MEMBANGUN SERVER VIDEO STREAMING 
BERBASIS CLOUD 
Disusun oleh: 
Ahmad Saktia Asrudin Yunus 4311211029 
Program Studi Diploma IV Multimedia dan Jaringan 
Jurusan Teknik Informatika 
Politeknik Negeri Batam 
Batam 
2014
KATA PENGANTAR 
Dengan rahmat Tuhan Yang Maha Esa yang telah menolong kami menyelesaikan Tugas 
Besar ini dengan penuh kemudahan. Tanpa pertolongan-Nya mungkin kami tidak akan sanggup 
menyelesaikan dengan baik. 
Tugas Besar ini disusun oleh tim penyusun dengan berbagai rintangan. Baik itu yang 
datang dari diri maupun yang datang dari luar. Namun dengan penuh kesabaran dan terutama 
pertolongan dari Tuhan akhirnya proyek akhir ini dapat terselesaikan. 
Tugas Besar ini mengambil judul “Membangun Server Video Streaming Berbasis 
Cloud” sesuai dengan pembagian tugas oleh dosen. Walaupun pada Tugas Besar kali ini 
mungkin kurang sempurna tapi penyusun berusaha memberi yang terbaik bagi pembaca. 
Penyusun juga mengucapkan terima kasih kepada dosen pengajar yaitu bapak Tri 
Ramadhani yang telah memberikan pengajaran dan bimbingan sehingga Tugas Besar ini 
terlaksana dengan baik. 
Semoga Tugas Besar ini dapat diterima oleh pembaca. Walaupun Tugas Besar ini 
memiliki kelebihan dan kekurangan. Penyusun mohon untuk saran dan kritiknya. Terima kasih. 
Batam, Januari 2014 
Penyusun 
PRAKTIKUM ADMINISTRASI SISTEM KOMPUTER i
DAFTAR ISI 
Kata Pengantar ......................................................................................................... i 
Daftar Isi .................................................................................................................. ii 
BAB I PENDAHULUAN 
1.1 Latar Belakang ...................................................................................... 1 
BAB II LANDASAN TEORI 
1 Desain Sekilas ViMP ............................................................................ 2 
2 DNS Server .......... ................................................................................ 2 
3 Web Server .......................................................................................... 2 
4 DHCP Server ........................................................................................ 3 
5 Apache Web Server .............................................................................. 3 
6 PHP ...................................................................................................... 3 
7 MySQL ................................................................................................ 3 
BAB III RANCANGAN DAN IMPLEMENTASI 
1 Topologi Jaringan ................................................................................... 4 
2 Konfigurasi IP Address .......................................................................... 4 
3 DNS Server ............................................................................................. 6 
4 Installasi ViMP ....................................................................................... 9 
5 DHCP Server .......................................................................................... 17 
6 Membuat Hostpot pada Notebook .......................................................... 18 
7 Live Nework Web Server ....................................................................... 20 
BAB IV PENGUJIAN 
4.1 Konfigurasi IP Address .......................................................................... 23 
4.2 Akses Web Audio Steraming ................................................................. 24 
BAB V KESIMPULAN .......................................................................................... 25 
DAFTAR PUSTAKA .............................................................................................. 26 
PRAKTIKUM ADMINISTRASI SISTEM KOMPUTER i
BAB I 
PENDAHULUAN 
1. Latar Belakang 
Dengan mulai banyaknya situs-situs yang menyediakan fasilitas video streaming 
seperti youtube, metacafe, vimeo, dll. Maka akan semakin mudah dalam berbagi video. 
Akan tetapi, bagaimana jika kita ingin membuat situs tersendiri untuk berbagi video 
atau hanya dipasang untuk jaringan lokal sehingga lebih mudah untuk diakses dan 
proses transfer menerima dan mengirim gambar yang cepat. Jawabannya adalah 
membuat situs streaming tersendiri tapi ini tidak berarti membuat situs video streaming 
dari nol karena kita bisa menggunakan yang gratis dalam bentuk seperti CMS salah 
satunya adalah ViMP. 
Pada tugas besar kali ini, berfokuskan pada konfigursi untuk servernya agar 
dapat diakses untuk jaringan lokal, baik itu LAN maupun WLAN dan instalasi ViMP 
baik itu konfigurasi server agar dapat terintegrasi dengan ViMP. Selain itu juga kita 
akan mempelajari bagaimana Web server lokal yang telah dibuat dapat juga diakses oleh 
orang banyak dari seluruh dunia menggunakan alamat yang mudah dibaca dan diingat 
(domain). 
Konfigurasi server berupa DNS Server, Web Server, DHCP Server, dan 
Iptables. 
PRAKTIKUM ADMINISTRASI SISTEM KOMPUTER 1
BAB II 
LANDASAN TEORI 
1. Sekilas ViMP 
ViMP adalah CMS Video profesional untuk Web TV, Portal Social Media dan 
Video Komunitas. ViMP di rancang untuk portal dengan trafik tinggi, video dengan 
resolusi tinggi dan platform Web TV dan video komunitas dengan lingkungan yang 
kuat. ViMP memberikan panel administratif yang lengkap dan memungkinkan 
perubahan yang mudah dan cepat dan merealisasikan kebutuhan grafik kita. Dapat 
memilih dari tiga (3) layout yang ada dan mengintegrasikan logo sesuai keinginan. 
Bahkan jika ingin dapat membuat layout sendiri untuk ViMP. ViMP flash player juga 
dapat di integrasikan ke halaman web lainnya dengan usaha yang sangat kecil, karena 
pembuatan embed code yang automatis. Oleh karena itu kita dapat membuka akses 
portal kita ke yang lain dengan mudah. 
2. DNS Server 
DNS server (Domain Name System), merupakan suatu system yang berfungsi 
untuk menerjemahkan dari nomor ip ke nama alamat ataupun dari nama alamat ke 
nomor ip sehingga lebih mudah diingat oleh pengguna. Biasanya seseorang akan mudah 
mengingat domain www.say4rt.com daripada nomor ip 165.21.83.254, dengan tujuan 
itu DNS server dibuat. DNS server di linux bervariasi, kita dapat menggunakan BIND9 
ataupun DNSMASQ. Pada konfigurasi server kali ini kami menggunakan BIND9 
(Berkeley Internet Name Domain versi 9), karena untuk pemula konfigurasinya yang 
lebih mudah daripada DNSMASQ. 
3. Web Server 
Web server merupakan software yang memberikan layanan data yang berfungsi 
menerima permintaan HTTP atau HTTPS dari klien yang dikenal dengan browser web 
dan mengirimkan kembali hasilnya dalam bentuk halaman - halaman web yang 
umumnya berbentuk dokumen HTML. 
PRAKTIKUM ADMINISTRASI SISTEM KOMPUTER 2
4. DHCP Server 
DHCP Server adalah kepanjangan dari Dynamic Host Configuration Protocol 
yaitu suatu protocol yang digunakan untuk pendistribusian ip dengan jumlah ip terbatas, 
dengan menggunakan DHCP kita tidak perlu mensetting ip pada setiap client karena ip 
akan langsung disetting oleh DHCP Server. Banyak paket yang dapat digunakan untuk 
DHCP Server di Debian, tetapi untuk kali ini kita akan menggunakan “dhcp3-server”. 
5. Apache Web Server 
Apache adalah sebuah nama web server yang bertanggung jawab pada request-response 
HTTP dan logging informasi secara detail. Selain itu, Apache juga diartikan 
sebagai suatu web server yang kompak, modular, mengikuti standar protokol HTTP. 
Apache memiliki fitur-fitur canggih seperti pesan kesalahan yang dapat dikonfigur, 
autentikasi berbasis basis data dan lain-lain. Apache juga didukung oleh sejumlah 
antarmuka pengguna berbasis grafik (GUI) yang memungkinkan penanganan server 
menjadi mudah. Pada kesempatan kali ini, akan digunakan apache2 untuk konfigursi 
web server. 
6. PHP 
PHP adalah singkatan dari "PHP: Hypertext Prepocessor", yaitu bahasa 
pemrograman yang digunakan secara luas untuk penanganan pembuatan dan 
pengembangan sebuah situs web dan bisa digunakan bersamaan dengan HTML. Dan 
untuk versi PHP, akan digunakan PHP versi 5.4.x untuk konfigurasi web servernya. 
7. MYSQL Server 
MySQL adalah sebuah perangkat lunak pembuat database yang bersifat terbuka 
atau open source dan berjalan disemua platform baik Linux maupun Windows, MySQL 
merupakan program pengakses database yang bersifat network sehingga dapat 
digunakan untuk aplikasi Multi User (Pengguna Banyak). 
MySQL adalah Relational Database Management System (RDBMS) yang 
didistribusikan secara gratis dibawah lisensi GPL (General Public License). Dimana 
setiap orang bebas untuk menggunakan MySQL, namun tidak boleh dijadikan produk 
turunan yang bersifat komersial. 
PRAKTIKUM ADMINISTRASI SISTEM KOMPUTER 3
BAB III 
RANCANGAN DAN IMPLEMENTASI 
Pada bagian ini akan dijelaskan langkah-langkah bagaimana Membangun 
Server Video Streaming Berbasis Cloud di Server sendiri. Untuk server di sini kami 
menggunakan sistem operasi Linux Debian Wheezy 64bit, untuk sistem operasi lainnya 
bisa disesuaikan sesuai kebutuhan. Dan dalam instalasi sistem operasi dan konfigurasi 
server, kami lakukan di dalam Virtual Box. 
1. Topologi Jaringan 
165.21.83.252/30 192.168.10.0/24 
Server Video Streaming Switch 
www.say4rt.com 
Router 
(DHCP) 
Switch 
192.168.10.0/24 
Hostpot 
Client PC 
Client PC 
Client Notebook 
Client Tablet 
Client Notebook 
Client Smart Phone 
2. Konfigurasi IP Address 
Sebelum melanjutkan ketahap berikutnya terlebih dahulu kita harus memberikan 
alamat IP pada server agar dapat diakses dijaringan yang lebih luas. 
1.1. Mengaktifkan beberapa interface di Virtual Box yang akan digunakan oleh server 
nantinya. Untuk Adapter 1 menggunakan Host-only Adapter yang nantinya akan 
menjadi eth0 pada server, untuk Adapter 2 menggunakan Bridged Adapter 
dengan memilih Microsft Hosted Network Virtual Adapter yang nantinya pada 
PRAKTIKUM ADMINISTRASI SISTEM KOMPUTER 4
server akan menjadi eth1, dan untuk Adapter 3 menggunakan NAT sebagai 
interface yang digunakan untuk instalasi paket dari internet. Interface Bridged 
Adapter nantinya adalah interface yang akan digunakan dalam menghubungkan 
client-client agar dapat terhubung dengan server. 
1.2. Untuk mengetahui nama Ethernet (eth0, eth1, eth2, dll) apa saja yang terpasang 
pada Linux dapat menggunakan perintah mii-tool, karena tidak semua nama 
ethernet dibeberapa server sama. 
Pada perintah di atas terlihat bahwa nama Ehternet yang terpasang pada server 
adalah eth0 dan eth1. Untuk dapat mengkonfigurasi IP Address kita harus 
mengaktifkan Ethernet terlebih dahulu. 
Gunakan perintah ifconfig <nama ethernet> up untuk menaktifkan dan ifconfig 
<nama ethernet> down untuk menonaktifkan. 
1.3. Setting IP Address 
Untuk menghubungkan Server dengan client atau dengan host yang lain kita harus 
mengkonfigurasi IP Address. IP Address ini merupakan suatu alamat yang unik 
yang digunakan agar masing-masing perangkat pada jaringan dapat saling 
berhubungan. 
nano /etc/network/interfaces----------------------------------------------------------- 
Contoh di atas, untuk eth0 menggunakan IP Address 165.21.83.254 yang nantinya 
akan digunakan untuk menterjemahkan kedalam nama domain. 
PRAKTIKUM ADMINISTRASI SISTEM KOMPUTER 5
Dan pada contoh di atas adalah IP Address pada eth1 yang nantinya akan 
digunakan sebagai interface dalam menghubungkan server dengan client agar 
dapat mengkases web nantinya. 
3. DNS Server 
Setelah melakukan konfigurasi IP Addess langkah kedua yang dilakukan adalah 
dengan memberikan DNS (Domain Name System), yaitu dengan menterjemahkan 
alamat IP yang dimiliki oleh server agar mudah untuk diingat oleh pengguna. Pada 
konfigurasi alamat IP di atas yang akan digunakan untuk diterjemahkan kedalam DNS 
adalah 165.21.83.254 yang nantinya akan diterjemahkan menjadi alamat web 
www.say4rt.com. Untuk konfigurasi DNS Server kita menggunakan BIND9. 
2.1. Installasi 
Pada kesempatan kali ini kita akan menggunakan BIND9 ( Berkeley Internet 
Name Domain versi 9), kita menggunakan BIND9 karena untuk pemula 
konfigurasinya yang lebih mudah daripada DNSMASQ. Gunakan perintah berikut 
untuk menginstall BIND9. 
apt-get install bind9---------------------------------------------------------------------- 
2.2. Konfigurasi 
Ada beberapa file yang harus kita konfigurasi untuk DNS server ini, yaitu : 
1. /etc/bind/named.conf.local 
2. Forward DNS , berada di /etc/bind/db.domain 
3. Reverse DNS , berada di /etc/bind/db.ip 
4. /etc/resolv.conf 
2.2.1. Konfigurasi Zone Domain 
Ini adalah file utama pada DNS server yang harus wajib kita konfigurasi, 
file ini terletak di “/etc/bind/named.conf.local”. dan ada beberapa yang 
harus kita konfigurasi pada file ini seperti berikut : 
nano /etc/bind/named.conf.local--- --------------------------------------------------- 
PRAKTIKUM ADMINISTRASI SISTEM KOMPUTER 6
2.2.2. Forward DNS 
Forward DNS berfungsi untuk menerjemahkan dari nama alamat ke nomor 
IP, kita buat file ini di “/etc/bind” dengan cara mengcopy db.local yang 
menjadi default di named.conf menjadi db.namadomain atau pada kali ini 
kita gunakan db.say4rt. 
cd /etc/bind 
cp db.local db.say4rt 
nano db.say4rt 
2.2.3. Reverse DNS 
Reverse DNS digunakan untuk menerjemahkan dari nomor ip ke nama 
alamat, konfigurasi ini terletak di “/etc/bind” dengan menyalin file db.127 
yang merupakan default menjadi db.ip atau pada kali ini kita 
munggunakan db.165. 
cp db.127 db.165 
nano db.165 
PRAKTIKUM ADMINISTRASI SISTEM KOMPUTER 7
nano db.165 
2.2.4. Resolv.conf 
Tambahkan nama domain dan ip address di resolv.conf agar dns yang kita 
buat dapat kita akses. Apabila file resolv.conf belum ada maka kita buat 
secara manual. 
nano /etc/resolv.conf 
Edit juga file pada “/etc/hosts” 
nano /etc/hosts 
Dan edit juga file yang berada “/etc/host.conf” 
nano /etc/host.conf 
Setelah selesai konfigurasi, maka restart paket BIND9 yang baru saja kita 
konfigurasi. 
service bind9 restart 
PRAKTIKUM ADMINISTRASI SISTEM KOMPUTER 8
2.3. Pengujian 
Kita dapat menggunakan beberapa tool untuk menguji DNS server yang kita buat 
seperti nslookup ataupun dig. 
Jika muncul pesan error, maka masih ada konfigurasi yang salah, apabila kita 
nslookup DNS terjadi error berarti yang masih kemungkinan salah berada di 
“named.conf” dan “db.say4rt”. Dan apabila saat kita “nslookup ip” terjadi error 
maka kemungkinan yang salah di “named.conf” dan “db.165”. 
4. Installasi ViMP 
Langkah selanjutnya yang kita lakukan adalah melakukan installasi CMS yaitu 
ViMP. Untuk installasi ViMP kita membutuhkan server yang berjalan pada sistem 
operasi Linux (Debian Wheezy Recommended), Web Server (Apache2), PHP, dan 
MySQL database. 
Di bawah ini adalah beberapa software yang harus ada pada server untuk dapat 
menjalankan ViMP : 
 Apache2 : 
o Version 2.2 Recommended. Kita menggunakan versi 2.2.22 
o mod_rewrite harus diaktifkan 
 PHP : 
o Versi yang terakhir 5.2.7, 5.3.x, 5.4.x. Di sini kita menggunakan versi 
5.4.4 
o GD, mysql, XSL, cURL dan mcrypt extensions harus terinstall 
o Dan PHP CLI (Command Line Interface) juga harus terinstall 
 MySQL 
o Versi 5.5 atau yang paling terakhir. Kita menggunakan versi 5.5 
o InnoDB storage engine 
 Transcoding : 
PRAKTIKUM ADMINISTRASI SISTEM KOMPUTER 9
o MEncoder / MPlayer 1.0RC2 atau yang terbaru 
o FFmpeg 
o FLVTool2 
o Dan codec tambahan disesuaikan kebutuhan 
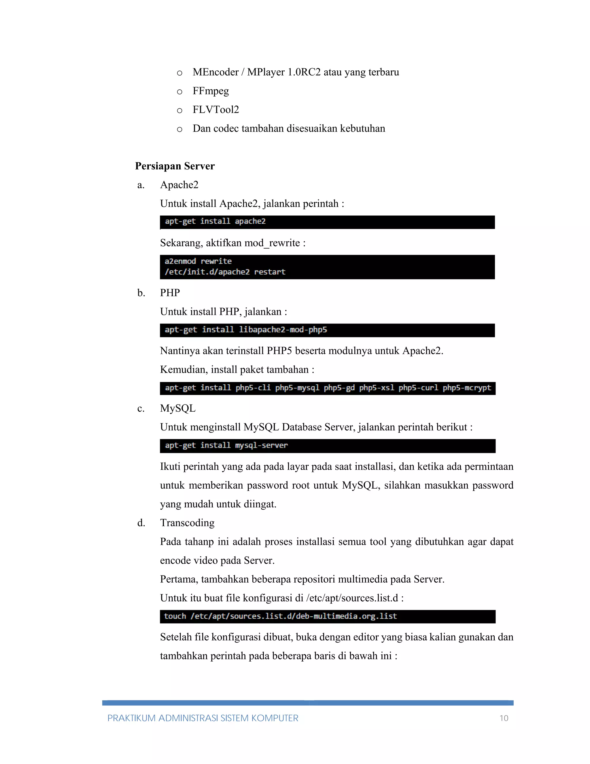
Persiapan Server 
a. Apache2 
Untuk install Apache2, jalankan perintah : 
Sekarang, aktifkan mod_rewrite : 
b. PHP 
Untuk install PHP, jalankan : 
Nantinya akan terinstall PHP5 beserta modulnya untuk Apache2. 
Kemudian, install paket tambahan : 
c. MySQL 
Untuk menginstall MySQL Database Server, jalankan perintah berikut : 
Ikuti perintah yang ada pada layar pada saat installasi, dan ketika ada permintaan 
untuk memberikan password root untuk MySQL, silahkan masukkan password 
yang mudah untuk diingat. 
d. Transcoding 
Pada tahanp ini adalah proses installasi semua tool yang dibutuhkan agar dapat 
encode video pada Server. 
Pertama, tambahkan beberapa repositori multimedia pada Server. 
Untuk itu buat file konfigurasi di /etc/apt/sources.list.d : 
Setelah file konfigurasi dibuat, buka dengan editor yang biasa kalian gunakan dan 
tambahkan perintah pada beberapa baris di bawah ini : 
PRAKTIKUM ADMINISTRASI SISTEM KOMPUTER 10
Satu hal untuk diingat, diatas adalah konfigurasi untuk Debian Squeeze. Karena 
kita di sini menggunakan Debian Wheezy, maka untuk “squeeze” bisa diganti 
dengan “wheezy”, silahkan sesuaikan dengan versi Server anda. 
Selanjutnya, keyring untuk deb-multimedia.org juga harus terinstall dahulu. 
Sekarang install paket untuk software Transcodingnya : 
Selanjutnya, kita install paket codec untuk MEncoder. Paket ini menyediakan 
dasar binary codec untuk decoding dan encoding video. Tapi sebelumnya cek dulu 
apakah Server anda menggunakan arsitektur (32 bit atau 64 bit), pilih sesuai 
dengan arsitektur pada Server anda. Di sini kita menggunakan arsitektur 64 bit. 
Installasi pada sistem 32 bit : 
Dan untuk installasi pada sistem 64 bit : 
Dan akhirnya, semua tool untuk Transcoding sudah terinstall. 
Konfigurasi 
Setelah semua paket terinstall dengan benar, ada beberapa pengaturan konfigurasi 
yang perlu disesuaikan sesuai kebutuhan. 
a. Apache2 
Sebaiknya buat virtual host baru di direktori yang terpisah untuk installasi ini. 
Maka dari itu petama kita akan membuat beberapa direktori dulu : 
Sekarang buatlah file konfigurasi untuk virtual host tersebut : 
PRAKTIKUM ADMINISTRASI SISTEM KOMPUTER 11
Setelah file berhasil dibuat, buka dengan editor yang biasa anda pakai dan 
ketikkan beberapa baris berikut untuk VirtualHost. Sesuaikan dengan folder yang 
tadi buat. 
Simpan file dan keluar. Sekarang kita akan mengaktifkan virtual host yang 
barusan dibuat. Harap disesuaikan dengan nama virtual host yang tadi dibuat. 
Bila sebelumnya default virual host Apache2 belum dinonaktifkan, maka lakukan 
perintah berikut sebelum reloading Apache2. 
Konfigurasi Apache2 sekarang telah selesai. 
b. PHP 
Untuk dapat menjalankan ViMP, batas penyimpanan PHP setidaknya harus diset 
512 MB. Juga, kita harus menaikkan batas maksimum size file yang bisa diupload 
agar nantinya bisa upload file dalam ukuran yang cukup besar. 
Pertama, atur nilai pada modul PHP Apache2. Buka file 
/etc/php5/apache2/php.ini. Kemudian cari beberapa baris dibawah ini dan ubah 
nilainya sesuai keterangan dibawah ini : 
PRAKTIKUM ADMINISTRASI SISTEM KOMPUTER 12
Setelah selesai, simpan dan keluar dari file. Kemudian edit juga settingan untuk 
PHP CLI dengan membuka difile pada /etc/php5/cli/php.ini dan ganti sesuai 
dengan settingan sebelumnya. 
Setelah semuanya selesai, restart Apache2 untuk mereload konfigurasi yang baru 
dilakukan. 
c. MySQL 
Pertama, buat dulu database yang nantinya digunakan untuk menyimpan data pada 
web. 
Ketika diminta memasukkan password, masukkan password root yang dibuat 
pada saat installasi MySQL. 
Sekarang masuk kedalam MySQL dengan user root untuk memberiakn hak akses 
user yang dapat mengakses database yang tadi dibuat. 
Masukkan password root lagi. Selanjutnya, masukkan SQL query pada baris 
MySQL : 
Ganti <password> dengan password sesuai dengan keinginan dan mudah diingat. 
Installasi SourceGuardian PHP 
Petama, buat folder sementara “loader” di /usr/src/: 
mkdir /usr/src/loader 
cd /usr/src/loader 
Download loader, sesuaikan dengan Sistem Operasi yang anda gunakan. 
Ektrak file yang tadi didownload. 
tar xzf loaders.linux-x86_64.tar.gz 
Kemudian copi file yang disesuaikan dengan versi PHP ke “extension_dir” dari 
konfigurasi PHP : 
PRAKTIKUM ADMINISTRASI SISTEM KOMPUTER 13
Sekarang buat file konfigurasi agar PHP dapat memanggil file yang tadi dicopi. 
File konfigurasi dapat ditemukan di /etc/php5/conf.d/ : 
Setelah file dibuat, buka file tersebut dan tambahkan baris berikut : 
Simpan konfigursi dan kuluar dari file. Dan restart Apache2. 
SourceGuardian extension sekarang sudah aktif. 
Installasi CMS 
Sekarang saatnya proses installasi ViMP. Sebelumnya download terlebih dahulu 
ViMP. 
Masuk ke direktori dimana kita menyimpan hasil download ViMP, kemudian beri 
hak akes file agar bisa dieksekusi/dijalankan : 
Silahkan ganti <version> sesuai dengan versi yang didownload, dah <edition> 
sesuai dengan edisi yang didownload. 
Kemudian mulai installasi dengan perintah : 
Petama kita akan ditanya dimana lokasi untuk ViMP akan diinstall. Tapi kita 
disini meletakkan pada /var/www/say4rt/. 
Jika folder yang digunakan untuk menyimpan file installasi ViMP belum ada, 
maka akan secara otomatis diminta untuk membuat folder tersebut. Dan jika folder 
ada tetapi terdapat file didalamnya maka kita harus mengkonfirmasi untuk bisa 
menggunakan folder tersebut. Installasi hanya akan berlanjut bila lokasi folder 
yang ada valid. 
Selanjutnya, kebutuhan system untuk ViMP akan dicek. 
PRAKTIKUM ADMINISTRASI SISTEM KOMPUTER 14
Kemudian tekan ‘Y’ untuk melanjutkan. 
Setelah semua file ViMP tersimpan di folder installasi, sekarang akan diminta 
memasukkan server user dan server group. 
Selanjutnya adalah konfigurasi untuk menghubungkan ke database server. 
PRAKTIKUM ADMINISTRASI SISTEM KOMPUTER 15
Proses installasi akan lanjut bila kita sudah memasukkan konfigurasi database 
dengan benar. 
Langkah selanjutnya, kita akan diminta memasukkan bahasa, negara, dan batasan 
upload. 
Selanjutnya, diminta untuk memasukkan letak dari transcoding tool. Kita bisa 
pilih ‘Y’ untuk mendeteksi secara otomatis letak dari transcoding tool pada server. 
Pada langkah ini, kita diminta memasukkan alamat portal nantinya, alamat email 
untuk portalnya, dan nama portal. 
Terakhir, masukkan portal title, deskripsi dari portal kita, dan portal keywords. 
Setelah semua konfigurasi ViMP selesai, maka proses selanjutnya adalah 
inisialisasi ViMP dan akan dapat digunakan segera setelah proses selesai. 
Setelah proses installasi ViMP berjalan dengan lancar, langkah terakhir adalah 
setup cronjob agar file yang diupload dapat diconversi. Buka crontab dengan 
perintah berikut : 
Tambahkan baris berikut kemudian simpan dan keluar. 
Dan sekarang ViMP sudah bisa digunakan. Untuk mengecek arahkan alamat web 
ada browser untuk melihat website video yang kita buat. 
PRAKTIKUM ADMINISTRASI SISTEM KOMPUTER 16
Pada saat installasi tadi, secara otomatis akan membuat 3 user dengan hak akses 
yang berbeda-beda : 
 admin (password : admin) : administrative user. Pemegang kendali dari 
web. 
 moderator (password : moderator) : user moderator. 
 user (password : user) : sebagai user standar yang bisa upload dan edit 
file yang sudah diupload. 
5. DHCP Server 
Setelah proses konfigurasi IP Address, DNS Server, dan juga proses installasi 
ViMP selesai, maka selanjutnya adalah membuat jaringan sendiri/jaringan lokal yang 
nantinya dapat mengakses web video. Agar client tidak repot dalam konfigurasi pada 
komputernya, maka pada Server akan dikonfigurasi DHCP Server agar client nantinya 
tidak perlu repot harus setting IP Address agar dapat terhubung ke web. 
4.1. Installasi 
Installasi paket DHCP dapat dilakukan dengan perintah : 
apt-get install dhcp3-server 
4.2. Konfigurasi 
 Ubah file /etc/default/isc-dhcp-server, ubahlah sesuai dengan interfaces mana 
yang akan digunakan untuk menyebarkan IP dynamic. 
 Konfigurasi DHCP server dengan cara mengedit file pada 
/etc/dhcp/dhcpd.conf seperti di bawah ini : 
PRAKTIKUM ADMINISTRASI SISTEM KOMPUTER 17
Setelah selesai konfigurasi DHCP Server, restart aplikasi DHCP Server pada 
Server. 
/etc/init.d/isc-dhcp-server restart 
6. Membuat Hotspot pada Notebook 
Setelah semua konfigurasi pada Server selesai, sekarang adalah bagaimana 
membuat Jaringan untuk memperluas client dapat menakses web nantinya. Di sini kita 
menggunakan Notebook dengan sistem operasi Windows 8.x, untuk sistem opererasi 
lainnya bisa menyesuaikan cara membuat jaringan Ad Hoc. 
 Karena pada Windows 8.x dalam membuat jaringan Ad Hoc beda dengan Windows 
7 ataupun dibawahnya yang hanya dengan klik itu dan itu, silahkan menyesuaikan 
dengan sistem operasi yang digunakan. 
 Buka command prompt run as administrator. 
 Kemudian ketikkan perintah berikut pada command prompt. Silahkan ganti <Serv> 
dengan nama SSID yang diinginkan, dan ganti <1q2w3e> sesuai pasword yang 
mudah untuk diingat. Perlu diingat dalam memasukkan password minimal karakter 
adalah 8 dan maximal 36 karakter. 
 Setelah Ad Hoc selesai dibuat, sekarang adalah mengaktifkan jaringan Ad Hoc 
tersebut agar dapat dijangkau oleh client. 
PRAKTIKUM ADMINISTRASI SISTEM KOMPUTER 18
 Selanjutnya adalah mengaktifkan adapter dari Ad Hoc tadi menjadi VirtualBox 
Bridged Networking Driver agar dapat terbaca oleh Server pada Virtual Box 
sebagai Bridged Adapter. Caranya yaitu masuk ke Control Panel > Network and 
Sharing Center > Change Adapter Settings > dan pilih adapter yang merupakan 
interface dari Ad Hoc yang dibuat > Klik Kanan > Properties > centang “VirtualBox 
Bridged Networking Driver” > OK. 
 Terakhir agar Ad Hoc yang akan dijadikan sebagai hotspot mendapatkan IP 
dynamic dari Server maka setting IP pada Adapter hotspot menjadi otomatis. Masih 
di Network and Sharing Center > dan pilih adapter yang merupakan interface dari 
Ad Hoc yang dibuat > Klik Kanan > Properties > Klik Internet Protocol Version 4 
(TCP /Ipv4) > Properties > dan pilih settingan agar IP otomatis begitu juga dengan 
DNS. 
PRAKTIKUM ADMINISTRASI SISTEM KOMPUTER 19
Server Video Streaming sudah selesai dikonfigursi dan Web sudah dapat diakses 
melalui jaringan WiFi dengan alamat web www.say4rt.com. 
7. Live Network Web Server 
Terkadang kita ingin agar orang lain melihat apa yang telah kita lihat, untuk itu 
kita tidak akan terbatas hanya pada server lokal saja. Kita akan berbagi video dengan 
membuat Live Network Web Server. 
Semua konfigurasi yang telah dilakukan adalah sama, baik pada web server, database 
server dan pengalamatan IP. Yang berbeda adalah sebagai berikut : 
1. IP Public. Pada sebelumnya kita telah melakukan pengalamatan IP ke webserver 
sehingga nantinya web server dapat berinteraksi dengan komputer lain meng-gunakan 
browser pada satu jaringan lokal. IP Public penting agar server lokal dapat 
terhubung ke internet. Orang yang berada dibelahan dunia lain tidak akan dapat 
berkomunikasi dengan server apabila hanya menggunakan ip private walaupun 
terhubung ke jaringan, karena saat berkomunikasi dengan internet tetap saja yang 
dibaca adalah ip public dan ip private tidak akan terlacak sama sekali, karena itu ip 
public sangat dibutuhkan untuk dapat membuat live network web server. 
2. Domain Name. Pada jaringan lokal dapat menggunakan bind9 untuk mentranslate 
ip menjadi sebuah nama (domain) sehingga mudah dibaca dan diingat, akan tetapi 
domain pada live network adalah berbeda. Seorang web server administrator harus 
PRAKTIKUM ADMINISTRASI SISTEM KOMPUTER 20
mendaftarkan terlebih dahulu domain favoritnya kepada registrar agar dapat diakses 
diseluruh belahan dunia yang terjangkau oleh internet. Pendaftaran domain pada 
live network tidaklah sembarangan, dibelakangnya telah diorganisasikan oleh 
ICANN (International Corporation for Assigned Names and Numbers). 
3. Perangkat Router. Router wajib digunakan untuk mentranslasi IP address private 
pada server menjadi IP Public sehingga web server dapat diakses oleh user 
diseluruh dunia. Dapat menggunakan mikrotik, quagga, cisco maupun produk 
networking lainnya yang memiliki kemampuan untuk mentranslasi ip private ke ip 
public (NAT). 
4. Untuk menampilkan video pada server ini, kami menggunakan JwPlayer maupun 
HTML5, karena hanya bertujuan untuk memainkan video pada livenetwork. 
7.2. Konfigurasi Live Network 
1. Menyediakan IP Public. 
IP Public dapat disewa kepada ISP seperti PT. Telkom Indonesia, Lintas Angkasa 
dan perusahaan penyedia jaringan internet lainnya, bahkan speedy dengan rate 
harga yang lebih murah juga menyediakan penyewaan IP Public. 
2. NAT-ing (Translasi Ip Private ke Ip Public) 
Untuk Praktikum ini kami menggunakan Cisco Router 1941. Yang pertama kali 
dilakukan adalah memastikan Router sudah berhasil terkoneksi ke Internet, lalu 
selanjutnya melakukan NAT dengan command berikut : 
Ip nat inside source static tcp 192.168.10.10 (ip private) 80 223.164.x.x (ip public) 
80 
Apabila konfigurasi network untuk translasi ip sudah benar, web server sudah 
dapat terhubung ke jaringan dan dapat diakses oleh banyak orang (menggunakan 
alamat ip pada browser). Akan tetapi kita ingin alamat yang mudah dibaca dan 
diingat sehingga memiliki potensi dikunjungi banyak orang dari seluruh dunia. 
Maka kita memerlukan Domain Name. 
3. Domain Name 
Sebagai seorang end-user, kita tidak dapat berhubungan langsung dengan ICANN 
dan Perusahaan Registry untuk membeli domain. Seorang end-user dapat 
membeli domain pada perusahaan Register. 
Dalam praktikum kali ini, kami mendaftarkan domain name ke sebuah Perusahaan 
Register (masterweb.net) dengan nama domain, donnigunawan.com. 
PRAKTIKUM ADMINISTRASI SISTEM KOMPUTER 21
Dengan menyewa domain dan paket hosting paling murah, kita akan diberikan 
sebuah control panel yang biasanya akrab dipanggil c-panel maupun s-panel. 
Dengan memiliki s-panel maupun c-panel, sudah sangat cukup sekali bagi kita 
untuk dapat menamai alamat ip public tadi. Yang perlu kita lakukan adalah 
menginput ip public ke bagian pengalamatan DNS. 
Masuk ke bagian DNS pada c-panel maupun s-panel, dan tambahkan A-Record 
pada DNS setting. Dalam praktikum ini kami mengganti alamat dengan sub-domain 
apache.donnigunawan.com yang alamat DNS-nya akan dialamatkan ke Ip 
Public Server. 
A-Record berfungsi untuk melakukan pointing ke sebuah alamat IP. Terdapat 2 
kolom, yaitu host dan address. 
Pada bagian host dapat diisi dengan ‘apache’ dan bagian address diisi dengan 
‘223.164.x.x’ (alat ip public server). Sehingga saat mengakses 
‘apache.donnigunawan.com’, anda akan terhubung langsung ke web server yang 
sebelumnya belum memiliki alamat yang mudah dikenal dan diingat oleh 
manusia. 
Dan ini adalah tampilan dari web yang sudah terpasang di Internet dengan alamat 
web http://apache.donnigunawan.com. 
PRAKTIKUM ADMINISTRASI SISTEM KOMPUTER 22
BAB IV 
PENGUJIAN 
4.1. Konfigurasi IP Dynamic pada Client 
Hubungkan client pada server, baik melalui Switch maupun Hotspot. Kemudian set IP 
Address untuk mendapatkan secara dinamik. 
Berikut adalah IP Address yang didapat client dari DHCP Server. 
PRAKTIKUM ADMINISTRASI SISTEM KOMPUTER 23
4.2. Akses Web Video Streaming 
Setelah mendapatkan IP Address dari Server, maka web video streaming sudah bisa 
diakses. Arahkan browser ke alamat web www.say4rt.com, dan web pun sudah bisa 
diakses. 
PRAKTIKUM ADMINISTRASI SISTEM KOMPUTER 24
BAB V 
KESIMPULAN 
Dalam membangun Server Video Streaming Berbasis Cloud kita membutuhkan 
Notebook dengan sistem operasi Windows yang sudah terinstall Virtual Box, Server Linux 
Debian Wheezy 64 bit yang terinstall pada Virtual Box. CMS yang digunakan dalam Video 
Streaming kami menggunakan ViMP karena fitur yang disediakan sudah cukup lengkap untuk 
CMS yang bersifat free *gratis. Dan untuk servernya aplikasi yang diinstall adalah DNS Server, 
Web Server, PHP, MySQL Server, DHCP Server, dan beberapa aplikasi lainnya sesuai dengan 
kebutuhan. 
Supaya Server dapat diakses oleh client, maka pada notebook diaktifkan fitur jaringan 
Ad Hoc yang dijadikan sebagai Hotspot. Jadi pada Server di Virtual Box ditambah Network 
Adapter yaitu “Bridged Adapter, dan pilih Microsoft Hosted Network Virtual Adapter”, tapi 
sebelum itu Interface Ad Hoc harus diaktifkan VirtualBox Bridged Networking Driver agar 
dapat dihubungkan ke Server melalui Virtual Box. 
Sedangkan untuk live network, konfigurasinya sama dengan server lokal. Perbedaannya 
adalah, untuk dapat diakses dari luar, seorang web administrator membutuhkan IP Public, agar 
domain dapat dikenali, seorang web administrator harus membeli domain kepada Perusahaan 
Register dan membutuhkan perangkat router untuk dapat menterjemahkan ip private ke ip 
public. 
PRAKTIKUM ADMINISTRASI SISTEM KOMPUTER 25
DAFTAR PUSTAKA 
Telkom Speedy, “ViMP”, http://opensource.telkomspeedy.com/wiki/index.php/ViMP 
ManiaCMS Sharing All About CMS, “Pengertian Apache Web Server”, 
http://www.maniacms.web.id/2012/01/pengertian-apache-web-server.html 
Wikipedia Indonesia, “Apache HTTP Server”, 
http://id.wikipedia.org/wiki/Apache_HTTP_Server 
Wiki Buku Indonesia, “Pengertian PHP”, 
http://id.wikibooks.org/wiki/Pemrograman_PHP/Pendahuluan/Pengertian_PHP 
Muhammad Eko Kurniawan, “Tutorial Server Linux Debian Lenny”, 2012 
ViMP Social Video Solutions, “ViMP Installation Guide 3.0”, 
http://www.vimp.com/en/web/download-documentations. 
html?file=tl_files/vimp/docs/ViMP_Installation_Guide_3.0.pdf 
ViMP Social Video Solutions, “Compile MPlayer/Mencoder on your own”, 
http://www.vimp.com/en/web/faq-installation/items/compile-mplayermencoder-on-your-own. 
html 
ViMP Social Video Solutions, “How to install the transcoding tools on Debian 7 "Wheezy"?”, 
http://www.vimp.com/en/web/faq-installation/items/how-to-install-the-transcoding-tools-on-debian- 
7-wheezy.html 
ViMP Social Video Solutions, “How to install the transcoding cronjob”, 
http://www.vimp.com/en/web/faq-installation/items/how-to-install-the-transcoding-cronjob. 
html 
ViMP Social Video Solutions, “Installing the SourceGuardian PHP extension”, 
http://www.vimp.com/en/web/faq-installation/items/installing-the-sourceguardian-php-extension. 
html 
Imam Omar Mochtar, “Instalasi PHPmotion di Centos 5.5”, http://ilmukomputer.org/wp-content/ 
uploads/2010/12/ImamOmar-Instalasi_PHPmotion.pdf 
PRAKTIKUM ADMINISTRASI SISTEM KOMPUTER 26

MEMBANGUN SERVER VIDEO STREAMING BERBASIS CLOUD DENGAN ViMP

  • 1.
    MEMBANGUN SERVER VIDEOSTREAMING BERBASIS CLOUD Disusun oleh: Ahmad Saktia Asrudin Yunus 4311211029 Program Studi Diploma IV Multimedia dan Jaringan Jurusan Teknik Informatika Politeknik Negeri Batam Batam 2014
  • 2.
    KATA PENGANTAR Denganrahmat Tuhan Yang Maha Esa yang telah menolong kami menyelesaikan Tugas Besar ini dengan penuh kemudahan. Tanpa pertolongan-Nya mungkin kami tidak akan sanggup menyelesaikan dengan baik. Tugas Besar ini disusun oleh tim penyusun dengan berbagai rintangan. Baik itu yang datang dari diri maupun yang datang dari luar. Namun dengan penuh kesabaran dan terutama pertolongan dari Tuhan akhirnya proyek akhir ini dapat terselesaikan. Tugas Besar ini mengambil judul “Membangun Server Video Streaming Berbasis Cloud” sesuai dengan pembagian tugas oleh dosen. Walaupun pada Tugas Besar kali ini mungkin kurang sempurna tapi penyusun berusaha memberi yang terbaik bagi pembaca. Penyusun juga mengucapkan terima kasih kepada dosen pengajar yaitu bapak Tri Ramadhani yang telah memberikan pengajaran dan bimbingan sehingga Tugas Besar ini terlaksana dengan baik. Semoga Tugas Besar ini dapat diterima oleh pembaca. Walaupun Tugas Besar ini memiliki kelebihan dan kekurangan. Penyusun mohon untuk saran dan kritiknya. Terima kasih. Batam, Januari 2014 Penyusun PRAKTIKUM ADMINISTRASI SISTEM KOMPUTER i
  • 3.
    DAFTAR ISI KataPengantar ......................................................................................................... i Daftar Isi .................................................................................................................. ii BAB I PENDAHULUAN 1.1 Latar Belakang ...................................................................................... 1 BAB II LANDASAN TEORI 1 Desain Sekilas ViMP ............................................................................ 2 2 DNS Server .......... ................................................................................ 2 3 Web Server .......................................................................................... 2 4 DHCP Server ........................................................................................ 3 5 Apache Web Server .............................................................................. 3 6 PHP ...................................................................................................... 3 7 MySQL ................................................................................................ 3 BAB III RANCANGAN DAN IMPLEMENTASI 1 Topologi Jaringan ................................................................................... 4 2 Konfigurasi IP Address .......................................................................... 4 3 DNS Server ............................................................................................. 6 4 Installasi ViMP ....................................................................................... 9 5 DHCP Server .......................................................................................... 17 6 Membuat Hostpot pada Notebook .......................................................... 18 7 Live Nework Web Server ....................................................................... 20 BAB IV PENGUJIAN 4.1 Konfigurasi IP Address .......................................................................... 23 4.2 Akses Web Audio Steraming ................................................................. 24 BAB V KESIMPULAN .......................................................................................... 25 DAFTAR PUSTAKA .............................................................................................. 26 PRAKTIKUM ADMINISTRASI SISTEM KOMPUTER i
  • 4.
    BAB I PENDAHULUAN 1. Latar Belakang Dengan mulai banyaknya situs-situs yang menyediakan fasilitas video streaming seperti youtube, metacafe, vimeo, dll. Maka akan semakin mudah dalam berbagi video. Akan tetapi, bagaimana jika kita ingin membuat situs tersendiri untuk berbagi video atau hanya dipasang untuk jaringan lokal sehingga lebih mudah untuk diakses dan proses transfer menerima dan mengirim gambar yang cepat. Jawabannya adalah membuat situs streaming tersendiri tapi ini tidak berarti membuat situs video streaming dari nol karena kita bisa menggunakan yang gratis dalam bentuk seperti CMS salah satunya adalah ViMP. Pada tugas besar kali ini, berfokuskan pada konfigursi untuk servernya agar dapat diakses untuk jaringan lokal, baik itu LAN maupun WLAN dan instalasi ViMP baik itu konfigurasi server agar dapat terintegrasi dengan ViMP. Selain itu juga kita akan mempelajari bagaimana Web server lokal yang telah dibuat dapat juga diakses oleh orang banyak dari seluruh dunia menggunakan alamat yang mudah dibaca dan diingat (domain). Konfigurasi server berupa DNS Server, Web Server, DHCP Server, dan Iptables. PRAKTIKUM ADMINISTRASI SISTEM KOMPUTER 1
  • 5.
    BAB II LANDASANTEORI 1. Sekilas ViMP ViMP adalah CMS Video profesional untuk Web TV, Portal Social Media dan Video Komunitas. ViMP di rancang untuk portal dengan trafik tinggi, video dengan resolusi tinggi dan platform Web TV dan video komunitas dengan lingkungan yang kuat. ViMP memberikan panel administratif yang lengkap dan memungkinkan perubahan yang mudah dan cepat dan merealisasikan kebutuhan grafik kita. Dapat memilih dari tiga (3) layout yang ada dan mengintegrasikan logo sesuai keinginan. Bahkan jika ingin dapat membuat layout sendiri untuk ViMP. ViMP flash player juga dapat di integrasikan ke halaman web lainnya dengan usaha yang sangat kecil, karena pembuatan embed code yang automatis. Oleh karena itu kita dapat membuka akses portal kita ke yang lain dengan mudah. 2. DNS Server DNS server (Domain Name System), merupakan suatu system yang berfungsi untuk menerjemahkan dari nomor ip ke nama alamat ataupun dari nama alamat ke nomor ip sehingga lebih mudah diingat oleh pengguna. Biasanya seseorang akan mudah mengingat domain www.say4rt.com daripada nomor ip 165.21.83.254, dengan tujuan itu DNS server dibuat. DNS server di linux bervariasi, kita dapat menggunakan BIND9 ataupun DNSMASQ. Pada konfigurasi server kali ini kami menggunakan BIND9 (Berkeley Internet Name Domain versi 9), karena untuk pemula konfigurasinya yang lebih mudah daripada DNSMASQ. 3. Web Server Web server merupakan software yang memberikan layanan data yang berfungsi menerima permintaan HTTP atau HTTPS dari klien yang dikenal dengan browser web dan mengirimkan kembali hasilnya dalam bentuk halaman - halaman web yang umumnya berbentuk dokumen HTML. PRAKTIKUM ADMINISTRASI SISTEM KOMPUTER 2
  • 6.
    4. DHCP Server DHCP Server adalah kepanjangan dari Dynamic Host Configuration Protocol yaitu suatu protocol yang digunakan untuk pendistribusian ip dengan jumlah ip terbatas, dengan menggunakan DHCP kita tidak perlu mensetting ip pada setiap client karena ip akan langsung disetting oleh DHCP Server. Banyak paket yang dapat digunakan untuk DHCP Server di Debian, tetapi untuk kali ini kita akan menggunakan “dhcp3-server”. 5. Apache Web Server Apache adalah sebuah nama web server yang bertanggung jawab pada request-response HTTP dan logging informasi secara detail. Selain itu, Apache juga diartikan sebagai suatu web server yang kompak, modular, mengikuti standar protokol HTTP. Apache memiliki fitur-fitur canggih seperti pesan kesalahan yang dapat dikonfigur, autentikasi berbasis basis data dan lain-lain. Apache juga didukung oleh sejumlah antarmuka pengguna berbasis grafik (GUI) yang memungkinkan penanganan server menjadi mudah. Pada kesempatan kali ini, akan digunakan apache2 untuk konfigursi web server. 6. PHP PHP adalah singkatan dari "PHP: Hypertext Prepocessor", yaitu bahasa pemrograman yang digunakan secara luas untuk penanganan pembuatan dan pengembangan sebuah situs web dan bisa digunakan bersamaan dengan HTML. Dan untuk versi PHP, akan digunakan PHP versi 5.4.x untuk konfigurasi web servernya. 7. MYSQL Server MySQL adalah sebuah perangkat lunak pembuat database yang bersifat terbuka atau open source dan berjalan disemua platform baik Linux maupun Windows, MySQL merupakan program pengakses database yang bersifat network sehingga dapat digunakan untuk aplikasi Multi User (Pengguna Banyak). MySQL adalah Relational Database Management System (RDBMS) yang didistribusikan secara gratis dibawah lisensi GPL (General Public License). Dimana setiap orang bebas untuk menggunakan MySQL, namun tidak boleh dijadikan produk turunan yang bersifat komersial. PRAKTIKUM ADMINISTRASI SISTEM KOMPUTER 3
  • 7.
    BAB III RANCANGANDAN IMPLEMENTASI Pada bagian ini akan dijelaskan langkah-langkah bagaimana Membangun Server Video Streaming Berbasis Cloud di Server sendiri. Untuk server di sini kami menggunakan sistem operasi Linux Debian Wheezy 64bit, untuk sistem operasi lainnya bisa disesuaikan sesuai kebutuhan. Dan dalam instalasi sistem operasi dan konfigurasi server, kami lakukan di dalam Virtual Box. 1. Topologi Jaringan 165.21.83.252/30 192.168.10.0/24 Server Video Streaming Switch www.say4rt.com Router (DHCP) Switch 192.168.10.0/24 Hostpot Client PC Client PC Client Notebook Client Tablet Client Notebook Client Smart Phone 2. Konfigurasi IP Address Sebelum melanjutkan ketahap berikutnya terlebih dahulu kita harus memberikan alamat IP pada server agar dapat diakses dijaringan yang lebih luas. 1.1. Mengaktifkan beberapa interface di Virtual Box yang akan digunakan oleh server nantinya. Untuk Adapter 1 menggunakan Host-only Adapter yang nantinya akan menjadi eth0 pada server, untuk Adapter 2 menggunakan Bridged Adapter dengan memilih Microsft Hosted Network Virtual Adapter yang nantinya pada PRAKTIKUM ADMINISTRASI SISTEM KOMPUTER 4
  • 8.
    server akan menjadieth1, dan untuk Adapter 3 menggunakan NAT sebagai interface yang digunakan untuk instalasi paket dari internet. Interface Bridged Adapter nantinya adalah interface yang akan digunakan dalam menghubungkan client-client agar dapat terhubung dengan server. 1.2. Untuk mengetahui nama Ethernet (eth0, eth1, eth2, dll) apa saja yang terpasang pada Linux dapat menggunakan perintah mii-tool, karena tidak semua nama ethernet dibeberapa server sama. Pada perintah di atas terlihat bahwa nama Ehternet yang terpasang pada server adalah eth0 dan eth1. Untuk dapat mengkonfigurasi IP Address kita harus mengaktifkan Ethernet terlebih dahulu. Gunakan perintah ifconfig <nama ethernet> up untuk menaktifkan dan ifconfig <nama ethernet> down untuk menonaktifkan. 1.3. Setting IP Address Untuk menghubungkan Server dengan client atau dengan host yang lain kita harus mengkonfigurasi IP Address. IP Address ini merupakan suatu alamat yang unik yang digunakan agar masing-masing perangkat pada jaringan dapat saling berhubungan. nano /etc/network/interfaces----------------------------------------------------------- Contoh di atas, untuk eth0 menggunakan IP Address 165.21.83.254 yang nantinya akan digunakan untuk menterjemahkan kedalam nama domain. PRAKTIKUM ADMINISTRASI SISTEM KOMPUTER 5
  • 9.
    Dan pada contohdi atas adalah IP Address pada eth1 yang nantinya akan digunakan sebagai interface dalam menghubungkan server dengan client agar dapat mengkases web nantinya. 3. DNS Server Setelah melakukan konfigurasi IP Addess langkah kedua yang dilakukan adalah dengan memberikan DNS (Domain Name System), yaitu dengan menterjemahkan alamat IP yang dimiliki oleh server agar mudah untuk diingat oleh pengguna. Pada konfigurasi alamat IP di atas yang akan digunakan untuk diterjemahkan kedalam DNS adalah 165.21.83.254 yang nantinya akan diterjemahkan menjadi alamat web www.say4rt.com. Untuk konfigurasi DNS Server kita menggunakan BIND9. 2.1. Installasi Pada kesempatan kali ini kita akan menggunakan BIND9 ( Berkeley Internet Name Domain versi 9), kita menggunakan BIND9 karena untuk pemula konfigurasinya yang lebih mudah daripada DNSMASQ. Gunakan perintah berikut untuk menginstall BIND9. apt-get install bind9---------------------------------------------------------------------- 2.2. Konfigurasi Ada beberapa file yang harus kita konfigurasi untuk DNS server ini, yaitu : 1. /etc/bind/named.conf.local 2. Forward DNS , berada di /etc/bind/db.domain 3. Reverse DNS , berada di /etc/bind/db.ip 4. /etc/resolv.conf 2.2.1. Konfigurasi Zone Domain Ini adalah file utama pada DNS server yang harus wajib kita konfigurasi, file ini terletak di “/etc/bind/named.conf.local”. dan ada beberapa yang harus kita konfigurasi pada file ini seperti berikut : nano /etc/bind/named.conf.local--- --------------------------------------------------- PRAKTIKUM ADMINISTRASI SISTEM KOMPUTER 6
  • 10.
    2.2.2. Forward DNS Forward DNS berfungsi untuk menerjemahkan dari nama alamat ke nomor IP, kita buat file ini di “/etc/bind” dengan cara mengcopy db.local yang menjadi default di named.conf menjadi db.namadomain atau pada kali ini kita gunakan db.say4rt. cd /etc/bind cp db.local db.say4rt nano db.say4rt 2.2.3. Reverse DNS Reverse DNS digunakan untuk menerjemahkan dari nomor ip ke nama alamat, konfigurasi ini terletak di “/etc/bind” dengan menyalin file db.127 yang merupakan default menjadi db.ip atau pada kali ini kita munggunakan db.165. cp db.127 db.165 nano db.165 PRAKTIKUM ADMINISTRASI SISTEM KOMPUTER 7
  • 11.
    nano db.165 2.2.4.Resolv.conf Tambahkan nama domain dan ip address di resolv.conf agar dns yang kita buat dapat kita akses. Apabila file resolv.conf belum ada maka kita buat secara manual. nano /etc/resolv.conf Edit juga file pada “/etc/hosts” nano /etc/hosts Dan edit juga file yang berada “/etc/host.conf” nano /etc/host.conf Setelah selesai konfigurasi, maka restart paket BIND9 yang baru saja kita konfigurasi. service bind9 restart PRAKTIKUM ADMINISTRASI SISTEM KOMPUTER 8
  • 12.
    2.3. Pengujian Kitadapat menggunakan beberapa tool untuk menguji DNS server yang kita buat seperti nslookup ataupun dig. Jika muncul pesan error, maka masih ada konfigurasi yang salah, apabila kita nslookup DNS terjadi error berarti yang masih kemungkinan salah berada di “named.conf” dan “db.say4rt”. Dan apabila saat kita “nslookup ip” terjadi error maka kemungkinan yang salah di “named.conf” dan “db.165”. 4. Installasi ViMP Langkah selanjutnya yang kita lakukan adalah melakukan installasi CMS yaitu ViMP. Untuk installasi ViMP kita membutuhkan server yang berjalan pada sistem operasi Linux (Debian Wheezy Recommended), Web Server (Apache2), PHP, dan MySQL database. Di bawah ini adalah beberapa software yang harus ada pada server untuk dapat menjalankan ViMP :  Apache2 : o Version 2.2 Recommended. Kita menggunakan versi 2.2.22 o mod_rewrite harus diaktifkan  PHP : o Versi yang terakhir 5.2.7, 5.3.x, 5.4.x. Di sini kita menggunakan versi 5.4.4 o GD, mysql, XSL, cURL dan mcrypt extensions harus terinstall o Dan PHP CLI (Command Line Interface) juga harus terinstall  MySQL o Versi 5.5 atau yang paling terakhir. Kita menggunakan versi 5.5 o InnoDB storage engine  Transcoding : PRAKTIKUM ADMINISTRASI SISTEM KOMPUTER 9
  • 13.
    o MEncoder /MPlayer 1.0RC2 atau yang terbaru o FFmpeg o FLVTool2 o Dan codec tambahan disesuaikan kebutuhan Persiapan Server a. Apache2 Untuk install Apache2, jalankan perintah : Sekarang, aktifkan mod_rewrite : b. PHP Untuk install PHP, jalankan : Nantinya akan terinstall PHP5 beserta modulnya untuk Apache2. Kemudian, install paket tambahan : c. MySQL Untuk menginstall MySQL Database Server, jalankan perintah berikut : Ikuti perintah yang ada pada layar pada saat installasi, dan ketika ada permintaan untuk memberikan password root untuk MySQL, silahkan masukkan password yang mudah untuk diingat. d. Transcoding Pada tahanp ini adalah proses installasi semua tool yang dibutuhkan agar dapat encode video pada Server. Pertama, tambahkan beberapa repositori multimedia pada Server. Untuk itu buat file konfigurasi di /etc/apt/sources.list.d : Setelah file konfigurasi dibuat, buka dengan editor yang biasa kalian gunakan dan tambahkan perintah pada beberapa baris di bawah ini : PRAKTIKUM ADMINISTRASI SISTEM KOMPUTER 10
  • 14.
    Satu hal untukdiingat, diatas adalah konfigurasi untuk Debian Squeeze. Karena kita di sini menggunakan Debian Wheezy, maka untuk “squeeze” bisa diganti dengan “wheezy”, silahkan sesuaikan dengan versi Server anda. Selanjutnya, keyring untuk deb-multimedia.org juga harus terinstall dahulu. Sekarang install paket untuk software Transcodingnya : Selanjutnya, kita install paket codec untuk MEncoder. Paket ini menyediakan dasar binary codec untuk decoding dan encoding video. Tapi sebelumnya cek dulu apakah Server anda menggunakan arsitektur (32 bit atau 64 bit), pilih sesuai dengan arsitektur pada Server anda. Di sini kita menggunakan arsitektur 64 bit. Installasi pada sistem 32 bit : Dan untuk installasi pada sistem 64 bit : Dan akhirnya, semua tool untuk Transcoding sudah terinstall. Konfigurasi Setelah semua paket terinstall dengan benar, ada beberapa pengaturan konfigurasi yang perlu disesuaikan sesuai kebutuhan. a. Apache2 Sebaiknya buat virtual host baru di direktori yang terpisah untuk installasi ini. Maka dari itu petama kita akan membuat beberapa direktori dulu : Sekarang buatlah file konfigurasi untuk virtual host tersebut : PRAKTIKUM ADMINISTRASI SISTEM KOMPUTER 11
  • 15.
    Setelah file berhasildibuat, buka dengan editor yang biasa anda pakai dan ketikkan beberapa baris berikut untuk VirtualHost. Sesuaikan dengan folder yang tadi buat. Simpan file dan keluar. Sekarang kita akan mengaktifkan virtual host yang barusan dibuat. Harap disesuaikan dengan nama virtual host yang tadi dibuat. Bila sebelumnya default virual host Apache2 belum dinonaktifkan, maka lakukan perintah berikut sebelum reloading Apache2. Konfigurasi Apache2 sekarang telah selesai. b. PHP Untuk dapat menjalankan ViMP, batas penyimpanan PHP setidaknya harus diset 512 MB. Juga, kita harus menaikkan batas maksimum size file yang bisa diupload agar nantinya bisa upload file dalam ukuran yang cukup besar. Pertama, atur nilai pada modul PHP Apache2. Buka file /etc/php5/apache2/php.ini. Kemudian cari beberapa baris dibawah ini dan ubah nilainya sesuai keterangan dibawah ini : PRAKTIKUM ADMINISTRASI SISTEM KOMPUTER 12
  • 16.
    Setelah selesai, simpandan keluar dari file. Kemudian edit juga settingan untuk PHP CLI dengan membuka difile pada /etc/php5/cli/php.ini dan ganti sesuai dengan settingan sebelumnya. Setelah semuanya selesai, restart Apache2 untuk mereload konfigurasi yang baru dilakukan. c. MySQL Pertama, buat dulu database yang nantinya digunakan untuk menyimpan data pada web. Ketika diminta memasukkan password, masukkan password root yang dibuat pada saat installasi MySQL. Sekarang masuk kedalam MySQL dengan user root untuk memberiakn hak akses user yang dapat mengakses database yang tadi dibuat. Masukkan password root lagi. Selanjutnya, masukkan SQL query pada baris MySQL : Ganti <password> dengan password sesuai dengan keinginan dan mudah diingat. Installasi SourceGuardian PHP Petama, buat folder sementara “loader” di /usr/src/: mkdir /usr/src/loader cd /usr/src/loader Download loader, sesuaikan dengan Sistem Operasi yang anda gunakan. Ektrak file yang tadi didownload. tar xzf loaders.linux-x86_64.tar.gz Kemudian copi file yang disesuaikan dengan versi PHP ke “extension_dir” dari konfigurasi PHP : PRAKTIKUM ADMINISTRASI SISTEM KOMPUTER 13
  • 17.
    Sekarang buat filekonfigurasi agar PHP dapat memanggil file yang tadi dicopi. File konfigurasi dapat ditemukan di /etc/php5/conf.d/ : Setelah file dibuat, buka file tersebut dan tambahkan baris berikut : Simpan konfigursi dan kuluar dari file. Dan restart Apache2. SourceGuardian extension sekarang sudah aktif. Installasi CMS Sekarang saatnya proses installasi ViMP. Sebelumnya download terlebih dahulu ViMP. Masuk ke direktori dimana kita menyimpan hasil download ViMP, kemudian beri hak akes file agar bisa dieksekusi/dijalankan : Silahkan ganti <version> sesuai dengan versi yang didownload, dah <edition> sesuai dengan edisi yang didownload. Kemudian mulai installasi dengan perintah : Petama kita akan ditanya dimana lokasi untuk ViMP akan diinstall. Tapi kita disini meletakkan pada /var/www/say4rt/. Jika folder yang digunakan untuk menyimpan file installasi ViMP belum ada, maka akan secara otomatis diminta untuk membuat folder tersebut. Dan jika folder ada tetapi terdapat file didalamnya maka kita harus mengkonfirmasi untuk bisa menggunakan folder tersebut. Installasi hanya akan berlanjut bila lokasi folder yang ada valid. Selanjutnya, kebutuhan system untuk ViMP akan dicek. PRAKTIKUM ADMINISTRASI SISTEM KOMPUTER 14
  • 18.
    Kemudian tekan ‘Y’untuk melanjutkan. Setelah semua file ViMP tersimpan di folder installasi, sekarang akan diminta memasukkan server user dan server group. Selanjutnya adalah konfigurasi untuk menghubungkan ke database server. PRAKTIKUM ADMINISTRASI SISTEM KOMPUTER 15
  • 19.
    Proses installasi akanlanjut bila kita sudah memasukkan konfigurasi database dengan benar. Langkah selanjutnya, kita akan diminta memasukkan bahasa, negara, dan batasan upload. Selanjutnya, diminta untuk memasukkan letak dari transcoding tool. Kita bisa pilih ‘Y’ untuk mendeteksi secara otomatis letak dari transcoding tool pada server. Pada langkah ini, kita diminta memasukkan alamat portal nantinya, alamat email untuk portalnya, dan nama portal. Terakhir, masukkan portal title, deskripsi dari portal kita, dan portal keywords. Setelah semua konfigurasi ViMP selesai, maka proses selanjutnya adalah inisialisasi ViMP dan akan dapat digunakan segera setelah proses selesai. Setelah proses installasi ViMP berjalan dengan lancar, langkah terakhir adalah setup cronjob agar file yang diupload dapat diconversi. Buka crontab dengan perintah berikut : Tambahkan baris berikut kemudian simpan dan keluar. Dan sekarang ViMP sudah bisa digunakan. Untuk mengecek arahkan alamat web ada browser untuk melihat website video yang kita buat. PRAKTIKUM ADMINISTRASI SISTEM KOMPUTER 16
  • 20.
    Pada saat installasitadi, secara otomatis akan membuat 3 user dengan hak akses yang berbeda-beda :  admin (password : admin) : administrative user. Pemegang kendali dari web.  moderator (password : moderator) : user moderator.  user (password : user) : sebagai user standar yang bisa upload dan edit file yang sudah diupload. 5. DHCP Server Setelah proses konfigurasi IP Address, DNS Server, dan juga proses installasi ViMP selesai, maka selanjutnya adalah membuat jaringan sendiri/jaringan lokal yang nantinya dapat mengakses web video. Agar client tidak repot dalam konfigurasi pada komputernya, maka pada Server akan dikonfigurasi DHCP Server agar client nantinya tidak perlu repot harus setting IP Address agar dapat terhubung ke web. 4.1. Installasi Installasi paket DHCP dapat dilakukan dengan perintah : apt-get install dhcp3-server 4.2. Konfigurasi  Ubah file /etc/default/isc-dhcp-server, ubahlah sesuai dengan interfaces mana yang akan digunakan untuk menyebarkan IP dynamic.  Konfigurasi DHCP server dengan cara mengedit file pada /etc/dhcp/dhcpd.conf seperti di bawah ini : PRAKTIKUM ADMINISTRASI SISTEM KOMPUTER 17
  • 21.
    Setelah selesai konfigurasiDHCP Server, restart aplikasi DHCP Server pada Server. /etc/init.d/isc-dhcp-server restart 6. Membuat Hotspot pada Notebook Setelah semua konfigurasi pada Server selesai, sekarang adalah bagaimana membuat Jaringan untuk memperluas client dapat menakses web nantinya. Di sini kita menggunakan Notebook dengan sistem operasi Windows 8.x, untuk sistem opererasi lainnya bisa menyesuaikan cara membuat jaringan Ad Hoc.  Karena pada Windows 8.x dalam membuat jaringan Ad Hoc beda dengan Windows 7 ataupun dibawahnya yang hanya dengan klik itu dan itu, silahkan menyesuaikan dengan sistem operasi yang digunakan.  Buka command prompt run as administrator.  Kemudian ketikkan perintah berikut pada command prompt. Silahkan ganti <Serv> dengan nama SSID yang diinginkan, dan ganti <1q2w3e> sesuai pasword yang mudah untuk diingat. Perlu diingat dalam memasukkan password minimal karakter adalah 8 dan maximal 36 karakter.  Setelah Ad Hoc selesai dibuat, sekarang adalah mengaktifkan jaringan Ad Hoc tersebut agar dapat dijangkau oleh client. PRAKTIKUM ADMINISTRASI SISTEM KOMPUTER 18
  • 22.
     Selanjutnya adalahmengaktifkan adapter dari Ad Hoc tadi menjadi VirtualBox Bridged Networking Driver agar dapat terbaca oleh Server pada Virtual Box sebagai Bridged Adapter. Caranya yaitu masuk ke Control Panel > Network and Sharing Center > Change Adapter Settings > dan pilih adapter yang merupakan interface dari Ad Hoc yang dibuat > Klik Kanan > Properties > centang “VirtualBox Bridged Networking Driver” > OK.  Terakhir agar Ad Hoc yang akan dijadikan sebagai hotspot mendapatkan IP dynamic dari Server maka setting IP pada Adapter hotspot menjadi otomatis. Masih di Network and Sharing Center > dan pilih adapter yang merupakan interface dari Ad Hoc yang dibuat > Klik Kanan > Properties > Klik Internet Protocol Version 4 (TCP /Ipv4) > Properties > dan pilih settingan agar IP otomatis begitu juga dengan DNS. PRAKTIKUM ADMINISTRASI SISTEM KOMPUTER 19
  • 23.
    Server Video Streamingsudah selesai dikonfigursi dan Web sudah dapat diakses melalui jaringan WiFi dengan alamat web www.say4rt.com. 7. Live Network Web Server Terkadang kita ingin agar orang lain melihat apa yang telah kita lihat, untuk itu kita tidak akan terbatas hanya pada server lokal saja. Kita akan berbagi video dengan membuat Live Network Web Server. Semua konfigurasi yang telah dilakukan adalah sama, baik pada web server, database server dan pengalamatan IP. Yang berbeda adalah sebagai berikut : 1. IP Public. Pada sebelumnya kita telah melakukan pengalamatan IP ke webserver sehingga nantinya web server dapat berinteraksi dengan komputer lain meng-gunakan browser pada satu jaringan lokal. IP Public penting agar server lokal dapat terhubung ke internet. Orang yang berada dibelahan dunia lain tidak akan dapat berkomunikasi dengan server apabila hanya menggunakan ip private walaupun terhubung ke jaringan, karena saat berkomunikasi dengan internet tetap saja yang dibaca adalah ip public dan ip private tidak akan terlacak sama sekali, karena itu ip public sangat dibutuhkan untuk dapat membuat live network web server. 2. Domain Name. Pada jaringan lokal dapat menggunakan bind9 untuk mentranslate ip menjadi sebuah nama (domain) sehingga mudah dibaca dan diingat, akan tetapi domain pada live network adalah berbeda. Seorang web server administrator harus PRAKTIKUM ADMINISTRASI SISTEM KOMPUTER 20
  • 24.
    mendaftarkan terlebih dahuludomain favoritnya kepada registrar agar dapat diakses diseluruh belahan dunia yang terjangkau oleh internet. Pendaftaran domain pada live network tidaklah sembarangan, dibelakangnya telah diorganisasikan oleh ICANN (International Corporation for Assigned Names and Numbers). 3. Perangkat Router. Router wajib digunakan untuk mentranslasi IP address private pada server menjadi IP Public sehingga web server dapat diakses oleh user diseluruh dunia. Dapat menggunakan mikrotik, quagga, cisco maupun produk networking lainnya yang memiliki kemampuan untuk mentranslasi ip private ke ip public (NAT). 4. Untuk menampilkan video pada server ini, kami menggunakan JwPlayer maupun HTML5, karena hanya bertujuan untuk memainkan video pada livenetwork. 7.2. Konfigurasi Live Network 1. Menyediakan IP Public. IP Public dapat disewa kepada ISP seperti PT. Telkom Indonesia, Lintas Angkasa dan perusahaan penyedia jaringan internet lainnya, bahkan speedy dengan rate harga yang lebih murah juga menyediakan penyewaan IP Public. 2. NAT-ing (Translasi Ip Private ke Ip Public) Untuk Praktikum ini kami menggunakan Cisco Router 1941. Yang pertama kali dilakukan adalah memastikan Router sudah berhasil terkoneksi ke Internet, lalu selanjutnya melakukan NAT dengan command berikut : Ip nat inside source static tcp 192.168.10.10 (ip private) 80 223.164.x.x (ip public) 80 Apabila konfigurasi network untuk translasi ip sudah benar, web server sudah dapat terhubung ke jaringan dan dapat diakses oleh banyak orang (menggunakan alamat ip pada browser). Akan tetapi kita ingin alamat yang mudah dibaca dan diingat sehingga memiliki potensi dikunjungi banyak orang dari seluruh dunia. Maka kita memerlukan Domain Name. 3. Domain Name Sebagai seorang end-user, kita tidak dapat berhubungan langsung dengan ICANN dan Perusahaan Registry untuk membeli domain. Seorang end-user dapat membeli domain pada perusahaan Register. Dalam praktikum kali ini, kami mendaftarkan domain name ke sebuah Perusahaan Register (masterweb.net) dengan nama domain, donnigunawan.com. PRAKTIKUM ADMINISTRASI SISTEM KOMPUTER 21
  • 25.
    Dengan menyewa domaindan paket hosting paling murah, kita akan diberikan sebuah control panel yang biasanya akrab dipanggil c-panel maupun s-panel. Dengan memiliki s-panel maupun c-panel, sudah sangat cukup sekali bagi kita untuk dapat menamai alamat ip public tadi. Yang perlu kita lakukan adalah menginput ip public ke bagian pengalamatan DNS. Masuk ke bagian DNS pada c-panel maupun s-panel, dan tambahkan A-Record pada DNS setting. Dalam praktikum ini kami mengganti alamat dengan sub-domain apache.donnigunawan.com yang alamat DNS-nya akan dialamatkan ke Ip Public Server. A-Record berfungsi untuk melakukan pointing ke sebuah alamat IP. Terdapat 2 kolom, yaitu host dan address. Pada bagian host dapat diisi dengan ‘apache’ dan bagian address diisi dengan ‘223.164.x.x’ (alat ip public server). Sehingga saat mengakses ‘apache.donnigunawan.com’, anda akan terhubung langsung ke web server yang sebelumnya belum memiliki alamat yang mudah dikenal dan diingat oleh manusia. Dan ini adalah tampilan dari web yang sudah terpasang di Internet dengan alamat web http://apache.donnigunawan.com. PRAKTIKUM ADMINISTRASI SISTEM KOMPUTER 22
  • 26.
    BAB IV PENGUJIAN 4.1. Konfigurasi IP Dynamic pada Client Hubungkan client pada server, baik melalui Switch maupun Hotspot. Kemudian set IP Address untuk mendapatkan secara dinamik. Berikut adalah IP Address yang didapat client dari DHCP Server. PRAKTIKUM ADMINISTRASI SISTEM KOMPUTER 23
  • 27.
    4.2. Akses WebVideo Streaming Setelah mendapatkan IP Address dari Server, maka web video streaming sudah bisa diakses. Arahkan browser ke alamat web www.say4rt.com, dan web pun sudah bisa diakses. PRAKTIKUM ADMINISTRASI SISTEM KOMPUTER 24
  • 28.
    BAB V KESIMPULAN Dalam membangun Server Video Streaming Berbasis Cloud kita membutuhkan Notebook dengan sistem operasi Windows yang sudah terinstall Virtual Box, Server Linux Debian Wheezy 64 bit yang terinstall pada Virtual Box. CMS yang digunakan dalam Video Streaming kami menggunakan ViMP karena fitur yang disediakan sudah cukup lengkap untuk CMS yang bersifat free *gratis. Dan untuk servernya aplikasi yang diinstall adalah DNS Server, Web Server, PHP, MySQL Server, DHCP Server, dan beberapa aplikasi lainnya sesuai dengan kebutuhan. Supaya Server dapat diakses oleh client, maka pada notebook diaktifkan fitur jaringan Ad Hoc yang dijadikan sebagai Hotspot. Jadi pada Server di Virtual Box ditambah Network Adapter yaitu “Bridged Adapter, dan pilih Microsoft Hosted Network Virtual Adapter”, tapi sebelum itu Interface Ad Hoc harus diaktifkan VirtualBox Bridged Networking Driver agar dapat dihubungkan ke Server melalui Virtual Box. Sedangkan untuk live network, konfigurasinya sama dengan server lokal. Perbedaannya adalah, untuk dapat diakses dari luar, seorang web administrator membutuhkan IP Public, agar domain dapat dikenali, seorang web administrator harus membeli domain kepada Perusahaan Register dan membutuhkan perangkat router untuk dapat menterjemahkan ip private ke ip public. PRAKTIKUM ADMINISTRASI SISTEM KOMPUTER 25
  • 29.
    DAFTAR PUSTAKA TelkomSpeedy, “ViMP”, http://opensource.telkomspeedy.com/wiki/index.php/ViMP ManiaCMS Sharing All About CMS, “Pengertian Apache Web Server”, http://www.maniacms.web.id/2012/01/pengertian-apache-web-server.html Wikipedia Indonesia, “Apache HTTP Server”, http://id.wikipedia.org/wiki/Apache_HTTP_Server Wiki Buku Indonesia, “Pengertian PHP”, http://id.wikibooks.org/wiki/Pemrograman_PHP/Pendahuluan/Pengertian_PHP Muhammad Eko Kurniawan, “Tutorial Server Linux Debian Lenny”, 2012 ViMP Social Video Solutions, “ViMP Installation Guide 3.0”, http://www.vimp.com/en/web/download-documentations. html?file=tl_files/vimp/docs/ViMP_Installation_Guide_3.0.pdf ViMP Social Video Solutions, “Compile MPlayer/Mencoder on your own”, http://www.vimp.com/en/web/faq-installation/items/compile-mplayermencoder-on-your-own. html ViMP Social Video Solutions, “How to install the transcoding tools on Debian 7 "Wheezy"?”, http://www.vimp.com/en/web/faq-installation/items/how-to-install-the-transcoding-tools-on-debian- 7-wheezy.html ViMP Social Video Solutions, “How to install the transcoding cronjob”, http://www.vimp.com/en/web/faq-installation/items/how-to-install-the-transcoding-cronjob. html ViMP Social Video Solutions, “Installing the SourceGuardian PHP extension”, http://www.vimp.com/en/web/faq-installation/items/installing-the-sourceguardian-php-extension. html Imam Omar Mochtar, “Instalasi PHPmotion di Centos 5.5”, http://ilmukomputer.org/wp-content/ uploads/2010/12/ImamOmar-Instalasi_PHPmotion.pdf PRAKTIKUM ADMINISTRASI SISTEM KOMPUTER 26