1
Bayesian Learning
Bayesian Learning
Machine Learning
Chapter 6
발표자 : 김 석 준
2
Bayesian Reasoning
Bayesian Reasoning
• Basic assumption
– The quantities of interest are governed by probability distri
bution
– These probability + observed data ==> reasoning ==> opti
mal decision
• 의의 , 중요성
– 직접적으로 확률을 다루는 알고리듬의 근간
• 예 ) naïve Bayes classifier
– 확률을 다루지 않는 알고리듬을 분석하기 위한 틀
• 예 ) cross entropy , Inductive bias decision tree, MDL principle
3
Feature & Limitation
Feature & Limitation
• Feature of Bayesian Learning
– 관측된 데이터들은 추정된 확률을 점진적으로 증감
– Prior Knowledge : P(h) , P(D|h)
– Probabilistic Prediction 에 응용
– multiple hypothesis 의 결합에 의한 prediction
• 문제점
– initial knowledge 요구
– significant computational cost
4
Bayes Theorem
Bayes Theorem
• Terms
– P(h) : prior probability of h
– P(D) : prior probability that D will be observed
– P(D|h) : prior knowledge
– P(h|D) : posterior probability of h , given D
• Theorem
• machine learning : 주어진 데이터 들로부터 the
most probable hypothesis 를 찾는 과정
)
(
)
(
)
|
(
)
|
(
D
P
h
P
h
D
P
D
h
P 
5
Example
Example
• Medical diagnosis
– P(cancer)=0.008 , P(~cancer)=0.992
– P(+|cancer) = 0.98 , P(-|cancer) = 0.02
– P(+|~cancer) = 0.03 , P(-|~cancer) = 0.97
– P(cancer|+) = P(+|cancer)P(cancer) = 0.0078
– P(~cancer|+) = P(+|~cancer)P(~cancer) = 0.0298
– hMAP = ~cancer
6
MAP hypothesis
MAP hypothesis
MAP(Maximum a posteriori) hypothesis
)
(
)
|
(
max
arg
)
(
)
(
)
|
(
max
arg
)
|
(
max
arg
h
P
h
D
P
D
P
h
P
h
D
P
D
h
P
h
H
h
h
H
h
MAP





)
(
)
|
(
max
arg h
P
h
D
P
h
H
h
MAP


7
ML hypothesis
ML hypothesis
• maximum likelihood (ML) hypothesis
– basic assumption : equally probable a priori
• basic formular
– P(a^b) = P(A|B)P(B) = P(B|A)P(A)
)
|
(
max
arg h
D
P
h
H
h
ML




i
i
i A
P
A
B
P
B
P )
(
)
|
(
)
(
8
Bayes Theorem and Concept Lea
Bayes Theorem and Concept Lea
rning
rning
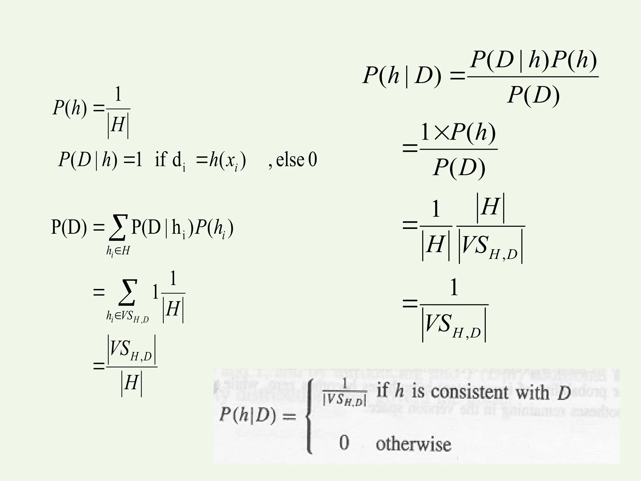
• Brute-force MAP learning
– for each calculate P(h|D)
– find hMAP
• consistent assumption
– noise free data D
– target concept c in hypothesis space H
– every hypothesis is equally probable
• Result
• every consistent hypothesis is MAP hypothesis
D
H
VS
D
h
P
,
1
)
|
(  (if h is consistent with D)
P(h|D) = 0 (otherwise)
H
VS
H
h
P
x
h
h
D
P
H
h
P
D
H
VS
h
H
h
i
i
D
H
i
i
,
i
i
,
1
1
)
(
)
h
|
P(D
P(D)
0
else
,
)
(
d
if
1
)
|
(
1
)
(










D
H
D
H
VS
VS
H
H
D
P
h
P
D
P
h
P
h
D
P
D
h
P
,
,
1
1
)
(
)
(
1
)
(
)
(
)
|
(
)
|
(





10
Consistent learner
Consistent learner
• 정의 : training example 들에 대해 에러가 없는
hypothesis 를 출력해 주는 알고리듬
• result :
– every consistent hypothesis output == MAP hypothesis
– every consistent learner output == MAP hypothesis
• if uniform prior probability distribution over H
• if deterministic, noise-free training data
11
ML and LSE hypothesis
ML and LSE hypothesis
• Least squared error hypothesis
– NN , curve fitting, linear regression
– continuous-valued target function
• task : find f : di=f(xi)+ei
• preliminary :
– probability densities, Normal distribution
– target value independence
• result :
• limitation : noise only in the target value





m
i
i
i
H
h
ML x
h
d
h
1
2
))
(
(
min
arg















2
2
2
2
2
))
(
(
2
1
2
))
(
(
2
1
min
arg
))
(
(
2
1
2
1
ln
max
arg
2
1
max
arg
)
|
(
max
arg
)
|
(
max
arg
2
2
i
i
h
i
i
h
x
h
d
h
m
i
i
h
H
h
ML
x
h
d
x
h
d
e
h
d
P
h
D
P
h
i
i





13
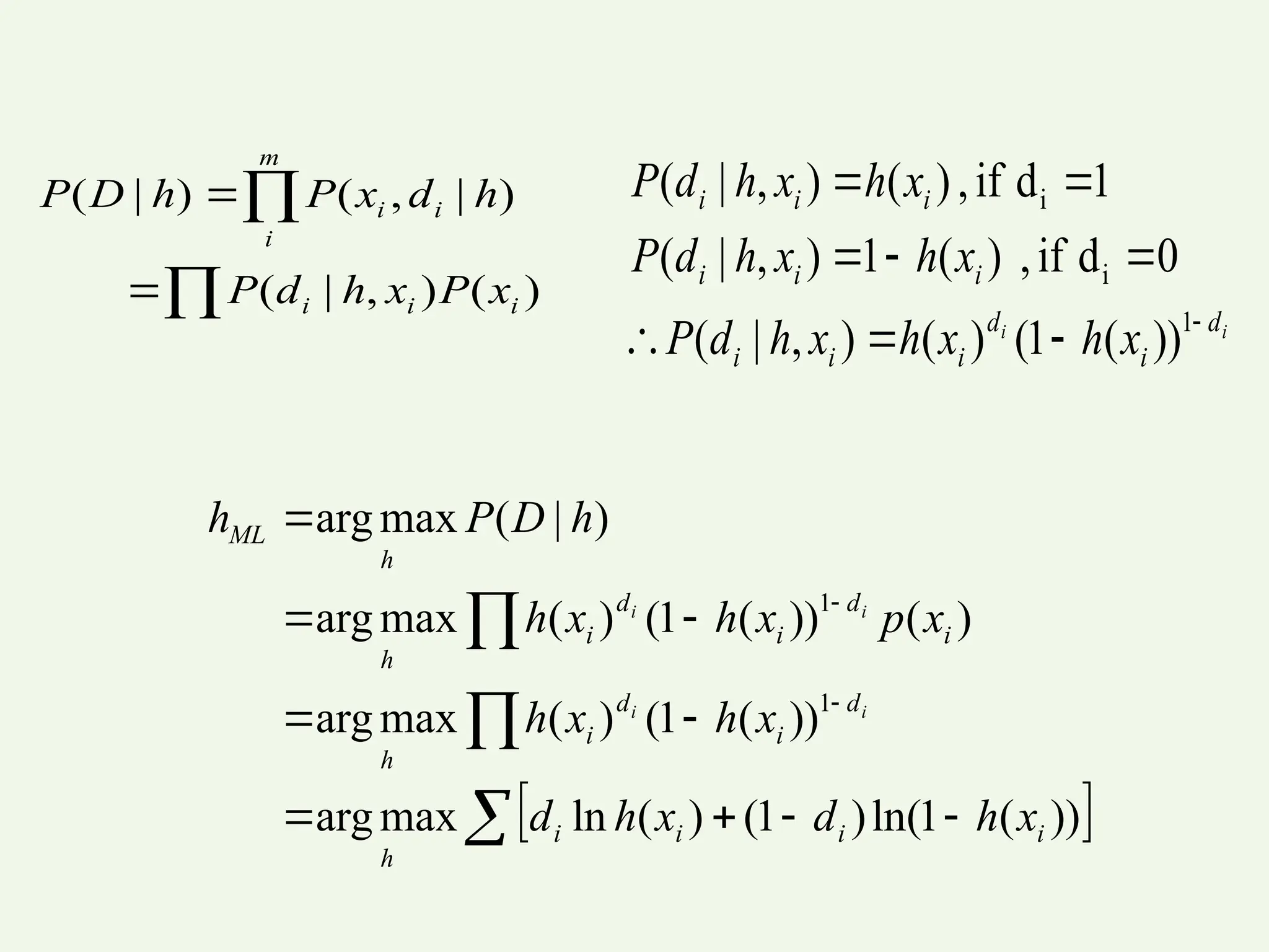
ML hypothesis for predicting
ML hypothesis for predicting
Probability
Probability
• Task : find g : g(x) = P(f(x)=1)
• question : what criterion should we optimize in
order to find a ML hypothesis for g
• result : cross entropy
– entropy function :







m
i
i
i
i
i
H
h
ML x
h
d
x
h
d
h
1
))
(
1
ln(
)
1
(
)
(
ln
max
arg


i
i
i P
P ln




)
(
)
,
|
(
)
|
,
(
)
|
(
i
i
i
m
i
i
i
x
P
x
h
d
P
h
d
x
P
h
D
P
i
i d
i
d
i
i
i
i
i
i
i
i
i
x
h
x
h
x
h
d
P
x
h
x
h
d
P
x
h
x
h
d
P









1
i
i
))
(
1
(
)
(
)
,
|
(
0
d
if
,
)
(
1
)
,
|
(
1
d
if
,
)
(
)
,
|
(
 














))
(
1
ln(
)
1
(
)
(
ln
max
arg
))
(
1
(
)
(
max
arg
)
(
))
(
1
(
)
(
max
arg
)
|
(
max
arg
1
1
i
i
i
i
h
d
i
d
i
h
i
d
i
d
i
h
h
ML
x
h
d
x
h
d
x
h
x
h
x
p
x
h
x
h
h
D
P
h
i
i
i
i
15
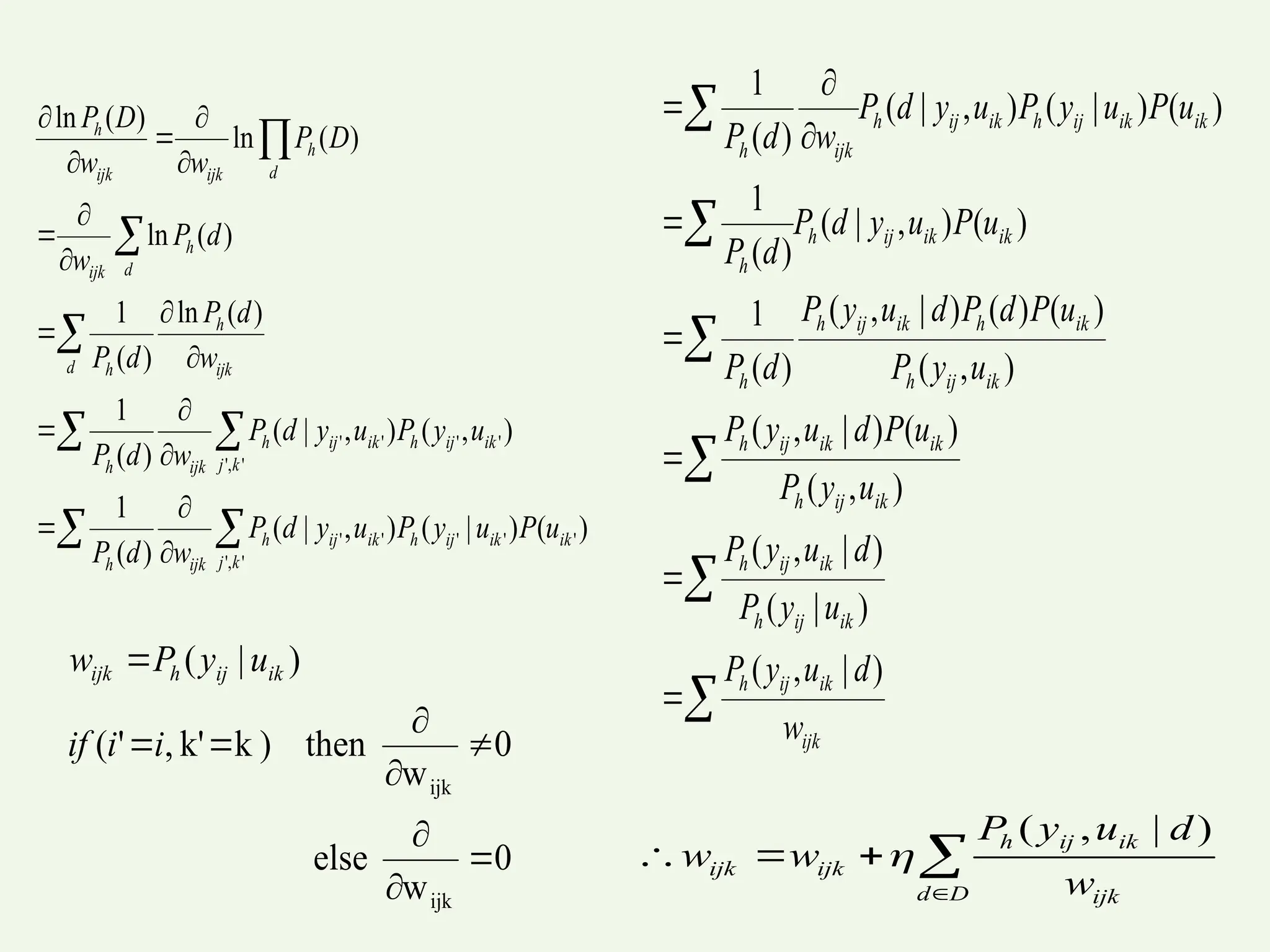
Gradient search to ML in NN
Gradient search to ML in NN
Let G(h,D) = cross entropy
jk
jk
D
h
G
w






)
,
(





m
i
ijk
i
i
jk x
x
h
d
w
1
))
(
(







m
i
ijk
i
i
i
i
jk x
x
h
d
x
h
x
h
w
1
))
(
))(
(
1
)(
(
 (BP)
By gradient ascent



































ijk
i
i
ijk
i
i
i
i
i
i
jk
i
i
i
i
i
jk
i
i
i
i
i
i
jk
i
i
jk
i
i
i
i
x
x
h
d
x
x
h
x
h
x
h
x
h
x
h
d
w
x
h
x
h
x
h
x
h
d
w
x
h
x
h
x
h
d
x
h
d
w
x
h
x
h
D
h
G
w
D
h
G
x
h
d
x
h
d
let
))
(
(
1
))
(
1
)(
(
))
(
1
)(
(
)
(
)
(
))
(
1
)(
(
)
(
)
(
)
(
)))
(
1
ln(
)
1
(
)
(
ln
(
)
(
)
(
)
,
(
)
,
(
))
(
1
ln(
)
1
(
)
(
ln
D)
G(h,
jk
jk
D
h
G
w






)
,
(
17
MDL principle
MDL principle
• 목적 : Bayesian method 에 의한 inductive bias
와 MLD principle 해석
• Shannon and weaver’s optimal code length
))
(
log
)
|
(
log
(
min
arg
))
(
log
)
|
(
(log
max
arg
2
2
2
2
h
P
h
D
P
h
P
h
D
P
h
H
h
H
h
MAP







)
|
(
)
(
min
arg |
h
D
L
h
L
h H
D
H C
C
H
h
MAP 


)
|
(
)
(
min
arg 2
1
h
D
L
h
L
h C
C
H
h
MDL 


(bits)
log2 i
P

18
Bayes optimal classifier
Bayes optimal classifier
• Motivation : 새로운 instance 의 classification 은 모든 hypot
hesis 에 의한 prediction 의 결합으로 인하여 최적화
되어진다 .
• task : Find the most probable classification of the new instance g
iven the training data
• answer :combining the prediction of all hypotheses
• Bayes optimal classification
• limitation : significant computational cost ==> Gibbs algorithm


 V
v
i
i
j
V
v
i
j
D
h
P
h
v
P )
|
(
)
|
(
max
arg
19
Bayes optimal classifier example
Bayes optimal classifier example
0
)
h
|
P(
1
)
h
|
P(-
3
.
)
|
(
0
)
h
|
P(
1
)
h
|
P(-
3
.
)
|
(
1
)
h
|
P(
0
)
h
|
P(-
4
.
)
|
(
3
3
3
2
2
2
1
1
1












D
h
P
D
h
P
D
h
P















H
h
i
i
j
v
H
h
i
i
H
h
i
i
i
j
i
i
D
h
P
h
v
P
D
h
P
h
P
D
h
P
h
P
)
|
(
)
|
(
max
arg
6
.
)
|
(
)
|
(
4
.
)
|
(
)
|
(
}
,
{
20
Gibbs algorithm
Gibbs algorithm
• Algorithm
– 1. Choose h from H, according to the posterior probabil
ity distribution over H
– 2. Use h to predict the classification of x
• Gibbs algorithm 의 유용성
– Haussler , 1994
– Error(Gibbs algorithm)< 2*Error(Bayes optimal classifi
er)
21
Naïve Bayes classifier
Naïve Bayes classifier
• Naïve Bayes classifier
• difference
– no explicit search through H
– by counting the frequency of existing examples
• m-estimate of probability =
– m : equivalent sample size , p : prior estimate of probability
)
(
)
|
,...,
,
(
max
arg 2
1 j
j
n
MAP v
P
v
a
a
a
P
v 



i
j
i
j
V
v
NB v
a
p
v
P
v
j
)
|
(
)
(
max
arg
m
n
mp
nc


22
example
example
• (outlook=sunny,temperature=cool,humidity=high,wind=str
ong)
• P(wind=strong|playTennis=yes)=3/9=.33
• P(wind=string|PlayTennis=no)=3/5=.60
• P(yes)P(sunny|yes)P(cool|yes)P(high|yes)P(strong|yes)=.0
053
• P(no)P(sunny|no)P(cool|no)P(high|no)P(strong|no)=.0206
• vNB = no
23
Bayes Belief Networks
Bayes Belief Networks
• 정의
– describe the joint probability distribution for a set of variables
– 모든 변수들이 conditional independence 일것을 요구하지 않음
– 변수들간의 부분적 의존 관계를 확률로 표현
• representation
24
Bayesian Belief Networks
Bayesian Belief Networks
25
Inference
Inference
• Task : infer the probability distribution for
the target variables
• methods
– exact inference : NP hard
– approximate inference
• theoretically NP hard
• practically useful
• Monte Carlo methods
26
Learning
Learning
• Env
– structure known + fully observable data
• easy , by naïve Bayes classifier
– structure known + partially observable data
• gradient ascent procedure ( by Russel , 1995 )
• ML hypothesis 와 유사 P(D|h)
– structure unknown




D
d ijk
ik
ij
h
ijk
ijk
w
d
u
y
P
w
w
)
|
,
(

27
Learning(2)
Learning(2)
• Structure unknown
– Bayesian scoring metric ( cooper, Herskovits, 1992 )
– K2 algorithm
• cooper, Herskovits, 1992
• heuristic greedy search
• fully observed data
– constraint-based approach
• Spirtes, 1993
• infer dependency and independency relationship
• construct structure using this relationship





D
d ijk
ik
ij
h
ijk
ijk
w
d
u
y
P
w
w
)
|
,
(

 
 




















'
,
'
'
'
'
'
'
'
,
'
'
'
'
'
)
(
)
|
(
)
,
|
(
)
(
1
)
,
(
)
,
|
(
)
(
1
)
(
ln
)
(
1
)
(
ln
)
(
ln
)
(
ln
k
j
ik
ik
ij
h
ik
ij
h
ijk
h
k
j
ik
ij
h
ik
ij
h
ijk
h
d ijk
h
h
d
h
ijk
d
h
ijk
ijk
h
u
P
u
y
P
u
y
d
P
w
d
P
u
y
P
u
y
d
P
w
d
P
w
d
P
d
P
d
P
w
D
P
w
w
D
P














ijk
ik
ij
h
ik
ij
h
ik
ij
h
ik
ij
h
ik
ik
ij
h
ik
ij
h
ik
h
ik
ij
h
h
ik
ik
ij
h
h
ik
ik
ij
h
ik
ij
h
ijk
h
w
d
u
y
P
u
y
P
d
u
y
P
u
y
P
u
P
d
u
y
P
u
y
P
u
P
d
P
d
u
y
P
d
P
u
P
u
y
d
P
d
P
u
P
u
y
P
u
y
d
P
w
d
P
)
|
,
(
)
|
(
)
|
,
(
)
,
(
)
(
)
|
,
(
)
,
(
)
(
)
(
)
|
,
(
)
(
1
)
(
)
,
|
(
)
(
1
)
(
)
|
(
)
,
|
(
)
(
1
0
w
else
0
w
then
)
k
k'
,
'
(
)
|
(
ijk
ijk









i
i
if
u
y
P
w ik
ij
h
ijk
29
EM algorithm
EM algorithm
• EM : estimation, maximization
• env
– learning in the presence of unobserved variables
– the form of probability distribution is known
• application
– training Bayesian belief networks
– training radial basis function networks
– basis for many unsupervised clustering algorithm
– basis for Baum-Welch’s forward-backward algorithm
30
K-means algorithm
K-means algorithm
• Env : k normal distribution 들로부터 임의로 dat
a 생성
• task : find mean values of each distribution
• instance : < xi,z11,z12>
– if z is known : using
– else use EM algorithm
i
i
ML x
 
 2
)
(
min
arg 

31
K-means algorithm
K-means algorithm
• Initialize
• calculate E[z]
• calculate a new ML hypothesis

 




 2
2
2
2
)
(
2
1
)
(
2
1
)
|
(
)
|
(
]
[
k
i
j
i
x
x
k
k
i
j
i
ij
e
e
x
P
x
P
z
E









m
i
i
ij
j x
z
E
m 1
]
[
1

==> converge to a local ML hypothesis
32
General statement of EM algo
General statement of EM algo
• Terms
  : underlying probability distribution
– x : observed data from each distribution
– z : unobserved data
– Y = X union Z
– h : current hypothesis of 
– h’ : revised hypothesis
• task : estimate  from X
33
guideline
guideline
• Search h’
• if h =  : calculate function Q
)]
|
(
[ln
max
arg h
Y
P
E
h
h




]
,
|
)
|
(
[ln
)
|
( X
h
h
Y
P
E
h
h
Q 


34
EM algorithm
EM algorithm
• Estimation step
• maximization step
• converge to a local maxima
]
,
|
)
|
(
[ln
)
|
( X
h
h
Y
P
E
h
h
Q 


)
|
(
max
arg h
h
Q
h
h








k
j
j
i
ij x
Z
ik
i
i
i
i
e
h
z
z
z
x
P
h
y
P
2
'
2
)
(
2
1
2
2
1
2
1
)
'
|
,...,
,
,
(
)
'
|
(



 







)
)
(
2
1
2
1
(ln
)
'
|
(
ln
)
'
|
(
ln
)
'
|
(
ln
2
'
2
2 j
i
ij
i
i
x
Z
h
y
P
h
y
P
h
Y
P



)
|
(
)
](
[
2
1
2
1
ln
]
)
)
(
2
1
2
1
(ln
[
)]
'
|
(
[ln
'
2
'
2
2
2
'
2
2
h
h
Q
x
Z
E
x
Z
E
h
Y
P
E
m
i
j
i
ij
j
i
ij















 
 







 




 2
2
2
2
)
(
2
1
)
(
2
1
)
|
(
)
|
(
]
[
k
i
j
i
x
x
k
k
i
j
i
ij
e
e
x
P
x
P
z
E









m
i
i
ij
j x
z
E
m 1
]
[
1


Machine learning........................