Isotope Effects and
Fragmentation
BHUPENDER SINGH
A4450920020
M.Sc.(A.C)
Isotopes are two atoms of the same element
that have the same number of protons but
different numbers of neutrons. Isotopes are
specified by the mass number.
Why Kinetic Isotope effect???
Traditional kinetics studies do not provide
information as to what bonds are broken/formed
and changes in hybridization that occur during the
rate limiting step of a reaction.
Isotope effects can provide this information.
Substituting one iosotope for another at or near an
atom at which bonds are breaking or re-hybridizing
typically leads to a change in the rate of the
reaction.
Kinetic Isotope Effects
isotope effect (KIE) is a
with isotopically
The kinetic
phenomenon
substituted
associated
molecules exhibiting different
reaction rates.
Differences in the properties which arise from the
difference in mass are called as isotope effect.
Rates of reactions are measurable different for the
process in which E-H & E-D bonds are broken, made
or rearranged (E – another element).
The detection of this kinetic isotope effect help to
support a proposed reaction mechanism of many
chemical reactions.
The isotope effect is expressed as a ratio of rate
constants:
The rate constant for the reaction with the natural
abundance isotope over the rate constant for the
reaction with the altered isotope.
For H/D substitutions: kH/kD
The magnitude of the IE gives information about
reaction mechanism:
If kH/KD = 1, the bond where substitution has
occured is not changing during the chemical
reaction (RDS)
OR The IE is negligible to be measured
If kH/KD > 1, the IE is Normal IE
If kH/KD < 1, the IE is Inverse IE
Primary kinetic isotope effects
A Primary Kinetic Isotope effect may
be found when a bond
atom
to the
is being
Isotopically labelled
formed or broken.
Origin of Primary Kinetic Isotope Effects
The origins of isotope effects is the difference in the
frequencies of various Vibrational modes of a
molecule, arising when one isotope is substituted for
another.
Different type of bond in a molecule have different
frequency.
Vibrational frequancy of a
molecule is calculated by using
the formula:
Where Mr = Reduced mass
The VF is directly proportional to FORCE constant
‘k’ and inversely proportional to the mass of the
atom.
As deuterium is heavier than hydrogen the VF of
C-H bond will be more as compared to C-D bond.
Energy for bond breaking is directly proportional to
VF
Thus energy for C -H bond will be less as compared
to C-D bond.
Vibrational energy which is calculated at
ambient temperature for bond is called Zero
Point energy (ZPE)
Zero Point energy (ZPE) can be stated as,
Example
Dehydrohalogenation
reaction
Without isotope:
lCH3-CH2-CH2-Br CH3-CH=CH2
Without isotope:
lCH3-CD2-CH2-Br CH3-CD=CH2
NaOC2H5
C2H5OH
NaOC2H5
C2H5OH
kH/kD= 6.7
Secondary Kinetic Isotope Effects
When the IE is attributed to a REHYBRIDIZATION or when
IE arises from substitution remote/away from the bond
undergoinig reaction it is reffered to as Secondary IE.
lα or β secondary isotope effects: based on whether
the isotope is on a position α or β to the bond that is
changing.
In Secondary IE we consider change in Hybridization of
Carbon atom.
As the hybridization state of carbon changes the VF of C-
H and C-D bond will change
When C-H bond involving an sp3 hybridized carbon is
changing to a bond involving an sp2 hybridized carbon
the vibrational modes changes.
C-H bond strengths decrease in the order sp > sp2 > sp3
Hybridization Changes
Consider the in-plane and out-of-plane bending motions for sp3 and
sp2 hybridized carbons, along with the associated IR frequencies.
The in-plane and out-of-plane bends for an sp3 hybridized carbon are
degenerate.
However, the in-plane bend is a much stiffer motion for the sp2
hybridized
carbon than is the out-of-plane bend ---- because of Steric Hindrance
This large difference in force constant for the out-of-plane bend
of an sp3 hybrid vs sp2 hybrid leads to -----
Significant difference in ZPE differences between C-H and C-D
bonds in reactions that involve rehybridization between sp3 and
sp2.
Therefore, it is this bending mode that leads to a measurable
Secondary Isotope Effect.
Fragment ions
Lighter cations formed by the decomposition of the molecular
ion. also called daughter ion
FRAGMENTATION MODES
The RA of fragment ion formed depends upon’
1)The stability of the ion
2)Also the stability of radical lost.
The radical site is reactive and can form a new bond.
The formation of new bond is a powerful driving force for
ion decompositions.
The energy released during bond formation is available for
the cleavage of some bonds in the ion.
Some imp. Fragmentation modes are described below
1)Simple cleavage :
Involves i) Homolytic or
ii) Heterolytic cleavage
of a single covalent bond.
Fragmentation modes
➢ 1) Homolytic cleavage :
odd electron ions have unpaired electron which is
capable of new bond formation.
Bond is formed , energy is released , help offset the
energy required for the cleavage of some other bond in
the ion.
Homolytic cleavage reactions are very common.
2) Heterolytic cleavage :
It may be noted the cleavage of C-X (X=
0,N,S,Cl) bond is more difficult than that of C-C bond.
In such cleavage , the positive charge is carried by the
carbon atom and not by the heteroatom.
R-CH2-Cl.+ = Cl. + RC+H2
Fragmentation modes
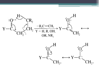
2) Retro –Diels –Alder reaction
The reaction is an example of multicentre
fragmentation which is characteristic of cyclic olefins.
It involves the cleavage of two bonds of a cyclic system ,
result the formation of 2 stable unsaturated fragment in
which 2 new bonds are formed.
This process is not accompanied by any hydrogen
transfer rearrangement.
The charge can be carried by any one of the fragment.
3)Mc Lafferty Rearrangement:
• This involves migration of hydrogen atom from one part of the ion to
another.
• To undergo a Mc Lafferty Rearrangement a molecule must possess
a) An appropriately located heteroatom e.g. O, N
b) A pi electron system ( usually a double bond) &
c) An abstractable hydrogen atom gamma to the C = X system
Gamma hydrogen atom is transferred through a six membered transition
state to an electron deficient centre followed by cleavage at beta
bond.
The reaction results in the elimination of a neutral molecule.
Rules
➢ A number of general rules for predicting prominent peak
in electron impact spectra are recorded and can be
summarized below
➢ 1) most compound give molecule ion peak but some do
not . Existence of molecular ion peak in the spectrum is
dependent on the stability of molecule
➢ 2)In case of alkenes , the relative intensity of the
molecule ion peak is greatest for the straight chain
compound but,
a) The intensity decreases with increases degree of
branching.
b) The intensity decreases with increasing molecular
weight in a homologous series.
Rules
➢ 3) cleavage is favored at alkyl substituted carbons ,the
more substituted ,the more likely is the cleavage .Hence
the tertiary carbocation is more suitable than secondary,
which is more turn stable then primary. The cation
stability order is CH3 < R-CH2 <R2 CH+ <
R3C+.Generally the largest substituent at a branch is
eliminated most readily as a radical, presumably
because a long chain radical can achieve some stability
by delocalization of the lone electrons.
4)In alkyl substituted ring compounds, cleavage is
favoured at the bound at the bond beta to the ring giving
the resonance stabilized benzyl ion.
5)Saturated rings containing side chain, lose the side
chains at the alpha bond. the ve+ charge tend to stay
with ring fragment.
Rules
6)The cleavage of a C-X bond is more difficult than that
of a C-C bond (X=O, N, S, F, CI, etc). If occurred ,the
positive charge is carried by the carbon atoms, and not
to the heteroatom.the halogens having great electron
affinity do not have tendency to carry the positive
charge.
7)Double bonds favour allylic cleavage and give the
resonance stabilized allylic carbonium ion.
8)Compounds containing a carbonyl group tend to break at
this group with positive charge remaining with the
carbonyl portions.
Rules
9)During fragmentation, small, suitable neutral molecules
e.g. water, carbon monoxide, alcohol, ammonia,
hydrogen cyanide, carbon dioxide, ethylene etc,
are eliminated from appropriate ions.
Fragmentation Pattern for org. comp.
Organic molecules will fragments in very specific ways
depending upon what functional groups are present in the
molecule.
These fragments (if positively charged are detected in
mass spectroscopy)
The presence or absence of various mass peaks in the
spectrum can be used to deduce the structure of the
compound in question.
Fragmentation rules in MS
R
C+
1. Intensity of M.+ is Larger for linear chain than
for branched compound
2. Intensity of M.+ decrease with Increasing MW.
(fatty acid is an exception)
3. Cleavage is favored at branching
➔ reflecting the Increased stability of the ionR
• R CH+ < R
R
R CH
Stability order: CH3
+ < R-CH2 <
+
R’
R”
Loss of Largest Subst. is most favored
Fragmentation Patterns
➢ The impact of the stream of high energy electrons
often breaks the molecule into fragments, commonly a
cation and a radical.
- Bonds break to give the most stable cation.
➢ Alkanes
- Fragmentation often splits off simple alkyl groups:
▪ Loss of methyl M+ - 15
•Loss of ethyl
•Loss of propyl
•Loss of butyl
M+ - 29
M+ - 43
M+ - 57
-Branched alkanes tend to fragment forming the most stable
carbocation's.
Fragmentation Patterns
➢ Mass spectrum of 2-methylpentane
Fragmentation Patterns
➢ Alkenes:
-Fragmentation typically forms resonance stabilized allylic
carbocation.
Fragmentation Patterns
➢ Aromatics:
-Fragment at the benzylic carbon, forming a resonance
stabilized benzylic carbocation .
(which rearranges to the tropylium ion)
H
H C
H
H C Br
H
H C
or
M+
Fragmentation Patterns
➢ Aromatics may also have a peak at m/z = 77 for the
benzene ring.
77
NO2
M+ = 123
77
Fragmentation Patterns
➢ Alcohols :
-Fragment easily resulting in very small or missing parent ion
peak
-May lose hydroxyl radical or water
-M+ - 17 or M+ - 18
- Commonly lose an alkyl group attached to the carbinol
carbon forming an oxonium ion.
-1o alcohol usually has prominent peak at m/z = 31
corresponding to H2C=OH+
Fragmentation Patterns
➢ MS for 1-propanol
CH3CH2CH2OH
H2C OH
M+-18 M+
Fragmentation Patterns
➢ Amines:
-Odd M+ (assuming an odd number of nitrogen are present)
-cleavage dominates forming an iminium ion
CH3CH2 CH2 N CH2 CH2CH2CH3
H
CH3CH2CH2N CH2
H
m/z =72
iminium ion
Fragmentation Patterns
86
CH3CH2 CH2 N CH2 CH2CH2CH3
H
72
Fragmentation Patterns
➢ Ethers
- -cleavage forming oxonium ion
- Loss of alkyl group forming oxonium ion
- Loss of alkyl group forming a carbocation
Fragmentation Patterns
➢ MS of diethyl ether (CH3CH2OCH2CH3)
H O CH2
H O CHCH3
CH3CH2O CH2
Fragmentation Patterns
➢
M+ - 1 for
M+ - 29 for
Aldehydes (RCHO)
- Fragmentation may form acylium ion
RC O
- Common fragments
RC O
R (i.e. RCHO - CHO)
Fragmentation Patterns
➢MS for hydrocinnamaldehyde
105
H H O
C C C H
H H
133
91
91
105
M+ = 134
Fragmentation Patterns
➢ Ketones :
-Loss of R forming
O
RCR'
-Fragmentation leads to formation of acylium ion:
R'C O
-Loss of R’ forming
RC O
Fragmentation Patterns
➢ MS for 2-pentanone
CH3C O
CH3CH2CH2C O
M+
O
CH3CCH2CH2CH3
Fragmentation Patterns
➢ Esters (RCO2R’)
-Common fragmentation patterns include:
Loss of OR’
-peak at M+ - OR’
Loss of R’
-peak at M+ - R’
Fragmentation Patterns
O
C O CH3
105
77
77
105
M+ = 136
THANK YOU

isotope effect and fragmantation

  • 1.
    Isotope Effects and Fragmentation BHUPENDERSINGH A4450920020 M.Sc.(A.C)
  • 2.
    Isotopes are twoatoms of the same element that have the same number of protons but different numbers of neutrons. Isotopes are specified by the mass number.
  • 3.
    Why Kinetic Isotopeeffect??? Traditional kinetics studies do not provide information as to what bonds are broken/formed and changes in hybridization that occur during the rate limiting step of a reaction. Isotope effects can provide this information. Substituting one iosotope for another at or near an atom at which bonds are breaking or re-hybridizing typically leads to a change in the rate of the reaction.
  • 4.
    Kinetic Isotope Effects isotopeeffect (KIE) is a with isotopically The kinetic phenomenon substituted associated molecules exhibiting different reaction rates.
  • 5.
    Differences in theproperties which arise from the difference in mass are called as isotope effect. Rates of reactions are measurable different for the process in which E-H & E-D bonds are broken, made or rearranged (E – another element). The detection of this kinetic isotope effect help to support a proposed reaction mechanism of many chemical reactions.
  • 6.
    The isotope effectis expressed as a ratio of rate constants: The rate constant for the reaction with the natural abundance isotope over the rate constant for the reaction with the altered isotope. For H/D substitutions: kH/kD
  • 7.
    The magnitude ofthe IE gives information about reaction mechanism: If kH/KD = 1, the bond where substitution has occured is not changing during the chemical reaction (RDS) OR The IE is negligible to be measured If kH/KD > 1, the IE is Normal IE If kH/KD < 1, the IE is Inverse IE
  • 8.
    Primary kinetic isotopeeffects A Primary Kinetic Isotope effect may be found when a bond atom to the is being Isotopically labelled formed or broken.
  • 9.
    Origin of PrimaryKinetic Isotope Effects The origins of isotope effects is the difference in the frequencies of various Vibrational modes of a molecule, arising when one isotope is substituted for another. Different type of bond in a molecule have different frequency.
  • 10.
    Vibrational frequancy ofa molecule is calculated by using the formula: Where Mr = Reduced mass The VF is directly proportional to FORCE constant ‘k’ and inversely proportional to the mass of the atom.
  • 11.
    As deuterium isheavier than hydrogen the VF of C-H bond will be more as compared to C-D bond. Energy for bond breaking is directly proportional to VF Thus energy for C -H bond will be less as compared to C-D bond.
  • 12.
    Vibrational energy whichis calculated at ambient temperature for bond is called Zero Point energy (ZPE) Zero Point energy (ZPE) can be stated as,
  • 13.
    Example Dehydrohalogenation reaction Without isotope: lCH3-CH2-CH2-Br CH3-CH=CH2 Withoutisotope: lCH3-CD2-CH2-Br CH3-CD=CH2 NaOC2H5 C2H5OH NaOC2H5 C2H5OH kH/kD= 6.7
  • 14.
    Secondary Kinetic IsotopeEffects When the IE is attributed to a REHYBRIDIZATION or when IE arises from substitution remote/away from the bond undergoinig reaction it is reffered to as Secondary IE. lα or β secondary isotope effects: based on whether the isotope is on a position α or β to the bond that is changing.
  • 15.
    In Secondary IEwe consider change in Hybridization of Carbon atom. As the hybridization state of carbon changes the VF of C- H and C-D bond will change When C-H bond involving an sp3 hybridized carbon is changing to a bond involving an sp2 hybridized carbon the vibrational modes changes. C-H bond strengths decrease in the order sp > sp2 > sp3 Hybridization Changes
  • 16.
    Consider the in-planeand out-of-plane bending motions for sp3 and sp2 hybridized carbons, along with the associated IR frequencies. The in-plane and out-of-plane bends for an sp3 hybridized carbon are degenerate. However, the in-plane bend is a much stiffer motion for the sp2 hybridized carbon than is the out-of-plane bend ---- because of Steric Hindrance
  • 17.
    This large differencein force constant for the out-of-plane bend of an sp3 hybrid vs sp2 hybrid leads to ----- Significant difference in ZPE differences between C-H and C-D bonds in reactions that involve rehybridization between sp3 and sp2. Therefore, it is this bending mode that leads to a measurable Secondary Isotope Effect.
  • 19.
    Fragment ions Lighter cationsformed by the decomposition of the molecular ion. also called daughter ion
  • 20.
    FRAGMENTATION MODES The RAof fragment ion formed depends upon’ 1)The stability of the ion 2)Also the stability of radical lost. The radical site is reactive and can form a new bond. The formation of new bond is a powerful driving force for ion decompositions. The energy released during bond formation is available for the cleavage of some bonds in the ion. Some imp. Fragmentation modes are described below 1)Simple cleavage : Involves i) Homolytic or ii) Heterolytic cleavage of a single covalent bond.
  • 21.
    Fragmentation modes ➢ 1)Homolytic cleavage : odd electron ions have unpaired electron which is capable of new bond formation. Bond is formed , energy is released , help offset the energy required for the cleavage of some other bond in the ion. Homolytic cleavage reactions are very common. 2) Heterolytic cleavage : It may be noted the cleavage of C-X (X= 0,N,S,Cl) bond is more difficult than that of C-C bond. In such cleavage , the positive charge is carried by the carbon atom and not by the heteroatom. R-CH2-Cl.+ = Cl. + RC+H2
  • 22.
    Fragmentation modes 2) Retro–Diels –Alder reaction The reaction is an example of multicentre fragmentation which is characteristic of cyclic olefins. It involves the cleavage of two bonds of a cyclic system , result the formation of 2 stable unsaturated fragment in which 2 new bonds are formed. This process is not accompanied by any hydrogen transfer rearrangement. The charge can be carried by any one of the fragment.
  • 23.
    3)Mc Lafferty Rearrangement: •This involves migration of hydrogen atom from one part of the ion to another. • To undergo a Mc Lafferty Rearrangement a molecule must possess a) An appropriately located heteroatom e.g. O, N b) A pi electron system ( usually a double bond) & c) An abstractable hydrogen atom gamma to the C = X system Gamma hydrogen atom is transferred through a six membered transition state to an electron deficient centre followed by cleavage at beta bond. The reaction results in the elimination of a neutral molecule.
  • 26.
    Rules ➢ A numberof general rules for predicting prominent peak in electron impact spectra are recorded and can be summarized below ➢ 1) most compound give molecule ion peak but some do not . Existence of molecular ion peak in the spectrum is dependent on the stability of molecule ➢ 2)In case of alkenes , the relative intensity of the molecule ion peak is greatest for the straight chain compound but, a) The intensity decreases with increases degree of branching. b) The intensity decreases with increasing molecular weight in a homologous series.
  • 27.
    Rules ➢ 3) cleavageis favored at alkyl substituted carbons ,the more substituted ,the more likely is the cleavage .Hence the tertiary carbocation is more suitable than secondary, which is more turn stable then primary. The cation stability order is CH3 < R-CH2 <R2 CH+ < R3C+.Generally the largest substituent at a branch is eliminated most readily as a radical, presumably because a long chain radical can achieve some stability by delocalization of the lone electrons. 4)In alkyl substituted ring compounds, cleavage is favoured at the bound at the bond beta to the ring giving the resonance stabilized benzyl ion. 5)Saturated rings containing side chain, lose the side chains at the alpha bond. the ve+ charge tend to stay with ring fragment.
  • 28.
    Rules 6)The cleavage ofa C-X bond is more difficult than that of a C-C bond (X=O, N, S, F, CI, etc). If occurred ,the positive charge is carried by the carbon atoms, and not to the heteroatom.the halogens having great electron affinity do not have tendency to carry the positive charge. 7)Double bonds favour allylic cleavage and give the resonance stabilized allylic carbonium ion. 8)Compounds containing a carbonyl group tend to break at this group with positive charge remaining with the carbonyl portions.
  • 29.
    Rules 9)During fragmentation, small,suitable neutral molecules e.g. water, carbon monoxide, alcohol, ammonia, hydrogen cyanide, carbon dioxide, ethylene etc, are eliminated from appropriate ions.
  • 30.
    Fragmentation Pattern fororg. comp. Organic molecules will fragments in very specific ways depending upon what functional groups are present in the molecule. These fragments (if positively charged are detected in mass spectroscopy) The presence or absence of various mass peaks in the spectrum can be used to deduce the structure of the compound in question.
  • 31.
    Fragmentation rules inMS R C+ 1. Intensity of M.+ is Larger for linear chain than for branched compound 2. Intensity of M.+ decrease with Increasing MW. (fatty acid is an exception) 3. Cleavage is favored at branching ➔ reflecting the Increased stability of the ionR • R CH+ < R R R CH Stability order: CH3 + < R-CH2 < + R’ R” Loss of Largest Subst. is most favored
  • 32.
    Fragmentation Patterns ➢ Theimpact of the stream of high energy electrons often breaks the molecule into fragments, commonly a cation and a radical. - Bonds break to give the most stable cation. ➢ Alkanes - Fragmentation often splits off simple alkyl groups: ▪ Loss of methyl M+ - 15 •Loss of ethyl •Loss of propyl •Loss of butyl M+ - 29 M+ - 43 M+ - 57 -Branched alkanes tend to fragment forming the most stable carbocation's.
  • 33.
    Fragmentation Patterns ➢ Massspectrum of 2-methylpentane
  • 34.
    Fragmentation Patterns ➢ Alkenes: -Fragmentationtypically forms resonance stabilized allylic carbocation.
  • 35.
    Fragmentation Patterns ➢ Aromatics: -Fragmentat the benzylic carbon, forming a resonance stabilized benzylic carbocation . (which rearranges to the tropylium ion) H H C H H C Br H H C or M+
  • 36.
    Fragmentation Patterns ➢ Aromaticsmay also have a peak at m/z = 77 for the benzene ring. 77 NO2 M+ = 123 77
  • 37.
    Fragmentation Patterns ➢ Alcohols: -Fragment easily resulting in very small or missing parent ion peak -May lose hydroxyl radical or water -M+ - 17 or M+ - 18 - Commonly lose an alkyl group attached to the carbinol carbon forming an oxonium ion. -1o alcohol usually has prominent peak at m/z = 31 corresponding to H2C=OH+
  • 38.
    Fragmentation Patterns ➢ MSfor 1-propanol CH3CH2CH2OH H2C OH M+-18 M+
  • 39.
    Fragmentation Patterns ➢ Amines: -OddM+ (assuming an odd number of nitrogen are present) -cleavage dominates forming an iminium ion CH3CH2 CH2 N CH2 CH2CH2CH3 H CH3CH2CH2N CH2 H m/z =72 iminium ion
  • 40.
  • 41.
    Fragmentation Patterns ➢ Ethers --cleavage forming oxonium ion - Loss of alkyl group forming oxonium ion - Loss of alkyl group forming a carbocation
  • 42.
    Fragmentation Patterns ➢ MSof diethyl ether (CH3CH2OCH2CH3) H O CH2 H O CHCH3 CH3CH2O CH2
  • 43.
    Fragmentation Patterns ➢ M+ -1 for M+ - 29 for Aldehydes (RCHO) - Fragmentation may form acylium ion RC O - Common fragments RC O R (i.e. RCHO - CHO)
  • 44.
    Fragmentation Patterns ➢MS forhydrocinnamaldehyde 105 H H O C C C H H H 133 91 91 105 M+ = 134
  • 45.
    Fragmentation Patterns ➢ Ketones: -Loss of R forming O RCR' -Fragmentation leads to formation of acylium ion: R'C O -Loss of R’ forming RC O
  • 46.
    Fragmentation Patterns ➢ MSfor 2-pentanone CH3C O CH3CH2CH2C O M+ O CH3CCH2CH2CH3
  • 47.
    Fragmentation Patterns ➢ Esters(RCO2R’) -Common fragmentation patterns include: Loss of OR’ -peak at M+ - OR’ Loss of R’ -peak at M+ - R’
  • 48.
    Fragmentation Patterns O C OCH3 105 77 77 105 M+ = 136
  • 49.