SRI SAI INSTITUTE OF ENGG. AND TECHNOLOGY

 




                                                             
                              


                                                                  
              MATLAB PRACTICAL FILE
 




                         DSP
                       ECE - 316
 




                                               Submitted By: 

                                                Abhishek Sharma
                                                ECE - 6th Sem.
TABLE OF CONTENTS 


Contents

Inroduction	To	MATLAB		_____________________________________________________________________	 1	
Program	For	Impulse	Function		_____________________________________________________________	 4	
Program	For	Unit	Step	Function		____________________________________________________________	6	
Program	For	Unit	Ramp	Function		__________________________________________________________	 8	
Program	For	Exponential	Function		______________________________________________________		10	
Program	For	Real	Value	Function		________________________________________________________		16	
Program	For	Shifting	Function		 ___________________________________________________________		14	
                              _
Program	For	Addition	Function	___________________________________________________________		16	
Program	For	Multiplication	Function	____________________________________________________		18	
Program	For	Convolution	Function		______________________________________________________		20	
Program	For	Folding	Function		____________________________________________________________		23
WHAT	IS	MATLAB?	
                      “AN	INTRODUCTION”	
 

    •   It	stands	for	MATrix	LAbORATORY	
    •   It	is	developed	by	The	Mathworks	Inc.	
    •   It	is	an	interactive,	integrated,	environment	
    •   For	numerical	computations	
    •   For	symbolic	computations	
    •   For	scientific	visualizations	
    •   It	is	a	high	level	programming	language	
    •   Program	runs	in	interpreted,	as	opposed	to	compiled,	mode	
    •   MATLAB	 is	 a	 high	 level	 technical	 computing	 language	 and	 interactive	 environment	 for	
        algorithm	development,	 data	 visualization,	data	analysis	 and	 numeric	computation.	 	 Using	
        the	 MATLAB	 product,	 you	 can	 solve	 technical	 computing	 problems	 faster	 than	 the	
        traditional	programming	languages	such	as	C,	C++	and	FORTRAN.	
    •   You	can	use	MATLAB	in	a	wide	range	of	applications,	including	signal	and	image	processing,	
        communication,	control	design,	test	and	measurement,	financial	modeling	and	analysis,	and	
        computational	 biology.	 Add	 on	 toolboxes(collection	 of	 special	 purpose	 MATLAB	 functions,	
        available	 separately)	 extend	 the	 MATLAB	 environment	 to	 solve	 particular	 classes	 of	
        problems	in	these	application	areas.	
    •   MATLAB	 provides	 a	 number	 of	 features	 for	 documenting	 and	 sharing	 your	 work.	 You	 can	
        integrate	 your	 MATLAB	 code	 with	 other	 languages	 and	 applications,	 and	 distribute	 your	
        MATLAB	algorithms	and	applications.	
         

 

 

 

 

 

 

 

        1     
 
Characterstics Of MATLAB:
 

    •   Programming	Language	Based(principally)	On	Matrices.	
    •   Slow	compared	with	FORTRAN	or	C	because	it	is	an	interpreted	language,	i.e	not	pre‐
        compiled.	Avoid	for	loops,	instead	use	vector	form	whenever	possible.	
    •   Automatic	memory	management,	i.e	you	don’t	have	to	declare	arrays	in	advance.	
    •   Intuitive,	easy	to	use.	
    •   Compact	(array	handling	is	Fortran	90‐like).	
    •   Shorter	program	development	time	than	traditional	programming	languages	such	as	
        FORTRAN	and	C.	
    •   Can	be	converted	into	C	code	via	MATLAB	compiler	for	better	efficiency.	
    •   Many	applications‐	specific	toolboxes	available.	
    •   Coupled	with	Maple	for	symbolic	computations.	
    •   On	shared‐memory	parallel	computers	such	as	the	SGI	Origin2000,	certain	operations	
        processed	in	parallel	autonomously	when	computation	load	warrants.	




                                   KEY FEATURES:-
 

    •   High	level	language	for	technical	computing.	
    •   Development	environment	for	managing	code,	files,	and	data.	
    •   Interactive	tools	for	iterative	exploration,	design	and	problem	solving.	
    •   Mathematical	functions	for	linear	algebra,	statistics,	Fourier	analysis,	filtering,	optimization,	
        and	numerical	integration	
    •   2‐D	and	3‐D	graphical	functions	for	visualizing	data.	
    •   Tools	for	building	custom	graphical	user	interfaces.	
    •   Functions	for	integrating	MATLAB	based	algorithm	with	external	application	and	languages,	
        such	as	C,	C++,	FORTRAN,	Java,	and	Microsoft	Excel.	

 

 

 

 

 

        2     
 
EXAMPLES:-
 

    •   Matrix	computation	and	linear	algebra.	
    •   Solving	nonlinear	equation.	
    •   Numerical	solution	of	differential	equation.	
    •   Mathematical	optimization.	
    •   Statistical	and	data	analysis.	
    •   Signal	Processing.	
    •   Modeling	of	dynamical	systems.	
    •   Solving	partial	differential	equation.	
    •   Simulation	of	Engg.	Systems.	
        	


                          USES	IN	ENGG.	COMPANIES:‐	
 

    •   Numerical	analysis	
    •   Signal	and	system.	
    •   Modeling	of	dynamical	systems.	
    •   Automatic	control.	
        	


                                      BASIC	COURSES:‐	
 

    •   Automatic	control	advanced	course.	
    •   Hybrid	and	embedded.	
    •   Control	system.	
    •   Chemical	process	control.	
    •   Control	process	control.	
    •   Signal	theory.	
    •   Digital	signal	processing.	
    •   Adaptive	signal	processing.	
    •   Signal	processing	project.	
    •   Communication	theory.	
    •   Advance	communication	theory.	

 

        3     
 
Program - 1
       To Develop Elementary Signal For Impulse Function 
 


Program:	
 

a=[‐2;1;2] 

b=[zeros(1,2),ones(1,1),zeros(1,2)] 

stem(a,b) 

xlabel(‘a‐‐‐‐>’) 

ylabel(‘amp‐‐‐>’) 

 


                                            	
Result: 
 

a= ‐2   ‐1    0    1    2 

 

b= 0    0    1    0    0 

 

 

 

 

 

 




         4     
 
Graph For Impulse Function: 
 




                                

 

 

 

 

 

 

 

 

 

 




    5     
 
Program - 2
       To Develop Elementary Signal For Unit Step Function 
 


Program: 
 

n=input(’enter the value of n’) 

a=[1:1:n] 

b=[ones,n] 

subplotes 

stem(a,b) 

xlabel(‘n…..>’) 

ylabel(‘amplitude’) 

 

 


Result of unit step function:	
 

Enter the value of n 

n=5 

a=0  1  2  3  4 

b= 1   1   1   1   1 

 

 

                                                                                                         
           
           


        6       
 
Graph For Unit Step Function: 

                            	




                                 	
                            	
                            	
                            	
                            	
																						

       7     
 
Program - 3
 


    To Develop Elementary Signal For Unit Ramp Function 
 


Program:	
 

a=[2:1:8] 

b=[0;1;6] 

subplot 

stem(a,b) 

xlabel(‘n.’) 

ylabel(‘amp….’) 

 

 


Result of unit ramp function:	
 

a=2    3    4    5    6    7    8 

 

b= 0    1    2    3    4    5    6   

 

 

 

 

 

 


         8       
 
Graph For Unit Ramp Function: 




                                                 	
                                             	
                                             	
                                             	
                                             	
                                             	
																																										
      9     
 
Program - 4
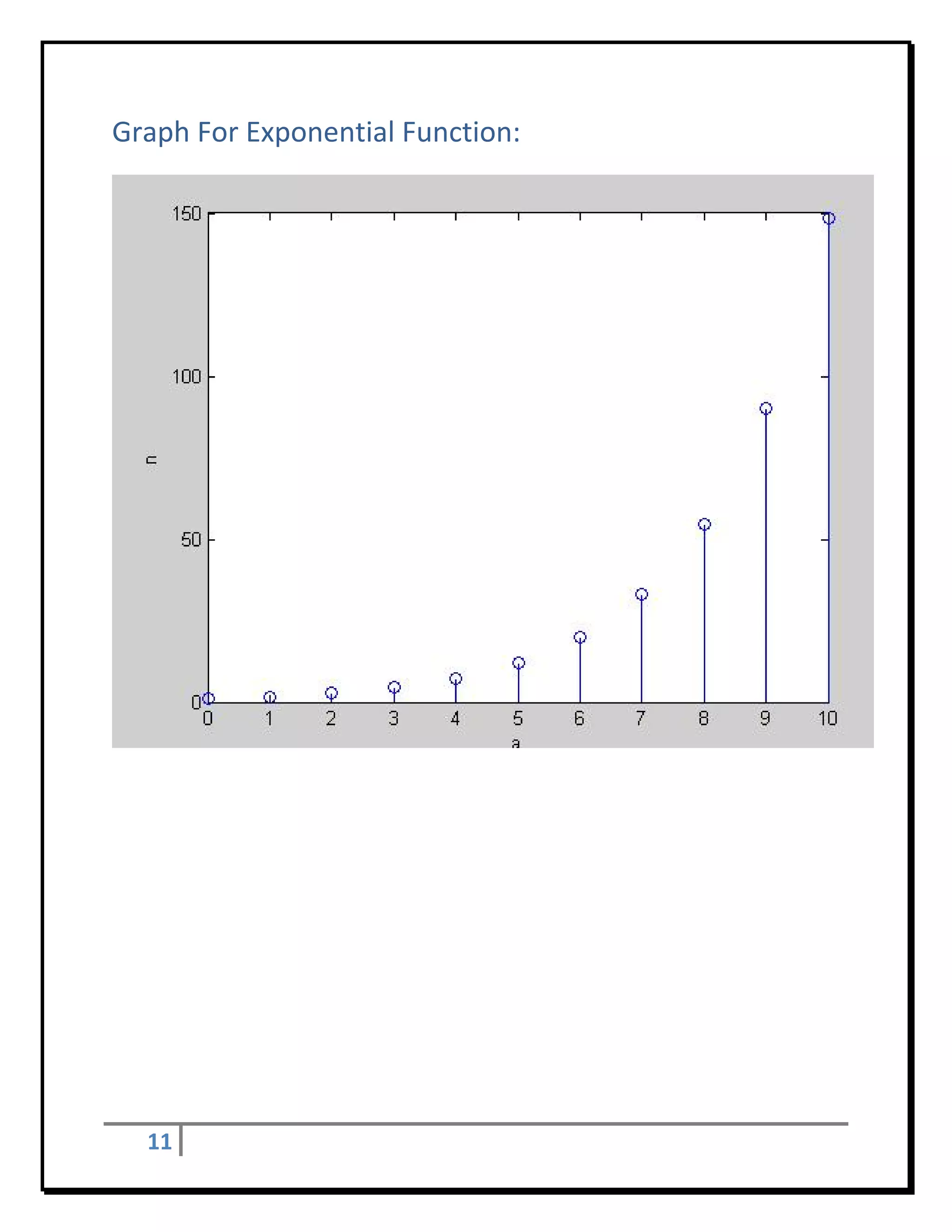
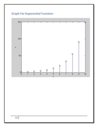
    To Develop Exponential Function Of (Given) Sequence 
 


Program:	
 

n=input(‘enter the value of n’) 

a=input(‘enter the value of a’) 

t=[0:1:n] 

y=exp(a*t) 

subplot 

stem(t,y) 

xlabel(‘a’) 

ylabel(‘n’) 

 


Result of exponential: 
Enter the value of n10 

n= 10 

enter the value of a0.5 

a= 0.5000 

t=0   1   2   3   4   5   6   7   8   9   10 

y=columns 1 through 10 

1.0000  1.6487  2.7183  4.4817  7.3891  12.1825  20.0855  33.1155  54.5982  90.0171 

Column11 

148.4132 



      10        
 
Graph For Exponential Function: 




                                                       	
                                                   	
                                                   	
                                                   	
                                                   	
                                                   	
																																																
     11     
 
Program - 5
                   To Develop Elementary Signal For Real Value 
 


Program: 
 

n=[0,1,2,3,4,5] 

a=[0.5] 

y=a.^n 

subplot 

stem(n,y) 

xlabel(‘n…..’) 

ylabel(‘a’) 

 


Result of Real Value No.:	
 

n= 0   1   2   3   4   5   

 

a= 0.5000 

 

y = 1.0000   0.5000   0.2500   0.1250   0.0625   0.0313 

 

 




      12        
 
Graph For Real Value Function:	




                                           	
                                       	
                                       	
                                       	
                                       	
                                       	
																																				

     13     
 
Program - 6
        To Develop Elementary Signal For Shifting Program: 
 

a=[‐3:1:3] 

b=[1.2.3.2.1.1.2] 

subplot(3,1,1) 

stem(a,b) 

xlabel(‘n‐‐‐‐>’) 

ylabel(‘amp‐‐‐>’) 

a=‐a 

subplot(3,1,2) 

stem(a,b) 

xlabel(‘n‐‐‐‐>’) 

ylabel(‘amp‐‐‐>’) 

 


Result: 
 

a = ‐3   ‐2   ‐1   0   1   2   3 

b = 1   2   3   2   1   1   2 

a = 3   2   1   0   ‐1   ‐2   ‐3 

 

 




        14     
 
 

Graph For Shifting Function: 
 

 




                                 

 

 

 

 

 

 

 

 

 


    15     
 
 


                                           Program - 7
        To Develop Elementary Signal For Addition Of Two 
                          Sequences 
 


Program: 
 

n=[‐3:1:3] 
b=[2,3,0,1,3,2,1] 
subplot(5,1,1) 
stem(n,b) 
xlabel('n….>')    
ylabel('amplitude') 
title('input of signal b') 
a=[3,4,5,6,7,8,9] 
subplot(5,1,3) 
stem(n,b) 
ylabel('amplitude') 
title('input of signal a') 
z=b+a 
subplot(5,1,5) 
stem(n,a) 
xlabel('n….>')    
ylabel('amplitude') 
title('addition of two signal is z(n)') 



Result of Addition: 
 

2   3   0   1   3   2   1 

 

a = 3   4   5   6   7   8   9 

 

z = 5   7   5   7   10   10   10 

      16       
 
Graph For Addition Function:	
 




                                                                                      

                                                                                  

 

 

 

 

 

 




         17          
 
Program - 8
    To Develop Elementary Signal For Multiplication Of Two 
                        Sequences 
 


Program:	
 

n=[‐2:1:3] 
x=[1,2,3,4,5,6] 
subplot(3,1,1) 
stem(n,x) 
xlabel('n‐‐‐‐>') 
ylabel('amp‐‐‐>') 
y=[2] 
z=(x*y) 
subplot(3,1,2) 
stem(n,z) 
xlabel('n‐‐‐‐>') 
ylabel('amp‐‐‐>') 



Result: 
 

n = ‐2   ‐1   0   1   2   3 

x = 1   2   3   4   5   6 

y = 2 

z = 2   4   6   8   10   12 




      18       
 
Graph For Multiplication Function: 




                                              	
                                          	
                                          	
                                          	
                                          	
                                          	
                                          	
                                          	
																																							
     19     
 
Program - 9
    To Develop The Elementary Signal For Convolution Of 
                      Two Sequences 
 


Program: 
 

X=input(‘enter the value of x’) 

h=input(‘enter the value of h’) 

y=conv(x,h) 

subplot(3,1,1) 

stem(x) 

xlabel(‘n….>’)    

ylabel(‘amplitude….>’) 

subplot(3,1,2) 

stem(h) 

xlabel(‘n….>’)    

ylabel(‘amplitude….>’) 

subplot(3,1,3) 

stem(y) 

xlabel(‘n….>’)    

ylabel(‘amplitude….>’) 


	
 




     20      
 
Result of convolution: 
 

Enter the sequence of x[1,2] 

X=1   2 

Enter the sequence of h[1,2,3,4]  

h = 1   2   3   4 

y = 1   4   7   10   8 

 

 

 

 

 

 

 

 

 

 

 

 

 

 

 

 

 

 

 

 

      21       
 
Graph For Convolution Function: 
 




                                    

 

 

 

 

 

 

 

 

 




    22     
 
Program - 10
                    To Develop Elementary Signal For Folding 
 


Program:	
 

a=[‐3:1:3] 

b=[1,2,3,2,1,1,2] 

subplot(3,1,1) 

stem(a,b) 

xlabel(‘n….. >’) 

ylabel(‘amp…..>’) 

a= ‐a 

subplot(3,1,2) 

stem(a,b) 

xlabel(‘n…..>’) 

ylabel(‘amp…..>’) 

 


Result of Folding:	
 

a= ‐3   ‐2   ‐1   0    1    2    3 

b=  1    2    3    2    1    1     2 

a=  3    2    1    0   ‐1   ‐2   ‐3  

 

 



      23        
 
Graph For Folding Function: 
 




 

 

 

 

 

 

 

 

 

 

 

 

    24     
 

MATLAB Programs For Beginners. | Abhi Sharma

  • 1.
           SRI SAI INSTITUTE OF ENGG. AND TECHNOLOGY                   MATLAB PRACTICAL FILE   DSP ECE - 316   Submitted By:  Abhishek Sharma ECE - 6th Sem.
  • 2.
    TABLE OF CONTENTS  Contents Inroduction To MATLAB _____________________________________________________________________ 1 Program For Impulse Function _____________________________________________________________ 4 Program For Unit Step Function ____________________________________________________________ 6 Program For Unit Ramp Function __________________________________________________________ 8 Program For Exponential Function ______________________________________________________ 10 Program For Real Value Function ________________________________________________________ 16 Program For Shifting Function ___________________________________________________________ 14 _ Program For Addition Function ___________________________________________________________ 16 Program For Multiplication Function ____________________________________________________ 18 Program For Convolution Function ______________________________________________________ 20 Program For Folding Function ____________________________________________________________ 23
  • 3.
    WHAT IS MATLAB? “AN INTRODUCTION”   • It stands for MATrix LAbORATORY • It is developed by The Mathworks Inc. • It is an interactive, integrated, environment • For numerical computations • For symbolic computations • For scientific visualizations • It is a high level programming language • Program runs in interpreted, as opposed to compiled, mode • MATLAB is a high level technical computing language and interactive environment for algorithm development, data visualization, data analysis and numeric computation. Using the MATLAB product, you can solve technical computing problems faster than the traditional programming languages such as C, C++ and FORTRAN. • You can use MATLAB in a wide range of applications, including signal and image processing, communication, control design, test and measurement, financial modeling and analysis, and computational biology. Add on toolboxes(collection of special purpose MATLAB functions, available separately) extend the MATLAB environment to solve particular classes of problems in these application areas. • MATLAB provides a number of features for documenting and sharing your work. You can integrate your MATLAB code with other languages and applications, and distribute your MATLAB algorithms and applications.                 1     
  • 4.
    Characterstics Of MATLAB:   • Programming Language Based(principally) On Matrices. • Slow compared with FORTRAN or C because it is an interpreted language, i.e not pre‐ compiled. Avoid for loops, instead use vector form whenever possible. • Automatic memory management, i.e you don’t have to declare arrays in advance. • Intuitive, easy to use. • Compact (array handling is Fortran 90‐like). • Shorter program development time than traditional programming languages such as FORTRAN and C. • Can be converted into C code via MATLAB compiler for better efficiency. • Many applications‐ specific toolboxes available. • Coupled with Maple for symbolic computations. • On shared‐memory parallel computers such as the SGI Origin2000, certain operations processed in parallel autonomously when computation load warrants. KEY FEATURES:-   • High level language for technical computing. • Development environment for managing code, files, and data. • Interactive tools for iterative exploration, design and problem solving. • Mathematical functions for linear algebra, statistics, Fourier analysis, filtering, optimization, and numerical integration • 2‐D and 3‐D graphical functions for visualizing data. • Tools for building custom graphical user interfaces. • Functions for integrating MATLAB based algorithm with external application and languages, such as C, C++, FORTRAN, Java, and Microsoft Excel.           2     
  • 5.
    EXAMPLES:-   • Matrix computation and linear algebra. • Solving nonlinear equation. • Numerical solution of differential equation. • Mathematical optimization. • Statistical and data analysis. • Signal Processing. • Modeling of dynamical systems. • Solving partial differential equation. • Simulation of Engg. Systems. USES IN ENGG. COMPANIES:‐   • Numerical analysis • Signal and system. • Modeling of dynamical systems. • Automatic control. BASIC COURSES:‐   • Automatic control advanced course. • Hybrid and embedded. • Control system. • Chemical process control. • Control process control. • Signal theory. • Digital signal processing. • Adaptive signal processing. • Signal processing project. • Communication theory. • Advance communication theory.   3     
  • 6.
    Program - 1 To Develop Elementary Signal For Impulse Function    Program:   a=[‐2;1;2]  b=[zeros(1,2),ones(1,1),zeros(1,2)]  stem(a,b)  xlabel(‘a‐‐‐‐>’)  ylabel(‘amp‐‐‐>’)    Result:    a= ‐2   ‐1    0    1    2    b= 0    0    1    0    0              4     
  • 7.
    Graph For Impulse Function:                          5     
  • 8.
    Program - 2 To Develop Elementary Signal For Unit Step Function    Program:    n=input(’enter the value of n’)  a=[1:1:n]  b=[ones,n]  subplotes  stem(a,b)  xlabel(‘n…..>’)  ylabel(‘amplitude’)      Result of unit step function:   Enter the value of n  n=5  a=0  1  2  3  4  b= 1   1   1   1   1                                                                                                          6     
  • 9.
  • 10.
    Program - 3   To Develop Elementary Signal For Unit Ramp Function    Program:   a=[2:1:8]  b=[0;1;6]  subplot  stem(a,b)  xlabel(‘n.’)  ylabel(‘amp….’)      Result of unit ramp function:   a=2    3    4    5    6    7    8    b= 0    1    2    3    4    5    6                8     
  • 11.
  • 12.
    Program - 4 To Develop Exponential Function Of (Given) Sequence    Program:   n=input(‘enter the value of n’)  a=input(‘enter the value of a’)  t=[0:1:n]  y=exp(a*t)  subplot  stem(t,y)  xlabel(‘a’)  ylabel(‘n’)    Result of exponential:  Enter the value of n10  n= 10  enter the value of a0.5  a= 0.5000  t=0   1   2   3   4   5   6   7   8   9   10  y=columns 1 through 10  1.0000  1.6487  2.7183  4.4817  7.3891  12.1825  20.0855  33.1155  54.5982  90.0171  Column11  148.4132  10     
  • 13.
  • 14.
    Program - 5 To Develop Elementary Signal For Real Value    Program:    n=[0,1,2,3,4,5]  a=[0.5]  y=a.^n  subplot  stem(n,y)  xlabel(‘n…..’)  ylabel(‘a’)    Result of Real Value No.:   n= 0   1   2   3   4   5      a= 0.5000    y = 1.0000   0.5000   0.2500   0.1250   0.0625   0.0313      12     
  • 15.
  • 16.
    Program - 6 To Develop Elementary Signal For Shifting Program:    a=[‐3:1:3]  b=[1.2.3.2.1.1.2]  subplot(3,1,1)  stem(a,b)  xlabel(‘n‐‐‐‐>’)  ylabel(‘amp‐‐‐>’)  a=‐a  subplot(3,1,2)  stem(a,b)  xlabel(‘n‐‐‐‐>’)  ylabel(‘amp‐‐‐>’)    Result:    a = ‐3   ‐2   ‐1   0   1   2   3  b = 1   2   3   2   1   1   2  a = 3   2   1   0   ‐1   ‐2   ‐3      14     
  • 17.
      Graph For Shifting Function:                          15     
  • 18.
      Program - 7 To Develop Elementary Signal For Addition Of Two  Sequences    Program:    n=[‐3:1:3]  b=[2,3,0,1,3,2,1]  subplot(5,1,1)  stem(n,b)  xlabel('n….>')     ylabel('amplitude')  title('input of signal b')  a=[3,4,5,6,7,8,9]  subplot(5,1,3)  stem(n,b)  ylabel('amplitude')  title('input of signal a')  z=b+a  subplot(5,1,5)  stem(n,a)  xlabel('n….>')     ylabel('amplitude')  title('addition of two signal is z(n)')  Result of Addition:    2   3   0   1   3   2   1    a = 3   4   5   6   7   8   9    z = 5   7   5   7   10   10   10  16     
  • 19.
    Graph For Addition Function:                                                                                                    17     
  • 20.
    Program - 8 To Develop Elementary Signal For Multiplication Of Two  Sequences    Program:   n=[‐2:1:3]  x=[1,2,3,4,5,6]  subplot(3,1,1)  stem(n,x)  xlabel('n‐‐‐‐>')  ylabel('amp‐‐‐>')  y=[2]  z=(x*y)  subplot(3,1,2)  stem(n,z)  xlabel('n‐‐‐‐>')  ylabel('amp‐‐‐>')  Result:    n = ‐2   ‐1   0   1   2   3  x = 1   2   3   4   5   6  y = 2  z = 2   4   6   8   10   12  18     
  • 21.
  • 22.
    Program - 9 To Develop The Elementary Signal For Convolution Of  Two Sequences    Program:    X=input(‘enter the value of x’)  h=input(‘enter the value of h’)  y=conv(x,h)  subplot(3,1,1)  stem(x)  xlabel(‘n….>’)     ylabel(‘amplitude….>’)  subplot(3,1,2)  stem(h)  xlabel(‘n….>’)     ylabel(‘amplitude….>’)  subplot(3,1,3)  stem(y)  xlabel(‘n….>’)     ylabel(‘amplitude….>’)    20     
  • 23.
  • 24.
    Graph For Convolution Function:                        22     
  • 25.
    Program - 10 To Develop Elementary Signal For Folding    Program:   a=[‐3:1:3]  b=[1,2,3,2,1,1,2]  subplot(3,1,1)  stem(a,b)  xlabel(‘n….. >’)  ylabel(‘amp…..>’)  a= ‐a  subplot(3,1,2)  stem(a,b)  xlabel(‘n…..>’)  ylabel(‘amp…..>’)    Result of Folding:   a= ‐3   ‐2   ‐1   0    1    2    3  b=  1    2    3    2    1    1     2  a=  3    2    1    0   ‐1   ‐2   ‐3       23     
  • 26.