immunity How Acquired byHost Examples Active Immunity As a result of exposure to an infectious agent or one of its products (antigens) Antibodies are produced by the host in response to the infectious agent itself (e.g. recovery from the disease), or in response to artificial immunization (vaccination) with some product derived from the infectious agent (e.g. toxoid, killed cells, structural components of cells, inactivated virus, etc.). Passive Immunity As a result of the acquisition of antibodies which have been produced in another animal (by active means) or derived from cells grown in tissue culture (monoclonal antibodies) Injection of immune serum from an individual previously immunized or recovered from disease, e.g. hepatitis; Injection of serum from an animal hyperimmunized with tetanus toxoid; Placental transfer of antibodies from mother to fetus; Transfer of antibodies from mother to infant in milk by nursing.
  • 309.
    310 Comparison of Innateand Adaptive Immunity No memory Innate Immunity Adaptive Immunity • No time lag • Not antigen specific • A lag period • Antigen specific • Development of memory
  • 310.
    311  Innate andadaptive immunity operate in cooperative and interdependent ways  The activation of innate immune responses produces signals that stimulate and direct subsequent adaptive immune responses Comparison of Innate and Adaptive Immunity
  • 311.
    Cells and tissuesof the immune system 312  The immunological system is comprised of the lymphoid tissues and organs of the body  Lymphoid tissues are widely distributed  bone marrow, lymph nodes, spleen, liver, thymus, and Peyer's patches  The lymphoid system is encompassed by the system of mononuclear  Lymphocytes (B lymphocytes & T Lymphocytes)  macrophages  plasma cells
  • 312.
    313 Cells of theImmune System Immune System Myeloid Cells Lymphoid Cells Granulocytic Monocytic T cells B cells Neutrophils Basophils Eosinophils Macrophages Kupffer cells Dendritic cells Helper cells Suppressor cells Cytotoxic cells Plasma cells NK cells
  • 313.
    Immune response 314  Overall,the Adaptive Immune Response (IR) against an antigen can be divided into two major classifications  Humoral immune response  Cell-mediated immune response
  • 314.
    Immune response 315  Antigen(Ag): A molecule which elicits a specific immune response when introduced into an animal  More specifically, antigenic (immunogenic) substances are  Generally large molecules (>10,000 daltons in molecular weight),  Structurally complex (proteins are usually very antigenic)  Accessible (the immune system must be able to contact the molecule)  Foreign (not recognizable as "self").
  • 315.
    Humoral Immune response 316 Mediatedby B lymphocytes Capable of producing antibodies or immunoglobulins  B cells recognize antigen and proliferate and differentiate into antibody-secreting plasma cells Antibody-mediated immunity (AMI) The host has the genetic capacity to produce specific antibodies to thousands of different antigens Antibodies are found in the blood (plasma) and lymph and in many extravascular tissues
  • 316.
    Humoral Immune response 317 Antibody-Glycoprotein molecules that are produced by plasma cells in response to an immunogen  Five human Immunoglobulin Classes  IgG ,IgM ,IgA ,IgD & IgE Two forms of humoral response; primary and secondary A. Primary response  Activation of naïve B lymphocytes  The first contact of an exogenous antigen  produce antibody-secreting plasma cells and memory B cells  A long lag phase in which naive B cells undergo differentiation into memory cells or plasma cells
  • 317.
    Humoral Immune response 318 B.Secondary response  Activation of memory lymphocytes  memory cells are more easily activated than naive B cells  has a shorter lag period, reaches a greater magnitude, and lasts longer  secret antibodies with a higher affinity for the antigen, and isotypes other than IgM predominate
  • 318.
    Humoral Immune response 319 FigureConcentration and isotype of serum antibody following primary (1°) and secondary (2°) immunization with antigen
  • 319.
    Cell-mediated immune response 320 Effected by the T helper cell and cytotoxic T lymphocytes (CTLs)  The antigen-MHC class II complex is recognized by helper (CD4) T lymphocytes while  The antigen-MHC class I complex is recognized by cytotoxic (CD8) T lymphocytes  Each class of T cells produces cytokines, becomes activated, and expands by clonal proliferation
  • 320.
    321 Helper T cellactivity Stimulating B cells to produce antibodies,  Promotes the development of delayed hypersensitivity Serves in the defense against intracellular agents, including intracellular bacteria (eg,mycobacteria), fungi, protozoa, and viruses. Cytotoxic T cell activity destruction of cells in tissue grafts, tumor cells, or cells infected by some viruses.  Thus, T cells are mainly utilized to activate B cell responses and to cope with intracellular pathogens
  • 321.
  • 322.
  • 323.
    Vaccines and typesof vaccine 324  Immunity against infectious agents was first achieved 200 years ago utilization of vaccinia (cowpox) by Jenner to protect against smallpox  Immunization was critical in eradicating smallpox from the world  underlies the approach to the global eradication of other infections, including poliomyelitis  Expanded Programme on Immunization (EPI) currently recommended by WHO  significant mortality or morbidity from several infections can be prevented in children and adults
  • 324.
    Vaccines and typesof vaccine 325 Requirements of a good vaccine  The ideal vaccine should be  effective,  safe,  stable and of low cost Types  Live Vaccines/ Live attenuated Vaccines  Non-living Vaccines  Live attenuated vaccines are much more likely to be effective  They reproduce many of the features of the infection itself  Replication of the virus  Localization to the appropriate part of the body (e.g. gut, lung)  Efficient induction of cytotoxic T cells
  • 325.
    326  The principaldisadvantages of living attenuated vaccines are The possibility of reversion to virulence The danger that they may cause severe disease in immunocompromised patients  Pathologic consequences of vaccination may be due to the vaccine or the immune response including Contamination of attenuated viruses with other viruses Hypersensitivity to egg proteins with living viral vaccines grown in chick embryo cells Autoimmunity - antigenic similarity ('mimicry') between host and microbe
  • 326.
    Vaccines and typesof vaccine 327 Figure; Complications are rare with modern vaccines, but the physician must always be aware of the possibility. (RSV, respiratory syncytial virus.)
  • 327.
    Vaccine and typesof vaccines 328
  • 328.
    Vaccine and typesof vaccines 329
  • 329.
    Vaccine and typesof vaccines 330
  • 330.
    Vaccine and typesof vaccines 331 Figure Global deaths from eight vaccine-preventable diseases. Source: GlobalAlliance forVaccines and Immunization, 2002.
  • 331.
    Vaccine and typesof vaccines 332
  • 332.
    Child immunization inEthiopia 333 Age of vaccination Types of vaccine  Birth date BCG POLIO (OPV 0)  6 weeks DPT 1 OPV 1  10 weeks DPT 2 OPV 2  14 weeks DPT 3 OPV 3  9 months MEASLES VIT A*
  • 333.
  • 334.
    Learning Objectives 335  Aftercompleting this session, the students are expected to  Describe the most common bacterial photogenes in humans Identify the diseases caused by common bacterial pathogens  Indicate the mechanism of pathogenesis of common bacterial pathogens Describe the reservoirs mode of transmission ,epidemiology and treatment of common bacterial pathogens
  • 335.
    336 Bacterial infections Staphylococcus aureus Streptococcuspyogenes Streptococcus pneumonia Clostridium tetani Clostridium botulinum Clostridium perfringens Bacillus anthracis Bacillus cereus Neisseria gonnorrhea Neisseria meningitidis Haemophilus influenzae Bordetella pertussis Escherichia coli Shigella Vibrio cholerae P.areugnosa Hlicobacter pylori Campylo bacter jujni Mycobacterium tuberculosis Mycobacterium leprae Treponema pallidium Borrelia recurrentis
  • 336.
  • 337.
    The genus Staphylococcuscontains about forty species and subspecies 338 But only some of them are important as human pathogens:  Staphylococcus aureus  Staphylococcus epidermidis  Staphylococcus saprophyticus  Staphylococcus hominis  Staphylococcus haemolyticus
  • 338.
    339  Gram-positive sphericalbacteria that occur in microscopic clusters resembling grapes.  Are non motile and do not form spores.  Are facultative anaerobes.  The name Staphylococcus is derived from the Greek term „staphyle“, meaning „a bunch of grapes“.  The genus Staphylococcus can be divided into two subgroups (on the basis of its ability to clot blood plasma by enzyme coagulase) .coagulase-positive, .coagulase-negative 339 The genus Staphylococcus...
  • 339.
    340 Subgroup of coagulase-positivespecies contains from human staphylococci only one species  Staphylococcus aureus Other coagulase-positive species are animal staphylococci  e.g. Staphylococcus intermedius Subgroup of coagulase-negative species contains from human staphylococci  Staphylococcus epidermidis,  Staphylococcus hominis,  Staphylococcus haemolyticus,  Staphylococcus saprophyticus,  Staphylococcus simulans,  Staphylococcus warneri and other
  • 340.
    341 The three mostfrequently encountered species of clinical importance are  Staphylococcus aureus,  Staphylococcus epidermidis and Staphylococcus saprophyticus. Staphylococcus aureus Morphology  Gram-positive, spherical cells, mostly arranged in irregular grape like clusters.  Polysaccharide capsule is only rarely found on cells.  The peptidoglycan layer- important in the pathogenesis of staphylococcal infections(Protein A is the major protein
  • 341.
    S .aureus … 342 Saureus is coagulase-positive, which differentiates it from other species S. aureus is often hemolytic on blood agar Are catalase-positive and oxidase-negative Cultural xcs  Colonies on solid media are round, regular, smooth, slightly convex and 2 to 3 mm in diameter after 24h incubation.  Most strains show a -hemolysis surrounding the colonies on blood agar. produce cream, yellow or orange pigment
  • 342.
  • 343.
    … 344 Reservoir  The normalreservoir of S. aureus and S. epidermidis is human skin.  S. aureus is carried in nasal cavity of more than 40% healthy individuals  Colonization of the umbilical stump, skin and perineal area of neonates with S. aureus is common.  Also found in the oropharynx, gastrointestinal and urogenital tract.  Staphylococci are also found regularly on clothing, bed linens, and other fomites in human environments
  • 344.
    Resistance patern ofs.aureus 345 Like most of medical important non-sporeforming bacteria, S. aureus is rapidly killed by temperature above 60 C. S. aureus is susceptible to disinfectants and antiseptics commonly used. S. aureus can survive and remain virulent long periods of drying especially in an environment with pus.
  • 345.
    346 Infections  S. aureuscauses disease through the production of toxin or through direct invasion and destruction of tissue.  Superficial skin lesions (Direct invasion ) Boils, styes ;an inflamed, suppurative lesion on the eyelid due to infection Folliculitis ;(hair follicle lead to tissue necrosis ) furunculosis ;(large areas of the skin are covered in persistent boils) deep-seated infections, such as osteo myelitis and endocarditis Staphylococcal pneumonia and others 346 Staphylococcus aureus…
  • 346.
    347 A major causeof hospital acquired (nosocomial ) infection of surgical wounds and infections associated with indwelling medical devices Stahylococccal intoxications: Toxic shock syndrome by release of super antigens into the blood stream The ability of TSST-1 to penetrate mucosal barriers is responsible for the systemic effects of TSS. Staphylococcal scalded skin syndrome (SSSS), characterized by exfoliative dermatitis, is mediated by exfoliative toxins. Food poisoning by releasing enterotoxins into food
  • 347.
    348 FIGURE 2. Sitesof infection and diseases caused by Staphylococcus aureus 348 Staphylococcus aureus Sites of infection
  • 348.
    349 Figure 2 Staphylococcalscalded skin syndrome. There are large areas of epidermal loss where bullae have burst Figure 3 Evidence of staphylococcal scalded-skin syndrome in a 6-year-old boy Staphylococcus aureus
  • 349.
    350 . Figure Folliculitis. Asuperficial infection shown here localized in the hair follicles on the leg. The boils contain creamy-yellow pus and masses of bacteria. Staphylococcus aureus is the most common cause Staphylococcus aureus
  • 350.
  • 351.
    Diagnosis 352 Microscopy – smearsof clinical materials are stained according to Gram stian Cultivation on solid media (agar, usually blood agar)  Biochemical tests - catalase test is important in distinguishing streptococci (catalase-negative) from staphylococci,  The test is performed by adding 3% hydrogen peroxide to a colony on an agar plate or slant.  Catalase-positive cultures produce O2 and bubble at once.  Coagulase test- s.aureus coagulase positive
  • 352.
    353 Treatment  Hospital acquiredinfection is often caused by antibiotic resistant strains  Many of the community acquired (CA) Staphylococcal infections are now methicillin resistant  MRSA can only be treated with vancomycin or an alternative Antibiotic treatment based on in vitro susceptibility would suggest that nafcillin, first or second-generation cephalosporins, vancomycin, clindamycin, erythromycin, & fluoroquinolones would be reasonable choices Staphylococcus aureus
  • 353.
    Other staphs 354  Staphylococcussaprophyticus: - causes urinary tract infections in sexually active women  Staphylococcus epidermidis -may cause endocarditic & bacteremia following infection of cannulae, indwelling catheters shunts or other appliances positioned on the body infections is difficult to treat due to the resistance of S. epidermidis to many antibiotics
  • 354.
    The genus Streptococci 355 Characters of Streptococci Gram positive cocci 1µm in diameter Chains or pairs Usually capsulated Non motile Non spore forming Facultative anaerobes Fastidious Catalase negative (Staphylococci are catalase positive)
  • 355.
    Classification of Streptococci 356 Streptococci can be classified according to:  Oxygen requirements  Anaerobic (Peptostreptococcus)  Aerobic or facultative anaerobic (Streptococcus)  Serology (Lanciefield Classification);A to W  Hemolysis on Blood Agar (BA)
  • 356.
    Serology: Lanciefield Classification Streptococci classified into many groups from A-K & H- W  One or more species per group  Classification based on C- carbohydrate antigen of cell wall  Groupable streptococci  A, B and D (more frequent)  C, G and F (Less frequent)  Non-groupable streptococci  S. pneumoniae (pneumonia)  viridans streptococci  e.g. S. mutans;causing dental carries 357 Streptococci Group A S. pyogenes Group B S. agalactiae Group C S. equisimitis Group D Enterococcus Lanciefield classification Other groups (E-U)
  • 357.
    Classification of StreptococciBased on Hemolysis on Blood Agar 358 Hemolysis on BA – -hemolysis(partial hemolysis) Green discoloration around the colonies e.g. non-groupable streptococci (S. pneumoniae & S. viridans) – -hemolysis Complete hemolysis Clear zone of hemolysis around the colonies e.g. Group A & B (S. pyogenes & S. agalactiae) – -hemolysis;No lysis. e.g. Group Streptococci  -hemolysis  -hemolysis  -hemolysis
  • 358.
    Hemolysis on Bloodagar 359 -hemolysis -hemolysis -hemolysis
  • 359.
    Group A streptococci 360 Include only S. pyogenes  Group A streptococcal infections affect all ages but peak incidence at 5-15 years of age  90% of cases of pharyngitis Reservoirs ?  S. pyogenes in nature are the skin and mucous membranes of humans, and nearly 5% of all people ,regardless of age, carry the organism in their throats  The baseline streptococcal pharyngeal carriage rate is roughly 5%  but reaches rates of 15% to 50% in school-age children in temperate climates during epidemics of GAS pharyngitis. Transmission occurs via aerosolized droplets
  • 360.
    Pathogenesis and VirulenceFactors 361 Structural components  M protein, which interferes with opsonization and lysis of the bacteria  Lipoteichoic acid & F protein adhesion  Hyaluronic acid capsule, which acts to camouflage the bacteria Enzymes  Streptokinases  Deoxynucleases  C5a peptidase ? Important for recruitment of phagocytes Pyrogenic toxins (erythrogenic toxin): that stimulate macrophages and helper T cells to release cytokines responsible for rash(scarlet fever &sterptococal Toxic shock syndrome Streptolysins(O,S) ;S non antigenic but O is immunogenic  Streptolysin O lyse red blood cells, white blood cells, and platelets facilitate the spread of streptococci through tissues
  • 361.
    Disease caused byS. pyogenes 362  Suppurative  Non-Invasive  Pharyngitis (“strep throat”)-inflammation of the pharynx  Skin infection,  impetigo (infection of the superficial layers of the skin  cellulitis (infection of the deep layers of the skin)  Invasive  Scarlet fever-rash that begins on the chest and spreads across the body(due to erythrogenic toxin )is a complication of streptococcal pharyngitis  A yellowish-white coating initially covers the tongue and is later shed, revealing a red(“strawberry tongue”)
  • 362.
    Streptococcus pyogenes… 363 Puerperal fever- a septicemia originating in the infected wound (endometritis )  occurs when streptococci enter the uterus after delivery, Non Suppurative  Rheumatic fever: Life threatening inflammatory disease that leads to damage of heart valves muscle  Glomerulonephritits  Immune complex disease of kidney  Inflammation of the glomeruli and nephrons which obstruct blood flow through the kidneys
  • 363.
    Streptococcus pyogenes… 364 Figure Impetigois a condition limited to the epidermis, with typically yellow, crusted lesions. It is commonly caused by Streptococcus pyogenes either alone or together with Staphylococcus aureus.
  • 364.
    Streptococcus pyogenes… 365 Figure Erysipelas.Infection with Streptococcus pyogenes involving the dermal lymphatics and giving rise to a clearly demarcated area of erythema and induration. When the face is involved there is often a typical 'butterfly-wing' rash, as shown here.
  • 365.
    Streptococcus pyogenes… 366 Figure Streptococcaltonsillitis due to group A β- hemolytic Streptococcus pyogenes with intense erythema of the tonsils and a creamy-yellow exudate
  • 366.
    Streptococcus pyogenes… 367 Figure Scarletfever. (a) Punctate erythema is followed by peeling for 2-3 weeks. (b) The tongue is furred at first and then becomes raw with prominent papillae(strawberry tongue)
  • 367.
    Streptococcus pyogenes… 368 Sources ofspecimen and Lab diagnosis  Include a throat swab (avoiding saliva contamination) or swabs of pus and serous fluid depending on the site of infection and blood for culture. Testing for ASO antibody in serum is helpful in diagnosis rheumatic fever.  Methods  -Microscopy -Culture -ASO antibody test Treatment and prevention • Penicillin is still uniformly effective in treatment of Group A streptococcal disease -Penicillin, erythromycin, tetracycline's etc…  No effective vaccine has been produced, but specific M- protein vaccines are being tested
  • 368.
    Streptococcus agalactiae 369  Morphologicallysimilar to S. pyogenes  Are gram positive cocci, occurring in short chains but also in pairs and single.  Non- motile  Most strains contain capsule Pathogenecity  Cause meningitis, neonatal sepsis, and pneumonia in neonates;  Adults may experience vaginitis, puerperal fever, urinary tract infection, skin infection, and endocarditis.  S. agalactiae forms part of the normal microbial flora of the female genital tract. Occasionally it caused neonatal septicemia and meningitis Lab. Diagnosis and treatment ; similar as S. pyogenes.
  • 369.
    370  Gram-positive, lancet-shapedcocci (elongated cocci with a slightly pointed outer curvature)  Usually seen as pairs of cocci (diplococci), but they may also occur singly and in short chains  The cells are surrounded by a thick capsule.  The capsule protects the pathogens from phagocytosis and is the most important determinant of pneumococcal virulence.  Un encapsulated variants are not capable of causing disease. Streptococcus pneumoniae
  • 370.
  • 371.
    372 Are fermentative aerotolerant anaerobe  On blood agar, colonies characteristically produce a zone of alpha (green) hemolysis, which differentiates S. pneumoniae from the group A (beta hemolytic) streptococcus
  • 372.
    Streptococcus pneumoniae 373 Reservoir  Colonizesthe nasopharynx of 40% of healthy adults and children with no adverse effects  Pneumococcal infections usually arise from this normal flora (endogenous infections).  children between 6 months and 4 years of age and adults over 60 years of age are most commonly at risk.  Virtually every child will experience pneumococcal otitismedia before the age of 5 years.
  • 373.
    374 Pathogenesis  The mostimportant pneumococcal infections are lobar pneumonia and bronchopneumonia.  known as the pneumococcus, referring to its morphology and its consistent involvement in pneumonia  It is the leading cause of pneumonia in all ages (particularly the young and old)  Also causes otitis media, sinusitis, meningitis, and corneal ulcer Lab diagnosis  Sources of specimens:-Depending on the site of infection specimens include sputum, exudates, blood for culture and CSF. Method 1.Microscopy 2. Culture 3. Direct detection of pneumococcal antigen in body fluids
  • 374.
    S . pneumoniae 375 Treatment Since pneumococci are sensitive to many antimicrobial drugs, early treatment usually results in rapid recovery  Penicillin G is the drug of choice at higher dose  Some penicillin-resistant strains are resistant to cefotaxime  Resistance to tetracycline and erythromycin occurs also  Pneumococci remain susceptible to vancomycin
  • 375.
    Enterococcus species 376  Aregram positive cocci occurring in pairs or short chains .They are non-capsulated and the majorities are non- motile. Pathogenicity  E. faecalis (formerly classified S. faecalis) is the main pathogen in the genus enterococcus causing about 95% of enterococcal infections including ;  Urinary tract, biliary tract, ulcers, wounds, endocarditic or meningitis.  It is a normal commensal of the vagina and intestinal tract Lab. diagnosis 1.Microscopy 2.Culture Treatment  Most enteroccocci are sensitive to ampicillin and resistant to cephalosporin
  • 376.
    The genus Clostridium 377 Large Gram positive  Straight or slightly curved rods with slightly rounded ends  Anaerobic bacilli  Spore bearing  Saprophytes  Their natural habitat is the soil or the intestinal tract of animals and humans  Causes diseases such as gas gangrene, tetanus, botulism & pseudo-membranous colitis
  • 377.
    Clostridia of medicalimportance 378 Clostridium Causes Tetanus e.g. Cl.tetani Gas gangrene Botulism e.g. Cl.botulinum Saccharolytic e.g. Cl.perfringens &Cl.septicum Proteolytic e.g. Cl.sporogenes ِAntibiotic associated diarrhea e.g. Cl.difficille Mixed: Cl.histolyticum
  • 378.
    A gram stainof a Clostridium species with terminal spores 379
  • 379.
    Clostridium Causing Tetanus Cl.tetani 380  Gram positive, straight, slender rod with rounded ends  All species form endospore (drumstick with a large round end)  Fermentative  Obligate anaerobe  Motile by peritrichous flagella  Spores are highly resistant to adverse conditions  Iodine (1%) in water is able to kill the spores within a few hours
  • 380.
    Tetanus 381  Clostridium tetani Common resident of soil and GI tracts of animals  Causes tetanus or lockjaw, a neuromuscular disease  Most commonly among geriatric patients and IV drug abusers; neonates in developing countries
  • 381.
    Pathology 382  Spores usuallyenter through accidental puncture wounds, burns, umbilical stumps(tetanus neonatrum), and crushed body parts.  Anaerobic environment is ideal for vegetative cells to grow and release toxin.  Specifically, tetanospasmin inactivates proteins that regulate release of the inhibitory neurotransmitters glycine and gamma-aminobutryic acid (GABA).  This leads to unregulated excitatory synaptic activity in the motor neurons, resulting in spastic paralysis  Death most often due to paralysis of respiratory muscles
  • 382.
  • 383.
  • 384.
    Laboratory Diagnosis ofTetanus 385  Primarily upon the clinical manifestation of tetanus including muscle spasm and rigidity.  Specimen: Wound exudates using capillary tube  Culture:  On blood agar and incubated anaerobically  Growth appears as a fine spreading film.  Gram stain is a good method for identifying Clostridium  Cl. tetani is Gram positive rod with a round terminal spore giving a drumstick appearance
  • 385.
    386 Figure Clostridium tetaniwith terminal spores Clostridium tetani
  • 386.
    Treatment and Prevention 387 Proper care of wounds contaminated with soil  Prophylactic use of antitoxin  Treatment aimed at deterring degree of toxemia and infection  use of penicillin or metronidazole to kill the bacteria and reduce toxin production  Antitoxin therapy with human tetanus immune globulin; inactivates circulating toxin but does not counteract that which is already bound  Control infection with penicillin or tetracycline; and muscle relaxants  Vaccine available; booster needed every 10 years
  • 387.
    Clostridial Food Poisoning 388 Clostridium botulinum – rare but severe intoxication usually from home canned food  Clostridium botulinum – mild intestinal illness; second most common form of food poisoning worldwide  Food borne botulism is not an infection, but an intoxication due to toxin is ingested with food  The most common foods include : spiced, smoked, vacuum-packed, or canned alkaline foods that are eaten without cooking
  • 388.
    Botulinum Food Poisoning 389 Botulism – intoxication associated with inadequate food preservation  Clostridium botulinum – spore-forming anaerobe; commonly inhabits soil and water
  • 389.
    Pathogenesis 390  Spores arepresent on food when gathered and processed.  If reliable temperature and pressure are not achieved air will be evacuated but spores will remain.  Anaerobic conditions favor spore germination and vegetative growth.  Potent toxin, botulin, is released.  Toxin is carried to neuromuscular junctions and blocks the release of acetylcholine, necessary for muscle excitation to occur(uncontrolled contraction)  Double or blurred vision, difficulty swallowing, neuromuscular symptoms
  • 390.
  • 391.
    Infant and WoundBotulism 392  Infant botulism – caused by ingested spores that germinate and release toxin; flaccid paralysis  Honey is the only known dietary reservoir of C. botulinum spores linked to infant botulism.  For this reason honey should not be fed to infants less than one year of age  Wound botulism – spores enter wound and cause food poisoning symptoms
  • 392.
    Treatment and Prevention 393 Emptying the stomach by gastric lavage or induction of vomiting with syrup( if the suspected food ingestion was recent (within 1 hour).  It should not be attempted if neurological symptoms are already present.  Administer antitoxin; cardiac and respiratory support  Infectious botulism treated with penicillin  Practice proper methods of preserving and handling canned foods; addition of preservatives. maintaining food at acid pH storing food at less than 4°C
  • 393.
    Clostridium difficile-Associated Disease (CDAD) 394 Normal resident of colon, in low numbers  Causes antibiotic-associated colitis (pseudomembranous Colitis)  Relatively non-invasive; treatment with broad-spectrum antibiotics kills other bacteria, allowing C. difficile to overgrow  Produces enterotoxins that damage intestines  Major cause of diarrhea in hospitals  Increasingly more common in community acquired diarrhea
  • 394.
    Clostridium diffcile pseudomembranouscolitis. The plaques (arrows) on the surface of the intestinal mucosa (A) are composed of inflammatory cells and platelets (B). 395 A B
  • 395.
    Treatment and Prevention 396 Mild uncomplicated cases respond to fluid and electrolyte replacement and withdrawal of antimicrobials.  Severe infections treated with oral vancomycin or metronidazole  Increased precautions to prevent spread
  • 396.
    Clostridium perfringens 397  LargeGram-positive bacilli with stubby ends  Capsulated  Non motile (Cl. tetani is motile)  Anaerobic  Grown quickly on selective media  The most common cause of Gas gangrene or clostridial myonecrosis  Spores found in soil, human skin, intestine, and vagina
  • 397.
    398  Infection isdue to contamination of traumatized tissues  Infection develops in areas of the body with poor blood supply (anaerobic)  The organisms multiply in the subcutaneous tissues, producing gas and anaerobic cellulitis Predisposing factors – surgical incisions, compound fractures, diabetic ulcers, septic abortions, puncture wounds, gunshot wounds Clostridium perfringens…
  • 398.
    Virulence Factors 399 Toxins  toxin (phospholipase C, lecithinase) is the most important toxin  Lyses of RBCs, platelets, leucocytes and endothelial cells  Hepatic toxicity and myocardial dysfunction  -toxin is responsible for necrotic lesions in necrotizing enterocolitis  Enterotoxin is heat labile toxin produced in colon → food poisoning  Collagenase  hyaluronidase  DNase
  • 399.
    Pathology 400  Not highlyinvasive; requires damaged and dead tissue and anaerobic conditions  Spore germination, vegetative growth and release of exotoxins, and other virulence factors.  Fermentation of muscle carbohydrates (saccrolytic) results in the formation of gas and further destruction of tissue (gas gangrene)
  • 400.
    Clinical disease 401 Soft-Tissue Infections Cellulitis:localized edema and erythema with gas formation in the soft tissue; generally non painful Suppurative myositis: accumulation of pus (suppuration) in the muscle planes without muscle necrosis or systemic symptoms Myonecrosis:  Painful, rapid destruction of muscle tissue; systemic spread with high mortality Gastroenteritis  Food poisoning: rapid onset of abdominal cramps and watery diarrhea with no fever, nausea, or vomiting; short duration and self-limited Necrotizing enteritis:  Acute, necrotizing destruction of jejunum with abdominal pain, vomiting, bloody diarrhea, and peritonitis
  • 401.
  • 402.
  • 403.
    Laboratory Diagnosis 404 Specimen: Histologicalspecimen or wound exudates used immediately for microscopic examination & culture Specimens of exudates should be taken from the deeper areas of the wound Microscopic examination (Gram, Spore stain etc) Gram-positive bacilli, non motile, capsulated & sporulated The spore is oval, sub-terminal & non bulging Spores are rarely observed Culture: Anaerobic ally at 37C On Robertson's cooked meat medium → blackening of meat will be observed with the production of H2S and NH3 On blood agar → β-hemolytic colonies
  • 404.
    Treatment and Prevention 405 Immediate cleansing of dirty wounds, deep wounds,  Debridement of diseased tissue  Large doses of cephalosporin or penicillin  Hyperbaric oxygen therapy  No vaccines available
  • 405.
    The genus Bacillus 406 Very large, Gram-positive, spore forming rod  Ubiquitous in nature (soil, water, and airborne dust).  Some species are natural flora in the human intestines  Form oval spores located centrally  Most species of Bacillus are harmless saprophytes but two species are considered medically significant B. anthracis B. cereus
  • 406.
    407 Bacillus anthracis  Large,gram-positive, non-motile rod,non hemolytic  Two forms  Vegetative $ spore form  Over 1,200 strains  Nearly worldwide distribution  primarily infects herbivores, with humans as accidental hosts
  • 407.
    408 Spore  Sporulation requires: Poor nutrient conditions  Presence of oxygen  Spores  Very resistant  Survive for decades  Taken up by host and germinate  Lethal dose 2,500 to 55,000 spores
  • 408.
    Pathogensis 409  Causes anthraxin cows, sheep, and sometimes humans  Anthrax is transmitted to humans via direct contact with animal products or inhalation of endospores  Sources of infection are usually industrial or agricultural and the infection is classified as one of three types  Cutaneous infection (95% of human cases)  Inhalation anthrax (rare ) Bioterorrism  Gastrointestinal anthrax (very rare!)
  • 409.
    410 Cutaneous anthrax: mostcommon(95%)  usually acquired via injured skin  spores from the soil or a contaminated animal or carcass inoculated  Death results from respiratory failure and anoxia caused by actions of the toxin on the central nervous system Papule  vesicle  ulcer  scar Case fatality rate 5 to 20% Untreated – septicemia and death
  • 410.
  • 411.
    412 Pulmonary anthrax (woolsorters' disease)  Results from inhalation of spore-containing dust where animal hair or hides are being handled.  Spore germinate in the lung and spreads leads to a fatal septicemia or meningitis  The most serious form of disease  progresses rapidly to a systemic hemorrhagic pathology and is often fatal  Case fatality: 75 to 90% (untreated)
  • 412.
    413 Gastrointestinal anthrax  analogousto cutaneous anthrax but occurs on the intestinal mucosa  organisms invade the mucosa through a preexisting lesion  results from the ingestion of poorly cooked meat from infected animals (common in herbivores)  Case fatality: 25 to 75%
  • 413.
    414 Virulence factor ofB. anthracis Two major determinants of virulence  Poly-D-glutamyl capsule &  Anthrax Toxin The toxin has three parts Factor I is the edema factor (EF):  edema producing activity of the toxin.  increases adenylate cyclase that increases intracellular cyclic adenosine monophosphate (cAMP) levels, resulting in edema Factor II is the protective antigen (PA)  induce protective antitoxic antibodies in guinea pigs. Factor III is the lethal factor (LF)  is essential for the lethal effects of the anthrax toxin  Bacillus can be used for bio terrorism
  • 414.
    415 Treatment  Antibiotics shouldbe given to unvaccinated individuals exposed to inhalation anthrax  Penicillin, tetracyclines and fluoroquinolones are effective if administered before the onset of lymphatic spread or septicemia, estimated to be about 24 hours  Antibiotic treatment is also known to lessen the severity of disease in individuals who acquire anthrax through the skin
  • 415.
    Bacillus cereus 416  Spore-forming,motile gram-positive rods, Ubiquitous in soils World wide  Heat-stable and heat-labile enterotoxin  Tissue destruction is mediated by cytotoxic enzymes, including cereolysin and phospholipase C pathogenesis Gastroenteritis:  emetic form characterized by a rapid onset of vomiting and abdominal pain and a short  duration; diarrheal form characterized by a longer onset and duration of diarrhea and abdominal cramps Ocular infections:  rapid, progressive destruction of the eye after traumatic introduction of the bacteria into the eye
  • 416.
    B.cereus… 417 Severe pulmonary disease severe anthrax-like pulmonary disease in immunocompetent patients Diagnosis  Isolation of the organism in implicated food product or nonfecal specimens (e.g., eye, wound) Treatment, Prevention, and Control  Gastrointestinal infections are treated symptomatically(supportive)  Ocular infectious or other invasive diseases require removal of foreign bodies and treatment with vancomycin, clindamycin, ciprofloxacin, or gentamicin( NB resistant to beta lactams) proper preparation of food (e.g., foods should be
  • 417.
    Corynebacterium diphtheriae 418  Gram-positive,facultative anaerobic non-motile, non- sporulated, rod-shaped.  Most do not cause disease, but are part of normal human skin flora  C. diphtheriae is a Pleomorphic; often appear in cluster, joined at angles like Chinese letters. Pathogenicity  Nasal, nasopharyngeal and tonsillar diphtheria especially in young children often there is marked edema of the neck  infection is by inhaling respiratory droplets.  It has produce a powerful exotoxin that is absorbed through the damaged mucous membrane into blood circulation
  • 418.
    C. diphtheriae… 419  Thetoxin can cause toxemia with fatal cardiac and neural complications.  At the site of infection there is an acute inflammatory response which leads to the formation of a grey -Yellow membrane which becomes necrotic at a later stage.  If this membrane extends down wards to the larynx it can block the passage of air and caused death. Clinical Diseases Diphtheria an URT illness • Ip of 2-to-6 days.  Is a rapidly developing ,acute ,febrile infection which involves both local and systemic pathology.  Characterized by sore throat, low-grade fever ,and an adherent membrane of the tonsil(s),pharynx, and/or nose.
  • 419.
    Dyspnea; because ofthe obstruction caused by the pseudo membrane In addition, any attempt to remove pseudo membrane, expose and tears the capillaries and results in bleeding. 420
  • 420.
    421 Cutaneous (skin) diphtheria;which usually develops when C. diphtheria infects open wounds.  Note: In many developing countries there is a high prevalence of skin diphtheria especially in rural area this provides immunity to diphtheria early in life and is thought to account for the low incidence of throat diphtheria in some areas. Lab diagnosis 1. Microscopy 2. Culture Treatment  Antitoxic serum therapy is the primary treatment and it must commence as soon as possible if diphtheria is suspected. This treatment is supplemented by administration of penicillin or erythromycin or vancomycin  Prevention; DPT vaccine
  • 421.
    Listeria monocytogenes 422  Isa gram positive non-capsulated small rod or coccobacillus which often stains unevenly and is easily decolorized.  Non -motile or weakly Motile At 35-370c but at low temperature (18- 220c ) are actively motile .  Grow in aerobic condition. Pathogenicity  Causes meningitis and septicemia mainly on neonates, pregnant women the elderly and immuno suppressed persons.  Listeriosis in pregnancy may lead to abortion and stillbirth common sources of infection are contaminated meats chicken soft cheese and vegetables. Lab. diagnosis 1. Microscopy 2. Culture Treatment  Ampicillin, penicillin (less effective), tetracycline, kanamycin and Gentamicin, combination of ampicillin and Gentamicin (aminoglycoside).
  • 422.
    423 GENUS NEISSERIA Neisseriae arenon-spore-forming ,gram-ve cocci that usually occur in pairs, bean shaped  Strictly aerobic, Oxidase +ve, catalase +ve, Non-motile, Carbohydrates ferment  are only human pathogen and don't cause natural infection in other animals.  Fastidious, requiring complex media for growth.  The outer membrane is composed of proteins, phospholipids, and lipo polysaccharide (LPS).
  • 423.
    424  fragile, susceptibleto temperature changes, drying, uv light, fatty acids and other environmental conditions  Neisseria contains two important human pathogens  N. gonorrhoeae: gonorrhea  N. meningitidis: meningococcal meningitis  N .gonorrhoeae infections have a high prevalence and low mortality,  N .meningitidis infections have a low prevalence and high mortality.  are closely related, with 70% DNA homology  and are differentiated by a few laboratory tests and specific characteristics
  • 424.
    Differential Characteristics N. MeningitidesN. Gonorrhoea 1. Intracellular (PMNL) Extracellular or intracellular 2. Polysaccharide capsule Capsule not present 3. Rarely have plasmids Have plasmids 4. Glucose, Maltose, utilised by oxidation Only Glucose utilised 5. Produces meningitis Venereal infection and neonatal eye infection 425
  • 425.
    426 N. gonorrhea  Gram-negativecoccus, 0.6 to 1.0 µm in diameter, usually seen in pairs
  • 426.
    427 Antigenic Structure  N.gonorrhea is antigenic ally heterogeneous and capable of changing its surface  pili (Fibriae)  Por protein, Infections caused by N. gonorrhea  Limited to superficial mucosal surfaces lined with columnar epithelium.  Most frequently involves the urethra, cervix, rectum, pharynx, conjunctiva , and vaginal epithelium may be infected.  therefore, gonorrhea in young girls may present as vulvo-vaginitis, sterility may occur
  • 427.
    428  In theadult male, the disease involve the mucous membrane of anterior urethra.  the most common Clinical manifestations  yellow or creamy discharge and dysuria after 2-to-5 days.  Intense burning and pain upon urination.  ~ 95% of infected men have acute symptoms.  the primary site of infection in women is Endocervix  Characterized by vaginal discharge, dysuria and abdominal pain.  about 50% of women are asymptomatic
  • 428.
    429 • asymptomatic malesthough small they are  important reservoirs  are at high risk of developing complications.  in the males, the organism may invade:  the prostate (prostatitis), the testicles (orchitis)  in the female, may extend  the fallopian tubes (salpingitis)  the ovaries (ovaritis)  10%- 20% women with uncomplicated cervical infections may develop pelvic inflammatory disease (PID).
  • 429.
    Purulent conjunctivitis (Ophthalmia neonatorum) 430 Ocular infections (ophthalmia neonatorum)  occur most commonly in newborns that are exposed to infected secretions in the birth canal characterized by a sticky discharge clinical manifestations are acute and begin 2 to 5 days after birth 1% silver nitrate eye drops (or ophthalmic preparations containing erythromycin or tetracycline) are used as a prophylactic agent
  • 430.
    N. gonorrhoeae Infections 431 FigureGonococcal ophthalmia neonatorum. Signs appear 2-5 days after birth. The inflammation and edema are more severe than with chlamydia infection.
  • 431.
    432 Treatment  Gonococci developedresistance to penicillin, fluoroquinolones & tetracycline  Recommended treatments are  Ceftriaxone, intramuscularly as a single dose  doxycycline, orally twice a day for 7 days
  • 432.
    433 Neisseria meningitidis (Meningococcus) identical in staining and morphological characteristics to N. gonorrhoeae; normal flora of nose  but N. meningitidis has polysaccharide capsule for anti phagocytosis  Humans are the only known hosts 13 serotypes but serotype A,B,C,Y and W135 causes most of the infection  Meningococcal LPS( endo toxin) is responsible for fever & shock the toxic effects found in meningococcal disease  IgA protease helps in adherence to membranes of the URT.  Meningitis: inflammation of the meninges of the brain or spinal cord
  • 433.
    434 Meningococcal meningitis the meningesare inflamed, with thrombosis of blood vessel the onset of meningococcal meningitis is sudden with a sore throat, headache, drowsiness  signs of meningitis include fever, irritability, neck stiffness and photophobia Epidemics are caused mainly by strains of sero group A, sometimes by B strains as well and, more rarely, by group C strains.
  • 434.
    435 Treatment  Penicillin Gis the drug of choice  Either chloramphenicol or a third-generation cephalosporin (cefotaxime or ceftriaxone) is used in persons allergic to penicillins. Epidemiology, Prevention, & Control  Meningococcal meningitis occurs in epidemic waves (eg, in military encampments, and in sub-Saharan Africa)  Five to 30% of the normal population may harbor meningococci  Vaccine for groups A, C, Y, and W-135 are the capsular polysaccharides  group B vaccines with mixtures of antigens
  • 435.
  • 436.
    437 Genus Bordetella  aregram-negative pleomorphic aerobic bacilli  there are several species of bordetella  Bordetella pertussis causes whooping cough (pertussis)  Bordetella parapertussis; cause milder form of whooping cough  but they differ in that B. parapertussis does not produce pertussis toxin  Bordetella bronchi septica, responsible for in occasional respiratory disease in human Bordetella holmesii, an uncommon cause of sepsis  infection is acquired by aerosol droplet during close exposure to a person with active infection
  • 437.
    438 CLINICAL MANIFESTATIONS  infectionis acquired by aerosol droplet during close exposure to a person with active infection Catarrhal phase: after an averaging IP of 7 to 10 days, an illness develops that is indistinguishable from common cold  characterized by coryza, lacrimation, mild cough, low- grade fever, and malaise  During this stage, large numbers of organisms are sprayed in droplets, and the patient is highly infectious but not very ill.
  • 438.
    439  after 1to 2 weeks, the catarrhal phase develop into the paroxysmal phase:  the cough develops its explosive character and the characteristic "whoop" upon inhalation.  more frequent and spasmodic with repetitive bursts of 5 to 10 coughs  which leads to rapid exhaustion and may be associated with vomiting, cyanosis, and convulsions. Convalescence stage; at this time, the paroxysms diminish in number and severity, but secondary complications can occur
  • 439.
    440 Treatment  erythromycin duringthe catarrhal stage promotes elimination of the organisms  treatment after onset of the paroxysmal phase rarely alters the clinical course. Epidemiology & Control  endemic in most densely populated areas worldwide.  Communicability is high, ranging from 30% to 90%.  most cases occur in children under age 5 years control mainly on adequate active immunization of all infants  Prevention: pertussis vaccine, usually combination
  • 440.
    Brucella 441 Biology, Virulence, andDisease  Very small gram-negative cocco bacili  Strict aerobe; non fermenter  Requires complex media and prolonged incubation for in vitro growth  Intracellular pathogen that is resistant to killing in serum and by phagocytes Brucellosis  initial nonspecific symptoms of malaise, chills, sweats, fatigue, myalgias, weight loss, arthralgias, and fever; can be intermittent (undulant fever);  can progress to systemic involvement (gastrointestinal tract, bones or joints, respiratory tract, other organs)
  • 441.
    Brucella… 442  Zoon ticdisease( animal are like goats and sheep (Brucella melitensis);cattle (Brucella abortus);and dogs and foxes (Brucella canis) are the reservoirs  individuals at greatest risk for disease are people who consume unpasteurized dairy products, people in direct contact with infected animals, and laboratory workers Diagnosis Microscopy is insensitive Culture (blood, bone marrow, infected tissue if localized infection) Serology  fourfold increase in titer or single titer ≥1:160; high titers can persist for months to years can be used to confirm the clinical diagnosis
  • 442.
    Brucella… 443 Treatment, Prevention, andControl  Recommended treatment is doxycycline combined with rifampin for a minimum of 6 weeks for non pregnant adults;  trimethoprim-sulfamethoxazole for pregnant women and for children younger than 8 years  Human disease is controlled by eradication of the disease in the animal reservoir through vaccination
  • 443.
    444 Genus haemophilus  Small,pleomorphic, gram-negative bacilli or coccobacilli  facultative anaerobes or fermentative.  require enriched media, blood or its derivative.  X factor (i.e., hemin) and/or V factor (NAD or NADP).  Haemophilus influenzae type b is an important human pathogen  Haemophilus ducreyi, a sexually transmitted pathogen, causes chancroid  Other species are among the NF of mucous membranes and only occasionally cause disease.
  • 444.
    445 Haemophilus influenzae  growboth aerobically and anaerobically.  aerobic growth requires: hemin (X factor) and NAD (V factor).  based on antigenically distinct polysaccharide capsules six major serotypes identified, designated a–f.  some strains lack a polysaccharide capsule and are referred to as nontypable strains.  subtype b (Hib) cause over 90% of all invasive infections
  • 445.
    446 EPIDEMIOLOGY  H. influenzaeis the NF of nasopharynx  spreads by the airborne or direct contact person to person.  Non encapsulated strains are frequently found in the URT.  up to 3/4 of healthy adults  Carriage of Hib can occur up to 30% of children in developing countries  Hib causes bacteremia, meningitis, epiglottitis, pneumonia , placentitis and peripartum septicemia in mothers.
  • 446.
  • 447.
    448 Treatment Chloramphenicol Third-generation cephalosporins, suchas ceftriaxone or cefotaxime, are effective Tetracyclines and sulfa drugs remain effective in treating sinusitis or respiratory infection caused by nontypable H. influenzae
  • 448.
    449 Haemophilus ducreyi  H.ducreyi is a highly fastidious coccobacillary gram-negative bacterium whose growth requires X factor (hemin).  a leading cause (along with syphilis and herpes simplex virus) of genital ulcers.  grows best on media supplemented with  vitamins  vancomycin to inhibit growth of gram-positive organisms  charcoal to absorb toxic substances.
  • 449.
    450 Epidomolgy  spread onlythrough sexual contact.  the organism has no known reservoir other than persons with ulcers Disease  Chancroid (soft chancre)  an ulcerating disease characterized by multiple lesions on the genitalia.  H. ducreyi does not cause systemic, invasive infection.  the ulcers are usually painful, often quite superficial  about 40% of patients associated with inguinal lymphadenitis. Treatment  intramuscular ceftriaxone, oral trimethoprim- sulfamethoxazole, or oral erythromycin often results in healing in 2 weeks. PREVENTION  Primary prevention strategies
  • 450.
    Family Enterobacteriaceae 451  Largefamily of bacteria found the colon of humans and animals.  a number of genera are human intestinal pathogens (e.g. Salmonella, Shigella, Yersinia).  others are NF of the human GI tract (e.g. Escherichia, Enterobacter, Klebsiella),- may occasionally be associated with diseases of humans.
  • 451.
    452 General characteristics  Gram-negative,rod-shaped bacteria,  Some motile by peritrichous flagella are catalase-positive facultative anaerobes ferment glucose & produce acid and gas (fermentation of other sugars varies) oxidase negative
  • 452.
    453 Antigenic Structure  Enterobacteriaceaehave a complex antigenic structure.  heat-stable somatic O (lipopolysaccharide) Ag  heat-labile K (capsular) antigens  H (flagellar) antigens
  • 453.
  • 454.
    455 Genus Escherichia Pathogenic E.coli  the major aerobic organism of the normal intestinal flora, with around 106–8 colony-forming units (CFU) per gram of stool  the anaerobic Bacteroides species in the bowel out number E. coli by at least 20:1  the human bowel is usually colonized within 40 hours of birth
  • 455.
    456 Pathogenesis  responsible forthree types of infections in humans:  urinary tract infections (UTI)  neonatal meningitis  E coli-Associated Diarrheal Diseases Urinary tract infections  Uropathogenic E. coli cause 90% of the UTI  the bacteria colonize from the feces or perineal region and ascend the UT to the bladder.  bladder infections are 14-times more common in females than males by virtue of the shortened urethra.
  • 456.
    457 Neonatal meningitis  affects1/2,000-4,000 infants  E. coli strains invade the blood stream of infants from the naso pharynx or GI tract and are carried to the meninges  E coli and group B streptococci are the leading causes of meningitis in infants E coli-Associated Diarrheal Diseases  E. coli is best known for its ability to cause intestinal diseases.  Five classes (virotypes) of E. coli that cause diarrheal diseases are recognized:
  • 457.
    E coli-Associated DiarrhealDiseases 458  Enterotoxigenic E. coli (ETEC)  Enteroinvasive E. coli (EIEC)  Enterohemorrhagic E. coli (EHEC)  Enteropathogenic E. coli (EPEC)  and Enteroaggregative E. coli (EAggEC
  • 458.
    459 Entero toxigenic E.coli (ETEC)  common cause of "traveler's diarrhea" and a very important cause of diarrhea in infants in developing countries  the diseases vary from minor discomfort to a severe cholera-like syndrome.  acquired by ingestion of contaminated food and water . The disease process is :  colonization (but noninvasive)  and elaboration of enterotoxins.  produce enterotoxins LT (heat-labile) toxin and/or the ST (heat-stable) toxin
  • 459.
    Entero invasive E.coli(EIEC) 460  closely resemble Shigella in their pathogenic mechanisms and the kind of clinical illness they produce.  EIEC penetrate and multiply within epithelial cells of the colon causing widespread cell destruction.  The clinical syndrome is identical to Shigella dysentery and includes a dysentery like diarrhea with fever.  are invasive organisms ??  They do not produce LT or ST toxin and, unlike Shigella, they do not produce the shiga toxin.  They possess specific adhesions for penetration of the intestinal epithelium  READ about the remaining serotypes (EHEC,EPE &EAggEC
  • 460.
    461 Treatment  no singlespecific therapy is available.  sulfonamides, ampicillin, cephalosporins, fluoroquinolones, and aminoglycosides  variation in susceptibility is great, and laboratory tests for antibiotic sensitivity are essential.  Multiple drug resistance is common
  • 461.
    462 Shigella and Shigellosis Shigellae are gram-negative, non motile, non-spore forming, rod-shaped bacteria, very closely related to Escherichia coli.  there are four species of Shigella:  Shigella dysenteriae, Shigella flexneri, Shigella boydii, and Shigella sonnei.  a very small inoculums (10 to 200 organisms) is sufficient to cause infection.  epidemics may be food borne or waterborne.
  • 462.
    463 Pathogenesis  Shigella speciescause bacillary dysentery or shigellosis with S. dysenteriae  Shigella infects only humans Transmission is mainly by the faecal-oral route with poor sanitation, unhygienic conditions, flie etc.  Shigella dysenteriae produces shigatoxin which contributes to the colonic epithelial damage, the small intestine -diarrhea with watery stools at the onset of shigellosis  Diarrhea, abdominal cramping, tenesmus, stool frequently contains blood and mucus
  • 463.
    464 Lab diagnosis 1, Microscopy 2.Culture Treatment  Nalidixic acid, Fluoroquinolones, Azithromycin,Trimethoprim-sulfamethoxazole and Ampicillin.  Losses of water and electrolytes may have to be replaced.  Vaccines are not currently available, but some promising candidates are being developed.
  • 464.
    Salmonella and salmonellosis 465 Salmonella is a Gram-negative facultative rod-shaped bacteria  are actively motile , non- sporing and with the exception S. typhi non –capsulate.  live in the intestinal tracts of warm and cold blooded animals.  The most complex genus in the family Entero bacteriaceae  Infection is by ingesting the organism in contaminated food or water or from contaminated hands (S. typhi is mainly water borne, S. paratyphi is mainly food borne)
  • 465.
    466 Pathogenesis & ClinicalFindings  Salmonellosis includes several syndromes  enteric fever: S typhi, S paratyphi-A  septicemia or focal infections: S. choleraesuis  Gastroenteritis: S typhimurium and S. enteritidis  however, any serotype can produce any of the syndromes Enterocolitis  is the most common manifestation of salmonella infection.  mainly caused by S. typhimurium and S. enteritidis, but can be caused by any of group I serotypes of salmonella  the stools may contain , blood, and mucus.
  • 466.
    467 "Enteric Fevers" (TyphoidFever)  S. typhi, S. paratyphi-A, and S. schottmuelleri  systemic spread of the organisms  release endotoxin, responsible for cardiovascular “collapsus”  fever, malaise, headache, constipation, bradycardia(slow heart beat), and myalgia occur after 10–14 days of IP  spleen and liver become enlarged.  rose spots, usually on the skin of the abdomen or chest, are seen in rare cases. Epidemiology  Contaminated food is the major mode of transmission for non-typhoidal salmonellae  salmonellosis is a zoonosis and has an enormous animal reservoir (chickens, pigs, and cows etc.)
  • 467.
    Epidemiology… 468  typhoid feverand other enteric fevers primarily involves person-to-person spread because these organisms lack a significant animal reservoir.  Contamination with human feces is the major mode of spread, and the usual vehicle is contaminated water.  asymptomatic human carrier state exists for the agents of either form of the disease.  ~ 3% of persons infected with S. typhi and 0.1% of infected with non-typhoidal salmonellae become chronic carriers
  • 468.
    469 Lab diagnosis 1.Microscopy 2. Culture- Blood - organisms can usually be detected in 75-90% of patients during the first ten days of infection, and in about 30% of patients during the third week 3.Widal test (serology) - Testing for the presence of salmonella antibodies in a patients serum Treatment  Replacement of fluids and electrolytes is essential in severe diarrhea  ampicillin, trimethoprim-sulfamethoxazole, or a third- generation cephalosporin in case of invasive salmonella infections
  • 469.
    Genus Vibrio 470  Highlymotile by a single polar flagellum, facultative anaerobe, curved gram-negative rods, oxidase-positive.  Except for V. cholerae and V. mimicus, all are halophilic (require 2-3% NaCl or a sea water base for optimal growth)  V. cholerae and V. parahaemolyticus are important humans pathogens.  Both produce diarrhea, but in ways that are entirely different.  V. parahaemolyticus is invasive affecting primarily the colon  V. cholerae is noninvasive, affecting the small intestine through secretion of enterotoxin.
  • 470.
    Medically Important Vibrios OrganismHuman Disease V. cholerae sero groups O1 and O139 Epidemic and pandemic cholera V. cholerae sero groups non-O1/ non-O139 Cholera-like diarrhea; mild diarrhea; rarely, extra intestinal infection V. parahaemolyticus Gastroenteritis, perhaps extra intestinal infection Others V. mimicus, V. vulnificus, V. hollisae, V. fluvialis, V. damsela, V. nginolyticus, V. Ear, wound, soft tissue, and other extra intestinal infections, all uncommon 471
  • 471.
    472 Vibrio cholerae  Cholerais a diarrheal illness caused by Vibrio cholerae O1 (and less often by sero group (O139) Clinical Findings  about 60% of infections with classic V. cholerae are asymptomatic,  after IP of 1–4 days, there is a sudden onset of nausea and vomiting and profuse diarrhea with abdominal cramps.  Stools, which resemble "rice water," contain mucus, epithelial cells, and large numbers of vibrios  rapid loss of fluid and electrolytes, leads to profound dehydration, circulatory collapse, and anuria.  if untreated, mortality rate reach between 25% and 50%.
  • 472.
  • 473.
    474 Treatment Cholera is simpleto treat; only the rapid and adequate replacement of fluids, electrolytes, and base (ORS) is required. Although not necessary for cure, the use of an antibiotic to which the organism is susceptible will diminish the duration and volume of fluid loss and will hasten clearance of the organism from the stool. Single-dose tetracycline (2 g) or doxycycline (300 mg) is effective in adults but is not recommended for children <8 years of age because of possible deposition in bone and developing teeth. Emerging drug resistance is an ever-present concern.
  • 474.
    Treatment … 475  Foradults with cholera in areas where tetracycline resistance is prevalent, ciprofloxacin or erythromycin is a clinically effective substituein reducing total stool output,  Because of the high cost of quinolones, WHO recommends erythromycin as the first alternative to tetracycline.  For children, furazolidone has been the recommended agent and trimethoprim-sulfamethoxazole the second choice. Because of cost and/or toxicity issues related to the other drugs, erythromycin is a good choice for pediatric cholera.
  • 475.
    Pseudomonas aeruginosa 476 General characteristics Is a small, polarlly flagellated, gram-negative rod with pili.  Non fermentative, oxidase-positive bacterium.  Ubiquitous environmental organism widely distributed in water, soil, and on plants.  It can grow to large numbers overnight in either distilled or tap water.  May produce clinically useful pigments, such as fluorescein, a greenish fluorescent pigment, and pyocyanin, a blue- green pigment.  Blue-green pus is a classic sign of P. aeruginosa cellulites (mainly in burn patients).
  • 476.
    P.aeruginosa… 477 Attributes of pathogenicity Pili,  A mucoid exopolysaccharide layer (slime), which increases adherence to tracheal epithelium  Mucin, thereby inhibiting opsonophagocytic clearance and reducing amino glycoside effectiveness;  P .aeruginosa strains isolated from cystic fibrosis patients are prominent slime producers  Exotoxin A, an ADP-ribose transferase similar to diphtheria toxin that inactivates EF-2 (elongation factor), halting protein synthesis and resulting in liver necrosis  Exoenzyme S, an ADP-ribose transferase capable of inhibiting eukaryotic protein synthesis
  • 477.
    P.aeruginosa… 478  Endotoxin (lipopolysaccharide),which plays the usual role in triggering inflammation and systemic symptoms  Phospholipase C which damages membranes, causing tissue necrosis  Elastase and other proteolytic enzymes, which damage elastin, human IgA, IgG, complement components, and collagen Clinical disease  infections are primarily opportunistic( patients receiving broad- spectrum antibiotics patients with compromised host defenses) Cellulitis  occurs in patients with burns, wounds, or neutropenia.  is indicated by blue-green pus and a grape-like, sweet odor.  may be highly necrotic.
  • 478.
    P.aeruginosa… 479 Septicemia  results fromhematogenous spread of the infection from local lesions or the gastrointestinal tract and causes gram-negative shock.  may result in ecthyma gangrenosum, a distinctive skin lesion with central necrosis and an erythematous margin. Recurring pneumonia  occurs in individuals with cystic fibrosis(hereditary abnormality of exocrine gland which production thick mucus that blocks the pancreatic duct, bronchi, intestine). Lab diagnosis Culture of blood and observing for biochemical reactions
  • 479.
    P.aeruginosa… 480 Treatment  difficult becauseof frequent resistance to antibiotics.  requires combination therapy: an aminoglycoside and β-lactam agent until drug susceptibilities are determined.  Hospital infection control efforts should concentrate on preventing contamination of sterile medical equipment and nosocomial transmission; unnecessary use of broad-spectrum antibiotics can select for resistant organisms
  • 480.
    Helicobacter pylori 481 General characteristics Is gram-negative, urease-positive, and motile rod.  Is associated with gastritis, gastric and duodenal ulcers, and gastric carcinomas. H pylori is now classed by the WHO as a type I carcinogen. Attributes of pathogenicity  Produces urease to neutralize stomach acid on its migration to the stomach lining.  Produces a mucinase and is flagellated, which improves penetration of the mucous layer.  Also produce a vacuolating cytotoxin.
  • 481.
    H. pylori… 482 Epidemiology  Ubiquitousand worldwide, with no seasonal incidence of disease Infections are common, particularly in people in a low socioeconomic class or in developing nations  Humans are the primary reservoir  Person-to-person spread is important (typically fecal-oral) Clinical disease occurs as epigastric pain, sometimes with nausea, vomiting, anorexia, and gas production. Diagnosis  Microscopy: histological examination of biopsy specimens is sensitive and specific  Urease test relatively sensitive and highly specific  H. pylori antigen test is sensitive and specific
  • 482.
    H. pylori… 483  Culturerequires incubation in micro aerophilic conditions;  growth is slow; relatively insensitive unless multiple biopsies are cultured  Serology useful for demonstrating exposure to H. pylori Treatment  Omeprazole and amoxacillin and clarithromycin, or  bismuth subsalicylate, metronidazole, tetracycline, and omeprazole
  • 483.
    Campylobacter jejuni 484 General characteristics is a gram-negative, curved rod with polar flagella.  is positive for oxidase and catalase and is microaerophilic.  is found in a wide variety of wild and domestic animals  is transmitted to humans most commonly through dogs or by poultry products.  Outbreaks have been caused by unpasteurized milk and contaminated rural wells Attributes of pathogenicity  has flagellated forms, which are more virulent than non flagellated forms.  invades tissue, causing fever, abdominal pain, and bloody diarrhea.
  • 484.
    C. jejuni 485 Clinical disease Acute enteritis results from oral ingestion of the organism, leading to colonization and invasion of the intestinal lining and inflammatory diarrhea  may lead to extra intestinal and post infective complications, including reactive arthritis and Guillain-Barrsyndrome.  (About 30% of cases of Guillain-Barrsyndrome are due to C jejuni). .
  • 485.
    C. jejuni 486 Laboratory diagnosis is found in the stool as numerous darting organisms along with blood and excess neutrophils (indicating inflammation).  is isolated on special agar (Campy or Skirrow's agar) grown at 42°C (which suppresses most of the growth of other gastrointestinal tract flora) under micro aerophilic conditions Treatment • fluid and electrolytes replacement; however, the disease is generally self-limiting (lasts < 1 week). • In severe cases, treatment is with ciprofloxacin or erythromycin. Prevention is by sanitation and pasteurization.
  • 486.
    Genus Mycobacteria 487  rodshaped, obligate aerobic bacteria  do not form spores,  are acid fast bacteria  resistance to many antibiotics  Several members produce disease in man and animals while others are saprophytes
  • 487.
    Mycobacteria.. 488 Mycobacterium tuberculosis:  causativeagent of tuberculosis in humans.  Humans are the only reservoir for the bacterium.  Mycobacterium bovis:  cause TB in cows and rarely in humans.  Humans infected by consumption of unpasteurized milk.  can lead to the development of extra pulmonary TB,  Mycobacterium avium: causes a TB-like disease prevalent in AIDS patients  Mycobacterium leprae: cause leprosy.
  • 488.
    489 Mycobacterium tuberculosis Morphology:  Cannot be stained by simple stains due to their high lipid content (mycolic acids)  Stained by Ziehl-Neelsen stain  Once stained, resist decolourization with 20% H2SO4 & alcohol. acid fast  Appear as thin pink rods arranged singly or in small groups  Slow proliferation (culturing 3–8 weeks)  Facultative intracellular  Obligate aerobe
  • 489.
  • 490.
    MTB… 491  Causes tuberculosis(pulmonary and extra pulmonary)  hematogenous spread may result in extra pulmonary tuberculosis and milliary tuberculosis  leading cause of death in the world from a bacterial infectious disease.  affects 1.7billion people/year equal to 1/3 of the world pop. TB infection (latent TB)  M.TB. is in the body but the immune system is keeping the bacteria under control by macrophages
  • 491.
    492 MTB…  Most peoplewith TB infection have a positive reaction to the tuberculin skin test.  People who have TB infection but not TB disease are NOT infectious Mode of transmission  Droplet nuclei generated by during talking, coughing, and sneezing inhaled  Droplet nuclei contains > 3 bacilli.  Sneezing generates the most droplet nuclei by far, which can spread to individuals up to 10 feet away.
  • 492.
    493 Risk factors  Closecontact with large populations of people, i.e., schools, nursing homes, dormitories, prisons, etc.  Poor nutrition, alcoholism  HIV infection, the #1 predisposing factor. • 10 % of all HIV-positive individuals harbor M.TB. • this is 400-times the rate associated with the general public Pathogenesis:  M. tuberculosis produces no recognized toxins.  The organism is capable of multiplying intra-cellularly stimulating CMI & hypersensitivity which leads to tissue
  • 493.
    Mycobacterium tuberculosis 494 Tuberculosis Treatment twoaims of tuberculosis treatment are  to interrupt tuberculosis transmission  to prevent morbidity and mortality  Effective regimens must contain multiple drugs  to reduce toxicity and resistance.  Usually treated with four different antimicrobial agents for a course that lasts from 6-8 months.  first-line of drugs include rifampin (RIF), isoniazid (INH), pyrazinamide (PZA) and ethambutol (EMB) or streptomycin (SM)  In non compliant patients, directly observed therapy (DOT) is important
  • 494.
    495 WHY Prolonged treatment? There is a slow response of TB treatment and it should be continued for 6-8 months (DOTs = 2 months ). This is because:  Most bacilli are found intracellular  The caseous material of the cell wall interfere with the drug.  In chronic lesions TB bacilli are not dividing, i.e. "metabolically inactive", hence resistant to drugs
  • 495.
    Mycobacterium tuberculosis 496 Prevention The bestway to prevent tuberculosis is  to diagnose infectious cases rapidly and  administer appropriate treatment until cure  BCG vaccination-an attenuated strain of M. bovis first administered to humans in 1921  treatment of persons with latent tuberculosis infection who are at high risk of developing active disease.
  • 496.
    Mycobacterium leprae 497 Morphology, Biologicalxcs  Obligate intracellular bacillus  produces no known toxins and is well adapted to penetrate and reside within macrophages  still has not been cultivated on artificial medium or tissue culture  M. leprae grows best in cooler tissues  The skin, peripheral nerves, anterior chamber of the eye, upper respiratory tract, and testes), sparing warmer areas of the skin (the axilla, groin, scalp, and midline of the back).
  • 497.
    Mycobacterium leprae 498 Transmission  Theroute of transmission of leprosy remains uncertain and may be multiple  nasal droplet infection  contact with infected soil  even insect vectors have been considered the prime candidates  direct dermal inoculation (e.g., during tattooing) may transmit M. leprae
  • 498.
    Transmission… 499  Casual contactdoes not cause leprosy.  prolonged contact with the person is necessary.  This contact may be direct (e.g. skin to skin) or indirect (e.g. contact with soil, and fomites such as contaminated clothes  Leprosy has a long incubation period, an average of about three to five years.  The nose is a major portal of exit of organisms of a person affected. Disease  M. leprae - causes Hansen’s disease / leprosy in man, which affects mainly the mucous membrane of the nose, skin and nerve fibers.
  • 499.
    500 Pathogenesis 2 major clinicalforms 1.Tuberculoid leprosy:  Areas of skin and peripheral nerves are infiltrated with lymphocytes.  Nerve involvement is characteristic with loss of sensation.  CMI is intact & lepromin skin test is positive.  The organism is found in small number in the lesion. 2.Lepromatous leprosy  The course is progressive & severe with continuous bacteraemia.  CMI is deficient and lepromin test is negative.
  • 500.
    Mycobacterium leprae 501 A patientwith features of polar lepromatous leprosy: multiple nodular skin lesions, particularly of the forehead, and loss of eyebrows Tuberculoid leprosy -a characteristic dry blotchy lesion on the face, but the diagnosis needs to be confirmed by microscopic examination of skin biopsy. Extensive skin involvement in lepromatous leprosy results in a characteristic leonine appearance.
  • 501.
    502 Treatment:  Sulphones -e.g. Dapsone (DDS) and rifampicin, are used for treatment.  Clofazimine is given to sulphone resistant cases. Prevention  No vaccine is available.  Chemoprophylaxis may be used to contacts of case.
  • 502.
    503 Spirochetes  The namespirochete is derived from the Greek words for "coiled hair.“  Large heterogonous group, motile organisms  Habitat most are free living and non pathogenic but some pathogenic  Have unique helical structure  Cell wall similar to gram negative bacteria  Have flagella for motility  Are refractive  Borrelia, leptospira and treponema are among the important once
  • 503.
    Genus Treponema 504  Gram-negative,thin, motile, spiral shaped  pathogenic and NP types  non stained  non cultivable in vitro  Human pathogens cause treponematoses are  T. pallidum subspecies pallidum - venereal syphilis
  • 504.
    505 Syphilis  Syphilis, achronic systemic infection caused by Treponema pallidum subspecies pallidum  Usually sexually transmitted  Organisms may pass through the placenta to infect the fetus.  Approximately 50 percent of fetuses are aborted or stillborn; the rest exhibit diverse syphilitic stigmata
  • 505.
    506 Clinical Manifestations Primary syphilis multiplication of treponemes at the site of entry produces erythema and induration.  a hard chancre formation ( painless ) . NB.H. ducreyi causes soft chancre, (painful.)  Numerous treponemes are present highly open lesion.  After 2 to 6 weeks of symptoms, this primary lesion heals, leaving only remnants of scar tissue
  • 506.
    507 Secondary syphilis After anasymptomatic 2 to 24 weeks,organisms multiply in many different tissues. . All of these lesions teem with treponemes and are highly contagious. 2-6 weeks after the onset of secondary syphilis, host defenses bring about healing. Both primary and secondary syphilis are contagious
  • 507.
    508 Tertiary syphilis  canaffect almost any tissue.  Nearly 80 percent of fatalities are caused by cardio vascular involvement  20 percent are from neurologic involvement
  • 508.
    Venereal syphilis 509 Primary syphiliswith a firm, nontender chancre Secondary syphilis demonstrating the papulosquamous truncal eruption. Secondary syphilis commonly affects the palms and soles with scaling, firm, red- brown papules.
  • 509.
    Venereal syphilis 510 Mucous patcheson the tongue of a patient with secondary syphilis. Condylomata lata are moist, somewhat verrucous intertriginous plaques seen in secondary syphilis.
  • 510.
    511 Laboratory diagnosis  T.pallidum cannot be grown in vitro,  laboratory diagnosis hinges on microscopy and serology. Microscopy  Exudate from the primary chancre should be examined  dark-field microscopy immediately after collection
  • 511.
    512 Lab. Diagnosis  Serologicare mostly used that include:  Non treponemal tests, which measure antibodies directed against lipid antigens, principally cardiolipin, thought to be derived from host tissues  Ex. (VDRL) and (RPR) tests  More sensitive, rapid, simple but non specific, malaria, leprosy, auto immune disease, measles infection may give false positive results
  • 512.
    513 Treponemal tests  whichdetect antibodies directed against protein constituents of T. pallidum . example  Fluorescent T pallidum Antibody-Absorption (FTA-ABS)  Micro hemagglutinationT.pallidum (MHA-Tp)  T.P.immobilization test
  • 513.
    Venereal syphilis 514 Treatment Penicillin tetracycline ordoxycycline if allergic for pencillin Contact tracing with screening and treatment is also important and patients with other STDs should be screened for syphilis Congenital syphilis is completely preventable if women are screened serologically early in pregnancy (less than 3 months) and those who are positive are treated with penicillin.
  • 514.
    Genus Borrelia 515 Borrelia  AreHelical irregular coils, highly motile spirochetese • Gram negative, stain with giemsa or Wright's stain • can be cultured in vitro  All transmitted by ticks except B. recurrentis  accidental inoculation of infected blood  contact of blood with abraded or lacerated skin, (MM), conjunctiva
  • 515.
    516 louse-borne (Epidemic) relapsingfever (LBRF): • B. recurrentis is pathogenic only in humans. • Causes Relapsing Fever • Febrile relapses characteristic of infection with these organisms  Transmitted by body lice  Infected body lice crushed and their fluids contaminate MM or breaks in the skin  Not transmitted directly by the bite of a louse  Common in Military, prisoners, and others living in impoverished, overcrowded, and unhygienic conditions
  • 516.
    517 tick-born (Endemic) relapsingfever (TBRF)  Caused by at least 15 species, the most important being B. duttonii, B. hermsii  Widely distributed throughout the world  Highly endemic in sub-Saharan Africa Clinical manifestations  The c/s of LBRF and TBRF are similar  The mean IP is 7 days (range, 2 to 18 days)  Sudden onset with chills and an abrupt rise of temperature (43°C, usually above 39°C)  Fever persists for 3–5 days and then declines
  • 517.
  • 518.
    519  Transmission inrelapsing fever
  • 519.
    520 Treatment  Doxycycline (oranother tetracycline), erythromycin, or chloramphenicol and penicillin
  • 520.
    Rickettsiae 521 Include the generaRickettsia, Ehrlichia, Orientia, and Coxiella Rickettsia species  Small, structurally similar to Gram-negative bacilli  obligate intracellular parasites of eukaryotic cells  found in ticks, lice, fleas, mites , and mammals Grow readily in yolk sacs of embryonated eggs or cell culture
  • 521.
    Rickettsiae 522  Most Rickettsiaesurvive only for short times outside of the vector or host  quickly destroyed by heat, drying, and bactericidal chemicals Rickettsia species cause - Epidemic typhus- R.prowazekii - Murine typhus- R.typhi - Scrub typhus- R.tsutsugmushi  Rocky Mountain spotted fever -R.ricketsii
  • 522.
    Epidemic Typhus (louse-borne) 523 Due to infection with R. prowazekii  Transmitted by the human body louse (Pediculus humanus corporis)  Lives on clothes, found in poor hygienic conditions ,usually in cold areas  Lice acquire R. prowazekii when they ingest a blood meal from a rickettsemic patient multiply in the mid gut epithelial cells of the louse spill over into the louse feces patient auto inoculates the organisms by scratching louse defecates during its blood meal • The louse does not pass R. prowazekii to its offspring
  • 523.
    524 Epidemiology Epidemic form oftyphus  Is related to poverty, cold weather, war, and disasters  Currently prevalent in mountainous areas of Africa, South America, and Asia.  The global reemergence of the disease is due to proliferation of body lice Treatment and Prevention  Rickettsia species are susceptible to the broad-spectrum antibiotics, doxycycline, tetracycline, and chloramphenicol  Prevention of exposure to infected arthropods offers some protection.  Prevention is based on reducing exposure to the vector
  • 524.
    Chlamydiae 525  Chlamydiae areobligate intracellular bacteria  lack several metabolic and biosynthetic pathways ( depend on the host cell for intermediates, including ATP)  Lack peptidoglycan layer  chlamydiae consist of three species,  C trachomatis, C psittaci, and C pneumoniae
  • 525.
  • 526.
    C. trachomatis 527  C.trachomatis is found only in humans.  causes the following diseases:  Trachoma, a chronic follicular kerato conjunctivitis.  Inclusion conjunctivitis in newborn children  Nonspecific urogenital infections in both men and women (urethritis, cervicitis, salpingitis)  Lymphogranuloma venereum, a venereal disease observed mainly in countries with warm climates. C. pneumoniae  responsible for infections of the upper respiratory tract  mild form of pneumonia
  • 527.
    Trachoma 528 Figure 2 Purulentdischarge in bacterial conjunctivitis is often associated with infections by Streptococcus pneumoniae, Haemophilus influenzae or Staphylococcus aureus.
  • 528.
    Trachoma 529 Figure 5 Chlamydialconjunctivitis is the commonest form of neonatal conjunctivitis
  • 529.
    Trachoma 530 Epidemiology & Control > 400 million people throughout the world have trachoma ( 20 million are blinded by it )  Most prevalent in  Africa  Asia  The Mediterranean basin  childhood infection may be universal, and severe blinding disease is common hygienic conditions are poor and water is scarce
  • 530.
    531 C. trachomatis serovars D–K  cause sexually transmitted diseases especially in developed countries  may produce infection of the eye - inclusion conjunctivitis Genital infections  nongonococcal urethritis, and occassionally epididymitis in men  acute salpingitis and cervicitis, and pelvic inflammatory disease in women  Can lead to sterility and predispose to ectopic pregnancy  Lymphogranuloma venereum caused by L1, L2, L3  a venereal disease with genital lesions and regional lymph node involvement (buboes). Genital Infections and inclusion conjunct
  • 531.
    532 Figure 4 Lymphogranulomavenereum. Bilateral enlargement of inguinal glands Genital Infections
  • 532.
    533 Tetracycline, erythromycin, rifampin,sulfonamides, chloramphenicol Tetracyclines (eg, doxycycline) are commonly used in non gonococcal urethritis and in non pregnant infected females Azithromycin is effective and can be given to pregnant women Treatment
  • 533.
  • 534.
    Introduction 535 Out line  Definitionof viruses  Host Range  Properties of Viruses  Classification  General structure of Viruses  Replication of Viruses  Diagnosis  Pathogenesis of Viral Diseases 
  • 535.
    Definition of viruses 536 Viruses may be define as non cellular organisms which obligately replicate inside host cells using host metabolic machinery and ribosomes Host range:  Viruses infect all major groups of organisms: vertebrates, invertebrates, plants, fungi, bacteria.  Some viruses have a broader host range than others, Factors which affect host range includes: i) whether the virus can get into the host cell ii) if the virus can enter the cell, is the appropriate cellular machinery available for the virus to replicate? iii) if the virus can replicate, can infectious virus get out of the cell and spread the infection?
  • 536.
    Properties of Viruses 537 inert (nucleoprotein ) filterable Agents  obligate intracellular parasites  cannot make energy or proteins independent of a host cell  viral genome are either RNA or DNA but not both.  have a naked capsid or envelope with attached proteins  do not have the genetic capability to multiply by division.  are non-living entities
  • 537.
    538 Shape of Viruses Spherical  Rod-shaped  Brick-shaped  Bullet-shaped  Filament Size of Viruses A small virus has a diameter of about 20nm. Parvovirus A large virus have a diameter of up to 400nm. Poxviruses
  • 538.
    539 On the basisof shared properties viruses are grouped at different hierarchical levels  Order  Family ------------- 71  Subfamily  Genus ------------- 164  Species ---------- > 3,600 (30,000 different virus isolates) Order - suffix virales Family - suffix viridae Subfamily - suffix virinae Genus - suffix virus Species - individual virus other terms: strain/type Classification
  • 539.
    540 Classification of Viruses Virion morphology (size, shape, enveloped/un enveloped)  genome (RNA, DNA , segmented sequence)  macromolecules (protein composition and function)  antigenic properties,  biological properties (host range, transmission tropism etc) are all considered. • Capsid symmetry: cubic, helical, or complex symmetry
  • 540.
  • 541.
    542 General structure ofViruses Fig Virus Particle Structure
  • 542.
    543 Viral core  Theviral nucleic acid genome  Control the viral heredity and variation, responsible for the infectivity. Genome  The genome of a virus can be either DNA or RNA  DNA-double stranded (ds): linear or circular Single stranded (ss) : linear or circular  RNA- ss:segmented or non-segmented ss: polarity+(sense) or polarity –(non-sense) ds: linear (only reovirus family)
  • 543.
    544 Viral Capsid  Theprotein shell, or coat, that encloses the nucleic acid genome. Functions of capsid A. Protect the viral nucleic acid. B. Participate in the viral infection. C. Share the antigenicity
  • 544.
    545 The shape ofthe capsid may be  Icosahedral symmetry  Helical symmetry  Complex symmetry General structure of Viruses
  • 545.
    546 General structure ofViruses Icosahedral Helical Complex (spherical) consists of subunits called capsomers (rod shaped or coiled) consists of repeated units called protomers Irregular shape (neither helical nor polyhedral)
  • 546.
    there are fivebasic structural forms of viruses in nature 1. naked icosahedral e.g. poliovirus, adenovirus, hepatitis A virus 2. naked helical e.g. tobacco mosaic virus, so far no human viruses with this structure known 3. enveloped icosahedral e.g. herpes virus, yellow fever virus, rubella virus 4. enveloped helical e.g. rabies virus, influenza virus, parainfluenza virus, mumps virus, measles virus 5. complex e.g. poxvirus 547
  • 547.
    548 Envelope  A lipid-containingmembrane that surrounds some viral particles.  It is acquired during viral maturation by a budding process through a cellular membrane, Viruses-encoded glycoproteins are exposed on the surface of the envelope.  Not all viruses have the envelope.
  • 548.
    549 Functions of envelope Antigenicity some viruses possess neuraminidase  Infectivity  Resistance
  • 549.
    550 Adsorption: attachment ofthe virus to the host cell surface Penetration: entry of the virus into the host cell • Enveloped viruses: by fusing with plasma membrane or endocytosis • Non-enveloped: direct penetration or endocytosis Uncoating: physical separation of viral NA from the outer structural components Replication of Viruses Steps in viral replication
  • 550.
    Replication of Viruses… 551 Stepsin viral replication… Replication • DNA viruses: nucleus with the exception of Poxviruses • RNA viruses: cytoplasm with the exception of Orthomyxoviruses & Retroviruses Synthesis of viral proteins in the cytoplasm
  • 551.
    Replication of Viruses… 552 Stepsin viral replication… Maturation  all the structural components come together at one site in the cell and the basic structure of the virus particle is formed. Assembly  a virus particle becomes infectious; nucleic acids and capsids are assembled together. Release • Non-enveloped- through lysis • Enveloped- budding
  • 552.
    553 Fig. Schematic presentationof virus replication Replication of Viruses
  • 553.
    Diagnostic Methods inVirology 554 1. Direct Examination 2. Serology 2. Indirect Examination (Virus Isolation)
  • 554.
    Direct Examination 555 1. AntigenDetection immunofluorescence, ELISA etc. 2. Electron Microscopy morphology of virus particles immune electron microscopy 3. Light Microscopy histological appearance inclusion bodies 4. Viral Genome Detection hybridization with specific nucleic acid probes polymerase chain reaction (PCR)
  • 555.
    Indirect Examination 556 1.Cell Culturecytopathic effect (CPE) haemabsorption immunofluorescence 2. Eggs haemagglutination inclusion bodies 3. Animals disease or death
  • 556.
    Serology 557 Detection of risingtitres of antibody between acute and convalescent stages of infection, or the detection of IgM in primary infection. 5. Counter-immunoelectrophoresis 5. RIBA, Line immunoassay
  • 557.
    558 Virus Isolation  CellCultures are most widely used for virus isolation, there are 3 types of cell cultures:  Primary (Freshly removed): animal or human tissue e.g., primary monkey or baboon kidney  Finite life span (cultured 1-2 times), supply of organs?  Semi-continuous diploid cells: from human fetal tissue e.g., Human embryonic kidney and skin fibroblasts  Cultured 20-30 times  Continuous: from tumors of human or animal tissue e.g., Vero, Hep2 (human epidermoid carcinoma cells)  Maintained for extended periods
  • 558.
    Cell Cultures 559 Growing virusmay produce 1. Cytopathic Effect (CPE) - such as the ballooning of cells or syncytia formation, may be specific or non- specific. 2. Haemadsorption - cells acquire the ability to stick to mammalian red blood cells. Confirmation of the identity of the virus may be carried out using neutralization, haemadsorption-inhibition or immunofluorescence tests.
  • 559.
    Cytopathic Effect (1) 560 Cytopathiceffect of enterovirus 71 and HSV in cell culture: note the ballooning of cells. (Virology Laboratory,Yale-New Haven Hospital, Linda Stannard, University of CapeTown)
  • 560.
    Cytopathic Effect (2) 561 Syncytiumformation in cell culture caused by RSV (top), and measles virus (bottom). (courtesy of Linda Stannard, University of CapeTown, S.A.)
  • 561.
    Haemadsorption 562 Syncytial formation causedby mumps virus and haemadsorption of erythrocytes onto the surface of the cell sheet. (courtesy of Linda Stannard, University of CapeTown, S.A.)
  • 562.
    563 Pathogenesis of ViralDiseases Steps in Viral Pathogenesis  Entry and Primary Replication  Viral Spread and Cell Tropism  Cell Injury and Clinical Illness  Destruction of virus-infected cells in the target tissues and physiologic alterations  Recovery from Infection  the host either succumbs or recovers from viral infection.  recovery mechanisms include both innate and adaptive immune responses  Virus Shedding
  • 563.
    564 There are severalpossible consequences of viral infections Lytic infections Persistent infections Latent infections Transformation Lytic infections result in the destruction of the host cell  caused by virulent viruses, which inherently bring about the death of the cells that they infect How Viruses cause diseases Pathogenesis of viral infections…
  • 564.
    565 Persistent infections  infectionsoccurring over relatively long periods of time  Viral particles may be released slowly and the host cell may not be lysed (enveloped viruses are formed by budding) Latent infections  There is a delay between the infection by the virus and the appearance of symptoms  E.g. Fever blisters (cold sores) caused by herpes simplex type 1 result from a latent infection Pathogenesis of viral infections…
  • 565.
    566 Transformation The potential tochange a cell from a normal cell into a tumor cell The hallmark of which is to grow without restraint Viruses that are able to transform normal cells into tumor cells are referred to as oncogenic viruses Pathogenesis of viral infections…
  • 566.
    Viral infections 567  Herpesvirus infections  Measles (Rubeola) Virus Infections  Poliovirus and Poliomyelitis  Rotaviruses  Hepatitis Viruses  HIV Virus
  • 567.
    Herpes viridae 568 Structure  Herpesvirus family (Herpesviridae) contains several of the most important human pathogens (HSV1, HSV2, VZV(3), CMV(5),EBV(4), HHV6, HHV7, & HHV8(kapoci sarcoma)  Herpes viruses are large viruses and have  a core of double-stranded linear DNA genome  Enveloped
  • 568.
    569 Fig. Schematic diagramof an enveloped herpesvirus with an icosahedral nucleocapsid Herpes virus infections Structure
  • 569.
    570 Outstanding property establish lifelongpersistent infections undergo periodic reactivation  Herpes viruses possess a large number of genes  some genes are susceptible to antiviral chemotherapy
  • 570.
    Herpes Simplex Viruses 571 Two distinct herpes simplex viruses: HSV-1 and HSV-2 HSV-1 is spread by contact, usually involving infected saliva HSV-2 is transmitted sexually or from a maternal genital infection to a newborn HSV-1 often infects above the waist  HSV-2 infects below the waist
  • 571.
    Diseases caused byHSV-1 and HSV-2 572 Oral-facial infections Primary HSV-1 infections are usually asymptomatic. Gingivostomatitis and pharyngitis are the most frequent clinical manifestations of first-episode HSV-1 infection most frequently in small children (1–5 years of age)
  • 572.
    573 Figure A. Primary herpessimplex virus infection. There are shallow ulcers with white exudate on the palate and gums B. Herpes simplex gingivostomatitis
  • 573.
    574 HSV persist inthe latent state in nerve cells of the CNS. When reactivated, they travel down the axons of these cells to the periphery, where they cause the typical vesicular exanthem.
  • 574.
    575 Genital Herpes  Usuallycaused by HSV-2, although HSV-1 can also cause clinical episodes  Characterized by vesiculoulcerative lesions of the penis of the male or of the cervix, vulva, vagina, and perineum of the female  lesions are very painful Viral excretion persists for about 3 weeks
  • 575.
    Herpes Simplex Viruses 576 FigureGenital herpes. Vesicles (a) on the penis and (b) in the perianal area and vulva
  • 576.
    577 Neonatal Herpes  Maybe acquired in utero, during birth, or after birth  most common route of infection (≈ 75% of cases) is during birth by contact with herpetic lesions in the birth canal  About 75% of neonatal herpes infections are caused by HSV-2.  The overall mortality rate of untreated disease is 50% Babies with neonatal herpes exhibit three categories of disease 1.lesions localized to the skin, eye, and mouth 2.encephalitis with or without localized skin involvement; and 3.disseminated disease involving multiple organs, including the CNS
  • 577.
    578  CMV isthe largest human herpes virus, and there is only one serotype  CMV was originally called 'salivary gland' virus and is transmitted by saliva and other secretions  Urine is an additional source of infection in children,  in infected pregnant women the virus can spread via the blood to the placenta and fetus  can spread by sexual contact  It is often present in milk in small quantities, but this is of doubtful significance in transmission  CMV can also be transmitted by blood transfusions and organ transplants Cytomegalovirus (CMV) infection
  • 578.
    579 Congenital infections by CMVand birth defects in symptomatic and asymptomatic children. CMV is the most common intrauterine infection associated with congenital defects. CMV infection Fetal and newborn infections with CMV may be severe
  • 579.
    580 Figure Microcephaly with associatedsevere psychomotor retardation and hepatosplenomegaly in congenital cytomegalovirus infection. Cytomegalovirus retinitis showing scattered exudates and hemorrhages, with sheathing of vessels. CMV infection
  • 580.
    581 Treatment  Infections withHSV-1, HSV-2 and VZV are currently the most amenable to therapy  acyclovir, valaciclovir and famciclovir are all licensed therapeutics  Ganciclovir is used to treat CMV retinitis  There is as yet no treatment for EBV or HHV 6,7 or 8 infections Prevention  Vaccines against HSV 2, and CMV are undergoing extensive evaluations in field trials  Passive immunization with immunoglobulin Control of Herpes virus Infections
  • 581.
  • 582.
    583  Family Paramyxoviridae& genus Morbillivirus  Enveloped helical RNA viruses  Morbilli viruses occur only as one cross-reactive antigenic type  The natural disease is limited to humans and monkeys • Virus is present in tears, nasal and throat secretions, urine, and blood. • highly contagious ,droplet transmission  Measles disseminates throughout the body and produce generalized disease Measles (Rubeola) Virus Infections
  • 583.
    584 Schematic diagram ofa Paramyxovirus showing major components Measles (Rubeola)Virus Infections
  • 584.
    Measles Epidemiology 585  ReservoirHuman  Transmission Respiratory Airborne  Temporal pattern Peak in late winter– spring  Communicability 4 days before to 4 days after rash onset
  • 585.
  • 586.
    587 Clinical Findings… Characterized bya macul opapular rash, fever and respiratory symptoms →complications common  Koplik's spots— pathognomonic for measles—are small, bluish-white ulcerations on the buccal mucosa opposite the lower molars.  These spots contain giant cells and viral antigens and appear about 2 days before the rash. Figure 1 Koplik's spots seen as minute white dots on the inflamed buccal mucosa of a patient with measles. Measles (Rubeola)Virus Infections
  • 587.
    588 Figure 3 .Measles ExanthemaThetypical skin rash manifests during what is presumably the second hematogenous disseminative episode of the morbilliviruses Measles (Rubeola)Virus Infections
  • 588.
    589 Treatment and prevention No antiviral treatment  Since 1963, an effective, safe and long-lasting, live attenuated vaccine has been available as  monovalent form  Combined with live attenuated rubella (MR) or rubella and mumps vaccines (MMR)  In Ethiopia, a single dose of single antigen preparation of measles vaccine is given at the age of 9 months Measles …
  • 589.
    590  Poliovirus particlesare typical enteroviruses  icosahedral , non enveloped RNA viruses  Inactivated when heated at 55 °C for 30 minutes,  Purified poliovirus is inactivated by a chlorine concentration of 0.1 ppm Poliovirus and Poliomyelitis
  • 590.
    591 Pathogenesis & Pathology Themouth is the portal of entry of the virus First multiplies in the tonsils, the lymph nodes of the neck, peyer's patches, and the small intestine The virus is regularly present in the throat and in the stools before the onset of illness The CNS may then be invaded by way of the circulating blood  Poliovirus can spread along axons of peripheral nerves to the CNS progress along the fibers of the lower motor neurons to increasingly involve the spinal cord or the brain (Paralytic Poliomyelitis) Poliovirus and Poliomyelitis…
  • 591.
    592 Treatment and Prevention No specific treatment is available  Disease prevented through active immunization  the inactivated Salk vaccine - licensed for use in 1955(paralytic poliomyelitis)  the attenuated Sabin vaccine - licensed for use in 1962 Poliovirus and Poliomyelitis
  • 592.
    593 • members ofthe family Reoviridae with twelve genera • RNA viruses  Four of the genera are able to infect humans and animals: Rotavirus most important  a major cause of diarrheal illness in human infants and young animals,  Infections in adult humans and animals are also common  Rotaviruses have been classified into five species (A–E), plus two tentative species (F and G)  Group A rotaviruses are the most frequent human Rotaviruses
  • 593.
    Rotaviruses -Diarrhea 594  Rotavirusesinfect cells in the villi of the small intestine  Multiply in the cytoplasm of enterocytes and damage their transport mechanisms  watery diarrhea, fever, abdominal pain, and vomiting, leading to dehydration  viral excretion in the stool may persist up to 50 days after onset of diarrhea  severe and prolonged disease in children with immunodeficiencies
  • 594.
    595 Epidemiology  most importantworldwide cause of gastroenteritis in young children  Up to 50% of cases of acute gastroenteritis of hospitalized children  predominate during the winter season  Symptomatic infections are most common in children between ages of 6 months and 2 years  Fecal-oral route transmission and Nosocomial infections are frequent Rotaviruses …
  • 595.
    596 Diagnosis, treatment andcontrol  Demonstration of virus in stool collected early in the illness  latex agglutination tests, or ELISA  PCR is most sensitive detection method  Serologic tests can be used to detect an antibody titer rise, particularly ELISA  water and electrolytes replacement ( that may lead to dehydration, acidosis, shock, and death)  wastewater treatment and sanitation are significant control measures. Rotaviruses…
  • 596.
    Hepatitis Viruses 597  Hepatitisis an inflammation of the liver that can be caused by several factors: viruses, toxic agents and auto-immune disorders  The most common cause of hepatitis infections are the viruses called hepatitis A, B, C, D, and E  Hepatitis A and E viruses -transmitted by the faecal-oral route  do not exist in a chronic carrier state  Hepatitis B, C and D viruses are parenterally transmitted, occur both in the acute and chronic forms  HCV and HBV are highly infectious  HCV is ~10x ( HBV is 100x ) more infectious than HIV through percutaneous blood exposures e.g. accidental needle stick exposures
  • 597.
    Hepatitis Viruses… 598  HBV-among infected adults, 5% - 10% of people progress to chronicity  HCV, unlike other viral hepatitis, 80% of the individuals become chronically infected  HBV and HCV lead to liver fibrosis, cirrhosis and cancer
  • 598.
    599 Characteristics of hepatitisviruses HepatitisViruses
  • 599.
    Hepatitis Viruses… 600 Epidemiology HAV  Personto person transmission can lead to outbreaks in places such as schools and camps  Viral contamination of water or food is a common source of infection  In developing countries up to 90% of children have been infected by 5 years of age  Only about up to 20% of young adults have been infected in developed countries
  • 600.
    Hepatitis Viruses… 601 Epidemiology… HBV  canbe transmitted by various routes  Sexual intercourse  Vertically from mother to child (intrauterine, peri- and postnatal infection)  Via blood and blood products, blood contaminated needles and equipment which may be used by injecting drug users
  • 601.
    Hepatitis Viruses … 602 In hepatitis B infection, the most useful detection methods are ELISA for HBV antigens and antibodies and PCR for viral DNA Laboratory Diagnostics in HBV Infections Diagnosis
  • 602.
    Hepatitis Viruses … 603 Treatment Treatment of patients with hepatitis is supportive and directed at allowing hepatocellular damage to resolve and repair itself  Recombinant interferon-alfa – treatment of patients chronically infected with HBV or HCV  Several antiviral drugs are being tested against chronic hepatitis infections and those are only partially effective  Lamivudine, a reverse transcriptase inhibitor, reduces HBV DNA levels, but resistant virus mutants are selected when treatment is stopped  Combination therapy of interferon-alfa and ribavirin is used against chronic hepatitis C  Liver transplantation is a treatment for chronic hepatitis B and C end-stage liver damage
  • 603.
    Hepatitis Viruses … 604 Prevention& Control  Viral vaccines available against HAV and HBV  prevention of fecal contamination of food, water, or other sources ( hepatitis A )  Reasonable hygiene  hand washing  the use of disposable plates and eating utensils  use of disinfectants  0.5% sodium hypochlorite (eg, 1:10 dilution of chlorine bleach) as a disinfectant—is essential in preventing the spread of HAV during the acute phase of the illness
  • 604.
    Human immunodeficiency virus & AcquiredImmunodeficiency Syndrome 605 HIV and AIDS
  • 605.
    Characteristics of thevirus 606  Icosahedral (20 sided), enveloped virus of the lentivirus subfamily of retroviruses.  Retroviruses transcribe RNA to DNA.  Two viral strands of RNA found in core surrounded by protein outer coat.  Outer envelope contains a lipid matrix within which specific viral glyco proteins are imbedded.  These knob-like structures responsible for binding to target cell.
  • 606.
    607 Figure -Structureof HIV-1 Retro virus Structure of HIV viruses
  • 607.
    608 Classification  There aretwo distinct types of human AIDS viruses: HIV-1 and HIV-2  Sequence divergence between HIV-1 and HIV-2 exceeds 50%  HIV-1:-is responsible for global pandemic and move virulent  HIV-2:-is less virulent than HIV-1 and confined with West Africa HIV-1 has further subtype  HIV-1-M (major group) A, B, C, D, F, M  HIV-1-O (Outlier)  In Ethiopia HIV-1 type C is more predominate Resistance  Heat 560C for 10min  Labile 1000C for 1-2sec
  • 608.
    HIV 609 • Polymerase (reverse transcriptase– RNA dependent DNA polymerase) • Integrase • Protease (cuts polyproteins) Enzymes • pol gene Retrovirus Polyprotein
  • 609.
    HIV replication 610 Figure-The replication cycle of HIV
  • 610.
    Route of transmission 611 1Sexual 80% of the infection in the world due to sexual 2 Parentral and Preinatal 20% Sexual transmission Homosexual:-Episode of homosexual (on fact (Anal canal injury, tears) ,1% of chance per episode Heterosexual:Risk of 0.1% per episode because no tearing  Bisexual (Homo + Hetro) has high risk  STD ulcer on genital e.g. Syphilis has 10 fold increase risk Parentral Transmission  Blood transfusion ,donation of organ 90% risk  Needle stick injury 0.5 – 1%, usually <1%, because most of the time amount of blood come out of the needle is small and plasma. Perinatal transmission :It is form HIV infected mother to fetus
  • 611.
    Pathogenesis of AIDS 612 Whenthe virus enter though genital routs Virus deposit in the tissue HIV gp120 looking specificCD4 receptor Once the virus gp120 attach to the CD4 receptor it enter to the cell and goes to lymphatic and multiplies in lymph nodes then; the virus goes to blood which is called viremia  When virus enter to the blood the patient will start showing sign and symptom such as sore throat fever and after one month these sign will subsides.
  • 612.
    Clinical feature 613 Clinical GroupingCDC Atlanta 1.Group I Seroconversion – P24antigen are detected 2.Group II Asymptomatic – Antibody is detected 3.Group III Persistent generalized lymphadenopathy 4.Group IIV Opportunistic infections of skin, GIT. CNS and lung Opportunistic Infection 1Bacterial Infection Mycobacterium tuberculosis 2 Viral  Herpes simplex 1 and 2 ,Ulcers in mouth, genital, per anal  Varicella zoster Infection
  • 613.
    Clinical feature cont.. 614 3Fungal  Candidasis can occur in mouth Oesophageous 4 Parasites  Cryptosporidium  Isosporabelli  Stronglyoid strocolaris
  • 614.
    HIV and AIDS TheCellular Picture 615 In advanced disease: the loss of another cell type CD8+ cytotoxic killer cells Loss of one cell type throughout the course of the disease CD4+ T4 helper cells A fall in the CD4+ cells always precedes disease
  • 615.
    616 • AIDS istherefore the end point of an infection that is continuous, progressive and pathogenic • With the prevalence of HIV in the developing world, HIV and its complications will be with us for generations • AIDS is currently defined as the presence of one of 25 conditions indicative of severe immunosuppression OR • HIV infection in an individual with a CD4+ cell count of <200 cells per cubic mm of blood AIDS definition
  • 616.
    HIV and AIDS 617 •High virus titer • Mild symptoms • Fall in CD4+ cells but recovers • Rise in CD8+ cells but recovers • A high virus titer (up to 10 million viruses per ml blood) • Macrophages infected Macrophages bring HIV into the body if sexually transmitted The cellular and immunological picture The course of the disease 1. Acute Infection
  • 617.
    HIV and AIDS 618 Virusalmost disappears from circulation • Good cytoxic T cell response • Soluble antibodies appear later against both surface and internal proteins • Most virus at this stage comes from recently activated (dividing) and infected CD4+ cells • CD4+ cell production compensates for loss due to lysis of cells by virus production and destruction of infected cells by CTLs 2. A strong immune response
  • 618.
    HIV and AIDS 619 Latencyof virus and of symptoms • Virus persists in extra-vascular tissues • Lymph node dendritic cells • Resting CD4+ memory cells (last a very long time - a very stable population of cells) carry provirus 3. A latent state
  • 619.
    HIV and AIDS 620 Massiveloss of CD4+ cells • CD4+ cells are the targets of the virus • Cells that proliferate to respond to the virus are killed by it • Dendritic cells present antigen and virus to CD4 cells • Epitope variation allows more and more HIV to escape from immune response just as response wanes • Apoptosis of CD4+ cells • HIV patients with high T4 cell counts do not develop AIDS 4. The beginning of disease
  • 620.
    HIV and AIDS 621 5.Advanced disease - AIDS CD8+ cells destroy more CD4+ cells • CD4 cell loss means virus and infected cells no longer controlled • As CD4+ cells fall below 200 per cu mm virus titer rises rapidly and remaining immune response collapses • CD8+ cell number collapses • Opportunistic infections • Death in ~2 years without
  • 621.
    622 – In Ethiopiait was first reported from hospital sources in 1984  HIV prevalence in 2005 was 3.5%; 3 % among males and 4% among females  A total of 1,320,000 people (45% male and 55% female)  VCT centers, blood banks, and ART programs  634,000 were living in rural areas and 686,000 in urban areas  The national HIV incidence rate is leveling off indicating some behavioral changes in the population  increase in the awareness of the disease  substantial increase in distribution of condoms from less than one million in 1996 to about 66 million in 2002 and 71 million in 2004/05  significant increase in voluntary and premarital HIV testing HIV in Ethiopia
  • 622.
    623  There arestill a number of underlying factors that contribute to the spread of HIV/AIDS in Ethiopia  Poverty  Illiteracy  Stigma and discrimination  high rate of unemployment  Widespread commercial sex work  Gender disparity  Population movements including rural to urban migration  harmful cultural and traditional practices HIV in Ethiopia
  • 623.
    624  Evidence ofinfection by HIV can be detected in three ways  Virus isolation  Serologic determination of antiviral antibodies  Measurement of viral nucleic acid or antigens Laboratory Diagnosis
  • 624.
    625 • Education Sexually transmitted Nothighly infectious • Chemotherapy Mutation selection Resistance but Suppress replication No capacity for mutation Prevention,Treatment, & Control
  • 625.
    626  A growingnumber of antiviral drugs are approved for treatment of HIV infections  nucleoside and non nucleoside inhibitors of the viral enzyme reverse transcriptase  inhibitors of the viral protease enzyme (potent antiviral drugs)  Absolutely essential for production of infectious virus, and the viral enzyme is distinct from human cell proteases Prevention,Treatment, & Control
  • 626.
    627  HAART  Targetsmultiple steps in virus replication usually delays selection of HIV mutants  Suppress viral replication to below limits of detection in plasma  Decrease viral loads in lymphoid tissues  Allow the recovery of immune responses to opportunistic pathogens  Prolong patient survival  Has failed to cure HIV-1 infections  When HAART is discontinued or there is treatment failure, virus production rebounds  Mutants that arise which are resistant to one protease inhibitor are often resistant to other protease inhibitors as well Prevention,Treatment, & Control
  • 627.
    Remember! 628 • Education ledto leveling off of rate of increase in AIDS • HAART has greatly slowed death rate • The fact that fewer people are dying per year from the infection means that the number of HIV-infected people in the population is rising! • Unless education continues to be successful and unless we can cure infected people of virus, the problem of virus spread is, and will continue to be, with us
  • 628.
    Fungal pathogens &fungal diseases 629
  • 629.
    Teaching objectives 630  Atthe end of this chapter, students will be able to:  Define fungi List the differentiating characteristics of fungi . Explain the morphology and structure of fungi. Discuss different types of micotic diseases .
  • 630.
    631  Definition  TheCharacteristics of Fungi  Morphology of the Fungi  Antifungal agents  mycotic diseases
  • 631.
    632  Definition  Mycologyis the study of fungi that infect human  Fungi are :  Plant structures  Lack the definite root, stem, and leaves of highly organized plants.  include macroscopic and microscopic forms.  all are eukaryotic, non-photosynthetic organisms usually enclosed by cell walls.
  • 632.
    633  Macroscopic fungi Often called fleshy fungi  Are filamentous organisms  Produce the large reproductive structures  Microscopic fungi exist as either  Molds that grow on bread, fruits and cheese or  Yeasts used in baking
  • 633.
  • 634.
    635 The Characteristics ofFungi  Fungi are not motile.  They are eukaryotic  Have distinct nucleus surrounded by a membrane  Cell walls are composed of chitin, a polysaccharide of N-acetyl glucose amine subunits fungal Cell Wall  Lacks • Peptidoglycan • Techoic acids • Lipopolysaccharide Contains • Peptidomannan • Glycan (target for new antifungal agents)
  • 635.
    636 Cell membrane Have ergosterol which is specific target for antifungal agents (cholesterol in mammalian cells)
  • 636.
    The Characteristics ofFungi… 637  Heterotrophy - 'other food'  Fungi are non-photosynthetic organisms  Are unable to manufacture their own nutrients,  Saprophytes or saprobes - feed on dead tissues or organic waste (decomposers)  Symbionts - mutually beneficial relationship between a fungus and another organism  Parasites - feeding on living tissue of a host.  Parasites that cause disease are called pathogens.
  • 637.
    Fungi as Saprobesand Decomposers 638
  • 638.
    Fungi as Symbionts(Mutualism) 639
  • 639.
    Fungi as Parasites& Pathogens 640
  • 640.
    Morphology of theFungi 641  Fungi  Are generally larger than bacteria  With individual cell diameters ranging from 1 to 30 µm.  Based on morphology fungi are classified in to 4 o Monomorphic, existing as single celled yeast o Multi-cellular filamentous mold: o Yeast like o dimorphic (di= two, morph = form) existing as yeast or mold
  • 641.
    642 1. Molds (filamentousfungi)  Most fungi are composed of filamentous (tubular) structures called hyphae.  Hyphae are multi-cellular fungi which reproduce asexually and/or sexually  May be septated OR Aseptated  They are produced in large numbers  They are easily disseminated  Some are resistant to conditions that would kill the vegetative cells. Aseptate hyphae Septate hyphae
  • 642.
    643  Sepatate hyphae filamentswith cross-walls or  septa that partition the hyphae in to individual cellular compartments.  In aseptate hyphae - no physical boundaries to distinguish individual cells in the hyphae.
  • 643.
    2. Yeasts Unicellular (rounded oroval) Reproduce by budding example of pathogenic yeast is C.neoformans 644
  • 644.
    3. Yeast-Like  Unicellular(rounded or oval)  Reproduce by budding but buds fail to detach and may form short chains of cells called pseudohyphae  Pseudohyphae are produced during infection and have diagnostic value  Example: Candida 645
  • 645.
    646 4. Dimorphic Fungi Somefungi grow only in the yeast form; others grow only as molds. Many species can be either molds or yeast, depending on growth conditions Able to grow in two different forms • As molds at room temperature( at 25°C) • As yeast on incubation at 370C & during infection in body “Mold in the cold, yeast in the heat” • Example: Histoplasma capsulatum • Most of the more dangerous human pathogenic fungi are dimorphic
  • 646.
    647 Figure Diagrammatic representationof the saprophytic and invasive tissue forms of pathogenic fungi Structure and Morphology
  • 647.
    648  fungi areclassified in four phyla  Chytridiomycota  Zygomycota - zygospore, sporangia  Ascomycota – ascospores, conidia, Molds  Basidiomycota – basidiospores  Ascomycota account for more than 60% of the known fungi and about 85% of the human pathogens  The remaining pathogenic fungi are zygomycetes or basidiomycetes Classification
  • 648.
    649  fungi arebiochemically similar to the human host (Eukaryotic )  difficult to develop chemotherapeutic agents that will destroy the invading fungus without harming the patient  In fungal therapy  We attempt to induce cell injury by causing the cell membrane of the fungus to become permeable  Problem  Finding an agent that will selectively injure fungal cell walls without damaging the host cell Antifungal agents
  • 649.
    650 ALL EUKARYOTIC CELLSCONTAIN STEROLS • Mammalian cells – cholesterol • Fungal cells - ergosterol
  • 650.
    651 Primary anti-fungal agents 1.Polyene derivatives • Amphotericin B • Nystatin 2. Azoles • Ketoconazole • Fluconazole • Itraconazole • Voriconazole • Posaconazole
  • 651.
    652 3. Griseofulvin 4. 5-fluorocytosine(5-FC) 5. Allylamines • Terbinafine (Lamasil) 6. Echinocandins • Caspofungin Primary anti-fungal agents…..
  • 652.
    653 Mechanism of action Amphotericin B binds to sterols  Ergosterol is a constituent of the fungal cell wall  AMB has a greater avidity for ergosterol than for the cholesterol in the human cell wall  Polyenes  Preferentially bind to Ergosterol in cell membrane  Azoles  Interfere with ergosterol synthesis
  • 653.
  • 654.
    655 MYCOTIC DISEASES (Four Types) 1.Hypersensitivity  Allergy 2. Mycotoxicosis  Production of toxin 3. Mycetismus (mushroom poisoning)  Pre-formed toxin 4. Infection  Mycosis
  • 655.
    656 TYPES OF FUNGALINFECTIONS  There are four general categories on the basis of the primary tissue affinity of the pathogen.  Superficial – hair shaft, dead layer of skin  Cutaneous – epidermis, hair and nails  Subcutaneous – dermis, subcutis  Systemic – internal organs  Opportunistic – internal organs
  • 656.
    657  Portal ofentry  Skin  Hair  Nails  Respiratory tract  Gastrointestinal tract  Urinary tract  Colonization  Multiplication of an organism at a given site without harm to the host
  • 657.
    Pathogenesis… 658  Fungi havedeveloped many mechanisms to colonize human hosts  The ability to grow at 37°C is one of the most important  Production of keratinase allows dermatophytes to digest keratin in skin, hair and nails  Dimorphism allows many fungi to become pathogenic  the antiphagocytic properties of the Cryptococcus neoformans capsule  the adherence abilities of C albicans allow pathogenic potential
  • 658.
    Pathogenesis… 659  The fungi-producingsystemic mycoses first cause pulmonary infections  phagocytosed by alveolor macrophages but are not destroyed  spread hematogenously to distant sites in the body
  • 659.
    660  Caused byfungi that infect only the superficial keratinized tissue (skin, hair, and nails)- Dermatophytes  belong to three genera Microsporum, Trichophyton,  Epidermophyton Probably restricted to the nonviable skin because most are unable to grow at 37 °C or in the presence of serum Dermatophytes are acquired by contact with contaminated soil or with infected animals or humans . Cutaneous Mycoses
  • 660.
    661 Skin Disease Location of LesionsClinical Features Fungi Most Frequently Responsible Tinea corporis (ringworm) Non hairy, smooth skin Circular patches with advancing red, vesiculated border and central scaling. Pruritic. Trichophyton rubrum, Epidermophyton floccosum Tinea pedis (athlete's foot) Interdigital spaces on feet of persons wearing shoes Acute: itching, red vesicular. Chronic: itching, scaling, fissures. T rubrum, T mentagrophytes, E floccosum Tinea cruris (jock itch) Groin Erythematous scaling lesion in intertriginous area. Pruritic. T rubrum, T mentagrophytes, E floccosum Table 2 Some Clinical Features of Dermatophyte Infection Tinea barbae Beard hair Edematous, erythematous lesion. T mentagrophytes
  • 661.
    662 Tinea capitis Scalp hair. Endothrix:fungus inside hair shaft. Ectothrix: fungus on surface of hair. Circular bald patches with short hair stubs or broken hair within hair follicles. Kerion rare. Microsporum-infected hairs fluoresce. T mentagro ytes, M canis Tinea unguium (onychomycosis) Nail Nails thickened or crumbling distally; discolored; lusterless. Usually associated with tinea pedis. T rubrum T mentagro ytes, E floccosum Dermatophytid (id reaction) Usually sides and flexor aspects of fingers. Palm.Any site on body. Pruritic vesicular to bullous lesions. Most commonly associated with tinea pedis. No fungi present i lesion. M become secondar infected with bacteria. Skin Disease Location of Lesions Clinical Features Fungi Most Frequently Responsible Table 2 Some Clinical Features of Dermatophyte Infection…
  • 662.
  • 663.
  • 664.
  • 665.
  • 666.
  • 667.
  • 668.
    669 Figure (a) Classicannular lesion of tinea corporis, caused here by infection with a Microsporum species. (b) Tinea cruris or 'jock itch' is a scaly rash on the thighs; the scrotum is usually spared (c) Tinea capitis is characterized by scaling on the scalp and hair loss. Cutaneous Mycoses
  • 669.
    670  Several factorscontribute to infection and pathogenesis of these organisms.  Histoplasma capsulatum  Blastomyces dermatitidis  Paracoccidioides brasiliensis  Penicillium marneffei  Coccidioides immitis Systemic mycoses dimorphic forms spherules
  • 670.
    671  Infections dueto fungi of low virulence in patients who are immunologically compromised  Normal host  Systemic pathogens - 25 species  Cutaneous pathogens - 33 species  Subcutaneous pathogens - 10 species  Immunocompromised host  Opportunistic fungi - 300 species Opportunistic Mycoses
  • 671.
    672  Most seriousopportunistic infections  Candida species  Aspergillus species  Mucor species (zygomyces) Opportunistic Fungi
  • 672.
    673 Candida species The populationof microorganisms that may be found residing in or on the human body without causing disease Normal Flora
  • 673.
    674 Competent immune system Candidaalbicans NUMBER OF ORGANISMS x VIRULENCE= NO DISEASE HOST RESISTANCE Compromised immune system Candida albicans NUMBER OF ORGANISMS xVIRULENCE = DISEASE HOST RESISTANCE
  • 674.
    Candidiasis 675  Candida manifestsitself in different ways depending upon the nature of the underlying compromise  Oropharyngeal and esophageal candidiasis  Chronic mucocutaneous candidiasis  Gastrointestinal candidiasis  Disseminated candidiasis
  • 675.
    Candidiasis 676 Oropharyngeal and esophagealcandidiasis  Seen in a variety of compromised patients with  diabetes mellitus  antibiotics or corticosteroids therapy  HIV  Treatment with antifungal mouthwashes (nystatin or an azole compound) is recommended
  • 676.
  • 677.
    678  Caused byCryptococcus neoformans, is most typically an opportunistic fungal infection  Most frequently causes pneumonia and/or meningitis  Cryptococcus has a marked tropism for the CNS and is the major cause of fungal meningitis  Defective cellular immunity, especially that associated with the AIDS, is the most common risk factor Cryptococcosis
  • 678.