,.:
,w
].
L
t
Beu a
W
t t.c.rs*f) = t
l'+g ..:
u ( e,.nh rt) = -J- ; ,
E
tEI
t,
e.
d.
b. L
"."
(: }qft,,. ! nnta 1s ) r
. '-, a
oL ee"t)' ou (nnrt)
3?o .{
rf: &r o',. -'
tL k+) { 3L es^;h-tti)
S * tL .='
({ r- tt-t 6
C-
(c;).
J,:
)
rb
& l- trorrpt+
v
t
ro
-o
{arBr^ rt * CoJtt ) . z L Qcoc rt; *
.{1.,Qoxh5a.;
rD 2r -t$_ * 9
3Ea
*
Fo s+q
c. C.tert + A{r-.-.fic.r) {t + z(rrs3t )
1L t"l. rr (t) * au Lte) -sg Crtn fi) + zu(Csr3g;
:1-: *)6 -13 + Jf! ' s 1a tt+tF tt+3
p + 3-9 '-' r"- .t :f
t} - {< r1+!c ; tr'tg
,-- 1:
t) a. c ctt.o")l+ r tii) = 3' {t
b. L (t"rrnn),o r
a. L ( .t* rnntn<t I >D
-9
Cs:')t-t
1" (o-tg- rr,2a
c.
'-t-t,
-tL
t': S zcortt
,rt*i,: -
f- es*6
' "
-4--
t
-'$n^>t) l
to
S*- qr +3
.I
E t (aochet )' + -
er ct-tt2.-:
c,
st
A
-- Ecar(n-,f),t>i" .
cz^f
b. 9Gt)> i.- , *1lS *; 9ar, [*u
cr-sc)<r> i"
?o L (ctrtl
" J
i t' ::" i' '
i;
'" -' r f
c.* i .- r Qe"sh2 :, 3,
Jari ufeerl '.-f"'
J ta-r
cf J'S u [octll = e-{&(s a
-l -:
cz-l
, 1gla.
nt
: f.g-{.trt
cL -l
.r
-<:
*. L (cos4;'
L[+erl = =l SCc)s1
t'+4
. LttlarS, (u,e.-r'
sa+4
. tz-tk
{z+f:G
-
cL+ !
<r:
u ttct)J. : , rt.)-sls
L [1'to,:;
":.tqetr]tt,o
.l .
7a
b. L (e'*)' ""
t- [1..;l' -! , fco)rr
J-3
u [1'rtll = r.-!- _r
t-3
r:-. L (x.h qt;'
r(+iir) o 4 .fe-)!s
' L- [ q'tt.rJ ..
t;]tt
i
= -t-3
Fr'"6
r--qp
c) ^. r l"l .**
t ctt -- ett
L ( r.t) -.
,j.
rn4a 'D ,lJtt-aoJ. -t .J
.4ir*rr. i-,
( c-{
t " _X
c Crt+zr)
'44
e. L [.tJorevs-l
+tt) : Qn Bt
thrrtu, L t J*.- $, l
r. L [
,;]'
a,rll ',6;''a.]
1
:,
-.,.:*..*,r: &ctii',; ' .l
- * :::,
t (e<trOt)= t
^t .o (t ! *" :*d
' .; sl-c I
4 :: -rhQB,- t f.!o*," e*, s"J '
l-
L
<n-c.?
u;e -':-"'
g"t *
. -";"'rr 'lr..tL.
f.
jt*36
B
t tsarle;
1- [ ,'J *ru .{., r, 1
ttt) ,o Snt {t
L ( c.r,t"+u)' 4
.fir
naaFa, L [.1 r*u4u].] ' ]-.*r.
.:9 .l ,*.r,*"
t'(3r - tc)
:-
I
(
,-lJ
rD
-DS-
s (s2-c11
@'
'a, ?*.
i' .. i '- i
tJ a.. L
l,
t
{ .t-.,'. ot J
Cstnot) : @ I
iLte.l
(te."'>t)= br)'f I C 1'*L 3ic{J
: _ I_ 16f 1
t5.r'1 jj *.r- =.
> tc.s
-
e<r+e<) l
€
t ( +e=c"t;
L (c*x rt I ,
.*o
u(+srr/, o*u'
;f t.+*l
((z+t-s) - cs ts)
Csz + 257'
gL +28 - -g-
Lta* zt )
t2:ja
(t2* us)"
'-{!" -1, '
-l
*' r'
-iri , r,. "
:' .',.
*i 'J f i
)r
i{ ] {'
*,..- i :-
s.
e. L,
L
L
( t s'",t at )
( s.nh I r,J' :
(+11.h rt).
' i. ''.; r_ l:
t ( t'e-b)
L (e+) s
l- ( t-ae'+) r
.,tL -5
L-r)'f t&l
l ill}
-, -"t -l
l, cr._9/ t )
4s
fi;'
I.l-.?
^t(-ttz J I/-t
algr v
i
.: "3
e.
.J
,". i:
.:.
l-(c-{,J
.- f.r
. ...- f,
::4
8l
3E*.1
(.
=o 2-
*r3'
Lt" e.x ,t,)
C*z*. 3
ra-+ {
(tter:r): (-r)t
;:
(
zs
k*q; t
:
l- l

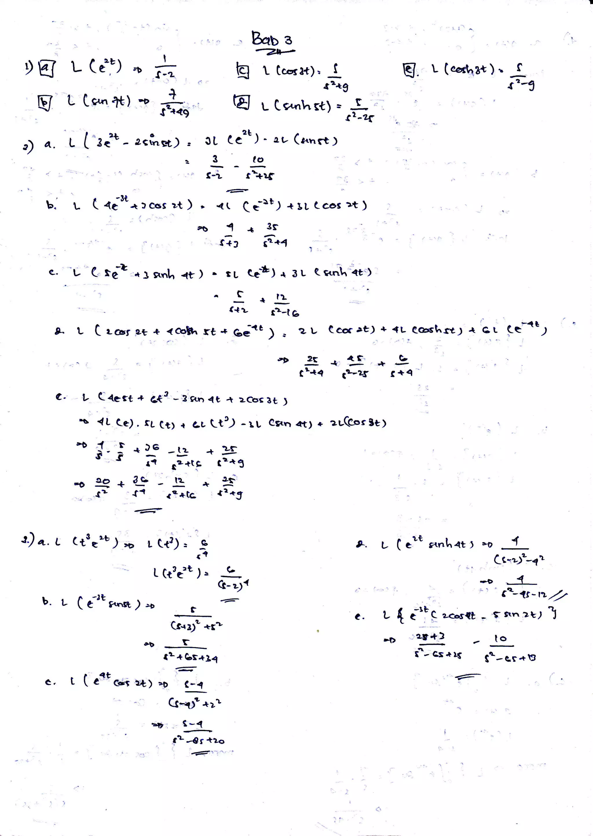
Mtk satria bab 3

  • 1.
    ,.: ,w ]. L t Beu a W t t.c.rs*f)= t l'+g ..: u ( e,.nh rt) = -J- ; , E tEI t, e. d. b. L "." (: }qft,,. ! nnta 1s ) r . '-, a oL ee"t)' ou (nnrt) 3?o .{ rf: &r o',. -' tL k+) { 3L es^;h-tti) S * tL .=' ({ r- tt-t 6 C- (c;). J,: ) rb & l- trorrpt+ v t ro -o {arBr^ rt * CoJtt ) . z L Qcoc rt; * .{1.,Qoxh5a.; rD 2r -t$_ * 9 3Ea * Fo s+q c. C.tert + A{r-.-.fic.r) {t + z(rrs3t ) 1L t"l. rr (t) * au Lte) -sg Crtn fi) + zu(Csr3g; :1-: *)6 -13 + Jf! ' s 1a tt+tF tt+3 p + 3-9 '-' r"- .t :f t} - {< r1+!c ; tr'tg ,-- 1: t) a. c ctt.o")l+ r tii) = 3' {t b. L (t"rrnn),o r a. L ( .t* rnntn<t I >D -9 Cs:')t-t 1" (o-tg- rr,2a c. '-t-t, -tL t': S zcortt ,rt*i,: - f- es*6 ' " -4-- t -'$n^>t) l to S*- qr +3 .I E t (aochet )' + - er ct-tt2.-: c,
  • 2.
    st A -- Ecar(n-,f),t>i" . cz^f b.9Gt)> i.- , *1lS *; 9ar, [*u cr-sc)<r> i" ?o L (ctrtl " J i t' ::" i' ' i; '" -' r f c.* i .- r Qe"sh2 :, 3, Jari ufeerl '.-f"' J ta-r cf J'S u [octll = e-{&(s a -l -: cz-l , 1gla. nt : f.g-{.trt cL -l .r -<: *. L (cos4;' L[+erl = =l SCc)s1 t'+4 . LttlarS, (u,e.-r' sa+4 . tz-tk {z+f:G - cL+ ! <r: u ttct)J. : , rt.)-sls L [1'to,:; ":.tqetr]tt,o .l . 7a b. L (e'*)' "" t- [1..;l' -! , fco)rr J-3 u [1'rtll = r.-!- _r t-3 r:-. L (x.h qt;' r(+iir) o 4 .fe-)!s ' L- [ q'tt.rJ .. t;]tt i = -t-3 Fr'"6 r--qp c) ^. r l"l .** t ctt -- ett L ( r.t) -. ,j. rn4a 'D ,lJtt-aoJ. -t .J .4ir*rr. i-, ( c-{ t " _X c Crt+zr) '44
  • 3.
    e. L [.tJorevs-l +tt): Qn Bt thrrtu, L t J*.- $, l r. L [ ,;]' a,rll ',6;''a.] 1 :, -.,.:*..*,r: &ctii',; ' .l - * :::, t (e<trOt)= t ^t .o (t ! *" :*d ' .; sl-c I 4 :: -rhQB,- t f.!o*," e*, s"J ' l- L <n-c.? u;e -':-"' g"t * . -";"'rr 'lr..tL. f. jt*36 B t tsarle; 1- [ ,'J *ru .{., r, 1 ttt) ,o Snt {t L ( c.r,t"+u)' 4 .fir naaFa, L [.1 r*u4u].] ' ]-.*r. .:9 .l ,*.r,*" t'(3r - tc) :- I ( ,-lJ rD -DS- s (s2-c11 @' 'a, ?*. i' .. i '- i tJ a.. L l, t { .t-.,'. ot J Cstnot) : @ I iLte.l (te."'>t)= br)'f I C 1'*L 3ic{J : _ I_ 16f 1 t5.r'1 jj *.r- =. > tc.s - e<r+e<) l € t ( +e=c"t; L (c*x rt I , .*o u(+srr/, o*u' ;f t.+*l ((z+t-s) - cs ts) Csz + 257' gL +28 - -g- Lta* zt ) t2:ja (t2* us)" '-{!" -1, ' -l *' r' -iri , r,. " :' .',. *i 'J f i )r i{ ] {' *,..- i :- s.
  • 4.
    e. L, L L ( ts'",t at ) ( s.nh I r,J' : (+11.h rt). ' i. ''.; r_ l: t ( t'e-b) L (e+) s l- ( t-ae'+) r .,tL -5 L-r)'f t&l l ill} -, -"t -l l, cr._9/ t ) 4s fi;' I.l-.? ^t(-ttz J I/-t algr v i .: "3 e. .J ,". i: .:. l-(c-{,J .- f.r . ...- f, ::4 8l 3E*.1 (. =o 2- *r3' Lt" e.x ,t,) C*z*. 3 ra-+ { (tter:r): (-r)t ;: ( zs k*q; t : l- l