JOURNAL
REVIEW
27/04/2020
Dr Sravan kumar G
Senior Resident
Department of
Cardiology,
SCTIMST
BACKGROUND
 Cardiovascular disease is leading cause of death in CKD
 Presence of Kidney disease – Angiography & Revascularisation –
Increases risk of procedural complications
 Whether these procedural risks is associated with long term
benefit ? Unknown
 Most trials exclude Patients with advanced kidney disease
AIM
 ISCHEMIA-CKD (International Study of Comparative Health
Effectiveness with Medical and InvasiveApproaches – Chronic
Kidney Disease) to test whether there is incremental benefit of an
invasive strategy(PCI or CABG) in patients with stable coronary
disease and advanced chronic kidney disease.
STUDY
DESIGN
International, Randomized
comparative effectiveness
trial, Parallel to Ischemia trial
 STUDY DESIGN
 international, randomized trial,
30 countries
92 cases from
INDIA
Study
population
Inclusion Criteria:
• At least moderate ischemia on an exercise or pharmacologic stress test
• End-stage renal disease on dialysis or estimated glomerular filtration rate
(eGFR) <30mL/min/1.73m2
• Age ≥ 21 years
Exclusion Criteria:
 Left ventricular EF < 35%
 History of unprotected left main stenosis >50% on prior CCTA or prior cardiac
catheterization (if available)
 Finding of “no obstructive coronary artery disease ” (<50% stenosis in all major epicardial
vessels) on prior CCTA or prior catheterization, performed within 12 months
 Acute coronary syndrome within the previous 2 months
 PCI within the previous 12 months
 NYHA class III-IV heart failure at entry or hospitalization for exacerbation of chronic heart
failure within the previous 6 months
 Coronary anatomy unsuitable for either percutaneous coronary intervention (PCI) or
coronary artery bypass grafting (CABG)
 Unacceptable level of angina despite maximal medical therapy
Unstable angina
Myocardial infarction
Ischemic heart failure
Resuscitated sudden cardiac
arrest
Angina refractory to medical
therapy
Follow up: 1.5, 3, 6, and 12 months after randomization during the first year
and every 6 months thereafter.
Outcomes
 Primary outcome
 Composite of death or
 Nonfatal myocardial infarction
 Secondary outcome
 Composite of death
 Nonfatal myocardial infarction
 Hospitalization for unstable angina
 Heart failure
 Resuscitated cardiac arrest
 Safety outcomes were
 Initiation of dialysis in patients who were not receiving
dialysis at baseline and
 Composite of newly initiated dialysis or death.
Discussion
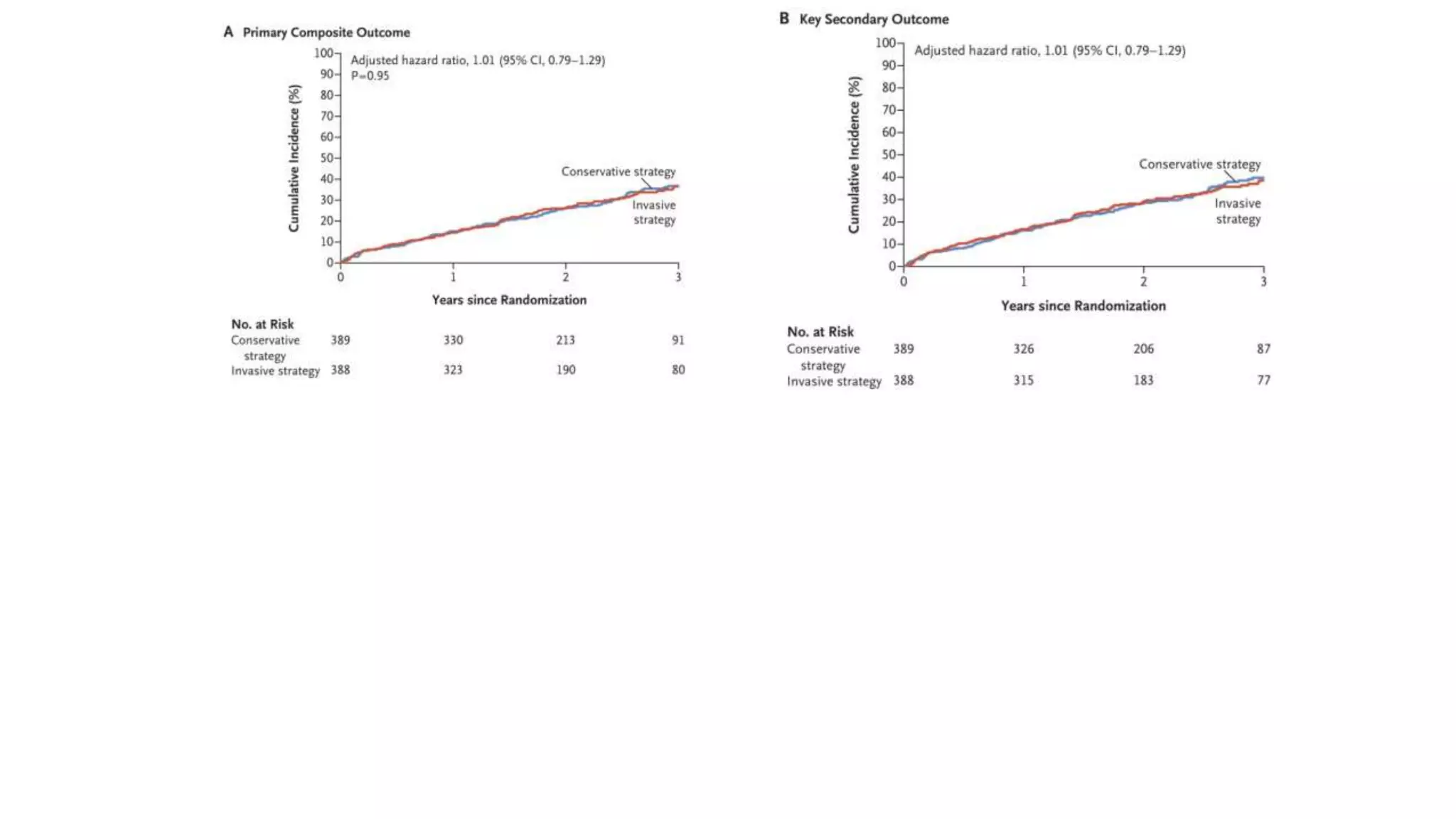
 In this trial involving patients with stable coronary disease,
advanced kidney disease, and moderate or severe ischemia, initial
invasive strategy did not result in a lower incidence of death or
nonfatal myocardial infarction than an initial conservative strategy
Discussion
 Coronary angiography was performed in approximately 85% of
the patients who were assigned to be treated with the invasive
strategy, whereas revascularization was performed in only 50%
 absence of obstructive coronary disease (101 patients (1/4 of
Invasive strategy)
 reduced accuracy of stress testing
 greater prevalence of microvascular disease in patients with advanced
kidney disease
 CCTA was not performed
Limitations
 Very symptomatic
 heart failure
 recent acute coronary syndromes
 EF < 35% were excluded from the trial, so the findings do not
extend to such patients
 Event rates were lower than projected, and together with a low
incidence of revascularization in the invasive-strategy group (50%)
and an 11% incidence of revascularization before a confirmed
event in the conservative-strategy group, the trial had less power
than anticipated to show a benefit for the invasive strategy
 Contrast-associated acute kidney injury was reported at each trial
site and was not centrally adjudicated
Introduction
 Andreas Grüntzig - percutaneous transluminal coronary
angioplasty (PTCA) in 1971
 BMS - 1987
 complicated by an unacceptably high rate of acute and
subacute vascular closure
 introduction of dual platelet aggregation inhibition in
the mid 1990s, stent implantation became a safe
procedure
 high restenosis rate with BMS was finally able to be
reduced by local drug delivery from drug-eluting stents
(DES)
 High rates (twice) of MI 9 years after with BMS vs
PTCA, even DES > Angioplasty
Study design
 210 patients with NSTEMI
 Randomised, controlled, non-inferiority, multicentre
trial
 Comparing a paclitaxel iopromide-coated DCB
(SeQuent® Please and SeQuent® Please NEO, coated
with 3 μg paclitaxel/mm² of balloon surface; B. Braun
Melsungen AG, Berlin, Germany) with primary stent
treatment (BMS or Limus-eluting DES).
 Study period – Dec 2012 to Jan 2017
 Study place – Germany (5 centres)
Inclusion
Criteria
 NSTEMI defined by
 ischaemic symptoms (angina pectoris) >30 minutes, last
symptoms within 72 hours before randomisation,
 positive cardiac troponinT, I, or hs-troponin above the
99thpercentile
 Identifiable culprit lesion without angiographic
evidence of large thrombus with intended early
percutaneous coronary intervention (PCI)
 Diameter stenosis > 70%/TIMI flow <3, vessel diameter
2.5 – 3.5mm
Exclusion
Criteria
 Cardiogenic shock
 STEMI
 No identifiable culprit lesion
 In-stent restenosis lesions
 Indication for acute bypass surgery
 Culprit lesion in a venous bypass graft
 Contraindication for treatment with heparin, ASA and
thienopyridines, other medical illness
Procedure
 Dual antiplatelet therapy with aspirin plus clopidogrel,
ticagrelor or prasugrel was continued orally for 12
months
 clinical follow-up at 30 days, four months, and nine
months post procedure
 Primary Endpoint
 Target lesion failure(TLF) combined clinical endpoint consisting of
cardiac or unknown death, myocardial reinfarction, and target
lesion revascularisation after 9 months
 Secondary endpoints
 total major adverse cardiovascular events (MACE)
 all-cause mortality
 myocardial infarction
 target lesion revascularisation
 Stroke
 PCI at other vessels
Endpoints
RESULTS
Discussion
 Despite the lack of larger randomised trials on the preferred
interventional technique, DES are regarded as the standard of
care in most countries for NSTEMI
 Increased risk of thrombotic complications in acute coronary
syndrome is a striking argument to avoid permanent implants
 Main contraindications for DCB treatment
 flow-limiting dissections
 unsatisfactory initial lumen gain
Discussion
 The early reduction of vascular occlusions after stent implantation
is related to the fixation of flow-limiting dissections, which are
rare
 Prevention of acute and subacute stent thrombosis is based
mainly on the initiation of dual antiplatelet therapy
 For balloon angioplasty alone, the impact of this drug treatment
has never been systematically investigated
Discussion
 The special feature of the “DCB only” treatment is that it results in
lumen enlargement after a few months post treatment, which can
be considered a type of vascular restoration
Limitations
 lesions with a high thrombus burden were excluded
 Initially BMS later DES were included
 Small number
Conclusion
 In patients with NSTEMI, treatment of coronary de
novo lesions with DCB was non-inferior to stenting
with BMS or DES
Introduction
 CRT - Electrical dyssynchrony and reduced systemic
ventricle ejection fraction
 In children and patients with CHD, a number of
retrospective studies have demonstrated acute and
mid-term improvement in EF and in QRS duration
(QRSd) but there are no trials evaluating survival
benefit of CRT in these patient groups
Study design
 Retrospective propensity score matched study
 Primary end point
 Transplant free survival
Inclusion
Criteria
 Age<21 years and/or CHD who underwent CRT at Lucile
Packard Children’s Hospital and Stanford Healthcare
between Jan 1st 2004 and December 31st 2017
 Systemic SVEF <45%
 Symptomatic heart failure [defined as American Heart
Association Stage C or D]
 Electrical dyssynchrony [defined as either a QRSd z-
score≥3 or, in paced patients, a ventricular pacing
burden (Vp) ≥40%]
Exclusion
criteria
 Eisenmenger syndrome
 Current ventricular assist device
 Previous heart transplant
 Weight <4kg.
Controls
 Pediatric and/or CHD patients who never received CRT
and who met the same inclusion and exclusion criteria
at an outpatient clinical encounter within the same
time period
 CRT:Multi-site ventricular pacing system implanted with at least
one pacing lead to the systemic ventricle (SV).
 CHD: CHD other than isolated bicuspid aortic valve, patent
foramen ovale or patent ductus arteriosus
Selection of
Cases &
Controls
 Cases Selection: institutional pacing databases, on day
of CRT
 Control Selection:comprehensive screening cohort
with low SVEF and electrical dyssynchrony was
identified by cross-referencing the institutional
echocardiographic, ECG and pacing databases, on 1 st
outpatient visit
Outcome
Measures
 Primary endpoint was time to heart transplant or death
 Secondary endpoints were overall survival, time to first
heart transplant listing and time to first HF-related
hospitalization
 Longitudinal measures were collected at closest
timepoint to 6 (±3) months post-enrollment, 1 (±0.5)
year, 2 (±0.5) years and 5 (±1) years
RESULTS
 Median follow-up was 2.7 (0.8-6.1) years overall, and 2.4 (0.6-5.1)
years for non-transplanted survivors
 InitialCRT delivery was transvenous for 17 (27%) patients,
epicardial for 43 (68%) and hybrid for 3 (5%)
 In 19 patients (30%), device capability included defibrillation (CRT-
D).
 Within the control cohort,12 patients (19%) had an implantable
cardioverter defibrillator (ICD) at baseline
 One of the CRT cohort was upgraded to a CRT-defibrillator at 7.4
years post-enrollment, while two controls had ICDs implanted
following enrollment (at 0.4 and 1.3 years post-enrollment).
12 (19%) CRT and 37 (58%) controls reached the primary endpoint of heart transplant or death
Control group
 Estimated transplant-free survival was 69%, 57% and
36% at 1,2 and 5 years respectively
 Data from other registries match above findings
limitations
 Selection bias
 Too small numbers
Conclusions
 In this retrospective study, CRT was associated with a
significantly lower risk of heart transplant or death in
pediatric and/or CHD patients compared to a
propensity score-matched control cohort
 Based on these findings, CRT should be considered for
suitable patients with low systemic ventricle ejection
fraction (<45%), significantly prolonged QRS duration
for age and symptomatic heart failure.
Journal review 27 04-2020 1

Journal review 27 04-2020 1

  • 1.
    JOURNAL REVIEW 27/04/2020 Dr Sravan kumarG Senior Resident Department of Cardiology, SCTIMST
  • 4.
    BACKGROUND  Cardiovascular diseaseis leading cause of death in CKD  Presence of Kidney disease – Angiography & Revascularisation – Increases risk of procedural complications  Whether these procedural risks is associated with long term benefit ? Unknown  Most trials exclude Patients with advanced kidney disease
  • 5.
    AIM  ISCHEMIA-CKD (InternationalStudy of Comparative Health Effectiveness with Medical and InvasiveApproaches – Chronic Kidney Disease) to test whether there is incremental benefit of an invasive strategy(PCI or CABG) in patients with stable coronary disease and advanced chronic kidney disease.
  • 6.
  • 7.
     STUDY DESIGN international, randomized trial, 30 countries 92 cases from INDIA Study population
  • 8.
    Inclusion Criteria: • Atleast moderate ischemia on an exercise or pharmacologic stress test • End-stage renal disease on dialysis or estimated glomerular filtration rate (eGFR) <30mL/min/1.73m2 • Age ≥ 21 years Exclusion Criteria:  Left ventricular EF < 35%  History of unprotected left main stenosis >50% on prior CCTA or prior cardiac catheterization (if available)  Finding of “no obstructive coronary artery disease ” (<50% stenosis in all major epicardial vessels) on prior CCTA or prior catheterization, performed within 12 months  Acute coronary syndrome within the previous 2 months  PCI within the previous 12 months  NYHA class III-IV heart failure at entry or hospitalization for exacerbation of chronic heart failure within the previous 6 months  Coronary anatomy unsuitable for either percutaneous coronary intervention (PCI) or coronary artery bypass grafting (CABG)  Unacceptable level of angina despite maximal medical therapy
  • 11.
    Unstable angina Myocardial infarction Ischemicheart failure Resuscitated sudden cardiac arrest Angina refractory to medical therapy
  • 13.
    Follow up: 1.5,3, 6, and 12 months after randomization during the first year and every 6 months thereafter.
  • 15.
    Outcomes  Primary outcome Composite of death or  Nonfatal myocardial infarction  Secondary outcome  Composite of death  Nonfatal myocardial infarction  Hospitalization for unstable angina  Heart failure  Resuscitated cardiac arrest  Safety outcomes were  Initiation of dialysis in patients who were not receiving dialysis at baseline and  Composite of newly initiated dialysis or death.
  • 28.
    Discussion  In thistrial involving patients with stable coronary disease, advanced kidney disease, and moderate or severe ischemia, initial invasive strategy did not result in a lower incidence of death or nonfatal myocardial infarction than an initial conservative strategy
  • 29.
    Discussion  Coronary angiographywas performed in approximately 85% of the patients who were assigned to be treated with the invasive strategy, whereas revascularization was performed in only 50%  absence of obstructive coronary disease (101 patients (1/4 of Invasive strategy)  reduced accuracy of stress testing  greater prevalence of microvascular disease in patients with advanced kidney disease  CCTA was not performed
  • 31.
    Limitations  Very symptomatic heart failure  recent acute coronary syndromes  EF < 35% were excluded from the trial, so the findings do not extend to such patients  Event rates were lower than projected, and together with a low incidence of revascularization in the invasive-strategy group (50%) and an 11% incidence of revascularization before a confirmed event in the conservative-strategy group, the trial had less power than anticipated to show a benefit for the invasive strategy  Contrast-associated acute kidney injury was reported at each trial site and was not centrally adjudicated
  • 34.
    Introduction  Andreas Grüntzig- percutaneous transluminal coronary angioplasty (PTCA) in 1971  BMS - 1987  complicated by an unacceptably high rate of acute and subacute vascular closure  introduction of dual platelet aggregation inhibition in the mid 1990s, stent implantation became a safe procedure  high restenosis rate with BMS was finally able to be reduced by local drug delivery from drug-eluting stents (DES)  High rates (twice) of MI 9 years after with BMS vs PTCA, even DES > Angioplasty
  • 35.
    Study design  210patients with NSTEMI  Randomised, controlled, non-inferiority, multicentre trial  Comparing a paclitaxel iopromide-coated DCB (SeQuent® Please and SeQuent® Please NEO, coated with 3 μg paclitaxel/mm² of balloon surface; B. Braun Melsungen AG, Berlin, Germany) with primary stent treatment (BMS or Limus-eluting DES).  Study period – Dec 2012 to Jan 2017  Study place – Germany (5 centres)
  • 36.
    Inclusion Criteria  NSTEMI definedby  ischaemic symptoms (angina pectoris) >30 minutes, last symptoms within 72 hours before randomisation,  positive cardiac troponinT, I, or hs-troponin above the 99thpercentile  Identifiable culprit lesion without angiographic evidence of large thrombus with intended early percutaneous coronary intervention (PCI)  Diameter stenosis > 70%/TIMI flow <3, vessel diameter 2.5 – 3.5mm
  • 37.
    Exclusion Criteria  Cardiogenic shock STEMI  No identifiable culprit lesion  In-stent restenosis lesions  Indication for acute bypass surgery  Culprit lesion in a venous bypass graft  Contraindication for treatment with heparin, ASA and thienopyridines, other medical illness
  • 38.
    Procedure  Dual antiplatelettherapy with aspirin plus clopidogrel, ticagrelor or prasugrel was continued orally for 12 months  clinical follow-up at 30 days, four months, and nine months post procedure
  • 41.
     Primary Endpoint Target lesion failure(TLF) combined clinical endpoint consisting of cardiac or unknown death, myocardial reinfarction, and target lesion revascularisation after 9 months  Secondary endpoints  total major adverse cardiovascular events (MACE)  all-cause mortality  myocardial infarction  target lesion revascularisation  Stroke  PCI at other vessels Endpoints
  • 42.
  • 47.
    Discussion  Despite thelack of larger randomised trials on the preferred interventional technique, DES are regarded as the standard of care in most countries for NSTEMI  Increased risk of thrombotic complications in acute coronary syndrome is a striking argument to avoid permanent implants  Main contraindications for DCB treatment  flow-limiting dissections  unsatisfactory initial lumen gain
  • 48.
    Discussion  The earlyreduction of vascular occlusions after stent implantation is related to the fixation of flow-limiting dissections, which are rare  Prevention of acute and subacute stent thrombosis is based mainly on the initiation of dual antiplatelet therapy  For balloon angioplasty alone, the impact of this drug treatment has never been systematically investigated
  • 49.
    Discussion  The specialfeature of the “DCB only” treatment is that it results in lumen enlargement after a few months post treatment, which can be considered a type of vascular restoration
  • 50.
    Limitations  lesions witha high thrombus burden were excluded  Initially BMS later DES were included  Small number
  • 53.
    Conclusion  In patientswith NSTEMI, treatment of coronary de novo lesions with DCB was non-inferior to stenting with BMS or DES
  • 55.
    Introduction  CRT -Electrical dyssynchrony and reduced systemic ventricle ejection fraction  In children and patients with CHD, a number of retrospective studies have demonstrated acute and mid-term improvement in EF and in QRS duration (QRSd) but there are no trials evaluating survival benefit of CRT in these patient groups
  • 56.
    Study design  Retrospectivepropensity score matched study  Primary end point  Transplant free survival
  • 57.
    Inclusion Criteria  Age<21 yearsand/or CHD who underwent CRT at Lucile Packard Children’s Hospital and Stanford Healthcare between Jan 1st 2004 and December 31st 2017  Systemic SVEF <45%  Symptomatic heart failure [defined as American Heart Association Stage C or D]  Electrical dyssynchrony [defined as either a QRSd z- score≥3 or, in paced patients, a ventricular pacing burden (Vp) ≥40%]
  • 58.
    Exclusion criteria  Eisenmenger syndrome Current ventricular assist device  Previous heart transplant  Weight <4kg.
  • 59.
    Controls  Pediatric and/orCHD patients who never received CRT and who met the same inclusion and exclusion criteria at an outpatient clinical encounter within the same time period
  • 60.
     CRT:Multi-site ventricularpacing system implanted with at least one pacing lead to the systemic ventricle (SV).  CHD: CHD other than isolated bicuspid aortic valve, patent foramen ovale or patent ductus arteriosus
  • 61.
    Selection of Cases & Controls Cases Selection: institutional pacing databases, on day of CRT  Control Selection:comprehensive screening cohort with low SVEF and electrical dyssynchrony was identified by cross-referencing the institutional echocardiographic, ECG and pacing databases, on 1 st outpatient visit
  • 63.
    Outcome Measures  Primary endpointwas time to heart transplant or death  Secondary endpoints were overall survival, time to first heart transplant listing and time to first HF-related hospitalization  Longitudinal measures were collected at closest timepoint to 6 (±3) months post-enrollment, 1 (±0.5) year, 2 (±0.5) years and 5 (±1) years
  • 64.
  • 67.
     Median follow-upwas 2.7 (0.8-6.1) years overall, and 2.4 (0.6-5.1) years for non-transplanted survivors  InitialCRT delivery was transvenous for 17 (27%) patients, epicardial for 43 (68%) and hybrid for 3 (5%)  In 19 patients (30%), device capability included defibrillation (CRT- D).  Within the control cohort,12 patients (19%) had an implantable cardioverter defibrillator (ICD) at baseline  One of the CRT cohort was upgraded to a CRT-defibrillator at 7.4 years post-enrollment, while two controls had ICDs implanted following enrollment (at 0.4 and 1.3 years post-enrollment).
  • 68.
    12 (19%) CRTand 37 (58%) controls reached the primary endpoint of heart transplant or death
  • 74.
    Control group  Estimatedtransplant-free survival was 69%, 57% and 36% at 1,2 and 5 years respectively  Data from other registries match above findings
  • 75.
  • 76.
    Conclusions  In thisretrospective study, CRT was associated with a significantly lower risk of heart transplant or death in pediatric and/or CHD patients compared to a propensity score-matched control cohort  Based on these findings, CRT should be considered for suitable patients with low systemic ventricle ejection fraction (<45%), significantly prolonged QRS duration for age and symptomatic heart failure.

Editor's Notes

  • #23 On the Seattle Angina Questionnaire, a score of 0 to 60 indicates daily or weekly angina, a score of 61 to 99 monthly angina, and a score of 100 no angina. Canadian Cardiovascular Society classes of angina are I (angina only with strenuous exertion), II (slight limitation of physical activity), III (marked limitation of physical activity), and IV (inability to perform any physical activity without angina); class IV angina was an exclusion criterion for the trial.